Color ConSurf Grade
      No Conservation data available
      1
      2
      3
      4
      5
      6
      7
      8
      9

Index: hub id, click on each number to highlight the corresponding hub in the 3D visualization.

Hub: the hub being considered.

Avg Int. Strength: the average interaction strength of all the links of the corresponding hub.

Num Of Links: the number of links of the corresponding hub.

Community: the id of the community the link belong to, otherwise 0.

ConSurf: this column reports the ConSurf conservation grades of each hub.

Index Hub Avg Int. Strength Num Of Links Community ConSurf
1A:A:Y37 6.92254214
2A:A:H41 7.782526
3A:A:N50 8.9325146
4A:A:F219 6.744528
5A:A:M221 5.05428
6A:A:V224 4.76439
7A:A:Q227 7.39439
8A:A:R231 5.91509
9A:A:K233 5.90167639
10A:A:W234 6.312539
11A:A:F238 8.885409
12A:A:I245 5.66427
13A:A:R265 6.455149
14A:A:F273 6.2775409
15A:A:W281 9.068555
16A:A:L282 3.066509
17A:A:F290 5.28286729
18A:A:N292 5.274509
19A:A:Q294 8.5925496
20A:A:V334 2.4425404
21A:A:F340 7.3854227
22A:A:R342 6.954594
23A:A:E344 6.38754225
24A:A:F345 8.5925408
25A:A:S349 4.52407
26A:A:Y360 8.238568
27A:A:F363 9.4475495
28A:A:T364 6.5275429
29A:A:R374 7.09424
30A:A:F376 8.1628
31A:A:D381 6.0425468
32A:A:I383 3.71408
33A:A:Q385 5.985465
34A:A:Y391 7.63644
35B:B:T34 4.85405
36B:B:V40 5.5665153
37B:B:H54 8.156139
38B:B:K57 12.574559
39B:B:W63 8.1675407
40B:B:Q75 8.62459
41B:B:D76 7.764219
42B:B:K78 3.4725408
43B:B:L79 5.12407
44B:B:I80 74138
45B:B:W82 8.642867139
46B:B:D83 6.6354208
47B:B:N88 6.12254207
48B:B:K89 8.2954139
49B:B:I93 4.7175407
50B:B:W99 7.768509
51B:B:Y105 5.11606
52B:B:N110 6.334184
53B:B:Y111 7.444184
54B:B:C114 3.93408
55B:B:Y124 5.73506
56B:B:H142 7.2825109
57B:B:Y145 6.90375838
58B:B:F151 4.96167609
59B:B:D154 5.6454186
60B:B:T159 5.424109
61B:B:D163 6.9125109
62B:B:W169 9.691676108
63B:B:F180 8.4825487
64B:B:H183 7.788589
65B:B:R197 7.77405
66B:B:F199 6.712589
67B:B:K209 10.7025486
68B:B:L210 5.6725475
69B:B:W211 8.696588
70B:B:E215 9.43403
71B:B:Q220 6.948577
72B:B:F222 9.82478
73B:B:H225 9.85539
74B:B:D228 7.29539
75B:B:I232 5.84578
76B:B:F234 5.4125405
77B:B:F235 6.796676166
78B:B:P236 6.01754167
79B:B:F241 7.668576
80B:B:D246 5.4625439
81B:B:D247 8.978539
82B:B:R251 7.13438
83B:B:F253 10.545476
84B:B:D254 5.805409
85B:B:Y264 7.286505
86B:B:F278 7.1185167
87B:B:Y289 6.984507
88B:B:D298 10.014159
89B:B:K301 8.6554155
90B:B:L308 8.3875407
91B:B:R314 15.235458
92B:B:W332 14.0383659
93B:B:F335 6.134114
94B:B:K337 7.653336116
95B:B:W339 9.8885119
96G:G:L19 3.8125409
97G:G:Y40 11.894166
98G:G:D48 4.4675409
99L:L:?1 10.10751210
100R:R:F29 11.834512
101R:R:K34 7.27833613
102R:R:F35 9.1025414
103R:R:L38 7.2516
104R:R:Y42 7.292518
105R:R:F60 5.301676267
106R:R:R63 16.6454274
107R:R:Y73 4.834507
108R:R:F75 5.79406
109R:R:S80 5.714128
110R:R:D81 7.82254199
111R:R:Y84 7.982507
112R:R:Y94 7.1075405
113R:R:Y95 6.46286715
114R:R:N99 7.304514
115R:R:W101 7.262867178
116R:R:R112 8.718505
117R:R:W117 7.636505
118R:R:N118 6.7025408
119R:R:Y120 5.6175417
120R:R:F125 9.4485127
121R:R:H132 8.9875448
122R:R:R133 6.1025449
123R:R:Y134 7.56754288
124R:R:L141 6.53526
125R:R:R148 2.756507
126R:R:W160 8.066676129
127R:R:F173 9.59515
128R:R:T188 6.148513
129R:R:Y197 6.97667614
130R:R:F200 7.93514
131R:R:M205 5.43415
132R:R:L208 4.104506
133R:R:F209 11.5525408
134R:R:Y220 6.44286748
135R:R:P232 4.2675463
136R:R:I247 5.4675447
137R:R:V259 2.73405
138R:R:F261 8.305416
139R:R:H262 13.125418
140R:R:R265 10.0917615
141R:R:Y268 8.76286715
142R:R:Y269 6.64515
143R:R:R272 13.1925413
144R:R:V284 3.485405
145R:R:Y288 7.73667614
146R:R:K289 8.596515
147R:R:R292 5.73857716
148R:R:D302 9.774199
149R:R:Y306 5.4549
150R:R:T309 3.85406
   

Color ConSurf Grade
      No Conservation data available
      1
      2
      3
      4
      5
      6
      7
      8
      9

Index: link id, click on each number to highlight the corresponding link in the 3D visualization.

Node1 Node2: the two nodes of the corresponding link.

Recurrence: the relative Recurrence in the pool of shortest paths.

Int. Strength: the interaction strength between the two nodes.

Hub1?, Hub2?: "Yes" if the corresponding node has more than 3 links, otherwise "No".

Community: the id of the community the link belong to, otherwise 0.

ConSurf1, ConSurf2: these columns report the ConSurf conservation grades of the two nodes involved in a link.

Index Node1 Node2 Recurrence Int. Strength Hub1? Hub2? Community ConSurf1 ConSurf2
1A:A:E27 B:B:K89 37.746.75NoYes069
2A:A:E27 A:A:S23 36.82785.75NoNo067
3A:A:S23 B:B:N88 36.52358.94NoYes077
4B:B:I80 B:B:K89 19.23878.72YesYes1389
5B:B:H54 B:B:I80 19.84266.63YesYes1398
6B:B:H54 B:B:S74 42.885116.74YesNo099
7B:B:D76 B:B:S74 43.02147.36YesNo099
8B:B:K89 B:B:W82 19.403810.44YesYes1399
9B:B:H54 B:B:W82 22.47786.35YesYes1399
10A:A:Y37 B:B:D76 44.05024.6YesYes2149
11A:A:R42 A:A:Y37 42.469514.4NoYes094
12A:A:F222 A:A:R42 58.50834.28NoNo079
13A:A:F222 A:A:H220 1009.05NoNo077
14A:A:H220 A:A:K211 99.95455.24NoNo074
15A:A:K211 A:A:N218 99.93164.2NoNo044
16A:A:N218 A:A:Q213 99.88537.92NoNo043
17A:A:K216 A:A:Q213 99.86196.78NoNo043
18A:A:K216 R:R:R145 99.83853.71NoNo044
19A:A:V217 R:R:R145 99.52125.23NoNo054
20A:A:V217 R:R:L141 99.49587.45NoYes056
21A:A:I383 R:R:L141 84.69224.28YesYes086
22A:A:I383 A:A:N387 84.2154.25YesNo088
23A:A:N387 A:A:Y391 84.02969.3NoYes484
24A:A:F219 A:A:H41 21.87647.92YesYes286
25A:A:H41 R:R:L141 22.54389YesYes266
26A:A:F219 A:A:F376 21.86577.5YesYes288
27A:A:F376 R:R:L141 22.68674.87YesYes286
28A:A:D240 A:A:R42 21.09673.57NoNo069
29A:A:F219 A:A:L43 42.64753.65YesNo287
30A:A:I245 A:A:L43 39.48697.14YesNo277
31A:A:F222 B:B:W99 97.391715.03NoYes079
32A:A:F238 B:B:W99 52.17418.02YesYes099
33A:A:D249 A:A:K293 10.026911.06NoNo089
34A:A:K293 A:A:N292 12.96864.2NoYes099
35A:A:F290 A:A:I245 38.96543.77YesYes297
36A:A:Q227 B:B:L117 45.01265.32YesNo099
37B:B:L117 B:B:W99 45.07875.69NoYes099
38A:A:F238 A:A:W234 51.50044.01YesYes099
39A:A:W234 B:B:Y145 46.93374.82YesYes398
40A:A:Q227 B:B:Y145 44.6567.89YesYes398
41A:A:K233 B:B:Y145 89.70533.58YesYes398
42A:A:K233 B:B:D228 44.57215.53YesYes399
43A:A:K233 B:B:D246 44.36574.15YesYes399
44A:A:D240 B:B:K57 20.67778.3NoYes569
45B:B:K57 B:B:W332 21.912825.53YesYes599
46A:A:D378 A:A:Y360 17.674518.39NoYes078
47A:A:F290 A:A:H362 10.53856.79YesNo099
48A:A:Y358 A:A:Y360 10.61533.97NoYes048
49A:A:Y391 R:R:R133 81.78724.12YesYes449
50R:R:R133 R:R:Y220 74.96018.23YesYes498
51B:B:D228 B:B:S227 44.24452.94YesNo396
52B:B:H225 B:B:S227 88.03312.79YesNo396
53B:B:H225 B:B:I229 83.56699.28YesNo097
54B:B:I229 B:B:T243 46.75347.6NoNo078
55B:B:I232 B:B:T243 35.62364.56YesNo088
56B:B:I232 B:B:S189 55.58174.64YesNo087
57B:B:C148 B:B:S189 54.75563.44NoNo067
58B:B:C148 B:B:L190 52.28224.76NoNo065
59B:B:F199 B:B:L190 49.80513.65YesNo095
60B:B:F199 B:B:W211 39.943510.02YesYes898
61B:B:K209 B:B:W211 21.64645.8YesYes868
62B:B:K209 B:B:T221 14.163613.51YesNo067
63B:B:T221 G:G:E22 13.331711.29NoNo079
64G:G:E22 G:G:L19 24.99163.98NoYes099
65B:B:D246 B:B:S227 44.18762.94YesNo396
66B:B:G202 B:B:I229 36.41423.53NoNo067
67B:B:G202 B:B:I232 35.59953.53NoYes068
68B:B:C218 B:B:W211 16.65115.22NoYes858
69B:B:C218 G:G:Q18 15.82167.63NoNo059
70G:G:E22 G:G:Q18 13.32538.92NoNo099
71B:B:I18 G:G:L19 13.33255.71NoYes079
72B:B:I18 G:G:A23 11.66641.62NoNo078
73B:B:F253 B:B:T243 10.78799.08YesNo068
74B:B:N313 B:B:W332 19.73817.91NoYes079
75B:B:D333 B:B:N313 19.56934.04NoNo097
76B:B:D333 B:B:F335 18.87148.36NoYes094
77B:B:F335 B:B:K337 18.35633.72YesYes1146
78B:B:K337 B:B:W339 17.86719.28YesYes1169
79B:B:L308 B:B:W339 16.671917.08YesYes079
80B:B:L308 B:B:M45 15.66655.65YesNo074
81B:B:M45 G:G:L50 15.49434.24NoNo049
82G:G:D48 G:G:L50 14.8044.07YesNo099
83B:B:S279 G:G:D48 13.59084.42NoYes099
84B:B:L284 B:B:S279 13.4173NoNo059
85B:B:L284 B:B:V40 13.2434.47NoYes053
86B:B:D298 B:B:V40 12.00818.76YesYes1593
87B:B:D298 B:B:K301 11.66712.44YesYes1595
88B:B:I37 B:B:K301 11.14511.63NoYes025
89B:B:I37 G:G:M38 10.96932.92NoNo024
90B:B:T34 G:G:M38 10.79344.52YesNo054
91B:B:D83 B:B:N88 19.04686.73YesYes2087
92B:B:D83 B:B:L69 17.83985.43YesNo085
93B:B:L69 B:B:Y105 17.2577.03NoYes056
94B:B:V71 B:B:Y105 16.32075.05NoYes086
95B:B:L79 B:B:V71 15.04444.47YesNo078
96B:B:N88 B:B:V90 16.86474.43YesNo075
97B:B:H91 B:B:V90 16.55938.3NoNo055
98B:B:H91 B:B:I81 16.2547.95NoNo057
99B:B:I81 B:B:L126 16.14794.28NoNo075
100B:B:K127 B:B:L126 16.04392.82NoNo045
101B:B:K127 B:B:N110 15.72634.2NoYes044
102B:B:N110 B:B:Y111 14.44858.14YesYes1844
103B:B:F151 B:B:Y111 11.58753.09YesYes094
104R:R:S130 R:R:Y220 76.6816.36NoYes098
105R:R:S130 R:R:T216 76.60019.59NoNo098
106R:R:F254 R:R:T216 71.93223.89NoNo098
107R:R:F254 R:R:L126 71.35584.87NoNo098
108R:R:L126 R:R:L77 35.63674.15NoNo1989
109R:R:D81 R:R:L77 35.53416.79YesNo1999
110R:R:D81 R:R:S299 70.01934.42YesNo099
111R:R:S299 R:R:Y84 68.20465.09NoYes097
112R:R:S296 R:R:Y84 46.69766.36NoYes077
113R:R:S296 R:R:Y42 45.52057.63NoYes078
114R:R:Y42 R:R:Y95 23.40815.96YesYes185
115L:L:?1 R:R:Y95 10.80047.65YesYes105
116R:R:D302 R:R:L126 35.63676.79YesNo1998
117R:R:D302 R:R:D81 35.6169.31YesYes1999
118R:R:R292 R:R:Y42 15.67475.14YesYes168
119L:L:?1 R:R:R292 10.75357.93YesYes106
120R:R:F115 R:R:Y84 20.294114.44NoYes067
121R:R:F115 R:R:Y116 19.823511.35NoNo064
122R:R:R265 R:R:Y116 16.623912.35YesNo054
123R:R:L184 R:R:N99 12.6214.12NoYes034
124R:R:H186 R:R:L184 10.09787.71NoNo033
Download PSN data

2D representation of the global metapath, ligand(s) interactions and
histograms of path distribution according to several parameters
(click on the image to enlarge it 🔍):

A 2D representation of the global communication in the network.

ConSurf Conservation Grade (See documentation): 

 n/a   1    2    3    4    5    6    7    8    9  

Number of shortest communication paths as a function of the average residue correlation.

Number of shortest communication paths as a function of the average interaction strength of their links.

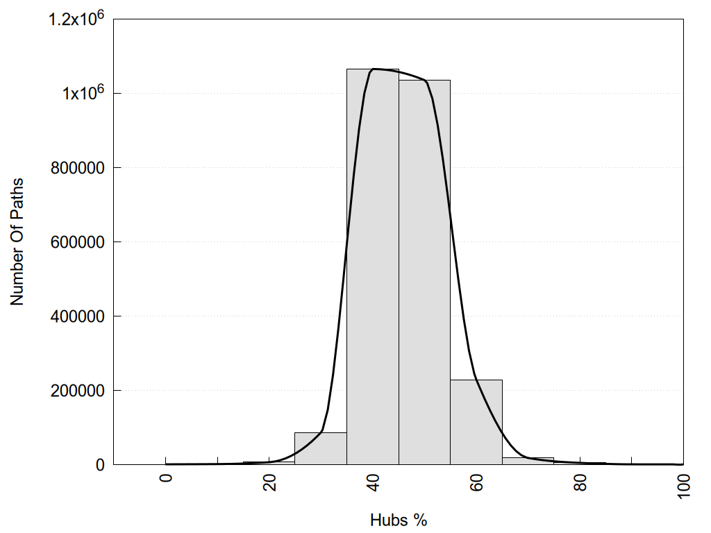
Number of shortest communication paths as a function of the % of hub nodes in each path.

Number of shortest communication paths as a function of the number of nodes in each path.

Number of shortest communication paths as a function of the % of correlated nodes in each path.


2D representation of the interactions of this orthosteric/allosteric ligand.


Links and nodes colored according to ConSurf Conservation Grade (See documentation): 

 n/a   1    2    3    4    5    6    7    8    9  

Node1 Node2 LinkStrength Comm IsNode1Hub? IsNode2Hub? Node1Cons Node2Cons Node1Shell Node2Shell
L:L:?1 R:R:D26 8.86 1 Yes No 0 4 0 1
L:L:?1 R:R:W28 7.44 1 Yes No 0 2 0 1
L:L:?1 R:R:F29 28.92 1 Yes Yes 0 2 0 1
L:L:?1 R:R:K34 7.53 1 Yes Yes 0 3 0 1
L:L:?1 R:R:Y95 7.65 1 Yes Yes 0 5 0 1
L:L:?1 R:R:N99 5.7 1 Yes Yes 0 4 0 1
L:L:?1 R:R:D187 15.3 1 Yes No 0 5 0 1
L:L:?1 R:R:T188 5.25 1 Yes Yes 0 3 0 1
L:L:?1 R:R:Y268 4.87 1 Yes Yes 0 5 0 1
L:L:?1 R:R:R272 15.14 1 Yes Yes 0 3 0 1
L:L:?1 R:R:K289 6.7 1 Yes Yes 0 5 0 1
L:L:?1 R:R:R292 7.93 1 Yes Yes 0 6 0 1
R:R:D26 R:R:W28 4.47 1 No No 4 2 1 1
R:R:F29 R:R:Y268 7.22 1 Yes Yes 2 5 1 1
R:R:F29 R:R:L281 8.53 1 Yes No 2 3 1 2
R:R:F29 R:R:N282 4.83 1 Yes No 2 3 1 2
R:R:F29 R:R:N285 9.67 1 Yes No 2 4 1 2
R:R:F35 R:R:K34 6.2 1 Yes Yes 4 3 2 1
R:R:K34 R:R:L38 5.64 1 Yes Yes 3 6 1 2
R:R:K34 R:R:Y95 7.17 1 Yes Yes 3 5 1 1
R:R:K34 R:R:N99 4.2 1 Yes Yes 3 4 1 1
R:R:K289 R:R:K34 12.93 1 Yes Yes 5 3 1 1
R:R:F35 R:R:N99 10.87 1 Yes Yes 4 4 2 1
R:R:L38 R:R:Y42 12.89 1 Yes Yes 6 8 2 2
R:R:L38 R:R:Y95 10.55 1 Yes Yes 6 5 2 1
R:R:L38 R:R:R292 3.64 1 Yes Yes 6 6 2 1
R:R:Y42 R:R:Y95 5.96 1 Yes Yes 8 5 2 1
R:R:R292 R:R:Y42 5.14 1 Yes Yes 6 8 1 2
R:R:Y94 R:R:Y95 4.96 0 Yes Yes 5 5 2 1
R:R:N99 R:R:Y94 11.63 1 Yes Yes 4 5 1 2
R:R:R112 R:R:Y94 4.12 0 Yes Yes 5 5 2 2
R:R:R292 R:R:Y95 6.17 1 Yes Yes 6 5 1 1
R:R:L184 R:R:N99 4.12 0 No Yes 3 4 2 1
R:R:D187 R:R:R112 20.25 1 No Yes 5 5 1 2
R:R:D187 R:R:R292 5.96 1 No Yes 5 6 1 1
R:R:F194 R:R:T188 9.08 1 No Yes 2 3 2 1
R:R:T188 R:R:Y197 7.49 1 Yes Yes 3 4 1 2
R:R:T188 R:R:Y269 3.75 1 Yes Yes 3 5 1 2
R:R:R272 R:R:T188 5.17 1 Yes Yes 3 3 1 1
R:R:F194 R:R:R272 14.97 1 No Yes 2 3 2 1
R:R:Y197 R:R:Y269 3.97 1 Yes Yes 4 5 2 2
R:R:Y268 R:R:Y269 4.96 1 Yes Yes 5 5 1 2
R:R:R272 R:R:Y268 17.49 1 Yes Yes 3 5 1 1
R:R:V284 R:R:Y268 7.57 0 Yes Yes 5 5 2 1
R:R:N285 R:R:Y268 9.3 1 No Yes 4 5 2 1
R:R:Y268 R:R:Y288 9.93 1 Yes Yes 5 4 1 2
R:R:K289 R:R:N285 11.19 1 Yes No 5 4 1 2
R:R:K289 R:R:Y288 5.97 1 Yes Yes 5 4 1 2
R:R:R292 R:R:Y288 5.14 1 Yes Yes 6 4 1 2
R:R:K289 R:R:R292 6.19 1 Yes Yes 5 6 1 1
R:R:G180 R:R:W28 2.81 0 No No 2 2 2 1
R:R:P39 R:R:Y95 2.78 0 No Yes 5 5 2 1

Location and physicochemical properties of the interaction partners of this ligand

Interactions of this ligand

Similarities between the interactions of this ligand and those of other networks

ShowSimilarityNetwork TypeNameLigandDescription
81.82Single9K0XATP9K0X-P2Y2-ATP-chim(NtGi1-Gs-CtGq)/β1/γ2
81.82Single9K20ATP9K20-P2Y2-ATP-chim(NtGi1-Go)/β1/γ2
53.33Single8WJXADP8WJX-P2Y1-ADP-chim(Gs-CtGq)/β1/γ2
50.00Single4O9RCyclopamine4O9R-SMO-Cyclopamine
46.67Single8ZPTPrRP208ZPT-PrRP-PrRP20-chim(NtGi1-Gs-CtGq)/β1/γ2
46.15Single4QINSAG1.54QIN-SMO-SAG1.5
46.15Single6O3CSAG21k6O3C-SMO-SAG21k-Cholesterol
43.75Single9JCLADP9JCL-P2Y1-ADP-chim(Gs-CtGq)/β1/γ2
42.86Single6XBLSAG6XBL-SMO-SAG-Cholesterol-Gi1/β1/γ2
42.86Single7ZI0SAG7ZI0-SMO-SAG-Cholesterol
42.11Single8XWNCXCL88XWN-CXCR2-CXCL8
41.18Single4XEENeurotensin-(8-13)4XEE-NTS1-Neurotensin-(8-13)
41.18Single4XESNeurotensin-(8-13)4XES-NTS1-Neurotensin-(8-13)
41.18Single6OS2TRV0266OS2-AT1-TRV026
41.18Single6YVRNeurotensin-(6-13)6YVR-NTS1-Neurotensin-(6-13)
41.18Single8JPCNeurotensin-(8-13)8JPC-NTS1-Neurotensin-(8-13)-SBI-553; GDP; Mg-Gq; GRK2
40.00Single5T04Neurotensin-(8-13)5T04-NTS1-Neurotensin-(8-13)
40.00Single6Z4VNeurotensin-(9-13)6Z4V-NTS1-Neurotensin-(9-13)
40.00Single8I7VAcipimox8I7V-HCA2-Acipimox-Gi1/β1/γ2
40.00Single8JHNMonomethyl fumarate8JHN-HCA2-Monomethyl fumarate-Go/β1/γ2
38.89Single4BUONeurotensin-(8-13)4BUO-NTS1-Neurotensin-(8-13)
38.89Single8FN0Neurotensin-(8-13)8FN0-NTS1-Neurotensin-(8-13)-SBI-553-chim(NtGi1-Go)/β1/γ2
38.89Single9KWXC5a-des-Arg9KWX-C5a1-C5a-des-Arg-Go/β1/γ2
38.46Single5L7IVismodegib5L7I-SMO-Vismodegib
37.50Single5N2RPSB365N2R-A2A-PSB36-Na
37.50Single8UUJFCH-22964138UUJ-HCA2-FCH-2296413-Gi1/β1/γ2
37.50Single8ZYTNeurotensin-(8-13)8ZYT-NTS1-Neurotensin-(8-13)-SBI-553-Arrestin2
37.50Single9CIBFCH-22964139CIB-HCA2-FCH-2296413
36.84Single8XX6CXCL88XX6-CXCR2-CXCL8-Go/β1/γ2
36.84Single9EAJNanobody AT2099EAJ-AT1-Nanobody AT209
36.84Single9KX6C5a-des-Arg9KX6-C5a1-C5a-des-Arg-Go/β1/γ2
35.71Single3PWHZM-2413853PWH-A2A-ZM-241385
35.71Single4BWBNeurotensin-(8-12)4BWB-NTS1-Neurotensin-(8-12)
35.71Single5OLOTozadenant5OLO-A2A-Tozadenant-Na
35.71Single8H8JLodoxamide8H8J-GPR35-Lodoxamide-Ca-chim(NtGi1L-G13)/β1/γ2
35.71Single8IJANiacin8IJA-HCA2-Niacin-Gi1/β1/γ2
35.71Single8YYWAlpha-ketoglutarate8YYW-Oxoglutarate-α-ketoglutarate-α-ketoglutarate-chim(Gi1-CtGq)/β1/γ2
35.71Single8Z87CHBA8Z87-HCA1-CHBA-Gi1/β1/γ2
35.71Consensuscxcr1_onOrthosteric Ligand8IC0-CXCR1-CXCL8-Gi1/β1/γ2
35.29Single3ZEVNeurotensin-(7-13)3ZEV-NTS1-Neurotensin-(7-13)
35.29Single4BV0Neurotensin-(7-13)4BV0-NTS1-Neurotensin-(7-13)
35.29Single7L0PNeurotensin-(8-13)7L0P-NTS1-Neurotensin-(8-13)-Gi1/β1/γ1
35.29Single7L0QNeurotensin-(8-13)7L0Q-NTS1-Neurotensin-(8-13)-Gi1/β1/γ1
35.29Single8FN1Neurotensin-(8-13)8FN1-NTS1-Neurotensin-(8-13)-chim(NtGi1-Go)/β1/γ2
35.29Single8HQCC5a8HQC-C5a1-C5a-Go/β1/γ2
35.29Single8IHBGSK2560738IHB-HCA2-GSK256073-Gi1/β1/γ2
35.29Single8IHHLUF62838IHH-HCA2-LUF6283-Gi1/β1/γ2
35.29Consensusneurotensin_onOrthosteric Ligandnts1_on
35.29Consensusnts1_onOrthosteric Ligand6OSA-NTS1-JMV449-Gi1/β1/γ2 7L0S-NTS1-Neurotensin-(8-13)-Gi1/β1/γ1
35.00Single7L0RNeurotensin-(8-13)7L0R-NTS1-Neurotensin-(8-13)-Gi1/β1/γ1
35.00Single7NA7Ghrelin7NA7-Ghrelin-Ghrelin-Gi1/β1/γ2
35.00Single7W0PElabela7W0P-Apelin-Elabela-Gi1/β1/γ2
35.00Single9KWGC5a9KWG-C5a1-C5a-Go/β1/γ2
34.78Single7Y64C5a7Y64-C5a1-C5a-Gi1/β1/γ2
33.33Single4GRVNeurotensin-(8-13)4GRV-NTS1-Neurotensin-(8-13)
33.33Single5IU4ZM-2413855IU4-A2A-ZM-241385-Na
33.33Single5IUBQ274563445IUB-A2A-Q27456344-Na
33.33Single5K2CZM-2413855K2C-A2A-ZM-241385-Na
33.33Single5NM4ZM-2413855NM4-A2A-ZM-241385-Na
33.33Single6DO1(Sar1,Ile8)-Angiotensin II6DO1-AT1-(Sar1,Ile8)-Angiotensin II
33.33Single6OS0Angiotensin II6OS0-AT1-Angiotensin II
33.33Single6OSAJMV4496OSA-NTS1-JMV449-Gi1/β1/γ2
33.33Single6U1NLY21196206U1N-M2-LY2119620-Arrestin2
33.33Single7C2EPubChem 1490507997C2E-GLP-1-PubChem 149050799-Gs/β1/γ2
33.33Single7C6A(Sar1,Ile8)-Angiotensin II7C6A-AT2-(Sar1,Ile8)-Angiotensin II
33.33Single7T32ZM-2413857T32-A2A-ZM-241385
33.33Single7T94LY21196207T94-M2-Acetylcholine-LY2119620-chim(NtGi1-Go)/β1/γ2
33.33Single7W0NElabela7W0N-Apelin; Apelin-Elabela-Gi1/β1/γ2
33.33Single7XNACYN1548067XNA-SST2-CYN154806
33.33Single7XXH2MeSADP7XXH-P2Y1-2MeSADP-chim(NtGi1-G11)/β1/γ2
33.33Single8J6DEP1418J6D-C3aB-EP141-Go/β1/γ2
33.33Single8JERAcipimox8JER-HCA2-Acipimox-Go/β1/γ2
33.33Single8JPBNeurotensin-(8-13)8JPB-NTS1-Neurotensin-(8-13)-SBI-553; GDP; Mg-Gq; GRK2
33.33Single8JZZC5a-des-Arg8JZZ-C5a1-C5a-des-Arg-Go/β1/γ2
33.33Single8K5CAcipimox8K5C-HCA2-Acipimox
33.33Single8RWIStilSwitch28RWI-A2A-StilSwitch2-Na
33.33Single8WSSMCH8WSS-MCH1-MCH-Gi1/β1/γ1
33.33Single8Z7JJN241-98Z7J-Apelin-JN241-9-Gi1/β1/γ2
33.33Single9JFUNE52-QQ579JFU-GPR4-NE52-QQ57
33.33Consensuscompl-peptide_onOrthosteric Ligandc5a1_on c3a_on
33.33Consensusgi_ghrelinOrthosteric Ligand7NA7-Ghrelin-Ghrelin-Gi1/β1/γ2 7NA8-Ghrelin-Ibutamoren-Gi1/β1/γ2
33.33Consensusgi_neurotensinOrthosteric Ligand6OSA-NTS1-JMV449-Gi1/β1/γ2 7L0S-NTS1-Neurotensin-(8-13)-Gi1/β1/γ1
33.33Consensusgi_peptideOrthosteric Ligandgi_cck gi_apelin gi_compl-pept gi_endothelin gi_formylpeptide gi_galanin gi_ghrelin gi_npy gi_neurotensin gi_opioid gi_orexin gi_relaxin gi_somatostatin
33.33Consensusneurotensin_on_gpOrthosteric Ligandnts1_on_gp
33.33Consensusnts1_on_gpOrthosteric Ligand6OSA-NTS1-JMV449-Gi1/β1/γ2 7L0S-NTS1-Neurotensin-(8-13)-Gi1/β1/γ1
33.33Consensusnucleotide_offOrthosteric Ligandadenosine_off p2y_off
33.33Consensusp2y1_on_gpOrthosteric Ligand7XXH-P2Y1-2MeSADP-chim(NtGi1-G11)/β1/γ2
33.33Consensussst2_offOrthosteric Ligand7XNA-SST2-CYN154806
32.00Consensusgq_peptideOrthosteric Ligandgq_cck gq_kisspeptin gq_bradykinin gq_bombesin gq_angiotensin
32.00Consensuspeptide_onOrthosteric Ligandcck_on angiotensin_on apelin_on bombesin_on bradykinin_on compl-peptide_on endothelin_on formylpeptide_on galanin_on ghrelin_on kisspeptin_on melanocortin_on motilin_on neuromedin-u_on npy_on neurotensin_on opioid_on orexin_on relaxin_on somatostatin_on tachykinin_on trh_on vasop-oxy_on
32.00Consensuspeptide_on_gpOrthosteric Ligandcck_on_gp angiotensin_on_gp apelin_on_gp bombesin_on_gp bradykinin_on_gp compl-peptide_on_gp endothelin_on_gp formylpeptide_on_gp galanin_on_gp ghrelin_on_gp kisspeptin_on_gp melanocortin_on_gp motilin_on_gp neuromedin-u_on_gp npy_on_gp neurotensin_on_gp opioid_on_gp orexin_on_gp relaxin_on_gp somatostatin_on_gp tachykinin_on_gp trh_on_gp vasop-oxy_on_gp
31.82Single9IVMGLP-1 (Truncated)9IVM-GLP-1-GLP-1 (Truncated)-LSN3318839-chim(NtGi1-Gs)/β2/γ2
31.82Single9U4WGonadoliberin-19U4W-GnRH1-Gonadoliberin-1-chim(NtGi1L-Gs-CtGq)/β1/γ2
31.82Consensusangiotensin_onOrthosteric Ligandat1_on
31.82Consensusat1_onOrthosteric Ligand7F6G-AT1-(Sar1)-Angiotensin II-Gq/β1/γ2
31.82Consensuscompl-peptide_on_gpOrthosteric Ligandc5a1_on_gp c3a_on_gp
31.58Single6UP7Neurotensin-(8-13)6UP7-NTS1-Neurotensin-(8-13)-Arrestin2
31.58Single7EZCUK-4320977EZC-A2A-UK-432097
31.58Single7X8RBOC57X8R-GLP-1-BOC5-Gs/β1/γ2
31.58Single8JPFNeurotensin-(8-13)8JPF-NTS1-Neurotensin-(8-13)-SBI-553
31.58Single8K4OCXCL18K4O-KSHV-CXCL1-Gi1/β1/γ1
31.58Single9KT8Acifran9KT8-HCA2-Acifran-Gi1/β1/γ2
31.58Single9UYHChemerin-99UYH-CML2-Chemerin-9-Arrestin2
31.58Consensuscck_onOrthosteric Ligandccka_on cckb_on
31.58Consensuscck_on_gpOrthosteric Ligandccka_on_gp cckb_on_gp
31.25Single4EIYZM-2413854EIY-A2A-ZM-241385-Na
31.25Single4QIMANTA XV4QIM-SMO-ANTA XV
31.25Single5IU8Q274563475IU8-A2A-Q27456347-Na
31.25Single5OLGZM-2413855OLG-A2A-ZM-241385-Na
31.25Single6LPJZM-2413856LPJ-A2A-ZM-241385-Na
31.25Single6LPKZM-2413856LPK-A2A-ZM-241385-Na
31.25Single6X1ADanuglipron6X1A-GLP-1-Danuglipron-Gs/β1/γ2
31.25Single6XBM25(S)-Epoxycholesterol6XBM-SMO-25(S)-Epoxycholesterol-Gi1/β1/γ2
31.25Single7FIHOrg435537FIH-LH-hCG-Org43553-chim(NtGi1-Gs)/β1/γ2
31.25Single7LCKDanuglipron7LCK-GLP-1-Danuglipron
31.25Single7PYRPSB-21157PYR-A2A-PSB-2115
31.25Single7TRQVU04671547TRQ-M4-Iperoxo-VU0467154-Gi1/β1/γ2
31.25Single7WQ3Galanin7WQ3-GAL1-Galanin-Gi1/β1/γ2
31.25Single7YU4ONO-07405567YU4-LPA1-ONO-0740556
31.25Single8IC0CXCL88IC0-CXCR1-CXCL8-Gi1/β1/γ2
31.25Single8J6PNiacin8J6P-HCA2-Niacin-PubChem 25101223-Gi1/β1/γ2
31.25Single8JIINiacin8JII-HCA2-Niacin-PubChem 25101223-Gi1/β1/γ2
31.25Single8RWXStilSwitch38RWX-A2A-StilSwitch3-Na
31.25Single8ZYYNeurotensin-(8-13)8ZYY-NTS1-Neurotensin-(8-13)-SBI-553-Arrestin2
31.25Single9IZCMK19039IZC-HCA2-MK1903-Gi1/β1/γ2
31.25Consensuscxcr1_on_gpOrthosteric Ligand8IC0-CXCR1-CXCL8-Gi1/β1/γ2
31.25Consensusgal1_onOrthosteric Ligand7WQ3-GAL1-Galanin-Gi1/β1/γ2
31.25Consensusgal1_on_gpOrthosteric Ligand7WQ3-GAL1-Galanin-Gi1/β1/γ2
31.25Consensusgi_galaninOrthosteric Ligand7WQ3-GAL1-Galanin-Gi1/β1/γ2
31.25Consensusgi_hcaOrthosteric Ligand8J6R-HCA2-MK6892-Gi1/β1/γ2 8JIM-HCA2-Monomethyl fumarate-Gi1/β1/γ2 8IHI-HCA2-Acifran-Gi1/β1/γ2 8IHH-HCA2-LUF6283-Gi1/β1/γ2 8I7V-HCA2-Acipimox-Gi1/β1/γ2 8I7W-HCA2-GSK256073-Gi1/β1/γ2
31.25Consensushca2_onOrthosteric Ligand8J6R-HCA2-MK6892-Gi1/β1/γ2 8JIM-HCA2-Monomethyl fumarate-Gi1/β1/γ2 8I7V-HCA2-Acipimox-Gi1/β1/γ2 8I7W-HCA2-GSK256073-Gi1/β1/γ2 8IHH-HCA2-LUF6283-Gi1/β1/γ2 8IHI-HCA2-Acifran-Gi1/β1/γ2
31.25Consensushca2_on_gpOrthosteric Ligand8J6R-HCA2-MK6892-Gi1/β1/γ2 8IHI-HCA2-Acifran-Gi1/β1/γ2 8IHH-HCA2-LUF6283-Gi1/β1/γ2 8I7V-HCA2-Acipimox-Gi1/β1/γ2 8JIM-HCA2-Monomethyl fumarate-Gi1/β1/γ2 8I7W-HCA2-GSK256073-Gi1/β1/γ2
31.25Consensushca_on_gpOrthosteric Ligandhca2_on_gp
31.25Consensusnucleotide_offonOrthosteric Ligandnucleotide_off nucleotide_on
31.25Consensusnucleotide_offon_gpOrthosteric Ligandnucleotide_on_gp nucleotide_off
30.77Single4XNWMRS25004XNW-P2Y1-MRS2500
30.77Single6PWCNeurotensin-(9-13)6PWC-NTS1-Neurotensin-(9-13)-Arrestin2
30.77Single9IJRC179IJR-GPR52-C17-Arrestin2
30.77Single9KT93,5-DHBA9KT9-HCA1-3,5-DHBA-Gi1/β1/γ2
30.77Consensusp2y1_offOrthosteric Ligand4XNW-P2Y1-MRS2500
30.43Single6JODAngiotensin II6JOD-AT2-Angiotensin II
30.43Single7F6G(Sar1)-Angiotensin II7F6G-AT1-(Sar1)-Angiotensin II-Gq/β1/γ2
30.43Single7YONPeptide-YY(3-36)7YON-Y2-Peptide-YY(3-36)-Gi1/β1/γ2
30.43Single8X8LCortistatin-148X8L-SST5-Cortistatin-14-chim(NtGi1-Gs-CtGi1)/β1/γ2
30.43Single8XZJWN3538XZJ-Apelin; Apelin-WN353-Gi1/β1/γ2
30.43Single8YW3Retatrutide8YW3-GLP-1-Retatrutide-Gs/β1/γ2
30.43Consensusangiotensin_on_gpOrthosteric Ligandat1_on_gp
30.43Consensusat1_on_gpOrthosteric Ligand7F6G-AT1-(Sar1)-Angiotensin II-Gq/β1/γ2
30.43Consensuscxcr3_on_gpOrthosteric Ligand8HNK-CXCR3-CXCL11-Gi1/β1/γ2 8HNL-CXCR3-PS372424-Gi1/β1/γ2
30.43Consensusgi_class-aOrthosteric Ligandgi_peptide gi_sensory gi_alicarboxylic gi_amine gi_lipid gi_nucleotide gi_protein
30.43Consensusgq_angiotensinOrthosteric Ligand7F6G-AT1-(Sar1)-Angiotensin II-Gq/β1/γ2
30.43Consensusprotein_offonOrthosteric Ligandprotein_off protein_on
30.43Consensusprotein_offon_gpOrthosteric Ligandprotein_on_gp protein_off
30.00Single5VBLAMG3054 5VBL-Apelin-AMG3054
30.00Single5WF6UK-4320975WF6-A2A-UK-432097
30.00Single6OS9JMV4496OS9-NTS1-JMV449-Gi1/β1/γ2
30.00Single7F8WGastrin-177F8W-CCKB-Gastrin-17-chim(NtGsL-Gq)/β1/γ2
30.00Single7X8SWB4-247X8S-GLP-1-WB4-24-Gs/β1/γ2
30.00Single8XZFWN5618XZF-Apelin; Apelin-WN561-Gi1/β1/γ2
30.00Single9IZASCH9002719IZA-HCA2-SCH900271-Gi1/β1/γ2
30.00Single9UMJEP549UMJ-C3aB-EP54-Go/β1/γ2
30.00Consensusgq_cckOrthosteric Ligand8IA7-CCKB-Cholecystokinin-8-chim(NtGi1L-Gq)/β1/γ2 7XOW-CCKB-Sulfated Gastrin-(10-17)-chim(NtGi1-Gq)/β1/γ2 7EZM-CCKA-Cholecystokinin-8-chim(NtGsL-Gq)/β1/γ2 7F8W-CCKB-Gastrin-17-chim(NtGsL-Gq)/β1/γ2
29.63Single5GLHEndothelin-15GLH-ETB-Endothelin-1
29.41Single4JKVTaladegib4JKV-SMO-Taladegib
29.41Single5IUAQ274563485IUA-A2A-Q27456348-Na
29.41Single5N2SPSB365N2S-A1-PSB36
29.41Single5NM2ZM-2413855NM2-A2A-ZM-241385-Na
29.41Single6LPLZM-2413856LPL-A2A-ZM-241385-Na
29.41Single6S0QZM-2413856S0Q-A2A-ZM-241385
29.41Single6WQAZM-2413856WQA-A2A-ZM-241385-Na
29.41Single6XBKCholesterol6XBK-SMO-Cholesterol-Gi1/β1/γ2
29.41Single7RM5ZM-2413857RM5-A2A-ZM-241385-Na
29.41Single7YU3ONO-07405567YU3-LPA1-ONO-0740556-Gi1/β1/γ2
29.41Single7YU6ONO-07405567YU6-LPA1-ONO-0740556-Gi1/β1/γ2
29.41Single8FYNZM-2413858FYN-A2A-ZM-241385-Na
29.41Single8GNEKW-63568GNE-A2A-KW-6356-Na
29.41Single8J6JGSK2560738J6J-HCA2-GSK256073-Gi1/β1/γ2
29.41Single8TH4AT118-L Nanobody8TH4-AT1-Losartan-AT118-L Nanobody
29.41Single9EAHNanobody AT2099EAH-AT1-Olmesartan-Nanobody AT209
29.41Single9EHSLUF76029EHS-A3A-LUF7602
29.41Single9KO4CCL219KO4-CCR7-CCL21-Gi1/β1/γ2
29.41Consensusa1_offOrthosteric Ligand5UEN-A1-DU172 5N2S-A1-PSB36
29.41Consensusadenosine_offOrthosteric Liganda1_off a2_off
29.17Single5YQZNNC17025YQZ-Glucagon-NNC1702
29.17Single6X18GLP-16X18-GLP-1-GLP-1-Gs/β1/γ2
29.17Single7F6HBradykinin7F6H-BK2-Bradykinin-Gq/β1/γ2
29.17Single7F6IKallidin7F6I-BK2-Kallidin-Gq/β1/γ2
29.17Single8XQEApelin-138XQE-Apelin; Apelin-Apelin-13-Gi1/β1/γ2
29.17Single8ZPSPrRP208ZPS-PrRP-PrRP20-chim(NtGi1-Gs-CtGi1)/β1/γ2
29.17Consensuschemokine_on_gpOrthosteric Ligandccr_on_gp cxcr_on_gp
28.57Single6LI0C176LI0-GPR52-C17
28.57Single7F8XNN90567F8X-CCKA-NN9056
28.57Single7T96LY21196207T96-M2-Acetylcholine-LY2119620-Go/β1/γ2
28.57Single8H2GNiacin8H2G-HCA2-Niacin-Gi1/β1/γ2
28.57Single8JIQPeptide-158JIQ-Glucagon-Peptide-15-Gs/β1/γ2
28.57Single8K3ZCXCL128K3Z-CXCR4-CXCL12-Gi1/β1/γ1
28.57Single8K5BNiacin8K5B-HCA2-Niacin
28.57Single8ZX5AM2518ZX5-GPR55-AM251-chim(NtGi1-G13)/β1/γ2
28.57Single8ZYUNeurotensin-(8-13)8ZYU-NTS1-Neurotensin-(8-13)-SBI-553-Arrestin2
28.57Single9E7RGB889E7R-PAR2-GB88-chim(NtGi1L-Gs-CtGq)/β1/γ2
28.57Single9JLCAVE 09919JLC-MAS1-AVE 0991-Gi1/β1/γ2
28.57Single9L3YChemerin9L3Y-CML2-Chemerin-Gi1/β1/γ2
28.57Single9LMPNE52-QQ579LMP-GPR4-NE52-QQ57
28.57Single9UYJChemerin-99UYJ-CML2-Chemerin-9-Arrestin2
28.57Consensusclass-a_on_gpOrthosteric Ligandsensory_on_gp alicarboxylic_on_gp amine_on_gp lipid_on_gp nucleotide_on_gp peptide_on_gp protein_on_gp
28.57Consensuscxcr4_onOrthosteric Ligand8K3Z-CXCR4-CXCL12-Gi1/β1/γ1
28.57Consensuslpl_onOrthosteric Ligands1p_on lpa_on
28.57Consensuslpl_on_gpOrthosteric Ligands1p_on_gp lpa_on_gp
28.57Consensusp2y_onOrthosteric Ligandp2y1_on p2y10_on p2y12_on
28.57Consensussomatostatin_offOrthosteric Ligandsst2_off
28.00Single4XT3CX3CL14XT3-US28-CX3CL1
28.00Single5UIW5P7-CCL55UIW-CCR5-5P7-CCL5
28.00Single7KI0Semaglutide7KI0-GLP-1-Semaglutide-Gs/β1/γ2
28.00Single7RGPTirzepatide7RGP-GLP-1-Tirzepatide-chim(NtGi1-Gs)/β1/γ2
28.00Single7W3ZGastrin Releasing Peptide7W3Z-BB2-Gastrin Releasing Peptide-chim(NtGi1L-Gq)/β1/γ2
28.00Single8JISPeptide-158JIS-GLP-1-Peptide-15-chim(NtGi1-Gs)/β1/γ2
28.00Consensusccr5_offOrthosteric Ligand5UIW-CCR5-5P7-CCL5
28.00Consensusccr_offOrthosteric Ligandccr2_off ccr5_off
28.00Consensusgi_compl-peptOrthosteric Ligand8HK5-C5a1-C5a-Gi1/β1/γ2 8IA8-C3aB-E7 peptide-Gi1/β1/γ2 7Y66-C5a1-BM213-Gi1/β1/γ2 7Y67-C5a1-C089 peptide-Gi1/β1/γ2 8HK2-C3aB-C3a-Gi1/β1/γ2 7Y64-C5a1-C5a-Gi1/β1/γ2
28.00Consensuspac1_onOrthosteric Ligand8E3X-PAC1-PACAP27-Gs/β1/γ2 6M1H-PAC1-Maxadilan-Gs/β1/γ2
28.00Consensuspac1_on_gpOrthosteric Ligand8E3X-PAC1-PACAP27-Gs/β1/γ2 6M1H-PAC1-Maxadilan-Gs/β1/γ2
27.78Single5V56TC1145V56-SMO-TC114
27.78Single5V57TC1145V57-SMO-TC114
27.78Single6OS1TRV0266OS1-AT1-TRV026
27.78Single7PX4PSB-21137PX4-A2A-PSB-2113
27.78Single7T9NDPPC7T9N-TSH-M22 Fab-DPPC-Gs/β1/γ2
27.78Single7XBDGalanin7XBD-GAL2-Galanin-chim(NtGi2L-Gs-CtGq)/β1/γ2
27.78Single7XJLSpexin7XJL-GAL2-Spexin-chim(NtGi2L-Gs-CtGq)/β1/γ2
27.78Single7XOWSulfated Gastrin-(10-17)7XOW-CCKB-Sulfated Gastrin-(10-17)-chim(NtGi1-Gq)/β1/γ2
27.78Single7YU5ONO-07405567YU5-LPA1-ONO-0740556-Gi1/β1/γ2
27.78Single7YU7ONO-07405567YU7-LPA1-ONO-0740556-Gi1/β1/γ2
27.78Single8FMZNeurotensin-(8-13)8FMZ-NTS1-Neurotensin-(8-13)-chim(NtGi2L-Gs-CtGq)/β1/γ2
27.78Single9ASTLymphotactin9AST-XCR1-Lymphotactin-Gi1/β1/γ2
27.78Single9IZGLPA9IZG-LPA1-LPA-chim(NtGi1-Gs-CtGq)/β1/γ2
27.78Single9L16CCL219L16-CCR7-CCL21
27.78Single9MENGp120 (V3 loop)9MEN-CXCR4-Gp120 (V3 loop)
27.78Consensusgi_lpaOrthosteric Ligand7TD1-LPA1-LPA-Gi1/β1/γ2 7YU3-LPA1-ONO-0740556-Gi1/β1/γ2
27.78Consensusgi_relaxinOrthosteric Ligand7YK7-RXFP4-DC591053-Gi2/β1/γ2 7YJ4-RXFP4-INSL5-Gi2/β1/γ2 7YK6-RXFP4-PubChem 138319674-Gi2/β1/γ2
27.78Consensuslpa_onOrthosteric Ligandlpa1_on
27.78Consensuslpa_on_gpOrthosteric Ligandlpa1_on_gp
27.78Consensusmotilin_onOrthosteric Ligand8IBU-Motilin-Erythromycin-A-chim(NtGi1-Gs-CtGq)/β1/γ2
27.78Consensusrelaxin_onOrthosteric Ligandrxfp4_on
27.78Consensusrelaxin_on_gpOrthosteric Ligandrxfp4_on_gp
27.59Single6LRYSarafotoxin-B6LRY-ETB-Sarafotoxin-B
27.59Consensusgs_peptideOrthosteric Ligandgs_cck gs_melanocortin gs_vasop-oxy
27.27Single3QAKUK-4320973QAK-A2A-UK-432097
27.27Single7F1QCCL37F1Q-CCR5-CCL3-Gi1/β1/γ2
27.27Single7RKMCX3CL17RKM-US28-CX3CL1-Gi1/β1/γ2
27.27Single7SK5CXCL127SK5-ACKR3-CXCL12
27.27Single7VBITirzepatide (non-acylated)7VBI-GLP-1-Tirzepatide (non-acylated)-Gs/β1/γ2
27.27Single7XMSSomatostatin-147XMS-SST4-Somatostatin-14-Gi1/β1/γ2
27.27Single8IBVMotilin8IBV-Motilin-Motilin-chim(NtGi1-Gs-CtGq)/β1/γ2
27.27Single9IQSMuscarinic toxin 39IQS-M4-Muscarinic toxin 3
27.27Single9ME1CXCL129ME1-CXCR4-CXCL12
27.27Consensuscckb_onOrthosteric Ligand8IA7-CCKB-Cholecystokinin-8-chim(NtGi1L-Gq)/β1/γ2 7XOW-CCKB-Sulfated Gastrin-(10-17)-chim(NtGi1-Gq)/β1/γ2 7F8V-CCKB-Gastrin-17-Gi2/β1/γ2
27.27Consensusgi_cckOrthosteric Ligand7EZH-CCKA-Cholecystokinin-8-Gi1/β1/γ2 7F8V-CCKB-Gastrin-17-Gi2/β1/γ2
27.27Consensusgq_class-aOrthosteric Ligandgq_peptide gq_amine gq_nucleotide
26.92Single7YOONeuropeptide-Y7YOO-Y2-Neuropeptide-Y-Gi1/β1/γ2
26.92Consensusnpy2_onOrthosteric Ligand7YOO-Y2-Neuropeptide-Y-Gi1/β1/γ2
26.92Consensusnpy2_on_gpOrthosteric Ligand7YOO-Y2-Neuropeptide-Y-Gi1/β1/γ2
26.67Single3VG9ZM-2413853VG9-A2A-ZM-241385-Antibody
26.67Single4MQTLY21196204MQT-M2-Iperoxo-LY2119620
26.67Single5K2DZM-2413855K2D-A2A-ZM-241385-Na
26.67Single6JZHZM-2413856JZH-A2A-ZM-241385-Na
26.67Single6LFOCXCL86LFO-CXCR2-CXCL8-Gi1/β1/γ2
26.67Single6PS7ZM-2413856PS7-A2A-ZM-241385-Na
26.67Single7LCJDanuglipron7LCJ-GLP-1-Danuglipron
26.67Single7W0OElabela7W0O-Apelin-Elabela-Gi1/β1/γ2
26.67Single8HMPC178HMP-GPR52-C17-Gs/β1/γ2
26.67Single8J6LNiacin8J6L-HCA2-Niacin-Gi1/β1/γ2
26.67Single8JPPSuccinic acid8JPP-Succinate-Succinic acid-chim(Gs-CtGq)/β1/γ1
26.67Single8RVWStilSwitch38RVW-A2A-StilSwitch3-Na
26.67Single8RW0Istradefylline8RW0-A2A-Istradefylline-Na
26.67Single9KO2CCL199KO2-CCR7-CCL19-Gi1/β1
26.67Single9KO6CCL199KO6-CCR7-CCL19
26.67Consensusp2y1_onOrthosteric Ligand7XXH-P2Y1-2MeSADP-chim(NtGi1-G11)/β1/γ2
26.32Single6C1RPMX536C1R-C5a1-PMX53-Avacopan; Na
26.32Single7L0SNeurotensin-(8-13)7L0S-NTS1-Neurotensin-(8-13)-Gi1/β1/γ1
26.32Single7W0NElabela7W0N-Apelin; Apelin-Elabela-Gi1/β1/γ2
26.32Single7XJKGalanin7XJK-GAL2-Galanin-chim(NtGi2L-Gs-CtGq)/β1/γ2
26.32Single7XW5ML1097XW5-TSH-TSH-ML109-Gs/β1/γ2
26.32Single8H0QGastrin Releasing Peptide8H0Q-BB2-Gastrin Releasing Peptide-chim(NtGi1-Gs-CtGq)/β1/γ2
26.32Single8HK2C3a8HK2-C3aB-C3a-Gi1/β1/γ2
26.32Single8I9AEP548I9A-C3aB-EP54-chim(NtGi1-Gs-CtGq)/β1/γ2
26.32Single8IBUErythromycin-A8IBU-Motilin-Erythromycin-A-chim(NtGi1-Gs-CtGq)/β1/γ2
26.32Single8IYWGSK2560738IYW-HCA2-GSK256073-Go/β1/γ2
26.32Single8JWY2-1188JWY-A2A-2-118
26.32Single9L3WChemerin9L3W-CML1-Chemerin-Gi1/β1/γ2
26.32Consensuscxcr_onOrthosteric Ligandcxcr3_on cxcr4_on cxcr1_on cxcr2_on
26.32Consensusgalanin_onOrthosteric Ligandgal2_on gal1_on
26.32Consensusgalanin_on_gpOrthosteric Ligandgal2_on_gp gal1_on_gp
26.32Consensusgi_lipidOrthosteric Ligandgi_cannabinoid gi_ffa gi_leukotriene gi_lpa gi_s1p
26.32Consensuslipid_offonOrthosteric Ligandlipid_off lipid_on
26.32Consensuslipid_offon_gpOrthosteric Ligandlipid_on_gp lipid_off
26.32Consensuslpa1_offOrthosteric Ligand4Z36-LPA1-ONO-3080573 4Z35-LPA1-ONO-9910539 4Z34-LPA1-ONO-9780307
26.32Consensuslpa_offOrthosteric Ligandlpa1_off
26.32Consensuslpl_offOrthosteric Ligands1p_off lpa_off
26.32Consensusmotilin_on_gpOrthosteric Ligand8IBU-Motilin-Erythromycin-A-chim(NtGi1-Gs-CtGq)/β1/γ2
26.09Single3OE0CVX153OE0-CXCR4-CVX15
26.09Single5WF5UK-4320975WF5-A2A-UK-432097
26.09Single6LW5WKYMVm6LW5-FPR2-ALX-WKYMVm
26.09Single6MEOGp160; CD46MEO-CCR5-Gp160; CD4
26.09Single7XA3CCL27XA3-CCR2-CCL2-Gi1/β1/γ2
26.09Single8K6NNeuropeptide-Y8K6N-Y2-Neuropeptide-Y-Gi2/β1/γ1
26.09Single9K27PrRP319K27-PrRP-PrRP31-chim(NtGi1-Gq)/β1/γ2
26.09Single9MEUCXCL129MEU-CXCR4-CXCL12
26.09Consensusc5a1_onOrthosteric Ligand8HK5-C5a1-C5a-Gi1/β1/γ2 7Y66-C5a1-BM213-Gi1/β1/γ2 7Y67-C5a1-C089 peptide-Gi1/β1/γ2 7Y64-C5a1-C5a-Gi1/β1/γ2
26.09Consensuscckb_on_gpOrthosteric Ligand8IA7-CCKB-Cholecystokinin-8-chim(NtGi1L-Gq)/β1/γ2 7XOW-CCKB-Sulfated Gastrin-(10-17)-chim(NtGi1-Gq)/β1/γ2 7F8V-CCKB-Gastrin-17-Gi2/β1/γ2
26.09Consensusccr2_onOrthosteric Ligand7XA3-CCR2-CCL2-Gi1/β1/γ2
26.09Consensusccr2_on_gpOrthosteric Ligand7XA3-CCR2-CCL2-Gi1/β1/γ2
26.09Consensusccr_onOrthosteric Ligandccr6_on ccr8_on ccr2_on ccr1_on ccr5_on
26.09Consensuscxcr4_on_gpOrthosteric Ligand8K3Z-CXCR4-CXCL12-Gi1/β1/γ1
26.09Consensuspeptide_offonOrthosteric Ligandpeptide_off peptide_on
25.93Single5VAIGLP-15VAI-GLP-1-GLP-1-Gs/β1/γ2
25.93Single7KI1Taspoglutide7KI1-GLP-1-Taspoglutide-Gs/β1/γ2
25.93Single8IY5Endothelin-18IY5-ETB-Endothelin-1-Gi1/β1/γ2
25.93Single9BYOExendin-39BYO-GLP-1-Exendin-3-Gs/β1/γ2
25.93Consensusbk2_onOrthosteric Ligand7F6H-BK2-Bradykinin-Gq/β1/γ2 7F6I-BK2-Kallidin-Gq/β1/γ2
25.93Consensusbk2_on_gpOrthosteric Ligand7F6H-BK2-Bradykinin-Gq/β1/γ2 7F6I-BK2-Kallidin-Gq/β1/γ2
25.93Consensusbradykinin_onOrthosteric Ligandbk2_on
25.93Consensusbradykinin_on_gpOrthosteric Ligandbk2_on_gp
25.93Consensusendothelin_onOrthosteric Ligandetb_on eta_on
25.93Consensusgq_bradykininOrthosteric Ligand7F6H-BK2-Bradykinin-Gq/β1/γ2 7F6I-BK2-Kallidin-Gq/β1/γ2
25.93Consensusgs_melanocortinOrthosteric Ligand7F4H-MC1-Afamelanotide-chim(NtGi1-Gs)/β1/γ2 7F54-MC4-Afamelanotide-Gs/β1/γ2 7F4D-MC1-α-MSH-chim(NtGi1-Gs)/β1/γ2 8INR-MC5-α-MSH-Ca-chim(NtGi1-Gs)/β1/γ2 7F53-MC4-α-MSH-Gs/β1/γ2 7F55-MC4-Bremelanotide-Gs/β1/γ2 8GY7-MC2-Corticotropin-Ca-chim(NtGi1-Gs)/β1/γ2; MRAP1 8IOC-MC3-γ-MSH-Ca-chim(NtGi1-Gs)/β1/γ2 8IOD-MC5-PG-901-Ca-chim(NtGi1-Gs)/β1/γ2 7AUE-MC4-Setmelanotide-chim(NtGi1L-Gs)/β1/γ2 7F4I-MC1-SHU9119-chim(NtGi1-Gs)/β1/γ2 7F58-MC4-THIQ-Gs/β1/γ2
25.00Single3REYPubChem 56973REY-A2A-PubChem 5697
25.00Single3V2YPubChem 518926453V2Y-S1P1-PubChem 51892645
25.00Single4RWSvMIP-II4RWS-CXCR4-vMIP-II
25.00Single4Z35ONO-99105394Z35-LPA1-ONO-9910539
25.00Single5IU7Q274563465IU7-A2A-Q27456346-Na
25.00Single5JTBZM-2413855JTB-A2A-ZM-241385
25.00Single5K2BZM-2413855K2B-A2A-ZM-241385-Na
25.00Single5MZJTheophylline5MZJ-A2A-Theophylline-Na
25.00Single5NLXZM-2413855NLX-A2A-ZM-241385-Na
25.00Single5WB2CX3CL1.355WB2-US28-CX3CL1.35
25.00Single6AQFZM-2413856AQF-A2A-ZM-241385
25.00Single6IGKEndothelin-36IGK-ETB-Endothelin-3
25.00Single6M1IPACAP276M1I-PAC1-PACAP27-Gs/β1/γ2
25.00Single6METGp160; CD46MET-CCR5-Gp160; CD4
25.00Single6ZDRHMS1413f126ZDR-A2A-HMS1413f12-Na
25.00Single7AROLUF58337ARO-A2A-LUF5833-Na
25.00Single7BB6AVP7BB6-V2-AVP-Gs/β1/γ2
25.00Single7DUQGLP-17DUQ-GLP-1-GLP-1-PubChem 156022738-Gs/β1/γ2
25.00Single7DW9AVP7DW9-V2-AVP-chim(NtGi1-Gs)/β1/γ2
25.00Single7EZHCholecystokinin-87EZH-CCKA-Cholecystokinin-8-Gi1/β1/γ2
25.00Single7EZMCholecystokinin-87EZM-CCKA-Cholecystokinin-8-chim(NtGsL-Gq)/β1/γ2
25.00Single7FIMTirzepatide7FIM-GLP-1-Tirzepatide-Gs/β1/γ2
25.00Single7KH0AVP7KH0-V2-AVP-chim(NtGi1-Gs)/β1/γ2
25.00Single7LLLExendin-47LLL-GLP-1-Exendin-4-Gs/β1/γ2
25.00Single7UTZDPPC7UTZ-TSH-TSH-DPPC-Gs/β1/γ2
25.00Single7W40Bombesin7W40-BB2-Bombesin-chim(NtGi1L-Gq)/β1/γ2
25.00Single7Y65C5a (C-terminal peptide)7Y65-C5a1-C5a (C-terminal peptide)-Gi1/β1/γ2
25.00Single7YU8ONO-07405567YU8-LPA1-ONO-0740556-Gi1/β1/γ2
25.00Single8HN1Toxin AdTx18HN1-Alpha1A-Toxin AdTx1
25.00Single8HQMNPGLY8HQM-GPR132-NPGLY-Gi1/β1/γ2
25.00Single8HVINOX-6-78HVI-GPR132-NOX-6-7-Gi1/β1/γ2
25.00Single8IY9Niacin8IY9-HCA2-Niacin-Go/β1/γ2
25.00Single8JIMMonomethyl fumarate8JIM-HCA2-Monomethyl fumarate-Gi1/β1/γ2
25.00Single8PWNTheophylline8PWN-A2A-Theophylline
25.00Single8RLNLUF58348RLN-A2A-LUF5834
25.00Single8RQQZM-2413858RQQ-A2A-ZM-241385-Na
25.00Single8RWCStilSwitch28RWC-A2A-StilSwitch2-Na
25.00Single8RWDStilSwitch38RWD-A2A-StilSwitch3-Na
25.00Single8WSTMCH8WST-MCH2-MCH-chim(NtGi1L-Gs-CtGq)/β1/γ2
25.00Single8XVUCXCL28XVU-CXCR2-CXCL2
25.00Single8XWFCXCL38XWF-CXCR2-CXCL3
25.00Single8XXHCXCL28XXH-CXCR2-CXCL2-Go/β1/γ2
25.00Single8YW5Retatrutide8YW5-Glucagon-Retatrutide-Gs/β1/γ2
25.00Single8ZX4Lysophosphatidylinositol 8ZX4-GPR55-Lysophosphatidylinositol-chim(NtGi1-G13)/β1/γ2
25.00Single9BA0MRI-18919BA0-CB1-MRI-1891
25.00Single9C0KExendin-49C0K-GLP-1-Exendin-4-Gs/β1/γ2
25.00Single9EBOGLP-1 (ACPC18)9EBO-GLP-1-GLP-1 (ACPC18)-Gs/β1/γ2
25.00Single9GE3Lysophosphatidylinositol9GE3-GPR55-Lysophosphatidylinositol-chim(NtGi1-G13)/β1/γ2
25.00Single9JMDAzithromycin9JMD-Motilin-Azithromycin-chim(Gs-CtGq)/β1/γ2
25.00Single9M2FNeuropeptide-FF9M2F-NPFF1-Neuropeptide-FF-Gi1/β1/γ2
25.00Single9P1TZM-2413859P1T-A2A-ZM-241385
25.00Consensusa2_offOrthosteric Liganda2a_off
25.00Consensusa2a_offOrthosteric Ligand3RFM-A2A-Caffeine 8C9W-A2A-Etrumadenant 3UZA-A2A-GTPL9236 8GNG-A2A-Istradefylline 8CU6-A2A-LJ-4517 7PX4-A2A-PSB-2113 7PYR-A2A-PSB-2115 8DU3-A2A-PubChem 105526064 8JWY-A2A-2-118 8PWN-A2A-Theophylline 5IU4-A2A-ZM-241385-Na 5OLZ-A2A-PubChem 135566609-Na 6GT3-A2A-Imaradenant-Na 5OLV-A2A-LUAA47070-Na 5N2R-A2A-PSB36-Na 5IU7-A2A-Q27456346-Na 5OLH-A2A-Vipadenant-Na 5OLO-A2A-Tozadenant-Na 6ZDR-A2A-HMS1413f12-Na 8GNE-A2A-KW-6356-Na 8JWZ-A2A-Etrumadenant-Na 5IU8-A2A-Q27456347-Na 5IUB-A2A-Q27456344-Na 6ZDV-A2A-PubChem 984073-Na 5IUA-A2A-Q27456348-Na 8A2P-A2A-LUAA47070-Na
25.00Consensusc3a_on_gpOrthosteric Ligand8HK2-C3aB-C3a-Gi1/β1/γ2 8IA8-C3aB-E7 peptide-Gi1/β1/γ2
25.00Consensusc5a1_on_gpOrthosteric Ligand8HK5-C5a1-C5a-Gi1/β1/γ2 7Y66-C5a1-BM213-Gi1/β1/γ2 7Y67-C5a1-C089 peptide-Gi1/β1/γ2 7Y64-C5a1-C5a-Gi1/β1/γ2
25.00Consensusccka_onOrthosteric Ligand7EZH-CCKA-Cholecystokinin-8-Gi1/β1/γ2
25.00Consensusccka_on_gpOrthosteric Ligand7EZH-CCKA-Cholecystokinin-8-Gi1/β1/γ2
25.00Consensusccr5_on_gpOrthosteric Ligand7O7F-CCR5-6P4-CCL5-Gi1/β1/γ1 7F1Q-CCR5-CCL3-Gi1/β1/γ2
25.00Consensusclass-a_onOrthosteric Ligandsensory_on alicarboxylic_on amine_on lipid_on nucleotide_on peptide_on protein_on
25.00Consensuscxcr2_onOrthosteric Ligand6LFM-CXCR2-CXCL8-Gi1/β1/γ2
25.00Consensusgal2_onOrthosteric Ligand7WQ4-GAL2-Galanin-chim(NtGi1-Gs-CtGq)/β1/γ2 7XJL-GAL2-Spexin-chim(NtGi2L-Gs-CtGq)/β1/γ2
25.00Consensusgal2_on_gpOrthosteric Ligand7WQ4-GAL2-Galanin-chim(NtGi1-Gs-CtGq)/β1/γ2 7XJL-GAL2-Spexin-chim(NtGi2L-Gs-CtGq)/β1/γ2
25.00Consensusgi_npyOrthosteric Ligand8K6M-Y1-Neuropeptide-Y-Gi2/β1/γ1 7X9C-Y4-Pancreatic Hormone-Gi1/β1/γ2 7YOO-Y2-Neuropeptide-Y-Gi1/β1/γ2
25.00Consensusgs_vasop-oxyOrthosteric Ligand7DW9-V2-AVP-chim(NtGi1-Gs)/β1/γ2
25.00Consensushca_onOrthosteric Ligandhca2_on
25.00Consensusnpy_onOrthosteric Ligandnpy1_on npy2_on npy4_on
25.00Consensusnpy_on_gpOrthosteric Ligandnpy1_on_gp npy2_on_gp npy4_on_gp
25.00Consensusp2y_on_gpOrthosteric Ligandp2y1_on_gp p2y10_on_gp p2y12_on_gp
25.00Consensuspeptide_offon_gpOrthosteric Ligandpeptide_on_gp peptide_off
25.00Consensusprostanoid_offOrthosteric Ligandep_off dp_off
25.00Consensusprotein_onOrthosteric Ligandchemokine_on chemerin_on
25.00Consensusv2_onOrthosteric Ligand7DW9-V2-AVP-chim(NtGi1-Gs)/β1/γ2
25.00Consensusv2_on_gpOrthosteric Ligand7DW9-V2-AVP-chim(NtGi1-Gs)/β1/γ2
25.00Consensusvasop-oxy_onOrthosteric Ligandv2_on
25.00Consensusvasop-oxy_on_gpOrthosteric Ligandv2_on_gp
24.14Single7SK6CXCL12_LRHQ7SK6-ACKR3-CXCL12_LRHQ
24.14Single7VBHPeptide-207VBH-GLP-1-Peptide-20-Gs/β1/γ2
24.14Consensusendothelin_on_gpOrthosteric Ligandetb_on_gp eta_on_gp
24.14Consensusglp1_onOrthosteric Ligand7S1M-GLP-1-Exendin-4-D-Ala-Gs/β1/γ2 7X8R-GLP-1-BOC5-Gs/β1/γ2 6X19-GLP-1-CHU-128-Gs/β1/γ2 6X1A-GLP-1-Danuglipron-Gs/β1/γ2 6X18-GLP-1-GLP-1-Gs/β1/γ2 8JIP-GLP-1-MEDI0382-chim(NtGi1-Gs)/β1/γ2 7C2E-GLP-1-PubChem 149050799-Gs/β1/γ2 7KI0-GLP-1-Semaglutide-Gs/β1/γ2 7KI1-GLP-1-Taspoglutide-Gs/β1/γ2 7X8S-GLP-1-WB4-24-Gs/β1/γ2 8JIS-GLP-1-Peptide-15-chim(NtGi1-Gs)/β1/γ2 7VBI-GLP-1-Tirzepatide (non-acylated)-Gs/β1/γ2
24.14Consensusmelanocortin_onOrthosteric Ligandmc1_on mc4_on mc2_on mc3_on mc5_on
24.14Consensusmelanocortin_on_gpOrthosteric Ligandmc1_on_gp mc4_on_gp mc2_on_gp mc3_on_gp mc5_on_gp
24.00Single7LLYOxyntomodulin7LLY-GLP-1-Oxyntomodulin-Gs/β1/γ2
24.00Single7TYHCalcitonin7TYH-CT (AMY2)-Calcitonin-Gs/β1/γ2; RAMP2
24.00Single7X9BNeuropeptide-Y7X9B-Y2-Neuropeptide-Y-Gi1/β1/γ2
24.00Single8E3YPACAP278E3Y-VPAC1-PACAP27-Gs/β1/γ2
24.00Single8E3ZVIP8E3Z-VPAC1-VIP-Gs/β1/γ2
24.00Single8HCQEndothelin-18HCQ-ETA-Endothelin-1-chim(NtGi1-Gs-CtGq)/β1/γ2
24.00Single8HCXEndothelin-18HCX-ETB-Endothelin-1-chim(NtGi2L-Gs-CtGq)/β1/γ2
24.00Single8HK5C5a8HK5-C5a1-C5a-Gi1/β1/γ2
24.00Single8IA2C5a8IA2-C5a1-C5a-Go/β1/γ2
24.00Single8WWKMCH8WWK-MCH1-MCH-Gi1/β1/γ2
24.00Single8WWMMCH8WWM-MCH1-MCH-Gi1/β1/γ2
24.00Single8XVHEndothelin-18XVH-ETB-Endothelin-1-chim(Gs-CtGq)/β1/γ2
24.00Single8XVIEndothelin-18XVI-ETA-Endothelin-1-chim(Gs-CtGq)/β1/γ2
24.00Single8ZRTEndothelin-18ZRT-ETB-Endothelin-1
24.00Single9E2AGLP-19E2A-GLP-1-GLP-1-Gs/β1/γ2
24.00Consensuscalcitonin_onOrthosteric Ligandctlike_on
24.00Consensusccr_on_gpOrthosteric Ligandccr6_on_gp ccr8_on_gp ccr2_on_gp ccr1_on_gp ccr5_on_gp
24.00Consensuschemokine_offOrthosteric Ligandccr_off cxcr_off
24.00Consensuscxcr_offOrthosteric Ligandcxcr3_off cxcr4_off
24.00Consensuseta_onOrthosteric Ligand8HCQ-ETA-Endothelin-1-chim(NtGi1-Gs-CtGq)/β1/γ2
24.00Consensuseta_on_gpOrthosteric Ligand8HCQ-ETA-Endothelin-1-chim(NtGi1-Gs-CtGq)/β1/γ2
24.00Consensusgi_apelinOrthosteric Ligand8XZH-Apelin; Apelin-MM07-Gi1/β1/γ2 7W0M-Apelin-PubChem 122701908-Gi1/β1/γ2 8XZJ-Apelin; Apelin-WN353-Gi1/β1/γ2 8XZF-Apelin; Apelin-WN561-Gi1/β1/γ2 8XZG-Apelin; Apelin-Apelin-13-Gi1/β1/γ2
24.00Consensusgi_chemokineOrthosteric Ligand6WWZ-CCR6-CCL20-Go/β1/γ2 8HNK-CXCR3-CXCL11-Gi1/β1/γ2 8K3Z-CXCR4-CXCL12-Gi1/β1/γ1 8IC0-CXCR1-CXCL8-Gi1/β1/γ2 6LFM-CXCR2-CXCL8-Gi1/β1/γ2 8KFX-CCR8-LMD-009-Gi1/β1/γ2 7F1Q-CCR5-CCL3-Gi1/β1/γ2 8HNL-CXCR3-PS372424-Gi1/β1/γ2 8KFY-CCR8-ZK-756326-Gi1/β1/γ2 7O7F-CCR5-6P4-CCL5-Gi1/β1/γ1 8U1U-CCR8-CCL1-Gi1/β1/γ2 7VLA-CCR1-CCL15(27-92)-Gi1/β1/γ2 7XA3-CCR2-CCL2-Gi1/β1/γ2
24.00Consensuspac_onOrthosteric Ligandpac1_on
24.00Consensussst5_on_gpOrthosteric Ligand8X8L-SST5-Cortistatin-14-chim(NtGi1-Gs-CtGi1)/β1/γ2 8X8N-SST5-Octreotide-chim(NtGi1-Gs-CtGi1)/β1/γ2
23.81Single4UG2CGS216804UG2-A2A-CGS21680
23.81Single6C1QPMX536C1Q-C5a1-PMX53-NDT9513727
23.81Single7F2OBradykinin7F2O-BK2-Bradykinin-chim(NtGi1-Gs-CtGq)/β1/γ2
23.81Single7RKFCX3CL17RKF-US28-CX3CL1-GDP-chim(NtGi1-G11)/β1/γ2
23.81Single7XBXCX3CL17XBX-CX3CR1-CX3CL1-Gi1/β1/γ2
23.81Single7XY6BAY 60-65837XY6-A2B-BAY 60-6583-chim(NtGi1-Gs)/β1/γ2
23.81Single8IA7Cholecystokinin-88IA7-CCKB-Cholecystokinin-8-chim(NtGi1L-Gq)/β1/γ2
23.81Single8JBFSenktide8JBF-NK3-Senktide-chim(NtGi1-Gs-CtGq)/β1/γ2
23.81Single8QJ2pN1628QJ2-MC4-pN162-Gs/β1/γ2
23.81Single8XQJJN2418XQJ-Apelin; Apelin-JN241
23.81Single9KZ2EP679KZ2-C3aB-EP67-Go/β1/γ2
23.81Consensuscxcr3_onOrthosteric Ligand8HNK-CXCR3-CXCL11-Gi1/β1/γ2 8HNL-CXCR3-PS372424-Gi1/β1/γ2
23.81Consensuscxcr4_offOrthosteric Ligand4RWS-CXCR4-vMIP-II 3OE0-CXCR4-CVX15 3OE6-CXCR4-IT1t
23.81Consensuscxcr_on_gpOrthosteric Ligandcxcr3_on_gp cxcr4_on_gp cxcr1_on_gp cxcr2_on_gp
23.81Consensusformylpeptide_onOrthosteric Ligandfpr2-alx_on fpr1-alx_on
23.53Single3EMLZM-2413853EML-A2A-ZM-241385
23.53Single5K2AZM-2413855K2A-A2A-ZM-241385-Na
23.53Single5NDDAZ8838; Na5NDD-PAR2-AZ8838; Na
23.53Single5UENDU1725UEN-A1-DU172
23.53Single5UIGPubChem 1240811965UIG-A2A-PubChem 124081196
23.53Single5VRAZM-2413855VRA-A2A-ZM-241385-Na
23.53Single6D27CAY104716D27-DP2-CAY10471
23.53Single6S0LZM-2413856S0L-A2A-ZM-241385
23.53Single7LCIDanuglipron7LCI-GLP-1-Danuglipron-Gs/β1/γ2
23.53Single7S15PubChem 1346112237S15-GLP-1-PubChem 134611223
23.53Single7SK8CXCL127SK8-ACKR3-CXCL12-CCX662
23.53Single7YK7DC5910537YK7-RXFP4-DC591053-Gi2/β1/γ2
23.53Single8K5DGSK2560738K5D-HCA2-GSK256073
23.53Single8RW7StilSwitch18RW7-A2A-StilSwitch1-Na
23.53Single9IMATalquetamab9IMA-GPRC5D; GPRC5D-Talquetamab
23.53Single9METGp120; CD49MET-CXCR4-Gp120; CD4
23.53Single9P1SZM-2413859P1S-A2A-ZM-241385
23.53Consensusa3_onOrthosteric Liganda3a_on
23.53Consensusalicarboxylic_on_gpOrthosteric Ligandsuccinate_on_gp hca_on_gp
23.53Consensusgi_alicarboxylicOrthosteric Ligandgi_hca gi_succinate
23.53Consensuslipid_offOrthosteric Ligandcannabinoid_off paf_off lpl_off prostanoid_off leukotriene_off
23.33Consensusglp1_on_gpOrthosteric Ligand7S1M-GLP-1-Exendin-4-D-Ala-Gs/β1/γ2 7X8R-GLP-1-BOC5-Gs/β1/γ2 6X19-GLP-1-CHU-128-Gs/β1/γ2 6X1A-GLP-1-Danuglipron-Gs/β1/γ2 6X18-GLP-1-GLP-1-Gs/β1/γ2 8JIP-GLP-1-MEDI0382-chim(NtGi1-Gs)/β1/γ2 7C2E-GLP-1-PubChem 149050799-Gs/β1/γ2 7KI0-GLP-1-Semaglutide-Gs/β1/γ2 7KI1-GLP-1-Taspoglutide-Gs/β1/γ2 7X8S-GLP-1-WB4-24-Gs/β1/γ2 8JIS-GLP-1-Peptide-15-chim(NtGi1-Gs)/β1/γ2 7VBI-GLP-1-Tirzepatide (non-acylated)-Gs/β1/γ2
23.08Single6FJ3PTH6FJ3-PTH1-PTH
23.08Single6NBFLA-PTH Analog6NBF-PTH1-LA-PTH Analog-Gs/β1/γ2
23.08Single6XBM25(S)-Epoxycholesterol6XBM-SMO-25(S)-Epoxycholesterol-Gi1/β1/γ2
23.08Single7F8VGastrin-177F8V-CCKB-Gastrin-17-Gi2/β1/γ2
23.08Single7SK3CXCL127SK3-ACKR3-CXCL12
23.08Single7SK4CXCL12_LRHQ7SK4-ACKR3-CXCL12_LRHQ
23.08Single8A2OTheophylline8A2O-A2A-Theophylline-Na
23.08Single8E3XPACAP278E3X-PAC1-PACAP27-Gs/β1/γ2
23.08Single9BLBCagrilintide (non-acylated)9BLB-CT-Cagrilintide (non-acylated)-Gs/β1/γ2
23.08Single9J1Pg1:Ox9J1P-GLP-1-g1:Ox-chim(NtGi1-Gs)/β1/γ2
23.08Single9P92VIP9P92-PAC1-VIP-Gs/β1/γ2
23.08Consensuscalcitonin_on_gpOrthosteric Ligandctlike_on_gp
23.08Consensusccr5_onOrthosteric Ligand7O7F-CCR5-6P4-CCL5-Gi1/β1/γ1 7F1Q-CCR5-CCL3-Gi1/β1/γ2
23.08Consensuscrf2_on_gpOrthosteric Ligand7TS0-CRF2-Urocortin-chim(NtGi1L-Go)/β1/γ2
23.08Consensusctlike_onOrthosteric Ligand6E3Y-CT Like-Calcitonin gene-related peptide-1-Gs/β1/γ2; RAMP1
23.08Consensusgi_proteinOrthosteric Ligandgi_chemokine gi_chemerin
23.08Consensusp2y_offOrthosteric Ligandp2y1_off
23.08Consensuspac_on_gpOrthosteric Ligandpac1_on_gp
23.08Consensusprotein_on_gpOrthosteric Ligandchemokine_on_gp chemerin_on_gp
23.08Consensusvpac1_on_gpOrthosteric Ligand8E3Z-VPAC1-VIP-Gs/β1/γ2
22.73Single4XT1CX3CL14XT1-US28-CX3CL1
22.73Single7F54Afamelanotide7F54-MC4-Afamelanotide-Gs/β1/γ2
22.73Single7W2ZGhrelin7W2Z-Ghrelin-Ghrelin-Go/β1/γ2
22.73Single7XAUOctreotide7XAU-SST2-Octreotide-Gi1/β1/γ2
22.73Single8J6RMK68928J6R-HCA2-MK6892-Gi1/β1/γ2
22.73Single8U4OCXCL128U4O-CXCR4-CXCL12-Gi1/β1/γ2
22.73Single8XGMChemerin8XGM-CML2-Chemerin-Gi1/β1/γ2
22.73Single8YWFRetatrutide8YWF-GLP-1-Retatrutide-chim(NtGi1-Gs)/β1/γ2
22.73Single8ZBJSomatostatin-148ZBJ-SST5-Somatostatin-14-Gi1/β1/γ2
22.73Single9BKJCholecystokinin-89BKJ-CCKA-Cholecystokinin-8-chim(NtGi1-Gs-CtGq)/β1/γ2
22.73Single9BUECagrilintide9BUE-CT-Cagrilintide-Gs/β1/γ2
22.73Single9BUYLM1899BUY-β2-LM189-Gi1/β1/γ2
22.73Single9HB3Mambaquaretin-19HB3-V2-Mambaquaretin-1
22.73Single9MEJGp1209MEJ-CXCR4-Gp120
22.73Consensuschemerin_on_gpOrthosteric Ligandcml1_on_gp
22.73Consensuschemokine_onOrthosteric Ligandccr_on cxcr_on
22.73Consensuscml1_onOrthosteric Ligand7YKD-CML1-Chemerin-9-Gi1/β1/γ2
22.73Consensusgi_chemerinOrthosteric Ligand7YKD-CML1-Chemerin-9-Gi1/β1/γ2
22.73Consensusmc4_onOrthosteric Ligand7AUE-MC4-Setmelanotide-chim(NtGi1L-Gs)/β1/γ2 7F58-MC4-THIQ-Gs/β1/γ2 7F54-MC4-Afamelanotide-Gs/β1/γ2 7F53-MC4-α-MSH-Gs/β1/γ2 7F55-MC4-Bremelanotide-Gs/β1/γ2
22.73Consensusnk3_onOrthosteric Ligand8JBF-NK3-Senktide-chim(NtGi1-Gs-CtGq)/β1/γ2
22.73Consensusnk3_on_gpOrthosteric Ligand8JBF-NK3-Senktide-chim(NtGi1-Gs-CtGq)/β1/γ2
22.73Consensussst5_onOrthosteric Ligand8X8L-SST5-Cortistatin-14-chim(NtGi1-Gs-CtGi1)/β1/γ2 8X8N-SST5-Octreotide-chim(NtGi1-Gs-CtGi1)/β1/γ2
22.22Single5YHLPubChem 1351213525YHL-EP4-PubChem 135121352
22.22Single5YWYONO-AE3-2085YWY-EP4-ONO-AE3-208
22.22Single6B3JExendin-P56B3J-GLP-1-Exendin-P5-Gs/β1/γ2
22.22Single6D26Fevipiprant6D26-DP2-Fevipiprant
22.22Single6LFMCXCL86LFM-CXCR2-CXCL8-Gi1/β1/γ2
22.22Single6VCBGLP-16VCB-GLP-1-GLP-1-LSN3160440-Gs/β1/γ2
22.22Single7CFNINT-7777CFN-GPBA-INT-777-Gs/β1/γ2
22.22Single7EIBKallidin-des-Arg107EIB-BK1-Kallidin-des-Arg10-chim(NtGi1-Gs-CtGq)/β1/γ2
22.22Single7EO2FTY720-P7EO2-S1P1-FTY720-P-Gi1/β1/γ2
22.22Single7F53Alpha-MSH7F53-MC4-α-MSH-Gs/β1/γ2
22.22Single7S1MExendin-4-D-Ala7S1M-GLP-1-Exendin-4-D-Ala-Gs/β1/γ2
22.22Single7TD3S1P7TD3-S1P1-S1P-Gi1/β1/γ2
22.22Single7TYFAmylin7TYF-CT (AMY1)-Amylin-Gs/β1/γ2; RAMP1
22.22Single7TYNCalcitonin-17TYN-CT-Calcitonin-1-Gs/β1/γ2
22.22Single7XATSomatostatin-147XAT-SST2-Somatostatin-14-Gi1/β1/γ2
22.22Single8FU6ZP37808FU6-Glucagon-ZP3780-Gs/β1/γ2
22.22Single8HAOPTH8HAO-PTH1-PTH-chim(NtGi1-Gs)/β1/γ2
22.22Single8HNLPS3724248HNL-CXCR3-PS372424-Gi1/β1/γ2
22.22Single8I7WGSK2560738I7W-HCA2-GSK256073-Gi1/β1/γ2
22.22Single8QOTNanobody-E8QOT-μ-Nanobody-E
22.22Single8W8XBeta-MSH8W8X-MC3-β-MSH-Ca-Gs/β1/γ2
22.22Single8WGBVU01550418WGB-mGlu4; mGlu2-Glutamate-VU0155041-Gi3/β1/γ2
22.22Single8WWLMCH8WWL-MCH1-MCH-Gi1/β1/γ2
22.22Single8XWPEndothelin-18XWP-ETB-Endothelin-1-Gi1/β1/γ2
22.22Single8YICSAR2477998YIC-S1P1-SAR247799-Gi1/β1/γ2
22.22Single8ZJGChemerin8ZJG-CML1-Chemerin-Gi1/β1/γ2
22.22Single9B9ZMRI-18679B9Z-CB1-MRI-1867
22.22Single9ERXD9-THC analog9ERX-CB1-D9-THC analog-Gi1/β1/γ2
22.22Single9JKSPubChem 442501769JKS-HCA3-PubChem 44250176-Gi1/β1/γ2
22.22Single9K26PrRP319K26-PrRP-PrRP31-Gi1/β1/γ2
22.22Single9P94PACAP279P94-PAC1-PACAP27-Gs/β1/γ2
22.22Consensusa3_on_gpOrthosteric Liganda3a_on_gp
22.22Consensusa3a_onOrthosteric Ligand8X17-A3A-Namodenoson-Gi1/β1/γ2 8X16-A3A-Piclidenoson-Gi1/β1/γ2
22.22Consensusa3a_on_gpOrthosteric Ligand8X17-A3A-Namodenoson-Gi1/β1/γ2 8X16-A3A-Piclidenoson-Gi1/β1/γ2
22.22Consensusblt1_offOrthosteric Ligand5X33-BLT1-BIIL260 7K15-BLT1-MKD046-Na
22.22Consensusblt_offOrthosteric Ligandblt1_off
22.22Consensuscxcr2_on_gpOrthosteric Ligand6LFM-CXCR2-CXCL8-Gi1/β1/γ2
22.22Consensusdp2_offOrthosteric Ligand6D26-DP2-Fevipiprant
22.22Consensusdp_offOrthosteric Liganddp2_off
22.22Consensusep4_offOrthosteric Ligand5YWY-EP4-ONO-AE3-208 5YHL-EP4-PubChem 135121352
22.22Consensusep_offOrthosteric Ligandep4_off
22.22Consensusglp_onOrthosteric Ligandglp1_on glp2_on
22.22Consensusglp_on_gpOrthosteric Ligandglp1_on_gp glp2_on_gp
22.22Consensuslipid_onOrthosteric Ligandcannabinoid_on ffa_on lpl_on prostanoid_on leukotriene_on
22.22Consensuslipid_on_gpOrthosteric Ligandcannabinoid_on_gp ffa_on_gp lpl_on_gp prostanoid_on_gp leukotriene_on_gp
22.22Consensuslpa1_onOrthosteric Ligand7TD1-LPA1-LPA-Gi1/β1/γ2 7YU3-LPA1-ONO-0740556-Gi1/β1/γ2
22.22Consensuslpa1_on_gpOrthosteric Ligand7TD1-LPA1-LPA-Gi1/β1/γ2 7YU3-LPA1-ONO-0740556-Gi1/β1/γ2
22.22Consensusrxfp4_onOrthosteric Ligand7YK7-RXFP4-DC591053-Gi2/β1/γ2 7YJ4-RXFP4-INSL5-Gi2/β1/γ2 7YK6-RXFP4-PubChem 138319674-Gi2/β1/γ2
22.22Consensusrxfp4_on_gpOrthosteric Ligand7YK7-RXFP4-DC591053-Gi2/β1/γ2 7YJ4-RXFP4-INSL5-Gi2/β1/γ2 7YK6-RXFP4-PubChem 138319674-Gi2/β1/γ2
22.22Consensuss1p5_offOrthosteric Ligand7YXA-S1P5-ONO-5430608
22.22Consensuss1p_offOrthosteric Ligands1p1_off s1p5_off
21.74Single5XJM(Sar1,Ile8)-Angiotensin II5XJM-AT2-(Sar1,Ile8)-Angiotensin II
21.74Single6WHCGlu16 analog of GCG6WHC-Glucagon-Glu16 analog of GCG-Gs/β1/γ2
21.74Single7EZKCholecystokinin-87EZK-CCKA-Cholecystokinin-8-chim(NtGi1-Gs)/β1/γ2
21.74Single8F7SDeltorphin8F7S-δ-Deltorphin-Gi1/β1/γ2
21.74Single9EAINanobody AT2099EAI-AT1-Losartan-Nanobody AT209
21.74Single9IQRMuscarinic toxin 39IQR-α2a-Muscarinic toxin 3
21.74Single9J0FNADH9J0F-P2Y14-NADH-Gi1/β1/γ2
21.74Single9KT7MK68929KT7-HCA2-MK6892-Gi1/β1/γ2
21.74Single9KV6TLQP219KV6-C3aB-TLQP21-Go/β1/γ2
21.74Consensusdop_on_gpOrthosteric Ligand8F7S-δ-Deltorphin-Gi1/β1/γ2
21.74Consensusformylpeptide_on_gpOrthosteric Ligandfpr2-alx_on_gp fpr1-alx_on_gp
21.74Consensusmc4_on_gpOrthosteric Ligand7AUE-MC4-Setmelanotide-chim(NtGi1L-Gs)/β1/γ2 7F58-MC4-THIQ-Gs/β1/γ2 7F54-MC4-Afamelanotide-Gs/β1/γ2 7F53-MC4-α-MSH-Gs/β1/γ2 7F55-MC4-Bremelanotide-Gs/β1/γ2
21.43Single6D32Cyclopamine6D32-SMO-Cyclopamine-Cyclopamine
21.43Single6IGLIRL16206IGL-ETB-IRL1620
21.43Single6NBHLA-PTH Analog6NBH-PTH1-LA-PTH Analog-Gs/β1/γ2
21.43Single7D68GLP-27D68-GLP-2-GLP-2-Gs/β1/γ2
21.43Single8F0KPramlintide Analogue San3858F0K-CT (AMY3)-Pramlintide Analogue San385-Gs/β1/γ2; RAMP3
21.43Single8IY6Endothelin-18IY6-ETB-Endothelin-1
21.43Single8J6QBeta-Hydroxybutyrate8J6Q-HCA2-β-Hydroxybutyrate-PubChem 25101223-Gi1/β1/γ2
21.43Single8JEFPubChem 113671668JEF-HCA3-PubChem 11367166-Gi1/β1/γ2
21.43Single8JPSCCL78JPS-ACKR1-CCL7
21.43Single8JRVGlucagon8JRV-Glucagon-Glucagon-Arrestin2
21.43Single8WWNMCH8WWN-MCH1-MCH-Gi1/β1/γ2
21.43Single8Y52BA18Y52-BB3-BA1-chim(NtGi1-Gs-CtGq)/β1/γ2
21.43Single9P93VIP9P93-PAC1-VIP-Gs/β1/γ2
21.43Consensusctlike_on_gpOrthosteric Ligand6E3Y-CT Like-Calcitonin gene-related peptide-1-Gs/β1/γ2; RAMP1
21.43Consensusvip-pacap_onOrthosteric Ligandvpac_on pac_on
21.43Consensusvip-pacap_on_gpOrthosteric Ligandvpac_on_gp pac_on_gp
21.43Consensusvpac2_onOrthosteric Ligand7VQX-VPAC1-PACAP27-Gs/β1/γ2
21.43Consensusvpac2_on_gpOrthosteric Ligand7VQX-VPAC1-PACAP27-Gs/β1/γ2
21.21Consensusmc2_onOrthosteric Ligand8GY7-MC2-Corticotropin-Ca-chim(NtGi1-Gs)/β1/γ2; MRAP1
21.21Consensusmc2_on_gpOrthosteric Ligand8GY7-MC2-Corticotropin-Ca-chim(NtGi1-Gs)/β1/γ2; MRAP1
21.05Single4IAQDihydroergotamine4IAQ-5-HT1B-Dihydroergotamine
21.05Single4Z34ONO-97803074Z34-LPA1-ONO-9780307
21.05Single6Z8NSRI-98296Z8N-NTS1-SRI-9829
21.05Single7F1TCCL37F1T-CCR5-CCL3
21.05Single7F58THIQ7F58-MC4-THIQ-Gs/β1/γ2
21.05Single7SK7CXCL127SK7-ACKR3-CXCL12-CCX662
21.05Single7TD1LPA7TD1-LPA1-LPA-Gi1/β1/γ2
21.05Single7TUYGSK682753A7TUY-GPR183-GSK682753A
21.05Single7VIGCBP-3077VIG-S1P1-CBP-307-Gi1/β1/γ2
21.05Single7XTQR3997XTQ-GPBA-R399-Gs/β1/γ2
21.05Single7Y67C089 peptide7Y67-C5a1-C089 peptide-Gi1/β1/γ2
21.05Single8I2GPubChem 675302408I2G-FSH-FSH-PubChem 67530240-Gs/β1/γ2
21.05Single8I9LC3a8I9L-C3aB-C3a-Go/β1/γ2
21.05Single8ID39-Hydroxystearic acid8ID3-FFA4-9-Hydroxystearic acid-Gi1/β1/γ2
21.05Single8UGWCGS216808UGW-A2A-CGS21680
21.05Single8X16Piclidenoson8X16-A3A-Piclidenoson-Gi1/β1/γ2
21.05Single8XX7CXCL58XX7-CXCR2-CXCL5-Go/β1/γ2
21.05Single8YH6Namodenoson8YH6-A3A-Namodenoson-Gi1/β1/γ2
21.05Consensusa2_onOrthosteric Liganda2b_on
21.05Consensusa2_on_gpOrthosteric Liganda2b_on_gp
21.05Consensusa2b_onOrthosteric Ligand8HDP-A2B-Adenosine-Gs/β1/γ2 7XY6-A2B-BAY 60-6583-chim(NtGi1-Gs)/β1/γ2 7XY7-A2B-NECA-chim(NtGi1-Gs)/β1/γ2 8HDO-A2B-BAY 60-6583-Gs/β1/γ2
21.05Consensusa2b_on_gpOrthosteric Ligand8HDP-A2B-Adenosine-Gs/β1/γ2 7XY6-A2B-BAY 60-6583-chim(NtGi1-Gs)/β1/γ2 7XY7-A2B-NECA-chim(NtGi1-Gs)/β1/γ2 8HDO-A2B-BAY 60-6583-Gs/β1/γ2
21.05Consensusclass-a_offOrthosteric Ligandsensory_off alicarboxylic_off amine_off lipid_off nucleotide_off peptide_off protein_off
21.05Consensusgs_adenosineOrthosteric Ligand8HDP-A2B-Adenosine-Gs/β1/γ2 8HDO-A2B-BAY 60-6583-Gs/β1/γ2 7XY7-A2B-NECA-chim(NtGi1-Gs)/β1/γ2 7XY6-A2B-BAY 60-6583-chim(NtGi1-Gs)/β1/γ2
21.05Consensusgs_nucleotideOrthosteric Ligandgs_adenosine
21.05Consensusprotein_offOrthosteric Ligandchemokine_off grh_off
20.83Single6UUNAdrenomedullin6UUN-CT Like (AM1)-Adrenomedullin-Gs/β1/γ2; RAMP2
20.83Single6VN7PACAP276VN7-VPAC1-PACAP27-Gs/β1/γ2
20.83Single7RYCOxytocin7RYC-OT-Oxytocin-chim(NtGi2L-Gs-CtGq)/β1/γ2
20.83Single7TD0LPA7TD0-LPA1-LPA-Gi1/β1/γ2
20.83Single7TD2LPA7TD2-LPA1-LPA-Gi1/β1/γ2
20.83Single7W55Neuromedin-U-257W55-NMUR2-Neuromedin-U-25-chim(NtGi1-Gs-CtGq)/β1/γ2
20.83Single8WKZSBL-MC-318WKZ-MC4-SBL-MC-31
20.83Single8YFOAc-LA-PTH Analog8YFO-PTH1-Ac-LA-PTH Analog-chim(NtGi1-Gs)/β1/γ2
20.83Single9LXRLA-PTH Analog9LXR-PTH1-LA-PTH Analog-Arrestin2
20.83Single9UYIChemerin-99UYI-CML2-Chemerin-9-Arrestin2
20.83Consensusclass-b1_class-b2_cons_onOrthosteric Ligandclass-b1_on class-b2_on
20.83Consensusclass-b1_class-b2_cons_on_gpOrthosteric Ligandclass-b1_on_gp class-b2_on_gp
20.83Consensusnmur2_onOrthosteric Ligand7W55-NMUR2-Neuromedin-U-25-chim(NtGi1-Gs-CtGq)/β1/γ2
20.83Consensusnmur2_on_gpOrthosteric Ligand7W55-NMUR2-Neuromedin-U-25-chim(NtGi1-Gs-CtGq)/β1/γ2
20.69Single7TYXAmylin7TYX-CT (AMY2)-Amylin-Gs/β1/γ2; RAMP2
20.69Consensusbb2_onOrthosteric Ligand7W40-BB2-Bombesin-chim(NtGi1L-Gq)/β1/γ2 7W3Z-BB2-Gastrin Releasing Peptide-chim(NtGi1L-Gq)/β1/γ2
20.69Consensusbb2_on_gpOrthosteric Ligand7W40-BB2-Bombesin-chim(NtGi1L-Gq)/β1/γ2 7W3Z-BB2-Gastrin Releasing Peptide-chim(NtGi1L-Gq)/β1/γ2
20.69Consensusbombesin_onOrthosteric Ligandbb2_on
20.69Consensusbombesin_on_gpOrthosteric Ligandbb2_on_gp
20.69Consensusclass-a_class-b1_cons_onOrthosteric Ligandclass-a_on class-b1_on
20.69Consensuscrf1_onOrthosteric Ligand6PB0-CRF1-Urocortin-chim(NtGi1-Gs)/β1/γ2 6P9X-CRF1-Corticoliberin-1-Gs/β1/γ2
20.69Consensusgi_endothelinOrthosteric Ligand8IY5-ETB-Endothelin-1-Gi1/β1/γ2 8HBD-ETB-IRL1620-Gi1/β1/γ2
20.69Consensusgip_onOrthosteric Ligand7FIN-GIP-Peptide-20; GGL-Gs/β1/γ2 7FIY-GIP-Tirzepatide-Gs/β1/γ2 7DTY-GIP-GIP-Gs/β1/γ2
20.69Consensusgip_on_gpOrthosteric Ligand7FIN-GIP-Peptide-20; GGL-Gs/β1/γ2 7FIY-GIP-Tirzepatide-Gs/β1/γ2 7DTY-GIP-GIP-Gs/β1/γ2
20.69Consensusgq_bombesinOrthosteric Ligand7W40-BB2-Bombesin-chim(NtGi1L-Gq)/β1/γ2 7W3Z-BB2-Gastrin Releasing Peptide-chim(NtGi1L-Gq)/β1/γ2
20.00Single3OE9IT1t3OE9-CXCR4-IT1t
20.00Single4Z36ONO-30805734Z36-LPA1-ONO-3080573
20.00Single6MXTSalmeterol6MXT-β2-Salmeterol
20.00Single6WI9Secretin6WI9-Secretin-Secretin-Gs/β1/γ2
20.00Single6XOXOrforglipron6XOX-GLP-1-Orforglipron-chim(NtGi1-Gs)/β1/γ2
20.00Single7DH5Mirabegron7DH5-β3-Mirabegron-Gs/β1/γ2
20.00Single7EW2FTY720-P7EW2-S1P3-FTY720-P-Gi1/β1/γ2
20.00Single7FINPeptide-20; GGL7FIN-GIP-Peptide-20; GGL-Gs/β1/γ2
20.00Single7K15MKD0467K15-BLT1-MKD046-Na
20.00Single7T10Somatostatin-147T10-SST2-Somatostatin-14-Gi3/β1/γ2
20.00Single7TRPLY20332987TRP-M4-Iperoxo-LY2033298-Gi1/β1/γ2
20.00Single7TZFAmylin7TZF-CT (AMY3)-Amylin-Gs/β1/γ2; RAMP3
20.00Single7V9MSomatoliberin7V9M-GHRH (SV1)-Somatoliberin-Gs/β1/γ2
20.00Single7VDHC48/807VDH-MRGPRX2-C48/80-Gi1/β1/γ2
20.00Single7VUIJNJ-635330547VUI-GPR139-JNJ-63533054-GTP-chim(Gs-CtGq)/β1/γ2
20.00Single7W57Neuromedin-S7W57-NMUR2-Neuromedin-S-chim(NtGi1-Gs-CtGq)/β1/γ2
20.00Single7XK8Neuromedin-U-257XK8-NMUR2-Neuromedin-U-25-Gi1/β1/γ2
20.00Single7XW6ML1097XW6-TSH-M22 Fab-ML109-Gs/β1/γ2
20.00Single7XZ5Lysophosphatidylcholine7XZ5-GPR119-Lysophosphatidylcholine-Gs/β1/γ2
20.00Single8FX5Xanomeline8FX5-M4-Xanomeline-Xanomeline-Gi1/β1/γ2
20.00Single8H4KGW95088H4K-FFA4-GW9508-chim(NtGi1-Gs-CtGq)/β1/γ2
20.00Single8HA0PTH8HA0-PTH1-PTH-chim(NtGi1-Gs)/β1/γ2
20.00Single8IA8E7 peptide8IA8-C3aB-E7 peptide-Gi1/β1/γ2
20.00Single8IHFMK68928IHF-HCA2-MK6892-Gi1/β1/γ2
20.00Single8J6IMK68928J6I-HCA2-MK6892-Gi1/β1/γ2
20.00Single8JILNiacin8JIL-HCA2-Niacin-Gi1/β1/γ2
20.00Single8JJPChemerin-98JJP-CML2-Chemerin-9-Gi1/β1/γ2
20.00Single8JPNCis-Epoxysuccinic acid8JPN-Succinate-Cis-Epoxysuccinic acid-Gi1/β1/γ1
20.00Single8JWZEtrumadenant8JWZ-A2A-Etrumadenant-Na
20.00Single8RWHStilSwitch28RWH-A2A-StilSwitch2-Na
20.00Single8U26Substance-P8U26-NK1-Substance-P-Gs/β1/γ2
20.00Single8U4RREGN7663-Fab8U4R-CXCR4-REGN7663-Fab
20.00Single8WP1Cis-Epoxysuccinic acid8WP1-Succinate-Cis-Epoxysuccinic acid-Gi1/β1/γ2
20.00Single8X8NOctreotide8X8N-SST5-Octreotide-chim(NtGi1-Gs-CtGi1)/β1/γ2
20.00Single8XQJJN2418XQJ-Apelin; Apelin-JN241
20.00Single8XWACXCL18XWA-CXCR2-CXCL1
20.00Single8XWMCXCL68XWM-CXCR2-CXCL6
20.00Single8XWQEndothelin-18XWQ-ETB-Endothelin-1-Gi1/β1/γ2
20.00Single8XWSCXCL58XWS-CXCR2-CXCL5
20.00Single8XX3CXCL38XX3-CXCR2-CXCL3-Go/β1/γ2
20.00Single8XYIVUF106618XYI-CXCR3-VUF10661
20.00Single8YW4Retatrutide8YW4-GIP-Retatrutide-chim(NtGi1-Gs)/β1/γ2
20.00Single9B9YTaranabant9B9Y-CB1-Taranabant
20.00Single9BKKCholecystokinin-89BKK-CCKA-Cholecystokinin-8-chim(NtGi1-Gs-CtGq)/β1/γ2
20.00Single9BLCCagrilintide (non-acylated)9BLC-CT-Cagrilintide (non-acylated)-Gs/β1/γ2
20.00Single9BUDCagrilintide9BUD-CT-Cagrilintide-Gs/β1/γ2
20.00Single9ECJS-geranylgeranyl-L-glutathione9ECJ-P2Y8-S-geranylgeranyl-L-glutathione-G13/β1/γ2
20.00Single9IZHLPA9IZH-LPA1-LPA-chim(NtGi2-G13)/β1/γ2
20.00Single9VIFNeuropeptide-VF9VIF-NPFF1-Neuropeptide-VF-Gi1/β1/γ2
20.00Consensusapelin_onOrthosteric Ligand8XZH-Apelin; Apelin-MM07-Gi1/β1/γ2 7W0M-Apelin-PubChem 122701908-Gi1/β1/γ2 8XZJ-Apelin; Apelin-WN353-Gi1/β1/γ2 8XZF-Apelin; Apelin-WN561-Gi1/β1/γ2 8XZG-Apelin; Apelin-Apelin-13-Gi1/β1/γ2
20.00Consensusapelin_on_gpOrthosteric Ligand8XZH-Apelin; Apelin-MM07-Gi1/β1/γ2 7W0M-Apelin-PubChem 122701908-Gi1/β1/γ2 8XZJ-Apelin; Apelin-WN353-Gi1/β1/γ2 8XZF-Apelin; Apelin-WN561-Gi1/β1/γ2 8XZG-Apelin; Apelin-Apelin-13-Gi1/β1/γ2
20.00Consensusbeta3_onOrthosteric Ligand7DH5-β3-Mirabegron-Gs/β1/γ2 7XJH-β3-Isoprenaline-Gs/β1/γ2 7XJI-β3-Solabegron-Gs/β1/γ2
20.00Consensusbeta3_on_gpOrthosteric Ligand7DH5-β3-Mirabegron-Gs/β1/γ2 7XJH-β3-Isoprenaline-Gs/β1/γ2 7XJI-β3-Solabegron-Gs/β1/γ2
20.00Consensusc3a_onOrthosteric Ligand8HK2-C3aB-C3a-Gi1/β1/γ2 8IA8-C3aB-E7 peptide-Gi1/β1/γ2
20.00Consensuscannabinoid_offOrthosteric Ligandcb2_off cb1_off
20.00Consensuscrf2_onOrthosteric Ligand7TS0-CRF2-Urocortin-chim(NtGi1L-Go)/β1/γ2
20.00Consensusetb_on_gpOrthosteric Ligand8IY5-ETB-Endothelin-1-Gi1/β1/γ2 8HBD-ETB-IRL1620-Gi1/β1/γ2
20.00Consensusgi_formylpeptideOrthosteric Ligand7WVY-FPR2-ALX-Amyloid-β42-Gi2/β1/γ2 7T6U-FPR2-ALX-CGEN-855A-Gi1/β1/γ2 7VFX-FPR1-ALX-fMIFL-Gi1/β1/γ2 7T6V-FPR2-ALX-fMLFII-Gi1/β1/γ2 7WVX-FPR2-ALX-Humanin-Gi2/β1/γ2 7T6S-FPR2-ALX-TC-FPR 43-Gi1/β1/γ2 6OMM-FPR2-ALX-WKYMVX-Gi1/β1/γ2
20.00Consensusgq_nucleotideOrthosteric Ligandgq_p2y
20.00Consensusgq_p2yOrthosteric Ligand7XXH-P2Y1-2MeSADP-chim(NtGi1-G11)/β1/γ2
20.00Consensuss1p1_onOrthosteric Ligand7VIE-S1P1-S1P-Gi1/β1/γ2 7VIF-S1P1-FTY720-P-Gi1/β1/γ2 7VIG-S1P1-CBP-307-Gi1/β1/γ2 7EVY-S1P1-Siponimod-Gi1/β1/γ2 7EVZ-S1P1-Cenerimod-Gi1/β1/γ2 7EW0-S1P1-Ozanimod-Gi1/β1/γ2 7EW7-S1P1-SEW2871-Gi1/β1/γ2
20.00Consensuss1p1_on_gpOrthosteric Ligand7VIE-S1P1-S1P-Gi1/β1/γ2 7VIF-S1P1-FTY720-P-Gi1/β1/γ2 7VIG-S1P1-CBP-307-Gi1/β1/γ2 7EVY-S1P1-Siponimod-Gi1/β1/γ2 7EVZ-S1P1-Cenerimod-Gi1/β1/γ2 7EW0-S1P1-Ozanimod-Gi1/β1/γ2 7EW7-S1P1-SEW2871-Gi1/β1/γ2
19.35Single6WPWZP37806WPW-Glucagon-ZP3780-Gs/β1/γ2
19.35Single7V35Peptide-207V35-Glucagon-Peptide-20-Gs/β1/γ2
19.35Single8JIRSAR4258998JIR-GLP-1-SAR425899-chim(NtGi1-Gs)/β1/γ2
19.35Consensuscrf1_on_gpOrthosteric Ligand6PB0-CRF1-Urocortin-chim(NtGi1-Gs)/β1/γ2 6P9X-CRF1-Corticoliberin-1-Gs/β1/γ2
19.23Single7F9YGhrelin7F9Y-Ghrelin-Ghrelin-chim(NtGi1-Gs-CtGq)/β1/γ2
19.23Single7TYWCalcitonin-17TYW-CT (AMY1)-Calcitonin-1-Gs/β1/γ2; RAMP1
19.23Single7WBJPACAP277WBJ-VPAC1-PACAP27-Gs/β1/γ2
19.23Single7Y35Abaloparatide7Y35-PTH1-Abaloparatide-Gs/β1/γ2
19.23Single8HNKCXCL118HNK-CXCR3-CXCL11-Gi1/β1/γ2
19.23Single8XGOTAK4488XGO-Kiss1-TAK448-chim(NtGi1-Gq)/β1/γ2
19.23Single8YG4LA-PTH Analog8YG4-PTH1-LA-PTH Analog-chim(NtGi1-Gs)/β1/γ2
19.23Single9JFYNeuropeptide-SF9JFY-NPFF2-Neuropeptide-SF-Gi1/β1/γ2
19.23Consensuscml1_on_gpOrthosteric Ligand7YKD-CML1-Chemerin-9-Gi1/β1/γ2
19.23Consensusopioid_onOrthosteric Ligandmop_on nop_on dop_on kop_on
19.23Consensusvpac1_onOrthosteric Ligand8E3Z-VPAC1-VIP-Gs/β1/γ2
19.23Consensusvpac_onOrthosteric Ligandvpac1_on vpac2_on
19.05Single4NC3Ergotamine4NC3-5-HT2B-Ergotamine
19.05Single6BQGErgotamine6BQG-5-HT2C-Ergotamine
19.05Single6KPGAM8416KPG-CB1-AM841-Gi1/β1/γ2
19.05Single7D7MPGE27D7M-EP4-PGE2-Gs/β1/γ1
19.05Single7EW0Ozanimod7EW0-S1P1-Ozanimod-Gi1/β1/γ2
19.05Single7P00Substance-P7P00-NK1-Substance-P-chim(NtGi1-Gs-CtGq)/β1/γ2
19.05Single7XJISolabegron7XJI-β3-Solabegron-Gs/β1/γ2
19.05Single7XK2MK68927XK2-HCA2-MK6892-Gi1/β1/γ2
19.05Single7Y27Somatostatin-147Y27-SST2-Somatostatin-14-chim(NtGi2L-Gs-CtGq)/β1/γ2
19.05Single8IJDMK68928IJD-HCA2-MK6892-Gi1/β1/γ2
19.05Single8IYSTUG-8918IYS-FFA4-TUG-891-GDP-chim(NtGi1L-Gq)/β1/γ2
19.05Single8WRZAM8418WRZ-CB1-AM841-Arrestin2
19.05Single8XWVCXCL18XWV-CXCR2-CXCL1-Go/β1/γ2
19.05Single8ZPLHF511168ZPL-CXCR4-HF51116
19.05Single9IZFLPA9IZF-LPA1-LPA-Gi1/β1/γ2
19.05Single9KUGEP679KUG-C5a1-EP67-Go/β1/γ2
19.05Single9WP9S1P9WP9-S1P3-S1P-chim(NtGi2L-Gs-CtGq)/β1/γ2
19.05Consensuschemerin_onOrthosteric Ligandcml1_on
19.05Consensusgi_s1pOrthosteric Ligand7VIE-S1P1-S1P-Gi1/β1/γ2 7EW3-S1P3-S1P-Gi1/β1/γ2 7EVY-S1P1-Siponimod-Gi1/β1/γ2 7EW1-S1P5-Siponimod-Gi1/β1/γ2 7VIF-S1P1-FTY720-P-Gi1/β1/γ2 7VIG-S1P1-CBP-307-Gi1/β1/γ2 7EVZ-S1P1-Cenerimod-Gi1/β1/γ2 7EW4-S1P3-CYM-5541-Gi1/β1/γ2 7EW2-S1P3-FTY720-P-Gi1/β1/γ2 7EW0-S1P1-Ozanimod-Gi1/β1/γ2 7EW7-S1P1-SEW2871-Gi1/β1/γ2
19.05Consensusnk1_onOrthosteric Ligand7P00-NK1-Substance-P-chim(NtGi1-Gs-CtGq)/β1/γ2
19.05Consensusnk1_on_gpOrthosteric Ligand7P00-NK1-Substance-P-chim(NtGi1-Gs-CtGq)/β1/γ2
19.05Consensusnucleotide_on_gpOrthosteric Ligandadenosine_on_gp p2y_on_gp
18.75Single3V2WPubChem 518926453V2W-S1P1-PubChem 51892645
18.75Single3VGAZM-2413853VGA-A2A-ZM-241385-Antibody
18.75Single5OLHVipadenant5OLH-A2A-Vipadenant-Na
18.75Single5U09Taranabant5U09-CB1-Taranabant
18.75Single5ZKQABT-4915ZKQ-PAF-ABT-491
18.75Single6RNKNF-56-EJ406RNK-Succinate-NF-56-EJ40
18.75Single6WWZCCL206WWZ-CCR6-CCL20-Go/β1/γ2
18.75Single6ZA8RTI-3a6ZA8-NTS1-RTI-3a
18.75Single7F8ULintitript7F8U-CCKA-Lintitript
18.75Single7LD4Adenosine7LD4-A1-Adenosine-Gi2/β1/γ2
18.75Single7TYOCalcitonin7TYO-CT-Calcitonin-Gs/β1/γ2
18.75Single7TYYCalcitonin-17TYY-CT (AMY2)-Calcitonin-1-Gs/β1/γ2; RAMP2
18.75Single7VIHCBP-3077VIH-S1P1-CBP-307-Gi1/β1/γ2
18.75Single7VUJJNJ-635330547VUJ-GPR139-JNJ-63533054-GDP-chim(Gs-CtGq)/β1/γ2
18.75Single7VV5C48/807VV5-MRGPRX2-C48/80-Gi1/β1/γ2
18.75Single7WF7S1P7WF7-S1P1-S1P-Gi1/β1/γ2
18.75Single7X9ANeuropeptide-Y7X9A-Y1-Neuropeptide-Y-Gi1/β1/γ2
18.75Single8DU3PubChem 1055260648DU3-A2A-PubChem 105526064
18.75Single8GNGIstradefylline8GNG-A2A-Istradefylline
18.75Single8HDPAdenosine8HDP-A2B-Adenosine-Gs/β1/γ2
18.75Single8IJBAcipimox8IJB-HCA2-Acipimox-Gi1/β1/γ2
18.75Single8RW4AzoSwitch28RW4-A2A-AzoSwitch2-Na
18.75Single8RWEStilSwitch48RWE-A2A-StilSwitch4-Na
18.75Single8UTDMK19038UTD-HCA2-MK1903-Gi1/β1/γ2
18.75Single8WOGSuccinic acid8WOG-Succinate-Succinic acid-Gi1/β1/γ2
18.75Single8XXXCXCL68XXX-CXCR2-CXCL6-Go/β1/γ2
18.75Single8YKXMaleic acid8YKX-Succinate-Maleic acid-Gi1/β1/γ1
18.75Single8YYWAlpha-ketoglutarate8YYW-Oxoglutarate-α-ketoglutarate-α-ketoglutarate-chim(Gi1-CtGq)/β1/γ2
18.75Single9FUPIstradefylline9FUP-A2A-Istradefylline-Na
18.75Single9H2XPubChem 1756706449H2X-A2A-PubChem 175670644-Na
18.75Consensusa1_onOrthosteric Ligand7LD4-A1-Adenosine-Gi2/β1/γ2
18.75Consensusa1_on_gpOrthosteric Ligand7LD4-A1-Adenosine-Gi2/β1/γ2
18.75Consensusccr6_onOrthosteric Ligand6WWZ-CCR6-CCL20-Go/β1/γ2
18.75Consensusccr6_on_gpOrthosteric Ligand6WWZ-CCR6-CCL20-Go/β1/γ2
18.75Consensusclass-a_class-b1_cons_on_gpOrthosteric Ligandclass-a_on_gp class-b1_on_gp
18.75Consensusgi_succinateOrthosteric Ligand8YKW-Succinate-Succinic acid-Gi1/β1/γ1 8YKX-Succinate-Maleic acid-Gi1/β1/γ1
18.75Consensuspaf_offOrthosteric Ligand5ZKQ-PAF-ABT-491
18.75Consensuss1p1_offOrthosteric Ligand3V2W-S1P1-PubChem 51892645
18.75Consensussuccinate_onOrthosteric Ligand8YKW-Succinate-Succinic acid-Gi1/β1/γ1 8YKX-Succinate-Maleic acid-Gi1/β1/γ1
18.75Consensussuccinate_on_gpOrthosteric Ligand8YKW-Succinate-Succinic acid-Gi1/β1/γ1 8YKX-Succinate-Maleic acid-Gi1/β1/γ1
18.52Single6NBILA-PTH Analog6NBI-PTH1-LA-PTH Analog-Gs/β1/γ2
18.52Single6P9YPACAP276P9Y-PAC1-PACAP27-Gs/β1/γ2
18.52Single7CZ5Somatoliberin7CZ5-GHRH-Somatoliberin-Gs/β1/γ2
18.52Single7RA3GIP7RA3-GIP-GIP-chim(NtGi1-Gs)/β1/γ2
18.52Single7VABTirzepatide (non-acylated)7VAB-GIP-Tirzepatide (non-acylated)-chim(NtGi1-Gs)/β1/γ2
18.52Single7YKDChemerin-97YKD-CML1-Chemerin-9-Gi1/β1/γ2
18.52Single8FLRPTHrP(1-36)8FLR-PTH1-PTHrP(1-36)-Gs/β1/γ2
18.52Single8H0PNMB308H0P-BB1-NMB30-chim(NtGi1-Gs-CtGq)/β1/γ2
18.52Single8XQFApelin-138XQF-Apelin-Apelin-13-Gi1/β1/γ2
18.52Single9BLWCagrilintide (non-acylated)9BLW-CT (AMY1)-Cagrilintide (non-acylated)-Gs/β1/γ2; RAMP1
18.52Single9BP3Cagrilintide9BP3-CT (AMY1)-Cagrilintide-Gs/β1/γ2; RAMP1
18.52Single9BUBCagrilintide9BUB-CT-Cagrilintide-Gs/β1/γ2
18.52Consensusnpy4_onOrthosteric Ligand7X9C-Y4-Pancreatic Hormone-Gi1/β1/γ2
18.52Consensusnpy4_on_gpOrthosteric Ligand7X9C-Y4-Pancreatic Hormone-Gi1/β1/γ2
18.52Consensusopioid_on_gpOrthosteric Ligandmop_on_gp nop_on_gp dop_on_gp kop_on_gp
18.52Consensussecretin_onOrthosteric Ligand7D3S-Secretin-Secretin-Gs/β1/γ2
18.52Consensusvpac_on_gpOrthosteric Ligandvpac1_on_gp vpac2_on_gp
18.18Single6E3YCalcitonin gene-related peptide-16E3Y-CT Like-Calcitonin gene-related peptide-1-Gs/β1/γ2; RAMP1
18.18Single6KNMJN241-96KNM-Apelin-JN241-9
18.18Single6OMMWKYMVX6OMM-FPR2-ALX-WKYMVX-Gi1/β1/γ2
18.18Single7AUESetmelanotide7AUE-MC4-Setmelanotide-chim(NtGi1L-Gs)/β1/γ2
18.18Single7F9ZGHRP-67F9Z-Ghrelin-GHRP-6-chim(NtGi1-Gs-CtGq)/β1/γ2
18.18Single7RKNCX3CL17RKN-US28-CX3CL1-Gi1/β1/γ2
18.18Single7RMHSubstance-P7RMH-NK1-Substance-P-Gs/β1/γ2
18.18Single7SK9CCX6627SK9-ACKR3-CCX662
18.18Single7XN9L-0545227XN9-SST2-L-054522
18.18Single7YAEOctreotide7YAE-SST2-Octreotide-Gi1/β1/γ2
18.18Single7YJ4INSL57YJ4-RXFP4-INSL5-Gi2/β1/γ2
18.18Single8SZGCa; Ca; Tryptophan; Cinacalcet; PO4; Spermine8SZG-CaS; CaS-Ca; Ca; Tryptophan; Cinacalcet; PO4; Spermine-chim(NtGi1-Gq)/β1/γ2
18.18Single8Z74JN241-98Z74-Apelin; Apelin-JN241-9
18.18Single9KZ8EP679KZ8-C3aB-EP67-Go/β1/γ2
18.18Single9M0RNeuropeptide-VF9M0R-NPFF1-Neuropeptide-VF-Gi1/β1/γ2
18.18Consensusdop_onOrthosteric Ligand8F7S-δ-Deltorphin-Gi1/β1/γ2
18.18Consensusgluc_onOrthosteric Ligand6LMK-Glucagon-Glucagon-Gs/β1/γ2 8JIT-Glucagon-MEDI0382-Gs/β1/γ2 7V35-Glucagon-Peptide-20-Gs/β1/γ2
18.18Consensusglucagon_on_gpOrthosteric Ligandglp_on_gp gluc_on_gp secretin_on_gp gip_on_gp
18.18Consensuspth_onOrthosteric Ligandpth1_on pth2_on
18.18Consensuss1p_onOrthosteric Ligands1p1_on s1p3_on s1p5_on
18.18Consensuss1p_on_gpOrthosteric Ligands1p1_on_gp s1p3_on_gp s1p5_on_gp
17.95Single8GY7Corticotropin8GY7-MC2-Corticotropin-Ca-chim(NtGi1-Gs)/β1/γ2; MRAP1
17.86Single5NX2GLP-1 (Truncated)5NX2-GLP-1-GLP-1 (Truncated)
17.86Single6UVAAdrenomedullin-26UVA-CT Like (AM2)-Adrenomedullin-2-Gs/β1/γ2; RAMP3
17.86Single7DTYGIP7DTY-GIP-GIP-Gs/β1/γ2
17.86Single7F4FAfamelanotide7F4F-MC1-Afamelanotide-chim(NtGi1-Gs)/β1/γ2
17.86Single7FIYTirzepatide7FIY-GIP-Tirzepatide-Gs/β1/γ2
17.86Single7VQXPACAP277VQX-VPAC1-PACAP27-Gs/β1/γ2
17.86Single7WVYAmyloid-Beta427WVY-FPR2-ALX-Amyloid-β42-Gi2/β1/γ2
17.86Single8ZH8QRFP268ZH8-QRFP-QRFP26-Gq/β1/γ1
17.86Single9BUCCagrilintide9BUC-CT-Cagrilintide-Gs/β1/γ2
17.86Consensuscrf_onOrthosteric Ligandcrf2_on crf1_on
17.86Consensusglp2_onOrthosteric Ligand7D68-GLP-2-GLP-2-Gs/β1/γ2
17.86Consensusglp2_on_gpOrthosteric Ligand7D68-GLP-2-GLP-2-Gs/β1/γ2
17.86Consensussecretin_on_gpOrthosteric Ligand7D3S-Secretin-Secretin-Gs/β1/γ2
17.65Single2YDOAdenosine2YDO-A2A-Adenosine
17.65Single4ZUDOlmesartan4ZUD-AT1-Olmesartan
17.65Single5UVIZM-2413855UVI-A2A-ZM-241385
17.65Single6ME32-Phenylmelatonin6ME3-MT1-2-Phenylmelatonin
17.65Single6MH8ZM-2413856MH8-A2A-ZM-241385
17.65Single6PS82-Phenylmelatonin6PS8-MT1-2-Phenylmelatonin
17.65Single6PT0WIN 55212-26PT0-CB2-WIN 55212-2-Gi1/β1/γ2
17.65Single6WJCMuscarinic toxin 76WJC-M1-Atropine-Muscarinic toxin 7
17.65Single7F61PF-036547467F61-H3-PF-03654746
17.65Single7VV6C48/807VV6-MRGPRX2-C48/80
17.65Single7XOVSR1461317XOV-CCKA-SR146131-Gs/β1/γ2
17.65Single7YK6PubChem 1383196747YK6-RXFP4-PubChem 138319674-Gi2/β1/γ2
17.65Single8GUQOlorinab8GUQ-CB2-Olorinab-Gi1/β1/γ2
17.65Single8GURCP559408GUR-CB2-CP55940-Gi1/β1/γ2
17.65Single8JEIPubChem 117155568JEI-HCAR3-PubChem 11715556-Gi1/β1/γ2
17.65Single8JLQFenoldopam8JLQ-TA1-Fenoldopam-Gs/β1/γ2
17.65Single8W88SEP-3638568W88-TA1-SEP-363856-Gs/β1/γ2
17.65Single8YKVPubChem 1375531688YKV-Succinate-PubChem 137553168-Gi1/β1/γ2
17.65Single9JKQMETH9JKQ-TA1-METH-Gs/β1/γ2
17.65Single9JKYAcifran9JKY-HCA2-Acifran-Gi1/β1/γ2
17.65Single9KUWCMPD6449KUW-Apelin; Apelin-CMPD644-Arrestin2 ; Arrestin2
17.65Single9L8LBI1671079L8L-β2-BI167107-Atazanavir-Gs/β1/γ2 ; Arrestin2
17.65Consensusadenosine_onOrthosteric Liganda1_on a2_on a3_on
17.65Consensuscb1_offOrthosteric Ligand5U09-CB1-Taranabant 5TGZ-CB1-AM6538
17.65Consensusgi_adenosineOrthosteric Ligand7LD4-A1-Adenosine-Gi2/β1/γ2 8X17-A3A-Namodenoson-Gi1/β1/γ2 8X16-A3A-Piclidenoson-Gi1/β1/γ2
17.65Consensusgluc_on_gpOrthosteric Ligand6LMK-Glucagon-Glucagon-Gs/β1/γ2 8JIT-Glucagon-MEDI0382-Gs/β1/γ2 7V35-Glucagon-Peptide-20-Gs/β1/γ2
17.65Consensusgrh_offOrthosteric Ligandgnrh1_off
17.39Single4IARErgotamine4IAR-5-HT1B-Ergotamine
17.39Single4IB4Ergotamine4IB4-5-HT2B-Ergotamine
17.39Single6X19CHU-1286X19-GLP-1-CHU-128-Gs/β1/γ2
17.39Single7RTBPeptide-197RTB-GLP-1-Peptide-19-Gs/β1/γ2
17.39Single7T6UCGEN-855A7T6U-FPR2-ALX-CGEN-855A-Gi1/β1/γ2
17.39Single7TD4Siponimod7TD4-S1P1-Siponimod-Gi1/β1/γ2
17.39Single7VLACCL15(27-92)7VLA-CCR1-CCL15(27-92)-Gi1/β1/γ2
17.39Single7WICSomatostatin-147WIC-SST2-Somatostatin-14-Gi1/β1/γ2
17.39Single8DCRDobutamine8DCR-β1-Dobutamine-Gs/β1/γ2
17.39Single8G59TUG-8918G59-FFA4-TUG-891-chim(Gi1-CtGq)/β1/γ2
17.39Single8GHVAMG3158GHV-CB1-AMG315-Gi1/β1/γ2
17.39Single8WDTphotoNECA8WDT-A2A-photoNECA
17.39Single9UMRC5a-pep9UMR-C5a1-C5a-pep-Go/β1/γ2
17.39Consensusccr1_onOrthosteric Ligand7VLA-CCR1-CCL15(27-92)-Gi1/β1/γ2
17.39Consensusccr1_on_gpOrthosteric Ligand7VLA-CCR1-CCL15(27-92)-Gi1/β1/γ2
17.39Consensusgi_nucleotideOrthosteric Ligandgi_adenosine gi_p2y
17.39Consensusmop_offOrthosteric Ligand4DKL-μ-β-Funaltrexamine 8QOT-μ-Nanobody-E 7UL4-μ-Alvimopan
17.24Single6LMLGlucagon6LML-Glucagon-Glucagon-Gi1/β1/γ1
17.24Single6UUSAdrenomedullin6UUS-CT Like (AM2)-Adrenomedullin-Gs/β1/γ2; RAMP3
17.24Single6WZGSecretin6WZG-Secretin-Secretin-Gs/β1/γ2
17.24Single7TS0Urocortin7TS0-CRF2-Urocortin-chim(NtGi1L-Go)/β1/γ2
17.24Single7TYLAmylin7TYL-CT-Amylin-Gs/β1/γ2
17.24Single7VGXNeuropeptide-Y7VGX-Y1-Neuropeptide-Y-Gi1/β1/γ2
17.24Single7VVJPTHrP(1-36)7VVJ-PTH1-PTHrP(1-36)-Gs/β1/γ2
17.24Single8HAFPTHrP(1-36)8HAF-PTH1-PTHrP(1-36)-chim(NtGi1-Gs)/β1/γ2
17.24Single9BQ3Cagrilintide9BQ3-CT (AMY2)-Cagrilintide-Gs/β1/γ2; RAMP2
17.24Single9BTWCagrilintide9BTW-CT (AMY3)-Cagrilintide-Gs/β1/γ2; RAMP3
17.24Consensusetb_onOrthosteric Ligand8IY5-ETB-Endothelin-1-Gi1/β1/γ2 8HBD-ETB-IRL1620-Gi1/β1/γ2
17.24Consensuspth1_onOrthosteric Ligand6NBF-PTH1-LA-PTH Analog-Gs/β1/γ2 8HA0-PTH1-PTH-chim(NtGi1-Gs)/β1/γ2 8HAF-PTH1-PTHrP(1-36)-chim(NtGi1-Gs)/β1/γ2 7Y36-PTH1-PTH-Gs/β1/γ2 7Y35-PTH1-Abaloparatide-Gs/β1/γ2
17.14Single7F16TIP397F16-PTH2-TIP39-Gs/β1/γ2
17.14Consensusclass-b1_onOrthosteric Ligandglucagon_on vip-pacap_on pth_on crf_on calcitonin_on
17.14Consensuspth2_on_gpOrthosteric Ligand7F16-PTH2-TIP39-Gs/β1/γ2
16.67Single2Y01Dobutamine2Y01-β1-Dobutamine
16.67Single4YAYZD-71554YAY-AT1-ZD-7155
16.67Single5MZPCaffeine5MZP-A2A-Caffeine-Na
16.67Single5OLZPubChem 1355666095OLZ-A2A-PubChem 135566609-Na
16.67Single5OM1PubChem 1355666095OM1-A2A-PubChem 135566609-Na
16.67Single5TGZAM65385TGZ-CB1-AM6538
16.67Single6GPSMK08126GPS-CCR2-MK0812
16.67Single6KPFAM120336KPF-CB2-AM12033-Gi1/β1/γ2
16.67Single7BU7BI1671077BU7-β1-BI167107
16.67Single7CFMP3957CFM-GPBA-P395-Gs/β1/γ2
16.67Single7E14Orforglipron7E14-GLP-1-Orforglipron-PubChem 156022738-Gs/β1/γ2
16.67Single7PIVAfamelanotide7PIV-MC4-Afamelanotide-Gs/β1/γ2
16.67Single7RBTTirzepatide7RBT-GIP-Tirzepatide-LSN3556672-chim(NtGi1-Gs)/β1/γ2
16.67Single7TRYUrocortin7TRY-CRF2-Urocortin-chim(NtGi1-G11)/β1/γ2
16.67Single7V3ZCP559407V3Z-CB1-CP55940
16.67Single7VGZRamelteon7VGZ-MT1-Ramelteon-Gi1/β1/γ2
16.67Single7VIES1P7VIE-S1P1-S1P-Gi1/β1/γ2
16.67Single7VIFFTY720-P7VIF-S1P1-FTY720-P-Gi1/β1/γ2
16.67Single7VKTLTB47VKT-BLT1-LTB4-Gi1/β1/γ2
16.67Single7WJ5Somatostatin-147WJ5-SST2-Somatostatin-14-Gi1/β1/γ2
16.67Single7YXAONO-54306087YXA-S1P5-ONO-5430608
16.67Single8CICEtrumadenant8CIC-A2A-Etrumadenant-Na
16.67Single8CU6LJ-45178CU6-A2A-LJ-4517
16.67Single8CU7LJ-45178CU7-A2A-LJ-4517-Na
16.67Single8F0JPramlintide Analogue San458F0J-CT-Pramlintide Analogue San45-Gs/β1/γ2
16.67Single8F7QBeta-Endorphin8F7Q-μ-β-Endorphin-Gi1/β1/γ2
16.67Single8F7WDynorphin8F7W-κ-Dynorphin-Gi1/β1/γ2
16.67Single8GCML-9026888GCM-EP4-L-902688-Gi1/β1/γ2
16.67Single8GEJConstrained Epinephrine8GEJ-β2-Constrained Epinephrine-Gs/β1/γ2
16.67Single8IHJAcifran8IHJ-HCA3-Acifran-Gi1/β1/γ2
16.67Single8KH5Lysophosphatidylserine8KH5-GPR174-Lysophosphatidylserine-Gs/β1/γ2
16.67Single8PJKST1718PJK-5-HT1A-ST171-Gi1/β1/γ1
16.67Single8SG1Chemerin-98SG1-CML1-Chemerin-9-Gi1/β1/γ2
16.67Single8TH3AT118-H Nanobody8TH3-AT1-AT118-H Nanobody
16.67Single8U1UCCL18U1U-CCR8-CCL1-Gi1/β1/γ2
16.67Single8W8ARO52563908W8A-TA1-RO5256390-chim(NtGi1L-Gs)/β1/γ2
16.67Single8X17Namodenoson8X17-A3A-Namodenoson-Gi1/β1/γ2
16.67Single8XJLPGF2-alpha8XJL-FP-alpha-PGF2-α-chim(NtGi2-Gs-CtGq)/β1/γ2
16.67Single8XYDPlatelet Activating Factor8XYD-PAF-Platelet Activating Factor-Gi1/β1/γ2
16.67Single8YH5Riboprine8YH5-A3A-Riboprine-Gi1/β1/γ2
16.67Single8ZSSRO52633978ZSS-TA1-RO5263397-chim(NtGi1-Gs)/β1/γ2
16.67Single9CHXCarazolol9CHX-β2-Carazolol
16.67Single9E82CXCL12 (fragment)9E82-ACKR3-CXCL12 (fragment)-Arrestin2
16.67Single9H37PubChem 1756706469H37-A2A-PubChem 175670646-Na
16.67Single9IQVMuscarinic toxin 39IQV-Alpha1A-Muscarinic toxin 3
16.67Single9IVGGLP-1 (Truncated)9IVG-GLP-1-GLP-1 (Truncated)-chim(NtGi1-Gs)/β1/γ2
16.67Single9KUXCMPD6449KUX-Apelin; Apelin-CMPD644-Arrestin2
16.67Single9L60Dynorphin9L60-κ-Dynorphin-MPAM-15-Gi1/β1/γ2
16.67Single9UMXEP549UMX-C5a1-EP54-Go/β1/γ2
16.67Consensusadenosine_on_gpOrthosteric Liganda1_on_gp a2_on_gp a3_on_gp
16.67Consensusalicarboxylic_offOrthosteric Ligandsuccinate_off
16.67Consensusblt1_onOrthosteric Ligand7VKT-BLT1-LTB4-Gi1/β1/γ2
16.67Consensusblt1_on_gpOrthosteric Ligand7VKT-BLT1-LTB4-Gi1/β1/γ2
16.67Consensusblt_onOrthosteric Ligandblt1_on
16.67Consensusblt_on_gpOrthosteric Ligandblt1_on_gp
16.67Consensusccr2_offOrthosteric Ligand6GPS-CCR2-MK0812
16.67Consensusghrelin_onOrthosteric Ligand7NA7-Ghrelin-Ghrelin-Gi1/β1/γ2 7F9Z-Ghrelin-GHRP-6-chim(NtGi1-Gs-CtGq)/β1/γ2 7NA8-Ghrelin-Ibutamoren-Gi1/β1/γ2
16.67Consensusghrelin_on_gpOrthosteric Ligand7NA7-Ghrelin-Ghrelin-Gi1/β1/γ2 7F9Z-Ghrelin-GHRP-6-chim(NtGi1-Gs-CtGq)/β1/γ2 7NA8-Ghrelin-Ibutamoren-Gi1/β1/γ2
16.67Consensusgi_leukotrieneOrthosteric Ligand7VKT-BLT1-LTB4-Gi1/β1/γ2
16.67Consensusleukotriene_onOrthosteric Ligandblt_on
16.67Consensusleukotriene_on_gpOrthosteric Ligandblt_on_gp
16.67Consensuss1p3_on_gpOrthosteric Ligand7EW3-S1P3-S1P-Gi1/β1/γ2 7EW4-S1P3-CYM-5541-Gi1/β1/γ2 7EW2-S1P3-FTY720-P-Gi1/β1/γ2
16.67Consensussst4_onOrthosteric Ligand7XMS-SST4-Somatostatin-14-Gi1/β1/γ2 7XMT-SST4-J-2156-Gi1/β1/γ2
16.67Consensussst4_on_gpOrthosteric Ligand7XMS-SST4-Somatostatin-14-Gi1/β1/γ2 7XMT-SST4-J-2156-Gi1/β1/γ2
16.67Consensussuccinate_offOrthosteric Ligand6RNK-Succinate-NF-56-EJ40 6Z10-Succinate-PubChem 154585554
16.67Consensustachykinin_on_gpOrthosteric Ligandnk1_on_gp nk2_on_gp nk3_on_gp
16.22Single8F2BPramlintide Analogue San458F2B-CT (AMY3)-Pramlintide Analogue San45-Gs/β1/γ2; RAMP3
16.22Consensuspth_on_gpOrthosteric Ligandpth1_on_gp pth2_on_gp
16.13Single6LPBPACAP276LPB-PAC1-PACAP27-Gs/β1/γ1
16.13Single8F2APramlintide Analogue San3858F2A-CT (AMY3)-Pramlintide Analogue San385-Gs/β1/γ2; RAMP3
16.13Single8FLSAbaloparatide8FLS-PTH1-Abaloparatide-Gs/β1/γ2
16.13Single8FLULA-PTH Analog8FLU-PTH1-LA-PTH Analog-Gs/β1/γ2
16.13Single8HBDIRL16208HBD-ETB-IRL1620-Gi1/β1/γ2
16.00Single7MBXCholecystokinin-87MBX-CCKA-Cholecystokinin-8-Gs/β1/γ1
16.00Single7O7F6P4-CCL57O7F-CCR5-6P4-CCL5-Gi1/β1/γ1
16.00Single7XOUCholecystokinin-87XOU-CCKA-Cholecystokinin-8-Gs/β1/γ2
16.00Single8W8YGamma-MSH8W8Y-MC3-γ-MSH-Ca-Gs/β1/γ2
16.00Single8XIRPasireotide8XIR-SST3-Pasireotide-chim(NtGi1-Gs-CtGi1)/β1/γ2
16.00Single8XZGApelin-138XZG-Apelin; Apelin-Apelin-13-Gi1/β1/γ2
16.00Single8XZHMM078XZH-Apelin; Apelin-MM07-Gi1/β1/γ2
16.00Consensusfpr2-alx_onOrthosteric Ligand7WVX-FPR2-ALX-Humanin-Gi2/β1/γ2 7T6U-FPR2-ALX-CGEN-855A-Gi1/β1/γ2 7T6V-FPR2-ALX-fMLFII-Gi1/β1/γ2 7WVY-FPR2-ALX-Amyloid-β42-Gi2/β1/γ2 7T6S-FPR2-ALX-TC-FPR 43-Gi1/β1/γ2 6OMM-FPR2-ALX-WKYMVX-Gi1/β1/γ2
16.00Consensusgi_somatostatinOrthosteric Ligand7WIC-SST2-Somatostatin-14-Gi1/β1/γ2 7XMS-SST4-Somatostatin-14-Gi1/β1/γ2 8X8L-SST5-Cortistatin-14-chim(NtGi1-Gs-CtGi1)/β1/γ2 7XMT-SST4-J-2156-Gi1/β1/γ2 7WIG-SST2-L-054264-Gi1/β1/γ2 8X8N-SST5-Octreotide-chim(NtGi1-Gs-CtGi1)/β1/γ2 7YAE-SST2-Octreotide-Gi1/β1/γ2 7YAC-SST2-Paltusotine-Gi1/β1/γ2
16.00Consensusgs_cckOrthosteric Ligand7MBX-CCKA-Cholecystokinin-8-Gs/β1/γ1
16.00Consensusgs_class-aOrthosteric Ligandgs_peptide gs_nucleotide gs_amine
16.00Consensussomatostatin_onOrthosteric Ligandsst2_on sst4_on sst5_on
16.00Consensussomatostatin_on_gpOrthosteric Ligandsst2_on_gp sst4_on_gp sst5_on_gp
15.79Single2Y00Dobutamine2Y00-β1-Dobutamine
15.79Single5OM4PubChem 1355666095OM4-A2A-PubChem 135566609-Na
15.79Single5T1ABMS-6815T1A-CCR2-BMS-681-PubChem 12093170
15.79Single6E67BI1671076E67-β2-BI167107-Gs(CT)
15.79Single6GDGNECA6GDG-A2A-NECA-Gs/β1/γ1
15.79Single6GPXMK08126GPX-CCR2-MK0812
15.79Single6KPCAM120336KPC-CB2-AM12033
15.79Single6ME62-Phenylmelatonin6ME6-MT2-2-Phenylmelatonin
15.79Single6ME72-Phenylmelatonin6ME7-MT2-2-Phenylmelatonin
15.79Single6ME82-Phenylmelatonin6ME8-MT2-2-Phenylmelatonin
15.79Single6RZ4Pranlukast6RZ4-CysLT1-Pranlukast-Na
15.79Single7C4SS1P7C4S-S1P3-S1P
15.79Single7C61Ergotamine7C61-5-HT1B-Ergotamine
15.79Single7LD3Adenosine7LD3-A1-Adenosine-MIPS521-Gi2/β1/γ2
15.79Single7VUHJNJ-635330547VUH-GPR139-JNJ-63533054-chim(Gs-CtGq)/β1/γ2
15.79Single7W41PD1762527W41-BB2-PD176252
15.79Single7X1TTaltirelin7X1T-TRH-Taltirelin-chim(NtGi2L-Gs-CtGq)/β1/γ2
15.79Single7Y26Octreotide7Y26-SST2-Octreotide-chim(NtGi2L-Gs-CtGq)/β1/γ2
15.79Single8C9WEtrumadenant8C9W-A2A-Etrumadenant
15.79Single8GD9Rivenprost8GD9-EP4-Rivenprost-Gs/β1/γ2
15.79Single8ID4Linoleic acid8ID4-FFA4-Linoleic acid-Gi1/β1/γ2
15.79Single8S4DCMF-0198S4D-Apelin-CMF-019
15.79Single8TF5Oleic acid8TF5-GPR6-Oleic acid
15.79Single8XYKVUF106618XYK-CXCR3-VUF10661-Go/β1/γ2
15.79Single9EAHOlmesartan9EAH-AT1-Olmesartan-Nanobody AT209
15.79Single9EE8Adenosine9EE8-A2A-Adenosine-Gs/β1/γ2
15.79Single9F33FOB02-04A9F33-D3-FOB02-04A-Go/β1/γ2
15.79Single9KT6Acifran9KT6-HCA3-Acifran-Gi1/β1/γ2
15.79Single9L74S1P d16:19L74-S1P3-S1P d16:1-chim(NtGi2L-Gs-CtGq)/β1/γ2
15.79Consensusbb2_offOrthosteric Ligand7W41-BB2-PD176252
15.79Consensusbombesin_offOrthosteric Ligandbb2_off
15.79Consensuscb2_onOrthosteric Ligand8GUR-CB2-CP55940-Gi1/β1/γ2 8GUS-CB2-HU-308-Gi1/β1/γ2 8GUT-CB2-LEI-102-Gi1/β1/γ2 6KPF-CB2-AM12033-Gi1/β1/γ2 6PT0-CB2-WIN 55212-2-Gi1/β1/γ2 8GUQ-CB2-Olorinab-Gi1/β1/γ2
15.79Consensuscb2_on_gpOrthosteric Ligand8GUR-CB2-CP55940-Gi1/β1/γ2 8GUS-CB2-HU-308-Gi1/β1/γ2 8GUT-CB2-LEI-102-Gi1/β1/γ2 6KPF-CB2-AM12033-Gi1/β1/γ2 6PT0-CB2-WIN 55212-2-Gi1/β1/γ2 8GUQ-CB2-Olorinab-Gi1/β1/γ2
15.79Consensusd1_onOrthosteric Ligand7F0T-D1-Dopamine-Gs/β1/γ2 7CKY-D1-PW0464-Gs/β1/γ2 8IRR-D1-Rotigotine-Gs/β1/γ2 7JV5-D1-SKF81297-Gs/β1/γ2 7JVP-D1-SKF83959-Gs/β1/γ2 7X2D-D1-Tavapadon-Gs/β1/γ2 7CKX-D1-A77636-Gs/β1/γ2 7JVQ-D1-Apomorphine-Gs/β1/γ2 7CKW-D1-Fenoldopam-Gs/β1/γ2
15.79Consensusgs_amineOrthosteric Ligandgs_5ht gs_adrenergic gs_dopamine gs_histamine gs_trace-amine
15.79Consensusnucleotide_onOrthosteric Ligandadenosine_on p2y_on
15.79Consensusta1_onOrthosteric Ligand8W87-TA1-METH-chim(NtGi1L-Gs)/β1/γ2 8W89-TA1-2-Phenylethylamine-chim(NtGi1L-Gs)/β1/γ2 8JLP-TA1-Ralmitaront-Gs/β1/γ2 8W8A-TA1-RO5256390-chim(NtGi1L-Gs)/β1/γ2 8W88-TA1-SEP-363856-Gs/β1/γ2 8JLO-TA1-Ulotaront-Gs/β1/γ2 8JLR-TA1-A77636-chim(NtGi1-Gs)/β1/γ2 8JSO-TA1-AMPH-chim(NtGi1-Gs)/β1/γ2 8ZSP-TA1-LSD-chim(NtGi1L-Gs)/β1/γ2
15.79Consensustrace-amine_onOrthosteric Ligandta1_on
15.62Single7VVMPTH7VVM-PTH1-PTH-Gs/β1/γ2
15.62Single8JIPMEDI03828JIP-GLP-1-MEDI0382-chim(NtGi1-Gs)/β1/γ2
15.62Single9JR2PTH9JR2-PTH1-PTH-chim(NtGi1L-Gs-CtGq)/β1/γ2
15.62Consensuscrf_on_gpOrthosteric Ligandcrf2_on_gp crf1_on_gp
15.62Consensuspth1_on_gpOrthosteric Ligand6NBF-PTH1-LA-PTH Analog-Gs/β1/γ2 8HA0-PTH1-PTH-chim(NtGi1-Gs)/β1/γ2 8HAF-PTH1-PTHrP(1-36)-chim(NtGi1-Gs)/β1/γ2 7Y36-PTH1-PTH-Gs/β1/γ2 7Y35-PTH1-Abaloparatide-Gs/β1/γ2
15.38Single6NIYCalcitonin-16NIY-CT-Calcitonin-1-Gs/β1/γ2
15.38Single7TYIAmylin7TYI-CT-Amylin-Gs/β1/γ2
15.38Single7V68LY21196207V68-M4-Iperoxo-LY2119620-Gi1/β1/γ2
15.38Single7XKEDehydroepiandrosterone7XKE-ADGRG2-Dehydroepiandrosterone-chim(NtGi1-Gs)/β1/γ2
15.38Single8ZBISomatostatin-148ZBI-SST3-Somatostatin-14-Gi1/β1/γ2
15.38Consensusclass-b1_on_gpOrthosteric Ligandglucagon_on_gp vip-pacap_on_gp pth_on_gp crf_on_gp calcitonin_on_gp
15.38Consensusfpr2-alx_on_gpOrthosteric Ligand7WVX-FPR2-ALX-Humanin-Gi2/β1/γ2 7T6U-FPR2-ALX-CGEN-855A-Gi1/β1/γ2 7T6V-FPR2-ALX-fMLFII-Gi1/β1/γ2 7WVY-FPR2-ALX-Amyloid-β42-Gi2/β1/γ2 7T6S-FPR2-ALX-TC-FPR 43-Gi1/β1/γ2 6OMM-FPR2-ALX-WKYMVX-Gi1/β1/γ2
15.38Consensusneuromedin-u_onOrthosteric Ligandnmur1_on nmur2_on
15.38Consensustachykinin_onOrthosteric Ligandnk1_on nk2_on nk3_on
15.15Single7Y36PTH7Y36-PTH1-PTH-Gs/β1/γ2
15.15Single8FLQPTH8FLQ-PTH1-PTH-Gs/β1/γ2
15.15Single8JITMEDI03828JIT-Glucagon-MEDI0382-Gs/β1/γ2
15.15Single8JIUSAR4258998JIU-Glucagon-SAR425899-Gs/β1/γ2
15.15Single9JR3PTH9JR3-PTH1-PTH-chim(NtGi1L-Gs-CtGq)/β1/γ2
15.15Consensusglucagon_onOrthosteric Ligandglp_on gluc_on secretin_on gip_on
15.15Consensuspth2_onOrthosteric Ligand7F16-PTH2-TIP39-Gs/β1/γ2
15.00Single2YDVNECA2YDV-A2A-NECA
15.00Single3P0GBI1671073P0G-β2-BI167107
15.00Single3PDSFAUC503PDS-β2-FAUC50
15.00Single4LDLHydroxybenzyl Isoproterenol4LDL-β2-Hydroxybenzyl Isoproterenol
15.00Single4UHRCGS216804UHR-A2A-CGS21680
15.00Single5A8E7-Methylcyanopindolol5A8E-β1-7-Methylcyanopindolol-Na
15.00Single5G53NECA5G53-A2A-NECA-Gs
15.00Single5XR8AM120335XR8-CB1-AM12033
15.00Single5XRAAM115425XRA-CB1-AM11542
15.00Single6GT3Imaradenant6GT3-A2A-Imaradenant-Na
15.00Single6N48BI1671076N48-β2-BI167107-PubChem 138454256
15.00Single6N4BMDMB-Fubinaca6N4B-CB1-MDMB-Fubinaca-Gi1/β1/γ2
15.00Single7EW3S1P7EW3-S1P3-S1P-Gi1/β1/γ2
15.00Single7FEECP559407FEE-CB1-CP55940-ZCZ011
15.00Single7JVPSKF839597JVP-D1-SKF83959-Gs/β1/γ2
15.00Single7M8W15r-Methyl-PGD27M8W-DP2-15r-Methyl-PGD2-Na
15.00Single7R0CAVP7R0C-V2-AVP-Arrestin2
15.00Single7WVXHumanin7WVX-FPR2-ALX-Humanin-Gi2/β1/γ2
15.00Single7XWONeurokinin-A7XWO-NK2-Neurokinin-A-chim(NtGi1-Gs-CtGq)/β1/γ2
15.00Single7Y24Octreotide7Y24-SST2-Octreotide-Go/β1/γ2
15.00Single8DCSCyanopindolol8DCS-β1-Cyanopindolol-Gs/β1/γ2
15.00Single8GUSHU-3088GUS-CB2-HU-308-Gi1/β1/γ2
15.00Single8HDOBAY 60-65838HDO-A2B-BAY 60-6583-Gs/β1/γ2
15.00Single8ID6Oleic acid8ID6-FFA4-Oleic acid-Gi1/β1/γ2
15.00Single8IRRRotigotine8IRR-D1-Rotigotine-Gs/β1/γ2
15.00Single8IYHMK68928IYH-HCA2-MK6892-Go/β1/γ2
15.00Single8JBGNeurokinin-B8JBG-NK3-Neurokinin-B-chim(NtGi1-Gs-CtGq)/β1/γ2
15.00Single8JSRAnamorelin8JSR-Ghrelin-Anamorelin-chim(NtGi1-Gs-CtGq)/β1/γ2
15.00Single8JT6(R)-IHCH-71798JT6-5-HT1A-(R)-IHCH-7179-PtdIns4P-Gi1/β1/γ2
15.00Single8JZPC5a8JZP-C5a1-C5a-Go/β1/γ2
15.00Single8XIPPasireotide8XIP-SST1-Pasireotide-chim(NtGi1-Gs-CtGi1)/β1/γ2
15.00Single8ZR5Firuglipel8ZR5-GPR119-Firuglipel-Gs/β1/γ2
15.00Single8ZW0PGD28ZW0-DP1-PGD2-Gs/β1/γ2
15.00Single8ZWFJR14a8ZWF-C3aB-JR14a
15.00Single9EGOZ85267113509EGO-CB1-Z8526711350-Gi1/β1/γ2
15.00Single9JMCDS-3801b9JMC-Motilin-DS-3801b-chim(Gs-CtGq)/β1/γ2
15.00Single9KUXCMPD6449KUX-Apelin; Apelin-CMPD644-Arrestin2
15.00Single9KVPSB2901579KVP-C3aB-SB290157-Go/β1/γ2
15.00Single9RHGC4079RHG-FZD7-C407
15.00Single9UY3Anamorelin9UY3-Ghrelin-Anamorelin-chim(NtGi1-Gs-CtGq)/β1/γ2
15.00Consensuscyslt1_offOrthosteric Ligand6RZ5-CysLT1-Zafirlukast-Na 6RZ4-CysLT1-Pranlukast-Na
15.00Consensusd1_on_gpOrthosteric Ligand7F0T-D1-Dopamine-Gs/β1/γ2 7CKY-D1-PW0464-Gs/β1/γ2 8IRR-D1-Rotigotine-Gs/β1/γ2 7JV5-D1-SKF81297-Gs/β1/γ2 7JVP-D1-SKF83959-Gs/β1/γ2 7X2D-D1-Tavapadon-Gs/β1/γ2 7CKX-D1-A77636-Gs/β1/γ2 7JVQ-D1-Apomorphine-Gs/β1/γ2 7CKW-D1-Fenoldopam-Gs/β1/γ2
15.00Consensusgi_cannabinoidOrthosteric Ligand8GUR-CB2-CP55940-Gi1/β1/γ2 8GUS-CB2-HU-308-Gi1/β1/γ2 8GUT-CB2-LEI-102-Gi1/β1/γ2 8GUQ-CB2-Olorinab-Gi1/β1/γ2 6KPF-CB2-AM12033-Gi1/β1/γ2 6PT0-CB2-WIN 55212-2-Gi1/β1/γ2 6KPG-CB1-AM841-Gi1/β1/γ2
15.00Consensusgs_adrenergicOrthosteric Ligand7DHI-β2-Salbutamol-Gs/β1/γ2 7XJI-β3-Solabegron-Gs/β1/γ2 7JJO-β1-Isoprenaline-Gs/β1/γ2 6NI3-β2-BI167107-Gs/β1/γ2 8DCR-β1-Dobutamine-Gs/β1/γ2 7XJH-β3-Isoprenaline-Gs/β1/γ2 7DH5-β3-Mirabegron-Gs/β1/γ2
15.00Consensusgs_dopamineOrthosteric Ligand7F0T-D1-Dopamine-Gs/β1/γ2 7CKW-D1-Fenoldopam-Gs/β1/γ2 7CKY-D1-PW0464-Gs/β1/γ2 8IRV-D5-Rotigotine-chim(NtGi1-Gs)/β1/γ2 8IRR-D1-Rotigotine-Gs/β1/γ2 7JV5-D1-SKF81297-Gs/β1/γ2 7JVP-D1-SKF83959-Gs/β1/γ2 7X2D-D1-Tavapadon-Gs/β1/γ2 7CKX-D1-A77636-Gs/β1/γ2 7JVQ-D1-Apomorphine-Gs/β1/γ2
15.00Consensusnk2_on_gpOrthosteric Ligand7XWO-NK2-Neurokinin-A-chim(NtGi1-Gs-CtGq)/β1/γ2
15.00Consensusnpy1_offOrthosteric Ligand5ZBH-Y1-BMS-193885 5ZBQ-Y1-UR-MK-299
15.00Consensusta1_on_gpOrthosteric Ligand8W87-TA1-METH-chim(NtGi1L-Gs)/β1/γ2 8W89-TA1-2-Phenylethylamine-chim(NtGi1L-Gs)/β1/γ2 8JLP-TA1-Ralmitaront-Gs/β1/γ2 8W8A-TA1-RO5256390-chim(NtGi1L-Gs)/β1/γ2 8W88-TA1-SEP-363856-Gs/β1/γ2 8JLO-TA1-Ulotaront-Gs/β1/γ2 8JLR-TA1-A77636-chim(NtGi1-Gs)/β1/γ2 8JSO-TA1-AMPH-chim(NtGi1-Gs)/β1/γ2 8ZSP-TA1-LSD-chim(NtGi1L-Gs)/β1/γ2
15.00Consensustrace-amine_on_gpOrthosteric Ligandta1_on_gp
14.81Single7P02Substance-P7P02-NK1-Substance-P-chim(NtGi1-Gs)/β1/γ2
14.81Single7VL9CCL15(26-92)7VL9-CCR1-CCL15(26-92)-Gi1/β1/γ2
14.81Single7X9CPancreatic Hormone7X9C-Y4-Pancreatic Hormone-Gi1/β1/γ2
14.81Consensusmc1_onOrthosteric Ligand7F4H-MC1-Afamelanotide-chim(NtGi1-Gs)/β1/γ2 7F4D-MC1-α-MSH-chim(NtGi1-Gs)/β1/γ2 7F4I-MC1-SHU9119-chim(NtGi1-Gs)/β1/γ2
14.81Consensusmc1_on_gpOrthosteric Ligand7F4H-MC1-Afamelanotide-chim(NtGi1-Gs)/β1/γ2 7F4D-MC1-α-MSH-chim(NtGi1-Gs)/β1/γ2 7F4I-MC1-SHU9119-chim(NtGi1-Gs)/β1/γ2
14.81Consensusneuromedin-u_on_gpOrthosteric Ligandnmur1_on_gp nmur2_on_gp
14.29Single2YCXCyanopindolol2YCX-β1-Cyanopindolol
14.29Single3RFMCaffeine3RFM-A2A-Caffeine
14.29Single4LDEBI1671074LDE-β2-BI167107
14.29Single4N4WSANT-14N4W-SMO-SANT-1
14.29Single5UNHPubChem 1264564065UNH-AT2-PubChem 126456406
14.29Single5X33BIIL2605X33-BLT1-BIIL260
14.29Single6AK3PGE26AK3-EP3-PGE2
14.29Single6H7NXamoterol6H7N-β1-Xamoterol
14.29Single6KQICP559406KQI-CB1-CP55940-Org27569
14.29Single6OT025(S)-Epoxycholesterol6OT0-SMO-25(S)-Epoxycholesterol-Gi1/β1/γ2
14.29Single7BZ2Arformoterol7BZ2-β2-Arformoterol-Gs/β1/γ2
14.29Single7D3SSecretin7D3S-Secretin-Secretin-Gs/β1/γ2
14.29Single7EO4Siponimod7EO4-S1P1-Siponimod-Gi1/β1/γ2
14.29Single7EVYSiponimod7EVY-S1P1-Siponimod-Gi1/β1/γ2
14.29Single7F55Bremelanotide7F55-MC4-Bremelanotide-Gs/β1/γ2
14.29Single7L1UOrexin7L1U-OX2-Orexin-chim(NtGi1-Gs-CtGq)/β1/γ2
14.29Single7T6BS1P7T6B-S1P2-S1P-chim(NtGi1L-G13)/β1/γ2
14.29Single7WQ4Galanin7WQ4-GAL2-Galanin-chim(NtGi1-Gs-CtGq)/β1/γ2
14.29Single7Y66BM2137Y66-C5a1-BM213-Gi1/β1/γ2
14.29Single8GCPPGE28GCP-EP4-PGE2-Gi1/β1/γ2
14.29Single8GEIConstrained Epinephrine8GEI-β2-Constrained Epinephrine-Gs/β1/γ2
14.29Single8ID9Icosapent8ID9-FFA4-Icosapent-Gi1/β1/γ2
14.29Single8JJ8Arformoterol8JJ8-β2-Arformoterol
14.29Single8JJLOlodaterol8JJL-β2-Olodaterol
14.29Single8JZ7MK68928JZ7-HCA2-MK6892-Gi1/β1/γ2
14.29Single8T3QDoconexent8T3Q-FFA4-Doconexent-chim(NtGi2L-Gs-CtGq)/β1/γ2
14.29Single8U4QREGN7663-Fab8U4Q-CXCR4-REGN7663-Fab-Gi1/β1/γ2
14.29Single8W1VPubChem 1717162658W1V-β2-PubChem 171716265
14.29Single8XOFLys058XOF-GPR30-Lys05-chim(NtGi1-Gs-CtGq)/β1/γ2
14.29Single8XQSCholesterol8XQS-TAS2R14-Cholesterol-Flufenamic acid-Gi1/β1/γ1
14.29Single8XVEBQ30208XVE-ETB-BQ3020-chim(Gs-CtGq)/β1/γ2
14.29Single8Z8ALactate8Z8A-HCA1-Lactate-Gi1/β1/γ2
14.29Single9BJKPubChem 1716420669BJK-μ-Naloxone-PubChem 171642066
14.29Single9DGIZ85267113509DGI-CB1-Z8526711350
14.29Single9EBIPiclidenoson9EBI-A3A-Piclidenoson-chim(NtGi1L-Gs-CtGi1)/β1/γ2
14.29Single9EE9Adenosine9EE9-A2A-Adenosine-Gs/β1/γ2
14.29Single9GYOP3959GYO-GPBA-P395-chim(NtGi1-Gs)/β1/γ2
14.29Single9KFKRelaxin-39KFK-RXFP4-Relaxin-3-Gi2/β1/γ2
14.29Single9KZKC3a (fragment)9KZK-C3aB-C3a (fragment)-Go/β1/γ2
14.29Single9L0HJR14a9L0H-C3aB-JR14a-Go/β1/γ2
14.29Single9M4QDoxazosin9M4Q-Alpha1A-Doxazosin
14.29Consensus5ht1a_onOrthosteric Ligand8FYT-5-HT1A-LSD-PtdIns4P-Gi1/β1/γ1 7E2Y-5-HT1A-Serotonin-PtdIns4P-Gi1/β1/γ2 7E2Z-5-HT1A-Aripiprazole-PtdIns4P-Gi1/β1/γ2 8FYX-5-HT1A-Buspirone-PtdIns4P-Gi1/β1/γ1 8JSP-5-HT1A-Ulotaront-Gi1/β1/γ2 8JT6-5-HT1A-(R)-IHCH-7179-PtdIns4P-Gi1/β1/γ2 8FY8-5-HT1A-5-MeO-DMT-PtdIns4P-Gi1/β1/γ1 8FYE-5-HT1A-4-F,5-MeO-PyrT-PtdIns4P-Gi1/β1/γ1 8FYL-5-HT1A-Vilazodone-PtdIns4P-Gi1/β1/γ1
14.29Consensus5ht1a_on_gpOrthosteric Ligand8FYT-5-HT1A-LSD-PtdIns4P-Gi1/β1/γ1 8FYX-5-HT1A-Buspirone-PtdIns4P-Gi1/β1/γ1 8JSP-5-HT1A-Ulotaront-Gi1/β1/γ2 8JT6-5-HT1A-(R)-IHCH-7179-PtdIns4P-Gi1/β1/γ2 7E2Y-5-HT1A-Serotonin-PtdIns4P-Gi1/β1/γ2 7E2Z-5-HT1A-Aripiprazole-PtdIns4P-Gi1/β1/γ2 8FY8-5-HT1A-5-MeO-DMT-PtdIns4P-Gi1/β1/γ1 8FYE-5-HT1A-4-F,5-MeO-PyrT-PtdIns4P-Gi1/β1/γ1 8FYL-5-HT1A-Vilazodone-PtdIns4P-Gi1/β1/γ1
14.29Consensusbeta_onOrthosteric Ligandbeta1_on beta2_on beta3_on
14.29Consensusbeta_on_gpOrthosteric Ligandbeta1_on_gp beta2_on_gp beta3_on_gp
14.29Consensuscannabinoid_onOrthosteric Ligandcb2_on cb1_on
14.29Consensuscannabinoid_on_gpOrthosteric Ligandcb2_on_gp cb1_on_gp
14.29Consensusccr8_onOrthosteric Ligand8KFX-CCR8-LMD-009-Gi1/β1/γ2 8KFY-CCR8-ZK-756326-Gi1/β1/γ2 8U1U-CCR8-CCL1-Gi1/β1/γ2
14.29Consensusleukotriene_offOrthosteric Ligandblt_off cyslt_off
14.29Consensuss1p3_onOrthosteric Ligand7EW3-S1P3-S1P-Gi1/β1/γ2 7EW4-S1P3-CYM-5541-Gi1/β1/γ2 7EW2-S1P3-FTY720-P-Gi1/β1/γ2
13.79Single6P9XCorticoliberin-16P9X-CRF1-Corticoliberin-1-Gs/β1/γ2
13.79Single7VVKPTH7VVK-PTH1-PTH-Gs/β1/γ2
13.79Single8FEG(DNCP)-Beta-Naloxamine8FEG-κ-(DNCP)-β-Naloxamine-Gi1/β1/γ2
13.79Single8W8WAlpha-MSH8W8W-MC3-α-MSH-Ca-Gs/β1/γ2
13.79Single9KDFRES-701-39KDF-ETB-RES-701-3
13.64Single2YCZIodocyanopindolol2YCZ-β1-Iodocyanopindolol
13.64Single4BVNCyanopindolol4BVN-β1-Cyanopindolol-Na
13.64Single5TUDErgotamine5TUD-5-HT2B-Ergotamine
13.64Single5UNGPubChem 157800525UNG-AT2-PubChem 15780052
13.64Single6H7LDobutamine6H7L-β1-Dobutamine
13.64Single6IBLArformoterol6IBL-β1-Arformoterol
13.64Single6M1HMaxadilan6M1H-PAC1-Maxadilan-Gs/β1/γ2
13.64Single6TKOArformoterol6TKO-β1-Arformoterol-Arrestin2
13.64Single7EVZCenerimod7EVZ-S1P1-Cenerimod-Gi1/β1/γ2
13.64Single7MBYCholecystokinin-87MBY-CCKA-Cholecystokinin-8-chim(NtGi1L-Gs-CtGq)/β1/γ2
13.64Single7PIUSetmelanotide7PIU-MC4-Setmelanotide-Gs/β1/γ2
13.64Single7UM4AS26747237UM4-5-HT5A-AS2674723
13.64Single7VGY2-Iodomelatonin7VGY-MT1-2-Iodomelatonin-Gi1/β1/γ2
13.64Single7VVNPTH7VVN-PTH1-PTH-Gs/β1/γ2
13.64Single7WVVfMLFII7WVV-FPR2-ALX-fMLFII-Gi2/β1/γ2
13.64Single7X1UTRH7X1U-TRH-TRH-chim(NtGi2L-Gs-CtGq)/β1/γ2
13.64Single7XZ6APD6687XZ6-GPR119-APD668-Gs/β1/γ2
13.64Single8E0GBU728E0G-μ-BU72
13.64Single8GAGZ85267113508GAG-CB1-Z8526711350-Gi1/β1/γ2
13.64Single8GUTLEI-1028GUT-CB2-LEI-102-Gi1/β1/γ2
13.64Single8I95EP548I95-C3aB-EP54-Go/β1/γ2
13.64Single8ID8TUG-8918ID8-FFA4-TUG-891-Gi1/β1/γ2
13.64Single8IULLatanoprost8IUL-FP-alpha-Latanoprost-chim(NtGi1-Gs-CtGq)/β1/γ2
13.64Single8K2XCXCL108K2X-CXCR3-CXCL10-Gi1/β1/γ2
13.64Single8XBES3E-Lysophosphatidylserine 8XBE-GPR34-S3E-Lysophosphatidylserine-Gi1/β1/γ1
13.64Single8XGSKisspeptin-18XGS-Kiss1-Kisspeptin-1-chim(NtGi1-Gq)/β1/γ2
13.64Single8ZWGJR14a8ZWG-C3aB-JR14a-Gi1/β1/γ2
13.64Single9HYIDP819HYI-5-HT1A-DP81-Gi1/β1/γ2
13.64Single9J0BUDP-Glucose9J0B-P2Y14-UDP-Glucose-Gi1/β1/γ2
13.64Single9KV8TLQP219KV8-C3aB-TLQP21-Go/β1/γ2
13.64Single9L79AR2314539L79-GPR119-AR231453-chim(NtGi1-Gs)/β1/γ2
13.64Single9M1HPGE29M1H-EP1-PGE2-chim(NtGi1-Gs-CtGq)/β1/γ2
13.64Single9UYMChemerin-99UYM-CML2-Chemerin-9-chim(Arrestin3-CtArrestin2)
13.64Single9VI9RFRP-39VI9-NPFF1-RFRP-3-Gi1/β1/γ2
13.64Consensusbeta1_onOrthosteric Ligand8DCR-β1-Dobutamine-Gs/β1/γ2 7S0F-β1-Isoprenaline-Gi1/β1/γ2
13.64Consensusbeta1_on_gpOrthosteric Ligand8DCR-β1-Dobutamine-Gs/β1/γ2 7S0F-β1-Isoprenaline-Gi1/β1/γ2
13.64Consensuscb1_on_gpOrthosteric Ligand6KPG-CB1-AM841-Gi1/β1/γ2 8K8J-CB1-Fenofibrate-chim(Gs-CtGq)/β1/γ2
13.64Consensusfp-alpha_onOrthosteric Ligand8IUK-FP-alpha-PGF2-α-chim(NtGi1-Gs-CtGq)/β1/γ2 8IUL-FP-alpha-Latanoprost-chim(NtGi1-Gs-CtGq)/β1/γ2 8IUM-FP-alpha-Tafluprost acid-chim(NtGi1-Gs-CtGq)/β1/γ2
13.64Consensusfp-alpha_on_gpOrthosteric Ligand8IUK-FP-alpha-PGF2-α-chim(NtGi1-Gs-CtGq)/β1/γ2 8IUL-FP-alpha-Latanoprost-chim(NtGi1-Gs-CtGq)/β1/γ2 8IUM-FP-alpha-Tafluprost acid-chim(NtGi1-Gs-CtGq)/β1/γ2
13.64Consensusnk2_onOrthosteric Ligand7XWO-NK2-Neurokinin-A-chim(NtGi1-Gs-CtGq)/β1/γ2
13.64Consensuspeptide_offOrthosteric Ligandcck_off angiotensin_off bombesin_off endothelin_off ghrelin_off npy_off opioid_off orexin_off somatostatin_off tachykinin_off vasop-oxy_off neurotensin_off
13.33Single3OE6IT1t3OE6-CXCR4-IT1t
13.33Single3UZAGTPL92363UZA-A2A-GTPL9236
13.33Single5WKTOctyl-Beta-D-Glucopyranoside5WKT-Rhodopsin-Octyl-β-D-Glucopyranoside-Gt(CT)
13.33Single6LMKGlucagon6LMK-Glucagon-Glucagon-Gs/β1/γ2
13.33Single6ME5Agomelatine6ME5-MT1-Agomelatine
13.33Single6OIKLY21196206OIK-M2-Iperoxo-LY2119620-chim(NtGi1-Go)/β1/γ2
13.33Single7MT9All-trans-Retinal7MT9-Rhodopsin-All-trans-Retinal-GRK1
13.33Single7MTAAll-trans-Retinal7MTA-Rhodopsin-All-trans-Retinal-GRK1
13.33Single7V6APubChem 98642757V6A-M4-PubChem 9864275-Gi1/β1/γ2
13.33Single7VVLPTH7VVL-PTH1-PTH-Gs/β1/γ2
13.33Single8F76Propanoic acid8F76-OR51E2-Propanoic acid-Gs/β1/γ2
13.33Single8FLTM-PTH(1-14)8FLT-PTH1-M-PTH(1-14)-Gs/β1/γ2
13.33Single8GGEConstrained Epinephrine8GGE-β2-Constrained Epinephrine-GTP-Gs/β1/γ2
13.33Single8GH1Constrained Epinephrine8GH1-β2-Constrained Epinephrine
13.33Single8RQLFlufenamic acid8RQL-TAS2R14-Flufenamic acid-Flufenamic acid-chim(NtGi1-Gt3)/β1/γ2
13.33Single8Y63C20:0 Ceramide8Y63-FPR2-ALX-C20:0 Ceramide-Gi1/β1/γ2
13.33Single9IV15alpha-DHT9IV1-ADGRD1-5α-DHT-chim(NtGi1-Gs)/β1/γ2
13.33Single9JHJC18:0 Ceramide9JHJ-FPR2-ALX-C18:0 Ceramide-Gi1/β1/γ2
13.04Single3NY9PubChem 9131033NY9-β2-PubChem 913103
13.04Single5ZTYAM102575ZTY-CB2-AM10257
13.04Single6G79Donitriptan6G79-5-HT1B-Donitriptan-Go/β1/γ2
13.04Single6XBJCholesterol6XBJ-SMO-Cholesterol-Gi1/β1/γ2
13.04Single7RMGSubstance-P7RMG-NK1-Substance-P-chim(Gs-CtGq)/β1/γ2
13.04Single7T11Octreotide7T11-SST2-Octreotide-Gi3/β1/γ2
13.04Single7Y1FDynorphin7Y1F-κ-Dynorphin-Gi1/β1/γ2
13.04Single8F7REndomorphin8F7R-μ-Endomorphin-Gi1/β1/γ2
13.04Single8GDAL9026888GDA-EP4-L902688-Gs/β1/γ2
13.04Single8IQ4Carboprost8IQ4-FP-alpha-Carboprost-chim(NtGi1-Gs-CtGq)/β1/γ2
13.04Single8IUMTafluprost acid8IUM-FP-alpha-Tafluprost acid-chim(NtGi1-Gs-CtGq)/β1/γ2
13.04Single8JLRA776368JLR-TA1-A77636-chim(NtGi1-Gs)/β1/γ2
13.04Single8SAILysophosphatidylserine (S12)8SAI-GPR34-Lysophosphatidylserine (S12)-Gi1/β1/γ2
13.04Single8X3LXWD8X3L-CB2-XWD-Gi1/β1/γ2
13.04Single8Z74JN241-98Z74-Apelin; Apelin-JN241-9
13.04Single9IPVJR14a9IPV-C3aB-JR14a-Gi1/β1/γ2
13.04Single9IPYJR14a9IPY-C3aB-JR14a
13.04Single9V2NMacimorelin9V2N-Ghrelin-Macimorelin-chim(NtGi1-Gs-CtGq)/β1/γ2
13.04Single9WSXEndomorphin9WSX-μ-Endomorphin-Arrestin2
13.04Consensuscb2_offOrthosteric Ligand5ZTY-CB2-AM10257
13.04Consensusnmur1_onOrthosteric Ligand7W53-NMUR1-Neuromedin-U-25-chim(NtGi1-Gs-CtGq)/β1/γ2
13.04Consensusox2_onOrthosteric Ligand7L1V-OX2-PubChem 155491009-chim(NtGi1-Gs-CtGq)/β1/γ2 7SQO-OX2-TAK-925-Gi1/β1/γ2 7L1U-OX2-Orexin-chim(NtGi1-Gs-CtGq)/β1/γ2
13.04Consensusox2_on_gpOrthosteric Ligand7L1V-OX2-PubChem 155491009-chim(NtGi1-Gs-CtGq)/β1/γ2 7SQO-OX2-TAK-925-Gi1/β1/γ2 7L1U-OX2-Orexin-chim(NtGi1-Gs-CtGq)/β1/γ2
13.04Consensussst2_onOrthosteric Ligand7WIC-SST2-Somatostatin-14-Gi1/β1/γ2 7WIG-SST2-L-054264-Gi1/β1/γ2 7YAE-SST2-Octreotide-Gi1/β1/γ2 7YAC-SST2-Paltusotine-Gi1/β1/γ2
13.04Consensussst2_on_gpOrthosteric Ligand7WIC-SST2-Somatostatin-14-Gi1/β1/γ2 7WIG-SST2-L-054264-Gi1/β1/γ2 7YAE-SST2-Octreotide-Gi1/β1/γ2 7YAC-SST2-Paltusotine-Gi1/β1/γ2
12.90Single6PB0Urocortin6PB0-CRF1-Urocortin-chim(NtGi1-Gs)/β1/γ2
12.90Single8ZJETAK4488ZJE-Kiss1-TAK448-chim(NtGi1-Gq)/β1/γ1
12.50Single5UNFPubChem 157800525UNF-AT2-PubChem 15780052
12.50Single6WIVPubChem 52923113; PubChem 529246456WIV-GABAB1, GABAB2-PubChem 52923113; PubChem 52924645
12.50Single7F4ISHU91197F4I-MC1-SHU9119-chim(NtGi1-Gs)/β1/γ2
12.50Single7UL2SR486927UL2-NTS1-SR48692-Na
12.50Single7W53Neuromedin-U-257W53-NMUR1-Neuromedin-U-25-chim(NtGi1-Gs-CtGq)/β1/γ2
12.50Single7W56Neuromedin-S7W56-NMUR1-Neuromedin-S-chim(NtGi1-Gs-CtGq)/β1/γ2
12.50Single7WKDTRH7WKD-TRH-TRH-chim(NtGi1-Gs-CtGq)/β1/γ2
12.50Single7WVWfMYFINILTL7WVW-FPR2-ALX-fMYFINILTL-Gi2/β1/γ2
12.50Single7XT9Serotonin7XT9-5-HT4-Serotonin-Gs/β1/γ2
12.50Single8A2PLUAA470708A2P-A2A-LUAA47070-Na
12.50Single8F7XNociceptin8F7X-NOP-Nociceptin-Gi1/β1/γ2
12.50Single8FYLVilazodone8FYL-5-HT1A-Vilazodone-PtdIns4P-Gi1/β1/γ1
12.50Single8GGYConstrained Epinephrine8GGY-β2-Constrained Epinephrine
12.50Single8IHIAcifran8IHI-HCA2-Acifran-Gi1/β1/γ2
12.50Single8INRAlpha-MSH8INR-MC5-α-MSH-Ca-chim(NtGi1-Gs)/β1/γ2
12.50Single8UO3Constrained Epinephrine8UO3-β2-Constrained Epinephrine-GTP; Mg-Gs/β1/γ2
12.50Single8WKYPG-9348WKY-MC4-PG-934
12.50Single8WZ2Orexigenic Neuropeptide QRFP8WZ2-QRFP-Orexigenic Neuropeptide QRFP-chim(NtGi1L-Gs-CtGq)/β1/γ2
12.50Single8XBHPubChem 1626566368XBH-GPR34-PubChem 162656636-Gi1/β1/γ2
12.50Single8YH3N-methyladenosine8YH3-A3A-N-methyladenosine-Gi1/β1/γ2
12.50Single8YKWSuccinic acid8YKW-Succinate-Succinic acid-Gi1/β1/γ1
12.50Single8ZCJPasireotide8ZCJ-SST5-Pasireotide-Gi1/β1/γ1
12.50Single8ZSPLSD8ZSP-TA1-LSD-chim(NtGi1L-Gs)/β1/γ2
12.50Single8ZSVRO52633978ZSV-TA1-RO5263397-chim(NtGi1-Gs)/β1/γ2
12.50Single9AUCCalcitonin gene-related peptide-19AUC-CT (AMY1)-Calcitonin gene-related peptide-1-Gs/β1/γ2; RAMP1
12.50Single9IQTNiacin9IQT-HCA2-Niacin-Gi1/β1/γ2
12.50Single9IZDCHBA9IZD-HCA1-CHBA-Gi1/β1/γ2
12.50Single9KUWCMPD6449KUW-Apelin; Apelin-CMPD644-Arrestin2 ; Arrestin2
12.50Single9M4TSilodosin9M4T-Alpha1A-Silodosin
12.50Single9U9VMETH9U9V-β2-METH-Gs/β1/γ2
12.50Consensusgi_opioidOrthosteric Ligand8F7R-μ-Endomorphin-Gi1/β1/γ2 8EF5-μ-Fentanyl-Gi1/β1/γ2 7SCG-μ-FH210-Gi1/β1/γ2 7T2H-μ-Lofentanil-Gi1/β1/γ2 7T2G-μ-Mitragynine Pseudoindoxyl-Gi1/β1/γ2 8DZP-κ-momSalB-Gi1/β1/γ2 8EF6-μ-Morphine-Gi1/β1/γ2 8F7X-NOP-Nociceptin-Gi1/β1/γ2 8EFB-μ-Oliceridine-Gi1/β1/γ2 7U2L-μ-C5-guano-Gi1/β1/γ2 8EFO-μ-PZM21-Gi1/β1/γ2 8EFL-μ-SR17018-Gi1/β1/γ2 8F7Q-μ-β-Endorphin-Gi1/β1/γ2 7U2K-μ-C6-guano-Gi1/β1/γ2 8EFQ-μ-DAMGO-Gi1/β1/γ2 8F7S-δ-Deltorphin-Gi1/β1/γ2 8F7W-κ-Dynorphin-Gi1/β1/γ2
12.50Consensusneurotensin_offOrthosteric Ligandnts1_off
12.50Consensusnmur1_on_gpOrthosteric Ligand7W53-NMUR1-Neuromedin-U-25-chim(NtGi1-Gs-CtGq)/β1/γ2
12.50Consensusnop_onOrthosteric Ligand8F7X-NOP-Nociceptin-Gi1/β1/γ2
12.50Consensusnop_on_gpOrthosteric Ligand8F7X-NOP-Nociceptin-Gi1/β1/γ2
12.50Consensusnts1_offOrthosteric Ligand7UL2-NTS1-SR48692-Na
12.00Single6HLOAprepitant6HLO-NK1-Aprepitant
12.00Single7RMISubstance-P7RMI-NK1-Substance-P-chim(Gs-CtGq)/β1/γ2
12.00Single8IOCGamma-MSH8IOC-MC3-γ-MSH-Ca-chim(NtGi1-Gs)/β1/γ2
12.00Single8JBHSubstance-P8JBH-NK3-Substance-P-chim(NtGi1-Gs-CtGq)/β1/γ2
12.00Single8K6ONeuropeptide-Y8K6O-Y1-Neuropeptide-Y-Gi2/β1/γ1
12.00Single9JFK(Pen5)-Urotensin II9JFK-UT-(Pen5)-Urotensin II-chim(NtGi2L-Gs-CtGq)/β1/γ2
12.00Single9KFIRelaxin-39KFI-RXFP3-Relaxin-3-Gi2/β1/γ2
12.00Consensusccr8_on_gpOrthosteric Ligand8KFX-CCR8-LMD-009-Gi1/β1/γ2 8KFY-CCR8-ZK-756326-Gi1/β1/γ2 8U1U-CCR8-CCL1-Gi1/β1/γ2
12.00Consensusmc5_onOrthosteric Ligand8INR-MC5-α-MSH-Ca-chim(NtGi1-Gs)/β1/γ2 8IOD-MC5-PG-901-Ca-chim(NtGi1-Gs)/β1/γ2
11.76Single2X72All-trans-Retinal2X72-Rhodopsin-All-trans-Retinal-Gt(CT)
11.76Single3ODUIT1t3ODU-CXCR4-IT1t
11.76Single5OLVLUAA470705OLV-A2A-LUAA47070-Na
11.76Single6D9HAdenosine6D9H-A1-Adenosine-Gi2/β1/γ2
11.76Single6DS0LY2660976DS0-5-HT2B-LY266097
11.76Single6ME2Ramelteon6ME2-MT1-Ramelteon
11.76Single6ME9Ramelteon6ME9-MT2-Ramelteon
11.76Single6NWEOctyl-Beta-D-Glucopyranoside6NWE-Rhodopsin-Octyl-β-D-Glucopyranoside-Gt(CT)
11.76Single6OBAAlprenolol6OBA-β2-Alprenolol-GTPL11074
11.76Single6OYAAll-trans-Retinal6OYA-Rhodopsin-All-trans-Retinal-Gt/β1/γ1
11.76Single7BR3Elagolix7BR3-GnRH1-Elagolix
11.76Single7DHRIsoprenaline7DHR-β2-Isoprenaline-Gs/β1/γ2
11.76Single7F8YDevazepide7F8Y-CCKA-Devazepide
11.76Single7TUZ7-alpha,25-dihydroxycholesterol7TUZ-GPR183-7-α,25-dihydroxycholesterol-Gi1/β1/γ2
11.76Single7VDLCortistatin-147VDL-MRGPRX2-Cortistatin-14-Gi1/β1/γ2
11.76Single7X2CFenoldopam7X2C-D1-Fenoldopam-Fenoldopam-Gs/β1/γ2
11.76Single7XJJGalanin7XJJ-GAL1-Galanin-Go/β1/γ2
11.76Single7XT8Serotonin7XT8-5-HT4-Serotonin-Gs/β1/γ2
11.76Single7YMHNorepinephrine7YMH-Alpha1A-Norepinephrine-chim(Gs-CtGq)
11.76Single8GGAConstrained Epinephrine8GGA-β2-Constrained Epinephrine-GTP-Gs/β1/γ2
11.76Single8GGCConstrained Epinephrine8GGC-β2-Constrained Epinephrine-GTP-Gs/β1/γ2
11.76Single8GGRConstrained Epinephrine8GGR-β2-Constrained Epinephrine
11.76Single8GGWConstrained Epinephrine8GGW-β2-Constrained Epinephrine
11.76Single8GGZConstrained Epinephrine8GGZ-β2-Constrained Epinephrine
11.76Single8GH0Constrained Epinephrine8GH0-β2-Constrained Epinephrine
11.76Single8IW4Spermidine8IW4-TAA9-Spermidine-chim(NtGi1-Gs)/β1/γ2
11.76Single8IWESpermidine8IWE-TAA9-Spermidine
11.76Single8JSOAMPH8JSO-TA1-AMPH-chim(NtGi1-Gs)/β1/γ2
11.76Single8U4PAMD31008U4P-CXCR4-AMD3100-Gi1/β1/γ2
11.76Single8U4SREGN7663-Fab8U4S-CXCR4-REGN7663-Fab
11.76Single8U4TREGN7663-Fab8U4T-CXCR4-REGN7663-Fab
11.76Single8UNSConstrained Epinephrine8UNS-β2-Constrained Epinephrine-GTP-Gs/β1/γ2
11.76Single8UNTConstrained Epinephrine8UNT-β2-Constrained Epinephrine-GTP-Gs/β1/γ2
11.76Single8UNXConstrained Epinephrine8UNX-β2-Constrained Epinephrine-GTP-Gs/β1/γ2
11.76Single8WC4ZH86518WC4-TA1-ZH8651-chim(NtGi1-Gs)/β1/γ2
11.76Single8WCA2-Phenylethylamine8WCA-TA1-2-Phenylethylamine-chim(NtGi1-Gs)/β1/γ2
11.76Single8YNFCXCL88YNF-ACKR1-CXCL8
11.76Single9EBHAdenosine9EBH-A3A-Adenosine-Gi1/β1/γ2
11.76Single9EEAAdenosine9EEA-A2A-Adenosine-Gs/β1/γ2
11.76Single9J5VCpY9J5V-LPA1-CpY-Gi1/β1/γ2
11.76Single9JKXAcifran9JKX-HCA3-Acifran-Gi1/β1/γ2
11.76Single9VJ5Gepirone9VJ5-5-HT1A-Gepirone-Go/β1/γ2
11.76Consensusalpha2_offOrthosteric Ligandalpha2c_off
11.76Consensusangiotensin_offOrthosteric Ligandat1_off
11.76Consensusgnrh1_offOrthosteric Ligand7BR3-GnRH1-Elagolix
11.76Consensusrhodopsin_on_gpOrthosteric Ligand6OYA-Rhodopsin-All-trans-Retinal-Gt/β1/γ1
11.54Single6PT2KGCHM076PT2-δ-KGCHM07
11.54Single6W25SHU91196W25-MC4-SHU9119-Ca
11.54Single7F4DAlpha-MSH7F4D-MC1-α-MSH-chim(NtGi1-Gs)/β1/γ2
11.54Single7T6TfMLFII7T6T-FPR1-ALX-fMLFII-Gi1/β1/γ2
11.54Single8XGUTAK4488XGU-Kiss1-TAK448-Gi1/β1/γ2
11.54Single8XIQL7967788XIQ-SST3-L796778-chim(NtGi1-Gs-CtGi1)/β1/γ2
11.54Single9B54VIP369B54-CB1-VIP36-Gi1/β1/γ2
11.54Single9B5YLA-PTH Analog9B5Y-PTH1-LA-PTH Analog-chim(NtGi1-Gq)/β1/γ2
11.54Single9M1ONeuropeptide-FF9M1O-NPFF2-Neuropeptide-FF-Gi1/β1/γ2
11.54Consensusmc3_onOrthosteric Ligand8IOC-MC3-γ-MSH-Ca-chim(NtGi1-Gs)/β1/γ2
11.54Consensusmc3_on_gpOrthosteric Ligand8IOC-MC3-γ-MSH-Ca-chim(NtGi1-Gs)/β1/γ2
11.11Single3UZCPubChem 1355666093UZC-A2A-PubChem 135566609
11.11Single4LDOEpinephrine4LDO-β2-Epinephrine
11.11Single5TE3Octyl-Beta-D-Glucopyranoside5TE3-Rhodopsin-Octyl-β-D-Glucopyranoside
11.11Single6KUXRS799486KUX-α2a-RS79948
11.11Single6ME42-Iodomelatonin6ME4-MT1-2-Iodomelatonin
11.11Single6PS0Carazolol6PS0-β2-Carazolol
11.11Single6PS4ICI118-5516PS4-β2-ICI118-551
11.11Single6PS5Propranolol6PS5-β2-Propranolol
11.11Single6V9SGTPL114036V9S-OX1-GTPL11403
11.11Single6ZDVPubChem 9840736ZDV-A2A-PubChem 984073-Na
11.11Single7DHISalbutamol7DHI-β2-Salbutamol-Gs/β1/γ2
11.11Single7F4HAfamelanotide7F4H-MC1-Afamelanotide-chim(NtGi1-Gs)/β1/γ2
11.11Single7UL3Famotidine7UL3-H2-Famotidine
11.11Single7VUGJNJ-635330547VUG-GPR139-JNJ-63533054-Gi1/β1/γ2
11.11Single7WVUfMLF7WVU-FPR1-ALX-fMLF-Gi1/β1/γ2
11.11Single8GE1Constrained Epinephrine8GE1-β2-Constrained Epinephrine-Gs/β1/γ2
11.11Single8GE4Constrained Epinephrine8GE4-β2-Constrained Epinephrine-Gs/β1/γ2
11.11Single8GE5Constrained Epinephrine8GE5-β2-Constrained Epinephrine-Gs/β1/γ1
11.11Single8GE6Constrained Epinephrine8GE6-β2-Constrained Epinephrine-Gs/β1/γ2
11.11Single8GE7Constrained Epinephrine8GE7-β2-Constrained Epinephrine-Gs/β1/γ2
11.11Single8GE8Constrained Epinephrine8GE8-β2-Constrained Epinephrine-Gs/β1/γ2
11.11Single8GEAConstrained Epinephrine8GEA-β2-Constrained Epinephrine-Gs/β1/γ2
11.11Single8GEDConstrained Epinephrine8GED-β2-Constrained Epinephrine-Gs/β1/γ2
11.11Single8GEFConstrained Epinephrine8GEF-β2-Constrained Epinephrine-Gs/β1/γ2
11.11Single8GG5Constrained Epinephrine8GG5-β2-Constrained Epinephrine-GTP-Gs/β1/γ2
11.11Single8GG7Constrained Epinephrine8GG7-β2-Constrained Epinephrine-GTP-Gs/β1/γ2
11.11Single8GG8Constrained Epinephrine8GG8-β2-Constrained Epinephrine-GTP-Gs/β1/γ2
11.11Single8GGLConstrained Epinephrine8GGL-β2-Constrained Epinephrine
11.11Single8GGMConstrained Epinephrine8GGM-β2-Constrained Epinephrine
11.11Single8GGPConstrained Epinephrine8GGP-β2-Constrained Epinephrine
11.11Single8GGQConstrained Epinephrine8GGQ-β2-Constrained Epinephrine
11.11Single8GGSConstrained Epinephrine8GGS-β2-Constrained Epinephrine
11.11Single8GGTConstrained Epinephrine8GGT-β2-Constrained Epinephrine
11.11Single8GGVConstrained Epinephrine8GGV-β2-Constrained Epinephrine
11.11Single8GGXConstrained Epinephrine8GGX-β2-Constrained Epinephrine
11.11Single8H4LDoconexent8H4L-FFA4-Doconexent-chim(NtGi1-Gs-CtGq)/β1/γ2
11.11Single8HNMVUF112228HNM-CXCR3-VUF11222-Gi1/β1/γ2
11.11Single8HQN9-S-HODE8HQN-GPR132-9-S-HODE-Gi1/β1/γ2
11.11Single8IHKAcifran8IHK-HCA3-Acifran
11.11Single8JLKUlotaront8JLK-TA1-Ulotaront-chim(NtGi1-Gs)/β1/γ2
11.11Single8JLNT1AM8JLN-TA1-T1AM-Gs/β1/γ2
11.11Single8K2WAMG4878K2W-CXCR3-AMG487
11.11Single8K4NPubChem 1687197658K4N-GPR34-PubChem 168719765-Gi1/β1/γ2
11.11Single8UHBRO52563908UHB-TA1-RO5256390-Gs/β1/γ2
11.11Single8UNLConstrained Epinephrine8UNL-β2-Constrained Epinephrine-GTP-Gs/β1/γ2
11.11Single8UNMConstrained Epinephrine8UNM-β2-Constrained Epinephrine-GTP-Gs/β1/γ2
11.11Single8UNOConstrained Epinephrine8UNO-β2-Constrained Epinephrine-GTP-Gs/β1/γ2
11.11Single8UNWConstrained Epinephrine8UNW-β2-Constrained Epinephrine-GTP-Gs/β1/γ2
11.11Single8UO0Constrained Epinephrine8UO0-β2-Constrained Epinephrine-GTP-Gs/β1/γ2
11.11Single8UO1Constrained Epinephrine8UO1-β2-Constrained Epinephrine-GTP; Mg-Gs/β1/γ2
11.11Single8WC8ZH86518WC8-TA1-ZH8651-chim(NtGi1-Gs)/β1/γ2
11.11Single8X7ATreprostinil8X7A-I2-Treprostinil-Gs/β1/γ2
11.11Single8Y45ADL58598Y45-δ-ADL5859-Gi2/β1/γ2
11.11Single8Y62C16:0 Ceramide8Y62-FPR2-ALX-C16:0 Ceramide-Gi1/β1/γ2
11.11Single8Y6YGLPG09748Y6Y-FFA2-GLPG0974
11.11Single8YH2Adenosine8YH2-A3A-Adenosine-Gi1/β1/γ2
11.11Single8YRGFospropofol8YRG-MRGPRX4-Fospropofol-chim(NtGi1-Gs-CtGq)/β1/γ2
11.11Single8ZPMAMD0708ZPM-CXCR4-AMD070
11.11Single8ZPNAMD31008ZPN-CXCR4-AMD3100
11.11Single9AS5Mescaline9AS5-5-HT2A-Mescaline
11.11Single9AS6Mescaline9AS6-5-HT2A-Mescaline-chim(NtGi1-Gs-CtGq)/β1/γ2
11.11Single9ASBCa; Ca; Cyclomethyltryptophan; R-568; PO49ASB-CaS; CaS-Ca-Ca; Ca; Cyclomethyltryptophan; R-568; PO4-chim(NtGi1-Gs-CtGq)/β1/γ2
11.11Single9JH3CMF-0199JH3-Apelin; Apelin-CMF-019-Gi1/β1/γ2
11.11Single9KPDSalicin9KPD-TAS2R16-Salicin-chim(Gs-CtGt3)/β1/γ2
11.11Single9L84Epinephrine9L84-β1-Epinephrine-Atazanavir-Gs/β1/γ2
11.11Single9MQIIsoquinuclidine9MQI-μ-Isoquinuclidine
11.11Single9ODLMitragynine Pseudoindoxyl9ODL-μ-Mitragynine Pseudoindoxyl-GTP; Mg-Gi1/β1/γ2
11.11Single9VNFPindolol9VNF-5-HT1A-Pindolol-Go/β1/γ2
11.11Single9W33S5A19W33-SST5-S5A1
11.11Consensus5ht_on_gpOrthosteric Ligand5ht1_on_gp 5ht2_on_gp 5ht4_on_gp 5ht5_on_gp 5ht6_on_gp 5ht7_on_gp
11.11Consensusat1_offOrthosteric Ligand4YAY-AT1-ZD-7155 4ZUD-AT1-Olmesartan
11.11Consensuscxcr3_offOrthosteric Ligand8K2W-CXCR3-AMG487
11.11Consensusmc5_on_gpOrthosteric Ligand8INR-MC5-α-MSH-Ca-chim(NtGi1-Gs)/β1/γ2 8IOD-MC5-PG-901-Ca-chim(NtGi1-Gs)/β1/γ2
10.71Single8IODPG-9018IOD-MC5-PG-901-Ca-chim(NtGi1-Gs)/β1/γ2
10.71Consensusp2y10_onOrthosteric Ligand8KGG-P2Y10-Lysophosphatidylserine (WJS)-chim(NtGi2-G13)/β1/γ2
10.53Single2VT4Cyanopindolol2VT4-β1-Cyanopindolol
10.53Single2Y02Carmoterol2Y02-β1-Carmoterol
10.53Single2Y04Salbutamol2Y04-β1-Salbutamol
10.53Single2YCYCyanopindolol2YCY-β1-Cyanopindolol
10.53Single3NY8ICI118-5513NY8-β2-ICI118-551
10.53Single3NYAAlprenolol3NYA-β2-Alprenolol
10.53Single3ZPQPubChem 5945903ZPQ-β1-PubChem 594590-Na
10.53Single3ZPRPubChem 5987543ZPR-β1-PubChem 598754-Na
10.53Single4EJ4Naltrindole4EJ4-δ-Naltrindole
10.53Single4GBRCarazolol4GBR-β2-Carazolol
10.53Single4J4QOctyl Beta-D-Glucopyranoside4J4Q-Rhodopsin-Octyl β-D-Glucopyranoside-Gt(CT)
10.53Single4QKXPubChem 762106284QKX-β2-PubChem 76210628
10.53Single4X1HNonyl-Beta-D-Glucopyranoside4X1H-Rhodopsin-Nonyl-β-D-Glucopyranoside-Gt(CT)
10.53Single5ZKPSR274175ZKP-PAF-SR27417
10.53Single6DRZMethysergide6DRZ-5-HT2B-Methysergide
10.53Single6FKCPubChem 1324730396FKC-Rhodopsin-PubChem 132473039
10.53Single6H7MSalbutamol6H7M-β1-Salbutamol
10.53Single6IIVDaltroban6IIV-TXA2-Daltroban
10.53Single6ORVTT-OAD26ORV-GLP-1-TT-OAD2-Gs/β1/γ2
10.53Single6PRZAlprenolol6PRZ-β2-Alprenolol
10.53Single6PS1Timolol6PS1-β2-Timolol
10.53Single6PS2Alprenolol6PS2-β2-Alprenolol
10.53Single6Z10PubChem 1545855546Z10-Succinate-PubChem 154585554
10.53Single7BTSEpinephrine7BTS-β1-Epinephrine
10.53Single7BU6Norepinephrine7BU6-β1-Norepinephrine
10.53Single7CRHSKF839597CRH-D1-SKF83959-Gs/β1/γ2
10.53Single7DB6Ramelteon7DB6-MT1-Ramelteon-Gi1/β1/γ2
10.53Single7JVQApomorphine7JVQ-D1-Apomorphine-Gs/β1/γ2
10.53Single7NA8Ibutamoren7NA8-Ghrelin-Ibutamoren-Gi1/β1/γ2
10.53Single7S0GIsoprenaline7S0G-β1-Isoprenaline-chim(Gi1-CtGs)/β1/γ2
10.53Single7T2GMitragynine Pseudoindoxyl7T2G-μ-Mitragynine Pseudoindoxyl-Gi1/β1/γ2
10.53Single7UL4Alvimopan7UL4-μ-Alvimopan
10.53Single7UM6Lisuride7UM6-5-HT5A-Lisuride-chim(NtGi1-Go)/β1/γ2
10.53Single7WC7Lisuride7WC7-5-HT2A-Lisuride
10.53Single7WC8Lumateperone7WC8-5-HT2A-Lumateperone
10.53Single7XJHIsoprenaline7XJH-β3-Isoprenaline-Gs/β1/γ2
10.53Single7YACPaltusotine7YAC-SST2-Paltusotine-Gi1/β1/γ2
10.53Single8GE2Constrained Epinephrine8GE2-β2-Constrained Epinephrine-Gs/β1/γ1
10.53Single8GE3Constrained Epinephrine8GE3-β2-Constrained Epinephrine-Gs/β1/γ2
10.53Single8GE9Constrained Epinephrine8GE9-β2-Constrained Epinephrine-Gs/β1/γ2
10.53Single8GECConstrained Epinephrine8GEC-β2-Constrained Epinephrine-Gs/β1/γ2
10.53Single8GEEConstrained Epinephrine8GEE-β2-Constrained Epinephrine-Gs/β1/γ2
10.53Single8GEHConstrained Epinephrine8GEH-β2-Constrained Epinephrine-Gs/β1/γ2
10.53Single8GFVConstrained Epinephrine8GFV-β2-Constrained Epinephrine-GTP-Gs/β1/γ2
10.53Single8GFWConstrained Epinephrine8GFW-β2-Constrained Epinephrine-GTP-Gs/β1/γ2
10.53Single8GFXConstrained Epinephrine8GFX-β2-Constrained Epinephrine-GTP-Gs/β1/γ2
10.53Single8GFZConstrained Epinephrine8GFZ-β2-Constrained Epinephrine-GTP-Gs/β1/γ2
10.53Single8GG0Constrained Epinephrine8GG0-β2-Constrained Epinephrine-GTP-Gs/β1/γ2
10.53Single8GG1Constrained Epinephrine8GG1-β2-Constrained Epinephrine-GTP-Gs/β1/γ2
10.53Single8GG3Constrained Epinephrine8GG3-β2-Constrained Epinephrine-GTP-Gs/β1/γ2
10.53Single8GG4Constrained Epinephrine8GG4-β2-Constrained Epinephrine-GTP-Gs/β1/γ2
10.53Single8GG6Constrained Epinephrine8GG6-β2-Constrained Epinephrine-GTP-Gs/β1/γ2
10.53Single8GG9Constrained Epinephrine8GG9-β2-Constrained Epinephrine-GTP-Gs/β1/γ2
10.53Single8GGIConstrained Epinephrine8GGI-β2-Constrained Epinephrine
10.53Single8GGJConstrained Epinephrine8GGJ-β2-Constrained Epinephrine
10.53Single8GGKConstrained Epinephrine8GGK-β2-Constrained Epinephrine
10.53Single8GGNConstrained Epinephrine8GGN-β2-Constrained Epinephrine
10.53Single8GGOConstrained Epinephrine8GGO-β2-Constrained Epinephrine
10.53Single8GGUConstrained Epinephrine8GGU-β2-Constrained Epinephrine
10.53Single8JJOAlprenolol8JJO-β2-Alprenolol
10.53Single8T1WCVN4248T1W-GPR6-CVN424
10.53Single8UH3Setiptiline8UH3-5-HT1E-Setiptiline-Gi1/β1/γ1
10.53Single8UNQConstrained Epinephrine8UNQ-β2-Constrained Epinephrine-GTP-Gs/β1/γ2
10.53Single8UNRConstrained Epinephrine8UNR-β2-Constrained Epinephrine-GTP-Gs/β1/γ2
10.53Single8UNUConstrained Epinephrine8UNU-β2-Constrained Epinephrine-GTP-Gs/β1/γ2
10.53Single8UNVConstrained Epinephrine8UNV-β2-Constrained Epinephrine-GTP-Gs/β1/γ2
10.53Single8UNYConstrained Epinephrine8UNY-β2-Constrained Epinephrine-GTP-Gs/β1/γ2
10.53Single8UNZConstrained Epinephrine8UNZ-β2-Constrained Epinephrine-GTP-Gs/β1/γ2
10.53Single8UO2Constrained Epinephrine8UO2-β2-Constrained Epinephrine-GTP-Gs/β1/γ2
10.53Single8W87METH8W87-TA1-METH-chim(NtGi1L-Gs)/β1/γ2
10.53Single8Y71A1D6F8Y71-δ-A1D6F-BMS986187-Gi1/β1/γ2
10.53Single8ZBEOctreotide8ZBE-SST5-Octreotide-Gi1/β1/γ1
10.53Single8ZQEGPR15L(CT)8ZQE-GPR15-GPR15L(CT)-Gi1/β1/γ1
10.53Single9AS1DMT9AS1-5-HT2A-DMT
10.53Single9AVGCa; Ca; Cyclomethyltryptophan; R-568; PO49AVG-CaS; CaS-Ca-Ca; Ca; Cyclomethyltryptophan; R-568; PO4-chim(NtGi1-Gs)/β1/γ2
10.53Single9EPP11,20-Ethanoretinal9EPP-Rhodopsin-11,20-Ethanoretinal-chim(Gi1-CtGq)/β1/γ2
10.53Single9IYAONO-97105319IYA-GPR55-ONO-9710531
10.53Single9JGKBalovaptan9JGK-5-HT2B-Balovaptan
10.53Single9JQZGrapiprant 9JQZ-EP4-Grapiprant
10.53Single9KFJPubChem 1383196749KFJ-RXFP3-PubChem 138319674-Gi2/β1/γ2
10.53Single9VMYTMU41429VMY-5-HT1A-TMU4142-Go/β1/γ2
10.53Consensus5ht2b_offOrthosteric Ligand6DRZ-5-HT2B-Methysergide
10.53Consensus5ht5_onOrthosteric Ligand5ht5a_on
10.53Consensus5ht5a_onOrthosteric Ligand7X5H-5-HT5A-5-CT-Gi1/β1/γ2 7UM6-5-HT5A-Lisuride-chim(NtGi1-Go)/β1/γ2 7UM7-5-HT5A-Methylergometrine-chim(NtGi1-Go)/β1/γ2
10.53Consensusadrenergic_onOrthosteric Ligandalpha_on beta_on
10.53Consensuscck_offOrthosteric Ligandccka_off
10.53Consensusccka_offOrthosteric Ligand7F8Y-CCKA-Devazepide 7F8U-CCKA-Lintitript
10.53Consensusd5_onOrthosteric Ligand8IRV-D5-Rotigotine-chim(NtGi1-Gs)/β1/γ2
10.53Consensusdop_offOrthosteric Ligand4EJ4-δ-Naltrindole
10.53Consensusdopamine_offOrthosteric Ligandd2_off d3_off
10.53Consensusdopamine_onOrthosteric Ligandd2_on d1_on d3_on d4_on d5_on
10.53Consensusdopamine_on_gpOrthosteric Ligandd2_on_gp d1_on_gp d3_on_gp d4_on_gp d5_on_gp
10.53Consensusgs_trace-amineOrthosteric Ligand8W88-TA1-SEP-363856-Gs/β1/γ2 8JLJ-TA1-T1AM-chim(NtGi1-Gs)/β1/γ2 8JLO-TA1-Ulotaront-Gs/β1/γ2 8WC4-TA1-ZH8651-chim(NtGi1-Gs)/β1/γ2 8WC7-TA1-ZH8667-chim(NtGi1-Gs)/β1/γ2 8JLR-TA1-A77636-chim(NtGi1-Gs)/β1/γ2 8JSO-TA1-AMPH-chim(NtGi1-Gs)/β1/γ2 8W87-TA1-METH-chim(NtGi1L-Gs)/β1/γ2 8W89-TA1-2-Phenylethylamine-chim(NtGi1L-Gs)/β1/γ2 8JLP-TA1-Ralmitaront-Gs/β1/γ2 8W8A-TA1-RO5256390-chim(NtGi1L-Gs)/β1/γ2
10.00Single2RH1Carazolol2RH1-β2-Carazolol
10.00Single2Y03Isoprenaline2Y03-β1-Isoprenaline
10.00Single2YCWCarazolol2YCW-β1-Carazolol
10.00Single4RWDDIPP-NH24RWD-δ-DIPP-NH2-Na
10.00Single5C1MBU725C1M-μ-BU72
10.00Single5D6LCarazolol5D6L-β2-Carazolol
10.00Single5JQHCarazolol5JQH-β2-Carazolol
10.00Single5TVNLSD5TVN-5-HT2B-LSD
10.00Single5X7DCarazolol5X7D-β2-Carazolol-PubChem 129318963
10.00Single5ZBQUR-MK-2995ZBQ-Y1-UR-MK-299
10.00Single5ZK33-quinuclidinyl-benzilate5ZK3-M2-3-quinuclidinyl-benzilate
10.00Single6D32Cyclopamine6D32-SMO-Cyclopamine-Cyclopamine
10.00Single6D35Cholesterol6D35-SMO-Cholesterol
10.00Single6KUWPubChem 572132346KUW-α2c-PubChem 57213234
10.00Single6M9TMisoprostol-FA6M9T-EP3-Misoprostol-FA
10.00Single6N51Quisqualate6N51-mGlu5; mGlu5-Quisqualate
10.00Single6N51Quisqualate6N51-mGlu5; mGlu5-Quisqualate
10.00Single6PS3Carvedilol6PS3-β2-Carvedilol
10.00Single6PS6Timolol6PS6-β2-Timolol
10.00Single6UO8SKF975416UO8-GABAB1, GABAB2-SKF97541-GS39783
10.00Single6UO9SKF975416UO9-GABAB1, GABAB2-SKF97541
10.00Single6W2XPubChem 53110426W2X-GABAB1, GABAB2-PubChem 5311042
10.00Single6W2YPubChem 53110426W2Y-GABAB1; GABAB1-PubChem 5311042
10.00Single6W2YPubChem 53110426W2Y-GABAB1; GABAB1-PubChem 5311042
10.00Single6Z4QSR142948A6Z4Q-NTS1-SR142948A
10.00Single7BB7AVP7BB7-V2-AVP-Gs/β1/γ2
10.00Single7BVQCarazolol7BVQ-β1-Carazolol
10.00Single7C7QBaclofen7C7Q-GABAB1, GABAB2-Baclofen-BHFF
10.00Single7C7SCGP546267C7S-GABAB1, GABAB2-CGP54626
10.00Single7CKXA776367CKX-D1-A77636-Gs/β1/γ2
10.00Single7CUMCGP546267CUM-GABAB1, GABAB2-CGP54626
10.00Single7DD5Ca7DD5-CaS; CaS-Ca-Ca; Ca; Tryptophan; NPS-2143
10.00Single7DD5Ca; Ca; Tryptophan; NPS-21437DD5-CaS; CaS-Ca-Ca; Ca; Tryptophan; NPS-2143
10.00Single7DD5Ca7DD5-CaS; CaS-Ca-Ca; Ca; Tryptophan; NPS-2143
10.00Single7DD5Ca; Ca; Tryptophan; NPS-21437DD5-CaS; CaS-Ca-Ca; Ca; Tryptophan; NPS-2143
10.00Single7DGEQuisqualate7DGE-mGlu1; mGlu1-Quisqualate
10.00Single7DTTCa7DTT-CaS; CaS-Ca-Ca
10.00Single7DTTCa7DTT-CaS; CaS-Ca-Ca
10.00Single7DTUTryptophan7DTU-CaS; CaS-Tryptophan
10.00Single7DTUTryptophan7DTU-CaS; CaS-Tryptophan
10.00Single7DTVCa7DTV-CaS; CaS-Ca-Ca; Tryptophan
10.00Single7DTVCa; Tryptophan7DTV-CaS; CaS-Ca-Ca; Tryptophan
10.00Single7DTVCa7DTV-CaS; CaS-Ca-Ca; Tryptophan
10.00Single7DTVCa; Tryptophan7DTV-CaS; CaS-Ca-Ca; Tryptophan
10.00Single7E6TCa; Ca; Cyclomethyltryptophan; PO47E6T-CaS; CaS-Ca-Ca; Ca; Cyclomethyltryptophan; PO4
10.00Single7E6TCa7E6T-CaS; CaS-Ca-Ca; Ca; Cyclomethyltryptophan; PO4
10.00Single7E6TCa; Ca; Cyclomethyltryptophan; PO47E6T-CaS; CaS-Ca-Ca; Ca; Cyclomethyltryptophan; PO4
10.00Single7E6TCa7E6T-CaS; CaS-Ca-Ca; Ca; Cyclomethyltryptophan; PO4
10.00Single7E9GEglumetad7E9G-mGlu2; mGlu2-Eglumetad-JNJ-40411813-Gi1/β1/γ2
10.00Single7E9GEglumetad7E9G-mGlu2; mGlu2-Eglumetad-JNJ-40411813-Gi1/β1/γ2
10.00Single7E9HPhosphoserine7E9H-mGlu4; mGlu4-Phosphoserine-Gi3/β1/γ2
10.00Single7E9HPhosphoserine7E9H-mGlu4; mGlu4-Phosphoserine-Gi3/β1/γ2
10.00Single7EB2Baclofen7EB2-GABAB2; GABAB1-Baclofen-rac-BHFF-Gi1/β1/γ2
10.00Single7EPBEglumetad7EPB-mGlu2; mGlu2-Eglumetad
10.00Single7EPBEglumetad7EPB-mGlu2; mGlu2-Eglumetad
10.00Single7EPFNAM5977EPF-mGlu2-NAM597
10.00Single7FD8Quisqualate7FD8-mGlu5; mGlu5-Quisqualate
10.00Single7FD8Quisqualate7FD8-mGlu5; mGlu5-Quisqualate
10.00Single7FD9LY3414957FD9-mGlu5; mGlu5-LY341495
10.00Single7FD9LY3414957FD9-mGlu5; mGlu5-LY341495
10.00Single7FIHhCG7FIH-LH-hCG-Org43553-chim(NtGi1-Gs)/β1/γ2
10.00Single7FIIhCG7FII-LH-hCG-chim(NtGi1-Gs)/β1/γ2
10.00Single7M3ECa; Ca; Tryptophan; NPS-21437M3E-CaS; CaS-Ca; Ca; Tryptophan; NPS-2143
10.00Single7M3ECa; Ca; Tryptophan; NPS-21437M3E-CaS; CaS-Ca; Ca; Tryptophan; NPS-2143
10.00Single7M3FCa; Ca; Tryptophan; Cinacalcet7M3F-CaS; CaS-Ca; Ca; Tryptophan; Cinacalcet
10.00Single7M3FCa; Ca; Tryptophan; Cinacalcet7M3F-CaS; CaS-Ca; Ca; Tryptophan; Cinacalcet
10.00Single7M3GCa; Ca; Tryptophan; Evocalcet; Etelcalcetide; PO47M3G-CaS; CaS-Ca; Ca; Tryptophan; Evocalcet; Etelcalcetide; PO4
10.00Single7M3GCa; Ca; Tryptophan; Evocalcet; Etelcalcetide; PO47M3G-CaS; CaS-Ca; Ca; Tryptophan; Evocalcet; Etelcalcetide; PO4
10.00Single7M3GCa; Ca; Tryptophan; Evocalcet; Etelcalcetide; PO47M3G-CaS; CaS-Ca; Ca; Tryptophan; Evocalcet; Etelcalcetide; PO4
10.00Single7M3GCa; Ca; Tryptophan; Evocalcet; Etelcalcetide; PO47M3G-CaS; CaS-Ca; Ca; Tryptophan; Evocalcet; Etelcalcetide; PO4
10.00Single7MTQLY3414957MTQ-mGlu2; mGlu2-LY341495
10.00Single7MTQLY3414957MTQ-mGlu2; mGlu2-LY341495
10.00Single7MTRGlutamate7MTR-mGlu2; mGlu2-Glutamate-ADX55164
10.00Single7MTRGlutamate7MTR-mGlu2; mGlu2-Glutamate-ADX55164
10.00Single7MTSGlutamate7MTS-mGlu2; mGlu2-Glutamate-ADX55164-Gi1/β1/γ2
10.00Single7MTSGlutamate7MTS-mGlu2; mGlu2-Glutamate-ADX55164-Gi1/β1/γ2
10.00Single7S0FIsoprenaline7S0F-β1-Isoprenaline-Gi1/β1/γ2
10.00Single7SILCa7SIL-CaS; CaS-Ca-Ca; Ca; Ca; Cyclomethyltryptophan; R-568; PO4
10.00Single7SILCa; Ca; Ca; Cyclomethyltryptophan; R-568; PO47SIL-CaS; CaS-Ca-Ca; Ca; Ca; Cyclomethyltryptophan; R-568; PO4
10.00Single7SILCa7SIL-CaS; CaS-Ca-Ca; Ca; Ca; Cyclomethyltryptophan; R-568; PO4
10.00Single7SILCa; Ca; Ca; Cyclomethyltryptophan; R-568; PO47SIL-CaS; CaS-Ca-Ca; Ca; Ca; Cyclomethyltryptophan; R-568; PO4
10.00Single7SIMCa; Ca; Cyclomethyltryptophan; PO47SIM-CaS; CaS-Ca-Ca; Ca; Cyclomethyltryptophan; PO4
10.00Single7SIMCa7SIM-CaS; CaS-Ca-Ca; Ca; Cyclomethyltryptophan; PO4
10.00Single7SIMCa; Ca; Cyclomethyltryptophan; PO47SIM-CaS; CaS-Ca-Ca; Ca; Cyclomethyltryptophan; PO4
10.00Single7SIMCa7SIM-CaS; CaS-Ca-Ca; Ca; Cyclomethyltryptophan; PO4
10.00Single7SINNPS-21437SIN-CaS; CaS-NPS-2143
10.00Single7SINNPS-21437SIN-CaS; CaS-NPS-2143
10.00Single7T9NM22 Fab7T9N-TSH-M22 Fab-DPPC-Gs/β1/γ2
10.00Single7VFXfMIFL7VFX-FPR1-ALX-fMIFL-Gi1/β1/γ2
10.00Single7VV0PAMP-127VV0-MRGPRX2-PAMP-12
10.00Single7WI6LY3414957WI6-mGlu3; mGlu3-LY341495
10.00Single7WI6LY3414957WI6-mGlu3; mGlu3-LY341495
10.00Single7WI8LY3414957WI8-mGlu3; mGlu3-LY341495
10.00Single7WI8LY3414957WI8-mGlu3; mGlu3-LY341495
10.00Single7WIGL-0542647WIG-SST2-L-054264-Gi1/β1/γ2
10.00Single7WIHLY27941937WIH-mGlu3; mGlu3-LY2794193
10.00Single7WIHLY27941937WIH-mGlu3; mGlu3-LY2794193
10.00Single7XK9Constrained Isoproterenol7XK9-β2-Constrained Isoproterenol-Na
10.00Single7XKAConstrained Epinephrine7XKA-β2-Constrained Epinephrine
10.00Single7XW6M22 Fab7XW6-TSH-M22 Fab-ML109-Gs/β1/γ2
10.00Single7XW7K1-707XW7-TSH-K1-70
10.00Single8GDZConstrained Epinephrine8GDZ-β2-Constrained Epinephrine-Gs/β1/γ2
10.00Single8GEBConstrained Epinephrine8GEB-β2-Constrained Epinephrine-Gs/β1/γ2
10.00Single8GEGConstrained Epinephrine8GEG-β2-Constrained Epinephrine-Gs/β1/γ2
10.00Single8GFYConstrained Epinephrine8GFY-β2-Constrained Epinephrine-GTP-Gs/β1/γ2
10.00Single8GG2Constrained Epinephrine8GG2-β2-Constrained Epinephrine-GTP-Gs/β1/γ2
10.00Single8GGBConstrained Epinephrine8GGB-β2-Constrained Epinephrine-GTP-Gs/β1/γ2
10.00Single8IZ4Lysophosphatidylserine (TJR)8IZ4-GPR34-Lysophosphatidylserine (TJR)-Gi1/β1/γ2
10.00Single8J18(3R)-3-Hydroxydodecanoic acid8J18-GPR84-(3R)-3-Hydroxydodecanoic acid-Gi1/β1/γ2
10.00Single8JCULY3414958JCU-mGlu2; mGlu3-LY341495
10.00Single8JCULY3414958JCU-mGlu2; mGlu3-LY341495
10.00Single8JCVLY3414958JCV-mGlu2; mGlu3-LY341495
10.00Single8JCVLY3414958JCV-mGlu2; mGlu3-LY341495
10.00Single8JCWLY3414958JCW-mGlu2; mGlu3-LY341495
10.00Single8JCWLY3414958JCW-mGlu2; mGlu3-LY341495
10.00Single8JCXLY3414958JCX-mGlu2; mGlu3-LY341495
10.00Single8JCXLY3414958JCX-mGlu2; mGlu3-LY341495
10.00Single8JCYLY3414958JCY-mGlu2; mGlu3-LY341495
10.00Single8JCYLY3414958JCY-mGlu2; mGlu3-LY341495
10.00Single8JCZLY3414958JCZ-mGlu2; mGlu3-LY341495
10.00Single8JCZLY3414958JCZ-mGlu2; mGlu3-LY341495
10.00Single8JD0Glutamate8JD0-mGlu2; mGlu3-Glutamate-NAM563
10.00Single8JD1Glutamate8JD1-mGlu2; mGlu3-Glutamate
10.00Single8JD1Glutamate8JD1-mGlu2; mGlu3-Glutamate
10.00Single8JD2Glutamate8JD2-mGlu2; mGlu3-Glutamate
10.00Single8JD2Glutamate8JD2-mGlu2; mGlu3-Glutamate
10.00Single8JD3Glutamate8JD3-mGlu2; mGlu3-Glutamate-JNJ-40411813-Gi1/β1/γ2
10.00Single8JD3Glutamate8JD3-mGlu2; mGlu3-Glutamate-JNJ-40411813-Gi1/β1/γ2
10.00Single8JD4Glutamate8JD4-mGlu2; mGlu4-Glutamate
10.00Single8JD4Glutamate8JD4-mGlu2; mGlu4-Glutamate
10.00Single8JD5Glutamate8JD5-mGlu2; mGlu4-Glutamate-JNJ-40411813; ADX88178-Gi1/β1/γ2
10.00Single8JD5Glutamate8JD5-mGlu2; mGlu4-Glutamate-JNJ-40411813; ADX88178-Gi1/β1/γ2
10.00Single8JD6Phosphoserine8JD6-mGlu4; mGlu4-Phosphoserine-VU0364770-Gi3/β1/γ2
10.00Single8JD6Phosphoserine8JD6-mGlu4; mGlu4-Phosphoserine-VU0364770-Gi3/β1/γ2
10.00Single8K8JFenofibrate8K8J-CB1-Fenofibrate-chim(Gs-CtGq)/β1/γ2
10.00Single8SZFCa; Ca; Tryptophan; Cinacalcet; PO4; Spermine8SZF-CaS; CaS-Ca; Ca; Tryptophan; Cinacalcet; PO4; Spermine
10.00Single8SZFCa; Ca; Tryptophan; Cinacalcet; PO4; Spermine8SZF-CaS; CaS-Ca; Ca; Tryptophan; Cinacalcet; PO4; Spermine
10.00Single8SZGCa; Ca; Tryptophan; Cinacalcet; PO4; Spermine8SZG-CaS; CaS-Ca; Ca; Tryptophan; Cinacalcet; PO4; Spermine-chim(NtGi1-Gq)/β1/γ2
10.00Single8T7HQuisqualate8T7H-mGlu5; mGlu5-Quisqualate
10.00Single8T7HQuisqualate8T7H-mGlu5; mGlu5-Quisqualate
10.00Single8T8MQuisqualate8T8M-mGlu5; mGlu5-Quisqualate
10.00Single8T8MQuisqualate8T8M-mGlu5; mGlu5-Quisqualate
10.00Single8TAOQuisqualate8TAO-mGlu5; mGlu5-Quisqualate-CDPPB
10.00Single8TAOQuisqualate8TAO-mGlu5; mGlu5-Quisqualate-CDPPB
10.00Single8TH4Losartan8TH4-AT1-Losartan-AT118-L Nanobody
10.00Single8TQBCa; LY3792688TQB-mGlu3; mGlu3-Ca; LY379268-Ca
10.00Single8TQBCa; LY3792688TQB-mGlu3; mGlu3-Ca; LY379268-Ca
10.00Single8TR0LY3414958TR0-mGlu3; mGlu3-LY341495
10.00Single8TR0LY3414958TR0-mGlu3; mGlu3-LY341495
10.00Single8TR2Ca; LY3792688TR2-mGlu3; mGlu3-Ca; LY379268-Ca
10.00Single8TR2Ca; LY3792688TR2-mGlu3; mGlu3-Ca; LY379268-Ca
10.00Single8TRCLY3414958TRC-mGlu3; mGlu3-LY341495
10.00Single8TRCLY3414958TRC-mGlu3; mGlu3-LY341495
10.00Single8TRDLY3414958TRD-mGlu3; mGlu3-LY341495
10.00Single8TRDLY3414958TRD-mGlu3; mGlu3-LY341495
10.00Single8UNNConstrained Epinephrine8UNN-β2-Constrained Epinephrine-GTP-Gs/β1/γ2
10.00Single8UNPConstrained Epinephrine8UNP-β2-Constrained Epinephrine-GTP-Gs/β1/γ2
10.00Single8WG9PubChem 1793948WG9-mGlu4; mGlu2-PubChem 179394
10.00Single8WGBGlutamate8WGB-mGlu4; mGlu2-Glutamate-VU0155041-Gi3/β1/γ2
10.00Single8WGBGlutamate8WGB-mGlu4; mGlu2-Glutamate-VU0155041-Gi3/β1/γ2
10.00Single8WGCLY3792688WGC-mGlu2; mGlu4-LY379268
10.00Single8WGDLY341495; CPPG8WGD-mGlu4; mGlu2-LY341495; CPPG
10.00Single8WGDLY341495; CPPG8WGD-mGlu4; mGlu2-LY341495; CPPG
10.00Single8WPGTryptophan; Cinacalcet; PO4; Ca8WPG-CaS; CaS-Tryptophan; Cinacalcet; PO4; Ca
10.00Single8WPGTryptophan; Cinacalcet; PO4; Ca8WPG-CaS; CaS-Tryptophan; Cinacalcet; PO4; Ca
10.00Single8WPUTryptophan; Cinacalcet; PO4; Ca8WPU-CaS; CaS-Tryptophan; Cinacalcet; PO4; Ca-chim(NtGi2L-Gs-CtGq)/β1/γ2
10.00Single8WPUTryptophan; Cinacalcet; PO4; Ca8WPU-CaS; CaS-Tryptophan; Cinacalcet; PO4; Ca-chim(NtGi2L-Gs-CtGq)/β1/γ2
10.00Single8WVXNorrin8WVX-LGR4-Norrin
10.00Single8WVYNorrin8WVY-LGR4-Norrin
10.00Single8X0BQuisqualate8X0B-mGlu5; mGlu5-Quisqualate-VU0424465
10.00Single8X0BQuisqualate8X0B-mGlu5; mGlu5-Quisqualate-VU0424465
10.00Single8X0CQuisqualate8X0C-mGlu5; mGlu5-Quisqualate-VU0424465
10.00Single8X0CQuisqualate8X0C-mGlu5; mGlu5-Quisqualate-VU0424465
10.00Single8X0DQuisqualate8X0D-mGlu5; mGlu5-Quisqualate-VU0424465
10.00Single8X0DQuisqualate8X0D-mGlu5; mGlu5-Quisqualate-VU0424465
10.00Single8X0EQuisqualate8X0E-mGlu5; mGlu5-Quisqualate
10.00Single8X0EQuisqualate8X0E-mGlu5; mGlu5-Quisqualate
10.00Single8X0FQuisqualate8X0F-mGlu5; mGlu5-Quisqualate-VU29
10.00Single8X0FQuisqualate8X0F-mGlu5; mGlu5-Quisqualate-VU29
10.00Single8X0GQuisqualate8X0G-mGlu5; mGlu5-Quisqualate
10.00Single8X0GQuisqualate8X0G-mGlu5; mGlu5-Quisqualate
10.00Single8X0HQuisqualate8X0H-mGlu5; mGlu5-Quisqualate
10.00Single8X0HQuisqualate8X0H-mGlu5; mGlu5-Quisqualate
10.00Single8XUMR-spondin-28XUM-LGR4-R-spondin-2
10.00Single8YH0NECA8YH0-A3A-NECA-Gi1/β1/γ2
10.00Single8ZRKGSK12922638ZRK-GPR119-GSK1292263-Gs/β1/γ2
10.00Single9ASBCa9ASB-CaS; CaS-Ca-Ca; Ca; Cyclomethyltryptophan; R-568; PO4-chim(NtGi1-Gs-CtGq)/β1/γ2
10.00Single9ASBCa; Ca; Cyclomethyltryptophan; R-568; PO49ASB-CaS; CaS-Ca-Ca; Ca; Cyclomethyltryptophan; R-568; PO4-chim(NtGi1-Gs-CtGq)/β1/γ2
10.00Single9AVGCa9AVG-CaS; CaS-Ca-Ca; Ca; Cyclomethyltryptophan; R-568; PO4-chim(NtGi1-Gs)/β1/γ2
10.00Single9AVGCa; Ca; Cyclomethyltryptophan; R-568; PO49AVG-CaS; CaS-Ca-Ca; Ca; Cyclomethyltryptophan; R-568; PO4-chim(NtGi1-Gs)/β1/γ2
10.00Single9AVLCa9AVL-CaS; CaS-Ca-Ca; Ca; Cyclomethyltryptophan; R-568; PO4-Gi3/β2/γ2
10.00Single9AVLCa; Ca; Cyclomethyltryptophan; R-568; PO49AVL-CaS; CaS-Ca-Ca; Ca; Cyclomethyltryptophan; R-568; PO4-Gi3/β2/γ2
10.00Single9AVLCa; Ca; Cyclomethyltryptophan; R-568; PO49AVL-CaS; CaS-Ca-Ca; Ca; Cyclomethyltryptophan; R-568; PO4-Gi3/β2/γ2
10.00Single9AVLCa9AVL-CaS; CaS-Ca-Ca; Ca; Cyclomethyltryptophan; R-568; PO4-Gi3/β2/γ2
10.00Single9AVLCa; Ca; Cyclomethyltryptophan; R-568; PO49AVL-CaS; CaS-Ca-Ca; Ca; Cyclomethyltryptophan; R-568; PO4-Gi3/β2/γ2
10.00Single9AXFCa9AXF-CaS; CaS-Ca-Ca; Ca; Ca; Cyclomethyltryptophan; R-568; PO4-chim(NtGi1-Gs-CtGq)/β1/γ2
10.00Single9AXFCa; Ca; Ca; Cyclomethyltryptophan; R-568; PO49AXF-CaS; CaS-Ca-Ca; Ca; Ca; Cyclomethyltryptophan; R-568; PO4-chim(NtGi1-Gs-CtGq)/β1/γ2
10.00Single9AXFCa; Ca; Ca; Cyclomethyltryptophan; R-568; PO49AXF-CaS; CaS-Ca-Ca; Ca; Ca; Cyclomethyltryptophan; R-568; PO4-chim(NtGi1-Gs-CtGq)/β1/γ2
10.00Single9AXFCa9AXF-CaS; CaS-Ca-Ca; Ca; Ca; Cyclomethyltryptophan; R-568; PO4-chim(NtGi1-Gs-CtGq)/β1/γ2
10.00Single9AXFCa; Ca; Ca; Cyclomethyltryptophan; R-568; PO49AXF-CaS; CaS-Ca-Ca; Ca; Ca; Cyclomethyltryptophan; R-568; PO4-chim(NtGi1-Gs-CtGq)/β1/γ2
10.00Single9AYFCa9AYF-CaS; CaS-Ca-Ca; Ca; Ca; Cyclomethyltryptophan; R-568; PO4-Gi1/β1/γ2
10.00Single9AYFCa; Ca; Ca; Cyclomethyltryptophan; R-568; PO49AYF-CaS; CaS-Ca-Ca; Ca; Ca; Cyclomethyltryptophan; R-568; PO4-Gi1/β1/γ2
10.00Single9C1PCa9C1P-CaS; CaS-Ca-Ca; Tryptophan; '6218; PO4
10.00Single9C1PCa; Tryptophan; '6218; PO49C1P-CaS; CaS-Ca-Ca; Tryptophan; '6218; PO4
10.00Single9C1PCa9C1P-CaS; CaS-Ca-Ca; Tryptophan; '6218; PO4
10.00Single9C1PCa; Tryptophan; '6218; PO49C1P-CaS; CaS-Ca-Ca; Tryptophan; '6218; PO4
10.00Single9C2FCa9C2F-CaS; CaS-Ca-Ca; Ca; Tryptophan; '54149; PO4
10.00Single9C2FCa; Ca; Tryptophan; '54149; PO49C2F-CaS; CaS-Ca-Ca; Ca; Tryptophan; '54149; PO4
10.00Single9C2FCa9C2F-CaS; CaS-Ca-Ca; Ca; Tryptophan; '54149; PO4
10.00Single9C2FCa; Ca; Tryptophan; '54149; PO49C2F-CaS; CaS-Ca-Ca; Ca; Tryptophan; '54149; PO4
10.00Single9GE2ML1849GE2-GPR55-ML184-chim(NtGi1-G13)/β1/γ2
10.00Single9I52A1IZU9I52-D1-A1IZU-Gs/β1/γ2
10.00Single9II2Glutamate9II2-mGlu3; mGlu3-Glutamate-Arrestin2; Arrestin2
10.00Single9II2Glutamate9II2-mGlu3; mGlu3-Glutamate-Arrestin2; Arrestin2
10.00Single9II3Glutamate9II3-mGlu3; mGlu3-Glutamate-Arrestin2
10.00Single9II3Glutamate9II3-mGlu3; mGlu3-Glutamate-Arrestin2
10.00Single9IYBPGD29IYB-DP2-PGD2-A1D5Q-Gi1/β1/γ2
10.00Single9K07DSO-5a9K07-BB3-DSO-5a-chim(NtGi2L-Gs-CtGq)/β1/γ2
10.00Single9KB7R-spondin-29KB7-LGR4-R-spondin-2
10.00Single9KGKNB189KGK-LGR4-NB18
10.00Single9KHHNorrin9KHH-LGR4-Norrin
10.00Single9KPFSalicin9KPF-TAS2R16-Salicin-Gi1/β1/γ2
10.00Single9KUTJR14a9KUT-C3aB-JR14a-Go/β1/γ2
10.00Single9KUVCMPD6449KUV-Apelin-CMPD644-Arrestin2
10.00Single9MBAGlutamate9MBA-mGlu8; mGlu8-Glutamate-Arrestin2 ; Arrestin2
10.00Single9MBAGlutamate9MBA-mGlu8; mGlu8-Glutamate-Arrestin2 ; Arrestin2
10.00Single9MBBLY3414959MBB-mGlu8; mGlu8-LY341495
10.00Single9MBBLY3414959MBB-mGlu8; mGlu8-LY341495
10.00Single9MBCDCPG9MBC-mGlu8; mGlu8-DCPG-AZ12216052
10.00Single9MBCDCPG9MBC-mGlu8; mGlu8-DCPG-AZ12216052
10.00Single9S37NB219S37-LGR4-NB21
10.00Single9S38NB219S38-LGR4-NB21
10.00Single9UTBSucralose9UTB-TAS1R2; TAS1R3-Sucralose
10.00Consensus5ht5_on_gpOrthosteric Ligand5ht5a_on_gp
10.00Consensus5ht5a_on_gpOrthosteric Ligand7X5H-5-HT5A-5-CT-Gi1/β1/γ2 7UM6-5-HT5A-Lisuride-chim(NtGi1-Go)/β1/γ2 7UM7-5-HT5A-Methylergometrine-chim(NtGi1-Go)/β1/γ2
10.00Consensusadgrg2_onOrthosteric Ligand7WUI-ADGRG2-IP15-chim(NtGi1-Gs)/β1/γ2 7WUQ-ADGRG2-Gs/β1/γ2 7XKF-ADGRG2-Dehydroepiandrosterone-Gs/β1/γ2
10.00Consensusadgrg2_on_gpOrthosteric Ligand7WUI-ADGRG2-IP15-chim(NtGi1-Gs)/β1/γ2 7WUQ-ADGRG2-Gs/β1/γ2 7XKF-ADGRG2-Dehydroepiandrosterone-Gs/β1/γ2
10.00Consensusadrenergic_offOrthosteric Ligandalpha_off beta_off
10.00Consensusadrenergic_on_gpOrthosteric Ligandalpha_on_gp beta_on_gp
10.00Consensusalpha2c_offOrthosteric Ligand6KUW-α2c-PubChem 57213234
10.00Consensusalpha_offOrthosteric Ligandalpha1_off alpha2_off
10.00Consensusamine_offOrthosteric Ligand5ht_off adrenergic_off dopamine_off histamine_off muscarinic_off
10.00Consensusamine_offonOrthosteric Ligandamine_off amine_on
10.00Consensusamine_offon_gpOrthosteric Ligandamine_on_gp amine_off
10.00Consensusamine_onOrthosteric Ligand5ht_on adrenergic_on dopamine_on histamine_on muscarinic_on trace-amine_on
10.00Consensusbeta2_offOrthosteric Ligand2RH1-β2-Carazolol 6PS3-β2-Carvedilol 6PS5-β2-Propranolol 3D4S-β2-Timolol 3NY8-β2-ICI118-551 3NY9-β2-PubChem 913103 6PRZ-β2-Alprenolol
10.00Consensusbeta_offOrthosteric Ligandbeta1_off beta2_off
10.00Consensusd2_onOrthosteric Ligand7JVR-D2-Bromoergocryptine-Gi1/β1/γ2 8IRS-D2-Rotigotine-Gi1/β1/γ2
10.00Consensusfpr1-alx_onOrthosteric Ligand7VFX-FPR1-ALX-fMIFL-Gi1/β1/γ2
10.00Consensusfpr1-alx_on_gpOrthosteric Ligand7VFX-FPR1-ALX-fMIFL-Gi1/β1/γ2
10.00Consensusgi_adrenergicOrthosteric Ligand7EJ0-α2a-Norepinephrine-Go/β1/γ2 7EJK-α2a-Oxymetazoline-Go/β1/γ2 7W7E-α2a-PubChem 164946676-Go/β1/γ2 7W6P-α2a-N-pyridin-4-ylisoquinolin-4-amine-Go/β1/γ2 7EJ8-α2a-Brimonidine-Go/β1/γ2 6K42-α2b-Dexmedetomidine-Gi1/β1/γ2 7EJA-α2a-Dexmedetomidine-Go/β1/γ2 7S0F-β1-Isoprenaline-Gi1/β1/γ2
10.00Consensusp2y10_on_gpOrthosteric Ligand8KGG-P2Y10-Lysophosphatidylserine (WJS)-chim(NtGi2-G13)/β1/γ2
9.68Single6PB1Urocortin6PB1-CRF2-Urocortin-chim(NtGi1-Gs)/β1/γ2
9.68Single8KGGLysophosphatidylserine (WJS)8KGG-P2Y10-Lysophosphatidylserine (WJS)-chim(NtGi2-G13)/β1/γ2
9.52Single3SN6BI1671073SN6-β2-BI167107-Gs/β1/γ2
9.52Single3UON3-quinuclidinyl-benzilate3UON-M2-3-quinuclidinyl-benzilate
9.52Single5D5ACarazolol5D5A-β2-Carazolol
9.52Single5D5BCarazolol5D5B-β2-Carazolol
9.52Single5ZBHBMS-1938855ZBH-Y1-BMS-193885
9.52Single5ZHPPubChem 1348285895ZHP-M3-PubChem 134828589
9.52Single6DDEDAMGO6DDE-μ-DAMGO-Gi1/β1/γ2
9.52Single6H7JIsoprenaline6H7J-β1-Isoprenaline
9.52Single6J21Aprepitant6J21-NK1-Aprepitant
9.52Single6KO5PubChem 574000026KO5-Ghrelin-PubChem 57400002
9.52Single6NI3BI1671076NI3-β2-BI167107-Gs/β1/γ2
9.52Single6O3CCholesterol6O3C-SMO-SAG21k-Cholesterol
9.52Single6RZ5Zafirlukast6RZ5-CysLT1-Zafirlukast-Na
9.52Single6WGTLSD6WGT-5-HT2A-LSD
9.52Single7B6WCyclazosin7B6W-α1b-Cyclazosin
9.52Single7CKYPW04647CKY-D1-PW0464-Gs/β1/γ2
9.52Single7E2ZAripiprazole7E2Z-5-HT1A-Aripiprazole-PtdIns4P-Gi1/β1/γ2
9.52Single7EW1Siponimod7EW1-S1P5-Siponimod-Gi1/β1/γ2
9.52Single7EW7SEW28717EW7-S1P1-SEW2871-Gi1/β1/γ2
9.52Single7JJOIsoprenaline7JJO-β1-Isoprenaline-Gs/β1/γ2
9.52Single7JV5SKF812977JV5-D1-SKF81297-Gs/β1/γ2
9.52Single7W6PN-pyridin-4-ylisoquinolin-4-amine7W6P-α2a-N-pyridin-4-ylisoquinolin-4-amine-Go/β1/γ2
9.52Single7W7EPubChem 1649466767W7E-α2a-PubChem 164946676-Go/β1/γ2
9.52Single7WV9CP559407WV9-CB1-CP55940-ZCZ011-Gi2/β1/γ2
9.52Single7XAVLanreotide7XAV-SST2-Lanreotide-Gi1/β1/γ2
9.52Single7XY7NECA7XY7-A2B-NECA-chim(NtGi1-Gs)/β1/γ2
9.52Single8GDBPGE28GDB-EP4-PGE2-Gs/β1/γ2
9.52Single8HPTC5a (C-terminal peptide)8HPT-C5a1-C5a (C-terminal peptide)-Go/β1/γ2
9.52Single8IRVRotigotine8IRV-D5-Rotigotine-chim(NtGi1-Gs)/β1/γ2
9.52Single8IUKPGF2-alpha8IUK-FP-alpha-PGF2-α-chim(NtGi1-Gs-CtGq)/β1/γ2
9.52Single8JLPRalmitaront8JLP-TA1-Ralmitaront-Gs/β1/γ2
9.52Single8JXVClozapine8JXV-H4-Clozapine-Gi1/β1/γ2
9.52Single8JXWVUF68848JXW-H4-VUF6884-Gi1/β1/γ2
9.52Single8T1VPubChem 1183102098T1V-GPR6-PubChem 118310209-Na
9.52Single8VVEnorBNI8VVE-κ-norBNI-Gi1/β1/γ2
9.52Single8WU1MDMB-Fubinaca8WU1-CB1-MDMB-Fubinaca-Arrestin2
9.52Single8X79MRE-2698X79-I2-MRE-269-Gs/β1/γ2
9.52Single8XBIPubChem 1626566368XBI-GPR34-PubChem 162656636
9.52Single8XJMLatanoprost8XJM-FP-alpha-Latanoprost-chim(NtGi2-Gs-CtGq)/β1/γ2
9.52Single8XZICMF-0198XZI-Apelin; Apelin-CMF-019-Gi1/β1/γ2
9.52Single9AYFCa; Ca; Ca; Cyclomethyltryptophan; R-568; PO49AYF-CaS; CaS-Ca-Ca; Ca; Ca; Cyclomethyltryptophan; R-568; PO4-Gi1/β1/γ2
9.52Single9B65MDMB-Fubinaca9B65-CB1-MDMB-Fubinaca-Gi1/β1/γ2
9.52Single9BS9LSD9BS9-D2-LSD
9.52Single9BSBLSD9BSB-D2-LSD-chim(NtGi1-Go)/β1/γ2
9.52Single9E9SPGD29E9S-DP1-PGD2-Gs/β1/γ1
9.52Single9I54PubChem 1764520919I54-D1-PubChem 176452091-Gs/β1/γ2
9.52Single9IK9Lanreotide9IK9-SST1-Lanreotide-Gi1/β1/γ2
9.52Single9ITELPA9ITE-LPA6-LPA-chim(NtGi2-G13)/β1/γ2
9.52Consensus5ht_offOrthosteric Ligand5ht2_off 5ht1_off
9.52Consensusamine_on_gpOrthosteric Ligand5ht_on_gp adrenergic_on_gp dopamine_on_gp histamine_on_gp muscarinic_on_gp trace-amine_on_gp
9.52Consensusbeta1_offOrthosteric Ligand2VT4-β1-Cyanopindolol 2YCW-β1-Carazolol 2YCZ-β1-Iodocyanopindolol 5A8E-β1-7-Methylcyanopindolol-Na 3ZPQ-β1-PubChem 594590-Na 3ZPR-β1-PubChem 598754-Na
9.52Consensusbeta2_onOrthosteric Ligand7DHI-β2-Salbutamol-Gs/β1/γ2 6NI3-β2-BI167107-Gs/β1/γ2
9.52Consensusbeta2_on_gpOrthosteric Ligand7DHI-β2-Salbutamol-Gs/β1/γ2 6NI3-β2-BI167107-Gs/β1/γ2
9.52Consensusd5_on_gpOrthosteric Ligand8IRV-D5-Rotigotine-chim(NtGi1-Gs)/β1/γ2
9.52Consensusffa2_onOrthosteric Ligand8J22-FFA2-TUG-1375-Gi1/β1/γ2
9.52Consensusgi_5htOrthosteric Ligand8FYT-5-HT1A-LSD-PtdIns4P-Gi1/β1/γ1 7UM7-5-HT5A-Methylergometrine-chim(NtGi1-Go)/β1/γ2 8UGY-5-HT1E-Mianserin-Gi1/β1/γ1 8W8B-5-HT1A-SEP-363856-Gi1/β1/γ2 7E2Y-5-HT1A-Serotonin-PtdIns4P-Gi1/β1/γ2 7E32-5-HT1D-Serotonin-Gi1/β1/γ2 7XTA-5-HT4-Serotonin-Gi1/β1/γ2 8UH3-5-HT1E-Setiptiline-Gi1/β1/γ1 8JSP-5-HT1A-Ulotaront-Gi1/β1/γ2 8FYL-5-HT1A-Vilazodone-PtdIns4P-Gi1/β1/γ1 8JT6-5-HT1A-(R)-IHCH-7179-PtdIns4P-Gi1/β1/γ2 8FYE-5-HT1A-4-F,5-MeO-PyrT-PtdIns4P-Gi1/β1/γ1 7X5H-5-HT5A-5-CT-Gi1/β1/γ2 8FY8-5-HT1A-5-MeO-DMT-PtdIns4P-Gi1/β1/γ1 7E2Z-5-HT1A-Aripiprazole-PtdIns4P-Gi1/β1/γ2 7E33-5-HT1E-BRL-54443-Gi1/β1/γ2 8FYX-5-HT1A-Buspirone-PtdIns4P-Gi1/β1/γ1 7EXD-5-HT1F-Lasmiditan-Gi1/β1/γ2 7UM6-5-HT5A-Lisuride-chim(NtGi1-Go)/β1/γ2
9.52Consensusgi_dopamineOrthosteric Ligand7JVR-D2-Bromoergocryptine-Gi1/β1/γ2 7CMV-D3-PD128907-Gi1/β1/γ2 7CMU-D3-Pramipexole-Gi1/β1/γ2 8IRS-D2-Rotigotine-Gi1/β1/γ2 8IRT-D3-Rotigotine-Gi1/β1/γ2
9.52Consensusnpy_offOrthosteric Ligandnpy1_off npy2_off
9.52Consensuss1p5_onOrthosteric Ligand7EW1-S1P5-Siponimod-Gi1/β1/γ2
9.52Consensuss1p5_on_gpOrthosteric Ligand7EW1-S1P5-Siponimod-Gi1/β1/γ2
9.09Single3D4STimolol3D4S-β2-Timolol
9.09Single3VW7Vorapaxar; Na3VW7-PAR1-Vorapaxar; Na
9.09Single4AMIBucindolol4AMI-β1-Bucindolol
9.09Single4OR2FITM4OR2-mGlu1; mGlu1-FITM
9.09Single4PXFOctyl-Beta-D-Glucopyranoside4PXF-Rhodopsin-Octyl-β-D-Glucopyranoside-Arrestin1 Finger Loop
9.09Single4PXZ2MeSADP4PXZ-P2Y12-2MeSADP
9.09Single4PY02MeSATP4PY0-P2Y12-2MeSATP
9.09Single4RWADIPP-NH24RWA-δ-DIPP-NH2
9.09Single5F8UCyanopindolol5F8U-β1-Cyanopindolol
9.09Single6A93Risperidone6A93-5-HT2A-Risperidone
9.09Single6CM4Risperidone6CM4-D2-Risperidone
9.09Single6DRYMethylergometrine6DRY-5-HT2B-Methylergometrine
9.09Single6H7OCyanopindolol6H7O-β1-Cyanopindolol
9.09Single6IIURamatroban6IIU-TXA2-Ramatroban
9.09Single6RZ7ONO-25703666RZ7-CysLT2-ONO-2570366
9.09Single6VMSBromoergocryptine6VMS-D2-Bromoergocryptine-Gi1/β1/γ2
9.09Single6XBLCholesterol6XBL-SMO-SAG-Cholesterol-Gi1/β1/γ2
9.09Single7DD6Ca7DD6-CaS; CaS-Ca-Ca; Ca; Tryptophan
9.09Single7DD6Ca; Ca; Tryptophan7DD6-CaS; CaS-Ca-Ca; Ca; Tryptophan
9.09Single7DD6Ca7DD6-CaS; CaS-Ca-Ca; Ca; Tryptophan
9.09Single7DD6Ca; Ca; Tryptophan7DD6-CaS; CaS-Ca-Ca; Ca; Tryptophan
9.09Single7DD7Ca7DD7-CaS; CaS-Ca-Ca; Ca; Tryptophan; Evocalcet
9.09Single7DD7Ca; Ca; Tryptophan; Evocalcet7DD7-CaS; CaS-Ca-Ca; Ca; Tryptophan; Evocalcet
9.09Single7DD7Ca7DD7-CaS; CaS-Ca-Ca; Ca; Tryptophan; Evocalcet
9.09Single7DD7Ca; Ca; Tryptophan; Evocalcet7DD7-CaS; CaS-Ca-Ca; Ca; Tryptophan; Evocalcet
9.09Single7EXDLasmiditan7EXD-5-HT1F-Lasmiditan-Gi1/β1/γ2
9.09Single7MTRADX551647MTR-mGlu2; mGlu2-Glutamate-ADX55164
9.09Single7SUSPubChem 1227019087SUS-Apelin-PubChem 122701908
9.09Single7W0LPubChem 1227019087W0L-Apelin; Apelin-PubChem 122701908-Gi1/β1/γ2
9.09Single7W0LPubChem 1227019087W0L-Apelin; Apelin-PubChem 122701908-Gi1/β1/γ2
9.09Single7WCMMBX-29827WCM-GPR119-MBX-2982-Gs/β1/γ2
9.09Single7WCNAR2314537WCN-GPR119-AR231453-Gs/β1/γ2
9.09Single7XW9TRH7XW9-TRH-TRH-chim(NtGi1L-Gs-CtGq)/β1/γ2
9.09Single7YMJTamsulosin7YMJ-Alpha1A-Tamsulosin
9.09Single8DWCBAM8-228DWC-MRGPRX1-BAM8-22-chim(NtGi2L-Gs-CtGq)/β1/γ2
9.09Single8FYE4-F,5-MeO-PyrT8FYE-5-HT1A-4-F,5-MeO-PyrT-PtdIns4P-Gi1/β1/γ1
9.09Single8FYTLSD8FYT-5-HT1A-LSD-PtdIns4P-Gi1/β1/γ1
9.09Single8G056-OAU8G05-GPR84-6-OAU-Gi1/β1/γ2
9.09Single8IQ6Latanoprost8IQ6-FP-alpha-Latanoprost-chim(NtGi1-Gs-CtGq)/β1/γ2
9.09Single8SZFCa; Ca; Tryptophan; Cinacalcet; PO4; Spermine8SZF-CaS; CaS-Ca; Ca; Tryptophan; Cinacalcet; PO4; Spermine
9.09Single8SZFCa; Ca; Tryptophan; Cinacalcet; PO4; Spermine8SZF-CaS; CaS-Ca; Ca; Tryptophan; Cinacalcet; PO4; Spermine
9.09Single8VHFMBX-29828VHF-GPR119-MBX-2982-Gs/β1/γ2
9.09Single8XJNCloprosetnol8XJN-TXA2-Cloprosetnol-chim(NtGi1-Gs-CtGq)/β1/γ2
9.09Single8XQNCholesterol8XQN-TAS2R14-Cholesterol-Aristolochic acid A-Gi1/β1/γ1
9.09Single9ASBCa9ASB-CaS; CaS-Ca-Ca; Ca; Cyclomethyltryptophan; R-568; PO4-chim(NtGi1-Gs-CtGq)/β1/γ2
9.09Single9ASBCa; Ca; Cyclomethyltryptophan; R-568; PO49ASB-CaS; CaS-Ca-Ca; Ca; Cyclomethyltryptophan; R-568; PO4-chim(NtGi1-Gs-CtGq)/β1/γ2
9.09Single9AU0BW245C9AU0-DP1-BW245C-Gs/β1/γ2
9.09Single9AVGCa9AVG-CaS; CaS-Ca-Ca; Ca; Cyclomethyltryptophan; R-568; PO4-chim(NtGi1-Gs)/β1/γ2
9.09Single9AVGCa; Ca; Cyclomethyltryptophan; R-568; PO49AVG-CaS; CaS-Ca-Ca; Ca; Cyclomethyltryptophan; R-568; PO4-chim(NtGi1-Gs)/β1/γ2
9.09Single9AYFCa9AYF-CaS; CaS-Ca-Ca; Ca; Ca; Cyclomethyltryptophan; R-568; PO4-Gi1/β1/γ2
9.09Single9AYFCa; Ca; Ca; Cyclomethyltryptophan; R-568; PO49AYF-CaS; CaS-Ca-Ca; Ca; Ca; Cyclomethyltryptophan; R-568; PO4-Gi1/β1/γ2
9.09Single9GGGI-BOP9GGG-TXA2-I-BOP-chim(NtGi2L-Gs-CtGq)/β1/γ2
9.09Single9GL2Befiradol9GL2-5-HT1A-Befiradol-Gs/β1/γ2
9.09Single9KVG5-MeO-DMT9KVG-5-HT1A-5-MeO-DMT-PtdIns4P-Gi1/β1/γ2
9.09Single9M8POleic monoethanolamide9M8P-GPR3 ; GPR3-Oleic monoethanolamide-AF64394
9.09Single9VJ6F-155999VJ6-5-HT1A-F-15599-Gi3/β1/γ2
9.09Single9WSWEndomorphin9WSW-μ-Endomorphin-chim(NtGi1-Gz)/β1/γ2
9.09Single9WXMGPR15L(CT)9WXM-GPR15-GPR15L(CT)-Gi3/β1/γ2
9.09Single9YDQDADLE9YDQ-δ-DADLE-MIPS3614-chim(NtGi1L-Gs-CtGi1)/β1/γ2
9.09Single9YDUUDP-Glucose9YDU-P2Y14-UDP-Glucose-Gi1/β1/γ2
9.09Consensus5ht1f_onOrthosteric Ligand7EXD-5-HT1F-Lasmiditan-Gi1/β1/γ2
9.09Consensus5ht1f_on_gpOrthosteric Ligand7EXD-5-HT1F-Lasmiditan-Gi1/β1/γ2
9.09Consensusalpha1_offOrthosteric Ligandalpha1a_off
9.09Consensusalpha1a_offOrthosteric Ligand7YMJ-Alpha1A-Tamsulosin
9.09Consensuscb1_onOrthosteric Ligand6KPG-CB1-AM841-Gi1/β1/γ2 8K8J-CB1-Fenofibrate-chim(Gs-CtGq)/β1/γ2
9.09Consensusclass-b2_onOrthosteric Ligandadgrg_on adgrf_on adgrl_on adgre_on adgrd_on
9.09Consensusclass-b2_on_gpOrthosteric Ligandadgrg_on_gp adgrf_on_gp adgrl_on_gp adgre_on_gp adgrd_on_gp
9.09Consensusd2_on_gpOrthosteric Ligand7JVR-D2-Bromoergocryptine-Gi1/β1/γ2 8IRS-D2-Rotigotine-Gi1/β1/γ2
9.09Consensusffa2_on_gpOrthosteric Ligand8J22-FFA2-TUG-1375-Gi1/β1/γ2
9.09Consensuskop_onOrthosteric Ligand8F7W-κ-Dynorphin-Gi1/β1/γ2 8DZS-κ-GR89,696-chim(NtGi2-Gz)/β1/γ2 8DZP-κ-momSalB-Gi1/β1/γ2
9.09Consensusm4_onOrthosteric Ligand7TRS-M4-Acetylcholine-Gi1/β1/γ2 7V6A-M4-PubChem 9864275-Gi1/β1/γ2 8E9X-M4-2-Deoxycytidine-chim(NtGi1-Go)/β1/γ2 7TRK-M4-Iperoxo-Gi1/β1/γ2
9.09Consensusm4_on_gpOrthosteric Ligand7TRS-M4-Acetylcholine-Gi1/β1/γ2 7V6A-M4-PubChem 9864275-Gi1/β1/γ2 8E9X-M4-2-Deoxycytidine-chim(NtGi1-Go)/β1/γ2 7TRK-M4-Iperoxo-Gi1/β1/γ2
9.09Consensusmop_onOrthosteric Ligand8F7R-μ-Endomorphin-Gi1/β1/γ2 8EF5-μ-Fentanyl-Gi1/β1/γ2 7SCG-μ-FH210-Gi1/β1/γ2 7T2H-μ-Lofentanil-Gi1/β1/γ2 7T2G-μ-Mitragynine Pseudoindoxyl-Gi1/β1/γ2 8EF6-μ-Morphine-Gi1/β1/γ2 8EFB-μ-Oliceridine-Gi1/β1/γ2 7U2L-μ-C5-guano-Gi1/β1/γ2 8EFO-μ-PZM21-Gi1/β1/γ2 8EFL-μ-SR17018-Gi1/β1/γ2 8F7Q-μ-β-Endorphin-Gi1/β1/γ2 7U2K-μ-C6-guano-Gi1/β1/γ2 8EFQ-μ-DAMGO-Gi1/β1/γ2
9.09Consensusmop_on_gpOrthosteric Ligand8F7R-μ-Endomorphin-Gi1/β1/γ2 8EF5-μ-Fentanyl-Gi1/β1/γ2 7SCG-μ-FH210-Gi1/β1/γ2 7T2H-μ-Lofentanil-Gi1/β1/γ2 7T2G-μ-Mitragynine Pseudoindoxyl-Gi1/β1/γ2 8EF6-μ-Morphine-Gi1/β1/γ2 8EFB-μ-Oliceridine-Gi1/β1/γ2 7U2L-μ-C5-guano-Gi1/β1/γ2 8EFO-μ-PZM21-Gi1/β1/γ2 8EFL-μ-SR17018-Gi1/β1/γ2 8F7Q-μ-β-Endorphin-Gi1/β1/γ2 7U2K-μ-C6-guano-Gi1/β1/γ2 8EFQ-μ-DAMGO-Gi1/β1/γ2
9.09Consensusopioid_offOrthosteric Ligandmop_off nop_off dop_off kop_off
9.09Consensusorexin_onOrthosteric Ligandox2_on
9.09Consensustrh_onOrthosteric Ligand7XW9-TRH-TRH-chim(NtGi1L-Gs-CtGq)/β1/γ2
9.09Consensustrh_on_gpOrthosteric Ligand7XW9-TRH-TRH-chim(NtGi1L-Gs-CtGq)/β1/γ2
8.70Single4OR2FITM4OR2-mGlu1; mGlu1-FITM
8.70Single6BQHRitanserin6BQH-5-HT2C-Ritanserin
8.70Single6DDFDAMGO6DDF-μ-DAMGO-Gi1/β1/γ2
8.70Single6RZ9ONO-27703726RZ9-CysLT2-ONO-2770372
8.70Single7CX4Evatanepag7CX4-EP2-Evatanepag-Gs/β1/γ2
8.70Single7JVRBromoergocryptine7JVR-D2-Bromoergocryptine-Gi1/β1/γ2
8.70Single7MTSADX551647MTS-mGlu2; mGlu2-Glutamate-ADX55164-Gi1/β1/γ2
8.70Single7QVMOxytocin7QVM-OT-Oxytocin-chim(NtGi1-Go-CtGq)/β1/γ2
8.70Single7SK7CCX6627SK7-ACKR3-CXCL12-CCX662
8.70Single7SK8CCX6627SK8-ACKR3-CXCL12-CCX662
8.70Single7X2DTavapadon7X2D-D1-Tavapadon-Gs/β1/γ2
8.70Single8E9X2-Deoxycytidine8E9X-M4-2-Deoxycytidine-chim(NtGi1-Go)/β1/γ2
8.70Single8FX5Xanomeline8FX5-M4-Xanomeline-Xanomeline-Gi1/β1/γ2
8.70Single8J19LY2378J19-GPR84-LY237-Gi1/β1/γ2
8.70Single8S2TIsoprenaline8S2T-β1-Isoprenaline-chim(NtGi1-Gs)/β1/γ2
8.70Single8T3OTUG-8918T3O-FFA4-TUG-891-chim(NtGi2L-Gs-CtGq)/β1/γ2
8.70Single8XIOL7975918XIO-SST1-L797591-chim(NtGi1-Gs-CtGi1)/β1/γ2
8.70Single8XJKCloprosetnol8XJK-FP-alpha-Cloprosetnol-chim(NtGi1-Gs-CtGq)/β1/γ2
8.70Single8XJOU466198XJO-TXA2-U46619-chim(NtGi1-Gs-CtGq)/β1/γ2
8.70Single9AS02-bromo-LSD9AS0-5-HT2A-2-bromo-LSD-chim(NtGi1-Gs-CtGq)/β1/γ2
8.70Single9CGJC6-Quino9CGJ-δ-C6-Quino-Gi1/β1/γ2
8.70Single9DYEBuspirone9DYE-5-HT1A-Buspirone-PtdIns4P-Go/β1/γ2
8.70Single9EAILosartan9EAI-AT1-Losartan-Nanobody AT209
8.70Single9GG5U466199GG5-TXA2-U46619-chim(NtGi2L-Gs-CtGq)/β1/γ2
8.70Single9JH5C16:0 Ceramide9JH5-CysLT2-C16:0 Ceramide-chim(NtGi1-Gs-CtGq)/β1/γ2
8.70Single9M54Neuropeptide-VF9M54-NPFF2-Neuropeptide-VF-Gi1/β1/γ2
8.70Single9YDPDADLE9YDP-δ-DADLE-chim(NtGi1L-Gs-CtGi1)/β1/γ2
8.70Single9YDRDADLE9YDR-δ-DADLE-MIPS3983-chim(NtGi1L-Gs-CtGi1)/β1/γ2
8.70Consensus5ht2c_offOrthosteric Ligand6BQH-5-HT2C-Ritanserin
8.70Consensuscyslt2_offOrthosteric Ligand6RZ7-CysLT2-ONO-2570366 6RZ8-CysLT2-ONO-2080365 6RZ9-CysLT2-ONO-2770372
8.70Consensusd2_offOrthosteric Ligand6CM4-D2-Risperidone 6LUQ-D2-Haloperidol 7DFP-D2-Spiperone
8.70Consensuskop_on_gpOrthosteric Ligand8F7W-κ-Dynorphin-Gi1/β1/γ2 8DZS-κ-GR89,696-chim(NtGi2-Gz)/β1/γ2 8DZP-κ-momSalB-Gi1/β1/γ2
8.70Consensusorexin_on_gpOrthosteric Ligandox2_on_gp
8.70Consensusprostanoid_onOrthosteric Ligandtp_on fp-alpha_on
8.70Consensusprostanoid_on_gpOrthosteric Ligandtp_on_gp fp-alpha_on_gp
8.70Consensustp_onOrthosteric Ligand8XJO-TXA2-U46619-chim(NtGi1-Gs-CtGq)/β1/γ2
8.70Consensustp_on_gpOrthosteric Ligand8XJO-TXA2-U46619-chim(NtGi1-Gs-CtGq)/β1/γ2
8.33Single6PT3DPI-2876PT3-δ-DPI-287
8.33Single6RZ6ONO-25703666RZ6-CysLT2-ONO-2570366
8.33Single7CX2PGE27CX2-EP2-PGE2-Gs/β1/γ2
8.33Single7KNUCalcitonin gene-related peptide-17KNU-CT Like-Calcitonin gene-related peptide-1-RAMP1
8.33Single7S8LCortistatin-147S8L-MRGPRX2-Cortistatin-14-chim(NtGi2L-Gs-CtGq)/β1/γ2
8.33Single7T9MCS-17 Antibody7T9M-TSH-CS-17 Antibody
8.33Single8H4IDoconexent8H4I-FFA4-Doconexent-chim(NtGi1-Gs)/β1/γ2
8.33Single8J22TUG-13758J22-FFA2-TUG-1375-Gi1/β1/γ2
8.33Single8TLMAnti-murine CCR8 antibody8TLM-CCR8-Anti-murine CCR8 antibody
8.33Single8X5YAstemizole8X5Y-H1-Astemizole
8.33Single8XQLCholesterol8XQL-TAS2R14-Cholesterol-Aristolochic acid A-Gt3/β1/γ1
8.33Single8XQOCholesterol8XQO-TAS2R14-Cholesterol-Aristolochic acid A-Gi1/β1/γ1
8.33Single8Y72Peptide8Y72-μ-Peptide-BMS-986122-Gi1/β1/γ2
8.33Single9CGKC5-Quino9CGK-δ-C5-Quino-Gi1/β1/γ2
8.33Single9ITBLPA9ITB-LPA6-LPA-chim(NtGi1-Gs-CtGq)/β1/γ2
8.33Single9JF4PD1683689JF4-BB1-PD168368
8.33Single9JH6C20:0 Ceramide9JH6-CysLT2-C20:0 Ceramide-chim(NtGi1-Gs-CtGq)/β1/γ2
8.33Single9MD1Buspirone9MD1-5-HT1A-Buspirone-PtdIns4P-Gz/β1/γ2
8.33Consensuskiss1_onOrthosteric Ligand8ZJD-Kiss1-Kisspeptin-1-chim(NtGi1-Gq)/β1/γ1
8.33Consensuskisspeptin_onOrthosteric Ligandkiss1_on
8.00Single4AMJCarvedilol4AMJ-β1-Carvedilol
8.00Single6RZ8ONO-20803656RZ8-CysLT2-ONO-2080365
8.00Single7CX3Taprenepag7CX3-EP2-Taprenepag-Gs/β1/γ2
8.00Single7QA8Antagonist Peptide7QA8-STE2; STE2-Antagonist Peptide
8.00Single7QA8Antagonist Peptide7QA8-STE2; STE2-Antagonist Peptide
8.00Single7XMRSomatostatin-147XMR-SST2-Somatostatin-14-Gi1/β1/γ2
8.00Single8DWGBAM8-228DWG-MRGPRX1-BAM8-22-ML382-chim(NtGi2L-Gs-CtGq)/β1/γ2
8.00Single8KIGSHU91198KIG-MC3-SHU9119-Ca
8.00Single8PKMBefiradol8PKM-5-HT1A-Befiradol-Gi1/β1/γ1
8.00Single8ZJDKisspeptin-18ZJD-Kiss1-Kisspeptin-1-chim(NtGi1-Gq)/β1/γ1
8.00Single9J0IUDP-Glucuronic acid9J0I-P2Y14-UDP-Glucuronic acid-Gi1/β1/γ2
8.00Single9UYLChemerin-99UYL-CML2-Chemerin-9-Arrestin2
8.00Consensusgq_kisspeptinOrthosteric Ligand8ZJD-Kiss1-Kisspeptin-1-chim(NtGi1-Gq)/β1/γ1
8.00Consensuskiss1_on_gpOrthosteric Ligand8ZJD-Kiss1-Kisspeptin-1-chim(NtGi1-Gq)/β1/γ1
8.00Consensuskisspeptin_on_gpOrthosteric Ligandkiss1_on_gp
7.69Single6O3CCholesterol6O3C-SMO-SAG21k-Cholesterol
7.69Single7DDZJNJ-310200287DDZ-Y2-JNJ-31020028
7.69Single7FIGhCG7FIG-LH-hCG-chim(NtGi1L-Gs)/β1/γ2
7.69Single7UTZTSH7UTZ-TSH-TSH-DPPC-Gs/β1/γ2
7.69Single7XW5TSH7XW5-TSH-TSH-ML109-Gs/β1/γ2
7.69Single7ZI0Cholesterol7ZI0-SMO-SAG-Cholesterol
7.69Single8IEBPubChem 1347468948IEB-GPR156; GPR156-PubChem 134746894
7.69Single8WCBCyclohexylammonium Ion8WCB-TA1-Cyclohexylammonium Ion-chim(NtGi1-Gs-CtGq)/β1/γ2
7.69Single8WCCCyclohexylammonium Ion8WCC-TA1-Cyclohexylammonium Ion
7.69Consensusnpy2_offOrthosteric Ligand7DDZ-Y2-JNJ-31020028
7.41Single8K6MNeuropeptide-Y8K6M-Y1-Neuropeptide-Y-Gi2/β1/γ1
7.41Consensusnpy1_onOrthosteric Ligand8K6M-Y1-Neuropeptide-Y-Gi2/β1/γ1
7.41Consensusnpy1_on_gpOrthosteric Ligand8K6M-Y1-Neuropeptide-Y-Gi2/β1/γ1
7.14Single5L7DCholesterol5L7D-SMO-Cholesterol
7.14Single7T9ITSH7T9I-TSH-TSH-Gs/β1/γ2
7.14Single7WUIIP157WUI-ADGRG2-IP15-chim(NtGi1-Gs)/β1/γ2
7.14Single7XKDDehydroepiandrosterone7XKD-ADGRG2-Dehydroepiandrosterone-Gs/β1/γ2
7.14Single8I2GFSH8I2G-FSH-FSH-PubChem 67530240-Gs/β1/γ2
7.14Single8IEDPubChem 1347468948IED-GPR156; GPR156-PubChem 134746894-Go/β1/γ2
7.14Single8IEDPubChem 1347468948IED-GPR156; GPR156-PubChem 134746894-Go/β1/γ2
7.14Single8X9S5alpha-DHT8X9S-ADGRD1-5α-DHT-chim(NtGi1-Gs)/β1/γ2
7.14Single9IV25alpha-DHT9IV2-ADGRD1-5α-DHT-chim(NtGi1-Gs)/β1/γ2
6.90Single7QBIAlpha-factor mating pheromone7QBI-STE2; STE2-α-factor mating pheromone
6.90Single7XV3Lysophosphatidylserine (WJS)7XV3-GPR174-Lysophosphatidylserine (WJS)-chim(NtGi1-Gs)/β1/γ2
6.67Single3OE8IT1t3OE8-CXCR4-IT1t
6.67Single7DD5Ca; Ca; Tryptophan; NPS-21437DD5-CaS; CaS-Ca-Ca; Ca; Tryptophan; NPS-2143
6.67Single7MTBAll-trans-Retinal7MTB-Rhodopsin-All-trans-Retinal-GRK1
6.67Single7QBIAlpha-factor mating pheromone7QBI-STE2; STE2-α-factor mating pheromone
6.67Single7VDMSubstance-P7VDM-MRGPRX2-Substance-P-Gi1/β1/γ2
6.67Single8DPHLorcaserin8DPH-5-HT2C-Lorcaserin-chim(NtGi2L-Gs-CtGq)/β1/γ2
6.67Single8WC5Tetramethylammonium Ion8WC5-TA1-Tetramethylammonium Ion-chim(NtGi1-Gs)/β1/γ2
6.67Single8Y02All-trans-Retinal8Y02-OPN1SW-All-trans-Retinal-Gi1/β1/γ2
6.67Single9C2FCa; Ca; Tryptophan; '54149; PO49C2F-CaS; CaS-Ca-Ca; Ca; Tryptophan; '54149; PO4
6.67Single9CHUNorepinephrine9CHU-β2-Norepinephrine
6.67Single9IVMLSN33188399IVM-GLP-1-GLP-1 (Truncated)-LSN3318839-chim(NtGi1-Gs)/β2/γ2
6.67Single9M42A1L8O9M42-GPR139-A1L8O-chim(Gs-CtGq)/β1/γ2
6.67Consensusopsins_onOrthosteric Ligandrhodopsin_on opsin1lw_on
6.67Consensussensory_onOrthosteric Ligandopsins_on
6.45Single7AD3Alpha-factor mating pheromone7AD3-STE2; STE2-α-factor mating pheromone-Gi1/STE4/γ2
6.45Single7QBCAlpha-factor mating pheromone7QBC-STE2; STE2-α-factor mating pheromone
6.25Single2J4Y11-cis-Retinal2J4Y-Rhodopsin-11-cis-Retinal
6.25Single6FK9PubChem 1324730366FK9-Rhodopsin-PubChem 132473036
6.25Single6FUFAll-trans-Retinal6FUF-Rhodopsin-All-trans-Retinal-Go
6.25Single7D77Hydrocortisone7D77-ADGRG3-Hydrocortisone-Go/β1/γ2
6.25Single7DD7Ca; Ca; Tryptophan; Evocalcet7DD7-CaS; CaS-Ca-Ca; Ca; Tryptophan; Evocalcet
6.25Single7EJKOxymetazoline7EJK-α2a-Oxymetazoline-Go/β1/γ2
6.25Single7F23Dopamine7F23-D1-Dopamine-GDP-Gs/β1/γ2
6.25Single7MT8All-trans-Retinal7MT8-Rhodopsin-All-trans-Retinal-GRK1
6.25Single7QBCAlpha-factor mating pheromone7QBC-STE2; STE2-α-factor mating pheromone
6.25Single7WC5Psilocin7WC5-5-HT2A-Psilocin
6.25Single8GGFConstrained Epinephrine8GGF-β2-Constrained Epinephrine-GTP-Gs/β1/γ2
6.25Single8ITFDMCHA8ITF-TAA9-DMCHA-chim(NtGi1-Gs)/β1/γ2
6.25Single8IU2All-trans-Retinal8IU2-Opsin1LW-All-trans-Retinal-Gi1/β1/γ2
6.25Single8J6QPubChem 251012238J6Q-HCA2-β-Hydroxybutyrate-PubChem 25101223-Gi1/β1/γ2
6.25Single8JXTHistamine8JXT-H4-Histamine-PO4-Gi1/β1/γ2
6.25Single8WC62-Phenylethylamine8WC6-TA1-2-Phenylethylamine-chim(NtGi1-Gs)/β1/γ2
6.25Single8WC9ZH86518WC9-TA1-ZH8651-chim(NtGi1-Gs-CtGq)/β1/γ2
6.25Single8X9UMetenolone8X9U-ADGRD1-Metenolone-chim(NtGi1-Gs)/β1/γ2
6.25Single8YN9Histamine8YN9-H4-Histamine-Gi1/β1/γ2
6.25Single8YUUHistamine8YUU-H3-Histamine-Gi1/β1/γ1
6.25Single9JG1Adriforant9JG1-H4-Adriforant
6.25Single9JKT(2R)-2-hydroxy-3-phenylpropanoic acid9JKT-HCA3-(2R)-2-hydroxy-3-phenylpropanoic acid-Gi1/β1/γ2
6.25Single9LRCHistamine9LRC-H4-Histamine
6.25Single9LREHistamine9LRE-H4-Histamine-Gi1/β1/γ2
6.25Consensus5ht2_onOrthosteric Ligand5ht2b_on
6.25Consensus5ht2b_onOrthosteric Ligand7SRR-5-HT2B-LSD-chim(NtGi2L-Gs-CtGq)/β1/γ2
6.25Consensusgi_opsinsOrthosteric Ligand8IU2-Opsin1LW-All-trans-Retinal-Gi1/β1/γ2
6.25Consensusgi_sensoryOrthosteric Ligandgi_opsins
6.25Consensush3_onOrthosteric Ligand8YUU-H3-Histamine-Gi1/β1/γ1
6.25Consensush3_on_gpOrthosteric Ligand8YUU-H3-Histamine-Gi1/β1/γ1
6.25Consensusopsin1lw_onOrthosteric Ligand8IU2-Opsin1LW-All-trans-Retinal-Gi1/β1/γ2
6.25Consensusopsin1lw_on_gpOrthosteric Ligand8IU2-Opsin1LW-All-trans-Retinal-Gi1/β1/γ2
6.25Consensusopsins_on_gpOrthosteric Ligandrhodopsin_on_gp opsin1lw_on_gp
6.25Consensusrhodopsin_onOrthosteric Ligand6OYA-Rhodopsin-All-trans-Retinal-Gt/β1/γ1
6.25Consensussensory_on_gpOrthosteric Ligandopsins_on_gp
5.88Single3AYMAll-trans-Retinal3AYM-Rhodopsin-All-trans-Retinal
5.88Single3PBLEticlopride3PBL-D3-Eticlopride
5.88Single6FK6PubChem 1324730336FK6-Rhodopsin-PubChem 132473033
5.88Single6HLLCP999946HLL-NK1-CP99994
5.88Single6PGSGeraniol6PGS-Rhodopsin-Geraniol-Gt(CT)
5.88Single6PH7Nerol6PH7-Rhodopsin-Nerol-Gt(CT)
5.88Single6QNOAll-trans-Retinal6QNO-Rhodopsin-All-trans-Retinal-Gi1/β1/γ1
5.88Single6TQ4PubChem 160468446TQ4-OX1-PubChem 16046844-Na
5.88Single7D76Beclomethasone7D76-ADGRG3-Beclomethasone-Go/β1/γ2
5.88Single7DD5Ca; Ca; Tryptophan; NPS-21437DD5-CaS; CaS-Ca-Ca; Ca; Tryptophan; NPS-2143
5.88Single7DD7Ca; Ca; Tryptophan; Evocalcet7DD7-CaS; CaS-Ca-Ca; Ca; Tryptophan; Evocalcet
5.88Single7S8NR-Zinc-35737S8N-MRGPRX2-R-Zinc-3573-chim(NtGi2L-Gs-CtGq)/β1/γ2
5.88Single7S8OR-Zinc-35737S8O-MRGPRX2-R-Zinc-3573-Gi1/β1/γ2
5.88Single7SRQLSD7SRQ-5-HT2B-LSD
5.88Single7XKFDehydroepiandrosterone7XKF-ADGRG2-Dehydroepiandrosterone-Gs/β1/γ2
5.88Single7XP6Strychnine7XP6-TAS2R46-Strychnine-chim(Gs-CtGt3)/β1/γ2
5.88Single7XTASerotonin7XTA-5-HT4-Serotonin-Gi1/β1/γ2
5.88Single7YFCHistamine7YFC-H4-Histamine-chim(NtGi1-Gs-CtGq)/β1/γ2
5.88Single7YFDImetit7YFD-H4-Imetit-chim(NtGi1-Gs-CtGq)/β1/γ2
5.88Single7YS6Serotonin7YS6-5-HT6-Serotonin-chim(NtGi1-Gs)/β1/γ2
5.88Single8DPFLorcaserin8DPF-5-HT2C-Lorcaserin-chim(NtGi2L-Gs-CtGq)/β1/γ2
5.88Single8HN8Histamine8HN8-H4-Histamine-Gi1/β1/γ2
5.88Single8J6PPubChem 251012238J6P-HCA2-Niacin-PubChem 25101223-Gi1/β1/γ2
5.88Single8JHYPubChem 251012238JHY-HCA2-PubChem 25101223-Gi1/β1/γ2
5.88Single8JIIPubChem 251012238JII-HCA2-Niacin-PubChem 25101223-Gi1/β1/γ2
5.88Single8JLOUlotaront8JLO-TA1-Ulotaront-Gs/β1/γ2
5.88Single8UO4Constrained Epinephrine8UO4-β2-Constrained Epinephrine-GTP; Mg-Gs/β1/γ2
5.88Single8W892-Phenylethylamine8W89-TA1-2-Phenylethylamine-chim(NtGi1L-Gs)/β1/γ2
5.88Single8WPUTryptophan; Cinacalcet; PO4; Ca8WPU-CaS; CaS-Tryptophan; Cinacalcet; PO4; Ca-chim(NtGi2L-Gs-CtGq)/β1/γ2
5.88Single8YN5Histamine8YN5-H3-Histamine-Gi1/β1/γ2
5.88Single8YN6Imetit8YN6-H3-Imetit-Gi1/β1/γ2
5.88Single8YN7Immethridine8YN7-H3-Immethridine-Go/β1/γ2
5.88Single9AS2DMT9AS2-5-HT2A-DMT-chim(NtGi1-Gs-CtGq)/β1/γ2
5.88Single9C1PCa; Tryptophan; '6218; PO49C1P-CaS; CaS-Ca-Ca; Tryptophan; '6218; PO4
5.88Single9EPRAll-trans-Retinal9EPR-Rhodopsin-All-trans-Retinal-Gi1/β1/γ2
5.88Single9IJEEpinephrine9IJE-β3-Epinephrine-chim(NtGi1-Gs)/β1/γ2
5.88Single9JEDHistamine9JED-H4-Histamine-PO4-Gi1/β1/γ2
5.88Single9JEQHistamine9JEQ-H3-Histamine-Gi1/β1/γ2
5.88Single9L3ZLRH7-C29L3Z-CML1-LRH7-C2
5.88Single9L42Histamine9L42-H4-Histamine-Gi1/β1/γ2
5.88Single9M88Oleic monoethanolamide9M88-GPR3 ; GPR3-Oleic monoethanolamide-AF64394
5.88Single9MBCAZ122160529MBC-mGlu8; mGlu8-DCPG-AZ12216052
5.88Single9MNIdC2_059MNI-CTLike-dC2_05-RAMP1
5.88Consensus5ht4_onOrthosteric Ligand7XTA-5-HT4-Serotonin-Gi1/β1/γ2
5.88Consensus5ht4_on_gpOrthosteric Ligand7XTA-5-HT4-Serotonin-Gi1/β1/γ2
5.88Consensusadgrg_onOrthosteric Ligandadgrg2_on adgrg4_on
5.88Consensusadgrg_on_gpOrthosteric Ligandadgrg2_on_gp adgrg4_on_gp
5.88Consensusd3_offOrthosteric Ligand3PBL-D3-Eticlopride
5.88Consensush4_onOrthosteric Ligand8HN8-H4-Histamine-Gi1/β1/γ2 8HOC-H4-Imetit-Gi1/β1/γ2 8JXV-H4-Clozapine-Gi1/β1/γ2 8JXW-H4-VUF6884-Gi1/β1/γ2 8JXX-H4-Clobenpropit-Gi1/β1/γ2
5.56Single2Z7311-cis-Retinal2Z73-Rhodopsin-11-cis-Retinal
5.56Single3AYN9-cis-Retinal3AYN-Rhodopsin-9-cis-Retinal
5.56Single4S0VSuvorexant4S0V-OX2-Suvorexant
5.56Single5WS3EMPA5WS3-OX2-EMPA
5.56Single6AKXA4R6AKX-CCR5-A4R
5.56Single6AKYMaraviroc6AKY-CCR5-Maraviroc
5.56Single6FKBPubChem 1324730386FKB-Rhodopsin-PubChem 132473038
5.56Single6KUYPubChem 1457046436KUY-α2a-PubChem 145704643
5.56Single6TODEMPA6TOD-OX1-EMPA-Na
5.56Single6TPJSuvorexant6TPJ-OX2-Suvorexant
5.56Single7EJ0Norepinephrine7EJ0-α2a-Norepinephrine-Go/β1/γ2
5.56Single7F1ODopamine7F1O-D1-Dopamine-GDP; Mg-Gs/β1/γ2
5.56Single7M3ECa; Ca; Tryptophan; NPS-21437M3E-CaS; CaS-Ca; Ca; Tryptophan; NPS-2143
5.56Single7M3ECa; Ca; Tryptophan; NPS-21437M3E-CaS; CaS-Ca; Ca; Tryptophan; NPS-2143
5.56Single7M3FCa; Ca; Tryptophan; Cinacalcet7M3F-CaS; CaS-Ca; Ca; Tryptophan; Cinacalcet
5.56Single7SILCa; Ca; Ca; Cyclomethyltryptophan; R-568; PO47SIL-CaS; CaS-Ca-Ca; Ca; Ca; Cyclomethyltryptophan; R-568; PO4
5.56Single7SILCa; Ca; Ca; Cyclomethyltryptophan; R-568; PO47SIL-CaS; CaS-Ca-Ca; Ca; Ca; Cyclomethyltryptophan; R-568; PO4
5.56Single7SRRLSD7SRR-5-HT2B-LSD-chim(NtGi2L-Gs-CtGq)/β1/γ2
5.56Single7SRSLSD7SRS-5-HT2B-LSD-Arrestin2
5.56Single7T8XAcetylcholine7T8X-M2-Acetylcholine-chim(NtGi1-Go)/β1/γ2
5.56Single7T90Acetylcholine7T90-M2-Acetylcholine-chim(NtGi1-Go)/β1/γ2
5.56Single7T96Acetylcholine7T96-M2-Acetylcholine-LY2119620-Go/β1/γ2
5.56Single7W0MPubChem 1227019087W0M-Apelin-PubChem 122701908-Gi1/β1/γ2
5.56Single7X5H5-CT7X5H-5-HT5A-5-CT-Gi1/β1/γ2
5.56Single7XRRLemborexant7XRR-OX2-Lemborexant
5.56Single7YM8Oxymetazoline7YM8-Alpha1A-Oxymetazoline-chim(Gs-CtGq)
5.56Single8DWGML3828DWG-MRGPRX1-BAM8-22-ML382-chim(NtGi2L-Gs-CtGq)/β1/γ2
5.56Single8DWHPubChem 1390305318DWH-MRGPRX1-PubChem 139030531-chim(NtGi2L-Gs-CtGq)/β1/γ2
5.56Single8EFOPZM218EFO-μ-PZM21-Gi1/β1/γ2
5.56Single8FYXBuspirone8FYX-5-HT1A-Buspirone-PtdIns4P-Gi1/β1/γ1
5.56Single8HOCImetit8HOC-H4-Imetit-Gi1/β1/γ2
5.56Single8U8FPalmitic Acid8U8F-GPR3-Palmitic Acid-Gs/β1/γ2
5.56Single8WC3SEP-3638568WC3-TA1-SEP-363856-chim(NtGi1-Gs)/β1/γ2
5.56Single8WPGTryptophan; Cinacalcet; PO4; Ca8WPG-CaS; CaS-Tryptophan; Cinacalcet; PO4; Ca
5.56Single8XXVIndomethacin8XXV-DP2-Indomethacin-A1D5Q-Gi1/β1/γ2
5.56Single8Y0HVUF114188Y0H-CXCR3-VUF11418
5.56Single8Y0NVUF114188Y0N-CXCR3-VUF11418-Go/β1/γ2
5.56Single8YNAImmepip8YNA-H4-Immepip-Gi1/β1/γ2
5.56Single8YUVImmepip8YUV-H3-Immepip-Gi1/β1/γ2
5.56Single9AVLCa; Ca; Cyclomethyltryptophan; R-568; PO49AVL-CaS; CaS-Ca-Ca; Ca; Cyclomethyltryptophan; R-568; PO4-Gi3/β2/γ2
5.56Single9C2FCa; Ca; Tryptophan; '54149; PO49C2F-CaS; CaS-Ca-Ca; Ca; Tryptophan; '54149; PO4
5.56Single9K6LSalicin9K6L-TAS2R16-Salicin-Gi2/β1/γ2
5.56Single9KPESalicin9KPE-TAS2R16-Salicin-Gi1/β1/γ2
5.56Single9LKDPL459LKD-OR5V1-PL45
5.56Single9LL9DOI9LL9-5-HT2A-DOI-chim(NtGi1L-Gs-CtGq)/β1/γ2
5.56Single9M88Oleic monoethanolamide9M88-GPR3 ; GPR3-Oleic monoethanolamide-AF64394
5.56Single9MQJIsoquinuclidine9MQJ-μ-Isoquinuclidine
5.56Single9PXUNaloxone9PXU-μ-Naloxone-Na
5.56Single9VJEBuspirone9VJE-5-HT1A-Buspirone-Go/β1/γ2
5.56Single9W49U-50488H9W49-κ-U-50488H-Gi1/β1/γ2
5.56Consensus5ht1e_onOrthosteric Ligand7E33-5-HT1E-BRL-54443-Gi1/β1/γ2 8UGY-5-HT1E-Mianserin-Gi1/β1/γ1 8UH3-5-HT1E-Setiptiline-Gi1/β1/γ1
5.56Consensus5ht2_on_gpOrthosteric Ligand5ht2b_on_gp
5.56Consensus5ht2b_on_gpOrthosteric Ligand7SRR-5-HT2B-LSD-chim(NtGi2L-Gs-CtGq)/β1/γ2
5.56Consensus5ht_onOrthosteric Ligand5ht1_on 5ht2_on 5ht4_on 5ht5_on 5ht6_on 5ht7_on
5.56Consensusgq_histamineOrthosteric Ligand7DFL-H1-Histamine-chim(NtGi1L-Gq)/β1/γ2
5.56Consensusgs_5htOrthosteric Ligand7XTC-5-HT7-5-CT-Gs/β1/γ2 7XTB-5-HT6-Serotonin-Gs/β1/γ2 8JLZ-5-HT6-ST1936-Gs/β1/γ2 7XT8-5-HT4-Serotonin-Gs/β1/γ2
5.56Consensush1_on_gpOrthosteric Ligand7DFL-H1-Histamine-chim(NtGi1L-Gq)/β1/γ2
5.56Consensushistamine_onOrthosteric Ligandh1_on h2_on h3_on h4_on
5.56Consensushistamine_on_gpOrthosteric Ligandh1_on_gp h2_on_gp h3_on_gp h4_on_gp
5.56Consensusm2_onOrthosteric Ligand7T8X-M2-Acetylcholine-chim(NtGi1-Go)/β1/γ2
5.56Consensusm2_on_gpOrthosteric Ligand7T8X-M2-Acetylcholine-chim(NtGi1-Go)/β1/γ2
5.56Consensusorexin_offOrthosteric Ligandox2_off ox1_off
5.56Consensusox1_offOrthosteric Ligand6TP6-OX1-Filorexant 6TP4-OX1-ACT-462206 6V9S-OX1-GTPL11403 6TOT-OX1-Lemborexant 6TP3-OX1-Nemorexant 6TQ6-OX1-PubChem 145714283 6TQ9-OX1-SB-408124 4ZJC-OX1-SB-674042 4ZJ8-OX1-Suvorexant 6TOD-OX1-EMPA-Na 6TOS-OX1-GSK1059865-Na 6TQ4-OX1-PubChem 16046844-Na
5.56Consensusox2_offOrthosteric Ligand5WQC-OX2-EMPA 6TPN-OX2-HTL6641 7XRR-OX2-Lemborexant 6TPJ-OX2-Suvorexant
5.56Consensussensory_offonOrthosteric Ligandsensory_off sensory_on
5.56Consensussensory_offon_gpOrthosteric Ligandsensory_on_gp sensory_on
5.26Single1F8811-cis-Retinal1F88-Rhodopsin-11-cis-Retinal
5.26Single4MBSMaraviroc4MBS-CCR5-Maraviroc
5.26Single4MQTIperoxo4MQT-M2-Iperoxo-LY2119620
5.26Single4N6HNaltrindole4N6H-δ-Naltrindole-Na
5.26Single4ZJCSB-6740424ZJC-OX1-SB-674042
5.26Single6A94Zotepine6A94-5-HT2A-Zotepine
5.26Single6FK8PubChem 1324730356FK8-Rhodopsin-PubChem 132473035
5.26Single6FKAPubChem 1324730376FKA-Rhodopsin-PubChem 132473037
5.26Single6K41Dexmedetomidine6K41-α2b-Dexmedetomidine-Go/β1/γ2
5.26Single6PELCitronellol6PEL-Rhodopsin-Citronellol-Gt(CT)
5.26Single6TOSGSK10598656TOS-OX1-GSK1059865-Na
5.26Single6TP3Nemorexant6TP3-OX1-Nemorexant
5.26Single6TPGEMPA6TPG-OX2-EMPA
5.26Single6VI4JDTic6VI4-κ-JDTic
5.26Single6WH4Methiothepin6WH4-5-HT2A-Methiothepin
5.26Single6WJCAtropine6WJC-M1-Atropine-Muscarinic toxin 7
5.26Single6ZFZ77-LH-28-16ZFZ-M1-77-LH-28-1
5.26Single6ZG9GSK10347026ZG9-M1-GSK1034702
5.26Single6ZINSR486926ZIN-NTS1-SR48692
5.26Single7CKWFenoldopam7CKW-D1-Fenoldopam-Gs/β1/γ2
5.26Single7CKZDopamine7CKZ-D1-Dopamine-Mevidalen-Gs/β1/γ2
5.26Single7CMUPramipexole7CMU-D3-Pramipexole-Gi1/β1/γ2
5.26Single7EJ8Brimonidine7EJ8-α2a-Brimonidine-Go/β1/γ2
5.26Single7EJADexmedetomidine7EJA-α2a-Dexmedetomidine-Go/β1/γ2
5.26Single7F0TDopamine7F0T-D1-Dopamine-Gs/β1/γ2
5.26Single7F1ZDopamine7F1Z-D1-Dopamine-GDP-Gs/β1/γ2
5.26Single7M3GCa; Ca; Tryptophan; Evocalcet; Etelcalcetide; PO47M3G-CaS; CaS-Ca; Ca; Tryptophan; Evocalcet; Etelcalcetide; PO4
5.26Single7RANPubChem 1645758477RAN-5-HT2A-PubChem 164575847-chim(NtGi2L-Gs-CtGq)/β1/γ2
5.26Single7SR8TAK-9257SR8-OX2-TAK-925-chim(NtGi1L-Gs-CtGq)/β1/γ2
5.26Single7T94Acetylcholine7T94-M2-Acetylcholine-LY2119620-chim(NtGi1-Go)/β1/γ2
5.26Single7TRSAcetylcholine7TRS-M4-Acetylcholine-Gi1/β1/γ2
5.26Single7UM7Methylergometrine7UM7-5-HT5A-Methylergometrine-chim(NtGi1-Go)/β1/γ2
5.26Single7WC9PubChem 1624213647WC9-5-HT2A-PubChem 162421364
5.26Single8JSPUlotaront8JSP-5-HT1A-Ulotaront-Gi1/β1/γ2
5.26Single8K4SDCA-3P8K4S-MRGPRX4-DCA-3P-chim(NtGi1L-Gs-CtGq)/β1/γ2
5.26Single8K9KDAMGO8K9K-μ-DAMGO-Gi3/β1/γ1
5.26Single8PM2DMCHA8PM2-TA7-DMCHA-Gs/β1/γ2
5.26Single8THKA-616038THK-Alpha1A-A-61603-chim(NtGi2L-Gs-CtGq)/β1/γ2
5.26Single8THLEpinephrine8THL-Alpha1A-Epinephrine-chim(NtGi2L-Gs-CtGq)/β1/γ2
5.26Single8V6UPubChem 1713924568V6U-5-HT2A-PubChem 171392456-chim(NtGi2-Gs-CtGq)/β1/γ2
5.26Single8W8BSEP-3638568W8B-5-HT1A-SEP-363856-Gi1/β1/γ2
5.26Single8WPGTryptophan; Cinacalcet; PO4; Ca8WPG-CaS; CaS-Tryptophan; Cinacalcet; PO4; Ca
5.26Single8WPUTryptophan; Cinacalcet; PO4; Ca8WPU-CaS; CaS-Tryptophan; Cinacalcet; PO4; Ca-chim(NtGi2L-Gs-CtGq)/β1/γ2
5.26Single9AS3LSD9AS3-5-HT2A-LSD
5.26Single9AS4LSD9AS4-5-HT2A-LSD-chim(NtGi1-Gs-CtGq)/β1/γ2
5.26Single9AS8Psilocin9AS8-5-HT2A-Psilocin-chim(NtGi2L-Gs-CtGq)/β1/γ2
5.26Single9ASBCa; Ca; Cyclomethyltryptophan; R-568; PO49ASB-CaS; CaS-Ca-Ca; Ca; Cyclomethyltryptophan; R-568; PO4-chim(NtGi1-Gs-CtGq)/β1/γ2
5.26Single9AVGCa; Ca; Cyclomethyltryptophan; R-568; PO49AVG-CaS; CaS-Ca-Ca; Ca; Cyclomethyltryptophan; R-568; PO4-chim(NtGi1-Gs)/β1/γ2
5.26Single9AXFCa; Ca; Ca; Cyclomethyltryptophan; R-568; PO49AXF-CaS; CaS-Ca-Ca; Ca; Ca; Cyclomethyltryptophan; R-568; PO4-chim(NtGi1-Gs-CtGq)/β1/γ2
5.26Single9CBLEpinephrine9CBL-α2a-Epinephrine-Gi1/β1/γ2
5.26Single9DQJEP-39459DQJ-MRGPRD-EP-3945-chim(NtGi1-Gs-CtGq)/β1/γ2
5.26Single9EPQ11,20-Ethanoretinal9EPQ-Rhodopsin-11,20-Ethanoretinal-chim(Gi1-CtGq)/β1/γ2
5.26Single9IXXLTD49IXX-CysLT2-LTD4-chim(NtGi1-Gs-CtGq)/β1/γ2
5.26Single9KXSEP679KXS-C5a1-EP67-Go/β1/γ2
5.26Single9LKBPL459LKB-OR5V1-PL45-chim(NtGi1-Gs)/β1
5.26Single9LL8Psilocin9LL8-5-HT2A-Psilocin-Gi1/β1/γ2
5.26Single9ODJMitragynine Pseudoindoxyl9ODJ-μ-Mitragynine Pseudoindoxyl-GTP; Mg-Gi1/β1/γ2
5.26Single9PXVNaloxone9PXV-μ-Naloxone-Gi1/β1/γ2
5.26Single9PXXNaloxone9PXX-μ-Naloxone-GDPβS-Gi1/β1/γ2
5.26Single9VJG8-OH-DPAT9VJG-5-HT1A-8-OH-DPAT-chim(NtGi2-Gz)/β1/γ2
5.26Single9W6W5-CT9W6W-5-HT5A-5-CT-Gi1/β1/γ2
5.26Consensus5ht2a_offOrthosteric Ligand6A94-5-HT2A-Zotepine 6A93-5-HT2A-Risperidone 7VOD-5-HT2A-Cariprazine 7WC8-5-HT2A-Lumateperone 8JT8-5-HT2A-(R)-IHCH-7179
5.26Consensusalpha1_onOrthosteric Ligandalpha1a_on
5.26Consensusalpha1_on_gpOrthosteric Ligandalpha1a_on_gp
5.26Consensusalpha1a_onOrthosteric Ligand7EJ0-α2a-Norepinephrine-Go/β1/γ2 7EJ8-α2a-Brimonidine-Go/β1/γ2 7EJA-α2a-Dexmedetomidine-Go/β1/γ2 7EJK-α2a-Oxymetazoline-Go/β1/γ2 7W6P-α2a-N-pyridin-4-ylisoquinolin-4-amine-Go/β1/γ2 7W7E-α2a-PubChem 164946676-Go/β1/γ2
5.26Consensusalpha1a_on_gpOrthosteric Ligand7EJ0-α2a-Norepinephrine-Go/β1/γ2 7EJ8-α2a-Brimonidine-Go/β1/γ2 7EJA-α2a-Dexmedetomidine-Go/β1/γ2 7EJK-α2a-Oxymetazoline-Go/β1/γ2 7W6P-α2a-N-pyridin-4-ylisoquinolin-4-amine-Go/β1/γ2 7W7E-α2a-PubChem 164946676-Go/β1/γ2
5.26Consensusd3_onOrthosteric Ligand7CMV-D3-PD128907-Gi1/β1/γ2 8IRT-D3-Rotigotine-Gi1/β1/γ2 7CMU-D3-Pramipexole-Gi1/β1/γ2
5.26Consensusd3_on_gpOrthosteric Ligand7CMV-D3-PD128907-Gi1/β1/γ2 8IRT-D3-Rotigotine-Gi1/β1/γ2 7CMU-D3-Pramipexole-Gi1/β1/γ2
5.26Consensusghrelin_offOrthosteric Ligand6KO5-Ghrelin-PubChem 57400002 7F83-Ghrelin-PF-05190457
5.26Consensusopsins_offOrthosteric Ligandrhodopsin_off
5.26Consensussensory_offOrthosteric Ligandopsins_off
5.00Single4DAJTiotropium4DAJ-M3-Tiotropium
5.00Single4EA3PubChem 102965614EA3-NOP-PubChem 10296561
5.00Single4MQSIperoxo4MQS-M2-Iperoxo
5.00Single4U14Tiotropium4U14-M3-Tiotropium
5.00Single4U16N-methyl-Scopolamine4U16-M3-N-methyl-Scopolamine
5.00Single5DHHSB-6121115DHH-NOP-SB-612111
5.00Single5DSGTiotropium5DSG-M4-Tiotropium
5.00Single5YC8N-methyl-Scopolamine5YC8-M2-N-methyl-Scopolamine
5.00Single5ZK8N-methyl-Scopolamine5ZK8-M2-N-methyl-Scopolamine
5.00Single5ZKCN-methyl-Scopolamine5ZKC-M2-N-methyl-Scopolamine
5.00Single6DRXLisuride6DRX-5-HT2B-Lisuride
5.00Single6FK7PubChem 1324730346FK7-Rhodopsin-PubChem 132473034
5.00Single6FKDPubChem 1373491836FKD-Rhodopsin-PubChem 137349183
5.00Single6K42Dexmedetomidine6K42-α2b-Dexmedetomidine-Gi1/β1/γ2
5.00Single6TOTLemborexant6TOT-OX1-Lemborexant
5.00Single6WHADB139486WHA-5-HT2A-DB13948-chim(NtGi2L-Gs-CtGq)/β1/γ2
5.00Single7E32Serotonin7E32-5-HT1D-Serotonin-Gi1/β1/γ2
5.00Single7JOZPubChem 752020227JOZ-D1-PubChem 75202022-Gs/β1/γ2
5.00Single7LJCSKF812977LJC-D1-SKF81297-Mevidalen-Gs/β1/γ2
5.00Single7M3JNPS-2143; PO47M3J-CaS; CaS-NPS-2143; PO4
5.00Single7SQOTAK-9257SQO-OX2-TAK-925-Gi1/β1/γ2
5.00Single7T6VfMLFII7T6V-FPR2-ALX-fMLFII-Gi1/β1/γ2
5.00Single7TRPIperoxo7TRP-M4-Iperoxo-LY2033298-Gi1/β1/γ2
5.00Single7UM55-CT7UM5-5-HT5A-5-CT-chim(NtGi1-Go)/β1/γ2
5.00Single7VH0Ramelteon7VH0-MT2-Ramelteon-Gi1/β1/γ1
5.00Single7X2CFenoldopam7X2C-D1-Fenoldopam-Fenoldopam-Gs/β1/γ2
5.00Single7XTC5-CT7XTC-5-HT7-5-CT-Gs/β1/γ2
5.00Single8EFQDAMGO8EFQ-μ-DAMGO-Gi1/β1/γ2
5.00Single8EJKTAK-8758EJK-FFA1-TAK-875-chim(NtGi1L-Gs-CtGq)/β1/γ2
5.00Single8FY85-MeO-DMT8FY8-5-HT1A-5-MeO-DMT-PtdIns4P-Gi1/β1/γ1
5.00Single8IRTRotigotine8IRT-D3-Rotigotine-Gi1/β1/γ2
5.00Single8JD0NAM5638JD0-mGlu2; mGlu3-Glutamate-NAM563
5.00Single8JLJT1AM8JLJ-TA1-T1AM-chim(NtGi1-Gs)/β1/γ2
5.00Single8JLZST19368JLZ-5-HT6-ST1936-Gs/β1/γ2
5.00Single8JXRLSD8JXR-D1-LSD
5.00Single8KEXDCA-3P8KEX-MRGPRX4-DCA-3P
5.00Single8KFYZK-7563268KFY-CCR8-ZK-756326-Gi1/β1/γ2
5.00Single8UGYMianserin8UGY-5-HT1E-Mianserin-Gi1/β1/γ1
5.00Single8UWLLisuride8UWL-5-HT2A-Lisuride-chim(NtGi2-Gs-CtGq)/β1/γ2
5.00Single8VVGGB188VVG-κ-GB18-Gi1/β1/γ2
5.00Single8WC7ZH86678WC7-TA1-ZH8667-chim(NtGi1-Gs)/β1/γ2
5.00Single8X63Mepyramine8X63-H1-Mepyramine
5.00Single8XBGS3E-Lysophosphatidylserine 8XBG-GPR34-S3E-Lysophosphatidylserine
5.00Single8XVKAmbrisentan8XVK-ETA-Ambrisentan
5.00Single8YN8Proxyfan8YN8-H3-Proxyfan-Go/β1/γ2
5.00Single9BQJRO769BQJ-μ-RO76-Gi1/β1/γ2
5.00Single9CBMDexmedetomidine9CBM-α2a-Dexmedetomidine-Gi1/β1/γ2
5.00Single9D61JDTic9D61-κ-JDTic-Gi1/β1/γ2
5.00Single9DYFAsenapine9DYF-5-HT1A-Asenapine-PtdIns4P-Gi1/β1/γ2
5.00Single9JEAAtropine9JEA-M1-Atropine
5.00Single9JROPF-044189489JRO-EP2-PF-04418948
5.00Single9KFTfMLFC9KFT-FPR1-ALX-fMLFC-Gi1/β1/γ2
5.00Single9PLNPubChem 1682595949PLN-α2a-PubChem 168259594
5.00Single9PLOPubChem 1682595949PLO-α2a-PubChem 168259594-Go/β1/γ2
5.00Single9PQDPubChem 1764919279PQD-α2a-PubChem 176491927
5.00Single9PXWNaloxone9PXW-μ-Naloxone-GDPβS-Gi1/β1/γ2
5.00Single9UAZAtropine9UAZ-M1-Atropine
5.00Consensus5ht1d_onOrthosteric Ligand7E32-5-HT1D-Serotonin-Gi1/β1/γ2
5.00Consensus5ht1d_on_gpOrthosteric Ligand7E32-5-HT1D-Serotonin-Gi1/β1/γ2
5.00Consensus5ht6_onOrthosteric Ligand7XTB-5-HT6-Serotonin-Gs/β1/γ2 8JLZ-5-HT6-ST1936-Gs/β1/γ2
5.00Consensus5ht6_on_gpOrthosteric Ligand7XTB-5-HT6-Serotonin-Gs/β1/γ2 8JLZ-5-HT6-ST1936-Gs/β1/γ2
5.00Consensus5ht7_onOrthosteric Ligand7XTC-5-HT7-5-CT-Gs/β1/γ2
5.00Consensus5ht7_on_gpOrthosteric Ligand7XTC-5-HT7-5-CT-Gs/β1/γ2
5.00Consensusalpha2_onOrthosteric Ligandalpha2b_on
5.00Consensusalpha2_on_gpOrthosteric Ligandalpha2b_on_gp
5.00Consensusalpha2b_onOrthosteric Ligand6K42-α2b-Dexmedetomidine-Gi1/β1/γ2
5.00Consensusalpha2b_on_gpOrthosteric Ligand6K42-α2b-Dexmedetomidine-Gi1/β1/γ2
5.00Consensusalpha_onOrthosteric Ligandalpha1_on alpha2_on
5.00Consensusgi_histamineOrthosteric Ligand8JXX-H4-Clobenpropit-Gi1/β1/γ2 8JXV-H4-Clozapine-Gi1/β1/γ2 8YUU-H3-Histamine-Gi1/β1/γ1 8HN8-H4-Histamine-Gi1/β1/γ2 8HOC-H4-Imetit-Gi1/β1/γ2 8JXW-H4-VUF6884-Gi1/β1/γ2
5.00Consensusgi_orexinOrthosteric Ligand7SQO-OX2-TAK-925-Gi1/β1/γ2
5.00Consensusgq_amineOrthosteric Ligandgq_muscarinic gq_histamine
5.00Consensushistamine_offOrthosteric Ligandh1_off
5.00Consensusm4_offOrthosteric Ligand5DSG-M4-Tiotropium
5.00Consensusmuscarinic_onOrthosteric Ligandm2_on m3_on m4_on m1_on
5.00Consensusmuscarinic_on_gpOrthosteric Ligandm2_on_gp m3_on_gp m4_on_gp m1_on_gp
4.76Single4NTJAZD12834NTJ-P2Y12-AZD1283
4.76Single4PHUFasiglifam4PHU-FFA1-Fasiglifam
4.76Single4WW3All-trans-Retinal4WW3-Rhodopsin-All-trans-Retinal
4.76Single4ZJ8Suvorexant4ZJ8-OX1-Suvorexant
4.76Single5CGCHTL142425CGC-mGlu5-HTL14242
4.76Single5WIUNemonapride5WIU-D4-Nemonapride
4.76Single5WIVNemonapride5WIV-D4-Nemonapride-Na
4.76Single5WQCEMPA5WQC-OX2-EMPA
4.76Single5XPRBosentan5XPR-ETB-Bosentan
4.76Single6LUQHaloperidol6LUQ-D2-Haloperidol
4.76Single6OIKIperoxo6OIK-M2-Iperoxo-LY2119620-chim(NtGi1-Go)/β1/γ2
4.76Single6TO7Suvorexant6TO7-OX1-Suvorexant-Na
4.76Single6TP6Filorexant6TP6-OX1-Filorexant
4.76Single6Z4SSR486926Z4S-NTS1-SR48692
4.76Single7EUOfMLF7EUO-FPR1-ALX-fMLF-Gi1/β1/γ2
4.76Single7M3JNPS-2143; PO47M3J-CaS; CaS-NPS-2143; PO4
4.76Single7SBFPZM217SBF-μ-PZM21-Gi1/β1/γ2
4.76Single7TRKIperoxo7TRK-M4-Iperoxo-Gi1/β1/γ2
4.76Single7VOEAripiprazole7VOE-5-HT2A-Aripiprazole
4.76Single7VV4Cortistatin-147VV4-MRGPRX2-Cortistatin-14
4.76Single7WC6LSD7WC6-5-HT2A-LSD
4.76Single8DZQmomSalB8DZQ-κ-momSalB-Go/β1/γ2
4.76Single8DZRGR89,6968DZR-κ-GR89,696-chim(NtGi2-Gt3)/β1/γ2
4.76Single8E9ZIperoxo8E9Z-M3-Iperoxo-chim(NtGi2L-Gs-CtGq)/β1/γ2
4.76Single8EFBOliceridine8EFB-μ-Oliceridine-Gi1/β1/γ2
4.76Single8EJCTAK-8758EJC-FFA1-TAK-875-chim(NtGi1L-Gs-CtGq)/β1/γ2
4.76Single8GDCPGE28GDC-EP3-PGE2-Gi1/β1/γ2
4.76Single8JXSPF-61428JXS-D1-PF-6142
4.76Single8KFXLMD-0098KFX-CCR8-LMD-009-Gi1/β1/γ2
4.76Single8SZGCa; Ca; Tryptophan; Cinacalcet; PO4; Spermine8SZG-CaS; CaS-Ca; Ca; Tryptophan; Cinacalcet; PO4; Spermine-chim(NtGi1-Gq)/β1/γ2
4.76Single8X0BVU04244658X0B-mGlu5; mGlu5-Quisqualate-VU0424465
4.76Single8X0CVU04244658X0C-mGlu5; mGlu5-Quisqualate-VU0424465
4.76Single8X0CVU04244658X0C-mGlu5; mGlu5-Quisqualate-VU0424465
4.76Single8X0DVU04244658X0D-mGlu5; mGlu5-Quisqualate-VU0424465
4.76Single8X0DVU04244658X0D-mGlu5; mGlu5-Quisqualate-VU0424465
4.76Single8XQPCholesterol8XQP-TAS2R14-Cholesterol-Aristolochic acid A-Gt3/β1/γ1
4.76Single8YNSSNAP-948478YNS-MCH1-SNAP-94847
4.76Single8ZMFPubChem 1719206738ZMF-5-HT2C-PubChem 171920673
4.76Single8ZVZBW245C8ZVZ-DP1-BW245C-Gs/β1/γ2
4.76Single9ARYSerotonin9ARY-5-HT2A-Serotonin-chim(NtGi1-Gs-CtGq)/β1/γ2
4.76Single9ARZ2-bromo-LSD9ARZ-5-HT2A-2-bromo-LSD
4.76Single9AYFCa; Ca; Ca; Cyclomethyltryptophan; R-568; PO49AYF-CaS; CaS-Ca-Ca; Ca; Ca; Cyclomethyltryptophan; R-568; PO4-Gi1/β1/γ2
4.76Single9DQHEP-28259DQH-MRGPRD-EP-2825-chim(NtGi1-Gs-CtGq)/β1/γ2
4.76Single9DYDAsenapine9DYD-5-HT1A-Asenapine-PtdIns4P-Go/β1/γ2
4.76Single9EKHONO-30302979EKH-DP1-ONO-3030297
4.76Single9F34FOB02-04A9F34-D3-FOB02-04A-Go/β1/γ2
4.76Single9HAPTolvaptan9HAP-V2-Tolvaptan
4.76Single9HC04YI9HC0-mGlu5-4YI
4.76Single9JRTTG6-1299JRT-EP2-TG6-129
4.76Single9M8POleic monoethanolamide9M8P-GPR3 ; GPR3-Oleic monoethanolamide-AF64394
4.76Single9MQKIsoquinuclidine9MQK-κ-Isoquinuclidine
4.76Single9PXYNaloxone9PXY-μ-Naloxone-GDPβS-Gi1/β1/γ2
4.76Single9U81Tolvaptan9U81-V2-Tolvaptan
4.76Single9VJFBuspirone9VJF-5-HT1A-Buspirone-Gi3/β1/γ2
4.76Consensus5ht1_onOrthosteric Ligand5ht1a_on 5ht1d_on 5ht1e_on 5ht1f_on
4.76Consensus5ht1_on_gpOrthosteric Ligand5ht1a_on_gp 5ht1d_on_gp 5ht1e_on_gp 5ht1f_on_gp
4.76Consensus5ht1e_on_gpOrthosteric Ligand7E33-5-HT1E-BRL-54443-Gi1/β1/γ2 8UGY-5-HT1E-Mianserin-Gi1/β1/γ1 8UH3-5-HT1E-Setiptiline-Gi1/β1/γ1
4.76Consensus5ht2_offOrthosteric Ligand5ht2a_off 5ht2b_off 5ht2c_off
4.76Consensusalpha_on_gpOrthosteric Ligandalpha1_on_gp alpha2_on_gp
4.76Consensuscyslt_offOrthosteric Ligandcyslt2_off cyslt1_off
4.76Consensusd4_onOrthosteric Ligand8IRU-D4-Rotigotine-chim(NtGi1-Gs-CtGi1)/β1/γ2
4.76Consensusgq_muscarinicOrthosteric Ligand6OIJ-M1-Iperoxo-chim(NtGi1L-G11)/β1/γ2
4.76Consensush1_offOrthosteric Ligand8X63-H1-Mepyramine 3RZE-H1-Cidoxepin 8X5Y-H1-Astemizole
4.76Consensusm1_onOrthosteric Ligand6OIJ-M1-Iperoxo-chim(NtGi1L-G11)/β1/γ2
4.76Consensusm2_offOrthosteric Ligand5ZKC-M2-N-methyl-Scopolamine 5ZK3-M2-3-quinuclidinyl-benzilate 5ZKB-M2-AF-DX 384
4.76Consensusm3_onOrthosteric Ligand8E9Z-M3-Iperoxo-chim(NtGi2L-Gs-CtGq)/β1/γ2 8E9W-M3-2-Deoxycytidine-chim(NtGi2L-Gs-CtGq)/β1/γ2 8E9Y-M3-Clozapine-N-oxide-chim(NtGi2L-Gs-CtGq)/β1/γ2
4.76Consensusm3_on_gpOrthosteric Ligand8E9Z-M3-Iperoxo-chim(NtGi2L-Gs-CtGq)/β1/γ2 8E9W-M3-2-Deoxycytidine-chim(NtGi2L-Gs-CtGq)/β1/γ2 8E9Y-M3-Clozapine-N-oxide-chim(NtGi2L-Gs-CtGq)/β1/γ2
4.55Single4DJHJDTic4DJH-κ-JDTic
4.55Single4U15Tiotropium4U15-M3-Tiotropium
4.55Single5TZRMK86665TZR-FFA1-MK8666
4.55Single5V54Methiothepin5V54-5-HT1B-Methiothepin
4.55Single5ZKBAF-DX 3845ZKB-M2-AF-DX 384
4.55Single6J20Aprepitant6J20-NK1-Aprepitant
4.55Single6OIJIperoxo6OIJ-M1-Iperoxo-chim(NtGi1L-G11)/β1/γ2
4.55Single6OL9Tiotropium6OL9-M5-Tiotropium
4.55Single6TQ7SB-3348676TQ7-OX1-SB-334867
4.55Single7P2L4YI7P2L-mGlu5-4YI
4.55Single7S8MCortistatin-147S8M-MRGPRX2-Cortistatin-14-Gi1/β1/γ2
4.55Single7T2HLofentanil7T2H-μ-Lofentanil-Gi1/β1/γ2
4.55Single7TRQIperoxo7TRQ-M4-Iperoxo-VU0467154-Gi1/β1/γ2
4.55Single7U2LC5-guano7U2L-μ-C5-guano-Gi1/β1/γ2
4.55Single8DZPmomSalB8DZP-κ-momSalB-Gi1/β1/γ2
4.55Single8EA0Iperoxo8EA0-M3-Iperoxo
4.55Single8EF5Fentanyl8EF5-μ-Fentanyl-Gi1/β1/γ2
4.55Single8IRURotigotine8IRU-D4-Rotigotine-chim(NtGi1-Gs-CtGi1)/β1/γ2
4.55Single8JGFBAM8-228JGF-MRGPRX1-BAM8-22-chim(NtGi1-Gs-CtGq)/β1/γ2
4.55Single8JXXClobenpropit8JXX-H4-Clobenpropit-Gi1/β1/γ2
4.55Single8VVFJDTic8VVF-κ-JDTic-Gi1/β1/γ2
4.55Single8X0BVU04244658X0B-mGlu5; mGlu5-Quisqualate-VU0424465
4.55Single8X0FVU298X0F-mGlu5; mGlu5-Quisqualate-VU29
4.55Single8XVLZibotentan8XVL-ETA-Zibotentan
4.55Single8Y73Peptide8Y73-μ-Peptide-MPAM-15-Gi1/β1/γ2
4.55Single9BJKNaloxone9BJK-μ-Naloxone-PubChem 171642066
4.55Single9IJDCarazolol9IJD-β3-Carazolol-chim(NtGi1-Gs)/β1/γ2
4.55Single9UCPIperoxo9UCP-M1-Iperoxo-G11(CT)
4.55Single9WSTDAMGO9WST-μ-DAMGO-chim(NtGi1-Gz)/β1/γ2
4.55Single9YDVMRS29059YDV-P2Y14-MRS2905-Gi1/β1/γ2
4.55Consensus5ht1_offOrthosteric Ligand5ht1b_off
4.55Consensus5ht1b_offOrthosteric Ligand5V54-5-HT1B-Methiothepin
4.55Consensusd4_on_gpOrthosteric Ligand8IRU-D4-Rotigotine-chim(NtGi1-Gs-CtGi1)/β1/γ2
4.55Consensusffa_onOrthosteric Ligandffa2_on ffa3_on
4.55Consensusffa_on_gpOrthosteric Ligandffa2_on_gp ffa3_on_gp
4.55Consensusgi_ffaOrthosteric Ligand8J21-FFA3-Butyric acid-Gi1/β1/γ2 8J22-FFA2-TUG-1375-Gi1/β1/γ2
4.55Consensush4_on_gpOrthosteric Ligand8HN8-H4-Histamine-Gi1/β1/γ2 8HOC-H4-Imetit-Gi1/β1/γ2 8JXV-H4-Clozapine-Gi1/β1/γ2 8JXW-H4-VUF6884-Gi1/β1/γ2 8JXX-H4-Clobenpropit-Gi1/β1/γ2
4.55Consensuskop_offOrthosteric Ligand4DJH-κ-JDTic
4.55Consensusm1_on_gpOrthosteric Ligand6OIJ-M1-Iperoxo-chim(NtGi1L-G11)/β1/γ2
4.55Consensusm3_offOrthosteric Ligand4U15-M3-Tiotropium 4U16-M3-N-methyl-Scopolamine 5ZHP-M3-PubChem 134828589
4.55Consensusm5_offOrthosteric Ligand6OL9-M5-Tiotropium
4.55Consensusmuscarinic_offOrthosteric Ligandm2_off m3_off m4_off m5_off m1_off
4.55Consensusp2y12_onOrthosteric Ligand7XXI-P2Y12-2MeSADP-Gi2/β1/γ2
4.55Consensustachykinin_offOrthosteric Ligandnk1_off
4.35Single5CXVTiotropium5CXV-M1-Tiotropium
4.35Single5TZYMK8666; AP85TZY-FFA1-MK8666; AP8
4.35Single6ZG4HTL00099366ZG4-M1-HTL0009936
4.35Single7DFPSpiperone7DFP-D2-Spiperone
4.35Single7EPENAM5637EPE-mGlu2-NAM563
4.35Single7JNIOlodanrigan7JNI-AT2-Olodanrigan
4.35Single7L1VPubChem 1554910097L1V-OX2-PubChem 155491009-chim(NtGi1-Gs-CtGq)/β1/γ2
4.35Single7XMTJ-21567XMT-SST4-J-2156-Gi1/β1/γ2
4.35Single7XXI2MeSADP7XXI-P2Y12-2MeSADP-Gi2/β1/γ2
4.35Single7YITNalfurafine7YIT-κ-Nalfurafine
4.35Single8E9W2-Deoxycytidine8E9W-M3-2-Deoxycytidine-chim(NtGi2L-Gs-CtGq)/β1/γ2
4.35Single8IRSRotigotine8IRS-D2-Rotigotine-Gi1/β1/γ2
4.35Single8WRBLysophosphatidylserine (UBL)8WRB-GPR34-Lysophosphatidylserine (UBL)-Gi1/β1/γ2
4.35Single8Y6WTUG-13758Y6W-FFA2-TUG-1375-4-CMTB-Gi1/β1/γ2
4.35Single9EK0Iperoxo9EK0-M5-Iperoxo-chim(NtGi1-Gs-CtGq)/β1/γ2
4.35Single9MQLIsoquinuclidine9MQL-κ-Isoquinuclidine
4.35Single9V6ONalfurafine9V6O-κ-Nalfurafine-Gi1/β1/γ2
4.35Single9W32SSTR5 antagonist 19W32-SST5-SSTR5 antagonist 1
4.35Single9WSVDAMGO9WSV-μ-DAMGO-Arrestin2
4.35Consensusgi_amineOrthosteric Ligandgi_5ht gi_muscarinic gi_adrenergic gi_dopamine gi_histamine
4.35Consensusgi_muscarinicOrthosteric Ligand8E9X-M4-2-Deoxycytidine-chim(NtGi1-Go)/β1/γ2 7T8X-M2-Acetylcholine-chim(NtGi1-Go)/β1/γ2 7TRS-M4-Acetylcholine-Gi1/β1/γ2 7TRK-M4-Iperoxo-Gi1/β1/γ2 7V6A-M4-PubChem 9864275-Gi1/β1/γ2
4.35Consensusgi_p2yOrthosteric Ligand7XXI-P2Y12-2MeSADP-Gi2/β1/γ2
4.35Consensusm1_offOrthosteric Ligand5CXV-M1-Tiotropium
4.35Consensusnk1_offOrthosteric Ligand6HLP-NK1-Netupitant 6HLO-NK1-Aprepitant 6HLL-NK1-CP99994 6E59-NK1-L-760735
4.35Consensusp2y12_on_gpOrthosteric Ligand7XXI-P2Y12-2MeSADP-Gi2/β1/γ2
4.17Single5CGDHTL142425CGD-mGlu5-HTL14242
4.17Single5X93K-87945X93-ETB-K-8794
4.17Single7U2KC6-guano7U2K-μ-C6-guano-Gi1/β1/γ2
4.17Single8E9YClozapine-N-oxide8E9Y-M3-Clozapine-N-oxide-chim(NtGi2L-Gs-CtGq)/β1/γ2
4.17Single8XVJMacitentan8XVJ-ETA-Macitentan
4.17Consensusendothelin_offOrthosteric Ligandetb_off
4.17Consensusetb_offOrthosteric Ligand5X93-ETB-K-8794 5XPR-ETB-Bosentan 6K1Q-ETB-IRL2500
3.85Single8IEBPubChem 1347468948IEB-GPR156; GPR156-PubChem 134746894
3.85Single8IEIPubChem 1347468948IEI-GPR156; GPR156-PubChem 134746894
3.85Single8IEIPubChem 1347468948IEI-GPR156; GPR156-PubChem 134746894
3.85Single8IEPPubChem 1347468948IEP-GPR156; GPR156-PubChem 134746894
3.85Single8IEPPubChem 1347468948IEP-GPR156; GPR156-PubChem 134746894
3.85Single8XFSR-spondin-28XFS-LGR4-R-spondin-2-ZNRF3; ZNRF3
3.85Single8XFTR-spondin-28XFT-LGR4-R-spondin-2-ZNRF3
3.85Single8Y69R-spondin-28Y69-LGR4; LGR4-R-spondin-2-ZNRF3
3.70Single8XFPR-spondin-28XFP-LGR4-R-spondin-2-ZNRF3; ZNRF3
3.70Single9IK8Pasireotide9IK8-SST1-Pasireotide-Gi1/β1/γ2
3.70Single9KB8R-spondin-29KB8-LGR4-R-spondin-2-ZNRF3; ZNRF3
3.70Single9KB9R-spondin-29KB9-LGR4; LGR4-R-spondin-2-ZNRF3; ZNRF3
3.57Single8WVUR-spondin-18WVU-LGR4-R-spondin-1-RNF43
3.57Single8Y69R-spondin-28Y69-LGR4; LGR4-R-spondin-2-ZNRF3
3.57Single9KB9R-spondin-29KB9-LGR4; LGR4-R-spondin-2-ZNRF3; ZNRF3
3.45Single6WIVPubChem 52923113; PubChem 529246456WIV-GABAB1, GABAB2-PubChem 52923113; PubChem 52924645
3.45Single7AD3Alpha-factor mating pheromone7AD3-STE2; STE2-α-factor mating pheromone-Gi1/STE4/γ2

PDB Summary
PDB 9K0K
Class A
SubFamily Nucleotide
Type P2Y
SubType P2Y4
Species Homo sapiens
Ligand UTP
Other Ligand(s) -
Protein Partners chim(NtGi1-Gs-CtGq)/Beta1/Gamma2
PDB Resolution 3.14
Date 2025-06-11
D.O.I. doi.org/10.1038/s41421-025-00797-x
Net Summary
Imin 3.57
Number of Linked Nodes 822
Number of Links 988
Number of Hubs 150
Number of Links mediated by Hubs 568
Number of Communities 28
Number of Nodes involved in Communities 202
Number of Links involved in Communities 288
Path Summary
Number Of Nodes in MetaPath 125
Number Of Links MetaPath 124
Number of Shortest Paths 2449179
Length Of Smallest Path 3
Average Path Length 35.8892
Length of Longest Path 65
Minimum Path Strength 1.255
Average Path Strength 6.64354
Maximum Path Strength 26.76
Minimum Path Correlation 0.7
Average Path Correlation 0.987199
Maximum Path Correlation 1
Minimum % Of Corr. Nodes 2.22222
Average % Of Corr. Nodes 37.4017
Maximum % Of Corr. Nodes 100
Minimum Path Hubs % 0
Average Path Hubs % 45.9496
Maximum Path Hubs % 100
AnnotationTypeLinks
Gene OntologyMolecular Function• binding   • guanyl nucleotide binding   • GTP binding   • nucleotide binding   • guanyl ribonucleotide binding   • purine ribonucleotide binding   • purine ribonucleoside triphosphate binding   • nucleoside phosphate binding   • ion binding   • purine nucleotide binding   • anion binding   • heterocyclic compound binding   • carbohydrate derivative binding   • ribonucleotide binding   • small molecule binding   • D1 dopamine receptor binding   • protein binding   • signaling receptor binding   • G protein-coupled receptor binding   • dopamine receptor binding   • protein-containing complex binding   • G-protein beta/gamma-subunit complex binding   • pyrophosphatase activity   • GTPase activity   • G protein activity   • ribonucleoside triphosphate phosphatase activity   • molecular function regulator activity   • hydrolase activity, acting on acid anhydrides, in phosphorus-containing anhydrides   • hydrolase activity   • hydrolase activity, acting on acid anhydrides   • catalytic activity   • enzyme regulator activity   • cyclase regulator activity   • enzyme activator activity   • cyclase activator activity   • molecular function activator activity   • adenylate cyclase regulator activity   • adenylate cyclase activator activity   • cation binding   • metal ion binding   • developmental process   • multicellular organismal process   • epithelium development   • ectodermal placode morphogenesis   • epidermis development   • molting cycle process   • hair cycle   • animal organ development   • hair follicle placode formation   • tissue development   • ectodermal placode formation   • anatomical structure morphogenesis   • skin development   • skin epidermis development   • hair follicle development
Gene OntologyBiological Process• developmental process   • multicellular organismal process   • epithelium development   • ectodermal placode morphogenesis   • epidermis development   • molting cycle process   • hair cycle   • animal organ development   • hair follicle placode formation   • tissue development   • ectodermal placode formation   • anatomical structure morphogenesis   • skin development   • skin epidermis development   • hair follicle development   • molting cycle   • anatomical structure development   • anatomical structure formation involved in morphogenesis   • ectodermal placode development   • hair cycle process   • cellular homeostasis   • chemical homeostasis   • homeostatic process   • glucose homeostasis   • carbohydrate homeostasis   • intracellular chemical homeostasis   • intracellular glucose homeostasis   • system process   • regulation of biological process   • nervous system process   • neuromuscular process   • regulation of system process   • biological regulation   • skeletal muscle contraction   • muscle contraction   • muscle system process   • regulation of muscle system process   • striated muscle contraction   • multicellular organismal movement   • musculoskeletal movement   • regulation of striated muscle contraction   • regulation of muscle contraction   • regulation of skeletal muscle contraction   • regulation of multicellular organismal process   • sensory perception of chemical stimulus   • sensory perception   • sensory perception of smell   • cellular response to stimulus   • cellular response to nitrogen compound   • response to stimulus   • response to endogenous stimulus   • response to peptide hormone   • cellular response to peptide hormone stimulus   • response to oxygen-containing compound   • response to nitrogen compound   • response to glucagon   • cellular response to oxygen-containing compound   • cellular response to glucagon stimulus   • cellular response to endogenous stimulus   • cellular response to chemical stimulus   • response to hormone   • response to chemical   • cellular process   • cellular response to hormone stimulus   • multicellular organism development   • skeletal system development   • bone development   • system development   • response to pH   • cellular response to pH   • response to abiotic stimulus   • cellular response to acidic pH   • response to acidic pH   • cellular response to abiotic stimulus   • cellular response to environmental stimulus   • regulation of body fluid levels   • wound healing   • homotypic cell-cell adhesion   • cell activation   • hemostasis   • platelet aggregation   • blood coagulation   • cell adhesion   • cell-cell adhesion   • response to stress   • coagulation   • regulation of biological quality   • response to wounding   • platelet activation   • response to fluid shear stress   • vascular endothelial cell response to laminar fluid shear stress   • response to laminar fluid shear stress   • cellular response to stress   • cellular response to laminar fluid shear stress   • vascular endothelial cell response to fluid shear stress   • cellular response to fluid shear stress   • cognition   • developmental growth   • growth   • response to ketone   • response to prostaglandin   • response to lipid   • response to alcohol   • cellular response to prostaglandin stimulus   • cellular response to prostaglandin E stimulus   • cellular response to alcohol   • cellular response to lipid   • response to prostaglandin E   • cellular response to ketone   • regulation of cellular process   • signaling   • adenylate cyclase-activating G protein-coupled receptor signaling pathway   • cell communication   • adenylate cyclase-modulating G protein-coupled receptor signaling pathway   • G protein-coupled receptor signaling pathway   • signal transduction   • positive regulation of biological process   • adaptive thermogenesis   • multicellular organismal-level homeostasis   • regulation of cold-induced thermogenesis   • cold-induced thermogenesis   • temperature homeostasis   • positive regulation of cold-induced thermogenesis   • positive regulation of multicellular organismal process   • positive regulation of cell communication   • regulation of localization   • establishment of protein localization   • nitrogen compound transport   • positive regulation of establishment of protein localization   • localization   • establishment of localization in cell   • positive regulation of insulin secretion involved in cellular response to glucose stimulus   • positive regulation of insulin secretion   • intracellular protein localization   • regulation of peptide hormone secretion   • regulation of hormone levels   • positive regulation of peptide hormone secretion   • establishment of protein localization to extracellular region   • protein secretion   • establishment of localization   • regulation of protein secretion   • regulation of secretion   • cellular response to carbohydrate stimulus   • response to glucose   • positive regulation of protein localization   • insulin secretion involved in cellular response to glucose stimulus   • cellular localization   • regulation of hormone secretion   • regulation of protein localization   • regulation of peptide secretion   • transport   • positive regulation of secretion by cell   • hormone secretion   • protein localization to extracellular region   • positive regulation of protein transport   • peptide secretion   • regulation of secretion by cell   • secretion by cell   • positive regulation of hormone secretion   • response to monosaccharide   • response to carbohydrate   • positive regulation of secretion   • signal release   • cellular response to hexose stimulus   • cellular response to monosaccharide stimulus   • positive regulation of cellular process   • positive regulation of peptide secretion   • regulation of signaling   • regulation of transport   • secretion   • regulation of peptide transport   • regulation of establishment of protein localization   • export from cell   • cell-cell signaling   • cellular response to glucose stimulus   • regulation of protein transport   • positive regulation of protein secretion   • peptide transport   • response to hexose   • positive regulation of transport   • regulation of cellular localization   • protein transport   • regulation of insulin secretion   • peptide hormone secretion   • macromolecule localization   • regulation of insulin secretion involved in cellular response to glucose stimulus   • hormone transport   • regulation of cell communication   • insulin secretion   • positive regulation of signaling   • adenylate cyclase-activating adrenergic receptor signaling pathway   • adrenergic receptor signaling pathway   • response to dopamine   • cellular response to dopamine   • response to monoamine   • response to catecholamine   • cellular response to catecholamine stimulus   • serotonin receptor signaling pathway   • cellular response to monoamine stimulus   • adenylate cyclase-activating serotonin receptor signaling pathway   • intracellular transport   • regulation of defense response   • regulation of response to external stimulus   • negative regulation of inflammatory response   • negative regulation of biological process   • inflammatory response to antigenic stimulus   • regulation of response to stress   • regulation of immune system process   • negative regulation of inflammatory response to antigenic stimulus   • defense response   • immune response   • negative regulation of response to stimulus   • negative regulation of immune response   • regulation of inflammatory response to antigenic stimulus   • response to external stimulus   • regulation of inflammatory response   • regulation of response to stimulus   • negative regulation of immune system process   • immune system process   • negative regulation of response to external stimulus   • negative regulation of defense response   • regulation of immune response   • inflammatory response   • positive regulation of adenylate cyclase activity   • positive regulation of molecular function   • regulation of molecular function   • positive regulation of cyclase activity   • activation of adenylate cyclase activity   • regulation of adenylate cyclase activity   • regulation of catalytic activity   • positive regulation of catalytic activity   • positive regulation of lyase activity   • adenylate cyclase-activating dopamine receptor signaling pathway   • G protein-coupled dopamine receptor signaling pathway   • cell surface receptor signaling pathway   • bile acid signaling pathway   • adenylate cyclase-activating G protein-coupled bile acid receptor signaling pathway   • renal system process   • multicellular organismal-level water homeostasis   • multicellular organismal-level chemical homeostasis   • renal water homeostasis   • cellular anatomical structure   • membrane   • protein-containing complex   • extrinsic component of plasma membrane   • catalytic complex   • plasma membrane protein complex   • cytoplasmic side of membrane   • plasma membrane   • membrane protein complex   • heterotrimeric G-protein complex   • side of membrane   • cell periphery   • cytoplasmic side of plasma membrane   • GTPase complex
Gene OntologyCellular Component• cellular anatomical structure   • membrane   • protein-containing complex   • extrinsic component of plasma membrane   • catalytic complex   • plasma membrane protein complex   • cytoplasmic side of membrane   • plasma membrane   • membrane protein complex   • heterotrimeric G-protein complex   • side of membrane   • cell periphery   • cytoplasmic side of plasma membrane   • GTPase complex   • extrinsic component of membrane   • extrinsic component of cytoplasmic side of plasma membrane   • extracellular exosome   • membrane-bounded organelle   • extracellular vesicle   • extracellular organelle   • extracellular region   • organelle   • extracellular space   • vesicle   • extracellular membrane-bounded organelle   • intracellular anatomical structure   • cytoplasm   • cytosol   • Golgi apparatus subcompartment   • Golgi apparatus   • organelle subcompartment   • trans-Golgi network membrane   • intracellular membrane-bounded organelle   • endomembrane system   • intracellular organelle   • trans-Golgi network   • organelle membrane   • molecular transducer activity   • G protein-coupled receptor activity   • transmembrane signaling receptor activity   • signaling receptor activity   • G protein-coupled pyrimidinergic nucleotide receptor activity   • nucleotide receptor activity   • G protein-coupled UTP receptor activity   • G protein-coupled purinergic nucleotide receptor activity   • purinergic nucleotide receptor activity   • cellular response to nitrogen compound   • cellular response to stimulus   • cellular response to ATP   • response to stimulus   • response to organophosphorus   • response to oxygen-containing compound   • response to nitrogen compound   • response to ATP   • response to purine-containing compound   • cellular response to oxygen-containing compound   • cellular response to chemical stimulus   • response to chemical   • cellular process   • positive regulation of cytosolic calcium ion concentration   • biological regulation   • regulation of biological quality   • regulation of biological process   • regulation of cellular process   • signaling   • G protein-coupled receptor signaling pathway   • signal transduction   • cell communication   • localization   • transepithelial chloride transport   • transepithelial transport   • transport   • monoatomic anion transport   • monoatomic ion transport   • establishment of localization   • chloride transport   • inorganic anion transport   • phospholipase C-activating G protein-coupled receptor signaling pathway   • response to ketone   • response to prostaglandin   • response to lipid   • response to endogenous stimulus   • response to alcohol   • cellular response to prostaglandin stimulus   • cellular response to endogenous stimulus   • cellular response to prostaglandin E stimulus   • cellular response to alcohol   • response to hormone   • cellular response to lipid   • response to prostaglandin E   • cellular response to ketone   • cellular response to hormone stimulus   • protein binding   • binding   • G-protein beta-subunit binding   • fibroblast proliferation   • cell population proliferation   • response to dopamine   • cellular response to dopamine   • response to monoamine   • response to catecholamine   • adenylate cyclase-activating dopamine receptor signaling pathway   • cellular response to catecholamine stimulus   • G protein-coupled dopamine receptor signaling pathway   • adenylate cyclase-activating G protein-coupled receptor signaling pathway   • cellular response to monoamine stimulus   • adenylate cyclase-modulating G protein-coupled receptor signaling pathway   • synapse   • cell junction   • enzyme binding   • GTPase binding   • protein-containing complex binding   • pyrophosphatase activity   • GTPase activity   • ribonucleoside triphosphate phosphatase activity   • hydrolase activity, acting on acid anhydrides, in phosphorus-containing anhydrides   • hydrolase activity   • hydrolase activity, acting on acid anhydrides   • catalytic activity   • signaling receptor complex adaptor activity   • protein-macromolecule adaptor activity   • molecular adaptor activity   • signaling adaptor activity   • multicellular organismal process   • system process   • sensory perception of chemical stimulus   • sensory perception   • nervous system process   • sensory perception of taste   • developmental process   • sensory organ development   • eye development   • animal organ development   • retina development in camera-type eye   • visual system development   • multicellular organism development   • camera-type eye development   • anatomical structure development   • sensory system development   • system development   • small GTPase-mediated signal transduction   • Ras protein signal transduction   • intracellular signal transduction   • intracellular signaling cassette   • synaptic signaling   • cellular response to acetylcholine   • cell-cell signaling   • acetylcholine receptor signaling pathway   • postsynaptic signal transduction   • G protein-coupled acetylcholine receptor signaling pathway   • response to acetylcholine   • non-motile cilium   • 9+0 non-motile cilium   • cilium   • neuron projection   • photoreceptor disc membrane   • photoreceptor outer segment   • plasma membrane bounded cell projection   • cell projection   • photoreceptor cell cilium   • vacuolar membrane   • lytic vacuole   • vacuole   • lytic vacuole membrane   • bounding membrane of organelle   • lysosomal membrane   • lysosome
SCOP2Domain Identifier
SCOP2Family Identifier
Membrane Protein Annotations-• Orientations of Proteins in Membranes database (OPM)   • Protein Data Bank of Transmembrane Proteins (PDBTM)   • MemProtMD


Details about the values in these tables can be found in the corresponding documentation page .
CodeUTP
PDB ResiduesL:L:?1
Environment DetailsOpen EMBL-EBI Page
CodeUTP
NameUridine 5'-triphosphate
Synonyms
  • Uridine triphosphate
  • Uridine 5'-triphosphate
Identifier
FormulaC9 H15 N2 O15 P3
Molecular Weight484.141
SMILES
PubChem6133
Formal Charge0
Total Atoms44
Total Chiral Atoms6
Total Bonds45
Total Aromatic Bonds6

PDBsumOpen PDBsum Page
ChainA
ProteinG Protein α Sub unit
UniProtP63092
Sequence
>9K0K_Chain_A
EKAEKIEKQ LQKDKQVYR ATHRLLLLG ASGKSTIVK QMIFETKFQ 
VDKVNFHMF DVGGQRDER RKWIQCFND VTAIIFVVS SYNRLQEAL 
NFKSIWNNR WLRTISVIL FLNKQDLLA EKVLAYFPE FARYTTPPR 
VTRAKYFIR DEFLRISTA SGDGRHYCY PHFTCAVDT ENRRFNDCD 
IIMLRYLTL SADAVRSMD NDDDAIKLQ NENV


Click on each residue to open a popup with some information about it.

ConSurf Conservation Grade (See documentation): 

 n/a   1    2    3    4    5    6    7    8    9  

ChainB
ProteinG Protein β Sub unit
UniProtP62873
Sequence
>9K0K_Chain_B
LKNQIRDAR KACADATLS QITNNIDPV GRIQMRTRR TLRGHLAKI 
YAMHWGTDS RLLVSASQD GKLIIWDSY TTNKVHAIP LRSSWVMTC 
AYAPSGNYV ACGGLDNIC SIYNLKTRE GNVRVSREL AGHTGYLSC 
CRFLDDNQI VTSSGDTTC ALWDIETGQ QTTTFTGHT GDVMSLSLA 
PDTRLFVSG ACDASAKLW DVREGMCRQ TFTGHESDI NAICFFPNG 
NAFATGSDD ATCRLFDLR ADQELMTYS HDNIICGIT SVSFSKSGR 
LLLAGYDDF NCNVWDALK ADRAGVLAG HDNRVSCLG VTDDGMAVA 
TGSWDSFLK IWN


Click on each residue to open a popup with some information about it.

ConSurf Conservation Grade (See documentation): 

 n/a   1    2    3    4    5    6    7    8    9  

ChainG
ProteinG Protein γ Sub unit
UniProtP59768
Sequence
>9K0K_Chain_G
LVEQLKMEA NIDRIKVSK AAADLMAYC EAHAKEDPL


Click on each residue to open a popup with some information about it.

ConSurf Conservation Grade (See documentation): 

 n/a   1    2    3    4    5    6    7    8    9  

ChainR
ProteinReceptor
UniProtP51582
Sequence
>9K0K_Chain_R
LDCWFDEDF KFILLPVSY AVVFVLGLG LNAPTLWLF IFRLRPWDA 
TATYMFHLA LSDTLYVLS LPTLIYYYA AHNHWPFGT EICKFVRFL 
FYWNLYCSV LFLTCISVH RYLGICHPL RALRWGRPR LAGLLCLAV 
WLVVAGCLV PNLFFVTTS NKGTTVLCH DTTRPEEFD HYVHFSSAV 
MGLLFGVPC LVTLVCYGL MARRLYQPL PGSAQSSSR LRSLRTIAV 
VLTVFAVCF VPFHITRTI YYLARLLEA DCRVLNIVN VVYKVTRPL 
ASANSCLDP VLYLLTGDK YRRQLRQL


Click on each residue to open a popup with some information about it.

ConSurf Conservation Grade (See documentation): 

 n/a   1    2    3    4    5    6    7    8    9  




This receptor, from the same or other species and bound to the same or other ligands, is also present in the following networks:
Show PDB Class SubFamily Type SubType Species Orthosteric Ligand Other Ligand(s) Protein Partners Resolution Date DOI
9K0K (No Gprot) ANucleotideP2YP2Y4Homo sapiensUTP-3.142025-06-11doi.org/10.1038/s41421-025-00797-x




You can download a compressed (zip) file with structure(s), 3D outputs (as PyMol and VMD scripts) and numerical data files (as csv and plain text files).

Download 9K0K.zip



You can click to copy the link of this page to easily come back here later

or use this QR code to link and share this page.



You can also  read or  download a guide explaining the meaning of all files and numerical data.