Color ConSurf Grade
      No Conservation data available
      1
      2
      3
      4
      5
      6
      7
      8
      9

Index: hub id, click on each number to highlight the corresponding hub in the 3D visualization.

Hub: the hub being considered.

Avg Int. Strength: the average interaction strength of all the links of the corresponding hub.

Num Of Links: the number of links of the corresponding hub.

Community: the id of the community the link belong to, otherwise 0.

ConSurf: this column reports the ConSurf conservation grades of each hub.

Index Hub Avg Int. Strength Num Of Links Community ConSurf
1A:A:H41 3.7875406
2A:A:L45 2.818508
3A:A:F219 5.27408
4A:A:M221 4.02508
5A:A:F222 9.89407
6A:A:Q227 4.4375419
7A:A:K233 3.678519
8A:A:W234 4.3775409
9A:A:F238 5.84519
10A:A:F273 3.5385149
11A:A:W277 6.7025146
12A:A:W281 7.182555
13A:A:F290 2.4675409
14A:A:I308 3.12467
15A:A:F312 3.60333668
16A:A:F315 6.295666
17A:A:Y318 4.7875466
18A:A:E330 5.64254103
19A:A:V334 3.0554104
20A:A:K338 5.864105
21A:A:F340 5.83333667
22A:A:R342 4.69404
23A:A:F345 6.2675408
24A:A:S349 3.4654147
25A:A:Y358 5.3254154
26A:A:Y360 6.0265158
27A:A:F376 4.4475408
28A:A:R385 6.0485155
29A:A:E392 6.93754196
30B:B:V40 3.755163
31B:B:R48 3.4675407
32B:B:H54 7.338509
33B:B:K57 8.635459
34B:B:W63 4.93507
35B:B:D76 5.8025189
36B:B:W82 9.548509
37B:B:Y85 7.7054114
38B:B:K89 6.178579
39B:B:H91 4.034175
40B:B:W99 8.73833619
41B:B:L117 3.615419
42B:B:I120 2.525406
43B:B:L126 2.8454175
44B:B:V133 2.98754174
45B:B:H142 5.30833619
46B:B:Y145 3.79286718
47B:B:R150 3.6254216
48B:B:F151 4.0925409
49B:B:L152 3.505403
50B:B:S161 7.0875419
51B:B:D163 7.535419
52B:B:T165 4.7225417
53B:B:W169 7.25833618
54B:B:F180 6.948547
55B:B:H183 4.98714749
56B:B:F199 5.4225449
57B:B:S201 4.71449
58B:B:D205 5.0025449
59B:B:K209 8.7375446
60B:B:W211 6.47167648
61B:B:D212 2.9409
62B:B:F222 5.252538
63B:B:H225 6.10143739
64B:B:D228 6.9725419
65B:B:I232 3.9375438
66B:B:F234 5.3175435
67B:B:F235 5.417147126
68B:B:F241 4.4375836
69B:B:T243 4.4438
70B:B:D247 5.8625439
71B:B:R251 8.076538
72B:B:F253 5.12636
73B:B:D258 6.1575437
74B:B:E260 5.5425436
75B:B:M262 5.2954134
76B:B:Y264 4.273336135
77B:B:F278 5.01407
78B:B:G282 3.14129
79B:B:R283 5.9145169
80B:B:L284 2.9405
81B:B:Y289 4.908336137
82B:B:D290 5.2075456
83B:B:N295 4.86754136
84B:B:K301 3.6375405
85B:B:H311 6.976589
86B:B:R314 8.026558
87B:B:T321 5.074227
88B:B:W332 6.945659
89B:B:K337 4.066586
90B:B:W339 7.71489
91G:G:L19 2.81409
92G:G:K20 3.86754206
93G:G:Y40 4.60754126
94G:G:D48 6.106509
95G:G:L51 3.5845166
96G:G:P60 6.4054119
97G:G:F61 3.51258118
98L:L:?1 7.13125820
99R:R:L25 3.4725407
100R:R:L49 2.4075407
101R:R:N54 6.39254248
102R:R:L60 4.1175429
103R:R:D64 5.884529
104R:R:L72 3.735407
105R:R:W84 5.3585258
106R:R:S96 6.42494
107R:R:L109 3.455428
108R:R:I112 3.1575429
109R:R:R125 3.892505
110R:R:Y126 5.41407
111R:R:S150 4.1875497
112R:R:Y182 3.482505
113R:R:D186 4.275424
114R:R:F191 4.216528
115R:R:T201 3.67754267
116R:R:Y202 3.276676269
117R:R:N217 4.016503
118R:R:R228 5.7625406
119R:R:F243 3.592529
120R:R:W247 4.225828
121R:R:Y250 6.595426
122R:R:F251 3.232527
123R:R:F254 4.03333624
124R:R:R257 4.2554274
125R:R:W275 3.728525
126R:R:Y278 4.87333626
127R:R:N284 5.644529
128R:R:L287 1.7475408
129R:R:Y288 3.45529
   

Color ConSurf Grade
      No Conservation data available
      1
      2
      3
      4
      5
      6
      7
      8
      9

Index: link id, click on each number to highlight the corresponding link in the 3D visualization.

Node1 Node2: the two nodes of the corresponding link.

Recurrence: the relative Recurrence in the pool of shortest paths.

Int. Strength: the interaction strength between the two nodes.

Hub1?, Hub2?: "Yes" if the corresponding node has more than 3 links, otherwise "No".

Community: the id of the community the link belong to, otherwise 0.

ConSurf1, ConSurf2: these columns report the ConSurf conservation grades of the two nodes involved in a link.

Index Node1 Node2 Recurrence Int. Strength Hub1? Hub2? Community ConSurf1 ConSurf2
1A:A:F290 A:A:T364 99.55332.59YesNo099
2A:A:N292 A:A:T364 99.4374.39NoNo099
3A:A:K293 A:A:N292 99.41715.6NoNo099
4A:A:K293 A:A:L296 99.3772.82NoNo096
5A:A:E299 A:A:L296 99.35683.98NoNo066
6A:A:E299 A:A:K300 99.29524.05NoNo069
7A:A:K300 A:A:S252 99.23244.59NoNo098
8A:A:L297 A:A:S252 94.94834.5NoNo088
9A:A:L297 A:A:S250 93.04094.5NoNo086
10A:A:I341 A:A:S250 93.01363.1NoNo086
11A:A:F345 A:A:I341 95.48892.51YesNo088
12A:A:F345 A:A:L289 94.89768.53YesNo089
13A:A:F246 A:A:L289 94.86713.65NoNo099
14A:A:F246 A:A:L272 96.13042.44NoNo098
15A:A:L272 A:A:R231 96.02994.86NoNo089
16A:A:R231 A:A:W234 95.99716NoYes099
17A:A:Q227 A:A:W234 95.79235.48YesYes099
18A:A:Q227 B:B:L117 52.42073.99YesYes199
19B:B:L117 B:B:W99 55.85935.69YesYes199
20A:A:Q227 B:B:N119 21.33242.64YesNo099
21B:B:G319 B:B:W63 16.60372.81NoYes057
22B:B:G319 B:B:M61 16.69733.49NoNo056
23B:B:C317 B:B:M61 33.46924.86NoNo076
24B:B:C317 B:B:S316 33.63923.44NoNo079
25B:B:S316 B:B:W332 33.7263.71NoYes099
26B:B:A328 B:B:W63 16.60373.89NoYes057
27B:B:A328 B:B:M61 16.69733.22NoNo056
28B:B:R314 B:B:W332 15.621512YesYes589
29B:B:K57 B:B:W332 50.0113.92YesYes599
30A:A:F290 A:A:I288 50.11632.51YesNo099
31A:A:D378 A:A:Y360 10011.49NoYes078
32A:A:D378 A:A:I288 50.053811.2NoNo079
33A:A:D378 A:A:H362 50.05385.04NoNo079
34A:A:F290 A:A:H362 50.11632.26YesNo099
35A:A:R385 A:A:Y360 96.94776.17YesYes1558
36A:A:R385 R:R:Q212 95.27248.18YesNo056
37A:A:Q384 R:R:Q212 95.24343.84NoNo066
38A:A:Q384 R:R:V208 95.02034.3NoNo065
39R:R:M121 R:R:V208 94.90864.56NoNo075
40R:R:M121 R:R:Y117 94.796715.57NoNo077
41R:R:T201 R:R:Y117 94.46037.49YesNo077
42R:R:T201 R:R:Y202 93.47572.5YesYes2679
43R:R:V239 R:R:Y202 91.30122.52NoYes089
44R:R:L287 R:R:V239 91.1851.49YesNo088
45R:R:L287 R:R:Y288 85.87612.34YesYes089
46B:B:G162 B:B:Y145 24.58454.35NoYes198
47B:B:G162 B:B:S161 24.53973.71NoYes199
48B:B:H142 B:B:S161 43.195413.95YesYes199
49B:B:H142 B:B:W169 40.52224.23YesYes198
50B:B:I157 B:B:W169 37.62313.52NoYes078
51B:B:F151 B:B:I157 37.41582.51YesNo097
52B:B:A104 B:B:F151 28.70042.77NoYes079
53B:B:A104 B:B:H62 21.58391.46NoNo076
54B:B:H62 B:B:R150 21.37585.64NoYes066
55B:B:L192 B:B:R150 20.7593.64NoYes056
56B:B:L152 B:B:L192 20.55922.77YesNo035
57B:B:L152 B:B:V158 19.76662.98YesNo035
58B:B:F199 B:B:V158 19.57242.62YesNo095
59B:B:M325 G:G:P49 25.45213.35NoNo057
60G:G:D48 G:G:P49 24.41083.22YesNo097
61B:B:S279 G:G:D48 18.11268.83NoYes099
62B:B:G282 B:B:S279 26.41611.86YesNo099
63B:B:F235 B:B:G282 24.03424.52YesYes1269
64B:B:F235 B:B:F278 20.4958.57YesYes067
65B:B:F278 B:B:L285 19.56447.31YesNo076
66B:B:L285 B:B:Y264 19.25522.34NoYes065
67B:B:I43 B:B:L284 12.18792.85NoYes035
68B:B:I43 B:B:M45 12.26742.92NoNo034
69B:B:M45 G:G:L50 14.31325.65NoNo049
70B:B:Q75 B:B:W99 50.352812.05NoYes099
71B:B:T321 B:B:W63 25.62310.92YesYes077
72B:B:D323 B:B:M325 24.76475.54NoNo075
73B:B:C149 B:B:T102 15.02055.07NoNo088
74B:B:G115 B:B:T102 14.55321.82NoNo098
75B:B:G144 B:B:N119 20.85463.39NoNo089
76B:B:F180 B:B:F199 10.51186.43YesYes479
77B:B:E215 B:B:G216 10.11511.64NoNo034
78B:B:F180 B:B:G216 10.30223.01YesNo074
79B:B:R314 B:B:T274 15.05553.88YesNo588
80B:B:S275 B:B:T274 15.01734.8NoNo088
81B:B:L318 B:B:S275 14.90573NoNo068
82B:B:V327 G:G:L50 14.39524.47NoNo069
83B:B:L286 B:B:V327 14.45144.47NoNo076
84R:R:L109 R:R:Y288 48.56935.86YesYes289
85R:R:F243 R:R:L109 47.90312.44YesYes298
86L:L:?1 R:R:F251 31.34342.29YesYes207
87R:R:F243 R:R:W247 29.78872YesYes298
88R:R:F251 R:R:W247 15.97934.01YesYes278
89R:R:N284 R:R:Y288 32.38162.33YesYes299
90R:R:N280 R:R:N284 30.21069.54NoYes099
91R:R:N280 R:R:W247 29.92015.65NoYes098
92R:R:C102 R:R:W247 15.97873.92NoYes078
93L:L:?1 R:R:C102 15.6665.97YesNo007
94R:R:W247 R:R:Y250 26.8474.82YesYes286
95L:L:?1 R:R:Y250 15.664114.34YesYes206
96L:L:?1 R:R:V99 17.935911.22YesNo004
97R:R:F254 R:R:Y250 10.89173.09YesYes246
98L:L:?1 R:R:Y278 28.30043.31YesYes206
99R:R:W275 R:R:Y278 14.35944.82YesYes256
100R:R:S75 R:R:Y278 14.35942.54NoYes266
101R:R:S75 R:R:Y94 12.93013.82NoNo065
102R:R:F74 R:R:Y94 11.49393.09NoNo055
103R:R:F74 R:R:F90 10.05776.43NoNo056
104R:R:S150 R:R:V99 16.65566.46YesNo074
105B:B:K57 B:B:Q75 50.27479.49YesNo099
106B:B:D323 B:B:T321 24.94384.34NoYes2277
107B:B:L286 B:B:L318 14.55144.15NoNo076
108A:A:Q227 B:B:Y145 22.35275.64YesYes198
109B:B:G144 B:B:S161 20.7371.86NoYes089
Download PSN data

2D representation of the global metapath, ligand(s) interactions and
histograms of path distribution according to several parameters
(click on the image to enlarge it 🔍):

A 2D representation of the global communication in the network.

ConSurf Conservation Grade (See documentation): 

 n/a   1    2    3    4    5    6    7    8    9  

Number of shortest communication paths as a function of the average residue correlation.

Number of shortest communication paths as a function of the average interaction strength of their links.

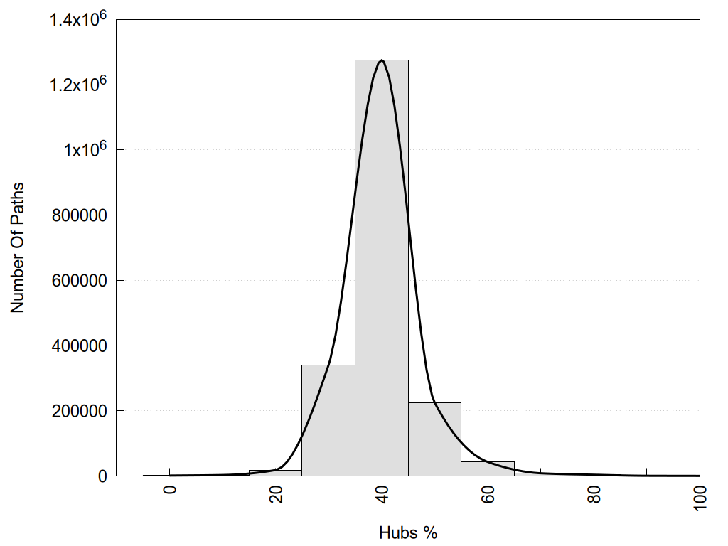
Number of shortest communication paths as a function of the % of hub nodes in each path.

Number of shortest communication paths as a function of the number of nodes in each path.

Number of shortest communication paths as a function of the % of correlated nodes in each path.


2D representation of the interactions of this orthosteric/allosteric ligand.


Links and nodes colored according to ConSurf Conservation Grade (See documentation): 

 n/a   1    2    3    4    5    6    7    8    9  

Node1 Node2 LinkStrength Comm IsNode1Hub? IsNode2Hub? Node1Cons Node2Cons Node1Shell Node2Shell
L:L:?1 R:R:D98 10.22 2 Yes No 0 5 0 1
L:L:?1 R:R:V99 11.22 2 Yes No 0 4 0 1
L:L:?1 R:R:C102 5.97 2 Yes No 0 7 0 1
L:L:?1 R:R:D186 5.11 2 Yes Yes 0 4 0 1
L:L:?1 R:R:Y250 14.34 2 Yes Yes 0 6 0 1
L:L:?1 R:R:F251 2.29 2 Yes Yes 0 7 0 1
L:L:?1 R:R:F254 4.59 2 Yes Yes 0 4 0 1
L:L:?1 R:R:Y278 3.31 2 Yes Yes 0 6 0 1
R:R:D98 R:R:V71 4.38 2 No No 5 6 1 2
R:R:L72 R:R:Y278 7.03 0 Yes Yes 7 6 2 1
R:R:S75 R:R:W275 2.47 2 No Yes 6 5 2 2
R:R:S75 R:R:Y278 2.54 2 No Yes 6 6 2 1
R:R:D98 R:R:Y278 9.2 2 No Yes 5 6 1 1
R:R:S150 R:R:V99 6.46 9 Yes No 7 4 2 1
R:R:C102 R:R:W247 3.92 0 No Yes 7 8 1 2
R:R:I106 R:R:W247 2.35 2 No Yes 7 8 2 2
R:R:F251 R:R:I106 2.51 2 Yes No 7 7 1 2
R:R:L149 R:R:Y182 2.34 0 No Yes 5 5 2 2
R:R:D186 R:R:L149 4.07 2 Yes No 4 5 1 2
R:R:F254 R:R:V178 7.87 2 Yes No 4 1 1 2
R:R:F254 R:R:Y182 2.06 2 Yes Yes 4 5 1 2
R:R:F254 R:R:G183 3.01 2 Yes No 4 5 1 2
R:R:D186 R:R:T190 4.34 2 Yes No 4 5 1 2
R:R:D186 R:R:F254 3.58 2 Yes Yes 4 4 1 1
R:R:F191 R:R:W247 4.01 2 Yes Yes 8 8 2 2
R:R:F191 R:R:F251 3.22 2 Yes Yes 8 7 2 1
R:R:W247 R:R:Y250 4.82 2 Yes Yes 8 6 2 1
R:R:F251 R:R:W247 4.01 2 Yes Yes 7 8 1 2
R:R:F251 R:R:Y250 4.13 2 Yes Yes 7 6 1 1
R:R:F254 R:R:Y250 3.09 2 Yes Yes 4 6 1 1
R:R:L274 R:R:Y278 2.34 0 No Yes 5 6 2 1
R:R:W275 R:R:Y278 4.82 2 Yes Yes 5 6 2 1

Location and physicochemical properties of the interaction partners of this ligand

Interactions of this ligand

Similarities between the interactions of this ligand and those of other networks

ShowSimilarityNetwork TypeNameLigandDescription
100.00Single8YN4Histamine8YN4-H2-Histamine-chim(NtGi1L-Gs-CtGq)/β1/γ2
88.89Single8TZQDopamine8TZQ-D2-Dopamine-Go/β1/γ2
88.89Consensus5ht1e_onOrthosteric Ligand7E33-5-HT1E-BRL-54443-Gi1/β1/γ2 8UGY-5-HT1E-Mianserin-Gi1/β1/γ1 8UH3-5-HT1E-Setiptiline-Gi1/β1/γ1
80.00Single4LDOEpinephrine4LDO-β2-Epinephrine
80.00Single6PS0Carazolol6PS0-β2-Carazolol
80.00Single6PS4ICI118-5516PS4-β2-ICI118-551
80.00Single7CKZDopamine7CKZ-D1-Dopamine-Mevidalen-Gs/β1/γ2
80.00Single7CMUPramipexole7CMU-D3-Pramipexole-Gi1/β1/γ2
80.00Single7E33BRL-544437E33-5-HT1E-BRL-54443-Gi1/β1/γ2
80.00Single7F0TDopamine7F0T-D1-Dopamine-Gs/β1/γ2
80.00Single7F24Dopamine7F24-D1-Dopamine-GDP-Gs/β1/γ2
80.00Single7RANPubChem 1645758477RAN-5-HT2A-PubChem 164575847-chim(NtGi2L-Gs-CtGq)/β1/γ2
80.00Single8GGQConstrained Epinephrine8GGQ-β2-Constrained Epinephrine
80.00Single8GGXConstrained Epinephrine8GGX-β2-Constrained Epinephrine
80.00Single8THLEpinephrine8THL-Alpha1A-Epinephrine-chim(NtGi2L-Gs-CtGq)/β1/γ2
80.00Single8U02Dopamine8U02-D2-Dopamine-Go/β1/γ2
80.00Single8YN3Histamine8YN3-H2-Histamine-Gs/β1/γ2
80.00Single9W6W5-CT9W6W-5-HT5A-5-CT-Gi1/β1/γ2
80.00Consensusalpha1_onOrthosteric Ligandalpha1a_on
80.00Consensusalpha1_on_gpOrthosteric Ligandalpha1a_on_gp
80.00Consensusalpha1a_onOrthosteric Ligand7EJ0-α2a-Norepinephrine-Go/β1/γ2 7EJ8-α2a-Brimonidine-Go/β1/γ2 7EJA-α2a-Dexmedetomidine-Go/β1/γ2 7EJK-α2a-Oxymetazoline-Go/β1/γ2 7W6P-α2a-N-pyridin-4-ylisoquinolin-4-amine-Go/β1/γ2 7W7E-α2a-PubChem 164946676-Go/β1/γ2
80.00Consensusalpha1a_on_gpOrthosteric Ligand7EJ0-α2a-Norepinephrine-Go/β1/γ2 7EJ8-α2a-Brimonidine-Go/β1/γ2 7EJA-α2a-Dexmedetomidine-Go/β1/γ2 7EJK-α2a-Oxymetazoline-Go/β1/γ2 7W6P-α2a-N-pyridin-4-ylisoquinolin-4-amine-Go/β1/γ2 7W7E-α2a-PubChem 164946676-Go/β1/γ2
80.00Consensusd3_onOrthosteric Ligand7CMV-D3-PD128907-Gi1/β1/γ2 8IRT-D3-Rotigotine-Gi1/β1/γ2 7CMU-D3-Pramipexole-Gi1/β1/γ2
80.00Consensusd3_on_gpOrthosteric Ligand7CMV-D3-PD128907-Gi1/β1/γ2 8IRT-D3-Rotigotine-Gi1/β1/γ2 7CMU-D3-Pramipexole-Gi1/β1/γ2
77.78Single3PBLEticlopride3PBL-D3-Eticlopride
77.78Single7E2YSerotonin7E2Y-5-HT1A-Serotonin-PtdIns4P-Gi1/β1/γ2
77.78Single7XTASerotonin7XTA-5-HT4-Serotonin-Gi1/β1/γ2
77.78Single7XTBSerotonin7XTB-5-HT6-Serotonin-Gs/β1/γ2
77.78Single8EF6Morphine8EF6-μ-Morphine-Gi1/β1/γ2
77.78Single8JLOUlotaront8JLO-TA1-Ulotaront-Gs/β1/γ2
77.78Consensus5ht4_onOrthosteric Ligand7XTA-5-HT4-Serotonin-Gi1/β1/γ2
77.78Consensus5ht4_on_gpOrthosteric Ligand7XTA-5-HT4-Serotonin-Gi1/β1/γ2
77.78Consensusd3_offOrthosteric Ligand3PBL-D3-Eticlopride
75.00Single8IWM2-Phenylethylamine8IWM-TAA9-2-Phenylethylamine
75.00Consensusgs_histamineOrthosteric Ligand8POK-H2-Histamine-Gs/β1/γ2
75.00Consensush2_onOrthosteric Ligand8POK-H2-Histamine-Gs/β1/γ2
72.73Single3NY8ICI118-5513NY8-β2-ICI118-551
72.73Single4GBRCarazolol4GBR-β2-Carazolol
72.73Single7BTSEpinephrine7BTS-β1-Epinephrine
72.73Single7BU6Norepinephrine7BU6-β1-Norepinephrine
72.73Single7CRHSKF839597CRH-D1-SKF83959-Gs/β1/γ2
72.73Single7E32Serotonin7E32-5-HT1D-Serotonin-Gi1/β1/γ2
72.73Single7JVQApomorphine7JVQ-D1-Apomorphine-Gs/β1/γ2
72.73Single7LJCSKF812977LJC-D1-SKF81297-Mevidalen-Gs/β1/γ2
72.73Single7S0GIsoprenaline7S0G-β1-Isoprenaline-chim(Gi1-CtGs)/β1/γ2
72.73Single7UM55-CT7UM5-5-HT5A-5-CT-chim(NtGi1-Go)/β1/γ2
72.73Single7X2CFenoldopam7X2C-D1-Fenoldopam-Fenoldopam-Gs/β1/γ2
72.73Single8GE2Constrained Epinephrine8GE2-β2-Constrained Epinephrine-Gs/β1/γ1
72.73Single8GE3Constrained Epinephrine8GE3-β2-Constrained Epinephrine-Gs/β1/γ2
72.73Single8GECConstrained Epinephrine8GEC-β2-Constrained Epinephrine-Gs/β1/γ2
72.73Single8GEEConstrained Epinephrine8GEE-β2-Constrained Epinephrine-Gs/β1/γ2
72.73Single8GFVConstrained Epinephrine8GFV-β2-Constrained Epinephrine-GTP-Gs/β1/γ2
72.73Single8GFWConstrained Epinephrine8GFW-β2-Constrained Epinephrine-GTP-Gs/β1/γ2
72.73Single8GFXConstrained Epinephrine8GFX-β2-Constrained Epinephrine-GTP-Gs/β1/γ2
72.73Single8GFZConstrained Epinephrine8GFZ-β2-Constrained Epinephrine-GTP-Gs/β1/γ2
72.73Single8GG0Constrained Epinephrine8GG0-β2-Constrained Epinephrine-GTP-Gs/β1/γ2
72.73Single8GG1Constrained Epinephrine8GG1-β2-Constrained Epinephrine-GTP-Gs/β1/γ2
72.73Single8GG3Constrained Epinephrine8GG3-β2-Constrained Epinephrine-GTP-Gs/β1/γ2
72.73Single8GG4Constrained Epinephrine8GG4-β2-Constrained Epinephrine-GTP-Gs/β1/γ2
72.73Single8GG6Constrained Epinephrine8GG6-β2-Constrained Epinephrine-GTP-Gs/β1/γ2
72.73Single8GG9Constrained Epinephrine8GG9-β2-Constrained Epinephrine-GTP-Gs/β1/γ2
72.73Single8GGIConstrained Epinephrine8GGI-β2-Constrained Epinephrine
72.73Single8GGJConstrained Epinephrine8GGJ-β2-Constrained Epinephrine
72.73Single8GGKConstrained Epinephrine8GGK-β2-Constrained Epinephrine
72.73Single8GGNConstrained Epinephrine8GGN-β2-Constrained Epinephrine
72.73Single8GGOConstrained Epinephrine8GGO-β2-Constrained Epinephrine
72.73Single8GGUConstrained Epinephrine8GGU-β2-Constrained Epinephrine
72.73Single8IRTRotigotine8IRT-D3-Rotigotine-Gi1/β1/γ2
72.73Single8JLZST19368JLZ-5-HT6-ST1936-Gs/β1/γ2
72.73Single8UGYMianserin8UGY-5-HT1E-Mianserin-Gi1/β1/γ1
72.73Single8UNQConstrained Epinephrine8UNQ-β2-Constrained Epinephrine-GTP-Gs/β1/γ2
72.73Single8UNVConstrained Epinephrine8UNV-β2-Constrained Epinephrine-GTP-Gs/β1/γ2
72.73Single8UNYConstrained Epinephrine8UNY-β2-Constrained Epinephrine-GTP-Gs/β1/γ2
72.73Single8UNZConstrained Epinephrine8UNZ-β2-Constrained Epinephrine-GTP-Gs/β1/γ2
72.73Single8UO2Constrained Epinephrine8UO2-β2-Constrained Epinephrine-GTP-Gs/β1/γ2
72.73Single8X64Desloratadine8X64-H1-Desloratadine
72.73Single8XVKAmbrisentan8XVK-ETA-Ambrisentan
72.73Single9CBMDexmedetomidine9CBM-α2a-Dexmedetomidine-Gi1/β1/γ2
72.73Single9PLNPubChem 1682595949PLN-α2a-PubChem 168259594
72.73Single9PLOPubChem 1682595949PLO-α2a-PubChem 168259594-Go/β1/γ2
72.73Single9PQDPubChem 1764919279PQD-α2a-PubChem 176491927
72.73Consensus5ht1d_onOrthosteric Ligand7E32-5-HT1D-Serotonin-Gi1/β1/γ2
72.73Consensus5ht1d_on_gpOrthosteric Ligand7E32-5-HT1D-Serotonin-Gi1/β1/γ2
72.73Consensusadrenergic_onOrthosteric Ligandalpha_on beta_on
72.73Consensusalpha_onOrthosteric Ligandalpha1_on alpha2_on
72.73Consensusdopamine_offOrthosteric Ligandd2_off d3_off
72.73Consensusdopamine_onOrthosteric Ligandd2_on d1_on d3_on d4_on d5_on
72.73Consensusdopamine_on_gpOrthosteric Ligandd2_on_gp d1_on_gp d3_on_gp d4_on_gp d5_on_gp
70.00Single7F1ODopamine7F1O-D1-Dopamine-GDP; Mg-Gs/β1/γ2
70.00Single7LJDDopamine7LJD-D1-Dopamine-Mevidalen-Gs/β1/γ1
70.00Single7X2FDopamine7X2F-D1-Dopamine-Mevidalen-Gs/β1/γ2
70.00Single7X5H5-CT7X5H-5-HT5A-5-CT-Gi1/β1/γ2
70.00Single7YMHNorepinephrine7YMH-Alpha1A-Norepinephrine-chim(Gs-CtGq)
70.00Single8GGAConstrained Epinephrine8GGA-β2-Constrained Epinephrine-GTP-Gs/β1/γ2
70.00Single8GGRConstrained Epinephrine8GGR-β2-Constrained Epinephrine
70.00Single8GGZConstrained Epinephrine8GGZ-β2-Constrained Epinephrine
70.00Single8GH0Constrained Epinephrine8GH0-β2-Constrained Epinephrine
70.00Single8UNXConstrained Epinephrine8UNX-β2-Constrained Epinephrine-GTP-Gs/β1/γ2
70.00Single8WC4ZH86518WC4-TA1-ZH8651-chim(NtGi1-Gs)/β1/γ2
70.00Single8WCA2-Phenylethylamine8WCA-TA1-2-Phenylethylamine-chim(NtGi1-Gs)/β1/γ2
70.00Single8YUTAmthamine8YUT-H2-Amthamine-Gs/β1/γ2
70.00Single9KVHCinobufotenine9KVH-5-HT1A-Cinobufotenine-PtdIns4P-Gi1/β1/γ2
70.00Single9LLBDOI-NBOMe9LLB-5-HT2A-DOI-NBOMe-chim(NtGi1L-Gs-CtGq)/β1/γ2
70.00Single9MQJIsoquinuclidine9MQJ-μ-Isoquinuclidine
70.00Consensus5ht_onOrthosteric Ligand5ht1_on 5ht2_on 5ht4_on 5ht5_on 5ht6_on 5ht7_on
70.00Consensusalpha2_offOrthosteric Ligandalpha2c_off
70.00Consensusgs_5htOrthosteric Ligand7XTC-5-HT7-5-CT-Gs/β1/γ2 7XTB-5-HT6-Serotonin-Gs/β1/γ2 8JLZ-5-HT6-ST1936-Gs/β1/γ2 7XT8-5-HT4-Serotonin-Gs/β1/γ2
66.67Single2RH1Carazolol2RH1-β2-Carazolol
66.67Single2YCWCarazolol2YCW-β1-Carazolol
66.67Single5C1MBU725C1M-μ-BU72
66.67Single5D6LCarazolol5D6L-β2-Carazolol
66.67Single5JQHCarazolol5JQH-β2-Carazolol
66.67Single5X7DCarazolol5X7D-β2-Carazolol-PubChem 129318963
66.67Single6KUWPubChem 572132346KUW-α2c-PubChem 57213234
66.67Single6PS3Carvedilol6PS3-β2-Carvedilol
66.67Single7BVQCarazolol7BVQ-β1-Carazolol
66.67Single7EJKOxymetazoline7EJK-α2a-Oxymetazoline-Go/β1/γ2
66.67Single7S0FIsoprenaline7S0F-β1-Isoprenaline-Gi1/β1/γ2
66.67Single7WC6LSD7WC6-5-HT2A-LSD
66.67Single7XK9Constrained Isoproterenol7XK9-β2-Constrained Isoproterenol-Na
66.67Single7XKAConstrained Epinephrine7XKA-β2-Constrained Epinephrine
66.67Single8DZRGR89,6968DZR-κ-GR89,696-chim(NtGi2-Gt3)/β1/γ2
66.67Single8GDZConstrained Epinephrine8GDZ-β2-Constrained Epinephrine-Gs/β1/γ2
66.67Single8GEBConstrained Epinephrine8GEB-β2-Constrained Epinephrine-Gs/β1/γ2
66.67Single8GEGConstrained Epinephrine8GEG-β2-Constrained Epinephrine-Gs/β1/γ2
66.67Single8GFYConstrained Epinephrine8GFY-β2-Constrained Epinephrine-GTP-Gs/β1/γ2
66.67Single8GG2Constrained Epinephrine8GG2-β2-Constrained Epinephrine-GTP-Gs/β1/γ2
66.67Single8GGBConstrained Epinephrine8GGB-β2-Constrained Epinephrine-GTP-Gs/β1/γ2
66.67Single8IW72-Phenylethylamine8IW7-TAA9-2-Phenylethylamine-chim(NtGi1-Gs)/β1/γ2
66.67Single8POKHistamine8POK-H2-Histamine-Gs/β1/γ2
66.67Single8UNNConstrained Epinephrine8UNN-β2-Constrained Epinephrine-GTP-Gs/β1/γ2
66.67Single8UNPConstrained Epinephrine8UNP-β2-Constrained Epinephrine-GTP-Gs/β1/γ2
66.67Single8WC62-Phenylethylamine8WC6-TA1-2-Phenylethylamine-chim(NtGi1-Gs)/β1/γ2
66.67Single8WC9ZH86518WC9-TA1-ZH8651-chim(NtGi1-Gs-CtGq)/β1/γ2
66.67Single9MQKIsoquinuclidine9MQK-κ-Isoquinuclidine
66.67Single9PXYNaloxone9PXY-μ-Naloxone-GDPβS-Gi1/β1/γ2
66.67Consensus5ht1_onOrthosteric Ligand5ht1a_on 5ht1d_on 5ht1e_on 5ht1f_on
66.67Consensus5ht1_on_gpOrthosteric Ligand5ht1a_on_gp 5ht1d_on_gp 5ht1e_on_gp 5ht1f_on_gp
66.67Consensus5ht1e_on_gpOrthosteric Ligand7E33-5-HT1E-BRL-54443-Gi1/β1/γ2 8UGY-5-HT1E-Mianserin-Gi1/β1/γ1 8UH3-5-HT1E-Setiptiline-Gi1/β1/γ1
66.67Consensus5ht5_on_gpOrthosteric Ligand5ht5a_on_gp
66.67Consensus5ht5a_on_gpOrthosteric Ligand7X5H-5-HT5A-5-CT-Gi1/β1/γ2 7UM6-5-HT5A-Lisuride-chim(NtGi1-Go)/β1/γ2 7UM7-5-HT5A-Methylergometrine-chim(NtGi1-Go)/β1/γ2
66.67Consensusadrenergic_offOrthosteric Ligandalpha_off beta_off
66.67Consensusadrenergic_on_gpOrthosteric Ligandalpha_on_gp beta_on_gp
66.67Consensusalpha2c_offOrthosteric Ligand6KUW-α2c-PubChem 57213234
66.67Consensusalpha_offOrthosteric Ligandalpha1_off alpha2_off
66.67Consensusalpha_on_gpOrthosteric Ligandalpha1_on_gp alpha2_on_gp
66.67Consensusamine_offOrthosteric Ligand5ht_off adrenergic_off dopamine_off histamine_off muscarinic_off
66.67Consensusamine_offonOrthosteric Ligandamine_off amine_on
66.67Consensusamine_offon_gpOrthosteric Ligandamine_on_gp amine_off
66.67Consensusamine_onOrthosteric Ligand5ht_on adrenergic_on dopamine_on histamine_on muscarinic_on trace-amine_on
66.67Consensusbeta2_offOrthosteric Ligand2RH1-β2-Carazolol 6PS3-β2-Carvedilol 6PS5-β2-Propranolol 3D4S-β2-Timolol 3NY8-β2-ICI118-551 3NY9-β2-PubChem 913103 6PRZ-β2-Alprenolol
66.67Consensusbeta_offOrthosteric Ligandbeta1_off beta2_off
66.67Consensusd4_onOrthosteric Ligand8IRU-D4-Rotigotine-chim(NtGi1-Gs-CtGi1)/β1/γ2
66.67Consensusgi_adrenergicOrthosteric Ligand7EJ0-α2a-Norepinephrine-Go/β1/γ2 7EJK-α2a-Oxymetazoline-Go/β1/γ2 7W7E-α2a-PubChem 164946676-Go/β1/γ2 7W6P-α2a-N-pyridin-4-ylisoquinolin-4-amine-Go/β1/γ2 7EJ8-α2a-Brimonidine-Go/β1/γ2 6K42-α2b-Dexmedetomidine-Gi1/β1/γ2 7EJA-α2a-Dexmedetomidine-Go/β1/γ2 7S0F-β1-Isoprenaline-Gi1/β1/γ2
66.67Consensusgs_amineOrthosteric Ligandgs_5ht gs_adrenergic gs_dopamine gs_histamine gs_trace-amine
66.67Consensush2_on_gpOrthosteric Ligand8POK-H2-Histamine-Gs/β1/γ2
63.64Single4DKLBeta-Funaltrexamine4DKL-μ-β-Funaltrexamine
63.64Single4N6HNaltrindole4N6H-δ-Naltrindole-Na
63.64Single6K41Dexmedetomidine6K41-α2b-Dexmedetomidine-Go/β1/γ2
63.64Single6PS5Propranolol6PS5-β2-Propranolol
63.64Single6TPGEMPA6TPG-OX2-EMPA
63.64Single6TPNHTL66416TPN-OX2-HTL6641
63.64Single7CKWFenoldopam7CKW-D1-Fenoldopam-Gs/β1/γ2
63.64Single7CMVPD1289077CMV-D3-PD128907-Gi1/β1/γ2
63.64Single7DHISalbutamol7DHI-β2-Salbutamol-Gs/β1/γ2
63.64Single7EJ8Brimonidine7EJ8-α2a-Brimonidine-Go/β1/γ2
63.64Single7EJADexmedetomidine7EJA-α2a-Dexmedetomidine-Go/β1/γ2
63.64Single7F1ZDopamine7F1Z-D1-Dopamine-GDP-Gs/β1/γ2
63.64Single7UM7Methylergometrine7UM7-5-HT5A-Methylergometrine-chim(NtGi1-Go)/β1/γ2
63.64Single8GE1Constrained Epinephrine8GE1-β2-Constrained Epinephrine-Gs/β1/γ2
63.64Single8GE4Constrained Epinephrine8GE4-β2-Constrained Epinephrine-Gs/β1/γ2
63.64Single8GE5Constrained Epinephrine8GE5-β2-Constrained Epinephrine-Gs/β1/γ1
63.64Single8GE6Constrained Epinephrine8GE6-β2-Constrained Epinephrine-Gs/β1/γ2
63.64Single8GE7Constrained Epinephrine8GE7-β2-Constrained Epinephrine-Gs/β1/γ2
63.64Single8GE8Constrained Epinephrine8GE8-β2-Constrained Epinephrine-Gs/β1/γ2
63.64Single8GEDConstrained Epinephrine8GED-β2-Constrained Epinephrine-Gs/β1/γ2
63.64Single8GEFConstrained Epinephrine8GEF-β2-Constrained Epinephrine-Gs/β1/γ2
63.64Single8GG5Constrained Epinephrine8GG5-β2-Constrained Epinephrine-GTP-Gs/β1/γ2
63.64Single8GG7Constrained Epinephrine8GG7-β2-Constrained Epinephrine-GTP-Gs/β1/γ2
63.64Single8GGLConstrained Epinephrine8GGL-β2-Constrained Epinephrine
63.64Single8GGMConstrained Epinephrine8GGM-β2-Constrained Epinephrine
63.64Single8GGPConstrained Epinephrine8GGP-β2-Constrained Epinephrine
63.64Single8GGSConstrained Epinephrine8GGS-β2-Constrained Epinephrine
63.64Single8GGTConstrained Epinephrine8GGT-β2-Constrained Epinephrine
63.64Single8GGVConstrained Epinephrine8GGV-β2-Constrained Epinephrine
63.64Single8THKA-616038THK-Alpha1A-A-61603-chim(NtGi2L-Gs-CtGq)/β1/γ2
63.64Single8UNLConstrained Epinephrine8UNL-β2-Constrained Epinephrine-GTP-Gs/β1/γ2
63.64Single8UNMConstrained Epinephrine8UNM-β2-Constrained Epinephrine-GTP-Gs/β1/γ2
63.64Single8UNOConstrained Epinephrine8UNO-β2-Constrained Epinephrine-GTP-Gs/β1/γ2
63.64Single8UNWConstrained Epinephrine8UNW-β2-Constrained Epinephrine-GTP-Gs/β1/γ2
63.64Single8UO0Constrained Epinephrine8UO0-β2-Constrained Epinephrine-GTP-Gs/β1/γ2
63.64Single8WC8ZH86518WC8-TA1-ZH8651-chim(NtGi1-Gs)/β1/γ2
63.64Single9ARXSerotonin9ARX-5-HT2A-Serotonin
63.64Single9AS3LSD9AS3-5-HT2A-LSD
63.64Single9AS4LSD9AS4-5-HT2A-LSD-chim(NtGi1-Gs-CtGq)/β1/γ2
63.64Single9AS5Mescaline9AS5-5-HT2A-Mescaline
63.64Single9AS6Mescaline9AS6-5-HT2A-Mescaline-chim(NtGi1-Gs-CtGq)/β1/γ2
63.64Single9CBLEpinephrine9CBL-α2a-Epinephrine-Gi1/β1/γ2
63.64Single9KVIBufotenin9KVI-5-HT1A-Bufotenin-PtdIns4P-Gi1/β1/γ2
63.64Single9L84Epinephrine9L84-β1-Epinephrine-Atazanavir-Gs/β1/γ2
63.64Single9MQIIsoquinuclidine9MQI-μ-Isoquinuclidine
63.64Single9ODJMitragynine Pseudoindoxyl9ODJ-μ-Mitragynine Pseudoindoxyl-GTP; Mg-Gi1/β1/γ2
63.64Single9PXVNaloxone9PXV-μ-Naloxone-Gi1/β1/γ2
63.64Single9PXXNaloxone9PXX-μ-Naloxone-GDPβS-Gi1/β1/γ2
63.64Single9VJG8-OH-DPAT9VJG-5-HT1A-8-OH-DPAT-chim(NtGi2-Gz)/β1/γ2
63.64Single9VNFPindolol9VNF-5-HT1A-Pindolol-Go/β1/γ2
63.64Consensus5ht_on_gpOrthosteric Ligand5ht1_on_gp 5ht2_on_gp 5ht4_on_gp 5ht5_on_gp 5ht6_on_gp 5ht7_on_gp
61.54Single2YDVNECA2YDV-A2A-NECA
61.54Single4UHRCGS216804UHR-A2A-CGS21680
61.54Single5A8E7-Methylcyanopindolol5A8E-β1-7-Methylcyanopindolol-Na
61.54Single5D5ACarazolol5D5A-β2-Carazolol
61.54Single5D5BCarazolol5D5B-β2-Carazolol
61.54Single5G53NECA5G53-A2A-NECA-Gs
61.54Single6H7JIsoprenaline6H7J-β1-Isoprenaline
61.54Single6J21Aprepitant6J21-NK1-Aprepitant
61.54Single6N48BI1671076N48-β2-BI167107-PubChem 138454256
61.54Single7JJOIsoprenaline7JJO-β1-Isoprenaline-Gs/β1/γ2
61.54Single7W6PN-pyridin-4-ylisoquinolin-4-amine7W6P-α2a-N-pyridin-4-ylisoquinolin-4-amine-Go/β1/γ2
61.54Single7W7EPubChem 1649466767W7E-α2a-PubChem 164946676-Go/β1/γ2
61.54Single8IRRRotigotine8IRR-D1-Rotigotine-Gs/β1/γ2
61.54Single8IRURotigotine8IRU-D4-Rotigotine-chim(NtGi1-Gs-CtGi1)/β1/γ2
61.54Single8IRVRotigotine8IRV-D5-Rotigotine-chim(NtGi1-Gs)/β1/γ2
61.54Single9BJKNaloxone9BJK-μ-Naloxone-PubChem 171642066
61.54Single9BS9LSD9BS9-D2-LSD
61.54Single9BSBLSD9BSB-D2-LSD-chim(NtGi1-Go)/β1/γ2
61.54Single9IJDCarazolol9IJD-β3-Carazolol-chim(NtGi1-Gs)/β1/γ2
61.54Single9PY3Loperamide9PY3-μ-Loperamide-GDPβS-Gi1/β1/γ2
61.54Single9PY4Loperamide9PY4-μ-Loperamide-GDPβS-Gi1/β1/γ2
61.54Consensusamine_on_gpOrthosteric Ligand5ht_on_gp adrenergic_on_gp dopamine_on_gp histamine_on_gp muscarinic_on_gp trace-amine_on_gp
61.54Consensusbeta1_offOrthosteric Ligand2VT4-β1-Cyanopindolol 2YCW-β1-Carazolol 2YCZ-β1-Iodocyanopindolol 5A8E-β1-7-Methylcyanopindolol-Na 3ZPQ-β1-PubChem 594590-Na 3ZPR-β1-PubChem 598754-Na
61.54Consensusbeta2_onOrthosteric Ligand7DHI-β2-Salbutamol-Gs/β1/γ2 6NI3-β2-BI167107-Gs/β1/γ2
61.54Consensusbeta2_on_gpOrthosteric Ligand7DHI-β2-Salbutamol-Gs/β1/γ2 6NI3-β2-BI167107-Gs/β1/γ2
61.54Consensusd1_on_gpOrthosteric Ligand7F0T-D1-Dopamine-Gs/β1/γ2 7CKY-D1-PW0464-Gs/β1/γ2 8IRR-D1-Rotigotine-Gs/β1/γ2 7JV5-D1-SKF81297-Gs/β1/γ2 7JVP-D1-SKF83959-Gs/β1/γ2 7X2D-D1-Tavapadon-Gs/β1/γ2 7CKX-D1-A77636-Gs/β1/γ2 7JVQ-D1-Apomorphine-Gs/β1/γ2 7CKW-D1-Fenoldopam-Gs/β1/γ2
61.54Consensusd4_on_gpOrthosteric Ligand8IRU-D4-Rotigotine-chim(NtGi1-Gs-CtGi1)/β1/γ2
61.54Consensusd5_on_gpOrthosteric Ligand8IRV-D5-Rotigotine-chim(NtGi1-Gs)/β1/γ2
61.54Consensusgi_5htOrthosteric Ligand8FYT-5-HT1A-LSD-PtdIns4P-Gi1/β1/γ1 7UM7-5-HT5A-Methylergometrine-chim(NtGi1-Go)/β1/γ2 8UGY-5-HT1E-Mianserin-Gi1/β1/γ1 8W8B-5-HT1A-SEP-363856-Gi1/β1/γ2 7E2Y-5-HT1A-Serotonin-PtdIns4P-Gi1/β1/γ2 7E32-5-HT1D-Serotonin-Gi1/β1/γ2 7XTA-5-HT4-Serotonin-Gi1/β1/γ2 8UH3-5-HT1E-Setiptiline-Gi1/β1/γ1 8JSP-5-HT1A-Ulotaront-Gi1/β1/γ2 8FYL-5-HT1A-Vilazodone-PtdIns4P-Gi1/β1/γ1 8JT6-5-HT1A-(R)-IHCH-7179-PtdIns4P-Gi1/β1/γ2 8FYE-5-HT1A-4-F,5-MeO-PyrT-PtdIns4P-Gi1/β1/γ1 7X5H-5-HT5A-5-CT-Gi1/β1/γ2 8FY8-5-HT1A-5-MeO-DMT-PtdIns4P-Gi1/β1/γ1 7E2Z-5-HT1A-Aripiprazole-PtdIns4P-Gi1/β1/γ2 7E33-5-HT1E-BRL-54443-Gi1/β1/γ2 8FYX-5-HT1A-Buspirone-PtdIns4P-Gi1/β1/γ1 7EXD-5-HT1F-Lasmiditan-Gi1/β1/γ2 7UM6-5-HT5A-Lisuride-chim(NtGi1-Go)/β1/γ2
61.54Consensusgi_dopamineOrthosteric Ligand7JVR-D2-Bromoergocryptine-Gi1/β1/γ2 7CMV-D3-PD128907-Gi1/β1/γ2 7CMU-D3-Pramipexole-Gi1/β1/γ2 8IRS-D2-Rotigotine-Gi1/β1/γ2 8IRT-D3-Rotigotine-Gi1/β1/γ2
61.54Consensusgs_dopamineOrthosteric Ligand7F0T-D1-Dopamine-Gs/β1/γ2 7CKW-D1-Fenoldopam-Gs/β1/γ2 7CKY-D1-PW0464-Gs/β1/γ2 8IRV-D5-Rotigotine-chim(NtGi1-Gs)/β1/γ2 8IRR-D1-Rotigotine-Gs/β1/γ2 7JV5-D1-SKF81297-Gs/β1/γ2 7JVP-D1-SKF83959-Gs/β1/γ2 7X2D-D1-Tavapadon-Gs/β1/γ2 7CKX-D1-A77636-Gs/β1/γ2 7JVQ-D1-Apomorphine-Gs/β1/γ2
60.00Single7DFLHistamine7DFL-H1-Histamine-chim(NtGi1L-Gq)/β1/γ2
60.00Single7XT9Serotonin7XT9-5-HT4-Serotonin-Gs/β1/γ2
60.00Single7YS6Serotonin7YS6-5-HT6-Serotonin-chim(NtGi1-Gs)/β1/γ2
60.00Single8GGYConstrained Epinephrine8GGY-β2-Constrained Epinephrine
60.00Single8W892-Phenylethylamine8W89-TA1-2-Phenylethylamine-chim(NtGi1L-Gs)/β1/γ2
60.00Single9IJEEpinephrine9IJE-β3-Epinephrine-chim(NtGi1-Gs)/β1/γ2
60.00Single9U9VMETH9U9V-β2-METH-Gs/β1/γ2
60.00Consensush1_onOrthosteric Ligand7DFL-H1-Histamine-chim(NtGi1L-Gq)/β1/γ2
58.33Single2VT4Cyanopindolol2VT4-β1-Cyanopindolol
58.33Single2Y04Salbutamol2Y04-β1-Salbutamol
58.33Single2YCYCyanopindolol2YCY-β1-Cyanopindolol
58.33Single3NYAAlprenolol3NYA-β2-Alprenolol
58.33Single3ZPQPubChem 5945903ZPQ-β1-PubChem 594590-Na
58.33Single3ZPRPubChem 5987543ZPR-β1-PubChem 598754-Na
58.33Single4EJ4Naltrindole4EJ4-δ-Naltrindole
58.33Single6H7MSalbutamol6H7M-β1-Salbutamol
58.33Single6K42Dexmedetomidine6K42-α2b-Dexmedetomidine-Gi1/β1/γ2
58.33Single6PRZAlprenolol6PRZ-β2-Alprenolol
58.33Single6PS1Timolol6PS1-β2-Timolol
58.33Single6PS2Alprenolol6PS2-β2-Alprenolol
58.33Single7JOZPubChem 752020227JOZ-D1-PubChem 75202022-Gs/β1/γ2
58.33Single7SCGFH2107SCG-μ-FH210-Gi1/β1/γ2
58.33Single7T2GMitragynine Pseudoindoxyl7T2G-μ-Mitragynine Pseudoindoxyl-Gi1/β1/γ2
58.33Single7UM6Lisuride7UM6-5-HT5A-Lisuride-chim(NtGi1-Go)/β1/γ2
58.33Single7XTC5-CT7XTC-5-HT7-5-CT-Gs/β1/γ2
58.33Single8DZSGR89,6968DZS-κ-GR89,696-chim(NtGi2-Gz)/β1/γ2
58.33Single8FY85-MeO-DMT8FY8-5-HT1A-5-MeO-DMT-PtdIns4P-Gi1/β1/γ1
58.33Single8GE9Constrained Epinephrine8GE9-β2-Constrained Epinephrine-Gs/β1/γ2
58.33Single8GEHConstrained Epinephrine8GEH-β2-Constrained Epinephrine-Gs/β1/γ2
58.33Single8JJOAlprenolol8JJO-β2-Alprenolol
58.33Single8JLJT1AM8JLJ-TA1-T1AM-chim(NtGi1-Gs)/β1/γ2
58.33Single8JXRLSD8JXR-D1-LSD
58.33Single8PJKST1718PJK-5-HT1A-ST171-Gi1/β1/γ1
58.33Single8UNRConstrained Epinephrine8UNR-β2-Constrained Epinephrine-GTP-Gs/β1/γ2
58.33Single8UNUConstrained Epinephrine8UNU-β2-Constrained Epinephrine-GTP-Gs/β1/γ2
58.33Single8W87METH8W87-TA1-METH-chim(NtGi1L-Gs)/β1/γ2
58.33Single8WC7ZH86678WC7-TA1-ZH8667-chim(NtGi1-Gs)/β1/γ2
58.33Single8Y71A1D6F8Y71-δ-A1D6F-BMS986187-Gi1/β1/γ2
58.33Single8ZSSRO52633978ZSS-TA1-RO5263397-chim(NtGi1-Gs)/β1/γ2
58.33Single9CHXCarazolol9CHX-β2-Carazolol
58.33Single9DYFAsenapine9DYF-5-HT1A-Asenapine-PtdIns4P-Gi1/β1/γ2
58.33Single9LLAAriadne9LLA-5-HT2A-Ariadne-chim(NtGi1L-Gs-CtGq)/β1/γ2
58.33Single9PXWNaloxone9PXW-μ-Naloxone-GDPβS-Gi1/β1/γ2
58.33Single9VMYTMU41429VMY-5-HT1A-TMU4142-Go/β1/γ2
58.33Consensus5ht5_onOrthosteric Ligand5ht5a_on
58.33Consensus5ht5a_onOrthosteric Ligand7X5H-5-HT5A-5-CT-Gi1/β1/γ2 7UM6-5-HT5A-Lisuride-chim(NtGi1-Go)/β1/γ2 7UM7-5-HT5A-Methylergometrine-chim(NtGi1-Go)/β1/γ2
58.33Consensus5ht6_onOrthosteric Ligand7XTB-5-HT6-Serotonin-Gs/β1/γ2 8JLZ-5-HT6-ST1936-Gs/β1/γ2
58.33Consensus5ht6_on_gpOrthosteric Ligand7XTB-5-HT6-Serotonin-Gs/β1/γ2 8JLZ-5-HT6-ST1936-Gs/β1/γ2
58.33Consensus5ht7_onOrthosteric Ligand7XTC-5-HT7-5-CT-Gs/β1/γ2
58.33Consensus5ht7_on_gpOrthosteric Ligand7XTC-5-HT7-5-CT-Gs/β1/γ2
58.33Consensusalpha2_onOrthosteric Ligandalpha2b_on
58.33Consensusalpha2_on_gpOrthosteric Ligandalpha2b_on_gp
58.33Consensusalpha2b_onOrthosteric Ligand6K42-α2b-Dexmedetomidine-Gi1/β1/γ2
58.33Consensusalpha2b_on_gpOrthosteric Ligand6K42-α2b-Dexmedetomidine-Gi1/β1/γ2
58.33Consensusd5_onOrthosteric Ligand8IRV-D5-Rotigotine-chim(NtGi1-Gs)/β1/γ2
58.33Consensusdop_offOrthosteric Ligand4EJ4-δ-Naltrindole
58.33Consensusgs_trace-amineOrthosteric Ligand8W88-TA1-SEP-363856-Gs/β1/γ2 8JLJ-TA1-T1AM-chim(NtGi1-Gs)/β1/γ2 8JLO-TA1-Ulotaront-Gs/β1/γ2 8WC4-TA1-ZH8651-chim(NtGi1-Gs)/β1/γ2 8WC7-TA1-ZH8667-chim(NtGi1-Gs)/β1/γ2 8JLR-TA1-A77636-chim(NtGi1-Gs)/β1/γ2 8JSO-TA1-AMPH-chim(NtGi1-Gs)/β1/γ2 8W87-TA1-METH-chim(NtGi1L-Gs)/β1/γ2 8W89-TA1-2-Phenylethylamine-chim(NtGi1L-Gs)/β1/γ2 8JLP-TA1-Ralmitaront-Gs/β1/γ2 8W8A-TA1-RO5256390-chim(NtGi1L-Gs)/β1/γ2
57.14Single3D4STimolol3D4S-β2-Timolol
57.14Single4AMIBucindolol4AMI-β1-Bucindolol
57.14Single4LDEBI1671074LDE-β2-BI167107
57.14Single4RWADIPP-NH24RWA-δ-DIPP-NH2
57.14Single6H7OCyanopindolol6H7O-β1-Cyanopindolol
57.14Single7EXDLasmiditan7EXD-5-HT1F-Lasmiditan-Gi1/β1/γ2
57.14Single7YITNalfurafine7YIT-κ-Nalfurafine
57.14Single7YMJTamsulosin7YMJ-Alpha1A-Tamsulosin
57.14Single8FYE4-F,5-MeO-PyrT8FYE-5-HT1A-4-F,5-MeO-PyrT-PtdIns4P-Gi1/β1/γ1
57.14Single8IRSRotigotine8IRS-D2-Rotigotine-Gi1/β1/γ2
57.14Single8JJ8Arformoterol8JJ8-β2-Arformoterol
57.14Single9KVG5-MeO-DMT9KVG-5-HT1A-5-MeO-DMT-PtdIns4P-Gi1/β1/γ2
57.14Single9MQLIsoquinuclidine9MQL-κ-Isoquinuclidine
57.14Single9V6ONalfurafine9V6O-κ-Nalfurafine-Gi1/β1/γ2
57.14Consensus5ht1f_onOrthosteric Ligand7EXD-5-HT1F-Lasmiditan-Gi1/β1/γ2
57.14Consensus5ht1f_on_gpOrthosteric Ligand7EXD-5-HT1F-Lasmiditan-Gi1/β1/γ2
57.14Consensusalpha1_offOrthosteric Ligandalpha1a_off
57.14Consensusalpha1a_offOrthosteric Ligand7YMJ-Alpha1A-Tamsulosin
57.14Consensusbeta_onOrthosteric Ligandbeta1_on beta2_on beta3_on
57.14Consensusbeta_on_gpOrthosteric Ligandbeta1_on_gp beta2_on_gp beta3_on_gp
57.14Consensusd2_on_gpOrthosteric Ligand7JVR-D2-Bromoergocryptine-Gi1/β1/γ2 8IRS-D2-Rotigotine-Gi1/β1/γ2
57.14Consensusgi_amineOrthosteric Ligandgi_5ht gi_muscarinic gi_adrenergic gi_dopamine gi_histamine
57.14Consensusmop_onOrthosteric Ligand8F7R-μ-Endomorphin-Gi1/β1/γ2 8EF5-μ-Fentanyl-Gi1/β1/γ2 7SCG-μ-FH210-Gi1/β1/γ2 7T2H-μ-Lofentanil-Gi1/β1/γ2 7T2G-μ-Mitragynine Pseudoindoxyl-Gi1/β1/γ2 8EF6-μ-Morphine-Gi1/β1/γ2 8EFB-μ-Oliceridine-Gi1/β1/γ2 7U2L-μ-C5-guano-Gi1/β1/γ2 8EFO-μ-PZM21-Gi1/β1/γ2 8EFL-μ-SR17018-Gi1/β1/γ2 8F7Q-μ-β-Endorphin-Gi1/β1/γ2 7U2K-μ-C6-guano-Gi1/β1/γ2 8EFQ-μ-DAMGO-Gi1/β1/γ2
57.14Consensusmop_on_gpOrthosteric Ligand8F7R-μ-Endomorphin-Gi1/β1/γ2 8EF5-μ-Fentanyl-Gi1/β1/γ2 7SCG-μ-FH210-Gi1/β1/γ2 7T2H-μ-Lofentanil-Gi1/β1/γ2 7T2G-μ-Mitragynine Pseudoindoxyl-Gi1/β1/γ2 8EF6-μ-Morphine-Gi1/β1/γ2 8EFB-μ-Oliceridine-Gi1/β1/γ2 7U2L-μ-C5-guano-Gi1/β1/γ2 8EFO-μ-PZM21-Gi1/β1/γ2 8EFL-μ-SR17018-Gi1/β1/γ2 8F7Q-μ-β-Endorphin-Gi1/β1/γ2 7U2K-μ-C6-guano-Gi1/β1/γ2 8EFQ-μ-DAMGO-Gi1/β1/γ2
57.14Consensusnk1_offOrthosteric Ligand6HLP-NK1-Netupitant 6HLO-NK1-Aprepitant 6HLL-NK1-CP99994 6E59-NK1-L-760735
57.14Consensusopioid_offOrthosteric Ligandmop_off nop_off dop_off kop_off
55.56Single6OY9All-trans-Retinal6OY9-Rhodopsin-All-trans-Retinal-Gt/β1/γ1
55.56Single8DPHLorcaserin8DPH-5-HT2C-Lorcaserin-chim(NtGi2L-Gs-CtGq)/β1/γ2
55.56Single9CHUNorepinephrine9CHU-β2-Norepinephrine
54.55Single2PED9-cis-Retinal2PED-Rhodopsin-9-cis-Retinal
54.55Single6AKXA4R6AKX-CCR5-A4R
54.55Single6B73MP11046B73-κ-MP1104
54.55Single6KUYPubChem 1457046436KUY-α2a-PubChem 145704643
54.55Single6OBAAlprenolol6OBA-β2-Alprenolol-GTPL11074
54.55Single6TODEMPA6TOD-OX1-EMPA-Na
54.55Single7DHRIsoprenaline7DHR-β2-Isoprenaline-Gs/β1/γ2
54.55Single7EJ0Norepinephrine7EJ0-α2a-Norepinephrine-Go/β1/γ2
54.55Single7LD4Adenosine7LD4-A1-Adenosine-Gi2/β1/γ2
54.55Single7SRSLSD7SRS-5-HT2B-LSD-Arrestin2
54.55Single7XT8Serotonin7XT8-5-HT4-Serotonin-Gs/β1/γ2
54.55Single7YM8Oxymetazoline7YM8-Alpha1A-Oxymetazoline-chim(Gs-CtGq)
54.55Single8EFOPZM218EFO-μ-PZM21-Gi1/β1/γ2
54.55Single8FYXBuspirone8FYX-5-HT1A-Buspirone-PtdIns4P-Gi1/β1/γ1
54.55Single8GGCConstrained Epinephrine8GGC-β2-Constrained Epinephrine-GTP-Gs/β1/γ2
54.55Single8GGWConstrained Epinephrine8GGW-β2-Constrained Epinephrine
54.55Single8JSOAMPH8JSO-TA1-AMPH-chim(NtGi1-Gs)/β1/γ2
54.55Single8UNSConstrained Epinephrine8UNS-β2-Constrained Epinephrine-GTP-Gs/β1/γ2
54.55Single8UNTConstrained Epinephrine8UNT-β2-Constrained Epinephrine-GTP-Gs/β1/γ2
54.55Single8WC3SEP-3638568WC3-TA1-SEP-363856-chim(NtGi1-Gs)/β1/γ2
54.55Single9LL9DOI9LL9-5-HT2A-DOI-chim(NtGi1L-Gs-CtGq)/β1/γ2
54.55Single9LRBHistamine9LRB-H1-Histamine-Gs/β1/γ2
54.55Single9VJ5Gepirone9VJ5-5-HT1A-Gepirone-Go/β1/γ2
54.55Single9VJEBuspirone9VJE-5-HT1A-Buspirone-Go/β1/γ2
54.55Consensusa1_onOrthosteric Ligand7LD4-A1-Adenosine-Gi2/β1/γ2
54.55Consensusa1_on_gpOrthosteric Ligand7LD4-A1-Adenosine-Gi2/β1/γ2
54.55Consensusgq_histamineOrthosteric Ligand7DFL-H1-Histamine-chim(NtGi1L-Gq)/β1/γ2
54.55Consensush1_on_gpOrthosteric Ligand7DFL-H1-Histamine-chim(NtGi1L-Gq)/β1/γ2
54.55Consensushistamine_onOrthosteric Ligandh1_on h2_on h3_on h4_on
54.55Consensushistamine_on_gpOrthosteric Ligandh1_on_gp h2_on_gp h3_on_gp h4_on_gp
53.85Single2Y03Isoprenaline2Y03-β1-Isoprenaline
53.85Single4RWDDIPP-NH24RWD-δ-DIPP-NH2-Na
53.85Single5TVNLSD5TVN-5-HT2B-LSD
53.85Single5WIUNemonapride5WIU-D4-Nemonapride
53.85Single5WIVNemonapride5WIV-D4-Nemonapride-Na
53.85Single5WQCEMPA5WQC-OX2-EMPA
53.85Single6E67BI1671076E67-β2-BI167107-Gs(CT)
53.85Single6HLPNetupitant6HLP-NK1-Netupitant
53.85Single6PS6Timolol6PS6-β2-Timolol
53.85Single7C61Ergotamine7C61-5-HT1B-Ergotamine
53.85Single7CKXA776367CKX-D1-A77636-Gs/β1/γ2
53.85Single7SBFPZM217SBF-μ-PZM21-Gi1/β1/γ2
53.85Single8DZQmomSalB8DZQ-κ-momSalB-Go/β1/γ2
53.85Single8ZMFPubChem 1719206738ZMF-5-HT2C-PubChem 171920673
53.85Single9ARYSerotonin9ARY-5-HT2A-Serotonin-chim(NtGi1-Gs-CtGq)/β1/γ2
53.85Single9DYDAsenapine9DYD-5-HT1A-Asenapine-PtdIns4P-Go/β1/γ2
53.85Single9F33FOB02-04A9F33-D3-FOB02-04A-Go/β1/γ2
53.85Single9I52A1IZU9I52-D1-A1IZU-Gs/β1/γ2
53.85Single9K07DSO-5a9K07-BB3-DSO-5a-chim(NtGi2L-Gs-CtGq)/β1/γ2
53.85Single9VJFBuspirone9VJF-5-HT1A-Buspirone-Gi3/β1/γ2
53.85Consensus5ht2_offOrthosteric Ligand5ht2a_off 5ht2b_off 5ht2c_off
53.85Consensusd1_onOrthosteric Ligand7F0T-D1-Dopamine-Gs/β1/γ2 7CKY-D1-PW0464-Gs/β1/γ2 8IRR-D1-Rotigotine-Gs/β1/γ2 7JV5-D1-SKF81297-Gs/β1/γ2 7JVP-D1-SKF83959-Gs/β1/γ2 7X2D-D1-Tavapadon-Gs/β1/γ2 7CKX-D1-A77636-Gs/β1/γ2 7JVQ-D1-Apomorphine-Gs/β1/γ2 7CKW-D1-Fenoldopam-Gs/β1/γ2
53.85Consensusd2_onOrthosteric Ligand7JVR-D2-Bromoergocryptine-Gi1/β1/γ2 8IRS-D2-Rotigotine-Gi1/β1/γ2
53.85Consensush1_offOrthosteric Ligand8X63-H1-Mepyramine 3RZE-H1-Cidoxepin 8X5Y-H1-Astemizole
53.85Consensusta1_onOrthosteric Ligand8W87-TA1-METH-chim(NtGi1L-Gs)/β1/γ2 8W89-TA1-2-Phenylethylamine-chim(NtGi1L-Gs)/β1/γ2 8JLP-TA1-Ralmitaront-Gs/β1/γ2 8W8A-TA1-RO5256390-chim(NtGi1L-Gs)/β1/γ2 8W88-TA1-SEP-363856-Gs/β1/γ2 8JLO-TA1-Ulotaront-Gs/β1/γ2 8JLR-TA1-A77636-chim(NtGi1-Gs)/β1/γ2 8JSO-TA1-AMPH-chim(NtGi1-Gs)/β1/γ2 8ZSP-TA1-LSD-chim(NtGi1L-Gs)/β1/γ2
53.85Consensustrace-amine_onOrthosteric Ligandta1_on
53.33Single2YCZIodocyanopindolol2YCZ-β1-Iodocyanopindolol
53.33Single4BVNCyanopindolol4BVN-β1-Cyanopindolol-Na
53.33Single5X93K-87945X93-ETB-K-8794
53.33Single6H7LDobutamine6H7L-β1-Dobutamine
53.33Single6IBLArformoterol6IBL-β1-Arformoterol
53.33Single6TKOArformoterol6TKO-β1-Arformoterol-Arrestin2
53.33Single8E0GBU728E0G-μ-BU72
53.33Single8E9X2-Deoxycytidine8E9X-M4-2-Deoxycytidine-chim(NtGi1-Go)/β1/γ2
53.33Single8E9YClozapine-N-oxide8E9Y-M3-Clozapine-N-oxide-chim(NtGi2L-Gs-CtGq)/β1/γ2
53.33Single8FX5Xanomeline8FX5-M4-Xanomeline-Xanomeline-Gi1/β1/γ2
53.33Single8S2TIsoprenaline8S2T-β1-Isoprenaline-chim(NtGi1-Gs)/β1/γ2
53.33Single9CGJC6-Quino9CGJ-δ-C6-Quino-Gi1/β1/γ2
53.33Consensusbeta1_onOrthosteric Ligand8DCR-β1-Dobutamine-Gs/β1/γ2 7S0F-β1-Isoprenaline-Gi1/β1/γ2
53.33Consensusbeta1_on_gpOrthosteric Ligand8DCR-β1-Dobutamine-Gs/β1/γ2 7S0F-β1-Isoprenaline-Gi1/β1/γ2
53.33Consensusendothelin_offOrthosteric Ligandetb_off
53.33Consensusetb_offOrthosteric Ligand5X93-ETB-K-8794 5XPR-ETB-Bosentan 6K1Q-ETB-IRL2500
50.00Single3NY9PubChem 9131033NY9-β2-PubChem 913103
50.00Single3P0GBI1671073P0G-β2-BI167107
50.00Single3RZECidoxepin3RZE-H1-Cidoxepin
50.00Single3SN6BI1671073SN6-β2-BI167107-Gs/β1/γ2
50.00Single4LDLHydroxybenzyl Isoproterenol4LDL-β2-Hydroxybenzyl Isoproterenol
50.00Single4MBSMaraviroc4MBS-CCR5-Maraviroc
50.00Single4U15Tiotropium4U15-M3-Tiotropium
50.00Single4UG2CGS216804UG2-A2A-CGS21680
50.00Single4ZJCSB-6740424ZJC-OX1-SB-674042
50.00Single5V54Methiothepin5V54-5-HT1B-Methiothepin
50.00Single5ZKBAF-DX 3845ZKB-M2-AF-DX 384
50.00Single6A94Zotepine6A94-5-HT2A-Zotepine
50.00Single6FUFAll-trans-Retinal6FUF-Rhodopsin-All-trans-Retinal-Go
50.00Single6IQLL7458706IQL-D4-L745870
50.00Single6KUXRS799486KUX-α2a-RS79948
50.00Single6NI3BI1671076NI3-β2-BI167107-Gs/β1/γ2
50.00Single6OL9Tiotropium6OL9-M5-Tiotropium
50.00Single6PT3DPI-2876PT3-δ-DPI-287
50.00Single6TQ7SB-3348676TQ7-OX1-SB-334867
50.00Single6VI4JDTic6VI4-κ-JDTic
50.00Single6WGTLSD6WGT-5-HT2A-LSD
50.00Single6WH4Methiothepin6WH4-5-HT2A-Methiothepin
50.00Single7CKYPW04647CKY-D1-PW0464-Gs/β1/γ2
50.00Single7E2ZAripiprazole7E2Z-5-HT1A-Aripiprazole-PtdIns4P-Gi1/β1/γ2
50.00Single7F23Dopamine7F23-D1-Dopamine-GDP-Gs/β1/γ2
50.00Single7JV5SKF812977JV5-D1-SKF81297-Gs/β1/γ2
50.00Single7JVPSKF839597JVP-D1-SKF83959-Gs/β1/γ2
50.00Single7SR8TAK-9257SR8-OX2-TAK-925-chim(NtGi1L-Gs-CtGq)/β1/γ2
50.00Single7U2LC5-guano7U2L-μ-C5-guano-Gi1/β1/γ2
50.00Single8DCSCyanopindolol8DCS-β1-Cyanopindolol-Gs/β1/γ2
50.00Single8DPGPsilocin8DPG-5-HT2C-Psilocin-chim(NtGi2L-Gs-CtGq)/β1/γ2
50.00Single8DPILorcaserin8DPI-5-HT2C-Lorcaserin-chim(NtGi2L-Gs-CtGq)/β1/γ2
50.00Single8DZPmomSalB8DZP-κ-momSalB-Gi1/β1/γ2
50.00Single8EFLSR170188EFL-μ-SR17018-Gi1/β1/γ2
50.00Single8FCZ11-cis-Retinal8FCZ-Rhodopsin-11-cis-Retinal
50.00Single8GEAConstrained Epinephrine8GEA-β2-Constrained Epinephrine-Gs/β1/γ2
50.00Single8GG8Constrained Epinephrine8GG8-β2-Constrained Epinephrine-GTP-Gs/β1/γ2
50.00Single8GH1Constrained Epinephrine8GH1-β2-Constrained Epinephrine
50.00Single8JLKUlotaront8JLK-TA1-Ulotaront-chim(NtGi1-Gs)/β1/γ2
50.00Single8JLNT1AM8JLN-TA1-T1AM-Gs/β1/γ2
50.00Single8JSPUlotaront8JSP-5-HT1A-Ulotaront-Gi1/β1/γ2
50.00Single8JXVClozapine8JXV-H4-Clozapine-Gi1/β1/γ2
50.00Single8T1VPubChem 1183102098T1V-GPR6-PubChem 118310209-Na
50.00Single8UHBRO52563908UHB-TA1-RO5256390-Gs/β1/γ2
50.00Single8UO1Constrained Epinephrine8UO1-β2-Constrained Epinephrine-GTP; Mg-Gs/β1/γ2
50.00Single8V6UPubChem 1713924568V6U-5-HT2A-PubChem 171392456-chim(NtGi2-Gs-CtGq)/β1/γ2
50.00Single8VVEnorBNI8VVE-κ-norBNI-Gi1/β1/γ2
50.00Single8VVFJDTic8VVF-κ-JDTic-Gi1/β1/γ2
50.00Single8W88SEP-3638568W88-TA1-SEP-363856-Gs/β1/γ2
50.00Single8W8BSEP-3638568W8B-5-HT1A-SEP-363856-Gi1/β1/γ2
50.00Single8X5YAstemizole8X5Y-H1-Astemizole
50.00Single8XVLZibotentan8XVL-ETA-Zibotentan
50.00Single8Y01All-trans-Retinal8Y01-Opsin1MW-All-trans-Retinal-Gi1/β1/γ2
50.00Single8Y45ADL58598Y45-δ-ADL5859-Gi2/β1/γ2
50.00Single8Y53MK50468Y53-BB3-MK5046-chim(NtGi1-Gs-CtGq)/β1/γ2
50.00Single8YH2Adenosine8YH2-A3A-Adenosine-Gi1/β1/γ2
50.00Single8YN9Histamine8YN9-H4-Histamine-Gi1/β1/γ2
50.00Single8YUUHistamine8YUU-H3-Histamine-Gi1/β1/γ1
50.00Single8ZMGPimavanserin8ZMG-5-HT2A-Pimavanserin
50.00Single9CGKC5-Quino9CGK-δ-C5-Quino-Gi1/β1/γ2
50.00Single9EPQ11,20-Ethanoretinal9EPQ-Rhodopsin-11,20-Ethanoretinal-chim(Gi1-CtGq)/β1/γ2
50.00Single9I54PubChem 1764520919I54-D1-PubChem 176452091-Gs/β1/γ2
50.00Single9LL7DOI9LL7-5-HT2A-DOI-Gi1/β1/γ2
50.00Single9LL8Psilocin9LL8-5-HT2A-Psilocin-Gi1/β1/γ2
50.00Single9LRCHistamine9LRC-H4-Histamine
50.00Single9LRDHistamine9LRD-H1-Histamine-Gi1/β1/γ2
50.00Single9LREHistamine9LRE-H4-Histamine-Gi1/β1/γ2
50.00Single9ODLMitragynine Pseudoindoxyl9ODL-μ-Mitragynine Pseudoindoxyl-GTP; Mg-Gi1/β1/γ2
50.00Consensus5ht1_offOrthosteric Ligand5ht1b_off
50.00Consensus5ht1b_offOrthosteric Ligand5V54-5-HT1B-Methiothepin
50.00Consensus5ht2_onOrthosteric Ligand5ht2b_on
50.00Consensus5ht2b_onOrthosteric Ligand7SRR-5-HT2B-LSD-chim(NtGi2L-Gs-CtGq)/β1/γ2
50.00Consensus5ht_offOrthosteric Ligand5ht2_off 5ht1_off
50.00Consensusgs_adrenergicOrthosteric Ligand7DHI-β2-Salbutamol-Gs/β1/γ2 7XJI-β3-Solabegron-Gs/β1/γ2 7JJO-β1-Isoprenaline-Gs/β1/γ2 6NI3-β2-BI167107-Gs/β1/γ2 8DCR-β1-Dobutamine-Gs/β1/γ2 7XJH-β3-Isoprenaline-Gs/β1/γ2 7DH5-β3-Mirabegron-Gs/β1/γ2
50.00Consensush3_onOrthosteric Ligand8YUU-H3-Histamine-Gi1/β1/γ1
50.00Consensush3_on_gpOrthosteric Ligand8YUU-H3-Histamine-Gi1/β1/γ1
50.00Consensusm5_offOrthosteric Ligand6OL9-M5-Tiotropium
50.00Consensusmuscarinic_offOrthosteric Ligandm2_off m3_off m4_off m5_off m1_off
50.00Consensusnop_offOrthosteric Ligand4EA3-NOP-PubChem 10296561 5DHG-NOP-C-35 5DHH-NOP-SB-612111
50.00Consensusta1_on_gpOrthosteric Ligand8W87-TA1-METH-chim(NtGi1L-Gs)/β1/γ2 8W89-TA1-2-Phenylethylamine-chim(NtGi1L-Gs)/β1/γ2 8JLP-TA1-Ralmitaront-Gs/β1/γ2 8W8A-TA1-RO5256390-chim(NtGi1L-Gs)/β1/γ2 8W88-TA1-SEP-363856-Gs/β1/γ2 8JLO-TA1-Ulotaront-Gs/β1/γ2 8JLR-TA1-A77636-chim(NtGi1-Gs)/β1/γ2 8JSO-TA1-AMPH-chim(NtGi1-Gs)/β1/γ2 8ZSP-TA1-LSD-chim(NtGi1L-Gs)/β1/γ2
50.00Consensustachykinin_offOrthosteric Ligandnk1_off
50.00Consensustrace-amine_on_gpOrthosteric Ligandta1_on_gp
47.06Single4AMJCarvedilol4AMJ-β1-Carvedilol
47.06Single4IARErgotamine4IAR-5-HT1B-Ergotamine
47.06Single8DCRDobutamine8DCR-β1-Dobutamine-Gs/β1/γ2
47.06Single8FYLVilazodone8FYL-5-HT1A-Vilazodone-PtdIns4P-Gi1/β1/γ1
47.06Single8WDTphotoNECA8WDT-A2A-photoNECA
47.06Consensusgi_opioidOrthosteric Ligand8F7R-μ-Endomorphin-Gi1/β1/γ2 8EF5-μ-Fentanyl-Gi1/β1/γ2 7SCG-μ-FH210-Gi1/β1/γ2 7T2H-μ-Lofentanil-Gi1/β1/γ2 7T2G-μ-Mitragynine Pseudoindoxyl-Gi1/β1/γ2 8DZP-κ-momSalB-Gi1/β1/γ2 8EF6-μ-Morphine-Gi1/β1/γ2 8F7X-NOP-Nociceptin-Gi1/β1/γ2 8EFB-μ-Oliceridine-Gi1/β1/γ2 7U2L-μ-C5-guano-Gi1/β1/γ2 8EFO-μ-PZM21-Gi1/β1/γ2 8EFL-μ-SR17018-Gi1/β1/γ2 8F7Q-μ-β-Endorphin-Gi1/β1/γ2 7U2K-μ-C6-guano-Gi1/β1/γ2 8EFQ-μ-DAMGO-Gi1/β1/γ2 8F7S-δ-Deltorphin-Gi1/β1/γ2 8F7W-κ-Dynorphin-Gi1/β1/γ2
47.06Consensusmop_offOrthosteric Ligand4DKL-μ-β-Funaltrexamine 8QOT-μ-Nanobody-E 7UL4-μ-Alvimopan
46.67Single2YCXCyanopindolol2YCX-β1-Cyanopindolol
46.67Single5CXVTiotropium5CXV-M1-Tiotropium
46.67Single5F8UCyanopindolol5F8U-β1-Cyanopindolol
46.67Single6DRYMethylergometrine6DRY-5-HT2B-Methylergometrine
46.67Single6H7NXamoterol6H7N-β1-Xamoterol
46.67Single6MXTSalmeterol6MXT-β2-Salmeterol
46.67Single6VMSBromoergocryptine6VMS-D2-Bromoergocryptine-Gi1/β1/γ2
46.67Single7XMTJ-21567XMT-SST4-J-2156-Gi1/β1/γ2
46.67Single8E9W2-Deoxycytidine8E9W-M3-2-Deoxycytidine-chim(NtGi2L-Gs-CtGq)/β1/γ2
46.67Single8FYTLSD8FYT-5-HT1A-LSD-PtdIns4P-Gi1/β1/γ1
46.67Single8JJLOlodaterol8JJL-β2-Olodaterol
46.67Single9WSVDAMGO9WSV-μ-DAMGO-Arrestin2
46.67Single9YDQDADLE9YDQ-δ-DADLE-MIPS3614-chim(NtGi1L-Gs-CtGi1)/β1/γ2
46.67Consensus5ht1a_onOrthosteric Ligand8FYT-5-HT1A-LSD-PtdIns4P-Gi1/β1/γ1 7E2Y-5-HT1A-Serotonin-PtdIns4P-Gi1/β1/γ2 7E2Z-5-HT1A-Aripiprazole-PtdIns4P-Gi1/β1/γ2 8FYX-5-HT1A-Buspirone-PtdIns4P-Gi1/β1/γ1 8JSP-5-HT1A-Ulotaront-Gi1/β1/γ2 8JT6-5-HT1A-(R)-IHCH-7179-PtdIns4P-Gi1/β1/γ2 8FY8-5-HT1A-5-MeO-DMT-PtdIns4P-Gi1/β1/γ1 8FYE-5-HT1A-4-F,5-MeO-PyrT-PtdIns4P-Gi1/β1/γ1 8FYL-5-HT1A-Vilazodone-PtdIns4P-Gi1/β1/γ1
46.67Consensus5ht1a_on_gpOrthosteric Ligand8FYT-5-HT1A-LSD-PtdIns4P-Gi1/β1/γ1 8FYX-5-HT1A-Buspirone-PtdIns4P-Gi1/β1/γ1 8JSP-5-HT1A-Ulotaront-Gi1/β1/γ2 8JT6-5-HT1A-(R)-IHCH-7179-PtdIns4P-Gi1/β1/γ2 7E2Y-5-HT1A-Serotonin-PtdIns4P-Gi1/β1/γ2 7E2Z-5-HT1A-Aripiprazole-PtdIns4P-Gi1/β1/γ2 8FY8-5-HT1A-5-MeO-DMT-PtdIns4P-Gi1/β1/γ1 8FYE-5-HT1A-4-F,5-MeO-PyrT-PtdIns4P-Gi1/β1/γ1 8FYL-5-HT1A-Vilazodone-PtdIns4P-Gi1/β1/γ1
46.67Consensusbeta3_onOrthosteric Ligand7DH5-β3-Mirabegron-Gs/β1/γ2 7XJH-β3-Isoprenaline-Gs/β1/γ2 7XJI-β3-Solabegron-Gs/β1/γ2
46.67Consensusbeta3_on_gpOrthosteric Ligand7DH5-β3-Mirabegron-Gs/β1/γ2 7XJH-β3-Isoprenaline-Gs/β1/γ2 7XJI-β3-Solabegron-Gs/β1/γ2
46.67Consensuskop_onOrthosteric Ligand8F7W-κ-Dynorphin-Gi1/β1/γ2 8DZS-κ-GR89,696-chim(NtGi2-Gz)/β1/γ2 8DZP-κ-momSalB-Gi1/β1/γ2
46.67Consensusm1_offOrthosteric Ligand5CXV-M1-Tiotropium
46.15Single1HZX11-cis-Retinal1HZX-Rhodopsin-11-cis-Retinal
46.15Single2Y01Dobutamine2Y01-β1-Dobutamine
46.15Single2Y02Carmoterol2Y02-β1-Carmoterol
46.15Single4EA3PubChem 102965614EA3-NOP-PubChem 10296561
46.15Single4J4QOctyl Beta-D-Glucopyranoside4J4Q-Rhodopsin-Octyl β-D-Glucopyranoside-Gt(CT)
46.15Single4QKXPubChem 762106284QKX-β2-PubChem 76210628
46.15Single4U16N-methyl-Scopolamine4U16-M3-N-methyl-Scopolamine
46.15Single4X1HNonyl-Beta-D-Glucopyranoside4X1H-Rhodopsin-Nonyl-β-D-Glucopyranoside-Gt(CT)
46.15Single5DHGC-355DHG-NOP-C-35
46.15Single5DHHSB-6121115DHH-NOP-SB-612111
46.15Single5YC8N-methyl-Scopolamine5YC8-M2-N-methyl-Scopolamine
46.15Single5ZK8N-methyl-Scopolamine5ZK8-M2-N-methyl-Scopolamine
46.15Single5ZKCN-methyl-Scopolamine5ZKC-M2-N-methyl-Scopolamine
46.15Single6DRZMethysergide6DRZ-5-HT2B-Methysergide
46.15Single6TOTLemborexant6TOT-OX1-Lemborexant
46.15Single7BU7BI1671077BU7-β1-BI167107
46.15Single7SQOTAK-9257SQO-OX2-TAK-925-Gi1/β1/γ2
46.15Single7UL4Alvimopan7UL4-μ-Alvimopan
46.15Single7WC7Lisuride7WC7-5-HT2A-Lisuride
46.15Single7XJHIsoprenaline7XJH-β3-Isoprenaline-Gs/β1/γ2
46.15Single8JD0NAM5638JD0-mGlu2; mGlu3-Glutamate-NAM563
46.15Single8T1WCVN4248T1W-GPR6-CVN424
46.15Single8UH3Setiptiline8UH3-5-HT1E-Setiptiline-Gi1/β1/γ1
46.15Single8VVGGB188VVG-κ-GB18-Gi1/β1/γ2
46.15Single8W8ARO52563908W8A-TA1-RO5256390-chim(NtGi1L-Gs)/β1/γ2
46.15Single8X63Mepyramine8X63-H1-Mepyramine
46.15Single8YN8Proxyfan8YN8-H3-Proxyfan-Go/β1/γ2
46.15Single9D61JDTic9D61-κ-JDTic-Gi1/β1/γ2
46.15Single9JEAAtropine9JEA-M1-Atropine
46.15Single9UAZAtropine9UAZ-M1-Atropine
46.15Consensus5ht2b_offOrthosteric Ligand6DRZ-5-HT2B-Methysergide
46.15Consensusadenosine_on_gpOrthosteric Liganda1_on_gp a2_on_gp a3_on_gp
46.15Consensusgi_orexinOrthosteric Ligand7SQO-OX2-TAK-925-Gi1/β1/γ2
46.15Consensusgq_amineOrthosteric Ligandgq_muscarinic gq_histamine
46.15Consensushistamine_offOrthosteric Ligandh1_off
45.45Single1U1911-cis-Retinal1U19-Rhodopsin-11-cis-Retinal
45.45Single2G87All-trans-Retinal2G87-Rhodopsin-All-trans-Retinal
45.45Single2I3511-cis-Retinal2I35-Rhodopsin-11-cis-Retinal
45.45Single6HLLCP999946HLL-NK1-CP99994
45.45Single6QNOAll-trans-Retinal6QNO-Rhodopsin-All-trans-Retinal-Gi1/β1/γ1
45.45Single6TP4ACT-4622066TP4-OX1-ACT-462206
45.45Single7SRQLSD7SRQ-5-HT2B-LSD
45.45Single8DPFLorcaserin8DPF-5-HT2C-Lorcaserin-chim(NtGi2L-Gs-CtGq)/β1/γ2
45.45Single8UO3Constrained Epinephrine8UO3-β2-Constrained Epinephrine-GTP; Mg-Gs/β1/γ2
45.45Single8UO4Constrained Epinephrine8UO4-β2-Constrained Epinephrine-GTP; Mg-Gs/β1/γ2
45.45Single8YN2Histamine8YN2-H1-Histamine-chim(NtGi1L-Gs-CtGq)/β1/γ2
45.45Single8YN5Histamine8YN5-H3-Histamine-Gi1/β1/γ2
45.45Single8YN6Imetit8YN6-H3-Imetit-Gi1/β1/γ2
45.45Single8YN7Immethridine8YN7-H3-Immethridine-Go/β1/γ2
45.45Single8ZSVRO52633978ZSV-TA1-RO5263397-chim(NtGi1-Gs)/β1/γ2
45.45Single9AS2DMT9AS2-5-HT2A-DMT-chim(NtGi1-Gs-CtGq)/β1/γ2
45.45Single9AS7Psilocin9AS7-5-HT2A-Psilocin
45.45Single9JEDHistamine9JED-H4-Histamine-PO4-Gi1/β1/γ2
45.45Single9JEQHistamine9JEQ-H3-Histamine-Gi1/β1/γ2
45.45Single9L3ZLRH7-C29L3Z-CML1-LRH7-C2
45.45Single9L42Histamine9L42-H4-Histamine-Gi1/β1/γ2
44.44Single3PXOAll-trans-Retinal3PXO-Rhodopsin-All-trans-Retinal
44.44Single5DYSAll-trans-Retinal5DYS-Rhodopsin-All-trans-Retinal
43.75Single5TUDErgotamine5TUD-5-HT2B-Ergotamine
43.75Single6BQGErgotamine6BQG-5-HT2C-Ergotamine
43.75Single6BQHRitanserin6BQH-5-HT2C-Ritanserin
43.75Single6DDFDAMGO6DDF-μ-DAMGO-Gi1/β1/γ2
43.75Single7JVRBromoergocryptine7JVR-D2-Bromoergocryptine-Gi1/β1/γ2
43.75Single7SK8CCX6627SK8-ACKR3-CXCL12-CCX662
43.75Single7UM4AS26747237UM4-5-HT5A-AS2674723
43.75Single7X2DTavapadon7X2D-D1-Tavapadon-Gs/β1/γ2
43.75Single7XJISolabegron7XJI-β3-Solabegron-Gs/β1/γ2
43.75Single8J19LY2378J19-GPR84-LY237-Gi1/β1/γ2
43.75Single9HYIDP819HYI-5-HT1A-DP81-Gi1/β1/γ2
43.75Single9YDPDADLE9YDP-δ-DADLE-chim(NtGi1L-Gs-CtGi1)/β1/γ2
43.75Consensus5ht2c_offOrthosteric Ligand6BQH-5-HT2C-Ritanserin
43.75Consensuskop_on_gpOrthosteric Ligand8F7W-κ-Dynorphin-Gi1/β1/γ2 8DZS-κ-GR89,696-chim(NtGi2-Gz)/β1/γ2 8DZP-κ-momSalB-Gi1/β1/γ2
42.86Single2Y00Dobutamine2Y00-β1-Dobutamine
42.86Single4ZJ8Suvorexant4ZJ8-OX1-Suvorexant
42.86Single5XPRBosentan5XPR-ETB-Bosentan
42.86Single6ME72-Phenylmelatonin6ME7-MT2-2-Phenylmelatonin
42.86Single6ME82-Phenylmelatonin6ME8-MT2-2-Phenylmelatonin
42.86Single6TO7Suvorexant6TO7-OX1-Suvorexant-Na
42.86Single6TP6Filorexant6TP6-OX1-Filorexant
42.86Single7LD3Adenosine7LD3-A1-Adenosine-MIPS521-Gi2/β1/γ2
42.86Single7X1TTaltirelin7X1T-TRH-Taltirelin-chim(NtGi2L-Gs-CtGq)/β1/γ2
42.86Single8C9WEtrumadenant8C9W-A2A-Etrumadenant
42.86Single8E9ZIperoxo8E9Z-M3-Iperoxo-chim(NtGi2L-Gs-CtGq)/β1/γ2
42.86Single8EFBOliceridine8EFB-μ-Oliceridine-Gi1/β1/γ2
42.86Single8JXSPF-61428JXS-D1-PF-6142
42.86Single9ARZ2-bromo-LSD9ARZ-5-HT2A-2-bromo-LSD
42.86Single9EE8Adenosine9EE8-A2A-Adenosine-Gs/β1/γ2
42.86Single9F34FOB02-04A9F34-D3-FOB02-04A-Go/β1/γ2
42.86Single9HAPTolvaptan9HAP-V2-Tolvaptan
42.86Single9L74S1P d16:19L74-S1P3-S1P d16:1-chim(NtGi2L-Gs-CtGq)/β1/γ2
42.86Single9U81Tolvaptan9U81-V2-Tolvaptan
42.86Consensusm2_offOrthosteric Ligand5ZKC-M2-N-methyl-Scopolamine 5ZK3-M2-3-quinuclidinyl-benzilate 5ZKB-M2-AF-DX 384
42.86Consensusm3_onOrthosteric Ligand8E9Z-M3-Iperoxo-chim(NtGi2L-Gs-CtGq)/β1/γ2 8E9W-M3-2-Deoxycytidine-chim(NtGi2L-Gs-CtGq)/β1/γ2 8E9Y-M3-Clozapine-N-oxide-chim(NtGi2L-Gs-CtGq)/β1/γ2
42.86Consensusm3_on_gpOrthosteric Ligand8E9Z-M3-Iperoxo-chim(NtGi2L-Gs-CtGq)/β1/γ2 8E9W-M3-2-Deoxycytidine-chim(NtGi2L-Gs-CtGq)/β1/γ2 8E9Y-M3-Clozapine-N-oxide-chim(NtGi2L-Gs-CtGq)/β1/γ2
42.11Single6PT2KGCHM076PT2-δ-KGCHM07
41.67Single1GZM11-cis-Retinal1GZM-Rhodopsin-11-cis-Retinal
41.67Single2X72All-trans-Retinal2X72-Rhodopsin-All-trans-Retinal-Gt(CT)
41.67Single3C9L11-cis-Retinal3C9L-Rhodopsin-11-cis-Retinal
41.67Single5WS3EMPA5WS3-OX2-EMPA
41.67Single6AKYMaraviroc6AKY-CCR5-Maraviroc
41.67Single6D9HAdenosine6D9H-A1-Adenosine-Gi2/β1/γ2
41.67Single6ME2Ramelteon6ME2-MT1-Ramelteon
41.67Single6NWEOctyl-Beta-D-Glucopyranoside6NWE-Rhodopsin-Octyl-β-D-Glucopyranoside-Gt(CT)
41.67Single7SRRLSD7SRR-5-HT2B-LSD-chim(NtGi2L-Gs-CtGq)/β1/γ2
41.67Single7T6STC-FPR 437T6S-FPR2-ALX-TC-FPR 43-Gi1/β1/γ2
41.67Single7T8XAcetylcholine7T8X-M2-Acetylcholine-chim(NtGi1-Go)/β1/γ2
41.67Single7T90Acetylcholine7T90-M2-Acetylcholine-chim(NtGi1-Go)/β1/γ2
41.67Single7T96Acetylcholine7T96-M2-Acetylcholine-LY2119620-Go/β1/γ2
41.67Single7VUJJNJ-635330547VUJ-GPR139-JNJ-63533054-GDP-chim(Gs-CtGq)/β1/γ2
41.67Single8HDPAdenosine8HDP-A2B-Adenosine-Gs/β1/γ2
41.67Single8HOCImetit8HOC-H4-Imetit-Gi1/β1/γ2
41.67Single8IW4Spermidine8IW4-TAA9-Spermidine-chim(NtGi1-Gs)/β1/γ2
41.67Single8IWESpermidine8IWE-TAA9-Spermidine
41.67Single8YNAImmepip8YNA-H4-Immepip-Gi1/β1/γ2
41.67Single8YUVImmepip8YUV-H3-Immepip-Gi1/β1/γ2
41.67Single9EBHAdenosine9EBH-A3A-Adenosine-Gi1/β1/γ2
41.67Single9PXUNaloxone9PXU-μ-Naloxone-Na
41.67Consensus5ht2_on_gpOrthosteric Ligand5ht2b_on_gp
41.67Consensus5ht2b_on_gpOrthosteric Ligand7SRR-5-HT2B-LSD-chim(NtGi2L-Gs-CtGq)/β1/γ2
41.67Consensusm2_onOrthosteric Ligand7T8X-M2-Acetylcholine-chim(NtGi1-Go)/β1/γ2
41.67Consensusm2_on_gpOrthosteric Ligand7T8X-M2-Acetylcholine-chim(NtGi1-Go)/β1/γ2
41.67Consensusorexin_offOrthosteric Ligandox2_off ox1_off
41.67Consensusox1_offOrthosteric Ligand6TP6-OX1-Filorexant 6TP4-OX1-ACT-462206 6V9S-OX1-GTPL11403 6TOT-OX1-Lemborexant 6TP3-OX1-Nemorexant 6TQ6-OX1-PubChem 145714283 6TQ9-OX1-SB-408124 4ZJC-OX1-SB-674042 4ZJ8-OX1-Suvorexant 6TOD-OX1-EMPA-Na 6TOS-OX1-GSK1059865-Na 6TQ4-OX1-PubChem 16046844-Na
41.67Consensusox2_offOrthosteric Ligand5WQC-OX2-EMPA 6TPN-OX2-HTL6641 7XRR-OX2-Lemborexant 6TPJ-OX2-Suvorexant
41.67Consensusrhodopsin_offOrthosteric Ligand1U19-Rhodopsin-11-cis-Retinal 2PED-Rhodopsin-9-cis-Retinal 5TE5-Rhodopsin-20-Methanoretinal
41.67Consensussensory_offonOrthosteric Ligandsensory_off sensory_on
41.67Consensussensory_offon_gpOrthosteric Ligandsensory_on_gp sensory_on
41.18Single6G79Donitriptan6G79-5-HT1B-Donitriptan-Go/β1/γ2
41.18Single7SK9CCX6627SK9-ACKR3-CCX662
41.18Single8JLRA776368JLR-TA1-A77636-chim(NtGi1-Gs)/β1/γ2
41.18Single8Y72Peptide8Y72-μ-Peptide-BMS-986122-Gi1/β1/γ2
40.00Single3PDSFAUC503PDS-β2-FAUC50
40.00Single4DJHJDTic4DJH-κ-JDTic
40.00Single6DDEDAMGO6DDE-μ-DAMGO-Gi1/β1/γ2
40.00Single6E59L-7607356E59-NK1-L-760735
40.00Single6GT3Imaradenant6GT3-A2A-Imaradenant-Na
40.00Single6J20Aprepitant6J20-NK1-Aprepitant
40.00Single7EW4CYM-55417EW4-S1P3-CYM-5541-Gi1/β1/γ2
40.00Single7MTBAll-trans-Retinal7MTB-Rhodopsin-All-trans-Retinal-GRK1
40.00Single7T2HLofentanil7T2H-μ-Lofentanil-Gi1/β1/γ2
40.00Single7TRQIperoxo7TRQ-M4-Iperoxo-VU0467154-Gi1/β1/γ2
40.00Single7XY7NECA7XY7-A2B-NECA-chim(NtGi1-Gs)/β1/γ2
40.00Single8EA0Iperoxo8EA0-M3-Iperoxo
40.00Single8EF5Fentanyl8EF5-μ-Fentanyl-Gi1/β1/γ2
40.00Single8GEIConstrained Epinephrine8GEI-β2-Constrained Epinephrine-Gs/β1/γ2
40.00Single8ID39-Hydroxystearic acid8ID3-FFA4-9-Hydroxystearic acid-Gi1/β1/γ2
40.00Single8ID6Oleic acid8ID6-FFA4-Oleic acid-Gi1/β1/γ2
40.00Single8JLPRalmitaront8JLP-TA1-Ralmitaront-Gs/β1/γ2
40.00Single8JT6(R)-IHCH-71798JT6-5-HT1A-(R)-IHCH-7179-PtdIns4P-Gi1/β1/γ2
40.00Single8JXWVUF68848JXW-H4-VUF6884-Gi1/β1/γ2
40.00Single8JXXClobenpropit8JXX-H4-Clobenpropit-Gi1/β1/γ2
40.00Single8UGWCGS216808UGW-A2A-CGS21680
40.00Single8WC5Tetramethylammonium Ion8WC5-TA1-Tetramethylammonium Ion-chim(NtGi1-Gs)/β1/γ2
40.00Single9AS9RS130-1809AS9-5-HT2A-RS130-180
40.00Single9ASARS130-1809ASA-5-HT2A-RS130-180-chim(NtGi1-Gs-CtGq)/β1/γ2
40.00Single9KVPSB2901579KVP-C3aB-SB290157-Go/β1/γ2
40.00Consensusa2_onOrthosteric Liganda2b_on
40.00Consensusa2_on_gpOrthosteric Liganda2b_on_gp
40.00Consensusa2b_onOrthosteric Ligand8HDP-A2B-Adenosine-Gs/β1/γ2 7XY6-A2B-BAY 60-6583-chim(NtGi1-Gs)/β1/γ2 7XY7-A2B-NECA-chim(NtGi1-Gs)/β1/γ2 8HDO-A2B-BAY 60-6583-Gs/β1/γ2
40.00Consensusa2b_on_gpOrthosteric Ligand8HDP-A2B-Adenosine-Gs/β1/γ2 7XY6-A2B-BAY 60-6583-chim(NtGi1-Gs)/β1/γ2 7XY7-A2B-NECA-chim(NtGi1-Gs)/β1/γ2 8HDO-A2B-BAY 60-6583-Gs/β1/γ2
40.00Consensusgs_adenosineOrthosteric Ligand8HDP-A2B-Adenosine-Gs/β1/γ2 8HDO-A2B-BAY 60-6583-Gs/β1/γ2 7XY7-A2B-NECA-chim(NtGi1-Gs)/β1/γ2 7XY6-A2B-BAY 60-6583-chim(NtGi1-Gs)/β1/γ2
40.00Consensusgs_nucleotideOrthosteric Ligandgs_adenosine
40.00Consensush4_on_gpOrthosteric Ligand8HN8-H4-Histamine-Gi1/β1/γ2 8HOC-H4-Imetit-Gi1/β1/γ2 8JXV-H4-Clozapine-Gi1/β1/γ2 8JXW-H4-VUF6884-Gi1/β1/γ2 8JXX-H4-Clobenpropit-Gi1/β1/γ2
40.00Consensuskop_offOrthosteric Ligand4DJH-κ-JDTic
40.00Consensusm3_offOrthosteric Ligand4U15-M3-Tiotropium 4U16-M3-N-methyl-Scopolamine 5ZHP-M3-PubChem 134828589
40.00Consensusopsins_onOrthosteric Ligandrhodopsin_on opsin1lw_on
40.00Consensussensory_onOrthosteric Ligandopsins_on
38.89Single4IB4Ergotamine4IB4-5-HT2B-Ergotamine
38.89Single7WVWfMYFINILTL7WVW-FPR2-ALX-fMYFINILTL-Gi2/β1/γ2
38.89Single8PKMBefiradol8PKM-5-HT1A-Befiradol-Gi1/β1/γ1
38.89Single8ZSPLSD8ZSP-TA1-LSD-chim(NtGi1L-Gs)/β1/γ2
38.89Single9BUYLM1899BUY-β2-LM189-Gi1/β1/γ2
38.89Single9M4TSilodosin9M4T-Alpha1A-Silodosin
38.89Consensusclass-a_on_gpOrthosteric Ligandsensory_on_gp alicarboxylic_on_gp amine_on_gp lipid_on_gp nucleotide_on_gp peptide_on_gp protein_on_gp
38.46Single1F8811-cis-Retinal1F88-Rhodopsin-11-cis-Retinal
38.46Single2YDOAdenosine2YDO-A2A-Adenosine
38.46Single3OAX11-cis-Retinal3OAX-Rhodopsin-11-cis-Retinal
38.46Single3UZCPubChem 1355666093UZC-A2A-PubChem 135566609
38.46Single4MQTIperoxo4MQT-M2-Iperoxo-LY2119620
38.46Single5TE3Octyl-Beta-D-Glucopyranoside5TE3-Rhodopsin-Octyl-β-D-Glucopyranoside
38.46Single6ME32-Phenylmelatonin6ME3-MT1-2-Phenylmelatonin
38.46Single6ME42-Iodomelatonin6ME4-MT1-2-Iodomelatonin
38.46Single6PS82-Phenylmelatonin6PS8-MT1-2-Phenylmelatonin
38.46Single6TOSGSK10598656TOS-OX1-GSK1059865-Na
38.46Single6WJCAtropine6WJC-M1-Atropine-Muscarinic toxin 7
38.46Single7T94Acetylcholine7T94-M2-Acetylcholine-LY2119620-chim(NtGi1-Go)/β1/γ2
38.46Single7TRSAcetylcholine7TRS-M4-Acetylcholine-Gi1/β1/γ2
38.46Single7UL3Famotidine7UL3-H2-Famotidine
38.46Single7VUGJNJ-635330547VUG-GPR139-JNJ-63533054-Gi1/β1/γ2
38.46Single7WC9PubChem 1624213647WC9-5-HT2A-PubChem 162421364
38.46Single7ZBC11-cis-Retinal7ZBC-Rhodopsin-11-cis-Retinal
38.46Single7ZBE11-cis-Retinal7ZBE-Rhodopsin-11-cis-Retinal
38.46Single8JLQFenoldopam8JLQ-TA1-Fenoldopam-Gs/β1/γ2
38.46Single8K9KDAMGO8K9K-μ-DAMGO-Gi3/β1/γ1
38.46Single8PM2DMCHA8PM2-TA7-DMCHA-Gs/β1/γ2
38.46Single8ZBWQuin-C18ZBW-FPR2-ALX-Quin-C1-Gi2/β1/γ2
38.46Single9AS8Psilocin9AS8-5-HT2A-Psilocin-chim(NtGi2L-Gs-CtGq)/β1/γ2
38.46Single9JKQMETH9JKQ-TA1-METH-Gs/β1/γ2
38.46Single9L8LBI1671079L8L-β2-BI167107-Atazanavir-Gs/β1/γ2 ; Arrestin2
38.46Single9PY2Loperamide9PY2-μ-Loperamide-GDPβS-Gi1/β1/γ2
38.46Consensus5ht2a_offOrthosteric Ligand6A94-5-HT2A-Zotepine 6A93-5-HT2A-Risperidone 7VOD-5-HT2A-Cariprazine 7WC8-5-HT2A-Lumateperone 8JT8-5-HT2A-(R)-IHCH-7179
38.46Consensusadenosine_onOrthosteric Liganda1_on a2_on a3_on
38.46Consensusgi_adenosineOrthosteric Ligand7LD4-A1-Adenosine-Gi2/β1/γ2 8X17-A3A-Namodenoson-Gi1/β1/γ2 8X16-A3A-Piclidenoson-Gi1/β1/γ2
38.46Consensusopsins_offOrthosteric Ligandrhodopsin_off
38.46Consensussensory_offOrthosteric Ligandopsins_off
38.10Consensusopioid_onOrthosteric Ligandmop_on nop_on dop_on kop_on
37.50Single4PXFOctyl-Beta-D-Glucopyranoside4PXF-Rhodopsin-Octyl-β-D-Glucopyranoside-Arrestin1 Finger Loop
37.50Single6A93Risperidone6A93-5-HT2A-Risperidone
37.50Single6CM4Risperidone6CM4-D2-Risperidone
37.50Single7BZ2Arformoterol7BZ2-β2-Arformoterol-Gs/β1/γ2
37.50Single7DFPSpiperone7DFP-D2-Spiperone
37.50Single7DH5Mirabegron7DH5-β3-Mirabegron-Gs/β1/γ2
37.50Single7EPENAM5637EPE-mGlu2-NAM563
37.50Single7JNIOlodanrigan7JNI-AT2-Olodanrigan
37.50Single7L1VPubChem 1554910097L1V-OX2-PubChem 155491009-chim(NtGi1-Gs-CtGq)/β1/γ2
37.50Single7XW9TRH7XW9-TRH-TRH-chim(NtGi1L-Gs-CtGq)/β1/γ2
37.50Single8G056-OAU8G05-GPR84-6-OAU-Gi1/β1/γ2
37.50Single8JD3JNJ-404118138JD3-mGlu2; mGlu3-Glutamate-JNJ-40411813-Gi1/β1/γ2
37.50Single8T3QDoconexent8T3Q-FFA4-Doconexent-chim(NtGi2L-Gs-CtGq)/β1/γ2
37.50Single8W1VPubChem 1717162658W1V-β2-PubChem 171716265
37.50Single9EBIPiclidenoson9EBI-A3A-Piclidenoson-chim(NtGi1L-Gs-CtGi1)/β1/γ2
37.50Single9EK0Iperoxo9EK0-M5-Iperoxo-chim(NtGi1-Gs-CtGq)/β1/γ2
37.50Single9GL2Befiradol9GL2-5-HT1A-Befiradol-Gs/β1/γ2
37.50Single9GYOP3959GYO-GPBA-P395-chim(NtGi1-Gs)/β1/γ2
37.50Single9M4QDoxazosin9M4Q-Alpha1A-Doxazosin
37.50Single9VJ6F-155999VJ6-5-HT1A-F-15599-Gi3/β1/γ2
37.50Consensusorexin_onOrthosteric Ligandox2_on
37.50Consensustrh_onOrthosteric Ligand7XW9-TRH-TRH-chim(NtGi1L-Gs-CtGq)/β1/γ2
37.50Consensustrh_on_gpOrthosteric Ligand7XW9-TRH-TRH-chim(NtGi1L-Gs-CtGq)/β1/γ2
36.84Single3QAKUK-4320973QAK-A2A-UK-432097
36.84Single6HLOAprepitant6HLO-NK1-Aprepitant
36.84Consensuss1p3_on_gpOrthosteric Ligand7EW3-S1P3-S1P-Gi1/β1/γ2 7EW4-S1P3-CYM-5541-Gi1/β1/γ2 7EW2-S1P3-FTY720-P-Gi1/β1/γ2
36.36Single2J4Y11-cis-Retinal2J4Y-Rhodopsin-11-cis-Retinal
36.36Single3C9M11-cis-Retinal3C9M-Rhodopsin-11-cis-Retinal
36.36Single3PQRAll-trans-Retinal3PQR-Rhodopsin-All-trans-Retinal-Gt(CT)
36.36Single3UZAGTPL92363UZA-A2A-GTPL9236
36.36Single7DD7Ca; Ca; Tryptophan; Evocalcet7DD7-CaS; CaS-Ca-Ca; Ca; Tryptophan; Evocalcet
36.36Single7MT8All-trans-Retinal7MT8-Rhodopsin-All-trans-Retinal-GRK1
36.36Single7WC5Psilocin7WC5-5-HT2A-Psilocin
36.36Single8GGEConstrained Epinephrine8GGE-β2-Constrained Epinephrine-GTP-Gs/β1/γ2
36.36Single8GGFConstrained Epinephrine8GGF-β2-Constrained Epinephrine-GTP-Gs/β1/γ2
36.36Single8ITFDMCHA8ITF-TAA9-DMCHA-chim(NtGi1-Gs)/β1/γ2
36.36Single8J21Butyric acid8J21-FFA3-Butyric acid-Gi1/β1/γ2
36.36Single8J24Acetic acid8J24-FFA2-Acetic acid-Gi1/β1/γ2
36.36Single8JXTHistamine8JXT-H4-Histamine-PO4-Gi1/β1/γ2
36.36Consensusffa3_onOrthosteric Ligand8J21-FFA3-Butyric acid-Gi1/β1/γ2
36.36Consensusffa3_on_gpOrthosteric Ligand8J21-FFA3-Butyric acid-Gi1/β1/γ2
36.36Consensusopioid_on_gpOrthosteric Ligandmop_on_gp nop_on_gp dop_on_gp kop_on_gp
36.36Consensusopsins_on_gpOrthosteric Ligandrhodopsin_on_gp opsin1lw_on_gp
36.36Consensusrhodopsin_onOrthosteric Ligand6OYA-Rhodopsin-All-trans-Retinal-Gt/β1/γ1
36.36Consensussensory_on_gpOrthosteric Ligandopsins_on_gp
35.71Single4DAJTiotropium4DAJ-M3-Tiotropium
35.71Single4MQSIperoxo4MQS-M2-Iperoxo
35.71Single4U14Tiotropium4U14-M3-Tiotropium
35.71Single5DSGTiotropium5DSG-M4-Tiotropium
35.71Single5OLZPubChem 1355666095OLZ-A2A-PubChem 135566609-Na
35.71Single5OM1PubChem 1355666095OM1-A2A-PubChem 135566609-Na
35.71Single6DRXLisuride6DRX-5-HT2B-Lisuride
35.71Single6WHADB139486WHA-5-HT2A-DB13948-chim(NtGi2L-Gs-CtGq)/β1/γ2
35.71Single7DB6Ramelteon7DB6-MT1-Ramelteon-Gi1/β1/γ2
35.71Single7M3JNPS-2143; PO47M3J-CaS; CaS-NPS-2143; PO4
35.71Single7T6VfMLFII7T6V-FPR2-ALX-fMLFII-Gi1/β1/γ2
35.71Single7TRPIperoxo7TRP-M4-Iperoxo-LY2033298-Gi1/β1/γ2
35.71Single7VGZRamelteon7VGZ-MT1-Ramelteon-Gi1/β1/γ2
35.71Single7VH0Ramelteon7VH0-MT2-Ramelteon-Gi1/β1/γ1
35.71Single7VIES1P7VIE-S1P1-S1P-Gi1/β1/γ2
35.71Single7YACPaltusotine7YAC-SST2-Paltusotine-Gi1/β1/γ2
35.71Single8CICEtrumadenant8CIC-A2A-Etrumadenant-Na
35.71Single8CU7LJ-45178CU7-A2A-LJ-4517-Na
35.71Single8EFQDAMGO8EFQ-μ-DAMGO-Gi1/β1/γ2
35.71Single8JT8(R)-IHCH-71798JT8-5-HT2A-(R)-IHCH-7179
35.71Single8UWLLisuride8UWL-5-HT2A-Lisuride-chim(NtGi2-Gs-CtGq)/β1/γ2
35.71Single8X17Namodenoson8X17-A3A-Namodenoson-Gi1/β1/γ2
35.71Single9AS1DMT9AS1-5-HT2A-DMT
35.71Single9KFJPubChem 1383196749KFJ-RXFP3-PubChem 138319674-Gi2/β1/γ2
35.71Consensusa3_onOrthosteric Liganda3a_on
35.71Consensusgi_histamineOrthosteric Ligand8JXX-H4-Clobenpropit-Gi1/β1/γ2 8JXV-H4-Clozapine-Gi1/β1/γ2 8YUU-H3-Histamine-Gi1/β1/γ1 8HN8-H4-Histamine-Gi1/β1/γ2 8HOC-H4-Imetit-Gi1/β1/γ2 8JXW-H4-VUF6884-Gi1/β1/γ2
35.71Consensusm4_offOrthosteric Ligand5DSG-M4-Tiotropium
35.71Consensusmuscarinic_onOrthosteric Ligandm2_on m3_on m4_on m1_on
35.71Consensusmuscarinic_on_gpOrthosteric Ligandm2_on_gp m3_on_gp m4_on_gp m1_on_gp
35.29Single5UNGPubChem 157800525UNG-AT2-PubChem 15780052
35.29Single7EVZCenerimod7EVZ-S1P1-Cenerimod-Gi1/β1/γ2
35.29Single7EW0Ozanimod7EW0-S1P1-Ozanimod-Gi1/β1/γ2
35.29Single7EZCUK-4320977EZC-A2A-UK-432097
35.29Single7MTSADX551647MTS-mGlu2; mGlu2-Glutamate-ADX55164-Gi1/β1/γ2
35.29Single7SK7CCX6627SK7-ACKR3-CXCL12-CCX662
35.29Single7U2KC6-guano7U2K-μ-C6-guano-Gi1/β1/γ2
35.29Single7VGY2-Iodomelatonin7VGY-MT1-2-Iodomelatonin-Gi1/β1/γ2
35.29Single7WVVfMLFII7WVV-FPR2-ALX-fMLFII-Gi2/β1/γ2
35.29Single8T3OTUG-8918T3O-FFA4-TUG-891-chim(NtGi2L-Gs-CtGq)/β1/γ2
35.29Single8XIOL7975918XIO-SST1-L797591-chim(NtGi1-Gs-CtGi1)/β1/γ2
35.29Single8XVJMacitentan8XVJ-ETA-Macitentan
35.29Single9AS02-bromo-LSD9AS0-5-HT2A-2-bromo-LSD-chim(NtGi1-Gs-CtGq)/β1/γ2
35.29Single9DYEBuspirone9DYE-5-HT1A-Buspirone-PtdIns4P-Go/β1/γ2
35.29Single9M54Neuropeptide-VF9M54-NPFF2-Neuropeptide-VF-Gi1/β1/γ2
35.29Single9WP9S1P9WP9-S1P3-S1P-chim(NtGi2L-Gs-CtGq)/β1/γ2
35.29Single9YDRDADLE9YDR-δ-DADLE-MIPS3983-chim(NtGi1L-Gs-CtGi1)/β1/γ2
35.29Consensusclass-a_onOrthosteric Ligandsensory_on alicarboxylic_on amine_on lipid_on nucleotide_on peptide_on protein_on
35.29Consensusd2_offOrthosteric Ligand6CM4-D2-Risperidone 6LUQ-D2-Haloperidol 7DFP-D2-Spiperone
35.29Consensusgi_s1pOrthosteric Ligand7VIE-S1P1-S1P-Gi1/β1/γ2 7EW3-S1P3-S1P-Gi1/β1/γ2 7EVY-S1P1-Siponimod-Gi1/β1/γ2 7EW1-S1P5-Siponimod-Gi1/β1/γ2 7VIF-S1P1-FTY720-P-Gi1/β1/γ2 7VIG-S1P1-CBP-307-Gi1/β1/γ2 7EVZ-S1P1-Cenerimod-Gi1/β1/γ2 7EW4-S1P3-CYM-5541-Gi1/β1/γ2 7EW2-S1P3-FTY720-P-Gi1/β1/γ2 7EW0-S1P1-Ozanimod-Gi1/β1/γ2 7EW7-S1P1-SEW2871-Gi1/β1/γ2
35.29Consensusorexin_on_gpOrthosteric Ligandox2_on_gp
35.00Single5WF5UK-4320975WF5-A2A-UK-432097
35.00Single7T6TfMLFII7T6T-FPR1-ALX-fMLFII-Gi1/β1/γ2
35.00Single9B54VIP369B54-CB1-VIP36-Gi1/β1/γ2
35.00Consensusgs_class-aOrthosteric Ligandgs_peptide gs_nucleotide gs_amine
33.33Single1L9H11-cis-Retinal1L9H-Rhodopsin-11-cis-Retinal
33.33Single4A4MAll-trans-Retinal4A4M-Rhodopsin-All-trans-Retinal-Gt(CT)
33.33Single5EN0All-trans-Retinal5EN0-Rhodopsin-All-trans-Retinal-Gt(CT)
33.33Single5OM4PubChem 1355666095OM4-A2A-PubChem 135566609-Na
33.33Single5TE520-Methanoretinal5TE5-Rhodopsin-20-Methanoretinal
33.33Single5WF6UK-4320975WF6-A2A-UK-432097
33.33Single5ZK33-quinuclidinyl-benzilate5ZK3-M2-3-quinuclidinyl-benzilate
33.33Single5ZTYAM102575ZTY-CB2-AM10257
33.33Single6GDGNECA6GDG-A2A-NECA-Gs/β1/γ1
33.33Single6I9K9-cis-Retinal6I9K-Rhodopsin-9-cis-Retinal
33.33Single6LUQHaloperidol6LUQ-D2-Haloperidol
33.33Single6ME62-Phenylmelatonin6ME6-MT2-2-Phenylmelatonin
33.33Single6OIKIperoxo6OIK-M2-Iperoxo-LY2119620-chim(NtGi1-Go)/β1/γ2
33.33Single6PGSGeraniol6PGS-Rhodopsin-Geraniol-Gt(CT)
33.33Single6TQ4PubChem 160468446TQ4-OX1-PubChem 16046844-Na
33.33Single7CFNINT-7777CFN-GPBA-INT-777-Gs/β1/γ2
33.33Single7DD5Ca; Ca; Tryptophan; NPS-21437DD5-CaS; CaS-Ca-Ca; Ca; Tryptophan; NPS-2143
33.33Single7DD7Ca; Ca; Tryptophan; Evocalcet7DD7-CaS; CaS-Ca-Ca; Ca; Tryptophan; Evocalcet
33.33Single7EPFNAM5977EPF-mGlu2-NAM597
33.33Single7EUOfMLF7EUO-FPR1-ALX-fMLF-Gi1/β1/γ2
33.33Single7M3JNPS-2143; PO47M3J-CaS; CaS-NPS-2143; PO4
33.33Single7T11Octreotide7T11-SST2-Octreotide-Gi3/β1/γ2
33.33Single7TRKIperoxo7TRK-M4-Iperoxo-Gi1/β1/γ2
33.33Single7V68Iperoxo7V68-M4-Iperoxo-LY2119620-Gi1/β1/γ2
33.33Single7VOEAripiprazole7VOE-5-HT2A-Aripiprazole
33.33Single7VUHJNJ-635330547VUH-GPR139-JNJ-63533054-chim(Gs-CtGq)/β1/γ2
33.33Single7WIGL-0542647WIG-SST2-L-054264-Gi1/β1/γ2
33.33Single7XN9L-0545227XN9-SST2-L-054522
33.33Single7XY6BAY 60-65837XY6-A2B-BAY 60-6583-chim(NtGi1-Gs)/β1/γ2
33.33Single7YFCHistamine7YFC-H4-Histamine-chim(NtGi1-Gs-CtGq)/β1/γ2
33.33Single7YFDImetit7YFD-H4-Imetit-chim(NtGi1-Gs-CtGq)/β1/γ2
33.33Single8HN8Histamine8HN8-H4-Histamine-Gi1/β1/γ2
33.33Single8HNLPS3724248HNL-CXCR3-PS372424-Gi1/β1/γ2
33.33Single8ID4Linoleic acid8ID4-FFA4-Linoleic acid-Gi1/β1/γ2
33.33Single8J18(3R)-3-Hydroxydodecanoic acid8J18-GPR84-(3R)-3-Hydroxydodecanoic acid-Gi1/β1/γ2
33.33Single8K8JFenofibrate8K8J-CB1-Fenofibrate-chim(Gs-CtGq)/β1/γ2
33.33Single8S4DCMF-0198S4D-Apelin-CMF-019
33.33Single8SZGCa; Ca; Tryptophan; Cinacalcet; PO4; Spermine8SZG-CaS; CaS-Ca; Ca; Tryptophan; Cinacalcet; PO4; Spermine-chim(NtGi1-Gq)/β1/γ2
33.33Single8TF5Oleic acid8TF5-GPR6-Oleic acid
33.33Single8WCBCyclohexylammonium Ion8WCB-TA1-Cyclohexylammonium Ion-chim(NtGi1-Gs-CtGq)/β1/γ2
33.33Single8WCCCyclohexylammonium Ion8WCC-TA1-Cyclohexylammonium Ion
33.33Single8XYKVUF106618XYK-CXCR3-VUF10661-Go/β1/γ2
33.33Single8YH0NECA8YH0-A3A-NECA-Gi1/β1/γ2
33.33Single8YH3N-methyladenosine8YH3-A3A-N-methyladenosine-Gi1/β1/γ2
33.33Single9AVLCa; Ca; Cyclomethyltryptophan; R-568; PO49AVL-CaS; CaS-Ca-Ca; Ca; Cyclomethyltryptophan; R-568; PO4-Gi3/β2/γ2
33.33Single9AXFCa; Ca; Ca; Cyclomethyltryptophan; R-568; PO49AXF-CaS; CaS-Ca-Ca; Ca; Ca; Cyclomethyltryptophan; R-568; PO4-chim(NtGi1-Gs-CtGq)/β1/γ2
33.33Single9AYFCa; Ca; Ca; Cyclomethyltryptophan; R-568; PO49AYF-CaS; CaS-Ca-Ca; Ca; Ca; Cyclomethyltryptophan; R-568; PO4-Gi1/β1/γ2
33.33Single9BKKCholecystokinin-89BKK-CCKA-Cholecystokinin-8-chim(NtGi1-Gs-CtGq)/β1/γ2
33.33Single9KUVCMPD6449KUV-Apelin-CMPD644-Arrestin2
33.33Single9M0RNeuropeptide-VF9M0R-NPFF1-Neuropeptide-VF-Gi1/β1/γ2
33.33Single9MD1Buspirone9MD1-5-HT1A-Buspirone-PtdIns4P-Gz/β1/γ2
33.33Single9YDAAll-trans-Retinal9YDA-Opsin1MW-All-trans-Retinal-chim(NtGi1L-Gs-CtGt)/β1/γ2
33.33Consensusa3_on_gpOrthosteric Liganda3a_on_gp
33.33Consensusa3a_onOrthosteric Ligand8X17-A3A-Namodenoson-Gi1/β1/γ2 8X16-A3A-Piclidenoson-Gi1/β1/γ2
33.33Consensusa3a_on_gpOrthosteric Ligand8X17-A3A-Namodenoson-Gi1/β1/γ2 8X16-A3A-Piclidenoson-Gi1/β1/γ2
33.33Consensuscb2_offOrthosteric Ligand5ZTY-CB2-AM10257
33.33Consensusgi_class-aOrthosteric Ligandgi_peptide gi_sensory gi_alicarboxylic gi_amine gi_lipid gi_nucleotide gi_protein
33.33Consensusgq_muscarinicOrthosteric Ligand6OIJ-M1-Iperoxo-chim(NtGi1L-G11)/β1/γ2
33.33Consensush4_onOrthosteric Ligand8HN8-H4-Histamine-Gi1/β1/γ2 8HOC-H4-Imetit-Gi1/β1/γ2 8JXV-H4-Clozapine-Gi1/β1/γ2 8JXW-H4-VUF6884-Gi1/β1/γ2 8JXX-H4-Clobenpropit-Gi1/β1/γ2
33.33Consensusm1_onOrthosteric Ligand6OIJ-M1-Iperoxo-chim(NtGi1L-G11)/β1/γ2
33.33Consensusox2_onOrthosteric Ligand7L1V-OX2-PubChem 155491009-chim(NtGi1-Gs-CtGq)/β1/γ2 7SQO-OX2-TAK-925-Gi1/β1/γ2 7L1U-OX2-Orexin-chim(NtGi1-Gs-CtGq)/β1/γ2
33.33Consensusox2_on_gpOrthosteric Ligand7L1V-OX2-PubChem 155491009-chim(NtGi1-Gs-CtGq)/β1/γ2 7SQO-OX2-TAK-925-Gi1/β1/γ2 7L1U-OX2-Orexin-chim(NtGi1-Gs-CtGq)/β1/γ2
33.33Consensuss1p_onOrthosteric Ligands1p1_on s1p3_on s1p5_on
33.33Consensuss1p_on_gpOrthosteric Ligands1p1_on_gp s1p3_on_gp s1p5_on_gp
33.33Consensussst2_onOrthosteric Ligand7WIC-SST2-Somatostatin-14-Gi1/β1/γ2 7WIG-SST2-L-054264-Gi1/β1/γ2 7YAE-SST2-Octreotide-Gi1/β1/γ2 7YAC-SST2-Paltusotine-Gi1/β1/γ2
33.33Consensussst2_on_gpOrthosteric Ligand7WIC-SST2-Somatostatin-14-Gi1/β1/γ2 7WIG-SST2-L-054264-Gi1/β1/γ2 7YAE-SST2-Octreotide-Gi1/β1/γ2 7YAC-SST2-Paltusotine-Gi1/β1/γ2
31.82Single8XGOTAK4488XGO-Kiss1-TAK448-chim(NtGi1-Gq)/β1/γ2
31.58Single5UNFPubChem 157800525UNF-AT2-PubChem 15780052
31.58Single7W0PElabela7W0P-Apelin-Elabela-Gi1/β1/γ2
31.58Single7WKDTRH7WKD-TRH-TRH-chim(NtGi1-Gs-CtGq)/β1/γ2
31.58Single8F7XNociceptin8F7X-NOP-Nociceptin-Gi1/β1/γ2
31.58Single8G59TUG-8918G59-FFA4-TUG-891-chim(Gi1-CtGq)/β1/γ2
31.58Single8ZBJSomatostatin-148ZBJ-SST5-Somatostatin-14-Gi1/β1/γ2
31.58Consensusnop_onOrthosteric Ligand8F7X-NOP-Nociceptin-Gi1/β1/γ2
31.58Consensusnop_on_gpOrthosteric Ligand8F7X-NOP-Nociceptin-Gi1/β1/γ2
31.25Single3UON3-quinuclidinyl-benzilate3UON-M2-3-quinuclidinyl-benzilate
31.25Single4IAQDihydroergotamine4IAQ-5-HT1B-Dihydroergotamine
31.25Single5ZHPPubChem 1348285895ZHP-M3-PubChem 134828589
31.25Single6KO5PubChem 574000026KO5-Ghrelin-PubChem 57400002
31.25Single6OIJIperoxo6OIJ-M1-Iperoxo-chim(NtGi1L-G11)/β1/γ2
31.25Single7B6WCyclazosin7B6W-α1b-Cyclazosin
31.25Single7EW1Siponimod7EW1-S1P5-Siponimod-Gi1/β1/γ2
31.25Single7EW7SEW28717EW7-S1P1-SEW2871-Gi1/β1/γ2
31.25Single7WV9CP559407WV9-CB1-CP55940-ZCZ011-Gi2/β1/γ2
31.25Single7WVXHumanin7WVX-FPR2-ALX-Humanin-Gi2/β1/γ2
31.25Single7XAVLanreotide7XAV-SST2-Lanreotide-Gi1/β1/γ2
31.25Single7XTQR3997XTQ-GPBA-R399-Gs/β1/γ2
31.25Single7Y24Octreotide7Y24-SST2-Octreotide-Go/β1/γ2
31.25Single8HDOBAY 60-65838HDO-A2B-BAY 60-6583-Gs/β1/γ2
31.25Single8HPTC5a (C-terminal peptide)8HPT-C5a1-C5a (C-terminal peptide)-Go/β1/γ2
31.25Single8IYHMK68928IYH-HCA2-MK6892-Go/β1/γ2
31.25Single8WU1MDMB-Fubinaca8WU1-CB1-MDMB-Fubinaca-Arrestin2
31.25Single8Y73Peptide8Y73-μ-Peptide-MPAM-15-Gi1/β1/γ2
31.25Single8YH6Namodenoson8YH6-A3A-Namodenoson-Gi1/β1/γ2
31.25Single9AYFCa; Ca; Ca; Cyclomethyltryptophan; R-568; PO49AYF-CaS; CaS-Ca-Ca; Ca; Ca; Cyclomethyltryptophan; R-568; PO4-Gi1/β1/γ2
31.25Single9B65MDMB-Fubinaca9B65-CB1-MDMB-Fubinaca-Gi1/β1/γ2
31.25Single9IK9Lanreotide9IK9-SST1-Lanreotide-Gi1/β1/γ2
31.25Single9UCPIperoxo9UCP-M1-Iperoxo-G11(CT)
31.25Single9WSTDAMGO9WST-μ-DAMGO-chim(NtGi1-Gz)/β1/γ2
31.25Consensusclass-a_offOrthosteric Ligandsensory_off alicarboxylic_off amine_off lipid_off nucleotide_off peptide_off protein_off
31.25Consensusm1_on_gpOrthosteric Ligand6OIJ-M1-Iperoxo-chim(NtGi1L-G11)/β1/γ2
31.25Consensuss1p5_onOrthosteric Ligand7EW1-S1P5-Siponimod-Gi1/β1/γ2
31.25Consensuss1p5_on_gpOrthosteric Ligand7EW1-S1P5-Siponimod-Gi1/β1/γ2
30.77Single3VGAZM-2413853VGA-A2A-ZM-241385-Antibody
30.77Single4S0VSuvorexant4S0V-OX2-Suvorexant
30.77Single6DS0LY2660976DS0-5-HT2B-LY266097
30.77Single6OYAAll-trans-Retinal6OYA-Rhodopsin-All-trans-Retinal-Gt/β1/γ1
30.77Single6TPJSuvorexant6TPJ-OX2-Suvorexant
30.77Single6TQ6PubChem 1457142836TQ6-OX1-PubChem 145714283
30.77Single7F8ULintitript7F8U-CCKA-Lintitript
30.77Single7M3ECa; Ca; Tryptophan; NPS-21437M3E-CaS; CaS-Ca; Ca; Tryptophan; NPS-2143
30.77Single7M3ECa; Ca; Tryptophan; NPS-21437M3E-CaS; CaS-Ca; Ca; Tryptophan; NPS-2143
30.77Single7M3FCa; Ca; Tryptophan; Cinacalcet7M3F-CaS; CaS-Ca; Ca; Tryptophan; Cinacalcet
30.77Single7W0MPubChem 1227019087W0M-Apelin-PubChem 122701908-Gi1/β1/γ2
30.77Single7XRRLemborexant7XRR-OX2-Lemborexant
30.77Single8A6CAll-trans-Retinal8A6C-Rhodopsin-All-trans-Retinal
30.77Single8A6DAll-trans-Retinal8A6D-Rhodopsin-All-trans-Retinal
30.77Single8A6EAll-trans-Retinal8A6E-Rhodopsin-All-trans-Retinal
30.77Single8J20Valeric acid8J20-FFA3-Valeric acid-AR420626-Gi1/β1/γ2
30.77Single8T3SButyric acid8T3S-FFA2-Butyric acid-chim(NtGi2L-Gs-CtGq)/β1/γ2
30.77Single8WPGTryptophan; Cinacalcet; PO4; Ca8WPG-CaS; CaS-Tryptophan; Cinacalcet; PO4; Ca
30.77Single8Y0HVUF114188Y0H-CXCR3-VUF11418
30.77Single8Y0NVUF114188Y0N-CXCR3-VUF11418-Go/β1/γ2
30.77Single8YYWAlpha-ketoglutarate8YYW-Oxoglutarate-α-ketoglutarate-α-ketoglutarate-chim(Gi1-CtGq)/β1/γ2
30.77Single9C1PCa; Tryptophan; '6218; PO49C1P-CaS; CaS-Ca-Ca; Tryptophan; '6218; PO4
30.77Single9EEAAdenosine9EEA-A2A-Adenosine-Gs/β1/γ2
30.77Single9J5VCpY9J5V-LPA1-CpY-Gi1/β1/γ2
30.77Single9K6LSalicin9K6L-TAS2R16-Salicin-Gi2/β1/γ2
30.77Single9KPESalicin9KPE-TAS2R16-Salicin-Gi1/β1/γ2
30.77Single9M88Oleic monoethanolamide9M88-GPR3 ; GPR3-Oleic monoethanolamide-AF64394
30.77Single9PEEPF-07054894; OXM29PEE-CCR6-PF-07054894; OXM2
30.77Single9W49U-50488H9W49-κ-U-50488H-Gi1/β1/γ2
30.77Consensusrhodopsin_on_gpOrthosteric Ligand6OYA-Rhodopsin-All-trans-Retinal-Gt/β1/γ1
30.43Single8H0PNMB308H0P-BB1-NMB30-chim(NtGi1-Gs-CtGq)/β1/γ2
30.00Single7DDZJNJ-310200287DDZ-Y2-JNJ-31020028
30.00Single7WC4Serotonin7WC4-5-HT2A-Serotonin
30.00Single9IK8Pasireotide9IK8-SST1-Pasireotide-Gi1/β1/γ2
30.00Single9IV25alpha-DHT9IV2-ADGRD1-5α-DHT-chim(NtGi1-Gs)/β1/γ2
30.00Single9JIDNiacin9JID-HCA3-Niacin-Gi1/β1/γ2
30.00Single9L60Dynorphin9L60-κ-Dynorphin-MPAM-15-Gi1/β1/γ2
30.00Single9ME1CXCL129ME1-CXCR4-CXCL12
30.00Consensusnpy2_offOrthosteric Ligand7DDZ-Y2-JNJ-31020028
30.00Consensussst4_onOrthosteric Ligand7XMS-SST4-Somatostatin-14-Gi1/β1/γ2 7XMT-SST4-J-2156-Gi1/β1/γ2
30.00Consensussst4_on_gpOrthosteric Ligand7XMS-SST4-Somatostatin-14-Gi1/β1/γ2 7XMT-SST4-J-2156-Gi1/β1/γ2
29.41Single4Z36ONO-30805734Z36-LPA1-ONO-3080573
29.41Single5UNHPubChem 1264564065UNH-AT2-PubChem 126456406
29.41Single6XBLCholesterol6XBL-SMO-SAG-Cholesterol-Gi1/β1/γ2
29.41Single6ZG4HTL00099366ZG4-M1-HTL0009936
29.41Single7EO4Siponimod7EO4-S1P1-Siponimod-Gi1/β1/γ2
29.41Single7EVYSiponimod7EVY-S1P1-Siponimod-Gi1/β1/γ2
29.41Single7EW2FTY720-P7EW2-S1P3-FTY720-P-Gi1/β1/γ2
29.41Single7L1UOrexin7L1U-OX2-Orexin-chim(NtGi1-Gs-CtGq)/β1/γ2
29.41Single7MTRADX551647MTR-mGlu2; mGlu2-Glutamate-ADX55164
29.41Single7SUSPubChem 1227019087SUS-Apelin-PubChem 122701908
29.41Single7W0LPubChem 1227019087W0L-Apelin; Apelin-PubChem 122701908-Gi1/β1/γ2
29.41Single7W0LPubChem 1227019087W0L-Apelin; Apelin-PubChem 122701908-Gi1/β1/γ2
29.41Single8I9AEP548I9A-C3aB-EP54-chim(NtGi1-Gs-CtGq)/β1/γ2
29.41Single8ID9Icosapent8ID9-FFA4-Icosapent-Gi1/β1/γ2
29.41Single8JWY2-1188JWY-A2A-2-118
29.41Single8JWZEtrumadenant8JWZ-A2A-Etrumadenant-Na
29.41Single8JZ7MK68928JZ7-HCA2-MK6892-Gi1/β1/γ2
29.41Single8XYIVUF106618XYI-CXCR3-VUF10661
29.41Single9VIFNeuropeptide-VF9VIF-NPFF1-Neuropeptide-VF-Gi1/β1/γ2
29.41Single9WSWEndomorphin9WSW-μ-Endomorphin-chim(NtGi1-Gz)/β1/γ2
29.41Consensuscannabinoid_offOrthosteric Ligandcb2_off cb1_off
29.41Consensuscb1_onOrthosteric Ligand6KPG-CB1-AM841-Gi1/β1/γ2 8K8J-CB1-Fenofibrate-chim(Gs-CtGq)/β1/γ2
29.41Consensusgi_lipidOrthosteric Ligandgi_cannabinoid gi_ffa gi_leukotriene gi_lpa gi_s1p
29.41Consensusgi_muscarinicOrthosteric Ligand8E9X-M4-2-Deoxycytidine-chim(NtGi1-Go)/β1/γ2 7T8X-M2-Acetylcholine-chim(NtGi1-Go)/β1/γ2 7TRS-M4-Acetylcholine-Gi1/β1/γ2 7TRK-M4-Iperoxo-Gi1/β1/γ2 7V6A-M4-PubChem 9864275-Gi1/β1/γ2
29.41Consensuslpa1_offOrthosteric Ligand4Z36-LPA1-ONO-3080573 4Z35-LPA1-ONO-9910539 4Z34-LPA1-ONO-9780307
29.41Consensuslpa_offOrthosteric Ligandlpa1_off
29.41Consensuss1p1_onOrthosteric Ligand7VIE-S1P1-S1P-Gi1/β1/γ2 7VIF-S1P1-FTY720-P-Gi1/β1/γ2 7VIG-S1P1-CBP-307-Gi1/β1/γ2 7EVY-S1P1-Siponimod-Gi1/β1/γ2 7EVZ-S1P1-Cenerimod-Gi1/β1/γ2 7EW0-S1P1-Ozanimod-Gi1/β1/γ2 7EW7-S1P1-SEW2871-Gi1/β1/γ2
29.41Consensuss1p1_on_gpOrthosteric Ligand7VIE-S1P1-S1P-Gi1/β1/γ2 7VIF-S1P1-FTY720-P-Gi1/β1/γ2 7VIG-S1P1-CBP-307-Gi1/β1/γ2 7EVY-S1P1-Siponimod-Gi1/β1/γ2 7EVZ-S1P1-Cenerimod-Gi1/β1/γ2 7EW0-S1P1-Ozanimod-Gi1/β1/γ2 7EW7-S1P1-SEW2871-Gi1/β1/γ2
29.41Consensuss1p3_onOrthosteric Ligand7EW3-S1P3-S1P-Gi1/β1/γ2 7EW4-S1P3-CYM-5541-Gi1/β1/γ2 7EW2-S1P3-FTY720-P-Gi1/β1/γ2
29.17Single8FEG(DNCP)-Beta-Naloxamine8FEG-κ-(DNCP)-β-Naloxamine-Gi1/β1/γ2
29.17Single8ZH8QRFP268ZH8-QRFP-QRFP26-Gq/β1/γ1
29.17Single9K26PrRP319K26-PrRP-PrRP31-Gi1/β1/γ2
29.17Single9KDFRES-701-39KDF-ETB-RES-701-3
29.17Consensusgq_peptideOrthosteric Ligandgq_cck gq_kisspeptin gq_bradykinin gq_bombesin gq_angiotensin
28.57Single6PELCitronellol6PEL-Rhodopsin-Citronellol-Gt(CT)
28.57Single6TP3Nemorexant6TP3-OX1-Nemorexant
28.57Single6TPKRetosiban6TPK-OT-Retosiban
28.57Single6V9SGTPL114036V9S-OX1-GTPL11403
28.57Single6ZFZ77-LH-28-16ZFZ-M1-77-LH-28-1
28.57Single7F61PF-036547467F61-H3-PF-03654746
28.57Single7TD0LPA7TD0-LPA1-LPA-Gi1/β1/γ2
28.57Single7VODCariprazine7VOD-5-HT2A-Cariprazine
28.57Single7WVUfMLF7WVU-FPR1-ALX-fMLF-Gi1/β1/γ2
28.57Single8GURCP559408GUR-CB2-CP55940-Gi1/β1/γ2
28.57Single8H4LDoconexent8H4L-FFA4-Doconexent-chim(NtGi1-Gs-CtGq)/β1/γ2
28.57Single8HNMVUF112228HNM-CXCR3-VUF11222-Gi1/β1/γ2
28.57Single8K9LDAMGO8K9L-μ-DAMGO-BMS-986122-Gi3/β1/γ1
28.57Single8RLNLUF58348RLN-A2A-LUF5834
28.57Single8WPGTryptophan; Cinacalcet; PO4; Ca8WPG-CaS; CaS-Tryptophan; Cinacalcet; PO4; Ca
28.57Single8WPUTryptophan; Cinacalcet; PO4; Ca8WPU-CaS; CaS-Tryptophan; Cinacalcet; PO4; Ca-chim(NtGi2L-Gs-CtGq)/β1/γ2
28.57Single8XGUTAK4488XGU-Kiss1-TAK448-Gi1/β1/γ2
28.57Single8XIQL7967788XIQ-SST3-L796778-chim(NtGi1-Gs-CtGi1)/β1/γ2
28.57Single8Y62C16:0 Ceramide8Y62-FPR2-ALX-C16:0 Ceramide-Gi1/β1/γ2
28.57Single9ASBCa; Ca; Cyclomethyltryptophan; R-568; PO49ASB-CaS; CaS-Ca-Ca; Ca; Cyclomethyltryptophan; R-568; PO4-chim(NtGi1-Gs-CtGq)/β1/γ2
28.57Single9AVGCa; Ca; Cyclomethyltryptophan; R-568; PO49AVG-CaS; CaS-Ca-Ca; Ca; Cyclomethyltryptophan; R-568; PO4-chim(NtGi1-Gs)/β1/γ2
28.57Single9AXFCa; Ca; Ca; Cyclomethyltryptophan; R-568; PO49AXF-CaS; CaS-Ca-Ca; Ca; Ca; Cyclomethyltryptophan; R-568; PO4-chim(NtGi1-Gs-CtGq)/β1/γ2
28.57Single9JH3CMF-0199JH3-Apelin; Apelin-CMF-019-Gi1/β1/γ2
28.57Single9K1DButyric acid9K1D-FFA2-Butyric acid-Gi1/β1/γ2
28.57Single9MEUCXCL129MEU-CXCR4-CXCL12
28.57Single9U4WGonadoliberin-19U4W-GnRH1-Gonadoliberin-1-chim(NtGi1L-Gs-CtGq)/β1/γ2
28.57Consensusgi_somatostatinOrthosteric Ligand7WIC-SST2-Somatostatin-14-Gi1/β1/γ2 7XMS-SST4-Somatostatin-14-Gi1/β1/γ2 8X8L-SST5-Cortistatin-14-chim(NtGi1-Gs-CtGi1)/β1/γ2 7XMT-SST4-J-2156-Gi1/β1/γ2 7WIG-SST2-L-054264-Gi1/β1/γ2 8X8N-SST5-Octreotide-chim(NtGi1-Gs-CtGi1)/β1/γ2 7YAE-SST2-Octreotide-Gi1/β1/γ2 7YAC-SST2-Paltusotine-Gi1/β1/γ2
28.57Consensusot_offOrthosteric Ligand6TPK-OT-Retosiban
28.57Consensuspeptide_offonOrthosteric Ligandpeptide_off peptide_on
28.57Consensussomatostatin_onOrthosteric Ligandsst2_on sst4_on sst5_on
28.57Consensussomatostatin_on_gpOrthosteric Ligandsst2_on_gp sst4_on_gp sst5_on_gp
28.57Consensusvasop-oxy_offOrthosteric Ligandot_off
27.78Single4NC3Ergotamine4NC3-5-HT2B-Ergotamine
27.78Single4Z35ONO-99105394Z35-LPA1-ONO-9910539
27.78Single6K1QIRL25006K1Q-ETB-IRL2500
27.78Single7X1UTRH7X1U-TRH-TRH-chim(NtGi2L-Gs-CtGq)/β1/γ2
27.78Single7XK2MK68927XK2-HCA2-MK6892-Gi1/β1/γ2
27.78Single8I95EP548I95-C3aB-EP54-Go/β1/γ2
27.78Single8ID8TUG-8918ID8-FFA4-TUG-891-Gi1/β1/γ2
27.78Single8IJDMK68928IJD-HCA2-MK6892-Gi1/β1/γ2
27.78Single8IYSTUG-8918IYS-FFA4-TUG-891-GDP-chim(NtGi1L-Gq)/β1/γ2
27.78Single8XGSKisspeptin-18XGS-Kiss1-Kisspeptin-1-chim(NtGi1-Gq)/β1/γ2
27.78Single8ZWGJR14a8ZWG-C3aB-JR14a-Gi1/β1/γ2
27.78Single9IZFLPA9IZF-LPA1-LPA-Gi1/β1/γ2
27.78Single9KUGEP679KUG-C5a1-EP67-Go/β1/γ2
27.78Consensuscb1_on_gpOrthosteric Ligand6KPG-CB1-AM841-Gi1/β1/γ2 8K8J-CB1-Fenofibrate-chim(Gs-CtGq)/β1/γ2
27.78Consensuschemerin_onOrthosteric Ligandcml1_on
27.78Consensusnucleotide_on_gpOrthosteric Ligandadenosine_on_gp p2y_on_gp
27.78Consensuspeptide_offOrthosteric Ligandcck_off angiotensin_off bombesin_off endothelin_off ghrelin_off npy_off opioid_off orexin_off somatostatin_off tachykinin_off vasop-oxy_off neurotensin_off
27.27Single2HPYAll-trans-Retinal2HPY-Rhodopsin-All-trans-Retinal
27.27Single6TQ9SB-4081246TQ9-OX1-SB-408124
27.27Single6WIVPubChem 52923113; PubChem 529246456WIV-GABAB1, GABAB2-PubChem 52923113; PubChem 52924645
27.27Single7DD5Ca; Ca; Tryptophan; NPS-21437DD5-CaS; CaS-Ca-Ca; Ca; Tryptophan; NPS-2143
27.27Single7DW9AVP7DW9-V2-AVP-chim(NtGi1-Gs)/β1/γ2
27.27Single7KH0AVP7KH0-V2-AVP-chim(NtGi1-Gs)/β1/γ2
27.27Single7W40Bombesin7W40-BB2-Bombesin-chim(NtGi1L-Gq)/β1/γ2
27.27Single8H4KGW95088H4K-FFA4-GW9508-chim(NtGi1-Gs-CtGq)/β1/γ2
27.27Single8Z8ALactate8Z8A-HCA1-Lactate-Gi1/β1/γ2
27.27Single8ZBISomatostatin-148ZBI-SST3-Somatostatin-14-Gi1/β1/γ2
27.27Single9EE9Adenosine9EE9-A2A-Adenosine-Gs/β1/γ2
27.27Single9M42A1L8O9M42-GPR139-A1L8O-chim(Gs-CtGq)/β1/γ2
27.27Consensuscxcr3_on_gpOrthosteric Ligand8HNK-CXCR3-CXCL11-Gi1/β1/γ2 8HNL-CXCR3-PS372424-Gi1/β1/γ2
27.27Consensusgs_vasop-oxyOrthosteric Ligand7DW9-V2-AVP-chim(NtGi1-Gs)/β1/γ2
27.27Consensuspeptide_offon_gpOrthosteric Ligandpeptide_on_gp peptide_off
27.27Consensusv2_onOrthosteric Ligand7DW9-V2-AVP-chim(NtGi1-Gs)/β1/γ2
27.27Consensusv2_on_gpOrthosteric Ligand7DW9-V2-AVP-chim(NtGi1-Gs)/β1/γ2
27.27Consensusvasop-oxy_onOrthosteric Ligandv2_on
27.27Consensusvasop-oxy_on_gpOrthosteric Ligandv2_on_gp
26.92Consensusbb2_onOrthosteric Ligand7W40-BB2-Bombesin-chim(NtGi1L-Gq)/β1/γ2 7W3Z-BB2-Gastrin Releasing Peptide-chim(NtGi1L-Gq)/β1/γ2
26.92Consensusbb2_on_gpOrthosteric Ligand7W40-BB2-Bombesin-chim(NtGi1L-Gq)/β1/γ2 7W3Z-BB2-Gastrin Releasing Peptide-chim(NtGi1L-Gq)/β1/γ2
26.92Consensusbombesin_onOrthosteric Ligandbb2_on
26.92Consensusbombesin_on_gpOrthosteric Ligandbb2_on_gp
26.92Consensusgq_bombesinOrthosteric Ligand7W40-BB2-Bombesin-chim(NtGi1L-Gq)/β1/γ2 7W3Z-BB2-Gastrin Releasing Peptide-chim(NtGi1L-Gq)/β1/γ2
26.67Single5UIGPubChem 1240811965UIG-A2A-PubChem 124081196
26.67Single6XBM25(S)-Epoxycholesterol6XBM-SMO-25(S)-Epoxycholesterol-Gi1/β1/γ2
26.67Single7CFMP3957CFM-GPBA-P395-Gs/β1/γ2
26.67Single7PP1Selatogrel7PP1-P2Y12-Selatogrel
26.67Single7VKTLTB47VKT-BLT1-LTB4-Gi1/β1/γ2
26.67Single7WC8Lumateperone7WC8-5-HT2A-Lumateperone
26.67Single8CU6LJ-45178CU6-A2A-LJ-4517
26.67Single8YH5Riboprine8YH5-A3A-Riboprine-Gi1/β1/γ2
26.67Single9BQJRO769BQJ-μ-RO76-Gi1/β1/γ2
26.67Single9EPP11,20-Ethanoretinal9EPP-Rhodopsin-11,20-Ethanoretinal-chim(Gi1-CtGq)/β1/γ2
26.67Single9JGKBalovaptan9JGK-5-HT2B-Balovaptan
26.67Single9KFTfMLFC9KFT-FPR1-ALX-fMLFC-Gi1/β1/γ2
26.67Single9KUXCMPD6449KUX-Apelin; Apelin-CMPD644-Arrestin2
26.67Consensusalicarboxylic_on_gpOrthosteric Ligandsuccinate_on_gp hca_on_gp
26.67Consensusblt1_onOrthosteric Ligand7VKT-BLT1-LTB4-Gi1/β1/γ2
26.67Consensusblt1_on_gpOrthosteric Ligand7VKT-BLT1-LTB4-Gi1/β1/γ2
26.67Consensusblt_onOrthosteric Ligandblt1_on
26.67Consensusblt_on_gpOrthosteric Ligandblt1_on_gp
26.67Consensuscck_offOrthosteric Ligandccka_off
26.67Consensusccka_offOrthosteric Ligand7F8Y-CCKA-Devazepide 7F8U-CCKA-Lintitript
26.67Consensusgi_alicarboxylicOrthosteric Ligandgi_hca gi_succinate
26.67Consensusgi_leukotrieneOrthosteric Ligand7VKT-BLT1-LTB4-Gi1/β1/γ2
26.67Consensusleukotriene_onOrthosteric Ligandblt_on
26.67Consensusleukotriene_on_gpOrthosteric Ligandblt_on_gp
26.32Single6XBJCholesterol6XBJ-SMO-Cholesterol-Gi1/β1/γ2
26.32Single7YAEOctreotide7YAE-SST2-Octreotide-Gi1/β1/γ2
26.32Single7YJ4INSL57YJ4-RXFP4-INSL5-Gi2/β1/γ2
26.32Single8F7REndomorphin8F7R-μ-Endomorphin-Gi1/β1/γ2
26.32Single8H4IDoconexent8H4I-FFA4-Doconexent-chim(NtGi1-Gs)/β1/γ2
26.32Single8IA7Cholecystokinin-88IA7-CCKB-Cholecystokinin-8-chim(NtGi1L-Gq)/β1/γ2
26.32Single8X3LXWD8X3L-CB2-XWD-Gi1/β1/γ2
26.32Single9IPVJR14a9IPV-C3aB-JR14a-Gi1/β1/γ2
26.32Single9KZ2EP679KZ2-C3aB-EP67-Go/β1/γ2
26.32Single9KZ8EP679KZ8-C3aB-EP67-Go/β1/γ2
26.32Consensuscxcr3_onOrthosteric Ligand8HNK-CXCR3-CXCL11-Gi1/β1/γ2 8HNL-CXCR3-PS372424-Gi1/β1/γ2
26.32Consensusdop_onOrthosteric Ligand8F7S-δ-Deltorphin-Gi1/β1/γ2
26.32Consensuskiss1_onOrthosteric Ligand8ZJD-Kiss1-Kisspeptin-1-chim(NtGi1-Gq)/β1/γ1
26.32Consensuskisspeptin_onOrthosteric Ligandkiss1_on
26.09Single7QBIAlpha-factor mating pheromone7QBI-STE2; STE2-α-factor mating pheromone
26.09Single8ZPSPrRP208ZPS-PrRP-PrRP20-chim(NtGi1-Gs-CtGi1)/β1/γ2
26.09Consensuscml1_on_gpOrthosteric Ligand7YKD-CML1-Chemerin-9-Gi1/β1/γ2
26.09Consensussst5_on_gpOrthosteric Ligand8X8L-SST5-Cortistatin-14-chim(NtGi1-Gs-CtGi1)/β1/γ2 8X8N-SST5-Octreotide-chim(NtGi1-Gs-CtGi1)/β1/γ2
25.00Single4NTJAZD12834NTJ-P2Y12-AZD1283
25.00Single4WW3All-trans-Retinal4WW3-Rhodopsin-All-trans-Retinal
25.00Single5CGCHTL142425CGC-mGlu5-HTL14242
25.00Single5NM2ZM-2413855NM2-A2A-ZM-241385-Na
25.00Single5WKTOctyl-Beta-D-Glucopyranoside5WKT-Rhodopsin-Octyl-β-D-Glucopyranoside-Gt(CT)
25.00Single5ZBQUR-MK-2995ZBQ-Y1-UR-MK-299
25.00Single6FK9PubChem 1324730366FK9-Rhodopsin-PubChem 132473036
25.00Single6ME5Agomelatine6ME5-MT1-Agomelatine
25.00Single7E9GJNJ-404118137E9G-mGlu2; mGlu2-Eglumetad-JNJ-40411813-Gi1/β1/γ2
25.00Single7EO2FTY720-P7EO2-S1P1-FTY720-P-Gi1/β1/γ2
25.00Single7F4ISHU91197F4I-MC1-SHU9119-chim(NtGi1-Gs)/β1/γ2
25.00Single7F8VGastrin-177F8V-CCKB-Gastrin-17-Gi2/β1/γ2
25.00Single7F8XNN90567F8X-CCKA-NN9056
25.00Single7MT9All-trans-Retinal7MT9-Rhodopsin-All-trans-Retinal-GRK1
25.00Single7MTAAll-trans-Retinal7MTA-Rhodopsin-All-trans-Retinal-GRK1
25.00Single7QA8Antagonist Peptide7QA8-STE2; STE2-Antagonist Peptide
25.00Single7QA8Antagonist Peptide7QA8-STE2; STE2-Antagonist Peptide
25.00Single7QBIAlpha-factor mating pheromone7QBI-STE2; STE2-α-factor mating pheromone
25.00Single7SINNPS-21437SIN-CaS; CaS-NPS-2143
25.00Single7SINNPS-21437SIN-CaS; CaS-NPS-2143
25.00Single7VFXfMIFL7VFX-FPR1-ALX-fMIFL-Gi1/β1/γ2
25.00Single7W41PD1762527W41-BB2-PD176252
25.00Single7WICSomatostatin-147WIC-SST2-Somatostatin-14-Gi1/β1/γ2
25.00Single7XAUOctreotide7XAU-SST2-Octreotide-Gi1/β1/γ2
25.00Single7YKDChemerin-97YKD-CML1-Chemerin-9-Gi1/β1/γ2
25.00Single8EITDoconexent8EIT-FFA1-Doconexent-chim(NtGi1L-Gs-CtGq)/β1/γ2
25.00Single8GHVAMG3158GHV-CB1-AMG315-Gi1/β1/γ2
25.00Single8IEBPubChem 1347468948IEB-GPR156; GPR156-PubChem 134746894
25.00Single8IU2All-trans-Retinal8IU2-Opsin1LW-All-trans-Retinal-Gi1/β1/γ2
25.00Single8J6JGSK2560738J6J-HCA2-GSK256073-Gi1/β1/γ2
25.00Single8J6QBeta-Hydroxybutyrate8J6Q-HCA2-β-Hydroxybutyrate-PubChem 25101223-Gi1/β1/γ2
25.00Single8J6RMK68928J6R-HCA2-MK6892-Gi1/β1/γ2
25.00Single8KFXLMD-0098KFX-CCR8-LMD-009-Gi1/β1/γ2
25.00Single8QOTNanobody-E8QOT-μ-Nanobody-E
25.00Single8SZFCa; Ca; Tryptophan; Cinacalcet; PO4; Spermine8SZF-CaS; CaS-Ca; Ca; Tryptophan; Cinacalcet; PO4; Spermine
25.00Single8TH4Losartan8TH4-AT1-Losartan-AT118-L Nanobody
25.00Single8WZ2Orexigenic Neuropeptide QRFP8WZ2-QRFP-Orexigenic Neuropeptide QRFP-chim(NtGi1L-Gs-CtGq)/β1/γ2
25.00Single8X0DVU04244658X0D-mGlu5; mGlu5-Quisqualate-VU0424465
25.00Single8X0DVU04244658X0D-mGlu5; mGlu5-Quisqualate-VU0424465
25.00Single8XVEBQ30208XVE-ETB-BQ3020-chim(Gs-CtGq)/β1/γ2
25.00Single8Y63C20:0 Ceramide8Y63-FPR2-ALX-C20:0 Ceramide-Gi1/β1/γ2
25.00Single8YICSAR2477998YIC-S1P1-SAR247799-Gi1/β1/γ2
25.00Single8YNSSNAP-948478YNS-MCH1-SNAP-94847
25.00Single8ZJDKisspeptin-18ZJD-Kiss1-Kisspeptin-1-chim(NtGi1-Gq)/β1/γ1
25.00Single8ZRKGSK12922638ZRK-GPR119-GSK1292263-Gs/β1/γ2
25.00Single9EAHOlmesartan9EAH-AT1-Olmesartan-Nanobody AT209
25.00Single9EHSLUF76029EHS-A3A-LUF7602
25.00Single9IV15alpha-DHT9IV1-ADGRD1-5α-DHT-chim(NtGi1-Gs)/β1/γ2
25.00Single9JG1Adriforant9JG1-H4-Adriforant
25.00Single9JKT(2R)-2-hydroxy-3-phenylpropanoic acid9JKT-HCA3-(2R)-2-hydroxy-3-phenylpropanoic acid-Gi1/β1/γ2
25.00Single9M8POleic monoethanolamide9M8P-GPR3 ; GPR3-Oleic monoethanolamide-AF64394
25.00Single9UMRC5a-pep9UMR-C5a1-C5a-pep-Go/β1/γ2
25.00Single9UYJChemerin-99UYJ-CML2-Chemerin-9-Arrestin2
25.00Consensusadenosine_offOrthosteric Liganda1_off a2_off
25.00Consensusbb2_offOrthosteric Ligand7W41-BB2-PD176252
25.00Consensusbombesin_offOrthosteric Ligandbb2_off
25.00Consensuscb2_onOrthosteric Ligand8GUR-CB2-CP55940-Gi1/β1/γ2 8GUS-CB2-HU-308-Gi1/β1/γ2 8GUT-CB2-LEI-102-Gi1/β1/γ2 6KPF-CB2-AM12033-Gi1/β1/γ2 6PT0-CB2-WIN 55212-2-Gi1/β1/γ2 8GUQ-CB2-Olorinab-Gi1/β1/γ2
25.00Consensuscb2_on_gpOrthosteric Ligand8GUR-CB2-CP55940-Gi1/β1/γ2 8GUS-CB2-HU-308-Gi1/β1/γ2 8GUT-CB2-LEI-102-Gi1/β1/γ2 6KPF-CB2-AM12033-Gi1/β1/γ2 6PT0-CB2-WIN 55212-2-Gi1/β1/γ2 8GUQ-CB2-Olorinab-Gi1/β1/γ2
25.00Consensuschemerin_on_gpOrthosteric Ligandcml1_on_gp
25.00Consensuscml1_onOrthosteric Ligand7YKD-CML1-Chemerin-9-Gi1/β1/γ2
25.00Consensusfpr1-alx_onOrthosteric Ligand7VFX-FPR1-ALX-fMIFL-Gi1/β1/γ2
25.00Consensusfpr1-alx_on_gpOrthosteric Ligand7VFX-FPR1-ALX-fMIFL-Gi1/β1/γ2
25.00Consensusgi_chemerinOrthosteric Ligand7YKD-CML1-Chemerin-9-Gi1/β1/γ2
25.00Consensusgi_nucleotideOrthosteric Ligandgi_adenosine gi_p2y
25.00Consensusgi_opsinsOrthosteric Ligand8IU2-Opsin1LW-All-trans-Retinal-Gi1/β1/γ2
25.00Consensusgi_peptideOrthosteric Ligandgi_cck gi_apelin gi_compl-pept gi_endothelin gi_formylpeptide gi_galanin gi_ghrelin gi_npy gi_neurotensin gi_opioid gi_orexin gi_relaxin gi_somatostatin
25.00Consensusgi_sensoryOrthosteric Ligandgi_opsins
25.00Consensusgq_kisspeptinOrthosteric Ligand8ZJD-Kiss1-Kisspeptin-1-chim(NtGi1-Gq)/β1/γ1
25.00Consensuskiss1_on_gpOrthosteric Ligand8ZJD-Kiss1-Kisspeptin-1-chim(NtGi1-Gq)/β1/γ1
25.00Consensuskisspeptin_on_gpOrthosteric Ligandkiss1_on_gp
25.00Consensuslpl_onOrthosteric Ligands1p_on lpa_on
25.00Consensuslpl_on_gpOrthosteric Ligands1p_on_gp lpa_on_gp
25.00Consensusnucleotide_onOrthosteric Ligandadenosine_on p2y_on
25.00Consensusopsin1lw_onOrthosteric Ligand8IU2-Opsin1LW-All-trans-Retinal-Gi1/β1/γ2
25.00Consensusopsin1lw_on_gpOrthosteric Ligand8IU2-Opsin1LW-All-trans-Retinal-Gi1/β1/γ2
24.00Single7F4FAfamelanotide7F4F-MC1-Afamelanotide-chim(NtGi1-Gs)/β1/γ2
24.00Single7QBCAlpha-factor mating pheromone7QBC-STE2; STE2-α-factor mating pheromone
24.00Single7WVYAmyloid-Beta427WVY-FPR2-ALX-Amyloid-β42-Gi2/β1/γ2
24.00Consensuspeptide_onOrthosteric Ligandcck_on angiotensin_on apelin_on bombesin_on bradykinin_on compl-peptide_on endothelin_on formylpeptide_on galanin_on ghrelin_on kisspeptin_on melanocortin_on motilin_on neuromedin-u_on npy_on neurotensin_on opioid_on orexin_on relaxin_on somatostatin_on tachykinin_on trh_on vasop-oxy_on
24.00Consensuspeptide_on_gpOrthosteric Ligandcck_on_gp angiotensin_on_gp apelin_on_gp bombesin_on_gp bradykinin_on_gp compl-peptide_on_gp endothelin_on_gp formylpeptide_on_gp galanin_on_gp ghrelin_on_gp kisspeptin_on_gp melanocortin_on_gp motilin_on_gp neuromedin-u_on_gp npy_on_gp neurotensin_on_gp opioid_on_gp orexin_on_gp relaxin_on_gp somatostatin_on_gp tachykinin_on_gp trh_on_gp vasop-oxy_on_gp
23.81Single5XJM(Sar1,Ile8)-Angiotensin II5XJM-AT2-(Sar1,Ile8)-Angiotensin II
23.81Single6DO1(Sar1,Ile8)-Angiotensin II6DO1-AT1-(Sar1,Ile8)-Angiotensin II
23.81Single7EZKCholecystokinin-87EZK-CCKA-Cholecystokinin-8-chim(NtGi1-Gs)/β1/γ2
23.81Single7WJ5Somatostatin-147WJ5-SST2-Somatostatin-14-Gi1/β1/γ2
23.81Single7XMSSomatostatin-147XMS-SST4-Somatostatin-14-Gi1/β1/γ2
23.81Single8F7SDeltorphin8F7S-δ-Deltorphin-Gi1/β1/γ2
23.81Single8F7WDynorphin8F7W-κ-Dynorphin-Gi1/β1/γ2
23.81Single8SG1Chemerin-98SG1-CML1-Chemerin-9-Gi1/β1/γ2
23.81Single9KT7MK68929KT7-HCA2-MK6892-Gi1/β1/γ2
23.81Single9UMXEP549UMX-C5a1-EP54-Go/β1/γ2
23.81Consensusdop_on_gpOrthosteric Ligand8F7S-δ-Deltorphin-Gi1/β1/γ2
23.81Consensusgq_class-aOrthosteric Ligandgq_peptide gq_amine gq_nucleotide
23.53Single4OO9Mavoglurant4OO9-mGlu5-Mavoglurant
23.53Single4Z34ONO-97803074Z34-LPA1-ONO-9780307
23.53Single5XR8AM120335XR8-CB1-AM12033
23.53Single5XRAAM115425XRA-CB1-AM11542
23.53Single6O3CCholesterol6O3C-SMO-SAG21k-Cholesterol
23.53Single6RZ5Zafirlukast6RZ5-CysLT1-Zafirlukast-Na
23.53Single7EW3S1P7EW3-S1P3-S1P-Gi1/β1/γ2
23.53Single7TD1LPA7TD1-LPA1-LPA-Gi1/β1/γ2
23.53Single7TUYGSK682753A7TUY-GPR183-GSK682753A
23.53Single8JD5JNJ-40411813; ADX881788JD5-mGlu2; mGlu4-Glutamate-JNJ-40411813; ADX88178-Gi1/β1/γ2
23.53Single8X0BVU04244658X0B-mGlu5; mGlu5-Quisqualate-VU0424465
23.53Single8X0FVU298X0F-mGlu5; mGlu5-Quisqualate-VU29
23.53Single8X16Piclidenoson8X16-A3A-Piclidenoson-Gi1/β1/γ2
23.53Single8XIPPasireotide8XIP-SST1-Pasireotide-chim(NtGi1-Gs-CtGi1)/β1/γ2
23.53Single8XJMLatanoprost8XJM-FP-alpha-Latanoprost-chim(NtGi2-Gs-CtGq)/β1/γ2
23.53Single8XZICMF-0198XZI-Apelin; Apelin-CMF-019-Gi1/β1/γ2
23.53Single8YNTSNAP-948478YNT-MCH1-SNAP-94847
23.53Single8ZWFJR14a8ZWF-C3aB-JR14a
23.53Single9JMCDS-3801b9JMC-Motilin-DS-3801b-chim(Gs-CtGq)/β1/γ2
23.53Single9KUXCMPD6449KUX-Apelin; Apelin-CMPD644-Arrestin2
23.53Single9RHGC4079RHG-FZD7-C407
23.53Consensuscyslt1_offOrthosteric Ligand6RZ5-CysLT1-Zafirlukast-Na 6RZ4-CysLT1-Pranlukast-Na
23.53Consensusffa_onOrthosteric Ligandffa2_on ffa3_on
23.53Consensusffa_on_gpOrthosteric Ligandffa2_on_gp ffa3_on_gp
23.53Consensusgi_cannabinoidOrthosteric Ligand8GUR-CB2-CP55940-Gi1/β1/γ2 8GUS-CB2-HU-308-Gi1/β1/γ2 8GUT-CB2-LEI-102-Gi1/β1/γ2 8GUQ-CB2-Olorinab-Gi1/β1/γ2 6KPF-CB2-AM12033-Gi1/β1/γ2 6PT0-CB2-WIN 55212-2-Gi1/β1/γ2 6KPG-CB1-AM841-Gi1/β1/γ2
23.53Consensusgi_ffaOrthosteric Ligand8J21-FFA3-Butyric acid-Gi1/β1/γ2 8J22-FFA2-TUG-1375-Gi1/β1/γ2
23.53Consensusnpy1_offOrthosteric Ligand5ZBH-Y1-BMS-193885 5ZBQ-Y1-UR-MK-299
23.53Consensusnpy_offOrthosteric Ligandnpy1_off npy2_off
23.08Single3AYMAll-trans-Retinal3AYM-Rhodopsin-All-trans-Retinal
23.08Single6FK6PubChem 1324730336FK6-Rhodopsin-PubChem 132473033
23.08Single6IGLIRL16206IGL-ETB-IRL1620
23.08Single6PH7Nerol6PH7-Rhodopsin-Nerol-Gt(CT)
23.08Single7QBCAlpha-factor mating pheromone7QBC-STE2; STE2-α-factor mating pheromone
23.08Single7VUIJNJ-635330547VUI-GPR139-JNJ-63533054-GTP-chim(Gs-CtGq)/β1/γ2
23.08Single8A2PLUAA470708A2P-A2A-LUAA47070-Na
23.08Single8H2GNiacin8H2G-HCA2-Niacin-Gi1/β1/γ2
23.08Single8IHIAcifran8IHI-HCA2-Acifran-Gi1/β1/γ2
23.08Single8IY5Endothelin-18IY5-ETB-Endothelin-1-Gi1/β1/γ2
23.08Single8JILNiacin8JIL-HCA2-Niacin-Gi1/β1/γ2
23.08Single8K5BNiacin8K5B-HCA2-Niacin
23.08Single8Y52BA18Y52-BB3-BA1-chim(NtGi1-Gs-CtGq)/β1/γ2
23.08Single8YKWSuccinic acid8YKW-Succinate-Succinic acid-Gi1/β1/γ1
23.08Single9EPRAll-trans-Retinal9EPR-Rhodopsin-All-trans-Retinal-Gi1/β1/γ2
23.08Single9IQTNiacin9IQT-HCA2-Niacin-Gi1/β1/γ2
23.08Single9IZDCHBA9IZD-HCA1-CHBA-Gi1/β1/γ2
23.08Single9KUWCMPD6449KUW-Apelin; Apelin-CMPD644-Arrestin2 ; Arrestin2
23.08Single9M88Oleic monoethanolamide9M88-GPR3 ; GPR3-Oleic monoethanolamide-AF64394
23.08Consensusbk2_onOrthosteric Ligand7F6H-BK2-Bradykinin-Gq/β1/γ2 7F6I-BK2-Kallidin-Gq/β1/γ2
23.08Consensusbk2_on_gpOrthosteric Ligand7F6H-BK2-Bradykinin-Gq/β1/γ2 7F6I-BK2-Kallidin-Gq/β1/γ2
23.08Consensusbradykinin_onOrthosteric Ligandbk2_on
23.08Consensusbradykinin_on_gpOrthosteric Ligandbk2_on_gp
23.08Consensusetb_onOrthosteric Ligand8IY5-ETB-Endothelin-1-Gi1/β1/γ2 8HBD-ETB-IRL1620-Gi1/β1/γ2
23.08Consensusgq_bradykininOrthosteric Ligand7F6H-BK2-Bradykinin-Gq/β1/γ2 7F6I-BK2-Kallidin-Gq/β1/γ2
22.73Single7MBXCholecystokinin-87MBX-CCKA-Cholecystokinin-8-Gs/β1/γ1
22.73Single7TD2LPA7TD2-LPA1-LPA-Gi1/β1/γ2
22.73Single7XOUCholecystokinin-87XOU-CCKA-Cholecystokinin-8-Gs/β1/γ2
22.73Single8XIRPasireotide8XIR-SST3-Pasireotide-chim(NtGi1-Gs-CtGi1)/β1/γ2
22.73Single9M1ONeuropeptide-FF9M1O-NPFF2-Neuropeptide-FF-Gi1/β1/γ2
22.73Consensusangiotensin_onOrthosteric Ligandat1_on
22.73Consensusat1_onOrthosteric Ligand7F6G-AT1-(Sar1)-Angiotensin II-Gq/β1/γ2
22.73Consensusgs_cckOrthosteric Ligand7MBX-CCKA-Cholecystokinin-8-Gs/β1/γ1
22.22Single4N4WSANT-14N4W-SMO-SANT-1
22.22Single4OR2FITM4OR2-mGlu1; mGlu1-FITM
22.22Single7WCNAR2314537WCN-GPR119-AR231453-Gs/β1/γ2
22.22Single7Y66BM2137Y66-C5a1-BM213-Gi1/β1/γ2
22.22Single8IA8E7 peptide8IA8-C3aB-E7 peptide-Gi1/β1/γ2
22.22Single8JJPChemerin-98JJP-CML2-Chemerin-9-Gi1/β1/γ2
22.22Single8ZJETAK4488ZJE-Kiss1-TAK448-chim(NtGi1-Gq)/β1/γ1
22.22Single9DGIZ85267113509DGI-CB1-Z8526711350
22.22Single9IZHLPA9IZH-LPA1-LPA-chim(NtGi2-G13)/β1/γ2
22.22Single9L3WChemerin9L3W-CML1-Chemerin-Gi1/β1/γ2
22.22Single9M8POleic monoethanolamide9M8P-GPR3 ; GPR3-Oleic monoethanolamide-AF64394
22.22Single9W32SSTR5 antagonist 19W32-SST5-SSTR5 antagonist 1
22.22Single9WXMGPR15L(CT)9WXM-GPR15-GPR15L(CT)-Gi3/β1/γ2
22.22Consensuscannabinoid_onOrthosteric Ligandcb2_on cb1_on
22.22Consensuscannabinoid_on_gpOrthosteric Ligandcb2_on_gp cb1_on_gp
22.22Consensusccr8_onOrthosteric Ligand8KFX-CCR8-LMD-009-Gi1/β1/γ2 8KFY-CCR8-ZK-756326-Gi1/β1/γ2 8U1U-CCR8-CCL1-Gi1/β1/γ2
22.22Consensusgi_endothelinOrthosteric Ligand8IY5-ETB-Endothelin-1-Gi1/β1/γ2 8HBD-ETB-IRL1620-Gi1/β1/γ2
22.22Consensusleukotriene_offOrthosteric Ligandblt_off cyslt_off
22.22Consensuslipid_offonOrthosteric Ligandlipid_off lipid_on
22.22Consensuslipid_offon_gpOrthosteric Ligandlipid_on_gp lipid_off
22.22Consensuslpl_offOrthosteric Ligands1p_off lpa_off
22.22Consensusm4_onOrthosteric Ligand7TRS-M4-Acetylcholine-Gi1/β1/γ2 7V6A-M4-PubChem 9864275-Gi1/β1/γ2 8E9X-M4-2-Deoxycytidine-chim(NtGi1-Go)/β1/γ2 7TRK-M4-Iperoxo-Gi1/β1/γ2
22.22Consensusm4_on_gpOrthosteric Ligand7TRS-M4-Acetylcholine-Gi1/β1/γ2 7V6A-M4-PubChem 9864275-Gi1/β1/γ2 8E9X-M4-2-Deoxycytidine-chim(NtGi1-Go)/β1/γ2 7TRK-M4-Iperoxo-Gi1/β1/γ2
21.74Single5WB2CX3CL1.355WB2-US28-CX3CL1.35
21.74Single7AD3Alpha-factor mating pheromone7AD3-STE2; STE2-α-factor mating pheromone-Gi1/STE4/γ2
21.74Single7F4HAfamelanotide7F4H-MC1-Afamelanotide-chim(NtGi1-Gs)/β1/γ2
21.74Single7F6G(Sar1)-Angiotensin II7F6G-AT1-(Sar1)-Angiotensin II-Gq/β1/γ2
21.74Single7WUIIP157WUI-ADGRG2-IP15-chim(NtGi1-Gs)/β1/γ2
21.74Single8IEDPubChem 1347468948IED-GPR156; GPR156-PubChem 134746894-Go/β1/γ2
21.74Single8IEDPubChem 1347468948IED-GPR156; GPR156-PubChem 134746894-Go/β1/γ2
21.74Single8IHFMK68928IHF-HCA2-MK6892-Gi1/β1/γ2
21.74Single8J6IMK68928J6I-HCA2-MK6892-Gi1/β1/γ2
21.74Single8X8LCortistatin-148X8L-SST5-Cortistatin-14-chim(NtGi1-Gs-CtGi1)/β1/γ2
21.74Single8XWQEndothelin-18XWQ-ETB-Endothelin-1-Gi1/β1/γ2
21.74Consensusangiotensin_on_gpOrthosteric Ligandat1_on_gp
21.74Consensusat1_on_gpOrthosteric Ligand7F6G-AT1-(Sar1)-Angiotensin II-Gq/β1/γ2
21.74Consensusfpr2-alx_on_gpOrthosteric Ligand7WVX-FPR2-ALX-Humanin-Gi2/β1/γ2 7T6U-FPR2-ALX-CGEN-855A-Gi1/β1/γ2 7T6V-FPR2-ALX-fMLFII-Gi1/β1/γ2 7WVY-FPR2-ALX-Amyloid-β42-Gi2/β1/γ2 7T6S-FPR2-ALX-TC-FPR 43-Gi1/β1/γ2 6OMM-FPR2-ALX-WKYMVX-Gi1/β1/γ2
21.74Consensusgq_angiotensinOrthosteric Ligand7F6G-AT1-(Sar1)-Angiotensin II-Gq/β1/γ2
21.74Consensusprotein_onOrthosteric Ligandchemokine_on chemerin_on
21.43Single2Z7311-cis-Retinal2Z73-Rhodopsin-11-cis-Retinal
21.43Single3AYN9-cis-Retinal3AYN-Rhodopsin-9-cis-Retinal
21.43Single3V2WPubChem 518926453V2W-S1P1-PubChem 51892645
21.43Single3VG9ZM-2413853VG9-A2A-ZM-241385-Antibody
21.43Single5K2DZM-2413855K2D-A2A-ZM-241385-Na
21.43Single5OLHVipadenant5OLH-A2A-Vipadenant-Na
21.43Single5OLOTozadenant5OLO-A2A-Tozadenant-Na
21.43Single5OLVLUAA470705OLV-A2A-LUAA47070-Na
21.43Single6FKBPubChem 1324730386FKB-Rhodopsin-PubChem 132473038
21.43Single6JZHZM-2413856JZH-A2A-ZM-241385-Na
21.43Single6ME9Ramelteon6ME9-MT2-Ramelteon
21.43Single6PS7ZM-2413856PS7-A2A-ZM-241385-Na
21.43Single7BR3Elagolix7BR3-GnRH1-Elagolix
21.43Single7M3FCa; Ca; Tryptophan; Cinacalcet7M3F-CaS; CaS-Ca; Ca; Tryptophan; Cinacalcet
21.43Single7TUZ7-alpha,25-dihydroxycholesterol7TUZ-GPR183-7-α,25-dihydroxycholesterol-Gi1/β1/γ2
21.43Single7VIHCBP-3077VIH-S1P1-CBP-307-Gi1/β1/γ2
21.43Single8DU3PubChem 1055260648DU3-A2A-PubChem 105526064
21.43Single8DWGML3828DWG-MRGPRX1-BAM8-22-ML382-chim(NtGi2L-Gs-CtGq)/β1/γ2
21.43Single8GNGIstradefylline8GNG-A2A-Istradefylline
21.43Single8HBDIRL16208HBD-ETB-IRL1620-Gi1/β1/γ2
21.43Single8IJANiacin8IJA-HCA2-Niacin-Gi1/β1/γ2
21.43Single8IJBAcipimox8IJB-HCA2-Acipimox-Gi1/β1/γ2
21.43Single8J6LNiacin8J6L-HCA2-Niacin-Gi1/β1/γ2
21.43Single8RW0Istradefylline8RW0-A2A-Istradefylline-Na
21.43Single8UTDMK19038UTD-HCA2-MK1903-Gi1/β1/γ2
21.43Single8WOGSuccinic acid8WOG-Succinate-Succinic acid-Gi1/β1/γ2
21.43Single8XXVIndomethacin8XXV-DP2-Indomethacin-A1D5Q-Gi1/β1/γ2
21.43Single8YKXMaleic acid8YKX-Succinate-Maleic acid-Gi1/β1/γ1
21.43Single8Z87CHBA8Z87-HCA1-CHBA-Gi1/β1/γ2
21.43Single9AVLCa; Ca; Cyclomethyltryptophan; R-568; PO49AVL-CaS; CaS-Ca-Ca; Ca; Cyclomethyltryptophan; R-568; PO4-Gi3/β2/γ2
21.43Single9C2FCa; Ca; Tryptophan; '54149; PO49C2F-CaS; CaS-Ca-Ca; Ca; Tryptophan; '54149; PO4
21.43Single9H2XPubChem 1756706449H2X-A2A-PubChem 175670644-Na
21.43Single9JKXAcifran9JKX-HCA3-Acifran-Gi1/β1/γ2
21.43Single9LKDPL459LKD-OR5V1-PL45
21.43Consensusangiotensin_offOrthosteric Ligandat1_off
21.43Consensusetb_on_gpOrthosteric Ligand8IY5-ETB-Endothelin-1-Gi1/β1/γ2 8HBD-ETB-IRL1620-Gi1/β1/γ2
21.43Consensusgi_succinateOrthosteric Ligand8YKW-Succinate-Succinic acid-Gi1/β1/γ1 8YKX-Succinate-Maleic acid-Gi1/β1/γ1
21.43Consensusgnrh1_offOrthosteric Ligand7BR3-GnRH1-Elagolix
21.43Consensuss1p1_offOrthosteric Ligand3V2W-S1P1-PubChem 51892645
21.43Consensussuccinate_onOrthosteric Ligand8YKW-Succinate-Succinic acid-Gi1/β1/γ1 8YKX-Succinate-Maleic acid-Gi1/β1/γ1
21.43Consensussuccinate_on_gpOrthosteric Ligand8YKW-Succinate-Succinic acid-Gi1/β1/γ1 8YKX-Succinate-Maleic acid-Gi1/β1/γ1
21.05Single4OR2FITM4OR2-mGlu1; mGlu1-FITM
21.05Single5CGDHTL142425CGD-mGlu5-HTL14242
21.05Single7EZHCholecystokinin-87EZH-CCKA-Cholecystokinin-8-Gi1/β1/γ2
21.05Single7EZMCholecystokinin-87EZM-CCKA-Cholecystokinin-8-chim(NtGsL-Gq)/β1/γ2
21.05Single7MBYCholecystokinin-87MBY-CCKA-Cholecystokinin-8-chim(NtGi1L-Gs-CtGq)/β1/γ2
21.05Single7QVMOxytocin7QVM-OT-Oxytocin-chim(NtGi1-Go-CtGq)/β1/γ2
21.05Single7XZ6APD6687XZ6-GPR119-APD668-Gs/β1/γ2
21.05Single7Y27Somatostatin-147Y27-SST2-Somatostatin-14-chim(NtGi2L-Gs-CtGq)/β1/γ2
21.05Single7YU8ONO-07405567YU8-LPA1-ONO-0740556-Gi1/β1/γ2
21.05Single8GAGZ85267113508GAG-CB1-Z8526711350-Gi1/β1/γ2
21.05Single8GUTLEI-1028GUT-CB2-LEI-102-Gi1/β1/γ2
21.05Single8IULLatanoprost8IUL-FP-alpha-Latanoprost-chim(NtGi1-Gs-CtGq)/β1/γ2
21.05Single8K2XCXCL108K2X-CXCR3-CXCL10-Gi1/β1/γ2
21.05Single8WRZAM8418WRZ-CB1-AM841-Arrestin2
21.05Single8XJKCloprosetnol8XJK-FP-alpha-Cloprosetnol-chim(NtGi1-Gs-CtGq)/β1/γ2
21.05Single9EAILosartan9EAI-AT1-Losartan-Nanobody AT209
21.05Single9L79AR2314539L79-GPR119-AR231453-chim(NtGi1-Gs)/β1/γ2
21.05Single9VI9RFRP-39VI9-NPFF1-RFRP-3-Gi1/β1/γ2
21.05Consensuscck_onOrthosteric Ligandccka_on cckb_on
21.05Consensuscck_on_gpOrthosteric Ligandccka_on_gp cckb_on_gp
21.05Consensusccka_onOrthosteric Ligand7EZH-CCKA-Cholecystokinin-8-Gi1/β1/γ2
21.05Consensusccka_on_gpOrthosteric Ligand7EZH-CCKA-Cholecystokinin-8-Gi1/β1/γ2
21.05Consensusfp-alpha_onOrthosteric Ligand8IUK-FP-alpha-PGF2-α-chim(NtGi1-Gs-CtGq)/β1/γ2 8IUL-FP-alpha-Latanoprost-chim(NtGi1-Gs-CtGq)/β1/γ2 8IUM-FP-alpha-Tafluprost acid-chim(NtGi1-Gs-CtGq)/β1/γ2
21.05Consensusfp-alpha_on_gpOrthosteric Ligand8IUK-FP-alpha-PGF2-α-chim(NtGi1-Gs-CtGq)/β1/γ2 8IUL-FP-alpha-Latanoprost-chim(NtGi1-Gs-CtGq)/β1/γ2 8IUM-FP-alpha-Tafluprost acid-chim(NtGi1-Gs-CtGq)/β1/γ2
21.05Consensusnk2_onOrthosteric Ligand7XWO-NK2-Neurokinin-A-chim(NtGi1-Gs-CtGq)/β1/γ2
21.05Consensusprostanoid_offOrthosteric Ligandep_off dp_off
20.83Single7F6HBradykinin7F6H-BK2-Bradykinin-Gq/β1/γ2
20.83Single7X9CPancreatic Hormone7X9C-Y4-Pancreatic Hormone-Gi1/β1/γ2
20.83Single8HCXEndothelin-18HCX-ETB-Endothelin-1-chim(NtGi2L-Gs-CtGq)/β1/γ2
20.83Single8HNKCXCL118HNK-CXCR3-CXCL11-Gi1/β1/γ2
20.83Single8IODPG-9018IOD-MC5-PG-901-Ca-chim(NtGi1-Gs)/β1/γ2
20.83Single8WWKMCH8WWK-MCH1-MCH-Gi1/β1/γ2
20.83Single8XQEApelin-138XQE-Apelin; Apelin-Apelin-13-Gi1/β1/γ2
20.83Single8ZRTEndothelin-18ZRT-ETB-Endothelin-1
20.83Single9JFYNeuropeptide-SF9JFY-NPFF2-Neuropeptide-SF-Gi1/β1/γ2
20.83Consensusmc1_onOrthosteric Ligand7F4H-MC1-Afamelanotide-chim(NtGi1-Gs)/β1/γ2 7F4D-MC1-α-MSH-chim(NtGi1-Gs)/β1/γ2 7F4I-MC1-SHU9119-chim(NtGi1-Gs)/β1/γ2
20.83Consensusmc1_on_gpOrthosteric Ligand7F4H-MC1-Afamelanotide-chim(NtGi1-Gs)/β1/γ2 7F4D-MC1-α-MSH-chim(NtGi1-Gs)/β1/γ2 7F4I-MC1-SHU9119-chim(NtGi1-Gs)/β1/γ2
20.69Consensusgs_peptideOrthosteric Ligandgs_cck gs_melanocortin gs_vasop-oxy
20.00Single3REYPubChem 56973REY-A2A-PubChem 5697
20.00Single3V2YPubChem 518926453V2Y-S1P1-PubChem 51892645
20.00Single4ZUDOlmesartan4ZUD-AT1-Olmesartan
20.00Single5IU4ZM-2413855IU4-A2A-ZM-241385-Na
20.00Single5IU7Q274563465IU7-A2A-Q27456346-Na
20.00Single5IUBQ274563445IUB-A2A-Q27456344-Na
20.00Single5JTBZM-2413855JTB-A2A-ZM-241385
20.00Single5K2BZM-2413855K2B-A2A-ZM-241385-Na
20.00Single5K2CZM-2413855K2C-A2A-ZM-241385-Na
20.00Single5MZPCaffeine5MZP-A2A-Caffeine-Na
20.00Single5NLXZM-2413855NLX-A2A-ZM-241385-Na
20.00Single5NM4ZM-2413855NM4-A2A-ZM-241385-Na
20.00Single5UVIZM-2413855UVI-A2A-ZM-241385
20.00Single6AQFZM-2413856AQF-A2A-ZM-241385
20.00Single6FFIMPEP6FFI-mGlu5-MPEP
20.00Single6FK8PubChem 1324730356FK8-Rhodopsin-PubChem 132473035
20.00Single6FKAPubChem 1324730376FKA-Rhodopsin-PubChem 132473037
20.00Single6ZDRHMS1413f126ZDR-A2A-HMS1413f12-Na
20.00Single6ZDVPubChem 9840736ZDV-A2A-PubChem 984073-Na
20.00Single6ZG9GSK10347026ZG9-M1-GSK1034702
20.00Single7AROLUF58337ARO-A2A-LUF5833-Na
20.00Single7BB6AVP7BB6-V2-AVP-Gs/β1/γ2
20.00Single7F2OBradykinin7F2O-BK2-Bradykinin-chim(NtGi1-Gs-CtGq)/β1/γ2
20.00Single7F8WGastrin-177F8W-CCKB-Gastrin-17-chim(NtGsL-Gq)/β1/γ2
20.00Single7T32ZM-2413857T32-A2A-ZM-241385
20.00Single7Y1FDynorphin7Y1F-κ-Dynorphin-Gi1/β1/γ2
20.00Single7YK6PubChem 1383196747YK6-RXFP4-PubChem 138319674-Gi2/β1/γ2
20.00Single8GEJConstrained Epinephrine8GEJ-β2-Constrained Epinephrine-Gs/β1/γ2
20.00Single8GUQOlorinab8GUQ-CB2-Olorinab-Gi1/β1/γ2
20.00Single8HQN9-S-HODE8HQN-GPR132-9-S-HODE-Gi1/β1/γ2
20.00Single8IHKAcifran8IHK-HCA3-Acifran
20.00Single8IUMTafluprost acid8IUM-FP-alpha-Tafluprost acid-chim(NtGi1-Gs-CtGq)/β1/γ2
20.00Single8IY9Niacin8IY9-HCA2-Niacin-Go/β1/γ2
20.00Single8JEIPubChem 117155568JEI-HCAR3-PubChem 11715556-Gi1/β1/γ2
20.00Single8JERAcipimox8JER-HCA2-Acipimox-Go/β1/γ2
20.00Single8JIMMonomethyl fumarate8JIM-HCA2-Monomethyl fumarate-Gi1/β1/γ2
20.00Single8K4NPubChem 1687197658K4N-GPR34-PubChem 168719765-Gi1/β1/γ2
20.00Single8K4SDCA-3P8K4S-MRGPRX4-DCA-3P-chim(NtGi1L-Gs-CtGq)/β1/γ2
20.00Single8K5CAcipimox8K5C-HCA2-Acipimox
20.00Single8QJ2pN1628QJ2-MC4-pN162-Gs/β1/γ2
20.00Single8RQQZM-2413858RQQ-A2A-ZM-241385-Na
20.00Single8RWCStilSwitch28RWC-A2A-StilSwitch2-Na
20.00Single8RWDStilSwitch38RWD-A2A-StilSwitch3-Na
20.00Single8RWIStilSwitch28RWI-A2A-StilSwitch2-Na
20.00Single8XQFApelin-138XQF-Apelin-Apelin-13-Gi1/β1/γ2
20.00Single9ASBCa; Ca; Cyclomethyltryptophan; R-568; PO49ASB-CaS; CaS-Ca-Ca; Ca; Cyclomethyltryptophan; R-568; PO4-chim(NtGi1-Gs-CtGq)/β1/γ2
20.00Single9DQJEP-39459DQJ-MRGPRD-EP-3945-chim(NtGi1-Gs-CtGq)/β1/γ2
20.00Single9IPYJR14a9IPY-C3aB-JR14a
20.00Single9JF4PD1683689JF4-BB1-PD168368
20.00Single9JKYAcifran9JKY-HCA2-Acifran-Gi1/β1/γ2
20.00Single9KFKRelaxin-39KFK-RXFP4-Relaxin-3-Gi2/β1/γ2
20.00Single9KPDSalicin9KPD-TAS2R16-Salicin-chim(Gs-CtGt3)/β1/γ2
20.00Single9KUWCMPD6449KUW-Apelin; Apelin-CMPD644-Arrestin2 ; Arrestin2
20.00Single9LKBPL459LKB-OR5V1-PL45-chim(NtGi1-Gs)/β1
20.00Single9M2FNeuropeptide-FF9M2F-NPFF1-Neuropeptide-FF-Gi1/β1/γ2
20.00Single9P1TZM-2413859P1T-A2A-ZM-241385
20.00Single9U80Conivaptan9U80-V2-Conivaptan
20.00Single9UMJEP549UMJ-C3aB-EP54-Go/β1/γ2
20.00Single9V2NMacimorelin9V2N-Ghrelin-Macimorelin-chim(NtGi1-Gs-CtGq)/β1/γ2
20.00Single9W33S5A19W33-SST5-S5A1
20.00Single9WSXEndomorphin9WSX-μ-Endomorphin-Arrestin2
20.00Consensusa2_offOrthosteric Liganda2a_off
20.00Consensusa2a_offOrthosteric Ligand3RFM-A2A-Caffeine 8C9W-A2A-Etrumadenant 3UZA-A2A-GTPL9236 8GNG-A2A-Istradefylline 8CU6-A2A-LJ-4517 7PX4-A2A-PSB-2113 7PYR-A2A-PSB-2115 8DU3-A2A-PubChem 105526064 8JWY-A2A-2-118 8PWN-A2A-Theophylline 5IU4-A2A-ZM-241385-Na 5OLZ-A2A-PubChem 135566609-Na 6GT3-A2A-Imaradenant-Na 5OLV-A2A-LUAA47070-Na 5N2R-A2A-PSB36-Na 5IU7-A2A-Q27456346-Na 5OLH-A2A-Vipadenant-Na 5OLO-A2A-Tozadenant-Na 6ZDR-A2A-HMS1413f12-Na 8GNE-A2A-KW-6356-Na 8JWZ-A2A-Etrumadenant-Na 5IU8-A2A-Q27456347-Na 5IUB-A2A-Q27456344-Na 6ZDV-A2A-PubChem 984073-Na 5IUA-A2A-Q27456348-Na 8A2P-A2A-LUAA47070-Na
20.00Consensusat1_offOrthosteric Ligand4YAY-AT1-ZD-7155 4ZUD-AT1-Olmesartan
20.00Consensuscxcr_on_gpOrthosteric Ligandcxcr3_on_gp cxcr4_on_gp cxcr1_on_gp cxcr2_on_gp
20.00Consensusformylpeptide_onOrthosteric Ligandfpr2-alx_on fpr1-alx_on
20.00Consensusghrelin_offOrthosteric Ligand6KO5-Ghrelin-PubChem 57400002 7F83-Ghrelin-PF-05190457
20.00Consensusgi_proteinOrthosteric Ligandgi_chemokine gi_chemerin
20.00Consensusgrh_offOrthosteric Ligandgnrh1_off
20.00Consensushca_onOrthosteric Ligandhca2_on
20.00Consensusnpy4_onOrthosteric Ligand7X9C-Y4-Pancreatic Hormone-Gi1/β1/γ2
20.00Consensusnpy4_on_gpOrthosteric Ligand7X9C-Y4-Pancreatic Hormone-Gi1/β1/γ2
20.00Consensusprotein_on_gpOrthosteric Ligandchemokine_on_gp chemerin_on_gp
19.23Single7AD3Alpha-factor mating pheromone7AD3-STE2; STE2-α-factor mating pheromone-Gi1/STE4/γ2
19.23Single7EIBKallidin-des-Arg107EIB-BK1-Kallidin-des-Arg10-chim(NtGi1-Gs-CtGq)/β1/γ2
19.23Single7F53Alpha-MSH7F53-MC4-α-MSH-Gs/β1/γ2
19.23Single7XATSomatostatin-147XAT-SST2-Somatostatin-14-Gi1/β1/γ2
19.23Single8WWLMCH8WWL-MCH1-MCH-Gi1/β1/γ2
19.23Single8XWPEndothelin-18XWP-ETB-Endothelin-1-Gi1/β1/γ2
19.23Single8ZJGChemerin8ZJG-CML1-Chemerin-Gi1/β1/γ2
19.05Single6WIVPubChem 52923113; PubChem 529246456WIV-GABAB1, GABAB2-PubChem 52923113; PubChem 52924645
19.05Single7F54Afamelanotide7F54-MC4-Afamelanotide-Gs/β1/γ2
19.05Single7T6UCGEN-855A7T6U-FPR2-ALX-CGEN-855A-Gi1/β1/γ2
19.05Single7TD4Siponimod7TD4-S1P1-Siponimod-Gi1/β1/γ2
19.05Single7XMRSomatostatin-147XMR-SST2-Somatostatin-14-Gi1/β1/γ2
19.05Single8IEIPubChem 1347468948IEI-GPR156; GPR156-PubChem 134746894
19.05Single8IEIPubChem 1347468948IEI-GPR156; GPR156-PubChem 134746894
19.05Single8IEPPubChem 1347468948IEP-GPR156; GPR156-PubChem 134746894
19.05Single8IEPPubChem 1347468948IEP-GPR156; GPR156-PubChem 134746894
19.05Single8IZBLysophosphatidylserine (UBL)8IZB-GPR174-Lysophosphatidylserine (UBL)-Gs/β1/γ2
19.05Single8K3ZCXCL128K3Z-CXCR4-CXCL12-Gi1/β1/γ1
19.05Single8WKYPG-9348WKY-MC4-PG-934
19.05Single8ZCJPasireotide8ZCJ-SST5-Pasireotide-Gi1/β1/γ1
19.05Single9BKJCholecystokinin-89BKJ-CCKA-Cholecystokinin-8-chim(NtGi1-Gs-CtGq)/β1/γ2
19.05Single9L3YChemerin9L3Y-CML2-Chemerin-Gi1/β1/γ2
19.05Consensuscxcr4_onOrthosteric Ligand8K3Z-CXCR4-CXCL12-Gi1/β1/γ1
19.05Consensussst5_onOrthosteric Ligand8X8L-SST5-Cortistatin-14-chim(NtGi1-Gs-CtGi1)/β1/γ2 8X8N-SST5-Octreotide-chim(NtGi1-Gs-CtGi1)/β1/γ2
18.75Single3EMLZM-2413853EML-A2A-ZM-241385
18.75Single4EIYZM-2413854EIY-A2A-ZM-241385-Na
18.75Single4YAYZD-71554YAY-AT1-ZD-7155
18.75Single5IU8Q274563475IU8-A2A-Q27456347-Na
18.75Single5K2AZM-2413855K2A-A2A-ZM-241385-Na
18.75Single5OLGZM-2413855OLG-A2A-ZM-241385-Na
18.75Single5TGZAM65385TGZ-CB1-AM6538
18.75Single5UENDU1725UEN-A1-DU172
18.75Single5VRAZM-2413855VRA-A2A-ZM-241385-Na
18.75Single5ZKPSR274175ZKP-PAF-SR27417
18.75Single6FFHFenobam6FFH-mGlu5-Fenobam
18.75Single6FK7PubChem 1324730346FK7-Rhodopsin-PubChem 132473034
18.75Single6FKCPubChem 1324730396FKC-Rhodopsin-PubChem 132473039
18.75Single6FKDPubChem 1373491836FKD-Rhodopsin-PubChem 137349183
18.75Single6GPSMK08126GPS-CCR2-MK0812
18.75Single6KPFAM120336KPF-CB2-AM12033-Gi1/β1/γ2
18.75Single6LPJZM-2413856LPJ-A2A-ZM-241385-Na
18.75Single6LPKZM-2413856LPK-A2A-ZM-241385-Na
18.75Single6S0LZM-2413856S0L-A2A-ZM-241385
18.75Single6Z10PubChem 1545855546Z10-Succinate-PubChem 154585554
18.75Single7NA8Ibutamoren7NA8-Ghrelin-Ibutamoren-Gi1/β1/γ2
18.75Single7PYRPSB-21157PYR-A2A-PSB-2115
18.75Single7V3ZCP559407V3Z-CB1-CP55940
18.75Single7VIFFTY720-P7VIF-S1P1-FTY720-P-Gi1/β1/γ2
18.75Single7YU4ONO-07405567YU4-LPA1-ONO-0740556
18.75Single8I7VAcipimox8I7V-HCA2-Acipimox-Gi1/β1/γ2
18.75Single8IHJAcifran8IHJ-HCA3-Acifran-Gi1/β1/γ2
18.75Single8J6PNiacin8J6P-HCA2-Niacin-PubChem 25101223-Gi1/β1/γ2
18.75Single8JHNMonomethyl fumarate8JHN-HCA2-Monomethyl fumarate-Go/β1/γ2
18.75Single8JIINiacin8JII-HCA2-Niacin-PubChem 25101223-Gi1/β1/γ2
18.75Single8K5DGSK2560738K5D-HCA2-GSK256073
18.75Single8KEXDCA-3P8KEX-MRGPRX4-DCA-3P
18.75Single8RW7StilSwitch18RW7-A2A-StilSwitch1-Na
18.75Single8RWXStilSwitch38RWX-A2A-StilSwitch3-Na
18.75Single8X9TAP5038X9T-ADGRD1-AP503-chim(NtGi1-Gs)/β1/γ2
18.75Single8XBGS3E-Lysophosphatidylserine 8XBG-GPR34-S3E-Lysophosphatidylserine
18.75Single8ZBEOctreotide8ZBE-SST5-Octreotide-Gi1/β1/γ1
18.75Single8ZQEGPR15L(CT)8ZQE-GPR15-GPR15L(CT)-Gi1/β1/γ1
18.75Single9AVGCa; Ca; Cyclomethyltryptophan; R-568; PO49AVG-CaS; CaS-Ca-Ca; Ca; Cyclomethyltryptophan; R-568; PO4-chim(NtGi1-Gs)/β1/γ2
18.75Single9H37PubChem 1756706469H37-A2A-PubChem 175670646-Na
18.75Single9IYAONO-97105319IYA-GPR55-ONO-9710531
18.75Single9IZCMK19039IZC-HCA2-MK1903-Gi1/β1/γ2
18.75Single9P1SZM-2413859P1S-A2A-ZM-241385
18.75Consensusccr2_offOrthosteric Ligand6GPS-CCR2-MK0812
18.75Consensusgi_hcaOrthosteric Ligand8J6R-HCA2-MK6892-Gi1/β1/γ2 8JIM-HCA2-Monomethyl fumarate-Gi1/β1/γ2 8IHI-HCA2-Acifran-Gi1/β1/γ2 8IHH-HCA2-LUF6283-Gi1/β1/γ2 8I7V-HCA2-Acipimox-Gi1/β1/γ2 8I7W-HCA2-GSK256073-Gi1/β1/γ2
18.75Consensushca2_onOrthosteric Ligand8J6R-HCA2-MK6892-Gi1/β1/γ2 8JIM-HCA2-Monomethyl fumarate-Gi1/β1/γ2 8I7V-HCA2-Acipimox-Gi1/β1/γ2 8I7W-HCA2-GSK256073-Gi1/β1/γ2 8IHH-HCA2-LUF6283-Gi1/β1/γ2 8IHI-HCA2-Acifran-Gi1/β1/γ2
18.75Consensushca2_on_gpOrthosteric Ligand8J6R-HCA2-MK6892-Gi1/β1/γ2 8IHI-HCA2-Acifran-Gi1/β1/γ2 8IHH-HCA2-LUF6283-Gi1/β1/γ2 8I7V-HCA2-Acipimox-Gi1/β1/γ2 8JIM-HCA2-Monomethyl fumarate-Gi1/β1/γ2 8I7W-HCA2-GSK256073-Gi1/β1/γ2
18.75Consensushca_on_gpOrthosteric Ligandhca2_on_gp
18.75Consensuslipid_offOrthosteric Ligandcannabinoid_off paf_off lpl_off prostanoid_off leukotriene_off
18.75Consensusnucleotide_offonOrthosteric Ligandnucleotide_off nucleotide_on
18.75Consensusnucleotide_offon_gpOrthosteric Ligandnucleotide_on_gp nucleotide_off
18.52Single8IY6Endothelin-18IY6-ETB-Endothelin-1
18.52Single8WWNMCH8WWN-MCH1-MCH-Gi1/β1/γ2
18.52Consensusendothelin_onOrthosteric Ligandetb_on eta_on
18.18Single5MZJTheophylline5MZJ-A2A-Theophylline-Na
18.18Single7PIVAfamelanotide7PIV-MC4-Afamelanotide-Gs/β1/γ2
18.18Single8F7QBeta-Endorphin8F7Q-μ-β-Endorphin-Gi1/β1/γ2
18.18Single8IEBPubChem 1347468948IEB-GPR156; GPR156-PubChem 134746894
18.18Single8JZZC5a-des-Arg8JZZ-C5a1-C5a-des-Arg-Go/β1/γ2
18.18Single8PWNTheophylline8PWN-A2A-Theophylline
18.18Single9IQVMuscarinic toxin 39IQV-Alpha1A-Muscarinic toxin 3
18.18Single9JKVPubChem 27366909JKV-HCA3-PubChem 2736690-Gi1/β1/γ2
18.18Single9KFIRelaxin-39KFI-RXFP3-Relaxin-3-Gi2/β1/γ2
18.18Consensuscckb_onOrthosteric Ligand8IA7-CCKB-Cholecystokinin-8-chim(NtGi1L-Gq)/β1/γ2 7XOW-CCKB-Sulfated Gastrin-(10-17)-chim(NtGi1-Gq)/β1/γ2 7F8V-CCKB-Gastrin-17-Gi2/β1/γ2
18.18Consensusccr8_on_gpOrthosteric Ligand8KFX-CCR8-LMD-009-Gi1/β1/γ2 8KFY-CCR8-ZK-756326-Gi1/β1/γ2 8U1U-CCR8-CCL1-Gi1/β1/γ2
18.18Consensusformylpeptide_on_gpOrthosteric Ligandfpr2-alx_on_gp fpr1-alx_on_gp
18.18Consensusghrelin_onOrthosteric Ligand7NA7-Ghrelin-Ghrelin-Gi1/β1/γ2 7F9Z-Ghrelin-GHRP-6-chim(NtGi1-Gs-CtGq)/β1/γ2 7NA8-Ghrelin-Ibutamoren-Gi1/β1/γ2
18.18Consensusghrelin_on_gpOrthosteric Ligand7NA7-Ghrelin-Ghrelin-Gi1/β1/γ2 7F9Z-Ghrelin-GHRP-6-chim(NtGi1-Gs-CtGq)/β1/γ2 7NA8-Ghrelin-Ibutamoren-Gi1/β1/γ2
18.18Consensusgi_cckOrthosteric Ligand7EZH-CCKA-Cholecystokinin-8-Gi1/β1/γ2 7F8V-CCKB-Gastrin-17-Gi2/β1/γ2
18.18Consensusgi_ghrelinOrthosteric Ligand7NA7-Ghrelin-Ghrelin-Gi1/β1/γ2 7NA8-Ghrelin-Ibutamoren-Gi1/β1/γ2
17.86Single5GLHEndothelin-15GLH-ETB-Endothelin-1
17.86Single6IGKEndothelin-36IGK-ETB-Endothelin-3
17.65Single5IUAQ274563485IUA-A2A-Q27456348-Na
17.65Single5N2RPSB365N2R-A2A-PSB36-Na
17.65Single5N2SPSB365N2S-A1-PSB36
17.65Single6D26Fevipiprant6D26-DP2-Fevipiprant
17.65Single6GPXMK08126GPX-CCR2-MK0812
17.65Single6KPCAM120336KPC-CB2-AM12033
17.65Single6LPLZM-2413856LPL-A2A-ZM-241385-Na
17.65Single6M9TMisoprostol-FA6M9T-EP3-Misoprostol-FA
17.65Single6RZ4Pranlukast6RZ4-CysLT1-Pranlukast-Na
17.65Single6S0QZM-2413856S0Q-A2A-ZM-241385
17.65Single6WQAZM-2413856WQA-A2A-ZM-241385-Na
17.65Single6XBKCholesterol6XBK-SMO-Cholesterol-Gi1/β1/γ2
17.65Single7BB7AVP7BB7-V2-AVP-Gs/β1/γ2
17.65Single7C4SS1P7C4S-S1P3-S1P
17.65Single7M3GCa; Ca; Tryptophan; Evocalcet; Etelcalcetide; PO47M3G-CaS; CaS-Ca; Ca; Tryptophan; Evocalcet; Etelcalcetide; PO4
17.65Single7RM5ZM-2413857RM5-A2A-ZM-241385-Na
17.65Single7TD3S1P7TD3-S1P1-S1P-Gi1/β1/γ2
17.65Single7Y26Octreotide7Y26-SST2-Octreotide-chim(NtGi2L-Gs-CtGq)/β1/γ2
17.65Single7YU3ONO-07405567YU3-LPA1-ONO-0740556-Gi1/β1/γ2
17.65Single7YU6ONO-07405567YU6-LPA1-ONO-0740556-Gi1/β1/γ2
17.65Single8FYNZM-2413858FYN-A2A-ZM-241385-Na
17.65Single8GD9Rivenprost8GD9-EP4-Rivenprost-Gs/β1/γ2
17.65Single8GDCPGE28GDC-EP3-PGE2-Gi1/β1/γ2
17.65Single8GNEKW-63568GNE-A2A-KW-6356-Na
17.65Single8I7WGSK2560738I7W-HCA2-GSK256073-Gi1/β1/γ2
17.65Single8IZ4Lysophosphatidylserine (TJR)8IZ4-GPR34-Lysophosphatidylserine (TJR)-Gi1/β1/γ2
17.65Single8UUJFCH-22964138UUJ-HCA2-FCH-2296413-Gi1/β1/γ2
17.65Single8X0BVU04244658X0B-mGlu5; mGlu5-Quisqualate-VU0424465
17.65Single8X0CVU04244658X0C-mGlu5; mGlu5-Quisqualate-VU0424465
17.65Single8X0CVU04244658X0C-mGlu5; mGlu5-Quisqualate-VU0424465
17.65Single8ZPTPrRP208ZPT-PrRP-PrRP20-chim(NtGi1-Gs-CtGq)/β1/γ2
17.65Single8ZVZBW245C8ZVZ-DP1-BW245C-Gs/β1/γ2
17.65Single9CIBFCH-22964139CIB-HCA2-FCH-2296413
17.65Single9DQHEP-28259DQH-MRGPRD-EP-2825-chim(NtGi1-Gs-CtGq)/β1/γ2
17.65Single9EE5ONO-25502899EE5-DP1-ONO-2550289
17.65Single9EKHONO-30302979EKH-DP1-ONO-3030297
17.65Single9ERXD9-THC analog9ERX-CB1-D9-THC analog-Gi1/β1/γ2
17.65Single9GE2ML1849GE2-GPR55-ML184-chim(NtGi1-G13)/β1/γ2
17.65Single9HC04YI9HC0-mGlu5-4YI
17.65Single9IYBPGD29IYB-DP2-PGD2-A1D5Q-Gi1/β1/γ2
17.65Single9KPFSalicin9KPF-TAS2R16-Salicin-Gi1/β1/γ2
17.65Single9KT6Acifran9KT6-HCA3-Acifran-Gi1/β1/γ2
17.65Single9KUTJR14a9KUT-C3aB-JR14a-Go/β1/γ2
17.65Consensusa1_offOrthosteric Ligand5UEN-A1-DU172 5N2S-A1-PSB36
17.65Consensuscyslt_offOrthosteric Ligandcyslt2_off cyslt1_off
17.65Consensusdp2_offOrthosteric Ligand6D26-DP2-Fevipiprant
17.65Consensusdp_offOrthosteric Liganddp2_off
17.65Consensuslipid_onOrthosteric Ligandcannabinoid_on ffa_on lpl_on prostanoid_on leukotriene_on
17.65Consensuslipid_on_gpOrthosteric Ligandcannabinoid_on_gp ffa_on_gp lpl_on_gp prostanoid_on_gp leukotriene_on_gp
17.65Consensuslpa1_onOrthosteric Ligand7TD1-LPA1-LPA-Gi1/β1/γ2 7YU3-LPA1-ONO-0740556-Gi1/β1/γ2
17.65Consensuslpa1_on_gpOrthosteric Ligand7TD1-LPA1-LPA-Gi1/β1/γ2 7YU3-LPA1-ONO-0740556-Gi1/β1/γ2
17.65Consensuss1p_offOrthosteric Ligands1p1_off s1p5_off
17.39Single6LW5WKYMVm6LW5-FPR2-ALX-WKYMVm
17.39Single6W25SHU91196W25-MC4-SHU9119-Ca
17.39Single7F4DAlpha-MSH7F4D-MC1-α-MSH-chim(NtGi1-Gs)/β1/γ2
17.39Single7RYCOxytocin7RYC-OT-Oxytocin-chim(NtGi2L-Gs-CtGq)/β1/γ2
17.39Single8K6NNeuropeptide-Y8K6N-Y2-Neuropeptide-Y-Gi2/β1/γ1
17.39Single8WKZSBL-MC-318WKZ-MC4-SBL-MC-31
17.39Single8XZGApelin-138XZG-Apelin; Apelin-Apelin-13-Gi1/β1/γ2
17.39Single8XZHMM078XZH-Apelin; Apelin-MM07-Gi1/β1/γ2
17.39Single9K27PrRP319K27-PrRP-PrRP31-chim(NtGi1-Gq)/β1/γ2
17.39Single9UYIChemerin-99UYI-CML2-Chemerin-9-Arrestin2
17.39Consensusc5a1_onOrthosteric Ligand8HK5-C5a1-C5a-Gi1/β1/γ2 7Y66-C5a1-BM213-Gi1/β1/γ2 7Y67-C5a1-C089 peptide-Gi1/β1/γ2 7Y64-C5a1-C5a-Gi1/β1/γ2
17.39Consensuscckb_on_gpOrthosteric Ligand8IA7-CCKB-Cholecystokinin-8-chim(NtGi1L-Gq)/β1/γ2 7XOW-CCKB-Sulfated Gastrin-(10-17)-chim(NtGi1-Gq)/β1/γ2 7F8V-CCKB-Gastrin-17-Gi2/β1/γ2
17.39Consensuscxcr4_on_gpOrthosteric Ligand8K3Z-CXCR4-CXCL12-Gi1/β1/γ1
17.39Consensusfpr2-alx_onOrthosteric Ligand7WVX-FPR2-ALX-Humanin-Gi2/β1/γ2 7T6U-FPR2-ALX-CGEN-855A-Gi1/β1/γ2 7T6V-FPR2-ALX-fMLFII-Gi1/β1/γ2 7WVY-FPR2-ALX-Amyloid-β42-Gi2/β1/γ2 7T6S-FPR2-ALX-TC-FPR 43-Gi1/β1/γ2 6OMM-FPR2-ALX-WKYMVX-Gi1/β1/γ2
17.24Consensusendothelin_on_gpOrthosteric Ligandetb_on_gp eta_on_gp
17.24Consensusmelanocortin_onOrthosteric Ligandmc1_on mc4_on mc2_on mc3_on mc5_on
17.24Consensusmelanocortin_on_gpOrthosteric Ligandmc1_on_gp mc4_on_gp mc2_on_gp mc3_on_gp mc5_on_gp
16.67Single3RFMCaffeine3RFM-A2A-Caffeine
16.67Single5ZBHBMS-1938855ZBH-Y1-BMS-193885
16.67Single6JODAngiotensin II6JOD-AT2-Angiotensin II
16.67Single6LRYSarafotoxin-B6LRY-ETB-Sarafotoxin-B
16.67Single6N4BMDMB-Fubinaca6N4B-CB1-MDMB-Fubinaca-Gi1/β1/γ2
16.67Single6OT025(S)-Epoxycholesterol6OT0-SMO-25(S)-Epoxycholesterol-Gi1/β1/γ2
16.67Single6WI9Secretin6WI9-Secretin-Secretin-Gs/β1/γ2
16.67Single7F58THIQ7F58-MC4-THIQ-Gs/β1/γ2
16.67Single7FEECP559407FEE-CB1-CP55940-ZCZ011
16.67Single7M8W15r-Methyl-PGD27M8W-DP2-15r-Methyl-PGD2-Na
16.67Single7P2L4YI7P2L-mGlu5-4YI
16.67Single7PX4PSB-21137PX4-A2A-PSB-2113
16.67Single7R0CAVP7R0C-V2-AVP-Arrestin2
16.67Single7T10Somatostatin-147T10-SST2-Somatostatin-14-Gi3/β1/γ2
16.67Single7T9NDPPC7T9N-TSH-M22 Fab-DPPC-Gs/β1/γ2
16.67Single7VIGCBP-3077VIG-S1P1-CBP-307-Gi1/β1/γ2
16.67Single7XWONeurokinin-A7XWO-NK2-Neurokinin-A-chim(NtGi1-Gs-CtGq)/β1/γ2
16.67Single7YU5ONO-07405567YU5-LPA1-ONO-0740556-Gi1/β1/γ2
16.67Single7YU7ONO-07405567YU7-LPA1-ONO-0740556-Gi1/β1/γ2
16.67Single8A2OTheophylline8A2O-A2A-Theophylline-Na
16.67Single8GUSHU-3088GUS-CB2-HU-308-Gi1/β1/γ2
16.67Single8I2GPubChem 675302408I2G-FSH-FSH-PubChem 67530240-Gs/β1/γ2
16.67Single8I9LC3a8I9L-C3aB-C3a-Go/β1/γ2
16.67Single8IHBGSK2560738IHB-HCA2-GSK256073-Gi1/β1/γ2
16.67Single8IHHLUF62838IHH-HCA2-LUF6283-Gi1/β1/γ2
16.67Single8IUKPGF2-alpha8IUK-FP-alpha-PGF2-α-chim(NtGi1-Gs-CtGq)/β1/γ2
16.67Single8JSRAnamorelin8JSR-Ghrelin-Anamorelin-chim(NtGi1-Gs-CtGq)/β1/γ2
16.67Single8JZPC5a8JZP-C5a1-C5a-Go/β1/γ2
16.67Single8TAOCDPPB8TAO-mGlu5; mGlu5-Quisqualate-CDPPB
16.67Single8WSTMCH8WST-MCH2-MCH-chim(NtGi1L-Gs-CtGq)/β1/γ2
16.67Single8X79MRE-2698X79-I2-MRE-269-Gs/β1/γ2
16.67Single8XBIPubChem 1626566368XBI-GPR34-PubChem 162656636
16.67Single8XOFLys058XOF-GPR30-Lys05-chim(NtGi1-Gs-CtGq)/β1/γ2
16.67Single8Y02All-trans-Retinal8Y02-OPN1SW-All-trans-Retinal-Gi1/β1/γ2
16.67Single8ZR5Firuglipel8ZR5-GPR119-Firuglipel-Gs/β1/γ2
16.67Single9C2FCa; Ca; Tryptophan; '54149; PO49C2F-CaS; CaS-Ca-Ca; Ca; Tryptophan; '54149; PO4
16.67Single9CLWTUG-13759CLW-FFA2-TUG-1375-4-CMTB-chim(NtGi1L-Gs-CtGq)/β1/γ2
16.67Single9E9SPGD29E9S-DP1-PGD2-Gs/β1/γ1
16.67Single9EGOZ85267113509EGO-CB1-Z8526711350-Gi1/β1/γ2
16.67Single9IZGLPA9IZG-LPA1-LPA-chim(NtGi1-Gs-CtGq)/β1/γ2
16.67Single9L0HJR14a9L0H-C3aB-JR14a-Go/β1/γ2
16.67Single9UY3Anamorelin9UY3-Ghrelin-Anamorelin-chim(NtGi1-Gs-CtGq)/β1/γ2
16.67Single9YDVMRS29059YDV-P2Y14-MRS2905-Gi1/β1/γ2
16.67Consensusapelin_onOrthosteric Ligand8XZH-Apelin; Apelin-MM07-Gi1/β1/γ2 7W0M-Apelin-PubChem 122701908-Gi1/β1/γ2 8XZJ-Apelin; Apelin-WN353-Gi1/β1/γ2 8XZF-Apelin; Apelin-WN561-Gi1/β1/γ2 8XZG-Apelin; Apelin-Apelin-13-Gi1/β1/γ2
16.67Consensusapelin_on_gpOrthosteric Ligand8XZH-Apelin; Apelin-MM07-Gi1/β1/γ2 7W0M-Apelin-PubChem 122701908-Gi1/β1/γ2 8XZJ-Apelin; Apelin-WN353-Gi1/β1/γ2 8XZF-Apelin; Apelin-WN561-Gi1/β1/γ2 8XZG-Apelin; Apelin-Apelin-13-Gi1/β1/γ2
16.67Consensusc5a1_on_gpOrthosteric Ligand8HK5-C5a1-C5a-Gi1/β1/γ2 7Y66-C5a1-BM213-Gi1/β1/γ2 7Y67-C5a1-C089 peptide-Gi1/β1/γ2 7Y64-C5a1-C5a-Gi1/β1/γ2
16.67Consensusgi_formylpeptideOrthosteric Ligand7WVY-FPR2-ALX-Amyloid-β42-Gi2/β1/γ2 7T6U-FPR2-ALX-CGEN-855A-Gi1/β1/γ2 7VFX-FPR1-ALX-fMIFL-Gi1/β1/γ2 7T6V-FPR2-ALX-fMLFII-Gi1/β1/γ2 7WVX-FPR2-ALX-Humanin-Gi2/β1/γ2 7T6S-FPR2-ALX-TC-FPR 43-Gi1/β1/γ2 6OMM-FPR2-ALX-WKYMVX-Gi1/β1/γ2
16.67Consensusgi_lpaOrthosteric Ligand7TD1-LPA1-LPA-Gi1/β1/γ2 7YU3-LPA1-ONO-0740556-Gi1/β1/γ2
16.67Consensuslpa_onOrthosteric Ligandlpa1_on
16.67Consensuslpa_on_gpOrthosteric Ligandlpa1_on_gp
16.67Consensusnk2_on_gpOrthosteric Ligand7XWO-NK2-Neurokinin-A-chim(NtGi1-Gs-CtGq)/β1/γ2
16.67Consensusprotein_offOrthosteric Ligandchemokine_off grh_off
16.13Consensusclass-a_class-b1_cons_on_gpOrthosteric Ligandclass-a_on_gp class-b1_on_gp
16.00Single7F6IKallidin7F6I-BK2-Kallidin-Gq/β1/γ2
16.00Single7P02Substance-P7P02-NK1-Substance-P-chim(NtGi1-Gs)/β1/γ2
16.00Single7X9BNeuropeptide-Y7X9B-Y2-Neuropeptide-Y-Gi1/β1/γ2
16.00Single7XV3Lysophosphatidylserine (WJS)7XV3-GPR174-Lysophosphatidylserine (WJS)-chim(NtGi1-Gs)/β1/γ2
16.00Single7Y64C5a7Y64-C5a1-C5a-Gi1/β1/γ2
16.00Single8HCQEndothelin-18HCQ-ETA-Endothelin-1-chim(NtGi1-Gs-CtGq)/β1/γ2
16.00Single8HK5C5a8HK5-C5a1-C5a-Gi1/β1/γ2
16.00Single8WWMMCH8WWM-MCH1-MCH-Gi1/β1/γ2
16.00Single8XVHEndothelin-18XVH-ETB-Endothelin-1-chim(Gs-CtGq)/β1/γ2
16.00Consensuseta_onOrthosteric Ligand8HCQ-ETA-Endothelin-1-chim(NtGi1-Gs-CtGq)/β1/γ2
16.00Consensuseta_on_gpOrthosteric Ligand8HCQ-ETA-Endothelin-1-chim(NtGi1-Gs-CtGq)/β1/γ2
16.00Consensusgi_apelinOrthosteric Ligand8XZH-Apelin; Apelin-MM07-Gi1/β1/γ2 7W0M-Apelin-PubChem 122701908-Gi1/β1/γ2 8XZJ-Apelin; Apelin-WN353-Gi1/β1/γ2 8XZF-Apelin; Apelin-WN561-Gi1/β1/γ2 8XZG-Apelin; Apelin-Apelin-13-Gi1/β1/γ2
15.79Single4PXZ2MeSADP4PXZ-P2Y12-2MeSADP
15.79Single5TZYMK8666; AP85TZY-FFA1-MK8666; AP8
15.79Single6KQICP559406KQI-CB1-CP55940-Org27569
15.79Single6OS0Angiotensin II6OS0-AT1-Angiotensin II
15.79Single6RZ7ONO-25703666RZ7-CysLT2-ONO-2570366
15.79Single7F55Bremelanotide7F55-MC4-Bremelanotide-Gs/β1/γ2
15.79Single7K15MKD0467K15-BLT1-MKD046-Na
15.79Single7WCMMBX-29827WCM-GPR119-MBX-2982-Gs/β1/γ2
15.79Single7XW5ML1097XW5-TSH-TSH-ML109-Gs/β1/γ2
15.79Single7XW6ML1097XW6-TSH-M22 Fab-ML109-Gs/β1/γ2
15.79Single8GCPPGE28GCP-EP4-PGE2-Gi1/β1/γ2
15.79Single8H0QGastrin Releasing Peptide8H0Q-BB2-Gastrin Releasing Peptide-chim(NtGi1-Gs-CtGq)/β1/γ2
15.79Single8IQ6Latanoprost8IQ6-FP-alpha-Latanoprost-chim(NtGi1-Gs-CtGq)/β1/γ2
15.79Single8IYWGSK2560738IYW-HCA2-GSK256073-Go/β1/γ2
15.79Single8J6DEP1418J6D-C3aB-EP141-Go/β1/γ2
15.79Single8U26Substance-P8U26-NK1-Substance-P-Gs/β1/γ2
15.79Single8VHFMBX-29828VHF-GPR119-MBX-2982-Gs/β1/γ2
15.79Single8WRBLysophosphatidylserine (UBL)8WRB-GPR34-Lysophosphatidylserine (UBL)-Gi1/β1/γ2
15.79Single8X8NOctreotide8X8N-SST5-Octreotide-chim(NtGi1-Gs-CtGi1)/β1/γ2
15.79Single8XJNCloprosetnol8XJN-TXA2-Cloprosetnol-chim(NtGi1-Gs-CtGq)/β1/γ2
15.79Single8Y6WTUG-13758Y6W-FFA2-TUG-1375-4-CMTB-Gi1/β1/γ2
15.79Single9AU0BW245C9AU0-DP1-BW245C-Gs/β1/γ2
15.79Single9CM3TUG-13759CM3-FFA2-TUG-1375-PubChem 118615810-chim(NtGi1L-Gs-CtGq)/β1/γ2
15.79Single9ECJS-geranylgeranyl-L-glutathione9ECJ-P2Y8-S-geranylgeranyl-L-glutathione-G13/β1/γ2
15.79Single9GGGI-BOP9GGG-TXA2-I-BOP-chim(NtGi2L-Gs-CtGq)/β1/γ2
15.79Single9KZKC3a (fragment)9KZK-C3aB-C3a (fragment)-Go/β1/γ2
15.79Single9YDUUDP-Glucose9YDU-P2Y14-UDP-Glucose-Gi1/β1/γ2
15.79Consensusc3a_onOrthosteric Ligand8HK2-C3aB-C3a-Gi1/β1/γ2 8IA8-C3aB-E7 peptide-Gi1/β1/γ2
15.79Consensusffa2_on_gpOrthosteric Ligand8J22-FFA2-TUG-1375-Gi1/β1/γ2
15.38Single2ZIY11-cis-Retinal2ZIY-Rhodopsin-11-cis-Retinal
15.38Single7RGPTirzepatide7RGP-GLP-1-Tirzepatide-chim(NtGi1-Gs)/β1/γ2
15.38Single7V6APubChem 98642757V6A-M4-PubChem 9864275-Gi1/β1/γ2
15.38Single8JEFPubChem 113671668JEF-HCA3-PubChem 11367166-Gi1/β1/γ2
15.38Single8X9UMetenolone8X9U-ADGRD1-Metenolone-chim(NtGi1-Gs)/β1/γ2
15.38Single9JHJC18:0 Ceramide9JHJ-FPR2-ALX-C18:0 Ceramide-Gi1/β1/γ2
15.38Single9KT93,5-DHBA9KT9-HCA1-3,5-DHBA-Gi1/β1/γ2
15.38Consensusgi_compl-peptOrthosteric Ligand8HK5-C5a1-C5a-Gi1/β1/γ2 8IA8-C3aB-E7 peptide-Gi1/β1/γ2 7Y66-C5a1-BM213-Gi1/β1/γ2 7Y67-C5a1-C089 peptide-Gi1/β1/γ2 8HK2-C3aB-C3a-Gi1/β1/γ2 7Y64-C5a1-C5a-Gi1/β1/γ2
15.15Consensusmc2_onOrthosteric Ligand8GY7-MC2-Corticotropin-Ca-chim(NtGi1-Gs)/β1/γ2; MRAP1
15.15Consensusmc2_on_gpOrthosteric Ligand8GY7-MC2-Corticotropin-Ca-chim(NtGi1-Gs)/β1/γ2; MRAP1
15.00Single6KPGAM8416KPG-CB1-AM841-Gi1/β1/γ2
15.00Single6RZ9ONO-27703726RZ9-CysLT2-ONO-2770372
15.00Single7P00Substance-P7P00-NK1-Substance-P-chim(NtGi1-Gs-CtGq)/β1/γ2
15.00Single7Y65C5a (C-terminal peptide)7Y65-C5a1-C5a (C-terminal peptide)-Gi1/β1/γ2
15.00Single8XBES3E-Lysophosphatidylserine 8XBE-GPR34-S3E-Lysophosphatidylserine-Gi1/β1/γ1
15.00Single8XJOU466198XJO-TXA2-U46619-chim(NtGi1-Gs-CtGq)/β1/γ2
15.00Single8ZX4Lysophosphatidylinositol 8ZX4-GPR55-Lysophosphatidylinositol-chim(NtGi1-G13)/β1/γ2
15.00Single9GE3Lysophosphatidylinositol9GE3-GPR55-Lysophosphatidylinositol-chim(NtGi1-G13)/β1/γ2
15.00Single9GG5U466199GG5-TXA2-U46619-chim(NtGi2L-Gs-CtGq)/β1/γ2
15.00Single9J0BUDP-Glucose9J0B-P2Y14-UDP-Glucose-Gi1/β1/γ2
15.00Single9KT8Acifran9KT8-HCA2-Acifran-Gi1/β1/γ2
15.00Single9KV8TLQP219KV8-C3aB-TLQP21-Go/β1/γ2
15.00Single9M1HPGE29M1H-EP1-PGE2-chim(NtGi1-Gs-CtGq)/β1/γ2
15.00Single9UYMChemerin-99UYM-CML2-Chemerin-9-chim(Arrestin3-CtArrestin2)
15.00Consensusc3a_on_gpOrthosteric Ligand8HK2-C3aB-C3a-Gi1/β1/γ2 8IA8-C3aB-E7 peptide-Gi1/β1/γ2
15.00Consensuscyslt2_offOrthosteric Ligand6RZ7-CysLT2-ONO-2570366 6RZ8-CysLT2-ONO-2080365 6RZ9-CysLT2-ONO-2770372
15.00Consensusnk1_onOrthosteric Ligand7P00-NK1-Substance-P-chim(NtGi1-Gs-CtGq)/β1/γ2
15.00Consensusnk1_on_gpOrthosteric Ligand7P00-NK1-Substance-P-chim(NtGi1-Gs-CtGq)/β1/γ2
15.00Consensusprostanoid_onOrthosteric Ligandtp_on fp-alpha_on
15.00Consensusprostanoid_on_gpOrthosteric Ligandtp_on_gp fp-alpha_on_gp
15.00Consensustp_onOrthosteric Ligand8XJO-TXA2-U46619-chim(NtGi1-Gs-CtGq)/β1/γ2
15.00Consensustp_on_gpOrthosteric Ligand8XJO-TXA2-U46619-chim(NtGi1-Gs-CtGq)/β1/γ2
14.81Single6B3JExendin-P56B3J-GLP-1-Exendin-P5-Gs/β1/γ2
14.81Single7YOONeuropeptide-Y7YOO-Y2-Neuropeptide-Y-Gi1/β1/γ2
14.81Single8W8WAlpha-MSH8W8W-MC3-α-MSH-Ca-Gs/β1/γ2
14.81Single9BUCCagrilintide9BUC-CT-Cagrilintide-Gs/β1/γ2
14.81Consensusnpy2_onOrthosteric Ligand7YOO-Y2-Neuropeptide-Y-Gi1/β1/γ2
14.81Consensusnpy2_on_gpOrthosteric Ligand7YOO-Y2-Neuropeptide-Y-Gi1/β1/γ2
14.29Single5VBLAMG3054 5VBL-Apelin-AMG3054
14.29Single6OMMWKYMVX6OMM-FPR2-ALX-WKYMVX-Gi1/β1/γ2
14.29Single6RZ6ONO-25703666RZ6-CysLT2-ONO-2570366
14.29Single7D76Beclomethasone7D76-ADGRG3-Beclomethasone-Go/β1/γ2
14.29Single7RKFCX3CL17RKF-US28-CX3CL1-GDP-chim(NtGi1-G11)/β1/γ2
14.29Single7RMGSubstance-P7RMG-NK1-Substance-P-chim(Gs-CtGq)/β1/γ2
14.29Single7RMHSubstance-P7RMH-NK1-Substance-P-Gs/β1/γ2
14.29Single7TS0Urocortin7TS0-CRF2-Urocortin-chim(NtGi1L-Go)/β1/γ2
14.29Single7VGXNeuropeptide-Y7VGX-Y1-Neuropeptide-Y-Gi1/β1/γ2
14.29Single7XP6Strychnine7XP6-TAS2R46-Strychnine-chim(Gs-CtGt3)/β1/γ2
14.29Single8F0KPramlintide Analogue San3858F0K-CT (AMY3)-Pramlintide Analogue San385-Gs/β1/γ2; RAMP3
14.29Single8GDAL9026888GDA-EP4-L902688-Gs/β1/γ2
14.29Single8IQ4Carboprost8IQ4-FP-alpha-Carboprost-chim(NtGi1-Gs-CtGq)/β1/γ2
14.29Single8J22TUG-13758J22-FFA2-TUG-1375-Gi1/β1/γ2
14.29Single8JBFSenktide8JBF-NK3-Senktide-chim(NtGi1-Gs-CtGq)/β1/γ2
14.29Single8JPNCis-Epoxysuccinic acid8JPN-Succinate-Cis-Epoxysuccinic acid-Gi1/β1/γ1
14.29Single8KGGLysophosphatidylserine (WJS)8KGG-P2Y10-Lysophosphatidylserine (WJS)-chim(NtGi2-G13)/β1/γ2
14.29Single8RWHStilSwitch28RWH-A2A-StilSwitch2-Na
14.29Single8SAILysophosphatidylserine (S12)8SAI-GPR34-Lysophosphatidylserine (S12)-Gi1/β1/γ2
14.29Single8SZFCa; Ca; Tryptophan; Cinacalcet; PO4; Spermine8SZF-CaS; CaS-Ca; Ca; Tryptophan; Cinacalcet; PO4; Spermine
14.29Single8WP1Cis-Epoxysuccinic acid8WP1-Succinate-Cis-Epoxysuccinic acid-Gi1/β1/γ2
14.29Single8WPUTryptophan; Cinacalcet; PO4; Ca8WPU-CaS; CaS-Tryptophan; Cinacalcet; PO4; Ca-chim(NtGi2L-Gs-CtGq)/β1/γ2
14.29Single8X2KOleic monoethanolamide8X2K-GPR3-Oleic monoethanolamide-chim(NtGi1-Gs)/β1/γ2
14.29Single8XZFWN5618XZF-Apelin; Apelin-WN561-Gi1/β1/γ2
14.29Single8Z74JN241-98Z74-Apelin; Apelin-JN241-9
14.29Single8Z74JN241-98Z74-Apelin; Apelin-JN241-9
14.29Single9B9YTaranabant9B9Y-CB1-Taranabant
14.29Single9C1PCa; Tryptophan; '6218; PO49C1P-CaS; CaS-Ca-Ca; Tryptophan; '6218; PO4
14.29Single9CM7TUG-13759CM7-FFA2-TUG-1375-AZ-1729-Gi1/β1/γ2
14.29Single9IZASCH9002719IZA-HCA2-SCH900271-Gi1/β1/γ2
14.29Single9JH6C20:0 Ceramide9JH6-CysLT2-C20:0 Ceramide-chim(NtGi1-Gs-CtGq)/β1/γ2
14.29Single9KX6C5a-des-Arg9KX6-C5a1-C5a-des-Arg-Go/β1/γ2
14.29Single9NS9TUG-13759NS9-FFA2-TUG-1375-PubChem 118615810-Gi1/β1/γ2
14.29Consensusgq_cckOrthosteric Ligand8IA7-CCKB-Cholecystokinin-8-chim(NtGi1L-Gq)/β1/γ2 7XOW-CCKB-Sulfated Gastrin-(10-17)-chim(NtGi1-Gq)/β1/γ2 7EZM-CCKA-Cholecystokinin-8-chim(NtGsL-Gq)/β1/γ2 7F8W-CCKB-Gastrin-17-chim(NtGsL-Gq)/β1/γ2
14.29Consensusgs_melanocortinOrthosteric Ligand7F4H-MC1-Afamelanotide-chim(NtGi1-Gs)/β1/γ2 7F54-MC4-Afamelanotide-Gs/β1/γ2 7F4D-MC1-α-MSH-chim(NtGi1-Gs)/β1/γ2 8INR-MC5-α-MSH-Ca-chim(NtGi1-Gs)/β1/γ2 7F53-MC4-α-MSH-Gs/β1/γ2 7F55-MC4-Bremelanotide-Gs/β1/γ2 8GY7-MC2-Corticotropin-Ca-chim(NtGi1-Gs)/β1/γ2; MRAP1 8IOC-MC3-γ-MSH-Ca-chim(NtGi1-Gs)/β1/γ2 8IOD-MC5-PG-901-Ca-chim(NtGi1-Gs)/β1/γ2 7AUE-MC4-Setmelanotide-chim(NtGi1L-Gs)/β1/γ2 7F4I-MC1-SHU9119-chim(NtGi1-Gs)/β1/γ2 7F58-MC4-THIQ-Gs/β1/γ2
13.79Single6PB0Urocortin6PB0-CRF1-Urocortin-chim(NtGi1-Gs)/β1/γ2
13.79Single8U1UCCL18U1U-CCR8-CCL1-Gi1/β1/γ2
13.79Consensusccr5_on_gpOrthosteric Ligand7O7F-CCR5-6P4-CCL5-Gi1/β1/γ1 7F1Q-CCR5-CCL3-Gi1/β1/γ2
13.79Consensusclass-a_class-b1_cons_onOrthosteric Ligandclass-a_on class-b1_on
13.79Consensuscrf1_onOrthosteric Ligand6PB0-CRF1-Urocortin-chim(NtGi1-Gs)/β1/γ2 6P9X-CRF1-Corticoliberin-1-Gs/β1/γ2
13.79Consensusgi_npyOrthosteric Ligand8K6M-Y1-Neuropeptide-Y-Gi2/β1/γ1 7X9C-Y4-Pancreatic Hormone-Gi1/β1/γ2 7YOO-Y2-Neuropeptide-Y-Gi1/β1/γ2
13.79Consensusnpy_onOrthosteric Ligandnpy1_on npy2_on npy4_on
13.79Consensusnpy_on_gpOrthosteric Ligandnpy1_on_gp npy2_on_gp npy4_on_gp
13.64Single6RZ8ONO-20803656RZ8-CysLT2-ONO-2080365
13.64Single7NA7Ghrelin7NA7-Ghrelin-Ghrelin-Gi1/β1/γ2
13.64Single7W2ZGhrelin7W2Z-Ghrelin-Ghrelin-Go/β1/γ2
13.64Single7W53Neuromedin-U-257W53-NMUR1-Neuromedin-U-25-chim(NtGi1-Gs-CtGq)/β1/γ2
13.64Single8XBHPubChem 1626566368XBH-GPR34-PubChem 162656636-Gi1/β1/γ2
13.64Single8XGMChemerin8XGM-CML2-Chemerin-Gi1/β1/γ2
13.64Single9HB3Mambaquaretin-19HB3-V2-Mambaquaretin-1
13.64Single9J0IUDP-Glucuronic acid9J0I-P2Y14-UDP-Glucuronic acid-Gi1/β1/γ2
13.64Single9KWGC5a9KWG-C5a1-C5a-Go/β1/γ2
13.64Consensusmc4_onOrthosteric Ligand7AUE-MC4-Setmelanotide-chim(NtGi1L-Gs)/β1/γ2 7F58-MC4-THIQ-Gs/β1/γ2 7F54-MC4-Afamelanotide-Gs/β1/γ2 7F53-MC4-α-MSH-Gs/β1/γ2 7F55-MC4-Bremelanotide-Gs/β1/γ2
13.64Consensusnk3_onOrthosteric Ligand8JBF-NK3-Senktide-chim(NtGi1-Gs-CtGq)/β1/γ2
13.64Consensusnk3_on_gpOrthosteric Ligand8JBF-NK3-Senktide-chim(NtGi1-Gs-CtGq)/β1/γ2
13.64Consensusnmur1_on_gpOrthosteric Ligand7W53-NMUR1-Neuromedin-U-25-chim(NtGi1-Gs-CtGq)/β1/γ2
13.33Single3PWHZM-2413853PWH-A2A-ZM-241385
13.33Single6LPBPACAP276LPB-PAC1-PACAP27-Gs/β1/γ1
13.33Single7F8YDevazepide7F8Y-CCKA-Devazepide
13.33Single7SILCa; Ca; Ca; Cyclomethyltryptophan; R-568; PO47SIL-CaS; CaS-Ca-Ca; Ca; Ca; Cyclomethyltryptophan; R-568; PO4
13.33Single7SILCa; Ca; Ca; Cyclomethyltryptophan; R-568; PO47SIL-CaS; CaS-Ca-Ca; Ca; Ca; Cyclomethyltryptophan; R-568; PO4
13.33Single7VDLCortistatin-147VDL-MRGPRX2-Cortistatin-14-Gi1/β1/γ2
13.33Single7W0OElabela7W0O-Apelin-Elabela-Gi1/β1/γ2
13.33Single7WF7S1P7WF7-S1P1-S1P-Gi1/β1/γ2
13.33Single8JPPSuccinic acid8JPP-Succinate-Succinic acid-chim(Gs-CtGq)/β1/γ1
13.33Single8RVWStilSwitch38RVW-A2A-StilSwitch3-Na
13.33Single8RW4AzoSwitch28RW4-A2A-AzoSwitch2-Na
13.33Single8RWEStilSwitch48RWE-A2A-StilSwitch4-Na
13.33Single8U8FPalmitic Acid8U8F-GPR3-Palmitic Acid-Gs/β1/γ2
13.33Single9FUPIstradefylline9FUP-A2A-Istradefylline-Na
13.04Single7C6A(Sar1,Ile8)-Angiotensin II7C6A-AT2-(Sar1,Ile8)-Angiotensin II
13.04Single7RKMCX3CL17RKM-US28-CX3CL1-Gi1/β1/γ2
13.04Single7RMISubstance-P7RMI-NK1-Substance-P-chim(Gs-CtGq)/β1/γ2
13.04Single7W0NElabela7W0N-Apelin; Apelin-Elabela-Gi1/β1/γ2
13.04Single8JBHSubstance-P8JBH-NK3-Substance-P-chim(NtGi1-Gs-CtGq)/β1/γ2
13.04Single8WSSMCH8WSS-MCH1-MCH-Gi1/β1/γ1
13.04Single8XYDPlatelet Activating Factor8XYD-PAF-Platelet Activating Factor-Gi1/β1/γ2
13.04Single8Z7JJN241-98Z7J-Apelin-JN241-9-Gi1/β1/γ2
13.04Single9E82CXCL12 (fragment)9E82-ACKR3-CXCL12 (fragment)-Arrestin2
13.04Single9EAINanobody AT2099EAI-AT1-Losartan-Nanobody AT209
13.04Single9IQRMuscarinic toxin 39IQR-α2a-Muscarinic toxin 3
13.04Single9J0FNADH9J0F-P2Y14-NADH-Gi1/β1/γ2
13.04Single9JFK(Pen5)-Urotensin II9JFK-UT-(Pen5)-Urotensin II-chim(NtGi2L-Gs-CtGq)/β1/γ2
13.04Single9KV6TLQP219KV6-C3aB-TLQP21-Go/β1/γ2
13.04Consensuscompl-peptide_onOrthosteric Ligandc5a1_on c3a_on
13.04Consensusmc4_on_gpOrthosteric Ligand7AUE-MC4-Setmelanotide-chim(NtGi1L-Gs)/β1/γ2 7F58-MC4-THIQ-Gs/β1/γ2 7F54-MC4-Afamelanotide-Gs/β1/γ2 7F53-MC4-α-MSH-Gs/β1/γ2 7F55-MC4-Bremelanotide-Gs/β1/γ2
13.04Consensusmc5_onOrthosteric Ligand8INR-MC5-α-MSH-Ca-chim(NtGi1-Gs)/β1/γ2 8IOD-MC5-PG-901-Ca-chim(NtGi1-Gs)/β1/γ2
13.04Consensustachykinin_on_gpOrthosteric Ligandnk1_on_gp nk2_on_gp nk3_on_gp
12.90Consensuscrf1_on_gpOrthosteric Ligand6PB0-CRF1-Urocortin-chim(NtGi1-Gs)/β1/γ2 6P9X-CRF1-Corticoliberin-1-Gs/β1/γ2
12.90Consensuscrf_on_gpOrthosteric Ligandcrf2_on_gp crf1_on_gp
12.82Single8GY7Corticotropin8GY7-MC2-Corticotropin-Ca-chim(NtGi1-Gs)/β1/γ2; MRAP1
12.50Single6MEOGp160; CD46MEO-CCR5-Gp160; CD4
12.50Single6MH8ZM-2413856MH8-A2A-ZM-241385
12.50Single6PT0WIN 55212-26PT0-CB2-WIN 55212-2-Gi1/β1/γ2
12.50Single6UUNAdrenomedullin6UUN-CT Like (AM1)-Adrenomedullin-Gs/β1/γ2; RAMP2
12.50Single6VN7PACAP276VN7-VPAC1-PACAP27-Gs/β1/γ2
12.50Single7M3GCa; Ca; Tryptophan; Evocalcet; Etelcalcetide; PO47M3G-CaS; CaS-Ca; Ca; Tryptophan; Evocalcet; Etelcalcetide; PO4
12.50Single7O7F6P4-CCL57O7F-CCR5-6P4-CCL5-Gi1/β1/γ1
12.50Single7UTZDPPC7UTZ-TSH-TSH-DPPC-Gs/β1/γ2
12.50Single7X9ANeuropeptide-Y7X9A-Y1-Neuropeptide-Y-Gi1/β1/γ2
12.50Single7XOVSR1461317XOV-CCKA-SR146131-Gs/β1/γ2
12.50Single8K6MNeuropeptide-Y8K6M-Y1-Neuropeptide-Y-Gi2/β1/γ1
12.50Single8W8YGamma-MSH8W8Y-MC3-γ-MSH-Ca-Gs/β1/γ2
12.50Single8Y6YGLPG09748Y6Y-FFA2-GLPG0974
12.50Single8YKVPubChem 1375531688YKV-Succinate-PubChem 137553168-Gi1/β1/γ2
12.50Single8ZPMAMD0708ZPM-CXCR4-AMD070
12.50Single8ZPNAMD31008ZPN-CXCR4-AMD3100
12.50Single9BA0MRI-18919BA0-CB1-MRI-1891
12.50Single9IXXLTD49IXX-CysLT2-LTD4-chim(NtGi1-Gs-CtGq)/β1/γ2
12.50Single9JMDAzithromycin9JMD-Motilin-Azithromycin-chim(Gs-CtGq)/β1/γ2
12.50Single9KXSEP679KXS-C5a1-EP67-Go/β1/γ2
12.50Consensuscb1_offOrthosteric Ligand5U09-CB1-Taranabant 5TGZ-CB1-AM6538
12.50Consensuscompl-peptide_on_gpOrthosteric Ligandc5a1_on_gp c3a_on_gp
12.50Consensusmc3_onOrthosteric Ligand8IOC-MC3-γ-MSH-Ca-chim(NtGi1-Gs)/β1/γ2
12.50Consensusmc3_on_gpOrthosteric Ligand8IOC-MC3-γ-MSH-Ca-chim(NtGi1-Gs)/β1/γ2
12.50Consensusnpy1_onOrthosteric Ligand8K6M-Y1-Neuropeptide-Y-Gi2/β1/γ1
12.50Consensusnpy1_on_gpOrthosteric Ligand8K6M-Y1-Neuropeptide-Y-Gi2/β1/γ1
12.50Consensusnucleotide_offOrthosteric Ligandadenosine_off p2y_off
12.50Consensuspth2_onOrthosteric Ligand7F16-PTH2-TIP39-Gs/β1/γ2
12.12Consensuspth_onOrthosteric Ligandpth1_on pth2_on
12.00Single6METGp160; CD46MET-CCR5-Gp160; CD4
12.00Single7FIMTirzepatide7FIM-GLP-1-Tirzepatide-Gs/β1/γ2
12.00Single7TYIAmylin7TYI-CT-Amylin-Gs/β1/γ2
12.00Single7V9MSomatoliberin7V9M-GHRH (SV1)-Somatoliberin-Gs/β1/γ2
12.00Single7W57Neuromedin-S7W57-NMUR2-Neuromedin-S-chim(NtGi1-Gs-CtGq)/β1/γ2
12.00Single7XK8Neuromedin-U-257XK8-NMUR2-Neuromedin-U-25-Gi1/β1/γ2
12.00Single7YONPeptide-YY(3-36)7YON-Y2-Peptide-YY(3-36)-Gi1/β1/γ2
12.00Single9BLCCagrilintide (non-acylated)9BLC-CT-Cagrilintide (non-acylated)-Gs/β1/γ2
12.00Consensusmc5_on_gpOrthosteric Ligand8INR-MC5-α-MSH-Ca-chim(NtGi1-Gs)/β1/γ2 8IOD-MC5-PG-901-Ca-chim(NtGi1-Gs)/β1/γ2
12.00Consensusprotein_offonOrthosteric Ligandprotein_off protein_on
12.00Consensusprotein_offon_gpOrthosteric Ligandprotein_on_gp protein_off
12.00Consensustachykinin_onOrthosteric Ligandnk1_on nk2_on nk3_on
11.76Single6D27CAY104716D27-DP2-CAY10471
11.76Single6IIVDaltroban6IIV-TXA2-Daltroban
11.76Single7F83PF-051904577F83-Ghrelin-PF-05190457
11.76Single7YK7DC5910537YK7-RXFP4-DC591053-Gi2/β1/γ2
11.76Single7YXAONO-54306087YXA-S1P5-ONO-5430608
11.76Single8EJKTAK-8758EJK-FFA1-TAK-875-chim(NtGi1L-Gs-CtGq)/β1/γ2
11.76Single8GCML-9026888GCM-EP4-L-902688-Gi1/β1/γ2
11.76Single8KFYZK-7563268KFY-CCR8-ZK-756326-Gi1/β1/γ2
11.76Single8XJLPGF2-alpha8XJL-FP-alpha-PGF2-α-chim(NtGi2-Gs-CtGq)/β1/γ2
11.76Single9JQZGrapiprant 9JQZ-EP4-Grapiprant
11.76Consensusalicarboxylic_offOrthosteric Ligandsuccinate_off
11.76Consensussuccinate_offOrthosteric Ligand6RNK-Succinate-NF-56-EJ40 6Z10-Succinate-PubChem 154585554
11.54Single7F9YGhrelin7F9Y-Ghrelin-Ghrelin-chim(NtGi1-Gs-CtGq)/β1/γ2
11.54Single7WBJPACAP277WBJ-VPAC1-PACAP27-Gs/β1/γ2
11.54Single8E3YPACAP278E3Y-VPAC1-PACAP27-Gs/β1/γ2
11.54Single8E3ZVIP8E3Z-VPAC1-VIP-Gs/β1/γ2
11.54Single8IA2C5a8IA2-C5a1-C5a-Go/β1/γ2
11.54Single8XVIEndothelin-18XVI-ETA-Endothelin-1-chim(Gs-CtGq)/β1/γ2
11.54Single9E2AGLP-19E2A-GLP-1-GLP-1-Gs/β1/γ2
11.54Consensusvpac1_onOrthosteric Ligand8E3Z-VPAC1-VIP-Gs/β1/γ2
11.43Single7F16TIP397F16-PTH2-TIP39-Gs/β1/γ2
11.43Consensusclass-b1_onOrthosteric Ligandglucagon_on vip-pacap_on pth_on crf_on calcitonin_on
11.43Consensuspth2_on_gpOrthosteric Ligand7F16-PTH2-TIP39-Gs/β1/γ2
11.11Single4PHUFasiglifam4PHU-FFA1-Fasiglifam
11.11Single5T1ABMS-6815T1A-CCR2-BMS-681-PubChem 12093170
11.11Single5YHLPubChem 1351213525YHL-EP4-PubChem 135121352
11.11Single5YWYONO-AE3-2085YWY-EP4-ONO-AE3-208
11.11Single6P9YPACAP276P9Y-PAC1-PACAP27-Gs/β1/γ2
11.11Single7VABTirzepatide (non-acylated)7VAB-GIP-Tirzepatide (non-acylated)-chim(NtGi1-Gs)/β1/γ2
11.11Single7VV0PAMP-127VV0-MRGPRX2-PAMP-12
11.11Single7VV4Cortistatin-147VV4-MRGPRX2-Cortistatin-14
11.11Single7W3ZGastrin Releasing Peptide7W3Z-BB2-Gastrin Releasing Peptide-chim(NtGi1L-Gq)/β1/γ2
11.11Single8E3XPACAP278E3X-PAC1-PACAP27-Gs/β1/γ2
11.11Single8EJCTAK-8758EJC-FFA1-TAK-875-chim(NtGi1L-Gs-CtGq)/β1/γ2
11.11Single8T6JCDPPB8T6J-mGlu5; mGlu5-CDPPB
11.11Single8T6JCDPPB8T6J-mGlu5; mGlu5-CDPPB
11.11Single8WGBVU01550418WGB-mGlu4; mGlu2-Glutamate-VU0155041-Gi3/β1/γ2
11.11Single9B9ZMRI-18679B9Z-CB1-MRI-1867
11.11Single9BLWCagrilintide (non-acylated)9BLW-CT (AMY1)-Cagrilintide (non-acylated)-Gs/β1/γ2; RAMP1
11.11Single9JKSPubChem 442501769JKS-HCA3-PubChem 44250176-Gi1/β1/γ2
11.11Single9P92VIP9P92-PAC1-VIP-Gs/β1/γ2
11.11Consensusblt1_offOrthosteric Ligand5X33-BLT1-BIIL260 7K15-BLT1-MKD046-Na
11.11Consensusblt_offOrthosteric Ligandblt1_off
11.11Consensusep4_offOrthosteric Ligand5YWY-EP4-ONO-AE3-208 5YHL-EP4-PubChem 135121352
11.11Consensusep_offOrthosteric Ligandep4_off
11.11Consensuspac_on_gpOrthosteric Ligandpac1_on_gp
11.11Consensusrxfp4_onOrthosteric Ligand7YK7-RXFP4-DC591053-Gi2/β1/γ2 7YJ4-RXFP4-INSL5-Gi2/β1/γ2 7YK6-RXFP4-PubChem 138319674-Gi2/β1/γ2
11.11Consensusrxfp4_on_gpOrthosteric Ligand7YK7-RXFP4-DC591053-Gi2/β1/γ2 7YJ4-RXFP4-INSL5-Gi2/β1/γ2 7YK6-RXFP4-PubChem 138319674-Gi2/β1/γ2
11.11Consensuss1p5_offOrthosteric Ligand7YXA-S1P5-ONO-5430608
11.11Consensusvpac1_on_gpOrthosteric Ligand8E3Z-VPAC1-VIP-Gs/β1/γ2
10.81Consensuspth_on_gpOrthosteric Ligandpth1_on_gp pth2_on_gp
10.71Single6P9XCorticoliberin-16P9X-CRF1-Corticoliberin-1-Gs/β1/γ2
10.71Single6VCBGLP-16VCB-GLP-1-GLP-1-LSN3160440-Gs/β1/γ2
10.71Single7TYFAmylin7TYF-CT (AMY1)-Amylin-Gs/β1/γ2; RAMP1
10.71Single8W8XBeta-MSH8W8X-MC3-β-MSH-Ca-Gs/β1/γ2
10.71Consensuscrf_onOrthosteric Ligandcrf2_on crf1_on
10.71Consensusglp_onOrthosteric Ligandglp1_on glp2_on
10.71Consensusglp_on_gpOrthosteric Ligandglp1_on_gp glp2_on_gp
10.71Consensusp2y10_on_gpOrthosteric Ligand8KGG-P2Y10-Lysophosphatidylserine (WJS)-chim(NtGi2-G13)/β1/γ2
10.53Single5TZRMK86665TZR-FFA1-MK8666
10.53Single7S8MCortistatin-147S8M-MRGPRX2-Cortistatin-14-Gi1/β1/γ2
10.53Single7XOWSulfated Gastrin-(10-17)7XOW-CCKB-Sulfated Gastrin-(10-17)-chim(NtGi1-Gq)/β1/γ2
10.53Single7Y67C089 peptide7Y67-C5a1-C089 peptide-Gi1/β1/γ2
10.53Single8GDBPGE28GDB-EP4-PGE2-Gs/β1/γ2
10.53Single8HQCC5a8HQC-C5a1-C5a-Go/β1/γ2
10.53Single8JBGNeurokinin-B8JBG-NK3-Neurokinin-B-chim(NtGi1-Gs-CtGq)/β1/γ2
10.53Single8ZW0PGD28ZW0-DP1-PGD2-Gs/β1/γ2
10.53Single9ITELPA9ITE-LPA6-LPA-chim(NtGi2-G13)/β1/γ2
10.53Consensusffa2_onOrthosteric Ligand8J22-FFA2-TUG-1375-Gi1/β1/γ2
10.53Consensusgi_relaxinOrthosteric Ligand7YK7-RXFP4-DC591053-Gi2/β1/γ2 7YJ4-RXFP4-INSL5-Gi2/β1/γ2 7YK6-RXFP4-PubChem 138319674-Gi2/β1/γ2
10.53Consensusp2y12_onOrthosteric Ligand7XXI-P2Y12-2MeSADP-Gi2/β1/γ2
10.53Consensusrelaxin_onOrthosteric Ligandrxfp4_on
10.53Consensusrelaxin_on_gpOrthosteric Ligandrxfp4_on_gp
10.34Single5VAIGLP-15VAI-GLP-1-GLP-1-Gs/β1/γ2
10.34Single6LMLGlucagon6LML-Glucagon-Glucagon-Gi1/β1/γ1
10.34Single6PB1Urocortin6PB1-CRF2-Urocortin-chim(NtGi1-Gs)/β1/γ2
10.34Single6WZGSecretin6WZG-Secretin-Secretin-Gs/β1/γ2
10.34Single7D68GLP-27D68-GLP-2-GLP-2-Gs/β1/γ2
10.34Single7KI1Taspoglutide7KI1-GLP-1-Taspoglutide-Gs/β1/γ2
10.34Single7TYLAmylin7TYL-CT-Amylin-Gs/β1/γ2
10.34Single9BYOExendin-39BYO-GLP-1-Exendin-3-Gs/β1/γ2
10.34Single9P93VIP9P93-PAC1-VIP-Gs/β1/γ2
10.34Consensuspth1_onOrthosteric Ligand6NBF-PTH1-LA-PTH Analog-Gs/β1/γ2 8HA0-PTH1-PTH-chim(NtGi1-Gs)/β1/γ2 8HAF-PTH1-PTHrP(1-36)-chim(NtGi1-Gs)/β1/γ2 7Y36-PTH1-PTH-Gs/β1/γ2 7Y35-PTH1-Abaloparatide-Gs/β1/γ2
10.34Consensusvip-pacap_onOrthosteric Ligandvpac_on pac_on
10.34Consensusvip-pacap_on_gpOrthosteric Ligandvpac_on_gp pac_on_gp
10.26Consensusclass-b1_on_gpOrthosteric Ligandglucagon_on_gp vip-pacap_on_gp pth_on_gp crf_on_gp calcitonin_on_gp
10.00Single3VW7Vorapaxar; Na3VW7-PAR1-Vorapaxar; Na
10.00Single4PY02MeSATP4PY0-P2Y12-2MeSATP
10.00Single5X33BIIL2605X33-BLT1-BIIL260
10.00Single6AK3PGE26AK3-EP3-PGE2
10.00Single6IIURamatroban6IIU-TXA2-Ramatroban
10.00Single7DUQGLP-17DUQ-GLP-1-GLP-1-PubChem 156022738-Gs/β1/γ2
10.00Single7W0NElabela7W0N-Apelin; Apelin-Elabela-Gi1/β1/γ2
10.00Single7XXI2MeSADP7XXI-P2Y12-2MeSADP-Gi2/β1/γ2
10.00Single7XZ5Lysophosphatidylcholine7XZ5-GPR119-Lysophosphatidylcholine-Gs/β1/γ2
10.00Single8HK2C3a8HK2-C3aB-C3a-Gi1/β1/γ2
10.00Single9BJKPubChem 1716420669BJK-μ-Naloxone-PubChem 171642066
10.00Consensuscxcr_onOrthosteric Ligandcxcr3_on cxcr4_on cxcr1_on cxcr2_on
10.00Consensusgi_p2yOrthosteric Ligand7XXI-P2Y12-2MeSADP-Gi2/β1/γ2
10.00Consensusp2y12_on_gpOrthosteric Ligand7XXI-P2Y12-2MeSADP-Gi2/β1/γ2
9.68Single7TZFAmylin7TZF-CT (AMY3)-Amylin-Gs/β1/γ2; RAMP3
9.68Single8FLSAbaloparatide8FLS-PTH1-Abaloparatide-Gs/β1/γ2
9.68Single8FLULA-PTH Analog8FLU-PTH1-LA-PTH Analog-Gs/β1/γ2
9.52Single7CX4Evatanepag7CX4-EP2-Evatanepag-Gs/β1/γ2
9.52Single7D7MPGE27D7M-EP4-PGE2-Gs/β1/γ1
9.52Single7LLLExendin-47LLL-GLP-1-Exendin-4-Gs/β1/γ2
9.52Single7PIUSetmelanotide7PIU-MC4-Setmelanotide-Gs/β1/γ2
9.52Single7VVNPTH7VVN-PTH1-PTH-Gs/β1/γ2
9.52Single9JH5C16:0 Ceramide9JH5-CysLT2-C16:0 Ceramide-chim(NtGi1-Gs-CtGq)/β1/γ2
9.52Single9UYHChemerin-99UYH-CML2-Chemerin-9-Arrestin2
9.38Single6WPWZP37806WPW-Glucagon-ZP3780-Gs/β1/γ2
9.38Single7VVMPTH7VVM-PTH1-PTH-Gs/β1/γ2
9.38Single9JR2PTH9JR2-PTH1-PTH-chim(NtGi1L-Gs-CtGq)/β1/γ2
9.38Consensusglp1_on_gpOrthosteric Ligand7S1M-GLP-1-Exendin-4-D-Ala-Gs/β1/γ2 7X8R-GLP-1-BOC5-Gs/β1/γ2 6X19-GLP-1-CHU-128-Gs/β1/γ2 6X1A-GLP-1-Danuglipron-Gs/β1/γ2 6X18-GLP-1-GLP-1-Gs/β1/γ2 8JIP-GLP-1-MEDI0382-chim(NtGi1-Gs)/β1/γ2 7C2E-GLP-1-PubChem 149050799-Gs/β1/γ2 7KI0-GLP-1-Semaglutide-Gs/β1/γ2 7KI1-GLP-1-Taspoglutide-Gs/β1/γ2 7X8S-GLP-1-WB4-24-Gs/β1/γ2 8JIS-GLP-1-Peptide-15-chim(NtGi1-Gs)/β1/γ2 7VBI-GLP-1-Tirzepatide (non-acylated)-Gs/β1/γ2
9.38Consensuspth1_on_gpOrthosteric Ligand6NBF-PTH1-LA-PTH Analog-Gs/β1/γ2 8HA0-PTH1-PTH-chim(NtGi1-Gs)/β1/γ2 8HAF-PTH1-PTHrP(1-36)-chim(NtGi1-Gs)/β1/γ2 7Y36-PTH1-PTH-Gs/β1/γ2 7Y35-PTH1-Abaloparatide-Gs/β1/γ2
9.09Single6C1QPMX536C1Q-C5a1-PMX53-NDT9513727
9.09Single7CX2PGE27CX2-EP2-PGE2-Gs/β1/γ2
9.09Single7F9ZGHRP-67F9Z-Ghrelin-GHRP-6-chim(NtGi1-Gs-CtGq)/β1/γ2
9.09Single7RKNCX3CL17RKN-US28-CX3CL1-Gi1/β1/γ2
9.09Single7S8LCortistatin-147S8L-MRGPRX2-Cortistatin-14-chim(NtGi2L-Gs-CtGq)/β1/γ2
9.09Single7XBXCX3CL17XBX-CX3CR1-CX3CL1-Gi1/β1/γ2
9.09Single7Y36PTH7Y36-PTH1-PTH-Gs/β1/γ2
9.09Single8FLQPTH8FLQ-PTH1-PTH-Gs/β1/γ2
9.09Single8JGBConorfamide-Tx28JGB-MRGPRX1-Conorfamide-Tx2-Gi1/β1/γ2
9.09Single8XQJJN2418XQJ-Apelin; Apelin-JN241
9.09Single9ITBLPA9ITB-LPA6-LPA-chim(NtGi1-Gs-CtGq)/β1/γ2
9.09Single9JR3PTH9JR3-PTH1-PTH-chim(NtGi1L-Gs-CtGq)/β1/γ2
9.09Consensusglucagon_onOrthosteric Ligandglp_on gluc_on secretin_on gip_on
9.09Consensusnmur1_onOrthosteric Ligand7W53-NMUR1-Neuromedin-U-25-chim(NtGi1-Gs-CtGq)/β1/γ2
8.82Single6E3YCalcitonin gene-related peptide-16E3Y-CT Like-Calcitonin gene-related peptide-1-Gs/β1/γ2; RAMP1
8.82Consensusglucagon_on_gpOrthosteric Ligandglp_on_gp gluc_on_gp secretin_on_gp gip_on_gp
8.70Single4XT1CX3CL14XT1-US28-CX3CL1
8.70Single7CX3Taprenepag7CX3-EP2-Taprenepag-Gs/β1/γ2
8.70Single7W56Neuromedin-S7W56-NMUR1-Neuromedin-S-chim(NtGi1-Gs-CtGq)/β1/γ2
8.70Single8INRAlpha-MSH8INR-MC5-α-MSH-Ca-chim(NtGi1-Gs)/β1/γ2
8.70Single8KIGSHU91198KIG-MC3-SHU9119-Ca
8.70Single8U4OCXCL128U4O-CXCR4-CXCL12-Gi1/β1/γ2
8.70Single8YWFRetatrutide8YWF-GLP-1-Retatrutide-chim(NtGi1-Gs)/β1/γ2
8.70Single9MEJGp1209MEJ-CXCR4-Gp120
8.70Single9UYLChemerin-99UYL-CML2-Chemerin-9-Arrestin2
8.70Consensusp2y_onOrthosteric Ligandp2y1_on p2y10_on p2y12_on
8.70Consensussomatostatin_offOrthosteric Ligandsst2_off
8.33Single7VBITirzepatide (non-acylated)7VBI-GLP-1-Tirzepatide (non-acylated)-Gs/β1/γ2
8.33Single7XNACYN1548067XNA-SST2-CYN154806
8.33Single8IBVMotilin8IBV-Motilin-Motilin-chim(NtGi1-Gs-CtGq)/β1/γ2
8.33Single8IOCGamma-MSH8IOC-MC3-γ-MSH-Ca-chim(NtGi1-Gs)/β1/γ2
8.33Single8K6ONeuropeptide-Y8K6O-Y1-Neuropeptide-Y-Gi2/β1/γ1
8.33Single8KH5Lysophosphatidylserine8KH5-GPR174-Lysophosphatidylserine-Gs/β1/γ2
8.33Single9IQSMuscarinic toxin 39IQS-M4-Muscarinic toxin 3
8.33Consensussst2_offOrthosteric Ligand7XNA-SST2-CYN154806
8.11Single8F0JPramlintide Analogue San458F0J-CT-Pramlintide Analogue San45-Gs/β1/γ2
8.00Single3OE0CVX153OE0-CXCR4-CVX15
8.00Single9LXRLA-PTH Analog9LXR-PTH1-LA-PTH Analog-Arrestin2
8.00Consensusclass-b1_class-b2_cons_onOrthosteric Ligandclass-b1_on class-b2_on
8.00Consensusclass-b1_class-b2_cons_on_gpOrthosteric Ligandclass-b1_on_gp class-b2_on_gp
7.89Single8F2BPramlintide Analogue San458F2B-CT (AMY3)-Pramlintide Analogue San45-Gs/β1/γ2; RAMP3
7.69Single3OE8IT1t3OE8-CXCR4-IT1t
7.69Single6M1IPACAP276M1I-PAC1-PACAP27-Gs/β1/γ2
7.69Single7VDMSubstance-P7VDM-MRGPRX2-Substance-P-Gi1/β1/γ2
7.69Single7Y14Beta-Alanine7Y14-MRGPRD-β-Alanine
7.69Single8HA0PTH8HA0-PTH1-PTH-chim(NtGi1-Gs)/β1/γ2
7.69Single8XZJWN3538XZJ-Apelin; Apelin-WN353-Gi1/β1/γ2
7.69Single8YW3Retatrutide8YW3-GLP-1-Retatrutide-Gs/β1/γ2
7.69Single8YW4Retatrutide8YW4-GIP-Retatrutide-chim(NtGi1-Gs)/β1/γ2
7.69Single8YW5Retatrutide8YW5-Glucagon-Retatrutide-Gs/β1/γ2
7.69Single9BUDCagrilintide9BUD-CT-Cagrilintide-Gs/β1/γ2
7.69Single9EBOGLP-1 (ACPC18)9EBO-GLP-1-GLP-1 (ACPC18)-Gs/β1/γ2
7.69Consensuscrf2_onOrthosteric Ligand7TS0-CRF2-Urocortin-chim(NtGi1L-Go)/β1/γ2
7.69Consensusneuromedin-u_onOrthosteric Ligandnmur1_on nmur2_on
7.69Consensusp2y_on_gpOrthosteric Ligandp2y1_on_gp p2y10_on_gp p2y12_on_gp
7.41Single6X18GLP-16X18-GLP-1-GLP-1-Gs/β1/γ2
7.41Single7LLYOxyntomodulin7LLY-GLP-1-Oxyntomodulin-Gs/β1/γ2
7.41Single7VL9CCL15(26-92)7VL9-CCR1-CCL15(26-92)-Gi1/β1/γ2
7.41Consensuscalcitonin_onOrthosteric Ligandctlike_on
7.41Consensuschemokine_offOrthosteric Ligandccr_off cxcr_off
7.41Consensuschemokine_on_gpOrthosteric Ligandccr_on_gp cxcr_on_gp
7.41Consensuscxcr_offOrthosteric Ligandcxcr3_off cxcr4_off
7.41Consensusgi_chemokineOrthosteric Ligand6WWZ-CCR6-CCL20-Go/β1/γ2 8HNK-CXCR3-CXCL11-Gi1/β1/γ2 8K3Z-CXCR4-CXCL12-Gi1/β1/γ1 8IC0-CXCR1-CXCL8-Gi1/β1/γ2 6LFM-CXCR2-CXCL8-Gi1/β1/γ2 8KFX-CCR8-LMD-009-Gi1/β1/γ2 7F1Q-CCR5-CCL3-Gi1/β1/γ2 8HNL-CXCR3-PS372424-Gi1/β1/γ2 8KFY-CCR8-ZK-756326-Gi1/β1/γ2 7O7F-CCR5-6P4-CCL5-Gi1/β1/γ1 8U1U-CCR8-CCL1-Gi1/β1/γ2 7VLA-CCR1-CCL15(27-92)-Gi1/β1/γ2 7XA3-CCR2-CCL2-Gi1/β1/γ2
7.41Consensusneuromedin-u_on_gpOrthosteric Ligandnmur1_on_gp nmur2_on_gp
7.41Consensusp2y10_onOrthosteric Ligand8KGG-P2Y10-Lysophosphatidylserine (WJS)-chim(NtGi2-G13)/β1/γ2
7.41Consensuspac_onOrthosteric Ligandpac1_on
7.41Consensusvpac_onOrthosteric Ligandvpac1_on vpac2_on
7.14Single3OE6IT1t3OE6-CXCR4-IT1t
7.14Single4XT3CX3CL14XT3-US28-CX3CL1
7.14Single5UIW5P7-CCL55UIW-CCR5-5P7-CCL5
7.14Single6FJ3PTH6FJ3-PTH1-PTH
7.14Single6NBFLA-PTH Analog6NBF-PTH1-LA-PTH Analog-Gs/β1/γ2
7.14Single6NBILA-PTH Analog6NBI-PTH1-LA-PTH Analog-Gs/β1/γ2
7.14Single7CZ5Somatoliberin7CZ5-GHRH-Somatoliberin-Gs/β1/γ2
7.14Single7D3SSecretin7D3S-Secretin-Secretin-Gs/β1/γ2
7.14Single7D77Hydrocortisone7D77-ADGRG3-Hydrocortisone-Go/β1/γ2
7.14Single7KI0Semaglutide7KI0-GLP-1-Semaglutide-Gs/β1/γ2
7.14Single7RA3GIP7RA3-GIP-GIP-chim(NtGi1-Gs)/β1/γ2
7.14Single7SK4CXCL12_LRHQ7SK4-ACKR3-CXCL12_LRHQ
7.14Single7Y12Beta-Alanine7Y12-MRGPRD-β-Alanine-Gi1/β1/γ2
7.14Single8F76Propanoic acid8F76-OR51E2-Propanoic acid-Gs/β1/γ2
7.14Single8JISPeptide-158JIS-GLP-1-Peptide-15-chim(NtGi1-Gs)/β1/γ2
7.14Single8RQLFlufenamic acid8RQL-TAS2R14-Flufenamic acid-Flufenamic acid-chim(NtGi1-Gt3)/β1/γ2
7.14Single9BLBCagrilintide (non-acylated)9BLB-CT-Cagrilintide (non-acylated)-Gs/β1/γ2
7.14Single9BP3Cagrilintide9BP3-CT (AMY1)-Cagrilintide-Gs/β1/γ2; RAMP1
7.14Single9J1Pg1:Ox9J1P-GLP-1-g1:Ox-chim(NtGi1-Gs)/β1/γ2
7.14Consensuscalcitonin_on_gpOrthosteric Ligandctlike_on_gp
7.14Consensusccr5_offOrthosteric Ligand5UIW-CCR5-5P7-CCL5
7.14Consensusccr5_onOrthosteric Ligand7O7F-CCR5-6P4-CCL5-Gi1/β1/γ1 7F1Q-CCR5-CCL3-Gi1/β1/γ2
7.14Consensusccr_offOrthosteric Ligandccr2_off ccr5_off
7.14Consensuscrf2_on_gpOrthosteric Ligand7TS0-CRF2-Urocortin-chim(NtGi1L-Go)/β1/γ2
7.14Consensusctlike_onOrthosteric Ligand6E3Y-CT Like-Calcitonin gene-related peptide-1-Gs/β1/γ2; RAMP1
7.14Consensuspac1_onOrthosteric Ligand8E3X-PAC1-PACAP27-Gs/β1/γ2 6M1H-PAC1-Maxadilan-Gs/β1/γ2
7.14Consensuspac1_on_gpOrthosteric Ligand8E3X-PAC1-PACAP27-Gs/β1/γ2 6M1H-PAC1-Maxadilan-Gs/β1/γ2
7.14Consensussecretin_onOrthosteric Ligand7D3S-Secretin-Secretin-Gs/β1/γ2
7.14Consensusvpac_on_gpOrthosteric Ligandvpac1_on_gp vpac2_on_gp
6.90Single6UVAAdrenomedullin-26UVA-CT Like (AM2)-Adrenomedullin-2-Gs/β1/γ2; RAMP3
6.90Single7DTYGIP7DTY-GIP-GIP-Gs/β1/γ2
6.90Single7FIYTirzepatide7FIY-GIP-Tirzepatide-Gs/β1/γ2
6.90Single7S1MExendin-4-D-Ala7S1M-GLP-1-Exendin-4-D-Ala-Gs/β1/γ2
6.90Single7TYNCalcitonin-17TYN-CT-Calcitonin-1-Gs/β1/γ2
6.90Single7VQXPACAP277VQX-VPAC1-PACAP27-Gs/β1/γ2
6.90Single8FU6ZP37808FU6-Glucagon-ZP3780-Gs/β1/γ2
6.90Single9P94PACAP279P94-PAC1-PACAP27-Gs/β1/γ2
6.90Consensusglp2_onOrthosteric Ligand7D68-GLP-2-GLP-2-Gs/β1/γ2
6.90Consensusglp2_on_gpOrthosteric Ligand7D68-GLP-2-GLP-2-Gs/β1/γ2
6.90Consensussecretin_on_gpOrthosteric Ligand7D3S-Secretin-Secretin-Gs/β1/γ2
6.67Single3OE9IT1t3OE9-CXCR4-IT1t
6.67Single5L7IVismodegib5L7I-SMO-Vismodegib
6.67Single6LMKGlucagon6LMK-Glucagon-Glucagon-Gs/β1/γ2
6.67Single6NBHLA-PTH Analog6NBH-PTH1-LA-PTH Analog-Gs/β1/γ2
6.67Single6UUSAdrenomedullin6UUS-CT Like (AM2)-Adrenomedullin-Gs/β1/γ2; RAMP3
6.67Single7S8NR-Zinc-35737S8N-MRGPRX2-R-Zinc-3573-chim(NtGi2L-Gs-CtGq)/β1/γ2
6.67Single7S8OR-Zinc-35737S8O-MRGPRX2-R-Zinc-3573-Gi1/β1/γ2
6.67Single7VDHC48/807VDH-MRGPRX2-C48/80-Gi1/β1/γ2
6.67Single7VVJPTHrP(1-36)7VVJ-PTH1-PTHrP(1-36)-Gs/β1/γ2
6.67Single7VVLPTH7VVL-PTH1-PTH-Gs/β1/γ2
6.67Single7XKFDehydroepiandrosterone7XKF-ADGRG2-Dehydroepiandrosterone-Gs/β1/γ2
6.67Single8FLTM-PTH(1-14)8FLT-PTH1-M-PTH(1-14)-Gs/β1/γ2
6.67Single8HAFPTHrP(1-36)8HAF-PTH1-PTHrP(1-36)-chim(NtGi1-Gs)/β1/γ2
6.67Single8U4RREGN7663-Fab8U4R-CXCR4-REGN7663-Fab
6.67Single8YKDDehydroepiandrosterone8YKD-ADGRG2-Dehydroepiandrosterone-chim(NtGi1-Gs)/β1/γ2
6.67Single8ZX5AM2518ZX5-GPR55-AM251-chim(NtGi1-G13)/β1/γ2
6.67Consensusadgrg_onOrthosteric Ligandadgrg2_on adgrg4_on
6.67Consensusadgrg_on_gpOrthosteric Ligandadgrg2_on_gp adgrg4_on_gp
6.67Consensusctlike_on_gpOrthosteric Ligand6E3Y-CT Like-Calcitonin gene-related peptide-1-Gs/β1/γ2; RAMP1
6.45Single7TYXAmylin7TYX-CT (AMY2)-Amylin-Gs/β1/γ2; RAMP2
6.25Single3ODUIT1t3ODU-CXCR4-IT1t
6.25Single5U09Taranabant5U09-CB1-Taranabant
6.25Single5ZKQABT-4915ZKQ-PAF-ABT-491
6.25Single6RNKNF-56-EJ406RNK-Succinate-NF-56-EJ40
6.25Single6ZA8RTI-3a6ZA8-NTS1-RTI-3a
6.25Single7S8PMS471347S8P-MRGPRX4-MS47134-chim(NtGi2L-Gs-CtGq)/β1/γ2
6.25Single7SK6CXCL12_LRHQ7SK6-ACKR3-CXCL12_LRHQ
6.25Single7VV5C48/807VV5-MRGPRX2-C48/80-Gi1/β1/γ2
6.25Single7VVOPTH7VVO-PTH1-PTH-Gs/β1/γ2
6.25Single7X2CFenoldopam7X2C-D1-Fenoldopam-Fenoldopam-Gs/β1/γ2
6.25Single8F2APramlintide Analogue San3858F2A-CT (AMY3)-Pramlintide Analogue San385-Gs/β1/γ2; RAMP3
6.25Single8H8JLodoxamide8H8J-GPR35-Lodoxamide-Ca-chim(NtGi1L-G13)/β1/γ2
6.25Single8HMPC178HMP-GPR52-C17-Gs/β1/γ2
6.25Single8T3VDoconexent8T3V-FFA1-Doconexent-chim(NtGi2L-Gs-CtGq)/β1/γ2
6.25Single8U4PAMD31008U4P-CXCR4-AMD3100-Gi1/β1/γ2
6.25Single9AUCCalcitonin gene-related peptide-19AUC-CT (AMY1)-Calcitonin gene-related peptide-1-Gs/β1/γ2; RAMP1
6.25Single9KO2CCL199KO2-CCR7-CCL19-Gi1/β1
6.25Single9KO6CCL199KO6-CCR7-CCL19
6.25Consensusglp1_onOrthosteric Ligand7S1M-GLP-1-Exendin-4-D-Ala-Gs/β1/γ2 7X8R-GLP-1-BOC5-Gs/β1/γ2 6X19-GLP-1-CHU-128-Gs/β1/γ2 6X1A-GLP-1-Danuglipron-Gs/β1/γ2 6X18-GLP-1-GLP-1-Gs/β1/γ2 8JIP-GLP-1-MEDI0382-chim(NtGi1-Gs)/β1/γ2 7C2E-GLP-1-PubChem 149050799-Gs/β1/γ2 7KI0-GLP-1-Semaglutide-Gs/β1/γ2 7KI1-GLP-1-Taspoglutide-Gs/β1/γ2 7X8S-GLP-1-WB4-24-Gs/β1/γ2 8JIS-GLP-1-Peptide-15-chim(NtGi1-Gs)/β1/γ2 7VBI-GLP-1-Tirzepatide (non-acylated)-Gs/β1/γ2
6.25Consensuspaf_offOrthosteric Ligand5ZKQ-PAF-ABT-491
6.06Single7V35Peptide-207V35-Glucagon-Peptide-20-Gs/β1/γ2
6.06Single8JIPMEDI03828JIP-GLP-1-MEDI0382-chim(NtGi1-Gs)/β1/γ2
6.06Single8JIRSAR4258998JIR-GLP-1-SAR425899-chim(NtGi1-Gs)/β1/γ2
5.88Single6ZINSR486926ZIN-NTS1-SR48692
5.88Single7TYYCalcitonin-17TYY-CT (AMY2)-Calcitonin-1-Gs/β1/γ2; RAMP2
5.88Single7VV6C48/807VV6-MRGPRX2-C48/80
5.88Single8HJ5PubChem 1390305318HJ5-MRGPRX1-PubChem 139030531-chim(NtGi1-Gs-CtGq)/β1/γ2
5.88Single8IYXYL-3658IYX-GPR34-YL-365
5.88Single8JD6VU03647708JD6-mGlu4; mGlu4-Phosphoserine-VU0364770-Gi3/β1/γ2
5.88Single8JIUSAR4258998JIU-Glucagon-SAR425899-Gs/β1/γ2
5.88Single8K2WAMG4878K2W-CXCR3-AMG487
5.88Single8X7ATreprostinil8X7A-I2-Treprostinil-Gs/β1/γ2
5.88Single9JQYTG6-1299JQY-EP4-TG6-129
5.88Consensuscxcr3_offOrthosteric Ligand8K2W-CXCR3-AMG487
5.71Consensusgluc_onOrthosteric Ligand6LMK-Glucagon-Glucagon-Gs/β1/γ2 8JIT-Glucagon-MEDI0382-Gs/β1/γ2 7V35-Glucagon-Peptide-20-Gs/β1/γ2
5.56Single4QIMANTA XV4QIM-SMO-ANTA XV
5.56Single5NDDAZ8838; Na5NDD-PAR2-AZ8838; Na
5.56Single6Z4VNeurotensin-(9-13)6Z4V-NTS1-Neurotensin-(9-13)
5.56Single7FIHOrg435537FIH-LH-hCG-Org43553-chim(NtGi1-Gs)/β1/γ2
5.56Single8ZYYNeurotensin-(8-13)8ZYY-NTS1-Neurotensin-(8-13)-SBI-553-Arrestin2
5.56Single9JROPF-044189489JRO-EP2-PF-04418948
5.56Consensusgluc_on_gpOrthosteric Ligand6LMK-Glucagon-Glucagon-Gs/β1/γ2 8JIT-Glucagon-MEDI0382-Gs/β1/γ2 7V35-Glucagon-Peptide-20-Gs/β1/γ2
5.26Single6LFMCXCL86LFM-CXCR2-CXCL8-Gi1/β1/γ2
5.26Single6Z4SSR486926Z4S-NTS1-SR48692
5.26Single8JGGBAM8-228JGG-MRGPRX1-BAM8-22-Gi1/β1/γ2
5.26Single8XQPCholesterol8XQP-TAS2R14-Cholesterol-Aristolochic acid A-Gt3/β1/γ1
5.26Single8ZYTNeurotensin-(8-13)8ZYT-NTS1-Neurotensin-(8-13)-SBI-553-Arrestin2
5.26Single9JRTTG6-1299JRT-EP2-TG6-129
5.26Single9KO4CCL219KO4-CCR7-CCL21-Gi1/β1/γ2
5.26Consensusadgrg2_onOrthosteric Ligand7WUI-ADGRG2-IP15-chim(NtGi1-Gs)/β1/γ2 7WUQ-ADGRG2-Gs/β1/γ2 7XKF-ADGRG2-Dehydroepiandrosterone-Gs/β1/γ2
5.26Consensusadgrg2_on_gpOrthosteric Ligand7WUI-ADGRG2-IP15-chim(NtGi1-Gs)/β1/γ2 7WUQ-ADGRG2-Gs/β1/γ2 7XKF-ADGRG2-Dehydroepiandrosterone-Gs/β1/γ2
5.26Consensuscxcr2_on_gpOrthosteric Ligand6LFM-CXCR2-CXCL8-Gi1/β1/γ2
5.00Single3ZEVNeurotensin-(7-13)3ZEV-NTS1-Neurotensin-(7-13)
5.00Single4BV0Neurotensin-(7-13)4BV0-NTS1-Neurotensin-(7-13)
5.00Single5V56TC1145V56-SMO-TC114
5.00Single6OS1TRV0266OS1-AT1-TRV026
5.00Single6Z8NSRI-98296Z8N-NTS1-SRI-9829
5.00Single7F1TCCL37F1T-CCR5-CCL3
5.00Single7L0PNeurotensin-(8-13)7L0P-NTS1-Neurotensin-(8-13)-Gi1/β1/γ1
5.00Single7L0QNeurotensin-(8-13)7L0Q-NTS1-Neurotensin-(8-13)-Gi1/β1/γ1
5.00Single8FMZNeurotensin-(8-13)8FMZ-NTS1-Neurotensin-(8-13)-chim(NtGi2L-Gs-CtGq)/β1/γ2
5.00Single8FN1Neurotensin-(8-13)8FN1-NTS1-Neurotensin-(8-13)-chim(NtGi1-Go)/β1/γ2
5.00Single8JD5JNJ-40411813; ADX881788JD5-mGlu2; mGlu4-Glutamate-JNJ-40411813; ADX88178-Gi1/β1/γ2
5.00Single8JGFBAM8-228JGF-MRGPRX1-BAM8-22-chim(NtGi1-Gs-CtGq)/β1/γ2
5.00Single8XQTCholesterol8XQT-TAS2R14-Cholesterol-Gi1/β1/γ1
5.00Single9ASTLymphotactin9AST-XCR1-Lymphotactin-Gi1/β1/γ2
5.00Single9L16CCL219L16-CCR7-CCL21
5.00Single9MENGp120 (V3 loop)9MEN-CXCR4-Gp120 (V3 loop)
5.00Consensusmotilin_onOrthosteric Ligand8IBU-Motilin-Erythromycin-A-chim(NtGi1-Gs-CtGq)/β1/γ2
5.00Consensusneurotensin_onOrthosteric Ligandnts1_on
5.00Consensusnts1_onOrthosteric Ligand6OSA-NTS1-JMV449-Gi1/β1/γ2 7L0S-NTS1-Neurotensin-(8-13)-Gi1/β1/γ1
4.76Single4GRVNeurotensin-(8-13)4GRV-NTS1-Neurotensin-(8-13)
4.76Single4XEENeurotensin-(8-13)4XEE-NTS1-Neurotensin-(8-13)
4.76Single4XESNeurotensin-(8-13)4XES-NTS1-Neurotensin-(8-13)
4.76Single6C1RPMX536C1R-C5a1-PMX53-Avacopan; Na
4.76Single6OSAJMV4496OSA-NTS1-JMV449-Gi1/β1/γ2
4.76Single7L0SNeurotensin-(8-13)7L0S-NTS1-Neurotensin-(8-13)-Gi1/β1/γ1
4.76Single7T6BS1P7T6B-S1P2-S1P-chim(NtGi1L-G13)/β1/γ2
4.76Single8IBUErythromycin-A8IBU-Motilin-Erythromycin-A-chim(NtGi1-Gs-CtGq)/β1/γ2
4.76Single8JPBNeurotensin-(8-13)8JPB-NTS1-Neurotensin-(8-13)-SBI-553; GDP; Mg-Gq; GRK2
4.76Single8XQJJN2418XQJ-Apelin; Apelin-JN241
4.76Single8XQNCholesterol8XQN-TAS2R14-Cholesterol-Aristolochic acid A-Gi1/β1/γ1
4.76Single8XQSCholesterol8XQS-TAS2R14-Cholesterol-Flufenamic acid-Gi1/β1/γ1
4.76Consensusgi_neurotensinOrthosteric Ligand6OSA-NTS1-JMV449-Gi1/β1/γ2 7L0S-NTS1-Neurotensin-(8-13)-Gi1/β1/γ1
4.76Consensusmotilin_on_gpOrthosteric Ligand8IBU-Motilin-Erythromycin-A-chim(NtGi1-Gs-CtGq)/β1/γ2
4.76Consensusneurotensin_on_gpOrthosteric Ligandnts1_on_gp
4.76Consensusnts1_on_gpOrthosteric Ligand6OSA-NTS1-JMV449-Gi1/β1/γ2 7L0S-NTS1-Neurotensin-(8-13)-Gi1/β1/γ1
4.55Single4BUONeurotensin-(8-13)4BUO-NTS1-Neurotensin-(8-13)
4.55Single6M1HMaxadilan6M1H-PAC1-Maxadilan-Gs/β1/γ2
4.55Single6UP7Neurotensin-(8-13)6UP7-NTS1-Neurotensin-(8-13)-Arrestin2
4.55Single7X8RBOC57X8R-GLP-1-BOC5-Gs/β1/γ2
4.55Single8FN0Neurotensin-(8-13)8FN0-NTS1-Neurotensin-(8-13)-SBI-553-chim(NtGi1-Go)/β1/γ2
4.55Single8HN1Toxin AdTx18HN1-Alpha1A-Toxin AdTx1
4.55Single8JPFNeurotensin-(8-13)8JPF-NTS1-Neurotensin-(8-13)-SBI-553
4.55Single8K4OCXCL18K4O-KSHV-CXCL1-Gi1/β1/γ1
4.55Single9C0KExendin-49C0K-GLP-1-Exendin-4-Gs/β1/γ2
4.35Single6KNMJN241-96KNM-Apelin-JN241-9
4.35Single6OS9JMV4496OS9-NTS1-JMV449-Gi1/β1/γ2
4.35Single7AUESetmelanotide7AUE-MC4-Setmelanotide-chim(NtGi1L-Gs)/β1/γ2
4.35Single8XQLCholesterol8XQL-TAS2R14-Cholesterol-Aristolochic acid A-Gt3/β1/γ1
4.35Single8XQOCholesterol8XQO-TAS2R14-Cholesterol-Aristolochic acid A-Gi1/β1/γ1
4.35Consensuscxcr4_offOrthosteric Ligand4RWS-CXCR4-vMIP-II 3OE0-CXCR4-CVX15 3OE6-CXCR4-IT1t
4.17Single6X19CHU-1286X19-GLP-1-CHU-128-Gs/β1/γ2
4.17Single7L0RNeurotensin-(8-13)7L0R-NTS1-Neurotensin-(8-13)-Gi1/β1/γ1
4.17Single8DWGBAM8-228DWG-MRGPRX1-BAM8-22-ML382-chim(NtGi2L-Gs-CtGq)/β1/γ2
4.17Consensuschemokine_onOrthosteric Ligandccr_on cxcr_on
4.00Single6WHCGlu16 analog of GCG6WHC-Glucagon-Glu16 analog of GCG-Gs/β1/γ2
4.00Single7E14Orforglipron7E14-GLP-1-Orforglipron-PubChem 156022738-Gs/β1/γ2
4.00Single7F1QCCL37F1Q-CCR5-CCL3-Gi1/β1/γ2
4.00Single7SK5CXCL127SK5-ACKR3-CXCL12
4.00Single7TRYUrocortin7TRY-CRF2-Urocortin-chim(NtGi1-G11)/β1/γ2
3.85Single7W55Neuromedin-U-257W55-NMUR2-Neuromedin-U-25-chim(NtGi1-Gs-CtGq)/β1/γ2
3.85Single7XA3CCL27XA3-CCR2-CCL2-Gi1/β1/γ2
3.85Single8YFOAc-LA-PTH Analog8YFO-PTH1-Ac-LA-PTH Analog-chim(NtGi1-Gs)/β1/γ2
3.85Single9B5YLA-PTH Analog9B5Y-PTH1-LA-PTH Analog-chim(NtGi1-Gq)/β1/γ2
3.85Consensusccr2_onOrthosteric Ligand7XA3-CCR2-CCL2-Gi1/β1/γ2
3.85Consensusccr2_on_gpOrthosteric Ligand7XA3-CCR2-CCL2-Gi1/β1/γ2
3.85Consensusccr_onOrthosteric Ligandccr6_on ccr8_on ccr2_on ccr1_on ccr5_on
3.85Consensusnmur2_onOrthosteric Ligand7W55-NMUR2-Neuromedin-U-25-chim(NtGi1-Gs-CtGq)/β1/γ2
3.85Consensusnmur2_on_gpOrthosteric Ligand7W55-NMUR2-Neuromedin-U-25-chim(NtGi1-Gs-CtGq)/β1/γ2
3.70Single7FINPeptide-20; GGL7FIN-GIP-Peptide-20; GGL-Gs/β1/γ2
3.57Single5YQZNNC17025YQZ-Glucagon-NNC1702
3.57Single7TYWCalcitonin-17TYW-CT (AMY1)-Calcitonin-1-Gs/β1/γ2; RAMP1
3.57Single7Y35Abaloparatide7Y35-PTH1-Abaloparatide-Gs/β1/γ2
3.57Single8YG4LA-PTH Analog8YG4-PTH1-LA-PTH Analog-chim(NtGi1-Gs)/β1/γ2
3.57Consensusccr_on_gpOrthosteric Ligandccr6_on_gp ccr8_on_gp ccr2_on_gp ccr1_on_gp ccr5_on_gp
3.45Single7SK3CXCL127SK3-ACKR3-CXCL12
3.45Single8FLRPTHrP(1-36)8FLR-PTH1-PTHrP(1-36)-Gs/β1/γ2
3.45Single9BUBCagrilintide9BUB-CT-Cagrilintide-Gs/β1/γ2
3.33Single5NX2GLP-1 (Truncated)5NX2-GLP-1-GLP-1 (Truncated)
3.33Single7VVKPTH7VVK-PTH1-PTH-Gs/β1/γ2
3.33Single8HAOPTH8HAO-PTH1-PTH-chim(NtGi1-Gs)/β1/γ2
3.23Single9BQ3Cagrilintide9BQ3-CT (AMY2)-Cagrilintide-Gs/β1/γ2; RAMP2
3.23Single9BTWCagrilintide9BTW-CT (AMY3)-Cagrilintide-Gs/β1/γ2; RAMP3
3.23Consensusvpac2_onOrthosteric Ligand7VQX-VPAC1-PACAP27-Gs/β1/γ2
3.23Consensusvpac2_on_gpOrthosteric Ligand7VQX-VPAC1-PACAP27-Gs/β1/γ2
3.12Single7RBTTirzepatide7RBT-GIP-Tirzepatide-LSN3556672-chim(NtGi1-Gs)/β1/γ2
3.12Consensusgip_onOrthosteric Ligand7FIN-GIP-Peptide-20; GGL-Gs/β1/γ2 7FIY-GIP-Tirzepatide-Gs/β1/γ2 7DTY-GIP-GIP-Gs/β1/γ2
3.12Consensusgip_on_gpOrthosteric Ligand7FIN-GIP-Peptide-20; GGL-Gs/β1/γ2 7FIY-GIP-Tirzepatide-Gs/β1/γ2 7DTY-GIP-GIP-Gs/β1/γ2
3.03Single7VBHPeptide-207VBH-GLP-1-Peptide-20-Gs/β1/γ2
2.86Single8JITMEDI03828JIT-Glucagon-MEDI0382-Gs/β1/γ2

PDB Summary
PDB 9IXJ
Class A
SubFamily Amine
Type Histamine
SubType H2
Species Homo Sapiens
Ligand Histamine
Other Ligand(s) -
Protein Partners Gs/Beta1/Gamma2
PDB Resolution 2.92
Date 2025-07-30
D.O.I. To be published
Net Summary
Imin 1.86
Number of Linked Nodes 823
Number of Links 947
Number of Hubs 129
Number of Links mediated by Hubs 488
Number of Communities 28
Number of Nodes involved in Communities 178
Number of Links involved in Communities 246
Path Summary
Number Of Nodes in MetaPath 110
Number Of Links MetaPath 109
Number of Shortest Paths 1919691
Length Of Smallest Path 3
Average Path Length 45.7303
Length of Longest Path 76
Minimum Path Strength 1.275
Average Path Strength 4.97613
Maximum Path Strength 15.4467
Minimum Path Correlation 0.7
Average Path Correlation 0.985176
Maximum Path Correlation 1
Minimum % Of Corr. Nodes 1.66667
Average % Of Corr. Nodes 30.7949
Maximum % Of Corr. Nodes 100
Minimum Path Hubs % 0
Average Path Hubs % 39.834
Maximum Path Hubs % 100
AnnotationTypeLinks
Gene OntologyMolecular Function• protein binding   • binding   • enzyme binding   • GTPase binding   • protein-containing complex binding   • pyrophosphatase activity   • GTPase activity   • ribonucleoside triphosphate phosphatase activity   • hydrolase activity, acting on acid anhydrides, in phosphorus-containing anhydrides   • hydrolase activity   • hydrolase activity, acting on acid anhydrides   • catalytic activity   • signaling receptor complex adaptor activity   • protein-macromolecule adaptor activity   • molecular adaptor activity   • signaling adaptor activity   • multicellular organismal process   • system process   • sensory perception of chemical stimulus   • sensory perception   • nervous system process   • sensory perception of taste   • developmental process   • sensory organ development   • eye development   • animal organ development   • retina development in camera-type eye   • visual system development   • multicellular organism development   • camera-type eye development
Gene OntologyBiological Process• multicellular organismal process   • system process   • sensory perception of chemical stimulus   • sensory perception   • nervous system process   • sensory perception of taste   • developmental process   • sensory organ development   • eye development   • animal organ development   • retina development in camera-type eye   • visual system development   • multicellular organism development   • camera-type eye development   • anatomical structure development   • sensory system development   • system development   • cell population proliferation   • cellular process   • cellular response to stimulus   • regulation of biological process   • regulation of cellular process   • response to stimulus   • signaling   • biological regulation   • signal transduction   • cell communication   • response to ketone   • response to prostaglandin   • response to lipid   • response to endogenous stimulus   • response to alcohol   • cellular response to prostaglandin stimulus   • response to oxygen-containing compound   • cellular response to oxygen-containing compound   • cellular response to endogenous stimulus   • cellular response to prostaglandin E stimulus   • cellular response to chemical stimulus   • cellular response to alcohol   • response to hormone   • response to chemical   • cellular response to lipid   • response to prostaglandin E   • cellular response to ketone   • cellular response to hormone stimulus   • small GTPase-mediated signal transduction   • Ras protein signal transduction   • intracellular signal transduction   • intracellular signaling cassette   • phospholipase C-activating G protein-coupled receptor signaling pathway   • G protein-coupled receptor signaling pathway   • cellular response to nitrogen compound   • response to dopamine   • cellular response to dopamine   • response to monoamine   • response to catecholamine   • adenylate cyclase-activating dopamine receptor signaling pathway   • cellular response to catecholamine stimulus   • G protein-coupled dopamine receptor signaling pathway   • response to nitrogen compound   • adenylate cyclase-activating G protein-coupled receptor signaling pathway   • cellular response to monoamine stimulus   • adenylate cyclase-modulating G protein-coupled receptor signaling pathway   • synaptic signaling   • cellular response to acetylcholine   • cell-cell signaling   • acetylcholine receptor signaling pathway   • postsynaptic signal transduction   • G protein-coupled acetylcholine receptor signaling pathway   • response to acetylcholine   • cellular anatomical structure   • membrane   • protein-containing complex   • extrinsic component of plasma membrane   • catalytic complex   • plasma membrane protein complex   • cytoplasmic side of membrane   • plasma membrane   • membrane protein complex   • heterotrimeric G-protein complex   • side of membrane   • cell periphery   • cytoplasmic side of plasma membrane   • GTPase complex
Gene OntologyCellular Component• cellular anatomical structure   • membrane   • protein-containing complex   • extrinsic component of plasma membrane   • catalytic complex   • plasma membrane protein complex   • cytoplasmic side of membrane   • plasma membrane   • membrane protein complex   • heterotrimeric G-protein complex   • side of membrane   • cell periphery   • cytoplasmic side of plasma membrane   • GTPase complex   • extrinsic component of membrane   • extrinsic component of cytoplasmic side of plasma membrane   • extracellular exosome   • membrane-bounded organelle   • extracellular vesicle   • extracellular organelle   • extracellular region   • organelle   • extracellular space   • vesicle   • extracellular membrane-bounded organelle   • non-motile cilium   • 9+0 non-motile cilium   • cilium   • neuron projection   • photoreceptor disc membrane   • photoreceptor outer segment   • plasma membrane bounded cell projection   • cell projection   • photoreceptor cell cilium   • organelle membrane   • intracellular anatomical structure   • cytoplasm   • cytosol   • vacuolar membrane   • lytic vacuole   • vacuole   • intracellular membrane-bounded organelle   • intracellular organelle   • lytic vacuole membrane   • bounding membrane of organelle   • lysosomal membrane   • lysosome   • synapse   • cell junction   • neurotransmitter receptor activity   • molecular transducer activity   • signaling receptor activity   • G protein-coupled amine receptor activity   • G protein-coupled receptor activity   • transmembrane signaling receptor activity   • histamine receptor activity   • cellular response to stimulus   • regulation of biological process   • regulation of cellular process   • response to stimulus   • signaling   • biological regulation   • adenylate cyclase-activating G protein-coupled receptor signaling pathway   • cell communication   • adenylate cyclase-modulating G protein-coupled receptor signaling pathway   • G protein-coupled receptor signaling pathway   • cellular process   • signal transduction   • localization   • multicellular organismal process   • system process   • digestion   • secretion   • transport   • digestive system process   • acid secretion   • gastric acid secretion   • establishment of localization   • regulation of tube diameter   • regulation of tube size   • regulation of system process   • positive regulation of biological process   • positive regulation of vasoconstriction   • circulatory system process   • regulation of blood circulation   • vascular process in circulatory system   • regulation of vasoconstriction   • positive regulation of multicellular organismal process   • regulation of multicellular organismal process   • blood vessel diameter maintenance   • regulation of biological quality   • vasoconstriction   • blood circulation   • regulation of anatomical structure size   • immune response   • immune system process   • trans-synaptic signaling   • synaptic signaling   • anterograde trans-synaptic signaling   • cell-cell signaling   • chemical synaptic transmission   • G protein-coupled receptor signaling pathway, coupled to cyclic nucleotide second messenger   • somatodendritic compartment   • dendrite   • dendritic tree   • protein binding   • binding   • G-protein beta-subunit binding   • fibroblast proliferation   • cell population proliferation   • cellular response to nitrogen compound   • response to dopamine   • cellular response to dopamine   • response to monoamine   • response to catecholamine   • adenylate cyclase-activating dopamine receptor signaling pathway   • cellular response to catecholamine stimulus   • G protein-coupled dopamine receptor signaling pathway   • response to oxygen-containing compound   • response to nitrogen compound   • cellular response to oxygen-containing compound   • cellular response to chemical stimulus   • cellular response to monoamine stimulus   • response to chemical   • response to ketone   • response to prostaglandin   • response to lipid   • response to endogenous stimulus   • response to alcohol   • cellular response to prostaglandin stimulus   • cellular response to endogenous stimulus   • cellular response to prostaglandin E stimulus   • cellular response to alcohol   • response to hormone   • cellular response to lipid   • response to prostaglandin E   • cellular response to ketone   • cellular response to hormone stimulus   • guanyl nucleotide binding   • GTP binding   • nucleotide binding   • guanyl ribonucleotide binding   • purine ribonucleotide binding   • purine ribonucleoside triphosphate binding   • nucleoside phosphate binding   • ion binding   • purine nucleotide binding   • anion binding   • heterocyclic compound binding   • carbohydrate derivative binding   • ribonucleotide binding   • small molecule binding   • D1 dopamine receptor binding   • signaling receptor binding   • G protein-coupled receptor binding   • dopamine receptor binding   • protein-containing complex binding   • G-protein beta/gamma-subunit complex binding   • pyrophosphatase activity   • GTPase activity   • G protein activity   • ribonucleoside triphosphate phosphatase activity   • molecular function regulator activity   • hydrolase activity, acting on acid anhydrides, in phosphorus-containing anhydrides   • hydrolase activity   • hydrolase activity, acting on acid anhydrides   • catalytic activity   • enzyme regulator activity   • cyclase regulator activity   • enzyme activator activity   • cyclase activator activity   • molecular function activator activity   • adenylate cyclase regulator activity   • adenylate cyclase activator activity   • cation binding   • metal ion binding   • developmental process   • epithelium development   • ectodermal placode morphogenesis   • epidermis development   • molting cycle process   • hair cycle   • animal organ development   • hair follicle placode formation   • tissue development   • ectodermal placode formation   • anatomical structure morphogenesis   • skin development   • skin epidermis development   • hair follicle development   • molting cycle   • anatomical structure development   • anatomical structure formation involved in morphogenesis   • ectodermal placode development   • hair cycle process   • cellular homeostasis   • chemical homeostasis   • homeostatic process   • glucose homeostasis   • carbohydrate homeostasis   • intracellular chemical homeostasis   • intracellular glucose homeostasis   • nervous system process   • neuromuscular process   • skeletal muscle contraction   • muscle contraction   • muscle system process   • regulation of muscle system process   • striated muscle contraction   • multicellular organismal movement   • musculoskeletal movement   • regulation of striated muscle contraction   • regulation of muscle contraction   • regulation of skeletal muscle contraction   • sensory perception of chemical stimulus   • sensory perception   • sensory perception of smell   • response to peptide hormone   • cellular response to peptide hormone stimulus   • response to glucagon   • cellular response to glucagon stimulus   • multicellular organism development   • skeletal system development   • bone development   • system development   • response to pH   • cellular response to pH   • response to abiotic stimulus   • cellular response to acidic pH   • response to acidic pH   • cellular response to abiotic stimulus   • cellular response to environmental stimulus   • regulation of body fluid levels   • wound healing   • homotypic cell-cell adhesion   • cell activation   • hemostasis   • platelet aggregation   • blood coagulation   • cell adhesion   • cell-cell adhesion   • response to stress   • coagulation   • response to wounding   • platelet activation   • response to fluid shear stress   • vascular endothelial cell response to laminar fluid shear stress   • response to laminar fluid shear stress   • cellular response to stress   • cellular response to laminar fluid shear stress   • vascular endothelial cell response to fluid shear stress   • cellular response to fluid shear stress   • cognition   • developmental growth   • growth   • adaptive thermogenesis   • multicellular organismal-level homeostasis   • regulation of cold-induced thermogenesis   • cold-induced thermogenesis   • temperature homeostasis   • positive regulation of cold-induced thermogenesis   • positive regulation of cell communication   • regulation of localization   • establishment of protein localization   • nitrogen compound transport   • positive regulation of establishment of protein localization   • establishment of localization in cell   • positive regulation of insulin secretion involved in cellular response to glucose stimulus   • positive regulation of insulin secretion   • intracellular protein localization   • regulation of peptide hormone secretion   • regulation of hormone levels   • positive regulation of peptide hormone secretion   • establishment of protein localization to extracellular region   • protein secretion   • regulation of protein secretion   • regulation of secretion   • cellular response to carbohydrate stimulus   • response to glucose   • positive regulation of protein localization   • insulin secretion involved in cellular response to glucose stimulus   • cellular localization   • regulation of hormone secretion   • regulation of protein localization   • regulation of peptide secretion   • positive regulation of secretion by cell   • hormone secretion   • protein localization to extracellular region   • positive regulation of protein transport   • peptide secretion   • regulation of secretion by cell   • secretion by cell   • positive regulation of hormone secretion   • response to monosaccharide   • response to carbohydrate   • positive regulation of secretion   • signal release   • cellular response to hexose stimulus   • cellular response to monosaccharide stimulus   • positive regulation of cellular process   • positive regulation of peptide secretion   • regulation of signaling   • regulation of transport   • regulation of peptide transport   • regulation of establishment of protein localization   • export from cell   • cellular response to glucose stimulus   • regulation of protein transport   • positive regulation of protein secretion   • peptide transport   • response to hexose   • positive regulation of transport   • regulation of cellular localization   • protein transport   • regulation of insulin secretion   • peptide hormone secretion   • macromolecule localization   • regulation of insulin secretion involved in cellular response to glucose stimulus   • hormone transport   • regulation of cell communication   • insulin secretion   • positive regulation of signaling   • adenylate cyclase-activating adrenergic receptor signaling pathway   • adrenergic receptor signaling pathway   • serotonin receptor signaling pathway   • adenylate cyclase-activating serotonin receptor signaling pathway   • intracellular transport   • regulation of defense response   • regulation of response to external stimulus   • negative regulation of inflammatory response   • negative regulation of biological process   • inflammatory response to antigenic stimulus   • regulation of response to stress   • regulation of immune system process   • negative regulation of inflammatory response to antigenic stimulus   • defense response   • negative regulation of response to stimulus   • negative regulation of immune response   • regulation of inflammatory response to antigenic stimulus   • response to external stimulus   • regulation of inflammatory response   • regulation of response to stimulus   • negative regulation of immune system process   • negative regulation of response to external stimulus   • negative regulation of defense response   • regulation of immune response   • inflammatory response   • positive regulation of adenylate cyclase activity   • positive regulation of molecular function   • regulation of molecular function   • positive regulation of cyclase activity   • activation of adenylate cyclase activity   • regulation of adenylate cyclase activity   • regulation of catalytic activity   • positive regulation of catalytic activity   • positive regulation of lyase activity   • cell surface receptor signaling pathway   • bile acid signaling pathway   • adenylate cyclase-activating G protein-coupled bile acid receptor signaling pathway   • renal system process   • multicellular organismal-level water homeostasis   • multicellular organismal-level chemical homeostasis   • renal water homeostasis   • Golgi apparatus subcompartment   • Golgi apparatus   • organelle subcompartment   • trans-Golgi network membrane   • endomembrane system   • trans-Golgi network
SCOP2Domain Identifier• Transducin (heterotrimeric G protein), gamma chain
SCOP2Family Identifier• Transducin (heterotrimeric G protein), gamma chain
Membrane Protein Annotations-• Orientations of Proteins in Membranes database (OPM)   • Protein Data Bank of Transmembrane Proteins (PDBTM)   • MemProtMD


Details about the values in these tables can be found in the corresponding documentation page .
CodeHSM
PDB ResiduesL:L:?1
Environment DetailsOpen EMBL-EBI Page
CodeHSM
NameHistamine
Synonymsbeta-aminoethylglyoxaline
Identifier
FormulaC5 H9 N3
Molecular Weight111.145
SMILES
PubChem774
Formal Charge0
Total Atoms17
Total Chiral Atoms0
Total Bonds17
Total Aromatic Bonds5

PDBsumOpen PDBsum Page
ChainA
ProteinG Protein α Sub unit
UniProtP63092
Sequence
>9IXJ_Chain_A
TEDQRNEEK AQREANKKI EKQLQKDKQ VYRATHRLL LLGASTIVK 
QMSGIFETK FQVDKVNFH MFDVGGQRD ERRKWIQCF NDVTAIIFV 
VASSSYNQT NRLQEALNL FKSIWNNRW LRTISVILF LNKQDLLAE 
KVLAGKSKI EDYFPEFAR YTTPEDATP EPGEDPRVT RAKYFIRDE 
FLRISTASG DGRHYCYPH FTCAENIRR FNDCRDIIQ RMHLRQYEL 
LI


Click on each residue to open a popup with some information about it.

ConSurf Conservation Grade (See documentation): 

 n/a   1    2    3    4    5    6    7    8    9  

ChainB
ProteinG Protein β Sub unit
UniProtP62873
Sequence
>9IXJ_Chain_B
ELDQLRQEA EQLKNQIRD ARKACADAT LSQITNNID PVGRIQMRT 
RRTLRGHLA KIYAMHWGT DSRLLVSAS QDGKLIIWD SYTTNKVHA 
IPLRSSWVM TCAYAPSGN YVACGGLDN ICSIYNLKT REGNVRVSR 
ELAGHTGYL SCCRFLDDN QIVTSSGDT TCALWDIET GQQTTTFTG 
HTGDVMSLS LAPDTRLFV SGACDASAK LWDVREGMC RQTFTGHES 
DINAICFFP NGNAFATGS DDATCRLFD LRADQELMT YSHDNIICG 
ITSVSFSKS GRLLLAGYD DFNCNVWDA LKADRAGVL AGHDNRVSC 
LGVTDDGMA VATGSWDSF LKIWN


Click on each residue to open a popup with some information about it.

ConSurf Conservation Grade (See documentation): 

 n/a   1    2    3    4    5    6    7    8    9  

ChainG
ProteinG Protein γ Sub unit
UniProtP59768
Sequence
>9IXJ_Chain_G
SIAQARKLV EQLKMEANI DRIKVSKAA ADLMAYCEA HAKEDPLLT 
PVPASENPF R


Click on each residue to open a popup with some information about it.

ConSurf Conservation Grade (See documentation): 

 n/a   1    2    3    4    5    6    7    8    9  

ChainR
ProteinReceptor
UniProtP25021
Sequence
>9IXJ_Chain_R
STACKITIT VVLAVLILI TVAGNVVVC LAVGLNRRL RNLTNCFIV 
SLAITDLLL GLLVLPFSA IYQLSCKWS FGKVFCNIY TSLDVMLCT 
ASILNLFMI SLDRYCAVM DPLRYPVLV TPVRVAISL VLIWVISIT 
LSFLSIHLG WNSRSKCKV QVNEVYGLV DGLVTFYLP LLIMCITYY 
RIFKVARDQ AKRINHISS WKAATIREH KATVTLAAV MGAFIICWF 
PYFTAFVYR GLRGDDAIN EVLEAIVLW LGYANSALN PILYAALNR 
DFRTG


Click on each residue to open a popup with some information about it.

ConSurf Conservation Grade (See documentation): 

 n/a   1    2    3    4    5    6    7    8    9  




This receptor, from the same or other species and bound to the same or other ligands, is also present in the following networks:
Show PDB Class SubFamily Type SubType Species Orthosteric Ligand Other Ligand(s) Protein Partners Resolution Date DOI
4RWAAPeptideOpioidδHomo sapiensDIPP-NH2--3.282015-01-14doi.org/10.1038/nsmb.2965
4RWDAPeptideOpioidδHomo sapiensDIPP-NH2Na-2.72015-01-14doi.org/10.1038/nsmb.2965
7F16B1PeptideParathyroid HormonePTH2Homo sapiensTIP39-Gs/β1/γ22.82021-08-18doi.org/10.1073/pnas.2101279118
7F16 (No Gprot) B1PeptideParathyroid HormonePTH2Homo sapiensTIP39-2.82021-08-18doi.org/10.1073/pnas.2101279118
7SCGAPeptideOpioidμMus musculusFH210-Gi1/β1/γ232022-04-20doi.org/10.1002/anie.202200269
7SCG (No Gprot) APeptideOpioidμMus musculusFH210-32022-04-20doi.org/10.1002/anie.202200269
8H2GAAlicarboxylic acidHydroxycarboxylic AcidHCA2Homo sapiensNiacin-Gi1/β1/γ23.012023-10-11doi.org/10.1038/s41467-023-42764-8
8H2G (No Gprot) AAlicarboxylic acidHydroxycarboxylic AcidHCA2Homo sapiensNiacin-3.012023-10-11doi.org/10.1038/s41467-023-42764-8
8YUTAAmineHistamineH2Homo sapiensAmthamine-Gs/β1/γ22.72024-06-05doi.org/10.1002/advs.202310120
8YUT (No Gprot) AAmineHistamineH2Homo sapiensAmthamine-2.72024-06-05doi.org/10.1002/advs.202310120
8WSTAPeptideMelanin Concentrating HormoneMCH2Homo sapiensMCH-chim(NtGi1L-Gs-CtGq)/β1/γ22.42024-06-19doi.org/10.1038/s41421-024-00679-8
8WST (No Gprot) APeptideMelanin Concentrating HormoneMCH2Homo sapiensMCH-2.42024-06-19doi.org/10.1038/s41421-024-00679-8
8YN3AAmineHistamineH2Homo sapiensHistamine-Gs/β1/γ22.562024-10-09doi.org/10.1038/s41467-024-52585-y
8YN3 (No Gprot) AAmineHistamineH2Homo sapiensHistamine-2.562024-10-09doi.org/10.1038/s41467-024-52585-y
8YN4AAmineHistamineH2Homo sapiensHistamine-chim(NtGi1L-Gs-CtGq)/β1/γ22.972024-10-09doi.org/10.1038/s41467-024-52585-y
8YN4 (No Gprot) AAmineHistamineH2Homo sapiensHistamine-2.972024-10-09doi.org/10.1038/s41467-024-52585-y
7UL3AAmineHistamineH2Homo sapiensFamotidine--32022-06-29doi.org/10.1038/s41594-022-00859-8
8POKAAmineHistamineH2Homo sapiensHistamine-Gs/β1/γ23.42024-03-06doi.org/10.1038/s41467-024-46096-z
8POK (No Gprot) AAmineHistamineH2Homo sapiensHistamine-3.42024-03-06doi.org/10.1038/s41467-024-46096-z
8YH2ANucleotideAdenosineA3AHomo sapiensAdenosine-Gi1/β1/γ23.272024-11-06doi.org/10.1038/s41467-024-53473-1
8YH2 (No Gprot) ANucleotideAdenosineA3AHomo sapiensAdenosine-3.272024-11-06doi.org/10.1038/s41467-024-53473-1
9H2XANucleotideAdenosineA2AHomo sapiensPubChem 175670644Na-1.752025-06-18doi.org/10.1038/s41467-025-60629-0
9IXJ (No Gprot) AAmineHistamineH2Homo sapiensHistamine-2.922025-07-30To be published




You can download a compressed (zip) file with structure(s), 3D outputs (as PyMol and VMD scripts) and numerical data files (as csv and plain text files).

Download 9IXJ.zip



You can click to copy the link of this page to easily come back here later

or use this QR code to link and share this page.



You can also  read or  download a guide explaining the meaning of all files and numerical data.