Color ConSurf Grade
      No Conservation data available
      1
      2
      3
      4
      5
      6
      7
      8
      9

Index: hub id, click on each number to highlight the corresponding hub in the 3D visualization.

Hub: the hub being considered.

Avg Int. Strength: the average interaction strength of all the links of the corresponding hub.

Num Of Links: the number of links of the corresponding hub.

Community: the id of the community the link belong to, otherwise 0.

ConSurf: this column reports the ConSurf conservation grades of each hub.

Index Hub Avg Int. Strength Num Of Links Community ConSurf
1A:A:L44 8.2925419
2A:A:L45 5.01408
3A:A:L46 6.17418
4A:A:H64 9.4675448
5A:A:I207 4.0975419
6A:A:F212 9.206549
7A:A:V214 5.57546
8A:A:F219 7.39333648
9A:A:H220 10.615417
10A:A:M221 4.85448
11A:A:F222 6.885617
12A:A:Q227 8.0225419
13A:A:K233 6.32333619
14A:A:W234 7.362519
15A:A:C237 4.5575418
16A:A:F238 8.204519
17A:A:I245 5.15407
18A:A:V247 4.8575447
19A:A:Y253 7.6185168
20A:A:R265 12.1675409
21A:A:L270 6.21576
22A:A:F273 5.90667679
23A:A:W277 14.215406
24A:A:W281 11.3333615
25A:A:L289 6.5725479
26A:A:F290 6.30167649
27A:A:N292 5.8475409
28A:A:K293 8.474159
29A:A:Q294 4.9825476
30A:A:Y311 4.2025406
31A:A:F312 4.87333678
32A:A:F315 9.4225406
33A:A:E330 9.76573
34A:A:K338 10.8325475
35A:A:Y339 7.618573
36A:A:F340 6.7225407
37A:A:R342 9.116574
38A:A:F345 10.4175478
39A:A:Y358 7.364104
40A:A:C359 3.89475
41A:A:H362 12.4375449
42A:A:F363 8.954575
43A:A:T364 10.3075449
44A:A:Q370 4.2725444
45A:A:N371 5.07449
46A:A:F376 6.33333648
47A:A:D381 7.8625108
48A:A:I384 6.58754106
49A:A:K385 7.9365105
50A:A:F394 6.3845105
51B:B:L4 2.5575404
52B:B:I18 4.4175457
53B:B:R22 6.3075456
54B:B:I37 5.125402
55B:B:R48 10.0725407
56B:B:H54 9.11667639
57B:B:K57 12.13519
58B:B:Y59 7.18167618
59B:B:W63 6.57333637
60B:B:L70 6.4325435
61B:B:V71 5.362598
62B:B:Q75 8.3275419
63B:B:D76 6.688509
64B:B:K78 5.3475408
65B:B:I80 10.1925438
66B:B:I81 3.8975497
67B:B:W82 10.9957739
68B:B:S84 5.15435
69B:B:K89 5.59539
70B:B:I93 5.9525407
71B:B:L95 5.745498
72B:B:W99 6.21833619
73B:B:Y105 4.71571796
74B:B:Y111 8.2775404
75B:B:V112 5.04598
76B:B:C114 4.7675498
77B:B:L117 4.78519
78B:B:C121 4.135418
79B:B:I123 5.43416
80B:B:Y124 7.06333696
81B:B:L139 7.27409
82B:B:H142 10.5419
83B:B:Y145 6.69714718
84B:B:L146 4.65417
85B:B:C149 5.0825418
86B:B:R150 9.42466
87B:B:F151 4.635619
88B:B:I157 4.38417
89B:B:V158 5.735465
90B:B:T159 6.60333619
91B:B:D163 9.39419
92B:B:C166 4.235468
93B:B:L168 4.695466
94B:B:W169 9.34618
95B:B:F180 8.316567
96B:B:H183 9.33667669
97B:B:D186 6.118519
98B:B:V187 4.766569
99B:B:L190 5.122565
100B:B:R197 5.9254205
101B:B:F199 6.69429769
102B:B:S201 5.2625469
103B:B:C204 4.39617
104B:B:D205 8.38469
105B:B:K209 12.555466
106B:B:W211 9.60667668
107B:B:D212 9.7754209
108B:B:Q220 9.8075457
109B:B:F222 10.5525458
110B:B:H225 8.60667659
111B:B:D228 8.678519
112B:B:I232 6.2475458
113B:B:F234 5.2425405
114B:B:F235 6.945126
115B:B:F241 7.80333656
116B:B:T249 7.5525456
117B:B:R251 9.992558
118B:B:F253 6.69833656
119B:B:D254 4.5225409
120B:B:R256 7.85409
121B:B:D258 9.16657
122B:B:M262 4.9425404
123B:B:Y264 7.0725405
124B:B:C271 4.5475415
125B:B:F278 6.1745127
126B:B:R283 6.8825179
127B:B:Y289 7.66857717
128B:B:D290 5.49667616
129B:B:N295 9.5175416
130B:B:W297 6.3225418
131B:B:K301 6.33505
132B:B:H311 9.0665119
133B:B:R314 13.828518
134B:B:V315 3.9554117
135B:B:M325 6.78535
136B:B:T329 6.264118
137B:B:W332 11.2686719
138B:B:D333 10.3754119
139B:B:L336 4.71437
140B:B:K337 8.065116
141B:B:I338 4.1075435
142B:B:W339 8.1725119
143G:G:I9 3.3375402
144G:G:E22 5.39667659
145G:G:R27 6.462558
146G:G:D48 8.0275409
147G:G:P49 4.7825437
148G:G:L51 3.7075406
149G:G:N59 7.865439
150G:G:P60 8.53439
151G:G:F61 5.73286738
152R:R:I2 5.02754216
153R:R:M11 8.262524
154R:R:Y14 8.62571724
155R:R:I28 4.7225489
156R:R:L32 5.25488
157R:R:W36 7.48406
158R:R:L42 6.034587
159R:R:M43 4.28587
160R:R:P44 7.0925486
161R:R:D46 6.228589
162R:R:L49 4.965488
163R:R:Q60 5.90333627
164R:R:S63 5.48525
165R:R:M64 5.8025423
166R:R:N67 6.375423
167R:R:F72 9.775423
168R:R:W85 10.5112825
169R:R:E86 5.52424
170R:R:N89 9.355428
171R:R:F93 7.68833626
172R:R:L95 6.1625407
173R:R:N96 8.755427
174R:R:K106 6.47167689
175R:R:F110 7.51408
176R:R:F115 4.7975409
177R:R:W120 6.84144
178R:R:I150 3.8975402
179R:R:Q177 6.02401
180R:R:H181 4.344522
181R:R:F192 6.13167628
182R:R:T196 6.2125427
183R:R:M200 3.98408
184R:R:H210 5.1525406
185R:R:R222 12.46754109
186R:R:F233 5.145407
187R:R:F236 9.11527
188R:R:Y239 7.34625827
189R:R:F240 13.0925406
190R:R:I243 6.548523
191R:R:K254 6.01523
192R:R:W257 12.9425403
193R:R:W259 13.995623
194R:R:W261 15.02424
195R:R:E262 9.554523
196R:R:Y266 7.905824
197R:R:L270 3.4675407
198R:R:H272 10.6525429
199L:L:?1 7.481020
   

Color ConSurf Grade
      No Conservation data available
      1
      2
      3
      4
      5
      6
      7
      8
      9

Index: link id, click on each number to highlight the corresponding link in the 3D visualization.

Node1 Node2: the two nodes of the corresponding link.

Recurrence: the relative Recurrence in the pool of shortest paths.

Int. Strength: the interaction strength between the two nodes.

Hub1?, Hub2?: "Yes" if the corresponding node has more than 3 links, otherwise "No".

Community: the id of the community the link belong to, otherwise 0.

ConSurf1, ConSurf2: these columns report the ConSurf conservation grades of the two nodes involved in a link.

Index Node1 Node2 Recurrence Int. Strength Hub1? Hub2? Community ConSurf1 ConSurf2
1B:B:S316 B:B:W332 30.46544.94NoYes099
2B:B:W332 B:B:Y59 46.9477.72YesYes198
3A:A:F219 A:A:L43 63.87754.87YesNo087
4A:A:I245 A:A:L43 63.66825.71YesNo077
5A:A:F290 A:A:I245 64.21747.54YesYes097
6A:A:F290 A:A:V247 32.06123.93YesYes497
7A:A:N292 A:A:V247 68.31574.43YesYes097
8A:A:C365 A:A:N292 1004.72NoYes089
9A:A:C365 A:A:Q294 99.9773.05NoYes086
10A:A:F363 A:A:Q294 95.76767.03YesYes756
11A:A:F363 A:A:L291 94.37254.87YesNo058
12A:A:L289 A:A:L291 94.31536.92YesNo098
13A:A:F273 A:A:L289 92.53163.65YesYes799
14A:A:F246 A:A:F273 94.65854.29NoYes099
15A:A:D272 A:A:F246 94.59647.17NoNo089
16A:A:D272 A:A:R231 91.974813.1NoNo089
17A:A:R231 A:A:W234 89.5315NoYes099
18A:A:W234 B:B:Y145 88.03633.86YesYes198
19B:B:M101 B:B:Y145 67.04457.18NoYes198
20B:B:M101 B:B:Y59 66.73610.78NoYes198
21A:A:F212 A:A:F219 32.165911.79YesYes498
22A:A:F212 A:A:M60 36.26646.22YesNo499
23A:A:I56 A:A:M60 36.31814.37NoNo479
24A:A:I56 A:A:V247 36.3214.61NoYes477
25A:A:F290 A:A:T364 32.001115.56YesYes499
26A:A:N292 A:A:T364 32.30695.85YesYes099
27A:A:F219 A:A:H41 85.73537.92YesNo486
28A:A:H41 A:A:I383 85.65375.3NoNo068
29A:A:F219 A:A:F376 15.13695.36YesYes488
30A:A:W281 B:B:W332 10.34883.75YesYes159
31A:A:Q236 B:B:Y59 18.22633.38NoYes188
32R:R:H210 R:R:R222 17.328810.16YesYes069
33A:A:W281 B:B:D290 18.1936.7YesYes156
34B:B:D290 B:B:R314 18.18710.72YesYes168
35A:A:I383 A:A:N387 85.54665.66NoNo087
36A:A:N387 R:R:K106 85.33214.2NoYes079
37A:A:D390 R:R:K106 42.239412.44NoYes049
38A:A:D390 R:R:M43 42.1195.54NoYes047
39R:R:K106 R:R:P44 42.63783.35YesYes896
40R:R:M43 R:R:P44 42.1693.35YesYes876
41R:R:H272 R:R:N96 12.850910.2YesYes297
42R:R:H272 R:R:L276 75.86056.43YesNo099
43R:R:L276 R:R:L49 76.11644.15NoYes098
44R:R:D46 R:R:L49 78.1354.07YesYes898
45R:R:D46 R:R:P281 83.27364.83YesNo897
46R:R:M43 R:R:P281 83.51496.71YesNo877
47B:B:G162 B:B:Y145 32.12095.79NoYes198
48B:B:G162 B:B:S161 32.09523.71NoNo199
49B:B:H142 B:B:S161 31.220415.34YesNo199
50B:B:H142 B:B:T159 28.24856.85YesYes199
51B:B:C149 B:B:T159 22.51225.07YesYes189
52B:B:C149 B:B:T102 22.71848.45YesNo088
53B:B:C148 B:B:T102 22.59623.38NoNo068
54B:B:C148 B:B:L190 21.82826.35NoYes665
55B:B:F199 B:B:L190 18.09983.65YesYes695
56B:B:F199 B:B:W211 17.26812.03YesYes698
57B:B:K209 B:B:W211 16.18211.6YesYes668
58B:B:K209 B:B:T221 16.104213.51YesNo067
59B:B:T221 G:G:E22 15.74087.06NoYes079
60B:B:C271 B:B:D290 35.43993.11YesYes156
61B:B:C271 B:B:Y289 32.09014.03YesYes157
62B:B:W297 B:B:Y289 25.88897.72YesYes187
63B:B:W297 B:B:Y264 23.50955.79YesYes085
64B:B:M262 B:B:Y264 11.525210.78YesYes045
65B:B:M325 G:G:P49 11.80366.71YesYes357
66G:G:D48 G:G:P49 10.71544.83YesYes097
67B:B:M61 B:B:W63 19.42635.82NoYes067
68B:B:C317 B:B:M61 23.68114.86NoNo076
69B:B:L285 B:B:Y264 11.04544.69NoYes065
70B:B:F278 B:B:L285 10.08619.74YesNo076
71R:R:H272 R:R:R56 24.342115.8YesNo099
72R:R:I269 R:R:R56 23.826411.27NoNo089
73R:R:I269 R:R:Y266 23.64073.63NoYes084
74R:R:F236 R:R:H272 38.472410.18YesYes279
75R:R:F236 R:R:Y239 27.384.13YesYes277
76R:R:W85 R:R:Y239 25.99233.86YesYes257
77L:L:?1 R:R:W85 21.15430.71YesYes205
78R:R:F192 R:R:T196 11.42327.78YesYes287
79B:B:C317 B:B:S316 23.79643.44NoNo079
Download PSN data

2D representation of the global metapath, ligand(s) interactions and
histograms of path distribution according to several parameters
(click on the image to enlarge it 🔍):

A 2D representation of the global communication in the network.

ConSurf Conservation Grade (See documentation): 

 n/a   1    2    3    4    5    6    7    8    9  

Number of shortest communication paths as a function of the average residue correlation.

Number of shortest communication paths as a function of the average interaction strength of their links.

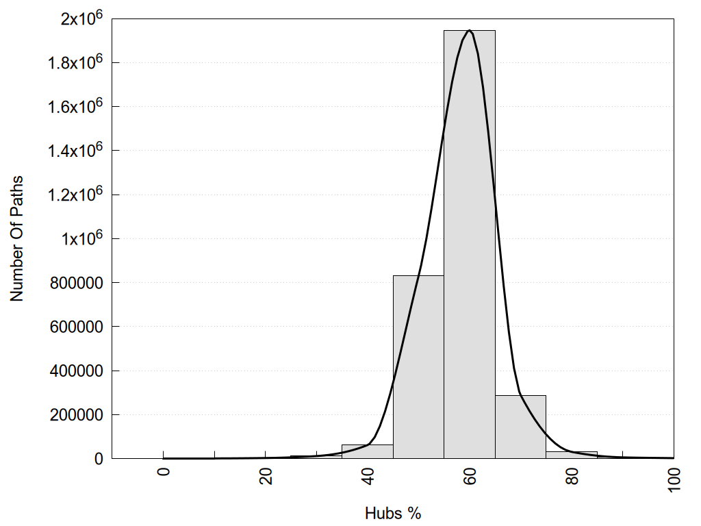
Number of shortest communication paths as a function of the % of hub nodes in each path.

Number of shortest communication paths as a function of the number of nodes in each path.

Number of shortest communication paths as a function of the % of correlated nodes in each path.


2D representation of the interactions of this orthosteric/allosteric ligand.


Links and nodes colored according to ConSurf Conservation Grade (See documentation): 

 n/a   1    2    3    4    5    6    7    8    9  

Node1 Node2 LinkStrength Comm IsNode1Hub? IsNode2Hub? Node1Cons Node2Cons Node1Shell Node2Shell
R:R:S63 R:R:Y14 3.82 2 Yes Yes 5 4 1 2
R:R:N67 R:R:Y14 5.81 2 Yes Yes 3 4 2 2
R:R:E262 R:R:Y14 19.08 2 Yes Yes 3 4 1 2
R:R:Y14 R:R:Y266 14.89 2 Yes Yes 4 4 2 2
R:R:L59 R:R:W85 21.64 2 No Yes 5 5 2 1
R:R:L59 R:R:Y266 5.86 2 No Yes 5 4 2 2
R:R:A62 R:R:W85 3.89 0 No Yes 4 5 2 1
R:R:N67 R:R:S63 4.47 2 Yes Yes 3 5 2 1
R:R:S63 R:R:W85 3.71 2 Yes Yes 5 5 1 1
R:R:S63 R:R:Y266 11.45 2 Yes Yes 5 4 1 2
L:L:?1 R:R:S63 3.95 2 Yes Yes 0 5 0 1
L:L:?1 R:R:N66 5.42 2 Yes No 0 5 0 1
R:R:E262 R:R:N67 11.83 2 Yes Yes 3 3 1 2
R:R:N80 R:R:T82 4.39 0 No No 3 1 2 1
R:R:N89 R:R:W85 9.04 2 Yes Yes 8 5 2 1
R:R:W85 R:R:Y239 3.86 2 Yes Yes 5 7 1 2
R:R:I243 R:R:W85 3.52 2 Yes Yes 3 5 2 1
R:R:W85 R:R:Y266 7.72 2 Yes Yes 5 4 1 2
L:L:?1 R:R:W85 30.71 2 Yes Yes 0 5 0 1
R:R:E86 R:R:I90 8.2 2 Yes No 4 6 1 2
R:R:E86 R:R:I141 5.47 2 Yes No 4 5 1 2
R:R:E86 R:R:H181 4.92 2 Yes Yes 4 2 1 1
L:L:?1 R:R:E86 3.49 2 Yes Yes 0 4 0 1
R:R:N89 R:R:Y239 11.63 2 Yes Yes 8 7 2 2
R:R:I243 R:R:N89 7.08 2 Yes Yes 3 8 2 2
R:R:I141 R:R:S144 4.64 0 No No 5 3 2 2
R:R:H181 R:R:S144 6.97 2 Yes No 2 3 1 2
R:R:H181 R:R:I247 3.98 2 Yes No 2 4 1 1
L:L:?1 R:R:H181 3.38 2 Yes Yes 0 2 0 1
R:R:I243 R:R:Y239 13.3 2 Yes Yes 3 7 2 2
L:L:?1 R:R:T246 6.79 2 Yes No 0 4 0 1
L:L:?1 R:R:I247 3.76 2 Yes No 0 4 0 1
R:R:F252 R:R:K254 3.72 2 No Yes 2 3 2 1
R:R:F252 R:R:W261 37.08 2 No Yes 2 4 2 2
R:R:K254 R:R:L258 4.23 2 Yes No 3 2 1 2
R:R:K254 R:R:W261 9.28 2 Yes Yes 3 4 1 2
R:R:E262 R:R:K254 5.4 2 Yes Yes 3 3 1 1
L:L:?1 R:R:K254 7.42 2 Yes Yes 0 3 0 1
R:R:E262 R:R:Y266 4.49 2 Yes Yes 3 4 1 2
L:L:?1 R:R:E262 6.97 2 Yes Yes 0 3 0 1
R:R:I247 R:R:T182 3.04 2 No No 4 4 1 2
L:L:?1 R:R:T82 2.91 2 Yes No 0 1 0 1
R:R:H181 R:R:Q177 2.47 2 Yes Yes 2 1 1 2

Location and physicochemical properties of the interaction partners of this ligand

Interactions of this ligand

Similarities between the interactions of this ligand and those of other networks

ShowSimilarityNetwork TypeNameLigandDescription
83.33Single9KPFSalicin9KPF-TAS2R16-Salicin-Gi1/β1/γ2
63.64Single7XP6Strychnine7XP6-TAS2R46-Strychnine-chim(Gs-CtGt3)/β1/γ2
58.33Single9K6LSalicin9K6L-TAS2R16-Salicin-Gi2/β1/γ2
58.33Single9KPESalicin9KPE-TAS2R16-Salicin-Gi1/β1/γ2
54.55Single7DD7Ca; Ca; Tryptophan; Evocalcet7DD7-CaS; CaS-Ca-Ca; Ca; Tryptophan; Evocalcet
50.00Single7DD7Ca; Ca; Tryptophan; Evocalcet7DD7-CaS; CaS-Ca-Ca; Ca; Tryptophan; Evocalcet
46.15Single7M3FCa; Ca; Tryptophan; Cinacalcet7M3F-CaS; CaS-Ca; Ca; Tryptophan; Cinacalcet
46.15Single8EFOPZM218EFO-μ-PZM21-Gi1/β1/γ2
45.45Single9C2FCa; Ca; Tryptophan; '54149; PO49C2F-CaS; CaS-Ca-Ca; Ca; Tryptophan; '54149; PO4
43.75Single8IRURotigotine8IRU-D4-Rotigotine-chim(NtGi1-Gs-CtGi1)/β1/γ2
43.75Single9B65MDMB-Fubinaca9B65-CB1-MDMB-Fubinaca-Gi1/β1/γ2
43.75Consensusd4_on_gpOrthosteric Ligand8IRU-D4-Rotigotine-chim(NtGi1-Gs-CtGi1)/β1/γ2
42.86Single7SR8TAK-9257SR8-OX2-TAK-925-chim(NtGi1L-Gs-CtGq)/β1/γ2
42.86Single8K9KDAMGO8K9K-μ-DAMGO-Gi3/β1/γ1
42.86Single8WPGTryptophan; Cinacalcet; PO4; Ca8WPG-CaS; CaS-Tryptophan; Cinacalcet; PO4; Ca
41.18Consensuslipid_offonOrthosteric Ligandlipid_off lipid_on
41.18Consensuslipid_offon_gpOrthosteric Ligandlipid_on_gp lipid_off
41.18Consensuslpl_offOrthosteric Ligands1p_off lpa_off
41.18Consensusorexin_onOrthosteric Ligandox2_on
40.00Single4EA3PubChem 102965614EA3-NOP-PubChem 10296561
40.00Single7V3ZCP559407V3Z-CB1-CP55940
40.00Single7VIES1P7VIE-S1P1-S1P-Gi1/β1/γ2
40.00Single9D61JDTic9D61-κ-JDTic-Gi1/β1/γ2
40.00Consensuslipid_offOrthosteric Ligandcannabinoid_off paf_off lpl_off prostanoid_off leukotriene_off
38.89Single8WRZAM8418WRZ-CB1-AM841-Arrestin2
38.89Single8XGSKisspeptin-18XGS-Kiss1-Kisspeptin-1-chim(NtGi1-Gq)/β1/γ2
38.89Consensuscb1_on_gpOrthosteric Ligand6KPG-CB1-AM841-Gi1/β1/γ2 8K8J-CB1-Fenofibrate-chim(Gs-CtGq)/β1/γ2
38.89Consensusorexin_on_gpOrthosteric Ligandox2_on_gp
38.89Consensuspeptide_offOrthosteric Ligandcck_off angiotensin_off bombesin_off endothelin_off ghrelin_off npy_off opioid_off orexin_off somatostatin_off tachykinin_off vasop-oxy_off neurotensin_off
38.46Single8JPNCis-Epoxysuccinic acid8JPN-Succinate-Cis-Epoxysuccinic acid-Gi1/β1/γ1
38.46Single8WP1Cis-Epoxysuccinic acid8WP1-Succinate-Cis-Epoxysuccinic acid-Gi1/β1/γ2
38.46Single8WPUTryptophan; Cinacalcet; PO4; Ca8WPU-CaS; CaS-Tryptophan; Cinacalcet; PO4; Ca-chim(NtGi2L-Gs-CtGq)/β1/γ2
38.46Single8YKWSuccinic acid8YKW-Succinate-Succinic acid-Gi1/β1/γ1
38.46Single9C1PCa; Tryptophan; '6218; PO49C1P-CaS; CaS-Ca-Ca; Tryptophan; '6218; PO4
37.50Single7SBFPZM217SBF-μ-PZM21-Gi1/β1/γ2
37.50Single8DZQmomSalB8DZQ-κ-momSalB-Go/β1/γ2
37.50Single8DZRGR89,6968DZR-κ-GR89,696-chim(NtGi2-Gt3)/β1/γ2
37.50Single8K8JFenofibrate8K8J-CB1-Fenofibrate-chim(Gs-CtGq)/β1/γ2
37.50Single8SZGCa; Ca; Tryptophan; Cinacalcet; PO4; Spermine8SZG-CaS; CaS-Ca; Ca; Tryptophan; Cinacalcet; PO4; Spermine-chim(NtGi1-Gq)/β1/γ2
37.50Single9AXFCa; Ca; Ca; Cyclomethyltryptophan; R-568; PO49AXF-CaS; CaS-Ca-Ca; Ca; Ca; Cyclomethyltryptophan; R-568; PO4-chim(NtGi1-Gs-CtGq)/β1/γ2
37.50Single9AYFCa; Ca; Ca; Cyclomethyltryptophan; R-568; PO49AYF-CaS; CaS-Ca-Ca; Ca; Ca; Cyclomethyltryptophan; R-568; PO4-Gi1/β1/γ2
37.50Single9I52A1IZU9I52-D1-A1IZU-Gs/β1/γ2
37.50Single9L74S1P d16:19L74-S1P3-S1P d16:1-chim(NtGi2L-Gs-CtGq)/β1/γ2
37.50Consensuscb2_onOrthosteric Ligand8GUR-CB2-CP55940-Gi1/β1/γ2 8GUS-CB2-HU-308-Gi1/β1/γ2 8GUT-CB2-LEI-102-Gi1/β1/γ2 6KPF-CB2-AM12033-Gi1/β1/γ2 6PT0-CB2-WIN 55212-2-Gi1/β1/γ2 8GUQ-CB2-Olorinab-Gi1/β1/γ2
37.50Consensuscb2_on_gpOrthosteric Ligand8GUR-CB2-CP55940-Gi1/β1/γ2 8GUS-CB2-HU-308-Gi1/β1/γ2 8GUT-CB2-LEI-102-Gi1/β1/γ2 6KPF-CB2-AM12033-Gi1/β1/γ2 6PT0-CB2-WIN 55212-2-Gi1/β1/γ2 8GUQ-CB2-Olorinab-Gi1/β1/γ2
37.50Consensusd4_onOrthosteric Ligand8IRU-D4-Rotigotine-chim(NtGi1-Gs-CtGi1)/β1/γ2
37.50Consensuss1p_offOrthosteric Ligands1p1_off s1p5_off
36.84Single5ZTYAM102575ZTY-CB2-AM10257
36.84Single8QJ2pN1628QJ2-MC4-pN162-Gs/β1/γ2
36.84Single8X3LXWD8X3L-CB2-XWD-Gi1/β1/γ2
36.84Single9KZ2EP679KZ2-C3aB-EP67-Go/β1/γ2
36.84Consensuscb2_offOrthosteric Ligand5ZTY-CB2-AM10257
36.84Consensusox2_onOrthosteric Ligand7L1V-OX2-PubChem 155491009-chim(NtGi1-Gs-CtGq)/β1/γ2 7SQO-OX2-TAK-925-Gi1/β1/γ2 7L1U-OX2-Orexin-chim(NtGi1-Gs-CtGq)/β1/γ2
36.84Consensusox2_on_gpOrthosteric Ligand7L1V-OX2-PubChem 155491009-chim(NtGi1-Gs-CtGq)/β1/γ2 7SQO-OX2-TAK-925-Gi1/β1/γ2 7L1U-OX2-Orexin-chim(NtGi1-Gs-CtGq)/β1/γ2
35.71Single3V2WPubChem 518926453V2W-S1P1-PubChem 51892645
35.71Single4S0VSuvorexant4S0V-OX2-Suvorexant
35.71Single5WS3EMPA5WS3-OX2-EMPA
35.71Single6AKXA4R6AKX-CCR5-A4R
35.71Single6B73MP11046B73-κ-MP1104
35.71Single6TPJSuvorexant6TPJ-OX2-Suvorexant
35.71Single7EJ0Norepinephrine7EJ0-α2a-Norepinephrine-Go/β1/γ2
35.71Single7F8YDevazepide7F8Y-CCKA-Devazepide
35.71Single7M3ECa; Ca; Tryptophan; NPS-21437M3E-CaS; CaS-Ca; Ca; Tryptophan; NPS-2143
35.71Single7M3ECa; Ca; Tryptophan; NPS-21437M3E-CaS; CaS-Ca; Ca; Tryptophan; NPS-2143
35.71Single7SILCa; Ca; Ca; Cyclomethyltryptophan; R-568; PO47SIL-CaS; CaS-Ca-Ca; Ca; Ca; Cyclomethyltryptophan; R-568; PO4
35.71Single7SILCa; Ca; Ca; Cyclomethyltryptophan; R-568; PO47SIL-CaS; CaS-Ca-Ca; Ca; Ca; Cyclomethyltryptophan; R-568; PO4
35.71Single7WF7S1P7WF7-S1P1-S1P-Gi1/β1/γ2
35.71Single7XRRLemborexant7XRR-OX2-Lemborexant
35.71Single8DWGML3828DWG-MRGPRX1-BAM8-22-ML382-chim(NtGi2L-Gs-CtGq)/β1/γ2
35.71Single8WOGSuccinic acid8WOG-Succinate-Succinic acid-Gi1/β1/γ2
35.71Single8WPGTryptophan; Cinacalcet; PO4; Ca8WPG-CaS; CaS-Tryptophan; Cinacalcet; PO4; Ca
35.71Single8YKXMaleic acid8YKX-Succinate-Maleic acid-Gi1/β1/γ1
35.71Single8YYWAlpha-ketoglutarate8YYW-Oxoglutarate-α-ketoglutarate-α-ketoglutarate-chim(Gi1-CtGq)/β1/γ2
35.71Single9AVLCa; Ca; Cyclomethyltryptophan; R-568; PO49AVL-CaS; CaS-Ca-Ca; Ca; Cyclomethyltryptophan; R-568; PO4-Gi3/β2/γ2
35.71Single9C1PCa; Tryptophan; '6218; PO49C1P-CaS; CaS-Ca-Ca; Tryptophan; '6218; PO4
35.71Single9C2FCa; Ca; Tryptophan; '54149; PO49C2F-CaS; CaS-Ca-Ca; Ca; Tryptophan; '54149; PO4
35.71Single9J5VCpY9J5V-LPA1-CpY-Gi1/β1/γ2
35.71Consensusgi_succinateOrthosteric Ligand8YKW-Succinate-Succinic acid-Gi1/β1/γ1 8YKX-Succinate-Maleic acid-Gi1/β1/γ1
35.71Consensusorexin_offOrthosteric Ligandox2_off ox1_off
35.71Consensusox1_offOrthosteric Ligand6TP6-OX1-Filorexant 6TP4-OX1-ACT-462206 6V9S-OX1-GTPL11403 6TOT-OX1-Lemborexant 6TP3-OX1-Nemorexant 6TQ6-OX1-PubChem 145714283 6TQ9-OX1-SB-408124 4ZJC-OX1-SB-674042 4ZJ8-OX1-Suvorexant 6TOD-OX1-EMPA-Na 6TOS-OX1-GSK1059865-Na 6TQ4-OX1-PubChem 16046844-Na
35.71Consensusox2_offOrthosteric Ligand5WQC-OX2-EMPA 6TPN-OX2-HTL6641 7XRR-OX2-Lemborexant 6TPJ-OX2-Suvorexant
35.71Consensuss1p1_offOrthosteric Ligand3V2W-S1P1-PubChem 51892645
35.71Consensussuccinate_onOrthosteric Ligand8YKW-Succinate-Succinic acid-Gi1/β1/γ1 8YKX-Succinate-Maleic acid-Gi1/β1/γ1
35.71Consensussuccinate_on_gpOrthosteric Ligand8YKW-Succinate-Succinic acid-Gi1/β1/γ1 8YKX-Succinate-Maleic acid-Gi1/β1/γ1
35.29Single4DJHJDTic4DJH-κ-JDTic
35.29Single5XRAAM115425XRA-CB1-AM11542
35.29Single6KO5PubChem 574000026KO5-Ghrelin-PubChem 57400002
35.29Single6TQ7SB-3348676TQ7-OX1-SB-334867
35.29Single7CKYPW04647CKY-D1-PW0464-Gs/β1/γ2
35.29Single7EW7SEW28717EW7-S1P1-SEW2871-Gi1/β1/γ2
35.29Single7FEECP559407FEE-CB1-CP55940-ZCZ011
35.29Single7U2LC5-guano7U2L-μ-C5-guano-Gi1/β1/γ2
35.29Single7WV9CP559407WV9-CB1-CP55940-ZCZ011-Gi2/β1/γ2
35.29Single8DZPmomSalB8DZP-κ-momSalB-Gi1/β1/γ2
35.29Single8I9LC3a8I9L-C3aB-C3a-Go/β1/γ2
35.29Single8JSRAnamorelin8JSR-Ghrelin-Anamorelin-chim(NtGi1-Gs-CtGq)/β1/γ2
35.29Single8T1VPubChem 1183102098T1V-GPR6-PubChem 118310209-Na
35.29Single8VVFJDTic8VVF-κ-JDTic-Gi1/β1/γ2
35.29Single9EGOZ85267113509EGO-CB1-Z8526711350-Gi1/β1/γ2
35.29Single9JMCDS-3801b9JMC-Motilin-DS-3801b-chim(Gs-CtGq)/β1/γ2
35.29Single9KVPSB2901579KVP-C3aB-SB290157-Go/β1/γ2
35.29Consensusclass-a_offOrthosteric Ligandsensory_off alicarboxylic_off amine_off lipid_off nucleotide_off peptide_off protein_off
35.29Consensusgi_cannabinoidOrthosteric Ligand8GUR-CB2-CP55940-Gi1/β1/γ2 8GUS-CB2-HU-308-Gi1/β1/γ2 8GUT-CB2-LEI-102-Gi1/β1/γ2 8GUQ-CB2-Olorinab-Gi1/β1/γ2 6KPF-CB2-AM12033-Gi1/β1/γ2 6PT0-CB2-WIN 55212-2-Gi1/β1/γ2 6KPG-CB1-AM841-Gi1/β1/γ2
35.29Consensuskop_offOrthosteric Ligand4DJH-κ-JDTic
35.00Single7QA8Antagonist Peptide7QA8-STE2; STE2-Antagonist Peptide
35.00Single7QA8Antagonist Peptide7QA8-STE2; STE2-Antagonist Peptide
33.33Single3OE8IT1t3OE8-CXCR4-IT1t
33.33Single3V2YPubChem 518926453V2Y-S1P1-PubChem 51892645
33.33Single4MBSMaraviroc4MBS-CCR5-Maraviroc
33.33Single4ZJCSB-6740424ZJC-OX1-SB-674042
33.33Single6IQLL7458706IQL-D4-L745870
33.33Single6KQICP559406KQI-CB1-CP55940-Org27569
33.33Single6PT0WIN 55212-26PT0-CB2-WIN 55212-2-Gi1/β1/γ2
33.33Single6TOSGSK10598656TOS-OX1-GSK1059865-Na
33.33Single6TP3Nemorexant6TP3-OX1-Nemorexant
33.33Single6TPGEMPA6TPG-OX2-EMPA
33.33Single6V9SGTPL114036V9S-OX1-GTPL11403
33.33Single7DD5Ca; Ca; Tryptophan; NPS-21437DD5-CaS; CaS-Ca-Ca; Ca; Tryptophan; NPS-2143
33.33Single7EO4Siponimod7EO4-S1P1-Siponimod-Gi1/β1/γ2
33.33Single7EPENAM5637EPE-mGlu2-NAM563
33.33Single7EW2FTY720-P7EW2-S1P3-FTY720-P-Gi1/β1/γ2
33.33Single7L1VPubChem 1554910097L1V-OX2-PubChem 155491009-chim(NtGi1-Gs-CtGq)/β1/γ2
33.33Single7SUSPubChem 1227019087SUS-Apelin-PubChem 122701908
33.33Single7W0LPubChem 1227019087W0L-Apelin; Apelin-PubChem 122701908-Gi1/β1/γ2
33.33Single7XOVSR1461317XOV-CCKA-SR146131-Gs/β1/γ2
33.33Single7YITNalfurafine7YIT-κ-Nalfurafine
33.33Single8GUQOlorinab8GUQ-CB2-Olorinab-Gi1/β1/γ2
33.33Single8GURCP559408GUR-CB2-CP55940-Gi1/β1/γ2
33.33Single8I9AEP548I9A-C3aB-EP54-chim(NtGi1-Gs-CtGq)/β1/γ2
33.33Single8WPUTryptophan; Cinacalcet; PO4; Ca8WPU-CaS; CaS-Tryptophan; Cinacalcet; PO4; Ca-chim(NtGi2L-Gs-CtGq)/β1/γ2
33.33Single8YKVPubChem 1375531688YKV-Succinate-PubChem 137553168-Gi1/β1/γ2
33.33Single9ASBCa; Ca; Cyclomethyltryptophan; R-568; PO49ASB-CaS; CaS-Ca-Ca; Ca; Cyclomethyltryptophan; R-568; PO4-chim(NtGi1-Gs-CtGq)/β1/γ2
33.33Single9ASBCa; Ca; Cyclomethyltryptophan; R-568; PO49ASB-CaS; CaS-Ca-Ca; Ca; Cyclomethyltryptophan; R-568; PO4-chim(NtGi1-Gs-CtGq)/β1/γ2
33.33Single9AVGCa; Ca; Cyclomethyltryptophan; R-568; PO49AVG-CaS; CaS-Ca-Ca; Ca; Cyclomethyltryptophan; R-568; PO4-chim(NtGi1-Gs)/β1/γ2
33.33Single9AXFCa; Ca; Ca; Cyclomethyltryptophan; R-568; PO49AXF-CaS; CaS-Ca-Ca; Ca; Ca; Cyclomethyltryptophan; R-568; PO4-chim(NtGi1-Gs-CtGq)/β1/γ2
33.33Single9DGIZ85267113509DGI-CB1-Z8526711350
33.33Single9M2FNeuropeptide-FF9M2F-NPFF1-Neuropeptide-FF-Gi1/β1/γ2
33.33Single9ODJMitragynine Pseudoindoxyl9ODJ-μ-Mitragynine Pseudoindoxyl-GTP; Mg-Gi1/β1/γ2
33.33Single9ODLMitragynine Pseudoindoxyl9ODL-μ-Mitragynine Pseudoindoxyl-GTP; Mg-Gi1/β1/γ2
33.33Single9V6ONalfurafine9V6O-κ-Nalfurafine-Gi1/β1/γ2
33.33Single9WSVDAMGO9WSV-μ-DAMGO-Arrestin2
33.33Single9YDQDADLE9YDQ-δ-DADLE-MIPS3614-chim(NtGi1L-Gs-CtGi1)/β1/γ2
33.33Consensusat1_offOrthosteric Ligand4YAY-AT1-ZD-7155 4ZUD-AT1-Olmesartan
33.33Consensusc3a_onOrthosteric Ligand8HK2-C3aB-C3a-Gi1/β1/γ2 8IA8-C3aB-E7 peptide-Gi1/β1/γ2
33.33Consensuscannabinoid_onOrthosteric Ligandcb2_on cb1_on
33.33Consensuscannabinoid_on_gpOrthosteric Ligandcb2_on_gp cb1_on_gp
33.33Consensuscb1_onOrthosteric Ligand6KPG-CB1-AM841-Gi1/β1/γ2 8K8J-CB1-Fenofibrate-chim(Gs-CtGq)/β1/γ2
33.33Consensusghrelin_offOrthosteric Ligand6KO5-Ghrelin-PubChem 57400002 7F83-Ghrelin-PF-05190457
33.33Consensusgrh_offOrthosteric Ligandgnrh1_off
33.33Consensuskop_onOrthosteric Ligand8F7W-κ-Dynorphin-Gi1/β1/γ2 8DZS-κ-GR89,696-chim(NtGi2-Gz)/β1/γ2 8DZP-κ-momSalB-Gi1/β1/γ2
33.33Consensusleukotriene_offOrthosteric Ligandblt_off cyslt_off
33.33Consensusmop_onOrthosteric Ligand8F7R-μ-Endomorphin-Gi1/β1/γ2 8EF5-μ-Fentanyl-Gi1/β1/γ2 7SCG-μ-FH210-Gi1/β1/γ2 7T2H-μ-Lofentanil-Gi1/β1/γ2 7T2G-μ-Mitragynine Pseudoindoxyl-Gi1/β1/γ2 8EF6-μ-Morphine-Gi1/β1/γ2 8EFB-μ-Oliceridine-Gi1/β1/γ2 7U2L-μ-C5-guano-Gi1/β1/γ2 8EFO-μ-PZM21-Gi1/β1/γ2 8EFL-μ-SR17018-Gi1/β1/γ2 8F7Q-μ-β-Endorphin-Gi1/β1/γ2 7U2K-μ-C6-guano-Gi1/β1/γ2 8EFQ-μ-DAMGO-Gi1/β1/γ2
33.33Consensusmop_on_gpOrthosteric Ligand8F7R-μ-Endomorphin-Gi1/β1/γ2 8EF5-μ-Fentanyl-Gi1/β1/γ2 7SCG-μ-FH210-Gi1/β1/γ2 7T2H-μ-Lofentanil-Gi1/β1/γ2 7T2G-μ-Mitragynine Pseudoindoxyl-Gi1/β1/γ2 8EF6-μ-Morphine-Gi1/β1/γ2 8EFB-μ-Oliceridine-Gi1/β1/γ2 7U2L-μ-C5-guano-Gi1/β1/γ2 8EFO-μ-PZM21-Gi1/β1/γ2 8EFL-μ-SR17018-Gi1/β1/γ2 8F7Q-μ-β-Endorphin-Gi1/β1/γ2 7U2K-μ-C6-guano-Gi1/β1/γ2 8EFQ-μ-DAMGO-Gi1/β1/γ2
33.33Consensusnop_offOrthosteric Ligand4EA3-NOP-PubChem 10296561 5DHG-NOP-C-35 5DHH-NOP-SB-612111
33.33Consensusopioid_offOrthosteric Ligandmop_off nop_off dop_off kop_off
33.33Consensuss1p1_onOrthosteric Ligand7VIE-S1P1-S1P-Gi1/β1/γ2 7VIF-S1P1-FTY720-P-Gi1/β1/γ2 7VIG-S1P1-CBP-307-Gi1/β1/γ2 7EVY-S1P1-Siponimod-Gi1/β1/γ2 7EVZ-S1P1-Cenerimod-Gi1/β1/γ2 7EW0-S1P1-Ozanimod-Gi1/β1/γ2 7EW7-S1P1-SEW2871-Gi1/β1/γ2
33.33Consensuss1p1_on_gpOrthosteric Ligand7VIE-S1P1-S1P-Gi1/β1/γ2 7VIF-S1P1-FTY720-P-Gi1/β1/γ2 7VIG-S1P1-CBP-307-Gi1/β1/γ2 7EVY-S1P1-Siponimod-Gi1/β1/γ2 7EVZ-S1P1-Cenerimod-Gi1/β1/γ2 7EW0-S1P1-Ozanimod-Gi1/β1/γ2 7EW7-S1P1-SEW2871-Gi1/β1/γ2
33.33Consensuss1p3_onOrthosteric Ligand7EW3-S1P3-S1P-Gi1/β1/γ2 7EW4-S1P3-CYM-5541-Gi1/β1/γ2 7EW2-S1P3-FTY720-P-Gi1/β1/γ2
31.82Single6W25SHU91196W25-MC4-SHU9119-Ca
31.82Single9B54VIP369B54-CB1-VIP36-Gi1/β1/γ2
31.82Consensusgs_class-aOrthosteric Ligandgs_peptide gs_nucleotide gs_amine
31.82Consensuspeptide_offonOrthosteric Ligandpeptide_off peptide_on
31.58Single5X93K-87945X93-ETB-K-8794
31.58Single6DDFDAMGO6DDF-μ-DAMGO-Gi1/β1/γ2
31.58Single7MTSADX551647MTS-mGlu2; mGlu2-Glutamate-ADX55164-Gi1/β1/γ2
31.58Single7VVNPTH7VVN-PTH1-PTH-Gs/β1/γ2
31.58Single7X1UTRH7X1U-TRH-TRH-chim(NtGi2L-Gs-CtGq)/β1/γ2
31.58Single7X2DTavapadon7X2D-D1-Tavapadon-Gs/β1/γ2
31.58Single7XZ6APD6687XZ6-GPR119-APD668-Gs/β1/γ2
31.58Single7Y65C5a (C-terminal peptide)7Y65-C5a1-C5a (C-terminal peptide)-Gi1/β1/γ2
31.58Single8E0GBU728E0G-μ-BU72
31.58Single8GAGZ85267113508GAG-CB1-Z8526711350-Gi1/β1/γ2
31.58Single8GUTLEI-1028GUT-CB2-LEI-102-Gi1/β1/γ2
31.58Single8XIOL7975918XIO-SST1-L797591-chim(NtGi1-Gs-CtGi1)/β1/γ2
31.58Single9KUGEP679KUG-C5a1-EP67-Go/β1/γ2
31.58Single9WP9S1P9WP9-S1P3-S1P-chim(NtGi2L-Gs-CtGq)/β1/γ2
31.58Single9YDPDADLE9YDP-δ-DADLE-chim(NtGi1L-Gs-CtGi1)/β1/γ2
31.58Consensusc3a_on_gpOrthosteric Ligand8HK2-C3aB-C3a-Gi1/β1/γ2 8IA8-C3aB-E7 peptide-Gi1/β1/γ2
31.58Consensusendothelin_offOrthosteric Ligandetb_off
31.58Consensusetb_offOrthosteric Ligand5X93-ETB-K-8794 5XPR-ETB-Bosentan 6K1Q-ETB-IRL2500
31.58Consensusgi_s1pOrthosteric Ligand7VIE-S1P1-S1P-Gi1/β1/γ2 7EW3-S1P3-S1P-Gi1/β1/γ2 7EVY-S1P1-Siponimod-Gi1/β1/γ2 7EW1-S1P5-Siponimod-Gi1/β1/γ2 7VIF-S1P1-FTY720-P-Gi1/β1/γ2 7VIG-S1P1-CBP-307-Gi1/β1/γ2 7EVZ-S1P1-Cenerimod-Gi1/β1/γ2 7EW4-S1P3-CYM-5541-Gi1/β1/γ2 7EW2-S1P3-FTY720-P-Gi1/β1/γ2 7EW0-S1P1-Ozanimod-Gi1/β1/γ2 7EW7-S1P1-SEW2871-Gi1/β1/γ2
31.58Consensuskop_on_gpOrthosteric Ligand8F7W-κ-Dynorphin-Gi1/β1/γ2 8DZS-κ-GR89,696-chim(NtGi2-Gz)/β1/γ2 8DZP-κ-momSalB-Gi1/β1/γ2
31.25Single4YAYZD-71554YAY-AT1-ZD-7155
31.25Single5DHGC-355DHG-NOP-C-35
31.25Single5DHHSB-6121115DHH-NOP-SB-612111
31.25Single6GPSMK08126GPS-CCR2-MK0812
31.25Single6KPFAM120336KPF-CB2-AM12033-Gi1/β1/γ2
31.25Single6TOTLemborexant6TOT-OX1-Lemborexant
31.25Single7M3JNPS-2143; PO47M3J-CaS; CaS-NPS-2143; PO4
31.25Single7NA8Ibutamoren7NA8-Ghrelin-Ibutamoren-Gi1/β1/γ2
31.25Single7SQOTAK-9257SQO-OX2-TAK-925-Gi1/β1/γ2
31.25Single7T2GMitragynine Pseudoindoxyl7T2G-μ-Mitragynine Pseudoindoxyl-Gi1/β1/γ2
31.25Single7UL4Alvimopan7UL4-μ-Alvimopan
31.25Single7YXAONO-54306087YXA-S1P5-ONO-5430608
31.25Single8KEXDCA-3P8KEX-MRGPRX4-DCA-3P
31.25Single8UH3Setiptiline8UH3-5-HT1E-Setiptiline-Gi1/β1/γ1
31.25Single8VVGGB188VVG-κ-GB18-Gi1/β1/γ2
31.25Single9AVGCa; Ca; Cyclomethyltryptophan; R-568; PO49AVG-CaS; CaS-Ca-Ca; Ca; Cyclomethyltryptophan; R-568; PO4-chim(NtGi1-Gs)/β1/γ2
31.25Single9BQJRO769BQJ-μ-RO76-Gi1/β1/γ2
31.25Consensusalicarboxylic_on_gpOrthosteric Ligandsuccinate_on_gp hca_on_gp
31.25Consensuscck_offOrthosteric Ligandccka_off
31.25Consensusccka_offOrthosteric Ligand7F8Y-CCKA-Devazepide 7F8U-CCKA-Lintitript
31.25Consensusccr2_offOrthosteric Ligand6GPS-CCR2-MK0812
31.25Consensusgi_alicarboxylicOrthosteric Ligandgi_hca gi_succinate
31.25Consensusgi_orexinOrthosteric Ligand7SQO-OX2-TAK-925-Gi1/β1/γ2
30.77Single3OE6IT1t3OE6-CXCR4-IT1t
30.77Single8GGFConstrained Epinephrine8GGF-β2-Constrained Epinephrine-GTP-Gs/β1/γ2
30.77Single8GH1Constrained Epinephrine8GH1-β2-Constrained Epinephrine
30.77Single8SZFCa; Ca; Tryptophan; Cinacalcet; PO4; Spermine8SZF-CaS; CaS-Ca; Ca; Tryptophan; Cinacalcet; PO4; Spermine
30.77Consensus5ht2_onOrthosteric Ligand5ht2b_on
30.77Consensus5ht2b_onOrthosteric Ligand7SRR-5-HT2B-LSD-chim(NtGi2L-Gs-CtGq)/β1/γ2
30.43Single7AD3Alpha-factor mating pheromone7AD3-STE2; STE2-α-factor mating pheromone-Gi1/STE4/γ2
30.43Consensuspeptide_offon_gpOrthosteric Ligandpeptide_on_gp peptide_off
30.00Single7Y1FDynorphin7Y1F-κ-Dynorphin-Gi1/β1/γ2
30.00Single8Y72Peptide8Y72-μ-Peptide-BMS-986122-Gi1/β1/γ2
30.00Single9IPVJR14a9IPV-C3aB-JR14a-Gi1/β1/γ2
30.00Single9KZ8EP679KZ8-C3aB-EP67-Go/β1/γ2
30.00Single9V2NMacimorelin9V2N-Ghrelin-Macimorelin-chim(NtGi1-Gs-CtGq)/β1/γ2
30.00Consensuss1p_onOrthosteric Ligands1p1_on s1p3_on s1p5_on
30.00Consensuss1p_on_gpOrthosteric Ligands1p1_on_gp s1p3_on_gp s1p5_on_gp
29.41Single4RWDDIPP-NH24RWD-δ-DIPP-NH2-Na
29.41Single4ZJ8Suvorexant4ZJ8-OX1-Suvorexant
29.41Single5C1MBU725C1M-μ-BU72
29.41Single5JQHCarazolol5JQH-β2-Carazolol
29.41Single5TVNLSD5TVN-5-HT2B-LSD
29.41Single5WQCEMPA5WQC-OX2-EMPA
29.41Single5XPRBosentan5XPR-ETB-Bosentan
29.41Single6GPXMK08126GPX-CCR2-MK0812
29.41Single6KPCAM120336KPC-CB2-AM12033
29.41Single6PS6Timolol6PS6-β2-Timolol
29.41Single6TO7Suvorexant6TO7-OX1-Suvorexant-Na
29.41Single6TP6Filorexant6TP6-OX1-Filorexant
29.41Single7C4SS1P7C4S-S1P3-S1P
29.41Single7EO2FTY720-P7EO2-S1P1-FTY720-P-Gi1/β1/γ2
29.41Single7EPFNAM5977EPF-mGlu2-NAM597
29.41Single7M3JNPS-2143; PO47M3J-CaS; CaS-NPS-2143; PO4
29.41Single7SINNPS-21437SIN-CaS; CaS-NPS-2143
29.41Single7SINNPS-21437SIN-CaS; CaS-NPS-2143
29.41Single7TD3S1P7TD3-S1P1-S1P-Gi1/β1/γ2
29.41Single7X1TTaltirelin7X1T-TRH-Taltirelin-chim(NtGi2L-Gs-CtGq)/β1/γ2
29.41Single7YU6ONO-07405567YU6-LPA1-ONO-0740556-Gi1/β1/γ2
29.41Single8EFBOliceridine8EFB-μ-Oliceridine-Gi1/β1/γ2
29.41Single8J6JGSK2560738J6J-HCA2-GSK256073-Gi1/β1/γ2
29.41Single8KFXLMD-0098KFX-CCR8-LMD-009-Gi1/β1/γ2
29.41Single8S4DCMF-0198S4D-Apelin-CMF-019
29.41Single8TF5Oleic acid8TF5-GPR6-Oleic acid
29.41Single8WGBVU01550418WGB-mGlu4; mGlu2-Glutamate-VU0155041-Gi3/β1/γ2
29.41Single8YICSAR2477998YIC-S1P1-SAR247799-Gi1/β1/γ2
29.41Single8ZPTPrRP208ZPT-PrRP-PrRP20-chim(NtGi1-Gs-CtGq)/β1/γ2
29.41Single8ZRKGSK12922638ZRK-GPR119-GSK1292263-Gs/β1/γ2
29.41Single9ARZ2-bromo-LSD9ARZ-5-HT2A-2-bromo-LSD
29.41Single9AVLCa; Ca; Cyclomethyltryptophan; R-568; PO49AVL-CaS; CaS-Ca-Ca; Ca; Cyclomethyltryptophan; R-568; PO4-Gi3/β2/γ2
29.41Single9ERXD9-THC analog9ERX-CB1-D9-THC analog-Gi1/β1/γ2
29.41Single9HAPTolvaptan9HAP-V2-Tolvaptan
29.41Single9MQKIsoquinuclidine9MQK-κ-Isoquinuclidine
29.41Single9U81Tolvaptan9U81-V2-Tolvaptan
29.41Consensusd1_onOrthosteric Ligand7F0T-D1-Dopamine-Gs/β1/γ2 7CKY-D1-PW0464-Gs/β1/γ2 8IRR-D1-Rotigotine-Gs/β1/γ2 7JV5-D1-SKF81297-Gs/β1/γ2 7JVP-D1-SKF83959-Gs/β1/γ2 7X2D-D1-Tavapadon-Gs/β1/γ2 7CKX-D1-A77636-Gs/β1/γ2 7JVQ-D1-Apomorphine-Gs/β1/γ2 7CKW-D1-Fenoldopam-Gs/β1/γ2
29.41Consensuslipid_onOrthosteric Ligandcannabinoid_on ffa_on lpl_on prostanoid_on leukotriene_on
29.41Consensuslipid_on_gpOrthosteric Ligandcannabinoid_on_gp ffa_on_gp lpl_on_gp prostanoid_on_gp leukotriene_on_gp
29.41Consensuss1p5_offOrthosteric Ligand7YXA-S1P5-ONO-5430608
29.17Single7QBIAlpha-factor mating pheromone7QBI-STE2; STE2-α-factor mating pheromone
29.17Single8XGOTAK4488XGO-Kiss1-TAK448-chim(NtGi1-Gq)/β1/γ2
29.17Single8ZRTEndothelin-18ZRT-ETB-Endothelin-1
29.17Consensusmc1_onOrthosteric Ligand7F4H-MC1-Afamelanotide-chim(NtGi1-Gs)/β1/γ2 7F4D-MC1-α-MSH-chim(NtGi1-Gs)/β1/γ2 7F4I-MC1-SHU9119-chim(NtGi1-Gs)/β1/γ2
29.17Consensusmc1_on_gpOrthosteric Ligand7F4H-MC1-Afamelanotide-chim(NtGi1-Gs)/β1/γ2 7F4D-MC1-α-MSH-chim(NtGi1-Gs)/β1/γ2 7F4I-MC1-SHU9119-chim(NtGi1-Gs)/β1/γ2
29.17Consensusopioid_onOrthosteric Ligandmop_on nop_on dop_on kop_on
28.57Single3OE9IT1t3OE9-CXCR4-IT1t
28.57Single7DD5Ca; Ca; Tryptophan; NPS-21437DD5-CaS; CaS-Ca-Ca; Ca; Tryptophan; NPS-2143
28.57Single7SRQLSD7SRQ-5-HT2B-LSD
28.57Single7VUIJNJ-635330547VUI-GPR139-JNJ-63533054-GTP-chim(Gs-CtGq)/β1/γ2
28.57Single8DPFLorcaserin8DPF-5-HT2C-Lorcaserin-chim(NtGi2L-Gs-CtGq)/β1/γ2
28.57Single8FLULA-PTH Analog8FLU-PTH1-LA-PTH Analog-Gs/β1/γ2
28.57Single8GHVAMG3158GHV-CB1-AMG315-Gi1/β1/γ2
28.57Single8SZFCa; Ca; Tryptophan; Cinacalcet; PO4; Spermine8SZF-CaS; CaS-Ca; Ca; Tryptophan; Cinacalcet; PO4; Spermine
28.57Single8WKYPG-9348WKY-MC4-PG-934
28.57Single9BKJCholecystokinin-89BKJ-CCKA-Cholecystokinin-8-chim(NtGi1-Gs-CtGq)/β1/γ2
28.57Single9HB3Mambaquaretin-19HB3-V2-Mambaquaretin-1
28.57Single9JLCAVE 09919JLC-MAS1-AVE 0991-Gi1/β1/γ2
28.57Single9KUWCMPD6449KUW-Apelin; Apelin-CMPD644-Arrestin2 ; Arrestin2
28.57Single9U9VMETH9U9V-β2-METH-Gs/β1/γ2
28.57Single9UYJChemerin-99UYJ-CML2-Chemerin-9-Arrestin2
28.57Consensusclass-a_on_gpOrthosteric Ligandsensory_on_gp alicarboxylic_on_gp amine_on_gp lipid_on_gp nucleotide_on_gp peptide_on_gp protein_on_gp
28.57Consensusgi_opioidOrthosteric Ligand8F7R-μ-Endomorphin-Gi1/β1/γ2 8EF5-μ-Fentanyl-Gi1/β1/γ2 7SCG-μ-FH210-Gi1/β1/γ2 7T2H-μ-Lofentanil-Gi1/β1/γ2 7T2G-μ-Mitragynine Pseudoindoxyl-Gi1/β1/γ2 8DZP-κ-momSalB-Gi1/β1/γ2 8EF6-μ-Morphine-Gi1/β1/γ2 8F7X-NOP-Nociceptin-Gi1/β1/γ2 8EFB-μ-Oliceridine-Gi1/β1/γ2 7U2L-μ-C5-guano-Gi1/β1/γ2 8EFO-μ-PZM21-Gi1/β1/γ2 8EFL-μ-SR17018-Gi1/β1/γ2 8F7Q-μ-β-Endorphin-Gi1/β1/γ2 7U2K-μ-C6-guano-Gi1/β1/γ2 8EFQ-μ-DAMGO-Gi1/β1/γ2 8F7S-δ-Deltorphin-Gi1/β1/γ2 8F7W-κ-Dynorphin-Gi1/β1/γ2
28.57Consensusmop_offOrthosteric Ligand4DKL-μ-β-Funaltrexamine 8QOT-μ-Nanobody-E 7UL4-μ-Alvimopan
28.00Single7QBIAlpha-factor mating pheromone7QBI-STE2; STE2-α-factor mating pheromone
28.00Consensusgi_compl-peptOrthosteric Ligand8HK5-C5a1-C5a-Gi1/β1/γ2 8IA8-C3aB-E7 peptide-Gi1/β1/γ2 7Y66-C5a1-BM213-Gi1/β1/γ2 7Y67-C5a1-C089 peptide-Gi1/β1/γ2 8HK2-C3aB-C3a-Gi1/β1/γ2 7Y64-C5a1-C5a-Gi1/β1/γ2
28.00Consensusgi_peptideOrthosteric Ligandgi_cck gi_apelin gi_compl-pept gi_endothelin gi_formylpeptide gi_galanin gi_ghrelin gi_npy gi_neurotensin gi_opioid gi_orexin gi_relaxin gi_somatostatin
28.00Consensusopioid_on_gpOrthosteric Ligandmop_on_gp nop_on_gp dop_on_gp kop_on_gp
27.78Single3SN6BI1671073SN6-β2-BI167107-Gs/β1/γ2
27.78Single4Z34ONO-97803074Z34-LPA1-ONO-9780307
27.78Single5XR8AM120335XR8-CB1-AM12033
27.78Single6DDEDAMGO6DDE-μ-DAMGO-Gi1/β1/γ2
27.78Single6GT3Imaradenant6GT3-A2A-Imaradenant-Na
27.78Single6H7JIsoprenaline6H7J-β1-Isoprenaline
27.78Single6N48BI1671076N48-β2-BI167107-PubChem 138454256
27.78Single6N4BMDMB-Fubinaca6N4B-CB1-MDMB-Fubinaca-Gi1/β1/γ2
27.78Single6NI3BI1671076NI3-β2-BI167107-Gs/β1/γ2
27.78Single6WGTLSD6WGT-5-HT2A-LSD
27.78Single7EW1Siponimod7EW1-S1P5-Siponimod-Gi1/β1/γ2
27.78Single7EW3S1P7EW3-S1P3-S1P-Gi1/β1/γ2
27.78Single7F58THIQ7F58-MC4-THIQ-Gs/β1/γ2
27.78Single7JJOIsoprenaline7JJO-β1-Isoprenaline-Gs/β1/γ2
27.78Single7JV5SKF812977JV5-D1-SKF81297-Gs/β1/γ2
27.78Single7JVPSKF839597JVP-D1-SKF83959-Gs/β1/γ2
27.78Single7S8MCortistatin-147S8M-MRGPRX2-Cortistatin-14-Gi1/β1/γ2
27.78Single7T2HLofentanil7T2H-μ-Lofentanil-Gi1/β1/γ2
27.78Single7TUYGSK682753A7TUY-GPR183-GSK682753A
27.78Single7YU7ONO-07405567YU7-LPA1-ONO-0740556-Gi1/β1/γ2
27.78Single8EF5Fentanyl8EF5-μ-Fentanyl-Gi1/β1/γ2
27.78Single8EFLSR170188EFL-μ-SR17018-Gi1/β1/γ2
27.78Single8GUSHU-3088GUS-CB2-HU-308-Gi1/β1/γ2
27.78Single8HPTC5a (C-terminal peptide)8HPT-C5a1-C5a (C-terminal peptide)-Go/β1/γ2
27.78Single8IRVRotigotine8IRV-D5-Rotigotine-chim(NtGi1-Gs)/β1/γ2
27.78Single8WU1MDMB-Fubinaca8WU1-CB1-MDMB-Fubinaca-Arrestin2
27.78Single8XIPPasireotide8XIP-SST1-Pasireotide-chim(NtGi1-Gs-CtGi1)/β1/γ2
27.78Single8XVLZibotentan8XVL-ETA-Zibotentan
27.78Single8Y73Peptide8Y73-μ-Peptide-MPAM-15-Gi1/β1/γ2
27.78Single8ZWFJR14a8ZWF-C3aB-JR14a
27.78Single9AYFCa; Ca; Ca; Cyclomethyltryptophan; R-568; PO49AYF-CaS; CaS-Ca-Ca; Ca; Ca; Cyclomethyltryptophan; R-568; PO4-Gi1/β1/γ2
27.78Single9I54PubChem 1764520919I54-D1-PubChem 176452091-Gs/β1/γ2
27.78Single9IJDCarazolol9IJD-β3-Carazolol-chim(NtGi1-Gs)/β1/γ2
27.78Single9IK9Lanreotide9IK9-SST1-Lanreotide-Gi1/β1/γ2
27.78Single9IZGLPA9IZG-LPA1-LPA-chim(NtGi1-Gs-CtGq)/β1/γ2
27.78Single9PY3Loperamide9PY3-μ-Loperamide-GDPβS-Gi1/β1/γ2
27.78Single9PY4Loperamide9PY4-μ-Loperamide-GDPβS-Gi1/β1/γ2
27.78Single9UY3Anamorelin9UY3-Ghrelin-Anamorelin-chim(NtGi1-Gs-CtGq)/β1/γ2
27.78Single9WSTDAMGO9WST-μ-DAMGO-chim(NtGi1-Gz)/β1/γ2
27.78Consensusd1_on_gpOrthosteric Ligand7F0T-D1-Dopamine-Gs/β1/γ2 7CKY-D1-PW0464-Gs/β1/γ2 8IRR-D1-Rotigotine-Gs/β1/γ2 7JV5-D1-SKF81297-Gs/β1/γ2 7JVP-D1-SKF83959-Gs/β1/γ2 7X2D-D1-Tavapadon-Gs/β1/γ2 7CKX-D1-A77636-Gs/β1/γ2 7JVQ-D1-Apomorphine-Gs/β1/γ2 7CKW-D1-Fenoldopam-Gs/β1/γ2
27.78Consensusd5_on_gpOrthosteric Ligand8IRV-D5-Rotigotine-chim(NtGi1-Gs)/β1/γ2
27.78Consensusgs_dopamineOrthosteric Ligand7F0T-D1-Dopamine-Gs/β1/γ2 7CKW-D1-Fenoldopam-Gs/β1/γ2 7CKY-D1-PW0464-Gs/β1/γ2 8IRV-D5-Rotigotine-chim(NtGi1-Gs)/β1/γ2 8IRR-D1-Rotigotine-Gs/β1/γ2 7JV5-D1-SKF81297-Gs/β1/γ2 7JVP-D1-SKF83959-Gs/β1/γ2 7X2D-D1-Tavapadon-Gs/β1/γ2 7CKX-D1-A77636-Gs/β1/γ2 7JVQ-D1-Apomorphine-Gs/β1/γ2
27.78Consensuss1p5_onOrthosteric Ligand7EW1-S1P5-Siponimod-Gi1/β1/γ2
27.78Consensuss1p5_on_gpOrthosteric Ligand7EW1-S1P5-Siponimod-Gi1/β1/γ2
27.27Single7DDZJNJ-310200287DDZ-Y2-JNJ-31020028
27.27Single7XMSSomatostatin-147XMS-SST4-Somatostatin-14-Gi1/β1/γ2
27.27Single8F7WDynorphin8F7W-κ-Dynorphin-Gi1/β1/γ2
27.27Single9KV6TLQP219KV6-C3aB-TLQP21-Go/β1/γ2
27.27Single9L60Dynorphin9L60-κ-Dynorphin-MPAM-15-Gi1/β1/γ2
27.27Single9ME1CXCL129ME1-CXCR4-CXCL12
27.27Single9UMXEP549UMX-C5a1-EP54-Go/β1/γ2
27.27Consensuscompl-peptide_onOrthosteric Ligandc5a1_on c3a_on
27.27Consensusghrelin_onOrthosteric Ligand7NA7-Ghrelin-Ghrelin-Gi1/β1/γ2 7F9Z-Ghrelin-GHRP-6-chim(NtGi1-Gs-CtGq)/β1/γ2 7NA8-Ghrelin-Ibutamoren-Gi1/β1/γ2
27.27Consensusghrelin_on_gpOrthosteric Ligand7NA7-Ghrelin-Ghrelin-Gi1/β1/γ2 7F9Z-Ghrelin-GHRP-6-chim(NtGi1-Gs-CtGq)/β1/γ2 7NA8-Ghrelin-Ibutamoren-Gi1/β1/γ2
27.27Consensusgi_ghrelinOrthosteric Ligand7NA7-Ghrelin-Ghrelin-Gi1/β1/γ2 7NA8-Ghrelin-Ibutamoren-Gi1/β1/γ2
27.27Consensusnpy2_offOrthosteric Ligand7DDZ-Y2-JNJ-31020028
27.27Consensuss1p3_on_gpOrthosteric Ligand7EW3-S1P3-S1P-Gi1/β1/γ2 7EW4-S1P3-CYM-5541-Gi1/β1/γ2 7EW2-S1P3-FTY720-P-Gi1/β1/γ2
26.92Single7AD3Alpha-factor mating pheromone7AD3-STE2; STE2-α-factor mating pheromone-Gi1/STE4/γ2
26.92Single7F4FAfamelanotide7F4F-MC1-Afamelanotide-chim(NtGi1-Gs)/β1/γ2
26.92Single7F53Alpha-MSH7F53-MC4-α-MSH-Gs/β1/γ2
26.92Single7QBCAlpha-factor mating pheromone7QBC-STE2; STE2-α-factor mating pheromone
26.92Single8FEG(DNCP)-Beta-Naloxamine8FEG-κ-(DNCP)-β-Naloxamine-Gi1/β1/γ2
26.92Single8HAOPTH8HAO-PTH1-PTH-chim(NtGi1-Gs)/β1/γ2
26.92Consensusgq_peptideOrthosteric Ligandgq_cck gq_kisspeptin gq_bradykinin gq_bombesin gq_angiotensin
26.92Consensuspeptide_onOrthosteric Ligandcck_on angiotensin_on apelin_on bombesin_on bradykinin_on compl-peptide_on endothelin_on formylpeptide_on galanin_on ghrelin_on kisspeptin_on melanocortin_on motilin_on neuromedin-u_on npy_on neurotensin_on opioid_on orexin_on relaxin_on somatostatin_on tachykinin_on trh_on vasop-oxy_on
26.92Consensuspeptide_on_gpOrthosteric Ligandcck_on_gp angiotensin_on_gp apelin_on_gp bombesin_on_gp bradykinin_on_gp compl-peptide_on_gp endothelin_on_gp formylpeptide_on_gp galanin_on_gp ghrelin_on_gp kisspeptin_on_gp melanocortin_on_gp motilin_on_gp neuromedin-u_on_gp npy_on_gp neurotensin_on_gp opioid_on_gp orexin_on_gp relaxin_on_gp somatostatin_on_gp tachykinin_on_gp trh_on_gp vasop-oxy_on_gp
26.67Single2X72All-trans-Retinal2X72-Rhodopsin-All-trans-Retinal-Gt(CT)
26.67Single3ODUIT1t3ODU-CXCR4-IT1t
26.67Single6AKYMaraviroc6AKY-CCR5-Maraviroc
26.67Single6DS0LY2660976DS0-5-HT2B-LY266097
26.67Single6RNKNF-56-EJ406RNK-Succinate-NF-56-EJ40
26.67Single6TODEMPA6TOD-OX1-EMPA-Na
26.67Single7BR3Elagolix7BR3-GnRH1-Elagolix
26.67Single7F8ULintitript7F8U-CCKA-Lintitript
26.67Single7LD4Adenosine7LD4-A1-Adenosine-Gi2/β1/γ2
26.67Single7M3FCa; Ca; Tryptophan; Cinacalcet7M3F-CaS; CaS-Ca; Ca; Tryptophan; Cinacalcet
26.67Single7SRRLSD7SRR-5-HT2B-LSD-chim(NtGi2L-Gs-CtGq)/β1/γ2
26.67Single7VIHCBP-3077VIH-S1P1-CBP-307-Gi1/β1/γ2
26.67Single7W0MPubChem 1227019087W0M-Apelin-PubChem 122701908-Gi1/β1/γ2
26.67Single7Y36PTH7Y36-PTH1-PTH-Gs/β1/γ2
26.67Single8FLQPTH8FLQ-PTH1-PTH-Gs/β1/γ2
26.67Single8GGZConstrained Epinephrine8GGZ-β2-Constrained Epinephrine
26.67Single8JPPSuccinic acid8JPP-Succinate-Succinic acid-chim(Gs-CtGq)/β1/γ1
26.67Single8Y0HVUF114188Y0H-CXCR3-VUF11418
26.67Single8Y0NVUF114188Y0N-CXCR3-VUF11418-Go/β1/γ2
26.67Single9JKXAcifran9JKX-HCA3-Acifran-Gi1/β1/γ2
26.67Single9JR3PTH9JR3-PTH1-PTH-chim(NtGi1L-Gs-CtGq)/β1/γ2
26.67Single9LKDPL459LKD-OR5V1-PL45
26.67Single9MQJIsoquinuclidine9MQJ-μ-Isoquinuclidine
26.67Single9PEEPF-07054894; OXM29PEE-CCR6-PF-07054894; OXM2
26.67Single9VJEBuspirone9VJE-5-HT1A-Buspirone-Go/β1/γ2
26.67Single9W49U-50488H9W49-κ-U-50488H-Gi1/β1/γ2
26.67Consensus5ht2_on_gpOrthosteric Ligand5ht2b_on_gp
26.67Consensus5ht2b_on_gpOrthosteric Ligand7SRR-5-HT2B-LSD-chim(NtGi2L-Gs-CtGq)/β1/γ2
26.67Consensusa1_onOrthosteric Ligand7LD4-A1-Adenosine-Gi2/β1/γ2
26.67Consensusa1_on_gpOrthosteric Ligand7LD4-A1-Adenosine-Gi2/β1/γ2
26.67Consensusalpha2_offOrthosteric Ligandalpha2c_off
26.67Consensusangiotensin_offOrthosteric Ligandat1_off
26.67Consensusgnrh1_offOrthosteric Ligand7BR3-GnRH1-Elagolix
26.32Single4LDEBI1671074LDE-β2-BI167107
26.32Single4RWADIPP-NH24RWA-δ-DIPP-NH2
26.32Single4Z36ONO-30805734Z36-LPA1-ONO-3080573
26.32Single5F8UCyanopindolol5F8U-β1-Cyanopindolol
26.32Single5UNHPubChem 1264564065UNH-AT2-PubChem 126456406
26.32Single6ZG4HTL00099366ZG4-M1-HTL0009936
26.32Single7DFPSpiperone7DFP-D2-Spiperone
26.32Single7EVYSiponimod7EVY-S1P1-Siponimod-Gi1/β1/γ2
26.32Single7JNIOlodanrigan7JNI-AT2-Olodanrigan
26.32Single7MTRADX551647MTR-mGlu2; mGlu2-Glutamate-ADX55164
26.32Single7WCNAR2314537WCN-GPR119-AR231453-Gs/β1/γ2
26.32Single7Y66BM2137Y66-C5a1-BM213-Gi1/β1/γ2
26.32Single7YMJTamsulosin7YMJ-Alpha1A-Tamsulosin
26.32Single8E9W2-Deoxycytidine8E9W-M3-2-Deoxycytidine-chim(NtGi2L-Gs-CtGq)/β1/γ2
26.32Single8FYE4-F,5-MeO-PyrT8FYE-5-HT1A-4-F,5-MeO-PyrT-PtdIns4P-Gi1/β1/γ1
26.32Single8IA8E7 peptide8IA8-C3aB-E7 peptide-Gi1/β1/γ2
26.32Single8VHFMBX-29828VHF-GPR119-MBX-2982-Gs/β1/γ2
26.32Single9GL2Befiradol9GL2-5-HT1A-Befiradol-Gs/β1/γ2
26.32Single9GYOP3959GYO-GPBA-P395-chim(NtGi1-Gs)/β1/γ2
26.32Single9IZHLPA9IZH-LPA1-LPA-chim(NtGi2-G13)/β1/γ2
26.32Single9KVG5-MeO-DMT9KVG-5-HT1A-5-MeO-DMT-PtdIns4P-Gi1/β1/γ2
26.32Single9MQLIsoquinuclidine9MQL-κ-Isoquinuclidine
26.32Single9VJ6F-155999VJ6-5-HT1A-F-15599-Gi3/β1/γ2
26.32Single9W32SSTR5 antagonist 19W32-SST5-SSTR5 antagonist 1
26.32Consensusalpha1_offOrthosteric Ligandalpha1a_off
26.32Consensusalpha1a_offOrthosteric Ligand7YMJ-Alpha1A-Tamsulosin
26.32Consensuscannabinoid_offOrthosteric Ligandcb2_off cb1_off
26.32Consensusccr8_onOrthosteric Ligand8KFX-CCR8-LMD-009-Gi1/β1/γ2 8KFY-CCR8-ZK-756326-Gi1/β1/γ2 8U1U-CCR8-CCL1-Gi1/β1/γ2
26.32Consensusgi_lipidOrthosteric Ligandgi_cannabinoid gi_ffa gi_leukotriene gi_lpa gi_s1p
26.32Consensuslpa1_offOrthosteric Ligand4Z36-LPA1-ONO-3080573 4Z35-LPA1-ONO-9910539 4Z34-LPA1-ONO-9780307
26.32Consensuslpa_offOrthosteric Ligandlpa1_off
26.09Single6PT2KGCHM076PT2-δ-KGCHM07
26.09Single7O7F6P4-CCL57O7F-CCR5-6P4-CCL5-Gi1/β1/γ1
26.09Single7T6TfMLFII7T6T-FPR1-ALX-fMLFII-Gi1/β1/γ2
26.09Single7TD0LPA7TD0-LPA1-LPA-Gi1/β1/γ2
26.09Single8WKZSBL-MC-318WKZ-MC4-SBL-MC-31
26.09Single8XGUTAK4488XGU-Kiss1-TAK448-Gi1/β1/γ2
26.09Single8XIQL7967788XIQ-SST3-L796778-chim(NtGi1-Gs-CtGi1)/β1/γ2
26.09Single8XIRPasireotide8XIR-SST3-Pasireotide-chim(NtGi1-Gs-CtGi1)/β1/γ2
26.09Single9MEUCXCL129MEU-CXCR4-CXCL12
26.09Single9UYIChemerin-99UYI-CML2-Chemerin-9-Arrestin2
26.09Consensuscompl-peptide_on_gpOrthosteric Ligandc5a1_on_gp c3a_on_gp
26.09Consensusgs_cckOrthosteric Ligand7MBX-CCKA-Cholecystokinin-8-Gs/β1/γ1
25.93Single6IGLIRL16206IGL-ETB-IRL1620
25.93Single6NBHLA-PTH Analog6NBH-PTH1-LA-PTH Analog-Gs/β1/γ2
25.93Single7QBCAlpha-factor mating pheromone7QBC-STE2; STE2-α-factor mating pheromone
25.00Single4BVNCyanopindolol4BVN-β1-Cyanopindolol-Na
25.00Single4LDOEpinephrine4LDO-β2-Epinephrine
25.00Single4Z35ONO-99105394Z35-LPA1-ONO-9910539
25.00Single4ZUDOlmesartan4ZUD-AT1-Olmesartan
25.00Single5GLHEndothelin-15GLH-ETB-Endothelin-1
25.00Single5UNGPubChem 157800525UNG-AT2-PubChem 15780052
25.00Single6IGKEndothelin-36IGK-ETB-Endothelin-3
25.00Single6K1QIRL25006K1Q-ETB-IRL2500
25.00Single6K41Dexmedetomidine6K41-α2b-Dexmedetomidine-Go/β1/γ2
25.00Single6KPGAM8416KPG-CB1-AM841-Gi1/β1/γ2
25.00Single6PS0Carazolol6PS0-β2-Carazolol
25.00Single6PS4ICI118-5516PS4-β2-ICI118-551
25.00Single6PS5Propranolol6PS5-β2-Propranolol
25.00Single6TPNHTL66416TPN-OX2-HTL6641
25.00Single6VI4JDTic6VI4-κ-JDTic
25.00Single6ZFZ77-LH-28-16ZFZ-M1-77-LH-28-1
25.00Single6ZG9GSK10347026ZG9-M1-GSK1034702
25.00Single7CKWFenoldopam7CKW-D1-Fenoldopam-Gs/β1/γ2
25.00Single7CMUPramipexole7CMU-D3-Pramipexole-Gi1/β1/γ2
25.00Single7DW9AVP7DW9-V2-AVP-chim(NtGi1-Gs)/β1/γ2
25.00Single7EJ8Brimonidine7EJ8-α2a-Brimonidine-Go/β1/γ2
25.00Single7EJADexmedetomidine7EJA-α2a-Dexmedetomidine-Go/β1/γ2
25.00Single7EVZCenerimod7EVZ-S1P1-Cenerimod-Gi1/β1/γ2
25.00Single7EW0Ozanimod7EW0-S1P1-Ozanimod-Gi1/β1/γ2
25.00Single7F4HAfamelanotide7F4H-MC1-Afamelanotide-chim(NtGi1-Gs)/β1/γ2
25.00Single7F61PF-036547467F61-H3-PF-03654746
25.00Single7P00Substance-P7P00-NK1-Substance-P-chim(NtGi1-Gs-CtGq)/β1/γ2
25.00Single7RANPubChem 1645758477RAN-5-HT2A-PubChem 164575847-chim(NtGi2L-Gs-CtGq)/β1/γ2
25.00Single7SK7CCX6627SK7-ACKR3-CXCL12-CCX662
25.00Single7U2KC6-guano7U2K-μ-C6-guano-Gi1/β1/γ2
25.00Single7UM4AS26747237UM4-5-HT5A-AS2674723
25.00Single7VUGJNJ-635330547VUG-GPR139-JNJ-63533054-Gi1/β1/γ2
25.00Single7W40Bombesin7W40-BB2-Bombesin-chim(NtGi1L-Gq)/β1/γ2
25.00Single7WVVfMLFII7WVV-FPR2-ALX-fMLFII-Gi2/β1/γ2
25.00Single7XK2MK68927XK2-HCA2-MK6892-Gi1/β1/γ2
25.00Single7XK8Neuromedin-U-257XK8-NMUR2-Neuromedin-U-25-Gi1/β1/γ2
25.00Single7YK6PubChem 1383196747YK6-RXFP4-PubChem 138319674-Gi2/β1/γ2
25.00Single7YONPeptide-YY(3-36)7YON-Y2-Peptide-YY(3-36)-Gi1/β1/γ2
25.00Single7YU8ONO-07405567YU8-LPA1-ONO-0740556-Gi1/β1/γ2
25.00Single8GG7Constrained Epinephrine8GG7-β2-Constrained Epinephrine-GTP-Gs/β1/γ2
25.00Single8GGLConstrained Epinephrine8GGL-β2-Constrained Epinephrine
25.00Single8GGMConstrained Epinephrine8GGM-β2-Constrained Epinephrine
25.00Single8GGPConstrained Epinephrine8GGP-β2-Constrained Epinephrine
25.00Single8GGQConstrained Epinephrine8GGQ-β2-Constrained Epinephrine
25.00Single8GGXConstrained Epinephrine8GGX-β2-Constrained Epinephrine
25.00Single8IHKAcifran8IHK-HCA3-Acifran
25.00Single8IJDMK68928IJD-HCA2-MK6892-Gi1/β1/γ2
25.00Single8IY9Niacin8IY9-HCA2-Niacin-Go/β1/γ2
25.00Single8JIMMonomethyl fumarate8JIM-HCA2-Monomethyl fumarate-Gi1/β1/γ2
25.00Single8JLQFenoldopam8JLQ-TA1-Fenoldopam-Gs/β1/γ2
25.00Single8K4SDCA-3P8K4S-MRGPRX4-DCA-3P-chim(NtGi1L-Gs-CtGq)/β1/γ2
25.00Single8K5CAcipimox8K5C-HCA2-Acipimox
25.00Single8K9LDAMGO8K9L-μ-DAMGO-BMS-986122-Gi3/β1/γ1
25.00Single8PM2DMCHA8PM2-TA7-DMCHA-Gs/β1/γ2
25.00Single8RLNLUF58348RLN-A2A-LUF5834
25.00Single8RWCStilSwitch28RWC-A2A-StilSwitch2-Na
25.00Single8RWDStilSwitch38RWD-A2A-StilSwitch3-Na
25.00Single8S2TIsoprenaline8S2T-β1-Isoprenaline-chim(NtGi1-Gs)/β1/γ2
25.00Single8THLEpinephrine8THL-Alpha1A-Epinephrine-chim(NtGi2L-Gs-CtGq)/β1/γ2
25.00Single8UNLConstrained Epinephrine8UNL-β2-Constrained Epinephrine-GTP-Gs/β1/γ2
25.00Single8UNOConstrained Epinephrine8UNO-β2-Constrained Epinephrine-GTP-Gs/β1/γ2
25.00Single8UO0Constrained Epinephrine8UO0-β2-Constrained Epinephrine-GTP-Gs/β1/γ2
25.00Single8XWQEndothelin-18XWQ-ETB-Endothelin-1-Gi1/β1/γ2
25.00Single8Y45ADL58598Y45-δ-ADL5859-Gi2/β1/γ2
25.00Single8YH2Adenosine8YH2-A3A-Adenosine-Gi1/β1/γ2
25.00Single8ZBISomatostatin-148ZBI-SST3-Somatostatin-14-Gi1/β1/γ2
25.00Single8ZWGJR14a8ZWG-C3aB-JR14a-Gi1/β1/γ2
25.00Single9ARXSerotonin9ARX-5-HT2A-Serotonin
25.00Single9AS02-bromo-LSD9AS0-5-HT2A-2-bromo-LSD-chim(NtGi1-Gs-CtGq)/β1/γ2
25.00Single9AS5Mescaline9AS5-5-HT2A-Mescaline
25.00Single9AS6Mescaline9AS6-5-HT2A-Mescaline-chim(NtGi1-Gs-CtGq)/β1/γ2
25.00Single9AS8Psilocin9AS8-5-HT2A-Psilocin-chim(NtGi2L-Gs-CtGq)/β1/γ2
25.00Single9BKKCholecystokinin-89BKK-CCKA-Cholecystokinin-8-chim(NtGi1-Gs-CtGq)/β1/γ2
25.00Single9EAILosartan9EAI-AT1-Losartan-Nanobody AT209
25.00Single9JH3CMF-0199JH3-Apelin; Apelin-CMF-019-Gi1/β1/γ2
25.00Single9JKVPubChem 27366909JKV-HCA3-PubChem 2736690-Gi1/β1/γ2
25.00Single9JMDAzithromycin9JMD-Motilin-Azithromycin-chim(Gs-CtGq)/β1/γ2
25.00Single9KUWCMPD6449KUW-Apelin; Apelin-CMPD644-Arrestin2 ; Arrestin2
25.00Single9L79AR2314539L79-GPR119-AR231453-chim(NtGi1-Gs)/β1/γ2
25.00Single9L84Epinephrine9L84-β1-Epinephrine-Atazanavir-Gs/β1/γ2
25.00Single9LKBPL459LKB-OR5V1-PL45-chim(NtGi1-Gs)/β1
25.00Single9M54Neuropeptide-VF9M54-NPFF2-Neuropeptide-VF-Gi1/β1/γ2
25.00Single9MQIIsoquinuclidine9MQI-μ-Isoquinuclidine
25.00Single9PXXNaloxone9PXX-μ-Naloxone-GDPβS-Gi1/β1/γ2
25.00Single9PY2Loperamide9PY2-μ-Loperamide-GDPβS-Gi1/β1/γ2
25.00Single9W33S5A19W33-SST5-S5A1
25.00Single9YDRDADLE9YDR-δ-DADLE-MIPS3983-chim(NtGi1L-Gs-CtGi1)/β1/γ2
25.00Consensus5ht_on_gpOrthosteric Ligand5ht1_on_gp 5ht2_on_gp 5ht4_on_gp 5ht5_on_gp 5ht6_on_gp 5ht7_on_gp
25.00Consensusalpha1_onOrthosteric Ligandalpha1a_on
25.00Consensusalpha1_on_gpOrthosteric Ligandalpha1a_on_gp
25.00Consensusalpha1a_onOrthosteric Ligand7EJ0-α2a-Norepinephrine-Go/β1/γ2 7EJ8-α2a-Brimonidine-Go/β1/γ2 7EJA-α2a-Dexmedetomidine-Go/β1/γ2 7EJK-α2a-Oxymetazoline-Go/β1/γ2 7W6P-α2a-N-pyridin-4-ylisoquinolin-4-amine-Go/β1/γ2 7W7E-α2a-PubChem 164946676-Go/β1/γ2
25.00Consensusalpha1a_on_gpOrthosteric Ligand7EJ0-α2a-Norepinephrine-Go/β1/γ2 7EJ8-α2a-Brimonidine-Go/β1/γ2 7EJA-α2a-Dexmedetomidine-Go/β1/γ2 7EJK-α2a-Oxymetazoline-Go/β1/γ2 7W6P-α2a-N-pyridin-4-ylisoquinolin-4-amine-Go/β1/γ2 7W7E-α2a-PubChem 164946676-Go/β1/γ2
25.00Consensusbb2_onOrthosteric Ligand7W40-BB2-Bombesin-chim(NtGi1L-Gq)/β1/γ2 7W3Z-BB2-Gastrin Releasing Peptide-chim(NtGi1L-Gq)/β1/γ2
25.00Consensusbb2_on_gpOrthosteric Ligand7W40-BB2-Bombesin-chim(NtGi1L-Gq)/β1/γ2 7W3Z-BB2-Gastrin Releasing Peptide-chim(NtGi1L-Gq)/β1/γ2
25.00Consensusbombesin_onOrthosteric Ligandbb2_on
25.00Consensusbombesin_on_gpOrthosteric Ligandbb2_on_gp
25.00Consensusc5a1_on_gpOrthosteric Ligand8HK5-C5a1-C5a-Gi1/β1/γ2 7Y66-C5a1-BM213-Gi1/β1/γ2 7Y67-C5a1-C089 peptide-Gi1/β1/γ2 7Y64-C5a1-C5a-Gi1/β1/γ2
25.00Consensusccr5_on_gpOrthosteric Ligand7O7F-CCR5-6P4-CCL5-Gi1/β1/γ1 7F1Q-CCR5-CCL3-Gi1/β1/γ2
25.00Consensusclass-a_class-b1_cons_onOrthosteric Ligandclass-a_on class-b1_on
25.00Consensusclass-a_onOrthosteric Ligandsensory_on alicarboxylic_on amine_on lipid_on nucleotide_on peptide_on protein_on
25.00Consensuscxcr3_on_gpOrthosteric Ligand8HNK-CXCR3-CXCL11-Gi1/β1/γ2 8HNL-CXCR3-PS372424-Gi1/β1/γ2
25.00Consensusd3_onOrthosteric Ligand7CMV-D3-PD128907-Gi1/β1/γ2 8IRT-D3-Rotigotine-Gi1/β1/γ2 7CMU-D3-Pramipexole-Gi1/β1/γ2
25.00Consensusd3_on_gpOrthosteric Ligand7CMV-D3-PD128907-Gi1/β1/γ2 8IRT-D3-Rotigotine-Gi1/β1/γ2 7CMU-D3-Pramipexole-Gi1/β1/γ2
25.00Consensusgi_class-aOrthosteric Ligandgi_peptide gi_sensory gi_alicarboxylic gi_amine gi_lipid gi_nucleotide gi_protein
25.00Consensusgq_bombesinOrthosteric Ligand7W40-BB2-Bombesin-chim(NtGi1L-Gq)/β1/γ2 7W3Z-BB2-Gastrin Releasing Peptide-chim(NtGi1L-Gq)/β1/γ2
25.00Consensusgs_vasop-oxyOrthosteric Ligand7DW9-V2-AVP-chim(NtGi1-Gs)/β1/γ2
25.00Consensushca_onOrthosteric Ligandhca2_on
25.00Consensusmc2_onOrthosteric Ligand8GY7-MC2-Corticotropin-Ca-chim(NtGi1-Gs)/β1/γ2; MRAP1
25.00Consensusmc2_on_gpOrthosteric Ligand8GY7-MC2-Corticotropin-Ca-chim(NtGi1-Gs)/β1/γ2; MRAP1
25.00Consensusnk1_onOrthosteric Ligand7P00-NK1-Substance-P-chim(NtGi1-Gs-CtGq)/β1/γ2
25.00Consensusnk1_on_gpOrthosteric Ligand7P00-NK1-Substance-P-chim(NtGi1-Gs-CtGq)/β1/γ2
25.00Consensusv2_onOrthosteric Ligand7DW9-V2-AVP-chim(NtGi1-Gs)/β1/γ2
25.00Consensusv2_on_gpOrthosteric Ligand7DW9-V2-AVP-chim(NtGi1-Gs)/β1/γ2
25.00Consensusvasop-oxy_onOrthosteric Ligandv2_on
25.00Consensusvasop-oxy_on_gpOrthosteric Ligandv2_on_gp
24.24Consensusclass-b1_onOrthosteric Ligandglucagon_on vip-pacap_on pth_on crf_on calcitonin_on
24.14Single8F2APramlintide Analogue San3858F2A-CT (AMY3)-Pramlintide Analogue San385-Gs/β1/γ2; RAMP3
24.14Single8FLSAbaloparatide8FLS-PTH1-Abaloparatide-Gs/β1/γ2
24.14Consensusmelanocortin_onOrthosteric Ligandmc1_on mc4_on mc2_on mc3_on mc5_on
24.14Consensusmelanocortin_on_gpOrthosteric Ligandmc1_on_gp mc4_on_gp mc2_on_gp mc3_on_gp mc5_on_gp
24.00Single7Y64C5a7Y64-C5a1-C5a-Gi1/β1/γ2
24.00Single8E3ZVIP8E3Z-VPAC1-VIP-Gs/β1/γ2
24.00Single8HCQEndothelin-18HCQ-ETA-Endothelin-1-chim(NtGi1-Gs-CtGq)/β1/γ2
24.00Single8XVIEndothelin-18XVI-ETA-Endothelin-1-chim(Gs-CtGq)/β1/γ2
24.00Single9E2AGLP-19E2A-GLP-1-GLP-1-Gs/β1/γ2
24.00Consensuseta_onOrthosteric Ligand8HCQ-ETA-Endothelin-1-chim(NtGi1-Gs-CtGq)/β1/γ2
24.00Consensuseta_on_gpOrthosteric Ligand8HCQ-ETA-Endothelin-1-chim(NtGi1-Gs-CtGq)/β1/γ2
23.81Single3NY9PubChem 9131033NY9-β2-PubChem 913103
23.81Single4UG2CGS216804UG2-A2A-CGS21680
23.81Single7F8WGastrin-177F8W-CCKB-Gastrin-17-chim(NtGsL-Gq)/β1/γ2
23.81Single7F9ZGHRP-67F9Z-Ghrelin-GHRP-6-chim(NtGi1-Gs-CtGq)/β1/γ2
23.81Single7RKFCX3CL17RKF-US28-CX3CL1-GDP-chim(NtGi1-G11)/β1/γ2
23.81Single7RMHSubstance-P7RMH-NK1-Substance-P-Gs/β1/γ2
23.81Single7S8LCortistatin-147S8L-MRGPRX2-Cortistatin-14-chim(NtGi2L-Gs-CtGq)/β1/γ2
23.81Single7XBXCX3CL17XBX-CX3CR1-CX3CL1-Gi1/β1/γ2
23.81Single7XY6BAY 60-65837XY6-A2B-BAY 60-6583-chim(NtGi1-Gs)/β1/γ2
23.81Single7YJ4INSL57YJ4-RXFP4-INSL5-Gi2/β1/γ2
23.81Single8F7REndomorphin8F7R-μ-Endomorphin-Gi1/β1/γ2
23.81Single8IA7Cholecystokinin-88IA7-CCKB-Cholecystokinin-8-chim(NtGi1L-Gq)/β1/γ2
23.81Single8X5YAstemizole8X5Y-H1-Astemizole
23.81Single9IPYJR14a9IPY-C3aB-JR14a
23.81Single9M0RNeuropeptide-VF9M0R-NPFF1-Neuropeptide-VF-Gi1/β1/γ2
23.81Consensusdop_onOrthosteric Ligand8F7S-δ-Deltorphin-Gi1/β1/γ2
23.53Single2VT4Cyanopindolol2VT4-β1-Cyanopindolol
23.53Single2Y02Carmoterol2Y02-β1-Carmoterol
23.53Single2Y04Salbutamol2Y04-β1-Salbutamol
23.53Single2YCYCyanopindolol2YCY-β1-Cyanopindolol
23.53Single3NY8ICI118-5513NY8-β2-ICI118-551
23.53Single3NYAAlprenolol3NYA-β2-Alprenolol
23.53Single3ZPQPubChem 5945903ZPQ-β1-PubChem 594590-Na
23.53Single3ZPRPubChem 5987543ZPR-β1-PubChem 598754-Na
23.53Single4DAJTiotropium4DAJ-M3-Tiotropium
23.53Single4EJ4Naltrindole4EJ4-δ-Naltrindole
23.53Single4GBRCarazolol4GBR-β2-Carazolol
23.53Single4U16N-methyl-Scopolamine4U16-M3-N-methyl-Scopolamine
23.53Single5NDDAZ8838; Na5NDD-PAR2-AZ8838; Na
23.53Single5OLZPubChem 1355666095OLZ-A2A-PubChem 135566609-Na
23.53Single5OM1PubChem 1355666095OM1-A2A-PubChem 135566609-Na
23.53Single5TGZAM65385TGZ-CB1-AM6538
23.53Single5ZKPSR274175ZKP-PAF-SR27417
23.53Single6DRXLisuride6DRX-5-HT2B-Lisuride
23.53Single6K42Dexmedetomidine6K42-α2b-Dexmedetomidine-Gi1/β1/γ2
23.53Single6PRZAlprenolol6PRZ-β2-Alprenolol
23.53Single6PS1Timolol6PS1-β2-Timolol
23.53Single6PS2Alprenolol6PS2-β2-Alprenolol
23.53Single6Z10PubChem 1545855546Z10-Succinate-PubChem 154585554
23.53Single7BTSEpinephrine7BTS-β1-Epinephrine
23.53Single7BU6Norepinephrine7BU6-β1-Norepinephrine
23.53Single7BU7BI1671077BU7-β1-BI167107
23.53Single7CRHSKF839597CRH-D1-SKF83959-Gs/β1/γ2
23.53Single7JOZPubChem 752020227JOZ-D1-PubChem 75202022-Gs/β1/γ2
23.53Single7JVQApomorphine7JVQ-D1-Apomorphine-Gs/β1/γ2
23.53Single7S0GIsoprenaline7S0G-β1-Isoprenaline-chim(Gi1-CtGs)/β1/γ2
23.53Single7SCGFH2107SCG-μ-FH210-Gi1/β1/γ2
23.53Single7T6VfMLFII7T6V-FPR2-ALX-fMLFII-Gi1/β1/γ2
23.53Single7UM55-CT7UM5-5-HT5A-5-CT-chim(NtGi1-Go)/β1/γ2
23.53Single7UM6Lisuride7UM6-5-HT5A-Lisuride-chim(NtGi1-Go)/β1/γ2
23.53Single7VIFFTY720-P7VIF-S1P1-FTY720-P-Gi1/β1/γ2
23.53Single7XJHIsoprenaline7XJH-β3-Isoprenaline-Gs/β1/γ2
23.53Single7YU4ONO-07405567YU4-LPA1-ONO-0740556
23.53Single8CICEtrumadenant8CIC-A2A-Etrumadenant-Na
23.53Single8DZSGR89,6968DZS-κ-GR89,696-chim(NtGi2-Gz)/β1/γ2
23.53Single8GE2Constrained Epinephrine8GE2-β2-Constrained Epinephrine-Gs/β1/γ1
23.53Single8GE3Constrained Epinephrine8GE3-β2-Constrained Epinephrine-Gs/β1/γ2
23.53Single8GECConstrained Epinephrine8GEC-β2-Constrained Epinephrine-Gs/β1/γ2
23.53Single8GEEConstrained Epinephrine8GEE-β2-Constrained Epinephrine-Gs/β1/γ2
23.53Single8GEHConstrained Epinephrine8GEH-β2-Constrained Epinephrine-Gs/β1/γ2
23.53Single8GFVConstrained Epinephrine8GFV-β2-Constrained Epinephrine-GTP-Gs/β1/γ2
23.53Single8GFWConstrained Epinephrine8GFW-β2-Constrained Epinephrine-GTP-Gs/β1/γ2
23.53Single8GFXConstrained Epinephrine8GFX-β2-Constrained Epinephrine-GTP-Gs/β1/γ2
23.53Single8GFZConstrained Epinephrine8GFZ-β2-Constrained Epinephrine-GTP-Gs/β1/γ2
23.53Single8GG0Constrained Epinephrine8GG0-β2-Constrained Epinephrine-GTP-Gs/β1/γ2
23.53Single8GG1Constrained Epinephrine8GG1-β2-Constrained Epinephrine-GTP-Gs/β1/γ2
23.53Single8GG3Constrained Epinephrine8GG3-β2-Constrained Epinephrine-GTP-Gs/β1/γ2
23.53Single8GG4Constrained Epinephrine8GG4-β2-Constrained Epinephrine-GTP-Gs/β1/γ2
23.53Single8GG6Constrained Epinephrine8GG6-β2-Constrained Epinephrine-GTP-Gs/β1/γ2
23.53Single8GG9Constrained Epinephrine8GG9-β2-Constrained Epinephrine-GTP-Gs/β1/γ2
23.53Single8GGIConstrained Epinephrine8GGI-β2-Constrained Epinephrine
23.53Single8GGJConstrained Epinephrine8GGJ-β2-Constrained Epinephrine
23.53Single8GGKConstrained Epinephrine8GGK-β2-Constrained Epinephrine
23.53Single8GGNConstrained Epinephrine8GGN-β2-Constrained Epinephrine
23.53Single8GGOConstrained Epinephrine8GGO-β2-Constrained Epinephrine
23.53Single8GGUConstrained Epinephrine8GGU-β2-Constrained Epinephrine
23.53Single8I7VAcipimox8I7V-HCA2-Acipimox-Gi1/β1/γ2
23.53Single8IHJAcifran8IHJ-HCA3-Acifran-Gi1/β1/γ2
23.53Single8IRTRotigotine8IRT-D3-Rotigotine-Gi1/β1/γ2
23.53Single8J6PNiacin8J6P-HCA2-Niacin-PubChem 25101223-Gi1/β1/γ2
23.53Single8JD0NAM5638JD0-mGlu2; mGlu3-Glutamate-NAM563
23.53Single8JIINiacin8JII-HCA2-Niacin-PubChem 25101223-Gi1/β1/γ2
23.53Single8JJOAlprenolol8JJO-β2-Alprenolol
23.53Single8JLZST19368JLZ-5-HT6-ST1936-Gs/β1/γ2
23.53Single8K5DGSK2560738K5D-HCA2-GSK256073
23.53Single8KFYZK-7563268KFY-CCR8-ZK-756326-Gi1/β1/γ2
23.53Single8T1WCVN4248T1W-GPR6-CVN424
23.53Single8UGYMianserin8UGY-5-HT1E-Mianserin-Gi1/β1/γ1
23.53Single8UNQConstrained Epinephrine8UNQ-β2-Constrained Epinephrine-GTP-Gs/β1/γ2
23.53Single8UNVConstrained Epinephrine8UNV-β2-Constrained Epinephrine-GTP-Gs/β1/γ2
23.53Single8UNYConstrained Epinephrine8UNY-β2-Constrained Epinephrine-GTP-Gs/β1/γ2
23.53Single8UNZConstrained Epinephrine8UNZ-β2-Constrained Epinephrine-GTP-Gs/β1/γ2
23.53Single8UO2Constrained Epinephrine8UO2-β2-Constrained Epinephrine-GTP-Gs/β1/γ2
23.53Single8UWLLisuride8UWL-5-HT2A-Lisuride-chim(NtGi2-Gs-CtGq)/β1/γ2
23.53Single8X63Mepyramine8X63-H1-Mepyramine
23.53Single8XVKAmbrisentan8XVK-ETA-Ambrisentan
23.53Single8Y71A1D6F8Y71-δ-A1D6F-BMS986187-Gi1/β1/γ2
23.53Single8YN8Proxyfan8YN8-H3-Proxyfan-Go/β1/γ2
23.53Single9AS1DMT9AS1-5-HT2A-DMT
23.53Single9CBMDexmedetomidine9CBM-α2a-Dexmedetomidine-Gi1/β1/γ2
23.53Single9CHXCarazolol9CHX-β2-Carazolol
23.53Single9KUXCMPD6449KUX-Apelin; Apelin-CMPD644-Arrestin2
23.53Single9PLNPubChem 1682595949PLN-α2a-PubChem 168259594
23.53Single9PLOPubChem 1682595949PLO-α2a-PubChem 168259594-Go/β1/γ2
23.53Single9PQDPubChem 1764919279PQD-α2a-PubChem 176491927
23.53Single9PXWNaloxone9PXW-μ-Naloxone-GDPβS-Gi1/β1/γ2
23.53Consensus5ht5_onOrthosteric Ligand5ht5a_on
23.53Consensus5ht5a_onOrthosteric Ligand7X5H-5-HT5A-5-CT-Gi1/β1/γ2 7UM6-5-HT5A-Lisuride-chim(NtGi1-Go)/β1/γ2 7UM7-5-HT5A-Methylergometrine-chim(NtGi1-Go)/β1/γ2
23.53Consensus5ht6_onOrthosteric Ligand7XTB-5-HT6-Serotonin-Gs/β1/γ2 8JLZ-5-HT6-ST1936-Gs/β1/γ2
23.53Consensus5ht6_on_gpOrthosteric Ligand7XTB-5-HT6-Serotonin-Gs/β1/γ2 8JLZ-5-HT6-ST1936-Gs/β1/γ2
23.53Consensusadenosine_on_gpOrthosteric Liganda1_on_gp a2_on_gp a3_on_gp
23.53Consensusadrenergic_onOrthosteric Ligandalpha_on beta_on
23.53Consensusalicarboxylic_offOrthosteric Ligandsuccinate_off
23.53Consensusalpha2_onOrthosteric Ligandalpha2b_on
23.53Consensusalpha2_on_gpOrthosteric Ligandalpha2b_on_gp
23.53Consensusalpha2b_onOrthosteric Ligand6K42-α2b-Dexmedetomidine-Gi1/β1/γ2
23.53Consensusalpha2b_on_gpOrthosteric Ligand6K42-α2b-Dexmedetomidine-Gi1/β1/γ2
23.53Consensusalpha_onOrthosteric Ligandalpha1_on alpha2_on
23.53Consensusdop_offOrthosteric Ligand4EJ4-δ-Naltrindole
23.53Consensusdopamine_offOrthosteric Ligandd2_off d3_off
23.53Consensusdopamine_onOrthosteric Ligandd2_on d1_on d3_on d4_on d5_on
23.53Consensusdopamine_on_gpOrthosteric Ligandd2_on_gp d1_on_gp d3_on_gp d4_on_gp d5_on_gp
23.53Consensusgi_hcaOrthosteric Ligand8J6R-HCA2-MK6892-Gi1/β1/γ2 8JIM-HCA2-Monomethyl fumarate-Gi1/β1/γ2 8IHI-HCA2-Acifran-Gi1/β1/γ2 8IHH-HCA2-LUF6283-Gi1/β1/γ2 8I7V-HCA2-Acipimox-Gi1/β1/γ2 8I7W-HCA2-GSK256073-Gi1/β1/γ2
23.53Consensushca2_onOrthosteric Ligand8J6R-HCA2-MK6892-Gi1/β1/γ2 8JIM-HCA2-Monomethyl fumarate-Gi1/β1/γ2 8I7V-HCA2-Acipimox-Gi1/β1/γ2 8I7W-HCA2-GSK256073-Gi1/β1/γ2 8IHH-HCA2-LUF6283-Gi1/β1/γ2 8IHI-HCA2-Acifran-Gi1/β1/γ2
23.53Consensushca2_on_gpOrthosteric Ligand8J6R-HCA2-MK6892-Gi1/β1/γ2 8IHI-HCA2-Acifran-Gi1/β1/γ2 8IHH-HCA2-LUF6283-Gi1/β1/γ2 8I7V-HCA2-Acipimox-Gi1/β1/γ2 8JIM-HCA2-Monomethyl fumarate-Gi1/β1/γ2 8I7W-HCA2-GSK256073-Gi1/β1/γ2
23.53Consensushca_on_gpOrthosteric Ligandhca2_on_gp
23.53Consensushistamine_offOrthosteric Ligandh1_off
23.53Consensussuccinate_offOrthosteric Ligand6RNK-Succinate-NF-56-EJ40 6Z10-Succinate-PubChem 154585554
23.33Single6LRYSarafotoxin-B6LRY-ETB-Sarafotoxin-B
23.33Single7VVMPTH7VVM-PTH1-PTH-Gs/β1/γ2
23.33Single9JR2PTH9JR2-PTH1-PTH-chim(NtGi1L-Gs-CtGq)/β1/γ2
23.33Consensuscrf_on_gpOrthosteric Ligandcrf2_on_gp crf1_on_gp
23.33Consensusgs_peptideOrthosteric Ligandgs_cck gs_melanocortin gs_vasop-oxy
23.08Single5UIW5P7-CCL55UIW-CCR5-5P7-CCL5
23.08Single6NBFLA-PTH Analog6NBF-PTH1-LA-PTH Analog-Gs/β1/γ2
23.08Single6TQ9SB-4081246TQ9-OX1-SB-408124
23.08Single7RGPTirzepatide7RGP-GLP-1-Tirzepatide-chim(NtGi1-Gs)/β1/γ2
23.08Single8DPHLorcaserin8DPH-5-HT2C-Lorcaserin-chim(NtGi2L-Gs-CtGq)/β1/γ2
23.08Single8XVEBQ30208XVE-ETB-BQ3020-chim(Gs-CtGq)/β1/γ2
23.08Single8Z8ALactate8Z8A-HCA1-Lactate-Gi1/β1/γ2
23.08Single9CHUNorepinephrine9CHU-β2-Norepinephrine
23.08Single9L0HJR14a9L0H-C3aB-JR14a-Go/β1/γ2
23.08Single9M42A1L8O9M42-GPR139-A1L8O-chim(Gs-CtGq)/β1/γ2
23.08Consensusccr5_offOrthosteric Ligand5UIW-CCR5-5P7-CCL5
22.86Consensuspth_on_gpOrthosteric Ligandpth1_on_gp pth2_on_gp
22.73Single4XT1CX3CL14XT1-US28-CX3CL1
22.73Single5UNFPubChem 157800525UNF-AT2-PubChem 15780052
22.73Single6WIVPubChem 52923113; PubChem 529246456WIV-GABAB1, GABAB2-PubChem 52923113; PubChem 52924645
22.73Single7F4ISHU91197F4I-MC1-SHU9119-chim(NtGi1-Gs)/β1/γ2
22.73Single7F54Afamelanotide7F54-MC4-Afamelanotide-Gs/β1/γ2
22.73Single7TD4Siponimod7TD4-S1P1-Siponimod-Gi1/β1/γ2
22.73Single7W0PElabela7W0P-Apelin-Elabela-Gi1/β1/γ2
22.73Single7WKDTRH7WKD-TRH-TRH-chim(NtGi1-Gs-CtGq)/β1/γ2
22.73Single8DCRDobutamine8DCR-β1-Dobutamine-Gs/β1/γ2
22.73Single8F7XNociceptin8F7X-NOP-Nociceptin-Gi1/β1/γ2
22.73Single8G59TUG-8918G59-FFA4-TUG-891-chim(Gi1-CtGq)/β1/γ2
22.73Single8IEBPubChem 1347468948IEB-GPR156; GPR156-PubChem 134746894
22.73Single8IZBLysophosphatidylserine (UBL)8IZB-GPR174-Lysophosphatidylserine (UBL)-Gs/β1/γ2
22.73Single8K3ZCXCL128K3Z-CXCR4-CXCL12-Gi1/β1/γ1
22.73Single8PKMBefiradol8PKM-5-HT1A-Befiradol-Gi1/β1/γ1
22.73Single9KWGC5a9KWG-C5a1-C5a-Go/β1/γ2
22.73Single9UMRC5a-pep9UMR-C5a1-C5a-pep-Go/β1/γ2
22.73Consensuscxcr4_onOrthosteric Ligand8K3Z-CXCR4-CXCL12-Gi1/β1/γ1
22.73Consensuslpl_onOrthosteric Ligands1p_on lpa_on
22.73Consensuslpl_on_gpOrthosteric Ligands1p_on_gp lpa_on_gp
22.73Consensusmc4_onOrthosteric Ligand7AUE-MC4-Setmelanotide-chim(NtGi1L-Gs)/β1/γ2 7F58-MC4-THIQ-Gs/β1/γ2 7F54-MC4-Afamelanotide-Gs/β1/γ2 7F53-MC4-α-MSH-Gs/β1/γ2 7F55-MC4-Bremelanotide-Gs/β1/γ2
22.73Consensusnop_onOrthosteric Ligand8F7X-NOP-Nociceptin-Gi1/β1/γ2
22.73Consensusnop_on_gpOrthosteric Ligand8F7X-NOP-Nociceptin-Gi1/β1/γ2
22.73Consensusp2y_onOrthosteric Ligandp2y1_on p2y10_on p2y12_on
22.58Consensusclass-a_class-b1_cons_on_gpOrthosteric Ligandclass-a_on_gp class-b1_on_gp
22.22Single2RH1Carazolol2RH1-β2-Carazolol
22.22Single2Y03Isoprenaline2Y03-β1-Isoprenaline
22.22Single2YCWCarazolol2YCW-β1-Carazolol
22.22Single5D6LCarazolol5D6L-β2-Carazolol
22.22Single5N2RPSB365N2R-A2A-PSB36-Na
22.22Single5N2SPSB365N2S-A1-PSB36
22.22Single5NM2ZM-2413855NM2-A2A-ZM-241385-Na
22.22Single5OM4PubChem 1355666095OM4-A2A-PubChem 135566609-Na
22.22Single5T1ABMS-6815T1A-CCR2-BMS-681-PubChem 12093170
22.22Single5X7DCarazolol5X7D-β2-Carazolol-PubChem 129318963
22.22Single5ZK33-quinuclidinyl-benzilate5ZK3-M2-3-quinuclidinyl-benzilate
22.22Single6D26Fevipiprant6D26-DP2-Fevipiprant
22.22Single6E67BI1671076E67-β2-BI167107-Gs(CT)
22.22Single6KUWPubChem 572132346KUW-α2c-PubChem 57213234
22.22Single6P9XCorticoliberin-16P9X-CRF1-Corticoliberin-1-Gs/β1/γ2
22.22Single6PS3Carvedilol6PS3-β2-Carvedilol
22.22Single6UVAAdrenomedullin-26UVA-CT Like (AM2)-Adrenomedullin-2-Gs/β1/γ2; RAMP3
22.22Single7BVQCarazolol7BVQ-β1-Carazolol
22.22Single7C61Ergotamine7C61-5-HT1B-Ergotamine
22.22Single7CFNINT-7777CFN-GPBA-INT-777-Gs/β1/γ2
22.22Single7CKXA776367CKX-D1-A77636-Gs/β1/γ2
22.22Single7LD3Adenosine7LD3-A1-Adenosine-MIPS521-Gi2/β1/γ2
22.22Single7S0FIsoprenaline7S0F-β1-Isoprenaline-Gi1/β1/γ2
22.22Single7VUHJNJ-635330547VUH-GPR139-JNJ-63533054-chim(Gs-CtGq)/β1/γ2
22.22Single7VV0PAMP-127VV0-MRGPRX2-PAMP-12
22.22Single7VV4Cortistatin-147VV4-MRGPRX2-Cortistatin-14
22.22Single7VVKPTH7VVK-PTH1-PTH-Gs/β1/γ2
22.22Single7W41PD1762527W41-BB2-PD176252
22.22Single7WC6LSD7WC6-5-HT2A-LSD
22.22Single7WIGL-0542647WIG-SST2-L-054264-Gi1/β1/γ2
22.22Single7XATSomatostatin-147XAT-SST2-Somatostatin-14-Gi1/β1/γ2
22.22Single7XK9Constrained Isoproterenol7XK9-β2-Constrained Isoproterenol-Na
22.22Single7XKAConstrained Epinephrine7XKA-β2-Constrained Epinephrine
22.22Single7YOONeuropeptide-Y7YOO-Y2-Neuropeptide-Y-Gi1/β1/γ2
22.22Single7YU3ONO-07405567YU3-LPA1-ONO-0740556-Gi1/β1/γ2
22.22Single8C9WEtrumadenant8C9W-A2A-Etrumadenant
22.22Single8GDZConstrained Epinephrine8GDZ-β2-Constrained Epinephrine-Gs/β1/γ2
22.22Single8GEBConstrained Epinephrine8GEB-β2-Constrained Epinephrine-Gs/β1/γ2
22.22Single8GEGConstrained Epinephrine8GEG-β2-Constrained Epinephrine-Gs/β1/γ2
22.22Single8GFYConstrained Epinephrine8GFY-β2-Constrained Epinephrine-GTP-Gs/β1/γ2
22.22Single8GG2Constrained Epinephrine8GG2-β2-Constrained Epinephrine-GTP-Gs/β1/γ2
22.22Single8GGBConstrained Epinephrine8GGB-β2-Constrained Epinephrine-GTP-Gs/β1/γ2
22.22Single8I7WGSK2560738I7W-HCA2-GSK256073-Gi1/β1/γ2
22.22Single8ID4Linoleic acid8ID4-FFA4-Linoleic acid-Gi1/β1/γ2
22.22Single8JXSPF-61428JXS-D1-PF-6142
22.22Single8QOTNanobody-E8QOT-μ-Nanobody-E
22.22Single8TH4Losartan8TH4-AT1-Losartan-AT118-L Nanobody
22.22Single8UNNConstrained Epinephrine8UNN-β2-Constrained Epinephrine-GTP-Gs/β1/γ2
22.22Single8UNPConstrained Epinephrine8UNP-β2-Constrained Epinephrine-GTP-Gs/β1/γ2
22.22Single8UUJFCH-22964138UUJ-HCA2-FCH-2296413-Gi1/β1/γ2
22.22Single8W8WAlpha-MSH8W8W-MC3-α-MSH-Ca-Gs/β1/γ2
22.22Single8XWPEndothelin-18XWP-ETB-Endothelin-1-Gi1/β1/γ2
22.22Single8YNSSNAP-948478YNS-MCH1-SNAP-94847
22.22Single8ZH8QRFP268ZH8-QRFP-QRFP26-Gq/β1/γ1
22.22Single9ARYSerotonin9ARY-5-HT2A-Serotonin-chim(NtGi1-Gs-CtGq)/β1/γ2
22.22Single9CIBFCH-22964139CIB-HCA2-FCH-2296413
22.22Single9EAHOlmesartan9EAH-AT1-Olmesartan-Nanobody AT209
22.22Single9EE8Adenosine9EE8-A2A-Adenosine-Gs/β1/γ2
22.22Single9EHSLUF76029EHS-A3A-LUF7602
22.22Single9GE2ML1849GE2-GPR55-ML184-chim(NtGi1-G13)/β1/γ2
22.22Single9HC04YI9HC0-mGlu5-4YI
22.22Single9JKSPubChem 442501769JKS-HCA3-PubChem 44250176-Gi1/β1/γ2
22.22Single9K07DSO-5a9K07-BB3-DSO-5a-chim(NtGi2L-Gs-CtGq)/β1/γ2
22.22Single9K26PrRP319K26-PrRP-PrRP31-Gi1/β1/γ2
22.22Single9KO4CCL219KO4-CCR7-CCL21-Gi1/β1/γ2
22.22Single9KT6Acifran9KT6-HCA3-Acifran-Gi1/β1/γ2
22.22Single9KUTJR14a9KUT-C3aB-JR14a-Go/β1/γ2
22.22Single9KUVCMPD6449KUV-Apelin-CMPD644-Arrestin2
22.22Single9M8POleic monoethanolamide9M8P-GPR3 ; GPR3-Oleic monoethanolamide-AF64394
22.22Single9PXYNaloxone9PXY-μ-Naloxone-GDPβS-Gi1/β1/γ2
22.22Single9VJFBuspirone9VJF-5-HT1A-Buspirone-Gi3/β1/γ2
22.22Consensus5ht5_on_gpOrthosteric Ligand5ht5a_on_gp
22.22Consensus5ht5a_on_gpOrthosteric Ligand7X5H-5-HT5A-5-CT-Gi1/β1/γ2 7UM6-5-HT5A-Lisuride-chim(NtGi1-Go)/β1/γ2 7UM7-5-HT5A-Methylergometrine-chim(NtGi1-Go)/β1/γ2
22.22Consensusadenosine_offOrthosteric Liganda1_off a2_off
22.22Consensusadrenergic_offOrthosteric Ligandalpha_off beta_off
22.22Consensusadrenergic_on_gpOrthosteric Ligandalpha_on_gp beta_on_gp
22.22Consensusalpha2c_offOrthosteric Ligand6KUW-α2c-PubChem 57213234
22.22Consensusalpha_offOrthosteric Ligandalpha1_off alpha2_off
22.22Consensusalpha_on_gpOrthosteric Ligandalpha1_on_gp alpha2_on_gp
22.22Consensusamine_offOrthosteric Ligand5ht_off adrenergic_off dopamine_off histamine_off muscarinic_off
22.22Consensusamine_offonOrthosteric Ligandamine_off amine_on
22.22Consensusamine_offon_gpOrthosteric Ligandamine_on_gp amine_off
22.22Consensusamine_onOrthosteric Ligand5ht_on adrenergic_on dopamine_on histamine_on muscarinic_on trace-amine_on
22.22Consensusbb2_offOrthosteric Ligand7W41-BB2-PD176252
22.22Consensusbeta2_offOrthosteric Ligand2RH1-β2-Carazolol 6PS3-β2-Carvedilol 6PS5-β2-Propranolol 3D4S-β2-Timolol 3NY8-β2-ICI118-551 3NY9-β2-PubChem 913103 6PRZ-β2-Alprenolol
22.22Consensusbeta_offOrthosteric Ligandbeta1_off beta2_off
22.22Consensusblt1_offOrthosteric Ligand5X33-BLT1-BIIL260 7K15-BLT1-MKD046-Na
22.22Consensusblt_offOrthosteric Ligandblt1_off
22.22Consensusbombesin_offOrthosteric Ligandbb2_off
22.22Consensusdp2_offOrthosteric Ligand6D26-DP2-Fevipiprant
22.22Consensusdp_offOrthosteric Liganddp2_off
22.22Consensusgi_adrenergicOrthosteric Ligand7EJ0-α2a-Norepinephrine-Go/β1/γ2 7EJK-α2a-Oxymetazoline-Go/β1/γ2 7W7E-α2a-PubChem 164946676-Go/β1/γ2 7W6P-α2a-N-pyridin-4-ylisoquinolin-4-amine-Go/β1/γ2 7EJ8-α2a-Brimonidine-Go/β1/γ2 6K42-α2b-Dexmedetomidine-Gi1/β1/γ2 7EJA-α2a-Dexmedetomidine-Go/β1/γ2 7S0F-β1-Isoprenaline-Gi1/β1/γ2
22.22Consensusgs_amineOrthosteric Ligandgs_5ht gs_adrenergic gs_dopamine gs_histamine gs_trace-amine
22.22Consensush1_offOrthosteric Ligand8X63-H1-Mepyramine 3RZE-H1-Cidoxepin 8X5Y-H1-Astemizole
22.22Consensuslpa1_onOrthosteric Ligand7TD1-LPA1-LPA-Gi1/β1/γ2 7YU3-LPA1-ONO-0740556-Gi1/β1/γ2
22.22Consensuslpa1_on_gpOrthosteric Ligand7TD1-LPA1-LPA-Gi1/β1/γ2 7YU3-LPA1-ONO-0740556-Gi1/β1/γ2
22.22Consensusm2_offOrthosteric Ligand5ZKC-M2-N-methyl-Scopolamine 5ZK3-M2-3-quinuclidinyl-benzilate 5ZKB-M2-AF-DX 384
22.22Consensusnpy2_onOrthosteric Ligand7YOO-Y2-Neuropeptide-Y-Gi1/β1/γ2
22.22Consensusnpy2_on_gpOrthosteric Ligand7YOO-Y2-Neuropeptide-Y-Gi1/β1/γ2
21.88Consensuspth_onOrthosteric Ligandpth1_on pth2_on
21.74Single3QAKUK-4320973QAK-A2A-UK-432097
21.74Single6HLOAprepitant6HLO-NK1-Aprepitant
21.74Single7RKMCX3CL17RKM-US28-CX3CL1-Gi1/β1/γ2
21.74Single8F7QBeta-Endorphin8F7Q-μ-β-Endorphin-Gi1/β1/γ2
21.74Single8F7SDeltorphin8F7S-δ-Deltorphin-Gi1/β1/γ2
21.74Single8JZZC5a-des-Arg8JZZ-C5a1-C5a-des-Arg-Go/β1/γ2
21.74Single8KH5Lysophosphatidylserine8KH5-GPR174-Lysophosphatidylserine-Gs/β1/γ2
21.74Single8Z7JJN241-98Z7J-Apelin-JN241-9-Gi1/β1/γ2
21.74Single9IK8Pasireotide9IK8-SST1-Pasireotide-Gi1/β1/γ2
21.74Single9JFK(Pen5)-Urotensin II9JFK-UT-(Pen5)-Urotensin II-chim(NtGi2L-Gs-CtGq)/β1/γ2
21.74Consensusccr8_on_gpOrthosteric Ligand8KFX-CCR8-LMD-009-Gi1/β1/γ2 8KFY-CCR8-ZK-756326-Gi1/β1/γ2 8U1U-CCR8-CCL1-Gi1/β1/γ2
21.74Consensusdop_on_gpOrthosteric Ligand8F7S-δ-Deltorphin-Gi1/β1/γ2
21.74Consensusgi_cckOrthosteric Ligand7EZH-CCKA-Cholecystokinin-8-Gi1/β1/γ2 7F8V-CCKB-Gastrin-17-Gi2/β1/γ2
21.74Consensusgq_class-aOrthosteric Ligandgq_peptide gq_amine gq_nucleotide
21.74Consensusmc4_on_gpOrthosteric Ligand7AUE-MC4-Setmelanotide-chim(NtGi1L-Gs)/β1/γ2 7F58-MC4-THIQ-Gs/β1/γ2 7F54-MC4-Afamelanotide-Gs/β1/γ2 7F53-MC4-α-MSH-Gs/β1/γ2 7F55-MC4-Bremelanotide-Gs/β1/γ2
21.74Consensussst4_onOrthosteric Ligand7XMS-SST4-Somatostatin-14-Gi1/β1/γ2 7XMT-SST4-J-2156-Gi1/β1/γ2
21.74Consensussst4_on_gpOrthosteric Ligand7XMS-SST4-Somatostatin-14-Gi1/β1/γ2 7XMT-SST4-J-2156-Gi1/β1/γ2
21.62Consensusclass-b1_on_gpOrthosteric Ligandglucagon_on_gp vip-pacap_on_gp pth_on_gp crf_on_gp calcitonin_on_gp
21.43Single5VAIGLP-15VAI-GLP-1-GLP-1-Gs/β1/γ2
21.43Single6LMLGlucagon6LML-Glucagon-Glucagon-Gi1/β1/γ1
21.43Single6PB1Urocortin6PB1-CRF2-Urocortin-chim(NtGi1-Gs)/β1/γ2
21.43Single7D77Hydrocortisone7D77-ADGRG3-Hydrocortisone-Go/β1/γ2
21.43Single7EJKOxymetazoline7EJK-α2a-Oxymetazoline-Go/β1/γ2
21.43Single7TS0Urocortin7TS0-CRF2-Urocortin-chim(NtGi1L-Go)/β1/γ2
21.43Single7VGXNeuropeptide-Y7VGX-Y1-Neuropeptide-Y-Gi1/β1/γ2
21.43Single7VVJPTHrP(1-36)7VVJ-PTH1-PTHrP(1-36)-Gs/β1/γ2
21.43Single7VVLPTH7VVL-PTH1-PTH-Gs/β1/γ2
21.43Single7WC5Psilocin7WC5-5-HT2A-Psilocin
21.43Single8DPILorcaserin8DPI-5-HT2C-Lorcaserin-chim(NtGi2L-Gs-CtGq)/β1/γ2
21.43Single8F0KPramlintide Analogue San3858F0K-CT (AMY3)-Pramlintide Analogue San385-Gs/β1/γ2; RAMP3
21.43Single8FLTM-PTH(1-14)8FLT-PTH1-M-PTH(1-14)-Gs/β1/γ2
21.43Single8GGEConstrained Epinephrine8GGE-β2-Constrained Epinephrine-GTP-Gs/β1/γ2
21.43Single8HAFPTHrP(1-36)8HAF-PTH1-PTHrP(1-36)-chim(NtGi1-Gs)/β1/γ2
21.43Single8ITFDMCHA8ITF-TAA9-DMCHA-chim(NtGi1-Gs)/β1/γ2
21.43Single8J6QBeta-Hydroxybutyrate8J6Q-HCA2-β-Hydroxybutyrate-PubChem 25101223-Gi1/β1/γ2
21.43Single8JXTHistamine8JXT-H4-Histamine-PO4-Gi1/β1/γ2
21.43Single8KGGLysophosphatidylserine (WJS)8KGG-P2Y10-Lysophosphatidylserine (WJS)-chim(NtGi2-G13)/β1/γ2
21.43Single8WC9ZH86518WC9-TA1-ZH8651-chim(NtGi1-Gs-CtGq)/β1/γ2
21.43Single8WWNMCH8WWN-MCH1-MCH-Gi1/β1/γ2
21.43Single8YN9Histamine8YN9-H4-Histamine-Gi1/β1/γ2
21.43Single8YUUHistamine8YUU-H3-Histamine-Gi1/β1/γ1
21.43Single9JG1Adriforant9JG1-H4-Adriforant
21.43Single9JKT(2R)-2-hydroxy-3-phenylpropanoic acid9JKT-HCA3-(2R)-2-hydroxy-3-phenylpropanoic acid-Gi1/β1/γ2
21.43Single9KT93,5-DHBA9KT9-HCA1-3,5-DHBA-Gi1/β1/γ2
21.43Single9LRCHistamine9LRC-H4-Histamine
21.43Single9LREHistamine9LRE-H4-Histamine-Gi1/β1/γ2
21.43Consensusendothelin_onOrthosteric Ligandetb_on eta_on
21.43Consensusgs_melanocortinOrthosteric Ligand7F4H-MC1-Afamelanotide-chim(NtGi1-Gs)/β1/γ2 7F54-MC4-Afamelanotide-Gs/β1/γ2 7F4D-MC1-α-MSH-chim(NtGi1-Gs)/β1/γ2 8INR-MC5-α-MSH-Ca-chim(NtGi1-Gs)/β1/γ2 7F53-MC4-α-MSH-Gs/β1/γ2 7F55-MC4-Bremelanotide-Gs/β1/γ2 8GY7-MC2-Corticotropin-Ca-chim(NtGi1-Gs)/β1/γ2; MRAP1 8IOC-MC3-γ-MSH-Ca-chim(NtGi1-Gs)/β1/γ2 8IOD-MC5-PG-901-Ca-chim(NtGi1-Gs)/β1/γ2 7AUE-MC4-Setmelanotide-chim(NtGi1L-Gs)/β1/γ2 7F4I-MC1-SHU9119-chim(NtGi1-Gs)/β1/γ2 7F58-MC4-THIQ-Gs/β1/γ2
21.43Consensush3_onOrthosteric Ligand8YUU-H3-Histamine-Gi1/β1/γ1
21.43Consensush3_on_gpOrthosteric Ligand8YUU-H3-Histamine-Gi1/β1/γ1
21.05Single2YDVNECA2YDV-A2A-NECA
21.05Single3P0GBI1671073P0G-β2-BI167107
21.05Single3PDSFAUC503PDS-β2-FAUC50
21.05Single3UON3-quinuclidinyl-benzilate3UON-M2-3-quinuclidinyl-benzilate
21.05Single4UHRCGS216804UHR-A2A-CGS21680
21.05Single5A8E7-Methylcyanopindolol5A8E-β1-7-Methylcyanopindolol-Na
21.05Single5D5ACarazolol5D5A-β2-Carazolol
21.05Single5D5BCarazolol5D5B-β2-Carazolol
21.05Single5G53NECA5G53-A2A-NECA-Gs
21.05Single5V56TC1145V56-SMO-TC114
21.05Single6E59L-7607356E59-NK1-L-760735
21.05Single6J20Aprepitant6J20-NK1-Aprepitant
21.05Single7B6WCyclazosin7B6W-α1b-Cyclazosin
21.05Single7EW4CYM-55417EW4-S1P3-CYM-5541-Gi1/β1/γ2
21.05Single7M8W15r-Methyl-PGD27M8W-DP2-15r-Methyl-PGD2-Na
21.05Single7P2L4YI7P2L-mGlu5-4YI
21.05Single7TD1LPA7TD1-LPA1-LPA-Gi1/β1/γ2
21.05Single7VIGCBP-3077VIG-S1P1-CBP-307-Gi1/β1/γ2
21.05Single7W6PN-pyridin-4-ylisoquinolin-4-amine7W6P-α2a-N-pyridin-4-ylisoquinolin-4-amine-Go/β1/γ2
21.05Single7W7EPubChem 1649466767W7E-α2a-PubChem 164946676-Go/β1/γ2
21.05Single7YU5ONO-07405567YU5-LPA1-ONO-0740556-Gi1/β1/γ2
21.05Single8DCSCyanopindolol8DCS-β1-Cyanopindolol-Gs/β1/γ2
21.05Single8GY7Corticotropin8GY7-MC2-Corticotropin-Ca-chim(NtGi1-Gs)/β1/γ2; MRAP1
21.05Single8HQCC5a8HQC-C5a1-C5a-Go/β1/γ2
21.05Single8IHBGSK2560738IHB-HCA2-GSK256073-Gi1/β1/γ2
21.05Single8IHHLUF62838IHH-HCA2-LUF6283-Gi1/β1/γ2
21.05Single8IRRRotigotine8IRR-D1-Rotigotine-Gs/β1/γ2
21.05Single8JD5JNJ-40411813; ADX881788JD5-mGlu2; mGlu4-Glutamate-JNJ-40411813; ADX88178-Gi1/β1/γ2
21.05Single8JXVClozapine8JXV-H4-Clozapine-Gi1/β1/γ2
21.05Single8JXXClobenpropit8JXX-H4-Clobenpropit-Gi1/β1/γ2
21.05Single8UGWCGS216808UGW-A2A-CGS21680
21.05Single8VVEnorBNI8VVE-κ-norBNI-Gi1/β1/γ2
21.05Single8XZICMF-0198XZI-Apelin; Apelin-CMF-019-Gi1/β1/γ2
21.05Single9ASTLymphotactin9AST-XCR1-Lymphotactin-Gi1/β1/γ2
21.05Single9BJKNaloxone9BJK-μ-Naloxone-PubChem 171642066
21.05Single9BS9LSD9BS9-D2-LSD
21.05Single9BSBLSD9BSB-D2-LSD-chim(NtGi1-Go)/β1/γ2
21.05Single9KUXCMPD6449KUX-Apelin; Apelin-CMPD644-Arrestin2
21.05Single9L16CCL219L16-CCR7-CCL21
21.05Single9RHGC4079RHG-FZD7-C407
21.05Consensus5ht_offOrthosteric Ligand5ht2_off 5ht1_off
21.05Consensusamine_on_gpOrthosteric Ligand5ht_on_gp adrenergic_on_gp dopamine_on_gp histamine_on_gp muscarinic_on_gp trace-amine_on_gp
21.05Consensusbeta1_offOrthosteric Ligand2VT4-β1-Cyanopindolol 2YCW-β1-Carazolol 2YCZ-β1-Iodocyanopindolol 5A8E-β1-7-Methylcyanopindolol-Na 3ZPQ-β1-PubChem 594590-Na 3ZPR-β1-PubChem 598754-Na
21.05Consensusbeta2_onOrthosteric Ligand7DHI-β2-Salbutamol-Gs/β1/γ2 6NI3-β2-BI167107-Gs/β1/γ2
21.05Consensusbeta2_on_gpOrthosteric Ligand7DHI-β2-Salbutamol-Gs/β1/γ2 6NI3-β2-BI167107-Gs/β1/γ2
21.05Consensusgi_5htOrthosteric Ligand8FYT-5-HT1A-LSD-PtdIns4P-Gi1/β1/γ1 7UM7-5-HT5A-Methylergometrine-chim(NtGi1-Go)/β1/γ2 8UGY-5-HT1E-Mianserin-Gi1/β1/γ1 8W8B-5-HT1A-SEP-363856-Gi1/β1/γ2 7E2Y-5-HT1A-Serotonin-PtdIns4P-Gi1/β1/γ2 7E32-5-HT1D-Serotonin-Gi1/β1/γ2 7XTA-5-HT4-Serotonin-Gi1/β1/γ2 8UH3-5-HT1E-Setiptiline-Gi1/β1/γ1 8JSP-5-HT1A-Ulotaront-Gi1/β1/γ2 8FYL-5-HT1A-Vilazodone-PtdIns4P-Gi1/β1/γ1 8JT6-5-HT1A-(R)-IHCH-7179-PtdIns4P-Gi1/β1/γ2 8FYE-5-HT1A-4-F,5-MeO-PyrT-PtdIns4P-Gi1/β1/γ1 7X5H-5-HT5A-5-CT-Gi1/β1/γ2 8FY8-5-HT1A-5-MeO-DMT-PtdIns4P-Gi1/β1/γ1 7E2Z-5-HT1A-Aripiprazole-PtdIns4P-Gi1/β1/γ2 7E33-5-HT1E-BRL-54443-Gi1/β1/γ2 8FYX-5-HT1A-Buspirone-PtdIns4P-Gi1/β1/γ1 7EXD-5-HT1F-Lasmiditan-Gi1/β1/γ2 7UM6-5-HT5A-Lisuride-chim(NtGi1-Go)/β1/γ2
21.05Consensusgi_dopamineOrthosteric Ligand7JVR-D2-Bromoergocryptine-Gi1/β1/γ2 7CMV-D3-PD128907-Gi1/β1/γ2 7CMU-D3-Pramipexole-Gi1/β1/γ2 8IRS-D2-Rotigotine-Gi1/β1/γ2 8IRT-D3-Rotigotine-Gi1/β1/γ2
21.05Consensusgi_lpaOrthosteric Ligand7TD1-LPA1-LPA-Gi1/β1/γ2 7YU3-LPA1-ONO-0740556-Gi1/β1/γ2
21.05Consensusgi_relaxinOrthosteric Ligand7YK7-RXFP4-DC591053-Gi2/β1/γ2 7YJ4-RXFP4-INSL5-Gi2/β1/γ2 7YK6-RXFP4-PubChem 138319674-Gi2/β1/γ2
21.05Consensush4_on_gpOrthosteric Ligand8HN8-H4-Histamine-Gi1/β1/γ2 8HOC-H4-Imetit-Gi1/β1/γ2 8JXV-H4-Clozapine-Gi1/β1/γ2 8JXW-H4-VUF6884-Gi1/β1/γ2 8JXX-H4-Clobenpropit-Gi1/β1/γ2
21.05Consensuslpa_onOrthosteric Ligandlpa1_on
21.05Consensuslpa_on_gpOrthosteric Ligandlpa1_on_gp
21.05Consensusm3_offOrthosteric Ligand4U15-M3-Tiotropium 4U16-M3-N-methyl-Scopolamine 5ZHP-M3-PubChem 134828589
21.05Consensusmotilin_onOrthosteric Ligand8IBU-Motilin-Erythromycin-A-chim(NtGi1-Gs-CtGq)/β1/γ2
21.05Consensusmuscarinic_offOrthosteric Ligandm2_off m3_off m4_off m5_off m1_off
21.05Consensusnpy1_offOrthosteric Ligand5ZBH-Y1-BMS-193885 5ZBQ-Y1-UR-MK-299
21.05Consensusnpy_offOrthosteric Ligandnpy1_off npy2_off
21.05Consensusprotein_offOrthosteric Ligandchemokine_off grh_off
21.05Consensusrelaxin_onOrthosteric Ligandrxfp4_on
21.05Consensusrelaxin_on_gpOrthosteric Ligandrxfp4_on_gp
20.83Single5WF5UK-4320975WF5-A2A-UK-432097
20.83Single7F4DAlpha-MSH7F4D-MC1-α-MSH-chim(NtGi1-Gs)/β1/γ2
20.83Single7MBXCholecystokinin-87MBX-CCKA-Cholecystokinin-8-Gs/β1/γ1
20.83Single7TD2LPA7TD2-LPA1-LPA-Gi1/β1/γ2
20.83Single7XA3CCL27XA3-CCR2-CCL2-Gi1/β1/γ2
20.83Single7XOUCholecystokinin-87XOU-CCKA-Cholecystokinin-8-Gs/β1/γ2
20.83Single8YFOAc-LA-PTH Analog8YFO-PTH1-Ac-LA-PTH Analog-chim(NtGi1-Gs)/β1/γ2
20.83Single9B5YLA-PTH Analog9B5Y-PTH1-LA-PTH Analog-chim(NtGi1-Gq)/β1/γ2
20.83Single9IVMGLP-1 (Truncated)9IVM-GLP-1-GLP-1 (Truncated)-LSN3318839-chim(NtGi1-Gs)/β2/γ2
20.83Single9K27PrRP319K27-PrRP-PrRP31-chim(NtGi1-Gq)/β1/γ2
20.83Single9LXRLA-PTH Analog9LXR-PTH1-LA-PTH Analog-Arrestin2
20.83Single9U4WGonadoliberin-19U4W-GnRH1-Gonadoliberin-1-chim(NtGi1L-Gs-CtGq)/β1/γ2
20.83Consensusc5a1_onOrthosteric Ligand8HK5-C5a1-C5a-Gi1/β1/γ2 7Y66-C5a1-BM213-Gi1/β1/γ2 7Y67-C5a1-C089 peptide-Gi1/β1/γ2 7Y64-C5a1-C5a-Gi1/β1/γ2
20.83Consensusccr2_onOrthosteric Ligand7XA3-CCR2-CCL2-Gi1/β1/γ2
20.83Consensusccr2_on_gpOrthosteric Ligand7XA3-CCR2-CCL2-Gi1/β1/γ2
20.83Consensusccr_onOrthosteric Ligandccr6_on ccr8_on ccr2_on ccr1_on ccr5_on
20.83Consensuscxcr4_on_gpOrthosteric Ligand8K3Z-CXCR4-CXCL12-Gi1/β1/γ1
20.83Consensusgi_somatostatinOrthosteric Ligand7WIC-SST2-Somatostatin-14-Gi1/β1/γ2 7XMS-SST4-Somatostatin-14-Gi1/β1/γ2 8X8L-SST5-Cortistatin-14-chim(NtGi1-Gs-CtGi1)/β1/γ2 7XMT-SST4-J-2156-Gi1/β1/γ2 7WIG-SST2-L-054264-Gi1/β1/γ2 8X8N-SST5-Octreotide-chim(NtGi1-Gs-CtGi1)/β1/γ2 7YAE-SST2-Octreotide-Gi1/β1/γ2 7YAC-SST2-Paltusotine-Gi1/β1/γ2
20.83Consensussomatostatin_onOrthosteric Ligandsst2_on sst4_on sst5_on
20.83Consensussomatostatin_on_gpOrthosteric Ligandsst2_on_gp sst4_on_gp sst5_on_gp
20.69Single6PB0Urocortin6PB0-CRF1-Urocortin-chim(NtGi1-Gs)/β1/γ2
20.69Single7DUQGLP-17DUQ-GLP-1-GLP-1-PubChem 156022738-Gs/β1/γ2
20.69Single8U1UCCL18U1U-CCR8-CCL1-Gi1/β1/γ2
20.69Consensusgi_endothelinOrthosteric Ligand8IY5-ETB-Endothelin-1-Gi1/β1/γ2 8HBD-ETB-IRL1620-Gi1/β1/γ2
20.59Single7F16TIP397F16-PTH2-TIP39-Gs/β1/γ2
20.00Single2YCXCyanopindolol2YCX-β1-Cyanopindolol
20.00Single3D4STimolol3D4S-β2-Timolol
20.00Single3PBLEticlopride3PBL-D3-Eticlopride
20.00Single4AMIBucindolol4AMI-β1-Bucindolol
20.00Single4OR2FITM4OR2-mGlu1; mGlu1-FITM
20.00Single5CXVTiotropium5CXV-M1-Tiotropium
20.00Single5L7IVismodegib5L7I-SMO-Vismodegib
20.00Single5X33BIIL2605X33-BLT1-BIIL260
20.00Single6A93Risperidone6A93-5-HT2A-Risperidone
20.00Single6H7OCyanopindolol6H7O-β1-Cyanopindolol
20.00Single6HLLCP999946HLL-NK1-CP99994
20.00Single6LPBPACAP276LPB-PAC1-PACAP27-Gs/β1/γ1
20.00Single6MXTSalmeterol6MXT-β2-Salmeterol
20.00Single6NIYCalcitonin-16NIY-CT-Calcitonin-1-Gs/β1/γ2
20.00Single6QNOAll-trans-Retinal6QNO-Rhodopsin-All-trans-Retinal-Gi1/β1/γ1
20.00Single6TP4ACT-4622066TP4-OX1-ACT-462206
20.00Single6TQ4PubChem 160468446TQ4-OX1-PubChem 16046844-Na
20.00Single6VMSBromoergocryptine6VMS-D2-Bromoergocryptine-Gi1/β1/γ2
20.00Single7D76Beclomethasone7D76-ADGRG3-Beclomethasone-Go/β1/γ2
20.00Single7F55Bremelanotide7F55-MC4-Bremelanotide-Gs/β1/γ2
20.00Single7FIMTirzepatide7FIM-GLP-1-Tirzepatide-Gs/β1/γ2
20.00Single7K15MKD0467K15-BLT1-MKD046-Na
20.00Single7KH0AVP7KH0-V2-AVP-chim(NtGi1-Gs)/β1/γ2
20.00Single7T6BS1P7T6B-S1P2-S1P-chim(NtGi1L-G13)/β1/γ2
20.00Single7TYIAmylin7TYI-CT-Amylin-Gs/β1/γ2
20.00Single7W0LPubChem 1227019087W0L-Apelin; Apelin-PubChem 122701908-Gi1/β1/γ2
20.00Single7W0NElabela7W0N-Apelin; Apelin-Elabela-Gi1/β1/γ2
20.00Single7WCMMBX-29827WCM-GPR119-MBX-2982-Gs/β1/γ2
20.00Single7XMTJ-21567XMT-SST4-J-2156-Gi1/β1/γ2
20.00Single7XT9Serotonin7XT9-5-HT4-Serotonin-Gs/β1/γ2
20.00Single7XTASerotonin7XTA-5-HT4-Serotonin-Gi1/β1/γ2
20.00Single7XTBSerotonin7XTB-5-HT6-Serotonin-Gs/β1/γ2
20.00Single7XW9TRH7XW9-TRH-TRH-chim(NtGi1L-Gs-CtGq)/β1/γ2
20.00Single7YFCHistamine7YFC-H4-Histamine-chim(NtGi1-Gs-CtGq)/β1/γ2
20.00Single7YFDImetit7YFD-H4-Imetit-chim(NtGi1-Gs-CtGq)/β1/γ2
20.00Single7YS6Serotonin7YS6-5-HT6-Serotonin-chim(NtGi1-Gs)/β1/γ2
20.00Single8EF6Morphine8EF6-μ-Morphine-Gi1/β1/γ2
20.00Single8FYTLSD8FYT-5-HT1A-LSD-PtdIns4P-Gi1/β1/γ1
20.00Single8H2GNiacin8H2G-HCA2-Niacin-Gi1/β1/γ2
20.00Single8H4KGW95088H4K-FFA4-GW9508-chim(NtGi1-Gs-CtGq)/β1/γ2
20.00Single8HA0PTH8HA0-PTH1-PTH-chim(NtGi1-Gs)/β1/γ2
20.00Single8HBDIRL16208HBD-ETB-IRL1620-Gi1/β1/γ2
20.00Single8HK2C3a8HK2-C3aB-C3a-Gi1/β1/γ2
20.00Single8HN8Histamine8HN8-H4-Histamine-Gi1/β1/γ2
20.00Single8IBUErythromycin-A8IBU-Motilin-Erythromycin-A-chim(NtGi1-Gs-CtGq)/β1/γ2
20.00Single8IEDPubChem 1347468948IED-GPR156; GPR156-PubChem 134746894-Go/β1/γ2
20.00Single8IEDPubChem 1347468948IED-GPR156; GPR156-PubChem 134746894-Go/β1/γ2
20.00Single8IHFMK68928IHF-HCA2-MK6892-Gi1/β1/γ2
20.00Single8IHIAcifran8IHI-HCA2-Acifran-Gi1/β1/γ2
20.00Single8IRSRotigotine8IRS-D2-Rotigotine-Gi1/β1/γ2
20.00Single8IYWGSK2560738IYW-HCA2-GSK256073-Go/β1/γ2
20.00Single8J6DEP1418J6D-C3aB-EP141-Go/β1/γ2
20.00Single8J6IMK68928J6I-HCA2-MK6892-Gi1/β1/γ2
20.00Single8JD3JNJ-404118138JD3-mGlu2; mGlu3-Glutamate-JNJ-40411813-Gi1/β1/γ2
20.00Single8JJ8Arformoterol8JJ8-β2-Arformoterol
20.00Single8JJLOlodaterol8JJL-β2-Olodaterol
20.00Single8JWZEtrumadenant8JWZ-A2A-Etrumadenant-Na
20.00Single8JZ7MK68928JZ7-HCA2-MK6892-Gi1/β1/γ2
20.00Single8K5BNiacin8K5B-HCA2-Niacin
20.00Single8U26Substance-P8U26-NK1-Substance-P-Gs/β1/γ2
20.00Single8W1VPubChem 1717162658W1V-β2-PubChem 171716265
20.00Single8X8NOctreotide8X8N-SST5-Octreotide-chim(NtGi1-Gs-CtGi1)/β1/γ2
20.00Single8XYIVUF106618XYI-CXCR3-VUF10661
20.00Single8XZJWN3538XZJ-Apelin; Apelin-WN353-Gi1/β1/γ2
20.00Single8YH3N-methyladenosine8YH3-A3A-N-methyladenosine-Gi1/β1/γ2
20.00Single8YN4Histamine8YN4-H2-Histamine-chim(NtGi1L-Gs-CtGq)/β1/γ2
20.00Single8YN5Histamine8YN5-H3-Histamine-Gi1/β1/γ2
20.00Single8YN6Imetit8YN6-H3-Imetit-Gi1/β1/γ2
20.00Single8YN7Immethridine8YN7-H3-Immethridine-Go/β1/γ2
20.00Single8YW3Retatrutide8YW3-GLP-1-Retatrutide-Gs/β1/γ2
20.00Single8ZSVRO52633978ZSV-TA1-RO5263397-chim(NtGi1-Gs)/β1/γ2
20.00Single8ZX5AM2518ZX5-GPR55-AM251-chim(NtGi1-G13)/β1/γ2
20.00Single9AS7Psilocin9AS7-5-HT2A-Psilocin
20.00Single9B9YTaranabant9B9Y-CB1-Taranabant
20.00Single9BJKPubChem 1716420669BJK-μ-Naloxone-PubChem 171642066
20.00Single9EBIPiclidenoson9EBI-A3A-Piclidenoson-chim(NtGi1L-Gs-CtGi1)/β1/γ2
20.00Single9IJEEpinephrine9IJE-β3-Epinephrine-chim(NtGi1-Gs)/β1/γ2
20.00Single9IQTNiacin9IQT-HCA2-Niacin-Gi1/β1/γ2
20.00Single9IXJHistamine9IXJ-H2-Histamine-Gs/β1/γ2
20.00Single9IZDCHBA9IZD-HCA1-CHBA-Gi1/β1/γ2
20.00Single9JEDHistamine9JED-H4-Histamine-PO4-Gi1/β1/γ2
20.00Single9JEQHistamine9JEQ-H3-Histamine-Gi1/β1/γ2
20.00Single9L42Histamine9L42-H4-Histamine-Gi1/β1/γ2
20.00Single9M4QDoxazosin9M4Q-Alpha1A-Doxazosin
20.00Single9M8POleic monoethanolamide9M8P-GPR3 ; GPR3-Oleic monoethanolamide-AF64394
20.00Single9WSWEndomorphin9WSW-μ-Endomorphin-chim(NtGi1-Gz)/β1/γ2
20.00Single9YDUUDP-Glucose9YDU-P2Y14-UDP-Glucose-Gi1/β1/γ2
20.00Consensus5ht4_onOrthosteric Ligand7XTA-5-HT4-Serotonin-Gi1/β1/γ2
20.00Consensus5ht4_on_gpOrthosteric Ligand7XTA-5-HT4-Serotonin-Gi1/β1/γ2
20.00Consensusbeta_onOrthosteric Ligandbeta1_on beta2_on beta3_on
20.00Consensusbeta_on_gpOrthosteric Ligandbeta1_on_gp beta2_on_gp beta3_on_gp
20.00Consensusd2_on_gpOrthosteric Ligand7JVR-D2-Bromoergocryptine-Gi1/β1/γ2 8IRS-D2-Rotigotine-Gi1/β1/γ2
20.00Consensusd3_offOrthosteric Ligand3PBL-D3-Eticlopride
20.00Consensusendothelin_on_gpOrthosteric Ligandetb_on_gp eta_on_gp
20.00Consensusetb_on_gpOrthosteric Ligand8IY5-ETB-Endothelin-1-Gi1/β1/γ2 8HBD-ETB-IRL1620-Gi1/β1/γ2
20.00Consensusgi_amineOrthosteric Ligandgi_5ht gi_muscarinic gi_adrenergic gi_dopamine gi_histamine
20.00Consensush4_onOrthosteric Ligand8HN8-H4-Histamine-Gi1/β1/γ2 8HOC-H4-Imetit-Gi1/β1/γ2 8JXV-H4-Clozapine-Gi1/β1/γ2 8JXW-H4-VUF6884-Gi1/β1/γ2 8JXX-H4-Clobenpropit-Gi1/β1/γ2
20.00Consensusm1_offOrthosteric Ligand5CXV-M1-Tiotropium
20.00Consensusm4_onOrthosteric Ligand7TRS-M4-Acetylcholine-Gi1/β1/γ2 7V6A-M4-PubChem 9864275-Gi1/β1/γ2 8E9X-M4-2-Deoxycytidine-chim(NtGi1-Go)/β1/γ2 7TRK-M4-Iperoxo-Gi1/β1/γ2
20.00Consensusm4_on_gpOrthosteric Ligand7TRS-M4-Acetylcholine-Gi1/β1/γ2 7V6A-M4-PubChem 9864275-Gi1/β1/γ2 8E9X-M4-2-Deoxycytidine-chim(NtGi1-Go)/β1/γ2 7TRK-M4-Iperoxo-Gi1/β1/γ2
20.00Consensusmotilin_on_gpOrthosteric Ligand8IBU-Motilin-Erythromycin-A-chim(NtGi1-Gs-CtGq)/β1/γ2
20.00Consensusp2y_on_gpOrthosteric Ligandp2y1_on_gp p2y10_on_gp p2y12_on_gp
20.00Consensustachykinin_onOrthosteric Ligandnk1_on nk2_on nk3_on
20.00Consensustrh_onOrthosteric Ligand7XW9-TRH-TRH-chim(NtGi1L-Gs-CtGq)/β1/γ2
20.00Consensustrh_on_gpOrthosteric Ligand7XW9-TRH-TRH-chim(NtGi1L-Gs-CtGq)/β1/γ2
19.23Single7F9YGhrelin7F9Y-Ghrelin-Ghrelin-chim(NtGi1-Gs-CtGq)/β1/γ2
19.23Single7LLYOxyntomodulin7LLY-GLP-1-Oxyntomodulin-Gs/β1/γ2
19.23Single7P02Substance-P7P02-NK1-Substance-P-chim(NtGi1-Gs)/β1/γ2
19.23Single7WBJPACAP277WBJ-VPAC1-PACAP27-Gs/β1/γ2
19.23Single7X9BNeuropeptide-Y7X9B-Y2-Neuropeptide-Y-Gi1/β1/γ2
19.23Single7X9CPancreatic Hormone7X9C-Y4-Pancreatic Hormone-Gi1/β1/γ2
19.23Single8E3YPACAP278E3Y-VPAC1-PACAP27-Gs/β1/γ2
19.23Single8HK5C5a8HK5-C5a1-C5a-Gi1/β1/γ2
19.23Single8IA2C5a8IA2-C5a1-C5a-Go/β1/γ2
19.23Single8IODPG-9018IOD-MC5-PG-901-Ca-chim(NtGi1-Gs)/β1/γ2
19.23Single8WWKMCH8WWK-MCH1-MCH-Gi1/β1/γ2
19.23Single8XQEApelin-138XQE-Apelin; Apelin-Apelin-13-Gi1/β1/γ2
19.23Single8XVHEndothelin-18XVH-ETB-Endothelin-1-chim(Gs-CtGq)/β1/γ2
19.23Single8YG4LA-PTH Analog8YG4-PTH1-LA-PTH Analog-chim(NtGi1-Gs)/β1/γ2
19.23Single8ZPSPrRP208ZPS-PrRP-PrRP20-chim(NtGi1-Gs-CtGi1)/β1/γ2
19.23Single9JFYNeuropeptide-SF9JFY-NPFF2-Neuropeptide-SF-Gi1/β1/γ2
19.23Consensusccr_on_gpOrthosteric Ligandccr6_on_gp ccr8_on_gp ccr2_on_gp ccr1_on_gp ccr5_on_gp
19.23Consensuschemokine_on_gpOrthosteric Ligandccr_on_gp cxcr_on_gp
19.23Consensusgi_chemokineOrthosteric Ligand6WWZ-CCR6-CCL20-Go/β1/γ2 8HNK-CXCR3-CXCL11-Gi1/β1/γ2 8K3Z-CXCR4-CXCL12-Gi1/β1/γ1 8IC0-CXCR1-CXCL8-Gi1/β1/γ2 6LFM-CXCR2-CXCL8-Gi1/β1/γ2 8KFX-CCR8-LMD-009-Gi1/β1/γ2 7F1Q-CCR5-CCL3-Gi1/β1/γ2 8HNL-CXCR3-PS372424-Gi1/β1/γ2 8KFY-CCR8-ZK-756326-Gi1/β1/γ2 7O7F-CCR5-6P4-CCL5-Gi1/β1/γ1 8U1U-CCR8-CCL1-Gi1/β1/γ2 7VLA-CCR1-CCL15(27-92)-Gi1/β1/γ2 7XA3-CCR2-CCL2-Gi1/β1/γ2
19.23Consensussst5_on_gpOrthosteric Ligand8X8L-SST5-Cortistatin-14-chim(NtGi1-Gs-CtGi1)/β1/γ2 8X8N-SST5-Octreotide-chim(NtGi1-Gs-CtGi1)/β1/γ2
19.05Single2YCZIodocyanopindolol2YCZ-β1-Iodocyanopindolol
19.05Single4OR2FITM4OR2-mGlu1; mGlu1-FITM
19.05Single5TUDErgotamine5TUD-5-HT2B-Ergotamine
19.05Single6BQGErgotamine6BQG-5-HT2C-Ergotamine
19.05Single6BQHRitanserin6BQH-5-HT2C-Ritanserin
19.05Single6H7LDobutamine6H7L-β1-Dobutamine
19.05Single6IBLArformoterol6IBL-β1-Arformoterol
19.05Single6TKOArformoterol6TKO-β1-Arformoterol-Arrestin2
19.05Single7EZCUK-4320977EZC-A2A-UK-432097
19.05Single7MBYCholecystokinin-87MBY-CCKA-Cholecystokinin-8-chim(NtGi1L-Gs-CtGq)/β1/γ2
19.05Single7SK8CCX6627SK8-ACKR3-CXCL12-CCX662
19.05Single7X8RBOC57X8R-GLP-1-BOC5-Gs/β1/γ2
19.05Single8E9X2-Deoxycytidine8E9X-M4-2-Deoxycytidine-chim(NtGi1-Go)/β1/γ2
19.05Single8E9YClozapine-N-oxide8E9Y-M3-Clozapine-N-oxide-chim(NtGi2L-Gs-CtGq)/β1/γ2
19.05Single8FX5Xanomeline8FX5-M4-Xanomeline-Xanomeline-Gi1/β1/γ2
19.05Single8I95EP548I95-C3aB-EP54-Go/β1/γ2
19.05Single8ID8TUG-8918ID8-FFA4-TUG-891-Gi1/β1/γ2
19.05Single8IYSTUG-8918IYS-FFA4-TUG-891-GDP-chim(NtGi1L-Gq)/β1/γ2
19.05Single8J19LY2378J19-GPR84-LY237-Gi1/β1/γ2
19.05Single8T3OTUG-8918T3O-FFA4-TUG-891-chim(NtGi2L-Gs-CtGq)/β1/γ2
19.05Single8XVJMacitentan8XVJ-ETA-Macitentan
19.05Single9CGJC6-Quino9CGJ-δ-C6-Quino-Gi1/β1/γ2
19.05Single9DYEBuspirone9DYE-5-HT1A-Buspirone-PtdIns4P-Go/β1/γ2
19.05Single9HYIDP819HYI-5-HT1A-DP81-Gi1/β1/γ2
19.05Single9IZFLPA9IZF-LPA1-LPA-Gi1/β1/γ2
19.05Single9KT8Acifran9KT8-HCA2-Acifran-Gi1/β1/γ2
19.05Single9UYMChemerin-99UYM-CML2-Chemerin-9-chim(Arrestin3-CtArrestin2)
19.05Consensus5ht2c_offOrthosteric Ligand6BQH-5-HT2C-Ritanserin
19.05Consensusbeta1_onOrthosteric Ligand8DCR-β1-Dobutamine-Gs/β1/γ2 7S0F-β1-Isoprenaline-Gi1/β1/γ2
19.05Consensusbeta1_on_gpOrthosteric Ligand8DCR-β1-Dobutamine-Gs/β1/γ2 7S0F-β1-Isoprenaline-Gi1/β1/γ2
19.05Consensuscck_onOrthosteric Ligandccka_on cckb_on
19.05Consensuscck_on_gpOrthosteric Ligandccka_on_gp cckb_on_gp
19.05Consensusd2_offOrthosteric Ligand6CM4-D2-Risperidone 6LUQ-D2-Haloperidol 7DFP-D2-Spiperone
19.05Consensusnucleotide_on_gpOrthosteric Ligandadenosine_on_gp p2y_on_gp
19.05Consensusprostanoid_offOrthosteric Ligandep_off dp_off
18.75Single3VGAZM-2413853VGA-A2A-ZM-241385-Antibody
18.75Single4MQTLY21196204MQT-M2-Iperoxo-LY2119620
18.75Single5K2DZM-2413855K2D-A2A-ZM-241385-Na
18.75Single5OLOTozadenant5OLO-A2A-Tozadenant-Na
18.75Single5OLVLUAA470705OLV-A2A-LUAA47070-Na
18.75Single5U09Taranabant5U09-CB1-Taranabant
18.75Single5ZKQABT-4915ZKQ-PAF-ABT-491
18.75Single6JZHZM-2413856JZH-A2A-ZM-241385-Na
18.75Single6KUYPubChem 1457046436KUY-α2a-PubChem 145704643
18.75Single6OBAAlprenolol6OBA-β2-Alprenolol-GTPL11074
18.75Single6PS7ZM-2413856PS7-A2A-ZM-241385-Na
18.75Single6TQ6PubChem 1457142836TQ6-OX1-PubChem 145714283
18.75Single7DHRIsoprenaline7DHR-β2-Isoprenaline-Gs/β1/γ2
18.75Single7F1ODopamine7F1O-D1-Dopamine-GDP; Mg-Gs/β1/γ2
18.75Single7S8PMS471347S8P-MRGPRX4-MS47134-chim(NtGi2L-Gs-CtGq)/β1/γ2
18.75Single7SRSLSD7SRS-5-HT2B-LSD-Arrestin2
18.75Single7T8XAcetylcholine7T8X-M2-Acetylcholine-chim(NtGi1-Go)/β1/γ2
18.75Single7T90Acetylcholine7T90-M2-Acetylcholine-chim(NtGi1-Go)/β1/γ2
18.75Single7T96Acetylcholine7T96-M2-Acetylcholine-LY2119620-Go/β1/γ2
18.75Single7TYYCalcitonin-17TYY-CT (AMY2)-Calcitonin-1-Gs/β1/γ2; RAMP2
18.75Single7VDLCortistatin-147VDL-MRGPRX2-Cortistatin-14-Gi1/β1/γ2
18.75Single7VUJJNJ-635330547VUJ-GPR139-JNJ-63533054-GDP-chim(Gs-CtGq)/β1/γ2
18.75Single7W0OElabela7W0O-Apelin-Elabela-Gi1/β1/γ2
18.75Single7X2FDopamine7X2F-D1-Dopamine-Mevidalen-Gs/β1/γ2
18.75Single7X5H5-CT7X5H-5-HT5A-5-CT-Gi1/β1/γ2
18.75Single7XJJGalanin7XJJ-GAL1-Galanin-Go/β1/γ2
18.75Single7XT8Serotonin7XT8-5-HT4-Serotonin-Gs/β1/γ2
18.75Single7YM8Oxymetazoline7YM8-Alpha1A-Oxymetazoline-chim(Gs-CtGq)
18.75Single7YMHNorepinephrine7YMH-Alpha1A-Norepinephrine-chim(Gs-CtGq)
18.75Single8FYXBuspirone8FYX-5-HT1A-Buspirone-PtdIns4P-Gi1/β1/γ1
18.75Single8GGAConstrained Epinephrine8GGA-β2-Constrained Epinephrine-GTP-Gs/β1/γ2
18.75Single8GGCConstrained Epinephrine8GGC-β2-Constrained Epinephrine-GTP-Gs/β1/γ2
18.75Single8GGRConstrained Epinephrine8GGR-β2-Constrained Epinephrine
18.75Single8GGWConstrained Epinephrine8GGW-β2-Constrained Epinephrine
18.75Single8GH0Constrained Epinephrine8GH0-β2-Constrained Epinephrine
18.75Single8GNGIstradefylline8GNG-A2A-Istradefylline
18.75Single8HOCImetit8HOC-H4-Imetit-Gi1/β1/γ2
18.75Single8IJANiacin8IJA-HCA2-Niacin-Gi1/β1/γ2
18.75Single8IJBAcipimox8IJB-HCA2-Acipimox-Gi1/β1/γ2
18.75Single8IW4Spermidine8IW4-TAA9-Spermidine-chim(NtGi1-Gs)/β1/γ2
18.75Single8IWESpermidine8IWE-TAA9-Spermidine
18.75Single8J6LNiacin8J6L-HCA2-Niacin-Gi1/β1/γ2
18.75Single8JSOAMPH8JSO-TA1-AMPH-chim(NtGi1-Gs)/β1/γ2
18.75Single8RVWStilSwitch38RVW-A2A-StilSwitch3-Na
18.75Single8RW0Istradefylline8RW0-A2A-Istradefylline-Na
18.75Single8TZQDopamine8TZQ-D2-Dopamine-Go/β1/γ2
18.75Single8U4PAMD31008U4P-CXCR4-AMD3100-Gi1/β1/γ2
18.75Single8UNSConstrained Epinephrine8UNS-β2-Constrained Epinephrine-GTP-Gs/β1/γ2
18.75Single8UNTConstrained Epinephrine8UNT-β2-Constrained Epinephrine-GTP-Gs/β1/γ2
18.75Single8UNXConstrained Epinephrine8UNX-β2-Constrained Epinephrine-GTP-Gs/β1/γ2
18.75Single8UTDMK19038UTD-HCA2-MK1903-Gi1/β1/γ2
18.75Single8WC3SEP-3638568WC3-TA1-SEP-363856-chim(NtGi1-Gs)/β1/γ2
18.75Single8WC4ZH86518WC4-TA1-ZH8651-chim(NtGi1-Gs)/β1/γ2
18.75Single8WCA2-Phenylethylamine8WCA-TA1-2-Phenylethylamine-chim(NtGi1-Gs)/β1/γ2
18.75Single8YNAImmepip8YNA-H4-Immepip-Gi1/β1/γ2
18.75Single8YUTAmthamine8YUT-H2-Amthamine-Gs/β1/γ2
18.75Single8YUVImmepip8YUV-H3-Immepip-Gi1/β1/γ2
18.75Single8Z87CHBA8Z87-HCA1-CHBA-Gi1/β1/γ2
18.75Single9EBHAdenosine9EBH-A3A-Adenosine-Gi1/β1/γ2
18.75Single9EEAAdenosine9EEA-A2A-Adenosine-Gs/β1/γ2
18.75Single9LL9DOI9LL9-5-HT2A-DOI-chim(NtGi1L-Gs-CtGq)/β1/γ2
18.75Single9LLBDOI-NBOMe9LLB-5-HT2A-DOI-NBOMe-chim(NtGi1L-Gs-CtGq)/β1/γ2
18.75Single9LRBHistamine9LRB-H1-Histamine-Gs/β1/γ2
18.75Single9PXUNaloxone9PXU-μ-Naloxone-Na
18.75Single9VJ5Gepirone9VJ5-5-HT1A-Gepirone-Go/β1/γ2
18.75Consensus5ht1e_onOrthosteric Ligand7E33-5-HT1E-BRL-54443-Gi1/β1/γ2 8UGY-5-HT1E-Mianserin-Gi1/β1/γ1 8UH3-5-HT1E-Setiptiline-Gi1/β1/γ1
18.75Consensus5ht_onOrthosteric Ligand5ht1_on 5ht2_on 5ht4_on 5ht5_on 5ht6_on 5ht7_on
18.75Consensusglucagon_onOrthosteric Ligandglp_on gluc_on secretin_on gip_on
18.75Consensusgq_histamineOrthosteric Ligand7DFL-H1-Histamine-chim(NtGi1L-Gq)/β1/γ2
18.75Consensusgs_5htOrthosteric Ligand7XTC-5-HT7-5-CT-Gs/β1/γ2 7XTB-5-HT6-Serotonin-Gs/β1/γ2 8JLZ-5-HT6-ST1936-Gs/β1/γ2 7XT8-5-HT4-Serotonin-Gs/β1/γ2
18.75Consensush1_on_gpOrthosteric Ligand7DFL-H1-Histamine-chim(NtGi1L-Gq)/β1/γ2
18.75Consensushistamine_onOrthosteric Ligandh1_on h2_on h3_on h4_on
18.75Consensushistamine_on_gpOrthosteric Ligandh1_on_gp h2_on_gp h3_on_gp h4_on_gp
18.75Consensusm2_onOrthosteric Ligand7T8X-M2-Acetylcholine-chim(NtGi1-Go)/β1/γ2
18.75Consensusm2_on_gpOrthosteric Ligand7T8X-M2-Acetylcholine-chim(NtGi1-Go)/β1/γ2
18.75Consensuspaf_offOrthosteric Ligand5ZKQ-PAF-ABT-491
18.52Single4XT3CX3CL14XT3-US28-CX3CL1
18.52Single6FJ3PTH6FJ3-PTH1-PTH
18.52Single6P9YPACAP276P9Y-PAC1-PACAP27-Gs/β1/γ2
18.52Single7CZ5Somatoliberin7CZ5-GHRH-Somatoliberin-Gs/β1/γ2
18.52Single7F8VGastrin-177F8V-CCKB-Gastrin-17-Gi2/β1/γ2
18.52Single7SK3CXCL127SK3-ACKR3-CXCL12
18.52Single7W3ZGastrin Releasing Peptide7W3Z-BB2-Gastrin Releasing Peptide-chim(NtGi1L-Gq)/β1/γ2
18.52Single7YKDChemerin-97YKD-CML1-Chemerin-9-Gi1/β1/γ2
18.52Single8E3XPACAP278E3X-PAC1-PACAP27-Gs/β1/γ2
18.52Single8FLRPTHrP(1-36)8FLR-PTH1-PTHrP(1-36)-Gs/β1/γ2
18.52Single8JISPeptide-158JIS-GLP-1-Peptide-15-chim(NtGi1-Gs)/β1/γ2
18.52Single9BLWCagrilintide (non-acylated)9BLW-CT (AMY1)-Cagrilintide (non-acylated)-Gs/β1/γ2; RAMP1
18.52Single9J1Pg1:Ox9J1P-GLP-1-g1:Ox-chim(NtGi1-Gs)/β1/γ2
18.52Single9KFKRelaxin-39KFK-RXFP4-Relaxin-3-Gi2/β1/γ2
18.52Single9P92VIP9P92-PAC1-VIP-Gs/β1/γ2
18.52Consensusccr5_onOrthosteric Ligand7O7F-CCR5-6P4-CCL5-Gi1/β1/γ1 7F1Q-CCR5-CCL3-Gi1/β1/γ2
18.52Consensusccr_offOrthosteric Ligandccr2_off ccr5_off
18.52Consensusnpy4_onOrthosteric Ligand7X9C-Y4-Pancreatic Hormone-Gi1/β1/γ2
18.52Consensusnpy4_on_gpOrthosteric Ligand7X9C-Y4-Pancreatic Hormone-Gi1/β1/γ2
18.52Consensuspac_on_gpOrthosteric Ligandpac1_on_gp
18.18Single6C1QPMX536C1Q-C5a1-PMX53-NDT9513727
18.18Single6E3YCalcitonin gene-related peptide-16E3Y-CT Like-Calcitonin gene-related peptide-1-Gs/β1/γ2; RAMP1
18.18Single6PT3DPI-2876PT3-δ-DPI-287
18.18Single7AUESetmelanotide7AUE-MC4-Setmelanotide-chim(NtGi1L-Gs)/β1/γ2
18.18Single7RKNCX3CL17RKN-US28-CX3CL1-Gi1/β1/γ2
18.18Single7RMGSubstance-P7RMG-NK1-Substance-P-chim(Gs-CtGq)/β1/γ2
18.18Single7SK9CCX6627SK9-ACKR3-CCX662
18.18Single7XN9L-0545227XN9-SST2-L-054522
18.18Single8H4IDoconexent8H4I-FFA4-Doconexent-chim(NtGi1-Gs)/β1/γ2
18.18Single8JBFSenktide8JBF-NK3-Senktide-chim(NtGi1-Gs-CtGq)/β1/γ2
18.18Single8JLRA776368JLR-TA1-A77636-chim(NtGi1-Gs)/β1/γ2
18.18Single8XQLCholesterol8XQL-TAS2R14-Cholesterol-Aristolochic acid A-Gt3/β1/γ1
18.18Single8XQOCholesterol8XQO-TAS2R14-Cholesterol-Aristolochic acid A-Gi1/β1/γ1
18.18Single9CGKC5-Quino9CGK-δ-C5-Quino-Gi1/β1/γ2
18.18Single9IZASCH9002719IZA-HCA2-SCH900271-Gi1/β1/γ2
18.18Single9MD1Buspirone9MD1-5-HT1A-Buspirone-PtdIns4P-Gz/β1/γ2
18.18Single9UMJEP549UMJ-C3aB-EP54-Go/β1/γ2
18.18Single9WSXEndomorphin9WSX-μ-Endomorphin-Arrestin2
18.18Consensuscxcr3_onOrthosteric Ligand8HNK-CXCR3-CXCL11-Gi1/β1/γ2 8HNL-CXCR3-PS372424-Gi1/β1/γ2
18.18Consensuscxcr4_offOrthosteric Ligand4RWS-CXCR4-vMIP-II 3OE0-CXCR4-CVX15 3OE6-CXCR4-IT1t
18.18Consensusglucagon_on_gpOrthosteric Ligandglp_on_gp gluc_on_gp secretin_on_gp gip_on_gp
18.18Consensusgq_cckOrthosteric Ligand8IA7-CCKB-Cholecystokinin-8-chim(NtGi1L-Gq)/β1/γ2 7XOW-CCKB-Sulfated Gastrin-(10-17)-chim(NtGi1-Gq)/β1/γ2 7EZM-CCKA-Cholecystokinin-8-chim(NtGsL-Gq)/β1/γ2 7F8W-CCKB-Gastrin-17-chim(NtGsL-Gq)/β1/γ2
18.18Consensuskiss1_onOrthosteric Ligand8ZJD-Kiss1-Kisspeptin-1-chim(NtGi1-Gq)/β1/γ1
18.18Consensuskisspeptin_onOrthosteric Ligandkiss1_on
18.18Consensussst2_onOrthosteric Ligand7WIC-SST2-Somatostatin-14-Gi1/β1/γ2 7WIG-SST2-L-054264-Gi1/β1/γ2 7YAE-SST2-Octreotide-Gi1/β1/γ2 7YAC-SST2-Paltusotine-Gi1/β1/γ2
18.18Consensussst2_on_gpOrthosteric Ligand7WIC-SST2-Somatostatin-14-Gi1/β1/γ2 7WIG-SST2-L-054264-Gi1/β1/γ2 7YAE-SST2-Octreotide-Gi1/β1/γ2 7YAC-SST2-Paltusotine-Gi1/β1/γ2
17.86Single6B3JExendin-P56B3J-GLP-1-Exendin-P5-Gs/β1/γ2
17.86Single6VCBGLP-16VCB-GLP-1-GLP-1-LSN3160440-Gs/β1/γ2
17.86Single7S1MExendin-4-D-Ala7S1M-GLP-1-Exendin-4-D-Ala-Gs/β1/γ2
17.86Single7TYFAmylin7TYF-CT (AMY1)-Amylin-Gs/β1/γ2; RAMP1
17.86Single7WVYAmyloid-Beta427WVY-FPR2-ALX-Amyloid-β42-Gi2/β1/γ2
17.86Single8W8XBeta-MSH8W8X-MC3-β-MSH-Ca-Gs/β1/γ2
17.86Single8WWLMCH8WWL-MCH1-MCH-Gi1/β1/γ2
17.86Single9BUCCagrilintide9BUC-CT-Cagrilintide-Gs/β1/γ2
17.86Single9KDFRES-701-39KDF-ETB-RES-701-3
17.86Consensuscrf_onOrthosteric Ligandcrf2_on crf1_on
17.86Consensusglp_onOrthosteric Ligandglp1_on glp2_on
17.86Consensusglp_on_gpOrthosteric Ligandglp1_on_gp glp2_on_gp
17.86Consensusp2y10_on_gpOrthosteric Ligand8KGG-P2Y10-Lysophosphatidylserine (WJS)-chim(NtGi2-G13)/β1/γ2
17.65Single2YDOAdenosine2YDO-A2A-Adenosine
17.65Single3RZECidoxepin3RZE-H1-Cidoxepin
17.65Single3UZCPubChem 1355666093UZC-A2A-PubChem 135566609
17.65Single4DKLBeta-Funaltrexamine4DKL-μ-β-Funaltrexamine
17.65Single4MQTIperoxo4MQT-M2-Iperoxo-LY2119620
17.65Single4N6HNaltrindole4N6H-δ-Naltrindole-Na
17.65Single5IU4ZM-2413855IU4-A2A-ZM-241385-Na
17.65Single5IU7Q274563465IU7-A2A-Q27456346-Na
17.65Single5IUBQ274563445IUB-A2A-Q27456344-Na
17.65Single5JTBZM-2413855JTB-A2A-ZM-241385
17.65Single5K2BZM-2413855K2B-A2A-ZM-241385-Na
17.65Single5K2CZM-2413855K2C-A2A-ZM-241385-Na
17.65Single5NLXZM-2413855NLX-A2A-ZM-241385-Na
17.65Single5NM4ZM-2413855NM4-A2A-ZM-241385-Na
17.65Single6KUXRS799486KUX-α2a-RS79948
17.65Single6TPKRetosiban6TPK-OT-Retosiban
17.65Single6WJCAtropine6WJC-M1-Atropine-Muscarinic toxin 7
17.65Single6ZDRHMS1413f126ZDR-A2A-HMS1413f12-Na
17.65Single6ZDVPubChem 9840736ZDV-A2A-PubChem 984073-Na
17.65Single7AROLUF58337ARO-A2A-LUF5833-Na
17.65Single7BB6AVP7BB6-V2-AVP-Gs/β1/γ2
17.65Single7CKZDopamine7CKZ-D1-Dopamine-Mevidalen-Gs/β1/γ2
17.65Single7CMVPD1289077CMV-D3-PD128907-Gi1/β1/γ2
17.65Single7DHISalbutamol7DHI-β2-Salbutamol-Gs/β1/γ2
17.65Single7E33BRL-544437E33-5-HT1E-BRL-54443-Gi1/β1/γ2
17.65Single7F0TDopamine7F0T-D1-Dopamine-Gs/β1/γ2
17.65Single7F1ZDopamine7F1Z-D1-Dopamine-GDP-Gs/β1/γ2
17.65Single7F24Dopamine7F24-D1-Dopamine-GDP-Gs/β1/γ2
17.65Single7T32ZM-2413857T32-A2A-ZM-241385
17.65Single7T94Acetylcholine7T94-M2-Acetylcholine-LY2119620-chim(NtGi1-Go)/β1/γ2
17.65Single7T94LY21196207T94-M2-Acetylcholine-LY2119620-chim(NtGi1-Go)/β1/γ2
17.65Single7TRSAcetylcholine7TRS-M4-Acetylcholine-Gi1/β1/γ2
17.65Single7UL3Famotidine7UL3-H2-Famotidine
17.65Single7UM7Methylergometrine7UM7-5-HT5A-Methylergometrine-chim(NtGi1-Go)/β1/γ2
17.65Single7WC9PubChem 1624213647WC9-5-HT2A-PubChem 162421364
17.65Single7WVUfMLF7WVU-FPR1-ALX-fMLF-Gi1/β1/γ2
17.65Single8DPGPsilocin8DPG-5-HT2C-Psilocin-chim(NtGi2L-Gs-CtGq)/β1/γ2
17.65Single8GE1Constrained Epinephrine8GE1-β2-Constrained Epinephrine-Gs/β1/γ2
17.65Single8GE4Constrained Epinephrine8GE4-β2-Constrained Epinephrine-Gs/β1/γ2
17.65Single8GE5Constrained Epinephrine8GE5-β2-Constrained Epinephrine-Gs/β1/γ1
17.65Single8GE6Constrained Epinephrine8GE6-β2-Constrained Epinephrine-Gs/β1/γ2
17.65Single8GE7Constrained Epinephrine8GE7-β2-Constrained Epinephrine-Gs/β1/γ2
17.65Single8GE8Constrained Epinephrine8GE8-β2-Constrained Epinephrine-Gs/β1/γ2
17.65Single8GEDConstrained Epinephrine8GED-β2-Constrained Epinephrine-Gs/β1/γ2
17.65Single8GEFConstrained Epinephrine8GEF-β2-Constrained Epinephrine-Gs/β1/γ2
17.65Single8GG5Constrained Epinephrine8GG5-β2-Constrained Epinephrine-GTP-Gs/β1/γ2
17.65Single8GGSConstrained Epinephrine8GGS-β2-Constrained Epinephrine
17.65Single8GGTConstrained Epinephrine8GGT-β2-Constrained Epinephrine
17.65Single8GGVConstrained Epinephrine8GGV-β2-Constrained Epinephrine
17.65Single8HJ5PubChem 1390305318HJ5-MRGPRX1-PubChem 139030531-chim(NtGi1-Gs-CtGq)/β1/γ2
17.65Single8HNMVUF112228HNM-CXCR3-VUF11222-Gi1/β1/γ2
17.65Single8JEIPubChem 117155568JEI-HCAR3-PubChem 11715556-Gi1/β1/γ2
17.65Single8JERAcipimox8JER-HCA2-Acipimox-Go/β1/γ2
17.65Single8JLKUlotaront8JLK-TA1-Ulotaront-chim(NtGi1-Gs)/β1/γ2
17.65Single8JLNT1AM8JLN-TA1-T1AM-Gs/β1/γ2
17.65Single8K2WAMG4878K2W-CXCR3-AMG487
17.65Single8RQQZM-2413858RQQ-A2A-ZM-241385-Na
17.65Single8RWIStilSwitch28RWI-A2A-StilSwitch2-Na
17.65Single8THKA-616038THK-Alpha1A-A-61603-chim(NtGi2L-Gs-CtGq)/β1/γ2
17.65Single8U02Dopamine8U02-D2-Dopamine-Go/β1/γ2
17.65Single8UNMConstrained Epinephrine8UNM-β2-Constrained Epinephrine-GTP-Gs/β1/γ2
17.65Single8UNWConstrained Epinephrine8UNW-β2-Constrained Epinephrine-GTP-Gs/β1/γ2
17.65Single8UO1Constrained Epinephrine8UO1-β2-Constrained Epinephrine-GTP; Mg-Gs/β1/γ2
17.65Single8V6UPubChem 1713924568V6U-5-HT2A-PubChem 171392456-chim(NtGi2-Gs-CtGq)/β1/γ2
17.65Single8W88SEP-3638568W88-TA1-SEP-363856-Gs/β1/γ2
17.65Single8WC8ZH86518WC8-TA1-ZH8651-chim(NtGi1-Gs)/β1/γ2
17.65Single8Y01All-trans-Retinal8Y01-Opsin1MW-All-trans-Retinal-Gi1/β1/γ2
17.65Single8Y6YGLPG09748Y6Y-FFA2-GLPG0974
17.65Single8YN3Histamine8YN3-H2-Histamine-Gs/β1/γ2
17.65Single8YRGFospropofol8YRG-MRGPRX4-Fospropofol-chim(NtGi1-Gs-CtGq)/β1/γ2
17.65Single8ZPMAMD0708ZPM-CXCR4-AMD070
17.65Single8ZPNAMD31008ZPN-CXCR4-AMD3100
17.65Single9AS3LSD9AS3-5-HT2A-LSD
17.65Single9AS4LSD9AS4-5-HT2A-LSD-chim(NtGi1-Gs-CtGq)/β1/γ2
17.65Single9BA0MRI-18919BA0-CB1-MRI-1891
17.65Single9CBLEpinephrine9CBL-α2a-Epinephrine-Gi1/β1/γ2
17.65Single9DQJEP-39459DQJ-MRGPRD-EP-3945-chim(NtGi1-Gs-CtGq)/β1/γ2
17.65Single9EPQ11,20-Ethanoretinal9EPQ-Rhodopsin-11,20-Ethanoretinal-chim(Gi1-CtGq)/β1/γ2
17.65Single9JFUNE52-QQ579JFU-GPR4-NE52-QQ57
17.65Single9JKQMETH9JKQ-TA1-METH-Gs/β1/γ2
17.65Single9JKYAcifran9JKY-HCA2-Acifran-Gi1/β1/γ2
17.65Single9KXSEP679KXS-C5a1-EP67-Go/β1/γ2
17.65Single9LL8Psilocin9LL8-5-HT2A-Psilocin-Gi1/β1/γ2
17.65Single9LRDHistamine9LRD-H1-Histamine-Gi1/β1/γ2
17.65Single9P1TZM-2413859P1T-A2A-ZM-241385
17.65Single9PXVNaloxone9PXV-μ-Naloxone-Gi1/β1/γ2
17.65Single9VNFPindolol9VNF-5-HT1A-Pindolol-Go/β1/γ2
17.65Single9W6W5-CT9W6W-5-HT5A-5-CT-Gi1/β1/γ2
17.65Consensus5ht2a_offOrthosteric Ligand6A94-5-HT2A-Zotepine 6A93-5-HT2A-Risperidone 7VOD-5-HT2A-Cariprazine 7WC8-5-HT2A-Lumateperone 8JT8-5-HT2A-(R)-IHCH-7179
17.65Consensusa2_offOrthosteric Liganda2a_off
17.65Consensusa2a_offOrthosteric Ligand3RFM-A2A-Caffeine 8C9W-A2A-Etrumadenant 3UZA-A2A-GTPL9236 8GNG-A2A-Istradefylline 8CU6-A2A-LJ-4517 7PX4-A2A-PSB-2113 7PYR-A2A-PSB-2115 8DU3-A2A-PubChem 105526064 8JWY-A2A-2-118 8PWN-A2A-Theophylline 5IU4-A2A-ZM-241385-Na 5OLZ-A2A-PubChem 135566609-Na 6GT3-A2A-Imaradenant-Na 5OLV-A2A-LUAA47070-Na 5N2R-A2A-PSB36-Na 5IU7-A2A-Q27456346-Na 5OLH-A2A-Vipadenant-Na 5OLO-A2A-Tozadenant-Na 6ZDR-A2A-HMS1413f12-Na 8GNE-A2A-KW-6356-Na 8JWZ-A2A-Etrumadenant-Na 5IU8-A2A-Q27456347-Na 5IUB-A2A-Q27456344-Na 6ZDV-A2A-PubChem 984073-Na 5IUA-A2A-Q27456348-Na 8A2P-A2A-LUAA47070-Na
17.65Consensusadenosine_onOrthosteric Liganda1_on a2_on a3_on
17.65Consensuscb1_offOrthosteric Ligand5U09-CB1-Taranabant 5TGZ-CB1-AM6538
17.65Consensuscxcr3_offOrthosteric Ligand8K2W-CXCR3-AMG487
17.65Consensusgi_adenosineOrthosteric Ligand7LD4-A1-Adenosine-Gi2/β1/γ2 8X17-A3A-Namodenoson-Gi1/β1/γ2 8X16-A3A-Piclidenoson-Gi1/β1/γ2
17.65Consensusot_offOrthosteric Ligand6TPK-OT-Retosiban
17.65Consensusvasop-oxy_offOrthosteric Ligandot_off
17.39Single4AMJCarvedilol4AMJ-β1-Carvedilol
17.39Single4IARErgotamine4IAR-5-HT1B-Ergotamine
17.39Single4IB4Ergotamine4IB4-5-HT2B-Ergotamine
17.39Single7F8XNN90567F8X-CCKA-NN9056
17.39Single7NA7Ghrelin7NA7-Ghrelin-Ghrelin-Gi1/β1/γ2
17.39Single7WVWfMYFINILTL7WVW-FPR2-ALX-fMYFINILTL-Gi2/β1/γ2
17.39Single7XAUOctreotide7XAU-SST2-Octreotide-Gi1/β1/γ2
17.39Single8FYLVilazodone8FYL-5-HT1A-Vilazodone-PtdIns4P-Gi1/β1/γ1
17.39Single8IEIPubChem 1347468948IEI-GPR156; GPR156-PubChem 134746894
17.39Single8IEIPubChem 1347468948IEI-GPR156; GPR156-PubChem 134746894
17.39Single8IEPPubChem 1347468948IEP-GPR156; GPR156-PubChem 134746894
17.39Single8IEPPubChem 1347468948IEP-GPR156; GPR156-PubChem 134746894
17.39Single8INRAlpha-MSH8INR-MC5-α-MSH-Ca-chim(NtGi1-Gs)/β1/γ2
17.39Single8J6RMK68928J6R-HCA2-MK6892-Gi1/β1/γ2
17.39Single8KIGSHU91198KIG-MC3-SHU9119-Ca
17.39Single8WDTphotoNECA8WDT-A2A-photoNECA
17.39Single8WZ2Orexigenic Neuropeptide QRFP8WZ2-QRFP-Orexigenic Neuropeptide QRFP-chim(NtGi1L-Gs-CtGq)/β1/γ2
17.39Single8XBHPubChem 1626566368XBH-GPR34-PubChem 162656636-Gi1/β1/γ2
17.39Single8XGMChemerin8XGM-CML2-Chemerin-Gi1/β1/γ2
17.39Single8ZBJSomatostatin-148ZBJ-SST5-Somatostatin-14-Gi1/β1/γ2
17.39Single8ZJDKisspeptin-18ZJD-Kiss1-Kisspeptin-1-chim(NtGi1-Gq)/β1/γ1
17.39Single8ZSPLSD8ZSP-TA1-LSD-chim(NtGi1L-Gs)/β1/γ2
17.39Single9BUECagrilintide9BUE-CT-Cagrilintide-Gs/β1/γ2
17.39Single9BUYLM1899BUY-β2-LM189-Gi1/β1/γ2
17.39Single9J0IUDP-Glucuronic acid9J0I-P2Y14-UDP-Glucuronic acid-Gi1/β1/γ2
17.39Single9L3YChemerin9L3Y-CML2-Chemerin-Gi1/β1/γ2
17.39Single9M4TSilodosin9M4T-Alpha1A-Silodosin
17.39Consensuschemokine_onOrthosteric Ligandccr_on cxcr_on
17.39Consensusgi_nucleotideOrthosteric Ligandgi_adenosine gi_p2y
17.39Consensusgq_kisspeptinOrthosteric Ligand8ZJD-Kiss1-Kisspeptin-1-chim(NtGi1-Gq)/β1/γ1
17.39Consensuskiss1_on_gpOrthosteric Ligand8ZJD-Kiss1-Kisspeptin-1-chim(NtGi1-Gq)/β1/γ1
17.39Consensuskisspeptin_on_gpOrthosteric Ligandkiss1_on_gp
17.39Consensusnk3_onOrthosteric Ligand8JBF-NK3-Senktide-chim(NtGi1-Gs-CtGq)/β1/γ2
17.39Consensusnk3_on_gpOrthosteric Ligand8JBF-NK3-Senktide-chim(NtGi1-Gs-CtGq)/β1/γ2
17.39Consensussst5_onOrthosteric Ligand8X8L-SST5-Cortistatin-14-chim(NtGi1-Gs-CtGi1)/β1/γ2 8X8N-SST5-Octreotide-chim(NtGi1-Gs-CtGi1)/β1/γ2
17.24Single6UUSAdrenomedullin6UUS-CT Like (AM2)-Adrenomedullin-Gs/β1/γ2; RAMP3
17.24Single6WZGSecretin6WZG-Secretin-Secretin-Gs/β1/γ2
17.24Single7D68GLP-27D68-GLP-2-GLP-2-Gs/β1/γ2
17.24Single7KI1Taspoglutide7KI1-GLP-1-Taspoglutide-Gs/β1/γ2
17.24Single7TYLAmylin7TYL-CT-Amylin-Gs/β1/γ2
17.24Single8IY5Endothelin-18IY5-ETB-Endothelin-1-Gi1/β1/γ2
17.24Single8IY6Endothelin-18IY6-ETB-Endothelin-1
17.24Single8Y52BA18Y52-BB3-BA1-chim(NtGi1-Gs-CtGq)/β1/γ2
17.24Single9BYOExendin-39BYO-GLP-1-Exendin-3-Gs/β1/γ2
17.24Single9P93VIP9P93-PAC1-VIP-Gs/β1/γ2
17.24Consensusetb_onOrthosteric Ligand8IY5-ETB-Endothelin-1-Gi1/β1/γ2 8HBD-ETB-IRL1620-Gi1/β1/γ2
17.24Consensusvip-pacap_onOrthosteric Ligandvpac_on pac_on
17.24Consensusvip-pacap_on_gpOrthosteric Ligandvpac_on_gp pac_on_gp
16.67Single2Y01Dobutamine2Y01-β1-Dobutamine
16.67Single3EMLZM-2413853EML-A2A-ZM-241385
16.67Single4EIYZM-2413854EIY-A2A-ZM-241385-Na
16.67Single4J4QOctyl Beta-D-Glucopyranoside4J4Q-Rhodopsin-Octyl β-D-Glucopyranoside-Gt(CT)
16.67Single4MQSIperoxo4MQS-M2-Iperoxo
16.67Single4QIMANTA XV4QIM-SMO-ANTA XV
16.67Single4QKXPubChem 762106284QKX-β2-PubChem 76210628
16.67Single4U14Tiotropium4U14-M3-Tiotropium
16.67Single5DSGTiotropium5DSG-M4-Tiotropium
16.67Single5IU8Q274563475IU8-A2A-Q27456347-Na
16.67Single5K2AZM-2413855K2A-A2A-ZM-241385-Na
16.67Single5MZPCaffeine5MZP-A2A-Caffeine-Na
16.67Single5OLGZM-2413855OLG-A2A-ZM-241385-Na
16.67Single5UENDU1725UEN-A1-DU172
16.67Single5UIGPubChem 1240811965UIG-A2A-PubChem 124081196
16.67Single5VRAZM-2413855VRA-A2A-ZM-241385-Na
16.67Single5YC8N-methyl-Scopolamine5YC8-M2-N-methyl-Scopolamine
16.67Single5ZK8N-methyl-Scopolamine5ZK8-M2-N-methyl-Scopolamine
16.67Single5ZKCN-methyl-Scopolamine5ZKC-M2-N-methyl-Scopolamine
16.67Single6DRZMethysergide6DRZ-5-HT2B-Methysergide
16.67Single6H7MSalbutamol6H7M-β1-Salbutamol
16.67Single6IIVDaltroban6IIV-TXA2-Daltroban
16.67Single6LPJZM-2413856LPJ-A2A-ZM-241385-Na
16.67Single6LPKZM-2413856LPK-A2A-ZM-241385-Na
16.67Single6ORVTT-OAD26ORV-GLP-1-TT-OAD2-Gs/β1/γ2
16.67Single6S0LZM-2413856S0L-A2A-ZM-241385
16.67Single6Z4VNeurotensin-(9-13)6Z4V-NTS1-Neurotensin-(9-13)
16.67Single7E32Serotonin7E32-5-HT1D-Serotonin-Gi1/β1/γ2
16.67Single7EZKCholecystokinin-87EZK-CCKA-Cholecystokinin-8-chim(NtGi1-Gs)/β1/γ2
16.67Single7F83PF-051904577F83-Ghrelin-PF-05190457
16.67Single7LJCSKF812977LJC-D1-SKF81297-Mevidalen-Gs/β1/γ2
16.67Single7PIVAfamelanotide7PIV-MC4-Afamelanotide-Gs/β1/γ2
16.67Single7PYRPSB-21157PYR-A2A-PSB-2115
16.67Single7SK5CXCL127SK5-ACKR3-CXCL12
16.67Single7TRPIperoxo7TRP-M4-Iperoxo-LY2033298-Gi1/β1/γ2
16.67Single7TYXAmylin7TYX-CT (AMY2)-Amylin-Gs/β1/γ2; RAMP2
16.67Single7VBITirzepatide (non-acylated)7VBI-GLP-1-Tirzepatide (non-acylated)-Gs/β1/γ2
16.67Single7VH0Ramelteon7VH0-MT2-Ramelteon-Gi1/β1/γ1
16.67Single7VKTLTB47VKT-BLT1-LTB4-Gi1/β1/γ2
16.67Single7W0NElabela7W0N-Apelin; Apelin-Elabela-Gi1/β1/γ2
16.67Single7WC7Lisuride7WC7-5-HT2A-Lisuride
16.67Single7WJ5Somatostatin-147WJ5-SST2-Somatostatin-14-Gi1/β1/γ2
16.67Single7WQ3Galanin7WQ3-GAL1-Galanin-Gi1/β1/γ2
16.67Single7X2CFenoldopam7X2C-D1-Fenoldopam-Fenoldopam-Gs/β1/γ2
16.67Single7XTC5-CT7XTC-5-HT7-5-CT-Gs/β1/γ2
16.67Single7YACPaltusotine7YAC-SST2-Paltusotine-Gi1/β1/γ2
16.67Single7YK7DC5910537YK7-RXFP4-DC591053-Gi2/β1/γ2
16.67Single8CU6LJ-45178CU6-A2A-LJ-4517
16.67Single8CU7LJ-45178CU7-A2A-LJ-4517-Na
16.67Single8EFQDAMGO8EFQ-μ-DAMGO-Gi1/β1/γ2
16.67Single8F0JPramlintide Analogue San458F0J-CT-Pramlintide Analogue San45-Gs/β1/γ2
16.67Single8GE9Constrained Epinephrine8GE9-β2-Constrained Epinephrine-Gs/β1/γ2
16.67Single8GEJConstrained Epinephrine8GEJ-β2-Constrained Epinephrine-Gs/β1/γ2
16.67Single8IBVMotilin8IBV-Motilin-Motilin-chim(NtGi1-Gs-CtGq)/β1/γ2
16.67Single8IEBPubChem 1347468948IEB-GPR156; GPR156-PubChem 134746894
16.67Single8JBHSubstance-P8JBH-NK3-Substance-P-chim(NtGi1-Gs-CtGq)/β1/γ2
16.67Single8JHNMonomethyl fumarate8JHN-HCA2-Monomethyl fumarate-Go/β1/γ2
16.67Single8JLJT1AM8JLJ-TA1-T1AM-chim(NtGi1-Gs)/β1/γ2
16.67Single8JXRLSD8JXR-D1-LSD
16.67Single8PJKST1718PJK-5-HT1A-ST171-Gi1/β1/γ1
16.67Single8RW7StilSwitch18RW7-A2A-StilSwitch1-Na
16.67Single8RWXStilSwitch38RWX-A2A-StilSwitch3-Na
16.67Single8SG1Chemerin-98SG1-CML1-Chemerin-9-Gi1/β1/γ2
16.67Single8UNRConstrained Epinephrine8UNR-β2-Constrained Epinephrine-GTP-Gs/β1/γ2
16.67Single8UNUConstrained Epinephrine8UNU-β2-Constrained Epinephrine-GTP-Gs/β1/γ2
16.67Single8W87METH8W87-TA1-METH-chim(NtGi1L-Gs)/β1/γ2
16.67Single8W8ARO52563908W8A-TA1-RO5256390-chim(NtGi1L-Gs)/β1/γ2
16.67Single8WC7ZH86678WC7-TA1-ZH8667-chim(NtGi1-Gs)/β1/γ2
16.67Single8WCCCyclohexylammonium Ion8WCC-TA1-Cyclohexylammonium Ion
16.67Single8WSSMCH8WSS-MCH1-MCH-Gi1/β1/γ1
16.67Single8X17Namodenoson8X17-A3A-Namodenoson-Gi1/β1/γ2
16.67Single8X64Desloratadine8X64-H1-Desloratadine
16.67Single8X9TAP5038X9T-ADGRD1-AP503-chim(NtGi1-Gs)/β1/γ2
16.67Single8XJLPGF2-alpha8XJL-FP-alpha-PGF2-α-chim(NtGi2-Gs-CtGq)/β1/γ2
16.67Single8XYDPlatelet Activating Factor8XYD-PAF-Platelet Activating Factor-Gi1/β1/γ2
16.67Single8YH5Riboprine8YH5-A3A-Riboprine-Gi1/β1/γ2
16.67Single8ZJETAK4488ZJE-Kiss1-TAK448-chim(NtGi1-Gq)/β1/γ1
16.67Single8ZSSRO52633978ZSS-TA1-RO5263397-chim(NtGi1-Gs)/β1/γ2
16.67Single8ZYYNeurotensin-(8-13)8ZYY-NTS1-Neurotensin-(8-13)-SBI-553-Arrestin2
16.67Single9EPP11,20-Ethanoretinal9EPP-Rhodopsin-11,20-Ethanoretinal-chim(Gi1-CtGq)/β1/γ2
16.67Single9H37PubChem 1756706469H37-A2A-PubChem 175670646-Na
16.67Single9IQRMuscarinic toxin 39IQR-α2a-Muscarinic toxin 3
16.67Single9IQSMuscarinic toxin 39IQS-M4-Muscarinic toxin 3
16.67Single9IQVMuscarinic toxin 39IQV-Alpha1A-Muscarinic toxin 3
16.67Single9IYAONO-97105319IYA-GPR55-ONO-9710531
16.67Single9IZCMK19039IZC-HCA2-MK1903-Gi1/β1/γ2
16.67Single9J0FNADH9J0F-P2Y14-NADH-Gi1/β1/γ2
16.67Single9JEAAtropine9JEA-M1-Atropine
16.67Single9JGKBalovaptan9JGK-5-HT2B-Balovaptan
16.67Single9JQZGrapiprant 9JQZ-EP4-Grapiprant
16.67Single9KFJPubChem 1383196749KFJ-RXFP3-PubChem 138319674-Gi2/β1/γ2
16.67Single9KFTfMLFC9KFT-FPR1-ALX-fMLFC-Gi1/β1/γ2
16.67Single9KT7MK68929KT7-HCA2-MK6892-Gi1/β1/γ2
16.67Single9LLAAriadne9LLA-5-HT2A-Ariadne-chim(NtGi1L-Gs-CtGq)/β1/γ2
16.67Single9P1SZM-2413859P1S-A2A-ZM-241385
16.67Single9VMYTMU41429VMY-5-HT1A-TMU4142-Go/β1/γ2
16.67Consensus5ht1d_onOrthosteric Ligand7E32-5-HT1D-Serotonin-Gi1/β1/γ2
16.67Consensus5ht1d_on_gpOrthosteric Ligand7E32-5-HT1D-Serotonin-Gi1/β1/γ2
16.67Consensus5ht2b_offOrthosteric Ligand6DRZ-5-HT2B-Methysergide
16.67Consensus5ht7_onOrthosteric Ligand7XTC-5-HT7-5-CT-Gs/β1/γ2
16.67Consensus5ht7_on_gpOrthosteric Ligand7XTC-5-HT7-5-CT-Gs/β1/γ2
16.67Consensusa3_onOrthosteric Liganda3a_on
16.67Consensusblt1_onOrthosteric Ligand7VKT-BLT1-LTB4-Gi1/β1/γ2
16.67Consensusblt1_on_gpOrthosteric Ligand7VKT-BLT1-LTB4-Gi1/β1/γ2
16.67Consensusblt_onOrthosteric Ligandblt1_on
16.67Consensusblt_on_gpOrthosteric Ligandblt1_on_gp
16.67Consensuscckb_onOrthosteric Ligand8IA7-CCKB-Cholecystokinin-8-chim(NtGi1L-Gq)/β1/γ2 7XOW-CCKB-Sulfated Gastrin-(10-17)-chim(NtGi1-Gq)/β1/γ2 7F8V-CCKB-Gastrin-17-Gi2/β1/γ2
16.67Consensusd5_onOrthosteric Ligand8IRV-D5-Rotigotine-chim(NtGi1-Gs)/β1/γ2
16.67Consensusformylpeptide_on_gpOrthosteric Ligandfpr2-alx_on_gp fpr1-alx_on_gp
16.67Consensusgal1_onOrthosteric Ligand7WQ3-GAL1-Galanin-Gi1/β1/γ2
16.67Consensusgal1_on_gpOrthosteric Ligand7WQ3-GAL1-Galanin-Gi1/β1/γ2
16.67Consensusgi_galaninOrthosteric Ligand7WQ3-GAL1-Galanin-Gi1/β1/γ2
16.67Consensusgi_histamineOrthosteric Ligand8JXX-H4-Clobenpropit-Gi1/β1/γ2 8JXV-H4-Clozapine-Gi1/β1/γ2 8YUU-H3-Histamine-Gi1/β1/γ1 8HN8-H4-Histamine-Gi1/β1/γ2 8HOC-H4-Imetit-Gi1/β1/γ2 8JXW-H4-VUF6884-Gi1/β1/γ2
16.67Consensusgi_leukotrieneOrthosteric Ligand7VKT-BLT1-LTB4-Gi1/β1/γ2
16.67Consensusgi_npyOrthosteric Ligand8K6M-Y1-Neuropeptide-Y-Gi2/β1/γ1 7X9C-Y4-Pancreatic Hormone-Gi1/β1/γ2 7YOO-Y2-Neuropeptide-Y-Gi1/β1/γ2
16.67Consensusgq_amineOrthosteric Ligandgq_muscarinic gq_histamine
16.67Consensusgs_trace-amineOrthosteric Ligand8W88-TA1-SEP-363856-Gs/β1/γ2 8JLJ-TA1-T1AM-chim(NtGi1-Gs)/β1/γ2 8JLO-TA1-Ulotaront-Gs/β1/γ2 8WC4-TA1-ZH8651-chim(NtGi1-Gs)/β1/γ2 8WC7-TA1-ZH8667-chim(NtGi1-Gs)/β1/γ2 8JLR-TA1-A77636-chim(NtGi1-Gs)/β1/γ2 8JSO-TA1-AMPH-chim(NtGi1-Gs)/β1/γ2 8W87-TA1-METH-chim(NtGi1L-Gs)/β1/γ2 8W89-TA1-2-Phenylethylamine-chim(NtGi1L-Gs)/β1/γ2 8JLP-TA1-Ralmitaront-Gs/β1/γ2 8W8A-TA1-RO5256390-chim(NtGi1L-Gs)/β1/γ2
16.67Consensusleukotriene_onOrthosteric Ligandblt_on
16.67Consensusleukotriene_on_gpOrthosteric Ligandblt_on_gp
16.67Consensusm4_offOrthosteric Ligand5DSG-M4-Tiotropium
16.67Consensusmc5_onOrthosteric Ligand8INR-MC5-α-MSH-Ca-chim(NtGi1-Gs)/β1/γ2 8IOD-MC5-PG-901-Ca-chim(NtGi1-Gs)/β1/γ2
16.67Consensusmuscarinic_onOrthosteric Ligandm2_on m3_on m4_on m1_on
16.67Consensusmuscarinic_on_gpOrthosteric Ligandm2_on_gp m3_on_gp m4_on_gp m1_on_gp
16.67Consensusnpy_onOrthosteric Ligandnpy1_on npy2_on npy4_on
16.67Consensusnpy_on_gpOrthosteric Ligandnpy1_on_gp npy2_on_gp npy4_on_gp
16.67Consensusnucleotide_offonOrthosteric Ligandnucleotide_off nucleotide_on
16.67Consensusnucleotide_offon_gpOrthosteric Ligandnucleotide_on_gp nucleotide_off
16.67Consensustachykinin_on_gpOrthosteric Ligandnk1_on_gp nk2_on_gp nk3_on_gp
16.13Single7TZFAmylin7TZF-CT (AMY3)-Amylin-Gs/β1/γ2; RAMP3
16.13Single7VBHPeptide-207VBH-GLP-1-Peptide-20-Gs/β1/γ2
16.13Single9AUCCalcitonin gene-related peptide-19AUC-CT (AMY1)-Calcitonin gene-related peptide-1-Gs/β1/γ2; RAMP1
16.00Single3OE0CVX153OE0-CXCR4-CVX15
16.00Single6MEOGp160; CD46MEO-CCR5-Gp160; CD4
16.00Single6UUNAdrenomedullin6UUN-CT Like (AM1)-Adrenomedullin-Gs/β1/γ2; RAMP2
16.00Single6VN7PACAP276VN7-VPAC1-PACAP27-Gs/β1/γ2
16.00Single7RYCOxytocin7RYC-OT-Oxytocin-chim(NtGi2L-Gs-CtGq)/β1/γ2
16.00Single7W55Neuromedin-U-257W55-NMUR2-Neuromedin-U-25-chim(NtGi1-Gs-CtGq)/β1/γ2
16.00Single8K6NNeuropeptide-Y8K6N-Y2-Neuropeptide-Y-Gi2/β1/γ1
16.00Single8XZHMM078XZH-Apelin; Apelin-MM07-Gi1/β1/γ2
16.00Single9M1ONeuropeptide-FF9M1O-NPFF2-Neuropeptide-FF-Gi1/β1/γ2
16.00Consensusangiotensin_onOrthosteric Ligandat1_on
16.00Consensusat1_onOrthosteric Ligand7F6G-AT1-(Sar1)-Angiotensin II-Gq/β1/γ2
16.00Consensuscckb_on_gpOrthosteric Ligand8IA7-CCKB-Cholecystokinin-8-chim(NtGi1L-Gq)/β1/γ2 7XOW-CCKB-Sulfated Gastrin-(10-17)-chim(NtGi1-Gq)/β1/γ2 7F8V-CCKB-Gastrin-17-Gi2/β1/γ2
16.00Consensusfpr2-alx_onOrthosteric Ligand7WVX-FPR2-ALX-Humanin-Gi2/β1/γ2 7T6U-FPR2-ALX-CGEN-855A-Gi1/β1/γ2 7T6V-FPR2-ALX-fMLFII-Gi1/β1/γ2 7WVY-FPR2-ALX-Amyloid-β42-Gi2/β1/γ2 7T6S-FPR2-ALX-TC-FPR 43-Gi1/β1/γ2 6OMM-FPR2-ALX-WKYMVX-Gi1/β1/γ2
16.00Consensusnmur2_onOrthosteric Ligand7W55-NMUR2-Neuromedin-U-25-chim(NtGi1-Gs-CtGq)/β1/γ2
16.00Consensusnmur2_on_gpOrthosteric Ligand7W55-NMUR2-Neuromedin-U-25-chim(NtGi1-Gs-CtGq)/β1/γ2
15.79Single2Y00Dobutamine2Y00-β1-Dobutamine
15.79Single4JKVTaladegib4JKV-SMO-Taladegib
15.79Single4WW3All-trans-Retinal4WW3-Rhodopsin-All-trans-Retinal
15.79Single5CGCHTL142425CGC-mGlu5-HTL14242
15.79Single5IUAQ274563485IUA-A2A-Q27456348-Na
15.79Single5WIUNemonapride5WIU-D4-Nemonapride
15.79Single5WIVNemonapride5WIV-D4-Nemonapride-Na
15.79Single5YHLPubChem 1351213525YHL-EP4-PubChem 135121352
15.79Single5YWYONO-AE3-2085YWY-EP4-ONO-AE3-208
15.79Single5ZBQUR-MK-2995ZBQ-Y1-UR-MK-299
15.79Single6HLPNetupitant6HLP-NK1-Netupitant
15.79Single6LPLZM-2413856LPL-A2A-ZM-241385-Na
15.79Single6ME62-Phenylmelatonin6ME6-MT2-2-Phenylmelatonin
15.79Single6ME72-Phenylmelatonin6ME7-MT2-2-Phenylmelatonin
15.79Single6ME82-Phenylmelatonin6ME8-MT2-2-Phenylmelatonin
15.79Single6RZ4Pranlukast6RZ4-CysLT1-Pranlukast-Na
15.79Single6S0QZM-2413856S0Q-A2A-ZM-241385
15.79Single6WQAZM-2413856WQA-A2A-ZM-241385-Na
15.79Single7BB7AVP7BB7-V2-AVP-Gs/β1/γ2
15.79Single7E9GJNJ-404118137E9G-mGlu2; mGlu2-Eglumetad-JNJ-40411813-Gi1/β1/γ2
15.79Single7RM5ZM-2413857RM5-A2A-ZM-241385-Na
15.79Single7TRKIperoxo7TRK-M4-Iperoxo-Gi1/β1/γ2
15.79Single7VOEAripiprazole7VOE-5-HT2A-Aripiprazole
15.79Single8E9ZIperoxo8E9Z-M3-Iperoxo-chim(NtGi2L-Gs-CtGq)/β1/γ2
15.79Single8FYNZM-2413858FYN-A2A-ZM-241385-Na
15.79Single8GNEKW-63568GNE-A2A-KW-6356-Na
15.79Single8HNLPS3724248HNL-CXCR3-PS372424-Gi1/β1/γ2
15.79Single8J18(3R)-3-Hydroxydodecanoic acid8J18-GPR84-(3R)-3-Hydroxydodecanoic acid-Gi1/β1/γ2
15.79Single8JGGBAM8-228JGG-MRGPRX1-BAM8-22-Gi1/β1/γ2
15.79Single8X0BVU04244658X0B-mGlu5; mGlu5-Quisqualate-VU0424465
15.79Single8X0DVU04244658X0D-mGlu5; mGlu5-Quisqualate-VU0424465
15.79Single8X0DVU04244658X0D-mGlu5; mGlu5-Quisqualate-VU0424465
15.79Single8XQPCholesterol8XQP-TAS2R14-Cholesterol-Aristolochic acid A-Gt3/β1/γ1
15.79Single8XYKVUF106618XYK-CXCR3-VUF10661-Go/β1/γ2
15.79Single8YH0NECA8YH0-A3A-NECA-Gi1/β1/γ2
15.79Single9B9ZMRI-18679B9Z-CB1-MRI-1867
15.79Single9DQHEP-28259DQH-MRGPRD-EP-2825-chim(NtGi1-Gs-CtGq)/β1/γ2
15.79Single9F33FOB02-04A9F33-D3-FOB02-04A-Go/β1/γ2
15.79Single9F34FOB02-04A9F34-D3-FOB02-04A-Go/β1/γ2
15.79Single9IYBPGD29IYB-DP2-PGD2-A1D5Q-Gi1/β1/γ2
15.79Consensus5ht1_onOrthosteric Ligand5ht1a_on 5ht1d_on 5ht1e_on 5ht1f_on
15.79Consensus5ht1_on_gpOrthosteric Ligand5ht1a_on_gp 5ht1d_on_gp 5ht1e_on_gp 5ht1f_on_gp
15.79Consensus5ht1e_on_gpOrthosteric Ligand7E33-5-HT1E-BRL-54443-Gi1/β1/γ2 8UGY-5-HT1E-Mianserin-Gi1/β1/γ1 8UH3-5-HT1E-Setiptiline-Gi1/β1/γ1
15.79Consensus5ht2_offOrthosteric Ligand5ht2a_off 5ht2b_off 5ht2c_off
15.79Consensusa1_offOrthosteric Ligand5UEN-A1-DU172 5N2S-A1-PSB36
15.79Consensusa3_on_gpOrthosteric Liganda3a_on_gp
15.79Consensusa3a_onOrthosteric Ligand8X17-A3A-Namodenoson-Gi1/β1/γ2 8X16-A3A-Piclidenoson-Gi1/β1/γ2
15.79Consensusa3a_on_gpOrthosteric Ligand8X17-A3A-Namodenoson-Gi1/β1/γ2 8X16-A3A-Piclidenoson-Gi1/β1/γ2
15.79Consensusd2_onOrthosteric Ligand7JVR-D2-Bromoergocryptine-Gi1/β1/γ2 8IRS-D2-Rotigotine-Gi1/β1/γ2
15.79Consensusep4_offOrthosteric Ligand5YWY-EP4-ONO-AE3-208 5YHL-EP4-PubChem 135121352
15.79Consensusep_offOrthosteric Ligandep4_off
15.79Consensusgq_muscarinicOrthosteric Ligand6OIJ-M1-Iperoxo-chim(NtGi1L-G11)/β1/γ2
15.79Consensusm1_onOrthosteric Ligand6OIJ-M1-Iperoxo-chim(NtGi1L-G11)/β1/γ2
15.79Consensusm3_onOrthosteric Ligand8E9Z-M3-Iperoxo-chim(NtGi2L-Gs-CtGq)/β1/γ2 8E9W-M3-2-Deoxycytidine-chim(NtGi2L-Gs-CtGq)/β1/γ2 8E9Y-M3-Clozapine-N-oxide-chim(NtGi2L-Gs-CtGq)/β1/γ2
15.79Consensusm3_on_gpOrthosteric Ligand8E9Z-M3-Iperoxo-chim(NtGi2L-Gs-CtGq)/β1/γ2 8E9W-M3-2-Deoxycytidine-chim(NtGi2L-Gs-CtGq)/β1/γ2 8E9Y-M3-Clozapine-N-oxide-chim(NtGi2L-Gs-CtGq)/β1/γ2
15.79Consensusnucleotide_onOrthosteric Ligandadenosine_on p2y_on
15.79Consensusrxfp4_onOrthosteric Ligand7YK7-RXFP4-DC591053-Gi2/β1/γ2 7YJ4-RXFP4-INSL5-Gi2/β1/γ2 7YK6-RXFP4-PubChem 138319674-Gi2/β1/γ2
15.79Consensusrxfp4_on_gpOrthosteric Ligand7YK7-RXFP4-DC591053-Gi2/β1/γ2 7YJ4-RXFP4-INSL5-Gi2/β1/γ2 7YK6-RXFP4-PubChem 138319674-Gi2/β1/γ2
15.79Consensusta1_onOrthosteric Ligand8W87-TA1-METH-chim(NtGi1L-Gs)/β1/γ2 8W89-TA1-2-Phenylethylamine-chim(NtGi1L-Gs)/β1/γ2 8JLP-TA1-Ralmitaront-Gs/β1/γ2 8W8A-TA1-RO5256390-chim(NtGi1L-Gs)/β1/γ2 8W88-TA1-SEP-363856-Gs/β1/γ2 8JLO-TA1-Ulotaront-Gs/β1/γ2 8JLR-TA1-A77636-chim(NtGi1-Gs)/β1/γ2 8JSO-TA1-AMPH-chim(NtGi1-Gs)/β1/γ2 8ZSP-TA1-LSD-chim(NtGi1L-Gs)/β1/γ2
15.79Consensustrace-amine_onOrthosteric Ligandta1_on
15.62Single6WPWZP37806WPW-Glucagon-ZP3780-Gs/β1/γ2
15.62Single8JIRSAR4258998JIR-GLP-1-SAR425899-chim(NtGi1-Gs)/β1/γ2
15.38Single5MZJTheophylline5MZJ-A2A-Theophylline-Na
15.38Single6METGp160; CD46MET-CCR5-Gp160; CD4
15.38Single6WI9Secretin6WI9-Secretin-Secretin-Gs/β1/γ2
15.38Single6WIVPubChem 52923113; PubChem 529246456WIV-GABAB1, GABAB2-PubChem 52923113; PubChem 52924645
15.38Single7F6G(Sar1)-Angiotensin II7F6G-AT1-(Sar1)-Angiotensin II-Gq/β1/γ2
15.38Single7T10Somatostatin-147T10-SST2-Somatostatin-14-Gi3/β1/γ2
15.38Single7V68LY21196207V68-M4-Iperoxo-LY2119620-Gi1/β1/γ2
15.38Single7V9MSomatoliberin7V9M-GHRH (SV1)-Somatoliberin-Gs/β1/γ2
15.38Single7W57Neuromedin-S7W57-NMUR2-Neuromedin-S-chim(NtGi1-Gs-CtGq)/β1/γ2
15.38Single7WC4Serotonin7WC4-5-HT2A-Serotonin
15.38Single8PWNTheophylline8PWN-A2A-Theophylline
15.38Single8WSTMCH8WST-MCH2-MCH-chim(NtGi1L-Gs-CtGq)/β1/γ2
15.38Single8YW4Retatrutide8YW4-GIP-Retatrutide-chim(NtGi1-Gs)/β1/γ2
15.38Single8YW5Retatrutide8YW5-Glucagon-Retatrutide-Gs/β1/γ2
15.38Single9EBOGLP-1 (ACPC18)9EBO-GLP-1-GLP-1 (ACPC18)-Gs/β1/γ2
15.38Single9JIDNiacin9JID-HCA3-Niacin-Gi1/β1/γ2
15.38Consensusangiotensin_on_gpOrthosteric Ligandat1_on_gp
15.38Consensusapelin_onOrthosteric Ligand8XZH-Apelin; Apelin-MM07-Gi1/β1/γ2 7W0M-Apelin-PubChem 122701908-Gi1/β1/γ2 8XZJ-Apelin; Apelin-WN353-Gi1/β1/γ2 8XZF-Apelin; Apelin-WN561-Gi1/β1/γ2 8XZG-Apelin; Apelin-Apelin-13-Gi1/β1/γ2
15.38Consensusapelin_on_gpOrthosteric Ligand8XZH-Apelin; Apelin-MM07-Gi1/β1/γ2 7W0M-Apelin-PubChem 122701908-Gi1/β1/γ2 8XZJ-Apelin; Apelin-WN353-Gi1/β1/γ2 8XZF-Apelin; Apelin-WN561-Gi1/β1/γ2 8XZG-Apelin; Apelin-Apelin-13-Gi1/β1/γ2
15.38Consensusat1_on_gpOrthosteric Ligand7F6G-AT1-(Sar1)-Angiotensin II-Gq/β1/γ2
15.38Consensusfpr2-alx_on_gpOrthosteric Ligand7WVX-FPR2-ALX-Humanin-Gi2/β1/γ2 7T6U-FPR2-ALX-CGEN-855A-Gi1/β1/γ2 7T6V-FPR2-ALX-fMLFII-Gi1/β1/γ2 7WVY-FPR2-ALX-Amyloid-β42-Gi2/β1/γ2 7T6S-FPR2-ALX-TC-FPR 43-Gi1/β1/γ2 6OMM-FPR2-ALX-WKYMVX-Gi1/β1/γ2
15.38Consensusgi_formylpeptideOrthosteric Ligand7WVY-FPR2-ALX-Amyloid-β42-Gi2/β1/γ2 7T6U-FPR2-ALX-CGEN-855A-Gi1/β1/γ2 7VFX-FPR1-ALX-fMIFL-Gi1/β1/γ2 7T6V-FPR2-ALX-fMLFII-Gi1/β1/γ2 7WVX-FPR2-ALX-Humanin-Gi2/β1/γ2 7T6S-FPR2-ALX-TC-FPR 43-Gi1/β1/γ2 6OMM-FPR2-ALX-WKYMVX-Gi1/β1/γ2
15.38Consensusgq_angiotensinOrthosteric Ligand7F6G-AT1-(Sar1)-Angiotensin II-Gq/β1/γ2
15.38Consensusmc5_on_gpOrthosteric Ligand8INR-MC5-α-MSH-Ca-chim(NtGi1-Gs)/β1/γ2 8IOD-MC5-PG-901-Ca-chim(NtGi1-Gs)/β1/γ2
15.38Consensusneuromedin-u_onOrthosteric Ligandnmur1_on nmur2_on
15.38Consensusprotein_onOrthosteric Ligandchemokine_on chemerin_on
15.15Single7TYOCalcitonin7TYO-CT-Calcitonin-Gs/β1/γ2
15.15Single7X9ANeuropeptide-Y7X9A-Y1-Neuropeptide-Y-Gi1/β1/γ2
15.00Single3ZEVNeurotensin-(7-13)3ZEV-NTS1-Neurotensin-(7-13)
15.00Single4BV0Neurotensin-(7-13)4BV0-NTS1-Neurotensin-(7-13)
15.00Single4IAQDihydroergotamine4IAQ-5-HT1B-Dihydroergotamine
15.00Single4LDLHydroxybenzyl Isoproterenol4LDL-β2-Hydroxybenzyl Isoproterenol
15.00Single4U15Tiotropium4U15-M3-Tiotropium
15.00Single5V54Methiothepin5V54-5-HT1B-Methiothepin
15.00Single5V57TC1145V57-SMO-TC114
15.00Single5ZBHBMS-1938855ZBH-Y1-BMS-193885
15.00Single5ZKBAF-DX 3845ZKB-M2-AF-DX 384
15.00Single6J21Aprepitant6J21-NK1-Aprepitant
15.00Single6O3CCholesterol6O3C-SMO-SAG21k-Cholesterol
15.00Single6OIJIperoxo6OIJ-M1-Iperoxo-chim(NtGi1L-G11)/β1/γ2
15.00Single6OL9Tiotropium6OL9-M5-Tiotropium
15.00Single6Z8NSRI-98296Z8N-NTS1-SRI-9829
15.00Single7E2ZAripiprazole7E2Z-5-HT1A-Aripiprazole-PtdIns4P-Gi1/β1/γ2
15.00Single7L0PNeurotensin-(8-13)7L0P-NTS1-Neurotensin-(8-13)-Gi1/β1/γ1
15.00Single7L0QNeurotensin-(8-13)7L0Q-NTS1-Neurotensin-(8-13)-Gi1/β1/γ1
15.00Single7PX4PSB-21137PX4-A2A-PSB-2113
15.00Single7R0CAVP7R0C-V2-AVP-Arrestin2
15.00Single7TRQIperoxo7TRQ-M4-Iperoxo-VU0467154-Gi1/β1/γ2
15.00Single7XBDGalanin7XBD-GAL2-Galanin-chim(NtGi2L-Gs-CtGq)/β1/γ2
15.00Single7XOWSulfated Gastrin-(10-17)7XOW-CCKB-Sulfated Gastrin-(10-17)-chim(NtGi1-Gq)/β1/γ2
15.00Single7XTQR3997XTQ-GPBA-R399-Gs/β1/γ2
15.00Single7XWONeurokinin-A7XWO-NK2-Neurokinin-A-chim(NtGi1-Gs-CtGq)/β1/γ2
15.00Single7Y67C089 peptide7Y67-C5a1-C089 peptide-Gi1/β1/γ2
15.00Single8EA0Iperoxo8EA0-M3-Iperoxo
15.00Single8FMZNeurotensin-(8-13)8FMZ-NTS1-Neurotensin-(8-13)-chim(NtGi2L-Gs-CtGq)/β1/γ2
15.00Single8FN1Neurotensin-(8-13)8FN1-NTS1-Neurotensin-(8-13)-chim(NtGi1-Go)/β1/γ2
15.00Single8GDBPGE28GDB-EP4-PGE2-Gs/β1/γ2
15.00Single8HDOBAY 60-65838HDO-A2B-BAY 60-6583-Gs/β1/γ2
15.00Single8ID6Oleic acid8ID6-FFA4-Oleic acid-Gi1/β1/γ2
15.00Single8IUKPGF2-alpha8IUK-FP-alpha-PGF2-α-chim(NtGi1-Gs-CtGq)/β1/γ2
15.00Single8IYHMK68928IYH-HCA2-MK6892-Go/β1/γ2
15.00Single8JBGNeurokinin-B8JBG-NK3-Neurokinin-B-chim(NtGi1-Gs-CtGq)/β1/γ2
15.00Single8JGFBAM8-228JGF-MRGPRX1-BAM8-22-chim(NtGi1-Gs-CtGq)/β1/γ2
15.00Single8JLPRalmitaront8JLP-TA1-Ralmitaront-Gs/β1/γ2
15.00Single8JT6(R)-IHCH-71798JT6-5-HT1A-(R)-IHCH-7179-PtdIns4P-Gi1/β1/γ2
15.00Single8JXWVUF68848JXW-H4-VUF6884-Gi1/β1/γ2
15.00Single8JZPC5a8JZP-C5a1-C5a-Go/β1/γ2
15.00Single8X0BVU04244658X0B-mGlu5; mGlu5-Quisqualate-VU0424465
15.00Single8X0FVU298X0F-mGlu5; mGlu5-Quisqualate-VU29
15.00Single8X16Piclidenoson8X16-A3A-Piclidenoson-Gi1/β1/γ2
15.00Single8X79MRE-2698X79-I2-MRE-269-Gs/β1/γ2
15.00Single8XBIPubChem 1626566368XBI-GPR34-PubChem 162656636
15.00Single8XQTCholesterol8XQT-TAS2R14-Cholesterol-Gi1/β1/γ1
15.00Single8YH6Namodenoson8YH6-A3A-Namodenoson-Gi1/β1/γ2
15.00Single8YNTSNAP-948478YNT-MCH1-SNAP-94847
15.00Single8ZR5Firuglipel8ZR5-GPR119-Firuglipel-Gs/β1/γ2
15.00Single8ZW0PGD28ZW0-DP1-PGD2-Gs/β1/γ2
15.00Single9AS9RS130-1809AS9-5-HT2A-RS130-180
15.00Single9ASARS130-1809ASA-5-HT2A-RS130-180-chim(NtGi1-Gs-CtGq)/β1/γ2
15.00Single9JCLADP9JCL-P2Y1-ADP-chim(Gs-CtGq)/β1/γ2
15.00Single9YDVMRS29059YDV-P2Y14-MRS2905-Gi1/β1/γ2
15.00Consensus5ht1_offOrthosteric Ligand5ht1b_off
15.00Consensus5ht1b_offOrthosteric Ligand5V54-5-HT1B-Methiothepin
15.00Consensuscyslt1_offOrthosteric Ligand6RZ5-CysLT1-Zafirlukast-Na 6RZ4-CysLT1-Pranlukast-Na
15.00Consensusgs_adrenergicOrthosteric Ligand7DHI-β2-Salbutamol-Gs/β1/γ2 7XJI-β3-Solabegron-Gs/β1/γ2 7JJO-β1-Isoprenaline-Gs/β1/γ2 6NI3-β2-BI167107-Gs/β1/γ2 8DCR-β1-Dobutamine-Gs/β1/γ2 7XJH-β3-Isoprenaline-Gs/β1/γ2 7DH5-β3-Mirabegron-Gs/β1/γ2
15.00Consensusm1_on_gpOrthosteric Ligand6OIJ-M1-Iperoxo-chim(NtGi1L-G11)/β1/γ2
15.00Consensusm5_offOrthosteric Ligand6OL9-M5-Tiotropium
15.00Consensusneurotensin_onOrthosteric Ligandnts1_on
15.00Consensusnk2_on_gpOrthosteric Ligand7XWO-NK2-Neurokinin-A-chim(NtGi1-Gs-CtGq)/β1/γ2
15.00Consensusnts1_onOrthosteric Ligand6OSA-NTS1-JMV449-Gi1/β1/γ2 7L0S-NTS1-Neurotensin-(8-13)-Gi1/β1/γ1
15.00Consensusp2y12_onOrthosteric Ligand7XXI-P2Y12-2MeSADP-Gi2/β1/γ2
15.00Consensusta1_on_gpOrthosteric Ligand8W87-TA1-METH-chim(NtGi1L-Gs)/β1/γ2 8W89-TA1-2-Phenylethylamine-chim(NtGi1L-Gs)/β1/γ2 8JLP-TA1-Ralmitaront-Gs/β1/γ2 8W8A-TA1-RO5256390-chim(NtGi1L-Gs)/β1/γ2 8W88-TA1-SEP-363856-Gs/β1/γ2 8JLO-TA1-Ulotaront-Gs/β1/γ2 8JLR-TA1-A77636-chim(NtGi1-Gs)/β1/γ2 8JSO-TA1-AMPH-chim(NtGi1-Gs)/β1/γ2 8ZSP-TA1-LSD-chim(NtGi1L-Gs)/β1/γ2
15.00Consensustachykinin_offOrthosteric Ligandnk1_off
15.00Consensustrace-amine_on_gpOrthosteric Ligandta1_on_gp
14.81Single5YQZNNC17025YQZ-Glucagon-NNC1702
14.81Single6X18GLP-16X18-GLP-1-GLP-1-Gs/β1/γ2
14.81Single7TYHCalcitonin7TYH-CT (AMY2)-Calcitonin-Gs/β1/γ2; RAMP2
14.81Single7TYWCalcitonin-17TYW-CT (AMY1)-Calcitonin-1-Gs/β1/γ2; RAMP1
14.81Single7VL9CCL15(26-92)7VL9-CCR1-CCL15(26-92)-Gi1/β1/γ2
14.81Single7XV3Lysophosphatidylserine (WJS)7XV3-GPR174-Lysophosphatidylserine (WJS)-chim(NtGi1-Gs)/β1/γ2
14.81Single8HCXEndothelin-18HCX-ETB-Endothelin-1-chim(NtGi2L-Gs-CtGq)/β1/γ2
14.81Single8HNKCXCL118HNK-CXCR3-CXCL11-Gi1/β1/γ2
14.81Consensuscalcitonin_onOrthosteric Ligandctlike_on
14.81Consensuschemokine_offOrthosteric Ligandccr_off cxcr_off
14.81Consensuscml1_on_gpOrthosteric Ligand7YKD-CML1-Chemerin-9-Gi1/β1/γ2
14.81Consensuscxcr_offOrthosteric Ligandcxcr3_off cxcr4_off
14.81Consensusgi_apelinOrthosteric Ligand8XZH-Apelin; Apelin-MM07-Gi1/β1/γ2 7W0M-Apelin-PubChem 122701908-Gi1/β1/γ2 8XZJ-Apelin; Apelin-WN353-Gi1/β1/γ2 8XZF-Apelin; Apelin-WN561-Gi1/β1/γ2 8XZG-Apelin; Apelin-Apelin-13-Gi1/β1/γ2
14.81Consensusneuromedin-u_on_gpOrthosteric Ligandnmur1_on_gp nmur2_on_gp
14.81Consensusp2y10_onOrthosteric Ligand8KGG-P2Y10-Lysophosphatidylserine (WJS)-chim(NtGi2-G13)/β1/γ2
14.81Consensuspac_onOrthosteric Ligandpac1_on
14.29Single2HPYAll-trans-Retinal2HPY-Rhodopsin-All-trans-Retinal
14.29Single3RFMCaffeine3RFM-A2A-Caffeine
14.29Single4GRVNeurotensin-(8-13)4GRV-NTS1-Neurotensin-(8-13)
14.29Single4N4WSANT-14N4W-SMO-SANT-1
14.29Single4PXZ2MeSADP4PXZ-P2Y12-2MeSADP
14.29Single4XEENeurotensin-(8-13)4XEE-NTS1-Neurotensin-(8-13)
14.29Single4XESNeurotensin-(8-13)4XES-NTS1-Neurotensin-(8-13)
14.29Single6AK3PGE26AK3-EP3-PGE2
14.29Single6C1RPMX536C1R-C5a1-PMX53-Avacopan; Na
14.29Single6CM4Risperidone6CM4-D2-Risperidone
14.29Single6DRYMethylergometrine6DRY-5-HT2B-Methylergometrine
14.29Single6H7NXamoterol6H7N-β1-Xamoterol
14.29Single6IIURamatroban6IIU-TXA2-Ramatroban
14.29Single6NBILA-PTH Analog6NBI-PTH1-LA-PTH Analog-Gs/β1/γ2
14.29Single6OS0Angiotensin II6OS0-AT1-Angiotensin II
14.29Single6OSAJMV4496OSA-NTS1-JMV449-Gi1/β1/γ2
14.29Single6OT025(S)-Epoxycholesterol6OT0-SMO-25(S)-Epoxycholesterol-Gi1/β1/γ2
14.29Single6XBLCholesterol6XBL-SMO-SAG-Cholesterol-Gi1/β1/γ2
14.29Single7BZ2Arformoterol7BZ2-β2-Arformoterol-Gs/β1/γ2
14.29Single7D3SSecretin7D3S-Secretin-Secretin-Gs/β1/γ2
14.29Single7DH5Mirabegron7DH5-β3-Mirabegron-Gs/β1/γ2
14.29Single7EXDLasmiditan7EXD-5-HT1F-Lasmiditan-Gi1/β1/γ2
14.29Single7KI0Semaglutide7KI0-GLP-1-Semaglutide-Gs/β1/γ2
14.29Single7L0SNeurotensin-(8-13)7L0S-NTS1-Neurotensin-(8-13)-Gi1/β1/γ1
14.29Single7L1UOrexin7L1U-OX2-Orexin-chim(NtGi1-Gs-CtGq)/β1/γ2
14.29Single7RA3GIP7RA3-GIP-GIP-chim(NtGi1-Gs)/β1/γ2
14.29Single7SK4CXCL12_LRHQ7SK4-ACKR3-CXCL12_LRHQ
14.29Single7VABTirzepatide (non-acylated)7VAB-GIP-Tirzepatide (non-acylated)-chim(NtGi1-Gs)/β1/γ2
14.29Single7WQ4Galanin7WQ4-GAL2-Galanin-chim(NtGi1-Gs-CtGq)/β1/γ2
14.29Single7XJKGalanin7XJK-GAL2-Galanin-chim(NtGi2L-Gs-CtGq)/β1/γ2
14.29Single7XW5ML1097XW5-TSH-TSH-ML109-Gs/β1/γ2
14.29Single7XXI2MeSADP7XXI-P2Y12-2MeSADP-Gi2/β1/γ2
14.29Single8A2OTheophylline8A2O-A2A-Theophylline-Na
14.29Single8G056-OAU8G05-GPR84-6-OAU-Gi1/β1/γ2
14.29Single8GCPPGE28GCP-EP4-PGE2-Gi1/β1/γ2
14.29Single8GEIConstrained Epinephrine8GEI-β2-Constrained Epinephrine-Gs/β1/γ2
14.29Single8H0PNMB308H0P-BB1-NMB30-chim(NtGi1-Gs-CtGq)/β1/γ2
14.29Single8H0QGastrin Releasing Peptide8H0Q-BB2-Gastrin Releasing Peptide-chim(NtGi1-Gs-CtGq)/β1/γ2
14.29Single8ID9Icosapent8ID9-FFA4-Icosapent-Gi1/β1/γ2
14.29Single8IQ6Latanoprost8IQ6-FP-alpha-Latanoprost-chim(NtGi1-Gs-CtGq)/β1/γ2
14.29Single8IWM2-Phenylethylamine8IWM-TAA9-2-Phenylethylamine
14.29Single8JJPChemerin-98JJP-CML2-Chemerin-9-Gi1/β1/γ2
14.29Single8JPBNeurotensin-(8-13)8JPB-NTS1-Neurotensin-(8-13)-SBI-553; GDP; Mg-Gq; GRK2
14.29Single8JWY2-1188JWY-A2A-2-118
14.29Single8T3QDoconexent8T3Q-FFA4-Doconexent-chim(NtGi2L-Gs-CtGq)/β1/γ2
14.29Single8WC5Tetramethylammonium Ion8WC5-TA1-Tetramethylammonium Ion-chim(NtGi1-Gs)/β1/γ2
14.29Single8XJNCloprosetnol8XJN-TXA2-Cloprosetnol-chim(NtGi1-Gs-CtGq)/β1/γ2
14.29Single8XOFLys058XOF-GPR30-Lys05-chim(NtGi1-Gs-CtGq)/β1/γ2
14.29Single8XQFApelin-138XQF-Apelin-Apelin-13-Gi1/β1/γ2
14.29Single8XQNCholesterol8XQN-TAS2R14-Cholesterol-Aristolochic acid A-Gi1/β1/γ1
14.29Single8XQSCholesterol8XQS-TAS2R14-Cholesterol-Flufenamic acid-Gi1/β1/γ1
14.29Single8Y02All-trans-Retinal8Y02-OPN1SW-All-trans-Retinal-Gi1/β1/γ2
14.29Single9BLBCagrilintide (non-acylated)9BLB-CT-Cagrilintide (non-acylated)-Gs/β1/γ2
14.29Single9BP3Cagrilintide9BP3-CT (AMY1)-Cagrilintide-Gs/β1/γ2; RAMP1
14.29Single9ECJS-geranylgeranyl-L-glutathione9ECJ-P2Y8-S-geranylgeranyl-L-glutathione-G13/β1/γ2
14.29Single9EK0Iperoxo9EK0-M5-Iperoxo-chim(NtGi1-Gs-CtGq)/β1/γ2
14.29Single9GGGI-BOP9GGG-TXA2-I-BOP-chim(NtGi2L-Gs-CtGq)/β1/γ2
14.29Single9KZKC3a (fragment)9KZK-C3aB-C3a (fragment)-Go/β1/γ2
14.29Consensus5ht1a_onOrthosteric Ligand8FYT-5-HT1A-LSD-PtdIns4P-Gi1/β1/γ1 7E2Y-5-HT1A-Serotonin-PtdIns4P-Gi1/β1/γ2 7E2Z-5-HT1A-Aripiprazole-PtdIns4P-Gi1/β1/γ2 8FYX-5-HT1A-Buspirone-PtdIns4P-Gi1/β1/γ1 8JSP-5-HT1A-Ulotaront-Gi1/β1/γ2 8JT6-5-HT1A-(R)-IHCH-7179-PtdIns4P-Gi1/β1/γ2 8FY8-5-HT1A-5-MeO-DMT-PtdIns4P-Gi1/β1/γ1 8FYE-5-HT1A-4-F,5-MeO-PyrT-PtdIns4P-Gi1/β1/γ1 8FYL-5-HT1A-Vilazodone-PtdIns4P-Gi1/β1/γ1
14.29Consensus5ht1a_on_gpOrthosteric Ligand8FYT-5-HT1A-LSD-PtdIns4P-Gi1/β1/γ1 8FYX-5-HT1A-Buspirone-PtdIns4P-Gi1/β1/γ1 8JSP-5-HT1A-Ulotaront-Gi1/β1/γ2 8JT6-5-HT1A-(R)-IHCH-7179-PtdIns4P-Gi1/β1/γ2 7E2Y-5-HT1A-Serotonin-PtdIns4P-Gi1/β1/γ2 7E2Z-5-HT1A-Aripiprazole-PtdIns4P-Gi1/β1/γ2 8FY8-5-HT1A-5-MeO-DMT-PtdIns4P-Gi1/β1/γ1 8FYE-5-HT1A-4-F,5-MeO-PyrT-PtdIns4P-Gi1/β1/γ1 8FYL-5-HT1A-Vilazodone-PtdIns4P-Gi1/β1/γ1
14.29Consensus5ht1f_onOrthosteric Ligand7EXD-5-HT1F-Lasmiditan-Gi1/β1/γ2
14.29Consensus5ht1f_on_gpOrthosteric Ligand7EXD-5-HT1F-Lasmiditan-Gi1/β1/γ2
14.29Consensusbeta3_onOrthosteric Ligand7DH5-β3-Mirabegron-Gs/β1/γ2 7XJH-β3-Isoprenaline-Gs/β1/γ2 7XJI-β3-Solabegron-Gs/β1/γ2
14.29Consensusbeta3_on_gpOrthosteric Ligand7DH5-β3-Mirabegron-Gs/β1/γ2 7XJH-β3-Isoprenaline-Gs/β1/γ2 7XJI-β3-Solabegron-Gs/β1/γ2
14.29Consensuscalcitonin_on_gpOrthosteric Ligandctlike_on_gp
14.29Consensuscxcr_onOrthosteric Ligandcxcr3_on cxcr4_on cxcr1_on cxcr2_on
14.29Consensusgalanin_onOrthosteric Ligandgal2_on gal1_on
14.29Consensusgalanin_on_gpOrthosteric Ligandgal2_on_gp gal1_on_gp
14.29Consensusgi_muscarinicOrthosteric Ligand8E9X-M4-2-Deoxycytidine-chim(NtGi1-Go)/β1/γ2 7T8X-M2-Acetylcholine-chim(NtGi1-Go)/β1/γ2 7TRS-M4-Acetylcholine-Gi1/β1/γ2 7TRK-M4-Iperoxo-Gi1/β1/γ2 7V6A-M4-PubChem 9864275-Gi1/β1/γ2
14.29Consensusgi_neurotensinOrthosteric Ligand6OSA-NTS1-JMV449-Gi1/β1/γ2 7L0S-NTS1-Neurotensin-(8-13)-Gi1/β1/γ1
14.29Consensusgi_p2yOrthosteric Ligand7XXI-P2Y12-2MeSADP-Gi2/β1/γ2
14.29Consensusgi_proteinOrthosteric Ligandgi_chemokine gi_chemerin
14.29Consensusgs_histamineOrthosteric Ligand8POK-H2-Histamine-Gs/β1/γ2
14.29Consensush2_onOrthosteric Ligand8POK-H2-Histamine-Gs/β1/γ2
14.29Consensusneurotensin_on_gpOrthosteric Ligandnts1_on_gp
14.29Consensusnk1_offOrthosteric Ligand6HLP-NK1-Netupitant 6HLO-NK1-Aprepitant 6HLL-NK1-CP99994 6E59-NK1-L-760735
14.29Consensusnts1_on_gpOrthosteric Ligand6OSA-NTS1-JMV449-Gi1/β1/γ2 7L0S-NTS1-Neurotensin-(8-13)-Gi1/β1/γ1
14.29Consensusp2y12_on_gpOrthosteric Ligand7XXI-P2Y12-2MeSADP-Gi2/β1/γ2
14.29Consensusprotein_on_gpOrthosteric Ligandchemokine_on_gp chemerin_on_gp
14.29Consensusvpac1_on_gpOrthosteric Ligand8E3Z-VPAC1-VIP-Gs/β1/γ2
13.79Single7EIBKallidin-des-Arg107EIB-BK1-Kallidin-des-Arg10-chim(NtGi1-Gs-CtGq)/β1/γ2
13.79Single7FIYTirzepatide7FIY-GIP-Tirzepatide-Gs/β1/γ2
13.79Single7TYNCalcitonin-17TYN-CT-Calcitonin-1-Gs/β1/γ2
13.79Single7VQXPACAP277VQX-VPAC1-PACAP27-Gs/β1/γ2
13.79Single8FU6ZP37808FU6-Glucagon-ZP3780-Gs/β1/γ2
13.79Single8ZJGChemerin8ZJG-CML1-Chemerin-Gi1/β1/γ2
13.79Single9P94PACAP279P94-PAC1-PACAP27-Gs/β1/γ2
13.64Single4BUONeurotensin-(8-13)4BUO-NTS1-Neurotensin-(8-13)
13.64Single4NC3Ergotamine4NC3-5-HT2B-Ergotamine
13.64Single4RWSvMIP-II4RWS-CXCR4-vMIP-II
13.64Single5CGDHTL142425CGD-mGlu5-HTL14242
13.64Single7D7MPGE27D7M-EP4-PGE2-Gs/β1/γ1
13.64Single7EZHCholecystokinin-87EZH-CCKA-Cholecystokinin-8-Gi1/β1/γ2
13.64Single7EZMCholecystokinin-87EZM-CCKA-Cholecystokinin-8-chim(NtGsL-Gq)/β1/γ2
13.64Single7JVRBromoergocryptine7JVR-D2-Bromoergocryptine-Gi1/β1/γ2
13.64Single7LLLExendin-47LLL-GLP-1-Exendin-4-Gs/β1/γ2
13.64Single7PIUSetmelanotide7PIU-MC4-Setmelanotide-Gs/β1/γ2
13.64Single7QVMOxytocin7QVM-OT-Oxytocin-chim(NtGi1-Go-CtGq)/β1/γ2
13.64Single7VGY2-Iodomelatonin7VGY-MT1-2-Iodomelatonin-Gi1/β1/γ2
13.64Single7XJISolabegron7XJI-β3-Solabegron-Gs/β1/γ2
13.64Single7Y27Somatostatin-147Y27-SST2-Somatostatin-14-chim(NtGi2L-Gs-CtGq)/β1/γ2
13.64Single8HN1Toxin AdTx18HN1-Alpha1A-Toxin AdTx1
13.64Single8IULLatanoprost8IUL-FP-alpha-Latanoprost-chim(NtGi1-Gs-CtGq)/β1/γ2
13.64Single8JPFNeurotensin-(8-13)8JPF-NTS1-Neurotensin-(8-13)-SBI-553
13.64Single8K2XCXCL108K2X-CXCR3-CXCL10-Gi1/β1/γ2
13.64Single8K4OCXCL18K4O-KSHV-CXCL1-Gi1/β1/γ1
13.64Single8XJKCloprosetnol8XJK-FP-alpha-Cloprosetnol-chim(NtGi1-Gs-CtGq)/β1/γ2
13.64Single8XJOU466198XJO-TXA2-U46619-chim(NtGi1-Gs-CtGq)/β1/γ2
13.64Single8ZPLHF511168ZPL-CXCR4-HF51116
13.64Single8ZX4Lysophosphatidylinositol 8ZX4-GPR55-Lysophosphatidylinositol-chim(NtGi1-G13)/β1/γ2
13.64Single9GE3Lysophosphatidylinositol9GE3-GPR55-Lysophosphatidylinositol-chim(NtGi1-G13)/β1/γ2
13.64Single9J0BUDP-Glucose9J0B-P2Y14-UDP-Glucose-Gi1/β1/γ2
13.64Single9KV8TLQP219KV8-C3aB-TLQP21-Go/β1/γ2
13.64Single9KWXC5a-des-Arg9KWX-C5a1-C5a-des-Arg-Go/β1/γ2
13.64Single9UYHChemerin-99UYH-CML2-Chemerin-9-Arrestin2
13.64Consensusccka_onOrthosteric Ligand7EZH-CCKA-Cholecystokinin-8-Gi1/β1/γ2
13.64Consensusccka_on_gpOrthosteric Ligand7EZH-CCKA-Cholecystokinin-8-Gi1/β1/γ2
13.64Consensusfp-alpha_onOrthosteric Ligand8IUK-FP-alpha-PGF2-α-chim(NtGi1-Gs-CtGq)/β1/γ2 8IUL-FP-alpha-Latanoprost-chim(NtGi1-Gs-CtGq)/β1/γ2 8IUM-FP-alpha-Tafluprost acid-chim(NtGi1-Gs-CtGq)/β1/γ2
13.64Consensusfp-alpha_on_gpOrthosteric Ligand8IUK-FP-alpha-PGF2-α-chim(NtGi1-Gs-CtGq)/β1/γ2 8IUL-FP-alpha-Latanoprost-chim(NtGi1-Gs-CtGq)/β1/γ2 8IUM-FP-alpha-Tafluprost acid-chim(NtGi1-Gs-CtGq)/β1/γ2
13.64Consensusgal2_onOrthosteric Ligand7WQ4-GAL2-Galanin-chim(NtGi1-Gs-CtGq)/β1/γ2 7XJL-GAL2-Spexin-chim(NtGi2L-Gs-CtGq)/β1/γ2
13.64Consensusgal2_on_gpOrthosteric Ligand7WQ4-GAL2-Galanin-chim(NtGi1-Gs-CtGq)/β1/γ2 7XJL-GAL2-Spexin-chim(NtGi2L-Gs-CtGq)/β1/γ2
13.64Consensusnk2_onOrthosteric Ligand7XWO-NK2-Neurokinin-A-chim(NtGi1-Gs-CtGq)/β1/γ2
13.64Consensusprostanoid_onOrthosteric Ligandtp_on fp-alpha_on
13.64Consensusprostanoid_on_gpOrthosteric Ligandtp_on_gp fp-alpha_on_gp
13.64Consensustp_onOrthosteric Ligand8XJO-TXA2-U46619-chim(NtGi1-Gs-CtGq)/β1/γ2
13.64Consensustp_on_gpOrthosteric Ligand8XJO-TXA2-U46619-chim(NtGi1-Gs-CtGq)/β1/γ2
13.33Single2J4Y11-cis-Retinal2J4Y-Rhodopsin-11-cis-Retinal
13.33Single3C9M11-cis-Retinal3C9M-Rhodopsin-11-cis-Retinal
13.33Single3UZAGTPL92363UZA-A2A-GTPL9236
13.33Single6FK9PubChem 1324730366FK9-Rhodopsin-PubChem 132473036
13.33Single6FUFAll-trans-Retinal6FUF-Rhodopsin-All-trans-Retinal-Go
13.33Single7F23Dopamine7F23-D1-Dopamine-GDP-Gs/β1/γ2
13.33Single7V6APubChem 98642757V6A-M4-PubChem 9864275-Gi1/β1/γ2
13.33Single8F76Propanoic acid8F76-OR51E2-Propanoic acid-Gs/β1/γ2
13.33Single8IW72-Phenylethylamine8IW7-TAA9-2-Phenylethylamine-chim(NtGi1-Gs)/β1/γ2
13.33Single8J21Butyric acid8J21-FFA3-Butyric acid-Gi1/β1/γ2
13.33Single8J24Acetic acid8J24-FFA2-Acetic acid-Gi1/β1/γ2
13.33Single8JEFPubChem 113671668JEF-HCA3-PubChem 11367166-Gi1/β1/γ2
13.33Single8POKHistamine8POK-H2-Histamine-Gs/β1/γ2
13.33Single8RQLFlufenamic acid8RQL-TAS2R14-Flufenamic acid-Flufenamic acid-chim(NtGi1-Gt3)/β1/γ2
13.33Single8WC62-Phenylethylamine8WC6-TA1-2-Phenylethylamine-chim(NtGi1-Gs)/β1/γ2
13.33Single8X9UMetenolone8X9U-ADGRD1-Metenolone-chim(NtGi1-Gs)/β1/γ2
13.33Single9BQ3Cagrilintide9BQ3-CT (AMY2)-Cagrilintide-Gs/β1/γ2; RAMP2
13.33Single9IV15alpha-DHT9IV1-ADGRD1-5α-DHT-chim(NtGi1-Gs)/β1/γ2
13.33Consensusbk2_onOrthosteric Ligand7F6H-BK2-Bradykinin-Gq/β1/γ2 7F6I-BK2-Kallidin-Gq/β1/γ2
13.33Consensusbk2_on_gpOrthosteric Ligand7F6H-BK2-Bradykinin-Gq/β1/γ2 7F6I-BK2-Kallidin-Gq/β1/γ2
13.33Consensusbradykinin_onOrthosteric Ligandbk2_on
13.33Consensusbradykinin_on_gpOrthosteric Ligandbk2_on_gp
13.33Consensusffa3_onOrthosteric Ligand8J21-FFA3-Butyric acid-Gi1/β1/γ2
13.33Consensusffa3_on_gpOrthosteric Ligand8J21-FFA3-Butyric acid-Gi1/β1/γ2
13.33Consensusgq_bradykininOrthosteric Ligand7F6H-BK2-Bradykinin-Gq/β1/γ2 7F6I-BK2-Kallidin-Gq/β1/γ2
13.33Consensush2_on_gpOrthosteric Ligand8POK-H2-Histamine-Gs/β1/γ2
13.16Single8F2BPramlintide Analogue San458F2B-CT (AMY3)-Pramlintide Analogue San45-Gs/β1/γ2; RAMP3
13.04Single5VBLAMG3054 5VBL-Apelin-AMG3054
13.04Single5WF6UK-4320975WF6-A2A-UK-432097
13.04Single6G79Donitriptan6G79-5-HT1B-Donitriptan-Go/β1/γ2
13.04Single6OMMWKYMVX6OMM-FPR2-ALX-WKYMVX-Gi1/β1/γ2
13.04Single6XBJCholesterol6XBJ-SMO-Cholesterol-Gi1/β1/γ2
13.04Single7F2OBradykinin7F2O-BK2-Bradykinin-chim(NtGi1-Gs-CtGq)/β1/γ2
13.04Single7T11Octreotide7T11-SST2-Octreotide-Gi3/β1/γ2
13.04Single7YAEOctreotide7YAE-SST2-Octreotide-Gi1/β1/γ2
13.04Single8GDAL9026888GDA-EP4-L902688-Gs/β1/γ2
13.04Single8IQ4Carboprost8IQ4-FP-alpha-Carboprost-chim(NtGi1-Gs-CtGq)/β1/γ2
13.04Single8IUMTafluprost acid8IUM-FP-alpha-Tafluprost acid-chim(NtGi1-Gs-CtGq)/β1/γ2
13.04Single8SAILysophosphatidylserine (S12)8SAI-GPR34-Lysophosphatidylserine (S12)-Gi1/β1/γ2
13.04Single8XZFWN5618XZF-Apelin; Apelin-WN561-Gi1/β1/γ2
13.04Single9JF4PD1683689JF4-BB1-PD168368
13.04Single9JH6C20:0 Ceramide9JH6-CysLT2-C20:0 Ceramide-chim(NtGi1-Gs-CtGq)/β1/γ2
13.04Single9KX6C5a-des-Arg9KX6-C5a1-C5a-des-Arg-Go/β1/γ2
13.04Consensuscxcr_on_gpOrthosteric Ligandcxcr3_on_gp cxcr4_on_gp cxcr1_on_gp cxcr2_on_gp
13.04Consensusformylpeptide_onOrthosteric Ligandfpr2-alx_on fpr1-alx_on
13.04Consensusnmur1_onOrthosteric Ligand7W53-NMUR1-Neuromedin-U-25-chim(NtGi1-Gs-CtGq)/β1/γ2
12.50Single1L9H11-cis-Retinal1L9H-Rhodopsin-11-cis-Retinal
12.50Single1U1911-cis-Retinal1U19-Rhodopsin-11-cis-Retinal
12.50Single2G87All-trans-Retinal2G87-Rhodopsin-All-trans-Retinal
12.50Single2I3511-cis-Retinal2I35-Rhodopsin-11-cis-Retinal
12.50Single3AYMAll-trans-Retinal3AYM-Rhodopsin-All-trans-Retinal
12.50Single5TE520-Methanoretinal5TE5-Rhodopsin-20-Methanoretinal
12.50Single6FK6PubChem 1324730336FK6-Rhodopsin-PubChem 132473033
12.50Single6LI0C176LI0-GPR52-C17
12.50Single6PGSGeraniol6PGS-Rhodopsin-Geraniol-Gt(CT)
12.50Single6RZ8ONO-20803656RZ8-CysLT2-ONO-2080365
12.50Single6X19CHU-1286X19-GLP-1-CHU-128-Gs/β1/γ2
12.50Single7DFLHistamine7DFL-H1-Histamine-chim(NtGi1L-Gq)/β1/γ2
12.50Single7E2YSerotonin7E2Y-5-HT1A-Serotonin-PtdIns4P-Gi1/β1/γ2
12.50Single7L0RNeurotensin-(8-13)7L0R-NTS1-Neurotensin-(8-13)-Gi1/β1/γ1
12.50Single7RTBPeptide-197RTB-GLP-1-Peptide-19-Gs/β1/γ2
12.50Single7SK6CXCL12_LRHQ7SK6-ACKR3-CXCL12_LRHQ
12.50Single7T6UCGEN-855A7T6U-FPR2-ALX-CGEN-855A-Gi1/β1/γ2
12.50Single7T96LY21196207T96-M2-Acetylcholine-LY2119620-Go/β1/γ2
12.50Single7TRPLY20332987TRP-M4-Iperoxo-LY2033298-Gi1/β1/γ2
12.50Single7V68Iperoxo7V68-M4-Iperoxo-LY2119620-Gi1/β1/γ2
12.50Single7VDHC48/807VDH-MRGPRX2-C48/80-Gi1/β1/γ2
12.50Single7W2ZGhrelin7W2Z-Ghrelin-Ghrelin-Go/β1/γ2
12.50Single7W53Neuromedin-U-257W53-NMUR1-Neuromedin-U-25-chim(NtGi1-Gs-CtGq)/β1/γ2
12.50Single7W56Neuromedin-S7W56-NMUR1-Neuromedin-S-chim(NtGi1-Gs-CtGq)/β1/γ2
12.50Single7XMRSomatostatin-147XMR-SST2-Somatostatin-14-Gi1/β1/γ2
12.50Single8A2PLUAA470708A2P-A2A-LUAA47070-Na
12.50Single8DWGBAM8-228DWG-MRGPRX1-BAM8-22-ML382-chim(NtGi2L-Gs-CtGq)/β1/γ2
12.50Single8GGYConstrained Epinephrine8GGY-β2-Constrained Epinephrine
12.50Single8JILNiacin8JIL-HCA2-Niacin-Gi1/β1/γ2
12.50Single8JLOUlotaront8JLO-TA1-Ulotaront-Gs/β1/γ2
12.50Single8RWHStilSwitch28RWH-A2A-StilSwitch2-Na
12.50Single8U4OCXCL128U4O-CXCR4-CXCL12-Gi1/β1/γ2
12.50Single8UO3Constrained Epinephrine8UO3-β2-Constrained Epinephrine-GTP; Mg-Gs/β1/γ2
12.50Single8UO4Constrained Epinephrine8UO4-β2-Constrained Epinephrine-GTP; Mg-Gs/β1/γ2
12.50Single8W892-Phenylethylamine8W89-TA1-2-Phenylethylamine-chim(NtGi1L-Gs)/β1/γ2
12.50Single8X2KOleic monoethanolamide8X2K-GPR3-Oleic monoethanolamide-chim(NtGi1-Gs)/β1/γ2
12.50Single8YN2Histamine8YN2-H1-Histamine-chim(NtGi1L-Gs-CtGq)/β1/γ2
12.50Single8YWFRetatrutide8YWF-GLP-1-Retatrutide-chim(NtGi1-Gs)/β1/γ2
12.50Single8ZCJPasireotide8ZCJ-SST5-Pasireotide-Gi1/β1/γ1
12.50Single9AS2DMT9AS2-5-HT2A-DMT-chim(NtGi1-Gs-CtGq)/β1/γ2
12.50Single9EPRAll-trans-Retinal9EPR-Rhodopsin-All-trans-Retinal-Gi1/β1/γ2
12.50Single9L3ZLRH7-C29L3Z-CML1-LRH7-C2
12.50Single9LMPNE52-QQ579LMP-GPR4-NE52-QQ57
12.50Single9UYLChemerin-99UYL-CML2-Chemerin-9-Arrestin2
12.50Single9YDAAll-trans-Retinal9YDA-Opsin1MW-All-trans-Retinal-chim(NtGi1L-Gs-CtGt)/β1/γ2
12.50Consensusadgrg_onOrthosteric Ligandadgrg2_on adgrg4_on
12.50Consensusadgrg_on_gpOrthosteric Ligandadgrg2_on_gp adgrg4_on_gp
12.50Consensuschemerin_on_gpOrthosteric Ligandcml1_on_gp
12.50Consensuscml1_onOrthosteric Ligand7YKD-CML1-Chemerin-9-Gi1/β1/γ2
12.50Consensusgi_chemerinOrthosteric Ligand7YKD-CML1-Chemerin-9-Gi1/β1/γ2
12.50Consensusglp1_onOrthosteric Ligand7S1M-GLP-1-Exendin-4-D-Ala-Gs/β1/γ2 7X8R-GLP-1-BOC5-Gs/β1/γ2 6X19-GLP-1-CHU-128-Gs/β1/γ2 6X1A-GLP-1-Danuglipron-Gs/β1/γ2 6X18-GLP-1-GLP-1-Gs/β1/γ2 8JIP-GLP-1-MEDI0382-chim(NtGi1-Gs)/β1/γ2 7C2E-GLP-1-PubChem 149050799-Gs/β1/γ2 7KI0-GLP-1-Semaglutide-Gs/β1/γ2 7KI1-GLP-1-Taspoglutide-Gs/β1/γ2 7X8S-GLP-1-WB4-24-Gs/β1/γ2 8JIS-GLP-1-Peptide-15-chim(NtGi1-Gs)/β1/γ2 7VBI-GLP-1-Tirzepatide (non-acylated)-Gs/β1/γ2
12.50Consensush1_onOrthosteric Ligand7DFL-H1-Histamine-chim(NtGi1L-Gq)/β1/γ2
12.50Consensusnmur1_on_gpOrthosteric Ligand7W53-NMUR1-Neuromedin-U-25-chim(NtGi1-Gs-CtGq)/β1/γ2
12.50Consensussomatostatin_offOrthosteric Ligandsst2_off
12.12Single8JIPMEDI03828JIP-GLP-1-MEDI0382-chim(NtGi1-Gs)/β1/γ2
12.12Consensusglp1_on_gpOrthosteric Ligand7S1M-GLP-1-Exendin-4-D-Ala-Gs/β1/γ2 7X8R-GLP-1-BOC5-Gs/β1/γ2 6X19-GLP-1-CHU-128-Gs/β1/γ2 6X1A-GLP-1-Danuglipron-Gs/β1/γ2 6X18-GLP-1-GLP-1-Gs/β1/γ2 8JIP-GLP-1-MEDI0382-chim(NtGi1-Gs)/β1/γ2 7C2E-GLP-1-PubChem 149050799-Gs/β1/γ2 7KI0-GLP-1-Semaglutide-Gs/β1/γ2 7KI1-GLP-1-Taspoglutide-Gs/β1/γ2 7X8S-GLP-1-WB4-24-Gs/β1/γ2 8JIS-GLP-1-Peptide-15-chim(NtGi1-Gs)/β1/γ2 7VBI-GLP-1-Tirzepatide (non-acylated)-Gs/β1/γ2
12.00Single5XJM(Sar1,Ile8)-Angiotensin II5XJM-AT2-(Sar1,Ile8)-Angiotensin II
12.00Single6DO1(Sar1,Ile8)-Angiotensin II6DO1-AT1-(Sar1,Ile8)-Angiotensin II
12.00Single6WHCGlu16 analog of GCG6WHC-Glucagon-Glu16 analog of GCG-Gs/β1/γ2
12.00Single7E14Orforglipron7E14-GLP-1-Orforglipron-PubChem 156022738-Gs/β1/γ2
12.00Single7F1QCCL37F1Q-CCR5-CCL3-Gi1/β1/γ2
12.00Single7RMISubstance-P7RMI-NK1-Substance-P-chim(Gs-CtGq)/β1/γ2
12.00Single7XNACYN1548067XNA-SST2-CYN154806
12.00Single8K6ONeuropeptide-Y8K6O-Y1-Neuropeptide-Y-Gi2/β1/γ1
12.00Single9E82CXCL12 (fragment)9E82-ACKR3-CXCL12 (fragment)-Arrestin2
12.00Single9KFIRelaxin-39KFI-RXFP3-Relaxin-3-Gi2/β1/γ2
12.00Consensussst2_offOrthosteric Ligand7XNA-SST2-CYN154806
11.76Single1GZM11-cis-Retinal1GZM-Rhodopsin-11-cis-Retinal
11.76Single2PED9-cis-Retinal2PED-Rhodopsin-9-cis-Retinal
11.76Single2Z7311-cis-Retinal2Z73-Rhodopsin-11-cis-Retinal
11.76Single3AYN9-cis-Retinal3AYN-Rhodopsin-9-cis-Retinal
11.76Single3C9L11-cis-Retinal3C9L-Rhodopsin-11-cis-Retinal
11.76Single3PWHZM-2413853PWH-A2A-ZM-241385
11.76Single3VG9ZM-2413853VG9-A2A-ZM-241385-Antibody
11.76Single5OLHVipadenant5OLH-A2A-Vipadenant-Na
11.76Single6D9HAdenosine6D9H-A1-Adenosine-Gi2/β1/γ2
11.76Single6NWEOctyl-Beta-D-Glucopyranoside6NWE-Rhodopsin-Octyl-β-D-Glucopyranoside-Gt(CT)
11.76Single6ZA8RTI-3a6ZA8-NTS1-RTI-3a
11.76Single7LCJDanuglipron7LCJ-GLP-1-Danuglipron
11.76Single7LJDDopamine7LJD-D1-Dopamine-Mevidalen-Gs/β1/γ1
11.76Single7TUZ7-alpha,25-dihydroxycholesterol7TUZ-GPR183-7-α,25-dihydroxycholesterol-Gi1/β1/γ2
11.76Single7VV5C48/807VV5-MRGPRX2-C48/80-Gi1/β1/γ2
11.76Single7VVOPTH7VVO-PTH1-PTH-Gs/β1/γ2
11.76Single7X2CFenoldopam7X2C-D1-Fenoldopam-Fenoldopam-Gs/β1/γ2
11.76Single8A6CAll-trans-Retinal8A6C-Rhodopsin-All-trans-Retinal
11.76Single8A6DAll-trans-Retinal8A6D-Rhodopsin-All-trans-Retinal
11.76Single8A6EAll-trans-Retinal8A6E-Rhodopsin-All-trans-Retinal
11.76Single8DU3PubChem 1055260648DU3-A2A-PubChem 105526064
11.76Single8DWHPubChem 1390305318DWH-MRGPRX1-PubChem 139030531-chim(NtGi2L-Gs-CtGq)/β1/γ2
11.76Single8H8JLodoxamide8H8J-GPR35-Lodoxamide-Ca-chim(NtGi1L-G13)/β1/γ2
11.76Single8HDPAdenosine8HDP-A2B-Adenosine-Gs/β1/γ2
11.76Single8HMPC178HMP-GPR52-C17-Gs/β1/γ2
11.76Single8J20Valeric acid8J20-FFA3-Valeric acid-AR420626-Gi1/β1/γ2
11.76Single8RW4AzoSwitch28RW4-A2A-AzoSwitch2-Na
11.76Single8RWEStilSwitch48RWE-A2A-StilSwitch4-Na
11.76Single8T3SButyric acid8T3S-FFA2-Butyric acid-chim(NtGi2L-Gs-CtGq)/β1/γ2
11.76Single8T3VDoconexent8T3V-FFA1-Doconexent-chim(NtGi2L-Gs-CtGq)/β1/γ2
11.76Single8XXVIndomethacin8XXV-DP2-Indomethacin-A1D5Q-Gi1/β1/γ2
11.76Single9FUPIstradefylline9FUP-A2A-Istradefylline-Na
11.76Single9H2XPubChem 1756706449H2X-A2A-PubChem 175670644-Na
11.76Single9KVHCinobufotenine9KVH-5-HT1A-Cinobufotenine-PtdIns4P-Gi1/β1/γ2
11.76Single9M88Oleic monoethanolamide9M88-GPR3 ; GPR3-Oleic monoethanolamide-AF64394
11.76Consensusrhodopsin_offOrthosteric Ligand1U19-Rhodopsin-11-cis-Retinal 2PED-Rhodopsin-9-cis-Retinal 5TE5-Rhodopsin-20-Methanoretinal
11.76Consensussensory_offonOrthosteric Ligandsensory_off sensory_on
11.76Consensussensory_offon_gpOrthosteric Ligandsensory_on_gp sensory_on
11.54Single6LW5WKYMVm6LW5-FPR2-ALX-WKYMVm
11.54Single8K6MNeuropeptide-Y8K6M-Y1-Neuropeptide-Y-Gi2/β1/γ1
11.54Single8W8YGamma-MSH8W8Y-MC3-γ-MSH-Ca-Gs/β1/γ2
11.54Single8XZGApelin-138XZG-Apelin; Apelin-Apelin-13-Gi1/β1/γ2
11.54Consensusclass-b1_class-b2_cons_onOrthosteric Ligandclass-b1_on class-b2_on
11.54Consensusclass-b1_class-b2_cons_on_gpOrthosteric Ligandclass-b1_on_gp class-b2_on_gp
11.54Consensusmc3_onOrthosteric Ligand8IOC-MC3-γ-MSH-Ca-chim(NtGi1-Gs)/β1/γ2
11.54Consensusmc3_on_gpOrthosteric Ligand8IOC-MC3-γ-MSH-Ca-chim(NtGi1-Gs)/β1/γ2
11.54Consensusnpy1_onOrthosteric Ligand8K6M-Y1-Neuropeptide-Y-Gi2/β1/γ1
11.54Consensusnpy1_on_gpOrthosteric Ligand8K6M-Y1-Neuropeptide-Y-Gi2/β1/γ1
11.11Single1F8811-cis-Retinal1F88-Rhodopsin-11-cis-Retinal
11.11Single3OAX11-cis-Retinal3OAX-Rhodopsin-11-cis-Retinal
11.11Single3REYPubChem 56973REY-A2A-PubChem 5697
11.11Single5TE3Octyl-Beta-D-Glucopyranoside5TE3-Rhodopsin-Octyl-β-D-Glucopyranoside
11.11Single5UVIZM-2413855UVI-A2A-ZM-241385
11.11Single5WB2CX3CL1.355WB2-US28-CX3CL1.35
11.11Single6A94Zotepine6A94-5-HT2A-Zotepine
11.11Single6AQFZM-2413856AQF-A2A-ZM-241385
11.11Single6FKAPubChem 1324730376FKA-Rhodopsin-PubChem 132473037
11.11Single6JODAngiotensin II6JOD-AT2-Angiotensin II
11.11Single6M1IPACAP276M1I-PAC1-PACAP27-Gs/β1/γ2
11.11Single6ME32-Phenylmelatonin6ME3-MT1-2-Phenylmelatonin
11.11Single6ME42-Iodomelatonin6ME4-MT1-2-Iodomelatonin
11.11Single6MH8ZM-2413856MH8-A2A-ZM-241385
11.11Single6PELCitronellol6PEL-Rhodopsin-Citronellol-Gt(CT)
11.11Single6PS82-Phenylmelatonin6PS8-MT1-2-Phenylmelatonin
11.11Single6U1NLY21196206U1N-M2-LY2119620-Arrestin2
11.11Single6WH4Methiothepin6WH4-5-HT2A-Methiothepin
11.11Single6WJCMuscarinic toxin 76WJC-M1-Atropine-Muscarinic toxin 7
11.11Single6ZINSR486926ZIN-NTS1-SR48692
11.11Single7FINPeptide-20; GGL7FIN-GIP-Peptide-20; GGL-Gs/β1/γ2
11.11Single7M3GCa; Ca; Tryptophan; Evocalcet; Etelcalcetide; PO47M3G-CaS; CaS-Ca; Ca; Tryptophan; Evocalcet; Etelcalcetide; PO4
11.11Single7UTZDPPC7UTZ-TSH-TSH-DPPC-Gs/β1/γ2
11.11Single7VV6C48/807VV6-MRGPRX2-C48/80
11.11Single7WUIIP157WUI-ADGRG2-IP15-chim(NtGi1-Gs)/β1/γ2
11.11Single7XXH2MeSADP7XXH-P2Y1-2MeSADP-chim(NtGi1-G11)/β1/γ2
11.11Single7ZBC11-cis-Retinal7ZBC-Rhodopsin-11-cis-Retinal
11.11Single7ZBE11-cis-Retinal7ZBE-Rhodopsin-11-cis-Retinal
11.11Single8FCZ11-cis-Retinal8FCZ-Rhodopsin-11-cis-Retinal
11.11Single8GEAConstrained Epinephrine8GEA-β2-Constrained Epinephrine-Gs/β1/γ2
11.11Single8GG8Constrained Epinephrine8GG8-β2-Constrained Epinephrine-GTP-Gs/β1/γ2
11.11Single8H4LDoconexent8H4L-FFA4-Doconexent-chim(NtGi1-Gs-CtGq)/β1/γ2
11.11Single8JSPUlotaront8JSP-5-HT1A-Ulotaront-Gi1/β1/γ2
11.11Single8K4NPubChem 1687197658K4N-GPR34-PubChem 168719765-Gi1/β1/γ2
11.11Single8UHBRO52563908UHB-TA1-RO5256390-Gs/β1/γ2
11.11Single8W8BSEP-3638568W8B-5-HT1A-SEP-363856-Gi1/β1/γ2
11.11Single8X7ATreprostinil8X7A-I2-Treprostinil-Gs/β1/γ2
11.11Single8X8LCortistatin-148X8L-SST5-Cortistatin-14-chim(NtGi1-Gs-CtGi1)/β1/γ2
11.11Single8Y53MK50468Y53-BB3-MK5046-chim(NtGi1-Gs-CtGq)/β1/γ2
11.11Single8ZBWQuin-C18ZBW-FPR2-ALX-Quin-C1-Gi2/β1/γ2
11.11Single8ZMGPimavanserin8ZMG-5-HT2A-Pimavanserin
11.11Single9BLCCagrilintide (non-acylated)9BLC-CT-Cagrilintide (non-acylated)-Gs/β1/γ2
11.11Single9IXXLTD49IXX-CysLT2-LTD4-chim(NtGi1-Gs-CtGq)/β1/γ2
11.11Single9K0KUTP9K0K-P2Y4-UTP-chim(NtGi1-Gs-CtGq)/β1/γ2
11.11Single9K0XATP9K0X-P2Y2-ATP-chim(NtGi1-Gs-CtGq)/β1/γ2
11.11Single9K1DButyric acid9K1D-FFA2-Butyric acid-Gi1/β1/γ2
11.11Single9K20ATP9K20-P2Y2-ATP-chim(NtGi1-Go)/β1/γ2
11.11Single9KVIBufotenin9KVI-5-HT1A-Bufotenin-PtdIns4P-Gi1/β1/γ2
11.11Single9L8LBI1671079L8L-β2-BI167107-Atazanavir-Gs/β1/γ2 ; Arrestin2
11.11Single9U80Conivaptan9U80-V2-Conivaptan
11.11Single9VJG8-OH-DPAT9VJG-5-HT1A-8-OH-DPAT-chim(NtGi2-Gz)/β1/γ2
11.11Consensuscxcr2_onOrthosteric Ligand6LFM-CXCR2-CXCL8-Gi1/β1/γ2
11.11Consensusnucleotide_offOrthosteric Ligandadenosine_off p2y_off
11.11Consensusopsins_offOrthosteric Ligandrhodopsin_off
11.11Consensusp2y1_on_gpOrthosteric Ligand7XXH-P2Y1-2MeSADP-chim(NtGi1-G11)/β1/γ2
11.11Consensusprotein_offonOrthosteric Ligandprotein_off protein_on
11.11Consensusprotein_offon_gpOrthosteric Ligandprotein_on_gp protein_off
11.11Consensussensory_offOrthosteric Ligandopsins_off
10.81Consensuspth2_on_gpOrthosteric Ligand7F16-PTH2-TIP39-Gs/β1/γ2
10.71Single7F6HBradykinin7F6H-BK2-Bradykinin-Gq/β1/γ2
10.71Single7F6IKallidin7F6I-BK2-Kallidin-Gq/β1/γ2
10.71Single7Y35Abaloparatide7Y35-PTH1-Abaloparatide-Gs/β1/γ2
10.71Single8WWMMCH8WWM-MCH1-MCH-Gi1/β1/γ2
10.71Consensusvpac1_onOrthosteric Ligand8E3Z-VPAC1-VIP-Gs/β1/γ2
10.71Consensusvpac_onOrthosteric Ligandvpac1_on vpac2_on
10.53Single1HZX11-cis-Retinal1HZX-Rhodopsin-11-cis-Retinal
10.53Single4X1HNonyl-Beta-D-Glucopyranoside4X1H-Rhodopsin-Nonyl-β-D-Glucopyranoside-Gt(CT)
10.53Single5T04Neurotensin-(8-13)5T04-NTS1-Neurotensin-(8-13)
10.53Single6D27CAY104716D27-DP2-CAY10471
10.53Single6FK7PubChem 1324730346FK7-Rhodopsin-PubChem 132473034
10.53Single6FKCPubChem 1324730396FKC-Rhodopsin-PubChem 132473039
10.53Single6FKDPubChem 1373491836FKD-Rhodopsin-PubChem 137349183
10.53Single6WHADB139486WHA-5-HT2A-DB13948-chim(NtGi2L-Gs-CtGq)/β1/γ2
10.53Single6X1ADanuglipron6X1A-GLP-1-Danuglipron-Gs/β1/γ2
10.53Single6XBM25(S)-Epoxycholesterol6XBM-SMO-25(S)-Epoxycholesterol-Gi1/β1/γ2
10.53Single7CFMP3957CFM-GPBA-P395-Gs/β1/γ2
10.53Single7DB6Ramelteon7DB6-MT1-Ramelteon-Gi1/β1/γ2
10.53Single7FIHOrg435537FIH-LH-hCG-Org43553-chim(NtGi1-Gs)/β1/γ2
10.53Single7LCIDanuglipron7LCI-GLP-1-Danuglipron-Gs/β1/γ2
10.53Single7LCKDanuglipron7LCK-GLP-1-Danuglipron
10.53Single7PP1Selatogrel7PP1-P2Y12-Selatogrel
10.53Single7S15PubChem 1346112237S15-GLP-1-PubChem 134611223
10.53Single7TRQVU04671547TRQ-M4-Iperoxo-VU0467154-Gi1/β1/γ2
10.53Single7VGZRamelteon7VGZ-MT1-Ramelteon-Gi1/β1/γ2
10.53Single7WC8Lumateperone7WC8-5-HT2A-Lumateperone
10.53Single8EJKTAK-8758EJK-FFA1-TAK-875-chim(NtGi1L-Gs-CtGq)/β1/γ2
10.53Single8FY85-MeO-DMT8FY8-5-HT1A-5-MeO-DMT-PtdIns4P-Gi1/β1/γ1
10.53Single8GCML-9026888GCM-EP4-L-902688-Gi1/β1/γ2
10.53Single8JT8(R)-IHCH-71798JT8-5-HT2A-(R)-IHCH-7179
10.53Single8XBGS3E-Lysophosphatidylserine 8XBG-GPR34-S3E-Lysophosphatidylserine
10.53Single8ZQEGPR15L(CT)8ZQE-GPR15-GPR15L(CT)-Gi1/β1/γ1
10.53Single9DYFAsenapine9DYF-5-HT1A-Asenapine-PtdIns4P-Gi1/β1/γ2
10.53Single9UAZAtropine9UAZ-M1-Atropine
10.34Consensuspac1_onOrthosteric Ligand8E3X-PAC1-PACAP27-Gs/β1/γ2 6M1H-PAC1-Maxadilan-Gs/β1/γ2
10.34Consensuspac1_on_gpOrthosteric Ligand8E3X-PAC1-PACAP27-Gs/β1/γ2 6M1H-PAC1-Maxadilan-Gs/β1/γ2
10.34Consensusvpac_on_gpOrthosteric Ligandvpac1_on_gp vpac2_on_gp
10.00Single4NTJAZD12834NTJ-P2Y12-AZD1283
10.00Single4PHUFasiglifam4PHU-FFA1-Fasiglifam
10.00Single5NX2GLP-1 (Truncated)5NX2-GLP-1-GLP-1 (Truncated)
10.00Single6GDGNECA6GDG-A2A-NECA-Gs/β1/γ1
10.00Single6LFMCXCL86LFM-CXCR2-CXCL8-Gi1/β1/γ2
10.00Single6M9TMisoprostol-FA6M9T-EP3-Misoprostol-FA
10.00Single6OIKIperoxo6OIK-M2-Iperoxo-LY2119620-chim(NtGi1-Go)/β1/γ2
10.00Single6XBKCholesterol6XBK-SMO-Cholesterol-Gi1/β1/γ2
10.00Single6Z4SSR486926Z4S-NTS1-SR48692
10.00Single7DTYGIP7DTY-GIP-GIP-Gs/β1/γ2
10.00Single7EUOfMLF7EUO-FPR1-ALX-fMLF-Gi1/β1/γ2
10.00Single7M3GCa; Ca; Tryptophan; Evocalcet; Etelcalcetide; PO47M3G-CaS; CaS-Ca; Ca; Tryptophan; Evocalcet; Etelcalcetide; PO4
10.00Single7VFXfMIFL7VFX-FPR1-ALX-fMIFL-Gi1/β1/γ2
10.00Single8EJCTAK-8758EJC-FFA1-TAK-875-chim(NtGi1L-Gs-CtGq)/β1/γ2
10.00Single8GD9Rivenprost8GD9-EP4-Rivenprost-Gs/β1/γ2
10.00Single8GDCPGE28GDC-EP3-PGE2-Gi1/β1/γ2
10.00Single8IZ4Lysophosphatidylserine (TJR)8IZ4-GPR34-Lysophosphatidylserine (TJR)-Gi1/β1/γ2
10.00Single8X0CVU04244658X0C-mGlu5; mGlu5-Quisqualate-VU0424465
10.00Single8X0CVU04244658X0C-mGlu5; mGlu5-Quisqualate-VU0424465
10.00Single8ZMFPubChem 1719206738ZMF-5-HT2C-PubChem 171920673
10.00Single8ZVZBW245C8ZVZ-DP1-BW245C-Gs/β1/γ2
10.00Single8ZYTNeurotensin-(8-13)8ZYT-NTS1-Neurotensin-(8-13)-SBI-553-Arrestin2
10.00Single9DYDAsenapine9DYD-5-HT1A-Asenapine-PtdIns4P-Go/β1/γ2
10.00Single9EE5ONO-25502899EE5-DP1-ONO-2550289
10.00Single9EKHONO-30302979EKH-DP1-ONO-3030297
10.00Consensuscxcr2_on_gpOrthosteric Ligand6LFM-CXCR2-CXCL8-Gi1/β1/γ2
10.00Consensuscyslt_offOrthosteric Ligandcyslt2_off cyslt1_off
10.00Consensusfpr1-alx_onOrthosteric Ligand7VFX-FPR1-ALX-fMIFL-Gi1/β1/γ2
10.00Consensusfpr1-alx_on_gpOrthosteric Ligand7VFX-FPR1-ALX-fMIFL-Gi1/β1/γ2
9.68Single6LMKGlucagon6LMK-Glucagon-Glucagon-Gs/β1/γ2
9.68Single9BTWCagrilintide9BTW-CT (AMY3)-Cagrilintide-Gs/β1/γ2; RAMP3
9.68Consensuspth1_onOrthosteric Ligand6NBF-PTH1-LA-PTH Analog-Gs/β1/γ2 8HA0-PTH1-PTH-chim(NtGi1-Gs)/β1/γ2 8HAF-PTH1-PTHrP(1-36)-chim(NtGi1-Gs)/β1/γ2 7Y36-PTH1-PTH-Gs/β1/γ2 7Y35-PTH1-Abaloparatide-Gs/β1/γ2
9.52Single4OO9Mavoglurant4OO9-mGlu5-Mavoglurant
9.52Single5TZRMK86665TZR-FFA1-MK8666
9.52Single5ZHPPubChem 1348285895ZHP-M3-PubChem 134828589
9.52Single6OS1TRV0266OS1-AT1-TRV026
9.52Single6RZ5Zafirlukast6RZ5-CysLT1-Zafirlukast-Na
9.52Single7T9NDPPC7T9N-TSH-M22 Fab-DPPC-Gs/β1/γ2
9.52Single7WVXHumanin7WVX-FPR2-ALX-Humanin-Gi2/β1/γ2
9.52Single7XAVLanreotide7XAV-SST2-Lanreotide-Gi1/β1/γ2
9.52Single7XJLSpexin7XJL-GAL2-Spexin-chim(NtGi2L-Gs-CtGq)/β1/γ2
9.52Single7XY7NECA7XY7-A2B-NECA-chim(NtGi1-Gs)/β1/γ2
9.52Single7Y24Octreotide7Y24-SST2-Octreotide-Go/β1/γ2
9.52Single8ID39-Hydroxystearic acid8ID3-FFA4-9-Hydroxystearic acid-Gi1/β1/γ2
9.52Single8WJXADP8WJX-P2Y1-ADP-chim(Gs-CtGq)/β1/γ2
9.52Single8XJMLatanoprost8XJM-FP-alpha-Latanoprost-chim(NtGi2-Gs-CtGq)/β1/γ2
9.52Single9UCPIperoxo9UCP-M1-Iperoxo-G11(CT)
9.52Consensusa2_onOrthosteric Liganda2b_on
9.52Consensusa2_on_gpOrthosteric Liganda2b_on_gp
9.52Consensusa2b_onOrthosteric Ligand8HDP-A2B-Adenosine-Gs/β1/γ2 7XY6-A2B-BAY 60-6583-chim(NtGi1-Gs)/β1/γ2 7XY7-A2B-NECA-chim(NtGi1-Gs)/β1/γ2 8HDO-A2B-BAY 60-6583-Gs/β1/γ2
9.52Consensusa2b_on_gpOrthosteric Ligand8HDP-A2B-Adenosine-Gs/β1/γ2 7XY6-A2B-BAY 60-6583-chim(NtGi1-Gs)/β1/γ2 7XY7-A2B-NECA-chim(NtGi1-Gs)/β1/γ2 8HDO-A2B-BAY 60-6583-Gs/β1/γ2
9.52Consensusffa_onOrthosteric Ligandffa2_on ffa3_on
9.52Consensusffa_on_gpOrthosteric Ligandffa2_on_gp ffa3_on_gp
9.52Consensusgi_ffaOrthosteric Ligand8J21-FFA3-Butyric acid-Gi1/β1/γ2 8J22-FFA2-TUG-1375-Gi1/β1/γ2
9.52Consensusgs_adenosineOrthosteric Ligand8HDP-A2B-Adenosine-Gs/β1/γ2 8HDO-A2B-BAY 60-6583-Gs/β1/γ2 7XY7-A2B-NECA-chim(NtGi1-Gs)/β1/γ2 7XY6-A2B-BAY 60-6583-chim(NtGi1-Gs)/β1/γ2
9.52Consensusgs_nucleotideOrthosteric Ligandgs_adenosine
9.38Single7RBTTirzepatide7RBT-GIP-Tirzepatide-LSN3556672-chim(NtGi1-Gs)/β1/γ2
9.09Single3VW7Vorapaxar; Na3VW7-PAR1-Vorapaxar; Na
9.09Single4PXFOctyl-Beta-D-Glucopyranoside4PXF-Rhodopsin-Octyl-β-D-Glucopyranoside-Arrestin1 Finger Loop
9.09Single4PY02MeSATP4PY0-P2Y12-2MeSATP
9.09Single5TZYMK8666; AP85TZY-FFA1-MK8666; AP8
9.09Single6OS2TRV0266OS2-AT1-TRV026
9.09Single6RZ7ONO-25703666RZ7-CysLT2-ONO-2570366
9.09Single6XOXOrforglipron6XOX-GLP-1-Orforglipron-chim(NtGi1-Gs)/β1/γ2
9.09Single6YVRNeurotensin-(6-13)6YVR-NTS1-Neurotensin-(6-13)
9.09Single7XW6ML1097XW6-TSH-M22 Fab-ML109-Gs/β1/γ2
9.09Single7XZ5Lysophosphatidylcholine7XZ5-GPR119-Lysophosphatidylcholine-Gs/β1/γ2
9.09Single8DWCBAM8-228DWC-MRGPRX1-BAM8-22-chim(NtGi2L-Gs-CtGq)/β1/γ2
9.09Single8JPCNeurotensin-(8-13)8JPC-NTS1-Neurotensin-(8-13)-SBI-553; GDP; Mg-Gq; GRK2
9.09Single8WRBLysophosphatidylserine (UBL)8WRB-GPR34-Lysophosphatidylserine (UBL)-Gi1/β1/γ2
9.09Single9AU0BW245C9AU0-DP1-BW245C-Gs/β1/γ2
9.09Single9L3WChemerin9L3W-CML1-Chemerin-Gi1/β1/γ2
9.09Single9VIFNeuropeptide-VF9VIF-NPFF1-Neuropeptide-VF-Gi1/β1/γ2
8.82Single7V35Peptide-207V35-Glucagon-Peptide-20-Gs/β1/γ2
8.82Consensuspth1_on_gpOrthosteric Ligand6NBF-PTH1-LA-PTH Analog-Gs/β1/γ2 8HA0-PTH1-PTH-chim(NtGi1-Gs)/β1/γ2 8HAF-PTH1-PTHrP(1-36)-chim(NtGi1-Gs)/β1/γ2 7Y36-PTH1-PTH-Gs/β1/γ2 7Y35-PTH1-Abaloparatide-Gs/β1/γ2
8.70Single6RZ9ONO-27703726RZ9-CysLT2-ONO-2770372
8.70Single6UP7Neurotensin-(8-13)6UP7-NTS1-Neurotensin-(8-13)-Arrestin2
8.70Single7CX4Evatanepag7CX4-EP2-Evatanepag-Gs/β1/γ2
8.70Single8FN0Neurotensin-(8-13)8FN0-NTS1-Neurotensin-(8-13)-SBI-553-chim(NtGi1-Go)/β1/γ2
8.70Single8XBES3E-Lysophosphatidylserine 8XBE-GPR34-S3E-Lysophosphatidylserine-Gi1/β1/γ1
8.70Single8XVUCXCL28XVU-CXCR2-CXCL2
8.70Single8XXHCXCL28XXH-CXCR2-CXCL2-Go/β1/γ2
8.70Single9C0KExendin-49C0K-GLP-1-Exendin-4-Gs/β1/γ2
8.70Single9GG5U466199GG5-TXA2-U46619-chim(NtGi2L-Gs-CtGq)/β1/γ2
8.70Single9JH5C16:0 Ceramide9JH5-CysLT2-C16:0 Ceramide-chim(NtGi1-Gs-CtGq)/β1/γ2
8.70Single9M1HPGE29M1H-EP1-PGE2-chim(NtGi1-Gs-CtGq)/β1/γ2
8.70Consensuschemerin_onOrthosteric Ligandcml1_on
8.70Consensuscyslt2_offOrthosteric Ligand6RZ7-CysLT2-ONO-2570366 6RZ8-CysLT2-ONO-2080365 6RZ9-CysLT2-ONO-2770372
8.57Single8JITMEDI03828JIT-Glucagon-MEDI0382-Gs/β1/γ2
8.57Single8JIUSAR4258998JIU-Glucagon-SAR425899-Gs/β1/γ2
8.57Consensuspth2_onOrthosteric Ligand7F16-PTH2-TIP39-Gs/β1/γ2
8.33Single6OS9JMV4496OS9-NTS1-JMV449-Gi1/β1/γ2
8.33Single6RZ6ONO-25703666RZ6-CysLT2-ONO-2570366
8.33Single7CX2PGE27CX2-EP2-PGE2-Gs/β1/γ2
8.33Single7X8SWB4-247X8S-GLP-1-WB4-24-Gs/β1/γ2
8.33Single8SZGCa; Ca; Tryptophan; Cinacalcet; PO4; Spermine8SZG-CaS; CaS-Ca; Ca; Tryptophan; Cinacalcet; PO4; Spermine-chim(NtGi1-Gq)/β1/γ2
8.33Single8XQJJN2418XQJ-Apelin; Apelin-JN241
8.33Single8XX6CXCL88XX6-CXCR2-CXCL8-Go/β1/γ2
8.33Single8Z74JN241-98Z74-Apelin; Apelin-JN241-9
8.33Single8Z74JN241-98Z74-Apelin; Apelin-JN241-9
8.33Single9EAJNanobody AT2099EAJ-AT1-Nanobody AT209
8.33Single9NS9TUG-13759NS9-FFA2-TUG-1375-PubChem 118615810-Gi1/β1/γ2
8.00Single7CX3Taprenepag7CX3-EP2-Taprenepag-Gs/β1/γ2
8.00Single7WICSomatostatin-147WIC-SST2-Somatostatin-14-Gi1/β1/γ2
8.00Single8JIQPeptide-158JIQ-Glucagon-Peptide-15-Gs/β1/γ2
8.00Single8XWNCXCL88XWN-CXCR2-CXCL8
8.00Single9MEJGp1209MEJ-CXCR4-Gp120
7.69Single7C6A(Sar1,Ile8)-Angiotensin II7C6A-AT2-(Sar1,Ile8)-Angiotensin II
7.69Single7TRYUrocortin7TRY-CRF2-Urocortin-chim(NtGi1-G11)/β1/γ2
7.69Single8IOCGamma-MSH8IOC-MC3-γ-MSH-Ca-chim(NtGi1-Gs)/β1/γ2
7.69Single8JGBConorfamide-Tx28JGB-MRGPRX1-Conorfamide-Tx2-Gi1/β1/γ2
7.69Single8WCBCyclohexylammonium Ion8WCB-TA1-Cyclohexylammonium Ion-chim(NtGi1-Gs-CtGq)/β1/γ2
7.69Single9EAINanobody AT2099EAI-AT1-Losartan-Nanobody AT209
7.14Single3PXOAll-trans-Retinal3PXO-Rhodopsin-All-trans-Retinal
7.14Single5DYSAll-trans-Retinal5DYS-Rhodopsin-All-trans-Retinal
7.14Single7XKEDehydroepiandrosterone7XKE-ADGRG2-Dehydroepiandrosterone-chim(NtGi1-Gs)/β1/γ2
7.14Single9BUDCagrilintide9BUD-CT-Cagrilintide-Gs/β1/γ2
7.14Single9IV25alpha-DHT9IV2-ADGRD1-5α-DHT-chim(NtGi1-Gs)/β1/γ2
6.67Single6OY9All-trans-Retinal6OY9-Rhodopsin-All-trans-Retinal-Gt/β1/γ1
6.67Single7MTBAll-trans-Retinal7MTB-Rhodopsin-All-trans-Retinal-GRK1
6.67Single7VDMSubstance-P7VDM-MRGPRX2-Substance-P-Gi1/β1/γ2
6.67Single7Y14Beta-Alanine7Y14-MRGPRD-β-Alanine
6.67Single9BUBCagrilintide9BUB-CT-Cagrilintide-Gs/β1/γ2
6.67Single9EE9Adenosine9EE9-A2A-Adenosine-Gs/β1/γ2
6.67Consensusctlike_onOrthosteric Ligand6E3Y-CT Like-Calcitonin gene-related peptide-1-Gs/β1/γ2; RAMP1
6.67Consensusopsins_onOrthosteric Ligandrhodopsin_on opsin1lw_on
6.67Consensussecretin_onOrthosteric Ligand7D3S-Secretin-Secretin-Gs/β1/γ2
6.67Consensussensory_onOrthosteric Ligandopsins_on
6.45Consensussecretin_on_gpOrthosteric Ligand7D3S-Secretin-Secretin-Gs/β1/γ2
6.25Single3PQRAll-trans-Retinal3PQR-Rhodopsin-All-trans-Retinal-Gt(CT)
6.25Single4XNWMRS25004XNW-P2Y1-MRS2500
6.25Single5WKTOctyl-Beta-D-Glucopyranoside5WKT-Rhodopsin-Octyl-β-D-Glucopyranoside-Gt(CT)
6.25Single6ME5Agomelatine6ME5-MT1-Agomelatine
6.25Single6OIKLY21196206OIK-M2-Iperoxo-LY2119620-chim(NtGi1-Go)/β1/γ2
6.25Single6PWCNeurotensin-(9-13)6PWC-NTS1-Neurotensin-(9-13)-Arrestin2
6.25Single7MT8All-trans-Retinal7MT8-Rhodopsin-All-trans-Retinal-GRK1
6.25Single7Y12Beta-Alanine7Y12-MRGPRD-β-Alanine-Gi1/β1/γ2
6.25Single8EITDoconexent8EIT-FFA1-Doconexent-chim(NtGi1L-Gs-CtGq)/β1/γ2
6.25Single8IU2All-trans-Retinal8IU2-Opsin1LW-All-trans-Retinal-Gi1/β1/γ2
6.25Single8JPSCCL78JPS-ACKR1-CCL7
6.25Single8Y63C20:0 Ceramide8Y63-FPR2-ALX-C20:0 Ceramide-Gi1/β1/γ2
6.25Single9IJRC179IJR-GPR52-C17-Arrestin2
6.25Single9JHJC18:0 Ceramide9JHJ-FPR2-ALX-C18:0 Ceramide-Gi1/β1/γ2
6.25Single9LL7DOI9LL7-5-HT2A-DOI-Gi1/β1/γ2
6.25Consensusctlike_on_gpOrthosteric Ligand6E3Y-CT Like-Calcitonin gene-related peptide-1-Gs/β1/γ2; RAMP1
6.25Consensusgi_opsinsOrthosteric Ligand8IU2-Opsin1LW-All-trans-Retinal-Gi1/β1/γ2
6.25Consensusgi_sensoryOrthosteric Ligandgi_opsins
6.25Consensusopsin1lw_onOrthosteric Ligand8IU2-Opsin1LW-All-trans-Retinal-Gi1/β1/γ2
6.25Consensusopsin1lw_on_gpOrthosteric Ligand8IU2-Opsin1LW-All-trans-Retinal-Gi1/β1/γ2
6.25Consensusopsins_on_gpOrthosteric Ligandrhodopsin_on_gp opsin1lw_on_gp
6.25Consensusp2y1_offOrthosteric Ligand4XNW-P2Y1-MRS2500
6.25Consensusrhodopsin_onOrthosteric Ligand6OYA-Rhodopsin-All-trans-Retinal-Gt/β1/γ1
6.25Consensussensory_on_gpOrthosteric Ligandopsins_on_gp
6.25Consensusvpac2_onOrthosteric Ligand7VQX-VPAC1-PACAP27-Gs/β1/γ2
6.25Consensusvpac2_on_gpOrthosteric Ligand7VQX-VPAC1-PACAP27-Gs/β1/γ2
6.06Consensuscrf1_onOrthosteric Ligand6PB0-CRF1-Urocortin-chim(NtGi1-Gs)/β1/γ2 6P9X-CRF1-Corticoliberin-1-Gs/β1/γ2
6.06Consensusgip_onOrthosteric Ligand7FIN-GIP-Peptide-20; GGL-Gs/β1/γ2 7FIY-GIP-Tirzepatide-Gs/β1/γ2 7DTY-GIP-GIP-Gs/β1/γ2
6.06Consensusgip_on_gpOrthosteric Ligand7FIN-GIP-Peptide-20; GGL-Gs/β1/γ2 7FIY-GIP-Tirzepatide-Gs/β1/γ2 7DTY-GIP-GIP-Gs/β1/γ2
5.88Single4O9RCyclopamine4O9R-SMO-Cyclopamine
5.88Single6I9K9-cis-Retinal6I9K-Rhodopsin-9-cis-Retinal
5.88Single6PH7Nerol6PH7-Rhodopsin-Nerol-Gt(CT)
5.88Single7S8NR-Zinc-35737S8N-MRGPRX2-R-Zinc-3573-chim(NtGi2L-Gs-CtGq)/β1/γ2
5.88Single7S8OR-Zinc-35737S8O-MRGPRX2-R-Zinc-3573-Gi1/β1/γ2
5.88Single7UL2SR486927UL2-NTS1-SR48692-Na
5.88Single7XKFDehydroepiandrosterone7XKF-ADGRG2-Dehydroepiandrosterone-Gs/β1/γ2
5.88Single8FX5Xanomeline8FX5-M4-Xanomeline-Xanomeline-Gi1/β1/γ2
5.88Single8U4RREGN7663-Fab8U4R-CXCR4-REGN7663-Fab
5.88Single8YKDDehydroepiandrosterone8YKD-ADGRG2-Dehydroepiandrosterone-chim(NtGi1-Gs)/β1/γ2
5.88Single8ZYUNeurotensin-(8-13)8ZYU-NTS1-Neurotensin-(8-13)-SBI-553-Arrestin2
5.88Single9E7RGB889E7R-PAR2-GB88-chim(NtGi1L-Gs-CtGq)/β1/γ2
5.88Single9M88Oleic monoethanolamide9M88-GPR3 ; GPR3-Oleic monoethanolamide-AF64394
5.88Consensusgq_nucleotideOrthosteric Ligandgq_p2y
5.88Consensusgq_p2yOrthosteric Ligand7XXH-P2Y1-2MeSADP-chim(NtGi1-G11)/β1/γ2
5.88Consensusneurotensin_offOrthosteric Ligandnts1_off
5.88Consensusnts1_offOrthosteric Ligand7UL2-NTS1-SR48692-Na
5.71Consensuscrf1_on_gpOrthosteric Ligand6PB0-CRF1-Urocortin-chim(NtGi1-Gs)/β1/γ2 6P9X-CRF1-Corticoliberin-1-Gs/β1/γ2
5.56Single4BWBNeurotensin-(8-12)4BWB-NTS1-Neurotensin-(8-12)
5.56Single4QINSAG1.54QIN-SMO-SAG1.5
5.56Single6FKBPubChem 1324730386FKB-Rhodopsin-PubChem 132473038
5.56Single6LFOCXCL86LFO-CXCR2-CXCL8-Gi1/β1/γ2
5.56Single6ME2Ramelteon6ME2-MT1-Ramelteon
5.56Single6ME9Ramelteon6ME9-MT2-Ramelteon
5.56Single6O3CSAG21k6O3C-SMO-SAG21k-Cholesterol
5.56Single6OYAAll-trans-Retinal6OYA-Rhodopsin-All-trans-Retinal-Gt/β1/γ1
5.56Single6WWZCCL206WWZ-CCR6-CCL20-Go/β1/γ2
5.56Single7T6STC-FPR 437T6S-FPR2-ALX-TC-FPR 43-Gi1/β1/γ2
5.56Single8XXXCXCL68XXX-CXCR2-CXCL6-Go/β1/γ2
5.56Single8YYWAlpha-ketoglutarate8YYW-Oxoglutarate-α-ketoglutarate-α-ketoglutarate-chim(Gi1-CtGq)/β1/γ2
5.56Single9KO2CCL199KO2-CCR7-CCL19-Gi1/β1
5.56Single9KO6CCL199KO6-CCR7-CCL19
5.56Consensusccr6_onOrthosteric Ligand6WWZ-CCR6-CCL20-Go/β1/γ2
5.56Consensusccr6_on_gpOrthosteric Ligand6WWZ-CCR6-CCL20-Go/β1/γ2
5.56Consensuscxcr1_onOrthosteric Ligand8IC0-CXCR1-CXCL8-Gi1/β1/γ2
5.56Consensusp2y1_onOrthosteric Ligand7XXH-P2Y1-2MeSADP-chim(NtGi1-G11)/β1/γ2
5.56Consensusrhodopsin_on_gpOrthosteric Ligand6OYA-Rhodopsin-All-trans-Retinal-Gt/β1/γ1
5.26Single6FK8PubChem 1324730356FK8-Rhodopsin-PubChem 132473035
5.26Single6XBLSAG6XBL-SMO-SAG-Cholesterol-Gi1/β1/γ2
5.26Single7C2EPubChem 1490507997C2E-GLP-1-PubChem 149050799-Gs/β1/γ2
5.26Single7VODCariprazine7VOD-5-HT2A-Cariprazine
5.26Single7ZI0SAG7ZI0-SMO-SAG-Cholesterol
5.26Single8HQN9-S-HODE8HQN-GPR132-9-S-HODE-Gi1/β1/γ2
5.26Single8IYXYL-3658IYX-GPR34-YL-365
5.26Single8Y62C16:0 Ceramide8Y62-FPR2-ALX-C16:0 Ceramide-Gi1/β1/γ2
5.26Single9JQYTG6-1299JQY-EP4-TG6-129
5.00Single7SK8CXCL127SK8-ACKR3-CXCL12-CCX662
5.00Single8IC0CXCL88IC0-CXCR1-CXCL8-Gi1/β1/γ2
5.00Single8TH3AT118-H Nanobody8TH3-AT1-AT118-H Nanobody
5.00Single8ZBEOctreotide8ZBE-SST5-Octreotide-Gi1/β1/γ1
5.00Single9IMATalquetamab9IMA-GPRC5D; GPRC5D-Talquetamab
5.00Single9IVGGLP-1 (Truncated)9IVG-GLP-1-GLP-1 (Truncated)-chim(NtGi1-Gs)/β1/γ2
5.00Single9JROPF-044189489JRO-EP2-PF-04418948
5.00Single9METGp120; CD49MET-CXCR4-Gp120; CD4
5.00Consensuscxcr1_on_gpOrthosteric Ligand8IC0-CXCR1-CXCL8-Gi1/β1/γ2
4.76Single6LUQHaloperidol6LUQ-D2-Haloperidol
4.76Single6Z4QSR142948A6Z4Q-NTS1-SR142948A
4.76Single7Y26Octreotide7Y26-SST2-Octreotide-chim(NtGi2L-Gs-CtGq)/β1/γ2
4.76Single8T6JCDPPB8T6J-mGlu5; mGlu5-CDPPB
4.76Single8T6JCDPPB8T6J-mGlu5; mGlu5-CDPPB
4.76Single8TH4AT118-L Nanobody8TH4-AT1-Losartan-AT118-L Nanobody
4.76Single9JRTTG6-1299JRT-EP2-TG6-129
4.55Single7F1TCCL37F1T-CCR5-CCL3
4.55Single7SK7CXCL127SK7-ACKR3-CXCL12-CCX662
4.55Single8I2GPubChem 675302408I2G-FSH-FSH-PubChem 67530240-Gs/β1/γ2
4.55Single8TAOCDPPB8TAO-mGlu5; mGlu5-Quisqualate-CDPPB
4.55Single8XX7CXCL58XX7-CXCR2-CXCL5-Go/β1/γ2
4.55Single9CLWTUG-13759CLW-FFA2-TUG-1375-4-CMTB-chim(NtGi1L-Gs-CtGq)/β1/γ2
4.55Single9E9SPGD29E9S-DP1-PGD2-Gs/β1/γ1
4.55Single9ITELPA9ITE-LPA6-LPA-chim(NtGi2-G13)/β1/γ2
4.55Single9MENGp120 (V3 loop)9MEN-CXCR4-Gp120 (V3 loop)
4.55Consensusffa2_onOrthosteric Ligand8J22-FFA2-TUG-1375-Gi1/β1/γ2
4.35Single8XQJJN2418XQJ-Apelin; Apelin-JN241
4.35Single8XWACXCL18XWA-CXCR2-CXCL1
4.35Single8XWMCXCL68XWM-CXCR2-CXCL6
4.35Single8XWSCXCL58XWS-CXCR2-CXCL5
4.35Single8Y6WTUG-13758Y6W-FFA2-TUG-1375-4-CMTB-Gi1/β1/γ2
4.35Single9CM3TUG-13759CM3-FFA2-TUG-1375-PubChem 118615810-chim(NtGi1L-Gs-CtGq)/β1/γ2
4.35Single9WXMGPR15L(CT)9WXM-GPR15-GPR15L(CT)-Gi3/β1/γ2
4.35Consensusffa2_on_gpOrthosteric Ligand8J22-FFA2-TUG-1375-Gi1/β1/γ2
4.17Single6M1HMaxadilan6M1H-PAC1-Maxadilan-Gs/β1/γ2
4.17Single8XWFCXCL38XWF-CXCR2-CXCL3
4.17Single8XWVCXCL18XWV-CXCR2-CXCL1-Go/β1/γ2
4.17Single9VI9RFRP-39VI9-NPFF1-RFRP-3-Gi1/β1/γ2
4.00Single8J22TUG-13758J22-FFA2-TUG-1375-Gi1/β1/γ2
4.00Single9CM7TUG-13759CM7-FFA2-TUG-1375-AZ-1729-Gi1/β1/γ2
4.00Single9ITBLPA9ITB-LPA6-LPA-chim(NtGi1-Gs-CtGq)/β1/γ2
3.45Consensuscrf2_onOrthosteric Ligand7TS0-CRF2-Urocortin-chim(NtGi1L-Go)/β1/γ2
3.23Consensuscrf2_on_gpOrthosteric Ligand7TS0-CRF2-Urocortin-chim(NtGi1L-Go)/β1/γ2
2.63Consensusgluc_onOrthosteric Ligand6LMK-Glucagon-Glucagon-Gs/β1/γ2 8JIT-Glucagon-MEDI0382-Gs/β1/γ2 7V35-Glucagon-Peptide-20-Gs/β1/γ2
2.56Consensusgluc_on_gpOrthosteric Ligand6LMK-Glucagon-Glucagon-Gs/β1/γ2 8JIT-Glucagon-MEDI0382-Gs/β1/γ2 7V35-Glucagon-Peptide-20-Gs/β1/γ2

PDB Summary
PDB 9KPD
Class T2
SubFamily Sensory
Type Taste2
SubType TAS2R16
Species Homo Sapiens
Ligand Salicin
Other Ligand(s) -
Protein Partners chim(Gs-CtGt3)/Beta1/Gamma2
PDB Resolution 2.84
Date 2025-04-02
D.O.I. doi.org/10.1016/j.celrep.2025.115604
Net Summary
Imin 3.05
Number of Linked Nodes 862
Number of Links 1096
Number of Hubs 199
Number of Links mediated by Hubs 690
Number of Communities 22
Number of Nodes involved in Communities 283
Number of Links involved in Communities 446
Path Summary
Number Of Nodes in MetaPath 80
Number Of Links MetaPath 79
Number of Shortest Paths 3178752
Length Of Smallest Path 3
Average Path Length 37.2576
Length of Longest Path 65
Minimum Path Strength 1.2
Average Path Strength 6.51571
Maximum Path Strength 31.065
Minimum Path Correlation 0.7
Average Path Correlation 0.99064
Maximum Path Correlation 1
Minimum % Of Corr. Nodes 2.63158
Average % Of Corr. Nodes 33.9784
Maximum % Of Corr. Nodes 100
Minimum Path Hubs % 0
Average Path Hubs % 58.1378
Maximum Path Hubs % 100
AnnotationTypeLinks
Gene OntologyMolecular Function• binding   • guanyl nucleotide binding   • GTP binding   • nucleotide binding   • guanyl ribonucleotide binding   • purine ribonucleotide binding   • purine ribonucleoside triphosphate binding   • nucleoside phosphate binding   • ion binding   • purine nucleotide binding   • anion binding   • heterocyclic compound binding   • carbohydrate derivative binding   • ribonucleotide binding   • small molecule binding   • D1 dopamine receptor binding   • protein binding   • signaling receptor binding   • G protein-coupled receptor binding   • dopamine receptor binding   • protein-containing complex binding   • G-protein beta/gamma-subunit complex binding   • pyrophosphatase activity   • GTPase activity   • G protein activity   • ribonucleoside triphosphate phosphatase activity   • molecular function regulator activity   • hydrolase activity, acting on acid anhydrides, in phosphorus-containing anhydrides   • hydrolase activity   • hydrolase activity, acting on acid anhydrides   • catalytic activity   • enzyme regulator activity   • cyclase regulator activity   • enzyme activator activity   • cyclase activator activity   • molecular function activator activity   • adenylate cyclase regulator activity   • adenylate cyclase activator activity   • cation binding   • metal ion binding   • developmental process   • multicellular organismal process   • epithelium development   • ectodermal placode morphogenesis   • epidermis development   • molting cycle process   • hair cycle   • animal organ development   • hair follicle placode formation   • tissue development   • ectodermal placode formation   • anatomical structure morphogenesis   • skin development   • skin epidermis development   • hair follicle development
Gene OntologyBiological Process• developmental process   • multicellular organismal process   • epithelium development   • ectodermal placode morphogenesis   • epidermis development   • molting cycle process   • hair cycle   • animal organ development   • hair follicle placode formation   • tissue development   • ectodermal placode formation   • anatomical structure morphogenesis   • skin development   • skin epidermis development   • hair follicle development   • molting cycle   • anatomical structure development   • anatomical structure formation involved in morphogenesis   • ectodermal placode development   • hair cycle process   • cellular homeostasis   • chemical homeostasis   • homeostatic process   • glucose homeostasis   • carbohydrate homeostasis   • intracellular chemical homeostasis   • intracellular glucose homeostasis   • system process   • regulation of biological process   • nervous system process   • neuromuscular process   • regulation of system process   • biological regulation   • skeletal muscle contraction   • muscle contraction   • muscle system process   • regulation of muscle system process   • striated muscle contraction   • multicellular organismal movement   • musculoskeletal movement   • regulation of striated muscle contraction   • regulation of muscle contraction   • regulation of skeletal muscle contraction   • regulation of multicellular organismal process   • sensory perception of chemical stimulus   • sensory perception   • sensory perception of smell   • cellular response to stimulus   • cellular response to nitrogen compound   • response to stimulus   • response to endogenous stimulus   • response to peptide hormone   • cellular response to peptide hormone stimulus   • response to oxygen-containing compound   • response to nitrogen compound   • response to glucagon   • cellular response to oxygen-containing compound   • cellular response to glucagon stimulus   • cellular response to endogenous stimulus   • cellular response to chemical stimulus   • response to hormone   • response to chemical   • cellular process   • cellular response to hormone stimulus   • multicellular organism development   • skeletal system development   • bone development   • system development   • response to pH   • cellular response to pH   • response to abiotic stimulus   • cellular response to acidic pH   • response to acidic pH   • cellular response to abiotic stimulus   • cellular response to environmental stimulus   • regulation of body fluid levels   • wound healing   • homotypic cell-cell adhesion   • cell activation   • hemostasis   • platelet aggregation   • blood coagulation   • cell adhesion   • cell-cell adhesion   • response to stress   • coagulation   • regulation of biological quality   • response to wounding   • platelet activation   • response to fluid shear stress   • vascular endothelial cell response to laminar fluid shear stress   • response to laminar fluid shear stress   • cellular response to stress   • cellular response to laminar fluid shear stress   • vascular endothelial cell response to fluid shear stress   • cellular response to fluid shear stress   • cognition   • developmental growth   • growth   • response to ketone   • response to prostaglandin   • response to lipid   • response to alcohol   • cellular response to prostaglandin stimulus   • cellular response to prostaglandin E stimulus   • cellular response to alcohol   • cellular response to lipid   • response to prostaglandin E   • cellular response to ketone   • regulation of cellular process   • signaling   • adenylate cyclase-activating G protein-coupled receptor signaling pathway   • cell communication   • adenylate cyclase-modulating G protein-coupled receptor signaling pathway   • G protein-coupled receptor signaling pathway   • signal transduction   • positive regulation of biological process   • adaptive thermogenesis   • multicellular organismal-level homeostasis   • regulation of cold-induced thermogenesis   • cold-induced thermogenesis   • temperature homeostasis   • positive regulation of cold-induced thermogenesis   • positive regulation of multicellular organismal process   • positive regulation of cell communication   • regulation of localization   • establishment of protein localization   • nitrogen compound transport   • positive regulation of establishment of protein localization   • localization   • establishment of localization in cell   • positive regulation of insulin secretion involved in cellular response to glucose stimulus   • positive regulation of insulin secretion   • intracellular protein localization   • regulation of peptide hormone secretion   • regulation of hormone levels   • positive regulation of peptide hormone secretion   • establishment of protein localization to extracellular region   • protein secretion   • establishment of localization   • regulation of protein secretion   • regulation of secretion   • cellular response to carbohydrate stimulus   • response to glucose   • positive regulation of protein localization   • insulin secretion involved in cellular response to glucose stimulus   • cellular localization   • regulation of hormone secretion   • regulation of protein localization   • regulation of peptide secretion   • transport   • positive regulation of secretion by cell   • hormone secretion   • protein localization to extracellular region   • positive regulation of protein transport   • peptide secretion   • regulation of secretion by cell   • secretion by cell   • positive regulation of hormone secretion   • response to monosaccharide   • response to carbohydrate   • positive regulation of secretion   • signal release   • cellular response to hexose stimulus   • cellular response to monosaccharide stimulus   • positive regulation of cellular process   • positive regulation of peptide secretion   • regulation of signaling   • regulation of transport   • secretion   • regulation of peptide transport   • regulation of establishment of protein localization   • export from cell   • cell-cell signaling   • cellular response to glucose stimulus   • regulation of protein transport   • positive regulation of protein secretion   • peptide transport   • response to hexose   • positive regulation of transport   • regulation of cellular localization   • protein transport   • regulation of insulin secretion   • peptide hormone secretion   • macromolecule localization   • regulation of insulin secretion involved in cellular response to glucose stimulus   • hormone transport   • regulation of cell communication   • insulin secretion   • positive regulation of signaling   • adenylate cyclase-activating adrenergic receptor signaling pathway   • adrenergic receptor signaling pathway   • response to dopamine   • cellular response to dopamine   • response to monoamine   • response to catecholamine   • cellular response to catecholamine stimulus   • serotonin receptor signaling pathway   • cellular response to monoamine stimulus   • adenylate cyclase-activating serotonin receptor signaling pathway   • intracellular transport   • regulation of defense response   • regulation of response to external stimulus   • negative regulation of inflammatory response   • negative regulation of biological process   • inflammatory response to antigenic stimulus   • regulation of response to stress   • regulation of immune system process   • negative regulation of inflammatory response to antigenic stimulus   • defense response   • immune response   • negative regulation of response to stimulus   • negative regulation of immune response   • regulation of inflammatory response to antigenic stimulus   • response to external stimulus   • regulation of inflammatory response   • regulation of response to stimulus   • negative regulation of immune system process   • immune system process   • negative regulation of response to external stimulus   • negative regulation of defense response   • regulation of immune response   • inflammatory response   • positive regulation of adenylate cyclase activity   • positive regulation of molecular function   • regulation of molecular function   • positive regulation of cyclase activity   • activation of adenylate cyclase activity   • regulation of adenylate cyclase activity   • regulation of catalytic activity   • positive regulation of catalytic activity   • positive regulation of lyase activity   • adenylate cyclase-activating dopamine receptor signaling pathway   • G protein-coupled dopamine receptor signaling pathway   • cell surface receptor signaling pathway   • bile acid signaling pathway   • adenylate cyclase-activating G protein-coupled bile acid receptor signaling pathway   • renal system process   • multicellular organismal-level water homeostasis   • multicellular organismal-level chemical homeostasis   • renal water homeostasis   • cellular anatomical structure   • membrane   • protein-containing complex   • extrinsic component of plasma membrane   • catalytic complex   • plasma membrane protein complex   • cytoplasmic side of membrane   • plasma membrane   • membrane protein complex   • heterotrimeric G-protein complex   • side of membrane   • cell periphery   • cytoplasmic side of plasma membrane   • GTPase complex
Gene OntologyCellular Component• cellular anatomical structure   • membrane   • protein-containing complex   • extrinsic component of plasma membrane   • catalytic complex   • plasma membrane protein complex   • cytoplasmic side of membrane   • plasma membrane   • membrane protein complex   • heterotrimeric G-protein complex   • side of membrane   • cell periphery   • cytoplasmic side of plasma membrane   • GTPase complex   • extrinsic component of membrane   • extrinsic component of cytoplasmic side of plasma membrane   • extracellular exosome   • membrane-bounded organelle   • extracellular vesicle   • extracellular organelle   • extracellular region   • organelle   • extracellular space   • vesicle   • extracellular membrane-bounded organelle   • intracellular anatomical structure   • cytoplasm   • cytosol   • Golgi apparatus subcompartment   • Golgi apparatus   • organelle subcompartment   • trans-Golgi network membrane   • intracellular membrane-bounded organelle   • endomembrane system   • intracellular organelle   • trans-Golgi network   • organelle membrane   • protein binding   • binding   • enzyme binding   • GTPase binding   • protein-containing complex binding   • pyrophosphatase activity   • GTPase activity   • ribonucleoside triphosphate phosphatase activity   • hydrolase activity, acting on acid anhydrides, in phosphorus-containing anhydrides   • hydrolase activity   • hydrolase activity, acting on acid anhydrides   • catalytic activity   • signaling receptor complex adaptor activity   • protein-macromolecule adaptor activity   • molecular adaptor activity   • signaling adaptor activity   • multicellular organismal process   • system process   • sensory perception of chemical stimulus   • sensory perception   • nervous system process   • sensory perception of taste   • developmental process   • sensory organ development   • eye development   • animal organ development   • retina development in camera-type eye   • visual system development   • multicellular organism development   • camera-type eye development   • anatomical structure development   • sensory system development   • system development   • cell population proliferation   • cellular process   • cellular response to stimulus   • regulation of biological process   • regulation of cellular process   • response to stimulus   • signaling   • biological regulation   • signal transduction   • cell communication   • response to ketone   • response to prostaglandin   • response to lipid   • response to endogenous stimulus   • response to alcohol   • cellular response to prostaglandin stimulus   • response to oxygen-containing compound   • cellular response to oxygen-containing compound   • cellular response to endogenous stimulus   • cellular response to prostaglandin E stimulus   • cellular response to chemical stimulus   • cellular response to alcohol   • response to hormone   • response to chemical   • cellular response to lipid   • response to prostaglandin E   • cellular response to ketone   • cellular response to hormone stimulus   • small GTPase-mediated signal transduction   • Ras protein signal transduction   • intracellular signal transduction   • intracellular signaling cassette   • phospholipase C-activating G protein-coupled receptor signaling pathway   • G protein-coupled receptor signaling pathway   • cellular response to nitrogen compound   • response to dopamine   • cellular response to dopamine   • response to monoamine   • response to catecholamine   • adenylate cyclase-activating dopamine receptor signaling pathway   • cellular response to catecholamine stimulus   • G protein-coupled dopamine receptor signaling pathway   • response to nitrogen compound   • adenylate cyclase-activating G protein-coupled receptor signaling pathway   • cellular response to monoamine stimulus   • adenylate cyclase-modulating G protein-coupled receptor signaling pathway   • synaptic signaling   • cellular response to acetylcholine   • cell-cell signaling   • acetylcholine receptor signaling pathway   • postsynaptic signal transduction   • G protein-coupled acetylcholine receptor signaling pathway   • response to acetylcholine   • non-motile cilium   • 9+0 non-motile cilium   • cilium   • neuron projection   • photoreceptor disc membrane   • photoreceptor outer segment   • plasma membrane bounded cell projection   • cell projection   • photoreceptor cell cilium   • vacuolar membrane   • lytic vacuole   • vacuole   • lytic vacuole membrane   • bounding membrane of organelle   • lysosomal membrane   • lysosome   • synapse   • cell junction   • G-protein beta-subunit binding   • fibroblast proliferation   • taste receptor activity   • molecular transducer activity   • bitter taste receptor activity   • transmembrane signaling receptor activity   • signaling receptor activity   • G protein-coupled receptor activity   • detection of chemical stimulus involved in sensory perception of bitter taste   • detection of chemical stimulus involved in sensory perception of taste   • detection of stimulus   • detection of chemical stimulus   • sensory perception of bitter taste   • detection of stimulus involved in sensory perception   • detection of chemical stimulus involved in sensory perception   • cell surface   • external side of plasma membrane   • endoplasmic reticulum
SCOP2Domain Identifier• Transducin (heterotrimeric G protein), gamma chain
SCOP2Family Identifier• Transducin (heterotrimeric G protein), gamma chain
Membrane Protein Annotations-• Orientations of Proteins in Membranes database (OPM)   • Protein Data Bank of Transmembrane Proteins (PDBTM)   • MemProtMD


Details about the values in these tables can be found in the corresponding documentation page .
CodeSA0
PDB ResiduesL:L:?1
Environment DetailsOpen EMBL-EBI Page
CodeSA0
NameSalicin
SynonymsD-(-)-salicin
Identifier
FormulaC13 H18 O7
Molecular Weight286.278
SMILES
PubChem439503
Formal Charge0
Total Atoms38
Total Chiral Atoms5
Total Bonds39
Total Aromatic Bonds6

PDBsumOpen PDBsum Page
ChainA
ProteinG Protein α Sub unit
UniProtP63092
Sequence
>9KPD_Chain_A
TEDQRNEEK AQREANKKI EKQLQKDKQ VYRATHRLL LLGASGKST 
IVKQMRILH SGIFETKFQ VDKVNFHMF DVGGQRDER RKWIQCFND 
VTAIIFVVS SYNRLQEAL NFKSIWNNR WLRTISVIL FLNKQDLLA 
EKVLAGKSK IEDYFPEFA RYTTPEDAT PEPGEDPRV TRAKYFIRD 
EFLRISTAS GDGRHYCYP HFTCAVDTN VFDIILLDN GGSDDDQVK 
FDAVTIKEN KDCGF


Click on each residue to open a popup with some information about it.

ConSurf Conservation Grade (See documentation): 

 n/a   1    2    3    4    5    6    7    8    9  

ChainB
ProteinG Protein β Sub unit
UniProtP62873
Sequence
>9KPD_Chain_B
ELDQLRQEA EQLKNQIRD ARKACADAT LSQITNNID PVGRIQMRT 
RRTLRGHLA KIYAMHWGT DSRLLVSAS QDGKLIIWD SYTTNKVHA 
IPLRSSWVM TCAYAPSGN YVACGGLDN ICSIYNLKT REGNVRVSR 
ELAGHTGYL SCCRFLDDN QIVTSSGDT TCALWDIET GQQTTTFTG 
HTGDVMSLS LAPDTRLFV SGACDASAK LWDVREGMC RQTFTGHES 
DINAICFFP NGNAFATGS DDATCRLFD LRADQELMT YSHDNIICG 
ITSVSFSKS GRLLLAGYD DFNCNVWDA LKADRAGVL AGHDNRVSC 
LGVTDDGMA VATGSWDSF LKIWN


Click on each residue to open a popup with some information about it.

ConSurf Conservation Grade (See documentation): 

 n/a   1    2    3    4    5    6    7    8    9  

ChainG
ProteinG Protein γ Sub unit
UniProtP59768
Sequence
>9KPD_Chain_G
TASIAQARK LVEQLKMEA NIDRIKVSK AAADLMAYC EAHAKEDPL 
LTPVPASEN PFR


Click on each residue to open a popup with some information about it.

ConSurf Conservation Grade (See documentation): 

 n/a   1    2    3    4    5    6    7    8    9  

ChainR
ProteinReceptor
UniProtQ9NYV7
Sequence
>9KPD_Chain_R
IPIQLTVFF MIIYVLESL TIIVQSSLI VAVLGREWL QVRRLMPVD 
MILISLGIS RFCLQWASM LNNFCSYFN LNYVLCNLT ITWEFFNIL 
TFWLNSLLT VFYCIKVSS FTHHIFLWL RWRILRLFP WILLGLMIT 
CVTIIPSAI GNYIQIQLL TENFHQYQF QAHTVALVI PFILFLAST 
IFLMASLTK QIQHHSTGH CNPSMKARF TALRSLAVL FIVFTSYFL 
TILITIIGT LFDKRCWLW VWEAFVYAF ILMHSTSLM LSSPTLKRC


Click on each residue to open a popup with some information about it.

ConSurf Conservation Grade (See documentation): 

 n/a   1    2    3    4    5    6    7    8    9  




This receptor, from the same or other species and bound to the same or other ligands, is also present in the following networks:
Show PDB Class SubFamily Type SubType Species Orthosteric Ligand Other Ligand(s) Protein Partners Resolution Date DOI
9K6LT2SensoryTaste2TAS2R16Homo sapiensSalicin-Gi2/β1/γ22.772025-04-02doi.org/10.1016/j.celrep.2025.115604
9K6L (No Gprot) T2SensoryTaste2TAS2R16Homo sapiensSalicin-2.772025-04-02doi.org/10.1016/j.celrep.2025.115604
9KPDT2SensoryTaste2TAS2R16Homo sapiensSalicin-chim(Gs-CtGt3)/β1/γ22.842025-04-02doi.org/10.1016/j.celrep.2025.115604
9KPD (No Gprot) T2SensoryTaste2TAS2R16Homo sapiensSalicin-2.842025-04-02doi.org/10.1016/j.celrep.2025.115604
9KPET2SensoryTaste2TAS2R16Homo sapiensSalicin-Gi1/β1/γ23.352025-04-02doi.org/10.1016/j.celrep.2025.115604
9KPE (No Gprot) T2SensoryTaste2TAS2R16Homo sapiensSalicin-3.352025-04-02doi.org/10.1016/j.celrep.2025.115604
9KPFT2SensoryTaste2TAS2R16Homo sapiensSalicin-Gi1/β1/γ23.152025-04-02doi.org/10.1016/j.celrep.2025.115604
9KPF (No Gprot) T2SensoryTaste2TAS2R16Homo sapiensSalicin-3.152025-04-02doi.org/10.1016/j.celrep.2025.115604




You can download a compressed (zip) file with structure(s), 3D outputs (as PyMol and VMD scripts) and numerical data files (as csv and plain text files).

Download 9KPD.zip



You can click to copy the link of this page to easily come back here later

or use this QR code to link and share this page.



You can also  read or  download a guide explaining the meaning of all files and numerical data.