Color ConSurf Grade
      No Conservation data available
      1
      2
      3
      4
      5
      6
      7
      8
      9

Index: hub id, click on each number to highlight the corresponding hub in the 3D visualization.

Hub: the hub being considered.

Avg Int. Strength: the average interaction strength of all the links of the corresponding hub.

Num Of Links: the number of links of the corresponding hub.

Community: the id of the community the link belong to, otherwise 0.

ConSurf: this column reports the ConSurf conservation grades of each hub.

Index Hub Avg Int. Strength Num Of Links Community ConSurf
1A:A:I26 4.26539
2A:A:L30 3.462535
3A:A:V41 6.23455
4A:A:K42 4.835419
5A:A:L43 4.0975457
6A:A:L44 10.44449
7A:A:L45 8.3825458
8A:A:N50 10.385494
9A:A:S51 4.5375459
10A:A:K53 7.09559
11A:A:I56 5.394557
12A:A:I207 5.2325419
13A:A:F212 7.864509
14A:A:V214 6.0075456
15A:A:F219 7.50429758
16A:A:M221 5.228558
17A:A:F222 12.19417
18A:A:Q227 7.715419
19A:A:R228 8.0775419
20A:A:K233 6.39429719
21A:A:W234 8.274519
22A:A:C237 5.62518
23A:A:F238 9.556509
24A:A:I245 4.062557
25A:A:F246 5.36549
26A:A:V247 5.395457
27A:A:V248 4.5425447
28A:A:D249 9.955498
29A:A:Y253 8.078548
30A:A:R265 10.57599
31A:A:L270 6.415406
32A:A:F273 6.825649
33A:A:W277 9.87333646
34A:A:W281 13.9517615
35A:A:I288 5.116559
36A:A:L289 5.82409
37A:A:F290 5.20286759
38A:A:N292 5.7325459
39A:A:Q294 7.73446
40A:A:L297 4.7575448
41A:A:Y311 5.51446
42A:A:F312 5.83648
43A:A:E314 6.58446
44A:A:F315 12.056546
45A:A:Y318 9.05546
46A:A:P321 4.625445
47A:A:E330 8.5175403
48A:A:D331 7.6354124
49A:A:V334 3.9325124
50A:A:K338 10.59445
51A:A:Y339 8.64443
52A:A:F340 13.028547
53A:A:R342 7.195644
54A:A:E344 7.212545
55A:A:F345 8.29548
56A:A:L346 6.0625444
57A:A:C359 3.4925445
58A:A:Y360 11.3117628
59A:A:F363 11.014545
60A:A:T364 5.834559
61A:A:D368 7.165459
62A:A:N371 6.744559
63A:A:R373 7.4275455
64A:A:R374 8.68333654
65A:A:I375 5.0875459
66A:A:F376 6.94143758
67A:A:D381 9.74428
68A:A:I382 5.3225406
69A:A:I383 4.178508
70A:A:K385 5.5225425
71A:A:N387 3.5325428
72A:A:L393 5.7425408
73A:A:F394 3.8925425
74B:B:E10 6.4654118
75B:B:L14 6.9054118
76B:B:T34 5.605435
77B:B:I37 5.235432
78B:B:V40 6.0075433
79B:B:I43 3.7375433
80B:B:M45 3.855834
81B:B:L51 8.915439
82B:B:H54 10.188539
83B:B:K57 11.678519
84B:B:Y59 8.472518
85B:B:M61 5.264536
86B:B:W63 6.53857737
87B:B:L70 6.72435
88B:B:V71 4.778578
89B:B:Q75 8.4675419
90B:B:D76 5.534539
91B:B:K78 5.705408
92B:B:L79 6.245477
93B:B:I80 10.9425438
94B:B:I81 5.482577
95B:B:W82 11.6133639
96B:B:N88 7.0275407
97B:B:K89 7.24429739
98B:B:H91 6.895405
99B:B:I93 5.98477
100B:B:L95 4.852578
101B:B:W99 9.45857719
102B:B:M101 5.6775419
103B:B:Y105 5.06286776
104B:B:N110 7.9375414
105B:B:Y111 7.052514
106B:B:V112 5.462578
107B:B:C114 5.38478
108B:B:C121 4.135418
109B:B:I123 4.33716
110B:B:Y124 5.36714776
111B:B:N125 6.3225414
112B:B:L126 4.5575475
113B:B:V133 4.6125474
114B:B:E138 6.115406
115B:B:H142 8.76333619
116B:B:Y145 7.90571718
117B:B:L146 4.358517
118B:B:C148 4.685416
119B:B:C149 4.372518
120B:B:F151 5.812519
121B:B:I157 4.60333617
122B:B:V158 5.6025415
123B:B:T159 5.375619
124B:B:S160 4.42416
125B:B:D163 10.3825419
126B:B:C166 4.585418
127B:B:L168 5.414516
128B:B:W169 9.90333618
129B:B:Q176 8.3925414
130B:B:F180 8.848517
131B:B:H183 8.68719
132B:B:D186 6.418519
133B:B:V187 5.318519
134B:B:L190 4.82515
135B:B:F199 9.94519
136B:B:V200 9.875466
137B:B:S201 5.2625419
138B:B:C204 5.81517
139B:B:D205 7.084519
140B:B:S207 4.84415
141B:B:K209 10.686516
142B:B:L210 5.8675405
143B:B:W211 9.56167618
144B:B:Q220 8.2975467
145B:B:F222 9.6675468
146B:B:H225 10.4957769
147B:B:D228 8.882519
148B:B:I232 5.8625468
149B:B:F234 6.59505
150B:B:F235 8.41286736
151B:B:P236 7.7825437
152B:B:N237 9.1875435
153B:B:F241 9.682566
154B:B:T243 7468
155B:B:D246 7.55419
156B:B:D247 10.252569
157B:B:T249 7.644566
158B:B:R251 12.2667668
159B:B:F253 7.4566
160B:B:D254 5.048509
161B:B:R256 9.0975409
162B:B:D258 9.21567
163B:B:Q259 5.665406
164B:B:E260 7.12466
165B:B:M262 6.8475404
166B:B:T263 6.9075461
167B:B:Y264 7.966505
168B:B:I269 3.96514
169B:B:I273 7.0975416
170B:B:F278 7.302537
171B:B:R283 8.29333639
172B:B:L284 4.962535
173B:B:Y289 7.90857717
174B:B:D290 6.89833616
175B:B:C294 4.388535
176B:B:N295 9.166516
177B:B:V296 4.43167635
178B:B:W297 8.0425418
179B:B:L300 6.436536
180B:B:K301 5.982535
181B:B:R304 7.262515
182B:B:H311 9.328539
183B:B:R314 16.27518
184B:B:V315 4.045437
185B:B:L318 4.145436
186B:B:V327 3.932536
187B:B:T329 6.0875438
188B:B:W332 12.7986719
189B:B:D333 8.78439
190B:B:L336 4.52667637
191B:B:K337 10.8275436
192B:B:I338 5.42435
193B:B:W339 9.42667639
194B:B:N340 9.49439
195G:G:V16 4.44254117
196G:G:K20 5.91254116
197G:G:A23 2.735408
198G:G:R27 8.7425468
199G:G:L37 4.7525437
200G:G:Y40 12.0075436
201G:G:D48 6.6075409
202G:G:P49 3.94407
203G:G:L50 4.38439
204G:G:L51 3.38667636
205G:G:N59 5.722539
206G:G:F61 5.97625838
207L:L:Y1 7.00286720
208L:L:?2 10.086520
209L:L:F4 6.124520
210R:R:Y56 6.45333627
211R:R:N67 6.08409
212R:R:I74 5.2325427
213R:R:Y77 9.3375405
214R:R:T84 3.36428
215R:R:I86 4.45667626
216R:R:Y87 7.93627
217R:R:I88 3.634528
218R:R:F89 5.9775426
219R:R:L91 5.91833629
220R:R:D95 8.124529
221R:R:T101 3.728527
222R:R:L102 7.315407
223R:R:Q105 6.03425
224R:R:W114 7.82286728
225R:R:F116 10.6527
226R:R:Y130 11.5671725
227R:R:N131 5.92528
228R:R:F133 5.5875407
229R:R:T134 7.7425428
230R:R:M141 6.105427
231R:R:M142 5.015429
232R:R:R146 7.922529
233R:R:Y147 6.5625158
234R:R:R160 7.50571726
235R:R:W173 8.634529
236R:R:R190 8.23754143
237R:R:C198 6.2475429
238R:R:F202 6.67857786
239R:R:Y208 5.105483
240R:R:K214 7.83405
241R:R:F218 7.425425
242R:R:F222 6.5475428
243R:R:Y233 5.71167628
244R:R:M236 4.215428
245R:R:L240 4.0275428
246R:R:V243 5.084526
247R:R:L246 3.675602
248R:R:K252 2.095402
249R:R:F270 6.88529
250R:R:W274 9.10833628
251R:R:I277 4.5825425
252R:R:H278 6.128527
253R:R:F280 4.71505
254R:R:W284 13.8854104
255R:R:I289 3.654101
256R:R:R291 8.75254101
257R:R:D293 5.82403
258R:R:H301 9.352524
259R:R:I304 6.66425
260R:R:Y308 8.44527
261R:R:N310 8.6075429
262R:R:N314 8.1825429
263R:R:L317 2.225408
264R:R:Y318 6.60167629
265R:R:D322 7.9975428
266R:R:F325 8.864528
267R:R:R327 5.502525
268W:W:?1 10.02451120
   

Color ConSurf Grade
      No Conservation data available
      1
      2
      3
      4
      5
      6
      7
      8
      9

Index: link id, click on each number to highlight the corresponding link in the 3D visualization.

Node1 Node2: the two nodes of the corresponding link.

Recurrence: the relative Recurrence in the pool of shortest paths.

Int. Strength: the interaction strength between the two nodes.

Hub1?, Hub2?: "Yes" if the corresponding node has more than 3 links, otherwise "No".

Community: the id of the community the link belong to, otherwise 0.

ConSurf1, ConSurf2: these columns report the ConSurf conservation grades of the two nodes involved in a link.

Index Node1 Node2 Recurrence Int. Strength Hub1? Hub2? Community ConSurf1 ConSurf2
1A:A:I26 B:B:K89 10.20317.27YesYes399
2A:A:L30 B:B:K78 18.50845.64YesYes058
3B:B:S316 B:B:W332 60.02024.94NoYes099
4B:B:C317 B:B:S316 59.91183.44NoNo079
5B:B:C317 B:B:M61 59.80766.48NoYes076
6B:B:L70 B:B:M61 16.13835.65YesYes356
7B:B:L70 B:B:W82 17.45586.83YesYes359
8B:B:K89 B:B:W82 22.79812.76YesYes399
9B:B:W332 B:B:Y59 59.45998.68YesYes198
10B:B:L336 B:B:M61 32.26332.83YesYes376
11B:B:L336 B:B:W82 15.77733.42YesYes379
12A:A:C237 B:B:Y59 38.64498.06YesYes188
13A:A:C237 A:A:F238 39.0352.79YesYes089
14A:A:F238 A:A:L44 20.262120.7YesYes099
15A:A:L44 A:A:L46 25.590111.07YesNo498
16A:A:I276 A:A:L46 31.04612.85NoNo488
17A:A:F246 A:A:I276 31.0543.77YesNo498
18A:A:F246 A:A:F273 95.72538.57YesYes499
19A:A:F273 A:A:W277 97.84757.02YesYes496
20A:A:H357 A:A:W277 10032.8NoYes076
21A:A:H357 A:A:S286 99.98842.79NoNo078
22A:A:I382 A:A:S286 99.96459.29YesNo068
23A:A:I382 A:A:T242 35.95473.04YesNo068
24A:A:F238 A:A:W234 20.34433.01YesYes099
25A:A:R231 A:A:W234 69.7768NoYes099
26A:A:L272 A:A:R231 69.77519.72NoNo089
27A:A:F246 A:A:L272 69.76617.31YesNo498
28B:B:M101 B:B:Y59 21.00577.18YesYes198
29B:B:M101 B:B:Y145 21.06917.18YesYes198
30A:A:W234 B:B:Y145 49.06546.75YesYes198
31A:A:I383 A:A:T242 33.74773.04YesNo088
32A:A:D378 A:A:Y360 10.483917.24NoYes078
33A:A:I382 A:A:Y360 64.04126.04YesYes068
34A:A:L282 A:A:N279 10.634613.73NoNo098
35A:A:N279 A:A:W281 10.58473.39NoYes085
36A:A:K233 A:A:Q236 21.32444.07YesNo198
37A:A:Q236 B:B:R314 15.530310.51NoYes188
38A:A:W281 B:B:D290 16.264511.17YesYes156
39A:A:D381 A:A:Y360 29.384312.64YesYes288
40A:A:D381 R:R:V243 29.36197.3YesYes286
41R:R:L240 R:R:V243 52.24984.47YesYes286
42A:A:K385 A:A:Y360 29.38444.78YesYes258
43A:A:K385 R:R:V243 29.36213.04YesYes256
44A:A:I383 A:A:N387 33.85974.25YesYes088
45A:A:N387 R:R:R160 33.69323.62YesYes286
46R:R:L240 R:R:M236 50.4112.83YesYes288
47A:A:C391 R:R:R160 23.85736.96NoYes246
48A:A:C391 R:R:R146 23.8272.79NoYes249
49B:B:C233 B:B:S277 11.08313.44NoNo035
50B:B:C233 B:B:S191 10.93083.44NoNo038
51B:B:F234 B:B:S191 10.77975.28YesNo058
52B:B:C271 B:B:D290 21.94174.67NoYes156
53B:B:C271 B:B:Y289 21.57294.03NoYes157
54B:B:W297 B:B:Y289 18.06565.79YesYes187
55B:B:W297 B:B:Y264 17.557614.47YesYes085
56B:B:M262 B:B:Y264 12.775210.78YesYes045
57B:B:L30 B:B:M262 11.85525.65NoYes054
58B:B:I58 B:B:L336 10.62422.85NoYes397
59B:B:D76 B:B:K78 13.23098.3YesYes098
60B:B:D76 B:B:H54 10.37497.56YesYes399
61B:B:G162 B:B:Y145 12.367110.14NoYes198
62B:B:G162 B:B:S161 12.36233.71NoNo199
63B:B:H142 B:B:S161 12.012415.34YesNo199
64B:B:K78 B:B:P94 24.61183.35YesNo085
65B:B:I93 B:B:P94 23.72173.39YesNo075
66B:B:I93 B:B:Y124 18.44927.25YesYes776
67B:B:E138 B:B:I120 11.43426.83YesNo066
68B:B:L318 B:B:S275 10.09666.01YesNo068
69B:B:R314 B:B:T274 10.06077.76YesNo188
70R:R:R146 R:R:Y318 23.74459.26YesYes299
71R:R:L91 R:R:Y318 36.92934.69YesYes299
72R:R:L91 R:R:N314 33.86478.24YesYes299
73R:R:N310 R:R:N314 67.4278.17YesYes299
74R:R:N310 R:R:W274 58.662713.56YesYes298
75R:R:M132 R:R:W274 20.76375.82NoYes088
76L:L:Y1 R:R:M132 18.49128.38YesNo008
77L:L:?2 L:L:Y1 12.545516.69YesYes200
78R:R:M236 R:R:Y233 49.65833.59YesYes288
79R:R:Y233 R:R:Y318 48.20894.96YesYes289
80R:R:L139 R:R:Y318 34.04084.69NoYes289
81R:R:L139 R:R:N314 33.85388.24NoYes289
82R:R:H278 R:R:W274 37.30945.29YesYes278
83L:L:Y1 R:R:H278 18.52443.27YesYes207
84R:R:H278 R:R:I277 14.30493.98YesYes275
85L:L:Y1 R:R:Y129 11.49266.95YesNo005
86L:L:Y1 R:R:V281 11.48163.79YesNo006
87R:R:K214 R:R:V281 10.71387.59YesNo056
88R:R:I183 R:R:Y129 10.72410.88NoNo045
89B:B:L261 B:B:L30 10.53214.15NoNo055
90B:B:S275 B:B:T274 10.12984.8NoNo088
91B:B:I80 B:B:W82 10.130817.62YesYes389
92A:A:K233 B:B:Y145 21.3353.58YesYes198
93B:B:M61 B:B:W63 11.85518.14YesYes367
Download PSN data

2D representation of the global metapath, ligand(s) interactions and
histograms of path distribution according to several parameters
(click on the image to enlarge it 🔍):

A 2D representation of the global communication in the network.

ConSurf Conservation Grade (See documentation): 

 n/a   1    2    3    4    5    6    7    8    9  

Number of shortest communication paths as a function of the average residue correlation.

Number of shortest communication paths as a function of the average interaction strength of their links.

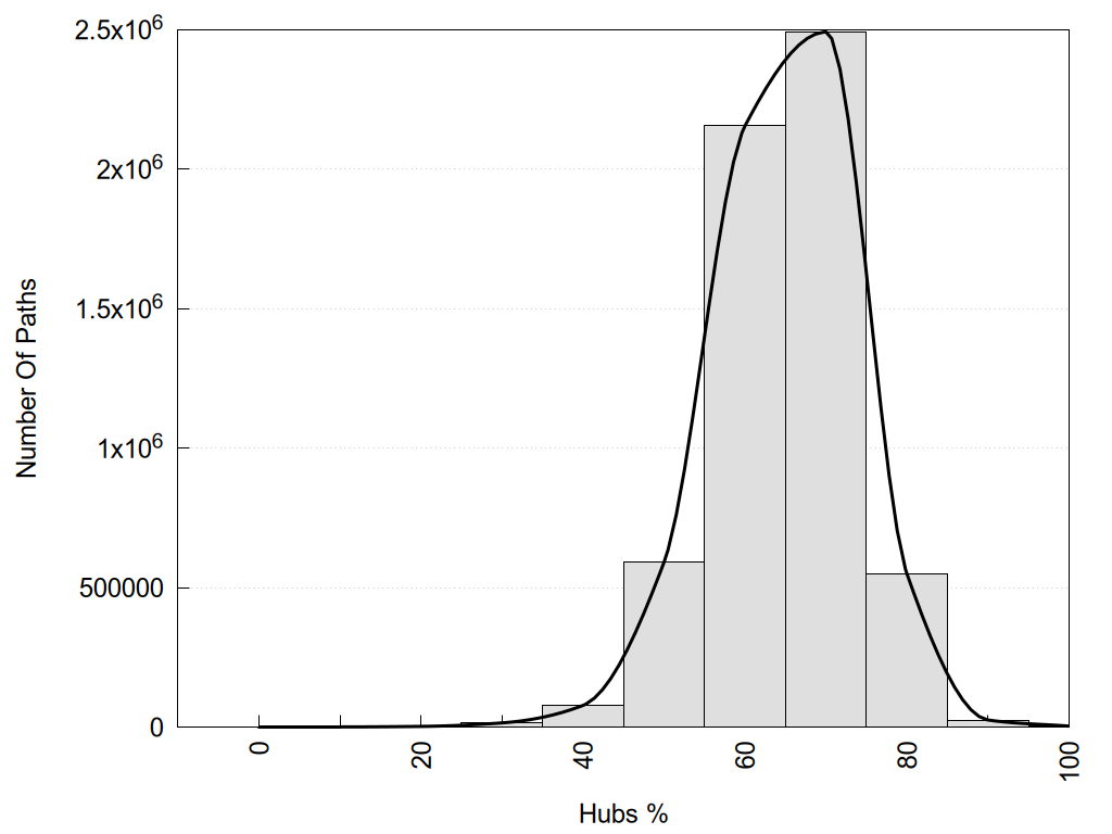
Number of shortest communication paths as a function of the % of hub nodes in each path.

Number of shortest communication paths as a function of the number of nodes in each path.

Number of shortest communication paths as a function of the % of correlated nodes in each path.


2D representation of the interactions of this orthosteric/allosteric ligand.


Links and nodes colored according to ConSurf Conservation Grade (See documentation): 

 n/a   1    2    3    4    5    6    7    8    9  

Node1 Node2 LinkStrength Comm IsNode1Hub? IsNode2Hub? Node1Cons Node2Cons Node1Shell Node2Shell
L:L:Y1 R:R:Y129 6.95 2 Yes No 0 5 0 1
L:L:Y1 R:R:M132 8.38 2 Yes No 0 8 0 1
L:L:Y1 R:R:V217 6.31 2 Yes No 0 5 0 1
L:L:Y1 R:R:I277 3.63 2 Yes Yes 0 5 0 1
L:L:Y1 R:R:H278 3.27 2 Yes Yes 0 7 0 1
L:L:Y1 R:R:V281 3.79 2 Yes No 0 6 0 1
L:L:?2 R:R:I277 5.81 2 Yes Yes 0 5 0 1
L:L:?2 R:R:I304 8.71 2 Yes Yes 0 5 0 1
L:L:F4 R:R:Q105 4.68 2 Yes Yes 0 5 0 1
L:L:F4 R:R:K108 4.96 2 Yes No 0 4 0 1
L:L:F4 R:R:L125 14.61 2 Yes No 0 5 0 1
L:L:F4 R:R:D128 3.58 2 Yes No 0 5 0 1
L:L:F4 R:R:C198 2.79 2 Yes Yes 0 9 0 1
L:L:?5 R:R:K214 11.05 0 No Yes 0 5 0 1
L:L:?5 R:R:W284 18.84 0 No Yes 0 4 0 1
R:R:H301 R:R:Y56 13.07 2 Yes Yes 4 7 2 2
R:R:I304 R:R:Y56 9.67 2 Yes Yes 5 7 1 2
R:R:Q105 R:R:T101 4.25 2 Yes Yes 5 7 1 2
R:R:T101 R:R:Y308 4.99 2 Yes Yes 7 7 2 2
R:R:D128 R:R:Q105 3.92 2 No Yes 5 5 1 1
R:R:Q105 R:R:Y308 11.27 2 Yes Yes 5 7 1 2
R:R:K108 R:R:W114 5.8 0 No Yes 4 8 1 2
R:R:C121 R:R:W114 5.22 2 No Yes 9 8 2 2
R:R:C198 R:R:W114 11.75 2 Yes Yes 9 8 1 2
R:R:C121 R:R:C198 7.28 2 No Yes 9 9 2 1
R:R:C198 R:R:L125 3.17 2 Yes No 9 5 1 1
R:R:D128 R:R:Y308 9.2 2 No Yes 5 7 1 2
R:R:I183 R:R:Y129 10.88 0 No No 4 5 2 1
R:R:F133 R:R:M132 3.73 0 Yes No 7 8 2 1
R:R:M132 R:R:W274 5.82 0 No Yes 8 8 1 2
R:R:D210 R:R:K214 9.68 0 No Yes 4 5 2 1
R:R:K214 R:R:V281 7.59 0 Yes No 5 6 1 1
R:R:K214 R:R:T285 3 0 Yes No 5 4 1 2
R:R:F218 R:R:F222 7.5 2 Yes Yes 5 8 2 2
R:R:F218 R:R:H278 6.79 2 Yes Yes 5 7 2 1
R:R:F222 R:R:H278 11.31 2 Yes Yes 8 7 2 1
R:R:H278 R:R:W274 5.29 2 Yes Yes 7 8 1 2
R:R:H278 R:R:I277 3.98 2 Yes Yes 7 5 1 1
R:R:C303 R:R:I277 4.91 0 No Yes 6 5 2 1
R:R:F280 R:R:W284 3.01 0 Yes Yes 5 4 2 1
R:R:F280 R:R:L300 10.96 0 Yes No 5 5 2 2
R:R:C303 R:R:F280 4.19 0 No Yes 6 5 2 2
R:R:I289 R:R:W284 4.7 10 Yes Yes 1 4 2 1
R:R:R291 R:R:W284 28.99 10 Yes Yes 1 4 2 1
R:R:I289 R:R:R291 3.76 10 Yes Yes 1 1 2 2
R:R:I304 R:R:L300 4.28 2 Yes No 5 5 1 2
R:R:H301 R:R:I304 3.98 2 Yes Yes 4 5 2 1

Location and physicochemical properties of the interaction partners of this ligand

Interactions of this ligand

Similarities between the interactions of this ligand and those of other networks

ShowSimilarityNetwork TypeNameLigandDescription
93.33Single9YDPDADLE9YDP-δ-DADLE-chim(NtGi1L-Gs-CtGi1)/β1/γ2
81.25Single9YDRDADLE9YDR-δ-DADLE-MIPS3983-chim(NtGi1L-Gs-CtGi1)/β1/γ2
73.33Single8DZRGR89,6968DZR-κ-GR89,696-chim(NtGi2-Gt3)/β1/γ2
70.59Single6DDFDAMGO6DDF-μ-DAMGO-Gi1/β1/γ2
68.75Single6DDEDAMGO6DDE-μ-DAMGO-Gi1/β1/γ2
68.75Single8VVFJDTic8VVF-κ-JDTic-Gi1/β1/γ2
66.67Single9D61JDTic9D61-κ-JDTic-Gi1/β1/γ2
66.67Consensusdop_onOrthosteric Ligand8F7S-δ-Deltorphin-Gi1/β1/γ2
66.67Consensusopioid_onOrthosteric Ligandmop_on nop_on dop_on kop_on
65.00Single6PT2KGCHM076PT2-δ-KGCHM07
64.71Single4RWADIPP-NH24RWA-δ-DIPP-NH2
64.71Single7YITNalfurafine7YIT-κ-Nalfurafine
64.71Single9WSVDAMGO9WSV-μ-DAMGO-Arrestin2
64.71Consensusmop_onOrthosteric Ligand8F7R-μ-Endomorphin-Gi1/β1/γ2 8EF5-μ-Fentanyl-Gi1/β1/γ2 7SCG-μ-FH210-Gi1/β1/γ2 7T2H-μ-Lofentanil-Gi1/β1/γ2 7T2G-μ-Mitragynine Pseudoindoxyl-Gi1/β1/γ2 8EF6-μ-Morphine-Gi1/β1/γ2 8EFB-μ-Oliceridine-Gi1/β1/γ2 7U2L-μ-C5-guano-Gi1/β1/γ2 8EFO-μ-PZM21-Gi1/β1/γ2 8EFL-μ-SR17018-Gi1/β1/γ2 8F7Q-μ-β-Endorphin-Gi1/β1/γ2 7U2K-μ-C6-guano-Gi1/β1/γ2 8EFQ-μ-DAMGO-Gi1/β1/γ2
64.71Consensusmop_on_gpOrthosteric Ligand8F7R-μ-Endomorphin-Gi1/β1/γ2 8EF5-μ-Fentanyl-Gi1/β1/γ2 7SCG-μ-FH210-Gi1/β1/γ2 7T2H-μ-Lofentanil-Gi1/β1/γ2 7T2G-μ-Mitragynine Pseudoindoxyl-Gi1/β1/γ2 8EF6-μ-Morphine-Gi1/β1/γ2 8EFB-μ-Oliceridine-Gi1/β1/γ2 7U2L-μ-C5-guano-Gi1/β1/γ2 8EFO-μ-PZM21-Gi1/β1/γ2 8EFL-μ-SR17018-Gi1/β1/γ2 8F7Q-μ-β-Endorphin-Gi1/β1/γ2 7U2K-μ-C6-guano-Gi1/β1/γ2 8EFQ-μ-DAMGO-Gi1/β1/γ2
64.71Consensusopioid_offOrthosteric Ligandmop_off nop_off dop_off kop_off
63.64Consensusopioid_on_gpOrthosteric Ligandmop_on_gp nop_on_gp dop_on_gp kop_on_gp
63.16Consensusgi_opioidOrthosteric Ligand8F7R-μ-Endomorphin-Gi1/β1/γ2 8EF5-μ-Fentanyl-Gi1/β1/γ2 7SCG-μ-FH210-Gi1/β1/γ2 7T2H-μ-Lofentanil-Gi1/β1/γ2 7T2G-μ-Mitragynine Pseudoindoxyl-Gi1/β1/γ2 8DZP-κ-momSalB-Gi1/β1/γ2 8EF6-μ-Morphine-Gi1/β1/γ2 8F7X-NOP-Nociceptin-Gi1/β1/γ2 8EFB-μ-Oliceridine-Gi1/β1/γ2 7U2L-μ-C5-guano-Gi1/β1/γ2 8EFO-μ-PZM21-Gi1/β1/γ2 8EFL-μ-SR17018-Gi1/β1/γ2 8F7Q-μ-β-Endorphin-Gi1/β1/γ2 7U2K-μ-C6-guano-Gi1/β1/γ2 8EFQ-μ-DAMGO-Gi1/β1/γ2 8F7S-δ-Deltorphin-Gi1/β1/γ2 8F7W-κ-Dynorphin-Gi1/β1/γ2
62.50Single4RWDDIPP-NH24RWD-δ-DIPP-NH2-Na
62.50Single7CFNINT-7777CFN-GPBA-INT-777-Gs/β1/γ2
62.50Single7SBFPZM217SBF-μ-PZM21-Gi1/β1/γ2
62.50Single9I52A1IZU9I52-D1-A1IZU-Gs/β1/γ2
62.50Single9MQKIsoquinuclidine9MQK-κ-Isoquinuclidine
62.50Consensusd4_onOrthosteric Ligand8IRU-D4-Rotigotine-chim(NtGi1-Gs-CtGi1)/β1/γ2
61.11Single7X2DTavapadon7X2D-D1-Tavapadon-Gs/β1/γ2
61.11Consensusendothelin_offOrthosteric Ligandetb_off
61.11Consensusetb_offOrthosteric Ligand5X93-ETB-K-8794 5XPR-ETB-Bosentan 6K1Q-ETB-IRL2500
60.00Single6TPGEMPA6TPG-OX2-EMPA
60.00Single7SR8TAK-9257SR8-OX2-TAK-925-chim(NtGi1L-Gs-CtGq)/β1/γ2
60.00Single8F7SDeltorphin8F7S-δ-Deltorphin-Gi1/β1/γ2
60.00Consensusdop_on_gpOrthosteric Ligand8F7S-δ-Deltorphin-Gi1/β1/γ2
58.82Single8EFLSR170188EFL-μ-SR17018-Gi1/β1/γ2
58.82Single8IRURotigotine8IRU-D4-Rotigotine-chim(NtGi1-Gs-CtGi1)/β1/γ2
58.82Single8Y73Peptide8Y73-μ-Peptide-MPAM-15-Gi1/β1/γ2
58.82Single9IJDCarazolol9IJD-β3-Carazolol-chim(NtGi1-Gs)/β1/γ2
58.82Single9KVPSB2901579KVP-C3aB-SB290157-Go/β1/γ2
58.82Single9PY3Loperamide9PY3-μ-Loperamide-GDPβS-Gi1/β1/γ2
58.82Consensusd4_on_gpOrthosteric Ligand8IRU-D4-Rotigotine-chim(NtGi1-Gs-CtGi1)/β1/γ2
56.25Single4EA3PubChem 102965614EA3-NOP-PubChem 10296561
56.25Single4EJ4Naltrindole4EJ4-δ-Naltrindole
56.25Single5DHHSB-6121115DHH-NOP-SB-612111
56.25Single6TOTLemborexant6TOT-OX1-Lemborexant
56.25Single7SCGFH2107SCG-μ-FH210-Gi1/β1/γ2
56.25Single7SQOTAK-9257SQO-OX2-TAK-925-Gi1/β1/γ2
56.25Single8IRTRotigotine8IRT-D3-Rotigotine-Gi1/β1/γ2
56.25Single8Y71A1D6F8Y71-δ-A1D6F-BMS986187-Gi1/β1/γ2
56.25Single9BQJRO769BQJ-μ-RO76-Gi1/β1/γ2
56.25Consensusdop_offOrthosteric Ligand4EJ4-δ-Naltrindole
56.25Consensusgi_orexinOrthosteric Ligand7SQO-OX2-TAK-925-Gi1/β1/γ2
55.56Single5F8UCyanopindolol5F8U-β1-Cyanopindolol
55.56Single7L1VPubChem 1554910097L1V-OX2-PubChem 155491009-chim(NtGi1-Gs-CtGq)/β1/γ2
55.56Single7YMJTamsulosin7YMJ-Alpha1A-Tamsulosin
55.56Single9GL2Befiradol9GL2-5-HT1A-Befiradol-Gs/β1/γ2
55.56Single9GYOP3959GYO-GPBA-P395-chim(NtGi1-Gs)/β1/γ2
55.56Single9MQLIsoquinuclidine9MQL-κ-Isoquinuclidine
55.56Single9V6ONalfurafine9V6O-κ-Nalfurafine-Gi1/β1/γ2
55.56Single9VJ6F-155999VJ6-5-HT1A-F-15599-Gi3/β1/γ2
55.56Single9WSWEndomorphin9WSW-μ-Endomorphin-chim(NtGi1-Gz)/β1/γ2
55.56Consensusalpha1_offOrthosteric Ligandalpha1a_off
55.56Consensusalpha1a_offOrthosteric Ligand7YMJ-Alpha1A-Tamsulosin
55.56Consensuskop_onOrthosteric Ligand8F7W-κ-Dynorphin-Gi1/β1/γ2 8DZS-κ-GR89,696-chim(NtGi2-Gz)/β1/γ2 8DZP-κ-momSalB-Gi1/β1/γ2
55.56Consensusorexin_onOrthosteric Ligandox2_on
55.00Single8F7XNociceptin8F7X-NOP-Nociceptin-Gi1/β1/γ2
55.00Single8PKMBefiradol8PKM-5-HT1A-Befiradol-Gi1/β1/γ1
55.00Consensusnop_onOrthosteric Ligand8F7X-NOP-Nociceptin-Gi1/β1/γ2
55.00Consensusnop_on_gpOrthosteric Ligand8F7X-NOP-Nociceptin-Gi1/β1/γ2
54.55Single9BKKCholecystokinin-89BKK-CCKA-Cholecystokinin-8-chim(NtGi1-Gs-CtGq)/β1/γ2
54.17Single8FEG(DNCP)-Beta-Naloxamine8FEG-κ-(DNCP)-β-Naloxamine-Gi1/β1/γ2
54.17Single9KDFRES-701-39KDF-ETB-RES-701-3
53.33Single6AKXA4R6AKX-CCR5-A4R
53.33Single7XRRLemborexant7XRR-OX2-Lemborexant
53.33Single8EFOPZM218EFO-μ-PZM21-Gi1/β1/γ2
53.33Single9VJEBuspirone9VJE-5-HT1A-Buspirone-Go/β1/γ2
53.33Consensusorexin_offOrthosteric Ligandox2_off ox1_off
53.33Consensusox2_offOrthosteric Ligand5WQC-OX2-EMPA 6TPN-OX2-HTL6641 7XRR-OX2-Lemborexant 6TPJ-OX2-Suvorexant
52.94Single5C1MBU725C1M-μ-BU72
52.94Single5WQCEMPA5WQC-OX2-EMPA
52.94Single5X7DCarazolol5X7D-β2-Carazolol-PubChem 129318963
52.94Single6TO7Suvorexant6TO7-OX1-Suvorexant-Na
52.94Single7WC6LSD7WC6-5-HT2A-LSD
52.94Single8DZQmomSalB8DZQ-κ-momSalB-Go/β1/γ2
52.94Single8EFBOliceridine8EFB-μ-Oliceridine-Gi1/β1/γ2
52.94Single9L74S1P d16:19L74-S1P3-S1P d16:1-chim(NtGi2L-Gs-CtGq)/β1/γ2
52.94Single9U81Tolvaptan9U81-V2-Tolvaptan
52.94Single9VJFBuspirone9VJF-5-HT1A-Buspirone-Gi3/β1/γ2
52.94Consensusalpha_offOrthosteric Ligandalpha1_off alpha2_off
52.94Consensusd1_onOrthosteric Ligand7F0T-D1-Dopamine-Gs/β1/γ2 7CKY-D1-PW0464-Gs/β1/γ2 8IRR-D1-Rotigotine-Gs/β1/γ2 7JV5-D1-SKF81297-Gs/β1/γ2 7JVP-D1-SKF83959-Gs/β1/γ2 7X2D-D1-Tavapadon-Gs/β1/γ2 7CKX-D1-A77636-Gs/β1/γ2 7JVQ-D1-Apomorphine-Gs/β1/γ2 7CKW-D1-Fenoldopam-Gs/β1/γ2
52.63Single5X93K-87945X93-ETB-K-8794
52.63Single8E0GBU728E0G-μ-BU72
52.63Single9CGJC6-Quino9CGJ-δ-C6-Quino-Gi1/β1/γ2
52.63Consensuskop_on_gpOrthosteric Ligand8F7W-κ-Dynorphin-Gi1/β1/γ2 8DZS-κ-GR89,696-chim(NtGi2-Gz)/β1/γ2 8DZP-κ-momSalB-Gi1/β1/γ2
52.63Consensusorexin_on_gpOrthosteric Ligandox2_on_gp
52.63Consensuspeptide_offOrthosteric Ligandcck_off angiotensin_off bombesin_off endothelin_off ghrelin_off npy_off opioid_off orexin_off somatostatin_off tachykinin_off vasop-oxy_off neurotensin_off
52.38Single8F7WDynorphin8F7W-κ-Dynorphin-Gi1/β1/γ2
50.00Single3SN6BI1671073SN6-β2-BI167107-Gs/β1/γ2
50.00Single4DJHJDTic4DJH-κ-JDTic
50.00Single4LDOEpinephrine4LDO-β2-Epinephrine
50.00Single4MBSMaraviroc4MBS-CCR5-Maraviroc
50.00Single4N6HNaltrindole4N6H-δ-Naltrindole-Na
50.00Single4ZJCSB-6740424ZJC-OX1-SB-674042
50.00Single6H7JIsoprenaline6H7J-β1-Isoprenaline
50.00Single6IQLL7458706IQL-D4-L745870
50.00Single6N48BI1671076N48-β2-BI167107-PubChem 138454256
50.00Single6NI3BI1671076NI3-β2-BI167107-Gs/β1/γ2
50.00Single6PS0Carazolol6PS0-β2-Carazolol
50.00Single6PS4ICI118-5516PS4-β2-ICI118-551
50.00Single6PS5Propranolol6PS5-β2-Propranolol
50.00Single6PT3DPI-2876PT3-δ-DPI-287
50.00Single6TPNHTL66416TPN-OX2-HTL6641
50.00Single6TQ7SB-3348676TQ7-OX1-SB-334867
50.00Single7CKYPW04647CKY-D1-PW0464-Gs/β1/γ2
50.00Single7CMUPramipexole7CMU-D3-Pramipexole-Gi1/β1/γ2
50.00Single7JJOIsoprenaline7JJO-β1-Isoprenaline-Gs/β1/γ2
50.00Single7JVPSKF839597JVP-D1-SKF83959-Gs/β1/γ2
50.00Single7MBXCholecystokinin-87MBX-CCKA-Cholecystokinin-8-Gs/β1/γ1
50.00Single7RANPubChem 1645758477RAN-5-HT2A-PubChem 164575847-chim(NtGi2L-Gs-CtGq)/β1/γ2
50.00Single7U2LC5-guano7U2L-μ-C5-guano-Gi1/β1/γ2
50.00Single7XTQR3997XTQ-GPBA-R399-Gs/β1/γ2
50.00Single8DZPmomSalB8DZP-κ-momSalB-Gi1/β1/γ2
50.00Single8EF5Fentanyl8EF5-μ-Fentanyl-Gi1/β1/γ2
50.00Single8F7REndomorphin8F7R-μ-Endomorphin-Gi1/β1/γ2
50.00Single8GG7Constrained Epinephrine8GG7-β2-Constrained Epinephrine-GTP-Gs/β1/γ2
50.00Single8GGLConstrained Epinephrine8GGL-β2-Constrained Epinephrine
50.00Single8GGMConstrained Epinephrine8GGM-β2-Constrained Epinephrine
50.00Single8GGPConstrained Epinephrine8GGP-β2-Constrained Epinephrine
50.00Single8GGQConstrained Epinephrine8GGQ-β2-Constrained Epinephrine
50.00Single8GGXConstrained Epinephrine8GGX-β2-Constrained Epinephrine
50.00Single8IRVRotigotine8IRV-D5-Rotigotine-chim(NtGi1-Gs)/β1/γ2
50.00Single8JLQFenoldopam8JLQ-TA1-Fenoldopam-Gs/β1/γ2
50.00Single8JSRAnamorelin8JSR-Ghrelin-Anamorelin-chim(NtGi1-Gs-CtGq)/β1/γ2
50.00Single8K9KDAMGO8K9K-μ-DAMGO-Gi3/β1/γ1
50.00Single8QJ2pN1628QJ2-MC4-pN162-Gs/β1/γ2
50.00Single8T1VPubChem 1183102098T1V-GPR6-PubChem 118310209-Na
50.00Single8THLEpinephrine8THL-Alpha1A-Epinephrine-chim(NtGi2L-Gs-CtGq)/β1/γ2
50.00Single8UNLConstrained Epinephrine8UNL-β2-Constrained Epinephrine-GTP-Gs/β1/γ2
50.00Single8UNOConstrained Epinephrine8UNO-β2-Constrained Epinephrine-GTP-Gs/β1/γ2
50.00Single8X5YAstemizole8X5Y-H1-Astemizole
50.00Single8XVLZibotentan8XVL-ETA-Zibotentan
50.00Single8Y45ADL58598Y45-δ-ADL5859-Gi2/β1/γ2
50.00Single8Y72Peptide8Y72-μ-Peptide-BMS-986122-Gi1/β1/γ2
50.00Single9ARXSerotonin9ARX-5-HT2A-Serotonin
50.00Single9B54VIP369B54-CB1-VIP36-Gi1/β1/γ2
50.00Single9B65MDMB-Fubinaca9B65-CB1-MDMB-Fubinaca-Gi1/β1/γ2
50.00Single9BJKNaloxone9BJK-μ-Naloxone-PubChem 171642066
50.00Single9I54PubChem 1764520919I54-D1-PubChem 176452091-Gs/β1/γ2
50.00Single9KZ8EP679KZ8-C3aB-EP67-Go/β1/γ2
50.00Single9L84Epinephrine9L84-β1-Epinephrine-Atazanavir-Gs/β1/γ2
50.00Single9ODJMitragynine Pseudoindoxyl9ODJ-μ-Mitragynine Pseudoindoxyl-GTP; Mg-Gi1/β1/γ2
50.00Single9ODLMitragynine Pseudoindoxyl9ODL-μ-Mitragynine Pseudoindoxyl-GTP; Mg-Gi1/β1/γ2
50.00Single9PY4Loperamide9PY4-μ-Loperamide-GDPβS-Gi1/β1/γ2
50.00Single9V2NMacimorelin9V2N-Ghrelin-Macimorelin-chim(NtGi1-Gs-CtGq)/β1/γ2
50.00Single9WSTDAMGO9WST-μ-DAMGO-chim(NtGi1-Gz)/β1/γ2
50.00Single9WSXEndomorphin9WSX-μ-Endomorphin-Arrestin2
50.00Consensus5ht_on_gpOrthosteric Ligand5ht1_on_gp 5ht2_on_gp 5ht4_on_gp 5ht5_on_gp 5ht6_on_gp 5ht7_on_gp
50.00Consensusalpha1_onOrthosteric Ligandalpha1a_on
50.00Consensusalpha1_on_gpOrthosteric Ligandalpha1a_on_gp
50.00Consensusalpha1a_onOrthosteric Ligand7EJ0-α2a-Norepinephrine-Go/β1/γ2 7EJ8-α2a-Brimonidine-Go/β1/γ2 7EJA-α2a-Dexmedetomidine-Go/β1/γ2 7EJK-α2a-Oxymetazoline-Go/β1/γ2 7W6P-α2a-N-pyridin-4-ylisoquinolin-4-amine-Go/β1/γ2 7W7E-α2a-PubChem 164946676-Go/β1/γ2
50.00Consensusalpha1a_on_gpOrthosteric Ligand7EJ0-α2a-Norepinephrine-Go/β1/γ2 7EJ8-α2a-Brimonidine-Go/β1/γ2 7EJA-α2a-Dexmedetomidine-Go/β1/γ2 7EJK-α2a-Oxymetazoline-Go/β1/γ2 7W6P-α2a-N-pyridin-4-ylisoquinolin-4-amine-Go/β1/γ2 7W7E-α2a-PubChem 164946676-Go/β1/γ2
50.00Consensusbeta2_onOrthosteric Ligand7DHI-β2-Salbutamol-Gs/β1/γ2 6NI3-β2-BI167107-Gs/β1/γ2
50.00Consensusbeta2_on_gpOrthosteric Ligand7DHI-β2-Salbutamol-Gs/β1/γ2 6NI3-β2-BI167107-Gs/β1/γ2
50.00Consensusd1_on_gpOrthosteric Ligand7F0T-D1-Dopamine-Gs/β1/γ2 7CKY-D1-PW0464-Gs/β1/γ2 8IRR-D1-Rotigotine-Gs/β1/γ2 7JV5-D1-SKF81297-Gs/β1/γ2 7JVP-D1-SKF83959-Gs/β1/γ2 7X2D-D1-Tavapadon-Gs/β1/γ2 7CKX-D1-A77636-Gs/β1/γ2 7JVQ-D1-Apomorphine-Gs/β1/γ2 7CKW-D1-Fenoldopam-Gs/β1/γ2
50.00Consensusd3_onOrthosteric Ligand7CMV-D3-PD128907-Gi1/β1/γ2 8IRT-D3-Rotigotine-Gi1/β1/γ2 7CMU-D3-Pramipexole-Gi1/β1/γ2
50.00Consensusd3_on_gpOrthosteric Ligand7CMV-D3-PD128907-Gi1/β1/γ2 8IRT-D3-Rotigotine-Gi1/β1/γ2 7CMU-D3-Pramipexole-Gi1/β1/γ2
50.00Consensusd5_on_gpOrthosteric Ligand8IRV-D5-Rotigotine-chim(NtGi1-Gs)/β1/γ2
50.00Consensusgi_5htOrthosteric Ligand8FYT-5-HT1A-LSD-PtdIns4P-Gi1/β1/γ1 7UM7-5-HT5A-Methylergometrine-chim(NtGi1-Go)/β1/γ2 8UGY-5-HT1E-Mianserin-Gi1/β1/γ1 8W8B-5-HT1A-SEP-363856-Gi1/β1/γ2 7E2Y-5-HT1A-Serotonin-PtdIns4P-Gi1/β1/γ2 7E32-5-HT1D-Serotonin-Gi1/β1/γ2 7XTA-5-HT4-Serotonin-Gi1/β1/γ2 8UH3-5-HT1E-Setiptiline-Gi1/β1/γ1 8JSP-5-HT1A-Ulotaront-Gi1/β1/γ2 8FYL-5-HT1A-Vilazodone-PtdIns4P-Gi1/β1/γ1 8JT6-5-HT1A-(R)-IHCH-7179-PtdIns4P-Gi1/β1/γ2 8FYE-5-HT1A-4-F,5-MeO-PyrT-PtdIns4P-Gi1/β1/γ1 7X5H-5-HT5A-5-CT-Gi1/β1/γ2 8FY8-5-HT1A-5-MeO-DMT-PtdIns4P-Gi1/β1/γ1 7E2Z-5-HT1A-Aripiprazole-PtdIns4P-Gi1/β1/γ2 7E33-5-HT1E-BRL-54443-Gi1/β1/γ2 8FYX-5-HT1A-Buspirone-PtdIns4P-Gi1/β1/γ1 7EXD-5-HT1F-Lasmiditan-Gi1/β1/γ2 7UM6-5-HT5A-Lisuride-chim(NtGi1-Go)/β1/γ2
50.00Consensusgs_cckOrthosteric Ligand7MBX-CCKA-Cholecystokinin-8-Gs/β1/γ1
50.00Consensusgs_class-aOrthosteric Ligandgs_peptide gs_nucleotide gs_amine
50.00Consensusgs_dopamineOrthosteric Ligand7F0T-D1-Dopamine-Gs/β1/γ2 7CKW-D1-Fenoldopam-Gs/β1/γ2 7CKY-D1-PW0464-Gs/β1/γ2 8IRV-D5-Rotigotine-chim(NtGi1-Gs)/β1/γ2 8IRR-D1-Rotigotine-Gs/β1/γ2 7JV5-D1-SKF81297-Gs/β1/γ2 7JVP-D1-SKF83959-Gs/β1/γ2 7X2D-D1-Tavapadon-Gs/β1/γ2 7CKX-D1-A77636-Gs/β1/γ2 7JVQ-D1-Apomorphine-Gs/β1/γ2
50.00Consensuskop_offOrthosteric Ligand4DJH-κ-JDTic
50.00Consensusnop_offOrthosteric Ligand4EA3-NOP-PubChem 10296561 5DHG-NOP-C-35 5DHH-NOP-SB-612111
50.00Consensusox2_onOrthosteric Ligand7L1V-OX2-PubChem 155491009-chim(NtGi1-Gs-CtGq)/β1/γ2 7SQO-OX2-TAK-925-Gi1/β1/γ2 7L1U-OX2-Orexin-chim(NtGi1-Gs-CtGq)/β1/γ2
50.00Consensusox2_on_gpOrthosteric Ligand7L1V-OX2-PubChem 155491009-chim(NtGi1-Gs-CtGq)/β1/γ2 7SQO-OX2-TAK-925-Gi1/β1/γ2 7L1U-OX2-Orexin-chim(NtGi1-Gs-CtGq)/β1/γ2
50.00Consensuspeptide_offonOrthosteric Ligandpeptide_off peptide_on
47.83Consensuspeptide_offon_gpOrthosteric Ligandpeptide_on_gp peptide_off
47.62Single4IB4Ergotamine4IB4-5-HT2B-Ergotamine
47.62Single8DCRDobutamine8DCR-β1-Dobutamine-Gs/β1/γ2
47.62Single8G59TUG-8918G59-FFA4-TUG-891-chim(Gi1-CtGq)/β1/γ2
47.62Single9BKJCholecystokinin-89BKJ-CCKA-Cholecystokinin-8-chim(NtGi1-Gs-CtGq)/β1/γ2
47.62Consensusclass-a_on_gpOrthosteric Ligandsensory_on_gp alicarboxylic_on_gp amine_on_gp lipid_on_gp nucleotide_on_gp peptide_on_gp protein_on_gp
47.62Consensusmop_offOrthosteric Ligand4DKL-μ-β-Funaltrexamine 8QOT-μ-Nanobody-E 7UL4-μ-Alvimopan
47.37Single4LDEBI1671074LDE-β2-BI167107
47.37Single5UNHPubChem 1264564065UNH-AT2-PubChem 126456406
47.37Single6MXTSalmeterol6MXT-β2-Salmeterol
47.37Single7DFPSpiperone7DFP-D2-Spiperone
47.37Single7JNIOlodanrigan7JNI-AT2-Olodanrigan
47.37Single7XMTJ-21567XMT-SST4-J-2156-Gi1/β1/γ2
47.37Single8I9AEP548I9A-C3aB-EP54-chim(NtGi1-Gs-CtGq)/β1/γ2
47.37Single8JJLOlodaterol8JJL-β2-Olodaterol
47.37Single8JWZEtrumadenant8JWZ-A2A-Etrumadenant-Na
47.37Single8W1VPubChem 1717162658W1V-β2-PubChem 171716265
47.37Single9KVG5-MeO-DMT9KVG-5-HT1A-5-MeO-DMT-PtdIns4P-Gi1/β1/γ2
47.37Single9M4QDoxazosin9M4Q-Alpha1A-Doxazosin
47.37Consensusgi_lipidOrthosteric Ligandgi_cannabinoid gi_ffa gi_leukotriene gi_lpa gi_s1p
47.06Single2Y04Salbutamol2Y04-β1-Salbutamol
47.06Single3NY8ICI118-5513NY8-β2-ICI118-551
47.06Single3ZPQPubChem 5945903ZPQ-β1-PubChem 594590-Na
47.06Single4GBRCarazolol4GBR-β2-Carazolol
47.06Single5DHGC-355DHG-NOP-C-35
47.06Single6PS2Alprenolol6PS2-β2-Alprenolol
47.06Single7BTSEpinephrine7BTS-β1-Epinephrine
47.06Single7BU6Norepinephrine7BU6-β1-Norepinephrine
47.06Single7CRHSKF839597CRH-D1-SKF83959-Gs/β1/γ2
47.06Single7JOZPubChem 752020227JOZ-D1-PubChem 75202022-Gs/β1/γ2
47.06Single7JVQApomorphine7JVQ-D1-Apomorphine-Gs/β1/γ2
47.06Single7S0GIsoprenaline7S0G-β1-Isoprenaline-chim(Gi1-CtGs)/β1/γ2
47.06Single7T2GMitragynine Pseudoindoxyl7T2G-μ-Mitragynine Pseudoindoxyl-Gi1/β1/γ2
47.06Single7UL4Alvimopan7UL4-μ-Alvimopan
47.06Single7UM6Lisuride7UM6-5-HT5A-Lisuride-chim(NtGi1-Go)/β1/γ2
47.06Single7VIES1P7VIE-S1P1-S1P-Gi1/β1/γ2
47.06Single7XJHIsoprenaline7XJH-β3-Isoprenaline-Gs/β1/γ2
47.06Single7XTC5-CT7XTC-5-HT7-5-CT-Gs/β1/γ2
47.06Single8EFQDAMGO8EFQ-μ-DAMGO-Gi1/β1/γ2
47.06Single8GE2Constrained Epinephrine8GE2-β2-Constrained Epinephrine-Gs/β1/γ1
47.06Single8GE3Constrained Epinephrine8GE3-β2-Constrained Epinephrine-Gs/β1/γ2
47.06Single8GECConstrained Epinephrine8GEC-β2-Constrained Epinephrine-Gs/β1/γ2
47.06Single8GEEConstrained Epinephrine8GEE-β2-Constrained Epinephrine-Gs/β1/γ2
47.06Single8GFVConstrained Epinephrine8GFV-β2-Constrained Epinephrine-GTP-Gs/β1/γ2
47.06Single8GFWConstrained Epinephrine8GFW-β2-Constrained Epinephrine-GTP-Gs/β1/γ2
47.06Single8GFXConstrained Epinephrine8GFX-β2-Constrained Epinephrine-GTP-Gs/β1/γ2
47.06Single8GFZConstrained Epinephrine8GFZ-β2-Constrained Epinephrine-GTP-Gs/β1/γ2
47.06Single8GG0Constrained Epinephrine8GG0-β2-Constrained Epinephrine-GTP-Gs/β1/γ2
47.06Single8GG1Constrained Epinephrine8GG1-β2-Constrained Epinephrine-GTP-Gs/β1/γ2
47.06Single8GG3Constrained Epinephrine8GG3-β2-Constrained Epinephrine-GTP-Gs/β1/γ2
47.06Single8GG4Constrained Epinephrine8GG4-β2-Constrained Epinephrine-GTP-Gs/β1/γ2
47.06Single8GG6Constrained Epinephrine8GG6-β2-Constrained Epinephrine-GTP-Gs/β1/γ2
47.06Single8GG9Constrained Epinephrine8GG9-β2-Constrained Epinephrine-GTP-Gs/β1/γ2
47.06Single8GGIConstrained Epinephrine8GGI-β2-Constrained Epinephrine
47.06Single8GGJConstrained Epinephrine8GGJ-β2-Constrained Epinephrine
47.06Single8GGKConstrained Epinephrine8GGK-β2-Constrained Epinephrine
47.06Single8GGNConstrained Epinephrine8GGN-β2-Constrained Epinephrine
47.06Single8GGOConstrained Epinephrine8GGO-β2-Constrained Epinephrine
47.06Single8GGUConstrained Epinephrine8GGU-β2-Constrained Epinephrine
47.06Single8JD0NAM5638JD0-mGlu2; mGlu3-Glutamate-NAM563
47.06Single8PJKST1718PJK-5-HT1A-ST171-Gi1/β1/γ1
47.06Single8UGYMianserin8UGY-5-HT1E-Mianserin-Gi1/β1/γ1
47.06Single8UH3Setiptiline8UH3-5-HT1E-Setiptiline-Gi1/β1/γ1
47.06Single8UNQConstrained Epinephrine8UNQ-β2-Constrained Epinephrine-GTP-Gs/β1/γ2
47.06Single8UNVConstrained Epinephrine8UNV-β2-Constrained Epinephrine-GTP-Gs/β1/γ2
47.06Single8UNYConstrained Epinephrine8UNY-β2-Constrained Epinephrine-GTP-Gs/β1/γ2
47.06Single8UNZConstrained Epinephrine8UNZ-β2-Constrained Epinephrine-GTP-Gs/β1/γ2
47.06Single8UO2Constrained Epinephrine8UO2-β2-Constrained Epinephrine-GTP-Gs/β1/γ2
47.06Single8VVGGB188VVG-κ-GB18-Gi1/β1/γ2
47.06Single8XVKAmbrisentan8XVK-ETA-Ambrisentan
47.06Single9CBMDexmedetomidine9CBM-α2a-Dexmedetomidine-Gi1/β1/γ2
47.06Single9CHXCarazolol9CHX-β2-Carazolol
47.06Single9PLNPubChem 1682595949PLN-α2a-PubChem 168259594
47.06Single9PLOPubChem 1682595949PLO-α2a-PubChem 168259594-Go/β1/γ2
47.06Single9PQDPubChem 1764919279PQD-α2a-PubChem 176491927
47.06Single9PXWNaloxone9PXW-μ-Naloxone-GDPβS-Gi1/β1/γ2
47.06Consensus5ht5_onOrthosteric Ligand5ht5a_on
47.06Consensus5ht5a_onOrthosteric Ligand7X5H-5-HT5A-5-CT-Gi1/β1/γ2 7UM6-5-HT5A-Lisuride-chim(NtGi1-Go)/β1/γ2 7UM7-5-HT5A-Methylergometrine-chim(NtGi1-Go)/β1/γ2
47.06Consensus5ht7_onOrthosteric Ligand7XTC-5-HT7-5-CT-Gs/β1/γ2
47.06Consensus5ht7_on_gpOrthosteric Ligand7XTC-5-HT7-5-CT-Gs/β1/γ2
47.06Consensusadrenergic_onOrthosteric Ligandalpha_on beta_on
47.06Consensusalpha_onOrthosteric Ligandalpha1_on alpha2_on
47.06Consensusdopamine_offOrthosteric Ligandd2_off d3_off
47.06Consensusdopamine_onOrthosteric Ligandd2_on d1_on d3_on d4_on d5_on
47.06Consensusdopamine_on_gpOrthosteric Ligandd2_on_gp d1_on_gp d3_on_gp d4_on_gp d5_on_gp
46.67Single7XTASerotonin7XTA-5-HT4-Serotonin-Gi1/β1/γ2
46.67Single7XTBSerotonin7XTB-5-HT6-Serotonin-Gs/β1/γ2
46.67Single8EF6Morphine8EF6-μ-Morphine-Gi1/β1/γ2
46.67Single8YN4Histamine8YN4-H2-Histamine-chim(NtGi1L-Gs-CtGq)/β1/γ2
46.67Single9IJEEpinephrine9IJE-β3-Epinephrine-chim(NtGi1-Gs)/β1/γ2
46.67Single9IXJHistamine9IXJ-H2-Histamine-Gs/β1/γ2
46.67Consensus5ht4_onOrthosteric Ligand7XTA-5-HT4-Serotonin-Gi1/β1/γ2
46.67Consensus5ht4_on_gpOrthosteric Ligand7XTA-5-HT4-Serotonin-Gi1/β1/γ2
45.83Single8IODPG-9018IOD-MC5-PG-901-Ca-chim(NtGi1-Gs)/β1/γ2
45.45Single7DDZJNJ-310200287DDZ-Y2-JNJ-31020028
45.45Single7EZKCholecystokinin-87EZK-CCKA-Cholecystokinin-8-chim(NtGi1-Gs)/β1/γ2
45.45Single9L60Dynorphin9L60-κ-Dynorphin-MPAM-15-Gi1/β1/γ2
45.45Single9ME1CXCL129ME1-CXCR4-CXCL12
45.45Consensusnpy2_offOrthosteric Ligand7DDZ-Y2-JNJ-31020028
45.45Consensuss1p3_on_gpOrthosteric Ligand7EW3-S1P3-S1P-Gi1/β1/γ2 7EW4-S1P3-CYM-5541-Gi1/β1/γ2 7EW2-S1P3-FTY720-P-Gi1/β1/γ2
45.00Single5UNGPubChem 157800525UNG-AT2-PubChem 15780052
45.00Single6BQGErgotamine6BQG-5-HT2C-Ergotamine
45.00Single6H7LDobutamine6H7L-β1-Dobutamine
45.00Single7MTSADX551647MTS-mGlu2; mGlu2-Glutamate-ADX55164-Gi1/β1/γ2
45.00Single7SK7CCX6627SK7-ACKR3-CXCL12-CCX662
45.00Single7SK8CCX6627SK8-ACKR3-CXCL12-CCX662
45.00Single7UM4AS26747237UM4-5-HT5A-AS2674723
45.00Single8E9YClozapine-N-oxide8E9Y-M3-Clozapine-N-oxide-chim(NtGi2L-Gs-CtGq)/β1/γ2
45.00Single8S2TIsoprenaline8S2T-β1-Isoprenaline-chim(NtGi1-Gs)/β1/γ2
45.00Single8T3OTUG-8918T3O-FFA4-TUG-891-chim(NtGi2L-Gs-CtGq)/β1/γ2
45.00Single9HYIDP819HYI-5-HT1A-DP81-Gi1/β1/γ2
45.00Single9M54Neuropeptide-VF9M54-NPFF2-Neuropeptide-VF-Gi1/β1/γ2
45.00Single9WP9S1P9WP9-S1P3-S1P-chim(NtGi2L-Gs-CtGq)/β1/γ2
45.00Consensusbeta1_onOrthosteric Ligand8DCR-β1-Dobutamine-Gs/β1/γ2 7S0F-β1-Isoprenaline-Gi1/β1/γ2
45.00Consensusbeta1_on_gpOrthosteric Ligand8DCR-β1-Dobutamine-Gs/β1/γ2 7S0F-β1-Isoprenaline-Gi1/β1/γ2
45.00Consensusgi_s1pOrthosteric Ligand7VIE-S1P1-S1P-Gi1/β1/γ2 7EW3-S1P3-S1P-Gi1/β1/γ2 7EVY-S1P1-Siponimod-Gi1/β1/γ2 7EW1-S1P5-Siponimod-Gi1/β1/γ2 7VIF-S1P1-FTY720-P-Gi1/β1/γ2 7VIG-S1P1-CBP-307-Gi1/β1/γ2 7EVZ-S1P1-Cenerimod-Gi1/β1/γ2 7EW4-S1P3-CYM-5541-Gi1/β1/γ2 7EW2-S1P3-FTY720-P-Gi1/β1/γ2 7EW0-S1P1-Ozanimod-Gi1/β1/γ2 7EW7-S1P1-SEW2871-Gi1/β1/γ2
44.44Single2RH1Carazolol2RH1-β2-Carazolol
44.44Single2Y03Isoprenaline2Y03-β1-Isoprenaline
44.44Single2YCWCarazolol2YCW-β1-Carazolol
44.44Single4ZJ8Suvorexant4ZJ8-OX1-Suvorexant
44.44Single5D6LCarazolol5D6L-β2-Carazolol
44.44Single5JQHCarazolol5JQH-β2-Carazolol
44.44Single5TVNLSD5TVN-5-HT2B-LSD
44.44Single5WIUNemonapride5WIU-D4-Nemonapride
44.44Single5WIVNemonapride5WIV-D4-Nemonapride-Na
44.44Single5XPRBosentan5XPR-ETB-Bosentan
44.44Single6E67BI1671076E67-β2-BI167107-Gs(CT)
44.44Single6KUWPubChem 572132346KUW-α2c-PubChem 57213234
44.44Single6PS3Carvedilol6PS3-β2-Carvedilol
44.44Single6TP6Filorexant6TP6-OX1-Filorexant
44.44Single7BVQCarazolol7BVQ-β1-Carazolol
44.44Single7CKXA776367CKX-D1-A77636-Gs/β1/γ2
44.44Single7S0FIsoprenaline7S0F-β1-Isoprenaline-Gi1/β1/γ2
44.44Single7X1TTaltirelin7X1T-TRH-Taltirelin-chim(NtGi2L-Gs-CtGq)/β1/γ2
44.44Single7XK9Constrained Isoproterenol7XK9-β2-Constrained Isoproterenol-Na
44.44Single7XKAConstrained Epinephrine7XKA-β2-Constrained Epinephrine
44.44Single8C9WEtrumadenant8C9W-A2A-Etrumadenant
44.44Single8GDZConstrained Epinephrine8GDZ-β2-Constrained Epinephrine-Gs/β1/γ2
44.44Single8GEBConstrained Epinephrine8GEB-β2-Constrained Epinephrine-Gs/β1/γ2
44.44Single8GEGConstrained Epinephrine8GEG-β2-Constrained Epinephrine-Gs/β1/γ2
44.44Single8GFYConstrained Epinephrine8GFY-β2-Constrained Epinephrine-GTP-Gs/β1/γ2
44.44Single8GG2Constrained Epinephrine8GG2-β2-Constrained Epinephrine-GTP-Gs/β1/γ2
44.44Single8GGBConstrained Epinephrine8GGB-β2-Constrained Epinephrine-GTP-Gs/β1/γ2
44.44Single8ID4Linoleic acid8ID4-FFA4-Linoleic acid-Gi1/β1/γ2
44.44Single8JXSPF-61428JXS-D1-PF-6142
44.44Single8SZGCa; Ca; Tryptophan; Cinacalcet; PO4; Spermine8SZG-CaS; CaS-Ca; Ca; Tryptophan; Cinacalcet; PO4; Spermine-chim(NtGi1-Gq)/β1/γ2
44.44Single8UNNConstrained Epinephrine8UNN-β2-Constrained Epinephrine-GTP-Gs/β1/γ2
44.44Single8UNPConstrained Epinephrine8UNP-β2-Constrained Epinephrine-GTP-Gs/β1/γ2
44.44Single9ARYSerotonin9ARY-5-HT2A-Serotonin-chim(NtGi1-Gs-CtGq)/β1/γ2
44.44Single9HAPTolvaptan9HAP-V2-Tolvaptan
44.44Single9K07DSO-5a9K07-BB3-DSO-5a-chim(NtGi2L-Gs-CtGq)/β1/γ2
44.44Single9PXYNaloxone9PXY-μ-Naloxone-GDPβS-Gi1/β1/γ2
44.44Consensus5ht5_on_gpOrthosteric Ligand5ht5a_on_gp
44.44Consensus5ht5a_on_gpOrthosteric Ligand7X5H-5-HT5A-5-CT-Gi1/β1/γ2 7UM6-5-HT5A-Lisuride-chim(NtGi1-Go)/β1/γ2 7UM7-5-HT5A-Methylergometrine-chim(NtGi1-Go)/β1/γ2
44.44Consensusadrenergic_offOrthosteric Ligandalpha_off beta_off
44.44Consensusadrenergic_on_gpOrthosteric Ligandalpha_on_gp beta_on_gp
44.44Consensusalpha2c_offOrthosteric Ligand6KUW-α2c-PubChem 57213234
44.44Consensusalpha_on_gpOrthosteric Ligandalpha1_on_gp alpha2_on_gp
44.44Consensusamine_offOrthosteric Ligand5ht_off adrenergic_off dopamine_off histamine_off muscarinic_off
44.44Consensusamine_offonOrthosteric Ligandamine_off amine_on
44.44Consensusamine_offon_gpOrthosteric Ligandamine_on_gp amine_off
44.44Consensusamine_onOrthosteric Ligand5ht_on adrenergic_on dopamine_on histamine_on muscarinic_on trace-amine_on
44.44Consensusbeta2_offOrthosteric Ligand2RH1-β2-Carazolol 6PS3-β2-Carvedilol 6PS5-β2-Propranolol 3D4S-β2-Timolol 3NY8-β2-ICI118-551 3NY9-β2-PubChem 913103 6PRZ-β2-Alprenolol
44.44Consensusbeta_offOrthosteric Ligandbeta1_off beta2_off
44.44Consensusgi_adrenergicOrthosteric Ligand7EJ0-α2a-Norepinephrine-Go/β1/γ2 7EJK-α2a-Oxymetazoline-Go/β1/γ2 7W7E-α2a-PubChem 164946676-Go/β1/γ2 7W6P-α2a-N-pyridin-4-ylisoquinolin-4-amine-Go/β1/γ2 7EJ8-α2a-Brimonidine-Go/β1/γ2 6K42-α2b-Dexmedetomidine-Gi1/β1/γ2 7EJA-α2a-Dexmedetomidine-Go/β1/γ2 7S0F-β1-Isoprenaline-Gi1/β1/γ2
44.44Consensusgs_amineOrthosteric Ligandgs_5ht gs_adrenergic gs_dopamine gs_histamine gs_trace-amine
44.44Consensush1_offOrthosteric Ligand8X63-H1-Mepyramine 3RZE-H1-Cidoxepin 8X5Y-H1-Astemizole
44.00Single8XVEBQ30208XVE-ETB-BQ3020-chim(Gs-CtGq)/β1/γ2
44.00Consensusgi_peptideOrthosteric Ligandgi_cck gi_apelin gi_compl-pept gi_endothelin gi_formylpeptide gi_galanin gi_ghrelin gi_npy gi_neurotensin gi_opioid gi_orexin gi_relaxin gi_somatostatin
43.75Single5OLVLUAA470705OLV-A2A-LUAA47070-Na
43.75Single5WS3EMPA5WS3-OX2-EMPA
43.75Single6AKYMaraviroc6AKY-CCR5-Maraviroc
43.75Single6B73MP11046B73-κ-MP1104
43.75Single6OBAAlprenolol6OBA-β2-Alprenolol-GTPL11074
43.75Single6TODEMPA6TOD-OX1-EMPA-Na
43.75Single7F1ODopamine7F1O-D1-Dopamine-GDP; Mg-Gs/β1/γ2
43.75Single7SRSLSD7SRS-5-HT2B-LSD-Arrestin2
43.75Single7X2FDopamine7X2F-D1-Dopamine-Mevidalen-Gs/β1/γ2
43.75Single7X5H5-CT7X5H-5-HT5A-5-CT-Gi1/β1/γ2
43.75Single7YMHNorepinephrine7YMH-Alpha1A-Norepinephrine-chim(Gs-CtGq)
43.75Single8FYXBuspirone8FYX-5-HT1A-Buspirone-PtdIns4P-Gi1/β1/γ1
43.75Single8GGAConstrained Epinephrine8GGA-β2-Constrained Epinephrine-GTP-Gs/β1/γ2
43.75Single8GGRConstrained Epinephrine8GGR-β2-Constrained Epinephrine
43.75Single8GGZConstrained Epinephrine8GGZ-β2-Constrained Epinephrine
43.75Single8GH0Constrained Epinephrine8GH0-β2-Constrained Epinephrine
43.75Single8JSOAMPH8JSO-TA1-AMPH-chim(NtGi1-Gs)/β1/γ2
43.75Single8TZQDopamine8TZQ-D2-Dopamine-Go/β1/γ2
43.75Single8UNSConstrained Epinephrine8UNS-β2-Constrained Epinephrine-GTP-Gs/β1/γ2
43.75Single8UNTConstrained Epinephrine8UNT-β2-Constrained Epinephrine-GTP-Gs/β1/γ2
43.75Single8UNXConstrained Epinephrine8UNX-β2-Constrained Epinephrine-GTP-Gs/β1/γ2
43.75Single8WC4ZH86518WC4-TA1-ZH8651-chim(NtGi1-Gs)/β1/γ2
43.75Single8WCA2-Phenylethylamine8WCA-TA1-2-Phenylethylamine-chim(NtGi1-Gs)/β1/γ2
43.75Single8YUTAmthamine8YUT-H2-Amthamine-Gs/β1/γ2
43.75Single9LLBDOI-NBOMe9LLB-5-HT2A-DOI-NBOMe-chim(NtGi1L-Gs-CtGq)/β1/γ2
43.75Single9MQJIsoquinuclidine9MQJ-μ-Isoquinuclidine
43.75Single9VJ5Gepirone9VJ5-5-HT1A-Gepirone-Go/β1/γ2
43.75Consensus5ht1e_onOrthosteric Ligand7E33-5-HT1E-BRL-54443-Gi1/β1/γ2 8UGY-5-HT1E-Mianserin-Gi1/β1/γ1 8UH3-5-HT1E-Setiptiline-Gi1/β1/γ1
43.75Consensus5ht_onOrthosteric Ligand5ht1_on 5ht2_on 5ht4_on 5ht5_on 5ht6_on 5ht7_on
43.75Consensusalpha2_offOrthosteric Ligandalpha2c_off
43.75Consensusgs_5htOrthosteric Ligand7XTC-5-HT7-5-CT-Gs/β1/γ2 7XTB-5-HT6-Serotonin-Gs/β1/γ2 8JLZ-5-HT6-ST1936-Gs/β1/γ2 7XT8-5-HT4-Serotonin-Gs/β1/γ2
43.75Consensusox1_offOrthosteric Ligand6TP6-OX1-Filorexant 6TP4-OX1-ACT-462206 6V9S-OX1-GTPL11403 6TOT-OX1-Lemborexant 6TP3-OX1-Nemorexant 6TQ6-OX1-PubChem 145714283 6TQ9-OX1-SB-408124 4ZJC-OX1-SB-674042 4ZJ8-OX1-Suvorexant 6TOD-OX1-EMPA-Na 6TOS-OX1-GSK1059865-Na 6TQ4-OX1-PubChem 16046844-Na
43.48Single8XIQL7967788XIQ-SST3-L796778-chim(NtGi1-Gs-CtGi1)/β1/γ2
43.48Single8XIRPasireotide8XIR-SST3-Pasireotide-chim(NtGi1-Gs-CtGi1)/β1/γ2
43.48Single9MEUCXCL129MEU-CXCR4-CXCL12
42.86Single3NY9PubChem 9131033NY9-β2-PubChem 913103
42.86Single5ZTYAM102575ZTY-CB2-AM10257
42.86Single6G79Donitriptan6G79-5-HT1B-Donitriptan-Go/β1/γ2
42.86Single7XY6BAY 60-65837XY6-A2B-BAY 60-6583-chim(NtGi1-Gs)/β1/γ2
42.86Single8JLRA776368JLR-TA1-A77636-chim(NtGi1-Gs)/β1/γ2
42.86Single8X3LXWD8X3L-CB2-XWD-Gi1/β1/γ2
42.86Single9CGKC5-Quino9CGK-δ-C5-Quino-Gi1/β1/γ2
42.86Single9CHUNorepinephrine9CHU-β2-Norepinephrine
42.86Single9IPVJR14a9IPV-C3aB-JR14a-Gi1/β1/γ2
42.86Single9KZ2EP679KZ2-C3aB-EP67-Go/β1/γ2
42.86Single9M0RNeuropeptide-VF9M0R-NPFF1-Neuropeptide-VF-Gi1/β1/γ2
42.86Single9MD1Buspirone9MD1-5-HT1A-Buspirone-PtdIns4P-Gz/β1/γ2
42.86Consensuscb2_offOrthosteric Ligand5ZTY-CB2-AM10257
42.86Consensusgs_histamineOrthosteric Ligand8POK-H2-Histamine-Gs/β1/γ2
42.86Consensush2_onOrthosteric Ligand8POK-H2-Histamine-Gs/β1/γ2
42.86Consensuss1p_onOrthosteric Ligands1p1_on s1p3_on s1p5_on
42.86Consensuss1p_on_gpOrthosteric Ligands1p1_on_gp s1p3_on_gp s1p5_on_gp
42.31Single8ZH8QRFP268ZH8-QRFP-QRFP26-Gq/β1/γ1
42.31Single9K26PrRP319K26-PrRP-PrRP31-Gi1/β1/γ2
42.31Consensusgq_peptideOrthosteric Ligandgq_cck gq_kisspeptin gq_bradykinin gq_bombesin gq_angiotensin
42.31Consensuspeptide_onOrthosteric Ligandcck_on angiotensin_on apelin_on bombesin_on bradykinin_on compl-peptide_on endothelin_on formylpeptide_on galanin_on ghrelin_on kisspeptin_on melanocortin_on motilin_on neuromedin-u_on npy_on neurotensin_on opioid_on orexin_on relaxin_on somatostatin_on tachykinin_on trh_on vasop-oxy_on
42.31Consensuspeptide_on_gpOrthosteric Ligandcck_on_gp angiotensin_on_gp apelin_on_gp bombesin_on_gp bradykinin_on_gp compl-peptide_on_gp endothelin_on_gp formylpeptide_on_gp galanin_on_gp ghrelin_on_gp kisspeptin_on_gp melanocortin_on_gp motilin_on_gp neuromedin-u_on_gp npy_on_gp neurotensin_on_gp opioid_on_gp orexin_on_gp relaxin_on_gp somatostatin_on_gp tachykinin_on_gp trh_on_gp vasop-oxy_on_gp
42.11Single2YDVNECA2YDV-A2A-NECA
42.11Single3P0GBI1671073P0G-β2-BI167107
42.11Single3PDSFAUC503PDS-β2-FAUC50
42.11Single4UHRCGS216804UHR-A2A-CGS21680
42.11Single5A8E7-Methylcyanopindolol5A8E-β1-7-Methylcyanopindolol-Na
42.11Single5D5ACarazolol5D5A-β2-Carazolol
42.11Single5D5BCarazolol5D5B-β2-Carazolol
42.11Single5G53NECA5G53-A2A-NECA-Gs
42.11Single6E59L-7607356E59-NK1-L-760735
42.11Single6GT3Imaradenant6GT3-A2A-Imaradenant-Na
42.11Single6J20Aprepitant6J20-NK1-Aprepitant
42.11Single6J21Aprepitant6J21-NK1-Aprepitant
42.11Single6KO5PubChem 574000026KO5-Ghrelin-PubChem 57400002
42.11Single6WGTLSD6WGT-5-HT2A-LSD
42.11Single7E2ZAripiprazole7E2Z-5-HT1A-Aripiprazole-PtdIns4P-Gi1/β1/γ2
42.11Single7EW1Siponimod7EW1-S1P5-Siponimod-Gi1/β1/γ2
42.11Single7EW7SEW28717EW7-S1P1-SEW2871-Gi1/β1/γ2
42.11Single7F58THIQ7F58-MC4-THIQ-Gs/β1/γ2
42.11Single7JV5SKF812977JV5-D1-SKF81297-Gs/β1/γ2
42.11Single7T2HLofentanil7T2H-μ-Lofentanil-Gi1/β1/γ2
42.11Single7TUYGSK682753A7TUY-GPR183-GSK682753A
42.11Single7W6PN-pyridin-4-ylisoquinolin-4-amine7W6P-α2a-N-pyridin-4-ylisoquinolin-4-amine-Go/β1/γ2
42.11Single7W7EPubChem 1649466767W7E-α2a-PubChem 164946676-Go/β1/γ2
42.11Single8DCSCyanopindolol8DCS-β1-Cyanopindolol-Gs/β1/γ2
42.11Single8HDOBAY 60-65838HDO-A2B-BAY 60-6583-Gs/β1/γ2
42.11Single8HPTC5a (C-terminal peptide)8HPT-C5a1-C5a (C-terminal peptide)-Go/β1/γ2
42.11Single8ID39-Hydroxystearic acid8ID3-FFA4-9-Hydroxystearic acid-Gi1/β1/γ2
42.11Single8ID6Oleic acid8ID6-FFA4-Oleic acid-Gi1/β1/γ2
42.11Single8IRRRotigotine8IRR-D1-Rotigotine-Gs/β1/γ2
42.11Single8JT6(R)-IHCH-71798JT6-5-HT1A-(R)-IHCH-7179-PtdIns4P-Gi1/β1/γ2
42.11Single8WU1MDMB-Fubinaca8WU1-CB1-MDMB-Fubinaca-Arrestin2
42.11Single8ZWFJR14a8ZWF-C3aB-JR14a
42.11Single9BS9LSD9BS9-D2-LSD
42.11Single9BSBLSD9BSB-D2-LSD-chim(NtGi1-Go)/β1/γ2
42.11Single9JMCDS-3801b9JMC-Motilin-DS-3801b-chim(Gs-CtGq)/β1/γ2
42.11Single9UY3Anamorelin9UY3-Ghrelin-Anamorelin-chim(NtGi1-Gs-CtGq)/β1/γ2
42.11Consensusamine_on_gpOrthosteric Ligand5ht_on_gp adrenergic_on_gp dopamine_on_gp histamine_on_gp muscarinic_on_gp trace-amine_on_gp
42.11Consensusbeta1_offOrthosteric Ligand2VT4-β1-Cyanopindolol 2YCW-β1-Carazolol 2YCZ-β1-Iodocyanopindolol 5A8E-β1-7-Methylcyanopindolol-Na 3ZPQ-β1-PubChem 594590-Na 3ZPR-β1-PubChem 598754-Na
42.11Consensusgi_dopamineOrthosteric Ligand7JVR-D2-Bromoergocryptine-Gi1/β1/γ2 7CMV-D3-PD128907-Gi1/β1/γ2 7CMU-D3-Pramipexole-Gi1/β1/γ2 8IRS-D2-Rotigotine-Gi1/β1/γ2 8IRT-D3-Rotigotine-Gi1/β1/γ2
42.11Consensusnpy_offOrthosteric Ligandnpy1_off npy2_off
42.11Consensuss1p5_onOrthosteric Ligand7EW1-S1P5-Siponimod-Gi1/β1/γ2
42.11Consensuss1p5_on_gpOrthosteric Ligand7EW1-S1P5-Siponimod-Gi1/β1/γ2
41.67Single7KH0AVP7KH0-V2-AVP-chim(NtGi1-Gs)/β1/γ2
41.67Single7W40Bombesin7W40-BB2-Bombesin-chim(NtGi1L-Gq)/β1/γ2
41.67Single8H4KGW95088H4K-FFA4-GW9508-chim(NtGi1-Gs-CtGq)/β1/γ2
41.67Single8XWQEndothelin-18XWQ-ETB-Endothelin-1-Gi1/β1/γ2
41.67Single8ZBISomatostatin-148ZBI-SST3-Somatostatin-14-Gi1/β1/γ2
41.67Consensusgi_class-aOrthosteric Ligandgi_peptide gi_sensory gi_alicarboxylic gi_amine gi_lipid gi_nucleotide gi_protein
41.18Single4DKLBeta-Funaltrexamine4DKL-μ-β-Funaltrexamine
41.18Single6K41Dexmedetomidine6K41-α2b-Dexmedetomidine-Go/β1/γ2
41.18Single6TOSGSK10598656TOS-OX1-GSK1059865-Na
41.18Single6VI4JDTic6VI4-κ-JDTic
41.18Single6ZDVPubChem 9840736ZDV-A2A-PubChem 984073-Na
41.18Single6ZFZ77-LH-28-16ZFZ-M1-77-LH-28-1
41.18Single6ZG9GSK10347026ZG9-M1-GSK1034702
41.18Single7CKWFenoldopam7CKW-D1-Fenoldopam-Gs/β1/γ2
41.18Single7CKZDopamine7CKZ-D1-Dopamine-Mevidalen-Gs/β1/γ2
41.18Single7DHISalbutamol7DHI-β2-Salbutamol-Gs/β1/γ2
41.18Single7E33BRL-544437E33-5-HT1E-BRL-54443-Gi1/β1/γ2
41.18Single7EJ8Brimonidine7EJ8-α2a-Brimonidine-Go/β1/γ2
41.18Single7EJADexmedetomidine7EJA-α2a-Dexmedetomidine-Go/β1/γ2
41.18Single7F0TDopamine7F0T-D1-Dopamine-Gs/β1/γ2
41.18Single7F24Dopamine7F24-D1-Dopamine-GDP-Gs/β1/γ2
41.18Single7F61PF-036547467F61-H3-PF-03654746
41.18Single7UM7Methylergometrine7UM7-5-HT5A-Methylergometrine-chim(NtGi1-Go)/β1/γ2
41.18Single8GE1Constrained Epinephrine8GE1-β2-Constrained Epinephrine-Gs/β1/γ2
41.18Single8GE4Constrained Epinephrine8GE4-β2-Constrained Epinephrine-Gs/β1/γ2
41.18Single8GE5Constrained Epinephrine8GE5-β2-Constrained Epinephrine-Gs/β1/γ1
41.18Single8GE6Constrained Epinephrine8GE6-β2-Constrained Epinephrine-Gs/β1/γ2
41.18Single8GE7Constrained Epinephrine8GE7-β2-Constrained Epinephrine-Gs/β1/γ2
41.18Single8GE8Constrained Epinephrine8GE8-β2-Constrained Epinephrine-Gs/β1/γ2
41.18Single8GEDConstrained Epinephrine8GED-β2-Constrained Epinephrine-Gs/β1/γ2
41.18Single8GEFConstrained Epinephrine8GEF-β2-Constrained Epinephrine-Gs/β1/γ2
41.18Single8GG5Constrained Epinephrine8GG5-β2-Constrained Epinephrine-GTP-Gs/β1/γ2
41.18Single8GGSConstrained Epinephrine8GGS-β2-Constrained Epinephrine
41.18Single8GGTConstrained Epinephrine8GGT-β2-Constrained Epinephrine
41.18Single8GGVConstrained Epinephrine8GGV-β2-Constrained Epinephrine
41.18Single8GUQOlorinab8GUQ-CB2-Olorinab-Gi1/β1/γ2
41.18Single8K9LDAMGO8K9L-μ-DAMGO-BMS-986122-Gi3/β1/γ1
41.18Single8THKA-616038THK-Alpha1A-A-61603-chim(NtGi2L-Gs-CtGq)/β1/γ2
41.18Single8U02Dopamine8U02-D2-Dopamine-Go/β1/γ2
41.18Single8UNMConstrained Epinephrine8UNM-β2-Constrained Epinephrine-GTP-Gs/β1/γ2
41.18Single8UNWConstrained Epinephrine8UNW-β2-Constrained Epinephrine-GTP-Gs/β1/γ2
41.18Single8UO0Constrained Epinephrine8UO0-β2-Constrained Epinephrine-GTP-Gs/β1/γ2
41.18Single8UO1Constrained Epinephrine8UO1-β2-Constrained Epinephrine-GTP; Mg-Gs/β1/γ2
41.18Single8V6UPubChem 1713924568V6U-5-HT2A-PubChem 171392456-chim(NtGi2-Gs-CtGq)/β1/γ2
41.18Single8WC8ZH86518WC8-TA1-ZH8651-chim(NtGi1-Gs)/β1/γ2
41.18Single8YH2Adenosine8YH2-A3A-Adenosine-Gi1/β1/γ2
41.18Single8YN3Histamine8YN3-H2-Histamine-Gs/β1/γ2
41.18Single9AS5Mescaline9AS5-5-HT2A-Mescaline
41.18Single9AS6Mescaline9AS6-5-HT2A-Mescaline-chim(NtGi1-Gs-CtGq)/β1/γ2
41.18Single9CBLEpinephrine9CBL-α2a-Epinephrine-Gi1/β1/γ2
41.18Single9JMDAzithromycin9JMD-Motilin-Azithromycin-chim(Gs-CtGq)/β1/γ2
41.18Single9MQIIsoquinuclidine9MQI-μ-Isoquinuclidine
41.18Single9PXVNaloxone9PXV-μ-Naloxone-Gi1/β1/γ2
41.18Single9PXXNaloxone9PXX-μ-Naloxone-GDPβS-Gi1/β1/γ2
41.18Single9VNFPindolol9VNF-5-HT1A-Pindolol-Go/β1/γ2
41.18Single9W33S5A19W33-SST5-S5A1
41.18Single9W6W5-CT9W6W-5-HT5A-5-CT-Gi1/β1/γ2
41.18Consensusghrelin_offOrthosteric Ligand6KO5-Ghrelin-PubChem 57400002 7F83-Ghrelin-PF-05190457
40.91Single4AMJCarvedilol4AMJ-β1-Carvedilol
40.91Single4IARErgotamine4IAR-5-HT1B-Ergotamine
40.91Single5UNFPubChem 157800525UNF-AT2-PubChem 15780052
40.91Single7F4ISHU91197F4I-MC1-SHU9119-chim(NtGi1-Gs)/β1/γ2
40.91Single7WKDTRH7WKD-TRH-TRH-chim(NtGi1-Gs-CtGq)/β1/γ2
40.91Single8FYLVilazodone8FYL-5-HT1A-Vilazodone-PtdIns4P-Gi1/β1/γ1
40.91Single8WKYPG-9348WKY-MC4-PG-934
40.91Single8ZSPLSD8ZSP-TA1-LSD-chim(NtGi1L-Gs)/β1/γ2
40.91Single9M4TSilodosin9M4T-Alpha1A-Silodosin
40.91Single9UYJChemerin-99UYJ-CML2-Chemerin-9-Arrestin2
40.74Single6IGLIRL16206IGL-ETB-IRL1620
40.00Single2YCXCyanopindolol2YCX-β1-Cyanopindolol
40.00Single3D4STimolol3D4S-β2-Timolol
40.00Single4AMIBucindolol4AMI-β1-Bucindolol
40.00Single6H7OCyanopindolol6H7O-β1-Cyanopindolol
40.00Single6ZG4HTL00099366ZG4-M1-HTL0009936
40.00Single7DD7Ca; Ca; Tryptophan; Evocalcet7DD7-CaS; CaS-Ca-Ca; Ca; Tryptophan; Evocalcet
40.00Single7EJKOxymetazoline7EJK-α2a-Oxymetazoline-Go/β1/γ2
40.00Single7EO4Siponimod7EO4-S1P1-Siponimod-Gi1/β1/γ2
40.00Single7EW2FTY720-P7EW2-S1P3-FTY720-P-Gi1/β1/γ2
40.00Single7EXDLasmiditan7EXD-5-HT1F-Lasmiditan-Gi1/β1/γ2
40.00Single7MTRADX551647MTR-mGlu2; mGlu2-Glutamate-ADX55164
40.00Single7SUSPubChem 1227019087SUS-Apelin-PubChem 122701908
40.00Single7W0LPubChem 1227019087W0L-Apelin; Apelin-PubChem 122701908-Gi1/β1/γ2
40.00Single7X9CPancreatic Hormone7X9C-Y4-Pancreatic Hormone-Gi1/β1/γ2
40.00Single8FYE4-F,5-MeO-PyrT8FYE-5-HT1A-4-F,5-MeO-PyrT-PtdIns4P-Gi1/β1/γ1
40.00Single8FYTLSD8FYT-5-HT1A-LSD-PtdIns4P-Gi1/β1/γ1
40.00Single8GH1Constrained Epinephrine8GH1-β2-Constrained Epinephrine
40.00Single8ID9Icosapent8ID9-FFA4-Icosapent-Gi1/β1/γ2
40.00Single8IRSRotigotine8IRS-D2-Rotigotine-Gi1/β1/γ2
40.00Single8JJ8Arformoterol8JJ8-β2-Arformoterol
40.00Single8JWY2-1188JWY-A2A-2-118
40.00Single8POKHistamine8POK-H2-Histamine-Gs/β1/γ2
40.00Single8T3QDoconexent8T3Q-FFA4-Doconexent-chim(NtGi2L-Gs-CtGq)/β1/γ2
40.00Single8WC9ZH86518WC9-TA1-ZH8651-chim(NtGi1-Gs-CtGq)/β1/γ2
40.00Single8XGOTAK4488XGO-Kiss1-TAK448-chim(NtGi1-Gq)/β1/γ2
40.00Single8XYIVUF106618XYI-CXCR3-VUF10661
40.00Single8ZRTEndothelin-18ZRT-ETB-Endothelin-1
40.00Single9DGIZ85267113509DGI-CB1-Z8526711350
40.00Single9IZHLPA9IZH-LPA1-LPA-chim(NtGi2-G13)/β1/γ2
40.00Single9VIFNeuropeptide-VF9VIF-NPFF1-Neuropeptide-VF-Gi1/β1/γ2
40.00Single9YDUUDP-Glucose9YDU-P2Y14-UDP-Glucose-Gi1/β1/γ2
40.00Consensus5ht1a_onOrthosteric Ligand8FYT-5-HT1A-LSD-PtdIns4P-Gi1/β1/γ1 7E2Y-5-HT1A-Serotonin-PtdIns4P-Gi1/β1/γ2 7E2Z-5-HT1A-Aripiprazole-PtdIns4P-Gi1/β1/γ2 8FYX-5-HT1A-Buspirone-PtdIns4P-Gi1/β1/γ1 8JSP-5-HT1A-Ulotaront-Gi1/β1/γ2 8JT6-5-HT1A-(R)-IHCH-7179-PtdIns4P-Gi1/β1/γ2 8FY8-5-HT1A-5-MeO-DMT-PtdIns4P-Gi1/β1/γ1 8FYE-5-HT1A-4-F,5-MeO-PyrT-PtdIns4P-Gi1/β1/γ1 8FYL-5-HT1A-Vilazodone-PtdIns4P-Gi1/β1/γ1
40.00Consensus5ht1a_on_gpOrthosteric Ligand8FYT-5-HT1A-LSD-PtdIns4P-Gi1/β1/γ1 8FYX-5-HT1A-Buspirone-PtdIns4P-Gi1/β1/γ1 8JSP-5-HT1A-Ulotaront-Gi1/β1/γ2 8JT6-5-HT1A-(R)-IHCH-7179-PtdIns4P-Gi1/β1/γ2 7E2Y-5-HT1A-Serotonin-PtdIns4P-Gi1/β1/γ2 7E2Z-5-HT1A-Aripiprazole-PtdIns4P-Gi1/β1/γ2 8FY8-5-HT1A-5-MeO-DMT-PtdIns4P-Gi1/β1/γ1 8FYE-5-HT1A-4-F,5-MeO-PyrT-PtdIns4P-Gi1/β1/γ1 8FYL-5-HT1A-Vilazodone-PtdIns4P-Gi1/β1/γ1
40.00Consensus5ht1f_onOrthosteric Ligand7EXD-5-HT1F-Lasmiditan-Gi1/β1/γ2
40.00Consensus5ht1f_on_gpOrthosteric Ligand7EXD-5-HT1F-Lasmiditan-Gi1/β1/γ2
40.00Consensus5ht2_onOrthosteric Ligand5ht2b_on
40.00Consensus5ht2b_onOrthosteric Ligand7SRR-5-HT2B-LSD-chim(NtGi2L-Gs-CtGq)/β1/γ2
40.00Consensusbeta_onOrthosteric Ligandbeta1_on beta2_on beta3_on
40.00Consensusbeta_on_gpOrthosteric Ligandbeta1_on_gp beta2_on_gp beta3_on_gp
40.00Consensusd2_on_gpOrthosteric Ligand7JVR-D2-Bromoergocryptine-Gi1/β1/γ2 8IRS-D2-Rotigotine-Gi1/β1/γ2
40.00Consensusgi_amineOrthosteric Ligandgi_5ht gi_muscarinic gi_adrenergic gi_dopamine gi_histamine
40.00Consensush2_on_gpOrthosteric Ligand8POK-H2-Histamine-Gs/β1/γ2
40.00Consensusmc1_onOrthosteric Ligand7F4H-MC1-Afamelanotide-chim(NtGi1-Gs)/β1/γ2 7F4D-MC1-α-MSH-chim(NtGi1-Gs)/β1/γ2 7F4I-MC1-SHU9119-chim(NtGi1-Gs)/β1/γ2
40.00Consensusmc1_on_gpOrthosteric Ligand7F4H-MC1-Afamelanotide-chim(NtGi1-Gs)/β1/γ2 7F4D-MC1-α-MSH-chim(NtGi1-Gs)/β1/γ2 7F4I-MC1-SHU9119-chim(NtGi1-Gs)/β1/γ2
40.00Consensusnk1_offOrthosteric Ligand6HLP-NK1-Netupitant 6HLO-NK1-Aprepitant 6HLL-NK1-CP99994 6E59-NK1-L-760735
40.00Consensuss1p1_onOrthosteric Ligand7VIE-S1P1-S1P-Gi1/β1/γ2 7VIF-S1P1-FTY720-P-Gi1/β1/γ2 7VIG-S1P1-CBP-307-Gi1/β1/γ2 7EVY-S1P1-Siponimod-Gi1/β1/γ2 7EVZ-S1P1-Cenerimod-Gi1/β1/γ2 7EW0-S1P1-Ozanimod-Gi1/β1/γ2 7EW7-S1P1-SEW2871-Gi1/β1/γ2
40.00Consensuss1p1_on_gpOrthosteric Ligand7VIE-S1P1-S1P-Gi1/β1/γ2 7VIF-S1P1-FTY720-P-Gi1/β1/γ2 7VIG-S1P1-CBP-307-Gi1/β1/γ2 7EVY-S1P1-Siponimod-Gi1/β1/γ2 7EVZ-S1P1-Cenerimod-Gi1/β1/γ2 7EW0-S1P1-Ozanimod-Gi1/β1/γ2 7EW7-S1P1-SEW2871-Gi1/β1/γ2
40.00Consensuss1p3_onOrthosteric Ligand7EW3-S1P3-S1P-Gi1/β1/γ2 7EW4-S1P3-CYM-5541-Gi1/β1/γ2 7EW2-S1P3-FTY720-P-Gi1/β1/γ2
39.29Single8ZJETAK4488ZJE-Kiss1-TAK448-chim(NtGi1-Gq)/β1/γ1
39.29Consensusbb2_onOrthosteric Ligand7W40-BB2-Bombesin-chim(NtGi1L-Gq)/β1/γ2 7W3Z-BB2-Gastrin Releasing Peptide-chim(NtGi1L-Gq)/β1/γ2
39.29Consensusbb2_on_gpOrthosteric Ligand7W40-BB2-Bombesin-chim(NtGi1L-Gq)/β1/γ2 7W3Z-BB2-Gastrin Releasing Peptide-chim(NtGi1L-Gq)/β1/γ2
39.29Consensusbombesin_onOrthosteric Ligandbb2_on
39.29Consensusbombesin_on_gpOrthosteric Ligandbb2_on_gp
39.29Consensusgq_bombesinOrthosteric Ligand7W40-BB2-Bombesin-chim(NtGi1L-Gq)/β1/γ2 7W3Z-BB2-Gastrin Releasing Peptide-chim(NtGi1L-Gq)/β1/γ2
39.13Single3QAKUK-4320973QAK-A2A-UK-432097
39.13Single8F7QBeta-Endorphin8F7Q-μ-β-Endorphin-Gi1/β1/γ2
39.13Single9IK8Pasireotide9IK8-SST1-Pasireotide-Gi1/β1/γ2
39.13Consensusghrelin_onOrthosteric Ligand7NA7-Ghrelin-Ghrelin-Gi1/β1/γ2 7F9Z-Ghrelin-GHRP-6-chim(NtGi1-Gs-CtGq)/β1/γ2 7NA8-Ghrelin-Ibutamoren-Gi1/β1/γ2
39.13Consensusghrelin_on_gpOrthosteric Ligand7NA7-Ghrelin-Ghrelin-Gi1/β1/γ2 7F9Z-Ghrelin-GHRP-6-chim(NtGi1-Gs-CtGq)/β1/γ2 7NA8-Ghrelin-Ibutamoren-Gi1/β1/γ2
39.13Consensusgi_cckOrthosteric Ligand7EZH-CCKA-Cholecystokinin-8-Gi1/β1/γ2 7F8V-CCKB-Gastrin-17-Gi2/β1/γ2
38.89Single2VT4Cyanopindolol2VT4-β1-Cyanopindolol
38.89Single2Y02Carmoterol2Y02-β1-Carmoterol
38.89Single2YCYCyanopindolol2YCY-β1-Cyanopindolol
38.89Single3NYAAlprenolol3NYA-β2-Alprenolol
38.89Single3ZPRPubChem 5987543ZPR-β1-PubChem 598754-Na
38.89Single4QKXPubChem 762106284QKX-β2-PubChem 76210628
38.89Single5OLZPubChem 1355666095OLZ-A2A-PubChem 135566609-Na
38.89Single5OM1PubChem 1355666095OM1-A2A-PubChem 135566609-Na
38.89Single5UIGPubChem 1240811965UIG-A2A-PubChem 124081196
38.89Single6DRXLisuride6DRX-5-HT2B-Lisuride
38.89Single6H7MSalbutamol6H7M-β1-Salbutamol
38.89Single6K42Dexmedetomidine6K42-α2b-Dexmedetomidine-Gi1/β1/γ2
38.89Single6PRZAlprenolol6PRZ-β2-Alprenolol
38.89Single6PS1Timolol6PS1-β2-Timolol
38.89Single6Z10PubChem 1545855546Z10-Succinate-PubChem 154585554
38.89Single7CFMP3957CFM-GPBA-P395-Gs/β1/γ2
38.89Single7E32Serotonin7E32-5-HT1D-Serotonin-Gi1/β1/γ2
38.89Single7LJCSKF812977LJC-D1-SKF81297-Mevidalen-Gs/β1/γ2
38.89Single7NA8Ibutamoren7NA8-Ghrelin-Ibutamoren-Gi1/β1/γ2
38.89Single7T6VfMLFII7T6V-FPR2-ALX-fMLFII-Gi1/β1/γ2
38.89Single7UM55-CT7UM5-5-HT5A-5-CT-chim(NtGi1-Go)/β1/γ2
38.89Single7WC7Lisuride7WC7-5-HT2A-Lisuride
38.89Single7X2CFenoldopam7X2C-D1-Fenoldopam-Fenoldopam-Gs/β1/γ2
38.89Single7YACPaltusotine7YAC-SST2-Paltusotine-Gi1/β1/γ2
38.89Single8CICEtrumadenant8CIC-A2A-Etrumadenant-Na
38.89Single8CU6LJ-45178CU6-A2A-LJ-4517
38.89Single8DZSGR89,6968DZS-κ-GR89,696-chim(NtGi2-Gz)/β1/γ2
38.89Single8GE9Constrained Epinephrine8GE9-β2-Constrained Epinephrine-Gs/β1/γ2
38.89Single8GEHConstrained Epinephrine8GEH-β2-Constrained Epinephrine-Gs/β1/γ2
38.89Single8JJOAlprenolol8JJO-β2-Alprenolol
38.89Single8JLJT1AM8JLJ-TA1-T1AM-chim(NtGi1-Gs)/β1/γ2
38.89Single8JLZST19368JLZ-5-HT6-ST1936-Gs/β1/γ2
38.89Single8JXRLSD8JXR-D1-LSD
38.89Single8T1WCVN4248T1W-GPR6-CVN424
38.89Single8UNRConstrained Epinephrine8UNR-β2-Constrained Epinephrine-GTP-Gs/β1/γ2
38.89Single8UNUConstrained Epinephrine8UNU-β2-Constrained Epinephrine-GTP-Gs/β1/γ2
38.89Single8W87METH8W87-TA1-METH-chim(NtGi1L-Gs)/β1/γ2
38.89Single8WC7ZH86678WC7-TA1-ZH8667-chim(NtGi1-Gs)/β1/γ2
38.89Single8X63Mepyramine8X63-H1-Mepyramine
38.89Single8X64Desloratadine8X64-H1-Desloratadine
38.89Single8YH5Riboprine8YH5-A3A-Riboprine-Gi1/β1/γ2
38.89Single8ZBEOctreotide8ZBE-SST5-Octreotide-Gi1/β1/γ1
38.89Single8ZSSRO52633978ZSS-TA1-RO5263397-chim(NtGi1-Gs)/β1/γ2
38.89Single9H37PubChem 1756706469H37-A2A-PubChem 175670646-Na
38.89Single9KFTfMLFC9KFT-FPR1-ALX-fMLFC-Gi1/β1/γ2
38.89Single9LLAAriadne9LLA-5-HT2A-Ariadne-chim(NtGi1L-Gs-CtGq)/β1/γ2
38.89Single9VMYTMU41429VMY-5-HT1A-TMU4142-Go/β1/γ2
38.89Consensus5ht1d_onOrthosteric Ligand7E32-5-HT1D-Serotonin-Gi1/β1/γ2
38.89Consensus5ht1d_on_gpOrthosteric Ligand7E32-5-HT1D-Serotonin-Gi1/β1/γ2
38.89Consensus5ht6_onOrthosteric Ligand7XTB-5-HT6-Serotonin-Gs/β1/γ2 8JLZ-5-HT6-ST1936-Gs/β1/γ2
38.89Consensus5ht6_on_gpOrthosteric Ligand7XTB-5-HT6-Serotonin-Gs/β1/γ2 8JLZ-5-HT6-ST1936-Gs/β1/γ2
38.89Consensusa3_onOrthosteric Liganda3a_on
38.89Consensusadenosine_on_gpOrthosteric Liganda1_on_gp a2_on_gp a3_on_gp
38.89Consensusalpha2_onOrthosteric Ligandalpha2b_on
38.89Consensusalpha2_on_gpOrthosteric Ligandalpha2b_on_gp
38.89Consensusalpha2b_onOrthosteric Ligand6K42-α2b-Dexmedetomidine-Gi1/β1/γ2
38.89Consensusalpha2b_on_gpOrthosteric Ligand6K42-α2b-Dexmedetomidine-Gi1/β1/γ2
38.89Consensuscck_offOrthosteric Ligandccka_off
38.89Consensusccka_offOrthosteric Ligand7F8Y-CCKA-Devazepide 7F8U-CCKA-Lintitript
38.89Consensusd5_onOrthosteric Ligand8IRV-D5-Rotigotine-chim(NtGi1-Gs)/β1/γ2
38.89Consensusgs_trace-amineOrthosteric Ligand8W88-TA1-SEP-363856-Gs/β1/γ2 8JLJ-TA1-T1AM-chim(NtGi1-Gs)/β1/γ2 8JLO-TA1-Ulotaront-Gs/β1/γ2 8WC4-TA1-ZH8651-chim(NtGi1-Gs)/β1/γ2 8WC7-TA1-ZH8667-chim(NtGi1-Gs)/β1/γ2 8JLR-TA1-A77636-chim(NtGi1-Gs)/β1/γ2 8JSO-TA1-AMPH-chim(NtGi1-Gs)/β1/γ2 8W87-TA1-METH-chim(NtGi1L-Gs)/β1/γ2 8W89-TA1-2-Phenylethylamine-chim(NtGi1L-Gs)/β1/γ2 8JLP-TA1-Ralmitaront-Gs/β1/γ2 8W8A-TA1-RO5256390-chim(NtGi1L-Gs)/β1/γ2
38.89Consensushistamine_offOrthosteric Ligandh1_off
38.46Single7F8VGastrin-177F8V-CCKB-Gastrin-17-Gi2/β1/γ2
38.46Consensusnpy4_onOrthosteric Ligand7X9C-Y4-Pancreatic Hormone-Gi1/β1/γ2
38.46Consensusnpy4_on_gpOrthosteric Ligand7X9C-Y4-Pancreatic Hormone-Gi1/β1/γ2
38.10Single2YCZIodocyanopindolol2YCZ-β1-Iodocyanopindolol
38.10Single4BVNCyanopindolol4BVN-β1-Cyanopindolol-Na
38.10Single4NC3Ergotamine4NC3-5-HT2B-Ergotamine
38.10Single5TUDErgotamine5TUD-5-HT2B-Ergotamine
38.10Single6IBLArformoterol6IBL-β1-Arformoterol
38.10Single6K1QIRL25006K1Q-ETB-IRL2500
38.10Single6TKOArformoterol6TKO-β1-Arformoterol-Arrestin2
38.10Single7EVZCenerimod7EVZ-S1P1-Cenerimod-Gi1/β1/γ2
38.10Single7EW0Ozanimod7EW0-S1P1-Ozanimod-Gi1/β1/γ2
38.10Single7EZHCholecystokinin-87EZH-CCKA-Cholecystokinin-8-Gi1/β1/γ2
38.10Single7JVRBromoergocryptine7JVR-D2-Bromoergocryptine-Gi1/β1/γ2
38.10Single7MBYCholecystokinin-87MBY-CCKA-Cholecystokinin-8-chim(NtGi1L-Gs-CtGq)/β1/γ2
38.10Single7U2KC6-guano7U2K-μ-C6-guano-Gi1/β1/γ2
38.10Single7WVVfMLFII7WVV-FPR2-ALX-fMLFII-Gi2/β1/γ2
38.10Single7X1UTRH7X1U-TRH-TRH-chim(NtGi2L-Gs-CtGq)/β1/γ2
38.10Single7XK2MK68927XK2-HCA2-MK6892-Gi1/β1/γ2
38.10Single7YU8ONO-07405567YU8-LPA1-ONO-0740556-Gi1/β1/γ2
38.10Single8E9X2-Deoxycytidine8E9X-M4-2-Deoxycytidine-chim(NtGi1-Go)/β1/γ2
38.10Single8FX5Xanomeline8FX5-M4-Xanomeline-Xanomeline-Gi1/β1/γ2
38.10Single8GAGZ85267113508GAG-CB1-Z8526711350-Gi1/β1/γ2
38.10Single8I95EP548I95-C3aB-EP54-Go/β1/γ2
38.10Single8ID8TUG-8918ID8-FFA4-TUG-891-Gi1/β1/γ2
38.10Single8IJDMK68928IJD-HCA2-MK6892-Gi1/β1/γ2
38.10Single8IYSTUG-8918IYS-FFA4-TUG-891-GDP-chim(NtGi1L-Gq)/β1/γ2
38.10Single8WRZAM8418WRZ-CB1-AM841-Arrestin2
38.10Single8XIOL7975918XIO-SST1-L797591-chim(NtGi1-Gs-CtGi1)/β1/γ2
38.10Single8ZWGJR14a8ZWG-C3aB-JR14a-Gi1/β1/γ2
38.10Single9DYEBuspirone9DYE-5-HT1A-Buspirone-PtdIns4P-Go/β1/γ2
38.10Single9IZFLPA9IZF-LPA1-LPA-Gi1/β1/γ2
38.10Single9VI9RFRP-39VI9-NPFF1-RFRP-3-Gi1/β1/γ2
38.10Consensuscb1_on_gpOrthosteric Ligand6KPG-CB1-AM841-Gi1/β1/γ2 8K8J-CB1-Fenofibrate-chim(Gs-CtGq)/β1/γ2
38.10Consensuscck_onOrthosteric Ligandccka_on cckb_on
38.10Consensuscck_on_gpOrthosteric Ligandccka_on_gp cckb_on_gp
38.10Consensusccka_onOrthosteric Ligand7EZH-CCKA-Cholecystokinin-8-Gi1/β1/γ2
38.10Consensusccka_on_gpOrthosteric Ligand7EZH-CCKA-Cholecystokinin-8-Gi1/β1/γ2
38.10Consensusclass-a_onOrthosteric Ligandsensory_on alicarboxylic_on amine_on lipid_on nucleotide_on peptide_on protein_on
38.10Consensusd2_offOrthosteric Ligand6CM4-D2-Risperidone 6LUQ-D2-Haloperidol 7DFP-D2-Spiperone
37.93Consensusmelanocortin_onOrthosteric Ligandmc1_on mc4_on mc2_on mc3_on mc5_on
37.93Consensusmelanocortin_on_gpOrthosteric Ligandmc1_on_gp mc4_on_gp mc2_on_gp mc3_on_gp mc5_on_gp
37.50Single3PBLEticlopride3PBL-D3-Eticlopride
37.50Single6HLLCP999946HLL-NK1-CP99994
37.50Single6TP4ACT-4622066TP4-OX1-ACT-462206
37.50Single6TQ4PubChem 160468446TQ4-OX1-PubChem 16046844-Na
37.50Single6W25SHU91196W25-MC4-SHU9119-Ca
37.50Single7DD7Ca; Ca; Tryptophan; Evocalcet7DD7-CaS; CaS-Ca-Ca; Ca; Tryptophan; Evocalcet
37.50Single7E2YSerotonin7E2Y-5-HT1A-Serotonin-PtdIns4P-Gi1/β1/γ2
37.50Single7SRQLSD7SRQ-5-HT2B-LSD
37.50Single7T6TfMLFII7T6T-FPR1-ALX-fMLFII-Gi1/β1/γ2
37.50Single7TD0LPA7TD0-LPA1-LPA-Gi1/β1/γ2
37.50Single7TD2LPA7TD2-LPA1-LPA-Gi1/β1/γ2
37.50Single7XOUCholecystokinin-87XOU-CCKA-Cholecystokinin-8-Gs/β1/γ2
37.50Single7XT9Serotonin7XT9-5-HT4-Serotonin-Gs/β1/γ2
37.50Single7YS6Serotonin7YS6-5-HT6-Serotonin-chim(NtGi1-Gs)/β1/γ2
37.50Single8A2PLUAA470708A2P-A2A-LUAA47070-Na
37.50Single8DPFLorcaserin8DPF-5-HT2C-Lorcaserin-chim(NtGi2L-Gs-CtGq)/β1/γ2
37.50Single8GGYConstrained Epinephrine8GGY-β2-Constrained Epinephrine
37.50Single8JLOUlotaront8JLO-TA1-Ulotaront-Gs/β1/γ2
37.50Single8WKZSBL-MC-318WKZ-MC4-SBL-MC-31
37.50Single8XGUTAK4488XGU-Kiss1-TAK448-Gi1/β1/γ2
37.50Single8ZSVRO52633978ZSV-TA1-RO5263397-chim(NtGi1-Gs)/β1/γ2
37.50Single9KUWCMPD6449KUW-Apelin; Apelin-CMPD644-Arrestin2 ; Arrestin2
37.50Single9M1ONeuropeptide-FF9M1O-NPFF2-Neuropeptide-FF-Gi1/β1/γ2
37.50Single9U4WGonadoliberin-19U4W-GnRH1-Gonadoliberin-1-chim(NtGi1L-Gs-CtGq)/β1/γ2
37.50Single9U9VMETH9U9V-β2-METH-Gs/β1/γ2
37.50Single9UYIChemerin-99UYI-CML2-Chemerin-9-Arrestin2
37.50Consensusangiotensin_onOrthosteric Ligandat1_on
37.50Consensusat1_onOrthosteric Ligand7F6G-AT1-(Sar1)-Angiotensin II-Gq/β1/γ2
37.50Consensusd3_offOrthosteric Ligand3PBL-D3-Eticlopride
37.50Consensusgi_somatostatinOrthosteric Ligand7WIC-SST2-Somatostatin-14-Gi1/β1/γ2 7XMS-SST4-Somatostatin-14-Gi1/β1/γ2 8X8L-SST5-Cortistatin-14-chim(NtGi1-Gs-CtGi1)/β1/γ2 7XMT-SST4-J-2156-Gi1/β1/γ2 7WIG-SST2-L-054264-Gi1/β1/γ2 8X8N-SST5-Octreotide-chim(NtGi1-Gs-CtGi1)/β1/γ2 7YAE-SST2-Octreotide-Gi1/β1/γ2 7YAC-SST2-Paltusotine-Gi1/β1/γ2
37.50Consensussomatostatin_onOrthosteric Ligandsst2_on sst4_on sst5_on
37.50Consensussomatostatin_on_gpOrthosteric Ligandsst2_on_gp sst4_on_gp sst5_on_gp
37.04Single7F4FAfamelanotide7F4F-MC1-Afamelanotide-chim(NtGi1-Gs)/β1/γ2
37.04Single7F53Alpha-MSH7F53-MC4-α-MSH-Gs/β1/γ2
37.04Single8XWPEndothelin-18XWP-ETB-Endothelin-1-Gi1/β1/γ2
36.84Single2Y00Dobutamine2Y00-β1-Dobutamine
36.84Single5N2SPSB365N2S-A1-PSB36
36.84Single5OM4PubChem 1355666095OM4-A2A-PubChem 135566609-Na
36.84Single6HLPNetupitant6HLP-NK1-Netupitant
36.84Single6ME82-Phenylmelatonin6ME8-MT2-2-Phenylmelatonin
36.84Single6PS6Timolol6PS6-β2-Timolol
36.84Single7C61Ergotamine7C61-5-HT1B-Ergotamine
36.84Single7EO2FTY720-P7EO2-S1P1-FTY720-P-Gi1/β1/γ2
36.84Single7EPFNAM5977EPF-mGlu2-NAM597
36.84Single7LD3Adenosine7LD3-A1-Adenosine-MIPS521-Gi2/β1/γ2
36.84Single7WIGL-0542647WIG-SST2-L-054264-Gi1/β1/γ2
36.84Single8GNEKW-63568GNE-A2A-KW-6356-Na
36.84Single8J6JGSK2560738J6J-HCA2-GSK256073-Gi1/β1/γ2
36.84Single8K8JFenofibrate8K8J-CB1-Fenofibrate-chim(Gs-CtGq)/β1/γ2
36.84Single8S4DCMF-0198S4D-Apelin-CMF-019
36.84Single8TF5Oleic acid8TF5-GPR6-Oleic acid
36.84Single8WGBVU01550418WGB-mGlu4; mGlu2-Glutamate-VU0155041-Gi3/β1/γ2
36.84Single8XYKVUF106618XYK-CXCR3-VUF10661-Go/β1/γ2
36.84Single8YICSAR2477998YIC-S1P1-SAR247799-Gi1/β1/γ2
36.84Single9ARZ2-bromo-LSD9ARZ-5-HT2A-2-bromo-LSD
36.84Single9AVLCa; Ca; Cyclomethyltryptophan; R-568; PO49AVL-CaS; CaS-Ca-Ca; Ca; Cyclomethyltryptophan; R-568; PO4-Gi3/β2/γ2
36.84Single9AXFCa; Ca; Ca; Cyclomethyltryptophan; R-568; PO49AXF-CaS; CaS-Ca-Ca; Ca; Ca; Cyclomethyltryptophan; R-568; PO4-chim(NtGi1-Gs-CtGq)/β1/γ2
36.84Single9AYFCa; Ca; Ca; Cyclomethyltryptophan; R-568; PO49AYF-CaS; CaS-Ca-Ca; Ca; Ca; Cyclomethyltryptophan; R-568; PO4-Gi1/β1/γ2
36.84Single9EE8Adenosine9EE8-A2A-Adenosine-Gs/β1/γ2
36.84Single9F33FOB02-04A9F33-D3-FOB02-04A-Go/β1/γ2
36.84Single9F34FOB02-04A9F34-D3-FOB02-04A-Go/β1/γ2
36.84Single9KT6Acifran9KT6-HCA3-Acifran-Gi1/β1/γ2
36.84Single9KUVCMPD6449KUV-Apelin-CMPD644-Arrestin2
36.84Single9M8POleic monoethanolamide9M8P-GPR3 ; GPR3-Oleic monoethanolamide-AF64394
36.84Consensus5ht1_onOrthosteric Ligand5ht1a_on 5ht1d_on 5ht1e_on 5ht1f_on
36.84Consensus5ht1_on_gpOrthosteric Ligand5ht1a_on_gp 5ht1d_on_gp 5ht1e_on_gp 5ht1f_on_gp
36.84Consensus5ht1e_on_gpOrthosteric Ligand7E33-5-HT1E-BRL-54443-Gi1/β1/γ2 8UGY-5-HT1E-Mianserin-Gi1/β1/γ1 8UH3-5-HT1E-Setiptiline-Gi1/β1/γ1
36.84Consensus5ht2_offOrthosteric Ligand5ht2a_off 5ht2b_off 5ht2c_off
36.84Consensusa3_on_gpOrthosteric Liganda3a_on_gp
36.84Consensusa3a_onOrthosteric Ligand8X17-A3A-Namodenoson-Gi1/β1/γ2 8X16-A3A-Piclidenoson-Gi1/β1/γ2
36.84Consensusa3a_on_gpOrthosteric Ligand8X17-A3A-Namodenoson-Gi1/β1/γ2 8X16-A3A-Piclidenoson-Gi1/β1/γ2
36.84Consensuscb2_onOrthosteric Ligand8GUR-CB2-CP55940-Gi1/β1/γ2 8GUS-CB2-HU-308-Gi1/β1/γ2 8GUT-CB2-LEI-102-Gi1/β1/γ2 6KPF-CB2-AM12033-Gi1/β1/γ2 6PT0-CB2-WIN 55212-2-Gi1/β1/γ2 8GUQ-CB2-Olorinab-Gi1/β1/γ2
36.84Consensuscb2_on_gpOrthosteric Ligand8GUR-CB2-CP55940-Gi1/β1/γ2 8GUS-CB2-HU-308-Gi1/β1/γ2 8GUT-CB2-LEI-102-Gi1/β1/γ2 6KPF-CB2-AM12033-Gi1/β1/γ2 6PT0-CB2-WIN 55212-2-Gi1/β1/γ2 8GUQ-CB2-Olorinab-Gi1/β1/γ2
36.84Consensusd2_onOrthosteric Ligand7JVR-D2-Bromoergocryptine-Gi1/β1/γ2 8IRS-D2-Rotigotine-Gi1/β1/γ2
36.84Consensuslipid_onOrthosteric Ligandcannabinoid_on ffa_on lpl_on prostanoid_on leukotriene_on
36.84Consensuslipid_on_gpOrthosteric Ligandcannabinoid_on_gp ffa_on_gp lpl_on_gp prostanoid_on_gp leukotriene_on_gp
36.84Consensusta1_onOrthosteric Ligand8W87-TA1-METH-chim(NtGi1L-Gs)/β1/γ2 8W89-TA1-2-Phenylethylamine-chim(NtGi1L-Gs)/β1/γ2 8JLP-TA1-Ralmitaront-Gs/β1/γ2 8W8A-TA1-RO5256390-chim(NtGi1L-Gs)/β1/γ2 8W88-TA1-SEP-363856-Gs/β1/γ2 8JLO-TA1-Ulotaront-Gs/β1/γ2 8JLR-TA1-A77636-chim(NtGi1-Gs)/β1/γ2 8JSO-TA1-AMPH-chim(NtGi1-Gs)/β1/γ2 8ZSP-TA1-LSD-chim(NtGi1L-Gs)/β1/γ2
36.84Consensustrace-amine_onOrthosteric Ligandta1_on
36.67Consensusgs_peptideOrthosteric Ligandgs_cck gs_melanocortin gs_vasop-oxy
36.36Single4UG2CGS216804UG2-A2A-CGS21680
36.36Single7SK9CCX6627SK9-ACKR3-CCX662
36.36Single7XN9L-0545227XN9-SST2-L-054522
36.36Single7Y1FDynorphin7Y1F-κ-Dynorphin-Gi1/β1/γ2
36.36Single8IA7Cholecystokinin-88IA7-CCKB-Cholecystokinin-8-chim(NtGi1L-Gq)/β1/γ2
36.36Single9IPYJR14a9IPY-C3aB-JR14a
36.36Single9IZASCH9002719IZA-HCA2-SCH900271-Gi1/β1/γ2
36.36Consensuscxcr3_onOrthosteric Ligand8HNK-CXCR3-CXCL11-Gi1/β1/γ2 8HNL-CXCR3-PS372424-Gi1/β1/γ2
36.36Consensussst2_onOrthosteric Ligand7WIC-SST2-Somatostatin-14-Gi1/β1/γ2 7WIG-SST2-L-054264-Gi1/β1/γ2 7YAE-SST2-Octreotide-Gi1/β1/γ2 7YAC-SST2-Paltusotine-Gi1/β1/γ2
36.36Consensussst2_on_gpOrthosteric Ligand7WIC-SST2-Somatostatin-14-Gi1/β1/γ2 7WIG-SST2-L-054264-Gi1/β1/γ2 7YAE-SST2-Octreotide-Gi1/β1/γ2 7YAC-SST2-Paltusotine-Gi1/β1/γ2
36.00Single7DW9AVP7DW9-V2-AVP-chim(NtGi1-Gs)/β1/γ2
36.00Single7F4HAfamelanotide7F4H-MC1-Afamelanotide-chim(NtGi1-Gs)/β1/γ2
36.00Single7F6G(Sar1)-Angiotensin II7F6G-AT1-(Sar1)-Angiotensin II-Gq/β1/γ2
36.00Consensusangiotensin_on_gpOrthosteric Ligandat1_on_gp
36.00Consensusat1_on_gpOrthosteric Ligand7F6G-AT1-(Sar1)-Angiotensin II-Gq/β1/γ2
36.00Consensuscxcr3_on_gpOrthosteric Ligand8HNK-CXCR3-CXCL11-Gi1/β1/γ2 8HNL-CXCR3-PS372424-Gi1/β1/γ2
36.00Consensusgq_angiotensinOrthosteric Ligand7F6G-AT1-(Sar1)-Angiotensin II-Gq/β1/γ2
36.00Consensusgs_vasop-oxyOrthosteric Ligand7DW9-V2-AVP-chim(NtGi1-Gs)/β1/γ2
36.00Consensusv2_onOrthosteric Ligand7DW9-V2-AVP-chim(NtGi1-Gs)/β1/γ2
36.00Consensusv2_on_gpOrthosteric Ligand7DW9-V2-AVP-chim(NtGi1-Gs)/β1/γ2
36.00Consensusvasop-oxy_onOrthosteric Ligandv2_on
36.00Consensusvasop-oxy_on_gpOrthosteric Ligandv2_on_gp
35.71Single8Y52BA18Y52-BB3-BA1-chim(NtGi1-Gs-CtGq)/β1/γ2
35.71Consensusgs_melanocortinOrthosteric Ligand7F4H-MC1-Afamelanotide-chim(NtGi1-Gs)/β1/γ2 7F54-MC4-Afamelanotide-Gs/β1/γ2 7F4D-MC1-α-MSH-chim(NtGi1-Gs)/β1/γ2 8INR-MC5-α-MSH-Ca-chim(NtGi1-Gs)/β1/γ2 7F53-MC4-α-MSH-Gs/β1/γ2 7F55-MC4-Bremelanotide-Gs/β1/γ2 8GY7-MC2-Corticotropin-Ca-chim(NtGi1-Gs)/β1/γ2; MRAP1 8IOC-MC3-γ-MSH-Ca-chim(NtGi1-Gs)/β1/γ2 8IOD-MC5-PG-901-Ca-chim(NtGi1-Gs)/β1/γ2 7AUE-MC4-Setmelanotide-chim(NtGi1L-Gs)/β1/γ2 7F4I-MC1-SHU9119-chim(NtGi1-Gs)/β1/γ2 7F58-MC4-THIQ-Gs/β1/γ2
35.29Single3ODUIT1t3ODU-CXCR4-IT1t
35.29Single3V2WPubChem 518926453V2W-S1P1-PubChem 51892645
35.29Single3VGAZM-2413853VGA-A2A-ZM-241385-Antibody
35.29Single4S0VSuvorexant4S0V-OX2-Suvorexant
35.29Single6KUYPubChem 1457046436KUY-α2a-PubChem 145704643
35.29Single6TPJSuvorexant6TPJ-OX2-Suvorexant
35.29Single6TQ6PubChem 1457142836TQ6-OX1-PubChem 145714283
35.29Single7DHRIsoprenaline7DHR-β2-Isoprenaline-Gs/β1/γ2
35.29Single7EJ0Norepinephrine7EJ0-α2a-Norepinephrine-Go/β1/γ2
35.29Single7F8ULintitript7F8U-CCKA-Lintitript
35.29Single7LD4Adenosine7LD4-A1-Adenosine-Gi2/β1/γ2
35.29Single7LJDDopamine7LJD-D1-Dopamine-Mevidalen-Gs/β1/γ1
35.29Single7M3ECa; Ca; Tryptophan; NPS-21437M3E-CaS; CaS-Ca; Ca; Tryptophan; NPS-2143
35.29Single7M3ECa; Ca; Tryptophan; NPS-21437M3E-CaS; CaS-Ca; Ca; Tryptophan; NPS-2143
35.29Single7M3FCa; Ca; Tryptophan; Cinacalcet7M3F-CaS; CaS-Ca; Ca; Tryptophan; Cinacalcet
35.29Single7SRRLSD7SRR-5-HT2B-LSD-chim(NtGi2L-Gs-CtGq)/β1/γ2
35.29Single7VIHCBP-3077VIH-S1P1-CBP-307-Gi1/β1/γ2
35.29Single7VUJJNJ-635330547VUJ-GPR139-JNJ-63533054-GDP-chim(Gs-CtGq)/β1/γ2
35.29Single7W0MPubChem 1227019087W0M-Apelin-PubChem 122701908-Gi1/β1/γ2
35.29Single7XT8Serotonin7XT8-5-HT4-Serotonin-Gs/β1/γ2
35.29Single7YM8Oxymetazoline7YM8-Alpha1A-Oxymetazoline-chim(Gs-CtGq)
35.29Single8GGCConstrained Epinephrine8GGC-β2-Constrained Epinephrine-GTP-Gs/β1/γ2
35.29Single8GGWConstrained Epinephrine8GGW-β2-Constrained Epinephrine
35.29Single8HDPAdenosine8HDP-A2B-Adenosine-Gs/β1/γ2
35.29Single8WC3SEP-3638568WC3-TA1-SEP-363856-chim(NtGi1-Gs)/β1/γ2
35.29Single8WPGTryptophan; Cinacalcet; PO4; Ca8WPG-CaS; CaS-Tryptophan; Cinacalcet; PO4; Ca
35.29Single8Y0HVUF114188Y0H-CXCR3-VUF11418
35.29Single8Y0NVUF114188Y0N-CXCR3-VUF11418-Go/β1/γ2
35.29Single8YYWAlpha-ketoglutarate8YYW-Oxoglutarate-α-ketoglutarate-α-ketoglutarate-chim(Gi1-CtGq)/β1/γ2
35.29Single9C1PCa; Tryptophan; '6218; PO49C1P-CaS; CaS-Ca-Ca; Tryptophan; '6218; PO4
35.29Single9C2FCa; Ca; Tryptophan; '54149; PO49C2F-CaS; CaS-Ca-Ca; Ca; Tryptophan; '54149; PO4
35.29Single9H2XPubChem 1756706449H2X-A2A-PubChem 175670644-Na
35.29Single9J5VCpY9J5V-LPA1-CpY-Gi1/β1/γ2
35.29Single9KPESalicin9KPE-TAS2R16-Salicin-Gi1/β1/γ2
35.29Single9KVHCinobufotenine9KVH-5-HT1A-Cinobufotenine-PtdIns4P-Gi1/β1/γ2
35.29Single9LL9DOI9LL9-5-HT2A-DOI-chim(NtGi1L-Gs-CtGq)/β1/γ2
35.29Single9LRBHistamine9LRB-H1-Histamine-Gs/β1/γ2
35.29Single9PXUNaloxone9PXU-μ-Naloxone-Na
35.29Single9W49U-50488H9W49-κ-U-50488H-Gi1/β1/γ2
35.29Consensus5ht2_on_gpOrthosteric Ligand5ht2b_on_gp
35.29Consensus5ht2b_on_gpOrthosteric Ligand7SRR-5-HT2B-LSD-chim(NtGi2L-Gs-CtGq)/β1/γ2
35.29Consensusa1_onOrthosteric Ligand7LD4-A1-Adenosine-Gi2/β1/γ2
35.29Consensusa1_on_gpOrthosteric Ligand7LD4-A1-Adenosine-Gi2/β1/γ2
35.29Consensusgq_histamineOrthosteric Ligand7DFL-H1-Histamine-chim(NtGi1L-Gq)/β1/γ2
35.29Consensush1_on_gpOrthosteric Ligand7DFL-H1-Histamine-chim(NtGi1L-Gq)/β1/γ2
35.29Consensushistamine_onOrthosteric Ligandh1_on h2_on h3_on h4_on
35.29Consensushistamine_on_gpOrthosteric Ligandh1_on_gp h2_on_gp h3_on_gp h4_on_gp
35.29Consensuss1p1_offOrthosteric Ligand3V2W-S1P1-PubChem 51892645
35.00Single4IAQDihydroergotamine4IAQ-5-HT1B-Dihydroergotamine
35.00Single4LDLHydroxybenzyl Isoproterenol4LDL-β2-Hydroxybenzyl Isoproterenol
35.00Single4U15Tiotropium4U15-M3-Tiotropium
35.00Single5V54Methiothepin5V54-5-HT1B-Methiothepin
35.00Single5ZKBAF-DX 3845ZKB-M2-AF-DX 384
35.00Single6OL9Tiotropium6OL9-M5-Tiotropium
35.00Single7B6WCyclazosin7B6W-α1b-Cyclazosin
35.00Single7EW3S1P7EW3-S1P3-S1P-Gi1/β1/γ2
35.00Single7M8W15r-Methyl-PGD27M8W-DP2-15r-Methyl-PGD2-Na
35.00Single7TD1LPA7TD1-LPA1-LPA-Gi1/β1/γ2
35.00Single7WV9CP559407WV9-CB1-CP55940-ZCZ011-Gi2/β1/γ2
35.00Single7XAVLanreotide7XAV-SST2-Lanreotide-Gi1/β1/γ2
35.00Single7XY7NECA7XY7-A2B-NECA-chim(NtGi1-Gs)/β1/γ2
35.00Single7Y24Octreotide7Y24-SST2-Octreotide-Go/β1/γ2
35.00Single7YU7ONO-07405567YU7-LPA1-ONO-0740556-Gi1/β1/γ2
35.00Single8HQCC5a8HQC-C5a1-C5a-Go/β1/γ2
35.00Single8JLPRalmitaront8JLP-TA1-Ralmitaront-Gs/β1/γ2
35.00Single8JXVClozapine8JXV-H4-Clozapine-Gi1/β1/γ2
35.00Single8JXXClobenpropit8JXX-H4-Clobenpropit-Gi1/β1/γ2
35.00Single8VVEnorBNI8VVE-κ-norBNI-Gi1/β1/γ2
35.00Single8YH6Namodenoson8YH6-A3A-Namodenoson-Gi1/β1/γ2
35.00Single9AYFCa; Ca; Ca; Cyclomethyltryptophan; R-568; PO49AYF-CaS; CaS-Ca-Ca; Ca; Ca; Cyclomethyltryptophan; R-568; PO4-Gi1/β1/γ2
35.00Single9EGOZ85267113509EGO-CB1-Z8526711350-Gi1/β1/γ2
35.00Single9IK9Lanreotide9IK9-SST1-Lanreotide-Gi1/β1/γ2
35.00Single9KUXCMPD6449KUX-Apelin; Apelin-CMPD644-Arrestin2
35.00Single9YDVMRS29059YDV-P2Y14-MRS2905-Gi1/β1/γ2
35.00Consensus5ht1_offOrthosteric Ligand5ht1b_off
35.00Consensus5ht1b_offOrthosteric Ligand5V54-5-HT1B-Methiothepin
35.00Consensus5ht_offOrthosteric Ligand5ht2_off 5ht1_off
35.00Consensusa2_onOrthosteric Liganda2b_on
35.00Consensusa2_on_gpOrthosteric Liganda2b_on_gp
35.00Consensusa2b_onOrthosteric Ligand8HDP-A2B-Adenosine-Gs/β1/γ2 7XY6-A2B-BAY 60-6583-chim(NtGi1-Gs)/β1/γ2 7XY7-A2B-NECA-chim(NtGi1-Gs)/β1/γ2 8HDO-A2B-BAY 60-6583-Gs/β1/γ2
35.00Consensusa2b_on_gpOrthosteric Ligand8HDP-A2B-Adenosine-Gs/β1/γ2 7XY6-A2B-BAY 60-6583-chim(NtGi1-Gs)/β1/γ2 7XY7-A2B-NECA-chim(NtGi1-Gs)/β1/γ2 8HDO-A2B-BAY 60-6583-Gs/β1/γ2
35.00Consensusclass-a_offOrthosteric Ligandsensory_off alicarboxylic_off amine_off lipid_off nucleotide_off peptide_off protein_off
35.00Consensusgi_cannabinoidOrthosteric Ligand8GUR-CB2-CP55940-Gi1/β1/γ2 8GUS-CB2-HU-308-Gi1/β1/γ2 8GUT-CB2-LEI-102-Gi1/β1/γ2 8GUQ-CB2-Olorinab-Gi1/β1/γ2 6KPF-CB2-AM12033-Gi1/β1/γ2 6PT0-CB2-WIN 55212-2-Gi1/β1/γ2 6KPG-CB1-AM841-Gi1/β1/γ2
35.00Consensusgs_adenosineOrthosteric Ligand8HDP-A2B-Adenosine-Gs/β1/γ2 8HDO-A2B-BAY 60-6583-Gs/β1/γ2 7XY7-A2B-NECA-chim(NtGi1-Gs)/β1/γ2 7XY6-A2B-BAY 60-6583-chim(NtGi1-Gs)/β1/γ2
35.00Consensusgs_adrenergicOrthosteric Ligand7DHI-β2-Salbutamol-Gs/β1/γ2 7XJI-β3-Solabegron-Gs/β1/γ2 7JJO-β1-Isoprenaline-Gs/β1/γ2 6NI3-β2-BI167107-Gs/β1/γ2 8DCR-β1-Dobutamine-Gs/β1/γ2 7XJH-β3-Isoprenaline-Gs/β1/γ2 7DH5-β3-Mirabegron-Gs/β1/γ2
35.00Consensusgs_nucleotideOrthosteric Ligandgs_adenosine
35.00Consensusm3_offOrthosteric Ligand4U15-M3-Tiotropium 4U16-M3-N-methyl-Scopolamine 5ZHP-M3-PubChem 134828589
35.00Consensusm5_offOrthosteric Ligand6OL9-M5-Tiotropium
35.00Consensusmuscarinic_offOrthosteric Ligandm2_off m3_off m4_off m5_off m1_off
35.00Consensusta1_on_gpOrthosteric Ligand8W87-TA1-METH-chim(NtGi1L-Gs)/β1/γ2 8W89-TA1-2-Phenylethylamine-chim(NtGi1L-Gs)/β1/γ2 8JLP-TA1-Ralmitaront-Gs/β1/γ2 8W8A-TA1-RO5256390-chim(NtGi1L-Gs)/β1/γ2 8W88-TA1-SEP-363856-Gs/β1/γ2 8JLO-TA1-Ulotaront-Gs/β1/γ2 8JLR-TA1-A77636-chim(NtGi1-Gs)/β1/γ2 8JSO-TA1-AMPH-chim(NtGi1-Gs)/β1/γ2 8ZSP-TA1-LSD-chim(NtGi1L-Gs)/β1/γ2
35.00Consensustachykinin_offOrthosteric Ligandnk1_off
35.00Consensustrace-amine_on_gpOrthosteric Ligandta1_on_gp
34.78Single7F54Afamelanotide7F54-MC4-Afamelanotide-Gs/β1/γ2
34.78Single7W0PElabela7W0P-Apelin-Elabela-Gi1/β1/γ2
34.78Single7XAUOctreotide7XAU-SST2-Octreotide-Gi1/β1/γ2
34.78Single8GHVAMG3158GHV-CB1-AMG315-Gi1/β1/γ2
34.78Single8WDTphotoNECA8WDT-A2A-photoNECA
34.78Single8ZBJSomatostatin-148ZBJ-SST5-Somatostatin-14-Gi1/β1/γ2
34.78Single9BUYLM1899BUY-β2-LM189-Gi1/β1/γ2
34.78Single9HB3Mambaquaretin-19HB3-V2-Mambaquaretin-1
34.78Single9J0IUDP-Glucuronic acid9J0I-P2Y14-UDP-Glucuronic acid-Gi1/β1/γ2
34.78Single9UMRC5a-pep9UMR-C5a1-C5a-pep-Go/β1/γ2
34.78Consensusgi_nucleotideOrthosteric Ligandgi_adenosine gi_p2y
34.78Consensuslpl_onOrthosteric Ligands1p_on lpa_on
34.78Consensuslpl_on_gpOrthosteric Ligands1p_on_gp lpa_on_gp
34.78Consensusmc4_onOrthosteric Ligand7AUE-MC4-Setmelanotide-chim(NtGi1L-Gs)/β1/γ2 7F58-MC4-THIQ-Gs/β1/γ2 7F54-MC4-Afamelanotide-Gs/β1/γ2 7F53-MC4-α-MSH-Gs/β1/γ2 7F55-MC4-Bremelanotide-Gs/β1/γ2
34.62Single8ZPSPrRP208ZPS-PrRP-PrRP20-chim(NtGi1-Gs-CtGi1)/β1/γ2
34.62Single9JFYNeuropeptide-SF9JFY-NPFF2-Neuropeptide-SF-Gi1/β1/γ2
34.62Consensussst5_on_gpOrthosteric Ligand8X8L-SST5-Cortistatin-14-chim(NtGi1-Gs-CtGi1)/β1/γ2 8X8N-SST5-Octreotide-chim(NtGi1-Gs-CtGi1)/β1/γ2
34.48Consensusccr5_on_gpOrthosteric Ligand7O7F-CCR5-6P4-CCL5-Gi1/β1/γ1 7F1Q-CCR5-CCL3-Gi1/β1/γ2
34.48Consensusgi_endothelinOrthosteric Ligand8IY5-ETB-Endothelin-1-Gi1/β1/γ2 8HBD-ETB-IRL1620-Gi1/β1/γ2
33.33Single3OE8IT1t3OE8-CXCR4-IT1t
33.33Single3RZECidoxepin3RZE-H1-Cidoxepin
33.33Single3UZCPubChem 1355666093UZC-A2A-PubChem 135566609
33.33Single3V2YPubChem 518926453V2Y-S1P1-PubChem 51892645
33.33Single4MQTIperoxo4MQT-M2-Iperoxo-LY2119620
33.33Single4PXZ2MeSADP4PXZ-P2Y12-2MeSADP
33.33Single4Z36ONO-30805734Z36-LPA1-ONO-3080573
33.33Single5CXVTiotropium5CXV-M1-Tiotropium
33.33Single5XJM(Sar1,Ile8)-Angiotensin II5XJM-AT2-(Sar1,Ile8)-Angiotensin II
33.33Single6A93Risperidone6A93-5-HT2A-Risperidone
33.33Single6A94Zotepine6A94-5-HT2A-Zotepine
33.33Single6DO1(Sar1,Ile8)-Angiotensin II6DO1-AT1-(Sar1,Ile8)-Angiotensin II
33.33Single6DRYMethylergometrine6DRY-5-HT2B-Methylergometrine
33.33Single6H7NXamoterol6H7N-β1-Xamoterol
33.33Single6HLOAprepitant6HLO-NK1-Aprepitant
33.33Single6KUXRS799486KUX-α2a-RS79948
33.33Single6TP3Nemorexant6TP3-OX1-Nemorexant
33.33Single6TPKRetosiban6TPK-OT-Retosiban
33.33Single6TQ9SB-4081246TQ9-OX1-SB-408124
33.33Single6V9SGTPL114036V9S-OX1-GTPL11403
33.33Single6VMSBromoergocryptine6VMS-D2-Bromoergocryptine-Gi1/β1/γ2
33.33Single6WH4Methiothepin6WH4-5-HT2A-Methiothepin
33.33Single6WJCAtropine6WJC-M1-Atropine-Muscarinic toxin 7
33.33Single7BZ2Arformoterol7BZ2-β2-Arformoterol-Gs/β1/γ2
33.33Single7CMVPD1289077CMV-D3-PD128907-Gi1/β1/γ2
33.33Single7DH5Mirabegron7DH5-β3-Mirabegron-Gs/β1/γ2
33.33Single7EPENAM5637EPE-mGlu2-NAM563
33.33Single7EVYSiponimod7EVY-S1P1-Siponimod-Gi1/β1/γ2
33.33Single7F1ZDopamine7F1Z-D1-Dopamine-GDP-Gs/β1/γ2
33.33Single7F55Bremelanotide7F55-MC4-Bremelanotide-Gs/β1/γ2
33.33Single7PIVAfamelanotide7PIV-MC4-Afamelanotide-Gs/β1/γ2
33.33Single7UL3Famotidine7UL3-H2-Famotidine
33.33Single7W0LPubChem 1227019087W0L-Apelin; Apelin-PubChem 122701908-Gi1/β1/γ2
33.33Single7WC9PubChem 1624213647WC9-5-HT2A-PubChem 162421364
33.33Single7WVUfMLF7WVU-FPR1-ALX-fMLF-Gi1/β1/γ2
33.33Single7XMSSomatostatin-147XMS-SST4-Somatostatin-14-Gi1/β1/γ2
33.33Single7XW9TRH7XW9-TRH-TRH-chim(NtGi1L-Gs-CtGq)/β1/γ2
33.33Single7YK6PubChem 1383196747YK6-RXFP4-PubChem 138319674-Gi2/β1/γ2
33.33Single8DPHLorcaserin8DPH-5-HT2C-Lorcaserin-chim(NtGi2L-Gs-CtGq)/β1/γ2
33.33Single8E9W2-Deoxycytidine8E9W-M3-2-Deoxycytidine-chim(NtGi2L-Gs-CtGq)/β1/γ2
33.33Single8GEAConstrained Epinephrine8GEA-β2-Constrained Epinephrine-Gs/β1/γ2
33.33Single8GG8Constrained Epinephrine8GG8-β2-Constrained Epinephrine-GTP-Gs/β1/γ2
33.33Single8GURCP559408GUR-CB2-CP55940-Gi1/β1/γ2
33.33Single8H0PNMB308H0P-BB1-NMB30-chim(NtGi1-Gs-CtGq)/β1/γ2
33.33Single8H4LDoconexent8H4L-FFA4-Doconexent-chim(NtGi1-Gs-CtGq)/β1/γ2
33.33Single8HBDIRL16208HBD-ETB-IRL1620-Gi1/β1/γ2
33.33Single8IA8E7 peptide8IA8-C3aB-E7 peptide-Gi1/β1/γ2
33.33Single8IHKAcifran8IHK-HCA3-Acifran
33.33Single8IWM2-Phenylethylamine8IWM-TAA9-2-Phenylethylamine
33.33Single8IYWGSK2560738IYW-HCA2-GSK256073-Go/β1/γ2
33.33Single8J6DEP1418J6D-C3aB-EP141-Go/β1/γ2
33.33Single8JD3JNJ-404118138JD3-mGlu2; mGlu3-Glutamate-JNJ-40411813-Gi1/β1/γ2
33.33Single8JLKUlotaront8JLK-TA1-Ulotaront-chim(NtGi1-Gs)/β1/γ2
33.33Single8JLNT1AM8JLN-TA1-T1AM-Gs/β1/γ2
33.33Single8JSPUlotaront8JSP-5-HT1A-Ulotaront-Gi1/β1/γ2
33.33Single8JZ7MK68928JZ7-HCA2-MK6892-Gi1/β1/γ2
33.33Single8W88SEP-3638568W88-TA1-SEP-363856-Gs/β1/γ2
33.33Single8WPGTryptophan; Cinacalcet; PO4; Ca8WPG-CaS; CaS-Tryptophan; Cinacalcet; PO4; Ca
33.33Single8WPUTryptophan; Cinacalcet; PO4; Ca8WPU-CaS; CaS-Tryptophan; Cinacalcet; PO4; Ca-chim(NtGi2L-Gs-CtGq)/β1/γ2
33.33Single8Y53MK50468Y53-BB3-MK5046-chim(NtGi1-Gs-CtGq)/β1/γ2
33.33Single8Y6YGLPG09748Y6Y-FFA2-GLPG0974
33.33Single8ZMGPimavanserin8ZMG-5-HT2A-Pimavanserin
33.33Single9AS3LSD9AS3-5-HT2A-LSD
33.33Single9AS4LSD9AS4-5-HT2A-LSD-chim(NtGi1-Gs-CtGq)/β1/γ2
33.33Single9AS8Psilocin9AS8-5-HT2A-Psilocin-chim(NtGi2L-Gs-CtGq)/β1/γ2
33.33Single9ASBCa; Ca; Cyclomethyltryptophan; R-568; PO49ASB-CaS; CaS-Ca-Ca; Ca; Cyclomethyltryptophan; R-568; PO4-chim(NtGi1-Gs-CtGq)/β1/γ2
33.33Single9ASBCa; Ca; Cyclomethyltryptophan; R-568; PO49ASB-CaS; CaS-Ca-Ca; Ca; Cyclomethyltryptophan; R-568; PO4-chim(NtGi1-Gs-CtGq)/β1/γ2
33.33Single9AVGCa; Ca; Cyclomethyltryptophan; R-568; PO49AVG-CaS; CaS-Ca-Ca; Ca; Cyclomethyltryptophan; R-568; PO4-chim(NtGi1-Gs)/β1/γ2
33.33Single9E82CXCL12 (fragment)9E82-ACKR3-CXCL12 (fragment)-Arrestin2
33.33Single9EBIPiclidenoson9EBI-A3A-Piclidenoson-chim(NtGi1L-Gs-CtGi1)/β1/γ2
33.33Single9J0FNADH9J0F-P2Y14-NADH-Gi1/β1/γ2
33.33Single9JH3CMF-0199JH3-Apelin; Apelin-CMF-019-Gi1/β1/γ2
33.33Single9JKQMETH9JKQ-TA1-METH-Gs/β1/γ2
33.33Single9KFIRelaxin-39KFI-RXFP3-Relaxin-3-Gi2/β1/γ2
33.33Single9KPDSalicin9KPD-TAS2R16-Salicin-chim(Gs-CtGt3)/β1/γ2
33.33Single9KUWCMPD6449KUW-Apelin; Apelin-CMPD644-Arrestin2 ; Arrestin2
33.33Single9KV6TLQP219KV6-C3aB-TLQP21-Go/β1/γ2
33.33Single9KVIBufotenin9KVI-5-HT1A-Bufotenin-PtdIns4P-Gi1/β1/γ2
33.33Single9KZKC3a (fragment)9KZK-C3aB-C3a (fragment)-Go/β1/γ2
33.33Single9L8LBI1671079L8L-β2-BI167107-Atazanavir-Gs/β1/γ2 ; Arrestin2
33.33Single9LL8Psilocin9LL8-5-HT2A-Psilocin-Gi1/β1/γ2
33.33Single9M8POleic monoethanolamide9M8P-GPR3 ; GPR3-Oleic monoethanolamide-AF64394
33.33Single9PY2Loperamide9PY2-μ-Loperamide-GDPβS-Gi1/β1/γ2
33.33Single9UMXEP549UMX-C5a1-EP54-Go/β1/γ2
33.33Single9VJG8-OH-DPAT9VJG-5-HT1A-8-OH-DPAT-chim(NtGi2-Gz)/β1/γ2
33.33Single9W32SSTR5 antagonist 19W32-SST5-SSTR5 antagonist 1
33.33Consensus5ht2a_offOrthosteric Ligand6A94-5-HT2A-Zotepine 6A93-5-HT2A-Risperidone 7VOD-5-HT2A-Cariprazine 7WC8-5-HT2A-Lumateperone 8JT8-5-HT2A-(R)-IHCH-7179
33.33Consensusadenosine_onOrthosteric Liganda1_on a2_on a3_on
33.33Consensusbeta3_onOrthosteric Ligand7DH5-β3-Mirabegron-Gs/β1/γ2 7XJH-β3-Isoprenaline-Gs/β1/γ2 7XJI-β3-Solabegron-Gs/β1/γ2
33.33Consensusbeta3_on_gpOrthosteric Ligand7DH5-β3-Mirabegron-Gs/β1/γ2 7XJH-β3-Isoprenaline-Gs/β1/γ2 7XJI-β3-Solabegron-Gs/β1/γ2
33.33Consensusc3a_onOrthosteric Ligand8HK2-C3aB-C3a-Gi1/β1/γ2 8IA8-C3aB-E7 peptide-Gi1/β1/γ2
33.33Consensuscannabinoid_offOrthosteric Ligandcb2_off cb1_off
33.33Consensuscannabinoid_onOrthosteric Ligandcb2_on cb1_on
33.33Consensuscannabinoid_on_gpOrthosteric Ligandcb2_on_gp cb1_on_gp
33.33Consensuscb1_onOrthosteric Ligand6KPG-CB1-AM841-Gi1/β1/γ2 8K8J-CB1-Fenofibrate-chim(Gs-CtGq)/β1/γ2
33.33Consensuscckb_onOrthosteric Ligand8IA7-CCKB-Cholecystokinin-8-chim(NtGi1L-Gq)/β1/γ2 7XOW-CCKB-Sulfated Gastrin-(10-17)-chim(NtGi1-Gq)/β1/γ2 7F8V-CCKB-Gastrin-17-Gi2/β1/γ2
33.33Consensusetb_on_gpOrthosteric Ligand8IY5-ETB-Endothelin-1-Gi1/β1/γ2 8HBD-ETB-IRL1620-Gi1/β1/γ2
33.33Consensusgi_adenosineOrthosteric Ligand7LD4-A1-Adenosine-Gi2/β1/γ2 8X17-A3A-Namodenoson-Gi1/β1/γ2 8X16-A3A-Piclidenoson-Gi1/β1/γ2
33.33Consensusgi_ghrelinOrthosteric Ligand7NA7-Ghrelin-Ghrelin-Gi1/β1/γ2 7NA8-Ghrelin-Ibutamoren-Gi1/β1/γ2
33.33Consensuslipid_offonOrthosteric Ligandlipid_off lipid_on
33.33Consensuslipid_offon_gpOrthosteric Ligandlipid_on_gp lipid_off
33.33Consensuslpa1_offOrthosteric Ligand4Z36-LPA1-ONO-3080573 4Z35-LPA1-ONO-9910539 4Z34-LPA1-ONO-9780307
33.33Consensuslpa_offOrthosteric Ligandlpa1_off
33.33Consensuslpl_offOrthosteric Ligands1p_off lpa_off
33.33Consensusm1_offOrthosteric Ligand5CXV-M1-Tiotropium
33.33Consensusmc4_on_gpOrthosteric Ligand7AUE-MC4-Setmelanotide-chim(NtGi1L-Gs)/β1/γ2 7F58-MC4-THIQ-Gs/β1/γ2 7F54-MC4-Afamelanotide-Gs/β1/γ2 7F53-MC4-α-MSH-Gs/β1/γ2 7F55-MC4-Bremelanotide-Gs/β1/γ2
33.33Consensusmc5_onOrthosteric Ligand8INR-MC5-α-MSH-Ca-chim(NtGi1-Gs)/β1/γ2 8IOD-MC5-PG-901-Ca-chim(NtGi1-Gs)/β1/γ2
33.33Consensusot_offOrthosteric Ligand6TPK-OT-Retosiban
33.33Consensussst4_onOrthosteric Ligand7XMS-SST4-Somatostatin-14-Gi1/β1/γ2 7XMT-SST4-J-2156-Gi1/β1/γ2
33.33Consensussst4_on_gpOrthosteric Ligand7XMS-SST4-Somatostatin-14-Gi1/β1/γ2 7XMT-SST4-J-2156-Gi1/β1/γ2
33.33Consensustrh_onOrthosteric Ligand7XW9-TRH-TRH-chim(NtGi1L-Gs-CtGq)/β1/γ2
33.33Consensustrh_on_gpOrthosteric Ligand7XW9-TRH-TRH-chim(NtGi1L-Gs-CtGq)/β1/γ2
33.33Consensusvasop-oxy_offOrthosteric Ligandot_off
32.14Single7XATSomatostatin-147XAT-SST2-Somatostatin-14-Gi1/β1/γ2
32.14Single7YOONeuropeptide-Y7YOO-Y2-Neuropeptide-Y-Gi1/β1/γ2
32.14Single8W8WAlpha-MSH8W8W-MC3-α-MSH-Ca-Gs/β1/γ2
32.14Consensusnpy2_onOrthosteric Ligand7YOO-Y2-Neuropeptide-Y-Gi1/β1/γ2
32.14Consensusnpy2_on_gpOrthosteric Ligand7YOO-Y2-Neuropeptide-Y-Gi1/β1/γ2
32.00Single5WF5UK-4320975WF5-A2A-UK-432097
32.00Single7F4DAlpha-MSH7F4D-MC1-α-MSH-chim(NtGi1-Gs)/β1/γ2
32.00Single7O7F6P4-CCL57O7F-CCR5-6P4-CCL5-Gi1/β1/γ1
32.00Single7RYCOxytocin7RYC-OT-Oxytocin-chim(NtGi2L-Gs-CtGq)/β1/γ2
32.00Single8K6NNeuropeptide-Y8K6N-Y2-Neuropeptide-Y-Gi2/β1/γ1
32.00Single8W8YGamma-MSH8W8Y-MC3-γ-MSH-Ca-Gs/β1/γ2
32.00Single9K27PrRP319K27-PrRP-PrRP31-chim(NtGi1-Gq)/β1/γ2
32.00Consensuscckb_on_gpOrthosteric Ligand8IA7-CCKB-Cholecystokinin-8-chim(NtGi1L-Gq)/β1/γ2 7XOW-CCKB-Sulfated Gastrin-(10-17)-chim(NtGi1-Gq)/β1/γ2 7F8V-CCKB-Gastrin-17-Gi2/β1/γ2
31.82Single4Z35ONO-99105394Z35-LPA1-ONO-9910539
31.82Single6BQHRitanserin6BQH-5-HT2C-Ritanserin
31.82Single7EZCUK-4320977EZC-A2A-UK-432097
31.82Single7EZMCholecystokinin-87EZM-CCKA-Cholecystokinin-8-chim(NtGsL-Gq)/β1/γ2
31.82Single7QVMOxytocin7QVM-OT-Oxytocin-chim(NtGi1-Go-CtGq)/β1/γ2
31.82Single7VGY2-Iodomelatonin7VGY-MT1-2-Iodomelatonin-Gi1/β1/γ2
31.82Single7XJISolabegron7XJI-β3-Solabegron-Gs/β1/γ2
31.82Single7XZ6APD6687XZ6-GPR119-APD668-Gs/β1/γ2
31.82Single8GUTLEI-1028GUT-CB2-LEI-102-Gi1/β1/γ2
31.82Single8J19LY2378J19-GPR84-LY237-Gi1/β1/γ2
31.82Single8XGSKisspeptin-18XGS-Kiss1-Kisspeptin-1-chim(NtGi1-Gq)/β1/γ2
31.82Single8ZPLHF511168ZPL-CXCR4-HF51116
31.82Single9AS02-bromo-LSD9AS0-5-HT2A-2-bromo-LSD-chim(NtGi1-Gs-CtGq)/β1/γ2
31.82Single9EAILosartan9EAI-AT1-Losartan-Nanobody AT209
31.82Single9KT8Acifran9KT8-HCA2-Acifran-Gi1/β1/γ2
31.82Consensus5ht2c_offOrthosteric Ligand6BQH-5-HT2C-Ritanserin
31.82Consensusc3a_on_gpOrthosteric Ligand8HK2-C3aB-C3a-Gi1/β1/γ2 8IA8-C3aB-E7 peptide-Gi1/β1/γ2
31.82Consensusnucleotide_on_gpOrthosteric Ligandadenosine_on_gp p2y_on_gp
31.58Single2Y01Dobutamine2Y01-β1-Dobutamine
31.58Single4DAJTiotropium4DAJ-M3-Tiotropium
31.58Single4MQSIperoxo4MQS-M2-Iperoxo
31.58Single4U14Tiotropium4U14-M3-Tiotropium
31.58Single4U16N-methyl-Scopolamine4U16-M3-N-methyl-Scopolamine
31.58Single5NDDAZ8838; Na5NDD-PAR2-AZ8838; Na
31.58Single5YC8N-methyl-Scopolamine5YC8-M2-N-methyl-Scopolamine
31.58Single5ZK8N-methyl-Scopolamine5ZK8-M2-N-methyl-Scopolamine
31.58Single5ZKCN-methyl-Scopolamine5ZKC-M2-N-methyl-Scopolamine
31.58Single5ZKPSR274175ZKP-PAF-SR27417
31.58Single6DRZMethysergide6DRZ-5-HT2B-Methysergide
31.58Single6KPFAM120336KPF-CB2-AM12033-Gi1/β1/γ2
31.58Single6WHADB139486WHA-5-HT2A-DB13948-chim(NtGi2L-Gs-CtGq)/β1/γ2
31.58Single6XBM25(S)-Epoxycholesterol6XBM-SMO-25(S)-Epoxycholesterol-Gi1/β1/γ2
31.58Single7BU7BI1671077BU7-β1-BI167107
31.58Single7M3JNPS-2143; PO47M3J-CaS; CaS-NPS-2143; PO4
31.58Single7TRPIperoxo7TRP-M4-Iperoxo-LY2033298-Gi1/β1/γ2
31.58Single7V3ZCP559407V3Z-CB1-CP55940
31.58Single7VGZRamelteon7VGZ-MT1-Ramelteon-Gi1/β1/γ2
31.58Single7VIFFTY720-P7VIF-S1P1-FTY720-P-Gi1/β1/γ2
31.58Single8CU7LJ-45178CU7-A2A-LJ-4517-Na
31.58Single8FY85-MeO-DMT8FY8-5-HT1A-5-MeO-DMT-PtdIns4P-Gi1/β1/γ1
31.58Single8IHJAcifran8IHJ-HCA3-Acifran-Gi1/β1/γ2
31.58Single8K5DGSK2560738K5D-HCA2-GSK256073
31.58Single8KFYZK-7563268KFY-CCR8-ZK-756326-Gi1/β1/γ2
31.58Single8UWLLisuride8UWL-5-HT2A-Lisuride-chim(NtGi2-Gs-CtGq)/β1/γ2
31.58Single8W8ARO52563908W8A-TA1-RO5256390-chim(NtGi1L-Gs)/β1/γ2
31.58Single8X17Namodenoson8X17-A3A-Namodenoson-Gi1/β1/γ2
31.58Single8YN8Proxyfan8YN8-H3-Proxyfan-Go/β1/γ2
31.58Single9AS1DMT9AS1-5-HT2A-DMT
31.58Single9AVGCa; Ca; Cyclomethyltryptophan; R-568; PO49AVG-CaS; CaS-Ca-Ca; Ca; Cyclomethyltryptophan; R-568; PO4-chim(NtGi1-Gs)/β1/γ2
31.58Single9DYFAsenapine9DYF-5-HT1A-Asenapine-PtdIns4P-Gi1/β1/γ2
31.58Single9JEAAtropine9JEA-M1-Atropine
31.58Single9KFJPubChem 1383196749KFJ-RXFP3-PubChem 138319674-Gi2/β1/γ2
31.58Single9KUXCMPD6449KUX-Apelin; Apelin-CMPD644-Arrestin2
31.58Single9UAZAtropine9UAZ-M1-Atropine
31.58Consensus5ht2b_offOrthosteric Ligand6DRZ-5-HT2B-Methysergide
31.58Consensusalicarboxylic_on_gpOrthosteric Ligandsuccinate_on_gp hca_on_gp
31.58Consensusgi_alicarboxylicOrthosteric Ligandgi_hca gi_succinate
31.58Consensusgq_amineOrthosteric Ligandgq_muscarinic gq_histamine
31.58Consensuslipid_offOrthosteric Ligandcannabinoid_off paf_off lpl_off prostanoid_off leukotriene_off
31.25Single3OE6IT1t3OE6-CXCR4-IT1t
31.25Single3UZAGTPL92363UZA-A2A-GTPL9236
31.25Single8DPILorcaserin8DPI-5-HT2C-Lorcaserin-chim(NtGi2L-Gs-CtGq)/β1/γ2
31.25Single8GGEConstrained Epinephrine8GGE-β2-Constrained Epinephrine-GTP-Gs/β1/γ2
31.25Single8GGFConstrained Epinephrine8GGF-β2-Constrained Epinephrine-GTP-Gs/β1/γ2
31.25Single8IW72-Phenylethylamine8IW7-TAA9-2-Phenylethylamine-chim(NtGi1-Gs)/β1/γ2
31.25Single8J21Butyric acid8J21-FFA3-Butyric acid-Gi1/β1/γ2
31.25Single8J24Acetic acid8J24-FFA2-Acetic acid-Gi1/β1/γ2
31.25Single8WC62-Phenylethylamine8WC6-TA1-2-Phenylethylamine-chim(NtGi1-Gs)/β1/γ2
31.25Single8YN9Histamine8YN9-H4-Histamine-Gi1/β1/γ2
31.25Single8YUUHistamine8YUU-H3-Histamine-Gi1/β1/γ1
31.25Single9JKT(2R)-2-hydroxy-3-phenylpropanoic acid9JKT-HCA3-(2R)-2-hydroxy-3-phenylpropanoic acid-Gi1/β1/γ2
31.25Single9LL7DOI9LL7-5-HT2A-DOI-Gi1/β1/γ2
31.25Single9LRCHistamine9LRC-H4-Histamine
31.25Single9LREHistamine9LRE-H4-Histamine-Gi1/β1/γ2
31.25Consensusffa3_onOrthosteric Ligand8J21-FFA3-Butyric acid-Gi1/β1/γ2
31.25Consensusffa3_on_gpOrthosteric Ligand8J21-FFA3-Butyric acid-Gi1/β1/γ2
31.25Consensush3_onOrthosteric Ligand8YUU-H3-Histamine-Gi1/β1/γ1
31.25Consensush3_on_gpOrthosteric Ligand8YUU-H3-Histamine-Gi1/β1/γ1
31.03Single7VGXNeuropeptide-Y7VGX-Y1-Neuropeptide-Y-Gi1/β1/γ2
31.03Consensusbk2_onOrthosteric Ligand7F6H-BK2-Bradykinin-Gq/β1/γ2 7F6I-BK2-Kallidin-Gq/β1/γ2
31.03Consensusbk2_on_gpOrthosteric Ligand7F6H-BK2-Bradykinin-Gq/β1/γ2 7F6I-BK2-Kallidin-Gq/β1/γ2
31.03Consensusbradykinin_onOrthosteric Ligandbk2_on
31.03Consensusbradykinin_on_gpOrthosteric Ligandbk2_on_gp
31.03Consensusetb_onOrthosteric Ligand8IY5-ETB-Endothelin-1-Gi1/β1/γ2 8HBD-ETB-IRL1620-Gi1/β1/γ2
31.03Consensusgq_bradykininOrthosteric Ligand7F6H-BK2-Bradykinin-Gq/β1/γ2 7F6I-BK2-Kallidin-Gq/β1/γ2
30.77Single6JODAngiotensin II6JOD-AT2-Angiotensin II
30.77Single7XK8Neuromedin-U-257XK8-NMUR2-Neuromedin-U-25-Gi1/β1/γ2
30.77Single7YONPeptide-YY(3-36)7YON-Y2-Peptide-YY(3-36)-Gi1/β1/γ2
30.77Single8IEDPubChem 1347468948IED-GPR156; GPR156-PubChem 134746894-Go/β1/γ2
30.77Single8IHFMK68928IHF-HCA2-MK6892-Gi1/β1/γ2
30.77Single8J6IMK68928J6I-HCA2-MK6892-Gi1/β1/γ2
30.77Consensusmc5_on_gpOrthosteric Ligand8INR-MC5-α-MSH-Ca-chim(NtGi1-Gs)/β1/γ2 8IOD-MC5-PG-901-Ca-chim(NtGi1-Gs)/β1/γ2
30.77Consensusprotein_onOrthosteric Ligandchemokine_on chemerin_on
30.43Single5WF6UK-4320975WF6-A2A-UK-432097
30.43Single7RKFCX3CL17RKF-US28-CX3CL1-GDP-chim(NtGi1-G11)/β1/γ2
30.43Single7T11Octreotide7T11-SST2-Octreotide-Gi3/β1/γ2
30.43Single7YJ4INSL57YJ4-RXFP4-INSL5-Gi2/β1/γ2
30.43Single8H4IDoconexent8H4I-FFA4-Doconexent-chim(NtGi1-Gs)/β1/γ2
30.43Single8XZFWN5618XZF-Apelin; Apelin-WN561-Gi1/β1/γ2
30.43Consensuscxcr4_offOrthosteric Ligand4RWS-CXCR4-vMIP-II 3OE0-CXCR4-CVX15 3OE6-CXCR4-IT1t
30.00Single4NTJAZD12834NTJ-P2Y12-AZD1283
30.00Single5GLHEndothelin-15GLH-ETB-Endothelin-1
30.00Single5NM2ZM-2413855NM2-A2A-ZM-241385-Na
30.00Single5ZBQUR-MK-2995ZBQ-Y1-UR-MK-299
30.00Single5ZK33-quinuclidinyl-benzilate5ZK3-M2-3-quinuclidinyl-benzilate
30.00Single6D26Fevipiprant6D26-DP2-Fevipiprant
30.00Single6GDGNECA6GDG-A2A-NECA-Gs/β1/γ1
30.00Single6IGKEndothelin-36IGK-ETB-Endothelin-3
30.00Single6ME62-Phenylmelatonin6ME6-MT2-2-Phenylmelatonin
30.00Single6ME72-Phenylmelatonin6ME7-MT2-2-Phenylmelatonin
30.00Single7C4SS1P7C4S-S1P3-S1P
30.00Single7EUOfMLF7EUO-FPR1-ALX-fMLF-Gi1/β1/γ2
30.00Single7M3JNPS-2143; PO47M3J-CaS; CaS-NPS-2143; PO4
30.00Single7SINNPS-21437SIN-CaS; CaS-NPS-2143
30.00Single7SINNPS-21437SIN-CaS; CaS-NPS-2143
30.00Single7TD3S1P7TD3-S1P1-S1P-Gi1/β1/γ2
30.00Single7TRKIperoxo7TRK-M4-Iperoxo-Gi1/β1/γ2
30.00Single7VFXfMIFL7VFX-FPR1-ALX-fMIFL-Gi1/β1/γ2
30.00Single7VOEAripiprazole7VOE-5-HT2A-Aripiprazole
30.00Single7VUHJNJ-635330547VUH-GPR139-JNJ-63533054-chim(Gs-CtGq)/β1/γ2
30.00Single7W41PD1762527W41-BB2-PD176252
30.00Single7YU3ONO-07405567YU3-LPA1-ONO-0740556-Gi1/β1/γ2
30.00Single7YU6ONO-07405567YU6-LPA1-ONO-0740556-Gi1/β1/γ2
30.00Single8E9ZIperoxo8E9Z-M3-Iperoxo-chim(NtGi2L-Gs-CtGq)/β1/γ2
30.00Single8HNLPS3724248HNL-CXCR3-PS372424-Gi1/β1/γ2
30.00Single8I7WGSK2560738I7W-HCA2-GSK256073-Gi1/β1/γ2
30.00Single8J18(3R)-3-Hydroxydodecanoic acid8J18-GPR84-(3R)-3-Hydroxydodecanoic acid-Gi1/β1/γ2
30.00Single8KFXLMD-0098KFX-CCR8-LMD-009-Gi1/β1/γ2
30.00Single8QOTNanobody-E8QOT-μ-Nanobody-E
30.00Single8TH4Losartan8TH4-AT1-Losartan-AT118-L Nanobody
30.00Single8YH0NECA8YH0-A3A-NECA-Gi1/β1/γ2
30.00Single8ZMFPubChem 1719206738ZMF-5-HT2C-PubChem 171920673
30.00Single8ZPTPrRP208ZPT-PrRP-PrRP20-chim(NtGi1-Gs-CtGq)/β1/γ2
30.00Single8ZRKGSK12922638ZRK-GPR119-GSK1292263-Gs/β1/γ2
30.00Single9DYDAsenapine9DYD-5-HT1A-Asenapine-PtdIns4P-Go/β1/γ2
30.00Single9EAHOlmesartan9EAH-AT1-Olmesartan-Nanobody AT209
30.00Single9EHSLUF76029EHS-A3A-LUF7602
30.00Single9GE2ML1849GE2-GPR55-ML184-chim(NtGi1-G13)/β1/γ2
30.00Single9IYBPGD29IYB-DP2-PGD2-A1D5Q-Gi1/β1/γ2
30.00Single9JKSPubChem 442501769JKS-HCA3-PubChem 44250176-Gi1/β1/γ2
30.00Single9KPFSalicin9KPF-TAS2R16-Salicin-Gi1/β1/γ2
30.00Single9KUTJR14a9KUT-C3aB-JR14a-Go/β1/γ2
30.00Consensusa1_offOrthosteric Ligand5UEN-A1-DU172 5N2S-A1-PSB36
30.00Consensusadenosine_offOrthosteric Liganda1_off a2_off
30.00Consensusbb2_offOrthosteric Ligand7W41-BB2-PD176252
30.00Consensusbombesin_offOrthosteric Ligandbb2_off
30.00Consensusdp2_offOrthosteric Ligand6D26-DP2-Fevipiprant
30.00Consensusdp_offOrthosteric Liganddp2_off
30.00Consensusfpr1-alx_onOrthosteric Ligand7VFX-FPR1-ALX-fMIFL-Gi1/β1/γ2
30.00Consensusfpr1-alx_on_gpOrthosteric Ligand7VFX-FPR1-ALX-fMIFL-Gi1/β1/γ2
30.00Consensusgi_npyOrthosteric Ligand8K6M-Y1-Neuropeptide-Y-Gi2/β1/γ1 7X9C-Y4-Pancreatic Hormone-Gi1/β1/γ2 7YOO-Y2-Neuropeptide-Y-Gi1/β1/γ2
30.00Consensuslpa1_onOrthosteric Ligand7TD1-LPA1-LPA-Gi1/β1/γ2 7YU3-LPA1-ONO-0740556-Gi1/β1/γ2
30.00Consensuslpa1_on_gpOrthosteric Ligand7TD1-LPA1-LPA-Gi1/β1/γ2 7YU3-LPA1-ONO-0740556-Gi1/β1/γ2
30.00Consensusm2_offOrthosteric Ligand5ZKC-M2-N-methyl-Scopolamine 5ZK3-M2-3-quinuclidinyl-benzilate 5ZKB-M2-AF-DX 384
30.00Consensusm3_onOrthosteric Ligand8E9Z-M3-Iperoxo-chim(NtGi2L-Gs-CtGq)/β1/γ2 8E9W-M3-2-Deoxycytidine-chim(NtGi2L-Gs-CtGq)/β1/γ2 8E9Y-M3-Clozapine-N-oxide-chim(NtGi2L-Gs-CtGq)/β1/γ2
30.00Consensusm3_on_gpOrthosteric Ligand8E9Z-M3-Iperoxo-chim(NtGi2L-Gs-CtGq)/β1/γ2 8E9W-M3-2-Deoxycytidine-chim(NtGi2L-Gs-CtGq)/β1/γ2 8E9Y-M3-Clozapine-N-oxide-chim(NtGi2L-Gs-CtGq)/β1/γ2
30.00Consensusnpy_onOrthosteric Ligandnpy1_on npy2_on npy4_on
30.00Consensusnpy_on_gpOrthosteric Ligandnpy1_on_gp npy2_on_gp npy4_on_gp
30.00Consensusnucleotide_onOrthosteric Ligandadenosine_on p2y_on
30.00Consensusrxfp4_onOrthosteric Ligand7YK7-RXFP4-DC591053-Gi2/β1/γ2 7YJ4-RXFP4-INSL5-Gi2/β1/γ2 7YK6-RXFP4-PubChem 138319674-Gi2/β1/γ2
30.00Consensusrxfp4_on_gpOrthosteric Ligand7YK7-RXFP4-DC591053-Gi2/β1/γ2 7YJ4-RXFP4-INSL5-Gi2/β1/γ2 7YK6-RXFP4-PubChem 138319674-Gi2/β1/γ2
29.63Single7F6HBradykinin7F6H-BK2-Bradykinin-Gq/β1/γ2
29.63Single7QBIAlpha-factor mating pheromone7QBI-STE2; STE2-α-factor mating pheromone
29.63Single7X9BNeuropeptide-Y7X9B-Y2-Neuropeptide-Y-Gi1/β1/γ2
29.63Single7Y64C5a7Y64-C5a1-C5a-Gi1/β1/γ2
29.63Single8HCXEndothelin-18HCX-ETB-Endothelin-1-chim(NtGi2L-Gs-CtGq)/β1/γ2
29.63Single8XQEApelin-138XQE-Apelin; Apelin-Apelin-13-Gi1/β1/γ2
29.41Single3OE9IT1t3OE9-CXCR4-IT1t
29.41Single6QNOAll-trans-Retinal6QNO-Rhodopsin-All-trans-Retinal-Gi1/β1/γ1
29.41Single7DD5Ca; Ca; Tryptophan; NPS-21437DD5-CaS; CaS-Ca-Ca; Ca; Tryptophan; NPS-2143
29.41Single7DFLHistamine7DFL-H1-Histamine-chim(NtGi1L-Gq)/β1/γ2
29.41Single7VUIJNJ-635330547VUI-GPR139-JNJ-63533054-GTP-chim(Gs-CtGq)/β1/γ2
29.41Single7XP6Strychnine7XP6-TAS2R46-Strychnine-chim(Gs-CtGt3)/β1/γ2
29.41Single7YFCHistamine7YFC-H4-Histamine-chim(NtGi1-Gs-CtGq)/β1/γ2
29.41Single8IHIAcifran8IHI-HCA2-Acifran-Gi1/β1/γ2
29.41Single8JPNCis-Epoxysuccinic acid8JPN-Succinate-Cis-Epoxysuccinic acid-Gi1/β1/γ1
29.41Single8UO3Constrained Epinephrine8UO3-β2-Constrained Epinephrine-GTP; Mg-Gs/β1/γ2
29.41Single8UO4Constrained Epinephrine8UO4-β2-Constrained Epinephrine-GTP; Mg-Gs/β1/γ2
29.41Single8W892-Phenylethylamine8W89-TA1-2-Phenylethylamine-chim(NtGi1L-Gs)/β1/γ2
29.41Single8WP1Cis-Epoxysuccinic acid8WP1-Succinate-Cis-Epoxysuccinic acid-Gi1/β1/γ2
29.41Single8YH3N-methyladenosine8YH3-A3A-N-methyladenosine-Gi1/β1/γ2
29.41Single8YKWSuccinic acid8YKW-Succinate-Succinic acid-Gi1/β1/γ1
29.41Single8YN2Histamine8YN2-H1-Histamine-chim(NtGi1L-Gs-CtGq)/β1/γ2
29.41Single8YN5Histamine8YN5-H3-Histamine-Gi1/β1/γ2
29.41Single8YN6Imetit8YN6-H3-Imetit-Gi1/β1/γ2
29.41Single8YN7Immethridine8YN7-H3-Immethridine-Go/β1/γ2
29.41Single9AS2DMT9AS2-5-HT2A-DMT-chim(NtGi1-Gs-CtGq)/β1/γ2
29.41Single9AS7Psilocin9AS7-5-HT2A-Psilocin
29.41Single9C1PCa; Tryptophan; '6218; PO49C1P-CaS; CaS-Ca-Ca; Tryptophan; '6218; PO4
29.41Single9JEDHistamine9JED-H4-Histamine-PO4-Gi1/β1/γ2
29.41Single9JEQHistamine9JEQ-H3-Histamine-Gi1/β1/γ2
29.41Single9L3ZLRH7-C29L3Z-CML1-LRH7-C2
29.41Single9L42Histamine9L42-H4-Histamine-Gi1/β1/γ2
29.41Consensush1_onOrthosteric Ligand7DFL-H1-Histamine-chim(NtGi1L-Gq)/β1/γ2
29.41Consensusmc2_onOrthosteric Ligand8GY7-MC2-Corticotropin-Ca-chim(NtGi1-Gs)/β1/γ2; MRAP1
29.41Consensusmc2_on_gpOrthosteric Ligand8GY7-MC2-Corticotropin-Ca-chim(NtGi1-Gs)/β1/γ2; MRAP1
29.17Single4XT1CX3CL14XT1-US28-CX3CL1
29.17Single7F8XNN90567F8X-CCKA-NN9056
29.17Single7QA8Antagonist Peptide7QA8-STE2; STE2-Antagonist Peptide
29.17Single7QA8Antagonist Peptide7QA8-STE2; STE2-Antagonist Peptide
29.17Single7TD4Siponimod7TD4-S1P1-Siponimod-Gi1/β1/γ2
29.17Single7W53Neuromedin-U-257W53-NMUR1-Neuromedin-U-25-chim(NtGi1-Gs-CtGq)/β1/γ2
29.17Single7WICSomatostatin-147WIC-SST2-Somatostatin-14-Gi1/β1/γ2
29.17Single7WVWfMYFINILTL7WVW-FPR2-ALX-fMYFINILTL-Gi2/β1/γ2
29.17Single8IEBPubChem 1347468948IEB-GPR156; GPR156-PubChem 134746894
29.17Single8J6RMK68928J6R-HCA2-MK6892-Gi1/β1/γ2
29.17Single8K3ZCXCL128K3Z-CXCR4-CXCL12-Gi1/β1/γ1
29.17Single8WZ2Orexigenic Neuropeptide QRFP8WZ2-QRFP-Orexigenic Neuropeptide QRFP-chim(NtGi1L-Gs-CtGq)/β1/γ2
29.17Single8XBHPubChem 1626566368XBH-GPR34-PubChem 162656636-Gi1/β1/γ2
29.17Single8ZCJPasireotide8ZCJ-SST5-Pasireotide-Gi1/β1/γ1
29.17Single8ZJDKisspeptin-18ZJD-Kiss1-Kisspeptin-1-chim(NtGi1-Gq)/β1/γ1
29.17Consensuschemerin_on_gpOrthosteric Ligandcml1_on_gp
29.17Consensuscml1_onOrthosteric Ligand7YKD-CML1-Chemerin-9-Gi1/β1/γ2
29.17Consensuscxcr4_onOrthosteric Ligand8K3Z-CXCR4-CXCL12-Gi1/β1/γ1
29.17Consensusgi_chemerinOrthosteric Ligand7YKD-CML1-Chemerin-9-Gi1/β1/γ2
29.17Consensusgq_kisspeptinOrthosteric Ligand8ZJD-Kiss1-Kisspeptin-1-chim(NtGi1-Gq)/β1/γ1
29.17Consensuskiss1_on_gpOrthosteric Ligand8ZJD-Kiss1-Kisspeptin-1-chim(NtGi1-Gq)/β1/γ1
29.17Consensuskisspeptin_on_gpOrthosteric Ligandkiss1_on_gp
29.17Consensusnmur1_on_gpOrthosteric Ligand7W53-NMUR1-Neuromedin-U-25-chim(NtGi1-Gs-CtGq)/β1/γ2
29.17Consensussst5_onOrthosteric Ligand8X8L-SST5-Cortistatin-14-chim(NtGi1-Gs-CtGi1)/β1/γ2 8X8N-SST5-Octreotide-chim(NtGi1-Gs-CtGi1)/β1/γ2
29.03Consensusendothelin_on_gpOrthosteric Ligandetb_on_gp eta_on_gp
28.57Single3UON3-quinuclidinyl-benzilate3UON-M2-3-quinuclidinyl-benzilate
28.57Single4Z34ONO-97803074Z34-LPA1-ONO-9780307
28.57Single5XR8AM120335XR8-CB1-AM12033
28.57Single5XRAAM115425XRA-CB1-AM11542
28.57Single5ZHPPubChem 1348285895ZHP-M3-PubChem 134828589
28.57Single6N4BMDMB-Fubinaca6N4B-CB1-MDMB-Fubinaca-Gi1/β1/γ2
28.57Single7EW4CYM-55417EW4-S1P3-CYM-5541-Gi1/β1/γ2
28.57Single7FEECP559407FEE-CB1-CP55940-ZCZ011
28.57Single7QBIAlpha-factor mating pheromone7QBI-STE2; STE2-α-factor mating pheromone
28.57Single7R0CAVP7R0C-V2-AVP-Arrestin2
28.57Single7SK4CXCL12_LRHQ7SK4-ACKR3-CXCL12_LRHQ
28.57Single7TRQIperoxo7TRQ-M4-Iperoxo-VU0467154-Gi1/β1/γ2
28.57Single7VIGCBP-3077VIG-S1P1-CBP-307-Gi1/β1/γ2
28.57Single7W3ZGastrin Releasing Peptide7W3Z-BB2-Gastrin Releasing Peptide-chim(NtGi1L-Gq)/β1/γ2
28.57Single7XOWSulfated Gastrin-(10-17)7XOW-CCKB-Sulfated Gastrin-(10-17)-chim(NtGi1-Gq)/β1/γ2
28.57Single7YKDChemerin-97YKD-CML1-Chemerin-9-Gi1/β1/γ2
28.57Single7YU5ONO-07405567YU5-LPA1-ONO-0740556-Gi1/β1/γ2
28.57Single8EA0Iperoxo8EA0-M3-Iperoxo
28.57Single8I9LC3a8I9L-C3aB-C3a-Go/β1/γ2
28.57Single8IHHLUF62838IHH-HCA2-LUF6283-Gi1/β1/γ2
28.57Single8IYHMK68928IYH-HCA2-MK6892-Go/β1/γ2
28.57Single8JXWVUF68848JXW-H4-VUF6884-Gi1/β1/γ2
28.57Single8UGWCGS216808UGW-A2A-CGS21680
28.57Single8X16Piclidenoson8X16-A3A-Piclidenoson-Gi1/β1/γ2
28.57Single8XBIPubChem 1626566368XBI-GPR34-PubChem 162656636
28.57Single8XIPPasireotide8XIP-SST1-Pasireotide-chim(NtGi1-Gs-CtGi1)/β1/γ2
28.57Single8XQFApelin-138XQF-Apelin-Apelin-13-Gi1/β1/γ2
28.57Single8XZICMF-0198XZI-Apelin; Apelin-CMF-019-Gi1/β1/γ2
28.57Single9IZGLPA9IZG-LPA1-LPA-chim(NtGi1-Gs-CtGq)/β1/γ2
28.57Single9KFKRelaxin-39KFK-RXFP4-Relaxin-3-Gi2/β1/γ2
28.57Consensuscyslt1_offOrthosteric Ligand6RZ5-CysLT1-Zafirlukast-Na 6RZ4-CysLT1-Pranlukast-Na
28.57Consensusgi_compl-peptOrthosteric Ligand8HK5-C5a1-C5a-Gi1/β1/γ2 8IA8-C3aB-E7 peptide-Gi1/β1/γ2 7Y66-C5a1-BM213-Gi1/β1/γ2 7Y67-C5a1-C089 peptide-Gi1/β1/γ2 8HK2-C3aB-C3a-Gi1/β1/γ2 7Y64-C5a1-C5a-Gi1/β1/γ2
28.57Consensusgi_lpaOrthosteric Ligand7TD1-LPA1-LPA-Gi1/β1/γ2 7YU3-LPA1-ONO-0740556-Gi1/β1/γ2
28.57Consensusgi_proteinOrthosteric Ligandgi_chemokine gi_chemerin
28.57Consensusgi_relaxinOrthosteric Ligand7YK7-RXFP4-DC591053-Gi2/β1/γ2 7YJ4-RXFP4-INSL5-Gi2/β1/γ2 7YK6-RXFP4-PubChem 138319674-Gi2/β1/γ2
28.57Consensush4_on_gpOrthosteric Ligand8HN8-H4-Histamine-Gi1/β1/γ2 8HOC-H4-Imetit-Gi1/β1/γ2 8JXV-H4-Clozapine-Gi1/β1/γ2 8JXW-H4-VUF6884-Gi1/β1/γ2 8JXX-H4-Clobenpropit-Gi1/β1/γ2
28.57Consensuslpa_onOrthosteric Ligandlpa1_on
28.57Consensuslpa_on_gpOrthosteric Ligandlpa1_on_gp
28.57Consensusmotilin_onOrthosteric Ligand8IBU-Motilin-Erythromycin-A-chim(NtGi1-Gs-CtGq)/β1/γ2
28.57Consensusnpy1_offOrthosteric Ligand5ZBH-Y1-BMS-193885 5ZBQ-Y1-UR-MK-299
28.57Consensusp2y12_onOrthosteric Ligand7XXI-P2Y12-2MeSADP-Gi2/β1/γ2
28.57Consensusprotein_on_gpOrthosteric Ligandchemokine_on_gp chemerin_on_gp
28.57Consensusrelaxin_onOrthosteric Ligandrxfp4_on
28.57Consensusrelaxin_on_gpOrthosteric Ligandrxfp4_on_gp
28.12Single6LRYSarafotoxin-B6LRY-ETB-Sarafotoxin-B
28.00Single7WJ5Somatostatin-147WJ5-SST2-Somatostatin-14-Gi1/β1/γ2
28.00Single8IEBPubChem 1347468948IEB-GPR156; GPR156-PubChem 134746894
28.00Single8SG1Chemerin-98SG1-CML1-Chemerin-9-Gi1/β1/γ2
28.00Single8XYDPlatelet Activating Factor8XYD-PAF-Platelet Activating Factor-Gi1/β1/γ2
28.00Single9KT7MK68929KT7-HCA2-MK6892-Gi1/β1/γ2
28.00Consensusccr8_on_gpOrthosteric Ligand8KFX-CCR8-LMD-009-Gi1/β1/γ2 8KFY-CCR8-ZK-756326-Gi1/β1/γ2 8U1U-CCR8-CCL1-Gi1/β1/γ2
28.00Consensuscompl-peptide_onOrthosteric Ligandc5a1_on c3a_on
28.00Consensusformylpeptide_on_gpOrthosteric Ligandfpr2-alx_on_gp fpr1-alx_on_gp
28.00Consensusgq_class-aOrthosteric Ligandgq_peptide gq_amine gq_nucleotide
27.78Single2PED9-cis-Retinal2PED-Rhodopsin-9-cis-Retinal
27.78Single2X72All-trans-Retinal2X72-Rhodopsin-All-trans-Retinal-Gt(CT)
27.78Single5K2DZM-2413855K2D-A2A-ZM-241385-Na
27.78Single5OLHVipadenant5OLH-A2A-Vipadenant-Na
27.78Single5OLOTozadenant5OLO-A2A-Tozadenant-Na
27.78Single6D9HAdenosine6D9H-A1-Adenosine-Gi2/β1/γ2
27.78Single6DS0LY2660976DS0-5-HT2B-LY266097
27.78Single6JZHZM-2413856JZH-A2A-ZM-241385-Na
27.78Single6ME2Ramelteon6ME2-MT1-Ramelteon
27.78Single6NWEOctyl-Beta-D-Glucopyranoside6NWE-Rhodopsin-Octyl-β-D-Glucopyranoside-Gt(CT)
27.78Single6PS7ZM-2413856PS7-A2A-ZM-241385-Na
27.78Single7BR3Elagolix7BR3-GnRH1-Elagolix
27.78Single7F8YDevazepide7F8Y-CCKA-Devazepide
27.78Single7M3FCa; Ca; Tryptophan; Cinacalcet7M3F-CaS; CaS-Ca; Ca; Tryptophan; Cinacalcet
27.78Single7SILCa; Ca; Ca; Cyclomethyltryptophan; R-568; PO47SIL-CaS; CaS-Ca-Ca; Ca; Ca; Cyclomethyltryptophan; R-568; PO4
27.78Single7SILCa; Ca; Ca; Cyclomethyltryptophan; R-568; PO47SIL-CaS; CaS-Ca-Ca; Ca; Ca; Cyclomethyltryptophan; R-568; PO4
27.78Single7T6STC-FPR 437T6S-FPR2-ALX-TC-FPR 43-Gi1/β1/γ2
27.78Single7T8XAcetylcholine7T8X-M2-Acetylcholine-chim(NtGi1-Go)/β1/γ2
27.78Single7T90Acetylcholine7T90-M2-Acetylcholine-chim(NtGi1-Go)/β1/γ2
27.78Single7T96Acetylcholine7T96-M2-Acetylcholine-LY2119620-Go/β1/γ2
27.78Single7TUZ7-alpha,25-dihydroxycholesterol7TUZ-GPR183-7-α,25-dihydroxycholesterol-Gi1/β1/γ2
27.78Single7WF7S1P7WF7-S1P1-S1P-Gi1/β1/γ2
27.78Single8DU3PubChem 1055260648DU3-A2A-PubChem 105526064
27.78Single8DWGML3828DWG-MRGPRX1-BAM8-22-ML382-chim(NtGi2L-Gs-CtGq)/β1/γ2
27.78Single8HOCImetit8HOC-H4-Imetit-Gi1/β1/γ2
27.78Single8IW4Spermidine8IW4-TAA9-Spermidine-chim(NtGi1-Gs)/β1/γ2
27.78Single8IWESpermidine8IWE-TAA9-Spermidine
27.78Single8J20Valeric acid8J20-FFA3-Valeric acid-AR420626-Gi1/β1/γ2
27.78Single8T3SButyric acid8T3S-FFA2-Butyric acid-chim(NtGi2L-Gs-CtGq)/β1/γ2
27.78Single8WOGSuccinic acid8WOG-Succinate-Succinic acid-Gi1/β1/γ2
27.78Single8YKXMaleic acid8YKX-Succinate-Maleic acid-Gi1/β1/γ1
27.78Single8YNAImmepip8YNA-H4-Immepip-Gi1/β1/γ2
27.78Single8YUVImmepip8YUV-H3-Immepip-Gi1/β1/γ2
27.78Single9AVLCa; Ca; Cyclomethyltryptophan; R-568; PO49AVL-CaS; CaS-Ca-Ca; Ca; Cyclomethyltryptophan; R-568; PO4-Gi3/β2/γ2
27.78Single9EBHAdenosine9EBH-A3A-Adenosine-Gi1/β1/γ2
27.78Single9EEAAdenosine9EEA-A2A-Adenosine-Gs/β1/γ2
27.78Single9JKXAcifran9JKX-HCA3-Acifran-Gi1/β1/γ2
27.78Single9K6LSalicin9K6L-TAS2R16-Salicin-Gi2/β1/γ2
27.78Single9LKDPL459LKD-OR5V1-PL45
27.78Single9M88Oleic monoethanolamide9M88-GPR3 ; GPR3-Oleic monoethanolamide-AF64394
27.78Single9PEEPF-07054894; OXM29PEE-CCR6-PF-07054894; OXM2
27.78Consensusgi_succinateOrthosteric Ligand8YKW-Succinate-Succinic acid-Gi1/β1/γ1 8YKX-Succinate-Maleic acid-Gi1/β1/γ1
27.78Consensusgnrh1_offOrthosteric Ligand7BR3-GnRH1-Elagolix
27.78Consensusm2_onOrthosteric Ligand7T8X-M2-Acetylcholine-chim(NtGi1-Go)/β1/γ2
27.78Consensusm2_on_gpOrthosteric Ligand7T8X-M2-Acetylcholine-chim(NtGi1-Go)/β1/γ2
27.78Consensussuccinate_onOrthosteric Ligand8YKW-Succinate-Succinic acid-Gi1/β1/γ1 8YKX-Succinate-Maleic acid-Gi1/β1/γ1
27.78Consensussuccinate_on_gpOrthosteric Ligand8YKW-Succinate-Succinic acid-Gi1/β1/γ1 8YKX-Succinate-Maleic acid-Gi1/β1/γ1
27.59Single7AD3Alpha-factor mating pheromone7AD3-STE2; STE2-α-factor mating pheromone-Gi1/STE4/γ2
27.59Single7QBCAlpha-factor mating pheromone7QBC-STE2; STE2-α-factor mating pheromone
27.59Single8W8XBeta-MSH8W8X-MC3-β-MSH-Ca-Gs/β1/γ2
27.27Single4OR2FITM4OR2-mGlu1; mGlu1-FITM
27.27Single4PXFOctyl-Beta-D-Glucopyranoside4PXF-Rhodopsin-Octyl-β-D-Glucopyranoside-Arrestin1 Finger Loop
27.27Single4PY02MeSATP4PY0-P2Y12-2MeSATP
27.27Single6CM4Risperidone6CM4-D2-Risperidone
27.27Single6KQICP559406KQI-CB1-CP55940-Org27569
27.27Single6OS0Angiotensin II6OS0-AT1-Angiotensin II
27.27Single7L1UOrexin7L1U-OX2-Orexin-chim(NtGi1-Gs-CtGq)/β1/γ2
27.27Single7WCNAR2314537WCN-GPR119-AR231453-Gs/β1/γ2
27.27Single7X9ANeuropeptide-Y7X9A-Y1-Neuropeptide-Y-Gi1/β1/γ2
27.27Single7XXI2MeSADP7XXI-P2Y12-2MeSADP-Gi2/β1/γ2
27.27Single8G056-OAU8G05-GPR84-6-OAU-Gi1/β1/γ2
27.27Single8H0QGastrin Releasing Peptide8H0Q-BB2-Gastrin Releasing Peptide-chim(NtGi1-Gs-CtGq)/β1/γ2
27.27Single8IBUErythromycin-A8IBU-Motilin-Erythromycin-A-chim(NtGi1-Gs-CtGq)/β1/γ2
27.27Single8X8NOctreotide8X8N-SST5-Octreotide-chim(NtGi1-Gs-CtGi1)/β1/γ2
27.27Single9EK0Iperoxo9EK0-M5-Iperoxo-chim(NtGi1-Gs-CtGq)/β1/γ2
27.27Single9L3WChemerin9L3W-CML1-Chemerin-Gi1/β1/γ2
27.27Single9WXMGPR15L(CT)9WXM-GPR15-GPR15L(CT)-Gi3/β1/γ2
27.27Consensusccr8_onOrthosteric Ligand8KFX-CCR8-LMD-009-Gi1/β1/γ2 8KFY-CCR8-ZK-756326-Gi1/β1/γ2 8U1U-CCR8-CCL1-Gi1/β1/γ2
27.27Consensusgi_p2yOrthosteric Ligand7XXI-P2Y12-2MeSADP-Gi2/β1/γ2
27.27Consensusleukotriene_offOrthosteric Ligandblt_off cyslt_off
27.27Consensusmotilin_on_gpOrthosteric Ligand8IBU-Motilin-Erythromycin-A-chim(NtGi1-Gs-CtGq)/β1/γ2
27.27Consensusp2y12_on_gpOrthosteric Ligand7XXI-P2Y12-2MeSADP-Gi2/β1/γ2
26.92Single6MEOGp160; CD46MEO-CCR5-Gp160; CD4
26.92Single8K6MNeuropeptide-Y8K6M-Y1-Neuropeptide-Y-Gi2/β1/γ1
26.92Consensuscompl-peptide_on_gpOrthosteric Ligandc5a1_on_gp c3a_on_gp
26.92Consensuscxcr4_on_gpOrthosteric Ligand8K3Z-CXCR4-CXCL12-Gi1/β1/γ1
26.92Consensusnpy1_onOrthosteric Ligand8K6M-Y1-Neuropeptide-Y-Gi2/β1/γ1
26.92Consensusnpy1_on_gpOrthosteric Ligand8K6M-Y1-Neuropeptide-Y-Gi2/β1/γ1
26.67Single7QBCAlpha-factor mating pheromone7QBC-STE2; STE2-α-factor mating pheromone
26.67Single8IY5Endothelin-18IY5-ETB-Endothelin-1-Gi1/β1/γ2
26.67Single8IY6Endothelin-18IY6-ETB-Endothelin-1
26.67Single8KGGLysophosphatidylserine (WJS)8KGG-P2Y10-Lysophosphatidylserine (WJS)-chim(NtGi2-G13)/β1/γ2
26.67Single8WWNMCH8WWN-MCH1-MCH-Gi1/β1/γ2
26.67Single9JIDNiacin9JID-HCA3-Niacin-Gi1/β1/γ2
26.67Consensusendothelin_onOrthosteric Ligandetb_on eta_on
26.32Single2YDOAdenosine2YDO-A2A-Adenosine
26.32Single3REYPubChem 56973REY-A2A-PubChem 5697
26.32Single5IU4ZM-2413855IU4-A2A-ZM-241385-Na
26.32Single5IU7Q274563465IU7-A2A-Q27456346-Na
26.32Single5IUBQ274563445IUB-A2A-Q27456344-Na
26.32Single5JTBZM-2413855JTB-A2A-ZM-241385
26.32Single5K2CZM-2413855K2C-A2A-ZM-241385-Na
26.32Single5NLXZM-2413855NLX-A2A-ZM-241385-Na
26.32Single5NM4ZM-2413855NM4-A2A-ZM-241385-Na
26.32Single5TE3Octyl-Beta-D-Glucopyranoside5TE3-Rhodopsin-Octyl-β-D-Glucopyranoside
26.32Single6AQFZM-2413856AQF-A2A-ZM-241385
26.32Single6ME32-Phenylmelatonin6ME3-MT1-2-Phenylmelatonin
26.32Single6ME42-Iodomelatonin6ME4-MT1-2-Iodomelatonin
26.32Single6PELCitronellol6PEL-Rhodopsin-Citronellol-Gt(CT)
26.32Single6PS82-Phenylmelatonin6PS8-MT1-2-Phenylmelatonin
26.32Single6PT0WIN 55212-26PT0-CB2-WIN 55212-2-Gi1/β1/γ2
26.32Single6ZDRHMS1413f126ZDR-A2A-HMS1413f12-Na
26.32Single7AROLUF58337ARO-A2A-LUF5833-Na
26.32Single7T94Acetylcholine7T94-M2-Acetylcholine-LY2119620-chim(NtGi1-Go)/β1/γ2
26.32Single7TRSAcetylcholine7TRS-M4-Acetylcholine-Gi1/β1/γ2
26.32Single7VUGJNJ-635330547VUG-GPR139-JNJ-63533054-Gi1/β1/γ2
26.32Single7XOVSR1461317XOV-CCKA-SR146131-Gs/β1/γ2
26.32Single8DPGPsilocin8DPG-5-HT2C-Psilocin-chim(NtGi2L-Gs-CtGq)/β1/γ2
26.32Single8FCZ11-cis-Retinal8FCZ-Rhodopsin-11-cis-Retinal
26.32Single8HNMVUF112228HNM-CXCR3-VUF11222-Gi1/β1/γ2
26.32Single8HQN9-S-HODE8HQN-GPR132-9-S-HODE-Gi1/β1/γ2
26.32Single8IY9Niacin8IY9-HCA2-Niacin-Go/β1/γ2
26.32Single8JEIPubChem 117155568JEI-HCAR3-PubChem 11715556-Gi1/β1/γ2
26.32Single8JIMMonomethyl fumarate8JIM-HCA2-Monomethyl fumarate-Gi1/β1/γ2
26.32Single8K4NPubChem 1687197658K4N-GPR34-PubChem 168719765-Gi1/β1/γ2
26.32Single8K5CAcipimox8K5C-HCA2-Acipimox
26.32Single8PM2DMCHA8PM2-TA7-DMCHA-Gs/β1/γ2
26.32Single8RLNLUF58348RLN-A2A-LUF5834
26.32Single8RQQZM-2413858RQQ-A2A-ZM-241385-Na
26.32Single8RWCStilSwitch28RWC-A2A-StilSwitch2-Na
26.32Single8RWDStilSwitch38RWD-A2A-StilSwitch3-Na
26.32Single8UHBRO52563908UHB-TA1-RO5256390-Gs/β1/γ2
26.32Single8W8BSEP-3638568W8B-5-HT1A-SEP-363856-Gi1/β1/γ2
26.32Single8Y01All-trans-Retinal8Y01-Opsin1MW-All-trans-Retinal-Gi1/β1/γ2
26.32Single8YKVPubChem 1375531688YKV-Succinate-PubChem 137553168-Gi1/β1/γ2
26.32Single8ZPNAMD31008ZPN-CXCR4-AMD3100
26.32Single9AXFCa; Ca; Ca; Cyclomethyltryptophan; R-568; PO49AXF-CaS; CaS-Ca-Ca; Ca; Ca; Cyclomethyltryptophan; R-568; PO4-chim(NtGi1-Gs-CtGq)/β1/γ2
26.32Single9EPQ11,20-Ethanoretinal9EPQ-Rhodopsin-11,20-Ethanoretinal-chim(Gi1-CtGq)/β1/γ2
26.32Single9JKYAcifran9JKY-HCA2-Acifran-Gi1/β1/γ2
26.32Single9K1DButyric acid9K1D-FFA2-Butyric acid-Gi1/β1/γ2
26.32Single9LKBPL459LKB-OR5V1-PL45-chim(NtGi1-Gs)/β1
26.32Single9LRDHistamine9LRD-H1-Histamine-Gi1/β1/γ2
26.32Single9M2FNeuropeptide-FF9M2F-NPFF1-Neuropeptide-FF-Gi1/β1/γ2
26.32Single9U80Conivaptan9U80-V2-Conivaptan
26.32Consensusa2_offOrthosteric Liganda2a_off
26.32Consensusa2a_offOrthosteric Ligand3RFM-A2A-Caffeine 8C9W-A2A-Etrumadenant 3UZA-A2A-GTPL9236 8GNG-A2A-Istradefylline 8CU6-A2A-LJ-4517 7PX4-A2A-PSB-2113 7PYR-A2A-PSB-2115 8DU3-A2A-PubChem 105526064 8JWY-A2A-2-118 8PWN-A2A-Theophylline 5IU4-A2A-ZM-241385-Na 5OLZ-A2A-PubChem 135566609-Na 6GT3-A2A-Imaradenant-Na 5OLV-A2A-LUAA47070-Na 5N2R-A2A-PSB36-Na 5IU7-A2A-Q27456346-Na 5OLH-A2A-Vipadenant-Na 5OLO-A2A-Tozadenant-Na 6ZDR-A2A-HMS1413f12-Na 8GNE-A2A-KW-6356-Na 8JWZ-A2A-Etrumadenant-Na 5IU8-A2A-Q27456347-Na 5IUB-A2A-Q27456344-Na 6ZDV-A2A-PubChem 984073-Na 5IUA-A2A-Q27456348-Na 8A2P-A2A-LUAA47070-Na
26.32Consensusat1_offOrthosteric Ligand4YAY-AT1-ZD-7155 4ZUD-AT1-Olmesartan
26.32Consensusgrh_offOrthosteric Ligandgnrh1_off
26.32Consensushca_onOrthosteric Ligandhca2_on
26.09Single4OR2FITM4OR2-mGlu1; mGlu1-FITM
26.09Single6KPGAM8416KPG-CB1-AM841-Gi1/β1/γ2
26.09Single7PIUSetmelanotide7PIU-MC4-Setmelanotide-Gs/β1/γ2
26.09Single7Y65C5a (C-terminal peptide)7Y65-C5a1-C5a (C-terminal peptide)-Gi1/β1/γ2
26.09Single8XVJMacitentan8XVJ-ETA-Macitentan
26.09Single9J0BUDP-Glucose9J0B-P2Y14-UDP-Glucose-Gi1/β1/γ2
26.09Single9KUGEP679KUG-C5a1-EP67-Go/β1/γ2
26.09Single9KV8TLQP219KV8-C3aB-TLQP21-Go/β1/γ2
26.09Single9L79AR2314539L79-GPR119-AR231453-chim(NtGi1-Gs)/β1/γ2
26.09Consensuschemerin_onOrthosteric Ligandcml1_on
26.09Consensusprostanoid_offOrthosteric Ligandep_off dp_off
25.93Single5WB2CX3CL1.355WB2-US28-CX3CL1.35
25.93Single6METGp160; CD46MET-CCR5-Gp160; CD4
25.93Single7AD3Alpha-factor mating pheromone7AD3-STE2; STE2-α-factor mating pheromone-Gi1/STE4/γ2
25.93Single7T10Somatostatin-147T10-SST2-Somatostatin-14-Gi3/β1/γ2
25.93Single8IEDPubChem 1347468948IED-GPR156; GPR156-PubChem 134746894-Go/β1/γ2
25.93Single8X8LCortistatin-148X8L-SST5-Cortistatin-14-chim(NtGi1-Gs-CtGi1)/β1/γ2
25.93Single8XZJWN3538XZJ-Apelin; Apelin-WN353-Gi1/β1/γ2
25.93Consensusc5a1_on_gpOrthosteric Ligand8HK5-C5a1-C5a-Gi1/β1/γ2 7Y66-C5a1-BM213-Gi1/β1/γ2 7Y67-C5a1-C089 peptide-Gi1/β1/γ2 7Y64-C5a1-C5a-Gi1/β1/γ2
25.93Consensusfpr2-alx_on_gpOrthosteric Ligand7WVX-FPR2-ALX-Humanin-Gi2/β1/γ2 7T6U-FPR2-ALX-CGEN-855A-Gi1/β1/γ2 7T6V-FPR2-ALX-fMLFII-Gi1/β1/γ2 7WVY-FPR2-ALX-Amyloid-β42-Gi2/β1/γ2 7T6S-FPR2-ALX-TC-FPR 43-Gi1/β1/γ2 6OMM-FPR2-ALX-WKYMVX-Gi1/β1/γ2
25.93Consensusp2y_on_gpOrthosteric Ligandp2y1_on_gp p2y10_on_gp p2y12_on_gp
25.81Single8U1UCCL18U1U-CCR8-CCL1-Gi1/β1/γ2
25.00Single1HZX11-cis-Retinal1HZX-Rhodopsin-11-cis-Retinal
25.00Single3EMLZM-2413853EML-A2A-ZM-241385
25.00Single3RFMCaffeine3RFM-A2A-Caffeine
25.00Single4EIYZM-2413854EIY-A2A-ZM-241385-Na
25.00Single4J4QOctyl Beta-D-Glucopyranoside4J4Q-Rhodopsin-Octyl β-D-Glucopyranoside-Gt(CT)
25.00Single4X1HNonyl-Beta-D-Glucopyranoside4X1H-Rhodopsin-Nonyl-β-D-Glucopyranoside-Gt(CT)
25.00Single4YAYZD-71554YAY-AT1-ZD-7155
25.00Single5DSGTiotropium5DSG-M4-Tiotropium
25.00Single5IU8Q274563475IU8-A2A-Q27456347-Na
25.00Single5K2AZM-2413855K2A-A2A-ZM-241385-Na
25.00Single5OLGZM-2413855OLG-A2A-ZM-241385-Na
25.00Single5UENDU1725UEN-A1-DU172
25.00Single5VRAZM-2413855VRA-A2A-ZM-241385-Na
25.00Single6C1QPMX536C1Q-C5a1-PMX53-NDT9513727
25.00Single6FKCPubChem 1324730396FKC-Rhodopsin-PubChem 132473039
25.00Single6GPSMK08126GPS-CCR2-MK0812
25.00Single6LPJZM-2413856LPJ-A2A-ZM-241385-Na
25.00Single6LPKZM-2413856LPK-A2A-ZM-241385-Na
25.00Single6OY9All-trans-Retinal6OY9-Rhodopsin-All-trans-Retinal-Gt/β1/γ1
25.00Single6S0LZM-2413856S0L-A2A-ZM-241385
25.00Single7AUESetmelanotide7AUE-MC4-Setmelanotide-chim(NtGi1L-Gs)/β1/γ2
25.00Single7DB6Ramelteon7DB6-MT1-Ramelteon-Gi1/β1/γ2
25.00Single7DD5Ca; Ca; Tryptophan; NPS-21437DD5-CaS; CaS-Ca-Ca; Ca; Tryptophan; NPS-2143
25.00Single7F2OBradykinin7F2O-BK2-Bradykinin-chim(NtGi1-Gs-CtGq)/β1/γ2
25.00Single7F6IKallidin7F6I-BK2-Kallidin-Gq/β1/γ2
25.00Single7F83PF-051904577F83-Ghrelin-PF-05190457
25.00Single7F8WGastrin-177F8W-CCKB-Gastrin-17-chim(NtGsL-Gq)/β1/γ2
25.00Single7F9YGhrelin7F9Y-Ghrelin-Ghrelin-chim(NtGi1-Gs-CtGq)/β1/γ2
25.00Single7F9ZGHRP-67F9Z-Ghrelin-GHRP-6-chim(NtGi1-Gs-CtGq)/β1/γ2
25.00Single7P02Substance-P7P02-NK1-Substance-P-chim(NtGi1-Gs)/β1/γ2
25.00Single7PP1Selatogrel7PP1-P2Y12-Selatogrel
25.00Single7PYRPSB-21157PYR-A2A-PSB-2115
25.00Single7RKNCX3CL17RKN-US28-CX3CL1-Gi1/β1/γ2
25.00Single7SK6CXCL12_LRHQ7SK6-ACKR3-CXCL12_LRHQ
25.00Single7VH0Ramelteon7VH0-MT2-Ramelteon-Gi1/β1/γ1
25.00Single7VKTLTB47VKT-BLT1-LTB4-Gi1/β1/γ2
25.00Single7WC8Lumateperone7WC8-5-HT2A-Lumateperone
25.00Single7XBXCX3CL17XBX-CX3CR1-CX3CL1-Gi1/β1/γ2
25.00Single7YAEOctreotide7YAE-SST2-Octreotide-Gi1/β1/γ2
25.00Single7YK7DC5910537YK7-RXFP4-DC591053-Gi2/β1/γ2
25.00Single7YU4ONO-07405567YU4-LPA1-ONO-0740556
25.00Single8GEIConstrained Epinephrine8GEI-β2-Constrained Epinephrine-Gs/β1/γ2
25.00Single8GY7Corticotropin8GY7-MC2-Corticotropin-Ca-chim(NtGi1-Gs)/β1/γ2; MRAP1
25.00Single8HCQEndothelin-18HCQ-ETA-Endothelin-1-chim(NtGi1-Gs-CtGq)/β1/γ2
25.00Single8HNKCXCL118HNK-CXCR3-CXCL11-Gi1/β1/γ2
25.00Single8I7VAcipimox8I7V-HCA2-Acipimox-Gi1/β1/γ2
25.00Single8IA2C5a8IA2-C5a1-C5a-Go/β1/γ2
25.00Single8J6PNiacin8J6P-HCA2-Niacin-PubChem 25101223-Gi1/β1/γ2
25.00Single8JIINiacin8JII-HCA2-Niacin-PubChem 25101223-Gi1/β1/γ2
25.00Single8JT8(R)-IHCH-71798JT8-5-HT2A-(R)-IHCH-7179
25.00Single8KEXDCA-3P8KEX-MRGPRX4-DCA-3P
25.00Single8RW7StilSwitch18RW7-A2A-StilSwitch1-Na
25.00Single8WC5Tetramethylammonium Ion8WC5-TA1-Tetramethylammonium Ion-chim(NtGi1-Gs)/β1/γ2
25.00Single8WWKMCH8WWK-MCH1-MCH-Gi1/β1/γ2
25.00Single8XBGS3E-Lysophosphatidylserine 8XBG-GPR34-S3E-Lysophosphatidylserine
25.00Single8XOFLys058XOF-GPR30-Lys05-chim(NtGi1-Gs-CtGq)/β1/γ2
25.00Single8Z8ALactate8Z8A-HCA1-Lactate-Gi1/β1/γ2
25.00Single8ZQEGPR15L(CT)8ZQE-GPR15-GPR15L(CT)-Gi1/β1/γ1
25.00Single9C2FCa; Ca; Tryptophan; '54149; PO49C2F-CaS; CaS-Ca-Ca; Ca; Tryptophan; '54149; PO4
25.00Single9EPP11,20-Ethanoretinal9EPP-Rhodopsin-11,20-Ethanoretinal-chim(Gi1-CtGq)/β1/γ2
25.00Single9JF4PD1683689JF4-BB1-PD168368
25.00Single9KX6C5a-des-Arg9KX6-C5a1-C5a-des-Arg-Go/β1/γ2
25.00Single9L0HJR14a9L0H-C3aB-JR14a-Go/β1/γ2
25.00Single9M42A1L8O9M42-GPR139-A1L8O-chim(Gs-CtGq)/β1/γ2
25.00Single9P1SZM-2413859P1S-A2A-ZM-241385
25.00Single9UMJEP549UMJ-C3aB-EP54-Go/β1/γ2
25.00Consensusalicarboxylic_offOrthosteric Ligandsuccinate_off
25.00Consensusblt1_onOrthosteric Ligand7VKT-BLT1-LTB4-Gi1/β1/γ2
25.00Consensusblt1_on_gpOrthosteric Ligand7VKT-BLT1-LTB4-Gi1/β1/γ2
25.00Consensusblt_onOrthosteric Ligandblt1_on
25.00Consensusblt_on_gpOrthosteric Ligandblt1_on_gp
25.00Consensusccr2_offOrthosteric Ligand6GPS-CCR2-MK0812
25.00Consensuschemokine_on_gpOrthosteric Ligandccr_on_gp cxcr_on_gp
25.00Consensuscml1_on_gpOrthosteric Ligand7YKD-CML1-Chemerin-9-Gi1/β1/γ2
25.00Consensuscxcr_offOrthosteric Ligandcxcr3_off cxcr4_off
25.00Consensuscxcr_on_gpOrthosteric Ligandcxcr3_on_gp cxcr4_on_gp cxcr1_on_gp cxcr2_on_gp
25.00Consensuseta_onOrthosteric Ligand8HCQ-ETA-Endothelin-1-chim(NtGi1-Gs-CtGq)/β1/γ2
25.00Consensuseta_on_gpOrthosteric Ligand8HCQ-ETA-Endothelin-1-chim(NtGi1-Gs-CtGq)/β1/γ2
25.00Consensusformylpeptide_onOrthosteric Ligandfpr2-alx_on fpr1-alx_on
25.00Consensusgi_hcaOrthosteric Ligand8J6R-HCA2-MK6892-Gi1/β1/γ2 8JIM-HCA2-Monomethyl fumarate-Gi1/β1/γ2 8IHI-HCA2-Acifran-Gi1/β1/γ2 8IHH-HCA2-LUF6283-Gi1/β1/γ2 8I7V-HCA2-Acipimox-Gi1/β1/γ2 8I7W-HCA2-GSK256073-Gi1/β1/γ2
25.00Consensusgi_histamineOrthosteric Ligand8JXX-H4-Clobenpropit-Gi1/β1/γ2 8JXV-H4-Clozapine-Gi1/β1/γ2 8YUU-H3-Histamine-Gi1/β1/γ1 8HN8-H4-Histamine-Gi1/β1/γ2 8HOC-H4-Imetit-Gi1/β1/γ2 8JXW-H4-VUF6884-Gi1/β1/γ2
25.00Consensusgi_leukotrieneOrthosteric Ligand7VKT-BLT1-LTB4-Gi1/β1/γ2
25.00Consensusgq_cckOrthosteric Ligand8IA7-CCKB-Cholecystokinin-8-chim(NtGi1L-Gq)/β1/γ2 7XOW-CCKB-Sulfated Gastrin-(10-17)-chim(NtGi1-Gq)/β1/γ2 7EZM-CCKA-Cholecystokinin-8-chim(NtGsL-Gq)/β1/γ2 7F8W-CCKB-Gastrin-17-chim(NtGsL-Gq)/β1/γ2
25.00Consensushca2_onOrthosteric Ligand8J6R-HCA2-MK6892-Gi1/β1/γ2 8JIM-HCA2-Monomethyl fumarate-Gi1/β1/γ2 8I7V-HCA2-Acipimox-Gi1/β1/γ2 8I7W-HCA2-GSK256073-Gi1/β1/γ2 8IHH-HCA2-LUF6283-Gi1/β1/γ2 8IHI-HCA2-Acifran-Gi1/β1/γ2
25.00Consensushca2_on_gpOrthosteric Ligand8J6R-HCA2-MK6892-Gi1/β1/γ2 8IHI-HCA2-Acifran-Gi1/β1/γ2 8IHH-HCA2-LUF6283-Gi1/β1/γ2 8I7V-HCA2-Acipimox-Gi1/β1/γ2 8JIM-HCA2-Monomethyl fumarate-Gi1/β1/γ2 8I7W-HCA2-GSK256073-Gi1/β1/γ2
25.00Consensushca_on_gpOrthosteric Ligandhca2_on_gp
25.00Consensuskiss1_onOrthosteric Ligand8ZJD-Kiss1-Kisspeptin-1-chim(NtGi1-Gq)/β1/γ1
25.00Consensuskisspeptin_onOrthosteric Ligandkiss1_on
25.00Consensusleukotriene_onOrthosteric Ligandblt_on
25.00Consensusleukotriene_on_gpOrthosteric Ligandblt_on_gp
25.00Consensusm4_offOrthosteric Ligand5DSG-M4-Tiotropium
25.00Consensusmuscarinic_onOrthosteric Ligandm2_on m3_on m4_on m1_on
25.00Consensusmuscarinic_on_gpOrthosteric Ligandm2_on_gp m3_on_gp m4_on_gp m1_on_gp
25.00Consensusnmur1_onOrthosteric Ligand7W53-NMUR1-Neuromedin-U-25-chim(NtGi1-Gs-CtGq)/β1/γ2
25.00Consensusnucleotide_offonOrthosteric Ligandnucleotide_off nucleotide_on
25.00Consensusnucleotide_offon_gpOrthosteric Ligandnucleotide_on_gp nucleotide_off
25.00Consensussuccinate_offOrthosteric Ligand6RNK-Succinate-NF-56-EJ40 6Z10-Succinate-PubChem 154585554
24.14Single4XT3CX3CL14XT3-US28-CX3CL1
24.14Single5UIW5P7-CCL55UIW-CCR5-5P7-CCL5
24.14Consensusccr5_offOrthosteric Ligand5UIW-CCR5-5P7-CCL5
24.14Consensusccr5_onOrthosteric Ligand7O7F-CCR5-6P4-CCL5-Gi1/β1/γ1 7F1Q-CCR5-CCL3-Gi1/β1/γ2
24.00Single7T6UCGEN-855A7T6U-FPR2-ALX-CGEN-855A-Gi1/β1/γ2
24.00Single7W56Neuromedin-S7W56-NMUR1-Neuromedin-S-chim(NtGi1-Gs-CtGq)/β1/γ2
24.00Single8IEIPubChem 1347468948IEI-GPR156; GPR156-PubChem 134746894
24.00Single8IEPPubChem 1347468948IEP-GPR156; GPR156-PubChem 134746894
24.00Single8IEPPubChem 1347468948IEP-GPR156; GPR156-PubChem 134746894
24.00Single8IZBLysophosphatidylserine (UBL)8IZB-GPR174-Lysophosphatidylserine (UBL)-Gs/β1/γ2
24.00Single8KIGSHU91198KIG-MC3-SHU9119-Ca
24.00Single8XGMChemerin8XGM-CML2-Chemerin-Gi1/β1/γ2
24.00Single9KWGC5a9KWG-C5a1-C5a-Go/β1/γ2
24.00Single9MEJGp1209MEJ-CXCR4-Gp120
24.00Consensusp2y_onOrthosteric Ligandp2y1_on p2y10_on p2y12_on
23.81Single5IUAQ274563485IUA-A2A-Q27456348-Na
23.81Single5N2RPSB365N2R-A2A-PSB36-Na
23.81Single6GPXMK08126GPX-CCR2-MK0812
23.81Single6KPCAM120336KPC-CB2-AM12033
23.81Single6LPLZM-2413856LPL-A2A-ZM-241385-Na
23.81Single6LUQHaloperidol6LUQ-D2-Haloperidol
23.81Single6OIKIperoxo6OIK-M2-Iperoxo-LY2119620-chim(NtGi1-Go)/β1/γ2
23.81Single6RZ4Pranlukast6RZ4-CysLT1-Pranlukast-Na
23.81Single6S0QZM-2413856S0Q-A2A-ZM-241385
23.81Single6WQAZM-2413856WQA-A2A-ZM-241385-Na
23.81Single6XBKCholesterol6XBK-SMO-Cholesterol-Gi1/β1/γ2
23.81Single7E9GJNJ-404118137E9G-mGlu2; mGlu2-Eglumetad-JNJ-40411813-Gi1/β1/γ2
23.81Single7RM5ZM-2413857RM5-A2A-ZM-241385-Na
23.81Single7VV4Cortistatin-147VV4-MRGPRX2-Cortistatin-14
23.81Single7Y26Octreotide7Y26-SST2-Octreotide-chim(NtGi2L-Gs-CtGq)/β1/γ2
23.81Single8FYNZM-2413858FYN-A2A-ZM-241385-Na
23.81Single8IZ4Lysophosphatidylserine (TJR)8IZ4-GPR34-Lysophosphatidylserine (TJR)-Gi1/β1/γ2
23.81Single8UUJFCH-22964138UUJ-HCA2-FCH-2296413-Gi1/β1/γ2
23.81Single8YNSSNAP-948478YNS-MCH1-SNAP-94847
23.81Single9CIBFCH-22964139CIB-HCA2-FCH-2296413
23.81Single9ERXD9-THC analog9ERX-CB1-D9-THC analog-Gi1/β1/γ2
23.81Consensusgq_muscarinicOrthosteric Ligand6OIJ-M1-Iperoxo-chim(NtGi1L-G11)/β1/γ2
23.81Consensusm1_onOrthosteric Ligand6OIJ-M1-Iperoxo-chim(NtGi1L-G11)/β1/γ2
23.81Consensuss1p_offOrthosteric Ligands1p1_off s1p5_off
23.53Single6FUFAll-trans-Retinal6FUF-Rhodopsin-All-trans-Retinal-Go
23.53Single7F23Dopamine7F23-D1-Dopamine-GDP-Gs/β1/γ2
23.53Single7WC5Psilocin7WC5-5-HT2A-Psilocin
23.53Single8EITDoconexent8EIT-FFA1-Doconexent-chim(NtGi1L-Gs-CtGq)/β1/γ2
23.53Single8ITFDMCHA8ITF-TAA9-DMCHA-chim(NtGi1-Gs)/β1/γ2
23.53Single8J6QBeta-Hydroxybutyrate8J6Q-HCA2-β-Hydroxybutyrate-PubChem 25101223-Gi1/β1/γ2
23.53Single8JXTHistamine8JXT-H4-Histamine-PO4-Gi1/β1/γ2
23.53Single8SZFCa; Ca; Tryptophan; Cinacalcet; PO4; Spermine8SZF-CaS; CaS-Ca; Ca; Tryptophan; Cinacalcet; PO4; Spermine
23.53Consensusclass-a_class-b1_cons_on_gpOrthosteric Ligandclass-a_on_gp class-b1_on_gp
23.33Single7EIBKallidin-des-Arg107EIB-BK1-Kallidin-des-Arg10-chim(NtGi1-Gs-CtGq)/β1/γ2
23.33Single7WVYAmyloid-Beta427WVY-FPR2-ALX-Amyloid-β42-Gi2/β1/γ2
23.33Single8WWLMCH8WWL-MCH1-MCH-Gi1/β1/γ2
23.33Consensusp2y10_on_gpOrthosteric Ligand8KGG-P2Y10-Lysophosphatidylserine (WJS)-chim(NtGi2-G13)/β1/γ2
23.08Single7RKMCX3CL17RKM-US28-CX3CL1-Gi1/β1/γ2
23.08Single7SK5CXCL127SK5-ACKR3-CXCL12
23.08Single8JZZC5a-des-Arg8JZZ-C5a1-C5a-des-Arg-Go/β1/γ2
23.08Single8K6ONeuropeptide-Y8K6O-Y1-Neuropeptide-Y-Gi2/β1/γ1
23.08Single8KH5Lysophosphatidylserine8KH5-GPR174-Lysophosphatidylserine-Gs/β1/γ2
23.08Single8WSSMCH8WSS-MCH1-MCH-Gi1/β1/γ1
23.08Single9IQRMuscarinic toxin 39IQR-α2a-Muscarinic toxin 3
23.08Single9IQSMuscarinic toxin 39IQS-M4-Muscarinic toxin 3
23.08Single9IQVMuscarinic toxin 39IQV-Alpha1A-Muscarinic toxin 3
23.08Single9JFK(Pen5)-Urotensin II9JFK-UT-(Pen5)-Urotensin II-chim(NtGi2L-Gs-CtGq)/β1/γ2
22.73Single6OIJIperoxo6OIJ-M1-Iperoxo-chim(NtGi1L-G11)/β1/γ2
22.73Single6RZ5Zafirlukast6RZ5-CysLT1-Zafirlukast-Na
22.73Single7PX4PSB-21137PX4-A2A-PSB-2113
22.73Single7S8MCortistatin-147S8M-MRGPRX2-Cortistatin-14-Gi1/β1/γ2
22.73Single7WVXHumanin7WVX-FPR2-ALX-Humanin-Gi2/β1/γ2
22.73Single8GUSHU-3088GUS-CB2-HU-308-Gi1/β1/γ2
22.73Single8IHBGSK2560738IHB-HCA2-GSK256073-Gi1/β1/γ2
22.73Single8JBGNeurokinin-B8JBG-NK3-Neurokinin-B-chim(NtGi1-Gs-CtGq)/β1/γ2
22.73Single8JD5JNJ-40411813; ADX881788JD5-mGlu2; mGlu4-Glutamate-JNJ-40411813; ADX88178-Gi1/β1/γ2
22.73Single8JZPC5a8JZP-C5a1-C5a-Go/β1/γ2
22.73Single9AS9RS130-1809AS9-5-HT2A-RS130-180
22.73Single9ASARS130-1809ASA-5-HT2A-RS130-180-chim(NtGi1-Gs-CtGq)/β1/γ2
22.73Single9UCPIperoxo9UCP-M1-Iperoxo-G11(CT)
22.73Consensusffa_onOrthosteric Ligandffa2_on ffa3_on
22.73Consensusffa_on_gpOrthosteric Ligandffa2_on_gp ffa3_on_gp
22.73Consensusgi_ffaOrthosteric Ligand8J21-FFA3-Butyric acid-Gi1/β1/γ2 8J22-FFA2-TUG-1375-Gi1/β1/γ2
22.73Consensusm1_on_gpOrthosteric Ligand6OIJ-M1-Iperoxo-chim(NtGi1L-G11)/β1/γ2
22.22Single1U1911-cis-Retinal1U19-Rhodopsin-11-cis-Retinal
22.22Single2G87All-trans-Retinal2G87-Rhodopsin-All-trans-Retinal
22.22Single2I3511-cis-Retinal2I35-Rhodopsin-11-cis-Retinal
22.22Single3OE0CVX153OE0-CXCR4-CVX15
22.22Single6PGSGeraniol6PGS-Rhodopsin-Geraniol-Gt(CT)
22.22Single6PH7Nerol6PH7-Rhodopsin-Nerol-Gt(CT)
22.22Single7T96LY21196207T96-M2-Acetylcholine-LY2119620-Go/β1/γ2
22.22Single7TRPLY20332987TRP-M4-Iperoxo-LY2033298-Gi1/β1/γ2
22.22Single7V68Iperoxo7V68-M4-Iperoxo-LY2119620-Gi1/β1/γ2
22.22Single7YFDImetit7YFD-H4-Imetit-chim(NtGi1-Gs-CtGq)/β1/γ2
22.22Single8H2GNiacin8H2G-HCA2-Niacin-Gi1/β1/γ2
22.22Single8HN8Histamine8HN8-H4-Histamine-Gi1/β1/γ2
22.22Single8K5BNiacin8K5B-HCA2-Niacin
22.22Single8RWHStilSwitch28RWH-A2A-StilSwitch2-Na
22.22Single8SZFCa; Ca; Tryptophan; Cinacalcet; PO4; Spermine8SZF-CaS; CaS-Ca; Ca; Tryptophan; Cinacalcet; PO4; Spermine
22.22Single8WPUTryptophan; Cinacalcet; PO4; Ca8WPU-CaS; CaS-Tryptophan; Cinacalcet; PO4; Ca-chim(NtGi2L-Gs-CtGq)/β1/γ2
22.22Single8XZHMM078XZH-Apelin; Apelin-MM07-Gi1/β1/γ2
22.22Single8ZX5AM2518ZX5-GPR55-AM251-chim(NtGi1-G13)/β1/γ2
22.22Single9IQTNiacin9IQT-HCA2-Niacin-Gi1/β1/γ2
22.22Single9IZDCHBA9IZD-HCA1-CHBA-Gi1/β1/γ2
22.22Single9JLCAVE 09919JLC-MAS1-AVE 0991-Gi1/β1/γ2
22.22Single9M88Oleic monoethanolamide9M88-GPR3 ; GPR3-Oleic monoethanolamide-AF64394
22.22Consensusc5a1_onOrthosteric Ligand8HK5-C5a1-C5a-Gi1/β1/γ2 7Y66-C5a1-BM213-Gi1/β1/γ2 7Y67-C5a1-C089 peptide-Gi1/β1/γ2 7Y64-C5a1-C5a-Gi1/β1/γ2
22.22Consensusfpr2-alx_onOrthosteric Ligand7WVX-FPR2-ALX-Humanin-Gi2/β1/γ2 7T6U-FPR2-ALX-CGEN-855A-Gi1/β1/γ2 7T6V-FPR2-ALX-fMLFII-Gi1/β1/γ2 7WVY-FPR2-ALX-Amyloid-β42-Gi2/β1/γ2 7T6S-FPR2-ALX-TC-FPR 43-Gi1/β1/γ2 6OMM-FPR2-ALX-WKYMVX-Gi1/β1/γ2
22.22Consensush4_onOrthosteric Ligand8HN8-H4-Histamine-Gi1/β1/γ2 8HOC-H4-Imetit-Gi1/β1/γ2 8JXV-H4-Clozapine-Gi1/β1/γ2 8JXW-H4-VUF6884-Gi1/β1/γ2 8JXX-H4-Clobenpropit-Gi1/β1/γ2
22.22Consensusmc3_onOrthosteric Ligand8IOC-MC3-γ-MSH-Ca-chim(NtGi1-Gs)/β1/γ2
22.22Consensusmc3_on_gpOrthosteric Ligand8IOC-MC3-γ-MSH-Ca-chim(NtGi1-Gs)/β1/γ2
21.88Consensusclass-a_class-b1_cons_onOrthosteric Ligandclass-a_on class-b1_on
21.74Single5TZYMK8666; AP85TZY-FFA1-MK8666; AP8
21.74Single6C1RPMX536C1R-C5a1-PMX53-Avacopan; Na
21.74Single6XBLCholesterol6XBL-SMO-SAG-Cholesterol-Gi1/β1/γ2
21.74Single7K15MKD0467K15-BLT1-MKD046-Na
21.74Single7WCMMBX-29827WCM-GPR119-MBX-2982-Gs/β1/γ2
21.74Single7XW5ML1097XW5-TSH-TSH-ML109-Gs/β1/γ2
21.74Single7XW6ML1097XW6-TSH-M22 Fab-ML109-Gs/β1/γ2
21.74Single7Y66BM2137Y66-C5a1-BM213-Gi1/β1/γ2
21.74Single8HK2C3a8HK2-C3aB-C3a-Gi1/β1/γ2
21.74Single8JJPChemerin-98JJP-CML2-Chemerin-9-Gi1/β1/γ2
21.74Single8VHFMBX-29828VHF-GPR119-MBX-2982-Gs/β1/γ2
21.74Single9BJKPubChem 1716420669BJK-μ-Naloxone-PubChem 171642066
21.74Single9ECJS-geranylgeranyl-L-glutathione9ECJ-P2Y8-S-geranylgeranyl-L-glutathione-G13/β1/γ2
21.74Consensuscxcr_onOrthosteric Ligandcxcr3_on cxcr4_on cxcr1_on cxcr2_on
21.74Consensusgi_muscarinicOrthosteric Ligand8E9X-M4-2-Deoxycytidine-chim(NtGi1-Go)/β1/γ2 7T8X-M2-Acetylcholine-chim(NtGi1-Go)/β1/γ2 7TRS-M4-Acetylcholine-Gi1/β1/γ2 7TRK-M4-Iperoxo-Gi1/β1/γ2 7V6A-M4-PubChem 9864275-Gi1/β1/γ2
21.74Consensusm4_onOrthosteric Ligand7TRS-M4-Acetylcholine-Gi1/β1/γ2 7V6A-M4-PubChem 9864275-Gi1/β1/γ2 8E9X-M4-2-Deoxycytidine-chim(NtGi1-Go)/β1/γ2 7TRK-M4-Iperoxo-Gi1/β1/γ2
21.74Consensusm4_on_gpOrthosteric Ligand7TRS-M4-Acetylcholine-Gi1/β1/γ2 7V6A-M4-PubChem 9864275-Gi1/β1/γ2 8E9X-M4-2-Deoxycytidine-chim(NtGi1-Go)/β1/γ2 7TRK-M4-Iperoxo-Gi1/β1/γ2
21.43Single6WIVPubChem 52923113; PubChem 529246456WIV-GABAB1, GABAB2-PubChem 52923113; PubChem 52924645
21.43Single7W57Neuromedin-S7W57-NMUR2-Neuromedin-S-chim(NtGi1-Gs-CtGq)/β1/γ2
21.43Single7WUIIP157WUI-ADGRG2-IP15-chim(NtGi1-Gs)/β1/γ2
21.43Single8WSTMCH8WST-MCH2-MCH-chim(NtGi1L-Gs-CtGq)/β1/γ2
21.43Consensusapelin_onOrthosteric Ligand8XZH-Apelin; Apelin-MM07-Gi1/β1/γ2 7W0M-Apelin-PubChem 122701908-Gi1/β1/γ2 8XZJ-Apelin; Apelin-WN353-Gi1/β1/γ2 8XZF-Apelin; Apelin-WN561-Gi1/β1/γ2 8XZG-Apelin; Apelin-Apelin-13-Gi1/β1/γ2
21.43Consensusapelin_on_gpOrthosteric Ligand8XZH-Apelin; Apelin-MM07-Gi1/β1/γ2 7W0M-Apelin-PubChem 122701908-Gi1/β1/γ2 8XZJ-Apelin; Apelin-WN353-Gi1/β1/γ2 8XZF-Apelin; Apelin-WN561-Gi1/β1/γ2 8XZG-Apelin; Apelin-Apelin-13-Gi1/β1/γ2
21.43Consensusgi_formylpeptideOrthosteric Ligand7WVY-FPR2-ALX-Amyloid-β42-Gi2/β1/γ2 7T6U-FPR2-ALX-CGEN-855A-Gi1/β1/γ2 7VFX-FPR1-ALX-fMIFL-Gi1/β1/γ2 7T6V-FPR2-ALX-fMLFII-Gi1/β1/γ2 7WVX-FPR2-ALX-Humanin-Gi2/β1/γ2 7T6S-FPR2-ALX-TC-FPR 43-Gi1/β1/γ2 6OMM-FPR2-ALX-WKYMVX-Gi1/β1/γ2
21.43Consensusprotein_offonOrthosteric Ligandprotein_off protein_on
21.43Consensusprotein_offon_gpOrthosteric Ligandprotein_on_gp protein_off
21.05Single1GZM11-cis-Retinal1GZM-Rhodopsin-11-cis-Retinal
21.05Single3C9L11-cis-Retinal3C9L-Rhodopsin-11-cis-Retinal
21.05Single3PWHZM-2413853PWH-A2A-ZM-241385
21.05Single4MQTLY21196204MQT-M2-Iperoxo-LY2119620
21.05Single5ZKQABT-4915ZKQ-PAF-ABT-491
21.05Single6FKBPubChem 1324730386FKB-Rhodopsin-PubChem 132473038
21.05Single6RNKNF-56-EJ406RNK-Succinate-NF-56-EJ40
21.05Single7VDLCortistatin-147VDL-MRGPRX2-Cortistatin-14-Gi1/β1/γ2
21.05Single7W0OElabela7W0O-Apelin-Elabela-Gi1/β1/γ2
21.05Single8GNGIstradefylline8GNG-A2A-Istradefylline
21.05Single8IJANiacin8IJA-HCA2-Niacin-Gi1/β1/γ2
21.05Single8IJBAcipimox8IJB-HCA2-Acipimox-Gi1/β1/γ2
21.05Single8J6LNiacin8J6L-HCA2-Niacin-Gi1/β1/γ2
21.05Single8JPPSuccinic acid8JPP-Succinate-Succinic acid-chim(Gs-CtGq)/β1/γ1
21.05Single8RVWStilSwitch38RVW-A2A-StilSwitch3-Na
21.05Single8RW0Istradefylline8RW0-A2A-Istradefylline-Na
21.05Single8RW4AzoSwitch28RW4-A2A-AzoSwitch2-Na
21.05Single8RWEStilSwitch48RWE-A2A-StilSwitch4-Na
21.05Single8U4PAMD31008U4P-CXCR4-AMD3100-Gi1/β1/γ2
21.05Single8UTDMK19038UTD-HCA2-MK1903-Gi1/β1/γ2
21.05Single8Z87CHBA8Z87-HCA1-CHBA-Gi1/β1/γ2
21.05Single9FUPIstradefylline9FUP-A2A-Istradefylline-Na
21.05Consensusangiotensin_offOrthosteric Ligandat1_off
21.05Consensuspaf_offOrthosteric Ligand5ZKQ-PAF-ABT-491
21.05Consensusrhodopsin_offOrthosteric Ligand1U19-Rhodopsin-11-cis-Retinal 2PED-Rhodopsin-9-cis-Retinal 5TE5-Rhodopsin-20-Methanoretinal
21.05Consensussensory_offonOrthosteric Ligandsensory_off sensory_on
21.05Consensussensory_offon_gpOrthosteric Ligandsensory_on_gp sensory_on
20.83Single4RWSvMIP-II4RWS-CXCR4-vMIP-II
20.83Single7X8RBOC57X8R-GLP-1-BOC5-Gs/β1/γ2
20.83Single7Y27Somatostatin-147Y27-SST2-Somatostatin-14-chim(NtGi2L-Gs-CtGq)/β1/γ2
20.83Single8K2XCXCL108K2X-CXCR3-CXCL10-Gi1/β1/γ2
20.83Single8XBES3E-Lysophosphatidylserine 8XBE-GPR34-S3E-Lysophosphatidylserine-Gi1/β1/γ1
20.83Single8ZX4Lysophosphatidylinositol 8ZX4-GPR55-Lysophosphatidylinositol-chim(NtGi1-G13)/β1/γ2
20.83Single9GE3Lysophosphatidylinositol9GE3-GPR55-Lysophosphatidylinositol-chim(NtGi1-G13)/β1/γ2
20.83Single9UYHChemerin-99UYH-CML2-Chemerin-9-Arrestin2
20.83Single9UYMChemerin-99UYM-CML2-Chemerin-9-chim(Arrestin3-CtArrestin2)
20.83Consensusnk2_onOrthosteric Ligand7XWO-NK2-Neurokinin-A-chim(NtGi1-Gs-CtGq)/β1/γ2
20.69Single7XV3Lysophosphatidylserine (WJS)7XV3-GPR174-Lysophosphatidylserine (WJS)-chim(NtGi1-Gs)/β1/γ2
20.69Single8E3ZVIP8E3Z-VPAC1-VIP-Gs/β1/γ2
20.69Single8HK5C5a8HK5-C5a1-C5a-Gi1/β1/γ2
20.69Single8XVHEndothelin-18XVH-ETB-Endothelin-1-chim(Gs-CtGq)/β1/γ2
20.69Single8XVIEndothelin-18XVI-ETA-Endothelin-1-chim(Gs-CtGq)/β1/γ2
20.69Consensuschemokine_offOrthosteric Ligandccr_off cxcr_off
20.69Consensusgi_apelinOrthosteric Ligand8XZH-Apelin; Apelin-MM07-Gi1/β1/γ2 7W0M-Apelin-PubChem 122701908-Gi1/β1/γ2 8XZJ-Apelin; Apelin-WN353-Gi1/β1/γ2 8XZF-Apelin; Apelin-WN561-Gi1/β1/γ2 8XZG-Apelin; Apelin-Apelin-13-Gi1/β1/γ2
20.69Consensusgi_chemokineOrthosteric Ligand6WWZ-CCR6-CCL20-Go/β1/γ2 8HNK-CXCR3-CXCL11-Gi1/β1/γ2 8K3Z-CXCR4-CXCL12-Gi1/β1/γ1 8IC0-CXCR1-CXCL8-Gi1/β1/γ2 6LFM-CXCR2-CXCL8-Gi1/β1/γ2 8KFX-CCR8-LMD-009-Gi1/β1/γ2 7F1Q-CCR5-CCL3-Gi1/β1/γ2 8HNL-CXCR3-PS372424-Gi1/β1/γ2 8KFY-CCR8-ZK-756326-Gi1/β1/γ2 7O7F-CCR5-6P4-CCL5-Gi1/β1/γ1 8U1U-CCR8-CCL1-Gi1/β1/γ2 7VLA-CCR1-CCL15(27-92)-Gi1/β1/γ2 7XA3-CCR2-CCL2-Gi1/β1/γ2
20.69Consensusneuromedin-u_on_gpOrthosteric Ligandnmur1_on_gp nmur2_on_gp
20.69Consensusp2y10_onOrthosteric Ligand8KGG-P2Y10-Lysophosphatidylserine (WJS)-chim(NtGi2-G13)/β1/γ2
20.59Consensuscrf_on_gpOrthosteric Ligandcrf2_on_gp crf1_on_gp
20.00Single1F8811-cis-Retinal1F88-Rhodopsin-11-cis-Retinal
20.00Single3OAX11-cis-Retinal3OAX-Rhodopsin-11-cis-Retinal
20.00Single4ZUDOlmesartan4ZUD-AT1-Olmesartan
20.00Single5K2BZM-2413855K2B-A2A-ZM-241385-Na
20.00Single5MZPCaffeine5MZP-A2A-Caffeine-Na
20.00Single5UVIZM-2413855UVI-A2A-ZM-241385
20.00Single5VBLAMG3054 5VBL-Apelin-AMG3054
20.00Single6FK8PubChem 1324730356FK8-Rhodopsin-PubChem 132473035
20.00Single6MH8ZM-2413856MH8-A2A-ZM-241385
20.00Single6XBJCholesterol6XBJ-SMO-Cholesterol-Gi1/β1/γ2
20.00Single7RGPTirzepatide7RGP-GLP-1-Tirzepatide-chim(NtGi1-Gs)/β1/γ2
20.00Single7RMGSubstance-P7RMG-NK1-Substance-P-chim(Gs-CtGq)/β1/γ2
20.00Single7S8LCortistatin-147S8L-MRGPRX2-Cortistatin-14-chim(NtGi2L-Gs-CtGq)/β1/γ2
20.00Single7SK3CXCL127SK3-ACKR3-CXCL12
20.00Single7T32ZM-2413857T32-A2A-ZM-241385
20.00Single7T94LY21196207T94-M2-Acetylcholine-LY2119620-chim(NtGi1-Go)/β1/γ2
20.00Single7VODCariprazine7VOD-5-HT2A-Cariprazine
20.00Single7ZBC11-cis-Retinal7ZBC-Rhodopsin-11-cis-Retinal
20.00Single7ZBE11-cis-Retinal7ZBE-Rhodopsin-11-cis-Retinal
20.00Single8GEJConstrained Epinephrine8GEJ-β2-Constrained Epinephrine-Gs/β1/γ2
20.00Single8JBFSenktide8JBF-NK3-Senktide-chim(NtGi1-Gs-CtGq)/β1/γ2
20.00Single8JERAcipimox8JER-HCA2-Acipimox-Go/β1/γ2
20.00Single8K4SDCA-3P8K4S-MRGPRX4-DCA-3P-chim(NtGi1L-Gs-CtGq)/β1/γ2
20.00Single8RWIStilSwitch28RWI-A2A-StilSwitch2-Na
20.00Single8SAILysophosphatidylserine (S12)8SAI-GPR34-Lysophosphatidylserine (S12)-Gi1/β1/γ2
20.00Single8WCBCyclohexylammonium Ion8WCB-TA1-Cyclohexylammonium Ion-chim(NtGi1-Gs-CtGq)/β1/γ2
20.00Single8WCCCyclohexylammonium Ion8WCC-TA1-Cyclohexylammonium Ion
20.00Single8Y62C16:0 Ceramide8Y62-FPR2-ALX-C16:0 Ceramide-Gi1/β1/γ2
20.00Single8Z74JN241-98Z74-Apelin; Apelin-JN241-9
20.00Single8ZBWQuin-C18ZBW-FPR2-ALX-Quin-C1-Gi2/β1/γ2
20.00Single8ZPMAMD0708ZPM-CXCR4-AMD070
20.00Single9JH6C20:0 Ceramide9JH6-CysLT2-C20:0 Ceramide-chim(NtGi1-Gs-CtGq)/β1/γ2
20.00Single9KXSEP679KXS-C5a1-EP67-Go/β1/γ2
20.00Single9NS9TUG-13759NS9-FFA2-TUG-1375-PubChem 118615810-Gi1/β1/γ2
20.00Single9P1TZM-2413859P1T-A2A-ZM-241385
20.00Consensusnucleotide_offOrthosteric Ligandadenosine_off p2y_off
20.00Consensusopsins_offOrthosteric Ligandrhodopsin_off
20.00Consensussensory_offOrthosteric Ligandopsins_off
19.44Consensuspth_onOrthosteric Ligandpth1_on pth2_on
19.35Single8ZJGChemerin8ZJG-CML1-Chemerin-Gi1/β1/γ2
19.23Single6RZ8ONO-20803656RZ8-CysLT2-ONO-2080365
19.23Single6WIVPubChem 52923113; PubChem 529246456WIV-GABAB1, GABAB2-PubChem 52923113; PubChem 52924645
19.23Single7NA7Ghrelin7NA7-Ghrelin-Ghrelin-Gi1/β1/γ2
19.23Single7W2ZGhrelin7W2Z-Ghrelin-Ghrelin-Go/β1/γ2
19.23Single7XMRSomatostatin-147XMR-SST2-Somatostatin-14-Gi1/β1/γ2
19.23Single8IEIPubChem 1347468948IEI-GPR156; GPR156-PubChem 134746894
19.23Single8INRAlpha-MSH8INR-MC5-α-MSH-Ca-chim(NtGi1-Gs)/β1/γ2
19.23Single8U4OCXCL128U4O-CXCR4-CXCL12-Gi1/β1/γ2
19.23Single9L3YChemerin9L3Y-CML2-Chemerin-Gi1/β1/γ2
19.23Single9UYLChemerin-99UYL-CML2-Chemerin-9-Arrestin2
19.23Consensusnk3_onOrthosteric Ligand8JBF-NK3-Senktide-chim(NtGi1-Gs-CtGq)/β1/γ2
19.23Consensusnk3_on_gpOrthosteric Ligand8JBF-NK3-Senktide-chim(NtGi1-Gs-CtGq)/β1/γ2
19.05Single4QIMANTA XV4QIM-SMO-ANTA XV
19.05Single5TGZAM65385TGZ-CB1-AM6538
19.05Single6D27CAY104716D27-DP2-CAY10471
19.05Single6FK7PubChem 1324730346FK7-Rhodopsin-PubChem 132473034
19.05Single7TRQVU04671547TRQ-M4-Iperoxo-VU0467154-Gi1/β1/γ2
19.05Single7WQ3Galanin7WQ3-GAL1-Galanin-Gi1/β1/γ2
19.05Single7YXAONO-54306087YXA-S1P5-ONO-5430608
19.05Single8EJKTAK-8758EJK-FFA1-TAK-875-chim(NtGi1L-Gs-CtGq)/β1/γ2
19.05Single8JHNMonomethyl fumarate8JHN-HCA2-Monomethyl fumarate-Go/β1/γ2
19.05Single8RWXStilSwitch38RWX-A2A-StilSwitch3-Na
19.05Single9IYAONO-97105319IYA-GPR55-ONO-9710531
19.05Single9IZCMK19039IZC-HCA2-MK1903-Gi1/β1/γ2
19.05Single9JGKBalovaptan9JGK-5-HT2B-Balovaptan
19.05Consensusgal1_onOrthosteric Ligand7WQ3-GAL1-Galanin-Gi1/β1/γ2
19.05Consensusgal1_on_gpOrthosteric Ligand7WQ3-GAL1-Galanin-Gi1/β1/γ2
19.05Consensusgi_galaninOrthosteric Ligand7WQ3-GAL1-Galanin-Gi1/β1/γ2
18.75Single3PXOAll-trans-Retinal3PXO-Rhodopsin-All-trans-Retinal
18.75Single5DYSAll-trans-Retinal5DYS-Rhodopsin-All-trans-Retinal
18.75Single5MZJTheophylline5MZJ-A2A-Theophylline-Na
18.75Single7TS0Urocortin7TS0-CRF2-Urocortin-chim(NtGi1L-Go)/β1/γ2
18.75Single7WC4Serotonin7WC4-5-HT2A-Serotonin
18.75Single8PWNTheophylline8PWN-A2A-Theophylline
18.75Single9IV25alpha-DHT9IV2-ADGRD1-5α-DHT-chim(NtGi1-Gs)/β1/γ2
18.75Single9JKVPubChem 27366909JKV-HCA3-PubChem 2736690-Gi1/β1/γ2
18.52Single7C6A(Sar1,Ile8)-Angiotensin II7C6A-AT2-(Sar1,Ile8)-Angiotensin II
18.52Single7RMISubstance-P7RMI-NK1-Substance-P-chim(Gs-CtGq)/β1/γ2
18.52Single7W0NElabela7W0N-Apelin; Apelin-Elabela-Gi1/β1/γ2
18.52Single8IBVMotilin8IBV-Motilin-Motilin-chim(NtGi1-Gs-CtGq)/β1/γ2
18.52Single8IOCGamma-MSH8IOC-MC3-γ-MSH-Ca-chim(NtGi1-Gs)/β1/γ2
18.52Single8Z7JJN241-98Z7J-Apelin-JN241-9-Gi1/β1/γ2
18.52Single9EAINanobody AT2099EAI-AT1-Losartan-Nanobody AT209
18.42Single7F16TIP397F16-PTH2-TIP39-Gs/β1/γ2
18.18Single4PHUFasiglifam4PHU-FFA1-Fasiglifam
18.18Single5CGCHTL142425CGC-mGlu5-HTL14242
18.18Single5T1ABMS-6815T1A-CCR2-BMS-681-PubChem 12093170
18.18Single6PB0Urocortin6PB0-CRF1-Urocortin-chim(NtGi1-Gs)/β1/γ2
18.18Single6Z4SSR486926Z4S-NTS1-SR48692
18.18Single7BB7AVP7BB7-V2-AVP-Gs/β1/γ2
18.18Single7M3GCa; Ca; Tryptophan; Evocalcet; Etelcalcetide; PO47M3G-CaS; CaS-Ca; Ca; Tryptophan; Evocalcet; Etelcalcetide; PO4
18.18Single7VV0PAMP-127VV0-MRGPRX2-PAMP-12
18.18Single8EJCTAK-8758EJC-FFA1-TAK-875-chim(NtGi1L-Gs-CtGq)/β1/γ2
18.18Single8X0DVU04244658X0D-mGlu5; mGlu5-Quisqualate-VU0424465
18.18Single8X0DVU04244658X0D-mGlu5; mGlu5-Quisqualate-VU0424465
18.18Consensusblt1_offOrthosteric Ligand5X33-BLT1-BIIL260 7K15-BLT1-MKD046-Na
18.18Consensusblt_offOrthosteric Ligandblt1_off
18.18Consensuscrf1_onOrthosteric Ligand6PB0-CRF1-Urocortin-chim(NtGi1-Gs)/β1/γ2 6P9X-CRF1-Corticoliberin-1-Gs/β1/γ2
18.18Consensuss1p5_offOrthosteric Ligand7YXA-S1P5-ONO-5430608
17.86Single7W55Neuromedin-U-257W55-NMUR2-Neuromedin-U-25-chim(NtGi1-Gs-CtGq)/β1/γ2
17.86Single7XA3CCL27XA3-CCR2-CCL2-Gi1/β1/γ2
17.86Single8XZGApelin-138XZG-Apelin; Apelin-Apelin-13-Gi1/β1/γ2
17.86Consensusccr2_onOrthosteric Ligand7XA3-CCR2-CCL2-Gi1/β1/γ2
17.86Consensusccr2_on_gpOrthosteric Ligand7XA3-CCR2-CCL2-Gi1/β1/γ2
17.86Consensusccr_onOrthosteric Ligandccr6_on ccr8_on ccr2_on ccr1_on ccr5_on
17.86Consensusnmur2_onOrthosteric Ligand7W55-NMUR2-Neuromedin-U-25-chim(NtGi1-Gs-CtGq)/β1/γ2
17.86Consensusnmur2_on_gpOrthosteric Ligand7W55-NMUR2-Neuromedin-U-25-chim(NtGi1-Gs-CtGq)/β1/γ2
17.65Single6LPBPACAP276LPB-PAC1-PACAP27-Gs/β1/γ1
17.65Single6OT025(S)-Epoxycholesterol6OT0-SMO-25(S)-Epoxycholesterol-Gi1/β1/γ2
17.65Single7MTBAll-trans-Retinal7MTB-Rhodopsin-All-trans-Retinal-GRK1
17.65Single8A2OTheophylline8A2O-A2A-Theophylline-Na
17.65Single8FLULA-PTH Analog8FLU-PTH1-LA-PTH Analog-Gs/β1/γ2
17.65Single9EE9Adenosine9EE9-A2A-Adenosine-Gs/β1/γ2
17.65Consensusopsins_onOrthosteric Ligandrhodopsin_on opsin1lw_on
17.65Consensussensory_onOrthosteric Ligandopsins_on
17.50Consensuspth_on_gpOrthosteric Ligandpth1_on_gp pth2_on_gp
17.39Single5TZRMK86665TZR-FFA1-MK8666
17.39Single5ZBHBMS-1938855ZBH-Y1-BMS-193885
17.39Single6O3CCholesterol6O3C-SMO-SAG21k-Cholesterol
17.39Single6OS1TRV0266OS1-AT1-TRV026
17.39Single6Z8NSRI-98296Z8N-NTS1-SRI-9829
17.39Single7T9NDPPC7T9N-TSH-M22 Fab-DPPC-Gs/β1/γ2
17.39Single7XBDGalanin7XBD-GAL2-Galanin-chim(NtGi2L-Gs-CtGq)/β1/γ2
17.39Single7XWONeurokinin-A7XWO-NK2-Neurokinin-A-chim(NtGi1-Gs-CtGq)/β1/γ2
17.39Single7Y67C089 peptide7Y67-C5a1-C089 peptide-Gi1/β1/γ2
17.39Single8FMZNeurotensin-(8-13)8FMZ-NTS1-Neurotensin-(8-13)-chim(NtGi2L-Gs-CtGq)/β1/γ2
17.39Single8I2GPubChem 675302408I2G-FSH-FSH-PubChem 67530240-Gs/β1/γ2
17.39Single8WJXADP8WJX-P2Y1-ADP-chim(Gs-CtGq)/β1/γ2
17.39Single8X0BVU04244658X0B-mGlu5; mGlu5-Quisqualate-VU0424465
17.39Single8X0FVU298X0F-mGlu5; mGlu5-Quisqualate-VU29
17.39Single8XJMLatanoprost8XJM-FP-alpha-Latanoprost-chim(NtGi2-Gs-CtGq)/β1/γ2
17.39Single8YNTSNAP-948478YNT-MCH1-SNAP-94847
17.39Single8ZR5Firuglipel8ZR5-GPR119-Firuglipel-Gs/β1/γ2
17.39Single9ASTLymphotactin9AST-XCR1-Lymphotactin-Gi1/β1/γ2
17.39Single9CLWTUG-13759CLW-FFA2-TUG-1375-4-CMTB-chim(NtGi1L-Gs-CtGq)/β1/γ2
17.39Single9ITELPA9ITE-LPA6-LPA-chim(NtGi2-G13)/β1/γ2
17.39Single9JCLADP9JCL-P2Y1-ADP-chim(Gs-CtGq)/β1/γ2
17.39Single9MENGp120 (V3 loop)9MEN-CXCR4-Gp120 (V3 loop)
17.39Single9RHGC4079RHG-FZD7-C407
17.39Consensusnk2_on_gpOrthosteric Ligand7XWO-NK2-Neurokinin-A-chim(NtGi1-Gs-CtGq)/β1/γ2
17.39Consensusprotein_offOrthosteric Ligandchemokine_off grh_off
17.24Single6WI9Secretin6WI9-Secretin-Secretin-Gs/β1/γ2
17.24Single7FIMTirzepatide7FIM-GLP-1-Tirzepatide-Gs/β1/γ2
17.24Single7V9MSomatoliberin7V9M-GHRH (SV1)-Somatoliberin-Gs/β1/γ2
17.24Consensusneuromedin-u_onOrthosteric Ligandnmur1_on nmur2_on
17.24Consensustachykinin_onOrthosteric Ligandnk1_on nk2_on nk3_on
17.14Consensuscrf1_on_gpOrthosteric Ligand6PB0-CRF1-Urocortin-chim(NtGi1-Gs)/β1/γ2 6P9X-CRF1-Corticoliberin-1-Gs/β1/γ2
16.67Single2J4Y11-cis-Retinal2J4Y-Rhodopsin-11-cis-Retinal
16.67Single3C9M11-cis-Retinal3C9M-Rhodopsin-11-cis-Retinal
16.67Single3PQRAll-trans-Retinal3PQR-Rhodopsin-All-trans-Retinal-Gt(CT)
16.67Single4N4WSANT-14N4W-SMO-SANT-1
16.67Single5WKTOctyl-Beta-D-Glucopyranoside5WKT-Rhodopsin-Octyl-β-D-Glucopyranoside-Gt(CT)
16.67Single5X33BIIL2605X33-BLT1-BIIL260
16.67Single6FK9PubChem 1324730366FK9-Rhodopsin-PubChem 132473036
16.67Single6ME5Agomelatine6ME5-MT1-Agomelatine
16.67Single6OS2TRV0266OS2-AT1-TRV026
16.67Single6RZ7ONO-25703666RZ7-CysLT2-ONO-2570366
16.67Single7L0SNeurotensin-(8-13)7L0S-NTS1-Neurotensin-(8-13)-Gi1/β1/γ1
16.67Single7MT8All-trans-Retinal7MT8-Rhodopsin-All-trans-Retinal-GRK1
16.67Single7T6BS1P7T6B-S1P2-S1P-chim(NtGi1L-G13)/β1/γ2
16.67Single7V6APubChem 98642757V6A-M4-PubChem 9864275-Gi1/β1/γ2
16.67Single7W0NElabela7W0N-Apelin; Apelin-Elabela-Gi1/β1/γ2
16.67Single7WBJPACAP277WBJ-VPAC1-PACAP27-Gs/β1/γ2
16.67Single7XJKGalanin7XJK-GAL2-Galanin-chim(NtGi2L-Gs-CtGq)/β1/γ2
16.67Single7Y36PTH7Y36-PTH1-PTH-Gs/β1/γ2
16.67Single8E3YPACAP278E3Y-VPAC1-PACAP27-Gs/β1/γ2
16.67Single8FLQPTH8FLQ-PTH1-PTH-Gs/β1/γ2
16.67Single8IU2All-trans-Retinal8IU2-Opsin1LW-All-trans-Retinal-Gi1/β1/γ2
16.67Single8JPBNeurotensin-(8-13)8JPB-NTS1-Neurotensin-(8-13)-SBI-553; GDP; Mg-Gq; GRK2
16.67Single8U26Substance-P8U26-NK1-Substance-P-Gs/β1/γ2
16.67Single8WRBLysophosphatidylserine (UBL)8WRB-GPR34-Lysophosphatidylserine (UBL)-Gi1/β1/γ2
16.67Single8WWMMCH8WWM-MCH1-MCH-Gi1/β1/γ2
16.67Single8X9UMetenolone8X9U-ADGRD1-Metenolone-chim(NtGi1-Gs)/β1/γ2
16.67Single8Y63C20:0 Ceramide8Y63-FPR2-ALX-C20:0 Ceramide-Gi1/β1/γ2
16.67Single8Y6WTUG-13758Y6W-FFA2-TUG-1375-4-CMTB-Gi1/β1/γ2
16.67Single9CM3TUG-13759CM3-FFA2-TUG-1375-PubChem 118615810-chim(NtGi1L-Gs-CtGq)/β1/γ2
16.67Single9E2AGLP-19E2A-GLP-1-GLP-1-Gs/β1/γ2
16.67Single9IV15alpha-DHT9IV1-ADGRD1-5α-DHT-chim(NtGi1-Gs)/β1/γ2
16.67Single9JG1Adriforant9JG1-H4-Adriforant
16.67Single9JR3PTH9JR3-PTH1-PTH-chim(NtGi1L-Gs-CtGq)/β1/γ2
16.67Single9KT93,5-DHBA9KT9-HCA1-3,5-DHBA-Gi1/β1/γ2
16.67Consensusccr_on_gpOrthosteric Ligandccr6_on_gp ccr8_on_gp ccr2_on_gp ccr1_on_gp ccr5_on_gp
16.67Consensusffa2_on_gpOrthosteric Ligand8J22-FFA2-TUG-1375-Gi1/β1/γ2
16.67Consensusgalanin_onOrthosteric Ligandgal2_on gal1_on
16.67Consensusgalanin_on_gpOrthosteric Ligandgal2_on_gp gal1_on_gp
16.67Consensusgi_opsinsOrthosteric Ligand8IU2-Opsin1LW-All-trans-Retinal-Gi1/β1/γ2
16.67Consensusgi_sensoryOrthosteric Ligandgi_opsins
16.67Consensusopsin1lw_onOrthosteric Ligand8IU2-Opsin1LW-All-trans-Retinal-Gi1/β1/γ2
16.67Consensusopsin1lw_on_gpOrthosteric Ligand8IU2-Opsin1LW-All-trans-Retinal-Gi1/β1/γ2
16.67Consensusopsins_on_gpOrthosteric Ligandrhodopsin_on_gp opsin1lw_on_gp
16.67Consensusrhodopsin_onOrthosteric Ligand6OYA-Rhodopsin-All-trans-Retinal-Gt/β1/γ1
16.67Consensussensory_on_gpOrthosteric Ligandopsins_on_gp
16.13Single6P9YPACAP276P9Y-PAC1-PACAP27-Gs/β1/γ2
16.13Single7VABTirzepatide (non-acylated)7VAB-GIP-Tirzepatide (non-acylated)-chim(NtGi1-Gs)/β1/γ2
16.13Single8E3XPACAP278E3X-PAC1-PACAP27-Gs/β1/γ2
16.13Single9P92VIP9P92-PAC1-VIP-Gs/β1/γ2
16.13Consensusccr_offOrthosteric Ligandccr2_off ccr5_off
16.13Consensuspac_on_gpOrthosteric Ligandpac1_on_gp
16.00Single5CGDHTL142425CGD-mGlu5-HTL14242
16.00Single6RZ9ONO-27703726RZ9-CysLT2-ONO-2770372
16.00Single7LLLExendin-47LLL-GLP-1-Exendin-4-Gs/β1/γ2
16.00Single7P00Substance-P7P00-NK1-Substance-P-chim(NtGi1-Gs-CtGq)/β1/γ2
16.00Single7VVNPTH7VVN-PTH1-PTH-Gs/β1/γ2
16.00Single8IULLatanoprost8IUL-FP-alpha-Latanoprost-chim(NtGi1-Gs-CtGq)/β1/γ2
16.00Single8JPFNeurotensin-(8-13)8JPF-NTS1-Neurotensin-(8-13)-SBI-553
16.00Single8XJKCloprosetnol8XJK-FP-alpha-Cloprosetnol-chim(NtGi1-Gs-CtGq)/β1/γ2
16.00Single9JH5C16:0 Ceramide9JH5-CysLT2-C16:0 Ceramide-chim(NtGi1-Gs-CtGq)/β1/γ2
16.00Single9KWXC5a-des-Arg9KWX-C5a1-C5a-des-Arg-Go/β1/γ2
16.00Consensuscyslt2_offOrthosteric Ligand6RZ7-CysLT2-ONO-2570366 6RZ8-CysLT2-ONO-2080365 6RZ9-CysLT2-ONO-2770372
16.00Consensusfp-alpha_onOrthosteric Ligand8IUK-FP-alpha-PGF2-α-chim(NtGi1-Gs-CtGq)/β1/γ2 8IUL-FP-alpha-Latanoprost-chim(NtGi1-Gs-CtGq)/β1/γ2 8IUM-FP-alpha-Tafluprost acid-chim(NtGi1-Gs-CtGq)/β1/γ2
16.00Consensusfp-alpha_on_gpOrthosteric Ligand8IUK-FP-alpha-PGF2-α-chim(NtGi1-Gs-CtGq)/β1/γ2 8IUL-FP-alpha-Latanoprost-chim(NtGi1-Gs-CtGq)/β1/γ2 8IUM-FP-alpha-Tafluprost acid-chim(NtGi1-Gs-CtGq)/β1/γ2
16.00Consensusnk1_onOrthosteric Ligand7P00-NK1-Substance-P-chim(NtGi1-Gs-CtGq)/β1/γ2
16.00Consensusnk1_on_gpOrthosteric Ligand7P00-NK1-Substance-P-chim(NtGi1-Gs-CtGq)/β1/γ2
15.79Single1L9H11-cis-Retinal1L9H-Rhodopsin-11-cis-Retinal
15.79Single5TE520-Methanoretinal5TE5-Rhodopsin-20-Methanoretinal
15.79Single6FK6PubChem 1324730336FK6-Rhodopsin-PubChem 132473033
15.79Single6I9K9-cis-Retinal6I9K-Rhodopsin-9-cis-Retinal
15.79Single8JILNiacin8JIL-HCA2-Niacin-Gi1/β1/γ2
15.79Single8X2KOleic monoethanolamide8X2K-GPR3-Oleic monoethanolamide-chim(NtGi1-Gs)/β1/γ2
15.79Single9B9YTaranabant9B9Y-CB1-Taranabant
15.79Single9EPRAll-trans-Retinal9EPR-Rhodopsin-All-trans-Retinal-Gi1/β1/γ2
15.79Single9LMPNE52-QQ579LMP-GPR4-NE52-QQ57
15.79Single9YDAAll-trans-Retinal9YDA-Opsin1MW-All-trans-Retinal-chim(NtGi1L-Gs-CtGt)/β1/γ2
15.62Single6B3JExendin-P56B3J-GLP-1-Exendin-P5-Gs/β1/γ2
15.62Single6P9XCorticoliberin-16P9X-CRF1-Corticoliberin-1-Gs/β1/γ2
15.62Single6VCBGLP-16VCB-GLP-1-GLP-1-LSN3160440-Gs/β1/γ2
15.62Single9BUCCagrilintide9BUC-CT-Cagrilintide-Gs/β1/γ2
15.62Consensusglp_onOrthosteric Ligandglp1_on glp2_on
15.62Consensusglp_on_gpOrthosteric Ligandglp1_on_gp glp2_on_gp
15.38Single6OMMWKYMVX6OMM-FPR2-ALX-WKYMVX-Gi1/β1/γ2
15.38Single6RZ6ONO-25703666RZ6-CysLT2-ONO-2570366
15.38Single7RMHSubstance-P7RMH-NK1-Substance-P-Gs/β1/γ2
15.38Single8IUMTafluprost acid8IUM-FP-alpha-Tafluprost acid-chim(NtGi1-Gs-CtGq)/β1/γ2
15.38Single8J22TUG-13758J22-FFA2-TUG-1375-Gi1/β1/γ2
15.38Single8Z74JN241-98Z74-Apelin; Apelin-JN241-9
15.38Single9CM7TUG-13759CM7-FFA2-TUG-1375-AZ-1729-Gi1/β1/γ2
15.38Single9EAJNanobody AT2099EAJ-AT1-Nanobody AT209
15.38Consensusclass-b1_onOrthosteric Ligandglucagon_on vip-pacap_on pth_on crf_on calcitonin_on
15.38Consensuspth2_on_gpOrthosteric Ligand7F16-PTH2-TIP39-Gs/β1/γ2
15.15Single5VAIGLP-15VAI-GLP-1-GLP-1-Gs/β1/γ2
15.15Single6NBHLA-PTH Analog6NBH-PTH1-LA-PTH Analog-Gs/β1/γ2
15.15Single6PB1Urocortin6PB1-CRF2-Urocortin-chim(NtGi1-Gs)/β1/γ2
15.15Single6WZGSecretin6WZG-Secretin-Secretin-Gs/β1/γ2
15.15Single7D68GLP-27D68-GLP-2-GLP-2-Gs/β1/γ2
15.15Single7KI1Taspoglutide7KI1-GLP-1-Taspoglutide-Gs/β1/γ2
15.15Single8F0KPramlintide Analogue San3858F0K-CT (AMY3)-Pramlintide Analogue San385-Gs/β1/γ2; RAMP3
15.15Single8HAFPTHrP(1-36)8HAF-PTH1-PTHrP(1-36)-chim(NtGi1-Gs)/β1/γ2
15.15Single9BYOExendin-39BYO-GLP-1-Exendin-3-Gs/β1/γ2
15.15Single9P93VIP9P93-PAC1-VIP-Gs/β1/γ2
15.15Consensuspth1_onOrthosteric Ligand6NBF-PTH1-LA-PTH Analog-Gs/β1/γ2 8HA0-PTH1-PTH-chim(NtGi1-Gs)/β1/γ2 8HAF-PTH1-PTHrP(1-36)-chim(NtGi1-Gs)/β1/γ2 7Y36-PTH1-PTH-Gs/β1/γ2 7Y35-PTH1-Abaloparatide-Gs/β1/γ2
15.15Consensusvip-pacap_onOrthosteric Ligandvpac_on pac_on
15.15Consensusvip-pacap_on_gpOrthosteric Ligandvpac_on_gp pac_on_gp
15.00Single3VG9ZM-2413853VG9-A2A-ZM-241385-Antibody
15.00Single6ME9Ramelteon6ME9-MT2-Ramelteon
15.00Single6OYAAll-trans-Retinal6OYA-Rhodopsin-All-trans-Retinal-Gt/β1/γ1
15.00Single6ZA8RTI-3a6ZA8-NTS1-RTI-3a
15.00Single7S8PMS471347S8P-MRGPRX4-MS47134-chim(NtGi2L-Gs-CtGq)/β1/γ2
15.00Single7XJJGalanin7XJJ-GAL1-Galanin-Go/β1/γ2
15.00Single8A6CAll-trans-Retinal8A6C-Rhodopsin-All-trans-Retinal
15.00Single8A6DAll-trans-Retinal8A6D-Rhodopsin-All-trans-Retinal
15.00Single8A6EAll-trans-Retinal8A6E-Rhodopsin-All-trans-Retinal
15.00Single8DWHPubChem 1390305318DWH-MRGPRX1-PubChem 139030531-chim(NtGi2L-Gs-CtGq)/β1/γ2
15.00Single8H8JLodoxamide8H8J-GPR35-Lodoxamide-Ca-chim(NtGi1L-G13)/β1/γ2
15.00Single8T3VDoconexent8T3V-FFA1-Doconexent-chim(NtGi2L-Gs-CtGq)/β1/γ2
15.00Single8XXVIndomethacin8XXV-DP2-Indomethacin-A1D5Q-Gi1/β1/γ2
15.00Consensusrhodopsin_on_gpOrthosteric Ligand6OYA-Rhodopsin-All-trans-Retinal-Gt/β1/γ1
14.81Single6X19CHU-1286X19-GLP-1-CHU-128-Gs/β1/γ2
14.81Single7L0RNeurotensin-(8-13)7L0R-NTS1-Neurotensin-(8-13)-Gi1/β1/γ1
14.81Consensuschemokine_onOrthosteric Ligandccr_on cxcr_on
14.71Single7DUQGLP-17DUQ-GLP-1-GLP-1-PubChem 156022738-Gs/β1/γ2
14.29Single6FKAPubChem 1324730376FKA-Rhodopsin-PubChem 132473037
14.29Single6U1NLY21196206U1N-M2-LY2119620-Arrestin2
14.29Single6WJCMuscarinic toxin 76WJC-M1-Atropine-Muscarinic toxin 7
14.29Single6ZINSR486926ZIN-NTS1-SR48692
14.29Single7BB6AVP7BB6-V2-AVP-Gs/β1/γ2
14.29Single7E14Orforglipron7E14-GLP-1-Orforglipron-PubChem 156022738-Gs/β1/γ2
14.29Single7F1QCCL37F1Q-CCR5-CCL3-Gi1/β1/γ2
14.29Single7M3GCa; Ca; Tryptophan; Evocalcet; Etelcalcetide; PO47M3G-CaS; CaS-Ca; Ca; Tryptophan; Evocalcet; Etelcalcetide; PO4
14.29Single7UTZDPPC7UTZ-TSH-TSH-DPPC-Gs/β1/γ2
14.29Single7VBITirzepatide (non-acylated)7VBI-GLP-1-Tirzepatide (non-acylated)-Gs/β1/γ2
14.29Single7XXH2MeSADP7XXH-P2Y1-2MeSADP-chim(NtGi1-G11)/β1/γ2
14.29Single8FLSAbaloparatide8FLS-PTH1-Abaloparatide-Gs/β1/γ2
14.29Single8HJ5PubChem 1390305318HJ5-MRGPRX1-PubChem 139030531-chim(NtGi1-Gs-CtGq)/β1/γ2
14.29Single8JBHSubstance-P8JBH-NK3-Substance-P-chim(NtGi1-Gs-CtGq)/β1/γ2
14.29Single8K2WAMG4878K2W-CXCR3-AMG487
14.29Single9BA0MRI-18919BA0-CB1-MRI-1891
14.29Single9DQJEP-39459DQJ-MRGPRD-EP-3945-chim(NtGi1-Gs-CtGq)/β1/γ2
14.29Single9JFUNE52-QQ579JFU-GPR4-NE52-QQ57
14.29Consensuscb1_offOrthosteric Ligand5U09-CB1-Taranabant 5TGZ-CB1-AM6538
14.29Consensuscxcr3_offOrthosteric Ligand8K2W-CXCR3-AMG487
14.29Consensusp2y1_on_gpOrthosteric Ligand7XXH-P2Y1-2MeSADP-chim(NtGi1-G11)/β1/γ2
14.29Consensustachykinin_on_gpOrthosteric Ligandnk1_on_gp nk2_on_gp nk3_on_gp
13.95Consensusclass-b1_on_gpOrthosteric Ligandglucagon_on_gp vip-pacap_on_gp pth_on_gp crf_on_gp calcitonin_on_gp
13.89Single7VVMPTH7VVM-PTH1-PTH-Gs/β1/γ2
13.89Single9JR2PTH9JR2-PTH1-PTH-chim(NtGi1L-Gs-CtGq)/β1/γ2
13.89Consensuspth1_on_gpOrthosteric Ligand6NBF-PTH1-LA-PTH Analog-Gs/β1/γ2 8HA0-PTH1-PTH-chim(NtGi1-Gs)/β1/γ2 8HAF-PTH1-PTHrP(1-36)-chim(NtGi1-Gs)/β1/γ2 7Y36-PTH1-PTH-Gs/β1/γ2 7Y35-PTH1-Abaloparatide-Gs/β1/γ2
13.79Single6LW5WKYMVm6LW5-FPR2-ALX-WKYMVm
13.79Single6UUNAdrenomedullin6UUN-CT Like (AM1)-Adrenomedullin-Gs/β1/γ2; RAMP2
13.79Single6VN7PACAP276VN7-VPAC1-PACAP27-Gs/β1/γ2
13.79Single9B5YLA-PTH Analog9B5Y-PTH1-LA-PTH Analog-chim(NtGi1-Gq)/β1/γ2
13.79Single9LXRLA-PTH Analog9LXR-PTH1-LA-PTH Analog-Arrestin2
13.64Single6FKDPubChem 1373491836FKD-Rhodopsin-PubChem 137349183
13.64Single6ORVTT-OAD26ORV-GLP-1-TT-OAD2-Gs/β1/γ2
13.64Single6X1ADanuglipron6X1A-GLP-1-Danuglipron-Gs/β1/γ2
13.64Single6Z4VNeurotensin-(9-13)6Z4V-NTS1-Neurotensin-(9-13)
13.64Single7FIHOrg435537FIH-LH-hCG-Org43553-chim(NtGi1-Gs)/β1/γ2
13.64Single7LCIDanuglipron7LCI-GLP-1-Danuglipron-Gs/β1/γ2
13.64Single8IC0CXCL88IC0-CXCR1-CXCL8-Gi1/β1/γ2
13.64Single8X9TAP5038X9T-ADGRD1-AP503-chim(NtGi1-Gs)/β1/γ2
13.64Single8ZYYNeurotensin-(8-13)8ZYY-NTS1-Neurotensin-(8-13)-SBI-553-Arrestin2
13.64Single9METGp120; CD49MET-CXCR4-Gp120; CD4
13.64Consensuscxcr1_on_gpOrthosteric Ligand8IC0-CXCR1-CXCL8-Gi1/β1/γ2
13.51Consensusglucagon_onOrthosteric Ligandglp_on gluc_on secretin_on gip_on
13.51Consensuspth2_onOrthosteric Ligand7F16-PTH2-TIP39-Gs/β1/γ2
13.33Single6M1IPACAP276M1I-PAC1-PACAP27-Gs/β1/γ2
13.33Single8YW3Retatrutide8YW3-GLP-1-Retatrutide-Gs/β1/γ2
13.33Single8YW4Retatrutide8YW4-GIP-Retatrutide-chim(NtGi1-Gs)/β1/γ2
13.33Single9EBOGLP-1 (ACPC18)9EBO-GLP-1-GLP-1 (ACPC18)-Gs/β1/γ2
13.16Consensusglucagon_on_gpOrthosteric Ligandglp_on_gp gluc_on_gp secretin_on_gp gip_on_gp
13.04Single4WW3All-trans-Retinal4WW3-Rhodopsin-All-trans-Retinal
13.04Single5YHLPubChem 1351213525YHL-EP4-PubChem 135121352
13.04Single5YWYONO-AE3-2085YWY-EP4-ONO-AE3-208
13.04Single6Z4QSR142948A6Z4Q-NTS1-SR142948A
13.04Single8GD9Rivenprost8GD9-EP4-Rivenprost-Gs/β1/γ2
13.04Single8JGGBAM8-228JGG-MRGPRX1-BAM8-22-Gi1/β1/γ2
13.04Single8X0BVU04244658X0B-mGlu5; mGlu5-Quisqualate-VU0424465
13.04Single8X0CVU04244658X0C-mGlu5; mGlu5-Quisqualate-VU0424465
13.04Single8X0CVU04244658X0C-mGlu5; mGlu5-Quisqualate-VU0424465
13.04Single9B9ZMRI-18679B9Z-CB1-MRI-1867
13.04Single9DQHEP-28259DQH-MRGPRD-EP-2825-chim(NtGi1-Gs-CtGq)/β1/γ2
13.04Single9HC04YI9HC0-mGlu5-4YI
13.04Single9KO4CCL219KO4-CCR7-CCL21-Gi1/β1/γ2
13.04Consensuscyslt_offOrthosteric Ligandcyslt2_off cyslt1_off
13.04Consensusep4_offOrthosteric Ligand5YWY-EP4-ONO-AE3-208 5YHL-EP4-PubChem 135121352
13.04Consensusep_offOrthosteric Ligandep4_off
12.90Single6X18GLP-16X18-GLP-1-GLP-1-Gs/β1/γ2
12.90Single7LLYOxyntomodulin7LLY-GLP-1-Oxyntomodulin-Gs/β1/γ2
12.90Single7VL9CCL15(26-92)7VL9-CCR1-CCL15(26-92)-Gi1/β1/γ2
12.90Consensuspac_onOrthosteric Ligandpac1_on
12.90Consensusvpac1_onOrthosteric Ligand8E3Z-VPAC1-VIP-Gs/β1/γ2
12.90Consensusvpac_onOrthosteric Ligandvpac1_on vpac2_on
12.50Single3ZEVNeurotensin-(7-13)3ZEV-NTS1-Neurotensin-(7-13)
12.50Single4A4MAll-trans-Retinal4A4M-Rhodopsin-All-trans-Retinal-Gt(CT)
12.50Single4BV0Neurotensin-(7-13)4BV0-NTS1-Neurotensin-(7-13)
12.50Single4OO9Mavoglurant4OO9-mGlu5-Mavoglurant
12.50Single5EN0All-trans-Retinal5EN0-Rhodopsin-All-trans-Retinal-Gt(CT)
12.50Single5V56TC1145V56-SMO-TC114
12.50Single6FJ3PTH6FJ3-PTH1-PTH
12.50Single6NBFLA-PTH Analog6NBF-PTH1-LA-PTH Analog-Gs/β1/γ2
12.50Single7CZ5Somatoliberin7CZ5-GHRH-Somatoliberin-Gs/β1/γ2
12.50Single7D3SSecretin7D3S-Secretin-Secretin-Gs/β1/γ2
12.50Single7KI0Semaglutide7KI0-GLP-1-Semaglutide-Gs/β1/γ2
12.50Single7L0PNeurotensin-(8-13)7L0P-NTS1-Neurotensin-(8-13)-Gi1/β1/γ1
12.50Single7L0QNeurotensin-(8-13)7L0Q-NTS1-Neurotensin-(8-13)-Gi1/β1/γ1
12.50Single7P2L4YI7P2L-mGlu5-4YI
12.50Single7RA3GIP7RA3-GIP-GIP-chim(NtGi1-Gs)/β1/γ2
12.50Single8FN1Neurotensin-(8-13)8FN1-NTS1-Neurotensin-(8-13)-chim(NtGi1-Go)/β1/γ2
12.50Single8IUKPGF2-alpha8IUK-FP-alpha-PGF2-α-chim(NtGi1-Gs-CtGq)/β1/γ2
12.50Single8JGFBAM8-228JGF-MRGPRX1-BAM8-22-chim(NtGi1-Gs-CtGq)/β1/γ2
12.50Single8JISPeptide-158JIS-GLP-1-Peptide-15-chim(NtGi1-Gs)/β1/γ2
12.50Single8X79MRE-2698X79-I2-MRE-269-Gs/β1/γ2
12.50Single8XQTCholesterol8XQT-TAS2R14-Cholesterol-Gi1/β1/γ1
12.50Single9BLWCagrilintide (non-acylated)9BLW-CT (AMY1)-Cagrilintide (non-acylated)-Gs/β1/γ2; RAMP1
12.50Single9J1Pg1:Ox9J1P-GLP-1-g1:Ox-chim(NtGi1-Gs)/β1/γ2
12.50Single9L16CCL219L16-CCR7-CCL21
12.50Consensusffa2_onOrthosteric Ligand8J22-FFA2-TUG-1375-Gi1/β1/γ2
12.50Consensusneurotensin_onOrthosteric Ligandnts1_on
12.50Consensusnts1_onOrthosteric Ligand6OSA-NTS1-JMV449-Gi1/β1/γ2 7L0S-NTS1-Neurotensin-(8-13)-Gi1/β1/γ1
12.50Consensusvpac1_on_gpOrthosteric Ligand8E3Z-VPAC1-VIP-Gs/β1/γ2
12.50Consensusvpac_on_gpOrthosteric Ligandvpac1_on_gp vpac2_on_gp
12.12Single5NX2GLP-1 (Truncated)5NX2-GLP-1-GLP-1 (Truncated)
12.12Single6UVAAdrenomedullin-26UVA-CT Like (AM2)-Adrenomedullin-2-Gs/β1/γ2; RAMP3
12.12Single7DTYGIP7DTY-GIP-GIP-Gs/β1/γ2
12.12Single7FIYTirzepatide7FIY-GIP-Tirzepatide-Gs/β1/γ2
12.12Single7S1MExendin-4-D-Ala7S1M-GLP-1-Exendin-4-D-Ala-Gs/β1/γ2
12.12Single7TYFAmylin7TYF-CT (AMY1)-Amylin-Gs/β1/γ2; RAMP1
12.12Single7VQXPACAP277VQX-VPAC1-PACAP27-Gs/β1/γ2
12.12Single7VVKPTH7VVK-PTH1-PTH-Gs/β1/γ2
12.12Single8HAOPTH8HAO-PTH1-PTH-chim(NtGi1-Gs)/β1/γ2
12.12Single9P94PACAP279P94-PAC1-PACAP27-Gs/β1/γ2
12.12Consensuscrf_onOrthosteric Ligandcrf2_on crf1_on
12.00Single3VW7Vorapaxar; Na3VW7-PAR1-Vorapaxar; Na
12.00Single4GRVNeurotensin-(8-13)4GRV-NTS1-Neurotensin-(8-13)
12.00Single4XEENeurotensin-(8-13)4XEE-NTS1-Neurotensin-(8-13)
12.00Single4XESNeurotensin-(8-13)4XES-NTS1-Neurotensin-(8-13)
12.00Single6OSAJMV4496OSA-NTS1-JMV449-Gi1/β1/γ2
12.00Single6XOXOrforglipron6XOX-GLP-1-Orforglipron-chim(NtGi1-Gs)/β1/γ2
12.00Single7WQ4Galanin7WQ4-GAL2-Galanin-chim(NtGi1-Gs-CtGq)/β1/γ2
12.00Single7XZ5Lysophosphatidylcholine7XZ5-GPR119-Lysophosphatidylcholine-Gs/β1/γ2
12.00Single8GCPPGE28GCP-EP4-PGE2-Gi1/β1/γ2
12.00Single8IQ6Latanoprost8IQ6-FP-alpha-Latanoprost-chim(NtGi1-Gs-CtGq)/β1/γ2
12.00Single8XJNCloprosetnol8XJN-TXA2-Cloprosetnol-chim(NtGi1-Gs-CtGq)/β1/γ2
12.00Single8XQSCholesterol8XQS-TAS2R14-Cholesterol-Flufenamic acid-Gi1/β1/γ1
12.00Single9GGGI-BOP9GGG-TXA2-I-BOP-chim(NtGi2L-Gs-CtGq)/β1/γ2
12.00Consensusgi_neurotensinOrthosteric Ligand6OSA-NTS1-JMV449-Gi1/β1/γ2 7L0S-NTS1-Neurotensin-(8-13)-Gi1/β1/γ1
12.00Consensusneurotensin_on_gpOrthosteric Ligandnts1_on_gp
12.00Consensusnts1_on_gpOrthosteric Ligand6OSA-NTS1-JMV449-Gi1/β1/γ2 7L0S-NTS1-Neurotensin-(8-13)-Gi1/β1/γ1
11.76Single6LMLGlucagon6LML-Glucagon-Glucagon-Gi1/β1/γ1
11.76Single6UUSAdrenomedullin6UUS-CT Like (AM2)-Adrenomedullin-Gs/β1/γ2; RAMP3
11.76Single7VVJPTHrP(1-36)7VVJ-PTH1-PTHrP(1-36)-Gs/β1/γ2
11.76Single7VVLPTH7VVL-PTH1-PTH-Gs/β1/γ2
11.76Single8FLTM-PTH(1-14)8FLT-PTH1-M-PTH(1-14)-Gs/β1/γ2
11.54Single4BUONeurotensin-(8-13)4BUO-NTS1-Neurotensin-(8-13)
11.54Single6UP7Neurotensin-(8-13)6UP7-NTS1-Neurotensin-(8-13)-Arrestin2
11.54Single7D7MPGE27D7M-EP4-PGE2-Gs/β1/γ1
11.54Single8HN1Toxin AdTx18HN1-Alpha1A-Toxin AdTx1
11.54Single8K4OCXCL18K4O-KSHV-CXCL1-Gi1/β1/γ1
11.54Single8XJOU466198XJO-TXA2-U46619-chim(NtGi1-Gs-CtGq)/β1/γ2
11.54Single8XVUCXCL28XVU-CXCR2-CXCL2
11.54Single8XXHCXCL28XXH-CXCR2-CXCL2-Go/β1/γ2
11.54Single9M1HPGE29M1H-EP1-PGE2-chim(NtGi1-Gs-CtGq)/β1/γ2
11.54Consensusgal2_onOrthosteric Ligand7WQ4-GAL2-Galanin-chim(NtGi1-Gs-CtGq)/β1/γ2 7XJL-GAL2-Spexin-chim(NtGi2L-Gs-CtGq)/β1/γ2
11.54Consensusgal2_on_gpOrthosteric Ligand7WQ4-GAL2-Galanin-chim(NtGi1-Gs-CtGq)/β1/γ2 7XJL-GAL2-Spexin-chim(NtGi2L-Gs-CtGq)/β1/γ2
11.54Consensusprostanoid_onOrthosteric Ligandtp_on fp-alpha_on
11.54Consensusprostanoid_on_gpOrthosteric Ligandtp_on_gp fp-alpha_on_gp
11.54Consensustp_onOrthosteric Ligand8XJO-TXA2-U46619-chim(NtGi1-Gs-CtGq)/β1/γ2
11.54Consensustp_on_gpOrthosteric Ligand8XJO-TXA2-U46619-chim(NtGi1-Gs-CtGq)/β1/γ2
11.43Single7TYXAmylin7TYX-CT (AMY2)-Amylin-Gs/β1/γ2; RAMP2
11.11Single2HPYAll-trans-Retinal2HPY-Rhodopsin-All-trans-Retinal
11.11Single6OS9JMV4496OS9-NTS1-JMV449-Gi1/β1/γ2
11.11Single7TZFAmylin7TZF-CT (AMY3)-Amylin-Gs/β1/γ2; RAMP3
11.11Single8F2APramlintide Analogue San3858F2A-CT (AMY3)-Pramlintide Analogue San385-Gs/β1/γ2; RAMP3
11.11Single8GDAL9026888GDA-EP4-L902688-Gs/β1/γ2
11.11Single8IQ4Carboprost8IQ4-FP-alpha-Carboprost-chim(NtGi1-Gs-CtGq)/β1/γ2
11.11Single8XQJJN2418XQJ-Apelin; Apelin-JN241
11.11Single8XQLCholesterol8XQL-TAS2R14-Cholesterol-Aristolochic acid A-Gt3/β1/γ1
11.11Single8XX6CXCL88XX6-CXCR2-CXCL8-Go/β1/γ2
11.11Single8Y02All-trans-Retinal8Y02-OPN1SW-All-trans-Retinal-Gi1/β1/γ2
11.11Single9AUCCalcitonin gene-related peptide-19AUC-CT (AMY1)-Calcitonin gene-related peptide-1-Gs/β1/γ2; RAMP1
11.11Single9ITBLPA9ITB-LPA6-LPA-chim(NtGi1-Gs-CtGq)/β1/γ2
10.81Single6WPWZP37806WPW-Glucagon-ZP3780-Gs/β1/γ2
10.81Single8JIPMEDI03828JIP-GLP-1-MEDI0382-chim(NtGi1-Gs)/β1/γ2
10.81Single8JIRSAR4258998JIR-GLP-1-SAR425899-chim(NtGi1-Gs)/β1/γ2
10.81Consensusglp1_on_gpOrthosteric Ligand7S1M-GLP-1-Exendin-4-D-Ala-Gs/β1/γ2 7X8R-GLP-1-BOC5-Gs/β1/γ2 6X19-GLP-1-CHU-128-Gs/β1/γ2 6X1A-GLP-1-Danuglipron-Gs/β1/γ2 6X18-GLP-1-GLP-1-Gs/β1/γ2 8JIP-GLP-1-MEDI0382-chim(NtGi1-Gs)/β1/γ2 7C2E-GLP-1-PubChem 149050799-Gs/β1/γ2 7KI0-GLP-1-Semaglutide-Gs/β1/γ2 7KI1-GLP-1-Taspoglutide-Gs/β1/γ2 7X8S-GLP-1-WB4-24-Gs/β1/γ2 8JIS-GLP-1-Peptide-15-chim(NtGi1-Gs)/β1/γ2 7VBI-GLP-1-Tirzepatide (non-acylated)-Gs/β1/γ2
10.71Single8DWGBAM8-228DWG-MRGPRX1-BAM8-22-ML382-chim(NtGi2L-Gs-CtGq)/β1/γ2
10.71Single8XWNCXCL88XWN-CXCR2-CXCL8
10.71Single8YWFRetatrutide8YWF-GLP-1-Retatrutide-chim(NtGi1-Gs)/β1/γ2
10.71Consensussomatostatin_offOrthosteric Ligandsst2_off
10.53Single6OIKLY21196206OIK-M2-Iperoxo-LY2119620-chim(NtGi1-Go)/β1/γ2
10.53Single7MT9All-trans-Retinal7MT9-Rhodopsin-All-trans-Retinal-GRK1
10.53Single7MTAAll-trans-Retinal7MTA-Rhodopsin-All-trans-Retinal-GRK1
10.53Single8F76Propanoic acid8F76-OR51E2-Propanoic acid-Gs/β1/γ2
10.53Single8JEFPubChem 113671668JEF-HCA3-PubChem 11367166-Gi1/β1/γ2
10.53Single8RQLFlufenamic acid8RQL-TAS2R14-Flufenamic acid-Flufenamic acid-chim(NtGi1-Gt3)/β1/γ2
10.53Single9JHJC18:0 Ceramide9JHJ-FPR2-ALX-C18:0 Ceramide-Gi1/β1/γ2
10.34Single7XNACYN1548067XNA-SST2-CYN154806
10.34Consensussst2_offOrthosteric Ligand7XNA-SST2-CYN154806
10.26Single6E3YCalcitonin gene-related peptide-16E3Y-CT Like-Calcitonin gene-related peptide-1-Gs/β1/γ2; RAMP1
10.00Single3AYMAll-trans-Retinal3AYM-Rhodopsin-All-trans-Retinal
10.00Single5L7IVismodegib5L7I-SMO-Vismodegib
10.00Single7D76Beclomethasone7D76-ADGRG3-Beclomethasone-Go/β1/γ2
10.00Single7S8NR-Zinc-35737S8N-MRGPRX2-R-Zinc-3573-chim(NtGi2L-Gs-CtGq)/β1/γ2
10.00Single7S8OR-Zinc-35737S8O-MRGPRX2-R-Zinc-3573-Gi1/β1/γ2
10.00Single7UL2SR486927UL2-NTS1-SR48692-Na
10.00Single7VDHC48/807VDH-MRGPRX2-C48/80-Gi1/β1/γ2
10.00Single8FX5Xanomeline8FX5-M4-Xanomeline-Xanomeline-Gi1/β1/γ2
10.00Single8U4RREGN7663-Fab8U4R-CXCR4-REGN7663-Fab
10.00Single8ZYUNeurotensin-(8-13)8ZYU-NTS1-Neurotensin-(8-13)-SBI-553-Arrestin2
10.00Single9IVMGLP-1 (Truncated)9IVM-GLP-1-GLP-1 (Truncated)-LSN3318839-chim(NtGi1-Gs)/β2/γ2
10.00Consensusadgrg_onOrthosteric Ligandadgrg2_on adgrg4_on
10.00Consensusadgrg_on_gpOrthosteric Ligandadgrg2_on_gp adgrg4_on_gp
10.00Consensusclass-b1_class-b2_cons_onOrthosteric Ligandclass-b1_on class-b2_on
10.00Consensusclass-b1_class-b2_cons_on_gpOrthosteric Ligandclass-b1_on_gp class-b2_on_gp
10.00Consensusgq_nucleotideOrthosteric Ligandgq_p2y
10.00Consensusgq_p2yOrthosteric Ligand7XXH-P2Y1-2MeSADP-chim(NtGi1-G11)/β1/γ2
10.00Consensusneurotensin_offOrthosteric Ligandnts1_off
10.00Consensusnts1_offOrthosteric Ligand7UL2-NTS1-SR48692-Na
9.68Single7FINPeptide-20; GGL7FIN-GIP-Peptide-20; GGL-Gs/β1/γ2
9.68Single7TYIAmylin7TYI-CT-Amylin-Gs/β1/γ2
9.68Single8HA0PTH8HA0-PTH1-PTH-chim(NtGi1-Gs)/β1/γ2
9.68Single8YW5Retatrutide8YW5-Glucagon-Retatrutide-Gs/β1/γ2
9.68Single9BLCCagrilintide (non-acylated)9BLC-CT-Cagrilintide (non-acylated)-Gs/β1/γ2
9.68Consensuscrf2_onOrthosteric Ligand7TS0-CRF2-Urocortin-chim(NtGi1L-Go)/β1/γ2
9.52Single2Z7311-cis-Retinal2Z73-Rhodopsin-11-cis-Retinal
9.52Single3AYN9-cis-Retinal3AYN-Rhodopsin-9-cis-Retinal
9.52Single5U09Taranabant5U09-CB1-Taranabant
9.52Single6LFOCXCL86LFO-CXCR2-CXCL8-Gi1/β1/γ2
9.52Single7LCJDanuglipron7LCJ-GLP-1-Danuglipron
9.52Single7VV5C48/807VV5-MRGPRX2-C48/80-Gi1/β1/γ2
9.52Single7X2CFenoldopam7X2C-D1-Fenoldopam-Fenoldopam-Gs/β1/γ2
9.52Single8F0JPramlintide Analogue San458F0J-CT-Pramlintide Analogue San45-Gs/β1/γ2
9.52Single8U8FPalmitic Acid8U8F-GPR3-Palmitic Acid-Gs/β1/γ2
9.52Single8YYWAlpha-ketoglutarate8YYW-Oxoglutarate-α-ketoglutarate-α-ketoglutarate-chim(Gi1-CtGq)/β1/γ2
9.52Consensuscxcr1_onOrthosteric Ligand8IC0-CXCR1-CXCL8-Gi1/β1/γ2
9.52Consensusp2y1_onOrthosteric Ligand7XXH-P2Y1-2MeSADP-chim(NtGi1-G11)/β1/γ2
9.38Single8YG4LA-PTH Analog8YG4-PTH1-LA-PTH Analog-chim(NtGi1-Gs)/β1/γ2
9.38Consensuscalcitonin_onOrthosteric Ligandctlike_on
9.30Single8F2BPramlintide Analogue San458F2B-CT (AMY3)-Pramlintide Analogue San45-Gs/β1/γ2; RAMP3
9.09Single6FFIMPEP6FFI-mGlu5-MPEP
9.09Single7C2EPubChem 1490507997C2E-GLP-1-PubChem 149050799-Gs/β1/γ2
9.09Single7VV6C48/807VV6-MRGPRX2-C48/80
9.09Single8YRGFospropofol8YRG-MRGPRX4-Fospropofol-chim(NtGi1-Gs-CtGq)/β1/γ2
9.09Single9BP3Cagrilintide9BP3-CT (AMY1)-Cagrilintide-Gs/β1/γ2; RAMP1
9.09Single9IXXLTD49IXX-CysLT2-LTD4-chim(NtGi1-Gs-CtGq)/β1/γ2
9.09Single9K0KUTP9K0K-P2Y4-UTP-chim(NtGi1-Gs-CtGq)/β1/γ2
9.09Single9K0XATP9K0X-P2Y2-ATP-chim(NtGi1-Gs-CtGq)/β1/γ2
9.09Single9K20ATP9K20-P2Y2-ATP-chim(NtGi1-Go)/β1/γ2
9.09Consensuscalcitonin_on_gpOrthosteric Ligandctlike_on_gp
9.09Consensuscrf2_on_gpOrthosteric Ligand7TS0-CRF2-Urocortin-chim(NtGi1L-Go)/β1/γ2
9.09Consensusctlike_onOrthosteric Ligand6E3Y-CT Like-Calcitonin gene-related peptide-1-Gs/β1/γ2; RAMP1
9.09Consensuspac1_onOrthosteric Ligand8E3X-PAC1-PACAP27-Gs/β1/γ2 6M1H-PAC1-Maxadilan-Gs/β1/γ2
9.09Consensuspac1_on_gpOrthosteric Ligand8E3X-PAC1-PACAP27-Gs/β1/γ2 6M1H-PAC1-Maxadilan-Gs/β1/γ2
9.09Consensussecretin_onOrthosteric Ligand7D3S-Secretin-Secretin-Gs/β1/γ2
8.82Single8FU6ZP37808FU6-Glucagon-ZP3780-Gs/β1/γ2
8.82Consensussecretin_on_gpOrthosteric Ligand7D3S-Secretin-Secretin-Gs/β1/γ2
8.70Single5T04Neurotensin-(8-13)5T04-NTS1-Neurotensin-(8-13)
8.70Single6FFHFenobam6FFH-mGlu5-Fenobam
8.70Single6IIVDaltroban6IIV-TXA2-Daltroban
8.70Single7LCKDanuglipron7LCK-GLP-1-Danuglipron
8.70Single7S15PubChem 1346112237S15-GLP-1-PubChem 134611223
8.70Single8GCML-9026888GCM-EP4-L-902688-Gi1/β1/γ2
8.70Single8XJLPGF2-alpha8XJL-FP-alpha-PGF2-α-chim(NtGi2-Gs-CtGq)/β1/γ2
8.70Single9JQZGrapiprant 9JQZ-EP4-Grapiprant
8.57Single7TYLAmylin7TYL-CT-Amylin-Gs/β1/γ2
8.57Consensusctlike_on_gpOrthosteric Ligand6E3Y-CT Like-Calcitonin gene-related peptide-1-Gs/β1/γ2; RAMP1
8.33Single4JKVTaladegib4JKV-SMO-Taladegib
8.33Single6LFMCXCL86LFM-CXCR2-CXCL8-Gi1/β1/γ2
8.33Single6M9TMisoprostol-FA6M9T-EP3-Misoprostol-FA
8.33Single7RBTTirzepatide7RBT-GIP-Tirzepatide-LSN3556672-chim(NtGi1-Gs)/β1/γ2
8.33Single8GDCPGE28GDC-EP3-PGE2-Gi1/β1/γ2
8.33Single8ZVZBW245C8ZVZ-DP1-BW245C-Gs/β1/γ2
8.33Single8ZYTNeurotensin-(8-13)8ZYT-NTS1-Neurotensin-(8-13)-SBI-553-Arrestin2
8.33Single9EE5ONO-25502899EE5-DP1-ONO-2550289
8.33Single9EKHONO-30302979EKH-DP1-ONO-3030297
8.33Consensuscxcr2_on_gpOrthosteric Ligand6LFM-CXCR2-CXCL8-Gi1/β1/γ2
8.11Single7VBHPeptide-207VBH-GLP-1-Peptide-20-Gs/β1/γ2
8.11Consensusglp1_onOrthosteric Ligand7S1M-GLP-1-Exendin-4-D-Ala-Gs/β1/γ2 7X8R-GLP-1-BOC5-Gs/β1/γ2 6X19-GLP-1-CHU-128-Gs/β1/γ2 6X1A-GLP-1-Danuglipron-Gs/β1/γ2 6X18-GLP-1-GLP-1-Gs/β1/γ2 8JIP-GLP-1-MEDI0382-chim(NtGi1-Gs)/β1/γ2 7C2E-GLP-1-PubChem 149050799-Gs/β1/γ2 7KI0-GLP-1-Semaglutide-Gs/β1/γ2 7KI1-GLP-1-Taspoglutide-Gs/β1/γ2 7X8S-GLP-1-WB4-24-Gs/β1/γ2 8JIS-GLP-1-Peptide-15-chim(NtGi1-Gs)/β1/γ2 7VBI-GLP-1-Tirzepatide (non-acylated)-Gs/β1/γ2
8.00Single5V57TC1145V57-SMO-TC114
8.00Single7XJLSpexin7XJL-GAL2-Spexin-chim(NtGi2L-Gs-CtGq)/β1/γ2
8.00Single8GDBPGE28GDB-EP4-PGE2-Gs/β1/γ2
8.00Single8TAOCDPPB8TAO-mGlu5; mGlu5-Quisqualate-CDPPB
8.00Single8XX7CXCL58XX7-CXCR2-CXCL5-Go/β1/γ2
8.00Single8ZW0PGD28ZW0-DP1-PGD2-Gs/β1/γ2
8.00Single9E9SPGD29E9S-DP1-PGD2-Gs/β1/γ1
7.89Single7V35Peptide-207V35-Glucagon-Peptide-20-Gs/β1/γ2
7.69Single6AK3PGE26AK3-EP3-PGE2
7.69Single6IIURamatroban6IIU-TXA2-Ramatroban
7.69Single6YVRNeurotensin-(6-13)6YVR-NTS1-Neurotensin-(6-13)
7.69Single7TYYCalcitonin-17TYY-CT (AMY2)-Calcitonin-1-Gs/β1/γ2; RAMP2
7.69Single8DWCBAM8-228DWC-MRGPRX1-BAM8-22-chim(NtGi2L-Gs-CtGq)/β1/γ2
7.69Single8JIUSAR4258998JIU-Glucagon-SAR425899-Gs/β1/γ2
7.69Single8JPCNeurotensin-(8-13)8JPC-NTS1-Neurotensin-(8-13)-SBI-553; GDP; Mg-Gq; GRK2
7.69Single8XQJJN2418XQJ-Apelin; Apelin-JN241
7.69Single8XQNCholesterol8XQN-TAS2R14-Cholesterol-Aristolochic acid A-Gi1/β1/γ1
7.69Single8XWACXCL18XWA-CXCR2-CXCL1
7.69Single8XWMCXCL68XWM-CXCR2-CXCL6
7.69Single8XWSCXCL58XWS-CXCR2-CXCL5
7.69Single8XX3CXCL38XX3-CXCR2-CXCL3-Go/β1/γ2
7.69Single9AU0BW245C9AU0-DP1-BW245C-Gs/β1/γ2
7.41Single8FN0Neurotensin-(8-13)8FN0-NTS1-Neurotensin-(8-13)-SBI-553-chim(NtGi1-Go)/β1/γ2
7.41Single8XWFCXCL38XWF-CXCR2-CXCL3
7.41Single8XWVCXCL18XWV-CXCR2-CXCL1-Go/β1/γ2
7.41Single9C0KExendin-49C0K-GLP-1-Exendin-4-Gs/β1/γ2
7.41Single9GG5U466199GG5-TXA2-U46619-chim(NtGi2L-Gs-CtGq)/β1/γ2
7.14Single6KNMJN241-96KNM-Apelin-JN241-9
7.14Single7X8SWB4-247X8S-GLP-1-WB4-24-Gs/β1/γ2
7.14Single8XQOCholesterol8XQO-TAS2R14-Cholesterol-Aristolochic acid A-Gi1/β1/γ1
6.90Single7RTBPeptide-197RTB-GLP-1-Peptide-19-Gs/β1/γ2
6.90Single9BUECagrilintide9BUE-CT-Cagrilintide-Gs/β1/γ2
6.67Single6WHCGlu16 analog of GCG6WHC-Glucagon-Glu16 analog of GCG-Gs/β1/γ2
6.67Single7TRYUrocortin7TRY-CRF2-Urocortin-chim(NtGi1-G11)/β1/γ2
6.45Single8YFOAc-LA-PTH Analog8YFO-PTH1-Ac-LA-PTH Analog-chim(NtGi1-Gs)/β1/γ2
6.25Single6NIYCalcitonin-16NIY-CT-Calcitonin-1-Gs/β1/γ2
6.25Single8SZGCa; Ca; Tryptophan; Cinacalcet; PO4; Spermine8SZG-CaS; CaS-Ca; Ca; Tryptophan; Cinacalcet; PO4; Spermine-chim(NtGi1-Gq)/β1/γ2
6.25Single9BUDCagrilintide9BUD-CT-Cagrilintide-Gs/β1/γ2
6.06Single5YQZNNC17025YQZ-Glucagon-NNC1702
6.06Single7TYWCalcitonin-17TYW-CT (AMY1)-Calcitonin-1-Gs/β1/γ2; RAMP1
6.06Single7Y35Abaloparatide7Y35-PTH1-Abaloparatide-Gs/β1/γ2
5.88Single6NBILA-PTH Analog6NBI-PTH1-LA-PTH Analog-Gs/β1/γ2
5.88Single8FLRPTHrP(1-36)8FLR-PTH1-PTHrP(1-36)-Gs/β1/γ2
5.88Single8JGBConorfamide-Tx28JGB-MRGPRX1-Conorfamide-Tx2-Gi1/β1/γ2
5.88Single9BLBCagrilintide (non-acylated)9BLB-CT-Cagrilintide (non-acylated)-Gs/β1/γ2
5.71Single7TYNCalcitonin-17TYN-CT-Calcitonin-1-Gs/β1/γ2
5.56Single6LMKGlucagon6LMK-Glucagon-Glucagon-Gs/β1/γ2
5.56Single7V68LY21196207V68-M4-Iperoxo-LY2119620-Gi1/β1/γ2
5.56Single7XKEDehydroepiandrosterone7XKE-ADGRG2-Dehydroepiandrosterone-chim(NtGi1-Gs)/β1/γ2
5.56Single9BQ3Cagrilintide9BQ3-CT (AMY2)-Cagrilintide-Gs/β1/γ2; RAMP2
5.56Consensusvpac2_onOrthosteric Ligand7VQX-VPAC1-PACAP27-Gs/β1/γ2
5.56Consensusvpac2_on_gpOrthosteric Ligand7VQX-VPAC1-PACAP27-Gs/β1/γ2
5.41Consensusgip_onOrthosteric Ligand7FIN-GIP-Peptide-20; GGL-Gs/β1/γ2 7FIY-GIP-Tirzepatide-Gs/β1/γ2 7DTY-GIP-GIP-Gs/β1/γ2
5.41Consensusgip_on_gpOrthosteric Ligand7FIN-GIP-Peptide-20; GGL-Gs/β1/γ2 7FIY-GIP-Tirzepatide-Gs/β1/γ2 7DTY-GIP-GIP-Gs/β1/γ2
5.26Single7VDMSubstance-P7VDM-MRGPRX2-Substance-P-Gi1/β1/γ2
5.26Single7Y14Beta-Alanine7Y14-MRGPRD-β-Alanine
5.26Consensusp2y_offOrthosteric Ligandp2y1_off
5.00Single2ZIY11-cis-Retinal2ZIY-Rhodopsin-11-cis-Retinal
5.00Single4XNWMRS25004XNW-P2Y1-MRS2500
5.00Single6D32Cyclopamine6D32-SMO-Cyclopamine-Cyclopamine
5.00Single6PWCNeurotensin-(9-13)6PWC-NTS1-Neurotensin-(9-13)-Arrestin2
5.00Single7D77Hydrocortisone7D77-ADGRG3-Hydrocortisone-Go/β1/γ2
5.00Single7TYOCalcitonin7TYO-CT-Calcitonin-Gs/β1/γ2
5.00Single7Y12Beta-Alanine7Y12-MRGPRD-β-Alanine-Gi1/β1/γ2
5.00Single8JITMEDI03828JIT-Glucagon-MEDI0382-Gs/β1/γ2
5.00Single8JPSCCL78JPS-ACKR1-CCL7
5.00Single9IJRC179IJR-GPR52-C17-Arrestin2
5.00Consensusp2y1_offOrthosteric Ligand4XNW-P2Y1-MRS2500
4.88Consensusgluc_onOrthosteric Ligand6LMK-Glucagon-Glucagon-Gs/β1/γ2 8JIT-Glucagon-MEDI0382-Gs/β1/γ2 7V35-Glucagon-Peptide-20-Gs/β1/γ2
4.76Single4O9RCyclopamine4O9R-SMO-Cyclopamine
4.76Single6LI0C176LI0-GPR52-C17
4.76Single9E7RGB889E7R-PAR2-GB88-chim(NtGi1L-Gs-CtGq)/β1/γ2
4.76Single9MBCAZ122160529MBC-mGlu8; mGlu8-DCPG-AZ12216052
4.76Consensusgluc_on_gpOrthosteric Ligand6LMK-Glucagon-Glucagon-Gs/β1/γ2 8JIT-Glucagon-MEDI0382-Gs/β1/γ2 7V35-Glucagon-Peptide-20-Gs/β1/γ2
4.55Single4QINSAG1.54QIN-SMO-SAG1.5
4.55Single6O3CSAG21k6O3C-SMO-SAG21k-Cholesterol
4.55Single7VVOPTH7VVO-PTH1-PTH-Gs/β1/γ2
4.55Single8HMPC178HMP-GPR52-C17-Gs/β1/γ2
4.55Single8XXXCXCL68XXX-CXCR2-CXCL6-Go/β1/γ2
4.55Single9KO2CCL199KO2-CCR7-CCL19-Gi1/β1
4.55Single9KO6CCL199KO6-CCR7-CCL19
4.35Single6XBLSAG6XBL-SMO-SAG-Cholesterol-Gi1/β1/γ2
4.35Single7ZI0SAG7ZI0-SMO-SAG-Cholesterol
4.35Single8IYXYL-3658IYX-GPR34-YL-365
4.35Single8JD6VU03647708JD6-mGlu4; mGlu4-Phosphoserine-VU0364770-Gi3/β1/γ2
4.35Single8X7ATreprostinil8X7A-I2-Treprostinil-Gs/β1/γ2
4.35Consensuscxcr2_onOrthosteric Ligand6LFM-CXCR2-CXCL8-Gi1/β1/γ2
4.17Single7SK8CXCL127SK8-ACKR3-CXCL12-CCX662
4.17Single9IVGGLP-1 (Truncated)9IVG-GLP-1-GLP-1 (Truncated)-chim(NtGi1-Gs)/β1/γ2
4.00Single8T6JCDPPB8T6J-mGlu5; mGlu5-CDPPB
4.00Single8T6JCDPPB8T6J-mGlu5; mGlu5-CDPPB
4.00Single8TH4AT118-L Nanobody8TH4-AT1-Losartan-AT118-L Nanobody
4.00Single8XQPCholesterol8XQP-TAS2R14-Cholesterol-Aristolochic acid A-Gt3/β1/γ1
4.00Single9EAHNanobody AT2099EAH-AT1-Olmesartan-Nanobody AT209
4.00Consensusadgrg2_onOrthosteric Ligand7WUI-ADGRG2-IP15-chim(NtGi1-Gs)/β1/γ2 7WUQ-ADGRG2-Gs/β1/γ2 7XKF-ADGRG2-Dehydroepiandrosterone-Gs/β1/γ2
4.00Consensusadgrg2_on_gpOrthosteric Ligand7WUI-ADGRG2-IP15-chim(NtGi1-Gs)/β1/γ2 7WUQ-ADGRG2-Gs/β1/γ2 7XKF-ADGRG2-Dehydroepiandrosterone-Gs/β1/γ2
3.85Single7F1TCCL37F1T-CCR5-CCL3
3.85Single7SK7CXCL127SK7-ACKR3-CXCL12-CCX662
3.85Single8JD5JNJ-40411813; ADX881788JD5-mGlu2; mGlu4-Glutamate-JNJ-40411813; ADX88178-Gi1/β1/γ2
3.57Single6M1HMaxadilan6M1H-PAC1-Maxadilan-Gs/β1/γ2
3.57Single7CX4Evatanepag7CX4-EP2-Evatanepag-Gs/β1/γ2
3.45Single7CX2PGE27CX2-EP2-PGE2-Gs/β1/γ2
3.33Single7CX3Taprenepag7CX3-EP2-Taprenepag-Gs/β1/γ2
3.33Single7VLACCL15(27-92)7VLA-CCR1-CCL15(27-92)-Gi1/β1/γ2
3.33Single8JIQPeptide-158JIQ-Glucagon-Peptide-15-Gs/β1/γ2
3.33Consensusccr1_onOrthosteric Ligand7VLA-CCR1-CCL15(27-92)-Gi1/β1/γ2
3.33Consensusccr1_on_gpOrthosteric Ligand7VLA-CCR1-CCL15(27-92)-Gi1/β1/γ2
2.94Single7TYHCalcitonin7TYH-CT (AMY2)-Calcitonin-Gs/β1/γ2; RAMP2
2.86Single9BUBCagrilintide9BUB-CT-Cagrilintide-Gs/β1/γ2
2.78Consensusglp2_onOrthosteric Ligand7D68-GLP-2-GLP-2-Gs/β1/γ2
2.78Consensusglp2_on_gpOrthosteric Ligand7D68-GLP-2-GLP-2-Gs/β1/γ2
2.70Single9BTWCagrilintide9BTW-CT (AMY3)-Cagrilintide-Gs/β1/γ2; RAMP3

2D representation of the interactions of this orthosteric/allosteric ligand.


Links and nodes colored according to ConSurf Conservation Grade (See documentation): 

 n/a   1    2    3    4    5    6    7    8    9  

Node1 Node2 LinkStrength Comm IsNode1Hub? IsNode2Hub? Node1Cons Node2Cons Node1Shell Node2Shell
R:R:N90 R:R:W173 5.65 2 No Yes 9 9 2 1
R:R:L93 R:R:L97 4.15 0 No No 6 7 2 1
R:R:L93 R:R:W173 6.83 0 No Yes 6 9 2 1
R:R:L97 R:R:N131 10.98 2 No Yes 7 8 1 1
R:R:L97 W:W:?1 2.96 2 No Yes 7 0 1 0
R:R:I127 R:R:T101 3.04 2 No Yes 5 7 1 2
R:R:L119 W:W:?1 5.92 0 No Yes 3 0 1 0
R:R:A187 R:R:K122 4.82 0 No No 4 7 2 1
R:R:K122 W:W:?1 3.02 0 No Yes 7 0 1 0
R:R:A123 W:W:?1 8.99 0 No Yes 4 0 1 0
R:R:M184 R:R:S126 10.73 2 No No 4 6 1 1
R:R:S126 W:W:?1 5.36 2 No Yes 6 0 1 0
R:R:I127 R:R:N131 5.66 2 No Yes 5 8 1 1
R:R:I127 W:W:?1 7.13 2 No Yes 5 0 1 0
R:R:N131 R:R:Y130 4.65 2 Yes Yes 8 5 1 1
R:R:T134 R:R:Y130 6.24 2 Yes Yes 8 5 2 1
R:R:W173 R:R:Y130 9.65 2 Yes Yes 9 5 1 1
R:R:S177 R:R:Y130 6.36 2 No Yes 4 5 1 1
R:R:G180 R:R:Y130 2.9 0 No Yes 7 5 2 1
R:R:Y130 W:W:?1 48.5 2 Yes Yes 5 0 1 0
R:R:N131 R:R:T134 4.39 2 Yes Yes 8 8 1 2
R:R:N131 W:W:?1 3.92 2 Yes Yes 8 0 1 0
R:R:T134 R:R:W173 16.98 2 Yes Yes 8 9 2 1
R:R:W173 W:W:?1 4.06 2 Yes Yes 9 0 1 0
R:R:S177 W:W:?1 4.28 2 No Yes 4 0 1 0
R:R:M184 W:W:?1 16.13 2 No Yes 4 0 1 0
R:R:A176 R:R:Y130 2.67 0 No Yes 8 5 2 1

Location and physicochemical properties of the interaction partners of this ligand

Interactions of this ligand

Similarities between the interactions of this ligand and those of other networks

ShowSimilarityNetwork TypeNameLigandDescription
83.33Single9YDRMIPS39839YDR-δ-DADLE-MIPS3983-chim(NtGi1L-Gs-CtGi1)/β1/γ2
69.23Single8Y73MPAM-158Y73-μ-Peptide-MPAM-15-Gi1/β1/γ2
66.67Single8Y71BMS9861878Y71-δ-A1D6F-BMS986187-Gi1/β1/γ2
53.85Single9L60MPAM-159L60-κ-Dynorphin-MPAM-15-Gi1/β1/γ2
46.15Single7FEEZCZ0117FEE-CB1-CP55940-ZCZ011
46.15Single8IKHPubChem 1713935418IKH-CB1-PubChem 171393541-Gi1/β1/γ1
35.71Single5NDZAZ3451; Na5NDZ-PAR2-AZ3451; Na
33.33Single7WV9ZCZ0117WV9-CB1-CP55940-ZCZ011-Gi2/β1/γ2
21.43Single8IKGPubChem 7032058IKG-CB1-PubChem 703205-Gi1/β1/γ1
17.65Single8T3VDoconexent8T3V-FFA1-Doconexent-chim(NtGi2L-Gs-CtGq)/β1/γ2
15.00Single4PHUFasiglifam4PHU-FFA1-Fasiglifam
15.00Single8EJCTAK-8758EJC-FFA1-TAK-875-chim(NtGi1L-Gs-CtGq)/β1/γ2
14.29Single5TZRMK86665TZR-FFA1-MK8666
13.64Single5TZYMK8666; AP85TZY-FFA1-MK8666; AP8
13.33Single6KQIOrg275696KQI-CB1-CP55940-Org27569
12.50Single8SAILysophosphatidylserine (S12)8SAI-GPR34-Lysophosphatidylserine (S12)-Gi1/β1/γ2
11.11Single7S8PMS471347S8P-MRGPRX4-MS47134-chim(NtGi2L-Gs-CtGq)/β1/γ2
11.11Single8G94CD698G94-S1P1-CD69-Gi1/β1/γ2
10.53Single8HJ5PubChem 1390305318HJ5-MRGPRX1-PubChem 139030531-chim(NtGi1-Gs-CtGq)/β1/γ2
10.53Single8YRGFospropofol8YRG-MRGPRX4-Fospropofol-chim(NtGi1-Gs-CtGq)/β1/γ2
10.00Single8EJKTAK-8758EJK-FFA1-TAK-875-chim(NtGi1L-Gs-CtGq)/β1/γ2
9.09Single8JGFBAM8-228JGF-MRGPRX1-BAM8-22-chim(NtGi1-Gs-CtGq)/β1/γ2
9.09Single8XBIPubChem 1626566368XBI-GPR34-PubChem 162656636
9.09Consensusffa2_onOrthosteric Ligand8J22-FFA2-TUG-1375-Gi1/β1/γ2
8.70Single8DWCBAM8-228DWC-MRGPRX1-BAM8-22-chim(NtGi2L-Gs-CtGq)/β1/γ2
8.70Consensusffa2_on_gpOrthosteric Ligand8J22-FFA2-TUG-1375-Gi1/β1/γ2
8.33Single7PIUSetmelanotide7PIU-MC4-Setmelanotide-Gs/β1/γ2
8.33Single8XBES3E-Lysophosphatidylserine 8XBE-GPR34-S3E-Lysophosphatidylserine-Gi1/β1/γ1
8.00Single7AUESetmelanotide7AUE-MC4-Setmelanotide-chim(NtGi1L-Gs)/β1/γ2
8.00Single8J22TUG-13758J22-FFA2-TUG-1375-Gi1/β1/γ2
8.00Single9CM7TUG-13759CM7-FFA2-TUG-1375-AZ-1729-Gi1/β1/γ2
8.00Single9NS9TUG-13759NS9-FFA2-TUG-1375-PubChem 118615810-Gi1/β1/γ2
7.69Single8DWGBAM8-228DWG-MRGPRX1-BAM8-22-ML382-chim(NtGi2L-Gs-CtGq)/β1/γ2
7.69Single8INRAlpha-MSH8INR-MC5-α-MSH-Ca-chim(NtGi1-Gs)/β1/γ2
7.69Single8KIGSHU91198KIG-MC3-SHU9119-Ca
7.69Single8WKYPG-9348WKY-MC4-PG-934
7.69Single8XBHPubChem 1626566368XBH-GPR34-PubChem 162656636-Gi1/β1/γ2
7.41Single8IOCGamma-MSH8IOC-MC3-γ-MSH-Ca-chim(NtGi1-Gs)/β1/γ2
7.41Consensusmc5_onOrthosteric Ligand8INR-MC5-α-MSH-Ca-chim(NtGi1-Gs)/β1/γ2 8IOD-MC5-PG-901-Ca-chim(NtGi1-Gs)/β1/γ2
7.14Single6W25SHU91196W25-MC4-SHU9119-Ca
7.14Single7F4DAlpha-MSH7F4D-MC1-α-MSH-chim(NtGi1-Gs)/β1/γ2
7.14Single8W8YGamma-MSH8W8Y-MC3-γ-MSH-Ca-Gs/β1/γ2
7.14Single8WKZSBL-MC-318WKZ-MC4-SBL-MC-31
7.14Consensusmc3_onOrthosteric Ligand8IOC-MC3-γ-MSH-Ca-chim(NtGi1-Gs)/β1/γ2
7.14Consensusmc3_on_gpOrthosteric Ligand8IOC-MC3-γ-MSH-Ca-chim(NtGi1-Gs)/β1/γ2
6.90Consensusmc5_on_gpOrthosteric Ligand8INR-MC5-α-MSH-Ca-chim(NtGi1-Gs)/β1/γ2 8IOD-MC5-PG-901-Ca-chim(NtGi1-Gs)/β1/γ2
6.67Single8IODPG-9018IOD-MC5-PG-901-Ca-chim(NtGi1-Gs)/β1/γ2
6.25Single6TQ9SB-4081246TQ9-OX1-SB-408124
6.25Single7F4FAfamelanotide7F4F-MC1-Afamelanotide-chim(NtGi1-Gs)/β1/γ2
6.25Single7F53Alpha-MSH7F53-MC4-α-MSH-Gs/β1/γ2
6.25Single7Y14Beta-Alanine7Y14-MRGPRD-β-Alanine
6.25Single8W8WAlpha-MSH8W8W-MC3-α-MSH-Ca-Gs/β1/γ2
6.25Single8W8XBeta-MSH8W8X-MC3-β-MSH-Ca-Gs/β1/γ2
5.88Single6ME5Agomelatine6ME5-MT1-Agomelatine
5.88Single7Y12Beta-Alanine7Y12-MRGPRD-β-Alanine-Gi1/β1/γ2
5.88Single8EITDoconexent8EIT-FFA1-Doconexent-chim(NtGi1L-Gs-CtGq)/β1/γ2
5.71Consensusmelanocortin_onOrthosteric Ligandmc1_on mc4_on mc2_on mc3_on mc5_on
5.71Consensusmelanocortin_on_gpOrthosteric Ligandmc1_on_gp mc4_on_gp mc2_on_gp mc3_on_gp mc5_on_gp
5.56Single6HLLCP999946HLL-NK1-CP99994
5.56Single6TP4ACT-4622066TP4-OX1-ACT-462206
5.56Single6TQ4PubChem 160468446TQ4-OX1-PubChem 16046844-Na
5.26Single4S0VSuvorexant4S0V-OX2-Suvorexant
5.26Single5WS3EMPA5WS3-OX2-EMPA
5.26Single6ME2Ramelteon6ME2-MT1-Ramelteon
5.26Single6ME9Ramelteon6ME9-MT2-Ramelteon
5.26Single6TODEMPA6TOD-OX1-EMPA-Na
5.26Single6TPJSuvorexant6TPJ-OX2-Suvorexant
5.26Single6TQ6PubChem 1457142836TQ6-OX1-PubChem 145714283
5.26Single7F8ULintitript7F8U-CCKA-Lintitript
5.26Single7F8YDevazepide7F8Y-CCKA-Devazepide
5.26Single7XRRLemborexant7XRR-OX2-Lemborexant
5.26Single8DWHPubChem 1390305318DWH-MRGPRX1-PubChem 139030531-chim(NtGi2L-Gs-CtGq)/β1/γ2
5.26Single8IW4Spermidine8IW4-TAA9-Spermidine-chim(NtGi1-Gs)/β1/γ2
5.26Single8IWESpermidine8IWE-TAA9-Spermidine
5.26Single9PEEPF-07054894; OXM29PEE-CCR6-PF-07054894; OXM2
5.26Consensusangiotensin_offOrthosteric Ligandat1_off
5.26Consensusorexin_offOrthosteric Ligandox2_off ox1_off
5.26Consensusox1_offOrthosteric Ligand6TP6-OX1-Filorexant 6TP4-OX1-ACT-462206 6V9S-OX1-GTPL11403 6TOT-OX1-Lemborexant 6TP3-OX1-Nemorexant 6TQ6-OX1-PubChem 145714283 6TQ9-OX1-SB-408124 4ZJC-OX1-SB-674042 4ZJ8-OX1-Suvorexant 6TOD-OX1-EMPA-Na 6TOS-OX1-GSK1059865-Na 6TQ4-OX1-PubChem 16046844-Na
5.26Consensusox2_offOrthosteric Ligand5WQC-OX2-EMPA 6TPN-OX2-HTL6641 7XRR-OX2-Lemborexant 6TPJ-OX2-Suvorexant
5.13Consensusmc2_onOrthosteric Ligand8GY7-MC2-Corticotropin-Ca-chim(NtGi1-Gs)/β1/γ2; MRAP1
5.13Consensusmc2_on_gpOrthosteric Ligand8GY7-MC2-Corticotropin-Ca-chim(NtGi1-Gs)/β1/γ2; MRAP1
5.00Single4ZJCSB-6740424ZJC-OX1-SB-674042
5.00Single4ZUDOlmesartan4ZUD-AT1-Olmesartan
5.00Single6FFIMPEP6FFI-mGlu5-MPEP
5.00Single6ME32-Phenylmelatonin6ME3-MT1-2-Phenylmelatonin
5.00Single6ME42-Iodomelatonin6ME4-MT1-2-Iodomelatonin
5.00Single6PS82-Phenylmelatonin6PS8-MT1-2-Phenylmelatonin
5.00Single6TOSGSK10598656TOS-OX1-GSK1059865-Na
5.00Single6TP3Nemorexant6TP3-OX1-Nemorexant
5.00Single6TPKRetosiban6TPK-OT-Retosiban
5.00Single6TPNHTL66416TPN-OX2-HTL6641
5.00Single6V9SGTPL114036V9S-OX1-GTPL11403
5.00Single7XOVSR1461317XOV-CCKA-SR146131-Gs/β1/γ2
5.00Single8HQN9-S-HODE8HQN-GPR132-9-S-HODE-Gi1/β1/γ2
5.00Single8IYXYL-3658IYX-GPR34-YL-365
5.00Single8K4NPubChem 1687197658K4N-GPR34-PubChem 168719765-Gi1/β1/γ2
5.00Single8K4SDCA-3P8K4S-MRGPRX4-DCA-3P-chim(NtGi1L-Gs-CtGq)/β1/γ2
5.00Single8ZMGPimavanserin8ZMG-5-HT2A-Pimavanserin
5.00Single9IXXLTD49IXX-CysLT2-LTD4-chim(NtGi1-Gs-CtGq)/β1/γ2
5.00Consensusat1_offOrthosteric Ligand4YAY-AT1-ZD-7155 4ZUD-AT1-Olmesartan
5.00Consensusot_offOrthosteric Ligand6TPK-OT-Retosiban
5.00Consensusvasop-oxy_offOrthosteric Ligandot_off
4.76Single4YAYZD-71554YAY-AT1-ZD-7155
4.76Single6FFHFenobam6FFH-mGlu5-Fenobam
4.76Single7SQOTAK-9257SQO-OX2-TAK-925-Gi1/β1/γ2
4.76Single7VGZRamelteon7VGZ-MT1-Ramelteon-Gi1/β1/γ2
4.76Single7VH0Ramelteon7VH0-MT2-Ramelteon-Gi1/β1/γ1
4.76Single7VKTLTB47VKT-BLT1-LTB4-Gi1/β1/γ2
4.76Single8KEXDCA-3P8KEX-MRGPRX4-DCA-3P
4.76Single8XBGS3E-Lysophosphatidylserine 8XBG-GPR34-S3E-Lysophosphatidylserine
4.76Single9IMATalquetamab9IMA-GPRC5D; GPRC5D-Talquetamab
4.76Single9IYAONO-97105319IYA-GPR55-ONO-9710531
4.76Consensusblt1_onOrthosteric Ligand7VKT-BLT1-LTB4-Gi1/β1/γ2
4.76Consensusblt1_on_gpOrthosteric Ligand7VKT-BLT1-LTB4-Gi1/β1/γ2
4.76Consensusblt_onOrthosteric Ligandblt1_on
4.76Consensusblt_on_gpOrthosteric Ligandblt1_on_gp
4.76Consensuscck_offOrthosteric Ligandccka_off
4.76Consensusccka_offOrthosteric Ligand7F8Y-CCKA-Devazepide 7F8U-CCKA-Lintitript
4.76Consensusgi_leukotrieneOrthosteric Ligand7VKT-BLT1-LTB4-Gi1/β1/γ2
4.76Consensusgi_orexinOrthosteric Ligand7SQO-OX2-TAK-925-Gi1/β1/γ2
4.76Consensusleukotriene_onOrthosteric Ligandblt_on
4.76Consensusleukotriene_on_gpOrthosteric Ligandblt_on_gp
4.55Single4NTJAZD12834NTJ-P2Y12-AZD1283
4.55Single4ZJ8Suvorexant4ZJ8-OX1-Suvorexant
4.55Single5CGCHTL142425CGC-mGlu5-HTL14242
4.55Single5WQCEMPA5WQC-OX2-EMPA
4.55Single5ZBQUR-MK-2995ZBQ-Y1-UR-MK-299
4.55Single6HLPNetupitant6HLP-NK1-Netupitant
4.55Single6ME62-Phenylmelatonin6ME6-MT2-2-Phenylmelatonin
4.55Single6ME72-Phenylmelatonin6ME7-MT2-2-Phenylmelatonin
4.55Single6ME82-Phenylmelatonin6ME8-MT2-2-Phenylmelatonin
4.55Single6RZ4Pranlukast6RZ4-CysLT1-Pranlukast-Na
4.55Single6TO7Suvorexant6TO7-OX1-Suvorexant-Na
4.55Single6TP6Filorexant6TP6-OX1-Filorexant
4.55Single7W41PD1762527W41-BB2-PD176252
4.55Single8GD9Rivenprost8GD9-EP4-Rivenprost-Gs/β1/γ2
4.55Single8IZ4Lysophosphatidylserine (TJR)8IZ4-GPR34-Lysophosphatidylserine (TJR)-Gi1/β1/γ2
4.55Single8JGGBAM8-228JGG-MRGPRX1-BAM8-22-Gi1/β1/γ2
4.55Single8T6JCDPPB8T6J-mGlu5; mGlu5-CDPPB
4.55Single8T6JCDPPB8T6J-mGlu5; mGlu5-CDPPB
4.55Single8TH4Losartan8TH4-AT1-Losartan-AT118-L Nanobody
4.55Single8X0BVU04244658X0B-mGlu5; mGlu5-Quisqualate-VU0424465
4.55Single8X0CVU04244658X0C-mGlu5; mGlu5-Quisqualate-VU0424465
4.55Single8X0CVU04244658X0C-mGlu5; mGlu5-Quisqualate-VU0424465
4.55Single8X0DVU04244658X0D-mGlu5; mGlu5-Quisqualate-VU0424465
4.55Single8YNSSNAP-948478YNS-MCH1-SNAP-94847
4.55Single8ZMFPubChem 1719206738ZMF-5-HT2C-PubChem 171920673
4.55Single9DQHEP-28259DQH-MRGPRD-EP-2825-chim(NtGi1-Gs-CtGq)/β1/γ2
4.55Single9EE5ONO-25502899EE5-DP1-ONO-2550289
4.55Single9EKHONO-30302979EKH-DP1-ONO-3030297
4.55Single9HAPTolvaptan9HAP-V2-Tolvaptan
4.55Single9HC04YI9HC0-mGlu5-4YI
4.55Single9U81Tolvaptan9U81-V2-Tolvaptan
4.55Consensusbb2_offOrthosteric Ligand7W41-BB2-PD176252
4.55Consensusbombesin_offOrthosteric Ligandbb2_off
4.55Consensuscyslt_offOrthosteric Ligandcyslt2_off cyslt1_off
4.44Single8GY7Corticotropin8GY7-MC2-Corticotropin-Ca-chim(NtGi1-Gs)/β1/γ2; MRAP1
4.35Single4OO9Mavoglurant4OO9-mGlu5-Mavoglurant
4.35Single5ZBHBMS-1938855ZBH-Y1-BMS-193885
4.35Single6E59L-7607356E59-NK1-L-760735
4.35Single6J20Aprepitant6J20-NK1-Aprepitant
4.35Single6KO5PubChem 574000026KO5-Ghrelin-PubChem 57400002
4.35Single6RZ5Zafirlukast6RZ5-CysLT1-Zafirlukast-Na
4.35Single6TQ7SB-3348676TQ7-OX1-SB-334867
4.35Single7P2L4YI7P2L-mGlu5-4YI
4.35Single7XOWSulfated Gastrin-(10-17)7XOW-CCKB-Sulfated Gastrin-(10-17)-chim(NtGi1-Gq)/β1/γ2
4.35Single8JBGNeurokinin-B8JBG-NK3-Neurokinin-B-chim(NtGi1-Gs-CtGq)/β1/γ2
4.35Single8YNTSNAP-948478YNT-MCH1-SNAP-94847
4.35Single9CLWTUG-13759CLW-FFA2-TUG-1375-4-CMTB-chim(NtGi1L-Gs-CtGq)/β1/γ2
4.35Single9ITELPA9ITE-LPA6-LPA-chim(NtGi2-G13)/β1/γ2
4.35Single9JMCDS-3801b9JMC-Motilin-DS-3801b-chim(Gs-CtGq)/β1/γ2
4.35Single9YDVMRS29059YDV-P2Y14-MRS2905-Gi1/β1/γ2
4.35Consensuscyslt1_offOrthosteric Ligand6RZ5-CysLT1-Zafirlukast-Na 6RZ4-CysLT1-Pranlukast-Na
4.35Consensusnpy1_offOrthosteric Ligand5ZBH-Y1-BMS-193885 5ZBQ-Y1-UR-MK-299
4.35Consensusnpy_offOrthosteric Ligandnpy1_off npy2_off
4.35Consensusp2y12_onOrthosteric Ligand7XXI-P2Y12-2MeSADP-Gi2/β1/γ2
4.35Consensustachykinin_offOrthosteric Ligandnk1_off
4.17Single3VW7Vorapaxar; Na3VW7-PAR1-Vorapaxar; Na
4.17Single4PXZ2MeSADP4PXZ-P2Y12-2MeSADP
4.17Single4PY02MeSATP4PY0-P2Y12-2MeSATP
4.17Single5UNHPubChem 1264564065UNH-AT2-PubChem 126456406
4.17Single5X33BIIL2605X33-BLT1-BIIL260
4.17Single7F55Bremelanotide7F55-MC4-Bremelanotide-Gs/β1/γ2
4.17Single7L1UOrexin7L1U-OX2-Orexin-chim(NtGi1-Gs-CtGq)/β1/γ2
4.17Single7XXI2MeSADP7XXI-P2Y12-2MeSADP-Gi2/β1/γ2
4.17Single8T3QDoconexent8T3Q-FFA4-Doconexent-chim(NtGi2L-Gs-CtGq)/β1/γ2
4.17Single8U26Substance-P8U26-NK1-Substance-P-Gs/β1/γ2
4.17Single8WRBLysophosphatidylserine (UBL)8WRB-GPR34-Lysophosphatidylserine (UBL)-Gi1/β1/γ2
4.17Single9CM3TUG-13759CM3-FFA2-TUG-1375-PubChem 118615810-chim(NtGi1L-Gs-CtGq)/β1/γ2
4.17Single9VIFNeuropeptide-VF9VIF-NPFF1-Neuropeptide-VF-Gi1/β1/γ2
4.17Single9W32SSTR5 antagonist 19W32-SST5-SSTR5 antagonist 1
4.17Single9YDUUDP-Glucose9YDU-P2Y14-UDP-Glucose-Gi1/β1/γ2
4.17Consensusgi_p2yOrthosteric Ligand7XXI-P2Y12-2MeSADP-Gi2/β1/γ2
4.17Consensusleukotriene_offOrthosteric Ligandblt_off cyslt_off
4.17Consensusnk1_offOrthosteric Ligand6HLP-NK1-Netupitant 6HLO-NK1-Aprepitant 6HLL-NK1-CP99994 6E59-NK1-L-760735
4.17Consensusorexin_onOrthosteric Ligandox2_on
4.17Consensusp2y12_on_gpOrthosteric Ligand7XXI-P2Y12-2MeSADP-Gi2/β1/γ2
4.00Single5CGDHTL142425CGD-mGlu5-HTL14242
4.00Single5UNGPubChem 157800525UNG-AT2-PubChem 15780052
4.00Single6K1QIRL25006K1Q-ETB-IRL2500
4.00Single7EZHCholecystokinin-87EZH-CCKA-Cholecystokinin-8-Gi1/β1/γ2
4.00Single7EZMCholecystokinin-87EZM-CCKA-Cholecystokinin-8-chim(NtGsL-Gq)/β1/γ2
4.00Single7MBYCholecystokinin-87MBY-CCKA-Cholecystokinin-8-chim(NtGi1L-Gs-CtGq)/β1/γ2
4.00Single7P00Substance-P7P00-NK1-Substance-P-chim(NtGi1-Gs-CtGq)/β1/γ2
4.00Single7QVMOxytocin7QVM-OT-Oxytocin-chim(NtGi1-Go-CtGq)/β1/γ2
4.00Single7VGY2-Iodomelatonin7VGY-MT1-2-Iodomelatonin-Gi1/β1/γ2
4.00Single8ID8TUG-8918ID8-FFA4-TUG-891-Gi1/β1/γ2
4.00Single8IULLatanoprost8IUL-FP-alpha-Latanoprost-chim(NtGi1-Gs-CtGq)/β1/γ2
4.00Single8IYSTUG-8918IYS-FFA4-TUG-891-GDP-chim(NtGi1L-Gq)/β1/γ2
4.00Single8T3OTUG-8918T3O-FFA4-TUG-891-chim(NtGi2L-Gs-CtGq)/β1/γ2
4.00Single8XVJMacitentan8XVJ-ETA-Macitentan
4.00Single9EAILosartan9EAI-AT1-Losartan-Nanobody AT209
4.00Single9GE3Lysophosphatidylinositol9GE3-GPR55-Lysophosphatidylinositol-chim(NtGi1-G13)/β1/γ2
4.00Single9J0BUDP-Glucose9J0B-P2Y14-UDP-Glucose-Gi1/β1/γ2
4.00Single9JH5C16:0 Ceramide9JH5-CysLT2-C16:0 Ceramide-chim(NtGi1-Gs-CtGq)/β1/γ2
4.00Consensuscck_onOrthosteric Ligandccka_on cckb_on
4.00Consensuscck_on_gpOrthosteric Ligandccka_on_gp cckb_on_gp
4.00Consensusccka_onOrthosteric Ligand7EZH-CCKA-Cholecystokinin-8-Gi1/β1/γ2
4.00Consensusccka_on_gpOrthosteric Ligand7EZH-CCKA-Cholecystokinin-8-Gi1/β1/γ2
4.00Consensuschemerin_onOrthosteric Ligandcml1_on
4.00Consensusfp-alpha_onOrthosteric Ligand8IUK-FP-alpha-PGF2-α-chim(NtGi1-Gs-CtGq)/β1/γ2 8IUL-FP-alpha-Latanoprost-chim(NtGi1-Gs-CtGq)/β1/γ2 8IUM-FP-alpha-Tafluprost acid-chim(NtGi1-Gs-CtGq)/β1/γ2
4.00Consensusfp-alpha_on_gpOrthosteric Ligand8IUK-FP-alpha-PGF2-α-chim(NtGi1-Gs-CtGq)/β1/γ2 8IUL-FP-alpha-Latanoprost-chim(NtGi1-Gs-CtGq)/β1/γ2 8IUM-FP-alpha-Tafluprost acid-chim(NtGi1-Gs-CtGq)/β1/γ2
4.00Consensusnk1_onOrthosteric Ligand7P00-NK1-Substance-P-chim(NtGi1-Gs-CtGq)/β1/γ2
4.00Consensusnk1_on_gpOrthosteric Ligand7P00-NK1-Substance-P-chim(NtGi1-Gs-CtGq)/β1/γ2
4.00Consensusorexin_on_gpOrthosteric Ligandox2_on_gp
4.00Consensuspeptide_offOrthosteric Ligandcck_off angiotensin_off bombesin_off endothelin_off ghrelin_off npy_off opioid_off orexin_off somatostatin_off tachykinin_off vasop-oxy_off neurotensin_off
3.85Single6PT3DPI-2876PT3-δ-DPI-287
3.85Single7F8WGastrin-177F8W-CCKB-Gastrin-17-chim(NtGsL-Gq)/β1/γ2
3.85Single7F9ZGHRP-67F9Z-Ghrelin-GHRP-6-chim(NtGi1-Gs-CtGq)/β1/γ2
3.85Single7RMGSubstance-P7RMG-NK1-Substance-P-chim(Gs-CtGq)/β1/γ2
3.85Single7RMHSubstance-P7RMH-NK1-Substance-P-Gs/β1/γ2
3.85Single7S8LCortistatin-147S8L-MRGPRX2-Cortistatin-14-chim(NtGi2L-Gs-CtGq)/β1/γ2
3.85Single7T11Octreotide7T11-SST2-Octreotide-Gi3/β1/γ2
3.85Single8GDAL9026888GDA-EP4-L902688-Gs/β1/γ2
3.85Single8IA7Cholecystokinin-88IA7-CCKB-Cholecystokinin-8-chim(NtGi1L-Gq)/β1/γ2
3.85Single8IQ4Carboprost8IQ4-FP-alpha-Carboprost-chim(NtGi1-Gs-CtGq)/β1/γ2
3.85Single8IUMTafluprost acid8IUM-FP-alpha-Tafluprost acid-chim(NtGi1-Gs-CtGq)/β1/γ2
3.85Single8JBFSenktide8JBF-NK3-Senktide-chim(NtGi1-Gs-CtGq)/β1/γ2
3.85Single9IPVJR14a9IPV-C3aB-JR14a-Gi1/β1/γ2
3.85Single9IPYJR14a9IPY-C3aB-JR14a
3.85Single9ITBLPA9ITB-LPA6-LPA-chim(NtGi1-Gs-CtGq)/β1/γ2
3.85Single9JF4PD1683689JF4-BB1-PD168368
3.85Single9JH6C20:0 Ceramide9JH6-CysLT2-C20:0 Ceramide-chim(NtGi1-Gs-CtGq)/β1/γ2
3.85Single9V2NMacimorelin9V2N-Ghrelin-Macimorelin-chim(NtGi1-Gs-CtGq)/β1/γ2
3.85Consensusgq_cckOrthosteric Ligand8IA7-CCKB-Cholecystokinin-8-chim(NtGi1L-Gq)/β1/γ2 7XOW-CCKB-Sulfated Gastrin-(10-17)-chim(NtGi1-Gq)/β1/γ2 7EZM-CCKA-Cholecystokinin-8-chim(NtGsL-Gq)/β1/γ2 7F8W-CCKB-Gastrin-17-chim(NtGsL-Gq)/β1/γ2
3.85Consensusnmur1_onOrthosteric Ligand7W53-NMUR1-Neuromedin-U-25-chim(NtGi1-Gs-CtGq)/β1/γ2
3.85Consensusox2_onOrthosteric Ligand7L1V-OX2-PubChem 155491009-chim(NtGi1-Gs-CtGq)/β1/γ2 7SQO-OX2-TAK-925-Gi1/β1/γ2 7L1U-OX2-Orexin-chim(NtGi1-Gs-CtGq)/β1/γ2
3.85Consensusox2_on_gpOrthosteric Ligand7L1V-OX2-PubChem 155491009-chim(NtGi1-Gs-CtGq)/β1/γ2 7SQO-OX2-TAK-925-Gi1/β1/γ2 7L1U-OX2-Orexin-chim(NtGi1-Gs-CtGq)/β1/γ2
3.70Single5UNFPubChem 157800525UNF-AT2-PubChem 15780052
3.70Single6RZ8ONO-20803656RZ8-CysLT2-ONO-2080365
3.70Single7CX3Taprenepag7CX3-EP2-Taprenepag-Gs/β1/γ2
3.70Single7F4ISHU91197F4I-MC1-SHU9119-chim(NtGi1-Gs)/β1/γ2
3.70Single7F54Afamelanotide7F54-MC4-Afamelanotide-Gs/β1/γ2
3.70Single7F8XNN90567F8X-CCKA-NN9056
3.70Single7NA7Ghrelin7NA7-Ghrelin-Ghrelin-Gi1/β1/γ2
3.70Single7W53Neuromedin-U-257W53-NMUR1-Neuromedin-U-25-chim(NtGi1-Gs-CtGq)/β1/γ2
3.70Single7W56Neuromedin-S7W56-NMUR1-Neuromedin-S-chim(NtGi1-Gs-CtGq)/β1/γ2
3.70Single7XAUOctreotide7XAU-SST2-Octreotide-Gi1/β1/γ2
3.70Single8G59TUG-8918G59-FFA4-TUG-891-chim(Gi1-CtGq)/β1/γ2
3.70Single9BKJCholecystokinin-89BKJ-CCKA-Cholecystokinin-8-chim(NtGi1-Gs-CtGq)/β1/γ2
3.70Single9J0IUDP-Glucuronic acid9J0I-P2Y14-UDP-Glucuronic acid-Gi1/β1/γ2
3.70Single9UYLChemerin-99UYL-CML2-Chemerin-9-Arrestin2
3.70Consensuschemerin_on_gpOrthosteric Ligandcml1_on_gp
3.70Consensuscml1_onOrthosteric Ligand7YKD-CML1-Chemerin-9-Gi1/β1/γ2
3.70Consensusgi_chemerinOrthosteric Ligand7YKD-CML1-Chemerin-9-Gi1/β1/γ2
3.70Consensusgi_nucleotideOrthosteric Ligandgi_adenosine gi_p2y
3.70Consensusmc4_onOrthosteric Ligand7AUE-MC4-Setmelanotide-chim(NtGi1L-Gs)/β1/γ2 7F58-MC4-THIQ-Gs/β1/γ2 7F54-MC4-Afamelanotide-Gs/β1/γ2 7F53-MC4-α-MSH-Gs/β1/γ2 7F55-MC4-Bremelanotide-Gs/β1/γ2
3.70Consensusnk3_onOrthosteric Ligand8JBF-NK3-Senktide-chim(NtGi1-Gs-CtGq)/β1/γ2
3.70Consensusnk3_on_gpOrthosteric Ligand8JBF-NK3-Senktide-chim(NtGi1-Gs-CtGq)/β1/γ2
3.70Consensusnmur1_on_gpOrthosteric Ligand7W53-NMUR1-Neuromedin-U-25-chim(NtGi1-Gs-CtGq)/β1/γ2
3.57Single6HLOAprepitant6HLO-NK1-Aprepitant
3.57Single7DDZJNJ-310200287DDZ-Y2-JNJ-31020028
3.57Single7EZKCholecystokinin-87EZK-CCKA-Cholecystokinin-8-chim(NtGi1-Gs)/β1/γ2
3.57Single7PIVAfamelanotide7PIV-MC4-Afamelanotide-Gs/β1/γ2
3.57Single7RMISubstance-P7RMI-NK1-Substance-P-chim(Gs-CtGq)/β1/γ2
3.57Single7SK5CXCL127SK5-ACKR3-CXCL12
3.57Single7W0NElabela7W0N-Apelin; Apelin-Elabela-Gi1/β1/γ2
3.57Single7WJ5Somatostatin-147WJ5-SST2-Somatostatin-14-Gi1/β1/γ2
3.57Single8IBVMotilin8IBV-Motilin-Motilin-chim(NtGi1-Gs-CtGq)/β1/γ2
3.57Single8JBHSubstance-P8JBH-NK3-Substance-P-chim(NtGi1-Gs-CtGq)/β1/γ2
3.57Single8K6ONeuropeptide-Y8K6O-Y1-Neuropeptide-Y-Gi2/β1/γ1
3.57Single9J0FNADH9J0F-P2Y14-NADH-Gi1/β1/γ2
3.57Consensuscckb_onOrthosteric Ligand8IA7-CCKB-Cholecystokinin-8-chim(NtGi1L-Gq)/β1/γ2 7XOW-CCKB-Sulfated Gastrin-(10-17)-chim(NtGi1-Gq)/β1/γ2 7F8V-CCKB-Gastrin-17-Gi2/β1/γ2
3.57Consensusghrelin_onOrthosteric Ligand7NA7-Ghrelin-Ghrelin-Gi1/β1/γ2 7F9Z-Ghrelin-GHRP-6-chim(NtGi1-Gs-CtGq)/β1/γ2 7NA8-Ghrelin-Ibutamoren-Gi1/β1/γ2
3.57Consensusghrelin_on_gpOrthosteric Ligand7NA7-Ghrelin-Ghrelin-Gi1/β1/γ2 7F9Z-Ghrelin-GHRP-6-chim(NtGi1-Gs-CtGq)/β1/γ2 7NA8-Ghrelin-Ibutamoren-Gi1/β1/γ2
3.57Consensusgi_cckOrthosteric Ligand7EZH-CCKA-Cholecystokinin-8-Gi1/β1/γ2 7F8V-CCKB-Gastrin-17-Gi2/β1/γ2
3.57Consensusmc4_on_gpOrthosteric Ligand7AUE-MC4-Setmelanotide-chim(NtGi1L-Gs)/β1/γ2 7F58-MC4-THIQ-Gs/β1/γ2 7F54-MC4-Afamelanotide-Gs/β1/γ2 7F53-MC4-α-MSH-Gs/β1/γ2 7F55-MC4-Bremelanotide-Gs/β1/γ2
3.57Consensusnpy2_offOrthosteric Ligand7DDZ-Y2-JNJ-31020028
3.57Consensustachykinin_on_gpOrthosteric Ligandnk1_on_gp nk2_on_gp nk3_on_gp
3.45Single3OE0CVX153OE0-CXCR4-CVX15
3.45Single6LW5WKYMVm6LW5-FPR2-ALX-WKYMVm
3.45Single7MBXCholecystokinin-87MBX-CCKA-Cholecystokinin-8-Gs/β1/γ1
3.45Single7W55Neuromedin-U-257W55-NMUR2-Neuromedin-U-25-chim(NtGi1-Gs-CtGq)/β1/γ2
3.45Single8XZGApelin-138XZG-Apelin; Apelin-Apelin-13-Gi1/β1/γ2
3.45Single8XZHMM078XZH-Apelin; Apelin-MM07-Gi1/β1/γ2
3.45Consensuscckb_on_gpOrthosteric Ligand8IA7-CCKB-Cholecystokinin-8-chim(NtGi1L-Gq)/β1/γ2 7XOW-CCKB-Sulfated Gastrin-(10-17)-chim(NtGi1-Gq)/β1/γ2 7F8V-CCKB-Gastrin-17-Gi2/β1/γ2
3.45Consensusgs_cckOrthosteric Ligand7MBX-CCKA-Cholecystokinin-8-Gs/β1/γ1
3.45Consensusgs_class-aOrthosteric Ligandgs_peptide gs_nucleotide gs_amine
3.45Consensusnmur2_onOrthosteric Ligand7W55-NMUR2-Neuromedin-U-25-chim(NtGi1-Gs-CtGq)/β1/γ2
3.45Consensusnmur2_on_gpOrthosteric Ligand7W55-NMUR2-Neuromedin-U-25-chim(NtGi1-Gs-CtGq)/β1/γ2
3.45Consensuspeptide_offonOrthosteric Ligandpeptide_off peptide_on
3.33Single7F4HAfamelanotide7F4H-MC1-Afamelanotide-chim(NtGi1-Gs)/β1/γ2
3.33Single7T10Somatostatin-147T10-SST2-Somatostatin-14-Gi3/β1/γ2
3.33Single7W57Neuromedin-S7W57-NMUR2-Neuromedin-S-chim(NtGi1-Gs-CtGq)/β1/γ2
3.33Single7XK8Neuromedin-U-257XK8-NMUR2-Neuromedin-U-25-Gi1/β1/γ2
3.33Single8H4KGW95088H4K-FFA4-GW9508-chim(NtGi1-Gs-CtGq)/β1/γ2
3.33Single8XZJWN3538XZJ-Apelin; Apelin-WN353-Gi1/β1/γ2
3.33Single9BKKCholecystokinin-89BKK-CCKA-Cholecystokinin-8-chim(NtGi1-Gs-CtGq)/β1/γ2
3.33Consensusapelin_onOrthosteric Ligand8XZH-Apelin; Apelin-MM07-Gi1/β1/γ2 7W0M-Apelin-PubChem 122701908-Gi1/β1/γ2 8XZJ-Apelin; Apelin-WN353-Gi1/β1/γ2 8XZF-Apelin; Apelin-WN561-Gi1/β1/γ2 8XZG-Apelin; Apelin-Apelin-13-Gi1/β1/γ2
3.33Consensusapelin_on_gpOrthosteric Ligand8XZH-Apelin; Apelin-MM07-Gi1/β1/γ2 7W0M-Apelin-PubChem 122701908-Gi1/β1/γ2 8XZJ-Apelin; Apelin-WN353-Gi1/β1/γ2 8XZF-Apelin; Apelin-WN561-Gi1/β1/γ2 8XZG-Apelin; Apelin-Apelin-13-Gi1/β1/γ2
3.33Consensusneuromedin-u_onOrthosteric Ligandnmur1_on nmur2_on
3.33Consensusp2y_on_gpOrthosteric Ligandp2y1_on_gp p2y10_on_gp p2y12_on_gp
3.33Consensuspeptide_offon_gpOrthosteric Ligandpeptide_on_gp peptide_off
3.33Consensustachykinin_onOrthosteric Ligandnk1_on nk2_on nk3_on
3.23Single7F9YGhrelin7F9Y-Ghrelin-Ghrelin-chim(NtGi1-Gs-CtGq)/β1/γ2
3.23Single7P02Substance-P7P02-NK1-Substance-P-chim(NtGi1-Gs)/β1/γ2
3.23Single7X9BNeuropeptide-Y7X9B-Y2-Neuropeptide-Y-Gi1/β1/γ2
3.23Single7X9CPancreatic Hormone7X9C-Y4-Pancreatic Hormone-Gi1/β1/γ2
3.23Consensuscml1_on_gpOrthosteric Ligand7YKD-CML1-Chemerin-9-Gi1/β1/γ2
3.23Consensusgi_apelinOrthosteric Ligand8XZH-Apelin; Apelin-MM07-Gi1/β1/γ2 7W0M-Apelin-PubChem 122701908-Gi1/β1/γ2 8XZJ-Apelin; Apelin-WN353-Gi1/β1/γ2 8XZF-Apelin; Apelin-WN561-Gi1/β1/γ2 8XZG-Apelin; Apelin-Apelin-13-Gi1/β1/γ2
3.23Consensusmc1_onOrthosteric Ligand7F4H-MC1-Afamelanotide-chim(NtGi1-Gs)/β1/γ2 7F4D-MC1-α-MSH-chim(NtGi1-Gs)/β1/γ2 7F4I-MC1-SHU9119-chim(NtGi1-Gs)/β1/γ2
3.23Consensusmc1_on_gpOrthosteric Ligand7F4H-MC1-Afamelanotide-chim(NtGi1-Gs)/β1/γ2 7F4D-MC1-α-MSH-chim(NtGi1-Gs)/β1/γ2 7F4I-MC1-SHU9119-chim(NtGi1-Gs)/β1/γ2
3.23Consensusneuromedin-u_on_gpOrthosteric Ligandnmur1_on_gp nmur2_on_gp
3.12Single7F8VGastrin-177F8V-CCKB-Gastrin-17-Gi2/β1/γ2
3.12Single7SK3CXCL127SK3-ACKR3-CXCL12
3.12Single7SK4CXCL12_LRHQ7SK4-ACKR3-CXCL12_LRHQ
3.12Single7W3ZGastrin Releasing Peptide7W3Z-BB2-Gastrin Releasing Peptide-chim(NtGi1L-Gq)/β1/γ2
3.12Single7YKDChemerin-97YKD-CML1-Chemerin-9-Gi1/β1/γ2
3.12Single8H0PNMB308H0P-BB1-NMB30-chim(NtGi1-Gs-CtGq)/β1/γ2
3.12Single8XQFApelin-138XQF-Apelin-Apelin-13-Gi1/β1/γ2
3.12Consensusgi_proteinOrthosteric Ligandgi_chemokine gi_chemerin
3.12Consensusnpy4_onOrthosteric Ligand7X9C-Y4-Pancreatic Hormone-Gi1/β1/γ2
3.12Consensusnpy4_on_gpOrthosteric Ligand7X9C-Y4-Pancreatic Hormone-Gi1/β1/γ2
3.12Consensusprotein_on_gpOrthosteric Ligandchemokine_on_gp chemerin_on_gp
3.03Single7XATSomatostatin-147XAT-SST2-Somatostatin-14-Gi1/β1/γ2
3.03Single7YOONeuropeptide-Y7YOO-Y2-Neuropeptide-Y-Gi1/β1/γ2
3.03Consensusgq_peptideOrthosteric Ligandgq_cck gq_kisspeptin gq_bradykinin gq_bombesin gq_angiotensin
3.03Consensusnpy2_onOrthosteric Ligand7YOO-Y2-Neuropeptide-Y-Gi1/β1/γ2
3.03Consensusnpy2_on_gpOrthosteric Ligand7YOO-Y2-Neuropeptide-Y-Gi1/β1/γ2
3.03Consensuspeptide_onOrthosteric Ligandcck_on angiotensin_on apelin_on bombesin_on bradykinin_on compl-peptide_on endothelin_on formylpeptide_on galanin_on ghrelin_on kisspeptin_on melanocortin_on motilin_on neuromedin-u_on npy_on neurotensin_on opioid_on orexin_on relaxin_on somatostatin_on tachykinin_on trh_on vasop-oxy_on
3.03Consensuspeptide_on_gpOrthosteric Ligandcck_on_gp angiotensin_on_gp apelin_on_gp bombesin_on_gp bradykinin_on_gp compl-peptide_on_gp endothelin_on_gp formylpeptide_on_gp galanin_on_gp ghrelin_on_gp kisspeptin_on_gp melanocortin_on_gp motilin_on_gp neuromedin-u_on_gp npy_on_gp neurotensin_on_gp opioid_on_gp orexin_on_gp relaxin_on_gp somatostatin_on_gp tachykinin_on_gp trh_on_gp vasop-oxy_on_gp
2.94Single7VGXNeuropeptide-Y7VGX-Y1-Neuropeptide-Y-Gi1/β1/γ2
2.94Single8Y52BA18Y52-BB3-BA1-chim(NtGi1-Gs-CtGq)/β1/γ2
2.94Consensusgs_melanocortinOrthosteric Ligand7F4H-MC1-Afamelanotide-chim(NtGi1-Gs)/β1/γ2 7F54-MC4-Afamelanotide-Gs/β1/γ2 7F4D-MC1-α-MSH-chim(NtGi1-Gs)/β1/γ2 8INR-MC5-α-MSH-Ca-chim(NtGi1-Gs)/β1/γ2 7F53-MC4-α-MSH-Gs/β1/γ2 7F55-MC4-Bremelanotide-Gs/β1/γ2 8GY7-MC2-Corticotropin-Ca-chim(NtGi1-Gs)/β1/γ2; MRAP1 8IOC-MC3-γ-MSH-Ca-chim(NtGi1-Gs)/β1/γ2 8IOD-MC5-PG-901-Ca-chim(NtGi1-Gs)/β1/γ2 7AUE-MC4-Setmelanotide-chim(NtGi1L-Gs)/β1/γ2 7F4I-MC1-SHU9119-chim(NtGi1-Gs)/β1/γ2 7F58-MC4-THIQ-Gs/β1/γ2
2.86Consensusbb2_onOrthosteric Ligand7W40-BB2-Bombesin-chim(NtGi1L-Gq)/β1/γ2 7W3Z-BB2-Gastrin Releasing Peptide-chim(NtGi1L-Gq)/β1/γ2
2.86Consensusbb2_on_gpOrthosteric Ligand7W40-BB2-Bombesin-chim(NtGi1L-Gq)/β1/γ2 7W3Z-BB2-Gastrin Releasing Peptide-chim(NtGi1L-Gq)/β1/γ2
2.86Consensusbombesin_onOrthosteric Ligandbb2_on
2.86Consensusbombesin_on_gpOrthosteric Ligandbb2_on_gp
2.86Consensusgi_npyOrthosteric Ligand8K6M-Y1-Neuropeptide-Y-Gi2/β1/γ1 7X9C-Y4-Pancreatic Hormone-Gi1/β1/γ2 7YOO-Y2-Neuropeptide-Y-Gi1/β1/γ2
2.86Consensusgq_bombesinOrthosteric Ligand7W40-BB2-Bombesin-chim(NtGi1L-Gq)/β1/γ2 7W3Z-BB2-Gastrin Releasing Peptide-chim(NtGi1L-Gq)/β1/γ2
2.86Consensusnpy_onOrthosteric Ligandnpy1_on npy2_on npy4_on
2.86Consensusnpy_on_gpOrthosteric Ligandnpy1_on_gp npy2_on_gp npy4_on_gp
2.78Single7SK6CXCL12_LRHQ7SK6-ACKR3-CXCL12_LRHQ
2.70Consensusgs_peptideOrthosteric Ligandgs_cck gs_melanocortin gs_vasop-oxy
2.63Single7X9ANeuropeptide-Y7X9A-Y1-Neuropeptide-Y-Gi1/β1/γ2

PDB Summary
PDB 9YDQ
Class A
SubFamily Peptide
Type Opioid
SubType DOP
Species Homo Sapiens
Ligand DADLE
Other Ligand(s) MIPS3614
Protein Partners chim(NtGi1L-Gs-CtGi1)/Beta1/Gamma2
PDB Resolution 1.94
Date 2025-12-10
D.O.I. 10.1101/2025.10.16.682975
Net Summary
Imin 2.79
Number of Linked Nodes 882
Number of Links 1232
Number of Hubs 268
Number of Links mediated by Hubs 915
Number of Communities 15
Number of Nodes involved in Communities 372
Number of Links involved in Communities 625
Path Summary
Number Of Nodes in MetaPath 94
Number Of Links MetaPath 93
Number of Shortest Paths 5909435
Length Of Smallest Path 3
Average Path Length 32.6287
Length of Longest Path 58
Minimum Path Strength 1.13
Average Path Strength 7.39155
Maximum Path Strength 32.315
Minimum Path Correlation 0.7
Average Path Correlation 0.99472
Maximum Path Correlation 1
Minimum % Of Corr. Nodes 3.7037
Average % Of Corr. Nodes 39.4325
Maximum % Of Corr. Nodes 100
Minimum Path Hubs % 0
Average Path Hubs % 64.5521
Maximum Path Hubs % 100
AnnotationTypeLinks
Gene OntologyMolecular Function
Gene OntologyBiological Process
Gene OntologyCellular Component
SCOP2Domain Identifier• Transducin (heterotrimeric G protein), gamma chain
SCOP2Family Identifier• Transducin (heterotrimeric G protein), gamma chain
Membrane Protein Annotations-• Orientations of Proteins in Membranes database (OPM)   • Protein Data Bank of Transmembrane Proteins (PDBTM)   • MemProtMD


Details about the values in these tables can be found in the corresponding documentation page .
CodeDAL
PDB ResiduesL:L:?2
Environment DetailsOpen EMBL-EBI Page
CodeDAL
NameD-Alanine
SynonymsD-Alanine
Identifier
FormulaC3 H7 N O2
Molecular Weight89.093
SMILES
PubChem71080
Formal Charge0
Total Atoms13
Total Chiral Atoms1
Total Bonds12
Total Aromatic Bonds0

CodeDLE
PDB ResiduesL:L:?5
Environment DetailsOpen EMBL-EBI Page
CodeDLE
NameD-Leucine
Synonyms(R)-leucine
Identifier
FormulaC6 H13 N O2
Molecular Weight131.173
SMILES
PubChem6950207
Formal Charge0
Total Atoms22
Total Chiral Atoms1
Total Bonds21
Total Aromatic Bonds0

Code_W_
PDB ResiduesW:W:?1
Environment DetailsOpen EMBL-EBI Page
Code_W_
Name
Synonyms
Identifier
Formula
Molecular Weight
SMILES
PubChem
Formal Charge
Total Atoms
Total Chiral Atoms
Total Bonds
Total Aromatic Bonds

PDBsumOpen PDBsum Page
ChainA
ProteinG Protein α Sub unit
UniProtP63092
Sequence
>9YDQ_Chain_A
EKAEKILDL LLLGASGKS TIVKQSGIF ETKFQVDKV NFHMFDVGG 
QRDERRKWI QCFNDVTAI IFVVSSYNR LQEALNLFK SIWNNRWLR 
TISVILFLN KQDLLAEKV LAGKSKIED YFPEFARYT TPEDATPEP 
GEDPRVTRA KYFIRDEFL RISTASGDG RHYCYPHFT CAVDTENRR 
FNDDIIMLR LDNDDAINS ADAVRSMDR NREGEKAAR EVKVTIKDC 
GF


Click on each residue to open a popup with some information about it.

ConSurf Conservation Grade (See documentation): 

 n/a   1    2    3    4    5    6    7    8    9  

ChainB
ProteinG Protein β Sub unit
UniProtP62873
Sequence
>9YDQ_Chain_B
SELDQLRQE AEQLKNQIR DARKACADA TLSQITNNI DPVGRIQMR 
TRRTLRGHL AKIYAMHWG TDSRLLVSA SQDGKLIIW DSYTTNKVH 
AIPLRSSWV MTCAYAPSG NYVACGGLD NICSIYNLK TREGNVRVS 
RELAGHTGY LSCCRFLDD NQIVTSSGD TTCALWDIE TGQQTTTFT 
GHTGDVMSL SLAPDTRLF VSGACDASA KLWDVREGM CRQTFTGHE 
SDINAICFF PNGNAFATG SDDATCRLF DLRADQELM TYSHDNIIC 
GITSVSFSK SGRLLLAGY DDFNCNVWD ALKADRAGV LAGHDNRVS 
CLGVTDDGM AVATGSWDS FLKIWN


Click on each residue to open a popup with some information about it.

ConSurf Conservation Grade (See documentation): 

 n/a   1    2    3    4    5    6    7    8    9  

ChainG
ProteinG Protein γ Sub unit
UniProtP59768
Sequence
>9YDQ_Chain_G
NTASIAQAR KLVEQLKME ANIDRIKVS KAAADLMAY CEAHAKEDP 
LLTPVPASE NPFR


Click on each residue to open a popup with some information about it.

ConSurf Conservation Grade (See documentation): 

 n/a   1    2    3    4    5    6    7    8    9  

ChainR
ProteinReceptor
UniProtP41143
Sequence
>9YDQ_Chain_R
SASSLALAI AITALYSAV CAVGLLGNV LVMFGIVRY TKMKTATNI 
YIFNLALAD ALATSTLPF QSAKYLMET WPFGELLCK AVLSIDYYN 
MFTSIFTLT MMSVDRYIA VCHPVKALD FRTPAKAKL INICIWVLA 
SGVGVPIMV MAVTRPRDG AVVCMLQFP SPSWYWDTV TKICVFLFA 
FVVPILIIT VCYGLMLLR LRSVRLLSG SKEKDRSLR RITRMVLVV 
VGAFVVCWA PIHIFVIVW TLVDIDRRD PLVVAALHL CIALGYANS 
SLNPVLYAF LDENFKRCF RQLCR


Click on each residue to open a popup with some information about it.

ConSurf Conservation Grade (See documentation): 

 n/a   1    2    3    4    5    6    7    8    9  




This receptor, from the same or other species and bound to the same or other ligands, is also present in the following networks:
Show PDB Class SubFamily Type SubType Species Orthosteric Ligand Other Ligand(s) Protein Partners Resolution Date DOI
4EJ4APeptideOpioidδMus musculusNaltrindole--3.42012-05-16doi.org/10.1038/nature11111
4N6HAPeptideOpioidδHomo sapiensNaltrindoleNa-1.82013-12-25doi.org/10.1038/nature12944
4RWAAPeptideOpioidδHomo sapiensDIPP-NH2--3.282015-01-14doi.org/10.1038/nsmb.2965
4RWDAPeptideOpioidδHomo sapiensDIPP-NH2Na-2.72015-01-14doi.org/10.1038/nsmb.2965
6PT2APeptideOpioidδHomo sapiensKGCHM07--2.82019-12-11doi.org/10.1126/sciadv.aax9115
6PT3APeptideOpioidδHomo sapiensDPI-287--3.32019-12-11doi.org/10.1126/sciadv.aax9115
8F7SAPeptideOpioidδHomo sapiensDeltorphin-Gi1/β1/γ232022-12-14doi.org/10.1016/j.cell.2022.12.026
8F7S (No Gprot) APeptideOpioidδHomo sapiensDeltorphin-32022-12-14doi.org/10.1016/j.cell.2022.12.026
8Y45APeptideOpioidδHomo sapiensADL5859-Gi2/β1/γ23.452024-11-27doi.org/10.1038/s41467-024-52601-1
8Y45 (No Gprot) APeptideOpioidδHomo sapiensADL5859-3.452024-11-27doi.org/10.1038/s41467-024-52601-1
9CGJAPeptideOpioidδHomo sapiensC6-Quino-Gi1/β1/γ22.82025-04-02doi.org/10.1038/s41467-025-57734-5
9CGJ (No Gprot) APeptideOpioidδHomo sapiensC6-Quino-2.82025-04-02doi.org/10.1038/s41467-025-57734-5
9CGKAPeptideOpioidδHomo sapiensC5-Quino-Gi1/β1/γ22.622025-04-02doi.org/10.1038/s41467-025-57734-5
9CGK (No Gprot) APeptideOpioidδHomo sapiensC5-Quino-2.622025-04-02doi.org/10.1038/s41467-025-57734-5
9YDPAPeptideOpioidδHomo sapiensDADLE-chim(NtGi1L-Gs-CtGi1)/β1/γ21.952025-12-1010.1101/2025.10.16.682975
9YDP (No Gprot) APeptideOpioidδHomo sapiensDADLE-1.952025-12-1010.1101/2025.10.16.682975
9YDQ (No Gprot) APeptideOpioidδHomo sapiensDADLEMIPS36141.942025-12-1010.1101/2025.10.16.682975
9YDRAPeptideOpioidδHomo sapiensDADLEMIPS3983chim(NtGi1L-Gs-CtGi1)/β1/γ22.142025-12-1010.1101/2025.10.16.682975
9YDR (No Gprot) APeptideOpioidδHomo sapiensDADLEMIPS39832.142025-12-1010.1101/2025.10.16.682975
8Y71APeptideOpioidδHomo sapiensA1D6FBMS986187Gi1/β1/γ22.972026-01-07To be published
8Y71 (No Gprot) APeptideOpioidδHomo sapiensA1D6FBMS9861872.972026-01-07To be published




You can download a compressed (zip) file with structure(s), 3D outputs (as PyMol and VMD scripts) and numerical data files (as csv and plain text files).

Download 9YDQ.zip



You can click to copy the link of this page to easily come back here later

or use this QR code to link and share this page.



You can also  read or  download a guide explaining the meaning of all files and numerical data.