Color ConSurf Grade
      No Conservation data available
      1
      2
      3
      4
      5
      6
      7
      8
      9

Index: hub id, click on each number to highlight the corresponding hub in the 3D visualization.

Hub: the hub being considered.

Avg Int. Strength: the average interaction strength of all the links of the corresponding hub.

Num Of Links: the number of links of the corresponding hub.

Community: the id of the community the link belong to, otherwise 0.

ConSurf: this column reports the ConSurf conservation grades of each hub.

Index Hub Avg Int. Strength Num Of Links Community ConSurf
1A:A:I26 4.0875409
2A:A:L45 6.615428
3A:A:L46 5.9125448
4A:A:N50 6.3075426
5A:A:K53 7.9429
6A:A:I56 3.506527
7A:A:M60 3.04833609
8A:A:T210 4.4075407
9A:A:V214 5.68496
10A:A:V217 3.69495
11A:A:F219 6.47798
12A:A:M221 4.325408
13A:A:F222 9.995447
14A:A:Q227 6.56333649
15A:A:K233 6.315649
16A:A:W234 6.72833649
17A:A:F238 8.852549
18A:A:I244 4.0275448
19A:A:F246 4.4275409
20A:A:V247 3.8575427
21A:A:D249 12.5725428
22A:A:S251 3.375429
23A:A:Y253 3.8408
24A:A:D272 4.5675408
25A:A:F273 5.4375409
26A:A:W277 11.465156
27A:A:W281 9.475105
28A:A:I285 2.595407
29A:A:I288 4.025429
30A:A:F290 5.955629
31A:A:N292 4.318529
32A:A:K293 8.075429
33A:A:L297 4.085408
34A:A:F312 3.488588
35A:A:Y318 5.998586
36A:A:K338 9.045485
37A:A:Y339 6.615483
38A:A:F340 6.956587
39A:A:R342 7.42584
40A:A:F345 7.825408
41A:A:G353 3.74754154
42A:A:Y358 6.5775404
43A:A:Y360 7.14833628
44A:A:F363 9.6525485
45A:A:T364 6.188529
46A:A:N371 6.9375429
47A:A:I375 3.79429
48A:A:F376 6.72798
49A:A:K380 5.825497
50A:A:I383 3.385408
51A:A:Y391 7.51667614
52B:B:L14 5.5225408
53B:B:I18 3.505407
54B:B:V40 3.90254193
55B:B:M45 3.696114
56B:B:R49 12.262537
57B:B:H54 7.53839
58B:B:K57 12.0865109
59B:B:I58 4.182539
60B:B:W63 8.394537
61B:B:Q75 9.4754109
62B:B:D76 6.80333639
63B:B:K78 4.15538
64B:B:L79 5.47754127
65B:B:I80 7.958538
66B:B:I81 5.944127
67B:B:W82 9.64875839
68B:B:D83 8.6554178
69B:B:N88 5.74254177
70B:B:K89 5.974539
71B:B:H91 6.7325405
72B:B:I93 4.6625407
73B:B:L95 5.374128
74B:B:W99 9.148549
75B:B:Y105 5.11258126
76B:B:Y111 7.3325404
77B:B:L117 4.314549
78B:B:Y124 5.485126
79B:B:L126 4.1854125
80B:B:V133 4.035404
81B:B:H142 6.718336139
82B:B:Y145 7.39571748
83B:B:C149 4.6725408
84B:B:F151 4.65333609
85B:B:L152 3.14754213
86B:B:I157 5.04407
87B:B:V158 3.2175405
88B:B:T159 5.44254139
89B:B:C166 4.076568
90B:B:W169 8.587147138
91B:B:Q176 7.8354134
92B:B:F180 9.025467
93B:B:H183 10.345469
94B:B:D186 9.2725449
95B:B:V187 4.55469
96B:B:F199 6.924569
97B:B:V200 6.8575456
98B:B:C204 4.714547
99B:B:D205 6.6775469
100B:B:S207 4.1725465
101B:B:K209 9.554566
102B:B:L210 4.1775405
103B:B:W211 8.48668
104B:B:D212 9.114169
105B:B:F222 8.6725458
106B:B:H225 9.48167659
107B:B:D228 8.922549
108B:B:I232 5.0225458
109B:B:F234 6.0625405
110B:B:F235 5.99429776
111B:B:P236 6.0025477
112B:B:F241 6.98556
113B:B:T243 6.3525458
114B:B:D246 7.88449
115B:B:D247 6.898559
116B:B:R251 9.958558
117B:B:F253 6.02429756
118B:B:D254 4.9075409
119B:B:R256 7.5625409
120B:B:M262 7.41574
121B:B:Y264 8.092575
122B:B:C271 3.0525405
123B:B:F278 6.5725477
124B:B:L285 5.555476
125B:B:Y289 7.31577
126B:B:N295 6.605476
127B:B:V296 3.58405
128B:B:W297 4.896578
129B:B:D298 7.794199
130B:B:L300 3.695406
131B:B:R304 5.51475
132B:B:R314 12.7465108
133B:B:T321 6.2475437
134B:B:V327 3.64116
135B:B:W332 10.43147109
136B:B:D333 7.835439
137B:B:L336 6.496537
138B:B:W339 6.974297119
139G:G:Y40 10.0075476
140G:G:D48 4.9845119
141L:L:?1 10.50171210
142R:R:F27 8.38571712
143R:R:E29 6.5125412
144R:R:K32 5.662513
145R:R:Y40 4.476518
146R:R:L46 2.71406
147R:R:Y71 6.314507
148R:R:F73 4.36167606
149R:R:H74 6.8025149
150R:R:D79 6.28409
151R:R:Y82 7.81667607
152R:R:L86 5.16408
153R:R:L89 4.7325406
154R:R:Y92 7.695416
155R:R:Y93 5.31286716
156R:R:H98 8.4325405
157R:R:W99 8.285618
158R:R:F101 4.6475417
159R:R:R110 10.5375406
160R:R:Y114 6.796515
161R:R:T115 4.1825405
162R:R:Y118 7.25417
163R:R:L124 6.1275418
164R:R:T125 4.425417
165R:R:H130 8.594508
166R:R:R131 8.0525419
167R:R:P138 5.2425497
168R:R:L139 4.63695
169R:R:R140 7.0875494
170R:R:R146 7.59754237
171R:R:W158 74149
172R:R:Q165 4.582517
173R:R:F171 6.60667615
174R:R:C183 8.82419
175R:R:D185 10.435414
176R:R:T186 9.1075413
177R:R:S187 3.82415
178R:R:R194 5.6414
179R:R:F195 6.378512
180R:R:Y198 8.372514
181R:R:F207 10.9625418
182R:R:P210 3.8625409
183R:R:F211 5.076516
184R:R:F254 5.984519
185R:R:F258 8.95519
186R:R:L259 4.305416
187R:R:H262 11.572518
188R:R:Y268 8.06875814
189R:R:Y269 8.506515
190R:R:F271 4.0275403
191R:R:R272 13.71413
192R:R:Y288 7.66833615
193R:R:K289 6.81143715
194R:R:R292 7.915616
195R:R:S296 5.0975407
196R:R:N302 7.1525419
197R:R:L305 2.98408
198R:R:Y306 5.48419
199R:R:F307 6.0785227
   

Color ConSurf Grade
      No Conservation data available
      1
      2
      3
      4
      5
      6
      7
      8
      9

Index: link id, click on each number to highlight the corresponding link in the 3D visualization.

Node1 Node2: the two nodes of the corresponding link.

Recurrence: the relative Recurrence in the pool of shortest paths.

Int. Strength: the interaction strength between the two nodes.

Hub1?, Hub2?: "Yes" if the corresponding node has more than 3 links, otherwise "No".

Community: the id of the community the link belong to, otherwise 0.

ConSurf1, ConSurf2: these columns report the ConSurf conservation grades of the two nodes involved in a link.

Index Node1 Node2 Recurrence Int. Strength Hub1? Hub2? Community ConSurf1 ConSurf2
1A:A:I26 A:A:R22 36.69017.52YesNo095
2A:A:R22 B:B:H91 36.60177.9NoYes055
3A:A:L30 B:B:K78 35.36754.23NoYes058
4A:A:I26 A:A:L30 35.28012.85YesNo095
5B:B:D76 B:B:K78 37.06834.15YesYes398
6A:A:Y37 B:B:D76 39.38034.6NoYes349
7A:A:R42 A:A:Y37 39.857721.61NoNo094
8A:A:F212 A:A:F219 97.973712.86NoYes098
9A:A:F212 A:A:M60 97.94734.98NoYes099
10A:A:I56 A:A:M60 98.16922.92YesYes079
11A:A:I56 A:A:N292 97.42444.25YesYes279
12A:A:K293 A:A:N292 99.08415.6YesYes299
13A:A:K293 A:A:S251 98.60443.06YesYes299
14A:A:L297 A:A:S251 98.8413YesYes089
15A:A:L297 A:A:Q294 98.40515.32YesNo086
16A:A:F363 A:A:Q294 96.6338.2YesNo856
17A:A:F363 A:A:R342 95.09467.48YesYes854
18A:A:P361 A:A:R342 94.26275.76NoYes854
19A:A:L289 A:A:P361 94.293.28NoNo095
20A:A:F246 A:A:L289 93.80393.65YesNo099
21A:A:F246 A:A:L46 73.06074.87YesYes098
22A:A:L44 A:A:L46 37.841711.07NoYes498
23A:A:F238 A:A:L44 38.179220.7YesNo499
24A:A:F222 A:A:F238 38.09224.29YesYes479
25A:A:F222 A:A:R42 40.08435.34YesNo079
26A:A:F219 A:A:H41 40.19217.92YesNo086
27A:A:H41 A:A:T242 20.04058.21NoNo068
28A:A:C379 A:A:F219 20.07324.19NoYes088
29A:A:C379 A:A:T242 20.04035.07NoNo088
30A:A:H41 R:R:L139 20.13479NoYes065
31A:A:F219 A:A:V217 20.30813.93YesYes985
32A:A:V217 R:R:L139 20.17852.98YesYes955
33A:A:F219 A:A:F376 20.49587.5YesYes988
34A:A:F376 R:R:L139 20.20643.65YesYes985
35A:A:R231 A:A:W234 43.02017NoYes099
36A:A:W234 B:B:Y145 23.47598.68YesYes498
37A:A:D272 A:A:R231 21.56699.53YesNo089
38A:A:I383 A:A:T242 40.00033.04YesNo088
39A:A:I383 R:R:L139 60.1514.28YesYes085
40A:A:I285 A:A:L282 15.74682.85YesNo079
41A:A:N279 A:A:W281 15.41653.39NoYes085
42A:A:L282 A:A:N279 15.539.61NoNo098
43A:A:W281 B:B:D290 10.30614.52YesNo1056
44A:A:I383 A:A:N387 1002.83YesNo088
45A:A:N387 A:A:Y391 91.758410.47NoYes184
46A:A:Y391 R:R:R131 85.934810.29YesYes149
47B:B:H91 B:B:I81 34.4077.95YesYes057
48B:B:I81 B:B:Y105 33.70958.46YesYes1276
49B:B:H62 B:B:Y105 33.75654.36NoYes066
50B:B:H62 B:B:R150 33.664718.05NoNo066
51B:B:C148 B:B:R150 16.88984.18NoNo066
52B:B:C148 B:B:L190 16.79256.35NoNo065
53B:B:L190 B:B:V158 15.35792.98NoYes055
54B:B:F199 B:B:V158 29.98393.93YesYes095
55B:B:F199 B:B:W211 29.173311.02YesYes698
56B:B:K209 B:B:W211 28.5966.96YesYes668
57B:B:K209 B:B:T221 28.00219.01YesNo667
58B:B:T221 G:G:E22 27.8315.64NoNo079
59G:G:E22 G:G:M21 27.01782.71NoNo091
60B:B:M217 G:G:M21 26.81434.33NoNo031
61B:B:E215 B:B:M217 26.61082.71NoNo033
62B:B:D212 B:B:E215 13.307516.89YesNo1693
63B:B:D212 B:B:L198 12.89594.07YesNo1693
64B:B:L198 B:B:L210 25.37584.15NoYes035
65B:B:L210 B:B:Q220 10.82075.32YesNo057
66B:B:L192 B:B:R150 16.68383.64NoNo056
67B:B:L152 B:B:L192 16.48354.15YesNo2135
68B:B:L152 B:B:V158 15.39862.98YesYes035
69B:B:E215 B:B:R219 13.09963.49NoNo1635
70B:B:L198 B:B:R219 12.89387.29NoNo1635
71B:B:C271 B:B:D290 12.67553.11YesNo056
72B:B:C271 B:B:Y289 12.20854.03YesYes057
73B:B:L117 B:B:M101 21.87432.83YesNo099
74B:B:G116 B:B:M101 40.81973.49NoNo099
75B:B:G115 B:B:G116 40.47472.11NoNo099
76B:B:G115 B:B:L146 40.12973.42NoNo097
77B:B:L146 B:B:T159 24.77814.42NoYes1379
78B:B:C149 B:B:T159 12.21693.38YesYes089
79B:B:H142 B:B:L146 15.00653.86YesNo1397
80B:B:H142 B:B:W169 12.2176.35YesYes1398
81B:B:I157 B:B:W169 22.34873.52YesYes078
82B:B:F151 B:B:I157 17.80888.79YesYes097
83B:B:T159 B:B:W169 12.21658.49YesYes1398
84B:B:C149 B:B:I157 11.17254.91YesYes087
85B:B:F151 B:B:I123 11.52573.77YesNo096
86B:B:I123 B:B:Y111 20.95413.63NoYes064
87B:B:I157 B:B:I171 14.66612.94YesNo076
88B:B:I123 B:B:I171 11.52465.89NoNo066
89B:B:L210 B:B:V200 13.73324.47YesYes056
90R:R:R131 R:R:Y306 78.88276.17YesYes199
91R:R:L124 R:R:Y306 76.49665.86YesYes189
92R:R:F254 R:R:L124 45.62814.87YesYes198
93R:R:F254 R:R:F258 43.36288.57YesYes199
94R:R:F258 R:R:H262 42.96193.39YesYes198
95R:R:H262 R:R:Y118 14.84657.62YesYes187
96R:R:F261 R:R:H262 27.036612.44NoYes078
97R:R:F261 R:R:Y288 26.56698.25NoYes075
98R:R:Y268 R:R:Y288 10.575.96YesYes145
99R:R:L124 R:R:N302 30.44918.24YesYes189
100R:R:D79 R:R:N302 29.76688.08YesYes099
101R:R:D79 R:R:S299 28.9925.89YesNo098
102R:R:S299 R:R:Y82 28.7658.9NoYes087
103R:R:Y40 R:R:Y93 11.08994.96YesYes186
104R:R:Y92 R:R:Y93 12.96786.95YesYes166
105R:R:W99 R:R:Y92 10.08927.72YesYes186
106R:R:F101 R:R:W99 14.374711.02YesYes178
107R:R:F101 R:R:P100 11.50112.89YesNo073
108R:R:H98 R:R:P100 10.063718.3YesNo053
109A:A:I244 A:A:L46 13.83762.85YesYes488
110A:A:L46 A:A:R231 21.62424.86YesNo089
111A:A:D272 A:A:F246 21.72265.97YesYes089
112A:A:W234 B:B:L117 19.49725.69YesYes499
113A:A:I244 A:A:I285 13.89642.94YesYes087
114B:B:M101 B:B:Y145 19.30254.79NoYes098
Download PSN data

2D representation of the global metapath, ligand(s) interactions and
histograms of path distribution according to several parameters
(click on the image to enlarge it 🔍):

A 2D representation of the global communication in the network.

ConSurf Conservation Grade (See documentation): 

 n/a   1    2    3    4    5    6    7    8    9  

Number of shortest communication paths as a function of the average residue correlation.

Number of shortest communication paths as a function of the average interaction strength of their links.

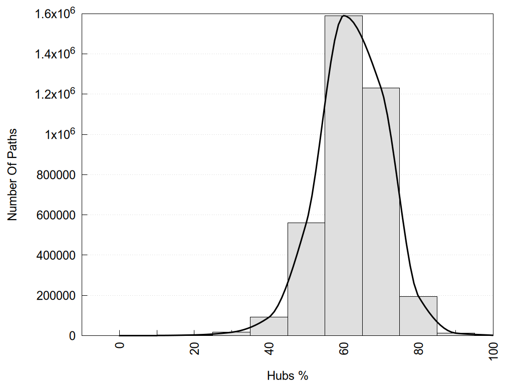
Number of shortest communication paths as a function of the % of hub nodes in each path.

Number of shortest communication paths as a function of the number of nodes in each path.

Number of shortest communication paths as a function of the % of correlated nodes in each path.


2D representation of the interactions of this orthosteric/allosteric ligand.


Links and nodes colored according to ConSurf Conservation Grade (See documentation): 

 n/a   1    2    3    4    5    6    7    8    9  

Node1 Node2 LinkStrength Comm IsNode1Hub? IsNode2Hub? Node1Cons Node2Cons Node1Shell Node2Shell
L:L:?1 R:R:Y23 32.33 1 Yes No 0 6 0 1
L:L:?1 R:R:F27 20.83 1 Yes Yes 0 2 0 1
L:L:?1 R:R:E29 8.04 1 Yes Yes 0 2 0 1
L:L:?1 R:R:K32 3.89 1 Yes Yes 0 3 0 1
L:L:?1 R:R:Y93 3.23 1 Yes Yes 0 6 0 1
L:L:?1 R:R:H184 3.55 1 Yes No 0 4 0 1
L:L:?1 R:R:D185 7.49 1 Yes Yes 0 4 0 1
L:L:?1 R:R:T186 12.2 1 Yes Yes 0 3 0 1
L:L:?1 R:R:Y268 6.47 1 Yes Yes 0 4 0 1
L:L:?1 R:R:R272 10.05 1 Yes Yes 0 3 0 1
L:L:?1 R:R:K289 8.56 1 Yes Yes 0 5 0 1
L:L:?1 R:R:R292 9.38 1 Yes Yes 0 6 0 1
R:R:E29 R:R:F27 4.66 1 Yes Yes 2 2 1 1
R:R:F27 R:R:Y268 6.19 1 Yes Yes 2 4 1 1
R:R:F27 R:R:L281 7.31 1 Yes No 2 1 1 2
R:R:F27 R:R:N285 14.5 1 Yes No 2 3 1 2
R:R:E29 R:R:K32 9.45 1 Yes Yes 2 3 1 1
R:R:D97 R:R:E29 3.9 0 No Yes 4 2 2 1
R:R:F31 R:R:K289 4.96 0 No Yes 5 5 2 1
R:R:K32 R:R:L36 5.64 1 Yes No 3 5 1 2
R:R:K32 R:R:Y93 3.58 1 Yes Yes 3 6 1 1
R:R:K289 R:R:K32 5.75 1 Yes Yes 5 3 1 1
R:R:L36 R:R:Y93 10.55 1 No Yes 5 6 2 1
R:R:Y40 R:R:Y93 4.96 1 Yes Yes 8 6 2 1
R:R:R292 R:R:Y40 4.12 1 Yes Yes 6 8 1 2
R:R:Y92 R:R:Y93 6.95 1 Yes Yes 6 6 2 1
R:R:D97 R:R:Y92 8.05 0 No Yes 4 6 2 2
R:R:R292 R:R:Y93 5.14 1 Yes Yes 6 6 1 1
R:R:D185 R:R:R110 21.44 1 Yes Yes 4 6 1 2
R:R:D185 R:R:Y114 8.05 1 Yes Yes 4 5 1 2
R:R:H184 R:R:T182 4.11 0 No No 4 4 1 2
R:R:D185 R:R:R292 4.76 1 Yes Yes 4 6 1 1
R:R:F195 R:R:T186 3.89 1 Yes Yes 2 3 2 1
R:R:T186 R:R:Y269 9.99 1 Yes Yes 3 5 1 2
R:R:R272 R:R:T186 10.35 1 Yes Yes 3 3 1 1
R:R:F192 R:R:R272 12.83 0 No Yes 2 3 2 1
R:R:F195 R:R:Y269 7.22 1 Yes Yes 2 5 2 2
R:R:Y268 R:R:Y269 2.98 1 Yes Yes 4 5 1 2
R:R:R272 R:R:Y268 21.61 1 Yes Yes 3 4 1 1
R:R:I284 R:R:Y268 8.46 0 No Yes 5 4 2 1
R:R:N285 R:R:Y268 9.3 1 No Yes 3 4 2 1
R:R:Y268 R:R:Y288 5.96 1 Yes Yes 4 5 1 2
R:R:K289 R:R:Y268 3.58 1 Yes Yes 5 4 1 1
R:R:I284 R:R:L281 2.85 0 No No 5 1 2 2
R:R:K289 R:R:N285 12.59 1 Yes No 5 3 1 2
R:R:K289 R:R:Y288 3.58 1 Yes Yes 5 5 1 2
R:R:R292 R:R:Y288 15.43 1 Yes Yes 6 5 1 2
R:R:K289 R:R:R292 8.66 1 Yes Yes 5 6 1 1
R:R:C25 R:R:F27 2.79 0 No Yes 9 2 2 1
R:R:H184 R:R:S175 2.79 0 No No 4 2 1 2
R:R:P37 R:R:Y93 2.78 0 No Yes 5 6 2 1
R:R:F27 R:R:N282 2.42 1 Yes No 2 3 1 2

Location and physicochemical properties of the interaction partners of this ligand

Interactions of this ligand

Similarities between the interactions of this ligand and those of other networks

ShowSimilarityNetwork TypeNameLigandDescription
100.00Single9K20ATP9K20-P2Y2-ATP-chim(NtGi1-Go)/β1/γ2
81.82Single9K0KUTP9K0K-P2Y4-UTP-chim(NtGi1-Gs-CtGq)/β1/γ2
57.14Single8ZPTPrRP208ZPT-PrRP-PrRP20-chim(NtGi1-Gs-CtGq)/β1/γ2
50.00Single8XWNCXCL88XWN-CXCR2-CXCL8
46.15Consensuscxcr1_onOrthosteric Ligand8IC0-CXCR1-Interleukin-8-Gi1/β1/γ2
44.44Single8XX6CXCL88XX6-CXCR2-CXCL8-Go/β1/γ2
43.75Single8FN1Neurotensin/Neuromedin-N8FN1-NTS1-Neurotensin/Neuromedin-N-chim(NtGi1-Go)/β1/γ2
43.75Single8WJXADP8WJX-P2Y1-ADP-chim(Gs-CtGq)/β1/γ2
42.86Single6U1NLY21196206U1N-M2-LY2119620-Arrestin2
42.86Single7T94LY21196207T94-M2-Acetylcholine-LY2119620-chim(NtGi1-Go)/β1/γ2
42.86Single7XXH2MeSADP7XXH-P2Y1-2MeSADP-chim(NtGi1-G11)/β1/γ2
42.86Single8JERAcipimox8JER-HCA2-Acipimox-Go/β1/γ2
42.86Consensusp2y1_on_gpOrthosteric Ligand7XXH-P2Y1-2MeSADP-chim(NtGi1-G11)/β1/γ2
41.18Single6OS2TRV0266OS2-AT1-TRV026
41.18Single8JPCNeurotensin-(8-13)8JPC-NTS1-Neurotensin-(8-13)-SBI-553; GDP; Mg-Gq; GRK2
40.00Single4QIMANTA XV4QIM-SMO-ANTA XV
40.00Single6XBM5LWE6XBM-SMO-5LWE-Gi1/β1/γ2
40.00Single7FIHOrg435537FIH-LH-hCG-Org43553-chim(NtGi1-Gs)/β1/γ2
40.00Single7TRQVU04671547TRQ-M4-Iperoxo-VU0467154-Gi1/β1/γ2
40.00Single7WQ3Galanin7WQ3-GAL1-Galanin-Gi1/β1/γ2
40.00Single8IC0Interleukin-88IC0-CXCR1-Interleukin-8-Gi1/β1/γ2
40.00Single8JHNMMF8JHN-HCA2-MMF-Go/β1/γ2
40.00Single8JIINiacin8JII-HCA2-Niacin-Compound 9n-Gi1/β1/γ2
40.00Consensuscxcr1_on_gpOrthosteric Ligand8IC0-CXCR1-Interleukin-8-Gi1/β1/γ2
40.00Consensusgal1_onOrthosteric Ligand7WQ3-GAL1-Galanin-Gi1/β1/γ2
40.00Consensusgal1_on_gpOrthosteric Ligand7WQ3-GAL1-Galanin-Gi1/β1/γ2
40.00Consensusgi_galaninOrthosteric Ligand7WQ3-GAL1-Galanin-Gi1/β1/γ2
38.89Single7EZCUKA7EZC-A2A-UKA
38.89Single8FN0Neurotensin/Neuromedin-N8FN0-NTS1-Neurotensin/Neuromedin-N-SBI-553-chim(NtGi1-Go)/β1/γ2
38.89Single8K4OCXCL18K4O-KSHV-CXCL1-Gi1/β1/γ1
38.89Consensuscck_onOrthosteric Ligandccka_on cckb_on
38.89Consensuscck_on_gpOrthosteric Ligandccka_on_gp cckb_on_gp
38.46Single4O9RCyclopamine4O9R-SMO-Cyclopamine
38.46Single5L7IVismodegib5L7I-SMO-Vismodegib
38.46Single7T96LY21196207T96-M2-Acetylcholine-LY2119620-Go/β1/γ2
38.46Single8ZX5AM2518ZX5-GPR55-AM251-chim(NtGi1-G13)/β1/γ2
38.46Single9E7RGB889E7R-PAR2-GB88-chim(NtGi1L-Gs-CtGq)/β1/γ2
38.46Single9LMPNE52-QQ579LMP-GPR4-NE52-QQ57
38.10Single9U4WGonadoliberin-19U4W-GnRH1-Gonadoliberin-1-chim(NtGi1L-Gs-CtGq)/β1/γ2
37.50Single4JKVTaladegib4JKV-SMO-Taladegib
37.50Single5N2RPSB-365N2R-A2A-PSB-36-Na
37.50Single6XBKCholesterol6XBK-SMO-Cholesterol-Gi1/β1/γ2
37.50Single8UUJFCH-22964138UUJ-HCA2-FCH-2296413-Gi1/β1/γ2
37.50Single8ZYTNeurotensin peptide 8-138ZYT-NTS1-Neurotensin peptide 8-13-SBI-553-Arrestin2
37.50Single9CIBFCH-22964139CIB-HCA2-FCH-2296413
36.84Single5WF6UK-4320975WF6-A2A-UK-432097
36.84Single7F8WGastrin-177F8W-CCKB-Gastrin-17-chim(NtGsL-Gq)/β1/γ2
36.84Single9EAJNanobody AT2099EAJ-AT1-Nanobody AT209
36.84Consensusgq_cckOrthosteric Ligand8IA7-CCKB-Cholecystokinin-8-chim(NtGi1L-Gq)/β1/γ2 7XOW-CCKB-Gastrin-chim(NtGi1-Gq)/β1/γ2 7EZM-CCKA-Cholecystokinin-8-chim(NtGsL-Gq)/β1/γ2 7F8W-CCKB-Gastrin-17-chim(NtGsL-Gq)/β1/γ2
35.71Single3PWHZM-2413853PWH-A2A-ZM-241385
35.71Single4MQTLY21196204MQT-M2-Iperoxo-LY2119620
35.71Single4QINSAG1.54QIN-SMO-SAG1.5
35.71Single5OLOTozadenant5OLO-A2A-Tozadenant-Na
35.71Single6LFOInterleukin-86LFO-CXCR2-Interleukin-8-Gi1/β1/γ2
35.71Single6O3CSAG21k6O3C-SMO-SAG21k-Cholesterol
35.71Single8H8JLodoxamide8H8J-GPR35-Lodoxamide-Ca-chim(NtGi1L-G13)/β1/γ2
35.71Single8J6LNiacin8J6L-HCA2-Niacin-Gi1/β1/γ2
35.71Single8YYWAlpha-ketoglutarate8YYW-Oxoglutarate-α-ketoglutarate-α-ketoglutarate-chim(Gi1-CtGq)/β1/γ2
35.71Consensusp2y1_onOrthosteric Ligand7XXH-P2Y1-2MeSADP-chim(NtGi1-G11)/β1/γ2
35.29Single5V56TC1145V56-SMO-TC114
35.29Single5V57TC1145V57-SMO-TC114
35.29Single7PX4PSB-21137PX4-A2A-PSB-2113
35.29Single7T9NDPPC7T9N-TSH-M22 Fab-DPPC-Gs/β1/γ2
35.29Single7XBDGalanin7XBD-GAL2-Galanin-chim(NtGi2L-Gs-CtGq)/β1/γ2
35.29Single8IHBGSK2560738IHB-HCA2-GSK256073-Gi1/β1/γ2
35.29Single8IHHLUF62838IHH-HCA2-LUF6283-Gi1/β1/γ2
35.29Single9ASTLymphotactin9AST-XCR1-Lymphotactin-Gi1/β1/γ2
35.29Consensusmotilin_onOrthosteric Ligand8IBU-Motilin-Erythromycin-A-chim(NtGi1-Gs-CtGq)/β1/γ2
35.00Single7F8XNN90567F8X-CCKA-NN9056
35.00Single7L0RNeurotensin7L0R-NTS1-Neurotensin-Gi1/β1/γ1
35.00Single7W0PElabela7W0P-Apelin-Elabela-Gi1/β1/γ2
35.00Single8K3ZCXCL128K3Z-CXCR4-CXCL12-Gi1/β1/γ1
35.00Consensusclass-a_on_gpOrthosteric Ligandsensory_on_gp alicarboxylic_on_gp amine_on_gp lipid_on_gp nucleotide_on_gp peptide_on_gp protein_on_gp
35.00Consensuscxcr4_onOrthosteric Ligand8K3Z-CXCR4-CXCL12-Gi1/β1/γ1
35.00Consensusp2y_onOrthosteric Ligandp2y1_on p2y10_on p2y12_on
34.78Single7Y64C5a anaphylatoxin7Y64-C5a1-C5a anaphylatoxin-Gi1/β1/γ2
34.78Single8ZPSPrRP208ZPS-PrRP-PrRP20-chim(NtGi1-Gs-CtGq)/β1/γ2
34.78Consensuschemokine_on_gpOrthosteric Ligandccr_on_gp cxcr_on_gp
33.33Single3QAKUK-4320973QAK-A2A-UK-432097
33.33Single4XEENeurotensin4XEE-NTS1-Neurotensin
33.33Single4XESNeurotensin4XES-NTS1-Neurotensin
33.33Single5IU4ZM-2413855IU4-A2A-ZM-241385-Na
33.33Single5IUBQ274563445IUB-A2A-Q27456344-Na
33.33Single5K2CZM-2413855K2C-A2A-ZM-241385-Na
33.33Single5NM4ZM-2413855NM4-A2A-ZM-241385-Na
33.33Single5UIW5P7-CCL55UIW-CCR5-5P7-CCL5
33.33Single6DO1Angiotensin-like peptide S1I86DO1-AT1-Angiotensin-like peptide S1I8
33.33Single6OS0Angiotensinogen6OS0-AT1-Angiotensinogen
33.33Single6OSAJMV4496OSA-NTS1-JMV449-Gi1/β1/γ2
33.33Single6XBLSAG6XBL-SMO-SAG-Cholesterol-Gi1/β1/γ2
33.33Single6YVRNTS8-136YVR-NTS1-NTS8-13
33.33Single7BB6AVP7BB6-V2-AVP-Gs/β1/γ2
33.33Single7C6A(Sar1,Ile8)-Angiotensin II7C6A-AT2-(Sar1,Ile8)-Angiotensin II
33.33Single7F1QMIP-1a7F1Q-CCR5-MIP-1a-Gi1/β1/γ2
33.33Single7RKMFractalkine7RKM-US28-Fractalkine-Gi1/β1/γ2
33.33Single7SK5CXCL127SK5-ACKR3-CXCL12
33.33Single7T32ZM-2413857T32-A2A-ZM-241385
33.33Single7UTZDPPC7UTZ-TSH-TR1402-DPPC-Gs/β1/γ2
33.33Single7W0NElabela7W0N-Apelin-Elabela-Gi1/β1/γ2
33.33Single7XNACYN1548067XNA-SST2-CYN154806
33.33Single7XW5ML1097XW5-TSH-TSH-ML109-Gs/β1/γ2
33.33Single7ZI0SAG7ZI0-SMO-SAG-Cholesterol
33.33Single8HK2C3a anaphylatoxin8HK2-C3aB-C3a anaphylatoxin-Gi1/β1/γ2
33.33Single8IBUErythromycin-A8IBU-Motilin-Erythromycin-A-chim(NtGi1-Gs-CtGq)/β1/γ2
33.33Single8IY9Niacin8IY9-HCA2-Niacin-Go/β1/γ2
33.33Single8IYWGSK2560738IYW-HCA2-GSK256073-Go/β1/γ2
33.33Single8JIMMMF8JIM-HCA2-MMF-Gi1/β1/γ2
33.33Single8JZZC5a-desArg8JZZ-C5a1-C5a-desArg-Go/β1/γ2
33.33Single8K5CAcipimox8K5C-HCA2-Acipimox
33.33Single8RWIStilSwitch28RWI-A2A-StilSwitch2-Na
33.33Single8WSSPro-MCH8WSS-MCH1-Pro-MCH-Gi1/β1/γ1
33.33Single9IQSMuscarinic toxin 39IQS-M4-Muscarinic toxin 3
33.33Single9JFUNE52-QQ579JFU-GPR4-NE52-QQ57
33.33Consensusccr5_offOrthosteric Ligand5UIW-CCR5-5P7-CCL5
33.33Consensusccr_offOrthosteric Ligandccr2_off ccr5_off
33.33Consensuscompl-peptide_onOrthosteric Ligandc5a1_on c3a_on
33.33Consensuscxcr2_onOrthosteric Ligand6LFM-CXCR2-Interleukin-8-Gi1/β1/γ2
33.33Consensuscxcr_onOrthosteric Ligandcxcr3_on cxcr4_on cxcr1_on cxcr2_on
33.33Consensusgalanin_onOrthosteric Ligandgal2_on gal1_on
33.33Consensusgalanin_on_gpOrthosteric Ligandgal2_on_gp gal1_on_gp
33.33Consensusgi_cckOrthosteric Ligand7EZH-CCKA-Cholecystokinin-8-Gi1/β1/γ2 7F8V-CCKB-Gastrin-17-Gi2/β1/γ2
33.33Consensusgi_neurotensinOrthosteric Ligand6OSA-NTS1-JMV449-Gi1/β1/γ2 7L0S-NTS1-Neurotensin-Gi1/β1/γ1
33.33Consensusgi_peptideOrthosteric Ligandgi_cck gi_apelin gi_compl-pept gi_endothelin gi_formylpeptide gi_galanin gi_ghrelin gi_npy gi_neurotensin gi_opioid gi_orexin gi_relaxin gi_somatostatin
33.33Consensushca_onOrthosteric Ligandhca2_on
33.33Consensusmotilin_on_gpOrthosteric Ligand8IBU-Motilin-Erythromycin-A-chim(NtGi1-Gs-CtGq)/β1/γ2
33.33Consensusneurotensin_on_gpOrthosteric Ligandnts1_on_gp
33.33Consensusnts1_on_gpOrthosteric Ligand6OSA-NTS1-JMV449-Gi1/β1/γ2 7L0S-NTS1-Neurotensin-Gi1/β1/γ1
33.33Consensusnucleotide_offOrthosteric Ligandadenosine_off p2y_off
33.33Consensussst2_offOrthosteric Ligand7XNA-SST2-CYN154806
32.14Consensusgs_peptideOrthosteric Ligandgs_cck gs_melanocortin gs_vasop-oxy
32.00Single7YOONeuropeptide-Y7YOO-Y2-Neuropeptide-Y-Gi1/β1/γ2
32.00Consensusgq_peptideOrthosteric Ligandgq_cck gq_kisspeptin gq_bradykinin gq_bombesin gq_angiotensin
32.00Consensusnpy2_onOrthosteric Ligand7YOO-Y2-Neuropeptide-Y-Gi1/β1/γ2
32.00Consensusnpy2_on_gpOrthosteric Ligand7YOO-Y2-Neuropeptide-Y-Gi1/β1/γ2
32.00Consensuspeptide_onOrthosteric Ligandcck_on angiotensin_on apelin_on bombesin_on bradykinin_on compl-peptide_on endothelin_on formylpeptide_on galanin_on ghrelin_on kisspeptin_on melanocortin_on motilin_on neuromedin-u_on npy_on neurotensin_on opioid_on orexin_on relaxin_on somatostatin_on tachykinin_on trh_on vasop-oxy_on
32.00Consensuspeptide_on_gpOrthosteric Ligandcck_on_gp angiotensin_on_gp apelin_on_gp bombesin_on_gp bradykinin_on_gp compl-peptide_on_gp endothelin_on_gp formylpeptide_on_gp galanin_on_gp ghrelin_on_gp kisspeptin_on_gp melanocortin_on_gp motilin_on_gp neuromedin-u_on_gp npy_on_gp neurotensin_on_gp opioid_on_gp orexin_on_gp relaxin_on_gp somatostatin_on_gp tachykinin_on_gp trh_on_gp vasop-oxy_on_gp
31.82Single3OE0CVX153OE0-CXCR4-CVX15
31.82Single5WF5UK-4320975WF5-A2A-UK-432097
31.82Single6MEOEnvelope Glycoprotein Gp160; T-Cell Surface Glycoprotein Cd46MEO-CCR5-Envelope Glycoprotein Gp160; T-Cell Surface Glycoprotein Cd4
31.82Single7XA3CCL27XA3-CCR2-CCL2-Gi1/β1/γ2
31.82Single8K6NPro-neuropeptide-Y8K6N-Y2-Pro-neuropeptide-Y-Gi2/β1/γ1
31.82Single9K27PrRP319K27-PrRP-PrRP31-chim(NtGi1-Gq)/β1/γ2
31.82Consensusangiotensin_onOrthosteric Ligandat1_on
31.82Consensusat1_onOrthosteric Ligand7F6G-AT1-SAR1-AngII-Gq/β1/γ2
31.82Consensusccr2_onOrthosteric Ligand7XA3-CCR2-CCL2-Gi1/β1/γ2
31.82Consensusccr2_on_gpOrthosteric Ligand7XA3-CCR2-CCL2-Gi1/β1/γ2
31.82Consensusccr_onOrthosteric Ligandccr6_on ccr8_on ccr2_on ccr1_on ccr5_on
31.82Consensuscompl-peptide_on_gpOrthosteric Ligandc5a1_on_gp c3a_on_gp
31.82Consensuscxcr4_on_gpOrthosteric Ligand8K3Z-CXCR4-CXCL12-Gi1/β1/γ1
31.58Single4BUONeurotensin4BUO-NTS1-Neurotensin
31.58Single4RWSvMIP-II4RWS-CXCR4-vMIP-II
31.58Single6UP7Neurotensin6UP7-NTS1-Neurotensin-Arrestin2
31.58Single7EZHCholecystokinin-87EZH-CCKA-Cholecystokinin-8-Gi1/β1/γ2
31.58Single7EZMCholecystokinin-87EZM-CCKA-Cholecystokinin-8-chim(NtGsL-Gq)/β1/γ2
31.58Single7X8RBOC57X8R-GLP-1-BOC5-Gs/β1/γ2
31.58Single8HN1Toxin AdTx18HN1-Alpha1A-Toxin AdTx1
31.58Single8XVUCXCL28XVU-CXCR2-CXCL2
31.58Single8XWFCXCL38XWF-CXCR2-CXCL3
31.58Single8XXHCXCL28XXH-CXCR2-CXCL2-Go/β1/γ2
31.58Consensusccka_onOrthosteric Ligand7EZH-CCKA-Cholecystokinin-8-Gi1/β1/γ2
31.58Consensusccka_on_gpOrthosteric Ligand7EZH-CCKA-Cholecystokinin-8-Gi1/β1/γ2
31.58Consensusclass-a_onOrthosteric Ligandsensory_on alicarboxylic_on amine_on lipid_on nucleotide_on peptide_on protein_on
31.58Consensusprostanoid_offOrthosteric Ligandep_off dp_off
31.25Single4EIYZM-2413854EIY-A2A-ZM-241385-Na
31.25Single5IU8Q274563475IU8-A2A-Q27456347-Na
31.25Single5NDDAZ8838; Na5NDD-PAR2-AZ8838; Na
31.25Single5OLGZM-2413855OLG-A2A-ZM-241385-Na
31.25Single5T04Neurotensin5T04-NTS1-Neurotensin
31.25Single6D27CAY104716D27-DP2-CAY10471
31.25Single6LPJZM-2413856LPJ-A2A-ZM-241385-Na
31.25Single6LPKZM-2413856LPK-A2A-ZM-241385-Na
31.25Single6Z4VNTS8-136Z4V-NTS1-NTS8-13
31.25Single7PYRPSB-21157PYR-A2A-PSB-2115
31.25Single7SK8CXCL127SK8-ACKR3-CXCL12-CCX662
31.25Single8I7VAcipimox8I7V-HCA2-Acipimox-Gi1/β1/γ2
31.25Single8J6PNiacin8J6P-HCA2-Niacin-Compound 9n-Gi1/β1/γ2
31.25Single8RW7StilSwitch18RW7-A2A-StilSwitch1-Na
31.25Single8RWXStilSwitch38RWX-A2A-StilSwitch3-Na
31.25Single9IZCMK19039IZC-HCA2-MK1903-Gi1/β1/γ2
31.25Consensusgi_hcaOrthosteric Ligand8J6R-HCA2-MK6892-Gi1/β1/γ2 8JIM-HCA2-MMF-Gi1/β1/γ2 8IHI-HCA2-Acifran-Gi1/β1/γ2 8IHH-HCA2-LUF6283-Gi1/β1/γ2 8I7V-HCA2-Acipimox-Gi1/β1/γ2 8I7W-HCA2-GSK256073-Gi1/β1/γ2
31.25Consensushca2_onOrthosteric Ligand8J6R-HCA2-MK6892-Gi1/β1/γ2 8JIM-HCA2-MMF-Gi1/β1/γ2 8I7V-HCA2-Acipimox-Gi1/β1/γ2 8I7W-HCA2-GSK256073-Gi1/β1/γ2 8IHH-HCA2-LUF6283-Gi1/β1/γ2 8IHI-HCA2-Acifran-Gi1/β1/γ2
31.25Consensushca2_on_gpOrthosteric Ligand8J6R-HCA2-MK6892-Gi1/β1/γ2 8IHI-HCA2-Acifran-Gi1/β1/γ2 8IHH-HCA2-LUF6283-Gi1/β1/γ2 8I7V-HCA2-Acipimox-Gi1/β1/γ2 8JIM-HCA2-MMF-Gi1/β1/γ2 8I7W-HCA2-GSK256073-Gi1/β1/γ2
31.25Consensushca_on_gpOrthosteric Ligandhca2_on_gp
31.25Consensuslipid_offOrthosteric Ligandcannabinoid_off paf_off lpl_off prostanoid_off leukotriene_off
31.25Consensusnucleotide_offonOrthosteric Ligandnucleotide_off nucleotide_on
31.25Consensusnucleotide_offon_gpOrthosteric Ligandnucleotide_on_gp nucleotide_off
30.77Single4XNWMRS25004XNW-P2Y1-MRS2500
30.77Single6PWCNeurotensin6PWC-NTS1-Neurotensin-Arrestin2
30.77Single8JEF(3S)-3-hydroxyoctanoic acid8JEF-HCA3-(3S)-3-hydroxyoctanoic acid-Gi1/β1/γ2
30.77Consensusp2y1_offOrthosteric Ligand4XNW-P2Y1-MRS2500
30.43Single5WB2CX3CL1.355WB2-US28-CX3CL1.35
30.43Single6JODAngiotensin II6JOD-AT2-Angiotensin II
30.43Single6METEnvelope Glycoprotein Gp160; T-Cell Surface Glycoprotein Cd46MET-CCR5-Envelope Glycoprotein Gp160; T-Cell Surface Glycoprotein Cd4
30.43Single7DW9AVP7DW9-V2-AVP-chim(NtGi1-Gs)/β1/γ2
30.43Single7F6GSAR1-AngII7F6G-AT1-SAR1-AngII-Gq/β1/γ2
30.43Single7KH0AVP7KH0-V2-AVP-chim(NtGi1-Gs)/β1/γ2
30.43Single7YONPeptide-YY(3-36)7YON-Y2-Peptide-YY(3-36)-Gi1/β1/γ2
30.43Single8X8LCortistatin8X8L-SST5-Cortistatin-chim(NtGi1-Gs-CtGi1)/β1/γ2
30.43Single8XZJWN3538XZJ-Apelin-WN353-Gi1/β1/γ2
30.43Consensusangiotensin_on_gpOrthosteric Ligandat1_on_gp
30.43Consensusat1_on_gpOrthosteric Ligand7F6G-AT1-SAR1-AngII-Gq/β1/γ2
30.43Consensuscxcr3_on_gpOrthosteric Ligand8HNK-CXCR3-CXCL11-Gi1/β1/γ2 8HNL-CXCR3-PS372424-Gi1/β1/γ2
30.43Consensusgi_class-aOrthosteric Ligandgi_peptide gi_sensory gi_alicarboxylic gi_amine gi_lipid gi_nucleotide gi_protein
30.43Consensusgq_angiotensinOrthosteric Ligand7F6G-AT1-SAR1-AngII-Gq/β1/γ2
30.43Consensusgs_vasop-oxyOrthosteric Ligand7DW9-V2-AVP-chim(NtGi1-Gs)/β1/γ2
30.43Consensusp2y_on_gpOrthosteric Ligandp2y1_on_gp p2y10_on_gp p2y12_on_gp
30.43Consensusprotein_offonOrthosteric Ligandprotein_off protein_on
30.43Consensusprotein_offon_gpOrthosteric Ligandprotein_on_gp protein_off
30.43Consensusv2_onOrthosteric Ligand7DW9-V2-AVP-chim(NtGi1-Gs)/β1/γ2
30.43Consensusv2_on_gpOrthosteric Ligand7DW9-V2-AVP-chim(NtGi1-Gs)/β1/γ2
30.43Consensusvasop-oxy_onOrthosteric Ligandv2_on
30.43Consensusvasop-oxy_on_gpOrthosteric Ligandv2_on_gp
30.00Single6OS9JMV4496OS9-NTS1-JMV449-Gi1/β1/γ2
30.00Single7RKFFractalkine7RKF-US28-Fractalkine-GDP-chim(NtGi1-G11)/β1/γ2
30.00Single7X8SWB4-247X8S-GLP-1-WB4-24-Gs/β1/γ2
30.00Single8JBFSenktide8JBF-NK3-Senktide-chim(NtGi1-Gs-CtGq)/β1/γ2
30.00Consensuscxcr4_offOrthosteric Ligand4RWS-CXCR4-vMIP-II 3OE0-CXCR4-CVX15 3OE6-CXCR4-IT1t
30.00Consensuscxcr_on_gpOrthosteric Ligandcxcr3_on_gp cxcr4_on_gp cxcr1_on_gp cxcr2_on_gp
29.63Single5GLHEndothelin-15GLH-ETB-Endothelin-1
29.63Consensusccr5_on_gpOrthosteric Ligand7O7F-CCR5-6P4-CCL5-Gi1/β1/γ1 7F1Q-CCR5-MIP-1a-Gi1/β1/γ2
29.63Consensusgi_npyOrthosteric Ligand8K6M-Y1-Neuropeptide-Y-Gi2/β1/γ1 7X9C-Y4-Pancreatic Hormone-Gi1/β1/γ2 7YOO-Y2-Neuropeptide-Y-Gi1/β1/γ2
29.63Consensusnpy_onOrthosteric Ligandnpy1_on npy2_on npy4_on
29.63Consensusnpy_on_gpOrthosteric Ligandnpy1_on_gp npy2_on_gp npy4_on_gp
29.41Single5IUAQ274563485IUA-A2A-Q27456348-Na
29.41Single5N2SPSB365N2S-A1-PSB36
29.41Single5NM2ZM-2413855NM2-A2A-ZM-241385-Na
29.41Single6D26Fevipiprant6D26-DP2-Fevipiprant
29.41Single6LFMInterleukin-86LFM-CXCR2-Interleukin-8-Gi1/β1/γ2
29.41Single6LPLZM-2413856LPL-A2A-ZM-241385-Na
29.41Single6S0QZM-2413856S0Q-A2A-ZM-241385
29.41Single6WQAZM-2413856WQA-A2A-ZM-241385-Na
29.41Single7RM5ZM-2413857RM5-A2A-ZM-241385-Na
29.41Single8FYNZM-2413858FYN-A2A-ZM-241385-Na
29.41Single8GNEKW-63568GNE-A2A-KW-6356-Na
29.41Single9EAHNanobody AT2099EAH-AT1-Olmesartan-Nanobody AT209
29.41Single9EHSLUF76029EHS-A3A-LUF7602
29.41Consensusa1_offOrthosteric Ligand5UEN-A1-DU172 5N2S-A1-PSB36
29.41Consensusadenosine_offOrthosteric Liganda1_off a2_off
29.41Consensuscxcr2_on_gpOrthosteric Ligand6LFM-CXCR2-Interleukin-8-Gi1/β1/γ2
29.41Consensusdp2_offOrthosteric Ligand6D26-DP2-Fevipiprant
29.41Consensusdp_offOrthosteric Liganddp2_off
29.17Single7F6HBradykinin7F6H-BK2-Bradykinin-Gq/β1/γ2
29.17Single7F6IKallidin7F6I-BK2-Kallidin-Gq/β1/γ2
29.17Single7X9BNeuropeptide-Y7X9B-Y2-Neuropeptide-Y-Gi1/β1/γ2
29.17Single8XQEApelin-138XQE-Apelin-Apelin-13-Gi1/β1/γ2
29.17Single8XVIEndothelin-18XVI-ETA-Endothelin-1-chim(Gs-CtGq)/β1/γ2
29.17Consensusccr_on_gpOrthosteric Ligandccr6_on_gp ccr8_on_gp ccr2_on_gp ccr1_on_gp ccr5_on_gp
29.17Consensuschemokine_offOrthosteric Ligandccr_off cxcr_off
29.17Consensuscxcr_offOrthosteric Ligandcxcr3_off cxcr4_off
29.17Consensusgi_chemokineOrthosteric Ligand6WWZ-CCR6-CCL20-Go/β1/γ2 8HNK-CXCR3-CXCL11-Gi1/β1/γ2 8K3Z-CXCR4-CXCL12-Gi1/β1/γ1 8IC0-CXCR1-Interleukin-8-Gi1/β1/γ2 6LFM-CXCR2-Interleukin-8-Gi1/β1/γ2 8KFX-CCR8-LMD-009-Gi1/β1/γ2 7F1Q-CCR5-MIP-1a-Gi1/β1/γ2 8HNL-CXCR3-PS372424-Gi1/β1/γ2 8KFY-CCR8-ZK-756326-Gi1/β1/γ2 7O7F-CCR5-6P4-CCL5-Gi1/β1/γ1 8U1U-CCR8-CCL1-Gi1/β1/γ2 7VLA-CCR1-CCL15(27-92)-Gi1/β1/γ2 7XA3-CCR2-CCL2-Gi1/β1/γ2
28.57Single3OE9IT1t3OE9-CXCR4-IT1t
28.57Single4XT1Fractalkine4XT1-US28-Fractalkine
28.57Single6LI0C176LI0-GPR52-C17
28.57Single7NA7Ghrelin-277NA7-Ghrelin-Ghrelin-27-Gi1/β1/γ2
28.57Single7TRPLY20332987TRP-M4-Iperoxo-LY2033298-Gi1/β1/γ2
28.57Single8FX5Xanomeline8FX5-M4-Xanomeline-Xanomeline-Gi1/β1/γ2
28.57Single8H2GNiacin8H2G-HCA2-Niacin-Gi1/β1/γ2
28.57Single8JILNiacin8JIL-HCA2-Niacin-Gi1/β1/γ2
28.57Single8K5BNiacin8K5B-HCA2-Niacin
28.57Single8U4OCXCL128U4O-CXCR4-CXCL12-Gi1/β1/γ2
28.57Single8U4RREGN7663-Fab8U4R-CXCR4-REGN7663-Fab
28.57Single8ZBJSomatostatin-148ZBJ-SST5-Somatostatin-14-Gi1/β1/γ2
28.57Single8ZYUNeurotensin peptide 8-138ZYU-NTS1-Neurotensin peptide 8-13-SBI-553-Arrestin2
28.57Single9BKJCholecystokinin-89BKJ-CCKA-Cholecystokinin-8-chim(NtGi1-Gs-CtGq)/β1/γ2
28.57Single9BUYLM1899BUY-β2-LM189-Gi1/β1/γ2
28.57Single9HB3Mambaquaretin-19HB3-V2-Mambaquaretin-1
28.57Single9L3YRetinoic acid receptor responder protein 29L3Y-CML2-Retinoic acid receptor responder protein 2-Gi1/β1/γ2
28.57Consensuschemokine_onOrthosteric Ligandccr_on cxcr_on
28.57Consensusgq_nucleotideOrthosteric Ligandgq_p2y
28.57Consensusgq_p2yOrthosteric Ligand7XXH-P2Y1-2MeSADP-chim(NtGi1-G11)/β1/γ2
28.57Consensusnk3_onOrthosteric Ligand8JBF-NK3-Senktide-chim(NtGi1-Gs-CtGq)/β1/γ2
28.57Consensusnk3_on_gpOrthosteric Ligand8JBF-NK3-Senktide-chim(NtGi1-Gs-CtGq)/β1/γ2
28.57Consensussomatostatin_offOrthosteric Ligandsst2_off
28.00Single4XT3Fractalkine4XT3-US28-Fractalkine
28.00Single6FJ3PTH6FJ3-PTH1-PTH
28.00Single7F8VGastrin-177F8V-CCKB-Gastrin-17-Gi2/β1/γ2
28.00Single7SK3CXCL127SK3-ACKR3-CXCL12
28.00Consensusccr5_onOrthosteric Ligand7O7F-CCR5-6P4-CCL5-Gi1/β1/γ1 7F1Q-CCR5-MIP-1a-Gi1/β1/γ2
28.00Consensusgi_compl-peptOrthosteric Ligand8HK5-C5a1-Complement C5-Gi1/β1/γ2 8IA8-C3aB-E7 peptide-Gi1/β1/γ2 7Y66-C5a1-BM213-Gi1/β1/γ2 7Y67-C5a1-C089 peptide-Gi1/β1/γ2 8HK2-C3aB-C3a anaphylatoxin-Gi1/β1/γ2 7Y64-C5a1-C5a anaphylatoxin-Gi1/β1/γ2
27.78Single3ZEVNeurotensin3ZEV-NTS1-Neurotensin
27.78Single4BV0Neurotensin4BV0-NTS1-Neurotensin
27.78Single4IAQDihydroergotamine4IAQ-5-HT1B-Dihydroergotamine
27.78Single6OS1TRV0266OS1-AT1-TRV026
27.78Single7F1TMIP-1a7F1T-CCR5-MIP-1a
27.78Single7L0PNeurotensin7L0P-NTS1-Neurotensin-Gi1/β1/γ1
27.78Single7L0QNeurotensin7L0Q-NTS1-Neurotensin-Gi1/β1/γ1
27.78Single7SK7CXCL127SK7-ACKR3-CXCL12-CCX662
27.78Single7XOWGastrin7XOW-CCKB-Gastrin-chim(NtGi1-Gq)/β1/γ2
27.78Single8FMZNeurotensin/Neuromedin-N8FMZ-NTS1-Neurotensin/Neuromedin-N-chim(NtGi2L-Gs-CtGq)/β1/γ2
27.78Single8HQCC5a anaphylatoxin8HQC-C5a1-C5a anaphylatoxin-Go/β1/γ2
27.78Single8I2GCompound 7163408I2G-FSH-Glycoprotein hormones α chain-Compound 716340-Gs/β1/γ2
27.78Single8UGWPubChem 30865998UGW-A2A-PubChem 3086599
27.78Single8XX7CXCL58XX7-CXCR2-CXCL5-Go/β1/γ2
27.78Consensusgi_relaxinOrthosteric Ligand7YK7-RXFP4-DC591053-Gi2/β1/γ2 7YJ4-RXFP4-INSL5-Gi2/β1/γ2 7YK6-RXFP4-PubChem 138319674-Gi2/β1/γ2
27.78Consensusneurotensin_onOrthosteric Ligandnts1_on
27.78Consensusnts1_onOrthosteric Ligand6OSA-NTS1-JMV449-Gi1/β1/γ2 7L0S-NTS1-Neurotensin-Gi1/β1/γ1
27.78Consensusrelaxin_onOrthosteric Ligandrxfp4_on
27.78Consensusrelaxin_on_gpOrthosteric Ligandrxfp4_on_gp
27.59Single6LRYSarafotoxin-B6LRY-ETB-Sarafotoxin-B
27.27Single7EZKCholecystokinin-87EZK-CCKA-Cholecystokinin-8-chim(NtGi1-Gs)/β1/γ2
27.27Single7XMSSomatostatin-147XMS-SST4-Somatostatin-14-Gi1/β1/γ2
27.27Single8IBVMotilin8IBV-Motilin-Motilin-chim(NtGi1-Gs-CtGq)/β1/γ2
27.27Single8Z7JAgonistic antibody8Z7J-Apelin-Agonistic antibody-Gi1/β1/γ2
27.27Single9IQRMuscarinic toxin 39IQR-α2a-Muscarinic toxin 3
27.27Consensuscckb_onOrthosteric Ligand8IA7-CCKB-Cholecystokinin-8-chim(NtGi1L-Gq)/β1/γ2 7XOW-CCKB-Gastrin-chim(NtGi1-Gq)/β1/γ2 7F8V-CCKB-Gastrin-17-Gi2/β1/γ2
27.27Consensusgi_ghrelinOrthosteric Ligand7NA7-Ghrelin-Ghrelin-27-Gi1/β1/γ2 7NA8-Ghrelin-PubChem 178024-Gi1/β1/γ2
27.27Consensusgq_class-aOrthosteric Ligandgq_peptide gq_amine gq_nucleotide
26.92Single7XATSomatostatin-147XAT-SST2-Somatostatin-14-Gi1/β1/γ2
26.92Single9K26PrRP319K26-PrRP-PrRP31-Gi1/β1/γ2
26.67Single3VG9ZM-2413853VG9-A2A-ZM-241385-Antibody
26.67Single4BWBNeurotensin4BWB-NTS1-Neurotensin
26.67Single5K2DZM-2413855K2D-A2A-ZM-241385-Na
26.67Single5ZKQABT-4915ZKQ-PAF-ABT-491
26.67Single6JZHZM-2413856JZH-A2A-ZM-241385-Na
26.67Single6PS7ZM-2413856PS7-A2A-ZM-241385-Na
26.67Single8GNGIstradefylline8GNG-A2A-Istradefylline
26.67Single8HMPC178HMP-GPR52-C17-Gs/β1/γ2
26.67Single8IJANiacin8IJA-HCA2-Niacin-Gi1/β1/γ2
26.67Single8IJBAcipimox8IJB-HCA2-Acipimox-Gi1/β1/γ2
26.67Single8JPPSuccinic acid8JPP-Succinate-Succinic acid-chim(Gs-CtGq)/β1/γ1
26.67Single8RVWStilSwitch38RVW-A2A-StilSwitch3-Na
26.67Single8RW0Istradefylline8RW0-A2A-Istradefylline-Na
26.67Single8RW4AzoSwitch28RW4-A2A-AzoSwitch2-Na
26.67Single8RWEStilSwitch48RWE-A2A-StilSwitch4-Na
26.67Single8XXXCXCL68XXX-CXCR2-CXCL6-Go/β1/γ2
26.67Single9FUPIstradefylline9FUP-A2A-Istradefylline-Na
26.67Consensuspaf_offOrthosteric Ligand5ZKQ-PAF-ABT-491
26.32Single4GRVNeurotensin-(8-13)4GRV-NTS1-Neurotensin-(8-13)
26.32Single6C1RPMX536C1R-C5a1-PMX53-Avacopan; Na
26.32Single6MXTSalmeterol6MXT-β2-Salmeterol
26.32Single7DH5Mirabegron7DH5-β3-Mirabegron-Gs/β1/γ2
26.32Single7K15MKD0467K15-BLT1-MKD046-Na
26.32Single7L0SNeurotensin7L0S-NTS1-Neurotensin-Gi1/β1/γ1
26.32Single7W0NElabela7W0N-Apelin-Elabela-Gi1/β1/γ2
26.32Single7XJKGalanin7XJK-GAL2-Galanin-chim(NtGi2L-Gs-CtGq)/β1/γ2
26.32Single7XW6ML1097XW6-TSH-M22 Fab-ML109-Gs/β1/γ2
26.32Single7XZ5Lysophosphatidylcholine7XZ5-GPR119-Lysophosphatidylcholine-Gs/β1/γ2
26.32Single8H0QGastrin Releasing Peptide8H0Q-BB2-Gastrin Releasing Peptide-chim(NtGi1-Gs-CtGq)/β1/γ2
26.32Single8I9AEP548I9A-C3aB-EP54-chim(NtGi1-Gs-CtGq)/β1/γ2
26.32Single8J6DEP1418J6D-C3aB-EP141-Go/β1/γ2
26.32Single8JPBNeurotensin-(8-13)8JPB-NTS1-Neurotensin-(8-13)-SBI-553; GDP; Mg-Gq; GRK2
26.32Single8JWY2-1188JWY-A2A-2-118
26.32Single8U26Protachykinin-18U26-NK1-Protachykinin-1-Gs/β1/γ2
26.32Single8X8NOctreotide8X8N-SST5-Octreotide-chim(NtGi1-Gs-CtGi1)/β1/γ2
26.32Single8XWACXCL18XWA-CXCR2-CXCL1
26.32Single8XWMCXCL68XWM-CXCR2-CXCL6
26.32Single8XWSCXCL58XWS-CXCR2-CXCL5
26.32Single8XX3CXCL38XX3-CXCR2-CXCL3-Go/β1/γ2
26.32Single9L3WRetinoic acid receptor responder protein 29L3W-CML1-Retinoic acid receptor responder protein 2-Gi1/β1/γ2
26.32Consensusc3a_onOrthosteric Ligand8HK2-C3aB-C3a anaphylatoxin-Gi1/β1/γ2 8IA8-C3aB-E7 peptide-Gi1/β1/γ2
26.32Consensusgi_lipidOrthosteric Ligandgi_cannabinoid gi_ffa gi_leukotriene gi_lpa gi_s1p
26.32Consensuslipid_offonOrthosteric Ligandlipid_off lipid_on
26.32Consensuslipid_offon_gpOrthosteric Ligandlipid_on_gp lipid_off
26.09Single6LW5WKYMVm6LW5-FPR2-ALX-WKYMVm
26.09Single7RYCOxytocin7RYC-OT-Oxytocin-chim(NtGi2L-Gs-CtGq)/β1/γ2
26.09Single7W55Neuromedin-U-257W55-NMUR2-Neuromedin-U-25-chim(NtGi1-Gs-CtGq)/β1/γ2
26.09Single9IVMGLP-1 (Truncated)9IVM-GLP-1-GLP-1 (Truncated)-LSN3318839-chim(NtGi1-Gs)/β2/γ2
26.09Consensusc5a1_onOrthosteric Ligand8HK5-C5a1-Complement C5-Gi1/β1/γ2 7Y66-C5a1-BM213-Gi1/β1/γ2 7Y67-C5a1-C089 peptide-Gi1/β1/γ2 7Y64-C5a1-C5a anaphylatoxin-Gi1/β1/γ2
26.09Consensuscckb_on_gpOrthosteric Ligand8IA7-CCKB-Cholecystokinin-8-chim(NtGi1L-Gq)/β1/γ2 7XOW-CCKB-Gastrin-chim(NtGi1-Gq)/β1/γ2 7F8V-CCKB-Gastrin-17-Gi2/β1/γ2
26.09Consensusnmur2_onOrthosteric Ligand7W55-NMUR2-Neuromedin-U-25-chim(NtGi1-Gs-CtGq)/β1/γ2
26.09Consensusnmur2_on_gpOrthosteric Ligand7W55-NMUR2-Neuromedin-U-25-chim(NtGi1-Gs-CtGq)/β1/γ2
25.93Single8IY5Endothelin-18IY5-ETB-Endothelin-1-Gi1/β1/γ2
25.93Consensusbk2_onOrthosteric Ligand7F6H-BK2-Bradykinin-Gq/β1/γ2 7F6I-BK2-Kallidin-Gq/β1/γ2
25.93Consensusbk2_on_gpOrthosteric Ligand7F6H-BK2-Bradykinin-Gq/β1/γ2 7F6I-BK2-Kallidin-Gq/β1/γ2
25.93Consensusbradykinin_onOrthosteric Ligandbk2_on
25.93Consensusbradykinin_on_gpOrthosteric Ligandbk2_on_gp
25.93Consensusendothelin_onOrthosteric Ligandetb_on eta_on
25.93Consensusgq_bradykininOrthosteric Ligand7F6H-BK2-Bradykinin-Gq/β1/γ2 7F6I-BK2-Kallidin-Gq/β1/γ2
25.93Consensusgs_melanocortinOrthosteric Ligand7F4H-MC1-Afamelanotide-chim(NtGi1-Gs)/β1/γ2 7F54-MC4-Afamelanotide-Gs/β1/γ2 7F4D-MC1-α-MSH-chim(NtGi1-Gs)/β1/γ2 8INR-MC5-α-MSH-Ca-chim(NtGi1-Gs)/β1/γ2 7F53-MC4-α-MSH-Gs/β1/γ2 7F55-MC4-Bremelanotide-Gs/β1/γ2 8GY7-MC2-Corticotropin-Ca-chim(NtGi1-Gs)/β1/γ2; MRAP1 8IOC-MC3-γ-MSH-Ca-chim(NtGi1-Gs)/β1/γ2 8IOD-MC5-PG-901-Ca-chim(NtGi1-Gs)/β1/γ2 7AUE-MC4-Setmelanotide-chim(NtGi1L-Gs)/β1/γ2 7F4I-MC1-SHU9119-chim(NtGi1-Gs)/β1/γ2 7F58-MC4-THIQ-Gs/β1/γ2
25.00Single3REYXAC3REY-A2A-XAC
25.00Single3V2YPubChem 518926453V2Y-S1P1-PubChem 51892645
25.00Single4NC3Ergotamine4NC3-5-HT2B-Ergotamine
25.00Single5IU7Q274563465IU7-A2A-Q27456346-Na
25.00Single5JTBZM-2413855JTB-A2A-ZM-241385
25.00Single5K2BZM-2413855K2B-A2A-ZM-241385-Na
25.00Single5MZJTheophylline5MZJ-A2A-Theophylline-Na
25.00Single5NLXZM-2413855NLX-A2A-ZM-241385-Na
25.00Single6AQFZM-2413856AQF-A2A-ZM-241385
25.00Single6BQGErgotamine6BQG-5-HT2C-Ergotamine
25.00Single6IGKEndothelin-36IGK-ETB-Endothelin-3
25.00Single6ME32-Phenylmelatonin6ME3-MT1-2-Phenylmelatonin
25.00Single6MH8ZM-2413856MH8-A2A-ZM-241385
25.00Single6WJCMuscarinic toxin 76WJC-M1-Atropine-Muscarinic toxin 7
25.00Single6ZDRHMS1413f126ZDR-A2A-HMS1413f12-Na
25.00Single7AROLUF58337ARO-A2A-LUF5833-Na
25.00Single7C2EPubChem 1490507997C2E-GLP-1-PubChem 149050799-Gs/β1/γ2
25.00Single7F61PF-036547467F61-H3-PF-03654746
25.00Single7P00Substance-P7P00-NK1-Substance-P-chim(NtGi1-Gs-CtGq)/β1/γ2
25.00Single7V68LY21196207V68-M4-Iperoxo-LY2119620-Gi1/β1/γ2
25.00Single7XOVSR1461317XOV-CCKA-SR146131-Gs/β1/γ2
25.00Single7Y65C5a peptide7Y65-C5a1-C5a peptide-Gi1/β1/γ2
25.00Single8J6IMK68928J6I-HCA2-MK6892-Gi1/β1/γ2
25.00Single8JEI3-nitro-4-(propylamino)benzoic acid8JEI-HCAR3-3-nitro-4-(propylamino)benzoic acid-Gi1/β1/γ2
25.00Single8JPFNeurotensin8JPF-NTS1-Neurotensin-SBI-553
25.00Single8PWNTheophylline8PWN-A2A-Theophylline
25.00Single8RLNLUF58348RLN-A2A-LUF5834
25.00Single8RQQZM-2413858RQQ-A2A-ZM-241385-Na
25.00Single8RWCStilSwitch28RWC-A2A-StilSwitch2-Na
25.00Single8RWDStilSwitch38RWD-A2A-StilSwitch3-Na
25.00Single8XWVCXCL18XWV-CXCR2-CXCL1-Go/β1/γ2
25.00Single8YW3Retatrutide8YW3-GLP-1-Retatrutide-Gs/β1/γ2
25.00Single8ZPLHF511168ZPL-CXCR4-HF51116
25.00Single8ZX4Lysophosphatidylinositol 8ZX4-GPR55-Lysophosphatidylinositol-chim(NtGi1-G13)/β1/γ2
25.00Single9BA0A1AKN9BA0-CB1-A1AKN
25.00Single9BKKCholecystokinin-89BKK-CCKA-Cholecystokinin-8-chim(NtGi1-Gs-CtGq)/β1/γ2
25.00Single9GE3Lysophosphatidylinositol9GE3-GPR55-Lysophosphatidylinositol-chim(NtGi1-G13)/β1/γ2
25.00Single9JMDAzithromycin9JMD-Motilin-Azithromycin-chim(Gs-CtGq)/β1/γ2
25.00Single9M2FNeuropeptide FF9M2F-NPFF1-Neuropeptide FF-Gi1/β1/γ2
25.00Consensusa2_offOrthosteric Liganda2a_off
25.00Consensusa2a_offOrthosteric Ligand3RFM-A2A-Caffeine 8C9W-A2A-Etrumadenant 3UZA-A2A-GTPL9236 8GNG-A2A-Istradefylline 8CU6-A2A-LJ-4517 7PX4-A2A-PSB-2113 7PYR-A2A-PSB-2115 8DU3-A2A-PubChem 105526064 8JWY-A2A-2-118 8PWN-A2A-Theophylline 5IU4-A2A-ZM-241385-Na 5OLZ-A2A-PubChem 135566609-Na 6GT3-A2A-Imaradenant-Na 5OLV-A2A-LUAA41063-Na 5N2R-A2A-PSB-36-Na 5IU7-A2A-Q27456346-Na 5OLH-A2A-Vipadenant-Na 5OLO-A2A-Tozadenant-Na 6ZDR-A2A-HMS1413f12-Na 8GNE-A2A-KW-6356-Na 8JWZ-A2A-AB928-Na 5IU8-A2A-Q27456347-Na 5IUB-A2A-Q27456344-Na 6ZDV-A2A-Chromone 5d-Na 5IUA-A2A-Q27456348-Na 8A2P-A2A-LUAA47070-Na
25.00Consensusc3a_on_gpOrthosteric Ligand8HK2-C3aB-C3a anaphylatoxin-Gi1/β1/γ2 8IA8-C3aB-E7 peptide-Gi1/β1/γ2
25.00Consensusc5a1_on_gpOrthosteric Ligand8HK5-C5a1-Complement C5-Gi1/β1/γ2 7Y66-C5a1-BM213-Gi1/β1/γ2 7Y67-C5a1-C089 peptide-Gi1/β1/γ2 7Y64-C5a1-C5a anaphylatoxin-Gi1/β1/γ2
25.00Consensusgal2_onOrthosteric Ligand7WQ4-GAL2-Galanin-chim(NtGi1-Gs-CtGq)/β1/γ2 7XJL-GAL2-Spexin-chim(NtGi2L-Gs-CtGq)/β1/γ2
25.00Consensusgal2_on_gpOrthosteric Ligand7WQ4-GAL2-Galanin-chim(NtGi1-Gs-CtGq)/β1/γ2 7XJL-GAL2-Spexin-chim(NtGi2L-Gs-CtGq)/β1/γ2
25.00Consensusnk1_onOrthosteric Ligand7P00-NK1-Substance-P-chim(NtGi1-Gs-CtGq)/β1/γ2
25.00Consensusnk1_on_gpOrthosteric Ligand7P00-NK1-Substance-P-chim(NtGi1-Gs-CtGq)/β1/γ2
25.00Consensuspeptide_offon_gpOrthosteric Ligandpeptide_on_gp peptide_off
25.00Consensusprotein_onOrthosteric Ligandchemokine_on chemerin_on
24.14Single7SK6CXCL12_LRHQ7SK6-ACKR3-CXCL12_LRHQ
24.14Consensusendothelin_on_gpOrthosteric Ligandetb_on_gp eta_on_gp
24.14Consensusmelanocortin_onOrthosteric Ligandmc1_on mc4_on mc2_on mc3_on mc5_on
24.14Consensusmelanocortin_on_gpOrthosteric Ligandmc1_on_gp mc4_on_gp mc2_on_gp mc3_on_gp mc5_on_gp
24.00Single5YQZGlucagon analogue5YQZ-Glucagon-Glucagon analogue
24.00Single6X18GLP-16X18-GLP-1-GLP-1-Gs/β1/γ2
24.00Single7F9YGhrelin-287F9Y-Ghrelin-Ghrelin-28-chim(NtGi1-Gs-CtGq)/β1/γ2
24.00Single7LLYOxyntomodulin7LLY-GLP-1-Oxyntomodulin-Gs/β1/γ2
24.00Single8HCQEndothelin-18HCQ-ETA-Endothelin-1-chim(NtGi1-Gs-CtGq)/β1/γ2
24.00Single8HCXEndothelin-18HCX-ETB-Endothelin-1-chim(NtGi2L-Gs-CtGq)/β1/γ2
24.00Single8HK5Complement C58HK5-C5a1-Complement C5-Gi1/β1/γ2
24.00Single8IA2C5a anaphylatoxin8IA2-C5a1-C5a anaphylatoxin-Go/β1/γ2
24.00Single8WWKMCH8WWK-MCH1-MCH-Gi1/β1/γ2
24.00Single8WWMMCH8WWM-MCH1-MCH-Gi1/β1/γ2
24.00Consensuseta_onOrthosteric Ligand8HCQ-ETA-Endothelin-1-chim(NtGi1-Gs-CtGq)/β1/γ2
24.00Consensuseta_on_gpOrthosteric Ligand8HCQ-ETA-Endothelin-1-chim(NtGi1-Gs-CtGq)/β1/γ2
24.00Consensusgi_apelinOrthosteric Ligand8XZH-Apelin-MM07-Gi1/β1/γ2 7W0M-Apelin-PubChem 122701908-Gi1/β1/γ2 8XZJ-Apelin-WN353-Gi1/β1/γ2 8XZF-Apelin-WN561-Gi1/β1/γ2 8XZG-Apelin-Apelin-13-Gi1/β1/γ2
24.00Consensussst5_on_gpOrthosteric Ligand8X8L-SST5-Cortistatin-chim(NtGi1-Gs-CtGi1)/β1/γ2 8X8N-SST5-Octreotide-chim(NtGi1-Gs-CtGi1)/β1/γ2
23.81Single4UG2CGS216804UG2-A2A-CGS21680
23.81Single5VBLApelin mimetic peptide agonist5VBL-Apelin-Apelin mimetic peptide agonist
23.81Single6C1QPMX536C1Q-C5a1-PMX53-NDT9513727
23.81Single7F2OBradykinin7F2O-BK2-Bradykinin-chim(NtGi1-Gs-CtGq)/β1/γ2
23.81Single7F9ZGHRP-67F9Z-Ghrelin-GHRP-6-chim(NtGi1-Gs-CtGq)/β1/γ2
23.81Single7RKNFractalkine7RKN-US28-Fractalkine-Gi1/β1/γ2
23.81Single7RMHSubstance-P7RMH-NK1-Substance-P-Gs/β1/γ2
23.81Single7XBXCX3CL17XBX-CX3CR1-CX3CL1-Gi1/β1/γ2
23.81Single7XN9L-054,5227XN9-SST2-L-054,522
23.81Single7XY6BAY 60-65837XY6-A2B-BAY 60-6583-chim(NtGi1-Gs)/β1/γ2
23.81Single7YAEOctreotide7YAE-SST2-Octreotide-Gi1/β1/γ2
23.81Single8IA7Cholecystokinin-88IA7-CCKB-Cholecystokinin-8-chim(NtGi1L-Gq)/β1/γ2
23.81Single8QJ2pN1628QJ2-MC4-pN162-Gs
23.81Single8XQJJN2418XQJ-Apelin-JN241
23.81Single8XZFWN5618XZF-Apelin-WN561-Gi1/β1/γ2
23.81Single9IZASCH9002719IZA-HCA2-SCH900271-Gi1/β1/γ2
23.81Single9M0RNeuropeptide VF9M0R-NPFF1-Neuropeptide VF-Gi1/β1/γ2
23.81Consensuscxcr3_onOrthosteric Ligand8HNK-CXCR3-CXCL11-Gi1/β1/γ2 8HNL-CXCR3-PS372424-Gi1/β1/γ2
23.81Consensusformylpeptide_onOrthosteric Ligandfpr2-alx_on fpr1-alx_on
23.53Single3EMLZM-2413853EML-A2A-ZM-241385
23.53Single5K2AZM-2413855K2A-A2A-ZM-241385-Na
23.53Single5UENDU1725UEN-A1-DU172
23.53Single5UIGCmpd-15UIG-A2A-Cmpd-1
23.53Single5VRAZM-2413855VRA-A2A-ZM-241385-Na
23.53Single6S0LZM-2413856S0L-A2A-ZM-241385
23.53Single6X1ADanuglipron6X1A-GLP-1-Danuglipron-Gs/β1/γ2
23.53Single7LCKDanuglipron7LCK-GLP-1-Danuglipron
23.53Single7VGZRemalteon7VGZ-MT1-Remalteon-Gi1/β1/γ2
23.53Single7YU4ONO-07405567YU4-LPA1-ONO-0740556
23.53Single8IHJAcifran8IHJ-HCA3-Acifran-Gi1/β1/γ2
23.53Single8K5DGSK2560738K5D-HCA2-GSK256073
23.53Single8X17Namodenoson8X17-A3A-Namodenoson-Gi1/β1/γ2
23.53Single8ZYYNeurotensin peptide 8-138ZYY-NTS1-Neurotensin peptide 8-13-SBI-553-Arrestin2
23.53Consensusa3_onOrthosteric Liganda3a_on
23.53Consensusalicarboxylic_on_gpOrthosteric Ligandsuccinate_on_gp hca_on_gp
23.53Consensusgi_alicarboxylicOrthosteric Ligandgi_hca gi_succinate
23.08Single6NBFLong-Acting PTH Analog6NBF-PTH1-Long-Acting PTH Analog-Gs/β1/γ2
23.08Single6OT025(S)-Epoxycholesterol6OT0-SMO-25(S)-Epoxycholesterol-Gi1/β1/γ2
23.08Single7KI0Semaglutide7KI0-GLP-1-Semaglutide-Gs/β1/γ2
23.08Single7RGPTirzepatide7RGP-GLP-1-Tirzepatide-chim(NtGi1-Gs)/β1/γ2
23.08Single7SK4CXCL12_LRHQ7SK4-ACKR3-CXCL12_LRHQ
23.08Single7W3ZGastrin Releasing Peptide7W3Z-BB2-Gastrin Releasing Peptide-chim(NtGi1L-Gq)/β1/γ2
23.08Single8A2OTheophylline8A2O-A2A-Theophylline-Na
23.08Single8JISPeptide-158JIS-GLP-1-Peptide-15-chim(NtGi1-Gs)/β1/γ2
23.08Single8U4QREGN7663-Fab8U4Q-CXCR4-REGN7663-Fab-Gi1/β1/γ2
23.08Consensusgi_proteinOrthosteric Ligandgi_chemokine gi_chemerin
23.08Consensusnpy4_onOrthosteric Ligand7X9C-Y4-Pancreatic Hormone-Gi1/β1/γ2
23.08Consensusnpy4_on_gpOrthosteric Ligand7X9C-Y4-Pancreatic Hormone-Gi1/β1/γ2
23.08Consensusp2y_offOrthosteric Ligandp2y1_off
23.08Consensuspac1_onOrthosteric Ligand8E3X-PAC1-PACAP27-Gs/β1/γ2 6M1H-PAC1-Maxadilan-Gs/β1/γ2
23.08Consensuspac1_on_gpOrthosteric Ligand8E3X-PAC1-PACAP27-Gs/β1/γ2 6M1H-PAC1-Maxadilan-Gs/β1/γ2
23.08Consensusprotein_on_gpOrthosteric Ligandchemokine_on_gp chemerin_on_gp
22.73Single4IARErgotamine4IAR-5-HT1B-Ergotamine
22.73Single4IB4Ergotamine4IB4-5-HT2B-Ergotamine
22.73Single7F54Afamelanotide7F54-MC4-Afamelanotide-Gs/β1/γ2
22.73Single7VLACCL15(27-92)7VLA-CCR1-CCL15(27-92)-Gi1/β1/γ2
22.73Single7WICSomatostatin-147WIC-SST2-Somatostatin-14-Gi1/β1/γ2
22.73Single7XAUOctreotide7XAU-SST2-Octreotide-Gi1/β1/γ2
22.73Single8J6RMK68928J6R-HCA2-MK6892-Gi1/β1/γ2
22.73Single8JIQPeptide-158JIQ-Glucagon-Peptide-15-Gs/β1/γ2
22.73Single8WDTphotoNECA8WDT-A2A-photoNECA
22.73Single8XGMChemerin8XGM-CML2-Chemerin-Gi1/β1/γ2
22.73Consensusccr1_onOrthosteric Ligand7VLA-CCR1-CCL15(27-92)-Gi1/β1/γ2
22.73Consensusccr1_on_gpOrthosteric Ligand7VLA-CCR1-CCL15(27-92)-Gi1/β1/γ2
22.73Consensuschemerin_on_gpOrthosteric Ligandcml1_on_gp
22.73Consensuscml1_onOrthosteric Ligand7YKD-CML1-Chemerin-9-Gi1/β1/γ2
22.73Consensusgi_chemerinOrthosteric Ligand7YKD-CML1-Chemerin-9-Gi1/β1/γ2
22.73Consensuslpl_onOrthosteric Ligands1p_on lpa_on
22.73Consensuslpl_on_gpOrthosteric Ligands1p_on_gp lpa_on_gp
22.73Consensusmc4_onOrthosteric Ligand7AUE-MC4-Setmelanotide-chim(NtGi1L-Gs)/β1/γ2 7F58-MC4-THIQ-Gs/β1/γ2 7F54-MC4-Afamelanotide-Gs/β1/γ2 7F53-MC4-α-MSH-Gs/β1/γ2 7F55-MC4-Bremelanotide-Gs/β1/γ2
22.73Consensussst5_onOrthosteric Ligand8X8L-SST5-Cortistatin-chim(NtGi1-Gs-CtGi1)/β1/γ2 8X8N-SST5-Octreotide-chim(NtGi1-Gs-CtGi1)/β1/γ2
22.58Single7X9ANeuropeptide-Y7X9A-Y1-Neuropeptide-Y-Gi1/β1/γ2
22.22Single5YHLPubChem 1351213525YHL-EP4-PubChem 135121352
22.22Single5YWYONO-AE3-2085YWY-EP4-ONO-AE3-208
22.22Single6ME62-Phenylmelatonin6ME6-MT2-2-Phenylmelatonin
22.22Single6ME72-Phenylmelatonin6ME7-MT2-2-Phenylmelatonin
22.22Single7C61Ergotamine7C61-5-HT1B-Ergotamine
22.22Single7CFNINT-7777CFN-GPBA-INT-777-Gs/β1/γ2
22.22Single7EIBDes-Arg10-Kallidin7EIB-BK1-Des-Arg10-Kallidin-chim(NtGi1-Gs-CtGq)/β1/γ2
22.22Single7EO2FTY720-P7EO2-S1P1-FTY720-P-Gi1/β1/γ2
22.22Single7F53Alpha-MSH7F53-MC4-α-MSH-Gs/β1/γ2
22.22Single7TD3S1P7TD3-S1P1-S1P-Gi1/β1/γ2
22.22Single7Y26Octreotide7Y26-SST2-Octreotide-chim(NtGi2L-Gs-CtGq)/β1/γ2
22.22Single7YU3ONO-07405567YU3-LPA1-ONO-0740556-Gi1/β1/γ2
22.22Single7YU6ONO-07405567YU6-LPA1-ONO-0740556-Gi1/β1/γ2
22.22Single8HAOPTH8HAO-PTH1-PTH-chim(NtGi1-Gs)/β1/γ2
22.22Single8HNLPS3724248HNL-CXCR3-PS372424-Gi1/β1/γ2
22.22Single8I7WGSK2560738I7W-HCA2-GSK256073-Gi1/β1/γ2
22.22Single8J6JGSK2560738J6J-HCA2-GSK256073-Gi1/β1/γ2
22.22Single8QOTNanobody-E8QOT-μ-Nanobody-E
22.22Single8TH4AT118-L Nanobody8TH4-AT1-Losartan-AT118-L Nanobody
22.22Single8W8XBeta-MSH8W8X-MC3-β-MSH-Ca-Gs/β1/γ2
22.22Single8WGBVU01550418WGB-mGlu4; mGlu2-Glutammate-VU0155041-Gi3/β1/γ2
22.22Single8WWLMCH8WWL-MCH1-MCH-Gi1/β1/γ2
22.22Single8XWPEndothelin-18XWP-ETB-Endothelin-1-Gi1/β1/γ2
22.22Single8YICSAR2477998YIC-S1P1-SAR247799-Gi1/β1/γ2
22.22Single8ZJGChemerin8ZJG-CML1-Chemerin-Gi1/β1/γ2
22.22Single9B9ZA1AKO9B9Z-CB1-A1AKO
22.22Single9ERXD9-THC analog9ERX-CB1-D9-THC analog-Gi1/β1/γ2
22.22Consensusa3_on_gpOrthosteric Liganda3a_on_gp
22.22Consensusa3a_onOrthosteric Ligand8X17-A3A-Namodenoson-Gi1/β1/γ2 8X16-A3A-Piclidenoson-Gi1/β1/γ2
22.22Consensusa3a_on_gpOrthosteric Ligand8X17-A3A-Namodenoson-Gi1/β1/γ2 8X16-A3A-Piclidenoson-Gi1/β1/γ2
22.22Consensusblt1_offOrthosteric Ligand5X33-BLT1-BIIL260 7K15-BLT1-MKD046-Na
22.22Consensusblt_offOrthosteric Ligandblt1_off
22.22Consensusep4_offOrthosteric Ligand5YWY-EP4-ONO-AE3-208 5YHL-EP4-PubChem 135121352
22.22Consensusep_offOrthosteric Ligandep4_off
22.22Consensuslipid_onOrthosteric Ligandcannabinoid_on ffa_on lpl_on prostanoid_on leukotriene_on
22.22Consensuslipid_on_gpOrthosteric Ligandcannabinoid_on_gp ffa_on_gp lpl_on_gp prostanoid_on_gp leukotriene_on_gp
22.22Consensusrxfp4_onOrthosteric Ligand7YK7-RXFP4-DC591053-Gi2/β1/γ2 7YJ4-RXFP4-INSL5-Gi2/β1/γ2 7YK6-RXFP4-PubChem 138319674-Gi2/β1/γ2
22.22Consensusrxfp4_on_gpOrthosteric Ligand7YK7-RXFP4-DC591053-Gi2/β1/γ2 7YJ4-RXFP4-INSL5-Gi2/β1/γ2 7YK6-RXFP4-PubChem 138319674-Gi2/β1/γ2
22.22Consensuss1p5_offOrthosteric Ligand7YXA-S1P5-ONO-5430608
22.22Consensuss1p_offOrthosteric Ligands1p1_off s1p5_off
21.74Single5XJM(Sar1,Ile8)-Angiotensin II5XJM-AT2-(Sar1,Ile8)-Angiotensin II
21.74Single6WHCGlu16 analog of GCG6WHC-Glucagon-Glu16 analog of GCG-Gs/β1/γ2
21.74Single7VBINon-Acylated Tirzepatide7VBI-GLP-1-Non-Acylated Tirzepatide-Gs/β1/γ2
21.74Single7WJ5Somatostatin-147WJ5-SST2-Somatostatin-14-Gi1/β1/γ2
21.74Single8F7SDeltorphin8F7S-δ-Deltorphin-Gi1/β1/γ2
21.74Single8XYDPlatelet Activating Factor8XYD-PAF-Platelet Activating Factor-Gi1/β1/γ2
21.74Single9EAINanobody AT2099EAI-AT1-Losartan-Nanobody AT209
21.74Single9IQVMuscarinic toxin 39IQV-Alpha1A-Muscarinic toxin 3
21.74Single9J0FNADH9J0F-P2Y14-NADH-Gi1/β1/γ2
21.74Consensusdop_on_gpOrthosteric Ligand8F7S-δ-Deltorphin-Gi1/β1/γ2
21.74Consensusformylpeptide_on_gpOrthosteric Ligandfpr2-alx_on_gp fpr1-alx_on_gp
21.74Consensusmc4_on_gpOrthosteric Ligand7AUE-MC4-Setmelanotide-chim(NtGi1L-Gs)/β1/γ2 7F58-MC4-THIQ-Gs/β1/γ2 7F54-MC4-Afamelanotide-Gs/β1/γ2 7F53-MC4-α-MSH-Gs/β1/γ2 7F55-MC4-Bremelanotide-Gs/β1/γ2
21.74Consensustachykinin_on_gpOrthosteric Ligandnk1_on_gp nk2_on_gp nk3_on_gp
21.43Single3OE6IT1t3OE6-CXCR4-IT1t
21.43Single5VAIGLP-15VAI-GLP-1-GLP-1-Gs/β1/γ2
21.43Single5WKTOctyl-Beta-D-Glucopyranoside5WKT-Rhodopsin-Octyl-β-D-Glucopyranoside-Gt(CT)
21.43Single6D32Cyclopamine6D32-SMO-Cyclopamine-Cyclopamine
21.43Single6IGLIRL16206IGL-ETB-IRL1620
21.43Single6ME5Agomelatine6ME5-MT1-Agomelatine
21.43Single6NBHLong-Acting PTH Analog6NBH-PTH1-Long-Acting PTH Analog-Gs/β1/γ2
21.43Single6OIKLY21196206OIK-M2-Iperoxo-LY2119620-chim(NtGi1-Go)/β1/γ2
21.43Single7KI1Taspoglutide7KI1-GLP-1-Taspoglutide-Gs/β1/γ2
21.43Single7V6APubChem 98642757V6A-M4-PubChem 9864275-Gi1/β1/γ2
21.43Single7VGXNeuropeptide-Y7VGX-Y1-Neuropeptide-Y-Gi1/β1/γ2
21.43Single8IY6Endothelin-18IY6-ETB-Endothelin-1
21.43Single8J6QBeta-Hydroxybutyrate8J6Q-HCA2-β-Hydroxybutyrate-Compound 9n-Gi1/β1/γ2
21.43Single8JPSCCL78JPS-ACKR1-CCL7
21.43Single8WWNMCH8WWN-MCH1-MCH-Gi1/β1/γ2
21.43Single8Y52BA18Y52-BB3-BA1-chim(NtGi1-Gs-CtGq)/β1/γ2
21.43Single8Y63C20:0 Ceramide8Y63-FPR2-ALX-C20:0 Ceramide-Gi1/β1/γ2
21.43Single9BYOExendin-39BYO-GLP-1-Exendin-3-Gs/β1/γ2
21.43Single9IV15alpha-DHT9IV1-ADGRD1-5α-DHT-chim(NtGi1-Gs)/β1/γ2
21.21Consensusmc2_onOrthosteric Ligand8GY7-MC2-Corticotropin-Ca-chim(NtGi1-Gs)/β1/γ2; MRAP1
21.21Consensusmc2_on_gpOrthosteric Ligand8GY7-MC2-Corticotropin-Ca-chim(NtGi1-Gs)/β1/γ2; MRAP1
21.05Single6Z8NSRI-98296Z8N-NTS1-SRI-9829
21.05Single7F58THIQ7F58-MC4-THIQ-Gs/β1/γ2
21.05Single7M8W15r-Methyl-Prostaglandin D27M8W-DP2-15r-Methyl-Prostaglandin D2-Na
21.05Single7R0CAVP7R0C-V2-AVP-Arrestin2
21.05Single7TUYGSK682753A7TUY-GPR183-GSK682753A
21.05Single7VIGCBP-3077VIG-S1P1-CBP-307-Gi1/β1/γ2
21.05Single7XJLSpexin7XJL-GAL2-Spexin-chim(NtGi2L-Gs-CtGq)/β1/γ2
21.05Single7Y67C089 peptide7Y67-C5a1-C089 peptide-Gi1/β1/γ2
21.05Single7YU5ONO-07405567YU5-LPA1-ONO-0740556-Gi1/β1/γ2
21.05Single7YU7ONO-07405567YU7-LPA1-ONO-0740556-Gi1/β1/γ2
21.05Single8I9LC3a anaphylatoxin8I9L-C3aB-C3a anaphylatoxin-Go/β1/γ2
21.05Single8ID39-Hydroxystearic acid8ID3-FFA4-9-Hydroxystearic acid-Gi1/β1/γ2
21.05Single8JBGNeurokinin-B8JBG-NK3-Neurokinin-B-chim(NtGi1-Gs-CtGq)/β1/γ2
21.05Single8X16Piclidenoson8X16-A3A-Piclidenoson-Gi1/β1/γ2
21.05Single8XIPPasireotide8XIP-SST1-Pasireotide-chim(NtGi1-Gs-CtGi1)/β1/γ2
21.05Single8YH6Namodenoson8YH6-A3A-Namodenoson-Gi1/β1/γ2
21.05Single9IZGNKP9IZG-LPA1-NKP-chim(NtGi1-Gs-CtGq)/β1/γ2
21.05Consensusa2_onOrthosteric Liganda2b_on
21.05Consensusa2_on_gpOrthosteric Liganda2b_on_gp
21.05Consensusa2b_onOrthosteric Ligand8HDP-A2B-Adenosine-Gs/β1/γ2 7XY6-A2B-BAY 60-6583-chim(NtGi1-Gs)/β1/γ2 7XY7-A2B-NECA-chim(NtGi1-Gs)/β1/γ2 8HDO-A2B-BAY 60-6583-Gs/β1/γ2
21.05Consensusa2b_on_gpOrthosteric Ligand8HDP-A2B-Adenosine-Gs/β1/γ2 7XY6-A2B-BAY 60-6583-chim(NtGi1-Gs)/β1/γ2 7XY7-A2B-NECA-chim(NtGi1-Gs)/β1/γ2 8HDO-A2B-BAY 60-6583-Gs/β1/γ2
21.05Consensusclass-a_offOrthosteric Ligandsensory_off alicarboxylic_off amine_off lipid_off nucleotide_off peptide_off protein_off
21.05Consensusgi_lpaOrthosteric Ligand7TD1-LPA1-LPA-Gi1/β1/γ2 7YU3-LPA1-ONO-0740556-Gi1/β1/γ2
21.05Consensusgs_adenosineOrthosteric Ligand8HDP-A2B-Adenosine-Gs/β1/γ2 8HDO-A2B-BAY 60-6583-Gs/β1/γ2 7XY7-A2B-NECA-chim(NtGi1-Gs)/β1/γ2 7XY6-A2B-BAY 60-6583-chim(NtGi1-Gs)/β1/γ2
21.05Consensusgs_nucleotideOrthosteric Ligandgs_adenosine
21.05Consensuslpa_onOrthosteric Ligandlpa1_on
21.05Consensuslpa_on_gpOrthosteric Ligandlpa1_on_gp
21.05Consensusprotein_offOrthosteric Ligandchemokine_off grh_off
20.83Single6VN7PACAP6VN7-VPAC1-PACAP-Gs/β1/γ2
20.83Single7MBXCholecystokinin-87MBX-CCKA-Cholecystokinin-8-Gs/β1/γ1
20.83Single7O7F6P4-CCL57O7F-CCR5-6P4-CCL5-Gi1/β1/γ1
20.83Single7XOUCholecystokinin-87XOU-CCKA-Cholecystokinin-8-Gs/β1/γ2
20.83Single8WKZSBL-MC-318WKZ-MC4-SBL-MC-31
20.83Single8XIRPasireotide8XIR-SST3-Pasireotide-chim(NtGi1-Gs-CtGi1)/β1/γ2
20.83Consensusgi_somatostatinOrthosteric Ligand7WIC-SST2-Somatostatin-14-Gi1/β1/γ2 7XMS-SST4-Somatostatin-14-Gi1/β1/γ2 8X8L-SST5-Cortistatin-chim(NtGi1-Gs-CtGi1)/β1/γ2 7XMT-SST4-J-2156-Gi1/β1/γ2 7WIG-SST2-L-054,264-Gi1/β1/γ2 8X8N-SST5-Octreotide-chim(NtGi1-Gs-CtGi1)/β1/γ2 7YAE-SST2-Octreotide-Gi1/β1/γ2 7YAC-SST2-Paltusotine-Gi1/β1/γ2
20.83Consensusgs_cckOrthosteric Ligand7MBX-CCKA-Cholecystokinin-8-Gs/β1/γ1
20.83Consensusgs_class-aOrthosteric Ligandgs_peptide gs_nucleotide gs_amine
20.83Consensuspeptide_offonOrthosteric Ligandpeptide_off peptide_on
20.83Consensussomatostatin_onOrthosteric Ligandsst2_on sst4_on sst5_on
20.83Consensussomatostatin_on_gpOrthosteric Ligandsst2_on_gp sst4_on_gp sst5_on_gp
20.69Single7DUQGLP-17DUQ-GLP-1-GLP-1-PubChem 156022738-Gs/β1/γ2
20.69Single8U1UCCL18U1U-CCR8-CCL1-Gi1/β1/γ2
20.69Consensusgi_endothelinOrthosteric Ligand8IY5-ETB-Endothelin-1-Gi1/β1/γ2 8HBD-ETB-IRL1620-Gi1/β1/γ2
20.00Single4N4WSANT-14N4W-SMO-SANT-1
20.00Single6KPGAM8416KPG-CB1-AM841-Gi1/β1/γ2
20.00Single6M1IPACAP6M1I-PAC1-PACAP-Gs/β1/γ2
20.00Single7BZ2Arformoterol7BZ2-β2-Arformoterol-Gs/β1/γ2
20.00Single7EW2Fingolimod7EW2-S1P3-Fingolimod-Gi1/β1/γ2
20.00Single7FIMTirzepatide7FIM-GLP-1-Tirzepatide-Gs/β1/γ2
20.00Single7L1UOrexin7L1U-OX2-Orexin-chim(NtGi1-Gs-CtGq)/β1/γ2
20.00Single7T10Somatostatin-147T10-SST2-Somatostatin-14-Gi3/β1/γ2
20.00Single7VBHPeptide-207VBH-GLP-1-Peptide-20-Gs/β1/γ2
20.00Single7VDHC48/807VDH-MRGPRX2-C48/80-Gi1/β1/γ2
20.00Single7VUIJNJ-635330547VUI-GPR139-JNJ-63533054-GTP-chim(Gs-CtGq)/β1/γ2
20.00Single7W40Bombesin7W40-BB2-Bombesin-chim(NtGi1L-Gq)/β1/γ2
20.00Single7W57Neuromedin-S7W57-NMUR2-Neuromedin-S-chim(NtGi1-Gs-CtGq)/β1/γ2
20.00Single7WQ4Galanin7WQ4-GAL2-Galanin-chim(NtGi1-Gs-CtGq)/β1/γ2
20.00Single7XK8Neuromedin-U-257XK8-NMUR2-Neuromedin-U-25-Gi1/β1/γ2
20.00Single8A2PLUAA470708A2P-A2A-LUAA47070-Na
20.00Single8H4KGW95088H4K-FFA4-GW9508-chim(NtGi1-Gs-CtGq)/β1/γ2
20.00Single8HA0PTH8HA0-PTH1-PTH-chim(NtGi1-Gs)/β1/γ2
20.00Single8IA8E7 peptide8IA8-C3aB-E7 peptide-Gi1/β1/γ2
20.00Single8IHFMK68928IHF-HCA2-MK6892-Gi1/β1/γ2
20.00Single8JJLOlodaterol8JJL-β2-Olodaterol
20.00Single8JJPChemerin8JJP-CML2-Chemerin-Gi1/β1/γ2
20.00Single8JPNCis-Epoxysuccinic acid8JPN-Succinate-Cis-Epoxysuccinic acid-Gi1/β1/γ1
20.00Single8JWZAB9288JWZ-A2A-AB928-Na
20.00Single8JZ7MK68928JZ7-HCA2-MK6892-Gi1/β1/γ2
20.00Single8RWHStilSwitch28RWH-A2A-StilSwitch2-Na
20.00Single8W1VPubChem 1717162658W1V-β2-PubChem 171716265
20.00Single8WP1Cis-Epoxysuccinic acid8WP1-Succinate-Cis-Epoxysuccinic acid-Gi1/β1/γ2
20.00Single8WSTPro-MCH8WST-MCH2-Pro-MCH-chim(NtGi1L-Gs-CtGq)/β1/γ2
20.00Single8XQJJN2418XQJ-Apelin-JN241
20.00Single8XWQEndothelin-18XWQ-ETB-Endothelin-1-Gi1/β1/γ2
20.00Single8XYIVUF106618XYI-CXCR3-VUF10661
20.00Single8YW5Retatrutide8YW5-Glucagon-Retatrutide-Gs/β1/γ2
20.00Single8ZBISomatostatin-148ZBI-SST3-Somatostatin-14-Gi1/β1/γ2
20.00Single9B9Y7DY9B9Y-CB1-7DY
20.00Single9EBOGLP-1 (ACPC18)9EBO-GLP-1-GLP-1 (ACPC18)-Gs/β1/γ2
20.00Single9IQTNiacin9IQT-HCA2-Niacin-Gi1/β1/γ2
20.00Single9IZDCHBA9IZD-HCA1-CHBA-Gi1/β1/γ2
20.00Consensusapelin_onOrthosteric Ligand8XZH-Apelin-MM07-Gi1/β1/γ2 7W0M-Apelin-PubChem 122701908-Gi1/β1/γ2 8XZJ-Apelin-WN353-Gi1/β1/γ2 8XZF-Apelin-WN561-Gi1/β1/γ2 8XZG-Apelin-Apelin-13-Gi1/β1/γ2
20.00Consensusapelin_on_gpOrthosteric Ligand8XZH-Apelin-MM07-Gi1/β1/γ2 7W0M-Apelin-PubChem 122701908-Gi1/β1/γ2 8XZJ-Apelin-WN353-Gi1/β1/γ2 8XZF-Apelin-WN561-Gi1/β1/γ2 8XZG-Apelin-Apelin-13-Gi1/β1/γ2
20.00Consensusbeta3_onOrthosteric Ligand7DH5-β3-Mirabegron-Gs/β1/γ2 7XJH-β3-Isoproterenol-Gs/β1/γ2 7XJI-β3-Solabegron-Gs/β1/γ2
20.00Consensusbeta3_on_gpOrthosteric Ligand7DH5-β3-Mirabegron-Gs/β1/γ2 7XJH-β3-Isoproterenol-Gs/β1/γ2 7XJI-β3-Solabegron-Gs/β1/γ2
20.00Consensuscannabinoid_offOrthosteric Ligandcb2_off cb1_off
20.00Consensusccr8_onOrthosteric Ligand8KFX-CCR8-LMD-009-Gi1/β1/γ2 8KFY-CCR8-ZK-756326-Gi1/β1/γ2 8U1U-CCR8-CCL1-Gi1/β1/γ2
20.00Consensusetb_on_gpOrthosteric Ligand8IY5-ETB-Endothelin-1-Gi1/β1/γ2 8HBD-ETB-IRL1620-Gi1/β1/γ2
20.00Consensusgi_formylpeptideOrthosteric Ligand7WVY-FPR2-ALX-Amyloid-β42-Gi2/β1/γ2 7T6U-FPR2-ALX-CGEN-855A-Gi1/β1/γ2 7VFX-FPR1-ALX-fMLF-Gi1/β1/γ2 7T6V-FPR2-ALX-fMLFII-Gi1/β1/γ2 7WVX-FPR2-ALX-Humanin-Gi2/β1/γ2 7T6S-FPR2-ALX-PubChem 24776341-Gi1/β1/γ2 6OMM-FPR2-ALX-WKYMVX-Gi1/β1/γ2
20.00Consensusglp1_onOrthosteric Ligand7S1M-GLP-1-Ex4-D-Ala-Gs/β1/γ2 7X8R-GLP-1-BOC5-Gs/β1/γ2 6X19-GLP-1-CHU-128-Gs/β1/γ2 6X1A-GLP-1-Danuglipron-Gs/β1/γ2 6X18-GLP-1-GLP-1-Gs/β1/γ2 8JIP-GLP-1-MEDI0382-chim(NtGi1-Gs)/β1/γ2 7C2E-GLP-1-PubChem 149050799-Gs/β1/γ2 7KI0-GLP-1-Semaglutide-Gs/β1/γ2 7KI1-GLP-1-Taspoglutide-Gs/β1/γ2 7X8S-GLP-1-WB4-24-Gs/β1/γ2 8JIS-GLP-1-Peptide-15-chim(NtGi1-Gs)/β1/γ2 7VBI-GLP-1-Non-Acylated Tirzepatide-Gs/β1/γ2
20.00Consensuslpa1_offOrthosteric Ligand4Z36-LPA1-ONO-3080573 4Z35-LPA1-ONO-9910539 4Z34-LPA1-ONO-9780307
20.00Consensuslpa_offOrthosteric Ligandlpa1_off
20.00Consensuslpl_offOrthosteric Ligands1p_off lpa_off
20.00Consensusneuromedin-u_onOrthosteric Ligandnmur1_on nmur2_on
20.00Consensuss1p1_onOrthosteric Ligand7VIE-S1P1-S1P-Gi1/β1/γ2 7VIF-S1P1-S-FTY720-P-Gi1/β1/γ2 7VIG-S1P1-CBP-307-Gi1/β1/γ2 7EVY-S1P1-Siponimod-Gi1/β1/γ2 7EVZ-S1P1-Cenerimod-Gi1/β1/γ2 7EW0-S1P1-Ozanimod-Gi1/β1/γ2 7EW7-S1P1-SEW2871-Gi1/β1/γ2
20.00Consensuss1p1_on_gpOrthosteric Ligand7VIE-S1P1-S1P-Gi1/β1/γ2 7VIF-S1P1-S-FTY720-P-Gi1/β1/γ2 7VIG-S1P1-CBP-307-Gi1/β1/γ2 7EVY-S1P1-Siponimod-Gi1/β1/γ2 7EVZ-S1P1-Cenerimod-Gi1/β1/γ2 7EW0-S1P1-Ozanimod-Gi1/β1/γ2 7EW7-S1P1-SEW2871-Gi1/β1/γ2
20.00Consensustachykinin_onOrthosteric Ligandnk1_on nk2_on nk3_on
19.35Consensusglp1_on_gpOrthosteric Ligand7S1M-GLP-1-Ex4-D-Ala-Gs/β1/γ2 7X8R-GLP-1-BOC5-Gs/β1/γ2 6X19-GLP-1-CHU-128-Gs/β1/γ2 6X1A-GLP-1-Danuglipron-Gs/β1/γ2 6X18-GLP-1-GLP-1-Gs/β1/γ2 8JIP-GLP-1-MEDI0382-chim(NtGi1-Gs)/β1/γ2 7C2E-GLP-1-PubChem 149050799-Gs/β1/γ2 7KI0-GLP-1-Semaglutide-Gs/β1/γ2 7KI1-GLP-1-Taspoglutide-Gs/β1/γ2 7X8S-GLP-1-WB4-24-Gs/β1/γ2 8JIS-GLP-1-Peptide-15-chim(NtGi1-Gs)/β1/γ2 7VBI-GLP-1-Non-Acylated Tirzepatide-Gs/β1/γ2
19.23Single7P02Protachykinin-17P02-NK1-Protachykinin-1-chim(NtGi1-Gs)/β1/γ2
19.23Single7TYHCalcitonin-17TYH-CT (AMY2)-Calcitonin-1-Gs/β1/γ2; RAMP2
19.23Single7VL9CCL15(26-92)7VL9-CCR1-CCL15(26-92)-Gi1/β1/γ2
19.23Single7X9CPancreatic Hormone7X9C-Y4-Pancreatic Hormone-Gi1/β1/γ2
19.23Single7Y35Abaloparatide7Y35-PTH1-Abaloparatide-Gs/β1/γ2
19.23Single8E3YPACAP278E3Y-VPAC1-PACAP27-Gs/β1/γ2
19.23Single8E3ZVIP8E3Z-VPAC1-VIP-Gs/β1/γ2
19.23Single8HNKCXCL118HNK-CXCR3-CXCL11-Gi1/β1/γ2
19.23Single8XGOTAK4488XGO-Kiss1-TAK448-chim(NtGi1-Gq)/β1/γ2
19.23Single8XVHEndothelin-18XVH-ETB-Endothelin-1-chim(Gs-CtGq)/β1/γ2
19.23Single8ZRTET-18ZRT-ETB-ET-1
19.23Single9JFYhNPSF9JFY-NPFF2-hNPSF-Gi1/β1/γ2
19.23Consensuscalcitonin_onOrthosteric Ligandctlike_on
19.23Consensuscml1_on_gpOrthosteric Ligand7YKD-CML1-Chemerin-9-Gi1/β1/γ2
19.23Consensusneuromedin-u_on_gpOrthosteric Ligandnmur1_on_gp nmur2_on_gp
19.23Consensusopioid_onOrthosteric Ligandmop_on nop_on dop_on kop_on
19.23Consensuspac_onOrthosteric Ligandpac1_on
19.05Single4Z35ONO-99105394Z35-LPA1-ONO-9910539
19.05Single5TUDErgotamine5TUD-5-HT2B-Ergotamine
19.05Single6IBLArformoterol6IBL-β1-Arformoterol
19.05Single6TKOArformoterol6TKO-β1-Arformoterol-Arrestin2
19.05Single7D7MDinoprostone7D7M-EP4-Dinoprostone-Gs/β1/γ1
19.05Single7EW0Ozanimod7EW0-S1P1-Ozanimod-Gi1/β1/γ2
19.05Single7LLLExendin-47LLL-GLP-1-Exendin-4-Gs/β1/γ2
19.05Single7MBYCholecystokinin-87MBY-CCKA-Cholecystokinin-8-chim(NtGi1L-Gs-CtGq)/β1/γ2
19.05Single7WVVfMLFII7WVV-FPR2-ALX-fMLFII-Gi2/β1/γ2
19.05Single7XJISolabegron7XJI-β3-Solabegron-Gs/β1/γ2
19.05Single7XK2MK68927XK2-HCA2-MK6892-Gi1/β1/γ2
19.05Single7YU8ONO-07405567YU8-LPA1-ONO-0740556-Gi1/β1/γ2
19.05Single8I95EP548I95-C3aB-EP54-Go/β1/γ2
19.05Single8IULLatanoprost8IUL-FP-alpha-Latanoprost-chim(NtGi1-Gs-CtGq)/β1/γ2
19.05Single8IYSTUG-8918IYS-FFA4-TUG-891-GDP-chim(NtGi1L-Gq)/β1/γ2
19.05Single8K2XCXCL108K2X-CXCR3-CXCL10-Gi1/β1/γ2
19.05Single8WRZPubChem 1023367048WRZ-CB1-PubChem 102336704-Arrestin2
19.05Single8XBES3E-LysoPS8XBE-GPR34-S3E-LysoPS-Gi1/β1/γ1
19.05Single9C0KExendin-49C0K-GLP-1-Exendin-4-Gs/β1/γ2
19.05Consensuschemerin_onOrthosteric Ligandcml1_on
19.05Consensusgi_s1pOrthosteric Ligand7VIE-S1P1-S1P-Gi1/β1/γ2 7EW3-S1P3-S1P-Gi1/β1/γ2 7EVY-S1P1-Siponimod-Gi1/β1/γ2 7EW1-S1P5-Siponimod-Gi1/β1/γ2 7VIF-S1P1-S-FTY720-P-Gi1/β1/γ2 7VIG-S1P1-CBP-307-Gi1/β1/γ2 7EVZ-S1P1-Cenerimod-Gi1/β1/γ2 7EW4-S1P3-CYM5541-Gi1/β1/γ2 7EW2-S1P3-Fingolimod-Gi1/β1/γ2 7EW0-S1P1-Ozanimod-Gi1/β1/γ2 7EW7-S1P1-SEW2871-Gi1/β1/γ2
19.05Consensusnucleotide_on_gpOrthosteric Ligandadenosine_on_gp p2y_on_gp
18.75Single2X72All-trans-Retinal2X72-Rhodopsin-All-trans-Retinal-Gt(CT)
18.75Single3ODUIT1t3ODU-CXCR4-IT1t
18.75Single3V2WPubChem 518926453V2W-S1P1-PubChem 51892645
18.75Single3VGAZM-2413853VGA-A2A-ZM-241385-Antibody
18.75Single5OLHVipadenant5OLH-A2A-Vipadenant-Na
18.75Single5OLVLUAA410635OLV-A2A-LUAA41063-Na
18.75Single5U09Taranabant5U09-CB1-Taranabant
18.75Single6DS0Ly2660976DS0-5-HT2B-Ly266097
18.75Single6ME9Ramelteon6ME9-MT2-Ramelteon
18.75Single6NWEOctyl-Beta-D-Glucopyranoside6NWE-Rhodopsin-Octyl-β-D-Glucopyranoside-Gt(CT)
18.75Single6RNKNF-56-EJ406RNK-Succinate-NF-56-EJ40
18.75Single6WWZCCL206WWZ-CCR6-CCL20-Go/β1/γ2
18.75Single7F8ULintitript7F8U-CCKA-Lintitript
18.75Single7LCJDanuglipron7LCJ-GLP-1-Danuglipron
18.75Single7LD4Adenosine7LD4-A1-Adenosine-Gi2/β1/γ2
18.75Single7VIHCBP-3077VIH-S1P1-CBP-307-Gi1/β1/γ2
18.75Single7VUJJNJ-635330547VUJ-GPR139-JNJ-63533054-GDP-chim(Gs-CtGq)/β1/γ2
18.75Single7VV5C48/807VV5-MRGPRX2-C48/80-Gi1/β1/γ2
18.75Single7W0OElabela7W0O-Apelin-Elabela-Gi1/β1/γ2
18.75Single7WF7S1P7WF7-S1P1-S1P-Gi1/β1/γ2
18.75Single7X2CFenoldopam7X2C-D1-Fenoldopam-Fenoldopam-Gs/β1/γ2
18.75Single7XJJGalanin7XJJ-GAL1-Galanin-Go/β1/γ2
18.75Single8DU3PubChem 1055260648DU3-A2A-PubChem 105526064
18.75Single8HDPAdenosine8HDP-A2B-Adenosine-Gs/β1/γ2
18.75Single8U4SREGN7663-Fab8U4S-CXCR4-REGN7663-Fab
18.75Single8U4TREGN7663-Fab8U4T-CXCR4-REGN7663-Fab
18.75Single8UTDMK19038UTD-HCA2-MK1903-Gi1/β1/γ2
18.75Single8WOGSuccinic acid8WOG-Succinate-Succinic acid-Gi1/β1/γ2
18.75Single8YKXMaleic acid8YKX-Succinate-Maleic acid-Gi1/β1/γ1
18.75Single8YYWAlpha-ketoglutarate8YYW-Oxoglutarate-α-ketoglutarate-α-ketoglutarate-chim(Gi1-CtGq)/β1/γ2
18.75Single9H2XA1IR19H2X-A2A-A1IR1-Na
18.75Consensusa1_onOrthosteric Ligand7LD4-A1-Adenosine-Gi2/β1/γ2
18.75Consensusa1_on_gpOrthosteric Ligand7LD4-A1-Adenosine-Gi2/β1/γ2
18.75Consensusccr6_onOrthosteric Ligand6WWZ-CCR6-CCL20-Go/β1/γ2
18.75Consensusccr6_on_gpOrthosteric Ligand6WWZ-CCR6-CCL20-Go/β1/γ2
18.75Consensusgi_succinateOrthosteric Ligand8YKW-Succinate-Succinic acid-Gi1/β1/γ1 8YKX-Succinate-Maleic acid-Gi1/β1/γ1
18.75Consensuss1p1_offOrthosteric Ligand3V2W-S1P1-PubChem 51892645
18.75Consensussuccinate_onOrthosteric Ligand8YKW-Succinate-Succinic acid-Gi1/β1/γ1 8YKX-Succinate-Maleic acid-Gi1/β1/γ1
18.75Consensussuccinate_on_gpOrthosteric Ligand8YKW-Succinate-Succinic acid-Gi1/β1/γ1 8YKX-Succinate-Maleic acid-Gi1/β1/γ1
18.52Single6NBILong-Acting PTH Analog6NBI-PTH1-Long-Acting PTH Analog-Gs/β1/γ2
18.52Single7YKDChemerin-97YKD-CML1-Chemerin-9-Gi1/β1/γ2
18.52Single8E3XPACAP278E3X-PAC1-PACAP27-Gs/β1/γ2
18.52Single8FLRPTHrP(1-36)8FLR-PTH1-PTHrP(1-36)-Gs/β1/γ2
18.52Single8H0PNMB308H0P-BB1-NMB30-chim(NtGi1-Gs-CtGq)/β1/γ2
18.52Single8XQFApelin-138XQF-Apelin-Apelin-13-Gi1/β1/γ2
18.52Single8XVEBQ30208XVE-ETB-BQ3020-chim(Gs-CtGq)/β1/γ2
18.52Single9BLBCagrilintide backbone (non-acylated)9BLB-CT-Cagrilintide backbone (non-acylated)-Gs/β1/γ2
18.52Single9J1Pg1:Ox9J1P-GLP-1-g1:Ox-chim(NtGi1-Gs)/β1/γ2
18.52Consensuscalcitonin_on_gpOrthosteric Ligandctlike_on_gp
18.52Consensuscrf2_on_gpOrthosteric Ligand7TS0-CRF2-Urocortin-chim(NtGi1L-Go)/β1/γ2
18.52Consensusctlike_onOrthosteric Ligand6E3Y-CT Like-Calcitonin gene-related peptide-1-Gs/β1/γ2; RAMP1
18.52Consensusopioid_on_gpOrthosteric Ligandmop_on_gp nop_on_gp dop_on_gp kop_on_gp
18.52Consensuspac_on_gpOrthosteric Ligandpac1_on_gp
18.52Consensusvpac1_on_gpOrthosteric Ligand8E3Z-VPAC1-VIP-Gs/β1/γ2
18.18Single6KNMJN241-96KNM-Apelin-JN241-9
18.18Single6OMMWKYMVX6OMM-FPR2-ALX-WKYMVX-Gi1/β1/γ2
18.18Single6XBJCholesterol6XBJ-SMO-Cholesterol-Gi1/β1/γ2
18.18Single7AUESetmelanotide7AUE-MC4-Setmelanotide-chim(NtGi1L-Gs)/β1/γ2
18.18Single7RMGSubstance-P7RMG-NK1-Substance-P-chim(Gs-CtGq)/β1/γ2
18.18Single7T11Octreotide7T11-SST2-Octreotide-Gi3/β1/γ2
18.18Single7Y1FDynorphin7Y1F-κ-Dynorphin-Gi1/β1/γ2
18.18Single8JLRA776368JLR-TA1-A77636-chim(NtGi1-Gs)/β1/γ2
18.18Single8SZGCa; Ca; Tryptophan; Cinacalcet; PO4; Spermine8SZG-CaS-Ca; Ca; Tryptophan; Cinacalcet; PO4; Spermine-chim(NtGi1-Gq)/β1/γ2
18.18Single8Z74Agonistic antibody8Z74-Apelin-Agonistic antibody
18.18Single8Z74Agonistic antibody8Z74-Apelin-Agonistic antibody
18.18Consensusdop_onOrthosteric Ligand8F7S-δ-Deltorphin-Gi1/β1/γ2
18.18Consensusnmur1_onOrthosteric Ligand7W53-NMUR1-Neuromedin-U-25-chim(NtGi1-Gs-CtGq)/β1/γ2
18.18Consensuspth_onOrthosteric Ligandpth1_on pth2_on
18.18Consensuss1p_onOrthosteric Ligands1p1_on s1p3_on s1p5_on
18.18Consensuss1p_on_gpOrthosteric Ligands1p1_on_gp s1p3_on_gp s1p5_on_gp
18.18Consensussst2_onOrthosteric Ligand7WIC-SST2-Somatostatin-14-Gi1/β1/γ2 7WIG-SST2-L-054,264-Gi1/β1/γ2 7YAE-SST2-Octreotide-Gi1/β1/γ2 7YAC-SST2-Paltusotine-Gi1/β1/γ2
18.18Consensussst2_on_gpOrthosteric Ligand7WIC-SST2-Somatostatin-14-Gi1/β1/γ2 7WIG-SST2-L-054,264-Gi1/β1/γ2 7YAE-SST2-Octreotide-Gi1/β1/γ2 7YAC-SST2-Paltusotine-Gi1/β1/γ2
17.95Single8GY7Corticotropin8GY7-MC2-Corticotropin-Ca-chim(NtGi1-Gs)/β1/γ2; MRAP1
17.86Single6B3JExendin-P56B3J-GLP-1-Exendin-P5-Gs/β1/γ2
17.86Single6VCBGLP-16VCB-GLP-1-GLP-1-LSN3160440-Gs/β1/γ2
17.86Single7F4FAfamelanotide7F4F-MC1-Afamelanotide-chim(NtGi1-Gs)/β1/γ2
17.86Single7S1MEx4-D-Ala7S1M-GLP-1-Ex4-D-Ala-Gs/β1/γ2
17.86Single7TYFAmylin7TYF-CT (AMY1)-Amylin-Gs/β1/γ2; RAMP1
17.86Single7TYNCalcitonin-17TYN-CT-Calcitonin-1-Gs/β1/γ2
17.86Single7WVYAmyloid-Beta427WVY-FPR2-ALX-Amyloid-β42-Gi2/β1/γ2
17.86Single8FU6Glucagon derivative ZP37808FU6-Glucagon-Glucagon derivative ZP3780-Gs/β1/γ2
17.86Single8ZH8QRF-Amide8ZH8-QRFP-QRF-Amide-Gq/β1/γ1
17.86Single9KDFRES-701-39KDF-ETB-RES-701-3
17.86Consensusglp_onOrthosteric Ligandglp1_on glp2_on
17.86Consensusglp_on_gpOrthosteric Ligandglp1_on_gp glp2_on_gp
17.65Single2YDOAdenosine2YDO-A2A-Adenosine
17.65Single5TE3Octyl-Beta-D-Glucopyranoside5TE3-Rhodopsin-Octyl-β-D-Glucopyranoside
17.65Single5UVIZM-2413855UVI-A2A-ZM-241385
17.65Single6KUXRS-799486KUX-α2a-RS-79948
17.65Single6ME42-Iodomelatonin6ME4-MT1-2-Iodomelatonin
17.65Single6PS82-Phenylmelatonin6PS8-MT1-2-Phenylmelatonin
17.65Single6PT0WIN 55212-26PT0-CB2-WIN 55212-2-Gi1/β1/γ2
17.65Single6ZDVChromone 5d6ZDV-A2A-Chromone 5d-Na
17.65Single7UL3Famotidine7UL3-H2-Famotidine
17.65Single7VV6C48/807VV6-MRGPRX2-C48/80
17.65Single7YK6PubChem 1383196747YK6-RXFP4-PubChem 138319674-Gi2/β1/γ2
17.65Single8GUQOlorinab8GUQ-CB2-Olorinab-Gi1/β1/γ2
17.65Single8GURCP55,9408GUR-CB2-CP55,940-Gi1/β1/γ2
17.65Single8IHKAcifran8IHK-HCA3-Acifran
17.65Single8JLQFenoldopam8JLQ-TA1-Fenoldopam-Gs/β1/γ2
17.65Single8K4NVF08K4N-GPR34-VF0-Gi1/β1/γ2
17.65Single8W88SEP-3638568W88-TA1-SEP-363856-Gs/β1/γ2
17.65Single8YKVPubChem 1375531688YKV-Succinate-PubChem 137553168-Gi1/β1/γ2
17.65Single8ZPMAMD0708ZPM-CXCR4-AMD070
17.65Single9JKQMETH9JKQ-TA1-METH-Gs/β1/γ2
17.65Consensusadenosine_onOrthosteric Liganda1_on a2_on a3_on
17.65Consensuscb1_offOrthosteric Ligand5U09-CB1-Taranabant 5TGZ-CB1-AM6538
17.65Consensusgi_adenosineOrthosteric Ligand7LD4-A1-Adenosine-Gi2/β1/γ2 8X17-A3A-Namodenoson-Gi1/β1/γ2 8X16-A3A-Piclidenoson-Gi1/β1/γ2
17.65Consensusgrh_offOrthosteric Ligandgnrh1_off
17.39Single7TD4Siponimod7TD4-S1P1-Siponimod-Gi1/β1/γ2
17.39Single7W2ZGhrelin7W2Z-Ghrelin-Ghrelin-Go/β1/γ2
17.39Single7W53Neuromedin-U-257W53-NMUR1-Neuromedin-U-25-chim(NtGi1-Gs-CtGq)/β1/γ2
17.39Single7WKDTRH7WKD-TRH-TRH-chim(NtGi1-Gs-CtGq)/β1/γ2
17.39Single7WVWfMYFINILTL7WVW-FPR2-ALX-fMYFINILTL-Gi2/β1/γ2
17.39Single8DCRDobutamine8DCR-β1-Dobutamine-Gs/β1/γ2
17.39Single8G59TUG-8918G59-FFA4-TUG-891-chim(Gi1-CtGq)/β1/γ2
17.39Single8GHVAMG3158GHV-CB1-AMG315-Gi1/β1/γ2
17.39Single8WZ2Orexigenic Neuropeptide QRFP8WZ2-QRFP-Orexigenic Neuropeptide QRFP-chim(NtGi1L-Gs-CtGq)/β1/γ2
17.39Single8XBHS3E-LysoPS8XBH-GPR34-S3E-LysoPS-Gi1/β1/γ2
17.39Single8YWFRetatrutide8YWF-GLP-1-Retatrutide-chim(NtGi1-Gs)/β1/γ2
17.39Single8ZSPLSD8ZSP-TA1-LSD-chim(NtGi1L-Gs-CtGq)/β1/γ2
17.39Single9BUECagrilintide9BUE-CT-Cagrilintide-Gs/β1/γ2
17.39Consensusgi_nucleotideOrthosteric Ligandgi_adenosine gi_p2y
17.39Consensusmop_offOrthosteric Ligand4DKL-μ-β-Funaltrexamine 8QOT-μ-Nanobody-E 7UL4-μ-Alvimopan
17.39Consensusnmur1_on_gpOrthosteric Ligand7W53-NMUR1-Neuromedin-U-25-chim(NtGi1-Gs-CtGq)/β1/γ2
17.39Consensusnop_onOrthosteric Ligand8F7X-NOP-Nociceptin-Gi1/β1/γ2
17.39Consensusnop_on_gpOrthosteric Ligand8F7X-NOP-Nociceptin-Gi1/β1/γ2
17.24Single7D68GLP-27D68-GLP-2-GLP-2-Gs/β1/γ2
17.24Single7VVJPTHrP(1-36)7VVJ-PTH1-PTHrP(1-36)-Gs/β1/γ2
17.24Single8F0KPramlintide Analogue San3858F0K-CT (AMY3)-Pramlintide Analogue San385-Gs/β1/γ2; RAMP3
17.24Single8HAFPTHrP(1-36)8HAF-PTH1-PTHrP(1-36)-chim(NtGi1-Gs)/β1/γ2
17.24Consensusctlike_on_gpOrthosteric Ligand6E3Y-CT Like-Calcitonin gene-related peptide-1-Gs/β1/γ2; RAMP1
17.24Consensusetb_onOrthosteric Ligand8IY5-ETB-Endothelin-1-Gi1/β1/γ2 8HBD-ETB-IRL1620-Gi1/β1/γ2
17.24Consensuspth1_onOrthosteric Ligand6NBF-PTH1-Long-Acting PTH Analog-Gs/β1/γ2 8HA0-PTH1-PTH-chim(NtGi1-Gs)/β1/γ2 8HAF-PTH1-PTHrP(1-36)-chim(NtGi1-Gs)/β1/γ2 7Y36-PTH1-Teriparatide-Gs/β1/γ2 7Y35-PTH1-Abaloparatide-Gs/β1/γ2
17.24Consensusvip-pacap_onOrthosteric Ligandvpac_on pac_on
17.24Consensusvip-pacap_on_gpOrthosteric Ligandvpac_on_gp pac_on_gp
17.24Consensusvpac2_onOrthosteric Ligand7VQX-VPAC1-PACAP27-Gs/β1/γ2
17.24Consensusvpac2_on_gpOrthosteric Ligand7VQX-VPAC1-PACAP27-Gs/β1/γ2
16.67Single2Y01Dobutamine2Y01-β1-Dobutamine
16.67Single2Y02Carmoterol2Y02-β1-Carmoterol
16.67Single4J4QOctyl Beta-D-Glucopyranoside4J4Q-Rhodopsin-Octyl β-D-Glucopyranoside-Gt(CT)
16.67Single4YAYZD-71554YAY-AT1-ZD-7155
16.67Single5MZPCaffeine5MZP-A2A-Caffeine-Na
16.67Single5OLZPubChem 1355666095OLZ-A2A-PubChem 135566609-Na
16.67Single5OM1PubChem 1355666095OM1-A2A-PubChem 135566609-Na
16.67Single5TGZAM65385TGZ-CB1-AM6538
16.67Single5ZKPForopafant (SR27417)5ZKP-PAF-Foropafant (SR27417)
16.67Single6DRZMethysergide6DRZ-5-HT2B-Methysergide
16.67Single6GPSMK08126GPS-CCR2-MK0812
16.67Single6KPFPubChem 1459158896KPF-CB2-PubChem 145915889-Gi1/β1/γ2
16.67Single7BU7BI1671077BU7-β1-BI167107
16.67Single7LCIDanuglipron7LCI-GLP-1-Danuglipron-Gs/β1/γ2
16.67Single7PIVSetmelanotide7PIV-MC4-Setmelanotide-Gs/β1/γ2
16.67Single7RMISubstance-P7RMI-NK1-Substance-P-chim(Gs-CtGq)/β1/γ2
16.67Single7S15PubChem 1346112237S15-GLP-1-PubChem 134611223
16.67Single7TYXAmylin7TYX-CT (AMY2)-Amylin-Gs/β1/γ2; RAMP2
16.67Single7V3ZCP559407V3Z-CB1-CP55940
16.67Single7VIES1P7VIE-S1P1-S1P-Gi1/β1/γ2
16.67Single7VIFS-FTY720-P7VIF-S1P1-S-FTY720-P-Gi1/β1/γ2
16.67Single7VKTLTB47VKT-BLT1-LTB4-Gi1/β1/γ2
16.67Single7WC8Lumateperone7WC8-5-HT2A-Lumateperone
16.67Single7YACPaltusotine7YAC-SST2-Paltusotine-Gi1/β1/γ2
16.67Single7YK7DC5910537YK7-RXFP4-DC591053-Gi2/β1/γ2
16.67Single7YXAONO-54306087YXA-S1P5-ONO-5430608
16.67Single8CICEtrumadenant8CIC-A2A-Etrumadenant-Na
16.67Single8CU6LJ-45178CU6-A2A-LJ-4517
16.67Single8CU7LJ-45178CU7-A2A-LJ-4517-Na
16.67Single8F7QBeta-Endorphin8F7Q-μ-β-Endorphin-Gi1/β1/γ2
16.67Single8F7WDynorphin8F7W-κ-Dynorphin-Gi1/β1/γ2
16.67Single8GCML9026888GCM-EP4-L902688-Gi1/β1/γ2
16.67Single8GEJConstrained Epinephrine8GEJ-β2-Constrained Epinephrine-Gs/β1/γ2
16.67Single8JBHSubstance-P8JBH-NK3-Substance-P-chim(NtGi1-Gs-CtGq)/β1/γ2
16.67Single8K6OPro-neuropeptide-Y8K6O-Y1-Pro-neuropeptide-Y-Gi2/β1/γ1
16.67Single8KH5Lysophosphatidylserine8KH5-GPR174-Lysophosphatidylserine-Gs/β1/γ2
16.67Single8PJKST1718PJK-5-HT1A-ST171-Gi1/β1/γ1
16.67Single8SG1Chemerin-98SG1-CML1-Chemerin-9-Gi1/β1/γ2
16.67Single8TH3AT118-H Nanobody8TH3-AT1-AT118-H Nanobody
16.67Single8W8ARO52563908W8A-TA1-RO5256390-chim(NtGi1L-Gs)/β1/γ2
16.67Single8XJLPGF2-alpha8XJL-FP-alpha-PGF2-α-chim(NtGi2-Gs-CtGq)/β1/γ2
16.67Single8YH5Riboprine8YH5-A3A-Riboprine-Gi1/β1/γ2
16.67Single8ZBEOctreotide8ZBE-SST5-Octreotide-Gi1/β1/γ1
16.67Single8ZSSRO52633978ZSS-TA1-RO5263397-chim(NtGi1-Gs)/β1/γ2
16.67Single9CHXS-Carazolol9CHX-β2-S-Carazolol
16.67Single9E82SDF-1-beta9E82-ACKR3-SDF-1-β-Arrestin2
16.67Single9EPP11,20-Ethanoretinal9EPP-Rhodopsin-11,20-Ethanoretinal-chim(Gi1-CtGq)/β1/γ2
16.67Single9H37A1IR09H37-A2A-A1IR0-Na
16.67Single9IMATalquetamab9IMA-GPRC5D-Talquetamab
16.67Single9JGKBalovaptan9JGK-5-HT2B-Balovaptan
16.67Consensus5ht2b_offOrthosteric Ligand6DRZ-5-HT2B-Methysergide
16.67Consensusadenosine_on_gpOrthosteric Liganda1_on_gp a2_on_gp a3_on_gp
16.67Consensusalicarboxylic_offOrthosteric Ligandsuccinate_off
16.67Consensusbb2_onOrthosteric Ligand7W40-BB2-Bombesin-chim(NtGi1L-Gq)/β1/γ2 7W3Z-BB2-Gastrin Releasing Peptide-chim(NtGi1L-Gq)/β1/γ2
16.67Consensusbb2_on_gpOrthosteric Ligand7W40-BB2-Bombesin-chim(NtGi1L-Gq)/β1/γ2 7W3Z-BB2-Gastrin Releasing Peptide-chim(NtGi1L-Gq)/β1/γ2
16.67Consensusblt1_onOrthosteric Ligand7VKT-BLT1-LTB4-Gi1/β1/γ2
16.67Consensusblt1_on_gpOrthosteric Ligand7VKT-BLT1-LTB4-Gi1/β1/γ2
16.67Consensusblt_onOrthosteric Ligandblt1_on
16.67Consensusblt_on_gpOrthosteric Ligandblt1_on_gp
16.67Consensusbombesin_onOrthosteric Ligandbb2_on
16.67Consensusbombesin_on_gpOrthosteric Ligandbb2_on_gp
16.67Consensusccr2_offOrthosteric Ligand6GPS-CCR2-MK0812
16.67Consensusccr8_on_gpOrthosteric Ligand8KFX-CCR8-LMD-009-Gi1/β1/γ2 8KFY-CCR8-ZK-756326-Gi1/β1/γ2 8U1U-CCR8-CCL1-Gi1/β1/γ2
16.67Consensusclass-a_class-b1_cons_onOrthosteric Ligandclass-a_on class-b1_on
16.67Consensuscrf1_onOrthosteric Ligand6PB0-CRF1-Urocortin-chim(NtGi1-Gs)/β1/γ2 6P9X-CRF1-Corticoliberin-Gs/β1/γ2
16.67Consensusgi_leukotrieneOrthosteric Ligand7VKT-BLT1-LTB4-Gi1/β1/γ2
16.67Consensusgip_onOrthosteric Ligand7FIN-GIP-Peptide-20; GGL-Gs/β1/γ2 7FIY-GIP-Tirzepatide-Gs/β1/γ2 7DTY-GIP-GIP-Gs/β1/γ2
16.67Consensusgip_on_gpOrthosteric Ligand7FIN-GIP-Peptide-20; GGL-Gs/β1/γ2 7FIY-GIP-Tirzepatide-Gs/β1/γ2 7DTY-GIP-GIP-Gs/β1/γ2
16.67Consensusgq_bombesinOrthosteric Ligand7W40-BB2-Bombesin-chim(NtGi1L-Gq)/β1/γ2 7W3Z-BB2-Gastrin Releasing Peptide-chim(NtGi1L-Gq)/β1/γ2
16.67Consensusleukotriene_onOrthosteric Ligandblt_on
16.67Consensusleukotriene_on_gpOrthosteric Ligandblt_on_gp
16.67Consensuss1p3_on_gpOrthosteric Ligand7EW3-S1P3-S1P-Gi1/β1/γ2 7EW4-S1P3-CYM5541-Gi1/β1/γ2 7EW2-S1P3-Fingolimod-Gi1/β1/γ2
16.67Consensussst4_onOrthosteric Ligand7XMS-SST4-Somatostatin-14-Gi1/β1/γ2 7XMT-SST4-J-2156-Gi1/β1/γ2
16.67Consensussst4_on_gpOrthosteric Ligand7XMS-SST4-Somatostatin-14-Gi1/β1/γ2 7XMT-SST4-J-2156-Gi1/β1/γ2
16.67Consensussuccinate_offOrthosteric Ligand6RNK-Succinate-NF-56-EJ40 6Z10-Succinate-PubChem 154585554
16.22Consensuspth_on_gpOrthosteric Ligandpth1_on_gp pth2_on_gp
16.13Single7TZFAmylin7TZF-CT (AMY3)-Amylin-Gs/β1/γ2; RAMP3
16.13Single8FLSAbaloparatide8FLS-PTH1-Abaloparatide-Gs/β1/γ2
16.13Single8FLULong-Acting PTH8FLU-PTH1-Long-Acting PTH-Gs/β1/γ2
16.13Single8HBDIRL16208HBD-ETB-IRL1620-Gi1/β1/γ2
16.00Single6UUNAdrenomedullin6UUN-CT Like (AM1)-Adrenomedullin-Gs/β1/γ2; RAMP2
16.00Single7T6TfMLFII7T6T-FPR1-ALX-fMLFII-Gi1/β1/γ2
16.00Single7TD0LPA7TD0-LPA1-LPA-Gi1/β1/γ2
16.00Single7TD2LPA7TD2-LPA1-LPA-Gi1/β1/γ2
16.00Single8W8YGamma-MSH8W8Y-MC3-γ-MSH-Ca-Gs/β1/γ2
16.00Single8XZHMM078XZH-Apelin-MM07-Gi1/β1/γ2
16.00Single9M1OMorphine-Modulating Neuropeptide B9M1O-NPFF2-Morphine-Modulating Neuropeptide B-Gi1/β1/γ2
16.00Consensusclass-b1_class-b2_cons_onOrthosteric Ligandclass-b1_on class-b2_on
16.00Consensusclass-b1_class-b2_cons_on_gpOrthosteric Ligandclass-b1_on_gp class-b2_on_gp
16.00Consensusfpr2-alx_onOrthosteric Ligand7WVX-FPR2-ALX-Humanin-Gi2/β1/γ2 7T6U-FPR2-ALX-CGEN-855A-Gi1/β1/γ2 7T6V-FPR2-ALX-fMLFII-Gi1/β1/γ2 7WVY-FPR2-ALX-Amyloid-β42-Gi2/β1/γ2 7T6S-FPR2-ALX-PubChem 24776341-Gi1/β1/γ2 6OMM-FPR2-ALX-WKYMVX-Gi1/β1/γ2
15.79Single2Y00Dobutamine2Y00-β1-Dobutamine
15.79Single4RWDDIPP-NH24RWD-δ-DIPP-NH2-Na
15.79Single5OM4PubChem 1355666095OM4-A2A-PubChem 135566609-Na
15.79Single5T1ABMS-6815T1A-CCR2-BMS-681-PubChem 12093170
15.79Single6E67BI1671076E67-β2-BI167107-Gs(CT)
15.79Single6GDGNECA6GDG-A2A-NECA-Gs/β1/γ1
15.79Single6GPXMK08126GPX-CCR2-MK0812
15.79Single6KPCPubChem 1459158896KPC-CB2-PubChem 145915889
15.79Single6ME82-Phenylmelatonin6ME8-MT2-2-Phenylmelatonin
15.79Single6RZ4Pranlukast6RZ4-CysLT1-Pranlukast-Na
15.79Single7BB7AVP7BB7-V2-AVP-Gs/β1/γ2
15.79Single7C4SS1P7C4S-S1P3-S1P
15.79Single7LD3Adenosine7LD3-A1-Adenosine-MIPS521-Gi2/β1/γ2
15.79Single7VFXfMLF7VFX-FPR1-ALX-fMLF-Gi1/β1/γ2
15.79Single7VUHJNJ-635330547VUH-GPR139-JNJ-63533054-chim(Gs-CtGq)/β1/γ2
15.79Single7W41PD1762527W41-BB2-PD176252
15.79Single7X1TTaltirelin7X1T-TRH-Taltirelin-chim(NtGi2L-Gs-CtGq)/β1/γ2
15.79Single8C9WEtrumadenant8C9W-A2A-Etrumadenant
15.79Single8GD9Rivenprost8GD9-EP4-Rivenprost-Gs/β1/γ2
15.79Single8ID4Linoleic acid8ID4-FFA4-Linoleic acid-Gi1/β1/γ2
15.79Single8IZ4Lysophosphatidylserine8IZ4-GPR34-Lysophosphatidylserine-Gi1/β1/γ2
15.79Single8S4DCMF-0198S4D-Apelin-CMF-019
15.79Single8TF5Oleic acid8TF5-GPR6-Oleic acid
15.79Single8XYKVUF106618XYK-CXCR3-VUF10661-Go/β1/γ2
15.79Single9EE8Adenosine9EE8-A2A-Adenosine-Gs/β1/γ2
15.79Single9GE2ML1849GE2-GPR55-ML184-chim(NtGi1-G13)/β1/γ2
15.79Single9IYBProstaglandin9IYB-DP2-Prostaglandin-A1D5Q-Gi1/β1/γ2
15.79Consensusadgrg2_onOrthosteric Ligand7WUI-ADGRG2-IP15-chim(NtGi1-Gs)/β1/γ2 7WUQ-ADGRG2-Gs/β1/γ2 7XKF-ADGRG2-β-Hydroxyandrosterone-Gs/β1/γ2
15.79Consensusadgrg2_on_gpOrthosteric Ligand7WUI-ADGRG2-IP15-chim(NtGi1-Gs)/β1/γ2 7WUQ-ADGRG2-Gs/β1/γ2 7XKF-ADGRG2-β-Hydroxyandrosterone-Gs/β1/γ2
15.79Consensusbb2_offOrthosteric Ligand7W41-BB2-PD176252
15.79Consensusbombesin_offOrthosteric Ligandbb2_off
15.79Consensuscb2_onOrthosteric Ligand8GUR-CB2-CP55,940-Gi1/β1/γ2 8GUS-CB2-HU-308-Gi1/β1/γ2 8GUT-CB2-LEI-102-Gi1/β1/γ2 6KPF-CB2-PubChem 145915889-Gi1/β1/γ2 6PT0-CB2-WIN 55212-2-Gi1/β1/γ2 8GUQ-CB2-Olorinab-Gi1/β1/γ2
15.79Consensuscb2_on_gpOrthosteric Ligand8GUR-CB2-CP55,940-Gi1/β1/γ2 8GUS-CB2-HU-308-Gi1/β1/γ2 8GUT-CB2-LEI-102-Gi1/β1/γ2 6KPF-CB2-PubChem 145915889-Gi1/β1/γ2 6PT0-CB2-WIN 55212-2-Gi1/β1/γ2 8GUQ-CB2-Olorinab-Gi1/β1/γ2
15.79Consensusd1_onOrthosteric Ligand7F0T-D1-Dopamine-Gs/β1/γ2 7CKY-D1-PW0464-Gs/β1/γ2 8IRR-D1-Rotigotine-Gs/β1/γ2 7JV5-D1-SKF81297-Gs/β1/γ2 7JVP-D1-SKF83959-Gs/β1/γ2 7X2D-D1-Tavapadon-Gs/β1/γ2 7CKX-D1-A77636-Gs/β1/γ2 7JVQ-D1-Apomorphine-Gs/β1/γ2 7CKW-D1-Fenoldopam-Gs/β1/γ2
15.79Consensusd2_onOrthosteric Ligand7JVR-D2-Bromoergocryptine-Gi1/β1/γ2 8IRS-D2-Rotigotine-Gi1/β1/γ2
15.79Consensusfpr1-alx_onOrthosteric Ligand7VFX-FPR1-ALX-fMLF-Gi1/β1/γ2
15.79Consensusfpr1-alx_on_gpOrthosteric Ligand7VFX-FPR1-ALX-fMLF-Gi1/β1/γ2
15.79Consensusgs_amineOrthosteric Ligandgs_5ht gs_adrenergic gs_dopamine gs_histamine gs_trace-amine
15.79Consensuslpa1_onOrthosteric Ligand7TD1-LPA1-LPA-Gi1/β1/γ2 7YU3-LPA1-ONO-0740556-Gi1/β1/γ2
15.79Consensuslpa1_on_gpOrthosteric Ligand7TD1-LPA1-LPA-Gi1/β1/γ2 7YU3-LPA1-ONO-0740556-Gi1/β1/γ2
15.79Consensusnucleotide_onOrthosteric Ligandadenosine_on p2y_on
15.79Consensusta1_onOrthosteric Ligand8W87-TA1-METH-chim(NtGi1L-Gs)/β1/γ2 8W89-TA1-PEA-chim(NtGi1L-Gs)/β1/γ2 8JLP-TA1-Ralmitaront-Gs/β1/γ2 8W8A-TA1-RO5256390-chim(NtGi1L-Gs)/β1/γ2 8W88-TA1-SEP-363856-Gs/β1/γ2 8JLO-TA1-Ulotaront-Gs/β1/γ2 8JLR-TA1-A77636-chim(NtGi1-Gs)/β1/γ2 8JSO-TA1-AMPH-chim(NtGi1-Gs)/β1/γ2 8ZSP-TA1-LSD-chim(NtGi1L-Gs-CtGq)/β1/γ2
15.79Consensustrace-amine_onOrthosteric Ligandta1_on
15.62Single6WPWGlucagon derivative ZP37806WPW-Glucagon-Glucagon derivative ZP3780-Gs/β1/γ2
15.62Single7V35Peptide-207V35-Glucagon-Peptide-20-Gs/β1/γ2
15.62Single7VVMPTH7VVM-PTH1-PTH-Gs/β1/γ2
15.62Single8JIRSAR4258998JIR-GLP-1-SAR425899-chim(NtGi1-Gs)/β1/γ2
15.62Single9JR2PTH9JR2-PTH1-PTH-chim(NtGi1L-Gs-CtGq)/β1/γ2
15.62Consensuscrf1_on_gpOrthosteric Ligand6PB0-CRF1-Urocortin-chim(NtGi1-Gs)/β1/γ2 6P9X-CRF1-Corticoliberin-Gs/β1/γ2
15.62Consensuspth1_on_gpOrthosteric Ligand6NBF-PTH1-Long-Acting PTH Analog-Gs/β1/γ2 8HA0-PTH1-PTH-chim(NtGi1-Gs)/β1/γ2 8HAF-PTH1-PTHrP(1-36)-chim(NtGi1-Gs)/β1/γ2 7Y36-PTH1-Teriparatide-Gs/β1/γ2 7Y35-PTH1-Abaloparatide-Gs/β1/γ2
15.38Single6NIYAdrenomedullin6NIY-CT-Adrenomedullin-Gs/β1/γ2
15.38Single6WI9Secretin6WI9-Secretin-Secretin-Gs/β1/γ2
15.38Single7FINPeptide-20; GGL7FIN-GIP-Peptide-20; GGL-Gs/β1/γ2
15.38Single7V9MSomatoliberin7V9M-GHRH (SV1)-Somatoliberin-Gs/β1/γ2
15.38Single7XKEBeta-Hydroxyandrosterone7XKE-ADGRG2-β-Hydroxyandrosterone-chim(NtGi1-Gs)/β1/γ2
15.38Single8HQMNPGLY8HQM-GPR132-NPGLY-Gi1/β1/γ2
15.38Single8HVINOX-6-78HVI-GPR132-NOX-6-7-Gi1/β1/γ2
15.38Single8X9S5alpha-DHT8X9S-ADGRD1-5α-DHT-chim(NtGi1-Gs)/β1/γ2
15.38Single8YW4Retatrutide8YW4-GIP-Retatrutide-chim(NtGi1-Gs)/β1/γ2
15.38Single9BLCCagrilintide backbone (non-acylated)9BLC-CT-Cagrilintide backbone (non-acylated)-Gs/β1/γ2
15.38Single9BUDCagrilintide9BUD-CT-Cagrilintide-Gs/β1/γ2
15.38Single9IV25alpha-DHT9IV2-ADGRD1-5α-DHT-chim(NtGi1-Gs)/β1/γ2
15.38Consensuscrf2_onOrthosteric Ligand7TS0-CRF2-Urocortin-chim(NtGi1L-Go)/β1/γ2
15.38Consensusfpr2-alx_on_gpOrthosteric Ligand7WVX-FPR2-ALX-Humanin-Gi2/β1/γ2 7T6U-FPR2-ALX-CGEN-855A-Gi1/β1/γ2 7T6V-FPR2-ALX-fMLFII-Gi1/β1/γ2 7WVY-FPR2-ALX-Amyloid-β42-Gi2/β1/γ2 7T6S-FPR2-ALX-PubChem 24776341-Gi1/β1/γ2 6OMM-FPR2-ALX-WKYMVX-Gi1/β1/γ2
15.15Single7TYOCalcitonin7TYO-CT-Calcitonin-Gs/β1/γ2
15.15Single7TYYCalcitonin-17TYY-CT (AMY2)-Calcitonin-1-Gs/β1/γ2; RAMP2
15.15Single7Y36Teriparatide7Y36-PTH1-Teriparatide-Gs/β1/γ2
15.15Single8FLQPTH8FLQ-PTH1-PTH-Gs/β1/γ2
15.15Single9JR3PTH9JR3-PTH1-PTH-chim(NtGi1L-Gs-CtGq)/β1/γ2
15.15Consensusclass-a_class-b1_cons_on_gpOrthosteric Ligandclass-a_on_gp class-b1_on_gp
15.00Single2YDVNECA2YDV-A2A-NECA
15.00Single3P0GBI1671073P0G-β2-BI167107
15.00Single3PDSHydroxybenzylisoproterenol3PDS-β2-Hydroxybenzylisoproterenol
15.00Single4LDLHydroxybenzylisoproterenol4LDL-β2-Hydroxybenzylisoproterenol
15.00Single4UHRCGS216804UHR-A2A-CGS21680
15.00Single4Z34ONO-97803074Z34-LPA1-ONO-9780307
15.00Single5A8E7-Methylcyanopindolol5A8E-β1-7-Methylcyanopindolol-Na
15.00Single5G53NECA5G53-A2A-NECA-Gs
15.00Single5XR8AM8415XR8-CB1-AM841
15.00Single5XRAAM115425XRA-CB1-AM11542
15.00Single6GT3Imaradenant6GT3-A2A-Imaradenant-Na
15.00Single6N48BI1671076N48-β2-BI167107-PubChem 138454256
15.00Single6N4BMDMB-Fubinaca6N4B-CB1-MDMB-Fubinaca-Gi1/β1/γ2
15.00Single6O3CCholesterol6O3C-SMO-SAG21k-Cholesterol
15.00Single6WGTLSD6WGT-5-HT2A-LSD
15.00Single7B6WCyclazosin7B6W-α1b-Cyclazosin
15.00Single7EW3S1P7EW3-S1P3-S1P-Gi1/β1/γ2
15.00Single7FEECP559407FEE-CB1-CP55940-ZCZ011
15.00Single7JVPSKF839597JVP-D1-SKF83959-Gs/β1/γ2
15.00Single7TD1LPA7TD1-LPA1-LPA-Gi1/β1/γ2
15.00Single7XAVLanreotide7XAV-SST2-Lanreotide-Gi1/β1/γ2
15.00Single7XTQR3997XTQ-GPBA-R399-Gs/β1/γ2
15.00Single7XWONeurokinin-A7XWO-NK2-Neurokinin-A-chim(NtGi1-Gs-CtGq)/β1/γ2
15.00Single7Y24Octreotide7Y24-SST2-Octreotide-Go/β1/γ2
15.00Single8DCSCyanopindolol8DCS-β1-Cyanopindolol-Gs/β1/γ2
15.00Single8GUSHU-3088GUS-CB2-HU-308-Gi1/β1/γ2
15.00Single8HDOBAY 60-65838HDO-A2B-BAY 60-6583-Gs/β1/γ2
15.00Single8ID6Oleic acid8ID6-FFA4-Oleic acid-Gi1/β1/γ2
15.00Single8IRRRotigotine8IRR-D1-Rotigotine-Gs/β1/γ2
15.00Single8IYHMK68928IYH-HCA2-MK6892-Go/β1/γ2
15.00Single8JSRAnamorelin8JSR-Ghrelin-Anamorelin-chim(NtGi1-Gs-CtGq)/β1/γ2
15.00Single8JT6(R)-IHCH-71798JT6-5-HT1A-(R)-IHCH-7179-Gi1/β1/γ2
15.00Single8JZPC5A anaphylatoxin8JZP-C5a1-C5A anaphylatoxin-Go/β1/γ2
15.00Single8VVEnorBNI8VVE-κ-norBNI-Gi1/β1/γ2
15.00Single8ZR5Firuglipel8ZR5-GPR119-Firuglipel-Gs/β1/γ2
15.00Single8ZW0PGD28ZW0-DP1-PGD2-Gs/β1/γ2
15.00Single8ZWFJR14a8ZWF-C3aB-JR14a
15.00Single9EGOYVF9EGO-CB1-YVF-Gi1/β1/γ2
15.00Single9IK9SST analogue9IK9-SST1-SST analogue-Gi1/β1/γ2
15.00Single9JMCDS-3801b9JMC-Motilin-DS-3801b-chim(Gs-CtGq)/β1/γ2
15.00Single9UY3Anamorelin9UY3-Ghrelin-Anamorelin-chim(NtGi1-Gs-CtGq)/β1/γ2
15.00Consensuscyslt1_offOrthosteric Ligand6RZ5-CysLT1-Zafirlukast-Na 6RZ4-CysLT1-Pranlukast-Na
15.00Consensusd1_on_gpOrthosteric Ligand7F0T-D1-Dopamine-Gs/β1/γ2 7CKY-D1-PW0464-Gs/β1/γ2 8IRR-D1-Rotigotine-Gs/β1/γ2 7JV5-D1-SKF81297-Gs/β1/γ2 7JVP-D1-SKF83959-Gs/β1/γ2 7X2D-D1-Tavapadon-Gs/β1/γ2 7CKX-D1-A77636-Gs/β1/γ2 7JVQ-D1-Apomorphine-Gs/β1/γ2 7CKW-D1-Fenoldopam-Gs/β1/γ2
15.00Consensusgi_cannabinoidOrthosteric Ligand8GUR-CB2-CP55,940-Gi1/β1/γ2 8GUS-CB2-HU-308-Gi1/β1/γ2 8GUT-CB2-LEI-102-Gi1/β1/γ2 8GUQ-CB2-Olorinab-Gi1/β1/γ2 6KPF-CB2-PubChem 145915889-Gi1/β1/γ2 6PT0-CB2-WIN 55212-2-Gi1/β1/γ2 6KPG-CB1-AM841-Gi1/β1/γ2
15.00Consensusgi_dopamineOrthosteric Ligand7JVR-D2-Bromoergocryptine-Gi1/β1/γ2 7CMV-D3-PD128907-Gi1/β1/γ2 7CMU-D3-Pramipexole-Gi1/β1/γ2 8IRS-D2-Rotigotine-Gi1/β1/γ2 8IRT-D3-Rotigotine-Gi1/β1/γ2
15.00Consensusgs_adrenergicOrthosteric Ligand7DHI-β2-Salbutamol-Gs/β1/γ2 7XJI-β3-Solabegron-Gs/β1/γ2 7JJO-β1-Isoprenaline-Gs/β1/γ2 6NI3-β2-BI167107-Gs/β1/γ2 8DCR-β1-Dobutamine-Gs/β1/γ2 7XJH-β3-Isoproterenol-Gs/β1/γ2 7DH5-β3-Mirabegron-Gs/β1/γ2
15.00Consensusgs_dopamineOrthosteric Ligand7F0T-D1-Dopamine-Gs/β1/γ2 7CKW-D1-Fenoldopam-Gs/β1/γ2 7CKY-D1-PW0464-Gs/β1/γ2 8IRV-D5-Rotigotine-chim(NtGi1-Gs)/β1/γ2 8IRR-D1-Rotigotine-Gs/β1/γ2 7JV5-D1-SKF81297-Gs/β1/γ2 7JVP-D1-SKF83959-Gs/β1/γ2 7X2D-D1-Tavapadon-Gs/β1/γ2 7CKX-D1-A77636-Gs/β1/γ2 7JVQ-D1-Apomorphine-Gs/β1/γ2
15.00Consensusnk2_on_gpOrthosteric Ligand7XWO-NK2-Neurokinin-A-chim(NtGi1-Gs-CtGq)/β1/γ2
15.00Consensusnpy1_offOrthosteric Ligand5ZBH-Y1-BMS-193885 5ZBQ-Y1-UR-MK-299
15.00Consensusta1_on_gpOrthosteric Ligand8W87-TA1-METH-chim(NtGi1L-Gs)/β1/γ2 8W89-TA1-PEA-chim(NtGi1L-Gs)/β1/γ2 8JLP-TA1-Ralmitaront-Gs/β1/γ2 8W8A-TA1-RO5256390-chim(NtGi1L-Gs)/β1/γ2 8W88-TA1-SEP-363856-Gs/β1/γ2 8JLO-TA1-Ulotaront-Gs/β1/γ2 8JLR-TA1-A77636-chim(NtGi1-Gs)/β1/γ2 8JSO-TA1-AMPH-chim(NtGi1-Gs)/β1/γ2 8ZSP-TA1-LSD-chim(NtGi1L-Gs-CtGq)/β1/γ2
15.00Consensustrace-amine_on_gpOrthosteric Ligandta1_on_gp
14.81Single7TYWCalcitonin-17TYW-CT (AMY1)-Calcitonin-1-Gs/β1/γ2; RAMP1
14.81Single7WBJPACAP277WBJ-VPAC1-PACAP27-Gs/β1/γ2
14.81Consensusmc1_onOrthosteric Ligand7F4H-MC1-Afamelanotide-chim(NtGi1-Gs)/β1/γ2 7F4D-MC1-α-MSH-chim(NtGi1-Gs)/β1/γ2 7F4I-MC1-SHU9119-chim(NtGi1-Gs)/β1/γ2
14.81Consensusmc1_on_gpOrthosteric Ligand7F4H-MC1-Afamelanotide-chim(NtGi1-Gs)/β1/γ2 7F4D-MC1-α-MSH-chim(NtGi1-Gs)/β1/γ2 7F4I-MC1-SHU9119-chim(NtGi1-Gs)/β1/γ2
14.81Consensusp2y10_onOrthosteric Ligand8KGG-P2Y10-LPS-chim(NtGi2-G13)/β1/γ2
14.81Consensusvpac1_onOrthosteric Ligand8E3Z-VPAC1-VIP-Gs/β1/γ2
14.81Consensusvpac_onOrthosteric Ligandvpac1_on vpac2_on
14.71Single6E3YCalcitonin gene-related peptide-16E3Y-CT Like-Calcitonin gene-related peptide-1-Gs/β1/γ2; RAMP1
14.71Consensusgluc_onOrthosteric Ligand6LMK-Glucagon-Glucagon-Gs/β1/γ2 8JIT-Glucagon-MEDI0382-Gs/β1/γ2 7V35-Glucagon-Peptide-20-Gs/β1/γ2
14.71Consensusglucagon_on_gpOrthosteric Ligandglp_on_gp gluc_on_gp secretin_on_gp gip_on_gp
14.29Single2YCXCyanopindolol2YCX-β1-Cyanopindolol
14.29Single3RFMCaffeine3RFM-A2A-Caffeine
14.29Single3VW7Vorapaxar; Na3VW7-PAR1-Vorapaxar; Na
14.29Single4AMIBucindolol4AMI-β1-Bucindolol
14.29Single4LDEBI1671074LDE-β2-BI167107
14.29Single4RWADIPP-NH24RWA-δ-DIPP-NH2
14.29Single4Z36ONO-30805734Z36-LPA1-ONO-3080573
14.29Single5X33BIIL2605X33-BLT1-BIIL260
14.29Single6A93Risperidone6A93-5-HT2A-Risperidone
14.29Single6AK3Dinoprostone IPGE26AK3-EP3-Dinoprostone IPGE2
14.29Single6DRYMethylergonovine6DRY-5-HT2B-Methylergonovine
14.29Single6H7NS-Xamoterol6H7N-β1-S-Xamoterol
14.29Single6KQICP559406KQI-CB1-CP55940-Org27569
14.29Single6P9YPACAP6P9Y-PAC1-PACAP-Gs/β1/γ2
14.29Single6VMSBromoergocryptine6VMS-D2-Bromoergocryptine-Gi1/β1/γ2
14.29Single6XBLCholesterol6XBL-SMO-SAG-Cholesterol-Gi1/β1/γ2
14.29Single6XBM5LWE6XBM-SMO-5LWE-Gi1/β1/γ2
14.29Single6XOXOrforglipron6XOX-GLP-1-Orforglipron-chim(NtGi1-Gs)/β1/γ2
14.29Single7CZ5Somatoliberin7CZ5-GHRH-Somatoliberin-Gs/β1/γ2
14.29Single7EO4BAF3127EO4-S1P1-BAF312-Gi1/β1/γ2
14.29Single7EVYSiponimod7EVY-S1P1-Siponimod-Gi1/β1/γ2
14.29Single7F55Bremelanotide7F55-MC4-Bremelanotide-Gs/β1/γ2
14.29Single7RA3GIP7RA3-GIP-GIP-chim(NtGi1-Gs)/β1/γ2
14.29Single7T6BS1P7T6B-S1P2-S1P-chim(NtGi1L-G13)/β1/γ2
14.29Single7VABNon-Acylated Tirzepatide7VAB-GIP-Non-Acylated Tirzepatide-chim(NtGi1-Gs)/β1/γ2
14.29Single7WCNAR2314537WCN-GPR119-AR231453-Gs/β1/γ2
14.29Single7Y66BM2137Y66-C5a1-BM213-Gi1/β1/γ2
14.29Single8G056-OAU8G05-GPR84-6-OAU-Gi1/β1/γ2
14.29Single8GCPPGE28GCP-EP4-PGE2-Gi1/β1/γ2
14.29Single8GEIConstrained Epinephrine8GEI-β2-Constrained Epinephrine-Gs/β1/γ2
14.29Single8ID9Eicosapentaenoic acid8ID9-FFA4-Eicosapentaenoic acid-Gi1/β1/γ2
14.29Single8JJ8Formoterol8JJ8-β2-Formoterol
14.29Single8T3QDocosa-4,7,10,13,16,19-Hexaenoic acid8T3Q-FFA4-Docosa-4,7,10,13,16,19-Hexaenoic acid-chim(NtGi2L-Gs-CtGq)/β1/γ2
14.29Single8XOFLys058XOF-GPR30-Lys05-chim(NtGi1-Gs-CtGq)/β1/γ2
14.29Single9BJKNAM9BJK-μ-Naloxone-NAM
14.29Single9BLWCagrilintide backbone (non-acylated)9BLW-CT (AMY1)-Cagrilintide backbone (non-acylated)-Gs/β1/γ2; RAMP1
14.29Single9BP3Cagrilintide9BP3-CT (AMY1)-Cagrilintide-Gs/β1/γ2; RAMP1
14.29Single9BUBCagrilintide9BUB-CT-Cagrilintide-Gs/β1/γ2
14.29Single9DGIZ85267113509DGI-CB1-Z8526711350
14.29Single9EBIPiclidenoson9EBI-A3A-Piclidenoson-chim(NtGi1L-Gs-CtGi1)/β1/γ2
14.29Single9EE9Adenosine9EE9-A2A-Adenosine-Gs/β1/γ2
14.29Single9GGGI-BOP9GGG-TXA2-I-BOP-chim(NtGi2L-Gs-CtGq)/β1/γ2
14.29Single9IZHLPA9IZH-LPA1-LPA-chim(NtGi2-G13)/β1/γ2
14.29Single9KFKRelaxin-39KFK-RXFP4-Relaxin-3-Gi2/β1/γ2
14.29Single9M4QDoxazosin9M4Q-Alpha1A-Doxazosin
14.29Consensus5ht1a_onOrthosteric Ligand8FYT-5-HT1A-LSD-Gi1/β1/γ1 7E2Y-5-HT1A-Serotonin-Gi1/β1/γ2 7E2Z-5-HT1A-Aripiprazole-Gi1/β1/γ2 8FYX-5-HT1A-Buspirone-Gi1/β1/γ1 8JSP-5-HT1A-Ulotaront-Gi1/β1/γ2 8JT6-5-HT1A-(R)-IHCH-7179-Gi1/β1/γ2 8FY8-5-HT1A-5-MeO-DMT-Gi1/β1/γ1 8FYE-5-HT1A-4-F,5-MeO-PyrT-Gi1/β1/γ1 8FYL-5-HT1A-Vilazodone-Gi1/β1/γ1
14.29Consensus5ht1a_on_gpOrthosteric Ligand8FYT-5-HT1A-LSD-Gi1/β1/γ1 8FYX-5-HT1A-Buspirone-Gi1/β1/γ1 8JSP-5-HT1A-Ulotaront-Gi1/β1/γ2 8JT6-5-HT1A-(R)-IHCH-7179-Gi1/β1/γ2 7E2Y-5-HT1A-Serotonin-Gi1/β1/γ2 7E2Z-5-HT1A-Aripiprazole-Gi1/β1/γ2 8FY8-5-HT1A-5-MeO-DMT-Gi1/β1/γ1 8FYE-5-HT1A-4-F,5-MeO-PyrT-Gi1/β1/γ1 8FYL-5-HT1A-Vilazodone-Gi1/β1/γ1
14.29Consensusbeta_onOrthosteric Ligandbeta1_on beta2_on beta3_on
14.29Consensusbeta_on_gpOrthosteric Ligandbeta1_on_gp beta2_on_gp beta3_on_gp
14.29Consensuscannabinoid_onOrthosteric Ligandcb2_on cb1_on
14.29Consensuscannabinoid_on_gpOrthosteric Ligandcb2_on_gp cb1_on_gp
14.29Consensusd2_on_gpOrthosteric Ligand7JVR-D2-Bromoergocryptine-Gi1/β1/γ2 8IRS-D2-Rotigotine-Gi1/β1/γ2
14.29Consensusgluc_on_gpOrthosteric Ligand6LMK-Glucagon-Glucagon-Gs/β1/γ2 8JIT-Glucagon-MEDI0382-Gs/β1/γ2 7V35-Glucagon-Peptide-20-Gs/β1/γ2
14.29Consensusleukotriene_offOrthosteric Ligandblt_off cyslt_off
14.29Consensusm4_onOrthosteric Ligand7TRS-M4-Acetylcholine-Gi1/β1/γ2 7V6A-M4-PubChem 9864275-Gi1/β1/γ2 8E9X-M4-2-Deoxycytidine-chim(NtGi1-Go)/β1/γ2 7TRK-M4-Iperoxo-Gi1/β1/γ2
14.29Consensusm4_on_gpOrthosteric Ligand7TRS-M4-Acetylcholine-Gi1/β1/γ2 7V6A-M4-PubChem 9864275-Gi1/β1/γ2 8E9X-M4-2-Deoxycytidine-chim(NtGi1-Go)/β1/γ2 7TRK-M4-Iperoxo-Gi1/β1/γ2
14.29Consensuss1p3_onOrthosteric Ligand7EW3-S1P3-S1P-Gi1/β1/γ2 7EW4-S1P3-CYM5541-Gi1/β1/γ2 7EW2-S1P3-Fingolimod-Gi1/β1/γ2
14.29Consensussecretin_onOrthosteric Ligand7D3S-Secretin-Secretin-Gs/β1/γ2
14.29Consensusvpac_on_gpOrthosteric Ligandvpac1_on_gp vpac2_on_gp
13.89Single7F16TIP397F16-PTH2-TIP39-Gs/β1/γ2
13.89Consensusclass-b1_onOrthosteric Ligandglucagon_on vip-pacap_on pth_on crf_on calcitonin_on
13.89Consensuspth2_on_gpOrthosteric Ligand7F16-PTH2-TIP39-Gs/β1/γ2
13.79Single5NX2GLP-1 (Truncated)5NX2-GLP-1-GLP-1 (Truncated)
13.79Single6UVAAdrenomedullin-26UVA-CT Like (AM2)-Adrenomedullin-2-Gs/β1/γ2; RAMP3
13.79Single7DTYGIP7DTY-GIP-GIP-Gs/β1/γ2
13.79Single7FIYTirzepatide7FIY-GIP-Tirzepatide-Gs/β1/γ2
13.79Single7VQXPACAP277VQX-VPAC1-PACAP27-Gs/β1/γ2
13.79Single7VVKPTH7VVK-PTH1-PTH-Gs/β1/γ2
13.79Single8FEG(DNCP)-Beta-Naloxamine8FEG-κ-(DNCP)-β-Naloxamine-Gi1/β1/γ2
13.79Single8W8WAlpha-MSH8W8W-MC3-α-MSH-Ca-Gs/β1/γ2
13.79Single9BUCCagrilintide9BUC-CT-Cagrilintide-Gs/β1/γ2
13.79Consensuscrf_onOrthosteric Ligandcrf2_on crf1_on
13.79Consensusglp2_onOrthosteric Ligand7D68-GLP-2-GLP-2-Gs/β1/γ2
13.79Consensusglp2_on_gpOrthosteric Ligand7D68-GLP-2-GLP-2-Gs/β1/γ2
13.79Consensusp2y10_on_gpOrthosteric Ligand8KGG-P2Y10-LPS-chim(NtGi2-G13)/β1/γ2
13.79Consensussecretin_on_gpOrthosteric Ligand7D3S-Secretin-Secretin-Gs/β1/γ2
13.64Single2YCZIodocyanopindolol2YCZ-β1-Iodocyanopindolol
13.64Single4BVNCyanopindolol4BVN-β1-Cyanopindolol-Na
13.64Single5UNGPubChem 157800525UNG-AT2-PubChem 15780052
13.64Single6BQHRitanserin6BQH-5-HT2C-Ritanserin
13.64Single6H7LDobutamine6H7L-β1-Dobutamine
13.64Single7EVZCenerimod7EVZ-S1P1-Cenerimod-Gi1/β1/γ2
13.64Single7JVRBromoergocryptine7JVR-D2-Bromoergocryptine-Gi1/β1/γ2
13.64Single7PIUSetmelanotide7PIU-MC4-Setmelanotide-Gs/β1/γ2
13.64Single7QVMOxytocin7QVM-OT-Oxytocin-chim(NtGi1-Go-CtGq)/β1/γ2
13.64Single7UM4AS26747237UM4-5-HT5A-AS2674723
13.64Single7VGY2-Iodomelatonin7VGY-MT1-2-Iodomelatonin-Gi1/β1/γ2
13.64Single7VVNPTH7VVN-PTH1-PTH-Gs/β1/γ2
13.64Single7X1UTRH7X1U-TRH-TRH-chim(NtGi2L-Gs-CtGq)/β1/γ2
13.64Single7XZ6APD6687XZ6-GPR119-APD668-Gs/β1/γ2
13.64Single8GAGPubChem 1708384908GAG-CB1-PubChem 170838490-Gi1/β1/γ2
13.64Single8GUTLEI-1028GUT-CB2-LEI-102-Gi1/β1/γ2
13.64Single8ID8TUG-8918ID8-FFA4-TUG-891-Gi1/β1/γ2
13.64Single8IJDMK68928IJD-HCA2-MK6892-Gi1/β1/γ2
13.64Single8J19LY2378J19-GPR84-LY237-Gi1/β1/γ2
13.64Single8XGSMetastin8XGS-Kiss1-Metastin-chim(NtGi1-Gq)/β1/γ2
13.64Single8XIOL7975918XIO-SST1-L797591-chim(NtGi1-Gs-CtGi1)/β1/γ2
13.64Single8ZWGJR14a8ZWG-C3aB-JR14a-Gi1/β1/γ2
13.64Single9AS02-bromo-LSD9AS0-5-HT2A-2-bromo-LSD-chim(NtGi1-Gs-CtGq)/β1/γ2
13.64Single9GG5U466199GG5-TXA2-U46619-chim(NtGi2L-Gs-CtGq)/β1/γ2
13.64Single9IZFNKP9IZF-LPA1-NKP-Gi1/β1/γ2
13.64Single9M1HProstaglandin E29M1H-EP1-Prostaglandin E2-chim(NtGi1-Gs-CtGq)/β1/γ2
13.64Single9M54Neuropeptide VF9M54-NPFF2-Neuropeptide VF-Gi1/β1/γ2
13.64Consensus5ht2c_offOrthosteric Ligand6BQH-5-HT2C-Ritanserin
13.64Consensusbeta1_onOrthosteric Ligand8DCR-β1-Dobutamine-Gs/β1/γ2 7S0F-β1-Isoprenaline-Gi1/β1/γ2
13.64Consensusbeta1_on_gpOrthosteric Ligand8DCR-β1-Dobutamine-Gs/β1/γ2 7S0F-β1-Isoprenaline-Gi1/β1/γ2
13.64Consensuscb1_on_gpOrthosteric Ligand6KPG-CB1-AM841-Gi1/β1/γ2 8K8J-CB1-Fenofibrate-chim(Gs-CtGq)/β1/γ2
13.64Consensusfp-alpha_onOrthosteric Ligand8IUK-FP-alpha-PGF2-α-chim(NtGi1-Gs-CtGq)/β1/γ2 8IUL-FP-alpha-Latanoprost-chim(NtGi1-Gs-CtGq)/β1/γ2 8IUM-FP-alpha-Tafluprost acid-chim(NtGi1-Gs-CtGq)/β1/γ2
13.64Consensusfp-alpha_on_gpOrthosteric Ligand8IUK-FP-alpha-PGF2-α-chim(NtGi1-Gs-CtGq)/β1/γ2 8IUL-FP-alpha-Latanoprost-chim(NtGi1-Gs-CtGq)/β1/γ2 8IUM-FP-alpha-Tafluprost acid-chim(NtGi1-Gs-CtGq)/β1/γ2
13.64Consensusnk2_onOrthosteric Ligand7XWO-NK2-Neurokinin-A-chim(NtGi1-Gs-CtGq)/β1/γ2
13.64Consensuspeptide_offOrthosteric Ligandcck_off angiotensin_off bombesin_off endothelin_off ghrelin_off npy_off opioid_off orexin_off somatostatin_off tachykinin_off vasop-oxy_off neurotensin_off
13.51Single8F0JPramlintide Analogue San458F0J-CT-Pramlintide Analogue San45-Gs/β1/γ2
13.33Single3UZAGTPL92363UZA-A2A-GTPL9236
13.33Single6LMLGlucagon6LML-Glucagon-Glucagon-Gi1/β1/γ1
13.33Single6UUSAdrenomedullin6UUS-CT Like (AM2)-Adrenomedullin-Gs/β1/γ2; RAMP3
13.33Single6WZGSecretin6WZG-Secretin-Secretin-Gs/β1/γ2
13.33Single7D77Hydrocortisone7D77-ADGRG3-Hydrocortisone-Go/β1/γ2
13.33Single7MT9All-trans-Retinal7MT9-Rhodopsin-All-trans-Retinal-GRK1
13.33Single7MTAAll-trans-Retinal7MTA-Rhodopsin-All-trans-Retinal-GRK1
13.33Single7TS0Urocortin7TS0-CRF2-Urocortin-chim(NtGi1L-Go)/β1/γ2
13.33Single7TYLAmylin7TYL-CT-Amylin-Gs/β1/γ2
13.33Single7VVLPTH7VVL-PTH1-PTH-Gs/β1/γ2
13.33Single7WC5Psilocin7WC5-5-HT2A-Psilocin
13.33Single8F76Propanoic acid8F76-OR51E2-Propanoic acid-Gs/β1/γ2
13.33Single8FLTM-PTH(1-14)8FLT-PTH1-M-PTH(1-14)-Gs/β1/γ2
13.33Single8GGEConstrained Epinephrine8GGE-β2-Constrained Epinephrine-GTP-Gs/β1/γ2
13.33Single8GH1Constrained Epinephrine8GH1-β2-Constrained Epinephrine
13.33Single8JRVGlucagon8JRV-Glucagon-Glucagon-Arrestin2
13.33Single8KGGLPS8KGG-P2Y10-LPS-chim(NtGi2-G13)/β1/γ2
13.33Single8X9UMetenolone8X9U-ADGRD1-Metenolone-chim(NtGi1-Gs)/β1/γ2
13.33Single9BQ3Cagrilintide9BQ3-CT (AMY2)-Cagrilintide-Gs/β1/γ2; RAMP2
13.33Single9BTWCagrilintide9BTW-CT (AMY3)-Cagrilintide-Gs/β1/γ2; RAMP3
13.33Single9JHJC18:0 Ceramide9JHJ-FPR2-ALX-C18:0 Ceramide-Gi1/β1/γ2
13.16Single8F2BPramlintide Analogue San458F2B-CT (AMY3)-Pramlintide Analogue San45-Gs/β1/γ2; RAMP3
13.04Single3NY9ICI118-5513NY9-β2-ICI118-551
13.04Single5ZTYAM102575ZTY-CB2-AM10257
13.04Single6G79Donitriptan6G79-5-HT1B-Donitriptan-Go/β1/γ2
13.04Single7SK9CCX6627SK9-ACKR3-CCX662
13.04Single7YJ4INSL57YJ4-RXFP4-INSL5-Gi2/β1/γ2
13.04Single8F7REndomorphin8F7R-μ-Endomorphin-Gi1/β1/γ2
13.04Single8GDAL9026888GDA-EP4-L902688-Gs/β1/γ2
13.04Single8IQ4Carboprost8IQ4-FP-alpha-Carboprost-chim(NtGi1-Gs-CtGq)/β1/γ2
13.04Single8IUMTafluprost acid8IUM-FP-alpha-Tafluprost acid-chim(NtGi1-Gs-CtGq)/β1/γ2
13.04Single8SAI1-Oleoyl-2-Hydroxy-Sn-Glycero-3-Phospho-L-Serine8SAI-GPR34-1-Oleoyl-2-Hydroxy-Sn-Glycero-3-Phospho-L-Serine-Gi1/β1/γ2
13.04Single8X3LXWD8X3L-CB2-XWD-Gi1/β1/γ2
13.04Single8Y72Peptide8Y72-μ-Peptide-BMS-986122-Gi1/β1/γ2
13.04Single9IPVJR14a9IPV-C3aB-JR14a-Gi1/β1/γ2
13.04Single9IPYJR14a9IPY-C3aB-JR14a
13.04Single9V2NMacimorelin9V2N-Ghrelin-Macimorelin-chim(NtGi1-Gs-CtGq)/β1/γ2
13.04Consensuscb2_offOrthosteric Ligand5ZTY-CB2-AM10257
13.04Consensusox2_onOrthosteric Ligand7L1V-OX2-PubChem 155491009-chim(NtGi1-Gs-CtGq)/β1/γ2 7SQO-OX2-TAK-925-Gi1/β1/γ2 7L1U-OX2-Orexin-chim(NtGi1-Gs-CtGq)/β1/γ2
13.04Consensusox2_on_gpOrthosteric Ligand7L1V-OX2-PubChem 155491009-chim(NtGi1-Gs-CtGq)/β1/γ2 7SQO-OX2-TAK-925-Gi1/β1/γ2 7L1U-OX2-Orexin-chim(NtGi1-Gs-CtGq)/β1/γ2
12.90Single7RBTTirzepatide7RBT-GIP-Tirzepatide-LSN3556672-chim(NtGi1-Gs)/β1/γ2
12.90Single8ZJETAK-4488ZJE-Kiss1-TAK-448-chim(NtGi1-Gq)/β1/γ1
12.50Single4AMJS-Carvedilol4AMJ-β1-S-Carvedilol
12.50Single5UNFPubChem 157800525UNF-AT2-PubChem 15780052
12.50Single6LPBPACAP6LPB-PAC1-PACAP-Gs/β1/γ1
12.50Single6WIVPubChem 52923113; PubChem 529246456WIV-GABAB1, GABAB2-PubChem 52923113; PubChem 52924645
12.50Single6X19CHU-1286X19-GLP-1-CHU-128-Gs/β1/γ2
12.50Single7D76Beclomethasone7D76-ADGRG3-Beclomethasone-Go/β1/γ2
12.50Single7F4ISHU91197F4I-MC1-SHU9119-chim(NtGi1-Gs)/β1/γ2
12.50Single7RTBPeptide-197RTB-GLP-1-Peptide-19-Gs/β1/γ2
12.50Single7T6UCGEN-855A7T6U-FPR2-ALX-CGEN-855A-Gi1/β1/γ2
12.50Single7UL2SR486927UL2-NTS1-SR48692-Na
12.50Single7W56Neuromedin-S7W56-NMUR1-Neuromedin-S-chim(NtGi1-Gs-CtGq)/β1/γ2
12.50Single7XMRSomatostatin-147XMR-SST2-Somatostatin-14-Gi1/β1/γ2
12.50Single7XT9Serotonin7XT9-5-HT4-Serotonin-Gs/β1/γ2
12.50Single8F2APramlintide Analogue San3858F2A-CT (AMY3)-Pramlintide Analogue San385-Gs/β1/γ2; RAMP3
12.50Single8F7XNociceptin8F7X-NOP-Nociceptin-Gi1/β1/γ2
12.50Single8FYLVilazodone8FYL-5-HT1A-Vilazodone-Gi1/β1/γ1
12.50Single8GGYConstrained Epinephrine8GGY-β2-Constrained Epinephrine
12.50Single8HSCFab0468HSC-GPR20-Fab046-Gi1/β1/γ2
12.50Single8IHIAcifran8IHI-HCA2-Acifran-Gi1/β1/γ2
12.50Single8INRAlpha-MSH8INR-MC5-α-MSH-Ca-chim(NtGi1-Gs)/β1/γ2
12.50Single8UO3Constrained Epinephrine8UO3-β2-Constrained Epinephrine-GTP; Mg-Gs/β1/γ2
12.50Single8WKYPG-9348WKY-MC4-PG-934
12.50Single8YH3N-methyladenosine8YH3-A3A-N-methyladenosine-Gi1/β1/γ2
12.50Single8YKWSuccinic acid8YKW-Succinate-Succinic acid-Gi1/β1/γ1
12.50Single8ZCJPasireotide8ZCJ-SST5-Pasireotide-Gi1/β1/γ1
12.50Single8ZSVRO52633978ZSV-TA1-RO5263397-chim(NtGi1-Gs)/β1/γ2
12.50Single9AUCCalcitonin gene-related peptide-19AUC-CT (AMY1)-Calcitonin gene-related peptide-1-Gs/β1/γ2; RAMP1
12.50Single9M4TSilodosin9M4T-Alpha1A-Silodosin
12.50Consensusadgrg_onOrthosteric Ligandadgrg2_on adgrg4_on
12.50Consensusadgrg_on_gpOrthosteric Ligandadgrg2_on_gp adgrg4_on_gp
12.50Consensusclass-b1_on_gpOrthosteric Ligandglucagon_on_gp vip-pacap_on_gp pth_on_gp crf_on_gp calcitonin_on_gp
12.50Consensusgi_opioidOrthosteric Ligand8F7R-μ-Endomorphin-Gi1/β1/γ2 8EF5-μ-Fentanyl-Gi1/β1/γ2 7SCG-μ-FH210-Gi1/β1/γ2 7T2H-μ-Lofentanil-Gi1/β1/γ2 7T2G-μ-Mitragynine Pseudoindoxyl-Gi1/β1/γ2 8DZP-κ-momSalB-Gi1/β1/γ2 8EF6-μ-Morphine-Gi1/β1/γ2 8F7X-NOP-Nociceptin-Gi1/β1/γ2 8EFB-μ-Oliceridine-Gi1/β1/γ2 7U2L-μ-PubChem 163201242-Gi1/β1/γ2 8EFO-μ-PZM21-Gi1/β1/γ2 8EFL-μ-SR17018-Gi1/β1/γ2 8F7Q-μ-β-Endorphin-Gi1/β1/γ2 7U2K-μ-C6-guano-Gi1/β1/γ2 8EFQ-μ-Damgo-Gi1/β1/γ2 8F7S-δ-Deltorphin-Gi1/β1/γ2 8F7W-κ-Dynorphin-Gi1/β1/γ2
12.50Consensusneurotensin_offOrthosteric Ligandnts1_off
12.50Consensusnts1_offOrthosteric Ligand7UL2-NTS1-SR48692-Na
12.12Single8JIPMEDI03828JIP-GLP-1-MEDI0382-chim(NtGi1-Gs)/β1/γ2
12.12Consensuscrf_on_gpOrthosteric Ligandcrf2_on_gp crf1_on_gp
12.00Single6HLOAprepitant6HLO-NK1-Aprepitant
12.00Single7E14Orforglipron7E14-GLP-1-Orforglipron-PubChem 156022738-Gs/β1/γ2
12.00Single7TRYUrocortin7TRY-CRF2-Urocortin-chim(NtGi1-G11)/β1/γ2
12.00Single8IEBA1LYA8IEB-GPR156-A1LYA
12.00Single8IOCGamma-MSH8IOC-MC3-γ-MSH-Ca-chim(NtGi1-Gs)/β1/γ2
12.00Single9KFIRelaxin-39KFI-RXFP3-Relaxin-3-Gi2/β1/γ2
12.00Consensusghrelin_onOrthosteric Ligand7NA7-Ghrelin-Ghrelin-27-Gi1/β1/γ2 7F9Z-Ghrelin-GHRP-6-chim(NtGi1-Gs-CtGq)/β1/γ2 7NA8-Ghrelin-PubChem 178024-Gi1/β1/γ2
12.00Consensusghrelin_on_gpOrthosteric Ligand7NA7-Ghrelin-Ghrelin-27-Gi1/β1/γ2 7F9Z-Ghrelin-GHRP-6-chim(NtGi1-Gs-CtGq)/β1/γ2 7NA8-Ghrelin-PubChem 178024-Gi1/β1/γ2
12.00Consensusmc5_onOrthosteric Ligand8INR-MC5-α-MSH-Ca-chim(NtGi1-Gs)/β1/γ2 8IOD-MC5-PG-901-Ca-chim(NtGi1-Gs)/β1/γ2
11.76Single2Z7311-cis-Retinal2Z73-Rhodopsin-11-cis-Retinal
11.76Single3AYN9-cis-Retinal3AYN-Rhodopsin-9-cis-Retinal
11.76Single6D9HAdenosine6D9H-A1-Adenosine-Gi2/β1/γ2
11.76Single6ME2Ramelteon6ME2-MT1-Ramelteon
11.76Single6OBAS-Alprenolol6OBA-β2-S-Alprenolol-GTPL11074
11.76Single6OYAAll-trans-Retinal6OYA-Rhodopsin-All-trans-Retinal-Gt/β1/γ1
11.76Single6ZA8RTI-3a6ZA8-NTS1-RTI-3a
11.76Single7BR3Elagolix7BR3-GnRH1-Elagolix
11.76Single7DHRIsoprenaline7DHR-β2-Isoprenaline-Gs/β1/γ2
11.76Single7F8YDevazepide7F8Y-CCKA-Devazepide
11.76Single7TUZ7-alpha,25-dihydroxycholesterol7TUZ-GPR183-7-α,25-dihydroxycholesterol-Gi1/β1/γ2
11.76Single7XT8Serotonin7XT8-5-HT4-Serotonin-Gs/β1/γ2
11.76Single7YMHNorepinephrine7YMH-Alpha1A-Norepinephrine-chim(Gs-CtGq)
11.76Single8GGAConstrained Epinephrine8GGA-β2-Constrained Epinephrine-GTP-Gs/β1/γ2
11.76Single8GGCConstrained Epinephrine8GGC-β2-Constrained Epinephrine-GTP-Gs/β1/γ2
11.76Single8GGRConstrained Epinephrine8GGR-β2-Constrained Epinephrine
11.76Single8GGWConstrained Epinephrine8GGW-β2-Constrained Epinephrine
11.76Single8GGZConstrained Epinephrine8GGZ-β2-Constrained Epinephrine
11.76Single8GH0Constrained Epinephrine8GH0-β2-Constrained Epinephrine
11.76Single8IW4Spermidine8IW4-TA9-Spermidine-chim(NtGi1-Gs)/β1/γ2
11.76Single8IWESpermidine8IWE-TA9-Spermidine
11.76Single8JITMEDI03828JIT-Glucagon-MEDI0382-Gs/β1/γ2
11.76Single8JIUSAR4258998JIU-Glucagon-SAR425899-Gs/β1/γ2
11.76Single8JSOAMPH8JSO-TA1-AMPH-chim(NtGi1-Gs)/β1/γ2
11.76Single8U4PAMD31008U4P-CXCR4-AMD3100-Gi1/β1/γ2
11.76Single8UNSConstrained Epinephrine8UNS-β2-Constrained Epinephrine-GTP-Gs/β1/γ2
11.76Single8UNTConstrained Epinephrine8UNT-β2-Constrained Epinephrine-GTP-Gs/β1/γ2
11.76Single8UNXConstrained Epinephrine8UNX-β2-Constrained Epinephrine-GTP-Gs/β1/γ2
11.76Single8WC4ZH86518WC4-TA1-ZH8651-chim(NtGi1-Gs)/β1/γ2
11.76Single8WCA2-Phenylethylamine8WCA-TA1-2-Phenylethylamine-chim(NtGi1-Gs)/β1/γ2
11.76Single8XXVIndomethacin8XXV-DP2-Indomethacin-A1D5Q-Gi1/β1/γ2
11.76Single9EBHAdenosine9EBH-A3A-Adenosine-Gi1/β1/γ2
11.76Single9EEAAdenosine9EEA-A2A-Adenosine-Gs/β1/γ2
11.76Single9J5VCpY9J5V-LPA1-CpY-Gi1/β1/γ2
11.76Consensusalpha2_offOrthosteric Ligandalpha2c_off
11.76Consensusangiotensin_offOrthosteric Ligandat1_off
11.76Consensusglucagon_onOrthosteric Ligandglp_on gluc_on secretin_on gip_on
11.76Consensusgnrh1_offOrthosteric Ligand7BR3-GnRH1-Elagolix
11.76Consensuspth2_onOrthosteric Ligand7F16-PTH2-TIP39-Gs/β1/γ2
11.76Consensusrhodopsin_on_gpOrthosteric Ligand6OYA-Rhodopsin-All-trans-Retinal-Gt/β1/γ1
11.54Single6PT2KGCHM076PT2-δ-KGCHM07
11.54Single6W25SHU91196W25-MC4-SHU9119-Ca
11.54Single7F4DAlpha-MSH7F4D-MC1-α-MSH-chim(NtGi1-Gs)/β1/γ2
11.54Single8K6MNeuropeptide-Y8K6M-Y1-Neuropeptide-Y-Gi2/β1/γ1
11.54Single8XGUTAK4488XGU-Kiss1-TAK448-Gi1/β1/γ2
11.54Single8XIQL7967788XIQ-SST3-L796778-chim(NtGi1-Gs-CtGi1)/β1/γ2
11.54Single8XZGApelin-138XZG-Apelin-Apelin-13-Gi1/β1/γ2
11.54Single9B54A1AIW9B54-CB1-A1AIW-Gi1/β1/γ2
11.54Single9B5YLong-Acting PTH9B5Y-PTH1-Long-Acting PTH-chim(NtGi1-Gq)/β1/γ2
11.54Consensusmc3_onOrthosteric Ligand8IOC-MC3-γ-MSH-Ca-chim(NtGi1-Gs)/β1/γ2
11.54Consensusmc3_on_gpOrthosteric Ligand8IOC-MC3-γ-MSH-Ca-chim(NtGi1-Gs)/β1/γ2
11.54Consensusnpy1_onOrthosteric Ligand8K6M-Y1-Neuropeptide-Y-Gi2/β1/γ1
11.54Consensusnpy1_on_gpOrthosteric Ligand8K6M-Y1-Neuropeptide-Y-Gi2/β1/γ1
11.11Single3UZC4-(3-amino-5-phenyl-1,2,4-triazin-6-yl)-2-chlorophenol3UZC-A2A-4-(3-amino-5-phenyl-1,2,4-triazin-6-yl)-2-chlorophenol
11.11Single4LDOL-Epinephrine4LDO-β2-L-Epinephrine
11.11Single4ZUDOlmesartan4ZUD-AT1-Olmesartan
11.11Single6PS0S-Carazolol6PS0-β2-S-Carazolol
11.11Single6PS4ICI118-5516PS4-β2-ICI118-551
11.11Single6PS5S-Propranolol6PS5-β2-S-Propranolol
11.11Single6V9SGTPL114036V9S-OX1-GTPL11403
11.11Single7DHISalbutamol7DHI-β2-Salbutamol-Gs/β1/γ2
11.11Single7F4HAfamelanotide7F4H-MC1-Afamelanotide-chim(NtGi1-Gs)/β1/γ2
11.11Single7TYIAmylin7TYI-CT-Amylin-Gs/β1/γ2
11.11Single7VUGJNJ-635330547VUG-GPR139-JNJ-63533054-Gi1/β1/γ2
11.11Single7WC9PubChem 1624213647WC9-5-HT2A-PubChem 162421364
11.11Single7WUIIP157WUI-ADGRG2-IP15-chim(NtGi1-Gs)/β1/γ2
11.11Single7WVUfMLF7WVU-FPR1-ALX-fMLF-Gi1/β1/γ2
11.11Single8GE1Constrained Epinephrine8GE1-β2-Constrained Epinephrine-Gs/β1/γ2
11.11Single8GE4Constrained Epinephrine8GE4-β2-Constrained Epinephrine-Gs/β1/γ2
11.11Single8GE6Constrained Epinephrine8GE6-β2-Constrained Epinephrine-Gs/β1/γ2
11.11Single8GE7Constrained Epinephrine8GE7-β2-Constrained Epinephrine-Gs/β1/γ2
11.11Single8GE8Constrained Epinephrine8GE8-β2-Constrained Epinephrine-Gs/β1/γ2
11.11Single8GEAConstrained Epinephrine8GEA-β2-Constrained Epinephrine-Gs/β1/γ2
11.11Single8GEDConstrained Epinephrine8GED-β2-Constrained Epinephrine-Gs/β1/γ2
11.11Single8GEFConstrained Epinephrine8GEF-β2-Constrained Epinephrine-Gs/β1/γ2
11.11Single8GG5Constrained Epinephrine8GG5-β2-Constrained Epinephrine-GTP-Gs/β1/γ2
11.11Single8GG7Constrained Epinephrine8GG7-β2-Constrained Epinephrine-GTP-Gs/β1/γ2
11.11Single8GG8Constrained Epinephrine8GG8-β2-Constrained Epinephrine-GTP-Gs/β1/γ2
11.11Single8GGLConstrained Epinephrine8GGL-β2-Constrained Epinephrine
11.11Single8GGMConstrained Epinephrine8GGM-β2-Constrained Epinephrine
11.11Single8GGPConstrained Epinephrine8GGP-β2-Constrained Epinephrine
11.11Single8GGQConstrained Epinephrine8GGQ-β2-Constrained Epinephrine
11.11Single8GGSConstrained Epinephrine8GGS-β2-Constrained Epinephrine
11.11Single8GGTConstrained Epinephrine8GGT-β2-Constrained Epinephrine
11.11Single8GGVConstrained Epinephrine8GGV-β2-Constrained Epinephrine
11.11Single8GGXConstrained Epinephrine8GGX-β2-Constrained Epinephrine
11.11Single8H4LDoconexent8H4L-FFA4-Doconexent-chim(NtGi1-Gs-CtGq)/β1/γ2
11.11Single8HNMVUF112228HNM-CXCR3-VUF11222-Gi1/β1/γ2
11.11Single8HQN9-S-HODE8HQN-GPR132-9-S-HODE-Gi1/β1/γ2
11.11Single8IEDA1LYA8IED-GPR156-A1LYA-Go/β1/γ2
11.11Single8IEDA1LYA8IED-GPR156-A1LYA-Go/β1/γ2
11.11Single8JLKUlotaront8JLK-TA1-Ulotaront-chim(NtGi1-Gs)/β1/γ2
11.11Single8JLNT1AM8JLN-TA1-T1AM-Gs/β1/γ2
11.11Single8K2WAMG4878K2W-CXCR3-AMG487
11.11Single8K9KDamgo8K9K-μ-Damgo-Gi3/β1/γ1
11.11Single8UHBRO52563908UHB-TA1-RO5256390-Gs/β1/γ2
11.11Single8UNLConstrained Epinephrine8UNL-β2-Constrained Epinephrine-GTP-Gs/β1/γ2
11.11Single8UNMConstrained Epinephrine8UNM-β2-Constrained Epinephrine-GTP-Gs/β1/γ2
11.11Single8UNOConstrained Epinephrine8UNO-β2-Constrained Epinephrine-GTP-Gs/β1/γ2
11.11Single8UNWConstrained Epinephrine8UNW-β2-Constrained Epinephrine-GTP-Gs/β1/γ2
11.11Single8UO0Constrained Epinephrine8UO0-β2-Constrained Epinephrine-GTP-Gs/β1/γ2
11.11Single8UO1Constrained Epinephrine8UO1-β2-Constrained Epinephrine-GTP; Mg-Gs/β1/γ2
11.11Single8V6UPubChem 1713924568V6U-5-HT2A-PubChem 171392456-chim(NtGi2-Gs-CtGq)/β1/γ2
11.11Single8WC8ZH86518WC8-TA1-ZH8651-chim(NtGi1-Gs)/β1/γ2
11.11Single8X7ATreprostinil8X7A-I2-Treprostinil-Gs/β1/γ2
11.11Single8Y45ADL58598Y45-δ-ADL5859-Gi2/β1/γ2
11.11Single8Y6YGLPG09748Y6Y-FFA2-GLPG0974
11.11Single8YH2Adenosine8YH2-A3A-Adenosine-Gi1/β1/γ2
11.11Single8YRGFospropofol8YRG-MRGPRX4-Fospropofol-chim(NtGi1-Gs-CtGq)/β1/γ2
11.11Single8ZPNAMD31008ZPN-CXCR4-AMD3100
11.11Single9AS5Mescaline9AS5-5-HT2A-Mescaline
11.11Single9AS6Mescaline9AS6-5-HT2A-Mescaline-chim(NtGi1-Gs-CtGq)/β1/γ2
11.11Single9ASBCa; Ca; Cyclomethyltryptophan; 9IG; PO49ASB-CaS-Ca-Ca; Ca; Cyclomethyltryptophan; 9IG; PO4-chim(NtGi1-Gs-CtGq)/β1/γ2
11.11Single9EPQ11,20-Ethanoretinal9EPQ-Rhodopsin-11,20-Ethanoretinal-chim(Gi1-CtGq)/β1/γ2
11.11Single9JH3CMF-0199JH3-Apelin-CMF-019-Gi1/β1/γ2
11.11Single9KPDSA09KPD-TAS2R16-SA0-chim(Gs-CtGt3)/β1/γ2
11.11Single9MQIIsoquinuclidine9MQI-μ-Isoquinuclidine
11.11Consensus5ht2a_offOrthosteric Ligand6A94-5-HT2A-Zotepine 6A93-5-HT2A-Risperidone 7VOD-5-HT2A-Cariprazine 7WC8-5-HT2A-Lumateperone 8JT8-5-HT2A-(R)-IHCH-7179
11.11Consensus5ht_on_gpOrthosteric Ligand5ht1_on_gp 5ht2_on_gp 5ht4_on_gp 5ht5_on_gp 5ht6_on_gp 5ht7_on_gp
11.11Consensusat1_offOrthosteric Ligand4YAY-AT1-ZD-7155 4ZUD-AT1-Olmesartan
11.11Consensuscxcr3_offOrthosteric Ligand8K2W-CXCR3-AMG487
11.11Consensusmc5_on_gpOrthosteric Ligand8INR-MC5-α-MSH-Ca-chim(NtGi1-Gs)/β1/γ2 8IOD-MC5-PG-901-Ca-chim(NtGi1-Gs)/β1/γ2
10.71Single8IODPG-9018IOD-MC5-PG-901-Ca-chim(NtGi1-Gs)/β1/γ2
10.53Single2VT4Cyanopindolol2VT4-β1-Cyanopindolol
10.53Single2Y04Salbutamol2Y04-β1-Salbutamol
10.53Single2YCYCyanopindolol2YCY-β1-Cyanopindolol
10.53Single3NY8ICI118-5513NY8-β2-ICI118-551
10.53Single3NYAS-Alprenolol3NYA-β2-S-Alprenolol
10.53Single3ZPQ4-(piperazin-1- yl)-1H-indole3ZPQ-β1-4-(piperazin-1- yl)-1H-indole-Na
10.53Single3ZPR4-methyl-2-(piperazin-1-yl)3ZPR-β1-4-methyl-2-(piperazin-1-yl)-Na
10.53Single4EJ4Naltrindole4EJ4-δ-Naltrindole
10.53Single4GBRS-Carazolol4GBR-β2-S-Carazolol
10.53Single4QKX35V4QKX-β2-35V
10.53Single4X1HNonyl-Beta-D-Glucopyranoside4X1H-Rhodopsin-Nonyl-β-D-Glucopyranoside-Gt(CT)
10.53Single6DRXLisuride6DRX-5-HT2B-Lisuride
10.53Single6FKCPubChem 1324730396FKC-Rhodopsin-PubChem 132473039
10.53Single6H7MSalbutamol6H7M-β1-Salbutamol
10.53Single6IIVDaltroban6IIV-TXA2-Daltroban
10.53Single6ORVTT-OAD26ORV-GLP-1-TT-OAD2-Gs/β1/γ2
10.53Single6PRZS-Alprenolol6PRZ-β2-S-Alprenolol
10.53Single6PS1Timolol6PS1-β2-Timolol
10.53Single6PS2S-Alprenolol6PS2-β2-S-Alprenolol
10.53Single6Z10PubChem 1545855546Z10-Succinate-PubChem 154585554
10.53Single7BTSL-Epinephrine7BTS-β1-L-Epinephrine
10.53Single7BU6L-Norepinephrine7BU6-β1-L-Norepinephrine
10.53Single7CFMP3957CFM-GPBA-P395-Gs/β1/γ2
10.53Single7CRHSKF839597CRH-D1-SKF83959-Gs/β1/γ2
10.53Single7DB6Ramelteon7DB6-MT1-Ramelteon-Gi1/β1/γ2
10.53Single7JOZVFP7JOZ-D1-VFP-Gs/β1/γ2
10.53Single7JVQApomorphine7JVQ-D1-Apomorphine-Gs/β1/γ2
10.53Single7NA8PubChem 1780247NA8-Ghrelin-PubChem 178024-Gi1/β1/γ2
10.53Single7S0GIsoprenaline7S0G-β1-Isoprenaline-chim(Gi1-CtGs)/β1/γ2
10.53Single7T2GMitragynine Pseudoindoxyl7T2G-μ-Mitragynine Pseudoindoxyl-Gi1/β1/γ2
10.53Single7UL4Alvimopan7UL4-μ-Alvimopan
10.53Single7UM6Lisuride7UM6-5-HT5A-Lisuride-chim(NtGi1-Go)/β1/γ2
10.53Single7VH0Ramelteon7VH0-MT2-Ramelteon-Gi1/β1/γ1
10.53Single7WC7Lisuride7WC7-5-HT2A-Lisuride
10.53Single7XJHIsoproterenol7XJH-β3-Isoproterenol-Gs/β1/γ2
10.53Single8EFQDamgo8EFQ-μ-Damgo-Gi1/β1/γ2
10.53Single8EJKTAK-8758EJK-FFA1-TAK-875-chim(NtGi1L-Gs-CtGq)/β1/γ2
10.53Single8GE3Constrained Epinephrine8GE3-β2-Constrained Epinephrine-Gs/β1/γ2
10.53Single8GE9Constrained Epinephrine8GE9-β2-Constrained Epinephrine-Gs/β1/γ2
10.53Single8GECConstrained Epinephrine8GEC-β2-Constrained Epinephrine-Gs/β1/γ2
10.53Single8GEEConstrained Epinephrine8GEE-β2-Constrained Epinephrine-Gs/β1/γ2
10.53Single8GEHConstrained Epinephrine8GEH-β2-Constrained Epinephrine-Gs/β1/γ2
10.53Single8GFVConstrained Epinephrine8GFV-β2-Constrained Epinephrine-GTP-Gs/β1/γ2
10.53Single8GFWConstrained Epinephrine8GFW-β2-Constrained Epinephrine-GTP-Gs/β1/γ2
10.53Single8GFXConstrained Epinephrine8GFX-β2-Constrained Epinephrine-GTP-Gs/β1/γ2
10.53Single8GFZConstrained Epinephrine8GFZ-β2-Constrained Epinephrine-GTP-Gs/β1/γ2
10.53Single8GG0Constrained Epinephrine8GG0-β2-Constrained Epinephrine-GTP-Gs/β1/γ2
10.53Single8GG1Constrained Epinephrine8GG1-β2-Constrained Epinephrine-GTP-Gs/β1/γ2
10.53Single8GG3Constrained Epinephrine8GG3-β2-Constrained Epinephrine-GTP-Gs/β1/γ2
10.53Single8GG4Constrained Epinephrine8GG4-β2-Constrained Epinephrine-GTP-Gs/β1/γ2
10.53Single8GG6Constrained Epinephrine8GG6-β2-Constrained Epinephrine-GTP-Gs/β1/γ2
10.53Single8GG9Constrained Epinephrine8GG9-β2-Constrained Epinephrine-GTP-Gs/β1/γ2
10.53Single8GGIConstrained Epinephrine8GGI-β2-Constrained Epinephrine
10.53Single8GGJConstrained Epinephrine8GGJ-β2-Constrained Epinephrine
10.53Single8GGKConstrained Epinephrine8GGK-β2-Constrained Epinephrine
10.53Single8GGNConstrained Epinephrine8GGN-β2-Constrained Epinephrine
10.53Single8GGOConstrained Epinephrine8GGO-β2-Constrained Epinephrine
10.53Single8GGUConstrained Epinephrine8GGU-β2-Constrained Epinephrine
10.53Single8JJOAlprenolol8JJO-β2-Alprenolol
10.53Single8T1WCVN4248T1W-GPR6-CVN424
10.53Single8UH3Setiptiline8UH3-5-HT1E-Setiptiline-Gi1/β1/γ1
10.53Single8UNQConstrained Epinephrine8UNQ-β2-Constrained Epinephrine-GTP-Gs/β1/γ2
10.53Single8UNRConstrained Epinephrine8UNR-β2-Constrained Epinephrine-GTP-Gs/β1/γ2
10.53Single8UNUConstrained Epinephrine8UNU-β2-Constrained Epinephrine-GTP-Gs/β1/γ2
10.53Single8UNVConstrained Epinephrine8UNV-β2-Constrained Epinephrine-GTP-Gs/β1/γ2
10.53Single8UNYConstrained Epinephrine8UNY-β2-Constrained Epinephrine-GTP-Gs/β1/γ2
10.53Single8UNZConstrained Epinephrine8UNZ-β2-Constrained Epinephrine-GTP-Gs/β1/γ2
10.53Single8UO2Constrained Epinephrine8UO2-β2-Constrained Epinephrine-GTP-Gs/β1/γ2
10.53Single8UWLLisuride8UWL-5-HT2A-Lisuride-chim(NtGi2-Gs-CtGq)/β1/γ2
10.53Single8W87METH8W87-TA1-METH-chim(NtGi1L-Gs)/β1/γ2
10.53Single8XBGS3E-LysoPS8XBG-GPR34-S3E-LysoPS
10.53Single8ZQEGPR15L(C11)8ZQE-GPR15-GPR15L(C11)-Gi1/β1/γ1
10.53Single9AS1DMT9AS1-5-HT2A-DMT
10.53Single9AVGCa; Ca; Cyclomethyltryptophan; 9IG; PO49AVG-CaS-Ca-Ca; Ca; Cyclomethyltryptophan; 9IG; PO4-chim(NtGi1-Gs)/β1/γ2
10.53Single9IVGGLP-1 (Truncated)9IVG-GLP-1-GLP-1 (Truncated)-chim(NtGi1-Gs)/β1/γ2
10.53Single9IYAONO-97105319IYA-GPR55-ONO-9710531
10.53Consensus5ht5_onOrthosteric Ligand5ht5a_on
10.53Consensus5ht5a_onOrthosteric Ligand7X5H-5-HT5A-5-CT-Gi1/β1/γ2 7UM6-5-HT5A-Lisuride-chim(NtGi1-Go)/β1/γ2 7UM7-5-HT5A-Methylergometrine-chim(NtGi1-Go)/β1/γ2
10.53Consensusadrenergic_onOrthosteric Ligandalpha_on beta_on
10.53Consensuscck_offOrthosteric Ligandccka_off
10.53Consensusccka_offOrthosteric Ligand7F8Y-CCKA-Devazepide 7F8U-CCKA-Lintitript
10.53Consensusd5_onOrthosteric Ligand8IRV-D5-Rotigotine-chim(NtGi1-Gs)/β1/γ2
10.53Consensusdop_offOrthosteric Ligand4EJ4-δ-Naltrindole
10.53Consensusdopamine_offOrthosteric Ligandd2_off d3_off
10.53Consensusdopamine_onOrthosteric Ligandd2_on d1_on d3_on d4_on d5_on
10.53Consensusdopamine_on_gpOrthosteric Ligandd2_on_gp d1_on_gp d3_on_gp d4_on_gp d5_on_gp
10.53Consensusgs_trace-amineOrthosteric Ligand8W88-TA1-SEP-363856-Gs/β1/γ2 8JLJ-TA1-T1AM-chim(NtGi1-Gs)/β1/γ2 8JLO-TA1-Ulotaront-Gs/β1/γ2 8WC4-TA1-ZH8651-chim(NtGi1-Gs)/β1/γ2 8WC7-TA1-ZH8667-chim(NtGi1-Gs)/β1/γ2 8JLR-TA1-A77636-chim(NtGi1-Gs)/β1/γ2 8JSO-TA1-AMPH-chim(NtGi1-Gs)/β1/γ2 8W87-TA1-METH-chim(NtGi1L-Gs)/β1/γ2 8W89-TA1-PEA-chim(NtGi1L-Gs)/β1/γ2 8JLP-TA1-Ralmitaront-Gs/β1/γ2 8W8A-TA1-RO5256390-chim(NtGi1L-Gs)/β1/γ2
10.34Single7D3SSecretin7D3S-Secretin-Secretin-Gs/β1/γ2
10.00Single2RH1S-Carazolol2RH1-β2-S-Carazolol
10.00Single2Y03Isoprenaline2Y03-β1-Isoprenaline
10.00Single2YCWS-Carazolol2YCW-β1-S-Carazolol
10.00Single4WW3All-trans-Retinal4WW3-Rhodopsin-All-trans-Retinal
10.00Single5C1MBU725C1M-μ-BU72
10.00Single5D6LS-Carazolol5D6L-β2-S-Carazolol
10.00Single5JQHS-Carazolol5JQH-β2-S-Carazolol
10.00Single5TVNLSD5TVN-5-HT2B-LSD
10.00Single5X7DS-Carazolol5X7D-β2-S-Carazolol-Cmpd-15
10.00Single5ZBQUR-MK-2995ZBQ-Y1-UR-MK-299
10.00Single5ZK33-quinuclidinyl-benzilate5ZK3-M2-3-quinuclidinyl-benzilate
10.00Single6D32Cyclopamine6D32-SMO-Cyclopamine-Cyclopamine
10.00Single6D35Cholesterol6D35-SMO-Cholesterol
10.00Single6KUWPubChem 572132346KUW-α2c-PubChem 57213234
10.00Single6M9TMisoprostol-FA6M9T-EP3-Misoprostol-FA
10.00Single6N51Quisqualate6N51-mGlu5; mGlu5-Quisqualate
10.00Single6N51Quisqualate6N51-mGlu5; mGlu5-Quisqualate
10.00Single6P9XCorticoliberin6P9X-CRF1-Corticoliberin-Gs/β1/γ2
10.00Single6PS3S-Carvedilol6PS3-β2-S-Carvedilol
10.00Single6PS6Timolol6PS6-β2-Timolol
10.00Single6UO8SKF975416UO8-GABAB1, GABAB2-SKF97541-GS39783
10.00Single6UO9SKF975416UO9-GABAB1, GABAB2-SKF97541
10.00Single6W2XPubChem 53110426W2X-GABAB1, GABAB2-PubChem 5311042
10.00Single6W2YPubChem 53110426W2Y-GABAB1; GABAB1-PubChem 5311042
10.00Single6W2YPubChem 53110426W2Y-GABAB1; GABAB1-PubChem 5311042
10.00Single6Z4QSR142948A6Z4Q-NTS1-SR142948A
10.00Single7BVQS-Carazolol7BVQ-β1-S-Carazolol
10.00Single7C7QBaclofen7C7Q-GABAB1, GABAB2-Baclofen-BHFF
10.00Single7C7SCGP546267C7S-GABAB1, GABAB2-CGP54626
10.00Single7CKXA776367CKX-D1-A77636-Gs/β1/γ2
10.00Single7CUMCGP546267CUM-GABAB1, GABAB2-CGP54626
10.00Single7DD5Ca7DD5-CaS-Ca-Ca; Ca; Tryptophan; NPS-2143
10.00Single7DD5Ca; Ca; Tryptophan; NPS-21437DD5-CaS-Ca-Ca; Ca; Tryptophan; NPS-2143
10.00Single7DD5Ca7DD5-CaS-Ca-Ca; Ca; Tryptophan; NPS-2143
10.00Single7DD5Ca; Ca; Tryptophan; NPS-21437DD5-CaS-Ca-Ca; Ca; Tryptophan; NPS-2143
10.00Single7DGEQuisqualate7DGE-mGlu1; mGlu1-Quisqualate
10.00Single7DTTCa7DTT-CaS-Ca-Ca
10.00Single7DTTCa7DTT-CaS-Ca-Ca
10.00Single7DTUTryptophan7DTU-CaS-Tryptophan
10.00Single7DTUTryptophan7DTU-CaS-Tryptophan
10.00Single7DTVCa7DTV-CaS-Ca-Ca; Tryptophan
10.00Single7DTVCa; Tryptophan7DTV-CaS-Ca-Ca; Tryptophan
10.00Single7DTVCa7DTV-CaS-Ca-Ca; Tryptophan
10.00Single7DTVCa; Tryptophan7DTV-CaS-Ca-Ca; Tryptophan
10.00Single7E6TCa7E6T-CaS-Ca-Ca; Ca; Cyclomethyltryptophan; PO4
10.00Single7E6TCa; Ca; Cyclomethyltryptophan; PO47E6T-CaS-Ca-Ca; Ca; Cyclomethyltryptophan; PO4
10.00Single7E6TCa7E6T-CaS-Ca-Ca; Ca; Cyclomethyltryptophan; PO4
10.00Single7E6TCa; Ca; Cyclomethyltryptophan; PO47E6T-CaS-Ca-Ca; Ca; Cyclomethyltryptophan; PO4
10.00Single7E9GEglumetad7E9G-mGlu2; mGlu2-Eglumetad-JNJ-40411813-Gi1/β1/γ2
10.00Single7E9GEglumetad7E9G-mGlu2; mGlu2-Eglumetad-JNJ-40411813-Gi1/β1/γ2
10.00Single7E9HPhosphoserine7E9H-mGlu4; mGlu4-Phosphoserine-Gi3/β1/γ2
10.00Single7E9HPhosphoserine7E9H-mGlu4; mGlu4-Phosphoserine-Gi3/β1/γ2
10.00Single7EB2Baclofen7EB2-GABAB2; GABAB1-Baclofen-rac-BHFF-Gi1/β1/γ2
10.00Single7EPBEglumetad7EPB-mGlu2; mGlu2-Eglumetad
10.00Single7EPBEglumetad7EPB-mGlu2; mGlu2-Eglumetad
10.00Single7EPFNAM5977EPF-mGlu2; mGlu2-NAM597
10.00Single7FD8Quisqualate7FD8-mGlu5; mGlu5-Quisqualate
10.00Single7FD8Quisqualate7FD8-mGlu5; mGlu5-Quisqualate
10.00Single7FD9LY3414957FD9-mGlu5; mGlu5-LY341495
10.00Single7FD9LY3414957FD9-mGlu5; mGlu5-LY341495
10.00Single7FIHhCG7FIH-LH-hCG-Org43553-chim(NtGi1-Gs)/β1/γ2
10.00Single7FIIhCG7FII-LH-hCG-chim(NtGi1-Gs)/β1/γ2
10.00Single7M3ECa; Ca; Tryptophan; NPS-21437M3E-CaS-Ca; Ca; Tryptophan; NPS-2143
10.00Single7M3ECa; Ca; Tryptophan; NPS-21437M3E-CaS-Ca; Ca; Tryptophan; NPS-2143
10.00Single7M3FCa; Ca; Tryptophan; Cinacalcet; PO47M3F-CaS-Ca; Ca; Tryptophan; Cinacalcet; PO4
10.00Single7M3FCa; Ca; Tryptophan; Cinacalcet; PO47M3F-CaS-Ca; Ca; Tryptophan; Cinacalcet; PO4
10.00Single7M3GCa; Ca; Tryptophan; Evocalcet; Etelcalcetide; PO47M3G-CaS-Ca; Ca; Tryptophan; Evocalcet; Etelcalcetide; PO4
10.00Single7M3GCa; Ca; Tryptophan; Evocalcet; Etelcalcetide; PO47M3G-CaS-Ca; Ca; Tryptophan; Evocalcet; Etelcalcetide; PO4
10.00Single7M3GCa; Ca; Tryptophan; Evocalcet; Etelcalcetide; PO47M3G-CaS-Ca; Ca; Tryptophan; Evocalcet; Etelcalcetide; PO4
10.00Single7M3GCa; Ca; Tryptophan; Evocalcet; Etelcalcetide; PO47M3G-CaS-Ca; Ca; Tryptophan; Evocalcet; Etelcalcetide; PO4
10.00Single7MTQLY3414957MTQ-mGlu2; mGlu2-LY341495
10.00Single7MTQLY3414957MTQ-mGlu2; mGlu2-LY341495
10.00Single7MTRGlutamate7MTR-mGlu2; mGlu2-Glutamate-ADX55164
10.00Single7MTRGlutamate7MTR-mGlu2; mGlu2-Glutamate-ADX55164
10.00Single7MTSGlutamate7MTS-mGlu2; mGlu2-Glutamate-ADX55164-Gi1/β1/γ2
10.00Single7MTSGlutamate7MTS-mGlu2; mGlu2-Glutamate-ADX55164-Gi1/β1/γ2
10.00Single7S0FIsoprenaline7S0F-β1-Isoprenaline-Gi1/β1/γ2
10.00Single7SILCa7SIL-CaS-Ca-Ca; Ca; Ca; Cyclomethyltryptophan; 9IG; PO4
10.00Single7SILCa; Ca; Ca; Cyclomethyltryptophan; 9IG; PO47SIL-CaS-Ca-Ca; Ca; Ca; Cyclomethyltryptophan; 9IG; PO4
10.00Single7SILCa7SIL-CaS-Ca-Ca; Ca; Ca; Cyclomethyltryptophan; 9IG; PO4
10.00Single7SILCa; Ca; Ca; Cyclomethyltryptophan; 9IG; PO47SIL-CaS-Ca-Ca; Ca; Ca; Cyclomethyltryptophan; 9IG; PO4
10.00Single7SIMCa7SIM-CaS-Ca-Ca; Ca; Cyclomethyltryptophan; PO4
10.00Single7SIMCa; Ca; Cyclomethyltryptophan; PO47SIM-CaS-Ca-Ca; Ca; Cyclomethyltryptophan; PO4
10.00Single7SIMCa7SIM-CaS-Ca-Ca; Ca; Cyclomethyltryptophan; PO4
10.00Single7SIMCa; Ca; Cyclomethyltryptophan; PO47SIM-CaS-Ca-Ca; Ca; Cyclomethyltryptophan; PO4
10.00Single7SINNPS-21437SIN-CaS-NPS-2143
10.00Single7SINNPS-21437SIN-CaS-NPS-2143
10.00Single7T9NM22 Fab7T9N-TSH-M22 Fab-DPPC-Gs/β1/γ2
10.00Single7VOEAripiprazole7VOE-5-HT2A-Aripiprazole
10.00Single7VV0PAMP-127VV0-MRGPRX2-PAMP-12
10.00Single7WI6LY3414957WI6-mGlu3; mGlu3-LY341495
10.00Single7WI6LY3414957WI6-mGlu3; mGlu3-LY341495
10.00Single7WI8LY3414957WI8-mGlu3; mGlu3-LY341495
10.00Single7WI8LY3414957WI8-mGlu3; mGlu3-LY341495
10.00Single7WIGL-054,2647WIG-SST2-L-054,264-Gi1/β1/γ2
10.00Single7WIHLY27941937WIH-mGlu3; mGlu3-LY2794193
10.00Single7WIHLY27941937WIH-mGlu3; mGlu3-LY2794193
10.00Single7XK9Constrained Isoproterenol7XK9-β2-Constrained Isoproterenol-Na
10.00Single7XKAConstrained Epinephrine7XKA-β2-Constrained Epinephrine
10.00Single7XW6M22 Fab7XW6-TSH-M22 Fab-ML109-Gs/β1/γ2
10.00Single7XW7K1-707XW7-TSH-K1-70
10.00Single8EJCTAK-8758EJC-FFA1-TAK-875-chim(NtGi1L-Gs-CtGq)/β1/γ2
10.00Single8GDCPGE28GDC-EP3-PGE2-Gi1/β1/γ2
10.00Single8GDZConstrained Epinephrine8GDZ-β2-Constrained Epinephrine-Gs/β1/γ2
10.00Single8GEBConstrained Epinephrine8GEB-β2-Constrained Epinephrine-Gs/β1/γ2
10.00Single8GEGConstrained Epinephrine8GEG-β2-Constrained Epinephrine-Gs/β1/γ2
10.00Single8GFYConstrained Epinephrine8GFY-β2-Constrained Epinephrine-GTP-Gs/β1/γ2
10.00Single8GG2Constrained Epinephrine8GG2-β2-Constrained Epinephrine-GTP-Gs/β1/γ2
10.00Single8GGBConstrained Epinephrine8GGB-β2-Constrained Epinephrine-GTP-Gs/β1/γ2
10.00Single8J18(3R)-3-Hydroxydodecanoic acid8J18-GPR84-(3R)-3-Hydroxydodecanoic acid-Gi1/β1/γ2
10.00Single8JCULY3414958JCU-mGlu2; mGlu3-LY341495
10.00Single8JCULY3414958JCU-mGlu2; mGlu3-LY341495
10.00Single8JCVLY3414958JCV-mGlu2; mGlu3-LY341495
10.00Single8JCVLY3414958JCV-mGlu2; mGlu3-LY341495
10.00Single8JCWLY3414958JCW-mGlu2; mGlu3-LY341495
10.00Single8JCWLY3414958JCW-mGlu2; mGlu3-LY341495
10.00Single8JCXLY3414958JCX-mGlu2; mGlu3-LY341495
10.00Single8JCXLY3414958JCX-mGlu2; mGlu3-LY341495
10.00Single8JCYLY3414958JCY-mGlu2; mGlu3-LY341495
10.00Single8JCYLY3414958JCY-mGlu2; mGlu3-LY341495
10.00Single8JCZLY3414958JCZ-mGlu2; mGlu3-LY341495
10.00Single8JCZLY3414958JCZ-mGlu2; mGlu3-LY341495
10.00Single8JD0Glutamate8JD0-mGlu2; mGlu3-Glutamate-NAM563
10.00Single8JD1Glutamate8JD1-mGlu2; mGlu3-Glutamate
10.00Single8JD1Glutamate8JD1-mGlu2; mGlu3-Glutamate
10.00Single8JD2Glutamate8JD2-mGlu2; mGlu3-Glutamate
10.00Single8JD2Glutamate8JD2-mGlu2; mGlu3-Glutamate
10.00Single8JD3Glutamate8JD3-mGlu2; mGlu3-Glutamate-JNJ-40411813-Gi1/β1/γ2
10.00Single8JD3Glutamate8JD3-mGlu2; mGlu3-Glutamate-JNJ-40411813-Gi1/β1/γ2
10.00Single8JD4Glutamate8JD4-mGlu2; mGlu4-Glutamate
10.00Single8JD4Glutamate8JD4-mGlu2; mGlu4-Glutamate
10.00Single8JD5Glutamate8JD5-mGlu2; mGlu4-Glutamate-JNJ-40411813; ADX88178-Gi1/β1/γ2
10.00Single8JD5Glutamate8JD5-mGlu2; mGlu4-Glutamate-JNJ-40411813; ADX88178-Gi1/β1/γ2
10.00Single8JD6Phosphoserine8JD6-mGlu4; mGlu4-Phosphoserine-VU0364770-Gi3/β1/γ2
10.00Single8JD6Phosphoserine8JD6-mGlu4; mGlu4-Phosphoserine-VU0364770-Gi3/β1/γ2
10.00Single8K8JFenofibrate8K8J-CB1-Fenofibrate-chim(Gs-CtGq)/β1/γ2
10.00Single8SZFCa; Ca; Tryptophan; Cinacalcet; PO4; Spermine8SZF-CaS-Ca; Ca; Tryptophan; Cinacalcet; PO4; Spermine
10.00Single8SZFCa; Ca; Tryptophan; Cinacalcet; PO4; Spermine8SZF-CaS-Ca; Ca; Tryptophan; Cinacalcet; PO4; Spermine
10.00Single8SZGCa; Ca; Tryptophan; Cinacalcet; PO4; Spermine8SZG-CaS-Ca; Ca; Tryptophan; Cinacalcet; PO4; Spermine-chim(NtGi1-Gq)/β1/γ2
10.00Single8T7HQuisqualate8T7H-mGlu5; mGlu5-Quisqualate
10.00Single8T7HQuisqualate8T7H-mGlu5; mGlu5-Quisqualate
10.00Single8T8MQuisqualate8T8M-mGlu5; mGlu5-Quisqualate
10.00Single8T8MQuisqualate8T8M-mGlu5; mGlu5-Quisqualate
10.00Single8TAOQuisqualate8TAO-mGlu5; mGlu5-Quisqualate-CDPPB
10.00Single8TAOQuisqualate8TAO-mGlu5; mGlu5-Quisqualate-CDPPB
10.00Single8TH4Losartan8TH4-AT1-Losartan-AT118-L Nanobody
10.00Single8TQBCa; PAM VU60233268TQB-mGlu3; mGlu3-Ca; PAM VU6023326-Ca
10.00Single8TQBCa; PAM VU60233268TQB-mGlu3; mGlu3-Ca; PAM VU6023326-Ca
10.00Single8TR0LY3414958TR0-mGlu3; mGlu3-LY341495
10.00Single8TR0LY3414958TR0-mGlu3; mGlu3-LY341495
10.00Single8TR2Ca; LY3792688TR2-mGlu3; mGlu3-Ca; LY379268-Ca
10.00Single8TR2Ca; LY3792688TR2-mGlu3; mGlu3-Ca; LY379268-Ca
10.00Single8TRCLY3414958TRC-mGlu3; mGlu3-LY341495
10.00Single8TRCLY3414958TRC-mGlu3; mGlu3-LY341495
10.00Single8TRDLY3414958TRD-mGlu3; mGlu3-LY341495
10.00Single8TRDLY3414958TRD-mGlu3; mGlu3-LY341495
10.00Single8UNNConstrained Epinephrine8UNN-β2-Constrained Epinephrine-GTP-Gs/β1/γ2
10.00Single8UNPConstrained Epinephrine8UNP-β2-Constrained Epinephrine-GTP-Gs/β1/γ2
10.00Single8WG9(2S)-2-amino-4-phosphonobutanoic acid8WG9-mGlu4; mGlu2-(2S)-2-amino-4-phosphonobutanoic acid
10.00Single8WGBGlutammate8WGB-mGlu4; mGlu2-Glutammate-VU0155041-Gi3/β1/γ2
10.00Single8WGBGlutammate8WGB-mGlu4; mGlu2-Glutammate-VU0155041-Gi3/β1/γ2
10.00Single8WGCLY3792688WGC-mGlu4; mGlu2-LY379268
10.00Single8WGDWAG; WA68WGD-mGlu4; mGlu2-WAG; WA6
10.00Single8WGDWAG; WA68WGD-mGlu4; mGlu2-WAG; WA6
10.00Single8WPGTryptophan; Cinacalcet; PO4; Ca8WPG-CaS-Tryptophan; Cinacalcet; PO4; Ca
10.00Single8WPGTryptophan; Cinacalcet; PO4; Ca8WPG-CaS-Tryptophan; Cinacalcet; PO4; Ca
10.00Single8WPUTryptophan; Cinacalcet; PO4; Ca8WPU-CaS-Tryptophan; Cinacalcet; PO4; Ca-chim(NtGi2L-Gs-CtGq)/β1/γ2
10.00Single8WPUTryptophan; Cinacalcet; PO4; Ca8WPU-CaS-Tryptophan; Cinacalcet; PO4; Ca-chim(NtGi2L-Gs-CtGq)/β1/γ2
10.00Single8WVXNorrin8WVX-LGR4-Norrin
10.00Single8WVYNorrin8WVY-LGR4-Norrin
10.00Single8X0BQuisqualate8X0B-mGlu5; mGlu5-Quisqualate-VU0424465
10.00Single8X0BQuisqualate8X0B-mGlu5; mGlu5-Quisqualate-VU0424465
10.00Single8X0CQuisqualate8X0C-mGlu5; mGlu5-Quisqualate-VU0424465
10.00Single8X0CQuisqualate8X0C-mGlu5; mGlu5-Quisqualate-VU0424465
10.00Single8X0DQuisqualate8X0D-mGlu5; mGlu5-Quisqualate-VU0424465
10.00Single8X0DQuisqualate8X0D-mGlu5; mGlu5-Quisqualate-VU0424465
10.00Single8X0EQuisqualate8X0E-mGlu5; mGlu5-Quisqualate
10.00Single8X0EQuisqualate8X0E-mGlu5; mGlu5-Quisqualate
10.00Single8X0FQuisqualate8X0F-mGlu5; mGlu5-Quisqualate-VU0424465
10.00Single8X0FQuisqualate8X0F-mGlu5; mGlu5-Quisqualate-VU0424465
10.00Single8X0GQuisqualate8X0G-mGlu5; mGlu5-Quisqualate
10.00Single8X0GQuisqualate8X0G-mGlu5; mGlu5-Quisqualate
10.00Single8X0HQuisqualate8X0H-mGlu5; mGlu5-Quisqualate
10.00Single8X0HQuisqualate8X0H-mGlu5; mGlu5-Quisqualate
10.00Single8XUMR-spondin-28XUM-LGR4-R-spondin-2
10.00Single8YH0NECA8YH0-A3A-NECA-Gi1/β1/γ2
10.00Single8ZRKGSK-12922638ZRK-GPR119-GSK-1292263-Gs/β1/γ2
10.00Single9ASBCa9ASB-CaS-Ca-Ca; Ca; Cyclomethyltryptophan; 9IG; PO4-chim(NtGi1-Gs-CtGq)/β1/γ2
10.00Single9ASBCa; Ca; Cyclomethyltryptophan; 9IG; PO49ASB-CaS-Ca-Ca; Ca; Cyclomethyltryptophan; 9IG; PO4-chim(NtGi1-Gs-CtGq)/β1/γ2
10.00Single9AVGCa9AVG-CaS-Ca-Ca; Ca; Cyclomethyltryptophan; 9IG; PO4-chim(NtGi1-Gs)/β1/γ2
10.00Single9AVGCa; Ca; Cyclomethyltryptophan; 9IG; PO49AVG-CaS-Ca-Ca; Ca; Cyclomethyltryptophan; 9IG; PO4-chim(NtGi1-Gs)/β1/γ2
10.00Single9AVLCa9AVL-CaS-Ca-Ca; Ca; Cyclomethyltryptophan; 9IG; PO4-Gi3/β2/γ2
10.00Single9AVLCa; Ca; Cyclomethyltryptophan; 9IG; PO49AVL-CaS-Ca-Ca; Ca; Cyclomethyltryptophan; 9IG; PO4-Gi3/β2/γ2
10.00Single9AVLCa; Ca; Cyclomethyltryptophan; 9IG; PO49AVL-CaS-Ca-Ca; Ca; Cyclomethyltryptophan; 9IG; PO4-Gi3/β2/γ2
10.00Single9AVLCa9AVL-CaS-Ca-Ca; Ca; Cyclomethyltryptophan; 9IG; PO4-Gi3/β2/γ2
10.00Single9AVLCa; Ca; Cyclomethyltryptophan; 9IG; PO49AVL-CaS-Ca-Ca; Ca; Cyclomethyltryptophan; 9IG; PO4-Gi3/β2/γ2
10.00Single9AXFCa9AXF-CaS-Ca-Ca; Ca; Ca; Cyclomethyltryptophan; 9IG; PO4-chim(NtGi1-Gs-CtGq)/β1/γ2
10.00Single9AXFCa; Ca; Ca; Cyclomethyltryptophan; 9IG; PO49AXF-CaS-Ca-Ca; Ca; Ca; Cyclomethyltryptophan; 9IG; PO4-chim(NtGi1-Gs-CtGq)/β1/γ2
10.00Single9AXFCa; Ca; Ca; Cyclomethyltryptophan; 9IG; PO49AXF-CaS-Ca-Ca; Ca; Ca; Cyclomethyltryptophan; 9IG; PO4-chim(NtGi1-Gs-CtGq)/β1/γ2
10.00Single9AXFCa9AXF-CaS-Ca-Ca; Ca; Ca; Cyclomethyltryptophan; 9IG; PO4-chim(NtGi1-Gs-CtGq)/β1/γ2
10.00Single9AXFCa; Ca; Ca; Cyclomethyltryptophan; 9IG; PO49AXF-CaS-Ca-Ca; Ca; Ca; Cyclomethyltryptophan; 9IG; PO4-chim(NtGi1-Gs-CtGq)/β1/γ2
10.00Single9AYFCa9AYF-CaS-Ca-Ca; Ca; Ca; Cyclomethyltryptophan; 9IG; PO4-Gi1/β1/γ2
10.00Single9AYFCa; Ca; Ca; Cyclomethyltryptophan; 9IG; PO49AYF-CaS-Ca-Ca; Ca; Ca; Cyclomethyltryptophan; 9IG; PO4-Gi1/β1/γ2
10.00Single9C1PCa9C1P-CaS-Ca-Ca; Tryptophan; '6218; PO4
10.00Single9C1PCa; Tryptophan; '6218; PO49C1P-CaS-Ca-Ca; Tryptophan; '6218; PO4
10.00Single9C1PCa9C1P-CaS-Ca-Ca; Tryptophan; '6218; PO4
10.00Single9C1PCa; Tryptophan; '6218; PO49C1P-CaS-Ca-Ca; Tryptophan; '6218; PO4
10.00Single9C2FCa9C2F-CaS-Ca-Ca; Ca; Tryptophan; '54149; PO4
10.00Single9C2FCa; Ca; Tryptophan; '54149; PO49C2F-CaS-Ca-Ca; Ca; Tryptophan; '54149; PO4
10.00Single9C2FCa9C2F-CaS-Ca-Ca; Ca; Tryptophan; '54149; PO4
10.00Single9C2FCa; Ca; Tryptophan; '54149; PO49C2F-CaS-Ca-Ca; Ca; Tryptophan; '54149; PO4
10.00Single9EAHOlmesartan9EAH-AT1-Olmesartan-Nanobody AT209
10.00Single9F33FOB02-04A9F33-D3-FOB02-04A-Go/β1/γ2
10.00Single9I52A1IZU9I52-D1-A1IZU-Gs/β1/γ2
10.00Single9II2Glutamate9II2-mGlu3; mGlu3-Glutamate-Arrestin2
10.00Single9II2Glutamate9II2-mGlu3; mGlu3-Glutamate-Arrestin2
10.00Single9II3Glutamate9II3-mGlu3; mGlu3-Glutamate-Arrestin2
10.00Single9II3Glutamate9II3-mGlu3; mGlu3-Glutamate-Arrestin2
10.00Single9K07DSO-5a9K07-BB3-DSO-5a-chim(NtGi2L-Gs-CtGq)/β1/γ2
10.00Single9KHHNorrin9KHH-LGR4-Norrin
10.00Single9KPFSA09KPF-TAS2R16-SA0-Gi1/β1/γ2
10.00Single9S37NB219S37-LGR4-NB21
10.00Single9UTBSucralose9UTB-TAS1R2; TAS1R3-Sucralose
10.00Consensus5ht2_offOrthosteric Ligand5ht2a_off 5ht2b_off 5ht2c_off
10.00Consensus5ht5_on_gpOrthosteric Ligand5ht5a_on_gp
10.00Consensus5ht5a_on_gpOrthosteric Ligand7X5H-5-HT5A-5-CT-Gi1/β1/γ2 7UM6-5-HT5A-Lisuride-chim(NtGi1-Go)/β1/γ2 7UM7-5-HT5A-Methylergometrine-chim(NtGi1-Go)/β1/γ2
10.00Consensusadrenergic_offOrthosteric Ligandalpha_off beta_off
10.00Consensusadrenergic_on_gpOrthosteric Ligandalpha_on_gp beta_on_gp
10.00Consensusalpha2c_offOrthosteric Ligand6KUW-α2c-PubChem 57213234
10.00Consensusalpha_offOrthosteric Ligandalpha1_off alpha2_off
10.00Consensusamine_offOrthosteric Ligand5ht_off adrenergic_off dopamine_off histamine_off muscarinic_off
10.00Consensusamine_offonOrthosteric Ligandamine_off amine_on
10.00Consensusamine_offon_gpOrthosteric Ligandamine_on_gp amine_off
10.00Consensusamine_onOrthosteric Ligand5ht_on adrenergic_on dopamine_on histamine_on muscarinic_on trace-amine_on
10.00Consensusbeta2_offOrthosteric Ligand2RH1-β2-S-Carazolol 6PS3-β2-S-Carvedilol 6PS5-β2-S-Propranolol 3D4S-β2-Timolol 3NY8-β2-ICI118-551 3NY9-β2-ICI118-551 6PRZ-β2-S-Alprenolol
10.00Consensusbeta_offOrthosteric Ligandbeta1_off beta2_off
10.00Consensusgi_adrenergicOrthosteric Ligand7EJ0-α2a-L-Norepinephrine-Go/β1/γ2 7EJK-α2a-Oxymetazoline-Go/β1/γ2 7W7E-α2a-PubChem 164946676-Go/β1/γ2 7W6P-α2a-N-pyridin-4-ylisoquinolin-4-amine-Go/β1/γ2 7EJ8-α2a-Brimonidine-Go/β1/γ2 6K42-α2b-Dexmedetomidine-Gi1/β1/γ2 7EJA-α2a-Dexmedetomidine-Go/β1/γ2 7S0F-β1-Isoprenaline-Gi1/β1/γ2
9.68Single6LMKGlucagon6LMK-Glucagon-Glucagon-Gs/β1/γ2
9.52Single3SN6BI1671073SN6-β2-BI167107-Gs/β1/γ2
9.52Single3UON3-quinuclidinyl-benzilate3UON-M2-3-quinuclidinyl-benzilate
9.52Single5D5AS-Carazolol5D5A-β2-S-Carazolol
9.52Single5D5BS-Carazolol5D5B-β2-S-Carazolol
9.52Single5TZRMK86665TZR-FFA1-MK8666
9.52Single5ZBHBMS-1938855ZBH-Y1-BMS-193885
9.52Single5ZHPPubChem 1348285895ZHP-M3-PubChem 134828589
9.52Single6DDEDamgo6DDE-μ-Damgo-Gi1/β1/γ2
9.52Single6H7JIsoprenaline6H7J-β1-Isoprenaline
9.52Single6J21Aprepitant6J21-NK1-Aprepitant
9.52Single6KO5PubChem 574000026KO5-Ghrelin-PubChem 57400002
9.52Single6NI3BI1671076NI3-β2-BI167107-Gs/β1/γ2
9.52Single6RZ5Zafirlukast6RZ5-CysLT1-Zafirlukast-Na
9.52Single7CKYPW04647CKY-D1-PW0464-Gs/β1/γ2
9.52Single7E2ZAripiprazole7E2Z-5-HT1A-Aripiprazole-Gi1/β1/γ2
9.52Single7EW1Siponimod7EW1-S1P5-Siponimod-Gi1/β1/γ2
9.52Single7EW7SEW28717EW7-S1P1-SEW2871-Gi1/β1/γ2
9.52Single7JJOIsoprenaline7JJO-β1-Isoprenaline-Gs/β1/γ2
9.52Single7JV5SKF812977JV5-D1-SKF81297-Gs/β1/γ2
9.52Single7W6PN-pyridin-4-ylisoquinolin-4-amine7W6P-α2a-N-pyridin-4-ylisoquinolin-4-amine-Go/β1/γ2
9.52Single7W7EPubChem 1649466767W7E-α2a-PubChem 164946676-Go/β1/γ2
9.52Single7WV9CP559407WV9-CB1-CP55940-ZCZ011-Gi2/β1/γ2
9.52Single7WVXHumanin7WVX-FPR2-ALX-Humanin-Gi2/β1/γ2
9.52Single7XY7NECA7XY7-A2B-NECA-chim(NtGi1-Gs)/β1/γ2
9.52Single8E0GBU728E0G-μ-BU72
9.52Single8GDBPGE28GDB-EP4-PGE2-Gs/β1/γ2
9.52Single8HPTC5a anaphylatoxin C-terminal peptide8HPT-C5a1-C5a anaphylatoxin C-terminal peptide-Go/β1/γ2
9.52Single8IRVRotigotine8IRV-D5-Rotigotine-chim(NtGi1-Gs)/β1/γ2
9.52Single8IUKPGF2-alpha8IUK-FP-alpha-PGF2-α-chim(NtGi1-Gs-CtGq)/β1/γ2
9.52Single8JLPRalmitaront8JLP-TA1-Ralmitaront-Gs/β1/γ2
9.52Single8JXVClozapine8JXV-H4-Clozapine-Gi1/β1/γ2
9.52Single8JXWVUF68848JXW-H4-VUF6884-Gi1/β1/γ2
9.52Single8T1VPubChem 1183102098T1V-GPR6-PubChem 118310209-Na
9.52Single8WU1PubChem 1190256658WU1-CB1-PubChem 119025665-Arrestin2
9.52Single8X79MRE-2698X79-I2-MRE-269-Gs/β1/γ2
9.52Single8XBIS3E-LysoPS8XBI-GPR34-S3E-LysoPS
9.52Single8XJMLatanoprost8XJM-FP-alpha-Latanoprost-chim(NtGi2-Gs-CtGq)/β1/γ2
9.52Single8XZICMF-0198XZI-Apelin-CMF-019-Gi1/β1/γ2
9.52Single8Y73Peptide8Y73-μ-Peptide-MPAM-15-Gi1/β1/γ2
9.52Single9AYFCa; Ca; Ca; Cyclomethyltryptophan; 9IG; PO49AYF-CaS-Ca-Ca; Ca; Ca; Cyclomethyltryptophan; 9IG; PO4-Gi1/β1/γ2
9.52Single9B65KCA9B65-CB1-KCA-Gi1/β1/γ2
9.52Single9I54A1IZV9I54-D1-A1IZV-Gs/β1/γ2
9.52Single9ITELPA9ITE-LPA6-LPA-chim(NtGi2-G13)/β1/γ2
9.52Consensus5ht_offOrthosteric Ligand5ht2_off 5ht1_off
9.52Consensusamine_on_gpOrthosteric Ligand5ht_on_gp adrenergic_on_gp dopamine_on_gp histamine_on_gp muscarinic_on_gp trace-amine_on_gp
9.52Consensusbeta1_offOrthosteric Ligand2VT4-β1-Cyanopindolol 2YCW-β1-S-Carazolol 2YCZ-β1-Iodocyanopindolol 5A8E-β1-7-Methylcyanopindolol-Na 3ZPQ-β1-4-(piperazin-1- yl)-1H-indole-Na 3ZPR-β1-4-methyl-2-(piperazin-1-yl)-Na
9.52Consensusbeta2_onOrthosteric Ligand7DHI-β2-Salbutamol-Gs/β1/γ2 6NI3-β2-BI167107-Gs/β1/γ2
9.52Consensusbeta2_on_gpOrthosteric Ligand7DHI-β2-Salbutamol-Gs/β1/γ2 6NI3-β2-BI167107-Gs/β1/γ2
9.52Consensusd5_on_gpOrthosteric Ligand8IRV-D5-Rotigotine-chim(NtGi1-Gs)/β1/γ2
9.52Consensusffa2_onOrthosteric Ligand8J22-FFA2-TUG-1375-Gi1/β1/γ2
9.52Consensusgi_5htOrthosteric Ligand8FYT-5-HT1A-LSD-Gi1/β1/γ1 7UM7-5-HT5A-Methylergometrine-chim(NtGi1-Go)/β1/γ2 8UGY-5-HT1E-Mianserin-Gi1/β1/γ1 8W8B-5-HT1A-SEP-363856-Gi1/β1/γ2 7E2Y-5-HT1A-Serotonin-Gi1/β1/γ2 7E32-5-HT1D-Serotonin-Gi1/β1/γ2 7XTA-5-HT4-Serotonin-Gi1/β1/γ2 8UH3-5-HT1E-Setiptiline-Gi1/β1/γ1 8JSP-5-HT1A-Ulotaront-Gi1/β1/γ2 8FYL-5-HT1A-Vilazodone-Gi1/β1/γ1 8JT6-5-HT1A-(R)-IHCH-7179-Gi1/β1/γ2 8FYE-5-HT1A-4-F,5-MeO-PyrT-Gi1/β1/γ1 7X5H-5-HT5A-5-CT-Gi1/β1/γ2 8FY8-5-HT1A-5-MeO-DMT-Gi1/β1/γ1 7E2Z-5-HT1A-Aripiprazole-Gi1/β1/γ2 7E33-5-HT1E-BRL-54443-Gi1/β1/γ2 8FYX-5-HT1A-Buspirone-Gi1/β1/γ1 7EXD-5-HT1F-Lasmiditan-Gi1/β1/γ2 7UM6-5-HT5A-Lisuride-chim(NtGi1-Go)/β1/γ2
9.52Consensusnpy_offOrthosteric Ligandnpy1_off npy2_off
9.52Consensuss1p5_onOrthosteric Ligand7EW1-S1P5-Siponimod-Gi1/β1/γ2
9.52Consensuss1p5_on_gpOrthosteric Ligand7EW1-S1P5-Siponimod-Gi1/β1/γ2
9.38Single6PB0Urocortin6PB0-CRF1-Urocortin-chim(NtGi1-Gs)/β1/γ2
9.09Single3D4STimolol3D4S-β2-Timolol
9.09Single4OR2FITM4OR2-mGlu1; mGlu1-FITM
9.09Single4PXZ2MeSADP4PXZ-P2Y12-2MeSADP
9.09Single4PY02MeSATP4PY0-P2Y12-2MeSATP
9.09Single5F8UCyanopindolol5F8U-β1-Cyanopindolol
9.09Single5TZYMK8666; AP85TZY-FFA1-MK8666; AP8
9.09Single5UNHPubChem 1264564065UNH-AT2-PubChem 126456406
9.09Single6CM4Risperidone6CM4-D2-Risperidone
9.09Single6H7OCyanopindolol6H7O-β1-Cyanopindolol
9.09Single6IIURamatroban6IIU-TXA2-Ramatroban
9.09Single6RZ7ONO-25703666RZ7-CysLT2-ONO-2570366
9.09Single7DD6Ca7DD6-CaS-Ca-Ca; Ca; Tryptophan
9.09Single7DD6Ca; Ca; Tryptophan7DD6-CaS-Ca-Ca; Ca; Tryptophan
9.09Single7DD6Ca7DD6-CaS-Ca-Ca; Ca; Tryptophan
9.09Single7DD6Ca; Ca; Tryptophan7DD6-CaS-Ca-Ca; Ca; Tryptophan
9.09Single7DD7Ca7DD7-CaS-Ca-Ca; Ca; Tryptophan; Evocalcet
9.09Single7DD7Ca; Ca; Tryptophan; Evocalcet7DD7-CaS-Ca-Ca; Ca; Tryptophan; Evocalcet
9.09Single7DD7Ca7DD7-CaS-Ca-Ca; Ca; Tryptophan; Evocalcet
9.09Single7DD7Ca; Ca; Tryptophan; Evocalcet7DD7-CaS-Ca-Ca; Ca; Tryptophan; Evocalcet
9.09Single7DFPSpiperone7DFP-D2-Spiperone
9.09Single7EXDLasmiditan7EXD-5-HT1F-Lasmiditan-Gi1/β1/γ2
9.09Single7MTRADX551647MTR-mGlu2; mGlu2-Glutamate-ADX55164
9.09Single7SUSPubChem 1227019087SUS-Apelin-PubChem 122701908
9.09Single7W0LPubChem 1227019087W0L-Apelin-PubChem 122701908-Gi1/β1/γ2
9.09Single7W0LPubChem 1227019087W0L-Apelin-PubChem 122701908-Gi1/β1/γ2
9.09Single7WCMMBX-29827WCM-GPR119-MBX-2982-Gs/β1/γ2
9.09Single7XMTJ-21567XMT-SST4-J-2156-Gi1/β1/γ2
9.09Single7XW9TRH7XW9-TRH-TRH-chim(NtGi1L-Gs-CtGq)/β1/γ2
9.09Single7YMJTamsulosin7YMJ-Alpha1A-Tamsulosin
9.09Single8DWCProenkephalin-A8DWC-MRGPRX1-Proenkephalin-A-chim(NtGi2L-Gs-CtGq)/β1/γ2
9.09Single8FYE4-F,5-MeO-PyrT8FYE-5-HT1A-4-F,5-MeO-PyrT-Gi1/β1/γ1
9.09Single8FYTLSD8FYT-5-HT1A-LSD-Gi1/β1/γ1
9.09Single8IQ6Latanoprost8IQ6-FP-alpha-Latanoprost-chim(NtGi1-Gs-CtGq)/β1/γ2
9.09Single8IRSRotigotine8IRS-D2-Rotigotine-Gi1/β1/γ2
9.09Single8SZFCa; Ca; Tryptophan; Cinacalcet; PO4; Spermine8SZF-CaS-Ca; Ca; Tryptophan; Cinacalcet; PO4; Spermine
9.09Single8SZFCa; Ca; Tryptophan; Cinacalcet; PO4; Spermine8SZF-CaS-Ca; Ca; Tryptophan; Cinacalcet; PO4; Spermine
9.09Single8VHFMBX-29828VHF-GPR119-MBX-2982-Gs/β1/γ2
9.09Single8WRBLysophosphatidylserine8WRB-GPR34-Lysophosphatidylserine-Gi1/β1/γ2
9.09Single8XJNCloprosetnol8XJN-TXA2-Cloprosetnol-chim(NtGi1-Gs-CtGq)/β1/γ2
9.09Single8XQSCholesterol8XQS-TAS2R14-Cholesterol-Flufenamic acid-Gi1/β1/γ1
9.09Single8Y6WTUG-13758Y6W-FFA2-TUG-1375-4-CMTB-Gi1/β1/γ2
9.09Single9ASBCa9ASB-CaS-Ca-Ca; Ca; Cyclomethyltryptophan; 9IG; PO4-chim(NtGi1-Gs-CtGq)/β1/γ2
9.09Single9ASBCa; Ca; Cyclomethyltryptophan; 9IG; PO49ASB-CaS-Ca-Ca; Ca; Cyclomethyltryptophan; 9IG; PO4-chim(NtGi1-Gs-CtGq)/β1/γ2
9.09Single9AU0BW245C9AU0-DP1-BW245C-Gs/β1/γ2
9.09Single9AVGCa9AVG-CaS-Ca-Ca; Ca; Cyclomethyltryptophan; 9IG; PO4-chim(NtGi1-Gs)/β1/γ2
9.09Single9AVGCa; Ca; Cyclomethyltryptophan; 9IG; PO49AVG-CaS-Ca-Ca; Ca; Cyclomethyltryptophan; 9IG; PO4-chim(NtGi1-Gs)/β1/γ2
9.09Single9AYFCa9AYF-CaS-Ca-Ca; Ca; Ca; Cyclomethyltryptophan; 9IG; PO4-Gi1/β1/γ2
9.09Single9AYFCa; Ca; Ca; Cyclomethyltryptophan; 9IG; PO49AYF-CaS-Ca-Ca; Ca; Ca; Cyclomethyltryptophan; 9IG; PO4-Gi1/β1/γ2
9.09Single9GL2Befiradol9GL2-5-HT1A-Befiradol-Gs/β1/γ2
9.09Single9GYOP3959GYO-GPBA-P395-chim(NtGi1-Gs)/β1/γ2
9.09Consensus5ht1f_onOrthosteric Ligand7EXD-5-HT1F-Lasmiditan-Gi1/β1/γ2
9.09Consensus5ht1f_on_gpOrthosteric Ligand7EXD-5-HT1F-Lasmiditan-Gi1/β1/γ2
9.09Consensusalpha1_offOrthosteric Ligandalpha1a_off
9.09Consensusalpha1a_offOrthosteric Ligand7YMJ-Alpha1A-Tamsulosin
9.09Consensuscb1_onOrthosteric Ligand6KPG-CB1-AM841-Gi1/β1/γ2 8K8J-CB1-Fenofibrate-chim(Gs-CtGq)/β1/γ2
9.09Consensusclass-b2_onOrthosteric Ligandadgrg_on adgrf_on adgrl_on adgre_on adgrd_on
9.09Consensusclass-b2_on_gpOrthosteric Ligandadgrg_on_gp adgrf_on_gp adgrl_on_gp adgre_on_gp adgrd_on_gp
9.09Consensusffa2_on_gpOrthosteric Ligand8J22-FFA2-TUG-1375-Gi1/β1/γ2
9.09Consensusgi_muscarinicOrthosteric Ligand8E9X-M4-2-Deoxycytidine-chim(NtGi1-Go)/β1/γ2 7T8X-M2-Acetylcholine-chim(NtGi1-Go)/β1/γ2 7TRS-M4-Acetylcholine-Gi1/β1/γ2 7TRK-M4-Iperoxo-Gi1/β1/γ2 7V6A-M4-PubChem 9864275-Gi1/β1/γ2
9.09Consensuskop_onOrthosteric Ligand8F7W-κ-Dynorphin-Gi1/β1/γ2 8DZS-κ-GR89,696-chim(NtGi2-Gz)/β1/γ2 8DZP-κ-momSalB-Gi1/β1/γ2
9.09Consensusmop_onOrthosteric Ligand8F7R-μ-Endomorphin-Gi1/β1/γ2 8EF5-μ-Fentanyl-Gi1/β1/γ2 7SCG-μ-FH210-Gi1/β1/γ2 7T2H-μ-Lofentanil-Gi1/β1/γ2 7T2G-μ-Mitragynine Pseudoindoxyl-Gi1/β1/γ2 8EF6-μ-Morphine-Gi1/β1/γ2 8EFB-μ-Oliceridine-Gi1/β1/γ2 7U2L-μ-PubChem 163201242-Gi1/β1/γ2 8EFO-μ-PZM21-Gi1/β1/γ2 8EFL-μ-SR17018-Gi1/β1/γ2 8F7Q-μ-β-Endorphin-Gi1/β1/γ2 7U2K-μ-C6-guano-Gi1/β1/γ2 8EFQ-μ-Damgo-Gi1/β1/γ2
9.09Consensusmop_on_gpOrthosteric Ligand8F7R-μ-Endomorphin-Gi1/β1/γ2 8EF5-μ-Fentanyl-Gi1/β1/γ2 7SCG-μ-FH210-Gi1/β1/γ2 7T2H-μ-Lofentanil-Gi1/β1/γ2 7T2G-μ-Mitragynine Pseudoindoxyl-Gi1/β1/γ2 8EF6-μ-Morphine-Gi1/β1/γ2 8EFB-μ-Oliceridine-Gi1/β1/γ2 7U2L-μ-PubChem 163201242-Gi1/β1/γ2 8EFO-μ-PZM21-Gi1/β1/γ2 8EFL-μ-SR17018-Gi1/β1/γ2 8F7Q-μ-β-Endorphin-Gi1/β1/γ2 7U2K-μ-C6-guano-Gi1/β1/γ2 8EFQ-μ-Damgo-Gi1/β1/γ2
9.09Consensusopioid_offOrthosteric Ligandmop_off nop_off dop_off kop_off
9.09Consensusorexin_onOrthosteric Ligandox2_on
9.09Consensustrh_onOrthosteric Ligand7XW9-TRH-TRH-chim(NtGi1L-Gs-CtGq)/β1/γ2
9.09Consensustrh_on_gpOrthosteric Ligand7XW9-TRH-TRH-chim(NtGi1L-Gs-CtGq)/β1/γ2
8.70Single4OR2FITM4OR2-mGlu1; mGlu1-FITM
8.70Single6DDFDamgo6DDF-μ-Damgo-Gi1/β1/γ2
8.70Single6M1HMaxadilan6M1H-PAC1-Maxadilan-Gs/β1/γ2
8.70Single6RZ9ONO-27703726RZ9-CysLT2-ONO-2770372
8.70Single7CX4Evatanepag7CX4-EP2-Evatanepag-Gs/β1/γ2
8.70Single7MTSADX551647MTS-mGlu2; mGlu2-Glutamate-ADX55164-Gi1/β1/γ2
8.70Single7X2DTavapadon7X2D-D1-Tavapadon-Gs/β1/γ2
8.70Single8E9X2-Deoxycytidine8E9X-M4-2-Deoxycytidine-chim(NtGi1-Go)/β1/γ2
8.70Single8FX5Xanomeline8FX5-M4-Xanomeline-Xanomeline-Gi1/β1/γ2
8.70Single8S2TIsoprenaline8S2T-β1-Isoprenaline-chim(NtGi1-Gs)/β1/γ2
8.70Single8T3OTUG-8918T3O-FFA4-TUG-891-chim(NtGi2L-Gs-CtGq)/β1/γ2
8.70Single8XJKCloprosetnol8XJK-FP-alpha-Cloprosetnol-chim(NtGi1-Gs-CtGq)/β1/γ2
8.70Single8XJOU466198XJO-TXA2-U46619-chim(NtGi1-Gs-CtGq)/β1/γ2
8.70Single9CGJC6-Quino9CGJ-δ-C6-Quino-Gi1/β1/γ2
8.70Single9DYEBuspirone9DYE-5-HT1A-Buspirone-Go/β1/γ2
8.70Single9EAILosartan9EAI-AT1-Losartan-Nanobody AT209
8.70Single9JH5C16:0 Ceramide9JH5-CysLT2-C16:0 Ceramide-chim(NtGi1-Gs-CtGq)/β1/γ2
8.70Consensuscyslt2_offOrthosteric Ligand6RZ7-CysLT2-ONO-2570366 6RZ8-CysLT2-ONO-2080365 6RZ9-CysLT2-ONO-2770372
8.70Consensusd2_offOrthosteric Ligand6CM4-D2-Risperidone 6LUQ-D2-Haloperidol 7DFP-D2-Spiperone
8.70Consensuskop_on_gpOrthosteric Ligand8F7W-κ-Dynorphin-Gi1/β1/γ2 8DZS-κ-GR89,696-chim(NtGi2-Gz)/β1/γ2 8DZP-κ-momSalB-Gi1/β1/γ2
8.70Consensusorexin_on_gpOrthosteric Ligandox2_on_gp
8.70Consensusprostanoid_onOrthosteric Ligandtp_on fp-alpha_on
8.70Consensusprostanoid_on_gpOrthosteric Ligandtp_on_gp fp-alpha_on_gp
8.70Consensustp_onOrthosteric Ligand8XJO-TXA2-U46619-chim(NtGi1-Gs-CtGq)/β1/γ2
8.70Consensustp_on_gpOrthosteric Ligand8XJO-TXA2-U46619-chim(NtGi1-Gs-CtGq)/β1/γ2
8.33Single6PT3DPI-2876PT3-δ-DPI-287
8.33Single6RZ6ONO-25703666RZ6-CysLT2-ONO-2570366
8.33Single7CX2PGE27CX2-EP2-PGE2-Gs/β1/γ2
8.33Single7KNUCalcitonin gene-related peptide-17KNU-CT Like-Calcitonin gene-related peptide-1-RAMP1
8.33Single7S8LCortistatin-147S8L-MRGPRX2-Cortistatin-14-chim(NtGi2L-Gs-CtGq)/β1/γ2
8.33Single7T9MCS-17 Antibody7T9M-TSH-CS-17 Antibody
8.33Single8H4IDoconexent8H4I-FFA4-Doconexent-chim(NtGi1-Gs)/β1/γ2
8.33Single8J22TUG-13758J22-FFA2-TUG-1375-Gi1/β1/γ2
8.33Single8TLMAnti-murine CCR8 antibody8TLM-CCR8-Anti-murine CCR8 antibody
8.33Single8X5YAstemizole8X5Y-H1-Astemizole
8.33Single9CGKC5-Quino9CGK-δ-C5-Quino-Gi1/β1/γ2
8.33Single9ITBLPA9ITB-LPA6-LPA-chim(NtGi1-Gs-CtGq)/β1/γ2
8.33Single9JF4PD1683689JF4-BB1-PD168368
8.33Single9JH6C20:0 Ceramide9JH6-CysLT2-C20:0 Ceramide-chim(NtGi1-Gs-CtGq)/β1/γ2
8.33Single9MD1Buspirone9MD1-5-HT1A-Buspirone-Gz/β1/γ2
8.33Consensuskiss1_onOrthosteric Ligand8ZJD-Kiss1-Kisspeptin-10-chim(NtGi1-Gq)/β1/γ1
8.33Consensuskisspeptin_onOrthosteric Ligandkiss1_on
8.00Single6RZ8ONO-20803656RZ8-CysLT2-ONO-2080365
8.00Single7CX3Taprenepag7CX3-EP2-Taprenepag-Gs/β1/γ2
8.00Single7QA8Peptide7QA8-STE2-Peptide
8.00Single7QA8Peptide7QA8-STE2-Peptide
8.00Single8DWGProenkephalin-A8DWG-MRGPRX1-Proenkephalin-A-ML382-chim(NtGi2L-Gs-CtGq)/β1/γ2
8.00Single8IEBA1LYA8IEB-GPR156-A1LYA
8.00Single8IEIA1LYA8IEI-GPR156-A1LYA
8.00Single8IEIA1LYA8IEI-GPR156-A1LYA
8.00Single8IEPA1LYA8IEP-GPR156-A1LYA
8.00Single8IEPA1LYA8IEP-GPR156-A1LYA
8.00Single8KIGSHU91198KIG-MC3-SHU9119-Ca
8.00Single8PKMBefiradol8PKM-5-HT1A-Befiradol-Gi1/β1/γ1
8.00Single8ZJDKisspeptin-108ZJD-Kiss1-Kisspeptin-10-chim(NtGi1-Gq)/β1/γ1
8.00Single9J0IUDP-Glucuronic acid9J0I-P2Y14-UDP-Glucuronic acid-Gi1/β1/γ2
8.00Consensusgq_kisspeptinOrthosteric Ligand8ZJD-Kiss1-Kisspeptin-10-chim(NtGi1-Gq)/β1/γ1
8.00Consensuskiss1_on_gpOrthosteric Ligand8ZJD-Kiss1-Kisspeptin-10-chim(NtGi1-Gq)/β1/γ1
8.00Consensuskisspeptin_on_gpOrthosteric Ligandkiss1_on_gp
7.69Single6O3CCholesterol6O3C-SMO-SAG21k-Cholesterol
7.69Single7DDZJNJ-310200287DDZ-Y2-JNJ-31020028
7.69Single7FIGhCG7FIG-LH-hCG-chim(NtGi1L-Gs)/β1/γ2
7.69Single7UTZTR14027UTZ-TSH-TR1402-DPPC-Gs/β1/γ2
7.69Single7XW5TSH7XW5-TSH-TSH-ML109-Gs/β1/γ2
7.69Single7ZI0Cholesterol7ZI0-SMO-SAG-Cholesterol
7.69Single8WCBCyclohexylammonium Ion8WCB-TA1-Cyclohexylammonium Ion-chim(NtGi1-Gs-CtGq)/β1/γ2
7.69Single8WCCCyclohexylammonium Ion8WCC-TA1-Cyclohexylammonium Ion
7.69Single9IK8SST analogue9IK8-SST1-SST analogue-Gi1/β1/γ2
7.69Consensusnpy2_offOrthosteric Ligand7DDZ-Y2-JNJ-31020028
7.14Single5L7DCholesterol5L7D-SMO-Cholesterol
7.14Single7T9ITSH7T9I-TSH-TSH-Gs/β1/γ2
7.14Single7WC4Serotonin7WC4-5-HT2A-Serotonin
7.14Single7XKDBeta-Hydroxyandrosterone7XKD-ADGRG2-β-Hydroxyandrosterone-Gs/β1/γ2
7.14Single8HS2Fab0468HS2-GPR20-Fab046
7.14Single8I2GGlycoprotein hormones alpha chain8I2G-FSH-Glycoprotein hormones α chain-Compound 716340-Gs/β1/γ2
6.90Single7QBIAlpha-factor mating pheromone7QBI-STE2-α-factor mating pheromone
6.90Single7XV3Lysophosphatidylserine7XV3-GPR174-Lysophosphatidylserine-chim(NtGi1-Gs)/β1/γ2
6.67Single3OE8IT1t3OE8-CXCR4-IT1t
6.67Single7DD5Ca; Ca; Tryptophan; NPS-21437DD5-CaS-Ca-Ca; Ca; Tryptophan; NPS-2143
6.67Single7MTBAll-trans-Retinal7MTB-Rhodopsin-All-trans-Retinal-GRK1
6.67Single7QBIAlpha-factor mating pheromone7QBI-STE2-α-factor mating pheromone
6.67Single7VDMSubstance-P7VDM-MRGPRX2-Substance-P-Gi1/β1/γ2
6.67Single8DPHLorcaserin8DPH-5-HT2C-Lorcaserin-chim(NtGi2L-Gs-CtGq)/β1/γ2
6.67Single8WC5Tetramethylammonium Ion8WC5-TA1-Tetramethylammonium Ion-chim(NtGi1-Gs)/β1/γ2
6.67Single8Y02Retinal8Y02-OPN1SW-Retinal-Gi1/β1/γ2
6.67Single9C2FCa; Ca; Tryptophan; '54149; PO49C2F-CaS-Ca-Ca; Ca; Tryptophan; '54149; PO4
6.67Single9CHUNoradrenaline9CHU-β2-Noradrenaline
6.67Single9IVMLSN33188399IVM-GLP-1-GLP-1 (Truncated)-LSN3318839-chim(NtGi1-Gs)/β2/γ2
6.67Consensusopsins_onOrthosteric Ligandrhodopsin_on opsin1lw_on
6.67Consensussensory_onOrthosteric Ligandopsins_on
6.45Single7AD3Alpha-factor mating pheromone7AD3-STE2-α-factor mating pheromone-Gi1/STE4/γ2
6.45Single7QBCAlpha-factor mating pheromone7QBC-STE2-α-factor mating pheromone
6.25Single2J4Y11-cis-Retinal2J4Y-Rhodopsin-11-cis-Retinal
6.25Single2ZIY11-cis-Retinal2ZIY-Rhodopsin-11-cis-Retinal
6.25Single6FK9PubChem 1324730366FK9-Rhodopsin-PubChem 132473036
6.25Single6FUFAll-trans-Retinal6FUF-Rhodopsin-All-trans-Retinal-Go
6.25Single6PB1Urocortin6PB1-CRF2-Urocortin-chim(NtGi1-Gs)/β1/γ2
6.25Single7DD7Ca; Ca; Tryptophan; Evocalcet7DD7-CaS-Ca-Ca; Ca; Tryptophan; Evocalcet
6.25Single7EJKOxymetazoline7EJK-α2a-Oxymetazoline-Go/β1/γ2
6.25Single7F23Dopamine7F23-D1-Dopamine-GDP-Gs/β1/γ2
6.25Single7MT8All-trans-Retinal7MT8-Rhodopsin-All-trans-Retinal-GRK1
6.25Single7QBCAlpha-factor mating pheromone7QBC-STE2-α-factor mating pheromone
6.25Single8GGFConstrained Epinephrine8GGF-β2-Constrained Epinephrine-GTP-Gs/β1/γ2
6.25Single8ITFDMCHA8ITF-TA9-DMCHA-chim(NtGi1-Gs)/β1/γ2
6.25Single8IU2Retinal8IU2-Opsin1LW-Retinal-Gi1/β1/γ2
6.25Single8J24Acetic acid8J24-FFA2-Acetic acid-Gi1/β1/γ2
6.25Single8J6QCompound 9n8J6Q-HCA2-β-Hydroxybutyrate-Compound 9n-Gi1/β1/γ2
6.25Single8JXTHistamine8JXT-H4-Histamine-PO4-Gi1/β1/γ2
6.25Single8RQLFlufenamic acid8RQL-TAS2R14-Flufenamic acid-Flufenamic acid-chim(NtGi1-Gt3)/β1/γ2
6.25Single8WC62-Phenylethylamine8WC6-TA1-2-Phenylethylamine-chim(NtGi1-Gs)/β1/γ2
6.25Single8WC9ZH86518WC9-TA1-ZH8651-chim(NtGi1-Gs-CtGq)/β1/γ2
6.25Single8YN9Histamine8YN9-H4-Histamine-Gi1/β1/γ2
6.25Single8YUUHistamine8YUU-H3-Histamine-Gi1/β1/γ1
6.25Single9LRCHistamine9LRC-H4-Histamine
6.25Single9LREHistamine9LRE-H4-Histamine-Gi1/β1/γ2
6.25Consensus5ht2_onOrthosteric Ligand5ht2b_on
6.25Consensus5ht2b_onOrthosteric Ligand7SRR-5-HT2B-LSD-chim(NtGi2L-Gs-CtGq)/β1/γ2
6.25Consensusgi_opsinsOrthosteric Ligand8IU2-Opsin1LW-Retinal-Gi1/β1/γ2
6.25Consensusgi_sensoryOrthosteric Ligandgi_opsins
6.25Consensush3_onOrthosteric Ligand8YUU-H3-Histamine-Gi1/β1/γ1
6.25Consensush3_on_gpOrthosteric Ligand8YUU-H3-Histamine-Gi1/β1/γ1
6.25Consensusopsin1lw_onOrthosteric Ligand8IU2-Opsin1LW-Retinal-Gi1/β1/γ2
6.25Consensusopsin1lw_on_gpOrthosteric Ligand8IU2-Opsin1LW-Retinal-Gi1/β1/γ2
6.25Consensusopsins_on_gpOrthosteric Ligandrhodopsin_on_gp opsin1lw_on_gp
6.25Consensusrhodopsin_onOrthosteric Ligand6OYA-Rhodopsin-All-trans-Retinal-Gt/β1/γ1
6.25Consensussensory_on_gpOrthosteric Ligandopsins_on_gp
5.88Single3AYMAll-trans-Retinal3AYM-Rhodopsin-All-trans-Retinal
5.88Single3PBLEticlopride3PBL-D3-Eticlopride
5.88Single5TE520-Methanoretinal5TE5-Rhodopsin-20-Methanoretinal
5.88Single6FK6PubChem 1324730336FK6-Rhodopsin-PubChem 132473033
5.88Single6HLLCP999946HLL-NK1-CP99994
5.88Single6I9K9-cis-Retinal6I9K-Rhodopsin-9-cis-Retinal
5.88Single6PGSGeraniol6PGS-Rhodopsin-Geraniol-Gt(CT)
5.88Single6PH7Nerol6PH7-Rhodopsin-Nerol-Gt(CT)
5.88Single6QNOAll-trans-Retinal6QNO-Rhodopsin-All-trans-Retinal-Gi1/β1/γ1
5.88Single6TQ4PubChem 160468446TQ4-OX1-PubChem 16046844-Na
5.88Single7DD5Ca; Ca; Tryptophan; NPS-21437DD5-CaS-Ca-Ca; Ca; Tryptophan; NPS-2143
5.88Single7DD7Ca; Ca; Tryptophan; Evocalcet7DD7-CaS-Ca-Ca; Ca; Tryptophan; Evocalcet
5.88Single7S8NR-Zinc-35737S8N-MRGPRX2-R-Zinc-3573-chim(NtGi2L-Gs-CtGq)/β1/γ2
5.88Single7S8OR-Zinc-35737S8O-MRGPRX2-R-Zinc-3573-Gi1/β1/γ2
5.88Single7SRQLSD7SRQ-5-HT2B-LSD
5.88Single7XKFBeta-Hydroxyandrosterone7XKF-ADGRG2-β-Hydroxyandrosterone-Gs/β1/γ2
5.88Single7XP6Strychnine7XP6-TAS2R46-Strychnine-chim(Gs-CtGt3)/β1/γ2
5.88Single7XTASerotonin7XTA-5-HT4-Serotonin-Gi1/β1/γ2
5.88Single7YFCHistamine7YFC-H4-Histamine-chim(NtGi1-Gs-CtGq)/β1/γ2
5.88Single7YFDImetit7YFD-H4-Imetit-chim(NtGi1-Gs-CtGq)/β1/γ2
5.88Single7YS6Serotonin7YS6-5-HT6-Serotonin-chim(NtGi1-Gs)/β1/γ2
5.88Single8DPFLorcaserin8DPF-5-HT2C-Lorcaserin-chim(NtGi2L-Gs-CtGq)/β1/γ2
5.88Single8HN8Histamine8HN8-H4-Histamine-Gi1/β1/γ2
5.88Single8J6PCompound 9n8J6P-HCA2-Niacin-Compound 9n-Gi1/β1/γ2
5.88Single8JHYCompound 9n8JHY-HCA2-Compound 9n-Gi1/β1/γ2
5.88Single8JIICompound 9n8JII-HCA2-Niacin-Compound 9n-Gi1/β1/γ2
5.88Single8JLOUlotaront8JLO-TA1-Ulotaront-Gs/β1/γ2
5.88Single8UO4Constrained Epinephrine8UO4-β2-Constrained Epinephrine-GTP; Mg-Gs/β1/γ2
5.88Single8W89PEA8W89-TA1-PEA-chim(NtGi1L-Gs)/β1/γ2
5.88Single8WPUTryptophan; Cinacalcet; PO4; Ca8WPU-CaS-Tryptophan; Cinacalcet; PO4; Ca-chim(NtGi2L-Gs-CtGq)/β1/γ2
5.88Single8YN5Histamine8YN5-H3-Histamine-Gi1/β1/γ2
5.88Single8YN6Imetit8YN6-H3-Imetit-Gi1/β1/γ2
5.88Single8YN7Immethridine8YN7-H3-Immethridine-Go/β1/γ2
5.88Single9AS2DMT9AS2-5-HT2A-DMT-chim(NtGi1-Gs-CtGq)/β1/γ2
5.88Single9C1PCa; Tryptophan; '6218; PO49C1P-CaS-Ca-Ca; Tryptophan; '6218; PO4
5.88Single9EPRRetinal9EPR-Rhodopsin-Retinal-Gi1/β1/γ2
5.88Single9IJEEpinephrine9IJE-β3-Epinephrine-chim(NtGi1-Gs)/β1/γ2
5.88Single9L3ZLRH7-C29L3Z-CML1-LRH7-C2
5.88Consensus5ht4_onOrthosteric Ligand7XTA-5-HT4-Serotonin-Gi1/β1/γ2
5.88Consensus5ht4_on_gpOrthosteric Ligand7XTA-5-HT4-Serotonin-Gi1/β1/γ2
5.88Consensusd3_offOrthosteric Ligand3PBL-D3-Eticlopride
5.88Consensush4_onOrthosteric Ligand8HN8-H4-Histamine-Gi1/β1/γ2 8HOC-H4-Imetit-Gi1/β1/γ2 8JXV-H4-Clozapine-Gi1/β1/γ2 8JXW-H4-VUF6884-Gi1/β1/γ2 8JXX-H4-Clobenpropit-Gi1/β1/γ2
5.56Single4S0VSuvorexant4S0V-OX2-Suvorexant
5.56Single5WS3EMPA5WS3-OX2-EMPA
5.56Single6AKXA4R6AKX-CCR5-A4R
5.56Single6AKYMaraviroc6AKY-CCR5-Maraviroc
5.56Single6FKBPubChem 1324730386FKB-Rhodopsin-PubChem 132473038
5.56Single6KUYPubChem 1457046436KUY-α2a-PubChem 145704643
5.56Single6TODEMPA6TOD-OX1-EMPA-Na
5.56Single6TPJSuvorexant6TPJ-OX2-Suvorexant
5.56Single7EJ0L-Norepinephrine7EJ0-α2a-L-Norepinephrine-Go/β1/γ2
5.56Single7F1ODopamine7F1O-D1-Dopamine-GDP; Mg-Gs/β1/γ2
5.56Single7M3ECa; Ca; Tryptophan; NPS-21437M3E-CaS-Ca; Ca; Tryptophan; NPS-2143
5.56Single7M3ECa; Ca; Tryptophan; NPS-21437M3E-CaS-Ca; Ca; Tryptophan; NPS-2143
5.56Single7M3FCa; Ca; Tryptophan; Cinacalcet; PO47M3F-CaS-Ca; Ca; Tryptophan; Cinacalcet; PO4
5.56Single7SILCa; Ca; Ca; Cyclomethyltryptophan; 9IG; PO47SIL-CaS-Ca-Ca; Ca; Ca; Cyclomethyltryptophan; 9IG; PO4
5.56Single7SILCa; Ca; Ca; Cyclomethyltryptophan; 9IG; PO47SIL-CaS-Ca-Ca; Ca; Ca; Cyclomethyltryptophan; 9IG; PO4
5.56Single7SRRLSD7SRR-5-HT2B-LSD-chim(NtGi2L-Gs-CtGq)/β1/γ2
5.56Single7SRSLSD7SRS-5-HT2B-LSD-Arrestin2
5.56Single7T8XAcetylcholine7T8X-M2-Acetylcholine-chim(NtGi1-Go)/β1/γ2
5.56Single7T90Acetylcholine7T90-M2-Acetylcholine-chim(NtGi1-Go)/β1/γ2
5.56Single7T96Acetylcholine7T96-M2-Acetylcholine-LY2119620-Go/β1/γ2
5.56Single7VDLCortistatin-147VDL-MRGPRX2-Cortistatin-14-Gi1/β1/γ2
5.56Single7W0MPubChem 1227019087W0M-Apelin-PubChem 122701908-Gi1/β1/γ2
5.56Single7X5H5-CT7X5H-5-HT5A-5-CT-Gi1/β1/γ2
5.56Single7XRRLemborexant7XRR-OX2-Lemborexant
5.56Single7YM8Oxymetazoline7YM8-Alpha1A-Oxymetazoline-chim(Gs-CtGq)
5.56Single8DWGML3828DWG-MRGPRX1-Proenkephalin-A-ML382-chim(NtGi2L-Gs-CtGq)/β1/γ2
5.56Single8DWHPubChem 1390305318DWH-MRGPRX1-PubChem 139030531-chim(NtGi2L-Gs-CtGq)/β1/γ2
5.56Single8EFOPZM218EFO-μ-PZM21-Gi1/β1/γ2
5.56Single8FYXBuspirone8FYX-5-HT1A-Buspirone-Gi1/β1/γ1
5.56Single8HOCImetit8HOC-H4-Imetit-Gi1/β1/γ2
5.56Single8U8FPalmitic Acid8U8F-GPR3-Palmitic Acid-Gs/β1/γ2
5.56Single8WC3SEP-3638568WC3-TA1-SEP-363856-chim(NtGi1-Gs)/β1/γ2
5.56Single8WPGTryptophan; Cinacalcet; PO4; Ca8WPG-CaS-Tryptophan; Cinacalcet; PO4; Ca
5.56Single8Y0HVUF114188Y0H-CXCR3-VUF11418
5.56Single8Y0NVUF114188Y0N-CXCR3-VUF11418-Go/β1/γ2
5.56Single8YNAImmepip8YNA-H4-Immepip-Gi1/β1/γ2
5.56Single8YUVImmepip8YUV-H3-Immepip-Gi1/β1/γ2
5.56Single9AVLCa; Ca; Cyclomethyltryptophan; 9IG; PO49AVL-CaS-Ca-Ca; Ca; Cyclomethyltryptophan; 9IG; PO4-Gi3/β2/γ2
5.56Single9C2FCa; Ca; Tryptophan; '54149; PO49C2F-CaS-Ca-Ca; Ca; Tryptophan; '54149; PO4
5.56Single9K6LSA09K6L-TAS2R16-SA0-Gi2/β1/γ2
5.56Single9KPESA09KPE-TAS2R16-SA0-Gi1/β1/γ2
5.56Single9MQJIsoquinuclidine9MQJ-μ-Isoquinuclidine
5.56Consensus5ht1e_onOrthosteric Ligand7E33-5-HT1E-BRL-54443-Gi1/β1/γ2 8UGY-5-HT1E-Mianserin-Gi1/β1/γ1 8UH3-5-HT1E-Setiptiline-Gi1/β1/γ1
5.56Consensus5ht2_on_gpOrthosteric Ligand5ht2b_on_gp
5.56Consensus5ht2b_on_gpOrthosteric Ligand7SRR-5-HT2B-LSD-chim(NtGi2L-Gs-CtGq)/β1/γ2
5.56Consensus5ht_onOrthosteric Ligand5ht1_on 5ht2_on 5ht4_on 5ht5_on 5ht6_on 5ht7_on
5.56Consensusgq_histamineOrthosteric Ligand7DFL-H1-Histamine-chim(NtGi1L-Gq)/β1/γ2
5.56Consensusgs_5htOrthosteric Ligand7XTC-5-HT7-5-CT-Gs/β1/γ2 7XTB-5-HT6-Serotonin-Gs/β1/γ2 8JLZ-5-HT6-ST1936-Gs/β1/γ2 7XT8-5-HT4-Serotonin-Gs/β1/γ2
5.56Consensush1_on_gpOrthosteric Ligand7DFL-H1-Histamine-chim(NtGi1L-Gq)/β1/γ2
5.56Consensushistamine_onOrthosteric Ligandh1_on h2_on h3_on h4_on
5.56Consensushistamine_on_gpOrthosteric Ligandh1_on_gp h2_on_gp h3_on_gp h4_on_gp
5.56Consensusm2_onOrthosteric Ligand7T8X-M2-Acetylcholine-chim(NtGi1-Go)/β1/γ2
5.56Consensusm2_on_gpOrthosteric Ligand7T8X-M2-Acetylcholine-chim(NtGi1-Go)/β1/γ2
5.56Consensusorexin_offOrthosteric Ligandox2_off ox1_off
5.56Consensusox1_offOrthosteric Ligand6TP6-OX1-Filorexant 6TP4-OX1-ACT-462206 6V9S-OX1-GTPL11403 6TOT-OX1-Lemborexant 6TP3-OX1-Nemorexant 6TQ6-OX1-PubChem 145714283 6TQ9-OX1-SB-408124 4ZJC-OX1-SB-674042 4ZJ8-OX1-Suvorexant 6TOD-OX1-EMPA-Na 6TOS-OX1-GSK1059865-Na 6TQ4-OX1-PubChem 16046844-Na
5.56Consensusox2_offOrthosteric Ligand5WQC-OX2-EMPA 6TPN-OX2-HTL6641 7XRR-OX2-Lemborexant 6TPJ-OX2-Suvorexant
5.56Consensussensory_offonOrthosteric Ligandsensory_off sensory_on
5.56Consensussensory_offon_gpOrthosteric Ligandsensory_on_gp sensory_on
5.26Single1F8811-cis-Retinal1F88-Rhodopsin-11-cis-Retinal
5.26Single4MBSMaraviroc4MBS-CCR5-Maraviroc
5.26Single4MQTIperoxo4MQT-M2-Iperoxo-LY2119620
5.26Single4N6HNaltrindole4N6H-δ-Naltrindole-Na
5.26Single4ZJCSB-6740424ZJC-OX1-SB-674042
5.26Single6A94Zotepine6A94-5-HT2A-Zotepine
5.26Single6FK8PubChem 1324730356FK8-Rhodopsin-PubChem 132473035
5.26Single6FKAPubChem 1324730376FKA-Rhodopsin-PubChem 132473037
5.26Single6K41Dexmedetomidine6K41-α2b-Dexmedetomidine-Go/β1/γ2
5.26Single6PELCitronellol6PEL-Rhodopsin-Citronellol-Gt(CT)
5.26Single6TOSGSK10598656TOS-OX1-GSK1059865-Na
5.26Single6TP3Nemorexant6TP3-OX1-Nemorexant
5.26Single6TPGEMPA6TPG-OX2-EMPA
5.26Single6VI4JDTic6VI4-κ-JDTic
5.26Single6WH4Methiothepin6WH4-5-HT2A-Methiothepin
5.26Single6WJCAtropine6WJC-M1-Atropine-Muscarinic toxin 7
5.26Single6ZFZ77-LH-28-16ZFZ-M1-77-LH-28-1
5.26Single6ZG9GSK10347026ZG9-M1-GSK1034702
5.26Single6ZINSR486926ZIN-NTS1-SR48692
5.26Single7CKWFenoldopam7CKW-D1-Fenoldopam-Gs/β1/γ2
5.26Single7CKZDopamine7CKZ-D1-Dopamine-Mevidalen-Gs/β1/γ2
5.26Single7CMUPramipexole7CMU-D3-Pramipexole-Gi1/β1/γ2
5.26Single7EJ8Brimonidine7EJ8-α2a-Brimonidine-Go/β1/γ2
5.26Single7EJADexmedetomidine7EJA-α2a-Dexmedetomidine-Go/β1/γ2
5.26Single7F0TDopamine7F0T-D1-Dopamine-Gs/β1/γ2
5.26Single7F1ZDopamine7F1Z-D1-Dopamine-GDP-Gs/β1/γ2
5.26Single7M3GCa; Ca; Tryptophan; Evocalcet; Etelcalcetide; PO47M3G-CaS-Ca; Ca; Tryptophan; Evocalcet; Etelcalcetide; PO4
5.26Single7RANPubChem 1645758477RAN-5-HT2A-PubChem 164575847-chim(NtGi2L-Gs-CtGq)/β1/γ2
5.26Single7SR8TAK-9257SR8-OX2-TAK-925-chim(NtGi1L-Gs-CtGq)/β1/γ2
5.26Single7T94Acetylcholine7T94-M2-Acetylcholine-LY2119620-chim(NtGi1-Go)/β1/γ2
5.26Single7TRSAcetylcholine7TRS-M4-Acetylcholine-Gi1/β1/γ2
5.26Single7UM7Methylergometrine7UM7-5-HT5A-Methylergometrine-chim(NtGi1-Go)/β1/γ2
5.26Single7VODCariprazine7VOD-5-HT2A-Cariprazine
5.26Single8JSPUlotaront8JSP-5-HT1A-Ulotaront-Gi1/β1/γ2
5.26Single8K4SDCA-3P8K4S-MRGPRX4-DCA-3P-chim(NtGi1L-Gs-CtGq)/β1/γ2
5.26Single8K9LDamgo8K9L-μ-Damgo-BMS-986122-Gi3/β1/γ1
5.26Single8PM2DMCH8PM2-TA7-DMCH-Gs/β1/γ2
5.26Single8THKA616038THK-Alpha1A-A61603-chim(NtGi2L-Gs-CtGq)/β1/γ2
5.26Single8THLEpinephrine8THL-Alpha1A-Epinephrine-chim(NtGi2L-Gs-CtGq)/β1/γ2
5.26Single8W8BSEP-3638568W8B-5-HT1A-SEP-363856-Gi1/β1/γ2
5.26Single8WPGTryptophan; Cinacalcet; PO4; Ca8WPG-CaS-Tryptophan; Cinacalcet; PO4; Ca
5.26Single8WPUTryptophan; Cinacalcet; PO4; Ca8WPU-CaS-Tryptophan; Cinacalcet; PO4; Ca-chim(NtGi2L-Gs-CtGq)/β1/γ2
5.26Single8Y62C16:0 Ceramide8Y62-FPR2-ALX-C16:0 Ceramide-Gi1/β1/γ2
5.26Single9AS3LSD9AS3-5-HT2A-LSD
5.26Single9AS4LSD9AS4-5-HT2A-LSD-chim(NtGi1-Gs-CtGq)/β1/γ2
5.26Single9ASBCa; Ca; Cyclomethyltryptophan; 9IG; PO49ASB-CaS-Ca-Ca; Ca; Cyclomethyltryptophan; 9IG; PO4-chim(NtGi1-Gs-CtGq)/β1/γ2
5.26Single9AVGCa; Ca; Cyclomethyltryptophan; 9IG; PO49AVG-CaS-Ca-Ca; Ca; Cyclomethyltryptophan; 9IG; PO4-chim(NtGi1-Gs)/β1/γ2
5.26Single9AXFCa; Ca; Ca; Cyclomethyltryptophan; 9IG; PO49AXF-CaS-Ca-Ca; Ca; Ca; Cyclomethyltryptophan; 9IG; PO4-chim(NtGi1-Gs-CtGq)/β1/γ2
5.26Single9CBLEpinephrine9CBL-α2a-Epinephrine-Gi1/β1/γ2
5.26Single9DQJEP-39459DQJ-MRGPRD-EP-3945-chim(NtGi1-Gs-CtGq)/β1/γ2
5.26Single9IXXLTD49IXX-CysLT2-LTD4-chim(NtGi1-Gs-CtGq)/β1/γ2
5.26Single9K1DButanoic acid9K1D-FFA2-Butanoic acid-Gi1/β1/γ2
5.26Consensusalpha1_onOrthosteric Ligandalpha1a_on
5.26Consensusalpha1_on_gpOrthosteric Ligandalpha1a_on_gp
5.26Consensusalpha1a_onOrthosteric Ligand7EJ0-α2a-L-Norepinephrine-Go/β1/γ2 7EJ8-α2a-Brimonidine-Go/β1/γ2 7EJA-α2a-Dexmedetomidine-Go/β1/γ2 7EJK-α2a-Oxymetazoline-Go/β1/γ2 7W6P-α2a-N-pyridin-4-ylisoquinolin-4-amine-Go/β1/γ2 7W7E-α2a-PubChem 164946676-Go/β1/γ2
5.26Consensusalpha1a_on_gpOrthosteric Ligand7EJ0-α2a-L-Norepinephrine-Go/β1/γ2 7EJ8-α2a-Brimonidine-Go/β1/γ2 7EJA-α2a-Dexmedetomidine-Go/β1/γ2 7EJK-α2a-Oxymetazoline-Go/β1/γ2 7W6P-α2a-N-pyridin-4-ylisoquinolin-4-amine-Go/β1/γ2 7W7E-α2a-PubChem 164946676-Go/β1/γ2
5.26Consensusd3_onOrthosteric Ligand7CMV-D3-PD128907-Gi1/β1/γ2 8IRT-D3-Rotigotine-Gi1/β1/γ2 7CMU-D3-Pramipexole-Gi1/β1/γ2
5.26Consensusd3_on_gpOrthosteric Ligand7CMV-D3-PD128907-Gi1/β1/γ2 8IRT-D3-Rotigotine-Gi1/β1/γ2 7CMU-D3-Pramipexole-Gi1/β1/γ2
5.26Consensusghrelin_offOrthosteric Ligand6KO5-Ghrelin-PubChem 57400002 7F83-Ghrelin-PF-05190457
5.26Consensusopsins_offOrthosteric Ligandrhodopsin_off
5.26Consensussensory_offOrthosteric Ligandopsins_off
5.00Single4DAJTiotropium4DAJ-M3-Tiotropium
5.00Single4EA3PubChem 102965614EA3-NOP-PubChem 10296561
5.00Single4MQSIperoxo4MQS-M2-Iperoxo
5.00Single4U14Tiotropium4U14-M3-Tiotropium
5.00Single4U16N-Methyl-Scopolamine4U16-M3-N-Methyl-Scopolamine
5.00Single5DHHSB-6121115DHH-NOP-SB-612111
5.00Single5DSGTiotropium5DSG-M4-Tiotropium
5.00Single5YC8N-Methyl-Scopolamine5YC8-M2-N-Methyl-Scopolamine
5.00Single5ZK8N-Methyl-Scopolamine5ZK8-M2-N-Methyl-Scopolamine
5.00Single5ZKCN-Methyl-Scopolamine5ZKC-M2-N-Methyl-Scopolamine
5.00Single6FK7PubChem 1324730346FK7-Rhodopsin-PubChem 132473034
5.00Single6FKDPubChem 1373491836FKD-Rhodopsin-PubChem 137349183
5.00Single6K42Dexmedetomidine6K42-α2b-Dexmedetomidine-Gi1/β1/γ2
5.00Single6TOTLemborexant6TOT-OX1-Lemborexant
5.00Single6WHADB139486WHA-5-HT2A-DB13948-chim(NtGi2L-Gs-CtGq)/β1/γ2
5.00Single7E32Serotonin7E32-5-HT1D-Serotonin-Gi1/β1/γ2
5.00Single7LJCSKF-812977LJC-D1-SKF-81297-Mevidalen-Gs/β1/γ2
5.00Single7M3JNPS-2143; PO47M3J-CaS-NPS-2143; PO4
5.00Single7SQOTAK-9257SQO-OX2-TAK-925-Gi1/β1/γ2
5.00Single7T6VfMLFII7T6V-FPR2-ALX-fMLFII-Gi1/β1/γ2
5.00Single7TRPIperoxo7TRP-M4-Iperoxo-LY2033298-Gi1/β1/γ2
5.00Single7UM55-CT7UM5-5-HT5A-5-CT-chim(NtGi1-Go)/β1/γ2
5.00Single7X2CFenoldopam7X2C-D1-Fenoldopam-Fenoldopam-Gs/β1/γ2
5.00Single7XTC5-CT7XTC-5-HT7-5-CT-Gs/β1/γ2
5.00Single8FY85-MeO-DMT8FY8-5-HT1A-5-MeO-DMT-Gi1/β1/γ1
5.00Single8IRTRotigotine8IRT-D3-Rotigotine-Gi1/β1/γ2
5.00Single8JD0NAM5638JD0-mGlu2; mGlu3-Glutamate-NAM563
5.00Single8JLJT1AM8JLJ-TA1-T1AM-chim(NtGi1-Gs)/β1/γ2
5.00Single8JLZST19368JLZ-5-HT6-ST1936-Gs/β1/γ2
5.00Single8JT8(R)-IHCH-71798JT8-5-HT2A-(R)-IHCH-7179
5.00Single8JXRLSD8JXR-D1-LSD
5.00Single8KEXDCA-3P8KEX-MRGPRX4-DCA-3P
5.00Single8KFYZK-7563268KFY-CCR8-ZK-756326-Gi1/β1/γ2
5.00Single8UGYMianserin8UGY-5-HT1E-Mianserin-Gi1/β1/γ1
5.00Single8VVGGB188VVG-κ-GB18-Gi1/β1/γ2
5.00Single8WC7ZH86678WC7-TA1-ZH8667-chim(NtGi1-Gs)/β1/γ2
5.00Single8X63Mepyramine8X63-H1-Mepyramine
5.00Single8X9TAP5038X9T-ADGRD1-AP503-chim(NtGi1-Gs)/β1/γ2
5.00Single8XVKAmbrisentan8XVK-ETA-Ambrisentan
5.00Single8YN8Proxyfan8YN8-H3-Proxyfan-Go/β1/γ2
5.00Single9BQJRO769BQJ-μ-RO76-Gi1/β1/γ2
5.00Single9CBMDexmedetomidine9CBM-α2a-Dexmedetomidine-Gi1/β1/γ2
5.00Single9D61JDTic9D61-κ-JDTic-Gi1/β1/γ2
5.00Single9JEAAtropine9JEA-M1-Atropine
5.00Single9KFJPubChem 1383196749KFJ-RXFP3-PubChem 138319674-Gi2/β1/γ2
5.00Single9PLNN-(5-methylnaphthalen-1-yl)pyridin-4-amine9PLN-α2a-N-(5-methylnaphthalen-1-yl)pyridin-4-amine
5.00Single9PLON-(5-methylnaphthalen-1-yl)pyridin-4-amine9PLO-α2a-N-(5-methylnaphthalen-1-yl)pyridin-4-amine-Go/β1/γ2
5.00Single9PQD(6m)-1-methyl-6-(1,2,5,6-tetrahydropyridin-3-yl)-1h-indole9PQD-α2a-(6m)-1-methyl-6-(1,2,5,6-tetrahydropyridin-3-yl)-1h-indole
5.00Consensus5ht1d_onOrthosteric Ligand7E32-5-HT1D-Serotonin-Gi1/β1/γ2
5.00Consensus5ht1d_on_gpOrthosteric Ligand7E32-5-HT1D-Serotonin-Gi1/β1/γ2
5.00Consensus5ht6_onOrthosteric Ligand7XTB-5-HT6-Serotonin-Gs/β1/γ2 8JLZ-5-HT6-ST1936-Gs/β1/γ2
5.00Consensus5ht6_on_gpOrthosteric Ligand7XTB-5-HT6-Serotonin-Gs/β1/γ2 8JLZ-5-HT6-ST1936-Gs/β1/γ2
5.00Consensus5ht7_onOrthosteric Ligand7XTC-5-HT7-5-CT-Gs/β1/γ2
5.00Consensus5ht7_on_gpOrthosteric Ligand7XTC-5-HT7-5-CT-Gs/β1/γ2
5.00Consensusalpha2_onOrthosteric Ligandalpha2b_on
5.00Consensusalpha2_on_gpOrthosteric Ligandalpha2b_on_gp
5.00Consensusalpha2b_onOrthosteric Ligand6K42-α2b-Dexmedetomidine-Gi1/β1/γ2
5.00Consensusalpha2b_on_gpOrthosteric Ligand6K42-α2b-Dexmedetomidine-Gi1/β1/γ2
5.00Consensusalpha_onOrthosteric Ligandalpha1_on alpha2_on
5.00Consensusgi_histamineOrthosteric Ligand8JXX-H4-Clobenpropit-Gi1/β1/γ2 8JXV-H4-Clozapine-Gi1/β1/γ2 8YUU-H3-Histamine-Gi1/β1/γ1 8HN8-H4-Histamine-Gi1/β1/γ2 8HOC-H4-Imetit-Gi1/β1/γ2 8JXW-H4-VUF6884-Gi1/β1/γ2
5.00Consensusgi_orexinOrthosteric Ligand7SQO-OX2-TAK-925-Gi1/β1/γ2
5.00Consensusgq_amineOrthosteric Ligandgq_muscarinic gq_histamine
5.00Consensushistamine_offOrthosteric Ligandh1_off
5.00Consensusm4_offOrthosteric Ligand5DSG-M4-Tiotropium
5.00Consensusmuscarinic_onOrthosteric Ligandm2_on m3_on m4_on m1_on
5.00Consensusmuscarinic_on_gpOrthosteric Ligandm2_on_gp m3_on_gp m4_on_gp m1_on_gp
4.76Single4NTJAZD12834NTJ-P2Y12-AZD1283
4.76Single4PHUFasiglifam4PHU-FFA1-Fasiglifam
4.76Single4ZJ8Suvorexant4ZJ8-OX1-Suvorexant
4.76Single5CGCHTL142425CGC-mGlu5-HTL14242
4.76Single5WIUNemonapride5WIU-D4-Nemonapride
4.76Single5WIVNemonapride5WIV-D4-Nemonapride-Na
4.76Single5WQCEMPA5WQC-OX2-EMPA
4.76Single5XPRBosentan5XPR-ETB-Bosentan
4.76Single6LUQHaloperidol6LUQ-D2-Haloperidol
4.76Single6OIKIperoxo6OIK-M2-Iperoxo-LY2119620-chim(NtGi1-Go)/β1/γ2
4.76Single6TO7Suvorexant6TO7-OX1-Suvorexant-Na
4.76Single6TP6Filorexant6TP6-OX1-Filorexant
4.76Single6Z4SSR486926Z4S-NTS1-SR48692
4.76Single7EUOfMLF7EUO-FPR1-ALX-fMLF-Gi1/β1/γ2
4.76Single7M3JNPS-2143; PO47M3J-CaS-NPS-2143; PO4
4.76Single7SBFPZM217SBF-μ-PZM21-Gi1/β1/γ2
4.76Single7TRKIperoxo7TRK-M4-Iperoxo-Gi1/β1/γ2
4.76Single7VV4Cortistatin-147VV4-MRGPRX2-Cortistatin-14
4.76Single7WC6LSD7WC6-5-HT2A-LSD
4.76Single8DZQmomSalB8DZQ-κ-momSalB-Go/β1/γ2
4.76Single8DZRGR89,6968DZR-κ-GR89,696-chim(NtGi2-Gt3)/β1/γ2
4.76Single8E9ZIperoxo8E9Z-M3-Iperoxo-chim(NtGi2L-Gs-CtGq)/β1/γ2
4.76Single8EFBOliceridine8EFB-μ-Oliceridine-Gi1/β1/γ2
4.76Single8JXSPF-61428JXS-D1-PF-6142
4.76Single8KFXLMD-0098KFX-CCR8-LMD-009-Gi1/β1/γ2
4.76Single8SZGCa; Ca; Tryptophan; Cinacalcet; PO4; Spermine8SZG-CaS-Ca; Ca; Tryptophan; Cinacalcet; PO4; Spermine-chim(NtGi1-Gq)/β1/γ2
4.76Single8X0BVU04244658X0B-mGlu5; mGlu5-Quisqualate-VU0424465
4.76Single8X0CVU04244658X0C-mGlu5; mGlu5-Quisqualate-VU0424465
4.76Single8X0CVU04244658X0C-mGlu5; mGlu5-Quisqualate-VU0424465
4.76Single8X0DVU04244658X0D-mGlu5; mGlu5-Quisqualate-VU0424465
4.76Single8X0DVU04244658X0D-mGlu5; mGlu5-Quisqualate-VU0424465
4.76Single8YNSSNAP-948478YNS-MCH1-SNAP-94847
4.76Single8ZMFA1L108ZMF-5-HT2C-A1L10
4.76Single8ZVZBW245C8ZVZ-DP1-BW245C-Gs/β1/γ2
4.76Single9ARYSerotonin9ARY-5-HT2A-Serotonin-chim(NtGi1-Gs-CtGq)/β1/γ2
4.76Single9ARZ2-bromo-LSD9ARZ-5-HT2A-2-bromo-LSD
4.76Single9AYFCa; Ca; Ca; Cyclomethyltryptophan; 9IG; PO49AYF-CaS-Ca-Ca; Ca; Ca; Cyclomethyltryptophan; 9IG; PO4-Gi1/β1/γ2
4.76Single9DQHEP-28259DQH-MRGPRD-EP-2825-chim(NtGi1-Gs-CtGq)/β1/γ2
4.76Single9DYDAsenapine9DYD-5-HT1A-Asenapine-Go/β1/γ2
4.76Single9DYFAsenapine9DYF-5-HT1A-Asenapine-Gi1/β1/γ2
4.76Single9F34FOB02-04A9F34-D3-FOB02-04A-Go/β1/γ2
4.76Single9HAPTolvaptan9HAP-V2-Tolvaptan
4.76Single9HC04YI9HC0-mGlu5-4YI
4.76Single9MQKIsoquinuclidine9MQK-κ-Isoquinuclidine
4.76Consensus5ht1_onOrthosteric Ligand5ht1a_on 5ht1d_on 5ht1e_on 5ht1f_on
4.76Consensus5ht1_on_gpOrthosteric Ligand5ht1a_on_gp 5ht1d_on_gp 5ht1e_on_gp 5ht1f_on_gp
4.76Consensus5ht1e_on_gpOrthosteric Ligand7E33-5-HT1E-BRL-54443-Gi1/β1/γ2 8UGY-5-HT1E-Mianserin-Gi1/β1/γ1 8UH3-5-HT1E-Setiptiline-Gi1/β1/γ1
4.76Consensusalpha_on_gpOrthosteric Ligandalpha1_on_gp alpha2_on_gp
4.76Consensuscyslt_offOrthosteric Ligandcyslt2_off cyslt1_off
4.76Consensusd4_onOrthosteric Ligand8IRU-D4-Rotigotine-chim(NtGi1-Gs-CtGi1)/β1/γ2
4.76Consensusgq_muscarinicOrthosteric Ligand6OIJ-M1-Iperoxo-chim(NtGi1L-G11)/β1/γ2
4.76Consensush1_offOrthosteric Ligand8X63-H1-Mepyramine 3RZE-H1-Cidoxepin 8X5Y-H1-Astemizole
4.76Consensusm1_onOrthosteric Ligand6OIJ-M1-Iperoxo-chim(NtGi1L-G11)/β1/γ2
4.76Consensusm2_offOrthosteric Ligand5ZKC-M2-N-Methyl-Scopolamine 5ZK3-M2-3-quinuclidinyl-benzilate 5ZKB-M2-AF-DX 384
4.76Consensusm3_onOrthosteric Ligand8E9Z-M3-Iperoxo-chim(NtGi2L-Gs-CtGq)/β1/γ2 8E9W-M3-2-Deoxycytidine-chim(NtGi2L-Gs-CtGq)/β1/γ2 8E9Y-M3-Clozapine-N-oxide-chim(NtGi2L-Gs-CtGq)/β1/γ2
4.76Consensusm3_on_gpOrthosteric Ligand8E9Z-M3-Iperoxo-chim(NtGi2L-Gs-CtGq)/β1/γ2 8E9W-M3-2-Deoxycytidine-chim(NtGi2L-Gs-CtGq)/β1/γ2 8E9Y-M3-Clozapine-N-oxide-chim(NtGi2L-Gs-CtGq)/β1/γ2
4.55Single4DJHJDTic4DJH-κ-JDTic
4.55Single4U15Tiotropium4U15-M3-Tiotropium
4.55Single5V54Methiothepin5V54-5-HT1B-Methiothepin
4.55Single5ZKBAF-DX 3845ZKB-M2-AF-DX 384
4.55Single6J20Aprepitant6J20-NK1-Aprepitant
4.55Single6OIJIperoxo6OIJ-M1-Iperoxo-chim(NtGi1L-G11)/β1/γ2
4.55Single6OL9Tiotropium6OL9-M5-Tiotropium
4.55Single6TQ7SB-3348676TQ7-OX1-SB-334867
4.55Single7P2L4YI7P2L-mGlu5-4YI
4.55Single7S8MCortistatin-147S8M-MRGPRX2-Cortistatin-14-Gi1/β1/γ2
4.55Single7T2HLofentanil7T2H-μ-Lofentanil-Gi1/β1/γ2
4.55Single7TRQIperoxo7TRQ-M4-Iperoxo-VU0467154-Gi1/β1/γ2
4.55Single7U2LPubChem 1632012427U2L-μ-PubChem 163201242-Gi1/β1/γ2
4.55Single8DZPmomSalB8DZP-κ-momSalB-Gi1/β1/γ2
4.55Single8EA0Iperoxo8EA0-M3-Iperoxo
4.55Single8EF5Fentanyl8EF5-μ-Fentanyl-Gi1/β1/γ2
4.55Single8IRURotigotine8IRU-D4-Rotigotine-chim(NtGi1-Gs-CtGi1)/β1/γ2
4.55Single8JGFBAM8-228JGF-MRGPRX1-BAM8-22-chim(NtGi1-Gs-CtGq)/β1/γ2
4.55Single8JXXClobenpropit8JXX-H4-Clobenpropit-Gi1/β1/γ2
4.55Single8VVFJDTic8VVF-κ-JDTic-Gi1/β1/γ2
4.55Single8X0BVU04244658X0B-mGlu5; mGlu5-Quisqualate-VU0424465
4.55Single8X0FVU04244658X0F-mGlu5; mGlu5-Quisqualate-VU0424465
4.55Single8XVLZibotentan8XVL-ETA-Zibotentan
4.55Single9BJKNaloxone9BJK-μ-Naloxone-NAM
4.55Single9CLWTUG-13759CLW-FFA2-TUG-1375-4-CMTB-chim(NtGi1L-Gs-CtGq)/β1/γ2
4.55Single9IJDCarazolol9IJD-β3-Carazolol-chim(NtGi1-Gs)/β1/γ2
4.55Consensus5ht1_offOrthosteric Ligand5ht1b_off
4.55Consensus5ht1b_offOrthosteric Ligand5V54-5-HT1B-Methiothepin
4.55Consensusd4_on_gpOrthosteric Ligand8IRU-D4-Rotigotine-chim(NtGi1-Gs-CtGi1)/β1/γ2
4.55Consensusffa_onOrthosteric Ligandffa2_on ffa3_on
4.55Consensusffa_on_gpOrthosteric Ligandffa2_on_gp ffa3_on_gp
4.55Consensusgi_ffaOrthosteric Ligand8J21-FFA3-Butyric acid-Gi1/β1/γ2 8J22-FFA2-TUG-1375-Gi1/β1/γ2
4.55Consensush4_on_gpOrthosteric Ligand8HN8-H4-Histamine-Gi1/β1/γ2 8HOC-H4-Imetit-Gi1/β1/γ2 8JXV-H4-Clozapine-Gi1/β1/γ2 8JXW-H4-VUF6884-Gi1/β1/γ2 8JXX-H4-Clobenpropit-Gi1/β1/γ2
4.55Consensuskop_offOrthosteric Ligand4DJH-κ-JDTic
4.55Consensusm1_on_gpOrthosteric Ligand6OIJ-M1-Iperoxo-chim(NtGi1L-G11)/β1/γ2
4.55Consensusm3_offOrthosteric Ligand4U15-M3-Tiotropium 4U16-M3-N-Methyl-Scopolamine 5ZHP-M3-PubChem 134828589
4.55Consensusm5_offOrthosteric Ligand6OL9-M5-Tiotropium
4.55Consensusmuscarinic_offOrthosteric Ligandm2_off m3_off m4_off m5_off m1_off
4.55Consensusp2y12_onOrthosteric Ligand7XXI-P2Y12-2MeSADP-Gi2/β1/γ2
4.55Consensustachykinin_offOrthosteric Ligandnk1_off
4.35Single5CXVTiotropium5CXV-M1-Tiotropium
4.35Single6ZG4HTL00099366ZG4-M1-HTL0009936
4.35Single7EPENAM5637EPE-mGlu2; mGlu2-NAM563
4.35Single7JNIOlodanrigan7JNI-AT2-Olodanrigan
4.35Single7L1VPubChem 1554910097L1V-OX2-PubChem 155491009-chim(NtGi1-Gs-CtGq)/β1/γ2
4.35Single7XXI2MeSADP7XXI-P2Y12-2MeSADP-Gi2/β1/γ2
4.35Single7YITNalfurafine7YIT-κ-Nalfurafine
4.35Single8E9W2-Deoxycytidine8E9W-M3-2-Deoxycytidine-chim(NtGi2L-Gs-CtGq)/β1/γ2
4.35Single8XQNCholesterol8XQN-TAS2R14-Cholesterol-Aristolochic acid A-Gi1/β1/γ1
4.35Single9CM3TUG-13759CM3-FFA2-TUG-1375-Compound 187-chim(NtGi1L-Gs-CtGq)/β1/γ2
4.35Single9MQLIsoquinuclidine9MQL-κ-Isoquinuclidine
4.35Consensusgi_amineOrthosteric Ligandgi_5ht gi_muscarinic gi_adrenergic gi_dopamine gi_histamine
4.35Consensusgi_p2yOrthosteric Ligand7XXI-P2Y12-2MeSADP-Gi2/β1/γ2
4.35Consensusm1_offOrthosteric Ligand5CXV-M1-Tiotropium
4.35Consensusnk1_offOrthosteric Ligand6HLP-NK1-Netupitant 6HLO-NK1-Aprepitant 6HLL-NK1-CP99994 6E59-NK1-L-760735
4.35Consensusp2y12_on_gpOrthosteric Ligand7XXI-P2Y12-2MeSADP-Gi2/β1/γ2
4.17Single5CGDHTL142425CGD-mGlu5-HTL14242
4.17Single5X93K-87945X93-ETB-K-8794
4.17Single7SK7CCX6627SK7-ACKR3-CXCL12-CCX662
4.17Single7SK8CCX6627SK8-ACKR3-CXCL12-CCX662
4.17Single7U2KC6-guano7U2K-μ-C6-guano-Gi1/β1/γ2
4.17Single8E9YClozapine-N-oxide8E9Y-M3-Clozapine-N-oxide-chim(NtGi2L-Gs-CtGq)/β1/γ2
4.17Single8XVJMacitentan8XVJ-ETA-Macitentan
4.17Consensusendothelin_offOrthosteric Ligandetb_off
4.17Consensusetb_offOrthosteric Ligand5X93-ETB-K-8794 5XPR-ETB-Bosentan 6K1Q-ETB-IRL2500
4.00Single8XQLCholesterol8XQL-TAS2R14-Cholesterol-Aristolochic acid A-Gt3/β1/γ1
4.00Single8XQOCholesterol8XQO-TAS2R14-Cholesterol-Aristolochic acid A-Gi1/β1/γ1
4.00Single9CM7TUG-13759CM7-FFA2-TUG-1375-AZ-1729-Gi1/β1/γ2
4.00Single9NS9TUG-13759NS9-FFA2-TUG-1375-Compound 187-Gi1/β1/γ2
3.85Single8XFTR-spondin-28XFT-LGR4-R-spondin-2-ZNRF3
3.85Single8Y69R-spondin-28Y69-LGR4-R-spondin-2-ZNRF3
3.57Single8WVUR-spondin-18WVU-LGR4-R-spondin-1-RNF43
3.57Single8Y69R-spondin-28Y69-LGR4-R-spondin-2-ZNRF3
3.45Single6WIVPubChem 52923113; PubChem 529246456WIV-GABAB1, GABAB2-PubChem 52923113; PubChem 52924645
3.45Single7AD3Alpha-factor mating pheromone7AD3-STE2-α-factor mating pheromone-Gi1/STE4/γ2
3.45Single8XFPR-spondin-28XFP-LGR4-R-spondin-2-ZNRF3
3.12Single8XFSR-spondin-28XFS-LGR4-R-spondin-2-ZNRF3

PDB Summary
PDB 9K0X
Class A
SubFamily Nucleotide
Type P2Y
SubType P2Y2
Species Homo sapiens
Ligand ATP
Other Ligand(s) -
Protein Partners chim(NtGi1-Gs-CtGq)/Beta1/Gamma2
PDB Resolution 2.83
Date 2025-06-11
D.O.I. doi.org/10.1038/s41421-025-00797-x
Net Summary
Imin 2.83
Number of Linked Nodes 806
Number of Links 1036
Number of Hubs 199
Number of Links mediated by Hubs 700
Number of Communities 23
Number of Nodes involved in Communities 260
Number of Links involved in Communities 400
Path Summary
Number Of Nodes in MetaPath 115
Number Of Links MetaPath 114
Number of Shortest Paths 3703818
Length Of Smallest Path 3
Average Path Length 40.4211
Length of Longest Path 74
Minimum Path Strength 1.255
Average Path Strength 6.22535
Maximum Path Strength 26.58
Minimum Path Correlation 0.7
Average Path Correlation 0.991125
Maximum Path Correlation 1
Minimum % Of Corr. Nodes 2.17391
Average % Of Corr. Nodes 31.5679
Maximum % Of Corr. Nodes 100
Minimum Path Hubs % 0
Average Path Hubs % 62.2626
Maximum Path Hubs % 100
AnnotationTypeLinks
Gene OntologyMolecular Function• binding   • guanyl nucleotide binding   • GTP binding   • nucleotide binding   • guanyl ribonucleotide binding   • purine ribonucleotide binding   • purine ribonucleoside triphosphate binding   • nucleoside phosphate binding   • ion binding   • purine nucleotide binding   • anion binding   • heterocyclic compound binding   • carbohydrate derivative binding   • ribonucleotide binding   • small molecule binding   • D1 dopamine receptor binding   • protein binding   • signaling receptor binding   • G protein-coupled receptor binding   • dopamine receptor binding   • protein-containing complex binding   • G-protein beta/gamma-subunit complex binding   • pyrophosphatase activity   • GTPase activity   • G protein activity   • ribonucleoside triphosphate phosphatase activity   • molecular function regulator activity   • hydrolase activity, acting on acid anhydrides, in phosphorus-containing anhydrides   • hydrolase activity   • hydrolase activity, acting on acid anhydrides   • catalytic activity   • enzyme regulator activity   • cyclase regulator activity   • enzyme activator activity   • cyclase activator activity   • molecular function activator activity   • adenylate cyclase regulator activity   • adenylate cyclase activator activity   • cation binding   • metal ion binding   • developmental process   • multicellular organismal process   • epithelium development   • ectodermal placode morphogenesis   • epidermis development   • molting cycle process   • hair cycle   • animal organ development   • hair follicle placode formation   • tissue development   • ectodermal placode formation   • anatomical structure morphogenesis   • skin development   • skin epidermis development   • hair follicle development
Gene OntologyBiological Process• developmental process   • multicellular organismal process   • epithelium development   • ectodermal placode morphogenesis   • epidermis development   • molting cycle process   • hair cycle   • animal organ development   • hair follicle placode formation   • tissue development   • ectodermal placode formation   • anatomical structure morphogenesis   • skin development   • skin epidermis development   • hair follicle development   • molting cycle   • anatomical structure development   • anatomical structure formation involved in morphogenesis   • ectodermal placode development   • hair cycle process   • system process   • sensory perception of chemical stimulus   • sensory perception   • nervous system process   • sensory perception of smell   • cellular response to stimulus   • cellular response to nitrogen compound   • response to stimulus   • response to endogenous stimulus   • response to peptide hormone   • cellular response to peptide hormone stimulus   • response to oxygen-containing compound   • response to nitrogen compound   • response to glucagon   • cellular response to oxygen-containing compound   • cellular response to glucagon stimulus   • cellular response to endogenous stimulus   • cellular response to chemical stimulus   • response to hormone   • response to chemical   • cellular process   • cellular response to hormone stimulus   • multicellular organism development   • skeletal system development   • bone development   • system development   • regulation of body fluid levels   • wound healing   • homotypic cell-cell adhesion   • cell activation   • hemostasis   • biological regulation   • platelet aggregation   • blood coagulation   • cell adhesion   • cell-cell adhesion   • response to stress   • coagulation   • regulation of biological quality   • response to wounding   • platelet activation   • response to fluid shear stress   • vascular endothelial cell response to laminar fluid shear stress   • response to laminar fluid shear stress   • cellular response to stress   • cellular response to laminar fluid shear stress   • vascular endothelial cell response to fluid shear stress   • cellular response to fluid shear stress   • cognition   • developmental growth   • growth   • response to ketone   • response to prostaglandin   • response to lipid   • response to alcohol   • cellular response to prostaglandin stimulus   • cellular response to prostaglandin E stimulus   • cellular response to alcohol   • cellular response to lipid   • response to prostaglandin E   • cellular response to ketone   • regulation of biological process   • regulation of cellular process   • signaling   • adenylate cyclase-activating G protein-coupled receptor signaling pathway   • cell communication   • adenylate cyclase-modulating G protein-coupled receptor signaling pathway   • G protein-coupled receptor signaling pathway   • signal transduction   • homeostatic process   • positive regulation of biological process   • adaptive thermogenesis   • positive regulation of metabolic process   • multicellular organismal-level homeostasis   • regulation of cold-induced thermogenesis   • cold-induced thermogenesis   • temperature homeostasis   • positive regulation of cold-induced thermogenesis   • positive regulation of multicellular organismal process   • metabolic process   • regulation of multicellular organismal process   • regulation of metabolic process   • positive regulation of cellular process   • regulation of localization   • establishment of protein localization   • nitrogen compound transport   • regulation of hormone secretion   • regulation of protein localization   • regulation of peptide secretion   • transport   • hormone secretion   • protein localization to extracellular region   • localization   • peptide secretion   • regulation of secretion by cell   • secretion by cell   • amide transport   • signal release   • intracellular protein localization   • regulation of peptide hormone secretion   • regulation of signaling   • regulation of transport   • secretion   • regulation of hormone levels   • regulation of peptide transport   • regulation of establishment of protein localization   • establishment of protein localization to extracellular region   • export from cell   • cell-cell signaling   • regulation of protein transport   • protein secretion   • establishment of localization   • regulation of protein secretion   • regulation of secretion   • peptide transport   • protein transport   • regulation of insulin secretion   • peptide hormone secretion   • macromolecule localization   • hormone transport   • regulation of cell communication   • insulin secretion   • adenylate cyclase-activating adrenergic receptor signaling pathway   • adrenergic receptor signaling pathway   • cellular localization   • establishment of localization in cell   • intracellular transport   • regulation of defense response   • regulation of response to external stimulus   • negative regulation of inflammatory response   • negative regulation of biological process   • inflammatory response to antigenic stimulus   • regulation of response to stress   • regulation of immune system process   • negative regulation of inflammatory response to antigenic stimulus   • defense response   • immune response   • negative regulation of response to stimulus   • negative regulation of immune response   • regulation of inflammatory response to antigenic stimulus   • response to external stimulus   • regulation of inflammatory response   • regulation of response to stimulus   • negative regulation of immune system process   • immune system process   • negative regulation of response to external stimulus   • negative regulation of defense response   • regulation of immune response   • inflammatory response   • positive regulation of adenylate cyclase activity   • positive regulation of molecular function   • regulation of molecular function   • positive regulation of cyclase activity   • activation of adenylate cyclase activity   • regulation of adenylate cyclase activity   • regulation of catalytic activity   • positive regulation of catalytic activity   • positive regulation of lyase activity   • response to dopamine   • cellular response to dopamine   • response to monoamine   • response to catecholamine   • adenylate cyclase-activating dopamine receptor signaling pathway   • cellular response to catecholamine stimulus   • G protein-coupled dopamine receptor signaling pathway   • cellular response to monoamine stimulus   • renal system process   • chemical homeostasis   • multicellular organismal-level water homeostasis   • multicellular organismal-level chemical homeostasis   • renal water homeostasis   • cellular anatomical structure   • membrane   • protein-containing complex   • extrinsic component of plasma membrane   • catalytic complex   • plasma membrane protein complex   • cytoplasmic side of membrane   • plasma membrane   • membrane protein complex   • heterotrimeric G-protein complex   • side of membrane   • cell periphery   • cytoplasmic side of plasma membrane   • GTPase complex
Gene OntologyCellular Component• cellular anatomical structure   • membrane   • protein-containing complex   • extrinsic component of plasma membrane   • catalytic complex   • plasma membrane protein complex   • cytoplasmic side of membrane   • plasma membrane   • membrane protein complex   • heterotrimeric G-protein complex   • side of membrane   • cell periphery   • cytoplasmic side of plasma membrane   • GTPase complex   • extrinsic component of membrane   • extrinsic component of cytoplasmic side of plasma membrane   • extracellular exosome   • membrane-bounded organelle   • extracellular vesicle   • extracellular organelle   • extracellular region   • organelle   • extracellular space   • vesicle   • extracellular membrane-bounded organelle   • intracellular anatomical structure   • cytoplasm   • cytosol   • Golgi apparatus subcompartment   • Golgi apparatus   • organelle subcompartment   • trans-Golgi network membrane   • intracellular membrane-bounded organelle   • endomembrane system   • intracellular organelle   • trans-Golgi network   • organelle membrane   • protein binding   • binding   • enzyme binding   • GTPase binding   • protein-containing complex binding   • pyrophosphatase activity   • GTPase activity   • ribonucleoside triphosphate phosphatase activity   • hydrolase activity, acting on acid anhydrides, in phosphorus-containing anhydrides   • hydrolase activity   • hydrolase activity, acting on acid anhydrides   • catalytic activity   • signaling receptor complex adaptor activity   • protein-macromolecule adaptor activity   • molecular adaptor activity   • signaling adaptor activity   • multicellular organismal process   • system process   • sensory perception of chemical stimulus   • sensory perception   • nervous system process   • sensory perception of taste   • developmental process   • sensory organ development   • eye development   • animal organ development   • retina development in camera-type eye   • visual system development   • multicellular organism development   • camera-type eye development   • anatomical structure development   • sensory system development   • system development   • cell population proliferation   • cellular process   • cellular response to stimulus   • regulation of biological process   • regulation of cellular process   • response to stimulus   • signaling   • biological regulation   • signal transduction   • cell communication   • response to ketone   • response to prostaglandin   • response to lipid   • response to endogenous stimulus   • response to alcohol   • cellular response to prostaglandin stimulus   • response to oxygen-containing compound   • cellular response to oxygen-containing compound   • cellular response to endogenous stimulus   • cellular response to prostaglandin E stimulus   • cellular response to chemical stimulus   • cellular response to alcohol   • response to hormone   • response to chemical   • cellular response to lipid   • response to prostaglandin E   • cellular response to ketone   • cellular response to hormone stimulus   • small GTPase-mediated signal transduction   • Ras protein signal transduction   • intracellular signal transduction   • intracellular signaling cassette   • phospholipase C-activating G protein-coupled receptor signaling pathway   • G protein-coupled receptor signaling pathway   • cellular response to nitrogen compound   • response to dopamine   • cellular response to dopamine   • response to monoamine   • response to catecholamine   • adenylate cyclase-activating dopamine receptor signaling pathway   • cellular response to catecholamine stimulus   • G protein-coupled dopamine receptor signaling pathway   • response to nitrogen compound   • adenylate cyclase-activating G protein-coupled receptor signaling pathway   • cellular response to monoamine stimulus   • adenylate cyclase-modulating G protein-coupled receptor signaling pathway   • synaptic signaling   • cellular response to acetylcholine   • cell-cell signaling   • acetylcholine receptor signaling pathway   • postsynaptic signal transduction   • G protein-coupled acetylcholine receptor signaling pathway   • response to acetylcholine   • non-motile cilium   • 9+0 non-motile cilium   • cilium   • neuron projection   • photoreceptor disc membrane   • photoreceptor outer segment   • plasma membrane bounded cell projection   • cell projection   • photoreceptor cell cilium   • vacuolar membrane   • lytic vacuole   • vacuole   • lytic vacuole membrane   • bounding membrane of organelle   • lysosomal membrane   • lysosome   • synapse   • cell junction   • G-protein beta-subunit binding   • fibroblast proliferation   • molecular transducer activity   • signaling receptor activity   • G protein-coupled receptor activity   • transmembrane signaling receptor activity   • G protein-coupled pyrimidinergic nucleotide receptor activity   • nucleotide receptor activity   • G protein-coupled UTP receptor activity   • A1 adenosine receptor binding   • signaling receptor binding   • G protein-coupled receptor binding   • adenosine receptor binding   • G protein-coupled purinergic nucleotide receptor activity   • purinergic nucleotide receptor activity   • regulation of localization   • regulation of body fluid levels   • secretion by tissue   • regulation of transport   • transport   • secretion   • regulation of mucus secretion   • positive regulation of biological process   • establishment of localization   • mucus secretion   • regulation of secretion   • localization   • body fluid secretion   • positive regulation of secretion   • positive regulation of transport   • positive regulation of mucus secretion   • positive regulation of multicellular organismal process   • regulation of multicellular organismal process   • regulation of biological quality   • cellular homeostasis   • chemical homeostasis   • homeostatic process   • monoatomic ion homeostasis   • intracellular chemical homeostasis   • intracellular monoatomic ion homeostasis   • cellular response to ATP   • response to organophosphorus   • response to ATP   • response to purine-containing compound   • regulation of tube diameter   • regulation of tube size   • circulatory system process   • vascular process in circulatory system   • blood vessel diameter maintenance   • blood circulation   • regulation of anatomical structure size   • purinergic nucleotide receptor signaling pathway   • cell surface receptor signaling pathway   • G protein-coupled purinergic nucleotide receptor signaling pathway
SCOP2Domain Identifier
SCOP2Family Identifier
Membrane Protein Annotations-• Orientations of Proteins in Membranes database (OPM)   • Protein Data Bank of Transmembrane Proteins (PDBTM)   • MemProtMD


Details about the values in these tables can be found in the corresponding documentation page .
CodeATP
PDB ResiduesL:L:?1
Environment DetailsOpen EMBL-EBI Page
CodeATP
NameATP
SynonymsAdenosine triphosphate disodium trihydrate
Identifier
FormulaC10 H16 N5 O13 P3
Molecular Weight507.181
SMILES
PubChem5957
Formal Charge0
Total Atoms47
Total Chiral Atoms6
Total Bonds49
Total Aromatic Bonds10

PDBsumOpen PDBsum Page
ChainA
ProteinG Protein α Sub unit
UniProtP63092
Sequence
>9K0X_Chain_A
EKAEKIEKQ LQKDKQVYR ATHRLLLLG ASGKSTIVK QMRIFETKF 
QVDKVNFHM FDVGGQRDE RRKWIQCFN DVTAIIFVV SSYNRLQEA 
LNFKSIWNN RWLRTISVI LFLNKQDLL AEKVYFPEF ARYTTPPRV 
TRAKYFIRD EFLRISTAS GDGRHYCYP HFTCAVDTE NRRFNDCDI 
IMLRYLLSA DAVRSMDND DDAIKLQNE NV


Click on each residue to open a popup with some information about it.

ConSurf Conservation Grade (See documentation): 

 n/a   1    2    3    4    5    6    7    8    9  

ChainB
ProteinG Protein β Sub unit
UniProtP62873
Sequence
>9K0X_Chain_B
LKNQIRDAR KACADATLS QITNNIDPV GRIQMRTRR TLRGHLAKI 
YAMHWGTDS RLLVSASQD GKLIIWDSY TTNKVHAIP LRSSWVMTC 
AYAPSGNYV ACGGLDNIC SIYNLKTRE GNVRVSREL AGHTGYLSC 
CRFLDDNQI VTSSGDTTC ALWDIETGQ QTTTFTGHT GDVMSLSLA 
PDTRLFVSG ACDASAKLW DVREGMCRQ TFTGHESDI NAICFFPNG 
NAFATGSDD ATCRLFDLR ADQELMTYS HDNIICGIT SVSFSKSGR 
LLLAGYDDF NCNVWDALK ADRAGVLAG HDNRVSCLG VTDDGMAVA 
TGSWDSFLK IWN


Click on each residue to open a popup with some information about it.

ConSurf Conservation Grade (See documentation): 

 n/a   1    2    3    4    5    6    7    8    9  

ChainG
ProteinG Protein γ Sub unit
UniProtP59768
Sequence
>9K0X_Chain_G
KLVEQLKME ANIDRIKVS KAAADLMAY CEAHAKEDP L


Click on each residue to open a popup with some information about it.

ConSurf Conservation Grade (See documentation): 

 n/a   1    2    3    4    5    6    7    8    9  

ChainR
ProteinReceptor
UniProtP41231
Sequence
>9K0X_Chain_R
LGYRCRFNE DFKYVLLPV SYGVVCVGL CLNAVALYI FLCRLKTWN 
ASTTYMFHL AVSDALYAA SLPLLVYYY ARGDHWPFS TVLCKLVRF 
LFYTNLYCS ILFLTCISV HRCLGVLRP LRSLRWGRA RYARRVAGA 
VWVLVLACQ APVLYFVTT SARGGRVTC HDTSAPELF SRFVAYSSV 
MLGLLFAVP FAVILVCYV LMARRLLKP PRAKRKSVR TIAVVLAVF 
ALCFLPFHV TRTLYYSFR SLDLSCHTL NAINMAYKV TRPLASANS 
CLPVLYFLL N


Click on each residue to open a popup with some information about it.

ConSurf Conservation Grade (See documentation): 

 n/a   1    2    3    4    5    6    7    8    9  




This receptor, from the same or other species and bound to the same or other ligands, is also present in the following networks:
Show PDB Class SubFamily Type SubType Species Orthosteric Ligand Other Ligand(s) Protein Partners Resolution Date DOI
9K20ANucleotideP2YP2Y2Homo sapiensATP-chim(NtGi1-Go)/β1/γ22.652025-06-11doi.org/10.1038/s41421-025-00797-x
9K20 (No Gprot) ANucleotideP2YP2Y2Homo sapiensATP-2.652025-06-11doi.org/10.1038/s41421-025-00797-x
9K0X (No Gprot) ANucleotideP2YP2Y2Homo sapiensATP-2.832025-06-11doi.org/10.1038/s41421-025-00797-x
9K25ANucleotideP2YP2Y2Homo sapiens--chim(NtGi1-Gs-CtGq)/β1/γ23.312025-06-11doi.org/10.1038/s41421-025-00797-x
9K25 (No Gprot) ANucleotideP2YP2Y2Homo sapiens--3.312025-06-11doi.org/10.1038/s41421-025-00797-x




You can download a compressed (zip) file with structure(s), 3D outputs (as PyMol and VMD scripts) and numerical data files (as csv and plain text files).

Download 9K0X.zip



You can click to copy the link of this page to easily come back here later

or use this QR code to link and share this page.



You can also  read or  download a guide explaining the meaning of all files and numerical data.