Index: link id, click on each number to highlight the corresponding link in the 3D visualization.
Node1 Node2: the two nodes of the corresponding link.
Owner: the name of the network the link belong to or "Shared" if the corresponding link is present in both networks.
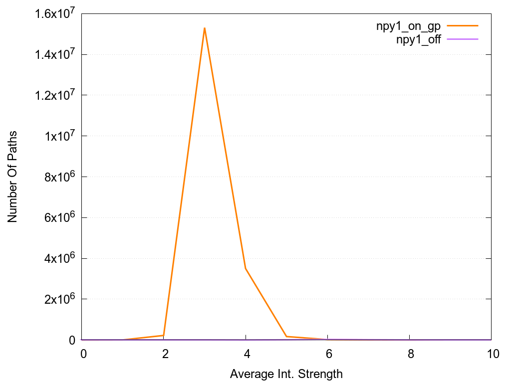
Strength: the interaction strength between the two nodes or 0 if the link is not present.
Hub1?, Hub2?: "Yes" if the corresponding node has more than 3 links, otherwise "No".
ConSurf1, ConSurf2: these columns report the ConSurf conservation grades of the two nodes involved in a link.
| Index | Node1 | Node2 | Owner | npy1_on_gp Int. Strength | npy1_off Int. Strength | npy1_on_gp Hub1? | npy1_off Hub1? | npy1_on_gp Hub2? | npy1_off Hub2? | ConSurf1 | ConSurf2 |
|---|---|---|---|---|---|---|---|---|---|---|---|
| 1 | G.HN.11 | G.HN.30 | npy1_on_gp | 4.5 | 0 | No | No | No | No | 1 | 7 |
| 2 | G.HN.11 | G.HN.33 | npy1_on_gp | 4.07 | 0 | No | No | No | No | 1 | 4 |
| 3 | G.HN.30 | G.HN.33 | npy1_on_gp | 4.42 | 0 | No | No | No | No | 7 | 4 |
| 4 | G.HN.36 | b.b5x2 | npy1_on_gp | 1.56 | 0 | No | No | Yes | No | 5 | 7 |
| 5 | G.HN.37 | G.HN.41 | npy1_on_gp | 1.61 | 0 | No | No | No | No | 3 | 4 |
| 6 | G.HN.37 | b.b5x2 | npy1_on_gp | 1.56 | 0 | No | No | Yes | No | 3 | 7 |
| 7 | G.HN.38 | G.HN.41 | npy1_on_gp | 2.7 | 0 | No | No | No | No | 3 | 4 |
| 8 | G.HN.38 | G.HN.42 | npy1_on_gp | 4.06 | 0 | No | No | No | No | 3 | 4 |
| 9 | G.HN.39 | G.HN.43 | npy1_on_gp | 2.51 | 0 | No | No | Yes | No | 4 | 9 |
| 10 | G.HN.39 | b.b5x5 | npy1_on_gp | 4.51 | 0 | No | No | Yes | No | 4 | 5 |
| 11 | G.HN.40 | G.HN.44 | npy1_on_gp | 1.47 | 0 | No | No | No | No | 7 | 6 |
| 12 | G.HN.40 | b.b5x2 | npy1_on_gp | 4.47 | 0 | No | No | Yes | No | 7 | 7 |
| 13 | G.HN.40 | b.b5x3 | npy1_on_gp | 4.59 | 0 | No | No | Yes | No | 7 | 9 |
| 14 | G.HN.42 | G.HN.45 | npy1_on_gp | 2.88 | 0 | No | No | No | No | 4 | 4 |
| 15 | G.HN.43 | G.HN.47 | npy1_on_gp | 1.43 | 0 | Yes | No | No | No | 9 | 5 |
| 16 | G.HN.43 | b.b5x3 | npy1_on_gp | 4.36 | 0 | Yes | No | Yes | No | 9 | 9 |
| 17 | G.HN.43 | b.b5x6 | npy1_on_gp | 1.62 | 0 | Yes | No | No | No | 9 | 6 |
| 18 | G.HN.44 | b.b5x3 | npy1_on_gp | 8.3 | 0 | No | No | Yes | No | 6 | 9 |
| 19 | G.HN.45 | G.HN.46 | npy1_on_gp | 1.4 | 0 | No | No | No | No | 4 | 4 |
| 20 | G.HN.45 | G.HN.48 | npy1_on_gp | 1.24 | 0 | No | No | No | No | 4 | 4 |
| 21 | G.HN.47 | b.b4x4 | npy1_on_gp | 1.43 | 0 | No | No | Yes | No | 5 | 8 |
| 22 | G.HN.47 | b.b5x6 | npy1_on_gp | 1.58 | 0 | No | No | No | No | 5 | 6 |
| 23 | G.HN.48 | G.HN.52 | npy1_on_gp | 3.49 | 0 | No | No | Yes | No | 4 | 4 |
| 24 | 4x40 | G.HN.48 | npy1_on_gp | 12.79 | 0 | No | No | No | No | 5 | 4 |
| 25 | G.HN.49 | G.HN.53 | npy1_on_gp | 4.05 | 0 | No | No | No | No | 3 | 2 |
| 26 | G.HN.50 | b.b4x2 | npy1_on_gp | 6.91 | 0 | No | No | Yes | No | 5 | 8 |
| 27 | G.HN.51 | G.hns1.01 | npy1_on_gp | 1.95 | 0 | No | No | No | No | 5 | 3 |
| 28 | G.HN.51 | b.l1x4 | npy1_on_gp | 1.71 | 0 | No | No | No | No | 5 | 6 |
| 29 | 4x38 | G.HN.52 | npy1_on_gp | 5.26 | 0 | No | No | Yes | No | 7 | 4 |
| 30 | 4x40 | G.HN.52 | npy1_on_gp | 5.82 | 0 | No | No | Yes | No | 5 | 4 |
| 31 | G.HN.53 | G.hns1.03 | npy1_on_gp | 9.9 | 0 | No | No | No | No | 2 | 4 |
| 32 | G.S1.01 | G.hns1.01 | npy1_on_gp | 3.02 | 0 | No | No | No | No | 6 | 3 |
| 33 | G.S1.01 | G.S1.03 | npy1_on_gp | 5.4 | 0 | No | No | No | No | 6 | 9 |
| 34 | G.S1.01 | G.S3.04 | npy1_on_gp | 10.8 | 0 | No | No | Yes | No | 6 | 7 |
| 35 | G.S1.02 | G.S1.04 | npy1_on_gp | 2.98 | 0 | Yes | No | Yes | No | 5 | 7 |
| 36 | G.S1.02 | G.S3.03 | npy1_on_gp | 10.49 | 0 | Yes | No | Yes | No | 5 | 7 |
| 37 | G.S1.02 | G.h2s4.05 | npy1_on_gp | 4.76 | 0 | Yes | No | No | No | 5 | 7 |
| 38 | G.H5.11 | G.S1.02 | npy1_on_gp | 4.81 | 0 | Yes | No | Yes | No | 8 | 5 |
| 39 | G.S1.03 | G.S3.06 | npy1_on_gp | 4.96 | 0 | No | No | Yes | No | 9 | 6 |
| 40 | G.S1.04 | G.S3.03 | npy1_on_gp | 3.65 | 0 | Yes | No | Yes | No | 7 | 7 |
| 41 | G.S1.04 | G.S4.01 | npy1_on_gp | 1.58 | 0 | Yes | No | No | No | 7 | 8 |
| 42 | G.S1.04 | G.S4.03 | npy1_on_gp | 2.85 | 0 | Yes | No | No | No | 7 | 8 |
| 43 | G.H5.07 | G.S1.04 | npy1_on_gp | 1.49 | 0 | Yes | No | Yes | No | 9 | 7 |
| 44 | G.S1.05 | G.S1.07 | npy1_on_gp | 5.54 | 0 | No | No | Yes | No | 9 | 9 |
| 45 | G.S1.05 | G.h2s4.01 | npy1_on_gp | 6.09 | 0 | No | No | Yes | No | 9 | 9 |
| 46 | G.H1.01 | G.S1.06 | npy1_on_gp | 4.23 | 0 | Yes | No | Yes | No | 9 | 9 |
| 47 | G.H1.05 | G.S1.06 | npy1_on_gp | 1.49 | 0 | No | No | Yes | No | 7 | 9 |
| 48 | G.S1.06 | G.S3.05 | npy1_on_gp | 4.24 | 0 | Yes | No | Yes | No | 9 | 7 |
| 49 | G.S1.06 | G.S3.07 | npy1_on_gp | 4.07 | 0 | Yes | No | Yes | No | 9 | 9 |
| 50 | G.S1.07 | G.S3.08 | npy1_on_gp | 1.49 | 0 | Yes | No | Yes | No | 9 | 9 |
| 51 | G.H3.12 | G.S1.07 | npy1_on_gp | 2.85 | 0 | No | No | Yes | No | 8 | 9 |
| 52 | G.s1h1.01 | G.s1h1.05 | npy1_on_gp | 1.86 | 0 | No | No | No | No | 9 | 9 |
| 53 | G.H1.01 | G.s1h1.01 | npy1_on_gp | 6.97 | 0 | Yes | No | No | No | 9 | 9 |
| 54 | G.H3.05 | G.s1h1.02 | npy1_on_gp | 1.71 | 0 | No | No | No | No | 9 | 7 |
| 55 | G.H3.08 | G.s1h1.02 | npy1_on_gp | 1.58 | 0 | No | No | No | No | 9 | 7 |
| 56 | G.H3.01 | G.s1h1.04 | npy1_on_gp | 2.33 | 0 | Yes | No | No | No | 9 | 9 |
| 57 | G.H1.01 | G.s1h1.05 | npy1_on_gp | 3.06 | 0 | Yes | No | No | No | 9 | 9 |
| 58 | G.S4.05 | G.s1h1.05 | npy1_on_gp | 1.72 | 0 | Yes | No | No | No | 7 | 9 |
| 59 | G.H1.02 | G.s1h1.06 | npy1_on_gp | 1.7 | 0 | No | No | Yes | No | 9 | 9 |
| 60 | G.H1.03 | G.s1h1.06 | npy1_on_gp | 5.46 | 0 | No | No | Yes | No | 9 | 9 |
| 61 | G.S5.07 | G.s1h1.06 | npy1_on_gp | 1.7 | 0 | Yes | No | Yes | No | 9 | 9 |
| 62 | G.s1h1.06 | G.s5hg.01 | npy1_on_gp | 1.74 | 0 | Yes | No | No | No | 9 | 9 |
| 63 | G.H1.01 | G.S3.07 | npy1_on_gp | 8.3 | 0 | Yes | No | Yes | No | 9 | 9 |
| 64 | G.H1.01 | G.s3h2.01 | npy1_on_gp | 1.74 | 0 | Yes | No | No | No | 9 | 9 |
| 65 | G.H1.01 | G.S4.05 | npy1_on_gp | 1.62 | 0 | Yes | No | Yes | No | 9 | 7 |
| 66 | G.H1.02 | G.H1.03 | npy1_on_gp | 5.85 | 0 | No | No | No | No | 9 | 9 |
| 67 | G.H1.03 | G.H1.04 | npy1_on_gp | 3.04 | 0 | No | No | Yes | No | 9 | 7 |
| 68 | G.H1.04 | G.H1.07 | npy1_on_gp | 5.49 | 0 | Yes | No | No | No | 7 | 9 |
| 69 | G.H1.04 | G.H1.08 | npy1_on_gp | 2.92 | 0 | Yes | No | Yes | No | 7 | 9 |
| 70 | G.H1.04 | G.S4.05 | npy1_on_gp | 3.27 | 0 | Yes | No | Yes | No | 7 | 7 |
| 71 | G.H1.04 | G.S5.05 | npy1_on_gp | 6.28 | 0 | Yes | No | Yes | No | 7 | 9 |
| 72 | G.H1.04 | G.S5.07 | npy1_on_gp | 2.83 | 0 | Yes | No | Yes | No | 7 | 9 |
| 73 | G.H1.04 | G.s6h5.01 | npy1_on_gp | 1.52 | 0 | Yes | No | Yes | No | 7 | 9 |
| 74 | G.H1.05 | G.H1.06 | npy1_on_gp | 1.52 | 0 | No | No | No | No | 7 | 9 |
| 75 | G.H1.07 | G.H5.03 | npy1_on_gp | 9.24 | 0 | No | No | Yes | No | 9 | 8 |
| 76 | G.H1.08 | G.S2.06 | npy1_on_gp | 3.73 | 0 | Yes | No | No | No | 9 | 8 |
| 77 | G.H1.08 | G.S3.05 | npy1_on_gp | 2.89 | 0 | Yes | No | Yes | No | 9 | 7 |
| 78 | G.H1.08 | G.H5.07 | npy1_on_gp | 1.52 | 0 | Yes | No | Yes | No | 9 | 9 |
| 79 | G.H1.09 | G.S2.04 | npy1_on_gp | 3 | 0 | No | No | No | No | 8 | 7 |
| 80 | G.hfs2.07 | G.s3h2.03 | npy1_on_gp | 3.29 | 0 | No | No | Yes | No | 8 | 9 |
| 81 | G.hfs2.07 | b.l7x4 | npy1_on_gp | 1.7 | 0 | No | No | No | No | 8 | 9 |
| 82 | G.S2.01 | G.S3.06 | npy1_on_gp | 1.26 | 0 | Yes | No | Yes | No | 8 | 6 |
| 83 | G.S2.01 | G.S3.08 | npy1_on_gp | 3.07 | 0 | Yes | No | Yes | No | 8 | 9 |
| 84 | G.S2.01 | G.s3h2.03 | npy1_on_gp | 5.49 | 0 | Yes | No | Yes | No | 8 | 9 |
| 85 | G.S2.01 | G.h2s4.01 | npy1_on_gp | 1.26 | 0 | Yes | No | Yes | No | 8 | 9 |
| 86 | G.S2.01 | b.l5x5 | npy1_on_gp | 4.7 | 0 | Yes | No | Yes | No | 8 | 9 |
| 87 | G.S2.01 | b.l7x2 | npy1_on_gp | 7.14 | 0 | Yes | No | Yes | No | 8 | 9 |
| 88 | G.S2.02 | G.S3.07 | npy1_on_gp | 1.46 | 0 | No | No | Yes | No | 6 | 9 |
| 89 | G.S2.03 | G.S2.05 | npy1_on_gp | 11.08 | 0 | No | No | No | No | 9 | 3 |
| 90 | G.S2.03 | G.S3.06 | npy1_on_gp | 2.33 | 0 | No | No | Yes | No | 9 | 6 |
| 91 | G.S2.04 | G.S3.05 | npy1_on_gp | 1.51 | 0 | No | No | Yes | No | 7 | 7 |
| 92 | G.S2.05 | G.S3.04 | npy1_on_gp | 9.17 | 0 | No | No | Yes | No | 3 | 7 |
| 93 | G.S2.06 | G.S3.03 | npy1_on_gp | 11.79 | 0 | No | No | Yes | No | 8 | 7 |
| 94 | G.S2.06 | G.S3.05 | npy1_on_gp | 4.98 | 0 | No | No | Yes | No | 8 | 7 |
| 95 | G.S2.07 | G.S3.02 | npy1_on_gp | 6.85 | 0 | No | No | No | No | 3 | 4 |
| 96 | G.S2.08 | G.s2s3.01 | npy1_on_gp | 11.17 | 0 | Yes | No | No | No | 5 | 5 |
| 97 | G.H5.04 | G.S2.08 | npy1_on_gp | 9.18 | 0 | No | No | Yes | No | 8 | 5 |
| 98 | G.H5.05 | G.S2.08 | npy1_on_gp | 5.86 | 0 | No | No | Yes | No | 5 | 5 |
| 99 | G.H5.08 | G.S2.08 | npy1_on_gp | 7.5 | 0 | Yes | No | Yes | No | 8 | 5 |
| 100 | G.H5.08 | G.s2s3.01 | npy1_on_gp | 3.72 | 0 | Yes | No | No | No | 8 | 5 |
| 101 | G.S3.01 | G.S3.03 | npy1_on_gp | 6.09 | 0 | Yes | No | Yes | No | 4 | 7 |
| 102 | G.H5.08 | G.S3.01 | npy1_on_gp | 6.09 | 0 | Yes | No | Yes | No | 8 | 4 |
| 103 | G.H5.11 | G.S3.01 | npy1_on_gp | 1.49 | 0 | Yes | No | Yes | No | 8 | 4 |
| 104 | G.S3.01 | I2.R146 | npy1_on_gp | 2.43 | 0 | Yes | No | No | No | 4 | 6 |
| 105 | G.S3.02 | G.S3.04 | npy1_on_gp | 2.62 | 0 | No | No | Yes | No | 4 | 7 |
| 106 | G.H5.07 | G.S3.03 | npy1_on_gp | 2.62 | 0 | Yes | No | Yes | No | 9 | 7 |
| 107 | G.H5.11 | G.S3.03 | npy1_on_gp | 7.87 | 0 | Yes | No | Yes | No | 8 | 7 |
| 108 | G.S3.04 | G.S3.06 | npy1_on_gp | 2.48 | 0 | Yes | No | Yes | No | 7 | 6 |
| 109 | G.S3.05 | G.S4.03 | npy1_on_gp | 1.46 | 0 | Yes | No | No | No | 7 | 8 |
| 110 | G.S3.06 | b.l5x5 | npy1_on_gp | 4.01 | 0 | Yes | No | Yes | No | 6 | 9 |
| 111 | G.S3.07 | G.s3h2.01 | npy1_on_gp | 1.68 | 0 | Yes | No | No | No | 9 | 9 |
| 112 | G.S3.08 | G.s3h2.03 | npy1_on_gp | 7.16 | 0 | Yes | No | Yes | No | 9 | 9 |
| 113 | G.H2.07 | G.S3.08 | npy1_on_gp | 9.81 | 0 | Yes | No | Yes | No | 9 | 9 |
| 114 | G.H2.07 | G.s3h2.03 | npy1_on_gp | 8.76 | 0 | Yes | No | Yes | No | 9 | 9 |
| 115 | G.s3h2.03 | b.l7x2 | npy1_on_gp | 3.99 | 0 | Yes | No | Yes | No | 9 | 9 |
| 116 | G.H2.02 | G.H2.07 | npy1_on_gp | 3.71 | 0 | Yes | No | Yes | No | 8 | 9 |
| 117 | G.H2.02 | b.l9x6 | npy1_on_gp | 3.82 | 0 | Yes | No | Yes | No | 8 | 8 |
| 118 | G.H2.02 | b.l11x2 | npy1_on_gp | 1.47 | 0 | Yes | No | Yes | No | 8 | 9 |
| 119 | G.H2.02 | b.l13x6 | npy1_on_gp | 4.42 | 0 | Yes | No | Yes | No | 8 | 9 |
| 120 | G.H2.03 | G.H2.06 | npy1_on_gp | 2.7 | 0 | Yes | No | Yes | No | 9 | 9 |
| 121 | G.H2.03 | b.l13x6 | npy1_on_gp | 5.2 | 0 | Yes | No | Yes | No | 9 | 9 |
| 122 | G.H2.03 | b.l15x1 | npy1_on_gp | 9.12 | 0 | Yes | No | Yes | No | 9 | 7 |
| 123 | G.H2.03 | b.l17x6 | npy1_on_gp | 1.3 | 0 | Yes | No | No | No | 9 | 9 |
| 124 | G.H2.04 | G.H2.07 | npy1_on_gp | 7 | 0 | No | No | Yes | No | 9 | 9 |
| 125 | G.H2.04 | G.H2.08 | npy1_on_gp | 3.76 | 0 | No | No | No | No | 9 | 8 |
| 126 | G.H2.06 | b.l9x6 | npy1_on_gp | 2.39 | 0 | Yes | No | Yes | No | 9 | 8 |
| 127 | G.H2.06 | b.b14x1 | npy1_on_gp | 8.64 | 0 | Yes | No | Yes | No | 9 | 8 |
| 128 | G.H2.06 | b.l15x1 | npy1_on_gp | 3.23 | 0 | Yes | No | Yes | No | 9 | 7 |
| 129 | G.H2.06 | b.l17x6 | npy1_on_gp | 8.3 | 0 | Yes | No | No | No | 9 | 9 |
| 130 | G.H2.06 | b.b18x1 | npy1_on_gp | 2.8 | 0 | Yes | No | No | No | 9 | 9 |
| 131 | G.H2.07 | G.h2s4.01 | npy1_on_gp | 2 | 0 | Yes | No | Yes | No | 9 | 9 |
| 132 | G.H2.08 | G.H3.17 | npy1_on_gp | 2.35 | 0 | No | No | Yes | No | 8 | 5 |
| 133 | G.H2.08 | G.H3.18 | npy1_on_gp | 2.51 | 0 | No | No | Yes | No | 8 | 9 |
| 134 | G.H2.09 | G.H2.10 | npy1_on_gp | 2.95 | 0 | No | No | Yes | No | 8 | 7 |
| 135 | G.H2.09 | G.H3.17 | npy1_on_gp | 6.35 | 0 | No | No | Yes | No | 8 | 5 |
| 136 | G.H2.09 | b.b2x1 | npy1_on_gp | 3.27 | 0 | No | No | Yes | No | 8 | 8 |
| 137 | G.H2.10 | b.b2x1 | npy1_on_gp | 2.69 | 0 | Yes | No | Yes | No | 7 | 8 |
| 138 | G.H2.10 | b.l3x1 | npy1_on_gp | 3.05 | 0 | Yes | No | Yes | No | 7 | 9 |
| 139 | G.H2.10 | b.l5x5 | npy1_on_gp | 2.61 | 0 | Yes | No | Yes | No | 7 | 9 |
| 140 | G.H2.10 | b.l7x2 | npy1_on_gp | 1.59 | 0 | Yes | No | Yes | No | 7 | 9 |
| 141 | G.h2s4.01 | G.h2s4.04 | npy1_on_gp | 1.31 | 0 | Yes | No | No | No | 9 | 9 |
| 142 | G.h2s4.01 | b.l5x5 | npy1_on_gp | 4.01 | 0 | Yes | No | Yes | No | 9 | 9 |
| 143 | G.H3.17 | G.h2s4.02 | npy1_on_gp | 4.36 | 0 | Yes | No | No | No | 5 | 7 |
| 144 | G.h2s4.02 | b.l1x6 | npy1_on_gp | 1.35 | 0 | No | No | Yes | No | 7 | 9 |
| 145 | G.H3.18 | G.h2s4.04 | npy1_on_gp | 1.31 | 0 | Yes | No | No | No | 9 | 9 |
| 146 | G.H5.14 | G.h2s4.05 | npy1_on_gp | 3.17 | 0 | No | No | No | No | 6 | 7 |
| 147 | G.S4.01 | G.S5.03 | npy1_on_gp | 1.62 | 0 | No | No | Yes | No | 8 | 8 |
| 148 | G.H3.18 | G.S4.02 | npy1_on_gp | 7.54 | 0 | Yes | No | No | No | 9 | 7 |
| 149 | G.S4.02 | G.h3s5.03 | npy1_on_gp | 3.04 | 0 | No | No | No | No | 7 | 8 |
| 150 | G.S4.03 | G.S4.05 | npy1_on_gp | 1.64 | 0 | No | No | Yes | No | 8 | 7 |
| 151 | G.S4.04 | G.S4.06 | npy1_on_gp | 2.62 | 0 | Yes | No | Yes | No | 9 | 7 |
| 152 | G.H3.08 | G.S4.04 | npy1_on_gp | 2.44 | 0 | No | No | Yes | No | 9 | 9 |
| 153 | G.H3.09 | G.S4.04 | npy1_on_gp | 9.65 | 0 | Yes | No | Yes | No | 9 | 9 |
| 154 | G.S4.04 | G.S5.04 | npy1_on_gp | 3.65 | 0 | Yes | No | Yes | No | 9 | 9 |
| 155 | G.S4.05 | G.S5.05 | npy1_on_gp | 1.4 | 0 | Yes | No | Yes | No | 7 | 9 |
| 156 | G.S4.05 | G.S5.07 | npy1_on_gp | 3.15 | 0 | Yes | No | Yes | No | 7 | 9 |
| 157 | G.H3.05 | G.S4.06 | npy1_on_gp | 4.85 | 0 | No | No | Yes | No | 9 | 7 |
| 158 | G.S4.06 | G.S5.04 | npy1_on_gp | 1.49 | 0 | Yes | No | Yes | No | 7 | 9 |
| 159 | G.H4.15 | G.S4.06 | npy1_on_gp | 7.87 | 0 | No | No | Yes | No | 8 | 7 |
| 160 | G.S4.07 | G.s5hg.01 | npy1_on_gp | 1.61 | 0 | No | No | No | No | 8 | 9 |
| 161 | G.S5.06 | G.s4h3.01 | npy1_on_gp | 9.69 | 0 | Yes | No | Yes | No | 9 | 6 |
| 162 | G.HG.04 | G.s4h3.01 | npy1_on_gp | 3.65 | 0 | Yes | No | Yes | No | 8 | 6 |
| 163 | G.H4.11 | G.s4h3.01 | npy1_on_gp | 2.85 | 0 | Yes | No | Yes | No | 7 | 6 |
| 164 | G.S6.05 | G.s4h3.01 | npy1_on_gp | 2.44 | 0 | Yes | No | Yes | No | 5 | 6 |
| 165 | G.s4h3.02 | G.s5hg.01 | npy1_on_gp | 7.65 | 0 | No | No | No | No | 9 | 9 |
| 166 | G.HG.03 | G.s4h3.02 | npy1_on_gp | 3 | 0 | No | No | No | No | 6 | 9 |
| 167 | G.H3.01 | G.s4h3.03 | npy1_on_gp | 2.77 | 0 | Yes | No | No | No | 9 | 8 |
| 168 | G.s4h3.04 | G.s4h3.05 | npy1_on_gp | 2.3 | 0 | Yes | No | No | No | 8 | 9 |
| 169 | G.HG.04 | G.s4h3.04 | npy1_on_gp | 5.16 | 0 | Yes | No | Yes | No | 8 | 8 |
| 170 | G.HG.07 | G.s4h3.04 | npy1_on_gp | 4.78 | 0 | Yes | No | Yes | No | 9 | 8 |
| 171 | G.HG.13 | G.s4h3.04 | npy1_on_gp | 8.9 | 0 | Yes | No | Yes | No | 6 | 8 |
| 172 | G.hgh4.01 | G.s4h3.04 | npy1_on_gp | 2.69 | 0 | Yes | No | Yes | No | 5 | 8 |
| 173 | G.HG.07 | G.s4h3.05 | npy1_on_gp | 6.91 | 0 | Yes | No | No | No | 9 | 9 |
| 174 | G.HG.13 | G.s4h3.05 | npy1_on_gp | 5.89 | 0 | Yes | No | No | No | 6 | 9 |
| 175 | G.HG.07 | G.s4h3.06 | npy1_on_gp | 1.41 | 0 | Yes | No | No | No | 9 | 8 |
| 176 | G.s4h3.08 | G.s4h3.10 | npy1_on_gp | 2.65 | 0 | No | No | No | No | 8 | 9 |
| 177 | G.s4h3.08 | G.s4h3.14 | npy1_on_gp | 1.41 | 0 | No | No | No | No | 8 | 6 |
| 178 | G.H3.01 | G.s4h3.08 | npy1_on_gp | 9.72 | 0 | Yes | No | No | No | 9 | 8 |
| 179 | G.s4h3.10 | G.s4h3.11 | npy1_on_gp | 2.6 | 0 | No | No | Yes | No | 9 | 9 |
| 180 | G.s4h3.10 | G.s4h3.14 | npy1_on_gp | 2.71 | 0 | No | No | No | No | 9 | 6 |
| 181 | G.s4h3.11 | G.s4h3.12 | npy1_on_gp | 5.2 | 0 | Yes | No | No | No | 9 | 4 |
| 182 | G.s4h3.11 | G.s4h3.13 | npy1_on_gp | 7.8 | 0 | Yes | No | No | No | 9 | 4 |
| 183 | G.s4h3.11 | G.s4h3.14 | npy1_on_gp | 6.93 | 0 | Yes | No | No | No | 9 | 6 |
| 184 | G.s4h3.12 | G.s4h3.13 | npy1_on_gp | 7.61 | 0 | No | No | No | No | 4 | 4 |
| 185 | G.H3.03 | G.s4h3.15 | npy1_on_gp | 8.93 | 0 | No | No | Yes | No | 4 | 9 |
| 186 | G.HG.17 | G.s4h3.15 | npy1_on_gp | 2.83 | 0 | No | No | Yes | No | 3 | 9 |
| 187 | G.hgh4.01 | G.s4h3.15 | npy1_on_gp | 3.15 | 0 | Yes | No | Yes | No | 5 | 9 |
| 188 | G.H3.02 | G.H3.06 | npy1_on_gp | 1.44 | 0 | Yes | No | Yes | No | 8 | 6 |
| 189 | G.H3.02 | G.hgh4.01 | npy1_on_gp | 4.86 | 0 | Yes | No | Yes | No | 8 | 5 |
| 190 | G.H3.02 | G.hgh4.02 | npy1_on_gp | 1.24 | 0 | Yes | No | Yes | No | 8 | 8 |
| 191 | G.H3.02 | G.H4.11 | npy1_on_gp | 1.46 | 0 | Yes | No | Yes | No | 8 | 7 |
| 192 | G.H3.03 | G.H3.06 | npy1_on_gp | 3.94 | 0 | No | No | Yes | No | 4 | 6 |
| 193 | G.H3.06 | G.hgh4.02 | npy1_on_gp | 4.98 | 0 | Yes | No | Yes | No | 6 | 8 |
| 194 | G.H3.06 | G.H4.14 | npy1_on_gp | 1.44 | 0 | Yes | No | No | No | 6 | 6 |
| 195 | G.H3.06 | G.H4.15 | npy1_on_gp | 3.73 | 0 | Yes | No | No | No | 6 | 8 |
| 196 | G.H3.06 | G.h4s6.01 | npy1_on_gp | 1.41 | 0 | Yes | No | No | No | 6 | 5 |
| 197 | G.H3.09 | G.H3.13 | npy1_on_gp | 1.4 | 0 | Yes | No | Yes | No | 9 | 6 |
| 198 | G.H3.09 | G.S5.02 | npy1_on_gp | 2.51 | 0 | Yes | No | No | No | 9 | 6 |
| 199 | G.H3.09 | G.h4s6.01 | npy1_on_gp | 3.65 | 0 | Yes | No | No | No | 9 | 5 |
| 200 | G.H3.10 | G.H3.14 | npy1_on_gp | 9.42 | 0 | No | No | No | No | 4 | 8 |
| 201 | G.H3.10 | G.h4s6.01 | npy1_on_gp | 2.71 | 0 | No | No | No | No | 4 | 5 |
| 202 | G.H3.12 | G.H3.15 | npy1_on_gp | 4.25 | 0 | No | No | No | No | 8 | 8 |
| 203 | G.H3.12 | G.H3.18 | npy1_on_gp | 2.51 | 0 | No | No | Yes | No | 8 | 9 |
| 204 | G.H3.13 | G.H3.14 | npy1_on_gp | 3.15 | 0 | Yes | No | No | No | 6 | 8 |
| 205 | G.H3.13 | G.S5.02 | npy1_on_gp | 3.27 | 0 | Yes | No | No | No | 6 | 6 |
| 206 | G.H3.13 | G.h4s6.02 | npy1_on_gp | 3.15 | 0 | Yes | No | Yes | No | 6 | 7 |
| 207 | G.H3.13 | G.h4s6.11 | npy1_on_gp | 3.23 | 0 | Yes | No | Yes | No | 6 | 7 |
| 208 | G.H3.14 | G.h4s6.03 | npy1_on_gp | 6.99 | 0 | No | No | No | No | 8 | 4 |
| 209 | G.H3.15 | G.H3.18 | npy1_on_gp | 10.87 | 0 | No | No | Yes | No | 8 | 9 |
| 210 | G.H3.16 | G.H3.17 | npy1_on_gp | 9.28 | 0 | No | No | Yes | No | 5 | 5 |
| 211 | G.H3.17 | b.l25x6 | npy1_on_gp | 2 | 0 | Yes | No | Yes | No | 5 | 8 |
| 212 | G.H3.18 | G.h3s5.03 | npy1_on_gp | 7.78 | 0 | Yes | No | No | No | 9 | 8 |
| 213 | G.h3s5.01 | G.h4s6.04 | npy1_on_gp | 3.88 | 0 | No | No | No | No | 3 | 5 |
| 214 | G.h3s5.02 | G.h4s6.10 | npy1_on_gp | 1.45 | 0 | No | No | No | No | 4 | 3 |
| 215 | G.H5.17 | G.h3s5.02 | npy1_on_gp | 4.15 | 0 | No | No | No | No | 5 | 4 |
| 216 | G.H5.21 | G.h3s5.02 | npy1_on_gp | 4.15 | 0 | No | No | No | No | 4 | 4 |
| 217 | G.S5.01 | G.h4s6.12 | npy1_on_gp | 5.75 | 0 | No | No | No | No | 8 | 4 |
| 218 | G.H5.14 | G.S5.01 | npy1_on_gp | 6.46 | 0 | No | No | No | No | 6 | 8 |
| 219 | G.S5.02 | G.h4s6.11 | npy1_on_gp | 2.91 | 0 | No | No | Yes | No | 6 | 7 |
| 220 | G.S5.03 | G.S5.05 | npy1_on_gp | 2.51 | 0 | Yes | No | Yes | No | 8 | 9 |
| 221 | G.H5.06 | G.S5.03 | npy1_on_gp | 2.51 | 0 | No | No | Yes | No | 3 | 8 |
| 222 | G.H5.07 | G.S5.03 | npy1_on_gp | 1.54 | 0 | Yes | No | Yes | No | 9 | 8 |
| 223 | G.H5.10 | G.S5.03 | npy1_on_gp | 3.25 | 0 | No | No | Yes | No | 7 | 8 |
| 224 | G.S5.04 | G.S5.06 | npy1_on_gp | 4.15 | 0 | Yes | No | Yes | No | 9 | 9 |
| 225 | G.S5.04 | G.S6.01 | npy1_on_gp | 1.43 | 0 | Yes | No | No | No | 9 | 6 |
| 226 | G.S5.04 | G.S6.03 | npy1_on_gp | 10.32 | 0 | Yes | No | Yes | No | 9 | 5 |
| 227 | G.S5.05 | G.S6.04 | npy1_on_gp | 2.26 | 0 | Yes | No | Yes | No | 9 | 9 |
| 228 | G.S5.05 | G.s6h5.01 | npy1_on_gp | 1.3 | 0 | Yes | No | Yes | No | 9 | 9 |
| 229 | G.H5.07 | G.S5.05 | npy1_on_gp | 1.31 | 0 | Yes | No | Yes | No | 9 | 9 |
| 230 | G.H4.11 | G.S5.06 | npy1_on_gp | 1.43 | 0 | Yes | No | Yes | No | 7 | 9 |
| 231 | G.H4.12 | G.S5.06 | npy1_on_gp | 1.33 | 0 | Yes | No | Yes | No | 5 | 9 |
| 232 | G.S5.06 | G.S6.03 | npy1_on_gp | 1.47 | 0 | Yes | No | Yes | No | 9 | 5 |
| 233 | G.S5.06 | G.S6.05 | npy1_on_gp | 6.09 | 0 | Yes | No | Yes | No | 9 | 5 |
| 234 | G.S5.07 | G.s6h5.01 | npy1_on_gp | 5.85 | 0 | Yes | No | Yes | No | 9 | 9 |
| 235 | G.HG.01 | G.HG.05 | npy1_on_gp | 4.05 | 0 | No | No | No | No | 6 | 4 |
| 236 | G.H4.03 | G.HG.01 | npy1_on_gp | 3.58 | 0 | Yes | No | No | No | 4 | 6 |
| 237 | G.HG.02 | G.HG.03 | npy1_on_gp | 6.79 | 0 | No | No | No | No | 9 | 6 |
| 238 | G.HG.02 | G.HG.05 | npy1_on_gp | 1.3 | 0 | No | No | No | No | 9 | 4 |
| 239 | G.HG.02 | G.HG.06 | npy1_on_gp | 1.3 | 0 | No | No | No | No | 9 | 5 |
| 240 | G.HG.03 | G.HG.06 | npy1_on_gp | 3.98 | 0 | No | No | No | No | 6 | 5 |
| 241 | G.HG.04 | G.HG.08 | npy1_on_gp | 3.77 | 0 | Yes | No | No | No | 8 | 6 |
| 242 | G.H4.03 | G.HG.04 | npy1_on_gp | 4.13 | 0 | Yes | No | Yes | No | 4 | 8 |
| 243 | G.H4.06 | G.HG.04 | npy1_on_gp | 2.77 | 0 | No | No | Yes | No | 7 | 8 |
| 244 | G.H4.03 | G.HG.05 | npy1_on_gp | 11.22 | 0 | Yes | No | No | No | 4 | 4 |
| 245 | G.HG.07 | G.HG.13 | npy1_on_gp | 4.59 | 0 | Yes | No | Yes | No | 9 | 6 |
| 246 | G.HG.08 | G.HG.09 | npy1_on_gp | 1.52 | 0 | No | No | No | No | 6 | 3 |
| 247 | G.H4.06 | G.HG.08 | npy1_on_gp | 1.62 | 0 | No | No | No | No | 7 | 6 |
| 248 | G.HG.09 | G.HG.12 | npy1_on_gp | 1.37 | 0 | No | No | No | No | 3 | 3 |
| 249 | G.HG.13 | G.HG.14 | npy1_on_gp | 3.56 | 0 | Yes | No | No | No | 6 | 5 |
| 250 | G.HG.13 | G.HG.16 | npy1_on_gp | 1.6 | 0 | Yes | No | No | No | 6 | 4 |
| 251 | G.HG.14 | G.HG.16 | npy1_on_gp | 5.25 | 0 | No | No | No | No | 5 | 4 |
| 252 | G.HG.15 | G.hgh4.05 | npy1_on_gp | 4.69 | 0 | No | No | Yes | No | 7 | 6 |
| 253 | G.HG.16 | G.HG.17 | npy1_on_gp | 4.56 | 0 | No | No | No | No | 4 | 3 |
| 254 | G.hgh4.01 | G.hgh4.02 | npy1_on_gp | 8.38 | 0 | Yes | No | Yes | No | 5 | 8 |
| 255 | G.hgh4.02 | G.hgh4.03 | npy1_on_gp | 1.44 | 0 | Yes | No | No | No | 8 | 6 |
| 256 | G.H4.10 | G.hgh4.02 | npy1_on_gp | 4.13 | 0 | Yes | No | Yes | No | 6 | 8 |
| 257 | G.H4.11 | G.hgh4.02 | npy1_on_gp | 2.51 | 0 | Yes | No | Yes | No | 7 | 8 |
| 258 | G.H4.14 | G.hgh4.02 | npy1_on_gp | 9.93 | 0 | No | No | Yes | No | 6 | 8 |
| 259 | G.hgh4.05 | G.hgh4.07 | npy1_on_gp | 4.35 | 0 | Yes | No | No | No | 6 | 7 |
| 260 | G.H4.05 | G.hgh4.05 | npy1_on_gp | 5.61 | 0 | Yes | No | Yes | No | 5 | 6 |
| 261 | G.H4.10 | G.hgh4.05 | npy1_on_gp | 8.94 | 0 | Yes | No | Yes | No | 6 | 6 |
| 262 | G.H4.05 | G.hgh4.07 | npy1_on_gp | 1.64 | 0 | Yes | No | No | No | 5 | 7 |
| 263 | G.H4.02 | G.hgh4.08 | npy1_on_gp | 3.21 | 0 | No | No | No | No | 5 | 3 |
| 264 | G.H4.05 | G.hgh4.08 | npy1_on_gp | 4.53 | 0 | Yes | No | No | No | 5 | 3 |
| 265 | G.H4.02 | G.H4.05 | npy1_on_gp | 12.15 | 0 | No | No | Yes | No | 5 | 5 |
| 266 | G.H4.03 | G.H4.07 | npy1_on_gp | 4 | 0 | Yes | No | No | No | 4 | 5 |
| 267 | G.H4.03 | G.S6.05 | npy1_on_gp | 2.06 | 0 | Yes | No | Yes | No | 4 | 5 |
| 268 | G.H4.04 | G.H4.08 | npy1_on_gp | 1.47 | 0 | No | No | No | No | 4 | 3 |
| 269 | G.H4.07 | G.S6.05 | npy1_on_gp | 2.77 | 0 | No | No | Yes | No | 5 | 5 |
| 270 | G.H4.10 | G.H4.13 | npy1_on_gp | 2.54 | 0 | Yes | No | No | No | 6 | 3 |
| 271 | G.H4.10 | G.H4.14 | npy1_on_gp | 7.17 | 0 | Yes | No | No | No | 6 | 6 |
| 272 | G.H4.11 | G.H4.15 | npy1_on_gp | 2.51 | 0 | Yes | No | No | No | 7 | 8 |
| 273 | G.H4.12 | G.H4.16 | npy1_on_gp | 1.27 | 0 | Yes | No | No | No | 5 | 4 |
| 274 | G.H4.12 | G.S6.03 | npy1_on_gp | 11.34 | 0 | Yes | No | Yes | No | 5 | 5 |
| 275 | G.H4.12 | G.S6.05 | npy1_on_gp | 2.34 | 0 | Yes | No | Yes | No | 5 | 5 |
| 276 | G.H4.13 | G.H4.17 | npy1_on_gp | 1.47 | 0 | No | No | No | No | 3 | 4 |
| 277 | G.H4.16 | G.S6.03 | npy1_on_gp | 4.23 | 0 | No | No | Yes | No | 4 | 5 |
| 278 | G.h4s6.02 | G.h4s6.08 | npy1_on_gp | 2.8 | 0 | Yes | No | No | No | 7 | 4 |
| 279 | G.h4s6.02 | G.h4s6.11 | npy1_on_gp | 5.6 | 0 | Yes | No | Yes | No | 7 | 7 |
| 280 | G.S6.01 | G.h4s6.02 | npy1_on_gp | 5.66 | 0 | No | No | Yes | No | 6 | 7 |
| 281 | G.h4s6.03 | G.h4s6.04 | npy1_on_gp | 1.24 | 0 | No | No | No | No | 4 | 5 |
| 282 | G.h4s6.04 | G.h4s6.11 | npy1_on_gp | 1.24 | 0 | No | No | Yes | No | 5 | 7 |
| 283 | G.h4s6.09 | G.h4s6.10 | npy1_on_gp | 1.45 | 0 | No | No | No | No | 1 | 3 |
| 284 | 6x25 | G.h4s6.09 | npy1_on_gp | 11.49 | 0 | No | No | No | No | 3 | 1 |
| 285 | G.S6.02 | G.h4s6.12 | npy1_on_gp | 12.35 | 0 | Yes | No | No | No | 8 | 4 |
| 286 | G.S6.01 | G.S6.03 | npy1_on_gp | 1.52 | 0 | No | No | Yes | No | 6 | 5 |
| 287 | G.H5.06 | G.S6.02 | npy1_on_gp | 2.06 | 0 | No | No | Yes | No | 3 | 8 |
| 288 | G.H5.10 | G.S6.02 | npy1_on_gp | 2.67 | 0 | No | No | Yes | No | 7 | 8 |
| 289 | G.H5.13 | G.S6.02 | npy1_on_gp | 4.6 | 0 | No | No | Yes | No | 7 | 8 |
| 290 | G.S6.02 | I3.K247 | npy1_on_gp | 2.39 | 0 | Yes | No | No | No | 8 | 3 |
| 291 | G.S6.04 | G.s6h5.02 | npy1_on_gp | 2.95 | 0 | Yes | No | Yes | No | 9 | 7 |
| 292 | G.H5.03 | G.S6.04 | npy1_on_gp | 2.55 | 0 | Yes | No | Yes | No | 8 | 9 |
| 293 | G.H5.06 | G.S6.04 | npy1_on_gp | 18.1 | 0 | No | No | Yes | No | 3 | 9 |
| 294 | G.H5.03 | G.s6h5.01 | npy1_on_gp | 4.39 | 0 | Yes | No | Yes | No | 8 | 9 |
| 295 | G.s6h5.02 | G.s6h5.04 | npy1_on_gp | 1.69 | 0 | Yes | No | No | No | 7 | 8 |
| 296 | G.H5.02 | G.s6h5.02 | npy1_on_gp | 4.85 | 0 | No | No | Yes | No | 4 | 7 |
| 297 | G.H5.03 | G.s6h5.02 | npy1_on_gp | 1.57 | 0 | Yes | No | Yes | No | 8 | 7 |
| 298 | G.H5.02 | G.s6h5.04 | npy1_on_gp | 10.51 | 0 | No | No | No | No | 4 | 8 |
| 299 | G.H5.01 | G.s6h5.05 | npy1_on_gp | 7.23 | 0 | No | No | No | No | 9 | 9 |
| 300 | G.H5.01 | G.H5.02 | npy1_on_gp | 3 | 0 | No | No | No | No | 9 | 4 |
| 301 | G.H5.05 | G.H5.09 | npy1_on_gp | 1.31 | 0 | No | No | No | No | 5 | 4 |
| 302 | G.H5.07 | G.H5.11 | npy1_on_gp | 1.6 | 0 | Yes | No | Yes | No | 9 | 8 |
| 303 | G.H5.08 | G.H5.09 | npy1_on_gp | 2.39 | 0 | Yes | No | No | No | 8 | 4 |
| 304 | G.H5.08 | I2.R146 | npy1_on_gp | 9.62 | 0 | Yes | No | No | No | 8 | 6 |
| 305 | G.H5.11 | G.H5.15 | npy1_on_gp | 3.07 | 0 | Yes | No | No | No | 8 | 8 |
| 306 | G.H5.12 | I2.P145 | npy1_on_gp | 3.5 | 0 | No | No | Yes | No | 6 | 8 |
| 307 | G.H5.12 | I2.R146 | npy1_on_gp | 5.17 | 0 | No | No | No | No | 6 | 6 |
| 308 | 5x73 | G.H5.13 | npy1_on_gp | 5.32 | 0 | No | No | No | No | 4 | 7 |
| 309 | G.H5.14 | G.H5.18 | npy1_on_gp | 1.48 | 0 | No | No | No | No | 6 | 4 |
| 310 | G.H5.15 | I2.P145 | npy1_on_gp | 1.69 | 0 | No | No | Yes | No | 8 | 8 |
| 311 | G.H5.16 | I2.P145 | npy1_on_gp | 5.08 | 0 | No | No | Yes | No | 6 | 8 |
| 312 | 5x64 | G.H5.16 | npy1_on_gp | 6.26 | 0 | Yes | No | No | No | 5 | 6 |
| 313 | G.H5.17 | G.H5.21 | npy1_on_gp | 5.75 | 0 | No | No | No | No | 5 | 4 |
| 314 | G.H5.19 | G.H5.22 | npy1_on_gp | 8.08 | 0 | No | No | No | No | 7 | 4 |
| 315 | 3x53 | G.H5.19 | npy1_on_gp | 4.12 | 0 | Yes | No | No | No | 8 | 7 |
| 316 | 3x54 | G.H5.19 | npy1_on_gp | 1.42 | 0 | Yes | No | No | No | 8 | 7 |
| 317 | G.H5.20 | G.H5.25 | npy1_on_gp | 2.77 | 0 | No | No | Yes | No | 8 | 7 |
| 318 | 3x54 | G.H5.20 | npy1_on_gp | 4.28 | 0 | Yes | No | No | No | 8 | 8 |
| 319 | 5x65 | G.H5.20 | npy1_on_gp | 1.38 | 0 | Yes | No | No | No | 8 | 8 |
| 320 | G.H5.22 | G.H5.23 | npy1_on_gp | 3.11 | 0 | No | No | Yes | No | 4 | 4 |
| 321 | 3x53 | G.H5.22 | npy1_on_gp | 1.36 | 0 | Yes | No | No | No | 8 | 4 |
| 322 | 3x50 | G.H5.23 | npy1_on_gp | 2.79 | 0 | Yes | Yes | Yes | No | 9 | 4 |
| 323 | 3x53 | G.H5.23 | npy1_on_gp | 4.76 | 0 | Yes | No | Yes | No | 8 | 4 |
| 324 | 3x54 | G.H5.23 | npy1_on_gp | 1.64 | 0 | Yes | No | Yes | No | 8 | 4 |
| 325 | 8x47 | G.H5.24 | npy1_on_gp | 3.39 | 0 | Yes | No | No | No | 8 | 8 |
| 326 | 3x50 | G.H5.25 | npy1_on_gp | 3.64 | 0 | Yes | Yes | Yes | No | 9 | 7 |
| 327 | 6x33 | G.H5.25 | npy1_on_gp | 2.85 | 0 | No | No | Yes | No | 7 | 7 |
| 328 | 6x36 | G.H5.25 | npy1_on_gp | 1.41 | 0 | No | Yes | Yes | No | 8 | 7 |
| 329 | 6x29 | G.H5.26 | npy1_on_gp | 12.83 | 0 | No | No | No | No | 6 | 7 |
| 330 | 6x32 | G.H5.26 | npy1_on_gp | 2.14 | 0 | Yes | No | No | No | 7 | 7 |
| 331 | 8x48 | G.H5.26 | npy1_on_gp | 2.48 | 0 | Yes | No | No | No | 5 | 7 |
| 332 | b.ntx3 | g.h1x1 | npy1_on_gp | 2.73 | 0 | No | No | Yes | No | 5 | 2 |
| 333 | b.1x1 | b.1x2 | npy1_on_gp | 2.71 | 0 | No | No | No | No | 4 | 1 |
| 334 | b.1x1 | b.1x5 | npy1_on_gp | 6.07 | 0 | No | No | No | No | 4 | 3 |
| 335 | b.1x1 | g.ntx8 | npy1_on_gp | 1.5 | 0 | No | No | No | No | 4 | 4 |
| 336 | b.1x4 | g.h1x1 | npy1_on_gp | 1.43 | 0 | No | No | Yes | No | 8 | 2 |
| 337 | b.1x4 | g.h1x4 | npy1_on_gp | 3.15 | 0 | No | No | No | No | 8 | 5 |
| 338 | b.1x4 | g.h1x8 | npy1_on_gp | 1.49 | 0 | No | No | No | No | 8 | 7 |
| 339 | b.1x5 | g.h1x4 | npy1_on_gp | 1.38 | 0 | No | No | No | No | 3 | 5 |
| 340 | b.1x6 | b.1x7 | npy1_on_gp | 3.82 | 0 | No | No | No | No | 3 | 8 |
| 341 | b.1x10 | b.1x7 | npy1_on_gp | 5.1 | 0 | No | No | No | No | 1 | 8 |
| 342 | b.1x11 | b.1x7 | npy1_on_gp | 1.33 | 0 | Yes | No | No | No | 8 | 8 |
| 343 | b.1x8 | g.h1x8 | npy1_on_gp | 1.7 | 0 | No | No | No | No | 5 | 7 |
| 344 | b.1x13 | b.1x9 | npy1_on_gp | 11.83 | 0 | No | No | No | No | 1 | 4 |
| 345 | b.1x10 | b.1x11 | npy1_on_gp | 1.33 | 0 | No | No | Yes | No | 1 | 8 |
| 346 | b.1x10 | b.1x14 | npy1_on_gp | 1.28 | 0 | No | No | No | No | 1 | 4 |
| 347 | b.1x11 | b.1x14 | npy1_on_gp | 1.33 | 0 | Yes | No | No | No | 8 | 4 |
| 348 | b.1x11 | g.h1x11 | npy1_on_gp | 4.15 | 0 | Yes | No | Yes | No | 8 | 9 |
| 349 | b.1x11 | g.h1x12 | npy1_on_gp | 2.82 | 0 | Yes | No | No | No | 8 | 6 |
| 350 | b.1x11 | g.h1x15 | npy1_on_gp | 1.58 | 0 | Yes | No | No | No | 8 | 8 |
| 351 | b.1x12 | g.h1x11 | npy1_on_gp | 2.82 | 0 | No | No | Yes | No | 6 | 9 |
| 352 | b.1x15 | b.1x19 | npy1_on_gp | 2.51 | 0 | No | No | Yes | No | 7 | 6 |
| 353 | b.1x15 | g.h1x15 | npy1_on_gp | 1.62 | 0 | No | No | No | No | 7 | 8 |
| 354 | b.1x15 | g.l1x4 | npy1_on_gp | 1.25 | 0 | No | No | Yes | No | 7 | 8 |
| 355 | b.1x16 | b.1x17 | npy1_on_gp | 8.34 | 0 | No | No | No | No | 4 | 2 |
| 356 | b.1x16 | b.1x20 | npy1_on_gp | 1.24 | 0 | No | No | No | No | 4 | 2 |
| 357 | b.1x18 | g.l1x4 | npy1_on_gp | 2.77 | 0 | No | No | Yes | No | 4 | 8 |
| 358 | b.1x19 | b.l17x1 | npy1_on_gp | 1.29 | 0 | Yes | No | No | No | 6 | 2 |
| 359 | b.1x19 | b.b21x1 | npy1_on_gp | 11.91 | 0 | Yes | No | Yes | No | 6 | 7 |
| 360 | b.1x19 | b.b21x2 | npy1_on_gp | 4.67 | 0 | Yes | No | Yes | No | 6 | 6 |
| 361 | b.1x22 | b.b21x2 | npy1_on_gp | 3.05 | 0 | No | No | Yes | No | 3 | 6 |
| 362 | b.1x22 | g.l1x4 | npy1_on_gp | 1.39 | 0 | No | No | Yes | No | 3 | 8 |
| 363 | b.b21x2 | b.lh12x1 | npy1_on_gp | 4.55 | 0 | Yes | No | No | No | 6 | 3 |
| 364 | b.lh12x2 | g.l1x6 | npy1_on_gp | 5.53 | 0 | No | No | No | No | 8 | 4 |
| 365 | b.lh12x2 | g.h2x2 | npy1_on_gp | 1.47 | 0 | No | No | No | No | 8 | 9 |
| 366 | b.h2x3 | b.lh12x3 | npy1_on_gp | 3.03 | 0 | No | No | No | No | 1 | 4 |
| 367 | b.h2x2 | b.lh12x4 | npy1_on_gp | 7.99 | 0 | No | No | No | No | 1 | 3 |
| 368 | b.h2x3 | b.lh12x4 | npy1_on_gp | 7.09 | 0 | No | No | No | No | 1 | 3 |
| 369 | b.h2x1 | b.h2x5 | npy1_on_gp | 4.42 | 0 | No | No | Yes | No | 5 | 5 |
| 370 | b.b21x5 | b.h2x1 | npy1_on_gp | 2.83 | 0 | No | No | No | No | 4 | 5 |
| 371 | b.h2x1 | g.h2x5 | npy1_on_gp | 1.58 | 0 | No | No | No | No | 5 | 6 |
| 372 | b.h2x2 | b.h2x3 | npy1_on_gp | 1.44 | 0 | No | No | No | No | 1 | 1 |
| 373 | b.h2x4 | g.h2x2 | npy1_on_gp | 3.1 | 0 | No | No | No | No | 3 | 9 |
| 374 | b.h2x4 | g.h2x5 | npy1_on_gp | 1.62 | 0 | No | No | No | No | 3 | 6 |
| 375 | b.h2x5 | b.lhb1x3 | npy1_on_gp | 3.04 | 0 | Yes | No | No | No | 5 | 2 |
| 376 | b.h2x5 | b.l24x2 | npy1_on_gp | 8.84 | 0 | Yes | No | Yes | No | 5 | 6 |
| 377 | b.h2x5 | b.l24x3 | npy1_on_gp | 1.5 | 0 | Yes | No | Yes | No | 5 | 5 |
| 378 | b.h2x5 | g.h2x9 | npy1_on_gp | 1.51 | 0 | Yes | No | No | No | 5 | 4 |
| 379 | b.lhb1x1 | b.lhb1x2 | npy1_on_gp | 13.62 | 0 | No | No | No | No | 1 | 1 |
| 380 | b.l22x5 | b.lhb1x3 | npy1_on_gp | 3.76 | 0 | Yes | No | No | No | 9 | 2 |
| 381 | b.l24x3 | b.lhb1x3 | npy1_on_gp | 4.36 | 0 | Yes | No | No | No | 5 | 2 |
| 382 | b.lhb1x4 | b.lhb1x5 | npy1_on_gp | 1.61 | 0 | No | No | No | No | 1 | 1 |
| 383 | b.l24x3 | b.lhb1x5 | npy1_on_gp | 3.35 | 0 | Yes | No | No | No | 5 | 1 |
| 384 | b.lhb1x6 | b.lhb1x7 | npy1_on_gp | 1.84 | 0 | No | No | No | No | 3 | 1 |
| 385 | b.lhb1x6 | b.lhb1x9 | npy1_on_gp | 3.07 | 0 | No | No | No | No | 3 | 3 |
| 386 | b.lhb1x6 | g.ctx6 | npy1_on_gp | 1.49 | 0 | No | No | Yes | No | 3 | 6 |
| 387 | b.lhb1x10 | b.lhb1x8 | npy1_on_gp | 5.84 | 0 | No | No | No | No | 4 | 2 |
| 388 | b.lhb1x11 | b.lhb1x9 | npy1_on_gp | 2.92 | 0 | Yes | No | No | No | 4 | 3 |
| 389 | b.b24x5 | b.lhb1x11 | npy1_on_gp | 1.52 | 0 | Yes | No | Yes | No | 5 | 4 |
| 390 | b.b25x7 | b.lhb1x11 | npy1_on_gp | 1.41 | 0 | Yes | No | Yes | No | 7 | 4 |
| 391 | b.b28x7 | b.lhb1x11 | npy1_on_gp | 2.8 | 0 | Yes | No | Yes | No | 9 | 4 |
| 392 | b.lhb1x11 | g.ctx5 | npy1_on_gp | 4.24 | 0 | Yes | No | Yes | No | 4 | 9 |
| 393 | b.b1x1 | b.b1x2 | npy1_on_gp | 1.29 | 0 | No | No | No | No | 5 | 3 |
| 394 | b.b1x2 | b.b28x4 | npy1_on_gp | 1.5 | 0 | No | No | Yes | No | 3 | 6 |
| 395 | b.b1x2 | b.b28x6 | npy1_on_gp | 3.64 | 0 | No | No | Yes | No | 3 | 9 |
| 396 | b.b1x3 | b.b28x7 | npy1_on_gp | 3.62 | 0 | No | No | Yes | No | 7 | 9 |
| 397 | b.b1x3 | g.ctx17 | npy1_on_gp | 5.33 | 0 | No | No | No | No | 7 | 7 |
| 398 | b.b1x4 | b.b5x1 | npy1_on_gp | 2.59 | 0 | Yes | No | No | No | 7 | 5 |
| 399 | b.b1x4 | b.b28x5 | npy1_on_gp | 5.01 | 0 | Yes | No | Yes | No | 7 | 5 |
| 400 | b.b1x4 | g.ctx16 | npy1_on_gp | 6.41 | 0 | Yes | No | Yes | No | 7 | 8 |
| 401 | b.b1x4 | g.ctx17 | npy1_on_gp | 3.2 | 0 | Yes | No | No | No | 7 | 7 |
| 402 | b.b1x5 | b.l1x1 | npy1_on_gp | 15.52 | 0 | No | No | No | No | 3 | 7 |
| 403 | b.b1x5 | b.b28x4 | npy1_on_gp | 4.5 | 0 | No | No | Yes | No | 3 | 6 |
| 404 | b.b1x6 | b.b4x6 | npy1_on_gp | 15.94 | 0 | Yes | No | Yes | No | 9 | 9 |
| 405 | b.b1x6 | b.b5x1 | npy1_on_gp | 2.95 | 0 | Yes | No | No | No | 9 | 5 |
| 406 | b.b1x6 | b.b28x3 | npy1_on_gp | 4.15 | 0 | Yes | No | Yes | No | 9 | 7 |
| 407 | b.b1x6 | b.b28x5 | npy1_on_gp | 1.43 | 0 | Yes | No | Yes | No | 9 | 5 |
| 408 | b.l1x1 | b.l1x2 | npy1_on_gp | 1.5 | 0 | No | No | No | No | 7 | 9 |
| 409 | b.b28x2 | b.l1x1 | npy1_on_gp | 7.48 | 0 | No | No | No | No | 4 | 7 |
| 410 | b.b5x3 | b.l1x2 | npy1_on_gp | 3.49 | 0 | Yes | No | No | No | 9 | 9 |
| 411 | b.l1x3 | b.l1x7 | npy1_on_gp | 9.28 | 0 | Yes | No | Yes | No | 9 | 9 |
| 412 | b.b3x4 | b.l1x3 | npy1_on_gp | 1.39 | 0 | Yes | No | Yes | No | 9 | 9 |
| 413 | b.b3x6 | b.l1x3 | npy1_on_gp | 13.95 | 0 | Yes | No | Yes | No | 9 | 9 |
| 414 | b.b4x4 | b.l1x3 | npy1_on_gp | 6.63 | 0 | Yes | No | Yes | No | 8 | 9 |
| 415 | b.b28x1 | b.l1x3 | npy1_on_gp | 1.39 | 0 | No | No | Yes | No | 4 | 9 |
| 416 | b.l1x4 | b.l3x2 | npy1_on_gp | 6.79 | 0 | No | No | Yes | No | 6 | 9 |
| 417 | b.b3x6 | b.l1x5 | npy1_on_gp | 1.71 | 0 | Yes | No | No | No | 9 | 7 |
| 418 | b.l1x5 | b.l3x1 | npy1_on_gp | 1.52 | 0 | No | No | Yes | No | 7 | 9 |
| 419 | b.l1x5 | b.l3x2 | npy1_on_gp | 1.54 | 0 | No | No | Yes | No | 7 | 9 |
| 420 | b.b2x1 | b.l1x6 | npy1_on_gp | 5.97 | 0 | Yes | No | Yes | No | 8 | 9 |
| 421 | b.l1x6 | b.l3x1 | npy1_on_gp | 1.36 | 0 | Yes | No | Yes | No | 9 | 9 |
| 422 | b.l1x6 | b.l27x1 | npy1_on_gp | 18.57 | 0 | Yes | No | Yes | No | 9 | 9 |
| 423 | b.b3x4 | b.l1x7 | npy1_on_gp | 1.55 | 0 | Yes | No | Yes | No | 9 | 9 |
| 424 | b.b3x6 | b.l1x7 | npy1_on_gp | 1.55 | 0 | Yes | No | Yes | No | 9 | 9 |
| 425 | b.b28x3 | b.l1x7 | npy1_on_gp | 2.85 | 0 | Yes | No | Yes | No | 7 | 9 |
| 426 | b.b2x1 | b.l3x1 | npy1_on_gp | 11.27 | 0 | Yes | No | Yes | No | 8 | 9 |
| 427 | b.b2x1 | b.l27x1 | npy1_on_gp | 13.5 | 0 | Yes | No | Yes | No | 8 | 9 |
| 428 | b.b2x2 | b.b6x3 | npy1_on_gp | 3.61 | 0 | No | No | Yes | No | 7 | 8 |
| 429 | b.b2x3 | b.b3x2 | npy1_on_gp | 7.07 | 0 | Yes | No | No | No | 6 | 5 |
| 430 | b.b2x3 | b.b3x4 | npy1_on_gp | 3.07 | 0 | Yes | No | Yes | No | 6 | 9 |
| 431 | b.b26x2 | b.b2x3 | npy1_on_gp | 6.48 | 0 | Yes | No | Yes | No | 7 | 6 |
| 432 | b.b26x4 | b.b2x3 | npy1_on_gp | 1.75 | 0 | No | No | Yes | No | 5 | 6 |
| 433 | b.b27x2 | b.b2x3 | npy1_on_gp | 3.22 | 0 | No | No | Yes | No | 5 | 6 |
| 434 | b.b2x4 | b.b3x3 | npy1_on_gp | 1.38 | 0 | No | No | Yes | No | 6 | 8 |
| 435 | b.b2x4 | b.b6x5 | npy1_on_gp | 2.18 | 0 | No | No | Yes | No | 6 | 6 |
| 436 | b.b10x4 | b.b2x4 | npy1_on_gp | 11.28 | 0 | Yes | No | No | No | 6 | 6 |
| 437 | b.b2x5 | b.l2x1 | npy1_on_gp | 1.41 | 0 | Yes | No | No | No | 7 | 5 |
| 438 | b.b2x5 | b.b3x2 | npy1_on_gp | 9.11 | 0 | Yes | No | No | No | 7 | 5 |
| 439 | b.b2x5 | b.l4x1 | npy1_on_gp | 2.47 | 0 | Yes | No | Yes | No | 7 | 5 |
| 440 | b.b26x4 | b.b2x5 | npy1_on_gp | 2.81 | 0 | No | No | Yes | No | 5 | 7 |
| 441 | b.b2x5 | b.l26x1 | npy1_on_gp | 3.64 | 0 | Yes | No | Yes | No | 7 | 7 |
| 442 | b.b27x2 | b.b2x5 | npy1_on_gp | 3.89 | 0 | No | No | Yes | No | 5 | 7 |
| 443 | b.l2x2 | b.l6x2 | npy1_on_gp | 1.75 | 0 | No | No | No | No | 1 | 6 |
| 444 | b.l2x3 | b.l2x5 | npy1_on_gp | 2.38 | 0 | No | No | No | No | 8 | 5 |
| 445 | b.b3x1 | b.l2x3 | npy1_on_gp | 6.79 | 0 | No | No | No | No | 5 | 8 |
| 446 | b.l26x1 | b.l2x4 | npy1_on_gp | 6.4 | 0 | Yes | No | No | No | 7 | 5 |
| 447 | b.l26x2 | b.l2x4 | npy1_on_gp | 1.47 | 0 | No | No | No | No | 1 | 5 |
| 448 | b.l26x3 | b.l2x4 | npy1_on_gp | 8.83 | 0 | Yes | No | No | No | 7 | 5 |
| 449 | b.b4x7 | b.l2x5 | npy1_on_gp | 15.48 | 0 | Yes | No | No | No | 8 | 5 |
| 450 | b.l2x5 | b.l4x2 | npy1_on_gp | 19.55 | 0 | No | No | Yes | No | 5 | 4 |
| 451 | b.b3x1 | b.b5x4 | npy1_on_gp | 1.49 | 0 | No | No | No | No | 5 | 5 |
| 452 | b.b3x1 | b.b6x5 | npy1_on_gp | 2.34 | 0 | No | No | Yes | No | 5 | 6 |
| 453 | b.b28x3 | b.b3x2 | npy1_on_gp | 1.38 | 0 | Yes | No | No | No | 7 | 5 |
| 454 | b.b3x3 | b.b4x3 | npy1_on_gp | 2.98 | 0 | Yes | No | Yes | No | 8 | 7 |
| 455 | b.b3x3 | b.b4x5 | npy1_on_gp | 3.07 | 0 | Yes | No | Yes | No | 8 | 7 |
| 456 | b.b3x3 | b.b6x5 | npy1_on_gp | 2.52 | 0 | Yes | No | Yes | No | 8 | 6 |
| 457 | b.b3x4 | b.b4x6 | npy1_on_gp | 4.94 | 0 | Yes | No | Yes | No | 9 | 9 |
| 458 | b.b28x3 | b.b3x4 | npy1_on_gp | 6.01 | 0 | Yes | No | Yes | No | 7 | 9 |
| 459 | b.b3x5 | b.l5x6 | npy1_on_gp | 1.7 | 0 | No | No | No | No | 9 | 9 |
| 460 | b.b3x5 | b.b6x3 | npy1_on_gp | 1.81 | 0 | No | No | Yes | No | 9 | 8 |
| 461 | b.b3x6 | b.l3x2 | npy1_on_gp | 1.47 | 0 | Yes | No | Yes | No | 9 | 9 |
| 462 | b.l3x1 | b.l5x5 | npy1_on_gp | 5.48 | 0 | Yes | No | Yes | No | 9 | 9 |
| 463 | b.l3x1 | b.l5x6 | npy1_on_gp | 1.43 | 0 | Yes | No | No | No | 9 | 9 |
| 464 | b.b4x2 | b.l3x2 | npy1_on_gp | 1.38 | 0 | Yes | No | Yes | No | 8 | 9 |
| 465 | b.b4x1 | b.b4x2 | npy1_on_gp | 1.74 | 0 | No | No | Yes | No | 8 | 8 |
| 466 | b.b4x1 | b.l5x4 | npy1_on_gp | 3.71 | 0 | No | No | No | No | 8 | 8 |
| 467 | b.b4x2 | b.b4x4 | npy1_on_gp | 1.45 | 0 | Yes | No | Yes | No | 8 | 8 |
| 468 | b.b4x3 | b.b4x5 | npy1_on_gp | 1.43 | 0 | Yes | No | Yes | No | 7 | 7 |
| 469 | b.b4x3 | b.b5x7 | npy1_on_gp | 2.85 | 0 | Yes | No | Yes | No | 7 | 7 |
| 470 | b.b4x3 | b.l5x1 | npy1_on_gp | 2.77 | 0 | Yes | No | Yes | No | 7 | 8 |
| 471 | b.b4x3 | b.b6x3 | npy1_on_gp | 3.17 | 0 | Yes | No | Yes | No | 7 | 8 |
| 472 | b.b4x3 | b.b7x4 | npy1_on_gp | 3.17 | 0 | Yes | No | Yes | No | 7 | 8 |
| 473 | b.b4x4 | b.b4x6 | npy1_on_gp | 7.05 | 0 | Yes | No | Yes | No | 8 | 9 |
| 474 | b.b4x4 | b.b5x3 | npy1_on_gp | 1.45 | 0 | Yes | No | Yes | No | 8 | 9 |
| 475 | b.b4x5 | b.b5x5 | npy1_on_gp | 2.65 | 0 | Yes | No | Yes | No | 7 | 5 |
| 476 | b.b4x5 | b.b5x7 | npy1_on_gp | 1.47 | 0 | Yes | No | Yes | No | 7 | 7 |
| 477 | b.b4x5 | b.b7x2 | npy1_on_gp | 1.54 | 0 | Yes | No | Yes | No | 7 | 8 |
| 478 | b.b4x5 | b.l8x1 | npy1_on_gp | 2.85 | 0 | Yes | No | Yes | No | 7 | 5 |
| 479 | b.b4x6 | b.b5x3 | npy1_on_gp | 5.8 | 0 | Yes | No | Yes | No | 9 | 9 |
| 480 | b.b28x3 | b.b4x6 | npy1_on_gp | 4.56 | 0 | Yes | No | Yes | No | 7 | 9 |
| 481 | b.b4x7 | b.l4x1 | npy1_on_gp | 1.47 | 0 | Yes | No | Yes | No | 8 | 5 |
| 482 | b.b4x7 | b.l4x2 | npy1_on_gp | 2.3 | 0 | Yes | No | Yes | No | 8 | 4 |
| 483 | b.b4x7 | b.l4x3 | npy1_on_gp | 5.78 | 0 | Yes | No | No | No | 8 | 6 |
| 484 | b.b28x5 | b.l4x1 | npy1_on_gp | 4.64 | 0 | Yes | No | Yes | No | 5 | 5 |
| 485 | b.l4x1 | g.ctx16 | npy1_on_gp | 3.96 | 0 | Yes | No | Yes | No | 5 | 8 |
| 486 | b.l4x2 | b.l4x3 | npy1_on_gp | 1.25 | 0 | Yes | No | No | No | 4 | 6 |
| 487 | b.l4x2 | g.ctx15 | npy1_on_gp | 8.34 | 0 | Yes | No | No | No | 4 | 9 |
| 488 | b.l4x2 | g.ctx16 | npy1_on_gp | 7.22 | 0 | Yes | No | Yes | No | 4 | 8 |
| 489 | b.b5x2 | b.l4x3 | npy1_on_gp | 8.77 | 0 | Yes | No | No | No | 7 | 6 |
| 490 | b.b5x1 | b.b5x2 | npy1_on_gp | 1.46 | 0 | No | No | Yes | No | 5 | 7 |
| 491 | b.b5x4 | b.b5x5 | npy1_on_gp | 5.54 | 0 | No | No | Yes | No | 5 | 5 |
| 492 | b.b5x5 | b.l8x8 | npy1_on_gp | 4.15 | 0 | Yes | No | Yes | No | 5 | 4 |
| 493 | b.b5x7 | b.b5x8 | npy1_on_gp | 3.39 | 0 | Yes | No | No | No | 7 | 5 |
| 494 | b.b5x7 | b.l5x1 | npy1_on_gp | 1.43 | 0 | Yes | No | Yes | No | 7 | 8 |
| 495 | b.b5x7 | b.b7x2 | npy1_on_gp | 1.54 | 0 | Yes | No | Yes | No | 7 | 8 |
| 496 | b.b5x7 | b.b8x4 | npy1_on_gp | 7.25 | 0 | Yes | No | Yes | No | 7 | 6 |
| 497 | b.b5x7 | b.l8x1 | npy1_on_gp | 1.43 | 0 | Yes | No | Yes | No | 7 | 5 |
| 498 | b.b5x7 | b.l8x8 | npy1_on_gp | 6.14 | 0 | Yes | No | Yes | No | 7 | 4 |
| 499 | b.l5x1 | b.l5x6 | npy1_on_gp | 1.49 | 0 | Yes | No | No | No | 8 | 9 |
| 500 | b.b7x4 | b.l5x1 | npy1_on_gp | 1.59 | 0 | Yes | No | Yes | No | 8 | 8 |
| 501 | b.b8x4 | b.l5x1 | npy1_on_gp | 3.52 | 0 | Yes | No | Yes | No | 6 | 8 |
| 502 | b.b9x3 | b.l5x2 | npy1_on_gp | 4.65 | 0 | Yes | No | No | No | 6 | 6 |
| 503 | b.l5x3 | b.l5x5 | npy1_on_gp | 2.47 | 0 | No | No | Yes | No | 8 | 9 |
| 504 | b.l5x3 | b.l7x3 | npy1_on_gp | 8.83 | 0 | No | No | No | No | 8 | 9 |
| 505 | b.l5x5 | b.l7x2 | npy1_on_gp | 6.83 | 0 | Yes | No | Yes | No | 9 | 9 |
| 506 | b.b6x1 | b.b6x2 | npy1_on_gp | 1.51 | 0 | No | No | No | No | 9 | 8 |
| 507 | b.b6x1 | b.l7x2 | npy1_on_gp | 1.41 | 0 | No | No | Yes | No | 9 | 9 |
| 508 | b.b6x1 | b.l9x6 | npy1_on_gp | 2.39 | 0 | No | No | Yes | No | 9 | 8 |
| 509 | b.b10x3 | b.b6x2 | npy1_on_gp | 1.69 | 0 | Yes | No | No | No | 8 | 8 |
| 510 | b.b6x3 | b.b7x4 | npy1_on_gp | 1.82 | 0 | Yes | No | Yes | No | 8 | 8 |
| 511 | b.b6x4 | b.b7x3 | npy1_on_gp | 1.79 | 0 | No | No | Yes | No | 7 | 9 |
| 512 | b.b10x3 | b.b6x4 | npy1_on_gp | 1.81 | 0 | Yes | No | No | No | 8 | 7 |
| 513 | b.b10x5 | b.b6x4 | npy1_on_gp | 1.39 | 0 | Yes | No | No | No | 9 | 7 |
| 514 | b.b6x5 | b.l6x4 | npy1_on_gp | 2.9 | 0 | Yes | No | No | No | 6 | 5 |
| 515 | b.b6x5 | b.b7x2 | npy1_on_gp | 3.79 | 0 | Yes | No | Yes | No | 6 | 8 |
| 516 | b.l6x1 | b.l6x2 | npy1_on_gp | 1.87 | 0 | Yes | No | No | No | 6 | 6 |
| 517 | b.b7x1 | b.l6x1 | npy1_on_gp | 1.33 | 0 | Yes | No | Yes | No | 4 | 6 |
| 518 | b.b10x5 | b.l6x1 | npy1_on_gp | 5.55 | 0 | Yes | No | Yes | No | 9 | 6 |
| 519 | b.l10x4 | b.l6x1 | npy1_on_gp | 1.56 | 0 | Yes | No | Yes | No | 3 | 6 |
| 520 | b.b10x5 | b.l6x2 | npy1_on_gp | 2.89 | 0 | Yes | No | No | No | 9 | 6 |
| 521 | b.l6x3 | b.l6x5 | npy1_on_gp | 8.94 | 0 | No | No | Yes | No | 6 | 4 |
| 522 | b.l10x4 | b.l6x3 | npy1_on_gp | 7.45 | 0 | Yes | No | No | No | 3 | 6 |
| 523 | b.l6x4 | b.l6x5 | npy1_on_gp | 1.7 | 0 | No | No | Yes | No | 5 | 4 |
| 524 | b.b7x1 | b.l6x5 | npy1_on_gp | 3.49 | 0 | Yes | No | Yes | No | 4 | 4 |
| 525 | b.l6x5 | b.l8x2 | npy1_on_gp | 9.79 | 0 | Yes | No | No | No | 4 | 4 |
| 526 | b.l10x4 | b.l6x5 | npy1_on_gp | 2.72 | 0 | Yes | No | Yes | No | 3 | 4 |
| 527 | b.b7x1 | b.b8x3 | npy1_on_gp | 2.42 | 0 | Yes | No | Yes | No | 4 | 6 |
| 528 | b.b7x1 | b.b8x5 | npy1_on_gp | 12.79 | 0 | Yes | No | No | No | 4 | 4 |
| 529 | b.b10x5 | b.b7x1 | npy1_on_gp | 2.06 | 0 | Yes | No | Yes | No | 9 | 4 |
| 530 | b.b7x1 | b.l10x4 | npy1_on_gp | 8.14 | 0 | Yes | No | Yes | No | 4 | 3 |
| 531 | b.b7x2 | b.b8x4 | npy1_on_gp | 1.26 | 0 | Yes | No | Yes | No | 8 | 6 |
| 532 | b.b7x2 | b.l8x1 | npy1_on_gp | 2.98 | 0 | Yes | No | Yes | No | 8 | 5 |
| 533 | b.b7x3 | b.b8x1 | npy1_on_gp | 1.81 | 0 | Yes | No | No | No | 9 | 8 |
| 534 | b.b7x3 | b.b8x3 | npy1_on_gp | 1.62 | 0 | Yes | No | Yes | No | 9 | 6 |
| 535 | b.b10x3 | b.b7x3 | npy1_on_gp | 1.81 | 0 | Yes | No | Yes | No | 8 | 9 |
| 536 | b.b10x5 | b.b7x3 | npy1_on_gp | 4.16 | 0 | Yes | No | Yes | No | 9 | 9 |
| 537 | b.b7x4 | b.b7x5 | npy1_on_gp | 1.96 | 0 | Yes | No | No | No | 8 | 9 |
| 538 | b.b7x4 | b.b8x4 | npy1_on_gp | 2.69 | 0 | Yes | No | Yes | No | 8 | 6 |
| 539 | b.b7x5 | b.l7x1 | npy1_on_gp | 2.11 | 0 | No | No | Yes | No | 9 | 9 |
| 540 | b.b7x5 | b.l9x7 | npy1_on_gp | 1.71 | 0 | No | No | No | No | 9 | 7 |
| 541 | b.l7x1 | b.l7x2 | npy1_on_gp | 1.71 | 0 | Yes | No | Yes | No | 9 | 9 |
| 542 | b.l7x1 | b.l7x3 | npy1_on_gp | 1.68 | 0 | Yes | No | No | No | 9 | 9 |
| 543 | b.l7x1 | b.l9x7 | npy1_on_gp | 1.71 | 0 | Yes | No | No | No | 9 | 7 |
| 544 | b.l7x3 | b.l7x5 | npy1_on_gp | 4.2 | 0 | No | No | No | No | 9 | 6 |
| 545 | b.l7x4 | b.l9x5 | npy1_on_gp | 3.39 | 0 | No | No | No | No | 9 | 8 |
| 546 | b.b8x2 | b.l7x5 | npy1_on_gp | 1.55 | 0 | No | No | No | No | 8 | 6 |
| 547 | b.b9x3 | b.l7x5 | npy1_on_gp | 5.47 | 0 | Yes | No | No | No | 6 | 6 |
| 548 | b.b8x1 | b.b9x4 | npy1_on_gp | 1.59 | 0 | No | No | Yes | No | 8 | 9 |
| 549 | b.b8x1 | b.l9x7 | npy1_on_gp | 4.76 | 0 | No | No | No | No | 8 | 7 |
| 550 | b.b8x2 | b.b8x4 | npy1_on_gp | 1.27 | 0 | No | No | Yes | No | 8 | 6 |
| 551 | b.b8x2 | b.b9x3 | npy1_on_gp | 1.44 | 0 | No | No | Yes | No | 8 | 6 |
| 552 | b.b8x3 | b.b9x1 | npy1_on_gp | 3.1 | 0 | Yes | No | No | No | 6 | 4 |
| 553 | b.b8x3 | b.b9x4 | npy1_on_gp | 1.43 | 0 | Yes | No | Yes | No | 6 | 9 |
| 554 | b.b10x5 | b.b8x3 | npy1_on_gp | 2.51 | 0 | Yes | No | Yes | No | 9 | 6 |
| 555 | b.b11x3 | b.b8x3 | npy1_on_gp | 1.54 | 0 | Yes | No | Yes | No | 5 | 6 |
| 556 | b.b8x4 | b.l8x8 | npy1_on_gp | 2.52 | 0 | Yes | No | Yes | No | 6 | 4 |
| 557 | b.b8x4 | b.l8x10 | npy1_on_gp | 2.52 | 0 | Yes | No | No | No | 6 | 4 |
| 558 | b.b8x5 | b.l8x2 | npy1_on_gp | 1.4 | 0 | No | No | No | No | 4 | 4 |
| 559 | b.b8x5 | b.l8x3 | npy1_on_gp | 4.39 | 0 | No | No | Yes | No | 4 | 3 |
| 560 | b.l8x1 | b.l8x8 | npy1_on_gp | 2.98 | 0 | Yes | No | Yes | No | 5 | 4 |
| 561 | b.l8x3 | b.l8x6 | npy1_on_gp | 1.82 | 0 | Yes | No | No | No | 3 | 4 |
| 562 | b.l8x3 | b.l8x7 | npy1_on_gp | 1.46 | 0 | Yes | No | Yes | No | 3 | 3 |
| 563 | b.l8x3 | b.l8x9 | npy1_on_gp | 2.59 | 0 | Yes | No | No | No | 3 | 3 |
| 564 | b.l8x5 | b.l8x7 | npy1_on_gp | 18.4 | 0 | No | No | Yes | No | 3 | 3 |
| 565 | b.l8x5 | b.l8x9 | npy1_on_gp | 6.98 | 0 | No | No | No | No | 3 | 3 |
| 566 | b.l8x6 | b.l8x7 | npy1_on_gp | 1.7 | 0 | No | No | Yes | No | 4 | 3 |
| 567 | b.l8x7 | b.l8x9 | npy1_on_gp | 2.41 | 0 | Yes | No | No | No | 3 | 3 |
| 568 | b.b9x3 | b.l8x10 | npy1_on_gp | 1.43 | 0 | Yes | No | No | No | 6 | 4 |
| 569 | b.b9x1 | b.b9x2 | npy1_on_gp | 1.32 | 0 | No | No | No | No | 4 | 5 |
| 570 | b.b9x2 | b.b9x4 | npy1_on_gp | 2.43 | 0 | No | No | Yes | No | 5 | 9 |
| 571 | b.b9x2 | b.l12x1 | npy1_on_gp | 1.25 | 0 | No | No | No | No | 5 | 6 |
| 572 | b.b11x3 | b.b9x4 | npy1_on_gp | 1.49 | 0 | Yes | No | Yes | No | 5 | 9 |
| 573 | b.b12x6 | b.b9x4 | npy1_on_gp | 15.94 | 0 | Yes | No | Yes | No | 8 | 9 |
| 574 | b.l9x1 | b.l9x2 | npy1_on_gp | 1.95 | 0 | No | No | No | No | 5 | 5 |
| 575 | b.b12x6 | b.l9x2 | npy1_on_gp | 1.41 | 0 | Yes | No | No | No | 8 | 5 |
| 576 | b.b13x3 | b.l9x2 | npy1_on_gp | 1.64 | 0 | Yes | No | No | No | 4 | 5 |
| 577 | b.b11x5 | b.l9x3 | npy1_on_gp | 1.39 | 0 | No | No | Yes | No | 6 | 9 |
| 578 | b.l11x1 | b.l9x3 | npy1_on_gp | 3.18 | 0 | No | No | Yes | No | 9 | 9 |
| 579 | b.b12x2 | b.l9x3 | npy1_on_gp | 1.37 | 0 | No | No | Yes | No | 7 | 9 |
| 580 | b.b12x4 | b.l9x3 | npy1_on_gp | 2.93 | 0 | No | No | Yes | No | 4 | 9 |
| 581 | b.b12x6 | b.l9x3 | npy1_on_gp | 2.12 | 0 | Yes | No | Yes | No | 8 | 9 |
| 582 | b.l11x2 | b.l9x4 | npy1_on_gp | 2.89 | 0 | Yes | No | No | No | 9 | 5 |
| 583 | b.l11x2 | b.l9x5 | npy1_on_gp | 5.03 | 0 | Yes | No | No | No | 9 | 8 |
| 584 | b.b10x1 | b.l9x6 | npy1_on_gp | 1.27 | 0 | Yes | No | Yes | No | 9 | 8 |
| 585 | b.l13x6 | b.l9x6 | npy1_on_gp | 3.45 | 0 | Yes | No | Yes | No | 9 | 8 |
| 586 | b.b14x1 | b.l9x6 | npy1_on_gp | 2.39 | 0 | Yes | No | Yes | No | 8 | 8 |
| 587 | b.b10x1 | b.b10x2 | npy1_on_gp | 1.72 | 0 | Yes | No | Yes | No | 9 | 6 |
| 588 | b.b10x1 | b.b11x6 | npy1_on_gp | 3.26 | 0 | Yes | No | Yes | No | 9 | 9 |
| 589 | b.b10x1 | b.b14x1 | npy1_on_gp | 1.53 | 0 | Yes | No | Yes | No | 9 | 8 |
| 590 | b.b10x2 | b.b10x4 | npy1_on_gp | 1.39 | 0 | Yes | No | Yes | No | 6 | 6 |
| 591 | b.b10x2 | b.b11x6 | npy1_on_gp | 1.72 | 0 | Yes | No | Yes | No | 6 | 9 |
| 592 | b.b10x2 | b.b14x3 | npy1_on_gp | 4.76 | 0 | Yes | No | Yes | No | 6 | 5 |
| 593 | b.b10x3 | b.b11x5 | npy1_on_gp | 1.72 | 0 | Yes | No | No | No | 8 | 6 |
| 594 | b.b10x4 | b.b11x4 | npy1_on_gp | 1.29 | 0 | Yes | No | Yes | No | 6 | 9 |
| 595 | b.b10x4 | b.b14x3 | npy1_on_gp | 2.43 | 0 | Yes | No | Yes | No | 6 | 5 |
| 596 | b.b10x5 | b.l10x4 | npy1_on_gp | 2.42 | 0 | Yes | No | Yes | No | 9 | 3 |
| 597 | b.b10x5 | b.b11x3 | npy1_on_gp | 7.87 | 0 | Yes | No | Yes | No | 9 | 5 |
| 598 | b.l10x1 | b.l10x2 | npy1_on_gp | 5.43 | 0 | Yes | No | No | No | 3 | 5 |
| 599 | b.b11x2 | b.l10x1 | npy1_on_gp | 7.14 | 0 | Yes | No | Yes | No | 7 | 3 |
| 600 | b.b11x4 | b.l10x1 | npy1_on_gp | 2.95 | 0 | Yes | No | Yes | No | 9 | 3 |
| 601 | b.b14x5 | b.l10x1 | npy1_on_gp | 6.92 | 0 | No | No | Yes | No | 5 | 3 |
| 602 | b.l10x1 | b.l14x4 | npy1_on_gp | 7.37 | 0 | Yes | No | No | No | 3 | 1 |
| 603 | b.b11x2 | b.l10x2 | npy1_on_gp | 7 | 0 | Yes | No | No | No | 7 | 5 |
| 604 | b.l10x2 | b.l14x4 | npy1_on_gp | 5.78 | 0 | No | No | No | No | 5 | 1 |
| 605 | b.b11x1 | b.b11x2 | npy1_on_gp | 1.37 | 0 | No | No | Yes | No | 5 | 7 |
| 606 | b.b11x1 | b.b12x7 | npy1_on_gp | 9.14 | 0 | No | No | No | No | 5 | 9 |
| 607 | b.b11x2 | b.b12x5 | npy1_on_gp | 4.28 | 0 | Yes | No | No | No | 7 | 6 |
| 608 | b.b11x3 | b.b12x6 | npy1_on_gp | 3.68 | 0 | Yes | No | Yes | No | 5 | 8 |
| 609 | b.b11x3 | b.l12x1 | npy1_on_gp | 1.54 | 0 | Yes | No | No | No | 5 | 6 |
| 610 | b.b11x4 | b.b14x3 | npy1_on_gp | 5.9 | 0 | Yes | No | Yes | No | 9 | 5 |
| 611 | b.b11x4 | b.b14x5 | npy1_on_gp | 1.47 | 0 | Yes | No | No | No | 9 | 5 |
| 612 | b.b11x4 | b.b15x1 | npy1_on_gp | 2.59 | 0 | Yes | No | Yes | No | 9 | 9 |
| 613 | b.b11x5 | b.b12x6 | npy1_on_gp | 2.47 | 0 | No | No | Yes | No | 6 | 8 |
| 614 | b.b11x6 | b.b12x3 | npy1_on_gp | 1.72 | 0 | Yes | No | Yes | No | 9 | 8 |
| 615 | b.b11x6 | b.l13x7 | npy1_on_gp | 4.85 | 0 | Yes | No | Yes | No | 9 | 9 |
| 616 | b.b11x6 | b.b14x3 | npy1_on_gp | 1.5 | 0 | Yes | No | Yes | No | 9 | 5 |
| 617 | b.l11x1 | b.l13x7 | npy1_on_gp | 1.84 | 0 | No | No | Yes | No | 9 | 9 |
| 618 | b.b12x1 | b.l11x2 | npy1_on_gp | 5.78 | 0 | No | No | Yes | No | 6 | 9 |
| 619 | b.l11x2 | b.l13x6 | npy1_on_gp | 3.99 | 0 | Yes | No | Yes | No | 9 | 9 |
| 620 | b.b12x1 | b.l13x6 | npy1_on_gp | 1.45 | 0 | No | No | Yes | No | 6 | 9 |
| 621 | b.b12x2 | b.b13x6 | npy1_on_gp | 3.14 | 0 | No | No | No | No | 7 | 4 |
| 622 | b.b12x2 | b.l13x1 | npy1_on_gp | 6.28 | 0 | No | No | No | No | 7 | 2 |
| 623 | b.b12x3 | b.b13x7 | npy1_on_gp | 4.19 | 0 | Yes | No | Yes | No | 8 | 7 |
| 624 | b.b12x3 | b.l13x7 | npy1_on_gp | 1.71 | 0 | Yes | No | Yes | No | 8 | 9 |
| 625 | b.b12x3 | b.b15x3 | npy1_on_gp | 3.44 | 0 | Yes | No | Yes | No | 8 | 9 |
| 626 | b.b12x4 | b.b12x6 | npy1_on_gp | 5.19 | 0 | No | No | Yes | No | 4 | 8 |
| 627 | b.b12x4 | b.b13x3 | npy1_on_gp | 3.03 | 0 | No | No | Yes | No | 4 | 4 |
| 628 | b.b12x5 | b.b13x4 | npy1_on_gp | 2.95 | 0 | No | No | No | No | 6 | 4 |
| 629 | b.b12x6 | b.b13x3 | npy1_on_gp | 15.33 | 0 | Yes | No | Yes | No | 8 | 4 |
| 630 | b.b12x7 | b.l12x2 | npy1_on_gp | 1.3 | 0 | No | No | No | No | 9 | 6 |
| 631 | b.b12x7 | b.l12x3 | npy1_on_gp | 8.67 | 0 | No | No | Yes | No | 9 | 5 |
| 632 | b.l12x2 | b.l12x3 | npy1_on_gp | 2.82 | 0 | No | No | Yes | No | 6 | 5 |
| 633 | b.b13x1 | b.l12x3 | npy1_on_gp | 3.64 | 0 | No | No | Yes | No | 4 | 5 |
| 634 | b.b13x2 | b.l12x3 | npy1_on_gp | 2.83 | 0 | No | No | Yes | No | 4 | 5 |
| 635 | b.b13x3 | b.b13x6 | npy1_on_gp | 7.09 | 0 | Yes | No | No | No | 4 | 4 |
| 636 | b.b13x4 | b.b13x5 | npy1_on_gp | 4.71 | 0 | No | No | No | No | 4 | 4 |
| 637 | b.b13x5 | b.b13x7 | npy1_on_gp | 2.59 | 0 | No | No | Yes | No | 4 | 7 |
| 638 | b.b13x5 | b.b17x1 | npy1_on_gp | 1.82 | 0 | No | No | No | No | 4 | 4 |
| 639 | b.b13x6 | b.l13x1 | npy1_on_gp | 1.57 | 0 | No | No | No | No | 4 | 2 |
| 640 | b.b13x7 | b.b15x1 | npy1_on_gp | 9.65 | 0 | Yes | No | Yes | No | 7 | 9 |
| 641 | b.b13x7 | b.b16x6 | npy1_on_gp | 11.02 | 0 | Yes | No | Yes | No | 7 | 8 |
| 642 | b.b13x7 | b.b17x1 | npy1_on_gp | 3.01 | 0 | Yes | No | No | No | 7 | 4 |
| 643 | b.l13x1 | b.l13x2 | npy1_on_gp | 1.82 | 0 | No | No | No | No | 2 | 6 |
| 644 | b.l13x3 | b.l13x7 | npy1_on_gp | 5.54 | 0 | Yes | No | Yes | No | 9 | 9 |
| 645 | b.b15x3 | b.l13x3 | npy1_on_gp | 4.18 | 0 | Yes | No | Yes | No | 9 | 9 |
| 646 | b.b15x5 | b.l13x3 | npy1_on_gp | 7.32 | 0 | No | No | Yes | No | 8 | 9 |
| 647 | b.l13x3 | b.l15x2 | npy1_on_gp | 2.52 | 0 | Yes | No | Yes | No | 9 | 9 |
| 648 | b.b16x4 | b.l13x3 | npy1_on_gp | 13.1 | 0 | No | No | Yes | No | 6 | 9 |
| 649 | b.b16x6 | b.l13x3 | npy1_on_gp | 2.12 | 0 | Yes | No | Yes | No | 8 | 9 |
| 650 | b.l13x4 | b.l15x2 | npy1_on_gp | 8.67 | 0 | No | No | Yes | No | 3 | 9 |
| 651 | b.l13x6 | b.l15x1 | npy1_on_gp | 1.56 | 0 | Yes | No | Yes | No | 9 | 7 |
| 652 | b.b15x3 | b.l13x7 | npy1_on_gp | 3.23 | 0 | Yes | No | Yes | No | 9 | 9 |
| 653 | b.b15x5 | b.l13x7 | npy1_on_gp | 3.39 | 0 | No | No | Yes | No | 8 | 9 |
| 654 | b.b14x1 | b.b18x1 | npy1_on_gp | 1.4 | 0 | Yes | No | No | No | 8 | 9 |
| 655 | b.b14x2 | b.b15x4 | npy1_on_gp | 1.86 | 0 | No | No | No | No | 7 | 6 |
| 656 | b.b14x2 | b.l17x7 | npy1_on_gp | 1.55 | 0 | No | No | Yes | No | 7 | 7 |
| 657 | b.b14x2 | b.b18x3 | npy1_on_gp | 6.19 | 0 | No | No | Yes | No | 7 | 8 |
| 658 | b.b14x3 | b.b15x1 | npy1_on_gp | 2.44 | 0 | Yes | No | Yes | No | 5 | 9 |
| 659 | b.b14x4 | b.b15x2 | npy1_on_gp | 1.62 | 0 | No | No | Yes | No | 8 | 6 |
| 660 | b.b14x4 | b.b18x3 | npy1_on_gp | 1.55 | 0 | No | No | Yes | No | 8 | 8 |
| 661 | b.b14x4 | b.b18x5 | npy1_on_gp | 7.93 | 0 | No | No | No | No | 8 | 5 |
| 662 | b.b14x5 | b.b15x1 | npy1_on_gp | 3.65 | 0 | No | No | Yes | No | 5 | 9 |
| 663 | b.l14x1 | b.l14x2 | npy1_on_gp | 1.87 | 0 | No | No | No | No | 4 | 4 |
| 664 | b.l14x1 | b.l14x3 | npy1_on_gp | 1.54 | 0 | No | No | No | No | 4 | 5 |
| 665 | b.l14x2 | b.l14x3 | npy1_on_gp | 3.22 | 0 | No | No | No | No | 4 | 5 |
| 666 | b.l14x2 | b.l18x4 | npy1_on_gp | 2.03 | 0 | No | No | No | No | 4 | 7 |
| 667 | b.l14x3 | b.l14x5 | npy1_on_gp | 14.29 | 0 | No | No | No | No | 5 | 5 |
| 668 | b.l14x5 | b.l16x2 | npy1_on_gp | 3.2 | 0 | No | No | Yes | No | 5 | 9 |
| 669 | b.b16x5 | b.l14x6 | npy1_on_gp | 6.92 | 0 | Yes | No | No | No | 5 | 3 |
| 670 | b.b16x7 | b.l14x6 | npy1_on_gp | 2.71 | 0 | Yes | No | No | No | 9 | 3 |
| 671 | b.b15x1 | b.b16x6 | npy1_on_gp | 11.02 | 0 | Yes | No | Yes | No | 9 | 8 |
| 672 | b.b15x1 | b.l16x1 | npy1_on_gp | 2.62 | 0 | Yes | No | No | No | 9 | 4 |
| 673 | b.b15x2 | b.b16x5 | npy1_on_gp | 4.47 | 0 | Yes | No | Yes | No | 6 | 5 |
| 674 | b.b15x2 | b.b18x3 | npy1_on_gp | 6.14 | 0 | Yes | No | Yes | No | 6 | 8 |
| 675 | b.b15x2 | b.b18x5 | npy1_on_gp | 10.49 | 0 | Yes | No | No | No | 6 | 5 |
| 676 | b.b15x3 | b.b15x4 | npy1_on_gp | 3.71 | 0 | Yes | No | No | No | 9 | 6 |
| 677 | b.b15x3 | b.b16x6 | npy1_on_gp | 2.47 | 0 | Yes | No | Yes | No | 9 | 8 |
| 678 | b.b15x4 | b.l17x7 | npy1_on_gp | 1.76 | 0 | No | No | Yes | No | 6 | 7 |
| 679 | b.b15x5 | b.l15x2 | npy1_on_gp | 3.09 | 0 | No | No | Yes | No | 8 | 9 |
| 680 | b.l15x1 | b.l17x6 | npy1_on_gp | 7.78 | 0 | Yes | No | No | No | 7 | 9 |
| 681 | b.b16x2 | b.l15x2 | npy1_on_gp | 5.89 | 0 | No | No | Yes | No | 5 | 9 |
| 682 | b.b16x1 | b.l17x3 | npy1_on_gp | 1.46 | 0 | No | No | Yes | No | 4 | 9 |
| 683 | b.b16x2 | b.b17x6 | npy1_on_gp | 1.6 | 0 | No | No | No | No | 5 | 7 |
| 684 | b.b16x2 | b.l17x1 | npy1_on_gp | 1.6 | 0 | No | No | No | No | 5 | 2 |
| 685 | b.b16x3 | b.b18x3 | npy1_on_gp | 1.62 | 0 | No | No | Yes | No | 6 | 8 |
| 686 | b.b16x3 | b.b19x2 | npy1_on_gp | 1.39 | 0 | No | No | Yes | No | 6 | 6 |
| 687 | b.b16x4 | b.b16x6 | npy1_on_gp | 6.96 | 0 | No | No | Yes | No | 6 | 8 |
| 688 | b.b16x4 | b.b17x6 | npy1_on_gp | 9.01 | 0 | No | No | No | No | 6 | 7 |
| 689 | b.b16x5 | b.b17x5 | npy1_on_gp | 1.33 | 0 | Yes | No | Yes | No | 5 | 7 |
| 690 | b.b16x5 | b.l20x1 | npy1_on_gp | 4.15 | 0 | Yes | No | Yes | No | 5 | 6 |
| 691 | b.b16x6 | b.b17x3 | npy1_on_gp | 5.22 | 0 | Yes | No | No | No | 8 | 5 |
| 692 | b.b16x7 | b.l16x2 | npy1_on_gp | 4.76 | 0 | Yes | No | Yes | No | 9 | 9 |
| 693 | b.b16x7 | b.l16x3 | npy1_on_gp | 3.9 | 0 | Yes | No | Yes | No | 9 | 3 |
| 694 | b.b16x7 | b.b17x4 | npy1_on_gp | 7.15 | 0 | Yes | No | No | No | 9 | 5 |
| 695 | b.l16x1 | b.l16x2 | npy1_on_gp | 3.92 | 0 | No | No | Yes | No | 4 | 9 |
| 696 | b.l16x2 | b.l16x3 | npy1_on_gp | 13.96 | 0 | Yes | No | Yes | No | 9 | 3 |
| 697 | b.b17x1 | b.l16x3 | npy1_on_gp | 1.64 | 0 | No | No | Yes | No | 4 | 3 |
| 698 | b.b17x2 | b.l16x3 | npy1_on_gp | 5.41 | 0 | No | No | Yes | No | 3 | 3 |
| 699 | b.b17x2 | g.h1x13 | npy1_on_gp | 2.89 | 0 | No | No | No | No | 3 | 1 |
| 700 | b.b17x3 | g.h1x10 | npy1_on_gp | 6.1 | 0 | No | No | No | No | 5 | 9 |
| 701 | b.b17x3 | g.h1x14 | npy1_on_gp | 1.52 | 0 | No | No | Yes | No | 5 | 9 |
| 702 | b.b17x5 | b.b17x7 | npy1_on_gp | 7.03 | 0 | Yes | No | Yes | No | 7 | 8 |
| 703 | b.b17x5 | b.l20x1 | npy1_on_gp | 2.66 | 0 | Yes | No | Yes | No | 7 | 6 |
| 704 | b.b17x5 | b.b21x1 | npy1_on_gp | 9.14 | 0 | Yes | No | Yes | No | 7 | 7 |
| 705 | b.b17x5 | g.l1x2 | npy1_on_gp | 1.37 | 0 | Yes | No | No | No | 7 | 2 |
| 706 | b.b17x6 | g.h1x14 | npy1_on_gp | 1.41 | 0 | No | No | Yes | No | 7 | 9 |
| 707 | b.b17x7 | b.b19x2 | npy1_on_gp | 6.43 | 0 | Yes | No | Yes | No | 8 | 6 |
| 708 | b.b17x7 | b.l20x1 | npy1_on_gp | 2.44 | 0 | Yes | No | Yes | No | 8 | 6 |
| 709 | b.b17x7 | b.b21x1 | npy1_on_gp | 4.78 | 0 | Yes | No | Yes | No | 8 | 7 |
| 710 | b.l17x1 | b.l17x2 | npy1_on_gp | 1.82 | 0 | No | No | No | No | 2 | 6 |
| 711 | b.b21x3 | b.l17x2 | npy1_on_gp | 1.64 | 0 | No | No | No | No | 6 | 6 |
| 712 | b.l17x3 | b.l17x7 | npy1_on_gp | 3.98 | 0 | Yes | No | Yes | No | 9 | 7 |
| 713 | b.b19x4 | b.l17x3 | npy1_on_gp | 8.21 | 0 | Yes | No | Yes | No | 8 | 9 |
| 714 | b.b19x6 | b.l17x3 | npy1_on_gp | 9.76 | 0 | Yes | No | Yes | No | 9 | 9 |
| 715 | b.b20x4 | b.l17x3 | npy1_on_gp | 10.16 | 0 | Yes | No | Yes | No | 8 | 9 |
| 716 | b.b20x6 | b.l17x3 | npy1_on_gp | 2.26 | 0 | Yes | No | Yes | No | 6 | 9 |
| 717 | b.l17x4 | b.l19x2 | npy1_on_gp | 7.8 | 0 | No | No | Yes | No | 3 | 9 |
| 718 | b.b20x4 | b.l17x4 | npy1_on_gp | 2.33 | 0 | Yes | No | No | No | 8 | 3 |
| 719 | b.b19x6 | b.l17x5 | npy1_on_gp | 4.89 | 0 | Yes | No | No | No | 9 | 6 |
| 720 | b.l17x5 | b.l19x1 | npy1_on_gp | 2.94 | 0 | No | No | No | No | 6 | 9 |
| 721 | b.l17x5 | b.l19x2 | npy1_on_gp | 5.89 | 0 | No | No | Yes | No | 6 | 9 |
| 722 | b.b19x4 | b.l17x7 | npy1_on_gp | 4.56 | 0 | Yes | No | Yes | No | 8 | 7 |
| 723 | b.b18x1 | b.l19x1 | npy1_on_gp | 4.04 | 0 | No | No | No | No | 9 | 9 |
| 724 | b.b18x2 | b.b22x3 | npy1_on_gp | 1.7 | 0 | No | No | Yes | No | 5 | 6 |
| 725 | b.b18x3 | b.b19x2 | npy1_on_gp | 5.02 | 0 | Yes | No | Yes | No | 8 | 6 |
| 726 | b.b18x4 | b.b22x5 | npy1_on_gp | 1.4 | 0 | No | No | Yes | No | 3 | 7 |
| 727 | b.l18x1 | b.l18x2 | npy1_on_gp | 10.11 | 0 | Yes | No | No | No | 6 | 7 |
| 728 | b.l18x1 | b.l18x3 | npy1_on_gp | 2.42 | 0 | Yes | No | No | No | 6 | 5 |
| 729 | b.b19x1 | b.l18x1 | npy1_on_gp | 1.39 | 0 | No | No | Yes | No | 6 | 6 |
| 730 | b.b22x5 | b.l18x1 | npy1_on_gp | 10.72 | 0 | Yes | No | Yes | No | 7 | 6 |
| 731 | b.l18x1 | b.l22x4 | npy1_on_gp | 3.01 | 0 | Yes | No | Yes | No | 6 | 9 |
| 732 | b.l18x1 | g.h2x8 | npy1_on_gp | 9.74 | 0 | Yes | No | No | No | 6 | 7 |
| 733 | b.l18x1 | g.h2x11 | npy1_on_gp | 5.16 | 0 | Yes | No | No | No | 6 | 6 |
| 734 | b.l18x1 | g.h2x12 | npy1_on_gp | 1.4 | 0 | Yes | No | No | No | 6 | 7 |
| 735 | b.b22x5 | b.l18x2 | npy1_on_gp | 5.78 | 0 | Yes | No | No | No | 7 | 7 |
| 736 | b.l18x2 | g.h2x11 | npy1_on_gp | 1.39 | 0 | No | No | No | No | 7 | 6 |
| 737 | b.l18x3 | b.l18x4 | npy1_on_gp | 1.7 | 0 | No | No | No | No | 5 | 7 |
| 738 | b.l18x3 | b.l18x5 | npy1_on_gp | 13.62 | 0 | No | No | No | No | 5 | 2 |
| 739 | b.l18x4 | b.l18x5 | npy1_on_gp | 1.7 | 0 | No | No | No | No | 7 | 2 |
| 740 | b.l18x5 | b.l20x2 | npy1_on_gp | 9.64 | 0 | No | No | No | No | 2 | 9 |
| 741 | b.b19x1 | b.b20x5 | npy1_on_gp | 1.58 | 0 | No | No | No | No | 6 | 7 |
| 742 | b.b19x1 | b.b20x7 | npy1_on_gp | 1.54 | 0 | No | No | Yes | No | 6 | 9 |
| 743 | b.b19x2 | b.b20x6 | npy1_on_gp | 13.93 | 0 | Yes | No | Yes | No | 6 | 6 |
| 744 | b.b19x2 | b.l20x1 | npy1_on_gp | 2.44 | 0 | Yes | No | Yes | No | 6 | 6 |
| 745 | b.b19x3 | b.b23x2 | npy1_on_gp | 1.58 | 0 | No | No | Yes | No | 4 | 6 |
| 746 | b.b19x4 | b.b19x5 | npy1_on_gp | 3.64 | 0 | Yes | No | Yes | No | 8 | 5 |
| 747 | b.b19x4 | b.b20x4 | npy1_on_gp | 1.29 | 0 | Yes | No | Yes | No | 8 | 8 |
| 748 | b.b19x4 | b.b20x6 | npy1_on_gp | 5.19 | 0 | Yes | No | Yes | No | 8 | 6 |
| 749 | b.b19x5 | b.b19x6 | npy1_on_gp | 1.86 | 0 | Yes | No | Yes | No | 5 | 9 |
| 750 | b.b19x5 | b.l21x9 | npy1_on_gp | 3.53 | 0 | Yes | No | Yes | No | 5 | 6 |
| 751 | b.b19x5 | b.b22x3 | npy1_on_gp | 1.84 | 0 | Yes | No | Yes | No | 5 | 6 |
| 752 | b.b19x6 | b.l19x2 | npy1_on_gp | 2.94 | 0 | Yes | No | Yes | No | 9 | 9 |
| 753 | b.l19x1 | b.l21x8 | npy1_on_gp | 1.68 | 0 | No | No | No | No | 9 | 4 |
| 754 | b.b20x2 | b.l19x2 | npy1_on_gp | 2.89 | 0 | Yes | No | Yes | No | 6 | 9 |
| 755 | b.b20x2 | b.b20x4 | npy1_on_gp | 1.29 | 0 | Yes | No | Yes | No | 6 | 8 |
| 756 | b.b20x2 | b.b21x6 | npy1_on_gp | 3.14 | 0 | Yes | No | No | No | 6 | 1 |
| 757 | b.b20x2 | b.l21x1 | npy1_on_gp | 3.2 | 0 | Yes | No | No | No | 6 | 2 |
| 758 | b.b20x3 | b.b21x7 | npy1_on_gp | 4.03 | 0 | No | No | Yes | No | 8 | 5 |
| 759 | b.b20x3 | b.l21x9 | npy1_on_gp | 4.91 | 0 | No | No | Yes | No | 8 | 6 |
| 760 | b.b20x3 | b.b22x3 | npy1_on_gp | 1.71 | 0 | No | No | Yes | No | 8 | 6 |
| 761 | b.b20x4 | b.b20x6 | npy1_on_gp | 3.21 | 0 | Yes | No | Yes | No | 8 | 6 |
| 762 | b.b20x4 | b.b21x3 | npy1_on_gp | 9.3 | 0 | Yes | No | No | No | 8 | 6 |
| 763 | b.b20x4 | b.b21x6 | npy1_on_gp | 3.88 | 0 | Yes | No | No | No | 8 | 1 |
| 764 | b.b20x5 | b.b21x4 | npy1_on_gp | 4.15 | 0 | No | No | No | No | 7 | 5 |
| 765 | b.b20x6 | b.b21x3 | npy1_on_gp | 3.5 | 0 | Yes | No | No | No | 6 | 6 |
| 766 | b.b20x7 | b.l20x3 | npy1_on_gp | 4.63 | 0 | Yes | No | No | No | 9 | 7 |
| 767 | b.b20x7 | b.b21x4 | npy1_on_gp | 14.93 | 0 | Yes | No | No | No | 9 | 5 |
| 768 | b.b20x7 | g.h2x4 | npy1_on_gp | 1.54 | 0 | Yes | No | No | No | 9 | 7 |
| 769 | b.l20x2 | g.l1x5 | npy1_on_gp | 6.26 | 0 | No | No | No | No | 9 | 4 |
| 770 | b.l20x3 | g.h2x1 | npy1_on_gp | 1.7 | 0 | No | No | No | No | 7 | 8 |
| 771 | b.b21x1 | g.l1x2 | npy1_on_gp | 2.8 | 0 | Yes | No | No | No | 7 | 2 |
| 772 | b.b21x1 | g.l1x4 | npy1_on_gp | 11.91 | 0 | Yes | No | Yes | No | 7 | 8 |
| 773 | b.b21x2 | g.h2x1 | npy1_on_gp | 1.43 | 0 | Yes | No | No | No | 6 | 8 |
| 774 | b.b21x4 | g.h2x1 | npy1_on_gp | 1.49 | 0 | No | No | No | No | 5 | 8 |
| 775 | b.b21x5 | b.b21x7 | npy1_on_gp | 11.97 | 0 | No | No | Yes | No | 4 | 5 |
| 776 | b.b21x5 | b.b25x1 | npy1_on_gp | 1.61 | 0 | No | No | No | No | 4 | 2 |
| 777 | b.b21x7 | b.b23x2 | npy1_on_gp | 4.69 | 0 | Yes | No | Yes | No | 5 | 6 |
| 778 | b.b21x7 | b.b24x6 | npy1_on_gp | 14.47 | 0 | Yes | No | No | No | 5 | 8 |
| 779 | b.b21x7 | b.l24x1 | npy1_on_gp | 1.33 | 0 | Yes | No | No | No | 5 | 5 |
| 780 | b.b21x7 | b.b25x1 | npy1_on_gp | 1.33 | 0 | Yes | No | No | No | 5 | 2 |
| 781 | b.l21x2 | b.l21x3 | npy1_on_gp | 1.26 | 0 | Yes | No | No | No | 4 | 3 |
| 782 | b.l21x2 | b.l21x4 | npy1_on_gp | 7.65 | 0 | Yes | No | No | No | 4 | 4 |
| 783 | b.l21x2 | b.l21x5 | npy1_on_gp | 2.65 | 0 | Yes | No | Yes | No | 4 | 4 |
| 784 | b.b25x3 | b.l21x2 | npy1_on_gp | 6.77 | 0 | Yes | No | Yes | No | 5 | 4 |
| 785 | b.b23x6 | b.l21x5 | npy1_on_gp | 9.67 | 0 | Yes | No | Yes | No | 7 | 4 |
| 786 | b.l21x5 | b.l23x2 | npy1_on_gp | 1.4 | 0 | Yes | No | Yes | No | 4 | 8 |
| 787 | b.b25x3 | b.l21x5 | npy1_on_gp | 1.25 | 0 | Yes | No | Yes | No | 5 | 4 |
| 788 | b.l21x7 | b.l21x8 | npy1_on_gp | 1.96 | 0 | No | No | No | No | 5 | 4 |
| 789 | b.l21x7 | b.l23x1 | npy1_on_gp | 6.22 | 0 | No | No | Yes | No | 5 | 6 |
| 790 | b.l21x7 | b.l23x2 | npy1_on_gp | 4.67 | 0 | No | No | Yes | No | 5 | 8 |
| 791 | b.l21x8 | b.l23x1 | npy1_on_gp | 3.35 | 0 | No | No | Yes | No | 4 | 6 |
| 792 | b.b22x3 | b.l21x9 | npy1_on_gp | 1.54 | 0 | Yes | No | Yes | No | 6 | 6 |
| 793 | b.b23x6 | b.l21x9 | npy1_on_gp | 8.46 | 0 | Yes | No | Yes | No | 7 | 6 |
| 794 | b.b22x1 | b.b22x2 | npy1_on_gp | 6.4 | 0 | Yes | No | No | No | 8 | 8 |
| 795 | b.b22x1 | b.b23x5 | npy1_on_gp | 1.82 | 0 | Yes | No | No | No | 8 | 7 |
| 796 | b.b22x1 | b.l23x1 | npy1_on_gp | 2.89 | 0 | Yes | No | Yes | No | 8 | 6 |
| 797 | b.b22x1 | b.l25x7 | npy1_on_gp | 1.59 | 0 | Yes | No | Yes | No | 8 | 7 |
| 798 | b.b22x2 | b.b26x3 | npy1_on_gp | 1.5 | 0 | No | No | Yes | No | 8 | 6 |
| 799 | b.b22x3 | b.b23x2 | npy1_on_gp | 1.49 | 0 | Yes | No | Yes | No | 6 | 6 |
| 800 | b.b22x3 | b.b23x4 | npy1_on_gp | 1.7 | 0 | Yes | No | No | No | 6 | 6 |
| 801 | b.b22x4 | b.b26x3 | npy1_on_gp | 3 | 0 | No | No | Yes | No | 5 | 6 |
| 802 | b.b22x4 | b.b26x5 | npy1_on_gp | 3.23 | 0 | No | No | No | No | 5 | 7 |
| 803 | b.b22x5 | b.l22x4 | npy1_on_gp | 4.52 | 0 | Yes | No | Yes | No | 7 | 9 |
| 804 | b.b22x5 | b.b23x2 | npy1_on_gp | 6.09 | 0 | Yes | No | Yes | No | 7 | 6 |
| 805 | b.b22x5 | b.l24x1 | npy1_on_gp | 2.77 | 0 | Yes | No | No | No | 7 | 5 |
| 806 | b.l22x1 | b.l22x3 | npy1_on_gp | 1.63 | 0 | Yes | No | Yes | No | 9 | 9 |
| 807 | b.l22x1 | b.l22x4 | npy1_on_gp | 1.86 | 0 | Yes | No | Yes | No | 9 | 9 |
| 808 | b.b23x1 | b.l22x1 | npy1_on_gp | 3 | 0 | Yes | No | Yes | No | 5 | 9 |
| 809 | b.l22x1 | g.ctx3 | npy1_on_gp | 2.94 | 0 | Yes | No | Yes | No | 9 | 9 |
| 810 | b.l22x2 | b.l26x4 | npy1_on_gp | 1.74 | 0 | No | No | Yes | No | 1 | 9 |
| 811 | b.l22x2 | g.ctx3 | npy1_on_gp | 1.38 | 0 | No | No | Yes | No | 1 | 9 |
| 812 | b.l22x3 | b.l22x5 | npy1_on_gp | 1.32 | 0 | Yes | No | Yes | No | 9 | 9 |
| 813 | b.l22x3 | g.ctx3 | npy1_on_gp | 10.31 | 0 | Yes | No | Yes | No | 9 | 9 |
| 814 | b.l22x3 | g.ctx6 | npy1_on_gp | 1.5 | 0 | Yes | No | Yes | No | 9 | 6 |
| 815 | b.l22x4 | g.h2x12 | npy1_on_gp | 1.96 | 0 | Yes | No | No | No | 9 | 7 |
| 816 | b.b23x1 | b.l22x5 | npy1_on_gp | 2.43 | 0 | Yes | No | Yes | No | 5 | 9 |
| 817 | b.b24x7 | b.l22x5 | npy1_on_gp | 9.53 | 0 | No | No | Yes | No | 9 | 9 |
| 818 | b.l22x5 | b.l24x2 | npy1_on_gp | 6.07 | 0 | Yes | No | Yes | No | 9 | 6 |
| 819 | b.l22x5 | g.ctx6 | npy1_on_gp | 2.43 | 0 | Yes | No | Yes | No | 9 | 6 |
| 820 | b.b23x1 | b.b23x3 | npy1_on_gp | 2.77 | 0 | Yes | No | Yes | No | 5 | 7 |
| 821 | b.b23x1 | b.b24x5 | npy1_on_gp | 2.98 | 0 | Yes | No | Yes | No | 5 | 5 |
| 822 | b.b23x1 | g.ctx5 | npy1_on_gp | 1.38 | 0 | Yes | No | Yes | No | 5 | 9 |
| 823 | b.b23x1 | g.ctx6 | npy1_on_gp | 1.38 | 0 | Yes | No | Yes | No | 5 | 6 |
| 824 | b.b23x3 | b.b24x5 | npy1_on_gp | 4.47 | 0 | Yes | No | Yes | No | 7 | 5 |
| 825 | b.b23x3 | b.b26x3 | npy1_on_gp | 4.15 | 0 | Yes | No | Yes | No | 7 | 6 |
| 826 | b.b23x3 | b.b27x1 | npy1_on_gp | 4.47 | 0 | Yes | No | Yes | No | 7 | 6 |
| 827 | b.b23x4 | b.b23x6 | npy1_on_gp | 2.67 | 0 | No | No | Yes | No | 6 | 7 |
| 828 | b.b23x5 | b.b23x6 | npy1_on_gp | 1.45 | 0 | No | No | Yes | No | 7 | 7 |
| 829 | b.b23x5 | b.l25x7 | npy1_on_gp | 1.84 | 0 | No | No | Yes | No | 7 | 7 |
| 830 | b.b23x6 | b.l23x2 | npy1_on_gp | 5.75 | 0 | Yes | No | Yes | No | 7 | 8 |
| 831 | b.b23x6 | b.b24x4 | npy1_on_gp | 2.33 | 0 | Yes | No | Yes | No | 7 | 6 |
| 832 | b.b23x6 | b.b24x6 | npy1_on_gp | 4.82 | 0 | Yes | No | No | No | 7 | 8 |
| 833 | b.l23x1 | b.l25x6 | npy1_on_gp | 17.87 | 0 | Yes | No | Yes | No | 6 | 8 |
| 834 | b.b24x2 | b.l23x2 | npy1_on_gp | 9.42 | 0 | Yes | No | Yes | No | 5 | 8 |
| 835 | b.b24x1 | b.l25x5 | npy1_on_gp | 6.04 | 0 | No | No | No | No | 4 | 7 |
| 836 | b.b24x1 | b.l25x6 | npy1_on_gp | 2.14 | 0 | No | No | Yes | No | 4 | 8 |
| 837 | b.b24x2 | b.b24x4 | npy1_on_gp | 2.72 | 0 | Yes | No | Yes | No | 5 | 6 |
| 838 | b.b24x2 | b.b25x6 | npy1_on_gp | 4.43 | 0 | Yes | No | No | No | 5 | 3 |
| 839 | b.b24x2 | b.l25x1 | npy1_on_gp | 3.13 | 0 | Yes | No | No | No | 5 | 3 |
| 840 | b.b24x3 | b.b25x7 | npy1_on_gp | 1.59 | 0 | No | No | Yes | No | 5 | 7 |
| 841 | b.b24x3 | b.b26x3 | npy1_on_gp | 1.59 | 0 | No | No | Yes | No | 5 | 6 |
| 842 | b.b24x4 | b.b24x6 | npy1_on_gp | 3.39 | 0 | Yes | No | No | No | 6 | 8 |
| 843 | b.b24x4 | b.b25x3 | npy1_on_gp | 6.03 | 0 | Yes | No | Yes | No | 6 | 5 |
| 844 | b.b24x4 | b.b25x6 | npy1_on_gp | 4.43 | 0 | Yes | No | No | No | 6 | 3 |
| 845 | b.b24x5 | b.b25x4 | npy1_on_gp | 1.7 | 0 | Yes | No | No | No | 5 | 4 |
| 846 | b.b24x5 | b.b25x7 | npy1_on_gp | 1.49 | 0 | Yes | No | Yes | No | 5 | 7 |
| 847 | b.b24x7 | b.l24x2 | npy1_on_gp | 1.36 | 0 | No | No | Yes | No | 9 | 6 |
| 848 | b.b24x7 | b.l24x3 | npy1_on_gp | 5.53 | 0 | No | No | Yes | No | 9 | 5 |
| 849 | b.l24x1 | b.l24x2 | npy1_on_gp | 1.58 | 0 | No | No | Yes | No | 5 | 6 |
| 850 | b.l24x2 | g.h2x9 | npy1_on_gp | 2.83 | 0 | Yes | No | No | No | 6 | 4 |
| 851 | b.l24x2 | g.h2x12 | npy1_on_gp | 3.17 | 0 | Yes | No | No | No | 6 | 7 |
| 852 | b.b25x3 | b.b25x6 | npy1_on_gp | 2.62 | 0 | Yes | No | No | No | 5 | 3 |
| 853 | b.b25x4 | b.b25x5 | npy1_on_gp | 1.95 | 0 | No | No | No | No | 4 | 4 |
| 854 | b.b25x7 | b.b28x6 | npy1_on_gp | 12.53 | 0 | Yes | No | Yes | No | 7 | 9 |
| 855 | b.b28x4 | b.l25x2 | npy1_on_gp | 1.74 | 0 | Yes | No | No | No | 6 | 5 |
| 856 | b.b28x6 | b.l25x2 | npy1_on_gp | 1.41 | 0 | Yes | No | No | No | 9 | 5 |
| 857 | b.b27x3 | b.l25x3 | npy1_on_gp | 4.11 | 0 | Yes | No | Yes | No | 8 | 9 |
| 858 | b.b27x5 | b.l25x3 | npy1_on_gp | 12.55 | 0 | Yes | No | Yes | No | 9 | 9 |
| 859 | b.l25x3 | b.l27x2 | npy1_on_gp | 10.08 | 0 | Yes | No | Yes | No | 9 | 9 |
| 860 | b.b28x4 | b.l25x3 | npy1_on_gp | 3.93 | 0 | Yes | No | Yes | No | 6 | 9 |
| 861 | b.l25x4 | b.l27x2 | npy1_on_gp | 1.33 | 0 | No | No | Yes | No | 5 | 9 |
| 862 | b.l25x5 | b.l25x6 | npy1_on_gp | 3.62 | 0 | No | No | Yes | No | 7 | 8 |
| 863 | b.b27x5 | b.l25x5 | npy1_on_gp | 1.49 | 0 | Yes | No | No | No | 9 | 7 |
| 864 | b.l25x6 | b.l27x1 | npy1_on_gp | 13 | 0 | Yes | No | Yes | No | 8 | 9 |
| 865 | b.b27x3 | b.l25x7 | npy1_on_gp | 1.59 | 0 | Yes | No | Yes | No | 8 | 7 |
| 866 | b.b27x5 | b.l25x7 | npy1_on_gp | 1.62 | 0 | Yes | No | Yes | No | 9 | 7 |
| 867 | b.b26x1 | b.b26x2 | npy1_on_gp | 3.44 | 0 | No | No | Yes | No | 9 | 7 |
| 868 | b.b26x1 | b.l27x1 | npy1_on_gp | 4.94 | 0 | No | No | Yes | No | 9 | 9 |
| 869 | b.b26x2 | b.b27x4 | npy1_on_gp | 1.96 | 0 | Yes | No | No | No | 7 | 5 |
| 870 | b.b26x2 | b.b28x3 | npy1_on_gp | 1.59 | 0 | Yes | No | Yes | No | 7 | 7 |
| 871 | b.b26x3 | b.b26x4 | npy1_on_gp | 1.71 | 0 | Yes | No | No | No | 6 | 5 |
| 872 | b.b26x3 | b.b27x1 | npy1_on_gp | 2.98 | 0 | Yes | No | Yes | No | 6 | 6 |
| 873 | b.b26x3 | b.b27x3 | npy1_on_gp | 2.95 | 0 | Yes | No | Yes | No | 6 | 8 |
| 874 | b.b26x5 | b.b27x1 | npy1_on_gp | 3.21 | 0 | No | No | Yes | No | 7 | 6 |
| 875 | b.l26x1 | b.l26x2 | npy1_on_gp | 1.45 | 0 | Yes | No | No | No | 7 | 1 |
| 876 | b.l26x1 | b.l26x3 | npy1_on_gp | 7.23 | 0 | Yes | No | Yes | No | 7 | 7 |
| 877 | b.l26x1 | b.l26x4 | npy1_on_gp | 1.82 | 0 | Yes | No | Yes | No | 7 | 9 |
| 878 | b.l26x1 | b.l26x5 | npy1_on_gp | 1.51 | 0 | Yes | No | Yes | No | 7 | 5 |
| 879 | b.l26x3 | b.l26x4 | npy1_on_gp | 1.68 | 0 | Yes | No | Yes | No | 7 | 9 |
| 880 | b.l26x3 | b.l26x5 | npy1_on_gp | 5.54 | 0 | Yes | No | Yes | No | 7 | 5 |
| 881 | b.l26x4 | g.ctx3 | npy1_on_gp | 1.68 | 0 | Yes | No | Yes | No | 9 | 9 |
| 882 | b.l26x4 | g.ctx4 | npy1_on_gp | 2.03 | 0 | Yes | No | Yes | No | 9 | 7 |
| 883 | b.l26x5 | g.ctx4 | npy1_on_gp | 6.71 | 0 | Yes | No | Yes | No | 5 | 7 |
| 884 | b.l26x5 | g.ctx14 | npy1_on_gp | 1.4 | 0 | Yes | No | Yes | No | 5 | 9 |
| 885 | b.l26x5 | g.ctx15 | npy1_on_gp | 5.03 | 0 | Yes | No | No | No | 5 | 9 |
| 886 | b.b28x5 | b.l26x6 | npy1_on_gp | 1.62 | 0 | Yes | No | No | No | 5 | 7 |
| 887 | b.l26x6 | g.ctx16 | npy1_on_gp | 4.16 | 0 | No | No | Yes | No | 7 | 8 |
| 888 | b.b27x1 | b.b27x3 | npy1_on_gp | 1.59 | 0 | Yes | No | Yes | No | 6 | 8 |
| 889 | b.b27x1 | g.ctx5 | npy1_on_gp | 1.49 | 0 | Yes | No | Yes | No | 6 | 9 |
| 890 | b.b27x3 | b.b28x4 | npy1_on_gp | 1.5 | 0 | Yes | No | Yes | No | 8 | 6 |
| 891 | b.b27x3 | b.b28x6 | npy1_on_gp | 9.7 | 0 | Yes | No | Yes | No | 8 | 9 |
| 892 | b.b27x4 | b.b28x3 | npy1_on_gp | 1.71 | 0 | No | No | Yes | No | 5 | 7 |
| 893 | b.b27x5 | b.l27x1 | npy1_on_gp | 1.24 | 0 | Yes | No | Yes | No | 9 | 9 |
| 894 | b.b27x5 | b.l27x2 | npy1_on_gp | 5.89 | 0 | Yes | No | Yes | No | 9 | 9 |
| 895 | b.b28x2 | b.l27x2 | npy1_on_gp | 9.55 | 0 | No | No | Yes | No | 4 | 9 |
| 896 | b.b28x1 | b.b28x2 | npy1_on_gp | 5.28 | 0 | No | No | No | No | 4 | 4 |
| 897 | b.b28x4 | b.b28x6 | npy1_on_gp | 5.8 | 0 | Yes | No | Yes | No | 6 | 9 |
| 898 | b.b28x7 | g.ctx14 | npy1_on_gp | 10.9 | 0 | Yes | No | Yes | No | 9 | 9 |
| 899 | b.b28x7 | g.ctx16 | npy1_on_gp | 2.42 | 0 | Yes | No | Yes | No | 9 | 8 |
| 900 | g.ntx6 | g.ntx7 | npy1_on_gp | 1.68 | 0 | No | No | No | No | 3 | 4 |
| 901 | g.ntx6 | g.ntx8 | npy1_on_gp | 3.2 | 0 | No | No | No | No | 3 | 4 |
| 902 | g.h1x1 | g.ntx6 | npy1_on_gp | 1.52 | 0 | Yes | No | No | No | 2 | 3 |
| 903 | g.h1x1 | g.ntx8 | npy1_on_gp | 1.55 | 0 | Yes | No | No | No | 2 | 4 |
| 904 | g.h1x3 | g.h1x6 | npy1_on_gp | 5.42 | 0 | No | No | No | No | 3 | 4 |
| 905 | g.h1x5 | g.h1x8 | npy1_on_gp | 1.31 | 0 | No | No | No | No | 6 | 7 |
| 906 | g.h1x11 | g.h1x7 | npy1_on_gp | 2.77 | 0 | Yes | No | No | No | 9 | 2 |
| 907 | g.h1x13 | g.h1x9 | npy1_on_gp | 2.71 | 0 | No | No | No | No | 1 | 6 |
| 908 | g.h1x10 | g.h1x14 | npy1_on_gp | 14.02 | 0 | No | No | Yes | No | 9 | 9 |
| 909 | g.h1x11 | g.h1x14 | npy1_on_gp | 2.65 | 0 | Yes | No | Yes | No | 9 | 9 |
| 910 | g.l1x2 | g.l1x4 | npy1_on_gp | 8.77 | 0 | No | No | Yes | No | 2 | 8 |
| 911 | g.h2x2 | g.l1x6 | npy1_on_gp | 1.53 | 0 | No | No | No | No | 9 | 4 |
| 912 | g.h2x3 | g.h2x7 | npy1_on_gp | 15.21 | 0 | No | No | No | No | 5 | 5 |
| 913 | g.h2x6 | g.h2x7 | npy1_on_gp | 1.54 | 0 | No | No | No | No | 2 | 5 |
| 914 | g.h2x11 | g.h2x15 | npy1_on_gp | 11.98 | 0 | No | No | No | No | 6 | 6 |
| 915 | g.h2x14 | g.h2x15 | npy1_on_gp | 1.46 | 0 | No | No | No | No | 4 | 6 |
| 916 | g.ctx3 | g.ctx4 | npy1_on_gp | 4.83 | 0 | Yes | No | Yes | No | 9 | 7 |
| 917 | g.ctx3 | g.ctx5 | npy1_on_gp | 4.07 | 0 | Yes | No | Yes | No | 9 | 9 |
| 918 | g.ctx3 | g.ctx6 | npy1_on_gp | 4.07 | 0 | Yes | No | Yes | No | 9 | 6 |
| 919 | g.ctx4 | g.ctx9 | npy1_on_gp | 1.77 | 0 | Yes | No | Yes | No | 7 | 6 |
| 920 | g.ctx7 | g.ctx8 | npy1_on_gp | 1.75 | 0 | No | No | No | No | 4 | 8 |
| 921 | g.ctx10 | g.ctx9 | npy1_on_gp | 3.53 | 0 | No | No | Yes | No | 5 | 6 |
| 922 | g.ctx13 | g.ctx9 | npy1_on_gp | 2.85 | 0 | No | No | Yes | No | 5 | 6 |
| 923 | g.ctx14 | g.ctx9 | npy1_on_gp | 1.48 | 0 | Yes | No | Yes | No | 9 | 6 |
| 924 | g.ctx10 | g.ctx13 | npy1_on_gp | 9.43 | 0 | No | No | No | No | 5 | 5 |
| 925 | g.ctx14 | g.ctx15 | npy1_on_gp | 4.89 | 0 | Yes | No | No | No | 9 | 9 |
| 926 | g.ctx14 | g.ctx16 | npy1_on_gp | 6.04 | 0 | Yes | No | Yes | No | 9 | 8 |
| 927 | NT.H34 | NT.L35 | npy1_on_gp | 6.43 | 0 | No | No | Yes | No | 2 | 3 |
| 928 | 2x65 | NT.H34 | npy1_on_gp | 2.57 | 0 | No | No | No | No | 4 | 2 |
| 929 | 1x31 | NT.L35 | npy1_on_gp | 4.24 | 0 | Yes | No | Yes | No | 4 | 3 |
| 930 | 7x32 | NT.L35 | npy1_on_gp | 2.77 | 0 | No | No | Yes | No | 2 | 3 |
| 931 | 1x30 | 1x31 | npy1_on_gp | 1.61 | 0 | No | No | Yes | No | 2 | 4 |
| 932 | 1x31 | 1x34 | npy1_on_gp | 1.51 | 0 | Yes | No | No | No | 4 | 5 |
| 933 | 1x34 | 1x35 | npy1_on_gp | 1.47 | 0 | No | No | No | No | 5 | 7 |
| 934 | 1x35 | 7x35 | npy1_on_gp | 4.15 | 0 | No | No | Yes | No | 7 | 4 |
| 935 | 1x39 | 1x40 | npy1_on_gp | 1.45 | 0 | Yes | Yes | No | No | 7 | 5 |
| 936 | 1x39 | 7x35 | npy1_on_gp | 3.52 | 0 | Yes | Yes | Yes | No | 7 | 4 |
| 937 | 1x42 | 1x43 | npy1_on_gp | 1.54 | 0 | No | No | Yes | No | 7 | 7 |
| 938 | 1x42 | 2x57 | npy1_on_gp | 1.49 | 0 | No | No | Yes | Yes | 7 | 7 |
| 939 | 1x43 | 1x47 | npy1_on_gp | 1.54 | 0 | Yes | No | No | No | 7 | 7 |
| 940 | 1x45 | 1x46 | npy1_on_gp | 1.71 | 0 | No | No | No | No | 5 | 7 |
| 941 | 1x46 | 1x50 | npy1_on_gp | 1.7 | 0 | No | No | Yes | Yes | 7 | 9 |
| 942 | 1x47 | 2x51 | npy1_on_gp | 2.98 | 0 | No | No | No | No | 7 | 8 |
| 943 | 1x52 | 8x54 | npy1_on_gp | 1.58 | 0 | No | No | No | No | 6 | 5 |
| 944 | 1x53 | 1x56 | npy1_on_gp | 1.43 | 0 | Yes | No | Yes | No | 9 | 7 |
| 945 | 1x53 | 1x57 | npy1_on_gp | 7.14 | 0 | Yes | No | Yes | No | 9 | 7 |
| 946 | 1x53 | 2x43 | npy1_on_gp | 1.43 | 0 | Yes | No | No | No | 9 | 8 |
| 947 | 1x53 | 2x47 | npy1_on_gp | 4.5 | 0 | Yes | No | No | No | 9 | 9 |
| 948 | 1x53 | 7x54 | npy1_on_gp | 1.71 | 0 | Yes | No | No | No | 9 | 7 |
| 949 | 1x54 | 1x55 | npy1_on_gp | 1.47 | 0 | No | No | No | No | 7 | 3 |
| 950 | 1x56 | 1x57 | npy1_on_gp | 1.47 | 0 | Yes | No | Yes | No | 7 | 7 |
| 951 | 1x56 | 8x53 | npy1_on_gp | 2.8 | 0 | Yes | No | No | No | 7 | 5 |
| 952 | 1x56 | 8x54 | npy1_on_gp | 7.14 | 0 | Yes | No | No | No | 7 | 5 |
| 953 | 1x57 | 1x58 | npy1_on_gp | 2.85 | 0 | Yes | No | No | No | 7 | 4 |
| 954 | 1x57 | 2x43 | npy1_on_gp | 1.47 | 0 | Yes | No | No | No | 7 | 8 |
| 955 | 1x57 | 8x50 | npy1_on_gp | 7.54 | 0 | Yes | No | Yes | Yes | 7 | 8 |
| 956 | 1x58 | 2x44 | npy1_on_gp | 2.98 | 0 | No | No | No | No | 4 | 5 |
| 957 | 1x59 | 8x53 | npy1_on_gp | 2.77 | 0 | No | No | No | No | 5 | 5 |
| 958 | 1x60 | 8x50 | npy1_on_gp | 4.68 | 0 | No | No | Yes | Yes | 5 | 8 |
| 959 | I1x49 | I1x51 | npy1_on_gp | 12.79 | 0 | No | No | No | No | 5 | 6 |
| 960 | 2x37 | I1x51 | npy1_on_gp | 6.03 | 0 | No | No | No | No | 8 | 6 |
| 961 | 2x38 | 2x39 | npy1_on_gp | 1.59 | 0 | No | No | No | No | 6 | 7 |
| 962 | 2x39 | 2x43 | npy1_on_gp | 3.04 | 0 | No | No | No | No | 7 | 8 |
| 963 | 2x40 | 8x50 | npy1_on_gp | 4.83 | 0 | No | No | Yes | Yes | 8 | 8 |
| 964 | 2x41 | 4x46 | npy1_on_gp | 1.47 | 0 | No | No | Yes | No | 5 | 7 |
| 965 | 2x42 | 3x49 | npy1_on_gp | 3.98 | 0 | Yes | No | Yes | Yes | 7 | 8 |
| 966 | 2x42 | 4x46 | npy1_on_gp | 1.43 | 0 | Yes | No | Yes | No | 7 | 7 |
| 967 | 2x45 | 3x38 | npy1_on_gp | 1.48 | 0 | Yes | No | Yes | No | 9 | 7 |
| 968 | 2x45 | 4x49 | npy1_on_gp | 1.42 | 0 | Yes | No | No | No | 9 | 7 |
| 969 | 2x46 | 2x50 | npy1_on_gp | 8.14 | 0 | Yes | No | Yes | No | 9 | 9 |
| 970 | 2x46 | 3x42 | npy1_on_gp | 7.51 | 0 | Yes | No | No | No | 9 | 8 |
| 971 | 2x46 | 3x43 | npy1_on_gp | 5.54 | 0 | Yes | No | Yes | No | 9 | 8 |
| 972 | 2x46 | 7x53 | npy1_on_gp | 2.34 | 0 | Yes | No | No | Yes | 9 | 9 |
| 973 | 2x49 | 3x39 | npy1_on_gp | 1.63 | 0 | No | No | No | No | 8 | 9 |
| 974 | 2x50 | 7x49 | npy1_on_gp | 5.39 | 0 | Yes | No | Yes | No | 9 | 9 |
| 975 | 2x52 | 2x551 | npy1_on_gp | 1.41 | 0 | No | No | No | No | 7 | 5 |
| 976 | 2x52 | 3x35 | npy1_on_gp | 4.5 | 0 | No | No | Yes | No | 7 | 8 |
| 977 | 2x53 | 2x56 | npy1_on_gp | 1.71 | 0 | Yes | No | Yes | No | 7 | 7 |
| 978 | 2x53 | 3x36 | npy1_on_gp | 3.07 | 0 | Yes | No | No | No | 7 | 7 |
| 979 | 2x53 | 7x46 | npy1_on_gp | 1.59 | 0 | Yes | No | Yes | No | 7 | 8 |
| 980 | 2x54 | 7x42 | npy1_on_gp | 1.61 | 0 | No | No | Yes | No | 7 | 7 |
| 981 | 2x55 | 2x551 | npy1_on_gp | 8.75 | 0 | No | No | No | No | 5 | 5 |
| 982 | 2x56 | 2x60 | npy1_on_gp | 1.69 | 0 | Yes | No | Yes | No | 7 | 6 |
| 983 | 2x56 | 7x38 | npy1_on_gp | 2.95 | 0 | Yes | No | Yes | Yes | 7 | 6 |
| 984 | 2x56 | 7x42 | npy1_on_gp | 3.24 | 0 | Yes | No | Yes | No | 7 | 7 |
| 985 | 2x57 | 2x58 | npy1_on_gp | 1.64 | 0 | Yes | Yes | No | No | 7 | 8 |
| 986 | 2x57 | 7x38 | npy1_on_gp | 1.29 | 0 | Yes | Yes | Yes | Yes | 7 | 6 |
| 987 | 2x59 | 3x28 | npy1_on_gp | 7.25 | 0 | Yes | No | Yes | No | 6 | 5 |
| 988 | 2x59 | Lig | npy1_on_gp | 2.34 | 0 | Yes | No | Yes | Yes | 6 | 0 |
| 989 | 2x60 | 2x64 | npy1_on_gp | 1.57 | 0 | Yes | No | No | No | 6 | 4 |
| 990 | 2x60 | 3x32 | npy1_on_gp | 2.83 | 0 | Yes | No | Yes | Yes | 6 | 6 |
| 991 | 2x60 | 7x34 | npy1_on_gp | 1.3 | 0 | Yes | No | Yes | No | 6 | 5 |
| 992 | 2x60 | Lig | npy1_on_gp | 8.5 | 0 | Yes | No | Yes | Yes | 6 | 0 |
| 993 | 2x63 | E2x50 | npy1_on_gp | 4.03 | 0 | No | No | Yes | No | 6 | 9 |
| 994 | 2x63 | Lig | npy1_on_gp | 17.51 | 0 | No | No | Yes | Yes | 6 | 0 |
| 995 | 2x64 | 7x34 | npy1_on_gp | 6.49 | 0 | No | No | Yes | No | 4 | 5 |
| 996 | 2x66 | E1x49 | npy1_on_gp | 6.57 | 0 | No | No | Yes | No | 3 | 5 |
| 997 | 2x67 | Lig | npy1_on_gp | 13.47 | 0 | No | No | Yes | Yes | 4 | 0 |
| 998 | E1x49 | E2.F184 | npy1_on_gp | 2.26 | 0 | Yes | No | Yes | Yes | 5 | 1 |
| 999 | E1x50 | Lig | npy1_on_gp | 2.19 | 0 | Yes | Yes | Yes | Yes | 8 | 0 |
| 1000 | 3x21 | E1x52 | npy1_on_gp | 1.51 | 0 | No | No | Yes | Yes | 8 | 7 |
| 1001 | 3x24 | E1x52 | npy1_on_gp | 4.98 | 0 | No | No | Yes | Yes | 6 | 7 |
| 1002 | 3x22 | 3x26 | npy1_on_gp | 1.35 | 0 | No | No | No | No | 3 | 7 |
| 1003 | 3x25 | 4x65 | npy1_on_gp | 1.53 | 0 | No | No | Yes | No | 9 | 5 |
| 1004 | 3x28 | 3x29 | npy1_on_gp | 1.63 | 0 | Yes | No | No | No | 5 | 6 |
| 1005 | 3x28 | 3x32 | npy1_on_gp | 3.96 | 0 | Yes | No | Yes | Yes | 5 | 6 |
| 1006 | 3x28 | Lig | npy1_on_gp | 3.96 | 0 | Yes | No | Yes | Yes | 5 | 0 |
| 1007 | 3x30 | 4x57 | npy1_on_gp | 3.96 | 0 | No | Yes | Yes | No | 6 | 7 |
| 1008 | 3x31 | 3x35 | npy1_on_gp | 1.62 | 0 | No | No | Yes | No | 5 | 8 |
| 1009 | 3x33 | 3x37 | npy1_on_gp | 1.69 | 0 | No | No | Yes | No | 4 | 6 |
| 1010 | 3x34 | 3x35 | npy1_on_gp | 1.62 | 0 | Yes | No | Yes | No | 5 | 8 |
| 1011 | 3x34 | 3x38 | npy1_on_gp | 1.6 | 0 | Yes | No | Yes | No | 5 | 7 |
| 1012 | 3x34 | 4x53 | npy1_on_gp | 1.7 | 0 | Yes | No | Yes | No | 5 | 8 |
| 1013 | 3x34 | 4x54 | npy1_on_gp | 1.6 | 0 | Yes | No | No | No | 5 | 4 |
| 1014 | 3x36 | 3x40 | npy1_on_gp | 1.47 | 0 | No | No | Yes | No | 7 | 7 |
| 1015 | 3x37 | 3x41 | npy1_on_gp | 3.89 | 0 | Yes | No | No | Yes | 6 | 7 |
| 1016 | 3x37 | 4x56 | npy1_on_gp | 4.8 | 0 | Yes | No | No | No | 6 | 5 |
| 1017 | 3x37 | 4x57 | npy1_on_gp | 1.6 | 0 | Yes | No | Yes | No | 6 | 7 |
| 1018 | 3x38 | 4x53 | npy1_on_gp | 1.7 | 0 | Yes | No | Yes | No | 7 | 8 |
| 1019 | 3x40 | 6x48 | npy1_on_gp | 8.22 | 0 | Yes | No | Yes | Yes | 7 | 8 |
| 1020 | 3x41 | 5x46 | npy1_on_gp | 2.44 | 0 | No | Yes | No | No | 7 | 5 |
| 1021 | 3x42 | 3x46 | npy1_on_gp | 3.1 | 0 | No | No | Yes | No | 8 | 8 |
| 1022 | 3x43 | 3x46 | npy1_on_gp | 1.43 | 0 | Yes | No | Yes | No | 8 | 8 |
| 1023 | 3x43 | 6x44 | npy1_on_gp | 2.44 | 0 | Yes | No | Yes | No | 8 | 9 |
| 1024 | 3x43 | 7x49 | npy1_on_gp | 2.75 | 0 | Yes | No | Yes | No | 8 | 9 |
| 1025 | 3x43 | 7x53 | npy1_on_gp | 5.86 | 0 | Yes | No | No | Yes | 8 | 9 |
| 1026 | 3x44 | 5x50 | npy1_on_gp | 3.53 | 0 | No | No | Yes | No | 7 | 9 |
| 1027 | 3x46 | 3x50 | npy1_on_gp | 1.25 | 0 | Yes | No | Yes | Yes | 8 | 9 |
| 1028 | 3x47 | 5x54 | npy1_on_gp | 1.62 | 0 | No | No | No | No | 9 | 8 |
| 1029 | 3x50 | 5x58 | npy1_on_gp | 4.12 | 0 | Yes | Yes | Yes | No | 9 | 9 |
| 1030 | 3x50 | 5x61 | npy1_on_gp | 1.25 | 0 | Yes | Yes | Yes | No | 9 | 8 |
| 1031 | 3x51 | 5x57 | npy1_on_gp | 5.9 | 0 | Yes | No | No | No | 7 | 7 |
| 1032 | 3x54 | 5x64 | npy1_on_gp | 1.25 | 0 | Yes | No | Yes | No | 8 | 5 |
| 1033 | 3x55 | 5x60 | npy1_on_gp | 1.45 | 0 | Yes | No | No | No | 6 | 4 |
| 1034 | 3x56 | I2.P145 | npy1_on_gp | 1.63 | 0 | No | No | Yes | No | 6 | 8 |
| 1035 | 5x64 | I2.P145 | npy1_on_gp | 1.44 | 0 | Yes | No | Yes | No | 5 | 8 |
| 1036 | 4x41 | I2.W148 | npy1_on_gp | 12.7 | 0 | No | No | No | No | 4 | 5 |
| 1037 | I2.P150 | I2.R149 | npy1_on_gp | 2.88 | 0 | No | No | No | No | 6 | 5 |
| 1038 | 4x38 | 4x39 | npy1_on_gp | 1.36 | 0 | No | No | No | No | 7 | 2 |
| 1039 | 4x44 | 4x45 | npy1_on_gp | 1.84 | 0 | No | No | No | No | 3 | 5 |
| 1040 | 4x45 | 4x48 | npy1_on_gp | 1.84 | 0 | No | No | No | No | 5 | 4 |
| 1041 | 4x46 | 4x50 | npy1_on_gp | 2.35 | 0 | Yes | No | Yes | No | 7 | 9 |
| 1042 | 4x53 | 4x56 | npy1_on_gp | 1.71 | 0 | Yes | No | No | No | 8 | 5 |
| 1043 | 4x56 | 4x57 | npy1_on_gp | 3.26 | 0 | No | No | Yes | No | 5 | 7 |
| 1044 | 4x59 | 4x60 | npy1_on_gp | 1.64 | 0 | No | No | No | No | 4 | 8 |
| 1045 | 4x59 | 4x63 | npy1_on_gp | 7.14 | 0 | No | No | No | No | 4 | 4 |
| 1046 | 4x61 | E2x52 | npy1_on_gp | 4.78 | 0 | No | Yes | No | No | 5 | 4 |
| 1047 | 4x62 | 4x65 | npy1_on_gp | 1.33 | 0 | No | No | Yes | No | 5 | 5 |
| 1048 | E2.M179 | E2x50 | npy1_on_gp | 1.62 | 0 | No | No | Yes | No | 4 | 9 |
| 1049 | E2.T180 | E2x51 | npy1_on_gp | 2.59 | 0 | No | No | No | No | 3 | 3 |
| 1050 | E2.D181 | E2.Q185 | npy1_on_gp | 3.92 | 0 | No | No | No | No | 1 | 2 |
| 1051 | E2.E182 | E2.P183 | npy1_on_gp | 7.86 | 0 | Yes | No | No | No | 1 | 1 |
| 1052 | E2.E182 | E2.N186 | npy1_on_gp | 13.15 | 0 | Yes | No | No | No | 1 | 1 |
| 1053 | E2.E182 | Lig | npy1_on_gp | 9.45 | 0 | Yes | No | Yes | Yes | 1 | 0 |
| 1054 | E2.P183 | Lig | npy1_on_gp | 5.02 | 0 | No | No | Yes | Yes | 1 | 0 |
| 1055 | E2.F184 | E2.K195 | npy1_on_gp | 3.72 | 0 | Yes | Yes | Yes | No | 1 | 3 |
| 1056 | E2.F184 | E2.V197 | npy1_on_gp | 7.87 | 0 | Yes | Yes | No | No | 1 | 4 |
| 1057 | E2.F184 | Lig | npy1_on_gp | 2.51 | 0 | Yes | Yes | Yes | Yes | 1 | 0 |
| 1058 | E2.D194 | E2.Q185 | npy1_on_gp | 1.31 | 0 | No | No | No | No | 5 | 2 |
| 1059 | E2.L189 | E2.N186 | npy1_on_gp | 1.37 | 0 | No | No | No | No | 5 | 1 |
| 1060 | E2.N186 | Lig | npy1_on_gp | 4.2 | 0 | No | No | Yes | Yes | 1 | 0 |
| 1061 | E2.T188 | E2.V187 | npy1_on_gp | 6.35 | 0 | No | No | No | No | 3 | 2 |
| 1062 | E2.V187 | Lig | npy1_on_gp | 3.53 | 0 | No | No | Yes | Yes | 2 | 0 |
| 1063 | E2.D190 | E2.T188 | npy1_on_gp | 2.89 | 0 | No | No | No | No | 1 | 3 |
| 1064 | E2.A191 | E2.K193 | npy1_on_gp | 3.21 | 0 | No | No | No | No | 3 | 2 |
| 1065 | E2.D194 | E2.K195 | npy1_on_gp | 2.77 | 0 | No | No | Yes | No | 5 | 3 |
| 1066 | E2x51 | Lig | npy1_on_gp | 11.67 | 0 | No | No | Yes | Yes | 3 | 0 |
| 1067 | 5x36 | 6x59 | npy1_on_gp | 5.96 | 0 | No | Yes | Yes | No | 4 | 4 |
| 1068 | 5x36 | Lig | npy1_on_gp | 10.33 | 0 | No | Yes | Yes | Yes | 4 | 0 |
| 1069 | 5x40 | 5x41 | npy1_on_gp | 1.57 | 0 | Yes | No | No | No | 5 | 5 |
| 1070 | 5x40 | 5x44 | npy1_on_gp | 1.47 | 0 | Yes | No | Yes | No | 5 | 6 |
| 1071 | 5x43 | 5x461 | npy1_on_gp | 9.32 | 0 | No | No | Yes | No | 5 | 6 |
| 1072 | 5x43 | Lig | npy1_on_gp | 3.52 | 0 | No | No | Yes | Yes | 5 | 0 |
| 1073 | 5x44 | 5x45 | npy1_on_gp | 1.49 | 0 | Yes | No | No | No | 6 | 5 |
| 1074 | 5x44 | 6x56 | npy1_on_gp | 2.95 | 0 | Yes | No | No | No | 6 | 6 |
| 1075 | 5x44 | 6x59 | npy1_on_gp | 1.36 | 0 | Yes | No | Yes | No | 6 | 4 |
| 1076 | 5x45 | 5x48 | npy1_on_gp | 9.18 | 0 | No | No | No | No | 5 | 5 |
| 1077 | 5x46 | 5x461 | npy1_on_gp | 2.66 | 0 | No | No | Yes | No | 5 | 6 |
| 1078 | 5x461 | Lig | npy1_on_gp | 4.51 | 0 | Yes | No | Yes | Yes | 6 | 0 |
| 1079 | 5x47 | 6x48 | npy1_on_gp | 2.89 | 0 | Yes | Yes | Yes | Yes | 8 | 8 |
| 1080 | 5x50 | 6x44 | npy1_on_gp | 1.44 | 0 | Yes | No | Yes | No | 9 | 9 |
| 1081 | 5x51 | 6x44 | npy1_on_gp | 2.44 | 0 | No | No | Yes | No | 6 | 9 |
| 1082 | 5x54 | 5x58 | npy1_on_gp | 4.84 | 0 | No | No | Yes | No | 8 | 9 |
| 1083 | 5x54 | 6x40 | npy1_on_gp | 1.47 | 0 | No | No | Yes | No | 8 | 7 |
| 1084 | 5x56 | 5x57 | npy1_on_gp | 1.64 | 0 | No | No | No | No | 4 | 7 |
| 1085 | 5x58 | 5x61 | npy1_on_gp | 2.42 | 0 | Yes | No | Yes | No | 9 | 8 |
| 1086 | 5x58 | 6x40 | npy1_on_gp | 2.42 | 0 | Yes | No | Yes | No | 9 | 7 |
| 1087 | 5x58 | 6x41 | npy1_on_gp | 5.05 | 0 | Yes | No | No | No | 9 | 8 |
| 1088 | 5x59 | 5x62 | npy1_on_gp | 2.06 | 0 | No | No | No | No | 4 | 5 |
| 1089 | 5x61 | 6x37 | npy1_on_gp | 1.43 | 0 | Yes | No | No | Yes | 8 | 8 |
| 1090 | 5x62 | 6x34 | npy1_on_gp | 9.3 | 0 | No | No | No | No | 5 | 6 |
| 1091 | 5x63 | 5x67 | npy1_on_gp | 2.51 | 0 | No | No | No | No | 3 | 4 |
| 1092 | 5x65 | 5x69 | npy1_on_gp | 9.61 | 0 | Yes | No | No | No | 8 | 3 |
| 1093 | 5x65 | 6x30 | npy1_on_gp | 1.47 | 0 | Yes | No | No | No | 8 | 7 |
| 1094 | 5x65 | 6x33 | npy1_on_gp | 1.43 | 0 | Yes | No | No | No | 8 | 7 |
| 1095 | 5x66 | 5x70 | npy1_on_gp | 8.39 | 0 | No | No | Yes | No | 4 | 4 |
| 1096 | 5x66 | 5x71 | npy1_on_gp | 2.88 | 0 | No | No | No | No | 4 | 2 |
| 1097 | 5x69 | 5x73 | npy1_on_gp | 1.35 | 0 | No | No | No | No | 3 | 4 |
| 1098 | 5x70 | 5x71 | npy1_on_gp | 1.4 | 0 | Yes | No | No | No | 4 | 2 |
| 1099 | 5x70 | 6x22 | npy1_on_gp | 1.35 | 0 | Yes | No | No | No | 4 | 3 |
| 1100 | 5x70 | 6x30 | npy1_on_gp | 13.16 | 0 | Yes | No | No | No | 4 | 7 |
| 1101 | 5x73 | I3.K247 | npy1_on_gp | 4.15 | 0 | No | No | No | No | 4 | 3 |
| 1102 | 6x22 | I3.K247 | npy1_on_gp | 4.15 | 0 | No | No | No | No | 3 | 3 |
| 1103 | 6x23 | 6x25 | npy1_on_gp | 2.33 | 0 | No | No | No | No | 3 | 3 |
| 1104 | 6x23 | 6x26 | npy1_on_gp | 12.05 | 0 | No | No | No | No | 3 | 4 |
| 1105 | 6x25 | 6x26 | npy1_on_gp | 3.09 | 0 | No | No | No | No | 3 | 4 |
| 1106 | 6x27 | 6x30 | npy1_on_gp | 1.6 | 0 | No | No | No | No | 4 | 7 |
| 1107 | 6x28 | 6x29 | npy1_on_gp | 2.87 | 0 | No | No | No | No | 4 | 6 |
| 1108 | 6x32 | 6x36 | npy1_on_gp | 2.48 | 0 | Yes | No | No | Yes | 7 | 8 |
| 1109 | 6x37 | 6x41 | npy1_on_gp | 1.49 | 0 | No | Yes | No | No | 8 | 8 |
| 1110 | 6x39 | 6x40 | npy1_on_gp | 1.55 | 0 | No | No | Yes | No | 5 | 7 |
| 1111 | 6x43 | 7x52 | npy1_on_gp | 1.39 | 0 | No | No | Yes | No | 7 | 8 |
| 1112 | 6x46 | 6x47 | npy1_on_gp | 1.71 | 0 | No | No | Yes | No | 6 | 8 |
| 1113 | 6x47 | 7x40 | npy1_on_gp | 1.69 | 0 | Yes | No | No | No | 8 | 7 |
| 1114 | 6x48 | 7x46 | npy1_on_gp | 2.43 | 0 | Yes | Yes | Yes | No | 8 | 8 |
| 1115 | 6x49 | 6x50 | npy1_on_gp | 3.28 | 0 | No | No | No | No | 6 | 9 |
| 1116 | 6x51 | 7x41 | npy1_on_gp | 3.15 | 0 | No | No | No | No | 7 | 8 |
| 1117 | 6x52 | 6x56 | npy1_on_gp | 1.57 | 0 | No | No | No | No | 8 | 6 |
| 1118 | 6x54 | 7x30 | npy1_on_gp | 2.26 | 0 | Yes | Yes | Yes | No | 5 | 3 |
| 1119 | 6x54 | 7x37 | npy1_on_gp | 5.59 | 0 | Yes | Yes | No | No | 5 | 6 |
| 1120 | 6x55 | 6x59 | npy1_on_gp | 1.35 | 0 | No | No | Yes | No | 5 | 4 |
| 1121 | 6x57 | E3.I292 | npy1_on_gp | 1.54 | 0 | No | No | No | No | 4 | 4 |
| 1122 | 6x59 | 6x60 | npy1_on_gp | 2.23 | 0 | Yes | No | No | No | 4 | 4 |
| 1123 | 7x27 | E3.I293 | npy1_on_gp | 1.52 | 0 | No | No | No | No | 1 | 3 |
| 1124 | 7x30 | E3.I293 | npy1_on_gp | 2.65 | 0 | Yes | No | No | No | 3 | 3 |
| 1125 | 7x33 | E3.I293 | npy1_on_gp | 1.43 | 0 | No | No | No | No | 6 | 3 |
| 1126 | 7x27 | 7x28 | npy1_on_gp | 1.69 | 0 | No | No | No | No | 1 | 2 |
| 1127 | 7x30 | 7x31 | npy1_on_gp | 5.1 | 0 | Yes | No | No | No | 3 | 4 |
| 1128 | 7x30 | Lig | npy1_on_gp | 10.78 | 0 | Yes | No | Yes | Yes | 3 | 0 |
| 1129 | 7x31 | Lig | npy1_on_gp | 9.54 | 0 | No | No | Yes | Yes | 4 | 0 |
| 1130 | 7x40 | 7x43 | npy1_on_gp | 1.52 | 0 | No | No | No | No | 7 | 6 |
| 1131 | 7x42 | 7x46 | npy1_on_gp | 1.51 | 0 | Yes | No | Yes | No | 7 | 8 |
| 1132 | 7x49 | 7x50 | npy1_on_gp | 1.63 | 0 | Yes | No | No | No | 9 | 9 |
| 1133 | 7x49 | 7x53 | npy1_on_gp | 2.33 | 0 | Yes | No | No | Yes | 9 | 9 |
| 1134 | 7x51 | 7x52 | npy1_on_gp | 3.77 | 0 | No | No | Yes | No | 6 | 8 |
| 1135 | 7x51 | 7x56 | npy1_on_gp | 1.43 | 0 | No | No | No | No | 6 | 6 |
| 1136 | 7x55 | 8x51 | npy1_on_gp | 11.71 | 0 | No | No | No | No | 6 | 8 |
| 1137 | 7x55 | 8x54 | npy1_on_gp | 2.44 | 0 | No | No | No | No | 6 | 5 |
| 1138 | 8x47 | 8x48 | npy1_on_gp | 1.4 | 0 | Yes | No | Yes | No | 8 | 5 |
| 1139 | 8x47 | 8x50 | npy1_on_gp | 2.42 | 0 | Yes | No | Yes | Yes | 8 | 8 |
| 1140 | 8x53 | 8x56 | npy1_on_gp | 3.58 | 0 | No | No | No | No | 5 | 4 |
| 1141 | 8x55 | 8x56 | npy1_on_gp | 7.03 | 0 | No | No | No | No | 4 | 4 |
| 1142 | Lig | Lig | npy1_on_gp | 117.82 | 0 | Yes | Yes | Yes | Yes | 0 | 0 |
| 1143 | G.S1.07 | G.S4.04 | npy1_on_gp | 1.22 | 0 | Yes | No | Yes | No | 9 | 9 |
| 1144 | G.H3.01 | G.s4h3.15 | npy1_on_gp | 1.21 | 0 | Yes | No | Yes | No | 9 | 9 |
| 1145 | 3x53 | I2.R149 | npy1_on_gp | 1.21 | 0 | Yes | No | No | No | 8 | 5 |
| 1146 | b.l20x2 | g.h2x7 | npy1_on_gp | 1.19 | 0 | No | No | No | No | 9 | 5 |
| 1147 | G.HN.52 | G.hns1.03 | npy1_on_gp | 1.16 | 0 | Yes | No | No | No | 4 | 4 |
| 1148 | 5x67 | 5x68 | npy1_on_gp | 1.07 | 0 | No | No | No | No | 4 | 6 |
| 1149 | 1x28 | NT.L35 | Shared | 1.64 | 3.285 | No | No | Yes | No | 4 | 3 |
| 1150 | 1x32 | NT.L35 | Shared | 8.56 | 5.71 | No | No | Yes | No | 3 | 3 |
| 1151 | 1x28 | 1x31 | Shared | 1.68 | 8.39 | No | No | Yes | No | 4 | 4 |
| 1152 | 1x32 | 2x65 | Shared | 1.43 | 3.565 | No | No | No | No | 3 | 4 |
| 1153 | 1x33 | 1x37 | Shared | 13.4 | 8.525 | No | No | No | No | 6 | 5 |
| 1154 | 1x36 | 2x61 | Shared | 2.77 | 2.77 | No | No | No | Yes | 5 | 6 |
| 1155 | 1x38 | 7x39 | Shared | 1.58 | 3.15 | No | No | No | No | 6 | 5 |
| 1156 | 1x39 | 2x57 | Shared | 2.34 | 5.275 | Yes | Yes | Yes | Yes | 7 | 7 |
| 1157 | 1x39 | 2x61 | Shared | 2.06 | 21.665 | Yes | Yes | No | Yes | 7 | 6 |
| 1158 | 1x39 | 7x38 | Shared | 6.53 | 8.165 | Yes | Yes | Yes | Yes | 7 | 6 |
| 1159 | 1x39 | 7x39 | Shared | 5.86 | 15.24 | Yes | Yes | No | No | 7 | 5 |
| 1160 | 1x40 | 1x43 | Shared | 5.29 | 2.645 | No | No | Yes | No | 5 | 7 |
| 1161 | 1x42 | 7x39 | Shared | 1.49 | 2.235 | No | No | No | No | 7 | 5 |
| 1162 | 1x43 | 2x57 | Shared | 8.56 | 5.71 | Yes | No | Yes | Yes | 7 | 7 |
| 1163 | 1x46 | 7x47 | Shared | 1.96 | 1.96 | No | No | No | No | 7 | 8 |
| 1164 | 1x48 | 1x49 | Shared | 3.71 | 2.785 | No | No | No | No | 5 | 8 |
| 1165 | 1x50 | 2x47 | Shared | 5.96 | 5.96 | Yes | Yes | No | No | 9 | 9 |
| 1166 | 1x50 | 2x50 | Shared | 4.04 | 3.365 | Yes | Yes | Yes | No | 9 | 9 |
| 1167 | 1x50 | 2x51 | Shared | 9.61 | 2.745 | Yes | Yes | No | No | 9 | 8 |
| 1168 | 1x50 | 7x50 | Shared | 6.52 | 4.075 | Yes | Yes | No | No | 9 | 9 |
| 1169 | 1x51 | 2x51 | Shared | 2.77 | 4.15 | No | No | No | No | 4 | 8 |
| 1170 | 1x54 | 1x58 | Shared | 2.85 | 2.85 | No | No | No | No | 7 | 4 |
| 1171 | 1x54 | 2x44 | Shared | 4.61 | 4.605 | No | No | No | No | 7 | 5 |
| 1172 | 1x56 | 8x50 | Shared | 2.51 | 6.28 | Yes | No | Yes | Yes | 7 | 8 |
| 1173 | 1x57 | 2x40 | Shared | 1.42 | 12.745 | Yes | No | No | No | 7 | 8 |
| 1174 | 1x57 | 2x44 | Shared | 1.54 | 6.14 | Yes | No | No | No | 7 | 5 |
| 1175 | 2x37 | 2x40 | Shared | 8.17 | 12.94 | No | No | No | No | 8 | 8 |
| 1176 | 2x38 | 3x49 | Shared | 9.98 | 10.695 | No | No | Yes | Yes | 6 | 8 |
| 1177 | 2x38 | 4x42 | Shared | 3.39 | 1.7 | No | No | No | No | 6 | 7 |
| 1178 | 2x39 | 3x49 | Shared | 12.7 | 4.235 | No | No | Yes | Yes | 7 | 8 |
| 1179 | 2x42 | 3x45 | Shared | 6.92 | 4.845 | Yes | No | No | No | 7 | 7 |
| 1180 | 2x42 | 3x46 | Shared | 5.71 | 5.71 | Yes | No | Yes | No | 7 | 8 |
| 1181 | 2x45 | 4x46 | Shared | 5.66 | 13.455 | Yes | No | Yes | No | 9 | 7 |
| 1182 | 2x45 | 4x50 | Shared | 4.52 | 7.91 | Yes | No | Yes | No | 9 | 9 |
| 1183 | 2x46 | 3x39 | Shared | 1.5 | 5.255 | Yes | No | No | No | 9 | 9 |
| 1184 | 2x46 | 7x49 | Shared | 1.37 | 6.18 | Yes | No | Yes | No | 9 | 9 |
| 1185 | 2x48 | 4x50 | Shared | 4.01 | 4.01 | No | No | Yes | No | 6 | 9 |
| 1186 | 2x49 | 3x38 | Shared | 4.85 | 5.655 | No | No | Yes | No | 8 | 7 |
| 1187 | 2x50 | 3x39 | Shared | 4.42 | 4.415 | Yes | No | No | No | 9 | 9 |
| 1188 | 2x50 | 7x46 | Shared | 4.34 | 6.505 | Yes | No | Yes | No | 9 | 8 |
| 1189 | 2x53 | 3x35 | Shared | 4.85 | 5.655 | Yes | No | Yes | No | 7 | 8 |
| 1190 | 2x54 | 2x57 | Shared | 1.58 | 0.79 | No | No | Yes | Yes | 7 | 7 |
| 1191 | 2x551 | 3x31 | Shared | 3.04 | 4.56 | No | No | No | No | 5 | 5 |
| 1192 | 2x56 | 3x32 | Shared | 9.16 | 3.815 | Yes | No | Yes | Yes | 7 | 6 |
| 1193 | 2x57 | 7x42 | Shared | 8.48 | 12.015 | Yes | Yes | Yes | No | 7 | 7 |
| 1194 | 2x58 | 2x59 | Shared | 2.89 | 5.055 | No | No | Yes | No | 8 | 6 |
| 1195 | 2x59 | E1x52 | Shared | 2.14 | 11.79 | Yes | No | Yes | Yes | 6 | 7 |
| 1196 | 2x60 | 7x38 | Shared | 13.69 | 11.635 | Yes | No | Yes | Yes | 6 | 6 |
| 1197 | 2x61 | 7x35 | Shared | 2.44 | 4.265 | No | Yes | Yes | No | 6 | 4 |
| 1198 | 2x62 | E1x52 | Shared | 2.62 | 3.93 | No | No | Yes | Yes | 4 | 7 |
| 1199 | 2x63 | E1x50 | Shared | 8.68 | 13.505 | No | No | Yes | Yes | 6 | 8 |
| 1200 | 2x64 | 7x35 | Shared | 2.95 | 9.58 | No | No | Yes | No | 4 | 4 |
| 1201 | 2x66 | E1x51 | Shared | 3.04 | 7.61 | No | No | No | No | 3 | 2 |
| 1202 | E1x49 | E1x51 | Shared | 2.77 | 4.155 | Yes | No | No | No | 5 | 2 |
| 1203 | E1x49 | E2.K195 | Shared | 17.03 | 18.995 | Yes | No | Yes | No | 5 | 3 |
| 1204 | E1x50 | E1x52 | Shared | 17.04 | 18.04 | Yes | Yes | Yes | Yes | 8 | 7 |
| 1205 | 3x21 | E1x50 | Shared | 1.41 | 2.11 | No | No | Yes | Yes | 8 | 8 |
| 1206 | 3x25 | E1x50 | Shared | 9.14 | 5.875 | No | No | Yes | Yes | 9 | 8 |
| 1207 | E1x50 | E2x50 | Shared | 3.92 | 8.49 | Yes | Yes | Yes | No | 8 | 9 |
| 1208 | 3x22 | E2.M179 | Shared | 6.77 | 6.09 | No | No | No | No | 3 | 4 |
| 1209 | 3x25 | E2x50 | Shared | 3.64 | 7.28 | No | No | Yes | No | 9 | 9 |
| 1210 | 3x27 | 3x31 | Shared | 1.49 | 3.725 | No | No | No | No | 5 | 5 |
| 1211 | 3x29 | 4x61 | Shared | 2.89 | 6.5 | No | No | No | Yes | 6 | 5 |
| 1212 | 3x29 | 4x65 | Shared | 3.16 | 15 | No | No | Yes | No | 6 | 5 |
| 1213 | 3x30 | 4x54 | Shared | 1.31 | 4.585 | No | Yes | No | No | 6 | 4 |
| 1214 | 3x32 | Lig | Shared | 6.4 | 5.465 | Yes | Yes | Yes | Yes | 6 | 0 |
| 1215 | 3x33 | 4x57 | Shared | 6.89 | 6.89 | No | No | Yes | No | 4 | 7 |
| 1216 | 3x34 | 4x57 | Shared | 3.23 | 4.85 | Yes | No | Yes | No | 5 | 7 |
| 1217 | 3x36 | 6x48 | Shared | 3.52 | 10.57 | No | No | Yes | Yes | 7 | 8 |
| 1218 | 3x37 | 4x53 | Shared | 3.36 | 3.36 | Yes | No | Yes | No | 6 | 8 |
| 1219 | 3x37 | 5x461 | Shared | 4.25 | 7.795 | Yes | No | Yes | No | 6 | 6 |
| 1220 | 3x38 | 4x50 | Shared | 12.26 | 18.39 | Yes | No | Yes | No | 7 | 9 |
| 1221 | 3x40 | 5x50 | Shared | 3.39 | 4.235 | Yes | No | Yes | No | 7 | 9 |
| 1222 | 3x40 | 6x44 | Shared | 3.77 | 6.28 | Yes | No | Yes | No | 7 | 9 |
| 1223 | 3x41 | 4x49 | Shared | 1.26 | 5.285 | No | Yes | No | No | 7 | 7 |
| 1224 | 3x44 | 5x53 | Shared | 1.31 | 3.275 | No | No | No | No | 7 | 6 |
| 1225 | 3x45 | 4x49 | Shared | 1.43 | 4.28 | No | No | No | No | 7 | 7 |
| 1226 | 3x47 | 5x58 | Shared | 2.67 | 4.005 | No | No | Yes | No | 9 | 9 |
| 1227 | 3x49 | 3x53 | Shared | 1.33 | 5.305 | Yes | Yes | Yes | No | 8 | 8 |
| 1228 | 3x51 | 3x55 | Shared | 13.26 | 14.585 | Yes | No | Yes | No | 7 | 6 |
| 1229 | 3x51 | 5x60 | Shared | 3.93 | 7.86 | Yes | No | No | No | 7 | 4 |
| 1230 | 3x51 | 5x61 | Shared | 1.33 | 3.975 | Yes | No | Yes | No | 7 | 8 |
| 1231 | 3x52 | 3x56 | Shared | 2.64 | 6.6 | No | No | No | No | 4 | 6 |
| 1232 | 3x55 | 3x56 | Shared | 4.25 | 3.54 | Yes | No | No | No | 6 | 6 |
| 1233 | 3x55 | 5x64 | Shared | 2.51 | 8.14 | Yes | No | Yes | No | 6 | 5 |
| 1234 | I2.P150 | I2.W148 | Shared | 13.51 | 8.785 | No | No | No | No | 6 | 5 |
| 1235 | 4x38 | 4x40 | Shared | 12.05 | 7.835 | No | No | No | No | 7 | 5 |
| 1236 | 4x39 | 4x43 | Shared | 4.65 | 5.81 | No | No | No | No | 2 | 3 |
| 1237 | 4x44 | 4x48 | Shared | 1.6 | 0.8 | No | No | No | No | 3 | 4 |
| 1238 | 4x60 | 5x39 | Shared | 6.95 | 21.555 | No | No | No | Yes | 8 | 6 |
| 1239 | 4x61 | 5x39 | Shared | 7.22 | 9.8 | No | Yes | No | Yes | 5 | 6 |
| 1240 | 4x63 | 4x64 | Shared | 4.84 | 8.465 | No | No | No | No | 4 | 5 |
| 1241 | 4x64 | E2.F202 | Shared | 3.09 | 11.86 | No | No | Yes | Yes | 5 | 5 |
| 1242 | 4x64 | E2.P203 | Shared | 15.3 | 16.69 | No | No | No | No | 5 | 5 |
| 1243 | 4x65 | E2x52 | Shared | 2.61 | 4.57 | Yes | No | No | No | 5 | 4 |
| 1244 | E2.Q201 | E2.V178 | Shared | 12.89 | 11.46 | No | No | No | No | 3 | 5 |
| 1245 | E2.M179 | E2.Y196 | Shared | 3.59 | 9.58 | No | No | No | No | 4 | 5 |
| 1246 | E2.E182 | E2.T180 | Shared | 1.41 | 10.585 | Yes | No | No | No | 1 | 3 |
| 1247 | E2.D181 | E2.Y196 | Shared | 10.34 | 5.75 | No | No | No | No | 1 | 5 |
| 1248 | E2.P183 | E2.V197 | Shared | 3.53 | 6.185 | No | No | No | No | 1 | 4 |
| 1249 | E2.F184 | E2.Q185 | Shared | 3.51 | 1.17 | Yes | Yes | No | No | 1 | 2 |
| 1250 | E2.K193 | E2.K195 | Shared | 8.62 | 11.495 | No | No | Yes | No | 2 | 3 |
| 1251 | E2.V197 | E2x51 | Shared | 1.31 | 7.865 | No | No | No | No | 4 | 3 |
| 1252 | E2.F202 | E2x52 | Shared | 2.39 | 5.375 | Yes | Yes | No | No | 5 | 4 |
| 1253 | E2.F202 | E2.P203 | Shared | 2.89 | 4.33 | Yes | Yes | No | No | 5 | 5 |
| 1254 | 5x36 | E2.F202 | Shared | 7.48 | 8.55 | No | Yes | Yes | Yes | 4 | 5 |
| 1255 | 5x32 | 5x34 | Shared | 3.26 | 4.89 | No | No | No | No | 3 | 1 |
| 1256 | 5x32 | 5x35 | Shared | 5.58 | 9.765 | No | No | No | No | 3 | 3 |
| 1257 | 5x37 | 6x60 | Shared | 9.11 | 13.67 | No | No | No | No | 3 | 4 |
| 1258 | 5x39 | 5x43 | Shared | 4.69 | 11.14 | No | Yes | No | No | 6 | 5 |
| 1259 | 5x40 | 6x59 | Shared | 10.12 | 12.285 | Yes | No | Yes | No | 5 | 4 |
| 1260 | 5x40 | Lig | Shared | 6.47 | 7.305 | Yes | No | Yes | Yes | 5 | 0 |
| 1261 | 5x41 | 5x45 | Shared | 1.59 | 0.795 | No | No | No | No | 5 | 5 |
| 1262 | 5x41 | 6x60 | Shared | 2.43 | 4.245 | No | No | No | No | 5 | 4 |
| 1263 | 5x47 | 5x48 | Shared | 2.06 | 7.22 | Yes | Yes | No | No | 8 | 5 |
| 1264 | 5x47 | 6x49 | Shared | 7.03 | 5.275 | Yes | Yes | No | No | 8 | 6 |
| 1265 | 5x47 | 6x52 | Shared | 7.49 | 7.49 | Yes | Yes | No | No | 8 | 8 |
| 1266 | 5x49 | 5x50 | Shared | 4.06 | 4.06 | No | No | Yes | No | 5 | 9 |
| 1267 | 5x51 | 6x45 | Shared | 1.58 | 3.94 | No | No | No | No | 6 | 6 |
| 1268 | 5x55 | 6x41 | Shared | 1.31 | 3.93 | No | No | No | No | 5 | 8 |
| 1269 | 5x56 | 5x60 | Shared | 1.45 | 2.18 | No | No | No | No | 4 | 4 |
| 1270 | 5x58 | 6x37 | Shared | 11.72 | 4.69 | Yes | No | No | Yes | 9 | 8 |
| 1271 | 5x64 | 5x68 | Shared | 5.33 | 4.795 | Yes | No | No | No | 5 | 6 |
| 1272 | 6x29 | 6x32 | Shared | 2.33 | 5.23 | No | No | Yes | No | 6 | 7 |
| 1273 | 6x31 | 6x35 | Shared | 8.72 | 2.905 | No | No | No | No | 6 | 6 |
| 1274 | 6x32 | 8x48 | Shared | 4.95 | 15.47 | Yes | No | Yes | No | 7 | 5 |
| 1275 | 6x36 | 7x56 | Shared | 2.83 | 4.95 | No | Yes | No | No | 8 | 6 |
| 1276 | 6x40 | 7x52 | Shared | 5.02 | 6.28 | Yes | No | Yes | No | 7 | 8 |
| 1277 | 6x47 | 7x43 | Shared | 1.64 | 3.27 | Yes | No | No | No | 8 | 6 |
| 1278 | 6x47 | 7x45 | Shared | 6.89 | 4.3 | Yes | No | No | No | 8 | 9 |
| 1279 | 6x48 | 7x45 | Shared | 4.94 | 6.795 | Yes | Yes | No | No | 8 | 9 |
| 1280 | 6x49 | 6x53 | Shared | 1.43 | 3.565 | No | No | No | No | 6 | 5 |
| 1281 | 6x50 | 7x37 | Shared | 1.88 | 3.77 | No | No | No | No | 9 | 6 |
| 1282 | 6x50 | 7x40 | Shared | 5.25 | 5.245 | No | No | No | No | 9 | 7 |
| 1283 | 6x51 | 6x55 | Shared | 5.49 | 6.865 | No | No | No | No | 7 | 5 |
| 1284 | 6x51 | 7x37 | Shared | 1.59 | 3.17 | No | No | No | No | 7 | 6 |
| 1285 | 6x54 | 7x33 | Shared | 2.44 | 6.7 | Yes | Yes | No | No | 5 | 6 |
| 1286 | 6x54 | 7x34 | Shared | 7.5 | 9.645 | Yes | Yes | Yes | No | 5 | 5 |
| 1287 | 6x55 | Lig | Shared | 16.75 | 24.09 | No | No | Yes | Yes | 5 | 0 |
| 1288 | 6x58 | Lig | Shared | 20.3 | 7.985 | No | Yes | Yes | Yes | 4 | 0 |
| 1289 | 6x59 | Lig | Shared | 8.34 | 13.78 | Yes | No | Yes | Yes | 4 | 0 |
| 1290 | 6x61 | E3.I292 | Shared | 2.83 | 2.835 | No | No | No | No | 4 | 4 |
| 1291 | 7x27 | 7x29 | Shared | 2.92 | 4.385 | No | No | No | No | 1 | 3 |
| 1292 | 7x34 | Lig | Shared | 6.41 | 13.025 | Yes | No | Yes | Yes | 5 | 0 |
| 1293 | 7x38 | 7x42 | Shared | 5.25 | 12.475 | Yes | Yes | Yes | No | 6 | 7 |
| 1294 | 7x48 | 7x52 | Shared | 5.24 | 5.24 | No | No | Yes | No | 6 | 8 |
| 1295 | 8x47 | 8x49 | Shared | 8.17 | 2.72 | Yes | No | No | No | 8 | 6 |
| 1296 | 8x48 | 8x51 | Shared | 4.07 | 2.71 | Yes | No | No | No | 5 | 8 |
| 1297 | 8x48 | 8x52 | Shared | 7.43 | 4.95 | Yes | No | No | No | 5 | 5 |
| 1298 | 5x62 | 5x66 | Shared | 1.19 | 13.735 | No | No | No | No | 5 | 4 |
| 1299 | 7x28 | NT.C33 | npy1_off | 0 | 6.37 | No | No | No | No | 2 | 0 |
| 1300 | 1x45 | 7x47 | npy1_off | 0 | 4.76 | No | No | No | No | 5 | 8 |
| 1301 | 1x53 | 7x53 | npy1_off | 0 | 5.275 | Yes | No | No | Yes | 9 | 9 |
| 1302 | 1x53 | 8x50 | npy1_off | 0 | 4.265 | Yes | No | Yes | Yes | 9 | 8 |
| 1303 | 1x54 | 2x47 | npy1_off | 0 | 4.645 | No | No | No | No | 7 | 9 |
| 1304 | 1x60 | I1x50 | npy1_off | 0 | 6.795 | No | No | No | No | 5 | 7 |
| 1305 | 2x40 | 7x53 | npy1_off | 0 | 8.14 | No | No | No | Yes | 8 | 9 |
| 1306 | 2x41 | 4x39 | npy1_off | 0 | 5.66 | No | No | No | No | 5 | 2 |
| 1307 | 2x41 | 4x43 | npy1_off | 0 | 5.44 | No | No | No | No | 5 | 3 |
| 1308 | 2x43 | 7x53 | npy1_off | 0 | 13.9 | No | No | No | Yes | 8 | 9 |
| 1309 | 2x45 | 3x42 | npy1_off | 0 | 6.705 | Yes | No | No | No | 9 | 8 |
| 1310 | 2x48 | 2x52 | npy1_off | 0 | 4.26 | No | No | No | No | 6 | 7 |
| 1311 | 2x49 | 3x35 | npy1_off | 0 | 6.52 | No | No | Yes | No | 8 | 8 |
| 1312 | 2x53 | 3x32 | npy1_off | 0 | 7.165 | Yes | No | Yes | Yes | 7 | 6 |
| 1313 | 2x59 | 3x24 | npy1_off | 0 | 6.84 | Yes | No | No | No | 6 | 6 |
| 1314 | 2x60 | 3x28 | npy1_off | 0 | 7.31 | Yes | No | Yes | No | 6 | 5 |
| 1315 | 2x61 | 2x65 | npy1_off | 0 | 8.525 | No | Yes | No | No | 6 | 4 |
| 1316 | 2x64 | 7x31 | npy1_off | 0 | 4.39 | No | No | No | No | 4 | 4 |
| 1317 | 2x67 | E2.T188 | npy1_off | 0 | 4.335 | No | No | No | No | 4 | 3 |
| 1318 | E1x51 | E1x52 | npy1_off | 0 | 5.895 | No | No | Yes | Yes | 2 | 7 |
| 1319 | 3x25 | E2.M179 | npy1_off | 0 | 6.48 | No | No | No | No | 9 | 4 |
| 1320 | 3x30 | 3x34 | npy1_off | 0 | 7.87 | No | Yes | Yes | No | 6 | 5 |
| 1321 | 3x30 | 4x62 | npy1_off | 0 | 12.175 | No | Yes | No | No | 6 | 5 |
| 1322 | 3x32 | 6x48 | npy1_off | 0 | 7.12 | Yes | Yes | Yes | Yes | 6 | 8 |
| 1323 | 3x33 | 4x61 | npy1_off | 0 | 5.59 | No | No | No | Yes | 4 | 5 |
| 1324 | 3x36 | Lig | npy1_off | 0 | 8.68 | No | No | Yes | Yes | 7 | 0 |
| 1325 | 3x39 | 6x44 | npy1_off | 0 | 5.28 | No | No | Yes | No | 9 | 9 |
| 1326 | 3x41 | 3x44 | npy1_off | 0 | 7.355 | No | Yes | No | No | 7 | 7 |
| 1327 | 3x41 | 5x461 | npy1_off | 0 | 6.57 | No | Yes | Yes | No | 7 | 6 |
| 1328 | 3x41 | 5x50 | npy1_off | 0 | 8.11 | No | Yes | Yes | No | 7 | 9 |
| 1329 | 3x43 | 6x41 | npy1_off | 0 | 5.96 | Yes | No | No | No | 8 | 8 |
| 1330 | 3x44 | 5x54 | npy1_off | 0 | 6.14 | No | No | No | No | 7 | 8 |
| 1331 | 3x46 | 6x37 | npy1_off | 0 | 4.995 | Yes | No | No | Yes | 8 | 8 |
| 1332 | 3x49 | I2.W148 | npy1_off | 0 | 5.45 | Yes | Yes | No | No | 8 | 5 |
| 1333 | 3x49 | I2.P150 | npy1_off | 0 | 6.285 | Yes | Yes | No | No | 8 | 6 |
| 1334 | 3x49 | 4x41 | npy1_off | 0 | 4.31 | Yes | Yes | No | No | 8 | 4 |
| 1335 | 3x50 | 6x33 | npy1_off | 0 | 6.89 | Yes | Yes | No | No | 9 | 7 |
| 1336 | 3x50 | 6x34 | npy1_off | 0 | 13.86 | Yes | Yes | No | No | 9 | 6 |
| 1337 | 3x50 | 6x37 | npy1_off | 0 | 4.86 | Yes | Yes | No | Yes | 9 | 8 |
| 1338 | 3x52 | I2.W148 | npy1_off | 0 | 6.57 | No | No | No | No | 4 | 5 |
| 1339 | 3x54 | 5x61 | npy1_off | 0 | 6.625 | Yes | No | Yes | No | 8 | 8 |
| 1340 | 5x68 | I2.P145 | npy1_off | 0 | 4.325 | No | No | Yes | No | 6 | 8 |
| 1341 | 4x61 | Lig | npy1_off | 0 | 9.055 | No | Yes | Yes | Yes | 5 | 0 |
| 1342 | 4x65 | E2x50 | npy1_off | 0 | 4.575 | Yes | No | Yes | No | 5 | 9 |
| 1343 | E2.F184 | E2x51 | npy1_off | 0 | 4.825 | Yes | Yes | No | No | 1 | 3 |
| 1344 | E2.D190 | E2.K193 | npy1_off | 0 | 4.84 | No | No | No | No | 1 | 2 |
| 1345 | E2x52 | Lig | npy1_off | 0 | 4.855 | No | No | Yes | Yes | 4 | 0 |
| 1346 | 5x39 | E2.F202 | npy1_off | 0 | 5.675 | No | Yes | Yes | Yes | 6 | 5 |
| 1347 | 5x35 | E2.P203 | npy1_off | 0 | 19.825 | No | No | No | No | 3 | 5 |
| 1348 | 5x33 | 5x36 | npy1_off | 0 | 8.34 | No | No | No | Yes | 1 | 4 |
| 1349 | 5x33 | E3.H290 | npy1_off | 0 | 10.715 | No | No | No | Yes | 1 | 4 |
| 1350 | 5x36 | E3.H290 | npy1_off | 0 | 12.975 | No | Yes | No | Yes | 4 | 4 |
| 1351 | 5x44 | 5x48 | npy1_off | 0 | 8.525 | Yes | No | No | No | 6 | 5 |
| 1352 | 5x47 | 5x51 | npy1_off | 0 | 7.035 | Yes | Yes | No | No | 8 | 6 |
| 1353 | 5x53 | 5x57 | npy1_off | 0 | 5.59 | No | No | No | No | 6 | 7 |
| 1354 | 5x54 | 6x41 | npy1_off | 0 | 6.91 | No | No | No | No | 8 | 8 |
| 1355 | 5x58 | 6x38 | npy1_off | 0 | 7.035 | Yes | No | No | No | 9 | 5 |
| 1356 | 5x59 | 5x63 | npy1_off | 0 | 7.535 | No | No | No | No | 4 | 3 |
| 1357 | 6x36 | 7x53 | npy1_off | 0 | 9.58 | No | Yes | No | Yes | 8 | 9 |
| 1358 | 6x44 | 6x48 | npy1_off | 0 | 9.02 | Yes | No | Yes | Yes | 9 | 8 |
| 1359 | 6x48 | 7x41 | npy1_off | 0 | 7.135 | Yes | Yes | No | No | 8 | 8 |
| 1360 | 6x52 | Lig | npy1_off | 0 | 10.135 | No | No | Yes | Yes | 8 | 0 |
| 1361 | 6x54 | 6x58 | npy1_off | 0 | 12.325 | Yes | Yes | No | Yes | 5 | 4 |
| 1362 | 6x54 | Lig | npy1_off | 0 | 9.375 | Yes | Yes | Yes | Yes | 5 | 0 |
| 1363 | 6x58 | E3.I292 | npy1_off | 0 | 4.395 | No | Yes | No | No | 4 | 4 |
| 1364 | 6x58 | 7x30 | npy1_off | 0 | 9.615 | No | Yes | Yes | No | 4 | 3 |
| 1365 | E3.H290 | E3.Q291 | npy1_off | 0 | 7.42 | No | Yes | No | No | 4 | 2 |
| 1366 | 7x27 | 7x30 | npy1_off | 0 | 12.32 | No | No | Yes | No | 1 | 3 |
| 1367 | 7x34 | 7x38 | npy1_off | 0 | 4.525 | Yes | No | Yes | Yes | 5 | 6 |
| 1368 | 8x50 | 8x54 | npy1_off | 0 | 7.915 | Yes | Yes | No | No | 8 | 5 |
| 1369 | E2.E182 | NT.N22 | npy1_off | 0 | 6.575 | Yes | No | No | No | 1 | 0 |
| 1370 | E2.Q201 | NT.L25 | npy1_off | 0 | 7.32 | No | No | No | No | 3 | 0 |
| 1371 | 7x28 | NT.N30 | npy1_off | 0 | 6.3 | No | No | No | No | 2 | 0 |
| 1372 | NT.D32 | NT.H34 | npy1_off | 0 | 5.04 | No | No | No | No | 0 | 2 |
| 1373 | 2x37 | I1x49 | npy1_off | 0 | 6.575 | No | No | No | No | 8 | 5 |
| 1374 | 3x52 | I2.R149 | npy1_off | 0 | 9.345 | No | No | No | No | 4 | 5 |
| 1375 | 4x38 | 4x41 | npy1_off | 0 | 6.375 | No | No | No | No | 7 | 4 |
| 1376 | 5x64 | 5x67 | npy1_off | 0 | 4.265 | Yes | No | No | No | 5 | 4 |
| 1377 | 7x55 | 8x50 | npy1_off | 0 | 6.965 | No | No | Yes | Yes | 6 | 8 |
| 1378 | 8x57 | 8x58 | npy1_off | 0 | 6.965 | No | No | No | Yes | 0 | 0 |
| 1379 | 6x36 | 8x47 | npy1_off | 0 | 4.205 | No | Yes | Yes | No | 8 | 8 |
| 1380 | E2.Q201 | E2x51 | npy1_off | 0 | 4.1 | No | No | No | No | 3 | 3 |
| 1381 | 1x49 | 7x50 | npy1_off | 0 | 4.06 | No | No | No | No | 8 | 9 |
| 1382 | 3x41 | 4x52 | npy1_off | 0 | 3.985 | No | Yes | No | No | 7 | 5 |
| 1383 | 6x39 | 7x52 | npy1_off | 0 | 3.96 | No | No | Yes | No | 5 | 8 |
| 1384 | 1x60 | 8x53 | npy1_off | 0 | 3.915 | No | No | No | No | 5 | 5 |
| 1385 | NT.K21 | NT.S19 | npy1_off | 0 | 3.825 | No | No | No | No | 0 | 0 |
| 1386 | 7x51 | 7x55 | npy1_off | 0 | 3.765 | No | No | No | No | 6 | 6 |
| 1387 | E2.F184 | NT.F28 | npy1_off | 0 | 3.75 | Yes | Yes | No | No | 1 | 0 |
| 1388 | 2x52 | 3x31 | npy1_off | 0 | 3.725 | No | No | No | No | 7 | 5 |
| 1389 | 2x39 | 6x37 | npy1_off | 0 | 3.685 | No | No | No | Yes | 7 | 8 |
| 1390 | 7x27 | NT.N30 | npy1_off | 0 | 3.655 | No | No | No | No | 1 | 0 |
| 1391 | 2x67 | E2.V187 | npy1_off | 0 | 3.65 | No | No | No | No | 4 | 2 |
| 1392 | 1x35 | 1x39 | npy1_off | 0 | 3.515 | No | No | Yes | Yes | 7 | 7 |
| 1393 | E2.P183 | E2.T180 | npy1_off | 0 | 3.495 | No | No | No | No | 1 | 3 |
| 1394 | 7x32 | 7x36 | npy1_off | 0 | 3.46 | No | No | No | No | 2 | 6 |
| 1395 | 2x67 | E2.K195 | npy1_off | 0 | 3.455 | No | No | Yes | No | 4 | 3 |
| 1396 | 6x22 | 6x25 | npy1_off | 0 | 3.45 | No | No | No | No | 3 | 3 |
| 1397 | 1x42 | 7x47 | npy1_off | 0 | 3.42 | No | No | No | No | 7 | 8 |
| 1398 | 6x43 | 7x48 | npy1_off | 0 | 3.395 | No | No | No | No | 7 | 6 |
| 1399 | 1x59 | 1x60 | npy1_off | 0 | 3.39 | No | No | No | No | 5 | 5 |
| 1400 | E2.V187 | NT.F28 | npy1_off | 0 | 3.275 | No | No | No | No | 2 | 0 |
| 1401 | 3x50 | 6x30 | npy1_off | 0 | 3.235 | Yes | Yes | No | No | 9 | 7 |
| 1402 | NT.C33 | NT.D31 | npy1_off | 0 | 3.11 | No | No | No | No | 0 | 0 |
| 1403 | 4x40 | 4x43 | npy1_off | 0 | 3.085 | No | No | No | No | 5 | 3 |
| 1404 | 6x24 | 6x27 | npy1_off | 0 | 3.06 | No | No | No | No | 2 | 4 |
| 1405 | 3x30 | 4x59 | npy1_off | 0 | 3.045 | No | Yes | No | No | 6 | 4 |
| 1406 | E2.F184 | E2.L189 | npy1_off | 0 | 3.045 | Yes | Yes | No | No | 1 | 5 |
| 1407 | 4x39 | I1x51 | npy1_off | 0 | 3.015 | No | No | No | No | 2 | 6 |
| 1408 | 7x54 | 8x50 | npy1_off | 0 | 3.01 | No | No | Yes | Yes | 7 | 8 |
| 1409 | NT.N22 | NT.S19 | npy1_off | 0 | 2.98 | No | No | No | No | 0 | 0 |
| 1410 | 6x36 | 6x40 | npy1_off | 0 | 2.915 | No | Yes | Yes | No | 8 | 7 |
| 1411 | 1x29 | 1x32 | npy1_off | 0 | 2.855 | No | No | No | No | 3 | 3 |
| 1412 | 3x54 | 5x65 | npy1_off | 0 | 2.85 | Yes | No | Yes | No | 8 | 8 |
| 1413 | 8x49 | I1x50 | npy1_off | 0 | 2.805 | No | No | No | No | 6 | 7 |
| 1414 | 5x42 | 5x46 | npy1_off | 0 | 2.765 | No | No | No | No | 4 | 5 |
| 1415 | E2.D181 | E2.D194 | npy1_off | 0 | 2.66 | No | No | No | No | 1 | 5 |
| 1416 | 3x48 | 5x53 | npy1_off | 0 | 2.62 | No | No | No | No | 6 | 6 |
| 1417 | E3.A294 | Lig | npy1_off | 0 | 2.605 | No | No | Yes | Yes | 1 | 0 |
| 1418 | 5x36 | 5x37 | npy1_off | 0 | 2.425 | No | Yes | No | No | 4 | 3 |
| 1419 | 5x62 | 5x63 | npy1_off | 0 | 2.42 | No | No | No | No | 5 | 3 |
| 1420 | 6x32 | 8x47 | npy1_off | 0 | 2.41 | Yes | No | Yes | No | 7 | 8 |
| 1421 | E2.A191 | E2.D190 | npy1_off | 0 | 2.315 | No | No | No | No | 3 | 1 |
| 1422 | 4x56 | 5x461 | npy1_off | 0 | 2.165 | No | No | Yes | No | 5 | 6 |
| 1423 | 1x31 | 7x32 | npy1_off | 0 | 2.12 | Yes | No | No | No | 4 | 2 |
| 1424 | E2.Q185 | E3.I293 | npy1_off | 0 | 2.06 | No | No | No | No | 2 | 3 |
| 1425 | 6x56 | Lig | npy1_off | 0 | 2.02 | No | No | Yes | Yes | 6 | 0 |
| 1426 | 6x26 | 6x27 | npy1_off | 0 | 1.975 | No | No | No | No | 4 | 4 |
| 1427 | 5x55 | 6x42 | npy1_off | 0 | 1.965 | No | No | No | No | 5 | 5 |
| 1428 | 5x33 | NT.Q24 | npy1_off | 0 | 1.96 | No | No | No | No | 1 | 0 |
| 1429 | E3.H290 | NT.L26 | npy1_off | 0 | 1.93 | No | Yes | No | No | 4 | 0 |
| 1430 | I1x48 | I1x51 | npy1_off | 0 | 1.855 | No | No | No | No | 6 | 6 |
| 1431 | E2.D190 | E2.Y192 | npy1_off | 0 | 1.725 | No | No | No | No | 1 | 1 |
| 1432 | 3x45 | 4x45 | npy1_off | 0 | 1.71 | No | No | No | No | 7 | 5 |
| 1433 | 1x47 | 2x54 | npy1_off | 0 | 1.7 | No | No | No | No | 7 | 7 |
| 1434 | 3x56 | I2.G147 | npy1_off | 0 | 1.695 | No | No | No | No | 6 | 4 |
| 1435 | 6x42 | 6x46 | npy1_off | 0 | 1.6 | No | No | No | No | 5 | 6 |
| 1436 | 4x48 | 4x52 | npy1_off | 0 | 1.49 | No | No | No | No | 4 | 5 |
| 1437 | 6x26 | I2.P145 | npy1_off | 0 | 1.44 | No | No | Yes | No | 4 | 8 |
| 1438 | 1x51 | 1x55 | npy1_off | 0 | 1.43 | No | No | No | No | 4 | 3 |
| 1439 | 2x51 | 2x55 | npy1_off | 0 | 1.43 | No | No | No | No | 8 | 5 |
| 1440 | E2.V187 | NT.E29 | npy1_off | 0 | 1.425 | No | No | No | No | 2 | 0 |
| 1441 | 3x26 | 4x62 | npy1_off | 0 | 1.41 | No | No | No | No | 7 | 5 |
| 1442 | 6x57 | 6x58 | npy1_off | 0 | 1.31 | No | No | No | Yes | 4 | 4 |
| 1443 | 6x25 | 6x28 | npy1_off | 0 | 1.27 | No | No | No | No | 3 | 4 |
| 1444 | 8x54 | 8x58 | npy1_off | 0 | 1.22 | No | No | No | Yes | 5 | 0 |
| 1445 | 8x55 | CT.F337 | npy1_off | 0 | 1.17 | No | No | No | No | 4 | 0 |
| 1446 | 8x58 | CT.F337 | npy1_off | 0 | 1.07 | No | Yes | No | No | 0 | 0 |
| 1447 | 1x49 | 1x52 | npy1_off | 0 | 0.975 | No | No | No | No | 8 | 6 |
| 1448 | 1x28 | 1x30 | npy1_off | 0 | 0.935 | No | No | No | No | 4 | 2 |
| 1449 | E3.I293 | NT.A27 | npy1_off | 0 | 0.81 | No | No | No | No | 3 | 0 |
| 1450 | 1x44 | 1x48 | npy1_off | 0 | 0.775 | No | No | No | No | 5 | 5 |
| 1451 | NT.A23 | NT.Q24 | npy1_off | 0 | 0.76 | No | No | No | No | 0 | 0 |
| 1452 | I2.G147 | I2.R146 | npy1_off | 0 | 0.75 | No | No | No | No | 4 | 6 |
| 1453 | 5x45 | 5x46 | npy1_off | 0 | 0.745 | No | No | No | No | 5 | 5 |
| 1454 | NT.D32 | NT.N30 | npy1_off | 0 | 0.675 | No | No | No | No | 0 | 0 |
| 1455 | 8x58 | CT.N336 | npy1_off | 0 | 0.605 | No | Yes | No | No | 0 | 0 |
| 1456 | NT.E20 | NT.F18 | npy1_off | 0 | 0.585 | No | No | No | No | 0 | 0 |
| 1457 | 8x52 | 8x56 | npy1_off | 0 | 0.535 | No | No | No | No | 5 | 4 |
Index: hub id, click on each number to highlight the corresponding hub in the 3D visualization.
Hub: the hub being considered.
Owner: the name of the network the hub belong to or "Shared" if the corresponding hub is present in both networks.
Avg Int. Strength: the average interaction strength of all the links of the corresponding hub in the corresponding network.
Num Of Links: the number of links of the corresponding hub in the corresponding network.
ConSurf: this column reports the ConSurf conservation grades of each hub.
| Index | Hub | Owner | npy1_on_gp Avg Int. Strength | npy1_off Avg Int. Strength | npy1_on_gp Num Of Links | npy1_off Num Of Links | ConSurf |
|---|---|---|---|---|---|---|---|
| 1 | G.HN.43 | npy1_on_gp | 2.48 | 0 | 4 | 0 | 9 |
| 2 | G.HN.52 | npy1_on_gp | 3.9325 | 0 | 4 | 0 | 4 |
| 3 | G.S1.02 | npy1_on_gp | 5.76 | 0 | 4 | 0 | 5 |
| 4 | G.S1.04 | npy1_on_gp | 2.51 | 0 | 5 | 0 | 7 |
| 5 | G.S1.06 | npy1_on_gp | 3.5075 | 0 | 4 | 0 | 9 |
| 6 | G.S1.07 | npy1_on_gp | 2.775 | 0 | 4 | 0 | 9 |
| 7 | G.s1h1.06 | npy1_on_gp | 2.65 | 0 | 4 | 0 | 9 |
| 8 | G.H1.01 | npy1_on_gp | 4.32 | 0 | 6 | 0 | 9 |
| 9 | G.H1.04 | npy1_on_gp | 3.62143 | 0 | 7 | 0 | 7 |
| 10 | G.H1.08 | npy1_on_gp | 2.765 | 0 | 4 | 0 | 9 |
| 11 | G.S2.01 | npy1_on_gp | 3.82 | 0 | 6 | 0 | 8 |
| 12 | G.S2.08 | npy1_on_gp | 8.4275 | 0 | 4 | 0 | 5 |
| 13 | G.S3.01 | npy1_on_gp | 4.025 | 0 | 4 | 0 | 4 |
| 14 | G.S3.03 | npy1_on_gp | 7.085 | 0 | 6 | 0 | 7 |
| 15 | G.S3.04 | npy1_on_gp | 6.2675 | 0 | 4 | 0 | 7 |
| 16 | G.S3.05 | npy1_on_gp | 3.016 | 0 | 5 | 0 | 7 |
| 17 | G.S3.06 | npy1_on_gp | 3.008 | 0 | 5 | 0 | 6 |
| 18 | G.S3.07 | npy1_on_gp | 3.8775 | 0 | 4 | 0 | 9 |
| 19 | G.S3.08 | npy1_on_gp | 5.3825 | 0 | 4 | 0 | 9 |
| 20 | G.s3h2.03 | npy1_on_gp | 5.738 | 0 | 5 | 0 | 9 |
| 21 | G.H2.02 | npy1_on_gp | 3.355 | 0 | 4 | 0 | 8 |
| 22 | G.H2.03 | npy1_on_gp | 4.58 | 0 | 4 | 0 | 9 |
| 23 | G.H2.06 | npy1_on_gp | 4.67667 | 0 | 6 | 0 | 9 |
| 24 | G.H2.07 | npy1_on_gp | 6.256 | 0 | 5 | 0 | 9 |
| 25 | G.H2.10 | npy1_on_gp | 2.578 | 0 | 5 | 0 | 7 |
| 26 | G.h2s4.01 | npy1_on_gp | 2.934 | 0 | 5 | 0 | 9 |
| 27 | G.S4.04 | npy1_on_gp | 3.916 | 0 | 5 | 0 | 9 |
| 28 | G.S4.05 | npy1_on_gp | 2.13333 | 0 | 6 | 0 | 7 |
| 29 | G.S4.06 | npy1_on_gp | 4.2075 | 0 | 4 | 0 | 7 |
| 30 | G.s4h3.01 | npy1_on_gp | 4.6575 | 0 | 4 | 0 | 6 |
| 31 | G.s4h3.04 | npy1_on_gp | 4.766 | 0 | 5 | 0 | 8 |
| 32 | G.s4h3.11 | npy1_on_gp | 5.6325 | 0 | 4 | 0 | 9 |
| 33 | G.s4h3.15 | npy1_on_gp | 4.03 | 0 | 4 | 0 | 9 |
| 34 | G.H3.01 | npy1_on_gp | 4.0075 | 0 | 4 | 0 | 9 |
| 35 | G.H3.02 | npy1_on_gp | 2.25 | 0 | 4 | 0 | 8 |
| 36 | G.H3.06 | npy1_on_gp | 2.82333 | 0 | 6 | 0 | 6 |
| 37 | G.H3.09 | npy1_on_gp | 4.3025 | 0 | 4 | 0 | 9 |
| 38 | G.H3.13 | npy1_on_gp | 2.84 | 0 | 5 | 0 | 6 |
| 39 | G.H3.17 | npy1_on_gp | 4.868 | 0 | 5 | 0 | 5 |
| 40 | G.H3.18 | npy1_on_gp | 5.42 | 0 | 6 | 0 | 9 |
| 41 | G.S5.03 | npy1_on_gp | 2.286 | 0 | 5 | 0 | 8 |
| 42 | G.S5.04 | npy1_on_gp | 4.208 | 0 | 5 | 0 | 9 |
| 43 | G.S5.05 | npy1_on_gp | 2.51 | 0 | 6 | 0 | 9 |
| 44 | G.S5.06 | npy1_on_gp | 4.02667 | 0 | 6 | 0 | 9 |
| 45 | G.S5.07 | npy1_on_gp | 3.3825 | 0 | 4 | 0 | 9 |
| 46 | G.HG.04 | npy1_on_gp | 3.896 | 0 | 5 | 0 | 8 |
| 47 | G.HG.07 | npy1_on_gp | 4.4225 | 0 | 4 | 0 | 9 |
| 48 | G.HG.13 | npy1_on_gp | 4.908 | 0 | 5 | 0 | 6 |
| 49 | G.hgh4.01 | npy1_on_gp | 4.77 | 0 | 4 | 0 | 5 |
| 50 | G.hgh4.02 | npy1_on_gp | 4.65857 | 0 | 7 | 0 | 8 |
| 51 | G.hgh4.05 | npy1_on_gp | 5.8975 | 0 | 4 | 0 | 6 |
| 52 | G.H4.03 | npy1_on_gp | 4.998 | 0 | 5 | 0 | 4 |
| 53 | G.H4.05 | npy1_on_gp | 5.9825 | 0 | 4 | 0 | 5 |
| 54 | G.H4.10 | npy1_on_gp | 5.695 | 0 | 4 | 0 | 6 |
| 55 | G.H4.11 | npy1_on_gp | 2.152 | 0 | 5 | 0 | 7 |
| 56 | G.H4.12 | npy1_on_gp | 4.07 | 0 | 4 | 0 | 5 |
| 57 | G.h4s6.02 | npy1_on_gp | 4.3025 | 0 | 4 | 0 | 7 |
| 58 | G.h4s6.11 | npy1_on_gp | 3.245 | 0 | 4 | 0 | 7 |
| 59 | G.S6.02 | npy1_on_gp | 4.814 | 0 | 5 | 0 | 8 |
| 60 | G.S6.03 | npy1_on_gp | 5.776 | 0 | 5 | 0 | 5 |
| 61 | G.S6.04 | npy1_on_gp | 6.465 | 0 | 4 | 0 | 9 |
| 62 | G.S6.05 | npy1_on_gp | 3.14 | 0 | 5 | 0 | 5 |
| 63 | G.s6h5.01 | npy1_on_gp | 3.265 | 0 | 4 | 0 | 9 |
| 64 | G.s6h5.02 | npy1_on_gp | 2.765 | 0 | 4 | 0 | 7 |
| 65 | G.H5.03 | npy1_on_gp | 4.4375 | 0 | 4 | 0 | 8 |
| 66 | G.H5.07 | npy1_on_gp | 1.68 | 0 | 6 | 0 | 9 |
| 67 | G.H5.08 | npy1_on_gp | 5.864 | 0 | 5 | 0 | 8 |
| 68 | G.H5.11 | npy1_on_gp | 3.768 | 0 | 5 | 0 | 8 |
| 69 | G.H5.23 | npy1_on_gp | 3.075 | 0 | 4 | 0 | 4 |
| 70 | G.H5.25 | npy1_on_gp | 2.6675 | 0 | 4 | 0 | 7 |
| 71 | b.1x11 | npy1_on_gp | 2.09 | 0 | 6 | 0 | 8 |
| 72 | b.1x19 | npy1_on_gp | 5.095 | 0 | 4 | 0 | 6 |
| 73 | b.h2x5 | npy1_on_gp | 3.862 | 0 | 5 | 0 | 5 |
| 74 | b.lhb1x11 | npy1_on_gp | 2.578 | 0 | 5 | 0 | 4 |
| 75 | b.b1x4 | npy1_on_gp | 4.3025 | 0 | 4 | 0 | 7 |
| 76 | b.b1x6 | npy1_on_gp | 6.1175 | 0 | 4 | 0 | 9 |
| 77 | b.l1x3 | npy1_on_gp | 6.528 | 0 | 5 | 0 | 9 |
| 78 | b.l1x6 | npy1_on_gp | 6.8125 | 0 | 4 | 0 | 9 |
| 79 | b.l1x7 | npy1_on_gp | 3.8075 | 0 | 4 | 0 | 9 |
| 80 | b.b2x1 | npy1_on_gp | 7.34 | 0 | 5 | 0 | 8 |
| 81 | b.b2x3 | npy1_on_gp | 4.318 | 0 | 5 | 0 | 6 |
| 82 | b.b2x5 | npy1_on_gp | 3.88833 | 0 | 6 | 0 | 7 |
| 83 | b.b3x3 | npy1_on_gp | 2.4875 | 0 | 4 | 0 | 8 |
| 84 | b.b3x4 | npy1_on_gp | 3.392 | 0 | 5 | 0 | 9 |
| 85 | b.b3x6 | npy1_on_gp | 4.67 | 0 | 4 | 0 | 9 |
| 86 | b.l3x1 | npy1_on_gp | 4.01833 | 0 | 6 | 0 | 9 |
| 87 | b.l3x2 | npy1_on_gp | 2.795 | 0 | 4 | 0 | 9 |
| 88 | b.b4x2 | npy1_on_gp | 2.87 | 0 | 4 | 0 | 8 |
| 89 | b.b4x3 | npy1_on_gp | 2.72833 | 0 | 6 | 0 | 7 |
| 90 | b.b4x4 | npy1_on_gp | 3.602 | 0 | 5 | 0 | 8 |
| 91 | b.b4x5 | npy1_on_gp | 2.16833 | 0 | 6 | 0 | 7 |
| 92 | b.b4x6 | npy1_on_gp | 7.658 | 0 | 5 | 0 | 9 |
| 93 | b.b4x7 | npy1_on_gp | 6.2575 | 0 | 4 | 0 | 8 |
| 94 | b.l4x1 | npy1_on_gp | 3.135 | 0 | 4 | 0 | 5 |
| 95 | b.l4x2 | npy1_on_gp | 7.732 | 0 | 5 | 0 | 4 |
| 96 | b.b5x2 | npy1_on_gp | 3.564 | 0 | 5 | 0 | 7 |
| 97 | b.b5x3 | npy1_on_gp | 4.665 | 0 | 6 | 0 | 9 |
| 98 | b.b5x5 | npy1_on_gp | 4.2125 | 0 | 4 | 0 | 5 |
| 99 | b.b5x7 | npy1_on_gp | 3.1875 | 0 | 8 | 0 | 7 |
| 100 | b.l5x1 | npy1_on_gp | 2.16 | 0 | 5 | 0 | 8 |
| 101 | b.l5x5 | npy1_on_gp | 4.30143 | 0 | 7 | 0 | 9 |
| 102 | b.b6x3 | npy1_on_gp | 2.6025 | 0 | 4 | 0 | 8 |
| 103 | b.b6x5 | npy1_on_gp | 2.746 | 0 | 5 | 0 | 6 |
| 104 | b.l6x1 | npy1_on_gp | 2.5775 | 0 | 4 | 0 | 6 |
| 105 | b.l6x5 | npy1_on_gp | 5.328 | 0 | 5 | 0 | 4 |
| 106 | b.b7x1 | npy1_on_gp | 5.03833 | 0 | 6 | 0 | 4 |
| 107 | b.b7x2 | npy1_on_gp | 2.222 | 0 | 5 | 0 | 8 |
| 108 | b.b7x3 | npy1_on_gp | 2.238 | 0 | 5 | 0 | 9 |
| 109 | b.b7x4 | npy1_on_gp | 2.246 | 0 | 5 | 0 | 8 |
| 110 | b.l7x1 | npy1_on_gp | 1.8025 | 0 | 4 | 0 | 9 |
| 111 | b.l7x2 | npy1_on_gp | 3.77833 | 0 | 6 | 0 | 9 |
| 112 | b.b8x3 | npy1_on_gp | 2.10333 | 0 | 6 | 0 | 6 |
| 113 | b.b8x4 | npy1_on_gp | 3.00429 | 0 | 7 | 0 | 6 |
| 114 | b.l8x1 | npy1_on_gp | 2.56 | 0 | 4 | 0 | 5 |
| 115 | b.l8x3 | npy1_on_gp | 2.565 | 0 | 4 | 0 | 3 |
| 116 | b.l8x7 | npy1_on_gp | 5.9925 | 0 | 4 | 0 | 3 |
| 117 | b.l8x8 | npy1_on_gp | 3.9475 | 0 | 4 | 0 | 4 |
| 118 | b.b9x3 | npy1_on_gp | 3.2475 | 0 | 4 | 0 | 6 |
| 119 | b.b9x4 | npy1_on_gp | 4.576 | 0 | 5 | 0 | 9 |
| 120 | b.l9x3 | npy1_on_gp | 2.198 | 0 | 5 | 0 | 9 |
| 121 | b.l9x6 | npy1_on_gp | 2.61833 | 0 | 6 | 0 | 8 |
| 122 | b.b10x1 | npy1_on_gp | 1.945 | 0 | 4 | 0 | 9 |
| 123 | b.b10x2 | npy1_on_gp | 2.3975 | 0 | 4 | 0 | 6 |
| 124 | b.b10x3 | npy1_on_gp | 1.7575 | 0 | 4 | 0 | 8 |
| 125 | b.b10x4 | npy1_on_gp | 4.0975 | 0 | 4 | 0 | 6 |
| 126 | b.b10x5 | npy1_on_gp | 3.60625 | 0 | 8 | 0 | 9 |
| 127 | b.l10x1 | npy1_on_gp | 5.962 | 0 | 5 | 0 | 3 |
| 128 | b.l10x4 | npy1_on_gp | 4.458 | 0 | 5 | 0 | 3 |
| 129 | b.b11x2 | npy1_on_gp | 4.9475 | 0 | 4 | 0 | 7 |
| 130 | b.b11x3 | npy1_on_gp | 3.224 | 0 | 5 | 0 | 5 |
| 131 | b.b11x4 | npy1_on_gp | 2.84 | 0 | 5 | 0 | 9 |
| 132 | b.b11x6 | npy1_on_gp | 2.61 | 0 | 5 | 0 | 9 |
| 133 | b.l11x2 | npy1_on_gp | 3.832 | 0 | 5 | 0 | 9 |
| 134 | b.b12x3 | npy1_on_gp | 2.765 | 0 | 4 | 0 | 8 |
| 135 | b.b12x6 | npy1_on_gp | 6.59143 | 0 | 7 | 0 | 8 |
| 136 | b.l12x3 | npy1_on_gp | 4.49 | 0 | 4 | 0 | 5 |
| 137 | b.b13x3 | npy1_on_gp | 6.7725 | 0 | 4 | 0 | 4 |
| 138 | b.b13x7 | npy1_on_gp | 6.092 | 0 | 5 | 0 | 7 |
| 139 | b.l13x3 | npy1_on_gp | 5.79667 | 0 | 6 | 0 | 9 |
| 140 | b.l13x6 | npy1_on_gp | 3.345 | 0 | 6 | 0 | 9 |
| 141 | b.l13x7 | npy1_on_gp | 3.42667 | 0 | 6 | 0 | 9 |
| 142 | b.b14x1 | npy1_on_gp | 3.49 | 0 | 4 | 0 | 8 |
| 143 | b.b14x3 | npy1_on_gp | 3.406 | 0 | 5 | 0 | 5 |
| 144 | b.b15x1 | npy1_on_gp | 5.32833 | 0 | 6 | 0 | 9 |
| 145 | b.b15x2 | npy1_on_gp | 5.68 | 0 | 4 | 0 | 6 |
| 146 | b.b15x3 | npy1_on_gp | 3.406 | 0 | 5 | 0 | 9 |
| 147 | b.l15x1 | npy1_on_gp | 5.4225 | 0 | 4 | 0 | 7 |
| 148 | b.l15x2 | npy1_on_gp | 5.0425 | 0 | 4 | 0 | 9 |
| 149 | b.b16x5 | npy1_on_gp | 4.2175 | 0 | 4 | 0 | 5 |
| 150 | b.b16x6 | npy1_on_gp | 6.46833 | 0 | 6 | 0 | 8 |
| 151 | b.b16x7 | npy1_on_gp | 4.63 | 0 | 4 | 0 | 9 |
| 152 | b.l16x2 | npy1_on_gp | 6.46 | 0 | 4 | 0 | 9 |
| 153 | b.l16x3 | npy1_on_gp | 6.2275 | 0 | 4 | 0 | 3 |
| 154 | b.b17x5 | npy1_on_gp | 4.306 | 0 | 5 | 0 | 7 |
| 155 | b.b17x7 | npy1_on_gp | 5.17 | 0 | 4 | 0 | 8 |
| 156 | b.l17x3 | npy1_on_gp | 5.97167 | 0 | 6 | 0 | 9 |
| 157 | b.l17x7 | npy1_on_gp | 2.9625 | 0 | 4 | 0 | 7 |
| 158 | b.b18x3 | npy1_on_gp | 4.104 | 0 | 5 | 0 | 8 |
| 159 | b.l18x1 | npy1_on_gp | 5.49375 | 0 | 8 | 0 | 6 |
| 160 | b.b19x2 | npy1_on_gp | 5.842 | 0 | 5 | 0 | 6 |
| 161 | b.b19x4 | npy1_on_gp | 4.578 | 0 | 5 | 0 | 8 |
| 162 | b.b19x5 | npy1_on_gp | 2.7175 | 0 | 4 | 0 | 5 |
| 163 | b.b19x6 | npy1_on_gp | 4.8625 | 0 | 4 | 0 | 9 |
| 164 | b.l19x2 | npy1_on_gp | 4.88 | 0 | 4 | 0 | 9 |
| 165 | b.b20x2 | npy1_on_gp | 2.63 | 0 | 4 | 0 | 6 |
| 166 | b.b20x4 | npy1_on_gp | 4.49429 | 0 | 7 | 0 | 8 |
| 167 | b.b20x6 | npy1_on_gp | 5.618 | 0 | 5 | 0 | 6 |
| 168 | b.b20x7 | npy1_on_gp | 5.66 | 0 | 4 | 0 | 9 |
| 169 | b.l20x1 | npy1_on_gp | 2.9225 | 0 | 4 | 0 | 6 |
| 170 | b.b21x1 | npy1_on_gp | 8.108 | 0 | 5 | 0 | 7 |
| 171 | b.b21x2 | npy1_on_gp | 3.425 | 0 | 4 | 0 | 6 |
| 172 | b.b21x7 | npy1_on_gp | 6.30333 | 0 | 6 | 0 | 5 |
| 173 | b.l21x2 | npy1_on_gp | 4.5825 | 0 | 4 | 0 | 4 |
| 174 | b.l21x5 | npy1_on_gp | 3.7425 | 0 | 4 | 0 | 4 |
| 175 | b.l21x9 | npy1_on_gp | 4.61 | 0 | 4 | 0 | 6 |
| 176 | b.b22x1 | npy1_on_gp | 3.175 | 0 | 4 | 0 | 8 |
| 177 | b.b22x3 | npy1_on_gp | 1.66333 | 0 | 6 | 0 | 6 |
| 178 | b.b22x5 | npy1_on_gp | 5.21333 | 0 | 6 | 0 | 7 |
| 179 | b.l22x1 | npy1_on_gp | 2.3575 | 0 | 4 | 0 | 9 |
| 180 | b.l22x3 | npy1_on_gp | 3.69 | 0 | 4 | 0 | 9 |
| 181 | b.l22x4 | npy1_on_gp | 2.8375 | 0 | 4 | 0 | 9 |
| 182 | b.l22x5 | npy1_on_gp | 4.25667 | 0 | 6 | 0 | 9 |
| 183 | b.b23x1 | npy1_on_gp | 2.32333 | 0 | 6 | 0 | 5 |
| 184 | b.b23x2 | npy1_on_gp | 3.4625 | 0 | 4 | 0 | 6 |
| 185 | b.b23x3 | npy1_on_gp | 3.965 | 0 | 4 | 0 | 7 |
| 186 | b.b23x6 | npy1_on_gp | 5.02143 | 0 | 7 | 0 | 7 |
| 187 | b.l23x1 | npy1_on_gp | 7.5825 | 0 | 4 | 0 | 6 |
| 188 | b.l23x2 | npy1_on_gp | 5.31 | 0 | 4 | 0 | 8 |
| 189 | b.b24x2 | npy1_on_gp | 4.925 | 0 | 4 | 0 | 5 |
| 190 | b.b24x4 | npy1_on_gp | 3.78 | 0 | 5 | 0 | 6 |
| 191 | b.b24x5 | npy1_on_gp | 2.432 | 0 | 5 | 0 | 5 |
| 192 | b.l24x2 | npy1_on_gp | 3.975 | 0 | 6 | 0 | 6 |
| 193 | b.l24x3 | npy1_on_gp | 3.685 | 0 | 4 | 0 | 5 |
| 194 | b.b25x3 | npy1_on_gp | 4.1675 | 0 | 4 | 0 | 5 |
| 195 | b.b25x7 | npy1_on_gp | 4.255 | 0 | 4 | 0 | 7 |
| 196 | b.l25x3 | npy1_on_gp | 7.6675 | 0 | 4 | 0 | 9 |
| 197 | b.l25x6 | npy1_on_gp | 7.726 | 0 | 5 | 0 | 8 |
| 198 | b.l25x7 | npy1_on_gp | 1.66 | 0 | 4 | 0 | 7 |
| 199 | b.b26x2 | npy1_on_gp | 3.3675 | 0 | 4 | 0 | 7 |
| 200 | b.b26x3 | npy1_on_gp | 2.55429 | 0 | 7 | 0 | 6 |
| 201 | b.l26x1 | npy1_on_gp | 3.675 | 0 | 6 | 0 | 7 |
| 202 | b.l26x3 | npy1_on_gp | 5.82 | 0 | 4 | 0 | 7 |
| 203 | b.l26x4 | npy1_on_gp | 1.79 | 0 | 5 | 0 | 9 |
| 204 | b.l26x5 | npy1_on_gp | 4.038 | 0 | 5 | 0 | 5 |
| 205 | b.b27x1 | npy1_on_gp | 2.748 | 0 | 5 | 0 | 6 |
| 206 | b.b27x3 | npy1_on_gp | 3.57333 | 0 | 6 | 0 | 8 |
| 207 | b.b27x5 | npy1_on_gp | 4.558 | 0 | 5 | 0 | 9 |
| 208 | b.l27x1 | npy1_on_gp | 10.25 | 0 | 5 | 0 | 9 |
| 209 | b.l27x2 | npy1_on_gp | 6.7125 | 0 | 4 | 0 | 9 |
| 210 | b.b28x3 | npy1_on_gp | 3.17857 | 0 | 7 | 0 | 7 |
| 211 | b.b28x4 | npy1_on_gp | 3.16167 | 0 | 6 | 0 | 6 |
| 212 | b.b28x5 | npy1_on_gp | 3.175 | 0 | 4 | 0 | 5 |
| 213 | b.b28x6 | npy1_on_gp | 6.616 | 0 | 5 | 0 | 9 |
| 214 | b.b28x7 | npy1_on_gp | 4.935 | 0 | 4 | 0 | 9 |
| 215 | g.h1x1 | npy1_on_gp | 1.8075 | 0 | 4 | 0 | 2 |
| 216 | g.h1x11 | npy1_on_gp | 3.0975 | 0 | 4 | 0 | 9 |
| 217 | g.h1x14 | npy1_on_gp | 4.9 | 0 | 4 | 0 | 9 |
| 218 | g.l1x4 | npy1_on_gp | 5.218 | 0 | 5 | 0 | 8 |
| 219 | g.ctx3 | npy1_on_gp | 4.18286 | 0 | 7 | 0 | 9 |
| 220 | g.ctx4 | npy1_on_gp | 3.835 | 0 | 4 | 0 | 7 |
| 221 | g.ctx5 | npy1_on_gp | 2.795 | 0 | 4 | 0 | 9 |
| 222 | g.ctx6 | npy1_on_gp | 2.174 | 0 | 5 | 0 | 6 |
| 223 | g.ctx9 | npy1_on_gp | 2.4075 | 0 | 4 | 0 | 6 |
| 224 | g.ctx14 | npy1_on_gp | 4.942 | 0 | 5 | 0 | 9 |
| 225 | g.ctx16 | npy1_on_gp | 5.035 | 0 | 6 | 0 | 8 |
| 226 | NT.L35 | npy1_on_gp | 4.728 | 4.4975 | 5 | 2 | 3 |
| 227 | 1x31 | npy1_on_gp | 2.26 | 5.255 | 4 | 2 | 4 |
| 228 | 1x43 | npy1_on_gp | 4.2325 | 4.1775 | 4 | 2 | 7 |
| 229 | 1x53 | npy1_on_gp | 3.242 | 4.77 | 5 | 2 | 9 |
| 230 | 1x56 | npy1_on_gp | 3.07 | 6.28 | 5 | 1 | 7 |
| 231 | 1x57 | npy1_on_gp | 3.34714 | 9.4425 | 7 | 2 | 7 |
| 232 | 2x42 | npy1_on_gp | 4.51 | 5.2775 | 4 | 2 | 7 |
| 233 | 2x45 | npy1_on_gp | 3.27 | 9.35667 | 4 | 3 | 9 |
| 234 | 2x46 | npy1_on_gp | 4.4 | 5.7175 | 6 | 2 | 9 |
| 235 | 2x50 | npy1_on_gp | 5.266 | 4.76167 | 5 | 3 | 9 |
| 236 | 2x53 | npy1_on_gp | 2.805 | 6.41 | 4 | 2 | 7 |
| 237 | 2x56 | npy1_on_gp | 3.75 | 3.815 | 5 | 1 | 7 |
| 238 | 2x59 | npy1_on_gp | 3.655 | 7.895 | 4 | 3 | 6 |
| 239 | 2x60 | npy1_on_gp | 4.93 | 9.4725 | 6 | 2 | 6 |
| 240 | E1x49 | npy1_on_gp | 7.1575 | 11.575 | 4 | 2 | 5 |
| 241 | 3x28 | npy1_on_gp | 4.2 | 7.31 | 4 | 1 | 5 |
| 242 | 3x34 | npy1_on_gp | 1.95 | 6.36 | 5 | 2 | 5 |
| 243 | 3x35 | npy1_on_gp | 3.1475 | 6.0875 | 4 | 2 | 8 |
| 244 | 3x37 | npy1_on_gp | 3.265 | 5.5775 | 6 | 2 | 6 |
| 245 | 3x38 | npy1_on_gp | 4.378 | 12.0225 | 5 | 2 | 7 |
| 246 | 3x40 | npy1_on_gp | 4.2125 | 5.2575 | 4 | 2 | 7 |
| 247 | 3x43 | npy1_on_gp | 3.604 | 5.96 | 5 | 1 | 8 |
| 248 | 3x46 | npy1_on_gp | 2.8725 | 5.3525 | 4 | 2 | 8 |
| 249 | 3x51 | npy1_on_gp | 6.105 | 8.80667 | 4 | 3 | 7 |
| 250 | 3x53 | npy1_on_gp | 2.556 | 5.305 | 5 | 1 | 8 |
| 251 | 3x54 | npy1_on_gp | 2.1475 | 4.7375 | 4 | 2 | 8 |
| 252 | 3x55 | npy1_on_gp | 5.3675 | 8.755 | 4 | 3 | 6 |
| 253 | I2.P145 | npy1_on_gp | 2.668 | 2.8825 | 5 | 2 | 8 |
| 254 | 4x46 | npy1_on_gp | 2.7275 | 13.455 | 4 | 1 | 7 |
| 255 | 4x50 | npy1_on_gp | 5.785 | 10.1033 | 4 | 3 | 9 |
| 256 | 4x53 | npy1_on_gp | 2.1175 | 3.36 | 4 | 1 | 8 |
| 257 | 4x57 | npy1_on_gp | 3.788 | 5.87 | 5 | 2 | 7 |
| 258 | 4x65 | npy1_on_gp | 2.1575 | 8.04833 | 4 | 3 | 5 |
| 259 | E2.E182 | npy1_on_gp | 7.9675 | 8.58 | 4 | 2 | 1 |
| 260 | E2.K195 | npy1_on_gp | 8.035 | 11.315 | 4 | 3 | 3 |
| 261 | E2x50 | npy1_on_gp | 3.3025 | 6.78167 | 4 | 3 | 9 |
| 262 | 5x40 | npy1_on_gp | 4.9075 | 9.795 | 4 | 2 | 5 |
| 263 | 5x44 | npy1_on_gp | 1.8175 | 8.525 | 4 | 1 | 6 |
| 264 | 5x461 | npy1_on_gp | 5.185 | 5.51 | 4 | 3 | 6 |
| 265 | 5x50 | npy1_on_gp | 3.105 | 5.46833 | 4 | 3 | 9 |
| 266 | 5x58 | npy1_on_gp | 4.74857 | 5.24333 | 7 | 3 | 9 |
| 267 | 5x61 | npy1_on_gp | 1.6075 | 5.3 | 4 | 2 | 8 |
| 268 | 5x64 | npy1_on_gp | 3.358 | 5.73333 | 5 | 3 | 5 |
| 269 | 5x65 | npy1_on_gp | 3.4725 | 2.85 | 4 | 1 | 8 |
| 270 | 5x70 | npy1_on_gp | 6.075 | 0 | 4 | 0 | 4 |
| 271 | 6x32 | npy1_on_gp | 2.975 | 7.70333 | 4 | 3 | 7 |
| 272 | 6x40 | npy1_on_gp | 2.615 | 4.5975 | 4 | 2 | 7 |
| 273 | 6x44 | npy1_on_gp | 2.5225 | 6.86 | 4 | 3 | 9 |
| 274 | 6x47 | npy1_on_gp | 2.9825 | 3.785 | 4 | 2 | 8 |
| 275 | 6x59 | npy1_on_gp | 4.89333 | 13.0325 | 6 | 2 | 4 |
| 276 | 7x30 | npy1_on_gp | 5.1975 | 10.9675 | 4 | 2 | 3 |
| 277 | 7x34 | npy1_on_gp | 5.425 | 9.065 | 4 | 3 | 5 |
| 278 | 7x35 | npy1_on_gp | 3.265 | 6.9225 | 4 | 2 | 4 |
| 279 | 7x42 | npy1_on_gp | 4.018 | 12.245 | 5 | 2 | 7 |
| 280 | 7x46 | npy1_on_gp | 2.4675 | 6.505 | 4 | 1 | 8 |
| 281 | 7x49 | npy1_on_gp | 2.694 | 6.18 | 5 | 1 | 9 |
| 282 | 7x52 | npy1_on_gp | 3.855 | 5.16 | 4 | 3 | 8 |
| 283 | 8x47 | npy1_on_gp | 3.845 | 3.11167 | 4 | 3 | 8 |
| 284 | 8x48 | npy1_on_gp | 4.066 | 7.71 | 5 | 3 | 5 |
| 285 | 1x39 | Shared | 3.62667 | 10.772 | 6 | 5 | 7 |
| 286 | 1x50 | Shared | 5.566 | 4.03625 | 5 | 4 | 9 |
| 287 | 2x57 | Shared | 3.62571 | 5.9475 | 7 | 4 | 7 |
| 288 | E1x50 | Shared | 7.06333 | 9.604 | 6 | 5 | 8 |
| 289 | E1x52 | Shared | 5.658 | 9.91375 | 5 | 4 | 7 |
| 290 | 3x32 | Shared | 5.5875 | 5.89125 | 4 | 4 | 6 |
| 291 | 3x49 | Shared | 6.9975 | 6.04667 | 4 | 6 | 8 |
| 292 | 3x50 | Shared | 2.61 | 7.21125 | 5 | 4 | 9 |
| 293 | E2.F184 | Shared | 3.974 | 3.1975 | 5 | 4 | 1 |
| 294 | E2.F202 | Shared | 3.9625 | 7.158 | 4 | 5 | 5 |
| 295 | 5x47 | Shared | 4.8675 | 6.755 | 4 | 4 | 8 |
| 296 | 6x48 | Shared | 4.4 | 8.128 | 5 | 5 | 8 |
| 297 | 6x54 | Shared | 4.4475 | 9.51125 | 4 | 4 | 5 |
| 298 | 7x38 | Shared | 5.942 | 9.2 | 5 | 4 | 6 |
| 299 | 8x50 | Shared | 4.396 | 5.687 | 5 | 5 | 8 |
| 300 | Lig | Shared | 16.9336 | 9.10577 | 25 | 13 | 0 |
| 301 | 2x61 | npy1_off | 2.42333 | 9.30625 | 3 | 4 | 6 |
| 302 | 3x30 | npy1_off | 2.635 | 6.91875 | 2 | 4 | 6 |
| 303 | 3x41 | npy1_off | 2.53 | 6.261 | 3 | 5 | 7 |
| 304 | 4x61 | npy1_off | 4.96333 | 7.73625 | 3 | 4 | 5 |
| 305 | 5x36 | npy1_off | 7.92333 | 8.0725 | 3 | 4 | 4 |
| 306 | 5x39 | npy1_off | 6.28667 | 12.0425 | 3 | 4 | 6 |
| 307 | 6x36 | npy1_off | 2.24 | 5.4125 | 3 | 4 | 8 |
| 308 | 6x37 | npy1_off | 4.88 | 4.5575 | 3 | 4 | 8 |
| 309 | 6x58 | npy1_off | 20.3 | 7.126 | 1 | 5 | 4 |
| 310 | E3.H290 | npy1_off | 0 | 8.26 | 0 | 4 | 4 |
| 311 | 7x53 | npy1_off | 3.51 | 9.22375 | 3 | 4 | 9 |
| 312 | 8x58 | npy1_off | 0 | 2.465 | 0 | 4 | 0 |
Index: link id, click on each number to highlight the corresponding link in the 3D visualization.
Node1 Node2: the two nodes of the corresponding link.
Owner: the name of the network the link belong to or "Shared" if the corresponding link is present in both networks.
Recurrence: the relative Recurrence in the filtered pool of shortest paths.
Hub1?, Hub2?: "Yes" if the corresponding node has more than 3 links, otherwise "No".
ConSurf1, ConSurf2: these columns report the ConSurf conservation grades of the two nodes involved in a link.
| Index | Node1 | Node2 | Owner | npy1_on_gp Recurrence | npy1_off Recurrence | npy1_on_gp Hub1? | npy1_off Hub1? | npy1_on_gp Hub2? | npy1_off Hub2? | ConSurf1 | ConSurf2 |
|---|---|---|---|---|---|---|---|---|---|---|---|
| 1 | b.b3x6 | b.l1x5 | npy1_on_gp | 13.8957 | 0 | Yes | No | No | No | 9 | 7 |
| 2 | b.l1x5 | b.l3x1 | npy1_on_gp | 17.6289 | 0 | No | No | Yes | No | 7 | 9 |
| 3 | b.l3x1 | b.l5x5 | npy1_on_gp | 34.1445 | 0 | Yes | No | Yes | No | 9 | 9 |
| 4 | G.S2.01 | b.l5x5 | npy1_on_gp | 20.4269 | 0 | Yes | No | Yes | No | 8 | 9 |
| 5 | G.S2.01 | G.S3.08 | npy1_on_gp | 31.987 | 0 | Yes | No | Yes | No | 8 | 9 |
| 6 | G.S1.07 | G.S3.08 | npy1_on_gp | 62.3112 | 0 | Yes | No | Yes | No | 9 | 9 |
| 7 | G.S1.07 | G.S4.04 | npy1_on_gp | 100 | 0 | Yes | No | Yes | No | 9 | 9 |
| 8 | G.S4.04 | G.S5.04 | npy1_on_gp | 100 | 0 | Yes | No | Yes | No | 9 | 9 |
| 9 | G.S5.04 | G.S5.06 | npy1_on_gp | 100 | 0 | Yes | No | Yes | No | 9 | 9 |
| 10 | G.S5.06 | G.S6.05 | npy1_on_gp | 100 | 0 | Yes | No | Yes | No | 9 | 5 |
| 11 | G.H4.03 | G.S6.05 | npy1_on_gp | 100 | 0 | Yes | No | Yes | No | 4 | 5 |
| 12 | G.H4.03 | G.HG.05 | npy1_on_gp | 100 | 0 | Yes | No | No | No | 4 | 4 |
| 13 | G.HG.02 | G.HG.05 | npy1_on_gp | 100 | 0 | No | No | No | No | 9 | 4 |
| 14 | G.HG.02 | G.HG.03 | npy1_on_gp | 100 | 0 | No | No | No | No | 9 | 6 |
| 15 | G.HG.03 | G.s4h3.02 | npy1_on_gp | 100 | 0 | No | No | No | No | 6 | 9 |
| 16 | G.s4h3.02 | G.s5hg.01 | npy1_on_gp | 100 | 0 | No | No | No | No | 9 | 9 |
| 17 | G.s1h1.06 | G.s5hg.01 | npy1_on_gp | 100 | 0 | Yes | No | No | No | 9 | 9 |
| 18 | G.S5.07 | G.s1h1.06 | npy1_on_gp | 73.1341 | 0 | Yes | No | Yes | No | 9 | 9 |
| 19 | G.S4.05 | G.S5.07 | npy1_on_gp | 18.7217 | 0 | Yes | No | Yes | No | 7 | 9 |
| 20 | G.h2s4.01 | b.l5x5 | npy1_on_gp | 20.4521 | 0 | Yes | No | Yes | No | 9 | 9 |
| 21 | G.S1.05 | G.h2s4.01 | npy1_on_gp | 20.5159 | 0 | No | No | Yes | No | 9 | 9 |
| 22 | G.S1.05 | G.S1.07 | npy1_on_gp | 20.549 | 0 | No | No | Yes | No | 9 | 9 |
| 23 | G.H1.03 | G.s1h1.06 | npy1_on_gp | 35.735 | 0 | No | No | Yes | No | 9 | 9 |
| 24 | G.H1.03 | G.H1.04 | npy1_on_gp | 35.7519 | 0 | No | No | Yes | No | 9 | 7 |
| 25 | G.H1.04 | G.H1.08 | npy1_on_gp | 34.9271 | 0 | Yes | No | Yes | No | 7 | 9 |
| 26 | G.H1.04 | G.S5.07 | npy1_on_gp | 35.736 | 0 | Yes | No | Yes | No | 7 | 9 |
| 27 | G.H1.08 | G.H5.07 | npy1_on_gp | 34.5415 | 0 | Yes | No | Yes | No | 9 | 9 |
| 28 | G.H1.04 | G.S5.05 | npy1_on_gp | 36.5352 | 0 | Yes | No | Yes | No | 7 | 9 |
| 29 | G.H5.07 | G.S5.05 | npy1_on_gp | 69.0564 | 0 | Yes | No | Yes | No | 9 | 9 |
| 30 | G.S4.05 | G.S5.05 | npy1_on_gp | 18.3193 | 0 | Yes | No | Yes | No | 7 | 9 |
| 31 | G.S5.07 | G.s6h5.01 | npy1_on_gp | 18.6934 | 0 | Yes | No | Yes | No | 9 | 9 |
| 32 | G.S5.05 | G.s6h5.01 | npy1_on_gp | 18.271 | 0 | Yes | No | Yes | No | 9 | 9 |
| 33 | G.H5.07 | G.H5.11 | npy1_on_gp | 100 | 0 | Yes | No | Yes | No | 9 | 8 |
| 34 | G.H3.12 | G.H3.18 | npy1_on_gp | 19.6591 | 0 | No | No | Yes | No | 8 | 9 |
| 35 | G.H2.08 | G.H3.18 | npy1_on_gp | 19.4973 | 0 | No | No | Yes | No | 8 | 9 |
| 36 | G.H2.08 | G.H3.17 | npy1_on_gp | 19.4639 | 0 | No | No | Yes | No | 8 | 5 |
| 37 | G.H3.17 | b.l25x6 | npy1_on_gp | 19.2921 | 0 | Yes | No | Yes | No | 5 | 8 |
| 38 | G.s3h2.03 | b.l7x2 | npy1_on_gp | 10.897 | 0 | Yes | No | Yes | No | 9 | 9 |
| 39 | b.b2x1 | b.l27x1 | npy1_on_gp | 17.7553 | 0 | Yes | No | Yes | No | 8 | 9 |
| 40 | G.H2.10 | b.b2x1 | npy1_on_gp | 12.0061 | 0 | Yes | No | Yes | No | 7 | 8 |
| 41 | G.H2.02 | G.H2.07 | npy1_on_gp | 19.194 | 0 | Yes | No | Yes | No | 8 | 9 |
| 42 | b.b10x1 | b.l9x6 | npy1_on_gp | 14.1966 | 0 | Yes | No | Yes | No | 9 | 8 |
| 43 | b.l23x1 | b.l25x6 | npy1_on_gp | 13.6767 | 0 | Yes | No | Yes | No | 6 | 8 |
| 44 | G.H5.11 | G.H5.15 | npy1_on_gp | 100 | 0 | Yes | No | No | No | 8 | 8 |
| 45 | G.H5.15 | I2.P145 | npy1_on_gp | 100 | 0 | No | No | Yes | No | 8 | 8 |
| 46 | 5x64 | I2.P145 | npy1_on_gp | 99.8064 | 0 | Yes | No | Yes | No | 5 | 8 |
| 47 | 3x54 | G.H5.19 | npy1_on_gp | 22.5629 | 0 | Yes | No | No | No | 8 | 7 |
| 48 | 3x54 | 5x64 | npy1_on_gp | 97.8873 | 0 | Yes | No | Yes | No | 8 | 5 |
| 49 | 3x54 | G.H5.23 | npy1_on_gp | 73.55 | 0 | Yes | No | Yes | No | 8 | 4 |
| 50 | 3x53 | G.H5.19 | npy1_on_gp | 22.3953 | 0 | Yes | No | No | No | 8 | 7 |
| 51 | 3x53 | G.H5.23 | npy1_on_gp | 22.403 | 0 | Yes | No | Yes | No | 8 | 4 |
| 52 | 3x50 | G.H5.23 | npy1_on_gp | 51.0053 | 0 | Yes | Yes | Yes | No | 9 | 4 |
| 53 | b.b27x5 | b.l27x1 | npy1_on_gp | 23.6129 | 0 | Yes | No | Yes | No | 9 | 9 |
| 54 | b.b27x1 | g.ctx5 | npy1_on_gp | 11.4904 | 0 | Yes | No | Yes | No | 6 | 9 |
| 55 | 3x46 | 3x50 | npy1_on_gp | 50.4528 | 0 | Yes | No | Yes | Yes | 8 | 9 |
| 56 | 2x46 | 2x50 | npy1_on_gp | 16.6661 | 0 | Yes | No | Yes | No | 9 | 9 |
| 57 | 2x50 | 7x46 | npy1_on_gp | 22.5473 | 1.12268 | Yes | No | Yes | No | 9 | 8 |
| 58 | 7x42 | 7x46 | npy1_on_gp | 17.0923 | 0 | Yes | No | Yes | No | 7 | 8 |
| 59 | 3x43 | 3x46 | npy1_on_gp | 22.5794 | 0 | Yes | No | Yes | No | 8 | 8 |
| 60 | 3x49 | 3x53 | npy1_on_gp | 43.9539 | 1.12268 | Yes | Yes | Yes | No | 8 | 8 |
| 61 | 2x42 | 3x49 | npy1_on_gp | 38.0031 | 0 | Yes | No | Yes | Yes | 7 | 8 |
| 62 | 5x461 | Lig | npy1_on_gp | 41.0099 | 0 | Yes | No | Yes | Yes | 6 | 0 |
| 63 | 3x37 | 5x461 | npy1_on_gp | 22.5629 | 2.24282 | Yes | No | Yes | No | 6 | 6 |
| 64 | 3x37 | 3x41 | npy1_on_gp | 23.8279 | 0 | Yes | No | No | Yes | 6 | 7 |
| 65 | 5x46 | 5x461 | npy1_on_gp | 22.5472 | 0 | No | No | Yes | No | 5 | 6 |
| 66 | 3x41 | 5x46 | npy1_on_gp | 22.8023 | 0 | No | Yes | No | No | 7 | 5 |
| 67 | G.S2.01 | b.l7x2 | npy1_on_gp | 10.9158 | 0 | Yes | No | Yes | No | 8 | 9 |
| 68 | G.S3.08 | G.s3h2.03 | npy1_on_gp | 11.0547 | 0 | Yes | No | Yes | No | 9 | 9 |
| 69 | G.H3.12 | G.S1.07 | npy1_on_gp | 19.7561 | 0 | No | No | Yes | No | 8 | 9 |
| 70 | G.H2.02 | b.l9x6 | npy1_on_gp | 18.6832 | 0 | Yes | No | Yes | No | 8 | 8 |
| 71 | b.b27x1 | b.b27x3 | npy1_on_gp | 13.0034 | 0 | Yes | No | Yes | No | 6 | 8 |
| 72 | b.b10x1 | b.b11x6 | npy1_on_gp | 10.7861 | 0 | Yes | No | Yes | No | 9 | 9 |
| 73 | G.H2.07 | G.S3.08 | npy1_on_gp | 19.239 | 0 | Yes | No | Yes | No | 9 | 9 |
| 74 | b.b27x5 | b.l25x3 | npy1_on_gp | 14.2395 | 0 | Yes | No | Yes | No | 9 | 9 |
| 75 | 2x42 | 3x46 | Shared | 19.1481 | 42.9591 | Yes | No | Yes | No | 7 | 8 |
| 76 | 2x42 | 3x45 | Shared | 47.3881 | 43.8659 | Yes | No | No | No | 7 | 7 |
| 77 | 3x45 | 4x49 | Shared | 47.1332 | 45.6642 | No | No | No | No | 7 | 7 |
| 78 | 3x41 | 4x49 | Shared | 46.8836 | 46.5735 | No | Yes | No | No | 7 | 7 |
| 79 | 1x39 | 2x61 | npy1_off | 1.03579 | 14.9327 | Yes | Yes | No | Yes | 7 | 6 |
| 80 | 1x39 | 7x38 | npy1_off | 4.65269 | 27.8283 | Yes | Yes | Yes | Yes | 7 | 6 |
| 81 | 7x34 | 7x38 | npy1_off | 0 | 36.6421 | Yes | No | Yes | Yes | 5 | 6 |
| 82 | 6x58 | 7x30 | npy1_off | 0 | 10.1321 | No | Yes | Yes | No | 4 | 3 |
| 83 | 7x34 | Lig | npy1_off | 1.5545 | 36.0503 | Yes | No | Yes | Yes | 5 | 0 |
| 84 | 6x58 | Lig | npy1_off | 0.515068 | 13.3198 | No | Yes | Yes | Yes | 4 | 0 |
| 85 | 1x50 | 2x50 | npy1_off | 2.44119 | 50.3023 | Yes | Yes | Yes | No | 9 | 9 |
| 86 | 2x50 | 3x39 | npy1_off | 0.00752211 | 52.0295 | Yes | No | No | No | 9 | 9 |
| 87 | 3x39 | 6x44 | npy1_off | 0 | 54.5822 | No | No | Yes | No | 9 | 9 |
| 88 | 6x44 | 6x48 | npy1_off | 0 | 100 | Yes | No | Yes | Yes | 9 | 8 |
| 89 | 3x32 | 6x48 | npy1_off | 0 | 53.5789 | Yes | Yes | Yes | Yes | 6 | 8 |
| 90 | 3x32 | Lig | npy1_off | 0.0542879 | 54.3028 | Yes | Yes | Yes | Yes | 6 | 0 |
| 91 | 3x36 | 6x48 | npy1_off | 0.00383258 | 48.8951 | No | No | Yes | Yes | 7 | 8 |
| 92 | 3x36 | Lig | npy1_off | 0 | 48.9053 | No | No | Yes | Yes | 7 | 0 |
| 93 | 1x50 | 2x47 | npy1_off | 0.124586 | 41.3614 | Yes | Yes | No | No | 9 | 9 |
| 94 | 1x53 | 7x53 | npy1_off | 0 | 12.9058 | Yes | No | No | Yes | 9 | 9 |
| 95 | 2x40 | 7x53 | npy1_off | 0 | 33.8329 | No | No | No | Yes | 8 | 9 |
| 96 | 1x57 | 2x40 | npy1_off | 0.696748 | 36.7005 | Yes | No | No | No | 7 | 8 |
| 97 | 1x57 | 2x44 | npy1_off | 0.524813 | 37.6429 | Yes | No | No | No | 7 | 5 |
| 98 | 1x54 | 2x44 | npy1_off | 0.349885 | 38.5801 | No | No | No | No | 7 | 5 |
| 99 | 1x54 | 2x47 | npy1_off | 0 | 40.4394 | No | No | No | No | 7 | 9 |
| 100 | 1x53 | 8x50 | npy1_off | 0 | 11.8263 | Yes | No | Yes | Yes | 9 | 8 |
| 101 | 6x36 | 8x47 | npy1_off | 0 | 13.0124 | No | Yes | Yes | No | 8 | 8 |
| 102 | 6x36 | 7x53 | npy1_off | 0 | 20.2438 | No | Yes | No | Yes | 8 | 9 |
| 103 | 2x39 | 3x49 | npy1_off | 5.47036 | 33.9243 | No | No | Yes | Yes | 7 | 8 |
| 104 | 2x39 | 6x37 | npy1_off | 0 | 34.8895 | No | No | No | Yes | 7 | 8 |
| 105 | 3x46 | 6x37 | npy1_off | 0 | 42.0472 | Yes | No | No | Yes | 8 | 8 |
| 106 | 3x41 | 5x50 | npy1_off | 0 | 61.7526 | No | Yes | Yes | No | 7 | 9 |
| 107 | 3x40 | 5x50 | npy1_off | 0.00779033 | 63.3376 | Yes | No | Yes | No | 7 | 9 |
| 108 | 3x40 | 6x44 | npy1_off | 3.95525 | 64.1224 | Yes | No | Yes | No | 7 | 9 |
| 109 | E1x50 | E1x52 | npy1_off | 1.54074 | 33.0226 | Yes | Yes | Yes | Yes | 8 | 7 |
| 110 | E1x50 | E2x50 | npy1_off | 2.57693 | 35.1791 | Yes | Yes | Yes | No | 8 | 9 |
| 111 | 4x65 | E2x50 | npy1_off | 0 | 41.8237 | Yes | No | Yes | No | 5 | 9 |
| 112 | 4x65 | E2x52 | npy1_off | 0.00146031 | 41.2979 | Yes | No | No | No | 5 | 4 |
| 113 | E2x52 | Lig | npy1_off | 0 | 56.7793 | No | No | Yes | Yes | 4 | 0 |
| 114 | E1x51 | E1x52 | npy1_off | 0 | 28.509 | No | No | Yes | Yes | 2 | 7 |
| 115 | 2x67 | E2.K195 | npy1_off | 0 | 20.8128 | No | No | Yes | No | 4 | 3 |
| 116 | E1x49 | E2.K195 | npy1_off | 6.55651e-05 | 25.6718 | Yes | No | Yes | No | 5 | 3 |
| 117 | E1x49 | E1x51 | npy1_off | 0.515491 | 26.6243 | Yes | No | No | No | 5 | 2 |
| 118 | 4x61 | Lig | npy1_off | 0 | 11.4453 | No | Yes | Yes | Yes | 5 | 0 |
| 119 | 3x41 | 3x44 | npy1_off | 0 | 11.0211 | No | Yes | No | No | 7 | 7 |
| 120 | 3x49 | I2.W148 | npy1_off | 0 | 21.082 | Yes | Yes | No | No | 8 | 5 |
| 121 | 3x55 | 3x56 | npy1_off | 1.62591 | 14.8844 | Yes | No | No | No | 6 | 6 |
| 122 | 3x52 | 3x56 | npy1_off | 0.0904083 | 18.0315 | No | No | No | No | 4 | 6 |
| 123 | 3x52 | I2.W148 | npy1_off | 0 | 20.1041 | No | No | No | No | 4 | 5 |
| 124 | E2.F202 | E2x52 | npy1_off | 0.515878 | 19.9797 | Yes | Yes | No | No | 5 | 4 |
| 125 | 2x67 | E2.V187 | npy1_off | 0 | 18.8849 | No | No | No | No | 4 | 2 |
| 126 | E2.V187 | NT.F28 | npy1_off | 0 | 17.0434 | No | No | No | No | 2 | 0 |
| 127 | E2.F184 | NT.F28 | npy1_off | 0 | 16.124 | Yes | Yes | No | No | 1 | 0 |
| 128 | E2.F184 | E2x51 | npy1_off | 0 | 11.1938 | Yes | Yes | No | No | 1 | 3 |
| 129 | 5x36 | E2.F202 | npy1_off | 2.57752 | 13.302 | No | Yes | Yes | Yes | 4 | 5 |
Here, those paths that begin and end at given residue pair(s) or that pass through a residue are used to generate a novel metapath. Such a path filtering is particularly recommended if some information on allosteric residues is available. The selection syntax for a residue pair ("Pairs") is C:C:c534,A:A:?600 (the lower-case "c" stands for cytosine and "?" indicates any non standard amino acid or nucleotide residue). Selection of more than one apical residue pair has the following syntax: C:C:c534,A:A:?600,C:C:c534,A:A:E41. Only one residue can be selected as a tail ("Tail"). For midway residue(s), each residue must be separated by a comma as well e.g. A:A:?600,A:A:E41.
2D representation of the global metapath, ligand(s) interactions and
histograms of path distribution according to several parameters
(click on the image to enlarge it 🔍):
2D representation of the interactions of this orthosteric/allosteric ligand. | |||||||||||||||||||||||||||||||||||||||||||||||||||||||||||||||||||||||||||||||||||||||||||||||||||||||||||||||||||||||||||||||||||||||||||||||||||||||||||||||||||||||||||||||||||||||||||||||||||||||||||||||||||||||||||||||||||||||||||||||||||||||||||||||||||||||||||||||||||||||||||||||||||||||||||||||||||||||||||||||||||||||||||||||||||||||||||||||||||||||||||||||||||||||||||||||||||||||||||||||||||||||||||||||||||||||||||||||||||||||||||||||||||||||||||||||||||||||||||||||||||||||||||||||||||||||||||||||||||||||||||||||||||||||||||||||||||||||||||||||||||||||||||||||||||||||||||||||||||||||||||||||||||||||||||||||||||||||||||||||||||||||||||||||||||||||||||||||||||||||||||||||||||||||||||||||||||||||||||||||||||||||||||||||||||||||||||||||||||||||||||||||||||||||||||||||||||||||||||||||||||||||||||||||||||||||||||||||||||||||||||||||||||||||||||||||||||||||||||||||||||||||||||||||||||||||||||||||||||||||||||||||||||||||||||||||||||||||||||||||||||||||||||||||||||||||||||||||||||||||
| |||||||||||||||||||||||||||||||||||||||||||||||||||||||||||||||||||||||||||||||||||||||||||||||||||||||||||||||||||||||||||||||||||||||||||||||||||||||||||||||||||||||||||||||||||||||||||||||||||||||||||||||||||||||||||||||||||||||||||||||||||||||||||||||||||||||||||||||||||||||||||||||||||||||||||||||||||||||||||||||||||||||||||||||||||||||||||||||||||||||||||||||||||||||||||||||||||||||||||||||||||||||||||||||||||||||||||||||||||||||||||||||||||||||||||||||||||||||||||||||||||||||||||||||||||||||||||||||||||||||||||||||||||||||||||||||||||||||||||||||||||||||||||||||||||||||||||||||||||||||||||||||||||||||||||||||||||||||||||||||||||||||||||||||||||||||||||||||||||||||||||||||||||||||||||||||||||||||||||||||||||||||||||||||||||||||||||||||||||||||||||||||||||||||||||||||||||||||||||||||||||||||||||||||||||||||||||||||||||||||||||||||||||||||||||||||||||||||||||||||||||||||||||||||||||||||||||||||||||||||||||||||||||||||||||||||||||||||||||||||||||||||||||||||||||||||||||||||||||||||
Location and physicochemical properties of the interaction partners of this ligand | |||||||||||||||||||||||||||||||||||||||||||||||||||||||||||||||||||||||||||||||||||||||||||||||||||||||||||||||||||||||||||||||||||||||||||||||||||||||||||||||||||||||||||||||||||||||||||||||||||||||||||||||||||||||||||||||||||||||||||||||||||||||||||||||||||||||||||||||||||||||||||||||||||||||||||||||||||||||||||||||||||||||||||||||||||||||||||||||||||||||||||||||||||||||||||||||||||||||||||||||||||||||||||||||||||||||||||||||||||||||||||||||||||||||||||||||||||||||||||||||||||||||||||||||||||||||||||||||||||||||||||||||||||||||||||||||||||||||||||||||||||||||||||||||||||||||||||||||||||||||||||||||||||||||||||||||||||||||||||||||||||||||||||||||||||||||||||||||||||||||||||||||||||||||||||||||||||||||||||||||||||||||||||||||||||||||||||||||||||||||||||||||||||||||||||||||||||||||||||||||||||||||||||||||||||||||||||||||||||||||||||||||||||||||||||||||||||||||||||||||||||||||||||||||||||||||||||||||||||||||||||||||||||||||||||||||||||||||||||||||||||||||||||||||||||||||||||||||||||||||
Interactions of this ligand | |||||||||||||||||||||||||||||||||||||||||||||||||||||||||||||||||||||||||||||||||||||||||||||||||||||||||||||||||||||||||||||||||||||||||||||||||||||||||||||||||||||||||||||||||||||||||||||||||||||||||||||||||||||||||||||||||||||||||||||||||||||||||||||||||||||||||||||||||||||||||||||||||||||||||||||||||||||||||||||||||||||||||||||||||||||||||||||||||||||||||||||||||||||||||||||||||||||||||||||||||||||||||||||||||||||||||||||||||||||||||||||||||||||||||||||||||||||||||||||||||||||||||||||||||||||||||||||||||||||||||||||||||||||||||||||||||||||||||||||||||||||||||||||||||||||||||||||||||||||||||||||||||||||||||||||||||||||||||||||||||||||||||||||||||||||||||||||||||||||||||||||||||||||||||||||||||||||||||||||||||||||||||||||||||||||||||||||||||||||||||||||||||||||||||||||||||||||||||||||||||||||||||||||||||||||||||||||||||||||||||||||||||||||||||||||||||||||||||||||||||||||||||||||||||||||||||||||||||||||||||||||||||||||||||||||||||||||||||||||||||||||||||||||||||||||||||||||||||||||||
You can download a compressed (zip) file with structure(s), 3D outputs (as PyMol and VMD scripts) and numerical data files (as csv and plain text files).
Download npy1_off_on_gp.zip<You can click to copy the link of this page to easily come back here later
or use this QR code to link and share this page.
You can also read or download a guide explaining the meaning of all files and numerical data.