Color ConSurf Grade
      No Conservation data available
      1
      2
      3
      4
      5
      6
      7
      8
      9

Index: hub id, click on each number to highlight the corresponding hub in the 3D visualization.

Hub: the hub being considered.

Avg Int. Strength: the average interaction strength of all the links of the corresponding hub.

Num Of Links: the number of links of the corresponding hub.

Community: the id of the community the link belong to, otherwise 0.

ConSurf: this column reports the ConSurf conservation grades of each hub.

Index Hub Avg Int. Strength Num Of Links Community ConSurf
1A:A:L5 3.938502
2A:A:I19 3.925439
3A:A:V34 5.878545
4A:A:L37 5.8875419
5A:A:L39 4.135419
6A:A:K46 4.202549
7A:A:I49 2.878547
8A:A:Q52 6.428549
9A:A:I184 3.598519
10A:A:E186 6.3825419
11A:A:F191 8.83445
12A:A:L194 5.89444
13A:A:F196 8.75547
14A:A:K197 11.22416
15A:A:F199 8.05615
16A:A:V201 4.0075419
17A:A:E207 4.4225419
18A:A:R208 4.922519
19A:A:K210 6.3325819
20A:A:W211 4.38143719
21A:A:I212 4.115418
22A:A:H213 6.61418
23A:A:C214 3.33667617
24A:A:F215 5.66889919
25A:A:E216 4.485417
26A:A:I221 4.094518
27A:A:I222 3.13547
28A:A:F223 6.39519
29A:A:V225 3.845407
30A:A:L227 5.53417
31A:A:Y230 3.64286718
32A:A:R242 11.255409
33A:A:F250 7.14143719
34A:A:I253 4.266518
35A:A:C254 4.36515
36A:A:N256 4.5925418
37A:A:W258 7.12571715
38A:A:F259 5.41333619
39A:A:I265 3.416548
40A:A:L266 3.628519
41A:A:F267 3.64375849
42A:A:L268 5.348518
43A:A:N269 4.96449
44A:A:K270 3.4425419
45A:A:L273 3.5325416
46A:A:F274 4.44619
47A:A:K277 4.8275419
48A:A:I278 3.866516
49A:A:L283 5.38417
50A:A:C286 3.5975416
51A:A:Y287 5.18617
52A:A:Y290 6.804517
53A:A:Y296 5.962504
54A:A:F307 4.64167618
55A:A:N311 6.7925418
56A:A:E318 5.595444
57A:A:Y320 7.4647
58A:A:T321 7.505415
59A:A:F323 5.55414
60A:A:T324 6.006549
61A:A:F334 7.335443
62A:A:F336 6.772548
63A:A:I343 3.39407
64A:A:I344 3.56526
65A:A:L348 3.1875429
66A:A:F354 5.345105
67B:B:R22 6.4725456
68B:B:D27 7.87754158
69B:B:T34 3.34405
70B:B:V40 4.18793
71B:B:M45 3.306534
72B:B:R48 3.822537
73B:B:R49 5.215437
74B:B:L51 8.9975439
75B:B:H54 8.29857739
76B:B:K57 12.2575419
77B:B:I58 5.432539
78B:B:Y59 7.255618
79B:B:M61 3.89436
80B:B:W63 5.71737
81B:B:S72 6.4325439
82B:B:Q75 6.1925419
83B:B:D76 7.315439
84B:B:K78 6.05408
85B:B:L79 4.584577
86B:B:I81 4.902577
87B:B:W82 10.3829739
88B:B:Y85 10.606534
89B:B:N88 6.66407
90B:B:K89 7.17143739
91B:B:H91 5.5375475
92B:B:I93 5.79477
93B:B:L95 4.726578
94B:B:W99 7.56889919
95B:B:M101 3.34419
96B:B:Y105 4.1125476
97B:B:N110 7.5525414
98B:B:Y111 6.22614
99B:B:V112 3.3175478
100B:B:C114 4.215478
101B:B:L117 3.69333619
102B:B:C121 4.135418
103B:B:I123 3.34167616
104B:B:Y124 5.69286776
105B:B:L126 3.378575
106B:B:T128 4.7185113
107B:B:E130 5.184113
108B:B:V133 5.035474
109B:B:R137 3.0475415
110B:B:E138 4.1475476
111B:B:L139 8.0325419
112B:B:H142 7.06571719
113B:B:Y145 5.57889918
114B:B:R150 6.18566
115B:B:F151 5.0525819
116B:B:L152 3.084563
117B:B:V158 3.9175465
118B:B:T159 5.546519
119B:B:G162 5.2475419
120B:B:D163 9.12419
121B:B:L168 3.80857766
122B:B:W169 9.68286718
123B:B:I171 3.775416
124B:B:F180 7.76833667
125B:B:H183 7.16429769
126B:B:D186 5.456519
127B:B:L190 4.4375465
128B:B:A193 3.415454
129B:B:L198 3.345453
130B:B:F199 7.06333669
131B:B:V200 7.64456
132B:B:C204 3.99667617
133B:B:D205 5.974569
134B:B:K209 10.715466
135B:B:L210 4.22333655
136B:B:W211 9.61668
137B:B:R219 5.09455
138B:B:Q220 6.778557
139B:B:F222 6.155658
140B:B:H225 7.51375859
141B:B:D228 7.12419
142B:B:I232 5.48458
143B:B:F234 4.72833655
144B:B:F235 5.895816
145B:B:P236 6.015417
146B:B:N237 6.4975415
147B:B:F241 5.995856
148B:B:T243 5.296558
149B:B:D246 7.678519
150B:B:D247 8.702559
151B:B:T249 5.834556
152B:B:R251 7.97714758
153B:B:F253 7.02667656
154B:B:D254 5.048509
155B:B:R256 7.2875409
156B:B:D258 7.4075457
157B:B:M262 4.75414
158B:B:T263 5.9675451
159B:B:Y264 5.39167615
160B:B:C271 3.83415
161B:B:F278 5.50167617
162B:B:R283 8.108599
163B:B:L284 4.775495
164B:B:L285 4.79416
165B:B:Y289 7.75286717
166B:B:D290 8.59416
167B:B:D291 5.465418
168B:B:C294 3.805435
169B:B:N295 6.2325416
170B:B:V296 4.5225405
171B:B:K301 4.9025405
172B:B:L308 6.785437
173B:B:H311 8.056539
174B:B:R314 15.5425418
175B:B:M325 6.04833635
176B:B:W332 11.0988819
177B:B:D333 8.1175439
178B:B:L336 5.2737
179B:B:K337 6.278536
180B:B:W339 8.472539
181B:B:N340 5.31539
182G:G:I25 3.5725452
183G:G:R27 5.5025458
184G:G:Y40 9.0475416
185G:G:H44 8.0825406
186G:G:D48 6.18833699
187G:G:L51 5.02333696
188G:G:N59 6.334539
189G:G:P60 7.1725439
190G:G:F61 4.74889938
191R:R:T69 2.5825424
192R:R:I73 10.16526
193R:R:Y77 5.29857727
194R:R:L85 5.205406
195R:R:N88 5.6225409
196R:R:V91 3.87489
197R:R:M92 4.9325407
198R:R:Y93 10.74484
199R:R:V94 3.6225487
200R:R:I95 4.7925487
201R:R:Y98 3.9825484
202R:R:M101 6.6175487
203R:R:N106 5.085408
204R:R:Y108 6.28857727
205R:R:I109 2.8225488
206R:R:F110 8.004586
207R:R:L112 6.058529
208R:R:D116 7.29529
209R:R:T122 4.5675426
210R:R:L123 6.7225427
211R:R:F125 7.016526
212R:R:Q126 5.51833626
213R:R:Y130 8.086525
214R:R:W135 8.0161028
215R:R:F137 11.902526
216R:R:I146 5.55833624
217R:R:D149 7.02425
218R:R:Y150 4.08624
219R:R:Y151 7.465425
220R:R:N152 5.014508
221R:R:M153 4.258527
222R:R:F154 5.77833626
223R:R:T155 8.5575427
224R:R:F158 5.054525
225R:R:L160 6.4525428
226R:R:T162 7.855427
227R:R:R167 7.34529
228R:R:Y168 7.3175428
229R:R:V171 4.22528
230R:R:C172 3.97427
231R:R:R181 7.34507
232R:R:I189 5.5975425
233R:R:W194 7.82529
234R:R:S197 4.8275428
235R:R:V204 4.99425
236R:R:I217 3.905404
237R:R:L221 3.608524
238R:R:F223 4.88833606
239R:R:P226 4.63754124
240R:R:W230 6.7665121
241R:R:V238 5.9825425
242R:R:F239 4.7625426
243R:R:F243 5.11667628
244R:R:M245 8.2925425
245R:R:P246 4.19428
246R:R:Y254 6.11729
247R:R:M257 4.215428
248R:R:R260 2.622525
249R:R:L261 4.2475428
250R:R:R279 4.9725107
251R:R:F291 4.19333629
252R:R:W295 5.07125828
253R:R:T296 4.7775405
254R:R:I298 2.90571726
255R:R:H299 6.43333627
256R:R:Y301 5.5175425
257R:R:V302 3.0875425
258R:R:Q316 4.5425423
259R:R:W320 6.56571724
260R:R:H321 11.386524
261R:R:I324 7.9625425
262R:R:Y328 8.614527
263R:R:N330 6.77429
264R:R:N334 7.71529
265R:R:Y338 5.21829
266R:R:F340 4.1175486
267R:R:E343 6.4354105
268R:R:F345 4.66667688
269L:L:Y1 7.15620
270L:L:?2 7.40143720
271L:L:?4 9.091821120
272L:L:?5 9.582520
273W:W:?1 8.56333920
   

Color ConSurf Grade
      No Conservation data available
      1
      2
      3
      4
      5
      6
      7
      8
      9

Index: link id, click on each number to highlight the corresponding link in the 3D visualization.

Node1 Node2: the two nodes of the corresponding link.

Recurrence: the relative Recurrence in the pool of shortest paths.

Int. Strength: the interaction strength between the two nodes.

Hub1?, Hub2?: "Yes" if the corresponding node has more than 3 links, otherwise "No".

Community: the id of the community the link belong to, otherwise 0.

ConSurf1, ConSurf2: these columns report the ConSurf conservation grades of the two nodes involved in a link.

Index Node1 Node2 Recurrence Int. Strength Hub1? Hub2? Community ConSurf1 ConSurf2
1B:B:I58 B:B:S316 13.28673.1YesNo099
2B:B:S316 B:B:W332 24.26323.71NoYes099
3A:A:W258 B:B:W332 24.31795.62YesYes159
4A:A:I212 A:A:W258 74.69872.35YesYes185
5A:A:I212 A:A:R208 74.95686.26YesYes189
6A:A:L249 A:A:R208 98.17013.64NoYes199
7A:A:F223 A:A:L249 98.48096.09YesNo199
8A:A:F223 A:A:V225 44.0072.62YesYes097
9A:A:L268 A:A:V225 21.99582.98YesYes087
10A:A:L227 A:A:L268 43.89638.3YesYes178
11A:A:F274 A:A:L227 43.96768.53YesYes197
12A:A:F274 A:A:Y230 1006.19YesYes198
13A:A:K277 A:A:Y230 1003.58YesYes198
14A:A:K277 A:A:S228 1004.59YesNo199
15A:A:K270 A:A:S228 1004.59YesNo199
16A:A:G45 A:A:K270 1001.74NoYes099
17A:A:G45 A:A:T48 1001.82NoNo099
18A:A:Q52 A:A:T48 1002.83YesNo099
19A:A:I49 A:A:Q52 43.6242.74YesYes479
20A:A:F267 A:A:I49 43.3562.51YesYes497
21A:A:F267 A:A:I222 40.99272.51YesYes497
22A:A:I222 A:A:L36 40.98644.28YesNo477
23A:A:L36 A:A:V34 20.24482.98NoYes475
24A:A:F223 A:A:L266 44.01923.65YesYes199
25A:A:L266 A:A:L268 21.97522.77YesYes198
26A:A:F307 A:A:V225 22.08336.55YesYes087
27A:A:F307 A:A:I303 66.22182.51YesNo187
28A:A:F274 A:A:I303 66.22372.51YesNo197
29A:A:F223 A:A:F250 22.165417.15YesYes199
30A:A:F250 A:A:F307 22.44226.43YesYes198
31A:A:F307 A:A:L266 22.06223.65YesYes189
32A:A:Q52 A:A:T324 43.40214.25YesYes499
33A:A:F267 A:A:T324 43.34875.19YesYes499
34A:A:F196 A:A:L36 20.69173.65YesNo477
35A:A:V339 A:A:V34 18.67156.41NoYes485
36A:A:F196 A:A:V339 18.69015.24YesNo478
37A:A:F215 A:A:L37 10.160212.18YesYes199
38A:A:L37 A:A:L39 10.45665.54YesYes199
39A:A:N331 A:A:Q52 22.794811.88NoYes489
40A:A:R208 A:A:W211 23.85657YesYes199
41A:A:F267 A:A:F334 45.49522.14YesYes493
42A:A:F334 A:A:Y320 68.15622.06YesYes437
43A:A:H322 A:A:N331 22.77052.55NoNo498
44A:A:F334 A:A:H322 22.742422.63YesNo439
45A:A:E318 A:A:Y320 67.52966.73YesYes447
46A:A:E318 R:R:M266 66.45975.41YesNo044
47A:A:I343 A:A:V339 37.24053.07YesNo078
48A:A:I344 R:R:V264 30.52773.07YesNo266
49R:R:M266 R:R:V264 64.85793.04NoNo046
50A:A:I343 A:A:N347 36.84064.25YesNo078
51A:A:I344 A:A:L348 30.53082.85YesYes269
52R:R:R260 R:R:V264 34.24022.62YesNo256
53A:A:N347 R:R:A170 36.71773.13NoNo088
54A:A:L348 A:A:L353 29.95742.77YesNo097
55R:R:R260 R:R:V171 33.28792.62YesYes258
56R:R:A170 R:R:R181 36.5955.53NoYes087
57A:A:L353 R:R:R167 29.869115.79NoYes079
58R:R:D166 R:R:Y108 10.31685.75NoYes087
59R:R:D166 R:R:R181 36.072816.68NoYes087
60R:R:M257 R:R:V171 32.73137.61YesYes288
61B:B:G238 B:B:N237 33.75993.39NoYes075
62B:B:G238 B:B:P194 33.54164.06NoNo074
63B:B:A193 B:B:P194 33.32321.87YesNo044
64B:B:A193 B:B:L198 14.47093.15YesYes543
65B:B:D258 B:B:Q220 12.498711.75YesYes577
66B:B:D258 B:B:R22 15.79149.53YesYes576
67B:B:I18 B:B:R22 15.35266.26NoYes076
68B:B:I18 G:G:L19 12.0632.85NoNo079
69B:B:L14 G:G:L19 10.96648.3NoNo089
70B:B:A193 B:B:F234 17.9795.55YesYes545
71B:B:F234 B:B:F241 11.84122.14YesYes556
72B:B:C317 B:B:M61 10.6584.86NoYes076
73B:B:D290 B:B:R314 43.810825.01YesYes168
74B:B:C271 B:B:D290 43.5993.11YesYes156
75B:B:C271 B:B:Y289 42.51454.03YesYes157
76B:B:F235 B:B:F278 35.476410.72YesYes167
77B:B:F278 B:B:L285 18.39269.74YesYes176
78B:B:W297 B:B:Y289 41.21765.79NoYes187
79B:B:W297 B:B:Y264 41.12536.75NoYes185
80B:B:F278 B:B:L252 18.39252.44YesNo077
81R:R:R167 R:R:Y338 29.66826.17YesYes299
82R:R:L160 R:R:Y338 25.83018.21YesYes289
83R:R:F291 R:R:L160 25.64542.44YesYes298
84R:R:F291 R:R:W295 23.95111.02YesYes298
85R:R:I298 R:R:W295 43.31992.35YesYes268
86R:R:I298 R:R:W320 16.56772.35YesYes264
87R:R:M257 R:R:Y254 32.6933.59YesYes289
88R:R:Y254 R:R:Y338 29.64911.99YesYes299
89R:R:N334 R:R:Y338 28.32535.81YesYes299
90R:R:N330 R:R:N334 24.324110.9YesYes299
91R:R:N330 R:R:W295 23.94059.04YesYes298
92R:R:D166 W:W:?1 25.65622.49NoYes080
93R:R:F158 W:W:?1 23.40948.93YesYes250
94R:R:F154 R:R:F158 22.52266.43YesYes265
95L:L:?2 L:L:Y1 16.60229.54YesYes200
96R:R:F154 R:R:V238 12.54916.55YesYes265
97L:L:?2 R:R:I298 24.88472.9YesYes206
98L:L:?2 L:L:?4 25.527.31YesYes200
99L:L:?4 R:R:W135 11.50485.91YesYes208
100B:B:L252 B:B:Y264 19.70127.03NoYes075
101B:B:L285 B:B:Y264 18.71664.69YesYes165
102A:A:F223 A:A:L39 11.61092.44YesYes199
103B:B:M61 B:B:W63 10.48994.65YesYes367
104B:B:C317 B:B:S316 10.86953.44NoNo079
105A:A:W211 B:B:Y145 18.65391.93YesYes198
106A:A:W258 B:B:R314 49.90143YesYes158
107B:B:F235 B:B:N237 33.97397.25YesYes165
Download PSN data

2D representation of the global metapath, ligand(s) interactions and
histograms of path distribution according to several parameters
(click on the image to enlarge it 🔍):

A 2D representation of the global communication in the network.

ConSurf Conservation Grade (See documentation): 

 n/a   1    2    3    4    5    6    7    8    9  

Number of shortest communication paths as a function of the average residue correlation.

Number of shortest communication paths as a function of the average interaction strength of their links.

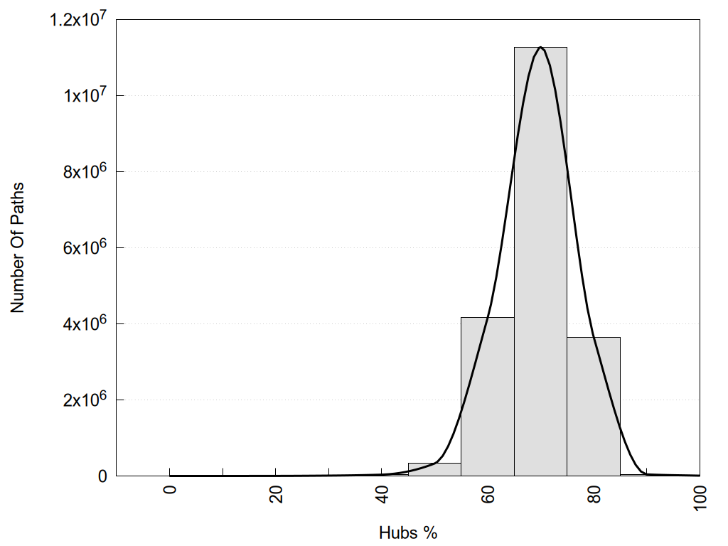
Number of shortest communication paths as a function of the % of hub nodes in each path.

Number of shortest communication paths as a function of the number of nodes in each path.

Number of shortest communication paths as a function of the % of correlated nodes in each path.


2D representation of the interactions of this orthosteric/allosteric ligand.


Links and nodes colored according to ConSurf Conservation Grade (See documentation): 

 n/a   1    2    3    4    5    6    7    8    9  

Node1 Node2 LinkStrength Comm IsNode1Hub? IsNode2Hub? Node1Cons Node2Cons Node1Shell Node2Shell
R:R:L123 R:R:Y77 2.34 2 Yes Yes 7 7 2 2
R:R:Q126 R:R:Y77 2.25 2 Yes Yes 6 7 1 2
R:R:H321 R:R:Y77 15.24 2 Yes Yes 4 7 2 2
R:R:I324 R:R:Y77 7.25 2 Yes Yes 5 7 1 2
R:R:Q126 R:R:T122 4.25 2 Yes Yes 6 6 1 2
R:R:D149 R:R:T122 7.23 2 Yes Yes 5 6 1 2
R:R:T122 R:R:Y328 3.75 2 Yes Yes 6 7 2 2
R:R:L123 R:R:Q126 3.99 2 Yes Yes 7 6 2 1
R:R:L123 R:R:Y328 17.58 2 Yes Yes 7 7 2 2
R:R:F125 R:R:W135 4.01 2 Yes Yes 6 8 1 1
R:R:F125 R:R:F137 15 2 Yes Yes 6 6 1 2
R:R:F125 R:R:L141 6.09 2 Yes No 6 5 1 2
R:R:F125 R:R:V145 7.87 2 Yes No 6 5 1 1
L:L:?4 R:R:F125 2.11 2 Yes Yes 0 6 0 1
R:R:Q126 R:R:Y328 11.27 2 Yes Yes 6 7 1 2
L:L:G3 R:R:Q126 3.29 2 No Yes 0 6 0 1
L:L:?4 R:R:Q126 8.06 2 Yes Yes 0 6 0 1
R:R:N129 R:R:W135 9.04 0 No Yes 4 8 2 1
R:R:P136 R:R:W135 2.7 2 No Yes 3 8 2 1
R:R:F137 R:R:W135 20.04 2 Yes Yes 6 8 2 1
R:R:G138 R:R:W135 2.81 0 No Yes 7 8 2 1
R:R:C142 R:R:W135 7.84 2 No Yes 9 8 2 1
R:R:V145 R:R:W135 6.13 2 No Yes 5 8 1 1
R:R:I217 R:R:W135 4.7 0 Yes Yes 4 8 2 1
R:R:C219 R:R:W135 16.98 2 No Yes 9 8 2 1
L:L:?4 R:R:W135 5.91 2 Yes Yes 0 8 0 1
R:R:F137 R:R:P136 14.45 2 Yes No 6 3 2 2
R:R:F137 R:R:L141 6.09 2 Yes No 6 5 2 2
R:R:C142 R:R:I146 3.27 2 No Yes 9 4 2 1
R:R:C142 R:R:C219 7.28 2 No No 9 9 2 2
L:L:?4 R:R:V145 12.89 2 Yes No 0 5 0 1
R:R:I146 R:R:Y150 3.63 2 Yes Yes 4 4 1 1
R:R:I146 R:R:V204 3.07 2 Yes Yes 4 5 1 2
R:R:I146 R:R:L221 5.71 2 Yes Yes 4 4 1 1
L:L:?4 R:R:I146 16.05 2 Yes Yes 0 4 0 1
R:R:D149 R:R:Y150 5.75 2 Yes Yes 5 4 1 1
R:R:D149 R:R:Y328 8.05 2 Yes Yes 5 7 1 2
L:L:?4 R:R:D149 7.05 2 Yes Yes 0 5 0 1
R:R:V204 R:R:Y150 7.57 2 Yes Yes 5 4 2 1
R:R:L221 R:R:Y150 2.34 2 Yes Yes 4 4 1 1
L:L:?4 R:R:Y150 2.03 2 Yes Yes 0 4 0 1
L:L:?5 R:R:Y150 3.16 2 Yes Yes 0 4 0 1
R:R:F154 R:R:M153 4.98 2 Yes Yes 6 7 2 1
R:R:M153 R:R:V238 3.04 2 Yes Yes 7 5 1 1
R:R:M153 R:R:W295 4.65 2 Yes Yes 7 8 1 2
R:R:H299 R:R:M153 2.63 2 Yes Yes 7 7 1 1
L:L:Y1 R:R:M153 5.99 2 Yes Yes 0 7 0 1
R:R:F154 R:R:V238 6.55 2 Yes Yes 6 5 2 1
R:R:L221 R:R:V204 4.47 2 Yes Yes 4 5 1 2
R:R:R213 R:R:T220 3.88 0 No No 2 4 2 1
L:L:?4 R:R:T220 5.1 2 Yes No 0 4 0 1
L:L:?5 R:R:T220 11.92 2 Yes No 0 4 0 1
R:R:F223 R:R:L221 3.65 0 Yes Yes 6 4 2 1
L:L:?5 R:R:L221 1.87 2 Yes Yes 0 4 0 1
R:R:F223 R:R:L234 4.87 0 Yes No 6 6 2 2
R:R:L234 R:R:V238 2.98 0 No Yes 6 5 2 1
R:R:K235 R:R:V302 3.04 0 No Yes 4 5 2 1
L:L:Y1 R:R:V238 11.36 2 Yes Yes 0 5 0 1
R:R:F239 R:R:F243 3.22 2 Yes Yes 6 8 2 2
R:R:F239 R:R:H299 4.53 2 Yes Yes 6 7 2 1
R:R:F243 R:R:W295 2 2 Yes Yes 8 8 2 2
R:R:F243 R:R:H299 11.31 2 Yes Yes 8 7 2 1
R:R:I298 R:R:W295 2.35 2 Yes Yes 6 8 1 2
R:R:H299 R:R:W295 6.35 2 Yes Yes 7 8 1 2
R:R:H299 R:R:I298 3.98 2 Yes Yes 7 6 1 1
R:R:I298 R:R:V302 3.07 2 Yes Yes 6 5 1 1
R:R:I298 R:R:W320 2.35 2 Yes Yes 6 4 1 1
R:R:C323 R:R:I298 3.27 0 No Yes 6 6 2 1
L:L:Y1 R:R:I298 2.42 2 Yes Yes 0 6 0 1
L:L:?2 R:R:I298 2.9 2 Yes Yes 0 6 0 1
L:L:Y1 R:R:H299 9.8 2 Yes Yes 0 7 0 1
R:R:K305 R:R:Y301 5.97 2 No Yes 3 5 2 2
R:R:W320 R:R:Y301 6.75 2 Yes Yes 4 5 1 2
R:R:V302 R:R:W320 2.45 2 Yes Yes 5 4 1 1
L:L:Y1 R:R:V302 3.79 2 Yes Yes 0 5 0 1
R:R:K305 R:R:W320 6.96 2 No Yes 3 4 2 1
R:R:H321 R:R:W320 5.29 2 Yes Yes 4 4 2 1
R:R:I324 R:R:W320 10.57 2 Yes Yes 5 4 1 1
L:L:?2 R:R:W320 11.59 2 Yes Yes 0 4 0 1
R:R:I324 R:R:Y328 2.42 2 Yes Yes 5 7 1 2
L:L:?2 R:R:I324 11.61 2 Yes Yes 0 5 0 1
R:R:A208 R:R:I146 1.62 0 No Yes 5 4 2 1

Location and physicochemical properties of the interaction partners of this ligand

Interactions of this ligand

Similarities between the interactions of this ligand and those of other networks

ShowSimilarityNetwork TypeNameLigandDescription
76.47Single9WSVDAMGO9WSV-μ-DAMGO-Arrestin2
72.22Single6DDFDAMGO6DDF-μ-DAMGO-Gi1/β1/γ2
70.59Single3SN6BI1671073SN6-β2-BI167107-Gs/β1/γ2
70.59Single9WSTDAMGO9WST-μ-DAMGO-chim(NtGi1-Gz)/β1/γ2
66.67Single8JJLOlodaterol8JJL-β2-Olodaterol
66.67Single9V6ONalfurafine9V6O-κ-Nalfurafine-Gi1/β1/γ2
64.71Single4RWDDIPP-NH24RWD-δ-DIPP-NH2-Na
64.71Single8DZQmomSalB8DZQ-κ-momSalB-Go/β1/γ2
64.71Single9I52A1IZU9I52-D1-A1IZU-Gs/β1/γ2
63.16Single8E0GBU728E0G-μ-BU72
63.16Single8I95EP548I95-C3aB-EP54-Go/β1/γ2
62.50Single7SR8TAK-9257SR8-OX2-TAK-925-chim(NtGi1L-Gs-CtGq)/β1/γ2
62.50Single8K9KDAMGO8K9K-μ-DAMGO-Gi3/β1/γ1
61.11Single3P0GBI1671073P0G-β2-BI167107
61.11Single6DDEDAMGO6DDE-μ-DAMGO-Gi1/β1/γ2
61.11Single6H7JIsoprenaline6H7J-β1-Isoprenaline
61.11Single6NI3BI1671076NI3-β2-BI167107-Gs/β1/γ2
61.11Single6WGTLSD6WGT-5-HT2A-LSD
61.11Single7CKYPW04647CKY-D1-PW0464-Gs/β1/γ2
61.11Single7JJOIsoprenaline7JJO-β1-Isoprenaline-Gs/β1/γ2
61.11Single7JVPSKF839597JVP-D1-SKF83959-Gs/β1/γ2
61.11Single8DZPmomSalB8DZP-κ-momSalB-Gi1/β1/γ2
61.11Single8IRVRotigotine8IRV-D5-Rotigotine-chim(NtGi1-Gs)/β1/γ2
61.11Single8Y73Peptide8Y73-μ-Peptide-MPAM-15-Gi1/β1/γ2
61.11Single9I54PubChem 1764520919I54-D1-PubChem 176452091-Gs/β1/γ2
61.11Single9KVPSB2901579KVP-C3aB-SB290157-Go/β1/γ2
61.11Consensusd5_on_gpOrthosteric Ligand8IRV-D5-Rotigotine-chim(NtGi1-Gs)/β1/γ2
61.11Consensusgi_dopamineOrthosteric Ligand7JVR-D2-Bromoergocryptine-Gi1/β1/γ2 7CMV-D3-PD128907-Gi1/β1/γ2 7CMU-D3-Pramipexole-Gi1/β1/γ2 8IRS-D2-Rotigotine-Gi1/β1/γ2 8IRT-D3-Rotigotine-Gi1/β1/γ2
59.09Single8XIRPasireotide8XIR-SST3-Pasireotide-chim(NtGi1-Gs-CtGi1)/β1/γ2
59.09Consensusgs_class-aOrthosteric Ligandgs_peptide gs_nucleotide gs_amine
58.82Single2Y02Carmoterol2Y02-β1-Carmoterol
58.82Single2Y04Salbutamol2Y04-β1-Salbutamol
58.82Single7S0GIsoprenaline7S0G-β1-Isoprenaline-chim(Gi1-CtGs)/β1/γ2
58.82Single7UL4Alvimopan7UL4-μ-Alvimopan
58.82Single7UM6Lisuride7UM6-5-HT5A-Lisuride-chim(NtGi1-Go)/β1/γ2
58.82Single7XJHIsoprenaline7XJH-β3-Isoprenaline-Gs/β1/γ2
58.82Single8EFQDAMGO8EFQ-μ-DAMGO-Gi1/β1/γ2
58.82Single8UNVConstrained Epinephrine8UNV-β2-Constrained Epinephrine-GTP-Gs/β1/γ2
58.82Single8UNZConstrained Epinephrine8UNZ-β2-Constrained Epinephrine-GTP-Gs/β1/γ2
58.82Single8UO2Constrained Epinephrine8UO2-β2-Constrained Epinephrine-GTP-Gs/β1/γ2
58.82Consensus5ht5_onOrthosteric Ligand5ht5a_on
58.82Consensus5ht5a_onOrthosteric Ligand7X5H-5-HT5A-5-CT-Gi1/β1/γ2 7UM6-5-HT5A-Lisuride-chim(NtGi1-Go)/β1/γ2 7UM7-5-HT5A-Methylergometrine-chim(NtGi1-Go)/β1/γ2
57.89Single4AMIBucindolol4AMI-β1-Bucindolol
57.89Single4LDEBI1671074LDE-β2-BI167107
57.89Single4RWADIPP-NH24RWA-δ-DIPP-NH2
57.89Single5F8UCyanopindolol5F8U-β1-Cyanopindolol
57.89Single6MXTSalmeterol6MXT-β2-Salmeterol
57.89Single6VMSBromoergocryptine6VMS-D2-Bromoergocryptine-Gi1/β1/γ2
57.89Single7XMTJ-21567XMT-SST4-J-2156-Gi1/β1/γ2
57.89Single7YITNalfurafine7YIT-κ-Nalfurafine
57.89Single8IA8E7 peptide8IA8-C3aB-E7 peptide-Gi1/β1/γ2
57.89Single8JJ8Arformoterol8JJ8-β2-Arformoterol
57.89Single9M4QDoxazosin9M4Q-Alpha1A-Doxazosin
57.89Consensusd2_on_gpOrthosteric Ligand7JVR-D2-Bromoergocryptine-Gi1/β1/γ2 8IRS-D2-Rotigotine-Gi1/β1/γ2
57.89Consensuskop_onOrthosteric Ligand8F7W-κ-Dynorphin-Gi1/β1/γ2 8DZS-κ-GR89,696-chim(NtGi2-Gz)/β1/γ2 8DZP-κ-momSalB-Gi1/β1/γ2
57.14Single8PKMBefiradol8PKM-5-HT1A-Befiradol-Gi1/β1/γ1
57.14Consensusclass-a_on_gpOrthosteric Ligandsensory_on_gp alicarboxylic_on_gp amine_on_gp lipid_on_gp nucleotide_on_gp peptide_on_gp protein_on_gp
56.25Single6OBAAlprenolol6OBA-β2-Alprenolol-GTPL11074
55.56Single2Y03Isoprenaline2Y03-β1-Isoprenaline
55.56Single5C1MBU725C1M-μ-BU72
55.56Single5JQHCarazolol5JQH-β2-Carazolol
55.56Single5TVNLSD5TVN-5-HT2B-LSD
55.56Single6E67BI1671076E67-β2-BI167107-Gs(CT)
55.56Single6KUWPubChem 572132346KUW-α2c-PubChem 57213234
55.56Single6PS3Carvedilol6PS3-β2-Carvedilol
55.56Single7BVQCarazolol7BVQ-β1-Carazolol
55.56Single7C61Ergotamine7C61-5-HT1B-Ergotamine
55.56Single7CKXA776367CKX-D1-A77636-Gs/β1/γ2
55.56Single7S0FIsoprenaline7S0F-β1-Isoprenaline-Gi1/β1/γ2
55.56Single7SBFPZM217SBF-μ-PZM21-Gi1/β1/γ2
55.56Single7XK9Constrained Isoproterenol7XK9-β2-Constrained Isoproterenol-Na
55.56Single7XKAConstrained Epinephrine7XKA-β2-Constrained Epinephrine
55.56Single8DZRGR89,6968DZR-κ-GR89,696-chim(NtGi2-Gt3)/β1/γ2
55.56Single8GDZConstrained Epinephrine8GDZ-β2-Constrained Epinephrine-Gs/β1/γ2
55.56Single8GEBConstrained Epinephrine8GEB-β2-Constrained Epinephrine-Gs/β1/γ2
55.56Single8GEGConstrained Epinephrine8GEG-β2-Constrained Epinephrine-Gs/β1/γ2
55.56Single8GGBConstrained Epinephrine8GGB-β2-Constrained Epinephrine-GTP-Gs/β1/γ2
55.56Single8JXSPF-61428JXS-D1-PF-6142
55.56Single8UNNConstrained Epinephrine8UNN-β2-Constrained Epinephrine-GTP-Gs/β1/γ2
55.56Single8UNPConstrained Epinephrine8UNP-β2-Constrained Epinephrine-GTP-Gs/β1/γ2
55.56Single9L74S1P d16:19L74-S1P3-S1P d16:1-chim(NtGi2L-Gs-CtGq)/β1/γ2
55.56Single9VJFBuspirone9VJF-5-HT1A-Buspirone-Gi3/β1/γ2
55.56Consensus5ht5_on_gpOrthosteric Ligand5ht5a_on_gp
55.56Consensus5ht5a_on_gpOrthosteric Ligand7X5H-5-HT5A-5-CT-Gi1/β1/γ2 7UM6-5-HT5A-Lisuride-chim(NtGi1-Go)/β1/γ2 7UM7-5-HT5A-Methylergometrine-chim(NtGi1-Go)/β1/γ2
55.56Consensusadrenergic_offOrthosteric Ligandalpha_off beta_off
55.56Consensusadrenergic_on_gpOrthosteric Ligandalpha_on_gp beta_on_gp
55.56Consensusalpha2c_offOrthosteric Ligand6KUW-α2c-PubChem 57213234
55.56Consensusalpha_offOrthosteric Ligandalpha1_off alpha2_off
55.56Consensusd1_onOrthosteric Ligand7F0T-D1-Dopamine-Gs/β1/γ2 7CKY-D1-PW0464-Gs/β1/γ2 8IRR-D1-Rotigotine-Gs/β1/γ2 7JV5-D1-SKF81297-Gs/β1/γ2 7JVP-D1-SKF83959-Gs/β1/γ2 7X2D-D1-Tavapadon-Gs/β1/γ2 7CKX-D1-A77636-Gs/β1/γ2 7JVQ-D1-Apomorphine-Gs/β1/γ2 7CKW-D1-Fenoldopam-Gs/β1/γ2
55.56Consensusd2_onOrthosteric Ligand7JVR-D2-Bromoergocryptine-Gi1/β1/γ2 8IRS-D2-Rotigotine-Gi1/β1/γ2
55.56Consensusd4_onOrthosteric Ligand8IRU-D4-Rotigotine-chim(NtGi1-Gs-CtGi1)/β1/γ2
55.00Single5X93K-87945X93-ETB-K-8794
55.00Single6BQGErgotamine6BQG-5-HT2C-Ergotamine
55.00Single6IBLArformoterol6IBL-β1-Arformoterol
55.00Single6TKOArformoterol6TKO-β1-Arformoterol-Arrestin2
55.00Single7JVRBromoergocryptine7JVR-D2-Bromoergocryptine-Gi1/β1/γ2
55.00Single7X2DTavapadon7X2D-D1-Tavapadon-Gs/β1/γ2
55.00Single8S2TIsoprenaline8S2T-β1-Isoprenaline-chim(NtGi1-Gs)/β1/γ2
55.00Single8ZWGJR14a8ZWG-C3aB-JR14a-Gi1/β1/γ2
55.00Single9YDPDADLE9YDP-δ-DADLE-chim(NtGi1L-Gs-CtGi1)/β1/γ2
55.00Consensusclass-a_onOrthosteric Ligandsensory_on alicarboxylic_on amine_on lipid_on nucleotide_on peptide_on protein_on
55.00Consensuskop_on_gpOrthosteric Ligand8F7W-κ-Dynorphin-Gi1/β1/γ2 8DZS-κ-GR89,696-chim(NtGi2-Gz)/β1/γ2 8DZP-κ-momSalB-Gi1/β1/γ2
54.55Single8F7SDeltorphin8F7S-δ-Deltorphin-Gi1/β1/γ2
54.55Consensusdop_on_gpOrthosteric Ligand8F7S-δ-Deltorphin-Gi1/β1/γ2
54.55Consensuss1p3_on_gpOrthosteric Ligand7EW3-S1P3-S1P-Gi1/β1/γ2 7EW4-S1P3-CYM-5541-Gi1/β1/γ2 7EW2-S1P3-FTY720-P-Gi1/β1/γ2
52.94Single4LDOEpinephrine4LDO-β2-Epinephrine
52.94Single6KUXRS799486KUX-α2a-RS79948
52.94Single6PS0Carazolol6PS0-β2-Carazolol
52.94Single6PS4ICI118-5516PS4-β2-ICI118-551
52.94Single6PS5Propranolol6PS5-β2-Propranolol
52.94Single6TPGEMPA6TPG-OX2-EMPA
52.94Single8GG7Constrained Epinephrine8GG7-β2-Constrained Epinephrine-GTP-Gs/β1/γ2
52.94Single8GGLConstrained Epinephrine8GGL-β2-Constrained Epinephrine
52.94Single8GGMConstrained Epinephrine8GGM-β2-Constrained Epinephrine
52.94Single8GGPConstrained Epinephrine8GGP-β2-Constrained Epinephrine
52.94Single8GGQConstrained Epinephrine8GGQ-β2-Constrained Epinephrine
52.94Single8GGSConstrained Epinephrine8GGS-β2-Constrained Epinephrine
52.94Single8GGTConstrained Epinephrine8GGT-β2-Constrained Epinephrine
52.94Single8GGXConstrained Epinephrine8GGX-β2-Constrained Epinephrine
52.94Single8K9LDAMGO8K9L-μ-DAMGO-BMS-986122-Gi3/β1/γ1
52.94Single8UNLConstrained Epinephrine8UNL-β2-Constrained Epinephrine-GTP-Gs/β1/γ2
52.94Single8UNOConstrained Epinephrine8UNO-β2-Constrained Epinephrine-GTP-Gs/β1/γ2
52.94Single8UO0Constrained Epinephrine8UO0-β2-Constrained Epinephrine-GTP-Gs/β1/γ2
52.94Single8UO1Constrained Epinephrine8UO1-β2-Constrained Epinephrine-GTP; Mg-Gs/β1/γ2
52.94Single9L84Epinephrine9L84-β1-Epinephrine-Atazanavir-Gs/β1/γ2
52.94Consensus5ht_on_gpOrthosteric Ligand5ht1_on_gp 5ht2_on_gp 5ht4_on_gp 5ht5_on_gp 5ht6_on_gp 5ht7_on_gp
52.63Single4LDLHydroxybenzyl Isoproterenol4LDL-β2-Hydroxybenzyl Isoproterenol
52.63Single6N48BI1671076N48-β2-BI167107-PubChem 138454256
52.63Single7B6WCyclazosin7B6W-α1b-Cyclazosin
52.63Single7JV5SKF812977JV5-D1-SKF81297-Gs/β1/γ2
52.63Single7T2HLofentanil7T2H-μ-Lofentanil-Gi1/β1/γ2
52.63Single7U2LC5-guano7U2L-μ-C5-guano-Gi1/β1/γ2
52.63Single8EFLSR170188EFL-μ-SR17018-Gi1/β1/γ2
52.63Single8IRURotigotine8IRU-D4-Rotigotine-chim(NtGi1-Gs-CtGi1)/β1/γ2
52.63Single8VVFJDTic8VVF-κ-JDTic-Gi1/β1/γ2
52.63Single9BS9LSD9BS9-D2-LSD
52.63Single9BSBLSD9BSB-D2-LSD-chim(NtGi1-Go)/β1/γ2
52.63Single9PY4Loperamide9PY4-μ-Loperamide-GDPβS-Gi1/β1/γ2
52.63Consensusbeta2_onOrthosteric Ligand7DHI-β2-Salbutamol-Gs/β1/γ2 6NI3-β2-BI167107-Gs/β1/γ2
52.63Consensusbeta2_on_gpOrthosteric Ligand7DHI-β2-Salbutamol-Gs/β1/γ2 6NI3-β2-BI167107-Gs/β1/γ2
52.63Consensusd1_on_gpOrthosteric Ligand7F0T-D1-Dopamine-Gs/β1/γ2 7CKY-D1-PW0464-Gs/β1/γ2 8IRR-D1-Rotigotine-Gs/β1/γ2 7JV5-D1-SKF81297-Gs/β1/γ2 7JVP-D1-SKF83959-Gs/β1/γ2 7X2D-D1-Tavapadon-Gs/β1/γ2 7CKX-D1-A77636-Gs/β1/γ2 7JVQ-D1-Apomorphine-Gs/β1/γ2 7CKW-D1-Fenoldopam-Gs/β1/γ2
52.63Consensusd4_on_gpOrthosteric Ligand8IRU-D4-Rotigotine-chim(NtGi1-Gs-CtGi1)/β1/γ2
52.63Consensusgs_dopamineOrthosteric Ligand7F0T-D1-Dopamine-Gs/β1/γ2 7CKW-D1-Fenoldopam-Gs/β1/γ2 7CKY-D1-PW0464-Gs/β1/γ2 8IRV-D5-Rotigotine-chim(NtGi1-Gs)/β1/γ2 8IRR-D1-Rotigotine-Gs/β1/γ2 7JV5-D1-SKF81297-Gs/β1/γ2 7JVP-D1-SKF83959-Gs/β1/γ2 7X2D-D1-Tavapadon-Gs/β1/γ2 7CKX-D1-A77636-Gs/β1/γ2 7JVQ-D1-Apomorphine-Gs/β1/γ2
52.38Single8F7REndomorphin8F7R-μ-Endomorphin-Gi1/β1/γ2
52.38Single9IPVJR14a9IPV-C3aB-JR14a-Gi1/β1/γ2
52.38Single9KZ2EP679KZ2-C3aB-EP67-Go/β1/γ2
52.38Consensusdop_onOrthosteric Ligand8F7S-δ-Deltorphin-Gi1/β1/γ2
52.17Single7TD0LPA7TD0-LPA1-LPA-Gi1/β1/γ2
52.17Single8XIQL7967788XIQ-SST3-L796778-chim(NtGi1-Gs-CtGi1)/β1/γ2
52.00Consensusopioid_on_gpOrthosteric Ligandmop_on_gp nop_on_gp dop_on_gp kop_on_gp
50.00Single2YCYCyanopindolol2YCY-β1-Cyanopindolol
50.00Single3NY8ICI118-5513NY8-β2-ICI118-551
50.00Single3ZPQPubChem 5945903ZPQ-β1-PubChem 594590-Na
50.00Single4AMJCarvedilol4AMJ-β1-Carvedilol
50.00Single4GBRCarazolol4GBR-β2-Carazolol
50.00Single4IARErgotamine4IAR-5-HT1B-Ergotamine
50.00Single4IB4Ergotamine4IB4-5-HT2B-Ergotamine
50.00Single6DRXLisuride6DRX-5-HT2B-Lisuride
50.00Single6H7MSalbutamol6H7M-β1-Salbutamol
50.00Single6H7OCyanopindolol6H7O-β1-Cyanopindolol
50.00Single6PRZAlprenolol6PRZ-β2-Alprenolol
50.00Single6PS1Timolol6PS1-β2-Timolol
50.00Single6PS2Alprenolol6PS2-β2-Alprenolol
50.00Single7BTSEpinephrine7BTS-β1-Epinephrine
50.00Single7BU6Norepinephrine7BU6-β1-Norepinephrine
50.00Single7BZ2Arformoterol7BZ2-β2-Arformoterol-Gs/β1/γ2
50.00Single7CRHSKF839597CRH-D1-SKF83959-Gs/β1/γ2
50.00Single7DH5Mirabegron7DH5-β3-Mirabegron-Gs/β1/γ2
50.00Single7EW2FTY720-P7EW2-S1P3-FTY720-P-Gi1/β1/γ2
50.00Single7JOZPubChem 752020227JOZ-D1-PubChem 75202022-Gs/β1/γ2
50.00Single7L1VPubChem 1554910097L1V-OX2-PubChem 155491009-chim(NtGi1-Gs-CtGq)/β1/γ2
50.00Single7T6VfMLFII7T6V-FPR2-ALX-fMLFII-Gi1/β1/γ2
50.00Single7WC7Lisuride7WC7-5-HT2A-Lisuride
50.00Single7YACPaltusotine7YAC-SST2-Paltusotine-Gi1/β1/γ2
50.00Single7YMJTamsulosin7YMJ-Alpha1A-Tamsulosin
50.00Single8DCRDobutamine8DCR-β1-Dobutamine-Gs/β1/γ2
50.00Single8EF6Morphine8EF6-μ-Morphine-Gi1/β1/γ2
50.00Single8FYTLSD8FYT-5-HT1A-LSD-PtdIns4P-Gi1/β1/γ1
50.00Single8GE2Constrained Epinephrine8GE2-β2-Constrained Epinephrine-Gs/β1/γ1
50.00Single8GE3Constrained Epinephrine8GE3-β2-Constrained Epinephrine-Gs/β1/γ2
50.00Single8GE9Constrained Epinephrine8GE9-β2-Constrained Epinephrine-Gs/β1/γ2
50.00Single8GECConstrained Epinephrine8GEC-β2-Constrained Epinephrine-Gs/β1/γ2
50.00Single8GEEConstrained Epinephrine8GEE-β2-Constrained Epinephrine-Gs/β1/γ2
50.00Single8GEHConstrained Epinephrine8GEH-β2-Constrained Epinephrine-Gs/β1/γ2
50.00Single8GFVConstrained Epinephrine8GFV-β2-Constrained Epinephrine-GTP-Gs/β1/γ2
50.00Single8GFWConstrained Epinephrine8GFW-β2-Constrained Epinephrine-GTP-Gs/β1/γ2
50.00Single8GFXConstrained Epinephrine8GFX-β2-Constrained Epinephrine-GTP-Gs/β1/γ2
50.00Single8GFZConstrained Epinephrine8GFZ-β2-Constrained Epinephrine-GTP-Gs/β1/γ2
50.00Single8GG0Constrained Epinephrine8GG0-β2-Constrained Epinephrine-GTP-Gs/β1/γ2
50.00Single8GG1Constrained Epinephrine8GG1-β2-Constrained Epinephrine-GTP-Gs/β1/γ2
50.00Single8GG3Constrained Epinephrine8GG3-β2-Constrained Epinephrine-GTP-Gs/β1/γ2
50.00Single8GG4Constrained Epinephrine8GG4-β2-Constrained Epinephrine-GTP-Gs/β1/γ2
50.00Single8GG6Constrained Epinephrine8GG6-β2-Constrained Epinephrine-GTP-Gs/β1/γ2
50.00Single8GG9Constrained Epinephrine8GG9-β2-Constrained Epinephrine-GTP-Gs/β1/γ2
50.00Single8GGIConstrained Epinephrine8GGI-β2-Constrained Epinephrine
50.00Single8GGJConstrained Epinephrine8GGJ-β2-Constrained Epinephrine
50.00Single8GGKConstrained Epinephrine8GGK-β2-Constrained Epinephrine
50.00Single8GGNConstrained Epinephrine8GGN-β2-Constrained Epinephrine
50.00Single8GGOConstrained Epinephrine8GGO-β2-Constrained Epinephrine
50.00Single8GGUConstrained Epinephrine8GGU-β2-Constrained Epinephrine
50.00Single8I9AEP548I9A-C3aB-EP54-chim(NtGi1-Gs-CtGq)/β1/γ2
50.00Single8IRSRotigotine8IRS-D2-Rotigotine-Gi1/β1/γ2
50.00Single8JXRLSD8JXR-D1-LSD
50.00Single8UGYMianserin8UGY-5-HT1E-Mianserin-Gi1/β1/γ1
50.00Single8UH3Setiptiline8UH3-5-HT1E-Setiptiline-Gi1/β1/γ1
50.00Single8UNQConstrained Epinephrine8UNQ-β2-Constrained Epinephrine-GTP-Gs/β1/γ2
50.00Single8UNRConstrained Epinephrine8UNR-β2-Constrained Epinephrine-GTP-Gs/β1/γ2
50.00Single8UNUConstrained Epinephrine8UNU-β2-Constrained Epinephrine-GTP-Gs/β1/γ2
50.00Single8UNYConstrained Epinephrine8UNY-β2-Constrained Epinephrine-GTP-Gs/β1/γ2
50.00Single8VVGGB188VVG-κ-GB18-Gi1/β1/γ2
50.00Single8W1VPubChem 1717162658W1V-β2-PubChem 171716265
50.00Single8WDTphotoNECA8WDT-A2A-photoNECA
50.00Single8XVKAmbrisentan8XVK-ETA-Ambrisentan
50.00Single8XWQEndothelin-18XWQ-ETB-Endothelin-1-Gi1/β1/γ2
50.00Single8ZH8QRFP268ZH8-QRFP-QRFP26-Gq/β1/γ1
50.00Single8ZSPLSD8ZSP-TA1-LSD-chim(NtGi1L-Gs)/β1/γ2
50.00Single9BKKCholecystokinin-89BKK-CCKA-Cholecystokinin-8-chim(NtGi1-Gs-CtGq)/β1/γ2
50.00Single9BUYLM1899BUY-β2-LM189-Gi1/β1/γ2
50.00Single9CHXCarazolol9CHX-β2-Carazolol
50.00Single9GL2Befiradol9GL2-5-HT1A-Befiradol-Gs/β1/γ2
50.00Single9IZHLPA9IZH-LPA1-LPA-chim(NtGi2-G13)/β1/γ2
50.00Single9MQLIsoquinuclidine9MQL-κ-Isoquinuclidine
50.00Single9UYJChemerin-99UYJ-CML2-Chemerin-9-Arrestin2
50.00Single9VJ6F-155999VJ6-5-HT1A-F-15599-Gi3/β1/γ2
50.00Single9VMYTMU41429VMY-5-HT1A-TMU4142-Go/β1/γ2
50.00Single9WSWEndomorphin9WSW-μ-Endomorphin-chim(NtGi1-Gz)/β1/γ2
50.00Single9YDQDADLE9YDQ-δ-DADLE-MIPS3614-chim(NtGi1L-Gs-CtGi1)/β1/γ2
50.00Consensusadrenergic_onOrthosteric Ligandalpha_on beta_on
50.00Consensusalpha1_offOrthosteric Ligandalpha1a_off
50.00Consensusalpha1a_offOrthosteric Ligand7YMJ-Alpha1A-Tamsulosin
50.00Consensusbeta_onOrthosteric Ligandbeta1_on beta2_on beta3_on
50.00Consensusbeta_on_gpOrthosteric Ligandbeta1_on_gp beta2_on_gp beta3_on_gp
50.00Consensusd5_onOrthosteric Ligand8IRV-D5-Rotigotine-chim(NtGi1-Gs)/β1/γ2
50.00Consensusdopamine_offOrthosteric Ligandd2_off d3_off
50.00Consensusdopamine_onOrthosteric Ligandd2_on d1_on d3_on d4_on d5_on
50.00Consensusdopamine_on_gpOrthosteric Ligandd2_on_gp d1_on_gp d3_on_gp d4_on_gp d5_on_gp
50.00Consensusgi_class-aOrthosteric Ligandgi_peptide gi_sensory gi_alicarboxylic gi_amine gi_lipid gi_nucleotide gi_protein
50.00Consensusgi_opioidOrthosteric Ligand8F7R-μ-Endomorphin-Gi1/β1/γ2 8EF5-μ-Fentanyl-Gi1/β1/γ2 7SCG-μ-FH210-Gi1/β1/γ2 7T2H-μ-Lofentanil-Gi1/β1/γ2 7T2G-μ-Mitragynine Pseudoindoxyl-Gi1/β1/γ2 8DZP-κ-momSalB-Gi1/β1/γ2 8EF6-μ-Morphine-Gi1/β1/γ2 8F7X-NOP-Nociceptin-Gi1/β1/γ2 8EFB-μ-Oliceridine-Gi1/β1/γ2 7U2L-μ-C5-guano-Gi1/β1/γ2 8EFO-μ-PZM21-Gi1/β1/γ2 8EFL-μ-SR17018-Gi1/β1/γ2 8F7Q-μ-β-Endorphin-Gi1/β1/γ2 7U2K-μ-C6-guano-Gi1/β1/γ2 8EFQ-μ-DAMGO-Gi1/β1/γ2 8F7S-δ-Deltorphin-Gi1/β1/γ2 8F7W-κ-Dynorphin-Gi1/β1/γ2
50.00Consensuslpl_onOrthosteric Ligands1p_on lpa_on
50.00Consensuslpl_on_gpOrthosteric Ligands1p_on_gp lpa_on_gp
50.00Consensusmop_offOrthosteric Ligand4DKL-μ-β-Funaltrexamine 8QOT-μ-Nanobody-E 7UL4-μ-Alvimopan
50.00Consensusmop_onOrthosteric Ligand8F7R-μ-Endomorphin-Gi1/β1/γ2 8EF5-μ-Fentanyl-Gi1/β1/γ2 7SCG-μ-FH210-Gi1/β1/γ2 7T2H-μ-Lofentanil-Gi1/β1/γ2 7T2G-μ-Mitragynine Pseudoindoxyl-Gi1/β1/γ2 8EF6-μ-Morphine-Gi1/β1/γ2 8EFB-μ-Oliceridine-Gi1/β1/γ2 7U2L-μ-C5-guano-Gi1/β1/γ2 8EFO-μ-PZM21-Gi1/β1/γ2 8EFL-μ-SR17018-Gi1/β1/γ2 8F7Q-μ-β-Endorphin-Gi1/β1/γ2 7U2K-μ-C6-guano-Gi1/β1/γ2 8EFQ-μ-DAMGO-Gi1/β1/γ2
50.00Consensusmop_on_gpOrthosteric Ligand8F7R-μ-Endomorphin-Gi1/β1/γ2 8EF5-μ-Fentanyl-Gi1/β1/γ2 7SCG-μ-FH210-Gi1/β1/γ2 7T2H-μ-Lofentanil-Gi1/β1/γ2 7T2G-μ-Mitragynine Pseudoindoxyl-Gi1/β1/γ2 8EF6-μ-Morphine-Gi1/β1/γ2 8EFB-μ-Oliceridine-Gi1/β1/γ2 7U2L-μ-C5-guano-Gi1/β1/γ2 8EFO-μ-PZM21-Gi1/β1/γ2 8EFL-μ-SR17018-Gi1/β1/γ2 8F7Q-μ-β-Endorphin-Gi1/β1/γ2 7U2K-μ-C6-guano-Gi1/β1/γ2 8EFQ-μ-DAMGO-Gi1/β1/γ2
50.00Consensusopioid_offOrthosteric Ligandmop_off nop_off dop_off kop_off
50.00Consensuspeptide_offon_gpOrthosteric Ligandpeptide_on_gp peptide_off
50.00Consensuss1p3_onOrthosteric Ligand7EW3-S1P3-S1P-Gi1/β1/γ2 7EW4-S1P3-CYM-5541-Gi1/β1/γ2 7EW2-S1P3-FTY720-P-Gi1/β1/γ2
48.00Consensusopioid_onOrthosteric Ligandmop_on nop_on dop_on kop_on
47.83Single9UMXEP549UMX-C5a1-EP54-Go/β1/γ2
47.83Consensussst4_onOrthosteric Ligand7XMS-SST4-Somatostatin-14-Gi1/β1/γ2 7XMT-SST4-J-2156-Gi1/β1/γ2
47.83Consensussst4_on_gpOrthosteric Ligand7XMS-SST4-Somatostatin-14-Gi1/β1/γ2 7XMT-SST4-J-2156-Gi1/β1/γ2
47.62Single2YCZIodocyanopindolol2YCZ-β1-Iodocyanopindolol
47.62Single4Z35ONO-99105394Z35-LPA1-ONO-9910539
47.62Single5TUDErgotamine5TUD-5-HT2B-Ergotamine
47.62Single6H7LDobutamine6H7L-β1-Dobutamine
47.62Single7WVVfMLFII7WVV-FPR2-ALX-fMLFII-Gi2/β1/γ2
47.62Single7XJISolabegron7XJI-β3-Solabegron-Gs/β1/γ2
47.62Single7YU8ONO-07405567YU8-LPA1-ONO-0740556-Gi1/β1/γ2
47.62Single8XIOL7975918XIO-SST1-L797591-chim(NtGi1-Gs-CtGi1)/β1/γ2
47.62Single9AS02-bromo-LSD9AS0-5-HT2A-2-bromo-LSD-chim(NtGi1-Gs-CtGq)/β1/γ2
47.62Single9DYEBuspirone9DYE-5-HT1A-Buspirone-PtdIns4P-Go/β1/γ2
47.62Single9IZFLPA9IZF-LPA1-LPA-Gi1/β1/γ2
47.62Single9KUGEP679KUG-C5a1-EP67-Go/β1/γ2
47.62Single9WP9S1P9WP9-S1P3-S1P-chim(NtGi2L-Gs-CtGq)/β1/γ2
47.62Single9YDRDADLE9YDR-δ-DADLE-MIPS3983-chim(NtGi1L-Gs-CtGi1)/β1/γ2
47.62Consensusbeta1_onOrthosteric Ligand8DCR-β1-Dobutamine-Gs/β1/γ2 7S0F-β1-Isoprenaline-Gi1/β1/γ2
47.62Consensusbeta1_on_gpOrthosteric Ligand8DCR-β1-Dobutamine-Gs/β1/γ2 7S0F-β1-Isoprenaline-Gi1/β1/γ2
47.62Consensusendothelin_offOrthosteric Ligandetb_off
47.62Consensusetb_offOrthosteric Ligand5X93-ETB-K-8794 5XPR-ETB-Bosentan 6K1Q-ETB-IRL2500
47.37Single2RH1Carazolol2RH1-β2-Carazolol
47.37Single2YCWCarazolol2YCW-β1-Carazolol
47.37Single4ZJ8Suvorexant4ZJ8-OX1-Suvorexant
47.37Single5D6LCarazolol5D6L-β2-Carazolol
47.37Single5WIUNemonapride5WIU-D4-Nemonapride
47.37Single5WIVNemonapride5WIV-D4-Nemonapride-Na
47.37Single5WQCEMPA5WQC-OX2-EMPA
47.37Single5X7DCarazolol5X7D-β2-Carazolol-PubChem 129318963
47.37Single6TP6Filorexant6TP6-OX1-Filorexant
47.37Single7WC6LSD7WC6-5-HT2A-LSD
47.37Single7X1TTaltirelin7X1T-TRH-Taltirelin-chim(NtGi2L-Gs-CtGq)/β1/γ2
47.37Single8GFYConstrained Epinephrine8GFY-β2-Constrained Epinephrine-GTP-Gs/β1/γ2
47.37Single8GG2Constrained Epinephrine8GG2-β2-Constrained Epinephrine-GTP-Gs/β1/γ2
47.37Single9K07DSO-5a9K07-BB3-DSO-5a-chim(NtGi2L-Gs-CtGq)/β1/γ2
47.37Single9KUTJR14a9KUT-C3aB-JR14a-Go/β1/γ2
47.37Single9MQKIsoquinuclidine9MQK-κ-Isoquinuclidine
47.37Single9PXYNaloxone9PXY-μ-Naloxone-GDPβS-Gi1/β1/γ2
47.37Consensusamine_offOrthosteric Ligand5ht_off adrenergic_off dopamine_off histamine_off muscarinic_off
47.37Consensusamine_offonOrthosteric Ligandamine_off amine_on
47.37Consensusamine_offon_gpOrthosteric Ligandamine_on_gp amine_off
47.37Consensusamine_onOrthosteric Ligand5ht_on adrenergic_on dopamine_on histamine_on muscarinic_on trace-amine_on
47.37Consensusbeta2_offOrthosteric Ligand2RH1-β2-Carazolol 6PS3-β2-Carvedilol 6PS5-β2-Propranolol 3D4S-β2-Timolol 3NY8-β2-ICI118-551 3NY9-β2-PubChem 913103 6PRZ-β2-Alprenolol
47.37Consensusbeta_offOrthosteric Ligandbeta1_off beta2_off
47.37Consensusgi_adrenergicOrthosteric Ligand7EJ0-α2a-Norepinephrine-Go/β1/γ2 7EJK-α2a-Oxymetazoline-Go/β1/γ2 7W7E-α2a-PubChem 164946676-Go/β1/γ2 7W6P-α2a-N-pyridin-4-ylisoquinolin-4-amine-Go/β1/γ2 7EJ8-α2a-Brimonidine-Go/β1/γ2 6K42-α2b-Dexmedetomidine-Gi1/β1/γ2 7EJA-α2a-Dexmedetomidine-Go/β1/γ2 7S0F-β1-Isoprenaline-Gi1/β1/γ2
47.37Consensusgs_amineOrthosteric Ligandgs_5ht gs_adrenergic gs_dopamine gs_histamine gs_trace-amine
47.06Single6AKXA4R6AKX-CCR5-A4R
47.06Single7SRSLSD7SRS-5-HT2B-LSD-Arrestin2
47.06Single7X5H5-CT7X5H-5-HT5A-5-CT-Gi1/β1/γ2
47.06Single7YMHNorepinephrine7YMH-Alpha1A-Norepinephrine-chim(Gs-CtGq)
47.06Single8EFOPZM218EFO-μ-PZM21-Gi1/β1/γ2
47.06Single8GGAConstrained Epinephrine8GGA-β2-Constrained Epinephrine-GTP-Gs/β1/γ2
47.06Single8GGCConstrained Epinephrine8GGC-β2-Constrained Epinephrine-GTP-Gs/β1/γ2
47.06Single8GGRConstrained Epinephrine8GGR-β2-Constrained Epinephrine
47.06Single8GGZConstrained Epinephrine8GGZ-β2-Constrained Epinephrine
47.06Single8GH0Constrained Epinephrine8GH0-β2-Constrained Epinephrine
47.06Single8UNSConstrained Epinephrine8UNS-β2-Constrained Epinephrine-GTP-Gs/β1/γ2
47.06Single8UNTConstrained Epinephrine8UNT-β2-Constrained Epinephrine-GTP-Gs/β1/γ2
47.06Single8UNXConstrained Epinephrine8UNX-β2-Constrained Epinephrine-GTP-Gs/β1/γ2
47.06Single8YYWAlpha-ketoglutarate8YYW-Oxoglutarate-α-ketoglutarate-α-ketoglutarate-chim(Gi1-CtGq)/β1/γ2
47.06Consensus5ht1e_onOrthosteric Ligand7E33-5-HT1E-BRL-54443-Gi1/β1/γ2 8UGY-5-HT1E-Mianserin-Gi1/β1/γ1 8UH3-5-HT1E-Setiptiline-Gi1/β1/γ1
47.06Consensus5ht_onOrthosteric Ligand5ht1_on 5ht2_on 5ht4_on 5ht5_on 5ht6_on 5ht7_on
47.06Consensusalpha2_offOrthosteric Ligandalpha2c_off
47.06Consensusgs_5htOrthosteric Ligand7XTC-5-HT7-5-CT-Gs/β1/γ2 7XTB-5-HT6-Serotonin-Gs/β1/γ2 8JLZ-5-HT6-ST1936-Gs/β1/γ2 7XT8-5-HT4-Serotonin-Gs/β1/γ2
47.06Consensusorexin_offOrthosteric Ligandox2_off ox1_off
47.06Consensusox2_offOrthosteric Ligand5WQC-OX2-EMPA 6TPN-OX2-HTL6641 7XRR-OX2-Lemborexant 6TPJ-OX2-Suvorexant
46.15Consensusgi_peptideOrthosteric Ligandgi_cck gi_apelin gi_compl-pept gi_endothelin gi_formylpeptide gi_galanin gi_ghrelin gi_npy gi_neurotensin gi_opioid gi_orexin gi_relaxin gi_somatostatin
45.83Single6PT2KGCHM076PT2-δ-KGCHM07
45.83Single7MBXCholecystokinin-87MBX-CCKA-Cholecystokinin-8-Gs/β1/γ1
45.83Single7TD2LPA7TD2-LPA1-LPA-Gi1/β1/γ2
45.83Single9B54VIP369B54-CB1-VIP36-Gi1/β1/γ2
45.83Single9MEUCXCL129MEU-CXCR4-CXCL12
45.83Consensusgs_cckOrthosteric Ligand7MBX-CCKA-Cholecystokinin-8-Gs/β1/γ1
45.83Consensuspeptide_offonOrthosteric Ligandpeptide_off peptide_on
45.45Single3NY9PubChem 9131033NY9-β2-PubChem 913103
45.45Single4UG2CGS216804UG2-A2A-CGS21680
45.45Single7XY6BAY 60-65837XY6-A2B-BAY 60-6583-chim(NtGi1-Gs)/β1/γ2
45.45Single8JLRA776368JLR-TA1-A77636-chim(NtGi1-Gs)/β1/γ2
45.45Single8X5YAstemizole8X5Y-H1-Astemizole
45.45Single9IPYJR14a9IPY-C3aB-JR14a
45.45Single9M0RNeuropeptide-VF9M0R-NPFF1-Neuropeptide-VF-Gi1/β1/γ2
45.45Single9MD1Buspirone9MD1-5-HT1A-Buspirone-PtdIns4P-Gz/β1/γ2
45.45Single9WSXEndomorphin9WSX-μ-Endomorphin-Arrestin2
45.00Single2YDVNECA2YDV-A2A-NECA
45.00Single3PDSFAUC503PDS-β2-FAUC50
45.00Single4DJHJDTic4DJH-κ-JDTic
45.00Single4IAQDihydroergotamine4IAQ-5-HT1B-Dihydroergotamine
45.00Single4UHRCGS216804UHR-A2A-CGS21680
45.00Single4Z34ONO-97803074Z34-LPA1-ONO-9780307
45.00Single5A8E7-Methylcyanopindolol5A8E-β1-7-Methylcyanopindolol-Na
45.00Single5D5ACarazolol5D5A-β2-Carazolol
45.00Single5D5BCarazolol5D5B-β2-Carazolol
45.00Single5G53NECA5G53-A2A-NECA-Gs
45.00Single6GT3Imaradenant6GT3-A2A-Imaradenant-Na
45.00Single6TQ7SB-3348676TQ7-OX1-SB-334867
45.00Single7EW1Siponimod7EW1-S1P5-Siponimod-Gi1/β1/γ2
45.00Single7EW3S1P7EW3-S1P3-S1P-Gi1/β1/γ2
45.00Single7M8W15r-Methyl-PGD27M8W-DP2-15r-Methyl-PGD2-Na
45.00Single7TD1LPA7TD1-LPA1-LPA-Gi1/β1/γ2
45.00Single7W6PN-pyridin-4-ylisoquinolin-4-amine7W6P-α2a-N-pyridin-4-ylisoquinolin-4-amine-Go/β1/γ2
45.00Single7W7EPubChem 1649466767W7E-α2a-PubChem 164946676-Go/β1/γ2
45.00Single8DCSCyanopindolol8DCS-β1-Cyanopindolol-Gs/β1/γ2
45.00Single8EF5Fentanyl8EF5-μ-Fentanyl-Gi1/β1/γ2
45.00Single8IRRRotigotine8IRR-D1-Rotigotine-Gs/β1/γ2
45.00Single8JT6(R)-IHCH-71798JT6-5-HT1A-(R)-IHCH-7179-PtdIns4P-Gi1/β1/γ2
45.00Single8UGWCGS216808UGW-A2A-CGS21680
45.00Single8XVLZibotentan8XVL-ETA-Zibotentan
45.00Single8ZWFJR14a8ZWF-C3aB-JR14a
45.00Single9BJKNaloxone9BJK-μ-Naloxone-PubChem 171642066
45.00Single9IJDCarazolol9IJD-β3-Carazolol-chim(NtGi1-Gs)/β1/γ2
45.00Single9IZGLPA9IZG-LPA1-LPA-chim(NtGi1-Gs-CtGq)/β1/γ2
45.00Single9JMCDS-3801b9JMC-Motilin-DS-3801b-chim(Gs-CtGq)/β1/γ2
45.00Single9PY3Loperamide9PY3-μ-Loperamide-GDPβS-Gi1/β1/γ2
45.00Consensusamine_on_gpOrthosteric Ligand5ht_on_gp adrenergic_on_gp dopamine_on_gp histamine_on_gp muscarinic_on_gp trace-amine_on_gp
45.00Consensusbeta1_offOrthosteric Ligand2VT4-β1-Cyanopindolol 2YCW-β1-Carazolol 2YCZ-β1-Iodocyanopindolol 5A8E-β1-7-Methylcyanopindolol-Na 3ZPQ-β1-PubChem 594590-Na 3ZPR-β1-PubChem 598754-Na
45.00Consensusgi_5htOrthosteric Ligand8FYT-5-HT1A-LSD-PtdIns4P-Gi1/β1/γ1 7UM7-5-HT5A-Methylergometrine-chim(NtGi1-Go)/β1/γ2 8UGY-5-HT1E-Mianserin-Gi1/β1/γ1 8W8B-5-HT1A-SEP-363856-Gi1/β1/γ2 7E2Y-5-HT1A-Serotonin-PtdIns4P-Gi1/β1/γ2 7E32-5-HT1D-Serotonin-Gi1/β1/γ2 7XTA-5-HT4-Serotonin-Gi1/β1/γ2 8UH3-5-HT1E-Setiptiline-Gi1/β1/γ1 8JSP-5-HT1A-Ulotaront-Gi1/β1/γ2 8FYL-5-HT1A-Vilazodone-PtdIns4P-Gi1/β1/γ1 8JT6-5-HT1A-(R)-IHCH-7179-PtdIns4P-Gi1/β1/γ2 8FYE-5-HT1A-4-F,5-MeO-PyrT-PtdIns4P-Gi1/β1/γ1 7X5H-5-HT5A-5-CT-Gi1/β1/γ2 8FY8-5-HT1A-5-MeO-DMT-PtdIns4P-Gi1/β1/γ1 7E2Z-5-HT1A-Aripiprazole-PtdIns4P-Gi1/β1/γ2 7E33-5-HT1E-BRL-54443-Gi1/β1/γ2 8FYX-5-HT1A-Buspirone-PtdIns4P-Gi1/β1/γ1 7EXD-5-HT1F-Lasmiditan-Gi1/β1/γ2 7UM6-5-HT5A-Lisuride-chim(NtGi1-Go)/β1/γ2
45.00Consensusgs_adrenergicOrthosteric Ligand7DHI-β2-Salbutamol-Gs/β1/γ2 7XJI-β3-Solabegron-Gs/β1/γ2 7JJO-β1-Isoprenaline-Gs/β1/γ2 6NI3-β2-BI167107-Gs/β1/γ2 8DCR-β1-Dobutamine-Gs/β1/γ2 7XJH-β3-Isoprenaline-Gs/β1/γ2 7DH5-β3-Mirabegron-Gs/β1/γ2
45.00Consensuskop_offOrthosteric Ligand4DJH-κ-JDTic
45.00Consensuss1p5_onOrthosteric Ligand7EW1-S1P5-Siponimod-Gi1/β1/γ2
45.00Consensuss1p5_on_gpOrthosteric Ligand7EW1-S1P5-Siponimod-Gi1/β1/γ2
44.83Single8HBDIRL16208HBD-ETB-IRL1620-Gi1/β1/γ2
44.44Single4MBSMaraviroc4MBS-CCR5-Maraviroc
44.44Single4ZJCSB-6740424ZJC-OX1-SB-674042
44.44Single6IQLL7458706IQL-D4-L745870
44.44Single6TPNHTL66416TPN-OX2-HTL6641
44.44Single6V9SGTPL114036V9S-OX1-GTPL11403
44.44Single7CMUPramipexole7CMU-D3-Pramipexole-Gi1/β1/γ2
44.44Single7DHISalbutamol7DHI-β2-Salbutamol-Gs/β1/γ2
44.44Single7RANPubChem 1645758477RAN-5-HT2A-PubChem 164575847-chim(NtGi2L-Gs-CtGq)/β1/γ2
44.44Single7UL3Famotidine7UL3-H2-Famotidine
44.44Single7UM7Methylergometrine7UM7-5-HT5A-Methylergometrine-chim(NtGi1-Go)/β1/γ2
44.44Single7WC9PubChem 1624213647WC9-5-HT2A-PubChem 162421364
44.44Single8FEG(DNCP)-Beta-Naloxamine8FEG-κ-(DNCP)-β-Naloxamine-Gi1/β1/γ2
44.44Single8GE1Constrained Epinephrine8GE1-β2-Constrained Epinephrine-Gs/β1/γ2
44.44Single8GE4Constrained Epinephrine8GE4-β2-Constrained Epinephrine-Gs/β1/γ2
44.44Single8GE5Constrained Epinephrine8GE5-β2-Constrained Epinephrine-Gs/β1/γ1
44.44Single8GE6Constrained Epinephrine8GE6-β2-Constrained Epinephrine-Gs/β1/γ2
44.44Single8GE7Constrained Epinephrine8GE7-β2-Constrained Epinephrine-Gs/β1/γ2
44.44Single8GE8Constrained Epinephrine8GE8-β2-Constrained Epinephrine-Gs/β1/γ2
44.44Single8GEAConstrained Epinephrine8GEA-β2-Constrained Epinephrine-Gs/β1/γ2
44.44Single8GEDConstrained Epinephrine8GED-β2-Constrained Epinephrine-Gs/β1/γ2
44.44Single8GEFConstrained Epinephrine8GEF-β2-Constrained Epinephrine-Gs/β1/γ2
44.44Single8GG5Constrained Epinephrine8GG5-β2-Constrained Epinephrine-GTP-Gs/β1/γ2
44.44Single8GG8Constrained Epinephrine8GG8-β2-Constrained Epinephrine-GTP-Gs/β1/γ2
44.44Single8GGVConstrained Epinephrine8GGV-β2-Constrained Epinephrine
44.44Single8JLQFenoldopam8JLQ-TA1-Fenoldopam-Gs/β1/γ2
44.44Single8THLEpinephrine8THL-Alpha1A-Epinephrine-chim(NtGi2L-Gs-CtGq)/β1/γ2
44.44Single8UNMConstrained Epinephrine8UNM-β2-Constrained Epinephrine-GTP-Gs/β1/γ2
44.44Single8UNWConstrained Epinephrine8UNW-β2-Constrained Epinephrine-GTP-Gs/β1/γ2
44.44Single8V6UPubChem 1713924568V6U-5-HT2A-PubChem 171392456-chim(NtGi2-Gs-CtGq)/β1/γ2
44.44Single8XWPEndothelin-18XWP-ETB-Endothelin-1-Gi1/β1/γ2
44.44Single8YH2Adenosine8YH2-A3A-Adenosine-Gi1/β1/γ2
44.44Single8YKVPubChem 1375531688YKV-Succinate-PubChem 137553168-Gi1/β1/γ2
44.44Single9AS3LSD9AS3-5-HT2A-LSD
44.44Single9AS4LSD9AS4-5-HT2A-LSD-chim(NtGi1-Gs-CtGq)/β1/γ2
44.44Single9AS5Mescaline9AS5-5-HT2A-Mescaline
44.44Single9AS6Mescaline9AS6-5-HT2A-Mescaline-chim(NtGi1-Gs-CtGq)/β1/γ2
44.44Single9KDFRES-701-39KDF-ETB-RES-701-3
44.44Single9L8LBI1671079L8L-β2-BI167107-Atazanavir-Gs/β1/γ2 ; Arrestin2
44.44Single9ODJMitragynine Pseudoindoxyl9ODJ-μ-Mitragynine Pseudoindoxyl-GTP; Mg-Gi1/β1/γ2
44.44Single9ODLMitragynine Pseudoindoxyl9ODL-μ-Mitragynine Pseudoindoxyl-GTP; Mg-Gi1/β1/γ2
44.44Single9PXVNaloxone9PXV-μ-Naloxone-Gi1/β1/γ2
44.44Single9PXXNaloxone9PXX-μ-Naloxone-GDPβS-Gi1/β1/γ2
44.44Single9VNFPindolol9VNF-5-HT1A-Pindolol-Go/β1/γ2
44.44Single9W6W5-CT9W6W-5-HT5A-5-CT-Gi1/β1/γ2
44.44Consensusalpha1_onOrthosteric Ligandalpha1a_on
44.44Consensusalpha1_on_gpOrthosteric Ligandalpha1a_on_gp
44.44Consensusalpha1a_onOrthosteric Ligand7EJ0-α2a-Norepinephrine-Go/β1/γ2 7EJ8-α2a-Brimonidine-Go/β1/γ2 7EJA-α2a-Dexmedetomidine-Go/β1/γ2 7EJK-α2a-Oxymetazoline-Go/β1/γ2 7W6P-α2a-N-pyridin-4-ylisoquinolin-4-amine-Go/β1/γ2 7W7E-α2a-PubChem 164946676-Go/β1/γ2
44.44Consensusalpha1a_on_gpOrthosteric Ligand7EJ0-α2a-Norepinephrine-Go/β1/γ2 7EJ8-α2a-Brimonidine-Go/β1/γ2 7EJA-α2a-Dexmedetomidine-Go/β1/γ2 7EJK-α2a-Oxymetazoline-Go/β1/γ2 7W6P-α2a-N-pyridin-4-ylisoquinolin-4-amine-Go/β1/γ2 7W7E-α2a-PubChem 164946676-Go/β1/γ2
44.44Consensusd3_onOrthosteric Ligand7CMV-D3-PD128907-Gi1/β1/γ2 8IRT-D3-Rotigotine-Gi1/β1/γ2 7CMU-D3-Pramipexole-Gi1/β1/γ2
44.44Consensusd3_on_gpOrthosteric Ligand7CMV-D3-PD128907-Gi1/β1/γ2 8IRT-D3-Rotigotine-Gi1/β1/γ2 7CMU-D3-Pramipexole-Gi1/β1/γ2
44.44Consensusgq_peptideOrthosteric Ligandgq_cck gq_kisspeptin gq_bradykinin gq_bombesin gq_angiotensin
44.44Consensuspeptide_onOrthosteric Ligandcck_on angiotensin_on apelin_on bombesin_on bradykinin_on compl-peptide_on endothelin_on formylpeptide_on galanin_on ghrelin_on kisspeptin_on melanocortin_on motilin_on neuromedin-u_on npy_on neurotensin_on opioid_on orexin_on relaxin_on somatostatin_on tachykinin_on trh_on vasop-oxy_on
44.44Consensuspeptide_on_gpOrthosteric Ligandcck_on_gp angiotensin_on_gp apelin_on_gp bombesin_on_gp bradykinin_on_gp compl-peptide_on_gp endothelin_on_gp formylpeptide_on_gp galanin_on_gp ghrelin_on_gp kisspeptin_on_gp melanocortin_on_gp motilin_on_gp neuromedin-u_on_gp npy_on_gp neurotensin_on_gp opioid_on_gp orexin_on_gp relaxin_on_gp somatostatin_on_gp tachykinin_on_gp trh_on_gp vasop-oxy_on_gp
44.00Single8ZBISomatostatin-148ZBI-SST3-Somatostatin-14-Gi1/β1/γ2
43.75Single8GGEConstrained Epinephrine8GGE-β2-Constrained Epinephrine-GTP-Gs/β1/γ2
43.75Single8GH1Constrained Epinephrine8GH1-β2-Constrained Epinephrine
43.48Single7W0PElabela7W0P-Apelin-Elabela-Gi1/β1/γ2
43.48Single7WKDTRH7WKD-TRH-TRH-chim(NtGi1-Gs-CtGq)/β1/γ2
43.48Single7WVWfMYFINILTL7WVW-FPR2-ALX-fMYFINILTL-Gi2/β1/γ2
43.48Single8F7XNociceptin8F7X-NOP-Nociceptin-Gi1/β1/γ2
43.48Single8WZ2Orexigenic Neuropeptide QRFP8WZ2-QRFP-Orexigenic Neuropeptide QRFP-chim(NtGi1L-Gs-CtGq)/β1/γ2
43.48Single9KWGC5a9KWG-C5a1-C5a-Go/β1/γ2
43.48Single9UMRC5a-pep9UMR-C5a1-C5a-pep-Go/β1/γ2
43.48Consensusnop_onOrthosteric Ligand8F7X-NOP-Nociceptin-Gi1/β1/γ2
43.48Consensusnop_on_gpOrthosteric Ligand8F7X-NOP-Nociceptin-Gi1/β1/γ2
43.33Single6LRYSarafotoxin-B6LRY-ETB-Sarafotoxin-B
42.86Single2YCXCyanopindolol2YCX-β1-Cyanopindolol
42.86Single3D4STimolol3D4S-β2-Timolol
42.86Single5UNHPubChem 1264564065UNH-AT2-PubChem 126456406
42.86Single6A93Risperidone6A93-5-HT2A-Risperidone
42.86Single6DRYMethylergometrine6DRY-5-HT2B-Methylergometrine
42.86Single6H7NXamoterol6H7N-β1-Xamoterol
42.86Single6IGLIRL16206IGL-ETB-IRL1620
42.86Single7DFPSpiperone7DFP-D2-Spiperone
42.86Single7WCNAR2314537WCN-GPR119-AR231453-Gs/β1/γ2
42.86Single8FYE4-F,5-MeO-PyrT8FYE-5-HT1A-4-F,5-MeO-PyrT-PtdIns4P-Gi1/β1/γ1
42.86Single9GYOP3959GYO-GPBA-P395-chim(NtGi1-Gs)/β1/γ2
42.86Single9KVG5-MeO-DMT9KVG-5-HT1A-5-MeO-DMT-PtdIns4P-Gi1/β1/γ2
42.86Consensusbeta3_onOrthosteric Ligand7DH5-β3-Mirabegron-Gs/β1/γ2 7XJH-β3-Isoprenaline-Gs/β1/γ2 7XJI-β3-Solabegron-Gs/β1/γ2
42.86Consensusbeta3_on_gpOrthosteric Ligand7DH5-β3-Mirabegron-Gs/β1/γ2 7XJH-β3-Isoprenaline-Gs/β1/γ2 7XJI-β3-Solabegron-Gs/β1/γ2
42.86Consensusc3a_onOrthosteric Ligand8HK2-C3aB-C3a-Gi1/β1/γ2 8IA8-C3aB-E7 peptide-Gi1/β1/γ2
42.86Consensusgi_lipidOrthosteric Ligandgi_cannabinoid gi_ffa gi_leukotriene gi_lpa gi_s1p
42.86Consensusorexin_onOrthosteric Ligandox2_on
42.31Single7Y64C5a7Y64-C5a1-C5a-Gi1/β1/γ2
42.31Single8IA2C5a8IA2-C5a1-C5a-Go/β1/γ2
42.31Single8XGOTAK4488XGO-Kiss1-TAK448-chim(NtGi1-Gq)/β1/γ2
42.31Single8ZPSPrRP208ZPS-PrRP-PrRP20-chim(NtGi1-Gs-CtGi1)/β1/γ2
42.11Single2VT4Cyanopindolol2VT4-β1-Cyanopindolol
42.11Single2Y01Dobutamine2Y01-β1-Dobutamine
42.11Single3NYAAlprenolol3NYA-β2-Alprenolol
42.11Single3ZPRPubChem 5987543ZPR-β1-PubChem 598754-Na
42.11Single4EA3PubChem 102965614EA3-NOP-PubChem 10296561
42.11Single4QKXPubChem 762106284QKX-β2-PubChem 76210628
42.11Single5DHGC-355DHG-NOP-C-35
42.11Single5DHHSB-6121115DHH-NOP-SB-612111
42.11Single6DRZMethysergide6DRZ-5-HT2B-Methysergide
42.11Single6TOTLemborexant6TOT-OX1-Lemborexant
42.11Single7BU7BI1671077BU7-β1-BI167107
42.11Single7E32Serotonin7E32-5-HT1D-Serotonin-Gi1/β1/γ2
42.11Single7JVQApomorphine7JVQ-D1-Apomorphine-Gs/β1/γ2
42.11Single7LJCSKF812977LJC-D1-SKF81297-Mevidalen-Gs/β1/γ2
42.11Single7SCGFH2107SCG-μ-FH210-Gi1/β1/γ2
42.11Single7SQOTAK-9257SQO-OX2-TAK-925-Gi1/β1/γ2
42.11Single7T2GMitragynine Pseudoindoxyl7T2G-μ-Mitragynine Pseudoindoxyl-Gi1/β1/γ2
42.11Single7UM55-CT7UM5-5-HT5A-5-CT-chim(NtGi1-Go)/β1/γ2
42.11Single7VGZRamelteon7VGZ-MT1-Ramelteon-Gi1/β1/γ2
42.11Single7VIES1P7VIE-S1P1-S1P-Gi1/β1/γ2
42.11Single7XTC5-CT7XTC-5-HT7-5-CT-Gs/β1/γ2
42.11Single8DZSGR89,6968DZS-κ-GR89,696-chim(NtGi2-Gz)/β1/γ2
42.11Single8IRTRotigotine8IRT-D3-Rotigotine-Gi1/β1/γ2
42.11Single8JJOAlprenolol8JJO-β2-Alprenolol
42.11Single8PJKST1718PJK-5-HT1A-ST171-Gi1/β1/γ1
42.11Single8UWLLisuride8UWL-5-HT2A-Lisuride-chim(NtGi2-Gs-CtGq)/β1/γ2
42.11Single8X17Namodenoson8X17-A3A-Namodenoson-Gi1/β1/γ2
42.11Single8ZSSRO52633978ZSS-TA1-RO5263397-chim(NtGi1-Gs)/β1/γ2
42.11Single9BQJRO769BQJ-μ-RO76-Gi1/β1/γ2
42.11Single9CBMDexmedetomidine9CBM-α2a-Dexmedetomidine-Gi1/β1/γ2
42.11Single9D61JDTic9D61-κ-JDTic-Gi1/β1/γ2
42.11Single9PLNPubChem 1682595949PLN-α2a-PubChem 168259594
42.11Single9PLOPubChem 1682595949PLO-α2a-PubChem 168259594-Go/β1/γ2
42.11Single9PQDPubChem 1764919279PQD-α2a-PubChem 176491927
42.11Single9PXWNaloxone9PXW-μ-Naloxone-GDPβS-Gi1/β1/γ2
42.11Consensus5ht1d_onOrthosteric Ligand7E32-5-HT1D-Serotonin-Gi1/β1/γ2
42.11Consensus5ht1d_on_gpOrthosteric Ligand7E32-5-HT1D-Serotonin-Gi1/β1/γ2
42.11Consensus5ht2b_offOrthosteric Ligand6DRZ-5-HT2B-Methysergide
42.11Consensus5ht7_onOrthosteric Ligand7XTC-5-HT7-5-CT-Gs/β1/γ2
42.11Consensus5ht7_on_gpOrthosteric Ligand7XTC-5-HT7-5-CT-Gs/β1/γ2
42.11Consensusadenosine_on_gpOrthosteric Liganda1_on_gp a2_on_gp a3_on_gp
42.11Consensusalpha_onOrthosteric Ligandalpha1_on alpha2_on
42.11Consensusgi_orexinOrthosteric Ligand7SQO-OX2-TAK-925-Gi1/β1/γ2
41.67Single3QAKUK-4320973QAK-A2A-UK-432097
41.67Single7DDZJNJ-310200287DDZ-Y2-JNJ-31020028
41.67Single7XMSSomatostatin-147XMS-SST4-Somatostatin-14-Gi1/β1/γ2
41.67Single8F7WDynorphin8F7W-κ-Dynorphin-Gi1/β1/γ2
41.67Single9L60Dynorphin9L60-κ-Dynorphin-MPAM-15-Gi1/β1/γ2
41.67Single9ME1CXCL129ME1-CXCR4-CXCL12
41.67Consensusccr8_on_gpOrthosteric Ligand8KFX-CCR8-LMD-009-Gi1/β1/γ2 8KFY-CCR8-ZK-756326-Gi1/β1/γ2 8U1U-CCR8-CCL1-Gi1/β1/γ2
41.67Consensusnpy2_offOrthosteric Ligand7DDZ-Y2-JNJ-31020028
41.38Consensusgi_endothelinOrthosteric Ligand8IY5-ETB-Endothelin-1-Gi1/β1/γ2 8HBD-ETB-IRL1620-Gi1/β1/γ2
41.18Single3PBLEticlopride3PBL-D3-Eticlopride
41.18Single6TP4ACT-4622066TP4-OX1-ACT-462206
41.18Single7XT9Serotonin7XT9-5-HT4-Serotonin-Gs/β1/γ2
41.18Single7XTASerotonin7XTA-5-HT4-Serotonin-Gi1/β1/γ2
41.18Single7XTBSerotonin7XTB-5-HT6-Serotonin-Gs/β1/γ2
41.18Single7YS6Serotonin7YS6-5-HT6-Serotonin-chim(NtGi1-Gs)/β1/γ2
41.18Single8GGYConstrained Epinephrine8GGY-β2-Constrained Epinephrine
41.18Single8UO3Constrained Epinephrine8UO3-β2-Constrained Epinephrine-GTP; Mg-Gs/β1/γ2
41.18Single8UO4Constrained Epinephrine8UO4-β2-Constrained Epinephrine-GTP; Mg-Gs/β1/γ2
41.18Single8YN4Histamine8YN4-H2-Histamine-chim(NtGi1L-Gs-CtGq)/β1/γ2
41.18Single9IJEEpinephrine9IJE-β3-Epinephrine-chim(NtGi1-Gs)/β1/γ2
41.18Single9IXJHistamine9IXJ-H2-Histamine-Gs/β1/γ2
41.18Single9U9VMETH9U9V-β2-METH-Gs/β1/γ2
41.18Consensus5ht4_onOrthosteric Ligand7XTA-5-HT4-Serotonin-Gi1/β1/γ2
41.18Consensus5ht4_on_gpOrthosteric Ligand7XTA-5-HT4-Serotonin-Gi1/β1/γ2
41.18Consensusd3_offOrthosteric Ligand3PBL-D3-Eticlopride
40.91Single4BVNCyanopindolol4BVN-β1-Cyanopindolol-Na
40.91Single4NC3Ergotamine4NC3-5-HT2B-Ergotamine
40.91Single5UNGPubChem 157800525UNG-AT2-PubChem 15780052
40.91Single7EZCUK-4320977EZC-A2A-UK-432097
40.91Single7U2KC6-guano7U2K-μ-C6-guano-Gi1/β1/γ2
40.91Single7UM4AS26747237UM4-5-HT5A-AS2674723
40.91Single7X1UTRH7X1U-TRH-TRH-chim(NtGi2L-Gs-CtGq)/β1/γ2
40.91Single7Y65C5a (C-terminal peptide)7Y65-C5a1-C5a (C-terminal peptide)-Gi1/β1/γ2
40.91Single8GUTLEI-1028GUT-CB2-LEI-102-Gi1/β1/γ2
40.91Single9HYIDP819HYI-5-HT1A-DP81-Gi1/β1/γ2
40.91Single9M54Neuropeptide-VF9M54-NPFF2-Neuropeptide-VF-Gi1/β1/γ2
40.91Consensusc3a_on_gpOrthosteric Ligand8HK2-C3aB-C3a-Gi1/β1/γ2 8IA8-C3aB-E7 peptide-Gi1/β1/γ2
40.91Consensuscb1_on_gpOrthosteric Ligand6KPG-CB1-AM841-Gi1/β1/γ2 8K8J-CB1-Fenofibrate-chim(Gs-CtGq)/β1/γ2
40.91Consensusd2_offOrthosteric Ligand6CM4-D2-Risperidone 6LUQ-D2-Haloperidol 7DFP-D2-Spiperone
40.91Consensusgi_s1pOrthosteric Ligand7VIE-S1P1-S1P-Gi1/β1/γ2 7EW3-S1P3-S1P-Gi1/β1/γ2 7EVY-S1P1-Siponimod-Gi1/β1/γ2 7EW1-S1P5-Siponimod-Gi1/β1/γ2 7VIF-S1P1-FTY720-P-Gi1/β1/γ2 7VIG-S1P1-CBP-307-Gi1/β1/γ2 7EVZ-S1P1-Cenerimod-Gi1/β1/γ2 7EW4-S1P3-CYM-5541-Gi1/β1/γ2 7EW2-S1P3-FTY720-P-Gi1/β1/γ2 7EW0-S1P1-Ozanimod-Gi1/β1/γ2 7EW7-S1P1-SEW2871-Gi1/β1/γ2
40.91Consensusorexin_on_gpOrthosteric Ligandox2_on_gp
40.91Consensuspeptide_offOrthosteric Ligandcck_off angiotensin_off bombesin_off endothelin_off ghrelin_off npy_off opioid_off orexin_off somatostatin_off tachykinin_off vasop-oxy_off neurotensin_off
40.74Single8XVEBQ30208XVE-ETB-BQ3020-chim(Gs-CtGq)/β1/γ2
40.00Single2Y00Dobutamine2Y00-β1-Dobutamine
40.00Single5OM4PubChem 1355666095OM4-A2A-PubChem 135566609-Na
40.00Single5WF5UK-4320975WF5-A2A-UK-432097
40.00Single5XPRBosentan5XPR-ETB-Bosentan
40.00Single6ME62-Phenylmelatonin6ME6-MT2-2-Phenylmelatonin
40.00Single6ME72-Phenylmelatonin6ME7-MT2-2-Phenylmelatonin
40.00Single6ME82-Phenylmelatonin6ME8-MT2-2-Phenylmelatonin
40.00Single6PS6Timolol6PS6-β2-Timolol
40.00Single6TO7Suvorexant6TO7-OX1-Suvorexant-Na
40.00Single7C4SS1P7C4S-S1P3-S1P
40.00Single7CFNINT-7777CFN-GPBA-INT-777-Gs/β1/γ2
40.00Single7EO2FTY720-P7EO2-S1P1-FTY720-P-Gi1/β1/γ2
40.00Single7LD3Adenosine7LD3-A1-Adenosine-MIPS521-Gi2/β1/γ2
40.00Single7T6TfMLFII7T6T-FPR1-ALX-fMLFII-Gi1/β1/γ2
40.00Single7TD3S1P7TD3-S1P1-S1P-Gi1/β1/γ2
40.00Single7VFXfMIFL7VFX-FPR1-ALX-fMIFL-Gi1/β1/γ2
40.00Single7YU6ONO-07405567YU6-LPA1-ONO-0740556-Gi1/β1/γ2
40.00Single8C9WEtrumadenant8C9W-A2A-Etrumadenant
40.00Single8EFBOliceridine8EFB-μ-Oliceridine-Gi1/β1/γ2
40.00Single8I7WGSK2560738I7W-HCA2-GSK256073-Gi1/β1/γ2
40.00Single8KFXLMD-0098KFX-CCR8-LMD-009-Gi1/β1/γ2
40.00Single8TF5Oleic acid8TF5-GPR6-Oleic acid
40.00Single8ZRKGSK12922638ZRK-GPR119-GSK1292263-Gs/β1/γ2
40.00Single9ARYSerotonin9ARY-5-HT2A-Serotonin-chim(NtGi1-Gs-CtGq)/β1/γ2
40.00Single9ARZ2-bromo-LSD9ARZ-5-HT2A-2-bromo-LSD
40.00Single9F33FOB02-04A9F33-D3-FOB02-04A-Go/β1/γ2
40.00Single9IYBPGD29IYB-DP2-PGD2-A1D5Q-Gi1/β1/γ2
40.00Single9U4WGonadoliberin-19U4W-GnRH1-Gonadoliberin-1-chim(NtGi1L-Gs-CtGq)/β1/γ2
40.00Single9U81Tolvaptan9U81-V2-Tolvaptan
40.00Consensus5ht1_onOrthosteric Ligand5ht1a_on 5ht1d_on 5ht1e_on 5ht1f_on
40.00Consensus5ht1_on_gpOrthosteric Ligand5ht1a_on_gp 5ht1d_on_gp 5ht1e_on_gp 5ht1f_on_gp
40.00Consensus5ht1e_on_gpOrthosteric Ligand7E33-5-HT1E-BRL-54443-Gi1/β1/γ2 8UGY-5-HT1E-Mianserin-Gi1/β1/γ1 8UH3-5-HT1E-Setiptiline-Gi1/β1/γ1
40.00Consensus5ht2_offOrthosteric Ligand5ht2a_off 5ht2b_off 5ht2c_off
40.00Consensusalpha_on_gpOrthosteric Ligandalpha1_on_gp alpha2_on_gp
40.00Consensusangiotensin_onOrthosteric Ligandat1_on
40.00Consensusat1_onOrthosteric Ligand7F6G-AT1-(Sar1)-Angiotensin II-Gq/β1/γ2
40.00Consensuscb2_onOrthosteric Ligand8GUR-CB2-CP55940-Gi1/β1/γ2 8GUS-CB2-HU-308-Gi1/β1/γ2 8GUT-CB2-LEI-102-Gi1/β1/γ2 6KPF-CB2-AM12033-Gi1/β1/γ2 6PT0-CB2-WIN 55212-2-Gi1/β1/γ2 8GUQ-CB2-Olorinab-Gi1/β1/γ2
40.00Consensuscb2_on_gpOrthosteric Ligand8GUR-CB2-CP55940-Gi1/β1/γ2 8GUS-CB2-HU-308-Gi1/β1/γ2 8GUT-CB2-LEI-102-Gi1/β1/γ2 6KPF-CB2-AM12033-Gi1/β1/γ2 6PT0-CB2-WIN 55212-2-Gi1/β1/γ2 8GUQ-CB2-Olorinab-Gi1/β1/γ2
40.00Consensusetb_on_gpOrthosteric Ligand8IY5-ETB-Endothelin-1-Gi1/β1/γ2 8HBD-ETB-IRL1620-Gi1/β1/γ2
40.00Consensusfpr1-alx_onOrthosteric Ligand7VFX-FPR1-ALX-fMIFL-Gi1/β1/γ2
40.00Consensusfpr1-alx_on_gpOrthosteric Ligand7VFX-FPR1-ALX-fMIFL-Gi1/β1/γ2
40.00Consensusgi_somatostatinOrthosteric Ligand7WIC-SST2-Somatostatin-14-Gi1/β1/γ2 7XMS-SST4-Somatostatin-14-Gi1/β1/γ2 8X8L-SST5-Cortistatin-14-chim(NtGi1-Gs-CtGi1)/β1/γ2 7XMT-SST4-J-2156-Gi1/β1/γ2 7WIG-SST2-L-054264-Gi1/β1/γ2 8X8N-SST5-Octreotide-chim(NtGi1-Gs-CtGi1)/β1/γ2 7YAE-SST2-Octreotide-Gi1/β1/γ2 7YAC-SST2-Paltusotine-Gi1/β1/γ2
40.00Consensush1_offOrthosteric Ligand8X63-H1-Mepyramine 3RZE-H1-Cidoxepin 8X5Y-H1-Astemizole
40.00Consensuslpa1_onOrthosteric Ligand7TD1-LPA1-LPA-Gi1/β1/γ2 7YU3-LPA1-ONO-0740556-Gi1/β1/γ2
40.00Consensuslpa1_on_gpOrthosteric Ligand7TD1-LPA1-LPA-Gi1/β1/γ2 7YU3-LPA1-ONO-0740556-Gi1/β1/γ2
40.00Consensussomatostatin_onOrthosteric Ligandsst2_on sst4_on sst5_on
40.00Consensussomatostatin_on_gpOrthosteric Ligandsst2_on_gp sst4_on_gp sst5_on_gp
40.00Consensusta1_onOrthosteric Ligand8W87-TA1-METH-chim(NtGi1L-Gs)/β1/γ2 8W89-TA1-2-Phenylethylamine-chim(NtGi1L-Gs)/β1/γ2 8JLP-TA1-Ralmitaront-Gs/β1/γ2 8W8A-TA1-RO5256390-chim(NtGi1L-Gs)/β1/γ2 8W88-TA1-SEP-363856-Gs/β1/γ2 8JLO-TA1-Ulotaront-Gs/β1/γ2 8JLR-TA1-A77636-chim(NtGi1-Gs)/β1/γ2 8JSO-TA1-AMPH-chim(NtGi1-Gs)/β1/γ2 8ZSP-TA1-LSD-chim(NtGi1L-Gs)/β1/γ2
40.00Consensustrace-amine_onOrthosteric Ligandta1_on
39.29Single9K26PrRP319K26-PrRP-PrRP31-Gi1/β1/γ2
39.13Single5WF6UK-4320975WF6-A2A-UK-432097
39.13Single5ZTYAM102575ZTY-CB2-AM10257
39.13Single6C1QPMX536C1Q-C5a1-PMX53-NDT9513727
39.13Single6G79Donitriptan6G79-5-HT1B-Donitriptan-Go/β1/γ2
39.13Single6PT3DPI-2876PT3-δ-DPI-287
39.13Single7F8WGastrin-177F8W-CCKB-Gastrin-17-chim(NtGsL-Gq)/β1/γ2
39.13Single7XN9L-0545227XN9-SST2-L-054522
39.13Single7Y1FDynorphin7Y1F-κ-Dynorphin-Gi1/β1/γ2
39.13Single8X3LXWD8X3L-CB2-XWD-Gi1/β1/γ2
39.13Single9CGKC5-Quino9CGK-δ-C5-Quino-Gi1/β1/γ2
39.13Single9KZ8EP679KZ8-C3aB-EP67-Go/β1/γ2
39.13Single9UMJEP549UMJ-C3aB-EP54-Go/β1/γ2
39.13Single9V2NMacimorelin9V2N-Ghrelin-Macimorelin-chim(NtGi1-Gs-CtGq)/β1/γ2
39.13Consensuscb2_offOrthosteric Ligand5ZTY-CB2-AM10257
39.13Consensusox2_onOrthosteric Ligand7L1V-OX2-PubChem 155491009-chim(NtGi1-Gs-CtGq)/β1/γ2 7SQO-OX2-TAK-925-Gi1/β1/γ2 7L1U-OX2-Orexin-chim(NtGi1-Gs-CtGq)/β1/γ2
39.13Consensusox2_on_gpOrthosteric Ligand7L1V-OX2-PubChem 155491009-chim(NtGi1-Gs-CtGq)/β1/γ2 7SQO-OX2-TAK-925-Gi1/β1/γ2 7L1U-OX2-Orexin-chim(NtGi1-Gs-CtGq)/β1/γ2
39.13Consensuss1p_onOrthosteric Ligands1p1_on s1p3_on s1p5_on
39.13Consensuss1p_on_gpOrthosteric Ligands1p1_on_gp s1p3_on_gp s1p5_on_gp
39.13Consensussst2_onOrthosteric Ligand7WIC-SST2-Somatostatin-14-Gi1/β1/γ2 7WIG-SST2-L-054264-Gi1/β1/γ2 7YAE-SST2-Octreotide-Gi1/β1/γ2 7YAC-SST2-Paltusotine-Gi1/β1/γ2
39.13Consensussst2_on_gpOrthosteric Ligand7WIC-SST2-Somatostatin-14-Gi1/β1/γ2 7WIG-SST2-L-054264-Gi1/β1/γ2 7YAE-SST2-Octreotide-Gi1/β1/γ2 7YAC-SST2-Paltusotine-Gi1/β1/γ2
38.89Single2X72All-trans-Retinal2X72-Rhodopsin-All-trans-Retinal-Gt(CT)
38.89Single3VGAZM-2413853VGA-A2A-ZM-241385-Antibody
38.89Single5OLVLUAA470705OLV-A2A-LUAA47070-Na
38.89Single5WS3EMPA5WS3-OX2-EMPA
38.89Single6AKYMaraviroc6AKY-CCR5-Maraviroc
38.89Single6B73MP11046B73-κ-MP1104
38.89Single6DS0LY2660976DS0-5-HT2B-LY266097
38.89Single6NWEOctyl-Beta-D-Glucopyranoside6NWE-Rhodopsin-Octyl-β-D-Glucopyranoside-Gt(CT)
38.89Single6TODEMPA6TOD-OX1-EMPA-Na
38.89Single7DHRIsoprenaline7DHR-β2-Isoprenaline-Gs/β1/γ2
38.89Single7F1ODopamine7F1O-D1-Dopamine-GDP; Mg-Gs/β1/γ2
38.89Single7LD4Adenosine7LD4-A1-Adenosine-Gi2/β1/γ2
38.89Single7SRRLSD7SRR-5-HT2B-LSD-chim(NtGi2L-Gs-CtGq)/β1/γ2
38.89Single7WF7S1P7WF7-S1P1-S1P-Gi1/β1/γ2
38.89Single7X2FDopamine7X2F-D1-Dopamine-Mevidalen-Gs/β1/γ2
38.89Single7XRRLemborexant7XRR-OX2-Lemborexant
38.89Single7XT8Serotonin7XT8-5-HT4-Serotonin-Gs/β1/γ2
38.89Single8FYXBuspirone8FYX-5-HT1A-Buspirone-PtdIns4P-Gi1/β1/γ1
38.89Single8GGWConstrained Epinephrine8GGW-β2-Constrained Epinephrine
38.89Single8GNGIstradefylline8GNG-A2A-Istradefylline
38.89Single8JSOAMPH8JSO-TA1-AMPH-chim(NtGi1-Gs)/β1/γ2
38.89Single8TZQDopamine8TZQ-D2-Dopamine-Go/β1/γ2
38.89Single8WC4ZH86518WC4-TA1-ZH8651-chim(NtGi1-Gs)/β1/γ2
38.89Single8WCA2-Phenylethylamine8WCA-TA1-2-Phenylethylamine-chim(NtGi1-Gs)/β1/γ2
38.89Single8XXVIndomethacin8XXV-DP2-Indomethacin-A1D5Q-Gi1/β1/γ2
38.89Single8YUTAmthamine8YUT-H2-Amthamine-Gs/β1/γ2
38.89Single9EBHAdenosine9EBH-A3A-Adenosine-Gi1/β1/γ2
38.89Single9EEAAdenosine9EEA-A2A-Adenosine-Gs/β1/γ2
38.89Single9J5VCpY9J5V-LPA1-CpY-Gi1/β1/γ2
38.89Single9LL9DOI9LL9-5-HT2A-DOI-chim(NtGi1L-Gs-CtGq)/β1/γ2
38.89Single9LLBDOI-NBOMe9LLB-5-HT2A-DOI-NBOMe-chim(NtGi1L-Gs-CtGq)/β1/γ2
38.89Single9MQJIsoquinuclidine9MQJ-μ-Isoquinuclidine
38.89Single9VJEBuspirone9VJE-5-HT1A-Buspirone-Go/β1/γ2
38.89Consensus5ht2_on_gpOrthosteric Ligand5ht2b_on_gp
38.89Consensus5ht2b_on_gpOrthosteric Ligand7SRR-5-HT2B-LSD-chim(NtGi2L-Gs-CtGq)/β1/γ2
38.89Consensusa1_onOrthosteric Ligand7LD4-A1-Adenosine-Gi2/β1/γ2
38.89Consensusa1_on_gpOrthosteric Ligand7LD4-A1-Adenosine-Gi2/β1/γ2
38.89Consensusox1_offOrthosteric Ligand6TP6-OX1-Filorexant 6TP4-OX1-ACT-462206 6V9S-OX1-GTPL11403 6TOT-OX1-Lemborexant 6TP3-OX1-Nemorexant 6TQ6-OX1-PubChem 145714283 6TQ9-OX1-SB-408124 4ZJC-OX1-SB-674042 4ZJ8-OX1-Suvorexant 6TOD-OX1-EMPA-Na 6TOS-OX1-GSK1059865-Na 6TQ4-OX1-PubChem 16046844-Na
38.71Consensusgs_peptideOrthosteric Ligandgs_cck gs_melanocortin gs_vasop-oxy
38.46Single7DW9AVP7DW9-V2-AVP-chim(NtGi1-Gs)/β1/γ2
38.46Single7F6G(Sar1)-Angiotensin II7F6G-AT1-(Sar1)-Angiotensin II-Gq/β1/γ2
38.46Single7W40Bombesin7W40-BB2-Bombesin-chim(NtGi1L-Gq)/β1/γ2
38.46Single8H4KGW95088H4K-FFA4-GW9508-chim(NtGi1-Gs-CtGq)/β1/γ2
38.46Consensusangiotensin_on_gpOrthosteric Ligandat1_on_gp
38.46Consensusat1_on_gpOrthosteric Ligand7F6G-AT1-(Sar1)-Angiotensin II-Gq/β1/γ2
38.46Consensusfpr2-alx_on_gpOrthosteric Ligand7WVX-FPR2-ALX-Humanin-Gi2/β1/γ2 7T6U-FPR2-ALX-CGEN-855A-Gi1/β1/γ2 7T6V-FPR2-ALX-fMLFII-Gi1/β1/γ2 7WVY-FPR2-ALX-Amyloid-β42-Gi2/β1/γ2 7T6S-FPR2-ALX-TC-FPR 43-Gi1/β1/γ2 6OMM-FPR2-ALX-WKYMVX-Gi1/β1/γ2
38.46Consensusgq_angiotensinOrthosteric Ligand7F6G-AT1-(Sar1)-Angiotensin II-Gq/β1/γ2
38.46Consensusgs_vasop-oxyOrthosteric Ligand7DW9-V2-AVP-chim(NtGi1-Gs)/β1/γ2
38.46Consensusprotein_onOrthosteric Ligandchemokine_on chemerin_on
38.46Consensusv2_onOrthosteric Ligand7DW9-V2-AVP-chim(NtGi1-Gs)/β1/γ2
38.46Consensusv2_on_gpOrthosteric Ligand7DW9-V2-AVP-chim(NtGi1-Gs)/β1/γ2
38.46Consensusvasop-oxy_onOrthosteric Ligandv2_on
38.46Consensusvasop-oxy_on_gpOrthosteric Ligandv2_on_gp
38.10Single5ZKBAF-DX 3845ZKB-M2-AF-DX 384
38.10Single6J20Aprepitant6J20-NK1-Aprepitant
38.10Single6J21Aprepitant6J21-NK1-Aprepitant
38.10Single6KO5PubChem 574000026KO5-Ghrelin-PubChem 57400002
38.10Single7E2ZAripiprazole7E2Z-5-HT1A-Aripiprazole-PtdIns4P-Gi1/β1/γ2
38.10Single7EW7SEW28717EW7-S1P1-SEW2871-Gi1/β1/γ2
38.10Single7VIGCBP-3077VIG-S1P1-CBP-307-Gi1/β1/γ2
38.10Single7WV9CP559407WV9-CB1-CP55940-ZCZ011-Gi2/β1/γ2
38.10Single7XY7NECA7XY7-A2B-NECA-chim(NtGi1-Gs)/β1/γ2
38.10Single7YU5ONO-07405567YU5-LPA1-ONO-0740556-Gi1/β1/γ2
38.10Single7YU7ONO-07405567YU7-LPA1-ONO-0740556-Gi1/β1/γ2
38.10Single8HDOBAY 60-65838HDO-A2B-BAY 60-6583-Gs/β1/γ2
38.10Single8HPTC5a (C-terminal peptide)8HPT-C5a1-C5a (C-terminal peptide)-Go/β1/γ2
38.10Single8I9LC3a8I9L-C3aB-C3a-Go/β1/γ2
38.10Single8ID39-Hydroxystearic acid8ID3-FFA4-9-Hydroxystearic acid-Gi1/β1/γ2
38.10Single8IHBGSK2560738IHB-HCA2-GSK256073-Gi1/β1/γ2
38.10Single8T1VPubChem 1183102098T1V-GPR6-PubChem 118310209-Na
38.10Single8VVEnorBNI8VVE-κ-norBNI-Gi1/β1/γ2
38.10Single8WU1MDMB-Fubinaca8WU1-CB1-MDMB-Fubinaca-Arrestin2
38.10Single8XIPPasireotide8XIP-SST1-Pasireotide-chim(NtGi1-Gs-CtGi1)/β1/γ2
38.10Single9B65MDMB-Fubinaca9B65-CB1-MDMB-Fubinaca-Gi1/β1/γ2
38.10Single9IK9Lanreotide9IK9-SST1-Lanreotide-Gi1/β1/γ2
38.10Consensus5ht_offOrthosteric Ligand5ht2_off 5ht1_off
38.10Consensusa2_onOrthosteric Liganda2b_on
38.10Consensusa2_on_gpOrthosteric Liganda2b_on_gp
38.10Consensusa2b_onOrthosteric Ligand8HDP-A2B-Adenosine-Gs/β1/γ2 7XY6-A2B-BAY 60-6583-chim(NtGi1-Gs)/β1/γ2 7XY7-A2B-NECA-chim(NtGi1-Gs)/β1/γ2 8HDO-A2B-BAY 60-6583-Gs/β1/γ2
38.10Consensusa2b_on_gpOrthosteric Ligand8HDP-A2B-Adenosine-Gs/β1/γ2 7XY6-A2B-BAY 60-6583-chim(NtGi1-Gs)/β1/γ2 7XY7-A2B-NECA-chim(NtGi1-Gs)/β1/γ2 8HDO-A2B-BAY 60-6583-Gs/β1/γ2
38.10Consensusclass-a_offOrthosteric Ligandsensory_off alicarboxylic_off amine_off lipid_off nucleotide_off peptide_off protein_off
38.10Consensusgi_cannabinoidOrthosteric Ligand8GUR-CB2-CP55940-Gi1/β1/γ2 8GUS-CB2-HU-308-Gi1/β1/γ2 8GUT-CB2-LEI-102-Gi1/β1/γ2 8GUQ-CB2-Olorinab-Gi1/β1/γ2 6KPF-CB2-AM12033-Gi1/β1/γ2 6PT0-CB2-WIN 55212-2-Gi1/β1/γ2 6KPG-CB1-AM841-Gi1/β1/γ2
38.10Consensusgi_lpaOrthosteric Ligand7TD1-LPA1-LPA-Gi1/β1/γ2 7YU3-LPA1-ONO-0740556-Gi1/β1/γ2
38.10Consensusgs_adenosineOrthosteric Ligand8HDP-A2B-Adenosine-Gs/β1/γ2 8HDO-A2B-BAY 60-6583-Gs/β1/γ2 7XY7-A2B-NECA-chim(NtGi1-Gs)/β1/γ2 7XY6-A2B-BAY 60-6583-chim(NtGi1-Gs)/β1/γ2
38.10Consensusgs_nucleotideOrthosteric Ligandgs_adenosine
38.10Consensuslpa_onOrthosteric Ligandlpa1_on
38.10Consensuslpa_on_gpOrthosteric Ligandlpa1_on_gp
38.10Consensusta1_on_gpOrthosteric Ligand8W87-TA1-METH-chim(NtGi1L-Gs)/β1/γ2 8W89-TA1-2-Phenylethylamine-chim(NtGi1L-Gs)/β1/γ2 8JLP-TA1-Ralmitaront-Gs/β1/γ2 8W8A-TA1-RO5256390-chim(NtGi1L-Gs)/β1/γ2 8W88-TA1-SEP-363856-Gs/β1/γ2 8JLO-TA1-Ulotaront-Gs/β1/γ2 8JLR-TA1-A77636-chim(NtGi1-Gs)/β1/γ2 8JSO-TA1-AMPH-chim(NtGi1-Gs)/β1/γ2 8ZSP-TA1-LSD-chim(NtGi1L-Gs)/β1/γ2
38.10Consensustrace-amine_on_gpOrthosteric Ligandta1_on_gp
37.93Single8IY5Endothelin-18IY5-ETB-Endothelin-1-Gi1/β1/γ2
37.93Consensusendothelin_onOrthosteric Ligandetb_on eta_on
37.93Consensusetb_onOrthosteric Ligand8IY5-ETB-Endothelin-1-Gi1/β1/γ2 8HBD-ETB-IRL1620-Gi1/β1/γ2
37.50Single5UNFPubChem 157800525UNF-AT2-PubChem 15780052
37.50Single7F4ISHU91197F4I-MC1-SHU9119-chim(NtGi1-Gs)/β1/γ2
37.50Single7F8XNN90567F8X-CCKA-NN9056
37.50Single7TD4Siponimod7TD4-S1P1-Siponimod-Gi1/β1/γ2
37.50Single8FYLVilazodone8FYL-5-HT1A-Vilazodone-PtdIns4P-Gi1/β1/γ1
37.50Single8G59TUG-8918G59-FFA4-TUG-891-chim(Gi1-CtGq)/β1/γ2
37.50Single8GHVAMG3158GHV-CB1-AMG315-Gi1/β1/γ2
37.50Single9CHUNorepinephrine9CHU-β2-Norepinephrine
37.50Single9HB3Mambaquaretin-19HB3-V2-Mambaquaretin-1
37.50Single9M4TSilodosin9M4T-Alpha1A-Silodosin
37.50Consensuschemerin_on_gpOrthosteric Ligandcml1_on_gp
37.50Consensuscml1_onOrthosteric Ligand7YKD-CML1-Chemerin-9-Gi1/β1/γ2
37.50Consensusgi_chemerinOrthosteric Ligand7YKD-CML1-Chemerin-9-Gi1/β1/γ2
37.50Consensusgs_histamineOrthosteric Ligand8POK-H2-Histamine-Gs/β1/γ2
37.50Consensush2_onOrthosteric Ligand8POK-H2-Histamine-Gs/β1/γ2
37.04Single8ZRTEndothelin-18ZRT-ETB-Endothelin-1
37.04Single9JFYNeuropeptide-SF9JFY-NPFF2-Neuropeptide-SF-Gi1/β1/γ2
37.04Consensussst5_on_gpOrthosteric Ligand8X8L-SST5-Cortistatin-14-chim(NtGi1-Gs-CtGi1)/β1/γ2 8X8N-SST5-Octreotide-chim(NtGi1-Gs-CtGi1)/β1/γ2
36.84Single3UZCPubChem 1355666093UZC-A2A-PubChem 135566609
36.84Single3V2YPubChem 518926453V2Y-S1P1-PubChem 51892645
36.84Single4DKLBeta-Funaltrexamine4DKL-μ-β-Funaltrexamine
36.84Single5TE3Octyl-Beta-D-Glucopyranoside5TE3-Rhodopsin-Octyl-β-D-Glucopyranoside
36.84Single6A94Zotepine6A94-5-HT2A-Zotepine
36.84Single6K41Dexmedetomidine6K41-α2b-Dexmedetomidine-Go/β1/γ2
36.84Single6ME32-Phenylmelatonin6ME3-MT1-2-Phenylmelatonin
36.84Single6ME42-Iodomelatonin6ME4-MT1-2-Iodomelatonin
36.84Single6TOSGSK10598656TOS-OX1-GSK1059865-Na
36.84Single6TP3Nemorexant6TP3-OX1-Nemorexant
36.84Single6VI4JDTic6VI4-κ-JDTic
36.84Single6ZDVPubChem 9840736ZDV-A2A-PubChem 984073-Na
36.84Single7CKWFenoldopam7CKW-D1-Fenoldopam-Gs/β1/γ2
36.84Single7CKZDopamine7CKZ-D1-Dopamine-Mevidalen-Gs/β1/γ2
36.84Single7E33BRL-544437E33-5-HT1E-BRL-54443-Gi1/β1/γ2
36.84Single7EJ8Brimonidine7EJ8-α2a-Brimonidine-Go/β1/γ2
36.84Single7EJADexmedetomidine7EJA-α2a-Dexmedetomidine-Go/β1/γ2
36.84Single7F0TDopamine7F0T-D1-Dopamine-Gs/β1/γ2
36.84Single7F24Dopamine7F24-D1-Dopamine-GDP-Gs/β1/γ2
36.84Single7F61PF-036547467F61-H3-PF-03654746
36.84Single8GURCP559408GUR-CB2-CP55940-Gi1/β1/γ2
36.84Single8IHKAcifran8IHK-HCA3-Acifran
36.84Single8IY9Niacin8IY9-HCA2-Niacin-Go/β1/γ2
36.84Single8JIMMonomethyl fumarate8JIM-HCA2-Monomethyl fumarate-Gi1/β1/γ2
36.84Single8JLNT1AM8JLN-TA1-T1AM-Gs/β1/γ2
36.84Single8JSPUlotaront8JSP-5-HT1A-Ulotaront-Gi1/β1/γ2
36.84Single8THKA-616038THK-Alpha1A-A-61603-chim(NtGi2L-Gs-CtGq)/β1/γ2
36.84Single8U02Dopamine8U02-D2-Dopamine-Go/β1/γ2
36.84Single8W88SEP-3638568W88-TA1-SEP-363856-Gs/β1/γ2
36.84Single8WC8ZH86518WC8-TA1-ZH8651-chim(NtGi1-Gs)/β1/γ2
36.84Single8Y45ADL58598Y45-δ-ADL5859-Gi2/β1/γ2
36.84Single8Y53MK50468Y53-BB3-MK5046-chim(NtGi1-Gs-CtGq)/β1/γ2
36.84Single8YN3Histamine8YN3-H2-Histamine-Gs/β1/γ2
36.84Single9ARXSerotonin9ARX-5-HT2A-Serotonin
36.84Single9CBLEpinephrine9CBL-α2a-Epinephrine-Gi1/β1/γ2
36.84Single9JKQMETH9JKQ-TA1-METH-Gs/β1/γ2
36.84Single9KUWCMPD6449KUW-Apelin; Apelin-CMPD644-Arrestin2 ; Arrestin2
36.84Single9LL8Psilocin9LL8-5-HT2A-Psilocin-Gi1/β1/γ2
36.84Single9MQIIsoquinuclidine9MQI-μ-Isoquinuclidine
36.84Single9PY2Loperamide9PY2-μ-Loperamide-GDPβS-Gi1/β1/γ2
36.84Single9VJG8-OH-DPAT9VJG-5-HT1A-8-OH-DPAT-chim(NtGi2-Gz)/β1/γ2
36.84Consensus5ht2a_offOrthosteric Ligand6A94-5-HT2A-Zotepine 6A93-5-HT2A-Risperidone 7VOD-5-HT2A-Cariprazine 7WC8-5-HT2A-Lumateperone 8JT8-5-HT2A-(R)-IHCH-7179
36.84Consensusadenosine_onOrthosteric Liganda1_on a2_on a3_on
36.84Consensusgi_adenosineOrthosteric Ligand7LD4-A1-Adenosine-Gi2/β1/γ2 8X17-A3A-Namodenoson-Gi1/β1/γ2 8X16-A3A-Piclidenoson-Gi1/β1/γ2
36.84Consensushca_onOrthosteric Ligandhca2_on
36.84Consensusnop_offOrthosteric Ligand4EA3-NOP-PubChem 10296561 5DHG-NOP-C-35 5DHH-NOP-SB-612111
36.67Single5GLHEndothelin-15GLH-ETB-Endothelin-1
36.67Single6IGKEndothelin-36IGK-ETB-Endothelin-3
36.67Single8ZJETAK4488ZJE-Kiss1-TAK448-chim(NtGi1-Gq)/β1/γ1
36.67Consensusbb2_onOrthosteric Ligand7W40-BB2-Bombesin-chim(NtGi1L-Gq)/β1/γ2 7W3Z-BB2-Gastrin Releasing Peptide-chim(NtGi1L-Gq)/β1/γ2
36.67Consensusbb2_on_gpOrthosteric Ligand7W40-BB2-Bombesin-chim(NtGi1L-Gq)/β1/γ2 7W3Z-BB2-Gastrin Releasing Peptide-chim(NtGi1L-Gq)/β1/γ2
36.67Consensusbombesin_onOrthosteric Ligandbb2_on
36.67Consensusbombesin_on_gpOrthosteric Ligandbb2_on_gp
36.67Consensusgq_bombesinOrthosteric Ligand7W40-BB2-Bombesin-chim(NtGi1L-Gq)/β1/γ2 7W3Z-BB2-Gastrin Releasing Peptide-chim(NtGi1L-Gq)/β1/γ2
36.36Single4Z36ONO-30805734Z36-LPA1-ONO-3080573
36.36Single6CM4Risperidone6CM4-D2-Risperidone
36.36Single6OS0Angiotensin II6OS0-AT1-Angiotensin II
36.36Single6ZG4HTL00099366ZG4-M1-HTL0009936
36.36Single7EO4Siponimod7EO4-S1P1-Siponimod-Gi1/β1/γ2
36.36Single7EXDLasmiditan7EXD-5-HT1F-Lasmiditan-Gi1/β1/γ2
36.36Single7JNIOlodanrigan7JNI-AT2-Olodanrigan
36.36Single7L1UOrexin7L1U-OX2-Orexin-chim(NtGi1-Gs-CtGq)/β1/γ2
36.36Single7SUSPubChem 1227019087SUS-Apelin-PubChem 122701908
36.36Single7W0LPubChem 1227019087W0L-Apelin; Apelin-PubChem 122701908-Gi1/β1/γ2
36.36Single7XW9TRH7XW9-TRH-TRH-chim(NtGi1L-Gs-CtGq)/β1/γ2
36.36Single8HK2C3a8HK2-C3aB-C3a-Gi1/β1/γ2
36.36Single8ID9Icosapent8ID9-FFA4-Icosapent-Gi1/β1/γ2
36.36Single8IYWGSK2560738IYW-HCA2-GSK256073-Go/β1/γ2
36.36Single8JWZEtrumadenant8JWZ-A2A-Etrumadenant-Na
36.36Single8JZ7MK68928JZ7-HCA2-MK6892-Gi1/β1/γ2
36.36Single8XYIVUF106618XYI-CXCR3-VUF10661
36.36Single9DGIZ85267113509DGI-CB1-Z8526711350
36.36Single9KZKC3a (fragment)9KZK-C3aB-C3a (fragment)-Go/β1/γ2
36.36Single9L3WChemerin9L3W-CML1-Chemerin-Gi1/β1/γ2
36.36Single9W32SSTR5 antagonist 19W32-SST5-SSTR5 antagonist 1
36.36Consensus5ht1a_onOrthosteric Ligand8FYT-5-HT1A-LSD-PtdIns4P-Gi1/β1/γ1 7E2Y-5-HT1A-Serotonin-PtdIns4P-Gi1/β1/γ2 7E2Z-5-HT1A-Aripiprazole-PtdIns4P-Gi1/β1/γ2 8FYX-5-HT1A-Buspirone-PtdIns4P-Gi1/β1/γ1 8JSP-5-HT1A-Ulotaront-Gi1/β1/γ2 8JT6-5-HT1A-(R)-IHCH-7179-PtdIns4P-Gi1/β1/γ2 8FY8-5-HT1A-5-MeO-DMT-PtdIns4P-Gi1/β1/γ1 8FYE-5-HT1A-4-F,5-MeO-PyrT-PtdIns4P-Gi1/β1/γ1 8FYL-5-HT1A-Vilazodone-PtdIns4P-Gi1/β1/γ1
36.36Consensus5ht1a_on_gpOrthosteric Ligand8FYT-5-HT1A-LSD-PtdIns4P-Gi1/β1/γ1 8FYX-5-HT1A-Buspirone-PtdIns4P-Gi1/β1/γ1 8JSP-5-HT1A-Ulotaront-Gi1/β1/γ2 8JT6-5-HT1A-(R)-IHCH-7179-PtdIns4P-Gi1/β1/γ2 7E2Y-5-HT1A-Serotonin-PtdIns4P-Gi1/β1/γ2 7E2Z-5-HT1A-Aripiprazole-PtdIns4P-Gi1/β1/γ2 8FY8-5-HT1A-5-MeO-DMT-PtdIns4P-Gi1/β1/γ1 8FYE-5-HT1A-4-F,5-MeO-PyrT-PtdIns4P-Gi1/β1/γ1 8FYL-5-HT1A-Vilazodone-PtdIns4P-Gi1/β1/γ1
36.36Consensus5ht1f_onOrthosteric Ligand7EXD-5-HT1F-Lasmiditan-Gi1/β1/γ2
36.36Consensus5ht1f_on_gpOrthosteric Ligand7EXD-5-HT1F-Lasmiditan-Gi1/β1/γ2
36.36Consensuscannabinoid_onOrthosteric Ligandcb2_on cb1_on
36.36Consensuscannabinoid_on_gpOrthosteric Ligandcb2_on_gp cb1_on_gp
36.36Consensuscb1_onOrthosteric Ligand6KPG-CB1-AM841-Gi1/β1/γ2 8K8J-CB1-Fenofibrate-chim(Gs-CtGq)/β1/γ2
36.36Consensusccr8_onOrthosteric Ligand8KFX-CCR8-LMD-009-Gi1/β1/γ2 8KFY-CCR8-ZK-756326-Gi1/β1/γ2 8U1U-CCR8-CCL1-Gi1/β1/γ2
36.36Consensusgi_amineOrthosteric Ligandgi_5ht gi_muscarinic gi_adrenergic gi_dopamine gi_histamine
36.36Consensuslipid_offonOrthosteric Ligandlipid_off lipid_on
36.36Consensuslipid_offon_gpOrthosteric Ligandlipid_on_gp lipid_off
36.36Consensuslpa1_offOrthosteric Ligand4Z36-LPA1-ONO-3080573 4Z35-LPA1-ONO-9910539 4Z34-LPA1-ONO-9780307
36.36Consensuslpa_offOrthosteric Ligandlpa1_off
36.36Consensuslpl_offOrthosteric Ligands1p_off lpa_off
36.36Consensusnk1_offOrthosteric Ligand6HLP-NK1-Netupitant 6HLO-NK1-Aprepitant 6HLL-NK1-CP99994 6E59-NK1-L-760735
36.36Consensuss1p1_onOrthosteric Ligand7VIE-S1P1-S1P-Gi1/β1/γ2 7VIF-S1P1-FTY720-P-Gi1/β1/γ2 7VIG-S1P1-CBP-307-Gi1/β1/γ2 7EVY-S1P1-Siponimod-Gi1/β1/γ2 7EVZ-S1P1-Cenerimod-Gi1/β1/γ2 7EW0-S1P1-Ozanimod-Gi1/β1/γ2 7EW7-S1P1-SEW2871-Gi1/β1/γ2
36.36Consensuss1p1_on_gpOrthosteric Ligand7VIE-S1P1-S1P-Gi1/β1/γ2 7VIF-S1P1-FTY720-P-Gi1/β1/γ2 7VIG-S1P1-CBP-307-Gi1/β1/γ2 7EVY-S1P1-Siponimod-Gi1/β1/γ2 7EVZ-S1P1-Cenerimod-Gi1/β1/γ2 7EW0-S1P1-Ozanimod-Gi1/β1/γ2 7EW7-S1P1-SEW2871-Gi1/β1/γ2
36.36Consensustrh_onOrthosteric Ligand7XW9-TRH-TRH-chim(NtGi1L-Gs-CtGq)/β1/γ2
36.36Consensustrh_on_gpOrthosteric Ligand7XW9-TRH-TRH-chim(NtGi1L-Gs-CtGq)/β1/γ2
36.00Single6DO1(Sar1,Ile8)-Angiotensin II6DO1-AT1-(Sar1,Ile8)-Angiotensin II
36.00Single7EZKCholecystokinin-87EZK-CCKA-Cholecystokinin-8-chim(NtGi1-Gs)/β1/γ2
36.00Single8SG1Chemerin-98SG1-CML1-Chemerin-9-Gi1/β1/γ2
36.00Single9E82CXCL12 (fragment)9E82-ACKR3-CXCL12 (fragment)-Arrestin2
36.00Single9IK8Pasireotide9IK8-SST1-Pasireotide-Gi1/β1/γ2
36.00Single9JFK(Pen5)-Urotensin II9JFK-UT-(Pen5)-Urotensin II-chim(NtGi2L-Gs-CtGq)/β1/γ2
36.00Consensuscompl-peptide_onOrthosteric Ligandc5a1_on c3a_on
36.00Consensusformylpeptide_on_gpOrthosteric Ligandfpr2-alx_on_gp fpr1-alx_on_gp
36.00Consensusgi_cckOrthosteric Ligand7EZH-CCKA-Cholecystokinin-8-Gi1/β1/γ2 7F8V-CCKB-Gastrin-17-Gi2/β1/γ2
36.00Consensusgq_class-aOrthosteric Ligandgq_peptide gq_amine gq_nucleotide
35.71Single7F8VGastrin-177F8V-CCKB-Gastrin-17-Gi2/β1/γ2
35.71Single7YKDChemerin-97YKD-CML1-Chemerin-9-Gi1/β1/γ2
35.71Single8H0PNMB308H0P-BB1-NMB30-chim(NtGi1-Gs-CtGq)/β1/γ2
35.71Consensusgi_compl-peptOrthosteric Ligand8HK5-C5a1-C5a-Gi1/β1/γ2 8IA8-C3aB-E7 peptide-Gi1/β1/γ2 7Y66-C5a1-BM213-Gi1/β1/γ2 7Y67-C5a1-C089 peptide-Gi1/β1/γ2 8HK2-C3aB-C3a-Gi1/β1/γ2 7Y64-C5a1-C5a-Gi1/β1/γ2
35.71Consensusgi_proteinOrthosteric Ligandgi_chemokine gi_chemerin
35.71Consensusprotein_on_gpOrthosteric Ligandchemokine_on_gp chemerin_on_gp
35.48Consensusendothelin_on_gpOrthosteric Ligandetb_on_gp eta_on_gp
35.29Single7DD7Ca; Ca; Tryptophan; Evocalcet7DD7-CaS; CaS-Ca-Ca; Ca; Tryptophan; Evocalcet
35.29Single7EJKOxymetazoline7EJK-α2a-Oxymetazoline-Go/β1/γ2
35.29Single7WC5Psilocin7WC5-5-HT2A-Psilocin
35.29Single8GGFConstrained Epinephrine8GGF-β2-Constrained Epinephrine-GTP-Gs/β1/γ2
35.29Single8J24Acetic acid8J24-FFA2-Acetic acid-Gi1/β1/γ2
35.29Single8POKHistamine8POK-H2-Histamine-Gs/β1/γ2
35.29Single8WC9ZH86518WC9-TA1-ZH8651-chim(NtGi1-Gs-CtGq)/β1/γ2
35.29Consensus5ht2_onOrthosteric Ligand5ht2b_on
35.29Consensus5ht2b_onOrthosteric Ligand7SRR-5-HT2B-LSD-chim(NtGi2L-Gs-CtGq)/β1/γ2
35.29Consensush2_on_gpOrthosteric Ligand8POK-H2-Histamine-Gs/β1/γ2
35.00Single4EJ4Naltrindole4EJ4-δ-Naltrindole
35.00Single4J4QOctyl Beta-D-Glucopyranoside4J4Q-Rhodopsin-Octyl β-D-Glucopyranoside-Gt(CT)
35.00Single5OLZPubChem 1355666095OLZ-A2A-PubChem 135566609-Na
35.00Single5OM1PubChem 1355666095OM1-A2A-PubChem 135566609-Na
35.00Single5UIGPubChem 1240811965UIG-A2A-PubChem 124081196
35.00Single5ZKPSR274175ZKP-PAF-SR27417
35.00Single6K42Dexmedetomidine6K42-α2b-Dexmedetomidine-Gi1/β1/γ2
35.00Single7V3ZCP559407V3Z-CB1-CP55940
35.00Single7VH0Ramelteon7VH0-MT2-Ramelteon-Gi1/β1/γ1
35.00Single7VIFFTY720-P7VIF-S1P1-FTY720-P-Gi1/β1/γ2
35.00Single7X2CFenoldopam7X2C-D1-Fenoldopam-Fenoldopam-Gs/β1/γ2
35.00Single7YU4ONO-07405567YU4-LPA1-ONO-0740556
35.00Single8CICEtrumadenant8CIC-A2A-Etrumadenant-Na
35.00Single8CU6LJ-45178CU6-A2A-LJ-4517
35.00Single8CU7LJ-45178CU7-A2A-LJ-4517-Na
35.00Single8FY85-MeO-DMT8FY8-5-HT1A-5-MeO-DMT-PtdIns4P-Gi1/β1/γ1
35.00Single8IHJAcifran8IHJ-HCA3-Acifran-Gi1/β1/γ2
35.00Single8J6PNiacin8J6P-HCA2-Niacin-PubChem 25101223-Gi1/β1/γ2
35.00Single8JD0NAM5638JD0-mGlu2; mGlu3-Glutamate-NAM563
35.00Single8JIINiacin8JII-HCA2-Niacin-PubChem 25101223-Gi1/β1/γ2
35.00Single8JLJT1AM8JLJ-TA1-T1AM-chim(NtGi1-Gs)/β1/γ2
35.00Single8JLZST19368JLZ-5-HT6-ST1936-Gs/β1/γ2
35.00Single8JT8(R)-IHCH-71798JT8-5-HT2A-(R)-IHCH-7179
35.00Single8K5DGSK2560738K5D-HCA2-GSK256073
35.00Single8RW7StilSwitch18RW7-A2A-StilSwitch1-Na
35.00Single8T1WCVN4248T1W-GPR6-CVN424
35.00Single8W87METH8W87-TA1-METH-chim(NtGi1L-Gs)/β1/γ2
35.00Single8W8ARO52563908W8A-TA1-RO5256390-chim(NtGi1L-Gs)/β1/γ2
35.00Single8WC7ZH86678WC7-TA1-ZH8667-chim(NtGi1-Gs)/β1/γ2
35.00Single8X63Mepyramine8X63-H1-Mepyramine
35.00Single8X64Desloratadine8X64-H1-Desloratadine
35.00Single8Y71A1D6F8Y71-δ-A1D6F-BMS986187-Gi1/β1/γ2
35.00Single9AS1DMT9AS1-5-HT2A-DMT
35.00Single9DYFAsenapine9DYF-5-HT1A-Asenapine-PtdIns4P-Gi1/β1/γ2
35.00Single9EPP11,20-Ethanoretinal9EPP-Rhodopsin-11,20-Ethanoretinal-chim(Gi1-CtGq)/β1/γ2
35.00Single9H37PubChem 1756706469H37-A2A-PubChem 175670646-Na
35.00Single9JGKBalovaptan9JGK-5-HT2B-Balovaptan
35.00Single9KFJPubChem 1383196749KFJ-RXFP3-PubChem 138319674-Gi2/β1/γ2
35.00Single9KFTfMLFC9KFT-FPR1-ALX-fMLFC-Gi1/β1/γ2
35.00Single9KUXCMPD6449KUX-Apelin; Apelin-CMPD644-Arrestin2
35.00Single9LLAAriadne9LLA-5-HT2A-Ariadne-chim(NtGi1L-Gs-CtGq)/β1/γ2
35.00Consensus5ht6_onOrthosteric Ligand7XTB-5-HT6-Serotonin-Gs/β1/γ2 8JLZ-5-HT6-ST1936-Gs/β1/γ2
35.00Consensus5ht6_on_gpOrthosteric Ligand7XTB-5-HT6-Serotonin-Gs/β1/γ2 8JLZ-5-HT6-ST1936-Gs/β1/γ2
35.00Consensusa3_onOrthosteric Liganda3a_on
35.00Consensusalicarboxylic_on_gpOrthosteric Ligandsuccinate_on_gp hca_on_gp
35.00Consensusalpha2_onOrthosteric Ligandalpha2b_on
35.00Consensusalpha2_on_gpOrthosteric Ligandalpha2b_on_gp
35.00Consensusalpha2b_onOrthosteric Ligand6K42-α2b-Dexmedetomidine-Gi1/β1/γ2
35.00Consensusalpha2b_on_gpOrthosteric Ligand6K42-α2b-Dexmedetomidine-Gi1/β1/γ2
35.00Consensuscck_offOrthosteric Ligandccka_off
35.00Consensusccka_offOrthosteric Ligand7F8Y-CCKA-Devazepide 7F8U-CCKA-Lintitript
35.00Consensusdop_offOrthosteric Ligand4EJ4-δ-Naltrindole
35.00Consensusgi_alicarboxylicOrthosteric Ligandgi_hca gi_succinate
35.00Consensusgi_hcaOrthosteric Ligand8J6R-HCA2-MK6892-Gi1/β1/γ2 8JIM-HCA2-Monomethyl fumarate-Gi1/β1/γ2 8IHI-HCA2-Acifran-Gi1/β1/γ2 8IHH-HCA2-LUF6283-Gi1/β1/γ2 8I7V-HCA2-Acipimox-Gi1/β1/γ2 8I7W-HCA2-GSK256073-Gi1/β1/γ2
35.00Consensusgs_trace-amineOrthosteric Ligand8W88-TA1-SEP-363856-Gs/β1/γ2 8JLJ-TA1-T1AM-chim(NtGi1-Gs)/β1/γ2 8JLO-TA1-Ulotaront-Gs/β1/γ2 8WC4-TA1-ZH8651-chim(NtGi1-Gs)/β1/γ2 8WC7-TA1-ZH8667-chim(NtGi1-Gs)/β1/γ2 8JLR-TA1-A77636-chim(NtGi1-Gs)/β1/γ2 8JSO-TA1-AMPH-chim(NtGi1-Gs)/β1/γ2 8W87-TA1-METH-chim(NtGi1L-Gs)/β1/γ2 8W89-TA1-2-Phenylethylamine-chim(NtGi1L-Gs)/β1/γ2 8JLP-TA1-Ralmitaront-Gs/β1/γ2 8W8A-TA1-RO5256390-chim(NtGi1L-Gs)/β1/γ2
35.00Consensushca2_onOrthosteric Ligand8J6R-HCA2-MK6892-Gi1/β1/γ2 8JIM-HCA2-Monomethyl fumarate-Gi1/β1/γ2 8I7V-HCA2-Acipimox-Gi1/β1/γ2 8I7W-HCA2-GSK256073-Gi1/β1/γ2 8IHH-HCA2-LUF6283-Gi1/β1/γ2 8IHI-HCA2-Acifran-Gi1/β1/γ2
35.00Consensushca2_on_gpOrthosteric Ligand8J6R-HCA2-MK6892-Gi1/β1/γ2 8IHI-HCA2-Acifran-Gi1/β1/γ2 8IHH-HCA2-LUF6283-Gi1/β1/γ2 8I7V-HCA2-Acipimox-Gi1/β1/γ2 8JIM-HCA2-Monomethyl fumarate-Gi1/β1/γ2 8I7W-HCA2-GSK256073-Gi1/β1/γ2
35.00Consensushca_on_gpOrthosteric Ligandhca2_on_gp
35.00Consensushistamine_offOrthosteric Ligandh1_off
35.00Consensuslipid_offOrthosteric Ligandcannabinoid_off paf_off lpl_off prostanoid_off leukotriene_off
34.78Single6BQHRitanserin6BQH-5-HT2C-Ritanserin
34.78Single6K1QIRL25006K1Q-ETB-IRL2500
34.78Single7EVZCenerimod7EVZ-S1P1-Cenerimod-Gi1/β1/γ2
34.78Single7EW0Ozanimod7EW0-S1P1-Ozanimod-Gi1/β1/γ2
34.78Single7MBYCholecystokinin-87MBY-CCKA-Cholecystokinin-8-chim(NtGi1L-Gs-CtGq)/β1/γ2
34.78Single7MTSADX551647MTS-mGlu2; mGlu2-Glutamate-ADX55164-Gi1/β1/γ2
34.78Single7SK7CCX6627SK7-ACKR3-CXCL12-CCX662
34.78Single7SK8CCX6627SK8-ACKR3-CXCL12-CCX662
34.78Single7VGY2-Iodomelatonin7VGY-MT1-2-Iodomelatonin-Gi1/β1/γ2
34.78Single7XK2MK68927XK2-HCA2-MK6892-Gi1/β1/γ2
34.78Single7XZ6APD6687XZ6-GPR119-APD668-Gs/β1/γ2
34.78Single8E9X2-Deoxycytidine8E9X-M4-2-Deoxycytidine-chim(NtGi1-Go)/β1/γ2
34.78Single8E9YClozapine-N-oxide8E9Y-M3-Clozapine-N-oxide-chim(NtGi2L-Gs-CtGq)/β1/γ2
34.78Single8FX5Xanomeline8FX5-M4-Xanomeline-Xanomeline-Gi1/β1/γ2
34.78Single8GAGZ85267113508GAG-CB1-Z8526711350-Gi1/β1/γ2
34.78Single8IJDMK68928IJD-HCA2-MK6892-Gi1/β1/γ2
34.78Single8J19LY2378J19-GPR84-LY237-Gi1/β1/γ2
34.78Single8K2XCXCL108K2X-CXCR3-CXCL10-Gi1/β1/γ2
34.78Single8T3OTUG-8918T3O-FFA4-TUG-891-chim(NtGi2L-Gs-CtGq)/β1/γ2
34.78Single8WRZAM8418WRZ-CB1-AM841-Arrestin2
34.78Single8XGSKisspeptin-18XGS-Kiss1-Kisspeptin-1-chim(NtGi1-Gq)/β1/γ2
34.78Single9CGJC6-Quino9CGJ-δ-C6-Quino-Gi1/β1/γ2
34.78Single9KT8Acifran9KT8-HCA2-Acifran-Gi1/β1/γ2
34.78Single9L79AR2314539L79-GPR119-AR231453-chim(NtGi1-Gs)/β1/γ2
34.78Consensus5ht2c_offOrthosteric Ligand6BQH-5-HT2C-Ritanserin
34.78Consensuscck_onOrthosteric Ligandccka_on cckb_on
34.78Consensuscck_on_gpOrthosteric Ligandccka_on_gp cckb_on_gp
34.78Consensusnucleotide_on_gpOrthosteric Ligandadenosine_on_gp p2y_on_gp
34.62Single7XOUCholecystokinin-87XOU-CCKA-Cholecystokinin-8-Gs/β1/γ2
34.62Single8K6MNeuropeptide-Y8K6M-Y1-Neuropeptide-Y-Gi2/β1/γ1
34.62Single8XGUTAK4488XGU-Kiss1-TAK448-Gi1/β1/γ2
34.62Single9K27PrRP319K27-PrRP-PrRP31-chim(NtGi1-Gq)/β1/γ2
34.62Single9UYIChemerin-99UYI-CML2-Chemerin-9-Arrestin2
34.62Consensuscompl-peptide_on_gpOrthosteric Ligandc5a1_on_gp c3a_on_gp
34.62Consensusfpr2-alx_onOrthosteric Ligand7WVX-FPR2-ALX-Humanin-Gi2/β1/γ2 7T6U-FPR2-ALX-CGEN-855A-Gi1/β1/γ2 7T6V-FPR2-ALX-fMLFII-Gi1/β1/γ2 7WVY-FPR2-ALX-Amyloid-β42-Gi2/β1/γ2 7T6S-FPR2-ALX-TC-FPR 43-Gi1/β1/γ2 6OMM-FPR2-ALX-WKYMVX-Gi1/β1/γ2
34.62Consensusnpy1_onOrthosteric Ligand8K6M-Y1-Neuropeptide-Y-Gi2/β1/γ1
34.62Consensusnpy1_on_gpOrthosteric Ligand8K6M-Y1-Neuropeptide-Y-Gi2/β1/γ1
34.48Single7F4FAfamelanotide7F4F-MC1-Afamelanotide-chim(NtGi1-Gs)/β1/γ2
34.48Single7WVYAmyloid-Beta427WVY-FPR2-ALX-Amyloid-β42-Gi2/β1/γ2
34.48Single7XATSomatostatin-147XAT-SST2-Somatostatin-14-Gi1/β1/γ2
33.33Single3OE9IT1t3OE9-CXCR4-IT1t
33.33Single5NM2ZM-2413855NM2-A2A-ZM-241385-Na
33.33Single6D26Fevipiprant6D26-DP2-Fevipiprant
33.33Single6GDGNECA6GDG-A2A-NECA-Gs/β1/γ1
33.33Single6HLLCP999946HLL-NK1-CP99994
33.33Single6JODAngiotensin II6JOD-AT2-Angiotensin II
33.33Single6LUQHaloperidol6LUQ-D2-Haloperidol
33.33Single6TQ4PubChem 160468446TQ4-OX1-PubChem 16046844-Na
33.33Single7BB7AVP7BB7-V2-AVP-Gs/β1/γ2
33.33Single7DD7Ca; Ca; Tryptophan; Evocalcet7DD7-CaS; CaS-Ca-Ca; Ca; Tryptophan; Evocalcet
33.33Single7E2YSerotonin7E2Y-5-HT1A-Serotonin-PtdIns4P-Gi1/β1/γ2
33.33Single7F2OBradykinin7F2O-BK2-Bradykinin-chim(NtGi1-Gs-CtGq)/β1/γ2
33.33Single7F9ZGHRP-67F9Z-Ghrelin-GHRP-6-chim(NtGi1-Gs-CtGq)/β1/γ2
33.33Single7KH0AVP7KH0-V2-AVP-chim(NtGi1-Gs)/β1/γ2
33.33Single7RKFCX3CL17RKF-US28-CX3CL1-GDP-chim(NtGi1-G11)/β1/γ2
33.33Single7SK9CCX6627SK9-ACKR3-CCX662
33.33Single7SRQLSD7SRQ-5-HT2B-LSD
33.33Single7T11Octreotide7T11-SST2-Octreotide-Gi3/β1/γ2
33.33Single7VGXNeuropeptide-Y7VGX-Y1-Neuropeptide-Y-Gi1/β1/γ2
33.33Single7VOEAripiprazole7VOE-5-HT2A-Aripiprazole
33.33Single7W41PD1762527W41-BB2-PD176252
33.33Single7WIGL-0542647WIG-SST2-L-054264-Gi1/β1/γ2
33.33Single7X9ANeuropeptide-Y7X9A-Y1-Neuropeptide-Y-Gi1/β1/γ2
33.33Single7YJ4INSL57YJ4-RXFP4-INSL5-Gi2/β1/γ2
33.33Single7YU3ONO-07405567YU3-LPA1-ONO-0740556-Gi1/β1/γ2
33.33Single8A2PLUAA470708A2P-A2A-LUAA47070-Na
33.33Single8DPFLorcaserin8DPF-5-HT2C-Lorcaserin-chim(NtGi2L-Gs-CtGq)/β1/γ2
33.33Single8HNLPS3724248HNL-CXCR3-PS372424-Gi1/β1/γ2
33.33Single8IA7Cholecystokinin-88IA7-CCKB-Cholecystokinin-8-chim(NtGi1L-Gq)/β1/γ2
33.33Single8ID4Linoleic acid8ID4-FFA4-Linoleic acid-Gi1/β1/γ2
33.33Single8IHFMK68928IHF-HCA2-MK6892-Gi1/β1/γ2
33.33Single8J6IMK68928J6I-HCA2-MK6892-Gi1/β1/γ2
33.33Single8J6JGSK2560738J6J-HCA2-GSK256073-Gi1/β1/γ2
33.33Single8JLOUlotaront8JLO-TA1-Ulotaront-Gs/β1/γ2
33.33Single8JPNCis-Epoxysuccinic acid8JPN-Succinate-Cis-Epoxysuccinic acid-Gi1/β1/γ1
33.33Single8K8JFenofibrate8K8J-CB1-Fenofibrate-chim(Gs-CtGq)/β1/γ2
33.33Single8QJ2pN1628QJ2-MC4-pN162-Gs/β1/γ2
33.33Single8S4DCMF-0198S4D-Apelin-CMF-019
33.33Single8SZGCa; Ca; Tryptophan; Cinacalcet; PO4; Spermine8SZG-CaS; CaS-Ca; Ca; Tryptophan; Cinacalcet; PO4; Spermine-chim(NtGi1-Gq)/β1/γ2
33.33Single8UUJFCH-22964138UUJ-HCA2-FCH-2296413-Gi1/β1/γ2
33.33Single8WGBVU01550418WGB-mGlu4; mGlu2-Glutamate-VU0155041-Gi3/β1/γ2
33.33Single8WP1Cis-Epoxysuccinic acid8WP1-Succinate-Cis-Epoxysuccinic acid-Gi1/β1/γ2
33.33Single8WWNMCH8WWN-MCH1-MCH-Gi1/β1/γ2
33.33Single8XYKVUF106618XYK-CXCR3-VUF10661-Go/β1/γ2
33.33Single8Y52BA18Y52-BB3-BA1-chim(NtGi1-Gs-CtGq)/β1/γ2
33.33Single8YH0NECA8YH0-A3A-NECA-Gi1/β1/γ2
33.33Single8YH3N-methyladenosine8YH3-A3A-N-methyladenosine-Gi1/β1/γ2
33.33Single8YICSAR2477998YIC-S1P1-SAR247799-Gi1/β1/γ2
33.33Single8ZMFPubChem 1719206738ZMF-5-HT2C-PubChem 171920673
33.33Single8ZPTPrRP208ZPT-PrRP-PrRP20-chim(NtGi1-Gs-CtGq)/β1/γ2
33.33Single8ZSVRO52633978ZSV-TA1-RO5263397-chim(NtGi1-Gs)/β1/γ2
33.33Single9AS2DMT9AS2-5-HT2A-DMT-chim(NtGi1-Gs-CtGq)/β1/γ2
33.33Single9AVLCa; Ca; Cyclomethyltryptophan; R-568; PO49AVL-CaS; CaS-Ca-Ca; Ca; Cyclomethyltryptophan; R-568; PO4-Gi3/β2/γ2
33.33Single9AXFCa; Ca; Ca; Cyclomethyltryptophan; R-568; PO49AXF-CaS; CaS-Ca-Ca; Ca; Ca; Cyclomethyltryptophan; R-568; PO4-chim(NtGi1-Gs-CtGq)/β1/γ2
33.33Single9CIBFCH-22964139CIB-HCA2-FCH-2296413
33.33Single9DYDAsenapine9DYD-5-HT1A-Asenapine-PtdIns4P-Go/β1/γ2
33.33Single9EE8Adenosine9EE8-A2A-Adenosine-Gs/β1/γ2
33.33Single9EHSLUF76029EHS-A3A-LUF7602
33.33Single9F34FOB02-04A9F34-D3-FOB02-04A-Go/β1/γ2
33.33Single9HAPTolvaptan9HAP-V2-Tolvaptan
33.33Single9IQTNiacin9IQT-HCA2-Niacin-Gi1/β1/γ2
33.33Single9IZASCH9002719IZA-HCA2-SCH900271-Gi1/β1/γ2
33.33Single9JF4PD1683689JF4-BB1-PD168368
33.33Single9KT6Acifran9KT6-HCA3-Acifran-Gi1/β1/γ2
33.33Single9KUVCMPD6449KUV-Apelin-CMPD644-Arrestin2
33.33Single9KUWCMPD6449KUW-Apelin; Apelin-CMPD644-Arrestin2 ; Arrestin2
33.33Single9L3ZLRH7-C29L3Z-CML1-LRH7-C2
33.33Single9M8POleic monoethanolamide9M8P-GPR3 ; GPR3-Oleic monoethanolamide-AF64394
33.33Consensusa3_on_gpOrthosteric Liganda3a_on_gp
33.33Consensusa3a_onOrthosteric Ligand8X17-A3A-Namodenoson-Gi1/β1/γ2 8X16-A3A-Piclidenoson-Gi1/β1/γ2
33.33Consensusa3a_on_gpOrthosteric Ligand8X17-A3A-Namodenoson-Gi1/β1/γ2 8X16-A3A-Piclidenoson-Gi1/β1/γ2
33.33Consensusadenosine_offOrthosteric Liganda1_off a2_off
33.33Consensusbb2_offOrthosteric Ligand7W41-BB2-PD176252
33.33Consensusbk2_onOrthosteric Ligand7F6H-BK2-Bradykinin-Gq/β1/γ2 7F6I-BK2-Kallidin-Gq/β1/γ2
33.33Consensusbk2_on_gpOrthosteric Ligand7F6H-BK2-Bradykinin-Gq/β1/γ2 7F6I-BK2-Kallidin-Gq/β1/γ2
33.33Consensusbombesin_offOrthosteric Ligandbb2_off
33.33Consensusbradykinin_onOrthosteric Ligandbk2_on
33.33Consensusbradykinin_on_gpOrthosteric Ligandbk2_on_gp
33.33Consensusc5a1_on_gpOrthosteric Ligand8HK5-C5a1-C5a-Gi1/β1/γ2 7Y66-C5a1-BM213-Gi1/β1/γ2 7Y67-C5a1-C089 peptide-Gi1/β1/γ2 7Y64-C5a1-C5a-Gi1/β1/γ2
33.33Consensuscxcr3_onOrthosteric Ligand8HNK-CXCR3-CXCL11-Gi1/β1/γ2 8HNL-CXCR3-PS372424-Gi1/β1/γ2
33.33Consensuscxcr3_on_gpOrthosteric Ligand8HNK-CXCR3-CXCL11-Gi1/β1/γ2 8HNL-CXCR3-PS372424-Gi1/β1/γ2
33.33Consensusdp2_offOrthosteric Ligand6D26-DP2-Fevipiprant
33.33Consensusdp_offOrthosteric Liganddp2_off
33.33Consensusformylpeptide_onOrthosteric Ligandfpr2-alx_on fpr1-alx_on
33.33Consensusgi_formylpeptideOrthosteric Ligand7WVY-FPR2-ALX-Amyloid-β42-Gi2/β1/γ2 7T6U-FPR2-ALX-CGEN-855A-Gi1/β1/γ2 7VFX-FPR1-ALX-fMIFL-Gi1/β1/γ2 7T6V-FPR2-ALX-fMLFII-Gi1/β1/γ2 7WVX-FPR2-ALX-Humanin-Gi2/β1/γ2 7T6S-FPR2-ALX-TC-FPR 43-Gi1/β1/γ2 6OMM-FPR2-ALX-WKYMVX-Gi1/β1/γ2
33.33Consensusgq_bradykininOrthosteric Ligand7F6H-BK2-Bradykinin-Gq/β1/γ2 7F6I-BK2-Kallidin-Gq/β1/γ2
33.33Consensusgq_cckOrthosteric Ligand8IA7-CCKB-Cholecystokinin-8-chim(NtGi1L-Gq)/β1/γ2 7XOW-CCKB-Sulfated Gastrin-(10-17)-chim(NtGi1-Gq)/β1/γ2 7EZM-CCKA-Cholecystokinin-8-chim(NtGsL-Gq)/β1/γ2 7F8W-CCKB-Gastrin-17-chim(NtGsL-Gq)/β1/γ2
33.33Consensuskiss1_onOrthosteric Ligand8ZJD-Kiss1-Kisspeptin-1-chim(NtGi1-Gq)/β1/γ1
33.33Consensuskisspeptin_onOrthosteric Ligandkiss1_on
33.33Consensuslipid_onOrthosteric Ligandcannabinoid_on ffa_on lpl_on prostanoid_on leukotriene_on
33.33Consensuslipid_on_gpOrthosteric Ligandcannabinoid_on_gp ffa_on_gp lpl_on_gp prostanoid_on_gp leukotriene_on_gp
33.33Consensusnucleotide_onOrthosteric Ligandadenosine_on p2y_on
32.26Consensusccr5_on_gpOrthosteric Ligand7O7F-CCR5-6P4-CCL5-Gi1/β1/γ1 7F1Q-CCR5-CCL3-Gi1/β1/γ2
32.14Single7F6HBradykinin7F6H-BK2-Bradykinin-Gq/β1/γ2
32.14Single7P02Substance-P7P02-NK1-Substance-P-chim(NtGi1-Gs)/β1/γ2
32.14Single7X9BNeuropeptide-Y7X9B-Y2-Neuropeptide-Y-Gi1/β1/γ2
32.14Single7X9CPancreatic Hormone7X9C-Y4-Pancreatic Hormone-Gi1/β1/γ2
32.14Single8HCQEndothelin-18HCQ-ETA-Endothelin-1-chim(NtGi1-Gs-CtGq)/β1/γ2
32.14Single8HCXEndothelin-18HCX-ETB-Endothelin-1-chim(NtGi2L-Gs-CtGq)/β1/γ2
32.14Single8HK5C5a8HK5-C5a1-C5a-Gi1/β1/γ2
32.14Single8IODPG-9018IOD-MC5-PG-901-Ca-chim(NtGi1-Gs)/β1/γ2
32.14Single8WWKMCH8WWK-MCH1-MCH-Gi1/β1/γ2
32.14Single8XQEApelin-138XQE-Apelin; Apelin-Apelin-13-Gi1/β1/γ2
32.14Single8XVHEndothelin-18XVH-ETB-Endothelin-1-chim(Gs-CtGq)/β1/γ2
32.14Single8XVIEndothelin-18XVI-ETA-Endothelin-1-chim(Gs-CtGq)/β1/γ2
32.14Consensuscml1_on_gpOrthosteric Ligand7YKD-CML1-Chemerin-9-Gi1/β1/γ2
32.14Consensuseta_onOrthosteric Ligand8HCQ-ETA-Endothelin-1-chim(NtGi1-Gs-CtGq)/β1/γ2
32.14Consensuseta_on_gpOrthosteric Ligand8HCQ-ETA-Endothelin-1-chim(NtGi1-Gs-CtGq)/β1/γ2
32.14Consensusmc1_onOrthosteric Ligand7F4H-MC1-Afamelanotide-chim(NtGi1-Gs)/β1/γ2 7F4D-MC1-α-MSH-chim(NtGi1-Gs)/β1/γ2 7F4I-MC1-SHU9119-chim(NtGi1-Gs)/β1/γ2
32.14Consensusmc1_on_gpOrthosteric Ligand7F4H-MC1-Afamelanotide-chim(NtGi1-Gs)/β1/γ2 7F4D-MC1-α-MSH-chim(NtGi1-Gs)/β1/γ2 7F4I-MC1-SHU9119-chim(NtGi1-Gs)/β1/γ2
32.00Single4XT1CX3CL14XT1-US28-CX3CL1
32.00Single7XAUOctreotide7XAU-SST2-Octreotide-Gi1/β1/γ2
32.00Single8J6RMK68928J6R-HCA2-MK6892-Gi1/β1/γ2
32.00Single8K3ZCXCL128K3Z-CXCR4-CXCL12-Gi1/β1/γ1
32.00Single8WKYPG-9348WKY-MC4-PG-934
32.00Single8ZBJSomatostatin-148ZBJ-SST5-Somatostatin-14-Gi1/β1/γ2
32.00Single8ZJDKisspeptin-18ZJD-Kiss1-Kisspeptin-1-chim(NtGi1-Gq)/β1/γ1
32.00Single9BKJCholecystokinin-89BKJ-CCKA-Cholecystokinin-8-chim(NtGi1-Gs-CtGq)/β1/γ2
32.00Consensusgi_nucleotideOrthosteric Ligandgi_adenosine gi_p2y
32.00Consensusgq_kisspeptinOrthosteric Ligand8ZJD-Kiss1-Kisspeptin-1-chim(NtGi1-Gq)/β1/γ1
32.00Consensuskiss1_on_gpOrthosteric Ligand8ZJD-Kiss1-Kisspeptin-1-chim(NtGi1-Gq)/β1/γ1
32.00Consensuskisspeptin_on_gpOrthosteric Ligandkiss1_on_gp
32.00Consensusp2y_onOrthosteric Ligandp2y1_on p2y10_on p2y12_on
31.82Single4U15Tiotropium4U15-M3-Tiotropium
31.82Single5V54Methiothepin5V54-5-HT1B-Methiothepin
31.82Single5XR8AM120335XR8-CB1-AM12033
31.82Single5XRAAM115425XRA-CB1-AM11542
31.82Single6E59L-7607356E59-NK1-L-760735
31.82Single6OL9Tiotropium6OL9-M5-Tiotropium
31.82Single7F58THIQ7F58-MC4-THIQ-Gs/β1/γ2
31.82Single7FEECP559407FEE-CB1-CP55940-ZCZ011
31.82Single7PX4PSB-21137PX4-A2A-PSB-2113
31.82Single7TUYGSK682753A7TUY-GPR183-GSK682753A
31.82Single7XAVLanreotide7XAV-SST2-Lanreotide-Gi1/β1/γ2
31.82Single7Y24Octreotide7Y24-SST2-Octreotide-Go/β1/γ2
31.82Single8ID6Oleic acid8ID6-FFA4-Oleic acid-Gi1/β1/γ2
31.82Single8IHHLUF62838IHH-HCA2-LUF6283-Gi1/β1/γ2
31.82Single8JLPRalmitaront8JLP-TA1-Ralmitaront-Gs/β1/γ2
31.82Single8JSRAnamorelin8JSR-Ghrelin-Anamorelin-chim(NtGi1-Gs-CtGq)/β1/γ2
31.82Single8JXVClozapine8JXV-H4-Clozapine-Gi1/β1/γ2
31.82Single8JZPC5a8JZP-C5a1-C5a-Go/β1/γ2
31.82Single8YH6Namodenoson8YH6-A3A-Namodenoson-Gi1/β1/γ2
31.82Single9AYFCa; Ca; Ca; Cyclomethyltryptophan; R-568; PO49AYF-CaS; CaS-Ca-Ca; Ca; Ca; Cyclomethyltryptophan; R-568; PO4-Gi1/β1/γ2
31.82Single9EGOZ85267113509EGO-CB1-Z8526711350-Gi1/β1/γ2
31.82Single9UY3Anamorelin9UY3-Ghrelin-Anamorelin-chim(NtGi1-Gs-CtGq)/β1/γ2
31.82Consensus5ht1_offOrthosteric Ligand5ht1b_off
31.82Consensus5ht1b_offOrthosteric Ligand5V54-5-HT1B-Methiothepin
31.82Consensusm3_offOrthosteric Ligand4U15-M3-Tiotropium 4U16-M3-N-methyl-Scopolamine 5ZHP-M3-PubChem 134828589
31.82Consensusm5_offOrthosteric Ligand6OL9-M5-Tiotropium
31.82Consensusmuscarinic_offOrthosteric Ligandm2_off m3_off m4_off m5_off m1_off
31.82Consensusnpy_offOrthosteric Ligandnpy1_off npy2_off
31.82Consensustachykinin_offOrthosteric Ligandnk1_off
31.58Single3V2WPubChem 518926453V2W-S1P1-PubChem 51892645
31.58Single4S0VSuvorexant4S0V-OX2-Suvorexant
31.58Single5K2DZM-2413855K2D-A2A-ZM-241385-Na
31.58Single5OLHVipadenant5OLH-A2A-Vipadenant-Na
31.58Single5OLOTozadenant5OLO-A2A-Tozadenant-Na
31.58Single6JZHZM-2413856JZH-A2A-ZM-241385-Na
31.58Single6KUYPubChem 1457046436KUY-α2a-PubChem 145704643
31.58Single6ME2Ramelteon6ME2-MT1-Ramelteon
31.58Single6PS7ZM-2413856PS7-A2A-ZM-241385-Na
31.58Single6TPJSuvorexant6TPJ-OX2-Suvorexant
31.58Single6TQ6PubChem 1457142836TQ6-OX1-PubChem 145714283
31.58Single7EJ0Norepinephrine7EJ0-α2a-Norepinephrine-Go/β1/γ2
31.58Single7F8ULintitript7F8U-CCKA-Lintitript
31.58Single7LJDDopamine7LJD-D1-Dopamine-Mevidalen-Gs/β1/γ1
31.58Single7M3ECa; Ca; Tryptophan; NPS-21437M3E-CaS; CaS-Ca; Ca; Tryptophan; NPS-2143
31.58Single7M3ECa; Ca; Tryptophan; NPS-21437M3E-CaS; CaS-Ca; Ca; Tryptophan; NPS-2143
31.58Single7M3FCa; Ca; Tryptophan; Cinacalcet7M3F-CaS; CaS-Ca; Ca; Tryptophan; Cinacalcet
31.58Single7T6STC-FPR 437T6S-FPR2-ALX-TC-FPR 43-Gi1/β1/γ2
31.58Single7VIHCBP-3077VIH-S1P1-CBP-307-Gi1/β1/γ2
31.58Single7W0MPubChem 1227019087W0M-Apelin-PubChem 122701908-Gi1/β1/γ2
31.58Single7YM8Oxymetazoline7YM8-Alpha1A-Oxymetazoline-chim(Gs-CtGq)
31.58Single8DU3PubChem 1055260648DU3-A2A-PubChem 105526064
31.58Single8DWGML3828DWG-MRGPRX1-BAM8-22-ML382-chim(NtGi2L-Gs-CtGq)/β1/γ2
31.58Single8HDPAdenosine8HDP-A2B-Adenosine-Gs/β1/γ2
31.58Single8IJBAcipimox8IJB-HCA2-Acipimox-Gi1/β1/γ2
31.58Single8IW4Spermidine8IW4-TAA9-Spermidine-chim(NtGi1-Gs)/β1/γ2
31.58Single8IWESpermidine8IWE-TAA9-Spermidine
31.58Single8RW0Istradefylline8RW0-A2A-Istradefylline-Na
31.58Single8RW4AzoSwitch28RW4-A2A-AzoSwitch2-Na
31.58Single8RWEStilSwitch48RWE-A2A-StilSwitch4-Na
31.58Single8WC3SEP-3638568WC3-TA1-SEP-363856-chim(NtGi1-Gs)/β1/γ2
31.58Single8WOGSuccinic acid8WOG-Succinate-Succinic acid-Gi1/β1/γ2
31.58Single8WPGTryptophan; Cinacalcet; PO4; Ca8WPG-CaS; CaS-Tryptophan; Cinacalcet; PO4; Ca
31.58Single8Y0HVUF114188Y0H-CXCR3-VUF11418
31.58Single8Y0NVUF114188Y0N-CXCR3-VUF11418-Go/β1/γ2
31.58Single8YKXMaleic acid8YKX-Succinate-Maleic acid-Gi1/β1/γ1
31.58Single9FUPIstradefylline9FUP-A2A-Istradefylline-Na
31.58Single9JKXAcifran9JKX-HCA3-Acifran-Gi1/β1/γ2
31.58Single9KPESalicin9KPE-TAS2R16-Salicin-Gi1/β1/γ2
31.58Single9KVHCinobufotenine9KVH-5-HT1A-Cinobufotenine-PtdIns4P-Gi1/β1/γ2
31.58Single9LKDPL459LKD-OR5V1-PL45
31.58Single9LRBHistamine9LRB-H1-Histamine-Gs/β1/γ2
31.58Single9PXUNaloxone9PXU-μ-Naloxone-Na
31.58Single9VJ5Gepirone9VJ5-5-HT1A-Gepirone-Go/β1/γ2
31.58Single9W49U-50488H9W49-κ-U-50488H-Gi1/β1/γ2
31.58Consensusgi_succinateOrthosteric Ligand8YKW-Succinate-Succinic acid-Gi1/β1/γ1 8YKX-Succinate-Maleic acid-Gi1/β1/γ1
31.58Consensusgq_histamineOrthosteric Ligand7DFL-H1-Histamine-chim(NtGi1L-Gq)/β1/γ2
31.58Consensush1_on_gpOrthosteric Ligand7DFL-H1-Histamine-chim(NtGi1L-Gq)/β1/γ2
31.58Consensushistamine_onOrthosteric Ligandh1_on h2_on h3_on h4_on
31.58Consensushistamine_on_gpOrthosteric Ligandh1_on_gp h2_on_gp h3_on_gp h4_on_gp
31.58Consensuss1p1_offOrthosteric Ligand3V2W-S1P1-PubChem 51892645
31.58Consensussuccinate_onOrthosteric Ligand8YKW-Succinate-Succinic acid-Gi1/β1/γ1 8YKX-Succinate-Maleic acid-Gi1/β1/γ1
31.58Consensussuccinate_on_gpOrthosteric Ligand8YKW-Succinate-Succinic acid-Gi1/β1/γ1 8YKX-Succinate-Maleic acid-Gi1/β1/γ1
31.25Single7WC4Serotonin7WC4-5-HT2A-Serotonin
31.03Single8XQFApelin-138XQF-Apelin-Apelin-13-Gi1/β1/γ2
31.03Consensusnpy4_onOrthosteric Ligand7X9C-Y4-Pancreatic Hormone-Gi1/β1/γ2
31.03Consensusnpy4_on_gpOrthosteric Ligand7X9C-Y4-Pancreatic Hormone-Gi1/β1/γ2
30.77Single5XJM(Sar1,Ile8)-Angiotensin II5XJM-AT2-(Sar1,Ile8)-Angiotensin II
30.77Single6HLOAprepitant6HLO-NK1-Aprepitant
30.77Single7RKMCX3CL17RKM-US28-CX3CL1-Gi1/β1/γ2
30.77Single7WJ5Somatostatin-147WJ5-SST2-Somatostatin-14-Gi1/β1/γ2
30.77Single8F7QBeta-Endorphin8F7Q-μ-β-Endorphin-Gi1/β1/γ2
30.77Single8JZZC5a-des-Arg8JZZ-C5a1-C5a-des-Arg-Go/β1/γ2
30.77Single9IQSMuscarinic toxin 39IQS-M4-Muscarinic toxin 3
30.77Single9KT7MK68929KT7-HCA2-MK6892-Gi1/β1/γ2
30.77Single9KV6TLQP219KV6-C3aB-TLQP21-Go/β1/γ2
30.77Consensusghrelin_onOrthosteric Ligand7NA7-Ghrelin-Ghrelin-Gi1/β1/γ2 7F9Z-Ghrelin-GHRP-6-chim(NtGi1-Gs-CtGq)/β1/γ2 7NA8-Ghrelin-Ibutamoren-Gi1/β1/γ2
30.77Consensusghrelin_on_gpOrthosteric Ligand7NA7-Ghrelin-Ghrelin-Gi1/β1/γ2 7F9Z-Ghrelin-GHRP-6-chim(NtGi1-Gs-CtGq)/β1/γ2 7NA8-Ghrelin-Ibutamoren-Gi1/β1/γ2
30.43Single4OR2FITM4OR2-mGlu1; mGlu1-FITM
30.43Single5CXVTiotropium5CXV-M1-Tiotropium
30.43Single6C1RPMX536C1R-C5a1-PMX53-Avacopan; Na
30.43Single6KQICP559406KQI-CB1-CP55940-Org27569
30.43Single7EPENAM5637EPE-mGlu2-NAM563
30.43Single7EVYSiponimod7EVY-S1P1-Siponimod-Gi1/β1/γ2
30.43Single7K15MKD0467K15-BLT1-MKD046-Na
30.43Single7MTRADX551647MTR-mGlu2; mGlu2-Glutamate-ADX55164
30.43Single7W0LPubChem 1227019087W0L-Apelin; Apelin-PubChem 122701908-Gi1/β1/γ2
30.43Single7WCMMBX-29827WCM-GPR119-MBX-2982-Gs/β1/γ2
30.43Single7Y66BM2137Y66-C5a1-BM213-Gi1/β1/γ2
30.43Single8E9W2-Deoxycytidine8E9W-M3-2-Deoxycytidine-chim(NtGi2L-Gs-CtGq)/β1/γ2
30.43Single8G056-OAU8G05-GPR84-6-OAU-Gi1/β1/γ2
30.43Single8JWY2-1188JWY-A2A-2-118
30.43Single8T3QDoconexent8T3Q-FFA4-Doconexent-chim(NtGi2L-Gs-CtGq)/β1/γ2
30.43Single8VHFMBX-29828VHF-GPR119-MBX-2982-Gs/β1/γ2
30.43Single8X8NOctreotide8X8N-SST5-Octreotide-chim(NtGi1-Gs-CtGi1)/β1/γ2
30.43Single9EBIPiclidenoson9EBI-A3A-Piclidenoson-chim(NtGi1L-Gs-CtGi1)/β1/γ2
30.43Single9M8POleic monoethanolamide9M8P-GPR3 ; GPR3-Oleic monoethanolamide-AF64394
30.43Single9VIFNeuropeptide-VF9VIF-NPFF1-Neuropeptide-VF-Gi1/β1/γ2
30.43Consensuscannabinoid_offOrthosteric Ligandcb2_off cb1_off
30.43Consensusgi_muscarinicOrthosteric Ligand8E9X-M4-2-Deoxycytidine-chim(NtGi1-Go)/β1/γ2 7T8X-M2-Acetylcholine-chim(NtGi1-Go)/β1/γ2 7TRS-M4-Acetylcholine-Gi1/β1/γ2 7TRK-M4-Iperoxo-Gi1/β1/γ2 7V6A-M4-PubChem 9864275-Gi1/β1/γ2
30.43Consensusm1_offOrthosteric Ligand5CXV-M1-Tiotropium
30.43Consensusm4_onOrthosteric Ligand7TRS-M4-Acetylcholine-Gi1/β1/γ2 7V6A-M4-PubChem 9864275-Gi1/β1/γ2 8E9X-M4-2-Deoxycytidine-chim(NtGi1-Go)/β1/γ2 7TRK-M4-Iperoxo-Gi1/β1/γ2
30.43Consensusm4_on_gpOrthosteric Ligand7TRS-M4-Acetylcholine-Gi1/β1/γ2 7V6A-M4-PubChem 9864275-Gi1/β1/γ2 8E9X-M4-2-Deoxycytidine-chim(NtGi1-Go)/β1/γ2 7TRK-M4-Iperoxo-Gi1/β1/γ2
30.00Single2YDOAdenosine2YDO-A2A-Adenosine
30.00Single3REYPubChem 56973REY-A2A-PubChem 5697
30.00Single3RZECidoxepin3RZE-H1-Cidoxepin
30.00Single4MQTIperoxo4MQT-M2-Iperoxo-LY2119620
30.00Single4N6HNaltrindole4N6H-δ-Naltrindole-Na
30.00Single5IU4ZM-2413855IU4-A2A-ZM-241385-Na
30.00Single5IU7Q274563465IU7-A2A-Q27456346-Na
30.00Single5IUBQ274563445IUB-A2A-Q27456344-Na
30.00Single5JTBZM-2413855JTB-A2A-ZM-241385
30.00Single5K2BZM-2413855K2B-A2A-ZM-241385-Na
30.00Single5K2CZM-2413855K2C-A2A-ZM-241385-Na
30.00Single5NLXZM-2413855NLX-A2A-ZM-241385-Na
30.00Single5NM4ZM-2413855NM4-A2A-ZM-241385-Na
30.00Single6AQFZM-2413856AQF-A2A-ZM-241385
30.00Single6MH8ZM-2413856MH8-A2A-ZM-241385
30.00Single6PS82-Phenylmelatonin6PS8-MT1-2-Phenylmelatonin
30.00Single6PT0WIN 55212-26PT0-CB2-WIN 55212-2-Gi1/β1/γ2
30.00Single6WH4Methiothepin6WH4-5-HT2A-Methiothepin
30.00Single6WJCAtropine6WJC-M1-Atropine-Muscarinic toxin 7
30.00Single6ZDRHMS1413f126ZDR-A2A-HMS1413f12-Na
30.00Single6ZFZ77-LH-28-16ZFZ-M1-77-LH-28-1
30.00Single6ZG9GSK10347026ZG9-M1-GSK1034702
30.00Single7AROLUF58337ARO-A2A-LUF5833-Na
30.00Single7BB6AVP7BB6-V2-AVP-Gs/β1/γ2
30.00Single7CMVPD1289077CMV-D3-PD128907-Gi1/β1/γ2
30.00Single7F1ZDopamine7F1Z-D1-Dopamine-GDP-Gs/β1/γ2
30.00Single7F53Alpha-MSH7F53-MC4-α-MSH-Gs/β1/γ2
30.00Single7T32ZM-2413857T32-A2A-ZM-241385
30.00Single7VODCariprazine7VOD-5-HT2A-Cariprazine
30.00Single7XOVSR1461317XOV-CCKA-SR146131-Gs/β1/γ2
30.00Single7YK6PubChem 1383196747YK6-RXFP4-PubChem 138319674-Gi2/β1/γ2
30.00Single7YOONeuropeptide-Y7YOO-Y2-Neuropeptide-Y-Gi1/β1/γ2
30.00Single8FCZ11-cis-Retinal8FCZ-Rhodopsin-11-cis-Retinal
30.00Single8GUQOlorinab8GUQ-CB2-Olorinab-Gi1/β1/γ2
30.00Single8JEIPubChem 117155568JEI-HCAR3-PubChem 11715556-Gi1/β1/γ2
30.00Single8JERAcipimox8JER-HCA2-Acipimox-Go/β1/γ2
30.00Single8JLKUlotaront8JLK-TA1-Ulotaront-chim(NtGi1-Gs)/β1/γ2
30.00Single8K5CAcipimox8K5C-HCA2-Acipimox
30.00Single8RLNLUF58348RLN-A2A-LUF5834
30.00Single8RQQZM-2413858RQQ-A2A-ZM-241385-Na
30.00Single8RWCStilSwitch28RWC-A2A-StilSwitch2-Na
30.00Single8RWDStilSwitch38RWD-A2A-StilSwitch3-Na
30.00Single8RWIStilSwitch28RWI-A2A-StilSwitch2-Na
30.00Single8UHBRO52563908UHB-TA1-RO5256390-Gs/β1/γ2
30.00Single8W8BSEP-3638568W8B-5-HT1A-SEP-363856-Gi1/β1/γ2
30.00Single8WPGTryptophan; Cinacalcet; PO4; Ca8WPG-CaS; CaS-Tryptophan; Cinacalcet; PO4; Ca
30.00Single8WPUTryptophan; Cinacalcet; PO4; Ca8WPU-CaS; CaS-Tryptophan; Cinacalcet; PO4; Ca-chim(NtGi2L-Gs-CtGq)/β1/γ2
30.00Single8WWLMCH8WWL-MCH1-MCH-Gi1/β1/γ2
30.00Single8Y6YGLPG09748Y6Y-FFA2-GLPG0974
30.00Single8ZMGPimavanserin8ZMG-5-HT2A-Pimavanserin
30.00Single9AS8Psilocin9AS8-5-HT2A-Psilocin-chim(NtGi2L-Gs-CtGq)/β1/γ2
30.00Single9ASBCa; Ca; Cyclomethyltryptophan; R-568; PO49ASB-CaS; CaS-Ca-Ca; Ca; Cyclomethyltryptophan; R-568; PO4-chim(NtGi1-Gs-CtGq)/β1/γ2
30.00Single9ASBCa; Ca; Cyclomethyltryptophan; R-568; PO49ASB-CaS; CaS-Ca-Ca; Ca; Cyclomethyltryptophan; R-568; PO4-chim(NtGi1-Gs-CtGq)/β1/γ2
30.00Single9AVGCa; Ca; Cyclomethyltryptophan; R-568; PO49AVG-CaS; CaS-Ca-Ca; Ca; Cyclomethyltryptophan; R-568; PO4-chim(NtGi1-Gs)/β1/γ2
30.00Single9EPQ11,20-Ethanoretinal9EPQ-Rhodopsin-11,20-Ethanoretinal-chim(Gi1-CtGq)/β1/γ2
30.00Single9JH3CMF-0199JH3-Apelin; Apelin-CMF-019-Gi1/β1/γ2
30.00Single9JKYAcifran9JKY-HCA2-Acifran-Gi1/β1/γ2
30.00Single9K1DButyric acid9K1D-FFA2-Butyric acid-Gi1/β1/γ2
30.00Single9KPDSalicin9KPD-TAS2R16-Salicin-chim(Gs-CtGt3)/β1/γ2
30.00Single9KVIBufotenin9KVI-5-HT1A-Bufotenin-PtdIns4P-Gi1/β1/γ2
30.00Single9LKBPL459LKB-OR5V1-PL45-chim(NtGi1-Gs)/β1
30.00Single9P1TZM-2413859P1T-A2A-ZM-241385
30.00Single9U80Conivaptan9U80-V2-Conivaptan
30.00Consensusa2_offOrthosteric Liganda2a_off
30.00Consensusa2a_offOrthosteric Ligand3RFM-A2A-Caffeine 8C9W-A2A-Etrumadenant 3UZA-A2A-GTPL9236 8GNG-A2A-Istradefylline 8CU6-A2A-LJ-4517 7PX4-A2A-PSB-2113 7PYR-A2A-PSB-2115 8DU3-A2A-PubChem 105526064 8JWY-A2A-2-118 8PWN-A2A-Theophylline 5IU4-A2A-ZM-241385-Na 5OLZ-A2A-PubChem 135566609-Na 6GT3-A2A-Imaradenant-Na 5OLV-A2A-LUAA47070-Na 5N2R-A2A-PSB36-Na 5IU7-A2A-Q27456346-Na 5OLH-A2A-Vipadenant-Na 5OLO-A2A-Tozadenant-Na 6ZDR-A2A-HMS1413f12-Na 8GNE-A2A-KW-6356-Na 8JWZ-A2A-Etrumadenant-Na 5IU8-A2A-Q27456347-Na 5IUB-A2A-Q27456344-Na 6ZDV-A2A-PubChem 984073-Na 5IUA-A2A-Q27456348-Na 8A2P-A2A-LUAA47070-Na
30.00Consensusat1_offOrthosteric Ligand4YAY-AT1-ZD-7155 4ZUD-AT1-Olmesartan
30.00Consensusghrelin_offOrthosteric Ligand6KO5-Ghrelin-PubChem 57400002 7F83-Ghrelin-PF-05190457
30.00Consensusnpy2_onOrthosteric Ligand7YOO-Y2-Neuropeptide-Y-Gi1/β1/γ2
30.00Consensusnpy2_on_gpOrthosteric Ligand7YOO-Y2-Neuropeptide-Y-Gi1/β1/γ2
29.63Single6W25SHU91196W25-MC4-SHU9119-Ca
29.63Single8K6NNeuropeptide-Y8K6N-Y2-Neuropeptide-Y-Gi2/β1/γ1
29.63Single8WKZSBL-MC-318WKZ-MC4-SBL-MC-31
29.63Single8XZHMM078XZH-Apelin; Apelin-MM07-Gi1/β1/γ2
29.63Single9M1ONeuropeptide-FF9M1O-NPFF2-Neuropeptide-FF-Gi1/β1/γ2
29.63Consensusc5a1_onOrthosteric Ligand8HK5-C5a1-C5a-Gi1/β1/γ2 7Y66-C5a1-BM213-Gi1/β1/γ2 7Y67-C5a1-C089 peptide-Gi1/β1/γ2 7Y64-C5a1-C5a-Gi1/β1/γ2
29.63Consensuscckb_on_gpOrthosteric Ligand8IA7-CCKB-Cholecystokinin-8-chim(NtGi1L-Gq)/β1/γ2 7XOW-CCKB-Sulfated Gastrin-(10-17)-chim(NtGi1-Gq)/β1/γ2 7F8V-CCKB-Gastrin-17-Gi2/β1/γ2
29.63Consensuscxcr4_on_gpOrthosteric Ligand8K3Z-CXCR4-CXCL12-Gi1/β1/γ1
29.41Single3OE8IT1t3OE8-CXCR4-IT1t
29.41Single3RFMCaffeine3RFM-A2A-Caffeine
29.41Single8A2OTheophylline8A2O-A2A-Theophylline-Na
29.41Single8DPHLorcaserin8DPH-5-HT2C-Lorcaserin-chim(NtGi2L-Gs-CtGq)/β1/γ2
29.41Single8GEIConstrained Epinephrine8GEI-β2-Constrained Epinephrine-Gs/β1/γ2
29.41Single8IWM2-Phenylethylamine8IWM-TAA9-2-Phenylethylamine
29.41Single8Z8ALactate8Z8A-HCA1-Lactate-Gi1/β1/γ2
29.41Single9EE9Adenosine9EE9-A2A-Adenosine-Gs/β1/γ2
29.41Single9L0HJR14a9L0H-C3aB-JR14a-Go/β1/γ2
29.41Consensusclass-a_class-b1_cons_on_gpOrthosteric Ligandclass-a_on_gp class-b1_on_gp
29.17Single4OR2FITM4OR2-mGlu1; mGlu1-FITM
29.17Single6KPGAM8416KPG-CB1-AM841-Gi1/β1/γ2
29.17Single7EZHCholecystokinin-87EZH-CCKA-Cholecystokinin-8-Gi1/β1/γ2
29.17Single7EZMCholecystokinin-87EZM-CCKA-Cholecystokinin-8-chim(NtGsL-Gq)/β1/γ2
29.17Single7P00Substance-P7P00-NK1-Substance-P-chim(NtGi1-Gs-CtGq)/β1/γ2
29.17Single7Y27Somatostatin-147Y27-SST2-Somatostatin-14-chim(NtGi2L-Gs-CtGq)/β1/γ2
29.17Single8IYSTUG-8918IYS-FFA4-TUG-891-GDP-chim(NtGi1L-Gq)/β1/γ2
29.17Single9EAILosartan9EAI-AT1-Losartan-Nanobody AT209
29.17Single9KV8TLQP219KV8-C3aB-TLQP21-Go/β1/γ2
29.17Single9KWXC5a-des-Arg9KWX-C5a1-C5a-des-Arg-Go/β1/γ2
29.17Single9VI9RFRP-39VI9-NPFF1-RFRP-3-Gi1/β1/γ2
29.17Consensusccka_onOrthosteric Ligand7EZH-CCKA-Cholecystokinin-8-Gi1/β1/γ2
29.17Consensusccka_on_gpOrthosteric Ligand7EZH-CCKA-Cholecystokinin-8-Gi1/β1/γ2
29.17Consensuschemerin_onOrthosteric Ligandcml1_on
29.17Consensusnk1_onOrthosteric Ligand7P00-NK1-Substance-P-chim(NtGi1-Gs-CtGq)/β1/γ2
29.17Consensusnk1_on_gpOrthosteric Ligand7P00-NK1-Substance-P-chim(NtGi1-Gs-CtGq)/β1/γ2
29.17Consensusprostanoid_offOrthosteric Ligandep_off dp_off
29.03Single8IY6Endothelin-18IY6-ETB-Endothelin-1
29.03Single8KGGLysophosphatidylserine (WJS)8KGG-P2Y10-Lysophosphatidylserine (WJS)-chim(NtGi2-G13)/β1/γ2
28.57Single1HZX11-cis-Retinal1HZX-Rhodopsin-11-cis-Retinal
28.57Single3EMLZM-2413853EML-A2A-ZM-241385
28.57Single4DAJTiotropium4DAJ-M3-Tiotropium
28.57Single4EIYZM-2413854EIY-A2A-ZM-241385-Na
28.57Single4MQSIperoxo4MQS-M2-Iperoxo
28.57Single4U14Tiotropium4U14-M3-Tiotropium
28.57Single4U16N-methyl-Scopolamine4U16-M3-N-methyl-Scopolamine
28.57Single4X1HNonyl-Beta-D-Glucopyranoside4X1H-Rhodopsin-Nonyl-β-D-Glucopyranoside-Gt(CT)
28.57Single4YAYZD-71554YAY-AT1-ZD-7155
28.57Single5IU8Q274563475IU8-A2A-Q27456347-Na
28.57Single5K2AZM-2413855K2A-A2A-ZM-241385-Na
28.57Single5NDDAZ8838; Na5NDD-PAR2-AZ8838; Na
28.57Single5OLGZM-2413855OLG-A2A-ZM-241385-Na
28.57Single5UENDU1725UEN-A1-DU172
28.57Single5VRAZM-2413855VRA-A2A-ZM-241385-Na
28.57Single5YC8N-methyl-Scopolamine5YC8-M2-N-methyl-Scopolamine
28.57Single5ZK8N-methyl-Scopolamine5ZK8-M2-N-methyl-Scopolamine
28.57Single5ZKCN-methyl-Scopolamine5ZKC-M2-N-methyl-Scopolamine
28.57Single6D27CAY104716D27-DP2-CAY10471
28.57Single6LPJZM-2413856LPJ-A2A-ZM-241385-Na
28.57Single6LPKZM-2413856LPK-A2A-ZM-241385-Na
28.57Single6S0LZM-2413856S0L-A2A-ZM-241385
28.57Single6Z10PubChem 1545855546Z10-Succinate-PubChem 154585554
28.57Single7DB6Ramelteon7DB6-MT1-Ramelteon-Gi1/β1/γ2
28.57Single7F4HAfamelanotide7F4H-MC1-Afamelanotide-chim(NtGi1-Gs)/β1/γ2
28.57Single7M3JNPS-2143; PO47M3J-CaS; CaS-NPS-2143; PO4
28.57Single7NA8Ibutamoren7NA8-Ghrelin-Ibutamoren-Gi1/β1/γ2
28.57Single7PYRPSB-21157PYR-A2A-PSB-2115
28.57Single7TRPIperoxo7TRP-M4-Iperoxo-LY2033298-Gi1/β1/γ2
28.57Single7WC8Lumateperone7WC8-5-HT2A-Lumateperone
28.57Single7YK7DC5910537YK7-RXFP4-DC591053-Gi2/β1/γ2
28.57Single8I7VAcipimox8I7V-HCA2-Acipimox-Gi1/β1/γ2
28.57Single8IEDPubChem 1347468948IED-GPR156; GPR156-PubChem 134746894-Go/β1/γ2
28.57Single8JHNMonomethyl fumarate8JHN-HCA2-Monomethyl fumarate-Go/β1/γ2
28.57Single8KEXDCA-3P8KEX-MRGPRX4-DCA-3P
28.57Single8RWXStilSwitch38RWX-A2A-StilSwitch3-Na
28.57Single8X8LCortistatin-148X8L-SST5-Cortistatin-14-chim(NtGi1-Gs-CtGi1)/β1/γ2
28.57Single8XZJWN3538XZJ-Apelin; Apelin-WN353-Gi1/β1/γ2
28.57Single8YH5Riboprine8YH5-A3A-Riboprine-Gi1/β1/γ2
28.57Single8YN8Proxyfan8YN8-H3-Proxyfan-Go/β1/γ2
28.57Single8ZQEGPR15L(CT)8ZQE-GPR15-GPR15L(CT)-Gi1/β1/γ1
28.57Single9AVGCa; Ca; Cyclomethyltryptophan; R-568; PO49AVG-CaS; CaS-Ca-Ca; Ca; Cyclomethyltryptophan; R-568; PO4-chim(NtGi1-Gs)/β1/γ2
28.57Single9IZCMK19039IZC-HCA2-MK1903-Gi1/β1/γ2
28.57Single9JEAAtropine9JEA-M1-Atropine
28.57Single9P1SZM-2413859P1S-A2A-ZM-241385
28.57Single9UAZAtropine9UAZ-M1-Atropine
28.57Consensusapelin_onOrthosteric Ligand8XZH-Apelin; Apelin-MM07-Gi1/β1/γ2 7W0M-Apelin-PubChem 122701908-Gi1/β1/γ2 8XZJ-Apelin; Apelin-WN353-Gi1/β1/γ2 8XZF-Apelin; Apelin-WN561-Gi1/β1/γ2 8XZG-Apelin; Apelin-Apelin-13-Gi1/β1/γ2
28.57Consensusapelin_on_gpOrthosteric Ligand8XZH-Apelin; Apelin-MM07-Gi1/β1/γ2 7W0M-Apelin-PubChem 122701908-Gi1/β1/γ2 8XZJ-Apelin; Apelin-WN353-Gi1/β1/γ2 8XZF-Apelin; Apelin-WN561-Gi1/β1/γ2 8XZG-Apelin; Apelin-Apelin-13-Gi1/β1/γ2
28.57Consensusgq_amineOrthosteric Ligandgq_muscarinic gq_histamine
28.57Consensusnucleotide_offonOrthosteric Ligandnucleotide_off nucleotide_on
28.57Consensusnucleotide_offon_gpOrthosteric Ligandnucleotide_on_gp nucleotide_off
28.57Consensusp2y_on_gpOrthosteric Ligandp2y1_on_gp p2y10_on_gp p2y12_on_gp
28.57Consensusprotein_offonOrthosteric Ligandprotein_off protein_on
28.57Consensusprotein_offon_gpOrthosteric Ligandprotein_on_gp protein_off
28.12Single8U1UCCL18U1U-CCR8-CCL1-Gi1/β1/γ2
28.12Consensusclass-a_class-b1_cons_onOrthosteric Ligandclass-a_on class-b1_on
28.12Consensusgi_npyOrthosteric Ligand8K6M-Y1-Neuropeptide-Y-Gi2/β1/γ1 7X9C-Y4-Pancreatic Hormone-Gi1/β1/γ2 7YOO-Y2-Neuropeptide-Y-Gi1/β1/γ2
28.12Consensusnpy_onOrthosteric Ligandnpy1_on npy2_on npy4_on
28.12Consensusnpy_on_gpOrthosteric Ligandnpy1_on_gp npy2_on_gp npy4_on_gp
28.00Single6OMMWKYMVX6OMM-FPR2-ALX-WKYMVX-Gi1/β1/γ2
28.00Single7RMGSubstance-P7RMG-NK1-Substance-P-chim(Gs-CtGq)/β1/γ2
28.00Single7RMHSubstance-P7RMH-NK1-Substance-P-Gs/β1/γ2
28.00Single7S8LCortistatin-147S8L-MRGPRX2-Cortistatin-14-chim(NtGi2L-Gs-CtGq)/β1/γ2
28.00Single7XBXCX3CL17XBX-CX3CR1-CX3CL1-Gi1/β1/γ2
28.00Single7YAEOctreotide7YAE-SST2-Octreotide-Gi1/β1/γ2
28.00Single8H4IDoconexent8H4I-FFA4-Doconexent-chim(NtGi1-Gs)/β1/γ2
28.00Single8JBFSenktide8JBF-NK3-Senktide-chim(NtGi1-Gs-CtGq)/β1/γ2
28.00Consensuscxcr_on_gpOrthosteric Ligandcxcr3_on_gp cxcr4_on_gp cxcr1_on_gp cxcr2_on_gp
27.78Single3OE6IT1t3OE6-CXCR4-IT1t
27.78Single3UZAGTPL92363UZA-A2A-GTPL9236
27.78Single5WKTOctyl-Beta-D-Glucopyranoside5WKT-Rhodopsin-Octyl-β-D-Glucopyranoside-Gt(CT)
27.78Single6FUFAll-trans-Retinal6FUF-Rhodopsin-All-trans-Retinal-Go
27.78Single6ME5Agomelatine6ME5-MT1-Agomelatine
27.78Single8DPILorcaserin8DPI-5-HT2C-Lorcaserin-chim(NtGi2L-Gs-CtGq)/β1/γ2
27.78Single8IW72-Phenylethylamine8IW7-TAA9-2-Phenylethylamine-chim(NtGi1-Gs)/β1/γ2
27.78Single8J21Butyric acid8J21-FFA3-Butyric acid-Gi1/β1/γ2
27.78Single8J6QBeta-Hydroxybutyrate8J6Q-HCA2-β-Hydroxybutyrate-PubChem 25101223-Gi1/β1/γ2
27.78Single8WC62-Phenylethylamine8WC6-TA1-2-Phenylethylamine-chim(NtGi1-Gs)/β1/γ2
27.78Single8Y63C20:0 Ceramide8Y63-FPR2-ALX-C20:0 Ceramide-Gi1/β1/γ2
27.78Single8YN9Histamine8YN9-H4-Histamine-Gi1/β1/γ2
27.78Single8YUUHistamine8YUU-H3-Histamine-Gi1/β1/γ1
27.78Single9IV15alpha-DHT9IV1-ADGRD1-5α-DHT-chim(NtGi1-Gs)/β1/γ2
27.78Single9LL7DOI9LL7-5-HT2A-DOI-Gi1/β1/γ2
27.78Single9LRCHistamine9LRC-H4-Histamine
27.78Single9LREHistamine9LRE-H4-Histamine-Gi1/β1/γ2
27.78Consensusffa3_onOrthosteric Ligand8J21-FFA3-Butyric acid-Gi1/β1/γ2
27.78Consensusffa3_on_gpOrthosteric Ligand8J21-FFA3-Butyric acid-Gi1/β1/γ2
27.78Consensush3_onOrthosteric Ligand8YUU-H3-Histamine-Gi1/β1/γ1
27.78Consensush3_on_gpOrthosteric Ligand8YUU-H3-Histamine-Gi1/β1/γ1
27.59Single7F6IKallidin7F6I-BK2-Kallidin-Gq/β1/γ2
27.59Single7XV3Lysophosphatidylserine (WJS)7XV3-GPR174-Lysophosphatidylserine (WJS)-chim(NtGi1-Gs)/β1/γ2
27.59Single8E3ZVIP8E3Z-VPAC1-VIP-Gs/β1/γ2
27.59Consensuschemokine_on_gpOrthosteric Ligandccr_on_gp cxcr_on_gp
27.59Consensusgi_apelinOrthosteric Ligand8XZH-Apelin; Apelin-MM07-Gi1/β1/γ2 7W0M-Apelin-PubChem 122701908-Gi1/β1/γ2 8XZJ-Apelin; Apelin-WN353-Gi1/β1/γ2 8XZF-Apelin; Apelin-WN561-Gi1/β1/γ2 8XZG-Apelin; Apelin-Apelin-13-Gi1/β1/γ2
27.59Consensusgi_chemokineOrthosteric Ligand6WWZ-CCR6-CCL20-Go/β1/γ2 8HNK-CXCR3-CXCL11-Gi1/β1/γ2 8K3Z-CXCR4-CXCL12-Gi1/β1/γ1 8IC0-CXCR1-CXCL8-Gi1/β1/γ2 6LFM-CXCR2-CXCL8-Gi1/β1/γ2 8KFX-CCR8-LMD-009-Gi1/β1/γ2 7F1Q-CCR5-CCL3-Gi1/β1/γ2 8HNL-CXCR3-PS372424-Gi1/β1/γ2 8KFY-CCR8-ZK-756326-Gi1/β1/γ2 7O7F-CCR5-6P4-CCL5-Gi1/β1/γ1 8U1U-CCR8-CCL1-Gi1/β1/γ2 7VLA-CCR1-CCL15(27-92)-Gi1/β1/γ2 7XA3-CCR2-CCL2-Gi1/β1/γ2
27.27Single4WW3All-trans-Retinal4WW3-Rhodopsin-All-trans-Retinal
27.27Single5IUAQ274563485IUA-A2A-Q27456348-Na
27.27Single5N2RPSB365N2R-A2A-PSB36-Na
27.27Single5N2SPSB365N2S-A1-PSB36
27.27Single5ZK33-quinuclidinyl-benzilate5ZK3-M2-3-quinuclidinyl-benzilate
27.27Single6HLPNetupitant6HLP-NK1-Netupitant
27.27Single6KPCAM120336KPC-CB2-AM12033
27.27Single6LPLZM-2413856LPL-A2A-ZM-241385-Na
27.27Single6S0QZM-2413856S0Q-A2A-ZM-241385
27.27Single6WQAZM-2413856WQA-A2A-ZM-241385-Na
27.27Single7EPFNAM5977EPF-mGlu2-NAM597
27.27Single7EUOfMLF7EUO-FPR1-ALX-fMLF-Gi1/β1/γ2
27.27Single7M3JNPS-2143; PO47M3J-CaS; CaS-NPS-2143; PO4
27.27Single7RM5ZM-2413857RM5-A2A-ZM-241385-Na
27.27Single7SINNPS-21437SIN-CaS; CaS-NPS-2143
27.27Single7SINNPS-21437SIN-CaS; CaS-NPS-2143
27.27Single7TRKIperoxo7TRK-M4-Iperoxo-Gi1/β1/γ2
27.27Single7VUHJNJ-635330547VUH-GPR139-JNJ-63533054-chim(Gs-CtGq)/β1/γ2
27.27Single7Y26Octreotide7Y26-SST2-Octreotide-chim(NtGi2L-Gs-CtGq)/β1/γ2
27.27Single8E9ZIperoxo8E9Z-M3-Iperoxo-chim(NtGi2L-Gs-CtGq)/β1/γ2
27.27Single8FYNZM-2413858FYN-A2A-ZM-241385-Na
27.27Single8GNEKW-63568GNE-A2A-KW-6356-Na
27.27Single8J18(3R)-3-Hydroxydodecanoic acid8J18-GPR84-(3R)-3-Hydroxydodecanoic acid-Gi1/β1/γ2
27.27Single8QOTNanobody-E8QOT-μ-Nanobody-E
27.27Single8TH4Losartan8TH4-AT1-Losartan-AT118-L Nanobody
27.27Single9AYFCa; Ca; Ca; Cyclomethyltryptophan; R-568; PO49AYF-CaS; CaS-Ca-Ca; Ca; Ca; Cyclomethyltryptophan; R-568; PO4-Gi1/β1/γ2
27.27Single9EAHOlmesartan9EAH-AT1-Olmesartan-Nanobody AT209
27.27Single9ERXD9-THC analog9ERX-CB1-D9-THC analog-Gi1/β1/γ2
27.27Single9GE2ML1849GE2-GPR55-ML184-chim(NtGi1-G13)/β1/γ2
27.27Single9JKSPubChem 442501769JKS-HCA3-PubChem 44250176-Gi1/β1/γ2
27.27Single9KO4CCL219KO4-CCR7-CCL21-Gi1/β1/γ2
27.27Single9KPFSalicin9KPF-TAS2R16-Salicin-Gi1/β1/γ2
27.27Consensusa1_offOrthosteric Ligand5UEN-A1-DU172 5N2S-A1-PSB36
27.27Consensusm2_offOrthosteric Ligand5ZKC-M2-N-methyl-Scopolamine 5ZK3-M2-3-quinuclidinyl-benzilate 5ZKB-M2-AF-DX 384
27.27Consensusm3_onOrthosteric Ligand8E9Z-M3-Iperoxo-chim(NtGi2L-Gs-CtGq)/β1/γ2 8E9W-M3-2-Deoxycytidine-chim(NtGi2L-Gs-CtGq)/β1/γ2 8E9Y-M3-Clozapine-N-oxide-chim(NtGi2L-Gs-CtGq)/β1/γ2
27.27Consensusm3_on_gpOrthosteric Ligand8E9Z-M3-Iperoxo-chim(NtGi2L-Gs-CtGq)/β1/γ2 8E9W-M3-2-Deoxycytidine-chim(NtGi2L-Gs-CtGq)/β1/γ2 8E9Y-M3-Clozapine-N-oxide-chim(NtGi2L-Gs-CtGq)/β1/γ2
27.27Consensusmelanocortin_onOrthosteric Ligandmc1_on mc4_on mc2_on mc3_on mc5_on
27.27Consensusmelanocortin_on_gpOrthosteric Ligandmc1_on_gp mc4_on_gp mc2_on_gp mc3_on_gp mc5_on_gp
27.27Consensusrxfp4_onOrthosteric Ligand7YK7-RXFP4-DC591053-Gi2/β1/γ2 7YJ4-RXFP4-INSL5-Gi2/β1/γ2 7YK6-RXFP4-PubChem 138319674-Gi2/β1/γ2
27.27Consensusrxfp4_on_gpOrthosteric Ligand7YK7-RXFP4-DC591053-Gi2/β1/γ2 7YJ4-RXFP4-INSL5-Gi2/β1/γ2 7YK6-RXFP4-PubChem 138319674-Gi2/β1/γ2
27.27Consensuss1p_offOrthosteric Ligands1p1_off s1p5_off
26.92Single6WIVPubChem 52923113; PubChem 529246456WIV-GABAB1, GABAB2-PubChem 52923113; PubChem 52924645
26.92Single7F54Afamelanotide7F54-MC4-Afamelanotide-Gs/β1/γ2
26.92Single7T6UCGEN-855A7T6U-FPR2-ALX-CGEN-855A-Gi1/β1/γ2
26.92Single7WICSomatostatin-147WIC-SST2-Somatostatin-14-Gi1/β1/γ2
26.92Single8IEBPubChem 1347468948IEB-GPR156; GPR156-PubChem 134746894
26.92Single8IZBLysophosphatidylserine (UBL)8IZB-GPR174-Lysophosphatidylserine (UBL)-Gs/β1/γ2
26.92Single8XBHPubChem 1626566368XBH-GPR34-PubChem 162656636-Gi1/β1/γ2
26.92Single8XGMChemerin8XGM-CML2-Chemerin-Gi1/β1/γ2
26.92Single9L3YChemerin9L3Y-CML2-Chemerin-Gi1/β1/γ2
26.92Consensuscxcr4_onOrthosteric Ligand8K3Z-CXCR4-CXCL12-Gi1/β1/γ1
26.92Consensusmc4_onOrthosteric Ligand7AUE-MC4-Setmelanotide-chim(NtGi1L-Gs)/β1/γ2 7F58-MC4-THIQ-Gs/β1/γ2 7F54-MC4-Afamelanotide-Gs/β1/γ2 7F53-MC4-α-MSH-Gs/β1/γ2 7F55-MC4-Bremelanotide-Gs/β1/γ2
26.92Consensusnk3_onOrthosteric Ligand8JBF-NK3-Senktide-chim(NtGi1-Gs-CtGq)/β1/γ2
26.92Consensusnk3_on_gpOrthosteric Ligand8JBF-NK3-Senktide-chim(NtGi1-Gs-CtGq)/β1/γ2
26.92Consensussst5_onOrthosteric Ligand8X8L-SST5-Cortistatin-14-chim(NtGi1-Gs-CtGi1)/β1/γ2 8X8N-SST5-Octreotide-chim(NtGi1-Gs-CtGi1)/β1/γ2
26.67Single4XT3CX3CL14XT3-US28-CX3CL1
26.67Single5UIW5P7-CCL55UIW-CCR5-5P7-CCL5
26.67Single7RGPTirzepatide7RGP-GLP-1-Tirzepatide-chim(NtGi1-Gs)/β1/γ2
26.67Single9KFKRelaxin-39KFK-RXFP4-Relaxin-3-Gi2/β1/γ2
26.67Consensusccr5_offOrthosteric Ligand5UIW-CCR5-5P7-CCL5
26.47Consensuscrf_on_gpOrthosteric Ligandcrf2_on_gp crf1_on_gp
26.32Single5TE520-Methanoretinal5TE5-Rhodopsin-20-Methanoretinal
26.32Single6I9K9-cis-Retinal6I9K-Rhodopsin-9-cis-Retinal
26.32Single7DFLHistamine7DFL-H1-Histamine-chim(NtGi1L-Gq)/β1/γ2
26.32Single7XP6Strychnine7XP6-TAS2R46-Strychnine-chim(Gs-CtGt3)/β1/γ2
26.32Single7YFCHistamine7YFC-H4-Histamine-chim(NtGi1-Gs-CtGq)/β1/γ2
26.32Single8H2GNiacin8H2G-HCA2-Niacin-Gi1/β1/γ2
26.32Single8K5BNiacin8K5B-HCA2-Niacin
26.32Single8RWHStilSwitch28RWH-A2A-StilSwitch2-Na
26.32Single8W892-Phenylethylamine8W89-TA1-2-Phenylethylamine-chim(NtGi1L-Gs)/β1/γ2
26.32Single8YKWSuccinic acid8YKW-Succinate-Succinic acid-Gi1/β1/γ1
26.32Single8YN2Histamine8YN2-H1-Histamine-chim(NtGi1L-Gs-CtGq)/β1/γ2
26.32Single8YN5Histamine8YN5-H3-Histamine-Gi1/β1/γ2
26.32Single8YN6Imetit8YN6-H3-Imetit-Gi1/β1/γ2
26.32Single8YN7Immethridine8YN7-H3-Immethridine-Go/β1/γ2
26.32Single9AS7Psilocin9AS7-5-HT2A-Psilocin
26.32Single9IZDCHBA9IZD-HCA1-CHBA-Gi1/β1/γ2
26.32Single9JEDHistamine9JED-H4-Histamine-PO4-Gi1/β1/γ2
26.32Single9JEQHistamine9JEQ-H3-Histamine-Gi1/β1/γ2
26.32Single9L42Histamine9L42-H4-Histamine-Gi1/β1/γ2
26.32Consensush1_onOrthosteric Ligand7DFL-H1-Histamine-chim(NtGi1L-Gq)/β1/γ2
26.09Single3UON3-quinuclidinyl-benzilate3UON-M2-3-quinuclidinyl-benzilate
26.09Single5ZHPPubChem 1348285895ZHP-M3-PubChem 134828589
26.09Single6N4BMDMB-Fubinaca6N4B-CB1-MDMB-Fubinaca-Gi1/β1/γ2
26.09Single7EW4CYM-55417EW4-S1P3-CYM-5541-Gi1/β1/γ2
26.09Single7R0CAVP7R0C-V2-AVP-Arrestin2
26.09Single7TRQIperoxo7TRQ-M4-Iperoxo-VU0467154-Gi1/β1/γ2
26.09Single7WVXHumanin7WVX-FPR2-ALX-Humanin-Gi2/β1/γ2
26.09Single7XOWSulfated Gastrin-(10-17)7XOW-CCKB-Sulfated Gastrin-(10-17)-chim(NtGi1-Gq)/β1/γ2
26.09Single7XTQR3997XTQ-GPBA-R399-Gs/β1/γ2
26.09Single7Y67C089 peptide7Y67-C5a1-C089 peptide-Gi1/β1/γ2
26.09Single8EA0Iperoxo8EA0-M3-Iperoxo
26.09Single8GUSHU-3088GUS-CB2-HU-308-Gi1/β1/γ2
26.09Single8HQCC5a8HQC-C5a1-C5a-Go/β1/γ2
26.09Single8IYHMK68928IYH-HCA2-MK6892-Go/β1/γ2
26.09Single8JXWVUF68848JXW-H4-VUF6884-Gi1/β1/γ2
26.09Single8JXXClobenpropit8JXX-H4-Clobenpropit-Gi1/β1/γ2
26.09Single8X16Piclidenoson8X16-A3A-Piclidenoson-Gi1/β1/γ2
26.09Single8XZICMF-0198XZI-Apelin; Apelin-CMF-019-Gi1/β1/γ2
26.09Single9ASTLymphotactin9AST-XCR1-Lymphotactin-Gi1/β1/γ2
26.09Single9KUXCMPD6449KUX-Apelin; Apelin-CMPD644-Arrestin2
26.09Single9L16CCL219L16-CCR7-CCL21
26.09Consensuscyslt1_offOrthosteric Ligand6RZ5-CysLT1-Zafirlukast-Na 6RZ4-CysLT1-Pranlukast-Na
26.09Consensusgi_relaxinOrthosteric Ligand7YK7-RXFP4-DC591053-Gi2/β1/γ2 7YJ4-RXFP4-INSL5-Gi2/β1/γ2 7YK6-RXFP4-PubChem 138319674-Gi2/β1/γ2
26.09Consensush4_on_gpOrthosteric Ligand8HN8-H4-Histamine-Gi1/β1/γ2 8HOC-H4-Imetit-Gi1/β1/γ2 8JXV-H4-Clozapine-Gi1/β1/γ2 8JXW-H4-VUF6884-Gi1/β1/γ2 8JXX-H4-Clobenpropit-Gi1/β1/γ2
26.09Consensusmotilin_onOrthosteric Ligand8IBU-Motilin-Erythromycin-A-chim(NtGi1-Gs-CtGq)/β1/γ2
26.09Consensusnpy1_offOrthosteric Ligand5ZBH-Y1-BMS-193885 5ZBQ-Y1-UR-MK-299
26.09Consensusrelaxin_onOrthosteric Ligandrxfp4_on
26.09Consensusrelaxin_on_gpOrthosteric Ligandrxfp4_on_gp
25.93Single7PIVAfamelanotide7PIV-MC4-Afamelanotide-Gs/β1/γ2
25.93Single7RMISubstance-P7RMI-NK1-Substance-P-chim(Gs-CtGq)/β1/γ2
25.93Single7W0NElabela7W0N-Apelin; Apelin-Elabela-Gi1/β1/γ2
25.93Single8JBHSubstance-P8JBH-NK3-Substance-P-chim(NtGi1-Gs-CtGq)/β1/γ2
25.93Single8KH5Lysophosphatidylserine8KH5-GPR174-Lysophosphatidylserine-Gs/β1/γ2
25.93Single8WSSMCH8WSS-MCH1-MCH-Gi1/β1/γ1
25.93Single8XYDPlatelet Activating Factor8XYD-PAF-Platelet Activating Factor-Gi1/β1/γ2
25.93Single9EAINanobody AT2099EAI-AT1-Losartan-Nanobody AT209
25.93Single9IQRMuscarinic toxin 39IQR-α2a-Muscarinic toxin 3
25.93Single9IQVMuscarinic toxin 39IQV-Alpha1A-Muscarinic toxin 3
25.93Single9KFIRelaxin-39KFI-RXFP3-Relaxin-3-Gi2/β1/γ2
25.93Consensuscckb_onOrthosteric Ligand8IA7-CCKB-Cholecystokinin-8-chim(NtGi1L-Gq)/β1/γ2 7XOW-CCKB-Sulfated Gastrin-(10-17)-chim(NtGi1-Gq)/β1/γ2 7F8V-CCKB-Gastrin-17-Gi2/β1/γ2
25.93Consensusgi_ghrelinOrthosteric Ligand7NA7-Ghrelin-Ghrelin-Gi1/β1/γ2 7NA8-Ghrelin-Ibutamoren-Gi1/β1/γ2
25.93Consensusmc4_on_gpOrthosteric Ligand7AUE-MC4-Setmelanotide-chim(NtGi1L-Gs)/β1/γ2 7F58-MC4-THIQ-Gs/β1/γ2 7F54-MC4-Afamelanotide-Gs/β1/γ2 7F53-MC4-α-MSH-Gs/β1/γ2 7F55-MC4-Bremelanotide-Gs/β1/γ2
25.93Consensusmc5_onOrthosteric Ligand8INR-MC5-α-MSH-Ca-chim(NtGi1-Gs)/β1/γ2 8IOD-MC5-PG-901-Ca-chim(NtGi1-Gs)/β1/γ2
25.93Consensustachykinin_on_gpOrthosteric Ligandnk1_on_gp nk2_on_gp nk3_on_gp
25.81Single7EIBKallidin-des-Arg107EIB-BK1-Kallidin-des-Arg10-chim(NtGi1-Gs-CtGq)/β1/γ2
25.81Single8W8WAlpha-MSH8W8W-MC3-α-MSH-Ca-Gs/β1/γ2
25.81Single8ZJGChemerin8ZJG-CML1-Chemerin-Gi1/β1/γ2
25.81Consensusp2y10_on_gpOrthosteric Ligand8KGG-P2Y10-Lysophosphatidylserine (WJS)-chim(NtGi2-G13)/β1/γ2
25.00Single1GZM11-cis-Retinal1GZM-Rhodopsin-11-cis-Retinal
25.00Single2PED9-cis-Retinal2PED-Rhodopsin-9-cis-Retinal
25.00Single3C9L11-cis-Retinal3C9L-Rhodopsin-11-cis-Retinal
25.00Single3ODUIT1t3ODU-CXCR4-IT1t
25.00Single3OE0CVX153OE0-CXCR4-CVX15
25.00Single3PWHZM-2413853PWH-A2A-ZM-241385
25.00Single3VG9ZM-2413853VG9-A2A-ZM-241385-Antibody
25.00Single4PXFOctyl-Beta-D-Glucopyranoside4PXF-Rhodopsin-Octyl-β-D-Glucopyranoside-Arrestin1 Finger Loop
25.00Single5MZPCaffeine5MZP-A2A-Caffeine-Na
25.00Single5TZYMK8666; AP85TZY-FFA1-MK8666; AP8
25.00Single6D9HAdenosine6D9H-A1-Adenosine-Gi2/β1/γ2
25.00Single6LW5WKYMVm6LW5-FPR2-ALX-WKYMVm
25.00Single6ME9Ramelteon6ME9-MT2-Ramelteon
25.00Single6MEOGp160; CD46MEO-CCR5-Gp160; CD4
25.00Single6RNKNF-56-EJ406RNK-Succinate-NF-56-EJ40
25.00Single6XBLCholesterol6XBL-SMO-SAG-Cholesterol-Gi1/β1/γ2
25.00Single7BR3Elagolix7BR3-GnRH1-Elagolix
25.00Single7F4DAlpha-MSH7F4D-MC1-α-MSH-chim(NtGi1-Gs)/β1/γ2
25.00Single7F55Bremelanotide7F55-MC4-Bremelanotide-Gs/β1/γ2
25.00Single7F8YDevazepide7F8Y-CCKA-Devazepide
25.00Single7O7F6P4-CCL57O7F-CCR5-6P4-CCL5-Gi1/β1/γ1
25.00Single7RYCOxytocin7RYC-OT-Oxytocin-chim(NtGi2L-Gs-CtGq)/β1/γ2
25.00Single7S8PMS471347S8P-MRGPRX4-MS47134-chim(NtGi2L-Gs-CtGq)/β1/γ2
25.00Single7T8XAcetylcholine7T8X-M2-Acetylcholine-chim(NtGi1-Go)/β1/γ2
25.00Single7T90Acetylcholine7T90-M2-Acetylcholine-chim(NtGi1-Go)/β1/γ2
25.00Single7T96Acetylcholine7T96-M2-Acetylcholine-LY2119620-Go/β1/γ2
25.00Single7TS0Urocortin7TS0-CRF2-Urocortin-chim(NtGi1L-Go)/β1/γ2
25.00Single7TUZ7-alpha,25-dihydroxycholesterol7TUZ-GPR183-7-α,25-dihydroxycholesterol-Gi1/β1/γ2
25.00Single7VUJJNJ-635330547VUJ-GPR139-JNJ-63533054-GDP-chim(Gs-CtGq)/β1/γ2
25.00Single7W0NElabela7W0N-Apelin; Apelin-Elabela-Gi1/β1/γ2
25.00Single7X2CFenoldopam7X2C-D1-Fenoldopam-Fenoldopam-Gs/β1/γ2
25.00Single7XA3CCL27XA3-CCR2-CCL2-Gi1/β1/γ2
25.00Single7XZ5Lysophosphatidylcholine7XZ5-GPR119-Lysophosphatidylcholine-Gs/β1/γ2
25.00Single8GEJConstrained Epinephrine8GEJ-β2-Constrained Epinephrine-Gs/β1/γ2
25.00Single8H0QGastrin Releasing Peptide8H0Q-BB2-Gastrin Releasing Peptide-chim(NtGi1-Gs-CtGq)/β1/γ2
25.00Single8H8JLodoxamide8H8J-GPR35-Lodoxamide-Ca-chim(NtGi1L-G13)/β1/γ2
25.00Single8HOCImetit8HOC-H4-Imetit-Gi1/β1/γ2
25.00Single8IBUErythromycin-A8IBU-Motilin-Erythromycin-A-chim(NtGi1-Gs-CtGq)/β1/γ2
25.00Single8IJANiacin8IJA-HCA2-Niacin-Gi1/β1/γ2
25.00Single8J20Valeric acid8J20-FFA3-Valeric acid-AR420626-Gi1/β1/γ2
25.00Single8J6DEP1418J6D-C3aB-EP141-Go/β1/γ2
25.00Single8J6LNiacin8J6L-HCA2-Niacin-Gi1/β1/γ2
25.00Single8JD3JNJ-404118138JD3-mGlu2; mGlu3-Glutamate-JNJ-40411813-Gi1/β1/γ2
25.00Single8JJPChemerin-98JJP-CML2-Chemerin-9-Gi1/β1/γ2
25.00Single8JPPSuccinic acid8JPP-Succinate-Succinic acid-chim(Gs-CtGq)/β1/γ1
25.00Single8RVWStilSwitch38RVW-A2A-StilSwitch3-Na
25.00Single8T3SButyric acid8T3S-FFA2-Butyric acid-chim(NtGi2L-Gs-CtGq)/β1/γ2
25.00Single8U26Substance-P8U26-NK1-Substance-P-Gs/β1/γ2
25.00Single8UTDMK19038UTD-HCA2-MK1903-Gi1/β1/γ2
25.00Single8YNAImmepip8YNA-H4-Immepip-Gi1/β1/γ2
25.00Single8YUVImmepip8YUV-H3-Immepip-Gi1/β1/γ2
25.00Single8Z87CHBA8Z87-HCA1-CHBA-Gi1/β1/γ2
25.00Single9AVLCa; Ca; Cyclomethyltryptophan; R-568; PO49AVL-CaS; CaS-Ca-Ca; Ca; Cyclomethyltryptophan; R-568; PO4-Gi3/β2/γ2
25.00Single9C1PCa; Tryptophan; '6218; PO49C1P-CaS; CaS-Ca-Ca; Tryptophan; '6218; PO4
25.00Single9C2FCa; Ca; Tryptophan; '54149; PO49C2F-CaS; CaS-Ca-Ca; Ca; Tryptophan; '54149; PO4
25.00Single9EK0Iperoxo9EK0-M5-Iperoxo-chim(NtGi1-Gs-CtGq)/β1/γ2
25.00Single9H2XPubChem 1756706449H2X-A2A-PubChem 175670644-Na
25.00Single9K6LSalicin9K6L-TAS2R16-Salicin-Gi2/β1/γ2
25.00Single9M88Oleic monoethanolamide9M88-GPR3 ; GPR3-Oleic monoethanolamide-AF64394
25.00Single9YDUUDP-Glucose9YDU-P2Y14-UDP-Glucose-Gi1/β1/γ2
25.00Consensusangiotensin_offOrthosteric Ligandat1_off
25.00Consensusccr2_onOrthosteric Ligand7XA3-CCR2-CCL2-Gi1/β1/γ2
25.00Consensusccr2_on_gpOrthosteric Ligand7XA3-CCR2-CCL2-Gi1/β1/γ2
25.00Consensusccr_onOrthosteric Ligandccr6_on ccr8_on ccr2_on ccr1_on ccr5_on
25.00Consensuscxcr_onOrthosteric Ligandcxcr3_on cxcr4_on cxcr1_on cxcr2_on
25.00Consensusgnrh1_offOrthosteric Ligand7BR3-GnRH1-Elagolix
25.00Consensusgs_melanocortinOrthosteric Ligand7F4H-MC1-Afamelanotide-chim(NtGi1-Gs)/β1/γ2 7F54-MC4-Afamelanotide-Gs/β1/γ2 7F4D-MC1-α-MSH-chim(NtGi1-Gs)/β1/γ2 8INR-MC5-α-MSH-Ca-chim(NtGi1-Gs)/β1/γ2 7F53-MC4-α-MSH-Gs/β1/γ2 7F55-MC4-Bremelanotide-Gs/β1/γ2 8GY7-MC2-Corticotropin-Ca-chim(NtGi1-Gs)/β1/γ2; MRAP1 8IOC-MC3-γ-MSH-Ca-chim(NtGi1-Gs)/β1/γ2 8IOD-MC5-PG-901-Ca-chim(NtGi1-Gs)/β1/γ2 7AUE-MC4-Setmelanotide-chim(NtGi1L-Gs)/β1/γ2 7F4I-MC1-SHU9119-chim(NtGi1-Gs)/β1/γ2 7F58-MC4-THIQ-Gs/β1/γ2
25.00Consensusleukotriene_offOrthosteric Ligandblt_off cyslt_off
25.00Consensusm2_onOrthosteric Ligand7T8X-M2-Acetylcholine-chim(NtGi1-Go)/β1/γ2
25.00Consensusm2_on_gpOrthosteric Ligand7T8X-M2-Acetylcholine-chim(NtGi1-Go)/β1/γ2
25.00Consensusmotilin_on_gpOrthosteric Ligand8IBU-Motilin-Erythromycin-A-chim(NtGi1-Gs-CtGq)/β1/γ2
25.00Consensuspth_onOrthosteric Ligandpth1_on pth2_on
25.00Consensusrhodopsin_offOrthosteric Ligand1U19-Rhodopsin-11-cis-Retinal 2PED-Rhodopsin-9-cis-Retinal 5TE5-Rhodopsin-20-Methanoretinal
25.00Consensussensory_offonOrthosteric Ligandsensory_off sensory_on
25.00Consensussensory_offon_gpOrthosteric Ligandsensory_on_gp sensory_on
24.32Consensusmc2_onOrthosteric Ligand8GY7-MC2-Corticotropin-Ca-chim(NtGi1-Gs)/β1/γ2; MRAP1
24.32Consensusmc2_on_gpOrthosteric Ligand8GY7-MC2-Corticotropin-Ca-chim(NtGi1-Gs)/β1/γ2; MRAP1
24.24Single6PB0Urocortin6PB0-CRF1-Urocortin-chim(NtGi1-Gs)/β1/γ2
24.14Single6METGp160; CD46MET-CCR5-Gp160; CD4
24.14Single6WI9Secretin6WI9-Secretin-Secretin-Gs/β1/γ2
24.14Single6WIVPubChem 52923113; PubChem 529246456WIV-GABAB1, GABAB2-PubChem 52923113; PubChem 52924645
24.14Single7FIMTirzepatide7FIM-GLP-1-Tirzepatide-Gs/β1/γ2
24.14Single7T10Somatostatin-147T10-SST2-Somatostatin-14-Gi3/β1/γ2
24.14Single7V9MSomatoliberin7V9M-GHRH (SV1)-Somatoliberin-Gs/β1/γ2
24.14Single7XK8Neuromedin-U-257XK8-NMUR2-Neuromedin-U-25-Gi1/β1/γ2
24.14Single7YONPeptide-YY(3-36)7YON-Y2-Peptide-YY(3-36)-Gi1/β1/γ2
24.14Single8IEDPubChem 1347468948IED-GPR156; GPR156-PubChem 134746894-Go/β1/γ2
24.14Consensusmc5_on_gpOrthosteric Ligand8INR-MC5-α-MSH-Ca-chim(NtGi1-Gs)/β1/γ2 8IOD-MC5-PG-901-Ca-chim(NtGi1-Gs)/β1/γ2
24.14Consensustachykinin_onOrthosteric Ligandnk1_on nk2_on nk3_on
24.00Single4RWSvMIP-II4RWS-CXCR4-vMIP-II
24.00Single7LLLExendin-47LLL-GLP-1-Exendin-4-Gs/β1/γ2
24.00Single7QVMOxytocin7QVM-OT-Oxytocin-chim(NtGi1-Go-CtGq)/β1/γ2
24.00Single7X8RBOC57X8R-GLP-1-BOC5-Gs/β1/γ2
24.00Single8HN1Toxin AdTx18HN1-Alpha1A-Toxin AdTx1
24.00Single8ID8TUG-8918ID8-FFA4-TUG-891-Gi1/β1/γ2
24.00Single8XVJMacitentan8XVJ-ETA-Macitentan
24.00Single9GE3Lysophosphatidylinositol9GE3-GPR55-Lysophosphatidylinositol-chim(NtGi1-G13)/β1/γ2
24.00Single9UYMChemerin-99UYM-CML2-Chemerin-9-chim(Arrestin3-CtArrestin2)
23.81Single1F8811-cis-Retinal1F88-Rhodopsin-11-cis-Retinal
23.81Single3OAX11-cis-Retinal3OAX-Rhodopsin-11-cis-Retinal
23.81Single4ZUDOlmesartan4ZUD-AT1-Olmesartan
23.81Single5UVIZM-2413855UVI-A2A-ZM-241385
23.81Single6TPKRetosiban6TPK-OT-Retosiban
23.81Single7T94Acetylcholine7T94-M2-Acetylcholine-LY2119620-chim(NtGi1-Go)/β1/γ2
23.81Single7TRSAcetylcholine7TRS-M4-Acetylcholine-Gi1/β1/γ2
23.81Single7VUGJNJ-635330547VUG-GPR139-JNJ-63533054-Gi1/β1/γ2
23.81Single7WVUfMLF7WVU-FPR1-ALX-fMLF-Gi1/β1/γ2
23.81Single7ZBC11-cis-Retinal7ZBC-Rhodopsin-11-cis-Retinal
23.81Single7ZBE11-cis-Retinal7ZBE-Rhodopsin-11-cis-Retinal
23.81Single8DPGPsilocin8DPG-5-HT2C-Psilocin-chim(NtGi2L-Gs-CtGq)/β1/γ2
23.81Single8HNMVUF112228HNM-CXCR3-VUF11222-Gi1/β1/γ2
23.81Single8K4SDCA-3P8K4S-MRGPRX4-DCA-3P-chim(NtGi1L-Gs-CtGq)/β1/γ2
23.81Single8PM2DMCHA8PM2-TA7-DMCHA-Gs/β1/γ2
23.81Single8Y01All-trans-Retinal8Y01-Opsin1MW-All-trans-Retinal-Gi1/β1/γ2
23.81Single8Y62C16:0 Ceramide8Y62-FPR2-ALX-C16:0 Ceramide-Gi1/β1/γ2
23.81Single8ZPMAMD0708ZPM-CXCR4-AMD070
23.81Single9AXFCa; Ca; Ca; Cyclomethyltryptophan; R-568; PO49AXF-CaS; CaS-Ca-Ca; Ca; Ca; Cyclomethyltryptophan; R-568; PO4-chim(NtGi1-Gs-CtGq)/β1/γ2
23.81Single9JMDAzithromycin9JMD-Motilin-Azithromycin-chim(Gs-CtGq)/β1/γ2
23.81Single9KXSEP679KXS-C5a1-EP67-Go/β1/γ2
23.81Single9LRDHistamine9LRD-H1-Histamine-Gi1/β1/γ2
23.81Single9M2FNeuropeptide-FF9M2F-NPFF1-Neuropeptide-FF-Gi1/β1/γ2
23.81Single9W33S5A19W33-SST5-S5A1
23.81Consensusgrh_offOrthosteric Ligandgnrh1_off
23.81Consensusnucleotide_offOrthosteric Ligandadenosine_off p2y_off
23.81Consensusopsins_offOrthosteric Ligandrhodopsin_off
23.81Consensusot_offOrthosteric Ligand6TPK-OT-Retosiban
23.81Consensussensory_offOrthosteric Ligandopsins_off
23.81Consensusvasop-oxy_offOrthosteric Ligandot_off
23.68Single7F16TIP397F16-PTH2-TIP39-Gs/β1/γ2
23.53Single5MZJTheophylline5MZJ-A2A-Theophylline-Na
23.53Single6LPBPACAP276LPB-PAC1-PACAP27-Gs/β1/γ1
23.53Single8FLULA-PTH Analog8FLU-PTH1-LA-PTH Analog-Gs/β1/γ2
23.53Single8PWNTheophylline8PWN-A2A-Theophylline
23.53Single9IV25alpha-DHT9IV2-ADGRD1-5α-DHT-chim(NtGi1-Gs)/β1/γ2
23.53Single9JKVPubChem 27366909JKV-HCA3-PubChem 2736690-Gi1/β1/γ2
23.33Single7F9YGhrelin7F9Y-Ghrelin-Ghrelin-chim(NtGi1-Gs-CtGq)/β1/γ2
23.33Single7QBIAlpha-factor mating pheromone7QBI-STE2; STE2-α-factor mating pheromone
23.33Single7WBJPACAP277WBJ-VPAC1-PACAP27-Gs/β1/γ2
23.33Single8E3YPACAP278E3Y-VPAC1-PACAP27-Gs/β1/γ2
23.33Single8HNKCXCL118HNK-CXCR3-CXCL11-Gi1/β1/γ2
23.33Single8WWMMCH8WWM-MCH1-MCH-Gi1/β1/γ2
23.33Consensusccr_on_gpOrthosteric Ligandccr6_on_gp ccr8_on_gp ccr2_on_gp ccr1_on_gp ccr5_on_gp
23.33Consensuschemokine_offOrthosteric Ligandccr_off cxcr_off
23.33Consensuscxcr_offOrthosteric Ligandcxcr3_off cxcr4_off
23.33Consensusp2y10_onOrthosteric Ligand8KGG-P2Y10-Lysophosphatidylserine (WJS)-chim(NtGi2-G13)/β1/γ2
23.08Single6XBJCholesterol6XBJ-SMO-Cholesterol-Gi1/β1/γ2
23.08Single7RKNCX3CL17RKN-US28-CX3CL1-Gi1/β1/γ2
23.08Single8Z74JN241-98Z74-Apelin; Apelin-JN241-9
23.08Single8Z74JN241-98Z74-Apelin; Apelin-JN241-9
23.08Single9KX6C5a-des-Arg9KX6-C5a1-C5a-des-Arg-Go/β1/γ2
23.08Single9NS9TUG-13759NS9-FFA2-TUG-1375-PubChem 118615810-Gi1/β1/γ2
23.08Consensuscxcr4_offOrthosteric Ligand4RWS-CXCR4-vMIP-II 3OE0-CXCR4-CVX15 3OE6-CXCR4-IT1t
22.73Single5DSGTiotropium5DSG-M4-Tiotropium
22.73Single6GPSMK08126GPS-CCR2-MK0812
22.73Single6KPFAM120336KPF-CB2-AM12033-Gi1/β1/γ2
22.73Single6WHADB139486WHA-5-HT2A-DB13948-chim(NtGi2L-Gs-CtGq)/β1/γ2
22.73Single6XBM25(S)-Epoxycholesterol6XBM-SMO-25(S)-Epoxycholesterol-Gi1/β1/γ2
22.73Single7CFMP3957CFM-GPBA-P395-Gs/β1/γ2
22.73Single7F83PF-051904577F83-Ghrelin-PF-05190457
22.73Single7PP1Selatogrel7PP1-P2Y12-Selatogrel
22.73Single7VKTLTB47VKT-BLT1-LTB4-Gi1/β1/γ2
22.73Single7YXAONO-54306087YXA-S1P5-ONO-5430608
22.73Single8KFYZK-7563268KFY-CCR8-ZK-756326-Gi1/β1/γ2
22.73Single8XBGS3E-Lysophosphatidylserine 8XBG-GPR34-S3E-Lysophosphatidylserine
22.73Single8ZBEOctreotide8ZBE-SST5-Octreotide-Gi1/β1/γ1
22.73Single9IYAONO-97105319IYA-GPR55-ONO-9710531
22.73Consensusalicarboxylic_offOrthosteric Ligandsuccinate_off
22.73Consensusblt1_onOrthosteric Ligand7VKT-BLT1-LTB4-Gi1/β1/γ2
22.73Consensusblt1_on_gpOrthosteric Ligand7VKT-BLT1-LTB4-Gi1/β1/γ2
22.73Consensusblt_onOrthosteric Ligandblt1_on
22.73Consensusblt_on_gpOrthosteric Ligandblt1_on_gp
22.73Consensusccr2_offOrthosteric Ligand6GPS-CCR2-MK0812
22.73Consensusgi_histamineOrthosteric Ligand8JXX-H4-Clobenpropit-Gi1/β1/γ2 8JXV-H4-Clozapine-Gi1/β1/γ2 8YUU-H3-Histamine-Gi1/β1/γ1 8HN8-H4-Histamine-Gi1/β1/γ2 8HOC-H4-Imetit-Gi1/β1/γ2 8JXW-H4-VUF6884-Gi1/β1/γ2
22.73Consensusgi_leukotrieneOrthosteric Ligand7VKT-BLT1-LTB4-Gi1/β1/γ2
22.73Consensusleukotriene_onOrthosteric Ligandblt_on
22.73Consensusleukotriene_on_gpOrthosteric Ligandblt_on_gp
22.73Consensusm4_offOrthosteric Ligand5DSG-M4-Tiotropium
22.73Consensusmuscarinic_onOrthosteric Ligandm2_on m3_on m4_on m1_on
22.73Consensusmuscarinic_on_gpOrthosteric Ligandm2_on_gp m3_on_gp m4_on_gp m1_on_gp
22.73Consensussuccinate_offOrthosteric Ligand6RNK-Succinate-NF-56-EJ40 6Z10-Succinate-PubChem 154585554
22.58Single6FJ3PTH6FJ3-PTH1-PTH
22.58Single7QBIAlpha-factor mating pheromone7QBI-STE2; STE2-α-factor mating pheromone
22.58Single7SK3CXCL127SK3-ACKR3-CXCL12
22.58Single7SK4CXCL12_LRHQ7SK4-ACKR3-CXCL12_LRHQ
22.58Single7VABTirzepatide (non-acylated)7VAB-GIP-Tirzepatide (non-acylated)-chim(NtGi1-Gs)/β1/γ2
22.58Single7W3ZGastrin Releasing Peptide7W3Z-BB2-Gastrin Releasing Peptide-chim(NtGi1L-Gq)/β1/γ2
22.58Single8E3XPACAP278E3X-PAC1-PACAP27-Gs/β1/γ2
22.58Single9P92VIP9P92-PAC1-VIP-Gs/β1/γ2
22.58Consensusccr5_onOrthosteric Ligand7O7F-CCR5-6P4-CCL5-Gi1/β1/γ1 7F1Q-CCR5-CCL3-Gi1/β1/γ2
22.58Consensusccr_offOrthosteric Ligandccr2_off ccr5_off
22.58Consensuspac_on_gpOrthosteric Ligandpac1_on_gp
22.50Consensuspth_on_gpOrthosteric Ligandpth1_on_gp pth2_on_gp
22.22Single6OY9All-trans-Retinal6OY9-Rhodopsin-All-trans-Retinal-Gt/β1/γ1
22.22Single6TQ9SB-4081246TQ9-OX1-SB-408124
22.22Single7DD5Ca; Ca; Tryptophan; NPS-21437DD5-CaS; CaS-Ca-Ca; Ca; Tryptophan; NPS-2143
22.22Single7MTBAll-trans-Retinal7MTB-Rhodopsin-All-trans-Retinal-GRK1
22.22Single7QA8Antagonist Peptide7QA8-STE2; STE2-Antagonist Peptide
22.22Single7QA8Antagonist Peptide7QA8-STE2; STE2-Antagonist Peptide
22.22Single7W53Neuromedin-U-257W53-NMUR1-Neuromedin-U-25-chim(NtGi1-Gs-CtGq)/β1/γ2
22.22Single7XMRSomatostatin-147XMR-SST2-Somatostatin-14-Gi1/β1/γ2
22.22Single7Y36PTH7Y36-PTH1-PTH-Gs/β1/γ2
22.22Single8FLQPTH8FLQ-PTH1-PTH-Gs/β1/γ2
22.22Single8IEIPubChem 1347468948IEI-GPR156; GPR156-PubChem 134746894
22.22Single8IEIPubChem 1347468948IEI-GPR156; GPR156-PubChem 134746894
22.22Single8IEPPubChem 1347468948IEP-GPR156; GPR156-PubChem 134746894
22.22Single8IEPPubChem 1347468948IEP-GPR156; GPR156-PubChem 134746894
22.22Single8KIGSHU91198KIG-MC3-SHU9119-Ca
22.22Single8U4OCXCL128U4O-CXCR4-CXCL12-Gi1/β1/γ2
22.22Single8WC5Tetramethylammonium Ion8WC5-TA1-Tetramethylammonium Ion-chim(NtGi1-Gs)/β1/γ2
22.22Single9C2FCa; Ca; Tryptophan; '54149; PO49C2F-CaS; CaS-Ca-Ca; Ca; Tryptophan; '54149; PO4
22.22Single9J0IUDP-Glucuronic acid9J0I-P2Y14-UDP-Glucuronic acid-Gi1/β1/γ2
22.22Single9M42A1L8O9M42-GPR139-A1L8O-chim(Gs-CtGq)/β1/γ2
22.22Single9MEJGp1209MEJ-CXCR4-Gp120
22.22Consensusnmur1_on_gpOrthosteric Ligand7W53-NMUR1-Neuromedin-U-25-chim(NtGi1-Gs-CtGq)/β1/γ2
22.22Consensusopsins_onOrthosteric Ligandrhodopsin_on opsin1lw_on
22.22Consensussensory_onOrthosteric Ligandopsins_on
22.22Consensussomatostatin_offOrthosteric Ligandsst2_off
21.88Single6B3JExendin-P56B3J-GLP-1-Exendin-P5-Gs/β1/γ2
21.88Single6VCBGLP-16VCB-GLP-1-GLP-1-LSN3160440-Gs/β1/γ2
21.88Single7AD3Alpha-factor mating pheromone7AD3-STE2; STE2-α-factor mating pheromone-Gi1/STE4/γ2
21.88Single7QBCAlpha-factor mating pheromone7QBC-STE2; STE2-α-factor mating pheromone
21.88Consensusglp_onOrthosteric Ligandglp1_on glp2_on
21.88Consensusglp_on_gpOrthosteric Ligandglp1_on_gp glp2_on_gp
21.74Single4NTJAZD12834NTJ-P2Y12-AZD1283
21.74Single5ZBQUR-MK-2995ZBQ-Y1-UR-MK-299
21.74Single6GPXMK08126GPX-CCR2-MK0812
21.74Single6OIKIperoxo6OIK-M2-Iperoxo-LY2119620-chim(NtGi1-Go)/β1/γ2
21.74Single7E9GJNJ-404118137E9G-mGlu2; mGlu2-Eglumetad-JNJ-40411813-Gi1/β1/γ2
21.74Single7VV4Cortistatin-147VV4-MRGPRX2-Cortistatin-14
21.74Single8YNSSNAP-948478YNS-MCH1-SNAP-94847
21.74Consensusblt1_offOrthosteric Ligand5X33-BLT1-BIIL260 7K15-BLT1-MKD046-Na
21.74Consensusblt_offOrthosteric Ligandblt1_off
21.74Consensusgq_muscarinicOrthosteric Ligand6OIJ-M1-Iperoxo-chim(NtGi1L-G11)/β1/γ2
21.74Consensusm1_onOrthosteric Ligand6OIJ-M1-Iperoxo-chim(NtGi1L-G11)/β1/γ2
21.74Consensuss1p5_offOrthosteric Ligand7YXA-S1P5-ONO-5430608
21.43Single7C6A(Sar1,Ile8)-Angiotensin II7C6A-AT2-(Sar1,Ile8)-Angiotensin II
21.43Single7F1QCCL37F1Q-CCR5-CCL3-Gi1/β1/γ2
21.43Single7SK5CXCL127SK5-ACKR3-CXCL12
21.43Single7XNACYN1548067XNA-SST2-CYN154806
21.43Single8IBVMotilin8IBV-Motilin-Motilin-chim(NtGi1-Gs-CtGq)/β1/γ2
21.43Single8IEBPubChem 1347468948IEB-GPR156; GPR156-PubChem 134746894
21.43Single8Z7JJN241-98Z7J-Apelin-JN241-9-Gi1/β1/γ2
21.43Single9J0FNADH9J0F-P2Y14-NADH-Gi1/β1/γ2
21.43Consensussst2_offOrthosteric Ligand7XNA-SST2-CYN154806
21.21Single6NBHLA-PTH Analog6NBH-PTH1-LA-PTH Analog-Gs/β1/γ2
21.21Single6PB1Urocortin6PB1-CRF2-Urocortin-chim(NtGi1-Gs)/β1/γ2
21.21Single6WZGSecretin6WZG-Secretin-Secretin-Gs/β1/γ2
21.21Single7KI1Taspoglutide7KI1-GLP-1-Taspoglutide-Gs/β1/γ2
21.21Single7QBCAlpha-factor mating pheromone7QBC-STE2; STE2-α-factor mating pheromone
21.21Single8HAFPTHrP(1-36)8HAF-PTH1-PTHrP(1-36)-chim(NtGi1-Gs)/β1/γ2
21.21Single9BYOExendin-39BYO-GLP-1-Exendin-3-Gs/β1/γ2
21.21Single9P93VIP9P93-PAC1-VIP-Gs/β1/γ2
21.21Consensusvip-pacap_onOrthosteric Ligandvpac_on pac_on
21.21Consensusvip-pacap_on_gpOrthosteric Ligandvpac_on_gp pac_on_gp
21.05Single2J4Y11-cis-Retinal2J4Y-Rhodopsin-11-cis-Retinal
21.05Single3C9M11-cis-Retinal3C9M-Rhodopsin-11-cis-Retinal
21.05Single7F23Dopamine7F23-D1-Dopamine-GDP-Gs/β1/γ2
21.05Single7V6APubChem 98642757V6A-M4-PubChem 9864275-Gi1/β1/γ2
21.05Single8EITDoconexent8EIT-FFA1-Doconexent-chim(NtGi1L-Gs-CtGq)/β1/γ2
21.05Single8ITFDMCHA8ITF-TAA9-DMCHA-chim(NtGi1-Gs)/β1/γ2
21.05Single8JXTHistamine8JXT-H4-Histamine-PO4-Gi1/β1/γ2
21.05Single8SZFCa; Ca; Tryptophan; Cinacalcet; PO4; Spermine8SZF-CaS; CaS-Ca; Ca; Tryptophan; Cinacalcet; PO4; Spermine
21.05Single8X9UMetenolone8X9U-ADGRD1-Metenolone-chim(NtGi1-Gs)/β1/γ2
21.05Single9JKT(2R)-2-hydroxy-3-phenylpropanoic acid9JKT-HCA3-(2R)-2-hydroxy-3-phenylpropanoic acid-Gi1/β1/γ2
21.05Single9KT93,5-DHBA9KT9-HCA1-3,5-DHBA-Gi1/β1/γ2
21.05Consensusopsins_on_gpOrthosteric Ligandrhodopsin_on_gp opsin1lw_on_gp
21.05Consensusrhodopsin_onOrthosteric Ligand6OYA-Rhodopsin-All-trans-Retinal-Gt/β1/γ1
21.05Consensussensory_on_gpOrthosteric Ligandopsins_on_gp
20.93Single8GY7Corticotropin8GY7-MC2-Corticotropin-Ca-chim(NtGi1-Gs)/β1/γ2; MRAP1
20.83Single5TZRMK86665TZR-FFA1-MK8666
20.83Single5ZBHBMS-1938855ZBH-Y1-BMS-193885
20.83Single6O3CCholesterol6O3C-SMO-SAG21k-Cholesterol
20.83Single6OIJIperoxo6OIJ-M1-Iperoxo-chim(NtGi1L-G11)/β1/γ2
20.83Single6RZ5Zafirlukast6RZ5-CysLT1-Zafirlukast-Na
20.83Single7S8MCortistatin-147S8M-MRGPRX2-Cortistatin-14-Gi1/β1/γ2
20.83Single7T9NDPPC7T9N-TSH-M22 Fab-DPPC-Gs/β1/γ2
20.83Single7XBDGalanin7XBD-GAL2-Galanin-chim(NtGi2L-Gs-CtGq)/β1/γ2
20.83Single8FN1Neurotensin-(8-13)8FN1-NTS1-Neurotensin-(8-13)-chim(NtGi1-Go)/β1/γ2
20.83Single8I2GPubChem 675302408I2G-FSH-FSH-PubChem 67530240-Gs/β1/γ2
20.83Single8JBGNeurokinin-B8JBG-NK3-Neurokinin-B-chim(NtGi1-Gs-CtGq)/β1/γ2
20.83Single8XBIPubChem 1626566368XBI-GPR34-PubChem 162656636
20.83Single8ZR5Firuglipel8ZR5-GPR119-Firuglipel-Gs/β1/γ2
20.83Single9AS9RS130-1809AS9-5-HT2A-RS130-180
20.83Single9ASARS130-1809ASA-5-HT2A-RS130-180-chim(NtGi1-Gs-CtGq)/β1/γ2
20.83Single9RHGC4079RHG-FZD7-C407
20.83Single9UCPIperoxo9UCP-M1-Iperoxo-G11(CT)
20.83Single9YDVMRS29059YDV-P2Y14-MRS2905-Gi1/β1/γ2
20.83Consensusffa_onOrthosteric Ligandffa2_on ffa3_on
20.83Consensusffa_on_gpOrthosteric Ligandffa2_on_gp ffa3_on_gp
20.83Consensusgi_ffaOrthosteric Ligand8J21-FFA3-Butyric acid-Gi1/β1/γ2 8J22-FFA2-TUG-1375-Gi1/β1/γ2
20.83Consensusm1_on_gpOrthosteric Ligand6OIJ-M1-Iperoxo-chim(NtGi1L-G11)/β1/γ2
20.83Consensusprotein_offOrthosteric Ligandchemokine_off grh_off
20.69Single6VN7PACAP276VN7-VPAC1-PACAP27-Gs/β1/γ2
20.69Single8W8YGamma-MSH8W8Y-MC3-γ-MSH-Ca-Gs/β1/γ2
20.69Single8XZGApelin-138XZG-Apelin; Apelin-Apelin-13-Gi1/β1/γ2
20.69Single9LXRLA-PTH Analog9LXR-PTH1-LA-PTH Analog-Arrestin2
20.59Single7DUQGLP-17DUQ-GLP-1-GLP-1-PubChem 156022738-Gs/β1/γ2
20.51Consensusclass-b1_onOrthosteric Ligandglucagon_on vip-pacap_on pth_on crf_on calcitonin_on
20.00Single1L9H11-cis-Retinal1L9H-Rhodopsin-11-cis-Retinal
20.00Single1U1911-cis-Retinal1U19-Rhodopsin-11-cis-Retinal
20.00Single2G87All-trans-Retinal2G87-Rhodopsin-All-trans-Retinal
20.00Single2I3511-cis-Retinal2I35-Rhodopsin-11-cis-Retinal
20.00Single4N4WSANT-14N4W-SMO-SANT-1
20.00Single4PXZ2MeSADP4PXZ-P2Y12-2MeSADP
20.00Single5WB2CX3CL1.355WB2-US28-CX3CL1.35
20.00Single6M1IPACAP276M1I-PAC1-PACAP27-Gs/β1/γ2
20.00Single6OS2TRV0266OS2-AT1-TRV026
20.00Single6PGSGeraniol6PGS-Rhodopsin-Geraniol-Gt(CT)
20.00Single6QNOAll-trans-Retinal6QNO-Rhodopsin-All-trans-Retinal-Gi1/β1/γ1
20.00Single7AD3Alpha-factor mating pheromone7AD3-STE2; STE2-α-factor mating pheromone-Gi1/STE4/γ2
20.00Single7DD5Ca; Ca; Tryptophan; NPS-21437DD5-CaS; CaS-Ca-Ca; Ca; Tryptophan; NPS-2143
20.00Single7SK6CXCL12_LRHQ7SK6-ACKR3-CXCL12_LRHQ
20.00Single7T6BS1P7T6B-S1P2-S1P-chim(NtGi1L-G13)/β1/γ2
20.00Single7T96LY21196207T96-M2-Acetylcholine-LY2119620-Go/β1/γ2
20.00Single7TRPLY20332987TRP-M4-Iperoxo-LY2033298-Gi1/β1/γ2
20.00Single7V68Iperoxo7V68-M4-Iperoxo-LY2119620-Gi1/β1/γ2
20.00Single7VUIJNJ-635330547VUI-GPR139-JNJ-63533054-GTP-chim(Gs-CtGq)/β1/γ2
20.00Single7WUIIP157WUI-ADGRG2-IP15-chim(NtGi1-Gs)/β1/γ2
20.00Single7XW5ML1097XW5-TSH-TSH-ML109-Gs/β1/γ2
20.00Single7XW6ML1097XW6-TSH-M22 Fab-ML109-Gs/β1/γ2
20.00Single7YFDImetit7YFD-H4-Imetit-chim(NtGi1-Gs-CtGq)/β1/γ2
20.00Single8FLSAbaloparatide8FLS-PTH1-Abaloparatide-Gs/β1/γ2
20.00Single8HN8Histamine8HN8-H4-Histamine-Gi1/β1/γ2
20.00Single8IHIAcifran8IHI-HCA2-Acifran-Gi1/β1/γ2
20.00Single8JILNiacin8JIL-HCA2-Niacin-Gi1/β1/γ2
20.00Single8WPUTryptophan; Cinacalcet; PO4; Ca8WPU-CaS; CaS-Tryptophan; Cinacalcet; PO4; Ca-chim(NtGi2L-Gs-CtGq)/β1/γ2
20.00Single8WRBLysophosphatidylserine (UBL)8WRB-GPR34-Lysophosphatidylserine (UBL)-Gi1/β1/γ2
20.00Single8WSTMCH8WST-MCH2-MCH-chim(NtGi1L-Gs-CtGq)/β1/γ2
20.00Single8XQSCholesterol8XQS-TAS2R14-Cholesterol-Flufenamic acid-Gi1/β1/γ1
20.00Single8Y6WTUG-13758Y6W-FFA2-TUG-1375-4-CMTB-Gi1/β1/γ2
20.00Single8YW4Retatrutide8YW4-GIP-Retatrutide-chim(NtGi1-Gs)/β1/γ2
20.00Single8ZX5AM2518ZX5-GPR55-AM251-chim(NtGi1-G13)/β1/γ2
20.00Single9BJKPubChem 1716420669BJK-μ-Naloxone-PubChem 171642066
20.00Single9C1PCa; Tryptophan; '6218; PO49C1P-CaS; CaS-Ca-Ca; Tryptophan; '6218; PO4
20.00Single9CM3TUG-13759CM3-FFA2-TUG-1375-PubChem 118615810-chim(NtGi1L-Gs-CtGq)/β1/γ2
20.00Single9ECJS-geranylgeranyl-L-glutathione9ECJ-P2Y8-S-geranylgeranyl-L-glutathione-G13/β1/γ2
20.00Single9JLCAVE 09919JLC-MAS1-AVE 0991-Gi1/β1/γ2
20.00Single9M88Oleic monoethanolamide9M88-GPR3 ; GPR3-Oleic monoethanolamide-AF64394
20.00Consensusffa2_on_gpOrthosteric Ligand8J22-FFA2-TUG-1375-Gi1/β1/γ2
20.00Consensusgalanin_onOrthosteric Ligandgal2_on gal1_on
20.00Consensusgalanin_on_gpOrthosteric Ligandgal2_on_gp gal1_on_gp
20.00Consensush4_onOrthosteric Ligand8HN8-H4-Histamine-Gi1/β1/γ2 8HOC-H4-Imetit-Gi1/β1/γ2 8JXV-H4-Clozapine-Gi1/β1/γ2 8JXW-H4-VUF6884-Gi1/β1/γ2 8JXX-H4-Clobenpropit-Gi1/β1/γ2
19.44Single7VVMPTH7VVM-PTH1-PTH-Gs/β1/γ2
19.35Single6X18GLP-16X18-GLP-1-GLP-1-Gs/β1/γ2
19.35Single7LLYOxyntomodulin7LLY-GLP-1-Oxyntomodulin-Gs/β1/γ2
19.35Single9E2AGLP-19E2A-GLP-1-GLP-1-Gs/β1/γ2
19.35Consensuspac_onOrthosteric Ligandpac1_on
19.35Consensusvpac_onOrthosteric Ligandvpac1_on vpac2_on
19.23Single7PIUSetmelanotide7PIU-MC4-Setmelanotide-Gs/β1/γ2
19.23Single8IULLatanoprost8IUL-FP-alpha-Latanoprost-chim(NtGi1-Gs-CtGq)/β1/γ2
19.23Single8K4OCXCL18K4O-KSHV-CXCL1-Gi1/β1/γ1
19.23Single8XBES3E-Lysophosphatidylserine 8XBE-GPR34-S3E-Lysophosphatidylserine-Gi1/β1/γ1
19.23Single8ZPLHF511168ZPL-CXCR4-HF51116
19.23Single8ZX4Lysophosphatidylinositol 8ZX4-GPR55-Lysophosphatidylinositol-chim(NtGi1-G13)/β1/γ2
19.23Single9J0BUDP-Glucose9J0B-P2Y14-UDP-Glucose-Gi1/β1/γ2
19.23Single9UYHChemerin-99UYH-CML2-Chemerin-9-Arrestin2
19.23Consensusgal2_onOrthosteric Ligand7WQ4-GAL2-Galanin-chim(NtGi1-Gs-CtGq)/β1/γ2 7XJL-GAL2-Spexin-chim(NtGi2L-Gs-CtGq)/β1/γ2
19.23Consensusgal2_on_gpOrthosteric Ligand7WQ4-GAL2-Galanin-chim(NtGi1-Gs-CtGq)/β1/γ2 7XJL-GAL2-Spexin-chim(NtGi2L-Gs-CtGq)/β1/γ2
19.23Consensusnk2_onOrthosteric Ligand7XWO-NK2-Neurokinin-A-chim(NtGi1-Gs-CtGq)/β1/γ2
19.05Single2Z7311-cis-Retinal2Z73-Rhodopsin-11-cis-Retinal
19.05Single3AYN9-cis-Retinal3AYN-Rhodopsin-9-cis-Retinal
19.05Single4MQTLY21196204MQT-M2-Iperoxo-LY2119620
19.05Single5ZKQABT-4915ZKQ-PAF-ABT-491
19.05Single6OYAAll-trans-Retinal6OYA-Rhodopsin-All-trans-Retinal-Gt/β1/γ1
19.05Single7M3FCa; Ca; Tryptophan; Cinacalcet7M3F-CaS; CaS-Ca; Ca; Tryptophan; Cinacalcet
19.05Single7SILCa; Ca; Ca; Cyclomethyltryptophan; R-568; PO47SIL-CaS; CaS-Ca-Ca; Ca; Ca; Cyclomethyltryptophan; R-568; PO4
19.05Single7SILCa; Ca; Ca; Cyclomethyltryptophan; R-568; PO47SIL-CaS; CaS-Ca-Ca; Ca; Ca; Cyclomethyltryptophan; R-568; PO4
19.05Single7VDLCortistatin-147VDL-MRGPRX2-Cortistatin-14-Gi1/β1/γ2
19.05Single7W0OElabela7W0O-Apelin-Elabela-Gi1/β1/γ2
19.05Single7XJJGalanin7XJJ-GAL1-Galanin-Go/β1/γ2
19.05Single8A6CAll-trans-Retinal8A6C-Rhodopsin-All-trans-Retinal
19.05Single8A6DAll-trans-Retinal8A6D-Rhodopsin-All-trans-Retinal
19.05Single8A6EAll-trans-Retinal8A6E-Rhodopsin-All-trans-Retinal
19.05Single8U4PAMD31008U4P-CXCR4-AMD3100-Gi1/β1/γ2
19.05Single9PEEPF-07054894; OXM29PEE-CCR6-PF-07054894; OXM2
19.05Consensuspaf_offOrthosteric Ligand5ZKQ-PAF-ABT-491
19.05Consensusrhodopsin_on_gpOrthosteric Ligand6OYA-Rhodopsin-All-trans-Retinal-Gt/β1/γ1
18.92Single9JR3PTH9JR3-PTH1-PTH-chim(NtGi1L-Gs-CtGq)/β1/γ2
18.92Consensusglucagon_onOrthosteric Ligandglp_on gluc_on secretin_on gip_on
18.75Single6NBFLA-PTH Analog6NBF-PTH1-LA-PTH Analog-Gs/β1/γ2
18.75Single6P9YPACAP276P9Y-PAC1-PACAP27-Gs/β1/γ2
18.75Single7D3SSecretin7D3S-Secretin-Secretin-Gs/β1/γ2
18.75Single7RA3GIP7RA3-GIP-GIP-chim(NtGi1-Gs)/β1/γ2
18.75Single8JISPeptide-158JIS-GLP-1-Peptide-15-chim(NtGi1-Gs)/β1/γ2
18.75Single9J1Pg1:Ox9J1P-GLP-1-g1:Ox-chim(NtGi1-Gs)/β1/γ2
18.75Consensusvpac_on_gpOrthosteric Ligandvpac1_on_gp vpac2_on_gp
18.60Consensusclass-b1_on_gpOrthosteric Ligandglucagon_on_gp vip-pacap_on_gp pth_on_gp crf_on_gp calcitonin_on_gp
18.52Single5VBLAMG3054 5VBL-Apelin-AMG3054
18.52Single7AUESetmelanotide7AUE-MC4-Setmelanotide-chim(NtGi1L-Gs)/β1/γ2
18.52Single7X8SWB4-247X8S-GLP-1-WB4-24-Gs/β1/γ2
18.52Single8J22TUG-13758J22-FFA2-TUG-1375-Gi1/β1/γ2
18.52Single8XQLCholesterol8XQL-TAS2R14-Cholesterol-Aristolochic acid A-Gt3/β1/γ1
18.52Single8XZFWN5618XZF-Apelin; Apelin-WN561-Gi1/β1/γ2
18.52Single9CM7TUG-13759CM7-FFA2-TUG-1375-AZ-1729-Gi1/β1/γ2
18.52Single9EAJNanobody AT2099EAJ-AT1-Nanobody AT209
18.52Single9JH6C20:0 Ceramide9JH6-CysLT2-C20:0 Ceramide-chim(NtGi1-Gs-CtGq)/β1/γ2
18.52Consensusnmur1_onOrthosteric Ligand7W53-NMUR1-Neuromedin-U-25-chim(NtGi1-Gs-CtGq)/β1/γ2
18.42Consensusglucagon_on_gpOrthosteric Ligandglp_on_gp gluc_on_gp secretin_on_gp gip_on_gp
18.18Single6FK8PubChem 1324730356FK8-Rhodopsin-PubChem 132473035
18.18Single6P9XCorticoliberin-16P9X-CRF1-Corticoliberin-1-Gs/β1/γ2
18.18Single6PELCitronellol6PEL-Rhodopsin-Citronellol-Gt(CT)
18.18Single6U1NLY21196206U1N-M2-LY2119620-Arrestin2
18.18Single6WJCMuscarinic toxin 76WJC-M1-Atropine-Muscarinic toxin 7
18.18Single7DTYGIP7DTY-GIP-GIP-Gs/β1/γ2
18.18Single7FIYTirzepatide7FIY-GIP-Tirzepatide-Gs/β1/γ2
18.18Single7S1MExendin-4-D-Ala7S1M-GLP-1-Exendin-4-D-Ala-Gs/β1/γ2
18.18Single7T94LY21196207T94-M2-Acetylcholine-LY2119620-chim(NtGi1-Go)/β1/γ2
18.18Single7VQXPACAP277VQX-VPAC1-PACAP27-Gs/β1/γ2
18.18Single7XXH2MeSADP7XXH-P2Y1-2MeSADP-chim(NtGi1-G11)/β1/γ2
18.18Single8H4LDoconexent8H4L-FFA4-Doconexent-chim(NtGi1-Gs-CtGq)/β1/γ2
18.18Single8HAOPTH8HAO-PTH1-PTH-chim(NtGi1-Gs)/β1/γ2
18.18Single8K2WAMG4878K2W-CXCR3-AMG487
18.18Single8K4NPubChem 1687197658K4N-GPR34-PubChem 168719765-Gi1/β1/γ2
18.18Single8W8XBeta-MSH8W8X-MC3-β-MSH-Ca-Gs/β1/γ2
18.18Single8ZBWQuin-C18ZBW-FPR2-ALX-Quin-C1-Gi2/β1/γ2
18.18Single8ZPNAMD31008ZPN-CXCR4-AMD3100
18.18Single9BUCCagrilintide9BUC-CT-Cagrilintide-Gs/β1/γ2
18.18Single9P94PACAP279P94-PAC1-PACAP27-Gs/β1/γ2
18.18Consensuscrf_onOrthosteric Ligandcrf2_on crf1_on
18.18Consensuscxcr3_offOrthosteric Ligand8K2W-CXCR3-AMG487
18.18Consensusp2y1_on_gpOrthosteric Ligand7XXH-P2Y1-2MeSADP-chim(NtGi1-G11)/β1/γ2
17.86Single6X19CHU-1286X19-GLP-1-CHU-128-Gs/β1/γ2
17.86Single7L0RNeurotensin-(8-13)7L0R-NTS1-Neurotensin-(8-13)-Gi1/β1/γ1
17.86Single7NA7Ghrelin7NA7-Ghrelin-Ghrelin-Gi1/β1/γ2
17.86Single7W56Neuromedin-S7W56-NMUR1-Neuromedin-S-chim(NtGi1-Gs-CtGq)/β1/γ2
17.86Single8INRAlpha-MSH8INR-MC5-α-MSH-Ca-chim(NtGi1-Gs)/β1/γ2
17.86Single8YWFRetatrutide8YWF-GLP-1-Retatrutide-chim(NtGi1-Gs)/β1/γ2
17.86Single8ZCJPasireotide8ZCJ-SST5-Pasireotide-Gi1/β1/γ1
17.86Single9UYLChemerin-99UYL-CML2-Chemerin-9-Arrestin2
17.86Consensuschemokine_onOrthosteric Ligandccr_on cxcr_on
17.65Single5VAIGLP-15VAI-GLP-1-GLP-1-Gs/β1/γ2
17.65Single6LMLGlucagon6LML-Glucagon-Glucagon-Gi1/β1/γ1
17.65Single7D68GLP-27D68-GLP-2-GLP-2-Gs/β1/γ2
17.65Single7VVJPTHrP(1-36)7VVJ-PTH1-PTHrP(1-36)-Gs/β1/γ2
17.65Single8F0KPramlintide Analogue San3858F0K-CT (AMY3)-Pramlintide Analogue San385-Gs/β1/γ2; RAMP3
17.65Single8FLTM-PTH(1-14)8FLT-PTH1-M-PTH(1-14)-Gs/β1/γ2
17.65Single8WCBCyclohexylammonium Ion8WCB-TA1-Cyclohexylammonium Ion-chim(NtGi1-Gs-CtGq)/β1/γ2
17.65Single8WCCCyclohexylammonium Ion8WCC-TA1-Cyclohexylammonium Ion
17.65Consensuspth1_onOrthosteric Ligand6NBF-PTH1-LA-PTH Analog-Gs/β1/γ2 8HA0-PTH1-PTH-chim(NtGi1-Gs)/β1/γ2 8HAF-PTH1-PTHrP(1-36)-chim(NtGi1-Gs)/β1/γ2 7Y36-PTH1-PTH-Gs/β1/γ2 7Y35-PTH1-Abaloparatide-Gs/β1/γ2
17.50Consensuspth2_on_gpOrthosteric Ligand7F16-PTH2-TIP39-Gs/β1/γ2
17.39Single5TGZAM65385TGZ-CB1-AM6538
17.39Single6FK7PubChem 1324730346FK7-Rhodopsin-PubChem 132473034
17.39Single6FKCPubChem 1324730396FKC-Rhodopsin-PubChem 132473039
17.39Single6FKDPubChem 1373491836FKD-Rhodopsin-PubChem 137349183
17.39Single7LCIDanuglipron7LCI-GLP-1-Danuglipron-Gs/β1/γ2
17.39Single7LCKDanuglipron7LCK-GLP-1-Danuglipron
17.39Single7TRQVU04671547TRQ-M4-Iperoxo-VU0467154-Gi1/β1/γ2
17.39Single7WQ3Galanin7WQ3-GAL1-Galanin-Gi1/β1/γ2
17.39Single8EJKTAK-8758EJK-FFA1-TAK-875-chim(NtGi1L-Gs-CtGq)/β1/γ2
17.39Single8X9TAP5038X9T-ADGRD1-AP503-chim(NtGi1-Gs)/β1/γ2
17.39Single8ZYYNeurotensin-(8-13)8ZYY-NTS1-Neurotensin-(8-13)-SBI-553-Arrestin2
17.39Consensusgal1_onOrthosteric Ligand7WQ3-GAL1-Galanin-Gi1/β1/γ2
17.39Consensusgal1_on_gpOrthosteric Ligand7WQ3-GAL1-Galanin-Gi1/β1/γ2
17.39Consensusgi_galaninOrthosteric Ligand7WQ3-GAL1-Galanin-Gi1/β1/γ2
17.24Single7E14Orforglipron7E14-GLP-1-Orforglipron-PubChem 156022738-Gs/β1/γ2
17.24Single7VBITirzepatide (non-acylated)7VBI-GLP-1-Tirzepatide (non-acylated)-Gs/β1/γ2
17.24Single8K6ONeuropeptide-Y8K6O-Y1-Neuropeptide-Y-Gi2/β1/γ1
16.67Single3PXOAll-trans-Retinal3PXO-Rhodopsin-All-trans-Retinal
16.67Single4PHUFasiglifam4PHU-FFA1-Fasiglifam
16.67Single5CGCHTL142425CGC-mGlu5-HTL14242
16.67Single5DYSAll-trans-Retinal5DYS-Rhodopsin-All-trans-Retinal
16.67Single5T1ABMS-6815T1A-CCR2-BMS-681-PubChem 12093170
16.67Single6LFMCXCL86LFM-CXCR2-CXCL8-Gi1/β1/γ2
16.67Single6RZ4Pranlukast6RZ4-CysLT1-Pranlukast-Na
16.67Single6UUNAdrenomedullin6UUN-CT Like (AM1)-Adrenomedullin-Gs/β1/γ2; RAMP2
16.67Single6XBKCholesterol6XBK-SMO-Cholesterol-Gi1/β1/γ2
16.67Single7V68LY21196207V68-M4-Iperoxo-LY2119620-Gi1/β1/γ2
16.67Single7W55Neuromedin-U-257W55-NMUR2-Neuromedin-U-25-chim(NtGi1-Gs-CtGq)/β1/γ2
16.67Single8EJCTAK-8758EJC-FFA1-TAK-875-chim(NtGi1L-Gs-CtGq)/β1/γ2
16.67Single8IZ4Lysophosphatidylserine (TJR)8IZ4-GPR34-Lysophosphatidylserine (TJR)-Gi1/β1/γ2
16.67Single8X0DVU04244658X0D-mGlu5; mGlu5-Quisqualate-VU0424465
16.67Single8X0DVU04244658X0D-mGlu5; mGlu5-Quisqualate-VU0424465
16.67Single8ZYTNeurotensin-(8-13)8ZYT-NTS1-Neurotensin-(8-13)-SBI-553-Arrestin2
16.67Single9B5YLA-PTH Analog9B5Y-PTH1-LA-PTH Analog-chim(NtGi1-Gq)/β1/γ2
16.67Single9IVMGLP-1 (Truncated)9IVM-GLP-1-GLP-1 (Truncated)-LSN3318839-chim(NtGi1-Gs)/β2/γ2
16.67Single9JIDNiacin9JID-HCA3-Niacin-Gi1/β1/γ2
16.67Consensusclass-b1_class-b2_cons_onOrthosteric Ligandclass-b1_on class-b2_on
16.67Consensusclass-b1_class-b2_cons_on_gpOrthosteric Ligandclass-b1_on_gp class-b2_on_gp
16.67Consensuscxcr2_on_gpOrthosteric Ligand6LFM-CXCR2-CXCL8-Gi1/β1/γ2
16.67Consensuscyslt_offOrthosteric Ligandcyslt2_off cyslt1_off
16.67Consensusmc3_onOrthosteric Ligand8IOC-MC3-γ-MSH-Ca-chim(NtGi1-Gs)/β1/γ2
16.67Consensusmc3_on_gpOrthosteric Ligand8IOC-MC3-γ-MSH-Ca-chim(NtGi1-Gs)/β1/γ2
16.67Consensusnmur2_onOrthosteric Ligand7W55-NMUR2-Neuromedin-U-25-chim(NtGi1-Gs-CtGq)/β1/γ2
16.67Consensusnmur2_on_gpOrthosteric Ligand7W55-NMUR2-Neuromedin-U-25-chim(NtGi1-Gs-CtGq)/β1/γ2
16.22Single6WPWZP37806WPW-Glucagon-ZP3780-Gs/β1/γ2
16.22Single7V35Peptide-207V35-Glucagon-Peptide-20-Gs/β1/γ2
16.22Single8JIPMEDI03828JIP-GLP-1-MEDI0382-chim(NtGi1-Gs)/β1/γ2
16.22Single8JIRSAR4258998JIR-GLP-1-SAR425899-chim(NtGi1-Gs)/β1/γ2
16.22Single9JR2PTH9JR2-PTH1-PTH-chim(NtGi1L-Gs-CtGq)/β1/γ2
16.22Consensusglp1_on_gpOrthosteric Ligand7S1M-GLP-1-Exendin-4-D-Ala-Gs/β1/γ2 7X8R-GLP-1-BOC5-Gs/β1/γ2 6X19-GLP-1-CHU-128-Gs/β1/γ2 6X1A-GLP-1-Danuglipron-Gs/β1/γ2 6X18-GLP-1-GLP-1-Gs/β1/γ2 8JIP-GLP-1-MEDI0382-chim(NtGi1-Gs)/β1/γ2 7C2E-GLP-1-PubChem 149050799-Gs/β1/γ2 7KI0-GLP-1-Semaglutide-Gs/β1/γ2 7KI1-GLP-1-Taspoglutide-Gs/β1/γ2 7X8S-GLP-1-WB4-24-Gs/β1/γ2 8JIS-GLP-1-Peptide-15-chim(NtGi1-Gs)/β1/γ2 7VBI-GLP-1-Tirzepatide (non-acylated)-Gs/β1/γ2
16.22Consensuspth1_on_gpOrthosteric Ligand6NBF-PTH1-LA-PTH Analog-Gs/β1/γ2 8HA0-PTH1-PTH-chim(NtGi1-Gs)/β1/γ2 8HAF-PTH1-PTHrP(1-36)-chim(NtGi1-Gs)/β1/γ2 7Y36-PTH1-PTH-Gs/β1/γ2 7Y35-PTH1-Abaloparatide-Gs/β1/γ2
16.13Single7W57Neuromedin-S7W57-NMUR2-Neuromedin-S-chim(NtGi1-Gs-CtGq)/β1/γ2
16.13Single8HA0PTH8HA0-PTH1-PTH-chim(NtGi1-Gs)/β1/γ2
16.13Single8YW3Retatrutide8YW3-GLP-1-Retatrutide-Gs/β1/γ2
16.13Single9EBOGLP-1 (ACPC18)9EBO-GLP-1-GLP-1 (ACPC18)-Gs/β1/γ2
16.13Consensusneuromedin-u_onOrthosteric Ligandnmur1_on nmur2_on
16.00Single6OS1TRV0266OS1-AT1-TRV026
16.00Single7F1TCCL37F1T-CCR5-CCL3
16.00Single7XWONeurokinin-A7XWO-NK2-Neurokinin-A-chim(NtGi1-Gs-CtGq)/β1/γ2
16.00Single8JD5JNJ-40411813; ADX881788JD5-mGlu2; mGlu4-Glutamate-JNJ-40411813; ADX88178-Gi1/β1/γ2
16.00Single8X0BVU04244658X0B-mGlu5; mGlu5-Quisqualate-VU0424465
16.00Single8X0FVU298X0F-mGlu5; mGlu5-Quisqualate-VU29
16.00Single8XJMLatanoprost8XJM-FP-alpha-Latanoprost-chim(NtGi2-Gs-CtGq)/β1/γ2
16.00Single8YNTSNAP-948478YNT-MCH1-SNAP-94847
16.00Single9CLWTUG-13759CLW-FFA2-TUG-1375-4-CMTB-chim(NtGi1L-Gs-CtGq)/β1/γ2
16.00Single9MENGp120 (V3 loop)9MEN-CXCR4-Gp120 (V3 loop)
16.00Consensusffa2_onOrthosteric Ligand8J22-FFA2-TUG-1375-Gi1/β1/γ2
16.00Consensusnk2_on_gpOrthosteric Ligand7XWO-NK2-Neurokinin-A-chim(NtGi1-Gs-CtGq)/β1/γ2
16.00Consensusp2y12_onOrthosteric Ligand7XXI-P2Y12-2MeSADP-Gi2/β1/γ2
15.79Single6OT025(S)-Epoxycholesterol6OT0-SMO-25(S)-Epoxycholesterol-Gi1/β1/γ2
15.79Single8XOFLys058XOF-GPR30-Lys05-chim(NtGi1-Gs-CtGq)/β1/γ2
15.79Consensuspth2_onOrthosteric Ligand7F16-PTH2-TIP39-Gs/β1/γ2
15.62Single7VL9CCL15(26-92)7VL9-CCR1-CCL15(26-92)-Gi1/β1/γ2
15.62Single8YG4LA-PTH Analog8YG4-PTH1-LA-PTH Analog-chim(NtGi1-Gs)/β1/γ2
15.62Consensusneuromedin-u_on_gpOrthosteric Ligandnmur1_on_gp nmur2_on_gp
15.62Consensusvpac1_onOrthosteric Ligand8E3Z-VPAC1-VIP-Gs/β1/γ2
15.38Single3VW7Vorapaxar; Na3VW7-PAR1-Vorapaxar; Na
15.38Single4PY02MeSATP4PY0-P2Y12-2MeSATP
15.38Single4XEENeurotensin-(8-13)4XEE-NTS1-Neurotensin-(8-13)
15.38Single4XESNeurotensin-(8-13)4XES-NTS1-Neurotensin-(8-13)
15.38Single5X33BIIL2605X33-BLT1-BIIL260
15.38Single6E3YCalcitonin gene-related peptide-16E3Y-CT Like-Calcitonin gene-related peptide-1-Gs/β1/γ2; RAMP1
15.38Single6OSAJMV4496OSA-NTS1-JMV449-Gi1/β1/γ2
15.38Single6XOXOrforglipron6XOX-GLP-1-Orforglipron-chim(NtGi1-Gs)/β1/γ2
15.38Single7L0SNeurotensin-(8-13)7L0S-NTS1-Neurotensin-(8-13)-Gi1/β1/γ1
15.38Single7WQ4Galanin7WQ4-GAL2-Galanin-chim(NtGi1-Gs-CtGq)/β1/γ2
15.38Single7XJKGalanin7XJK-GAL2-Galanin-chim(NtGi2L-Gs-CtGq)/β1/γ2
15.38Single7XXI2MeSADP7XXI-P2Y12-2MeSADP-Gi2/β1/γ2
15.38Single8JPCNeurotensin-(8-13)8JPC-NTS1-Neurotensin-(8-13)-SBI-553; GDP; Mg-Gq; GRK2
15.38Single8XQNCholesterol8XQN-TAS2R14-Cholesterol-Aristolochic acid A-Gi1/β1/γ1
15.38Single9GGGI-BOP9GGG-TXA2-I-BOP-chim(NtGi2L-Gs-CtGq)/β1/γ2
15.38Single9WXMGPR15L(CT)9WXM-GPR15-GPR15L(CT)-Gi3/β1/γ2
15.38Consensusgi_neurotensinOrthosteric Ligand6OSA-NTS1-JMV449-Gi1/β1/γ2 7L0S-NTS1-Neurotensin-(8-13)-Gi1/β1/γ1
15.38Consensusgi_p2yOrthosteric Ligand7XXI-P2Y12-2MeSADP-Gi2/β1/γ2
15.38Consensusneurotensin_on_gpOrthosteric Ligandnts1_on_gp
15.38Consensusnts1_on_gpOrthosteric Ligand6OSA-NTS1-JMV449-Gi1/β1/γ2 7L0S-NTS1-Neurotensin-(8-13)-Gi1/β1/γ1
15.38Consensusp2y12_on_gpOrthosteric Ligand7XXI-P2Y12-2MeSADP-Gi2/β1/γ2
15.15Single7CZ5Somatoliberin7CZ5-GHRH-Somatoliberin-Gs/β1/γ2
15.15Single7KI0Semaglutide7KI0-GLP-1-Semaglutide-Gs/β1/γ2
15.15Single9BLWCagrilintide (non-acylated)9BLW-CT (AMY1)-Cagrilintide (non-acylated)-Gs/β1/γ2; RAMP1
15.15Consensuspac1_onOrthosteric Ligand8E3X-PAC1-PACAP27-Gs/β1/γ2 6M1H-PAC1-Maxadilan-Gs/β1/γ2
15.15Consensuspac1_on_gpOrthosteric Ligand8E3X-PAC1-PACAP27-Gs/β1/γ2 6M1H-PAC1-Maxadilan-Gs/β1/γ2
15.15Consensussecretin_onOrthosteric Ligand7D3S-Secretin-Secretin-Gs/β1/γ2
15.15Consensusvpac1_on_gpOrthosteric Ligand8E3Z-VPAC1-VIP-Gs/β1/γ2
15.00Single2ZIY11-cis-Retinal2ZIY-Rhodopsin-11-cis-Retinal
15.00Single3PQRAll-trans-Retinal3PQR-Rhodopsin-All-trans-Retinal-Gt(CT)
15.00Single6FK9PubChem 1324730366FK9-Rhodopsin-PubChem 132473036
15.00Single6OIKLY21196206OIK-M2-Iperoxo-LY2119620-chim(NtGi1-Go)/β1/γ2
15.00Single7MT8All-trans-Retinal7MT8-Rhodopsin-All-trans-Retinal-GRK1
15.00Single7MT9All-trans-Retinal7MT9-Rhodopsin-All-trans-Retinal-GRK1
15.00Single7MTAAll-trans-Retinal7MTA-Rhodopsin-All-trans-Retinal-GRK1
15.00Single8IU2All-trans-Retinal8IU2-Opsin1LW-All-trans-Retinal-Gi1/β1/γ2
15.00Single8JEFPubChem 113671668JEF-HCA3-PubChem 11367166-Gi1/β1/γ2
15.00Single8RQLFlufenamic acid8RQL-TAS2R14-Flufenamic acid-Flufenamic acid-chim(NtGi1-Gt3)/β1/γ2
15.00Single9JG1Adriforant9JG1-H4-Adriforant
15.00Single9JHJC18:0 Ceramide9JHJ-FPR2-ALX-C18:0 Ceramide-Gi1/β1/γ2
15.00Consensusgi_opsinsOrthosteric Ligand8IU2-Opsin1LW-All-trans-Retinal-Gi1/β1/γ2
15.00Consensusgi_sensoryOrthosteric Ligandgi_opsins
15.00Consensusopsin1lw_onOrthosteric Ligand8IU2-Opsin1LW-All-trans-Retinal-Gi1/β1/γ2
15.00Consensusopsin1lw_on_gpOrthosteric Ligand8IU2-Opsin1LW-All-trans-Retinal-Gi1/β1/γ2
14.81Single4BUONeurotensin-(8-13)4BUO-NTS1-Neurotensin-(8-13)
14.81Single5CGDHTL142425CGD-mGlu5-HTL14242
14.81Single7VVNPTH7VVN-PTH1-PTH-Gs/β1/γ2
14.81Single8FN0Neurotensin-(8-13)8FN0-NTS1-Neurotensin-(8-13)-SBI-553-chim(NtGi1-Go)/β1/γ2
14.81Single8XJKCloprosetnol8XJK-FP-alpha-Cloprosetnol-chim(NtGi1-Gs-CtGq)/β1/γ2
14.81Single9C0KExendin-49C0K-GLP-1-Exendin-4-Gs/β1/γ2
14.81Consensusfp-alpha_onOrthosteric Ligand8IUK-FP-alpha-PGF2-α-chim(NtGi1-Gs-CtGq)/β1/γ2 8IUL-FP-alpha-Latanoprost-chim(NtGi1-Gs-CtGq)/β1/γ2 8IUM-FP-alpha-Tafluprost acid-chim(NtGi1-Gs-CtGq)/β1/γ2
14.81Consensusfp-alpha_on_gpOrthosteric Ligand8IUK-FP-alpha-PGF2-α-chim(NtGi1-Gs-CtGq)/β1/γ2 8IUL-FP-alpha-Latanoprost-chim(NtGi1-Gs-CtGq)/β1/γ2 8IUM-FP-alpha-Tafluprost acid-chim(NtGi1-Gs-CtGq)/β1/γ2
14.71Single6UVAAdrenomedullin-26UVA-CT Like (AM2)-Adrenomedullin-2-Gs/β1/γ2; RAMP3
14.71Single7TYFAmylin7TYF-CT (AMY1)-Amylin-Gs/β1/γ2; RAMP1
14.71Single7VVKPTH7VVK-PTH1-PTH-Gs/β1/γ2
14.71Single8FU6ZP37808FU6-Glucagon-ZP3780-Gs/β1/γ2
14.71Consensussecretin_on_gpOrthosteric Ligand7D3S-Secretin-Secretin-Gs/β1/γ2
14.29Single3AYMAll-trans-Retinal3AYM-Rhodopsin-All-trans-Retinal
14.29Single6FK6PubChem 1324730336FK6-Rhodopsin-PubChem 132473033
14.29Single6PH7Nerol6PH7-Rhodopsin-Nerol-Gt(CT)
14.29Single6RZ6ONO-25703666RZ6-CysLT2-ONO-2570366
14.29Single6UUSAdrenomedullin6UUS-CT Like (AM2)-Adrenomedullin-Gs/β1/γ2; RAMP3
14.29Single7D76Beclomethasone7D76-ADGRG3-Beclomethasone-Go/β1/γ2
14.29Single7VVLPTH7VVL-PTH1-PTH-Gs/β1/γ2
14.29Single8IUMTafluprost acid8IUM-FP-alpha-Tafluprost acid-chim(NtGi1-Gs-CtGq)/β1/γ2
14.29Single8SAILysophosphatidylserine (S12)8SAI-GPR34-Lysophosphatidylserine (S12)-Gi1/β1/γ2
14.29Single8SZFCa; Ca; Tryptophan; Cinacalcet; PO4; Spermine8SZF-CaS; CaS-Ca; Ca; Tryptophan; Cinacalcet; PO4; Spermine
14.29Single8U4RREGN7663-Fab8U4R-CXCR4-REGN7663-Fab
14.29Single8X2KOleic monoethanolamide8X2K-GPR3-Oleic monoethanolamide-chim(NtGi1-Gs)/β1/γ2
14.29Single8XQJJN2418XQJ-Apelin; Apelin-JN241
14.29Single8XQOCholesterol8XQO-TAS2R14-Cholesterol-Aristolochic acid A-Gi1/β1/γ1
14.29Single9B9YTaranabant9B9Y-CB1-Taranabant
14.29Single9EPRAll-trans-Retinal9EPR-Rhodopsin-All-trans-Retinal-Gi1/β1/γ2
14.29Single9LMPNE52-QQ579LMP-GPR4-NE52-QQ57
14.29Single9YDAAll-trans-Retinal9YDA-Opsin1MW-All-trans-Retinal-chim(NtGi1L-Gs-CtGt)/β1/γ2
14.29Consensusgq_nucleotideOrthosteric Ligandgq_p2y
14.29Consensusgq_p2yOrthosteric Ligand7XXH-P2Y1-2MeSADP-chim(NtGi1-G11)/β1/γ2
13.89Single7RBTTirzepatide7RBT-GIP-Tirzepatide-LSN3556672-chim(NtGi1-Gs)/β1/γ2
13.89Single7TYXAmylin7TYX-CT (AMY2)-Amylin-Gs/β1/γ2; RAMP2
13.89Consensuscrf1_onOrthosteric Ligand6PB0-CRF1-Urocortin-chim(NtGi1-Gs)/β1/γ2 6P9X-CRF1-Corticoliberin-1-Gs/β1/γ2
13.79Single6RZ8ONO-20803656RZ8-CysLT2-ONO-2080365
13.79Single7W2ZGhrelin7W2Z-Ghrelin-Ghrelin-Go/β1/γ2
13.64Single6FKBPubChem 1324730386FKB-Rhodopsin-PubChem 132473038
13.64Single6LFOCXCL86LFO-CXCR2-CXCL8-Gi1/β1/γ2
13.64Single6ZA8RTI-3a6ZA8-NTS1-RTI-3a
13.64Single7LCJDanuglipron7LCJ-GLP-1-Danuglipron
13.64Single8T3VDoconexent8T3V-FFA1-Doconexent-chim(NtGi2L-Gs-CtGq)/β1/γ2
13.64Single8YYWAlpha-ketoglutarate8YYW-Oxoglutarate-α-ketoglutarate-α-ketoglutarate-chim(Gi1-CtGq)/β1/γ2
13.64Single9KO2CCL199KO2-CCR7-CCL19-Gi1/β1
13.64Single9KO6CCL199KO6-CCR7-CCL19
13.64Consensuscxcr1_onOrthosteric Ligand8IC0-CXCR1-CXCL8-Gi1/β1/γ2
13.64Consensusp2y1_onOrthosteric Ligand7XXH-P2Y1-2MeSADP-chim(NtGi1-G11)/β1/γ2
13.51Single7TZFAmylin7TZF-CT (AMY3)-Amylin-Gs/β1/γ2; RAMP3
13.51Single7VBHPeptide-207VBH-GLP-1-Peptide-20-Gs/β1/γ2
13.51Single9AUCCalcitonin gene-related peptide-19AUC-CT (AMY1)-Calcitonin gene-related peptide-1-Gs/β1/γ2; RAMP1
13.51Consensusglp1_onOrthosteric Ligand7S1M-GLP-1-Exendin-4-D-Ala-Gs/β1/γ2 7X8R-GLP-1-BOC5-Gs/β1/γ2 6X19-GLP-1-CHU-128-Gs/β1/γ2 6X1A-GLP-1-Danuglipron-Gs/β1/γ2 6X18-GLP-1-GLP-1-Gs/β1/γ2 8JIP-GLP-1-MEDI0382-chim(NtGi1-Gs)/β1/γ2 7C2E-GLP-1-PubChem 149050799-Gs/β1/γ2 7KI0-GLP-1-Semaglutide-Gs/β1/γ2 7KI1-GLP-1-Taspoglutide-Gs/β1/γ2 7X8S-GLP-1-WB4-24-Gs/β1/γ2 8JIS-GLP-1-Peptide-15-chim(NtGi1-Gs)/β1/γ2 7VBI-GLP-1-Tirzepatide (non-acylated)-Gs/β1/γ2
13.33Single8IOCGamma-MSH8IOC-MC3-γ-MSH-Ca-chim(NtGi1-Gs)/β1/γ2
13.16Consensuscrf1_on_gpOrthosteric Ligand6PB0-CRF1-Urocortin-chim(NtGi1-Gs)/β1/γ2 6P9X-CRF1-Corticoliberin-1-Gs/β1/γ2
13.04Single6FKAPubChem 1324730376FKA-Rhodopsin-PubChem 132473037
13.04Single6ZINSR486926ZIN-NTS1-SR48692
13.04Single7C2EPubChem 1490507997C2E-GLP-1-PubChem 149050799-Gs/β1/γ2
13.04Single7M3GCa; Ca; Tryptophan; Evocalcet; Etelcalcetide; PO47M3G-CaS; CaS-Ca; Ca; Tryptophan; Evocalcet; Etelcalcetide; PO4
13.04Single7UTZDPPC7UTZ-TSH-TSH-DPPC-Gs/β1/γ2
13.04Single8HQN9-S-HODE8HQN-GPR132-9-S-HODE-Gi1/β1/γ2
13.04Single8YRGFospropofol8YRG-MRGPRX4-Fospropofol-chim(NtGi1-Gs-CtGq)/β1/γ2
13.04Single9BA0MRI-18919BA0-CB1-MRI-1891
13.04Single9DQJEP-39459DQJ-MRGPRD-EP-3945-chim(NtGi1-Gs-CtGq)/β1/γ2
13.04Single9IXXLTD49IXX-CysLT2-LTD4-chim(NtGi1-Gs-CtGq)/β1/γ2
13.04Single9JFUNE52-QQ579JFU-GPR4-NE52-QQ57
13.04Single9K0XATP9K0X-P2Y2-ATP-chim(NtGi1-Gs-CtGq)/β1/γ2
13.04Single9K20ATP9K20-P2Y2-ATP-chim(NtGi1-Go)/β1/γ2
13.04Consensuscb1_offOrthosteric Ligand5U09-CB1-Taranabant 5TGZ-CB1-AM6538
13.04Consensuscxcr2_onOrthosteric Ligand6LFM-CXCR2-CXCL8-Gi1/β1/γ2
12.90Single8YFOAc-LA-PTH Analog8YFO-PTH1-Ac-LA-PTH Analog-chim(NtGi1-Gs)/β1/γ2
12.82Single8JIUSAR4258998JIU-Glucagon-SAR425899-Gs/β1/γ2
12.50Single4QIMANTA XV4QIM-SMO-ANTA XV
12.50Single6ORVTT-OAD26ORV-GLP-1-TT-OAD2-Gs/β1/γ2
12.50Single6X1ADanuglipron6X1A-GLP-1-Danuglipron-Gs/β1/γ2
12.50Single6Z4VNeurotensin-(9-13)6Z4V-NTS1-Neurotensin-(9-13)
12.50Single7FIHOrg435537FIH-LH-hCG-Org43553-chim(NtGi1-Gs)/β1/γ2
12.50Single7FINPeptide-20; GGL7FIN-GIP-Peptide-20; GGL-Gs/β1/γ2
12.50Single7S15PubChem 1346112237S15-GLP-1-PubChem 134611223
12.50Single8IC0CXCL88IC0-CXCR1-CXCL8-Gi1/β1/γ2
12.50Single8YW5Retatrutide8YW5-Glucagon-Retatrutide-Gs/β1/γ2
12.50Single9BLCCagrilintide (non-acylated)9BLC-CT-Cagrilintide (non-acylated)-Gs/β1/γ2
12.50Single9METGp120; CD49MET-CXCR4-Gp120; CD4
12.50Consensuscxcr1_on_gpOrthosteric Ligand8IC0-CXCR1-CXCL8-Gi1/β1/γ2
12.12Single5YQZNNC17025YQZ-Glucagon-NNC1702
12.12Single7Y35Abaloparatide7Y35-PTH1-Abaloparatide-Gs/β1/γ2
12.12Consensuscalcitonin_onOrthosteric Ligandctlike_on
12.00Single5YHLPubChem 1351213525YHL-EP4-PubChem 135121352
12.00Single5YWYONO-AE3-2085YWY-EP4-ONO-AE3-208
12.00Single6Z4QSR142948A6Z4Q-NTS1-SR142948A
12.00Single6Z4SSR486926Z4S-NTS1-SR48692
12.00Single7M3GCa; Ca; Tryptophan; Evocalcet; Etelcalcetide; PO47M3G-CaS; CaS-Ca; Ca; Tryptophan; Evocalcet; Etelcalcetide; PO4
12.00Single7VV0PAMP-127VV0-MRGPRX2-PAMP-12
12.00Single8GD9Rivenprost8GD9-EP4-Rivenprost-Gs/β1/γ2
12.00Single8GDCPGE28GDC-EP3-PGE2-Gi1/β1/γ2
12.00Single8JGGBAM8-228JGG-MRGPRX1-BAM8-22-Gi1/β1/γ2
12.00Single8X0BVU04244658X0B-mGlu5; mGlu5-Quisqualate-VU0424465
12.00Single8X0CVU04244658X0C-mGlu5; mGlu5-Quisqualate-VU0424465
12.00Single8X0CVU04244658X0C-mGlu5; mGlu5-Quisqualate-VU0424465
12.00Single8XQPCholesterol8XQP-TAS2R14-Cholesterol-Aristolochic acid A-Gt3/β1/γ1
12.00Single9B9ZMRI-18679B9Z-CB1-MRI-1867
12.00Single9DQHEP-28259DQH-MRGPRD-EP-2825-chim(NtGi1-Gs-CtGq)/β1/γ2
12.00Single9HC04YI9HC0-mGlu5-4YI
12.00Consensusep4_offOrthosteric Ligand5YWY-EP4-ONO-AE3-208 5YHL-EP4-PubChem 135121352
12.00Consensusep_offOrthosteric Ligandep4_off
11.76Single6NBILA-PTH Analog6NBI-PTH1-LA-PTH Analog-Gs/β1/γ2
11.76Single8FLRPTHrP(1-36)8FLR-PTH1-PTHrP(1-36)-Gs/β1/γ2
11.76Single9BP3Cagrilintide9BP3-CT (AMY1)-Cagrilintide-Gs/β1/γ2; RAMP1
11.76Consensuscalcitonin_on_gpOrthosteric Ligandctlike_on_gp
11.63Single8F0JPramlintide Analogue San458F0J-CT-Pramlintide Analogue San45-Gs/β1/γ2
11.54Single3ZEVNeurotensin-(7-13)3ZEV-NTS1-Neurotensin-(7-13)
11.54Single4BV0Neurotensin-(7-13)4BV0-NTS1-Neurotensin-(7-13)
11.54Single4OO9Mavoglurant4OO9-mGlu5-Mavoglurant
11.54Single5V56TC1145V56-SMO-TC114
11.54Single6Z8NSRI-98296Z8N-NTS1-SRI-9829
11.54Single7L0PNeurotensin-(8-13)7L0P-NTS1-Neurotensin-(8-13)-Gi1/β1/γ1
11.54Single7L0QNeurotensin-(8-13)7L0Q-NTS1-Neurotensin-(8-13)-Gi1/β1/γ1
11.54Single7P2L4YI7P2L-mGlu5-4YI
11.54Single7XJLSpexin7XJL-GAL2-Spexin-chim(NtGi2L-Gs-CtGq)/β1/γ2
11.54Single8FMZNeurotensin-(8-13)8FMZ-NTS1-Neurotensin-(8-13)-chim(NtGi2L-Gs-CtGq)/β1/γ2
11.54Single8IUKPGF2-alpha8IUK-FP-alpha-PGF2-α-chim(NtGi1-Gs-CtGq)/β1/γ2
11.54Single8JGFBAM8-228JGF-MRGPRX1-BAM8-22-chim(NtGi1-Gs-CtGq)/β1/γ2
11.54Single8WJXADP8WJX-P2Y1-ADP-chim(Gs-CtGq)/β1/γ2
11.54Single8X79MRE-2698X79-I2-MRE-269-Gs/β1/γ2
11.54Single8XQTCholesterol8XQT-TAS2R14-Cholesterol-Gi1/β1/γ1
11.54Single9ITELPA9ITE-LPA6-LPA-chim(NtGi2-G13)/β1/γ2
11.54Single9JCLADP9JCL-P2Y1-ADP-chim(Gs-CtGq)/β1/γ2
11.54Consensusneurotensin_onOrthosteric Ligandnts1_on
11.54Consensusnts1_onOrthosteric Ligand6OSA-NTS1-JMV449-Gi1/β1/γ2 7L0S-NTS1-Neurotensin-(8-13)-Gi1/β1/γ1
11.36Single8F2BPramlintide Analogue San458F2B-CT (AMY3)-Pramlintide Analogue San45-Gs/β1/γ2; RAMP3
11.11Single4A4MAll-trans-Retinal4A4M-Rhodopsin-All-trans-Retinal-Gt(CT)
11.11Single4GRVNeurotensin-(8-13)4GRV-NTS1-Neurotensin-(8-13)
11.11Single5EN0All-trans-Retinal5EN0-Rhodopsin-All-trans-Retinal-Gt(CT)
11.11Single6LMKGlucagon6LMK-Glucagon-Glucagon-Gs/β1/γ2
11.11Single6RZ7ONO-25703666RZ7-CysLT2-ONO-2570366
11.11Single6YVRNeurotensin-(6-13)6YVR-NTS1-Neurotensin-(6-13)
11.11Single8GCPPGE28GCP-EP4-PGE2-Gi1/β1/γ2
11.11Single8IQ6Latanoprost8IQ6-FP-alpha-Latanoprost-chim(NtGi1-Gs-CtGq)/β1/γ2
11.11Single8JPBNeurotensin-(8-13)8JPB-NTS1-Neurotensin-(8-13)-SBI-553; GDP; Mg-Gq; GRK2
11.11Single8XJNCloprosetnol8XJN-TXA2-Cloprosetnol-chim(NtGi1-Gs-CtGq)/β1/γ2
11.11Single8XQJJN2418XQJ-Apelin; Apelin-JN241
11.11Consensusvpac2_onOrthosteric Ligand7VQX-VPAC1-PACAP27-Gs/β1/γ2
11.11Consensusvpac2_on_gpOrthosteric Ligand7VQX-VPAC1-PACAP27-Gs/β1/γ2
10.81Consensusgip_onOrthosteric Ligand7FIN-GIP-Peptide-20; GGL-Gs/β1/γ2 7FIY-GIP-Tirzepatide-Gs/β1/γ2 7DTY-GIP-GIP-Gs/β1/γ2
10.81Consensusgip_on_gpOrthosteric Ligand7FIN-GIP-Peptide-20; GGL-Gs/β1/γ2 7FIY-GIP-Tirzepatide-Gs/β1/γ2 7DTY-GIP-GIP-Gs/β1/γ2
10.71Single6RZ9ONO-27703726RZ9-CysLT2-ONO-2770372
10.71Single6UP7Neurotensin-(8-13)6UP7-NTS1-Neurotensin-(8-13)-Arrestin2
10.71Single7D7MPGE27D7M-EP4-PGE2-Gs/β1/γ1
10.71Single8JPFNeurotensin-(8-13)8JPF-NTS1-Neurotensin-(8-13)-SBI-553
10.71Single8XJOU466198XJO-TXA2-U46619-chim(NtGi1-Gs-CtGq)/β1/γ2
10.71Single8XVUCXCL28XVU-CXCR2-CXCL2
10.71Single8XXHCXCL28XXH-CXCR2-CXCL2-Go/β1/γ2
10.71Single9GG5U466199GG5-TXA2-U46619-chim(NtGi2L-Gs-CtGq)/β1/γ2
10.71Single9M1HPGE29M1H-EP1-PGE2-chim(NtGi1-Gs-CtGq)/β1/γ2
10.71Consensuscyslt2_offOrthosteric Ligand6RZ7-CysLT2-ONO-2570366 6RZ8-CysLT2-ONO-2080365 6RZ9-CysLT2-ONO-2770372
10.71Consensusprostanoid_onOrthosteric Ligandtp_on fp-alpha_on
10.71Consensusprostanoid_on_gpOrthosteric Ligandtp_on_gp fp-alpha_on_gp
10.71Consensustp_onOrthosteric Ligand8XJO-TXA2-U46619-chim(NtGi1-Gs-CtGq)/β1/γ2
10.71Consensustp_on_gpOrthosteric Ligand8XJO-TXA2-U46619-chim(NtGi1-Gs-CtGq)/β1/γ2
10.53Single7XKEDehydroepiandrosterone7XKE-ADGRG2-Dehydroepiandrosterone-chim(NtGi1-Gs)/β1/γ2
10.53Single8F2APramlintide Analogue San3858F2A-CT (AMY3)-Pramlintide Analogue San385-Gs/β1/γ2; RAMP3
10.53Single8HVINOX-6-78HVI-GPR132-NOX-6-7-Gi1/β1/γ2
10.34Single6KNMJN241-96KNM-Apelin-JN241-9
10.34Single6OS9JMV4496OS9-NTS1-JMV449-Gi1/β1/γ2
10.34Single8GDAL9026888GDA-EP4-L902688-Gs/β1/γ2
10.34Single8IQ4Carboprost8IQ4-FP-alpha-Carboprost-chim(NtGi1-Gs-CtGq)/β1/γ2
10.34Single8XX6CXCL88XX6-CXCR2-CXCL8-Go/β1/γ2
10.34Single9ITBLPA9ITB-LPA6-LPA-chim(NtGi1-Gs-CtGq)/β1/γ2
10.00Single2HPYAll-trans-Retinal2HPY-Rhodopsin-All-trans-Retinal
10.00Single7TYOCalcitonin7TYO-CT-Calcitonin-Gs/β1/γ2
10.00Single7TYYCalcitonin-17TYY-CT (AMY2)-Calcitonin-1-Gs/β1/γ2; RAMP2
10.00Single8DWGBAM8-228DWG-MRGPRX1-BAM8-22-ML382-chim(NtGi2L-Gs-CtGq)/β1/γ2
10.00Single8JITMEDI03828JIT-Glucagon-MEDI0382-Gs/β1/γ2
10.00Single8XWNCXCL88XWN-CXCR2-CXCL8
10.00Single8Y02All-trans-Retinal8Y02-OPN1SW-All-trans-Retinal-Gi1/β1/γ2
10.00Single9BUECagrilintide9BUE-CT-Cagrilintide-Gs/β1/γ2
9.76Consensusgluc_onOrthosteric Ligand6LMK-Glucagon-Glucagon-Gs/β1/γ2 8JIT-Glucagon-MEDI0382-Gs/β1/γ2 7V35-Glucagon-Peptide-20-Gs/β1/γ2
9.68Single6WHCGlu16 analog of GCG6WHC-Glucagon-Glu16 analog of GCG-Gs/β1/γ2
9.68Single7TRYUrocortin7TRY-CRF2-Urocortin-chim(NtGi1-G11)/β1/γ2
9.52Single7D77Hydrocortisone7D77-ADGRG3-Hydrocortisone-Go/β1/γ2
9.52Single8F76Propanoic acid8F76-OR51E2-Propanoic acid-Gs/β1/γ2
9.52Single9IJRC179IJR-GPR52-C17-Arrestin2
9.52Consensusgluc_on_gpOrthosteric Ligand6LMK-Glucagon-Glucagon-Gs/β1/γ2 8JIT-Glucagon-MEDI0382-Gs/β1/γ2 7V35-Glucagon-Peptide-20-Gs/β1/γ2
9.09Single6LI0C176LI0-GPR52-C17
9.09Single6NIYCalcitonin-16NIY-CT-Calcitonin-1-Gs/β1/γ2
9.09Single7TYIAmylin7TYI-CT-Amylin-Gs/β1/γ2
9.09Single8FX5Xanomeline8FX5-M4-Xanomeline-Xanomeline-Gi1/β1/γ2
9.09Single9BUDCagrilintide9BUD-CT-Cagrilintide-Gs/β1/γ2
9.09Consensusadgrg_onOrthosteric Ligandadgrg2_on adgrg4_on
9.09Consensusadgrg_on_gpOrthosteric Ligandadgrg2_on_gp adgrg4_on_gp
9.09Consensuscrf2_onOrthosteric Ligand7TS0-CRF2-Urocortin-chim(NtGi1L-Go)/β1/γ2
8.82Single7TYWCalcitonin-17TYW-CT (AMY1)-Calcitonin-1-Gs/β1/γ2; RAMP1
8.70Single4XNVBPTU4XNV-P2Y1-BPTU
8.70Single5U09Taranabant5U09-CB1-Taranabant
8.70Single8DWHPubChem 1390305318DWH-MRGPRX1-PubChem 139030531-chim(NtGi2L-Gs-CtGq)/β1/γ2
8.70Single8HMPC178HMP-GPR52-C17-Gs/β1/γ2
8.70Single8U8FPalmitic Acid8U8F-GPR3-Palmitic Acid-Gs/β1/γ2
8.70Single8YNFCXCL88YNF-ACKR1-CXCL8
8.57Single9BLBCagrilintide (non-acylated)9BLB-CT-Cagrilintide (non-acylated)-Gs/β1/γ2
8.57Consensuscrf2_on_gpOrthosteric Ligand7TS0-CRF2-Urocortin-chim(NtGi1L-Go)/β1/γ2
8.33Single5NX2GLP-1 (Truncated)5NX2-GLP-1-GLP-1 (Truncated)
8.33Single6FFIMPEP6FFI-mGlu5-MPEP
8.33Single7TYNCalcitonin-17TYN-CT-Calcitonin-1-Gs/β1/γ2
8.33Single8HJ5PubChem 1390305318HJ5-MRGPRX1-PubChem 139030531-chim(NtGi1-Gs-CtGq)/β1/γ2
8.33Single8X7ATreprostinil8X7A-I2-Treprostinil-Gs/β1/γ2
8.33Single9K0KUTP9K0K-P2Y4-UTP-chim(NtGi1-Gs-CtGq)/β1/γ2
8.33Consensusglp2_onOrthosteric Ligand7D68-GLP-2-GLP-2-Gs/β1/γ2
8.33Consensusglp2_on_gpOrthosteric Ligand7D68-GLP-2-GLP-2-Gs/β1/γ2
8.11Single7TYLAmylin7TYL-CT-Amylin-Gs/β1/γ2
8.00Single6FFHFenobam6FFH-mGlu5-Fenobam
8.00Single6IIVDaltroban6IIV-TXA2-Daltroban
8.00Single7SK8CXCL127SK8-ACKR3-CXCL12-CCX662
8.00Single8GCML-9026888GCM-EP4-L-902688-Gi1/β1/γ2
8.00Single8XJLPGF2-alpha8XJL-FP-alpha-PGF2-α-chim(NtGi2-Gs-CtGq)/β1/γ2
8.00Single9JQZGrapiprant 9JQZ-EP4-Grapiprant
7.69Single4JKVTaladegib4JKV-SMO-Taladegib
7.69Single6M9TMisoprostol-FA6M9T-EP3-Misoprostol-FA
7.69Single8ZVZBW245C8ZVZ-DP1-BW245C-Gs/β1/γ2
7.69Single9EAHNanobody AT2099EAH-AT1-Olmesartan-Nanobody AT209
7.69Single9EE5ONO-25502899EE5-DP1-ONO-2550289
7.69Single9EKHONO-30302979EKH-DP1-ONO-3030297
7.69Consensusadgrg2_onOrthosteric Ligand7WUI-ADGRG2-IP15-chim(NtGi1-Gs)/β1/γ2 7WUQ-ADGRG2-Gs/β1/γ2 7XKF-ADGRG2-Dehydroepiandrosterone-Gs/β1/γ2
7.69Consensusadgrg2_on_gpOrthosteric Ligand7WUI-ADGRG2-IP15-chim(NtGi1-Gs)/β1/γ2 7WUQ-ADGRG2-Gs/β1/γ2 7XKF-ADGRG2-Dehydroepiandrosterone-Gs/β1/γ2
7.41Single5V57TC1145V57-SMO-TC114
7.41Single7SK7CXCL127SK7-ACKR3-CXCL12-CCX662
7.41Single8GDBPGE28GDB-EP4-PGE2-Gs/β1/γ2
7.41Single8TAOCDPPB8TAO-mGlu5; mGlu5-Quisqualate-CDPPB
7.41Single8XX7CXCL58XX7-CXCR2-CXCL5-Go/β1/γ2
7.41Single8ZW0PGD28ZW0-DP1-PGD2-Gs/β1/γ2
7.41Single9E9SPGD29E9S-DP1-PGD2-Gs/β1/γ1
7.14Single6AK3PGE26AK3-EP3-PGE2
7.14Single6IIURamatroban6IIU-TXA2-Ramatroban
7.14Single8DWCBAM8-228DWC-MRGPRX1-BAM8-22-chim(NtGi2L-Gs-CtGq)/β1/γ2
7.14Single8XWACXCL18XWA-CXCR2-CXCL1
7.14Single8XWMCXCL68XWM-CXCR2-CXCL6
7.14Single8XWSCXCL58XWS-CXCR2-CXCL5
7.14Single8XX3CXCL38XX3-CXCR2-CXCL3-Go/β1/γ2
7.14Single9AU0BW245C9AU0-DP1-BW245C-Gs/β1/γ2
6.90Single6M1HMaxadilan6M1H-PAC1-Maxadilan-Gs/β1/γ2
6.90Single8XWFCXCL38XWF-CXCR2-CXCL3
6.90Single8XWVCXCL18XWV-CXCR2-CXCL1-Go/β1/γ2
6.90Single9JH5C16:0 Ceramide9JH5-CysLT2-C16:0 Ceramide-chim(NtGi1-Gs-CtGq)/β1/γ2
6.45Single7RTBPeptide-197RTB-GLP-1-Peptide-19-Gs/β1/γ2
6.45Single7VLACCL15(27-92)7VLA-CCR1-CCL15(27-92)-Gi1/β1/γ2
6.45Single8JIQPeptide-158JIQ-Glucagon-Peptide-15-Gs/β1/γ2
6.45Consensusccr1_onOrthosteric Ligand7VLA-CCR1-CCL15(27-92)-Gi1/β1/γ2
6.45Consensusccr1_on_gpOrthosteric Ligand7VLA-CCR1-CCL15(27-92)-Gi1/β1/γ2
5.71Single7TYHCalcitonin7TYH-CT (AMY2)-Calcitonin-Gs/β1/γ2; RAMP2
5.56Single9BUBCagrilintide9BUB-CT-Cagrilintide-Gs/β1/γ2
5.56Consensusctlike_onOrthosteric Ligand6E3Y-CT Like-Calcitonin gene-related peptide-1-Gs/β1/γ2; RAMP1
5.26Single8JGBConorfamide-Tx28JGB-MRGPRX1-Conorfamide-Tx2-Gi1/β1/γ2
5.26Single9BQ3Cagrilintide9BQ3-CT (AMY2)-Cagrilintide-Gs/β1/γ2; RAMP2
5.26Single9BTWCagrilintide9BTW-CT (AMY3)-Cagrilintide-Gs/β1/γ2; RAMP3
5.26Consensusctlike_on_gpOrthosteric Ligand6E3Y-CT Like-Calcitonin gene-related peptide-1-Gs/β1/γ2; RAMP1
5.00Single7XKDDehydroepiandrosterone7XKD-ADGRG2-Dehydroepiandrosterone-Gs/β1/γ2
5.00Single8HQMNPGLY8HQM-GPR132-NPGLY-Gi1/β1/γ2
5.00Single8X9S5alpha-DHT8X9S-ADGRD1-5α-DHT-chim(NtGi1-Gs)/β1/γ2
4.76Single7VDMSubstance-P7VDM-MRGPRX2-Substance-P-Gi1/β1/γ2
4.76Single7Y14Beta-Alanine7Y14-MRGPRD-β-Alanine
4.76Single8U4QREGN7663-Fab8U4Q-CXCR4-REGN7663-Fab-Gi1/β1/γ2
4.76Consensusp2y_offOrthosteric Ligandp2y1_off
4.55Single4XNWMRS25004XNW-P2Y1-MRS2500
4.55Single6PWCNeurotensin-(9-13)6PWC-NTS1-Neurotensin-(9-13)-Arrestin2
4.55Single7Y12Beta-Alanine7Y12-MRGPRD-β-Alanine-Gi1/β1/γ2
4.55Single8JRVGlucagon8JRV-Glucagon-Glucagon-Arrestin2
4.55Consensusp2y1_offOrthosteric Ligand4XNW-P2Y1-MRS2500
4.35Single5L7IVismodegib5L7I-SMO-Vismodegib
4.35Single7S8NR-Zinc-35737S8N-MRGPRX2-R-Zinc-3573-chim(NtGi2L-Gs-CtGq)/β1/γ2
4.35Single7S8OR-Zinc-35737S8O-MRGPRX2-R-Zinc-3573-Gi1/β1/γ2
4.35Single7UL2SR486927UL2-NTS1-SR48692-Na
4.35Single7VDHC48/807VDH-MRGPRX2-C48/80-Gi1/β1/γ2
4.35Single9E7RGB889E7R-PAR2-GB88-chim(NtGi1L-Gs-CtGq)/β1/γ2
4.35Consensusneurotensin_offOrthosteric Ligandnts1_off
4.35Consensusnts1_offOrthosteric Ligand7UL2-NTS1-SR48692-Na
4.17Single4BWBNeurotensin-(8-12)4BWB-NTS1-Neurotensin-(8-12)
4.17Single6WWZCCL206WWZ-CCR6-CCL20-Go/β1/γ2
4.17Single7VV5C48/807VV5-MRGPRX2-C48/80-Gi1/β1/γ2
4.17Single7VVOPTH7VVO-PTH1-PTH-Gs/β1/γ2
4.17Single7WV9ZCZ0117WV9-CB1-CP55940-ZCZ011-Gi2/β1/γ2
4.17Single8U4SREGN7663-Fab8U4S-CXCR4-REGN7663-Fab
4.17Single8U4TREGN7663-Fab8U4T-CXCR4-REGN7663-Fab
4.17Single8XXXCXCL68XXX-CXCR2-CXCL6-Go/β1/γ2
4.17Consensusccr6_onOrthosteric Ligand6WWZ-CCR6-CCL20-Go/β1/γ2
4.17Consensusccr6_on_gpOrthosteric Ligand6WWZ-CCR6-CCL20-Go/β1/γ2
4.00Single7VV6C48/807VV6-MRGPRX2-C48/80
4.00Single8IYXYL-3658IYX-GPR34-YL-365
4.00Single8JD6VU03647708JD6-mGlu4; mGlu4-Phosphoserine-VU0364770-Gi3/β1/γ2
3.85Single5T04Neurotensin-(8-13)5T04-NTS1-Neurotensin-(8-13)
3.85Single8TH3AT118-H Nanobody8TH3-AT1-AT118-H Nanobody
3.85Single9IMATalquetamab9IMA-GPRC5D; GPRC5D-Talquetamab
3.85Single9IVGGLP-1 (Truncated)9IVG-GLP-1-GLP-1 (Truncated)-chim(NtGi1-Gs)/β1/γ2
3.70Single8T6JCDPPB8T6J-mGlu5; mGlu5-CDPPB
3.70Single8T6JCDPPB8T6J-mGlu5; mGlu5-CDPPB
3.70Single8TH4AT118-L Nanobody8TH4-AT1-Losartan-AT118-L Nanobody
3.57Single8JD5JNJ-40411813; ADX881788JD5-mGlu2; mGlu4-Glutamate-JNJ-40411813; ADX88178-Gi1/β1/γ2
3.33Single7CX4Evatanepag7CX4-EP2-Evatanepag-Gs/β1/γ2
3.23Single7CX2PGE27CX2-EP2-PGE2-Gs/β1/γ2
3.12Single7CX3Taprenepag7CX3-EP2-Taprenepag-Gs/β1/γ2

2D representation of the interactions of this orthosteric/allosteric ligand.


Links and nodes colored according to ConSurf Conservation Grade (See documentation): 

 n/a   1    2    3    4    5    6    7    8    9  

Node1 Node2 LinkStrength Comm IsNode1Hub? IsNode2Hub? Node1Cons Node2Cons Node1Shell Node2Shell
R:R:T162 R:R:Y108 8.74 2 Yes Yes 7 7 1 2
R:R:D166 R:R:Y108 5.75 0 No Yes 8 7 1 2
R:R:I189 R:R:Y108 8.46 2 Yes Yes 5 7 1 2
R:R:F154 R:R:F158 6.43 2 Yes Yes 6 5 2 1
R:R:F154 R:R:S197 2.64 2 Yes Yes 6 8 2 2
R:R:F158 R:R:N193 4.83 2 Yes No 5 7 1 1
R:R:F158 R:R:L196 2.44 2 Yes No 5 4 1 2
R:R:F158 R:R:S197 2.64 2 Yes Yes 5 8 1 2
R:R:F158 W:W:?1 8.93 2 Yes Yes 5 0 1 0
R:R:C161 R:R:P246 3.77 0 No Yes 7 8 1 2
R:R:C161 W:W:?1 2.91 0 No Yes 7 0 1 0
R:R:I189 R:R:T162 4.56 2 Yes Yes 5 7 1 1
R:R:N193 R:R:T162 7.31 2 No Yes 7 7 1 1
R:R:T162 W:W:?1 10.81 2 Yes Yes 7 0 1 0
R:R:I169 R:R:V165 3.07 0 No No 5 6 2 1
R:R:C253 R:R:V165 3.42 0 No No 8 6 2 1
R:R:V165 W:W:?1 17.75 0 No Yes 6 0 1 0
R:R:D166 R:R:R181 16.68 0 No Yes 8 7 1 2
R:R:D166 W:W:?1 2.49 0 No Yes 8 0 1 0
R:R:I189 R:R:N185 2.83 2 Yes No 5 4 1 2
R:R:I189 W:W:?1 6.54 2 Yes Yes 5 0 1 0
R:R:N193 W:W:?1 5.03 2 No Yes 7 0 1 0
R:R:F241 R:R:M245 2.49 2 No Yes 4 5 1 1
R:R:F241 W:W:?1 4.47 2 No Yes 4 0 1 0
R:R:M245 R:R:P246 6.71 2 Yes Yes 5 8 1 2
R:R:I249 R:R:M245 5.83 0 No Yes 6 5 2 1
R:R:M245 W:W:?1 18.14 2 Yes Yes 5 0 1 0

Location and physicochemical properties of the interaction partners of this ligand

Interactions of this ligand

Similarities between the interactions of this ligand and those of other networks

ShowSimilarityNetwork TypeNameLigandDescription
54.55Single8K9LBMS-9861228K9L-μ-DAMGO-BMS-986122-Gi3/β1/γ1
46.67Single8XXVA1D5Q8XXV-DP2-Indomethacin-A1D5Q-Gi1/β1/γ2
46.15Single5O9HNDT95137275O9H-C5a1-NDT9513727
45.45Single6OBAGTPL110746OBA-β2-Alprenolol-GTPL11074
42.86Single6C1RAvacopan; Na6C1R-C5a1-PMX53-Avacopan; Na
41.67Single9JCPLPC9JCP-GPR4-LPC-chim(NtGi1-Gs-CtGq)/β1/γ2
40.00Single5XSZGlyceryl-mono-oleate5XSZ-LPA6-Glyceryl-mono-oleate
40.00Single9IYBA1D5Q9IYB-DP2-PGD2-A1D5Q-Gi1/β1/γ2
38.89Single5TZYMK8666; AP85TZY-FFA1-MK8666; AP8
38.46Single6C1QNDT95137276C1Q-C5a1-PMX53-NDT9513727
38.46Single9JCQLPC9JCQ-GPR4-LPC-chim(NtGi1-Gs)/β1/γ2
35.00Single5KW2PubChem 1330539535KW2-FFA1-PubChem 133053953
31.25Single8YYXLeukotriene E48YYX-Oxoglutarate-Leukotriene E4-chim(Gi1-CtGq)/β1/γ2
31.25Single9CM7AZ-17299CM7-FFA2-TUG-1375-AZ-1729-Gi1/β1/γ2
30.77Single7CKZMevidalen7CKZ-D1-Dopamine-Mevidalen-Gs/β1/γ2
28.57Single9JCOLPC9JCO-GPR4-LPC-chim(NtGi1-Gs)/β1/γ2
21.43Single9CM3PubChem 1186158109CM3-FFA2-TUG-1375-PubChem 118615810-chim(NtGi1L-Gs-CtGq)/β1/γ2
21.43Single9K1CDoconexent9K1C-FFA1-Doconexent-Gi1/β1/γ2
20.00Single8G2YLPC8G2Y-ADGRF1-LPC-chim(Gs-CtGq)/β1/γ2
20.00Single9M8VAF643949M8V-GPR3 ; GPR3-AF64394-chim(NtGi1-Gs)/β1/γ2
18.75Single7WU3K6G7WU3-ADGRF1-K6G-Gs/β1/γ2
18.75Single9M8VAF643949M8V-GPR3 ; GPR3-AF64394-chim(NtGi1-Gs)/β1/γ2
17.65Single9M8PAF643949M8P-GPR3 ; GPR3-Oleic monoethanolamide-AF64394
16.67Single7WU5K6G7WU5-ADGRF1-K6G-Gi1/β1/γ2
16.67Single9M88AF643949M88-GPR3 ; GPR3-Oleic monoethanolamide-AF64394
16.67Single9M8PAF643949M8P-GPR3 ; GPR3-Oleic monoethanolamide-AF64394
15.79Single7WU4K6G7WU4-ADGRF1-K6G-Gi1/β1/γ2
15.79Single9M88AF643949M88-GPR3 ; GPR3-Oleic monoethanolamide-AF64394
15.38Single9NS9PubChem 1186158109NS9-FFA2-TUG-1375-PubChem 118615810-Gi1/β1/γ2
14.29Single8XXUA1D5Q8XXU-DP2-A1D5Q-Gi1/β1/γ2
13.33Single8X2KOleic monoethanolamide8X2K-GPR3-Oleic monoethanolamide-chim(NtGi1-Gs)/β1/γ2
12.50Single8U8FPalmitic Acid8U8F-GPR3-Palmitic Acid-Gs/β1/γ2
11.76Single6N48PubChem 1384542566N48-β2-BI167107-PubChem 138454256
11.76Single8IYXYL-3658IYX-GPR34-YL-365
10.00Single8JLPRalmitaront8JLP-TA1-Ralmitaront-Gs/β1/γ2
9.52Single7T6BS1P7T6B-S1P2-S1P-chim(NtGi1L-G13)/β1/γ2
9.52Single8WRBLysophosphatidylserine (UBL)8WRB-GPR34-Lysophosphatidylserine (UBL)-Gi1/β1/γ2
8.33Single6RZ8ONO-20803656RZ8-CysLT2-ONO-2080365
7.14Consensusp2y10_onOrthosteric Ligand8KGG-P2Y10-Lysophosphatidylserine (WJS)-chim(NtGi2-G13)/β1/γ2
6.67Single8J6QPubChem 251012238J6Q-HCA2-β-Hydroxybutyrate-PubChem 25101223-Gi1/β1/γ2
6.67Single8WG8Peptide8WG8-Glucagon-Peptide-chim(NtGi1-Gs)/β1/γ2
6.67Consensusp2y10_on_gpOrthosteric Ligand8KGG-P2Y10-Lysophosphatidylserine (WJS)-chim(NtGi2-G13)/β1/γ2
6.45Single8KGGLysophosphatidylserine (WJS)8KGG-P2Y10-Lysophosphatidylserine (WJS)-chim(NtGi2-G13)/β1/γ2
6.25Single7LJDMevidalen7LJD-D1-Dopamine-Mevidalen-Gs/β1/γ1
6.25Single7X2FMevidalen7X2F-D1-Dopamine-Mevidalen-Gs/β1/γ2
6.25Single8J6PPubChem 251012238J6P-HCA2-Niacin-PubChem 25101223-Gi1/β1/γ2
6.25Single8JHYPubChem 251012238JHY-HCA2-PubChem 25101223-Gi1/β1/γ2
6.25Single8JIIPubChem 251012238JII-HCA2-Niacin-PubChem 25101223-Gi1/β1/γ2
6.25Single9JCOLPC9JCO-GPR4-LPC-chim(NtGi1-Gs)/β1/γ2
6.25Single9M88Oleic monoethanolamide9M88-GPR3 ; GPR3-Oleic monoethanolamide-AF64394
6.25Consensush4_onOrthosteric Ligand8HN8-H4-Histamine-Gi1/β1/γ2 8HOC-H4-Imetit-Gi1/β1/γ2 8JXV-H4-Clozapine-Gi1/β1/γ2 8JXW-H4-VUF6884-Gi1/β1/γ2 8JXX-H4-Clobenpropit-Gi1/β1/γ2
5.88Single7LJCMevidalen7LJC-D1-SKF81297-Mevidalen-Gs/β1/γ2
5.88Single9M88Oleic monoethanolamide9M88-GPR3 ; GPR3-Oleic monoethanolamide-AF64394
5.88Consensushistamine_onOrthosteric Ligandh1_on h2_on h3_on h4_on
5.88Consensushistamine_on_gpOrthosteric Ligandh1_on_gp h2_on_gp h3_on_gp h4_on_gp
5.26Consensusgi_histamineOrthosteric Ligand8JXX-H4-Clobenpropit-Gi1/β1/γ2 8JXV-H4-Clozapine-Gi1/β1/γ2 8YUU-H3-Histamine-Gi1/β1/γ1 8HN8-H4-Histamine-Gi1/β1/γ2 8HOC-H4-Imetit-Gi1/β1/γ2 8JXW-H4-VUF6884-Gi1/β1/γ2
5.00Single8IZ4Lysophosphatidylserine (TJR)8IZ4-GPR34-Lysophosphatidylserine (TJR)-Gi1/β1/γ2
5.00Single9M8POleic monoethanolamide9M8P-GPR3 ; GPR3-Oleic monoethanolamide-AF64394
4.76Single7EW3S1P7EW3-S1P3-S1P-Gi1/β1/γ2
4.76Single7EW4CYM-55417EW4-S1P3-CYM-5541-Gi1/β1/γ2
4.76Single8ZR5Firuglipel8ZR5-GPR119-Firuglipel-Gs/β1/γ2
4.76Single9ITELPA9ITE-LPA6-LPA-chim(NtGi2-G13)/β1/γ2
4.76Consensush4_on_gpOrthosteric Ligand8HN8-H4-Histamine-Gi1/β1/γ2 8HOC-H4-Imetit-Gi1/β1/γ2 8JXV-H4-Clozapine-Gi1/β1/γ2 8JXW-H4-VUF6884-Gi1/β1/γ2 8JXX-H4-Clobenpropit-Gi1/β1/γ2
4.55Single6RZ7ONO-25703666RZ7-CysLT2-ONO-2570366
4.55Single7EO4Siponimod7EO4-S1P1-Siponimod-Gi1/β1/γ2
4.55Single7EVYSiponimod7EVY-S1P1-Siponimod-Gi1/β1/γ2
4.55Single7XZ5Lysophosphatidylcholine7XZ5-GPR119-Lysophosphatidylcholine-Gs/β1/γ2
4.55Single8VHFMBX-29828VHF-GPR119-MBX-2982-Gs/β1/γ2
4.55Single9M8POleic monoethanolamide9M8P-GPR3 ; GPR3-Oleic monoethanolamide-AF64394
4.55Consensusgi_amineOrthosteric Ligandgi_5ht gi_muscarinic gi_adrenergic gi_dopamine gi_histamine
4.35Single6RZ9ONO-27703726RZ9-CysLT2-ONO-2770372
4.35Single7EVZCenerimod7EVZ-S1P1-Cenerimod-Gi1/β1/γ2
4.35Single7EW0Ozanimod7EW0-S1P1-Ozanimod-Gi1/β1/γ2
4.35Single8XVJMacitentan8XVJ-ETA-Macitentan
4.35Single8ZX4Lysophosphatidylinositol 8ZX4-GPR55-Lysophosphatidylinositol-chim(NtGi1-G13)/β1/γ2
4.35Single9JH5C16:0 Ceramide9JH5-CysLT2-C16:0 Ceramide-chim(NtGi1-Gs-CtGq)/β1/γ2
4.35Single9L79AR2314539L79-GPR119-AR231453-chim(NtGi1-Gs)/β1/γ2
4.35Consensuscyslt2_offOrthosteric Ligand6RZ7-CysLT2-ONO-2570366 6RZ8-CysLT2-ONO-2080365 6RZ9-CysLT2-ONO-2770372
4.17Single6RZ6ONO-25703666RZ6-CysLT2-ONO-2570366
4.17Single8SAILysophosphatidylserine (S12)8SAI-GPR34-Lysophosphatidylserine (S12)-Gi1/β1/γ2
4.17Single9ITBLPA9ITB-LPA6-LPA-chim(NtGi1-Gs-CtGq)/β1/γ2
4.17Single9JH6C20:0 Ceramide9JH6-CysLT2-C20:0 Ceramide-chim(NtGi1-Gs-CtGq)/β1/γ2
4.00Single7TD4Siponimod7TD4-S1P1-Siponimod-Gi1/β1/γ2
4.00Single8IZBLysophosphatidylserine (UBL)8IZB-GPR174-Lysophosphatidylserine (UBL)-Gs/β1/γ2
3.85Single8XYDPlatelet Activating Factor8XYD-PAF-Platelet Activating Factor-Gi1/β1/γ2
3.57Consensuscrf2_onOrthosteric Ligand7TS0-CRF2-Urocortin-chim(NtGi1L-Go)/β1/γ2
3.45Single7XV3Lysophosphatidylserine (WJS)7XV3-GPR174-Lysophosphatidylserine (WJS)-chim(NtGi1-Gs)/β1/γ2
3.33Consensuscrf2_on_gpOrthosteric Ligand7TS0-CRF2-Urocortin-chim(NtGi1L-Go)/β1/γ2
3.33Consensuspac1_onOrthosteric Ligand8E3X-PAC1-PACAP27-Gs/β1/γ2 6M1H-PAC1-Maxadilan-Gs/β1/γ2
3.33Consensuspac1_on_gpOrthosteric Ligand8E3X-PAC1-PACAP27-Gs/β1/γ2 6M1H-PAC1-Maxadilan-Gs/β1/γ2
3.33Consensussecretin_onOrthosteric Ligand7D3S-Secretin-Secretin-Gs/β1/γ2
3.23Consensussecretin_on_gpOrthosteric Ligand7D3S-Secretin-Secretin-Gs/β1/γ2
3.12Consensuspth1_onOrthosteric Ligand6NBF-PTH1-LA-PTH Analog-Gs/β1/γ2 8HA0-PTH1-PTH-chim(NtGi1-Gs)/β1/γ2 8HAF-PTH1-PTHrP(1-36)-chim(NtGi1-Gs)/β1/γ2 7Y36-PTH1-PTH-Gs/β1/γ2 7Y35-PTH1-Abaloparatide-Gs/β1/γ2
2.86Consensuscrf1_on_gpOrthosteric Ligand6PB0-CRF1-Urocortin-chim(NtGi1-Gs)/β1/γ2 6P9X-CRF1-Corticoliberin-1-Gs/β1/γ2
2.86Consensuspth1_on_gpOrthosteric Ligand6NBF-PTH1-LA-PTH Analog-Gs/β1/γ2 8HA0-PTH1-PTH-chim(NtGi1-Gs)/β1/γ2 8HAF-PTH1-PTHrP(1-36)-chim(NtGi1-Gs)/β1/γ2 7Y36-PTH1-PTH-Gs/β1/γ2 7Y35-PTH1-Abaloparatide-Gs/β1/γ2
2.56Consensuspth2_on_gpOrthosteric Ligand7F16-PTH2-TIP39-Gs/β1/γ2

PDB Summary
PDB 8Y72
Class A
SubFamily Peptide
Type Opioid
SubType MOP
Species Homo Sapiens
Ligand Peptide
Other Ligand(s) BMS-986122
Protein Partners Gi1/Beta1/Gamma2
PDB Resolution 2.65
Date 2025-08-06
D.O.I. To be published
Net Summary
Imin 1.87
Number of Linked Nodes 858
Number of Links 1256
Number of Hubs 273
Number of Links mediated by Hubs 958
Number of Communities 16
Number of Nodes involved in Communities 398
Number of Links involved in Communities 702
Path Summary
Number Of Nodes in MetaPath 108
Number Of Links MetaPath 107
Number of Shortest Paths 19505971
Length Of Smallest Path 3
Average Path Length 53.9768
Length of Longest Path 66
Minimum Path Strength 1.22
Average Path Strength 6.41114
Maximum Path Strength 29.58
Minimum Path Correlation 0.7
Average Path Correlation 1
Maximum Path Correlation 1
Minimum % Of Corr. Nodes 2.12766
Average % Of Corr. Nodes 31.4223
Maximum % Of Corr. Nodes 100
Minimum Path Hubs % 0
Average Path Hubs % 80.7486
Maximum Path Hubs % 100
AnnotationTypeLinks
Gene OntologyMolecular Function
Gene OntologyBiological Process• cellular response to nitrogen compound   • cellular response to stimulus   • response to dopamine   • regulation of cellular process   • response to stimulus   • signaling   • cellular response to dopamine   • response to monoamine   • cell communication   • response to catecholamine   • adenylate cyclase-activating dopamine receptor signaling pathway   • cellular response to catecholamine stimulus   • signal transduction   • regulation of biological process   • G protein-coupled dopamine receptor signaling pathway   • biological regulation   • response to oxygen-containing compound   • response to nitrogen compound   • adenylate cyclase-activating G protein-coupled receptor signaling pathway   • cellular response to oxygen-containing compound   • cellular response to chemical stimulus   • cellular response to monoamine stimulus   • response to chemical   • adenylate cyclase-modulating G protein-coupled receptor signaling pathway   • cellular process   • G protein-coupled receptor signaling pathway   • response to ketone   • response to prostaglandin   • response to lipid   • response to endogenous stimulus   • response to alcohol   • cellular response to prostaglandin stimulus   • cellular response to endogenous stimulus   • cellular response to prostaglandin E stimulus   • cellular response to alcohol   • response to hormone   • cellular response to lipid   • response to prostaglandin E   • cellular response to ketone   • cellular response to hormone stimulus   • cell periphery   • cellular anatomical structure   • plasma membrane   • membrane   • protein-containing complex   • extrinsic component of plasma membrane   • catalytic complex   • plasma membrane protein complex   • cytoplasmic side of membrane   • membrane protein complex   • heterotrimeric G-protein complex   • side of membrane   • cytoplasmic side of plasma membrane   • GTPase complex
Gene OntologyCellular Component• cell periphery   • cellular anatomical structure   • plasma membrane   • membrane   • protein-containing complex   • extrinsic component of plasma membrane   • catalytic complex   • plasma membrane protein complex   • cytoplasmic side of membrane   • membrane protein complex   • heterotrimeric G-protein complex   • side of membrane   • cytoplasmic side of plasma membrane   • GTPase complex   • extrinsic component of membrane   • extrinsic component of cytoplasmic side of plasma membrane   • molecular transducer activity   • G protein-coupled receptor activity   • transmembrane signaling receptor activity   • signaling receptor activity   • calcium channel activity   • monoatomic cation transmembrane transporter activity   • voltage-gated calcium channel activity   • gated channel activity   • monoatomic ion channel activity   • voltage-gated channel activity   • voltage-gated monoatomic ion channel activity   • voltage-gated monoatomic cation channel activity   • monoatomic cation channel activity   • passive transmembrane transporter activity   • calcium ion transmembrane transporter activity   • channel activity   • monoatomic ion transmembrane transporter activity   • transporter activity   • metal ion transmembrane transporter activity   • transmembrane transporter activity   • protein binding   • binding   • G-protein beta-subunit binding   • neuropeptide binding   • peptide binding   • G-protein alpha-subunit binding   • peptide receptor activity   • beta-endorphin receptor activity   • G protein-coupled opioid receptor activity   • G protein-coupled peptide receptor activity   • melanocortin receptor activity   • neuropeptide receptor activity   • morphine receptor activity   • cellular response to stimulus   • regulation of biological process   • regulation of cellular process   • response to stimulus   • signaling   • biological regulation   • cell communication   • G protein-coupled receptor signaling pathway   • cellular process   • signal transduction   • neuropeptide signaling pathway   • cellular response to nitrogen compound   • synaptic signaling   • cellular response to acetylcholine   • response to oxygen-containing compound   • cell-cell signaling   • response to nitrogen compound   • acetylcholine receptor signaling pathway   • postsynaptic signal transduction   • cellular response to oxygen-containing compound   • adenylate cyclase-inhibiting G protein-coupled receptor signaling pathway   • cellular response to chemical stimulus   • G protein-coupled acetylcholine receptor signaling pathway   • response to chemical   • adenylate cyclase-modulating G protein-coupled receptor signaling pathway   • response to acetylcholine   • adenylate cyclase-inhibiting G protein-coupled acetylcholine receptor signaling pathway   • positive regulation of cell communication   • positive regulation of signal transduction   • positive regulation of biological process   • regulation of signal transduction   • intracellular signal transduction   • positive regulation of response to stimulus   • positive regulation of ERK1 and ERK2 cascade   • regulation of intracellular signal transduction   • intracellular signaling cassette   • positive regulation of cellular process   • regulation of signaling   • positive regulation of MAPK cascade   • positive regulation of intracellular signal transduction   • regulation of MAPK cascade   • regulation of response to stimulus   • MAPK cascade   • regulation of cell communication   • ERK1 and ERK2 cascade   • regulation of ERK1 and ERK2 cascade   • positive regulation of signaling   • regulation of localization   • transport   • regulation of signaling receptor activity   • regulation of transmembrane transporter activity   • localization   • regulation of NMDA receptor activity   • regulation of transport   • establishment of localization   • transmembrane transport   • regulation of molecular function   • regulation of transmembrane transport   • regulation of neurotransmitter receptor activity   • G protein-coupled opioid receptor signaling pathway   • regulation of cellular response to stress   • cellular response to stress   • regulation of response to stress   • response to stress   • regulation of biosynthetic process   • regulation of nitric oxide biosynthetic process   • negative regulation of metabolic process   • negative regulation of biological process   • reactive nitrogen species metabolic process   • nitric oxide metabolic process   • nitric oxide biosynthetic process   • biosynthetic process   • negative regulation of nitric oxide biosynthetic process   • negative regulation of biosynthetic process   • negative regulation of cellular process   • metabolic process   • regulation of nitric oxide metabolic process   • regulation of metabolic process   • multicellular organismal process   • system process   • sensory perception   • nervous system process   • behavior   • adult behavior   • response to alcohol   • behavioral response to ethanol   • response to ethanol   • negative regulation of cell population proliferation   • cell population proliferation   • regulation of cell population proliferation   • phospholipase C-activating G protein-coupled receptor signaling pathway   • regulation of biological quality   • negative regulation of cytosolic calcium ion concentration   • positive regulation of nervous system development   • regulation of developmental process   • cellular developmental process   • cell development   • regulation of cell differentiation   • regulation of neurogenesis   • regulation of cell development   • regulation of nervous system development   • positive regulation of developmental process   • multicellular organism development   • neurogenesis   • positive regulation of cell differentiation   • cell differentiation   • anatomical structure development   • positive regulation of neurogenesis   • regulation of multicellular organismal process   • system development   • developmental process   • regulation of multicellular organismal development   • positive regulation of cell development   • nervous system development   • positive regulation of multicellular organismal process   • sensory perception of pain   • negative regulation of protein transport   • establishment of protein localization   • regulation of protein localization   • negative regulation of signaling   • negative regulation of Wnt protein secretion   • negative regulation of transport   • negative regulation of cell communication   • protein localization to extracellular region   • secretion by cell   • regulation of secretion by cell   • negative regulation of secretion   • signal release   • negative regulation of secretion by cell   • intracellular protein localization   • regulation of Wnt protein secretion   • negative regulation of protein localization   • secretion   • establishment of protein localization to extracellular region   • regulation of establishment of protein localization   • export from cell   • negative regulation of establishment of protein localization   • regulation of protein transport   • Wnt protein secretion   • protein secretion   • regulation of protein secretion   • regulation of secretion   • negative regulation of protein secretion   • protein transport   • macromolecule localization   • G protein-coupled receptor signaling pathway, coupled to cyclic nucleotide second messenger   • somatodendritic compartment   • cell body   • perikaryon   • neuronal cell body   • cell projection   • dendrite   • dendritic tree   • neuron projection   • plasma membrane bounded cell projection   • membrane-bounded organelle   • intracellular organelle   • intracellular anatomical structure   • Golgi apparatus   • organelle   • cytoplasm   • intracellular membrane-bounded organelle   • endomembrane system   • endosome   • intracellular vesicle   • cytoplasmic vesicle   • vesicle   • synapse   • cell junction   • axon   • endoplasmic reticulum   • cytoskeletal protein binding   • spectrin binding   • protein-containing complex binding   • enzyme binding   • GTPase binding   • phosphoric ester hydrolase activity   • alkylglycerophosphoethanolamine phosphodiesterase activity   • hydrolase activity, acting on ester bonds   • phosphoric diester hydrolase activity   • hydrolase activity   • catalytic activity   • pyrophosphatase activity   • GTPase activity   • ribonucleoside triphosphate phosphatase activity   • hydrolase activity, acting on acid anhydrides, in phosphorus-containing anhydrides   • hydrolase activity, acting on acid anhydrides   • signaling receptor complex adaptor activity   • protein-macromolecule adaptor activity   • molecular adaptor activity   • signaling adaptor activity   • positive regulation of cytosolic calcium ion concentration   • sensory perception of chemical stimulus   • sensory perception of taste   • sensory organ development   • eye development   • animal organ development   • retina development in camera-type eye   • visual system development   • camera-type eye development   • sensory system development   • response to decreased oxygen levels   • cellular response to oxygen levels   • cellular response to hypoxia   • cellular response to decreased oxygen levels   • response to hypoxia   • response to oxygen levels   • response to abiotic stimulus   • muscle cell apoptotic process   • striated muscle cell apoptotic process   • apoptotic process   • cell death   • programmed cell death   • cardiac muscle cell apoptotic process   • photoreceptor inner segment   • non-motile cilium   • 9+0 non-motile cilium   • cilium   • photoreceptor outer segment   • photoreceptor cell cilium   • ciliary membrane   • photoreceptor outer segment membrane   • bounding membrane of organelle   • plasma membrane region   • organelle membrane   • cell projection membrane   • D2 dopamine receptor binding   • signaling receptor binding   • G protein-coupled receptor binding   • dopamine receptor binding   • enzyme regulator activity   • adenylate cyclase inhibitor activity   • cyclase regulator activity   • molecular function inhibitor activity   • cyclase inhibitor activity   • molecular function regulator activity   • enzyme inhibitor activity   • adenylate cyclase regulator activity   • guanyl nucleotide binding   • GTP binding   • nucleotide binding   • guanyl ribonucleotide binding   • purine ribonucleotide binding   • purine ribonucleoside triphosphate binding   • nucleoside phosphate binding   • ion binding   • purine nucleotide binding   • anion binding   • heterocyclic compound binding   • carbohydrate derivative binding   • ribonucleotide binding   • small molecule binding   • cation binding   • magnesium ion binding   • metal ion binding   • GDP binding   • G protein-coupled serotonin receptor binding   • G-protein beta/gamma-subunit complex binding   • G protein activity   • adenylate cyclase-inhibiting serotonin receptor signaling pathway   • G protein-coupled serotonin receptor signaling pathway   • response to hormone   • response to endogenous stimulus   • response to peptide hormone   • cell division   • leukocyte migration   • immune system process   • mononuclear cell migration   • lymphocyte migration   • cell migration   • T cell migration   • cell motility   • regulation of steroid biosynthetic process   • regulation of cholesterol biosynthetic process   • regulation of cholesterol metabolic process   • steroid metabolic process   • regulation of lipid metabolic process   • sterol metabolic process   • cholesterol metabolic process   • lipid biosynthetic process   • alcohol metabolic process   • regulation of primary metabolic process   • positive regulation of metabolic process   • regulation of small molecule metabolic process   • positive regulation of biosynthetic process   • positive regulation of lipid metabolic process   • small molecule metabolic process   • steroid biosynthetic process   • secondary alcohol biosynthetic process   • regulation of alcohol biosynthetic process   • small molecule biosynthetic process   • regulation of steroid metabolic process   • cholesterol biosynthetic process   • positive regulation of cholesterol biosynthetic process   • primary metabolic process   • secondary alcohol metabolic process   • positive regulation of steroid biosynthetic process   • sterol biosynthetic process   • positive regulation of lipid biosynthetic process   • regulation of sterol biosynthetic process   • alcohol biosynthetic process   • positive regulation of cholesterol metabolic process   • positive regulation of steroid metabolic process   • regulation of lipid biosynthetic process   • positive regulation of small molecule metabolic process   • positive regulation of alcohol biosynthetic process   • positive regulation of sterol biosynthetic process   • lipid metabolic process   • cell surface receptor signaling pathway   • response to cytokine   • response to chemokine   • cytokine-mediated signaling pathway   • cellular response to chemokine   • chemokine-mediated signaling pathway   • response to peptide   • cellular response to cytokine stimulus   • relaxation of smooth muscle   • regulation of system process   • regulation of muscle system process   • muscle system process   • relaxation of muscle   • positive regulation of relaxation of smooth muscle   • positive regulation of relaxation of muscle   • regulation of relaxation of smooth muscle   • regulation of relaxation of muscle   • nitrogen compound transport   • negative regulation of hormone secretion   • regulation of peptide hormone secretion   • negative regulation of peptide hormone secretion   • regulation of hormone levels   • regulation of hormone secretion   • regulation of peptide secretion   • hormone secretion   • negative regulation of peptide secretion   • peptide secretion   • regulation of peptide transport   • peptide transport   • negative regulation of insulin secretion   • regulation of insulin secretion   • peptide hormone secretion   • hormone transport   • insulin secretion   • adenylate cyclase-activating G protein-coupled receptor signaling pathway   • regulation of cytoskeleton organization   • regulation of cellular component organization   • microtubule cytoskeleton organization   • regulation of mitotic spindle organization   • mitotic cell cycle   • cellular component organization   • cell cycle   • cellular component organization or biogenesis   • regulation of cell cycle   • microtubule cytoskeleton organization involved in mitosis   • spindle organization   • cell cycle process   • regulation of cell cycle process   • regulation of microtubule-based process   • regulation of spindle organization   • regulation of organelle organization   • mitotic spindle organization   • organelle organization   • mitotic cell cycle process   • microtubule-based process   • cytoskeleton organization   • regulation of microtubule cytoskeleton organization   • positive regulation of protein localization to cell periphery   • protein localization to cell periphery   • positive regulation of protein localization to cell cortex   • regulation of protein localization to cell periphery   • regulation of protein localization to cell cortex   • positive regulation of protein localization   • protein localization to cell cortex   • response to ketone   • response to prostaglandin   • response to lipid   • response to prostaglandin E   • cellular response to forskolin   • cellular response to alcohol   • response to forskolin   • cellular response to lipid   • cellular response to ketone   • midbody   • nucleus   • membrane-enclosed lumen   • intracellular membraneless organelle   • nucleolus   • intracellular organelle lumen   • organelle lumen   • membraneless organelle   • nuclear lumen   • cell cortex   • extracellular exosome   • extracellular vesicle   • extracellular organelle   • extracellular region   • extracellular space   • extracellular membrane-bounded organelle   • centrosome   • microtubule organizing center   • cytoskeleton   • microtubule cytoskeleton   • centriolar satellite   • cytosol   • sperm principal piece   • 9+2 motile cilium   • sperm flagellum   • motile cilium   • nucleoplasm   • vacuolar membrane   • lytic vacuole   • vacuole   • lytic vacuole membrane   • lysosomal membrane   • lysosome   • ciliary basal body
SCOP2Domain Identifier• Transducin (heterotrimeric G protein), gamma chain   • Ras-like P-loop GTPases
SCOP2Family Identifier• Transducin (heterotrimeric G protein), gamma chain   • Ras-like P-loop GTPases
Membrane Protein Annotations-• Orientations of Proteins in Membranes database (OPM)   • Protein Data Bank of Transmembrane Proteins (PDBTM)   • MemProtMD


Details about the values in these tables can be found in the corresponding documentation page .
CodeDAL
PDB ResiduesL:L:?2
Environment DetailsOpen EMBL-EBI Page
CodeDAL
NameD-Alanine
SynonymsD-Alanine
Identifier
FormulaC3 H7 N O2
Molecular Weight89.093
SMILES
PubChem71080
Formal Charge0
Total Atoms13
Total Chiral Atoms1
Total Bonds12
Total Aromatic Bonds0

CodeMEA
PDB ResiduesL:L:?4
Environment DetailsOpen EMBL-EBI Page
CodeMEA
NameN-METHYLPHENYLALANINE
Synonyms
Identifier
FormulaC10 H13 N O2
Molecular Weight179.216
SMILES
PubChem6951135
Formal Charge0
Total Atoms26
Total Chiral Atoms1
Total Bonds26
Total Aromatic Bonds6

CodeETA
PDB ResiduesL:L:?5
Environment DetailsOpen EMBL-EBI Page
CodeETA
NameEthanolamine
SynonymsEthanolamine
Identifier
FormulaC2 H7 N O
Molecular Weight61.083
SMILES
PubChem700
Formal Charge0
Total Atoms11
Total Chiral Atoms0
Total Bonds10
Total Aromatic Bonds0

CodeVV9
PDB ResiduesW:W:?1
Environment DetailsOpen EMBL-EBI Page
CodeVV9
Name(2~{S})-2-(3-bromanyl-4-methoxy-phenyl)-3-(4-chlorophenyl)sulfonyl-1,3-thiazolidine
SynonymsBMS-986122
Identifier
FormulaC16 H15 Br Cl N O3 S2
Molecular Weight448.782
SMILES
PubChem1271268
Formal Charge0
Total Atoms39
Total Chiral Atoms1
Total Bonds41
Total Aromatic Bonds12

PDBsumOpen PDBsum Page
ChainA
ProteinG Protein α Sub unit
UniProtP63096
Sequence
>8Y72_Chain_A
TLSAEDKAA VERSKMIDR NLREDGEKA AREVKLLLL GAGESGKST 
IVKQMKITG IVETHFTFK DLHFKMFDV GQRSERKKW IHCFEGVTA 
IIFCVALSD YDLVLAEDE EMNRMHESM KLFDSICNN KWFTDTSII 
LFLNKKDLF EEKIKKSPL TICYPEYAG SNTYEEAAA YIQCQFEDL 
NKRKDTKEI YTHFTCTDT KNVQFVFDA VTDVIIKNN LKDCGLFAS


Click on each residue to open a popup with some information about it.

ConSurf Conservation Grade (See documentation): 

 n/a   1    2    3    4    5    6    7    8    9  

ChainB
ProteinG Protein β Sub unit
UniProtP54311
Sequence
>8Y72_Chain_B
DQLRQEAEQ LKNQIRDAR KACADATLS QITNNIDPV GRIQMRTRR 
TLRGHLAKI YAMHWGTDS RLLVSASQD GKLIIWDSY TTNKVHAIP 
LRSSWVMTC AYAPSGNYV ACGGLDNIC SIYNLKTRE GNVRVSREL 
AGHTGYLSC CRFLDDNQI VTSSGDTTC ALWDIETGQ QTTTFTGHT 
GDVMSLSLA PDTRLFVSG ACDASAKLW DVREGMCRQ TFTGHESDI 
NAICFFPNG NAFATGSDD ATCRLFDLR ADQELMTYS HDNIICGIT 
SVSFSKSGR LLLAGYDDF NCNVWDALK ADRAGVLAG HDNRVSCLG 
VTDDGMAVA TGSWDSFLK IWN


Click on each residue to open a popup with some information about it.

ConSurf Conservation Grade (See documentation): 

 n/a   1    2    3    4    5    6    7    8    9  

ChainG
ProteinG Protein γ Sub unit
UniProtP63212
Sequence
>8Y72_Chain_G
IAQARKLVE QLKMEANID RIKVSKAAA DLMAYCEAH AKEDPLLTP 
VPASENPFR EK


Click on each residue to open a popup with some information about it.

ConSurf Conservation Grade (See documentation): 

 n/a   1    2    3    4    5    6    7    8    9  

ChainR
ProteinReceptor
UniProtP35372
Sequence
>8Y72_Chain_R
SMITAITIM ALYSIVCVV GLFGNFLVM YVIVRYTKM KTATNIYIF 
NLALADALA TSTLPFQSV NYLMGTWPF GTILCKIVI SIDYYNMFT 
SIFTLCTMS VDRYIAVCH PVKALDFRT PRNAKIINV CNWILSSAI 
GLPVMFMAT TKYRQGSID CTLTFSHPT WYWENLLKI CVFIFAFIM 
PVLIITVCY GLMILRLKS VRMLSGSKE KDRNLRRIT RMVLVVVAV 
FIVCWTPIH IYVIIKALV TIPETTFQT VSWHFCIAL GYTNSCLNP 
VLYAFLDEN FKRCFREF


Click on each residue to open a popup with some information about it.

ConSurf Conservation Grade (See documentation): 

 n/a   1    2    3    4    5    6    7    8    9  




This receptor, from the same or other species and bound to the same or other ligands, is also present in the following networks:
Show PDB Class SubFamily Type SubType Species Orthosteric Ligand Other Ligand(s) Protein Partners Resolution Date DOI
4DKLAPeptideOpioidμMus musculusβ-Funaltrexamine--2.82012-03-21doi.org/10.1038/nature10954
5C1MAPeptideOpioidμMus musculusBU72--2.072015-08-05doi.org/10.1038/nature14886
6DDEAPeptideOpioidμMus musculusDAMGO-Gi1/β1/γ23.52018-06-13doi.org/10.1038/s41586-018-0219-7
6DDE (No Gprot) APeptideOpioidμMus musculusDAMGO-3.52018-06-13doi.org/10.1038/s41586-018-0219-7
6DDFAPeptideOpioidμMus musculusDAMGO-Gi1/β1/γ23.52018-06-13doi.org/10.1038/s41586-018-0219-7
6DDF (No Gprot) APeptideOpioidμMus musculusDAMGO-3.52018-06-13doi.org/10.1038/s41586-018-0219-7
7SBFAPeptideOpioidμMus musculusPZM21-Gi1/β1/γ22.92022-04-20doi.org/10.1002/anie.202200269
7SBF (No Gprot) APeptideOpioidμMus musculusPZM21-2.92022-04-20doi.org/10.1002/anie.202200269
7SCGAPeptideOpioidμMus musculusFH210-Gi1/β1/γ232022-04-20doi.org/10.1002/anie.202200269
7SCG (No Gprot) APeptideOpioidμMus musculusFH210-32022-04-20doi.org/10.1002/anie.202200269
7U2LAPeptideOpioidμMus musculusC5-guano-Gi1/β1/γ23.22022-05-04doi.org/10.1038/s41586-022-05588-y
7U2L (No Gprot) APeptideOpioidμMus musculusC5-guano-3.22022-05-04doi.org/10.1038/s41586-022-05588-y
7UL4APeptideOpioidμMus musculusAlvimopan--2.82022-06-29doi.org/10.1038/s41594-022-00859-8
8EF5APeptideOpioidμHomo sapiensFentanyl-Gi1/β1/γ23.32022-11-09doi.org/10.1016/j.cell.2022.09.041
8EF5 (No Gprot) APeptideOpioidμHomo sapiensFentanyl-3.32022-11-09doi.org/10.1016/j.cell.2022.09.041
8EF6APeptideOpioidμHomo sapiensMorphine-Gi1/β1/γ23.22022-11-09doi.org/10.1016/j.cell.2022.09.041
8EF6 (No Gprot) APeptideOpioidμHomo sapiensMorphine-3.22022-11-09doi.org/10.1016/j.cell.2022.09.041
8EFBAPeptideOpioidμHomo sapiensOliceridine-Gi1/β1/γ23.22022-11-09doi.org/10.1016/j.cell.2022.09.041
8EFB (No Gprot) APeptideOpioidμHomo sapiensOliceridine-3.22022-11-09doi.org/10.1016/j.cell.2022.09.041
8EFLAPeptideOpioidμHomo sapiensSR17018-Gi1/β1/γ23.22022-11-09doi.org/10.1016/j.cell.2022.09.041
8EFL (No Gprot) APeptideOpioidμHomo sapiensSR17018-3.22022-11-09doi.org/10.1016/j.cell.2022.09.041
8EFOAPeptideOpioidμHomo sapiensPZM21-Gi1/β1/γ22.82022-11-09doi.org/10.1016/j.cell.2022.09.041
8EFO (No Gprot) APeptideOpioidμHomo sapiensPZM21-2.82022-11-09doi.org/10.1016/j.cell.2022.09.041
8EFQAPeptideOpioidμHomo sapiensDAMGO-Gi1/β1/γ23.32022-11-09doi.org/10.1016/j.cell.2022.09.041
8EFQ (No Gprot) APeptideOpioidμHomo sapiensDAMGO-3.32022-11-09doi.org/10.1016/j.cell.2022.09.041
7T2GAPeptideOpioidμMus musculusMitragynine Pseudoindoxyl-Gi1/β1/γ22.52022-12-07doi.org/10.1038/s41589-022-01208-y
7T2G (No Gprot) APeptideOpioidμMus musculusMitragynine Pseudoindoxyl-2.52022-12-07doi.org/10.1038/s41589-022-01208-y
7T2HAPeptideOpioidμMus musculusLofentanil-Gi1/β1/γ22.52022-12-07doi.org/10.1038/s41589-022-01208-y
7T2H (No Gprot) APeptideOpioidμMus musculusLofentanil-2.52022-12-07doi.org/10.1038/s41589-022-01208-y
7U2KAPeptideOpioidμMus musculusC6-guano-Gi1/β1/γ23.32022-12-07doi.org/10.1038/s41586-022-05588-y
7U2K (No Gprot) APeptideOpioidμMus musculusC6-guano-3.32022-12-07doi.org/10.1038/s41586-022-05588-y
8F7QAPeptideOpioidμHomo sapiensβ-Endorphin-Gi1/β1/γ23.222022-12-14doi.org/10.1016/j.cell.2022.12.026
8F7Q (No Gprot) APeptideOpioidμHomo sapiensβ-Endorphin-3.222022-12-14doi.org/10.1016/j.cell.2022.12.026
8F7RAPeptideOpioidμHomo sapiensEndomorphin-Gi1/β1/γ23.282022-12-14doi.org/10.1016/j.cell.2022.12.026
8F7R (No Gprot) APeptideOpioidμHomo sapiensEndomorphin-3.282022-12-14doi.org/10.1016/j.cell.2022.12.026
8K9KAPeptideOpioidμHomo sapiensDAMGO-Gi3/β1/γ12.982024-05-29doi.org/10.1038/s41467-024-47792-6
8K9K (No Gprot) APeptideOpioidμHomo sapiensDAMGO-2.982024-05-29doi.org/10.1038/s41467-024-47792-6
8K9LAPeptideOpioidμHomo sapiensDAMGOBMS-986122Gi3/β1/γ13.052024-05-29doi.org/10.1038/s41467-024-47792-6
8K9L (No Gprot) APeptideOpioidμHomo sapiensDAMGOBMS-9861223.052024-05-29doi.org/10.1038/s41467-024-47792-6
9BJKAPeptideOpioidμMus musculusNaloxonePubChem 171642066-3.262024-07-17doi.org/10.1038/s41586-024-07587-7
9BQJAPeptideOpioidμMus musculusRO76-Gi1/β1/γ23.32024-09-11doi.org/10.1021/acscentsci.4c00525
9BQJ (No Gprot) APeptideOpioidμMus musculusRO76-3.32024-09-11doi.org/10.1021/acscentsci.4c00525
9MQHAPeptideOpioidμHomo sapiens---3.92025-02-12doi.org/10.1101/2025.01.09.632033
9MQIAPeptideOpioidμHomo sapiensIsoquinuclidine--3.32025-02-12doi.org/10.1101/2025.01.09.632033
9MQJAPeptideOpioidμHomo sapiensIsoquinuclidine--3.232025-02-12doi.org/10.1101/2025.01.09.632033
9WSTAPeptideOpioidμHomo sapiensDAMGO-chim(NtGi1-Gz)/β1/γ22.82025-11-2610.1038/s41422-025-01191-8
9WST (No Gprot) APeptideOpioidμHomo sapiensDAMGO-2.82025-11-2610.1038/s41422-025-01191-8
9WSVAPeptideOpioidμHomo sapiensDAMGO-Arrestin22.82025-11-2610.1038/s41422-025-01191-8
9WSV (No Gprot) APeptideOpioidμHomo sapiensDAMGO-2.82025-11-2610.1038/s41422-025-01191-8
9WSWAPeptideOpioidμHomo sapiensEndomorphin-chim(NtGi1-Gz)/β1/γ22.82025-11-2610.1038/s41422-025-01191-8
9WSW (No Gprot) APeptideOpioidμHomo sapiensEndomorphin-2.82025-11-2610.1038/s41422-025-01191-8
9WSXAPeptideOpioidμHomo sapiensEndomorphin-Arrestin22.82025-11-2610.1038/s41422-025-01191-8
9WSX (No Gprot) APeptideOpioidμHomo sapiensEndomorphin-2.82025-11-2610.1038/s41422-025-01191-8
8E0GAPeptideOpioidμMus musculusBU72--2.12023-10-18doi.org/10.1186/s12915-023-01689-w
8QOTAPeptideOpioidμMus musculusNanobody-E--3.22023-12-27doi.org/10.1101/2023.12.06.570395
8Y72 (No Gprot) APeptideOpioidμHomo sapiensPeptideBMS-9861222.652025-08-06To be published
8Y73APeptideOpioidμHomo sapiensPeptideMPAM-15Gi1/β1/γ22.842025-08-06To be published
8Y73 (No Gprot) APeptideOpioidμHomo sapiensPeptideMPAM-152.842025-08-06To be published
9PXUAPeptideOpioidμHomo sapiensNaloxoneNa-3.42025-11-1210.1038/s41586-025-09677-6
9PXVAPeptideOpioidμHomo sapiensNaloxone-Gi1/β1/γ23.022025-11-1210.1038/s41586-025-09677-6
9PXV (No Gprot) APeptideOpioidμHomo sapiensNaloxone-3.022025-11-1210.1038/s41586-025-09677-6
9PXWAPeptideOpioidμHomo sapiensNaloxoneGDPβSGi1/β1/γ23.82025-11-1210.1038/s41586-025-09677-6
9PXW (No Gprot) APeptideOpioidμHomo sapiensNaloxoneGDPβS3.82025-11-1210.1038/s41586-025-09677-6
9PXXAPeptideOpioidμHomo sapiensNaloxoneGDPβSGi1/β1/γ23.12025-11-1210.1038/s41586-025-09677-6
9PXX (No Gprot) APeptideOpioidμHomo sapiensNaloxoneGDPβS3.12025-11-1210.1038/s41586-025-09677-6
9PXYAPeptideOpioidμHomo sapiensNaloxoneGDPβSGi1/β1/γ232025-11-1210.1038/s41586-025-09677-6
9PXY (No Gprot) APeptideOpioidμHomo sapiensNaloxoneGDPβS32025-11-1210.1038/s41586-025-09677-6
9PY2APeptideOpioidμHomo sapiensLoperamideGDPβSGi1/β1/γ23.162025-11-1210.1038/s41586-025-09677-6
9PY2 (No Gprot) APeptideOpioidμHomo sapiensLoperamideGDPβS3.162025-11-1210.1038/s41586-025-09677-6
9PY3APeptideOpioidμHomo sapiensLoperamideGDPβSGi1/β1/γ23.22025-11-12To be published
9PY3 (No Gprot) APeptideOpioidμHomo sapiensLoperamideGDPβS3.22025-11-12To be published
9PY4APeptideOpioidμHomo sapiensLoperamideGDPβSGi1/β1/γ22.782025-11-1210.1038/s41586-025-09677-6
9PY4 (No Gprot) APeptideOpioidμHomo sapiensLoperamideGDPβS2.782025-11-1210.1038/s41586-025-09677-6
9ODJAPeptideOpioidμMus musculusMitragynine PseudoindoxylGTP; MgGi1/β1/γ232026-01-0710.1038/s41586-025-10056-4
9ODJ (No Gprot) APeptideOpioidμMus musculusMitragynine PseudoindoxylGTP; Mg32026-01-0710.1038/s41586-025-10056-4
9ODKAPeptideOpioidμMus musculus-GTP; MgGi1/β1/γ23.92026-01-0710.1038/s41586-025-10056-4
9ODK (No Gprot) APeptideOpioidμMus musculus-GTP; Mg3.92026-01-0710.1038/s41586-025-10056-4
9ODLAPeptideOpioidμMus musculusMitragynine PseudoindoxylGTP; MgGi1/β1/γ23.62026-01-0710.1038/s41586-025-10056-4
9ODL (No Gprot) APeptideOpioidμMus musculusMitragynine PseudoindoxylGTP; Mg3.62026-01-0710.1038/s41586-025-10056-4




You can download a compressed (zip) file with structure(s), 3D outputs (as PyMol and VMD scripts) and numerical data files (as csv and plain text files).

Download 8Y72.zip



You can click to copy the link of this page to easily come back here later

or use this QR code to link and share this page.



You can also  read or  download a guide explaining the meaning of all files and numerical data.