Index: link id, click on each number to highlight the corresponding link in the 3D visualization.
Node1 Node2: the two nodes of the corresponding link.
Owner: the name of the network the link belong to or "Shared" if the corresponding link is present in both networks.
Strength: the interaction strength between the two nodes or 0 if the link is not present.
Hub1?, Hub2?: "Yes" if the corresponding node has more than 3 links, otherwise "No".
ConSurf1, ConSurf2: these columns report the ConSurf conservation grades of the two nodes involved in a link.
| Index | Node1 | Node2 | Owner | 5ht2b_off Int. Strength | 5ht2b_on Int. Strength | 5ht2b_off Hub1? | 5ht2b_on Hub1? | 5ht2b_off Hub2? | 5ht2b_on Hub2? | ConSurf1 | ConSurf2 |
|---|---|---|---|---|---|---|---|---|---|---|---|
| 1 | 3x37 | Lig | 5ht2b_off | 5.56 | 0 | No | No | Yes | Yes | 7 | 0 |
| 2 | E2x51 | Lig | 5ht2b_off | 3.37 | 0 | No | No | Yes | Yes | 3 | 0 |
| 3 | E2x52 | Lig | 5ht2b_off | 5.22 | 0 | No | No | Yes | Yes | 5 | 0 |
| 4 | 6x52 | Lig | 5ht2b_off | 11.94 | 0 | Yes | Yes | Yes | Yes | 7 | 0 |
| 5 | 7x42 | Lig | 5ht2b_off | 3.54 | 0 | Yes | Yes | Yes | Yes | 8 | 0 |
| 6 | NT.I39 | NT.P40 | 5ht2b_off | 3.39 | 0 | No | No | No | No | 5 | 9 |
| 7 | NT.E41 | NT.I39 | 5ht2b_off | 9.56 | 0 | No | No | No | No | 7 | 5 |
| 8 | NT.E42 | NT.I39 | 5ht2b_off | 13.66 | 0 | No | No | No | No | 6 | 5 |
| 9 | NT.E42 | NT.Q45 | 5ht2b_off | 5.1 | 0 | No | No | No | No | 6 | 5 |
| 10 | NT.K44 | NT.V47 | 5ht2b_off | 10.62 | 0 | No | No | No | No | 4 | 3 |
| 11 | NT.E48 | NT.K44 | 5ht2b_off | 10.8 | 0 | No | No | No | No | 3 | 4 |
| 12 | NT.E49 | NT.I46 | 5ht2b_off | 5.47 | 0 | No | No | No | No | 4 | 4 |
| 13 | E1.E118 | NT.Q50 | 5ht2b_off | 14.02 | 0 | No | No | No | No | 4 | 2 |
| 14 | 1x33 | NT.N52 | 5ht2b_off | 4.12 | 0 | No | No | No | No | 4 | 3 |
| 15 | 1x32 | 1x35 | 5ht2b_off | 6.96 | 0 | No | No | No | No | 1 | 4 |
| 16 | 1x34 | 1x35 | 5ht2b_off | 13.75 | 0 | No | No | No | No | 4 | 4 |
| 17 | 1x39 | 2x61 | 5ht2b_off | 4.15 | 0 | No | No | No | No | 5 | 6 |
| 18 | 1x39 | 7x39 | 5ht2b_off | 25.06 | 0 | No | No | Yes | Yes | 5 | 7 |
| 19 | 1x49 | 7x51 | 5ht2b_off | 5.13 | 0 | No | No | No | No | 8 | 6 |
| 20 | 1x52 | 8x57 | 5ht2b_off | 3.52 | 0 | No | No | Yes | No | 7 | 5 |
| 21 | 1x54 | 2x48 | 5ht2b_off | 3.07 | 0 | No | No | No | No | 7 | 6 |
| 22 | 1x59 | 8x57 | 5ht2b_off | 8.21 | 0 | No | No | Yes | No | 4 | 5 |
| 23 | 1x60 | I1x48 | 5ht2b_off | 4.05 | 0 | Yes | No | Yes | No | 7 | 7 |
| 24 | 1x60 | I1x49 | 5ht2b_off | 18.9 | 0 | Yes | No | No | No | 7 | 6 |
| 25 | 1x60 | I1x50 | 5ht2b_off | 6.63 | 0 | Yes | No | Yes | No | 7 | 8 |
| 26 | I1x48 | I1x49 | 5ht2b_off | 12.93 | 0 | Yes | No | No | No | 7 | 6 |
| 27 | 2x40 | I1x50 | 5ht2b_off | 4.12 | 0 | Yes | No | Yes | No | 9 | 8 |
| 28 | 2x41 | 2x44 | 5ht2b_off | 8.38 | 0 | Yes | No | No | No | 5 | 7 |
| 29 | 2x41 | 4x43 | 5ht2b_off | 10.32 | 0 | Yes | No | No | No | 5 | 4 |
| 30 | 2x41 | 4x46 | 5ht2b_off | 3.63 | 0 | Yes | No | No | No | 5 | 7 |
| 31 | 2x42 | 3x46 | 5ht2b_off | 3.77 | 0 | Yes | No | No | No | 8 | 9 |
| 32 | 2x42 | 4x46 | 5ht2b_off | 3.77 | 0 | Yes | No | No | No | 8 | 7 |
| 33 | 2x42 | 4x49 | 5ht2b_off | 3.93 | 0 | Yes | No | No | No | 8 | 7 |
| 34 | 2x46 | 7x50 | 5ht2b_off | 3.28 | 0 | No | No | Yes | No | 9 | 9 |
| 35 | 2x48 | 2x52 | 5ht2b_off | 2.98 | 0 | No | No | No | No | 6 | 7 |
| 36 | 2x50 | 7x50 | 5ht2b_off | 8.05 | 0 | Yes | Yes | Yes | No | 9 | 9 |
| 37 | 2x51 | 2x55 | 5ht2b_off | 6.92 | 0 | Yes | No | No | No | 7 | 5 |
| 38 | 2x53 | 2x56 | 5ht2b_off | 3.21 | 0 | No | No | No | No | 7 | 7 |
| 39 | 2x53 | 2x57 | 5ht2b_off | 3.04 | 0 | No | No | Yes | Yes | 7 | 8 |
| 40 | 2x57 | 2x58 | 5ht2b_off | 3.35 | 0 | Yes | Yes | No | No | 8 | 9 |
| 41 | 2x59 | E1x50 | 5ht2b_off | 3.52 | 0 | No | No | Yes | Yes | 5 | 7 |
| 42 | 2x59 | E1x52 | 5ht2b_off | 4.28 | 0 | No | No | Yes | Yes | 5 | 6 |
| 43 | 2x61 | 7x39 | 5ht2b_off | 4.56 | 0 | No | No | Yes | Yes | 6 | 7 |
| 44 | 2x66 | E1x51 | 5ht2b_off | 5.78 | 0 | No | No | No | No | 3 | 3 |
| 45 | E1x49 | E1x51 | 5ht2b_off | 3.35 | 0 | No | No | No | No | 3 | 3 |
| 46 | 3x24 | E1x52 | 5ht2b_off | 6.92 | 0 | No | No | Yes | Yes | 5 | 6 |
| 47 | 3x25 | E2.I195 | 5ht2b_off | 4.91 | 0 | Yes | No | No | No | 9 | 5 |
| 48 | 3x25 | E2.I205 | 5ht2b_off | 3.27 | 0 | Yes | No | No | No | 9 | 2 |
| 49 | 3x28 | 3x29 | 5ht2b_off | 5.69 | 0 | Yes | No | No | No | 6 | 5 |
| 50 | 3x30 | 4x59 | 5ht2b_off | 3.77 | 0 | No | No | Yes | No | 6 | 4 |
| 51 | 3x34 | 4x50 | 5ht2b_off | 3.42 | 0 | Yes | No | Yes | Yes | 6 | 9 |
| 52 | 3x34 | 4x57 | 5ht2b_off | 3.15 | 0 | Yes | No | No | No | 6 | 8 |
| 53 | 3x35 | 4x50 | 5ht2b_off | 4.01 | 0 | Yes | Yes | Yes | Yes | 6 | 9 |
| 54 | 3x39 | 7x46 | 5ht2b_off | 6.52 | 0 | No | No | No | No | 9 | 9 |
| 55 | 3x43 | 6x41 | 5ht2b_off | 12.18 | 0 | No | No | Yes | No | 9 | 8 |
| 56 | 3x43 | 6x44 | 5ht2b_off | 10.96 | 0 | No | No | Yes | No | 9 | 9 |
| 57 | 3x44 | 5x50 | 5ht2b_off | 3.77 | 0 | No | No | Yes | No | 7 | 9 |
| 58 | 3x46 | 6x41 | 5ht2b_off | 5.02 | 0 | No | No | Yes | No | 9 | 8 |
| 59 | 3x47 | 5x54 | 5ht2b_off | 6.13 | 0 | No | No | Yes | No | 9 | 8 |
| 60 | 3x47 | 6x41 | 5ht2b_off | 7.93 | 0 | No | No | Yes | No | 9 | 8 |
| 61 | 3x48 | 3x52 | 5ht2b_off | 3.07 | 0 | No | No | No | No | 6 | 5 |
| 62 | 3x54 | 6x30 | 5ht2b_off | 5.47 | 0 | No | No | No | No | 9 | 8 |
| 63 | 4x50 | 4x53 | 5ht2b_off | 4.94 | 0 | Yes | Yes | No | No | 9 | 8 |
| 64 | 4x59 | 4x62 | 5ht2b_off | 3.39 | 0 | Yes | No | No | No | 4 | 7 |
| 65 | 4x59 | 4x63 | 5ht2b_off | 5.89 | 0 | Yes | No | No | No | 4 | 6 |
| 66 | 4x60 | 5x39 | 5ht2b_off | 7.22 | 0 | No | No | Yes | No | 8 | 7 |
| 67 | 4x64 | 5x36 | 5ht2b_off | 8.69 | 0 | No | No | Yes | No | 4 | 5 |
| 68 | E2.D198 | E2.D200 | 5ht2b_off | 10.65 | 0 | No | No | No | No | 4 | 4 |
| 69 | E2.D198 | E2.N201 | 5ht2b_off | 6.73 | 0 | No | No | Yes | Yes | 4 | 2 |
| 70 | E2.E212 | E2.T210 | 5ht2b_off | 7.06 | 0 | No | No | No | No | 5 | 5 |
| 71 | 5x36 | 5x39 | 5ht2b_off | 4.29 | 0 | Yes | No | Yes | No | 5 | 7 |
| 72 | 5x41 | 6x56 | 5ht2b_off | 4.28 | 0 | No | No | No | No | 5 | 6 |
| 73 | 5x44 | 6x55 | 5ht2b_off | 4.47 | 0 | No | No | No | No | 7 | 6 |
| 74 | 5x51 | 5x55 | 5ht2b_off | 4.28 | 0 | No | No | No | No | 6 | 5 |
| 75 | 5x54 | 6x45 | 5ht2b_off | 7.07 | 0 | Yes | No | No | No | 8 | 5 |
| 76 | 5x65 | 6x34 | 5ht2b_off | 3 | 0 | No | No | No | No | 8 | 7 |
| 77 | 6x25 | 6x29 | 5ht2b_off | 5.28 | 0 | No | No | No | No | 5 | 7 |
| 78 | 6x26 | 6x30 | 5ht2b_off | 4.23 | 0 | No | No | No | No | 5 | 8 |
| 79 | 6x28 | 6x29 | 5ht2b_off | 2.98 | 0 | No | No | No | No | 4 | 7 |
| 80 | 6x35 | 6x39 | 5ht2b_off | 10.18 | 0 | No | No | No | No | 7 | 7 |
| 81 | 6x37 | 6x38 | 5ht2b_off | 3.42 | 0 | Yes | No | No | No | 8 | 5 |
| 82 | 6x37 | 6x41 | 5ht2b_off | 9.74 | 0 | Yes | No | Yes | No | 8 | 8 |
| 83 | 6x37 | 7x53 | 5ht2b_off | 7.03 | 0 | Yes | No | No | Yes | 8 | 9 |
| 84 | 6x41 | 7x53 | 5ht2b_off | 3.09 | 0 | Yes | No | No | Yes | 8 | 9 |
| 85 | 6x44 | 6x45 | 5ht2b_off | 3.65 | 0 | Yes | No | No | No | 9 | 5 |
| 86 | 6x44 | 6x48 | 5ht2b_off | 7.02 | 0 | Yes | No | Yes | No | 9 | 8 |
| 87 | 6x44 | 7x45 | 5ht2b_off | 5.28 | 0 | Yes | No | No | No | 9 | 9 |
| 88 | 6x44 | 7x46 | 5ht2b_off | 3.96 | 0 | Yes | No | No | No | 9 | 9 |
| 89 | 6x44 | 7x49 | 5ht2b_off | 9.67 | 0 | Yes | No | No | No | 9 | 9 |
| 90 | 6x48 | 6x51 | 5ht2b_off | 6.01 | 0 | Yes | No | Yes | Yes | 8 | 7 |
| 91 | 6x48 | 7x45 | 5ht2b_off | 4.94 | 0 | Yes | No | No | No | 8 | 9 |
| 92 | 6x48 | 7x46 | 5ht2b_off | 8.65 | 0 | Yes | No | No | No | 8 | 9 |
| 93 | 6x51 | 6x55 | 5ht2b_off | 6.04 | 0 | Yes | Yes | No | No | 7 | 6 |
| 94 | 7x29 | 7x32 | 5ht2b_off | 3.01 | 0 | No | No | No | No | 5 | 2 |
| 95 | 7x31 | 7x34 | 5ht2b_off | 5.32 | 0 | No | No | No | No | 2 | 5 |
| 96 | 7x31 | 7x35 | 5ht2b_off | 8.92 | 0 | No | No | No | No | 2 | 5 |
| 97 | 7x33 | 7x37 | 5ht2b_off | 4.87 | 0 | No | No | Yes | No | 5 | 5 |
| 98 | 7x38 | 7x39 | 5ht2b_off | 3.68 | 0 | No | No | Yes | Yes | 6 | 7 |
| 99 | 7x49 | 7x50 | 5ht2b_off | 6.52 | 0 | No | No | Yes | No | 9 | 9 |
| 100 | 7x51 | 8x54 | 5ht2b_off | 3.65 | 0 | No | No | Yes | No | 6 | 7 |
| 101 | 7x54 | 8x54 | 5ht2b_off | 5.19 | 0 | Yes | No | Yes | No | 7 | 7 |
| 102 | 8x47 | 8x50 | 5ht2b_off | 8.46 | 0 | No | No | Yes | Yes | 9 | 9 |
| 103 | 8x50 | 8x54 | 5ht2b_off | 4.29 | 0 | Yes | Yes | Yes | No | 9 | 7 |
| 104 | 8x53 | 8x57 | 5ht2b_off | 4 | 0 | No | No | Yes | No | 7 | 5 |
| 105 | 8x55 | 8x58 | 5ht2b_off | 3.53 | 0 | No | No | No | Yes | 5 | 6 |
| 106 | 8x57 | CT.Y399 | 5ht2b_off | 2.98 | 0 | Yes | No | No | No | 5 | 4 |
| 107 | CT.N398 | CT.T396 | 5ht2b_off | 8.77 | 0 | No | No | No | No | 6 | 4 |
| 108 | 1x57 | 2x40 | 5ht2b_off | 2.96 | 0 | No | No | Yes | No | 8 | 9 |
| 109 | 2x43 | 7x54 | 5ht2b_off | 2.95 | 0 | No | No | Yes | No | 8 | 7 |
| 110 | 4x47 | 4x51 | 5ht2b_off | 2.95 | 0 | No | No | No | No | 3 | 4 |
| 111 | 5x61 | 5x65 | 5ht2b_off | 2.95 | 0 | No | No | No | No | 9 | 8 |
| 112 | 6x54 | 7x30 | 5ht2b_off | 2.95 | 0 | No | No | No | No | 5 | 4 |
| 113 | 1x40 | 1x44 | 5ht2b_off | 2.94 | 0 | No | No | No | No | 7 | 4 |
| 114 | 2x39 | 2x40 | 5ht2b_off | 2.92 | 0 | No | No | Yes | No | 8 | 9 |
| 115 | 5x40 | E2.K211 | 5ht2b_off | 2.88 | 0 | No | No | Yes | Yes | 6 | 5 |
| 116 | 1x33 | 2x65 | 5ht2b_off | 2.83 | 0 | No | No | No | No | 4 | 5 |
| 117 | 3x50 | 6x33 | 5ht2b_off | 2.77 | 0 | No | No | No | No | 9 | 8 |
| 118 | 8x48 | 8x52 | 5ht2b_off | 2.77 | 0 | No | No | No | No | 5 | 5 |
| 119 | 3x51 | 5x64 | 5ht2b_off | 2.67 | 0 | Yes | No | No | No | 8 | 6 |
| 120 | 6x40 | 6x41 | 5ht2b_off | 2.62 | 0 | No | No | Yes | No | 8 | 8 |
| 121 | 6x40 | 7x56 | 5ht2b_off | 2.62 | 0 | No | No | No | No | 8 | 7 |
| 122 | 2x60 | 3x28 | 5ht2b_off | 2.59 | 0 | No | No | Yes | No | 7 | 6 |
| 123 | 7x36 | 7x37 | 5ht2b_off | 2.51 | 0 | No | No | Yes | No | 4 | 5 |
| 124 | CT.R400 | I1x48 | 5ht2b_off | 2.48 | 0 | No | No | Yes | No | 4 | 7 |
| 125 | 5x38 | 5x39 | 5ht2b_off | 2.39 | 0 | No | No | Yes | No | 2 | 7 |
| 126 | 1x55 | 8x57 | 5ht2b_off | 2.34 | 0 | No | No | Yes | No | 4 | 5 |
| 127 | 1x60 | 8x56 | 5ht2b_off | 2.33 | 0 | Yes | No | No | No | 7 | 6 |
| 128 | 1x35 | 1x38 | 5ht2b_off | 2.28 | 0 | No | No | No | No | 4 | 5 |
| 129 | 5x37 | 6x59 | 5ht2b_off | 1.84 | 0 | No | No | No | No | 4 | 5 |
| 130 | 1x45 | 7x48 | 5ht2b_off | 1.77 | 0 | No | No | No | No | 4 | 6 |
| 131 | 4x56 | 5x43 | 5ht2b_off | 1.76 | 0 | No | No | No | No | 6 | 6 |
| 132 | 4x65 | E2.I195 | 5ht2b_off | 1.76 | 0 | No | No | No | No | 6 | 5 |
| 133 | NT.M43 | NT.P40 | 5ht2b_off | 1.68 | 0 | No | No | No | No | 5 | 9 |
| 134 | 5x69 | 6x27 | 5ht2b_off | 1.62 | 0 | No | No | No | No | 5 | 4 |
| 135 | 1x36 | 2x65 | 5ht2b_off | 1.61 | 0 | No | No | No | No | 3 | 5 |
| 136 | 4x38 | 4x41 | 5ht2b_off | 1.6 | 0 | No | No | No | No | 8 | 7 |
| 137 | 3x48 | 5x57 | 5ht2b_off | 1.59 | 0 | No | No | No | No | 6 | 6 |
| 138 | 3x24 | 3x27 | 5ht2b_off | 1.58 | 0 | No | No | No | No | 5 | 4 |
| 139 | I2x53 | I2x57 | 5ht2b_off | 1.56 | 0 | No | No | No | No | 8 | 7 |
| 140 | NT.I46 | NT.V47 | 5ht2b_off | 1.54 | 0 | No | No | No | No | 4 | 3 |
| 141 | 4x44 | 4x48 | 5ht2b_off | 1.54 | 0 | No | No | No | No | 4 | 3 |
| 142 | NT.M43 | NT.V47 | 5ht2b_off | 1.52 | 0 | No | No | No | No | 5 | 3 |
| 143 | 1x411 | 1x42 | 5ht2b_off | 1.52 | 0 | No | No | No | No | 4 | 7 |
| 144 | 6x35 | 6x36 | 5ht2b_off | 1.52 | 0 | No | No | No | No | 7 | 8 |
| 145 | 8x58 | CT.T396 | 5ht2b_off | 1.52 | 0 | No | Yes | No | No | 6 | 4 |
| 146 | 4x41 | 4x45 | 5ht2b_off | 1.5 | 0 | No | No | No | No | 7 | 6 |
| 147 | E2.D200 | E2.V199 | 5ht2b_off | 1.46 | 0 | No | No | No | No | 4 | 3 |
| 148 | 1x38 | 1x411 | 5ht2b_off | 1.41 | 0 | No | No | No | No | 5 | 4 |
| 149 | 1x41 | 1x411 | 5ht2b_off | 1.41 | 0 | No | No | No | No | 3 | 4 |
| 150 | 6x43 | 6x46 | 5ht2b_off | 1.38 | 0 | No | No | No | No | 5 | 5 |
| 151 | E2.N201 | E2.N204 | 5ht2b_off | 1.36 | 0 | Yes | Yes | Yes | No | 2 | 3 |
| 152 | CT.C397 | CT.Y399 | 5ht2b_off | 1.34 | 0 | No | No | No | No | 8 | 4 |
| 153 | 3x50 | 3x54 | 5ht2b_off | 1.25 | 0 | No | No | No | No | 9 | 9 |
| 154 | 5x42 | 5x45 | 5ht2b_off | 1.22 | 0 | No | No | No | No | 4 | 4 |
| 155 | 6x42 | 6x43 | 5ht2b_off | 1.22 | 0 | No | No | No | No | 6 | 5 |
| 156 | 3x32 | Lig | Shared | 15.35 | 18.04 | Yes | Yes | Yes | Yes | 8 | 0 |
| 157 | 3x33 | Lig | Shared | 12.36 | 15.14 | No | No | Yes | Yes | 7 | 0 |
| 158 | 3x36 | Lig | Shared | 7.93 | 5.87 | No | No | Yes | Yes | 7 | 0 |
| 159 | 5x39 | Lig | Shared | 5.51 | 2.86 | Yes | No | Yes | Yes | 7 | 0 |
| 160 | 6x51 | Lig | Shared | 16.54 | 15.23 | Yes | Yes | Yes | Yes | 7 | 0 |
| 161 | 7x38 | Lig | Shared | 3.37 | 4.66 | No | No | Yes | Yes | 6 | 0 |
| 162 | 1x42 | 2x57 | Shared | 3.04 | 3.04 | No | No | Yes | Yes | 7 | 8 |
| 163 | 1x42 | 7x43 | Shared | 8.02 | 3.21 | No | No | No | No | 7 | 5 |
| 164 | 1x43 | 2x57 | Shared | 5.83 | 5.83 | No | No | Yes | Yes | 6 | 8 |
| 165 | 1x44 | 1x45 | Shared | 3.39 | 3.39 | No | No | No | No | 4 | 4 |
| 166 | 1x46 | 7x47 | Shared | 5.46 | 3.64 | No | No | No | No | 8 | 7 |
| 167 | 1x47 | 2x51 | Shared | 4.28 | 2.85 | No | No | Yes | No | 7 | 7 |
| 168 | 1x47 | 2x55 | Shared | 5.71 | 2.85 | No | No | No | No | 7 | 5 |
| 169 | 1x50 | 2x50 | Shared | 5.39 | 4.04 | Yes | Yes | Yes | Yes | 9 | 9 |
| 170 | 1x50 | 2x51 | Shared | 5.49 | 6.87 | Yes | Yes | Yes | No | 9 | 7 |
| 171 | 1x50 | 7x50 | Shared | 4.89 | 9.77 | Yes | Yes | Yes | No | 9 | 9 |
| 172 | 1x52 | 8x54 | Shared | 7.31 | 6.09 | No | No | Yes | No | 7 | 7 |
| 173 | 1x53 | 2x47 | Shared | 3.39 | 1.7 | No | No | No | No | 9 | 9 |
| 174 | 1x53 | 7x54 | Shared | 4.76 | 4.76 | No | No | Yes | No | 9 | 7 |
| 175 | 1x56 | 8x54 | Shared | 4.16 | 2.77 | No | No | Yes | No | 8 | 7 |
| 176 | 1x57 | 2x44 | Shared | 6.09 | 6.09 | No | No | No | No | 8 | 7 |
| 177 | 8x49 | I1x50 | Shared | 5.9 | 5.9 | No | No | Yes | No | 7 | 8 |
| 178 | 8x50 | I1x50 | Shared | 13.4 | 14.61 | Yes | Yes | Yes | No | 9 | 8 |
| 179 | 2x37 | 2x40 | Shared | 16.28 | 15.12 | No | No | Yes | No | 7 | 9 |
| 180 | 2x38 | I2x57 | Shared | 4.69 | 4.69 | No | No | No | No | 6 | 7 |
| 181 | 2x40 | 8x50 | Shared | 3.62 | 6.04 | Yes | No | Yes | Yes | 9 | 9 |
| 182 | 2x41 | 4x39 | Shared | 4.12 | 13.38 | Yes | No | No | Yes | 5 | 4 |
| 183 | 2x42 | 3x42 | Shared | 7.92 | 5.66 | Yes | No | Yes | Yes | 8 | 8 |
| 184 | 2x42 | 4x45 | Shared | 3.72 | 3.72 | Yes | No | No | No | 8 | 6 |
| 185 | 2x45 | 3x42 | Shared | 8.37 | 8.37 | No | No | Yes | Yes | 9 | 8 |
| 186 | 2x45 | 4x46 | Shared | 9.29 | 9.29 | No | No | No | No | 9 | 7 |
| 187 | 2x45 | 4x50 | Shared | 6.18 | 6.18 | No | No | Yes | Yes | 9 | 9 |
| 188 | 2x46 | 2x50 | Shared | 5.43 | 4.07 | No | No | Yes | Yes | 9 | 9 |
| 189 | 2x46 | 3x42 | Shared | 9 | 9 | No | No | Yes | Yes | 9 | 8 |
| 190 | 2x50 | 3x39 | Shared | 4.42 | 5.89 | Yes | Yes | No | No | 9 | 9 |
| 191 | 2x52 | 3x35 | Shared | 13.4 | 9.74 | No | No | Yes | Yes | 7 | 6 |
| 192 | 2x53 | 3x35 | Shared | 3.93 | 3.93 | No | No | Yes | Yes | 7 | 6 |
| 193 | 2x54 | 2x57 | Shared | 3.49 | 3.49 | No | No | Yes | Yes | 6 | 8 |
| 194 | 2x55 | 2x551 | Shared | 3.65 | 6.09 | No | No | No | No | 5 | 5 |
| 195 | 2x56 | 3x32 | Shared | 5.84 | 2.92 | No | No | Yes | Yes | 7 | 8 |
| 196 | 2x56 | 7x42 | Shared | 3.79 | 3.79 | No | No | Yes | Yes | 7 | 8 |
| 197 | 2x57 | 7x39 | Shared | 4.65 | 3.49 | Yes | Yes | Yes | Yes | 8 | 7 |
| 198 | 2x57 | 7x42 | Shared | 3.59 | 4.79 | Yes | Yes | Yes | Yes | 8 | 8 |
| 199 | 2x59 | 3x28 | Shared | 15.27 | 7.05 | No | No | Yes | No | 5 | 6 |
| 200 | 2x64 | 7x39 | Shared | 4.7 | 3.52 | No | No | Yes | Yes | 5 | 7 |
| 201 | 2x65 | 2x66 | Shared | 3.73 | 3.73 | No | No | No | No | 5 | 3 |
| 202 | E1x50 | E1x51 | Shared | 5.4 | 5.4 | Yes | Yes | No | No | 7 | 3 |
| 203 | E1x50 | E1x52 | Shared | 9.11 | 4.56 | Yes | Yes | Yes | Yes | 7 | 6 |
| 204 | 3x25 | E1x50 | Shared | 6.53 | 5.22 | Yes | No | Yes | Yes | 9 | 7 |
| 205 | 3x28 | E1x50 | Shared | 7.5 | 4.69 | Yes | No | Yes | Yes | 6 | 7 |
| 206 | E1x50 | E2x50 | Shared | 16.98 | 10.45 | Yes | Yes | No | No | 7 | 9 |
| 207 | 3x21 | E1x52 | Shared | 4.93 | 4.93 | No | No | Yes | Yes | 7 | 6 |
| 208 | 3x22 | E2.I205 | Shared | 7.14 | 2.85 | No | No | No | No | 4 | 2 |
| 209 | 3x23 | 3x24 | Shared | 2.98 | 2.98 | No | No | No | No | 3 | 5 |
| 210 | 3x25 | 3x26 | Shared | 3.77 | 3.77 | Yes | No | No | No | 9 | 7 |
| 211 | 3x25 | E2x50 | Shared | 7.28 | 7.28 | Yes | No | No | No | 9 | 9 |
| 212 | 3x29 | 4x61 | Shared | 2.98 | 4.47 | No | No | No | No | 5 | 6 |
| 213 | 3x30 | 4x62 | Shared | 11.56 | 13 | No | No | No | No | 6 | 7 |
| 214 | 3x31 | 3x35 | Shared | 6.09 | 3.65 | No | No | Yes | Yes | 5 | 6 |
| 215 | 3x32 | 3x36 | Shared | 4.42 | 4.42 | Yes | Yes | No | No | 8 | 7 |
| 216 | 3x32 | 7x42 | Shared | 6.9 | 10.34 | Yes | Yes | Yes | Yes | 8 | 8 |
| 217 | 3x33 | 4x57 | Shared | 3.39 | 3.39 | No | No | No | No | 7 | 8 |
| 218 | 3x34 | 3x35 | Shared | 6.09 | 3.65 | Yes | No | Yes | Yes | 6 | 6 |
| 219 | 3x34 | 4x53 | Shared | 4.5 | 3 | Yes | No | No | No | 6 | 8 |
| 220 | 3x37 | 4x56 | Shared | 4.56 | 3.04 | No | No | No | No | 7 | 6 |
| 221 | 3x38 | 4x50 | Shared | 5.19 | 3.89 | No | No | Yes | Yes | 8 | 9 |
| 222 | 3x38 | 4x53 | Shared | 3.42 | 3.42 | No | No | No | No | 8 | 8 |
| 223 | 3x40 | 5x50 | Shared | 3.39 | 3.39 | No | No | Yes | No | 8 | 9 |
| 224 | 3x41 | 4x52 | Shared | 10.57 | 10.57 | No | No | No | No | 6 | 5 |
| 225 | 3x41 | 5x50 | Shared | 9.46 | 8.11 | No | No | Yes | No | 6 | 9 |
| 226 | 3x42 | 4x49 | Shared | 6.92 | 5.54 | Yes | Yes | No | No | 8 | 7 |
| 227 | 3x42 | 4x50 | Shared | 6.35 | 4.23 | Yes | Yes | Yes | Yes | 8 | 9 |
| 228 | 3x43 | 7x49 | Shared | 10.98 | 4.12 | No | No | No | No | 9 | 9 |
| 229 | 3x44 | 5x53 | Shared | 4.91 | 3.27 | No | No | No | No | 7 | 8 |
| 230 | 3x44 | 5x54 | Shared | 4.86 | 4.86 | No | No | Yes | No | 7 | 8 |
| 231 | 3x49 | 4x45 | Shared | 12.44 | 12.44 | No | No | No | No | 9 | 6 |
| 232 | 3x50 | 6x37 | Shared | 3.64 | 4.86 | No | No | Yes | No | 9 | 8 |
| 233 | 3x51 | 3x55 | Shared | 3.58 | 7.17 | Yes | No | No | No | 8 | 7 |
| 234 | 3x51 | 5x60 | Shared | 12.89 | 1.17 | Yes | No | No | No | 8 | 6 |
| 235 | 3x51 | 5x61 | Shared | 6.24 | 6.24 | Yes | No | No | No | 8 | 9 |
| 236 | 3x54 | 5x65 | Shared | 5.71 | 7.14 | No | No | No | No | 9 | 8 |
| 237 | 3x55 | 3x56 | Shared | 5.75 | 1.44 | No | No | No | No | 7 | 6 |
| 238 | 4x39 | 4x43 | Shared | 6.41 | 2.14 | No | Yes | No | No | 4 | 4 |
| 239 | 4x48 | 4x52 | Shared | 3.07 | 1.54 | No | No | No | No | 3 | 5 |
| 240 | 4x56 | 5x46 | Shared | 3.25 | 1.62 | No | No | No | No | 6 | 4 |
| 241 | 4x59 | 4x60 | Shared | 5.08 | 5.08 | Yes | No | No | No | 4 | 8 |
| 242 | 4x61 | 4x62 | Shared | 3.53 | 3.53 | No | No | No | No | 6 | 7 |
| 243 | 4x61 | 5x39 | Shared | 5.24 | 3.93 | No | No | Yes | No | 6 | 7 |
| 244 | 4x64 | E2.R213 | Shared | 6.19 | 3.71 | No | No | No | Yes | 4 | 3 |
| 245 | E2.E196 | E2.R213 | Shared | 3.49 | 11.63 | No | No | No | Yes | 5 | 3 |
| 246 | E2.N203 | E2.N204 | Shared | 4.09 | 1.36 | No | No | Yes | No | 4 | 3 |
| 247 | E2.N204 | E2.T206 | Shared | 4.39 | 4.39 | Yes | No | No | No | 3 | 4 |
| 248 | 5x36 | E2x52 | Shared | 6.09 | 12.18 | Yes | No | No | No | 5 | 5 |
| 249 | E2.K211 | E3.D351 | Shared | 4.15 | 2.77 | Yes | Yes | No | No | 5 | 3 |
| 250 | 7x27 | E2.K211 | Shared | 12.2 | 2.71 | No | No | Yes | Yes | 3 | 5 |
| 251 | 5x36 | E2.R213 | Shared | 11.76 | 4.28 | Yes | No | No | Yes | 5 | 3 |
| 252 | 5x40 | 6x55 | Shared | 8.41 | 7.01 | No | No | No | No | 6 | 6 |
| 253 | 5x40 | 6x59 | Shared | 3.04 | 3.04 | No | No | No | No | 6 | 5 |
| 254 | 5x41 | 5x42 | Shared | 7.31 | 8.53 | No | No | No | No | 5 | 4 |
| 255 | 5x41 | 6x60 | Shared | 4.15 | 2.77 | No | No | No | No | 5 | 5 |
| 256 | 5x44 | 6x52 | Shared | 5.28 | 3.96 | No | No | Yes | Yes | 7 | 7 |
| 257 | 5x44 | 6x56 | Shared | 4.64 | 3.1 | No | No | No | No | 7 | 6 |
| 258 | 5x47 | 5x48 | Shared | 10.72 | 9.65 | Yes | Yes | No | No | 8 | 6 |
| 259 | 5x47 | 6x48 | Shared | 4.01 | 3.01 | Yes | Yes | Yes | No | 8 | 8 |
| 260 | 5x47 | 6x52 | Shared | 24.65 | 18.22 | Yes | Yes | Yes | Yes | 8 | 7 |
| 261 | 5x49 | 5x50 | Shared | 5.25 | 5.25 | No | No | Yes | No | 5 | 9 |
| 262 | 5x51 | 6x45 | Shared | 4.15 | 4.15 | No | No | No | No | 6 | 5 |
| 263 | 5x54 | 6x41 | Shared | 3.73 | 3.73 | Yes | No | Yes | No | 8 | 8 |
| 264 | 5x56 | 5x60 | Shared | 2.98 | 2.98 | No | No | No | No | 4 | 6 |
| 265 | 5x58 | 5x59 | Shared | 9.28 | 8.25 | No | Yes | No | No | 9 | 3 |
| 266 | 5x58 | 5x62 | Shared | 8.46 | 12.09 | No | Yes | No | No | 9 | 5 |
| 267 | 5x68 | 6x30 | Shared | 12.15 | 4.05 | No | No | No | No | 7 | 8 |
| 268 | 6x29 | 6x32 | Shared | 3.62 | 10.85 | No | No | No | No | 7 | 8 |
| 269 | 6x47 | 7x45 | Shared | 10.73 | 4.6 | No | No | No | No | 8 | 9 |
| 270 | 6x48 | 6x52 | Shared | 8.02 | 8.02 | Yes | No | Yes | Yes | 8 | 7 |
| 271 | 6x48 | 7x41 | Shared | 11.26 | 8.44 | Yes | No | No | No | 8 | 7 |
| 272 | 6x50 | 7x37 | Shared | 10.11 | 7.22 | No | No | Yes | No | 9 | 5 |
| 273 | 6x51 | 6x52 | Shared | 9.65 | 5.36 | Yes | Yes | Yes | Yes | 7 | 7 |
| 274 | 6x51 | 7x34 | Shared | 4.87 | 4.87 | Yes | Yes | No | No | 7 | 5 |
| 275 | 6x51 | 7x38 | Shared | 3.93 | 3.93 | Yes | Yes | No | No | 7 | 6 |
| 276 | 6x54 | 7x34 | Shared | 5.9 | 7.37 | No | No | No | No | 5 | 5 |
| 277 | 6x54 | 7x37 | Shared | 5.19 | 2.59 | No | No | Yes | No | 5 | 5 |
| 278 | 6x58 | 7x30 | Shared | 8.3 | 2.77 | No | No | No | No | 4 | 4 |
| 279 | 6x59 | 6x60 | Shared | 2.98 | 2.98 | No | No | No | No | 5 | 5 |
| 280 | 6x61 | E3.C353 | Shared | 7.28 | 7.28 | No | No | No | No | 5 | 4 |
| 281 | 7x26 | 7x29 | Shared | 4.39 | 5.85 | No | No | No | No | 4 | 5 |
| 282 | 7x32 | 7x35 | Shared | 4.06 | 2.71 | No | No | No | No | 2 | 5 |
| 283 | 7x39 | 7x42 | Shared | 6.75 | 3.86 | Yes | Yes | Yes | Yes | 7 | 8 |
| 284 | 7x51 | 7x55 | Shared | 5.54 | 2.77 | No | No | No | No | 6 | 6 |
| 285 | 7x54 | 8x50 | Shared | 11.67 | 9.08 | Yes | No | Yes | Yes | 7 | 9 |
| 286 | 1x51 | 2x51 | Shared | 2.95 | 2.95 | No | No | Yes | No | 4 | 7 |
| 287 | 1x46 | 1x50 | Shared | 2.92 | 2.92 | No | No | Yes | Yes | 8 | 9 |
| 288 | 6x47 | 7x40 | Shared | 2.92 | 2.92 | No | No | No | No | 8 | 8 |
| 289 | 7x26 | 7x28 | Shared | 2.92 | 5.85 | No | No | No | No | 4 | 2 |
| 290 | 1x40 | 2x61 | Shared | 2.85 | 5.71 | No | No | No | No | 7 | 6 |
| 291 | 1x52 | 8x58 | Shared | 2.85 | 4.28 | No | No | No | Yes | 7 | 6 |
| 292 | 3x34 | 4x54 | Shared | 2.85 | 2.85 | Yes | No | No | No | 6 | 4 |
| 293 | 5x47 | 6x49 | Shared | 2.79 | 4.19 | Yes | Yes | No | No | 8 | 6 |
| 294 | 2x42 | 3x45 | Shared | 2.77 | 2.77 | Yes | No | No | No | 8 | 7 |
| 295 | 5x62 | 5x66 | Shared | 2.74 | 4.12 | No | No | No | No | 5 | 6 |
| 296 | 3x56 | I2x52 | Shared | 2.71 | 6.78 | No | No | No | No | 6 | 5 |
| 297 | E2.E212 | E2.K211 | Shared | 2.7 | 2.7 | No | No | Yes | Yes | 5 | 5 |
| 298 | 2x49 | 4x50 | Shared | 2.59 | 2.59 | No | No | Yes | Yes | 8 | 9 |
| 299 | 2x60 | 7x39 | Shared | 2.59 | 3.89 | No | No | Yes | Yes | 7 | 7 |
| 300 | 5x55 | 5x59 | Shared | 2.51 | 2.51 | No | No | No | No | 5 | 3 |
| 301 | 8x48 | 8x51 | Shared | 2.48 | 6.19 | No | No | No | No | 5 | 9 |
| 302 | 2x62 | 2x66 | Shared | 2.44 | 1.22 | No | No | No | No | 5 | 3 |
| 303 | 2x63 | E1x50 | Shared | 2.43 | 2.43 | No | No | Yes | Yes | 5 | 7 |
| 304 | 1x48 | 1x49 | Shared | 2.11 | 2.11 | No | No | No | No | 4 | 8 |
| 305 | 3x37 | 5x461 | Shared | 1.82 | 3.36 | No | No | No | No | 7 | 7 |
| 306 | 4x54 | 4x55 | Shared | 1.76 | 1.76 | No | No | No | No | 4 | 5 |
| 307 | 6x61 | E3.S352 | Shared | 1.72 | 3.44 | No | No | No | No | 5 | 4 |
| 308 | 3x56 | I2x50 | Shared | 1.67 | 1.67 | No | No | No | No | 6 | 8 |
| 309 | 6x49 | 6x53 | Shared | 1.64 | 1.64 | No | No | No | No | 6 | 6 |
| 310 | E2.N201 | E2.P202 | Shared | 1.63 | 1.63 | Yes | Yes | No | No | 2 | 3 |
| 311 | 3x47 | 5x57 | Shared | 1.6 | 4.8 | No | No | No | No | 9 | 6 |
| 312 | 6x40 | 7x52 | Shared | 1.6 | 3.21 | No | No | No | No | 8 | 8 |
| 313 | 7x48 | 7x52 | Shared | 1.6 | 3.21 | No | No | No | No | 6 | 8 |
| 314 | 7x30 | E3.C353 | Shared | 1.59 | 1.59 | No | No | No | No | 4 | 4 |
| 315 | 1x54 | 1x58 | Shared | 1.55 | 1.55 | No | No | No | No | 7 | 4 |
| 316 | 6x53 | 6x57 | Shared | 1.52 | 1.52 | No | No | No | No | 6 | 5 |
| 317 | E2.D198 | E2.V199 | Shared | 1.46 | 5.84 | No | No | No | No | 4 | 3 |
| 318 | E1x49 | E2.N204 | Shared | 1.4 | 15.43 | No | No | Yes | No | 3 | 3 |
| 319 | 2x38 | 4x39 | Shared | 1.38 | 1.38 | No | No | No | Yes | 6 | 4 |
| 320 | I1x48 | I1x51 | Shared | 1.36 | 4.07 | Yes | No | No | No | 7 | 8 |
| 321 | E2.N201 | E2.N203 | Shared | 1.36 | 2.72 | Yes | Yes | No | No | 2 | 4 |
| 322 | 2x41 | 4x42 | Shared | 1.33 | 1.33 | Yes | No | No | No | 5 | 7 |
| 323 | 5x45 | 5x48 | Shared | 1.22 | 3.65 | No | No | No | No | 4 | 6 |
| 324 | 6x42 | 6x46 | Shared | 1.22 | 3.65 | No | No | No | No | 6 | 5 |
| 325 | 7x55 | 8x51 | Shared | 1.21 | 2.43 | No | No | No | No | 6 | 9 |
| 326 | 1x40 | 7x39 | 5ht2b_on | 0 | 8.22 | No | No | Yes | Yes | 7 | 7 |
| 327 | 1x43 | 2x58 | 5ht2b_on | 0 | 3.39 | No | No | No | No | 6 | 9 |
| 328 | 1x54 | 2x44 | 5ht2b_on | 0 | 2.92 | No | No | No | No | 7 | 7 |
| 329 | 1x55 | 8x58 | 5ht2b_on | 0 | 4.28 | No | No | No | Yes | 4 | 6 |
| 330 | 1x59 | 8x58 | 5ht2b_on | 0 | 5.71 | No | No | No | Yes | 4 | 6 |
| 331 | 1x60 | 8x53 | 5ht2b_on | 0 | 6.03 | Yes | No | No | No | 7 | 7 |
| 332 | 2x50 | 7x46 | 5ht2b_on | 0 | 8.83 | Yes | Yes | No | No | 9 | 9 |
| 333 | 2x50 | 7x49 | 5ht2b_on | 0 | 8.08 | Yes | Yes | No | No | 9 | 9 |
| 334 | 2x52 | 2x551 | 5ht2b_on | 0 | 3.65 | No | No | No | No | 7 | 5 |
| 335 | 2x53 | 7x46 | 5ht2b_on | 0 | 6.46 | No | No | No | No | 7 | 9 |
| 336 | 2x56 | 3x28 | 5ht2b_on | 0 | 6.13 | No | No | Yes | No | 7 | 6 |
| 337 | E1.E118 | E1x49 | 5ht2b_on | 0 | 5.41 | No | No | No | No | 4 | 3 |
| 338 | E1x51 | E1x52 | 5ht2b_on | 0 | 3.28 | No | No | Yes | Yes | 3 | 6 |
| 339 | 3x21 | 3x24 | 5ht2b_on | 0 | 4.93 | No | No | No | No | 7 | 5 |
| 340 | 3x29 | E2.I195 | 5ht2b_on | 0 | 2.85 | No | No | No | No | 5 | 5 |
| 341 | 3x29 | E2x52 | 5ht2b_on | 0 | 5.54 | No | No | No | No | 5 | 5 |
| 342 | 3x37 | 4x53 | 5ht2b_on | 0 | 6.4 | No | No | No | No | 7 | 8 |
| 343 | 3x38 | 3x42 | 5ht2b_on | 0 | 2.93 | No | No | Yes | Yes | 8 | 8 |
| 344 | 3x40 | 6x44 | 5ht2b_on | 0 | 3.77 | No | No | Yes | No | 8 | 9 |
| 345 | 3x43 | 7x53 | 5ht2b_on | 0 | 8.21 | No | No | No | Yes | 9 | 9 |
| 346 | 3x46 | 3x50 | 5ht2b_on | 0 | 6.26 | No | No | No | No | 9 | 9 |
| 347 | 3x46 | 7x53 | 5ht2b_on | 0 | 3.63 | No | No | No | Yes | 9 | 9 |
| 348 | 3x50 | 7x53 | 5ht2b_on | 0 | 6.17 | No | No | No | Yes | 9 | 9 |
| 349 | I2x51 | I2x52 | 5ht2b_on | 0 | 6.86 | No | No | No | No | 7 | 5 |
| 350 | I2x51 | I2x55 | 5ht2b_on | 0 | 4.12 | No | No | No | No | 7 | 0 |
| 351 | I2x52 | I2x56 | 5ht2b_on | 0 | 3.38 | No | No | No | No | 5 | 0 |
| 352 | 4x46 | 4x50 | 5ht2b_on | 0 | 3.52 | No | No | Yes | Yes | 7 | 9 |
| 353 | 4x52 | 4x56 | 5ht2b_on | 0 | 2.94 | No | No | No | No | 5 | 6 |
| 354 | E2.P202 | E2.T197 | 5ht2b_on | 0 | 8.74 | No | No | No | No | 3 | 4 |
| 355 | E2.N201 | E2.V199 | 5ht2b_on | 0 | 2.96 | Yes | Yes | No | No | 2 | 3 |
| 356 | E2.D200 | E2.N201 | 5ht2b_on | 0 | 10.77 | No | No | Yes | Yes | 4 | 2 |
| 357 | E2.R213 | E2.T210 | 5ht2b_on | 0 | 3.88 | No | Yes | No | No | 3 | 5 |
| 358 | 6x58 | E2.K211 | 5ht2b_on | 0 | 4.23 | No | No | Yes | Yes | 4 | 5 |
| 359 | 5x39 | 5x43 | 5ht2b_on | 0 | 3.01 | Yes | No | No | No | 7 | 6 |
| 360 | 5x47 | 5x51 | 5ht2b_on | 0 | 3.65 | Yes | Yes | No | No | 8 | 6 |
| 361 | 5x47 | 6x44 | 5ht2b_on | 0 | 3.22 | Yes | Yes | Yes | No | 8 | 9 |
| 362 | 5x53 | 5x57 | 5ht2b_on | 0 | 3.04 | No | No | No | No | 8 | 6 |
| 363 | 5x54 | 6x44 | 5ht2b_on | 0 | 8.71 | Yes | No | Yes | No | 8 | 9 |
| 364 | 5x58 | 6x38 | 5ht2b_on | 0 | 4.35 | No | Yes | No | No | 9 | 5 |
| 365 | 5x58 | 6x41 | 5ht2b_on | 0 | 5.16 | No | Yes | Yes | No | 9 | 8 |
| 366 | 5x65 | 6x30 | 5ht2b_on | 0 | 5.3 | No | No | No | No | 8 | 8 |
| 367 | 5x67 | 6x30 | 5ht2b_on | 0 | 9.45 | No | No | No | No | 6 | 8 |
| 368 | 5x68 | 6x28 | 5ht2b_on | 0 | 7.65 | No | No | No | No | 7 | 4 |
| 369 | 6x27 | 6x31 | 5ht2b_on | 0 | 4.12 | No | No | No | No | 4 | 6 |
| 370 | 6x27 | 6x35 | 5ht2b_on | 0 | 5.82 | No | No | No | No | 4 | 7 |
| 371 | 6x28 | 6x31 | 5ht2b_on | 0 | 7.22 | No | No | No | No | 4 | 6 |
| 372 | 6x31 | 6x34 | 5ht2b_on | 0 | 2.89 | No | No | No | No | 6 | 7 |
| 373 | 6x36 | 7x56 | 5ht2b_on | 0 | 15.73 | No | No | No | No | 8 | 7 |
| 374 | 6x40 | 7x53 | 5ht2b_on | 0 | 5.05 | No | No | No | Yes | 8 | 9 |
| 375 | 6x45 | 6x49 | 5ht2b_on | 0 | 4.76 | No | No | No | No | 5 | 6 |
| 376 | 7x38 | 7x42 | 5ht2b_on | 0 | 6.31 | No | No | Yes | Yes | 6 | 8 |
| 377 | 7x45 | 7x49 | 5ht2b_on | 0 | 4.47 | No | No | No | No | 9 | 9 |
| 378 | 7x50 | 7x51 | 5ht2b_on | 0 | 3.28 | Yes | No | No | No | 9 | 6 |
| 379 | 7x54 | 7x55 | 5ht2b_on | 0 | 2.95 | Yes | No | No | No | 7 | 6 |
| 380 | 8x47 | 8x49 | 5ht2b_on | 0 | 5.85 | No | No | No | No | 9 | 7 |
| 381 | 1x56 | 8x50 | 5ht2b_on | 0 | 2.77 | No | No | Yes | Yes | 8 | 9 |
| 382 | 2x40 | 2x43 | 5ht2b_on | 0 | 2.75 | Yes | No | No | No | 9 | 8 |
| 383 | 1x60 | 8x58 | 5ht2b_on | 0 | 2.73 | Yes | No | No | Yes | 7 | 6 |
| 384 | 1x57 | 8x50 | 5ht2b_on | 0 | 2.62 | No | No | Yes | Yes | 8 | 9 |
| 385 | 1x35 | 1x37 | 5ht2b_on | 0 | 2.59 | No | No | No | No | 4 | 6 |
| 386 | 6x27 | 6x32 | 5ht2b_on | 0 | 2.51 | No | No | No | No | 4 | 8 |
| 387 | 2x37 | 2x39 | 5ht2b_on | 0 | 2.5 | No | No | No | No | 7 | 8 |
| 388 | 2x41 | I1x51 | 5ht2b_on | 0 | 2.25 | Yes | No | No | No | 5 | 8 |
| 389 | 6x55 | Lig | 5ht2b_on | 0 | 2.15 | No | No | Yes | Yes | 6 | 0 |
| 390 | 1x48 | 1x51 | 5ht2b_on | 0 | 1.82 | No | No | No | No | 4 | 4 |
| 391 | 3x53 | I2x53 | 5ht2b_on | 0 | 1.79 | No | No | No | No | 8 | 8 |
| 392 | 3x44 | 3x48 | 5ht2b_on | 0 | 1.71 | No | No | No | No | 7 | 6 |
| 393 | E2.I205 | E2.P202 | 5ht2b_on | 0 | 1.69 | No | No | No | No | 2 | 3 |
| 394 | 6x57 | 6x61 | 5ht2b_on | 0 | 1.69 | No | No | No | No | 5 | 5 |
| 395 | 6x57 | E3.C353 | 5ht2b_on | 0 | 1.69 | No | No | No | No | 5 | 4 |
| 396 | 3x52 | I2x53 | 5ht2b_on | 0 | 1.62 | No | No | No | No | 5 | 8 |
| 397 | 3x54 | 5x64 | 5ht2b_on | 0 | 1.62 | No | No | No | No | 9 | 6 |
| 398 | 1x37 | 2x65 | 5ht2b_on | 0 | 1.61 | No | No | No | No | 6 | 5 |
| 399 | E1.A119 | E1x49 | 5ht2b_on | 0 | 1.61 | No | No | No | No | 3 | 3 |
| 400 | 3x55 | 5x64 | 5ht2b_on | 0 | 1.61 | No | No | No | No | 7 | 6 |
| 401 | E2.T210 | E2x51 | 5ht2b_on | 0 | 1.59 | No | No | No | No | 5 | 3 |
| 402 | 5x65 | 6x33 | 5ht2b_on | 0 | 1.58 | No | No | No | No | 8 | 8 |
| 403 | 4x44 | 4x47 | 5ht2b_on | 0 | 1.52 | No | No | No | No | 4 | 3 |
| 404 | 8x49 | I1x49 | 5ht2b_on | 0 | 1.5 | No | No | No | No | 7 | 6 |
| 405 | 6x43 | 7x48 | 5ht2b_on | 0 | 1.49 | No | No | No | No | 5 | 6 |
| 406 | 6x43 | 7x52 | 5ht2b_on | 0 | 1.49 | No | No | No | No | 5 | 8 |
| 407 | 4x54 | 4x59 | 5ht2b_on | 0 | 1.47 | No | No | Yes | No | 4 | 4 |
| 408 | E2.I195 | E2.I205 | 5ht2b_on | 0 | 1.47 | No | No | No | No | 5 | 2 |
| 409 | 5x61 | 6x37 | 5ht2b_on | 0 | 1.47 | No | No | Yes | No | 9 | 8 |
| 410 | 2x39 | I2x57 | 5ht2b_on | 0 | 1.46 | No | No | No | No | 8 | 7 |
| 411 | 4x41 | I2x57 | 5ht2b_on | 0 | 1.46 | No | No | No | No | 7 | 7 |
| 412 | 1x40 | 1x41 | 5ht2b_on | 0 | 1.43 | No | No | No | No | 7 | 3 |
| 413 | 3x27 | 3x30 | 5ht2b_on | 0 | 1.39 | No | No | No | No | 4 | 6 |
| 414 | 2x62 | E1x52 | 5ht2b_on | 0 | 1.38 | No | No | Yes | Yes | 5 | 6 |
| 415 | 7x30 | 7x33 | 5ht2b_on | 0 | 1.38 | No | No | No | No | 4 | 5 |
| 416 | 6x58 | 7x31 | 5ht2b_on | 0 | 1.33 | No | No | No | No | 4 | 2 |
| 417 | 4x38 | 4x39 | 5ht2b_on | 0 | 1.32 | No | No | No | Yes | 8 | 4 |
| 418 | 8x56 | 8x57 | 5ht2b_on | 0 | 1.03 | No | No | Yes | No | 6 | 5 |
Index: hub id, click on each number to highlight the corresponding hub in the 3D visualization.
Hub: the hub being considered.
Owner: the name of the network the hub belong to or "Shared" if the corresponding hub is present in both networks.
Avg Int. Strength: the average interaction strength of all the links of the corresponding hub in the corresponding network.
Num Of Links: the number of links of the corresponding hub in the corresponding network.
ConSurf: this column reports the ConSurf conservation grades of each hub.
| Index | Hub | Owner | 5ht2b_off Avg Int. Strength | 5ht2b_on Avg Int. Strength | 5ht2b_off Num Of Links | 5ht2b_on Num Of Links | ConSurf |
|---|---|---|---|---|---|---|---|
| 1 | 1x60 | 5ht2b_off | 7.9775 | 4.38 | 4 | 2 | 7 |
| 2 | I1x48 | 5ht2b_off | 5.205 | 4.07 | 4 | 1 | 7 |
| 3 | I1x50 | 5ht2b_off | 7.5125 | 10.255 | 4 | 2 | 8 |
| 4 | 2x40 | 5ht2b_off | 5.98 | 7.97 | 5 | 3 | 9 |
| 5 | 2x41 | 5ht2b_off | 5.556 | 5.65333 | 5 | 3 | 5 |
| 6 | 2x42 | 5ht2b_off | 4.31333 | 4.05 | 6 | 3 | 8 |
| 7 | 2x51 | 5ht2b_off | 4.91 | 4.22333 | 4 | 3 | 7 |
| 8 | 3x25 | 5ht2b_off | 5.152 | 5.42333 | 5 | 3 | 9 |
| 9 | 3x28 | 5ht2b_off | 7.7625 | 5.95667 | 4 | 3 | 6 |
| 10 | 3x34 | 5ht2b_off | 4.002 | 3.16667 | 5 | 3 | 6 |
| 11 | 3x51 | 5ht2b_off | 6.345 | 4.86 | 4 | 3 | 8 |
| 12 | 4x59 | 5ht2b_off | 4.5325 | 3.275 | 4 | 2 | 4 |
| 13 | E2.N204 | 5ht2b_off | 2.81 | 7.06 | 4 | 3 | 3 |
| 14 | 5x36 | 5ht2b_off | 7.7075 | 8.23 | 4 | 2 | 5 |
| 15 | 5x39 | 5ht2b_off | 4.93 | 3.26667 | 5 | 3 | 7 |
| 16 | 5x50 | 5ht2b_off | 5.4675 | 5.58333 | 4 | 3 | 9 |
| 17 | 5x54 | 5ht2b_off | 5.4475 | 5.76667 | 4 | 3 | 8 |
| 18 | 6x37 | 5ht2b_off | 5.9575 | 3.165 | 4 | 2 | 8 |
| 19 | 6x41 | 5ht2b_off | 6.33 | 4.445 | 7 | 2 | 8 |
| 20 | 6x44 | 5ht2b_off | 6.75667 | 5.23333 | 6 | 3 | 9 |
| 21 | 6x48 | 5ht2b_off | 7.13 | 6.49 | 7 | 3 | 8 |
| 22 | 7x37 | 5ht2b_off | 5.67 | 4.905 | 4 | 2 | 5 |
| 23 | 7x50 | 5ht2b_off | 5.685 | 6.525 | 4 | 2 | 9 |
| 24 | 7x54 | 5ht2b_off | 6.1425 | 5.59667 | 4 | 3 | 7 |
| 25 | 8x54 | 5ht2b_off | 4.92 | 4.43 | 5 | 2 | 7 |
| 26 | 8x57 | 5ht2b_off | 4.21 | 1.03 | 5 | 1 | 5 |
| 27 | Lig | Shared | 8.24455 | 9.13571 | 11 | 7 | 0 |
| 28 | 1x50 | Shared | 4.6725 | 5.9 | 4 | 4 | 9 |
| 29 | 2x50 | Shared | 5.8225 | 6.182 | 4 | 5 | 9 |
| 30 | 2x57 | Shared | 3.85571 | 4.128 | 7 | 5 | 8 |
| 31 | E1x50 | Shared | 7.35286 | 5.45833 | 7 | 6 | 7 |
| 32 | E1x52 | Shared | 6.31 | 3.5375 | 4 | 4 | 6 |
| 33 | 3x32 | Shared | 8.1275 | 8.93 | 4 | 4 | 8 |
| 34 | 3x35 | Shared | 6.704 | 5.2425 | 5 | 4 | 6 |
| 35 | 3x42 | Shared | 7.712 | 5.955 | 5 | 6 | 8 |
| 36 | 4x50 | Shared | 4.66857 | 4.082 | 7 | 5 | 9 |
| 37 | E2.N201 | Shared | 2.77 | 4.52 | 4 | 4 | 2 |
| 38 | E2.K211 | Shared | 5.4825 | 3.1025 | 4 | 4 | 5 |
| 39 | 5x47 | Shared | 10.5425 | 6.99 | 4 | 6 | 8 |
| 40 | 6x51 | Shared | 7.84 | 7.3475 | 6 | 4 | 7 |
| 41 | 6x52 | Shared | 11.908 | 8.89 | 5 | 4 | 7 |
| 42 | 7x39 | Shared | 7.42714 | 4.596 | 7 | 5 | 7 |
| 43 | 7x42 | Shared | 4.914 | 5.818 | 5 | 5 | 8 |
| 44 | 8x50 | Shared | 8.288 | 7.024 | 5 | 5 | 9 |
| 45 | 4x39 | 5ht2b_on | 3.97 | 4.555 | 3 | 4 | 4 |
| 46 | E2.R213 | 5ht2b_on | 7.14667 | 5.875 | 3 | 4 | 3 |
| 47 | 5x58 | 5ht2b_on | 8.87 | 7.4625 | 2 | 4 | 9 |
| 48 | 7x53 | 5ht2b_on | 5.06 | 5.765 | 2 | 4 | 9 |
| 49 | 8x58 | 5ht2b_on | 2.63333 | 4.25 | 3 | 4 | 6 |
Index: link id, click on each number to highlight the corresponding link in the 3D visualization.
Node1 Node2: the two nodes of the corresponding link.
Owner: the name of the network the link belong to or "Shared" if the corresponding link is present in both networks.
Recurrence: the relative Recurrence in the filtered pool of shortest paths.
Hub1?, Hub2?: "Yes" if the corresponding node has more than 3 links, otherwise "No".
ConSurf1, ConSurf2: these columns report the ConSurf conservation grades of the two nodes involved in a link.
| Index | Node1 | Node2 | Owner | 5ht2b_off Recurrence | 5ht2b_on Recurrence | 5ht2b_off Hub1? | 5ht2b_on Hub1? | 5ht2b_off Hub2? | 5ht2b_on Hub2? | ConSurf1 | ConSurf2 |
|---|---|---|---|---|---|---|---|---|---|---|---|
| 1 | 3x33 | Lig | 5ht2b_off | 36.6977 | 3.05124 | No | No | Yes | Yes | 7 | 0 |
| 2 | 3x37 | Lig | 5ht2b_off | 16.9735 | 0 | No | No | Yes | Yes | 7 | 0 |
| 3 | E2x52 | Lig | 5ht2b_off | 13.2766 | 0 | No | No | Yes | Yes | 5 | 0 |
| 4 | 6x52 | Lig | 5ht2b_off | 45.9987 | 0 | Yes | Yes | Yes | Yes | 7 | 0 |
| 5 | 2x66 | E1x51 | 5ht2b_off | 14.9123 | 0 | No | No | No | No | 3 | 3 |
| 6 | E1x50 | E1x51 | 5ht2b_off | 38.6049 | 2.41531 | Yes | Yes | No | No | 7 | 3 |
| 7 | 2x60 | 3x28 | 5ht2b_off | 75.7133 | 0 | No | No | Yes | No | 7 | 6 |
| 8 | 2x60 | 7x39 | 5ht2b_off | 77.5251 | 1.52868 | No | No | Yes | Yes | 7 | 7 |
| 9 | 7x39 | 7x42 | 5ht2b_off | 10.1225 | 9.13538 | Yes | Yes | Yes | Yes | 7 | 8 |
| 10 | 1x35 | 1x38 | 5ht2b_off | 10.0051 | 0 | No | No | No | No | 4 | 5 |
| 11 | 1x38 | 1x411 | 5ht2b_off | 13.3133 | 0 | No | No | No | No | 5 | 4 |
| 12 | 1x411 | 1x42 | 5ht2b_off | 19.8856 | 0 | No | No | No | No | 4 | 7 |
| 13 | 1x42 | 2x57 | 5ht2b_off | 26.3992 | 3.35698 | No | No | Yes | Yes | 7 | 8 |
| 14 | 2x57 | 7x42 | 5ht2b_off | 21.2206 | 9.71628 | Yes | Yes | Yes | Yes | 8 | 8 |
| 15 | 2x61 | 7x39 | 5ht2b_off | 10.1152 | 0 | No | No | Yes | Yes | 6 | 7 |
| 16 | 2x50 | 3x39 | 5ht2b_off | 13.1446 | 1.56537 | Yes | Yes | No | No | 9 | 9 |
| 17 | 3x39 | 7x46 | 5ht2b_off | 14.0248 | 0 | No | No | No | No | 9 | 9 |
| 18 | 6x48 | 7x46 | 5ht2b_off | 14.0101 | 0 | Yes | No | No | No | 8 | 9 |
| 19 | 6x48 | 6x51 | 5ht2b_off | 87.3762 | 0 | Yes | No | Yes | Yes | 8 | 7 |
| 20 | 7x49 | 7x50 | 5ht2b_off | 18.4699 | 0 | No | No | Yes | No | 9 | 9 |
| 21 | 6x44 | 7x49 | 5ht2b_off | 15.4918 | 0 | Yes | No | No | No | 9 | 9 |
| 22 | 6x44 | 6x48 | 5ht2b_off | 100 | 0 | Yes | No | Yes | No | 9 | 8 |
| 23 | 6x48 | 6x52 | 5ht2b_off | 30.3088 | 1.19237 | Yes | No | Yes | Yes | 8 | 7 |
| 24 | 1x50 | 2x51 | 5ht2b_off | 23.1717 | 8.0225 | Yes | Yes | Yes | No | 9 | 7 |
| 25 | 7x51 | 8x54 | 5ht2b_off | 16.8782 | 0 | No | No | Yes | No | 6 | 7 |
| 26 | 8x50 | 8x54 | 5ht2b_off | 45.874 | 0 | Yes | Yes | Yes | No | 9 | 7 |
| 27 | 1x57 | 2x40 | 5ht2b_off | 81.3467 | 0 | No | No | Yes | No | 8 | 9 |
| 28 | 1x57 | 2x44 | 5ht2b_off | 83.2759 | 4.66553 | No | No | No | No | 8 | 7 |
| 29 | 2x41 | 2x44 | 5ht2b_off | 85.1904 | 0 | Yes | No | No | No | 5 | 7 |
| 30 | 2x41 | 4x46 | 5ht2b_off | 98.1295 | 0 | Yes | No | No | No | 5 | 7 |
| 31 | 2x45 | 4x46 | 5ht2b_off | 56.4439 | 0.593127 | No | No | No | No | 9 | 7 |
| 32 | 2x45 | 4x50 | 5ht2b_off | 48.8521 | 0.953895 | No | No | Yes | Yes | 9 | 9 |
| 33 | 3x35 | 4x50 | 5ht2b_off | 39.5291 | 0 | Yes | Yes | Yes | Yes | 6 | 9 |
| 34 | 2x53 | 3x35 | 5ht2b_off | 49.6002 | 6.37153 | No | No | Yes | Yes | 7 | 6 |
| 35 | 2x53 | 2x56 | 5ht2b_off | 10.6286 | 0 | No | No | No | No | 7 | 7 |
| 36 | 1x52 | 8x54 | 5ht2b_off | 26.2231 | 9.23933 | No | No | Yes | No | 7 | 7 |
| 37 | 1x52 | 8x57 | 5ht2b_off | 14.5749 | 0 | No | No | Yes | No | 7 | 5 |
| 38 | 2x48 | 2x52 | 5ht2b_off | 12.1837 | 0 | No | No | No | No | 6 | 7 |
| 39 | 2x52 | 3x35 | 5ht2b_off | 16.218 | 4.85508 | No | No | Yes | Yes | 7 | 6 |
| 40 | 1x60 | I1x50 | 5ht2b_off | 14.5162 | 0 | Yes | No | Yes | No | 7 | 8 |
| 41 | 2x40 | I1x50 | 5ht2b_off | 17.7437 | 0 | Yes | No | Yes | No | 9 | 8 |
| 42 | 2x42 | 3x42 | 5ht2b_off | 22.915 | 5.96184 | Yes | No | Yes | Yes | 8 | 8 |
| 43 | 3x42 | 4x50 | 5ht2b_off | 20.9198 | 1.77327 | Yes | Yes | Yes | Yes | 8 | 9 |
| 44 | 3x43 | 6x44 | 5ht2b_off | 60.0822 | 0 | No | No | Yes | No | 9 | 9 |
| 45 | 3x43 | 6x41 | 5ht2b_off | 63.4637 | 0 | No | No | Yes | No | 9 | 8 |
| 46 | 3x46 | 6x41 | 5ht2b_off | 48.7787 | 0 | No | No | Yes | No | 9 | 8 |
| 47 | 2x42 | 3x46 | 5ht2b_off | 48.3459 | 0 | Yes | No | No | No | 8 | 9 |
| 48 | 2x59 | 3x28 | 5ht2b_off | 13.8121 | 2.47034 | No | No | Yes | No | 5 | 6 |
| 49 | 2x59 | E1x52 | 5ht2b_off | 11.5455 | 0 | No | No | Yes | Yes | 5 | 6 |
| 50 | E1x49 | E1x51 | 5ht2b_off | 22.1741 | 0 | No | No | No | No | 3 | 3 |
| 51 | 3x25 | E1x50 | 5ht2b_off | 14.8683 | 4.92234 | Yes | No | Yes | Yes | 9 | 7 |
| 52 | 3x24 | E1x52 | 5ht2b_off | 14.4282 | 0 | No | No | Yes | Yes | 5 | 6 |
| 53 | 4x60 | 5x39 | 5ht2b_off | 10.3939 | 0 | No | No | Yes | No | 8 | 7 |
| 54 | 3x33 | 4x57 | 5ht2b_off | 34.6512 | 1.52868 | No | No | No | No | 7 | 8 |
| 55 | 3x34 | 4x57 | 5ht2b_off | 33.7417 | 0 | Yes | No | No | No | 6 | 8 |
| 56 | 6x44 | 6x45 | 5ht2b_off | 32.7808 | 0 | Yes | No | No | No | 9 | 5 |
| 57 | 5x54 | 6x45 | 5ht2b_off | 26.4138 | 0 | Yes | No | No | No | 8 | 5 |
| 58 | 3x44 | 5x54 | 5ht2b_off | 21.9761 | 7.55778 | No | No | Yes | No | 7 | 8 |
| 59 | 3x44 | 5x50 | 5ht2b_off | 17.1936 | 0 | No | No | Yes | No | 7 | 9 |
| 60 | 3x47 | 5x57 | 5ht2b_off | 11.6335 | 1.55925 | No | No | No | No | 9 | 6 |
| 61 | 6x37 | 6x41 | 5ht2b_off | 44.6123 | 0 | Yes | No | Yes | No | 8 | 8 |
| 62 | 3x50 | 3x54 | 5ht2b_off | 35.8615 | 0 | No | No | No | No | 9 | 9 |
| 63 | 5x61 | 5x65 | 5ht2b_off | 21.9101 | 0 | No | No | No | No | 9 | 8 |
| 64 | 5x36 | E2x52 | 5ht2b_off | 10.2839 | 8.9764 | Yes | No | No | No | 5 | 5 |
| 65 | 5x36 | 5x39 | 5ht2b_off | 11.5015 | 0 | Yes | No | Yes | No | 5 | 7 |
| 66 | 5x36 | E2.R213 | 5ht2b_off | 10.4819 | 7.50275 | Yes | No | No | Yes | 5 | 3 |
| 67 | E1x49 | E2.N204 | 5ht2b_off | 19.7682 | 4.56157 | No | No | Yes | No | 3 | 3 |
| 68 | E2.N201 | E2.N204 | 5ht2b_off | 12.4257 | 0 | Yes | Yes | Yes | No | 2 | 3 |
| 69 | 6x51 | 6x55 | 5ht2b_off | 28.475 | 0 | Yes | Yes | No | No | 7 | 6 |
| 70 | 5x40 | 6x55 | 5ht2b_off | 24.4187 | 7.54555 | No | No | No | No | 6 | 6 |
| 71 | 5x40 | E2.K211 | 5ht2b_off | 13.9294 | 0 | No | No | Yes | Yes | 6 | 5 |
| 72 | 5x44 | 6x52 | 5ht2b_off | 14.6776 | 3.11239 | No | No | Yes | Yes | 7 | 7 |
| 73 | 5x44 | 6x56 | 5ht2b_off | 12.3744 | 1.55925 | No | No | No | No | 7 | 6 |
| 74 | 5x47 | 5x48 | 5ht2b_off | 10.9 | 3.11239 | Yes | Yes | No | No | 8 | 6 |
| 75 | 5x51 | 6x45 | 5ht2b_off | 15.3525 | 1.55314 | No | No | No | No | 6 | 5 |
| 76 | 5x51 | 5x55 | 5ht2b_off | 12.8292 | 0 | No | No | No | No | 6 | 5 |
| 77 | 5x55 | 5x59 | 5ht2b_off | 10.2912 | 1.55925 | No | No | No | No | 5 | 3 |
| 78 | 6x51 | 7x34 | 5ht2b_off | 46.006 | 6.18197 | Yes | Yes | No | No | 7 | 5 |
| 79 | 6x54 | 7x34 | 5ht2b_off | 27.5728 | 4.6533 | No | No | No | No | 5 | 5 |
| 80 | 6x54 | 7x37 | 5ht2b_off | 11.2008 | 3.11239 | No | No | Yes | No | 5 | 5 |
| 81 | 6x54 | 7x30 | 5ht2b_off | 13.9661 | 0 | No | No | No | No | 5 | 4 |
| 82 | 7x31 | 7x34 | 5ht2b_off | 16.7168 | 0 | No | No | No | No | 2 | 5 |
| 83 | 7x31 | 7x35 | 5ht2b_off | 13.9661 | 0 | No | No | No | No | 2 | 5 |
| 84 | 7x32 | 7x35 | 5ht2b_off | 11.2008 | 0 | No | No | No | No | 2 | 5 |
| 85 | 6x40 | 6x41 | 5ht2b_off | 10.0565 | 0 | No | No | Yes | No | 8 | 8 |
| 86 | 3x28 | 3x29 | 5ht2b_off | 10.966 | 0 | Yes | No | No | No | 6 | 5 |
| 87 | 7x38 | 7x39 | 5ht2b_off | 59.9795 | 0 | No | No | Yes | Yes | 6 | 7 |
| 88 | 7x42 | Lig | 5ht2b_off | 36.1623 | 0 | Yes | Yes | Yes | Yes | 8 | 0 |
| 89 | 3x34 | 4x50 | 5ht2b_off | 29.854 | 0 | Yes | No | Yes | Yes | 6 | 9 |
| 90 | 2x53 | 2x57 | 5ht2b_off | 41.0915 | 0 | No | No | Yes | Yes | 7 | 8 |
| 91 | 2x46 | 7x50 | 5ht2b_off | 12.9025 | 0 | No | No | Yes | No | 9 | 9 |
| 92 | 2x57 | 7x39 | 5ht2b_off | 37.996 | 0.214015 | Yes | Yes | Yes | Yes | 8 | 7 |
| 93 | 2x42 | 4x46 | 5ht2b_off | 44.2823 | 0 | Yes | No | No | No | 8 | 7 |
| 94 | 5x47 | 6x48 | 5ht2b_off | 10.8927 | 1.9139 | Yes | Yes | Yes | No | 8 | 8 |
| 95 | 5x39 | Lig | Shared | 40.3433 | 38.9079 | Yes | No | Yes | Yes | 7 | 0 |
| 96 | 6x51 | Lig | Shared | 51.9108 | 58.7379 | Yes | Yes | Yes | Yes | 7 | 0 |
| 97 | 3x28 | E1x50 | Shared | 68.9577 | 35.4837 | Yes | No | Yes | Yes | 6 | 7 |
| 98 | 1x50 | 2x50 | Shared | 16.5994 | 59.0253 | Yes | Yes | Yes | Yes | 9 | 9 |
| 99 | 1x50 | 7x50 | Shared | 20.2963 | 51.8589 | Yes | Yes | Yes | No | 9 | 9 |
| 100 | 2x40 | 8x50 | Shared | 57.6836 | 20.6188 | Yes | No | Yes | Yes | 9 | 9 |
| 101 | 2x46 | 3x42 | Shared | 24.7194 | 83.2273 | No | No | Yes | Yes | 9 | 8 |
| 102 | E1x50 | E1x52 | Shared | 12.4257 | 21.6033 | Yes | Yes | Yes | Yes | 7 | 6 |
| 103 | 3x29 | 4x61 | Shared | 12.169 | 31.7537 | No | No | No | No | 5 | 6 |
| 104 | 4x61 | 5x39 | Shared | 18.1398 | 36.6271 | No | No | Yes | No | 6 | 7 |
| 105 | 3x37 | 4x56 | Shared | 10.2252 | 99.0706 | No | No | No | No | 7 | 6 |
| 106 | 3x50 | 6x37 | Shared | 40.2626 | 36.6027 | No | No | Yes | No | 9 | 8 |
| 107 | 3x54 | 5x65 | Shared | 26.6192 | 17.91 | No | No | No | No | 9 | 8 |
| 108 | 3x51 | 5x61 | Shared | 19.5335 | 34.1996 | Yes | No | No | No | 8 | 9 |
| 109 | 5x47 | 6x52 | Shared | 14.8463 | 93.1209 | Yes | Yes | Yes | Yes | 8 | 7 |
| 110 | 5x47 | 6x49 | Shared | 11.3695 | 21.9457 | Yes | Yes | No | No | 8 | 6 |
| 111 | 2x46 | 2x50 | Shared | 12.015 | 82.8177 | No | No | Yes | Yes | 9 | 9 |
| 112 | 6x51 | 7x38 | Shared | 51.3167 | 32.2001 | Yes | Yes | No | No | 7 | 6 |
| 113 | 5x54 | 6x41 | Shared | 13.46 | 10.6824 | Yes | No | Yes | No | 8 | 8 |
| 114 | 7x38 | 7x42 | 5ht2b_on | 0 | 34.2485 | No | No | Yes | Yes | 6 | 8 |
| 115 | 6x51 | 6x52 | 5ht2b_on | 6.01482 | 93.1454 | Yes | Yes | Yes | Yes | 7 | 7 |
| 116 | 5x47 | 6x44 | 5ht2b_on | 0 | 99.5903 | Yes | Yes | Yes | No | 8 | 9 |
| 117 | 3x40 | 6x44 | 5ht2b_on | 0 | 100 | No | No | Yes | No | 8 | 9 |
| 118 | 3x40 | 5x50 | 5ht2b_on | 2.49395 | 99.9266 | No | No | Yes | No | 8 | 9 |
| 119 | 3x41 | 5x50 | 5ht2b_on | 9.90978 | 99.7432 | No | No | Yes | No | 6 | 9 |
| 120 | 3x41 | 4x52 | 5ht2b_on | 7.45251 | 99.6331 | No | No | No | No | 6 | 5 |
| 121 | 4x52 | 4x56 | 5ht2b_on | 0 | 99.3763 | No | No | No | No | 5 | 6 |
| 122 | 3x37 | 4x53 | 5ht2b_on | 0 | 98.7159 | No | No | No | No | 7 | 8 |
| 123 | 3x38 | 4x53 | 5ht2b_on | 0.572141 | 87.7339 | No | No | No | No | 8 | 8 |
| 124 | 3x38 | 3x42 | 5ht2b_on | 0 | 83.5637 | No | No | Yes | Yes | 8 | 8 |
| 125 | 3x34 | 4x53 | 5ht2b_on | 1.69442 | 12.26 | Yes | No | No | No | 6 | 8 |
| 126 | 3x34 | 3x35 | 5ht2b_on | 5.5307 | 10.4256 | Yes | No | Yes | Yes | 6 | 6 |
| 127 | 7x50 | 7x51 | 5ht2b_on | 0 | 50.7521 | Yes | No | No | No | 9 | 6 |
| 128 | 7x51 | 7x55 | 5ht2b_on | 9.79242 | 49.6331 | No | No | No | No | 6 | 6 |
| 129 | 7x54 | 7x55 | 5ht2b_on | 0 | 46.2028 | Yes | No | No | No | 7 | 6 |
| 130 | 7x54 | 8x50 | 5ht2b_on | 9.19093 | 42.644 | Yes | No | Yes | Yes | 7 | 9 |
| 131 | 1x56 | 8x50 | 5ht2b_on | 0 | 12.2233 | No | No | Yes | Yes | 8 | 9 |
| 132 | 1x56 | 8x54 | 5ht2b_on | 2.4206 | 10.7374 | No | No | Yes | No | 8 | 7 |
| 133 | 2x37 | 2x40 | 5ht2b_on | 2.46461 | 17.91 | No | No | Yes | No | 7 | 9 |
| 134 | 2x37 | 2x39 | 5ht2b_on | 0 | 16.473 | No | No | No | No | 7 | 8 |
| 135 | 2x39 | I2x57 | 5ht2b_on | 0 | 15.0177 | No | No | No | No | 8 | 7 |
| 136 | 2x38 | I2x57 | 5ht2b_on | 4.81185 | 12.2172 | No | No | No | No | 6 | 7 |
| 137 | 2x38 | 4x39 | 5ht2b_on | 7.25446 | 10.7374 | No | No | No | Yes | 6 | 4 |
| 138 | 2x50 | 7x49 | 5ht2b_on | 0 | 50.7643 | Yes | Yes | No | No | 9 | 9 |
| 139 | 2x56 | 7x42 | 5ht2b_on | 6.40358 | 19.671 | No | No | Yes | Yes | 7 | 8 |
| 140 | 2x56 | 3x28 | 5ht2b_on | 0 | 39.8924 | No | No | Yes | No | 7 | 6 |
| 141 | 2x62 | E1x52 | 5ht2b_on | 0 | 12.0704 | No | No | Yes | Yes | 5 | 6 |
| 142 | 3x32 | Lig | 5ht2b_on | 7.10042 | 26.4339 | Yes | Yes | Yes | Yes | 8 | 0 |
| 143 | 3x29 | E2.I195 | 5ht2b_on | 0 | 21.536 | No | No | No | No | 5 | 5 |
| 144 | E2.I195 | E2.I205 | 5ht2b_on | 0 | 20.3375 | No | No | No | No | 5 | 2 |
| 145 | E2.I205 | E2.P202 | 5ht2b_on | 0 | 17.6043 | No | No | No | No | 2 | 3 |
| 146 | E2.N201 | E2.P202 | 5ht2b_on | 2.51595 | 14.7915 | Yes | Yes | No | No | 2 | 3 |
| 147 | 3x43 | 7x49 | 5ht2b_on | 4.26905 | 46.215 | No | No | No | No | 9 | 9 |
| 148 | 3x43 | 7x53 | 5ht2b_on | 0 | 45.0165 | No | No | No | Yes | 9 | 9 |
| 149 | 5x54 | 6x44 | 5ht2b_on | 0 | 19.1452 | Yes | No | Yes | No | 8 | 9 |
| 150 | 3x50 | 7x53 | 5ht2b_on | 0 | 37.5749 | No | No | No | Yes | 9 | 9 |
| 151 | 5x61 | 6x37 | 5ht2b_on | 0 | 35.4714 | No | No | Yes | No | 9 | 8 |
| 152 | 3x51 | 3x55 | 5ht2b_on | 9.88044 | 30.2923 | Yes | No | No | No | 8 | 7 |
| 153 | 3x55 | 5x64 | 5ht2b_on | 0 | 20.7472 | No | No | No | No | 7 | 6 |
| 154 | 3x54 | 5x64 | 5ht2b_on | 0 | 19.3347 | No | No | No | No | 9 | 6 |
| 155 | 3x29 | E2x52 | 5ht2b_on | 0 | 10.2727 | No | No | No | No | 5 | 5 |
| 156 | 6x49 | 6x53 | 5ht2b_on | 7.59187 | 19.243 | No | No | No | No | 6 | 6 |
| 157 | 6x53 | 6x57 | 5ht2b_on | 3.7996 | 17.8244 | No | No | No | No | 6 | 5 |
| 158 | 6x57 | E3.C353 | 5ht2b_on | 0 | 13.3851 | No | No | No | No | 5 | 4 |
| 159 | 7x30 | E3.C353 | 5ht2b_on | 8.42074 | 12.0276 | No | No | No | No | 4 | 4 |
| 160 | 5x65 | 6x30 | 5ht2b_on | 0 | 15.1584 | No | No | No | No | 8 | 8 |
| 161 | 5x68 | 6x30 | 5ht2b_on | 2.48661 | 12.2111 | No | No | No | No | 7 | 8 |
| 162 | 5x68 | 6x28 | 5ht2b_on | 0 | 10.7313 | No | No | No | No | 7 | 4 |
| 163 | 2x56 | 3x32 | 5ht2b_on | 6.45493 | 22.496 | No | No | Yes | Yes | 7 | 8 |
Here, those paths that begin and end at given residue pair(s) or that pass through a residue are used to generate a novel metapath. Such a path filtering is particularly recommended if some information on allosteric residues is available. The selection syntax for a residue pair ("Pairs") is C:C:c534,A:A:?600 (the lower-case "c" stands for cytosine and "?" indicates any non standard amino acid or nucleotide residue). Selection of more than one apical residue pair has the following syntax: C:C:c534,A:A:?600,C:C:c534,A:A:E41. Only one residue can be selected as a tail ("Tail"). For midway residue(s), each residue must be separated by a comma as well e.g. A:A:?600,A:A:E41.
2D representation of the global metapath, ligand(s) interactions and
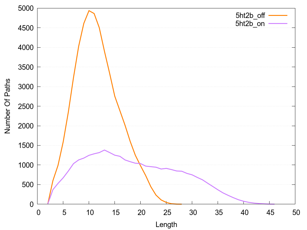
histograms of path distribution according to several parameters
(click on the image to enlarge it 🔍):
2D representation of the interactions of this orthosteric/allosteric ligand. | ||||||||||||||||||||||||||||||||||||||||||||||||||||||||||||||||||||||||||||||||||||||||||||||||||||||||||||||||||||||||||||||||||||||||||||||||||||||||||||||||||||||||||||||||||||||||||||||||||||||||||||||||||||||||||||||||||||||||||||||||||||||||||||||||||||||||||||||||||||||||||||||||||||||||||||||||||||||||||||||||||||||||||||||||||||||||||||||||||||||||||||||||||||||||||||||||||||||||||||||||||||||||||||||||||||||||
| ||||||||||||||||||||||||||||||||||||||||||||||||||||||||||||||||||||||||||||||||||||||||||||||||||||||||||||||||||||||||||||||||||||||||||||||||||||||||||||||||||||||||||||||||||||||||||||||||||||||||||||||||||||||||||||||||||||||||||||||||||||||||||||||||||||||||||||||||||||||||||||||||||||||||||||||||||||||||||||||||||||||||||||||||||||||||||||||||||||||||||||||||||||||||||||||||||||||||||||||||||||||||||||||||||||||||
Location and physicochemical properties of the interaction partners of this ligand | ||||||||||||||||||||||||||||||||||||||||||||||||||||||||||||||||||||||||||||||||||||||||||||||||||||||||||||||||||||||||||||||||||||||||||||||||||||||||||||||||||||||||||||||||||||||||||||||||||||||||||||||||||||||||||||||||||||||||||||||||||||||||||||||||||||||||||||||||||||||||||||||||||||||||||||||||||||||||||||||||||||||||||||||||||||||||||||||||||||||||||||||||||||||||||||||||||||||||||||||||||||||||||||||||||||||||
Interactions of this ligand | ||||||||||||||||||||||||||||||||||||||||||||||||||||||||||||||||||||||||||||||||||||||||||||||||||||||||||||||||||||||||||||||||||||||||||||||||||||||||||||||||||||||||||||||||||||||||||||||||||||||||||||||||||||||||||||||||||||||||||||||||||||||||||||||||||||||||||||||||||||||||||||||||||||||||||||||||||||||||||||||||||||||||||||||||||||||||||||||||||||||||||||||||||||||||||||||||||||||||||||||||||||||||||||||||||||||||
You can download a compressed (zip) file with structure(s), 3D outputs (as PyMol and VMD scripts) and numerical data files (as csv and plain text files).
Download 5ht2b_off_on.zip<You can click to copy the link of this page to easily come back here later
or use this QR code to link and share this page.
You can also read or download a guide explaining the meaning of all files and numerical data.