Color ConSurf Grade
      No Conservation data available
      1
      2
      3
      4
      5
      6
      7
      8
      9

Index: hub id, click on each number to highlight the corresponding hub in the 3D visualization.

Hub: the hub being considered.

Avg Int. Strength: the average interaction strength of all the links of the corresponding hub.

Num Of Links: the number of links of the corresponding hub.

Community: the id of the community the link belong to, otherwise 0.

ConSurf: this column reports the ConSurf conservation grades of each hub.

Index Hub Avg Int. Strength Num Of Links Community ConSurf
1A:A:H41 7.0975466
2A:A:L45 6.29254208
3A:A:E50 5.62479
4A:A:K53 6.76754209
5A:A:E209 6.635419
6A:A:F219 6.79468
7A:A:F222 10.962517
8A:A:R228 7.1225419
9A:A:R232 5.43518
10A:A:K233 5.23419
11A:A:W234 8.868519
12A:A:F238 8.9475419
13A:A:F246 4.42409
14A:A:N254 7.225409
15A:A:W277 9.035406
16A:A:W281 7.076515
17A:A:L289 5.29409
18A:A:F290 7.485119
19A:A:N292 4.75409
20A:A:K293 4.7625479
21A:A:L296 5.295476
22A:A:Y311 6.2406
23A:A:F312 4.4325408
24A:A:F315 10.635406
25A:A:Y318 7.75406
26A:A:P321 3.765405
27A:A:Y339 6.378583
28A:A:F340 10.7975407
29A:A:R342 6.78584
30A:A:F345 8.41408
31A:A:D354 4.994213
32A:A:Y358 6.0425434
33A:A:Y360 6.93333638
34A:A:P361 3.49485
35A:A:F363 7.744585
36A:A:N371 6.974119
37A:A:R374 8.171676114
38A:A:F376 5.08768
39A:A:D381 8.535438
40A:A:R385 9.35167635
41A:A:H387 6.09408
42A:A:L388 4.5125408
43B:B:I37 4.9925402
44B:B:V40 4.67254143
45B:B:H54 10.1825409
46B:B:K57 12.6125419
47B:B:Y59 5.2575418
48B:B:W63 6.926507
49B:B:Q75 6.3525419
50B:B:K78 5.425408
51B:B:I80 8.044108
52B:B:W82 10.05176109
53B:B:D83 9.284178
54B:B:T86 6.11254176
55B:B:K89 5.528336109
56B:B:I93 6.0075497
57B:B:L95 4.874598
58B:B:W99 8.70167619
59B:B:M101 4.11519
60B:B:Y105 4.935406
61B:B:L117 4.56519
62B:B:I123 3.95406
63B:B:Y124 5.34667696
64B:B:H142 8.052519
65B:B:Y145 5.49875818
66B:B:C149 3.84418
67B:B:F151 5.008509
68B:B:I157 5407
69B:B:T159 5.546519
70B:B:D163 8.7475419
71B:B:C166 4.235448
72B:B:W169 10.174518
73B:B:T173 5.1054185
74B:B:Q176 6.5475414
75B:B:F180 7.916547
76B:B:H183 8.872549
77B:B:V187 4.148549
78B:B:F199 7.988549
79B:B:S201 4.6075449
80B:B:C204 6.1225417
81B:B:D205 6.868549
82B:B:K209 9.77546
83B:B:W211 10.474548
84B:B:D212 8.57409
85B:B:Q220 7.9725417
86B:B:F222 7.646518
87B:B:H225 8.695619
88B:B:D228 6.9425419
89B:B:I232 5.4775418
90B:B:F235 8.474196
91B:B:P236 6.034197
92B:B:F241 7.584516
93B:B:D247 6.84519
94B:B:T249 5.515416
95B:B:R251 7.97167618
96B:B:F253 7.4516
97B:B:D258 8.712517
98B:B:M262 5.4625404
99B:B:Y264 6.796505
100B:B:I269 4.1525454
101B:B:C271 4.6075455
102B:B:F278 5.8425197
103B:B:R283 7.0456149
104B:B:L284 5.4575405
105B:B:L285 5.4225406
106B:B:Y289 6.85657
107B:B:N295 7.36556
108B:B:K301 6.22405
109B:B:H311 9.6285129
110B:B:R314 10.468518
111B:B:W332 10.5633619
112B:B:D333 9.364129
113B:B:L336 5.78754107
114B:B:K337 8.43254126
115B:B:W339 10.26754129
116G:G:I9 1.7475402
117G:G:L19 2.2745279
118G:G:R27 6.59418
119G:G:D48 5.815409
120G:G:P49 3.94407
121G:G:L51 4.012506
122G:G:F61 4.667158
123R:R:L30 4.27407
124R:R:F51 4.5275406
125R:R:N60 5.03754169
126R:R:F62 5.461676138
127R:R:L66 6.1675429
128R:R:D70 8.882529
129R:R:V77 4.4428
130R:R:M78 4.1725427
131R:R:K81 5.624526
132R:R:W90 7.884528
133R:R:F92 8.338526
134R:R:F95 4.5825425
135R:R:W99 5.01375825
136R:R:T108 5.875406
137R:R:L114 5.41429
138R:R:S118 4.4275408
139R:R:D120 6.81254139
140R:R:Y122 8.4775408
141R:R:F129 6.808567
142R:R:Y131 10.15754137
143R:R:W148 4.9075429
144R:R:F156 6.27254265
145R:R:Y194 6.07167607
146R:R:F203 8.696528
147R:R:M210 4.774528
148R:R:Y218 8.635407
149R:R:Q224 9.4075437
150R:R:I228 6.585437
151R:R:F281 4.87529
152R:R:W285 7.39628
153R:R:L286 3.92406
154R:R:F288 8.74527
155R:R:F289 11.608527
156R:R:W318 8.334525
157R:R:W321 6.78571727
158R:R:Y331 6.0125429
159R:R:F337 5.164297169
160L:L:?1 7.757691320
   

Color ConSurf Grade
      No Conservation data available
      1
      2
      3
      4
      5
      6
      7
      8
      9

Index: link id, click on each number to highlight the corresponding link in the 3D visualization.

Node1 Node2: the two nodes of the corresponding link.

Recurrence: the relative Recurrence in the pool of shortest paths.

Int. Strength: the interaction strength between the two nodes.

Hub1?, Hub2?: "Yes" if the corresponding node has more than 3 links, otherwise "No".

Community: the id of the community the link belong to, otherwise 0.

ConSurf1, ConSurf2: these columns report the ConSurf conservation grades of the two nodes involved in a link.

Index Node1 Node2 Recurrence Int. Strength Hub1? Hub2? Community ConSurf1 ConSurf2
1B:B:M61 B:B:W63 19.17623.49NoYes067
2B:B:C317 B:B:M61 19.59344.86NoNo076
3B:B:C317 B:B:S316 20.01093.44NoNo079
4B:B:S316 B:B:W332 20.22014.94NoYes099
5B:B:W332 B:B:Y59 11.82338.68YesYes198
6B:B:M101 B:B:Y59 12.4693.59YesYes198
7A:A:W281 B:B:W332 10.21923.75YesYes159
8A:A:N279 A:A:W281 23.84233.39NoYes185
9A:A:I235 A:A:N279 23.94444.25NoNo198
10A:A:I235 A:A:W234 24.15993.52NoYes199
11A:A:R232 A:A:W234 82.68111YesYes189
12A:A:L272 A:A:R232 83.00194.86NoYes188
13A:A:F246 A:A:L272 83.19156.09YesNo098
14A:A:F246 A:A:F273 48.03134.29YesNo099
15A:A:F273 A:A:F345 48.14037.5NoYes098
16A:A:F345 A:A:L270 96.345510.96YesNo086
17A:A:E344 A:A:L270 96.41175.3NoNo056
18A:A:E344 A:A:F340 96.47899.33NoYes057
19A:A:F312 A:A:F340 98.27445.36YesYes087
20A:A:F312 A:A:N264 98.56963.62YesNo089
21A:A:N264 A:A:Y311 98.63226.98NoYes096
22A:A:N254 A:A:Y311 98.97064.65YesYes096
23A:A:M255 A:A:N254 99.35824.21NoYes089
24A:A:E50 A:A:M255 99.32084.06YesNo798
25A:A:A249 A:A:E50 99.36164.53NoYes789
26A:A:A249 A:A:K293 99.48093.21NoYes789
27A:A:K293 A:A:N292 99.58244.2YesYes099
28A:A:N292 A:A:T364 1004.39YesNo099
29A:A:F290 A:A:T364 66.601212.97YesNo1199
30A:A:F290 A:A:I288 33.32033.77YesNo099
31A:A:D378 A:A:I288 33.293712.59NoNo079
32A:A:D378 A:A:Y360 99.808912.64NoYes078
33A:A:D381 A:A:Y360 49.35293.45YesYes388
34A:A:D381 R:R:Q224 49.191710.44YesYes387
35A:A:L388 R:R:Q224 97.58433.99YesYes087
36A:A:L388 R:R:I125 58.04577.14YesNo088
37A:A:Y391 R:R:I125 55.75723.63NoNo048
38A:A:Q390 A:A:Y391 13.266814.65NoNo044
39A:A:H387 A:A:Q390 13.08647.42YesNo084
40B:B:M101 B:B:Y145 12.68485.99YesYes198
41A:A:W234 B:B:Y145 57.63345.79YesYes198
42A:A:F246 A:A:L289 48.54353.65YesYes099
43A:A:F345 A:A:L289 48.14287.31YesYes089
44A:A:F290 A:A:H362 33.29057.92YesNo1199
45A:A:D378 A:A:H362 66.587310.08NoNo079
46A:A:R374 A:A:T364 33.41846.47YesNo1149
47A:A:H362 A:A:R374 33.339515.8NoYes1194
48A:A:R385 A:A:Y360 49.70739.26YesYes358
49A:A:R385 R:R:Q224 49.239711.68YesYes357
50A:A:F238 A:A:L44 11.674714.61YesNo099
51A:A:L44 A:A:L46 13.10564.15NoNo098
52B:B:G162 B:B:Y145 11.02168.69NoYes198
53B:B:G162 B:B:S161 11.06563.71NoNo199
54B:B:D186 B:B:Y145 10.45924.6NoYes198
55A:A:R231 B:B:D186 10.50657.15NoNo099
56A:A:R231 B:B:G185 10.75394.5NoNo095
57A:A:K233 B:B:Y145 27.32763.58YesYes198
58A:A:K233 B:B:D228 27.12066.91YesYes199
59A:A:Y391 R:R:R121 42.530120.58NoNo049
60A:A:L388 A:A:L393 38.87932.77YesNo088
61B:B:D228 B:B:S227 27.16784.42YesNo196
62B:B:D247 B:B:S227 27.072.94YesNo196
63B:B:D247 B:B:H225 13.70027.56YesYes199
64B:B:F222 B:B:F253 23.065110.72YesYes186
65B:B:D258 B:B:F222 14.36513.58YesYes178
66B:B:D258 B:B:R22 12.197513.1YesNo076
67B:B:I18 B:B:R22 11.76226.26NoNo076
68B:B:I18 G:G:L19 10.89171.43NoYes079
69B:B:F253 B:B:R251 18.27513.21YesYes168
70B:B:H142 B:B:S161 10.514215.34YesNo199
71B:B:H142 B:B:T159 10.19516.85YesYes199
72B:B:D205 B:B:G185 10.53493.35YesNo095
73R:R:R121 R:R:Y331 42.17666.17NoYes299
74R:R:L114 R:R:Y331 40.96348.21YesYes299
75R:R:F281 R:R:L114 34.57423.65YesYes299
76R:R:F203 R:R:F281 64.11234.29YesYes289
77R:R:F203 R:R:F289 58.799722.51YesYes287
78L:L:?1 R:R:F289 54.23377.37YesYes207
79L:L:?1 R:R:K81 13.9794.74YesYes206
80A:A:L393 R:R:L274 38.35672.77NoNo088
81R:R:L274 R:R:Y214 36.61513.52NoNo089
82R:R:S118 R:R:Y214 36.26735.09YesNo089
83R:R:M210 R:R:S118 35.96464.6YesYes088
84R:R:F281 R:R:M210 34.5287.46YesYes298
85R:R:M78 R:R:W321 11.83563.49YesYes277
86L:L:?1 R:R:W99 14.3257.65YesYes205
87R:R:M78 R:R:T37 11.4753.01YesNo077
88A:A:F246 A:A:L46 13.29653.65YesNo098
89A:A:W281 B:B:R314 13.33175YesYes158
Download PSN data

2D representation of the global metapath, ligand(s) interactions and
histograms of path distribution according to several parameters
(click on the image to enlarge it 🔍):

A 2D representation of the global communication in the network.

ConSurf Conservation Grade (See documentation): 

 n/a   1    2    3    4    5    6    7    8    9  

Number of shortest communication paths as a function of the average residue correlation.

Number of shortest communication paths as a function of the average interaction strength of their links.

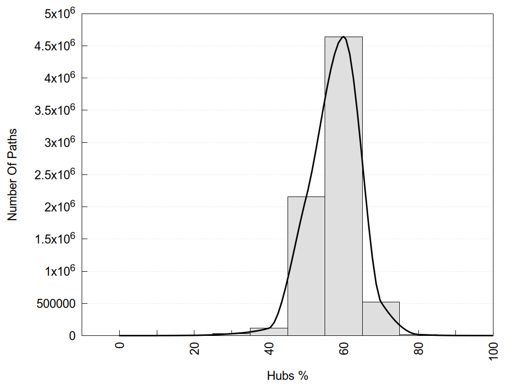
Number of shortest communication paths as a function of the % of hub nodes in each path.

Number of shortest communication paths as a function of the number of nodes in each path.

Number of shortest communication paths as a function of the % of correlated nodes in each path.


2D representation of the interactions of this orthosteric/allosteric ligand.


Links and nodes colored according to ConSurf Conservation Grade (See documentation): 

 n/a   1    2    3    4    5    6    7    8    9  

Node1 Node2 LinkStrength Comm IsNode1Hub? IsNode2Hub? Node1Cons Node2Cons Node1Shell Node2Shell
R:R:V77 R:R:W99 4.9 2 Yes Yes 8 5 2 1
R:R:D103 R:R:V77 4.38 2 No Yes 7 8 1 2
R:R:V77 R:R:W321 4.9 2 Yes Yes 8 7 2 2
R:R:F95 R:R:W80 5.01 2 Yes No 5 5 2 2
R:R:W80 R:R:W99 4.69 2 No Yes 5 5 2 1
R:R:K81 R:R:W99 5.8 2 Yes Yes 6 5 1 1
R:R:D314 R:R:K81 8.3 0 No Yes 4 6 2 1
R:R:K81 R:R:W318 4.64 2 Yes Yes 6 5 1 2
R:R:K81 R:R:W321 4.64 2 Yes Yes 6 7 1 2
L:L:?1 R:R:K81 4.74 2 Yes Yes 0 6 0 1
R:R:W90 R:R:W99 4.69 2 Yes Yes 8 5 2 1
R:R:F95 R:R:W99 4.01 2 Yes Yes 5 5 2 1
R:R:V100 R:R:W99 3.68 2 No Yes 5 5 1 1
R:R:W321 R:R:W99 4.69 2 Yes Yes 7 5 2 1
L:L:?1 R:R:W99 7.65 2 Yes Yes 0 5 0 1
L:L:?1 R:R:V100 9.01 2 Yes No 0 5 0 1
R:R:D103 R:R:W321 11.17 2 No Yes 7 7 1 2
L:L:?1 R:R:D103 11.86 2 Yes No 0 7 0 1
R:R:I104 R:R:Y194 4.84 0 No Yes 6 7 1 2
L:L:?1 R:R:I104 15.35 2 Yes No 0 6 0 1
R:R:S107 R:R:W285 4.94 0 No Yes 7 8 1 2
L:L:?1 R:R:S107 4.04 2 Yes No 0 7 0 1
R:R:S202 R:R:T108 9.59 0 No Yes 6 6 1 2
R:R:L190 R:R:Y194 5.86 2 No Yes 4 7 1 2
R:R:L190 R:R:N292 4.12 2 No No 4 6 1 1
L:L:?1 R:R:L190 10.23 2 Yes No 0 4 0 1
R:R:S198 R:R:Y194 11.45 0 No Yes 7 7 1 2
L:L:?1 R:R:S198 4.04 2 Yes No 0 7 0 1
R:R:F289 R:R:S199 5.28 2 Yes No 7 7 1 2
L:L:?1 R:R:S202 4.04 2 Yes No 0 6 0 1
R:R:F203 R:R:F289 22.51 2 Yes Yes 8 7 2 1
R:R:F288 R:R:W285 7.02 2 Yes Yes 7 8 1 2
R:R:F289 R:R:W285 10.02 2 Yes Yes 7 8 1 2
R:R:F288 R:R:F289 12.86 2 Yes Yes 7 7 1 1
R:R:F288 R:R:N292 7.25 2 Yes No 7 6 1 1
R:R:F288 R:R:F313 4.29 2 Yes No 7 4 1 2
L:L:?1 R:R:F288 12.28 2 Yes Yes 0 7 0 1
L:L:?1 R:R:F289 7.37 2 Yes Yes 0 7 0 1
L:L:?1 R:R:N292 9.23 2 Yes No 0 6 0 1
R:R:W318 R:R:W321 11.25 2 Yes Yes 5 7 2 2
L:L:?1 R:R:S188 1.01 2 Yes No 0 5 0 1

Location and physicochemical properties of the interaction partners of this ligand

Interactions of this ligand

Similarities between the interactions of this ligand and those of other networks

ShowSimilarityNetwork TypeNameLigandDescription
85.71Single7CKYPW04647CKY-D1-PW0464-Gs/β1/γ2
78.57Single7CKXA776367CKX-D1-A77636-Gs/β1/γ2
78.57Single8JXSPF-61428JXS-D1-PF-6142
78.57Single9I52A1IZU9I52-D1-A1IZU-Gs/β1/γ2
78.57Consensusd1_onOrthosteric Ligand7F0T-D1-Dopamine-Gs/β1/γ2 7CKY-D1-PW0464-Gs/β1/γ2 8IRR-D1-Rotigotine-Gs/β1/γ2 7JV5-D1-SKF81297-Gs/β1/γ2 7JVP-D1-SKF83959-Gs/β1/γ2 7X2D-D1-Tavapadon-Gs/β1/γ2 7CKX-D1-A77636-Gs/β1/γ2 7JVQ-D1-Apomorphine-Gs/β1/γ2 7CKW-D1-Fenoldopam-Gs/β1/γ2
75.00Single7X2DTavapadon7X2D-D1-Tavapadon-Gs/β1/γ2
73.33Single3SN6BI1671073SN6-β2-BI167107-Gs/β1/γ2
73.33Single6H7JIsoprenaline6H7J-β1-Isoprenaline
73.33Single7JJOIsoprenaline7JJO-β1-Isoprenaline-Gs/β1/γ2
73.33Single7JV5SKF812977JV5-D1-SKF81297-Gs/β1/γ2
73.33Single7JVPSKF839597JVP-D1-SKF83959-Gs/β1/γ2
73.33Consensusd1_on_gpOrthosteric Ligand7F0T-D1-Dopamine-Gs/β1/γ2 7CKY-D1-PW0464-Gs/β1/γ2 8IRR-D1-Rotigotine-Gs/β1/γ2 7JV5-D1-SKF81297-Gs/β1/γ2 7JVP-D1-SKF83959-Gs/β1/γ2 7X2D-D1-Tavapadon-Gs/β1/γ2 7CKX-D1-A77636-Gs/β1/γ2 7JVQ-D1-Apomorphine-Gs/β1/γ2 7CKW-D1-Fenoldopam-Gs/β1/γ2
73.33Consensusgs_dopamineOrthosteric Ligand7F0T-D1-Dopamine-Gs/β1/γ2 7CKW-D1-Fenoldopam-Gs/β1/γ2 7CKY-D1-PW0464-Gs/β1/γ2 8IRV-D5-Rotigotine-chim(NtGi1-Gs)/β1/γ2 8IRR-D1-Rotigotine-Gs/β1/γ2 7JV5-D1-SKF81297-Gs/β1/γ2 7JVP-D1-SKF83959-Gs/β1/γ2 7X2D-D1-Tavapadon-Gs/β1/γ2 7CKX-D1-A77636-Gs/β1/γ2 7JVQ-D1-Apomorphine-Gs/β1/γ2
71.43Single7JOZPubChem 752020227JOZ-D1-PubChem 75202022-Gs/β1/γ2
71.43Single7XJHIsoprenaline7XJH-β3-Isoprenaline-Gs/β1/γ2
69.23Single7X5H5-CT7X5H-5-HT5A-5-CT-Gi1/β1/γ2
69.23Single7XT8Serotonin7XT8-5-HT4-Serotonin-Gs/β1/γ2
69.23Consensus5ht_onOrthosteric Ligand5ht1_on 5ht2_on 5ht4_on 5ht5_on 5ht6_on 5ht7_on
69.23Consensusgs_5htOrthosteric Ligand7XTC-5-HT7-5-CT-Gs/β1/γ2 7XTB-5-HT6-Serotonin-Gs/β1/γ2 8JLZ-5-HT6-ST1936-Gs/β1/γ2 7XT8-5-HT4-Serotonin-Gs/β1/γ2
68.75Single4LDEBI1671074LDE-β2-BI167107
68.75Single5F8UCyanopindolol5F8U-β1-Cyanopindolol
66.67Single2Y03Isoprenaline2Y03-β1-Isoprenaline
66.67Single5WIUNemonapride5WIU-D4-Nemonapride
66.67Single5WIVNemonapride5WIV-D4-Nemonapride-Na
66.67Single6E67BI1671076E67-β2-BI167107-Gs(CT)
66.67Single6KUWPubChem 572132346KUW-α2c-PubChem 57213234
66.67Single6PS3Carvedilol6PS3-β2-Carvedilol
66.67Single7BVQCarazolol7BVQ-β1-Carazolol
66.67Single7S0FIsoprenaline7S0F-β1-Isoprenaline-Gi1/β1/γ2
66.67Single7XK9Constrained Isoproterenol7XK9-β2-Constrained Isoproterenol-Na
66.67Single9L74S1P d16:19L74-S1P3-S1P d16:1-chim(NtGi2L-Gs-CtGq)/β1/γ2
66.67Consensusadrenergic_offOrthosteric Ligandalpha_off beta_off
66.67Consensusadrenergic_on_gpOrthosteric Ligandalpha_on_gp beta_on_gp
66.67Consensusalpha2c_offOrthosteric Ligand6KUW-α2c-PubChem 57213234
66.67Consensusd4_onOrthosteric Ligand8IRU-D4-Rotigotine-chim(NtGi1-Gs-CtGi1)/β1/γ2
66.67Consensusgs_amineOrthosteric Ligandgs_5ht gs_adrenergic gs_dopamine gs_histamine gs_trace-amine
64.71Single2YCZIodocyanopindolol2YCZ-β1-Iodocyanopindolol
64.71Single8S2TIsoprenaline8S2T-β1-Isoprenaline-chim(NtGi1-Gs)/β1/γ2
64.29Single6PS5Propranolol6PS5-β2-Propranolol
64.29Single7CKWFenoldopam7CKW-D1-Fenoldopam-Gs/β1/γ2
64.29Single7CKZDopamine7CKZ-D1-Dopamine-Mevidalen-Gs/β1/γ2
64.29Single8GG7Constrained Epinephrine8GG7-β2-Constrained Epinephrine-GTP-Gs/β1/γ2
64.29Single8GGLConstrained Epinephrine8GGL-β2-Constrained Epinephrine
64.29Single8GGMConstrained Epinephrine8GGM-β2-Constrained Epinephrine
64.29Single8GGPConstrained Epinephrine8GGP-β2-Constrained Epinephrine
64.29Single8UNLConstrained Epinephrine8UNL-β2-Constrained Epinephrine-GTP-Gs/β1/γ2
64.29Single8UNOConstrained Epinephrine8UNO-β2-Constrained Epinephrine-GTP-Gs/β1/γ2
64.29Single9AS3LSD9AS3-5-HT2A-LSD
64.29Single9AS4LSD9AS4-5-HT2A-LSD-chim(NtGi1-Gs-CtGq)/β1/γ2
64.29Single9L84Epinephrine9L84-β1-Epinephrine-Atazanavir-Gs/β1/γ2
64.29Consensus5ht_on_gpOrthosteric Ligand5ht1_on_gp 5ht2_on_gp 5ht4_on_gp 5ht5_on_gp 5ht6_on_gp 5ht7_on_gp
62.50Single3P0GBI1671073P0G-β2-BI167107
62.50Single6N48BI1671076N48-β2-BI167107-PubChem 138454256
62.50Single6WGTLSD6WGT-5-HT2A-LSD
62.50Single8DCSCyanopindolol8DCS-β1-Cyanopindolol-Gs/β1/γ2
62.50Single8IRURotigotine8IRU-D4-Rotigotine-chim(NtGi1-Gs-CtGi1)/β1/γ2
62.50Single8IRVRotigotine8IRV-D5-Rotigotine-chim(NtGi1-Gs)/β1/γ2
62.50Single9BS9LSD9BS9-D2-LSD
62.50Single9BSBLSD9BSB-D2-LSD-chim(NtGi1-Go)/β1/γ2
62.50Consensusbeta2_onOrthosteric Ligand7DHI-β2-Salbutamol-Gs/β1/γ2 6NI3-β2-BI167107-Gs/β1/γ2
62.50Consensusbeta2_on_gpOrthosteric Ligand7DHI-β2-Salbutamol-Gs/β1/γ2 6NI3-β2-BI167107-Gs/β1/γ2
62.50Consensusd4_on_gpOrthosteric Ligand8IRU-D4-Rotigotine-chim(NtGi1-Gs-CtGi1)/β1/γ2
62.50Consensusd5_on_gpOrthosteric Ligand8IRV-D5-Rotigotine-chim(NtGi1-Gs)/β1/γ2
61.54Single7XT9Serotonin7XT9-5-HT4-Serotonin-Gs/β1/γ2
61.54Single7XTASerotonin7XTA-5-HT4-Serotonin-Gi1/β1/γ2
61.54Single7XTBSerotonin7XTB-5-HT6-Serotonin-Gs/β1/γ2
61.54Single7YS6Serotonin7YS6-5-HT6-Serotonin-chim(NtGi1-Gs)/β1/γ2
61.54Single8UO4Constrained Epinephrine8UO4-β2-Constrained Epinephrine-GTP; Mg-Gs/β1/γ2
61.54Consensus5ht4_onOrthosteric Ligand7XTA-5-HT4-Serotonin-Gi1/β1/γ2
61.54Consensus5ht4_on_gpOrthosteric Ligand7XTA-5-HT4-Serotonin-Gi1/β1/γ2
61.11Single8Y72Peptide8Y72-μ-Peptide-BMS-986122-Gi1/β1/γ2
60.00Single2Y02Carmoterol2Y02-β1-Carmoterol
60.00Single2Y04Salbutamol2Y04-β1-Salbutamol
60.00Single2YCYCyanopindolol2YCY-β1-Cyanopindolol
60.00Single3ZPQPubChem 5945903ZPQ-β1-PubChem 594590-Na
60.00Single6H7MSalbutamol6H7M-β1-Salbutamol
60.00Single6PRZAlprenolol6PRZ-β2-Alprenolol
60.00Single6PS2Alprenolol6PS2-β2-Alprenolol
60.00Single7BTSEpinephrine7BTS-β1-Epinephrine
60.00Single7BU6Norepinephrine7BU6-β1-Norepinephrine
60.00Single7E32Serotonin7E32-5-HT1D-Serotonin-Gi1/β1/γ2
60.00Single7JVQApomorphine7JVQ-D1-Apomorphine-Gs/β1/γ2
60.00Single7LJCSKF812977LJC-D1-SKF81297-Mevidalen-Gs/β1/γ2
60.00Single7S0GIsoprenaline7S0G-β1-Isoprenaline-chim(Gi1-CtGs)/β1/γ2
60.00Single7UM6Lisuride7UM6-5-HT5A-Lisuride-chim(NtGi1-Go)/β1/γ2
60.00Single7WC7Lisuride7WC7-5-HT2A-Lisuride
60.00Single7X2CFenoldopam7X2C-D1-Fenoldopam-Fenoldopam-Gs/β1/γ2
60.00Single7XTC5-CT7XTC-5-HT7-5-CT-Gs/β1/γ2
60.00Single8GE2Constrained Epinephrine8GE2-β2-Constrained Epinephrine-Gs/β1/γ1
60.00Single8GE3Constrained Epinephrine8GE3-β2-Constrained Epinephrine-Gs/β1/γ2
60.00Single8GECConstrained Epinephrine8GEC-β2-Constrained Epinephrine-Gs/β1/γ2
60.00Single8GEEConstrained Epinephrine8GEE-β2-Constrained Epinephrine-Gs/β1/γ2
60.00Single8GFVConstrained Epinephrine8GFV-β2-Constrained Epinephrine-GTP-Gs/β1/γ2
60.00Single8GFWConstrained Epinephrine8GFW-β2-Constrained Epinephrine-GTP-Gs/β1/γ2
60.00Single8GFXConstrained Epinephrine8GFX-β2-Constrained Epinephrine-GTP-Gs/β1/γ2
60.00Single8GFZConstrained Epinephrine8GFZ-β2-Constrained Epinephrine-GTP-Gs/β1/γ2
60.00Single8GG0Constrained Epinephrine8GG0-β2-Constrained Epinephrine-GTP-Gs/β1/γ2
60.00Single8GG1Constrained Epinephrine8GG1-β2-Constrained Epinephrine-GTP-Gs/β1/γ2
60.00Single8GG3Constrained Epinephrine8GG3-β2-Constrained Epinephrine-GTP-Gs/β1/γ2
60.00Single8GG4Constrained Epinephrine8GG4-β2-Constrained Epinephrine-GTP-Gs/β1/γ2
60.00Single8GG6Constrained Epinephrine8GG6-β2-Constrained Epinephrine-GTP-Gs/β1/γ2
60.00Single8GG9Constrained Epinephrine8GG9-β2-Constrained Epinephrine-GTP-Gs/β1/γ2
60.00Single8GGIConstrained Epinephrine8GGI-β2-Constrained Epinephrine
60.00Single8GGJConstrained Epinephrine8GGJ-β2-Constrained Epinephrine
60.00Single8GGKConstrained Epinephrine8GGK-β2-Constrained Epinephrine
60.00Single8GGNConstrained Epinephrine8GGN-β2-Constrained Epinephrine
60.00Single8GGOConstrained Epinephrine8GGO-β2-Constrained Epinephrine
60.00Single8GGUConstrained Epinephrine8GGU-β2-Constrained Epinephrine
60.00Single8UGYMianserin8UGY-5-HT1E-Mianserin-Gi1/β1/γ1
60.00Single8UNQConstrained Epinephrine8UNQ-β2-Constrained Epinephrine-GTP-Gs/β1/γ2
60.00Single8UNYConstrained Epinephrine8UNY-β2-Constrained Epinephrine-GTP-Gs/β1/γ2
60.00Single9CHXCarazolol9CHX-β2-Carazolol
60.00Consensus5ht1d_onOrthosteric Ligand7E32-5-HT1D-Serotonin-Gi1/β1/γ2
60.00Consensus5ht1d_on_gpOrthosteric Ligand7E32-5-HT1D-Serotonin-Gi1/β1/γ2
60.00Consensus5ht5_onOrthosteric Ligand5ht5a_on
60.00Consensus5ht5a_onOrthosteric Ligand7X5H-5-HT5A-5-CT-Gi1/β1/γ2 7UM6-5-HT5A-Lisuride-chim(NtGi1-Go)/β1/γ2 7UM7-5-HT5A-Methylergometrine-chim(NtGi1-Go)/β1/γ2
60.00Consensus5ht6_onOrthosteric Ligand7XTB-5-HT6-Serotonin-Gs/β1/γ2 8JLZ-5-HT6-ST1936-Gs/β1/γ2
60.00Consensus5ht6_on_gpOrthosteric Ligand7XTB-5-HT6-Serotonin-Gs/β1/γ2 8JLZ-5-HT6-ST1936-Gs/β1/γ2
60.00Consensus5ht7_onOrthosteric Ligand7XTC-5-HT7-5-CT-Gs/β1/γ2
60.00Consensus5ht7_on_gpOrthosteric Ligand7XTC-5-HT7-5-CT-Gs/β1/γ2
60.00Consensusadrenergic_onOrthosteric Ligandalpha_on beta_on
60.00Consensusdopamine_onOrthosteric Ligandd2_on d1_on d3_on d4_on d5_on
60.00Consensusdopamine_on_gpOrthosteric Ligandd2_on_gp d1_on_gp d3_on_gp d4_on_gp d5_on_gp
58.82Single2YCXCyanopindolol2YCX-β1-Cyanopindolol
58.82Single4AMIBucindolol4AMI-β1-Bucindolol
58.82Single6H7OCyanopindolol6H7O-β1-Cyanopindolol
58.82Single7DH5Mirabegron7DH5-β3-Mirabegron-Gs/β1/γ2
58.82Single7YMJTamsulosin7YMJ-Alpha1A-Tamsulosin
58.82Single8FYTLSD8FYT-5-HT1A-LSD-PtdIns4P-Gi1/β1/γ1
58.82Single8JJ8Arformoterol8JJ8-β2-Arformoterol
58.82Single9GL2Befiradol9GL2-5-HT1A-Befiradol-Gs/β1/γ2
58.82Single9GYOP3959GYO-GPBA-P395-chim(NtGi1-Gs)/β1/γ2
58.82Single9WSVDAMGO9WSV-μ-DAMGO-Arrestin2
58.82Consensusalpha1_offOrthosteric Ligandalpha1a_off
58.82Consensusalpha1a_offOrthosteric Ligand7YMJ-Alpha1A-Tamsulosin
58.82Consensusbeta3_onOrthosteric Ligand7DH5-β3-Mirabegron-Gs/β1/γ2 7XJH-β3-Isoprenaline-Gs/β1/γ2 7XJI-β3-Solabegron-Gs/β1/γ2
58.82Consensusbeta3_on_gpOrthosteric Ligand7DH5-β3-Mirabegron-Gs/β1/γ2 7XJH-β3-Isoprenaline-Gs/β1/γ2 7XJI-β3-Solabegron-Gs/β1/γ2
58.82Consensusbeta_onOrthosteric Ligandbeta1_on beta2_on beta3_on
58.82Consensusbeta_on_gpOrthosteric Ligandbeta1_on_gp beta2_on_gp beta3_on_gp
58.82Consensusopioid_offOrthosteric Ligandmop_off nop_off dop_off kop_off
57.89Single8DCRDobutamine8DCR-β1-Dobutamine-Gs/β1/γ2
57.89Single8PKMBefiradol8PKM-5-HT1A-Befiradol-Gi1/β1/γ1
57.14Single6OBAAlprenolol6OBA-β2-Alprenolol-GTPL11074
57.14Single7F1ODopamine7F1O-D1-Dopamine-GDP; Mg-Gs/β1/γ2
57.14Single7SRSLSD7SRS-5-HT2B-LSD-Arrestin2
57.14Single7X2FDopamine7X2F-D1-Dopamine-Mevidalen-Gs/β1/γ2
57.14Single8TZQDopamine8TZQ-D2-Dopamine-Go/β1/γ2
57.14Single8UNSConstrained Epinephrine8UNS-β2-Constrained Epinephrine-GTP-Gs/β1/γ2
57.14Single8UNTConstrained Epinephrine8UNT-β2-Constrained Epinephrine-GTP-Gs/β1/γ2
57.14Single8YUTAmthamine8YUT-H2-Amthamine-Gs/β1/γ2
57.14Single9LL9DOI9LL9-5-HT2A-DOI-chim(NtGi1L-Gs-CtGq)/β1/γ2
57.14Consensus5ht1e_onOrthosteric Ligand7E33-5-HT1E-BRL-54443-Gi1/β1/γ2 8UGY-5-HT1E-Mianserin-Gi1/β1/γ1 8UH3-5-HT1E-Setiptiline-Gi1/β1/γ1
56.25Single2RH1Carazolol2RH1-β2-Carazolol
56.25Single5JQHCarazolol5JQH-β2-Carazolol
56.25Single5TVNLSD5TVN-5-HT2B-LSD
56.25Single7SBFPZM217SBF-μ-PZM21-Gi1/β1/γ2
56.25Single7WC6LSD7WC6-5-HT2A-LSD
56.25Single7XKAConstrained Epinephrine7XKA-β2-Constrained Epinephrine
56.25Single8DZQmomSalB8DZQ-κ-momSalB-Go/β1/γ2
56.25Single8DZRGR89,6968DZR-κ-GR89,696-chim(NtGi2-Gt3)/β1/γ2
56.25Single8GDZConstrained Epinephrine8GDZ-β2-Constrained Epinephrine-Gs/β1/γ2
56.25Single8GEBConstrained Epinephrine8GEB-β2-Constrained Epinephrine-Gs/β1/γ2
56.25Single8GEGConstrained Epinephrine8GEG-β2-Constrained Epinephrine-Gs/β1/γ2
56.25Single8GFYConstrained Epinephrine8GFY-β2-Constrained Epinephrine-GTP-Gs/β1/γ2
56.25Single8GG2Constrained Epinephrine8GG2-β2-Constrained Epinephrine-GTP-Gs/β1/γ2
56.25Single8GGBConstrained Epinephrine8GGB-β2-Constrained Epinephrine-GTP-Gs/β1/γ2
56.25Single8UNNConstrained Epinephrine8UNN-β2-Constrained Epinephrine-GTP-Gs/β1/γ2
56.25Single8UNPConstrained Epinephrine8UNP-β2-Constrained Epinephrine-GTP-Gs/β1/γ2
56.25Single9ARYSerotonin9ARY-5-HT2A-Serotonin-chim(NtGi1-Gs-CtGq)/β1/γ2
56.25Single9K07DSO-5a9K07-BB3-DSO-5a-chim(NtGi2L-Gs-CtGq)/β1/γ2
56.25Consensus5ht1_onOrthosteric Ligand5ht1a_on 5ht1d_on 5ht1e_on 5ht1f_on
56.25Consensus5ht1_on_gpOrthosteric Ligand5ht1a_on_gp 5ht1d_on_gp 5ht1e_on_gp 5ht1f_on_gp
56.25Consensus5ht1e_on_gpOrthosteric Ligand7E33-5-HT1E-BRL-54443-Gi1/β1/γ2 8UGY-5-HT1E-Mianserin-Gi1/β1/γ1 8UH3-5-HT1E-Setiptiline-Gi1/β1/γ1
56.25Consensus5ht5_on_gpOrthosteric Ligand5ht5a_on_gp
56.25Consensus5ht5a_on_gpOrthosteric Ligand7X5H-5-HT5A-5-CT-Gi1/β1/γ2 7UM6-5-HT5A-Lisuride-chim(NtGi1-Go)/β1/γ2 7UM7-5-HT5A-Methylergometrine-chim(NtGi1-Go)/β1/γ2
56.25Consensusalpha_offOrthosteric Ligandalpha1_off alpha2_off
56.25Consensusamine_offOrthosteric Ligand5ht_off adrenergic_off dopamine_off histamine_off muscarinic_off
56.25Consensusamine_offonOrthosteric Ligandamine_off amine_on
56.25Consensusamine_offon_gpOrthosteric Ligandamine_on_gp amine_off
56.25Consensusamine_onOrthosteric Ligand5ht_on adrenergic_on dopamine_on histamine_on muscarinic_on trace-amine_on
56.25Consensusbeta2_offOrthosteric Ligand2RH1-β2-Carazolol 6PS3-β2-Carvedilol 6PS5-β2-Propranolol 3D4S-β2-Timolol 3NY8-β2-ICI118-551 3NY9-β2-PubChem 913103 6PRZ-β2-Alprenolol
56.25Consensusbeta_offOrthosteric Ligandbeta1_off beta2_off
56.25Consensusgi_adrenergicOrthosteric Ligand7EJ0-α2a-Norepinephrine-Go/β1/γ2 7EJK-α2a-Oxymetazoline-Go/β1/γ2 7W7E-α2a-PubChem 164946676-Go/β1/γ2 7W6P-α2a-N-pyridin-4-ylisoquinolin-4-amine-Go/β1/γ2 7EJ8-α2a-Brimonidine-Go/β1/γ2 6K42-α2b-Dexmedetomidine-Gi1/β1/γ2 7EJA-α2a-Dexmedetomidine-Go/β1/γ2 7S0F-β1-Isoprenaline-Gi1/β1/γ2
56.25Consensusta1_onOrthosteric Ligand8W87-TA1-METH-chim(NtGi1L-Gs)/β1/γ2 8W89-TA1-2-Phenylethylamine-chim(NtGi1L-Gs)/β1/γ2 8JLP-TA1-Ralmitaront-Gs/β1/γ2 8W8A-TA1-RO5256390-chim(NtGi1L-Gs)/β1/γ2 8W88-TA1-SEP-363856-Gs/β1/γ2 8JLO-TA1-Ulotaront-Gs/β1/γ2 8JLR-TA1-A77636-chim(NtGi1-Gs)/β1/γ2 8JSO-TA1-AMPH-chim(NtGi1-Gs)/β1/γ2 8ZSP-TA1-LSD-chim(NtGi1L-Gs)/β1/γ2
56.25Consensustrace-amine_onOrthosteric Ligandta1_on
55.56Single4BVNCyanopindolol4BVN-β1-Cyanopindolol-Na
55.56Single5X93K-87945X93-ETB-K-8794
55.56Single6DDFDAMGO6DDF-μ-DAMGO-Gi1/β1/γ2
55.56Single6H7LDobutamine6H7L-β1-Dobutamine
55.56Single6IBLArformoterol6IBL-β1-Arformoterol
55.56Single6TKOArformoterol6TKO-β1-Arformoterol-Arrestin2
55.56Single8E0GBU728E0G-μ-BU72
55.56Consensusbeta1_onOrthosteric Ligand8DCR-β1-Dobutamine-Gs/β1/γ2 7S0F-β1-Isoprenaline-Gi1/β1/γ2
55.56Consensusbeta1_on_gpOrthosteric Ligand8DCR-β1-Dobutamine-Gs/β1/γ2 7S0F-β1-Isoprenaline-Gi1/β1/γ2
55.00Consensuss1p3_on_gpOrthosteric Ligand7EW3-S1P3-S1P-Gi1/β1/γ2 7EW4-S1P3-CYM-5541-Gi1/β1/γ2 7EW2-S1P3-FTY720-P-Gi1/β1/γ2
53.33Single4LDOEpinephrine4LDO-β2-Epinephrine
53.33Single6A94Zotepine6A94-5-HT2A-Zotepine
53.33Single6PS0Carazolol6PS0-β2-Carazolol
53.33Single6PS4ICI118-5516PS4-β2-ICI118-551
53.33Single6TPGEMPA6TPG-OX2-EMPA
53.33Single6TPNHTL66416TPN-OX2-HTL6641
53.33Single7CMUPramipexole7CMU-D3-Pramipexole-Gi1/β1/γ2
53.33Single7DHISalbutamol7DHI-β2-Salbutamol-Gs/β1/γ2
53.33Single7E33BRL-544437E33-5-HT1E-BRL-54443-Gi1/β1/γ2
53.33Single7F0TDopamine7F0T-D1-Dopamine-Gs/β1/γ2
53.33Single7F1ZDopamine7F1Z-D1-Dopamine-GDP-Gs/β1/γ2
53.33Single7F24Dopamine7F24-D1-Dopamine-GDP-Gs/β1/γ2
53.33Single7RANPubChem 1645758477RAN-5-HT2A-PubChem 164575847-chim(NtGi2L-Gs-CtGq)/β1/γ2
53.33Single7SR8TAK-9257SR8-OX2-TAK-925-chim(NtGi1L-Gs-CtGq)/β1/γ2
53.33Single8GE1Constrained Epinephrine8GE1-β2-Constrained Epinephrine-Gs/β1/γ2
53.33Single8GE4Constrained Epinephrine8GE4-β2-Constrained Epinephrine-Gs/β1/γ2
53.33Single8GE5Constrained Epinephrine8GE5-β2-Constrained Epinephrine-Gs/β1/γ1
53.33Single8GE6Constrained Epinephrine8GE6-β2-Constrained Epinephrine-Gs/β1/γ2
53.33Single8GE7Constrained Epinephrine8GE7-β2-Constrained Epinephrine-Gs/β1/γ2
53.33Single8GE8Constrained Epinephrine8GE8-β2-Constrained Epinephrine-Gs/β1/γ2
53.33Single8GEDConstrained Epinephrine8GED-β2-Constrained Epinephrine-Gs/β1/γ2
53.33Single8GEFConstrained Epinephrine8GEF-β2-Constrained Epinephrine-Gs/β1/γ2
53.33Single8GG5Constrained Epinephrine8GG5-β2-Constrained Epinephrine-GTP-Gs/β1/γ2
53.33Single8GGQConstrained Epinephrine8GGQ-β2-Constrained Epinephrine
53.33Single8GGVConstrained Epinephrine8GGV-β2-Constrained Epinephrine
53.33Single8GGXConstrained Epinephrine8GGX-β2-Constrained Epinephrine
53.33Single8JLQFenoldopam8JLQ-TA1-Fenoldopam-Gs/β1/γ2
53.33Single8JSPUlotaront8JSP-5-HT1A-Ulotaront-Gi1/β1/γ2
53.33Single8U02Dopamine8U02-D2-Dopamine-Go/β1/γ2
53.33Single8UHBRO52563908UHB-TA1-RO5256390-Gs/β1/γ2
53.33Single8UNMConstrained Epinephrine8UNM-β2-Constrained Epinephrine-GTP-Gs/β1/γ2
53.33Single8UNWConstrained Epinephrine8UNW-β2-Constrained Epinephrine-GTP-Gs/β1/γ2
53.33Single8UO1Constrained Epinephrine8UO1-β2-Constrained Epinephrine-GTP; Mg-Gs/β1/γ2
53.33Single9ARXSerotonin9ARX-5-HT2A-Serotonin
53.33Single9AS5Mescaline9AS5-5-HT2A-Mescaline
53.33Single9AS6Mescaline9AS6-5-HT2A-Mescaline-chim(NtGi1-Gs-CtGq)/β1/γ2
53.33Single9JKQMETH9JKQ-TA1-METH-Gs/β1/γ2
53.33Single9LL8Psilocin9LL8-5-HT2A-Psilocin-Gi1/β1/γ2
53.33Single9W6W5-CT9W6W-5-HT5A-5-CT-Gi1/β1/γ2
53.33Consensusd3_onOrthosteric Ligand7CMV-D3-PD128907-Gi1/β1/γ2 8IRT-D3-Rotigotine-Gi1/β1/γ2 7CMU-D3-Pramipexole-Gi1/β1/γ2
53.33Consensusd3_on_gpOrthosteric Ligand7CMV-D3-PD128907-Gi1/β1/γ2 8IRT-D3-Rotigotine-Gi1/β1/γ2 7CMU-D3-Pramipexole-Gi1/β1/γ2
53.33Consensusnop_offOrthosteric Ligand4EA3-NOP-PubChem 10296561 5DHG-NOP-C-35 5DHH-NOP-SB-612111
52.94Single2YDVNECA2YDV-A2A-NECA
52.94Single3PDSFAUC503PDS-β2-FAUC50
52.94Single4LDLHydroxybenzyl Isoproterenol4LDL-β2-Hydroxybenzyl Isoproterenol
52.94Single4UHRCGS216804UHR-A2A-CGS21680
52.94Single5A8E7-Methylcyanopindolol5A8E-β1-7-Methylcyanopindolol-Na
52.94Single5D5ACarazolol5D5A-β2-Carazolol
52.94Single5D5BCarazolol5D5B-β2-Carazolol
52.94Single5G53NECA5G53-A2A-NECA-Gs
52.94Single6J20Aprepitant6J20-NK1-Aprepitant
52.94Single6J21Aprepitant6J21-NK1-Aprepitant
52.94Single6NI3BI1671076NI3-β2-BI167107-Gs/β1/γ2
52.94Single6TQ7SB-3348676TQ7-OX1-SB-334867
52.94Single7W6PN-pyridin-4-ylisoquinolin-4-amine7W6P-α2a-N-pyridin-4-ylisoquinolin-4-amine-Go/β1/γ2
52.94Single7W7EPubChem 1649466767W7E-α2a-PubChem 164946676-Go/β1/γ2
52.94Single8DZPmomSalB8DZP-κ-momSalB-Gi1/β1/γ2
52.94Single8EFLSR170188EFL-μ-SR17018-Gi1/β1/γ2
52.94Single8IRRRotigotine8IRR-D1-Rotigotine-Gs/β1/γ2
52.94Single8JT6(R)-IHCH-71798JT6-5-HT1A-(R)-IHCH-7179-PtdIns4P-Gi1/β1/γ2
52.94Single9IJDCarazolol9IJD-β3-Carazolol-chim(NtGi1-Gs)/β1/γ2
52.94Single9KVPSB2901579KVP-C3aB-SB290157-Go/β1/γ2
52.94Single9PY3Loperamide9PY3-μ-Loperamide-GDPβS-Gi1/β1/γ2
52.94Single9PY4Loperamide9PY4-μ-Loperamide-GDPβS-Gi1/β1/γ2
52.94Consensusamine_on_gpOrthosteric Ligand5ht_on_gp adrenergic_on_gp dopamine_on_gp histamine_on_gp muscarinic_on_gp trace-amine_on_gp
52.94Consensusbeta1_offOrthosteric Ligand2VT4-β1-Cyanopindolol 2YCW-β1-Carazolol 2YCZ-β1-Iodocyanopindolol 5A8E-β1-7-Methylcyanopindolol-Na 3ZPQ-β1-PubChem 594590-Na 3ZPR-β1-PubChem 598754-Na
52.94Consensusgi_5htOrthosteric Ligand8FYT-5-HT1A-LSD-PtdIns4P-Gi1/β1/γ1 7UM7-5-HT5A-Methylergometrine-chim(NtGi1-Go)/β1/γ2 8UGY-5-HT1E-Mianserin-Gi1/β1/γ1 8W8B-5-HT1A-SEP-363856-Gi1/β1/γ2 7E2Y-5-HT1A-Serotonin-PtdIns4P-Gi1/β1/γ2 7E32-5-HT1D-Serotonin-Gi1/β1/γ2 7XTA-5-HT4-Serotonin-Gi1/β1/γ2 8UH3-5-HT1E-Setiptiline-Gi1/β1/γ1 8JSP-5-HT1A-Ulotaront-Gi1/β1/γ2 8FYL-5-HT1A-Vilazodone-PtdIns4P-Gi1/β1/γ1 8JT6-5-HT1A-(R)-IHCH-7179-PtdIns4P-Gi1/β1/γ2 8FYE-5-HT1A-4-F,5-MeO-PyrT-PtdIns4P-Gi1/β1/γ1 7X5H-5-HT5A-5-CT-Gi1/β1/γ2 8FY8-5-HT1A-5-MeO-DMT-PtdIns4P-Gi1/β1/γ1 7E2Z-5-HT1A-Aripiprazole-PtdIns4P-Gi1/β1/γ2 7E33-5-HT1E-BRL-54443-Gi1/β1/γ2 8FYX-5-HT1A-Buspirone-PtdIns4P-Gi1/β1/γ1 7EXD-5-HT1F-Lasmiditan-Gi1/β1/γ2 7UM6-5-HT5A-Lisuride-chim(NtGi1-Go)/β1/γ2
52.94Consensusgi_dopamineOrthosteric Ligand7JVR-D2-Bromoergocryptine-Gi1/β1/γ2 7CMV-D3-PD128907-Gi1/β1/γ2 7CMU-D3-Pramipexole-Gi1/β1/γ2 8IRS-D2-Rotigotine-Gi1/β1/γ2 8IRT-D3-Rotigotine-Gi1/β1/γ2
52.94Consensusgs_adrenergicOrthosteric Ligand7DHI-β2-Salbutamol-Gs/β1/γ2 7XJI-β3-Solabegron-Gs/β1/γ2 7JJO-β1-Isoprenaline-Gs/β1/γ2 6NI3-β2-BI167107-Gs/β1/γ2 8DCR-β1-Dobutamine-Gs/β1/γ2 7XJH-β3-Isoprenaline-Gs/β1/γ2 7DH5-β3-Mirabegron-Gs/β1/γ2
52.94Consensusta1_on_gpOrthosteric Ligand8W87-TA1-METH-chim(NtGi1L-Gs)/β1/γ2 8W89-TA1-2-Phenylethylamine-chim(NtGi1L-Gs)/β1/γ2 8JLP-TA1-Ralmitaront-Gs/β1/γ2 8W8A-TA1-RO5256390-chim(NtGi1L-Gs)/β1/γ2 8W88-TA1-SEP-363856-Gs/β1/γ2 8JLO-TA1-Ulotaront-Gs/β1/γ2 8JLR-TA1-A77636-chim(NtGi1-Gs)/β1/γ2 8JSO-TA1-AMPH-chim(NtGi1-Gs)/β1/γ2 8ZSP-TA1-LSD-chim(NtGi1L-Gs)/β1/γ2
52.94Consensustrace-amine_on_gpOrthosteric Ligandta1_on_gp
52.63Single3NY9PubChem 9131033NY9-β2-PubChem 913103
52.63Single6G79Donitriptan6G79-5-HT1B-Donitriptan-Go/β1/γ2
52.63Single8JLRA776368JLR-TA1-A77636-chim(NtGi1-Gs)/β1/γ2
52.63Single8X5YAstemizole8X5Y-H1-Astemizole
52.63Single9KZ2EP679KZ2-C3aB-EP67-Go/β1/γ2
52.63Consensusox2_onOrthosteric Ligand7L1V-OX2-PubChem 155491009-chim(NtGi1-Gs-CtGq)/β1/γ2 7SQO-OX2-TAK-925-Gi1/β1/γ2 7L1U-OX2-Orexin-chim(NtGi1-Gs-CtGq)/β1/γ2
52.63Consensusox2_on_gpOrthosteric Ligand7L1V-OX2-PubChem 155491009-chim(NtGi1-Gs-CtGq)/β1/γ2 7SQO-OX2-TAK-925-Gi1/β1/γ2 7L1U-OX2-Orexin-chim(NtGi1-Gs-CtGq)/β1/γ2
52.38Single9B54VIP369B54-CB1-VIP36-Gi1/β1/γ2
52.38Consensusgs_class-aOrthosteric Ligandgs_peptide gs_nucleotide gs_amine
50.00Single2VT4Cyanopindolol2VT4-β1-Cyanopindolol
50.00Single3D4STimolol3D4S-β2-Timolol
50.00Single3NY8ICI118-5513NY8-β2-ICI118-551
50.00Single3NYAAlprenolol3NYA-β2-Alprenolol
50.00Single3PBLEticlopride3PBL-D3-Eticlopride
50.00Single4AMJCarvedilol4AMJ-β1-Carvedilol
50.00Single4EA3PubChem 102965614EA3-NOP-PubChem 10296561
50.00Single4GBRCarazolol4GBR-β2-Carazolol
50.00Single4QKXPubChem 762106284QKX-β2-PubChem 76210628
50.00Single5DHGC-355DHG-NOP-C-35
50.00Single6H7NXamoterol6H7N-β1-Xamoterol
50.00Single6MXTSalmeterol6MXT-β2-Salmeterol
50.00Single6PS1Timolol6PS1-β2-Timolol
50.00Single6TP4ACT-4622066TP4-OX1-ACT-462206
50.00Single6VMSBromoergocryptine6VMS-D2-Bromoergocryptine-Gi1/β1/γ2
50.00Single7BU7BI1671077BU7-β1-BI167107
50.00Single7BZ2Arformoterol7BZ2-β2-Arformoterol-Gs/β1/γ2
50.00Single7CRHSKF839597CRH-D1-SKF83959-Gs/β1/γ2
50.00Single7E2YSerotonin7E2Y-5-HT1A-Serotonin-PtdIns4P-Gi1/β1/γ2
50.00Single7EW2FTY720-P7EW2-S1P3-FTY720-P-Gi1/β1/γ2
50.00Single7EXDLasmiditan7EXD-5-HT1F-Lasmiditan-Gi1/β1/γ2
50.00Single7SCGFH2107SCG-μ-FH210-Gi1/β1/γ2
50.00Single7SQOTAK-9257SQO-OX2-TAK-925-Gi1/β1/γ2
50.00Single7T6VfMLFII7T6V-FPR2-ALX-fMLFII-Gi1/β1/γ2
50.00Single7UL4Alvimopan7UL4-μ-Alvimopan
50.00Single7UM55-CT7UM5-5-HT5A-5-CT-chim(NtGi1-Go)/β1/γ2
50.00Single7XMTJ-21567XMT-SST4-J-2156-Gi1/β1/γ2
50.00Single7YITNalfurafine7YIT-κ-Nalfurafine
50.00Single8DZSGR89,6968DZS-κ-GR89,696-chim(NtGi2-Gz)/β1/γ2
50.00Single8EF6Morphine8EF6-μ-Morphine-Gi1/β1/γ2
50.00Single8F7XNociceptin8F7X-NOP-Nociceptin-Gi1/β1/γ2
50.00Single8FY85-MeO-DMT8FY8-5-HT1A-5-MeO-DMT-PtdIns4P-Gi1/β1/γ1
50.00Single8FYE4-F,5-MeO-PyrT8FYE-5-HT1A-4-F,5-MeO-PyrT-PtdIns4P-Gi1/β1/γ1
50.00Single8GE9Constrained Epinephrine8GE9-β2-Constrained Epinephrine-Gs/β1/γ2
50.00Single8GEHConstrained Epinephrine8GEH-β2-Constrained Epinephrine-Gs/β1/γ2
50.00Single8I9AEP548I9A-C3aB-EP54-chim(NtGi1-Gs-CtGq)/β1/γ2
50.00Single8IA8E7 peptide8IA8-C3aB-E7 peptide-Gi1/β1/γ2
50.00Single8IRTRotigotine8IRT-D3-Rotigotine-Gi1/β1/γ2
50.00Single8JJLOlodaterol8JJL-β2-Olodaterol
50.00Single8JJOAlprenolol8JJO-β2-Alprenolol
50.00Single8JLOUlotaront8JLO-TA1-Ulotaront-Gs/β1/γ2
50.00Single8JLZST19368JLZ-5-HT6-ST1936-Gs/β1/γ2
50.00Single8UH3Setiptiline8UH3-5-HT1E-Setiptiline-Gi1/β1/γ1
50.00Single8UNRConstrained Epinephrine8UNR-β2-Constrained Epinephrine-GTP-Gs/β1/γ2
50.00Single8UNUConstrained Epinephrine8UNU-β2-Constrained Epinephrine-GTP-Gs/β1/γ2
50.00Single8UNVConstrained Epinephrine8UNV-β2-Constrained Epinephrine-GTP-Gs/β1/γ2
50.00Single8UNZConstrained Epinephrine8UNZ-β2-Constrained Epinephrine-GTP-Gs/β1/γ2
50.00Single8UO2Constrained Epinephrine8UO2-β2-Constrained Epinephrine-GTP-Gs/β1/γ2
50.00Single8W87METH8W87-TA1-METH-chim(NtGi1L-Gs)/β1/γ2
50.00Single8W8ARO52563908W8A-TA1-RO5256390-chim(NtGi1L-Gs)/β1/γ2
50.00Single8X64Desloratadine8X64-H1-Desloratadine
50.00Single8XVKAmbrisentan8XVK-ETA-Ambrisentan
50.00Single8YN4Histamine8YN4-H2-Histamine-chim(NtGi1L-Gs-CtGq)/β1/γ2
50.00Single8ZSPLSD8ZSP-TA1-LSD-chim(NtGi1L-Gs)/β1/γ2
50.00Single8ZSSRO52633978ZSS-TA1-RO5263397-chim(NtGi1-Gs)/β1/γ2
50.00Single9AS2DMT9AS2-5-HT2A-DMT-chim(NtGi1-Gs-CtGq)/β1/γ2
50.00Single9BUYLM1899BUY-β2-LM189-Gi1/β1/γ2
50.00Single9CBMDexmedetomidine9CBM-α2a-Dexmedetomidine-Gi1/β1/γ2
50.00Single9IJEEpinephrine9IJE-β3-Epinephrine-chim(NtGi1-Gs)/β1/γ2
50.00Single9IXJHistamine9IXJ-H2-Histamine-Gs/β1/γ2
50.00Single9KVG5-MeO-DMT9KVG-5-HT1A-5-MeO-DMT-PtdIns4P-Gi1/β1/γ2
50.00Single9LLAAriadne9LLA-5-HT2A-Ariadne-chim(NtGi1L-Gs-CtGq)/β1/γ2
50.00Single9M4QDoxazosin9M4Q-Alpha1A-Doxazosin
50.00Single9PLNPubChem 1682595949PLN-α2a-PubChem 168259594
50.00Single9PLOPubChem 1682595949PLO-α2a-PubChem 168259594-Go/β1/γ2
50.00Single9PQDPubChem 1764919279PQD-α2a-PubChem 176491927
50.00Single9V6ONalfurafine9V6O-κ-Nalfurafine-Gi1/β1/γ2
50.00Single9YDQDADLE9YDQ-δ-DADLE-MIPS3614-chim(NtGi1L-Gs-CtGi1)/β1/γ2
50.00Consensus5ht1f_onOrthosteric Ligand7EXD-5-HT1F-Lasmiditan-Gi1/β1/γ2
50.00Consensus5ht1f_on_gpOrthosteric Ligand7EXD-5-HT1F-Lasmiditan-Gi1/β1/γ2
50.00Consensusalpha_onOrthosteric Ligandalpha1_on alpha2_on
50.00Consensusclass-a_on_gpOrthosteric Ligandsensory_on_gp alicarboxylic_on_gp amine_on_gp lipid_on_gp nucleotide_on_gp peptide_on_gp protein_on_gp
50.00Consensusd2_on_gpOrthosteric Ligand7JVR-D2-Bromoergocryptine-Gi1/β1/γ2 8IRS-D2-Rotigotine-Gi1/β1/γ2
50.00Consensusd3_offOrthosteric Ligand3PBL-D3-Eticlopride
50.00Consensusd5_onOrthosteric Ligand8IRV-D5-Rotigotine-chim(NtGi1-Gs)/β1/γ2
50.00Consensusdopamine_offOrthosteric Ligandd2_off d3_off
50.00Consensusgi_opioidOrthosteric Ligand8F7R-μ-Endomorphin-Gi1/β1/γ2 8EF5-μ-Fentanyl-Gi1/β1/γ2 7SCG-μ-FH210-Gi1/β1/γ2 7T2H-μ-Lofentanil-Gi1/β1/γ2 7T2G-μ-Mitragynine Pseudoindoxyl-Gi1/β1/γ2 8DZP-κ-momSalB-Gi1/β1/γ2 8EF6-μ-Morphine-Gi1/β1/γ2 8F7X-NOP-Nociceptin-Gi1/β1/γ2 8EFB-μ-Oliceridine-Gi1/β1/γ2 7U2L-μ-C5-guano-Gi1/β1/γ2 8EFO-μ-PZM21-Gi1/β1/γ2 8EFL-μ-SR17018-Gi1/β1/γ2 8F7Q-μ-β-Endorphin-Gi1/β1/γ2 7U2K-μ-C6-guano-Gi1/β1/γ2 8EFQ-μ-DAMGO-Gi1/β1/γ2 8F7S-δ-Deltorphin-Gi1/β1/γ2 8F7W-κ-Dynorphin-Gi1/β1/γ2
50.00Consensusgi_orexinOrthosteric Ligand7SQO-OX2-TAK-925-Gi1/β1/γ2
50.00Consensusgs_trace-amineOrthosteric Ligand8W88-TA1-SEP-363856-Gs/β1/γ2 8JLJ-TA1-T1AM-chim(NtGi1-Gs)/β1/γ2 8JLO-TA1-Ulotaront-Gs/β1/γ2 8WC4-TA1-ZH8651-chim(NtGi1-Gs)/β1/γ2 8WC7-TA1-ZH8667-chim(NtGi1-Gs)/β1/γ2 8JLR-TA1-A77636-chim(NtGi1-Gs)/β1/γ2 8JSO-TA1-AMPH-chim(NtGi1-Gs)/β1/γ2 8W87-TA1-METH-chim(NtGi1L-Gs)/β1/γ2 8W89-TA1-2-Phenylethylamine-chim(NtGi1L-Gs)/β1/γ2 8JLP-TA1-Ralmitaront-Gs/β1/γ2 8W8A-TA1-RO5256390-chim(NtGi1L-Gs)/β1/γ2
50.00Consensuskop_onOrthosteric Ligand8F7W-κ-Dynorphin-Gi1/β1/γ2 8DZS-κ-GR89,696-chim(NtGi2-Gz)/β1/γ2 8DZP-κ-momSalB-Gi1/β1/γ2
50.00Consensusmop_offOrthosteric Ligand4DKL-μ-β-Funaltrexamine 8QOT-μ-Nanobody-E 7UL4-μ-Alvimopan
50.00Consensusmop_onOrthosteric Ligand8F7R-μ-Endomorphin-Gi1/β1/γ2 8EF5-μ-Fentanyl-Gi1/β1/γ2 7SCG-μ-FH210-Gi1/β1/γ2 7T2H-μ-Lofentanil-Gi1/β1/γ2 7T2G-μ-Mitragynine Pseudoindoxyl-Gi1/β1/γ2 8EF6-μ-Morphine-Gi1/β1/γ2 8EFB-μ-Oliceridine-Gi1/β1/γ2 7U2L-μ-C5-guano-Gi1/β1/γ2 8EFO-μ-PZM21-Gi1/β1/γ2 8EFL-μ-SR17018-Gi1/β1/γ2 8F7Q-μ-β-Endorphin-Gi1/β1/γ2 7U2K-μ-C6-guano-Gi1/β1/γ2 8EFQ-μ-DAMGO-Gi1/β1/γ2
50.00Consensusmop_on_gpOrthosteric Ligand8F7R-μ-Endomorphin-Gi1/β1/γ2 8EF5-μ-Fentanyl-Gi1/β1/γ2 7SCG-μ-FH210-Gi1/β1/γ2 7T2H-μ-Lofentanil-Gi1/β1/γ2 7T2G-μ-Mitragynine Pseudoindoxyl-Gi1/β1/γ2 8EF6-μ-Morphine-Gi1/β1/γ2 8EFB-μ-Oliceridine-Gi1/β1/γ2 7U2L-μ-C5-guano-Gi1/β1/γ2 8EFO-μ-PZM21-Gi1/β1/γ2 8EFL-μ-SR17018-Gi1/β1/γ2 8F7Q-μ-β-Endorphin-Gi1/β1/γ2 7U2K-μ-C6-guano-Gi1/β1/γ2 8EFQ-μ-DAMGO-Gi1/β1/γ2
50.00Consensusnk1_offOrthosteric Ligand6HLP-NK1-Netupitant 6HLO-NK1-Aprepitant 6HLL-NK1-CP99994 6E59-NK1-L-760735
50.00Consensusnop_onOrthosteric Ligand8F7X-NOP-Nociceptin-Gi1/β1/γ2
50.00Consensusnop_on_gpOrthosteric Ligand8F7X-NOP-Nociceptin-Gi1/β1/γ2
47.83Consensusopioid_onOrthosteric Ligandmop_on nop_on dop_on kop_on
47.62Single8F7SDeltorphin8F7S-δ-Deltorphin-Gi1/β1/γ2
47.62Consensusdop_on_gpOrthosteric Ligand8F7S-δ-Deltorphin-Gi1/β1/γ2
47.37Single7JVRBromoergocryptine7JVR-D2-Bromoergocryptine-Gi1/β1/γ2
47.37Single7UM4AS26747237UM4-5-HT5A-AS2674723
47.37Single7VGY2-Iodomelatonin7VGY-MT1-2-Iodomelatonin-Gi1/β1/γ2
47.37Single7XJISolabegron7XJI-β3-Solabegron-Gs/β1/γ2
47.37Single8E9X2-Deoxycytidine8E9X-M4-2-Deoxycytidine-chim(NtGi1-Go)/β1/γ2
47.37Single8FX5Xanomeline8FX5-M4-Xanomeline-Xanomeline-Gi1/β1/γ2
47.37Single8I95EP548I95-C3aB-EP54-Go/β1/γ2
47.37Single8T3OTUG-8918T3O-FFA4-TUG-891-chim(NtGi2L-Gs-CtGq)/β1/γ2
47.37Single9AS02-bromo-LSD9AS0-5-HT2A-2-bromo-LSD-chim(NtGi1-Gs-CtGq)/β1/γ2
47.37Single9DYEBuspirone9DYE-5-HT1A-Buspirone-PtdIns4P-Go/β1/γ2
47.37Single9HYIDP819HYI-5-HT1A-DP81-Gi1/β1/γ2
47.37Single9WP9S1P9WP9-S1P3-S1P-chim(NtGi2L-Gs-CtGq)/β1/γ2
47.37Single9YDPDADLE9YDP-δ-DADLE-chim(NtGi1L-Gs-CtGi1)/β1/γ2
47.37Consensusclass-a_onOrthosteric Ligandsensory_on alicarboxylic_on amine_on lipid_on nucleotide_on peptide_on protein_on
47.37Consensusendothelin_offOrthosteric Ligandetb_off
47.37Consensusetb_offOrthosteric Ligand5X93-ETB-K-8794 5XPR-ETB-Bosentan 6K1Q-ETB-IRL2500
47.37Consensusgi_s1pOrthosteric Ligand7VIE-S1P1-S1P-Gi1/β1/γ2 7EW3-S1P3-S1P-Gi1/β1/γ2 7EVY-S1P1-Siponimod-Gi1/β1/γ2 7EW1-S1P5-Siponimod-Gi1/β1/γ2 7VIF-S1P1-FTY720-P-Gi1/β1/γ2 7VIG-S1P1-CBP-307-Gi1/β1/γ2 7EVZ-S1P1-Cenerimod-Gi1/β1/γ2 7EW4-S1P3-CYM-5541-Gi1/β1/γ2 7EW2-S1P3-FTY720-P-Gi1/β1/γ2 7EW0-S1P1-Ozanimod-Gi1/β1/γ2 7EW7-S1P1-SEW2871-Gi1/β1/γ2
47.37Consensuskop_on_gpOrthosteric Ligand8F7W-κ-Dynorphin-Gi1/β1/γ2 8DZS-κ-GR89,696-chim(NtGi2-Gz)/β1/γ2 8DZP-κ-momSalB-Gi1/β1/γ2
47.37Consensusorexin_on_gpOrthosteric Ligandox2_on_gp
47.06Single2YCWCarazolol2YCW-β1-Carazolol
47.06Single4RWDDIPP-NH24RWD-δ-DIPP-NH2-Na
47.06Single5C1MBU725C1M-μ-BU72
47.06Single5D6LCarazolol5D6L-β2-Carazolol
47.06Single5WQCEMPA5WQC-OX2-EMPA
47.06Single5X7DCarazolol5X7D-β2-Carazolol-PubChem 129318963
47.06Single6ME82-Phenylmelatonin6ME8-MT2-2-Phenylmelatonin
47.06Single6TP6Filorexant6TP6-OX1-Filorexant
47.06Single7CFNINT-7777CFN-GPBA-INT-777-Gs/β1/γ2
47.06Single8K8JFenofibrate8K8J-CB1-Fenofibrate-chim(Gs-CtGq)/β1/γ2
47.06Single9ARZ2-bromo-LSD9ARZ-5-HT2A-2-bromo-LSD
47.06Single9DYDAsenapine9DYD-5-HT1A-Asenapine-PtdIns4P-Go/β1/γ2
47.06Single9F33FOB02-04A9F33-D3-FOB02-04A-Go/β1/γ2
47.06Single9MQKIsoquinuclidine9MQK-κ-Isoquinuclidine
47.06Single9VJFBuspirone9VJF-5-HT1A-Buspirone-Gi3/β1/γ2
47.06Consensusalpha_on_gpOrthosteric Ligandalpha1_on_gp alpha2_on_gp
47.06Consensusd2_onOrthosteric Ligand7JVR-D2-Bromoergocryptine-Gi1/β1/γ2 8IRS-D2-Rotigotine-Gi1/β1/γ2
47.06Consensush1_offOrthosteric Ligand8X63-H1-Mepyramine 3RZE-H1-Cidoxepin 8X5Y-H1-Astemizole
46.67Single2X72All-trans-Retinal2X72-Rhodopsin-All-trans-Retinal-Gt(CT)
46.67Single6AKXA4R6AKX-CCR5-A4R
46.67Single6B73MP11046B73-κ-MP1104
46.67Single6ME2Ramelteon6ME2-MT1-Ramelteon
46.67Single6NWEOctyl-Beta-D-Glucopyranoside6NWE-Rhodopsin-Octyl-β-D-Glucopyranoside-Gt(CT)
46.67Single7DHRIsoprenaline7DHR-β2-Isoprenaline-Gs/β1/γ2
46.67Single7LD4Adenosine7LD4-A1-Adenosine-Gi2/β1/γ2
46.67Single7LJDDopamine7LJD-D1-Dopamine-Mevidalen-Gs/β1/γ1
46.67Single7SRRLSD7SRR-5-HT2B-LSD-chim(NtGi2L-Gs-CtGq)/β1/γ2
46.67Single7YMHNorepinephrine7YMH-Alpha1A-Norepinephrine-chim(Gs-CtGq)
46.67Single8EFOPZM218EFO-μ-PZM21-Gi1/β1/γ2
46.67Single8GGAConstrained Epinephrine8GGA-β2-Constrained Epinephrine-GTP-Gs/β1/γ2
46.67Single8GGRConstrained Epinephrine8GGR-β2-Constrained Epinephrine
46.67Single8GGWConstrained Epinephrine8GGW-β2-Constrained Epinephrine
46.67Single8GGZConstrained Epinephrine8GGZ-β2-Constrained Epinephrine
46.67Single8GH0Constrained Epinephrine8GH0-β2-Constrained Epinephrine
46.67Single8JSOAMPH8JSO-TA1-AMPH-chim(NtGi1-Gs)/β1/γ2
46.67Single8UNXConstrained Epinephrine8UNX-β2-Constrained Epinephrine-GTP-Gs/β1/γ2
46.67Single8WC4ZH86518WC4-TA1-ZH8651-chim(NtGi1-Gs)/β1/γ2
46.67Single8WCA2-Phenylethylamine8WCA-TA1-2-Phenylethylamine-chim(NtGi1-Gs)/β1/γ2
46.67Single8YYWAlpha-ketoglutarate8YYW-Oxoglutarate-α-ketoglutarate-α-ketoglutarate-chim(Gi1-CtGq)/β1/γ2
46.67Single9KVHCinobufotenine9KVH-5-HT1A-Cinobufotenine-PtdIns4P-Gi1/β1/γ2
46.67Single9LLBDOI-NBOMe9LLB-5-HT2A-DOI-NBOMe-chim(NtGi1L-Gs-CtGq)/β1/γ2
46.67Single9LRBHistamine9LRB-H1-Histamine-Gs/β1/γ2
46.67Consensus5ht2_on_gpOrthosteric Ligand5ht2b_on_gp
46.67Consensus5ht2b_on_gpOrthosteric Ligand7SRR-5-HT2B-LSD-chim(NtGi2L-Gs-CtGq)/β1/γ2
46.67Consensusa1_onOrthosteric Ligand7LD4-A1-Adenosine-Gi2/β1/γ2
46.67Consensusa1_on_gpOrthosteric Ligand7LD4-A1-Adenosine-Gi2/β1/γ2
46.67Consensusalpha2_offOrthosteric Ligandalpha2c_off
46.67Consensusorexin_offOrthosteric Ligandox2_off ox1_off
46.67Consensusox2_offOrthosteric Ligand5WQC-OX2-EMPA 6TPN-OX2-HTL6641 7XRR-OX2-Lemborexant 6TPJ-OX2-Suvorexant
46.15Consensusgs_histamineOrthosteric Ligand8POK-H2-Histamine-Gs/β1/γ2
46.15Consensush2_onOrthosteric Ligand8POK-H2-Histamine-Gs/β1/γ2
45.83Consensusopioid_on_gpOrthosteric Ligandmop_on_gp nop_on_gp dop_on_gp kop_on_gp
45.45Single7TD0LPA7TD0-LPA1-LPA-Gi1/β1/γ2
45.45Single8XIQL7967788XIQ-SST3-L796778-chim(NtGi1-Gs-CtGi1)/β1/γ2
45.45Single8XIRPasireotide8XIR-SST3-Pasireotide-chim(NtGi1-Gs-CtGi1)/β1/γ2
45.45Consensuspeptide_offonOrthosteric Ligandpeptide_off peptide_on
45.00Single4UG2CGS216804UG2-A2A-CGS21680
45.00Single5ZTYAM102575ZTY-CB2-AM10257
45.00Single7XY6BAY 60-65837XY6-A2B-BAY 60-6583-chim(NtGi1-Gs)/β1/γ2
45.00Single9IPVJR14a9IPV-C3aB-JR14a-Gi1/β1/γ2
45.00Single9MD1Buspirone9MD1-5-HT1A-Buspirone-PtdIns4P-Gz/β1/γ2
45.00Consensuscb2_offOrthosteric Ligand5ZTY-CB2-AM10257
45.00Consensusdop_onOrthosteric Ligand8F7S-δ-Deltorphin-Gi1/β1/γ2
45.00Consensuss1p_onOrthosteric Ligands1p1_on s1p3_on s1p5_on
45.00Consensuss1p_on_gpOrthosteric Ligands1p1_on_gp s1p3_on_gp s1p5_on_gp
44.44Single4DJHJDTic4DJH-κ-JDTic
44.44Single5ZKBAF-DX 3845ZKB-M2-AF-DX 384
44.44Single6DDEDAMGO6DDE-μ-DAMGO-Gi1/β1/γ2
44.44Single6E59L-7607356E59-NK1-L-760735
44.44Single6GT3Imaradenant6GT3-A2A-Imaradenant-Na
44.44Single7B6WCyclazosin7B6W-α1b-Cyclazosin
44.44Single7E2ZAripiprazole7E2Z-5-HT1A-Aripiprazole-PtdIns4P-Gi1/β1/γ2
44.44Single7EW7SEW28717EW7-S1P1-SEW2871-Gi1/β1/γ2
44.44Single7U2LC5-guano7U2L-μ-C5-guano-Gi1/β1/γ2
44.44Single7WV9CP559407WV9-CB1-CP55940-ZCZ011-Gi2/β1/γ2
44.44Single8ID39-Hydroxystearic acid8ID3-FFA4-9-Hydroxystearic acid-Gi1/β1/γ2
44.44Single8IYHMK68928IYH-HCA2-MK6892-Go/β1/γ2
44.44Single8JLPRalmitaront8JLP-TA1-Ralmitaront-Gs/β1/γ2
44.44Single8JXVClozapine8JXV-H4-Clozapine-Gi1/β1/γ2
44.44Single8T1VPubChem 1183102098T1V-GPR6-PubChem 118310209-Na
44.44Single8VVFJDTic8VVF-κ-JDTic-Gi1/β1/γ2
44.44Single8Y73Peptide8Y73-μ-Peptide-MPAM-15-Gi1/β1/γ2
44.44Single9B65MDMB-Fubinaca9B65-CB1-MDMB-Fubinaca-Gi1/β1/γ2
44.44Single9WSTDAMGO9WST-μ-DAMGO-chim(NtGi1-Gz)/β1/γ2
44.44Consensusclass-a_offOrthosteric Ligandsensory_off alicarboxylic_off amine_off lipid_off nucleotide_off peptide_off protein_off
44.44Consensuskop_offOrthosteric Ligand4DJH-κ-JDTic
44.44Consensustachykinin_offOrthosteric Ligandnk1_off
43.75Single3RZECidoxepin3RZE-H1-Cidoxepin
43.75Single4MBSMaraviroc4MBS-CCR5-Maraviroc
43.75Single4ZJCSB-6740424ZJC-OX1-SB-674042
43.75Single5TE3Octyl-Beta-D-Glucopyranoside5TE3-Rhodopsin-Octyl-β-D-Glucopyranoside
43.75Single6IQLL7458706IQL-D4-L745870
43.75Single6K41Dexmedetomidine6K41-α2b-Dexmedetomidine-Go/β1/γ2
43.75Single6KUXRS799486KUX-α2a-RS79948
43.75Single6ME42-Iodomelatonin6ME4-MT1-2-Iodomelatonin
43.75Single6WH4Methiothepin6WH4-5-HT2A-Methiothepin
43.75Single7CMVPD1289077CMV-D3-PD128907-Gi1/β1/γ2
43.75Single7EJ8Brimonidine7EJ8-α2a-Brimonidine-Go/β1/γ2
43.75Single7EJADexmedetomidine7EJA-α2a-Dexmedetomidine-Go/β1/γ2
43.75Single7UL3Famotidine7UL3-H2-Famotidine
43.75Single7UM7Methylergometrine7UM7-5-HT5A-Methylergometrine-chim(NtGi1-Go)/β1/γ2
43.75Single8GEAConstrained Epinephrine8GEA-β2-Constrained Epinephrine-Gs/β1/γ2
43.75Single8GG8Constrained Epinephrine8GG8-β2-Constrained Epinephrine-GTP-Gs/β1/γ2
43.75Single8GGSConstrained Epinephrine8GGS-β2-Constrained Epinephrine
43.75Single8GGTConstrained Epinephrine8GGT-β2-Constrained Epinephrine
43.75Single8JLKUlotaront8JLK-TA1-Ulotaront-chim(NtGi1-Gs)/β1/γ2
43.75Single8JLNT1AM8JLN-TA1-T1AM-Gs/β1/γ2
43.75Single8K9KDAMGO8K9K-μ-DAMGO-Gi3/β1/γ1
43.75Single8K9LDAMGO8K9L-μ-DAMGO-BMS-986122-Gi3/β1/γ1
43.75Single8THKA-616038THK-Alpha1A-A-61603-chim(NtGi2L-Gs-CtGq)/β1/γ2
43.75Single8THLEpinephrine8THL-Alpha1A-Epinephrine-chim(NtGi2L-Gs-CtGq)/β1/γ2
43.75Single8UO0Constrained Epinephrine8UO0-β2-Constrained Epinephrine-GTP-Gs/β1/γ2
43.75Single8V6UPubChem 1713924568V6U-5-HT2A-PubChem 171392456-chim(NtGi2-Gs-CtGq)/β1/γ2
43.75Single8W88SEP-3638568W88-TA1-SEP-363856-Gs/β1/γ2
43.75Single8W8BSEP-3638568W8B-5-HT1A-SEP-363856-Gi1/β1/γ2
43.75Single8WC8ZH86518WC8-TA1-ZH8651-chim(NtGi1-Gs)/β1/γ2
43.75Single8YN3Histamine8YN3-H2-Histamine-Gs/β1/γ2
43.75Single8ZMGPimavanserin8ZMG-5-HT2A-Pimavanserin
43.75Single9CBLEpinephrine9CBL-α2a-Epinephrine-Gi1/β1/γ2
43.75Single9JKYAcifran9JKY-HCA2-Acifran-Gi1/β1/γ2
43.75Single9KVIBufotenin9KVI-5-HT1A-Bufotenin-PtdIns4P-Gi1/β1/γ2
43.75Single9L8LBI1671079L8L-β2-BI167107-Atazanavir-Gs/β1/γ2 ; Arrestin2
43.75Single9ODJMitragynine Pseudoindoxyl9ODJ-μ-Mitragynine Pseudoindoxyl-GTP; Mg-Gi1/β1/γ2
43.75Single9ODLMitragynine Pseudoindoxyl9ODL-μ-Mitragynine Pseudoindoxyl-GTP; Mg-Gi1/β1/γ2
43.75Single9VJG8-OH-DPAT9VJG-5-HT1A-8-OH-DPAT-chim(NtGi2-Gz)/β1/γ2
43.75Single9VNFPindolol9VNF-5-HT1A-Pindolol-Go/β1/γ2
43.75Consensusalpha1_onOrthosteric Ligandalpha1a_on
43.75Consensusalpha1_on_gpOrthosteric Ligandalpha1a_on_gp
43.75Consensusalpha1a_onOrthosteric Ligand7EJ0-α2a-Norepinephrine-Go/β1/γ2 7EJ8-α2a-Brimonidine-Go/β1/γ2 7EJA-α2a-Dexmedetomidine-Go/β1/γ2 7EJK-α2a-Oxymetazoline-Go/β1/γ2 7W6P-α2a-N-pyridin-4-ylisoquinolin-4-amine-Go/β1/γ2 7W7E-α2a-PubChem 164946676-Go/β1/γ2
43.75Consensusalpha1a_on_gpOrthosteric Ligand7EJ0-α2a-Norepinephrine-Go/β1/γ2 7EJ8-α2a-Brimonidine-Go/β1/γ2 7EJA-α2a-Dexmedetomidine-Go/β1/γ2 7EJK-α2a-Oxymetazoline-Go/β1/γ2 7W6P-α2a-N-pyridin-4-ylisoquinolin-4-amine-Go/β1/γ2 7W7E-α2a-PubChem 164946676-Go/β1/γ2
43.48Single7W40Bombesin7W40-BB2-Bombesin-chim(NtGi1L-Gq)/β1/γ2
43.48Single8XWQEndothelin-18XWQ-ETB-Endothelin-1-Gi1/β1/γ2
43.48Consensusgi_class-aOrthosteric Ligandgi_peptide gi_sensory gi_alicarboxylic gi_amine gi_lipid gi_nucleotide gi_protein
43.48Consensuspeptide_offon_gpOrthosteric Ligandpeptide_on_gp peptide_off
42.86Single4IARErgotamine4IAR-5-HT1B-Ergotamine
42.86Single4IB4Ergotamine4IB4-5-HT2B-Ergotamine
42.86Single7WVWfMYFINILTL7WVW-FPR2-ALX-fMYFINILTL-Gi2/β1/γ2
42.86Single8DPILorcaserin8DPI-5-HT2C-Lorcaserin-chim(NtGi2L-Gs-CtGq)/β1/γ2
42.86Single8FYLVilazodone8FYL-5-HT1A-Vilazodone-PtdIns4P-Gi1/β1/γ1
42.86Single8G59TUG-8918G59-FFA4-TUG-891-chim(Gi1-CtGq)/β1/γ2
42.86Single8GH1Constrained Epinephrine8GH1-β2-Constrained Epinephrine
42.86Single8POKHistamine8POK-H2-Histamine-Gs/β1/γ2
42.86Single8WC62-Phenylethylamine8WC6-TA1-2-Phenylethylamine-chim(NtGi1-Gs)/β1/γ2
42.86Single8WDTphotoNECA8WDT-A2A-photoNECA
42.86Single9LL7DOI9LL7-5-HT2A-DOI-Gi1/β1/γ2
42.86Single9M4TSilodosin9M4T-Alpha1A-Silodosin
42.86Single9UYJChemerin-99UYJ-CML2-Chemerin-9-Arrestin2
42.86Consensush2_on_gpOrthosteric Ligand8POK-H2-Histamine-Gs/β1/γ2
42.86Consensuslpl_onOrthosteric Ligands1p_on lpa_on
42.86Consensuslpl_on_gpOrthosteric Ligands1p_on_gp lpa_on_gp
42.11Single4RWADIPP-NH24RWA-δ-DIPP-NH2
42.11Single5UNHPubChem 1264564065UNH-AT2-PubChem 126456406
42.11Single6DRYMethylergometrine6DRY-5-HT2B-Methylergometrine
42.11Single7EO4Siponimod7EO4-S1P1-Siponimod-Gi1/β1/γ2
42.11Single7L1VPubChem 1554910097L1V-OX2-PubChem 155491009-chim(NtGi1-Gs-CtGq)/β1/γ2
42.11Single8ID9Icosapent8ID9-FFA4-Icosapent-Gi1/β1/γ2
42.11Single8IRSRotigotine8IRS-D2-Rotigotine-Gi1/β1/γ2
42.11Single8W1VPubChem 1717162658W1V-β2-PubChem 171716265
42.11Single9DGIZ85267113509DGI-CB1-Z8526711350
42.11Single9IZHLPA9IZH-LPA1-LPA-chim(NtGi2-G13)/β1/γ2
42.11Single9MQLIsoquinuclidine9MQL-κ-Isoquinuclidine
42.11Single9VJ6F-155999VJ6-5-HT1A-F-15599-Gi3/β1/γ2
42.11Consensus5ht1a_onOrthosteric Ligand8FYT-5-HT1A-LSD-PtdIns4P-Gi1/β1/γ1 7E2Y-5-HT1A-Serotonin-PtdIns4P-Gi1/β1/γ2 7E2Z-5-HT1A-Aripiprazole-PtdIns4P-Gi1/β1/γ2 8FYX-5-HT1A-Buspirone-PtdIns4P-Gi1/β1/γ1 8JSP-5-HT1A-Ulotaront-Gi1/β1/γ2 8JT6-5-HT1A-(R)-IHCH-7179-PtdIns4P-Gi1/β1/γ2 8FY8-5-HT1A-5-MeO-DMT-PtdIns4P-Gi1/β1/γ1 8FYE-5-HT1A-4-F,5-MeO-PyrT-PtdIns4P-Gi1/β1/γ1 8FYL-5-HT1A-Vilazodone-PtdIns4P-Gi1/β1/γ1
42.11Consensus5ht1a_on_gpOrthosteric Ligand8FYT-5-HT1A-LSD-PtdIns4P-Gi1/β1/γ1 8FYX-5-HT1A-Buspirone-PtdIns4P-Gi1/β1/γ1 8JSP-5-HT1A-Ulotaront-Gi1/β1/γ2 8JT6-5-HT1A-(R)-IHCH-7179-PtdIns4P-Gi1/β1/γ2 7E2Y-5-HT1A-Serotonin-PtdIns4P-Gi1/β1/γ2 7E2Z-5-HT1A-Aripiprazole-PtdIns4P-Gi1/β1/γ2 8FY8-5-HT1A-5-MeO-DMT-PtdIns4P-Gi1/β1/γ1 8FYE-5-HT1A-4-F,5-MeO-PyrT-PtdIns4P-Gi1/β1/γ1 8FYL-5-HT1A-Vilazodone-PtdIns4P-Gi1/β1/γ1
42.11Consensuscb1_onOrthosteric Ligand6KPG-CB1-AM841-Gi1/β1/γ2 8K8J-CB1-Fenofibrate-chim(Gs-CtGq)/β1/γ2
42.11Consensusgi_lipidOrthosteric Ligandgi_cannabinoid gi_ffa gi_leukotriene gi_lpa gi_s1p
42.11Consensusorexin_onOrthosteric Ligandox2_on
42.11Consensuss1p1_onOrthosteric Ligand7VIE-S1P1-S1P-Gi1/β1/γ2 7VIF-S1P1-FTY720-P-Gi1/β1/γ2 7VIG-S1P1-CBP-307-Gi1/β1/γ2 7EVY-S1P1-Siponimod-Gi1/β1/γ2 7EVZ-S1P1-Cenerimod-Gi1/β1/γ2 7EW0-S1P1-Ozanimod-Gi1/β1/γ2 7EW7-S1P1-SEW2871-Gi1/β1/γ2
42.11Consensuss1p1_on_gpOrthosteric Ligand7VIE-S1P1-S1P-Gi1/β1/γ2 7VIF-S1P1-FTY720-P-Gi1/β1/γ2 7VIG-S1P1-CBP-307-Gi1/β1/γ2 7EVY-S1P1-Siponimod-Gi1/β1/γ2 7EVZ-S1P1-Cenerimod-Gi1/β1/γ2 7EW0-S1P1-Ozanimod-Gi1/β1/γ2 7EW7-S1P1-SEW2871-Gi1/β1/γ2
42.11Consensuss1p3_onOrthosteric Ligand7EW3-S1P3-S1P-Gi1/β1/γ2 7EW4-S1P3-CYM-5541-Gi1/β1/γ2 7EW2-S1P3-FTY720-P-Gi1/β1/γ2
41.67Single8XGOTAK4488XGO-Kiss1-TAK448-chim(NtGi1-Gq)/β1/γ2
41.18Single2Y01Dobutamine2Y01-β1-Dobutamine
41.18Single3ZPRPubChem 5987543ZPR-β1-PubChem 598754-Na
41.18Single4J4QOctyl Beta-D-Glucopyranoside4J4Q-Rhodopsin-Octyl β-D-Glucopyranoside-Gt(CT)
41.18Single4X1HNonyl-Beta-D-Glucopyranoside4X1H-Rhodopsin-Nonyl-β-D-Glucopyranoside-Gt(CT)
41.18Single5OLZPubChem 1355666095OLZ-A2A-PubChem 135566609-Na
41.18Single5OM1PubChem 1355666095OM1-A2A-PubChem 135566609-Na
41.18Single6DRXLisuride6DRX-5-HT2B-Lisuride
41.18Single6K42Dexmedetomidine6K42-α2b-Dexmedetomidine-Gi1/β1/γ2
41.18Single6TOTLemborexant6TOT-OX1-Lemborexant
41.18Single7DB6Ramelteon7DB6-MT1-Ramelteon-Gi1/β1/γ2
41.18Single7T2GMitragynine Pseudoindoxyl7T2G-μ-Mitragynine Pseudoindoxyl-Gi1/β1/γ2
41.18Single7VGZRamelteon7VGZ-MT1-Ramelteon-Gi1/β1/γ2
41.18Single7VIES1P7VIE-S1P1-S1P-Gi1/β1/γ2
41.18Single8EFQDAMGO8EFQ-μ-DAMGO-Gi1/β1/γ2
41.18Single8JLJT1AM8JLJ-TA1-T1AM-chim(NtGi1-Gs)/β1/γ2
41.18Single8JXRLSD8JXR-D1-LSD
41.18Single8PJKST1718PJK-5-HT1A-ST171-Gi1/β1/γ1
41.18Single8T1WCVN4248T1W-GPR6-CVN424
41.18Single8UWLLisuride8UWL-5-HT2A-Lisuride-chim(NtGi2-Gs-CtGq)/β1/γ2
41.18Single8VVGGB188VVG-κ-GB18-Gi1/β1/γ2
41.18Single8WC7ZH86678WC7-TA1-ZH8667-chim(NtGi1-Gs)/β1/γ2
41.18Single8X63Mepyramine8X63-H1-Mepyramine
41.18Single9AS1DMT9AS1-5-HT2A-DMT
41.18Single9BQJRO769BQJ-μ-RO76-Gi1/β1/γ2
41.18Single9D61JDTic9D61-κ-JDTic-Gi1/β1/γ2
41.18Single9DYFAsenapine9DYF-5-HT1A-Asenapine-PtdIns4P-Gi1/β1/γ2
41.18Single9VMYTMU41429VMY-5-HT1A-TMU4142-Go/β1/γ2
41.18Consensusadenosine_on_gpOrthosteric Liganda1_on_gp a2_on_gp a3_on_gp
41.18Consensusalicarboxylic_on_gpOrthosteric Ligandsuccinate_on_gp hca_on_gp
41.18Consensusalpha2_onOrthosteric Ligandalpha2b_on
41.18Consensusalpha2_on_gpOrthosteric Ligandalpha2b_on_gp
41.18Consensusalpha2b_onOrthosteric Ligand6K42-α2b-Dexmedetomidine-Gi1/β1/γ2
41.18Consensusalpha2b_on_gpOrthosteric Ligand6K42-α2b-Dexmedetomidine-Gi1/β1/γ2
41.18Consensusgi_alicarboxylicOrthosteric Ligandgi_hca gi_succinate
41.18Consensushistamine_offOrthosteric Ligandh1_off
40.91Single6HLOAprepitant6HLO-NK1-Aprepitant
40.91Single8F7WDynorphin8F7W-κ-Dynorphin-Gi1/β1/γ2
40.91Single9L60Dynorphin9L60-κ-Dynorphin-MPAM-15-Gi1/β1/γ2
40.91Single9ME1CXCL129ME1-CXCR4-CXCL12
40.91Consensussst4_onOrthosteric Ligand7XMS-SST4-Somatostatin-14-Gi1/β1/γ2 7XMT-SST4-J-2156-Gi1/β1/γ2
40.91Consensussst4_on_gpOrthosteric Ligand7XMS-SST4-Somatostatin-14-Gi1/β1/γ2 7XMT-SST4-J-2156-Gi1/β1/γ2
40.00Single4Z35ONO-99105394Z35-LPA1-ONO-9910539
40.00Single5UNGPubChem 157800525UNG-AT2-PubChem 15780052
40.00Single6BQGErgotamine6BQG-5-HT2C-Ergotamine
40.00Single6HLLCP999946HLL-NK1-CP99994
40.00Single6K1QIRL25006K1Q-ETB-IRL2500
40.00Single6TQ4PubChem 160468446TQ4-OX1-PubChem 16046844-Na
40.00Single7DFLHistamine7DFL-H1-Histamine-chim(NtGi1L-Gq)/β1/γ2
40.00Single7EVZCenerimod7EVZ-S1P1-Cenerimod-Gi1/β1/γ2
40.00Single7EW0Ozanimod7EW0-S1P1-Ozanimod-Gi1/β1/γ2
40.00Single7MTSADX551647MTS-mGlu2; mGlu2-Glutamate-ADX55164-Gi1/β1/γ2
40.00Single7SK8CCX6627SK8-ACKR3-CXCL12-CCX662
40.00Single7SRQLSD7SRQ-5-HT2B-LSD
40.00Single7U2KC6-guano7U2K-μ-C6-guano-Gi1/β1/γ2
40.00Single7WVVfMLFII7WVV-FPR2-ALX-fMLFII-Gi2/β1/γ2
40.00Single7XK2MK68927XK2-HCA2-MK6892-Gi1/β1/γ2
40.00Single7YU8ONO-07405567YU8-LPA1-ONO-0740556-Gi1/β1/γ2
40.00Single8DPFLorcaserin8DPF-5-HT2C-Lorcaserin-chim(NtGi2L-Gs-CtGq)/β1/γ2
40.00Single8E9YClozapine-N-oxide8E9Y-M3-Clozapine-N-oxide-chim(NtGi2L-Gs-CtGq)/β1/γ2
40.00Single8GAGZ85267113508GAG-CB1-Z8526711350-Gi1/β1/γ2
40.00Single8GGYConstrained Epinephrine8GGY-β2-Constrained Epinephrine
40.00Single8GUTLEI-1028GUT-CB2-LEI-102-Gi1/β1/γ2
40.00Single8IJDMK68928IJD-HCA2-MK6892-Gi1/β1/γ2
40.00Single8J19LY2378J19-GPR84-LY237-Gi1/β1/γ2
40.00Single8W892-Phenylethylamine8W89-TA1-2-Phenylethylamine-chim(NtGi1L-Gs)/β1/γ2
40.00Single8XGSKisspeptin-18XGS-Kiss1-Kisspeptin-1-chim(NtGi1-Gq)/β1/γ2
40.00Single8XIOL7975918XIO-SST1-L797591-chim(NtGi1-Gs-CtGi1)/β1/γ2
40.00Single8YN2Histamine8YN2-H1-Histamine-chim(NtGi1L-Gs-CtGq)/β1/γ2
40.00Single8ZSVRO52633978ZSV-TA1-RO5263397-chim(NtGi1-Gs)/β1/γ2
40.00Single8ZWGJR14a8ZWG-C3aB-JR14a-Gi1/β1/γ2
40.00Single9AS7Psilocin9AS7-5-HT2A-Psilocin
40.00Single9IQTNiacin9IQT-HCA2-Niacin-Gi1/β1/γ2
40.00Single9L3ZLRH7-C29L3Z-CML1-LRH7-C2
40.00Single9U9VMETH9U9V-β2-METH-Gs/β1/γ2
40.00Single9YDRDADLE9YDR-δ-DADLE-MIPS3983-chim(NtGi1L-Gs-CtGi1)/β1/γ2
40.00Consensuscb1_on_gpOrthosteric Ligand6KPG-CB1-AM841-Gi1/β1/γ2 8K8J-CB1-Fenofibrate-chim(Gs-CtGq)/β1/γ2
40.00Consensusd2_offOrthosteric Ligand6CM4-D2-Risperidone 6LUQ-D2-Haloperidol 7DFP-D2-Spiperone
40.00Consensusgi_peptideOrthosteric Ligandgi_cck gi_apelin gi_compl-pept gi_endothelin gi_formylpeptide gi_galanin gi_ghrelin gi_npy gi_neurotensin gi_opioid gi_orexin gi_relaxin gi_somatostatin
40.00Consensush1_onOrthosteric Ligand7DFL-H1-Histamine-chim(NtGi1L-Gq)/β1/γ2
39.13Single7MBXCholecystokinin-87MBX-CCKA-Cholecystokinin-8-Gs/β1/γ1
39.13Single7T6TfMLFII7T6T-FPR1-ALX-fMLFII-Gi1/β1/γ2
39.13Single7TD2LPA7TD2-LPA1-LPA-Gi1/β1/γ2
39.13Single8XGUTAK4488XGU-Kiss1-TAK448-Gi1/β1/γ2
39.13Single9MEUCXCL129MEU-CXCR4-CXCL12
39.13Single9U4WGonadoliberin-19U4W-GnRH1-Gonadoliberin-1-chim(NtGi1L-Gs-CtGq)/β1/γ2
39.13Consensusgs_cckOrthosteric Ligand7MBX-CCKA-Cholecystokinin-8-Gs/β1/γ1
38.89Single2Y00Dobutamine2Y00-β1-Dobutamine
38.89Single4ZJ8Suvorexant4ZJ8-OX1-Suvorexant
38.89Single5OM4PubChem 1355666095OM4-A2A-PubChem 135566609-Na
38.89Single5XPRBosentan5XPR-ETB-Bosentan
38.89Single5ZK33-quinuclidinyl-benzilate5ZK3-M2-3-quinuclidinyl-benzilate
38.89Single6ME62-Phenylmelatonin6ME6-MT2-2-Phenylmelatonin
38.89Single6ME72-Phenylmelatonin6ME7-MT2-2-Phenylmelatonin
38.89Single6PS6Timolol6PS6-β2-Timolol
38.89Single6TO7Suvorexant6TO7-OX1-Suvorexant-Na
38.89Single7C61Ergotamine7C61-5-HT1B-Ergotamine
38.89Single7EO2FTY720-P7EO2-S1P1-FTY720-P-Gi1/β1/γ2
38.89Single7LD3Adenosine7LD3-A1-Adenosine-MIPS521-Gi2/β1/γ2
38.89Single7TD3S1P7TD3-S1P1-S1P-Gi1/β1/γ2
38.89Single7W41PD1762527W41-BB2-PD176252
38.89Single7X1TTaltirelin7X1T-TRH-Taltirelin-chim(NtGi2L-Gs-CtGq)/β1/γ2
38.89Single7YU6ONO-07405567YU6-LPA1-ONO-0740556-Gi1/β1/γ2
38.89Single8C9WEtrumadenant8C9W-A2A-Etrumadenant
38.89Single8EFBOliceridine8EFB-μ-Oliceridine-Gi1/β1/γ2
38.89Single8ID4Linoleic acid8ID4-FFA4-Linoleic acid-Gi1/β1/γ2
38.89Single8J18(3R)-3-Hydroxydodecanoic acid8J18-GPR84-(3R)-3-Hydroxydodecanoic acid-Gi1/β1/γ2
38.89Single8J6JGSK2560738J6J-HCA2-GSK256073-Gi1/β1/γ2
38.89Single8TF5Oleic acid8TF5-GPR6-Oleic acid
38.89Single8WGBVU01550418WGB-mGlu4; mGlu2-Glutamate-VU0155041-Gi3/β1/γ2
38.89Single8YICSAR2477998YIC-S1P1-SAR247799-Gi1/β1/γ2
38.89Single8ZMFPubChem 1719206738ZMF-5-HT2C-PubChem 171920673
38.89Single9EE8Adenosine9EE8-A2A-Adenosine-Gs/β1/γ2
38.89Single9IYBPGD29IYB-DP2-PGD2-A1D5Q-Gi1/β1/γ2
38.89Single9PXYNaloxone9PXY-μ-Naloxone-GDPβS-Gi1/β1/γ2
38.89Single9U81Tolvaptan9U81-V2-Tolvaptan
38.89Consensusbb2_offOrthosteric Ligand7W41-BB2-PD176252
38.89Consensusbombesin_offOrthosteric Ligandbb2_off
38.89Consensuscb2_onOrthosteric Ligand8GUR-CB2-CP55940-Gi1/β1/γ2 8GUS-CB2-HU-308-Gi1/β1/γ2 8GUT-CB2-LEI-102-Gi1/β1/γ2 6KPF-CB2-AM12033-Gi1/β1/γ2 6PT0-CB2-WIN 55212-2-Gi1/β1/γ2 8GUQ-CB2-Olorinab-Gi1/β1/γ2
38.89Consensuscb2_on_gpOrthosteric Ligand8GUR-CB2-CP55940-Gi1/β1/γ2 8GUS-CB2-HU-308-Gi1/β1/γ2 8GUT-CB2-LEI-102-Gi1/β1/γ2 6KPF-CB2-AM12033-Gi1/β1/γ2 6PT0-CB2-WIN 55212-2-Gi1/β1/γ2 8GUQ-CB2-Olorinab-Gi1/β1/γ2
38.46Single7WVYAmyloid-Beta427WVY-FPR2-ALX-Amyloid-β42-Gi2/β1/γ2
38.46Single8FEG(DNCP)-Beta-Naloxamine8FEG-κ-(DNCP)-β-Naloxamine-Gi1/β1/γ2
38.46Single8ZH8QRFP268ZH8-QRFP-QRFP26-Gq/β1/γ1
38.46Single9KDFRES-701-39KDF-ETB-RES-701-3
38.46Consensusgq_peptideOrthosteric Ligandgq_cck gq_kisspeptin gq_bradykinin gq_bombesin gq_angiotensin
38.46Consensuspeptide_onOrthosteric Ligandcck_on angiotensin_on apelin_on bombesin_on bradykinin_on compl-peptide_on endothelin_on formylpeptide_on galanin_on ghrelin_on kisspeptin_on melanocortin_on motilin_on neuromedin-u_on npy_on neurotensin_on opioid_on orexin_on relaxin_on somatostatin_on tachykinin_on trh_on vasop-oxy_on
38.46Consensuspeptide_on_gpOrthosteric Ligandcck_on_gp angiotensin_on_gp apelin_on_gp bombesin_on_gp bradykinin_on_gp compl-peptide_on_gp endothelin_on_gp formylpeptide_on_gp galanin_on_gp ghrelin_on_gp kisspeptin_on_gp melanocortin_on_gp motilin_on_gp neuromedin-u_on_gp npy_on_gp neurotensin_on_gp opioid_on_gp orexin_on_gp relaxin_on_gp somatostatin_on_gp tachykinin_on_gp trh_on_gp vasop-oxy_on_gp
38.10Single8F7REndomorphin8F7R-μ-Endomorphin-Gi1/β1/γ2
38.10Single8H4IDoconexent8H4I-FFA4-Doconexent-chim(NtGi1-Gs)/β1/γ2
38.10Single8X3LXWD8X3L-CB2-XWD-Gi1/β1/γ2
38.10Single9IPYJR14a9IPY-C3aB-JR14a
38.10Single9JF4PD1683689JF4-BB1-PD168368
38.10Single9KZ8EP679KZ8-C3aB-EP67-Go/β1/γ2
38.10Single9M0RNeuropeptide-VF9M0R-NPFF1-Neuropeptide-VF-Gi1/β1/γ2
38.10Consensuscxcr3_onOrthosteric Ligand8HNK-CXCR3-CXCL11-Gi1/β1/γ2 8HNL-CXCR3-PS372424-Gi1/β1/γ2
38.10Consensuskiss1_onOrthosteric Ligand8ZJD-Kiss1-Kisspeptin-1-chim(NtGi1-Gq)/β1/γ1
38.10Consensuskisspeptin_onOrthosteric Ligandkiss1_on
37.50Single3VGAZM-2413853VGA-A2A-ZM-241385-Antibody
37.50Single5WS3EMPA5WS3-OX2-EMPA
37.50Single6AKYMaraviroc6AKY-CCR5-Maraviroc
37.50Single6D9HAdenosine6D9H-A1-Adenosine-Gi2/β1/γ2
37.50Single6KUYPubChem 1457046436KUY-α2a-PubChem 145704643
37.50Single6TODEMPA6TOD-OX1-EMPA-Na
37.50Single6TQ6PubChem 1457142836TQ6-OX1-PubChem 145714283
37.50Single7WF7S1P7WF7-S1P1-S1P-Gi1/β1/γ2
37.50Single7XRRLemborexant7XRR-OX2-Lemborexant
37.50Single8GGCConstrained Epinephrine8GGC-β2-Constrained Epinephrine-GTP-Gs/β1/γ2
37.50Single8H4KGW95088H4K-FFA4-GW9508-chim(NtGi1-Gs-CtGq)/β1/γ2
37.50Single8HDPAdenosine8HDP-A2B-Adenosine-Gs/β1/γ2
37.50Single8IHFMK68928IHF-HCA2-MK6892-Gi1/β1/γ2
37.50Single8IJBAcipimox8IJB-HCA2-Acipimox-Gi1/β1/γ2
37.50Single8J6IMK68928J6I-HCA2-MK6892-Gi1/β1/γ2
37.50Single8WC3SEP-3638568WC3-TA1-SEP-363856-chim(NtGi1-Gs)/β1/γ2
37.50Single8ZBISomatostatin-148ZBI-SST3-Somatostatin-14-Gi1/β1/γ2
37.50Single9BKKCholecystokinin-89BKK-CCKA-Cholecystokinin-8-chim(NtGi1-Gs-CtGq)/β1/γ2
37.50Single9J5VCpY9J5V-LPA1-CpY-Gi1/β1/γ2
37.50Single9MQJIsoquinuclidine9MQJ-μ-Isoquinuclidine
37.50Single9VJEBuspirone9VJE-5-HT1A-Buspirone-Go/β1/γ2
37.50Consensuscxcr3_on_gpOrthosteric Ligand8HNK-CXCR3-CXCL11-Gi1/β1/γ2 8HNL-CXCR3-PS372424-Gi1/β1/γ2
37.50Consensusgq_histamineOrthosteric Ligand7DFL-H1-Histamine-chim(NtGi1L-Gq)/β1/γ2
37.50Consensush1_on_gpOrthosteric Ligand7DFL-H1-Histamine-chim(NtGi1L-Gq)/β1/γ2
37.50Consensusox1_offOrthosteric Ligand6TP6-OX1-Filorexant 6TP4-OX1-ACT-462206 6V9S-OX1-GTPL11403 6TOT-OX1-Lemborexant 6TP3-OX1-Nemorexant 6TQ6-OX1-PubChem 145714283 6TQ9-OX1-SB-408124 4ZJC-OX1-SB-674042 4ZJ8-OX1-Suvorexant 6TOD-OX1-EMPA-Na 6TOS-OX1-GSK1059865-Na 6TQ4-OX1-PubChem 16046844-Na
36.84Single3UON3-quinuclidinyl-benzilate3UON-M2-3-quinuclidinyl-benzilate
36.84Single4U15Tiotropium4U15-M3-Tiotropium
36.84Single4Z34ONO-97803074Z34-LPA1-ONO-9780307
36.84Single5V54Methiothepin5V54-5-HT1B-Methiothepin
36.84Single5ZHPPubChem 1348285895ZHP-M3-PubChem 134828589
36.84Single6KO5PubChem 574000026KO5-Ghrelin-PubChem 57400002
36.84Single6OL9Tiotropium6OL9-M5-Tiotropium
36.84Single7EW1Siponimod7EW1-S1P5-Siponimod-Gi1/β1/γ2
36.84Single7EW3S1P7EW3-S1P3-S1P-Gi1/β1/γ2
36.84Single7T2HLofentanil7T2H-μ-Lofentanil-Gi1/β1/γ2
36.84Single7TUYGSK682753A7TUY-GPR183-GSK682753A
36.84Single7VIGCBP-3077VIG-S1P1-CBP-307-Gi1/β1/γ2
36.84Single7Y24Octreotide7Y24-SST2-Octreotide-Go/β1/γ2
36.84Single7YU7ONO-07405567YU7-LPA1-ONO-0740556-Gi1/β1/γ2
36.84Single8EF5Fentanyl8EF5-μ-Fentanyl-Gi1/β1/γ2
36.84Single8HPTC5a (C-terminal peptide)8HPT-C5a1-C5a (C-terminal peptide)-Go/β1/γ2
36.84Single8I9LC3a8I9L-C3aB-C3a-Go/β1/γ2
36.84Single8ID6Oleic acid8ID6-FFA4-Oleic acid-Gi1/β1/γ2
36.84Single8IHBGSK2560738IHB-HCA2-GSK256073-Gi1/β1/γ2
36.84Single8JXWVUF68848JXW-H4-VUF6884-Gi1/β1/γ2
36.84Single8UGWCGS216808UGW-A2A-CGS21680
36.84Single8WU1MDMB-Fubinaca8WU1-CB1-MDMB-Fubinaca-Arrestin2
36.84Single8XVLZibotentan8XVL-ETA-Zibotentan
36.84Single8ZWFJR14a8ZWF-C3aB-JR14a
36.84Single9BJKNaloxone9BJK-μ-Naloxone-PubChem 171642066
36.84Single9EGOZ85267113509EGO-CB1-Z8526711350-Gi1/β1/γ2
36.84Single9IZGLPA9IZG-LPA1-LPA-chim(NtGi1-Gs-CtGq)/β1/γ2
36.84Single9JMCDS-3801b9JMC-Motilin-DS-3801b-chim(Gs-CtGq)/β1/γ2
36.84Consensus5ht1_offOrthosteric Ligand5ht1b_off
36.84Consensus5ht1b_offOrthosteric Ligand5V54-5-HT1B-Methiothepin
36.84Consensus5ht_offOrthosteric Ligand5ht2_off 5ht1_off
36.84Consensusa2_onOrthosteric Liganda2b_on
36.84Consensusa2_on_gpOrthosteric Liganda2b_on_gp
36.84Consensusa2b_onOrthosteric Ligand8HDP-A2B-Adenosine-Gs/β1/γ2 7XY6-A2B-BAY 60-6583-chim(NtGi1-Gs)/β1/γ2 7XY7-A2B-NECA-chim(NtGi1-Gs)/β1/γ2 8HDO-A2B-BAY 60-6583-Gs/β1/γ2
36.84Consensusa2b_on_gpOrthosteric Ligand8HDP-A2B-Adenosine-Gs/β1/γ2 7XY6-A2B-BAY 60-6583-chim(NtGi1-Gs)/β1/γ2 7XY7-A2B-NECA-chim(NtGi1-Gs)/β1/γ2 8HDO-A2B-BAY 60-6583-Gs/β1/γ2
36.84Consensusgi_cannabinoidOrthosteric Ligand8GUR-CB2-CP55940-Gi1/β1/γ2 8GUS-CB2-HU-308-Gi1/β1/γ2 8GUT-CB2-LEI-102-Gi1/β1/γ2 8GUQ-CB2-Olorinab-Gi1/β1/γ2 6KPF-CB2-AM12033-Gi1/β1/γ2 6PT0-CB2-WIN 55212-2-Gi1/β1/γ2 6KPG-CB1-AM841-Gi1/β1/γ2
36.84Consensusgs_adenosineOrthosteric Ligand8HDP-A2B-Adenosine-Gs/β1/γ2 8HDO-A2B-BAY 60-6583-Gs/β1/γ2 7XY7-A2B-NECA-chim(NtGi1-Gs)/β1/γ2 7XY6-A2B-BAY 60-6583-chim(NtGi1-Gs)/β1/γ2
36.84Consensusgs_nucleotideOrthosteric Ligandgs_adenosine
36.84Consensusm3_offOrthosteric Ligand4U15-M3-Tiotropium 4U16-M3-N-methyl-Scopolamine 5ZHP-M3-PubChem 134828589
36.84Consensusm5_offOrthosteric Ligand6OL9-M5-Tiotropium
36.84Consensusmuscarinic_offOrthosteric Ligandm2_off m3_off m4_off m5_off m1_off
36.84Consensuss1p5_onOrthosteric Ligand7EW1-S1P5-Siponimod-Gi1/β1/γ2
36.84Consensuss1p5_on_gpOrthosteric Ligand7EW1-S1P5-Siponimod-Gi1/β1/γ2
36.36Single5UNFPubChem 157800525UNF-AT2-PubChem 15780052
36.36Single7F4ISHU91197F4I-MC1-SHU9119-chim(NtGi1-Gs)/β1/γ2
36.36Single7TD4Siponimod7TD4-S1P1-Siponimod-Gi1/β1/γ2
36.36Single7W0PElabela7W0P-Apelin-Elabela-Gi1/β1/γ2
36.36Single8GHVAMG3158GHV-CB1-AMG315-Gi1/β1/γ2
36.36Single8WZ2Orexigenic Neuropeptide QRFP8WZ2-QRFP-Orexigenic Neuropeptide QRFP-chim(NtGi1L-Gs-CtGq)/β1/γ2
36.36Single8ZJDKisspeptin-18ZJD-Kiss1-Kisspeptin-1-chim(NtGi1-Gq)/β1/γ1
36.36Single9UMRC5a-pep9UMR-C5a1-C5a-pep-Go/β1/γ2
36.36Consensusgq_kisspeptinOrthosteric Ligand8ZJD-Kiss1-Kisspeptin-1-chim(NtGi1-Gq)/β1/γ1
36.36Consensuskiss1_on_gpOrthosteric Ligand8ZJD-Kiss1-Kisspeptin-1-chim(NtGi1-Gq)/β1/γ1
36.36Consensuskisspeptin_on_gpOrthosteric Ligandkiss1_on_gp
36.00Single8ZPSPrRP208ZPS-PrRP-PrRP20-chim(NtGi1-Gs-CtGi1)/β1/γ2
35.71Single8IWM2-Phenylethylamine8IWM-TAA9-2-Phenylethylamine
35.71Single9CHUNorepinephrine9CHU-β2-Norepinephrine
35.71Single9M42A1L8O9M42-GPR139-A1L8O-chim(Gs-CtGq)/β1/γ2
35.71Consensusbb2_onOrthosteric Ligand7W40-BB2-Bombesin-chim(NtGi1L-Gq)/β1/γ2 7W3Z-BB2-Gastrin Releasing Peptide-chim(NtGi1L-Gq)/β1/γ2
35.71Consensusbb2_on_gpOrthosteric Ligand7W40-BB2-Bombesin-chim(NtGi1L-Gq)/β1/γ2 7W3Z-BB2-Gastrin Releasing Peptide-chim(NtGi1L-Gq)/β1/γ2
35.71Consensusbombesin_onOrthosteric Ligandbb2_on
35.71Consensusbombesin_on_gpOrthosteric Ligandbb2_on_gp
35.71Consensusgq_bombesinOrthosteric Ligand7W40-BB2-Bombesin-chim(NtGi1L-Gq)/β1/γ2 7W3Z-BB2-Gastrin Releasing Peptide-chim(NtGi1L-Gq)/β1/γ2
35.29Single1F8811-cis-Retinal1F88-Rhodopsin-11-cis-Retinal
35.29Single2YDOAdenosine2YDO-A2A-Adenosine
35.29Single3V2YPubChem 518926453V2Y-S1P1-PubChem 51892645
35.29Single4DKLBeta-Funaltrexamine4DKL-μ-β-Funaltrexamine
35.29Single4MQTIperoxo4MQT-M2-Iperoxo-LY2119620
35.29Single4N6HNaltrindole4N6H-δ-Naltrindole-Na
35.29Single6ME32-Phenylmelatonin6ME3-MT1-2-Phenylmelatonin
35.29Single6PS82-Phenylmelatonin6PS8-MT1-2-Phenylmelatonin
35.29Single6TOSGSK10598656TOS-OX1-GSK1059865-Na
35.29Single6TP3Nemorexant6TP3-OX1-Nemorexant
35.29Single6V9SGTPL114036V9S-OX1-GTPL11403
35.29Single6WJCAtropine6WJC-M1-Atropine-Muscarinic toxin 7
35.29Single7F61PF-036547467F61-H3-PF-03654746
35.29Single8DPGPsilocin8DPG-5-HT2C-Psilocin-chim(NtGi2L-Gs-CtGq)/β1/γ2
35.29Single8FCZ11-cis-Retinal8FCZ-Rhodopsin-11-cis-Retinal
35.29Single8GUQOlorinab8GUQ-CB2-Olorinab-Gi1/β1/γ2
35.29Single8GURCP559408GUR-CB2-CP55940-Gi1/β1/γ2
35.29Single8IHKAcifran8IHK-HCA3-Acifran
35.29Single8IY9Niacin8IY9-HCA2-Niacin-Go/β1/γ2
35.29Single8JEIPubChem 117155568JEI-HCAR3-PubChem 11715556-Gi1/β1/γ2
35.29Single8JIMMonomethyl fumarate8JIM-HCA2-Monomethyl fumarate-Gi1/β1/γ2
35.29Single8K5CAcipimox8K5C-HCA2-Acipimox
35.29Single8Y53MK50468Y53-BB3-MK5046-chim(NtGi1-Gs-CtGq)/β1/γ2
35.29Single8YH2Adenosine8YH2-A3A-Adenosine-Gi1/β1/γ2
35.29Single8YKVPubChem 1375531688YKV-Succinate-PubChem 137553168-Gi1/β1/γ2
35.29Single9AS8Psilocin9AS8-5-HT2A-Psilocin-chim(NtGi2L-Gs-CtGq)/β1/γ2
35.29Single9EPQ11,20-Ethanoretinal9EPQ-Rhodopsin-11,20-Ethanoretinal-chim(Gi1-CtGq)/β1/γ2
35.29Single9LRDHistamine9LRD-H1-Histamine-Gi1/β1/γ2
35.29Single9MQIIsoquinuclidine9MQI-μ-Isoquinuclidine
35.29Single9PXVNaloxone9PXV-μ-Naloxone-Gi1/β1/γ2
35.29Single9PXXNaloxone9PXX-μ-Naloxone-GDPβS-Gi1/β1/γ2
35.29Single9PY2Loperamide9PY2-μ-Loperamide-GDPβS-Gi1/β1/γ2
35.29Single9W33S5A19W33-SST5-S5A1
35.29Consensusadenosine_onOrthosteric Liganda1_on a2_on a3_on
35.29Consensusgi_adenosineOrthosteric Ligand7LD4-A1-Adenosine-Gi2/β1/γ2 8X17-A3A-Namodenoson-Gi1/β1/γ2 8X16-A3A-Piclidenoson-Gi1/β1/γ2
35.29Consensushca_onOrthosteric Ligandhca2_on
35.29Consensusopsins_offOrthosteric Ligandrhodopsin_off
35.29Consensussensory_offOrthosteric Ligandopsins_off
35.00Single4PXFOctyl-Beta-D-Glucopyranoside4PXF-Rhodopsin-Octyl-β-D-Glucopyranoside-Arrestin1 Finger Loop
35.00Single4Z36ONO-30805734Z36-LPA1-ONO-3080573
35.00Single5CXVTiotropium5CXV-M1-Tiotropium
35.00Single6ZG4HTL00099366ZG4-M1-HTL0009936
35.00Single7DFPSpiperone7DFP-D2-Spiperone
35.00Single7EVYSiponimod7EVY-S1P1-Siponimod-Gi1/β1/γ2
35.00Single7JNIOlodanrigan7JNI-AT2-Olodanrigan
35.00Single7MTRADX551647MTR-mGlu2; mGlu2-Glutamate-ADX55164
35.00Single7XW9TRH7XW9-TRH-TRH-chim(NtGi1L-Gs-CtGq)/β1/γ2
35.00Single8E9W2-Deoxycytidine8E9W-M3-2-Deoxycytidine-chim(NtGi2L-Gs-CtGq)/β1/γ2
35.00Single8G056-OAU8G05-GPR84-6-OAU-Gi1/β1/γ2
35.00Single8IYWGSK2560738IYW-HCA2-GSK256073-Go/β1/γ2
35.00Single8JWY2-1188JWY-A2A-2-118
35.00Single8JWZEtrumadenant8JWZ-A2A-Etrumadenant-Na
35.00Single8JZ7MK68928JZ7-HCA2-MK6892-Gi1/β1/γ2
35.00Single8T3QDoconexent8T3Q-FFA4-Doconexent-chim(NtGi2L-Gs-CtGq)/β1/γ2
35.00Single8XYIVUF106618XYI-CXCR3-VUF10661
35.00Single9EBIPiclidenoson9EBI-A3A-Piclidenoson-chim(NtGi1L-Gs-CtGi1)/β1/γ2
35.00Single9M8POleic monoethanolamide9M8P-GPR3 ; GPR3-Oleic monoethanolamide-AF64394
35.00Single9WSWEndomorphin9WSW-μ-Endomorphin-chim(NtGi1-Gz)/β1/γ2
35.00Consensusc3a_onOrthosteric Ligand8HK2-C3aB-C3a-Gi1/β1/γ2 8IA8-C3aB-E7 peptide-Gi1/β1/γ2
35.00Consensuscannabinoid_offOrthosteric Ligandcb2_off cb1_off
35.00Consensuscannabinoid_onOrthosteric Ligandcb2_on cb1_on
35.00Consensuscannabinoid_on_gpOrthosteric Ligandcb2_on_gp cb1_on_gp
35.00Consensusgi_amineOrthosteric Ligandgi_5ht gi_muscarinic gi_adrenergic gi_dopamine gi_histamine
35.00Consensuslipid_offonOrthosteric Ligandlipid_off lipid_on
35.00Consensuslipid_offon_gpOrthosteric Ligandlipid_on_gp lipid_off
35.00Consensuslpa1_offOrthosteric Ligand4Z36-LPA1-ONO-3080573 4Z35-LPA1-ONO-9910539 4Z34-LPA1-ONO-9780307
35.00Consensuslpa_offOrthosteric Ligandlpa1_off
35.00Consensuslpl_offOrthosteric Ligands1p_off lpa_off
35.00Consensusm1_offOrthosteric Ligand5CXV-M1-Tiotropium
35.00Consensustrh_onOrthosteric Ligand7XW9-TRH-TRH-chim(NtGi1L-Gs-CtGq)/β1/γ2
35.00Consensustrh_on_gpOrthosteric Ligand7XW9-TRH-TRH-chim(NtGi1L-Gs-CtGq)/β1/γ2
34.78Single3QAKUK-4320973QAK-A2A-UK-432097
34.78Single7EZKCholecystokinin-87EZK-CCKA-Cholecystokinin-8-chim(NtGi1-Gs)/β1/γ2
34.78Single7XMSSomatostatin-147XMS-SST4-Somatostatin-14-Gi1/β1/γ2
34.78Single9UMXEP549UMX-C5a1-EP54-Go/β1/γ2
34.78Consensusformylpeptide_on_gpOrthosteric Ligandfpr2-alx_on_gp fpr1-alx_on_gp
34.62Single8H0PNMB308H0P-BB1-NMB30-chim(NtGi1-Gs-CtGq)/β1/γ2
34.62Single8XVEBQ30208XVE-ETB-BQ3020-chim(Gs-CtGq)/β1/γ2
34.48Single8HBDIRL16208HBD-ETB-IRL1620-Gi1/β1/γ2
33.33Single1HZX11-cis-Retinal1HZX-Rhodopsin-11-cis-Retinal
33.33Single2J4Y11-cis-Retinal2J4Y-Rhodopsin-11-cis-Retinal
33.33Single4DAJTiotropium4DAJ-M3-Tiotropium
33.33Single4EJ4Naltrindole4EJ4-δ-Naltrindole
33.33Single4MQSIperoxo4MQS-M2-Iperoxo
33.33Single4U14Tiotropium4U14-M3-Tiotropium
33.33Single4U16N-methyl-Scopolamine4U16-M3-N-methyl-Scopolamine
33.33Single5DHHSB-6121115DHH-NOP-SB-612111
33.33Single5TUDErgotamine5TUD-5-HT2B-Ergotamine
33.33Single5WF5UK-4320975WF5-A2A-UK-432097
33.33Single5WKTOctyl-Beta-D-Glucopyranoside5WKT-Rhodopsin-Octyl-β-D-Glucopyranoside-Gt(CT)
33.33Single5YC8N-methyl-Scopolamine5YC8-M2-N-methyl-Scopolamine
33.33Single5ZK8N-methyl-Scopolamine5ZK8-M2-N-methyl-Scopolamine
33.33Single5ZKCN-methyl-Scopolamine5ZKC-M2-N-methyl-Scopolamine
33.33Single6DRZMethysergide6DRZ-5-HT2B-Methysergide
33.33Single6FUFAll-trans-Retinal6FUF-Rhodopsin-All-trans-Retinal-Go
33.33Single6LRYSarafotoxin-B6LRY-ETB-Sarafotoxin-B
33.33Single6ME5Agomelatine6ME5-MT1-Agomelatine
33.33Single6PT2KGCHM076PT2-δ-KGCHM07
33.33Single7CFMP3957CFM-GPBA-P395-Gs/β1/γ2
33.33Single7DD7Ca; Ca; Tryptophan; Evocalcet7DD7-CaS; CaS-Ca-Ca; Ca; Tryptophan; Evocalcet
33.33Single7EJKOxymetazoline7EJK-α2a-Oxymetazoline-Go/β1/γ2
33.33Single7EZCUK-4320977EZC-A2A-UK-432097
33.33Single7F23Dopamine7F23-D1-Dopamine-GDP-Gs/β1/γ2
33.33Single7F4FAfamelanotide7F4F-MC1-Afamelanotide-chim(NtGi1-Gs)/β1/γ2
33.33Single7MBYCholecystokinin-87MBY-CCKA-Cholecystokinin-8-chim(NtGi1L-Gs-CtGq)/β1/γ2
33.33Single7SK7CCX6627SK7-ACKR3-CXCL12-CCX662
33.33Single7TRPIperoxo7TRP-M4-Iperoxo-LY2033298-Gi1/β1/γ2
33.33Single7V3ZCP559407V3Z-CB1-CP55940
33.33Single7VH0Ramelteon7VH0-MT2-Ramelteon-Gi1/β1/γ1
33.33Single7WC5Psilocin7WC5-5-HT2A-Psilocin
33.33Single7X1UTRH7X1U-TRH-TRH-chim(NtGi2L-Gs-CtGq)/β1/γ2
33.33Single7XZ6APD6687XZ6-GPR119-APD668-Gs/β1/γ2
33.33Single7Y65C5a (C-terminal peptide)7Y65-C5a1-C5a (C-terminal peptide)-Gi1/β1/γ2
33.33Single7YACPaltusotine7YAC-SST2-Paltusotine-Gi1/β1/γ2
33.33Single7YU4ONO-07405567YU4-LPA1-ONO-0740556
33.33Single8CICEtrumadenant8CIC-A2A-Etrumadenant-Na
33.33Single8CU6LJ-45178CU6-A2A-LJ-4517
33.33Single8CU7LJ-45178CU7-A2A-LJ-4517-Na
33.33Single8GGEConstrained Epinephrine8GGE-β2-Constrained Epinephrine-GTP-Gs/β1/γ2
33.33Single8I7VAcipimox8I7V-HCA2-Acipimox-Gi1/β1/γ2
33.33Single8IHJAcifran8IHJ-HCA3-Acifran-Gi1/β1/γ2
33.33Single8IW72-Phenylethylamine8IW7-TAA9-2-Phenylethylamine-chim(NtGi1-Gs)/β1/γ2
33.33Single8J6PNiacin8J6P-HCA2-Niacin-PubChem 25101223-Gi1/β1/γ2
33.33Single8J6QBeta-Hydroxybutyrate8J6Q-HCA2-β-Hydroxybutyrate-PubChem 25101223-Gi1/β1/γ2
33.33Single8JD0NAM5638JD0-mGlu2; mGlu3-Glutamate-NAM563
33.33Single8JIINiacin8JII-HCA2-Niacin-PubChem 25101223-Gi1/β1/γ2
33.33Single8WC9ZH86518WC9-TA1-ZH8651-chim(NtGi1-Gs-CtGq)/β1/γ2
33.33Single8WRZAM8418WRZ-CB1-AM841-Arrestin2
33.33Single8X17Namodenoson8X17-A3A-Namodenoson-Gi1/β1/γ2
33.33Single8XWPEndothelin-18XWP-ETB-Endothelin-1-Gi1/β1/γ2
33.33Single8Y63C20:0 Ceramide8Y63-FPR2-ALX-C20:0 Ceramide-Gi1/β1/γ2
33.33Single8Y71A1D6F8Y71-δ-A1D6F-BMS986187-Gi1/β1/γ2
33.33Single8YN8Proxyfan8YN8-H3-Proxyfan-Go/β1/γ2
33.33Single8ZQEGPR15L(CT)8ZQE-GPR15-GPR15L(CT)-Gi1/β1/γ1
33.33Single9CGJC6-Quino9CGJ-δ-C6-Quino-Gi1/β1/γ2
33.33Single9H37PubChem 1756706469H37-A2A-PubChem 175670646-Na
33.33Single9IV15alpha-DHT9IV1-ADGRD1-5α-DHT-chim(NtGi1-Gs)/β1/γ2
33.33Single9IYAONO-97105319IYA-GPR55-ONO-9710531
33.33Single9IZCMK19039IZC-HCA2-MK1903-Gi1/β1/γ2
33.33Single9IZFLPA9IZF-LPA1-LPA-Gi1/β1/γ2
33.33Single9JEAAtropine9JEA-M1-Atropine
33.33Single9JGKBalovaptan9JGK-5-HT2B-Balovaptan
33.33Single9K26PrRP319K26-PrRP-PrRP31-Gi1/β1/γ2
33.33Single9KFTfMLFC9KFT-FPR1-ALX-fMLFC-Gi1/β1/γ2
33.33Single9KT8Acifran9KT8-HCA2-Acifran-Gi1/β1/γ2
33.33Single9KUGEP679KUG-C5a1-EP67-Go/β1/γ2
33.33Single9M54Neuropeptide-VF9M54-NPFF2-Neuropeptide-VF-Gi1/β1/γ2
33.33Single9PXWNaloxone9PXW-μ-Naloxone-GDPβS-Gi1/β1/γ2
33.33Single9UAZAtropine9UAZ-M1-Atropine
33.33Consensus5ht2_onOrthosteric Ligand5ht2b_on
33.33Consensus5ht2b_offOrthosteric Ligand6DRZ-5-HT2B-Methysergide
33.33Consensus5ht2b_onOrthosteric Ligand7SRR-5-HT2B-LSD-chim(NtGi2L-Gs-CtGq)/β1/γ2
33.33Consensusa3_onOrthosteric Liganda3a_on
33.33Consensusangiotensin_onOrthosteric Ligandat1_on
33.33Consensusat1_onOrthosteric Ligand7F6G-AT1-(Sar1)-Angiotensin II-Gq/β1/γ2
33.33Consensusc3a_on_gpOrthosteric Ligand8HK2-C3aB-C3a-Gi1/β1/γ2 8IA8-C3aB-E7 peptide-Gi1/β1/γ2
33.33Consensuscck_offOrthosteric Ligandccka_off
33.33Consensusccka_offOrthosteric Ligand7F8Y-CCKA-Devazepide 7F8U-CCKA-Lintitript
33.33Consensuschemerin_onOrthosteric Ligandcml1_on
33.33Consensusdop_offOrthosteric Ligand4EJ4-δ-Naltrindole
33.33Consensusgi_hcaOrthosteric Ligand8J6R-HCA2-MK6892-Gi1/β1/γ2 8JIM-HCA2-Monomethyl fumarate-Gi1/β1/γ2 8IHI-HCA2-Acifran-Gi1/β1/γ2 8IHH-HCA2-LUF6283-Gi1/β1/γ2 8I7V-HCA2-Acipimox-Gi1/β1/γ2 8I7W-HCA2-GSK256073-Gi1/β1/γ2
33.33Consensusgi_somatostatinOrthosteric Ligand7WIC-SST2-Somatostatin-14-Gi1/β1/γ2 7XMS-SST4-Somatostatin-14-Gi1/β1/γ2 8X8L-SST5-Cortistatin-14-chim(NtGi1-Gs-CtGi1)/β1/γ2 7XMT-SST4-J-2156-Gi1/β1/γ2 7WIG-SST2-L-054264-Gi1/β1/γ2 8X8N-SST5-Octreotide-chim(NtGi1-Gs-CtGi1)/β1/γ2 7YAE-SST2-Octreotide-Gi1/β1/γ2 7YAC-SST2-Paltusotine-Gi1/β1/γ2
33.33Consensusgq_amineOrthosteric Ligandgq_muscarinic gq_histamine
33.33Consensusgs_peptideOrthosteric Ligandgs_cck gs_melanocortin gs_vasop-oxy
33.33Consensushca2_onOrthosteric Ligand8J6R-HCA2-MK6892-Gi1/β1/γ2 8JIM-HCA2-Monomethyl fumarate-Gi1/β1/γ2 8I7V-HCA2-Acipimox-Gi1/β1/γ2 8I7W-HCA2-GSK256073-Gi1/β1/γ2 8IHH-HCA2-LUF6283-Gi1/β1/γ2 8IHI-HCA2-Acifran-Gi1/β1/γ2
33.33Consensushca2_on_gpOrthosteric Ligand8J6R-HCA2-MK6892-Gi1/β1/γ2 8IHI-HCA2-Acifran-Gi1/β1/γ2 8IHH-HCA2-LUF6283-Gi1/β1/γ2 8I7V-HCA2-Acipimox-Gi1/β1/γ2 8JIM-HCA2-Monomethyl fumarate-Gi1/β1/γ2 8I7W-HCA2-GSK256073-Gi1/β1/γ2
33.33Consensushca_on_gpOrthosteric Ligandhca2_on_gp
33.33Consensuslipid_offOrthosteric Ligandcannabinoid_off paf_off lpl_off prostanoid_off leukotriene_off
33.33Consensusnucleotide_on_gpOrthosteric Ligandadenosine_on_gp p2y_on_gp
33.33Consensuspeptide_offOrthosteric Ligandcck_off angiotensin_off bombesin_off endothelin_off ghrelin_off npy_off opioid_off orexin_off somatostatin_off tachykinin_off vasop-oxy_off neurotensin_off
33.33Consensussomatostatin_onOrthosteric Ligandsst2_on sst4_on sst5_on
33.33Consensussomatostatin_on_gpOrthosteric Ligandsst2_on_gp sst4_on_gp sst5_on_gp
32.14Single6IGLIRL16206IGL-ETB-IRL1620
32.14Single7VGXNeuropeptide-Y7VGX-Y1-Neuropeptide-Y-Gi1/β1/γ2
32.14Single8Y52BA18Y52-BB3-BA1-chim(NtGi1-Gs-CtGq)/β1/γ2
32.00Single6WIVPubChem 52923113; PubChem 529246456WIV-GABAB1, GABAB2-PubChem 52923113; PubChem 52924645
32.00Single7DW9AVP7DW9-V2-AVP-chim(NtGi1-Gs)/β1/γ2
32.00Single7F4HAfamelanotide7F4H-MC1-Afamelanotide-chim(NtGi1-Gs)/β1/γ2
32.00Single7F6G(Sar1)-Angiotensin II7F6G-AT1-(Sar1)-Angiotensin II-Gq/β1/γ2
32.00Single7KH0AVP7KH0-V2-AVP-chim(NtGi1-Gs)/β1/γ2
32.00Single8IEDPubChem 1347468948IED-GPR156; GPR156-PubChem 134746894-Go/β1/γ2
32.00Consensusangiotensin_on_gpOrthosteric Ligandat1_on_gp
32.00Consensusat1_on_gpOrthosteric Ligand7F6G-AT1-(Sar1)-Angiotensin II-Gq/β1/γ2
32.00Consensusfpr2-alx_on_gpOrthosteric Ligand7WVX-FPR2-ALX-Humanin-Gi2/β1/γ2 7T6U-FPR2-ALX-CGEN-855A-Gi1/β1/γ2 7T6V-FPR2-ALX-fMLFII-Gi1/β1/γ2 7WVY-FPR2-ALX-Amyloid-β42-Gi2/β1/γ2 7T6S-FPR2-ALX-TC-FPR 43-Gi1/β1/γ2 6OMM-FPR2-ALX-WKYMVX-Gi1/β1/γ2
32.00Consensusgi_formylpeptideOrthosteric Ligand7WVY-FPR2-ALX-Amyloid-β42-Gi2/β1/γ2 7T6U-FPR2-ALX-CGEN-855A-Gi1/β1/γ2 7VFX-FPR1-ALX-fMIFL-Gi1/β1/γ2 7T6V-FPR2-ALX-fMLFII-Gi1/β1/γ2 7WVX-FPR2-ALX-Humanin-Gi2/β1/γ2 7T6S-FPR2-ALX-TC-FPR 43-Gi1/β1/γ2 6OMM-FPR2-ALX-WKYMVX-Gi1/β1/γ2
32.00Consensusgq_angiotensinOrthosteric Ligand7F6G-AT1-(Sar1)-Angiotensin II-Gq/β1/γ2
32.00Consensusgs_vasop-oxyOrthosteric Ligand7DW9-V2-AVP-chim(NtGi1-Gs)/β1/γ2
32.00Consensusprotein_onOrthosteric Ligandchemokine_on chemerin_on
32.00Consensusv2_onOrthosteric Ligand7DW9-V2-AVP-chim(NtGi1-Gs)/β1/γ2
32.00Consensusv2_on_gpOrthosteric Ligand7DW9-V2-AVP-chim(NtGi1-Gs)/β1/γ2
32.00Consensusvasop-oxy_onOrthosteric Ligandv2_on
32.00Consensusvasop-oxy_on_gpOrthosteric Ligandv2_on_gp
31.82Single5WF6UK-4320975WF6-A2A-UK-432097
31.82Single6PT3DPI-2876PT3-δ-DPI-287
31.82Single7SK9CCX6627SK9-ACKR3-CCX662
31.82Single7T11Octreotide7T11-SST2-Octreotide-Gi3/β1/γ2
31.82Single7Y1FDynorphin7Y1F-κ-Dynorphin-Gi1/β1/γ2
31.82Single8IA7Cholecystokinin-88IA7-CCKB-Cholecystokinin-8-chim(NtGi1L-Gq)/β1/γ2
31.82Single8QJ2pN1628QJ2-MC4-pN162-Gs/β1/γ2
31.82Single9CGKC5-Quino9CGK-δ-C5-Quino-Gi1/β1/γ2
31.82Single9IZASCH9002719IZA-HCA2-SCH900271-Gi1/β1/γ2
31.82Single9V2NMacimorelin9V2N-Ghrelin-Macimorelin-chim(NtGi1-Gs-CtGq)/β1/γ2
31.82Single9WSXEndomorphin9WSX-μ-Endomorphin-Arrestin2
31.82Consensusformylpeptide_onOrthosteric Ligandfpr2-alx_on fpr1-alx_on
31.82Consensussst2_onOrthosteric Ligand7WIC-SST2-Somatostatin-14-Gi1/β1/γ2 7WIG-SST2-L-054264-Gi1/β1/γ2 7YAE-SST2-Octreotide-Gi1/β1/γ2 7YAC-SST2-Paltusotine-Gi1/β1/γ2
31.82Consensussst2_on_gpOrthosteric Ligand7WIC-SST2-Somatostatin-14-Gi1/β1/γ2 7WIG-SST2-L-054264-Gi1/β1/γ2 7YAE-SST2-Octreotide-Gi1/β1/γ2 7YAC-SST2-Paltusotine-Gi1/β1/γ2
31.58Single5NM2ZM-2413855NM2-A2A-ZM-241385-Na
31.58Single6D26Fevipiprant6D26-DP2-Fevipiprant
31.58Single6GDGNECA6GDG-A2A-NECA-Gs/β1/γ1
31.58Single6HLPNetupitant6HLP-NK1-Netupitant
31.58Single6LUQHaloperidol6LUQ-D2-Haloperidol
31.58Single7C4SS1P7C4S-S1P3-S1P
31.58Single7EPFNAM5977EPF-mGlu2-NAM597
31.58Single7EUOfMLF7EUO-FPR1-ALX-fMLF-Gi1/β1/γ2
31.58Single7TRKIperoxo7TRK-M4-Iperoxo-Gi1/β1/γ2
31.58Single7VFXfMIFL7VFX-FPR1-ALX-fMIFL-Gi1/β1/γ2
31.58Single7YU3ONO-07405567YU3-LPA1-ONO-0740556-Gi1/β1/γ2
31.58Single8E9ZIperoxo8E9Z-M3-Iperoxo-chim(NtGi2L-Gs-CtGq)/β1/γ2
31.58Single8HNLPS3724248HNL-CXCR3-PS372424-Gi1/β1/γ2
31.58Single8KFXLMD-0098KFX-CCR8-LMD-009-Gi1/β1/γ2
31.58Single8QOTNanobody-E8QOT-μ-Nanobody-E
31.58Single8S4DCMF-0198S4D-Apelin-CMF-019
31.58Single8SZGCa; Ca; Tryptophan; Cinacalcet; PO4; Spermine8SZG-CaS; CaS-Ca; Ca; Tryptophan; Cinacalcet; PO4; Spermine-chim(NtGi1-Gq)/β1/γ2
31.58Single8UUJFCH-22964138UUJ-HCA2-FCH-2296413-Gi1/β1/γ2
31.58Single8XYKVUF106618XYK-CXCR3-VUF10661-Go/β1/γ2
31.58Single8ZPTPrRP208ZPT-PrRP-PrRP20-chim(NtGi1-Gs-CtGq)/β1/γ2
31.58Single8ZRKGSK12922638ZRK-GPR119-GSK1292263-Gs/β1/γ2
31.58Single9AVLCa; Ca; Cyclomethyltryptophan; R-568; PO49AVL-CaS; CaS-Ca-Ca; Ca; Cyclomethyltryptophan; R-568; PO4-Gi3/β2/γ2
31.58Single9AXFCa; Ca; Ca; Cyclomethyltryptophan; R-568; PO49AXF-CaS; CaS-Ca-Ca; Ca; Ca; Cyclomethyltryptophan; R-568; PO4-chim(NtGi1-Gs-CtGq)/β1/γ2
31.58Single9CIBFCH-22964139CIB-HCA2-FCH-2296413
31.58Single9EHSLUF76029EHS-A3A-LUF7602
31.58Single9F34FOB02-04A9F34-D3-FOB02-04A-Go/β1/γ2
31.58Single9HAPTolvaptan9HAP-V2-Tolvaptan
31.58Single9KT6Acifran9KT6-HCA3-Acifran-Gi1/β1/γ2
31.58Single9KUTJR14a9KUT-C3aB-JR14a-Go/β1/γ2
31.58Single9M8POleic monoethanolamide9M8P-GPR3 ; GPR3-Oleic monoethanolamide-AF64394
31.58Consensus5ht2_offOrthosteric Ligand5ht2a_off 5ht2b_off 5ht2c_off
31.58Consensusa3_on_gpOrthosteric Liganda3a_on_gp
31.58Consensusa3a_onOrthosteric Ligand8X17-A3A-Namodenoson-Gi1/β1/γ2 8X16-A3A-Piclidenoson-Gi1/β1/γ2
31.58Consensusa3a_on_gpOrthosteric Ligand8X17-A3A-Namodenoson-Gi1/β1/γ2 8X16-A3A-Piclidenoson-Gi1/β1/γ2
31.58Consensusadenosine_offOrthosteric Liganda1_off a2_off
31.58Consensusdp2_offOrthosteric Ligand6D26-DP2-Fevipiprant
31.58Consensusdp_offOrthosteric Liganddp2_off
31.58Consensusfpr1-alx_onOrthosteric Ligand7VFX-FPR1-ALX-fMIFL-Gi1/β1/γ2
31.58Consensusfpr1-alx_on_gpOrthosteric Ligand7VFX-FPR1-ALX-fMIFL-Gi1/β1/γ2
31.58Consensuslipid_onOrthosteric Ligandcannabinoid_on ffa_on lpl_on prostanoid_on leukotriene_on
31.58Consensuslipid_on_gpOrthosteric Ligandcannabinoid_on_gp ffa_on_gp lpl_on_gp prostanoid_on_gp leukotriene_on_gp
31.58Consensusm2_offOrthosteric Ligand5ZKC-M2-N-methyl-Scopolamine 5ZK3-M2-3-quinuclidinyl-benzilate 5ZKB-M2-AF-DX 384
31.58Consensusm3_onOrthosteric Ligand8E9Z-M3-Iperoxo-chim(NtGi2L-Gs-CtGq)/β1/γ2 8E9W-M3-2-Deoxycytidine-chim(NtGi2L-Gs-CtGq)/β1/γ2 8E9Y-M3-Clozapine-N-oxide-chim(NtGi2L-Gs-CtGq)/β1/γ2
31.58Consensusm3_on_gpOrthosteric Ligand8E9Z-M3-Iperoxo-chim(NtGi2L-Gs-CtGq)/β1/γ2 8E9W-M3-2-Deoxycytidine-chim(NtGi2L-Gs-CtGq)/β1/γ2 8E9Y-M3-Clozapine-N-oxide-chim(NtGi2L-Gs-CtGq)/β1/γ2
31.58Consensusnucleotide_onOrthosteric Ligandadenosine_on p2y_on
31.58Consensuss1p_offOrthosteric Ligands1p1_off s1p5_off
31.25Single3OE9IT1t3OE9-CXCR4-IT1t
31.25Single6I9K9-cis-Retinal6I9K-Rhodopsin-9-cis-Retinal
31.25Single6PGSGeraniol6PGS-Rhodopsin-Geraniol-Gt(CT)
31.25Single6QNOAll-trans-Retinal6QNO-Rhodopsin-All-trans-Retinal-Gi1/β1/γ1
31.25Single7DD7Ca; Ca; Tryptophan; Evocalcet7DD7-CaS; CaS-Ca-Ca; Ca; Tryptophan; Evocalcet
31.25Single7YFCHistamine7YFC-H4-Histamine-chim(NtGi1-Gs-CtGq)/β1/γ2
31.25Single8H2GNiacin8H2G-HCA2-Niacin-Gi1/β1/γ2
31.25Single8IHIAcifran8IHI-HCA2-Acifran-Gi1/β1/γ2
31.25Single8JPNCis-Epoxysuccinic acid8JPN-Succinate-Cis-Epoxysuccinic acid-Gi1/β1/γ1
31.25Single8K5BNiacin8K5B-HCA2-Niacin
31.25Single8UO3Constrained Epinephrine8UO3-β2-Constrained Epinephrine-GTP; Mg-Gs/β1/γ2
31.25Single8WP1Cis-Epoxysuccinic acid8WP1-Succinate-Cis-Epoxysuccinic acid-Gi1/β1/γ2
31.25Single8YN5Histamine8YN5-H3-Histamine-Gi1/β1/γ2
31.25Single8YN6Imetit8YN6-H3-Imetit-Gi1/β1/γ2
31.25Single8YN7Immethridine8YN7-H3-Immethridine-Go/β1/γ2
31.03Single5GLHEndothelin-15GLH-ETB-Endothelin-1
31.03Single6IGKEndothelin-36IGK-ETB-Endothelin-3
31.03Single8ZJETAK4488ZJE-Kiss1-TAK448-chim(NtGi1-Gq)/β1/γ1
30.77Single7QBIAlpha-factor mating pheromone7QBI-STE2; STE2-α-factor mating pheromone
30.77Single7X9CPancreatic Hormone7X9C-Y4-Pancreatic Hormone-Gi1/β1/γ2
30.77Single7XV3Lysophosphatidylserine (WJS)7XV3-GPR174-Lysophosphatidylserine (WJS)-chim(NtGi1-Gs)/β1/γ2
30.77Single7Y64C5a7Y64-C5a1-C5a-Gi1/β1/γ2
30.77Single8HK5C5a8HK5-C5a1-C5a-Gi1/β1/γ2
30.77Single8HNKCXCL118HNK-CXCR3-CXCL11-Gi1/β1/γ2
30.77Single8WCBCyclohexylammonium Ion8WCB-TA1-Cyclohexylammonium Ion-chim(NtGi1-Gs-CtGq)/β1/γ2
30.77Single8WCCCyclohexylammonium Ion8WCC-TA1-Cyclohexylammonium Ion
30.77Single8ZRTEndothelin-18ZRT-ETB-Endothelin-1
30.77Single9JFYNeuropeptide-SF9JFY-NPFF2-Neuropeptide-SF-Gi1/β1/γ2
30.77Consensusmc1_onOrthosteric Ligand7F4H-MC1-Afamelanotide-chim(NtGi1-Gs)/β1/γ2 7F4D-MC1-α-MSH-chim(NtGi1-Gs)/β1/γ2 7F4I-MC1-SHU9119-chim(NtGi1-Gs)/β1/γ2
30.77Consensusmc1_on_gpOrthosteric Ligand7F4H-MC1-Afamelanotide-chim(NtGi1-Gs)/β1/γ2 7F4D-MC1-α-MSH-chim(NtGi1-Gs)/β1/γ2 7F4I-MC1-SHU9119-chim(NtGi1-Gs)/β1/γ2
30.77Consensussst5_on_gpOrthosteric Ligand8X8L-SST5-Cortistatin-14-chim(NtGi1-Gs-CtGi1)/β1/γ2 8X8N-SST5-Octreotide-chim(NtGi1-Gs-CtGi1)/β1/γ2
30.43Single7QA8Antagonist Peptide7QA8-STE2; STE2-Antagonist Peptide
30.43Single7QA8Antagonist Peptide7QA8-STE2; STE2-Antagonist Peptide
30.43Single7T6UCGEN-855A7T6U-FPR2-ALX-CGEN-855A-Gi1/β1/γ2
30.43Single7WKDTRH7WKD-TRH-TRH-chim(NtGi1-Gs-CtGq)/β1/γ2
30.43Single7XAUOctreotide7XAU-SST2-Octreotide-Gi1/β1/γ2
30.43Single8IEBPubChem 1347468948IEB-GPR156; GPR156-PubChem 134746894
30.43Single8J6RMK68928J6R-HCA2-MK6892-Gi1/β1/γ2
30.43Single8ZBJSomatostatin-148ZBJ-SST5-Somatostatin-14-Gi1/β1/γ2
30.43Single9KWGC5a9KWG-C5a1-C5a-Go/β1/γ2
30.43Consensuschemerin_on_gpOrthosteric Ligandcml1_on_gp
30.43Consensuscml1_onOrthosteric Ligand7YKD-CML1-Chemerin-9-Gi1/β1/γ2
30.43Consensusgi_chemerinOrthosteric Ligand7YKD-CML1-Chemerin-9-Gi1/β1/γ2
30.43Consensusgi_nucleotideOrthosteric Ligandgi_adenosine gi_p2y
30.00Single4IAQDihydroergotamine4IAQ-5-HT1B-Dihydroergotamine
30.00Single5XR8AM120335XR8-CB1-AM12033
30.00Single5XRAAM115425XRA-CB1-AM11542
30.00Single7EW4CYM-55417EW4-S1P3-CYM-5541-Gi1/β1/γ2
30.00Single7FEECP559407FEE-CB1-CP55940-ZCZ011
30.00Single7M8W15r-Methyl-PGD27M8W-DP2-15r-Methyl-PGD2-Na
30.00Single7TD1LPA7TD1-LPA1-LPA-Gi1/β1/γ2
30.00Single7TRQIperoxo7TRQ-M4-Iperoxo-VU0467154-Gi1/β1/γ2
30.00Single7WVXHumanin7WVX-FPR2-ALX-Humanin-Gi2/β1/γ2
30.00Single7XTQR3997XTQ-GPBA-R399-Gs/β1/γ2
30.00Single7XY7NECA7XY7-A2B-NECA-chim(NtGi1-Gs)/β1/γ2
30.00Single7YU5ONO-07405567YU5-LPA1-ONO-0740556-Gi1/β1/γ2
30.00Single8EA0Iperoxo8EA0-M3-Iperoxo
30.00Single8HDOBAY 60-65838HDO-A2B-BAY 60-6583-Gs/β1/γ2
30.00Single8IHHLUF62838IHH-HCA2-LUF6283-Gi1/β1/γ2
30.00Single8JXXClobenpropit8JXX-H4-Clobenpropit-Gi1/β1/γ2
30.00Single8JZPC5a8JZP-C5a1-C5a-Go/β1/γ2
30.00Single8VVEnorBNI8VVE-κ-norBNI-Gi1/β1/γ2
30.00Single8XIPPasireotide8XIP-SST1-Pasireotide-chim(NtGi1-Gs-CtGi1)/β1/γ2
30.00Single8YH6Namodenoson8YH6-A3A-Namodenoson-Gi1/β1/γ2
30.00Single9AS9RS130-1809AS9-5-HT2A-RS130-180
30.00Single9ASARS130-1809ASA-5-HT2A-RS130-180-chim(NtGi1-Gs-CtGq)/β1/γ2
30.00Single9AYFCa; Ca; Ca; Cyclomethyltryptophan; R-568; PO49AYF-CaS; CaS-Ca-Ca; Ca; Ca; Cyclomethyltryptophan; R-568; PO4-Gi1/β1/γ2
30.00Single9UY3Anamorelin9UY3-Ghrelin-Anamorelin-chim(NtGi1-Gs-CtGq)/β1/γ2
30.00Consensusgi_lpaOrthosteric Ligand7TD1-LPA1-LPA-Gi1/β1/γ2 7YU3-LPA1-ONO-0740556-Gi1/β1/γ2
30.00Consensuslpa_onOrthosteric Ligandlpa1_on
30.00Consensuslpa_on_gpOrthosteric Ligandlpa1_on_gp
29.63Single7F8VGastrin-177F8V-CCKB-Gastrin-17-Gi2/β1/γ2
29.63Single7QBIAlpha-factor mating pheromone7QBI-STE2; STE2-α-factor mating pheromone
29.63Single7YKDChemerin-97YKD-CML1-Chemerin-9-Gi1/β1/γ2
29.63Single8XQFApelin-138XQF-Apelin-Apelin-13-Gi1/β1/γ2
29.63Consensusgi_compl-peptOrthosteric Ligand8HK5-C5a1-C5a-Gi1/β1/γ2 8IA8-C3aB-E7 peptide-Gi1/β1/γ2 7Y66-C5a1-BM213-Gi1/β1/γ2 7Y67-C5a1-C089 peptide-Gi1/β1/γ2 8HK2-C3aB-C3a-Gi1/β1/γ2 7Y64-C5a1-C5a-Gi1/β1/γ2
29.63Consensusgi_proteinOrthosteric Ligandgi_chemokine gi_chemerin
29.63Consensusnpy4_onOrthosteric Ligand7X9C-Y4-Pancreatic Hormone-Gi1/β1/γ2
29.63Consensusnpy4_on_gpOrthosteric Ligand7X9C-Y4-Pancreatic Hormone-Gi1/β1/γ2
29.63Consensusprotein_on_gpOrthosteric Ligandchemokine_on_gp chemerin_on_gp
29.41Single1GZM11-cis-Retinal1GZM-Rhodopsin-11-cis-Retinal
29.41Single2PED9-cis-Retinal2PED-Rhodopsin-9-cis-Retinal
29.41Single3C9L11-cis-Retinal3C9L-Rhodopsin-11-cis-Retinal
29.41Single3V2WPubChem 518926453V2W-S1P1-PubChem 51892645
29.41Single3VG9ZM-2413853VG9-A2A-ZM-241385-Antibody
29.41Single4S0VSuvorexant4S0V-OX2-Suvorexant
29.41Single5K2DZM-2413855K2D-A2A-ZM-241385-Na
29.41Single5OLOTozadenant5OLO-A2A-Tozadenant-Na
29.41Single5OLVLUAA470705OLV-A2A-LUAA47070-Na
29.41Single6DS0LY2660976DS0-5-HT2B-LY266097
29.41Single6JZHZM-2413856JZH-A2A-ZM-241385-Na
29.41Single6ME9Ramelteon6ME9-MT2-Ramelteon
29.41Single6OYAAll-trans-Retinal6OYA-Rhodopsin-All-trans-Retinal-Gt/β1/γ1
29.41Single6PS7ZM-2413856PS7-A2A-ZM-241385-Na
29.41Single6TPJSuvorexant6TPJ-OX2-Suvorexant
29.41Single7EJ0Norepinephrine7EJ0-α2a-Norepinephrine-Go/β1/γ2
29.41Single7M3ECa; Ca; Tryptophan; NPS-21437M3E-CaS; CaS-Ca; Ca; Tryptophan; NPS-2143
29.41Single7M3ECa; Ca; Tryptophan; NPS-21437M3E-CaS; CaS-Ca; Ca; Tryptophan; NPS-2143
29.41Single7M3FCa; Ca; Tryptophan; Cinacalcet7M3F-CaS; CaS-Ca; Ca; Tryptophan; Cinacalcet
29.41Single7T6STC-FPR 437T6S-FPR2-ALX-TC-FPR 43-Gi1/β1/γ2
29.41Single7VIHCBP-3077VIH-S1P1-CBP-307-Gi1/β1/γ2
29.41Single7VUJJNJ-635330547VUJ-GPR139-JNJ-63533054-GDP-chim(Gs-CtGq)/β1/γ2
29.41Single7W0MPubChem 1227019087W0M-Apelin-PubChem 122701908-Gi1/β1/γ2
29.41Single7W0OElabela7W0O-Apelin-Elabela-Gi1/β1/γ2
29.41Single7YM8Oxymetazoline7YM8-Alpha1A-Oxymetazoline-chim(Gs-CtGq)
29.41Single8DU3PubChem 1055260648DU3-A2A-PubChem 105526064
29.41Single8FYXBuspirone8FYX-5-HT1A-Buspirone-PtdIns4P-Gi1/β1/γ1
29.41Single8GNGIstradefylline8GNG-A2A-Istradefylline
29.41Single8HOCImetit8HOC-H4-Imetit-Gi1/β1/γ2
29.41Single8IJANiacin8IJA-HCA2-Niacin-Gi1/β1/γ2
29.41Single8IW4Spermidine8IW4-TAA9-Spermidine-chim(NtGi1-Gs)/β1/γ2
29.41Single8IWESpermidine8IWE-TAA9-Spermidine
29.41Single8JPPSuccinic acid8JPP-Succinate-Succinic acid-chim(Gs-CtGq)/β1/γ1
29.41Single8RW0Istradefylline8RW0-A2A-Istradefylline-Na
29.41Single8WOGSuccinic acid8WOG-Succinate-Succinic acid-Gi1/β1/γ2
29.41Single8WPGTryptophan; Cinacalcet; PO4; Ca8WPG-CaS; CaS-Tryptophan; Cinacalcet; PO4; Ca
29.41Single8XXVIndomethacin8XXV-DP2-Indomethacin-A1D5Q-Gi1/β1/γ2
29.41Single8Y0HVUF114188Y0H-CXCR3-VUF11418
29.41Single8Y0NVUF114188Y0N-CXCR3-VUF11418-Go/β1/γ2
29.41Single8YKXMaleic acid8YKX-Succinate-Maleic acid-Gi1/β1/γ1
29.41Single8YNAImmepip8YNA-H4-Immepip-Gi1/β1/γ2
29.41Single8YUVImmepip8YUV-H3-Immepip-Gi1/β1/γ2
29.41Single8Z87CHBA8Z87-HCA1-CHBA-Gi1/β1/γ2
29.41Single9C1PCa; Tryptophan; '6218; PO49C1P-CaS; CaS-Ca-Ca; Tryptophan; '6218; PO4
29.41Single9EBHAdenosine9EBH-A3A-Adenosine-Gi1/β1/γ2
29.41Single9EEAAdenosine9EEA-A2A-Adenosine-Gs/β1/γ2
29.41Single9H2XPubChem 1756706449H2X-A2A-PubChem 175670644-Na
29.41Single9JKXAcifran9JKX-HCA3-Acifran-Gi1/β1/γ2
29.41Single9KPESalicin9KPE-TAS2R16-Salicin-Gi1/β1/γ2
29.41Single9LKDPL459LKD-OR5V1-PL45
29.41Single9VJ5Gepirone9VJ5-5-HT1A-Gepirone-Go/β1/γ2
29.41Consensusgi_succinateOrthosteric Ligand8YKW-Succinate-Succinic acid-Gi1/β1/γ1 8YKX-Succinate-Maleic acid-Gi1/β1/γ1
29.41Consensushistamine_onOrthosteric Ligandh1_on h2_on h3_on h4_on
29.41Consensushistamine_on_gpOrthosteric Ligandh1_on_gp h2_on_gp h3_on_gp h4_on_gp
29.41Consensusrhodopsin_offOrthosteric Ligand1U19-Rhodopsin-11-cis-Retinal 2PED-Rhodopsin-9-cis-Retinal 5TE5-Rhodopsin-20-Methanoretinal
29.41Consensusrhodopsin_on_gpOrthosteric Ligand6OYA-Rhodopsin-All-trans-Retinal-Gt/β1/γ1
29.41Consensuss1p1_offOrthosteric Ligand3V2W-S1P1-PubChem 51892645
29.41Consensussensory_offonOrthosteric Ligandsensory_off sensory_on
29.41Consensussensory_offon_gpOrthosteric Ligandsensory_on_gp sensory_on
29.41Consensussuccinate_onOrthosteric Ligand8YKW-Succinate-Succinic acid-Gi1/β1/γ1 8YKX-Succinate-Maleic acid-Gi1/β1/γ1
29.41Consensussuccinate_on_gpOrthosteric Ligand8YKW-Succinate-Succinic acid-Gi1/β1/γ1 8YKX-Succinate-Maleic acid-Gi1/β1/γ1
29.17Single6DO1(Sar1,Ile8)-Angiotensin II6DO1-AT1-(Sar1,Ile8)-Angiotensin II
29.17Single7DDZJNJ-310200287DDZ-Y2-JNJ-31020028
29.17Single8F7QBeta-Endorphin8F7Q-μ-β-Endorphin-Gi1/β1/γ2
29.17Single9E82CXCL12 (fragment)9E82-ACKR3-CXCL12 (fragment)-Arrestin2
29.17Single9IK8Pasireotide9IK8-SST1-Pasireotide-Gi1/β1/γ2
29.17Single9JFK(Pen5)-Urotensin II9JFK-UT-(Pen5)-Urotensin II-chim(NtGi2L-Gs-CtGq)/β1/γ2
29.17Single9KT7MK68929KT7-HCA2-MK6892-Gi1/β1/γ2
29.17Consensusccr8_on_gpOrthosteric Ligand8KFX-CCR8-LMD-009-Gi1/β1/γ2 8KFY-CCR8-ZK-756326-Gi1/β1/γ2 8U1U-CCR8-CCL1-Gi1/β1/γ2
29.17Consensuscompl-peptide_onOrthosteric Ligandc5a1_on c3a_on
29.17Consensusgi_cckOrthosteric Ligand7EZH-CCKA-Cholecystokinin-8-Gi1/β1/γ2 7F8V-CCKB-Gastrin-17-Gi2/β1/γ2
29.17Consensusgq_class-aOrthosteric Ligandgq_peptide gq_amine gq_nucleotide
29.17Consensusnpy2_offOrthosteric Ligand7DDZ-Y2-JNJ-31020028
28.57Single4OR2FITM4OR2-mGlu1; mGlu1-FITM
28.57Single5MZJTheophylline5MZJ-A2A-Theophylline-Na
28.57Single6A93Risperidone6A93-5-HT2A-Risperidone
28.57Single6CM4Risperidone6CM4-D2-Risperidone
28.57Single6KQICP559406KQI-CB1-CP55940-Org27569
28.57Single6OS0Angiotensin II6OS0-AT1-Angiotensin II
28.57Single7AD3Alpha-factor mating pheromone7AD3-STE2; STE2-α-factor mating pheromone-Gi1/STE4/γ2
28.57Single7EPENAM5637EPE-mGlu2-NAM563
28.57Single7L1UOrexin7L1U-OX2-Orexin-chim(NtGi1-Gs-CtGq)/β1/γ2
28.57Single7QBCAlpha-factor mating pheromone7QBC-STE2; STE2-α-factor mating pheromone
28.57Single7SUSPubChem 1227019087SUS-Apelin-PubChem 122701908
28.57Single7W0LPubChem 1227019087W0L-Apelin; Apelin-PubChem 122701908-Gi1/β1/γ2
28.57Single7WC4Serotonin7WC4-5-HT2A-Serotonin
28.57Single7WCNAR2314537WCN-GPR119-AR231453-Gs/β1/γ2
28.57Single7XATSomatostatin-147XAT-SST2-Somatostatin-14-Gi1/β1/γ2
28.57Single7Y66BM2137Y66-C5a1-BM213-Gi1/β1/γ2
28.57Single8H0QGastrin Releasing Peptide8H0Q-BB2-Gastrin Releasing Peptide-chim(NtGi1-Gs-CtGq)/β1/γ2
28.57Single8JD3JNJ-404118138JD3-mGlu2; mGlu3-Glutamate-JNJ-40411813-Gi1/β1/γ2
28.57Single8JJPChemerin-98JJP-CML2-Chemerin-9-Gi1/β1/γ2
28.57Single8PWNTheophylline8PWN-A2A-Theophylline
28.57Single9EK0Iperoxo9EK0-M5-Iperoxo-chim(NtGi1-Gs-CtGq)/β1/γ2
28.57Single9KZKC3a (fragment)9KZK-C3aB-C3a (fragment)-Go/β1/γ2
28.57Single9L3WChemerin9L3W-CML1-Chemerin-Gi1/β1/γ2
28.57Single9VIFNeuropeptide-VF9VIF-NPFF1-Neuropeptide-VF-Gi1/β1/γ2
28.57Single9W32SSTR5 antagonist 19W32-SST5-SSTR5 antagonist 1
28.57Consensusccr8_onOrthosteric Ligand8KFX-CCR8-LMD-009-Gi1/β1/γ2 8KFY-CCR8-ZK-756326-Gi1/β1/γ2 8U1U-CCR8-CCL1-Gi1/β1/γ2
28.57Consensusleukotriene_offOrthosteric Ligandblt_off cyslt_off
28.12Single7X9ANeuropeptide-Y7X9A-Y1-Neuropeptide-Y-Gi1/β1/γ2
28.12Consensusclass-a_class-b1_cons_on_gpOrthosteric Ligandclass-a_on_gp class-b1_on_gp
28.00Single7F4DAlpha-MSH7F4D-MC1-α-MSH-chim(NtGi1-Gs)/β1/γ2
28.00Single8K6MNeuropeptide-Y8K6M-Y1-Neuropeptide-Y-Gi2/β1/γ1
28.00Single8K6NNeuropeptide-Y8K6N-Y2-Neuropeptide-Y-Gi2/β1/γ1
28.00Single9K27PrRP319K27-PrRP-PrRP31-chim(NtGi1-Gq)/β1/γ2
28.00Single9UYIChemerin-99UYI-CML2-Chemerin-9-Arrestin2
28.00Consensuscompl-peptide_on_gpOrthosteric Ligandc5a1_on_gp c3a_on_gp
28.00Consensusfpr2-alx_onOrthosteric Ligand7WVX-FPR2-ALX-Humanin-Gi2/β1/γ2 7T6U-FPR2-ALX-CGEN-855A-Gi1/β1/γ2 7T6V-FPR2-ALX-fMLFII-Gi1/β1/γ2 7WVY-FPR2-ALX-Amyloid-β42-Gi2/β1/γ2 7T6S-FPR2-ALX-TC-FPR 43-Gi1/β1/γ2 6OMM-FPR2-ALX-WKYMVX-Gi1/β1/γ2
28.00Consensusnpy1_onOrthosteric Ligand8K6M-Y1-Neuropeptide-Y-Gi2/β1/γ1
28.00Consensusnpy1_on_gpOrthosteric Ligand8K6M-Y1-Neuropeptide-Y-Gi2/β1/γ1
27.78Single3OAX11-cis-Retinal3OAX-Rhodopsin-11-cis-Retinal
27.78Single3UZCPubChem 1355666093UZC-A2A-PubChem 135566609
27.78Single5IU4ZM-2413855IU4-A2A-ZM-241385-Na
27.78Single5IU7Q274563465IU7-A2A-Q27456346-Na
27.78Single5IUBQ274563445IUB-A2A-Q27456344-Na
27.78Single5JTBZM-2413855JTB-A2A-ZM-241385
27.78Single5K2BZM-2413855K2B-A2A-ZM-241385-Na
27.78Single5K2CZM-2413855K2C-A2A-ZM-241385-Na
27.78Single5NLXZM-2413855NLX-A2A-ZM-241385-Na
27.78Single5NM4ZM-2413855NM4-A2A-ZM-241385-Na
27.78Single5UVIZM-2413855UVI-A2A-ZM-241385
27.78Single6AQFZM-2413856AQF-A2A-ZM-241385
27.78Single6PELCitronellol6PEL-Rhodopsin-Citronellol-Gt(CT)
27.78Single6PT0WIN 55212-26PT0-CB2-WIN 55212-2-Gi1/β1/γ2
27.78Single6TPKRetosiban6TPK-OT-Retosiban
27.78Single6VI4JDTic6VI4-κ-JDTic
27.78Single6ZDRHMS1413f126ZDR-A2A-HMS1413f12-Na
27.78Single6ZDVPubChem 9840736ZDV-A2A-PubChem 984073-Na
27.78Single6ZFZ77-LH-28-16ZFZ-M1-77-LH-28-1
27.78Single7AROLUF58337ARO-A2A-LUF5833-Na
27.78Single7T32ZM-2413857T32-A2A-ZM-241385
27.78Single7T94Acetylcholine7T94-M2-Acetylcholine-LY2119620-chim(NtGi1-Go)/β1/γ2
27.78Single7TRSAcetylcholine7TRS-M4-Acetylcholine-Gi1/β1/γ2
27.78Single7VODCariprazine7VOD-5-HT2A-Cariprazine
27.78Single7VUGJNJ-635330547VUG-GPR139-JNJ-63533054-Gi1/β1/γ2
27.78Single7WC9PubChem 1624213647WC9-5-HT2A-PubChem 162421364
27.78Single7WVUfMLF7WVU-FPR1-ALX-fMLF-Gi1/β1/γ2
27.78Single7YK6PubChem 1383196747YK6-RXFP4-PubChem 138319674-Gi2/β1/γ2
27.78Single7ZBC11-cis-Retinal7ZBC-Rhodopsin-11-cis-Retinal
27.78Single7ZBE11-cis-Retinal7ZBE-Rhodopsin-11-cis-Retinal
27.78Single8JERAcipimox8JER-HCA2-Acipimox-Go/β1/γ2
27.78Single8RLNLUF58348RLN-A2A-LUF5834
27.78Single8RQQZM-2413858RQQ-A2A-ZM-241385-Na
27.78Single8RWCStilSwitch28RWC-A2A-StilSwitch2-Na
27.78Single8RWDStilSwitch38RWD-A2A-StilSwitch3-Na
27.78Single8RWIStilSwitch28RWI-A2A-StilSwitch2-Na
27.78Single8WPGTryptophan; Cinacalcet; PO4; Ca8WPG-CaS; CaS-Tryptophan; Cinacalcet; PO4; Ca
27.78Single8WPUTryptophan; Cinacalcet; PO4; Ca8WPU-CaS; CaS-Tryptophan; Cinacalcet; PO4; Ca-chim(NtGi2L-Gs-CtGq)/β1/γ2
27.78Single8Y01All-trans-Retinal8Y01-Opsin1MW-All-trans-Retinal-Gi1/β1/γ2
27.78Single8Y45ADL58598Y45-δ-ADL5859-Gi2/β1/γ2
27.78Single8Y62C16:0 Ceramide8Y62-FPR2-ALX-C16:0 Ceramide-Gi1/β1/γ2
27.78Single8Y6YGLPG09748Y6Y-FFA2-GLPG0974
27.78Single9ASBCa; Ca; Cyclomethyltryptophan; R-568; PO49ASB-CaS; CaS-Ca-Ca; Ca; Cyclomethyltryptophan; R-568; PO4-chim(NtGi1-Gs-CtGq)/β1/γ2
27.78Single9ASBCa; Ca; Cyclomethyltryptophan; R-568; PO49ASB-CaS; CaS-Ca-Ca; Ca; Cyclomethyltryptophan; R-568; PO4-chim(NtGi1-Gs-CtGq)/β1/γ2
27.78Single9AVGCa; Ca; Cyclomethyltryptophan; R-568; PO49AVG-CaS; CaS-Ca-Ca; Ca; Cyclomethyltryptophan; R-568; PO4-chim(NtGi1-Gs)/β1/γ2
27.78Single9JMDAzithromycin9JMD-Motilin-Azithromycin-chim(Gs-CtGq)/β1/γ2
27.78Single9KPDSalicin9KPD-TAS2R16-Salicin-chim(Gs-CtGt3)/β1/γ2
27.78Single9KUWCMPD6449KUW-Apelin; Apelin-CMPD644-Arrestin2 ; Arrestin2
27.78Single9KXSEP679KXS-C5a1-EP67-Go/β1/γ2
27.78Single9LKBPL459LKB-OR5V1-PL45-chim(NtGi1-Gs)/β1
27.78Single9M2FNeuropeptide-FF9M2F-NPFF1-Neuropeptide-FF-Gi1/β1/γ2
27.78Single9P1TZM-2413859P1T-A2A-ZM-241385
27.78Consensus5ht2a_offOrthosteric Ligand6A94-5-HT2A-Zotepine 6A93-5-HT2A-Risperidone 7VOD-5-HT2A-Cariprazine 7WC8-5-HT2A-Lumateperone 8JT8-5-HT2A-(R)-IHCH-7179
27.78Consensusa2_offOrthosteric Liganda2a_off
27.78Consensusa2a_offOrthosteric Ligand3RFM-A2A-Caffeine 8C9W-A2A-Etrumadenant 3UZA-A2A-GTPL9236 8GNG-A2A-Istradefylline 8CU6-A2A-LJ-4517 7PX4-A2A-PSB-2113 7PYR-A2A-PSB-2115 8DU3-A2A-PubChem 105526064 8JWY-A2A-2-118 8PWN-A2A-Theophylline 5IU4-A2A-ZM-241385-Na 5OLZ-A2A-PubChem 135566609-Na 6GT3-A2A-Imaradenant-Na 5OLV-A2A-LUAA47070-Na 5N2R-A2A-PSB36-Na 5IU7-A2A-Q27456346-Na 5OLH-A2A-Vipadenant-Na 5OLO-A2A-Tozadenant-Na 6ZDR-A2A-HMS1413f12-Na 8GNE-A2A-KW-6356-Na 8JWZ-A2A-Etrumadenant-Na 5IU8-A2A-Q27456347-Na 5IUB-A2A-Q27456344-Na 6ZDV-A2A-PubChem 984073-Na 5IUA-A2A-Q27456348-Na 8A2P-A2A-LUAA47070-Na
27.78Consensusat1_offOrthosteric Ligand4YAY-AT1-ZD-7155 4ZUD-AT1-Olmesartan
27.78Consensusghrelin_offOrthosteric Ligand6KO5-Ghrelin-PubChem 57400002 7F83-Ghrelin-PF-05190457
27.78Consensusot_offOrthosteric Ligand6TPK-OT-Retosiban
27.78Consensusvasop-oxy_offOrthosteric Ligandot_off
27.59Single7QBCAlpha-factor mating pheromone7QBC-STE2; STE2-α-factor mating pheromone
27.59Single8WWNMCH8WWN-MCH1-MCH-Gi1/β1/γ2
27.59Consensusbk2_onOrthosteric Ligand7F6H-BK2-Bradykinin-Gq/β1/γ2 7F6I-BK2-Kallidin-Gq/β1/γ2
27.59Consensusbk2_on_gpOrthosteric Ligand7F6H-BK2-Bradykinin-Gq/β1/γ2 7F6I-BK2-Kallidin-Gq/β1/γ2
27.59Consensusbradykinin_onOrthosteric Ligandbk2_on
27.59Consensusbradykinin_on_gpOrthosteric Ligandbk2_on_gp
27.59Consensusetb_onOrthosteric Ligand8IY5-ETB-Endothelin-1-Gi1/β1/γ2 8HBD-ETB-IRL1620-Gi1/β1/γ2
27.59Consensusgq_bradykininOrthosteric Ligand7F6H-BK2-Bradykinin-Gq/β1/γ2 7F6I-BK2-Kallidin-Gq/β1/γ2
27.27Single4NC3Ergotamine4NC3-5-HT2B-Ergotamine
27.27Single4OR2FITM4OR2-mGlu1; mGlu1-FITM
27.27Single6BQHRitanserin6BQH-5-HT2C-Ritanserin
27.27Single6KPGAM8416KPG-CB1-AM841-Gi1/β1/γ2
27.27Single7EZHCholecystokinin-87EZH-CCKA-Cholecystokinin-8-Gi1/β1/γ2
27.27Single7EZMCholecystokinin-87EZM-CCKA-Cholecystokinin-8-chim(NtGsL-Gq)/β1/γ2
27.27Single7P00Substance-P7P00-NK1-Substance-P-chim(NtGi1-Gs-CtGq)/β1/γ2
27.27Single7X8RBOC57X8R-GLP-1-BOC5-Gs/β1/γ2
27.27Single7Y27Somatostatin-147Y27-SST2-Somatostatin-14-chim(NtGi2L-Gs-CtGq)/β1/γ2
27.27Single8ID8TUG-8918ID8-FFA4-TUG-891-Gi1/β1/γ2
27.27Single8IYSTUG-8918IYS-FFA4-TUG-891-GDP-chim(NtGi1L-Gq)/β1/γ2
27.27Single9EAILosartan9EAI-AT1-Losartan-Nanobody AT209
27.27Single9L79AR2314539L79-GPR119-AR231453-chim(NtGi1-Gs)/β1/γ2
27.27Consensus5ht2c_offOrthosteric Ligand6BQH-5-HT2C-Ritanserin
27.27Consensuscck_onOrthosteric Ligandccka_on cckb_on
27.27Consensuscck_on_gpOrthosteric Ligandccka_on_gp cckb_on_gp
27.27Consensusccka_onOrthosteric Ligand7EZH-CCKA-Cholecystokinin-8-Gi1/β1/γ2
27.27Consensusccka_on_gpOrthosteric Ligand7EZH-CCKA-Cholecystokinin-8-Gi1/β1/γ2
27.27Consensusnk1_onOrthosteric Ligand7P00-NK1-Substance-P-chim(NtGi1-Gs-CtGq)/β1/γ2
27.27Consensusnk1_on_gpOrthosteric Ligand7P00-NK1-Substance-P-chim(NtGi1-Gs-CtGq)/β1/γ2
27.27Consensusprostanoid_offOrthosteric Ligandep_off dp_off
26.92Single6JODAngiotensin II6JOD-AT2-Angiotensin II
26.92Single8IEDPubChem 1347468948IED-GPR156; GPR156-PubChem 134746894-Go/β1/γ2
26.92Consensusc5a1_on_gpOrthosteric Ligand8HK5-C5a1-C5a-Gi1/β1/γ2 7Y66-C5a1-BM213-Gi1/β1/γ2 7Y67-C5a1-C089 peptide-Gi1/β1/γ2 7Y64-C5a1-C5a-Gi1/β1/γ2
26.67Single6OY9All-trans-Retinal6OY9-Rhodopsin-All-trans-Retinal-Gt/β1/γ1
26.67Single6TQ9SB-4081246TQ9-OX1-SB-408124
26.67Single7MTBAll-trans-Retinal7MTB-Rhodopsin-All-trans-Retinal-GRK1
26.67Single8A2OTheophylline8A2O-A2A-Theophylline-Na
26.67Single8DPHLorcaserin8DPH-5-HT2C-Lorcaserin-chim(NtGi2L-Gs-CtGq)/β1/γ2
26.67Single8GEIConstrained Epinephrine8GEI-β2-Constrained Epinephrine-Gs/β1/γ2
26.67Single8Z8ALactate8Z8A-HCA1-Lactate-Gi1/β1/γ2
26.67Consensusccr5_on_gpOrthosteric Ligand7O7F-CCR5-6P4-CCL5-Gi1/β1/γ1 7F1Q-CCR5-CCL3-Gi1/β1/γ2
26.67Consensusclass-a_class-b1_cons_onOrthosteric Ligandclass-a_on class-b1_on
26.67Consensusgi_endothelinOrthosteric Ligand8IY5-ETB-Endothelin-1-Gi1/β1/γ2 8HBD-ETB-IRL1620-Gi1/β1/γ2
26.67Consensusgi_npyOrthosteric Ligand8K6M-Y1-Neuropeptide-Y-Gi2/β1/γ1 7X9C-Y4-Pancreatic Hormone-Gi1/β1/γ2 7YOO-Y2-Neuropeptide-Y-Gi1/β1/γ2
26.67Consensusnpy_onOrthosteric Ligandnpy1_on npy2_on npy4_on
26.67Consensusnpy_on_gpOrthosteric Ligandnpy1_on_gp npy2_on_gp npy4_on_gp
26.67Consensusopsins_onOrthosteric Ligandrhodopsin_on opsin1lw_on
26.67Consensussensory_onOrthosteric Ligandopsins_on
26.32Single3EMLZM-2413853EML-A2A-ZM-241385
26.32Single4EIYZM-2413854EIY-A2A-ZM-241385-Na
26.32Single4YAYZD-71554YAY-AT1-ZD-7155
26.32Single5DSGTiotropium5DSG-M4-Tiotropium
26.32Single5IU8Q274563475IU8-A2A-Q27456347-Na
26.32Single5K2AZM-2413855K2A-A2A-ZM-241385-Na
26.32Single5OLGZM-2413855OLG-A2A-ZM-241385-Na
26.32Single5UENDU1725UEN-A1-DU172
26.32Single5UIGPubChem 1240811965UIG-A2A-PubChem 124081196
26.32Single5VRAZM-2413855VRA-A2A-ZM-241385-Na
26.32Single6KPFAM120336KPF-CB2-AM12033-Gi1/β1/γ2
26.32Single6LPJZM-2413856LPJ-A2A-ZM-241385-Na
26.32Single6LPKZM-2413856LPK-A2A-ZM-241385-Na
26.32Single6S0LZM-2413856S0L-A2A-ZM-241385
26.32Single6WHADB139486WHA-5-HT2A-DB13948-chim(NtGi2L-Gs-CtGq)/β1/γ2
26.32Single7F83PF-051904577F83-Ghrelin-PF-05190457
26.32Single7M3JNPS-2143; PO47M3J-CaS; CaS-NPS-2143; PO4
26.32Single7NA8Ibutamoren7NA8-Ghrelin-Ibutamoren-Gi1/β1/γ2
26.32Single7PYRPSB-21157PYR-A2A-PSB-2115
26.32Single7VIFFTY720-P7VIF-S1P1-FTY720-P-Gi1/β1/γ2
26.32Single7YK7DC5910537YK7-RXFP4-DC591053-Gi2/β1/γ2
26.32Single8JHNMonomethyl fumarate8JHN-HCA2-Monomethyl fumarate-Go/β1/γ2
26.32Single8JT8(R)-IHCH-71798JT8-5-HT2A-(R)-IHCH-7179
26.32Single8K5DGSK2560738K5D-HCA2-GSK256073
26.32Single8KEXDCA-3P8KEX-MRGPRX4-DCA-3P
26.32Single8RW7StilSwitch18RW7-A2A-StilSwitch1-Na
26.32Single8RWXStilSwitch38RWX-A2A-StilSwitch3-Na
26.32Single8ZBEOctreotide8ZBE-SST5-Octreotide-Gi1/β1/γ1
26.32Single9AVGCa; Ca; Cyclomethyltryptophan; R-568; PO49AVG-CaS; CaS-Ca-Ca; Ca; Cyclomethyltryptophan; R-568; PO4-chim(NtGi1-Gs)/β1/γ2
26.32Single9EPP11,20-Ethanoretinal9EPP-Rhodopsin-11,20-Ethanoretinal-chim(Gi1-CtGq)/β1/γ2
26.32Single9KFJPubChem 1383196749KFJ-RXFP3-PubChem 138319674-Gi2/β1/γ2
26.32Single9KUXCMPD6449KUX-Apelin; Apelin-CMPD644-Arrestin2
26.32Single9P1SZM-2413859P1S-A2A-ZM-241385
26.32Consensusm4_offOrthosteric Ligand5DSG-M4-Tiotropium
26.32Consensusmuscarinic_onOrthosteric Ligandm2_on m3_on m4_on m1_on
26.32Consensusmuscarinic_on_gpOrthosteric Ligandm2_on_gp m3_on_gp m4_on_gp m1_on_gp
26.32Consensusnucleotide_offonOrthosteric Ligandnucleotide_off nucleotide_on
26.32Consensusnucleotide_offon_gpOrthosteric Ligandnucleotide_on_gp nucleotide_off
26.09Single6C1QPMX536C1Q-C5a1-PMX53-NDT9513727
26.09Single7F2OBradykinin7F2O-BK2-Bradykinin-chim(NtGi1-Gs-CtGq)/β1/γ2
26.09Single7F8WGastrin-177F8W-CCKB-Gastrin-17-chim(NtGsL-Gq)/β1/γ2
26.09Single7RKFCX3CL17RKF-US28-CX3CL1-GDP-chim(NtGi1-G11)/β1/γ2
26.09Single7RMGSubstance-P7RMG-NK1-Substance-P-chim(Gs-CtGq)/β1/γ2
26.09Single7RMHSubstance-P7RMH-NK1-Substance-P-Gs/β1/γ2
26.09Single7S8LCortistatin-147S8L-MRGPRX2-Cortistatin-14-chim(NtGi2L-Gs-CtGq)/β1/γ2
26.09Single7XN9L-0545227XN9-SST2-L-054522
26.09Single7YAEOctreotide7YAE-SST2-Octreotide-Gi1/β1/γ2
26.09Single7YJ4INSL57YJ4-RXFP4-INSL5-Gi2/β1/γ2
26.09Single8JBFSenktide8JBF-NK3-Senktide-chim(NtGi1-Gs-CtGq)/β1/γ2
26.09Single9UMJEP549UMJ-C3aB-EP54-Go/β1/γ2
25.93Single7F6HBradykinin7F6H-BK2-Bradykinin-Gq/β1/γ2
25.93Single7P02Substance-P7P02-NK1-Substance-P-chim(NtGi1-Gs)/β1/γ2
25.93Single7X9BNeuropeptide-Y7X9B-Y2-Neuropeptide-Y-Gi1/β1/γ2
25.93Single8E3ZVIP8E3Z-VPAC1-VIP-Gs/β1/γ2
25.93Single8IA2C5a8IA2-C5a1-C5a-Go/β1/γ2
25.93Single8IODPG-9018IOD-MC5-PG-901-Ca-chim(NtGi1-Gs)/β1/γ2
25.93Single8WWKMCH8WWK-MCH1-MCH-Gi1/β1/γ2
25.93Single8XQEApelin-138XQE-Apelin; Apelin-Apelin-13-Gi1/β1/γ2
25.93Single8XVHEndothelin-18XVH-ETB-Endothelin-1-chim(Gs-CtGq)/β1/γ2
25.93Single8XVIEndothelin-18XVI-ETA-Endothelin-1-chim(Gs-CtGq)/β1/γ2
25.93Consensuscml1_on_gpOrthosteric Ligand7YKD-CML1-Chemerin-9-Gi1/β1/γ2
25.81Consensusetb_on_gpOrthosteric Ligand8IY5-ETB-Endothelin-1-Gi1/β1/γ2 8HBD-ETB-IRL1620-Gi1/β1/γ2
25.81Consensusmelanocortin_onOrthosteric Ligandmc1_on mc4_on mc2_on mc3_on mc5_on
25.81Consensusmelanocortin_on_gpOrthosteric Ligandmc1_on_gp mc4_on_gp mc2_on_gp mc3_on_gp mc5_on_gp
25.00Single3C9M11-cis-Retinal3C9M-Rhodopsin-11-cis-Retinal
25.00Single3OE6IT1t3OE6-CXCR4-IT1t
25.00Single3UZAGTPL92363UZA-A2A-GTPL9236
25.00Single4WW3All-trans-Retinal4WW3-Rhodopsin-All-trans-Retinal
25.00Single4XT1CX3CL14XT1-US28-CX3CL1
25.00Single5IUAQ274563485IUA-A2A-Q27456348-Na
25.00Single5N2RPSB365N2R-A2A-PSB36-Na
25.00Single5N2SPSB365N2S-A1-PSB36
25.00Single5ZBQUR-MK-2995ZBQ-Y1-UR-MK-299
25.00Single6FK9PubChem 1324730366FK9-Rhodopsin-PubChem 132473036
25.00Single6KPCAM120336KPC-CB2-AM12033
25.00Single6LPLZM-2413856LPL-A2A-ZM-241385-Na
25.00Single6OIKIperoxo6OIK-M2-Iperoxo-LY2119620-chim(NtGi1-Go)/β1/γ2
25.00Single6S0QZM-2413856S0Q-A2A-ZM-241385
25.00Single6WIVPubChem 52923113; PubChem 529246456WIV-GABAB1, GABAB2-PubChem 52923113; PubChem 52924645
25.00Single6WQAZM-2413856WQA-A2A-ZM-241385-Na
25.00Single7BB7AVP7BB7-V2-AVP-Gs/β1/γ2
25.00Single7F54Afamelanotide7F54-MC4-Afamelanotide-Gs/β1/γ2
25.00Single7F8XNN90567F8X-CCKA-NN9056
25.00Single7M3JNPS-2143; PO47M3J-CaS; CaS-NPS-2143; PO4
25.00Single7MT8All-trans-Retinal7MT8-Rhodopsin-All-trans-Retinal-GRK1
25.00Single7MT9All-trans-Retinal7MT9-Rhodopsin-All-trans-Retinal-GRK1
25.00Single7MTAAll-trans-Retinal7MTA-Rhodopsin-All-trans-Retinal-GRK1
25.00Single7RGPTirzepatide7RGP-GLP-1-Tirzepatide-chim(NtGi1-Gs)/β1/γ2
25.00Single7RM5ZM-2413857RM5-A2A-ZM-241385-Na
25.00Single7SINNPS-21437SIN-CaS; CaS-NPS-2143
25.00Single7SINNPS-21437SIN-CaS; CaS-NPS-2143
25.00Single7VOEAripiprazole7VOE-5-HT2A-Aripiprazole
25.00Single7VUHJNJ-635330547VUH-GPR139-JNJ-63533054-chim(Gs-CtGq)/β1/γ2
25.00Single7VV4Cortistatin-147VV4-MRGPRX2-Cortistatin-14
25.00Single7WICSomatostatin-147WIC-SST2-Somatostatin-14-Gi1/β1/γ2
25.00Single7WIGL-0542647WIG-SST2-L-054264-Gi1/β1/γ2
25.00Single7Y26Octreotide7Y26-SST2-Octreotide-chim(NtGi2L-Gs-CtGq)/β1/γ2
25.00Single8FYNZM-2413858FYN-A2A-ZM-241385-Na
25.00Single8GGFConstrained Epinephrine8GGF-β2-Constrained Epinephrine-GTP-Gs/β1/γ2
25.00Single8GNEKW-63568GNE-A2A-KW-6356-Na
25.00Single8I7WGSK2560738I7W-HCA2-GSK256073-Gi1/β1/γ2
25.00Single8IEIPubChem 1347468948IEI-GPR156; GPR156-PubChem 134746894
25.00Single8IEIPubChem 1347468948IEI-GPR156; GPR156-PubChem 134746894
25.00Single8IEPPubChem 1347468948IEP-GPR156; GPR156-PubChem 134746894
25.00Single8IEPPubChem 1347468948IEP-GPR156; GPR156-PubChem 134746894
25.00Single8IZBLysophosphatidylserine (UBL)8IZB-GPR174-Lysophosphatidylserine (UBL)-Gs/β1/γ2
25.00Single8J21Butyric acid8J21-FFA3-Butyric acid-Gi1/β1/γ2
25.00Single8J24Acetic acid8J24-FFA2-Acetic acid-Gi1/β1/γ2
25.00Single8K3ZCXCL128K3Z-CXCR4-CXCL12-Gi1/β1/γ1
25.00Single8SZFCa; Ca; Tryptophan; Cinacalcet; PO4; Spermine8SZF-CaS; CaS-Ca; Ca; Tryptophan; Cinacalcet; PO4; Spermine
25.00Single8TH4Losartan8TH4-AT1-Losartan-AT118-L Nanobody
25.00Single8WKYPG-9348WKY-MC4-PG-934
25.00Single8YH0NECA8YH0-A3A-NECA-Gi1/β1/γ2
25.00Single8YN9Histamine8YN9-H4-Histamine-Gi1/β1/γ2
25.00Single8YUUHistamine8YUU-H3-Histamine-Gi1/β1/γ1
25.00Single9AYFCa; Ca; Ca; Cyclomethyltryptophan; R-568; PO49AYF-CaS; CaS-Ca-Ca; Ca; Ca; Cyclomethyltryptophan; R-568; PO4-Gi1/β1/γ2
25.00Single9BKJCholecystokinin-89BKJ-CCKA-Cholecystokinin-8-chim(NtGi1-Gs-CtGq)/β1/γ2
25.00Single9EAHOlmesartan9EAH-AT1-Olmesartan-Nanobody AT209
25.00Single9ERXD9-THC analog9ERX-CB1-D9-THC analog-Gi1/β1/γ2
25.00Single9GE2ML1849GE2-GPR55-ML184-chim(NtGi1-G13)/β1/γ2
25.00Single9HB3Mambaquaretin-19HB3-V2-Mambaquaretin-1
25.00Single9J0IUDP-Glucuronic acid9J0I-P2Y14-UDP-Glucuronic acid-Gi1/β1/γ2
25.00Single9JKSPubChem 442501769JKS-HCA3-PubChem 44250176-Gi1/β1/γ2
25.00Single9JKT(2R)-2-hydroxy-3-phenylpropanoic acid9JKT-HCA3-(2R)-2-hydroxy-3-phenylpropanoic acid-Gi1/β1/γ2
25.00Single9KO4CCL219KO4-CCR7-CCL21-Gi1/β1/γ2
25.00Single9KPFSalicin9KPF-TAS2R16-Salicin-Gi1/β1/γ2
25.00Single9KT93,5-DHBA9KT9-HCA1-3,5-DHBA-Gi1/β1/γ2
25.00Single9KUVCMPD6449KUV-Apelin-CMPD644-Arrestin2
25.00Single9L3YChemerin9L3Y-CML2-Chemerin-Gi1/β1/γ2
25.00Single9LRCHistamine9LRC-H4-Histamine
25.00Single9LREHistamine9LRE-H4-Histamine-Gi1/β1/γ2
25.00Consensusa1_offOrthosteric Ligand5UEN-A1-DU172 5N2S-A1-PSB36
25.00Consensuscrf_on_gpOrthosteric Ligandcrf2_on_gp crf1_on_gp
25.00Consensuscxcr4_onOrthosteric Ligand8K3Z-CXCR4-CXCL12-Gi1/β1/γ1
25.00Consensusffa3_onOrthosteric Ligand8J21-FFA3-Butyric acid-Gi1/β1/γ2
25.00Consensusffa3_on_gpOrthosteric Ligand8J21-FFA3-Butyric acid-Gi1/β1/γ2
25.00Consensush3_onOrthosteric Ligand8YUU-H3-Histamine-Gi1/β1/γ1
25.00Consensush3_on_gpOrthosteric Ligand8YUU-H3-Histamine-Gi1/β1/γ1
25.00Consensuslpa1_onOrthosteric Ligand7TD1-LPA1-LPA-Gi1/β1/γ2 7YU3-LPA1-ONO-0740556-Gi1/β1/γ2
25.00Consensuslpa1_on_gpOrthosteric Ligand7TD1-LPA1-LPA-Gi1/β1/γ2 7YU3-LPA1-ONO-0740556-Gi1/β1/γ2
25.00Consensusnk3_onOrthosteric Ligand8JBF-NK3-Senktide-chim(NtGi1-Gs-CtGq)/β1/γ2
25.00Consensusnk3_on_gpOrthosteric Ligand8JBF-NK3-Senktide-chim(NtGi1-Gs-CtGq)/β1/γ2
25.00Consensusopsins_on_gpOrthosteric Ligandrhodopsin_on_gp opsin1lw_on_gp
25.00Consensusp2y_onOrthosteric Ligandp2y1_on p2y10_on p2y12_on
25.00Consensusrhodopsin_onOrthosteric Ligand6OYA-Rhodopsin-All-trans-Retinal-Gt/β1/γ1
25.00Consensusrxfp4_onOrthosteric Ligand7YK7-RXFP4-DC591053-Gi2/β1/γ2 7YJ4-RXFP4-INSL5-Gi2/β1/γ2 7YK6-RXFP4-PubChem 138319674-Gi2/β1/γ2
25.00Consensusrxfp4_on_gpOrthosteric Ligand7YK7-RXFP4-DC591053-Gi2/β1/γ2 7YJ4-RXFP4-INSL5-Gi2/β1/γ2 7YK6-RXFP4-PubChem 138319674-Gi2/β1/γ2
25.00Consensuss1p5_offOrthosteric Ligand7YXA-S1P5-ONO-5430608
25.00Consensussensory_on_gpOrthosteric Ligandopsins_on_gp
24.14Single7EIBKallidin-des-Arg107EIB-BK1-Kallidin-des-Arg10-chim(NtGi1-Gs-CtGq)/β1/γ2
24.14Single7F53Alpha-MSH7F53-MC4-α-MSH-Gs/β1/γ2
24.14Single7YOONeuropeptide-Y7YOO-Y2-Neuropeptide-Y-Gi1/β1/γ2
24.14Single8WWLMCH8WWL-MCH1-MCH-Gi1/β1/γ2
24.14Consensusnpy2_onOrthosteric Ligand7YOO-Y2-Neuropeptide-Y-Gi1/β1/γ2
24.14Consensusnpy2_on_gpOrthosteric Ligand7YOO-Y2-Neuropeptide-Y-Gi1/β1/γ2
24.00Single5XJM(Sar1,Ile8)-Angiotensin II5XJM-AT2-(Sar1,Ile8)-Angiotensin II
24.00Single7PIVAfamelanotide7PIV-MC4-Afamelanotide-Gs/β1/γ2
24.00Single7RKMCX3CL17RKM-US28-CX3CL1-Gi1/β1/γ2
24.00Single7WJ5Somatostatin-147WJ5-SST2-Somatostatin-14-Gi1/β1/γ2
24.00Single8IEBPubChem 1347468948IEB-GPR156; GPR156-PubChem 134746894
24.00Single8JBHSubstance-P8JBH-NK3-Substance-P-chim(NtGi1-Gs-CtGq)/β1/γ2
24.00Single8JZZC5a-des-Arg8JZZ-C5a1-C5a-des-Arg-Go/β1/γ2
24.00Single8SG1Chemerin-98SG1-CML1-Chemerin-9-Gi1/β1/γ2
24.00Single9IQSMuscarinic toxin 39IQS-M4-Muscarinic toxin 3
24.00Single9J0FNADH9J0F-P2Y14-NADH-Gi1/β1/γ2
24.00Single9KV6TLQP219KV6-C3aB-TLQP21-Go/β1/γ2
24.00Consensuscckb_onOrthosteric Ligand8IA7-CCKB-Cholecystokinin-8-chim(NtGi1L-Gq)/β1/γ2 7XOW-CCKB-Sulfated Gastrin-(10-17)-chim(NtGi1-Gq)/β1/γ2 7F8V-CCKB-Gastrin-17-Gi2/β1/γ2
24.00Consensusghrelin_onOrthosteric Ligand7NA7-Ghrelin-Ghrelin-Gi1/β1/γ2 7F9Z-Ghrelin-GHRP-6-chim(NtGi1-Gs-CtGq)/β1/γ2 7NA8-Ghrelin-Ibutamoren-Gi1/β1/γ2
24.00Consensusghrelin_on_gpOrthosteric Ligand7NA7-Ghrelin-Ghrelin-Gi1/β1/γ2 7F9Z-Ghrelin-GHRP-6-chim(NtGi1-Gs-CtGq)/β1/γ2 7NA8-Ghrelin-Ibutamoren-Gi1/β1/γ2
24.00Consensusgi_ghrelinOrthosteric Ligand7NA7-Ghrelin-Ghrelin-Gi1/β1/γ2 7NA8-Ghrelin-Ibutamoren-Gi1/β1/γ2
24.00Consensustachykinin_on_gpOrthosteric Ligandnk1_on_gp nk2_on_gp nk3_on_gp
23.81Single6N4BMDMB-Fubinaca6N4B-CB1-MDMB-Fubinaca-Gi1/β1/γ2
23.81Single6OIJIperoxo6OIJ-M1-Iperoxo-chim(NtGi1L-G11)/β1/γ2
23.81Single6RZ5Zafirlukast6RZ5-CysLT1-Zafirlukast-Na
23.81Single7F58THIQ7F58-MC4-THIQ-Gs/β1/γ2
23.81Single7PX4PSB-21137PX4-A2A-PSB-2113
23.81Single7S8MCortistatin-147S8M-MRGPRX2-Cortistatin-14-Gi1/β1/γ2
23.81Single7T9NDPPC7T9N-TSH-M22 Fab-DPPC-Gs/β1/γ2
23.81Single8GUSHU-3088GUS-CB2-HU-308-Gi1/β1/γ2
23.81Single8HQCC5a8HQC-C5a1-C5a-Go/β1/γ2
23.81Single8I2GPubChem 675302408I2G-FSH-FSH-PubChem 67530240-Gs/β1/γ2
23.81Single8JSRAnamorelin8JSR-Ghrelin-Anamorelin-chim(NtGi1-Gs-CtGq)/β1/γ2
23.81Single8X16Piclidenoson8X16-A3A-Piclidenoson-Gi1/β1/γ2
23.81Single8XBIPubChem 1626566368XBI-GPR34-PubChem 162656636
23.81Single9ASTLymphotactin9AST-XCR1-Lymphotactin-Gi1/β1/γ2
23.81Single9IK9Lanreotide9IK9-SST1-Lanreotide-Gi1/β1/γ2
23.81Single9L16CCL219L16-CCR7-CCL21
23.81Single9UCPIperoxo9UCP-M1-Iperoxo-G11(CT)
23.81Consensuscyslt1_offOrthosteric Ligand6RZ5-CysLT1-Zafirlukast-Na 6RZ4-CysLT1-Pranlukast-Na
23.81Consensusffa_onOrthosteric Ligandffa2_on ffa3_on
23.81Consensusffa_on_gpOrthosteric Ligandffa2_on_gp ffa3_on_gp
23.81Consensusgi_ffaOrthosteric Ligand8J21-FFA3-Butyric acid-Gi1/β1/γ2 8J22-FFA2-TUG-1375-Gi1/β1/γ2
23.81Consensusgi_relaxinOrthosteric Ligand7YK7-RXFP4-DC591053-Gi2/β1/γ2 7YJ4-RXFP4-INSL5-Gi2/β1/γ2 7YK6-RXFP4-PubChem 138319674-Gi2/β1/γ2
23.81Consensush4_on_gpOrthosteric Ligand8HN8-H4-Histamine-Gi1/β1/γ2 8HOC-H4-Imetit-Gi1/β1/γ2 8JXV-H4-Clozapine-Gi1/β1/γ2 8JXW-H4-VUF6884-Gi1/β1/γ2 8JXX-H4-Clobenpropit-Gi1/β1/γ2
23.81Consensusm1_on_gpOrthosteric Ligand6OIJ-M1-Iperoxo-chim(NtGi1L-G11)/β1/γ2
23.81Consensusnpy1_offOrthosteric Ligand5ZBH-Y1-BMS-193885 5ZBQ-Y1-UR-MK-299
23.81Consensusnpy_offOrthosteric Ligandnpy1_off npy2_off
23.81Consensusrelaxin_onOrthosteric Ligandrxfp4_on
23.81Consensusrelaxin_on_gpOrthosteric Ligandrxfp4_on_gp
23.53Single1L9H11-cis-Retinal1L9H-Rhodopsin-11-cis-Retinal
23.53Single1U1911-cis-Retinal1U19-Rhodopsin-11-cis-Retinal
23.53Single2G87All-trans-Retinal2G87-Rhodopsin-All-trans-Retinal
23.53Single2I3511-cis-Retinal2I35-Rhodopsin-11-cis-Retinal
23.53Single5TE520-Methanoretinal5TE5-Rhodopsin-20-Methanoretinal
23.53Single6FK6PubChem 1324730336FK6-Rhodopsin-PubChem 132473033
23.53Single6PH7Nerol6PH7-Rhodopsin-Nerol-Gt(CT)
23.53Single7V68Iperoxo7V68-M4-Iperoxo-LY2119620-Gi1/β1/γ2
23.53Single7VUIJNJ-635330547VUI-GPR139-JNJ-63533054-GTP-chim(Gs-CtGq)/β1/γ2
23.53Single7XP6Strychnine7XP6-TAS2R46-Strychnine-chim(Gs-CtGt3)/β1/γ2
23.53Single7YFDImetit7YFD-H4-Imetit-chim(NtGi1-Gs-CtGq)/β1/γ2
23.53Single8A2PLUAA470708A2P-A2A-LUAA47070-Na
23.53Single8HN8Histamine8HN8-H4-Histamine-Gi1/β1/γ2
23.53Single8JILNiacin8JIL-HCA2-Niacin-Gi1/β1/γ2
23.53Single8RWHStilSwitch28RWH-A2A-StilSwitch2-Na
23.53Single8YH3N-methyladenosine8YH3-A3A-N-methyladenosine-Gi1/β1/γ2
23.53Single8YKWSuccinic acid8YKW-Succinate-Succinic acid-Gi1/β1/γ1
23.53Single9IZDCHBA9IZD-HCA1-CHBA-Gi1/β1/γ2
23.53Single9JEDHistamine9JED-H4-Histamine-PO4-Gi1/β1/γ2
23.53Single9JEQHistamine9JEQ-H3-Histamine-Gi1/β1/γ2
23.53Single9KUWCMPD6449KUW-Apelin; Apelin-CMPD644-Arrestin2 ; Arrestin2
23.53Single9L42Histamine9L42-H4-Histamine-Gi1/β1/γ2
23.53Consensuspth_onOrthosteric Ligandpth1_on pth2_on
23.33Single6PB1Urocortin6PB1-CRF2-Urocortin-chim(NtGi1-Gs)/β1/γ2
23.33Single7TS0Urocortin7TS0-CRF2-Urocortin-chim(NtGi1L-Go)/β1/γ2
23.33Single8IY5Endothelin-18IY5-ETB-Endothelin-1-Gi1/β1/γ2
23.33Single8IY6Endothelin-18IY6-ETB-Endothelin-1
23.33Consensusendothelin_onOrthosteric Ligandetb_on eta_on
23.33Consensusgs_melanocortinOrthosteric Ligand7F4H-MC1-Afamelanotide-chim(NtGi1-Gs)/β1/γ2 7F54-MC4-Afamelanotide-Gs/β1/γ2 7F4D-MC1-α-MSH-chim(NtGi1-Gs)/β1/γ2 8INR-MC5-α-MSH-Ca-chim(NtGi1-Gs)/β1/γ2 7F53-MC4-α-MSH-Gs/β1/γ2 7F55-MC4-Bremelanotide-Gs/β1/γ2 8GY7-MC2-Corticotropin-Ca-chim(NtGi1-Gs)/β1/γ2; MRAP1 8IOC-MC3-γ-MSH-Ca-chim(NtGi1-Gs)/β1/γ2 8IOD-MC5-PG-901-Ca-chim(NtGi1-Gs)/β1/γ2 7AUE-MC4-Setmelanotide-chim(NtGi1L-Gs)/β1/γ2 7F4I-MC1-SHU9119-chim(NtGi1-Gs)/β1/γ2 7F58-MC4-THIQ-Gs/β1/γ2
23.08Single6LW5WKYMVm6LW5-FPR2-ALX-WKYMVm
23.08Single6W25SHU91196W25-MC4-SHU9119-Ca
23.08Single7O7F6P4-CCL57O7F-CCR5-6P4-CCL5-Gi1/β1/γ1
23.08Single7XOUCholecystokinin-87XOU-CCKA-Cholecystokinin-8-Gs/β1/γ2
23.08Single8WKZSBL-MC-318WKZ-MC4-SBL-MC-31
23.08Single8XZGApelin-138XZG-Apelin; Apelin-Apelin-13-Gi1/β1/γ2
23.08Single8XZHMM078XZH-Apelin; Apelin-MM07-Gi1/β1/γ2
23.08Single9M1ONeuropeptide-FF9M1O-NPFF2-Neuropeptide-FF-Gi1/β1/γ2
23.08Consensusc5a1_onOrthosteric Ligand8HK5-C5a1-C5a-Gi1/β1/γ2 7Y66-C5a1-BM213-Gi1/β1/γ2 7Y67-C5a1-C089 peptide-Gi1/β1/γ2 7Y64-C5a1-C5a-Gi1/β1/γ2
23.08Consensuscckb_on_gpOrthosteric Ligand8IA7-CCKB-Cholecystokinin-8-chim(NtGi1L-Gq)/β1/γ2 7XOW-CCKB-Sulfated Gastrin-(10-17)-chim(NtGi1-Gq)/β1/γ2 7F8V-CCKB-Gastrin-17-Gi2/β1/γ2
23.08Consensuscxcr4_on_gpOrthosteric Ligand8K3Z-CXCR4-CXCL12-Gi1/β1/γ1
22.86Consensusmc2_onOrthosteric Ligand8GY7-MC2-Corticotropin-Ca-chim(NtGi1-Gs)/β1/γ2; MRAP1
22.86Consensusmc2_on_gpOrthosteric Ligand8GY7-MC2-Corticotropin-Ca-chim(NtGi1-Gs)/β1/γ2; MRAP1
22.73Single4PXZ2MeSADP4PXZ-P2Y12-2MeSADP
22.73Single5TZYMK8666; AP85TZY-FFA1-MK8666; AP8
22.73Single6C1RPMX536C1R-C5a1-PMX53-Avacopan; Na
22.73Single6XBLCholesterol6XBL-SMO-SAG-Cholesterol-Gi1/β1/γ2
22.73Single7F55Bremelanotide7F55-MC4-Bremelanotide-Gs/β1/γ2
22.73Single7K15MKD0467K15-BLT1-MKD046-Na
22.73Single7T6BS1P7T6B-S1P2-S1P-chim(NtGi1L-G13)/β1/γ2
22.73Single7W0LPubChem 1227019087W0L-Apelin; Apelin-PubChem 122701908-Gi1/β1/γ2
22.73Single7WCMMBX-29827WCM-GPR119-MBX-2982-Gs/β1/γ2
22.73Single7XW5ML1097XW5-TSH-TSH-ML109-Gs/β1/γ2
22.73Single7XW6ML1097XW6-TSH-M22 Fab-ML109-Gs/β1/γ2
22.73Single8HK2C3a8HK2-C3aB-C3a-Gi1/β1/γ2
22.73Single8J6DEP1418J6D-C3aB-EP141-Go/β1/γ2
22.73Single8U26Substance-P8U26-NK1-Substance-P-Gs/β1/γ2
22.73Single8VHFMBX-29828VHF-GPR119-MBX-2982-Gs/β1/γ2
22.73Single8X8NOctreotide8X8N-SST5-Octreotide-chim(NtGi1-Gs-CtGi1)/β1/γ2
22.73Single9YDUUDP-Glucose9YDU-P2Y14-UDP-Glucose-Gi1/β1/γ2
22.73Consensusffa2_on_gpOrthosteric Ligand8J22-FFA2-TUG-1375-Gi1/β1/γ2
22.73Consensusgi_muscarinicOrthosteric Ligand8E9X-M4-2-Deoxycytidine-chim(NtGi1-Go)/β1/γ2 7T8X-M2-Acetylcholine-chim(NtGi1-Go)/β1/γ2 7TRS-M4-Acetylcholine-Gi1/β1/γ2 7TRK-M4-Iperoxo-Gi1/β1/γ2 7V6A-M4-PubChem 9864275-Gi1/β1/γ2
22.73Consensusm4_onOrthosteric Ligand7TRS-M4-Acetylcholine-Gi1/β1/γ2 7V6A-M4-PubChem 9864275-Gi1/β1/γ2 8E9X-M4-2-Deoxycytidine-chim(NtGi1-Go)/β1/γ2 7TRK-M4-Iperoxo-Gi1/β1/γ2
22.73Consensusm4_on_gpOrthosteric Ligand7TRS-M4-Acetylcholine-Gi1/β1/γ2 7V6A-M4-PubChem 9864275-Gi1/β1/γ2 8E9X-M4-2-Deoxycytidine-chim(NtGi1-Go)/β1/γ2 7TRK-M4-Iperoxo-Gi1/β1/γ2
22.58Single6PB0Urocortin6PB0-CRF1-Urocortin-chim(NtGi1-Gs)/β1/γ2
22.58Single8U1UCCL18U1U-CCR8-CCL1-Gi1/β1/γ2
22.22Single3ODUIT1t3ODU-CXCR4-IT1t
22.22Single3PWHZM-2413853PWH-A2A-ZM-241385
22.22Single5OLHVipadenant5OLH-A2A-Vipadenant-Na
22.22Single6FKBPubChem 1324730386FKB-Rhodopsin-PubChem 132473038
22.22Single6WI9Secretin6WI9-Secretin-Secretin-Gs/β1/γ2
22.22Single7AD3Alpha-factor mating pheromone7AD3-STE2; STE2-α-factor mating pheromone-Gi1/STE4/γ2
22.22Single7BR3Elagolix7BR3-GnRH1-Elagolix
22.22Single7F16TIP397F16-PTH2-TIP39-Gs/β1/γ2
22.22Single7F8ULintitript7F8U-CCKA-Lintitript
22.22Single7F8YDevazepide7F8Y-CCKA-Devazepide
22.22Single7FIMTirzepatide7FIM-GLP-1-Tirzepatide-Gs/β1/γ2
22.22Single7M3FCa; Ca; Tryptophan; Cinacalcet7M3F-CaS; CaS-Ca; Ca; Tryptophan; Cinacalcet
22.22Single7S8PMS471347S8P-MRGPRX4-MS47134-chim(NtGi2L-Gs-CtGq)/β1/γ2
22.22Single7T8XAcetylcholine7T8X-M2-Acetylcholine-chim(NtGi1-Go)/β1/γ2
22.22Single7T90Acetylcholine7T90-M2-Acetylcholine-chim(NtGi1-Go)/β1/γ2
22.22Single7T96Acetylcholine7T96-M2-Acetylcholine-LY2119620-Go/β1/γ2
22.22Single7TUZ7-alpha,25-dihydroxycholesterol7TUZ-GPR183-7-α,25-dihydroxycholesterol-Gi1/β1/γ2
22.22Single7V9MSomatoliberin7V9M-GHRH (SV1)-Somatoliberin-Gs/β1/γ2
22.22Single7VDLCortistatin-147VDL-MRGPRX2-Cortistatin-14-Gi1/β1/γ2
22.22Single7X2CFenoldopam7X2C-D1-Fenoldopam-Fenoldopam-Gs/β1/γ2
22.22Single7XK8Neuromedin-U-257XK8-NMUR2-Neuromedin-U-25-Gi1/β1/γ2
22.22Single7YONPeptide-YY(3-36)7YON-Y2-Peptide-YY(3-36)-Gi1/β1/γ2
22.22Single8A6CAll-trans-Retinal8A6C-Rhodopsin-All-trans-Retinal
22.22Single8A6DAll-trans-Retinal8A6D-Rhodopsin-All-trans-Retinal
22.22Single8A6EAll-trans-Retinal8A6E-Rhodopsin-All-trans-Retinal
22.22Single8DWGML3828DWG-MRGPRX1-BAM8-22-ML382-chim(NtGi2L-Gs-CtGq)/β1/γ2
22.22Single8J20Valeric acid8J20-FFA3-Valeric acid-AR420626-Gi1/β1/γ2
22.22Single8J6LNiacin8J6L-HCA2-Niacin-Gi1/β1/γ2
22.22Single8RVWStilSwitch38RVW-A2A-StilSwitch3-Na
22.22Single8RW4AzoSwitch28RW4-A2A-AzoSwitch2-Na
22.22Single8RWEStilSwitch48RWE-A2A-StilSwitch4-Na
22.22Single8T3SButyric acid8T3S-FFA2-Butyric acid-chim(NtGi2L-Gs-CtGq)/β1/γ2
22.22Single8UTDMK19038UTD-HCA2-MK1903-Gi1/β1/γ2
22.22Single8X8LCortistatin-148X8L-SST5-Cortistatin-14-chim(NtGi1-Gs-CtGi1)/β1/γ2
22.22Single8XZJWN3538XZJ-Apelin; Apelin-WN353-Gi1/β1/γ2
22.22Single9AVLCa; Ca; Cyclomethyltryptophan; R-568; PO49AVL-CaS; CaS-Ca-Ca; Ca; Cyclomethyltryptophan; R-568; PO4-Gi3/β2/γ2
22.22Single9C2FCa; Ca; Tryptophan; '54149; PO49C2F-CaS; CaS-Ca-Ca; Ca; Tryptophan; '54149; PO4
22.22Single9FUPIstradefylline9FUP-A2A-Istradefylline-Na
22.22Single9K6LSalicin9K6L-TAS2R16-Salicin-Gi2/β1/γ2
22.22Single9M88Oleic monoethanolamide9M88-GPR3 ; GPR3-Oleic monoethanolamide-AF64394
22.22Single9PEEPF-07054894; OXM29PEE-CCR6-PF-07054894; OXM2
22.22Single9PXUNaloxone9PXU-μ-Naloxone-Na
22.22Single9W49U-50488H9W49-κ-U-50488H-Gi1/β1/γ2
22.22Consensusangiotensin_offOrthosteric Ligandat1_off
22.22Consensusapelin_onOrthosteric Ligand8XZH-Apelin; Apelin-MM07-Gi1/β1/γ2 7W0M-Apelin-PubChem 122701908-Gi1/β1/γ2 8XZJ-Apelin; Apelin-WN353-Gi1/β1/γ2 8XZF-Apelin; Apelin-WN561-Gi1/β1/γ2 8XZG-Apelin; Apelin-Apelin-13-Gi1/β1/γ2
22.22Consensusapelin_on_gpOrthosteric Ligand8XZH-Apelin; Apelin-MM07-Gi1/β1/γ2 7W0M-Apelin-PubChem 122701908-Gi1/β1/γ2 8XZJ-Apelin; Apelin-WN353-Gi1/β1/γ2 8XZF-Apelin; Apelin-WN561-Gi1/β1/γ2 8XZG-Apelin; Apelin-Apelin-13-Gi1/β1/γ2
22.22Consensusgnrh1_offOrthosteric Ligand7BR3-GnRH1-Elagolix
22.22Consensusm2_onOrthosteric Ligand7T8X-M2-Acetylcholine-chim(NtGi1-Go)/β1/γ2
22.22Consensusm2_on_gpOrthosteric Ligand7T8X-M2-Acetylcholine-chim(NtGi1-Go)/β1/γ2
22.22Consensusp2y_on_gpOrthosteric Ligandp2y1_on_gp p2y10_on_gp p2y12_on_gp
22.22Consensusprotein_offonOrthosteric Ligandprotein_off protein_on
22.22Consensusprotein_offon_gpOrthosteric Ligandprotein_on_gp protein_off
22.22Consensustachykinin_onOrthosteric Ligandnk1_on nk2_on nk3_on
21.88Single6LPBPACAP276LPB-PAC1-PACAP27-Gs/β1/γ1
21.88Single8FLULA-PTH Analog8FLU-PTH1-LA-PTH Analog-Gs/β1/γ2
21.88Consensusendothelin_on_gpOrthosteric Ligandetb_on_gp eta_on_gp
21.74Single7LLLExendin-47LLL-GLP-1-Exendin-4-Gs/β1/γ2
21.74Single7QVMOxytocin7QVM-OT-Oxytocin-chim(NtGi1-Go-CtGq)/β1/γ2
21.74Single8K2XCXCL108K2X-CXCR3-CXCL10-Gi1/β1/γ2
21.74Single8XVJMacitentan8XVJ-ETA-Macitentan
21.74Single8ZX4Lysophosphatidylinositol 8ZX4-GPR55-Lysophosphatidylinositol-chim(NtGi1-G13)/β1/γ2
21.74Single9GE3Lysophosphatidylinositol9GE3-GPR55-Lysophosphatidylinositol-chim(NtGi1-G13)/β1/γ2
21.74Single9J0BUDP-Glucose9J0B-P2Y14-UDP-Glucose-Gi1/β1/γ2
21.74Single9KV8TLQP219KV8-C3aB-TLQP21-Go/β1/γ2
21.74Single9UYMChemerin-99UYM-CML2-Chemerin-9-chim(Arrestin3-CtArrestin2)
21.74Single9VI9RFRP-39VI9-NPFF1-RFRP-3-Gi1/β1/γ2
21.74Consensusnk2_onOrthosteric Ligand7XWO-NK2-Neurokinin-A-chim(NtGi1-Gs-CtGq)/β1/γ2
21.43Single5MZPCaffeine5MZP-A2A-Caffeine-Na
21.43Single7F6IKallidin7F6I-BK2-Kallidin-Gq/β1/γ2
21.43Single7WBJPACAP277WBJ-VPAC1-PACAP27-Gs/β1/γ2
21.43Single8E3YPACAP278E3Y-VPAC1-PACAP27-Gs/β1/γ2
21.43Single8GEJConstrained Epinephrine8GEJ-β2-Constrained Epinephrine-Gs/β1/γ2
21.43Single8HCQEndothelin-18HCQ-ETA-Endothelin-1-chim(NtGi1-Gs-CtGq)/β1/γ2
21.43Single8HCXEndothelin-18HCX-ETB-Endothelin-1-chim(NtGi2L-Gs-CtGq)/β1/γ2
21.43Single9E2AGLP-19E2A-GLP-1-GLP-1-Gs/β1/γ2
21.43Consensuschemokine_on_gpOrthosteric Ligandccr_on_gp cxcr_on_gp
21.43Consensuseta_onOrthosteric Ligand8HCQ-ETA-Endothelin-1-chim(NtGi1-Gs-CtGq)/β1/γ2
21.43Consensuseta_on_gpOrthosteric Ligand8HCQ-ETA-Endothelin-1-chim(NtGi1-Gs-CtGq)/β1/γ2
21.43Consensusgi_apelinOrthosteric Ligand8XZH-Apelin; Apelin-MM07-Gi1/β1/γ2 7W0M-Apelin-PubChem 122701908-Gi1/β1/γ2 8XZJ-Apelin; Apelin-WN353-Gi1/β1/γ2 8XZF-Apelin; Apelin-WN561-Gi1/β1/γ2 8XZG-Apelin; Apelin-Apelin-13-Gi1/β1/γ2
21.43Consensusgi_chemokineOrthosteric Ligand6WWZ-CCR6-CCL20-Go/β1/γ2 8HNK-CXCR3-CXCL11-Gi1/β1/γ2 8K3Z-CXCR4-CXCL12-Gi1/β1/γ1 8IC0-CXCR1-CXCL8-Gi1/β1/γ2 6LFM-CXCR2-CXCL8-Gi1/β1/γ2 8KFX-CCR8-LMD-009-Gi1/β1/γ2 7F1Q-CCR5-CCL3-Gi1/β1/γ2 8HNL-CXCR3-PS372424-Gi1/β1/γ2 8KFY-CCR8-ZK-756326-Gi1/β1/γ2 7O7F-CCR5-6P4-CCL5-Gi1/β1/γ1 8U1U-CCR8-CCL1-Gi1/β1/γ2 7VLA-CCR1-CCL15(27-92)-Gi1/β1/γ2 7XA3-CCR2-CCL2-Gi1/β1/γ2
21.05Single3REYPubChem 56973REY-A2A-PubChem 5697
21.05Single4ZUDOlmesartan4ZUD-AT1-Olmesartan
21.05Single6FK8PubChem 1324730356FK8-Rhodopsin-PubChem 132473035
21.05Single6FKAPubChem 1324730376FKA-Rhodopsin-PubChem 132473037
21.05Single6MH8ZM-2413856MH8-A2A-ZM-241385
21.05Single6ZG9GSK10347026ZG9-M1-GSK1034702
21.05Single8H4LDoconexent8H4L-FFA4-Doconexent-chim(NtGi1-Gs-CtGq)/β1/γ2
21.05Single8HNMVUF112228HNM-CXCR3-VUF11222-Gi1/β1/γ2
21.05Single8HQN9-S-HODE8HQN-GPR132-9-S-HODE-Gi1/β1/γ2
21.05Single8K4NPubChem 1687197658K4N-GPR34-PubChem 168719765-Gi1/β1/γ2
21.05Single8K4SDCA-3P8K4S-MRGPRX4-DCA-3P-chim(NtGi1L-Gs-CtGq)/β1/γ2
21.05Single8PM2DMCHA8PM2-TA7-DMCHA-Gs/β1/γ2
21.05Single8ZBWQuin-C18ZBW-FPR2-ALX-Quin-C1-Gi2/β1/γ2
21.05Single9AXFCa; Ca; Ca; Cyclomethyltryptophan; R-568; PO49AXF-CaS; CaS-Ca-Ca; Ca; Ca; Cyclomethyltryptophan; R-568; PO4-chim(NtGi1-Gs-CtGq)/β1/γ2
21.05Single9DQJEP-39459DQJ-MRGPRD-EP-3945-chim(NtGi1-Gs-CtGq)/β1/γ2
21.05Single9JH3CMF-0199JH3-Apelin; Apelin-CMF-019-Gi1/β1/γ2
21.05Single9K1DButyric acid9K1D-FFA2-Butyric acid-Gi1/β1/γ2
21.05Single9U80Conivaptan9U80-V2-Conivaptan
21.05Consensusgrh_offOrthosteric Ligandgnrh1_off
21.05Consensusnucleotide_offOrthosteric Ligandadenosine_off p2y_off
21.05Consensuspth_on_gpOrthosteric Ligandpth1_on_gp pth2_on_gp
20.83Single6OMMWKYMVX6OMM-FPR2-ALX-WKYMVX-Gi1/β1/γ2
20.83Single6XBJCholesterol6XBJ-SMO-Cholesterol-Gi1/β1/γ2
20.83Single7F9ZGHRP-67F9Z-Ghrelin-GHRP-6-chim(NtGi1-Gs-CtGq)/β1/γ2
20.83Single7XBXCX3CL17XBX-CX3CR1-CX3CL1-Gi1/β1/γ2
20.83Single8J22TUG-13758J22-FFA2-TUG-1375-Gi1/β1/γ2
20.83Single8XQLCholesterol8XQL-TAS2R14-Cholesterol-Aristolochic acid A-Gt3/β1/γ1
20.83Single8XZFWN5618XZF-Apelin; Apelin-WN561-Gi1/β1/γ2
20.83Single8Z74JN241-98Z74-Apelin; Apelin-JN241-9
20.83Single8Z74JN241-98Z74-Apelin; Apelin-JN241-9
20.83Single9KX6C5a-des-Arg9KX6-C5a1-C5a-des-Arg-Go/β1/γ2
20.83Consensuscxcr4_offOrthosteric Ligand4RWS-CXCR4-vMIP-II 3OE0-CXCR4-CVX15 3OE6-CXCR4-IT1t
20.83Consensuscxcr_on_gpOrthosteric Ligandcxcr3_on_gp cxcr4_on_gp cxcr1_on_gp cxcr2_on_gp
20.83Consensusgq_cckOrthosteric Ligand8IA7-CCKB-Cholecystokinin-8-chim(NtGi1L-Gq)/β1/γ2 7XOW-CCKB-Sulfated Gastrin-(10-17)-chim(NtGi1-Gq)/β1/γ2 7EZM-CCKA-Cholecystokinin-8-chim(NtGsL-Gq)/β1/γ2 7F8W-CCKB-Gastrin-17-chim(NtGsL-Gq)/β1/γ2
20.69Single4XT3CX3CL14XT3-US28-CX3CL1
20.69Single5UIW5P7-CCL55UIW-CCR5-5P7-CCL5
20.69Single6P9YPACAP276P9Y-PAC1-PACAP27-Gs/β1/γ2
20.69Single7VABTirzepatide (non-acylated)7VAB-GIP-Tirzepatide (non-acylated)-chim(NtGi1-Gs)/β1/γ2
20.69Single7W3ZGastrin Releasing Peptide7W3Z-BB2-Gastrin Releasing Peptide-chim(NtGi1L-Gq)/β1/γ2
20.69Single8E3XPACAP278E3X-PAC1-PACAP27-Gs/β1/γ2
20.69Single9KFKRelaxin-39KFK-RXFP4-Relaxin-3-Gi2/β1/γ2
20.69Single9P92VIP9P92-PAC1-VIP-Gs/β1/γ2
20.69Consensusccr5_offOrthosteric Ligand5UIW-CCR5-5P7-CCL5
20.69Consensusccr5_onOrthosteric Ligand7O7F-CCR5-6P4-CCL5-Gi1/β1/γ1 7F1Q-CCR5-CCL3-Gi1/β1/γ2
20.69Consensuspac_on_gpOrthosteric Ligandpac1_on_gp
20.59Single7Y36PTH7Y36-PTH1-PTH-Gs/β1/γ2
20.59Single8FLQPTH8FLQ-PTH1-PTH-Gs/β1/γ2
20.00Single3PXOAll-trans-Retinal3PXO-Rhodopsin-All-trans-Retinal
20.00Single5DYSAll-trans-Retinal5DYS-Rhodopsin-All-trans-Retinal
20.00Single5NDDAZ8838; Na5NDD-PAR2-AZ8838; Na
20.00Single5TGZAM65385TGZ-CB1-AM6538
20.00Single5ZKPSR274175ZKP-PAF-SR27417
20.00Single6B3JExendin-P56B3J-GLP-1-Exendin-P5-Gs/β1/γ2
20.00Single6FK7PubChem 1324730346FK7-Rhodopsin-PubChem 132473034
20.00Single6FKCPubChem 1324730396FKC-Rhodopsin-PubChem 132473039
20.00Single6FKDPubChem 1373491836FKD-Rhodopsin-PubChem 137349183
20.00Single6GPSMK08126GPS-CCR2-MK0812
20.00Single6P9XCorticoliberin-16P9X-CRF1-Corticoliberin-1-Gs/β1/γ2
20.00Single6RZ8ONO-20803656RZ8-CysLT2-ONO-2080365
20.00Single6VCBGLP-16VCB-GLP-1-GLP-1-LSN3160440-Gs/β1/γ2
20.00Single6X19CHU-1286X19-GLP-1-CHU-128-Gs/β1/γ2
20.00Single6XBM25(S)-Epoxycholesterol6XBM-SMO-25(S)-Epoxycholesterol-Gi1/β1/γ2
20.00Single6Z10PubChem 1545855546Z10-Succinate-PubChem 154585554
20.00Single7PP1Selatogrel7PP1-P2Y12-Selatogrel
20.00Single7VKTLTB47VKT-BLT1-LTB4-Gi1/β1/γ2
20.00Single7WC8Lumateperone7WC8-5-HT2A-Lumateperone
20.00Single7XMRSomatostatin-147XMR-SST2-Somatostatin-14-Gi1/β1/γ2
20.00Single7YXAONO-54306087YXA-S1P5-ONO-5430608
20.00Single8EJKTAK-8758EJK-FFA1-TAK-875-chim(NtGi1L-Gs-CtGq)/β1/γ2
20.00Single8W8WAlpha-MSH8W8W-MC3-α-MSH-Ca-Gs/β1/γ2
20.00Single8XBHPubChem 1626566368XBH-GPR34-PubChem 162656636-Gi1/β1/γ2
20.00Single8XGMChemerin8XGM-CML2-Chemerin-Gi1/β1/γ2
20.00Single8YH5Riboprine8YH5-A3A-Riboprine-Gi1/β1/γ2
20.00Single8ZCJPasireotide8ZCJ-SST5-Pasireotide-Gi1/β1/γ1
20.00Single8ZJGChemerin8ZJG-CML1-Chemerin-Gi1/β1/γ2
20.00Single9BUCCagrilintide9BUC-CT-Cagrilintide-Gs/β1/γ2
20.00Single9IV25alpha-DHT9IV2-ADGRD1-5α-DHT-chim(NtGi1-Gs)/β1/γ2
20.00Single9JIDNiacin9JID-HCA3-Niacin-Gi1/β1/γ2
20.00Single9JKVPubChem 27366909JKV-HCA3-PubChem 2736690-Gi1/β1/γ2
20.00Single9MEJGp1209MEJ-CXCR4-Gp120
20.00Single9UYLChemerin-99UYL-CML2-Chemerin-9-Arrestin2
20.00Consensusblt1_onOrthosteric Ligand7VKT-BLT1-LTB4-Gi1/β1/γ2
20.00Consensusblt1_on_gpOrthosteric Ligand7VKT-BLT1-LTB4-Gi1/β1/γ2
20.00Consensusblt_onOrthosteric Ligandblt1_on
20.00Consensusblt_on_gpOrthosteric Ligandblt1_on_gp
20.00Consensusccr2_offOrthosteric Ligand6GPS-CCR2-MK0812
20.00Consensusgi_histamineOrthosteric Ligand8JXX-H4-Clobenpropit-Gi1/β1/γ2 8JXV-H4-Clozapine-Gi1/β1/γ2 8YUU-H3-Histamine-Gi1/β1/γ1 8HN8-H4-Histamine-Gi1/β1/γ2 8HOC-H4-Imetit-Gi1/β1/γ2 8JXW-H4-VUF6884-Gi1/β1/γ2
20.00Consensusgi_leukotrieneOrthosteric Ligand7VKT-BLT1-LTB4-Gi1/β1/γ2
20.00Consensusglp_onOrthosteric Ligandglp1_on glp2_on
20.00Consensusglp_on_gpOrthosteric Ligandglp1_on_gp glp2_on_gp
20.00Consensusleukotriene_onOrthosteric Ligandblt_on
20.00Consensusleukotriene_on_gpOrthosteric Ligandblt_on_gp
20.00Consensusmc4_onOrthosteric Ligand7AUE-MC4-Setmelanotide-chim(NtGi1L-Gs)/β1/γ2 7F58-MC4-THIQ-Gs/β1/γ2 7F54-MC4-Afamelanotide-Gs/β1/γ2 7F53-MC4-α-MSH-Gs/β1/γ2 7F55-MC4-Bremelanotide-Gs/β1/γ2
20.00Consensussst5_onOrthosteric Ligand8X8L-SST5-Cortistatin-14-chim(NtGi1-Gs-CtGi1)/β1/γ2 8X8N-SST5-Octreotide-chim(NtGi1-Gs-CtGi1)/β1/γ2
19.51Single8GY7Corticotropin8GY7-MC2-Corticotropin-Ca-chim(NtGi1-Gs)/β1/γ2; MRAP1
19.35Single5VAIGLP-15VAI-GLP-1-GLP-1-Gs/β1/γ2
19.35Single6NBHLA-PTH Analog6NBH-PTH1-LA-PTH Analog-Gs/β1/γ2
19.35Single6WZGSecretin6WZG-Secretin-Secretin-Gs/β1/γ2
19.35Single7D68GLP-27D68-GLP-2-GLP-2-Gs/β1/γ2
19.35Single7KI1Taspoglutide7KI1-GLP-1-Taspoglutide-Gs/β1/γ2
19.35Single8F0KPramlintide Analogue San3858F0K-CT (AMY3)-Pramlintide Analogue San385-Gs/β1/γ2; RAMP3
19.35Single8HAFPTHrP(1-36)8HAF-PTH1-PTHrP(1-36)-chim(NtGi1-Gs)/β1/γ2
19.35Single8KGGLysophosphatidylserine (WJS)8KGG-P2Y10-Lysophosphatidylserine (WJS)-chim(NtGi2-G13)/β1/γ2
19.35Single9BYOExendin-39BYO-GLP-1-Exendin-3-Gs/β1/γ2
19.35Single9P93VIP9P93-PAC1-VIP-Gs/β1/γ2
19.35Consensusvip-pacap_onOrthosteric Ligandvpac_on pac_on
19.35Consensusvip-pacap_on_gpOrthosteric Ligandvpac_on_gp pac_on_gp
19.23Single7E14Orforglipron7E14-GLP-1-Orforglipron-PubChem 156022738-Gs/β1/γ2
19.23Single7F1QCCL37F1Q-CCR5-CCL3-Gi1/β1/γ2
19.23Single7RMISubstance-P7RMI-NK1-Substance-P-chim(Gs-CtGq)/β1/γ2
19.23Single7VBITirzepatide (non-acylated)7VBI-GLP-1-Tirzepatide (non-acylated)-Gs/β1/γ2
19.23Single7W0NElabela7W0N-Apelin; Apelin-Elabela-Gi1/β1/γ2
19.23Single7XNACYN1548067XNA-SST2-CYN154806
19.23Single8K6ONeuropeptide-Y8K6O-Y1-Neuropeptide-Y-Gi2/β1/γ1
19.23Single8KH5Lysophosphatidylserine8KH5-GPR174-Lysophosphatidylserine-Gs/β1/γ2
19.23Single8WSSMCH8WSS-MCH1-MCH-Gi1/β1/γ1
19.23Single8XYDPlatelet Activating Factor8XYD-PAF-Platelet Activating Factor-Gi1/β1/γ2
19.23Single8Z7JJN241-98Z7J-Apelin-JN241-9-Gi1/β1/γ2
19.23Single9EAINanobody AT2099EAI-AT1-Losartan-Nanobody AT209
19.23Single9IQRMuscarinic toxin 39IQR-α2a-Muscarinic toxin 3
19.23Single9IQVMuscarinic toxin 39IQV-Alpha1A-Muscarinic toxin 3
19.23Single9KFIRelaxin-39KFI-RXFP3-Relaxin-3-Gi2/β1/γ2
19.23Consensusmc4_on_gpOrthosteric Ligand7AUE-MC4-Setmelanotide-chim(NtGi1L-Gs)/β1/γ2 7F58-MC4-THIQ-Gs/β1/γ2 7F54-MC4-Afamelanotide-Gs/β1/γ2 7F53-MC4-α-MSH-Gs/β1/γ2 7F55-MC4-Bremelanotide-Gs/β1/γ2
19.23Consensusmc5_onOrthosteric Ligand8INR-MC5-α-MSH-Ca-chim(NtGi1-Gs)/β1/γ2 8IOD-MC5-PG-901-Ca-chim(NtGi1-Gs)/β1/γ2
19.23Consensussst2_offOrthosteric Ligand7XNA-SST2-CYN154806
19.05Single4NTJAZD12834NTJ-P2Y12-AZD1283
19.05Single4PHUFasiglifam4PHU-FFA1-Fasiglifam
19.05Single6GPXMK08126GPX-CCR2-MK0812
19.05Single6RZ4Pranlukast6RZ4-CysLT1-Pranlukast-Na
19.05Single7E9GJNJ-404118137E9G-mGlu2; mGlu2-Eglumetad-JNJ-40411813-Gi1/β1/γ2
19.05Single7VV0PAMP-127VV0-MRGPRX2-PAMP-12
19.05Single8EJCTAK-8758EJC-FFA1-TAK-875-chim(NtGi1L-Gs-CtGq)/β1/γ2
19.05Single8IZ4Lysophosphatidylserine (TJR)8IZ4-GPR34-Lysophosphatidylserine (TJR)-Gi1/β1/γ2
19.05Single8YNSSNAP-948478YNS-MCH1-SNAP-94847
19.05Single9DQHEP-28259DQH-MRGPRD-EP-2825-chim(NtGi1-Gs-CtGq)/β1/γ2
19.05Consensusblt1_offOrthosteric Ligand5X33-BLT1-BIIL260 7K15-BLT1-MKD046-Na
19.05Consensusblt_offOrthosteric Ligandblt1_off
19.05Consensuscyslt_offOrthosteric Ligandcyslt2_off cyslt1_off
19.05Consensusgq_muscarinicOrthosteric Ligand6OIJ-M1-Iperoxo-chim(NtGi1L-G11)/β1/γ2
19.05Consensusm1_onOrthosteric Ligand6OIJ-M1-Iperoxo-chim(NtGi1L-G11)/β1/γ2
18.92Consensusclass-b1_onOrthosteric Ligandglucagon_on vip-pacap_on pth_on crf_on calcitonin_on
18.75Single3OE8IT1t3OE8-CXCR4-IT1t
18.75Single3RFMCaffeine3RFM-A2A-Caffeine
18.75Single7DD5Ca; Ca; Tryptophan; NPS-21437DD5-CaS; CaS-Ca-Ca; Ca; Tryptophan; NPS-2143
18.75Single7DUQGLP-17DUQ-GLP-1-GLP-1-PubChem 156022738-Gs/β1/γ2
18.75Single8WC5Tetramethylammonium Ion8WC5-TA1-Tetramethylammonium Ion-chim(NtGi1-Gs)/β1/γ2
18.75Single9C2FCa; Ca; Tryptophan; '54149; PO49C2F-CaS; CaS-Ca-Ca; Ca; Tryptophan; '54149; PO4
18.75Single9EE9Adenosine9EE9-A2A-Adenosine-Gs/β1/γ2
18.75Single9L0HJR14a9L0H-C3aB-JR14a-Go/β1/γ2
18.52Single3OE0CVX153OE0-CXCR4-CVX15
18.52Single6MEOGp160; CD46MEO-CCR5-Gp160; CD4
18.52Single6UUNAdrenomedullin6UUN-CT Like (AM1)-Adrenomedullin-Gs/β1/γ2; RAMP2
18.52Single6VN7PACAP276VN7-VPAC1-PACAP27-Gs/β1/γ2
18.52Single7RYCOxytocin7RYC-OT-Oxytocin-chim(NtGi2L-Gs-CtGq)/β1/γ2
18.52Single7XA3CCL27XA3-CCR2-CCL2-Gi1/β1/γ2
18.52Single8W8YGamma-MSH8W8Y-MC3-γ-MSH-Ca-Gs/β1/γ2
18.52Single9LXRLA-PTH Analog9LXR-PTH1-LA-PTH Analog-Arrestin2
18.52Consensusccr2_onOrthosteric Ligand7XA3-CCR2-CCL2-Gi1/β1/γ2
18.52Consensusccr2_on_gpOrthosteric Ligand7XA3-CCR2-CCL2-Gi1/β1/γ2
18.52Consensusccr_onOrthosteric Ligandccr6_on ccr8_on ccr2_on ccr1_on ccr5_on
18.18Single5TZRMK86665TZR-FFA1-MK8666
18.18Single5ZBHBMS-1938855ZBH-Y1-BMS-193885
18.18Single6O3CCholesterol6O3C-SMO-SAG21k-Cholesterol
18.18Single7R0CAVP7R0C-V2-AVP-Arrestin2
18.18Single7XAVLanreotide7XAV-SST2-Lanreotide-Gi1/β1/γ2
18.18Single7XBDGalanin7XBD-GAL2-Galanin-chim(NtGi2L-Gs-CtGq)/β1/γ2
18.18Single7XOWSulfated Gastrin-(10-17)7XOW-CCKB-Sulfated Gastrin-(10-17)-chim(NtGi1-Gq)/β1/γ2
18.18Single7XWONeurokinin-A7XWO-NK2-Neurokinin-A-chim(NtGi1-Gs-CtGq)/β1/γ2
18.18Single7Y67C089 peptide7Y67-C5a1-C089 peptide-Gi1/β1/γ2
18.18Single8FLSAbaloparatide8FLS-PTH1-Abaloparatide-Gs/β1/γ2
18.18Single8FN1Neurotensin-(8-13)8FN1-NTS1-Neurotensin-(8-13)-chim(NtGi1-Go)/β1/γ2
18.18Single8JD5JNJ-40411813; ADX881788JD5-mGlu2; mGlu4-Glutamate-JNJ-40411813; ADX88178-Gi1/β1/γ2
18.18Single8XJMLatanoprost8XJM-FP-alpha-Latanoprost-chim(NtGi2-Gs-CtGq)/β1/γ2
18.18Single8XZICMF-0198XZI-Apelin; Apelin-CMF-019-Gi1/β1/γ2
18.18Single8YNTSNAP-948478YNT-MCH1-SNAP-94847
18.18Single8ZR5Firuglipel8ZR5-GPR119-Firuglipel-Gs/β1/γ2
18.18Single9KUXCMPD6449KUX-Apelin; Apelin-CMPD644-Arrestin2
18.18Single9RHGC4079RHG-FZD7-C407
18.18Single9YDVMRS29059YDV-P2Y14-MRS2905-Gi1/β1/γ2
18.18Consensusffa2_onOrthosteric Ligand8J22-FFA2-TUG-1375-Gi1/β1/γ2
18.18Consensusmotilin_onOrthosteric Ligand8IBU-Motilin-Erythromycin-A-chim(NtGi1-Gs-CtGq)/β1/γ2
18.18Consensusnk2_on_gpOrthosteric Ligand7XWO-NK2-Neurokinin-A-chim(NtGi1-Gs-CtGq)/β1/γ2
18.18Consensusprotein_offOrthosteric Ligandchemokine_off grh_off
17.86Single5WB2CX3CL1.355WB2-US28-CX3CL1.35
17.86Single6M1IPACAP276M1I-PAC1-PACAP27-Gs/β1/γ2
17.86Single6METGp160; CD46MET-CCR5-Gp160; CD4
17.86Single7T10Somatostatin-147T10-SST2-Somatostatin-14-Gi3/β1/γ2
17.86Single7WUIIP157WUI-ADGRG2-IP15-chim(NtGi1-Gs)/β1/γ2
17.86Single8WSTMCH8WST-MCH2-MCH-chim(NtGi1L-Gs-CtGq)/β1/γ2
17.86Single8YW3Retatrutide8YW3-GLP-1-Retatrutide-Gs/β1/γ2
17.86Single8YW4Retatrutide8YW4-GIP-Retatrutide-chim(NtGi1-Gs)/β1/γ2
17.86Single9EBOGLP-1 (ACPC18)9EBO-GLP-1-GLP-1 (ACPC18)-Gs/β1/γ2
17.86Consensusmc5_on_gpOrthosteric Ligand8INR-MC5-α-MSH-Ca-chim(NtGi1-Gs)/β1/γ2 8IOD-MC5-PG-901-Ca-chim(NtGi1-Gs)/β1/γ2
17.65Single3PQRAll-trans-Retinal3PQR-Rhodopsin-All-trans-Retinal-Gt(CT)
17.65Single7VVMPTH7VVM-PTH1-PTH-Gs/β1/γ2
17.65Single8EITDoconexent8EIT-FFA1-Doconexent-chim(NtGi1L-Gs-CtGq)/β1/γ2
17.65Single8F76Propanoic acid8F76-OR51E2-Propanoic acid-Gs/β1/γ2
17.65Single8ITFDMCHA8ITF-TAA9-DMCHA-chim(NtGi1-Gs)/β1/γ2
17.65Single8IU2All-trans-Retinal8IU2-Opsin1LW-All-trans-Retinal-Gi1/β1/γ2
17.65Single8JEFPubChem 113671668JEF-HCA3-PubChem 11367166-Gi1/β1/γ2
17.65Single8JXTHistamine8JXT-H4-Histamine-PO4-Gi1/β1/γ2
17.65Single8RQLFlufenamic acid8RQL-TAS2R14-Flufenamic acid-Flufenamic acid-chim(NtGi1-Gt3)/β1/γ2
17.65Single8X9UMetenolone8X9U-ADGRD1-Metenolone-chim(NtGi1-Gs)/β1/γ2
17.65Single9JG1Adriforant9JG1-H4-Adriforant
17.65Single9JHJC18:0 Ceramide9JHJ-FPR2-ALX-C18:0 Ceramide-Gi1/β1/γ2
17.65Consensusgi_opsinsOrthosteric Ligand8IU2-Opsin1LW-All-trans-Retinal-Gi1/β1/γ2
17.65Consensusgi_sensoryOrthosteric Ligandgi_opsins
17.65Consensusopsin1lw_onOrthosteric Ligand8IU2-Opsin1LW-All-trans-Retinal-Gi1/β1/γ2
17.65Consensusopsin1lw_on_gpOrthosteric Ligand8IU2-Opsin1LW-All-trans-Retinal-Gi1/β1/γ2
17.39Single4N4WSANT-14N4W-SMO-SANT-1
17.39Single4PY02MeSATP4PY0-P2Y12-2MeSATP
17.39Single4XEENeurotensin-(8-13)4XEE-NTS1-Neurotensin-(8-13)
17.39Single4XESNeurotensin-(8-13)4XES-NTS1-Neurotensin-(8-13)
17.39Single6RZ7ONO-25703666RZ7-CysLT2-ONO-2570366
17.39Single6XOXOrforglipron6XOX-GLP-1-Orforglipron-chim(NtGi1-Gs)/β1/γ2
17.39Single7L0SNeurotensin-(8-13)7L0S-NTS1-Neurotensin-(8-13)-Gi1/β1/γ1
17.39Single8IBUErythromycin-A8IBU-Motilin-Erythromycin-A-chim(NtGi1-Gs-CtGq)/β1/γ2
17.39Single8WRBLysophosphatidylserine (UBL)8WRB-GPR34-Lysophosphatidylserine (UBL)-Gi1/β1/γ2
17.39Single8XQNCholesterol8XQN-TAS2R14-Cholesterol-Aristolochic acid A-Gi1/β1/γ1
17.39Single8XQSCholesterol8XQS-TAS2R14-Cholesterol-Flufenamic acid-Gi1/β1/γ1
17.39Single8Y6WTUG-13758Y6W-FFA2-TUG-1375-4-CMTB-Gi1/β1/γ2
17.39Single9BJKPubChem 1716420669BJK-μ-Naloxone-PubChem 171642066
17.39Single9ECJS-geranylgeranyl-L-glutathione9ECJ-P2Y8-S-geranylgeranyl-L-glutathione-G13/β1/γ2
17.39Single9WXMGPR15L(CT)9WXM-GPR15-GPR15L(CT)-Gi3/β1/γ2
17.39Consensuscxcr_onOrthosteric Ligandcxcr3_on cxcr4_on cxcr1_on cxcr2_on
17.39Consensusgalanin_onOrthosteric Ligandgal2_on gal1_on
17.39Consensusgalanin_on_gpOrthosteric Ligandgal2_on_gp gal1_on_gp
17.39Consensusmotilin_on_gpOrthosteric Ligand8IBU-Motilin-Erythromycin-A-chim(NtGi1-Gs-CtGq)/β1/γ2
17.24Single6X18GLP-16X18-GLP-1-GLP-1-Gs/β1/γ2
17.24Single7F9YGhrelin7F9Y-Ghrelin-Ghrelin-chim(NtGi1-Gs-CtGq)/β1/γ2
17.24Single7LLYOxyntomodulin7LLY-GLP-1-Oxyntomodulin-Gs/β1/γ2
17.24Single8WWMMCH8WWM-MCH1-MCH-Gi1/β1/γ2
17.24Consensusccr_on_gpOrthosteric Ligandccr6_on_gp ccr8_on_gp ccr2_on_gp ccr1_on_gp ccr5_on_gp
17.24Consensuschemokine_offOrthosteric Ligandccr_off cxcr_off
17.24Consensuscxcr_offOrthosteric Ligandcxcr3_off cxcr4_off
17.24Consensuspac_onOrthosteric Ligandpac1_on
17.24Consensusvpac1_onOrthosteric Ligand8E3Z-VPAC1-VIP-Gs/β1/γ2
17.24Consensusvpac_onOrthosteric Ligandvpac1_on vpac2_on
17.14Single9JR3PTH9JR3-PTH1-PTH-chim(NtGi1L-Gs-CtGq)/β1/γ2
17.14Consensusglucagon_onOrthosteric Ligandglp_on gluc_on secretin_on gip_on
17.14Consensuspth2_onOrthosteric Ligand7F16-PTH2-TIP39-Gs/β1/γ2
17.07Consensusclass-b1_on_gpOrthosteric Ligandglucagon_on_gp vip-pacap_on_gp pth_on_gp crf_on_gp calcitonin_on_gp
16.67Single3AYMAll-trans-Retinal3AYM-Rhodopsin-All-trans-Retinal
16.67Single4BUONeurotensin-(8-13)4BUO-NTS1-Neurotensin-(8-13)
16.67Single4RWSvMIP-II4RWS-CXCR4-vMIP-II
16.67Single6FJ3PTH6FJ3-PTH1-PTH
16.67Single6NBFLA-PTH Analog6NBF-PTH1-LA-PTH Analog-Gs/β1/γ2
16.67Single6RZ9ONO-27703726RZ9-CysLT2-ONO-2770372
16.67Single7CZ5Somatoliberin7CZ5-GHRH-Somatoliberin-Gs/β1/γ2
16.67Single7D3SSecretin7D3S-Secretin-Secretin-Gs/β1/γ2
16.67Single7DD5Ca; Ca; Tryptophan; NPS-21437DD5-CaS; CaS-Ca-Ca; Ca; Tryptophan; NPS-2143
16.67Single7KI0Semaglutide7KI0-GLP-1-Semaglutide-Gs/β1/γ2
16.67Single7PIUSetmelanotide7PIU-MC4-Setmelanotide-Gs/β1/γ2
16.67Single7RA3GIP7RA3-GIP-GIP-chim(NtGi1-Gs)/β1/γ2
16.67Single7SK4CXCL12_LRHQ7SK4-ACKR3-CXCL12_LRHQ
16.67Single8HN1Toxin AdTx18HN1-Alpha1A-Toxin AdTx1
16.67Single8IULLatanoprost8IUL-FP-alpha-Latanoprost-chim(NtGi1-Gs-CtGq)/β1/γ2
16.67Single8JISPeptide-158JIS-GLP-1-Peptide-15-chim(NtGi1-Gs)/β1/γ2
16.67Single8SZFCa; Ca; Tryptophan; Cinacalcet; PO4; Spermine8SZF-CaS; CaS-Ca; Ca; Tryptophan; Cinacalcet; PO4; Spermine
16.67Single8WPUTryptophan; Cinacalcet; PO4; Ca8WPU-CaS; CaS-Tryptophan; Cinacalcet; PO4; Ca-chim(NtGi2L-Gs-CtGq)/β1/γ2
16.67Single8X2KOleic monoethanolamide8X2K-GPR3-Oleic monoethanolamide-chim(NtGi1-Gs)/β1/γ2
16.67Single8XBES3E-Lysophosphatidylserine 8XBE-GPR34-S3E-Lysophosphatidylserine-Gi1/β1/γ1
16.67Single8XJKCloprosetnol8XJK-FP-alpha-Cloprosetnol-chim(NtGi1-Gs-CtGq)/β1/γ2
16.67Single8ZX5AM2518ZX5-GPR55-AM251-chim(NtGi1-G13)/β1/γ2
16.67Single9B9YTaranabant9B9Y-CB1-Taranabant
16.67Single9BLWCagrilintide (non-acylated)9BLW-CT (AMY1)-Cagrilintide (non-acylated)-Gs/β1/γ2; RAMP1
16.67Single9C1PCa; Tryptophan; '6218; PO49C1P-CaS; CaS-Ca-Ca; Tryptophan; '6218; PO4
16.67Single9J1Pg1:Ox9J1P-GLP-1-g1:Ox-chim(NtGi1-Gs)/β1/γ2
16.67Single9KWXC5a-des-Arg9KWX-C5a1-C5a-des-Arg-Go/β1/γ2
16.67Single9M88Oleic monoethanolamide9M88-GPR3 ; GPR3-Oleic monoethanolamide-AF64394
16.67Single9UYHChemerin-99UYH-CML2-Chemerin-9-Arrestin2
16.67Single9YDAAll-trans-Retinal9YDA-Opsin1MW-All-trans-Retinal-chim(NtGi1L-Gs-CtGt)/β1/γ2
16.67Consensusccr_offOrthosteric Ligandccr2_off ccr5_off
16.67Consensuscyslt2_offOrthosteric Ligand6RZ7-CysLT2-ONO-2570366 6RZ8-CysLT2-ONO-2080365 6RZ9-CysLT2-ONO-2770372
16.67Consensusfp-alpha_onOrthosteric Ligand8IUK-FP-alpha-PGF2-α-chim(NtGi1-Gs-CtGq)/β1/γ2 8IUL-FP-alpha-Latanoprost-chim(NtGi1-Gs-CtGq)/β1/γ2 8IUM-FP-alpha-Tafluprost acid-chim(NtGi1-Gs-CtGq)/β1/γ2
16.67Consensusfp-alpha_on_gpOrthosteric Ligand8IUK-FP-alpha-PGF2-α-chim(NtGi1-Gs-CtGq)/β1/γ2 8IUL-FP-alpha-Latanoprost-chim(NtGi1-Gs-CtGq)/β1/γ2 8IUM-FP-alpha-Tafluprost acid-chim(NtGi1-Gs-CtGq)/β1/γ2
16.67Consensusgal2_onOrthosteric Ligand7WQ4-GAL2-Galanin-chim(NtGi1-Gs-CtGq)/β1/γ2 7XJL-GAL2-Spexin-chim(NtGi2L-Gs-CtGq)/β1/γ2
16.67Consensusgal2_on_gpOrthosteric Ligand7WQ4-GAL2-Galanin-chim(NtGi1-Gs-CtGq)/β1/γ2 7XJL-GAL2-Spexin-chim(NtGi2L-Gs-CtGq)/β1/γ2
16.67Consensusglucagon_on_gpOrthosteric Ligandglp_on_gp gluc_on_gp secretin_on_gp gip_on_gp
16.67Consensusgq_nucleotideOrthosteric Ligandgq_p2y
16.67Consensusgq_p2yOrthosteric Ligand7XXH-P2Y1-2MeSADP-chim(NtGi1-G11)/β1/γ2
16.67Consensush4_onOrthosteric Ligand8HN8-H4-Histamine-Gi1/β1/γ2 8HOC-H4-Imetit-Gi1/β1/γ2 8JXV-H4-Clozapine-Gi1/β1/γ2 8JXW-H4-VUF6884-Gi1/β1/γ2 8JXX-H4-Clobenpropit-Gi1/β1/γ2
16.67Consensusvpac1_on_gpOrthosteric Ligand8E3Z-VPAC1-VIP-Gs/β1/γ2
16.67Consensusvpac_on_gpOrthosteric Ligandvpac1_on_gp vpac2_on_gp
16.13Single6UVAAdrenomedullin-26UVA-CT Like (AM2)-Adrenomedullin-2-Gs/β1/γ2; RAMP3
16.13Single7DTYGIP7DTY-GIP-GIP-Gs/β1/γ2
16.13Single7FIYTirzepatide7FIY-GIP-Tirzepatide-Gs/β1/γ2
16.13Single7S1MExendin-4-D-Ala7S1M-GLP-1-Exendin-4-D-Ala-Gs/β1/γ2
16.13Single7TYFAmylin7TYF-CT (AMY1)-Amylin-Gs/β1/γ2; RAMP1
16.13Single7VQXPACAP277VQX-VPAC1-PACAP27-Gs/β1/γ2
16.13Single8HAOPTH8HAO-PTH1-PTH-chim(NtGi1-Gs)/β1/γ2
16.13Single8W8XBeta-MSH8W8X-MC3-β-MSH-Ca-Gs/β1/γ2
16.13Single9P94PACAP279P94-PAC1-PACAP27-Gs/β1/γ2
16.13Consensuscrf_onOrthosteric Ligandcrf2_on crf1_on
16.13Consensusp2y10_on_gpOrthosteric Ligand8KGG-P2Y10-Lysophosphatidylserine (WJS)-chim(NtGi2-G13)/β1/γ2
16.00Single5VBLAMG3054 5VBL-Apelin-AMG3054
16.00Single6RZ6ONO-25703666RZ6-CysLT2-ONO-2570366
16.00Single7RKNCX3CL17RKN-US28-CX3CL1-Gi1/β1/γ2
16.00Single7X8SWB4-247X8S-GLP-1-WB4-24-Gs/β1/γ2
16.00Single8IUMTafluprost acid8IUM-FP-alpha-Tafluprost acid-chim(NtGi1-Gs-CtGq)/β1/γ2
16.00Single8SAILysophosphatidylserine (S12)8SAI-GPR34-Lysophosphatidylserine (S12)-Gi1/β1/γ2
16.00Single8XQOCholesterol8XQO-TAS2R14-Cholesterol-Aristolochic acid A-Gi1/β1/γ1
16.00Single9NS9TUG-13759NS9-FFA2-TUG-1375-PubChem 118615810-Gi1/β1/γ2
15.79Single2Z7311-cis-Retinal2Z73-Rhodopsin-11-cis-Retinal
15.79Single3AYN9-cis-Retinal3AYN-Rhodopsin-9-cis-Retinal
15.79Single5ZKQABT-4915ZKQ-PAF-ABT-491
15.79Single6RNKNF-56-EJ406RNK-Succinate-NF-56-EJ40
15.79Single7LCJDanuglipron7LCJ-GLP-1-Danuglipron
15.79Single7SILCa; Ca; Ca; Cyclomethyltryptophan; R-568; PO47SIL-CaS; CaS-Ca-Ca; Ca; Ca; Cyclomethyltryptophan; R-568; PO4
15.79Single7SILCa; Ca; Ca; Cyclomethyltryptophan; R-568; PO47SIL-CaS; CaS-Ca-Ca; Ca; Ca; Cyclomethyltryptophan; R-568; PO4
15.79Single7XJJGalanin7XJJ-GAL1-Galanin-Go/β1/γ2
15.79Single8DWHPubChem 1390305318DWH-MRGPRX1-PubChem 139030531-chim(NtGi2L-Gs-CtGq)/β1/γ2
15.79Single8U8FPalmitic Acid8U8F-GPR3-Palmitic Acid-Gs/β1/γ2
15.79Single8YYWAlpha-ketoglutarate8YYW-Oxoglutarate-α-ketoglutarate-α-ketoglutarate-chim(Gi1-CtGq)/β1/γ2
15.79Consensusp2y1_onOrthosteric Ligand7XXH-P2Y1-2MeSADP-chim(NtGi1-G11)/β1/γ2
15.79Consensuspaf_offOrthosteric Ligand5ZKQ-PAF-ABT-491
15.79Consensuspth2_on_gpOrthosteric Ligand7F16-PTH2-TIP39-Gs/β1/γ2
15.62Single6LMLGlucagon6LML-Glucagon-Glucagon-Gi1/β1/γ1
15.62Single6UUSAdrenomedullin6UUS-CT Like (AM2)-Adrenomedullin-Gs/β1/γ2; RAMP3
15.62Single7VVJPTHrP(1-36)7VVJ-PTH1-PTHrP(1-36)-Gs/β1/γ2
15.62Single8FLTM-PTH(1-14)8FLT-PTH1-M-PTH(1-14)-Gs/β1/γ2
15.62Consensuspth1_onOrthosteric Ligand6NBF-PTH1-LA-PTH Analog-Gs/β1/γ2 8HA0-PTH1-PTH-chim(NtGi1-Gs)/β1/γ2 8HAF-PTH1-PTHrP(1-36)-chim(NtGi1-Gs)/β1/γ2 7Y36-PTH1-PTH-Gs/β1/γ2 7Y35-PTH1-Abaloparatide-Gs/β1/γ2
15.38Single7L0RNeurotensin-(8-13)7L0R-NTS1-Neurotensin-(8-13)-Gi1/β1/γ1
15.38Single7NA7Ghrelin7NA7-Ghrelin-Ghrelin-Gi1/β1/γ2
15.38Single7W2ZGhrelin7W2Z-Ghrelin-Ghrelin-Go/β1/γ2
15.38Single7W53Neuromedin-U-257W53-NMUR1-Neuromedin-U-25-chim(NtGi1-Gs-CtGq)/β1/γ2
15.38Single8INRAlpha-MSH8INR-MC5-α-MSH-Ca-chim(NtGi1-Gs)/β1/γ2
15.38Single8KIGSHU91198KIG-MC3-SHU9119-Ca
15.38Single8U4OCXCL128U4O-CXCR4-CXCL12-Gi1/β1/γ2
15.38Single8YWFRetatrutide8YWF-GLP-1-Retatrutide-chim(NtGi1-Gs)/β1/γ2
15.38Consensusnmur1_on_gpOrthosteric Ligand7W53-NMUR1-Neuromedin-U-25-chim(NtGi1-Gs-CtGq)/β1/γ2
15.38Consensussomatostatin_offOrthosteric Ligandsst2_off
15.15Single7TYXAmylin7TYX-CT (AMY2)-Amylin-Gs/β1/γ2; RAMP2
15.15Consensuscrf1_onOrthosteric Ligand6PB0-CRF1-Urocortin-chim(NtGi1-Gs)/β1/γ2 6P9X-CRF1-Corticoliberin-1-Gs/β1/γ2
15.00Single6U1NLY21196206U1N-M2-LY2119620-Arrestin2
15.00Single7BB6AVP7BB6-V2-AVP-Gs/β1/γ2
15.00Single7M3GCa; Ca; Tryptophan; Evocalcet; Etelcalcetide; PO47M3G-CaS; CaS-Ca; Ca; Tryptophan; Evocalcet; Etelcalcetide; PO4
15.00Single7UTZDPPC7UTZ-TSH-TSH-DPPC-Gs/β1/γ2
15.00Single7XOVSR1461317XOV-CCKA-SR146131-Gs/β1/γ2
15.00Single7XXH2MeSADP7XXH-P2Y1-2MeSADP-chim(NtGi1-G11)/β1/γ2
15.00Single9BA0MRI-18919BA0-CB1-MRI-1891
15.00Consensuscb1_offOrthosteric Ligand5U09-CB1-Taranabant 5TGZ-CB1-AM6538
15.00Consensusp2y1_on_gpOrthosteric Ligand7XXH-P2Y1-2MeSADP-chim(NtGi1-G11)/β1/γ2
14.81Single7C6A(Sar1,Ile8)-Angiotensin II7C6A-AT2-(Sar1,Ile8)-Angiotensin II
14.81Single8IBVMotilin8IBV-Motilin-Motilin-chim(NtGi1-Gs-CtGq)/β1/γ2
14.71Single7SK6CXCL12_LRHQ7SK6-ACKR3-CXCL12_LRHQ
14.71Single7TZFAmylin7TZF-CT (AMY3)-Amylin-Gs/β1/γ2; RAMP3
14.71Single9AUCCalcitonin gene-related peptide-19AUC-CT (AMY1)-Calcitonin gene-related peptide-1-Gs/β1/γ2; RAMP1
14.29Single6D27CAY104716D27-DP2-CAY10471
14.29Single6WPWZP37806WPW-Glucagon-ZP3780-Gs/β1/γ2
14.29Single6X1ADanuglipron6X1A-GLP-1-Danuglipron-Gs/β1/γ2
14.29Single6Z4VNeurotensin-(9-13)6Z4V-NTS1-Neurotensin-(9-13)
14.29Single7FIHOrg435537FIH-LH-hCG-Org43553-chim(NtGi1-Gs)/β1/γ2
14.29Single7LCIDanuglipron7LCI-GLP-1-Danuglipron-Gs/β1/γ2
14.29Single7LCKDanuglipron7LCK-GLP-1-Danuglipron
14.29Single7WQ3Galanin7WQ3-GAL1-Galanin-Gi1/β1/γ2
14.29Single8JIPMEDI03828JIP-GLP-1-MEDI0382-chim(NtGi1-Gs)/β1/γ2
14.29Single8JIRSAR4258998JIR-GLP-1-SAR425899-chim(NtGi1-Gs)/β1/γ2
14.29Single8KFYZK-7563268KFY-CCR8-ZK-756326-Gi1/β1/γ2
14.29Single8X9TAP5038X9T-ADGRD1-AP503-chim(NtGi1-Gs)/β1/γ2
14.29Single8XBGS3E-Lysophosphatidylserine 8XBG-GPR34-S3E-Lysophosphatidylserine
14.29Single8ZYYNeurotensin-(8-13)8ZYY-NTS1-Neurotensin-(8-13)-SBI-553-Arrestin2
14.29Single9B5YLA-PTH Analog9B5Y-PTH1-LA-PTH Analog-chim(NtGi1-Gq)/β1/γ2
14.29Single9IVMGLP-1 (Truncated)9IVM-GLP-1-GLP-1 (Truncated)-LSN3318839-chim(NtGi1-Gs)/β2/γ2
14.29Single9JR2PTH9JR2-PTH1-PTH-chim(NtGi1L-Gs-CtGq)/β1/γ2
14.29Single9METGp120; CD49MET-CXCR4-Gp120; CD4
14.29Consensusalicarboxylic_offOrthosteric Ligandsuccinate_off
14.29Consensusclass-b1_class-b2_cons_onOrthosteric Ligandclass-b1_on class-b2_on
14.29Consensusclass-b1_class-b2_cons_on_gpOrthosteric Ligandclass-b1_on_gp class-b2_on_gp
14.29Consensuscrf1_on_gpOrthosteric Ligand6PB0-CRF1-Urocortin-chim(NtGi1-Gs)/β1/γ2 6P9X-CRF1-Corticoliberin-1-Gs/β1/γ2
14.29Consensusgal1_onOrthosteric Ligand7WQ3-GAL1-Galanin-Gi1/β1/γ2
14.29Consensusgal1_on_gpOrthosteric Ligand7WQ3-GAL1-Galanin-Gi1/β1/γ2
14.29Consensusgi_galaninOrthosteric Ligand7WQ3-GAL1-Galanin-Gi1/β1/γ2
14.29Consensusglp1_on_gpOrthosteric Ligand7S1M-GLP-1-Exendin-4-D-Ala-Gs/β1/γ2 7X8R-GLP-1-BOC5-Gs/β1/γ2 6X19-GLP-1-CHU-128-Gs/β1/γ2 6X1A-GLP-1-Danuglipron-Gs/β1/γ2 6X18-GLP-1-GLP-1-Gs/β1/γ2 8JIP-GLP-1-MEDI0382-chim(NtGi1-Gs)/β1/γ2 7C2E-GLP-1-PubChem 149050799-Gs/β1/γ2 7KI0-GLP-1-Semaglutide-Gs/β1/γ2 7KI1-GLP-1-Taspoglutide-Gs/β1/γ2 7X8S-GLP-1-WB4-24-Gs/β1/γ2 8JIS-GLP-1-Peptide-15-chim(NtGi1-Gs)/β1/γ2 7VBI-GLP-1-Tirzepatide (non-acylated)-Gs/β1/γ2
14.29Consensusmc3_onOrthosteric Ligand8IOC-MC3-γ-MSH-Ca-chim(NtGi1-Gs)/β1/γ2
14.29Consensusmc3_on_gpOrthosteric Ligand8IOC-MC3-γ-MSH-Ca-chim(NtGi1-Gs)/β1/γ2
14.29Consensuspth1_on_gpOrthosteric Ligand6NBF-PTH1-LA-PTH Analog-Gs/β1/γ2 8HA0-PTH1-PTH-chim(NtGi1-Gs)/β1/γ2 8HAF-PTH1-PTHrP(1-36)-chim(NtGi1-Gs)/β1/γ2 7Y36-PTH1-PTH-Gs/β1/γ2 7Y35-PTH1-Abaloparatide-Gs/β1/γ2
14.29Consensussuccinate_offOrthosteric Ligand6RNK-Succinate-NF-56-EJ40 6Z10-Succinate-PubChem 154585554
13.79Single7FINPeptide-20; GGL7FIN-GIP-Peptide-20; GGL-Gs/β1/γ2
13.79Single7W57Neuromedin-S7W57-NMUR2-Neuromedin-S-chim(NtGi1-Gs-CtGq)/β1/γ2
13.79Single8HA0PTH8HA0-PTH1-PTH-chim(NtGi1-Gs)/β1/γ2
13.79Single8YW5Retatrutide8YW5-Glucagon-Retatrutide-Gs/β1/γ2
13.79Single9BLCCagrilintide (non-acylated)9BLC-CT-Cagrilintide (non-acylated)-Gs/β1/γ2
13.64Single5CGCHTL142425CGC-mGlu5-HTL14242
13.64Single5T1ABMS-6815T1A-CCR2-BMS-681-PubChem 12093170
13.64Single5YHLPubChem 1351213525YHL-EP4-PubChem 135121352
13.64Single5YWYONO-AE3-2085YWY-EP4-ONO-AE3-208
13.64Single6M9TMisoprostol-FA6M9T-EP3-Misoprostol-FA
13.64Single6XBKCholesterol6XBK-SMO-Cholesterol-Gi1/β1/γ2
13.64Single7M3GCa; Ca; Tryptophan; Evocalcet; Etelcalcetide; PO47M3G-CaS; CaS-Ca; Ca; Tryptophan; Evocalcet; Etelcalcetide; PO4
13.64Single8GD9Rivenprost8GD9-EP4-Rivenprost-Gs/β1/γ2
13.64Single8GDCPGE28GDC-EP3-PGE2-Gi1/β1/γ2
13.64Single8X0DVU04244658X0D-mGlu5; mGlu5-Quisqualate-VU0424465
13.64Single8X0DVU04244658X0D-mGlu5; mGlu5-Quisqualate-VU0424465
13.64Single8ZVZBW245C8ZVZ-DP1-BW245C-Gs/β1/γ2
13.64Single8ZYTNeurotensin-(8-13)8ZYT-NTS1-Neurotensin-(8-13)-SBI-553-Arrestin2
13.64Single9B9ZMRI-18679B9Z-CB1-MRI-1867
13.64Single9EKHONO-30302979EKH-DP1-ONO-3030297
13.64Consensusep4_offOrthosteric Ligand5YWY-EP4-ONO-AE3-208 5YHL-EP4-PubChem 135121352
13.64Consensusep_offOrthosteric Ligandep4_off
13.51Single6E3YCalcitonin gene-related peptide-16E3Y-CT Like-Calcitonin gene-related peptide-1-Gs/β1/γ2; RAMP1
13.33Single4A4MAll-trans-Retinal4A4M-Rhodopsin-All-trans-Retinal-Gt(CT)
13.33Single5EN0All-trans-Retinal5EN0-Rhodopsin-All-trans-Retinal-Gt(CT)
13.33Single8YG4LA-PTH Analog8YG4-PTH1-LA-PTH Analog-chim(NtGi1-Gs)/β1/γ2
13.33Consensuscalcitonin_onOrthosteric Ligandctlike_on
13.33Consensusp2y10_onOrthosteric Ligand8KGG-P2Y10-Lysophosphatidylserine (WJS)-chim(NtGi2-G13)/β1/γ2
13.04Single3ZEVNeurotensin-(7-13)3ZEV-NTS1-Neurotensin-(7-13)
13.04Single4BV0Neurotensin-(7-13)4BV0-NTS1-Neurotensin-(7-13)
13.04Single4OO9Mavoglurant4OO9-mGlu5-Mavoglurant
13.04Single6OS1TRV0266OS1-AT1-TRV026
13.04Single6Z8NSRI-98296Z8N-NTS1-SRI-9829
13.04Single7F1TCCL37F1T-CCR5-CCL3
13.04Single7L0PNeurotensin-(8-13)7L0P-NTS1-Neurotensin-(8-13)-Gi1/β1/γ1
13.04Single7L0QNeurotensin-(8-13)7L0Q-NTS1-Neurotensin-(8-13)-Gi1/β1/γ1
13.04Single7XJLSpexin7XJL-GAL2-Spexin-chim(NtGi2L-Gs-CtGq)/β1/γ2
13.04Single8FMZNeurotensin-(8-13)8FMZ-NTS1-Neurotensin-(8-13)-chim(NtGi2L-Gs-CtGq)/β1/γ2
13.04Single8JBGNeurokinin-B8JBG-NK3-Neurokinin-B-chim(NtGi1-Gs-CtGq)/β1/γ2
13.04Single8WJXADP8WJX-P2Y1-ADP-chim(Gs-CtGq)/β1/γ2
13.04Single8X0BVU04244658X0B-mGlu5; mGlu5-Quisqualate-VU0424465
13.04Single8X0FVU298X0F-mGlu5; mGlu5-Quisqualate-VU29
13.04Single8X79MRE-2698X79-I2-MRE-269-Gs/β1/γ2
13.04Single8XQTCholesterol8XQT-TAS2R14-Cholesterol-Gi1/β1/γ1
13.04Single9CLWTUG-13759CLW-FFA2-TUG-1375-4-CMTB-chim(NtGi1L-Gs-CtGq)/β1/γ2
13.04Single9E9SPGD29E9S-DP1-PGD2-Gs/β1/γ1
13.04Single9ITELPA9ITE-LPA6-LPA-chim(NtGi2-G13)/β1/γ2
13.04Single9MENGp120 (V3 loop)9MEN-CXCR4-Gp120 (V3 loop)
13.04Consensusneurotensin_onOrthosteric Ligandnts1_on
13.04Consensusnts1_onOrthosteric Ligand6OSA-NTS1-JMV449-Gi1/β1/γ2 7L0S-NTS1-Neurotensin-(8-13)-Gi1/β1/γ1
13.04Consensusp2y12_onOrthosteric Ligand7XXI-P2Y12-2MeSADP-Gi2/β1/γ2
12.90Single6NBILA-PTH Analog6NBI-PTH1-LA-PTH Analog-Gs/β1/γ2
12.90Single7SK3CXCL127SK3-ACKR3-CXCL12
12.90Single9BP3Cagrilintide9BP3-CT (AMY1)-Cagrilintide-Gs/β1/γ2; RAMP1
12.90Consensuscalcitonin_on_gpOrthosteric Ligandctlike_on_gp
12.90Consensuspac1_onOrthosteric Ligand8E3X-PAC1-PACAP27-Gs/β1/γ2 6M1H-PAC1-Maxadilan-Gs/β1/γ2
12.90Consensuspac1_on_gpOrthosteric Ligand8E3X-PAC1-PACAP27-Gs/β1/γ2 6M1H-PAC1-Maxadilan-Gs/β1/γ2
12.90Consensussecretin_onOrthosteric Ligand7D3S-Secretin-Secretin-Gs/β1/γ2
12.50Single3VW7Vorapaxar; Na3VW7-PAR1-Vorapaxar; Na
12.50Single4GRVNeurotensin-(8-13)4GRV-NTS1-Neurotensin-(8-13)
12.50Single5X33BIIL2605X33-BLT1-BIIL260
12.50Single6OS2TRV0266OS2-AT1-TRV026
12.50Single6OSAJMV4496OSA-NTS1-JMV449-Gi1/β1/γ2
12.50Single6YVRNeurotensin-(6-13)6YVR-NTS1-Neurotensin-(6-13)
12.50Single7VVKPTH7VVK-PTH1-PTH-Gs/β1/γ2
12.50Single7W0NElabela7W0N-Apelin; Apelin-Elabela-Gi1/β1/γ2
12.50Single7WQ4Galanin7WQ4-GAL2-Galanin-chim(NtGi1-Gs-CtGq)/β1/γ2
12.50Single7XJKGalanin7XJK-GAL2-Galanin-chim(NtGi2L-Gs-CtGq)/β1/γ2
12.50Single7XXI2MeSADP7XXI-P2Y12-2MeSADP-Gi2/β1/γ2
12.50Single7XZ5Lysophosphatidylcholine7XZ5-GPR119-Lysophosphatidylcholine-Gs/β1/γ2
12.50Single8F0JPramlintide Analogue San458F0J-CT-Pramlintide Analogue San45-Gs/β1/γ2
12.50Single8FU6ZP37808FU6-Glucagon-ZP3780-Gs/β1/γ2
12.50Single8GCPPGE28GCP-EP4-PGE2-Gi1/β1/γ2
12.50Single8HQMNPGLY8HQM-GPR132-NPGLY-Gi1/β1/γ2
12.50Single8HVINOX-6-78HVI-GPR132-NOX-6-7-Gi1/β1/γ2
12.50Single8IQ6Latanoprost8IQ6-FP-alpha-Latanoprost-chim(NtGi1-Gs-CtGq)/β1/γ2
12.50Single8JPBNeurotensin-(8-13)8JPB-NTS1-Neurotensin-(8-13)-SBI-553; GDP; Mg-Gq; GRK2
12.50Single8JPCNeurotensin-(8-13)8JPC-NTS1-Neurotensin-(8-13)-SBI-553; GDP; Mg-Gq; GRK2
12.50Single8XJNCloprosetnol8XJN-TXA2-Cloprosetnol-chim(NtGi1-Gs-CtGq)/β1/γ2
12.50Single9AU0BW245C9AU0-DP1-BW245C-Gs/β1/γ2
12.50Single9CM3TUG-13759CM3-FFA2-TUG-1375-PubChem 118615810-chim(NtGi1L-Gs-CtGq)/β1/γ2
12.50Single9GGGI-BOP9GGG-TXA2-I-BOP-chim(NtGi2L-Gs-CtGq)/β1/γ2
12.50Consensusgi_neurotensinOrthosteric Ligand6OSA-NTS1-JMV449-Gi1/β1/γ2 7L0S-NTS1-Neurotensin-(8-13)-Gi1/β1/γ1
12.50Consensusgi_p2yOrthosteric Ligand7XXI-P2Y12-2MeSADP-Gi2/β1/γ2
12.50Consensusneurotensin_on_gpOrthosteric Ligandnts1_on_gp
12.50Consensusnts1_on_gpOrthosteric Ligand6OSA-NTS1-JMV449-Gi1/β1/γ2 7L0S-NTS1-Neurotensin-(8-13)-Gi1/β1/γ1
12.50Consensusp2y12_on_gpOrthosteric Ligand7XXI-P2Y12-2MeSADP-Gi2/β1/γ2
12.50Consensussecretin_on_gpOrthosteric Ligand7D3S-Secretin-Secretin-Gs/β1/γ2
12.20Single8F2BPramlintide Analogue San458F2B-CT (AMY3)-Pramlintide Analogue San45-Gs/β1/γ2; RAMP3
12.12Single6LMKGlucagon6LMK-Glucagon-Glucagon-Gs/β1/γ2
12.12Single7VVLPTH7VVL-PTH1-PTH-Gs/β1/γ2
12.00Single5CGDHTL142425CGD-mGlu5-HTL14242
12.00Single7D7MPGE27D7M-EP4-PGE2-Gs/β1/γ1
12.00Single7VVNPTH7VVN-PTH1-PTH-Gs/β1/γ2
12.00Single8FN0Neurotensin-(8-13)8FN0-NTS1-Neurotensin-(8-13)-SBI-553-chim(NtGi1-Go)/β1/γ2
12.00Single8JPFNeurotensin-(8-13)8JPF-NTS1-Neurotensin-(8-13)-SBI-553
12.00Single8K4OCXCL18K4O-KSHV-CXCL1-Gi1/β1/γ1
12.00Single8XJOU466198XJO-TXA2-U46619-chim(NtGi1-Gs-CtGq)/β1/γ2
12.00Single8ZPLHF511168ZPL-CXCR4-HF51116
12.00Single9GG5U466199GG5-TXA2-U46619-chim(NtGi2L-Gs-CtGq)/β1/γ2
12.00Single9M1HPGE29M1H-EP1-PGE2-chim(NtGi1-Gs-CtGq)/β1/γ2
12.00Consensusprostanoid_onOrthosteric Ligandtp_on fp-alpha_on
12.00Consensusprostanoid_on_gpOrthosteric Ligandtp_on_gp fp-alpha_on_gp
12.00Consensustp_onOrthosteric Ligand8XJO-TXA2-U46619-chim(NtGi1-Gs-CtGq)/β1/γ2
12.00Consensustp_on_gpOrthosteric Ligand8XJO-TXA2-U46619-chim(NtGi1-Gs-CtGq)/β1/γ2
11.76Single2HPYAll-trans-Retinal2HPY-Rhodopsin-All-trans-Retinal
11.76Single6OT025(S)-Epoxycholesterol6OT0-SMO-25(S)-Epoxycholesterol-Gi1/β1/γ2
11.76Single7RBTTirzepatide7RBT-GIP-Tirzepatide-LSN3556672-chim(NtGi1-Gs)/β1/γ2
11.76Single7VDMSubstance-P7VDM-MRGPRX2-Substance-P-Gi1/β1/γ2
11.76Single8XOFLys058XOF-GPR30-Lys05-chim(NtGi1-Gs-CtGq)/β1/γ2
11.54Single7AUESetmelanotide7AUE-MC4-Setmelanotide-chim(NtGi1L-Gs)/β1/γ2
11.54Single8GDAL9026888GDA-EP4-L902688-Gs/β1/γ2
11.54Single8IQ4Carboprost8IQ4-FP-alpha-Carboprost-chim(NtGi1-Gs-CtGq)/β1/γ2
11.54Single8XQJJN2418XQJ-Apelin; Apelin-JN241
11.54Single9CM7TUG-13759CM7-FFA2-TUG-1375-AZ-1729-Gi1/β1/γ2
11.54Single9EAJNanobody AT2099EAJ-AT1-Nanobody AT209
11.54Single9ITBLPA9ITB-LPA6-LPA-chim(NtGi1-Gs-CtGq)/β1/γ2
11.54Single9JH6C20:0 Ceramide9JH6-CysLT2-C20:0 Ceramide-chim(NtGi1-Gs-CtGq)/β1/γ2
11.54Consensusnmur1_onOrthosteric Ligand7W53-NMUR1-Neuromedin-U-25-chim(NtGi1-Gs-CtGq)/β1/γ2
11.43Single7VBHPeptide-207VBH-GLP-1-Peptide-20-Gs/β1/γ2
11.43Single8F2APramlintide Analogue San3858F2A-CT (AMY3)-Pramlintide Analogue San385-Gs/β1/γ2; RAMP3
11.43Consensusglp1_onOrthosteric Ligand7S1M-GLP-1-Exendin-4-D-Ala-Gs/β1/γ2 7X8R-GLP-1-BOC5-Gs/β1/γ2 6X19-GLP-1-CHU-128-Gs/β1/γ2 6X1A-GLP-1-Danuglipron-Gs/β1/γ2 6X18-GLP-1-GLP-1-Gs/β1/γ2 8JIP-GLP-1-MEDI0382-chim(NtGi1-Gs)/β1/γ2 7C2E-GLP-1-PubChem 149050799-Gs/β1/γ2 7KI0-GLP-1-Semaglutide-Gs/β1/γ2 7KI1-GLP-1-Taspoglutide-Gs/β1/γ2 7X8S-GLP-1-WB4-24-Gs/β1/γ2 8JIS-GLP-1-Peptide-15-chim(NtGi1-Gs)/β1/γ2 7VBI-GLP-1-Tirzepatide (non-acylated)-Gs/β1/γ2
11.11Single2ZIY11-cis-Retinal2ZIY-Rhodopsin-11-cis-Retinal
11.11Single6OIKLY21196206OIK-M2-Iperoxo-LY2119620-chim(NtGi1-Go)/β1/γ2
11.11Single6PWCNeurotensin-(9-13)6PWC-NTS1-Neurotensin-(9-13)-Arrestin2
11.11Single7V35Peptide-207V35-Glucagon-Peptide-20-Gs/β1/γ2
11.11Single7V6APubChem 98642757V6A-M4-PubChem 9864275-Gi1/β1/γ2
11.11Single7W56Neuromedin-S7W56-NMUR1-Neuromedin-S-chim(NtGi1-Gs-CtGq)/β1/γ2
11.11Single8DWGBAM8-228DWG-MRGPRX1-BAM8-22-ML382-chim(NtGi2L-Gs-CtGq)/β1/γ2
11.11Single9BUECagrilintide9BUE-CT-Cagrilintide-Gs/β1/γ2
11.11Consensuschemokine_onOrthosteric Ligandccr_on cxcr_on
10.81Single7TYYCalcitonin-17TYY-CT (AMY2)-Calcitonin-1-Gs/β1/γ2; RAMP2
10.81Single8JIUSAR4258998JIU-Glucagon-SAR425899-Gs/β1/γ2
10.71Single6WHCGlu16 analog of GCG6WHC-Glucagon-Glu16 analog of GCG-Gs/β1/γ2
10.71Single7SK5CXCL127SK5-ACKR3-CXCL12
10.71Single7TRYUrocortin7TRY-CRF2-Urocortin-chim(NtGi1-G11)/β1/γ2
10.71Single8IOCGamma-MSH8IOC-MC3-γ-MSH-Ca-chim(NtGi1-Gs)/β1/γ2
10.53Single6LI0C176LI0-GPR52-C17
10.53Single7D76Beclomethasone7D76-ADGRG3-Beclomethasone-Go/β1/γ2
10.53Single7S8NR-Zinc-35737S8N-MRGPRX2-R-Zinc-3573-chim(NtGi2L-Gs-CtGq)/β1/γ2
10.53Single7S8OR-Zinc-35737S8O-MRGPRX2-R-Zinc-3573-Gi1/β1/γ2
10.53Single7T96LY21196207T96-M2-Acetylcholine-LY2119620-Go/β1/γ2
10.53Single7TRPLY20332987TRP-M4-Iperoxo-LY2033298-Gi1/β1/γ2
10.53Single7VDHC48/807VDH-MRGPRX2-C48/80-Gi1/β1/γ2
10.53Single8FX5Xanomeline8FX5-M4-Xanomeline-Xanomeline-Gi1/β1/γ2
10.53Single8U4RREGN7663-Fab8U4R-CXCR4-REGN7663-Fab
10.53Single9EPRAll-trans-Retinal9EPR-Rhodopsin-All-trans-Retinal-Gi1/β1/γ2
10.53Single9JLCAVE 09919JLC-MAS1-AVE 0991-Gi1/β1/γ2
10.53Single9LMPNE52-QQ579LMP-GPR4-NE52-QQ57
10.53Consensusadgrg_onOrthosteric Ligandadgrg2_on adgrg4_on
10.53Consensusadgrg_on_gpOrthosteric Ligandadgrg2_on_gp adgrg4_on_gp
10.34Single7W55Neuromedin-U-257W55-NMUR2-Neuromedin-U-25-chim(NtGi1-Gs-CtGq)/β1/γ2
10.34Single8YFOAc-LA-PTH Analog8YFO-PTH1-Ac-LA-PTH Analog-chim(NtGi1-Gs)/β1/γ2
10.34Consensusnmur2_onOrthosteric Ligand7W55-NMUR2-Neuromedin-U-25-chim(NtGi1-Gs-CtGq)/β1/γ2
10.34Consensusnmur2_on_gpOrthosteric Ligand7W55-NMUR2-Neuromedin-U-25-chim(NtGi1-Gs-CtGq)/β1/γ2
10.00Single4MQTLY21196204MQT-M2-Iperoxo-LY2119620
10.00Single5U09Taranabant5U09-CB1-Taranabant
10.00Single6LFOCXCL86LFO-CXCR2-CXCL8-Gi1/β1/γ2
10.00Single6NIYCalcitonin-16NIY-CT-Calcitonin-1-Gs/β1/γ2
10.00Single6ZA8RTI-3a6ZA8-NTS1-RTI-3a
10.00Single7TYIAmylin7TYI-CT-Amylin-Gs/β1/γ2
10.00Single7VV5C48/807VV5-MRGPRX2-C48/80-Gi1/β1/γ2
10.00Single8H8JLodoxamide8H8J-GPR35-Lodoxamide-Ca-chim(NtGi1L-G13)/β1/γ2
10.00Single8HMPC178HMP-GPR52-C17-Gs/β1/γ2
10.00Single8T3VDoconexent8T3V-FFA1-Doconexent-chim(NtGi2L-Gs-CtGq)/β1/γ2
10.00Single8U4PAMD31008U4P-CXCR4-AMD3100-Gi1/β1/γ2
10.00Single9BUDCagrilintide9BUD-CT-Cagrilintide-Gs/β1/γ2
10.00Single9KO2CCL199KO2-CCR7-CCL19-Gi1/β1
10.00Single9KO6CCL199KO6-CCR7-CCL19
10.00Consensuscrf2_onOrthosteric Ligand7TS0-CRF2-Urocortin-chim(NtGi1L-Go)/β1/γ2
10.00Consensusneuromedin-u_onOrthosteric Ligandnmur1_on nmur2_on
9.68Single5YQZNNC17025YQZ-Glucagon-NNC1702
9.68Single7TYWCalcitonin-17TYW-CT (AMY1)-Calcitonin-1-Gs/β1/γ2; RAMP1
9.68Single7VL9CCL15(26-92)7VL9-CCR1-CCL15(26-92)-Gi1/β1/γ2
9.68Single7Y35Abaloparatide7Y35-PTH1-Abaloparatide-Gs/β1/γ2
9.68Consensusneuromedin-u_on_gpOrthosteric Ligandnmur1_on_gp nmur2_on_gp
9.52Single6FFIMPEP6FFI-mGlu5-MPEP
9.52Single6WJCMuscarinic toxin 76WJC-M1-Atropine-Muscarinic toxin 7
9.52Single6ZINSR486926ZIN-NTS1-SR48692
9.52Single7C2EPubChem 1490507997C2E-GLP-1-PubChem 149050799-Gs/β1/γ2
9.52Single7T94LY21196207T94-M2-Acetylcholine-LY2119620-chim(NtGi1-Go)/β1/γ2
9.52Single7VV6C48/807VV6-MRGPRX2-C48/80
9.52Single8HJ5PubChem 1390305318HJ5-MRGPRX1-PubChem 139030531-chim(NtGi1-Gs-CtGq)/β1/γ2
9.52Single8K2WAMG4878K2W-CXCR3-AMG487
9.52Single8X7ATreprostinil8X7A-I2-Treprostinil-Gs/β1/γ2
9.52Single8YRGFospropofol8YRG-MRGPRX4-Fospropofol-chim(NtGi1-Gs-CtGq)/β1/γ2
9.52Single8ZPMAMD0708ZPM-CXCR4-AMD070
9.52Single8ZPNAMD31008ZPN-CXCR4-AMD3100
9.52Single9IXXLTD49IXX-CysLT2-LTD4-chim(NtGi1-Gs-CtGq)/β1/γ2
9.52Single9JFUNE52-QQ579JFU-GPR4-NE52-QQ57
9.52Single9K0KUTP9K0K-P2Y4-UTP-chim(NtGi1-Gs-CtGq)/β1/γ2
9.52Single9K0XATP9K0X-P2Y2-ATP-chim(NtGi1-Gs-CtGq)/β1/γ2
9.52Single9K20ATP9K20-P2Y2-ATP-chim(NtGi1-Go)/β1/γ2
9.52Consensuscxcr3_offOrthosteric Ligand8K2W-CXCR3-AMG487
9.38Single8FLRPTHrP(1-36)8FLR-PTH1-PTHrP(1-36)-Gs/β1/γ2
9.38Single9BLBCagrilintide (non-acylated)9BLB-CT-Cagrilintide (non-acylated)-Gs/β1/γ2
9.38Consensuscrf2_on_gpOrthosteric Ligand7TS0-CRF2-Urocortin-chim(NtGi1L-Go)/β1/γ2
9.38Consensusctlike_onOrthosteric Ligand6E3Y-CT Like-Calcitonin gene-related peptide-1-Gs/β1/γ2; RAMP1
9.09Single4QIMANTA XV4QIM-SMO-ANTA XV
9.09Single5NX2GLP-1 (Truncated)5NX2-GLP-1-GLP-1 (Truncated)
9.09Single5T04Neurotensin-(8-13)5T04-NTS1-Neurotensin-(8-13)
9.09Single6FFHFenobam6FFH-mGlu5-Fenobam
9.09Single6IIVDaltroban6IIV-TXA2-Daltroban
9.09Single6ORVTT-OAD26ORV-GLP-1-TT-OAD2-Gs/β1/γ2
9.09Single7S15PubChem 1346112237S15-GLP-1-PubChem 134611223
9.09Single7TRQVU04671547TRQ-M4-Iperoxo-VU0467154-Gi1/β1/γ2
9.09Single7TYNCalcitonin-17TYN-CT-Calcitonin-1-Gs/β1/γ2
9.09Single8GCML-9026888GCM-EP4-L-902688-Gi1/β1/γ2
9.09Single8XJLPGF2-alpha8XJL-FP-alpha-PGF2-α-chim(NtGi2-Gs-CtGq)/β1/γ2
9.09Single9JQZGrapiprant 9JQZ-EP4-Grapiprant
9.09Consensusglp2_onOrthosteric Ligand7D68-GLP-2-GLP-2-Gs/β1/γ2
9.09Consensusglp2_on_gpOrthosteric Ligand7D68-GLP-2-GLP-2-Gs/β1/γ2
8.82Single7TYLAmylin7TYL-CT-Amylin-Gs/β1/γ2
8.82Consensusctlike_on_gpOrthosteric Ligand6E3Y-CT Like-Calcitonin gene-related peptide-1-Gs/β1/γ2; RAMP1
8.82Consensusvpac2_onOrthosteric Ligand7VQX-VPAC1-PACAP27-Gs/β1/γ2
8.82Consensusvpac2_on_gpOrthosteric Ligand7VQX-VPAC1-PACAP27-Gs/β1/γ2
8.70Single6LFMCXCL86LFM-CXCR2-CXCL8-Gi1/β1/γ2
8.70Single6Z4QSR142948A6Z4Q-NTS1-SR142948A
8.70Single6Z4SSR486926Z4S-NTS1-SR48692
8.70Single8JGGBAM8-228JGG-MRGPRX1-BAM8-22-Gi1/β1/γ2
8.70Single8X0BVU04244658X0B-mGlu5; mGlu5-Quisqualate-VU0424465
8.70Single8X0CVU04244658X0C-mGlu5; mGlu5-Quisqualate-VU0424465
8.70Single8X0CVU04244658X0C-mGlu5; mGlu5-Quisqualate-VU0424465
8.70Single8XQPCholesterol8XQP-TAS2R14-Cholesterol-Aristolochic acid A-Gt3/β1/γ1
8.70Single9EAHNanobody AT2099EAH-AT1-Olmesartan-Nanobody AT209
8.70Single9EE5ONO-25502899EE5-DP1-ONO-2550289
8.70Single9HC04YI9HC0-mGlu5-4YI
8.70Consensusadgrg2_onOrthosteric Ligand7WUI-ADGRG2-IP15-chim(NtGi1-Gs)/β1/γ2 7WUQ-ADGRG2-Gs/β1/γ2 7XKF-ADGRG2-Dehydroepiandrosterone-Gs/β1/γ2
8.70Consensusadgrg2_on_gpOrthosteric Ligand7WUI-ADGRG2-IP15-chim(NtGi1-Gs)/β1/γ2 7WUQ-ADGRG2-Gs/β1/γ2 7XKF-ADGRG2-Dehydroepiandrosterone-Gs/β1/γ2
8.70Consensuscxcr2_on_gpOrthosteric Ligand6LFM-CXCR2-CXCL8-Gi1/β1/γ2
8.57Consensusgip_onOrthosteric Ligand7FIN-GIP-Peptide-20; GGL-Gs/β1/γ2 7FIY-GIP-Tirzepatide-Gs/β1/γ2 7DTY-GIP-GIP-Gs/β1/γ2
8.57Consensusgip_on_gpOrthosteric Ligand7FIN-GIP-Peptide-20; GGL-Gs/β1/γ2 7FIY-GIP-Tirzepatide-Gs/β1/γ2 7DTY-GIP-GIP-Gs/β1/γ2
8.33Single5V56TC1145V56-SMO-TC114
8.33Single7P2L4YI7P2L-mGlu5-4YI
8.33Single8IUKPGF2-alpha8IUK-FP-alpha-PGF2-α-chim(NtGi1-Gs-CtGq)/β1/γ2
8.33Single8JGFBAM8-228JGF-MRGPRX1-BAM8-22-chim(NtGi1-Gs-CtGq)/β1/γ2
8.33Single8TAOCDPPB8TAO-mGlu5; mGlu5-Quisqualate-CDPPB
8.33Single8ZW0PGD28ZW0-DP1-PGD2-Gs/β1/γ2
8.33Single9JCLADP9JCL-P2Y1-ADP-chim(Gs-CtGq)/β1/γ2
8.00Single6AK3PGE26AK3-EP3-PGE2
8.00Single6IIURamatroban6IIU-TXA2-Ramatroban
8.00Single8DWCBAM8-228DWC-MRGPRX1-BAM8-22-chim(NtGi2L-Gs-CtGq)/β1/γ2
8.00Single8XQJJN2418XQJ-Apelin; Apelin-JN241
7.89Single7TYOCalcitonin7TYO-CT-Calcitonin-Gs/β1/γ2
7.89Single8JITMEDI03828JIT-Glucagon-MEDI0382-Gs/β1/γ2
7.69Single6M1HMaxadilan6M1H-PAC1-Maxadilan-Gs/β1/γ2
7.69Single6UP7Neurotensin-(8-13)6UP7-NTS1-Neurotensin-(8-13)-Arrestin2
7.69Single7CX4Evatanepag7CX4-EP2-Evatanepag-Gs/β1/γ2
7.69Single9C0KExendin-49C0K-GLP-1-Exendin-4-Gs/β1/γ2
7.69Single9JH5C16:0 Ceramide9JH5-CysLT2-C16:0 Ceramide-chim(NtGi1-Gs-CtGq)/β1/γ2
7.69Consensusgluc_onOrthosteric Ligand6LMK-Glucagon-Glucagon-Gs/β1/γ2 8JIT-Glucagon-MEDI0382-Gs/β1/γ2 7V35-Glucagon-Peptide-20-Gs/β1/γ2
7.50Consensusgluc_on_gpOrthosteric Ligand6LMK-Glucagon-Glucagon-Gs/β1/γ2 8JIT-Glucagon-MEDI0382-Gs/β1/γ2 7V35-Glucagon-Peptide-20-Gs/β1/γ2
7.41Single6KNMJN241-96KNM-Apelin-JN241-9
7.41Single6OS9JMV4496OS9-NTS1-JMV449-Gi1/β1/γ2
7.41Single7CX2PGE27CX2-EP2-PGE2-Gs/β1/γ2
7.14Single7CX3Taprenepag7CX3-EP2-Taprenepag-Gs/β1/γ2
7.14Single7RTBPeptide-197RTB-GLP-1-Peptide-19-Gs/β1/γ2
7.14Single8JIQPeptide-158JIQ-Glucagon-Peptide-15-Gs/β1/γ2
7.14Consensusclass-b2_onOrthosteric Ligandadgrg_on adgrf_on adgrl_on adgre_on adgrd_on
7.14Consensusclass-b2_on_gpOrthosteric Ligandadgrg_on_gp adgrf_on_gp adgrl_on_gp adgre_on_gp adgrd_on_gp
6.67Single8TLMAnti-murine CCR8 antibody8TLM-CCR8-Anti-murine CCR8 antibody
6.25Single7TYHCalcitonin7TYH-CT (AMY2)-Calcitonin-Gs/β1/γ2; RAMP2
6.25Single8JGBConorfamide-Tx28JGB-MRGPRX1-Conorfamide-Tx2-Gi1/β1/γ2
6.06Single9BUBCagrilintide9BUB-CT-Cagrilintide-Gs/β1/γ2
5.88Single7XKDDehydroepiandrosterone7XKD-ADGRG2-Dehydroepiandrosterone-Gs/β1/γ2
5.88Single7XKEDehydroepiandrosterone7XKE-ADGRG2-Dehydroepiandrosterone-chim(NtGi1-Gs)/β1/γ2
5.71Single9BQ3Cagrilintide9BQ3-CT (AMY2)-Cagrilintide-Gs/β1/γ2; RAMP2
5.71Single9BTWCagrilintide9BTW-CT (AMY3)-Cagrilintide-Gs/β1/γ2; RAMP3
5.56Single6XBM25(S)-Epoxycholesterol6XBM-SMO-25(S)-Epoxycholesterol-Gi1/β1/γ2
5.56Single7Y14Beta-Alanine7Y14-MRGPRD-β-Alanine
5.56Single8U4QREGN7663-Fab8U4Q-CXCR4-REGN7663-Fab-Gi1/β1/γ2
5.56Single8Y02All-trans-Retinal8Y02-OPN1SW-All-trans-Retinal-Gi1/β1/γ2
5.56Consensusp2y_offOrthosteric Ligandp2y1_off
5.26Single4XNWMRS25004XNW-P2Y1-MRS2500
5.26Single6D32Cyclopamine6D32-SMO-Cyclopamine-Cyclopamine
5.26Single7D77Hydrocortisone7D77-ADGRG3-Hydrocortisone-Go/β1/γ2
5.26Single7Y12Beta-Alanine7Y12-MRGPRD-β-Alanine-Gi1/β1/γ2
5.26Single8J6QPubChem 251012238J6Q-HCA2-β-Hydroxybutyrate-PubChem 25101223-Gi1/β1/γ2
5.26Single9IJRC179IJR-GPR52-C17-Arrestin2
5.26Consensusp2y1_offOrthosteric Ligand4XNW-P2Y1-MRS2500
5.00Single4O9RCyclopamine4O9R-SMO-Cyclopamine
5.00Single5L7IVismodegib5L7I-SMO-Vismodegib
5.00Single7XKFDehydroepiandrosterone7XKF-ADGRG2-Dehydroepiandrosterone-Gs/β1/γ2
5.00Single8J6PPubChem 251012238J6P-HCA2-Niacin-PubChem 25101223-Gi1/β1/γ2
5.00Single8JHYPubChem 251012238JHY-HCA2-PubChem 25101223-Gi1/β1/γ2
5.00Single8JIIPubChem 251012238JII-HCA2-Niacin-PubChem 25101223-Gi1/β1/γ2
5.00Single8ZYUNeurotensin-(8-13)8ZYU-NTS1-Neurotensin-(8-13)-SBI-553-Arrestin2
5.00Single9E7RGB889E7R-PAR2-GB88-chim(NtGi1L-Gs-CtGq)/β1/γ2
5.00Single9JCPLPC9JCP-GPR4-LPC-chim(NtGi1-Gs-CtGq)/β1/γ2
4.76Single4BWBNeurotensin-(8-12)4BWB-NTS1-Neurotensin-(8-12)
4.76Single4QINSAG1.54QIN-SMO-SAG1.5
4.76Single4XNVBPTU4XNV-P2Y1-BPTU
4.76Single6O3CSAG21k6O3C-SMO-SAG21k-Cholesterol
4.76Single6WWZCCL206WWZ-CCR6-CCL20-Go/β1/γ2
4.76Single7VVOPTH7VVO-PTH1-PTH-Gs/β1/γ2
4.76Single7WV9ZCZ0117WV9-CB1-CP55940-ZCZ011-Gi2/β1/γ2
4.76Single8U4SREGN7663-Fab8U4S-CXCR4-REGN7663-Fab
4.76Single8U4TREGN7663-Fab8U4T-CXCR4-REGN7663-Fab
4.76Single8XXXCXCL68XXX-CXCR2-CXCL6-Go/β1/γ2
4.76Single8YNFCXCL88YNF-ACKR1-CXCL8
4.76Consensusccr6_onOrthosteric Ligand6WWZ-CCR6-CCL20-Go/β1/γ2
4.76Consensusccr6_on_gpOrthosteric Ligand6WWZ-CCR6-CCL20-Go/β1/γ2
4.76Consensuscxcr1_onOrthosteric Ligand8IC0-CXCR1-CXCL8-Gi1/β1/γ2
4.55Single6XBLSAG6XBL-SMO-SAG-Cholesterol-Gi1/β1/γ2
4.55Single7ZI0SAG7ZI0-SMO-SAG-Cholesterol
4.55Single8IYXYL-3658IYX-GPR34-YL-365
4.55Single8JD6VU03647708JD6-mGlu4; mGlu4-Phosphoserine-VU0364770-Gi3/β1/γ2
4.55Consensuscxcr2_onOrthosteric Ligand6LFM-CXCR2-CXCL8-Gi1/β1/γ2
4.35Single7SK8CXCL127SK8-ACKR3-CXCL12-CCX662
4.35Single8IC0CXCL88IC0-CXCR1-CXCL8-Gi1/β1/γ2
4.35Single8TH3AT118-H Nanobody8TH3-AT1-AT118-H Nanobody
4.35Single9IMATalquetamab9IMA-GPRC5D; GPRC5D-Talquetamab
4.35Single9IVGGLP-1 (Truncated)9IVG-GLP-1-GLP-1 (Truncated)-chim(NtGi1-Gs)/β1/γ2
4.35Single9JROPF-044189489JRO-EP2-PF-04418948
4.35Consensuscxcr1_on_gpOrthosteric Ligand8IC0-CXCR1-CXCL8-Gi1/β1/γ2
4.17Single4JKVTaladegib4JKV-SMO-Taladegib
4.17Single8T6JCDPPB8T6J-mGlu5; mGlu5-CDPPB
4.17Single8T6JCDPPB8T6J-mGlu5; mGlu5-CDPPB
4.17Single8TH4AT118-L Nanobody8TH4-AT1-Losartan-AT118-L Nanobody
4.17Single9JRTTG6-1299JRT-EP2-TG6-129
4.00Single5V57TC1145V57-SMO-TC114
4.00Single7SK7CXCL127SK7-ACKR3-CXCL12-CCX662
4.00Single8GDBPGE28GDB-EP4-PGE2-Gs/β1/γ2
4.00Single8JD5JNJ-40411813; ADX881788JD5-mGlu2; mGlu4-Glutamate-JNJ-40411813; ADX88178-Gi1/β1/γ2
4.00Single8XX7CXCL58XX7-CXCR2-CXCL5-Go/β1/γ2
3.85Single8XWACXCL18XWA-CXCR2-CXCL1
3.85Single8XWMCXCL68XWM-CXCR2-CXCL6
3.85Single8XWSCXCL58XWS-CXCR2-CXCL5
3.85Single8XX3CXCL38XX3-CXCR2-CXCL3-Go/β1/γ2
3.70Single8XVUCXCL28XVU-CXCR2-CXCL2
3.70Single8XWFCXCL38XWF-CXCR2-CXCL3
3.70Single8XWVCXCL18XWV-CXCR2-CXCL1-Go/β1/γ2
3.70Single8XXHCXCL28XXH-CXCR2-CXCL2-Go/β1/γ2
3.57Single5TZYMK8666; AP85TZY-FFA1-MK8666; AP8
3.57Single8XX6CXCL88XX6-CXCR2-CXCL8-Go/β1/γ2
3.45Single7VLACCL15(27-92)7VLA-CCR1-CCL15(27-92)-Gi1/β1/γ2
3.45Single8XWNCXCL88XWN-CXCR2-CXCL8
3.45Consensusccr1_onOrthosteric Ligand7VLA-CCR1-CCL15(27-92)-Gi1/β1/γ2
3.45Consensusccr1_on_gpOrthosteric Ligand7VLA-CCR1-CCL15(27-92)-Gi1/β1/γ2

PDB Summary
PDB 9I54
Class A
SubFamily Amine
Type Dopamine
SubType D1
Species Homo Sapiens
Ligand PubChem 176452091
Other Ligand(s) -
Protein Partners Gs/Beta1/Gamma2
PDB Resolution 2.72
Date 2025-07-16
D.O.I. doi.org/10.1021/acs.jmedchem.5c00294
Net Summary
Imin 3.21
Number of Linked Nodes 848
Number of Links 1023
Number of Hubs 160
Number of Links mediated by Hubs 589
Number of Communities 27
Number of Nodes involved in Communities 234
Number of Links involved in Communities 335
Path Summary
Number Of Nodes in MetaPath 90
Number Of Links MetaPath 89
Number of Shortest Paths 7491424
Length Of Smallest Path 3
Average Path Length 45.7953
Length of Longest Path 65
Minimum Path Strength 1.29
Average Path Strength 6.91536
Maximum Path Strength 20.18
Minimum Path Correlation 0.71
Average Path Correlation 0.994329
Maximum Path Correlation 1
Minimum % Of Corr. Nodes 2
Average % Of Corr. Nodes 24.2822
Maximum % Of Corr. Nodes 100
Minimum Path Hubs % 0
Average Path Hubs % 59.1366
Maximum Path Hubs % 100
AnnotationTypeLinks
Gene OntologyMolecular Function• amyloid-beta binding   • binding   • peptide binding   • protein binding   • enzyme binding   • adenylate cyclase binding   • G protein-coupled amine receptor activity   • molecular transducer activity   • beta2-adrenergic receptor activity   • G protein-coupled receptor activity   • transmembrane signaling receptor activity   • signaling receptor activity   • beta-adrenergic receptor activity   • adrenergic receptor activity   • protein-containing complex binding   • potassium channel regulator activity   • channel regulator activity   • ion channel regulator activity   • molecular function regulator activity   • transporter regulator activity   • identical protein binding   • protein homodimerization activity   • protein dimerization activity   • cation binding   • ion binding   • catecholamine binding   • norepinephrine binding   • small molecule binding   • arrestin family protein binding   • neurotransmitter receptor activity   • dopamine neurotransmitter receptor activity   • postsynaptic neurotransmitter receptor activity   • dopamine neurotransmitter receptor activity, coupled via Gs   • dopamine binding   • G-protein alpha-subunit binding   • heterotrimeric G-protein binding   • multicellular organismal process   • response to nutrient levels   • multicellular organismal-level homeostasis   • response to stimulus   • homeostatic process   • response to dietary excess   • diet induced thermogenesis   • temperature homeostasis   • energy homeostasis   • adaptive thermogenesis   • response to stress   • response to abiotic stimulus   • response to cold   • response to temperature stimulus
Gene OntologyBiological Process• multicellular organismal process   • response to nutrient levels   • multicellular organismal-level homeostasis   • response to stimulus   • homeostatic process   • response to dietary excess   • diet induced thermogenesis   • temperature homeostasis   • energy homeostasis   • adaptive thermogenesis   • response to stress   • response to abiotic stimulus   • response to cold   • response to temperature stimulus   • cellular response to stimulus   • regulation of biological process   • regulation of cellular process   • signaling   • biological regulation   • cell communication   • adenylate cyclase-inhibiting G protein-coupled receptor signaling pathway   • adenylate cyclase-inhibiting adrenergic receptor signaling pathway   • adenylate cyclase-modulating G protein-coupled receptor signaling pathway   • adrenergic receptor signaling pathway   • G protein-coupled receptor signaling pathway   • cellular process   • signal transduction   • regulation of developmental process   • positive regulation of biological process   • regulation of biomineral tissue development   • regulation of bone mineralization   • positive regulation of ossification   • positive regulation of developmental process   • multicellular organism development   • positive regulation of biomineral tissue development   • ossification   • anatomical structure development   • biomineral tissue development   • regulation of multicellular organismal process   • developmental process   • regulation of multicellular organismal development   • bone mineralization   • animal organ development   • tissue development   • positive regulation of bone mineralization   • positive regulation of multicellular organismal process   • regulation of ossification   • regulation of multicellular organism growth   • regulation of growth   • regulation of developmental growth   • negative regulation of multicellular organism growth   • developmental growth   • negative regulation of developmental process   • growth   • negative regulation of biological process   • multicellular organism growth   • negative regulation of developmental growth   • negative regulation of growth   • negative regulation of multicellular organismal process   • adenylate cyclase-activating adrenergic receptor signaling pathway   • adenylate cyclase-activating G protein-coupled receptor signaling pathway   • fat cell differentiation   • cellular developmental process   • brown fat cell differentiation   • cell differentiation   • negative regulation of cardiac muscle cell apoptotic process   • muscle cell apoptotic process   • negative regulation of programmed cell death   • regulation of apoptotic process   • regulation of cardiac muscle cell apoptotic process   • regulation of muscle cell apoptotic process   • regulation of programmed cell death   • cell death   • cardiac muscle cell apoptotic process   • negative regulation of apoptotic process   • regulation of striated muscle cell apoptotic process   • striated muscle cell apoptotic process   • negative regulation of muscle cell apoptotic process   • negative regulation of cellular process   • negative regulation of striated muscle cell apoptotic process   • apoptotic process   • programmed cell death   • system process   • regulation of system process   • muscle contraction   • muscle system process   • regulation of muscle system process   • negative regulation of muscle contraction   • smooth muscle contraction   • regulation of smooth muscle contraction   • regulation of muscle contraction   • negative regulation of smooth muscle contraction   • positive regulation of DNA-templated transcription   • RNA metabolic process   • positive regulation of macromolecule biosynthetic process   • regulation of primary metabolic process   • nucleobase-containing compound metabolic process   • RNA biosynthetic process   • nucleic acid biosynthetic process   • positive regulation of metabolic process   • DNA-templated transcription   • regulation of RNA metabolic process   • transcription by RNA polymerase II   • positive regulation of biosynthetic process   • positive regulation of macromolecule metabolic process   • regulation of nucleobase-containing compound metabolic process   • positive regulation of cellular process   • regulation of RNA biosynthetic process   • regulation of biosynthetic process   • regulation of transcription by RNA polymerase II   • primary metabolic process   • regulation of macromolecule metabolic process   • positive regulation of transcription by RNA polymerase II   • nucleobase-containing compound biosynthetic process   • gene expression   • macromolecule biosynthetic process   • nucleic acid metabolic process   • positive regulation of RNA metabolic process   • regulation of gene expression   • biosynthetic process   • positive regulation of RNA biosynthetic process   • metabolic process   • regulation of macromolecule biosynthetic process   • macromolecule metabolic process   • regulation of DNA-templated transcription   • regulation of metabolic process   • tissue remodeling   • bone remodeling   • anatomical structure homeostasis   • tissue homeostasis   • bone resorption   • localization   • import into cell   • transport   • receptor-mediated endocytosis   • endocytosis   • establishment of localization   • vesicle-mediated transport   • cellular localization   • endosome to lysosome transport   • intracellular transport   • lysosomal transport   • establishment of localization in cell   • vacuolar transport   • heart process   • regulation of actin filament-based process   • regulation of heart contraction   • cardiac muscle contraction   • striated muscle contraction   • circulatory system process   • actin filament-based process   • positive regulation of actin filament-based movement   • blood circulation   • cardiac muscle cell contraction   • regulation of cardiac muscle contraction   • positive regulation of cardiac muscle cell contraction   • actin filament-based movement   • regulation of blood circulation   • regulation of striated muscle contraction   • regulation of actin filament-based movement   • regulation of cardiac muscle cell contraction   • actin-mediated cell contraction   • heart contraction   • positive regulation of organelle organization   • catabolic process   • regulation of cellular component organization   • positive regulation of cellular component organization   • regulation of autophagosome maturation   • macroautophagy   • autophagy   • protein-containing complex disassembly   • regulation of autophagy   • regulation of protein-containing complex disassembly   • cellular component organization   • autophagosome maturation   • cellular component organization or biogenesis   • positive regulation of macroautophagy   • process utilizing autophagic mechanism   • positive regulation of protein-containing complex disassembly   • cellular component disassembly   • positive regulation of autophagy   • protein-containing complex organization   • regulation of catabolic process   • positive regulation of autophagosome maturation   • regulation of organelle organization   • positive regulation of catabolic process   • organelle organization   • regulation of macroautophagy   • positive regulation of cardiac muscle cell apoptotic process   • positive regulation of programmed cell death   • positive regulation of striated muscle cell apoptotic process   • positive regulation of apoptotic process   • positive regulation of muscle cell apoptotic process   • lipophagy   • positive regulation of lipophagy   • regulation of lipophagy   • response to psychosocial stress   • regulation of cold-induced thermogenesis   • cold-induced thermogenesis   • positive regulation of cold-induced thermogenesis   • positive regulation of cell communication   • positive regulation of signal transduction   • regulation of signal transduction   • intracellular signal transduction   • positive regulation of response to stimulus   • regulation of intracellular signal transduction   • intracellular signaling cassette   • regulation of signaling   • positive regulation of MAPK cascade   • positive regulation of intracellular signal transduction   • regulation of MAPK cascade   • regulation of response to stimulus   • MAPK cascade   • regulation of cell communication   • positive regulation of signaling   • cell surface receptor signaling pathway   • ligand-gated ion channel signaling pathway   • ionotropic glutamate receptor signaling pathway   • glutamate receptor signaling pathway   • AMPA selective glutamate receptor signaling pathway   • regulation of tube diameter   • regulation of systemic arterial blood pressure mediated by a chemical signal   • regulation of blood pressure   • regulation of tube size   • norepinephrine-epinephrine-mediated vasodilation involved in regulation of systemic arterial blood pressure   • negative regulation of blood pressure   • regulation of systemic arterial blood pressure by norepinephrine-epinephrine   • regulation of systemic arterial blood pressure   • negative regulation of systemic arterial blood pressure   • vascular process in circulatory system   • regulation of biological quality   • blood vessel diameter maintenance   • vasodilation   • regulation of anatomical structure size   • negative regulation of signaling   • negative regulation of response to stimulus   • negative regulation of signal transduction   • negative regulation of G protein-coupled receptor signaling pathway   • negative regulation of cell communication   • regulation of G protein-coupled receptor signaling pathway   • positive regulation of cAMP/PKA signal transduction   • cAMP/PKA signal transduction   • regulation of cAMP/PKA signal transduction   • cellular response to nitrogen compound   • response to oxygen-containing compound   • response to nitrogen compound   • cellular response to amyloid-beta   • cellular response to oxygen-containing compound   • cellular response to chemical stimulus   • response to chemical   • response to amyloid-beta   • regulation of localization   • regulation of transport   • regulation of monoatomic ion transport   • regulation of sodium ion transport   • metal ion transport   • monoatomic ion transport   • regulation of metal ion transport   • monoatomic cation transport   • sodium ion transport   • heat generation   • regulation of postsynaptic membrane potential   • modulation of chemical synaptic transmission   • positive regulation of excitatory postsynaptic potential   • chemical synaptic transmission, postsynaptic   • synaptic signaling   • modulation of excitatory postsynaptic potential   • mini excitatory postsynaptic potential   • trans-synaptic signaling   • nervous system process   • cell-cell signaling   • chemical synaptic transmission   • regulation of nervous system process   • regulation of mini excitatory postsynaptic potential   • positive regulation of mini excitatory postsynaptic potential   • regulation of trans-synaptic signaling   • anterograde trans-synaptic signaling   • excitatory postsynaptic potential   • regulation of membrane potential   • response to xenobiotic stimulus   • behavior   • learning   • learning or memory   • feeding behavior   • cognition   • associative learning   • conditioned taste aversion   • presynaptic modulation of chemical synaptic transmission   • regulation of amine metabolic process   • dopamine metabolic process   • catechol-containing compound metabolic process   • amine metabolic process   • catecholamine metabolic process   • phenol-containing compound metabolic process   • regulation of catecholamine metabolic process   • biogenic amine metabolic process   • regulation of dopamine metabolic process   • reproductive process   • multicellular organismal reproductive process   • reproductive behavior   • mating behavior   • nonassociative learning   • habituation   • response to dopamine   • cellular response to dopamine   • response to monoamine   • response to catecholamine   • cellular response to catecholamine stimulus   • G protein-coupled dopamine receptor signaling pathway   • cellular response to monoamine stimulus   • memory   • establishment of protein localization   • nucleocytoplasmic transport   • nuclear transport   • protein localization to nucleus   • import into nucleus   • establishment of protein localization to organelle   • protein transport   • macromolecule localization   • protein localization to organelle   • protein import into nucleus   • intracellular protein localization   • intracellular protein transport   • forebrain development   • central nervous system neuron development   • cell development   • substrate-independent telencephalic tangential migration   • cerebral cortex GABAergic interneuron differentiation   • interneuron migration   • neurogenesis   • central nervous system neuron differentiation   • telencephalon cell migration   • forebrain cell migration   • neuron differentiation   • substrate-independent telencephalic tangential interneuron migration   • cerebral cortex GABAergic interneuron migration   • cell migration   • cell motility   • GABAergic neuron differentiation   • system development   • head development   • interneuron migration from the subpallium to the cortex   • neuron migration   • forebrain generation of neurons   • brain development   • nervous system development   • cerebral cortex GABAergic interneuron development   • generation of neurons   • forebrain neuron development   • central nervous system development   • neuron development   • telencephalon development   • cerebral cortex neuron differentiation   • forebrain neuron differentiation   • astrocyte differentiation   • glial cell development   • astrocyte development   • gliogenesis   • glial cell differentiation   • regulation of potassium ion transport   • positive regulation of potassium ion transport   • positive regulation of transport   • positive regulation of monoatomic ion transport   • potassium ion transport   • transmission of nerve impulse   • striatum development   • subpallium development   • adult walking behavior   • adult locomotory behavior   • adult behavior   • locomotory behavior   • walking behavior   • adenylate cyclase-activating dopamine receptor signaling pathway   • cellular component biogenesis   • cell junction organization   • cellular component assembly   • cell junction assembly   • synapse organization   • synapse assembly   • phospholipase C-activating dopamine receptor signaling pathway   • phospholipase C-activating G protein-coupled receptor signaling pathway   • G protein-coupled receptor signaling pathway, coupled to cyclic nucleotide second messenger   • phasic smooth muscle contraction   • peristalsis   • modification of postsynaptic structure   • modification of synaptic structure   • behavioral response to cocaine   • response to cocaine   • response to alkaloid   • synaptic transmission, glutamatergic   • regulation of synaptic transmission, glutamatergic   • positive regulation of synaptic transmission   • positive regulation of synaptic transmission, glutamatergic   • maternal behavior   • parental behavior   • sensitization   • positive regulation of locomotion   • regulation of cell motility   • regulation of neuron migration   • positive regulation of cell migration   • positive regulation of cell motility   • regulation of cell migration   • locomotion   • regulation of locomotion   • positive regulation of neuron migration   • monoamine transport   • nitrogen compound transport   • organic hydroxy compound transport   • dopamine transport   • catecholamine uptake   • dopamine uptake involved in synaptic transmission   • catecholamine transport   • regulation of dopamine uptake involved in synaptic transmission   • neurotransmitter reuptake   • regulation of neurotransmitter uptake   • regulation of neurotransmitter transport   • neurotransmitter transport   • neurotransmitter uptake   • synaptic transmission, dopaminergic   • dopamine uptake   • response to light stimulus   • visual learning   • visual behavior   • response to radiation   • action potential   • neuronal action potential   • dentate gyrus development   • pallium development   • hippocampus development   • limbic system development   • regulation of calcium ion transport   • positive regulation of cation transmembrane transport   • positive regulation of calcium ion transport   • monoatomic ion transmembrane transport   • regulation of monoatomic ion transmembrane transport   • calcium ion transport   • regulation of calcium ion transmembrane transport   • monoatomic cation transmembrane transport   • positive regulation of calcium ion transmembrane transport   • positive regulation of transmembrane transport   • positive regulation of monoatomic ion transmembrane transport   • positive regulation of release of sequestered calcium ion into cytosol   • calcium ion transmembrane import into cytosol   • regulation of release of sequestered calcium ion into cytosol   • transmembrane transport   • release of sequestered calcium ion into cytosol   • regulation of transmembrane transport   • regulation of monoatomic cation transmembrane transport   • calcium ion transmembrane transport   • response to amine   • response to amphetamine   • behavioral defense response   • fear response   • behavioral fear response   • defense response   • multicellular organismal response to stress   • negative regulation of synaptic transmission   • regulation of synaptic plasticity   • long-term synaptic depression   • operant conditioning   • long-term synaptic potentiation   • grooming behavior   • cellular anatomical structure   • membrane   • membrane-bounded organelle   • intracellular anatomical structure   • dense core granule   • intracellular vesicle   • intracellular membrane-bounded organelle   • endomembrane system   • intracellular organelle   • cytoplasmic vesicle   • organelle   • secretory granule   • secretory vesicle   • cytoplasm
Gene OntologyCellular Component• cellular anatomical structure   • membrane   • membrane-bounded organelle   • intracellular anatomical structure   • dense core granule   • intracellular vesicle   • intracellular membrane-bounded organelle   • endomembrane system   • intracellular organelle   • cytoplasmic vesicle   • organelle   • secretory granule   • secretory vesicle   • cytoplasm   • vesicle   • neuronal dense core vesicle   • bounding membrane of organelle   • vesicle membrane   • clathrin-coated vesicle   • endocytic vesicle membrane   • coated vesicle   • endocytic vesicle   • clathrin-coated vesicle membrane   • clathrin-coated endocytic vesicle membrane   • clathrin-coated endocytic vesicle   • cytoplasmic vesicle membrane   • coated vesicle membrane   • organelle membrane   • protein-containing complex   • receptor complex   • intercellular bridge   • Golgi apparatus   • endosome membrane   • endosome   • intracellular membraneless organelle   • cilium   • plasma membrane bounded cell projection   • ciliary basal body   • cell projection   • microtubule organizing center   • cytoskeleton   • membraneless organelle   • microtubule cytoskeleton   • cell periphery   • apical part of cell   • plasma membrane   • plasma membrane region   • apical plasma membrane   • mitotic spindle   • spindle   • lytic vacuole   • vacuole   • lysosome   • early endosome   • nucleus   • postsynapse   • postsynaptic membrane   • synapse   • cell junction   • synaptic membrane   • plasma membrane protein complex   • plasma membrane signaling receptor complex   • G protein-coupled receptor complex   • membrane protein complex   • presynapse   • presynaptic membrane   • glutamatergic synapse   • neuron spine   • neuron projection   • dendritic spine   • somatodendritic compartment   • dendrite   • dendritic tree   • non-motile cilium   • GABA-ergic synapse   • ciliary membrane   • cell projection membrane   • organelle subcompartment   • endoplasmic reticulum subcompartment   • nuclear outer membrane-endoplasmic reticulum membrane network   • endoplasmic reticulum   • endoplasmic reticulum membrane   • protein binding   • binding   • G-protein beta-subunit binding   • fibroblast proliferation   • cell population proliferation   • cellular process   • cellular response to nitrogen compound   • cellular response to stimulus   • response to dopamine   • regulation of cellular process   • response to stimulus   • signaling   • cellular response to dopamine   • response to monoamine   • cell communication   • response to catecholamine   • adenylate cyclase-activating dopamine receptor signaling pathway   • cellular response to catecholamine stimulus   • signal transduction   • regulation of biological process   • G protein-coupled dopamine receptor signaling pathway   • biological regulation   • response to oxygen-containing compound   • response to nitrogen compound   • adenylate cyclase-activating G protein-coupled receptor signaling pathway   • cellular response to oxygen-containing compound   • cellular response to chemical stimulus   • cellular response to monoamine stimulus   • response to chemical   • adenylate cyclase-modulating G protein-coupled receptor signaling pathway   • G protein-coupled receptor signaling pathway   • response to ketone   • response to prostaglandin   • response to lipid   • response to endogenous stimulus   • response to alcohol   • cellular response to prostaglandin stimulus   • cellular response to endogenous stimulus   • cellular response to prostaglandin E stimulus   • cellular response to alcohol   • response to hormone   • cellular response to lipid   • response to prostaglandin E   • cellular response to ketone   • cellular response to hormone stimulus   • extrinsic component of plasma membrane   • catalytic complex   • cytoplasmic side of membrane   • heterotrimeric G-protein complex   • side of membrane   • cytoplasmic side of plasma membrane   • GTPase complex   • extrinsic component of membrane   • extrinsic component of cytoplasmic side of plasma membrane   • extracellular exosome   • extracellular vesicle   • extracellular organelle   • extracellular region   • extracellular space   • extracellular membrane-bounded organelle   • enzyme binding   • GTPase binding   • protein-containing complex binding   • pyrophosphatase activity   • GTPase activity   • ribonucleoside triphosphate phosphatase activity   • hydrolase activity, acting on acid anhydrides, in phosphorus-containing anhydrides   • hydrolase activity   • hydrolase activity, acting on acid anhydrides   • catalytic activity   • signaling receptor complex adaptor activity   • protein-macromolecule adaptor activity   • molecular adaptor activity   • signaling adaptor activity   • multicellular organismal process   • system process   • sensory perception of chemical stimulus   • sensory perception   • nervous system process   • sensory perception of taste   • developmental process   • sensory organ development   • eye development   • animal organ development   • retina development in camera-type eye   • visual system development   • multicellular organism development   • camera-type eye development   • anatomical structure development   • sensory system development   • system development   • small GTPase-mediated signal transduction   • Ras protein signal transduction   • intracellular signal transduction   • intracellular signaling cassette   • phospholipase C-activating G protein-coupled receptor signaling pathway   • synaptic signaling   • cellular response to acetylcholine   • cell-cell signaling   • acetylcholine receptor signaling pathway   • postsynaptic signal transduction   • G protein-coupled acetylcholine receptor signaling pathway   • response to acetylcholine   • 9+0 non-motile cilium   • photoreceptor disc membrane   • photoreceptor outer segment   • photoreceptor cell cilium   • cytosol   • vacuolar membrane   • lytic vacuole membrane   • lysosomal membrane   • guanyl nucleotide binding   • GTP binding   • nucleotide binding   • guanyl ribonucleotide binding   • purine ribonucleotide binding   • purine ribonucleoside triphosphate binding   • nucleoside phosphate binding   • ion binding   • purine nucleotide binding   • anion binding   • heterocyclic compound binding   • carbohydrate derivative binding   • ribonucleotide binding   • small molecule binding   • D1 dopamine receptor binding   • signaling receptor binding   • G protein-coupled receptor binding   • dopamine receptor binding   • G-protein beta/gamma-subunit complex binding   • G protein activity   • molecular function regulator activity   • enzyme regulator activity   • cyclase regulator activity   • enzyme activator activity   • cyclase activator activity   • molecular function activator activity   • adenylate cyclase regulator activity   • adenylate cyclase activator activity   • cation binding   • metal ion binding   • epithelium development   • ectodermal placode morphogenesis   • epidermis development   • molting cycle process   • hair cycle   • hair follicle placode formation   • tissue development   • ectodermal placode formation   • anatomical structure morphogenesis   • skin development   • skin epidermis development   • hair follicle development   • molting cycle   • anatomical structure formation involved in morphogenesis   • ectodermal placode development   • hair cycle process   • cellular homeostasis   • chemical homeostasis   • homeostatic process   • glucose homeostasis   • carbohydrate homeostasis   • intracellular chemical homeostasis   • intracellular glucose homeostasis   • neuromuscular process   • regulation of system process   • skeletal muscle contraction   • muscle contraction   • muscle system process   • regulation of muscle system process   • striated muscle contraction   • multicellular organismal movement   • musculoskeletal movement   • regulation of striated muscle contraction   • regulation of muscle contraction   • regulation of skeletal muscle contraction   • regulation of multicellular organismal process   • sensory perception of smell   • response to peptide hormone   • cellular response to peptide hormone stimulus   • response to glucagon   • cellular response to glucagon stimulus   • skeletal system development   • bone development   • response to pH   • cellular response to pH   • response to abiotic stimulus   • cellular response to acidic pH   • response to acidic pH   • cellular response to abiotic stimulus   • cellular response to environmental stimulus   • regulation of body fluid levels   • wound healing   • homotypic cell-cell adhesion   • cell activation   • hemostasis   • platelet aggregation   • blood coagulation   • cell adhesion   • cell-cell adhesion   • response to stress   • coagulation   • regulation of biological quality   • response to wounding   • platelet activation   • response to fluid shear stress   • vascular endothelial cell response to laminar fluid shear stress   • response to laminar fluid shear stress   • cellular response to stress   • cellular response to laminar fluid shear stress   • vascular endothelial cell response to fluid shear stress   • cellular response to fluid shear stress   • cognition   • developmental growth   • growth   • positive regulation of biological process   • adaptive thermogenesis   • multicellular organismal-level homeostasis   • regulation of cold-induced thermogenesis   • cold-induced thermogenesis   • temperature homeostasis   • positive regulation of cold-induced thermogenesis   • positive regulation of multicellular organismal process   • positive regulation of cell communication   • regulation of localization   • establishment of protein localization   • nitrogen compound transport   • positive regulation of establishment of protein localization   • localization   • establishment of localization in cell   • positive regulation of insulin secretion involved in cellular response to glucose stimulus   • positive regulation of insulin secretion   • intracellular protein localization   • regulation of peptide hormone secretion   • regulation of hormone levels   • positive regulation of peptide hormone secretion   • establishment of protein localization to extracellular region   • protein secretion   • establishment of localization   • regulation of protein secretion   • regulation of secretion   • cellular response to carbohydrate stimulus   • response to glucose   • positive regulation of protein localization   • insulin secretion involved in cellular response to glucose stimulus   • cellular localization   • regulation of hormone secretion   • regulation of protein localization   • regulation of peptide secretion   • transport   • positive regulation of secretion by cell   • hormone secretion   • protein localization to extracellular region   • positive regulation of protein transport   • peptide secretion   • regulation of secretion by cell   • secretion by cell   • positive regulation of hormone secretion   • response to monosaccharide   • response to carbohydrate   • positive regulation of secretion   • signal release   • cellular response to hexose stimulus   • cellular response to monosaccharide stimulus   • positive regulation of cellular process   • positive regulation of peptide secretion   • regulation of signaling   • regulation of transport   • secretion   • regulation of peptide transport   • regulation of establishment of protein localization   • export from cell   • cellular response to glucose stimulus   • regulation of protein transport   • positive regulation of protein secretion   • peptide transport   • response to hexose   • positive regulation of transport   • regulation of cellular localization   • protein transport   • regulation of insulin secretion   • peptide hormone secretion   • macromolecule localization   • regulation of insulin secretion involved in cellular response to glucose stimulus   • hormone transport   • regulation of cell communication   • insulin secretion   • positive regulation of signaling   • adenylate cyclase-activating adrenergic receptor signaling pathway   • adrenergic receptor signaling pathway   • serotonin receptor signaling pathway   • adenylate cyclase-activating serotonin receptor signaling pathway   • intracellular transport   • regulation of defense response   • regulation of response to external stimulus   • negative regulation of inflammatory response   • negative regulation of biological process   • inflammatory response to antigenic stimulus   • regulation of response to stress   • regulation of immune system process   • negative regulation of inflammatory response to antigenic stimulus   • defense response   • immune response   • negative regulation of response to stimulus   • negative regulation of immune response   • regulation of inflammatory response to antigenic stimulus   • response to external stimulus   • regulation of inflammatory response   • regulation of response to stimulus   • negative regulation of immune system process   • immune system process   • negative regulation of response to external stimulus   • negative regulation of defense response   • regulation of immune response   • inflammatory response   • positive regulation of adenylate cyclase activity   • positive regulation of molecular function   • regulation of molecular function   • positive regulation of cyclase activity   • activation of adenylate cyclase activity   • regulation of adenylate cyclase activity   • regulation of catalytic activity   • positive regulation of catalytic activity   • positive regulation of lyase activity   • cell surface receptor signaling pathway   • bile acid signaling pathway   • adenylate cyclase-activating G protein-coupled bile acid receptor signaling pathway   • renal system process   • multicellular organismal-level water homeostasis   • multicellular organismal-level chemical homeostasis   • renal water homeostasis   • Golgi apparatus subcompartment   • trans-Golgi network membrane   • trans-Golgi network
SCOP2Domain Identifier• G protein-coupled receptor-like   • Transducin (heterotrimeric G protein), gamma chain
SCOP2Family Identifier• G protein-coupled receptor-like   • Transducin (heterotrimeric G protein), gamma chain
Membrane Protein Annotations-• Orientations of Proteins in Membranes database (OPM)   • Protein Data Bank of Transmembrane Proteins (PDBTM)   • MemProtMD


Details about the values in these tables can be found in the corresponding documentation page .
Code_L_
PDB ResiduesL:L:?1
Environment DetailsOpen EMBL-EBI Page
Code_L_
Name
Synonyms
Identifier
Formula
Molecular Weight
SMILES
PubChem
Formal Charge
Total Atoms
Total Chiral Atoms
Total Bonds
Total Aromatic Bonds

PDBsumOpen PDBsum Page
ChainA
ProteinG Protein α Sub unit
UniProtP63092
Sequence
>9I54_Chain_A
TEDQRNEEK AQREANKKI EKQLQKDKQ VYRATHRLL LLGAGESGK 
STIVKQMRI SGIFETKFQ VDKVNFHMF DVGQRDERR KWIQCFNDV 
TAIIFVVAS SSYNMVTNR LQEALNLFK SIWNNRWLR TISVILFLN 
KQDLLAEKV LAGKSKIED YFPEFARYT TPEDATPEP GEDPRVTRA 
KYFIRDEFL RISTASGDG RHYCYPHFT CVDTENIRR VFNDCRDII 
QRMHLRQYE LLAS


Click on each residue to open a popup with some information about it.

ConSurf Conservation Grade (See documentation): 

 n/a   1    2    3    4    5    6    7    8    9  

ChainB
ProteinG Protein β Sub unit
UniProtP62873
Sequence
>9I54_Chain_B
ELDQLRQEA EQLKNQIRD ARKACADAT LSQITNNID PVGRIQMRT 
RRTLRGHLA KIYAMHWGT DSRLLVSAS QDGKLIIWD SYTTNKVHA 
IPLRSSWVM TCAYAPSGN YVACGGLDN ICSIYNLKT REGNVRVSR 
ELAGHTGYL SCCRFLDDN QIVTSSGDT TCALWDIET GQQTTTFTG 
HTGDVMSLS LAPDTRLFV SGACDASAK LWDVREGMC RQTFTGHES 
DINAICFFP NGNAFATGS DDATCRLFD LRADQELMT YSHDNIICG 
ITSVSFSKS GRLLLAGYD DFNCNVWDA LKADRAGVL AGHDNRVSC 
LGVTDDGMA VATGSWDSF LKIWN


Click on each residue to open a popup with some information about it.

ConSurf Conservation Grade (See documentation): 

 n/a   1    2    3    4    5    6    7    8    9  

ChainG
ProteinG Protein γ Sub unit
UniProtP59768
Sequence
>9I54_Chain_G
TASIAQARK LVEQLKMEA NIDRIKVSK AAADLMAYC EAHAKEDPL 
LTPVPASEN PFR


Click on each residue to open a popup with some information about it.

ConSurf Conservation Grade (See documentation): 

 n/a   1    2    3    4    5    6    7    8    9  

ChainR
ProteinReceptor
UniProtP21728
Sequence
>9I54_Chain_R
SVRILTACF LSLLILSTL LGNTLVCAA VIRFRHLRS KVTNFFVIS 
LAVSDLLVA VLVMPWKAV AEIAGFWPF GSFCNIWVA FDIMCSTAS 
ILNLCVISV DRYWAISSP FRYERKMTP KAAFILISV AWTLSVLIS 
FIPVQLSWH KAKPNCDSS LSRTYAISS SVISFYIPV AIMIVTYTR 
IYRIAQKQI RRIAALERA AVHAKNSFK RETKVLKTL SVIMGVFVC 
CWLPFFILN CILPFCCID SNTFDVFVW FGWANSSLN PIIYAFNAD 
FRKAFSTLL GCY


Click on each residue to open a popup with some information about it.

ConSurf Conservation Grade (See documentation): 

 n/a   1    2    3    4    5    6    7    8    9  




This receptor, from the same or other species and bound to the same or other ligands, is also present in the following networks:
Show PDB Class SubFamily Type SubType Species Orthosteric Ligand Other Ligand(s) Protein Partners Resolution Date DOI
4NTJANucleotideP2YP2Y12Homo sapiensAZD1283--2.622014-03-26doi.org/10.1038/nature13083
7AD3D1Ste2-likeSTE2STE2; STE2Saccharomyces cerevisiaeα-factor mating pheromone-Gi1/STE4/γ23.32020-12-09doi.org/10.1038/s41586-020-2994-1
7AD3 (No Gprot) D1Ste2-likeSTE2STE2; STE2Saccharomyces cerevisiaeα-factor mating pheromone-3.32020-12-09doi.org/10.1038/s41586-020-2994-1
7JV5AAmineDopamineD1Homo sapiensSKF81297-Gs/β1/γ232021-02-24doi.org/10.1016/j.cell.2021.01.027
7JV5 (No Gprot) AAmineDopamineD1Homo sapiensSKF81297-32021-02-24doi.org/10.1016/j.cell.2021.01.027
7JVPAAmineDopamineD1Homo sapiensSKF83959-Gs/β1/γ22.92021-02-24doi.org/10.1016/j.cell.2021.01.027
7JVP (No Gprot) AAmineDopamineD1Homo sapiensSKF83959-2.92021-02-24doi.org/10.1016/j.cell.2021.01.027
7JVQAAmineDopamineD1Homo sapiensApomorphine-Gs/β1/γ232021-02-24doi.org/10.1016/j.cell.2021.01.027
7JVQ (No Gprot) AAmineDopamineD1Homo sapiensApomorphine-32021-02-24doi.org/10.1016/j.cell.2021.01.027
7CKWAAmineDopamineD1Homo sapiensFenoldopam-Gs/β1/γ23.222021-03-03doi.org/10.1016/j.cell.2021.01.028
7CKW (No Gprot) AAmineDopamineD1Homo sapiensFenoldopam-3.222021-03-03doi.org/10.1016/j.cell.2021.01.028
7CKXAAmineDopamineD1Homo sapiensA77636-Gs/β1/γ23.542021-03-03doi.org/10.1016/j.cell.2021.01.028
7CKX (No Gprot) AAmineDopamineD1Homo sapiensA77636-3.542021-03-03doi.org/10.1016/j.cell.2021.01.028
7CKYAAmineDopamineD1Homo sapiensPW0464-Gs/β1/γ23.22021-03-03doi.org/10.1016/j.cell.2021.01.028
7CKY (No Gprot) AAmineDopamineD1Homo sapiensPW0464-3.22021-03-03doi.org/10.1016/j.cell.2021.01.028
7CKZAAmineDopamineD1Homo sapiensDopamineMevidalenGs/β1/γ23.12021-03-03doi.org/10.1016/j.cell.2021.01.028
7CKZ (No Gprot) AAmineDopamineD1Homo sapiensDopamineMevidalen3.12021-03-03doi.org/10.1016/j.cell.2021.01.028
7CRHAAmineDopamineD1Homo sapiensSKF83959-Gs/β1/γ23.32021-03-03doi.org/10.1016/j.cell.2021.01.028
7CRH (No Gprot) AAmineDopamineD1Homo sapiensSKF83959-3.32021-03-03doi.org/10.1016/j.cell.2021.01.028
7LJCAAmineDopamineD1Homo sapiensSKF81297MevidalenGs/β1/γ232021-03-03doi.org/10.1038/s41422-021-00482-0
7LJC (No Gprot) AAmineDopamineD1Homo sapiensSKF81297Mevidalen32021-03-03doi.org/10.1038/s41422-021-00482-0
7LJDAAmineDopamineD1Homo sapiensDopamineMevidalenGs/β1/γ13.22021-03-03doi.org/10.1038/s41422-021-00482-0
7LJD (No Gprot) AAmineDopamineD1Homo sapiensDopamineMevidalen3.22021-03-03doi.org/10.1038/s41422-021-00482-0
7CMVAAmineDopamineD3Homo sapiensPD128907-Gi1/β1/γ22.72021-03-10doi.org/10.1016/j.molcel.2021.01.003
7CMV (No Gprot) AAmineDopamineD3Homo sapiensPD128907-2.72021-03-10doi.org/10.1016/j.molcel.2021.01.003
7JOZAAmineDopamineD1Homo sapiensPubChem 75202022-Gs/β1/γ23.82021-04-14doi.org/10.1038/s41467-021-23519-9
7JOZ (No Gprot) AAmineDopamineD1Homo sapiensPubChem 75202022-3.82021-04-14doi.org/10.1038/s41467-021-23519-9
7TD1ALipidLysophospholipidLPA1Homo sapiensLPA-Gi1/β1/γ23.082022-02-09doi.org/10.1038/s41467-022-28417-2
7TD1 (No Gprot) ALipidLysophospholipidLPA1Homo sapiensLPA-3.082022-02-09doi.org/10.1038/s41467-022-28417-2
7QA8D1Ste2-likeSTE2STE2; STE2Saccharomyces cerevisiaeAntagonist Peptide--2.72022-03-16doi.org/10.1038/s41586-022-04498-3
7QB9D1Ste2-likeSTE2STE2; STE2Saccharomyces cerevisiae---3.12022-03-16doi.org/10.1038/s41586-022-04498-3
7QBCD1Ste2-likeSTE2STE2; STE2Saccharomyces cerevisiaeα-factor mating pheromone--3.532022-03-16doi.org/10.1038/s41586-022-04498-3
7QBID1Ste2-likeSTE2STE2; STE2Saccharomyces cerevisiaeα-factor mating pheromone--3.462022-03-16doi.org/10.1038/s41586-022-04498-3
7WU2B2AdhesionAdhesionADGRD1Homo sapiens--Gs/β1/γ12.82022-04-27doi.org/10.1038/s41586-022-04580-w
7WU2 (No Gprot) B2AdhesionAdhesionADGRD1Homo sapiens--2.82022-04-27doi.org/10.1038/s41586-022-04580-w
7EPTB2AdhesionAdhesionADGRD1Homo sapiens--Gs/β1/γ232022-05-11doi.org/10.1038/s41586-022-04619-y
7EPT (No Gprot) B2AdhesionAdhesionADGRD1Homo sapiens--32022-05-11doi.org/10.1038/s41586-022-04619-y
7F0TAAmineDopamineD1Homo sapiensDopamine-Gs/β1/γ23.12022-06-15doi.org/10.1126/sciadv.abo4158
7F0T (No Gprot) AAmineDopamineD1Homo sapiensDopamine-3.12022-06-15doi.org/10.1126/sciadv.abo4158
7F1OAAmineDopamineD1Homo sapiensDopamineGDP; MgGs/β1/γ23.132022-06-15doi.org/10.1126/sciadv.abo4158
7F1O (No Gprot) AAmineDopamineD1Homo sapiensDopamineGDP; Mg3.132022-06-15doi.org/10.1126/sciadv.abo4158
7F1ZAAmineDopamineD1Homo sapiensDopamineGDPGs/β1/γ23.462022-06-15doi.org/10.1126/sciadv.abo4158
7F1Z (No Gprot) AAmineDopamineD1Homo sapiensDopamineGDP3.462022-06-15doi.org/10.1126/sciadv.abo4158
7F23AAmineDopamineD1Homo sapiensDopamineGDPGs/β1/γ23.582022-06-15doi.org/10.1126/sciadv.abo4158
7F23 (No Gprot) AAmineDopamineD1Homo sapiensDopamineGDP3.582022-06-15doi.org/10.1126/sciadv.abo4158
7F24AAmineDopamineD1Homo sapiensDopamineGDPGs/β1/γ24.162022-06-15doi.org/10.1126/sciadv.abo4158
7F24 (No Gprot) AAmineDopamineD1Homo sapiensDopamineGDP4.162022-06-15doi.org/10.1126/sciadv.abo4158
7X2DAAmineDopamineD1Homo sapiensTavapadon-Gs/β1/γ23.32022-06-15doi.org/10.1038/s41467-022-30929-w
7X2D (No Gprot) AAmineDopamineD1Homo sapiensTavapadon-3.32022-06-15doi.org/10.1038/s41467-022-30929-w
7X2FAAmineDopamineD1Homo sapiensDopamineMevidalenGs/β1/γ232022-06-15doi.org/10.1038/s41467-022-30929-w
7X2F (No Gprot) AAmineDopamineD1Homo sapiensDopamineMevidalen32022-06-15doi.org/10.1038/s41467-022-30929-w
7X2CAAmineDopamineD1Homo sapiensFenoldopamFenoldopamGs/β1/γ23.22022-06-29doi.org/10.1038/s41467-022-30929-w
7X2C (No Gprot) AAmineDopamineD1Homo sapiensFenoldopamFenoldopam3.22022-06-29doi.org/10.1038/s41467-022-30929-w
7W41APeptideBombesinBB2Homo sapiensPD176252--2.952023-02-22doi.org/10.1073/pnas.2216230120
8IRRAAmineDopamineD1Homo sapiensRotigotine-Gs/β1/γ23.22023-06-07doi.org/10.1038/s41422-023-00808-0
8IRR (No Gprot) AAmineDopamineD1Homo sapiensRotigotine-3.22023-06-07doi.org/10.1038/s41422-023-00808-0
8JD1CAminoacidMetabotropic GlutamatemGlu2; mGlu3Homo sapiensGlutamate--3.72023-06-21doi.org/10.1038/s41422-023-00830-2
8FD1ASensoryOpsinsRhodopsinBos taurus---4.252023-08-30doi.org/10.1038/s41467-023-40911-9
8JXRAAmineDopamineD1Homo sapiensLSD--3.572024-09-04doi.org/10.1016/j.neuron.2024.07.003
8JXSAAmineDopamineD1Homo sapiensPF-6142--32024-09-04doi.org/10.1016/j.neuron.2024.07.003
8X9SB2AdhesionAdhesionADGRD1Homo sapiens5α-DHT-chim(NtGi1-Gs)/β1/γ23.492025-02-12doi.org/10.1016/j.cell.2025.01.006
8X9S (No Gprot) B2AdhesionAdhesionADGRD1Homo sapiens5α-DHT-3.492025-02-12doi.org/10.1016/j.cell.2025.01.006
8X9TB2AdhesionAdhesionADGRD1Homo sapiensAP503-chim(NtGi1-Gs)/β1/γ22.752025-02-12doi.org/10.1016/j.cell.2025.01.006
8X9T (No Gprot) B2AdhesionAdhesionADGRD1Homo sapiensAP503-2.752025-02-12doi.org/10.1016/j.cell.2025.01.006
8X9UB2AdhesionAdhesionADGRD1Homo sapiensMetenolone-chim(NtGi1-Gs)/β1/γ22.882025-02-12doi.org/10.1016/j.cell.2025.01.006
8X9U (No Gprot) B2AdhesionAdhesionADGRD1Homo sapiensMetenolone-2.882025-02-12doi.org/10.1016/j.cell.2025.01.006
9IV1B2AdhesionAdhesionADGRD1Homo sapiens5α-DHT-chim(NtGi1-Gs)/β1/γ22.982025-02-12doi.org/10.1016/j.cell.2025.01.006
9IV1 (No Gprot) B2AdhesionAdhesionADGRD1Homo sapiens5α-DHT-2.982025-02-12doi.org/10.1016/j.cell.2025.01.006
9IV2B2AdhesionAdhesionADGRD1Homo sapiens5α-DHT-chim(NtGi1-Gs)/β1/γ23.532025-02-12doi.org/10.1016/j.cell.2025.01.006
9IV2 (No Gprot) B2AdhesionAdhesionADGRD1Homo sapiens5α-DHT-3.532025-02-12doi.org/10.1016/j.cell.2025.01.006
8ZD1AOrphanOrphanGPR4Xenopus tropicalis--chim(NtGi1-Gs)/β1/γ22.62025-02-26doi.org/10.1016/j.cell.2024.12.001
8ZD1 (No Gprot) AOrphanOrphanGPR4Xenopus tropicalis--2.62025-02-26doi.org/10.1016/j.cell.2024.12.001
9JF4APeptideBombesinBB1Homo sapiensPD168368--3.62025-07-09To be published
9I52AAmineDopamineD1Homo sapiensA1IZU-Gs/β1/γ22.82025-07-16doi.org/10.1021/acs.jmedchem.5c00294
9I52 (No Gprot) AAmineDopamineD1Homo sapiensA1IZU-2.82025-07-16doi.org/10.1021/acs.jmedchem.5c00294
9I54 (No Gprot) AAmineDopamineD1Homo sapiensPubChem 176452091-2.722025-07-16doi.org/10.1021/acs.jmedchem.5c00294
9V0UB2AdhesionAdhesionADGRD1Homo sapiens--chim(NtGi1-G13)/β1/γ23.512025-07-30doi.org/10.1016/j.bbrc.2025.152165
9V0U (No Gprot) B2AdhesionAdhesionADGRD1Homo sapiens--3.512025-07-30doi.org/10.1016/j.bbrc.2025.152165
9MD1AAmine5-Hydroxytryptamine5-HT1AHomo sapiensBuspironePtdIns4PGz/β1/γ23.032025-08-13doi.org/10.1126/sciadv.adu9851
9MD1 (No Gprot) AAmine5-Hydroxytryptamine5-HT1AHomo sapiensBuspironePtdIns4P3.032025-08-13doi.org/10.1126/sciadv.adu9851




You can download a compressed (zip) file with structure(s), 3D outputs (as PyMol and VMD scripts) and numerical data files (as csv and plain text files).

Download 9I54.zip



You can click to copy the link of this page to easily come back here later

or use this QR code to link and share this page.



You can also  read or  download a guide explaining the meaning of all files and numerical data.