| Color | ConSurf Grade |
| No Conservation data available | |
| 1 | |
| 2 | |
| 3 | |
| 4 | |
| 5 | |
| 6 | |
| 7 | |
| 8 | |
| 9 |
Index: link id, click on each number to highlight the corresponding link in the 3D visualization.
Node1 Node2: the two nodes of the corresponding link.
Int. Strength: the interaction strength between the two nodes.
Hub1?, Hub2?: "Yes" if the corresponding node has more than 3 links, otherwise "No".
Community: the id of the community the link belong to, otherwise 0.
ConSurf1, ConSurf2: these columns report the ConSurf conservation grades of the two nodes involved in a link.
| Index | Node1 | Node2 | Int. Strength | Hub1? | Hub2? | Community | ConSurf1 | ConSurf2 |
|---|---|---|---|---|---|---|---|---|
| 1 | A:A:D16 | A:A:S13 | 4.42 | No | No | 0 | 4 | 7 |
| 2 | A:A:K17 | A:A:V20 | 9.11 | No | No | 0 | 4 | 3 |
| 3 | A:A:E21 | A:A:K17 | 20.25 | No | No | 0 | 2 | 4 |
| 4 | A:A:A19 | B:B:N88 | 4.69 | No | No | 0 | 4 | 7 |
| 5 | A:A:K24 | A:A:V20 | 4.55 | No | No | 0 | 4 | 3 |
| 6 | A:A:E27 | A:A:S23 | 5.75 | No | No | 3 | 6 | 7 |
| 7 | A:A:S23 | B:B:N88 | 5.96 | No | No | 0 | 7 | 7 |
| 8 | A:A:S23 | B:B:K89 | 4.59 | No | Yes | 3 | 7 | 9 |
| 9 | A:A:E27 | A:A:K24 | 5.4 | No | No | 0 | 6 | 4 |
| 10 | A:A:I26 | B:B:K89 | 4.36 | Yes | Yes | 0 | 9 | 9 |
| 11 | A:A:E27 | B:B:K89 | 4.05 | No | Yes | 3 | 6 | 9 |
| 12 | A:A:K28 | A:A:K32 | 4.31 | No | No | 0 | 4 | 4 |
| 13 | A:A:L30 | B:B:K78 | 4.23 | No | No | 0 | 5 | 8 |
| 14 | A:A:D33 | B:B:K78 | 11.06 | No | No | 0 | 5 | 8 |
| 15 | A:A:K34 | A:A:Y37 | 3.58 | Yes | No | 18 | 4 | 4 |
| 16 | A:A:K34 | A:A:R38 | 16.09 | Yes | No | 0 | 4 | 4 |
| 17 | A:A:K34 | B:B:L55 | 7.05 | Yes | No | 18 | 4 | 6 |
| 18 | A:A:R42 | A:A:Y37 | 16.46 | No | No | 0 | 9 | 4 |
| 19 | A:A:Y37 | B:B:L55 | 3.52 | No | No | 18 | 4 | 6 |
| 20 | A:A:R38 | R:R:L142 | 8.5 | No | No | 0 | 4 | 5 |
| 21 | A:A:N218 | A:A:T40 | 4.39 | No | No | 0 | 4 | 7 |
| 22 | A:A:H41 | A:A:T242 | 10.95 | Yes | No | 0 | 6 | 8 |
| 23 | A:A:C379 | A:A:H41 | 4.42 | No | Yes | 0 | 8 | 6 |
| 24 | A:A:H41 | A:A:I383 | 5.3 | Yes | Yes | 6 | 6 | 8 |
| 25 | A:A:H41 | R:R:L139 | 6.43 | Yes | Yes | 6 | 6 | 5 |
| 26 | A:A:F219 | A:A:L43 | 3.65 | Yes | No | 0 | 8 | 7 |
| 27 | A:A:I245 | A:A:L43 | 9.99 | Yes | No | 0 | 7 | 7 |
| 28 | A:A:L44 | A:A:L46 | 8.3 | No | No | 0 | 9 | 8 |
| 29 | A:A:F238 | A:A:L44 | 13.4 | Yes | No | 2 | 9 | 9 |
| 30 | A:A:L44 | A:A:V241 | 4.47 | No | No | 2 | 9 | 9 |
| 31 | A:A:K53 | A:A:L45 | 7.05 | Yes | No | 5 | 9 | 8 |
| 32 | A:A:D223 | A:A:L45 | 4.07 | No | No | 5 | 9 | 8 |
| 33 | A:A:I244 | A:A:L46 | 4.28 | Yes | No | 0 | 8 | 8 |
| 34 | A:A:D249 | A:A:N50 | 12.12 | No | No | 19 | 8 | 6 |
| 35 | A:A:D252 | A:A:N50 | 6.73 | No | No | 19 | 8 | 6 |
| 36 | A:A:N50 | A:A:R265 | 10.85 | No | No | 0 | 6 | 9 |
| 37 | A:A:G52 | A:A:T55 | 3.64 | No | No | 0 | 9 | 9 |
| 38 | A:A:G52 | A:A:N292 | 5.09 | No | Yes | 0 | 9 | 9 |
| 39 | A:A:D223 | A:A:K53 | 6.91 | No | Yes | 5 | 9 | 9 |
| 40 | A:A:I56 | A:A:V247 | 4.61 | Yes | Yes | 5 | 7 | 7 |
| 41 | A:A:I56 | A:A:N292 | 4.25 | Yes | Yes | 5 | 7 | 9 |
| 42 | A:A:I56 | A:A:T364 | 4.56 | Yes | No | 5 | 7 | 9 |
| 43 | A:A:T210 | A:A:V57 | 4.76 | No | No | 0 | 7 | 7 |
| 44 | A:A:R61 | A:A:V214 | 3.92 | No | No | 0 | 8 | 6 |
| 45 | A:A:I62 | A:A:K211 | 4.36 | No | No | 0 | 9 | 4 |
| 46 | A:A:E209 | A:A:I207 | 4.1 | No | No | 0 | 9 | 9 |
| 47 | A:A:I207 | A:A:V224 | 4.61 | No | No | 0 | 9 | 9 |
| 48 | A:A:F208 | A:A:T210 | 7.78 | No | No | 0 | 5 | 7 |
| 49 | A:A:D223 | A:A:F208 | 4.78 | No | No | 0 | 9 | 5 |
| 50 | A:A:E209 | A:A:H220 | 6.15 | No | No | 2 | 9 | 7 |
| 51 | A:A:E209 | A:A:F222 | 11.66 | No | Yes | 2 | 9 | 7 |
| 52 | A:A:F212 | A:A:F219 | 12.86 | No | Yes | 0 | 9 | 8 |
| 53 | A:A:N218 | A:A:Q213 | 7.92 | No | No | 0 | 4 | 3 |
| 54 | A:A:D215 | A:A:V214 | 5.84 | No | No | 6 | 5 | 6 |
| 55 | A:A:F376 | A:A:V214 | 9.18 | Yes | No | 6 | 8 | 6 |
| 56 | A:A:D215 | A:A:R373 | 10.72 | No | Yes | 6 | 5 | 5 |
| 57 | A:A:D215 | A:A:F376 | 5.97 | No | Yes | 6 | 5 | 8 |
| 58 | A:A:K216 | R:R:R143 | 8.66 | No | No | 0 | 4 | 3 |
| 59 | A:A:F376 | A:A:V217 | 3.93 | Yes | No | 6 | 8 | 5 |
| 60 | A:A:V217 | R:R:L139 | 4.47 | No | Yes | 6 | 5 | 5 |
| 61 | A:A:F219 | A:A:F376 | 7.5 | Yes | Yes | 0 | 8 | 8 |
| 62 | A:A:C379 | A:A:F219 | 5.59 | No | Yes | 0 | 8 | 8 |
| 63 | A:A:F222 | A:A:H220 | 12.44 | Yes | No | 2 | 7 | 7 |
| 64 | A:A:I245 | A:A:M221 | 4.37 | Yes | No | 0 | 7 | 8 |
| 65 | A:A:F222 | A:A:F238 | 4.29 | Yes | Yes | 2 | 7 | 9 |
| 66 | A:A:F222 | B:B:W99 | 15.03 | Yes | Yes | 2 | 7 | 9 |
| 67 | A:A:Q227 | A:A:V224 | 8.6 | Yes | No | 2 | 9 | 9 |
| 68 | A:A:V224 | A:A:W234 | 15.94 | No | Yes | 2 | 9 | 9 |
| 69 | A:A:Q227 | A:A:W234 | 5.48 | Yes | Yes | 2 | 9 | 9 |
| 70 | A:A:Q227 | B:B:L117 | 6.65 | Yes | No | 2 | 9 | 9 |
| 71 | A:A:Q227 | B:B:N119 | 7.92 | Yes | No | 0 | 9 | 9 |
| 72 | A:A:E230 | A:A:R228 | 12.79 | No | No | 0 | 9 | 9 |
| 73 | A:A:R228 | B:B:T164 | 5.17 | No | No | 0 | 9 | 6 |
| 74 | A:A:E230 | A:A:R232 | 9.3 | No | No | 0 | 9 | 8 |
| 75 | A:A:R231 | A:A:W234 | 8 | No | Yes | 0 | 9 | 9 |
| 76 | A:A:D272 | A:A:R231 | 10.72 | No | No | 0 | 8 | 9 |
| 77 | A:A:R232 | B:B:C204 | 4.18 | No | No | 0 | 8 | 7 |
| 78 | A:A:K233 | B:B:Y145 | 3.58 | Yes | Yes | 2 | 9 | 8 |
| 79 | A:A:K233 | B:B:M188 | 7.2 | Yes | No | 2 | 9 | 8 |
| 80 | A:A:K233 | B:B:D228 | 9.68 | Yes | Yes | 2 | 9 | 9 |
| 81 | A:A:K233 | B:B:D246 | 5.53 | Yes | Yes | 2 | 9 | 9 |
| 82 | A:A:F238 | A:A:W234 | 5.01 | Yes | Yes | 2 | 9 | 9 |
| 83 | A:A:W234 | B:B:L117 | 5.69 | Yes | No | 2 | 9 | 9 |
| 84 | A:A:W234 | B:B:Y145 | 5.79 | Yes | Yes | 2 | 9 | 8 |
| 85 | A:A:Q236 | A:A:W281 | 9.86 | No | No | 0 | 8 | 5 |
| 86 | A:A:F238 | A:A:V241 | 3.93 | Yes | No | 2 | 9 | 9 |
| 87 | A:A:F238 | B:B:W99 | 15.03 | Yes | Yes | 2 | 9 | 9 |
| 88 | A:A:N239 | B:B:K57 | 4.2 | No | Yes | 2 | 8 | 9 |
| 89 | A:A:N239 | B:B:W332 | 4.52 | No | Yes | 2 | 8 | 9 |
| 90 | A:A:D240 | B:B:Q75 | 6.53 | No | Yes | 0 | 6 | 9 |
| 91 | A:A:I244 | A:A:I285 | 5.89 | Yes | No | 0 | 8 | 7 |
| 92 | A:A:I244 | A:A:V287 | 4.61 | Yes | No | 0 | 8 | 6 |
| 93 | A:A:F290 | A:A:I245 | 3.77 | Yes | Yes | 5 | 9 | 7 |
| 94 | A:A:I245 | A:A:I375 | 4.42 | Yes | No | 5 | 7 | 9 |
| 95 | A:A:F246 | A:A:V248 | 3.93 | Yes | Yes | 0 | 9 | 7 |
| 96 | A:A:D272 | A:A:F246 | 7.17 | No | Yes | 0 | 8 | 9 |
| 97 | A:A:F246 | A:A:F273 | 8.57 | Yes | Yes | 0 | 9 | 9 |
| 98 | A:A:F246 | A:A:L289 | 4.87 | Yes | No | 0 | 9 | 9 |
| 99 | A:A:N292 | A:A:V247 | 4.43 | Yes | Yes | 5 | 9 | 7 |
| 100 | A:A:L291 | A:A:V248 | 4.47 | No | Yes | 13 | 8 | 7 |
| 101 | A:A:F345 | A:A:V248 | 9.18 | Yes | Yes | 13 | 8 | 7 |
| 102 | A:A:D249 | A:A:D252 | 9.31 | No | No | 19 | 8 | 8 |
| 103 | A:A:D249 | A:A:K293 | 13.83 | No | No | 0 | 8 | 9 |
| 104 | A:A:Q294 | A:A:S250 | 5.78 | Yes | No | 0 | 6 | 6 |
| 105 | A:A:I341 | A:A:S250 | 7.74 | No | No | 0 | 8 | 6 |
| 106 | A:A:L296 | A:A:S251 | 4.5 | No | No | 0 | 6 | 9 |
| 107 | A:A:L297 | A:A:Y253 | 3.52 | No | No | 0 | 8 | 8 |
| 108 | A:A:K300 | A:A:Y253 | 17.91 | No | No | 0 | 9 | 8 |
| 109 | A:A:Y253 | A:A:Y311 | 8.94 | No | No | 0 | 8 | 6 |
| 110 | A:A:N264 | A:A:R265 | 4.82 | No | No | 0 | 9 | 9 |
| 111 | A:A:N264 | A:A:Y311 | 6.98 | No | No | 0 | 9 | 6 |
| 112 | A:A:F312 | A:A:L266 | 4.87 | Yes | No | 11 | 8 | 8 |
| 113 | A:A:I341 | A:A:L266 | 4.28 | No | No | 11 | 8 | 8 |
| 114 | A:A:E344 | A:A:L266 | 3.98 | Yes | No | 11 | 5 | 8 |
| 115 | A:A:L270 | A:A:Q267 | 5.32 | Yes | No | 0 | 6 | 4 |
| 116 | A:A:N271 | A:A:Q267 | 13.2 | No | No | 0 | 5 | 4 |
| 117 | A:A:E344 | A:A:L270 | 6.63 | Yes | Yes | 0 | 5 | 6 |
| 118 | A:A:F345 | A:A:L270 | 7.31 | Yes | Yes | 0 | 8 | 6 |
| 119 | A:A:I348 | A:A:L270 | 5.71 | No | Yes | 0 | 4 | 6 |
| 120 | A:A:F273 | A:A:V287 | 6.55 | Yes | No | 0 | 9 | 6 |
| 121 | A:A:F273 | A:A:F345 | 7.5 | Yes | Yes | 0 | 9 | 8 |
| 122 | A:A:F273 | A:A:I348 | 3.77 | Yes | No | 0 | 9 | 4 |
| 123 | A:A:C359 | A:A:F273 | 4.19 | No | Yes | 0 | 5 | 9 |
| 124 | A:A:N278 | A:A:W277 | 5.65 | No | Yes | 0 | 8 | 6 |
| 125 | A:A:V287 | A:A:W277 | 4.9 | No | Yes | 0 | 6 | 6 |
| 126 | A:A:S349 | A:A:W277 | 8.65 | No | Yes | 0 | 7 | 6 |
| 127 | A:A:H357 | A:A:W277 | 26.45 | No | Yes | 0 | 7 | 6 |
| 128 | A:A:N278 | A:A:S352 | 4.47 | No | No | 0 | 8 | 5 |
| 129 | A:A:L282 | A:A:N279 | 13.73 | No | No | 0 | 9 | 8 |
| 130 | A:A:W281 | B:B:R314 | 11 | No | Yes | 0 | 5 | 8 |
| 131 | A:A:I285 | A:A:L282 | 4.28 | No | No | 0 | 7 | 9 |
| 132 | A:A:D354 | A:A:R283 | 7.15 | Yes | No | 14 | 3 | 3 |
| 133 | A:A:R283 | A:A:R356 | 7.46 | No | No | 14 | 3 | 2 |
| 134 | A:A:H357 | A:A:R283 | 4.51 | No | No | 14 | 7 | 3 |
| 135 | A:A:R356 | A:A:T284 | 7.76 | No | No | 0 | 2 | 4 |
| 136 | A:A:I382 | A:A:S286 | 4.64 | No | No | 0 | 6 | 8 |
| 137 | A:A:F290 | A:A:I288 | 5.02 | Yes | No | 0 | 9 | 9 |
| 138 | A:A:D378 | A:A:I288 | 8.4 | No | No | 0 | 7 | 9 |
| 139 | A:A:L289 | A:A:L291 | 6.92 | No | No | 13 | 9 | 8 |
| 140 | A:A:F345 | A:A:L289 | 10.96 | Yes | No | 13 | 8 | 9 |
| 141 | A:A:F290 | A:A:H362 | 7.92 | Yes | No | 0 | 9 | 9 |
| 142 | A:A:F290 | A:A:T364 | 6.49 | Yes | No | 5 | 9 | 9 |
| 143 | A:A:F290 | A:A:N371 | 3.62 | Yes | No | 5 | 9 | 9 |
| 144 | A:A:F290 | A:A:I375 | 5.02 | Yes | No | 5 | 9 | 9 |
| 145 | A:A:F345 | A:A:L291 | 3.65 | Yes | No | 13 | 8 | 8 |
| 146 | A:A:K293 | A:A:N292 | 8.39 | No | Yes | 0 | 9 | 9 |
| 147 | A:A:K293 | A:A:L296 | 5.64 | No | No | 0 | 9 | 6 |
| 148 | A:A:L297 | A:A:Q294 | 6.65 | No | Yes | 0 | 8 | 6 |
| 149 | A:A:K338 | A:A:Q294 | 8.14 | No | Yes | 10 | 5 | 6 |
| 150 | A:A:F363 | A:A:Q294 | 8.2 | Yes | Yes | 10 | 5 | 6 |
| 151 | A:A:C365 | A:A:D295 | 6.22 | No | No | 0 | 8 | 9 |
| 152 | A:A:E299 | A:A:L296 | 11.93 | No | No | 0 | 6 | 6 |
| 153 | A:A:F312 | A:A:F340 | 5.36 | Yes | Yes | 11 | 8 | 7 |
| 154 | A:A:E344 | A:A:F312 | 10.49 | Yes | Yes | 11 | 5 | 8 |
| 155 | A:A:F315 | A:A:R336 | 13.9 | No | No | 0 | 6 | 5 |
| 156 | A:A:F315 | A:A:F340 | 15 | No | Yes | 0 | 6 | 7 |
| 157 | A:A:A316 | A:A:R317 | 4.15 | No | No | 0 | 2 | 2 |
| 158 | A:A:F340 | A:A:Y318 | 12.38 | Yes | No | 0 | 7 | 6 |
| 159 | A:A:D343 | A:A:Y318 | 13.79 | No | No | 0 | 3 | 6 |
| 160 | A:A:R336 | A:A:T320 | 3.88 | No | No | 0 | 5 | 1 |
| 161 | A:A:T320 | A:A:Y339 | 4.99 | No | Yes | 0 | 1 | 3 |
| 162 | A:A:P332 | A:A:V334 | 3.53 | No | No | 0 | 1 | 4 |
| 163 | A:A:K338 | A:A:Y339 | 4.78 | No | Yes | 10 | 5 | 3 |
| 164 | A:A:F363 | A:A:K338 | 12.41 | Yes | No | 10 | 5 | 5 |
| 165 | A:A:R342 | A:A:Y339 | 7.2 | Yes | Yes | 10 | 4 | 3 |
| 166 | A:A:F363 | A:A:Y339 | 6.19 | Yes | Yes | 10 | 5 | 3 |
| 167 | A:A:E344 | A:A:F340 | 15.16 | Yes | Yes | 11 | 5 | 7 |
| 168 | A:A:E344 | A:A:I341 | 5.47 | Yes | No | 11 | 5 | 8 |
| 169 | A:A:D343 | A:A:R342 | 5.96 | No | Yes | 0 | 3 | 4 |
| 170 | A:A:P361 | A:A:R342 | 5.76 | No | Yes | 0 | 5 | 4 |
| 171 | A:A:F363 | A:A:R342 | 6.41 | Yes | Yes | 10 | 5 | 4 |
| 172 | A:A:L346 | A:A:P361 | 4.93 | No | No | 0 | 4 | 5 |
| 173 | A:A:A351 | A:A:R347 | 4.15 | No | No | 0 | 4 | 4 |
| 174 | A:A:D354 | A:A:G355 | 6.71 | Yes | No | 0 | 3 | 2 |
| 175 | A:A:D354 | A:A:R356 | 4.76 | Yes | No | 14 | 3 | 2 |
| 176 | A:A:D354 | A:A:H357 | 3.78 | Yes | No | 14 | 3 | 7 |
| 177 | A:A:G355 | A:A:Y358 | 4.35 | No | No | 0 | 2 | 4 |
| 178 | A:A:Y358 | A:A:Y360 | 4.96 | No | Yes | 0 | 4 | 8 |
| 179 | A:A:Q385 | A:A:Y358 | 9.02 | No | No | 0 | 5 | 4 |
| 180 | A:A:D378 | A:A:Y360 | 17.24 | No | Yes | 0 | 7 | 8 |
| 181 | A:A:D381 | A:A:Y360 | 6.9 | No | Yes | 0 | 8 | 8 |
| 182 | A:A:I382 | A:A:Y360 | 9.67 | No | Yes | 0 | 6 | 8 |
| 183 | A:A:H362 | A:A:R374 | 11.28 | No | No | 0 | 9 | 4 |
| 184 | A:A:D378 | A:A:H362 | 10.08 | No | No | 0 | 7 | 9 |
| 185 | A:A:N371 | A:A:T364 | 11.7 | No | No | 5 | 9 | 9 |
| 186 | A:A:D368 | A:A:R374 | 4.76 | No | No | 0 | 9 | 4 |
| 187 | A:A:E370 | A:A:R373 | 4.65 | No | Yes | 0 | 4 | 5 |
| 188 | A:A:F376 | A:A:R373 | 4.28 | Yes | Yes | 6 | 8 | 5 |
| 189 | A:A:N377 | A:A:R373 | 6.03 | No | Yes | 0 | 4 | 5 |
| 190 | A:A:F376 | A:A:K380 | 3.72 | Yes | Yes | 6 | 8 | 7 |
| 191 | A:A:F376 | R:R:L139 | 6.09 | Yes | Yes | 6 | 8 | 5 |
| 192 | A:A:K380 | R:R:P138 | 5.02 | Yes | No | 0 | 7 | 7 |
| 193 | A:A:K380 | R:R:L139 | 4.23 | Yes | Yes | 6 | 7 | 5 |
| 194 | A:A:K380 | R:R:R140 | 4.95 | Yes | No | 0 | 7 | 4 |
| 195 | A:A:D381 | A:A:Q385 | 5.22 | No | No | 0 | 8 | 5 |
| 196 | A:A:I383 | A:A:M386 | 7.29 | Yes | No | 0 | 8 | 3 |
| 197 | A:A:I383 | A:A:N387 | 4.25 | Yes | No | 0 | 8 | 8 |
| 198 | A:A:I383 | R:R:L139 | 4.28 | Yes | Yes | 6 | 8 | 5 |
| 199 | A:A:L384 | A:A:Q385 | 3.99 | No | No | 0 | 6 | 5 |
| 200 | A:A:L384 | A:A:L388 | 4.15 | No | No | 0 | 6 | 8 |
| 201 | A:A:N387 | A:A:Y391 | 5.81 | No | Yes | 0 | 8 | 4 |
| 202 | A:A:L388 | R:R:S243 | 4.5 | No | No | 0 | 8 | 7 |
| 203 | A:A:E390 | A:A:Y391 | 5.61 | No | Yes | 0 | 4 | 4 |
| 204 | A:A:E390 | R:R:N66 | 10.52 | No | No | 0 | 4 | 7 |
| 205 | A:A:Y391 | R:R:S68 | 6.36 | Yes | No | 15 | 4 | 8 |
| 206 | A:A:Y391 | R:R:H130 | 9.8 | Yes | Yes | 15 | 4 | 8 |
| 207 | A:A:Y391 | R:R:R131 | 11.32 | Yes | Yes | 0 | 4 | 9 |
| 208 | A:A:Y391 | R:R:R146 | 4.12 | Yes | Yes | 15 | 4 | 7 |
| 209 | A:A:L393 | R:R:R131 | 8.5 | No | Yes | 0 | 8 | 9 |
| 210 | A:A:L393 | R:R:S243 | 6.01 | No | No | 0 | 8 | 7 |
| 211 | B:B:L14 | G:G:K20 | 5.64 | No | No | 0 | 8 | 6 |
| 212 | B:B:I18 | B:B:R22 | 5.01 | Yes | No | 0 | 7 | 6 |
| 213 | B:B:A21 | G:G:R27 | 5.53 | No | No | 0 | 4 | 8 |
| 214 | B:B:D258 | B:B:R22 | 16.68 | Yes | No | 0 | 7 | 6 |
| 215 | B:B:R22 | G:G:R27 | 7.46 | No | No | 0 | 6 | 8 |
| 216 | B:B:C25 | G:G:R27 | 8.36 | No | No | 0 | 3 | 8 |
| 217 | B:B:A26 | B:B:Q259 | 4.55 | No | No | 0 | 3 | 6 |
| 218 | B:B:A28 | B:B:D27 | 4.63 | No | Yes | 0 | 4 | 8 |
| 219 | B:B:D27 | G:G:K29 | 13.83 | Yes | No | 20 | 8 | 4 |
| 220 | B:B:D27 | G:G:S31 | 7.36 | Yes | No | 20 | 8 | 9 |
| 221 | B:B:S31 | B:B:T29 | 4.8 | No | No | 0 | 1 | 3 |
| 222 | B:B:Q32 | B:B:T29 | 11.34 | No | No | 0 | 1 | 3 |
| 223 | B:B:I33 | B:B:L30 | 4.28 | Yes | No | 0 | 3 | 5 |
| 224 | B:B:L261 | B:B:L30 | 4.15 | No | No | 0 | 5 | 5 |
| 225 | B:B:L30 | B:B:M262 | 9.9 | No | Yes | 0 | 5 | 4 |
| 226 | B:B:I33 | B:B:T34 | 4.56 | Yes | No | 0 | 3 | 5 |
| 227 | B:B:I33 | G:G:A34 | 4.87 | Yes | No | 0 | 3 | 6 |
| 228 | B:B:I33 | G:G:M38 | 5.83 | Yes | No | 0 | 3 | 4 |
| 229 | B:B:I37 | B:B:T34 | 4.56 | No | No | 0 | 2 | 5 |
| 230 | B:B:I37 | B:B:K301 | 7.27 | No | No | 0 | 2 | 5 |
| 231 | B:B:I37 | G:G:M38 | 4.37 | No | No | 0 | 2 | 4 |
| 232 | B:B:D38 | B:B:P39 | 6.44 | No | No | 0 | 1 | 1 |
| 233 | B:B:R283 | B:B:V40 | 7.85 | No | No | 21 | 9 | 3 |
| 234 | B:B:D298 | B:B:V40 | 5.84 | No | No | 21 | 9 | 3 |
| 235 | B:B:L308 | B:B:M45 | 14.14 | No | No | 0 | 7 | 4 |
| 236 | B:B:M45 | B:B:V327 | 4.56 | No | No | 0 | 4 | 6 |
| 237 | B:B:M45 | G:G:L50 | 4.24 | No | No | 0 | 4 | 9 |
| 238 | B:B:K337 | B:B:T47 | 9.01 | Yes | No | 8 | 6 | 3 |
| 239 | B:B:T47 | B:B:W339 | 7.28 | No | Yes | 8 | 3 | 9 |
| 240 | B:B:R48 | B:B:R49 | 26.66 | No | No | 0 | 7 | 7 |
| 241 | B:B:R49 | B:B:T87 | 5.17 | No | No | 0 | 7 | 5 |
| 242 | B:B:K337 | B:B:T50 | 16.52 | Yes | No | 0 | 6 | 3 |
| 243 | B:B:L51 | B:B:W82 | 17.08 | No | Yes | 0 | 9 | 9 |
| 244 | B:B:L51 | B:B:T87 | 5.9 | No | No | 0 | 9 | 5 |
| 245 | B:B:H54 | B:B:I58 | 7.95 | Yes | No | 3 | 9 | 9 |
| 246 | B:B:H54 | B:B:S72 | 5.58 | Yes | Yes | 3 | 9 | 9 |
| 247 | B:B:H54 | B:B:S74 | 11.16 | Yes | No | 0 | 9 | 9 |
| 248 | B:B:D76 | B:B:H54 | 5.04 | Yes | Yes | 0 | 9 | 9 |
| 249 | B:B:H54 | B:B:I80 | 6.63 | Yes | No | 3 | 9 | 8 |
| 250 | B:B:H54 | B:B:S334 | 4.18 | Yes | No | 0 | 9 | 4 |
| 251 | B:B:D76 | B:B:L55 | 12.21 | Yes | No | 0 | 9 | 6 |
| 252 | B:B:A56 | B:B:Q75 | 4.55 | No | Yes | 0 | 7 | 9 |
| 253 | B:B:K57 | B:B:Y59 | 7.17 | Yes | No | 2 | 9 | 8 |
| 254 | B:B:K57 | B:B:Q75 | 6.78 | Yes | Yes | 2 | 9 | 9 |
| 255 | B:B:K57 | B:B:W332 | 22.05 | Yes | Yes | 2 | 9 | 9 |
| 256 | B:B:I58 | B:B:S72 | 7.74 | No | Yes | 3 | 9 | 9 |
| 257 | B:B:I58 | B:B:L336 | 4.28 | No | No | 3 | 9 | 7 |
| 258 | B:B:Q75 | B:B:Y59 | 11.27 | Yes | No | 2 | 9 | 8 |
| 259 | B:B:W332 | B:B:Y59 | 3.86 | Yes | No | 2 | 9 | 8 |
| 260 | B:B:A60 | B:B:C103 | 3.61 | No | No | 0 | 7 | 8 |
| 261 | B:B:L70 | B:B:M61 | 4.24 | Yes | No | 0 | 5 | 6 |
| 262 | B:B:C317 | B:B:M61 | 6.48 | No | No | 0 | 7 | 6 |
| 263 | B:B:H62 | B:B:Y105 | 6.53 | No | Yes | 0 | 6 | 6 |
| 264 | B:B:H62 | B:B:R150 | 13.54 | No | No | 0 | 6 | 6 |
| 265 | B:B:L70 | B:B:W63 | 11.39 | Yes | Yes | 3 | 5 | 7 |
| 266 | B:B:S84 | B:B:W63 | 7.41 | No | Yes | 3 | 5 | 7 |
| 267 | B:B:T321 | B:B:W63 | 15.77 | Yes | Yes | 3 | 7 | 7 |
| 268 | B:B:A328 | B:B:W63 | 5.19 | No | Yes | 0 | 5 | 7 |
| 269 | B:B:I338 | B:B:W63 | 4.7 | No | Yes | 3 | 5 | 7 |
| 270 | B:B:G64 | B:B:Y105 | 5.79 | No | Yes | 0 | 5 | 6 |
| 271 | B:B:D66 | B:B:R68 | 5.96 | No | No | 0 | 8 | 5 |
| 272 | B:B:D66 | B:B:L69 | 12.21 | No | No | 0 | 8 | 5 |
| 273 | B:B:D322 | B:B:S67 | 8.83 | No | No | 3 | 1 | 5 |
| 274 | B:B:D323 | B:B:S67 | 10.31 | Yes | No | 3 | 7 | 5 |
| 275 | B:B:D83 | B:B:R68 | 16.68 | No | No | 0 | 8 | 5 |
| 276 | B:B:R68 | B:B:Y85 | 16.46 | No | No | 0 | 5 | 4 |
| 277 | B:B:D83 | B:B:L69 | 5.43 | No | No | 0 | 8 | 5 |
| 278 | B:B:L70 | B:B:W82 | 4.56 | Yes | Yes | 3 | 5 | 9 |
| 279 | B:B:L70 | B:B:S84 | 4.5 | Yes | No | 3 | 5 | 5 |
| 280 | B:B:L79 | B:B:V71 | 4.47 | No | Yes | 0 | 7 | 8 |
| 281 | B:B:V71 | B:B:Y105 | 13.88 | Yes | Yes | 22 | 8 | 6 |
| 282 | B:B:V112 | B:B:V71 | 4.81 | No | Yes | 22 | 8 | 8 |
| 283 | B:B:S72 | B:B:W82 | 3.71 | Yes | Yes | 3 | 9 | 9 |
| 284 | B:B:L336 | B:B:S72 | 7.51 | No | Yes | 3 | 7 | 9 |
| 285 | B:B:Q75 | B:B:W99 | 5.48 | Yes | Yes | 2 | 9 | 9 |
| 286 | B:B:D76 | B:B:K78 | 11.06 | Yes | No | 0 | 9 | 8 |
| 287 | B:B:G77 | B:B:L95 | 5.13 | No | No | 0 | 8 | 8 |
| 288 | B:B:I93 | B:B:L79 | 5.71 | No | No | 0 | 7 | 7 |
| 289 | B:B:I80 | B:B:W82 | 10.57 | No | Yes | 3 | 8 | 9 |
| 290 | B:B:I80 | B:B:K89 | 4.36 | No | Yes | 3 | 8 | 9 |
| 291 | B:B:H91 | B:B:I81 | 6.63 | No | No | 0 | 5 | 7 |
| 292 | B:B:I81 | B:B:Y105 | 4.84 | No | Yes | 0 | 7 | 6 |
| 293 | B:B:K89 | B:B:W82 | 10.44 | Yes | Yes | 3 | 9 | 9 |
| 294 | B:B:L336 | B:B:W82 | 4.56 | No | Yes | 3 | 7 | 9 |
| 295 | B:B:D83 | B:B:T86 | 5.78 | No | No | 0 | 8 | 6 |
| 296 | B:B:I338 | B:B:S84 | 7.74 | No | No | 3 | 5 | 5 |
| 297 | B:B:N88 | B:B:T86 | 4.39 | No | No | 0 | 7 | 6 |
| 298 | B:B:H91 | B:B:V90 | 4.15 | No | No | 0 | 5 | 5 |
| 299 | B:B:H91 | B:B:V133 | 4.15 | No | No | 0 | 5 | 4 |
| 300 | B:B:I93 | B:B:Y124 | 4.84 | No | Yes | 0 | 7 | 6 |
| 301 | B:B:L95 | B:B:V100 | 7.45 | No | No | 0 | 8 | 9 |
| 302 | B:B:D118 | B:B:R96 | 3.57 | No | No | 0 | 9 | 6 |
| 303 | B:B:E138 | B:B:R96 | 10.47 | No | No | 0 | 6 | 6 |
| 304 | B:B:S97 | B:B:W99 | 3.71 | No | Yes | 0 | 8 | 9 |
| 305 | B:B:D118 | B:B:S97 | 5.89 | No | No | 0 | 9 | 8 |
| 306 | B:B:L117 | B:B:W99 | 5.69 | No | Yes | 2 | 9 | 9 |
| 307 | B:B:M101 | B:B:Y145 | 4.79 | No | Yes | 0 | 9 | 8 |
| 308 | B:B:V112 | B:B:Y105 | 6.31 | No | Yes | 22 | 8 | 6 |
| 309 | B:B:A106 | B:B:F151 | 5.55 | No | Yes | 0 | 6 | 9 |
| 310 | B:B:A106 | B:B:D154 | 4.63 | No | Yes | 0 | 6 | 6 |
| 311 | B:B:N110 | B:B:S108 | 5.96 | No | No | 24 | 4 | 6 |
| 312 | B:B:D154 | B:B:S108 | 8.83 | Yes | No | 24 | 6 | 6 |
| 313 | B:B:K127 | B:B:N110 | 8.39 | No | No | 0 | 4 | 4 |
| 314 | B:B:D154 | B:B:N110 | 5.39 | Yes | No | 24 | 6 | 4 |
| 315 | B:B:N125 | B:B:Y111 | 10.47 | No | Yes | 0 | 4 | 4 |
| 316 | B:B:S136 | B:B:Y111 | 6.36 | No | Yes | 0 | 4 | 4 |
| 317 | B:B:F151 | B:B:Y111 | 7.22 | Yes | Yes | 0 | 9 | 4 |
| 318 | B:B:D154 | B:B:Y111 | 8.05 | Yes | Yes | 0 | 6 | 4 |
| 319 | B:B:L126 | B:B:V112 | 4.47 | No | No | 0 | 5 | 8 |
| 320 | B:B:A113 | B:B:F151 | 4.16 | No | Yes | 0 | 9 | 9 |
| 321 | B:B:C114 | B:B:S122 | 5.16 | No | No | 23 | 8 | 8 |
| 322 | B:B:C114 | B:B:Y124 | 4.03 | No | Yes | 23 | 8 | 6 |
| 323 | B:B:D118 | B:B:I120 | 8.4 | No | No | 0 | 9 | 6 |
| 324 | B:B:E138 | B:B:I120 | 9.56 | No | No | 0 | 6 | 6 |
| 325 | B:B:C121 | B:B:L139 | 6.35 | No | Yes | 0 | 8 | 9 |
| 326 | B:B:C121 | B:B:C149 | 3.64 | No | Yes | 9 | 8 | 8 |
| 327 | B:B:C121 | B:B:T159 | 5.07 | No | Yes | 9 | 8 | 9 |
| 328 | B:B:S122 | B:B:Y124 | 10.17 | No | Yes | 23 | 8 | 6 |
| 329 | B:B:I123 | B:B:L139 | 4.28 | No | Yes | 0 | 6 | 9 |
| 330 | B:B:I123 | B:B:I157 | 4.42 | No | Yes | 0 | 6 | 7 |
| 331 | B:B:L126 | B:B:V133 | 4.47 | No | No | 0 | 5 | 4 |
| 332 | B:B:L139 | B:B:W169 | 18.22 | Yes | Yes | 0 | 9 | 8 |
| 333 | B:B:H142 | B:B:T159 | 4.11 | No | Yes | 9 | 9 | 9 |
| 334 | B:B:H142 | B:B:S161 | 12.55 | No | No | 0 | 9 | 9 |
| 335 | B:B:H142 | B:B:W169 | 9.52 | No | Yes | 9 | 9 | 8 |
| 336 | B:B:D163 | B:B:T143 | 5.78 | No | No | 0 | 9 | 5 |
| 337 | B:B:S147 | B:B:Y145 | 6.36 | No | Yes | 0 | 9 | 8 |
| 338 | B:B:G162 | B:B:Y145 | 8.69 | No | Yes | 2 | 9 | 8 |
| 339 | B:B:D186 | B:B:Y145 | 17.24 | No | Yes | 2 | 9 | 8 |
| 340 | B:B:L146 | B:B:T159 | 4.42 | No | Yes | 0 | 7 | 9 |
| 341 | B:B:S147 | B:B:S160 | 4.89 | No | No | 0 | 9 | 6 |
| 342 | B:B:C148 | B:B:R150 | 5.57 | No | No | 0 | 6 | 6 |
| 343 | B:B:C149 | B:B:I157 | 4.91 | Yes | Yes | 9 | 8 | 7 |
| 344 | B:B:C149 | B:B:T159 | 5.07 | Yes | Yes | 9 | 8 | 9 |
| 345 | B:B:L190 | B:B:R150 | 3.64 | No | No | 0 | 5 | 6 |
| 346 | B:B:F151 | B:B:I157 | 5.02 | Yes | Yes | 0 | 9 | 7 |
| 347 | B:B:L152 | B:B:Q156 | 5.32 | Yes | No | 0 | 3 | 5 |
| 348 | B:B:L152 | B:B:V158 | 4.47 | Yes | No | 0 | 3 | 5 |
| 349 | B:B:L152 | B:B:L192 | 6.92 | Yes | No | 0 | 3 | 5 |
| 350 | B:B:L152 | B:B:V213 | 4.47 | Yes | No | 0 | 3 | 4 |
| 351 | B:B:D170 | B:B:N155 | 6.73 | Yes | No | 0 | 9 | 3 |
| 352 | B:B:L168 | B:B:Q156 | 3.99 | No | No | 0 | 6 | 5 |
| 353 | B:B:I157 | B:B:T159 | 6.08 | Yes | Yes | 9 | 7 | 9 |
| 354 | B:B:L190 | B:B:V158 | 5.96 | No | No | 7 | 5 | 5 |
| 355 | B:B:F199 | B:B:V158 | 9.18 | Yes | No | 7 | 9 | 5 |
| 356 | B:B:T159 | B:B:W169 | 8.49 | Yes | Yes | 9 | 9 | 8 |
| 357 | B:B:S160 | B:B:V187 | 8.08 | No | No | 0 | 6 | 9 |
| 358 | B:B:G162 | B:B:S161 | 3.71 | No | No | 0 | 9 | 9 |
| 359 | B:B:D163 | B:B:S161 | 7.36 | No | No | 0 | 9 | 9 |
| 360 | B:B:D186 | B:B:G162 | 6.71 | No | No | 2 | 9 | 9 |
| 361 | B:B:D163 | B:B:T165 | 11.56 | No | No | 0 | 9 | 7 |
| 362 | B:B:T165 | B:B:T181 | 6.28 | No | No | 26 | 7 | 2 |
| 363 | B:B:C166 | B:B:F180 | 4.19 | No | Yes | 0 | 8 | 7 |
| 364 | B:B:C166 | B:B:V187 | 5.12 | No | No | 0 | 8 | 9 |
| 365 | B:B:A167 | B:B:W169 | 3.89 | No | Yes | 0 | 4 | 8 |
| 366 | B:B:L168 | B:B:T177 | 4.42 | No | No | 0 | 6 | 4 |
| 367 | B:B:D170 | B:B:E172 | 6.5 | Yes | No | 25 | 9 | 6 |
| 368 | B:B:D170 | B:B:T173 | 11.56 | Yes | Yes | 25 | 9 | 5 |
| 369 | B:B:E172 | B:B:T173 | 9.88 | No | Yes | 25 | 6 | 5 |
| 370 | B:B:Q175 | B:B:T173 | 4.25 | No | Yes | 0 | 4 | 5 |
| 371 | B:B:Q176 | B:B:T179 | 5.67 | No | No | 0 | 4 | 4 |
| 372 | B:B:F180 | B:B:T178 | 7.78 | Yes | No | 0 | 7 | 4 |
| 373 | B:B:F180 | B:B:F199 | 10.72 | Yes | Yes | 7 | 7 | 9 |
| 374 | B:B:F180 | B:B:W211 | 16.04 | Yes | Yes | 7 | 7 | 8 |
| 375 | B:B:F180 | B:B:G216 | 4.52 | Yes | No | 0 | 7 | 4 |
| 376 | B:B:H183 | B:B:V187 | 8.3 | Yes | No | 0 | 9 | 9 |
| 377 | B:B:H183 | B:B:S201 | 6.97 | Yes | No | 7 | 9 | 9 |
| 378 | B:B:A203 | B:B:H183 | 8.78 | No | Yes | 0 | 8 | 9 |
| 379 | B:B:D205 | B:B:H183 | 3.78 | Yes | Yes | 0 | 9 | 9 |
| 380 | B:B:H183 | B:B:K209 | 10.48 | Yes | Yes | 7 | 9 | 6 |
| 381 | B:B:H183 | B:B:W211 | 8.46 | Yes | Yes | 7 | 9 | 8 |
| 382 | B:B:D205 | B:B:T184 | 7.23 | Yes | No | 0 | 9 | 3 |
| 383 | B:B:D186 | B:B:M188 | 5.54 | No | No | 2 | 9 | 8 |
| 384 | B:B:D228 | B:B:M188 | 6.93 | Yes | No | 2 | 9 | 8 |
| 385 | B:B:F199 | B:B:L190 | 3.65 | Yes | No | 7 | 9 | 5 |
| 386 | B:B:I232 | B:B:S191 | 6.19 | Yes | No | 0 | 8 | 8 |
| 387 | B:B:F234 | B:B:S191 | 3.96 | Yes | No | 0 | 5 | 8 |
| 388 | B:B:F199 | B:B:L192 | 3.65 | Yes | No | 0 | 9 | 5 |
| 389 | B:B:A193 | B:B:F234 | 4.16 | No | Yes | 0 | 4 | 5 |
| 390 | B:B:G238 | B:B:P194 | 4.06 | No | No | 0 | 7 | 4 |
| 391 | B:B:D195 | B:B:R197 | 13.1 | No | No | 0 | 5 | 5 |
| 392 | B:B:L198 | B:B:R197 | 13.36 | Yes | No | 0 | 3 | 5 |
| 393 | B:B:L198 | B:B:L210 | 6.92 | Yes | No | 0 | 3 | 5 |
| 394 | B:B:D212 | B:B:L198 | 5.43 | Yes | Yes | 27 | 9 | 3 |
| 395 | B:B:L198 | B:B:R219 | 3.64 | Yes | No | 27 | 3 | 5 |
| 396 | B:B:F199 | B:B:W211 | 10.02 | Yes | Yes | 7 | 9 | 8 |
| 397 | B:B:I232 | B:B:V200 | 7.68 | Yes | No | 4 | 8 | 6 |
| 398 | B:B:F234 | B:B:V200 | 3.93 | Yes | No | 4 | 5 | 6 |
| 399 | B:B:F241 | B:B:V200 | 7.87 | Yes | No | 4 | 6 | 6 |
| 400 | B:B:S201 | B:B:W211 | 7.41 | No | Yes | 7 | 9 | 8 |
| 401 | B:B:G202 | B:B:I229 | 3.53 | No | No | 0 | 6 | 7 |
| 402 | B:B:C204 | B:B:D228 | 4.67 | No | Yes | 0 | 7 | 9 |
| 403 | B:B:D205 | B:B:S207 | 8.83 | Yes | No | 0 | 9 | 5 |
| 404 | B:B:K209 | B:B:S207 | 4.59 | Yes | No | 0 | 6 | 5 |
| 405 | B:B:K209 | B:B:W211 | 10.44 | Yes | Yes | 7 | 6 | 8 |
| 406 | B:B:C218 | B:B:K209 | 8.08 | No | Yes | 7 | 5 | 6 |
| 407 | B:B:K209 | B:B:T221 | 9.01 | Yes | No | 0 | 6 | 7 |
| 408 | B:B:L210 | B:B:L255 | 8.3 | No | No | 0 | 5 | 6 |
| 409 | B:B:C218 | B:B:W211 | 5.22 | No | Yes | 7 | 5 | 8 |
| 410 | B:B:D212 | B:B:R214 | 4.76 | Yes | No | 0 | 9 | 9 |
| 411 | B:B:D212 | B:B:E215 | 5.2 | Yes | No | 0 | 9 | 3 |
| 412 | B:B:D212 | B:B:R219 | 9.53 | Yes | No | 27 | 9 | 5 |
| 413 | B:B:C218 | G:G:Q18 | 7.63 | No | No | 0 | 5 | 9 |
| 414 | B:B:F222 | B:B:Q220 | 7.03 | Yes | No | 4 | 8 | 7 |
| 415 | B:B:D258 | B:B:Q220 | 16.97 | Yes | No | 4 | 7 | 7 |
| 416 | B:B:T221 | G:G:E22 | 8.47 | No | No | 0 | 7 | 9 |
| 417 | B:B:F222 | B:B:F241 | 11.79 | Yes | Yes | 4 | 8 | 6 |
| 418 | B:B:F222 | B:B:F253 | 12.86 | Yes | Yes | 4 | 8 | 6 |
| 419 | B:B:D258 | B:B:F222 | 7.17 | Yes | Yes | 4 | 7 | 8 |
| 420 | B:B:E226 | B:B:H225 | 6.15 | Yes | Yes | 4 | 3 | 9 |
| 421 | B:B:H225 | B:B:I229 | 10.61 | Yes | No | 4 | 9 | 7 |
| 422 | B:B:H225 | B:B:T243 | 9.58 | Yes | Yes | 4 | 9 | 8 |
| 423 | B:B:H225 | B:B:S245 | 8.37 | Yes | No | 4 | 9 | 9 |
| 424 | B:B:H225 | B:B:R251 | 14.67 | Yes | Yes | 4 | 9 | 8 |
| 425 | B:B:F253 | B:B:H225 | 4.53 | Yes | Yes | 4 | 6 | 9 |
| 426 | B:B:E226 | B:B:S245 | 5.75 | Yes | No | 4 | 3 | 9 |
| 427 | B:B:D247 | B:B:E226 | 22.09 | No | Yes | 4 | 9 | 3 |
| 428 | B:B:E226 | B:B:T249 | 5.64 | Yes | Yes | 4 | 3 | 6 |
| 429 | B:B:E226 | B:B:R251 | 10.47 | Yes | Yes | 4 | 3 | 8 |
| 430 | B:B:D228 | B:B:N230 | 14.81 | Yes | No | 2 | 9 | 9 |
| 431 | B:B:D228 | B:B:D246 | 14.64 | Yes | Yes | 2 | 9 | 9 |
| 432 | B:B:I229 | B:B:T243 | 6.08 | No | Yes | 4 | 7 | 8 |
| 433 | B:B:D246 | B:B:N230 | 14.81 | Yes | No | 2 | 9 | 9 |
| 434 | B:B:F241 | B:B:I232 | 5.02 | Yes | Yes | 4 | 6 | 8 |
| 435 | B:B:I232 | B:B:T243 | 4.56 | Yes | Yes | 4 | 8 | 8 |
| 436 | B:B:C233 | B:B:F278 | 4.19 | No | Yes | 0 | 3 | 7 |
| 437 | B:B:F234 | B:B:F241 | 4.29 | Yes | Yes | 4 | 5 | 6 |
| 438 | B:B:F235 | B:B:P236 | 10.11 | Yes | Yes | 12 | 6 | 7 |
| 439 | B:B:F235 | B:B:N237 | 12.08 | Yes | Yes | 12 | 6 | 5 |
| 440 | B:B:A240 | B:B:F235 | 4.16 | No | Yes | 0 | 6 | 6 |
| 441 | B:B:F235 | B:B:F278 | 9.65 | Yes | Yes | 12 | 6 | 7 |
| 442 | B:B:F235 | G:G:L37 | 7.31 | Yes | No | 0 | 6 | 7 |
| 443 | B:B:F235 | G:G:Y40 | 5.16 | Yes | Yes | 12 | 6 | 6 |
| 444 | B:B:F235 | G:G:C41 | 4.19 | Yes | No | 0 | 6 | 7 |
| 445 | B:B:F278 | B:B:P236 | 4.33 | Yes | Yes | 12 | 7 | 7 |
| 446 | B:B:G282 | B:B:P236 | 4.06 | No | Yes | 0 | 9 | 7 |
| 447 | B:B:P236 | G:G:Y40 | 5.56 | Yes | Yes | 12 | 7 | 6 |
| 448 | B:B:N237 | B:B:N239 | 6.81 | Yes | No | 0 | 5 | 2 |
| 449 | B:B:N237 | G:G:Y40 | 4.65 | Yes | Yes | 12 | 5 | 6 |
| 450 | B:B:N239 | B:B:R256 | 9.64 | No | No | 0 | 2 | 9 |
| 451 | B:B:F241 | B:B:F253 | 11.79 | Yes | Yes | 4 | 6 | 6 |
| 452 | B:B:F241 | B:B:L255 | 3.65 | Yes | No | 0 | 6 | 6 |
| 453 | B:B:A242 | B:B:L285 | 4.73 | No | Yes | 0 | 4 | 6 |
| 454 | B:B:F253 | B:B:T243 | 9.08 | Yes | Yes | 4 | 6 | 8 |
| 455 | B:B:G244 | B:B:I273 | 3.53 | No | No | 0 | 5 | 6 |
| 456 | B:B:D247 | B:B:T249 | 5.78 | No | Yes | 4 | 9 | 6 |
| 457 | B:B:R251 | B:B:T249 | 5.17 | Yes | Yes | 4 | 8 | 6 |
| 458 | B:B:S265 | B:B:T249 | 6.4 | No | Yes | 0 | 2 | 6 |
| 459 | B:B:C250 | B:B:Y264 | 4.03 | No | Yes | 0 | 8 | 5 |
| 460 | B:B:C250 | B:B:I273 | 6.55 | No | No | 28 | 8 | 6 |
| 461 | B:B:C250 | B:B:Y289 | 4.03 | No | Yes | 28 | 8 | 7 |
| 462 | B:B:F253 | B:B:R251 | 5.34 | Yes | Yes | 4 | 6 | 8 |
| 463 | B:B:R251 | B:B:T263 | 6.47 | Yes | No | 0 | 8 | 1 |
| 464 | B:B:L252 | B:B:Y264 | 7.03 | No | Yes | 0 | 7 | 5 |
| 465 | B:B:F278 | B:B:L252 | 3.65 | Yes | No | 0 | 7 | 7 |
| 466 | B:B:D254 | B:B:R256 | 4.76 | Yes | No | 0 | 9 | 9 |
| 467 | B:B:A257 | B:B:D254 | 4.63 | No | Yes | 0 | 7 | 9 |
| 468 | B:B:D254 | B:B:L261 | 4.07 | Yes | No | 0 | 9 | 5 |
| 469 | B:B:D254 | G:G:A33 | 6.18 | Yes | No | 0 | 9 | 7 |
| 470 | B:B:R256 | G:G:D36 | 4.76 | No | No | 0 | 9 | 5 |
| 471 | B:B:E260 | B:B:T263 | 5.64 | No | No | 0 | 6 | 1 |
| 472 | B:B:M262 | B:B:Y264 | 3.59 | Yes | Yes | 0 | 4 | 5 |
| 473 | B:B:L285 | B:B:Y264 | 3.52 | Yes | Yes | 0 | 6 | 5 |
| 474 | B:B:W297 | B:B:Y264 | 13.5 | No | Yes | 0 | 8 | 5 |
| 475 | B:B:H266 | B:B:R304 | 14.67 | No | No | 0 | 4 | 5 |
| 476 | B:B:C271 | B:B:D290 | 10.89 | No | No | 0 | 5 | 6 |
| 477 | B:B:C271 | B:B:D291 | 12.45 | No | No | 0 | 5 | 8 |
| 478 | B:B:D290 | B:B:G272 | 5.03 | No | No | 0 | 6 | 4 |
| 479 | B:B:I273 | B:B:Y289 | 12.09 | No | Yes | 28 | 6 | 7 |
| 480 | B:B:R314 | B:B:T274 | 9.06 | Yes | No | 0 | 8 | 8 |
| 481 | B:B:G288 | B:B:S275 | 3.71 | No | No | 0 | 7 | 8 |
| 482 | B:B:L318 | B:B:S275 | 6.01 | No | No | 0 | 6 | 8 |
| 483 | B:B:L285 | B:B:V276 | 4.47 | Yes | No | 0 | 6 | 6 |
| 484 | B:B:S277 | B:B:V320 | 4.85 | No | No | 0 | 5 | 7 |
| 485 | B:B:F278 | B:B:L285 | 7.31 | Yes | Yes | 0 | 7 | 6 |
| 486 | B:B:L284 | B:B:S279 | 6.01 | No | No | 0 | 5 | 9 |
| 487 | B:B:K280 | G:G:E47 | 8.1 | No | No | 0 | 1 | 3 |
| 488 | B:B:K280 | G:G:D48 | 4.15 | No | No | 0 | 1 | 9 |
| 489 | B:B:D298 | B:B:R283 | 10.72 | No | No | 21 | 9 | 9 |
| 490 | B:B:L300 | B:B:R283 | 12.15 | No | No | 0 | 6 | 9 |
| 491 | B:B:L284 | B:B:V296 | 4.47 | No | No | 0 | 5 | 5 |
| 492 | B:B:L286 | B:B:V327 | 4.47 | No | No | 0 | 7 | 6 |
| 493 | B:B:C294 | B:B:G288 | 3.92 | No | No | 0 | 5 | 7 |
| 494 | B:B:W297 | B:B:Y289 | 9.65 | No | Yes | 0 | 8 | 7 |
| 495 | B:B:D290 | B:B:R314 | 4.76 | No | Yes | 0 | 6 | 8 |
| 496 | B:B:N293 | B:B:N295 | 4.09 | No | No | 29 | 5 | 6 |
| 497 | B:B:N293 | B:B:V307 | 8.87 | No | No | 29 | 5 | 3 |
| 498 | B:B:A309 | B:B:N293 | 4.69 | No | No | 0 | 3 | 5 |
| 499 | B:B:N295 | B:B:R304 | 4.82 | No | No | 0 | 6 | 5 |
| 500 | B:B:N295 | B:B:V307 | 7.39 | No | No | 29 | 6 | 3 |
| 501 | B:B:L308 | B:B:V296 | 4.47 | No | No | 0 | 7 | 5 |
| 502 | B:B:R304 | B:B:W297 | 7 | No | No | 0 | 5 | 8 |
| 503 | B:B:D298 | B:B:K301 | 9.68 | No | No | 0 | 9 | 5 |
| 504 | B:B:L308 | B:B:W339 | 14.81 | No | Yes | 0 | 7 | 9 |
| 505 | B:B:H311 | B:B:V315 | 4.15 | Yes | No | 8 | 9 | 7 |
| 506 | B:B:H311 | B:B:T329 | 4.11 | Yes | Yes | 8 | 9 | 8 |
| 507 | B:B:H311 | B:B:S331 | 16.74 | Yes | No | 8 | 9 | 9 |
| 508 | B:B:D333 | B:B:H311 | 10.08 | Yes | Yes | 8 | 9 | 9 |
| 509 | B:B:H311 | B:B:K337 | 11.79 | Yes | Yes | 8 | 9 | 6 |
| 510 | B:B:N313 | B:B:W332 | 5.65 | No | Yes | 0 | 7 | 9 |
| 511 | B:B:D333 | B:B:N313 | 4.04 | Yes | No | 0 | 9 | 7 |
| 512 | B:B:R314 | B:B:W332 | 19.99 | Yes | Yes | 0 | 8 | 9 |
| 513 | B:B:T329 | B:B:V315 | 4.76 | Yes | No | 8 | 8 | 7 |
| 514 | B:B:S316 | B:B:W332 | 4.94 | No | Yes | 0 | 9 | 9 |
| 515 | B:B:L318 | B:B:T329 | 4.42 | No | Yes | 0 | 6 | 8 |
| 516 | B:B:D322 | B:B:T321 | 4.34 | No | Yes | 3 | 1 | 7 |
| 517 | B:B:D323 | B:B:T321 | 5.78 | Yes | Yes | 3 | 7 | 7 |
| 518 | B:B:D322 | B:B:D323 | 13.31 | No | Yes | 3 | 1 | 7 |
| 519 | B:B:D323 | B:B:M325 | 6.93 | Yes | No | 0 | 7 | 5 |
| 520 | B:B:T329 | B:B:W339 | 4.85 | Yes | Yes | 8 | 8 | 9 |
| 521 | B:B:D333 | B:B:S331 | 10.31 | Yes | No | 8 | 9 | 9 |
| 522 | B:B:D333 | B:B:F335 | 9.55 | Yes | No | 0 | 9 | 4 |
| 523 | B:B:K337 | B:B:W339 | 8.12 | Yes | Yes | 8 | 6 | 9 |
| 524 | G:G:E22 | G:G:Q18 | 16.57 | No | No | 0 | 9 | 9 |
| 525 | G:G:E22 | G:G:L19 | 3.98 | No | No | 0 | 9 | 9 |
| 526 | G:G:I28 | G:G:K32 | 8.72 | No | No | 0 | 4 | 5 |
| 527 | G:G:K29 | G:G:S31 | 4.59 | No | No | 20 | 4 | 9 |
| 528 | G:G:D36 | G:G:K32 | 4.15 | No | No | 0 | 5 | 5 |
| 529 | G:G:H44 | G:G:Y40 | 13.07 | No | Yes | 0 | 6 | 6 |
| 530 | G:G:D48 | G:G:P49 | 8.05 | No | No | 0 | 9 | 7 |
| 531 | G:G:D48 | G:G:L50 | 9.5 | No | No | 0 | 9 | 9 |
| 532 | R:R:T15 | R:R:W16 | 3.64 | No | Yes | 0 | 6 | 7 |
| 533 | R:R:D185 | R:R:T15 | 4.34 | No | No | 0 | 4 | 6 |
| 534 | R:R:T15 | R:R:Y268 | 8.74 | No | Yes | 0 | 6 | 4 |
| 535 | R:R:D17 | R:R:W16 | 4.47 | No | Yes | 0 | 7 | 7 |
| 536 | R:R:F192 | R:R:W16 | 17.04 | No | Yes | 0 | 2 | 7 |
| 537 | R:R:D17 | R:R:R272 | 3.57 | No | Yes | 0 | 7 | 3 |
| 538 | R:R:G18 | R:R:L21 | 5.13 | No | Yes | 0 | 5 | 3 |
| 539 | R:R:L21 | R:R:R272 | 3.64 | Yes | Yes | 0 | 3 | 3 |
| 540 | R:R:R26 | R:R:Y23 | 14.4 | No | No | 0 | 2 | 6 |
| 541 | R:R:C25 | R:R:C278 | 7.28 | No | No | 0 | 9 | 7 |
| 542 | R:R:N28 | R:R:Y33 | 9.3 | No | No | 0 | 5 | 5 |
| 543 | R:R:E29 | R:R:K32 | 8.1 | No | No | 0 | 2 | 3 |
| 544 | R:R:K32 | R:R:M286 | 14.4 | No | Yes | 0 | 3 | 1 |
| 545 | R:R:Y33 | R:R:Y93 | 10.92 | No | Yes | 0 | 5 | 6 |
| 546 | R:R:M286 | R:R:Y33 | 3.59 | Yes | No | 0 | 1 | 5 |
| 547 | R:R:L35 | R:R:V38 | 5.96 | No | No | 0 | 6 | 5 |
| 548 | R:R:L36 | R:R:Y93 | 12.89 | No | Yes | 0 | 5 | 6 |
| 549 | R:R:P37 | R:R:Y93 | 6.95 | No | Yes | 0 | 5 | 6 |
| 550 | R:R:A94 | R:R:P37 | 3.74 | No | No | 0 | 5 | 5 |
| 551 | R:R:P293 | R:R:S39 | 3.56 | No | No | 0 | 5 | 5 |
| 552 | R:R:Y40 | R:R:Y82 | 3.97 | No | Yes | 0 | 8 | 7 |
| 553 | R:R:L89 | R:R:Y40 | 7.03 | Yes | No | 0 | 6 | 8 |
| 554 | R:R:C44 | R:R:L86 | 6.35 | Yes | No | 0 | 7 | 8 |
| 555 | R:R:G47 | R:R:N51 | 5.09 | No | Yes | 0 | 8 | 9 |
| 556 | R:R:D79 | R:R:N51 | 5.39 | No | Yes | 0 | 9 | 9 |
| 557 | R:R:A80 | R:R:N51 | 4.69 | No | Yes | 0 | 7 | 9 |
| 558 | R:R:N51 | R:R:P303 | 6.52 | Yes | No | 0 | 9 | 9 |
| 559 | R:R:F73 | R:R:L55 | 3.65 | Yes | No | 0 | 6 | 7 |
| 560 | R:R:R61 | R:R:Y56 | 11.32 | No | No | 0 | 4 | 4 |
| 561 | R:R:F58 | R:R:L62 | 9.74 | Yes | No | 16 | 7 | 5 |
| 562 | R:R:F58 | R:R:W65 | 35.08 | Yes | Yes | 16 | 7 | 6 |
| 563 | R:R:F58 | R:R:T69 | 11.67 | Yes | No | 0 | 7 | 7 |
| 564 | R:R:F58 | R:R:F73 | 16.08 | Yes | Yes | 16 | 7 | 6 |
| 565 | R:R:F307 | R:R:F58 | 8.57 | Yes | Yes | 0 | 7 | 7 |
| 566 | R:R:L62 | R:R:W65 | 5.69 | No | Yes | 16 | 5 | 6 |
| 567 | R:R:T70 | R:R:W65 | 4.85 | No | Yes | 0 | 7 | 6 |
| 568 | R:R:F73 | R:R:W65 | 11.02 | Yes | Yes | 16 | 6 | 6 |
| 569 | R:R:N66 | R:R:T69 | 8.77 | No | No | 0 | 7 | 7 |
| 570 | R:R:A67 | R:R:H130 | 7.32 | No | Yes | 0 | 7 | 8 |
| 571 | R:R:H130 | R:R:S68 | 6.97 | Yes | No | 15 | 8 | 8 |
| 572 | R:R:A150 | R:R:T70 | 5.03 | No | No | 0 | 8 | 7 |
| 573 | R:R:I127 | R:R:Y71 | 7.25 | No | Yes | 0 | 9 | 7 |
| 574 | R:R:A150 | R:R:Y71 | 4 | No | Yes | 0 | 8 | 7 |
| 575 | R:R:V153 | R:R:Y71 | 6.31 | No | Yes | 0 | 5 | 7 |
| 576 | R:R:M72 | R:R:Y306 | 7.18 | No | Yes | 0 | 8 | 9 |
| 577 | R:R:F307 | R:R:M72 | 7.46 | Yes | No | 0 | 7 | 8 |
| 578 | R:R:F123 | R:R:H74 | 5.66 | Yes | Yes | 17 | 8 | 9 |
| 579 | R:R:A154 | R:R:H74 | 5.85 | No | Yes | 0 | 7 | 9 |
| 580 | R:R:H74 | R:R:W158 | 11.64 | Yes | Yes | 17 | 9 | 9 |
| 581 | R:R:F123 | R:R:L75 | 8.53 | Yes | No | 0 | 8 | 9 |
| 582 | R:R:L75 | R:R:N302 | 5.49 | No | No | 0 | 9 | 9 |
| 583 | R:R:S78 | R:R:W158 | 4.94 | No | Yes | 0 | 8 | 9 |
| 584 | R:R:D79 | R:R:N116 | 5.39 | No | No | 1 | 9 | 8 |
| 585 | R:R:D79 | R:R:S299 | 8.83 | No | No | 1 | 9 | 8 |
| 586 | R:R:L86 | R:R:Y82 | 19.93 | No | Yes | 0 | 8 | 7 |
| 587 | R:R:F113 | R:R:Y82 | 12.38 | Yes | Yes | 1 | 6 | 7 |
| 588 | R:R:N116 | R:R:Y82 | 17.44 | No | Yes | 1 | 8 | 7 |
| 589 | R:R:S296 | R:R:Y82 | 6.36 | No | Yes | 1 | 7 | 7 |
| 590 | R:R:L105 | R:R:L88 | 4.15 | No | No | 0 | 6 | 7 |
| 591 | R:R:L88 | R:R:V109 | 4.47 | No | No | 0 | 7 | 5 |
| 592 | R:R:L89 | R:R:Y92 | 3.52 | Yes | Yes | 0 | 6 | 6 |
| 593 | R:R:L89 | R:R:Y93 | 3.52 | Yes | Yes | 0 | 6 | 6 |
| 594 | R:R:L89 | R:R:V109 | 4.47 | Yes | No | 0 | 6 | 5 |
| 595 | R:R:R95 | R:R:Y91 | 4.12 | No | No | 0 | 5 | 5 |
| 596 | R:R:H98 | R:R:Y92 | 11.98 | No | Yes | 30 | 5 | 6 |
| 597 | R:R:P100 | R:R:Y92 | 8.34 | No | Yes | 0 | 3 | 6 |
| 598 | R:R:T182 | R:R:Y92 | 3.75 | Yes | Yes | 30 | 4 | 6 |
| 599 | R:R:C183 | R:R:Y92 | 4.03 | No | Yes | 0 | 9 | 6 |
| 600 | R:R:D97 | R:R:H98 | 23.95 | No | No | 0 | 4 | 5 |
| 601 | R:R:H98 | R:R:T182 | 5.48 | No | Yes | 30 | 5 | 4 |
| 602 | R:R:T182 | R:R:W99 | 3.64 | Yes | No | 0 | 4 | 8 |
| 603 | R:R:F101 | R:R:L105 | 3.65 | No | No | 0 | 7 | 6 |
| 604 | R:R:T103 | R:R:T174 | 6.28 | No | No | 0 | 3 | 5 |
| 605 | R:R:C106 | R:R:C183 | 7.28 | No | No | 0 | 9 | 9 |
| 606 | R:R:R110 | R:R:R292 | 4.26 | No | Yes | 0 | 6 | 6 |
| 607 | R:R:F111 | R:R:L169 | 3.65 | Yes | No | 0 | 6 | 5 |
| 608 | R:R:F113 | R:R:Y114 | 5.16 | Yes | Yes | 1 | 6 | 5 |
| 609 | R:R:F113 | R:R:R292 | 9.62 | Yes | Yes | 0 | 6 | 6 |
| 610 | R:R:F113 | R:R:S296 | 3.96 | Yes | No | 1 | 6 | 7 |
| 611 | R:R:Q165 | R:R:Y114 | 4.51 | Yes | Yes | 1 | 7 | 5 |
| 612 | R:R:V168 | R:R:Y114 | 10.09 | No | Yes | 1 | 4 | 5 |
| 613 | R:R:R265 | R:R:Y114 | 10.29 | Yes | Yes | 1 | 6 | 5 |
| 614 | R:R:N116 | R:R:S299 | 7.45 | No | No | 1 | 8 | 8 |
| 615 | R:R:F258 | R:R:L117 | 9.74 | Yes | No | 0 | 9 | 7 |
| 616 | R:R:F261 | R:R:L117 | 3.65 | Yes | No | 0 | 7 | 7 |
| 617 | R:R:Q165 | R:R:Y118 | 9.02 | Yes | Yes | 1 | 7 | 7 |
| 618 | R:R:M202 | R:R:Y118 | 8.38 | Yes | Yes | 1 | 6 | 7 |
| 619 | R:R:L206 | R:R:Y118 | 7.03 | No | Yes | 1 | 6 | 7 |
| 620 | R:R:H262 | R:R:Y118 | 7.62 | Yes | Yes | 1 | 8 | 7 |
| 621 | R:R:C119 | R:R:F123 | 5.59 | No | Yes | 17 | 7 | 8 |
| 622 | R:R:C119 | R:R:W158 | 7.84 | No | Yes | 17 | 7 | 9 |
| 623 | R:R:F258 | R:R:S120 | 3.96 | Yes | No | 0 | 9 | 9 |
| 624 | R:R:F254 | R:R:I121 | 6.28 | Yes | No | 1 | 9 | 8 |
| 625 | R:R:F258 | R:R:I121 | 12.56 | Yes | No | 1 | 9 | 8 |
| 626 | R:R:L122 | R:R:V157 | 5.96 | No | No | 0 | 6 | 7 |
| 627 | R:R:F123 | R:R:V157 | 5.24 | Yes | No | 0 | 8 | 7 |
| 628 | R:R:F123 | R:R:W158 | 6.01 | Yes | Yes | 17 | 8 | 9 |
| 629 | R:R:F254 | R:R:L124 | 8.53 | Yes | No | 1 | 9 | 8 |
| 630 | R:R:L124 | R:R:N302 | 4.12 | No | No | 1 | 8 | 9 |
| 631 | R:R:L124 | R:R:Y306 | 8.21 | No | Yes | 1 | 8 | 9 |
| 632 | R:R:P210 | R:R:T125 | 5.25 | No | No | 0 | 9 | 7 |
| 633 | R:R:I127 | R:R:R131 | 3.76 | No | Yes | 0 | 9 | 9 |
| 634 | R:R:I127 | R:R:Y306 | 7.25 | No | Yes | 0 | 9 | 9 |
| 635 | R:R:I214 | R:R:S128 | 7.74 | Yes | No | 1 | 7 | 9 |
| 636 | R:R:S128 | R:R:Y218 | 10.17 | No | Yes | 1 | 9 | 9 |
| 637 | R:R:H130 | R:R:R146 | 13.54 | Yes | Yes | 15 | 8 | 7 |
| 638 | R:R:R131 | R:R:Y218 | 5.14 | Yes | Yes | 0 | 9 | 9 |
| 639 | R:R:M221 | R:R:R131 | 6.2 | No | Yes | 0 | 8 | 9 |
| 640 | R:R:C132 | R:R:C217 | 7.28 | No | No | 0 | 8 | 8 |
| 641 | R:R:C132 | R:R:M221 | 6.48 | No | No | 0 | 8 | 8 |
| 642 | R:R:L133 | R:R:R146 | 4.86 | No | Yes | 0 | 5 | 7 |
| 643 | R:R:G134 | R:R:R146 | 4.5 | No | Yes | 0 | 8 | 7 |
| 644 | R:R:M221 | R:R:V135 | 7.61 | No | No | 0 | 8 | 8 |
| 645 | R:R:L136 | R:R:R224 | 8.5 | No | No | 0 | 7 | 5 |
| 646 | R:R:R137 | R:R:R140 | 12.79 | No | No | 0 | 7 | 4 |
| 647 | R:R:R146 | R:R:S141 | 6.59 | Yes | No | 0 | 7 | 5 |
| 648 | R:R:R148 | R:R:R152 | 5.33 | No | No | 0 | 4 | 3 |
| 649 | R:R:R152 | R:R:Y149 | 10.29 | No | No | 0 | 3 | 3 |
| 650 | R:R:Q165 | R:R:V168 | 4.3 | Yes | No | 1 | 7 | 4 |
| 651 | R:R:P167 | R:R:Y198 | 11.13 | No | No | 0 | 8 | 4 |
| 652 | R:R:V168 | R:R:Y198 | 5.05 | No | No | 0 | 4 | 4 |
| 653 | R:R:F171 | R:R:Y170 | 8.25 | Yes | No | 0 | 5 | 4 |
| 654 | R:R:F171 | R:R:S187 | 5.28 | Yes | No | 1 | 5 | 5 |
| 655 | R:R:F171 | R:R:F195 | 8.57 | Yes | Yes | 1 | 5 | 2 |
| 656 | R:R:D185 | R:R:H184 | 5.04 | No | No | 0 | 4 | 4 |
| 657 | R:R:H184 | R:R:T186 | 12.32 | No | No | 0 | 4 | 3 |
| 658 | R:R:F192 | R:R:T186 | 6.49 | No | No | 0 | 2 | 3 |
| 659 | R:R:F195 | R:R:T186 | 5.19 | Yes | No | 0 | 2 | 3 |
| 660 | R:R:F195 | R:R:S187 | 3.96 | Yes | No | 1 | 2 | 5 |
| 661 | R:R:E190 | R:R:L191 | 3.98 | No | No | 0 | 1 | 3 |
| 662 | R:R:F192 | R:R:V196 | 3.93 | No | No | 0 | 2 | 3 |
| 663 | R:R:F195 | R:R:Y269 | 11.35 | Yes | Yes | 1 | 2 | 5 |
| 664 | R:R:S270 | R:R:V196 | 8.08 | No | No | 0 | 5 | 3 |
| 665 | R:R:M202 | R:R:Y198 | 8.38 | Yes | No | 0 | 6 | 4 |
| 666 | R:R:R265 | R:R:S199 | 13.18 | Yes | No | 1 | 6 | 5 |
| 667 | R:R:S199 | R:R:Y269 | 5.09 | No | Yes | 1 | 5 | 5 |
| 668 | R:R:L206 | R:R:M202 | 4.24 | No | Yes | 1 | 6 | 6 |
| 669 | R:R:F207 | R:R:L203 | 4.87 | Yes | Yes | 1 | 8 | 5 |
| 670 | R:R:H262 | R:R:L203 | 5.14 | Yes | Yes | 1 | 8 | 5 |
| 671 | R:R:F207 | R:R:F211 | 6.43 | Yes | Yes | 1 | 8 | 6 |
| 672 | R:R:F207 | R:R:L259 | 4.87 | Yes | No | 1 | 8 | 6 |
| 673 | R:R:F207 | R:R:H262 | 22.63 | Yes | Yes | 1 | 8 | 8 |
| 674 | R:R:P210 | R:R:V209 | 3.53 | No | No | 0 | 9 | 5 |
| 675 | R:R:F211 | R:R:L215 | 9.74 | Yes | No | 0 | 6 | 5 |
| 676 | R:R:F211 | R:R:F254 | 6.43 | Yes | Yes | 1 | 6 | 9 |
| 677 | R:R:F211 | R:R:L259 | 3.65 | Yes | No | 1 | 6 | 6 |
| 678 | R:R:I214 | R:R:Y218 | 3.63 | Yes | Yes | 1 | 7 | 9 |
| 679 | R:R:I214 | R:R:L251 | 4.28 | Yes | No | 1 | 7 | 8 |
| 680 | R:R:F254 | R:R:I214 | 7.54 | Yes | Yes | 1 | 9 | 7 |
| 681 | R:R:L215 | R:R:L251 | 4.15 | No | No | 0 | 5 | 8 |
| 682 | R:R:I247 | R:R:Y218 | 9.67 | No | Yes | 0 | 8 | 9 |
| 683 | R:R:V250 | R:R:Y218 | 6.31 | No | Yes | 0 | 8 | 9 |
| 684 | R:R:L251 | R:R:Y218 | 5.86 | No | Yes | 1 | 8 | 9 |
| 685 | R:R:L225 | R:R:S243 | 4.5 | No | No | 0 | 8 | 7 |
| 686 | R:R:K240 | R:R:R241 | 9.9 | No | No | 0 | 6 | 4 |
| 687 | R:R:K242 | R:R:R245 | 7.43 | No | No | 0 | 7 | 5 |
| 688 | R:R:V250 | R:R:Y306 | 5.05 | No | Yes | 0 | 8 | 9 |
| 689 | R:R:L301 | R:R:V253 | 4.47 | No | No | 0 | 7 | 7 |
| 690 | R:R:L305 | R:R:V253 | 4.47 | No | No | 0 | 8 | 7 |
| 691 | R:R:F254 | R:R:F258 | 8.57 | Yes | Yes | 1 | 9 | 9 |
| 692 | R:R:C257 | R:R:N298 | 9.45 | No | No | 0 | 8 | 9 |
| 693 | R:R:F258 | R:R:N298 | 16.92 | Yes | No | 0 | 9 | 9 |
| 694 | R:R:L259 | R:R:P260 | 4.93 | No | No | 0 | 6 | 9 |
| 695 | R:R:F261 | R:R:H262 | 5.66 | Yes | Yes | 0 | 7 | 8 |
| 696 | R:R:F261 | R:R:R265 | 5.34 | Yes | Yes | 0 | 7 | 6 |
| 697 | R:R:F261 | R:R:Y288 | 4.13 | Yes | Yes | 0 | 7 | 5 |
| 698 | R:R:F261 | R:R:T291 | 5.19 | Yes | No | 0 | 7 | 7 |
| 699 | R:R:A295 | R:R:F261 | 4.16 | No | Yes | 0 | 8 | 7 |
| 700 | R:R:T264 | R:R:T291 | 4.71 | No | No | 0 | 5 | 7 |
| 701 | R:R:R265 | R:R:Y269 | 11.32 | Yes | Yes | 1 | 6 | 5 |
| 702 | R:R:I284 | R:R:L267 | 5.71 | No | No | 0 | 5 | 4 |
| 703 | R:R:Y268 | R:R:Y269 | 5.96 | Yes | Yes | 0 | 4 | 5 |
| 704 | R:R:R272 | R:R:Y268 | 7.2 | Yes | Yes | 0 | 3 | 4 |
| 705 | R:R:I284 | R:R:Y268 | 3.63 | No | Yes | 0 | 5 | 4 |
| 706 | R:R:N285 | R:R:Y268 | 4.65 | No | Yes | 0 | 3 | 4 |
| 707 | R:R:Y268 | R:R:Y288 | 5.96 | Yes | Yes | 0 | 4 | 5 |
| 708 | R:R:L281 | R:R:R272 | 4.86 | Yes | Yes | 0 | 1 | 3 |
| 709 | R:R:L276 | R:R:L281 | 4.15 | No | Yes | 0 | 1 | 1 |
| 710 | R:R:S277 | R:R:T280 | 6.4 | No | No | 0 | 6 | 2 |
| 711 | R:R:M286 | R:R:N282 | 4.21 | Yes | No | 0 | 1 | 3 |
| 712 | R:R:K289 | R:R:M286 | 5.76 | No | Yes | 0 | 5 | 1 |
| 713 | R:R:K289 | R:R:Y288 | 3.58 | No | Yes | 0 | 5 | 5 |
| 714 | R:R:R292 | R:R:Y288 | 8.23 | Yes | Yes | 0 | 6 | 5 |
| 715 | R:R:N302 | R:R:Y306 | 12.79 | No | Yes | 1 | 9 | 9 |
| 716 | R:R:L308 | R:R:V304 | 4.47 | No | No | 0 | 7 | 7 |
| 717 | R:R:L305 | R:R:Y306 | 5.86 | No | Yes | 0 | 8 | 9 |
| 718 | R:R:F111 | R:R:Q165 | 3.51 | Yes | Yes | 0 | 6 | 7 |
| 719 | A:A:P321 | A:A:T320 | 3.5 | No | No | 0 | 5 | 1 |
| 720 | A:A:P332 | A:A:T335 | 3.5 | No | No | 0 | 1 | 4 |
| 721 | B:B:Q44 | B:B:R46 | 3.5 | No | No | 0 | 4 | 5 |
| 722 | A:A:G47 | A:A:K53 | 3.49 | No | Yes | 0 | 9 | 9 |
| 723 | B:B:G53 | B:B:K89 | 3.49 | No | Yes | 0 | 9 | 9 |
| 724 | B:B:G116 | B:B:M101 | 3.49 | No | No | 0 | 9 | 9 |
| 725 | B:B:C148 | B:B:S189 | 3.44 | No | No | 0 | 6 | 7 |
| 726 | B:B:C317 | B:B:S316 | 3.44 | No | No | 0 | 7 | 9 |
| 727 | A:A:C365 | A:A:V367 | 3.42 | No | No | 0 | 8 | 9 |
| 728 | B:B:C103 | B:B:V71 | 3.42 | No | Yes | 0 | 8 | 8 |
| 729 | R:R:C217 | R:R:V129 | 3.42 | No | No | 0 | 8 | 6 |
| 730 | R:R:L133 | R:R:W144 | 3.42 | No | No | 0 | 5 | 4 |
| 731 | R:R:G204 | R:R:L203 | 3.42 | No | Yes | 0 | 5 | 5 |
| 732 | A:A:A269 | A:A:V248 | 3.39 | No | Yes | 0 | 9 | 7 |
| 733 | A:A:A298 | A:A:V334 | 3.39 | No | No | 0 | 4 | 4 |
| 734 | B:B:I93 | B:B:P94 | 3.39 | No | No | 0 | 7 | 5 |
| 735 | B:B:G144 | B:B:N119 | 3.39 | No | No | 0 | 8 | 9 |
| 736 | B:B:G238 | B:B:N237 | 3.39 | No | Yes | 0 | 7 | 5 |
| 737 | B:B:A305 | B:B:V296 | 3.39 | No | No | 0 | 4 | 5 |
| 738 | R:R:I121 | R:R:P210 | 3.39 | No | No | 0 | 8 | 9 |
| 739 | B:B:C149 | B:B:T102 | 3.38 | Yes | No | 0 | 8 | 8 |
| 740 | B:B:D76 | B:B:G77 | 3.35 | Yes | No | 0 | 9 | 8 |
| 741 | B:B:D205 | B:B:G185 | 3.35 | Yes | No | 0 | 9 | 5 |
| 742 | A:A:G226 | A:A:Q227 | 3.29 | No | Yes | 0 | 9 | 9 |
| 743 | A:A:I26 | B:B:A92 | 3.25 | Yes | No | 0 | 9 | 6 |
| 744 | A:A:A243 | A:A:I288 | 3.25 | No | No | 0 | 8 | 9 |
| 745 | B:B:I18 | G:G:A23 | 3.25 | Yes | No | 0 | 7 | 8 |
| 746 | B:B:A305 | B:B:I43 | 3.25 | No | No | 0 | 4 | 3 |
| 747 | A:A:C237 | B:B:M101 | 3.24 | No | No | 0 | 8 | 9 |
| 748 | R:R:C164 | R:R:M202 | 3.24 | No | Yes | 0 | 5 | 6 |
| 749 | A:A:S51 | A:A:V247 | 3.23 | No | Yes | 0 | 9 | 7 |
| 750 | B:B:V320 | B:B:V327 | 3.21 | No | No | 0 | 7 | 6 |
| 751 | B:B:R46 | B:B:R48 | 3.2 | No | No | 0 | 5 | 7 |
| 752 | R:R:C44 | R:R:L48 | 3.17 | Yes | No | 0 | 7 | 6 |
| 753 | R:R:T115 | R:R:V161 | 3.17 | No | No | 0 | 5 | 7 |
| 754 | R:R:T125 | R:R:V213 | 3.17 | No | No | 0 | 7 | 7 |
| 755 | R:R:A83 | R:R:L48 | 3.15 | No | No | 0 | 6 | 6 |
| 756 | B:B:T165 | B:B:T179 | 3.14 | No | No | 26 | 7 | 4 |
| 757 | B:B:T179 | B:B:T181 | 3.14 | No | No | 26 | 4 | 2 |
| 758 | R:R:T174 | R:R:T182 | 3.14 | No | Yes | 0 | 5 | 4 |
| 759 | B:B:A326 | B:B:N340 | 3.13 | No | No | 0 | 7 | 9 |
| 760 | B:B:M262 | B:B:S31 | 3.07 | Yes | No | 0 | 4 | 1 |
| 761 | B:B:I43 | B:B:V40 | 3.07 | No | No | 0 | 3 | 3 |
| 762 | R:R:I57 | R:R:V53 | 3.07 | No | No | 0 | 7 | 6 |
| 763 | A:A:K53 | A:A:V247 | 3.04 | Yes | Yes | 5 | 9 | 7 |
| 764 | R:R:K107 | R:R:V172 | 3.04 | No | No | 0 | 6 | 5 |
| 765 | B:B:Q17 | G:G:A23 | 3.03 | No | No | 0 | 4 | 8 |
| 766 | A:A:A14 | A:A:E15 | 3.02 | No | No | 0 | 1 | 6 |
| 767 | B:B:G53 | B:B:R52 | 3 | No | No | 0 | 9 | 7 |
| 768 | R:R:L112 | R:R:S85 | 3 | No | No | 0 | 5 | 7 |
| 769 | R:R:L105 | R:R:S102 | 3 | No | No | 0 | 6 | 7 |
| 770 | R:R:L191 | R:R:S187 | 3 | No | No | 0 | 3 | 5 |
| 771 | R:R:L46 | R:R:V42 | 2.98 | No | No | 0 | 6 | 5 |
| 772 | R:R:L46 | R:R:V45 | 2.98 | No | No | 0 | 6 | 5 |
| 773 | R:R:L50 | R:R:V304 | 2.98 | No | No | 0 | 8 | 7 |
| 774 | R:R:L122 | R:R:V161 | 2.98 | No | No | 0 | 6 | 7 |
| 775 | R:R:L205 | R:R:V201 | 2.98 | No | No | 0 | 4 | 3 |
| 776 | R:R:L220 | R:R:V216 | 2.98 | No | No | 0 | 4 | 4 |
| 777 | B:B:L152 | B:B:T196 | 2.95 | Yes | No | 0 | 3 | 1 |
| 778 | R:R:L203 | R:R:T266 | 2.95 | Yes | No | 0 | 5 | 5 |
| 779 | R:R:L294 | R:R:T291 | 2.95 | No | No | 0 | 7 | 7 |
| 780 | A:A:I244 | A:A:I276 | 2.94 | Yes | No | 0 | 8 | 8 |
| 781 | B:B:I123 | B:B:I171 | 2.94 | No | No | 0 | 6 | 6 |
| 782 | B:B:D228 | B:B:S227 | 2.94 | Yes | No | 2 | 9 | 6 |
| 783 | B:B:D246 | B:B:S227 | 2.94 | Yes | No | 2 | 9 | 6 |
| 784 | A:A:I348 | A:A:K274 | 2.91 | No | No | 0 | 4 | 5 |
| 785 | B:B:D170 | B:B:T177 | 2.89 | Yes | No | 0 | 9 | 4 |
| 786 | A:A:K28 | A:A:M25 | 2.88 | No | No | 0 | 4 | 4 |
| 787 | A:A:Q35 | A:A:V36 | 2.87 | No | No | 0 | 3 | 2 |
| 788 | A:A:I235 | A:A:L282 | 2.85 | No | No | 0 | 9 | 9 |
| 789 | B:B:I18 | B:B:L14 | 2.85 | Yes | No | 0 | 7 | 8 |
| 790 | B:B:I18 | G:G:L19 | 2.85 | Yes | No | 0 | 7 | 9 |
| 791 | B:B:G319 | B:B:W63 | 2.81 | No | Yes | 0 | 5 | 7 |
| 792 | B:B:G141 | B:B:W169 | 2.81 | No | Yes | 0 | 5 | 8 |
| 793 | B:B:G182 | B:B:W211 | 2.81 | No | Yes | 0 | 6 | 8 |
| 794 | B:B:G310 | B:B:W339 | 2.81 | No | Yes | 0 | 5 | 9 |
| 795 | B:B:S281 | G:G:H44 | 2.79 | No | No | 0 | 9 | 6 |
| 796 | R:R:C278 | R:R:F27 | 2.79 | No | No | 0 | 7 | 2 |
| 797 | A:A:A372 | A:A:R61 | 2.77 | No | No | 0 | 4 | 8 |
| 798 | B:B:A104 | B:B:F151 | 2.77 | No | Yes | 0 | 7 | 9 |
| 799 | B:B:A208 | B:B:F241 | 2.77 | No | Yes | 0 | 6 | 6 |
| 800 | G:G:L15 | G:G:L19 | 2.77 | No | No | 0 | 2 | 9 |
| 801 | R:R:A54 | R:R:F307 | 2.77 | No | Yes | 0 | 9 | 7 |
| 802 | R:R:L136 | R:R:L220 | 2.77 | No | No | 0 | 7 | 4 |
| 803 | R:R:A255 | R:R:F211 | 2.77 | No | Yes | 0 | 5 | 6 |
| 804 | B:B:N35 | B:B:N36 | 2.72 | No | No | 0 | 1 | 1 |
| 805 | R:R:P189 | R:R:W16 | 2.7 | No | Yes | 0 | 3 | 7 |
| 806 | R:R:C60 | R:R:Y56 | 2.69 | No | No | 0 | 5 | 4 |
| 807 | R:R:C126 | R:R:Y71 | 2.69 | No | Yes | 0 | 6 | 7 |
| 808 | B:B:A287 | B:B:Y289 | 2.67 | No | Yes | 0 | 6 | 7 |
| 809 | B:B:H266 | B:B:I269 | 2.65 | No | No | 0 | 4 | 4 |
| 810 | A:A:H220 | A:A:K211 | 2.62 | No | No | 0 | 7 | 4 |
| 811 | A:A:D272 | A:A:E268 | 2.6 | No | No | 0 | 8 | 9 |
| 812 | R:R:A176 | R:R:W99 | 2.59 | No | No | 0 | 2 | 8 |
| 813 | R:R:F271 | R:R:T266 | 2.59 | No | No | 0 | 3 | 5 |
| 814 | B:B:V135 | B:B:Y124 | 2.52 | No | Yes | 0 | 4 | 6 |
| 815 | A:A:I26 | A:A:R22 | 2.51 | Yes | No | 0 | 9 | 5 |
| 816 | A:A:T335 | A:A:Y339 | 2.5 | No | Yes | 0 | 4 | 3 |
| 817 | R:R:F111 | R:R:L112 | 2.44 | Yes | No | 0 | 6 | 5 |
| 818 | R:R:F111 | R:R:L162 | 2.44 | Yes | No | 0 | 6 | 3 |
| 819 | B:B:L139 | B:B:R137 | 2.43 | Yes | No | 0 | 9 | 5 |
| 820 | R:R:L220 | R:R:R223 | 2.43 | No | No | 0 | 4 | 3 |
| 821 | A:A:Q35 | R:R:R143 | 2.34 | No | No | 0 | 3 | 3 |
| 822 | A:A:E314 | A:A:R317 | 2.33 | No | No | 0 | 6 | 2 |
| 823 | A:A:E314 | A:A:F340 | 2.33 | No | Yes | 0 | 6 | 7 |
| 824 | R:R:F171 | R:R:R194 | 2.14 | Yes | No | 0 | 5 | 4 |
| 825 | A:A:G225 | A:A:G226 | 2.11 | No | No | 0 | 9 | 9 |
| 826 | B:B:G115 | B:B:G116 | 2.11 | No | No | 0 | 9 | 9 |
| 827 | B:B:G324 | G:G:P49 | 2.03 | No | No | 0 | 9 | 7 |
| 828 | B:B:C317 | B:B:G330 | 1.96 | No | No | 0 | 7 | 5 |
| 829 | R:R:C44 | R:R:G41 | 1.96 | Yes | No | 0 | 7 | 5 |
| 830 | R:R:C300 | R:R:G47 | 1.96 | No | No | 0 | 8 | 8 |
| 831 | B:B:A248 | B:B:G272 | 1.95 | No | No | 0 | 5 | 4 |
| 832 | B:B:A305 | B:B:G306 | 1.95 | No | No | 0 | 4 | 4 |
| 833 | R:R:A154 | R:R:G155 | 1.95 | No | No | 0 | 7 | 3 |
| 834 | R:R:A208 | R:R:G204 | 1.95 | No | No | 0 | 5 | 5 |
| 835 | R:R:C44 | R:R:P87 | 1.88 | Yes | No | 0 | 7 | 9 |
| 836 | B:B:A106 | B:B:P107 | 1.87 | No | No | 0 | 6 | 6 |
| 837 | R:R:A166 | R:R:P167 | 1.87 | No | No | 0 | 4 | 8 |
| 838 | R:R:A188 | R:R:P189 | 1.87 | No | No | 0 | 5 | 3 |
| 839 | B:B:G77 | B:B:S98 | 1.86 | No | No | 0 | 8 | 8 |
| 840 | B:B:G109 | B:B:S108 | 1.86 | No | No | 0 | 5 | 6 |
| 841 | R:R:G41 | R:R:V90 | 1.84 | No | No | 0 | 5 | 7 |
| 842 | B:B:G174 | B:B:T173 | 1.82 | No | Yes | 0 | 4 | 5 |
| 843 | B:B:A73 | B:B:C103 | 1.81 | No | No | 0 | 9 | 8 |
| 844 | R:R:A297 | R:R:C257 | 1.81 | No | No | 0 | 6 | 8 |
| 845 | B:B:P107 | B:B:T65 | 1.75 | No | No | 0 | 6 | 1 |
| 846 | A:A:A48 | A:A:S51 | 1.71 | No | No | 0 | 8 | 9 |
| 847 | B:B:S281 | G:G:A45 | 1.71 | No | No | 0 | 9 | 4 |
| 848 | R:R:G22 | R:R:L21 | 1.71 | No | Yes | 0 | 4 | 3 |
| 849 | R:R:C300 | R:R:V43 | 1.71 | No | No | 0 | 8 | 7 |
| 850 | R:R:G47 | R:R:L46 | 1.71 | No | No | 0 | 8 | 6 |
| 851 | A:A:A337 | A:A:V301 | 1.7 | No | No | 0 | 8 | 7 |
| 852 | A:A:A366 | A:A:V367 | 1.7 | No | No | 0 | 9 | 9 |
| 853 | A:A:V394 | R:R:A239 | 1.7 | No | No | 0 | 8 | 5 |
| 854 | B:B:A26 | G:G:V30 | 1.7 | No | No | 0 | 3 | 8 |
| 855 | B:B:A231 | B:B:V276 | 1.7 | No | No | 0 | 5 | 6 |
| 856 | B:B:A257 | G:G:V30 | 1.7 | No | No | 0 | 7 | 8 |
| 857 | B:B:A326 | B:B:T321 | 1.68 | No | Yes | 0 | 7 | 7 |
| 858 | R:R:A287 | R:R:T264 | 1.68 | No | No | 0 | 5 | 5 |
| 859 | B:B:C271 | B:B:I270 | 1.64 | No | No | 0 | 5 | 3 |
| 860 | R:R:L50 | R:R:P303 | 1.64 | No | No | 0 | 8 | 9 |
| 861 | B:B:A140 | B:B:I120 | 1.62 | No | No | 0 | 5 | 6 |
| 862 | B:B:A302 | B:B:M262 | 1.61 | No | Yes | 0 | 2 | 4 |
| 863 | A:A:S349 | A:A:T350 | 1.6 | No | No | 0 | 7 | 4 |
| 864 | R:R:V38 | R:R:V42 | 1.6 | No | No | 0 | 5 | 5 |
| 865 | B:B:T128 | B:B:V133 | 1.59 | No | No | 0 | 3 | 4 |
| 866 | R:R:C25 | R:R:L21 | 1.59 | No | Yes | 0 | 9 | 3 |
| 867 | R:R:C25 | R:R:L281 | 1.59 | No | Yes | 0 | 9 | 1 |
| 868 | R:R:C49 | R:R:L50 | 1.59 | No | No | 0 | 4 | 8 |
| 869 | R:R:T103 | R:R:V104 | 1.59 | No | No | 0 | 3 | 2 |
| 870 | R:R:C164 | R:R:L160 | 1.59 | No | No | 0 | 5 | 4 |
| 871 | R:R:T246 | R:R:V250 | 1.59 | No | No | 0 | 7 | 8 |
| 872 | R:R:C257 | R:R:L256 | 1.59 | No | No | 0 | 8 | 6 |
| 873 | R:R:T264 | R:R:V263 | 1.59 | No | No | 0 | 5 | 6 |
| 874 | A:A:A337 | A:A:L297 | 1.58 | No | No | 0 | 8 | 8 |
| 875 | R:R:A84 | R:R:L48 | 1.58 | No | No | 0 | 5 | 6 |
| 876 | R:R:T103 | R:R:T173 | 1.57 | No | No | 0 | 3 | 4 |
| 877 | A:A:C365 | A:A:D368 | 1.56 | No | No | 0 | 8 | 9 |
| 878 | G:G:A23 | G:G:N24 | 1.56 | No | No | 0 | 8 | 1 |
| 879 | B:B:A21 | B:B:D20 | 1.54 | No | No | 0 | 4 | 2 |
| 880 | A:A:M60 | A:A:V57 | 1.52 | No | No | 0 | 9 | 7 |
| 881 | R:R:M202 | R:R:V201 | 1.52 | Yes | No | 0 | 6 | 3 |
| 882 | R:R:M286 | R:R:V290 | 1.52 | Yes | No | 0 | 1 | 4 |
| 883 | A:A:A18 | A:A:E21 | 1.51 | No | No | 0 | 4 | 2 |
| 884 | G:G:A43 | G:G:E42 | 1.51 | No | No | 0 | 4 | 1 |
| 885 | A:A:K58 | A:A:T55 | 1.5 | No | No | 0 | 9 | 9 |
| 886 | R:R:G96 | R:R:R95 | 1.5 | No | No | 0 | 3 | 5 |
| 887 | R:R:K107 | R:R:T173 | 1.5 | No | No | 0 | 6 | 4 |
| 888 | R:R:L274 | R:R:S273 | 1.5 | No | No | 0 | 1 | 1 |
| 889 | R:R:L81 | R:R:V77 | 1.49 | No | No | 0 | 7 | 6 |
| 890 | R:R:L225 | R:R:V244 | 1.49 | No | No | 0 | 8 | 6 |
| 891 | R:R:L226 | R:R:V244 | 1.49 | No | No | 0 | 3 | 6 |
| 892 | R:R:L305 | R:R:V249 | 1.49 | No | No | 0 | 8 | 4 |
| 893 | R:R:L62 | R:R:T64 | 1.47 | No | No | 0 | 5 | 6 |
| 894 | R:R:L281 | R:R:T280 | 1.47 | Yes | No | 0 | 1 | 2 |
| 895 | A:A:D16 | A:A:V20 | 1.46 | No | No | 0 | 4 | 3 |
| 896 | B:B:D27 | G:G:V30 | 1.46 | Yes | No | 0 | 8 | 8 |
| 897 | B:B:A206 | B:B:H225 | 1.46 | No | Yes | 0 | 4 | 9 |
| 898 | G:G:A43 | G:G:H44 | 1.46 | No | No | 0 | 4 | 6 |
| 899 | R:R:D30 | R:R:V34 | 1.46 | No | No | 0 | 3 | 4 |
| 900 | A:A:E15 | A:A:S13 | 1.44 | No | No | 0 | 6 | 7 |
| 901 | A:A:F312 | A:A:P313 | 1.44 | Yes | No | 0 | 8 | 6 |
| 902 | A:A:P332 | A:A:R333 | 1.44 | No | No | 0 | 1 | 5 |
| 903 | R:R:P293 | R:R:R292 | 1.44 | No | Yes | 0 | 5 | 6 |
| 904 | G:G:E17 | G:G:V16 | 1.43 | No | No | 0 | 6 | 7 |
| 905 | A:A:G353 | A:A:W277 | 1.41 | No | Yes | 0 | 4 | 6 |
| 906 | B:B:K15 | B:B:N16 | 1.4 | No | No | 0 | 6 | 1 |
| 907 | B:B:D258 | G:G:I25 | 1.4 | Yes | No | 0 | 7 | 2 |
| 908 | B:B:A299 | B:B:F278 | 1.39 | No | Yes | 0 | 5 | 7 |
| 909 | A:A:A39 | R:R:R143 | 1.38 | No | No | 0 | 5 | 3 |
| 910 | B:B:D303 | B:B:K301 | 1.38 | No | No | 0 | 2 | 5 |
| 911 | R:R:H74 | R:R:V77 | 1.38 | Yes | No | 0 | 9 | 6 |
| 912 | R:R:L108 | R:R:L112 | 1.38 | No | No | 0 | 5 | 5 |
| 913 | R:R:L108 | R:R:L169 | 1.38 | No | No | 0 | 5 | 5 |
| 914 | A:A:I26 | A:A:Q29 | 1.37 | Yes | No | 0 | 9 | 4 |
| 915 | A:A:I56 | A:A:Q59 | 1.37 | Yes | No | 0 | 7 | 9 |
| 916 | A:A:M25 | A:A:Q29 | 1.36 | No | No | 0 | 4 | 4 |
| 917 | A:A:K28 | A:A:Q31 | 1.36 | No | No | 0 | 4 | 4 |
| 918 | A:A:K34 | A:A:Q31 | 1.36 | Yes | No | 0 | 4 | 4 |
| 919 | B:B:E215 | B:B:M217 | 1.35 | No | No | 0 | 3 | 3 |
| 920 | R:R:D30 | R:R:N28 | 1.35 | No | No | 0 | 3 | 5 |
| 921 | B:B:D312 | B:B:D333 | 1.33 | No | Yes | 0 | 5 | 9 |
| 922 | B:B:N16 | B:B:Q17 | 1.32 | No | No | 0 | 1 | 4 |
| 923 | R:R:F31 | R:R:V34 | 1.31 | No | No | 0 | 5 | 4 |
| 924 | R:R:R245 | R:R:V249 | 1.31 | No | No | 0 | 5 | 4 |
| 925 | R:R:D17 | R:R:E20 | 1.3 | No | No | 0 | 7 | 3 |
| 926 | A:A:R42 | A:A:T40 | 1.29 | No | No | 0 | 9 | 7 |
| 927 | B:B:D267 | B:B:H266 | 1.26 | No | No | 0 | 3 | 4 |
| 928 | R:R:F307 | R:R:I57 | 1.26 | Yes | No | 0 | 7 | 7 |
| 929 | B:B:F335 | R:R:K63 | 1.24 | No | No | 0 | 4 | 5 |
| 930 | R:R:F73 | R:R:L59 | 1.22 | Yes | No | 0 | 6 | 3 |
| 931 | A:A:N279 | A:A:R280 | 1.21 | No | No | 0 | 8 | 5 |
| 932 | A:A:L302 | A:A:R333 | 1.21 | No | No | 0 | 2 | 5 |
| 933 | R:R:I57 | R:R:Y56 | 1.21 | No | No | 0 | 7 | 4 |
| 934 | R:R:L136 | R:R:R137 | 1.21 | No | No | 0 | 7 | 7 |
| 935 | A:A:Q31 | R:R:R148 | 1.17 | No | No | 0 | 4 | 4 |
| 936 | R:R:R151 | R:R:W65 | 1 | No | Yes | 0 | 2 | 6 |
| Color | ConSurf Grade |
| No Conservation data available | |
| 1 | |
| 2 | |
| 3 | |
| 4 | |
| 5 | |
| 6 | |
| 7 | |
| 8 | |
| 9 |
Index: hub id, click on each number to highlight the corresponding hub in the 3D visualization.
Hub: the hub being considered.
Avg Int. Strength: the average interaction strength of all the links of the corresponding hub.
Num Of Links: the number of links of the corresponding hub.
Community: the id of the community the link belong to, otherwise 0.
ConSurf: this column reports the ConSurf conservation grades of each hub.
| Index | Hub | Avg Int. Strength | Num Of Links | Community | ConSurf |
|---|---|---|---|---|---|
| 1 | A:A:I26 | 2.8725 | 4 | 0 | 9 |
| 2 | A:A:K34 | 7.02 | 4 | 18 | 4 |
| 3 | A:A:H41 | 6.775 | 4 | 6 | 6 |
| 4 | A:A:K53 | 5.1225 | 4 | 5 | 9 |
| 5 | A:A:I56 | 3.6975 | 4 | 5 | 7 |
| 6 | A:A:F219 | 7.4 | 4 | 0 | 8 |
| 7 | A:A:F222 | 10.855 | 4 | 2 | 7 |
| 8 | A:A:Q227 | 6.388 | 5 | 2 | 9 |
| 9 | A:A:K233 | 6.4975 | 4 | 2 | 9 |
| 10 | A:A:W234 | 7.65167 | 6 | 2 | 9 |
| 11 | A:A:F238 | 8.332 | 5 | 2 | 9 |
| 12 | A:A:I244 | 4.43 | 4 | 0 | 8 |
| 13 | A:A:I245 | 5.6375 | 4 | 5 | 7 |
| 14 | A:A:F246 | 6.135 | 4 | 0 | 9 |
| 15 | A:A:V247 | 3.8275 | 4 | 5 | 7 |
| 16 | A:A:V248 | 5.2425 | 4 | 13 | 7 |
| 17 | A:A:L270 | 6.2425 | 4 | 0 | 6 |
| 18 | A:A:F273 | 6.116 | 5 | 0 | 9 |
| 19 | A:A:W277 | 9.412 | 5 | 0 | 6 |
| 20 | A:A:F290 | 5.30667 | 6 | 5 | 9 |
| 21 | A:A:N292 | 5.54 | 4 | 5 | 9 |
| 22 | A:A:Q294 | 7.1925 | 4 | 10 | 6 |
| 23 | A:A:F312 | 5.54 | 4 | 11 | 8 |
| 24 | A:A:Y339 | 5.132 | 5 | 10 | 3 |
| 25 | A:A:F340 | 10.046 | 5 | 11 | 7 |
| 26 | A:A:R342 | 6.3325 | 4 | 10 | 4 |
| 27 | A:A:E344 | 8.346 | 5 | 11 | 5 |
| 28 | A:A:F345 | 7.72 | 5 | 13 | 8 |
| 29 | A:A:D354 | 5.6 | 4 | 14 | 3 |
| 30 | A:A:Y360 | 9.6925 | 4 | 0 | 8 |
| 31 | A:A:F363 | 8.3025 | 4 | 10 | 5 |
| 32 | A:A:R373 | 6.42 | 4 | 6 | 5 |
| 33 | A:A:F376 | 5.81 | 7 | 6 | 8 |
| 34 | A:A:K380 | 4.48 | 4 | 6 | 7 |
| 35 | A:A:I383 | 5.28 | 4 | 6 | 8 |
| 36 | A:A:Y391 | 7.17 | 6 | 15 | 4 |
| 37 | B:B:I18 | 3.49 | 4 | 0 | 7 |
| 38 | B:B:D27 | 6.82 | 4 | 20 | 8 |
| 39 | B:B:I33 | 4.885 | 4 | 0 | 3 |
| 40 | B:B:H54 | 6.75667 | 6 | 3 | 9 |
| 41 | B:B:K57 | 10.05 | 4 | 2 | 9 |
| 42 | B:B:W63 | 7.87833 | 6 | 3 | 7 |
| 43 | B:B:L70 | 6.1725 | 4 | 3 | 5 |
| 44 | B:B:V71 | 6.645 | 4 | 22 | 8 |
| 45 | B:B:S72 | 6.135 | 4 | 3 | 9 |
| 46 | B:B:Q75 | 6.922 | 5 | 2 | 9 |
| 47 | B:B:D76 | 7.915 | 4 | 0 | 9 |
| 48 | B:B:W82 | 8.48667 | 6 | 3 | 9 |
| 49 | B:B:K89 | 5.215 | 6 | 3 | 9 |
| 50 | B:B:W99 | 8.988 | 5 | 2 | 9 |
| 51 | B:B:Y105 | 7.47 | 5 | 22 | 6 |
| 52 | B:B:Y111 | 8.025 | 4 | 0 | 4 |
| 53 | B:B:Y124 | 5.39 | 4 | 23 | 6 |
| 54 | B:B:L139 | 7.82 | 4 | 0 | 9 |
| 55 | B:B:Y145 | 7.74167 | 6 | 2 | 8 |
| 56 | B:B:C149 | 4.25 | 4 | 9 | 8 |
| 57 | B:B:F151 | 4.944 | 5 | 0 | 9 |
| 58 | B:B:L152 | 4.826 | 5 | 0 | 3 |
| 59 | B:B:D154 | 6.725 | 4 | 24 | 6 |
| 60 | B:B:I157 | 5.1075 | 4 | 9 | 7 |
| 61 | B:B:T159 | 5.54 | 6 | 9 | 9 |
| 62 | B:B:W169 | 8.586 | 5 | 9 | 8 |
| 63 | B:B:D170 | 6.92 | 4 | 25 | 9 |
| 64 | B:B:T173 | 6.8775 | 4 | 25 | 5 |
| 65 | B:B:F180 | 8.65 | 5 | 7 | 7 |
| 66 | B:B:H183 | 7.795 | 6 | 7 | 9 |
| 67 | B:B:L198 | 7.3375 | 4 | 27 | 3 |
| 68 | B:B:F199 | 7.444 | 5 | 7 | 9 |
| 69 | B:B:D205 | 5.7975 | 4 | 0 | 9 |
| 70 | B:B:K209 | 8.52 | 5 | 7 | 6 |
| 71 | B:B:W211 | 8.62857 | 7 | 7 | 8 |
| 72 | B:B:D212 | 6.23 | 4 | 27 | 9 |
| 73 | B:B:F222 | 9.7125 | 4 | 4 | 8 |
| 74 | B:B:H225 | 7.91 | 7 | 4 | 9 |
| 75 | B:B:E226 | 10.02 | 5 | 4 | 3 |
| 76 | B:B:D228 | 8.945 | 6 | 2 | 9 |
| 77 | B:B:I232 | 5.8625 | 4 | 4 | 8 |
| 78 | B:B:F234 | 4.085 | 4 | 4 | 5 |
| 79 | B:B:F235 | 7.52286 | 7 | 12 | 6 |
| 80 | B:B:P236 | 6.015 | 4 | 12 | 7 |
| 81 | B:B:N237 | 6.7325 | 4 | 12 | 5 |
| 82 | B:B:F241 | 6.74 | 7 | 4 | 6 |
| 83 | B:B:T243 | 7.325 | 4 | 4 | 8 |
| 84 | B:B:D246 | 9.48 | 4 | 2 | 9 |
| 85 | B:B:T249 | 5.7475 | 4 | 4 | 6 |
| 86 | B:B:R251 | 8.424 | 5 | 4 | 8 |
| 87 | B:B:F253 | 8.72 | 5 | 4 | 6 |
| 88 | B:B:D254 | 4.91 | 4 | 0 | 9 |
| 89 | B:B:D258 | 10.555 | 4 | 4 | 7 |
| 90 | B:B:M262 | 4.5425 | 4 | 0 | 4 |
| 91 | B:B:Y264 | 6.334 | 5 | 0 | 5 |
| 92 | B:B:F278 | 5.08667 | 6 | 12 | 7 |
| 93 | B:B:L285 | 5.0075 | 4 | 0 | 6 |
| 94 | B:B:Y289 | 7.11 | 4 | 28 | 7 |
| 95 | B:B:H311 | 9.374 | 5 | 8 | 9 |
| 96 | B:B:R314 | 11.2025 | 4 | 0 | 8 |
| 97 | B:B:T321 | 6.8925 | 4 | 3 | 7 |
| 98 | B:B:D323 | 9.0825 | 4 | 3 | 7 |
| 99 | B:B:T329 | 4.535 | 4 | 8 | 8 |
| 100 | B:B:W332 | 10.1683 | 6 | 2 | 9 |
| 101 | B:B:D333 | 7.062 | 5 | 8 | 9 |
| 102 | B:B:K337 | 11.36 | 4 | 8 | 6 |
| 103 | B:B:W339 | 7.574 | 5 | 8 | 9 |
| 104 | G:G:Y40 | 7.11 | 4 | 12 | 6 |
| 105 | R:R:W16 | 6.9625 | 4 | 0 | 7 |
| 106 | R:R:L21 | 3.0175 | 4 | 0 | 3 |
| 107 | R:R:C44 | 3.34 | 4 | 0 | 7 |
| 108 | R:R:N51 | 5.4225 | 4 | 0 | 9 |
| 109 | R:R:F58 | 16.228 | 5 | 16 | 7 |
| 110 | R:R:W65 | 11.528 | 5 | 16 | 6 |
| 111 | R:R:Y71 | 5.0625 | 4 | 0 | 7 |
| 112 | R:R:F73 | 7.9925 | 4 | 16 | 6 |
| 113 | R:R:H74 | 6.1325 | 4 | 17 | 9 |
| 114 | R:R:Y82 | 12.016 | 5 | 1 | 7 |
| 115 | R:R:L89 | 4.635 | 4 | 0 | 6 |
| 116 | R:R:Y92 | 6.324 | 5 | 30 | 6 |
| 117 | R:R:Y93 | 8.57 | 4 | 0 | 6 |
| 118 | R:R:F111 | 3.01 | 4 | 0 | 6 |
| 119 | R:R:F113 | 7.78 | 4 | 1 | 6 |
| 120 | R:R:Y114 | 7.5125 | 4 | 1 | 5 |
| 121 | R:R:Y118 | 8.0125 | 4 | 1 | 7 |
| 122 | R:R:F123 | 6.206 | 5 | 17 | 8 |
| 123 | R:R:H130 | 9.4075 | 4 | 15 | 8 |
| 124 | R:R:R131 | 6.984 | 5 | 0 | 9 |
| 125 | R:R:L139 | 5.1 | 5 | 6 | 5 |
| 126 | R:R:R146 | 6.722 | 5 | 15 | 7 |
| 127 | R:R:W158 | 7.6075 | 4 | 17 | 9 |
| 128 | R:R:Q165 | 5.335 | 4 | 1 | 7 |
| 129 | R:R:F171 | 6.06 | 4 | 1 | 5 |
| 130 | R:R:T182 | 4.0025 | 4 | 30 | 4 |
| 131 | R:R:F195 | 7.2675 | 4 | 1 | 2 |
| 132 | R:R:M202 | 5.152 | 5 | 1 | 6 |
| 133 | R:R:L203 | 4.095 | 4 | 1 | 5 |
| 134 | R:R:F207 | 9.7 | 4 | 1 | 8 |
| 135 | R:R:F211 | 5.804 | 5 | 1 | 6 |
| 136 | R:R:I214 | 5.7975 | 4 | 1 | 7 |
| 137 | R:R:Y218 | 6.79667 | 6 | 1 | 9 |
| 138 | R:R:F254 | 7.47 | 5 | 1 | 9 |
| 139 | R:R:F258 | 10.35 | 5 | 1 | 9 |
| 140 | R:R:F261 | 4.68833 | 6 | 0 | 7 |
| 141 | R:R:H262 | 10.2625 | 4 | 1 | 8 |
| 142 | R:R:R265 | 10.0325 | 4 | 1 | 6 |
| 143 | R:R:Y268 | 6.02333 | 6 | 0 | 4 |
| 144 | R:R:Y269 | 8.43 | 4 | 1 | 5 |
| 145 | R:R:R272 | 4.8175 | 4 | 0 | 3 |
| 146 | R:R:L281 | 3.0175 | 4 | 0 | 1 |
| 147 | R:R:M286 | 5.896 | 5 | 0 | 1 |
| 148 | R:R:Y288 | 5.475 | 4 | 0 | 5 |
| 149 | R:R:R292 | 5.8875 | 4 | 0 | 6 |
| 150 | R:R:Y306 | 7.72333 | 6 | 1 | 9 |
| 151 | R:R:F307 | 5.015 | 4 | 0 | 7 |
| Color | ConSurf Grade |
| No Conservation data available | |
| 1 | |
| 2 | |
| 3 | |
| 4 | |
| 5 | |
| 6 | |
| 7 | |
| 8 | |
| 9 |
Index: link id, click on each number to highlight the corresponding link in the 3D visualization.
Node1 Node2: the two nodes of the corresponding link.
Recurrence: the relative Recurrence in the pool of shortest paths.
Int. Strength: the interaction strength between the two nodes.
Hub1?, Hub2?: "Yes" if the corresponding node has more than 3 links, otherwise "No".
Community: the id of the community the link belong to, otherwise 0.
ConSurf1, ConSurf2: these columns report the ConSurf conservation grades of the two nodes involved in a link.
| Index | Node1 | Node2 | Recurrence | Int. Strength | Hub1? | Hub2? | Community | ConSurf1 | ConSurf2 |
|---|---|---|---|---|---|---|---|---|---|
| 1 | B:B:L70 | B:B:W82 | 18.2906 | 4.56 | Yes | Yes | 3 | 5 | 9 |
| 2 | B:B:L70 | B:B:M61 | 21.1285 | 4.24 | Yes | No | 0 | 5 | 6 |
| 3 | B:B:C317 | B:B:M61 | 21.3169 | 6.48 | No | No | 0 | 7 | 6 |
| 4 | B:B:C317 | B:B:S316 | 21.6934 | 3.44 | No | No | 0 | 7 | 9 |
| 5 | B:B:S316 | B:B:W332 | 21.8815 | 4.94 | No | Yes | 0 | 9 | 9 |
| 6 | B:B:K57 | B:B:W332 | 49.8614 | 22.05 | Yes | Yes | 2 | 9 | 9 |
| 7 | B:B:K57 | B:B:Q75 | 50.0024 | 6.78 | Yes | Yes | 2 | 9 | 9 |
| 8 | B:B:Q75 | B:B:W99 | 100 | 5.48 | Yes | Yes | 2 | 9 | 9 |
| 9 | A:A:F238 | B:B:W99 | 68.6329 | 15.03 | Yes | Yes | 2 | 9 | 9 |
| 10 | A:A:F238 | A:A:L44 | 44.4095 | 13.4 | Yes | No | 2 | 9 | 9 |
| 11 | A:A:L44 | A:A:L46 | 44.401 | 8.3 | No | No | 0 | 9 | 8 |
| 12 | A:A:I244 | A:A:L46 | 44.3609 | 4.28 | Yes | No | 0 | 8 | 8 |
| 13 | A:A:I244 | A:A:V287 | 44.0783 | 4.61 | Yes | No | 0 | 8 | 6 |
| 14 | A:A:V287 | A:A:W277 | 45.1056 | 4.9 | No | Yes | 0 | 6 | 6 |
| 15 | A:A:H357 | A:A:W277 | 44.6988 | 26.45 | No | Yes | 0 | 7 | 6 |
| 16 | A:A:D354 | A:A:H357 | 44.3533 | 3.78 | Yes | No | 14 | 3 | 7 |
| 17 | A:A:D354 | A:A:G355 | 44.1733 | 6.71 | Yes | No | 0 | 3 | 2 |
| 18 | A:A:G355 | A:A:Y358 | 44.1052 | 4.35 | No | No | 0 | 2 | 4 |
| 19 | A:A:Y358 | A:A:Y360 | 10.7565 | 4.96 | No | Yes | 0 | 4 | 8 |
| 20 | A:A:D378 | A:A:Y360 | 10.5565 | 17.24 | No | Yes | 0 | 7 | 8 |
| 21 | B:B:W332 | B:B:Y59 | 49.8614 | 3.86 | Yes | No | 2 | 9 | 8 |
| 22 | B:B:Q75 | B:B:Y59 | 49.9174 | 11.27 | Yes | No | 2 | 9 | 8 |
| 23 | A:A:Q385 | A:A:Y358 | 33.7776 | 9.02 | No | No | 0 | 5 | 4 |
| 24 | A:A:L384 | A:A:Q385 | 33.8649 | 3.99 | No | No | 0 | 6 | 5 |
| 25 | A:A:L384 | A:A:L388 | 33.7823 | 4.15 | No | No | 0 | 6 | 8 |
| 26 | A:A:L388 | R:R:S243 | 33.7002 | 4.5 | No | No | 0 | 8 | 7 |
| 27 | A:A:L393 | R:R:S243 | 33.3719 | 6.01 | No | No | 0 | 8 | 7 |
| 28 | A:A:L393 | R:R:R131 | 33.2903 | 8.5 | No | Yes | 0 | 8 | 9 |
| 29 | A:A:F273 | A:A:V287 | 16.9403 | 6.55 | Yes | No | 0 | 9 | 6 |
| 30 | A:A:F273 | A:A:F345 | 13.6753 | 7.5 | Yes | Yes | 0 | 9 | 8 |
| 31 | A:A:F345 | A:A:L270 | 30.2394 | 7.31 | Yes | Yes | 0 | 8 | 6 |
| 32 | A:A:E344 | A:A:L270 | 41.5532 | 6.63 | Yes | Yes | 0 | 5 | 6 |
| 33 | A:A:E344 | A:A:I341 | 20.3713 | 5.47 | Yes | No | 11 | 5 | 8 |
| 34 | A:A:I341 | A:A:S250 | 19.6934 | 7.74 | No | No | 0 | 8 | 6 |
| 35 | A:A:Q294 | A:A:S250 | 19.0157 | 5.78 | Yes | No | 0 | 6 | 6 |
| 36 | A:A:F238 | A:A:W234 | 37.5247 | 5.01 | Yes | Yes | 2 | 9 | 9 |
| 37 | A:A:R231 | A:A:W234 | 42.1577 | 8 | No | Yes | 0 | 9 | 9 |
| 38 | A:A:D272 | A:A:R231 | 42.0655 | 10.72 | No | No | 0 | 8 | 9 |
| 39 | A:A:D272 | A:A:F246 | 41.8829 | 7.17 | No | Yes | 0 | 8 | 9 |
| 40 | A:A:F246 | A:A:F273 | 24.0888 | 8.57 | Yes | Yes | 0 | 9 | 9 |
| 41 | B:B:L117 | B:B:W99 | 31.2754 | 5.69 | No | Yes | 2 | 9 | 9 |
| 42 | A:A:W234 | B:B:L117 | 30.9144 | 5.69 | Yes | No | 2 | 9 | 9 |
| 43 | A:A:F273 | A:A:I348 | 13.7913 | 3.77 | Yes | No | 0 | 9 | 4 |
| 44 | A:A:I348 | A:A:L270 | 13.3686 | 5.71 | No | Yes | 0 | 4 | 6 |
| 45 | A:A:W234 | B:B:Y145 | 45.7465 | 5.79 | Yes | Yes | 2 | 9 | 8 |
| 46 | A:A:E344 | A:A:F340 | 18.4555 | 15.16 | Yes | Yes | 11 | 5 | 7 |
| 47 | A:A:T335 | A:A:Y339 | 16.4048 | 2.5 | No | Yes | 0 | 4 | 3 |
| 48 | A:A:P332 | A:A:T335 | 13.6709 | 3.5 | No | No | 0 | 1 | 4 |
| 49 | B:B:S147 | B:B:Y145 | 34.8514 | 6.36 | No | Yes | 0 | 9 | 8 |
| 50 | B:B:S147 | B:B:S160 | 34.6753 | 4.89 | No | No | 0 | 9 | 6 |
| 51 | B:B:S160 | B:B:V187 | 34.4991 | 8.08 | No | No | 0 | 6 | 9 |
| 52 | B:B:H183 | B:B:V187 | 23.5655 | 8.3 | Yes | No | 0 | 9 | 9 |
| 53 | B:B:H183 | B:B:K209 | 11.5241 | 10.48 | Yes | Yes | 7 | 9 | 6 |
| 54 | B:B:K209 | B:B:T221 | 10.9706 | 9.01 | Yes | No | 0 | 6 | 7 |
| 55 | B:B:T221 | G:G:E22 | 10.7842 | 8.47 | No | No | 0 | 7 | 9 |
| 56 | G:G:E22 | G:G:L19 | 10.7725 | 3.98 | No | No | 0 | 9 | 9 |
| 57 | B:B:I18 | G:G:L19 | 10.3931 | 2.85 | Yes | No | 0 | 7 | 9 |
| 58 | B:B:N313 | B:B:W332 | 81.4821 | 5.65 | No | Yes | 0 | 7 | 9 |
| 59 | B:B:D333 | B:B:N313 | 81.3285 | 4.04 | Yes | No | 0 | 9 | 7 |
| 60 | B:B:D333 | B:B:H311 | 80.5373 | 10.08 | Yes | Yes | 8 | 9 | 9 |
| 61 | B:B:H311 | B:B:T329 | 40.2917 | 4.11 | Yes | Yes | 8 | 9 | 8 |
| 62 | B:B:T329 | B:B:W339 | 39.4747 | 4.85 | Yes | Yes | 8 | 8 | 9 |
| 63 | B:B:L308 | B:B:W339 | 78.2288 | 14.81 | No | Yes | 0 | 7 | 9 |
| 64 | B:B:L308 | B:B:V296 | 74.1053 | 4.47 | No | No | 0 | 7 | 5 |
| 65 | B:B:A305 | B:B:V296 | 73.0722 | 3.39 | No | No | 0 | 4 | 5 |
| 66 | B:B:A305 | B:B:I43 | 72.383 | 3.25 | No | No | 0 | 4 | 3 |
| 67 | B:B:I43 | B:B:V40 | 72.0382 | 3.07 | No | No | 0 | 3 | 3 |
| 68 | B:B:D298 | B:B:V40 | 70.9835 | 5.84 | No | No | 21 | 9 | 3 |
| 69 | B:B:D298 | B:B:K301 | 70.6582 | 9.68 | No | No | 0 | 9 | 5 |
| 70 | B:B:I37 | B:B:K301 | 69.9675 | 7.27 | No | No | 0 | 2 | 5 |
| 71 | B:B:I37 | B:B:T34 | 34.8111 | 4.56 | No | No | 0 | 2 | 5 |
| 72 | B:B:I33 | B:B:T34 | 34.4607 | 4.56 | Yes | No | 0 | 3 | 5 |
| 73 | B:B:I33 | B:B:L30 | 67.5096 | 4.28 | Yes | No | 0 | 3 | 5 |
| 74 | B:B:L261 | B:B:L30 | 17.7867 | 4.15 | No | No | 0 | 5 | 5 |
| 75 | B:B:D254 | B:B:L261 | 17.0758 | 4.07 | Yes | No | 0 | 9 | 5 |
| 76 | B:B:H311 | B:B:K337 | 39.9384 | 11.79 | Yes | Yes | 8 | 9 | 6 |
| 77 | B:B:K337 | B:B:W339 | 39.4302 | 8.12 | Yes | Yes | 8 | 6 | 9 |
| 78 | B:B:I37 | G:G:M38 | 34.8111 | 4.37 | No | No | 0 | 2 | 4 |
| 79 | B:B:I33 | G:G:M38 | 34.4607 | 5.83 | Yes | No | 0 | 3 | 4 |
| 80 | B:B:L30 | B:B:M262 | 49.0565 | 9.9 | No | Yes | 0 | 5 | 4 |
| 81 | B:B:C166 | B:B:V187 | 10.7638 | 5.12 | No | No | 0 | 8 | 9 |
| 82 | B:B:C166 | B:B:F180 | 10.5838 | 4.19 | No | Yes | 0 | 8 | 7 |
| 83 | B:B:F180 | B:B:F199 | 10.0291 | 10.72 | Yes | Yes | 7 | 7 | 9 |
| 84 | B:B:F199 | B:B:L190 | 10.1959 | 3.65 | Yes | No | 7 | 9 | 5 |
| 85 | B:B:H183 | B:B:W211 | 10.7756 | 8.46 | Yes | Yes | 7 | 9 | 8 |
| 86 | B:B:F199 | B:B:W211 | 10.358 | 10.02 | Yes | Yes | 7 | 9 | 8 |
| 87 | B:B:M262 | B:B:Y264 | 45.5165 | 3.59 | Yes | Yes | 0 | 4 | 5 |
| 88 | B:B:L252 | B:B:Y264 | 15.6639 | 7.03 | No | Yes | 0 | 7 | 5 |
| 89 | B:B:F278 | B:B:L252 | 14.9531 | 3.65 | Yes | No | 0 | 7 | 7 |
| 90 | B:B:L285 | B:B:Y264 | 17.8009 | 3.52 | Yes | Yes | 0 | 6 | 5 |
| 91 | B:B:F278 | B:B:L285 | 14.9574 | 7.31 | Yes | Yes | 0 | 7 | 6 |
| 92 | B:B:F235 | B:B:F278 | 14.2521 | 9.65 | Yes | Yes | 12 | 6 | 7 |
| 93 | B:B:F278 | B:B:P236 | 11.3916 | 4.33 | Yes | Yes | 12 | 7 | 7 |
| 94 | G:G:H44 | G:G:Y40 | 17.7991 | 13.07 | No | Yes | 0 | 6 | 6 |
| 95 | R:R:R131 | R:R:Y218 | 27.7011 | 5.14 | Yes | Yes | 0 | 9 | 9 |
| 96 | R:R:I214 | R:R:Y218 | 24.0478 | 3.63 | Yes | Yes | 1 | 7 | 9 |
| 97 | R:R:F254 | R:R:I214 | 23.9835 | 7.54 | Yes | Yes | 1 | 9 | 7 |
| 98 | R:R:F254 | R:R:F258 | 20.8652 | 8.57 | Yes | Yes | 1 | 9 | 9 |
| 99 | R:R:F258 | R:R:L117 | 20.3707 | 9.74 | Yes | No | 0 | 9 | 7 |
| 100 | R:R:F261 | R:R:L117 | 20.2789 | 3.65 | Yes | No | 0 | 7 | 7 |
| 101 | R:R:F261 | R:R:Y288 | 12.6601 | 4.13 | Yes | Yes | 0 | 7 | 5 |
| 102 | R:R:F113 | R:R:Y82 | 10.4582 | 12.38 | Yes | Yes | 1 | 6 | 7 |
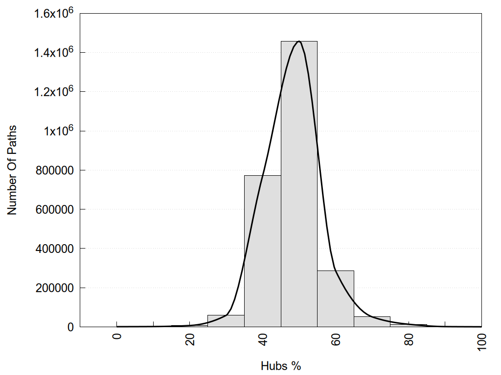
2D representation of the global metapath, ligand(s) interactions and
histograms of path distribution according to several parameters
(click on the image to enlarge it 🔍):

A 2D representation of the global communication in the network.
ConSurf Conservation Grade (See documentation):
n/a 1 2 3 4 5 6 7 8 9
there is no ligand in network 9K25 |
|
|
|
| Annotation | Type | Links |
|---|---|---|
| Gene Ontology | Molecular Function | |
| Gene Ontology | Biological Process | |
| Gene Ontology | Cellular Component | |
| SCOP2 | Domain Identifier | |
| SCOP2 | Family Identifier | |
| Membrane Protein Annotations | - | • Orientations of Proteins in Membranes database (OPM) • Protein Data Bank of Transmembrane Proteins (PDBTM) • MemProtMD |
| This receptor, from the same or other species and bound to the same or other ligands, is also present in the following networks: | ||||||||||||
|---|---|---|---|---|---|---|---|---|---|---|---|---|
| Show | PDB | Class | SubFamily | Type | SubType | Species | Orthosteric Ligand | Other Ligand(s) | Protein Partners | Resolution | Date | DOI |
| 9K0X | A | Nucleotide | P2Y | P2Y2 | Homo sapiens | ATP | - | chim(NtGi1-Gs-CtGq)/β1/γ2 | 2.83 | 2025-06-11 | doi.org/10.1038/s41421-025-00797-x | |
| 9K0X (No Gprot) | A | Nucleotide | P2Y | P2Y2 | Homo sapiens | ATP | - | 2.83 | 2025-06-11 | doi.org/10.1038/s41421-025-00797-x | ||
| 9K20 | A | Nucleotide | P2Y | P2Y2 | Homo sapiens | ATP | - | chim(NtGi1-Go)/β1/γ2 | 2.65 | 2025-06-11 | doi.org/10.1038/s41421-025-00797-x | |
| 9K20 (No Gprot) | A | Nucleotide | P2Y | P2Y2 | Homo sapiens | ATP | - | 2.65 | 2025-06-11 | doi.org/10.1038/s41421-025-00797-x | ||
| 9K25 (No Gprot) | A | Nucleotide | P2Y | P2Y2 | Homo sapiens | - | - | 3.31 | 2025-06-11 | doi.org/10.1038/s41421-025-00797-x | ||
You can download a compressed (zip) file with structure(s), 3D outputs (as PyMol and VMD scripts) and numerical data files (as csv and plain text files).
Download 9K25.zipYou can click to copy the link of this page to easily come back here later
or use this QR code to link and share this page.
You can also read or download a guide explaining the meaning of all files and numerical data.