| Color | ConSurf Grade |
| No Conservation data available | |
| 1 | |
| 2 | |
| 3 | |
| 4 | |
| 5 | |
| 6 | |
| 7 | |
| 8 | |
| 9 |
All columns can be sorted in ascending/descending alphabetical order, clicking on the corresponding column header.
Index: link id, click on each number to highlight the corresponding link in the 3D visualization.
Node1 Node2: the two nodes of the corresponding link.
Int. Strength: the interaction strength between the two nodes.
Hub1?, Hub2?: "Yes" if the corresponding node has more than 3 links, otherwise "No".
Community: the id of the community the link belong to, otherwise 0.
ConSurf1, ConSurf2: these columns report the ConSurf conservation grades of the two nodes involved in a link.
| Index | Node1 | Node2 | Int. Strength | Hub1? | Hub2? | Community | ConSurf1 | ConSurf2 |
|---|---|---|---|---|---|---|---|---|
| 1 | G.HN.23 | G.HN.33 | 8.83 | No | No | 0 | 7 | 4 |
| 2 | G.HN.39 | G.HN.43 | 3.76 | No | No | 0 | 5 | 9 |
| 3 | G.HN.39 | b.b5x5 | 5.64 | No | Yes | 0 | 5 | 5 |
| 4 | G.HN.40 | G.HN.44 | 4.42 | No | No | 3 | 7 | 6 |
| 5 | G.HN.40 | b.b5x2 | 8.94 | No | Yes | 0 | 7 | 7 |
| 6 | G.HN.40 | b.b5x3 | 4.59 | No | Yes | 3 | 7 | 9 |
| 7 | G.HN.43 | b.b5x3 | 8.72 | No | Yes | 0 | 9 | 9 |
| 8 | G.HN.44 | b.b5x3 | 11.06 | No | Yes | 3 | 6 | 9 |
| 9 | G.HN.47 | G.HN.50 | 5.3 | No | No | 17 | 7 | 5 |
| 10 | G.HN.47 | b.b4x2 | 4.23 | No | No | 17 | 7 | 8 |
| 11 | G.HN.50 | b.l1x4 | 3.98 | No | Yes | 0 | 5 | 6 |
| 12 | G.HN.50 | b.b4x2 | 9.45 | No | No | 17 | 5 | 8 |
| 13 | G.HN.51 | b.l1x4 | 4.23 | No | Yes | 0 | 5 | 6 |
| 14 | G.HN.53 | G.S1.01 | 3.52 | No | No | 0 | 2 | 6 |
| 15 | G.HN.53 | G.S2.05 | 4.6 | No | No | 0 | 2 | 3 |
| 16 | G.HN.53 | G.S3.02 | 8.34 | No | Yes | 0 | 2 | 4 |
| 17 | G.hns1.01 | b.l1x4 | 5.96 | No | Yes | 0 | 3 | 6 |
| 18 | G.hns1.02 | I2.G647 | 5.23 | No | No | 0 | 4 | 5 |
| 19 | G.S3.02 | G.hns1.03 | 11.53 | Yes | No | 0 | 4 | 5 |
| 20 | G.S1.01 | G.S1.03 | 4.23 | No | No | 7 | 6 | 9 |
| 21 | G.S1.01 | G.S3.04 | 9.87 | No | Yes | 7 | 6 | 6 |
| 22 | G.S1.02 | G.S3.03 | 5.24 | No | Yes | 0 | 6 | 7 |
| 23 | G.S1.03 | G.S3.04 | 4.31 | No | Yes | 7 | 9 | 6 |
| 24 | G.S1.03 | G.h2s4.03 | 7.65 | No | No | 0 | 9 | 6 |
| 25 | G.H5.11 | G.S1.04 | 3.07 | Yes | No | 0 | 8 | 7 |
| 26 | G.S1.05 | G.h2s4.01 | 12.18 | No | Yes | 7 | 9 | 9 |
| 27 | G.S1.05 | G.S4.02 | 7.14 | No | Yes | 7 | 9 | 8 |
| 28 | G.H3.18 | G.S1.05 | 3.65 | Yes | No | 7 | 9 | 9 |
| 29 | G.H1.01 | G.S1.06 | 5.64 | No | Yes | 2 | 9 | 9 |
| 30 | G.H1.05 | G.S1.06 | 4.15 | No | Yes | 0 | 7 | 9 |
| 31 | G.S1.06 | G.S3.07 | 5.43 | Yes | No | 2 | 9 | 9 |
| 32 | G.S1.06 | G.S4.03 | 4.15 | Yes | Yes | 2 | 9 | 8 |
| 33 | G.S1.06 | G.S4.05 | 4.15 | Yes | Yes | 2 | 9 | 7 |
| 34 | G.H2.01 | G.S1.07 | 4.86 | Yes | No | 14 | 9 | 9 |
| 35 | G.S1.07 | G.S4.04 | 7.31 | No | Yes | 0 | 9 | 9 |
| 36 | G.H3.12 | G.S1.07 | 4.28 | No | No | 14 | 8 | 9 |
| 37 | G.s1h1.01 | G.s1h1.05 | 3.71 | No | No | 0 | 9 | 9 |
| 38 | G.H1.01 | G.s1h1.01 | 5.23 | No | No | 0 | 9 | 9 |
| 39 | G.s1h1.02 | G.s1h1.04 | 3.13 | No | Yes | 0 | 8 | 9 |
| 40 | G.s1h1.03 | G.s1h1.04 | 5.39 | No | Yes | 10 | 8 | 9 |
| 41 | G.H3.01 | G.s1h1.03 | 10.72 | Yes | No | 10 | 9 | 8 |
| 42 | G.S4.07 | G.s1h1.04 | 9.42 | Yes | Yes | 10 | 8 | 9 |
| 43 | G.s1h1.04 | G.s4h3.03 | 4.04 | Yes | No | 10 | 9 | 8 |
| 44 | G.H3.01 | G.s1h1.04 | 18.08 | Yes | Yes | 10 | 9 | 9 |
| 45 | G.H1.01 | G.S3.07 | 13.83 | No | No | 2 | 9 | 9 |
| 46 | G.H1.03 | G.s6h5.03 | 3.36 | No | No | 0 | 9 | 9 |
| 47 | G.H1.04 | G.H1.08 | 6.22 | Yes | No | 2 | 7 | 9 |
| 48 | G.H1.04 | G.S4.05 | 3.65 | Yes | Yes | 2 | 7 | 7 |
| 49 | G.H1.04 | G.S5.05 | 4.29 | Yes | Yes | 2 | 7 | 9 |
| 50 | G.H1.04 | G.H5.03 | 8.46 | Yes | Yes | 2 | 7 | 9 |
| 51 | G.H1.05 | G.S2.04 | 16.41 | No | Yes | 0 | 7 | 7 |
| 52 | G.H1.06 | G.H1.09 | 7.43 | No | No | 0 | 9 | 8 |
| 53 | G.H1.08 | G.S2.06 | 3.73 | No | Yes | 2 | 9 | 8 |
| 54 | G.H1.08 | G.S3.05 | 5.78 | No | No | 2 | 9 | 8 |
| 55 | G.H1.09 | G.S2.04 | 4.12 | No | Yes | 0 | 8 | 7 |
| 56 | G.hfs2.07 | G.s3h2.03 | 3.29 | No | No | 0 | 8 | 9 |
| 57 | G.S2.01 | G.S3.08 | 3.07 | No | No | 0 | 9 | 9 |
| 58 | G.S2.01 | b.l7x2 | 4.28 | No | Yes | 0 | 9 | 9 |
| 59 | G.S2.02 | G.S2.04 | 6.53 | No | Yes | 0 | 5 | 7 |
| 60 | G.S2.03 | G.S3.04 | 5.4 | No | Yes | 7 | 9 | 6 |
| 61 | G.S2.03 | b.l5x4 | 8.62 | No | No | 7 | 9 | 8 |
| 62 | G.S2.03 | b.l5x5 | 7.63 | No | Yes | 7 | 9 | 9 |
| 63 | G.S2.04 | G.S3.07 | 5.75 | Yes | No | 0 | 7 | 9 |
| 64 | G.S2.05 | G.S3.04 | 8.3 | No | Yes | 0 | 3 | 6 |
| 65 | G.S2.06 | G.S2.08 | 5.02 | Yes | Yes | 2 | 8 | 5 |
| 66 | G.S2.06 | G.S3.03 | 9.65 | Yes | Yes | 2 | 8 | 7 |
| 67 | G.S2.06 | G.S3.05 | 8.71 | Yes | No | 2 | 8 | 8 |
| 68 | G.S2.07 | G.S3.02 | 3.14 | No | Yes | 0 | 3 | 4 |
| 69 | G.S2.08 | G.S3.03 | 7.54 | Yes | Yes | 2 | 5 | 7 |
| 70 | G.H5.04 | G.S2.08 | 3.25 | No | Yes | 0 | 8 | 5 |
| 71 | G.H5.08 | G.S2.08 | 6.28 | Yes | Yes | 2 | 9 | 5 |
| 72 | G.H5.08 | G.s2s3.01 | 11.17 | Yes | No | 0 | 9 | 5 |
| 73 | G.S3.01 | G.S3.02 | 3.53 | No | Yes | 0 | 4 | 4 |
| 74 | G.S3.01 | G.S3.03 | 6.55 | No | Yes | 0 | 4 | 7 |
| 75 | G.S3.01 | I2.F645 | 10.49 | No | No | 0 | 4 | 9 |
| 76 | G.H5.08 | G.S3.03 | 3.22 | Yes | Yes | 2 | 9 | 7 |
| 77 | G.H5.11 | G.S3.03 | 3.93 | Yes | Yes | 2 | 8 | 7 |
| 78 | G.S3.06 | b.l5x5 | 9.81 | No | Yes | 0 | 6 | 9 |
| 79 | G.H2.07 | G.S3.08 | 3.68 | Yes | No | 0 | 9 | 9 |
| 80 | G.s3h2.03 | b.l7x4 | 6.6 | No | No | 0 | 9 | 9 |
| 81 | G.H2.01 | G.H3.08 | 11.91 | Yes | No | 14 | 9 | 8 |
| 82 | G.H2.01 | G.H3.12 | 3.76 | Yes | No | 14 | 9 | 8 |
| 83 | G.H2.02 | G.H2.07 | 13.59 | No | Yes | 0 | 8 | 9 |
| 84 | G.H2.02 | b.l9x6 | 8.9 | No | Yes | 0 | 8 | 8 |
| 85 | G.H2.04 | b.l13x6 | 9.53 | No | No | 0 | 9 | 9 |
| 86 | G.H2.04 | b.l15x1 | 11.14 | No | No | 0 | 9 | 7 |
| 87 | G.H2.05 | G.H2.09 | 13.5 | No | No | 0 | 7 | 8 |
| 88 | G.H2.05 | b.l19x1 | 8.3 | No | No | 0 | 7 | 9 |
| 89 | G.H2.06 | b.b6x1 | 8.69 | No | Yes | 0 | 9 | 9 |
| 90 | G.H2.07 | G.H2.08 | 10.02 | Yes | No | 0 | 9 | 9 |
| 91 | G.H2.07 | G.h2s4.01 | 9.02 | Yes | Yes | 0 | 9 | 9 |
| 92 | G.H2.08 | G.H3.15 | 26.58 | No | No | 0 | 9 | 8 |
| 93 | G.H2.08 | G.H3.18 | 6.43 | No | Yes | 0 | 9 | 9 |
| 94 | G.H2.09 | b.l25x6 | 9.3 | No | No | 0 | 8 | 8 |
| 95 | G.H2.10 | b.l5x5 | 3.92 | No | Yes | 7 | 9 | 9 |
| 96 | G.H2.10 | b.b6x1 | 3.24 | No | Yes | 0 | 9 | 9 |
| 97 | G.H2.10 | b.l7x2 | 4.76 | No | Yes | 7 | 9 | 9 |
| 98 | G.h2s4.01 | b.l5x5 | 9.02 | Yes | Yes | 7 | 9 | 9 |
| 99 | G.h2s4.01 | b.l7x2 | 3.65 | Yes | Yes | 7 | 9 | 9 |
| 100 | G.h2s4.02 | b.l1x6 | 8.3 | No | No | 0 | 8 | 9 |
| 101 | G.S4.01 | G.h2s4.05 | 6.4 | Yes | No | 2 | 8 | 8 |
| 102 | G.H5.11 | G.h2s4.05 | 3.17 | Yes | No | 2 | 8 | 8 |
| 103 | G.H5.14 | G.h2s4.05 | 3.14 | Yes | No | 2 | 6 | 8 |
| 104 | G.S4.01 | G.S5.01 | 4.89 | Yes | No | 2 | 8 | 8 |
| 105 | G.S4.01 | G.S5.03 | 4.64 | Yes | No | 0 | 8 | 9 |
| 106 | G.H5.11 | G.S4.01 | 3.23 | Yes | Yes | 2 | 8 | 8 |
| 107 | G.H5.14 | G.S4.01 | 4.8 | Yes | Yes | 2 | 6 | 8 |
| 108 | G.H3.18 | G.S4.02 | 8.79 | Yes | Yes | 7 | 9 | 8 |
| 109 | G.S4.02 | G.h3s5.03 | 3.07 | Yes | No | 7 | 8 | 7 |
| 110 | G.S4.02 | G.S5.02 | 5.89 | Yes | Yes | 0 | 8 | 7 |
| 111 | G.S4.03 | G.S4.05 | 4.15 | Yes | Yes | 2 | 8 | 7 |
| 112 | G.S4.03 | G.S5.05 | 6.09 | Yes | Yes | 2 | 8 | 9 |
| 113 | G.H5.07 | G.S4.03 | 4.28 | No | Yes | 2 | 9 | 8 |
| 114 | G.H3.08 | G.S4.04 | 3.58 | No | Yes | 0 | 8 | 9 |
| 115 | G.H3.09 | G.S4.04 | 9.65 | Yes | Yes | 0 | 9 | 9 |
| 116 | G.S4.04 | G.S5.04 | 3.65 | Yes | No | 0 | 9 | 9 |
| 117 | G.S4.05 | G.S5.05 | 3.65 | Yes | Yes | 2 | 7 | 9 |
| 118 | G.S4.05 | G.S5.07 | 5.49 | Yes | No | 0 | 7 | 9 |
| 119 | G.S4.06 | G.S5.06 | 4.47 | No | Yes | 0 | 7 | 9 |
| 120 | G.H4.15 | G.S4.06 | 7.87 | Yes | No | 0 | 8 | 7 |
| 121 | G.S4.07 | G.s4h3.02 | 5.89 | Yes | Yes | 10 | 8 | 9 |
| 122 | G.S4.07 | G.s4h3.03 | 5.32 | Yes | No | 10 | 8 | 8 |
| 123 | G.S4.07 | G.s5hg.01 | 17.97 | Yes | No | 10 | 8 | 9 |
| 124 | G.S5.06 | G.s4h3.01 | 6.01 | Yes | No | 0 | 9 | 7 |
| 125 | G.HG.04 | G.s4h3.01 | 9.01 | No | No | 0 | 8 | 7 |
| 126 | G.s4h3.02 | G.s5hg.01 | 4.59 | Yes | No | 10 | 9 | 9 |
| 127 | G.HG.03 | G.s4h3.02 | 4.5 | No | Yes | 10 | 6 | 9 |
| 128 | G.H3.01 | G.s4h3.03 | 10.72 | Yes | No | 10 | 9 | 8 |
| 129 | G.HG.07 | G.s4h3.04 | 4.96 | No | No | 0 | 9 | 9 |
| 130 | G.HG.15 | G.s4h3.04 | 3.77 | No | No | 0 | 6 | 9 |
| 131 | G.hgh4.01 | G.s4h3.04 | 10.32 | No | No | 0 | 5 | 9 |
| 132 | G.hgh4.01 | G.s4h3.15 | 3.49 | No | No | 0 | 5 | 9 |
| 133 | G.H3.02 | G.hgh4.02 | 8.53 | No | Yes | 0 | 9 | 9 |
| 134 | G.H3.03 | G.H3.07 | 4.39 | No | No | 0 | 4 | 5 |
| 135 | G.H3.03 | G.hgh4.02 | 3.89 | No | Yes | 0 | 4 | 9 |
| 136 | G.H3.06 | G.H4.14 | 3.17 | No | No | 0 | 6 | 5 |
| 137 | G.H3.06 | G.H4.15 | 12.18 | No | Yes | 0 | 6 | 8 |
| 138 | G.H3.08 | G.H3.12 | 4.2 | No | No | 14 | 8 | 8 |
| 139 | G.H3.09 | G.H3.13 | 14.42 | Yes | No | 0 | 9 | 6 |
| 140 | G.H3.09 | G.H4.15 | 10.72 | Yes | Yes | 0 | 9 | 8 |
| 141 | G.H3.09 | G.h4s6.08 | 3.21 | Yes | No | 0 | 9 | 7 |
| 142 | G.H3.10 | G.H3.14 | 3.94 | No | No | 0 | 5 | 8 |
| 143 | G.H3.10 | G.h4s6.01 | 17.55 | No | No | 0 | 5 | 4 |
| 144 | G.H3.13 | G.H3.14 | 4.43 | No | No | 0 | 6 | 8 |
| 145 | G.H3.13 | G.S5.02 | 4.61 | No | Yes | 0 | 6 | 7 |
| 146 | G.H3.14 | G.h4s6.09 | 9.64 | No | No | 0 | 8 | 4 |
| 147 | G.H3.15 | G.H3.17 | 4.43 | No | No | 0 | 8 | 5 |
| 148 | G.H3.18 | G.h3s5.03 | 3.93 | Yes | No | 7 | 9 | 7 |
| 149 | G.h3s5.02 | G.h4s6.13 | 10.56 | No | No | 0 | 4 | 3 |
| 150 | G.h3s5.02 | G.h4s6.19 | 9.79 | No | Yes | 2 | 4 | 7 |
| 151 | G.H5.18 | G.h3s5.02 | 4.04 | No | No | 2 | 4 | 4 |
| 152 | G.S5.01 | G.S6.02 | 3.82 | No | Yes | 2 | 8 | 9 |
| 153 | G.H5.14 | G.S5.01 | 9.59 | Yes | No | 2 | 6 | 8 |
| 154 | G.S5.02 | G.h4s6.08 | 3.76 | Yes | No | 0 | 7 | 7 |
| 155 | G.S5.03 | G.S5.05 | 3.77 | No | Yes | 0 | 9 | 9 |
| 156 | G.H5.10 | G.S5.03 | 9.8 | No | No | 0 | 7 | 9 |
| 157 | G.H4.15 | G.S5.04 | 9.74 | Yes | No | 0 | 8 | 9 |
| 158 | G.S5.05 | G.S6.04 | 7.92 | Yes | No | 0 | 9 | 9 |
| 159 | G.S5.05 | G.s6h5.01 | 5.19 | Yes | No | 2 | 9 | 9 |
| 160 | G.H5.03 | G.S5.05 | 7.25 | Yes | Yes | 2 | 9 | 9 |
| 161 | G.H5.07 | G.S5.05 | 6.28 | No | Yes | 2 | 9 | 9 |
| 162 | G.H4.11 | G.S5.06 | 4.15 | No | Yes | 0 | 8 | 9 |
| 163 | G.S5.06 | G.S6.05 | 9.74 | Yes | Yes | 0 | 9 | 5 |
| 164 | G.HG.03 | G.s5hg.01 | 4.23 | No | No | 10 | 6 | 9 |
| 165 | G.HG.02 | G.HG.03 | 6.79 | No | No | 0 | 9 | 6 |
| 166 | G.HG.02 | G.s6h5.02 | 4.34 | No | No | 0 | 9 | 8 |
| 167 | G.H4.04 | G.HG.05 | 9.28 | No | No | 0 | 3 | 4 |
| 168 | G.H4.07 | G.HG.08 | 4.81 | No | No | 0 | 7 | 6 |
| 169 | G.HG.12 | G.HG.13 | 3.07 | No | No | 0 | 1 | 7 |
| 170 | G.H4.01 | G.HG.14 | 7.13 | No | No | 0 | 2 | 5 |
| 171 | G.HG.15 | G.hgh4.05 | 8.79 | No | Yes | 0 | 6 | 5 |
| 172 | G.H4.07 | G.HG.15 | 3.07 | No | No | 0 | 7 | 6 |
| 173 | G.HG.16 | G.hgh4.05 | 4.96 | No | Yes | 0 | 4 | 5 |
| 174 | G.hgh4.02 | G.hgh4.04 | 9.33 | Yes | No | 19 | 9 | 5 |
| 175 | G.H4.10 | G.hgh4.02 | 7.5 | Yes | Yes | 19 | 6 | 9 |
| 176 | G.H4.10 | G.hgh4.04 | 4.66 | Yes | No | 19 | 6 | 5 |
| 177 | G.H4.10 | G.hgh4.05 | 18.22 | Yes | Yes | 0 | 6 | 5 |
| 178 | G.H4.01 | G.hgh4.08 | 6.44 | No | No | 0 | 2 | 3 |
| 179 | G.H4.03 | G.H4.06 | 10.89 | No | No | 0 | 5 | 5 |
| 180 | G.H4.04 | G.H4.08 | 9.32 | No | No | 0 | 3 | 5 |
| 181 | G.H4.08 | G.S6.05 | 30.45 | No | Yes | 0 | 5 | 5 |
| 182 | G.H4.10 | G.H4.14 | 8.38 | Yes | No | 0 | 6 | 5 |
| 183 | G.H4.12 | G.H4.16 | 3.92 | No | No | 0 | 5 | 3 |
| 184 | G.H4.12 | G.S6.03 | 16.61 | No | No | 20 | 5 | 5 |
| 185 | G.H4.12 | G.S6.05 | 3.93 | No | Yes | 20 | 5 | 5 |
| 186 | G.H4.13 | G.H4.17 | 6.57 | No | No | 0 | 3 | 3 |
| 187 | G.h4s6.08 | G.h4s6.12 | 11.68 | No | No | 0 | 7 | 3 |
| 188 | G.h4s6.19 | G.h4s6.20 | 3.35 | Yes | No | 0 | 7 | 5 |
| 189 | G.H5.14 | G.h4s6.19 | 4.5 | Yes | Yes | 2 | 6 | 7 |
| 190 | G.H5.17 | G.h4s6.19 | 9.17 | No | Yes | 0 | 6 | 7 |
| 191 | G.H5.18 | G.h4s6.19 | 8.3 | No | Yes | 2 | 4 | 7 |
| 192 | G.S6.02 | G.h4s6.20 | 13.91 | Yes | No | 0 | 9 | 5 |
| 193 | G.H5.10 | G.S6.02 | 18.39 | No | Yes | 0 | 7 | 9 |
| 194 | G.H5.13 | G.S6.02 | 5.75 | No | Yes | 0 | 8 | 9 |
| 195 | G.H5.14 | G.S6.02 | 3.75 | Yes | Yes | 2 | 6 | 9 |
| 196 | G.S6.03 | G.S6.05 | 4.53 | No | Yes | 20 | 5 | 5 |
| 197 | G.H5.06 | G.S6.04 | 18 | No | No | 0 | 4 | 9 |
| 198 | G.H5.10 | G.S6.04 | 10.08 | No | No | 0 | 7 | 9 |
| 199 | G.s6h5.01 | G.s6h5.05 | 5.85 | No | Yes | 2 | 9 | 9 |
| 200 | G.H5.03 | G.s6h5.01 | 11.7 | Yes | No | 2 | 9 | 9 |
| 201 | G.H5.02 | G.s6h5.05 | 3.94 | No | Yes | 0 | 5 | 9 |
| 202 | G.H5.03 | G.s6h5.05 | 6.81 | Yes | Yes | 2 | 9 | 9 |
| 203 | G.H5.02 | G.H5.05 | 11.63 | No | No | 0 | 5 | 6 |
| 204 | G.H5.05 | G.H5.09 | 8.53 | No | No | 0 | 6 | 4 |
| 205 | G.H5.08 | I2.F645 | 9.65 | Yes | No | 0 | 9 | 9 |
| 206 | G.H5.11 | G.H5.15 | 3.07 | Yes | Yes | 0 | 8 | 8 |
| 207 | G.H5.12 | I2.V644 | 6.07 | No | No | 0 | 7 | 9 |
| 208 | G.H5.12 | I2.F645 | 8.69 | No | No | 0 | 7 | 9 |
| 209 | 5x64 | G.H5.13 | 8.3 | No | No | 0 | 9 | 8 |
| 210 | G.H5.15 | G.H5.19 | 4.25 | Yes | No | 0 | 8 | 8 |
| 211 | G.H5.15 | I2.V644 | 3.07 | Yes | No | 0 | 8 | 9 |
| 212 | G.H5.16 | G.H5.20 | 5.54 | No | No | 0 | 7 | 8 |
| 213 | G.H5.16 | I2.V644 | 4.47 | No | No | 0 | 7 | 9 |
| 214 | 5x64 | G.H5.16 | 4.23 | No | No | 0 | 9 | 7 |
| 215 | 5x68 | G.H5.17 | 9.28 | Yes | No | 0 | 8 | 6 |
| 216 | 3x57 | G.H5.19 | 6.87 | Yes | No | 0 | 6 | 8 |
| 217 | 5x61 | G.H5.20 | 4.15 | No | No | 0 | 8 | 8 |
| 218 | 3x57 | G.H5.23 | 4.15 | Yes | No | 0 | 6 | 5 |
| 219 | 6x45 | G.H5.23 | 3.99 | No | No | 0 | 9 | 5 |
| 220 | 5x65 | G.H5.24 | 4.98 | Yes | No | 0 | 8 | 6 |
| 221 | 5x68 | G.H5.24 | 5.83 | Yes | No | 0 | 8 | 6 |
| 222 | 6x41 | G.H5.25 | 5.9 | No | Yes | 0 | 9 | 8 |
| 223 | 6x44 | G.H5.25 | 4.73 | No | Yes | 0 | 9 | 8 |
| 224 | 6x36 | G.H5.26 | 4.67 | No | No | 0 | 8 | 9 |
| 225 | b.1x2 | b.1x6 | 5.22 | No | No | 0 | 1 | 3 |
| 226 | b.1x4 | g.h1x4 | 3.15 | Yes | No | 0 | 8 | 5 |
| 227 | b.1x4 | g.h1x8 | 4.47 | Yes | No | 0 | 8 | 7 |
| 228 | b.1x7 | g.h1x8 | 7.13 | No | No | 0 | 8 | 7 |
| 229 | b.1x11 | g.h1x11 | 5.54 | No | Yes | 0 | 8 | 9 |
| 230 | b.1x11 | g.h1x12 | 4.23 | No | No | 0 | 8 | 6 |
| 231 | b.1x12 | g.h1x11 | 4.23 | No | Yes | 0 | 6 | 9 |
| 232 | b.1x13 | b.1x16 | 8.44 | No | No | 0 | 1 | 4 |
| 233 | b.1x15 | b.1x19 | 6.26 | No | No | 0 | 7 | 6 |
| 234 | b.1x15 | g.h1x15 | 3.25 | No | No | 0 | 7 | 8 |
| 235 | b.1x15 | g.l1x4 | 3.76 | No | Yes | 0 | 7 | 8 |
| 236 | b.1x18 | g.l1x4 | 5.53 | No | Yes | 0 | 4 | 8 |
| 237 | b.1x19 | b.b21x1 | 14.29 | No | Yes | 0 | 6 | 7 |
| 238 | b.1x19 | b.b21x2 | 7.01 | No | Yes | 0 | 6 | 6 |
| 239 | b.1x22 | g.l1x4 | 4.18 | No | Yes | 0 | 3 | 8 |
| 240 | b.b21x2 | b.lh12x1 | 4.55 | Yes | No | 24 | 6 | 3 |
| 241 | b.lh12x1 | g.h2x1 | 3.39 | No | No | 24 | 3 | 8 |
| 242 | b.lh12x2 | g.l1x6 | 15.21 | No | No | 0 | 8 | 4 |
| 243 | b.lh12x2 | g.h2x1 | 4.38 | No | No | 0 | 8 | 8 |
| 244 | b.lh12x2 | g.h2x2 | 8.83 | No | No | 0 | 8 | 9 |
| 245 | b.h2x4 | b.lh12x3 | 3.25 | No | No | 0 | 3 | 4 |
| 246 | b.h2x2 | b.lh12x4 | 4.8 | No | No | 0 | 1 | 3 |
| 247 | b.h2x3 | b.lh12x4 | 8.5 | No | No | 0 | 1 | 3 |
| 248 | b.h2x1 | b.h2x5 | 4.42 | Yes | No | 0 | 5 | 5 |
| 249 | b.b21x5 | b.h2x1 | 8.48 | Yes | Yes | 0 | 4 | 5 |
| 250 | b.h2x1 | g.h2x5 | 3.15 | Yes | No | 0 | 5 | 6 |
| 251 | b.h2x4 | g.h2x5 | 3.25 | No | No | 0 | 3 | 6 |
| 252 | b.h2x5 | b.l24x2 | 4.42 | No | No | 0 | 5 | 6 |
| 253 | b.h2x5 | g.h2x9 | 4.52 | No | No | 0 | 5 | 4 |
| 254 | b.l22x5 | b.lhb1x3 | 3.76 | Yes | No | 0 | 9 | 2 |
| 255 | b.lhb1x6 | b.lhb1x9 | 3.07 | Yes | No | 0 | 3 | 3 |
| 256 | b.l22x5 | b.lhb1x6 | 7.85 | Yes | Yes | 4 | 9 | 3 |
| 257 | b.b24x7 | b.lhb1x6 | 8.76 | No | Yes | 4 | 9 | 3 |
| 258 | b.lhb1x10 | b.lhb1x8 | 4.67 | No | No | 0 | 4 | 2 |
| 259 | b.b23x1 | b.lhb1x9 | 4.28 | Yes | No | 0 | 5 | 3 |
| 260 | b.b25x4 | b.lhb1x9 | 4.87 | No | No | 0 | 4 | 3 |
| 261 | b.b25x7 | b.lhb1x11 | 5.65 | No | No | 6 | 7 | 4 |
| 262 | b.b28x6 | b.lhb1x11 | 3.49 | Yes | No | 6 | 9 | 4 |
| 263 | b.b28x7 | b.lhb1x11 | 4.21 | Yes | No | 6 | 9 | 4 |
| 264 | b.b1x1 | b.b1x3 | 7.46 | No | No | 0 | 5 | 7 |
| 265 | b.b1x2 | b.b28x4 | 9.01 | No | Yes | 6 | 3 | 6 |
| 266 | b.b1x2 | b.b28x6 | 7.28 | No | Yes | 6 | 3 | 9 |
| 267 | b.b1x3 | b.b28x7 | 13.26 | No | Yes | 0 | 7 | 9 |
| 268 | b.b1x4 | b.b5x1 | 5.17 | No | No | 0 | 7 | 5 |
| 269 | b.b1x4 | b.b28x5 | 5.01 | No | No | 6 | 7 | 5 |
| 270 | b.b1x4 | g.ctx16 | 7.48 | No | Yes | 6 | 7 | 8 |
| 271 | b.b1x5 | b.l1x1 | 10.35 | No | No | 0 | 3 | 7 |
| 272 | b.b1x5 | b.b28x4 | 9.01 | No | Yes | 0 | 3 | 6 |
| 273 | b.b1x6 | b.b4x6 | 20.5 | No | Yes | 3 | 9 | 9 |
| 274 | b.b1x6 | b.b5x1 | 4.42 | No | No | 0 | 9 | 5 |
| 275 | b.b1x6 | b.b28x3 | 6.92 | No | No | 3 | 9 | 7 |
| 276 | b.b28x2 | b.l1x1 | 8.55 | No | No | 0 | 4 | 7 |
| 277 | b.b5x3 | b.l1x2 | 3.49 | Yes | No | 0 | 9 | 9 |
| 278 | b.l1x3 | b.l1x7 | 9.28 | Yes | No | 0 | 9 | 9 |
| 279 | b.b3x4 | b.l1x3 | 6.97 | No | Yes | 3 | 9 | 9 |
| 280 | b.b3x6 | b.l1x3 | 16.74 | No | Yes | 3 | 9 | 9 |
| 281 | b.l1x3 | b.l3x2 | 6.3 | Yes | Yes | 3 | 9 | 9 |
| 282 | b.b4x4 | b.l1x3 | 13.26 | No | Yes | 3 | 8 | 9 |
| 283 | b.b4x6 | b.l1x3 | 3.17 | Yes | Yes | 3 | 9 | 9 |
| 284 | b.l1x4 | b.l3x2 | 6.79 | Yes | Yes | 0 | 6 | 9 |
| 285 | b.l1x5 | b.l3x2 | 4.63 | No | Yes | 0 | 7 | 9 |
| 286 | b.b2x1 | b.l1x6 | 9.55 | No | No | 18 | 8 | 9 |
| 287 | b.l1x6 | b.l27x1 | 31.33 | No | Yes | 18 | 9 | 9 |
| 288 | b.b2x1 | b.l3x1 | 6.76 | No | No | 0 | 8 | 9 |
| 289 | b.b2x1 | b.l27x1 | 7.72 | No | Yes | 18 | 8 | 9 |
| 290 | b.b2x2 | b.b6x3 | 3.61 | No | No | 0 | 7 | 8 |
| 291 | b.b2x3 | b.b2x5 | 4.65 | Yes | Yes | 3 | 6 | 7 |
| 292 | b.b2x3 | b.b3x2 | 8.48 | Yes | No | 3 | 6 | 5 |
| 293 | b.b26x2 | b.b2x3 | 3.24 | No | Yes | 0 | 7 | 6 |
| 294 | b.b27x2 | b.b2x3 | 3.22 | No | Yes | 3 | 5 | 6 |
| 295 | b.b2x4 | b.b6x5 | 4.36 | No | Yes | 0 | 6 | 6 |
| 296 | b.b10x4 | b.b2x4 | 19.18 | No | No | 0 | 6 | 6 |
| 297 | b.b2x5 | b.b3x2 | 6.83 | Yes | No | 3 | 7 | 5 |
| 298 | b.b2x5 | b.l4x1 | 4.94 | Yes | No | 0 | 7 | 5 |
| 299 | b.b2x5 | b.l26x1 | 10.92 | Yes | No | 3 | 7 | 7 |
| 300 | b.b27x2 | b.b2x5 | 3.89 | No | Yes | 3 | 5 | 7 |
| 301 | b.b6x5 | b.l2x1 | 4.35 | Yes | No | 0 | 6 | 5 |
| 302 | b.l26x2 | b.l2x2 | 4.34 | No | No | 0 | 1 | 1 |
| 303 | b.l2x3 | b.l2x5 | 3.57 | No | No | 0 | 8 | 5 |
| 304 | b.b3x1 | b.l2x3 | 5.43 | No | No | 0 | 5 | 8 |
| 305 | b.l26x1 | b.l2x4 | 7.99 | No | No | 3 | 7 | 5 |
| 306 | b.l26x3 | b.l2x4 | 10.31 | No | No | 3 | 7 | 5 |
| 307 | b.b4x7 | b.l2x5 | 14.29 | No | No | 0 | 8 | 5 |
| 308 | b.l2x5 | b.l4x2 | 24.69 | No | No | 0 | 5 | 4 |
| 309 | b.b3x1 | b.b6x5 | 3.52 | No | Yes | 0 | 5 | 6 |
| 310 | b.b3x2 | b.b4x6 | 6.83 | No | Yes | 3 | 5 | 9 |
| 311 | b.b3x3 | b.b4x5 | 3.07 | No | Yes | 0 | 8 | 7 |
| 312 | b.b3x3 | b.b6x3 | 3.42 | No | No | 0 | 8 | 8 |
| 313 | b.b3x4 | b.b4x6 | 7.41 | No | Yes | 3 | 9 | 9 |
| 314 | b.b3x5 | b.l5x6 | 3.39 | No | No | 0 | 9 | 9 |
| 315 | b.b3x5 | b.b6x3 | 3.61 | No | No | 0 | 9 | 8 |
| 316 | b.b3x6 | b.l3x2 | 10.31 | No | Yes | 3 | 9 | 9 |
| 317 | b.l3x1 | b.l5x5 | 20.81 | No | Yes | 0 | 9 | 9 |
| 318 | b.b4x3 | b.b5x7 | 4.28 | No | Yes | 0 | 7 | 7 |
| 319 | b.b4x3 | b.l5x1 | 4.15 | No | Yes | 15 | 7 | 8 |
| 320 | b.b4x3 | b.b7x4 | 7.94 | No | No | 15 | 7 | 8 |
| 321 | b.b4x4 | b.b4x6 | 18.79 | No | Yes | 3 | 8 | 9 |
| 322 | b.b4x4 | b.b5x3 | 5.82 | No | Yes | 3 | 8 | 9 |
| 323 | b.b4x5 | b.b5x4 | 3.07 | Yes | No | 13 | 7 | 5 |
| 324 | b.b4x5 | b.b5x5 | 9.28 | Yes | Yes | 13 | 7 | 5 |
| 325 | b.b4x5 | b.l8x1 | 4.28 | Yes | No | 13 | 7 | 5 |
| 326 | b.b4x6 | b.b5x3 | 9.28 | Yes | Yes | 3 | 9 | 9 |
| 327 | b.b28x3 | b.b4x6 | 4.56 | No | Yes | 3 | 7 | 9 |
| 328 | b.b4x7 | b.l4x3 | 10.12 | No | No | 0 | 8 | 6 |
| 329 | b.l4x1 | g.ctx16 | 5.28 | No | Yes | 0 | 5 | 8 |
| 330 | b.l4x2 | g.ctx15 | 15.3 | No | No | 0 | 4 | 9 |
| 331 | b.l4x2 | g.ctx16 | 7.22 | No | Yes | 0 | 4 | 8 |
| 332 | b.b5x2 | b.l4x3 | 8.77 | Yes | No | 0 | 7 | 6 |
| 333 | b.b5x4 | b.b5x5 | 6.92 | No | Yes | 13 | 5 | 5 |
| 334 | b.b5x5 | b.l8x1 | 3.86 | Yes | No | 13 | 5 | 5 |
| 335 | b.b5x5 | b.l8x8 | 5.54 | Yes | No | 0 | 5 | 4 |
| 336 | b.b5x7 | b.b5x8 | 3.39 | Yes | No | 0 | 7 | 5 |
| 337 | b.b5x7 | b.b8x4 | 4.84 | Yes | Yes | 0 | 7 | 6 |
| 338 | b.b5x7 | b.l8x8 | 6.14 | Yes | No | 0 | 7 | 4 |
| 339 | b.l5x1 | b.l5x6 | 4.47 | Yes | No | 0 | 8 | 9 |
| 340 | b.b7x4 | b.l5x1 | 3.17 | No | Yes | 15 | 8 | 8 |
| 341 | b.b8x4 | b.l5x1 | 5.86 | Yes | Yes | 15 | 6 | 8 |
| 342 | b.l5x3 | b.l7x3 | 8.83 | No | No | 0 | 8 | 9 |
| 343 | b.l5x4 | b.l5x5 | 7.41 | No | Yes | 7 | 8 | 9 |
| 344 | b.l5x5 | b.l7x2 | 7.97 | Yes | Yes | 7 | 9 | 9 |
| 345 | b.b6x1 | b.l7x1 | 5.24 | Yes | No | 0 | 9 | 9 |
| 346 | b.b6x1 | b.l9x6 | 4.79 | Yes | Yes | 0 | 9 | 8 |
| 347 | b.b10x2 | b.b6x2 | 3.38 | No | No | 0 | 6 | 8 |
| 348 | b.b10x3 | b.b6x2 | 3.38 | No | No | 0 | 8 | 8 |
| 349 | b.b6x5 | b.l6x4 | 5.79 | Yes | No | 0 | 6 | 5 |
| 350 | b.b6x5 | b.b7x2 | 3.79 | Yes | No | 0 | 6 | 8 |
| 351 | b.b10x5 | b.l6x1 | 9.71 | Yes | No | 0 | 9 | 6 |
| 352 | b.l6x3 | b.l6x5 | 8.94 | No | Yes | 16 | 6 | 4 |
| 353 | b.l10x3 | b.l6x3 | 8.83 | No | No | 16 | 6 | 6 |
| 354 | b.b7x1 | b.l6x5 | 3.49 | Yes | Yes | 16 | 4 | 4 |
| 355 | b.l6x5 | b.l8x2 | 6.99 | Yes | No | 0 | 4 | 4 |
| 356 | b.l10x3 | b.l6x5 | 6.73 | No | Yes | 16 | 6 | 4 |
| 357 | b.b7x1 | b.b8x3 | 3.63 | Yes | Yes | 0 | 4 | 6 |
| 358 | b.b7x1 | b.b8x5 | 12.79 | Yes | No | 0 | 4 | 4 |
| 359 | b.b7x1 | b.l10x3 | 9.2 | Yes | No | 16 | 4 | 6 |
| 360 | b.b7x2 | b.b8x4 | 3.79 | No | Yes | 0 | 8 | 6 |
| 361 | b.b7x2 | b.l8x1 | 7.45 | No | No | 0 | 8 | 5 |
| 362 | b.b7x4 | b.b8x4 | 5.38 | No | Yes | 15 | 8 | 6 |
| 363 | b.l7x4 | b.l9x5 | 5.09 | No | No | 0 | 9 | 8 |
| 364 | b.b8x2 | b.l7x5 | 3.1 | No | Yes | 0 | 8 | 6 |
| 365 | b.b9x3 | b.l7x5 | 5.47 | No | Yes | 0 | 6 | 6 |
| 366 | b.b8x1 | b.b9x4 | 6.35 | Yes | Yes | 0 | 8 | 9 |
| 367 | b.b8x1 | b.l9x7 | 3.17 | Yes | No | 8 | 8 | 7 |
| 368 | b.b10x3 | b.b8x1 | 3.64 | No | Yes | 0 | 8 | 8 |
| 369 | b.b11x4 | b.b8x1 | 3.38 | Yes | Yes | 8 | 9 | 8 |
| 370 | b.b8x2 | b.b8x4 | 5.09 | No | Yes | 0 | 8 | 6 |
| 371 | b.b8x3 | b.b9x4 | 4.28 | Yes | Yes | 0 | 6 | 9 |
| 372 | b.b10x5 | b.b8x3 | 3.77 | Yes | Yes | 0 | 9 | 6 |
| 373 | b.b8x3 | b.l12x1 | 4.42 | Yes | No | 0 | 6 | 6 |
| 374 | b.b8x4 | b.l8x10 | 6.31 | Yes | No | 0 | 6 | 4 |
| 375 | b.b8x5 | b.l8x3 | 5.85 | No | No | 0 | 4 | 3 |
| 376 | b.b9x2 | b.b9x4 | 3.64 | No | Yes | 0 | 5 | 9 |
| 377 | b.b12x6 | b.b9x4 | 20.5 | Yes | Yes | 0 | 8 | 9 |
| 378 | b.b11x4 | b.l9x3 | 6.85 | Yes | Yes | 8 | 9 | 9 |
| 379 | b.b11x6 | b.l9x3 | 16.74 | No | Yes | 8 | 9 | 9 |
| 380 | b.l11x2 | b.l9x3 | 6.3 | Yes | Yes | 8 | 9 | 9 |
| 381 | b.b12x6 | b.l9x3 | 3.17 | Yes | Yes | 8 | 8 | 9 |
| 382 | b.b13x3 | b.l9x3 | 3.71 | Yes | Yes | 8 | 4 | 9 |
| 383 | b.l11x2 | b.l9x4 | 11.56 | Yes | No | 0 | 9 | 5 |
| 384 | b.l11x2 | b.l9x5 | 3.35 | Yes | No | 0 | 9 | 8 |
| 385 | b.l11x1 | b.l9x6 | 4.35 | No | Yes | 8 | 9 | 8 |
| 386 | b.l13x6 | b.l9x6 | 9.2 | No | Yes | 8 | 9 | 8 |
| 387 | b.b14x1 | b.l9x6 | 4.79 | No | Yes | 0 | 8 | 8 |
| 388 | b.b11x4 | b.l9x7 | 4.42 | Yes | No | 8 | 9 | 7 |
| 389 | b.b10x1 | b.b11x5 | 4.89 | No | No | 0 | 9 | 6 |
| 390 | b.b10x2 | b.b14x3 | 9.52 | No | No | 0 | 6 | 5 |
| 391 | b.b10x3 | b.b11x2 | 3.27 | No | Yes | 0 | 8 | 7 |
| 392 | b.b10x5 | b.b11x2 | 8.79 | Yes | Yes | 0 | 9 | 7 |
| 393 | b.b11x1 | b.l10x1 | 10.65 | No | Yes | 0 | 5 | 3 |
| 394 | b.b14x5 | b.l10x1 | 5.54 | No | Yes | 0 | 5 | 3 |
| 395 | b.l10x1 | b.l14x4 | 4.42 | Yes | No | 0 | 3 | 1 |
| 396 | b.b11x1 | b.l10x2 | 13.05 | No | No | 0 | 5 | 5 |
| 397 | b.b12x7 | b.l10x4 | 10.77 | No | No | 0 | 9 | 3 |
| 398 | b.l10x4 | b.l12x2 | 15.77 | No | No | 0 | 3 | 6 |
| 399 | b.b11x1 | b.b12x5 | 6.65 | No | No | 0 | 5 | 6 |
| 400 | b.b11x2 | b.b12x6 | 3.52 | Yes | Yes | 0 | 7 | 8 |
| 401 | b.b11x2 | b.l12x1 | 4.42 | Yes | No | 0 | 7 | 6 |
| 402 | b.b11x3 | b.b15x1 | 6.55 | No | Yes | 0 | 5 | 9 |
| 403 | b.b11x4 | b.b12x6 | 9.7 | Yes | Yes | 8 | 9 | 8 |
| 404 | b.b11x5 | b.l13x7 | 4.85 | No | Yes | 0 | 6 | 9 |
| 405 | b.b11x5 | b.b14x3 | 9.01 | No | No | 0 | 6 | 5 |
| 406 | b.b11x6 | b.l11x1 | 3.71 | No | No | 8 | 9 | 9 |
| 407 | b.b11x6 | b.l11x2 | 8.83 | No | Yes | 8 | 9 | 9 |
| 408 | b.l11x1 | b.l13x6 | 5.03 | No | No | 8 | 9 | 9 |
| 409 | b.b12x2 | b.l11x2 | 7.23 | No | Yes | 0 | 7 | 9 |
| 410 | b.b12x2 | b.l13x1 | 4.71 | No | No | 0 | 7 | 2 |
| 411 | b.b12x3 | b.b13x7 | 4.19 | Yes | Yes | 9 | 8 | 7 |
| 412 | b.b12x3 | b.l13x7 | 5.12 | Yes | Yes | 9 | 8 | 9 |
| 413 | b.b12x3 | b.b15x1 | 4.19 | Yes | Yes | 9 | 8 | 9 |
| 414 | b.b12x3 | b.b15x3 | 3.44 | Yes | Yes | 9 | 8 | 9 |
| 415 | b.b12x4 | b.b12x6 | 5.19 | No | Yes | 8 | 4 | 8 |
| 416 | b.b12x4 | b.b13x3 | 6.06 | No | Yes | 8 | 4 | 4 |
| 417 | b.b12x5 | b.b13x5 | 4.42 | No | No | 0 | 6 | 4 |
| 418 | b.b12x6 | b.b13x3 | 14.24 | Yes | Yes | 8 | 8 | 4 |
| 419 | b.b12x7 | b.l12x3 | 7.23 | No | No | 0 | 9 | 5 |
| 420 | b.b13x2 | b.l12x3 | 4.25 | No | No | 0 | 4 | 5 |
| 421 | b.b13x3 | b.b13x6 | 7.09 | Yes | No | 0 | 4 | 4 |
| 422 | b.b13x4 | b.b13x5 | 3.14 | No | No | 0 | 4 | 4 |
| 423 | b.b13x5 | b.b13x7 | 6.49 | No | Yes | 0 | 4 | 7 |
| 424 | b.b13x7 | b.b15x1 | 12.86 | Yes | Yes | 9 | 7 | 9 |
| 425 | b.b13x7 | b.b16x6 | 16.04 | Yes | Yes | 9 | 7 | 8 |
| 426 | b.b13x7 | b.b17x1 | 4.52 | Yes | No | 0 | 7 | 4 |
| 427 | b.l13x3 | b.l13x7 | 5.54 | Yes | Yes | 9 | 9 | 9 |
| 428 | b.b15x3 | b.l13x3 | 6.97 | Yes | Yes | 9 | 9 | 9 |
| 429 | b.b15x5 | b.l13x3 | 8.78 | No | Yes | 9 | 8 | 9 |
| 430 | b.l13x3 | b.l15x2 | 8.82 | Yes | Yes | 9 | 9 | 9 |
| 431 | b.b16x4 | b.l13x3 | 17.03 | Yes | Yes | 9 | 6 | 9 |
| 432 | b.b16x6 | b.l13x3 | 3.17 | Yes | Yes | 9 | 8 | 9 |
| 433 | b.l13x4 | b.l15x2 | 5.78 | No | Yes | 0 | 3 | 9 |
| 434 | b.l13x5 | b.l15x2 | 3.35 | No | Yes | 0 | 5 | 9 |
| 435 | b.b15x3 | b.l13x7 | 3.23 | Yes | Yes | 9 | 9 | 9 |
| 436 | b.b15x5 | b.l13x7 | 3.39 | No | Yes | 9 | 8 | 9 |
| 437 | b.b14x1 | b.l15x1 | 4.86 | No | No | 0 | 8 | 7 |
| 438 | b.b14x2 | b.b18x3 | 6.19 | No | Yes | 0 | 7 | 8 |
| 439 | b.b14x4 | b.b18x4 | 3.44 | No | No | 0 | 8 | 3 |
| 440 | b.b14x4 | b.b18x5 | 7.93 | No | Yes | 0 | 8 | 5 |
| 441 | b.l14x1 | b.l14x3 | 3.09 | No | No | 0 | 4 | 5 |
| 442 | b.b18x5 | b.l14x1 | 5.55 | Yes | No | 0 | 5 | 4 |
| 443 | b.l14x2 | b.l18x4 | 4.06 | No | No | 0 | 4 | 7 |
| 444 | b.l14x3 | b.l14x5 | 3.57 | No | No | 0 | 5 | 5 |
| 445 | b.l14x5 | b.l16x2 | 18.13 | No | No | 0 | 5 | 9 |
| 446 | b.b16x5 | b.l14x6 | 8.3 | No | No | 0 | 5 | 3 |
| 447 | b.b16x7 | b.l14x6 | 4.07 | No | No | 0 | 9 | 3 |
| 448 | b.b15x1 | b.b16x6 | 12.03 | Yes | Yes | 9 | 9 | 8 |
| 449 | b.b15x2 | b.b18x3 | 6.14 | No | Yes | 5 | 6 | 8 |
| 450 | b.b15x2 | b.b18x5 | 11.8 | No | Yes | 5 | 6 | 5 |
| 451 | b.b15x2 | b.b19x2 | 9.18 | No | Yes | 5 | 6 | 6 |
| 452 | b.b15x3 | b.b16x6 | 7.41 | Yes | Yes | 9 | 9 | 8 |
| 453 | b.b15x4 | b.l17x7 | 3.53 | No | No | 0 | 6 | 7 |
| 454 | b.b15x5 | b.l15x2 | 4.63 | No | Yes | 9 | 8 | 9 |
| 455 | b.l15x1 | b.l17x6 | 10.89 | No | No | 0 | 7 | 9 |
| 456 | b.b16x2 | b.l15x2 | 10.31 | No | Yes | 0 | 5 | 9 |
| 457 | b.b16x4 | b.b16x6 | 9.28 | Yes | Yes | 9 | 6 | 8 |
| 458 | b.b16x4 | b.b17x3 | 8.08 | Yes | No | 9 | 6 | 5 |
| 459 | b.b16x4 | b.b17x6 | 13.51 | Yes | No | 0 | 6 | 7 |
| 460 | b.b16x5 | b.b17x5 | 6.65 | No | Yes | 0 | 5 | 7 |
| 461 | b.b16x5 | b.l20x1 | 5.54 | No | No | 0 | 5 | 6 |
| 462 | b.b16x6 | b.b17x3 | 3.92 | Yes | No | 9 | 8 | 5 |
| 463 | b.b16x7 | b.l16x3 | 9.09 | No | No | 25 | 9 | 3 |
| 464 | b.b16x7 | b.b17x4 | 9.53 | No | No | 25 | 9 | 5 |
| 465 | b.b17x2 | b.l16x3 | 5.41 | No | No | 0 | 3 | 3 |
| 466 | b.b17x4 | b.l16x3 | 10.47 | No | No | 25 | 5 | 3 |
| 467 | b.b17x3 | g.h1x10 | 6.1 | No | No | 0 | 5 | 9 |
| 468 | b.b17x5 | b.b17x7 | 9.37 | Yes | Yes | 5 | 7 | 8 |
| 469 | b.b17x5 | b.b21x1 | 10.44 | Yes | Yes | 5 | 7 | 7 |
| 470 | b.b17x5 | g.l1x2 | 4.12 | Yes | No | 0 | 7 | 2 |
| 471 | b.b17x6 | g.h1x14 | 8.47 | No | No | 0 | 7 | 9 |
| 472 | b.b17x7 | b.b19x2 | 10.72 | Yes | Yes | 5 | 8 | 6 |
| 473 | b.b17x7 | b.b20x6 | 11.79 | Yes | Yes | 5 | 8 | 6 |
| 474 | b.b17x7 | b.b21x1 | 5.97 | Yes | Yes | 5 | 8 | 7 |
| 475 | b.l17x3 | b.l17x7 | 5.3 | Yes | No | 5 | 9 | 7 |
| 476 | b.b19x4 | b.l17x3 | 6.85 | Yes | Yes | 5 | 8 | 9 |
| 477 | b.b19x6 | b.l17x3 | 13.95 | No | Yes | 5 | 9 | 9 |
| 478 | b.l17x3 | b.l19x2 | 8.82 | Yes | Yes | 5 | 9 | 9 |
| 479 | b.b20x4 | b.l17x3 | 21.44 | Yes | Yes | 5 | 8 | 9 |
| 480 | b.l17x4 | b.l19x2 | 3.9 | No | Yes | 0 | 3 | 9 |
| 481 | b.l17x5 | b.l17x6 | 4.42 | No | No | 0 | 6 | 9 |
| 482 | b.l17x5 | b.l19x1 | 5.89 | No | No | 0 | 6 | 9 |
| 483 | b.b19x4 | b.l17x7 | 6.08 | Yes | No | 5 | 8 | 7 |
| 484 | b.b18x1 | b.l19x1 | 13.46 | No | No | 0 | 9 | 9 |
| 485 | b.b18x2 | b.b22x3 | 5.09 | No | No | 0 | 5 | 6 |
| 486 | b.b18x3 | b.b19x2 | 5.02 | Yes | Yes | 5 | 8 | 6 |
| 487 | b.b18x3 | b.b19x4 | 4.56 | Yes | Yes | 5 | 8 | 8 |
| 488 | b.b18x5 | b.b19x2 | 3.22 | Yes | Yes | 5 | 5 | 6 |
| 489 | b.l18x1 | b.l18x2 | 10.11 | Yes | Yes | 4 | 6 | 7 |
| 490 | b.l18x1 | b.l18x3 | 10.87 | Yes | No | 4 | 6 | 5 |
| 491 | b.b22x5 | b.l18x1 | 8.57 | No | Yes | 4 | 7 | 6 |
| 492 | b.l18x1 | b.l22x4 | 6.02 | Yes | No | 4 | 6 | 9 |
| 493 | b.l18x1 | g.h2x8 | 7.31 | Yes | No | 0 | 6 | 7 |
| 494 | b.l18x1 | g.h2x11 | 6.19 | Yes | Yes | 4 | 6 | 6 |
| 495 | b.l18x1 | g.h2x12 | 4.19 | Yes | No | 4 | 6 | 7 |
| 496 | b.b22x5 | b.l18x2 | 5.78 | No | Yes | 4 | 7 | 7 |
| 497 | b.l18x2 | b.l22x4 | 4.06 | Yes | No | 4 | 7 | 9 |
| 498 | b.l18x2 | g.h2x11 | 5.56 | Yes | Yes | 4 | 7 | 6 |
| 499 | b.l18x3 | b.l18x5 | 10.9 | No | No | 0 | 5 | 2 |
| 500 | b.l18x3 | g.h2x11 | 11.63 | No | Yes | 4 | 5 | 6 |
| 501 | b.l18x5 | b.l20x2 | 8.44 | No | No | 0 | 2 | 9 |
| 502 | b.b19x1 | g.h2x8 | 3.15 | No | No | 0 | 6 | 7 |
| 503 | b.b19x2 | b.b20x6 | 12.86 | Yes | Yes | 5 | 6 | 6 |
| 504 | b.b19x3 | b.b23x2 | 3.15 | No | Yes | 0 | 4 | 6 |
| 505 | b.b19x4 | b.b20x6 | 5.19 | Yes | Yes | 5 | 8 | 6 |
| 506 | b.b19x5 | b.l21x9 | 5.29 | No | No | 0 | 5 | 6 |
| 507 | b.b19x6 | b.l19x2 | 8.83 | No | Yes | 5 | 9 | 9 |
| 508 | b.b20x2 | b.l19x2 | 10.12 | No | Yes | 0 | 6 | 9 |
| 509 | b.b20x2 | b.b20x4 | 6.47 | No | Yes | 0 | 6 | 8 |
| 510 | b.b20x2 | b.l21x1 | 3.2 | No | No | 0 | 6 | 2 |
| 511 | b.b20x3 | b.b21x7 | 4.03 | No | Yes | 4 | 8 | 5 |
| 512 | b.b20x3 | b.l21x9 | 4.91 | No | No | 0 | 8 | 6 |
| 513 | b.b20x3 | b.b23x2 | 3.17 | No | Yes | 4 | 8 | 6 |
| 514 | b.b20x4 | b.b20x6 | 5.34 | Yes | Yes | 5 | 8 | 6 |
| 515 | b.b20x4 | b.b21x3 | 20.93 | Yes | No | 5 | 8 | 6 |
| 516 | b.b20x4 | b.b21x6 | 6.47 | Yes | No | 5 | 8 | 1 |
| 517 | b.b20x5 | b.b21x7 | 7.03 | No | Yes | 0 | 7 | 5 |
| 518 | b.b20x6 | b.b21x3 | 4.66 | Yes | No | 5 | 6 | 6 |
| 519 | b.b20x7 | b.l20x3 | 4.63 | No | No | 0 | 9 | 7 |
| 520 | b.b20x7 | b.b21x4 | 5.43 | No | No | 0 | 9 | 5 |
| 521 | b.b20x7 | g.h2x4 | 6.18 | No | No | 0 | 9 | 7 |
| 522 | b.l20x2 | g.l1x5 | 11.27 | No | No | 0 | 9 | 4 |
| 523 | b.l20x2 | g.h2x7 | 11.91 | No | No | 0 | 9 | 5 |
| 524 | b.b21x1 | g.l1x4 | 9.53 | Yes | Yes | 0 | 7 | 8 |
| 525 | b.b21x2 | g.h2x1 | 5.73 | Yes | No | 24 | 6 | 8 |
| 526 | b.b21x3 | b.b21x6 | 7.06 | No | No | 5 | 6 | 1 |
| 527 | b.b21x5 | b.b21x7 | 4.79 | Yes | Yes | 0 | 4 | 5 |
| 528 | b.b21x5 | b.b25x1 | 4.83 | Yes | No | 0 | 4 | 2 |
| 529 | b.b21x6 | b.l21x1 | 3.2 | No | No | 0 | 1 | 2 |
| 530 | b.b21x7 | b.b23x2 | 7.03 | Yes | Yes | 4 | 5 | 6 |
| 531 | b.b21x7 | b.b24x6 | 8.68 | Yes | Yes | 4 | 5 | 8 |
| 532 | b.l21x2 | b.l21x4 | 10.2 | No | No | 0 | 4 | 4 |
| 533 | b.b23x6 | b.l21x5 | 7.25 | Yes | Yes | 4 | 7 | 4 |
| 534 | b.b24x4 | b.l21x5 | 4.25 | Yes | Yes | 4 | 6 | 4 |
| 535 | b.b25x3 | b.l21x5 | 3.76 | No | Yes | 4 | 5 | 4 |
| 536 | b.b23x6 | b.l21x7 | 4.03 | Yes | No | 4 | 7 | 5 |
| 537 | b.l21x7 | b.l23x1 | 4.67 | No | No | 0 | 5 | 6 |
| 538 | b.l21x7 | b.l23x2 | 7.78 | No | No | 4 | 5 | 8 |
| 539 | b.l21x8 | b.l23x1 | 3.35 | No | No | 0 | 4 | 6 |
| 540 | b.b23x6 | b.l21x9 | 9.67 | Yes | No | 0 | 7 | 6 |
| 541 | b.b22x1 | b.b22x2 | 4.8 | No | No | 0 | 8 | 8 |
| 542 | b.b22x2 | b.b26x3 | 10.51 | No | No | 0 | 8 | 6 |
| 543 | b.b22x4 | b.b26x5 | 4.85 | No | No | 0 | 5 | 7 |
| 544 | b.b22x5 | b.b23x2 | 10.96 | No | Yes | 4 | 7 | 6 |
| 545 | b.b23x1 | b.l22x1 | 6.01 | Yes | No | 0 | 5 | 9 |
| 546 | b.l22x1 | g.ctx3 | 8.83 | No | Yes | 0 | 9 | 9 |
| 547 | b.l22x3 | g.ctx3 | 8.83 | No | Yes | 0 | 9 | 9 |
| 548 | b.b24x7 | b.l22x5 | 13.1 | No | Yes | 4 | 9 | 9 |
| 549 | b.l22x5 | b.l24x2 | 8.5 | Yes | No | 4 | 9 | 6 |
| 550 | b.l22x5 | g.h2x12 | 4.18 | Yes | No | 4 | 9 | 7 |
| 551 | b.l22x5 | g.ctx6 | 6.07 | Yes | Yes | 0 | 9 | 6 |
| 552 | b.b23x1 | b.b24x5 | 5.96 | Yes | Yes | 0 | 5 | 5 |
| 553 | b.b23x1 | g.ctx6 | 4.15 | Yes | Yes | 0 | 5 | 6 |
| 554 | b.b23x3 | b.b24x5 | 4.47 | No | Yes | 0 | 7 | 5 |
| 555 | b.b23x3 | b.b27x1 | 4.47 | No | No | 0 | 7 | 6 |
| 556 | b.b23x4 | b.b23x6 | 5.34 | No | Yes | 0 | 6 | 7 |
| 557 | b.b23x5 | b.l25x7 | 3.68 | No | No | 0 | 7 | 7 |
| 558 | b.b23x5 | b.b26x3 | 3.42 | No | No | 0 | 7 | 6 |
| 559 | b.b23x6 | b.l23x2 | 4.6 | Yes | No | 4 | 7 | 8 |
| 560 | b.b23x6 | b.b24x4 | 16.28 | Yes | Yes | 4 | 7 | 6 |
| 561 | b.b23x6 | b.b24x6 | 5.79 | Yes | Yes | 4 | 7 | 8 |
| 562 | b.l23x1 | b.l25x6 | 14.29 | No | No | 0 | 6 | 8 |
| 563 | b.b24x2 | b.l23x2 | 4.04 | No | No | 0 | 5 | 8 |
| 564 | b.b24x1 | b.l25x5 | 4.83 | No | No | 0 | 4 | 7 |
| 565 | b.b24x2 | b.l25x1 | 4.69 | No | No | 0 | 5 | 3 |
| 566 | b.b24x3 | b.b25x7 | 6.35 | No | No | 0 | 5 | 7 |
| 567 | b.b24x3 | b.b26x3 | 6.35 | No | No | 0 | 5 | 6 |
| 568 | b.b24x4 | b.b24x6 | 3.39 | Yes | Yes | 4 | 6 | 8 |
| 569 | b.b24x4 | b.b25x3 | 13.26 | Yes | No | 4 | 6 | 5 |
| 570 | b.b24x5 | b.b25x4 | 3.39 | Yes | No | 0 | 5 | 4 |
| 571 | b.b24x6 | b.b25x3 | 8 | Yes | No | 4 | 8 | 5 |
| 572 | b.b24x7 | b.l24x3 | 9.68 | No | No | 0 | 9 | 5 |
| 573 | b.l24x2 | g.h2x12 | 6.35 | No | No | 4 | 6 | 7 |
| 574 | b.b25x2 | b.l24x3 | 4.15 | No | No | 0 | 2 | 5 |
| 575 | b.b25x7 | b.b28x6 | 21.64 | No | Yes | 6 | 7 | 9 |
| 576 | b.b28x4 | b.l25x2 | 3.49 | Yes | No | 0 | 6 | 5 |
| 577 | b.l25x3 | b.l25x7 | 4.15 | Yes | No | 0 | 9 | 7 |
| 578 | b.b27x3 | b.l25x3 | 8.21 | No | Yes | 0 | 8 | 9 |
| 579 | b.b27x5 | b.l25x3 | 12.55 | No | Yes | 6 | 9 | 9 |
| 580 | b.l25x3 | b.l27x2 | 8.82 | Yes | Yes | 6 | 9 | 9 |
| 581 | b.b28x4 | b.l25x3 | 14.41 | Yes | Yes | 6 | 6 | 9 |
| 582 | b.l25x5 | b.l27x1 | 7.91 | No | Yes | 0 | 7 | 9 |
| 583 | b.l25x6 | b.l27x1 | 23.99 | No | Yes | 0 | 8 | 9 |
| 584 | b.b26x1 | b.b26x2 | 3.44 | No | No | 0 | 9 | 7 |
| 585 | b.b26x1 | b.l27x1 | 4.94 | No | Yes | 0 | 9 | 9 |
| 586 | b.l26x1 | b.l26x3 | 7.23 | No | No | 3 | 7 | 7 |
| 587 | b.l26x3 | b.l26x5 | 8.32 | No | No | 3 | 7 | 5 |
| 588 | b.l26x4 | g.ctx4 | 4.06 | No | Yes | 0 | 9 | 7 |
| 589 | b.l26x5 | g.ctx4 | 8.39 | No | Yes | 3 | 5 | 7 |
| 590 | b.l26x5 | g.ctx9 | 4.56 | No | Yes | 3 | 5 | 6 |
| 591 | b.b28x7 | b.l26x6 | 3.13 | Yes | No | 6 | 9 | 7 |
| 592 | b.l26x6 | g.ctx16 | 4.16 | No | Yes | 6 | 7 | 8 |
| 593 | b.b27x1 | g.ctx5 | 4.47 | No | No | 0 | 6 | 9 |
| 594 | b.b27x3 | b.b28x6 | 10.92 | No | Yes | 0 | 8 | 9 |
| 595 | b.b27x4 | b.b28x3 | 3.42 | No | No | 0 | 5 | 7 |
| 596 | b.b27x5 | b.l27x2 | 10.31 | No | Yes | 6 | 9 | 9 |
| 597 | b.b28x2 | b.l27x2 | 10.75 | No | Yes | 0 | 4 | 9 |
| 598 | b.b28x1 | b.b28x2 | 6.61 | No | No | 0 | 4 | 4 |
| 599 | b.b28x4 | b.b28x6 | 5.8 | Yes | Yes | 6 | 6 | 9 |
| 600 | b.b28x5 | g.ctx16 | 5.02 | No | Yes | 6 | 5 | 8 |
| 601 | b.b28x7 | g.ctx14 | 10.9 | Yes | No | 6 | 9 | 9 |
| 602 | b.b28x7 | g.ctx16 | 7.25 | Yes | Yes | 6 | 9 | 8 |
| 603 | g.h1x1 | g.h1x5 | 3.76 | No | No | 0 | 2 | 6 |
| 604 | g.h1x11 | g.h1x7 | 4.15 | Yes | No | 23 | 9 | 2 |
| 605 | g.h1x12 | g.h1x9 | 8.1 | No | No | 0 | 6 | 6 |
| 606 | g.h1x10 | g.h1x14 | 10.19 | No | No | 0 | 9 | 9 |
| 607 | g.l1x2 | g.l1x4 | 3.76 | No | Yes | 0 | 2 | 8 |
| 608 | g.h2x3 | g.l1x5 | 4.36 | No | No | 0 | 5 | 4 |
| 609 | g.h2x3 | g.h2x7 | 5.53 | No | No | 0 | 5 | 5 |
| 610 | g.h2x11 | g.h2x15 | 18.51 | Yes | No | 0 | 6 | 6 |
| 611 | g.ctx2 | g.h2x15 | 7.39 | No | No | 0 | 3 | 6 |
| 612 | g.ctx3 | g.ctx4 | 4.83 | Yes | Yes | 0 | 9 | 7 |
| 613 | g.ctx3 | g.ctx6 | 4.07 | Yes | Yes | 0 | 9 | 6 |
| 614 | g.ctx4 | g.ctx9 | 3.53 | Yes | Yes | 3 | 7 | 6 |
| 615 | g.ctx10 | g.ctx9 | 3.53 | No | Yes | 3 | 5 | 6 |
| 616 | g.ctx13 | g.ctx9 | 5.7 | No | Yes | 3 | 5 | 6 |
| 617 | g.ctx10 | g.ctx13 | 3.14 | No | No | 3 | 5 | 5 |
| 618 | g.ctx12 | g.ctx13 | 7.19 | No | No | 0 | 6 | 5 |
| 619 | g.ctx14 | g.ctx15 | 6.52 | No | No | 0 | 9 | 9 |
| 620 | g.ctx14 | g.ctx16 | 3.62 | No | Yes | 6 | 9 | 8 |
| 621 | 1x40 | NT.S531 | 7.99 | No | No | 0 | 4 | 9 |
| 622 | E1.E602 | NT.S531 | 5.75 | No | No | 0 | 7 | 9 |
| 623 | 1x39 | NT.S532 | 7.51 | Yes | Yes | 1 | 9 | 9 |
| 624 | 1x43 | NT.S532 | 3.2 | Yes | Yes | 1 | 9 | 9 |
| 625 | 7x43 | NT.S532 | 3.2 | No | Yes | 1 | 9 | 9 |
| 626 | NT.F533 | NT.L536 | 7.31 | Yes | Yes | 1 | 9 | 9 |
| 627 | 1x43 | NT.F533 | 5.19 | Yes | Yes | 1 | 9 | 9 |
| 628 | 1x47 | NT.F533 | 4.87 | Yes | Yes | 1 | 9 | 9 |
| 629 | 2x64 | NT.F533 | 3.22 | No | Yes | 1 | 9 | 9 |
| 630 | 3x40 | NT.F533 | 4.29 | No | Yes | 1 | 8 | 9 |
| 631 | 6x53 | NT.F533 | 4.01 | Yes | Yes | 1 | 9 | 9 |
| 632 | 7x47 | NT.F533 | 5.59 | Yes | Yes | 1 | 8 | 9 |
| 633 | E2.Y683 | NT.I535 | 13.3 | Yes | No | 0 | 6 | 8 |
| 634 | E2x51 | NT.I535 | 3.52 | Yes | No | 0 | 9 | 8 |
| 635 | 2x64 | NT.L536 | 4.87 | No | Yes | 1 | 9 | 9 |
| 636 | 3x40 | NT.L536 | 9.74 | No | Yes | 1 | 8 | 9 |
| 637 | E2x51 | NT.L536 | 7.97 | Yes | Yes | 1 | 9 | 9 |
| 638 | 5x39 | NT.M537 | 3.73 | Yes | Yes | 1 | 9 | 9 |
| 639 | 6x53 | NT.M537 | 4.65 | Yes | Yes | 1 | 9 | 9 |
| 640 | 6x56 | NT.M537 | 3.49 | No | Yes | 1 | 9 | 9 |
| 641 | 7x42 | NT.M537 | 4.98 | Yes | Yes | 1 | 9 | 9 |
| 642 | E3.I759 | NT.A538 | 3.25 | No | No | 0 | 8 | 9 |
| 643 | 5x36 | NT.H539 | 3.86 | Yes | Yes | 1 | 7 | 6 |
| 644 | 5x37 | NT.H539 | 6.35 | No | Yes | 1 | 8 | 6 |
| 645 | 5x40 | NT.H539 | 3.86 | No | Yes | 1 | 7 | 6 |
| 646 | E3.F760 | NT.H539 | 15.84 | No | Yes | 0 | 8 | 6 |
| 647 | 1x34 | NT.Y540 | 11.36 | No | No | 0 | 6 | 6 |
| 648 | E3.D762 | NT.Y540 | 6.9 | No | No | 0 | 5 | 6 |
| 649 | 1x33 | E2.R680 | 5.96 | No | Yes | 12 | 5 | 8 |
| 650 | 1x33 | E2.R682 | 8.34 | No | No | 12 | 5 | 4 |
| 651 | 1x33 | E2.Y683 | 5.75 | No | Yes | 12 | 5 | 6 |
| 652 | 1x35 | E2.R682 | 6.98 | No | No | 12 | 5 | 4 |
| 653 | 1x35 | E2.Y683 | 3.37 | No | Yes | 12 | 5 | 6 |
| 654 | 1x36 | 1x37 | 3.35 | Yes | No | 1 | 8 | 5 |
| 655 | 1x36 | 1x38 | 12.44 | Yes | No | 1 | 8 | 4 |
| 656 | 1x36 | 1x39 | 4.07 | Yes | Yes | 1 | 8 | 9 |
| 657 | 1x36 | 7x40 | 8.05 | Yes | Yes | 1 | 8 | 9 |
| 658 | 1x37 | 1x38 | 16.24 | No | No | 1 | 5 | 4 |
| 659 | 1x38 | 7x40 | 8.36 | No | Yes | 1 | 4 | 9 |
| 660 | 1x39 | 7x40 | 16.41 | Yes | Yes | 1 | 9 | 9 |
| 661 | 1x39 | 7x43 | 4.42 | Yes | No | 1 | 9 | 9 |
| 662 | 1x40 | 1x44 | 6.47 | No | No | 0 | 4 | 5 |
| 663 | 1x43 | 7x43 | 3.14 | Yes | No | 1 | 9 | 9 |
| 664 | 1x43 | 7x47 | 5.07 | Yes | Yes | 1 | 9 | 8 |
| 665 | 1x44 | E1.E602 | 4.65 | No | No | 0 | 5 | 7 |
| 666 | 1x45 | 1x46 | 3.68 | No | No | 0 | 7 | 9 |
| 667 | 1x47 | 2x61 | 4.5 | Yes | No | 0 | 9 | 8 |
| 668 | 1x47 | 2x65 | 6.92 | Yes | No | 0 | 9 | 9 |
| 669 | 1x47 | 7x47 | 4.76 | Yes | Yes | 1 | 9 | 8 |
| 670 | 1x49 | 1x53 | 3.17 | No | No | 26 | 6 | 9 |
| 671 | 1x49 | 7x51 | 3.15 | No | No | 26 | 6 | 5 |
| 672 | 1x50 | 7x50 | 3.71 | No | No | 0 | 9 | 9 |
| 673 | 1x51 | 2x58 | 6.09 | No | Yes | 0 | 8 | 9 |
| 674 | 1x52 | 1x56 | 8.53 | No | No | 0 | 5 | 8 |
| 675 | 1x53 | 7x51 | 3.61 | No | No | 26 | 9 | 5 |
| 676 | 1x53 | 7x54 | 6.72 | No | Yes | 0 | 9 | 9 |
| 677 | 1x54 | 2x54 | 3.17 | No | No | 0 | 9 | 8 |
| 678 | 1x54 | 2x58 | 3.65 | No | Yes | 0 | 9 | 9 |
| 679 | 1x54 | 7x50 | 5.13 | No | No | 0 | 9 | 9 |
| 680 | 1x56 | 7x54 | 14.07 | No | Yes | 0 | 8 | 9 |
| 681 | 1x57 | 2x54 | 5.46 | No | No | 0 | 7 | 8 |
| 682 | 1x57 | 7x54 | 4.03 | No | Yes | 0 | 7 | 9 |
| 683 | 1x58 | 2x51 | 4.28 | No | No | 0 | 9 | 9 |
| 684 | 1x60 | 7x58 | 6.76 | No | No | 0 | 9 | 9 |
| 685 | 1x60 | 8x50 | 3.17 | No | Yes | 27 | 9 | 9 |
| 686 | 1x60 | 8x54 | 7.49 | No | Yes | 27 | 9 | 9 |
| 687 | 1x61 | 2x47 | 3.89 | No | No | 0 | 9 | 9 |
| 688 | 1x61 | 2x50 | 9.05 | No | Yes | 0 | 9 | 9 |
| 689 | 1x61 | 2x51 | 6.09 | No | No | 0 | 9 | 9 |
| 690 | 1x62 | 2x51 | 5.54 | No | No | 0 | 6 | 9 |
| 691 | 1x63 | 8x57 | 6.83 | No | No | 0 | 7 | 6 |
| 692 | 1x64 | I1x50 | 9.22 | No | Yes | 0 | 9 | 9 |
| 693 | 1x64 | 8x53 | 7.13 | No | Yes | 0 | 9 | 8 |
| 694 | 8x53 | I1x49 | 7.86 | Yes | No | 0 | 8 | 8 |
| 695 | 2x47 | I1x50 | 7.6 | No | Yes | 0 | 9 | 9 |
| 696 | 8x49 | I1x50 | 4.36 | No | Yes | 0 | 9 | 9 |
| 697 | 8x50 | I1x50 | 3.07 | Yes | Yes | 0 | 9 | 9 |
| 698 | 2x46 | 2x50 | 9.03 | Yes | Yes | 11 | 9 | 9 |
| 699 | 2x46 | 3x53 | 16.28 | Yes | No | 0 | 9 | 7 |
| 700 | 2x46 | 6x45 | 3.5 | Yes | No | 11 | 9 | 9 |
| 701 | 2x46 | 6x48 | 3.64 | Yes | Yes | 11 | 9 | 8 |
| 702 | 2x48 | 4x42 | 4.71 | No | No | 0 | 9 | 6 |
| 703 | 2x49 | 3x46 | 7.05 | No | Yes | 0 | 8 | 9 |
| 704 | 2x49 | 3x50 | 6.83 | No | No | 0 | 8 | 9 |
| 705 | 2x49 | 4x45 | 5.71 | No | No | 0 | 8 | 7 |
| 706 | 2x50 | 3x50 | 11.08 | Yes | No | 11 | 9 | 9 |
| 707 | 2x50 | 6x48 | 9 | Yes | Yes | 11 | 9 | 8 |
| 708 | 2x52 | 3x46 | 20.1 | Yes | Yes | 28 | 9 | 9 |
| 709 | 2x52 | 4x46 | 4.42 | Yes | No | 0 | 9 | 4 |
| 710 | 2x52 | 4x50 | 9.8 | Yes | Yes | 28 | 9 | 9 |
| 711 | 2x53 | 2x57 | 4.15 | No | No | 0 | 9 | 9 |
| 712 | 2x53 | 3x47 | 4.24 | No | Yes | 0 | 9 | 9 |
| 713 | 2x56 | 3x42 | 3.61 | No | No | 0 | 8 | 9 |
| 714 | 2x56 | 4x50 | 4.03 | No | Yes | 0 | 8 | 9 |
| 715 | 2x57 | 3x43 | 3.15 | No | No | 0 | 9 | 8 |
| 716 | 2x57 | 7x49 | 5.32 | No | Yes | 0 | 9 | 9 |
| 717 | 2x58 | 2x62 | 5.19 | Yes | No | 0 | 9 | 6 |
| 718 | 2x59 | 2x63 | 3.07 | No | No | 0 | 6 | 6 |
| 719 | 2x59 | 3x39 | 3.42 | No | No | 0 | 6 | 7 |
| 720 | 2x60 | 3x39 | 3.92 | No | No | 0 | 9 | 7 |
| 721 | 2x63 | 3x35 | 4.28 | No | No | 0 | 6 | 8 |
| 722 | 2x63 | 3x36 | 7.14 | No | No | 0 | 6 | 9 |
| 723 | 2x64 | E1.I601 | 13.82 | No | No | 0 | 9 | 7 |
| 724 | 3x29 | E1.N603 | 6.3 | Yes | No | 29 | 9 | 6 |
| 725 | E1.N603 | E2x50 | 6.3 | No | No | 29 | 6 | 9 |
| 726 | 3x25 | 3x29 | 3.42 | No | Yes | 0 | 6 | 9 |
| 727 | 3x25 | 3x30 | 5.23 | No | No | 0 | 6 | 6 |
| 728 | 3x29 | E2x50 | 7.28 | Yes | No | 29 | 9 | 9 |
| 729 | 3x32 | E2x50 | 3.42 | No | No | 0 | 8 | 9 |
| 730 | 3x33 | E2.Y678 | 4 | No | Yes | 0 | 9 | 9 |
| 731 | 3x34 | E2.Y678 | 4.35 | No | Yes | 0 | 8 | 9 |
| 732 | 3x36 | E2x51 | 3.42 | No | Yes | 0 | 9 | 9 |
| 733 | 3x37 | 4x57 | 5.54 | Yes | No | 1 | 9 | 9 |
| 734 | 3x37 | E2.Y678 | 8.71 | Yes | Yes | 1 | 9 | 9 |
| 735 | 3x37 | E2x51 | 3.17 | Yes | Yes | 1 | 9 | 9 |
| 736 | 3x37 | 5x38 | 5.58 | Yes | No | 1 | 9 | 8 |
| 737 | 3x37 | 5x39 | 5.66 | Yes | Yes | 1 | 9 | 9 |
| 738 | 3x38 | 4x50 | 4.96 | No | Yes | 0 | 6 | 9 |
| 739 | 3x38 | 4x54 | 3.52 | No | No | 0 | 6 | 8 |
| 740 | 3x41 | 4x53 | 6.57 | No | Yes | 0 | 9 | 9 |
| 741 | 3x41 | 4x56 | 8.56 | No | No | 0 | 9 | 8 |
| 742 | 3x41 | 5x42 | 3.28 | No | No | 0 | 9 | 9 |
| 743 | 3x42 | 4x53 | 3.74 | No | Yes | 0 | 9 | 9 |
| 744 | 3x44 | 3x47 | 6.22 | No | Yes | 1 | 9 | 9 |
| 745 | 3x44 | 5x43 | 18.35 | No | No | 0 | 9 | 8 |
| 746 | 3x44 | 6x53 | 18.04 | No | Yes | 1 | 9 | 9 |
| 747 | 3x45 | 4x52 | 3.42 | No | No | 30 | 7 | 7 |
| 748 | 3x45 | 4x53 | 7.53 | No | Yes | 30 | 7 | 9 |
| 749 | 3x46 | 3x49 | 5.69 | Yes | No | 0 | 9 | 9 |
| 750 | 3x46 | 4x49 | 7.04 | Yes | No | 0 | 9 | 9 |
| 751 | 3x46 | 4x50 | 12.54 | Yes | Yes | 28 | 9 | 9 |
| 752 | 3x47 | 6x50 | 3.49 | Yes | No | 0 | 9 | 9 |
| 753 | 3x47 | 6x53 | 3.49 | Yes | Yes | 1 | 9 | 9 |
| 754 | 3x47 | 7x49 | 4.08 | Yes | Yes | 1 | 9 | 9 |
| 755 | 3x48 | 5x46 | 6.19 | No | No | 0 | 7 | 9 |
| 756 | 3x49 | 4x45 | 6.92 | No | No | 0 | 9 | 7 |
| 757 | 3x49 | 4x48 | 4.28 | No | No | 0 | 9 | 6 |
| 758 | 3x50 | 6x48 | 9.28 | No | Yes | 11 | 9 | 8 |
| 759 | 3x51 | 5x50 | 3.39 | No | No | 0 | 9 | 9 |
| 760 | 3x52 | 3x56 | 9.74 | No | Yes | 0 | 7 | 8 |
| 761 | 3x53 | 3x57 | 9.28 | No | Yes | 0 | 7 | 6 |
| 762 | 3x54 | 5x53 | 4.28 | Yes | No | 0 | 9 | 7 |
| 763 | 3x54 | 5x57 | 11.79 | Yes | No | 0 | 9 | 9 |
| 764 | 3x55 | 3x56 | 5.16 | No | Yes | 0 | 8 | 8 |
| 765 | 3x55 | 3x59 | 13.88 | No | No | 0 | 8 | 9 |
| 766 | 3x55 | 5x53 | 4.84 | No | No | 0 | 8 | 7 |
| 767 | 3x56 | 3x60 | 3.21 | Yes | No | 0 | 8 | 7 |
| 768 | 3x56 | I2.G649 | 4.52 | Yes | No | 0 | 8 | 7 |
| 769 | 3x58 | 5x57 | 6.35 | No | No | 0 | 9 | 9 |
| 770 | 3x60 | I2.Q648 | 25.7 | No | No | 0 | 7 | 7 |
| 771 | 4x41 | 4x44 | 3.71 | No | Yes | 0 | 6 | 6 |
| 772 | 4x43 | 4x44 | 4 | No | Yes | 0 | 5 | 6 |
| 773 | 4x48 | 4x49 | 3.53 | No | No | 0 | 6 | 9 |
| 774 | 4x52 | 4x53 | 3.53 | No | Yes | 30 | 7 | 9 |
| 775 | 4x52 | 4x56 | 3.07 | No | No | 0 | 7 | 8 |
| 776 | 4x57 | E2.Y678 | 3.79 | No | Yes | 1 | 9 | 9 |
| 777 | 4x60 | 5x35 | 5.28 | No | Yes | 1 | 9 | 8 |
| 778 | 4x60 | 5x38 | 4.89 | No | No | 1 | 9 | 8 |
| 779 | 4x64 | E2.K676 | 5.97 | Yes | No | 0 | 5 | 3 |
| 780 | 4x64 | E2.Q690 | 7.89 | Yes | No | 0 | 5 | 2 |
| 781 | 4x64 | 5x35 | 7.22 | Yes | Yes | 0 | 5 | 8 |
| 782 | 5x35 | E2.G677 | 4.52 | Yes | No | 0 | 8 | 8 |
| 783 | 5x35 | E2.Y678 | 10.32 | Yes | Yes | 1 | 8 | 9 |
| 784 | E2.R680 | E2.Y683 | 3.09 | Yes | Yes | 12 | 8 | 6 |
| 785 | E2.D687 | E2.R680 | 5.96 | No | Yes | 0 | 5 | 8 |
| 786 | E2.F688 | E2.R680 | 8.55 | No | Yes | 0 | 4 | 8 |
| 787 | E2.R682 | E2.Y683 | 18.52 | No | Yes | 12 | 4 | 6 |
| 788 | E2x51 | E2x52 | 18.22 | Yes | No | 1 | 9 | 9 |
| 789 | 5x36 | E2x51 | 4.56 | Yes | Yes | 1 | 7 | 9 |
| 790 | 5x39 | E2x51 | 13.03 | Yes | Yes | 1 | 9 | 9 |
| 791 | 5x35 | E2x52 | 6.09 | Yes | No | 1 | 8 | 9 |
| 792 | 5x36 | E2x52 | 4.15 | Yes | No | 1 | 7 | 9 |
| 793 | E2.D687 | E2.E689 | 6.5 | No | No | 0 | 5 | 3 |
| 794 | 5x35 | 5x38 | 7.93 | Yes | No | 1 | 8 | 8 |
| 795 | 5x36 | 5x40 | 6.92 | Yes | No | 1 | 7 | 7 |
| 796 | 5x37 | 5x40 | 14.81 | No | No | 1 | 8 | 7 |
| 797 | 5x39 | 5x43 | 5.24 | Yes | No | 0 | 9 | 8 |
| 798 | 5x41 | 5x42 | 4.06 | No | No | 0 | 8 | 9 |
| 799 | 5x41 | 5x44 | 3.64 | No | No | 0 | 8 | 7 |
| 800 | 5x43 | 5x47 | 3.07 | No | No | 0 | 8 | 6 |
| 801 | 5x44 | 6x57 | 5.9 | No | No | 0 | 7 | 5 |
| 802 | 5x45 | 5x49 | 8.38 | No | No | 0 | 4 | 5 |
| 803 | 5x47 | 6x54 | 3.07 | No | No | 0 | 6 | 6 |
| 804 | 5x50 | 6x49 | 15.1 | No | No | 0 | 9 | 9 |
| 805 | 5x54 | 5x58 | 7.87 | Yes | No | 0 | 8 | 6 |
| 806 | 5x54 | 6x46 | 15.83 | Yes | No | 0 | 8 | 7 |
| 807 | 5x54 | 6x49 | 3.65 | Yes | No | 0 | 8 | 9 |
| 808 | 5x59 | 5x60 | 8.12 | No | No | 0 | 8 | 8 |
| 809 | 5x59 | 5x63 | 7.67 | No | No | 0 | 8 | 5 |
| 810 | 5x62 | 6x38 | 4.42 | No | No | 0 | 8 | 9 |
| 811 | 5x64 | 5x67 | 9.45 | No | No | 0 | 9 | 8 |
| 812 | 5x65 | I3.N726 | 9.67 | Yes | Yes | 21 | 8 | 8 |
| 813 | 5x65 | I3.M729 | 8.71 | Yes | Yes | 21 | 8 | 7 |
| 814 | 5x65 | 6x34 | 14.89 | Yes | No | 0 | 8 | 7 |
| 815 | 5x68 | I3.N726 | 5.66 | Yes | Yes | 0 | 8 | 8 |
| 816 | I3.M729 | I3.N726 | 4.21 | Yes | Yes | 21 | 7 | 8 |
| 817 | I3.K733 | I3.M729 | 5.76 | No | Yes | 0 | 5 | 7 |
| 818 | 6x37 | I3.M729 | 3.22 | No | Yes | 0 | 6 | 7 |
| 819 | I3.K730 | I3.K733 | 7.18 | No | No | 0 | 8 | 5 |
| 820 | 6x34 | 6x38 | 5.64 | No | No | 0 | 7 | 9 |
| 821 | 6x44 | 7x56 | 6.3 | No | No | 0 | 9 | 8 |
| 822 | 6x45 | 6x48 | 3.99 | No | Yes | 11 | 9 | 8 |
| 823 | 6x46 | 6x51 | 3.17 | No | No | 0 | 7 | 5 |
| 824 | 6x47 | 6x52 | 5.19 | No | No | 0 | 5 | 9 |
| 825 | 6x47 | 7x52 | 16.08 | No | No | 0 | 5 | 8 |
| 826 | 6x48 | 7x57 | 11.57 | Yes | No | 0 | 8 | 9 |
| 827 | 6x52 | 7x46 | 5.85 | No | No | 0 | 9 | 9 |
| 828 | 6x53 | 7x42 | 8.02 | Yes | Yes | 1 | 9 | 9 |
| 829 | 6x53 | 7x46 | 15.82 | Yes | No | 1 | 9 | 9 |
| 830 | 6x53 | 7x49 | 8.76 | Yes | Yes | 1 | 9 | 9 |
| 831 | 6x54 | 6x55 | 3.93 | No | Yes | 0 | 6 | 8 |
| 832 | 6x55 | 7x38 | 3.65 | Yes | No | 0 | 8 | 7 |
| 833 | 6x55 | 7x41 | 9.18 | Yes | No | 0 | 8 | 6 |
| 834 | 6x55 | 7x45 | 3.65 | Yes | No | 0 | 8 | 7 |
| 835 | 6x56 | E3.I759 | 3.53 | No | No | 0 | 9 | 8 |
| 836 | 6x56 | 7x42 | 6.02 | No | Yes | 1 | 9 | 9 |
| 837 | 6x58 | 7x38 | 3.65 | No | No | 0 | 8 | 7 |
| 838 | 7x39 | E3.I759 | 7.6 | No | No | 0 | 7 | 8 |
| 839 | E3.D761 | E3.D762 | 3.99 | No | No | 0 | 4 | 5 |
| 840 | E3.D761 | E3.R763 | 10.72 | No | No | 0 | 4 | 4 |
| 841 | 7x42 | 7x46 | 18.12 | Yes | No | 1 | 9 | 9 |
| 842 | 7x48 | 7x52 | 3.65 | No | No | 0 | 8 | 8 |
| 843 | 7x49 | 7x53 | 3.99 | Yes | No | 0 | 9 | 8 |
| 844 | 7x53 | 7x57 | 3.86 | No | No | 0 | 8 | 9 |
| 845 | 7x54 | 7x58 | 6.72 | Yes | No | 0 | 9 | 9 |
| 846 | 7x54 | 7x59 | 9.38 | Yes | No | 0 | 9 | 8 |
| 847 | 7x54 | 8x54 | 4.96 | Yes | Yes | 0 | 9 | 9 |
| 848 | 7x55 | 7x59 | 4.15 | No | No | 0 | 5 | 8 |
| 849 | 8x47 | 8x50 | 5.91 | No | Yes | 0 | 9 | 9 |
| 850 | 8x48 | 8x52 | 4.05 | No | No | 0 | 8 | 6 |
| 851 | 8x50 | 8x54 | 7.57 | Yes | Yes | 27 | 9 | 9 |
| 852 | 8x53 | 8x57 | 4.36 | Yes | No | 0 | 8 | 6 |
| 853 | 8x54 | 8x57 | 4.82 | Yes | No | 0 | 9 | 6 |
| 854 | G.HG.07 | G.s4h3.02 | 3.06 | No | Yes | 0 | 9 | 9 |
| 855 | G.HG.14 | G.HG.16 | 3.06 | No | No | 0 | 5 | 4 |
| 856 | G.HG.07 | G.HG.13 | 3.04 | No | No | 0 | 9 | 7 |
| 857 | G.s6h5.02 | G.s6h5.04 | 3.04 | No | No | 0 | 8 | 9 |
| 858 | b.1x14 | g.h1x15 | 3.03 | No | No | 0 | 4 | 8 |
| 859 | b.b21x2 | b.l20x3 | 3.03 | Yes | No | 0 | 6 | 7 |
| 860 | G.hgh4.05 | G.hgh4.07 | 3.01 | Yes | No | 0 | 5 | 7 |
| 861 | G.hns1.03 | I2.G647 | 3 | No | No | 0 | 5 | 5 |
| 862 | G.H2.01 | G.s3h2.02 | 3 | Yes | No | 0 | 9 | 9 |
| 863 | b.b13x1 | b.b9x2 | 3 | No | No | 0 | 4 | 5 |
| 864 | 5x56 | 5x60 | 3 | No | No | 0 | 6 | 8 |
| 865 | b.b8x5 | b.b9x1 | 2.98 | No | No | 0 | 4 | 4 |
| 866 | b.l10x1 | b.l16x1 | 2.98 | Yes | No | 0 | 3 | 4 |
| 867 | b.b12x5 | b.l16x1 | 2.98 | No | No | 0 | 6 | 4 |
| 868 | G.HN.37 | b.b5x2 | 2.96 | No | Yes | 0 | 3 | 7 |
| 869 | b.b24x2 | b.b25x6 | 2.96 | No | No | 0 | 5 | 3 |
| 870 | b.b24x4 | b.b25x6 | 2.96 | Yes | No | 0 | 6 | 3 |
| 871 | 5x61 | 6x41 | 2.95 | No | No | 0 | 8 | 9 |
| 872 | G.HG.14 | G.HG.17 | 2.94 | No | No | 0 | 5 | 3 |
| 873 | b.l26x2 | b.l2x4 | 2.94 | No | No | 0 | 1 | 5 |
| 874 | 1x58 | 2x55 | 2.94 | No | No | 0 | 9 | 7 |
| 875 | g.h2x14 | g.h2x15 | 2.93 | No | No | 0 | 4 | 6 |
| 876 | 5x68 | G.H5.21 | 2.91 | Yes | No | 0 | 8 | 5 |
| 877 | b.b10x5 | b.l6x2 | 2.89 | Yes | No | 0 | 9 | 6 |
| 878 | b.b12x7 | b.b13x4 | 2.89 | No | No | 0 | 9 | 4 |
| 879 | b.b17x2 | g.h1x13 | 2.89 | No | No | 0 | 3 | 1 |
| 880 | G.HN.42 | G.HN.45 | 2.88 | No | No | 0 | 4 | 4 |
| 881 | E2.P681 | E2.R680 | 2.88 | No | Yes | 0 | 3 | 8 |
| 882 | G.S5.02 | G.S6.01 | 2.85 | Yes | No | 0 | 7 | 6 |
| 883 | 2x47 | I1x51 | 2.83 | No | No | 0 | 9 | 8 |
| 884 | 5x46 | 5x50 | 2.83 | No | No | 0 | 9 | 9 |
| 885 | b.b26x4 | b.b2x5 | 2.81 | No | Yes | 0 | 5 | 7 |
| 886 | b.l7x3 | b.l7x5 | 2.8 | No | Yes | 0 | 9 | 6 |
| 887 | 3x54 | G.H5.23 | 2.77 | Yes | No | 0 | 9 | 5 |
| 888 | 7x60 | G.H5.25 | 2.77 | Yes | Yes | 22 | 8 | 8 |
| 889 | b.b21x4 | b.h2x1 | 2.77 | No | Yes | 0 | 5 | 5 |
| 890 | b.b10x5 | b.b6x4 | 2.77 | Yes | No | 0 | 9 | 7 |
| 891 | b.b10x5 | b.b7x3 | 2.77 | Yes | No | 0 | 9 | 9 |
| 892 | b.b16x3 | b.b19x2 | 2.77 | No | Yes | 0 | 6 | 6 |
| 893 | b.b20x5 | b.b21x4 | 2.77 | No | No | 0 | 7 | 5 |
| 894 | b.l22x2 | g.ctx3 | 2.77 | No | Yes | 0 | 1 | 9 |
| 895 | 3x27 | 3x31 | 2.77 | No | No | 0 | 6 | 5 |
| 896 | 3x54 | 6x49 | 2.77 | Yes | No | 0 | 9 | 9 |
| 897 | 4x45 | I2.L650 | 2.77 | No | No | 0 | 7 | 5 |
| 898 | 5x54 | 6x42 | 2.77 | Yes | No | 0 | 8 | 9 |
| 899 | 7x55 | 7x60 | 2.77 | No | Yes | 0 | 5 | 8 |
| 900 | G.H1.07 | G.s6h5.04 | 2.74 | No | No | 0 | 9 | 9 |
| 901 | G.H5.15 | I2.Q646 | 2.74 | Yes | No | 0 | 8 | 7 |
| 902 | 2x48 | 2x52 | 2.74 | No | Yes | 0 | 9 | 9 |
| 903 | 7x60 | G.H5.26 | 2.66 | Yes | No | 0 | 8 | 9 |
| 904 | b.l25x4 | b.l27x2 | 2.66 | No | Yes | 0 | 5 | 9 |
| 905 | b.l21x2 | b.l21x5 | 2.65 | No | Yes | 0 | 4 | 4 |
| 906 | b.h2x3 | b.lhb1x1 | 2.64 | No | No | 0 | 1 | 1 |
| 907 | G.S2.07 | G.s2s3.02 | 2.63 | No | No | 0 | 3 | 4 |
| 908 | b.l8x5 | b.l8x7 | 2.63 | No | No | 0 | 3 | 3 |
| 909 | 3x28 | 3x32 | 2.62 | No | No | 0 | 7 | 8 |
| 910 | G.HG.01 | G.S6.05 | 2.59 | No | Yes | 0 | 6 | 5 |
| 911 | E2.Y683 | NT.S531 | 2.54 | Yes | No | 0 | 6 | 9 |
| 912 | 6x43 | 6x47 | 2.51 | No | No | 0 | 6 | 5 |
| 913 | 1x55 | 2x58 | 2.44 | No | Yes | 0 | 5 | 9 |
| 914 | b.1x4 | g.h1x5 | 2.43 | Yes | No | 0 | 8 | 6 |
| 915 | 1x42 | 7x40 | 2.42 | No | Yes | 0 | 8 | 9 |
| 916 | b.l8x7 | b.l8x9 | 2.41 | No | No | 0 | 3 | 3 |
| 917 | G.H4.06 | G.hgh4.05 | 2.39 | No | Yes | 0 | 5 | 5 |
| 918 | 7x36 | 7x40 | 2.34 | No | Yes | 0 | 3 | 9 |
| 919 | 8x52 | 8x55 | 2.33 | No | No | 0 | 6 | 4 |
| 920 | 4x44 | I2.L650 | 2.28 | Yes | No | 0 | 6 | 5 |
| 921 | 4x44 | 4x47 | 2.28 | Yes | No | 0 | 6 | 7 |
| 922 | G.s3h2.01 | G.s3h2.02 | 2.11 | No | No | 0 | 9 | 9 |
| 923 | b.b7x5 | b.l7x1 | 2.11 | No | No | 0 | 9 | 9 |
| 924 | E1.G605 | E1.G606 | 2.11 | No | No | 0 | 7 | 6 |
| 925 | 3x30 | E2.Y678 | 2.06 | No | Yes | 0 | 6 | 9 |
| 926 | E1.G606 | E2.P681 | 2.03 | No | No | 0 | 6 | 3 |
| 927 | 4x51 | 4x53 | 2.03 | No | Yes | 0 | 9 | 9 |
| 928 | 1x46 | 7x47 | 1.96 | No | Yes | 0 | 9 | 8 |
| 929 | 3x29 | E2.G679 | 1.96 | Yes | No | 0 | 9 | 9 |
| 930 | G.s1h1.06 | G.s6h5.03 | 1.95 | No | No | 0 | 9 | 9 |
| 931 | 2x66 | 2x67 | 1.95 | No | No | 0 | 6 | 8 |
| 932 | b.l14x1 | b.l14x2 | 1.87 | No | No | 0 | 4 | 4 |
| 933 | G.s1h1.05 | G.s1h1.06 | 1.86 | No | No | 0 | 9 | 9 |
| 934 | b.b4x1 | b.l5x4 | 1.86 | No | No | 0 | 8 | 8 |
| 935 | b.lhb1x6 | b.lhb1x7 | 1.84 | Yes | No | 0 | 3 | 1 |
| 936 | b.b19x5 | b.b22x3 | 1.84 | No | No | 0 | 5 | 6 |
| 937 | b.b24x5 | b.b25x5 | 1.84 | Yes | No | 0 | 5 | 4 |
| 938 | b.b26x5 | b.l26x4 | 1.84 | No | No | 0 | 7 | 9 |
| 939 | b.b12x1 | b.l13x5 | 1.82 | No | No | 0 | 6 | 5 |
| 940 | b.l13x1 | b.l13x2 | 1.82 | No | No | 0 | 2 | 6 |
| 941 | b.l17x1 | b.l17x2 | 1.82 | No | No | 0 | 2 | 6 |
| 942 | 5x51 | 6x51 | 1.81 | No | No | 0 | 6 | 5 |
| 943 | g.ctx7 | g.ctx8 | 1.75 | No | No | 0 | 4 | 8 |
| 944 | NT.A534 | NT.S532 | 1.71 | No | Yes | 0 | 9 | 9 |
| 945 | 4x61 | E2.S675 | 1.71 | No | No | 0 | 8 | 6 |
| 946 | b.1x8 | g.h1x8 | 1.7 | No | No | 0 | 5 | 7 |
| 947 | 1x34 | NT.A538 | 1.7 | No | No | 0 | 6 | 9 |
| 948 | b.l24x3 | b.lhb1x5 | 1.67 | No | No | 0 | 5 | 1 |
| 949 | b.b13x3 | b.l9x2 | 1.64 | Yes | No | 0 | 4 | 5 |
| 950 | I3.N726 | I3.P727 | 1.63 | Yes | No | 0 | 8 | 6 |
| 951 | G.HN.43 | b.b5x6 | 1.62 | No | No | 0 | 9 | 6 |
| 952 | G.H3.05 | G.S4.06 | 1.62 | No | No | 0 | 8 | 7 |
| 953 | b.l7x5 | b.l9x1 | 1.62 | Yes | No | 0 | 6 | 5 |
| 954 | b.b20x1 | b.l21x5 | 1.62 | No | Yes | 0 | 5 | 4 |
| 955 | b.lhb1x4 | b.lhb1x5 | 1.61 | No | No | 0 | 1 | 1 |
| 956 | I3.D728 | I3.P727 | 1.61 | No | No | 0 | 8 | 6 |
| 957 | G.H1.02 | G.H1.03 | 1.6 | No | No | 0 | 9 | 9 |
| 958 | G.h2s4.04 | G.h3s5.03 | 1.6 | No | No | 0 | 9 | 7 |
| 959 | b.b16x2 | b.l17x1 | 1.6 | No | No | 0 | 5 | 2 |
| 960 | 3x59 | 5x56 | 1.59 | No | No | 0 | 9 | 6 |
| 961 | b.1x8 | g.h1x7 | 1.58 | No | No | 23 | 5 | 2 |
| 962 | b.1x8 | g.h1x11 | 1.58 | No | Yes | 23 | 5 | 9 |
| 963 | b.1x11 | g.h1x15 | 1.58 | No | No | 0 | 8 | 8 |
| 964 | b.b23x2 | b.l24x1 | 1.58 | Yes | No | 0 | 6 | 5 |
| 965 | g.ctx6 | g.h2x16 | 1.58 | Yes | No | 0 | 6 | 4 |
| 966 | G.HN.36 | b.b5x2 | 1.56 | No | Yes | 0 | 4 | 7 |
| 967 | g.h2x6 | g.h2x7 | 1.54 | No | No | 0 | 2 | 5 |
| 968 | 4x59 | 4x63 | 1.54 | No | No | 0 | 7 | 5 |
| 969 | G.H4.01 | G.H4.02 | 1.53 | No | No | 0 | 2 | 3 |
| 970 | b.b21x5 | b.h2x2 | 1.53 | Yes | No | 0 | 4 | 1 |
| 971 | G.HN.37 | G.HN.41 | 1.52 | No | No | 0 | 3 | 4 |
| 972 | 6x39 | 6x43 | 1.52 | No | No | 0 | 9 | 6 |
| 973 | 2x67 | 3x28 | 1.5 | No | No | 0 | 8 | 7 |
| 974 | 7x35 | 7x38 | 1.5 | No | No | 0 | 7 | 7 |
| 975 | 1x41 | 1x45 | 1.49 | No | No | 0 | 5 | 7 |
| 976 | g.ctx6 | g.ctx7 | 1.47 | Yes | No | 0 | 6 | 4 |
| 977 | 1x42 | 7x44 | 1.47 | No | No | 0 | 8 | 8 |
| 978 | 5x44 | 5x48 | 1.47 | No | No | 0 | 7 | 5 |
| 979 | G.H5.01 | G.s6h5.05 | 1.46 | No | Yes | 0 | 9 | 9 |
| 980 | b.l8x3 | b.l8x7 | 1.46 | No | No | 0 | 3 | 3 |
| 981 | b.b16x1 | b.l17x3 | 1.46 | No | Yes | 0 | 4 | 9 |
| 982 | I1x48 | I1x49 | 1.44 | No | No | 0 | 8 | 8 |
| 983 | 2x45 | 3x53 | 1.44 | No | No | 0 | 8 | 7 |
| 984 | 5x66 | 5x67 | 1.44 | No | No | 0 | 8 | 8 |
| 985 | G.HG.08 | G.HG.09 | 1.43 | No | No | 0 | 6 | 2 |
| 986 | 6x40 | G.H5.25 | 1.43 | No | Yes | 22 | 7 | 8 |
| 987 | 6x40 | 7x56 | 1.43 | No | No | 0 | 7 | 8 |
| 988 | 6x40 | 7x60 | 1.43 | No | Yes | 22 | 7 | 8 |
| 989 | 5x34 | 5x37 | 1.41 | No | No | 0 | 6 | 8 |
| 990 | b.1x12 | b.1x13 | 1.4 | No | No | 0 | 6 | 1 |
| 991 | G.H4.03 | G.H4.05 | 1.39 | No | No | 0 | 5 | 4 |
| 992 | g.h1x2 | g.h1x5 | 1.38 | No | No | 0 | 2 | 6 |
| 993 | b.lhb1x3 | g.h2x13 | 1.37 | No | No | 0 | 2 | 1 |
| 994 | b.1x12 | b.1x9 | 1.35 | No | No | 0 | 6 | 4 |
| 995 | b.l21x3 | b.l21x4 | 1.35 | No | No | 0 | 3 | 4 |
| 996 | g.ctx1 | g.ctx2 | 1.35 | No | No | 0 | 1 | 3 |
| 997 | 8x53 | 8x56 | 1.35 | Yes | No | 0 | 8 | 5 |
| 998 | 3x57 | G.H5.22 | 1.33 | Yes | No | 0 | 6 | 4 |
| 999 | b.1x4 | b.ntx2 | 1.33 | Yes | No | 0 | 8 | 5 |
| 1000 | b.1x3 | b.1x4 | 1.33 | No | Yes | 0 | 1 | 8 |
| 1001 | 4x61 | E2.Y678 | 1.33 | No | Yes | 0 | 8 | 9 |
| 1002 | G.HN.48 | G.HN.49 | 1.32 | No | No | 0 | 5 | 4 |
| 1003 | G.h4s6.10 | G.h4s6.11 | 1.31 | No | No | 0 | 4 | 2 |
| 1004 | G.H2.05 | G.H3.16 | 1.24 | No | No | 0 | 7 | 5 |
| 1005 | 8x48 | 8x51 | 1.24 | No | No | 0 | 8 | 8 |
| 1006 | 4x63 | 4x64 | 1.21 | No | Yes | 0 | 5 | 5 |
| 1007 | G.H3.01 | G.H3.04 | 1.16 | Yes | No | 0 | 9 | 9 |
| 1008 | b.b9x3 | b.l5x2 | 1.16 | No | No | 0 | 6 | 6 |
| Color | ConSurf Grade |
| No Conservation data available | |
| 1 | |
| 2 | |
| 3 | |
| 4 | |
| 5 | |
| 6 | |
| 7 | |
| 8 | |
| 9 |
All columns can be sorted in ascending/descending alphabetical order, clicking on the corresponding column header.
Index: hub id, click on each number to highlight the corresponding hub in the 3D visualization.
Hub: the hub being considered.
Avg Int. Strength: the average interaction strength of all the links of the corresponding hub.
Num Of Links: the number of links of the corresponding hub.
Community: the id of the community the link belong to, otherwise 0.
ConSurf: this column reports the ConSurf conservation grades of each hub.
| Index | Hub | Avg. Int. Strength | Num. Of Links | Community | ConSurf |
|---|---|---|---|---|---|
| 1 | G.S1.06 | 4.704 | 5 | 2 | 9 |
| 2 | G.s1h1.04 | 8.012 | 5 | 10 | 9 |
| 3 | G.H1.04 | 5.655 | 4 | 2 | 7 |
| 4 | G.S2.04 | 8.2025 | 4 | 0 | 7 |
| 5 | G.S2.06 | 6.7775 | 4 | 2 | 8 |
| 6 | G.S2.08 | 5.5225 | 4 | 2 | 5 |
| 7 | G.S3.02 | 6.635 | 4 | 0 | 4 |
| 8 | G.S3.03 | 6.02167 | 6 | 2 | 7 |
| 9 | G.S3.04 | 6.97 | 4 | 7 | 6 |
| 10 | G.H2.01 | 5.8825 | 4 | 14 | 9 |
| 11 | G.H2.07 | 9.0775 | 4 | 0 | 9 |
| 12 | G.h2s4.01 | 8.4675 | 4 | 7 | 9 |
| 13 | G.S4.01 | 4.792 | 5 | 2 | 8 |
| 14 | G.S4.02 | 6.2225 | 4 | 7 | 8 |
| 15 | G.S4.03 | 4.6675 | 4 | 2 | 8 |
| 16 | G.S4.04 | 6.0475 | 4 | 0 | 9 |
| 17 | G.S4.05 | 4.218 | 5 | 2 | 7 |
| 18 | G.S4.07 | 9.65 | 4 | 10 | 8 |
| 19 | G.s4h3.02 | 4.51 | 4 | 10 | 9 |
| 20 | G.H3.01 | 10.17 | 4 | 10 | 9 |
| 21 | G.H3.09 | 9.5 | 4 | 0 | 9 |
| 22 | G.H3.18 | 5.7 | 4 | 7 | 9 |
| 23 | G.S5.02 | 4.2775 | 4 | 0 | 7 |
| 24 | G.S5.05 | 5.555 | 8 | 2 | 9 |
| 25 | G.S5.06 | 6.0925 | 4 | 0 | 9 |
| 26 | G.hgh4.02 | 7.3125 | 4 | 19 | 9 |
| 27 | G.hgh4.05 | 7.474 | 5 | 0 | 5 |
| 28 | G.H4.10 | 9.69 | 4 | 19 | 6 |
| 29 | G.H4.15 | 10.1275 | 4 | 0 | 8 |
| 30 | G.h4s6.19 | 7.022 | 5 | 2 | 7 |
| 31 | G.S6.02 | 9.124 | 5 | 2 | 9 |
| 32 | G.S6.05 | 10.248 | 5 | 20 | 5 |
| 33 | G.s6h5.05 | 4.515 | 4 | 2 | 9 |
| 34 | G.H5.03 | 8.555 | 4 | 2 | 9 |
| 35 | G.H5.08 | 7.58 | 4 | 2 | 9 |
| 36 | G.H5.11 | 3.294 | 5 | 2 | 8 |
| 37 | G.H5.14 | 5.156 | 5 | 2 | 6 |
| 38 | G.H5.15 | 3.2825 | 4 | 0 | 8 |
| 39 | G.H5.25 | 3.7075 | 4 | 22 | 8 |
| 40 | b.1x4 | 2.542 | 5 | 0 | 8 |
| 41 | b.h2x1 | 4.705 | 4 | 0 | 5 |
| 42 | b.lhb1x6 | 5.38 | 4 | 4 | 3 |
| 43 | b.l1x3 | 9.28667 | 6 | 3 | 9 |
| 44 | b.l1x4 | 5.24 | 4 | 0 | 6 |
| 45 | b.b2x3 | 4.8975 | 4 | 3 | 6 |
| 46 | b.b2x5 | 5.67333 | 6 | 3 | 7 |
| 47 | b.l3x2 | 7.0075 | 4 | 3 | 9 |
| 48 | b.b4x5 | 4.925 | 4 | 13 | 7 |
| 49 | b.b4x6 | 10.0771 | 7 | 3 | 9 |
| 50 | b.b5x2 | 5.5575 | 4 | 0 | 7 |
| 51 | b.b5x3 | 7.16 | 6 | 3 | 9 |
| 52 | b.b5x5 | 6.248 | 5 | 13 | 5 |
| 53 | b.b5x7 | 4.6625 | 4 | 0 | 7 |
| 54 | b.l5x1 | 4.4125 | 4 | 15 | 8 |
| 55 | b.l5x5 | 9.51 | 7 | 7 | 9 |
| 56 | b.b6x1 | 5.49 | 4 | 0 | 9 |
| 57 | b.b6x5 | 4.362 | 5 | 0 | 6 |
| 58 | b.l6x5 | 6.5375 | 4 | 16 | 4 |
| 59 | b.b7x1 | 7.2775 | 4 | 16 | 4 |
| 60 | b.l7x2 | 5.165 | 4 | 7 | 9 |
| 61 | b.l7x5 | 3.2475 | 4 | 0 | 6 |
| 62 | b.b8x1 | 4.135 | 4 | 8 | 8 |
| 63 | b.b8x3 | 4.025 | 4 | 0 | 6 |
| 64 | b.b8x4 | 5.21167 | 6 | 15 | 6 |
| 65 | b.b9x4 | 8.6925 | 4 | 0 | 9 |
| 66 | b.l9x3 | 7.354 | 5 | 8 | 9 |
| 67 | b.l9x6 | 6.406 | 5 | 8 | 8 |
| 68 | b.b10x5 | 5.11667 | 6 | 0 | 9 |
| 69 | b.l10x1 | 5.8975 | 4 | 0 | 3 |
| 70 | b.b11x2 | 5 | 4 | 0 | 7 |
| 71 | b.b11x4 | 6.0875 | 4 | 8 | 9 |
| 72 | b.l11x2 | 7.454 | 5 | 8 | 9 |
| 73 | b.b12x3 | 4.235 | 4 | 9 | 8 |
| 74 | b.b12x6 | 9.38667 | 6 | 8 | 8 |
| 75 | b.b13x3 | 6.548 | 5 | 8 | 4 |
| 76 | b.b13x7 | 8.82 | 5 | 9 | 7 |
| 77 | b.l13x3 | 8.385 | 6 | 9 | 9 |
| 78 | b.l13x7 | 4.426 | 5 | 9 | 9 |
| 79 | b.b15x1 | 8.9075 | 4 | 9 | 9 |
| 80 | b.b15x3 | 5.2625 | 4 | 9 | 9 |
| 81 | b.l15x2 | 6.578 | 5 | 9 | 9 |
| 82 | b.b16x4 | 11.975 | 4 | 9 | 6 |
| 83 | b.b16x6 | 8.64167 | 6 | 9 | 8 |
| 84 | b.b17x5 | 7.645 | 4 | 5 | 7 |
| 85 | b.b17x7 | 9.4625 | 4 | 5 | 8 |
| 86 | b.l17x3 | 9.63667 | 6 | 5 | 9 |
| 87 | b.b18x3 | 5.4775 | 4 | 5 | 8 |
| 88 | b.b18x5 | 7.125 | 4 | 5 | 5 |
| 89 | b.l18x1 | 7.60857 | 7 | 4 | 6 |
| 90 | b.l18x2 | 6.3775 | 4 | 4 | 7 |
| 91 | b.b19x2 | 7.295 | 6 | 5 | 6 |
| 92 | b.b19x4 | 5.67 | 4 | 5 | 8 |
| 93 | b.l19x2 | 7.9175 | 4 | 5 | 9 |
| 94 | b.b20x4 | 12.13 | 5 | 5 | 8 |
| 95 | b.b20x6 | 7.968 | 5 | 5 | 6 |
| 96 | b.b21x1 | 10.0575 | 4 | 5 | 7 |
| 97 | b.b21x2 | 5.08 | 4 | 24 | 6 |
| 98 | b.b21x5 | 4.9075 | 4 | 0 | 4 |
| 99 | b.b21x7 | 6.312 | 5 | 4 | 5 |
| 100 | b.l21x5 | 3.906 | 5 | 4 | 4 |
| 101 | b.l22x5 | 7.24333 | 6 | 4 | 9 |
| 102 | b.b23x1 | 5.1 | 4 | 0 | 5 |
| 103 | b.b23x2 | 5.178 | 5 | 4 | 6 |
| 104 | b.b23x6 | 7.56571 | 7 | 4 | 7 |
| 105 | b.b24x4 | 8.028 | 5 | 4 | 6 |
| 106 | b.b24x5 | 3.915 | 4 | 0 | 5 |
| 107 | b.b24x6 | 6.465 | 4 | 4 | 8 |
| 108 | b.l25x3 | 9.628 | 5 | 6 | 9 |
| 109 | b.l27x1 | 15.178 | 5 | 18 | 9 |
| 110 | b.l27x2 | 8.135 | 4 | 6 | 9 |
| 111 | b.b28x4 | 8.344 | 5 | 6 | 6 |
| 112 | b.b28x6 | 9.826 | 5 | 6 | 9 |
| 113 | b.b28x7 | 7.75 | 5 | 6 | 9 |
| 114 | g.h1x11 | 3.875 | 4 | 23 | 9 |
| 115 | g.l1x4 | 5.352 | 5 | 0 | 8 |
| 116 | g.h2x11 | 10.4725 | 4 | 4 | 6 |
| 117 | g.ctx3 | 5.866 | 5 | 0 | 9 |
| 118 | g.ctx4 | 5.2025 | 4 | 3 | 7 |
| 119 | g.ctx6 | 3.468 | 5 | 0 | 6 |
| 120 | g.ctx9 | 4.33 | 4 | 3 | 6 |
| 121 | g.ctx16 | 5.71857 | 7 | 6 | 8 |
| 122 | NT.S532 | 3.905 | 4 | 1 | 9 |
| 123 | NT.F533 | 4.92571 | 7 | 1 | 9 |
| 124 | NT.L536 | 7.4725 | 4 | 1 | 9 |
| 125 | NT.M537 | 4.2125 | 4 | 1 | 9 |
| 126 | NT.H539 | 7.4775 | 4 | 1 | 6 |
| 127 | 1x36 | 6.9775 | 4 | 1 | 8 |
| 128 | 1x39 | 8.1025 | 4 | 1 | 9 |
| 129 | 1x43 | 4.15 | 4 | 1 | 9 |
| 130 | 1x47 | 5.2625 | 4 | 1 | 9 |
| 131 | I1x50 | 6.0625 | 4 | 0 | 9 |
| 132 | 2x46 | 8.1125 | 4 | 11 | 9 |
| 133 | 2x50 | 9.54 | 4 | 11 | 9 |
| 134 | 2x52 | 9.265 | 4 | 28 | 9 |
| 135 | 2x58 | 4.3425 | 4 | 0 | 9 |
| 136 | 3x29 | 4.74 | 4 | 29 | 9 |
| 137 | 3x37 | 5.732 | 5 | 1 | 9 |
| 138 | 3x46 | 10.484 | 5 | 28 | 9 |
| 139 | 3x47 | 4.304 | 5 | 1 | 9 |
| 140 | 3x54 | 5.4025 | 4 | 0 | 9 |
| 141 | 3x56 | 5.6575 | 4 | 0 | 8 |
| 142 | 3x57 | 5.4075 | 4 | 0 | 6 |
| 143 | 4x44 | 3.0675 | 4 | 0 | 6 |
| 144 | 4x50 | 7.8325 | 4 | 28 | 9 |
| 145 | 4x53 | 4.68 | 5 | 30 | 9 |
| 146 | 4x64 | 5.5725 | 4 | 0 | 5 |
| 147 | E2.Y678 | 4.93714 | 7 | 1 | 9 |
| 148 | E2.R680 | 5.288 | 5 | 12 | 8 |
| 149 | E2.Y683 | 7.76167 | 6 | 12 | 6 |
| 150 | E2x51 | 7.69857 | 7 | 1 | 9 |
| 151 | 5x35 | 6.89333 | 6 | 1 | 8 |
| 152 | 5x36 | 4.8725 | 4 | 1 | 7 |
| 153 | 5x39 | 6.915 | 4 | 1 | 9 |
| 154 | 5x54 | 7.53 | 4 | 0 | 8 |
| 155 | 5x65 | 9.5625 | 4 | 21 | 8 |
| 156 | 5x68 | 5.92 | 4 | 0 | 8 |
| 157 | I3.N726 | 5.2925 | 4 | 21 | 8 |
| 158 | I3.M729 | 5.475 | 4 | 21 | 7 |
| 159 | 6x48 | 7.496 | 5 | 11 | 8 |
| 160 | 6x53 | 8.97 | 7 | 1 | 9 |
| 161 | 6x55 | 5.1025 | 4 | 0 | 8 |
| 162 | 7x40 | 7.516 | 5 | 1 | 9 |
| 163 | 7x42 | 9.285 | 4 | 1 | 9 |
| 164 | 7x47 | 4.345 | 4 | 1 | 8 |
| 165 | 7x49 | 5.5375 | 4 | 1 | 9 |
| 166 | 7x54 | 7.64667 | 6 | 0 | 9 |
| 167 | 7x60 | 2.4075 | 4 | 22 | 8 |
| 168 | 8x50 | 4.93 | 4 | 27 | 9 |
| 169 | 8x53 | 5.175 | 4 | 0 | 8 |
| 170 | 8x54 | 6.21 | 4 | 27 | 9 |
| Color | ConSurf Grade |
| No Conservation data available | |
| 1 | |
| 2 | |
| 3 | |
| 4 | |
| 5 | |
| 6 | |
| 7 | |
| 8 | |
| 9 |
All columns can be sorted in ascending/descending alphabetical order, clicking on the corresponding column header.
Index: link id, click on each number to highlight the corresponding link in the 3D visualization.
Node1 Node2: the two nodes of the corresponding link.
Recurrence: the relative Recurrence in the pool of shortest paths.
Strength: the interaction strength between the two nodes.
Hub1?, Hub2?: "Yes" if the corresponding node has more than 3 links, otherwise "No".
Community: the id of the community the link belong to, otherwise 0.
ConSurf1, ConSurf2: these columns report the ConSurf conservation grades of the two nodes involved in a link.
| Index | Node1 | Node2 | Recurrence | Int. Strength | Hub1? | Hub2? | Community | ConSurf1 | ConSurf2 |
|---|---|---|---|---|---|---|---|---|---|
| 1 | b.b4x6 | b.b5x3 | 10.2496 | 9.28 | Yes | Yes | 3 | 9 | 9 |
| 2 | b.b3x2 | b.b4x6 | 13.5998 | 6.83 | No | Yes | 3 | 5 | 9 |
| 3 | b.b2x3 | b.b3x2 | 12.6146 | 8.48 | Yes | No | 3 | 6 | 5 |
| 4 | b.b26x2 | b.b2x3 | 29.9881 | 3.24 | No | Yes | 0 | 7 | 6 |
| 5 | b.b26x1 | b.b26x2 | 30.1506 | 3.44 | No | No | 0 | 9 | 7 |
| 6 | b.b26x1 | b.l27x1 | 30.3148 | 4.94 | No | Yes | 0 | 9 | 9 |
| 7 | b.b2x1 | b.l27x1 | 65.8695 | 7.72 | No | Yes | 18 | 8 | 9 |
| 8 | b.b2x1 | b.l3x1 | 66.32 | 6.76 | No | No | 0 | 8 | 9 |
| 9 | b.l3x1 | b.l5x5 | 66.446 | 20.81 | No | Yes | 0 | 9 | 9 |
| 10 | G.S2.03 | b.l5x5 | 99.6717 | 7.63 | No | Yes | 7 | 9 | 9 |
| 11 | G.S2.03 | G.S3.04 | 100 | 5.4 | No | Yes | 7 | 9 | 6 |
| 12 | G.S1.01 | G.S3.04 | 49.9656 | 9.87 | No | Yes | 7 | 6 | 6 |
| 13 | G.HN.53 | G.S1.01 | 50.0955 | 3.52 | No | No | 0 | 2 | 6 |
| 14 | G.S2.05 | G.S3.04 | 49.9658 | 8.3 | No | Yes | 0 | 3 | 6 |
| 15 | G.HN.53 | G.S2.05 | 49.9644 | 4.6 | No | No | 0 | 2 | 3 |
| 16 | G.HN.53 | G.S3.02 | 99.9914 | 8.34 | No | Yes | 0 | 2 | 4 |
| 17 | G.S3.01 | G.S3.02 | 99.5769 | 3.53 | No | Yes | 0 | 4 | 4 |
| 18 | G.S3.01 | G.S3.03 | 93.8644 | 6.55 | No | Yes | 0 | 4 | 7 |
| 19 | G.H5.11 | G.S3.03 | 88.526 | 3.93 | Yes | Yes | 2 | 8 | 7 |
| 20 | G.h2s4.01 | b.l5x5 | 28.8148 | 9.02 | Yes | Yes | 7 | 9 | 9 |
| 21 | G.S1.05 | G.h2s4.01 | 30.1263 | 12.18 | No | Yes | 7 | 9 | 9 |
| 22 | G.S1.05 | G.S4.02 | 29.449 | 7.14 | No | Yes | 7 | 9 | 8 |
| 23 | G.H5.11 | G.S4.01 | 10.6304 | 3.23 | Yes | Yes | 2 | 8 | 8 |
| 24 | G.H3.09 | G.H3.13 | 14.8302 | 14.42 | Yes | No | 0 | 9 | 6 |
| 25 | G.H3.13 | G.S5.02 | 15.7975 | 4.61 | No | Yes | 0 | 6 | 7 |
| 26 | G.S4.02 | G.S5.02 | 31.3658 | 5.89 | Yes | Yes | 0 | 8 | 7 |
| 27 | G.H3.09 | G.h4s6.08 | 14.8107 | 3.21 | Yes | No | 0 | 9 | 7 |
| 28 | G.S5.02 | G.h4s6.08 | 15.1976 | 3.76 | Yes | No | 0 | 7 | 7 |
| 29 | G.H3.09 | G.H4.15 | 24.4956 | 10.72 | Yes | Yes | 0 | 9 | 8 |
| 30 | G.H3.06 | G.H4.15 | 18.1778 | 12.18 | No | Yes | 0 | 6 | 8 |
| 31 | G.H3.06 | G.H4.14 | 17.7777 | 3.17 | No | No | 0 | 6 | 5 |
| 32 | G.H4.10 | G.H4.14 | 17.3775 | 8.38 | Yes | No | 0 | 6 | 5 |
| 33 | G.H4.10 | G.hgh4.05 | 14.9722 | 18.22 | Yes | Yes | 0 | 6 | 5 |
| 34 | G.HG.15 | G.hgh4.05 | 10.5461 | 8.79 | No | Yes | 0 | 6 | 5 |
| 35 | G.H2.10 | b.l5x5 | 28.4274 | 3.92 | No | Yes | 7 | 9 | 9 |
| 36 | G.H2.10 | b.b6x1 | 28.348 | 3.24 | No | Yes | 0 | 9 | 9 |
| 37 | b.b6x1 | b.l9x6 | 27.6223 | 4.79 | Yes | Yes | 0 | 9 | 8 |
| 38 | b.l11x1 | b.l9x6 | 31.2743 | 4.35 | No | Yes | 8 | 9 | 8 |
| 39 | b.b11x6 | b.l11x1 | 31.228 | 3.71 | No | No | 8 | 9 | 9 |
| 40 | b.l25x6 | b.l27x1 | 37.6833 | 23.99 | No | Yes | 0 | 8 | 9 |
| 41 | G.H5.11 | G.H5.15 | 84.8196 | 3.07 | Yes | Yes | 0 | 8 | 8 |
| 42 | G.H5.15 | G.H5.19 | 85.074 | 4.25 | Yes | No | 0 | 8 | 8 |
| 43 | 3x57 | G.H5.19 | 84.9778 | 6.87 | Yes | No | 0 | 6 | 8 |
| 44 | 3x57 | G.H5.23 | 39.9026 | 4.15 | Yes | No | 0 | 6 | 5 |
| 45 | 6x45 | G.H5.23 | 36.6652 | 3.99 | No | No | 0 | 9 | 5 |
| 46 | b.l23x1 | b.l25x6 | 36.9009 | 14.29 | No | No | 0 | 6 | 8 |
| 47 | b.l21x7 | b.l23x1 | 36.5953 | 4.67 | No | No | 0 | 5 | 6 |
| 48 | b.b23x6 | b.l21x7 | 35.7404 | 4.03 | Yes | No | 4 | 7 | 5 |
| 49 | b.b23x6 | b.b24x6 | 26.6771 | 5.79 | Yes | Yes | 4 | 7 | 8 |
| 50 | b.b21x7 | b.b24x6 | 26.6154 | 8.68 | Yes | Yes | 4 | 5 | 8 |
| 51 | b.b20x5 | b.b21x7 | 16.1644 | 7.03 | No | Yes | 0 | 7 | 5 |
| 52 | b.b20x5 | b.b21x4 | 15.9958 | 2.77 | No | No | 0 | 7 | 5 |
| 53 | b.b20x7 | b.b21x4 | 17.5063 | 5.43 | No | No | 0 | 9 | 5 |
| 54 | b.b20x7 | b.l20x3 | 17.1328 | 4.63 | No | No | 0 | 9 | 7 |
| 55 | b.b21x2 | b.l20x3 | 16.9457 | 3.03 | Yes | No | 0 | 6 | 7 |
| 56 | b.1x19 | b.b21x2 | 15.8197 | 7.01 | No | Yes | 0 | 6 | 6 |
| 57 | b.b2x5 | b.l26x1 | 10.3101 | 10.92 | Yes | No | 3 | 7 | 7 |
| 58 | b.1x19 | b.b21x1 | 10.6458 | 14.29 | No | Yes | 0 | 6 | 7 |
| 59 | b.b11x6 | b.l9x3 | 29.2518 | 16.74 | No | Yes | 8 | 9 | 9 |
| 60 | b.b11x4 | b.l9x3 | 11.9929 | 6.85 | Yes | Yes | 8 | 9 | 9 |
| 61 | b.b11x4 | b.b8x1 | 11.5996 | 3.38 | Yes | Yes | 8 | 9 | 8 |
| 62 | b.b10x3 | b.b8x1 | 11.4888 | 3.64 | No | Yes | 0 | 8 | 8 |
| 63 | b.b10x3 | b.b6x2 | 22.6705 | 3.38 | No | No | 0 | 8 | 8 |
| 64 | b.b10x2 | b.b6x2 | 22.2705 | 3.38 | No | No | 0 | 6 | 8 |
| 65 | b.b12x6 | b.l9x3 | 16.3893 | 3.17 | Yes | Yes | 8 | 8 | 9 |
| 66 | b.b11x2 | b.b12x6 | 12.8212 | 3.52 | Yes | Yes | 0 | 7 | 8 |
| 67 | b.b10x3 | b.b11x2 | 11.5839 | 3.27 | No | Yes | 0 | 8 | 7 |
| 68 | b.b10x2 | b.b14x3 | 21.8703 | 9.52 | No | No | 0 | 6 | 5 |
| 69 | b.b11x5 | b.b14x3 | 21.4699 | 9.01 | No | No | 0 | 6 | 5 |
| 70 | b.b11x5 | b.l13x7 | 20.6687 | 4.85 | No | Yes | 0 | 6 | 9 |
| 71 | E2x51 | NT.I535 | 10.6022 | 3.52 | Yes | No | 0 | 9 | 8 |
| 72 | E2x51 | NT.L536 | 12.4679 | 7.97 | Yes | Yes | 1 | 9 | 9 |
| 73 | NT.F533 | NT.L536 | 12.754 | 7.31 | Yes | Yes | 1 | 9 | 9 |
| 74 | 6x53 | NT.F533 | 22.8125 | 4.01 | Yes | Yes | 1 | 9 | 9 |
| 75 | 6x53 | 7x49 | 56.9309 | 8.76 | Yes | Yes | 1 | 9 | 9 |
| 76 | 7x49 | 7x53 | 62.081 | 3.99 | Yes | No | 0 | 9 | 8 |
| 77 | 7x53 | 7x57 | 62.3689 | 3.86 | No | No | 0 | 8 | 9 |
| 78 | 6x48 | 7x57 | 62.6567 | 11.57 | Yes | No | 0 | 8 | 9 |
| 79 | 2x46 | 6x48 | 35.808 | 3.64 | Yes | Yes | 11 | 9 | 8 |
| 80 | 2x46 | 3x53 | 44.6471 | 16.28 | Yes | No | 0 | 9 | 7 |
| 81 | 3x53 | 3x57 | 44.892 | 9.28 | No | Yes | 0 | 7 | 6 |
| 82 | 5x39 | E2x51 | 12.4012 | 13.03 | Yes | Yes | 1 | 9 | 9 |
| 83 | 5x39 | NT.M537 | 22.8505 | 3.73 | Yes | Yes | 1 | 9 | 9 |
| 84 | 6x53 | NT.M537 | 25.8197 | 4.65 | Yes | Yes | 1 | 9 | 9 |
| 85 | 6x45 | 6x48 | 36.4401 | 3.99 | No | Yes | 11 | 9 | 8 |
| 86 | 2x49 | 3x46 | 12.1831 | 7.05 | No | Yes | 0 | 8 | 9 |
| 87 | 2x49 | 3x50 | 16.381 | 6.83 | No | No | 0 | 8 | 9 |
| 88 | 3x50 | 6x48 | 11.3728 | 9.28 | No | Yes | 11 | 9 | 8 |
| 89 | 3x37 | 5x39 | 10.2252 | 5.66 | Yes | Yes | 1 | 9 | 9 |
| 90 | b.b22x5 | b.b23x2 | 12.3044 | 10.96 | No | Yes | 4 | 7 | 6 |
| 91 | b.b2x3 | b.b2x5 | 17.0468 | 4.65 | Yes | Yes | 3 | 6 | 7 |
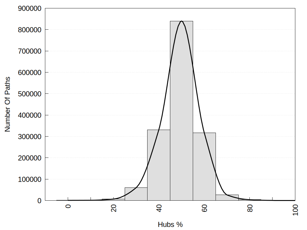
2D representation of the global metapath, ligand(s) interactions and
histograms of path distribution according to several parameters
(click on the image to enlarge it 🔍):

A 2D representation of the global communication in the network.
ConSurf Conservation Grade (See documentation):
n/a 1 2 3 4 5 6 7 8 9
You can download a compressed (zip) file with structure(s), 3D outputs (as PyMol and VMD scripts) and numerical data files (as csv and plain text files).
Download adgre5_on_gp.zipYou can click to copy the link of this page to easily come back here later
or use this QR code to link and share this page.
You can also read or download a guide explaining the meaning of all files and numerical data.