Color ConSurf Grade
      No Conservation data available
      1
      2
      3
      4
      5
      6
      7
      8
      9

Index: hub id, click on each number to highlight the corresponding hub in the 3D visualization.

Hub: the hub being considered.

Avg Int. Strength: the average interaction strength of all the links of the corresponding hub.

Num Of Links: the number of links of the corresponding hub.

Community: the id of the community the link belong to, otherwise 0.

ConSurf: this column reports the ConSurf conservation grades of each hub.

Index Hub Avg Int. Strength Num Of Links Community ConSurf
1A:A:E33 6.0275416
2A:A:V34 7.005455
3A:A:L37 4.996519
4A:A:K46 4.45559
5A:A:F189 6.005409
6A:A:F191 6.782555
7A:A:L194 4.2125454
8A:A:F196 6.40857757
9A:A:M198 3.765457
10A:A:F199 8.62515
11A:A:Q204 5.4875419
12A:A:S206 5.425418
13A:A:R208 4.6475409
14A:A:K210 5.62125819
15A:A:W211 4.11714719
16A:A:H213 6.345418
17A:A:C214 3.99417
18A:A:F215 4.15444919
19A:A:I221 5.4475418
20A:A:I222 3.982557
21A:A:F223 6.565419
22A:A:L227 3.935417
23A:A:Y230 3.62429718
24A:A:R242 8.33754159
25A:A:F250 6.01619
26A:A:C254 3.71515
27A:A:W258 6.825615
28A:A:F259 5.81619
29A:A:I264 3.2775416
30A:A:I265 2.88408
31A:A:L266 3.645419
32A:A:F267 4.43286759
33A:A:L268 4.6825418
34A:A:K270 4.62754169
35A:A:F274 3.22143719
36A:A:P282 3.4025405
37A:A:L283 4.21286717
38A:A:C286 3.53416
39A:A:Y287 7.09857717
40A:A:Y290 8.6075417
41A:A:Y296 4.378504
42A:A:E298 4.1975414
43A:A:Y302 11.695416
44A:A:I303 3.92417
45A:A:F307 3.844518
46A:A:T316 2.884133
47A:A:I319 4.5125415
48A:A:Y320 7.714507
49A:A:T321 7.845415
50A:A:H322 6.334559
51A:A:F323 4.875414
52A:A:T324 5.1875459
53A:A:N331 4.5175458
54A:A:F336 5.30333658
55A:A:V339 5.93458
56A:A:C351 4.315424
57A:A:L353 4.736527
58A:A:F354 6.596505
59B:B:L7 4.915148
60B:B:L14 2.7465188
61B:B:I18 3.524567
62B:B:R22 5.65466
63B:B:L30 5.03405
64B:B:I37 5.3025472
65B:B:V40 4.304573
66B:B:M45 5.49484
67B:B:R48 4.916537
68B:B:R49 5.066537
69B:B:L51 8.6925439
70B:B:H54 8.19714739
71B:B:Y59 7.53518
72B:B:M61 3.9175436
73B:B:W63 5.86428737
74B:B:R68 11.8525435
75B:B:L70 6.66435
76B:B:V71 4.74254108
77B:B:D76 6.0375439
78B:B:L79 5.06754107
79B:B:I80 9.005438
80B:B:I81 4.3785107
81B:B:W82 9.35739
82B:B:S84 3.85435
83B:B:Y85 11.7425434
84B:B:K89 6.46714739
85B:B:H91 5.624105
86B:B:I93 4.6375407
87B:B:L95 5.1065108
88B:B:W99 6.235819
89B:B:M101 3.5875419
90B:B:C103 3.42754108
91B:B:Y105 4.228106
92B:B:N110 6.7925414
93B:B:Y111 5.01667614
94B:B:L117 2.89519
95B:B:N119 4.265409
96B:B:I123 3.508516
97B:B:Y124 4.42506
98B:B:L126 4.1854105
99B:B:H142 5.51143719
100B:B:Y145 5.09667918
101B:B:R150 4.82446
102B:B:F151 3.91719
103B:B:I157 3.08417
104B:B:T159 4.69833619
105B:B:S160 3.6375406
106B:B:S161 7.34419
107B:B:D163 7.57519
108B:B:T165 4.762517
109B:B:L168 4.31446
110B:B:W169 7.46618
111B:B:Q176 6.71414
112B:B:F180 5.94429747
113B:B:H183 8.35333649
114B:B:D186 5.196519
115B:B:L190 3.046545
116B:B:L192 3.8225445
117B:B:F199 6.79549
118B:B:V200 6.2575466
119B:B:S201 5.2625449
120B:B:C204 5.5225417
121B:B:D205 7.0625449
122B:B:K209 9.644546
123B:B:L210 5.234505
124B:B:W211 8.16833648
125B:B:D212 9.69449
126B:B:V213 4.1075444
127B:B:R214 5.4175449
128B:B:E215 6.538543
129B:B:R219 6.28445
130B:B:Q220 6.6975467
131B:B:F222 8.64468
132B:B:H225 8.57769
133B:B:D228 7.9975419
134B:B:I232 5.865468
135B:B:F234 4.276505
136B:B:F235 5.8825876
137B:B:P236 6.03477
138B:B:F241 5.86429766
139B:B:T243 5.30167668
140B:B:D247 6.678569
141B:B:T249 5.94466
142B:B:R251 9.01668
143B:B:F253 8.798566
144B:B:A257 2.82254217
145B:B:D258 9.392567
146B:B:Y264 4.73714795
147B:B:I269 3.6275404
148B:B:I273 6.6575496
149B:B:F278 5.832577
150B:B:S279 4.2375479
151B:B:G282 2.7225479
152B:B:R283 7.37167679
153B:B:Y289 7.834597
154B:B:C294 3.752585
155B:B:N295 6.9575496
156B:B:W297 6.662598
157B:B:K301 4.035675
158B:B:R304 8.4825495
159B:B:H311 8.438589
160B:B:R314 12.04418
161B:B:L318 3.544586
162B:B:V327 3.218586
163B:B:T329 6.4675488
164B:B:W332 10.11819
165B:B:D333 4.258589
166B:B:L336 4.9675407
167B:B:K337 7.866586
168B:B:W339 6.95429789
169G:G:R27 5.16668
170G:G:Y40 8.775476
171G:G:D48 6.654579
172G:G:L51 4.4576
173G:G:N59 4.77833639
174G:G:P60 7.4625439
175G:G:F61 5.28555938
176L:L:?1 10.3412820
177R:R:I14 2.864524
178R:R:M18 6.52167625
179R:R:P19 3.85426
180R:R:G32 2.28407
181R:R:N33 6.64754119
182R:R:L37 3.305428
183R:R:F40 6.418527
184R:R:M44 3.8625426
185R:R:Y53 5.5625407
186R:R:F55 7.422526
187R:R:N56 7.0825429
188R:R:M65 4.245116
189R:R:R71 11.1575426
190R:R:Y74 7.53625
191R:R:Y75 6.50375825
192R:R:R79 4.465425
193R:R:W81 4.33833628
194R:R:F83 5.326527
195R:R:F93 8.0225425
196R:R:M97 4.324526
197R:R:N98 5.412528
198R:R:R99 4.0875428
199R:R:I103 3.98167628
200R:R:F105 6.412527
201R:R:L106 4.185428
202R:R:Y114 5.994297129
203R:R:K116 6.358528
204R:R:H121 4.986556
205R:R:W140 4.92529
206R:R:Y149 9.835427
207R:R:H155 2.655424
208R:R:E166 8.318524
209R:R:F168 10.9625424
210R:R:M170 6.6325403
211R:R:H177 9.085405
212R:R:F181 7.0625425
213R:R:Q182 3.898525
214R:R:E184 4.9575425
215R:R:F185 5.65833628
216R:R:L189 4.828526
217R:R:K198 6.984124
218R:R:R206 3.685405
219R:R:I222 4.0625407
220R:R:F229 3.582529
221R:R:Y233 6.91167629
222R:R:S236 4.07406
223R:R:R240 9.32667625
224R:R:F243 6.124524
225R:R:L244 6.665425
226R:R:C252 4.61754237
227R:R:H257 9.7425424
228R:R:H261 11.2575425
229R:R:I262 3.615425
230R:R:S265 4.1025425
231R:R:Y278 5.10833629
232R:R:Y279 6.292527
233R:R:S282 3.2125428
   

Color ConSurf Grade
      No Conservation data available
      1
      2
      3
      4
      5
      6
      7
      8
      9

Index: link id, click on each number to highlight the corresponding link in the 3D visualization.

Node1 Node2: the two nodes of the corresponding link.

Recurrence: the relative Recurrence in the pool of shortest paths.

Int. Strength: the interaction strength between the two nodes.

Hub1?, Hub2?: "Yes" if the corresponding node has more than 3 links, otherwise "No".

Community: the id of the community the link belong to, otherwise 0.

ConSurf1, ConSurf2: these columns report the ConSurf conservation grades of the two nodes involved in a link.

Index Node1 Node2 Recurrence Int. Strength Hub1? Hub2? Community ConSurf1 ConSurf2
1B:B:C317 B:B:M61 15.13074.86NoYes076
2B:B:C317 B:B:S316 15.41043.44NoNo079
3B:B:S316 B:B:W332 15.6014.94NoYes099
4A:A:I212 A:A:W258 18.85632.35NoYes185
5A:A:F259 A:A:I212 18.97715.02YesNo198
6A:A:F215 A:A:F259 22.69552.14YesYes199
7A:A:F215 A:A:V201 44.79252.62YesNo199
8A:A:G202 A:A:V201 1001.84NoNo099
9A:A:D200 A:A:G202 99.97935.03NoNo099
10A:A:D200 A:A:K46 99.95856.91NoYes099
11A:A:K46 A:A:L38 99.85347.05YesNo598
12A:A:L38 A:A:M198 48.08495.65NoYes587
13A:A:F189 A:A:M198 47.85734.98YesYes097
14A:A:F189 A:A:F196 47.325813.93YesYes097
15A:A:F196 A:A:F336 91.8063.22YesYes578
16A:A:F336 A:A:T340 91.2646.49YesNo586
17A:A:T340 R:R:R206 91.31562.59NoYes065
18R:R:L209 R:R:R206 92.14252.43NoYes025
19R:R:L209 R:R:M215 91.86934.24NoNo027
20A:A:F354 R:R:M215 91.73253.73YesNo057
21A:A:F354 R:R:P283 88.48867.22YesNo055
22R:R:P283 R:R:S282 88.18713.56NoYes258
23R:R:S282 R:R:Y279 87.42262.54YesYes287
24R:R:F40 R:R:Y279 71.407614.44YesYes277
25R:R:F40 R:R:L54 64.45093.65YesNo278
26B:B:W332 B:B:Y59 12.18829.65YesYes198
27A:A:F215 B:B:W99 14.33477.02YesYes199
28A:A:I222 A:A:L38 51.7472.85YesNo578
29A:A:I222 A:A:L36 47.26038.56YesNo577
30A:A:F196 A:A:L36 47.25643.65YesNo577
31A:A:F250 A:A:F307 13.1076.43YesYes198
32A:A:I221 A:A:I264 11.67984.42YesYes186
33A:A:W211 B:B:Y145 54.46652.89YesYes198
34A:A:K210 B:B:Y145 55.02232.39YesYes198
35A:A:K210 B:B:D228 27.29248.3YesYes199
36A:A:K210 B:B:D246 27.29235.53YesNo199
37B:B:I18 G:G:A23 29.7433.25YesNo078
38B:B:L14 G:G:A23 27.26641.58YesNo088
39B:B:E10 B:B:L14 19.83383.98NoYes1888
40B:B:E10 G:G:V16 18.59564.28NoNo087
41B:B:L7 G:G:V16 16.11741.49YesNo087
42B:B:I18 B:B:R22 17.09365.01YesYes676
43B:B:I18 G:G:R27 17.13892.51YesYes678
44B:B:D258 B:B:R22 19.000613.1YesYes676
45B:B:D258 G:G:R27 19.00059.53YesYes678
46B:B:D228 B:B:S227 27.45515.89YesNo096
47B:B:D247 B:B:S227 54.48532.94YesNo096
48B:B:D247 B:B:H225 42.25876.3YesYes699
49B:B:D246 B:B:S227 27.22752.94NoNo096
50B:B:F222 B:B:F253 31.042211.79YesYes686
51B:B:H225 B:B:T243 30.31678.21YesYes698
52B:B:F241 B:B:T243 16.45932.59YesYes668
53B:B:D247 B:B:T249 11.622810.12YesYes696
54B:B:H225 B:B:R251 10.969218.05YesYes698
55B:B:R251 B:B:T249 10.98767.76YesYes686
56R:R:L54 R:R:Y278 58.53614.69NoYes289
57R:R:L106 R:R:Y278 57.96584.69YesYes289
58R:R:F229 R:R:L106 57.77742.44YesYes298
59R:R:F229 R:R:I103 26.56452.51YesYes298
60R:R:I103 R:R:R99 19.88782.51YesYes288
61L:L:?1 R:R:R99 39.66955.96YesYes208
62R:R:F229 R:R:Y233 22.02435.16YesYes299
63R:R:R99 R:R:Y233 20.01262.06YesYes289
64R:R:A36 R:R:Y279 14.78235.34NoYes087
65R:R:A36 R:R:P275 14.62791.87NoNo089
66R:R:N33 R:R:P275 13.58976.52YesNo099
67R:R:M65 R:R:N33 11.0594.21YesYes1169
68L:L:?1 R:R:Y75 12.14225.75YesYes205
69L:L:?1 R:R:E166 12.93417.8YesYes204
70R:R:Y74 R:R:Y75 13.1583.97YesYes255
71R:R:W81 R:R:Y74 23.80173.86YesYes285
72A:A:F215 A:A:L37 11.23459.74YesYes199
73B:B:F253 B:B:R251 21.14332.14YesYes668
74B:B:F253 B:B:T243 10.54487.78YesYes668
75A:A:V201 A:A:W211 55.2286.13NoYes199
76A:A:W258 B:B:R314 10.33726YesYes158
77B:B:F222 B:B:F241 10.39528.57YesYes686
78B:B:D258 B:B:F222 39.26897.17YesYes678
Download PSN data

2D representation of the global metapath, ligand(s) interactions and
histograms of path distribution according to several parameters
(click on the image to enlarge it 🔍):

A 2D representation of the global communication in the network.

ConSurf Conservation Grade (See documentation): 

 n/a   1    2    3    4    5    6    7    8    9  

Number of shortest communication paths as a function of the average residue correlation.

Number of shortest communication paths as a function of the average interaction strength of their links.

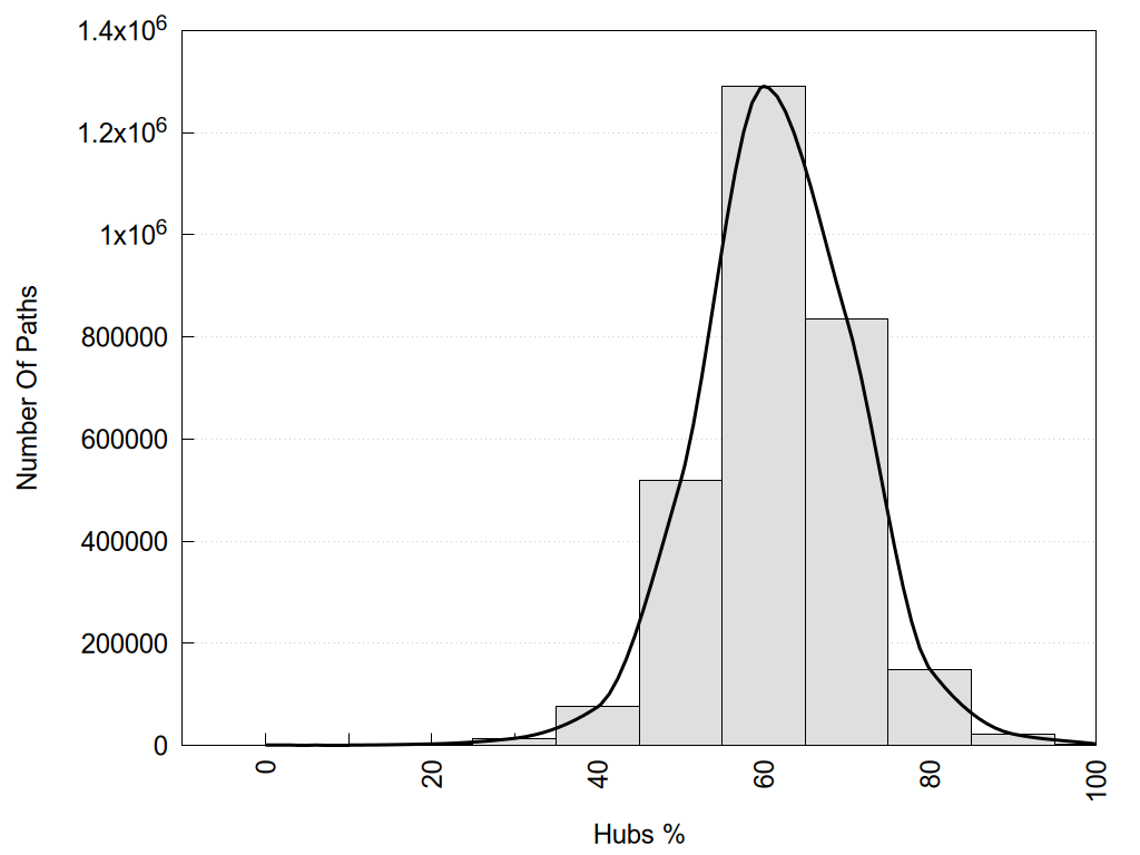
Number of shortest communication paths as a function of the % of hub nodes in each path.

Number of shortest communication paths as a function of the number of nodes in each path.

Number of shortest communication paths as a function of the % of correlated nodes in each path.


2D representation of the interactions of this orthosteric/allosteric ligand.


Links and nodes colored according to ConSurf Conservation Grade (See documentation): 

 n/a   1    2    3    4    5    6    7    8    9  

Node1 Node2 LinkStrength Comm IsNode1Hub? IsNode2Hub? Node1Cons Node2Cons Node1Shell Node2Shell
L:L:?1 R:R:R71 21.46 2 Yes Yes 0 6 0 1
L:L:?1 R:R:Y75 5.75 2 Yes Yes 0 5 0 1
L:L:?1 R:R:L92 2.72 2 Yes No 0 6 0 1
L:L:?1 R:R:L95 17.66 2 Yes No 0 6 0 1
L:L:?1 R:R:R99 5.96 2 Yes Yes 0 8 0 1
L:L:?1 R:R:E166 7.8 2 Yes Yes 0 4 0 1
L:L:?1 R:R:H261 7.57 2 Yes Yes 0 5 0 1
L:L:?1 R:R:Y268 13.81 2 Yes No 0 7 0 1
R:R:I14 R:R:M18 2.92 2 Yes Yes 4 5 2 2
R:R:I14 R:R:Y75 2.42 2 Yes Yes 4 5 2 1
R:R:I14 R:R:R79 2.51 2 Yes Yes 4 5 2 2
R:R:M18 R:R:P19 5.03 2 Yes Yes 5 6 2 2
R:R:L22 R:R:M18 9.9 0 No Yes 7 5 2 2
R:R:M18 R:R:Y75 10.78 2 Yes Yes 5 5 2 1
R:R:P19 R:R:Y75 2.78 2 Yes Yes 6 5 2 1
R:R:L22 R:R:Y268 2.34 0 No No 7 7 2 1
R:R:C67 R:R:L95 4.76 2 No No 6 6 2 1
R:R:R71 R:R:Y74 5.14 2 Yes Yes 6 5 1 2
R:R:R71 R:R:Y75 13.38 2 Yes Yes 6 5 1 1
R:R:E166 R:R:R71 4.65 2 Yes Yes 4 6 1 1
R:R:Y74 R:R:Y75 3.97 2 Yes Yes 5 5 2 1
R:R:R79 R:R:Y74 10.29 2 Yes Yes 5 5 2 2
R:R:E166 R:R:Y74 16.83 2 Yes Yes 4 5 1 2
R:R:R79 R:R:Y75 2.06 2 Yes Yes 5 5 2 1
R:R:H261 R:R:Y75 10.89 2 Yes Yes 5 5 1 1
R:R:L95 R:R:Y268 5.86 2 No No 6 7 1 1
R:R:I103 R:R:R99 2.51 2 Yes Yes 8 8 2 1
R:R:E184 R:R:R99 5.82 2 Yes Yes 5 8 2 1
R:R:R99 R:R:Y233 2.06 2 Yes Yes 8 9 1 2
R:R:E184 R:R:I103 5.47 2 Yes Yes 5 8 2 2
R:R:I103 R:R:Y233 8.46 2 Yes Yes 8 9 2 2
R:R:E166 R:R:H257 2.46 2 Yes Yes 4 4 1 2
R:R:E166 R:R:H261 9.85 2 Yes Yes 4 5 1 1
R:R:H257 R:R:H261 16.72 2 Yes Yes 4 5 2 1

Location and physicochemical properties of the interaction partners of this ligand

Interactions of this ligand

Similarities between the interactions of this ligand and those of other networks

ShowSimilarityNetwork TypeNameLigandDescription
88.89Single8UTDMK19038UTD-HCA2-MK1903-Gi1/β1/γ2
77.78Single8JILNiacin8JIL-HCA2-Niacin-Gi1/β1/γ2
72.73Single8JIINiacin8JII-HCA2-Niacin-Compound 9n-Gi1/β1/γ2
72.73Single9IZCMK19039IZC-HCA2-MK1903-Gi1/β1/γ2
70.00Single8IJBAcipimox8IJB-HCA2-Acipimox-Gi1/β1/γ2
70.00Single8J6LNiacin8J6L-HCA2-Niacin-Gi1/β1/γ2
66.67Single8UUJFCH-22964138UUJ-HCA2-FCH-2296413-Gi1/β1/γ2
66.67Single9CIBFCH-22964139CIB-HCA2-FCH-2296413
63.64Single8IY9Niacin8IY9-HCA2-Niacin-Go/β1/γ2
63.64Single8JEI3-nitro-4-(propylamino)benzoic acid8JEI-HCAR3-3-nitro-4-(propylamino)benzoic acid-Gi1/β1/γ2
63.64Single8JERAcipimox8JER-HCA2-Acipimox-Go/β1/γ2
63.64Single8JIMMMF8JIM-HCA2-MMF-Gi1/β1/γ2
63.64Single8K5CAcipimox8K5C-HCA2-Acipimox
63.64Consensushca_onOrthosteric Ligandhca2_on
61.54Single8IHBGSK2560738IHB-HCA2-GSK256073-Gi1/β1/γ2
61.54Single8IHHLUF62838IHH-HCA2-LUF6283-Gi1/β1/γ2
60.00Single8IHIAcifran8IHI-HCA2-Acifran-Gi1/β1/γ2
60.00Single9IQTNiacin9IQT-HCA2-Niacin-Gi1/β1/γ2
58.33Single8I7VAcipimox8I7V-HCA2-Acipimox-Gi1/β1/γ2
58.33Single8IHJAcifran8IHJ-HCA3-Acifran-Gi1/β1/γ2
58.33Single8J6PNiacin8J6P-HCA2-Niacin-Compound 9n-Gi1/β1/γ2
58.33Single8JHNMMF8JHN-HCA2-MMF-Go/β1/γ2
58.33Single8K5DGSK2560738K5D-HCA2-GSK256073
58.33Consensusgi_hcaOrthosteric Ligand8J6R-HCA2-MK6892-Gi1/β1/γ2 8JIM-HCA2-MMF-Gi1/β1/γ2 8IHI-HCA2-Acifran-Gi1/β1/γ2 8IHH-HCA2-LUF6283-Gi1/β1/γ2 8I7V-HCA2-Acipimox-Gi1/β1/γ2 8I7W-HCA2-GSK256073-Gi1/β1/γ2
58.33Consensushca2_onOrthosteric Ligand8J6R-HCA2-MK6892-Gi1/β1/γ2 8JIM-HCA2-MMF-Gi1/β1/γ2 8I7V-HCA2-Acipimox-Gi1/β1/γ2 8I7W-HCA2-GSK256073-Gi1/β1/γ2 8IHH-HCA2-LUF6283-Gi1/β1/γ2 8IHI-HCA2-Acifran-Gi1/β1/γ2
58.33Consensushca2_on_gpOrthosteric Ligand8J6R-HCA2-MK6892-Gi1/β1/γ2 8IHI-HCA2-Acifran-Gi1/β1/γ2 8IHH-HCA2-LUF6283-Gi1/β1/γ2 8I7V-HCA2-Acipimox-Gi1/β1/γ2 8JIM-HCA2-MMF-Gi1/β1/γ2 8I7W-HCA2-GSK256073-Gi1/β1/γ2
58.33Consensushca_on_gpOrthosteric Ligandhca2_on_gp
57.14Single8IYWGSK2560738IYW-HCA2-GSK256073-Go/β1/γ2
53.85Single8I7WGSK2560738I7W-HCA2-GSK256073-Gi1/β1/γ2
50.00Single3V2YPubChem 518926453V2Y-S1P1-PubChem 51892645
50.00Single8IHKAcifran8IHK-HCA3-Acifran
50.00Single8JEF(3S)-3-hydroxyoctanoic acid8JEF-HCA3-(3S)-3-hydroxyoctanoic acid-Gi1/β1/γ2
50.00Single8XIPPasireotide8XIP-SST1-Pasireotide-chim(NtGi1-Gs-CtGi1)/β1/γ2
46.67Single7K15MKD0467K15-BLT1-MKD046-Na
46.15Single5NDDAZ8838; Na5NDD-PAR2-AZ8838; Na
46.15Consensusalicarboxylic_on_gpOrthosteric Ligandsuccinate_on_gp hca_on_gp
46.15Consensusgi_alicarboxylicOrthosteric Ligandgi_hca gi_succinate
45.45Single8H2GNiacin8H2G-HCA2-Niacin-Gi1/β1/γ2
45.45Single8K5BNiacin8K5B-HCA2-Niacin
45.45Single8YKWSuccinic acid8YKW-Succinate-Succinic acid-Gi1/β1/γ1
43.75Consensusclass-a_onOrthosteric Ligandsensory_on alicarboxylic_on amine_on lipid_on nucleotide_on peptide_on protein_on
42.86Single8HNLPS3724248HNL-CXCR3-PS372424-Gi1/β1/γ2
42.86Single8J6JGSK2560738J6J-HCA2-GSK256073-Gi1/β1/γ2
42.86Consensusblt1_offOrthosteric Ligand5X33-BLT1-BIIL260 7K15-BLT1-MKD046-Na
42.86Consensusblt_offOrthosteric Ligandblt1_off
41.67Single3V2WPubChem 518926453V2W-S1P1-PubChem 51892645
41.67Single6B73MP11046B73-κ-MP1104
41.67Single8EFOPZM218EFO-μ-PZM21-Gi1/β1/γ2
41.67Single8IJANiacin8IJA-HCA2-Niacin-Gi1/β1/γ2
41.67Single8WOGSuccinic acid8WOG-Succinate-Succinic acid-Gi1/β1/γ2
41.67Single8Y0HVUF114188Y0H-CXCR3-VUF11418
41.67Single8Y0NVUF114188Y0N-CXCR3-VUF11418-Go/β1/γ2
41.67Single8YKXMaleic acid8YKX-Succinate-Maleic acid-Gi1/β1/γ1
41.67Consensusgi_succinateOrthosteric Ligand8YKW-Succinate-Succinic acid-Gi1/β1/γ1 8YKX-Succinate-Maleic acid-Gi1/β1/γ1
41.67Consensuss1p1_offOrthosteric Ligand3V2W-S1P1-PubChem 51892645
41.67Consensussuccinate_onOrthosteric Ligand8YKW-Succinate-Succinic acid-Gi1/β1/γ1 8YKX-Succinate-Maleic acid-Gi1/β1/γ1
41.67Consensussuccinate_on_gpOrthosteric Ligand8YKW-Succinate-Succinic acid-Gi1/β1/γ1 8YKX-Succinate-Maleic acid-Gi1/β1/γ1
41.18Single9IZASCH9002719IZA-HCA2-SCH900271-Gi1/β1/γ2
40.00Single8J6IMK68928J6I-HCA2-MK6892-Gi1/β1/γ2
38.89Single8K3ZCXCL128K3Z-CXCR4-CXCL12-Gi1/β1/γ1
38.89Single8ZBJSomatostatin-148ZBJ-SST5-Somatostatin-14-Gi1/β1/γ2
38.89Consensusclass-a_on_gpOrthosteric Ligandsensory_on_gp alicarboxylic_on_gp amine_on_gp lipid_on_gp nucleotide_on_gp peptide_on_gp protein_on_gp
38.89Consensuscxcr4_onOrthosteric Ligand8K3Z-CXCR4-CXCL12-Gi1/β1/γ1
38.46Single4ZJCSB-6740424ZJC-OX1-SB-674042
38.46Single6TPGEMPA6TPG-OX2-EMPA
38.46Single6ZG9GSK10347026ZG9-M1-GSK1034702
38.46Single7F61PF-036547467F61-H3-PF-03654746
38.46Single8HNMVUF112228HNM-CXCR3-VUF11222-Gi1/β1/γ2
38.46Single8K9KDamgo8K9K-μ-Damgo-Gi3/β1/γ1
38.46Single8ZPMAMD0708ZPM-CXCR4-AMD070
38.46Consensusnop_offOrthosteric Ligand4EA3-NOP-PubChem 10296561 5DHG-NOP-C-35 5DHH-NOP-SB-612111
37.50Single5X33BIIL2605X33-BLT1-BIIL260
37.50Single6A93Risperidone6A93-5-HT2A-Risperidone
37.50Single7DFPSpiperone7DFP-D2-Spiperone
37.50Single7XMTJ-21567XMT-SST4-J-2156-Gi1/β1/γ2
37.50Single8XYIVUF106618XYI-CXCR3-VUF10661
37.50Single9BJKNAM9BJK-μ-Naloxone-NAM
36.84Single7RKMFractalkine7RKM-US28-Fractalkine-Gi1/β1/γ2
36.36Single3OE6IT1t3OE6-CXCR4-IT1t
36.36Single8J6QBeta-Hydroxybutyrate8J6Q-HCA2-β-Hydroxybutyrate-Compound 9n-Gi1/β1/γ2
35.71Single4EA3PubChem 102965614EA3-NOP-PubChem 10296561
35.71Single4YAYZD-71554YAY-AT1-ZD-7155
35.71Single5DHGC-355DHG-NOP-C-35
35.71Single6GPSMK08126GPS-CCR2-MK0812
35.71Single6TOTLemborexant6TOT-OX1-Lemborexant
35.71Single6Z10PubChem 1545855546Z10-Succinate-PubChem 154585554
35.71Single7T2GMitragynine Pseudoindoxyl7T2G-μ-Mitragynine Pseudoindoxyl-Gi1/β1/γ2
35.71Single7UL4Alvimopan7UL4-μ-Alvimopan
35.71Single7VIES1P7VIE-S1P1-S1P-Gi1/β1/γ2
35.71Single7VKTLTB47VKT-BLT1-LTB4-Gi1/β1/γ2
35.71Single7YACPaltusotine7YAC-SST2-Paltusotine-Gi1/β1/γ2
35.71Single7YXAONO-54306087YXA-S1P5-ONO-5430608
35.71Single9D61JDTic9D61-κ-JDTic-Gi1/β1/γ2
35.71Single9JGKBalovaptan9JGK-5-HT2B-Balovaptan
35.71Consensusalicarboxylic_offOrthosteric Ligandsuccinate_off
35.71Consensusblt1_onOrthosteric Ligand7VKT-BLT1-LTB4-Gi1/β1/γ2
35.71Consensusblt1_on_gpOrthosteric Ligand7VKT-BLT1-LTB4-Gi1/β1/γ2
35.71Consensusblt_onOrthosteric Ligandblt1_on
35.71Consensusblt_on_gpOrthosteric Ligandblt1_on_gp
35.71Consensusccr2_offOrthosteric Ligand6GPS-CCR2-MK0812
35.71Consensusgi_leukotrieneOrthosteric Ligand7VKT-BLT1-LTB4-Gi1/β1/γ2
35.71Consensusleukotriene_onOrthosteric Ligandblt_on
35.71Consensusleukotriene_on_gpOrthosteric Ligandblt_on_gp
35.71Consensuslipid_offOrthosteric Ligandcannabinoid_off paf_off lpl_off prostanoid_off leukotriene_off
35.71Consensussuccinate_offOrthosteric Ligand6RNK-Succinate-NF-56-EJ40 6Z10-Succinate-PubChem 154585554
35.29Single5UNGPubChem 157800525UNG-AT2-PubChem 15780052
35.29Single7XK2MK68927XK2-HCA2-MK6892-Gi1/β1/γ2
35.29Single8XIOL7975918XIO-SST1-L797591-chim(NtGi1-Gs-CtGi1)/β1/γ2
35.29Consensusprostanoid_offOrthosteric Ligandep_off dp_off
35.00Consensuscxcr4_on_gpOrthosteric Ligand8K3Z-CXCR4-CXCL12-Gi1/β1/γ1
33.33Single3OE9IT1t3OE9-CXCR4-IT1t
33.33Single4ZJ8Suvorexant4ZJ8-OX1-Suvorexant
33.33Single5T1ABMS-6815T1A-CCR2-BMS-681-PubChem 12093170
33.33Single5WQCEMPA5WQC-OX2-EMPA
33.33Single5YHLPubChem 1351213525YHL-EP4-PubChem 135121352
33.33Single5YWYONO-AE3-2085YWY-EP4-ONO-AE3-208
33.33Single6GPXMK08126GPX-CCR2-MK0812
33.33Single6TO7Suvorexant6TO7-OX1-Suvorexant-Na
33.33Single6TP6Filorexant6TP6-OX1-Filorexant
33.33Single7C4SS1P7C4S-S1P3-S1P
33.33Single7C61Ergotamine7C61-5-HT1B-Ergotamine
33.33Single7EO2FTY720-P7EO2-S1P1-FTY720-P-Gi1/β1/γ2
33.33Single7F8WGastrin-177F8W-CCKB-Gastrin-17-chim(NtGsL-Gq)/β1/γ2
33.33Single7RKFFractalkine7RKF-US28-Fractalkine-GDP-chim(NtGi1-G11)/β1/γ2
33.33Single7SBFPZM217SBF-μ-PZM21-Gi1/β1/γ2
33.33Single7SK9CCX6627SK9-ACKR3-CCX662
33.33Single7TD3S1P7TD3-S1P1-S1P-Gi1/β1/γ2
33.33Single8DZQmomSalB8DZQ-κ-momSalB-Go/β1/γ2
33.33Single8DZRGR89,6968DZR-κ-GR89,696-chim(NtGi2-Gt3)/β1/γ2
33.33Single8EFBOliceridine8EFB-μ-Oliceridine-Gi1/β1/γ2
33.33Single8FX5Xanomeline8FX5-M4-Xanomeline-Xanomeline-Gi1/β1/γ2
33.33Single8IHFMK68928IHF-HCA2-MK6892-Gi1/β1/γ2
33.33Single8JPNCis-Epoxysuccinic acid8JPN-Succinate-Cis-Epoxysuccinic acid-Gi1/β1/γ1
33.33Single8K8JFenofibrate8K8J-CB1-Fenofibrate-chim(Gs-CtGq)/β1/γ2
33.33Single8WP1Cis-Epoxysuccinic acid8WP1-Succinate-Cis-Epoxysuccinic acid-Gi1/β1/γ2
33.33Single8XYKVUF106618XYK-CXCR3-VUF10661-Go/β1/γ2
33.33Single8YICSAR2477998YIC-S1P1-SAR247799-Gi1/β1/γ2
33.33Single8ZX5AM2518ZX5-GPR55-AM251-chim(NtGi1-G13)/β1/γ2
33.33Single9LMPNE52-QQ579LMP-GPR4-NE52-QQ57
33.33Single9M0RNeuropeptide VF9M0R-NPFF1-Neuropeptide VF-Gi1/β1/γ2
33.33Consensuscb2_onOrthosteric Ligand8GUR-CB2-CP55,940-Gi1/β1/γ2 8GUS-CB2-HU-308-Gi1/β1/γ2 8GUT-CB2-LEI-102-Gi1/β1/γ2 6KPF-CB2-PubChem 145915889-Gi1/β1/γ2 6PT0-CB2-WIN 55212-2-Gi1/β1/γ2 8GUQ-CB2-Olorinab-Gi1/β1/γ2
33.33Consensuscb2_on_gpOrthosteric Ligand8GUR-CB2-CP55,940-Gi1/β1/γ2 8GUS-CB2-HU-308-Gi1/β1/γ2 8GUT-CB2-LEI-102-Gi1/β1/γ2 6KPF-CB2-PubChem 145915889-Gi1/β1/γ2 6PT0-CB2-WIN 55212-2-Gi1/β1/γ2 8GUQ-CB2-Olorinab-Gi1/β1/γ2
33.33Consensusd4_onOrthosteric Ligand8IRU-D4-Rotigotine-chim(NtGi1-Gs-CtGi1)/β1/γ2
33.33Consensusep4_offOrthosteric Ligand5YWY-EP4-ONO-AE3-208 5YHL-EP4-PubChem 135121352
33.33Consensusep_offOrthosteric Ligandep4_off
33.33Consensusgi_class-aOrthosteric Ligandgi_peptide gi_sensory gi_alicarboxylic gi_amine gi_lipid gi_nucleotide gi_protein
33.33Consensuslipid_onOrthosteric Ligandcannabinoid_on ffa_on lpl_on prostanoid_on leukotriene_on
33.33Consensuslipid_on_gpOrthosteric Ligandcannabinoid_on_gp ffa_on_gp lpl_on_gp prostanoid_on_gp leukotriene_on_gp
33.33Consensuss1p5_offOrthosteric Ligand7YXA-S1P5-ONO-5430608
33.33Consensuss1p_offOrthosteric Ligands1p1_off s1p5_off
31.58Single5UNFPubChem 157800525UNF-AT2-PubChem 15780052
31.58Single7W0PElabela7W0P-Apelin-Elabela-Gi1/β1/γ2
31.58Single8DCRDobutamine8DCR-β1-Dobutamine-Gs/β1/γ2
31.58Single8J6RMK68928J6R-HCA2-MK6892-Gi1/β1/γ2
31.58Single8U4OCXCL128U4O-CXCR4-CXCL12-Gi1/β1/γ2
31.58Consensussomatostatin_offOrthosteric Ligandsst2_off
31.58Consensussst5_onOrthosteric Ligand8X8L-SST5-Cortistatin-chim(NtGi1-Gs-CtGi1)/β1/γ2 8X8N-SST5-Octreotide-chim(NtGi1-Gs-CtGi1)/β1/γ2
31.25Single4DJHJDTic4DJH-κ-JDTic
31.25Single6N48BI1671076N48-β2-BI167107-PubChem 138454256
31.25Single6TQ7SB-3348676TQ7-OX1-SB-334867
31.25Single7EW3S1P7EW3-S1P3-S1P-Gi1/β1/γ2
31.25Single7T2HLofentanil7T2H-μ-Lofentanil-Gi1/β1/γ2
31.25Single7U2LPubChem 1632012427U2L-μ-PubChem 163201242-Gi1/β1/γ2
31.25Single7WV9CP559407WV9-CB1-CP55940-ZCZ011-Gi2/β1/γ2
31.25Single8DZPmomSalB8DZP-κ-momSalB-Gi1/β1/γ2
31.25Single8E0GBU728E0G-μ-BU72
31.25Single8EF5Fentanyl8EF5-μ-Fentanyl-Gi1/β1/γ2
31.25Single8EFLSR170188EFL-μ-SR17018-Gi1/β1/γ2
31.25Single8IRURotigotine8IRU-D4-Rotigotine-chim(NtGi1-Gs-CtGi1)/β1/γ2
31.25Single8IYHMK68928IYH-HCA2-MK6892-Go/β1/γ2
31.25Single8JT6(R)-IHCH-71798JT6-5-HT1A-(R)-IHCH-7179-Gi1/β1/γ2
31.25Single8VVFJDTic8VVF-κ-JDTic-Gi1/β1/γ2
31.25Single9ASTLymphotactin9AST-XCR1-Lymphotactin-Gi1/β1/γ2
31.25Single9IK9SST analogue9IK9-SST1-SST analogue-Gi1/β1/γ2
31.25Consensusd4_on_gpOrthosteric Ligand8IRU-D4-Rotigotine-chim(NtGi1-Gs-CtGi1)/β1/γ2
31.25Consensusgi_cannabinoidOrthosteric Ligand8GUR-CB2-CP55,940-Gi1/β1/γ2 8GUS-CB2-HU-308-Gi1/β1/γ2 8GUT-CB2-LEI-102-Gi1/β1/γ2 8GUQ-CB2-Olorinab-Gi1/β1/γ2 6KPF-CB2-PubChem 145915889-Gi1/β1/γ2 6PT0-CB2-WIN 55212-2-Gi1/β1/γ2 6KPG-CB1-AM841-Gi1/β1/γ2
31.25Consensuskop_offOrthosteric Ligand4DJH-κ-JDTic
30.77Single3ODUIT1t3ODU-CXCR4-IT1t
30.77Single4S0VSuvorexant4S0V-OX2-Suvorexant
30.77Single5WS3EMPA5WS3-OX2-EMPA
30.77Single5ZKQABT-4915ZKQ-PAF-ABT-491
30.77Single6RNKNF-56-EJ406RNK-Succinate-NF-56-EJ40
30.77Single6TODEMPA6TOD-OX1-EMPA-Na
30.77Single6TPJSuvorexant6TPJ-OX2-Suvorexant
30.77Single7VIHCBP-3077VIH-S1P1-CBP-307-Gi1/β1/γ2
30.77Single7X2CFenoldopam7X2C-D1-Fenoldopam-Fenoldopam-Gs/β1/γ2
30.77Single8JPPSuccinic acid8JPP-Succinate-Succinic acid-chim(Gs-CtGq)/β1/γ1
30.77Single8XXVIndomethacin8XXV-DP2-Indomethacin-A1D5Q-Gi1/β1/γ2
30.77Single9KPESA09KPE-TAS2R16-SA0-Gi1/β1/γ2
30.77Consensusorexin_offOrthosteric Ligandox2_off ox1_off
30.77Consensusox1_offOrthosteric Ligand6TP6-OX1-Filorexant 6TP4-OX1-ACT-462206 6V9S-OX1-GTPL11403 6TOT-OX1-Lemborexant 6TP3-OX1-Nemorexant 6TQ6-OX1-PubChem 145714283 6TQ9-OX1-SB-408124 4ZJC-OX1-SB-674042 4ZJ8-OX1-Suvorexant 6TOD-OX1-EMPA-Na 6TOS-OX1-GSK1059865-Na 6TQ4-OX1-PubChem 16046844-Na
30.77Consensusox2_offOrthosteric Ligand5WQC-OX2-EMPA 6TPN-OX2-HTL6641 7XRR-OX2-Lemborexant 6TPJ-OX2-Suvorexant
30.77Consensuspaf_offOrthosteric Ligand5ZKQ-PAF-ABT-491
30.00Single5XJM(Sar1,Ile8)-Angiotensin II5XJM-AT2-(Sar1,Ile8)-Angiotensin II
30.00Single6DO1Angiotensin-like peptide S1I86DO1-AT1-Angiotensin-like peptide S1I8
30.00Single7W0NElabela7W0N-Apelin-Elabela-Gi1/β1/γ2
30.00Single7XMSSomatostatin-147XMS-SST4-Somatostatin-14-Gi1/β1/γ2
30.00Single7XNACYN1548067XNA-SST2-CYN154806
30.00Single9IK8SST analogue9IK8-SST1-SST analogue-Gi1/β1/γ2
30.00Single9IQVMuscarinic toxin 39IQV-Alpha1A-Muscarinic toxin 3
30.00Consensusgq_class-aOrthosteric Ligandgq_peptide gq_amine gq_nucleotide
30.00Consensussst2_offOrthosteric Ligand7XNA-SST2-CYN154806
30.00Consensussst4_onOrthosteric Ligand7XMS-SST4-Somatostatin-14-Gi1/β1/γ2 7XMT-SST4-J-2156-Gi1/β1/γ2
30.00Consensussst4_on_gpOrthosteric Ligand7XMS-SST4-Somatostatin-14-Gi1/β1/γ2 7XMT-SST4-J-2156-Gi1/β1/γ2
29.41Single4LDEBI1671074LDE-β2-BI167107
29.41Single4RWADIPP-NH24RWA-δ-DIPP-NH2
29.41Single6ZG4HTL00099366ZG4-M1-HTL0009936
29.41Single7EO4BAF3127EO4-S1P1-BAF312-Gi1/β1/γ2
29.41Single7EW2Fingolimod7EW2-S1P3-Fingolimod-Gi1/β1/γ2
29.41Single7F55Bremelanotide7F55-MC4-Bremelanotide-Gs/β1/γ2
29.41Single7JNIOlodanrigan7JNI-AT2-Olodanrigan
29.41Single7W0NElabela7W0N-Apelin-Elabela-Gi1/β1/γ2
29.41Single7YITNalfurafine7YIT-κ-Nalfurafine
29.41Single7YMJTamsulosin7YMJ-Alpha1A-Tamsulosin
29.41Single8IA8E7 peptide8IA8-C3aB-E7 peptide-Gi1/β1/γ2
29.41Single8JZ7MK68928JZ7-HCA2-MK6892-Gi1/β1/γ2
29.41Single8X8NOctreotide8X8N-SST5-Octreotide-chim(NtGi1-Gs-CtGi1)/β1/γ2
29.41Single9DGIZ85267113509DGI-CB1-Z8526711350
29.41Single9GL2Befiradol9GL2-5-HT1A-Befiradol-Gs/β1/γ2
29.41Consensusalpha1_offOrthosteric Ligandalpha1a_off
29.41Consensusalpha1a_offOrthosteric Ligand7YMJ-Alpha1A-Tamsulosin
29.41Consensuscannabinoid_onOrthosteric Ligandcb2_on cb1_on
29.41Consensuscannabinoid_on_gpOrthosteric Ligandcb2_on_gp cb1_on_gp
29.41Consensuscb1_onOrthosteric Ligand6KPG-CB1-AM841-Gi1/β1/γ2 8K8J-CB1-Fenofibrate-chim(Gs-CtGq)/β1/γ2
29.41Consensusgi_lipidOrthosteric Ligandgi_cannabinoid gi_ffa gi_leukotriene gi_lpa gi_s1p
29.41Consensuskop_onOrthosteric Ligand8F7W-κ-Dynorphin-Gi1/β1/γ2 8DZS-κ-GR89,696-chim(NtGi2-Gz)/β1/γ2 8DZP-κ-momSalB-Gi1/β1/γ2
29.41Consensusleukotriene_offOrthosteric Ligandblt_off cyslt_off
29.41Consensuslipid_offonOrthosteric Ligandlipid_off lipid_on
29.41Consensuslipid_offon_gpOrthosteric Ligandlipid_on_gp lipid_off
29.41Consensusmop_onOrthosteric Ligand8F7R-μ-Endomorphin-Gi1/β1/γ2 8EF5-μ-Fentanyl-Gi1/β1/γ2 7SCG-μ-FH210-Gi1/β1/γ2 7T2H-μ-Lofentanil-Gi1/β1/γ2 7T2G-μ-Mitragynine Pseudoindoxyl-Gi1/β1/γ2 8EF6-μ-Morphine-Gi1/β1/γ2 8EFB-μ-Oliceridine-Gi1/β1/γ2 7U2L-μ-PubChem 163201242-Gi1/β1/γ2 8EFO-μ-PZM21-Gi1/β1/γ2 8EFL-μ-SR17018-Gi1/β1/γ2 8F7Q-μ-β-Endorphin-Gi1/β1/γ2 7U2K-μ-C6-guano-Gi1/β1/γ2 8EFQ-μ-Damgo-Gi1/β1/γ2
29.41Consensusmop_on_gpOrthosteric Ligand8F7R-μ-Endomorphin-Gi1/β1/γ2 8EF5-μ-Fentanyl-Gi1/β1/γ2 7SCG-μ-FH210-Gi1/β1/γ2 7T2H-μ-Lofentanil-Gi1/β1/γ2 7T2G-μ-Mitragynine Pseudoindoxyl-Gi1/β1/γ2 8EF6-μ-Morphine-Gi1/β1/γ2 8EFB-μ-Oliceridine-Gi1/β1/γ2 7U2L-μ-PubChem 163201242-Gi1/β1/γ2 8EFO-μ-PZM21-Gi1/β1/γ2 8EFL-μ-SR17018-Gi1/β1/γ2 8F7Q-μ-β-Endorphin-Gi1/β1/γ2 7U2K-μ-C6-guano-Gi1/β1/γ2 8EFQ-μ-Damgo-Gi1/β1/γ2
29.41Consensusopioid_offOrthosteric Ligandmop_off nop_off dop_off kop_off
29.41Consensuss1p1_onOrthosteric Ligand7VIE-S1P1-S1P-Gi1/β1/γ2 7VIF-S1P1-S-FTY720-P-Gi1/β1/γ2 7VIG-S1P1-CBP-307-Gi1/β1/γ2 7EVY-S1P1-Siponimod-Gi1/β1/γ2 7EVZ-S1P1-Cenerimod-Gi1/β1/γ2 7EW0-S1P1-Ozanimod-Gi1/β1/γ2 7EW7-S1P1-SEW2871-Gi1/β1/γ2
29.41Consensuss1p1_on_gpOrthosteric Ligand7VIE-S1P1-S1P-Gi1/β1/γ2 7VIF-S1P1-S-FTY720-P-Gi1/β1/γ2 7VIG-S1P1-CBP-307-Gi1/β1/γ2 7EVY-S1P1-Siponimod-Gi1/β1/γ2 7EVZ-S1P1-Cenerimod-Gi1/β1/γ2 7EW0-S1P1-Ozanimod-Gi1/β1/γ2 7EW7-S1P1-SEW2871-Gi1/β1/γ2
29.41Consensuss1p3_onOrthosteric Ligand7EW3-S1P3-S1P-Gi1/β1/γ2 7EW4-S1P3-CYM5541-Gi1/β1/γ2 7EW2-S1P3-Fingolimod-Gi1/β1/γ2
29.17Single7XATSomatostatin-147XAT-SST2-Somatostatin-14-Gi1/β1/γ2
29.17Consensusgq_peptideOrthosteric Ligandgq_cck gq_kisspeptin gq_bradykinin gq_bombesin gq_angiotensin
28.57Single6IQLL7458706IQL-D4-L745870
28.57Single6TOSGSK10598656TOS-OX1-GSK1059865-Na
28.57Single6TP3Nemorexant6TP3-OX1-Nemorexant
28.57Single6V9SGTPL114036V9S-OX1-GTPL11403
28.57Single6ZFZ77-LH-28-16ZFZ-M1-77-LH-28-1
28.57Single7SR8TAK-9257SR8-OX2-TAK-925-chim(NtGi1L-Gs-CtGq)/β1/γ2
28.57Single7T6TfMLFII7T6T-FPR1-ALX-fMLFII-Gi1/β1/γ2
28.57Single7YK6PubChem 1383196747YK6-RXFP4-PubChem 138319674-Gi2/β1/γ2
28.57Single8GUQOlorinab8GUQ-CB2-Olorinab-Gi1/β1/γ2
28.57Single8GURCP55,9408GUR-CB2-CP55,940-Gi1/β1/γ2
28.57Single8K2WAMG4878K2W-CXCR3-AMG487
28.57Single8K9LDamgo8K9L-μ-Damgo-BMS-986122-Gi3/β1/γ1
28.57Single8YKVPubChem 1375531688YKV-Succinate-PubChem 137553168-Gi1/β1/γ2
28.57Single9JFUNE52-QQ579JFU-GPR4-NE52-QQ57
28.57Single9MQIIsoquinuclidine9MQI-μ-Isoquinuclidine
28.57Single9U4WGonadoliberin-19U4W-GnRH1-Gonadoliberin-1-chim(NtGi1L-Gs-CtGq)/β1/γ2
28.57Consensusat1_offOrthosteric Ligand4YAY-AT1-ZD-7155 4ZUD-AT1-Olmesartan
28.57Consensuscxcr3_offOrthosteric Ligand8K2W-CXCR3-AMG487
28.00Single8WWNMCH8WWN-MCH1-MCH-Gi1/β1/γ2
27.78Single5TUDErgotamine5TUD-5-HT2B-Ergotamine
27.78Single5X93K-87945X93-ETB-K-8794
27.78Single6BQHRitanserin6BQH-5-HT2C-Ritanserin
27.78Single6IBLArformoterol6IBL-β1-Arformoterol
27.78Single6TKOArformoterol6TKO-β1-Arformoterol-Arrestin2
27.78Single7D7MDinoprostone7D7M-EP4-Dinoprostone-Gs/β1/γ1
27.78Single7PIUSetmelanotide7PIU-MC4-Setmelanotide-Gs/β1/γ2
27.78Single7SK7CCX6627SK7-ACKR3-CXCL12-CCX662
27.78Single7U2KC6-guano7U2K-μ-C6-guano-Gi1/β1/γ2
27.78Single7XZ6APD6687XZ6-GPR119-APD668-Gs/β1/γ2
27.78Single8GAGPubChem 1708384908GAG-CB1-PubChem 170838490-Gi1/β1/γ2
27.78Single8IJDMK68928IJD-HCA2-MK6892-Gi1/β1/γ2
27.78Single8IULLatanoprost8IUL-FP-alpha-Latanoprost-chim(NtGi1-Gs-CtGq)/β1/γ2
27.78Single8WRZPubChem 1023367048WRZ-CB1-PubChem 102336704-Arrestin2
27.78Single8XGSMetastin8XGS-Kiss1-Metastin-chim(NtGi1-Gq)/β1/γ2
27.78Single9AS02-bromo-LSD9AS0-5-HT2A-2-bromo-LSD-chim(NtGi1-Gs-CtGq)/β1/γ2
27.78Single9GG5U466199GG5-TXA2-U46619-chim(NtGi2L-Gs-CtGq)/β1/γ2
27.78Single9M54Neuropeptide VF9M54-NPFF2-Neuropeptide VF-Gi1/β1/γ2
27.78Consensus5ht2c_offOrthosteric Ligand6BQH-5-HT2C-Ritanserin
27.78Consensuscb1_on_gpOrthosteric Ligand6KPG-CB1-AM841-Gi1/β1/γ2 8K8J-CB1-Fenofibrate-chim(Gs-CtGq)/β1/γ2
27.78Consensusendothelin_offOrthosteric Ligandetb_off
27.78Consensusetb_offOrthosteric Ligand5X93-ETB-K-8794 5XPR-ETB-Bosentan 6K1Q-ETB-IRL2500
27.78Consensusgi_s1pOrthosteric Ligand7VIE-S1P1-S1P-Gi1/β1/γ2 7EW3-S1P3-S1P-Gi1/β1/γ2 7EVY-S1P1-Siponimod-Gi1/β1/γ2 7EW1-S1P5-Siponimod-Gi1/β1/γ2 7VIF-S1P1-S-FTY720-P-Gi1/β1/γ2 7VIG-S1P1-CBP-307-Gi1/β1/γ2 7EVZ-S1P1-Cenerimod-Gi1/β1/γ2 7EW4-S1P3-CYM5541-Gi1/β1/γ2 7EW2-S1P3-Fingolimod-Gi1/β1/γ2 7EW0-S1P1-Ozanimod-Gi1/β1/γ2 7EW7-S1P1-SEW2871-Gi1/β1/γ2
27.78Consensuskop_on_gpOrthosteric Ligand8F7W-κ-Dynorphin-Gi1/β1/γ2 8DZS-κ-GR89,696-chim(NtGi2-Gz)/β1/γ2 8DZP-κ-momSalB-Gi1/β1/γ2
27.27Single3OE8IT1t3OE8-CXCR4-IT1t
27.27Single8DPHLorcaserin8DPH-5-HT2C-Lorcaserin-chim(NtGi2L-Gs-CtGq)/β1/γ2
27.27Single8GEIConstrained Epinephrine8GEI-β2-Constrained Epinephrine-Gs/β1/γ2
27.27Single8IWM2-Phenylethylamine8IWM-TA9-2-Phenylethylamine
27.27Single8WC5Tetramethylammonium Ion8WC5-TA1-Tetramethylammonium Ion-chim(NtGi1-Gs)/β1/γ2
27.27Single8X8LCortistatin8X8L-SST5-Cortistatin-chim(NtGi1-Gs-CtGi1)/β1/γ2
27.27Single8ZBISomatostatin-148ZBI-SST3-Somatostatin-14-Gi1/β1/γ2
27.27Consensusc5a1_on_gpOrthosteric Ligand8HK5-C5a1-Complement C5-Gi1/β1/γ2 7Y66-C5a1-BM213-Gi1/β1/γ2 7Y67-C5a1-C089 peptide-Gi1/β1/γ2 7Y64-C5a1-C5a anaphylatoxin-Gi1/β1/γ2
27.27Consensuscxcr3_on_gpOrthosteric Ligand8HNK-CXCR3-CXCL11-Gi1/β1/γ2 8HNL-CXCR3-PS372424-Gi1/β1/γ2
26.67Single2Y04Salbutamol2Y04-β1-Salbutamol
26.67Single5DHHSB-6121115DHH-NOP-SB-612111
26.67Single5ZKPForopafant (SR27417)5ZKP-PAF-Foropafant (SR27417)
26.67Single6DRXLisuride6DRX-5-HT2B-Lisuride
26.67Single6DRZMethysergide6DRZ-5-HT2B-Methysergide
26.67Single6ORVTT-OAD26ORV-GLP-1-TT-OAD2-Gs/β1/γ2
26.67Single6X1ADanuglipron6X1A-GLP-1-Danuglipron-Gs/β1/γ2
26.67Single6XBM5LWE6XBM-SMO-5LWE-Gi1/β1/γ2
26.67Single7JOZVFP7JOZ-D1-VFP-Gs/β1/γ2
26.67Single7LCKDanuglipron7LCK-GLP-1-Danuglipron
26.67Single7NA8PubChem 1780247NA8-Ghrelin-PubChem 178024-Gi1/β1/γ2
26.67Single7S15PubChem 1346112237S15-GLP-1-PubChem 134611223
26.67Single7SCGFH2107SCG-μ-FH210-Gi1/β1/γ2
26.67Single7T6VfMLFII7T6V-FPR2-ALX-fMLFII-Gi1/β1/γ2
26.67Single7TRQVU04671547TRQ-M4-Iperoxo-VU0467154-Gi1/β1/γ2
26.67Single7V3ZCP559407V3Z-CB1-CP55940
26.67Single7VIFS-FTY720-P7VIF-S1P1-S-FTY720-P-Gi1/β1/γ2
26.67Single7WC8Lumateperone7WC8-5-HT2A-Lumateperone
26.67Single7WQ3Galanin7WQ3-GAL1-Galanin-Gi1/β1/γ2
26.67Single8DZSGR89,6968DZS-κ-GR89,696-chim(NtGi2-Gz)/β1/γ2
26.67Single8PJKST1718PJK-5-HT1A-ST171-Gi1/β1/γ1
26.67Single8T1WCVN4248T1W-GPR6-CVN424
26.67Single8UGYMianserin8UGY-5-HT1E-Mianserin-Gi1/β1/γ1
26.67Single9BQJRO769BQJ-μ-RO76-Gi1/β1/γ2
26.67Single9KFJPubChem 1383196749KFJ-RXFP3-PubChem 138319674-Gi2/β1/γ2
26.67Consensus5ht2b_offOrthosteric Ligand6DRZ-5-HT2B-Methysergide
26.67Consensusgal1_onOrthosteric Ligand7WQ3-GAL1-Galanin-Gi1/β1/γ2
26.67Consensusgal1_on_gpOrthosteric Ligand7WQ3-GAL1-Galanin-Gi1/β1/γ2
26.67Consensusgi_galaninOrthosteric Ligand7WQ3-GAL1-Galanin-Gi1/β1/γ2
26.32Single5ZTYAM102575ZTY-CB2-AM10257
26.32Single7XBXCX3CL17XBX-CX3CR1-CX3CL1-Gi1/β1/γ2
26.32Single7XY6BAY 60-65837XY6-A2B-BAY 60-6583-chim(NtGi1-Gs)/β1/γ2
26.32Single8F7REndomorphin8F7R-μ-Endomorphin-Gi1/β1/γ2
26.32Single8JLRA776368JLR-TA1-A77636-chim(NtGi1-Gs)/β1/γ2
26.32Single8X3LXWD8X3L-CB2-XWD-Gi1/β1/γ2
26.32Single8X5YAstemizole8X5Y-H1-Astemizole
26.32Single8Y72Peptide8Y72-μ-Peptide-BMS-986122-Gi1/β1/γ2
26.32Consensuscb2_offOrthosteric Ligand5ZTY-CB2-AM10257
26.32Consensuscxcr3_onOrthosteric Ligand8HNK-CXCR3-CXCL11-Gi1/β1/γ2 8HNL-CXCR3-PS372424-Gi1/β1/γ2
26.32Consensuscxcr_on_gpOrthosteric Ligandcxcr3_on_gp cxcr4_on_gp cxcr1_on_gp cxcr2_on_gp
26.32Consensuss1p_onOrthosteric Ligands1p1_on s1p3_on s1p5_on
26.32Consensuss1p_on_gpOrthosteric Ligands1p1_on_gp s1p3_on_gp s1p5_on_gp
26.32Consensussst2_onOrthosteric Ligand7WIC-SST2-Somatostatin-14-Gi1/β1/γ2 7WIG-SST2-L-054,264-Gi1/β1/γ2 7YAE-SST2-Octreotide-Gi1/β1/γ2 7YAC-SST2-Paltusotine-Gi1/β1/γ2
26.32Consensussst2_on_gpOrthosteric Ligand7WIC-SST2-Somatostatin-14-Gi1/β1/γ2 7WIG-SST2-L-054,264-Gi1/β1/γ2 7YAE-SST2-Octreotide-Gi1/β1/γ2 7YAC-SST2-Paltusotine-Gi1/β1/γ2
26.09Single7Y64C5a anaphylatoxin7Y64-C5a1-C5a anaphylatoxin-Gi1/β1/γ2
26.09Single8HK5Complement C58HK5-C5a1-Complement C5-Gi1/β1/γ2
26.09Single8WWKMCH8WWK-MCH1-MCH-Gi1/β1/γ2
26.09Single8XGOTAK4488XGO-Kiss1-TAK448-chim(NtGi1-Gq)/β1/γ2
26.09Single8ZPSPrRP208ZPS-PrRP-PrRP20-chim(NtGi1-Gs-CtGq)/β1/γ2
26.09Consensuschemokine_offOrthosteric Ligandccr_off cxcr_off
26.09Consensuscxcr_offOrthosteric Ligandcxcr3_off cxcr4_off
26.09Consensussst5_on_gpOrthosteric Ligand8X8L-SST5-Cortistatin-chim(NtGi1-Gs-CtGi1)/β1/γ2 8X8N-SST5-Octreotide-chim(NtGi1-Gs-CtGi1)/β1/γ2
25.00Single2Y03Isoprenaline2Y03-β1-Isoprenaline
25.00Single4IARErgotamine4IAR-5-HT1B-Ergotamine
25.00Single4RWDDIPP-NH24RWD-δ-DIPP-NH2-Na
25.00Single4XT1Fractalkine4XT1-US28-Fractalkine
25.00Single4XT3Fractalkine4XT3-US28-Fractalkine
25.00Single5C1MBU725C1M-μ-BU72
25.00Single5WIUNemonapride5WIU-D4-Nemonapride
25.00Single5WIVNemonapride5WIV-D4-Nemonapride-Na
25.00Single6D26Fevipiprant6D26-DP2-Fevipiprant
25.00Single6M9TMisoprostol-FA6M9T-EP3-Misoprostol-FA
25.00Single6ME72-Phenylmelatonin6ME7-MT2-2-Phenylmelatonin
25.00Single6OIKLY21196206OIK-M2-Iperoxo-LY2119620-chim(NtGi1-Go)/β1/γ2
25.00Single7BB7AVP7BB7-V2-AVP-Gs/β1/γ2
25.00Single7EJKOxymetazoline7EJK-α2a-Oxymetazoline-Go/β1/γ2
25.00Single7F23Dopamine7F23-D1-Dopamine-GDP-Gs/β1/γ2
25.00Single7F54Afamelanotide7F54-MC4-Afamelanotide-Gs/β1/γ2
25.00Single7F8VGastrin-177F8V-CCKB-Gastrin-17-Gi2/β1/γ2
25.00Single7QA8Peptide7QA8-STE2-Peptide
25.00Single7QA8Peptide7QA8-STE2-Peptide
25.00Single7WC5Psilocin7WC5-5-HT2A-Psilocin
25.00Single7WIGL-054,2647WIG-SST2-L-054,264-Gi1/β1/γ2
25.00Single7WKDTRH7WKD-TRH-TRH-chim(NtGi1-Gs-CtGq)/β1/γ2
25.00Single7WVWfMYFINILTL7WVW-FPR2-ALX-fMYFINILTL-Gi2/β1/γ2
25.00Single7X1TTaltirelin7X1T-TRH-Taltirelin-chim(NtGi2L-Gs-CtGq)/β1/γ2
25.00Single7XMRSomatostatin-147XMR-SST2-Somatostatin-14-Gi1/β1/γ2
25.00Single8GD9Rivenprost8GD9-EP4-Rivenprost-Gs/β1/γ2
25.00Single8GDCPGE28GDC-EP3-PGE2-Gi1/β1/γ2
25.00Single8GHVAMG3158GHV-CB1-AMG315-Gi1/β1/γ2
25.00Single8H0PNMB308H0P-BB1-NMB30-chim(NtGi1-Gs-CtGq)/β1/γ2
25.00Single8INRAlpha-MSH8INR-MC5-α-MSH-Ca-chim(NtGi1-Gs)/β1/γ2
25.00Single8IW72-Phenylethylamine8IW7-TA9-2-Phenylethylamine-chim(NtGi1-Gs)/β1/γ2
25.00Single8JXSPF-61428JXS-D1-PF-6142
25.00Single8PKMBefiradol8PKM-5-HT1A-Befiradol-Gi1/β1/γ1
25.00Single8TF5Oleic acid8TF5-GPR6-Oleic acid
25.00Single8WC62-Phenylethylamine8WC6-TA1-2-Phenylethylamine-chim(NtGi1-Gs)/β1/γ2
25.00Single8WC9ZH86518WC9-TA1-ZH8651-chim(NtGi1-Gs-CtGq)/β1/γ2
25.00Single8WDTphotoNECA8WDT-A2A-photoNECA
25.00Single8WGBVU01550418WGB-mGlu4; mGlu2-Glutammate-VU0155041-Gi3/β1/γ2
25.00Single8XVEBQ30208XVE-ETB-BQ3020-chim(Gs-CtGq)/β1/γ2
25.00Single8YN9Histamine8YN9-H4-Histamine-Gi1/β1/γ2
25.00Single8YNSSNAP-948478YNS-MCH1-SNAP-94847
25.00Single8YUUHistamine8YUU-H3-Histamine-Gi1/β1/γ1
25.00Single8ZPTPrRP208ZPT-PrRP-PrRP20-chim(NtGi1-Gs-CtGq)/β1/γ2
25.00Single8ZSPLSD8ZSP-TA1-LSD-chim(NtGi1L-Gs-CtGq)/β1/γ2
25.00Single9ARZ2-bromo-LSD9ARZ-5-HT2A-2-bromo-LSD
25.00Single9BUYLM1899BUY-β2-LM189-Gi1/β1/γ2
25.00Single9F33FOB02-04A9F33-D3-FOB02-04A-Go/β1/γ2
25.00Single9HB3Mambaquaretin-19HB3-V2-Mambaquaretin-1
25.00Single9I52A1IZU9I52-D1-A1IZU-Gs/β1/γ2
25.00Single9LRCHistamine9LRC-H4-Histamine
25.00Single9LREHistamine9LRE-H4-Histamine-Gi1/β1/γ2
25.00Single9MQKIsoquinuclidine9MQK-κ-Isoquinuclidine
25.00Consensus5ht2_offOrthosteric Ligand5ht2a_off 5ht2b_off 5ht2c_off
25.00Consensusccr_offOrthosteric Ligandccr2_off ccr5_off
25.00Consensusd2_onOrthosteric Ligand7JVR-D2-Bromoergocryptine-Gi1/β1/γ2 8IRS-D2-Rotigotine-Gi1/β1/γ2
25.00Consensusdp2_offOrthosteric Ligand6D26-DP2-Fevipiprant
25.00Consensusdp_offOrthosteric Liganddp2_off
25.00Consensusgi_opioidOrthosteric Ligand8F7R-μ-Endomorphin-Gi1/β1/γ2 8EF5-μ-Fentanyl-Gi1/β1/γ2 7SCG-μ-FH210-Gi1/β1/γ2 7T2H-μ-Lofentanil-Gi1/β1/γ2 7T2G-μ-Mitragynine Pseudoindoxyl-Gi1/β1/γ2 8DZP-κ-momSalB-Gi1/β1/γ2 8EF6-μ-Morphine-Gi1/β1/γ2 8F7X-NOP-Nociceptin-Gi1/β1/γ2 8EFB-μ-Oliceridine-Gi1/β1/γ2 7U2L-μ-PubChem 163201242-Gi1/β1/γ2 8EFO-μ-PZM21-Gi1/β1/γ2 8EFL-μ-SR17018-Gi1/β1/γ2 8F7Q-μ-β-Endorphin-Gi1/β1/γ2 7U2K-μ-C6-guano-Gi1/β1/γ2 8EFQ-μ-Damgo-Gi1/β1/γ2 8F7S-δ-Deltorphin-Gi1/β1/γ2 8F7W-κ-Dynorphin-Gi1/β1/γ2
25.00Consensusgi_peptideOrthosteric Ligandgi_cck gi_apelin gi_compl-pept gi_endothelin gi_formylpeptide gi_galanin gi_ghrelin gi_npy gi_neurotensin gi_opioid gi_orexin gi_relaxin gi_somatostatin
25.00Consensusgs_peptideOrthosteric Ligandgs_cck gs_melanocortin gs_vasop-oxy
25.00Consensush3_onOrthosteric Ligand8YUU-H3-Histamine-Gi1/β1/γ1
25.00Consensush3_on_gpOrthosteric Ligand8YUU-H3-Histamine-Gi1/β1/γ1
25.00Consensuslpl_onOrthosteric Ligands1p_on lpa_on
25.00Consensuslpl_on_gpOrthosteric Ligands1p_on_gp lpa_on_gp
25.00Consensusmc4_onOrthosteric Ligand7AUE-MC4-Setmelanotide-chim(NtGi1L-Gs)/β1/γ2 7F58-MC4-THIQ-Gs/β1/γ2 7F54-MC4-Afamelanotide-Gs/β1/γ2 7F53-MC4-α-MSH-Gs/β1/γ2 7F55-MC4-Bremelanotide-Gs/β1/γ2
25.00Consensusrxfp4_onOrthosteric Ligand7YK7-RXFP4-DC591053-Gi2/β1/γ2 7YJ4-RXFP4-INSL5-Gi2/β1/γ2 7YK6-RXFP4-PubChem 138319674-Gi2/β1/γ2
25.00Consensusrxfp4_on_gpOrthosteric Ligand7YK7-RXFP4-DC591053-Gi2/β1/γ2 7YJ4-RXFP4-INSL5-Gi2/β1/γ2 7YK6-RXFP4-PubChem 138319674-Gi2/β1/γ2
24.00Single7EIBDes-Arg10-Kallidin7EIB-BK1-Des-Arg10-Kallidin-chim(NtGi1-Gs-CtGq)/β1/γ2
24.00Single7F4FAfamelanotide7F4F-MC1-Afamelanotide-chim(NtGi1-Gs)/β1/γ2
24.00Single7F53Alpha-MSH7F53-MC4-α-MSH-Gs/β1/γ2
24.00Single7WVYAmyloid-Beta427WVY-FPR2-ALX-Amyloid-β42-Gi2/β1/γ2
24.00Single8WWLMCH8WWL-MCH1-MCH-Gi1/β1/γ2
24.00Single8XWPEndothelin-18XWP-ETB-Endothelin-1-Gi1/β1/γ2
24.00Single8ZH8QRF-Amide8ZH8-QRFP-QRF-Amide-Gq/β1/γ1
24.00Consensuspeptide_onOrthosteric Ligandcck_on angiotensin_on apelin_on bombesin_on bradykinin_on compl-peptide_on endothelin_on formylpeptide_on galanin_on ghrelin_on kisspeptin_on melanocortin_on motilin_on neuromedin-u_on npy_on neurotensin_on opioid_on orexin_on relaxin_on somatostatin_on tachykinin_on trh_on vasop-oxy_on
24.00Consensuspeptide_on_gpOrthosteric Ligandcck_on_gp angiotensin_on_gp apelin_on_gp bombesin_on_gp bradykinin_on_gp compl-peptide_on_gp endothelin_on_gp formylpeptide_on_gp galanin_on_gp ghrelin_on_gp kisspeptin_on_gp melanocortin_on_gp motilin_on_gp neuromedin-u_on_gp npy_on_gp neurotensin_on_gp opioid_on_gp orexin_on_gp relaxin_on_gp somatostatin_on_gp tachykinin_on_gp trh_on_gp vasop-oxy_on_gp
23.81Single3QAKUK-4320973QAK-A2A-UK-432097
23.81Single7C6A(Sar1,Ile8)-Angiotensin II7C6A-AT2-(Sar1,Ile8)-Angiotensin II
23.81Single7EZKCholecystokinin-87EZK-CCKA-Cholecystokinin-8-chim(NtGi1-Gs)/β1/γ2
23.81Single7PIVSetmelanotide7PIV-MC4-Setmelanotide-Gs/β1/γ2
23.81Single7WJ5Somatostatin-147WJ5-SST2-Somatostatin-14-Gi1/β1/γ2
23.81Single8F7WDynorphin8F7W-κ-Dynorphin-Gi1/β1/γ2
23.81Single8JZZC5a-desArg8JZZ-C5a1-C5a-desArg-Go/β1/γ2
23.81Single8SG1Chemerin-98SG1-CML1-Chemerin-9-Gi1/β1/γ2
23.81Consensuscompl-peptide_onOrthosteric Ligandc5a1_on c3a_on
23.81Consensusgi_cckOrthosteric Ligand7EZH-CCKA-Cholecystokinin-8-Gi1/β1/γ2 7F8V-CCKB-Gastrin-17-Gi2/β1/γ2
23.81Consensusmc4_on_gpOrthosteric Ligand7AUE-MC4-Setmelanotide-chim(NtGi1L-Gs)/β1/γ2 7F58-MC4-THIQ-Gs/β1/γ2 7F54-MC4-Afamelanotide-Gs/β1/γ2 7F53-MC4-α-MSH-Gs/β1/γ2 7F55-MC4-Bremelanotide-Gs/β1/γ2
23.81Consensusmc5_onOrthosteric Ligand8INR-MC5-α-MSH-Ca-chim(NtGi1-Gs)/β1/γ2 8IOD-MC5-PG-901-Ca-chim(NtGi1-Gs)/β1/γ2
23.81Consensuss1p3_on_gpOrthosteric Ligand7EW3-S1P3-S1P-Gi1/β1/γ2 7EW4-S1P3-CYM5541-Gi1/β1/γ2 7EW2-S1P3-Fingolimod-Gi1/β1/γ2
23.53Single4LDLHydroxybenzylisoproterenol4LDL-β2-Hydroxybenzylisoproterenol
23.53Single5XR8AM8415XR8-CB1-AM841
23.53Single6H7JIsoprenaline6H7J-β1-Isoprenaline
23.53Single6KO5PubChem 574000026KO5-Ghrelin-PubChem 57400002
23.53Single6N4BMDMB-Fubinaca6N4B-CB1-MDMB-Fubinaca-Gi1/β1/γ2
23.53Single7B6WCyclazosin7B6W-α1b-Cyclazosin
23.53Single7CKYPW04647CKY-D1-PW0464-Gs/β1/γ2
23.53Single7E2ZAripiprazole7E2Z-5-HT1A-Aripiprazole-Gi1/β1/γ2
23.53Single7EW1Siponimod7EW1-S1P5-Siponimod-Gi1/β1/γ2
23.53Single7EW7SEW28717EW7-S1P1-SEW2871-Gi1/β1/γ2
23.53Single7F58THIQ7F58-MC4-THIQ-Gs/β1/γ2
23.53Single7JJOIsoprenaline7JJO-β1-Isoprenaline-Gs/β1/γ2
23.53Single7M8W15r-Methyl-Prostaglandin D27M8W-DP2-15r-Methyl-Prostaglandin D2-Na
23.53Single7VIGCBP-3077VIG-S1P1-CBP-307-Gi1/β1/γ2
23.53Single7XBDGalanin7XBD-GAL2-Galanin-chim(NtGi2L-Gs-CtGq)/β1/γ2
23.53Single8I9LC3a anaphylatoxin8I9L-C3aB-C3a anaphylatoxin-Go/β1/γ2
23.53Single8IRRRotigotine8IRR-D1-Rotigotine-Gs/β1/γ2
23.53Single8IRVRotigotine8IRV-D5-Rotigotine-chim(NtGi1-Gs)/β1/γ2
23.53Single8IUKPGF2-alpha8IUK-FP-alpha-PGF2-α-chim(NtGi1-Gs-CtGq)/β1/γ2
23.53Single8JSRAnamorelin8JSR-Ghrelin-Anamorelin-chim(NtGi1-Gs-CtGq)/β1/γ2
23.53Single8T1VPubChem 1183102098T1V-GPR6-PubChem 118310209-Na
23.53Single8VVEnorBNI8VVE-κ-norBNI-Gi1/β1/γ2
23.53Single8Y73Peptide8Y73-μ-Peptide-MPAM-15-Gi1/β1/γ2
23.53Single8YNTSNAP-948478YNT-MCH1-SNAP-94847
23.53Single9B65KCA9B65-CB1-KCA-Gi1/β1/γ2
23.53Single9EGOYVF9EGO-CB1-YVF-Gi1/β1/γ2
23.53Single9I54A1IZV9I54-D1-A1IZV-Gs/β1/γ2
23.53Single9IJDCarazolol9IJD-β3-Carazolol-chim(NtGi1-Gs)/β1/γ2
23.53Single9UY3Anamorelin9UY3-Ghrelin-Anamorelin-chim(NtGi1-Gs-CtGq)/β1/γ2
23.53Consensusclass-a_offOrthosteric Ligandsensory_off alicarboxylic_off amine_off lipid_off nucleotide_off peptide_off protein_off
23.53Consensusd1_on_gpOrthosteric Ligand7F0T-D1-Dopamine-Gs/β1/γ2 7CKY-D1-PW0464-Gs/β1/γ2 8IRR-D1-Rotigotine-Gs/β1/γ2 7JV5-D1-SKF81297-Gs/β1/γ2 7JVP-D1-SKF83959-Gs/β1/γ2 7X2D-D1-Tavapadon-Gs/β1/γ2 7CKX-D1-A77636-Gs/β1/γ2 7JVQ-D1-Apomorphine-Gs/β1/γ2 7CKW-D1-Fenoldopam-Gs/β1/γ2
23.53Consensusd5_on_gpOrthosteric Ligand8IRV-D5-Rotigotine-chim(NtGi1-Gs)/β1/γ2
23.53Consensusgi_dopamineOrthosteric Ligand7JVR-D2-Bromoergocryptine-Gi1/β1/γ2 7CMV-D3-PD128907-Gi1/β1/γ2 7CMU-D3-Pramipexole-Gi1/β1/γ2 8IRS-D2-Rotigotine-Gi1/β1/γ2 8IRT-D3-Rotigotine-Gi1/β1/γ2
23.53Consensusgi_relaxinOrthosteric Ligand7YK7-RXFP4-DC591053-Gi2/β1/γ2 7YJ4-RXFP4-INSL5-Gi2/β1/γ2 7YK6-RXFP4-PubChem 138319674-Gi2/β1/γ2
23.53Consensusgs_adrenergicOrthosteric Ligand7DHI-β2-Salbutamol-Gs/β1/γ2 7XJI-β3-Solabegron-Gs/β1/γ2 7JJO-β1-Isoprenaline-Gs/β1/γ2 6NI3-β2-BI167107-Gs/β1/γ2 8DCR-β1-Dobutamine-Gs/β1/γ2 7XJH-β3-Isoproterenol-Gs/β1/γ2 7DH5-β3-Mirabegron-Gs/β1/γ2
23.53Consensusgs_dopamineOrthosteric Ligand7F0T-D1-Dopamine-Gs/β1/γ2 7CKW-D1-Fenoldopam-Gs/β1/γ2 7CKY-D1-PW0464-Gs/β1/γ2 8IRV-D5-Rotigotine-chim(NtGi1-Gs)/β1/γ2 8IRR-D1-Rotigotine-Gs/β1/γ2 7JV5-D1-SKF81297-Gs/β1/γ2 7JVP-D1-SKF83959-Gs/β1/γ2 7X2D-D1-Tavapadon-Gs/β1/γ2 7CKX-D1-A77636-Gs/β1/γ2 7JVQ-D1-Apomorphine-Gs/β1/γ2
23.53Consensusmotilin_onOrthosteric Ligand8IBU-Motilin-Erythromycin-A-chim(NtGi1-Gs-CtGq)/β1/γ2
23.53Consensusprotein_offOrthosteric Ligandchemokine_off grh_off
23.53Consensusrelaxin_onOrthosteric Ligandrxfp4_on
23.53Consensusrelaxin_on_gpOrthosteric Ligandrxfp4_on_gp
23.53Consensuss1p5_onOrthosteric Ligand7EW1-S1P5-Siponimod-Gi1/β1/γ2
23.53Consensuss1p5_on_gpOrthosteric Ligand7EW1-S1P5-Siponimod-Gi1/β1/γ2
23.08Single5TE520-Methanoretinal5TE5-Rhodopsin-20-Methanoretinal
23.08Single6IGLIRL16206IGL-ETB-IRL1620
23.08Single7DFLHistamine7DFL-H1-Histamine-chim(NtGi1L-Gq)/β1/γ2
23.08Single7E2YSerotonin7E2Y-5-HT1A-Serotonin-Gi1/β1/γ2
23.08Single7T96LY21196207T96-M2-Acetylcholine-LY2119620-Go/β1/γ2
23.08Single7XP6Strychnine7XP6-TAS2R46-Strychnine-chim(Gs-CtGt3)/β1/γ2
23.08Single7YFDImetit7YFD-H4-Imetit-chim(NtGi1-Gs-CtGq)/β1/γ2
23.08Single8HN8Histamine8HN8-H4-Histamine-Gi1/β1/γ2
23.08Single8JLOUlotaront8JLO-TA1-Ulotaront-Gs/β1/γ2
23.08Single8W89PEA8W89-TA1-PEA-chim(NtGi1L-Gs)/β1/γ2
23.08Single8YN4Histamine8YN4-H2-Histamine-chim(NtGi1L-Gs-CtGq)/β1/γ2
23.08Single8YN5Histamine8YN5-H3-Histamine-Gi1/β1/γ2
23.08Single8YN6Imetit8YN6-H3-Imetit-Gi1/β1/γ2
23.08Single8YN7Immethridine8YN7-H3-Immethridine-Go/β1/γ2
23.08Single9IXJHistamine9IXJ-H2-Histamine-Gs/β1/γ2
23.08Consensusbk2_onOrthosteric Ligand7F6H-BK2-Bradykinin-Gq/β1/γ2 7F6I-BK2-Kallidin-Gq/β1/γ2
23.08Consensusbk2_on_gpOrthosteric Ligand7F6H-BK2-Bradykinin-Gq/β1/γ2 7F6I-BK2-Kallidin-Gq/β1/γ2
23.08Consensusbradykinin_onOrthosteric Ligandbk2_on
23.08Consensusbradykinin_on_gpOrthosteric Ligandbk2_on_gp
23.08Consensusgq_bradykininOrthosteric Ligand7F6H-BK2-Bradykinin-Gq/β1/γ2 7F6I-BK2-Kallidin-Gq/β1/γ2
23.08Consensusgq_nucleotideOrthosteric Ligandgq_p2y
23.08Consensusgq_p2yOrthosteric Ligand7XXH-P2Y1-2MeSADP-chim(NtGi1-G11)/β1/γ2
23.08Consensush1_onOrthosteric Ligand7DFL-H1-Histamine-chim(NtGi1L-Gq)/β1/γ2
23.08Consensush4_onOrthosteric Ligand8HN8-H4-Histamine-Gi1/β1/γ2 8HOC-H4-Imetit-Gi1/β1/γ2 8JXV-H4-Clozapine-Gi1/β1/γ2 8JXW-H4-VUF6884-Gi1/β1/γ2 8JXX-H4-Clobenpropit-Gi1/β1/γ2
22.73Single5WF5UK-4320975WF5-A2A-UK-432097
22.73Single6LW5WKYMVm6LW5-FPR2-ALX-WKYMVm
22.73Single7F4DAlpha-MSH7F4D-MC1-α-MSH-chim(NtGi1-Gs)/β1/γ2
22.73Single7O7F6P4-CCL57O7F-CCR5-6P4-CCL5-Gi1/β1/γ1
22.73Single7TD0LPA7TD0-LPA1-LPA-Gi1/β1/γ2
22.73Single7XA3CCL27XA3-CCR2-CCL2-Gi1/β1/γ2
22.73Single8WKZSBL-MC-318WKZ-MC4-SBL-MC-31
22.73Single8XGUTAK4488XGU-Kiss1-TAK448-Gi1/β1/γ2
22.73Single8XIQL7967788XIQ-SST3-L796778-chim(NtGi1-Gs-CtGi1)/β1/γ2
22.73Single8XIRPasireotide8XIR-SST3-Pasireotide-chim(NtGi1-Gs-CtGi1)/β1/γ2
22.73Single8XZHMM078XZH-Apelin-MM07-Gi1/β1/γ2
22.73Single9B54A1AIW9B54-CB1-A1AIW-Gi1/β1/γ2
22.73Consensusangiotensin_onOrthosteric Ligandat1_on
22.73Consensusat1_onOrthosteric Ligand7F6G-AT1-SAR1-AngII-Gq/β1/γ2
22.73Consensusc5a1_onOrthosteric Ligand8HK5-C5a1-Complement C5-Gi1/β1/γ2 7Y66-C5a1-BM213-Gi1/β1/γ2 7Y67-C5a1-C089 peptide-Gi1/β1/γ2 7Y64-C5a1-C5a anaphylatoxin-Gi1/β1/γ2
22.73Consensusccr2_onOrthosteric Ligand7XA3-CCR2-CCL2-Gi1/β1/γ2
22.73Consensusccr2_on_gpOrthosteric Ligand7XA3-CCR2-CCL2-Gi1/β1/γ2
22.73Consensusccr_onOrthosteric Ligandccr6_on ccr8_on ccr2_on ccr1_on ccr5_on
22.73Consensuscompl-peptide_on_gpOrthosteric Ligandc5a1_on_gp c3a_on_gp
22.73Consensusfpr2-alx_onOrthosteric Ligand7WVX-FPR2-ALX-Humanin-Gi2/β1/γ2 7T6U-FPR2-ALX-CGEN-855A-Gi1/β1/γ2 7T6V-FPR2-ALX-fMLFII-Gi1/β1/γ2 7WVY-FPR2-ALX-Amyloid-β42-Gi2/β1/γ2 7T6S-FPR2-ALX-PubChem 24776341-Gi1/β1/γ2 6OMM-FPR2-ALX-WKYMVX-Gi1/β1/γ2
22.73Consensusgi_somatostatinOrthosteric Ligand7WIC-SST2-Somatostatin-14-Gi1/β1/γ2 7XMS-SST4-Somatostatin-14-Gi1/β1/γ2 8X8L-SST5-Cortistatin-chim(NtGi1-Gs-CtGi1)/β1/γ2 7XMT-SST4-J-2156-Gi1/β1/γ2 7WIG-SST2-L-054,264-Gi1/β1/γ2 8X8N-SST5-Octreotide-chim(NtGi1-Gs-CtGi1)/β1/γ2 7YAE-SST2-Octreotide-Gi1/β1/γ2 7YAC-SST2-Paltusotine-Gi1/β1/γ2
22.73Consensusgs_cckOrthosteric Ligand7MBX-CCKA-Cholecystokinin-8-Gs/β1/γ1
22.73Consensusgs_class-aOrthosteric Ligandgs_peptide gs_nucleotide gs_amine
22.73Consensussomatostatin_onOrthosteric Ligandsst2_on sst4_on sst5_on
22.73Consensussomatostatin_on_gpOrthosteric Ligandsst2_on_gp sst4_on_gp sst5_on_gp
22.22Single4AMIBucindolol4AMI-β1-Bucindolol
22.22Single4N4WSANT-14N4W-SMO-SANT-1
22.22Single5UNHPubChem 1264564065UNH-AT2-PubChem 126456406
22.22Single6C1RPMX536C1R-C5a1-PMX53-Avacopan; Na
22.22Single6CM4Risperidone6CM4-D2-Risperidone
22.22Single6DRYMethylergonovine6DRY-5-HT2B-Methylergonovine
22.22Single6H7NS-Xamoterol6H7N-β1-S-Xamoterol
22.22Single6MXTSalmeterol6MXT-β2-Salmeterol
22.22Single6VMSBromoergocryptine6VMS-D2-Bromoergocryptine-Gi1/β1/γ2
22.22Single7BZ2Arformoterol7BZ2-β2-Arformoterol-Gs/β1/γ2
22.22Single7DH5Mirabegron7DH5-β3-Mirabegron-Gs/β1/γ2
22.22Single7L1VPubChem 1554910097L1V-OX2-PubChem 155491009-chim(NtGi1-Gs-CtGq)/β1/γ2
22.22Single7SUSPubChem 1227019087SUS-Apelin-PubChem 122701908
22.22Single7W0LPubChem 1227019087W0L-Apelin-PubChem 122701908-Gi1/β1/γ2
22.22Single7W0LPubChem 1227019087W0L-Apelin-PubChem 122701908-Gi1/β1/γ2
22.22Single7WCNAR2314537WCN-GPR119-AR231453-Gs/β1/γ2
22.22Single7WQ4Galanin7WQ4-GAL2-Galanin-chim(NtGi1-Gs-CtGq)/β1/γ2
22.22Single7XJKGalanin7XJK-GAL2-Galanin-chim(NtGi2L-Gs-CtGq)/β1/γ2
22.22Single7XW9TRH7XW9-TRH-TRH-chim(NtGi1L-Gs-CtGq)/β1/γ2
22.22Single7XZ5Lysophosphatidylcholine7XZ5-GPR119-Lysophosphatidylcholine-Gs/β1/γ2
22.22Single8FYTLSD8FYT-5-HT1A-LSD-Gi1/β1/γ1
22.22Single8G056-OAU8G05-GPR84-6-OAU-Gi1/β1/γ2
22.22Single8GCPPGE28GCP-EP4-PGE2-Gi1/β1/γ2
22.22Single8IBUErythromycin-A8IBU-Motilin-Erythromycin-A-chim(NtGi1-Gs-CtGq)/β1/γ2
22.22Single8IRSRotigotine8IRS-D2-Rotigotine-Gi1/β1/γ2
22.22Single8J6DEP1418J6D-C3aB-EP141-Go/β1/γ2
22.22Single8JJ8Formoterol8JJ8-β2-Formoterol
22.22Single8JJLOlodaterol8JJL-β2-Olodaterol
22.22Single8JJPChemerin8JJP-CML2-Chemerin-Gi1/β1/γ2
22.22Single8JWZAB9288JWZ-A2A-AB928-Na
22.22Single9AU0BW245C9AU0-DP1-BW245C-Gs/β1/γ2
22.22Single9GGGI-BOP9GGG-TXA2-I-BOP-chim(NtGi2L-Gs-CtGq)/β1/γ2
22.22Single9GYOP3959GYO-GPBA-P395-chim(NtGi1-Gs)/β1/γ2
22.22Single9M4QDoxazosin9M4Q-Alpha1A-Doxazosin
22.22Single9MQLIsoquinuclidine9MQL-κ-Isoquinuclidine
22.22Consensus5ht1a_onOrthosteric Ligand8FYT-5-HT1A-LSD-Gi1/β1/γ1 7E2Y-5-HT1A-Serotonin-Gi1/β1/γ2 7E2Z-5-HT1A-Aripiprazole-Gi1/β1/γ2 8FYX-5-HT1A-Buspirone-Gi1/β1/γ1 8JSP-5-HT1A-Ulotaront-Gi1/β1/γ2 8JT6-5-HT1A-(R)-IHCH-7179-Gi1/β1/γ2 8FY8-5-HT1A-5-MeO-DMT-Gi1/β1/γ1 8FYE-5-HT1A-4-F,5-MeO-PyrT-Gi1/β1/γ1 8FYL-5-HT1A-Vilazodone-Gi1/β1/γ1
22.22Consensus5ht1a_on_gpOrthosteric Ligand8FYT-5-HT1A-LSD-Gi1/β1/γ1 8FYX-5-HT1A-Buspirone-Gi1/β1/γ1 8JSP-5-HT1A-Ulotaront-Gi1/β1/γ2 8JT6-5-HT1A-(R)-IHCH-7179-Gi1/β1/γ2 7E2Y-5-HT1A-Serotonin-Gi1/β1/γ2 7E2Z-5-HT1A-Aripiprazole-Gi1/β1/γ2 8FY8-5-HT1A-5-MeO-DMT-Gi1/β1/γ1 8FYE-5-HT1A-4-F,5-MeO-PyrT-Gi1/β1/γ1 8FYL-5-HT1A-Vilazodone-Gi1/β1/γ1
22.22Consensusbb2_onOrthosteric Ligand7W40-BB2-Bombesin-chim(NtGi1L-Gq)/β1/γ2 7W3Z-BB2-Gastrin Releasing Peptide-chim(NtGi1L-Gq)/β1/γ2
22.22Consensusbb2_on_gpOrthosteric Ligand7W40-BB2-Bombesin-chim(NtGi1L-Gq)/β1/γ2 7W3Z-BB2-Gastrin Releasing Peptide-chim(NtGi1L-Gq)/β1/γ2
22.22Consensusbeta3_onOrthosteric Ligand7DH5-β3-Mirabegron-Gs/β1/γ2 7XJH-β3-Isoproterenol-Gs/β1/γ2 7XJI-β3-Solabegron-Gs/β1/γ2
22.22Consensusbeta3_on_gpOrthosteric Ligand7DH5-β3-Mirabegron-Gs/β1/γ2 7XJH-β3-Isoproterenol-Gs/β1/γ2 7XJI-β3-Solabegron-Gs/β1/γ2
22.22Consensusbeta_onOrthosteric Ligandbeta1_on beta2_on beta3_on
22.22Consensusbeta_on_gpOrthosteric Ligandbeta1_on_gp beta2_on_gp beta3_on_gp
22.22Consensusbombesin_onOrthosteric Ligandbb2_on
22.22Consensusbombesin_on_gpOrthosteric Ligandbb2_on_gp
22.22Consensusc3a_onOrthosteric Ligand8HK2-C3aB-C3a anaphylatoxin-Gi1/β1/γ2 8IA8-C3aB-E7 peptide-Gi1/β1/γ2
22.22Consensuscannabinoid_offOrthosteric Ligandcb2_off cb1_off
22.22Consensuscxcr_onOrthosteric Ligandcxcr3_on cxcr4_on cxcr1_on cxcr2_on
22.22Consensusd2_on_gpOrthosteric Ligand7JVR-D2-Bromoergocryptine-Gi1/β1/γ2 8IRS-D2-Rotigotine-Gi1/β1/γ2
22.22Consensusgalanin_onOrthosteric Ligandgal2_on gal1_on
22.22Consensusgalanin_on_gpOrthosteric Ligandgal2_on_gp gal1_on_gp
22.22Consensusgi_muscarinicOrthosteric Ligand8E9X-M4-2-Deoxycytidine-chim(NtGi1-Go)/β1/γ2 7T8X-M2-Acetylcholine-chim(NtGi1-Go)/β1/γ2 7TRS-M4-Acetylcholine-Gi1/β1/γ2 7TRK-M4-Iperoxo-Gi1/β1/γ2 7V6A-M4-PubChem 9864275-Gi1/β1/γ2
22.22Consensusgq_bombesinOrthosteric Ligand7W40-BB2-Bombesin-chim(NtGi1L-Gq)/β1/γ2 7W3Z-BB2-Gastrin Releasing Peptide-chim(NtGi1L-Gq)/β1/γ2
22.22Consensuslpl_offOrthosteric Ligands1p_off lpa_off
22.22Consensusmotilin_on_gpOrthosteric Ligand8IBU-Motilin-Erythromycin-A-chim(NtGi1-Gs-CtGq)/β1/γ2
22.22Consensusorexin_onOrthosteric Ligandox2_on
22.22Consensustrh_onOrthosteric Ligand7XW9-TRH-TRH-chim(NtGi1L-Gs-CtGq)/β1/γ2
22.22Consensustrh_on_gpOrthosteric Ligand7XW9-TRH-TRH-chim(NtGi1L-Gs-CtGq)/β1/γ2
21.74Single5WB2CX3CL1.355WB2-US28-CX3CL1.35
21.74Single6JODAngiotensin II6JOD-AT2-Angiotensin II
21.74Single7DW9AVP7DW9-V2-AVP-chim(NtGi1-Gs)/β1/γ2
21.74Single7F4HAfamelanotide7F4H-MC1-Afamelanotide-chim(NtGi1-Gs)/β1/γ2
21.74Single7F6GSAR1-AngII7F6G-AT1-SAR1-AngII-Gq/β1/γ2
21.74Single7KH0AVP7KH0-V2-AVP-chim(NtGi1-Gs)/β1/γ2
21.74Single8XWQEndothelin-18XWQ-ETB-Endothelin-1-Gi1/β1/γ2
21.74Single8XZJWN3538XZJ-Apelin-WN353-Gi1/β1/γ2
21.74Single9BKKCholecystokinin-89BKK-CCKA-Cholecystokinin-8-chim(NtGi1-Gs-CtGq)/β1/γ2
21.74Consensusangiotensin_on_gpOrthosteric Ligandat1_on_gp
21.74Consensusat1_on_gpOrthosteric Ligand7F6G-AT1-SAR1-AngII-Gq/β1/γ2
21.74Consensusfpr2-alx_on_gpOrthosteric Ligand7WVX-FPR2-ALX-Humanin-Gi2/β1/γ2 7T6U-FPR2-ALX-CGEN-855A-Gi1/β1/γ2 7T6V-FPR2-ALX-fMLFII-Gi1/β1/γ2 7WVY-FPR2-ALX-Amyloid-β42-Gi2/β1/γ2 7T6S-FPR2-ALX-PubChem 24776341-Gi1/β1/γ2 6OMM-FPR2-ALX-WKYMVX-Gi1/β1/γ2
21.74Consensusgi_formylpeptideOrthosteric Ligand7WVY-FPR2-ALX-Amyloid-β42-Gi2/β1/γ2 7T6U-FPR2-ALX-CGEN-855A-Gi1/β1/γ2 7VFX-FPR1-ALX-fMLF-Gi1/β1/γ2 7T6V-FPR2-ALX-fMLFII-Gi1/β1/γ2 7WVX-FPR2-ALX-Humanin-Gi2/β1/γ2 7T6S-FPR2-ALX-PubChem 24776341-Gi1/β1/γ2 6OMM-FPR2-ALX-WKYMVX-Gi1/β1/γ2
21.74Consensusgq_angiotensinOrthosteric Ligand7F6G-AT1-SAR1-AngII-Gq/β1/γ2
21.74Consensusgs_vasop-oxyOrthosteric Ligand7DW9-V2-AVP-chim(NtGi1-Gs)/β1/γ2
21.74Consensusmc5_on_gpOrthosteric Ligand8INR-MC5-α-MSH-Ca-chim(NtGi1-Gs)/β1/γ2 8IOD-MC5-PG-901-Ca-chim(NtGi1-Gs)/β1/γ2
21.74Consensuspeptide_offon_gpOrthosteric Ligandpeptide_on_gp peptide_off
21.74Consensusv2_onOrthosteric Ligand7DW9-V2-AVP-chim(NtGi1-Gs)/β1/γ2
21.74Consensusv2_on_gpOrthosteric Ligand7DW9-V2-AVP-chim(NtGi1-Gs)/β1/γ2
21.74Consensusvasop-oxy_onOrthosteric Ligandv2_on
21.74Consensusvasop-oxy_on_gpOrthosteric Ligandv2_on_gp
21.43Single6AKXA4R6AKX-CCR5-A4R
21.43Single6AKYMaraviroc6AKY-CCR5-Maraviroc
21.43Single6D9HAdenosine6D9H-A1-Adenosine-Gi2/β1/γ2
21.43Single6DS0Ly2660976DS0-5-HT2B-Ly266097
21.43Single6KUYPubChem 1457046436KUY-α2a-PubChem 145704643
21.43Single6LFOInterleukin-86LFO-CXCR2-Interleukin-8-Gi1/β1/γ2
21.43Single7DHRIsoprenaline7DHR-β2-Isoprenaline-Gs/β1/γ2
21.43Single7EJ0L-Norepinephrine7EJ0-α2a-L-Norepinephrine-Go/β1/γ2
21.43Single7F8YDevazepide7F8Y-CCKA-Devazepide
21.43Single7LCJDanuglipron7LCJ-GLP-1-Danuglipron
21.43Single7LD4Adenosine7LD4-A1-Adenosine-Gi2/β1/γ2
21.43Single7LJDDopamine7LJD-D1-Dopamine-Mevidalen-Gs/β1/γ1
21.43Single7S8PMS471347S8P-MRGPRX4-MS47134-chim(NtGi2L-Gs-CtGq)/β1/γ2
21.43Single7T8XAcetylcholine7T8X-M2-Acetylcholine-chim(NtGi1-Go)/β1/γ2
21.43Single7T90Acetylcholine7T90-M2-Acetylcholine-chim(NtGi1-Go)/β1/γ2
21.43Single7T96Acetylcholine7T96-M2-Acetylcholine-LY2119620-Go/β1/γ2
21.43Single7WF7S1P7WF7-S1P1-S1P-Gi1/β1/γ2
21.43Single7XJJGalanin7XJJ-GAL1-Galanin-Go/β1/γ2
21.43Single7XRRLemborexant7XRR-OX2-Lemborexant
21.43Single7YM8Oxymetazoline7YM8-Alpha1A-Oxymetazoline-chim(Gs-CtGq)
21.43Single7YMHNorepinephrine7YMH-Alpha1A-Norepinephrine-chim(Gs-CtGq)
21.43Single8FYXBuspirone8FYX-5-HT1A-Buspirone-Gi1/β1/γ1
21.43Single8GGAConstrained Epinephrine8GGA-β2-Constrained Epinephrine-GTP-Gs/β1/γ2
21.43Single8GGCConstrained Epinephrine8GGC-β2-Constrained Epinephrine-GTP-Gs/β1/γ2
21.43Single8GGRConstrained Epinephrine8GGR-β2-Constrained Epinephrine
21.43Single8GGWConstrained Epinephrine8GGW-β2-Constrained Epinephrine
21.43Single8GGZConstrained Epinephrine8GGZ-β2-Constrained Epinephrine
21.43Single8GH0Constrained Epinephrine8GH0-β2-Constrained Epinephrine
21.43Single8HOCImetit8HOC-H4-Imetit-Gi1/β1/γ2
21.43Single8IW4Spermidine8IW4-TA9-Spermidine-chim(NtGi1-Gs)/β1/γ2
21.43Single8IWESpermidine8IWE-TA9-Spermidine
21.43Single8TZQL-Dopamine8TZQ-D2-L-Dopamine-Go/β1/γ2
21.43Single8UNXConstrained Epinephrine8UNX-β2-Constrained Epinephrine-GTP-Gs/β1/γ2
21.43Single8WC3SEP-3638568WC3-TA1-SEP-363856-chim(NtGi1-Gs)/β1/γ2
21.43Single8WC4ZH86518WC4-TA1-ZH8651-chim(NtGi1-Gs)/β1/γ2
21.43Single8WCA2-Phenylethylamine8WCA-TA1-2-Phenylethylamine-chim(NtGi1-Gs)/β1/γ2
21.43Single8YNAImmepip8YNA-H4-Immepip-Gi1/β1/γ2
21.43Single8YUVImmepip8YUV-H3-Immepip-Gi1/β1/γ2
21.43Single9K6LSA09K6L-TAS2R16-SA0-Gi2/β1/γ2
21.43Single9MQJIsoquinuclidine9MQJ-μ-Isoquinuclidine
21.43Consensus5ht1e_onOrthosteric Ligand7E33-5-HT1E-BRL-54443-Gi1/β1/γ2 8UGY-5-HT1E-Mianserin-Gi1/β1/γ1 8UH3-5-HT1E-Setiptiline-Gi1/β1/γ1
21.43Consensusa1_onOrthosteric Ligand7LD4-A1-Adenosine-Gi2/β1/γ2
21.43Consensusa1_on_gpOrthosteric Ligand7LD4-A1-Adenosine-Gi2/β1/γ2
21.43Consensusalpha2_offOrthosteric Ligandalpha2c_off
21.43Consensusangiotensin_offOrthosteric Ligandat1_off
21.43Consensusgq_histamineOrthosteric Ligand7DFL-H1-Histamine-chim(NtGi1L-Gq)/β1/γ2
21.43Consensush1_on_gpOrthosteric Ligand7DFL-H1-Histamine-chim(NtGi1L-Gq)/β1/γ2
21.43Consensushistamine_onOrthosteric Ligandh1_on h2_on h3_on h4_on
21.43Consensushistamine_on_gpOrthosteric Ligandh1_on_gp h2_on_gp h3_on_gp h4_on_gp
21.43Consensusm2_onOrthosteric Ligand7T8X-M2-Acetylcholine-chim(NtGi1-Go)/β1/γ2
21.43Consensusm2_on_gpOrthosteric Ligand7T8X-M2-Acetylcholine-chim(NtGi1-Go)/β1/γ2
21.43Consensusp2y1_onOrthosteric Ligand7XXH-P2Y1-2MeSADP-chim(NtGi1-G11)/β1/γ2
21.05Single4NC3Ergotamine4NC3-5-HT2B-Ergotamine
21.05Single4RWSvMIP-II4RWS-CXCR4-vMIP-II
21.05Single6BQGErgotamine6BQG-5-HT2C-Ergotamine
21.05Single6DDFDamgo6DDF-μ-Damgo-Gi1/β1/γ2
21.05Single6H7LDobutamine6H7L-β1-Dobutamine
21.05Single6K1QIRL25006K1Q-ETB-IRL2500
21.05Single7EW0Ozanimod7EW0-S1P1-Ozanimod-Gi1/β1/γ2
21.05Single7EZCUKA7EZC-A2A-UKA
21.05Single7EZHCholecystokinin-87EZH-CCKA-Cholecystokinin-8-Gi1/β1/γ2
21.05Single7EZMCholecystokinin-87EZM-CCKA-Cholecystokinin-8-chim(NtGsL-Gq)/β1/γ2
21.05Single7JVRBromoergocryptine7JVR-D2-Bromoergocryptine-Gi1/β1/γ2
21.05Single7QVMOxytocin7QVM-OT-Oxytocin-chim(NtGi1-Go-CtGq)/β1/γ2
21.05Single7SK8CCX6627SK8-ACKR3-CXCL12-CCX662
21.05Single7WVVfMLFII7WVV-FPR2-ALX-fMLFII-Gi2/β1/γ2
21.05Single7X1UTRH7X1U-TRH-TRH-chim(NtGi2L-Gs-CtGq)/β1/γ2
21.05Single7X2DTavapadon7X2D-D1-Tavapadon-Gs/β1/γ2
21.05Single7X8RBOC57X8R-GLP-1-BOC5-Gs/β1/γ2
21.05Single7XJISolabegron7XJI-β3-Solabegron-Gs/β1/γ2
21.05Single7Y65C5a peptide7Y65-C5a1-C5a peptide-Gi1/β1/γ2
21.05Single8GUTLEI-1028GUT-CB2-LEI-102-Gi1/β1/γ2
21.05Single8I95EP548I95-C3aB-EP54-Go/β1/γ2
21.05Single8J19LY2378J19-GPR84-LY237-Gi1/β1/γ2
21.05Single8K2XCXCL108K2X-CXCR3-CXCL10-Gi1/β1/γ2
21.05Single8S2TIsoprenaline8S2T-β1-Isoprenaline-chim(NtGi1-Gs)/β1/γ2
21.05Single8ZPLHF511168ZPL-CXCR4-HF51116
21.05Single9DYEBuspirone9DYE-5-HT1A-Buspirone-Go/β1/γ2
21.05Single9EAILosartan9EAI-AT1-Losartan-Nanobody AT209
21.05Single9M1HProstaglandin E29M1H-EP1-Prostaglandin E2-chim(NtGi1-Gs-CtGq)/β1/γ2
21.05Consensusbeta1_onOrthosteric Ligand8DCR-β1-Dobutamine-Gs/β1/γ2 7S0F-β1-Isoprenaline-Gi1/β1/γ2
21.05Consensusbeta1_on_gpOrthosteric Ligand8DCR-β1-Dobutamine-Gs/β1/γ2 7S0F-β1-Isoprenaline-Gi1/β1/γ2
21.05Consensusc3a_on_gpOrthosteric Ligand8HK2-C3aB-C3a anaphylatoxin-Gi1/β1/γ2 8IA8-C3aB-E7 peptide-Gi1/β1/γ2
21.05Consensuscck_onOrthosteric Ligandccka_on cckb_on
21.05Consensuscck_on_gpOrthosteric Ligandccka_on_gp cckb_on_gp
21.05Consensusccka_onOrthosteric Ligand7EZH-CCKA-Cholecystokinin-8-Gi1/β1/γ2
21.05Consensusccka_on_gpOrthosteric Ligand7EZH-CCKA-Cholecystokinin-8-Gi1/β1/γ2
21.05Consensusd2_offOrthosteric Ligand6CM4-D2-Risperidone 6LUQ-D2-Haloperidol 7DFP-D2-Spiperone
21.05Consensusfp-alpha_onOrthosteric Ligand8IUK-FP-alpha-PGF2-α-chim(NtGi1-Gs-CtGq)/β1/γ2 8IUL-FP-alpha-Latanoprost-chim(NtGi1-Gs-CtGq)/β1/γ2 8IUM-FP-alpha-Tafluprost acid-chim(NtGi1-Gs-CtGq)/β1/γ2
21.05Consensusfp-alpha_on_gpOrthosteric Ligand8IUK-FP-alpha-PGF2-α-chim(NtGi1-Gs-CtGq)/β1/γ2 8IUL-FP-alpha-Latanoprost-chim(NtGi1-Gs-CtGq)/β1/γ2 8IUM-FP-alpha-Tafluprost acid-chim(NtGi1-Gs-CtGq)/β1/γ2
21.05Consensusgal2_onOrthosteric Ligand7WQ4-GAL2-Galanin-chim(NtGi1-Gs-CtGq)/β1/γ2 7XJL-GAL2-Spexin-chim(NtGi2L-Gs-CtGq)/β1/γ2
21.05Consensusgal2_on_gpOrthosteric Ligand7WQ4-GAL2-Galanin-chim(NtGi1-Gs-CtGq)/β1/γ2 7XJL-GAL2-Spexin-chim(NtGi2L-Gs-CtGq)/β1/γ2
21.05Consensusnucleotide_on_gpOrthosteric Ligandadenosine_on_gp p2y_on_gp
21.05Consensusorexin_on_gpOrthosteric Ligandox2_on_gp
21.05Consensuspeptide_offOrthosteric Ligandcck_off angiotensin_off bombesin_off endothelin_off ghrelin_off npy_off opioid_off orexin_off somatostatin_off tachykinin_off vasop-oxy_off neurotensin_off
20.83Single7F6HBradykinin7F6H-BK2-Bradykinin-Gq/β1/γ2
20.83Single7F6IKallidin7F6I-BK2-Kallidin-Gq/β1/γ2
20.83Single7QBIAlpha-factor mating pheromone7QBI-STE2-α-factor mating pheromone
20.83Single7VL9CCL15(26-92)7VL9-CCR1-CCL15(26-92)-Gi1/β1/γ2
20.83Single8HNKCXCL118HNK-CXCR3-CXCL11-Gi1/β1/γ2
20.83Single8IA2C5a anaphylatoxin8IA2-C5a1-C5a anaphylatoxin-Go/β1/γ2
20.83Single8IODPG-9018IOD-MC5-PG-901-Ca-chim(NtGi1-Gs)/β1/γ2
20.83Single8WWMMCH8WWM-MCH1-MCH-Gi1/β1/γ2
20.83Single8XQEApelin-138XQE-Apelin-Apelin-13-Gi1/β1/γ2
20.83Single8XVIEndothelin-18XVI-ETA-Endothelin-1-chim(Gs-CtGq)/β1/γ2
20.83Single8ZRTET-18ZRT-ETB-ET-1
20.83Consensusccr_on_gpOrthosteric Ligandccr6_on_gp ccr8_on_gp ccr2_on_gp ccr1_on_gp ccr5_on_gp
20.83Consensuschemokine_on_gpOrthosteric Ligandccr_on_gp cxcr_on_gp
20.83Consensusgi_chemokineOrthosteric Ligand6WWZ-CCR6-CCL20-Go/β1/γ2 8HNK-CXCR3-CXCL11-Gi1/β1/γ2 8K3Z-CXCR4-CXCL12-Gi1/β1/γ1 8IC0-CXCR1-Interleukin-8-Gi1/β1/γ2 6LFM-CXCR2-Interleukin-8-Gi1/β1/γ2 8KFX-CCR8-LMD-009-Gi1/β1/γ2 7F1Q-CCR5-MIP-1a-Gi1/β1/γ2 8HNL-CXCR3-PS372424-Gi1/β1/γ2 8KFY-CCR8-ZK-756326-Gi1/β1/γ2 7O7F-CCR5-6P4-CCL5-Gi1/β1/γ1 8U1U-CCR8-CCL1-Gi1/β1/γ2 7VLA-CCR1-CCL15(27-92)-Gi1/β1/γ2 7XA3-CCR2-CCL2-Gi1/β1/γ2
20.83Consensusmc1_onOrthosteric Ligand7F4H-MC1-Afamelanotide-chim(NtGi1-Gs)/β1/γ2 7F4D-MC1-α-MSH-chim(NtGi1-Gs)/β1/γ2 7F4I-MC1-SHU9119-chim(NtGi1-Gs)/β1/γ2
20.83Consensusmc1_on_gpOrthosteric Ligand7F4H-MC1-Afamelanotide-chim(NtGi1-Gs)/β1/γ2 7F4D-MC1-α-MSH-chim(NtGi1-Gs)/β1/γ2 7F4I-MC1-SHU9119-chim(NtGi1-Gs)/β1/γ2
20.83Consensusopioid_onOrthosteric Ligandmop_on nop_on dop_on kop_on
20.00Single2YDOAdenosine2YDO-A2A-Adenosine
20.00Single4DKLBeta-Funaltrexamine4DKL-μ-β-Funaltrexamine
20.00Single4LDOL-Epinephrine4LDO-β2-L-Epinephrine
20.00Single4MBSMaraviroc4MBS-CCR5-Maraviroc
20.00Single4N6HNaltrindole4N6H-δ-Naltrindole-Na
20.00Single4UG2CGS216804UG2-A2A-CGS21680
20.00Single4ZUDOlmesartan4ZUD-AT1-Olmesartan
20.00Single5UIW5P7-CCL55UIW-CCR5-5P7-CCL5
20.00Single5WF6UK-4320975WF6-A2A-UK-432097
20.00Single6C1QPMX536C1Q-C5a1-PMX53-NDT9513727
20.00Single6FJ3PTH6FJ3-PTH1-PTH
20.00Single6K41Dexmedetomidine6K41-α2b-Dexmedetomidine-Go/β1/γ2
20.00Single6KUXRS-799486KUX-α2a-RS-79948
20.00Single6ME32-Phenylmelatonin6ME3-MT1-2-Phenylmelatonin
20.00Single6OMMWKYMVX6OMM-FPR2-ALX-WKYMVX-Gi1/β1/γ2
20.00Single6PS0S-Carazolol6PS0-β2-S-Carazolol
20.00Single6PS4ICI118-5516PS4-β2-ICI118-551
20.00Single6PT0WIN 55212-26PT0-CB2-WIN 55212-2-Gi1/β1/γ2
20.00Single6TPKRetosiban6TPK-OT-Retosiban
20.00Single6TPNHTL66416TPN-OX2-HTL6641
20.00Single6U1NLY21196206U1N-M2-LY2119620-Arrestin2
20.00Single6VI4JDTic6VI4-κ-JDTic
20.00Single6WH4Methiothepin6WH4-5-HT2A-Methiothepin
20.00Single6WJCMuscarinic toxin 76WJC-M1-Atropine-Muscarinic toxin 7
20.00Single6XBJCholesterol6XBJ-SMO-Cholesterol-Gi1/β1/γ2
20.00Single7AUESetmelanotide7AUE-MC4-Setmelanotide-chim(NtGi1L-Gs)/β1/γ2
20.00Single7BB6AVP7BB6-V2-AVP-Gs/β1/γ2
20.00Single7C2EPubChem 1490507997C2E-GLP-1-PubChem 149050799-Gs/β1/γ2
20.00Single7CKZDopamine7CKZ-D1-Dopamine-Mevidalen-Gs/β1/γ2
20.00Single7CMUPramipexole7CMU-D3-Pramipexole-Gi1/β1/γ2
20.00Single7CMVPD1289077CMV-D3-PD128907-Gi1/β1/γ2
20.00Single7DHISalbutamol7DHI-β2-Salbutamol-Gs/β1/γ2
20.00Single7E33BRL-544437E33-5-HT1E-BRL-54443-Gi1/β1/γ2
20.00Single7EJADexmedetomidine7EJA-α2a-Dexmedetomidine-Go/β1/γ2
20.00Single7F0TDopamine7F0T-D1-Dopamine-Gs/β1/γ2
20.00Single7F1ZDopamine7F1Z-D1-Dopamine-GDP-Gs/β1/γ2
20.00Single7F24Dopamine7F24-D1-Dopamine-GDP-Gs/β1/γ2
20.00Single7F2OBradykinin7F2O-BK2-Bradykinin-chim(NtGi1-Gs-CtGq)/β1/γ2
20.00Single7F9ZGHRP-67F9Z-Ghrelin-GHRP-6-chim(NtGi1-Gs-CtGq)/β1/γ2
20.00Single7QBIAlpha-factor mating pheromone7QBI-STE2-α-factor mating pheromone
20.00Single7RANPubChem 1645758477RAN-5-HT2A-PubChem 164575847-chim(NtGi2L-Gs-CtGq)/β1/γ2
20.00Single7RKNFractalkine7RKN-US28-Fractalkine-Gi1/β1/γ2
20.00Single7S8LCortistatin-147S8L-MRGPRX2-Cortistatin-14-chim(NtGi2L-Gs-CtGq)/β1/γ2
20.00Single7SK3CXCL127SK3-ACKR3-CXCL12
20.00Single7T11Octreotide7T11-SST2-Octreotide-Gi3/β1/γ2
20.00Single7T94Acetylcholine7T94-M2-Acetylcholine-LY2119620-chim(NtGi1-Go)/β1/γ2
20.00Single7T94LY21196207T94-M2-Acetylcholine-LY2119620-chim(NtGi1-Go)/β1/γ2
20.00Single7TRSAcetylcholine7TRS-M4-Acetylcholine-Gi1/β1/γ2
20.00Single7UL3Famotidine7UL3-H2-Famotidine
20.00Single7UM7Methylergometrine7UM7-5-HT5A-Methylergometrine-chim(NtGi1-Go)/β1/γ2
20.00Single7VODCariprazine7VOD-5-HT2A-Cariprazine
20.00Single7VUGJNJ-635330547VUG-GPR139-JNJ-63533054-Gi1/β1/γ2
20.00Single7WC9PubChem 1624213647WC9-5-HT2A-PubChem 162421364
20.00Single7XN9L-054,5227XN9-SST2-L-054,522
20.00Single7XOVSR1461317XOV-CCKA-SR146131-Gs/β1/γ2
20.00Single7XXH2MeSADP7XXH-P2Y1-2MeSADP-chim(NtGi1-G11)/β1/γ2
20.00Single7Y1FDynorphin7Y1F-κ-Dynorphin-Gi1/β1/γ2
20.00Single7YAEOctreotide7YAE-SST2-Octreotide-Gi1/β1/γ2
20.00Single7YJ4INSL57YJ4-RXFP4-INSL5-Gi2/β1/γ2
20.00Single7YKDChemerin-97YKD-CML1-Chemerin-9-Gi1/β1/γ2
20.00Single8DPGPsilocin8DPG-5-HT2C-Psilocin-chim(NtGi2L-Gs-CtGq)/β1/γ2
20.00Single8GDAL9026888GDA-EP4-L902688-Gs/β1/γ2
20.00Single8GE1Constrained Epinephrine8GE1-β2-Constrained Epinephrine-Gs/β1/γ2
20.00Single8GE4Constrained Epinephrine8GE4-β2-Constrained Epinephrine-Gs/β1/γ2
20.00Single8GE6Constrained Epinephrine8GE6-β2-Constrained Epinephrine-Gs/β1/γ2
20.00Single8GE7Constrained Epinephrine8GE7-β2-Constrained Epinephrine-Gs/β1/γ2
20.00Single8GE8Constrained Epinephrine8GE8-β2-Constrained Epinephrine-Gs/β1/γ2
20.00Single8GEAConstrained Epinephrine8GEA-β2-Constrained Epinephrine-Gs/β1/γ2
20.00Single8GEDConstrained Epinephrine8GED-β2-Constrained Epinephrine-Gs/β1/γ2
20.00Single8GEFConstrained Epinephrine8GEF-β2-Constrained Epinephrine-Gs/β1/γ2
20.00Single8GEJConstrained Epinephrine8GEJ-β2-Constrained Epinephrine-Gs/β1/γ2
20.00Single8GG8Constrained Epinephrine8GG8-β2-Constrained Epinephrine-GTP-Gs/β1/γ2
20.00Single8GGQConstrained Epinephrine8GGQ-β2-Constrained Epinephrine
20.00Single8GGSConstrained Epinephrine8GGS-β2-Constrained Epinephrine
20.00Single8GGTConstrained Epinephrine8GGT-β2-Constrained Epinephrine
20.00Single8GGVConstrained Epinephrine8GGV-β2-Constrained Epinephrine
20.00Single8GGXConstrained Epinephrine8GGX-β2-Constrained Epinephrine
20.00Single8IA7Cholecystokinin-88IA7-CCKB-Cholecystokinin-8-chim(NtGi1L-Gq)/β1/γ2
20.00Single8IQ4Carboprost8IQ4-FP-alpha-Carboprost-chim(NtGi1-Gs-CtGq)/β1/γ2
20.00Single8IUMTafluprost acid8IUM-FP-alpha-Tafluprost acid-chim(NtGi1-Gs-CtGq)/β1/γ2
20.00Single8JLKUlotaront8JLK-TA1-Ulotaront-chim(NtGi1-Gs)/β1/γ2
20.00Single8JLNT1AM8JLN-TA1-T1AM-Gs/β1/γ2
20.00Single8JLQFenoldopam8JLQ-TA1-Fenoldopam-Gs/β1/γ2
20.00Single8PM2DMCH8PM2-TA7-DMCH-Gs/β1/γ2
20.00Single8RLNLUF58348RLN-A2A-LUF5834
20.00Single8RWIStilSwitch28RWI-A2A-StilSwitch2-Na
20.00Single8THKA616038THK-Alpha1A-A61603-chim(NtGi2L-Gs-CtGq)/β1/γ2
20.00Single8THLEpinephrine8THL-Alpha1A-Epinephrine-chim(NtGi2L-Gs-CtGq)/β1/γ2
20.00Single8U02L-Dopamine8U02-D2-L-Dopamine-Go/β1/γ2
20.00Single8UHBRO52563908UHB-TA1-RO5256390-Gs/β1/γ2
20.00Single8UNMConstrained Epinephrine8UNM-β2-Constrained Epinephrine-GTP-Gs/β1/γ2
20.00Single8UNWConstrained Epinephrine8UNW-β2-Constrained Epinephrine-GTP-Gs/β1/γ2
20.00Single8UO0Constrained Epinephrine8UO0-β2-Constrained Epinephrine-GTP-Gs/β1/γ2
20.00Single8V6UPubChem 1713924568V6U-5-HT2A-PubChem 171392456-chim(NtGi2-Gs-CtGq)/β1/γ2
20.00Single8W88SEP-3638568W88-TA1-SEP-363856-Gs/β1/γ2
20.00Single8W8BSEP-3638568W8B-5-HT1A-SEP-363856-Gi1/β1/γ2
20.00Single8WC8ZH86518WC8-TA1-ZH8651-chim(NtGi1-Gs)/β1/γ2
20.00Single8XZFWN5618XZF-Apelin-WN561-Gi1/β1/γ2
20.00Single8Y45ADL58598Y45-δ-ADL5859-Gi2/β1/γ2
20.00Single8YH2Adenosine8YH2-A3A-Adenosine-Gi1/β1/γ2
20.00Single8YN3Histamine8YN3-H2-Histamine-Gs/β1/γ2
20.00Single8YRGFospropofol8YRG-MRGPRX4-Fospropofol-chim(NtGi1-Gs-CtGq)/β1/γ2
20.00Single8ZPNAMD31008ZPN-CXCR4-AMD3100
20.00Single9AS3LSD9AS3-5-HT2A-LSD
20.00Single9AS4LSD9AS4-5-HT2A-LSD-chim(NtGi1-Gs-CtGq)/β1/γ2
20.00Single9AS5Mescaline9AS5-5-HT2A-Mescaline
20.00Single9AS6Mescaline9AS6-5-HT2A-Mescaline-chim(NtGi1-Gs-CtGq)/β1/γ2
20.00Single9AXFCa; Ca; Ca; Cyclomethyltryptophan; 9IG; PO49AXF-CaS-Ca-Ca; Ca; Ca; Cyclomethyltryptophan; 9IG; PO4-chim(NtGi1-Gs-CtGq)/β1/γ2
20.00Single9CBLEpinephrine9CBL-α2a-Epinephrine-Gi1/β1/γ2
20.00Single9EAJNanobody AT2099EAJ-AT1-Nanobody AT209
20.00Single9EPQ11,20-Ethanoretinal9EPQ-Rhodopsin-11,20-Ethanoretinal-chim(Gi1-CtGq)/β1/γ2
20.00Single9IPVJR14a9IPV-C3aB-JR14a-Gi1/β1/γ2
20.00Single9IPYJR14a9IPY-C3aB-JR14a
20.00Single9JH3CMF-0199JH3-Apelin-CMF-019-Gi1/β1/γ2
20.00Single9JMDAzithromycin9JMD-Motilin-Azithromycin-chim(Gs-CtGq)/β1/γ2
20.00Single9K0XATP9K0X-P2Y2-ATP-chim(NtGi1-Gs-CtGq)/β1/γ2
20.00Single9K20ATP9K20-P2Y2-ATP-chim(NtGi1-Go)/β1/γ2
20.00Single9KFKRelaxin-39KFK-RXFP4-Relaxin-3-Gi2/β1/γ2
20.00Single9KPDSA09KPD-TAS2R16-SA0-chim(Gs-CtGt3)/β1/γ2
20.00Single9LRDHistamine9LRD-H1-Histamine-Gi1/β1/γ2
20.00Single9M2FNeuropeptide FF9M2F-NPFF1-Neuropeptide FF-Gi1/β1/γ2
20.00Single9MD1Buspirone9MD1-5-HT1A-Buspirone-Gz/β1/γ2
20.00Consensus5ht2a_offOrthosteric Ligand6A94-5-HT2A-Zotepine 6A93-5-HT2A-Risperidone 7VOD-5-HT2A-Cariprazine 7WC8-5-HT2A-Lumateperone 8JT8-5-HT2A-(R)-IHCH-7179
20.00Consensusalpha1_onOrthosteric Ligandalpha1a_on
20.00Consensusalpha1_on_gpOrthosteric Ligandalpha1a_on_gp
20.00Consensusalpha1a_onOrthosteric Ligand7EJ0-α2a-L-Norepinephrine-Go/β1/γ2 7EJ8-α2a-Brimonidine-Go/β1/γ2 7EJA-α2a-Dexmedetomidine-Go/β1/γ2 7EJK-α2a-Oxymetazoline-Go/β1/γ2 7W6P-α2a-N-pyridin-4-ylisoquinolin-4-amine-Go/β1/γ2 7W7E-α2a-PubChem 164946676-Go/β1/γ2
20.00Consensusalpha1a_on_gpOrthosteric Ligand7EJ0-α2a-L-Norepinephrine-Go/β1/γ2 7EJ8-α2a-Brimonidine-Go/β1/γ2 7EJA-α2a-Dexmedetomidine-Go/β1/γ2 7EJK-α2a-Oxymetazoline-Go/β1/γ2 7W6P-α2a-N-pyridin-4-ylisoquinolin-4-amine-Go/β1/γ2 7W7E-α2a-PubChem 164946676-Go/β1/γ2
20.00Consensusccr5_offOrthosteric Ligand5UIW-CCR5-5P7-CCL5
20.00Consensusccr5_onOrthosteric Ligand7O7F-CCR5-6P4-CCL5-Gi1/β1/γ1 7F1Q-CCR5-MIP-1a-Gi1/β1/γ2
20.00Consensuscxcr4_offOrthosteric Ligand4RWS-CXCR4-vMIP-II 3OE0-CXCR4-CVX15 3OE6-CXCR4-IT1t
20.00Consensusd3_onOrthosteric Ligand7CMV-D3-PD128907-Gi1/β1/γ2 8IRT-D3-Rotigotine-Gi1/β1/γ2 7CMU-D3-Pramipexole-Gi1/β1/γ2
20.00Consensusd3_on_gpOrthosteric Ligand7CMV-D3-PD128907-Gi1/β1/γ2 8IRT-D3-Rotigotine-Gi1/β1/γ2 7CMU-D3-Pramipexole-Gi1/β1/γ2
20.00Consensusghrelin_offOrthosteric Ligand6KO5-Ghrelin-PubChem 57400002 7F83-Ghrelin-PF-05190457
20.00Consensusgi_compl-peptOrthosteric Ligand8HK5-C5a1-Complement C5-Gi1/β1/γ2 8IA8-C3aB-E7 peptide-Gi1/β1/γ2 7Y66-C5a1-BM213-Gi1/β1/γ2 7Y67-C5a1-C089 peptide-Gi1/β1/γ2 8HK2-C3aB-C3a anaphylatoxin-Gi1/β1/γ2 7Y64-C5a1-C5a anaphylatoxin-Gi1/β1/γ2
20.00Consensusgq_cckOrthosteric Ligand8IA7-CCKB-Cholecystokinin-8-chim(NtGi1L-Gq)/β1/γ2 7XOW-CCKB-Gastrin-chim(NtGi1-Gq)/β1/γ2 7EZM-CCKA-Cholecystokinin-8-chim(NtGsL-Gq)/β1/γ2 7F8W-CCKB-Gastrin-17-chim(NtGsL-Gq)/β1/γ2
20.00Consensusnpy4_onOrthosteric Ligand7X9C-Y4-Pancreatic Hormone-Gi1/β1/γ2
20.00Consensusnpy4_on_gpOrthosteric Ligand7X9C-Y4-Pancreatic Hormone-Gi1/β1/γ2
20.00Consensusopioid_on_gpOrthosteric Ligandmop_on_gp nop_on_gp dop_on_gp kop_on_gp
20.00Consensusot_offOrthosteric Ligand6TPK-OT-Retosiban
20.00Consensusox2_onOrthosteric Ligand7L1V-OX2-PubChem 155491009-chim(NtGi1-Gs-CtGq)/β1/γ2 7SQO-OX2-TAK-925-Gi1/β1/γ2 7L1U-OX2-Orexin-chim(NtGi1-Gs-CtGq)/β1/γ2
20.00Consensusox2_on_gpOrthosteric Ligand7L1V-OX2-PubChem 155491009-chim(NtGi1-Gs-CtGq)/β1/γ2 7SQO-OX2-TAK-925-Gi1/β1/γ2 7L1U-OX2-Orexin-chim(NtGi1-Gs-CtGq)/β1/γ2
20.00Consensusp2y1_on_gpOrthosteric Ligand7XXH-P2Y1-2MeSADP-chim(NtGi1-G11)/β1/γ2
20.00Consensusvasop-oxy_offOrthosteric Ligandot_off
19.23Single7QBCAlpha-factor mating pheromone7QBC-STE2-α-factor mating pheromone
19.23Single7YOONeuropeptide-Y7YOO-Y2-Neuropeptide-Y-Gi1/β1/γ2
19.23Single8FEG(DNCP)-Beta-Naloxamine8FEG-κ-(DNCP)-β-Naloxamine-Gi1/β1/γ2
19.23Single8W8WAlpha-MSH8W8W-MC3-α-MSH-Ca-Gs/β1/γ2
19.23Single9K26PrRP319K26-PrRP-PrRP31-Gi1/β1/γ2
19.23Single9KDFRES-701-39KDF-ETB-RES-701-3
19.23Consensusnpy2_onOrthosteric Ligand7YOO-Y2-Neuropeptide-Y-Gi1/β1/γ2
19.23Consensusnpy2_on_gpOrthosteric Ligand7YOO-Y2-Neuropeptide-Y-Gi1/β1/γ2
19.23Consensusp2y10_on_gpOrthosteric Ligand8KGG-P2Y10-LPS-chim(NtGi2-G13)/β1/γ2
19.05Single4AMJS-Carvedilol4AMJ-β1-S-Carvedilol
19.05Single4IB4Ergotamine4IB4-5-HT2B-Ergotamine
19.05Single6X19CHU-1286X19-GLP-1-CHU-128-Gs/β1/γ2
19.05Single7F4ISHU91197F4I-MC1-SHU9119-chim(NtGi1-Gs)/β1/γ2
19.05Single7F8XNN90567F8X-CCKA-NN9056
19.05Single7T6UCGEN-855A7T6U-FPR2-ALX-CGEN-855A-Gi1/β1/γ2
19.05Single7TD4Siponimod7TD4-S1P1-Siponimod-Gi1/β1/γ2
19.05Single7W56Neuromedin-S7W56-NMUR1-Neuromedin-S-chim(NtGi1-Gs-CtGq)/β1/γ2
19.05Single7WICSomatostatin-147WIC-SST2-Somatostatin-14-Gi1/β1/γ2
19.05Single8FYLVilazodone8FYL-5-HT1A-Vilazodone-Gi1/β1/γ1
19.05Single8IEBA1LYA8IEB-GPR156-A1LYA
19.05Single8IEIA1LYA8IEI-GPR156-A1LYA
19.05Single8IEIA1LYA8IEI-GPR156-A1LYA
19.05Single8IEPA1LYA8IEP-GPR156-A1LYA
19.05Single8IEPA1LYA8IEP-GPR156-A1LYA
19.05Single8KIGSHU91198KIG-MC3-SHU9119-Ca
19.05Single8WKYPG-9348WKY-MC4-PG-934
19.05Single8WZ2Orexigenic Neuropeptide QRFP8WZ2-QRFP-Orexigenic Neuropeptide QRFP-chim(NtGi1L-Gs-CtGq)/β1/γ2
19.05Single9BKJCholecystokinin-89BKJ-CCKA-Cholecystokinin-8-chim(NtGi1-Gs-CtGq)/β1/γ2
19.05Single9L3YRetinoic acid receptor responder protein 29L3Y-CML2-Retinoic acid receptor responder protein 2-Gi1/β1/γ2
19.05Single9M4TSilodosin9M4T-Alpha1A-Silodosin
19.05Consensuschemokine_onOrthosteric Ligandccr_on cxcr_on
19.05Consensusmop_offOrthosteric Ligand4DKL-μ-β-Funaltrexamine 8QOT-μ-Nanobody-E 7UL4-μ-Alvimopan
19.05Consensusnop_onOrthosteric Ligand8F7X-NOP-Nociceptin-Gi1/β1/γ2
19.05Consensusnop_on_gpOrthosteric Ligand8F7X-NOP-Nociceptin-Gi1/β1/γ2
19.05Consensusp2y_onOrthosteric Ligandp2y1_on p2y10_on p2y12_on
18.75Single2Y01Dobutamine2Y01-β1-Dobutamine
18.75Single3NY8ICI118-5513NY8-β2-ICI118-551
18.75Single3NYAS-Alprenolol3NYA-β2-S-Alprenolol
18.75Single4EJ4Naltrindole4EJ4-δ-Naltrindole
18.75Single4GBRS-Carazolol4GBR-β2-S-Carazolol
18.75Single4J4QOctyl Beta-D-Glucopyranoside4J4Q-Rhodopsin-Octyl β-D-Glucopyranoside-Gt(CT)
18.75Single4QKX35V4QKX-β2-35V
18.75Single4U16N-Methyl-Scopolamine4U16-M3-N-Methyl-Scopolamine
18.75Single5OLZPubChem 1355666095OLZ-A2A-PubChem 135566609-Na
18.75Single5OM1PubChem 1355666095OM1-A2A-PubChem 135566609-Na
18.75Single5TGZAM65385TGZ-CB1-AM6538
18.75Single5YC8N-Methyl-Scopolamine5YC8-M2-N-Methyl-Scopolamine
18.75Single5ZK8N-Methyl-Scopolamine5ZK8-M2-N-Methyl-Scopolamine
18.75Single5ZKCN-Methyl-Scopolamine5ZKC-M2-N-Methyl-Scopolamine
18.75Single6D27CAY104716D27-DP2-CAY10471
18.75Single6H7MSalbutamol6H7M-β1-Salbutamol
18.75Single6K42Dexmedetomidine6K42-α2b-Dexmedetomidine-Gi1/β1/γ2
18.75Single6KPFPubChem 1459158896KPF-CB2-PubChem 145915889-Gi1/β1/γ2
18.75Single6PS1Timolol6PS1-β2-Timolol
18.75Single6WHADB139486WHA-5-HT2A-DB13948-chim(NtGi2L-Gs-CtGq)/β1/γ2
18.75Single7BTSL-Epinephrine7BTS-β1-L-Epinephrine
18.75Single7BU6L-Norepinephrine7BU6-β1-L-Norepinephrine
18.75Single7BU7BI1671077BU7-β1-BI167107
18.75Single7CFMP3957CFM-GPBA-P395-Gs/β1/γ2
18.75Single7CRHSKF839597CRH-D1-SKF83959-Gs/β1/γ2
18.75Single7E32Serotonin7E32-5-HT1D-Serotonin-Gi1/β1/γ2
18.75Single7F83PF-051904577F83-Ghrelin-PF-05190457
18.75Single7JVQApomorphine7JVQ-D1-Apomorphine-Gs/β1/γ2
18.75Single7LCIDanuglipron7LCI-GLP-1-Danuglipron-Gs/β1/γ2
18.75Single7LJCSKF-812977LJC-D1-SKF-81297-Mevidalen-Gs/β1/γ2
18.75Single7M3JNPS-2143; PO47M3J-CaS-NPS-2143; PO4
18.75Single7S0GIsoprenaline7S0G-β1-Isoprenaline-chim(Gi1-CtGs)/β1/γ2
18.75Single7SQOTAK-9257SQO-OX2-TAK-925-Gi1/β1/γ2
18.75Single7UM55-CT7UM5-5-HT5A-5-CT-chim(NtGi1-Go)/β1/γ2
18.75Single7X2CFenoldopam7X2C-D1-Fenoldopam-Fenoldopam-Gs/β1/γ2
18.75Single7XJHIsoproterenol7XJH-β3-Isoproterenol-Gs/β1/γ2
18.75Single7YK7DC5910537YK7-RXFP4-DC591053-Gi2/β1/γ2
18.75Single8EFQDamgo8EFQ-μ-Damgo-Gi1/β1/γ2
18.75Single8FY85-MeO-DMT8FY8-5-HT1A-5-MeO-DMT-Gi1/β1/γ1
18.75Single8GCML9026888GCM-EP4-L902688-Gi1/β1/γ2
18.75Single8GE3Constrained Epinephrine8GE3-β2-Constrained Epinephrine-Gs/β1/γ2
18.75Single8GE9Constrained Epinephrine8GE9-β2-Constrained Epinephrine-Gs/β1/γ2
18.75Single8GECConstrained Epinephrine8GEC-β2-Constrained Epinephrine-Gs/β1/γ2
18.75Single8GEEConstrained Epinephrine8GEE-β2-Constrained Epinephrine-Gs/β1/γ2
18.75Single8GEHConstrained Epinephrine8GEH-β2-Constrained Epinephrine-Gs/β1/γ2
18.75Single8GFVConstrained Epinephrine8GFV-β2-Constrained Epinephrine-GTP-Gs/β1/γ2
18.75Single8GFWConstrained Epinephrine8GFW-β2-Constrained Epinephrine-GTP-Gs/β1/γ2
18.75Single8GFXConstrained Epinephrine8GFX-β2-Constrained Epinephrine-GTP-Gs/β1/γ2
18.75Single8GFZConstrained Epinephrine8GFZ-β2-Constrained Epinephrine-GTP-Gs/β1/γ2
18.75Single8GG0Constrained Epinephrine8GG0-β2-Constrained Epinephrine-GTP-Gs/β1/γ2
18.75Single8GG1Constrained Epinephrine8GG1-β2-Constrained Epinephrine-GTP-Gs/β1/γ2
18.75Single8GG3Constrained Epinephrine8GG3-β2-Constrained Epinephrine-GTP-Gs/β1/γ2
18.75Single8GG4Constrained Epinephrine8GG4-β2-Constrained Epinephrine-GTP-Gs/β1/γ2
18.75Single8GG6Constrained Epinephrine8GG6-β2-Constrained Epinephrine-GTP-Gs/β1/γ2
18.75Single8GG9Constrained Epinephrine8GG9-β2-Constrained Epinephrine-GTP-Gs/β1/γ2
18.75Single8GGIConstrained Epinephrine8GGI-β2-Constrained Epinephrine
18.75Single8GGJConstrained Epinephrine8GGJ-β2-Constrained Epinephrine
18.75Single8GGKConstrained Epinephrine8GGK-β2-Constrained Epinephrine
18.75Single8GGNConstrained Epinephrine8GGN-β2-Constrained Epinephrine
18.75Single8GGOConstrained Epinephrine8GGO-β2-Constrained Epinephrine
18.75Single8GGUConstrained Epinephrine8GGU-β2-Constrained Epinephrine
18.75Single8IRTRotigotine8IRT-D3-Rotigotine-Gi1/β1/γ2
18.75Single8JJOAlprenolol8JJO-β2-Alprenolol
18.75Single8JLJT1AM8JLJ-TA1-T1AM-chim(NtGi1-Gs)/β1/γ2
18.75Single8JLZST19368JLZ-5-HT6-ST1936-Gs/β1/γ2
18.75Single8JT8(R)-IHCH-71798JT8-5-HT2A-(R)-IHCH-7179
18.75Single8JXRLSD8JXR-D1-LSD
18.75Single8RW7StilSwitch18RW7-A2A-StilSwitch1-Na
18.75Single8RWXStilSwitch38RWX-A2A-StilSwitch3-Na
18.75Single8UH3Setiptiline8UH3-5-HT1E-Setiptiline-Gi1/β1/γ1
18.75Single8UNQConstrained Epinephrine8UNQ-β2-Constrained Epinephrine-GTP-Gs/β1/γ2
18.75Single8UNRConstrained Epinephrine8UNR-β2-Constrained Epinephrine-GTP-Gs/β1/γ2
18.75Single8UNUConstrained Epinephrine8UNU-β2-Constrained Epinephrine-GTP-Gs/β1/γ2
18.75Single8UNVConstrained Epinephrine8UNV-β2-Constrained Epinephrine-GTP-Gs/β1/γ2
18.75Single8UNYConstrained Epinephrine8UNY-β2-Constrained Epinephrine-GTP-Gs/β1/γ2
18.75Single8UNZConstrained Epinephrine8UNZ-β2-Constrained Epinephrine-GTP-Gs/β1/γ2
18.75Single8UO2Constrained Epinephrine8UO2-β2-Constrained Epinephrine-GTP-Gs/β1/γ2
18.75Single8UWLLisuride8UWL-5-HT2A-Lisuride-chim(NtGi2-Gs-CtGq)/β1/γ2
18.75Single8VVGGB188VVG-κ-GB18-Gi1/β1/γ2
18.75Single8W87METH8W87-TA1-METH-chim(NtGi1L-Gs)/β1/γ2
18.75Single8W8ARO52563908W8A-TA1-RO5256390-chim(NtGi1L-Gs)/β1/γ2
18.75Single8WC7ZH86678WC7-TA1-ZH8667-chim(NtGi1-Gs)/β1/γ2
18.75Single8X17Namodenoson8X17-A3A-Namodenoson-Gi1/β1/γ2
18.75Single8X64Desloratadine8X64-H1-Desloratadine
18.75Single8XJLPGF2-alpha8XJL-FP-alpha-PGF2-α-chim(NtGi2-Gs-CtGq)/β1/γ2
18.75Single8XVKAmbrisentan8XVK-ETA-Ambrisentan
18.75Single8YN8Proxyfan8YN8-H3-Proxyfan-Go/β1/γ2
18.75Single8ZBEOctreotide8ZBE-SST5-Octreotide-Gi1/β1/γ1
18.75Single8ZSSRO52633978ZSS-TA1-RO5263397-chim(NtGi1-Gs)/β1/γ2
18.75Single9CBMDexmedetomidine9CBM-α2a-Dexmedetomidine-Gi1/β1/γ2
18.75Single9EPP11,20-Ethanoretinal9EPP-Rhodopsin-11,20-Ethanoretinal-chim(Gi1-CtGq)/β1/γ2
18.75Single9JEAAtropine9JEA-M1-Atropine
18.75Single9PLNN-(5-methylnaphthalen-1-yl)pyridin-4-amine9PLN-α2a-N-(5-methylnaphthalen-1-yl)pyridin-4-amine
18.75Single9PLON-(5-methylnaphthalen-1-yl)pyridin-4-amine9PLO-α2a-N-(5-methylnaphthalen-1-yl)pyridin-4-amine-Go/β1/γ2
18.75Single9PQD(6m)-1-methyl-6-(1,2,5,6-tetrahydropyridin-3-yl)-1h-indole9PQD-α2a-(6m)-1-methyl-6-(1,2,5,6-tetrahydropyridin-3-yl)-1h-indole
18.75Consensus5ht1d_onOrthosteric Ligand7E32-5-HT1D-Serotonin-Gi1/β1/γ2
18.75Consensus5ht1d_on_gpOrthosteric Ligand7E32-5-HT1D-Serotonin-Gi1/β1/γ2
18.75Consensusadenosine_on_gpOrthosteric Liganda1_on_gp a2_on_gp a3_on_gp
18.75Consensusadrenergic_onOrthosteric Ligandalpha_on beta_on
18.75Consensusalpha2_onOrthosteric Ligandalpha2b_on
18.75Consensusalpha2_on_gpOrthosteric Ligandalpha2b_on_gp
18.75Consensusalpha2b_onOrthosteric Ligand6K42-α2b-Dexmedetomidine-Gi1/β1/γ2
18.75Consensusalpha2b_on_gpOrthosteric Ligand6K42-α2b-Dexmedetomidine-Gi1/β1/γ2
18.75Consensusalpha_onOrthosteric Ligandalpha1_on alpha2_on
18.75Consensuscck_offOrthosteric Ligandccka_off
18.75Consensusccka_offOrthosteric Ligand7F8Y-CCKA-Devazepide 7F8U-CCKA-Lintitript
18.75Consensusd5_onOrthosteric Ligand8IRV-D5-Rotigotine-chim(NtGi1-Gs)/β1/γ2
18.75Consensusdop_offOrthosteric Ligand4EJ4-δ-Naltrindole
18.75Consensusdopamine_offOrthosteric Ligandd2_off d3_off
18.75Consensusdopamine_onOrthosteric Ligandd2_on d1_on d3_on d4_on d5_on
18.75Consensusdopamine_on_gpOrthosteric Ligandd2_on_gp d1_on_gp d3_on_gp d4_on_gp d5_on_gp
18.75Consensusgi_histamineOrthosteric Ligand8JXX-H4-Clobenpropit-Gi1/β1/γ2 8JXV-H4-Clozapine-Gi1/β1/γ2 8YUU-H3-Histamine-Gi1/β1/γ1 8HN8-H4-Histamine-Gi1/β1/γ2 8HOC-H4-Imetit-Gi1/β1/γ2 8JXW-H4-VUF6884-Gi1/β1/γ2
18.75Consensusgi_orexinOrthosteric Ligand7SQO-OX2-TAK-925-Gi1/β1/γ2
18.75Consensusgq_amineOrthosteric Ligandgq_muscarinic gq_histamine
18.75Consensusgs_trace-amineOrthosteric Ligand8W88-TA1-SEP-363856-Gs/β1/γ2 8JLJ-TA1-T1AM-chim(NtGi1-Gs)/β1/γ2 8JLO-TA1-Ulotaront-Gs/β1/γ2 8WC4-TA1-ZH8651-chim(NtGi1-Gs)/β1/γ2 8WC7-TA1-ZH8667-chim(NtGi1-Gs)/β1/γ2 8JLR-TA1-A77636-chim(NtGi1-Gs)/β1/γ2 8JSO-TA1-AMPH-chim(NtGi1-Gs)/β1/γ2 8W87-TA1-METH-chim(NtGi1L-Gs)/β1/γ2 8W89-TA1-PEA-chim(NtGi1L-Gs)/β1/γ2 8JLP-TA1-Ralmitaront-Gs/β1/γ2 8W8A-TA1-RO5256390-chim(NtGi1L-Gs)/β1/γ2
18.75Consensusmuscarinic_onOrthosteric Ligandm2_on m3_on m4_on m1_on
18.75Consensusmuscarinic_on_gpOrthosteric Ligandm2_on_gp m3_on_gp m4_on_gp m1_on_gp
18.52Single6NBHLong-Acting PTH Analog6NBH-PTH1-Long-Acting PTH Analog-Gs/β1/γ2
18.52Single7QBCAlpha-factor mating pheromone7QBC-STE2-α-factor mating pheromone
18.52Single8KGGLPS8KGG-P2Y10-LPS-chim(NtGi2-G13)/β1/γ2
18.52Consensusgs_melanocortinOrthosteric Ligand7F4H-MC1-Afamelanotide-chim(NtGi1-Gs)/β1/γ2 7F54-MC4-Afamelanotide-Gs/β1/γ2 7F4D-MC1-α-MSH-chim(NtGi1-Gs)/β1/γ2 8INR-MC5-α-MSH-Ca-chim(NtGi1-Gs)/β1/γ2 7F53-MC4-α-MSH-Gs/β1/γ2 7F55-MC4-Bremelanotide-Gs/β1/γ2 8GY7-MC2-Corticotropin-Ca-chim(NtGi1-Gs)/β1/γ2; MRAP1 8IOC-MC3-γ-MSH-Ca-chim(NtGi1-Gs)/β1/γ2 8IOD-MC5-PG-901-Ca-chim(NtGi1-Gs)/β1/γ2 7AUE-MC4-Setmelanotide-chim(NtGi1L-Gs)/β1/γ2 7F4I-MC1-SHU9119-chim(NtGi1-Gs)/β1/γ2 7F58-MC4-THIQ-Gs/β1/γ2
18.18Single3PXOAll-trans-Retinal3PXO-Rhodopsin-All-trans-Retinal
18.18Single5DYSAll-trans-Retinal5DYS-Rhodopsin-All-trans-Retinal
18.18Single7DDZJNJ-310200287DDZ-Y2-JNJ-31020028
18.18Single7E14Orforglipron7E14-GLP-1-Orforglipron-PubChem 156022738-Gs/β1/γ2
18.18Single7F1QMIP-1a7F1Q-CCR5-MIP-1a-Gi1/β1/γ2
18.18Single7SK5CXCL127SK5-ACKR3-CXCL12
18.18Single7WC4Serotonin7WC4-5-HT2A-Serotonin
18.18Single8F7SDeltorphin8F7S-δ-Deltorphin-Gi1/β1/γ2
18.18Single8IEBA1LYA8IEB-GPR156-A1LYA
18.18Single8WSSPro-MCH8WSS-MCH1-Pro-MCH-Gi1/β1/γ1
18.18Single8XYDPlatelet Activating Factor8XYD-PAF-Platelet Activating Factor-Gi1/β1/γ2
18.18Single9E82SDF-1-beta9E82-ACKR3-SDF-1-β-Arrestin2
18.18Single9IV25alpha-DHT9IV2-ADGRD1-5α-DHT-chim(NtGi1-Gs)/β1/γ2
18.18Single9J0FNADH9J0F-P2Y14-NADH-Gi1/β1/γ2
18.18Single9KFIRelaxin-39KFI-RXFP3-Relaxin-3-Gi2/β1/γ2
18.18Consensusdop_on_gpOrthosteric Ligand8F7S-δ-Deltorphin-Gi1/β1/γ2
18.18Consensusformylpeptide_on_gpOrthosteric Ligandfpr2-alx_on_gp fpr1-alx_on_gp
18.18Consensusghrelin_onOrthosteric Ligand7NA7-Ghrelin-Ghrelin-27-Gi1/β1/γ2 7F9Z-Ghrelin-GHRP-6-chim(NtGi1-Gs-CtGq)/β1/γ2 7NA8-Ghrelin-PubChem 178024-Gi1/β1/γ2
18.18Consensusghrelin_on_gpOrthosteric Ligand7NA7-Ghrelin-Ghrelin-27-Gi1/β1/γ2 7F9Z-Ghrelin-GHRP-6-chim(NtGi1-Gs-CtGq)/β1/γ2 7NA8-Ghrelin-PubChem 178024-Gi1/β1/γ2
18.18Consensusgi_ghrelinOrthosteric Ligand7NA7-Ghrelin-Ghrelin-27-Gi1/β1/γ2 7NA8-Ghrelin-PubChem 178024-Gi1/β1/γ2
18.18Consensusnpy2_offOrthosteric Ligand7DDZ-Y2-JNJ-31020028
17.86Single5GLHEndothelin-15GLH-ETB-Endothelin-1
17.86Single6IGKEndothelin-36IGK-ETB-Endothelin-3
17.86Consensusccr5_on_gpOrthosteric Ligand7O7F-CCR5-6P4-CCL5-Gi1/β1/γ1 7F1Q-CCR5-MIP-1a-Gi1/β1/γ2
17.86Consensusgi_npyOrthosteric Ligand8K6M-Y1-Neuropeptide-Y-Gi2/β1/γ1 7X9C-Y4-Pancreatic Hormone-Gi1/β1/γ2 7YOO-Y2-Neuropeptide-Y-Gi1/β1/γ2
17.86Consensusnpy_onOrthosteric Ligandnpy1_on npy2_on npy4_on
17.86Consensusnpy_on_gpOrthosteric Ligandnpy1_on_gp npy2_on_gp npy4_on_gp
17.65Single2RH1S-Carazolol2RH1-β2-S-Carazolol
17.65Single2Y00Dobutamine2Y00-β1-Dobutamine
17.65Single2YCWS-Carazolol2YCW-β1-S-Carazolol
17.65Single4WW3All-trans-Retinal4WW3-Rhodopsin-All-trans-Retinal
17.65Single5CGCHTL142425CGC-mGlu5-HTL14242
17.65Single5D6LS-Carazolol5D6L-β2-S-Carazolol
17.65Single5JQHS-Carazolol5JQH-β2-S-Carazolol
17.65Single5OM4PubChem 1355666095OM4-A2A-PubChem 135566609-Na
17.65Single5X7DS-Carazolol5X7D-β2-S-Carazolol-Cmpd-15
17.65Single6E67BI1671076E67-β2-BI167107-Gs(CT)
17.65Single6KPCPubChem 1459158896KPC-CB2-PubChem 145915889
17.65Single6KUWPubChem 572132346KUW-α2c-PubChem 57213234
17.65Single6LUQHaloperidol6LUQ-D2-Haloperidol
17.65Single6ME62-Phenylmelatonin6ME6-MT2-2-Phenylmelatonin
17.65Single6PS3S-Carvedilol6PS3-β2-S-Carvedilol
17.65Single6PS6Timolol6PS6-β2-Timolol
17.65Single6XBKCholesterol6XBK-SMO-Cholesterol-Gi1/β1/γ2
17.65Single7BVQS-Carazolol7BVQ-β1-S-Carazolol
17.65Single7CKXA776367CKX-D1-A77636-Gs/β1/γ2
17.65Single7LD3Adenosine7LD3-A1-Adenosine-MIPS521-Gi2/β1/γ2
17.65Single7M3JNPS-2143; PO47M3J-CaS-NPS-2143; PO4
17.65Single7S0FIsoprenaline7S0F-β1-Isoprenaline-Gi1/β1/γ2
17.65Single7SINNPS-21437SIN-CaS-NPS-2143
17.65Single7SINNPS-21437SIN-CaS-NPS-2143
17.65Single7VFXfMLF7VFX-FPR1-ALX-fMLF-Gi1/β1/γ2
17.65Single7VOEAripiprazole7VOE-5-HT2A-Aripiprazole
17.65Single7VV4Cortistatin-147VV4-MRGPRX2-Cortistatin-14
17.65Single7WC6LSD7WC6-5-HT2A-LSD
17.65Single7XK9Constrained Isoproterenol7XK9-β2-Constrained Isoproterenol-Na
17.65Single7XKAConstrained Epinephrine7XKA-β2-Constrained Epinephrine
17.65Single7YU6ONO-07405567YU6-LPA1-ONO-0740556-Gi1/β1/γ2
17.65Single8C9WEtrumadenant8C9W-A2A-Etrumadenant
17.65Single8E9ZIperoxo8E9Z-M3-Iperoxo-chim(NtGi2L-Gs-CtGq)/β1/γ2
17.65Single8GDZConstrained Epinephrine8GDZ-β2-Constrained Epinephrine-Gs/β1/γ2
17.65Single8GEBConstrained Epinephrine8GEB-β2-Constrained Epinephrine-Gs/β1/γ2
17.65Single8GEGConstrained Epinephrine8GEG-β2-Constrained Epinephrine-Gs/β1/γ2
17.65Single8GFYConstrained Epinephrine8GFY-β2-Constrained Epinephrine-GTP-Gs/β1/γ2
17.65Single8GG2Constrained Epinephrine8GG2-β2-Constrained Epinephrine-GTP-Gs/β1/γ2
17.65Single8GGBConstrained Epinephrine8GGB-β2-Constrained Epinephrine-GTP-Gs/β1/γ2
17.65Single8S4DCMF-0198S4D-Apelin-CMF-019
17.65Single8TH4Losartan8TH4-AT1-Losartan-AT118-L Nanobody
17.65Single8UNNConstrained Epinephrine8UNN-β2-Constrained Epinephrine-GTP-Gs/β1/γ2
17.65Single8UNPConstrained Epinephrine8UNP-β2-Constrained Epinephrine-GTP-Gs/β1/γ2
17.65Single8ZMFA1L108ZMF-5-HT2C-A1L10
17.65Single8ZRKGSK-12922638ZRK-GPR119-GSK-1292263-Gs/β1/γ2
17.65Single8ZVZBW245C8ZVZ-DP1-BW245C-Gs/β1/γ2
17.65Single9AVLCa; Ca; Cyclomethyltryptophan; 9IG; PO49AVL-CaS-Ca-Ca; Ca; Cyclomethyltryptophan; 9IG; PO4-Gi3/β2/γ2
17.65Single9AXFCa; Ca; Ca; Cyclomethyltryptophan; 9IG; PO49AXF-CaS-Ca-Ca; Ca; Ca; Cyclomethyltryptophan; 9IG; PO4-chim(NtGi1-Gs-CtGq)/β1/γ2
17.65Single9AYFCa; Ca; Ca; Cyclomethyltryptophan; 9IG; PO49AYF-CaS-Ca-Ca; Ca; Ca; Cyclomethyltryptophan; 9IG; PO4-Gi1/β1/γ2
17.65Single9DYDAsenapine9DYD-5-HT1A-Asenapine-Go/β1/γ2
17.65Single9DYFAsenapine9DYF-5-HT1A-Asenapine-Gi1/β1/γ2
17.65Single9EAHOlmesartan9EAH-AT1-Olmesartan-Nanobody AT209
17.65Single9EE8Adenosine9EE8-A2A-Adenosine-Gs/β1/γ2
17.65Single9EHSLUF76029EHS-A3A-LUF7602
17.65Single9ERXD9-THC analog9ERX-CB1-D9-THC analog-Gi1/β1/γ2
17.65Single9F34FOB02-04A9F34-D3-FOB02-04A-Go/β1/γ2
17.65Single9HAPTolvaptan9HAP-V2-Tolvaptan
17.65Single9IYBProstaglandin9IYB-DP2-Prostaglandin-A1D5Q-Gi1/β1/γ2
17.65Single9KPFSA09KPF-TAS2R16-SA0-Gi1/β1/γ2
17.65Consensus5ht1_onOrthosteric Ligand5ht1a_on 5ht1d_on 5ht1e_on 5ht1f_on
17.65Consensus5ht1_on_gpOrthosteric Ligand5ht1a_on_gp 5ht1d_on_gp 5ht1e_on_gp 5ht1f_on_gp
17.65Consensus5ht1e_on_gpOrthosteric Ligand7E33-5-HT1E-BRL-54443-Gi1/β1/γ2 8UGY-5-HT1E-Mianserin-Gi1/β1/γ1 8UH3-5-HT1E-Setiptiline-Gi1/β1/γ1
17.65Consensus5ht5_on_gpOrthosteric Ligand5ht5a_on_gp
17.65Consensus5ht5a_on_gpOrthosteric Ligand7X5H-5-HT5A-5-CT-Gi1/β1/γ2 7UM6-5-HT5A-Lisuride-chim(NtGi1-Go)/β1/γ2 7UM7-5-HT5A-Methylergometrine-chim(NtGi1-Go)/β1/γ2
17.65Consensusadrenergic_offOrthosteric Ligandalpha_off beta_off
17.65Consensusadrenergic_on_gpOrthosteric Ligandalpha_on_gp beta_on_gp
17.65Consensusalpha2c_offOrthosteric Ligand6KUW-α2c-PubChem 57213234
17.65Consensusalpha_offOrthosteric Ligandalpha1_off alpha2_off
17.65Consensusalpha_on_gpOrthosteric Ligandalpha1_on_gp alpha2_on_gp
17.65Consensusamine_offOrthosteric Ligand5ht_off adrenergic_off dopamine_off histamine_off muscarinic_off
17.65Consensusamine_offonOrthosteric Ligandamine_off amine_on
17.65Consensusamine_offon_gpOrthosteric Ligandamine_on_gp amine_off
17.65Consensusamine_onOrthosteric Ligand5ht_on adrenergic_on dopamine_on histamine_on muscarinic_on trace-amine_on
17.65Consensusbeta2_offOrthosteric Ligand2RH1-β2-S-Carazolol 6PS3-β2-S-Carvedilol 6PS5-β2-S-Propranolol 3D4S-β2-Timolol 3NY8-β2-ICI118-551 3NY9-β2-ICI118-551 6PRZ-β2-S-Alprenolol
17.65Consensusbeta_offOrthosteric Ligandbeta1_off beta2_off
17.65Consensusd1_onOrthosteric Ligand7F0T-D1-Dopamine-Gs/β1/γ2 7CKY-D1-PW0464-Gs/β1/γ2 8IRR-D1-Rotigotine-Gs/β1/γ2 7JV5-D1-SKF81297-Gs/β1/γ2 7JVP-D1-SKF83959-Gs/β1/γ2 7X2D-D1-Tavapadon-Gs/β1/γ2 7CKX-D1-A77636-Gs/β1/γ2 7JVQ-D1-Apomorphine-Gs/β1/γ2 7CKW-D1-Fenoldopam-Gs/β1/γ2
17.65Consensusfpr1-alx_onOrthosteric Ligand7VFX-FPR1-ALX-fMLF-Gi1/β1/γ2
17.65Consensusfpr1-alx_on_gpOrthosteric Ligand7VFX-FPR1-ALX-fMLF-Gi1/β1/γ2
17.65Consensusgi_adrenergicOrthosteric Ligand7EJ0-α2a-L-Norepinephrine-Go/β1/γ2 7EJK-α2a-Oxymetazoline-Go/β1/γ2 7W7E-α2a-PubChem 164946676-Go/β1/γ2 7W6P-α2a-N-pyridin-4-ylisoquinolin-4-amine-Go/β1/γ2 7EJ8-α2a-Brimonidine-Go/β1/γ2 6K42-α2b-Dexmedetomidine-Gi1/β1/γ2 7EJA-α2a-Dexmedetomidine-Go/β1/γ2 7S0F-β1-Isoprenaline-Gi1/β1/γ2
17.65Consensusgq_muscarinicOrthosteric Ligand6OIJ-M1-Iperoxo-chim(NtGi1L-G11)/β1/γ2
17.65Consensusgs_amineOrthosteric Ligandgs_5ht gs_adrenergic gs_dopamine gs_histamine gs_trace-amine
17.65Consensusm1_onOrthosteric Ligand6OIJ-M1-Iperoxo-chim(NtGi1L-G11)/β1/γ2
17.65Consensusm2_offOrthosteric Ligand5ZKC-M2-N-Methyl-Scopolamine 5ZK3-M2-3-quinuclidinyl-benzilate 5ZKB-M2-AF-DX 384
17.65Consensusm3_onOrthosteric Ligand8E9Z-M3-Iperoxo-chim(NtGi2L-Gs-CtGq)/β1/γ2 8E9W-M3-2-Deoxycytidine-chim(NtGi2L-Gs-CtGq)/β1/γ2 8E9Y-M3-Clozapine-N-oxide-chim(NtGi2L-Gs-CtGq)/β1/γ2
17.65Consensusm3_on_gpOrthosteric Ligand8E9Z-M3-Iperoxo-chim(NtGi2L-Gs-CtGq)/β1/γ2 8E9W-M3-2-Deoxycytidine-chim(NtGi2L-Gs-CtGq)/β1/γ2 8E9Y-M3-Clozapine-N-oxide-chim(NtGi2L-Gs-CtGq)/β1/γ2
17.65Consensusta1_onOrthosteric Ligand8W87-TA1-METH-chim(NtGi1L-Gs)/β1/γ2 8W89-TA1-PEA-chim(NtGi1L-Gs)/β1/γ2 8JLP-TA1-Ralmitaront-Gs/β1/γ2 8W8A-TA1-RO5256390-chim(NtGi1L-Gs)/β1/γ2 8W88-TA1-SEP-363856-Gs/β1/γ2 8JLO-TA1-Ulotaront-Gs/β1/γ2 8JLR-TA1-A77636-chim(NtGi1-Gs)/β1/γ2 8JSO-TA1-AMPH-chim(NtGi1-Gs)/β1/γ2 8ZSP-TA1-LSD-chim(NtGi1L-Gs-CtGq)/β1/γ2
17.65Consensustrace-amine_onOrthosteric Ligandta1_on
17.39Single3OE0CVX153OE0-CXCR4-CVX15
17.39Single6MEOEnvelope Glycoprotein Gp160; T-Cell Surface Glycoprotein Cd46MEO-CCR5-Envelope Glycoprotein Gp160; T-Cell Surface Glycoprotein Cd4
17.39Single6PT2KGCHM076PT2-δ-KGCHM07
17.39Single6W25SHU91196W25-MC4-SHU9119-Ca
17.39Single7MBXCholecystokinin-87MBX-CCKA-Cholecystokinin-8-Gs/β1/γ1
17.39Single7RYCOxytocin7RYC-OT-Oxytocin-chim(NtGi2L-Gs-CtGq)/β1/γ2
17.39Single7TD2LPA7TD2-LPA1-LPA-Gi1/β1/γ2
17.39Single7XOUCholecystokinin-87XOU-CCKA-Cholecystokinin-8-Gs/β1/γ2
17.39Single8K6NPro-neuropeptide-Y8K6N-Y2-Pro-neuropeptide-Y-Gi2/β1/γ1
17.39Single9K27PrRP319K27-PrRP-PrRP31-chim(NtGi1-Gq)/β1/γ2
17.39Consensuspeptide_offonOrthosteric Ligandpeptide_off peptide_on
17.24Single8HBDIRL16208HBD-ETB-IRL1620-Gi1/β1/γ2
17.24Consensusmelanocortin_onOrthosteric Ligandmc1_on mc4_on mc2_on mc3_on mc5_on
17.24Consensusmelanocortin_on_gpOrthosteric Ligandmc1_on_gp mc4_on_gp mc2_on_gp mc3_on_gp mc5_on_gp
16.67Single2HPYAll-trans-Retinal2HPY-Rhodopsin-All-trans-Retinal
16.67Single2YDVNECA2YDV-A2A-NECA
16.67Single3P0GBI1671073P0G-β2-BI167107
16.67Single3SN6BI1671073SN6-β2-BI167107-Gs/β1/γ2
16.67Single4IAQDihydroergotamine4IAQ-5-HT1B-Dihydroergotamine
16.67Single4OO9Mavoglurant4OO9-mGlu5-Mavoglurant
16.67Single4U15Tiotropium4U15-M3-Tiotropium
16.67Single4UHRCGS216804UHR-A2A-CGS21680
16.67Single5A8E7-Methylcyanopindolol5A8E-β1-7-Methylcyanopindolol-Na
16.67Single5D5AS-Carazolol5D5A-β2-S-Carazolol
16.67Single5D5BS-Carazolol5D5B-β2-S-Carazolol
16.67Single5G53NECA5G53-A2A-NECA-Gs
16.67Single5V54Methiothepin5V54-5-HT1B-Methiothepin
16.67Single5XRAAM115425XRA-CB1-AM11542
16.67Single5ZKBAF-DX 3845ZKB-M2-AF-DX 384
16.67Single6DDEDamgo6DDE-μ-Damgo-Gi1/β1/γ2
16.67Single6E59L-7607356E59-NK1-L-760735
16.67Single6GT3Imaradenant6GT3-A2A-Imaradenant-Na
16.67Single6J20Aprepitant6J20-NK1-Aprepitant
16.67Single6J21Aprepitant6J21-NK1-Aprepitant
16.67Single6LRYSarafotoxin-B6LRY-ETB-Sarafotoxin-B
16.67Single6M1IPACAP6M1I-PAC1-PACAP-Gs/β1/γ2
16.67Single6METEnvelope Glycoprotein Gp160; T-Cell Surface Glycoprotein Cd46MET-CCR5-Envelope Glycoprotein Gp160; T-Cell Surface Glycoprotein Cd4
16.67Single6O3CCholesterol6O3C-SMO-SAG21k-Cholesterol
16.67Single6OIJIperoxo6OIJ-M1-Iperoxo-chim(NtGi1L-G11)/β1/γ2
16.67Single6OL9Tiotropium6OL9-M5-Tiotropium
16.67Single6OS1TRV0266OS1-AT1-TRV026
16.67Single6OT025(S)-Epoxycholesterol6OT0-SMO-25(S)-Epoxycholesterol-Gi1/β1/γ2
16.67Single6TQ9SB-4081246TQ9-OX1-SB-408124
16.67Single6WGTLSD6WGT-5-HT2A-LSD
16.67Single6WIVPubChem 52923113; PubChem 529246456WIV-GABAB1, GABAB2-PubChem 52923113; PubChem 52924645
16.67Single7AD3Alpha-factor mating pheromone7AD3-STE2-α-factor mating pheromone-Gi1/STE4/γ2
16.67Single7FEECP559407FEE-CB1-CP55940-ZCZ011
16.67Single7FIMTirzepatide7FIM-GLP-1-Tirzepatide-Gs/β1/γ2
16.67Single7JV5SKF812977JV5-D1-SKF81297-Gs/β1/γ2
16.67Single7JVPSKF839597JVP-D1-SKF83959-Gs/β1/γ2
16.67Single7MTBAll-trans-Retinal7MTB-Rhodopsin-All-trans-Retinal-GRK1
16.67Single7S8MCortistatin-147S8M-MRGPRX2-Cortistatin-14-Gi1/β1/γ2
16.67Single7T10Somatostatin-147T10-SST2-Somatostatin-14-Gi3/β1/γ2
16.67Single7TD1LPA7TD1-LPA1-LPA-Gi1/β1/γ2
16.67Single7TRQIperoxo7TRQ-M4-Iperoxo-VU0467154-Gi1/β1/γ2
16.67Single7TUYGSK682753A7TUY-GPR183-GSK682753A
16.67Single7V9MSomatoliberin7V9M-GHRH (SV1)-Somatoliberin-Gs/β1/γ2
16.67Single7W40Bombesin7W40-BB2-Bombesin-chim(NtGi1L-Gq)/β1/γ2
16.67Single7W6PN-pyridin-4-ylisoquinolin-4-amine7W6P-α2a-N-pyridin-4-ylisoquinolin-4-amine-Go/β1/γ2
16.67Single7W7EPubChem 1649466767W7E-α2a-PubChem 164946676-Go/β1/γ2
16.67Single7XAVLanreotide7XAV-SST2-Lanreotide-Gi1/β1/γ2
16.67Single7XK8Neuromedin-U-257XK8-NMUR2-Neuromedin-U-25-Gi1/β1/γ2
16.67Single7XTQR3997XTQ-GPBA-R399-Gs/β1/γ2
16.67Single7Y67C089 peptide7Y67-C5a1-C089 peptide-Gi1/β1/γ2
16.67Single7YU7ONO-07405567YU7-LPA1-ONO-0740556-Gi1/β1/γ2
16.67Single8EA0Iperoxo8EA0-M3-Iperoxo
16.67Single8FN1Neurotensin/Neuromedin-N8FN1-NTS1-Neurotensin/Neuromedin-N-chim(NtGi1-Go)/β1/γ2
16.67Single8GDBPGE28GDB-EP4-PGE2-Gs/β1/γ2
16.67Single8GUSHU-3088GUS-CB2-HU-308-Gi1/β1/γ2
16.67Single8HQCC5a anaphylatoxin8HQC-C5a1-C5a anaphylatoxin-Go/β1/γ2
16.67Single8IEDA1LYA8IED-GPR156-A1LYA-Go/β1/γ2
16.67Single8IEDA1LYA8IED-GPR156-A1LYA-Go/β1/γ2
16.67Single8JBGNeurokinin-B8JBG-NK3-Neurokinin-B-chim(NtGi1-Gs-CtGq)/β1/γ2
16.67Single8JXVClozapine8JXV-H4-Clozapine-Gi1/β1/γ2
16.67Single8JXWVUF68848JXW-H4-VUF6884-Gi1/β1/γ2
16.67Single8JXXClobenpropit8JXX-H4-Clobenpropit-Gi1/β1/γ2
16.67Single8UGWPubChem 30865998UGW-A2A-PubChem 3086599
16.67Single8WSTPro-MCH8WST-MCH2-Pro-MCH-chim(NtGi1L-Gs-CtGq)/β1/γ2
16.67Single8WU1PubChem 1190256658WU1-CB1-PubChem 119025665-Arrestin2
16.67Single8X79MRE-2698X79-I2-MRE-269-Gs/β1/γ2
16.67Single8XJMLatanoprost8XJM-FP-alpha-Latanoprost-chim(NtGi2-Gs-CtGq)/β1/γ2
16.67Single8XVLZibotentan8XVL-ETA-Zibotentan
16.67Single8XZICMF-0198XZI-Apelin-CMF-019-Gi1/β1/γ2
16.67Single8ZW0PGD28ZW0-DP1-PGD2-Gs/β1/γ2
16.67Single8ZWFJR14a8ZWF-C3aB-JR14a
16.67Single9AS9RS130-1809AS9-5-HT2A-RS130-180
16.67Single9ASARS130-1809ASA-5-HT2A-RS130-180-chim(NtGi1-Gs-CtGq)/β1/γ2
16.67Single9AYFCa; Ca; Ca; Cyclomethyltryptophan; 9IG; PO49AYF-CaS-Ca-Ca; Ca; Ca; Cyclomethyltryptophan; 9IG; PO4-Gi1/β1/γ2
16.67Single9BJKNaloxone9BJK-μ-Naloxone-NAM
16.67Single9C2FCa; Ca; Tryptophan; '54149; PO49C2F-CaS-Ca-Ca; Ca; Tryptophan; '54149; PO4
16.67Single9CHUNoradrenaline9CHU-β2-Noradrenaline
16.67Single9EE9Adenosine9EE9-A2A-Adenosine-Gs/β1/γ2
16.67Single9IZGNKP9IZG-LPA1-NKP-chim(NtGi1-Gs-CtGq)/β1/γ2
16.67Single9JMCDS-3801b9JMC-Motilin-DS-3801b-chim(Gs-CtGq)/β1/γ2
16.67Consensus5ht1_offOrthosteric Ligand5ht1b_off
16.67Consensus5ht1b_offOrthosteric Ligand5V54-5-HT1B-Methiothepin
16.67Consensus5ht_offOrthosteric Ligand5ht2_off 5ht1_off
16.67Consensusa2_onOrthosteric Liganda2b_on
16.67Consensusa2_on_gpOrthosteric Liganda2b_on_gp
16.67Consensusa2b_onOrthosteric Ligand8HDP-A2B-Adenosine-Gs/β1/γ2 7XY6-A2B-BAY 60-6583-chim(NtGi1-Gs)/β1/γ2 7XY7-A2B-NECA-chim(NtGi1-Gs)/β1/γ2 8HDO-A2B-BAY 60-6583-Gs/β1/γ2
16.67Consensusa2b_on_gpOrthosteric Ligand8HDP-A2B-Adenosine-Gs/β1/γ2 7XY6-A2B-BAY 60-6583-chim(NtGi1-Gs)/β1/γ2 7XY7-A2B-NECA-chim(NtGi1-Gs)/β1/γ2 8HDO-A2B-BAY 60-6583-Gs/β1/γ2
16.67Consensusamine_on_gpOrthosteric Ligand5ht_on_gp adrenergic_on_gp dopamine_on_gp histamine_on_gp muscarinic_on_gp trace-amine_on_gp
16.67Consensusapelin_onOrthosteric Ligand8XZH-Apelin-MM07-Gi1/β1/γ2 7W0M-Apelin-PubChem 122701908-Gi1/β1/γ2 8XZJ-Apelin-WN353-Gi1/β1/γ2 8XZF-Apelin-WN561-Gi1/β1/γ2 8XZG-Apelin-Apelin-13-Gi1/β1/γ2
16.67Consensusapelin_on_gpOrthosteric Ligand8XZH-Apelin-MM07-Gi1/β1/γ2 7W0M-Apelin-PubChem 122701908-Gi1/β1/γ2 8XZJ-Apelin-WN353-Gi1/β1/γ2 8XZF-Apelin-WN561-Gi1/β1/γ2 8XZG-Apelin-Apelin-13-Gi1/β1/γ2
16.67Consensusbeta1_offOrthosteric Ligand2VT4-β1-Cyanopindolol 2YCW-β1-S-Carazolol 2YCZ-β1-Iodocyanopindolol 5A8E-β1-7-Methylcyanopindolol-Na 3ZPQ-β1-4-(piperazin-1- yl)-1H-indole-Na 3ZPR-β1-4-methyl-2-(piperazin-1-yl)-Na
16.67Consensusbeta2_onOrthosteric Ligand7DHI-β2-Salbutamol-Gs/β1/γ2 6NI3-β2-BI167107-Gs/β1/γ2
16.67Consensusbeta2_on_gpOrthosteric Ligand7DHI-β2-Salbutamol-Gs/β1/γ2 6NI3-β2-BI167107-Gs/β1/γ2
16.67Consensusgi_5htOrthosteric Ligand8FYT-5-HT1A-LSD-Gi1/β1/γ1 7UM7-5-HT5A-Methylergometrine-chim(NtGi1-Go)/β1/γ2 8UGY-5-HT1E-Mianserin-Gi1/β1/γ1 8W8B-5-HT1A-SEP-363856-Gi1/β1/γ2 7E2Y-5-HT1A-Serotonin-Gi1/β1/γ2 7E32-5-HT1D-Serotonin-Gi1/β1/γ2 7XTA-5-HT4-Serotonin-Gi1/β1/γ2 8UH3-5-HT1E-Setiptiline-Gi1/β1/γ1 8JSP-5-HT1A-Ulotaront-Gi1/β1/γ2 8FYL-5-HT1A-Vilazodone-Gi1/β1/γ1 8JT6-5-HT1A-(R)-IHCH-7179-Gi1/β1/γ2 8FYE-5-HT1A-4-F,5-MeO-PyrT-Gi1/β1/γ1 7X5H-5-HT5A-5-CT-Gi1/β1/γ2 8FY8-5-HT1A-5-MeO-DMT-Gi1/β1/γ1 7E2Z-5-HT1A-Aripiprazole-Gi1/β1/γ2 7E33-5-HT1E-BRL-54443-Gi1/β1/γ2 8FYX-5-HT1A-Buspirone-Gi1/β1/γ1 7EXD-5-HT1F-Lasmiditan-Gi1/β1/γ2 7UM6-5-HT5A-Lisuride-chim(NtGi1-Go)/β1/γ2
16.67Consensusgs_adenosineOrthosteric Ligand8HDP-A2B-Adenosine-Gs/β1/γ2 8HDO-A2B-BAY 60-6583-Gs/β1/γ2 7XY7-A2B-NECA-chim(NtGi1-Gs)/β1/γ2 7XY6-A2B-BAY 60-6583-chim(NtGi1-Gs)/β1/γ2
16.67Consensusgs_histamineOrthosteric Ligand8POK-H2-Histamine-Gs/β1/γ2
16.67Consensusgs_nucleotideOrthosteric Ligandgs_adenosine
16.67Consensush2_onOrthosteric Ligand8POK-H2-Histamine-Gs/β1/γ2
16.67Consensush4_on_gpOrthosteric Ligand8HN8-H4-Histamine-Gi1/β1/γ2 8HOC-H4-Imetit-Gi1/β1/γ2 8JXV-H4-Clozapine-Gi1/β1/γ2 8JXW-H4-VUF6884-Gi1/β1/γ2 8JXX-H4-Clobenpropit-Gi1/β1/γ2
16.67Consensusm1_on_gpOrthosteric Ligand6OIJ-M1-Iperoxo-chim(NtGi1L-G11)/β1/γ2
16.67Consensusm5_offOrthosteric Ligand6OL9-M5-Tiotropium
16.67Consensusmuscarinic_offOrthosteric Ligandm2_off m3_off m4_off m5_off m1_off
16.67Consensusnpy_offOrthosteric Ligandnpy1_off npy2_off
16.67Consensusopsins_onOrthosteric Ligandrhodopsin_on opsin1lw_on
16.67Consensusp2y_on_gpOrthosteric Ligandp2y1_on_gp p2y10_on_gp p2y12_on_gp
16.67Consensusprotein_offonOrthosteric Ligandprotein_off protein_on
16.67Consensusprotein_offon_gpOrthosteric Ligandprotein_on_gp protein_off
16.67Consensusprotein_onOrthosteric Ligandchemokine_on chemerin_on
16.67Consensussensory_onOrthosteric Ligandopsins_on
16.67Consensusta1_on_gpOrthosteric Ligand8W87-TA1-METH-chim(NtGi1L-Gs)/β1/γ2 8W89-TA1-PEA-chim(NtGi1L-Gs)/β1/γ2 8JLP-TA1-Ralmitaront-Gs/β1/γ2 8W8A-TA1-RO5256390-chim(NtGi1L-Gs)/β1/γ2 8W88-TA1-SEP-363856-Gs/β1/γ2 8JLO-TA1-Ulotaront-Gs/β1/γ2 8JLR-TA1-A77636-chim(NtGi1-Gs)/β1/γ2 8JSO-TA1-AMPH-chim(NtGi1-Gs)/β1/γ2 8ZSP-TA1-LSD-chim(NtGi1L-Gs-CtGq)/β1/γ2
16.67Consensustrace-amine_on_gpOrthosteric Ligandta1_on_gp
16.13Single9JR3PTH9JR3-PTH1-PTH-chim(NtGi1L-Gs-CtGq)/β1/γ2
16.00Single7F9YGhrelin-287F9Y-Ghrelin-Ghrelin-28-chim(NtGi1-Gs-CtGq)/β1/γ2
16.00Single7X9CPancreatic Hormone7X9C-Y4-Pancreatic Hormone-Gi1/β1/γ2
16.00Single8E3ZVIP8E3Z-VPAC1-VIP-Gs/β1/γ2
16.00Single8XVHEndothelin-18XVH-ETB-Endothelin-1-chim(Gs-CtGq)/β1/γ2
16.00Consensuscml1_on_gpOrthosteric Ligand7YKD-CML1-Chemerin-9-Gi1/β1/γ2
16.00Consensusgi_apelinOrthosteric Ligand8XZH-Apelin-MM07-Gi1/β1/γ2 7W0M-Apelin-PubChem 122701908-Gi1/β1/γ2 8XZJ-Apelin-WN353-Gi1/β1/γ2 8XZF-Apelin-WN561-Gi1/β1/γ2 8XZG-Apelin-Apelin-13-Gi1/β1/γ2
16.00Consensusp2y10_onOrthosteric Ligand8KGG-P2Y10-LPS-chim(NtGi2-G13)/β1/γ2
15.79Single3D4STimolol3D4S-β2-Timolol
15.79Single4Z36ONO-30805734Z36-LPA1-ONO-3080573
15.79Single5CXVTiotropium5CXV-M1-Tiotropium
15.79Single5F8UCyanopindolol5F8U-β1-Cyanopindolol
15.79Single6AK3Dinoprostone IPGE26AK3-EP3-Dinoprostone IPGE2
15.79Single6H7OCyanopindolol6H7O-β1-Cyanopindolol
15.79Single6KPGAM8416KPG-CB1-AM841-Gi1/β1/γ2
15.79Single6KQICP559406KQI-CB1-CP55940-Org27569
15.79Single6OS0Angiotensinogen6OS0-AT1-Angiotensinogen
15.79Single6OS2TRV0266OS2-AT1-TRV026
15.79Single6OSAJMV4496OSA-NTS1-JMV449-Gi1/β1/γ2
15.79Single6XBLCholesterol6XBL-SMO-SAG-Cholesterol-Gi1/β1/γ2
15.79Single6XOXOrforglipron6XOX-GLP-1-Orforglipron-chim(NtGi1-Gs)/β1/γ2
15.79Single7EVYSiponimod7EVY-S1P1-Siponimod-Gi1/β1/γ2
15.79Single7EXDLasmiditan7EXD-5-HT1F-Lasmiditan-Gi1/β1/γ2
15.79Single7L1UOrexin7L1U-OX2-Orexin-chim(NtGi1-Gs-CtGq)/β1/γ2
15.79Single7MTRADX551647MTR-mGlu2; mGlu2-Glutamate-ADX55164
15.79Single7T6BS1P7T6B-S1P2-S1P-chim(NtGi1L-G13)/β1/γ2
15.79Single7Y66BM2137Y66-C5a1-BM213-Gi1/β1/γ2
15.79Single8E9W2-Deoxycytidine8E9W-M3-2-Deoxycytidine-chim(NtGi2L-Gs-CtGq)/β1/γ2
15.79Single8FYE4-F,5-MeO-PyrT8FYE-5-HT1A-4-F,5-MeO-PyrT-Gi1/β1/γ1
15.79Single8H0QGastrin Releasing Peptide8H0Q-BB2-Gastrin Releasing Peptide-chim(NtGi1-Gs-CtGq)/β1/γ2
15.79Single8HK2C3a anaphylatoxin8HK2-C3aB-C3a anaphylatoxin-Gi1/β1/γ2
15.79Single8ID9Eicosapentaenoic acid8ID9-FFA4-Eicosapentaenoic acid-Gi1/β1/γ2
15.79Single8JPCNeurotensin-(8-13)8JPC-NTS1-Neurotensin-(8-13)-SBI-553; GDP; Mg-Gq; GRK2
15.79Single8JWY2-1188JWY-A2A-2-118
15.79Single8U26Protachykinin-18U26-NK1-Protachykinin-1-Gs/β1/γ2
15.79Single8W1VPubChem 1717162658W1V-β2-PubChem 171716265
15.79Single8XJNCloprosetnol8XJN-TXA2-Cloprosetnol-chim(NtGi1-Gs-CtGq)/β1/γ2
15.79Single9EBIPiclidenoson9EBI-A3A-Piclidenoson-chim(NtGi1L-Gs-CtGi1)/β1/γ2
15.79Consensus5ht1f_onOrthosteric Ligand7EXD-5-HT1F-Lasmiditan-Gi1/β1/γ2
15.79Consensus5ht1f_on_gpOrthosteric Ligand7EXD-5-HT1F-Lasmiditan-Gi1/β1/γ2
15.79Consensusccr8_onOrthosteric Ligand8KFX-CCR8-LMD-009-Gi1/β1/γ2 8KFY-CCR8-ZK-756326-Gi1/β1/γ2 8U1U-CCR8-CCL1-Gi1/β1/γ2
15.79Consensusgi_amineOrthosteric Ligandgi_5ht gi_muscarinic gi_adrenergic gi_dopamine gi_histamine
15.79Consensusgi_neurotensinOrthosteric Ligand6OSA-NTS1-JMV449-Gi1/β1/γ2 7L0S-NTS1-Neurotensin-Gi1/β1/γ1
15.79Consensuslpa1_offOrthosteric Ligand4Z36-LPA1-ONO-3080573 4Z35-LPA1-ONO-9910539 4Z34-LPA1-ONO-9780307
15.79Consensuslpa_offOrthosteric Ligandlpa1_off
15.79Consensusm1_offOrthosteric Ligand5CXV-M1-Tiotropium
15.79Consensusm4_onOrthosteric Ligand7TRS-M4-Acetylcholine-Gi1/β1/γ2 7V6A-M4-PubChem 9864275-Gi1/β1/γ2 8E9X-M4-2-Deoxycytidine-chim(NtGi1-Go)/β1/γ2 7TRK-M4-Iperoxo-Gi1/β1/γ2
15.79Consensusm4_on_gpOrthosteric Ligand7TRS-M4-Acetylcholine-Gi1/β1/γ2 7V6A-M4-PubChem 9864275-Gi1/β1/γ2 8E9X-M4-2-Deoxycytidine-chim(NtGi1-Go)/β1/γ2 7TRK-M4-Iperoxo-Gi1/β1/γ2
15.79Consensusneurotensin_on_gpOrthosteric Ligandnts1_on_gp
15.79Consensusnk1_offOrthosteric Ligand6HLP-NK1-Netupitant 6HLO-NK1-Aprepitant 6HLL-NK1-CP99994 6E59-NK1-L-760735
15.79Consensusnts1_on_gpOrthosteric Ligand6OSA-NTS1-JMV449-Gi1/β1/γ2 7L0S-NTS1-Neurotensin-Gi1/β1/γ1
15.62Consensuspth_onOrthosteric Ligandpth1_on pth2_on
15.38Single2J4Y11-cis-Retinal2J4Y-Rhodopsin-11-cis-Retinal
15.38Single2ZIY11-cis-Retinal2ZIY-Rhodopsin-11-cis-Retinal
15.38Single3C9M11-cis-Retinal3C9M-Rhodopsin-11-cis-Retinal
15.38Single3PQRAll-trans-Retinal3PQR-Rhodopsin-All-trans-Retinal-Gt(CT)
15.38Single6FUFAll-trans-Retinal6FUF-Rhodopsin-All-trans-Retinal-Go
15.38Single6NBFLong-Acting PTH Analog6NBF-PTH1-Long-Acting PTH Analog-Gs/β1/γ2
15.38Single7D77Hydrocortisone7D77-ADGRG3-Hydrocortisone-Go/β1/γ2
15.38Single7DD7Ca; Ca; Tryptophan; Evocalcet7DD7-CaS-Ca-Ca; Ca; Tryptophan; Evocalcet
15.38Single7MT8All-trans-Retinal7MT8-Rhodopsin-All-trans-Retinal-GRK1
15.38Single7RGPTirzepatide7RGP-GLP-1-Tirzepatide-chim(NtGi1-Gs)/β1/γ2
15.38Single7SK4CXCL12_LRHQ7SK4-ACKR3-CXCL12_LRHQ
15.38Single7W3ZGastrin Releasing Peptide7W3Z-BB2-Gastrin Releasing Peptide-chim(NtGi1L-Gq)/β1/γ2
15.38Single8DPILorcaserin8DPI-5-HT2C-Lorcaserin-chim(NtGi2L-Gs-CtGq)/β1/γ2
15.38Single8GGEConstrained Epinephrine8GGE-β2-Constrained Epinephrine-GTP-Gs/β1/γ2
15.38Single8GGFConstrained Epinephrine8GGF-β2-Constrained Epinephrine-GTP-Gs/β1/γ2
15.38Single8GH1Constrained Epinephrine8GH1-β2-Constrained Epinephrine
15.38Single8ITFDMCHA8ITF-TA9-DMCHA-chim(NtGi1-Gs)/β1/γ2
15.38Single8IU2Retinal8IU2-Opsin1LW-Retinal-Gi1/β1/γ2
15.38Single8JXTHistamine8JXT-H4-Histamine-PO4-Gi1/β1/γ2
15.38Single8POKHistamine8POK-H2-Histamine-Gs/β1/γ2
15.38Single8RQLFlufenamic acid8RQL-TAS2R14-Flufenamic acid-Flufenamic acid-chim(NtGi1-Gt3)/β1/γ2
15.38Single8SZFCa; Ca; Tryptophan; Cinacalcet; PO4; Spermine8SZF-CaS-Ca; Ca; Tryptophan; Cinacalcet; PO4; Spermine
15.38Single8XQFApelin-138XQF-Apelin-Apelin-13-Gi1/β1/γ2
15.38Single9IV15alpha-DHT9IV1-ADGRD1-5α-DHT-chim(NtGi1-Gs)/β1/γ2
15.38Consensus5ht2_onOrthosteric Ligand5ht2b_on
15.38Consensus5ht2b_onOrthosteric Ligand7SRR-5-HT2B-LSD-chim(NtGi2L-Gs-CtGq)/β1/γ2
15.38Consensusgi_opsinsOrthosteric Ligand8IU2-Opsin1LW-Retinal-Gi1/β1/γ2
15.38Consensusgi_proteinOrthosteric Ligandgi_chemokine gi_chemerin
15.38Consensusgi_sensoryOrthosteric Ligandgi_opsins
15.38Consensush2_on_gpOrthosteric Ligand8POK-H2-Histamine-Gs/β1/γ2
15.38Consensusopsin1lw_onOrthosteric Ligand8IU2-Opsin1LW-Retinal-Gi1/β1/γ2
15.38Consensusopsin1lw_on_gpOrthosteric Ligand8IU2-Opsin1LW-Retinal-Gi1/β1/γ2
15.38Consensusopsins_on_gpOrthosteric Ligandrhodopsin_on_gp opsin1lw_on_gp
15.38Consensuspac1_onOrthosteric Ligand8E3X-PAC1-PACAP27-Gs/β1/γ2 6M1H-PAC1-Maxadilan-Gs/β1/γ2
15.38Consensuspac1_on_gpOrthosteric Ligand8E3X-PAC1-PACAP27-Gs/β1/γ2 6M1H-PAC1-Maxadilan-Gs/β1/γ2
15.38Consensusprotein_on_gpOrthosteric Ligandchemokine_on_gp chemerin_on_gp
15.38Consensusrhodopsin_onOrthosteric Ligand6OYA-Rhodopsin-All-trans-Retinal-Gt/β1/γ1
15.38Consensussecretin_onOrthosteric Ligand7D3S-Secretin-Secretin-Gs/β1/γ2
15.38Consensussensory_on_gpOrthosteric Ligandopsins_on_gp
15.15Consensusmc2_onOrthosteric Ligand8GY7-MC2-Corticotropin-Ca-chim(NtGi1-Gs)/β1/γ2; MRAP1
15.15Consensusmc2_on_gpOrthosteric Ligand8GY7-MC2-Corticotropin-Ca-chim(NtGi1-Gs)/β1/γ2; MRAP1
15.00Single2YCZIodocyanopindolol2YCZ-β1-Iodocyanopindolol
15.00Single4BVNCyanopindolol4BVN-β1-Cyanopindolol-Na
15.00Single4Z35ONO-99105394Z35-LPA1-ONO-9910539
15.00Single5CGDHTL142425CGD-mGlu5-HTL14242
15.00Single7CX4Evatanepag7CX4-EP2-Evatanepag-Gs/β1/γ2
15.00Single7EVZCenerimod7EVZ-S1P1-Cenerimod-Gi1/β1/γ2
15.00Single7LLLExendin-47LLL-GLP-1-Exendin-4-Gs/β1/γ2
15.00Single7MBYCholecystokinin-87MBY-CCKA-Cholecystokinin-8-chim(NtGi1L-Gs-CtGq)/β1/γ2
15.00Single7MTSADX551647MTS-mGlu2; mGlu2-Glutamate-ADX55164-Gi1/β1/γ2
15.00Single7P00Substance-P7P00-NK1-Substance-P-chim(NtGi1-Gs-CtGq)/β1/γ2
15.00Single7UM4AS26747237UM4-5-HT5A-AS2674723
15.00Single7VVNPTH7VVN-PTH1-PTH-Gs/β1/γ2
15.00Single7YU8ONO-07405567YU8-LPA1-ONO-0740556-Gi1/β1/γ2
15.00Single8E9X2-Deoxycytidine8E9X-M4-2-Deoxycytidine-chim(NtGi1-Go)/β1/γ2
15.00Single8E9YClozapine-N-oxide8E9Y-M3-Clozapine-N-oxide-chim(NtGi2L-Gs-CtGq)/β1/γ2
15.00Single8FX5Xanomeline8FX5-M4-Xanomeline-Xanomeline-Gi1/β1/γ2
15.00Single8HN1Toxin AdTx18HN1-Alpha1A-Toxin AdTx1
15.00Single8K4OCXCL18K4O-KSHV-CXCL1-Gi1/β1/γ1
15.00Single8XJKCloprosetnol8XJK-FP-alpha-Cloprosetnol-chim(NtGi1-Gs-CtGq)/β1/γ2
15.00Single8XJOU466198XJO-TXA2-U46619-chim(NtGi1-Gs-CtGq)/β1/γ2
15.00Single8XVJMacitentan8XVJ-ETA-Macitentan
15.00Single8ZWGJR14a8ZWG-C3aB-JR14a-Gi1/β1/γ2
15.00Single9CGJC6-Quino9CGJ-δ-C6-Quino-Gi1/β1/γ2
15.00Single9IZFNKP9IZF-LPA1-NKP-Gi1/β1/γ2
15.00Consensuschemerin_onOrthosteric Ligandcml1_on
15.00Consensusnk1_onOrthosteric Ligand7P00-NK1-Substance-P-chim(NtGi1-Gs-CtGq)/β1/γ2
15.00Consensusnk1_on_gpOrthosteric Ligand7P00-NK1-Substance-P-chim(NtGi1-Gs-CtGq)/β1/γ2
15.00Consensusprostanoid_onOrthosteric Ligandtp_on fp-alpha_on
15.00Consensusprostanoid_on_gpOrthosteric Ligandtp_on_gp fp-alpha_on_gp
15.00Consensustp_onOrthosteric Ligand8XJO-TXA2-U46619-chim(NtGi1-Gs-CtGq)/β1/γ2
15.00Consensustp_on_gpOrthosteric Ligand8XJO-TXA2-U46619-chim(NtGi1-Gs-CtGq)/β1/γ2
14.81Single7AD3Alpha-factor mating pheromone7AD3-STE2-α-factor mating pheromone-Gi1/STE4/γ2
14.81Single7TYFAmylin7TYF-CT (AMY1)-Amylin-Gs/β1/γ2; RAMP1
14.81Single8HAOPTH8HAO-PTH1-PTH-chim(NtGi1-Gs)/β1/γ2
14.81Single8W8XBeta-MSH8W8X-MC3-β-MSH-Ca-Gs/β1/γ2
14.81Single9BUCCagrilintide9BUC-CT-Cagrilintide-Gs/β1/γ2
14.81Consensusglp_onOrthosteric Ligandglp1_on glp2_on
14.81Consensusglp_on_gpOrthosteric Ligandglp1_on_gp glp2_on_gp
14.81Consensussecretin_on_gpOrthosteric Ligand7D3S-Secretin-Secretin-Gs/β1/γ2
14.71Single7F16TIP397F16-PTH2-TIP39-Gs/β1/γ2
14.29Single1L9H11-cis-Retinal1L9H-Rhodopsin-11-cis-Retinal
14.29Single1U1911-cis-Retinal1U19-Rhodopsin-11-cis-Retinal
14.29Single2G87All-trans-Retinal2G87-Rhodopsin-All-trans-Retinal
14.29Single2I3511-cis-Retinal2I35-Rhodopsin-11-cis-Retinal
14.29Single3NY9ICI118-5513NY9-β2-ICI118-551
14.29Single3PBLEticlopride3PBL-D3-Eticlopride
14.29Single5L7IVismodegib5L7I-SMO-Vismodegib
14.29Single5VAIGLP-15VAI-GLP-1-GLP-1-Gs/β1/γ2
14.29Single5VBLApelin mimetic peptide agonist5VBL-Apelin-Apelin mimetic peptide agonist
14.29Single6I9K9-cis-Retinal6I9K-Rhodopsin-9-cis-Retinal
14.29Single6PT3DPI-2876PT3-δ-DPI-287
14.29Single6TP4ACT-4622066TP4-OX1-ACT-462206
14.29Single6TQ4PubChem 160468446TQ4-OX1-PubChem 16046844-Na
14.29Single7CX2PGE27CX2-EP2-PGE2-Gs/β1/γ2
14.29Single7D68GLP-27D68-GLP-2-GLP-2-Gs/β1/γ2
14.29Single7D76Beclomethasone7D76-ADGRG3-Beclomethasone-Go/β1/γ2
14.29Single7DD5Ca; Ca; Tryptophan; NPS-21437DD5-CaS-Ca-Ca; Ca; Tryptophan; NPS-2143
14.29Single7DD7Ca; Ca; Tryptophan; Evocalcet7DD7-CaS-Ca-Ca; Ca; Tryptophan; Evocalcet
14.29Single7KI1Taspoglutide7KI1-GLP-1-Taspoglutide-Gs/β1/γ2
14.29Single7RMGSubstance-P7RMG-NK1-Substance-P-chim(Gs-CtGq)/β1/γ2
14.29Single7RMHSubstance-P7RMH-NK1-Substance-P-Gs/β1/γ2
14.29Single7SRQLSD7SRQ-5-HT2B-LSD
14.29Single7TRPLY20332987TRP-M4-Iperoxo-LY2033298-Gi1/β1/γ2
14.29Single7V68Iperoxo7V68-M4-Iperoxo-LY2119620-Gi1/β1/γ2
14.29Single7VGXNeuropeptide-Y7VGX-Y1-Neuropeptide-Y-Gi1/β1/γ2
14.29Single7XT9Serotonin7XT9-5-HT4-Serotonin-Gs/β1/γ2
14.29Single7XTASerotonin7XTA-5-HT4-Serotonin-Gi1/β1/γ2
14.29Single7XTBSerotonin7XTB-5-HT6-Serotonin-Gs/β1/γ2
14.29Single7YFCHistamine7YFC-H4-Histamine-chim(NtGi1-Gs-CtGq)/β1/γ2
14.29Single7YS6Serotonin7YS6-5-HT6-Serotonin-chim(NtGi1-Gs)/β1/γ2
14.29Single8DPFLorcaserin8DPF-5-HT2C-Lorcaserin-chim(NtGi2L-Gs-CtGq)/β1/γ2
14.29Single8EF6Morphine8EF6-μ-Morphine-Gi1/β1/γ2
14.29Single8F0KPramlintide Analogue San3858F0K-CT (AMY3)-Pramlintide Analogue San385-Gs/β1/γ2; RAMP3
14.29Single8GGYConstrained Epinephrine8GGY-β2-Constrained Epinephrine
14.29Single8IY6Endothelin-18IY6-ETB-Endothelin-1
14.29Single8JBFSenktide8JBF-NK3-Senktide-chim(NtGi1-Gs-CtGq)/β1/γ2
14.29Single8QJ2pN1628QJ2-MC4-pN162-Gs
14.29Single8SZFCa; Ca; Tryptophan; Cinacalcet; PO4; Spermine8SZF-CaS-Ca; Ca; Tryptophan; Cinacalcet; PO4; Spermine
14.29Single8UO3Constrained Epinephrine8UO3-β2-Constrained Epinephrine-GTP; Mg-Gs/β1/γ2
14.29Single8UO4Constrained Epinephrine8UO4-β2-Constrained Epinephrine-GTP; Mg-Gs/β1/γ2
14.29Single8WPUTryptophan; Cinacalcet; PO4; Ca8WPU-CaS-Tryptophan; Cinacalcet; PO4; Ca-chim(NtGi2L-Gs-CtGq)/β1/γ2
14.29Single8X2KOleic monoethanolamide8X2K-GPR3-Oleic monoethanolamide-chim(NtGi1-Gs)/β1/γ2
14.29Single8XQLCholesterol8XQL-TAS2R14-Cholesterol-Aristolochic acid A-Gt3/β1/γ1
14.29Single8XX6CXCL88XX6-CXCR2-CXCL8-Go/β1/γ2
14.29Single8Y52BA18Y52-BB3-BA1-chim(NtGi1-Gs-CtGq)/β1/γ2
14.29Single8YH3N-methyladenosine8YH3-A3A-N-methyladenosine-Gi1/β1/γ2
14.29Single8YN2Histamine8YN2-H1-Histamine-chim(NtGi1L-Gs-CtGq)/β1/γ2
14.29Single8ZSVRO52633978ZSV-TA1-RO5263397-chim(NtGi1-Gs)/β1/γ2
14.29Single9AS2DMT9AS2-5-HT2A-DMT-chim(NtGi1-Gs-CtGq)/β1/γ2
14.29Single9AS7Psilocin9AS7-5-HT2A-Psilocin
14.29Single9BYOExendin-39BYO-GLP-1-Exendin-3-Gs/β1/γ2
14.29Single9C1PCa; Tryptophan; '6218; PO49C1P-CaS-Ca-Ca; Tryptophan; '6218; PO4
14.29Single9CGKC5-Quino9CGK-δ-C5-Quino-Gi1/β1/γ2
14.29Single9IJEEpinephrine9IJE-β3-Epinephrine-chim(NtGi1-Gs)/β1/γ2
14.29Single9JF4PD1683689JF4-BB1-PD168368
14.29Single9V2NMacimorelin9V2N-Ghrelin-Macimorelin-chim(NtGi1-Gs-CtGq)/β1/γ2
14.29Consensus5ht4_onOrthosteric Ligand7XTA-5-HT4-Serotonin-Gi1/β1/γ2
14.29Consensus5ht4_on_gpOrthosteric Ligand7XTA-5-HT4-Serotonin-Gi1/β1/γ2
14.29Consensusd3_offOrthosteric Ligand3PBL-D3-Eticlopride
14.29Consensusdop_onOrthosteric Ligand8F7S-δ-Deltorphin-Gi1/β1/γ2
14.29Consensusendothelin_onOrthosteric Ligandetb_on eta_on
14.29Consensusetb_onOrthosteric Ligand8IY5-ETB-Endothelin-1-Gi1/β1/γ2 8HBD-ETB-IRL1620-Gi1/β1/γ2
14.29Consensusformylpeptide_onOrthosteric Ligandfpr2-alx_on fpr1-alx_on
14.29Consensusnmur1_onOrthosteric Ligand7W53-NMUR1-Neuromedin-U-25-chim(NtGi1-Gs-CtGq)/β1/γ2
13.89Consensuspth_on_gpOrthosteric Ligandpth1_on_gp pth2_on_gp
13.79Single7DUQGLP-17DUQ-GLP-1-GLP-1-PubChem 156022738-Gs/β1/γ2
13.79Single8U1UCCL18U1U-CCR8-CCL1-Gi1/β1/γ2
13.79Consensusclass-a_class-b1_cons_onOrthosteric Ligandclass-a_on class-b1_on
13.79Consensusgi_endothelinOrthosteric Ligand8IY5-ETB-Endothelin-1-Gi1/β1/γ2 8HBD-ETB-IRL1620-Gi1/β1/γ2
13.64Single6WIVPubChem 52923113; PubChem 529246456WIV-GABAB1, GABAB2-PubChem 52923113; PubChem 52924645
13.64Single7CX3Taprenepag7CX3-EP2-Taprenepag-Gs/β1/γ2
13.64Single7L0RNeurotensin7L0R-NTS1-Neurotensin-Gi1/β1/γ1
13.64Single7VLACCL15(27-92)7VLA-CCR1-CCL15(27-92)-Gi1/β1/γ2
13.64Single7W53Neuromedin-U-257W53-NMUR1-Neuromedin-U-25-chim(NtGi1-Gs-CtGq)/β1/γ2
13.64Single7XAUOctreotide7XAU-SST2-Octreotide-Gi1/β1/γ2
13.64Single8F7XNociceptin8F7X-NOP-Nociceptin-Gi1/β1/γ2
13.64Single8IZBLysophosphatidylserine8IZB-GPR174-Lysophosphatidylserine-Gs/β1/γ2
13.64Single8XGMChemerin8XGM-CML2-Chemerin-Gi1/β1/γ2
13.64Single8XWNCXCL88XWN-CXCR2-CXCL8
13.64Consensusccr1_onOrthosteric Ligand7VLA-CCR1-CCL15(27-92)-Gi1/β1/γ2
13.64Consensusccr1_on_gpOrthosteric Ligand7VLA-CCR1-CCL15(27-92)-Gi1/β1/γ2
13.64Consensuschemerin_on_gpOrthosteric Ligandcml1_on_gp
13.64Consensuscml1_onOrthosteric Ligand7YKD-CML1-Chemerin-9-Gi1/β1/γ2
13.64Consensusgi_chemerinOrthosteric Ligand7YKD-CML1-Chemerin-9-Gi1/β1/γ2
13.64Consensusgi_nucleotideOrthosteric Ligandgi_adenosine gi_p2y
13.64Consensusnk3_onOrthosteric Ligand8JBF-NK3-Senktide-chim(NtGi1-Gs-CtGq)/β1/γ2
13.64Consensusnk3_on_gpOrthosteric Ligand8JBF-NK3-Senktide-chim(NtGi1-Gs-CtGq)/β1/γ2
13.64Consensusnmur1_on_gpOrthosteric Ligand7W53-NMUR1-Neuromedin-U-25-chim(NtGi1-Gs-CtGq)/β1/γ2
13.33Single1GZM11-cis-Retinal1GZM-Rhodopsin-11-cis-Retinal
13.33Single2PED9-cis-Retinal2PED-Rhodopsin-9-cis-Retinal
13.33Single2X72All-trans-Retinal2X72-Rhodopsin-All-trans-Retinal-Gt(CT)
13.33Single2Z7311-cis-Retinal2Z73-Rhodopsin-11-cis-Retinal
13.33Single3AYN9-cis-Retinal3AYN-Rhodopsin-9-cis-Retinal
13.33Single3C9L11-cis-Retinal3C9L-Rhodopsin-11-cis-Retinal
13.33Single3PWHZM-2413853PWH-A2A-ZM-241385
13.33Single4MQTLY21196204MQT-M2-Iperoxo-LY2119620
13.33Single5OLVLUAA410635OLV-A2A-LUAA41063-Na
13.33Single6OBAS-Alprenolol6OBA-β2-S-Alprenolol-GTPL11074
13.33Single6OYAAll-trans-Retinal6OYA-Rhodopsin-All-trans-Retinal-Gt/β1/γ1
13.33Single6TQ6PubChem 1457142836TQ6-OX1-PubChem 145714283
13.33Single6ZA8RTI-3a6ZA8-NTS1-RTI-3a
13.33Single7BR3Elagolix7BR3-GnRH1-Elagolix
13.33Single7F1ODopamine7F1O-D1-Dopamine-GDP; Mg-Gs/β1/γ2
13.33Single7M3ECa; Ca; Tryptophan; NPS-21437M3E-CaS-Ca; Ca; Tryptophan; NPS-2143
13.33Single7M3ECa; Ca; Tryptophan; NPS-21437M3E-CaS-Ca; Ca; Tryptophan; NPS-2143
13.33Single7M3FCa; Ca; Tryptophan; Cinacalcet; PO47M3F-CaS-Ca; Ca; Tryptophan; Cinacalcet; PO4
13.33Single7M3FCa; Ca; Tryptophan; Cinacalcet; PO47M3F-CaS-Ca; Ca; Tryptophan; Cinacalcet; PO4
13.33Single7SILCa; Ca; Ca; Cyclomethyltryptophan; 9IG; PO47SIL-CaS-Ca-Ca; Ca; Ca; Cyclomethyltryptophan; 9IG; PO4
13.33Single7SILCa; Ca; Ca; Cyclomethyltryptophan; 9IG; PO47SIL-CaS-Ca-Ca; Ca; Ca; Cyclomethyltryptophan; 9IG; PO4
13.33Single7SK6CXCL12_LRHQ7SK6-ACKR3-CXCL12_LRHQ
13.33Single7SRRLSD7SRR-5-HT2B-LSD-chim(NtGi2L-Gs-CtGq)/β1/γ2
13.33Single7SRSLSD7SRS-5-HT2B-LSD-Arrestin2
13.33Single7TZFAmylin7TZF-CT (AMY3)-Amylin-Gs/β1/γ2; RAMP3
13.33Single7VDLCortistatin-147VDL-MRGPRX2-Cortistatin-14-Gi1/β1/γ2
13.33Single7VUJJNJ-635330547VUJ-GPR139-JNJ-63533054-GDP-chim(Gs-CtGq)/β1/γ2
13.33Single7W0MPubChem 1227019087W0M-Apelin-PubChem 122701908-Gi1/β1/γ2
13.33Single7W0OElabela7W0O-Apelin-Elabela-Gi1/β1/γ2
13.33Single7X2FDopamine7X2F-D1-Dopamine-Mevidalen-Gs/β1/γ2
13.33Single7X5H5-CT7X5H-5-HT5A-5-CT-Gi1/β1/γ2
13.33Single7XT8Serotonin7XT8-5-HT4-Serotonin-Gs/β1/γ2
13.33Single8A6CAll-trans-Retinal8A6C-Rhodopsin-All-trans-Retinal
13.33Single8A6DAll-trans-Retinal8A6D-Rhodopsin-All-trans-Retinal
13.33Single8A6EAll-trans-Retinal8A6E-Rhodopsin-All-trans-Retinal
13.33Single8DWGML3828DWG-MRGPRX1-Proenkephalin-A-ML382-chim(NtGi2L-Gs-CtGq)/β1/γ2
13.33Single8DWHPubChem 1390305318DWH-MRGPRX1-PubChem 139030531-chim(NtGi2L-Gs-CtGq)/β1/γ2
13.33Single8FLULong-Acting PTH8FLU-PTH1-Long-Acting PTH-Gs/β1/γ2
13.33Single8GNGIstradefylline8GNG-A2A-Istradefylline
13.33Single8H8JLodoxamide8H8J-GPR35-Lodoxamide-Ca-chim(NtGi1L-G13)/β1/γ2
13.33Single8HDPAdenosine8HDP-A2B-Adenosine-Gs/β1/γ2
13.33Single8HMPC178HMP-GPR52-C17-Gs/β1/γ2
13.33Single8JSOAMPH8JSO-TA1-AMPH-chim(NtGi1-Gs)/β1/γ2
13.33Single8RW0Istradefylline8RW0-A2A-Istradefylline-Na
13.33Single8U4PAMD31008U4P-CXCR4-AMD3100-Gi1/β1/γ2
13.33Single8UNSConstrained Epinephrine8UNS-β2-Constrained Epinephrine-GTP-Gs/β1/γ2
13.33Single8UNTConstrained Epinephrine8UNT-β2-Constrained Epinephrine-GTP-Gs/β1/γ2
13.33Single8WPGTryptophan; Cinacalcet; PO4; Ca8WPG-CaS-Tryptophan; Cinacalcet; PO4; Ca
13.33Single8YUTAmthamine8YUT-H2-Amthamine-Gs/β1/γ2
13.33Single8YYWAlpha-ketoglutarate8YYW-Oxoglutarate-α-ketoglutarate-α-ketoglutarate-chim(Gi1-CtGq)/β1/γ2
13.33Single8YYWAlpha-ketoglutarate8YYW-Oxoglutarate-α-ketoglutarate-α-ketoglutarate-chim(Gi1-CtGq)/β1/γ2
13.33Single9AVLCa; Ca; Cyclomethyltryptophan; 9IG; PO49AVL-CaS-Ca-Ca; Ca; Cyclomethyltryptophan; 9IG; PO4-Gi3/β2/γ2
13.33Single9C1PCa; Tryptophan; '6218; PO49C1P-CaS-Ca-Ca; Tryptophan; '6218; PO4
13.33Single9C2FCa; Ca; Tryptophan; '54149; PO49C2F-CaS-Ca-Ca; Ca; Tryptophan; '54149; PO4
13.33Single9EBHAdenosine9EBH-A3A-Adenosine-Gi1/β1/γ2
13.33Single9EEAAdenosine9EEA-A2A-Adenosine-Gs/β1/γ2
13.33Single9J5VCpY9J5V-LPA1-CpY-Gi1/β1/γ2
13.33Single9LRBHistamine9LRB-H1-Histamine-Gs/β1/γ2
13.33Consensus5ht2_on_gpOrthosteric Ligand5ht2b_on_gp
13.33Consensus5ht2b_on_gpOrthosteric Ligand7SRR-5-HT2B-LSD-chim(NtGi2L-Gs-CtGq)/β1/γ2
13.33Consensus5ht_onOrthosteric Ligand5ht1_on 5ht2_on 5ht4_on 5ht5_on 5ht6_on 5ht7_on
13.33Consensuscxcr1_onOrthosteric Ligand8IC0-CXCR1-Interleukin-8-Gi1/β1/γ2
13.33Consensusendothelin_on_gpOrthosteric Ligandetb_on_gp eta_on_gp
13.33Consensusetb_on_gpOrthosteric Ligand8IY5-ETB-Endothelin-1-Gi1/β1/γ2 8HBD-ETB-IRL1620-Gi1/β1/γ2
13.33Consensusgnrh1_offOrthosteric Ligand7BR3-GnRH1-Elagolix
13.33Consensusgs_5htOrthosteric Ligand7XTC-5-HT7-5-CT-Gs/β1/γ2 7XTB-5-HT6-Serotonin-Gs/β1/γ2 8JLZ-5-HT6-ST1936-Gs/β1/γ2 7XT8-5-HT4-Serotonin-Gs/β1/γ2
13.33Consensusrhodopsin_offOrthosteric Ligand1U19-Rhodopsin-11-cis-Retinal 2PED-Rhodopsin-9-cis-Retinal 5TE5-Rhodopsin-20-Methanoretinal
13.33Consensusrhodopsin_on_gpOrthosteric Ligand6OYA-Rhodopsin-All-trans-Retinal-Gt/β1/γ1
13.33Consensussensory_offonOrthosteric Ligandsensory_off sensory_on
13.33Consensussensory_offon_gpOrthosteric Ligandsensory_on_gp sensory_on
13.04Single8F7QBeta-Endorphin8F7Q-μ-β-Endorphin-Gi1/β1/γ2
13.04Single8IOCGamma-MSH8IOC-MC3-γ-MSH-Ca-chim(NtGi1-Gs)/β1/γ2
13.04Single8JBHSubstance-P8JBH-NK3-Substance-P-chim(NtGi1-Gs-CtGq)/β1/γ2
13.04Single8K6OPro-neuropeptide-Y8K6O-Y1-Pro-neuropeptide-Y-Gi2/β1/γ1
13.04Single8KH5Lysophosphatidylserine8KH5-GPR174-Lysophosphatidylserine-Gs/β1/γ2
13.04Single8Z7JAgonistic antibody8Z7J-Apelin-Agonistic antibody-Gi1/β1/γ2
13.04Single9IQRMuscarinic toxin 39IQR-α2a-Muscarinic toxin 3
13.04Single9IQSMuscarinic toxin 39IQS-M4-Muscarinic toxin 3
13.04Consensuscckb_onOrthosteric Ligand8IA7-CCKB-Cholecystokinin-8-chim(NtGi1L-Gq)/β1/γ2 7XOW-CCKB-Gastrin-chim(NtGi1-Gq)/β1/γ2 7F8V-CCKB-Gastrin-17-Gi2/β1/γ2
13.04Consensusccr8_on_gpOrthosteric Ligand8KFX-CCR8-LMD-009-Gi1/β1/γ2 8KFY-CCR8-ZK-756326-Gi1/β1/γ2 8U1U-CCR8-CCL1-Gi1/β1/γ2
13.04Consensustachykinin_on_gpOrthosteric Ligandnk1_on_gp nk2_on_gp nk3_on_gp
12.90Single9JR2PTH9JR2-PTH1-PTH-chim(NtGi1L-Gs-CtGq)/β1/γ2
12.90Consensusglp1_on_gpOrthosteric Ligand7S1M-GLP-1-Ex4-D-Ala-Gs/β1/γ2 7X8R-GLP-1-BOC5-Gs/β1/γ2 6X19-GLP-1-CHU-128-Gs/β1/γ2 6X1A-GLP-1-Danuglipron-Gs/β1/γ2 6X18-GLP-1-GLP-1-Gs/β1/γ2 8JIP-GLP-1-MEDI0382-chim(NtGi1-Gs)/β1/γ2 7C2E-GLP-1-PubChem 149050799-Gs/β1/γ2 7KI0-GLP-1-Semaglutide-Gs/β1/γ2 7KI1-GLP-1-Taspoglutide-Gs/β1/γ2 7X8S-GLP-1-WB4-24-Gs/β1/γ2 8JIS-GLP-1-Peptide-15-chim(NtGi1-Gs)/β1/γ2 7VBI-GLP-1-Non-Acylated Tirzepatide-Gs/β1/γ2
12.82Single8GY7Corticotropin8GY7-MC2-Corticotropin-Ca-chim(NtGi1-Gs)/β1/γ2; MRAP1
12.50Single1F8811-cis-Retinal1F88-Rhodopsin-11-cis-Retinal
12.50Single3OAX11-cis-Retinal3OAX-Rhodopsin-11-cis-Retinal
12.50Single3REYXAC3REY-A2A-XAC
12.50Single3RZECidoxepin3RZE-H1-Cidoxepin
12.50Single3UZC4-(3-amino-5-phenyl-1,2,4-triazin-6-yl)-2-chlorophenol3UZC-A2A-4-(3-amino-5-phenyl-1,2,4-triazin-6-yl)-2-chlorophenol
12.50Single4MQTIperoxo4MQT-M2-Iperoxo-LY2119620
12.50Single6A94Zotepine6A94-5-HT2A-Zotepine
12.50Single6FFIMMPEP6FFI-mGlu5-MMPEP
12.50Single6ME42-Iodomelatonin6ME4-MT1-2-Iodomelatonin
12.50Single6PS5S-Propranolol6PS5-β2-S-Propranolol
12.50Single6PS82-Phenylmelatonin6PS8-MT1-2-Phenylmelatonin
12.50Single6VN7PACAP6VN7-VPAC1-PACAP-Gs/β1/γ2
12.50Single6WJCAtropine6WJC-M1-Atropine-Muscarinic toxin 7
12.50Single6ZDVChromone 5d6ZDV-A2A-Chromone 5d-Na
12.50Single7AROLUF58337ARO-A2A-LUF5833-Na
12.50Single7CKWFenoldopam7CKW-D1-Fenoldopam-Gs/β1/γ2
12.50Single7EJ8Brimonidine7EJ8-α2a-Brimonidine-Go/β1/γ2
12.50Single7W55Neuromedin-U-257W55-NMUR2-Neuromedin-U-25-chim(NtGi1-Gs-CtGq)/β1/γ2
12.50Single7WVUfMLF7WVU-FPR1-ALX-fMLF-Gi1/β1/γ2
12.50Single7X9ANeuropeptide-Y7X9A-Y1-Neuropeptide-Y-Gi1/β1/γ2
12.50Single7Y36Teriparatide7Y36-PTH1-Teriparatide-Gs/β1/γ2
12.50Single7ZBC11-cis-Retinal7ZBC-Rhodopsin-11-cis-Retinal
12.50Single7ZBE11-cis-Retinal7ZBE-Rhodopsin-11-cis-Retinal
12.50Single8FCZ11-cis-Retinal8FCZ-Rhodopsin-11-cis-Retinal
12.50Single8FLQPTH8FLQ-PTH1-PTH-Gs/β1/γ2
12.50Single8GG5Constrained Epinephrine8GG5-β2-Constrained Epinephrine-GTP-Gs/β1/γ2
12.50Single8GG7Constrained Epinephrine8GG7-β2-Constrained Epinephrine-GTP-Gs/β1/γ2
12.50Single8GGLConstrained Epinephrine8GGL-β2-Constrained Epinephrine
12.50Single8GGMConstrained Epinephrine8GGM-β2-Constrained Epinephrine
12.50Single8GGPConstrained Epinephrine8GGP-β2-Constrained Epinephrine
12.50Single8H4LDoconexent8H4L-FFA4-Doconexent-chim(NtGi1-Gs-CtGq)/β1/γ2
12.50Single8JSPUlotaront8JSP-5-HT1A-Ulotaront-Gi1/β1/γ2
12.50Single8K6MNeuropeptide-Y8K6M-Y1-Neuropeptide-Y-Gi2/β1/γ1
12.50Single8UNLConstrained Epinephrine8UNL-β2-Constrained Epinephrine-GTP-Gs/β1/γ2
12.50Single8UNOConstrained Epinephrine8UNO-β2-Constrained Epinephrine-GTP-Gs/β1/γ2
12.50Single8UO1Constrained Epinephrine8UO1-β2-Constrained Epinephrine-GTP; Mg-Gs/β1/γ2
12.50Single8W8YGamma-MSH8W8Y-MC3-γ-MSH-Ca-Gs/β1/γ2
12.50Single8WPGTryptophan; Cinacalcet; PO4; Ca8WPG-CaS-Tryptophan; Cinacalcet; PO4; Ca
12.50Single8WPUTryptophan; Cinacalcet; PO4; Ca8WPU-CaS-Tryptophan; Cinacalcet; PO4; Ca-chim(NtGi2L-Gs-CtGq)/β1/γ2
12.50Single8XZGApelin-138XZG-Apelin-Apelin-13-Gi1/β1/γ2
12.50Single8Y01Retinal8Y01-Opsin1MW-Retinal-Gi1/β1/γ2
12.50Single8Y53MK50468Y53-BB3-MK5046-chim(NtGi1-Gs-CtGq)/β1/γ2
12.50Single8Y6YGLPG09748Y6Y-FFA2-GLPG0974
12.50Single8ZMGPimavanserin8ZMG-5-HT2A-Pimavanserin
12.50Single9ARXSerotonin9ARX-5-HT2A-Serotonin
12.50Single9ASBCa; Ca; Cyclomethyltryptophan; 9IG; PO49ASB-CaS-Ca-Ca; Ca; Cyclomethyltryptophan; 9IG; PO4-chim(NtGi1-Gs-CtGq)/β1/γ2
12.50Single9ASBCa; Ca; Cyclomethyltryptophan; 9IG; PO49ASB-CaS-Ca-Ca; Ca; Cyclomethyltryptophan; 9IG; PO4-chim(NtGi1-Gs-CtGq)/β1/γ2
12.50Single9AVGCa; Ca; Cyclomethyltryptophan; 9IG; PO49AVG-CaS-Ca-Ca; Ca; Cyclomethyltryptophan; 9IG; PO4-chim(NtGi1-Gs)/β1/γ2
12.50Single9B5YLong-Acting PTH9B5Y-PTH1-Long-Acting PTH-chim(NtGi1-Gq)/β1/γ2
12.50Single9BA0A1AKN9BA0-CB1-A1AKN
12.50Single9IVMGLP-1 (Truncated)9IVM-GLP-1-GLP-1 (Truncated)-LSN3318839-chim(NtGi1-Gs)/β2/γ2
12.50Single9JKQMETH9JKQ-TA1-METH-Gs/β1/γ2
12.50Single9K0KUTP9K0K-P2Y4-UTP-chim(NtGi1-Gs-CtGq)/β1/γ2
12.50Single9M1OMorphine-Modulating Neuropeptide B9M1O-NPFF2-Morphine-Modulating Neuropeptide B-Gi1/β1/γ2
12.50Consensus5ht_on_gpOrthosteric Ligand5ht1_on_gp 5ht2_on_gp 5ht4_on_gp 5ht5_on_gp 5ht6_on_gp 5ht7_on_gp
12.50Consensusadenosine_onOrthosteric Liganda1_on a2_on a3_on
12.50Consensuscckb_on_gpOrthosteric Ligand8IA7-CCKB-Cholecystokinin-8-chim(NtGi1L-Gq)/β1/γ2 7XOW-CCKB-Gastrin-chim(NtGi1-Gq)/β1/γ2 7F8V-CCKB-Gastrin-17-Gi2/β1/γ2
12.50Consensusclass-a_class-b1_cons_on_gpOrthosteric Ligandclass-a_on_gp class-b1_on_gp
12.50Consensusgi_adenosineOrthosteric Ligand7LD4-A1-Adenosine-Gi2/β1/γ2 8X17-A3A-Namodenoson-Gi1/β1/γ2 8X16-A3A-Piclidenoson-Gi1/β1/γ2
12.50Consensusgrh_offOrthosteric Ligandgnrh1_off
12.50Consensusmc3_onOrthosteric Ligand8IOC-MC3-γ-MSH-Ca-chim(NtGi1-Gs)/β1/γ2
12.50Consensusmc3_on_gpOrthosteric Ligand8IOC-MC3-γ-MSH-Ca-chim(NtGi1-Gs)/β1/γ2
12.50Consensusnmur2_onOrthosteric Ligand7W55-NMUR2-Neuromedin-U-25-chim(NtGi1-Gs-CtGq)/β1/γ2
12.50Consensusnmur2_on_gpOrthosteric Ligand7W55-NMUR2-Neuromedin-U-25-chim(NtGi1-Gs-CtGq)/β1/γ2
12.50Consensusnpy1_onOrthosteric Ligand8K6M-Y1-Neuropeptide-Y-Gi2/β1/γ1
12.50Consensusnpy1_on_gpOrthosteric Ligand8K6M-Y1-Neuropeptide-Y-Gi2/β1/γ1
12.50Consensusopsins_offOrthosteric Ligandrhodopsin_off
12.50Consensuspth2_onOrthosteric Ligand7F16-PTH2-TIP39-Gs/β1/γ2
12.50Consensussensory_offOrthosteric Ligandopsins_off
12.12Consensusglucagon_on_gpOrthosteric Ligandglp_on_gp gluc_on_gp secretin_on_gp gip_on_gp
12.00Single7WUIIP157WUI-ADGRG2-IP15-chim(NtGi1-Gs)/β1/γ2
12.00Single7YONPeptide-YY(3-36)7YON-Y2-Peptide-YY(3-36)-Gi1/β1/γ2
12.00Single8H4KGW95088H4K-FFA4-GW9508-chim(NtGi1-Gs-CtGq)/β1/γ2
12.00Single8YW3Retatrutide8YW3-GLP-1-Retatrutide-Gs/β1/γ2
12.00Single8YW5Retatrutide8YW5-Glucagon-Retatrutide-Gs/β1/γ2
12.00Single9BLCCagrilintide backbone (non-acylated)9BLC-CT-Cagrilintide backbone (non-acylated)-Gs/β1/γ2
12.00Consensusneuromedin-u_onOrthosteric Ligandnmur1_on nmur2_on
12.00Consensustachykinin_onOrthosteric Ligandnk1_on nk2_on nk3_on
11.76Single1HZX11-cis-Retinal1HZX-Rhodopsin-11-cis-Retinal
11.76Single2VT4Cyanopindolol2VT4-β1-Cyanopindolol
11.76Single2Y02Carmoterol2Y02-β1-Carmoterol
11.76Single2YCYCyanopindolol2YCY-β1-Cyanopindolol
11.76Single3ZPQ4-(piperazin-1- yl)-1H-indole3ZPQ-β1-4-(piperazin-1- yl)-1H-indole-Na
11.76Single3ZPR4-methyl-2-(piperazin-1-yl)3ZPR-β1-4-methyl-2-(piperazin-1-yl)-Na
11.76Single4DAJTiotropium4DAJ-M3-Tiotropium
11.76Single4MQSIperoxo4MQS-M2-Iperoxo
11.76Single4QIMANTA XV4QIM-SMO-ANTA XV
11.76Single4U14Tiotropium4U14-M3-Tiotropium
11.76Single4X1HNonyl-Beta-D-Glucopyranoside4X1H-Rhodopsin-Nonyl-β-D-Glucopyranoside-Gt(CT)
11.76Single5DSGTiotropium5DSG-M4-Tiotropium
11.76Single5T04Neurotensin5T04-NTS1-Neurotensin
11.76Single5UENDU1725UEN-A1-DU172
11.76Single5UIGCmpd-15UIG-A2A-Cmpd-1
11.76Single6FFHFenobam6FFH-mGlu5-Fenobam
11.76Single6IIVDaltroban6IIV-TXA2-Daltroban
11.76Single6PRZS-Alprenolol6PRZ-β2-S-Alprenolol
11.76Single6PS2S-Alprenolol6PS2-β2-S-Alprenolol
11.76Single6Z4VNTS8-136Z4V-NTS1-NTS8-13
11.76Single7TRPIperoxo7TRP-M4-Iperoxo-LY2033298-Gi1/β1/γ2
11.76Single7UM6Lisuride7UM6-5-HT5A-Lisuride-chim(NtGi1-Go)/β1/γ2
11.76Single7VGZRemalteon7VGZ-MT1-Remalteon-Gi1/β1/γ2
11.76Single7VH0Ramelteon7VH0-MT2-Ramelteon-Gi1/β1/γ1
11.76Single7WC7Lisuride7WC7-5-HT2A-Lisuride
11.76Single7XTC5-CT7XTC-5-HT7-5-CT-Gs/β1/γ2
11.76Single7YU4ONO-07405567YU4-LPA1-ONO-0740556
11.76Single8CICEtrumadenant8CIC-A2A-Etrumadenant-Na
11.76Single8CU7LJ-45178CU7-A2A-LJ-4517-Na
11.76Single8EJKTAK-8758EJK-FFA1-TAK-875-chim(NtGi1L-Gs-CtGq)/β1/γ2
11.76Single8IC0Interleukin-88IC0-CXCR1-Interleukin-8-Gi1/β1/γ2
11.76Single8JD0NAM5638JD0-mGlu2; mGlu3-Glutamate-NAM563
11.76Single8KEXDCA-3P8KEX-MRGPRX4-DCA-3P
11.76Single8KFYZK-7563268KFY-CCR8-ZK-756326-Gi1/β1/γ2
11.76Single8X63Mepyramine8X63-H1-Mepyramine
11.76Single8X9TAP5038X9T-ADGRD1-AP503-chim(NtGi1-Gs)/β1/γ2
11.76Single8YH5Riboprine8YH5-A3A-Riboprine-Gi1/β1/γ2
11.76Single8ZQEGPR15L(C11)8ZQE-GPR15-GPR15L(C11)-Gi1/β1/γ1
11.76Single8ZYYNeurotensin peptide 8-138ZYY-NTS1-Neurotensin peptide 8-13-SBI-553-Arrestin2
11.76Single9AS1DMT9AS1-5-HT2A-DMT
11.76Single9AVGCa; Ca; Cyclomethyltryptophan; 9IG; PO49AVG-CaS-Ca-Ca; Ca; Cyclomethyltryptophan; 9IG; PO4-chim(NtGi1-Gs)/β1/γ2
11.76Single9CHXS-Carazolol9CHX-β2-S-Carazolol
11.76Single9IVGGLP-1 (Truncated)9IVG-GLP-1-GLP-1 (Truncated)-chim(NtGi1-Gs)/β1/γ2
11.76Consensus5ht5_onOrthosteric Ligand5ht5a_on
11.76Consensus5ht5a_onOrthosteric Ligand7X5H-5-HT5A-5-CT-Gi1/β1/γ2 7UM6-5-HT5A-Lisuride-chim(NtGi1-Go)/β1/γ2 7UM7-5-HT5A-Methylergometrine-chim(NtGi1-Go)/β1/γ2
11.76Consensus5ht6_onOrthosteric Ligand7XTB-5-HT6-Serotonin-Gs/β1/γ2 8JLZ-5-HT6-ST1936-Gs/β1/γ2
11.76Consensus5ht6_on_gpOrthosteric Ligand7XTB-5-HT6-Serotonin-Gs/β1/γ2 8JLZ-5-HT6-ST1936-Gs/β1/γ2
11.76Consensus5ht7_onOrthosteric Ligand7XTC-5-HT7-5-CT-Gs/β1/γ2
11.76Consensus5ht7_on_gpOrthosteric Ligand7XTC-5-HT7-5-CT-Gs/β1/γ2
11.76Consensusa3_onOrthosteric Liganda3a_on
11.76Consensuscxcr1_on_gpOrthosteric Ligand8IC0-CXCR1-Interleukin-8-Gi1/β1/γ2
11.76Consensushistamine_offOrthosteric Ligandh1_off
11.76Consensusm4_offOrthosteric Ligand5DSG-M4-Tiotropium
11.54Single6X18GLP-16X18-GLP-1-GLP-1-Gs/β1/γ2
11.54Single7LLYOxyntomodulin7LLY-GLP-1-Oxyntomodulin-Gs/β1/γ2
11.54Single7P02Protachykinin-17P02-NK1-Protachykinin-1-chim(NtGi1-Gs)/β1/γ2
11.54Single7WBJPACAP277WBJ-VPAC1-PACAP27-Gs/β1/γ2
11.54Single7X9BNeuropeptide-Y7X9B-Y2-Neuropeptide-Y-Gi1/β1/γ2
11.54Single7XV3Lysophosphatidylserine7XV3-GPR174-Lysophosphatidylserine-chim(NtGi1-Gs)/β1/γ2
11.54Single8E3YPACAP278E3Y-VPAC1-PACAP27-Gs/β1/γ2
11.54Single8HCQEndothelin-18HCQ-ETA-Endothelin-1-chim(NtGi1-Gs-CtGq)/β1/γ2
11.54Single8HCXEndothelin-18HCX-ETB-Endothelin-1-chim(NtGi2L-Gs-CtGq)/β1/γ2
11.54Single9JFYhNPSF9JFY-NPFF2-hNPSF-Gi1/β1/γ2
11.54Consensuseta_onOrthosteric Ligand8HCQ-ETA-Endothelin-1-chim(NtGi1-Gs-CtGq)/β1/γ2
11.54Consensuseta_on_gpOrthosteric Ligand8HCQ-ETA-Endothelin-1-chim(NtGi1-Gs-CtGq)/β1/γ2
11.54Consensusneuromedin-u_on_gpOrthosteric Ligandnmur1_on_gp nmur2_on_gp
11.54Consensuspac_onOrthosteric Ligandpac1_on
11.54Consensusvpac1_onOrthosteric Ligand8E3Z-VPAC1-VIP-Gs/β1/γ2
11.43Consensuspth2_on_gpOrthosteric Ligand7F16-PTH2-TIP39-Gs/β1/γ2
11.11Single4JKVTaladegib4JKV-SMO-Taladegib
11.11Single5N2RPSB-365N2R-A2A-PSB-36-Na
11.11Single5TVNLSD5TVN-5-HT2B-LSD
11.11Single5XPRBosentan5XPR-ETB-Bosentan
11.11Single5ZK33-quinuclidinyl-benzilate5ZK3-M2-3-quinuclidinyl-benzilate
11.11Single6GDGNECA6GDG-A2A-NECA-Gs/β1/γ1
11.11Single6HLPNetupitant6HLP-NK1-Netupitant
11.11Single6ME82-Phenylmelatonin6ME8-MT2-2-Phenylmelatonin
11.11Single6NBILong-Acting PTH Analog6NBI-PTH1-Long-Acting PTH Analog-Gs/β1/γ2
11.11Single6OIKIperoxo6OIK-M2-Iperoxo-LY2119620-chim(NtGi1-Go)/β1/γ2
11.11Single6P9YPACAP6P9Y-PAC1-PACAP-Gs/β1/γ2
11.11Single7CFNINT-7777CFN-GPBA-INT-777-Gs/β1/γ2
11.11Single7E9GJNJ-404118137E9G-mGlu2; mGlu2-Eglumetad-JNJ-40411813-Gi1/β1/γ2
11.11Single7EPFNAM5977EPF-mGlu2; mGlu2-NAM597
11.11Single7EUOfMLF7EUO-FPR1-ALX-fMLF-Gi1/β1/γ2
11.11Single7KI0Semaglutide7KI0-GLP-1-Semaglutide-Gs/β1/γ2
11.11Single7TRKIperoxo7TRK-M4-Iperoxo-Gi1/β1/γ2
11.11Single7VUHJNJ-635330547VUH-GPR139-JNJ-63533054-chim(Gs-CtGq)/β1/γ2
11.11Single7VV0PAMP-127VV0-MRGPRX2-PAMP-12
11.11Single7W41PD1762527W41-BB2-PD176252
11.11Single7Y26Octreotide7Y26-SST2-Octreotide-chim(NtGi2L-Gs-CtGq)/β1/γ2
11.11Single7YU3ONO-07405567YU3-LPA1-ONO-0740556-Gi1/β1/γ2
11.11Single8E3XPACAP278E3X-PAC1-PACAP27-Gs/β1/γ2
11.11Single8EJCTAK-8758EJC-FFA1-TAK-875-chim(NtGi1L-Gs-CtGq)/β1/γ2
11.11Single8F0JPramlintide Analogue San458F0J-CT-Pramlintide Analogue San45-Gs/β1/γ2
11.11Single8ID4Linoleic acid8ID4-FFA4-Linoleic acid-Gi1/β1/γ2
11.11Single8J18(3R)-3-Hydroxydodecanoic acid8J18-GPR84-(3R)-3-Hydroxydodecanoic acid-Gi1/β1/γ2
11.11Single8JISPeptide-158JIS-GLP-1-Peptide-15-chim(NtGi1-Gs)/β1/γ2
11.11Single8KFXLMD-0098KFX-CCR8-LMD-009-Gi1/β1/γ2
11.11Single8SZGCa; Ca; Tryptophan; Cinacalcet; PO4; Spermine8SZG-CaS-Ca; Ca; Tryptophan; Cinacalcet; PO4; Spermine-chim(NtGi1-Gq)/β1/γ2
11.11Single8T6JCDPPB8T6J-mGlu5; mGlu5-CDPPB
11.11Single8T6JCDPPB8T6J-mGlu5; mGlu5-CDPPB
11.11Single8X0BVU04244658X0B-mGlu5; mGlu5-Quisqualate-VU0424465
11.11Single8X0CVU04244658X0C-mGlu5; mGlu5-Quisqualate-VU0424465
11.11Single8X0CVU04244658X0C-mGlu5; mGlu5-Quisqualate-VU0424465
11.11Single8X0DVU04244658X0D-mGlu5; mGlu5-Quisqualate-VU0424465
11.11Single8X0DVU04244658X0D-mGlu5; mGlu5-Quisqualate-VU0424465
11.11Single8YH0NECA8YH0-A3A-NECA-Gi1/β1/γ2
11.11Single9ARYSerotonin9ARY-5-HT2A-Serotonin-chim(NtGi1-Gs-CtGq)/β1/γ2
11.11Single9B9ZA1AKO9B9Z-CB1-A1AKO
11.11Single9BLWCagrilintide backbone (non-acylated)9BLW-CT (AMY1)-Cagrilintide backbone (non-acylated)-Gs/β1/γ2; RAMP1
11.11Single9BP3Cagrilintide9BP3-CT (AMY1)-Cagrilintide-Gs/β1/γ2; RAMP1
11.11Single9EAHNanobody AT2099EAH-AT1-Olmesartan-Nanobody AT209
11.11Single9GE2ML1849GE2-GPR55-ML184-chim(NtGi1-G13)/β1/γ2
11.11Single9HC04YI9HC0-mGlu5-4YI
11.11Single9K07DSO-5a9K07-BB3-DSO-5a-chim(NtGi2L-Gs-CtGq)/β1/γ2
11.11Consensusa1_offOrthosteric Ligand5UEN-A1-DU172 5N2S-A1-PSB36
11.11Consensusa3_on_gpOrthosteric Liganda3a_on_gp
11.11Consensusa3a_onOrthosteric Ligand8X17-A3A-Namodenoson-Gi1/β1/γ2 8X16-A3A-Piclidenoson-Gi1/β1/γ2
11.11Consensusa3a_on_gpOrthosteric Ligand8X17-A3A-Namodenoson-Gi1/β1/γ2 8X16-A3A-Piclidenoson-Gi1/β1/γ2
11.11Consensusadenosine_offOrthosteric Liganda1_off a2_off
11.11Consensusadgrg2_onOrthosteric Ligand7WUI-ADGRG2-IP15-chim(NtGi1-Gs)/β1/γ2 7WUQ-ADGRG2-Gs/β1/γ2 7XKF-ADGRG2-β-Hydroxyandrosterone-Gs/β1/γ2
11.11Consensusadgrg2_on_gpOrthosteric Ligand7WUI-ADGRG2-IP15-chim(NtGi1-Gs)/β1/γ2 7WUQ-ADGRG2-Gs/β1/γ2 7XKF-ADGRG2-β-Hydroxyandrosterone-Gs/β1/γ2
11.11Consensusbb2_offOrthosteric Ligand7W41-BB2-PD176252
11.11Consensusbombesin_offOrthosteric Ligandbb2_off
11.11Consensuscrf2_on_gpOrthosteric Ligand7TS0-CRF2-Urocortin-chim(NtGi1L-Go)/β1/γ2
11.11Consensush1_offOrthosteric Ligand8X63-H1-Mepyramine 3RZE-H1-Cidoxepin 8X5Y-H1-Astemizole
11.11Consensuslpa1_onOrthosteric Ligand7TD1-LPA1-LPA-Gi1/β1/γ2 7YU3-LPA1-ONO-0740556-Gi1/β1/γ2
11.11Consensuslpa1_on_gpOrthosteric Ligand7TD1-LPA1-LPA-Gi1/β1/γ2 7YU3-LPA1-ONO-0740556-Gi1/β1/γ2
11.11Consensuspac_on_gpOrthosteric Ligandpac1_on_gp
11.11Consensusvpac1_on_gpOrthosteric Ligand8E3Z-VPAC1-VIP-Gs/β1/γ2
10.81Single8F2BPramlintide Analogue San458F2B-CT (AMY3)-Pramlintide Analogue San45-Gs/β1/γ2; RAMP3
10.71Single5NX2GLP-1 (Truncated)5NX2-GLP-1-GLP-1 (Truncated)
10.71Single6B3JExendin-P56B3J-GLP-1-Exendin-P5-Gs/β1/γ2
10.71Single6VCBGLP-16VCB-GLP-1-GLP-1-LSN3160440-Gs/β1/γ2
10.71Single7VVKPTH7VVK-PTH1-PTH-Gs/β1/γ2
10.71Single8ZJGChemerin8ZJG-CML1-Chemerin-Gi1/β1/γ2
10.71Consensusglp2_onOrthosteric Ligand7D68-GLP-2-GLP-2-Gs/β1/γ2
10.71Consensusglp2_on_gpOrthosteric Ligand7D68-GLP-2-GLP-2-Gs/β1/γ2
10.53Single3PDSHydroxybenzylisoproterenol3PDS-β2-Hydroxybenzylisoproterenol
10.53Single3UON3-quinuclidinyl-benzilate3UON-M2-3-quinuclidinyl-benzilate
10.53Single3ZEVNeurotensin3ZEV-NTS1-Neurotensin
10.53Single4BV0Neurotensin4BV0-NTS1-Neurotensin
10.53Single4Z34ONO-97803074Z34-LPA1-ONO-9780307
10.53Single5TZRMK86665TZR-FFA1-MK8666
10.53Single5V56TC1145V56-SMO-TC114
10.53Single5V57TC1145V57-SMO-TC114
10.53Single6NI3BI1671076NI3-β2-BI167107-Gs/β1/γ2
10.53Single6Z8NSRI-98296Z8N-NTS1-SRI-9829
10.53Single7EW4CYM55417EW4-S1P3-CYM5541-Gi1/β1/γ2
10.53Single7F1TMIP-1a7F1T-CCR5-MIP-1a
10.53Single7L0PNeurotensin7L0P-NTS1-Neurotensin-Gi1/β1/γ1
10.53Single7L0QNeurotensin7L0Q-NTS1-Neurotensin-Gi1/β1/γ1
10.53Single7P2L4YI7P2L-mGlu5-4YI
10.53Single7PX4PSB-21137PX4-A2A-PSB-2113
10.53Single7R0CAVP7R0C-V2-AVP-Arrestin2
10.53Single7T9NDPPC7T9N-TSH-M22 Fab-DPPC-Gs/β1/γ2
10.53Single7XJLSpexin7XJL-GAL2-Spexin-chim(NtGi2L-Gs-CtGq)/β1/γ2
10.53Single7XY7NECA7XY7-A2B-NECA-chim(NtGi1-Gs)/β1/γ2
10.53Single7Y24Octreotide7Y24-SST2-Octreotide-Go/β1/γ2
10.53Single7YU5ONO-07405567YU5-LPA1-ONO-0740556-Gi1/β1/γ2
10.53Single8DCSCyanopindolol8DCS-β1-Cyanopindolol-Gs/β1/γ2
10.53Single8FMZNeurotensin/Neuromedin-N8FMZ-NTS1-Neurotensin/Neuromedin-N-chim(NtGi2L-Gs-CtGq)/β1/γ2
10.53Single8HDOBAY 60-65838HDO-A2B-BAY 60-6583-Gs/β1/γ2
10.53Single8HPTC5a anaphylatoxin C-terminal peptide8HPT-C5a1-C5a anaphylatoxin C-terminal peptide-Go/β1/γ2
10.53Single8I2GCompound 7163408I2G-FSH-Glycoprotein hormones α chain-Compound 716340-Gs/β1/γ2
10.53Single8ID6Oleic acid8ID6-FFA4-Oleic acid-Gi1/β1/γ2
10.53Single8JD5JNJ-40411813; ADX881788JD5-mGlu2; mGlu4-Glutamate-JNJ-40411813; ADX88178-Gi1/β1/γ2
10.53Single8JLPRalmitaront8JLP-TA1-Ralmitaront-Gs/β1/γ2
10.53Single8TAOCDPPB8TAO-mGlu5; mGlu5-Quisqualate-CDPPB
10.53Single8WJXADP8WJX-P2Y1-ADP-chim(Gs-CtGq)/β1/γ2
10.53Single8X0BVU04244658X0B-mGlu5; mGlu5-Quisqualate-VU0424465
10.53Single8X0FVU04244658X0F-mGlu5; mGlu5-Quisqualate-VU0424465
10.53Single8X16Piclidenoson8X16-A3A-Piclidenoson-Gi1/β1/γ2
10.53Single8XQTCholesterol8XQT-TAS2R14-Cholesterol-Gi1/β1/γ1
10.53Single8YH6Namodenoson8YH6-A3A-Namodenoson-Gi1/β1/γ2
10.53Single8ZR5Firuglipel8ZR5-GPR119-Firuglipel-Gs/β1/γ2
10.53Consensusgi_lpaOrthosteric Ligand7TD1-LPA1-LPA-Gi1/β1/γ2 7YU3-LPA1-ONO-0740556-Gi1/β1/γ2
10.53Consensuslpa_onOrthosteric Ligandlpa1_on
10.53Consensuslpa_on_gpOrthosteric Ligandlpa1_on_gp
10.53Consensusm3_offOrthosteric Ligand4U15-M3-Tiotropium 4U16-M3-N-Methyl-Scopolamine 5ZHP-M3-PubChem 134828589
10.53Consensusneurotensin_onOrthosteric Ligandnts1_on
10.53Consensusnpy1_offOrthosteric Ligand5ZBH-Y1-BMS-193885 5ZBQ-Y1-UR-MK-299
10.53Consensusnts1_onOrthosteric Ligand6OSA-NTS1-JMV449-Gi1/β1/γ2 7L0S-NTS1-Neurotensin-Gi1/β1/γ1
10.53Consensustachykinin_offOrthosteric Ligandnk1_off
10.34Single6PB1Urocortin6PB1-CRF2-Urocortin-chim(NtGi1-Gs)/β1/γ2
10.34Single6WZGSecretin6WZG-Secretin-Secretin-Gs/β1/γ2
10.34Single8FLTM-PTH(1-14)8FLT-PTH1-M-PTH(1-14)-Gs/β1/γ2
10.34Single8HAFPTHrP(1-36)8HAF-PTH1-PTHrP(1-36)-chim(NtGi1-Gs)/β1/γ2
10.34Single8IY5Endothelin-18IY5-ETB-Endothelin-1-Gi1/β1/γ2
10.34Consensuspth1_onOrthosteric Ligand6NBF-PTH1-Long-Acting PTH Analog-Gs/β1/γ2 8HA0-PTH1-PTH-chim(NtGi1-Gs)/β1/γ2 8HAF-PTH1-PTHrP(1-36)-chim(NtGi1-Gs)/β1/γ2 7Y36-PTH1-Teriparatide-Gs/β1/γ2 7Y35-PTH1-Abaloparatide-Gs/β1/γ2
10.34Consensusvip-pacap_onOrthosteric Ligandvpac_on pac_on
10.34Consensusvip-pacap_on_gpOrthosteric Ligandvpac_on_gp pac_on_gp
10.34Consensusvpac2_onOrthosteric Ligand7VQX-VPAC1-PACAP27-Gs/β1/γ2
10.34Consensusvpac2_on_gpOrthosteric Ligand7VQX-VPAC1-PACAP27-Gs/β1/γ2
10.00Single2YCXCyanopindolol2YCX-β1-Cyanopindolol
10.00Single4GRVNeurotensin-(8-13)4GRV-NTS1-Neurotensin-(8-13)
10.00Single4XEENeurotensin4XEE-NTS1-Neurotensin
10.00Single4XESNeurotensin4XES-NTS1-Neurotensin
10.00Single5TZYMK8666; AP85TZY-FFA1-MK8666; AP8
10.00Single6IIURamatroban6IIU-TXA2-Ramatroban
10.00Single6YVRNTS8-136YVR-NTS1-NTS8-13
10.00Single7EPENAM5637EPE-mGlu2; mGlu2-NAM563
10.00Single7WCMMBX-29827WCM-GPR119-MBX-2982-Gs/β1/γ2
10.00Single8I9AEP548I9A-C3aB-EP54-chim(NtGi1-Gs-CtGq)/β1/γ2
10.00Single8IQ6Latanoprost8IQ6-FP-alpha-Latanoprost-chim(NtGi1-Gs-CtGq)/β1/γ2
10.00Single8JD3JNJ-404118138JD3-mGlu2; mGlu3-Glutamate-JNJ-40411813-Gi1/β1/γ2
10.00Single8JPBNeurotensin-(8-13)8JPB-NTS1-Neurotensin-(8-13)-SBI-553; GDP; Mg-Gq; GRK2
10.00Single8T3QDocosa-4,7,10,13,16,19-Hexaenoic acid8T3Q-FFA4-Docosa-4,7,10,13,16,19-Hexaenoic acid-chim(NtGi2L-Gs-CtGq)/β1/γ2
10.00Single8VHFMBX-29828VHF-GPR119-MBX-2982-Gs/β1/γ2
10.00Single8XQNCholesterol8XQN-TAS2R14-Cholesterol-Aristolochic acid A-Gi1/β1/γ1
10.00Single8XQSCholesterol8XQS-TAS2R14-Cholesterol-Flufenamic acid-Gi1/β1/γ1
10.00Single8XX3CXCL38XX3-CXCR2-CXCL3-Go/β1/γ2
10.00Single8ZJETAK-4488ZJE-Kiss1-TAK-448-chim(NtGi1-Gq)/β1/γ1
10.00Single9IZHLPA9IZH-LPA1-LPA-chim(NtGi2-G13)/β1/γ2
10.00Single9L3WRetinoic acid receptor responder protein 29L3W-CML1-Retinoic acid receptor responder protein 2-Gi1/β1/γ2
10.00Consensuscrf1_onOrthosteric Ligand6PB0-CRF1-Urocortin-chim(NtGi1-Gs)/β1/γ2 6P9X-CRF1-Corticoliberin-Gs/β1/γ2
10.00Consensusgip_onOrthosteric Ligand7FIN-GIP-Peptide-20; GGL-Gs/β1/γ2 7FIY-GIP-Tirzepatide-Gs/β1/γ2 7DTY-GIP-GIP-Gs/β1/γ2
10.00Consensusgip_on_gpOrthosteric Ligand7FIN-GIP-Peptide-20; GGL-Gs/β1/γ2 7FIY-GIP-Tirzepatide-Gs/β1/γ2 7DTY-GIP-GIP-Gs/β1/γ2
9.68Single6LPBPACAP6LPB-PAC1-PACAP-Gs/β1/γ1
9.68Single8FLSAbaloparatide8FLS-PTH1-Abaloparatide-Gs/β1/γ2
9.68Single9AUCCalcitonin gene-related peptide-19AUC-CT (AMY1)-Calcitonin gene-related peptide-1-Gs/β1/γ2; RAMP1
9.68Consensusglp1_onOrthosteric Ligand7S1M-GLP-1-Ex4-D-Ala-Gs/β1/γ2 7X8R-GLP-1-BOC5-Gs/β1/γ2 6X19-GLP-1-CHU-128-Gs/β1/γ2 6X1A-GLP-1-Danuglipron-Gs/β1/γ2 6X18-GLP-1-GLP-1-Gs/β1/γ2 8JIP-GLP-1-MEDI0382-chim(NtGi1-Gs)/β1/γ2 7C2E-GLP-1-PubChem 149050799-Gs/β1/γ2 7KI0-GLP-1-Semaglutide-Gs/β1/γ2 7KI1-GLP-1-Taspoglutide-Gs/β1/γ2 7X8S-GLP-1-WB4-24-Gs/β1/γ2 8JIS-GLP-1-Peptide-15-chim(NtGi1-Gs)/β1/γ2 7VBI-GLP-1-Non-Acylated Tirzepatide-Gs/β1/γ2
9.52Single4BUONeurotensin4BUO-NTS1-Neurotensin
9.52Single6UP7Neurotensin6UP7-NTS1-Neurotensin-Arrestin2
9.52Single7VGY2-Iodomelatonin7VGY-MT1-2-Iodomelatonin-Gi1/β1/γ2
9.52Single8FN0Neurotensin/Neuromedin-N8FN0-NTS1-Neurotensin/Neuromedin-N-SBI-553-chim(NtGi1-Go)/β1/γ2
9.52Single8JPFNeurotensin8JPF-NTS1-Neurotensin-SBI-553
9.52Single8T3OTUG-8918T3O-FFA4-TUG-891-chim(NtGi2L-Gs-CtGq)/β1/γ2
9.52Single8XBES3E-LysoPS8XBE-GPR34-S3E-LysoPS-Gi1/β1/γ1
9.52Single8XWFCXCL38XWF-CXCR2-CXCL3
9.52Single9C0KExendin-49C0K-GLP-1-Exendin-4-Gs/β1/γ2
9.52Consensusnk2_onOrthosteric Ligand7XWO-NK2-Neurokinin-A-chim(NtGi1-Gs-CtGq)/β1/γ2
9.38Single6WPWGlucagon derivative ZP37806WPW-Glucagon-Glucagon derivative ZP3780-Gs/β1/γ2
9.38Single7VVMPTH7VVM-PTH1-PTH-Gs/β1/γ2
9.38Consensuscrf1_on_gpOrthosteric Ligand6PB0-CRF1-Urocortin-chim(NtGi1-Gs)/β1/γ2 6P9X-CRF1-Corticoliberin-Gs/β1/γ2
9.38Consensuscrf_on_gpOrthosteric Ligandcrf2_on_gp crf1_on_gp
9.38Consensuspth1_on_gpOrthosteric Ligand6NBF-PTH1-Long-Acting PTH Analog-Gs/β1/γ2 8HA0-PTH1-PTH-chim(NtGi1-Gs)/β1/γ2 8HAF-PTH1-PTHrP(1-36)-chim(NtGi1-Gs)/β1/γ2 7Y36-PTH1-Teriparatide-Gs/β1/γ2 7Y35-PTH1-Abaloparatide-Gs/β1/γ2
9.09Single4A4MAll-trans-Retinal4A4M-Rhodopsin-All-trans-Retinal-Gt(CT)
9.09Single5EN0All-trans-Retinal5EN0-Rhodopsin-All-trans-Retinal-Gt(CT)
9.09Single6G79Donitriptan6G79-5-HT1B-Donitriptan-Go/β1/γ2
9.09Single6OS9JMV4496OS9-NTS1-JMV449-Gi1/β1/γ2
9.09Single7TYYCalcitonin-17TYY-CT (AMY2)-Calcitonin-1-Gs/β1/γ2; RAMP2
9.09Single7X8SWB4-247X8S-GLP-1-WB4-24-Gs/β1/γ2
9.09Single8H4IDoconexent8H4I-FFA4-Doconexent-chim(NtGi1-Gs)/β1/γ2
9.09Single8WCBCyclohexylammonium Ion8WCB-TA1-Cyclohexylammonium Ion-chim(NtGi1-Gs-CtGq)/β1/γ2
9.09Single8WCCCyclohexylammonium Ion8WCC-TA1-Cyclohexylammonium Ion
9.09Single8XQOCholesterol8XQO-TAS2R14-Cholesterol-Aristolochic acid A-Gi1/β1/γ1
9.09Single9NS9TUG-13759NS9-FFA2-TUG-1375-Compound 187-Gi1/β1/γ2
9.09Consensusglucagon_onOrthosteric Ligandglp_on gluc_on secretin_on gip_on
9.09Consensuskiss1_onOrthosteric Ligand8ZJD-Kiss1-Kisspeptin-10-chim(NtGi1-Gq)/β1/γ1
9.09Consensuskisspeptin_onOrthosteric Ligandkiss1_on
8.70Single7NA7Ghrelin-277NA7-Ghrelin-Ghrelin-27-Gi1/β1/γ2
8.70Single7W2ZGhrelin7W2Z-Ghrelin-Ghrelin-Go/β1/γ2
8.70Single8G59TUG-8918G59-FFA4-TUG-891-chim(Gi1-CtGq)/β1/γ2
8.70Single8XBHS3E-LysoPS8XBH-GPR34-S3E-LysoPS-Gi1/β1/γ2
8.70Single8ZCJPasireotide8ZCJ-SST5-Pasireotide-Gi1/β1/γ1
8.70Single8ZJDKisspeptin-108ZJD-Kiss1-Kisspeptin-10-chim(NtGi1-Gq)/β1/γ1
8.70Single9J0IUDP-Glucuronic acid9J0I-P2Y14-UDP-Glucuronic acid-Gi1/β1/γ2
8.70Consensusgq_kisspeptinOrthosteric Ligand8ZJD-Kiss1-Kisspeptin-10-chim(NtGi1-Gq)/β1/γ1
8.70Consensuskiss1_on_gpOrthosteric Ligand8ZJD-Kiss1-Kisspeptin-10-chim(NtGi1-Gq)/β1/γ1
8.70Consensuskisspeptin_on_gpOrthosteric Ligandkiss1_on_gp
8.33Single6HLOAprepitant6HLO-NK1-Aprepitant
8.33Single6WHCGlu16 analog of GCG6WHC-Glucagon-Glu16 analog of GCG-Gs/β1/γ2
8.33Single7RMISubstance-P7RMI-NK1-Substance-P-chim(Gs-CtGq)/β1/γ2
8.33Single7V68LY21196207V68-M4-Iperoxo-LY2119620-Gi1/β1/γ2
8.33Single7VBINon-Acylated Tirzepatide7VBI-GLP-1-Non-Acylated Tirzepatide-Gs/β1/γ2
8.33Single8IBVMotilin8IBV-Motilin-Motilin-chim(NtGi1-Gs-CtGq)/β1/γ2
8.33Single8X9S5alpha-DHT8X9S-ADGRD1-5α-DHT-chim(NtGi1-Gs)/β1/γ2
8.33Single9EAINanobody AT2099EAI-AT1-Losartan-Nanobody AT209
8.33Consensusclass-b1_onOrthosteric Ligandglucagon_on vip-pacap_on pth_on crf_on calcitonin_on
8.00Single6UUNAdrenomedullin6UUN-CT Like (AM1)-Adrenomedullin-Gs/β1/γ2; RAMP2
8.00Consensusclass-b1_class-b2_cons_onOrthosteric Ligandclass-b1_on class-b2_on
8.00Consensusclass-b1_class-b2_cons_on_gpOrthosteric Ligandclass-b1_on_gp class-b2_on_gp
7.69Single6OY9All-trans-Retinal6OY9-Rhodopsin-All-trans-Retinal-Gt/β1/γ1
7.69Single6WI9Secretin6WI9-Secretin-Secretin-Gs/β1/γ2
7.69Single7DD5Ca; Ca; Tryptophan; NPS-21437DD5-CaS-Ca-Ca; Ca; Tryptophan; NPS-2143
7.69Single7FINPeptide-20; GGL7FIN-GIP-Peptide-20; GGL-Gs/β1/γ2
7.69Single7TYIAmylin7TYI-CT-Amylin-Gs/β1/γ2
7.69Single7W57Neuromedin-S7W57-NMUR2-Neuromedin-S-chim(NtGi1-Gs-CtGq)/β1/γ2
7.69Single8U4QREGN7663-Fab8U4Q-CXCR4-REGN7663-Fab-Gi1/β1/γ2
7.69Single8XOFLys058XOF-GPR30-Lys05-chim(NtGi1-Gs-CtGq)/β1/γ2
7.69Single8Y02Retinal8Y02-OPN1SW-Retinal-Gi1/β1/γ2
7.69Single8YW4Retatrutide8YW4-GIP-Retatrutide-chim(NtGi1-Gs)/β1/γ2
7.69Single9BUDCagrilintide9BUD-CT-Cagrilintide-Gs/β1/γ2
7.69Single9EBOGLP-1 (ACPC18)9EBO-GLP-1-GLP-1 (ACPC18)-Gs/β1/γ2
7.69Single9IVMLSN33188399IVM-GLP-1-GLP-1 (Truncated)-LSN3318839-chim(NtGi1-Gs)/β2/γ2
7.69Consensuscrf2_onOrthosteric Ligand7TS0-CRF2-Urocortin-chim(NtGi1L-Go)/β1/γ2
7.50Consensusclass-b1_on_gpOrthosteric Ligandglucagon_on_gp vip-pacap_on_gp pth_on_gp crf_on_gp calcitonin_on_gp
7.41Consensuscalcitonin_onOrthosteric Ligandctlike_on
7.41Consensusvpac_onOrthosteric Ligandvpac1_on vpac2_on
7.14Single3UZAGTPL92363UZA-A2A-GTPL9236
7.14Single5WKTOctyl-Beta-D-Glucopyranoside5WKT-Rhodopsin-Octyl-β-D-Glucopyranoside-Gt(CT)
7.14Single6D32Cyclopamine6D32-SMO-Cyclopamine-Cyclopamine
7.14Single6ME5Agomelatine6ME5-MT1-Agomelatine
7.14Single7CZ5Somatoliberin7CZ5-GHRH-Somatoliberin-Gs/β1/γ2
7.14Single7D3SSecretin7D3S-Secretin-Secretin-Gs/β1/γ2
7.14Single7MT9All-trans-Retinal7MT9-Rhodopsin-All-trans-Retinal-GRK1
7.14Single7MTAAll-trans-Retinal7MTA-Rhodopsin-All-trans-Retinal-GRK1
7.14Single7RA3GIP7RA3-GIP-GIP-chim(NtGi1-Gs)/β1/γ2
7.14Single7V6APubChem 98642757V6A-M4-PubChem 9864275-Gi1/β1/γ2
7.14Single7VABNon-Acylated Tirzepatide7VAB-GIP-Non-Acylated Tirzepatide-chim(NtGi1-Gs)/β1/γ2
7.14Single8J24Acetic acid8J24-FFA2-Acetic acid-Gi1/β1/γ2
7.14Single8JRVGlucagon8JRV-Glucagon-Glucagon-Arrestin2
7.14Single8X9UMetenolone8X9U-ADGRD1-Metenolone-chim(NtGi1-Gs)/β1/γ2
7.14Single8Y63C20:0 Ceramide8Y63-FPR2-ALX-C20:0 Ceramide-Gi1/β1/γ2
7.14Single9J1Pg1:Ox9J1P-GLP-1-g1:Ox-chim(NtGi1-Gs)/β1/γ2
7.14Single9JHJC18:0 Ceramide9JHJ-FPR2-ALX-C18:0 Ceramide-Gi1/β1/γ2
7.14Consensuscalcitonin_on_gpOrthosteric Ligandctlike_on_gp
7.14Consensusctlike_onOrthosteric Ligand6E3Y-CT Like-Calcitonin gene-related peptide-1-Gs/β1/γ2; RAMP1
7.14Consensusvpac_on_gpOrthosteric Ligandvpac1_on_gp vpac2_on_gp
6.90Single6P9XCorticoliberin6P9X-CRF1-Corticoliberin-Gs/β1/γ2
6.90Single6UVAAdrenomedullin-26UVA-CT Like (AM2)-Adrenomedullin-2-Gs/β1/γ2; RAMP3
6.90Single7DTYGIP7DTY-GIP-GIP-Gs/β1/γ2
6.90Single7FIYTirzepatide7FIY-GIP-Tirzepatide-Gs/β1/γ2
6.90Single7S1MEx4-D-Ala7S1M-GLP-1-Ex4-D-Ala-Gs/β1/γ2
6.90Single7VQXPACAP277VQX-VPAC1-PACAP27-Gs/β1/γ2
6.90Single8FU6Glucagon derivative ZP37808FU6-Glucagon-Glucagon derivative ZP3780-Gs/β1/γ2
6.67Single3AYMAll-trans-Retinal3AYM-Rhodopsin-All-trans-Retinal
6.67Single4O9RCyclopamine4O9R-SMO-Cyclopamine
6.67Single6HLLCP999946HLL-NK1-CP99994
6.67Single6LI0C176LI0-GPR52-C17
6.67Single6LMLGlucagon6LML-Glucagon-Glucagon-Gi1/β1/γ1
6.67Single6QNOAll-trans-Retinal6QNO-Rhodopsin-All-trans-Retinal-Gi1/β1/γ1
6.67Single6UUSAdrenomedullin6UUS-CT Like (AM2)-Adrenomedullin-Gs/β1/γ2; RAMP3
6.67Single7TS0Urocortin7TS0-CRF2-Urocortin-chim(NtGi1L-Go)/β1/γ2
6.67Single7TYLAmylin7TYL-CT-Amylin-Gs/β1/γ2
6.67Single7VVJPTHrP(1-36)7VVJ-PTH1-PTHrP(1-36)-Gs/β1/γ2
6.67Single7VVLPTH7VVL-PTH1-PTH-Gs/β1/γ2
6.67Single7XKFBeta-Hydroxyandrosterone7XKF-ADGRG2-β-Hydroxyandrosterone-Gs/β1/γ2
6.67Single8A2PLUAA470708A2P-A2A-LUAA47070-Na
6.67Single8HSCFab0468HSC-GPR20-Fab046-Gi1/β1/γ2
6.67Single8U4RREGN7663-Fab8U4R-CXCR4-REGN7663-Fab
6.67Single8YKDDehydroepiandrosterone8YKD-ADGRG2-Dehydroepiandrosterone-chim(NtGi1-Gs)/β1/γ2
6.67Single8ZYUNeurotensin peptide 8-138ZYU-NTS1-Neurotensin peptide 8-13-SBI-553-Arrestin2
6.67Single9B9Y7DY9B9Y-CB1-7DY
6.67Single9BQ3Cagrilintide9BQ3-CT (AMY2)-Cagrilintide-Gs/β1/γ2; RAMP2
6.67Single9E7RGB889E7R-PAR2-GB88-chim(NtGi1L-Gs-CtGq)/β1/γ2
6.67Single9EPRRetinal9EPR-Rhodopsin-Retinal-Gi1/β1/γ2
6.67Single9L3ZLRH7-C29L3Z-CML1-LRH7-C2
6.67Consensusadgrg_onOrthosteric Ligandadgrg2_on adgrg4_on
6.67Consensusadgrg_on_gpOrthosteric Ligandadgrg2_on_gp adgrg4_on_gp
6.67Consensusctlike_on_gpOrthosteric Ligand6E3Y-CT Like-Calcitonin gene-related peptide-1-Gs/β1/γ2; RAMP1
6.45Single6PB0Urocortin6PB0-CRF1-Urocortin-chim(NtGi1-Gs)/β1/γ2
6.45Single7RBTTirzepatide7RBT-GIP-Tirzepatide-LSN3556672-chim(NtGi1-Gs)/β1/γ2
6.45Single7TYXAmylin7TYX-CT (AMY2)-Amylin-Gs/β1/γ2; RAMP2
6.25Single3VG9ZM-2413853VG9-A2A-ZM-241385-Antibody
6.25Single4BWBNeurotensin4BWB-NTS1-Neurotensin
6.25Single4QINSAG1.54QIN-SMO-SAG1.5
6.25Single5OLHVipadenant5OLH-A2A-Vipadenant-Na
6.25Single5U09Taranabant5U09-CB1-Taranabant
6.25Single6ME2Ramelteon6ME2-MT1-Ramelteon
6.25Single6ME9Ramelteon6ME9-MT2-Ramelteon
6.25Single6NWEOctyl-Beta-D-Glucopyranoside6NWE-Rhodopsin-Octyl-β-D-Glucopyranoside-Gt(CT)
6.25Single6O3CSAG21k6O3C-SMO-SAG21k-Cholesterol
6.25Single7F8ULintitript7F8U-CCKA-Lintitript
6.25Single7T6SPubChem 247763417T6S-FPR2-ALX-PubChem 24776341-Gi1/β1/γ2
6.25Single7VBHPeptide-207VBH-GLP-1-Peptide-20-Gs/β1/γ2
6.25Single7VVOPTH7VVO-PTH1-PTH-Gs/β1/γ2
6.25Single8F2APramlintide Analogue San3858F2A-CT (AMY3)-Pramlintide Analogue San385-Gs/β1/γ2; RAMP3
6.25Single8RW4AzoSwitch28RW4-A2A-AzoSwitch2-Na
6.25Single8RWEStilSwitch48RWE-A2A-StilSwitch4-Na
6.25Single8T3VDocosa-4,7,10,13,16,19-Hexaenoic acid8T3V-FFA1-Docosa-4,7,10,13,16,19-Hexaenoic acid-chim(NtGi2L-Gs-CtGq)/β1/γ2
6.25Single8U4SREGN7663-Fab8U4S-CXCR4-REGN7663-Fab
6.25Single8U4TREGN7663-Fab8U4T-CXCR4-REGN7663-Fab
6.25Single8XXXCXCL68XXX-CXCR2-CXCL6-Go/β1/γ2
6.25Single9FUPIstradefylline9FUP-A2A-Istradefylline-Na
6.06Single7V35Peptide-207V35-Glucagon-Peptide-20-Gs/β1/γ2
6.06Single8JIPMEDI03828JIP-GLP-1-MEDI0382-chim(NtGi1-Gs)/β1/γ2
6.06Single8JIRSAR4258998JIR-GLP-1-SAR425899-chim(NtGi1-Gs)/β1/γ2
5.88Single5IU4ZM-2413855IU4-A2A-ZM-241385-Na
5.88Single5IUBQ274563445IUB-A2A-Q27456344-Na
5.88Single5K2CZM-2413855K2C-A2A-ZM-241385-Na
5.88Single5NM4ZM-2413855NM4-A2A-ZM-241385-Na
5.88Single5TE3Octyl-Beta-D-Glucopyranoside5TE3-Rhodopsin-Octyl-β-D-Glucopyranoside
5.88Single6AQFZM-2413856AQF-A2A-ZM-241385
5.88Single6MH8ZM-2413856MH8-A2A-ZM-241385
5.88Single6XBLSAG6XBL-SMO-SAG-Cholesterol-Gi1/β1/γ2
5.88Single6ZINSR486926ZIN-NTS1-SR48692
5.88Single7M3GCa; Ca; Tryptophan; Evocalcet; Etelcalcetide; PO47M3G-CaS-Ca; Ca; Tryptophan; Evocalcet; Etelcalcetide; PO4
5.88Single7T32ZM-2413857T32-A2A-ZM-241385
5.88Single7UTZDPPC7UTZ-TSH-TR1402-DPPC-Gs/β1/γ2
5.88Single7ZI0SAG7ZI0-SMO-SAG-Cholesterol
5.88Single8HJ5PubChem 1390305318HJ5-MRGPRX1-PubChem 139030531-chim(NtGi1-Gs-CtGq)/β1/γ2
5.88Single8K4NVF08K4N-GPR34-VF0-Gi1/β1/γ2
5.88Single8K4SDCA-3P8K4S-MRGPRX4-DCA-3P-chim(NtGi1L-Gs-CtGq)/β1/γ2
5.88Single8RWCStilSwitch28RWC-A2A-StilSwitch2-Na
5.88Single8RWDStilSwitch38RWD-A2A-StilSwitch3-Na
5.88Single8X7ATreprostinil8X7A-I2-Treprostinil-Gs/β1/γ2
5.88Single8Y62C16:0 Ceramide8Y62-FPR2-ALX-C16:0 Ceramide-Gi1/β1/γ2
5.88Single9K1DButanoic acid9K1D-FFA2-Butanoic acid-Gi1/β1/γ2
5.88Consensuscb1_offOrthosteric Ligand5U09-CB1-Taranabant 5TGZ-CB1-AM6538
5.88Consensuscxcr2_onOrthosteric Ligand6LFM-CXCR2-Interleukin-8-Gi1/β1/γ2
5.71Single6E3YCalcitonin gene-related peptide-16E3Y-CT Like-Calcitonin gene-related peptide-1-Gs/β1/γ2; RAMP1
5.71Consensusgluc_onOrthosteric Ligand6LMK-Glucagon-Glucagon-Gs/β1/γ2 8JIT-Glucagon-MEDI0382-Gs/β1/γ2 7V35-Glucagon-Peptide-20-Gs/β1/γ2
5.56Single4EIYZM-2413854EIY-A2A-ZM-241385-Na
5.56Single5IU8Q274563475IU8-A2A-Q27456347-Na
5.56Single5OLGZM-2413855OLG-A2A-ZM-241385-Na
5.56Single6LPJZM-2413856LPJ-A2A-ZM-241385-Na
5.56Single6LPKZM-2413856LPK-A2A-ZM-241385-Na
5.56Single7DB6Ramelteon7DB6-MT1-Ramelteon-Gi1/β1/γ2
5.56Single7FIHOrg435537FIH-LH-hCG-Org43553-chim(NtGi1-Gs)/β1/γ2
5.56Single7PYRPSB-21157PYR-A2A-PSB-2115
5.56Single7SK8CXCL127SK8-ACKR3-CXCL12-CCX662
5.56Single8CU6LJ-45178CU6-A2A-LJ-4517
5.56Single8TH3AT118-H Nanobody8TH3-AT1-AT118-H Nanobody
5.56Single8XBGS3E-LysoPS8XBG-GPR34-S3E-LysoPS
5.56Single9H37A1IR09H37-A2A-A1IR0-Na
5.56Single9IMATalquetamab9IMA-GPRC5D-Talquetamab
5.56Single9IYAONO-97105319IYA-GPR55-ONO-9710531
5.56Consensusgluc_on_gpOrthosteric Ligand6LMK-Glucagon-Glucagon-Gs/β1/γ2 8JIT-Glucagon-MEDI0382-Gs/β1/γ2 7V35-Glucagon-Peptide-20-Gs/β1/γ2
5.26Single4PHUFasiglifam4PHU-FFA1-Fasiglifam
5.26Single5IUAQ274563485IUA-A2A-Q27456348-Na
5.26Single5N2SPSB365N2S-A1-PSB36
5.26Single5NM2ZM-2413855NM2-A2A-ZM-241385-Na
5.26Single5ZBQUR-MK-2995ZBQ-Y1-UR-MK-299
5.26Single6LFMInterleukin-86LFM-CXCR2-Interleukin-8-Gi1/β1/γ2
5.26Single6LPLZM-2413856LPL-A2A-ZM-241385-Na
5.26Single6S0QZM-2413856S0Q-A2A-ZM-241385
5.26Single6WQAZM-2413856WQA-A2A-ZM-241385-Na
5.26Single6Z4QSR142948A6Z4Q-NTS1-SR142948A
5.26Single6Z4SSR486926Z4S-NTS1-SR48692
5.26Single7M3GCa; Ca; Tryptophan; Evocalcet; Etelcalcetide; PO47M3G-CaS-Ca; Ca; Tryptophan; Evocalcet; Etelcalcetide; PO4
5.26Single7RM5ZM-2413857RM5-A2A-ZM-241385-Na
5.26Single8FYNZM-2413858FYN-A2A-ZM-241385-Na
5.26Single8IZ4Lysophosphatidylserine8IZ4-GPR34-Lysophosphatidylserine-Gi1/β1/γ2
5.26Single8JGGBAM8-228JGG-MRGPRX1-BAM8-22-Gi1/β1/γ2
5.26Single8QOTNanobody-E8QOT-μ-Nanobody-E
5.26Single8TH4AT118-L Nanobody8TH4-AT1-Losartan-AT118-L Nanobody
5.26Single8XQPCholesterol8XQP-TAS2R14-Cholesterol-Aristolochic acid A-Gt3/β1/γ1
5.26Single8ZYTNeurotensin peptide 8-138ZYT-NTS1-Neurotensin peptide 8-13-SBI-553-Arrestin2
5.26Consensuscxcr2_on_gpOrthosteric Ligand6LFM-CXCR2-Interleukin-8-Gi1/β1/γ2
5.26Consensusnucleotide_onOrthosteric Ligandadenosine_on p2y_on
5.00Single5ZBHBMS-1938855ZBH-Y1-BMS-193885
5.00Single5ZHPPubChem 1348285895ZHP-M3-PubChem 134828589
5.00Single7SK7CXCL127SK7-ACKR3-CXCL12-CCX662
5.00Single7WVXHumanin7WVX-FPR2-ALX-Humanin-Gi2/β1/γ2
5.00Single7XOWGastrin7XOW-CCKB-Gastrin-chim(NtGi1-Gq)/β1/γ2
5.00Single7XWONeurokinin-A7XWO-NK2-Neurokinin-A-chim(NtGi1-Gs-CtGq)/β1/γ2
5.00Single8ID39-Hydroxystearic acid8ID3-FFA4-9-Hydroxystearic acid-Gi1/β1/γ2
5.00Single8JGFBAM8-228JGF-MRGPRX1-BAM8-22-chim(NtGi1-Gs-CtGq)/β1/γ2
5.00Single8JZPC5A anaphylatoxin8JZP-C5a1-C5A anaphylatoxin-Go/β1/γ2
5.00Single8XBIS3E-LysoPS8XBI-GPR34-S3E-LysoPS
5.00Single8XX7CXCL58XX7-CXCR2-CXCL5-Go/β1/γ2
5.00Single9CLWTUG-13759CLW-FFA2-TUG-1375-4-CMTB-chim(NtGi1L-Gs-CtGq)/β1/γ2
5.00Consensusnk2_on_gpOrthosteric Ligand7XWO-NK2-Neurokinin-A-chim(NtGi1-Gs-CtGq)/β1/γ2
5.00Consensusp2y12_onOrthosteric Ligand7XXI-P2Y12-2MeSADP-Gi2/β1/γ2
4.76Single3VW7Vorapaxar; Na3VW7-PAR1-Vorapaxar; Na
4.76Single4OR2FITM4OR2-mGlu1; mGlu1-FITM
4.76Single4PXZ2MeSADP4PXZ-P2Y12-2MeSADP
4.76Single4PY02MeSATP4PY0-P2Y12-2MeSATP
4.76Single7L0SNeurotensin7L0S-NTS1-Neurotensin-Gi1/β1/γ1
4.76Single7XW5ML1097XW5-TSH-TSH-ML109-Gs/β1/γ2
4.76Single7XW6ML1097XW6-TSH-M22 Fab-ML109-Gs/β1/γ2
4.76Single7XXI2MeSADP7XXI-P2Y12-2MeSADP-Gi2/β1/γ2
4.76Single8DWCProenkephalin-A8DWC-MRGPRX1-Proenkephalin-A-chim(NtGi2L-Gs-CtGq)/β1/γ2
4.76Single8WRBLysophosphatidylserine8WRB-GPR34-Lysophosphatidylserine-Gi1/β1/γ2
4.76Single8XQJJN2418XQJ-Apelin-JN241
4.76Single8XWACXCL18XWA-CXCR2-CXCL1
4.76Single8XWMCXCL68XWM-CXCR2-CXCL6
4.76Single8XWSCXCL58XWS-CXCR2-CXCL5
4.76Single8Y6WTUG-13758Y6W-FFA2-TUG-1375-4-CMTB-Gi1/β1/γ2
4.76Single9CM3TUG-13759CM3-FFA2-TUG-1375-Compound 187-chim(NtGi1L-Gs-CtGq)/β1/γ2
4.76Consensusgi_p2yOrthosteric Ligand7XXI-P2Y12-2MeSADP-Gi2/β1/γ2
4.76Consensusp2y12_on_gpOrthosteric Ligand7XXI-P2Y12-2MeSADP-Gi2/β1/γ2
4.55Single4OR2FITM4OR2-mGlu1; mGlu1-FITM
4.55Single8ID8TUG-8918ID8-FFA4-TUG-891-Gi1/β1/γ2
4.55Single8IYSTUG-8918IYS-FFA4-TUG-891-GDP-chim(NtGi1L-Gq)/β1/γ2
4.55Single8XVUCXCL28XVU-CXCR2-CXCL2
4.55Single8XWVCXCL18XWV-CXCR2-CXCL1-Go/β1/γ2
4.55Single8XXHCXCL28XXH-CXCR2-CXCL2-Go/β1/γ2
4.35Single6KNMJN241-96KNM-Apelin-JN241-9
4.35Single8XQJJN2418XQJ-Apelin-JN241
4.35Single8Z74Agonistic antibody8Z74-Apelin-Agonistic antibody
4.35Single8Z74Agonistic antibody8Z74-Apelin-Agonistic antibody
4.35Single9CM7TUG-13759CM7-FFA2-TUG-1375-AZ-1729-Gi1/β1/γ2
4.35Single9JH6C20:0 Ceramide9JH6-CysLT2-C20:0 Ceramide-chim(NtGi1-Gs-CtGq)/β1/γ2
4.17Single6RZ8ONO-20803656RZ8-CysLT2-ONO-2080365
4.17Single7RTBPeptide-197RTB-GLP-1-Peptide-19-Gs/β1/γ2
4.17Single8DWGProenkephalin-A8DWG-MRGPRX1-Proenkephalin-A-ML382-chim(NtGi2L-Gs-CtGq)/β1/γ2
4.17Single8JIQPeptide-158JIQ-Glucagon-Peptide-15-Gs/β1/γ2
4.17Single8YWFRetatrutide8YWF-GLP-1-Retatrutide-chim(NtGi1-Gs)/β1/γ2
4.17Single9BUECagrilintide9BUE-CT-Cagrilintide-Gs/β1/γ2
4.00Single7TRYUrocortin7TRY-CRF2-Urocortin-chim(NtGi1-G11)/β1/γ2
3.70Single6NIYAdrenomedullin6NIY-CT-Adrenomedullin-Gs/β1/γ2
3.70Single8HA0PTH8HA0-PTH1-PTH-chim(NtGi1-Gs)/β1/γ2
3.57Single5YQZGlucagon analogue5YQZ-Glucagon-Glucagon analogue
3.57Single7TYWCalcitonin-17TYW-CT (AMY1)-Calcitonin-1-Gs/β1/γ2; RAMP1
3.57Single7Y35Abaloparatide7Y35-PTH1-Abaloparatide-Gs/β1/γ2
3.45Single9BLBCagrilintide backbone (non-acylated)9BLB-CT-Cagrilintide backbone (non-acylated)-Gs/β1/γ2
3.45Single9BUBCagrilintide9BUB-CT-Cagrilintide-Gs/β1/γ2
3.33Single7TYNCalcitonin-17TYN-CT-Calcitonin-1-Gs/β1/γ2
3.33Consensuscrf_onOrthosteric Ligandcrf2_on crf1_on
3.23Single6LMKGlucagon6LMK-Glucagon-Glucagon-Gs/β1/γ2
3.23Single9BTWCagrilintide9BTW-CT (AMY3)-Cagrilintide-Gs/β1/γ2; RAMP3
2.86Single7TYOCalcitonin7TYO-CT-Calcitonin-Gs/β1/γ2
2.86Single8JITMEDI03828JIT-Glucagon-MEDI0382-Gs/β1/γ2
2.86Single8JIUSAR4258998JIU-Glucagon-SAR425899-Gs/β1/γ2

PDB Summary
PDB 9IZD
Class A
SubFamily Alicarboxylic acid
Type Hydroxycarboxylic acid
SubType HCA1
Species Homo Sapiens
Ligand CHBA
Other Ligand(s) -
Protein Partners Gi1/Beta1/Gamma2
PDB Resolution 3.16
Date 2025-04-02
D.O.I. To be published
Net Summary
Imin 1.84
Number of Linked Nodes 841
Number of Links 1177
Number of Hubs 233
Number of Links mediated by Hubs 832
Number of Communities 23
Number of Nodes involved in Communities 385
Number of Links involved in Communities 616
Path Summary
Number Of Nodes in MetaPath 79
Number Of Links MetaPath 78
Number of Shortest Paths 2909996
Length Of Smallest Path 3
Average Path Length 32.346
Length of Longest Path 54
Minimum Path Strength 1.375
Average Path Strength 5.24953
Maximum Path Strength 24.18
Minimum Path Correlation 0.7
Average Path Correlation 0.990214
Maximum Path Correlation 1
Minimum % Of Corr. Nodes 2.77778
Average % Of Corr. Nodes 38.3406
Maximum % Of Corr. Nodes 100
Minimum Path Hubs % 0
Average Path Hubs % 61.5135
Maximum Path Hubs % 100
AnnotationTypeLinks
Gene OntologyMolecular Function• protein binding   • binding   • enzyme binding   • GTPase binding   • protein-containing complex binding   • pyrophosphatase activity   • GTPase activity   • ribonucleoside triphosphate phosphatase activity   • hydrolase activity, acting on acid anhydrides, in phosphorus-containing anhydrides   • hydrolase activity   • hydrolase activity, acting on acid anhydrides   • catalytic activity   • signaling receptor complex adaptor activity   • protein-macromolecule adaptor activity   • molecular adaptor activity   • signaling adaptor activity   • multicellular organismal process   • system process   • sensory perception of chemical stimulus   • sensory perception   • nervous system process   • sensory perception of taste   • developmental process   • sensory organ development   • eye development   • animal organ development   • retina development in camera-type eye   • visual system development   • multicellular organism development   • camera-type eye development
Gene OntologyBiological Process• multicellular organismal process   • system process   • sensory perception of chemical stimulus   • sensory perception   • nervous system process   • sensory perception of taste   • developmental process   • sensory organ development   • eye development   • animal organ development   • retina development in camera-type eye   • visual system development   • multicellular organism development   • camera-type eye development   • anatomical structure development   • sensory system development   • system development   • cell population proliferation   • cellular process   • cellular response to stimulus   • regulation of biological process   • regulation of cellular process   • response to stimulus   • signaling   • biological regulation   • signal transduction   • cell communication   • response to ketone   • response to prostaglandin   • response to lipid   • response to endogenous stimulus   • response to alcohol   • cellular response to prostaglandin stimulus   • response to oxygen-containing compound   • cellular response to oxygen-containing compound   • cellular response to endogenous stimulus   • cellular response to prostaglandin E stimulus   • cellular response to chemical stimulus   • cellular response to alcohol   • response to hormone   • response to chemical   • cellular response to lipid   • response to prostaglandin E   • cellular response to ketone   • cellular response to hormone stimulus   • small GTPase-mediated signal transduction   • Ras protein signal transduction   • intracellular signal transduction   • intracellular signaling cassette   • phospholipase C-activating G protein-coupled receptor signaling pathway   • G protein-coupled receptor signaling pathway   • cellular response to nitrogen compound   • response to dopamine   • cellular response to dopamine   • response to monoamine   • response to catecholamine   • adenylate cyclase-activating dopamine receptor signaling pathway   • cellular response to catecholamine stimulus   • G protein-coupled dopamine receptor signaling pathway   • response to nitrogen compound   • adenylate cyclase-activating G protein-coupled receptor signaling pathway   • cellular response to monoamine stimulus   • adenylate cyclase-modulating G protein-coupled receptor signaling pathway   • synaptic signaling   • cellular response to acetylcholine   • cell-cell signaling   • acetylcholine receptor signaling pathway   • postsynaptic signal transduction   • G protein-coupled acetylcholine receptor signaling pathway   • response to acetylcholine   • cellular anatomical structure   • membrane   • protein-containing complex   • extrinsic component of plasma membrane   • catalytic complex   • plasma membrane protein complex   • cytoplasmic side of membrane   • plasma membrane   • membrane protein complex   • heterotrimeric G-protein complex   • side of membrane   • cell periphery   • cytoplasmic side of plasma membrane   • GTPase complex
Gene OntologyCellular Component• cellular anatomical structure   • membrane   • protein-containing complex   • extrinsic component of plasma membrane   • catalytic complex   • plasma membrane protein complex   • cytoplasmic side of membrane   • plasma membrane   • membrane protein complex   • heterotrimeric G-protein complex   • side of membrane   • cell periphery   • cytoplasmic side of plasma membrane   • GTPase complex   • extrinsic component of membrane   • extrinsic component of cytoplasmic side of plasma membrane   • extracellular exosome   • membrane-bounded organelle   • extracellular vesicle   • extracellular organelle   • extracellular region   • organelle   • extracellular space   • vesicle   • extracellular membrane-bounded organelle   • non-motile cilium   • 9+0 non-motile cilium   • cilium   • neuron projection   • photoreceptor disc membrane   • photoreceptor outer segment   • plasma membrane bounded cell projection   • cell projection   • photoreceptor cell cilium   • organelle membrane   • intracellular anatomical structure   • cytoplasm   • cytosol   • vacuolar membrane   • lytic vacuole   • vacuole   • intracellular membrane-bounded organelle   • intracellular organelle   • lytic vacuole membrane   • bounding membrane of organelle   • lysosomal membrane   • lysosome   • synapse   • cell junction   • protein binding   • binding   • G-protein beta-subunit binding   • fibroblast proliferation   • cell population proliferation   • cellular process   • cellular response to nitrogen compound   • cellular response to stimulus   • response to dopamine   • regulation of cellular process   • response to stimulus   • signaling   • cellular response to dopamine   • response to monoamine   • cell communication   • response to catecholamine   • adenylate cyclase-activating dopamine receptor signaling pathway   • cellular response to catecholamine stimulus   • signal transduction   • regulation of biological process   • G protein-coupled dopamine receptor signaling pathway   • biological regulation   • response to oxygen-containing compound   • response to nitrogen compound   • adenylate cyclase-activating G protein-coupled receptor signaling pathway   • cellular response to oxygen-containing compound   • cellular response to chemical stimulus   • cellular response to monoamine stimulus   • response to chemical   • adenylate cyclase-modulating G protein-coupled receptor signaling pathway   • G protein-coupled receptor signaling pathway   • response to ketone   • response to prostaglandin   • response to lipid   • response to endogenous stimulus   • response to alcohol   • cellular response to prostaglandin stimulus   • cellular response to endogenous stimulus   • cellular response to prostaglandin E stimulus   • cellular response to alcohol   • response to hormone   • cellular response to lipid   • response to prostaglandin E   • cellular response to ketone   • cellular response to hormone stimulus   • D2 dopamine receptor binding   • signaling receptor binding   • G protein-coupled receptor binding   • dopamine receptor binding   • enzyme regulator activity   • adenylate cyclase inhibitor activity   • cyclase regulator activity   • molecular function inhibitor activity   • cyclase inhibitor activity   • molecular function regulator activity   • enzyme inhibitor activity   • adenylate cyclase regulator activity   • guanyl nucleotide binding   • GTP binding   • nucleotide binding   • guanyl ribonucleotide binding   • purine ribonucleotide binding   • purine ribonucleoside triphosphate binding   • nucleoside phosphate binding   • ion binding   • purine nucleotide binding   • anion binding   • heterocyclic compound binding   • carbohydrate derivative binding   • ribonucleotide binding   • small molecule binding   • cation binding   • magnesium ion binding   • metal ion binding   • GDP binding   • G protein-coupled serotonin receptor binding   • protein-containing complex binding   • G-protein beta/gamma-subunit complex binding   • pyrophosphatase activity   • GTPase activity   • G protein activity   • ribonucleoside triphosphate phosphatase activity   • hydrolase activity, acting on acid anhydrides, in phosphorus-containing anhydrides   • hydrolase activity   • hydrolase activity, acting on acid anhydrides   • catalytic activity   • adenylate cyclase-inhibiting serotonin receptor signaling pathway   • G protein-coupled serotonin receptor signaling pathway   • adenylate cyclase-inhibiting G protein-coupled receptor signaling pathway   • response to peptide hormone   • cell division   • leukocyte migration   • immune system process   • mononuclear cell migration   • lymphocyte migration   • cell migration   • T cell migration   • cell motility   • regulation of steroid biosynthetic process   • regulation of cholesterol biosynthetic process   • regulation of cholesterol metabolic process   • steroid metabolic process   • regulation of lipid metabolic process   • sterol metabolic process   • positive regulation of biological process   • cholesterol metabolic process   • lipid biosynthetic process   • alcohol metabolic process   • regulation of primary metabolic process   • positive regulation of metabolic process   • regulation of small molecule metabolic process   • positive regulation of biosynthetic process   • positive regulation of lipid metabolic process   • small molecule metabolic process   • steroid biosynthetic process   • positive regulation of cellular process   • regulation of biosynthetic process   • secondary alcohol biosynthetic process   • regulation of alcohol biosynthetic process   • small molecule biosynthetic process   • regulation of steroid metabolic process   • cholesterol biosynthetic process   • positive regulation of cholesterol biosynthetic process   • primary metabolic process   • secondary alcohol metabolic process   • positive regulation of steroid biosynthetic process   • biosynthetic process   • sterol biosynthetic process   • positive regulation of lipid biosynthetic process   • regulation of sterol biosynthetic process   • alcohol biosynthetic process   • positive regulation of cholesterol metabolic process   • positive regulation of steroid metabolic process   • metabolic process   • regulation of lipid biosynthetic process   • positive regulation of small molecule metabolic process   • regulation of metabolic process   • positive regulation of alcohol biosynthetic process   • positive regulation of sterol biosynthetic process   • lipid metabolic process   • negative regulation of protein transport   • regulation of localization   • establishment of protein localization   • nitrogen compound transport   • negative regulation of biological process   • negative regulation of transport   • localization   • negative regulation of secretion   • negative regulation of hormone secretion   • negative regulation of secretion by cell   • intracellular protein localization   • regulation of biological quality   • regulation of peptide hormone secretion   • negative regulation of peptide hormone secretion   • regulation of hormone levels   • establishment of protein localization to extracellular region   • negative regulation of establishment of protein localization   • protein secretion   • establishment of localization   • regulation of protein secretion   • regulation of secretion   • negative regulation of protein secretion   • regulation of hormone secretion   • regulation of protein localization   • regulation of peptide secretion   • transport   • negative regulation of signaling   • hormone secretion   • negative regulation of cell communication   • protein localization to extracellular region   • negative regulation of peptide secretion   • peptide secretion   • regulation of secretion by cell   • secretion by cell   • amide transport   • signal release   • negative regulation of cellular process   • negative regulation of protein localization   • regulation of signaling   • regulation of transport   • secretion   • regulation of peptide transport   • regulation of establishment of protein localization   • export from cell   • cell-cell signaling   • regulation of protein transport   • peptide transport   • negative regulation of insulin secretion   • protein transport   • regulation of insulin secretion   • peptide hormone secretion   • macromolecule localization   • hormone transport   • regulation of cell communication   • insulin secretion   • regulation of cytoskeleton organization   • regulation of cellular component organization   • microtubule cytoskeleton organization   • regulation of mitotic spindle organization   • mitotic cell cycle   • cellular component organization   • cell cycle   • cellular component organization or biogenesis   • regulation of cell cycle   • microtubule cytoskeleton organization involved in mitosis   • spindle organization   • cell cycle process   • regulation of cell cycle process   • regulation of microtubule-based process   • regulation of spindle organization   • regulation of organelle organization   • mitotic spindle organization   • organelle organization   • mitotic cell cycle process   • microtubule-based process   • cytoskeleton organization   • regulation of microtubule cytoskeleton organization   • positive regulation of protein localization to cell periphery   • protein localization to cell periphery   • positive regulation of protein localization to cell cortex   • regulation of protein localization to cell periphery   • regulation of protein localization to cell cortex   • positive regulation of protein localization   • protein localization to cell cortex   • cellular response to forskolin   • response to forskolin   • midbody   • nucleus   • membrane-enclosed lumen   • intracellular membraneless organelle   • nucleolus   • intracellular organelle lumen   • organelle lumen   • membraneless organelle   • nuclear lumen   • cell cortex   • centrosome   • microtubule organizing center   • cytoskeleton   • microtubule cytoskeleton   • centriolar satellite   • nucleoplasm   • Golgi apparatus   • endomembrane system   • ciliary basal body   • molecular transducer activity   • G protein-coupled receptor activity   • transmembrane signaling receptor activity   • signaling receptor activity   • negative regulation of catabolic process   • lipid catabolic process   • catabolic process   • negative regulation of metabolic process   • regulation of catabolic process   • regulation of lipid catabolic process   • negative regulation of lipid metabolic process   • negative regulation of lipid catabolic process
SCOP2Domain Identifier• Transducin (heterotrimeric G protein), gamma chain   • Ras-like P-loop GTPases
SCOP2Family Identifier• Transducin (heterotrimeric G protein), gamma chain   • Ras-like P-loop GTPases
Membrane Protein Annotations-• Orientations of Proteins in Membranes database (OPM)   • Protein Data Bank of Transmembrane Proteins (PDBTM)   • MemProtMD


Details about the values in these tables can be found in the corresponding documentation page .
Code_L_
PDB ResiduesL:L:?1
Environment DetailsOpen EMBL-EBI Page
Code_L_
Name
Synonyms
Identifier
Formula
Molecular Weight
SMILES
PubChem
Formal Charge
Total Atoms
Total Chiral Atoms
Total Bonds
Total Aromatic Bonds

PDBsumOpen PDBsum Page
ChainA
ProteinG Protein α Sub unit
UniProtP63096
Sequence
>9IZD_Chain_A
TLSAEDKAA VERSKMIDR NLREDGEKA AREVKLLLL GAGESGKST 
IVKQMTGIV ETHFTFKDL HFKMFDVGQ RSERKKWIH CFEGVTAII 
FCVALSDYD LVNRMHESM KLFDSICNN KWFTDTSII LFLNKKDLF 
EEKIKKSPL TICYPEYAG SNTYEEAAA YIQCQFEDL NKRKDTKEI 
YTHFTCTDT KNVQFVFDA VTDVIIKNN LKDCGLFAS


Click on each residue to open a popup with some information about it.

ConSurf Conservation Grade (See documentation): 

 n/a   1    2    3    4    5    6    7    8    9  

ChainB
ProteinG Protein β Sub unit
UniProtP62873
Sequence
>9IZD_Chain_B
LDQLRQEAE QLKNQIRDA RKACADATL SQITNNIDP VGRIQMRTR 
RTLRGHLAK IYAMHWGTD SRLLVSASQ DGKLIIWDS YTTNKVHAI 
PLRSSWVMT CAYAPSGNY VACGGLDNI CSIYNLKTR EGNVRVSRE 
LAGHTGYLS CCRFLDDNQ IVTSSGDTT CALWDIETG QQTTTFTGH 
TGDVMSLSL APDTRLFVS GACDASAKL WDVREGMCR QTFTGHESD 
INAICFFPN GNAFATGSD DATCRLFDL RADQELMTY SHDNIICGI 
TSVSFSKSG RLLLAGYDD FNCNVWDAL KADRAGVLA GHDNRVSCL 
GVTDDGMAV ATGSWDSFL KIWN


Click on each residue to open a popup with some information about it.

ConSurf Conservation Grade (See documentation): 

 n/a   1    2    3    4    5    6    7    8    9  

ChainG
ProteinG Protein γ Sub unit
UniProtP59768
Sequence
>9IZD_Chain_G
SIAQARKLV EQLKMEANI DRIKVSKAA ADLMAYCEA HAKEDPLLT 
PVPASENPF RE


Click on each residue to open a popup with some information about it.

ConSurf Conservation Grade (See documentation): 

 n/a   1    2    3    4    5    6    7    8    9  

ChainR
ProteinReceptor
UniProtQ9BXC0
Sequence
>9IZD_Chain_R
CCRIEGDTI SQVMPPLLI VAFVLGALG NGVALCGFC FHMKTWKPS 
TVYLFNLAV ADFLLMICL PFRTDYYLR RRHWAFGDI PCRVGLFTL 
AMNRAGSIV FLTVVAADR YFKVVHPHH AVNTISTRV AAGIVCTLW 
ALVILGTVY LLLENHLCV QETAVSCES FIMESANGW HDIMFQLEF 
FMPLGIILF CSFKIVWSL RRRQQLARQ ARMKKATRF IMVVAIVFI 
TCYLPSVSA RLYFLWTVP SSACDPSVH GALHITLSF TYMNSMLDP 
LVYYFSSPS


Click on each residue to open a popup with some information about it.

ConSurf Conservation Grade (See documentation): 

 n/a   1    2    3    4    5    6    7    8    9  




This receptor, from the same or other species and bound to the same or other ligands, is also present in the following networks:
Show PDB Class SubFamily Type SubType Species Orthosteric Ligand Other Ligand(s) Protein Partners Resolution Date DOI
9IZD (No Gprot) AAlicarboxylic acidHydroxycarboxylic acidHCA1Homo sapiensCHBA-3.162025-04-02To be published
9J8ZAAlicarboxylic acidHydroxycarboxylic acidHCA1Homo sapiens--Gi1/β1/γ23.362025-04-02To be published
9J8Z (No Gprot) AAlicarboxylic acidHydroxycarboxylic acidHCA1Homo sapiens--3.362025-04-02To be published




You can download a compressed (zip) file with structure(s), 3D outputs (as PyMol and VMD scripts) and numerical data files (as csv and plain text files).

Download 9IZD.zip



You can click to copy the link of this page to easily come back here later

or use this QR code to link and share this page.



You can also  read or  download a guide explaining the meaning of all files and numerical data.