Color ConSurf Grade
      No Conservation data available
      1
      2
      3
      4
      5
      6
      7
      8
      9

Index: hub id, click on each number to highlight the corresponding hub in the 3D visualization.

Hub: the hub being considered.

Avg Int. Strength: the average interaction strength of all the links of the corresponding hub.

Num Of Links: the number of links of the corresponding hub.

Community: the id of the community the link belong to, otherwise 0.

ConSurf: this column reports the ConSurf conservation grades of each hub.

Index Hub Avg Int. Strength Num Of Links Community ConSurf
1A:A:Q19 7.0985134
2A:A:H41 7.2975446
3A:A:S51 3.714539
4A:A:K53 7.05539
5A:A:F212 5.7825409
6A:A:F219 6.22286748
7A:A:F222 10.2265187
8A:A:Q227 6.285429
9A:A:K233 6.646529
10A:A:W234 8.67429
11A:A:C237 5.335428
12A:A:V247 4.9925437
13A:A:S250 4.11406
14A:A:Y253 6.9885218
15A:A:R265 8.89754199
16A:A:F273 4.644229
17A:A:W277 10.4685226
18A:A:W281 11.705625
19A:A:I288 5.532539
20A:A:F290 4.66571739
21A:A:N292 5.02439
22A:A:K293 7.8225409
23A:A:F312 6.3125178
24A:A:E314 5.0785176
25A:A:F315 15.465406
26A:A:P321 5.474575
27A:A:E330 5.9425473
28A:A:V334 3.155404
29A:A:K338 7.33475
30A:A:Y339 5.966573
31A:A:F340 10.8765177
32A:A:R342 7.495474
33A:A:E344 6.0585175
34A:A:F345 6.3425408
35A:A:C359 3.3875475
36A:A:Y360 8.1525438
37A:A:F363 9.2575
38A:A:T364 6.188539
39A:A:D368 7.545439
40A:A:N371 8.298539
41A:A:R373 7.3725445
42A:A:R374 7.702534
43A:A:F376 5.77714748
44A:A:D378 9.74437
45A:A:R380 5.46447
46A:A:I383 4.264548
47A:A:R385 11.2775435
48A:A:M386 4.7025443
49A:A:H387 6.102548
50B:B:R22 10.0354256
51B:B:I37 3.763336142
52B:B:V40 4.2275403
53B:B:H54 10.006509
54B:B:M61 5.8725456
55B:B:W63 7.23167657
56B:B:V71 4.71754278
57B:B:Q75 8.8125429
58B:B:D76 7.4625409
59B:B:W82 10.4383659
60B:B:N88 7.914137
61B:B:K89 6.51509
62B:B:I93 5.43254107
63B:B:L95 5.50254108
64B:B:W99 8.732509
65B:B:M101 6.46529
66B:B:Y105 4.616276
67B:B:N110 6.5425424
68B:B:Y111 5.516524
69B:B:C114 4.24254108
70B:B:L117 4.6675429
71B:B:C121 4.5325428
72B:B:I123 3.7825426
73B:B:Y124 4.986676106
74B:B:H142 7.14629
75B:B:Y145 6.62375828
76B:B:L146 4.485427
77B:B:F151 4.72833609
78B:B:I157 5.11527
79B:B:T159 4.772529
80B:B:D163 8.3975429
81B:B:W169 8.11714728
82B:B:Q176 7.775424
83B:B:F180 6.954587
84B:B:H183 8.646589
85B:B:D186 6.705429
86B:B:R197 7.5685155
87B:B:F199 7.3075489
88B:B:S201 4.395489
89B:B:C204 6.3175427
90B:B:D205 5.2775489
91B:B:K209 11.9486
92B:B:W211 8.03333688
93B:B:C218 5.2625485
94B:B:Q220 7.875407
95B:B:F222 8.955468
96B:B:H225 8.98429769
97B:B:D228 8.815429
98B:B:I229 4.9025467
99B:B:I232 5.09468
100B:B:F235 6.764297166
101B:B:F241 7.848566
102B:B:T243 5.575468
103B:B:D247 6.32569
104B:B:T249 5.4775466
105B:B:R251 11.77568
106B:B:F253 7.178566
107B:B:M262 5.7925404
108B:B:T263 7.005461
109B:B:Y264 6.416505
110B:B:R283 8.16254149
111B:B:L285 4.1825406
112B:B:Y289 6.414297117
113B:B:C294 4.7175495
114B:B:N295 8.0385116
115B:B:W297 7.374118
116B:B:K301 4.954145
117B:B:H311 8.802599
118B:B:R314 13.968528
119B:B:V315 4.4275497
120B:B:M325 6.0925455
121B:B:T329 5.454598
122B:B:W332 12.13629
123B:B:D333 11.325499
124B:B:L336 6.05457
125B:B:K337 7.372596
126B:B:W339 9.156599
127G:G:V16 5.09754247
128G:G:Q18 5.3675489
129G:G:R27 6.035258
130G:G:Y40 11.324166
131G:G:D48 6.956509
132G:G:L51 4.715406
133G:G:P60 6.4175459
134G:G:F61 4.99658
135L:L:?1 10.1178910
136R:R:V42 2.375416
137R:R:N45 5.3675419
138R:R:L58 5.0545129
139R:R:Y65 7.00833608
140R:R:L69 6.0775419
141R:R:D73 5.87333619
142R:R:M81 5.336519
143R:R:N84 7.012518
144R:R:I85 4.53418
145R:R:W93 7.81571719
146R:R:R97 9.2875415
147R:R:W103 6.9619
148R:R:Y108 12.344519
149R:R:T112 8.99419
150R:R:F119 6.6575408
151R:R:Y126 8.1825409
152R:R:L133 4.55167648
153R:R:R134 5.825445
154R:R:R139 7.162549
155R:R:W158 7.74375818
156R:R:W165 6.32419
157R:R:C180 6.53419
158R:R:T182 7.534519
159R:R:D183 5.4975417
160R:R:F184 9.8519
161R:R:F190 7.508519
162R:R:N198 6.8775419
163R:R:F199 8.13333619
164R:R:M206 5.18419
165R:R:H220 11.94438
166R:R:C221 2.6625405
167R:R:Q416 5.4275409
168R:R:F424 5.598519
169R:R:W428 7.44444919
170R:R:I429 4.735408
171R:R:Y431 8.836519
172R:R:F432 7.7619
173R:R:F434 8.7585307
174R:R:F435 9.8325418
175R:R:W455 11.05519
176R:R:Y458 8.495619
177R:R:N464 7.345419
178R:R:Y468 5.766519
179R:R:N474 4.8175409
180R:R:F475 7.36129
181R:R:T478 7.54128
182R:R:F479 4.0675409
   

Color ConSurf Grade
      No Conservation data available
      1
      2
      3
      4
      5
      6
      7
      8
      9

Index: link id, click on each number to highlight the corresponding link in the 3D visualization.

Node1 Node2: the two nodes of the corresponding link.

Recurrence: the relative Recurrence in the pool of shortest paths.

Int. Strength: the interaction strength between the two nodes.

Hub1?, Hub2?: "Yes" if the corresponding node has more than 3 links, otherwise "No".

Community: the id of the community the link belong to, otherwise 0.

ConSurf1, ConSurf2: these columns report the ConSurf conservation grades of the two nodes involved in a link.

Index Node1 Node2 Recurrence Int. Strength Hub1? Hub2? Community ConSurf1 ConSurf2
1A:A:N23 B:B:K89 10.366311.19NoYes079
2B:B:K89 B:B:W82 14.0598.12YesYes099
3B:B:L70 B:B:W82 17.76814.56NoYes559
4B:B:L70 B:B:M61 18.45615.65NoYes556
5B:B:C317 B:B:M61 99.58636.48NoYes076
6B:B:C317 B:B:S316 1005.16NoNo079
7B:B:S316 B:B:W332 1003.71NoYes099
8B:B:K57 B:B:W332 10020.89NoYes299
9B:B:K57 B:B:Q75 10013.56NoYes299
10A:A:C237 B:B:Q75 75.32716.1YesYes289
11A:A:C237 B:B:M101 37.84914.86YesYes289
12B:B:M101 B:B:Y145 76.06527.18YesYes298
13A:A:W234 B:B:Y145 1006.75YesYes298
14A:A:R231 A:A:W234 1008NoYes099
15A:A:L272 A:A:R231 1008.5NoNo089
16A:A:F246 A:A:L272 1007.31NoNo098
17A:A:F246 A:A:L289 1004.87NoNo099
18A:A:F345 A:A:L289 55.77577.31YesNo089
19A:A:F345 A:A:L270 56.10398.53YesNo086
20A:A:E344 A:A:L270 56.1865.3YesNo056
21A:A:E344 A:A:F312 56.16597YesYes1758
22A:A:F312 A:A:I308 56.3933.77YesNo087
23A:A:I308 A:A:Y253 56.784812.09NoYes078
24A:A:L297 A:A:Y253 56.9213.52NoYes088
25A:A:L297 A:A:S251 1003NoNo089
26A:A:D249 A:A:S251 1005.89NoNo089
27A:A:D249 A:A:K293 10017.97NoYes089
28A:A:K293 A:A:N292 1005.6YesYes099
29A:A:I56 A:A:N292 1005.66NoYes379
30A:A:F290 A:A:I56 1003.77YesNo397
31A:A:F290 A:A:I375 1005.02YesNo399
32A:A:F212 A:A:I375 1003.77YesNo099
33A:A:F212 A:A:F219 10012.86YesYes098
34B:B:Q75 B:B:Y59 37.66519.02YesNo298
35B:B:M101 B:B:Y59 37.849110.78YesNo298
36A:A:C237 B:B:L117 37.84796.35YesYes289
37B:B:L117 B:B:Y145 77.26713.52YesYes298
38B:B:Q75 B:B:W99 37.70116.57YesYes099
39B:B:L117 B:B:W99 39.23694.56YesYes099
40A:A:C359 A:A:L289 1003.17YesNo059
41A:A:C359 A:A:L346 1003.17YesNo754
42A:A:L346 A:A:R342 1003.64NoYes744
43A:A:F363 A:A:R342 10010.69YesYes754
44A:A:F363 A:A:L291 1006.09YesNo058
45A:A:L291 A:A:S250 1003NoYes086
46A:A:L297 A:A:S250 1006.01NoYes086
47A:A:C359 A:A:P361 1003.77YesNo755
48A:A:P361 A:A:R342 10011.53NoYes754
49A:A:F363 A:A:Q294 10016.4YesNo756
50A:A:Q294 A:A:S250 1004.33NoYes066
51A:A:L296 A:A:S251 1003NoNo069
52A:A:K293 A:A:L296 1004.23YesNo096
53A:A:N292 A:A:T364 1004.39YesYes399
54A:A:F290 A:A:T364 1005.19YesYes399
55A:A:F219 A:A:H41 1007.92YesYes486
56A:A:H41 A:A:I383 1003.98YesYes468
57A:A:F219 A:A:F376 93.82744.29YesYes488
58A:A:K233 B:B:Y145 45.60363.58YesYes298
59A:A:K233 B:B:D228 44.66526.91YesYes299
60B:B:R314 B:B:W332 35.68822.99YesYes289
61A:A:F376 R:R:R134 92.36745.34YesYes485
62A:A:H387 A:A:I383 1005.3YesYes488
63A:A:H387 R:R:S128 1009.76YesNo489
64A:A:Y391 R:R:S128 83.73677.63NoNo449
65A:A:Y391 R:R:R125 83.555118.52NoNo049
66R:R:Q416 R:R:R125 83.37283.5YesNo099
67R:R:I420 R:R:Q416 82.6444.12NoYes099
68R:R:I420 R:R:Y468 81.91526.04NoYes099
69R:R:V118 R:R:Y468 1007.57NoYes199
70R:R:M206 R:R:V118 18.88083.04YesNo199
71R:R:C122 R:R:M206 15.57666.48NoYes089
72R:R:C122 R:R:F209 11.68334.19NoNo087
73R:R:F209 R:R:Y126 11.127616.5NoYes079
74R:R:R139 R:R:S128 92.60913.95YesNo499
75R:R:D124 R:R:R139 91.699410.72NoYes499
76R:R:D124 R:R:Y65 10017.24NoYes098
77R:R:L121 R:R:Y65 1007.03NoYes098
78R:R:L121 R:R:Y468 1008.21NoYes099
79R:R:Q131 R:R:R134 92.1953.5NoYes075
80R:R:Q131 R:R:R127 92.01327.01NoNo078
81R:R:R127 R:R:Y135 91.831415.43NoNo089
82R:R:D124 R:R:Y135 91.6499.2NoNo499
83B:B:D228 B:B:D246 45.03783.99YesNo099
84B:B:D246 B:B:S227 44.65574.42NoNo096
85B:B:D247 B:B:S227 44.46454.42YesNo096
86B:B:D247 B:B:H225 34.65087.56YesYes699
87B:B:H225 B:B:T243 11.19248.21YesYes698
88B:B:F222 B:B:F253 21.40527.5YesYes686
89B:B:F222 B:B:Q220 20.2512.88YesYes087
90B:B:D258 B:B:Q220 13.30899.14NoYes077
91B:B:D258 B:B:R22 10.994421.44NoYes2576
92B:B:F253 B:B:R251 15.42044.28YesYes668
93B:B:G244 B:B:H225 14.68023.18NoYes059
94B:B:G244 B:B:I273 14.1023.53NoNo056
95B:B:C250 B:B:I273 10.23886.55NoNo086
96B:B:C250 B:B:Y264 10.0464.03NoYes085
97B:B:M325 G:G:P49 60.54598.39YesNo057
98G:G:D48 G:G:P49 59.06943.22YesNo097
99G:G:D48 G:G:L51 36.91956.79YesYes096
100B:B:R283 G:G:L51 29.53616.07YesYes096
101B:B:I37 B:B:R283 16.24513.76YesYes1429
102B:B:M325 G:G:F61 31.01243.73YesYes558
103B:B:S279 G:G:D48 14.76810.31NoYes099
104B:B:L284 B:B:S279 13.29123NoNo059
105B:B:R314 B:B:T274 33.46043.88YesNo288
106B:B:S275 B:B:T274 32.71973.2NoNo088
107B:B:L318 B:B:S275 31.97636.01NoNo068
108B:B:L318 B:B:T329 28.25865.9NoYes068
109B:B:T329 B:B:W339 10.41156.06YesYes989
110B:B:H311 B:B:T329 11.89895.48YesYes998
111B:B:S84 G:G:F61 44.30093.96NoYes058
112B:B:S84 B:B:W63 45.03874.94NoYes057
113B:B:H62 B:B:Y105 23.11574.36NoYes066
114B:B:H62 B:B:R150 23.856421.44NoNo066
115B:B:D323 B:B:M325 30.98135.54NoYes575
116B:B:D323 B:B:T321 31.71697.23NoNo577
117B:B:T321 B:B:W63 33.193810.92NoYes577
118B:B:V71 B:B:Y105 18.61887.57YesYes2786
119B:B:I81 B:B:V71 11.91643.07NoYes078
120B:B:H91 B:B:I81 11.17187.95NoNo057
121B:B:L192 B:B:R150 24.59754.86NoNo056
122B:B:L192 B:B:V158 27.56274.47NoNo055
123B:B:L190 B:B:V158 49.23294.47NoNo055
124B:B:C148 B:B:L190 57.46976.35NoNo065
125B:B:C148 B:B:T102 58.21783.38NoNo068
126B:B:C149 B:B:T102 58.96635.07NoNo088
127B:B:C149 B:B:I157 29.87343.27NoYes087
128B:B:C121 B:B:C149 29.84293.64YesNo088
129B:B:C121 B:B:L146 15.10874.76YesYes287
130B:B:C121 B:B:T159 15.10773.38YesYes289
131B:B:I157 B:B:T159 19.42953.04YesYes279
132B:B:I157 B:B:W169 19.43543.52YesYes278
133B:B:H142 B:B:L146 15.48663.86YesYes297
134B:B:H142 B:B:T159 34.72425.48YesYes299
135B:B:H142 B:B:W169 20.18584.23YesYes298
136B:B:G162 B:B:Y145 72.100110.14NoYes298
137B:B:G162 B:B:S161 72.4733.71NoNo299
138B:B:F199 B:B:V158 21.04033.93YesNo095
139B:B:F199 B:B:W211 12.02313.03YesYes898
140R:R:F424 R:R:V118 82.63823.93YesNo199
141R:R:F424 R:R:W428 66.58166.01YesYes199
142L:L:?1 R:R:W428 1004.29YesYes109
143R:R:N464 R:R:Y468 1003.49YesYes199
144R:R:N460 R:R:N464 67.71135.45NoYes099
145R:R:N460 R:R:W428 66.603913.56NoYes099
146L:L:?1 R:R:D107 41.08877.66YesNo109
147L:L:?1 R:R:Y108 26.642827.58YesYes109
148L:L:?1 R:R:W158 37.75068.58YesYes108
149R:R:I148 R:R:Y65 16.63783.63NoYes098
150R:R:I148 R:R:S68 16.26916.19NoNo099
151R:R:S68 R:R:W152 15.53356.18NoNo099
152R:R:A113 R:R:W152 14.79617.78NoNo099
153R:R:A113 R:R:S155 14.4283.42NoNo099
154R:R:S155 R:R:T112 13.32387.99NoYes099
155R:R:T112 R:R:W158 12.58728.49YesYes198
156R:R:F199 R:R:F424 11.65184.29YesYes199
157R:R:W428 R:R:Y431 14.42923.86YesYes199
158R:R:L69 R:R:Y468 37.72823.52YesYes199
159R:R:D73 R:R:L69 37.17545.43YesYes199
160R:R:D73 R:R:P465 11.11263.22YesNo199
161R:R:L44 R:R:P465 10.00334.93NoNo099
162R:R:D73 R:R:N464 37.21698.08YesYes199
163R:R:D73 R:R:S461 19.99927.36YesNo199
164R:R:S461 R:R:V76 18.89048.08NoNo099
165R:R:G77 R:R:V76 15.56293.68NoNo099
166R:R:G77 R:R:M81 14.45453.49NoYes099
167R:R:D107 R:R:Y458 12.221212.64NoYes199
168R:R:D73 R:R:N45 40.00526.73YesYes199
169R:R:N45 R:R:S70 33.34062.98YesNo099
170R:R:S70 R:R:V48 31.11826.46NoNo099
171R:R:F479 R:R:V48 30.0075.24YesNo099
172R:R:F475 R:R:F479 17.78253.22YesYes099
173R:R:D107 R:R:V80 27.75727.3NoNo199
174R:R:V80 R:R:W103 26.65686.13NoYes199
175R:R:W103 R:R:W93 18.90289.37YesYes199
176R:R:F184 R:R:Y108 15.54223.09YesYes199
177R:R:F184 R:R:W165 33.678111.02YesYes199
178R:R:D183 R:R:W165 44.77873.35YesYes179
179R:R:D183 R:R:R97 24.42494.76YesYes175
180R:R:L101 R:R:R97 16.283414.58NoYes085
181R:R:F184 R:R:W158 20.72666.01YesYes198
182R:R:F190 R:R:W158 23.68154.01YesYes198
183R:R:F190 R:R:W165 19.2426.01YesYes199
184R:R:L101 R:R:L163 12.21265.54NoNo087
185R:R:D183 R:R:N166 12.21256.73YesNo176
186B:B:H142 B:B:S161 71.14216.74YesNo299
187B:B:M61 B:B:W63 79.6558.14YesYes567
Download PSN data

2D representation of the global metapath, ligand(s) interactions and
histograms of path distribution according to several parameters
(click on the image to enlarge it 🔍):

A 2D representation of the global communication in the network.

ConSurf Conservation Grade (See documentation): 

 n/a   1    2    3    4    5    6    7    8    9  

Number of shortest communication paths as a function of the average residue correlation.

Number of shortest communication paths as a function of the average interaction strength of their links.

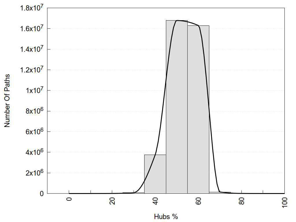
Number of shortest communication paths as a function of the % of hub nodes in each path.

Number of shortest communication paths as a function of the number of nodes in each path.

Number of shortest communication paths as a function of the % of correlated nodes in each path.


2D representation of the interactions of this orthosteric/allosteric ligand.


Links and nodes colored according to ConSurf Conservation Grade (See documentation): 

 n/a   1    2    3    4    5    6    7    8    9  

Node1 Node2 LinkStrength Comm IsNode1Hub? IsNode2Hub? Node1Cons Node2Cons Node1Shell Node2Shell
L:L:?1 R:R:D107 7.66 1 Yes No 0 9 0 1
L:L:?1 R:R:Y108 27.58 1 Yes Yes 0 9 0 1
L:L:?1 R:R:S111 9.89 1 Yes No 0 9 0 1
L:L:?1 R:R:W158 8.58 1 Yes Yes 0 8 0 1
L:L:?1 R:R:N198 5.17 1 Yes Yes 0 9 0 1
L:L:?1 R:R:W428 4.29 1 Yes Yes 0 9 0 1
L:L:?1 R:R:Y431 19.86 1 Yes Yes 0 9 0 1
L:L:?1 R:R:F432 3.44 1 Yes Yes 0 9 0 1
L:L:?1 R:R:F435 4.59 1 Yes Yes 0 8 0 1
R:R:D107 R:R:V80 7.3 1 No No 9 9 1 2
R:R:V80 R:R:Y458 6.31 1 No Yes 9 9 2 2
R:R:D107 R:R:Y458 12.64 1 No Yes 9 9 1 2
R:R:W158 R:R:Y108 21.22 1 Yes Yes 8 9 1 1
R:R:I162 R:R:Y108 4.84 1 No Yes 9 9 2 1
R:R:T182 R:R:Y108 4.99 1 Yes Yes 9 9 2 1
R:R:F184 R:R:Y108 3.09 1 Yes Yes 9 9 2 1
R:R:S111 R:R:W428 4.94 1 No Yes 9 9 1 1
R:R:T112 R:R:W158 8.49 1 Yes Yes 9 8 2 1
R:R:N198 R:R:T112 11.7 1 Yes Yes 9 9 1 2
R:R:F424 R:R:I115 7.54 1 Yes No 9 9 2 2
R:R:I115 R:R:W428 15.27 1 No Yes 9 9 2 1
R:R:P161 R:R:W158 5.4 0 No Yes 9 8 2 1
R:R:F184 R:R:W158 6.01 1 Yes Yes 9 8 2 1
R:R:F190 R:R:W158 4.01 1 Yes Yes 9 8 2 1
R:R:T194 R:R:W158 4.85 1 No Yes 8 8 2 1
R:R:N198 R:R:W158 3.39 1 Yes Yes 9 8 1 1
R:R:I162 R:R:T182 3.04 1 No Yes 9 9 2 2
R:R:F184 R:R:T182 18.16 1 Yes Yes 9 9 2 2
R:R:F184 R:R:F190 10.72 1 Yes Yes 9 9 2 2
R:R:F190 R:R:T194 7.78 1 Yes No 9 8 2 2
R:R:F435 R:R:K191 22.33 1 Yes No 8 9 1 2
R:R:F435 R:R:T194 5.19 1 Yes No 8 8 1 2
R:R:F432 R:R:N198 7.25 1 Yes Yes 9 9 1 1
R:R:F199 R:R:Y200 8.25 1 Yes No 9 8 2 2
R:R:F199 R:R:F424 4.29 1 Yes Yes 9 9 2 2
R:R:F199 R:R:W428 5.01 1 Yes Yes 9 9 2 1
R:R:F199 R:R:F432 17.15 1 Yes Yes 9 9 2 1
R:R:F432 R:R:Y200 3.09 1 Yes No 9 8 1 2
R:R:F424 R:R:W428 6.01 1 Yes Yes 9 9 2 1
R:R:W428 R:R:Y431 3.86 1 Yes Yes 9 9 1 1
R:R:F432 R:R:W428 7.02 1 Yes Yes 9 9 1 1
R:R:G457 R:R:W428 7.04 0 No Yes 9 9 2 1
R:R:N460 R:R:W428 13.56 0 No Yes 9 9 2 1
R:R:F432 R:R:Y431 8.25 1 Yes Yes 9 9 1 1
R:R:F435 R:R:Y431 7.22 1 Yes Yes 8 9 1 1
R:R:T453 R:R:Y431 4.99 0 No Yes 9 9 2 1

Location and physicochemical properties of the interaction partners of this ligand

Interactions of this ligand

Similarities between the interactions of this ligand and those of other networks

ShowSimilarityNetwork TypeNameLigandDescription
90.00Single3RZECidoxepin3RZE-H1-Cidoxepin
81.82Single8X63Mepyramine8X63-H1-Mepyramine
81.82Consensushistamine_offOrthosteric Ligandh1_off
75.00Consensush1_offOrthosteric Ligand8X63-H1-Mepyramine 3RZE-H1-Cidoxepin 8X5Y-H1-Astemizole
72.73Single4MQTIperoxo4MQT-M2-Iperoxo-LY2119620
72.73Single6K41Dexmedetomidine6K41-α2b-Dexmedetomidine-Go/β1/γ2
72.73Single7E33BRL-544437E33-5-HT1E-BRL-54443-Gi1/β1/γ2
72.73Single8U02Dopamine8U02-D2-Dopamine-Go/β1/γ2
72.73Single9LRDHistamine9LRD-H1-Histamine-Gi1/β1/γ2
70.00Single7XTBSerotonin7XTB-5-HT6-Serotonin-Gs/β1/γ2
70.00Single7YS6Serotonin7YS6-5-HT6-Serotonin-chim(NtGi1-Gs)/β1/γ2
70.00Single8YN2Histamine8YN2-H1-Histamine-chim(NtGi1L-Gs-CtGq)/β1/γ2
70.00Single9AS2DMT9AS2-5-HT2A-DMT-chim(NtGi1-Gs-CtGq)/β1/γ2
66.67Single3NYAAlprenolol3NYA-β2-Alprenolol
66.67Single3ZPQPubChem 5945903ZPQ-β1-PubChem 594590-Na
66.67Single4DAJTiotropium4DAJ-M3-Tiotropium
66.67Single4MQSIperoxo4MQS-M2-Iperoxo
66.67Single4U14Tiotropium4U14-M3-Tiotropium
66.67Single5YC8N-methyl-Scopolamine5YC8-M2-N-methyl-Scopolamine
66.67Single5ZK8N-methyl-Scopolamine5ZK8-M2-N-methyl-Scopolamine
66.67Single5ZKCN-methyl-Scopolamine5ZKC-M2-N-methyl-Scopolamine
66.67Single6K42Dexmedetomidine6K42-α2b-Dexmedetomidine-Gi1/β1/γ2
66.67Single6PS2Alprenolol6PS2-β2-Alprenolol
66.67Single7E32Serotonin7E32-5-HT1D-Serotonin-Gi1/β1/γ2
66.67Single7TRPIperoxo7TRP-M4-Iperoxo-LY2033298-Gi1/β1/γ2
66.67Single7XTC5-CT7XTC-5-HT7-5-CT-Gs/β1/γ2
66.67Single8JJOAlprenolol8JJO-β2-Alprenolol
66.67Single8X64Desloratadine8X64-H1-Desloratadine
66.67Single9CBMDexmedetomidine9CBM-α2a-Dexmedetomidine-Gi1/β1/γ2
66.67Single9LLAAriadne9LLA-5-HT2A-Ariadne-chim(NtGi1L-Gs-CtGq)/β1/γ2
66.67Single9PLNPubChem 1682595949PLN-α2a-PubChem 168259594
66.67Single9PLOPubChem 1682595949PLO-α2a-PubChem 168259594-Go/β1/γ2
66.67Consensus5ht1d_onOrthosteric Ligand7E32-5-HT1D-Serotonin-Gi1/β1/γ2
66.67Consensus5ht1d_on_gpOrthosteric Ligand7E32-5-HT1D-Serotonin-Gi1/β1/γ2
66.67Consensus5ht7_onOrthosteric Ligand7XTC-5-HT7-5-CT-Gs/β1/γ2
66.67Consensus5ht7_on_gpOrthosteric Ligand7XTC-5-HT7-5-CT-Gs/β1/γ2
66.67Consensusalpha2_onOrthosteric Ligandalpha2b_on
66.67Consensusalpha2_on_gpOrthosteric Ligandalpha2b_on_gp
66.67Consensusalpha2b_onOrthosteric Ligand6K42-α2b-Dexmedetomidine-Gi1/β1/γ2
66.67Consensusalpha2b_on_gpOrthosteric Ligand6K42-α2b-Dexmedetomidine-Gi1/β1/γ2
66.67Consensusalpha_onOrthosteric Ligandalpha1_on alpha2_on
66.67Consensusgq_amineOrthosteric Ligandgq_muscarinic gq_histamine
64.29Single8E9W2-Deoxycytidine8E9W-M3-2-Deoxycytidine-chim(NtGi2L-Gs-CtGq)/β1/γ2
63.64Single6KUYPubChem 1457046436KUY-α2a-PubChem 145704643
63.64Single7X2FDopamine7X2F-D1-Dopamine-Mevidalen-Gs/β1/γ2
63.64Single7X5H5-CT7X5H-5-HT5A-5-CT-Gi1/β1/γ2
63.64Single7XT8Serotonin7XT8-5-HT4-Serotonin-Gs/β1/γ2
63.64Single8TZQDopamine8TZQ-D2-Dopamine-Go/β1/γ2
63.64Single8WC3SEP-3638568WC3-TA1-SEP-363856-chim(NtGi1-Gs)/β1/γ2
63.64Single8YUTAmthamine8YUT-H2-Amthamine-Gs/β1/γ2
63.64Single9KVHCinobufotenine9KVH-5-HT1A-Cinobufotenine-PtdIns4P-Gi1/β1/γ2
63.64Single9LL9DOI9LL9-5-HT2A-DOI-chim(NtGi1L-Gs-CtGq)/β1/γ2
63.64Single9LLBDOI-NBOMe9LLB-5-HT2A-DOI-NBOMe-chim(NtGi1L-Gs-CtGq)/β1/γ2
63.64Single9MQJIsoquinuclidine9MQJ-μ-Isoquinuclidine
63.64Consensus5ht_onOrthosteric Ligand5ht1_on 5ht2_on 5ht4_on 5ht5_on 5ht6_on 5ht7_on
63.64Consensusgs_5htOrthosteric Ligand7XTC-5-HT7-5-CT-Gs/β1/γ2 7XTB-5-HT6-Serotonin-Gs/β1/γ2 8JLZ-5-HT6-ST1936-Gs/β1/γ2 7XT8-5-HT4-Serotonin-Gs/β1/γ2
61.54Single2RH1Carazolol2RH1-β2-Carazolol
61.54Single5ZK33-quinuclidinyl-benzilate5ZK3-M2-3-quinuclidinyl-benzilate
61.54Single7TRKIperoxo7TRK-M4-Iperoxo-Gi1/β1/γ2
61.54Single8J18(3R)-3-Hydroxydodecanoic acid8J18-GPR84-(3R)-3-Hydroxydodecanoic acid-Gi1/β1/γ2
61.54Single9K07DSO-5a9K07-BB3-DSO-5a-chim(NtGi2L-Gs-CtGq)/β1/γ2
61.54Consensus5ht1_onOrthosteric Ligand5ht1a_on 5ht1d_on 5ht1e_on 5ht1f_on
61.54Consensus5ht1_on_gpOrthosteric Ligand5ht1a_on_gp 5ht1d_on_gp 5ht1e_on_gp 5ht1f_on_gp
61.54Consensus5ht1e_on_gpOrthosteric Ligand7E33-5-HT1E-BRL-54443-Gi1/β1/γ2 8UGY-5-HT1E-Mianserin-Gi1/β1/γ1 8UH3-5-HT1E-Setiptiline-Gi1/β1/γ1
61.54Consensusalpha_on_gpOrthosteric Ligandalpha1_on_gp alpha2_on_gp
61.54Consensusamine_offOrthosteric Ligand5ht_off adrenergic_off dopamine_off histamine_off muscarinic_off
61.54Consensusamine_offonOrthosteric Ligandamine_off amine_on
61.54Consensusamine_offon_gpOrthosteric Ligandamine_on_gp amine_off
61.54Consensusamine_onOrthosteric Ligand5ht_on adrenergic_on dopamine_on histamine_on muscarinic_on trace-amine_on
61.54Consensusbeta2_offOrthosteric Ligand2RH1-β2-Carazolol 6PS3-β2-Carvedilol 6PS5-β2-Propranolol 3D4S-β2-Timolol 3NY8-β2-ICI118-551 3NY9-β2-PubChem 913103 6PRZ-β2-Alprenolol
61.54Consensusbeta_offOrthosteric Ligandbeta1_off beta2_off
61.54Consensusgi_adrenergicOrthosteric Ligand7EJ0-α2a-Norepinephrine-Go/β1/γ2 7EJK-α2a-Oxymetazoline-Go/β1/γ2 7W7E-α2a-PubChem 164946676-Go/β1/γ2 7W6P-α2a-N-pyridin-4-ylisoquinolin-4-amine-Go/β1/γ2 7EJ8-α2a-Brimonidine-Go/β1/γ2 6K42-α2b-Dexmedetomidine-Gi1/β1/γ2 7EJA-α2a-Dexmedetomidine-Go/β1/γ2 7S0F-β1-Isoprenaline-Gi1/β1/γ2
61.54Consensusm2_offOrthosteric Ligand5ZKC-M2-N-methyl-Scopolamine 5ZK3-M2-3-quinuclidinyl-benzilate 5ZKB-M2-AF-DX 384
61.54Consensusm3_onOrthosteric Ligand8E9Z-M3-Iperoxo-chim(NtGi2L-Gs-CtGq)/β1/γ2 8E9W-M3-2-Deoxycytidine-chim(NtGi2L-Gs-CtGq)/β1/γ2 8E9Y-M3-Clozapine-N-oxide-chim(NtGi2L-Gs-CtGq)/β1/γ2
61.54Consensusm3_on_gpOrthosteric Ligand8E9Z-M3-Iperoxo-chim(NtGi2L-Gs-CtGq)/β1/γ2 8E9W-M3-2-Deoxycytidine-chim(NtGi2L-Gs-CtGq)/β1/γ2 8E9Y-M3-Clozapine-N-oxide-chim(NtGi2L-Gs-CtGq)/β1/γ2
60.00Single8DPILorcaserin8DPI-5-HT2C-Lorcaserin-chim(NtGi2L-Gs-CtGq)/β1/γ2
60.00Single8E9X2-Deoxycytidine8E9X-M4-2-Deoxycytidine-chim(NtGi1-Go)/β1/γ2
60.00Single8E9YClozapine-N-oxide8E9Y-M3-Clozapine-N-oxide-chim(NtGi2L-Gs-CtGq)/β1/γ2
60.00Single8FX5Xanomeline8FX5-M4-Xanomeline-Xanomeline-Gi1/β1/γ2
60.00Single8POKHistamine8POK-H2-Histamine-Gs/β1/γ2
60.00Consensush2_on_gpOrthosteric Ligand8POK-H2-Histamine-Gs/β1/γ2
58.33Single6A94Zotepine6A94-5-HT2A-Zotepine
58.33Single6PS5Propranolol6PS5-β2-Propranolol
58.33Single6TPNHTL66416TPN-OX2-HTL6641
58.33Single6WH4Methiothepin6WH4-5-HT2A-Methiothepin
58.33Single6WJCAtropine6WJC-M1-Atropine-Muscarinic toxin 7
58.33Single7CKWFenoldopam7CKW-D1-Fenoldopam-Gs/β1/γ2
58.33Single7CKZDopamine7CKZ-D1-Dopamine-Mevidalen-Gs/β1/γ2
58.33Single7CMUPramipexole7CMU-D3-Pramipexole-Gi1/β1/γ2
58.33Single7CMVPD1289077CMV-D3-PD128907-Gi1/β1/γ2
58.33Single7EJ8Brimonidine7EJ8-α2a-Brimonidine-Go/β1/γ2
58.33Single7EJADexmedetomidine7EJA-α2a-Dexmedetomidine-Go/β1/γ2
58.33Single7F24Dopamine7F24-D1-Dopamine-GDP-Gs/β1/γ2
58.33Single7RANPubChem 1645758477RAN-5-HT2A-PubChem 164575847-chim(NtGi2L-Gs-CtGq)/β1/γ2
58.33Single7T94Acetylcholine7T94-M2-Acetylcholine-LY2119620-chim(NtGi1-Go)/β1/γ2
58.33Single7TRSAcetylcholine7TRS-M4-Acetylcholine-Gi1/β1/γ2
58.33Single8GG7Constrained Epinephrine8GG7-β2-Constrained Epinephrine-GTP-Gs/β1/γ2
58.33Single8GGLConstrained Epinephrine8GGL-β2-Constrained Epinephrine
58.33Single8GGMConstrained Epinephrine8GGM-β2-Constrained Epinephrine
58.33Single8GGPConstrained Epinephrine8GGP-β2-Constrained Epinephrine
58.33Single8JLKUlotaront8JLK-TA1-Ulotaront-chim(NtGi1-Gs)/β1/γ2
58.33Single8JLNT1AM8JLN-TA1-T1AM-Gs/β1/γ2
58.33Single8JSPUlotaront8JSP-5-HT1A-Ulotaront-Gi1/β1/γ2
58.33Single8THKA-616038THK-Alpha1A-A-61603-chim(NtGi2L-Gs-CtGq)/β1/γ2
58.33Single8THLEpinephrine8THL-Alpha1A-Epinephrine-chim(NtGi2L-Gs-CtGq)/β1/γ2
58.33Single8UHBRO52563908UHB-TA1-RO5256390-Gs/β1/γ2
58.33Single8UNLConstrained Epinephrine8UNL-β2-Constrained Epinephrine-GTP-Gs/β1/γ2
58.33Single8UNOConstrained Epinephrine8UNO-β2-Constrained Epinephrine-GTP-Gs/β1/γ2
58.33Single8W8BSEP-3638568W8B-5-HT1A-SEP-363856-Gi1/β1/γ2
58.33Single8YN3Histamine8YN3-H2-Histamine-Gs/β1/γ2
58.33Single8ZMGPimavanserin8ZMG-5-HT2A-Pimavanserin
58.33Single9ARXSerotonin9ARX-5-HT2A-Serotonin
58.33Single9AS3LSD9AS3-5-HT2A-LSD
58.33Single9AS4LSD9AS4-5-HT2A-LSD-chim(NtGi1-Gs-CtGq)/β1/γ2
58.33Single9AS5Mescaline9AS5-5-HT2A-Mescaline
58.33Single9AS6Mescaline9AS6-5-HT2A-Mescaline-chim(NtGi1-Gs-CtGq)/β1/γ2
58.33Single9KVIBufotenin9KVI-5-HT1A-Bufotenin-PtdIns4P-Gi1/β1/γ2
58.33Single9L84Epinephrine9L84-β1-Epinephrine-Atazanavir-Gs/β1/γ2
58.33Single9MQIIsoquinuclidine9MQI-μ-Isoquinuclidine
58.33Consensus5ht_on_gpOrthosteric Ligand5ht1_on_gp 5ht2_on_gp 5ht4_on_gp 5ht5_on_gp 5ht6_on_gp 5ht7_on_gp
58.33Consensusalpha1_onOrthosteric Ligandalpha1a_on
58.33Consensusalpha1_on_gpOrthosteric Ligandalpha1a_on_gp
58.33Consensusalpha1a_onOrthosteric Ligand7EJ0-α2a-Norepinephrine-Go/β1/γ2 7EJ8-α2a-Brimonidine-Go/β1/γ2 7EJA-α2a-Dexmedetomidine-Go/β1/γ2 7EJK-α2a-Oxymetazoline-Go/β1/γ2 7W6P-α2a-N-pyridin-4-ylisoquinolin-4-amine-Go/β1/γ2 7W7E-α2a-PubChem 164946676-Go/β1/γ2
58.33Consensusalpha1a_on_gpOrthosteric Ligand7EJ0-α2a-Norepinephrine-Go/β1/γ2 7EJ8-α2a-Brimonidine-Go/β1/γ2 7EJA-α2a-Dexmedetomidine-Go/β1/γ2 7EJK-α2a-Oxymetazoline-Go/β1/γ2 7W6P-α2a-N-pyridin-4-ylisoquinolin-4-amine-Go/β1/γ2 7W7E-α2a-PubChem 164946676-Go/β1/γ2
58.33Consensusd3_onOrthosteric Ligand7CMV-D3-PD128907-Gi1/β1/γ2 8IRT-D3-Rotigotine-Gi1/β1/γ2 7CMU-D3-Pramipexole-Gi1/β1/γ2
58.33Consensusd3_on_gpOrthosteric Ligand7CMV-D3-PD128907-Gi1/β1/γ2 8IRT-D3-Rotigotine-Gi1/β1/γ2 7CMU-D3-Pramipexole-Gi1/β1/γ2
57.14Single3UON3-quinuclidinyl-benzilate3UON-M2-3-quinuclidinyl-benzilate
57.14Single4U15Tiotropium4U15-M3-Tiotropium
57.14Single5D5ACarazolol5D5A-β2-Carazolol
57.14Single5D5BCarazolol5D5B-β2-Carazolol
57.14Single6E59L-7607356E59-NK1-L-760735
57.14Single6J20Aprepitant6J20-NK1-Aprepitant
57.14Single6OL9Tiotropium6OL9-M5-Tiotropium
57.14Single6TQ7SB-3348676TQ7-OX1-SB-334867
57.14Single7TRQIperoxo7TRQ-M4-Iperoxo-VU0467154-Gi1/β1/γ2
57.14Single7W6PN-pyridin-4-ylisoquinolin-4-amine7W6P-α2a-N-pyridin-4-ylisoquinolin-4-amine-Go/β1/γ2
57.14Single7W7EPubChem 1649466767W7E-α2a-PubChem 164946676-Go/β1/γ2
57.14Single8EA0Iperoxo8EA0-M3-Iperoxo
57.14Single8IRRRotigotine8IRR-D1-Rotigotine-Gs/β1/γ2
57.14Single9BS9LSD9BS9-D2-LSD
57.14Single9BSBLSD9BSB-D2-LSD-chim(NtGi1-Go)/β1/γ2
57.14Consensusamine_on_gpOrthosteric Ligand5ht_on_gp adrenergic_on_gp dopamine_on_gp histamine_on_gp muscarinic_on_gp trace-amine_on_gp
57.14Consensusbeta1_offOrthosteric Ligand2VT4-β1-Cyanopindolol 2YCW-β1-Carazolol 2YCZ-β1-Iodocyanopindolol 5A8E-β1-7-Methylcyanopindolol-Na 3ZPQ-β1-PubChem 594590-Na 3ZPR-β1-PubChem 598754-Na
57.14Consensusm3_offOrthosteric Ligand4U15-M3-Tiotropium 4U16-M3-N-methyl-Scopolamine 5ZHP-M3-PubChem 134828589
57.14Consensusm5_offOrthosteric Ligand6OL9-M5-Tiotropium
57.14Consensusmuscarinic_offOrthosteric Ligandm2_off m3_off m4_off m5_off m1_off
54.55Single7DFLHistamine7DFL-H1-Histamine-chim(NtGi1L-Gq)/β1/γ2
54.55Single7E2YSerotonin7E2Y-5-HT1A-Serotonin-PtdIns4P-Gi1/β1/γ2
54.55Single7SRQLSD7SRQ-5-HT2B-LSD
54.55Single7XT9Serotonin7XT9-5-HT4-Serotonin-Gs/β1/γ2
54.55Single7XTASerotonin7XTA-5-HT4-Serotonin-Gi1/β1/γ2
54.55Single7YFCHistamine7YFC-H4-Histamine-chim(NtGi1-Gs-CtGq)/β1/γ2
54.55Single8DPFLorcaserin8DPF-5-HT2C-Lorcaserin-chim(NtGi2L-Gs-CtGq)/β1/γ2
54.55Single8EF6Morphine8EF6-μ-Morphine-Gi1/β1/γ2
54.55Single8W892-Phenylethylamine8W89-TA1-2-Phenylethylamine-chim(NtGi1L-Gs)/β1/γ2
54.55Single8YN4Histamine8YN4-H2-Histamine-chim(NtGi1L-Gs-CtGq)/β1/γ2
54.55Single8ZSVRO52633978ZSV-TA1-RO5263397-chim(NtGi1-Gs)/β1/γ2
54.55Single9AS7Psilocin9AS7-5-HT2A-Psilocin
54.55Single9IJEEpinephrine9IJE-β3-Epinephrine-chim(NtGi1-Gs)/β1/γ2
54.55Single9IXJHistamine9IXJ-H2-Histamine-Gs/β1/γ2
54.55Consensus5ht4_onOrthosteric Ligand7XTA-5-HT4-Serotonin-Gi1/β1/γ2
54.55Consensus5ht4_on_gpOrthosteric Ligand7XTA-5-HT4-Serotonin-Gi1/β1/γ2
54.55Consensush1_onOrthosteric Ligand7DFL-H1-Histamine-chim(NtGi1L-Gq)/β1/γ2
53.85Single3NY8ICI118-5513NY8-β2-ICI118-551
53.85Single4GBRCarazolol4GBR-β2-Carazolol
53.85Single4U16N-methyl-Scopolamine4U16-M3-N-methyl-Scopolamine
53.85Single5DSGTiotropium5DSG-M4-Tiotropium
53.85Single6PS1Timolol6PS1-β2-Timolol
53.85Single7BTSEpinephrine7BTS-β1-Epinephrine
53.85Single7BU6Norepinephrine7BU6-β1-Norepinephrine
53.85Single7JOZPubChem 752020227JOZ-D1-PubChem 75202022-Gs/β1/γ2
53.85Single7JVQApomorphine7JVQ-D1-Apomorphine-Gs/β1/γ2
53.85Single7LJCSKF812977LJC-D1-SKF81297-Mevidalen-Gs/β1/γ2
53.85Single7WC7Lisuride7WC7-5-HT2A-Lisuride
53.85Single7X2CFenoldopam7X2C-D1-Fenoldopam-Fenoldopam-Gs/β1/γ2
53.85Single8FY85-MeO-DMT8FY8-5-HT1A-5-MeO-DMT-PtdIns4P-Gi1/β1/γ1
53.85Single8GE2Constrained Epinephrine8GE2-β2-Constrained Epinephrine-Gs/β1/γ1
53.85Single8GE3Constrained Epinephrine8GE3-β2-Constrained Epinephrine-Gs/β1/γ2
53.85Single8GECConstrained Epinephrine8GEC-β2-Constrained Epinephrine-Gs/β1/γ2
53.85Single8GEEConstrained Epinephrine8GEE-β2-Constrained Epinephrine-Gs/β1/γ2
53.85Single8GEHConstrained Epinephrine8GEH-β2-Constrained Epinephrine-Gs/β1/γ2
53.85Single8GFVConstrained Epinephrine8GFV-β2-Constrained Epinephrine-GTP-Gs/β1/γ2
53.85Single8GFWConstrained Epinephrine8GFW-β2-Constrained Epinephrine-GTP-Gs/β1/γ2
53.85Single8GFXConstrained Epinephrine8GFX-β2-Constrained Epinephrine-GTP-Gs/β1/γ2
53.85Single8GFZConstrained Epinephrine8GFZ-β2-Constrained Epinephrine-GTP-Gs/β1/γ2
53.85Single8GG0Constrained Epinephrine8GG0-β2-Constrained Epinephrine-GTP-Gs/β1/γ2
53.85Single8GG1Constrained Epinephrine8GG1-β2-Constrained Epinephrine-GTP-Gs/β1/γ2
53.85Single8GG3Constrained Epinephrine8GG3-β2-Constrained Epinephrine-GTP-Gs/β1/γ2
53.85Single8GG4Constrained Epinephrine8GG4-β2-Constrained Epinephrine-GTP-Gs/β1/γ2
53.85Single8GG6Constrained Epinephrine8GG6-β2-Constrained Epinephrine-GTP-Gs/β1/γ2
53.85Single8GG9Constrained Epinephrine8GG9-β2-Constrained Epinephrine-GTP-Gs/β1/γ2
53.85Single8GGIConstrained Epinephrine8GGI-β2-Constrained Epinephrine
53.85Single8GGJConstrained Epinephrine8GGJ-β2-Constrained Epinephrine
53.85Single8GGKConstrained Epinephrine8GGK-β2-Constrained Epinephrine
53.85Single8GGNConstrained Epinephrine8GGN-β2-Constrained Epinephrine
53.85Single8GGOConstrained Epinephrine8GGO-β2-Constrained Epinephrine
53.85Single8GGUConstrained Epinephrine8GGU-β2-Constrained Epinephrine
53.85Single8IRTRotigotine8IRT-D3-Rotigotine-Gi1/β1/γ2
53.85Single8JD0NAM5638JD0-mGlu2; mGlu3-Glutamate-NAM563
53.85Single8JLJT1AM8JLJ-TA1-T1AM-chim(NtGi1-Gs)/β1/γ2
53.85Single8UH3Setiptiline8UH3-5-HT1E-Setiptiline-Gi1/β1/γ1
53.85Single8UNQConstrained Epinephrine8UNQ-β2-Constrained Epinephrine-GTP-Gs/β1/γ2
53.85Single8UNYConstrained Epinephrine8UNY-β2-Constrained Epinephrine-GTP-Gs/β1/γ2
53.85Single8VVGGB188VVG-κ-GB18-Gi1/β1/γ2
53.85Single8W87METH8W87-TA1-METH-chim(NtGi1L-Gs)/β1/γ2
53.85Single8W8ARO52563908W8A-TA1-RO5256390-chim(NtGi1L-Gs)/β1/γ2
53.85Single8XVKAmbrisentan8XVK-ETA-Ambrisentan
53.85Single8Y71A1D6F8Y71-δ-A1D6F-BMS986187-Gi1/β1/γ2
53.85Single8YN8Proxyfan8YN8-H3-Proxyfan-Go/β1/γ2
53.85Single9AS1DMT9AS1-5-HT2A-DMT
53.85Single9CHXCarazolol9CHX-β2-Carazolol
53.85Single9JEAAtropine9JEA-M1-Atropine
53.85Single9PQDPubChem 1764919279PQD-α2a-PubChem 176491927
53.85Single9UAZAtropine9UAZ-M1-Atropine
53.85Consensus5ht6_onOrthosteric Ligand7XTB-5-HT6-Serotonin-Gs/β1/γ2 8JLZ-5-HT6-ST1936-Gs/β1/γ2
53.85Consensus5ht6_on_gpOrthosteric Ligand7XTB-5-HT6-Serotonin-Gs/β1/γ2 8JLZ-5-HT6-ST1936-Gs/β1/γ2
53.85Consensusadrenergic_onOrthosteric Ligandalpha_on beta_on
53.85Consensusdopamine_offOrthosteric Ligandd2_off d3_off
53.85Consensusdopamine_onOrthosteric Ligandd2_on d1_on d3_on d4_on d5_on
53.85Consensusdopamine_on_gpOrthosteric Ligandd2_on_gp d1_on_gp d3_on_gp d4_on_gp d5_on_gp
53.85Consensusgs_trace-amineOrthosteric Ligand8W88-TA1-SEP-363856-Gs/β1/γ2 8JLJ-TA1-T1AM-chim(NtGi1-Gs)/β1/γ2 8JLO-TA1-Ulotaront-Gs/β1/γ2 8WC4-TA1-ZH8651-chim(NtGi1-Gs)/β1/γ2 8WC7-TA1-ZH8667-chim(NtGi1-Gs)/β1/γ2 8JLR-TA1-A77636-chim(NtGi1-Gs)/β1/γ2 8JSO-TA1-AMPH-chim(NtGi1-Gs)/β1/γ2 8W87-TA1-METH-chim(NtGi1L-Gs)/β1/γ2 8W89-TA1-2-Phenylethylamine-chim(NtGi1L-Gs)/β1/γ2 8JLP-TA1-Ralmitaront-Gs/β1/γ2 8W8A-TA1-RO5256390-chim(NtGi1L-Gs)/β1/γ2
53.85Consensusm4_offOrthosteric Ligand5DSG-M4-Tiotropium
53.85Consensusmuscarinic_onOrthosteric Ligandm2_on m3_on m4_on m1_on
53.85Consensusmuscarinic_on_gpOrthosteric Ligandm2_on_gp m3_on_gp m4_on_gp m1_on_gp
53.33Single3D4STimolol3D4S-β2-Timolol
53.33Single4AMIBucindolol4AMI-β1-Bucindolol
53.33Single5CXVTiotropium5CXV-M1-Tiotropium
53.33Single5F8UCyanopindolol5F8U-β1-Cyanopindolol
53.33Single6H7OCyanopindolol6H7O-β1-Cyanopindolol
53.33Single8FYE4-F,5-MeO-PyrT8FYE-5-HT1A-4-F,5-MeO-PyrT-PtdIns4P-Gi1/β1/γ1
53.33Single8G056-OAU8G05-GPR84-6-OAU-Gi1/β1/γ2
53.33Single8IRSRotigotine8IRS-D2-Rotigotine-Gi1/β1/γ2
53.33Single9EK0Iperoxo9EK0-M5-Iperoxo-chim(NtGi1-Gs-CtGq)/β1/γ2
53.33Single9KVG5-MeO-DMT9KVG-5-HT1A-5-MeO-DMT-PtdIns4P-Gi1/β1/γ2
53.33Consensusgi_amineOrthosteric Ligandgi_5ht gi_muscarinic gi_adrenergic gi_dopamine gi_histamine
53.33Consensusm1_offOrthosteric Ligand5CXV-M1-Tiotropium
53.33Consensusnk1_offOrthosteric Ligand6HLP-NK1-Netupitant 6HLO-NK1-Aprepitant 6HLL-NK1-CP99994 6E59-NK1-L-760735
50.00Single2YCWCarazolol2YCW-β1-Carazolol
50.00Single2YCZIodocyanopindolol2YCZ-β1-Iodocyanopindolol
50.00Single4BVNCyanopindolol4BVN-β1-Cyanopindolol-Na
50.00Single5D6LCarazolol5D6L-β2-Carazolol
50.00Single5X7DCarazolol5X7D-β2-Carazolol-PubChem 129318963
50.00Single6E67BI1671076E67-β2-BI167107-Gs(CT)
50.00Single6KUWPubChem 572132346KUW-α2c-PubChem 57213234
50.00Single6OIKIperoxo6OIK-M2-Iperoxo-LY2119620-chim(NtGi1-Go)/β1/γ2
50.00Single6PS3Carvedilol6PS3-β2-Carvedilol
50.00Single6PS6Timolol6PS6-β2-Timolol
50.00Single7BVQCarazolol7BVQ-β1-Carazolol
50.00Single7CKXA776367CKX-D1-A77636-Gs/β1/γ2
50.00Single7F1ODopamine7F1O-D1-Dopamine-GDP; Mg-Gs/β1/γ2
50.00Single7LJDDopamine7LJD-D1-Dopamine-Mevidalen-Gs/β1/γ1
50.00Single7S0FIsoprenaline7S0F-β1-Isoprenaline-Gi1/β1/γ2
50.00Single7SRRLSD7SRR-5-HT2B-LSD-chim(NtGi2L-Gs-CtGq)/β1/γ2
50.00Single7SRSLSD7SRS-5-HT2B-LSD-Arrestin2
50.00Single7T8XAcetylcholine7T8X-M2-Acetylcholine-chim(NtGi1-Go)/β1/γ2
50.00Single7T90Acetylcholine7T90-M2-Acetylcholine-chim(NtGi1-Go)/β1/γ2
50.00Single7T96Acetylcholine7T96-M2-Acetylcholine-LY2119620-Go/β1/γ2
50.00Single7VGY2-Iodomelatonin7VGY-MT1-2-Iodomelatonin-Gi1/β1/γ2
50.00Single7WC6LSD7WC6-5-HT2A-LSD
50.00Single7X2DTavapadon7X2D-D1-Tavapadon-Gs/β1/γ2
50.00Single7XK9Constrained Isoproterenol7XK9-β2-Constrained Isoproterenol-Na
50.00Single7XKAConstrained Epinephrine7XKA-β2-Constrained Epinephrine
50.00Single7YM8Oxymetazoline7YM8-Alpha1A-Oxymetazoline-chim(Gs-CtGq)
50.00Single8C9WEtrumadenant8C9W-A2A-Etrumadenant
50.00Single8E9ZIperoxo8E9Z-M3-Iperoxo-chim(NtGi2L-Gs-CtGq)/β1/γ2
50.00Single8GDZConstrained Epinephrine8GDZ-β2-Constrained Epinephrine-Gs/β1/γ2
50.00Single8GEBConstrained Epinephrine8GEB-β2-Constrained Epinephrine-Gs/β1/γ2
50.00Single8GEGConstrained Epinephrine8GEG-β2-Constrained Epinephrine-Gs/β1/γ2
50.00Single8GFYConstrained Epinephrine8GFY-β2-Constrained Epinephrine-GTP-Gs/β1/γ2
50.00Single8GG2Constrained Epinephrine8GG2-β2-Constrained Epinephrine-GTP-Gs/β1/γ2
50.00Single8GGBConstrained Epinephrine8GGB-β2-Constrained Epinephrine-GTP-Gs/β1/γ2
50.00Single8HOCImetit8HOC-H4-Imetit-Gi1/β1/γ2
50.00Single8S2TIsoprenaline8S2T-β1-Isoprenaline-chim(NtGi1-Gs)/β1/γ2
50.00Single8UNNConstrained Epinephrine8UNN-β2-Constrained Epinephrine-GTP-Gs/β1/γ2
50.00Single8UNPConstrained Epinephrine8UNP-β2-Constrained Epinephrine-GTP-Gs/β1/γ2
50.00Single8UNSConstrained Epinephrine8UNS-β2-Constrained Epinephrine-GTP-Gs/β1/γ2
50.00Single8UNTConstrained Epinephrine8UNT-β2-Constrained Epinephrine-GTP-Gs/β1/γ2
50.00Single8YNAImmepip8YNA-H4-Immepip-Gi1/β1/γ2
50.00Single8YUVImmepip8YUV-H3-Immepip-Gi1/β1/γ2
50.00Single9ARYSerotonin9ARY-5-HT2A-Serotonin-chim(NtGi1-Gs-CtGq)/β1/γ2
50.00Single9CHUNorepinephrine9CHU-β2-Norepinephrine
50.00Single9DYDAsenapine9DYD-5-HT1A-Asenapine-PtdIns4P-Go/β1/γ2
50.00Single9F34FOB02-04A9F34-D3-FOB02-04A-Go/β1/γ2
50.00Single9MQKIsoquinuclidine9MQK-κ-Isoquinuclidine
50.00Single9PXYNaloxone9PXY-μ-Naloxone-GDPβS-Gi1/β1/γ2
50.00Consensus5ht1e_onOrthosteric Ligand7E33-5-HT1E-BRL-54443-Gi1/β1/γ2 8UGY-5-HT1E-Mianserin-Gi1/β1/γ1 8UH3-5-HT1E-Setiptiline-Gi1/β1/γ1
50.00Consensus5ht2_on_gpOrthosteric Ligand5ht2b_on_gp
50.00Consensus5ht2b_on_gpOrthosteric Ligand7SRR-5-HT2B-LSD-chim(NtGi2L-Gs-CtGq)/β1/γ2
50.00Consensusadrenergic_offOrthosteric Ligandalpha_off beta_off
50.00Consensusadrenergic_on_gpOrthosteric Ligandalpha_on_gp beta_on_gp
50.00Consensusalpha2_offOrthosteric Ligandalpha2c_off
50.00Consensusalpha2c_offOrthosteric Ligand6KUW-α2c-PubChem 57213234
50.00Consensusd1_onOrthosteric Ligand7F0T-D1-Dopamine-Gs/β1/γ2 7CKY-D1-PW0464-Gs/β1/γ2 8IRR-D1-Rotigotine-Gs/β1/γ2 7JV5-D1-SKF81297-Gs/β1/γ2 7JVP-D1-SKF83959-Gs/β1/γ2 7X2D-D1-Tavapadon-Gs/β1/γ2 7CKX-D1-A77636-Gs/β1/γ2 7JVQ-D1-Apomorphine-Gs/β1/γ2 7CKW-D1-Fenoldopam-Gs/β1/γ2
50.00Consensusd4_onOrthosteric Ligand8IRU-D4-Rotigotine-chim(NtGi1-Gs-CtGi1)/β1/γ2
50.00Consensusgq_histamineOrthosteric Ligand7DFL-H1-Histamine-chim(NtGi1L-Gq)/β1/γ2
50.00Consensusgs_amineOrthosteric Ligandgs_5ht gs_adrenergic gs_dopamine gs_histamine gs_trace-amine
50.00Consensusgs_histamineOrthosteric Ligand8POK-H2-Histamine-Gs/β1/γ2
50.00Consensush1_on_gpOrthosteric Ligand7DFL-H1-Histamine-chim(NtGi1L-Gq)/β1/γ2
50.00Consensush2_onOrthosteric Ligand8POK-H2-Histamine-Gs/β1/γ2
50.00Consensusm2_onOrthosteric Ligand7T8X-M2-Acetylcholine-chim(NtGi1-Go)/β1/γ2
50.00Consensusm2_on_gpOrthosteric Ligand7T8X-M2-Acetylcholine-chim(NtGi1-Go)/β1/γ2
50.00Consensusta1_onOrthosteric Ligand8W87-TA1-METH-chim(NtGi1L-Gs)/β1/γ2 8W89-TA1-2-Phenylethylamine-chim(NtGi1L-Gs)/β1/γ2 8JLP-TA1-Ralmitaront-Gs/β1/γ2 8W8A-TA1-RO5256390-chim(NtGi1L-Gs)/β1/γ2 8W88-TA1-SEP-363856-Gs/β1/γ2 8JLO-TA1-Ulotaront-Gs/β1/γ2 8JLR-TA1-A77636-chim(NtGi1-Gs)/β1/γ2 8JSO-TA1-AMPH-chim(NtGi1-Gs)/β1/γ2 8ZSP-TA1-LSD-chim(NtGi1L-Gs)/β1/γ2
50.00Consensustrace-amine_onOrthosteric Ligandta1_on
47.06Single3NY9PubChem 9131033NY9-β2-PubChem 913103
47.06Single6G79Donitriptan6G79-5-HT1B-Donitriptan-Go/β1/γ2
47.06Single8X5YAstemizole8X5Y-H1-Astemizole
46.67Single2YDVNECA2YDV-A2A-NECA
46.67Single3P0GBI1671073P0G-β2-BI167107
46.67Single3SN6BI1671073SN6-β2-BI167107-Gs/β1/γ2
46.67Single4UHRCGS216804UHR-A2A-CGS21680
46.67Single5A8E7-Methylcyanopindolol5A8E-β1-7-Methylcyanopindolol-Na
46.67Single5G53NECA5G53-A2A-NECA-Gs
46.67Single5ZHPPubChem 1348285895ZHP-M3-PubChem 134828589
46.67Single5ZKBAF-DX 3845ZKB-M2-AF-DX 384
46.67Single6H7JIsoprenaline6H7J-β1-Isoprenaline
46.67Single6J21Aprepitant6J21-NK1-Aprepitant
46.67Single6N48BI1671076N48-β2-BI167107-PubChem 138454256
46.67Single6OIJIperoxo6OIJ-M1-Iperoxo-chim(NtGi1L-G11)/β1/γ2
46.67Single6WGTLSD6WGT-5-HT2A-LSD
46.67Single7JJOIsoprenaline7JJO-β1-Isoprenaline-Gs/β1/γ2
46.67Single7JV5SKF812977JV5-D1-SKF81297-Gs/β1/γ2
46.67Single7JVPSKF839597JVP-D1-SKF83959-Gs/β1/γ2
46.67Single7U2LC5-guano7U2L-μ-C5-guano-Gi1/β1/γ2
46.67Single8DZPmomSalB8DZP-κ-momSalB-Gi1/β1/γ2
46.67Single8IRURotigotine8IRU-D4-Rotigotine-chim(NtGi1-Gs-CtGi1)/β1/γ2
46.67Single8IRVRotigotine8IRV-D5-Rotigotine-chim(NtGi1-Gs)/β1/γ2
46.67Single8JXVClozapine8JXV-H4-Clozapine-Gi1/β1/γ2
46.67Single8VVEnorBNI8VVE-κ-norBNI-Gi1/β1/γ2
46.67Single9AS9RS130-1809AS9-5-HT2A-RS130-180
46.67Single9ASARS130-1809ASA-5-HT2A-RS130-180-chim(NtGi1-Gs-CtGq)/β1/γ2
46.67Single9BJKNaloxone9BJK-μ-Naloxone-PubChem 171642066
46.67Single9I54PubChem 1764520919I54-D1-PubChem 176452091-Gs/β1/γ2
46.67Single9IJDCarazolol9IJD-β3-Carazolol-chim(NtGi1-Gs)/β1/γ2
46.67Single9PY3Loperamide9PY3-μ-Loperamide-GDPβS-Gi1/β1/γ2
46.67Single9PY4Loperamide9PY4-μ-Loperamide-GDPβS-Gi1/β1/γ2
46.67Single9UCPIperoxo9UCP-M1-Iperoxo-G11(CT)
46.67Consensusbeta2_onOrthosteric Ligand7DHI-β2-Salbutamol-Gs/β1/γ2 6NI3-β2-BI167107-Gs/β1/γ2
46.67Consensusbeta2_on_gpOrthosteric Ligand7DHI-β2-Salbutamol-Gs/β1/γ2 6NI3-β2-BI167107-Gs/β1/γ2
46.67Consensusd1_on_gpOrthosteric Ligand7F0T-D1-Dopamine-Gs/β1/γ2 7CKY-D1-PW0464-Gs/β1/γ2 8IRR-D1-Rotigotine-Gs/β1/γ2 7JV5-D1-SKF81297-Gs/β1/γ2 7JVP-D1-SKF83959-Gs/β1/γ2 7X2D-D1-Tavapadon-Gs/β1/γ2 7CKX-D1-A77636-Gs/β1/γ2 7JVQ-D1-Apomorphine-Gs/β1/γ2 7CKW-D1-Fenoldopam-Gs/β1/γ2
46.67Consensusd4_on_gpOrthosteric Ligand8IRU-D4-Rotigotine-chim(NtGi1-Gs-CtGi1)/β1/γ2
46.67Consensusd5_on_gpOrthosteric Ligand8IRV-D5-Rotigotine-chim(NtGi1-Gs)/β1/γ2
46.67Consensusgi_5htOrthosteric Ligand8FYT-5-HT1A-LSD-PtdIns4P-Gi1/β1/γ1 7UM7-5-HT5A-Methylergometrine-chim(NtGi1-Go)/β1/γ2 8UGY-5-HT1E-Mianserin-Gi1/β1/γ1 8W8B-5-HT1A-SEP-363856-Gi1/β1/γ2 7E2Y-5-HT1A-Serotonin-PtdIns4P-Gi1/β1/γ2 7E32-5-HT1D-Serotonin-Gi1/β1/γ2 7XTA-5-HT4-Serotonin-Gi1/β1/γ2 8UH3-5-HT1E-Setiptiline-Gi1/β1/γ1 8JSP-5-HT1A-Ulotaront-Gi1/β1/γ2 8FYL-5-HT1A-Vilazodone-PtdIns4P-Gi1/β1/γ1 8JT6-5-HT1A-(R)-IHCH-7179-PtdIns4P-Gi1/β1/γ2 8FYE-5-HT1A-4-F,5-MeO-PyrT-PtdIns4P-Gi1/β1/γ1 7X5H-5-HT5A-5-CT-Gi1/β1/γ2 8FY8-5-HT1A-5-MeO-DMT-PtdIns4P-Gi1/β1/γ1 7E2Z-5-HT1A-Aripiprazole-PtdIns4P-Gi1/β1/γ2 7E33-5-HT1E-BRL-54443-Gi1/β1/γ2 8FYX-5-HT1A-Buspirone-PtdIns4P-Gi1/β1/γ1 7EXD-5-HT1F-Lasmiditan-Gi1/β1/γ2 7UM6-5-HT5A-Lisuride-chim(NtGi1-Go)/β1/γ2
46.67Consensusgi_dopamineOrthosteric Ligand7JVR-D2-Bromoergocryptine-Gi1/β1/γ2 7CMV-D3-PD128907-Gi1/β1/γ2 7CMU-D3-Pramipexole-Gi1/β1/γ2 8IRS-D2-Rotigotine-Gi1/β1/γ2 8IRT-D3-Rotigotine-Gi1/β1/γ2
46.67Consensusgs_dopamineOrthosteric Ligand7F0T-D1-Dopamine-Gs/β1/γ2 7CKW-D1-Fenoldopam-Gs/β1/γ2 7CKY-D1-PW0464-Gs/β1/γ2 8IRV-D5-Rotigotine-chim(NtGi1-Gs)/β1/γ2 8IRR-D1-Rotigotine-Gs/β1/γ2 7JV5-D1-SKF81297-Gs/β1/γ2 7JVP-D1-SKF83959-Gs/β1/γ2 7X2D-D1-Tavapadon-Gs/β1/γ2 7CKX-D1-A77636-Gs/β1/γ2 7JVQ-D1-Apomorphine-Gs/β1/γ2
46.67Consensusm1_on_gpOrthosteric Ligand6OIJ-M1-Iperoxo-chim(NtGi1L-G11)/β1/γ2
46.67Consensusta1_on_gpOrthosteric Ligand8W87-TA1-METH-chim(NtGi1L-Gs)/β1/γ2 8W89-TA1-2-Phenylethylamine-chim(NtGi1L-Gs)/β1/γ2 8JLP-TA1-Ralmitaront-Gs/β1/γ2 8W8A-TA1-RO5256390-chim(NtGi1L-Gs)/β1/γ2 8W88-TA1-SEP-363856-Gs/β1/γ2 8JLO-TA1-Ulotaront-Gs/β1/γ2 8JLR-TA1-A77636-chim(NtGi1-Gs)/β1/γ2 8JSO-TA1-AMPH-chim(NtGi1-Gs)/β1/γ2 8ZSP-TA1-LSD-chim(NtGi1L-Gs)/β1/γ2
46.67Consensustachykinin_offOrthosteric Ligandnk1_off
46.67Consensustrace-amine_on_gpOrthosteric Ligandta1_on_gp
46.15Single4DKLBeta-Funaltrexamine4DKL-μ-β-Funaltrexamine
46.15Single4LDOEpinephrine4LDO-β2-Epinephrine
46.15Single4N6HNaltrindole4N6H-δ-Naltrindole-Na
46.15Single6PS0Carazolol6PS0-β2-Carazolol
46.15Single6PS4ICI118-5516PS4-β2-ICI118-551
46.15Single7DHISalbutamol7DHI-β2-Salbutamol-Gs/β1/γ2
46.15Single7F0TDopamine7F0T-D1-Dopamine-Gs/β1/γ2
46.15Single7F1ZDopamine7F1Z-D1-Dopamine-GDP-Gs/β1/γ2
46.15Single7WC9PubChem 1624213647WC9-5-HT2A-PubChem 162421364
46.15Single8GE1Constrained Epinephrine8GE1-β2-Constrained Epinephrine-Gs/β1/γ2
46.15Single8GE4Constrained Epinephrine8GE4-β2-Constrained Epinephrine-Gs/β1/γ2
46.15Single8GE5Constrained Epinephrine8GE5-β2-Constrained Epinephrine-Gs/β1/γ1
46.15Single8GE6Constrained Epinephrine8GE6-β2-Constrained Epinephrine-Gs/β1/γ2
46.15Single8GE7Constrained Epinephrine8GE7-β2-Constrained Epinephrine-Gs/β1/γ2
46.15Single8GE8Constrained Epinephrine8GE8-β2-Constrained Epinephrine-Gs/β1/γ2
46.15Single8GEDConstrained Epinephrine8GED-β2-Constrained Epinephrine-Gs/β1/γ2
46.15Single8GEFConstrained Epinephrine8GEF-β2-Constrained Epinephrine-Gs/β1/γ2
46.15Single8GG5Constrained Epinephrine8GG5-β2-Constrained Epinephrine-GTP-Gs/β1/γ2
46.15Single8GGQConstrained Epinephrine8GGQ-β2-Constrained Epinephrine
46.15Single8GGVConstrained Epinephrine8GGV-β2-Constrained Epinephrine
46.15Single8GGXConstrained Epinephrine8GGX-β2-Constrained Epinephrine
46.15Single8UNMConstrained Epinephrine8UNM-β2-Constrained Epinephrine-GTP-Gs/β1/γ2
46.15Single8UNWConstrained Epinephrine8UNW-β2-Constrained Epinephrine-GTP-Gs/β1/γ2
46.15Single8UO1Constrained Epinephrine8UO1-β2-Constrained Epinephrine-GTP; Mg-Gs/β1/γ2
46.15Single8V6UPubChem 1713924568V6U-5-HT2A-PubChem 171392456-chim(NtGi2-Gs-CtGq)/β1/γ2
46.15Single8W88SEP-3638568W88-TA1-SEP-363856-Gs/β1/γ2
46.15Single8WC8ZH86518WC8-TA1-ZH8651-chim(NtGi1-Gs)/β1/γ2
46.15Single8Y53MK50468Y53-BB3-MK5046-chim(NtGi1-Gs-CtGq)/β1/γ2
46.15Single9AS8Psilocin9AS8-5-HT2A-Psilocin-chim(NtGi2L-Gs-CtGq)/β1/γ2
46.15Single9CBLEpinephrine9CBL-α2a-Epinephrine-Gi1/β1/γ2
46.15Single9JKQMETH9JKQ-TA1-METH-Gs/β1/γ2
46.15Single9LL8Psilocin9LL8-5-HT2A-Psilocin-Gi1/β1/γ2
46.15Single9ODJMitragynine Pseudoindoxyl9ODJ-μ-Mitragynine Pseudoindoxyl-GTP; Mg-Gi1/β1/γ2
46.15Single9ODLMitragynine Pseudoindoxyl9ODL-μ-Mitragynine Pseudoindoxyl-GTP; Mg-Gi1/β1/γ2
46.15Single9PXVNaloxone9PXV-μ-Naloxone-Gi1/β1/γ2
46.15Single9VJG8-OH-DPAT9VJG-5-HT1A-8-OH-DPAT-chim(NtGi2-Gz)/β1/γ2
46.15Single9VNFPindolol9VNF-5-HT1A-Pindolol-Go/β1/γ2
46.15Single9W6W5-CT9W6W-5-HT5A-5-CT-Gi1/β1/γ2
46.15Consensus5ht2a_offOrthosteric Ligand6A94-5-HT2A-Zotepine 6A93-5-HT2A-Risperidone 7VOD-5-HT2A-Cariprazine 7WC8-5-HT2A-Lumateperone 8JT8-5-HT2A-(R)-IHCH-7179
46.15Consensusnop_offOrthosteric Ligand4EA3-NOP-PubChem 10296561 5DHG-NOP-C-35 5DHH-NOP-SB-612111
45.45Single8WC62-Phenylethylamine8WC6-TA1-2-Phenylethylamine-chim(NtGi1-Gs)/β1/γ2
45.45Single8WC9ZH86518WC9-TA1-ZH8651-chim(NtGi1-Gs-CtGq)/β1/γ2
45.45Single9LL7DOI9LL7-5-HT2A-DOI-Gi1/β1/γ2
45.45Consensus5ht2_onOrthosteric Ligand5ht2b_on
45.45Consensus5ht2b_onOrthosteric Ligand7SRR-5-HT2B-LSD-chim(NtGi2L-Gs-CtGq)/β1/γ2
44.44Single4AMJCarvedilol4AMJ-β1-Carvedilol
44.44Single8FYLVilazodone8FYL-5-HT1A-Vilazodone-PtdIns4P-Gi1/β1/γ1
44.44Single9M4TSilodosin9M4T-Alpha1A-Silodosin
43.75Single4LDEBI1671074LDE-β2-BI167107
43.75Single6CM4Risperidone6CM4-D2-Risperidone
43.75Single6H7NXamoterol6H7N-β1-Xamoterol
43.75Single6MXTSalmeterol6MXT-β2-Salmeterol
43.75Single6VMSBromoergocryptine6VMS-D2-Bromoergocryptine-Gi1/β1/γ2
43.75Single6ZG4HTL00099366ZG4-M1-HTL0009936
43.75Single7EXDLasmiditan7EXD-5-HT1F-Lasmiditan-Gi1/β1/γ2
43.75Single7YITNalfurafine7YIT-κ-Nalfurafine
43.75Single7YMJTamsulosin7YMJ-Alpha1A-Tamsulosin
43.75Single8FYTLSD8FYT-5-HT1A-LSD-PtdIns4P-Gi1/β1/γ1
43.75Single8JJ8Arformoterol8JJ8-β2-Arformoterol
43.75Single9MQLIsoquinuclidine9MQL-κ-Isoquinuclidine
43.75Single9V6ONalfurafine9V6O-κ-Nalfurafine-Gi1/β1/γ2
43.75Consensus5ht1f_onOrthosteric Ligand7EXD-5-HT1F-Lasmiditan-Gi1/β1/γ2
43.75Consensus5ht1f_on_gpOrthosteric Ligand7EXD-5-HT1F-Lasmiditan-Gi1/β1/γ2
43.75Consensusalpha1_offOrthosteric Ligandalpha1a_off
43.75Consensusalpha1a_offOrthosteric Ligand7YMJ-Alpha1A-Tamsulosin
43.75Consensusbeta_onOrthosteric Ligandbeta1_on beta2_on beta3_on
43.75Consensusbeta_on_gpOrthosteric Ligandbeta1_on_gp beta2_on_gp beta3_on_gp
43.75Consensusd2_on_gpOrthosteric Ligand7JVR-D2-Bromoergocryptine-Gi1/β1/γ2 8IRS-D2-Rotigotine-Gi1/β1/γ2
43.75Consensusgi_muscarinicOrthosteric Ligand8E9X-M4-2-Deoxycytidine-chim(NtGi1-Go)/β1/γ2 7T8X-M2-Acetylcholine-chim(NtGi1-Go)/β1/γ2 7TRS-M4-Acetylcholine-Gi1/β1/γ2 7TRK-M4-Iperoxo-Gi1/β1/γ2 7V6A-M4-PubChem 9864275-Gi1/β1/γ2
43.75Consensusm4_onOrthosteric Ligand7TRS-M4-Acetylcholine-Gi1/β1/γ2 7V6A-M4-PubChem 9864275-Gi1/β1/γ2 8E9X-M4-2-Deoxycytidine-chim(NtGi1-Go)/β1/γ2 7TRK-M4-Iperoxo-Gi1/β1/γ2
43.75Consensusm4_on_gpOrthosteric Ligand7TRS-M4-Acetylcholine-Gi1/β1/γ2 7V6A-M4-PubChem 9864275-Gi1/β1/γ2 8E9X-M4-2-Deoxycytidine-chim(NtGi1-Go)/β1/γ2 7TRK-M4-Iperoxo-Gi1/β1/γ2
43.75Consensusmop_onOrthosteric Ligand8F7R-μ-Endomorphin-Gi1/β1/γ2 8EF5-μ-Fentanyl-Gi1/β1/γ2 7SCG-μ-FH210-Gi1/β1/γ2 7T2H-μ-Lofentanil-Gi1/β1/γ2 7T2G-μ-Mitragynine Pseudoindoxyl-Gi1/β1/γ2 8EF6-μ-Morphine-Gi1/β1/γ2 8EFB-μ-Oliceridine-Gi1/β1/γ2 7U2L-μ-C5-guano-Gi1/β1/γ2 8EFO-μ-PZM21-Gi1/β1/γ2 8EFL-μ-SR17018-Gi1/β1/γ2 8F7Q-μ-β-Endorphin-Gi1/β1/γ2 7U2K-μ-C6-guano-Gi1/β1/γ2 8EFQ-μ-DAMGO-Gi1/β1/γ2
43.75Consensusmop_on_gpOrthosteric Ligand8F7R-μ-Endomorphin-Gi1/β1/γ2 8EF5-μ-Fentanyl-Gi1/β1/γ2 7SCG-μ-FH210-Gi1/β1/γ2 7T2H-μ-Lofentanil-Gi1/β1/γ2 7T2G-μ-Mitragynine Pseudoindoxyl-Gi1/β1/γ2 8EF6-μ-Morphine-Gi1/β1/γ2 8EFB-μ-Oliceridine-Gi1/β1/γ2 7U2L-μ-C5-guano-Gi1/β1/γ2 8EFO-μ-PZM21-Gi1/β1/γ2 8EFL-μ-SR17018-Gi1/β1/γ2 8F7Q-μ-β-Endorphin-Gi1/β1/γ2 7U2K-μ-C6-guano-Gi1/β1/γ2 8EFQ-μ-DAMGO-Gi1/β1/γ2
43.75Consensusopioid_offOrthosteric Ligandmop_off nop_off dop_off kop_off
42.86Single2VT4Cyanopindolol2VT4-β1-Cyanopindolol
42.86Single2Y02Carmoterol2Y02-β1-Carmoterol
42.86Single2YCYCyanopindolol2YCY-β1-Cyanopindolol
42.86Single3ZPRPubChem 5987543ZPR-β1-PubChem 598754-Na
42.86Single4EA3PubChem 102965614EA3-NOP-PubChem 10296561
42.86Single4EJ4Naltrindole4EJ4-δ-Naltrindole
42.86Single5DHGC-355DHG-NOP-C-35
42.86Single6H7MSalbutamol6H7M-β1-Salbutamol
42.86Single6PRZAlprenolol6PRZ-β2-Alprenolol
42.86Single6WHADB139486WHA-5-HT2A-DB13948-chim(NtGi2L-Gs-CtGq)/β1/γ2
42.86Single7CRHSKF839597CRH-D1-SKF83959-Gs/β1/γ2
42.86Single7S0GIsoprenaline7S0G-β1-Isoprenaline-chim(Gi1-CtGs)/β1/γ2
42.86Single7SQOTAK-9257SQO-OX2-TAK-925-Gi1/β1/γ2
42.86Single7T2GMitragynine Pseudoindoxyl7T2G-μ-Mitragynine Pseudoindoxyl-Gi1/β1/γ2
42.86Single7UM55-CT7UM5-5-HT5A-5-CT-chim(NtGi1-Go)/β1/γ2
42.86Single7UM6Lisuride7UM6-5-HT5A-Lisuride-chim(NtGi1-Go)/β1/γ2
42.86Single7VIES1P7VIE-S1P1-S1P-Gi1/β1/γ2
42.86Single7XJHIsoprenaline7XJH-β3-Isoprenaline-Gs/β1/γ2
42.86Single8CICEtrumadenant8CIC-A2A-Etrumadenant-Na
42.86Single8DZSGR89,6968DZS-κ-GR89,696-chim(NtGi2-Gz)/β1/γ2
42.86Single8GE9Constrained Epinephrine8GE9-β2-Constrained Epinephrine-Gs/β1/γ2
42.86Single8JLZST19368JLZ-5-HT6-ST1936-Gs/β1/γ2
42.86Single8JT8(R)-IHCH-71798JT8-5-HT2A-(R)-IHCH-7179
42.86Single8JXRLSD8JXR-D1-LSD
42.86Single8UGYMianserin8UGY-5-HT1E-Mianserin-Gi1/β1/γ1
42.86Single8UNRConstrained Epinephrine8UNR-β2-Constrained Epinephrine-GTP-Gs/β1/γ2
42.86Single8UNUConstrained Epinephrine8UNU-β2-Constrained Epinephrine-GTP-Gs/β1/γ2
42.86Single8UNVConstrained Epinephrine8UNV-β2-Constrained Epinephrine-GTP-Gs/β1/γ2
42.86Single8UNZConstrained Epinephrine8UNZ-β2-Constrained Epinephrine-GTP-Gs/β1/γ2
42.86Single8UO2Constrained Epinephrine8UO2-β2-Constrained Epinephrine-GTP-Gs/β1/γ2
42.86Single8UWLLisuride8UWL-5-HT2A-Lisuride-chim(NtGi2-Gs-CtGq)/β1/γ2
42.86Single8WC7ZH86678WC7-TA1-ZH8667-chim(NtGi1-Gs)/β1/γ2
42.86Single8ZSSRO52633978ZSS-TA1-RO5263397-chim(NtGi1-Gs)/β1/γ2
42.86Single9DYFAsenapine9DYF-5-HT1A-Asenapine-PtdIns4P-Gi1/β1/γ2
42.86Single9PXWNaloxone9PXW-μ-Naloxone-GDPβS-Gi1/β1/γ2
42.86Single9VMYTMU41429VMY-5-HT1A-TMU4142-Go/β1/γ2
42.86Consensus5ht5_onOrthosteric Ligand5ht5a_on
42.86Consensus5ht5a_onOrthosteric Ligand7X5H-5-HT5A-5-CT-Gi1/β1/γ2 7UM6-5-HT5A-Lisuride-chim(NtGi1-Go)/β1/γ2 7UM7-5-HT5A-Methylergometrine-chim(NtGi1-Go)/β1/γ2
42.86Consensusd5_onOrthosteric Ligand8IRV-D5-Rotigotine-chim(NtGi1-Gs)/β1/γ2
42.86Consensusdop_offOrthosteric Ligand4EJ4-δ-Naltrindole
42.86Consensusgi_histamineOrthosteric Ligand8JXX-H4-Clobenpropit-Gi1/β1/γ2 8JXV-H4-Clozapine-Gi1/β1/γ2 8YUU-H3-Histamine-Gi1/β1/γ1 8HN8-H4-Histamine-Gi1/β1/γ2 8HOC-H4-Imetit-Gi1/β1/γ2 8JXW-H4-VUF6884-Gi1/β1/γ2
42.86Consensusgi_orexinOrthosteric Ligand7SQO-OX2-TAK-925-Gi1/β1/γ2
41.67Single1U1911-cis-Retinal1U19-Rhodopsin-11-cis-Retinal
41.67Single2G87All-trans-Retinal2G87-Rhodopsin-All-trans-Retinal
41.67Single2I3511-cis-Retinal2I35-Rhodopsin-11-cis-Retinal
41.67Single3PBLEticlopride3PBL-D3-Eticlopride
41.67Single7DD7Ca; Ca; Tryptophan; Evocalcet7DD7-CaS; CaS-Ca-Ca; Ca; Tryptophan; Evocalcet
41.67Single7V68Iperoxo7V68-M4-Iperoxo-LY2119620-Gi1/β1/γ2
41.67Single7YFDImetit7YFD-H4-Imetit-chim(NtGi1-Gs-CtGq)/β1/γ2
41.67Single8HN8Histamine8HN8-H4-Histamine-Gi1/β1/γ2
41.67Single8JLOUlotaront8JLO-TA1-Ulotaront-Gs/β1/γ2
41.67Single8UO4Constrained Epinephrine8UO4-β2-Constrained Epinephrine-GTP; Mg-Gs/β1/γ2
41.67Single8YN5Histamine8YN5-H3-Histamine-Gi1/β1/γ2
41.67Single8YN6Imetit8YN6-H3-Imetit-Gi1/β1/γ2
41.67Single8YN7Immethridine8YN7-H3-Immethridine-Go/β1/γ2
41.67Single9JEQHistamine9JEQ-H3-Histamine-Gi1/β1/γ2
41.67Single9L42Histamine9L42-H4-Histamine-Gi1/β1/γ2
41.67Single9U9VMETH9U9V-β2-METH-Gs/β1/γ2
41.67Consensusd3_offOrthosteric Ligand3PBL-D3-Eticlopride
41.18Single5X93K-87945X93-ETB-K-8794
41.18Single6H7LDobutamine6H7L-β1-Dobutamine
41.18Single6IBLArformoterol6IBL-β1-Arformoterol
41.18Single6TKOArformoterol6TKO-β1-Arformoterol-Arrestin2
41.18Single7SK8CCX6627SK8-ACKR3-CXCL12-CCX662
41.18Single7UM4AS26747237UM4-5-HT5A-AS2674723
41.18Single8J19LY2378J19-GPR84-LY237-Gi1/β1/γ2
41.18Single8T3OTUG-8918T3O-FFA4-TUG-891-chim(NtGi2L-Gs-CtGq)/β1/γ2
41.18Single9AS02-bromo-LSD9AS0-5-HT2A-2-bromo-LSD-chim(NtGi1-Gs-CtGq)/β1/γ2
41.18Single9CGJC6-Quino9CGJ-δ-C6-Quino-Gi1/β1/γ2
41.18Single9DYEBuspirone9DYE-5-HT1A-Buspirone-PtdIns4P-Go/β1/γ2
41.18Single9WP9S1P9WP9-S1P3-S1P-chim(NtGi2L-Gs-CtGq)/β1/γ2
41.18Consensusbeta1_onOrthosteric Ligand8DCR-β1-Dobutamine-Gs/β1/γ2 7S0F-β1-Isoprenaline-Gi1/β1/γ2
41.18Consensusbeta1_on_gpOrthosteric Ligand8DCR-β1-Dobutamine-Gs/β1/γ2 7S0F-β1-Isoprenaline-Gi1/β1/γ2
41.18Consensusd2_offOrthosteric Ligand6CM4-D2-Risperidone 6LUQ-D2-Haloperidol 7DFP-D2-Spiperone
41.18Consensusendothelin_offOrthosteric Ligandetb_off
41.18Consensusetb_offOrthosteric Ligand5X93-ETB-K-8794 5XPR-ETB-Bosentan 6K1Q-ETB-IRL2500
40.00Single2Y03Isoprenaline2Y03-β1-Isoprenaline
40.00Single4RWDDIPP-NH24RWD-δ-DIPP-NH2-Na
40.00Single5C1MBU725C1M-μ-BU72
40.00Single5JQHCarazolol5JQH-β2-Carazolol
40.00Single5TVNLSD5TVN-5-HT2B-LSD
40.00Single5WIUNemonapride5WIU-D4-Nemonapride
40.00Single5WIVNemonapride5WIV-D4-Nemonapride-Na
40.00Single5XPRBosentan5XPR-ETB-Bosentan
40.00Single6HLPNetupitant6HLP-NK1-Netupitant
40.00Single6ME72-Phenylmelatonin6ME7-MT2-2-Phenylmelatonin
40.00Single7C61Ergotamine7C61-5-HT1B-Ergotamine
40.00Single7EUOfMLF7EUO-FPR1-ALX-fMLF-Gi1/β1/γ2
40.00Single7VOEAripiprazole7VOE-5-HT2A-Aripiprazole
40.00Single8DZRGR89,6968DZR-κ-GR89,696-chim(NtGi2-Gt3)/β1/γ2
40.00Single8EFBOliceridine8EFB-μ-Oliceridine-Gi1/β1/γ2
40.00Single8JXSPF-61428JXS-D1-PF-6142
40.00Single8ZMFPubChem 1719206738ZMF-5-HT2C-PubChem 171920673
40.00Single9ARZ2-bromo-LSD9ARZ-5-HT2A-2-bromo-LSD
40.00Single9EE8Adenosine9EE8-A2A-Adenosine-Gs/β1/γ2
40.00Single9F33FOB02-04A9F33-D3-FOB02-04A-Go/β1/γ2
40.00Single9I52A1IZU9I52-D1-A1IZU-Gs/β1/γ2
40.00Single9L74S1P d16:19L74-S1P3-S1P d16:1-chim(NtGi2L-Gs-CtGq)/β1/γ2
40.00Consensus5ht2_offOrthosteric Ligand5ht2a_off 5ht2b_off 5ht2c_off
40.00Consensus5ht5_on_gpOrthosteric Ligand5ht5a_on_gp
40.00Consensus5ht5a_on_gpOrthosteric Ligand7X5H-5-HT5A-5-CT-Gi1/β1/γ2 7UM6-5-HT5A-Lisuride-chim(NtGi1-Go)/β1/γ2 7UM7-5-HT5A-Methylergometrine-chim(NtGi1-Go)/β1/γ2
40.00Consensusalpha_offOrthosteric Ligandalpha1_off alpha2_off
40.00Consensusd2_onOrthosteric Ligand7JVR-D2-Bromoergocryptine-Gi1/β1/γ2 8IRS-D2-Rotigotine-Gi1/β1/γ2
40.00Consensusgq_muscarinicOrthosteric Ligand6OIJ-M1-Iperoxo-chim(NtGi1L-G11)/β1/γ2
40.00Consensusm1_onOrthosteric Ligand6OIJ-M1-Iperoxo-chim(NtGi1L-G11)/β1/γ2
38.89Single4UG2CGS216804UG2-A2A-CGS21680
38.89Single6PT3DPI-2876PT3-δ-DPI-287
38.89Single8JLRA776368JLR-TA1-A77636-chim(NtGi1-Gs)/β1/γ2
38.89Single9CGKC5-Quino9CGK-δ-C5-Quino-Gi1/β1/γ2
38.46Single2PED9-cis-Retinal2PED-Rhodopsin-9-cis-Retinal
38.46Single6AKXA4R6AKX-CCR5-A4R
38.46Single6B73MP11046B73-κ-MP1104
38.46Single6ME2Ramelteon6ME2-MT1-Ramelteon
38.46Single6NWEOctyl-Beta-D-Glucopyranoside6NWE-Rhodopsin-Octyl-β-D-Glucopyranoside-Gt(CT)
38.46Single6OBAAlprenolol6OBA-β2-Alprenolol-GTPL11074
38.46Single7DHRIsoprenaline7DHR-β2-Isoprenaline-Gs/β1/γ2
38.46Single7EJ0Norepinephrine7EJ0-α2a-Norepinephrine-Go/β1/γ2
38.46Single7LD4Adenosine7LD4-A1-Adenosine-Gi2/β1/γ2
38.46Single7M3ECa; Ca; Tryptophan; NPS-21437M3E-CaS; CaS-Ca; Ca; Tryptophan; NPS-2143
38.46Single7M3ECa; Ca; Tryptophan; NPS-21437M3E-CaS; CaS-Ca; Ca; Tryptophan; NPS-2143
38.46Single7M3FCa; Ca; Tryptophan; Cinacalcet7M3F-CaS; CaS-Ca; Ca; Tryptophan; Cinacalcet
38.46Single7T6STC-FPR 437T6S-FPR2-ALX-TC-FPR 43-Gi1/β1/γ2
38.46Single7YMHNorepinephrine7YMH-Alpha1A-Norepinephrine-chim(Gs-CtGq)
38.46Single8FYXBuspirone8FYX-5-HT1A-Buspirone-PtdIns4P-Gi1/β1/γ1
38.46Single8GGAConstrained Epinephrine8GGA-β2-Constrained Epinephrine-GTP-Gs/β1/γ2
38.46Single8GGRConstrained Epinephrine8GGR-β2-Constrained Epinephrine
38.46Single8GGWConstrained Epinephrine8GGW-β2-Constrained Epinephrine
38.46Single8GGZConstrained Epinephrine8GGZ-β2-Constrained Epinephrine
38.46Single8GH0Constrained Epinephrine8GH0-β2-Constrained Epinephrine
38.46Single8JSOAMPH8JSO-TA1-AMPH-chim(NtGi1-Gs)/β1/γ2
38.46Single8UNXConstrained Epinephrine8UNX-β2-Constrained Epinephrine-GTP-Gs/β1/γ2
38.46Single8WC4ZH86518WC4-TA1-ZH8651-chim(NtGi1-Gs)/β1/γ2
38.46Single8WCA2-Phenylethylamine8WCA-TA1-2-Phenylethylamine-chim(NtGi1-Gs)/β1/γ2
38.46Single9C1PCa; Tryptophan; '6218; PO49C1P-CaS; CaS-Ca-Ca; Tryptophan; '6218; PO4
38.46Single9EEAAdenosine9EEA-A2A-Adenosine-Gs/β1/γ2
38.46Single9PXUNaloxone9PXU-μ-Naloxone-Na
38.46Single9VJ5Gepirone9VJ5-5-HT1A-Gepirone-Go/β1/γ2
38.46Single9VJEBuspirone9VJE-5-HT1A-Buspirone-Go/β1/γ2
38.46Consensusa1_onOrthosteric Ligand7LD4-A1-Adenosine-Gi2/β1/γ2
38.46Consensusa1_on_gpOrthosteric Ligand7LD4-A1-Adenosine-Gi2/β1/γ2
38.46Consensushistamine_onOrthosteric Ligandh1_on h2_on h3_on h4_on
38.46Consensushistamine_on_gpOrthosteric Ligandh1_on_gp h2_on_gp h3_on_gp h4_on_gp
38.46Consensusrhodopsin_offOrthosteric Ligand1U19-Rhodopsin-11-cis-Retinal 2PED-Rhodopsin-9-cis-Retinal 5TE5-Rhodopsin-20-Methanoretinal
37.50Single3PDSFAUC503PDS-β2-FAUC50
37.50Single4LDLHydroxybenzyl Isoproterenol4LDL-β2-Hydroxybenzyl Isoproterenol
37.50Single5V54Methiothepin5V54-5-HT1B-Methiothepin
37.50Single6GT3Imaradenant6GT3-A2A-Imaradenant-Na
37.50Single6NI3BI1671076NI3-β2-BI167107-Gs/β1/γ2
37.50Single7CKYPW04647CKY-D1-PW0464-Gs/β1/γ2
37.50Single7E2ZAripiprazole7E2Z-5-HT1A-Aripiprazole-PtdIns4P-Gi1/β1/γ2
37.50Single7EW4CYM-55417EW4-S1P3-CYM-5541-Gi1/β1/γ2
37.50Single7EW7SEW28717EW7-S1P1-SEW2871-Gi1/β1/γ2
37.50Single7T2HLofentanil7T2H-μ-Lofentanil-Gi1/β1/γ2
37.50Single8DCSCyanopindolol8DCS-β1-Cyanopindolol-Gs/β1/γ2
37.50Single8EFLSR170188EFL-μ-SR17018-Gi1/β1/γ2
37.50Single8ID39-Hydroxystearic acid8ID3-FFA4-9-Hydroxystearic acid-Gi1/β1/γ2
37.50Single8JLPRalmitaront8JLP-TA1-Ralmitaront-Gs/β1/γ2
37.50Single8JXWVUF68848JXW-H4-VUF6884-Gi1/β1/γ2
37.50Single8JXXClobenpropit8JXX-H4-Clobenpropit-Gi1/β1/γ2
37.50Single8T1VPubChem 1183102098T1V-GPR6-PubChem 118310209-Na
37.50Single8VVFJDTic8VVF-κ-JDTic-Gi1/β1/γ2
37.50Single8XVLZibotentan8XVL-ETA-Zibotentan
37.50Consensus5ht1_offOrthosteric Ligand5ht1b_off
37.50Consensus5ht1b_offOrthosteric Ligand5V54-5-HT1B-Methiothepin
37.50Consensus5ht_offOrthosteric Ligand5ht2_off 5ht1_off
37.50Consensusgs_adrenergicOrthosteric Ligand7DHI-β2-Salbutamol-Gs/β1/γ2 7XJI-β3-Solabegron-Gs/β1/γ2 7JJO-β1-Isoprenaline-Gs/β1/γ2 6NI3-β2-BI167107-Gs/β1/γ2 8DCR-β1-Dobutamine-Gs/β1/γ2 7XJH-β3-Isoprenaline-Gs/β1/γ2 7DH5-β3-Mirabegron-Gs/β1/γ2
37.50Consensush4_on_gpOrthosteric Ligand8HN8-H4-Histamine-Gi1/β1/γ2 8HOC-H4-Imetit-Gi1/β1/γ2 8JXV-H4-Clozapine-Gi1/β1/γ2 8JXW-H4-VUF6884-Gi1/β1/γ2 8JXX-H4-Clobenpropit-Gi1/β1/γ2
36.84Single4IARErgotamine4IAR-5-HT1B-Ergotamine
36.84Single4IB4Ergotamine4IB4-5-HT2B-Ergotamine
36.84Single8DCRDobutamine8DCR-β1-Dobutamine-Gs/β1/γ2
36.84Single8PKMBefiradol8PKM-5-HT1A-Befiradol-Gi1/β1/γ1
36.84Single8WDTphotoNECA8WDT-A2A-photoNECA
36.84Single8ZSPLSD8ZSP-TA1-LSD-chim(NtGi1L-Gs)/β1/γ2
36.84Consensusgi_opioidOrthosteric Ligand8F7R-μ-Endomorphin-Gi1/β1/γ2 8EF5-μ-Fentanyl-Gi1/β1/γ2 7SCG-μ-FH210-Gi1/β1/γ2 7T2H-μ-Lofentanil-Gi1/β1/γ2 7T2G-μ-Mitragynine Pseudoindoxyl-Gi1/β1/γ2 8DZP-κ-momSalB-Gi1/β1/γ2 8EF6-μ-Morphine-Gi1/β1/γ2 8F7X-NOP-Nociceptin-Gi1/β1/γ2 8EFB-μ-Oliceridine-Gi1/β1/γ2 7U2L-μ-C5-guano-Gi1/β1/γ2 8EFO-μ-PZM21-Gi1/β1/γ2 8EFL-μ-SR17018-Gi1/β1/γ2 8F7Q-μ-β-Endorphin-Gi1/β1/γ2 7U2K-μ-C6-guano-Gi1/β1/γ2 8EFQ-μ-DAMGO-Gi1/β1/γ2 8F7S-δ-Deltorphin-Gi1/β1/γ2 8F7W-κ-Dynorphin-Gi1/β1/γ2
36.84Consensusmop_offOrthosteric Ligand4DKL-μ-β-Funaltrexamine 8QOT-μ-Nanobody-E 7UL4-μ-Alvimopan
36.36Single6OY9All-trans-Retinal6OY9-Rhodopsin-All-trans-Retinal-Gt/β1/γ1
36.36Single7DD5Ca; Ca; Tryptophan; NPS-21437DD5-CaS; CaS-Ca-Ca; Ca; Tryptophan; NPS-2143
36.36Single8DPHLorcaserin8DPH-5-HT2C-Lorcaserin-chim(NtGi2L-Gs-CtGq)/β1/γ2
36.36Single8IWM2-Phenylethylamine8IWM-TAA9-2-Phenylethylamine
36.36Single8WC5Tetramethylammonium Ion8WC5-TA1-Tetramethylammonium Ion-chim(NtGi1-Gs)/β1/γ2
35.71Single2YDOAdenosine2YDO-A2A-Adenosine
35.71Single3UZCPubChem 1355666093UZC-A2A-PubChem 135566609
35.71Single4MBSMaraviroc4MBS-CCR5-Maraviroc
35.71Single5TE3Octyl-Beta-D-Glucopyranoside5TE3-Rhodopsin-Octyl-β-D-Glucopyranoside
35.71Single6IQLL7458706IQL-D4-L745870
35.71Single6ME42-Iodomelatonin6ME4-MT1-2-Iodomelatonin
35.71Single6TPGEMPA6TPG-OX2-EMPA
35.71Single6TPKRetosiban6TPK-OT-Retosiban
35.71Single7SR8TAK-9257SR8-OX2-TAK-925-chim(NtGi1L-Gs-CtGq)/β1/γ2
35.71Single7UL3Famotidine7UL3-H2-Famotidine
35.71Single7UM7Methylergometrine7UM7-5-HT5A-Methylergometrine-chim(NtGi1-Go)/β1/γ2
35.71Single7VODCariprazine7VOD-5-HT2A-Cariprazine
35.71Single8DPGPsilocin8DPG-5-HT2C-Psilocin-chim(NtGi2L-Gs-CtGq)/β1/γ2
35.71Single8FCZ11-cis-Retinal8FCZ-Rhodopsin-11-cis-Retinal
35.71Single8GEAConstrained Epinephrine8GEA-β2-Constrained Epinephrine-Gs/β1/γ2
35.71Single8GG8Constrained Epinephrine8GG8-β2-Constrained Epinephrine-GTP-Gs/β1/γ2
35.71Single8GGSConstrained Epinephrine8GGS-β2-Constrained Epinephrine
35.71Single8GGTConstrained Epinephrine8GGT-β2-Constrained Epinephrine
35.71Single8JLQFenoldopam8JLQ-TA1-Fenoldopam-Gs/β1/γ2
35.71Single8PM2DMCHA8PM2-TA7-DMCHA-Gs/β1/γ2
35.71Single8RLNLUF58348RLN-A2A-LUF5834
35.71Single8UO0Constrained Epinephrine8UO0-β2-Constrained Epinephrine-GTP-Gs/β1/γ2
35.71Single8WPGTryptophan; Cinacalcet; PO4; Ca8WPG-CaS; CaS-Tryptophan; Cinacalcet; PO4; Ca
35.71Single8Y01All-trans-Retinal8Y01-Opsin1MW-All-trans-Retinal-Gi1/β1/γ2
35.71Single8Y45ADL58598Y45-δ-ADL5859-Gi2/β1/γ2
35.71Single8YH2Adenosine8YH2-A3A-Adenosine-Gi1/β1/γ2
35.71Single9EPQ11,20-Ethanoretinal9EPQ-Rhodopsin-11,20-Ethanoretinal-chim(Gi1-CtGq)/β1/γ2
35.71Single9L8LBI1671079L8L-β2-BI167107-Atazanavir-Gs/β1/γ2 ; Arrestin2
35.71Single9PXXNaloxone9PXX-μ-Naloxone-GDPβS-Gi1/β1/γ2
35.71Consensusopsins_offOrthosteric Ligandrhodopsin_off
35.71Consensusot_offOrthosteric Ligand6TPK-OT-Retosiban
35.71Consensussensory_offOrthosteric Ligandopsins_off
35.71Consensusvasop-oxy_offOrthosteric Ligandot_off
35.29Single2YCXCyanopindolol2YCX-β1-Cyanopindolol
35.29Single4PXFOctyl-Beta-D-Glucopyranoside4PXF-Rhodopsin-Octyl-β-D-Glucopyranoside-Arrestin1 Finger Loop
35.29Single4RWADIPP-NH24RWA-δ-DIPP-NH2
35.29Single6A93Risperidone6A93-5-HT2A-Risperidone
35.29Single6DRYMethylergometrine6DRY-5-HT2B-Methylergometrine
35.29Single7DFPSpiperone7DFP-D2-Spiperone
35.29Single7DH5Mirabegron7DH5-β3-Mirabegron-Gs/β1/γ2
35.29Single7EPENAM5637EPE-mGlu2-NAM563
35.29Single7EVYSiponimod7EVY-S1P1-Siponimod-Gi1/β1/γ2
35.29Single8JD3JNJ-404118138JD3-mGlu2; mGlu3-Glutamate-JNJ-40411813-Gi1/β1/γ2
35.29Single8JJLOlodaterol8JJL-β2-Olodaterol
35.29Single8JWY2-1188JWY-A2A-2-118
35.29Single8JWZEtrumadenant8JWZ-A2A-Etrumadenant-Na
35.29Single8T3QDoconexent8T3Q-FFA4-Doconexent-chim(NtGi2L-Gs-CtGq)/β1/γ2
35.29Single8W1VPubChem 1717162658W1V-β2-PubChem 171716265
35.29Single9EBIPiclidenoson9EBI-A3A-Piclidenoson-chim(NtGi1L-Gs-CtGi1)/β1/γ2
35.29Single9GL2Befiradol9GL2-5-HT1A-Befiradol-Gs/β1/γ2
35.29Single9WSVDAMGO9WSV-μ-DAMGO-Arrestin2
35.29Single9YDQDADLE9YDQ-δ-DADLE-MIPS3614-chim(NtGi1L-Gs-CtGi1)/β1/γ2
35.29Consensus5ht1a_onOrthosteric Ligand8FYT-5-HT1A-LSD-PtdIns4P-Gi1/β1/γ1 7E2Y-5-HT1A-Serotonin-PtdIns4P-Gi1/β1/γ2 7E2Z-5-HT1A-Aripiprazole-PtdIns4P-Gi1/β1/γ2 8FYX-5-HT1A-Buspirone-PtdIns4P-Gi1/β1/γ1 8JSP-5-HT1A-Ulotaront-Gi1/β1/γ2 8JT6-5-HT1A-(R)-IHCH-7179-PtdIns4P-Gi1/β1/γ2 8FY8-5-HT1A-5-MeO-DMT-PtdIns4P-Gi1/β1/γ1 8FYE-5-HT1A-4-F,5-MeO-PyrT-PtdIns4P-Gi1/β1/γ1 8FYL-5-HT1A-Vilazodone-PtdIns4P-Gi1/β1/γ1
35.29Consensus5ht1a_on_gpOrthosteric Ligand8FYT-5-HT1A-LSD-PtdIns4P-Gi1/β1/γ1 8FYX-5-HT1A-Buspirone-PtdIns4P-Gi1/β1/γ1 8JSP-5-HT1A-Ulotaront-Gi1/β1/γ2 8JT6-5-HT1A-(R)-IHCH-7179-PtdIns4P-Gi1/β1/γ2 7E2Y-5-HT1A-Serotonin-PtdIns4P-Gi1/β1/γ2 7E2Z-5-HT1A-Aripiprazole-PtdIns4P-Gi1/β1/γ2 8FY8-5-HT1A-5-MeO-DMT-PtdIns4P-Gi1/β1/γ1 8FYE-5-HT1A-4-F,5-MeO-PyrT-PtdIns4P-Gi1/β1/γ1 8FYL-5-HT1A-Vilazodone-PtdIns4P-Gi1/β1/γ1
35.29Consensusbeta3_onOrthosteric Ligand7DH5-β3-Mirabegron-Gs/β1/γ2 7XJH-β3-Isoprenaline-Gs/β1/γ2 7XJI-β3-Solabegron-Gs/β1/γ2
35.29Consensusbeta3_on_gpOrthosteric Ligand7DH5-β3-Mirabegron-Gs/β1/γ2 7XJH-β3-Isoprenaline-Gs/β1/γ2 7XJI-β3-Solabegron-Gs/β1/γ2
35.29Consensuss1p1_onOrthosteric Ligand7VIE-S1P1-S1P-Gi1/β1/γ2 7VIF-S1P1-FTY720-P-Gi1/β1/γ2 7VIG-S1P1-CBP-307-Gi1/β1/γ2 7EVY-S1P1-Siponimod-Gi1/β1/γ2 7EVZ-S1P1-Cenerimod-Gi1/β1/γ2 7EW0-S1P1-Ozanimod-Gi1/β1/γ2 7EW7-S1P1-SEW2871-Gi1/β1/γ2
35.29Consensuss1p1_on_gpOrthosteric Ligand7VIE-S1P1-S1P-Gi1/β1/γ2 7VIF-S1P1-FTY720-P-Gi1/β1/γ2 7VIG-S1P1-CBP-307-Gi1/β1/γ2 7EVY-S1P1-Siponimod-Gi1/β1/γ2 7EVZ-S1P1-Cenerimod-Gi1/β1/γ2 7EW0-S1P1-Ozanimod-Gi1/β1/γ2 7EW7-S1P1-SEW2871-Gi1/β1/γ2
35.00Single3QAKUK-4320973QAK-A2A-UK-432097
35.00Single6HLOAprepitant6HLO-NK1-Aprepitant
35.00Consensuss1p3_on_gpOrthosteric Ligand7EW3-S1P3-S1P-Gi1/β1/γ2 7EW4-S1P3-CYM-5541-Gi1/β1/γ2 7EW2-S1P3-FTY720-P-Gi1/β1/γ2
33.33Single1HZX11-cis-Retinal1HZX-Rhodopsin-11-cis-Retinal
33.33Single2J4Y11-cis-Retinal2J4Y-Rhodopsin-11-cis-Retinal
33.33Single2Y04Salbutamol2Y04-β1-Salbutamol
33.33Single3C9M11-cis-Retinal3C9M-Rhodopsin-11-cis-Retinal
33.33Single4QKXPubChem 762106284QKX-β2-PubChem 76210628
33.33Single4X1HNonyl-Beta-D-Glucopyranoside4X1H-Rhodopsin-Nonyl-β-D-Glucopyranoside-Gt(CT)
33.33Single5DHHSB-6121115DHH-NOP-SB-612111
33.33Single5OLZPubChem 1355666095OLZ-A2A-PubChem 135566609-Na
33.33Single5OM1PubChem 1355666095OM1-A2A-PubChem 135566609-Na
33.33Single5TUDErgotamine5TUD-5-HT2B-Ergotamine
33.33Single5WF5UK-4320975WF5-A2A-UK-432097
33.33Single6BQGErgotamine6BQG-5-HT2C-Ergotamine
33.33Single6BQHRitanserin6BQH-5-HT2C-Ritanserin
33.33Single6DDFDAMGO6DDF-μ-DAMGO-Gi1/β1/γ2
33.33Single6DRXLisuride6DRX-5-HT2B-Lisuride
33.33Single6DRZMethysergide6DRZ-5-HT2B-Methysergide
33.33Single6PT2KGCHM076PT2-δ-KGCHM07
33.33Single7BU7BI1671077BU7-β1-BI167107
33.33Single7DB6Ramelteon7DB6-MT1-Ramelteon-Gi1/β1/γ2
33.33Single7DD7Ca; Ca; Tryptophan; Evocalcet7DD7-CaS; CaS-Ca-Ca; Ca; Tryptophan; Evocalcet
33.33Single7EJKOxymetazoline7EJK-α2a-Oxymetazoline-Go/β1/γ2
33.33Single7EVZCenerimod7EVZ-S1P1-Cenerimod-Gi1/β1/γ2
33.33Single7EW0Ozanimod7EW0-S1P1-Ozanimod-Gi1/β1/γ2
33.33Single7EZCUK-4320977EZC-A2A-UK-432097
33.33Single7F23Dopamine7F23-D1-Dopamine-GDP-Gs/β1/γ2
33.33Single7JVRBromoergocryptine7JVR-D2-Bromoergocryptine-Gi1/β1/γ2
33.33Single7M3JNPS-2143; PO47M3J-CaS; CaS-NPS-2143; PO4
33.33Single7MTSADX551647MTS-mGlu2; mGlu2-Glutamate-ADX55164-Gi1/β1/γ2
33.33Single7SCGFH2107SCG-μ-FH210-Gi1/β1/γ2
33.33Single7SK7CCX6627SK7-ACKR3-CXCL12-CCX662
33.33Single7U2KC6-guano7U2K-μ-C6-guano-Gi1/β1/γ2
33.33Single7VH0Ramelteon7VH0-MT2-Ramelteon-Gi1/β1/γ1
33.33Single7WC5Psilocin7WC5-5-HT2A-Psilocin
33.33Single7WC8Lumateperone7WC8-5-HT2A-Lumateperone
33.33Single7WVVfMLFII7WVV-FPR2-ALX-fMLFII-Gi2/β1/γ2
33.33Single7XJISolabegron7XJI-β3-Solabegron-Gs/β1/γ2
33.33Single8CU6LJ-45178CU6-A2A-LJ-4517
33.33Single8CU7LJ-45178CU7-A2A-LJ-4517-Na
33.33Single8E0GBU728E0G-μ-BU72
33.33Single8GGFConstrained Epinephrine8GGF-β2-Constrained Epinephrine-GTP-Gs/β1/γ2
33.33Single8GH1Constrained Epinephrine8GH1-β2-Constrained Epinephrine
33.33Single8IW72-Phenylethylamine8IW7-TAA9-2-Phenylethylamine-chim(NtGi1-Gs)/β1/γ2
33.33Single8PJKST1718PJK-5-HT1A-ST171-Gi1/β1/γ1
33.33Single8SZFCa; Ca; Tryptophan; Cinacalcet; PO4; Spermine8SZF-CaS; CaS-Ca; Ca; Tryptophan; Cinacalcet; PO4; Spermine
33.33Single8T1WCVN4248T1W-GPR6-CVN424
33.33Single8XIOL7975918XIO-SST1-L797591-chim(NtGi1-Gs-CtGi1)/β1/γ2
33.33Single8YN9Histamine8YN9-H4-Histamine-Gi1/β1/γ2
33.33Single8YUUHistamine8YUU-H3-Histamine-Gi1/β1/γ1
33.33Single9B54VIP369B54-CB1-VIP36-Gi1/β1/γ2
33.33Single9BQJRO769BQJ-μ-RO76-Gi1/β1/γ2
33.33Single9D61JDTic9D61-κ-JDTic-Gi1/β1/γ2
33.33Single9HYIDP819HYI-5-HT1A-DP81-Gi1/β1/γ2
33.33Single9JG1Adriforant9JG1-H4-Adriforant
33.33Single9KDFRES-701-39KDF-ETB-RES-701-3
33.33Single9LRCHistamine9LRC-H4-Histamine
33.33Single9LREHistamine9LRE-H4-Histamine-Gi1/β1/γ2
33.33Single9M54Neuropeptide-VF9M54-NPFF2-Neuropeptide-VF-Gi1/β1/γ2
33.33Single9YDPDADLE9YDP-δ-DADLE-chim(NtGi1L-Gs-CtGi1)/β1/γ2
33.33Single9YDRDADLE9YDR-δ-DADLE-MIPS3983-chim(NtGi1L-Gs-CtGi1)/β1/γ2
33.33Consensus5ht2b_offOrthosteric Ligand6DRZ-5-HT2B-Methysergide
33.33Consensus5ht2c_offOrthosteric Ligand6BQH-5-HT2C-Ritanserin
33.33Consensusadenosine_on_gpOrthosteric Liganda1_on_gp a2_on_gp a3_on_gp
33.33Consensusgi_s1pOrthosteric Ligand7VIE-S1P1-S1P-Gi1/β1/γ2 7EW3-S1P3-S1P-Gi1/β1/γ2 7EVY-S1P1-Siponimod-Gi1/β1/γ2 7EW1-S1P5-Siponimod-Gi1/β1/γ2 7VIF-S1P1-FTY720-P-Gi1/β1/γ2 7VIG-S1P1-CBP-307-Gi1/β1/γ2 7EVZ-S1P1-Cenerimod-Gi1/β1/γ2 7EW4-S1P3-CYM-5541-Gi1/β1/γ2 7EW2-S1P3-FTY720-P-Gi1/β1/γ2 7EW0-S1P1-Ozanimod-Gi1/β1/γ2 7EW7-S1P1-SEW2871-Gi1/β1/γ2
33.33Consensush3_onOrthosteric Ligand8YUU-H3-Histamine-Gi1/β1/γ1
33.33Consensush3_on_gpOrthosteric Ligand8YUU-H3-Histamine-Gi1/β1/γ1
33.33Consensuskop_on_gpOrthosteric Ligand8F7W-κ-Dynorphin-Gi1/β1/γ2 8DZS-κ-GR89,696-chim(NtGi2-Gz)/β1/γ2 8DZP-κ-momSalB-Gi1/β1/γ2
33.33Consensusorexin_on_gpOrthosteric Ligandox2_on_gp
33.33Consensuspeptide_offOrthosteric Ligandcck_off angiotensin_off bombesin_off endothelin_off ghrelin_off npy_off opioid_off orexin_off somatostatin_off tachykinin_off vasop-oxy_off neurotensin_off
31.82Single7W40Bombesin7W40-BB2-Bombesin-chim(NtGi1L-Gq)/β1/γ2
31.58Single5ZTYAM102575ZTY-CB2-AM10257
31.58Single7SK9CCX6627SK9-ACKR3-CCX662
31.58Single7XY6BAY 60-65837XY6-A2B-BAY 60-6583-chim(NtGi1-Gs)/β1/γ2
31.58Single8Y72Peptide8Y72-μ-Peptide-BMS-986122-Gi1/β1/γ2
31.58Single9MD1Buspirone9MD1-5-HT1A-Buspirone-PtdIns4P-Gz/β1/γ2
31.58Consensuscb2_offOrthosteric Ligand5ZTY-CB2-AM10257
31.58Consensusox2_onOrthosteric Ligand7L1V-OX2-PubChem 155491009-chim(NtGi1-Gs-CtGq)/β1/γ2 7SQO-OX2-TAK-925-Gi1/β1/γ2 7L1U-OX2-Orexin-chim(NtGi1-Gs-CtGq)/β1/γ2
31.58Consensusox2_on_gpOrthosteric Ligand7L1V-OX2-PubChem 155491009-chim(NtGi1-Gs-CtGq)/β1/γ2 7SQO-OX2-TAK-925-Gi1/β1/γ2 7L1U-OX2-Orexin-chim(NtGi1-Gs-CtGq)/β1/γ2
31.58Consensuss1p_onOrthosteric Ligands1p1_on s1p3_on s1p5_on
31.58Consensuss1p_on_gpOrthosteric Ligands1p1_on_gp s1p3_on_gp s1p5_on_gp
31.25Single5NM2ZM-2413855NM2-A2A-ZM-241385-Na
31.25Single5OM4PubChem 1355666095OM4-A2A-PubChem 135566609-Na
31.25Single5WQCEMPA5WQC-OX2-EMPA
31.25Single5ZBQUR-MK-2995ZBQ-Y1-UR-MK-299
31.25Single6GDGNECA6GDG-A2A-NECA-Gs/β1/γ1
31.25Single6LUQHaloperidol6LUQ-D2-Haloperidol
31.25Single6ME82-Phenylmelatonin6ME8-MT2-2-Phenylmelatonin
31.25Single7E9GJNJ-404118137E9G-mGlu2; mGlu2-Eglumetad-JNJ-40411813-Gi1/β1/γ2
31.25Single7EPFNAM5977EPF-mGlu2-NAM597
31.25Single7LD3Adenosine7LD3-A1-Adenosine-MIPS521-Gi2/β1/γ2
31.25Single7M3JNPS-2143; PO47M3J-CaS; CaS-NPS-2143; PO4
31.25Single7SBFPZM217SBF-μ-PZM21-Gi1/β1/γ2
31.25Single7VUHJNJ-635330547VUH-GPR139-JNJ-63533054-chim(Gs-CtGq)/β1/γ2
31.25Single7W41PD1762527W41-BB2-PD176252
31.25Single7X1TTaltirelin7X1T-TRH-Taltirelin-chim(NtGi2L-Gs-CtGq)/β1/γ2
31.25Single8DZQmomSalB8DZQ-κ-momSalB-Go/β1/γ2
31.25Single8QOTNanobody-E8QOT-μ-Nanobody-E
31.25Single8SZGCa; Ca; Tryptophan; Cinacalcet; PO4; Spermine8SZG-CaS; CaS-Ca; Ca; Tryptophan; Cinacalcet; PO4; Spermine-chim(NtGi1-Gq)/β1/γ2
31.25Single8YH0NECA8YH0-A3A-NECA-Gi1/β1/γ2
31.25Single8ZRKGSK12922638ZRK-GPR119-GSK1292263-Gs/β1/γ2
31.25Single9AXFCa; Ca; Ca; Cyclomethyltryptophan; R-568; PO49AXF-CaS; CaS-Ca-Ca; Ca; Ca; Cyclomethyltryptophan; R-568; PO4-chim(NtGi1-Gs-CtGq)/β1/γ2
31.25Single9U81Tolvaptan9U81-V2-Tolvaptan
31.25Single9VJFBuspirone9VJF-5-HT1A-Buspirone-Gi3/β1/γ2
31.25Consensusadenosine_offOrthosteric Liganda1_off a2_off
31.25Consensusbb2_offOrthosteric Ligand7W41-BB2-PD176252
31.25Consensusbombesin_offOrthosteric Ligandbb2_off
30.77Single1L9H11-cis-Retinal1L9H-Rhodopsin-11-cis-Retinal
30.77Single5TE520-Methanoretinal5TE5-Rhodopsin-20-Methanoretinal
30.77Single6HLLCP999946HLL-NK1-CP99994
30.77Single6I9K9-cis-Retinal6I9K-Rhodopsin-9-cis-Retinal
30.77Single6TP4ACT-4622066TP4-OX1-ACT-462206
30.77Single7DD5Ca; Ca; Tryptophan; NPS-21437DD5-CaS; CaS-Ca-Ca; Ca; Tryptophan; NPS-2143
30.77Single8GGYConstrained Epinephrine8GGY-β2-Constrained Epinephrine
30.77Single9JEDHistamine9JED-H4-Histamine-PO4-Gi1/β1/γ2
30.77Single9L3ZLRH7-C29L3Z-CML1-LRH7-C2
30.77Consensush4_onOrthosteric Ligand8HN8-H4-Histamine-Gi1/β1/γ2 8HOC-H4-Imetit-Gi1/β1/γ2 8JXV-H4-Clozapine-Gi1/β1/γ2 8JXW-H4-VUF6884-Gi1/β1/γ2 8JXX-H4-Clobenpropit-Gi1/β1/γ2
30.00Single7WVWfMYFINILTL7WVW-FPR2-ALX-fMYFINILTL-Gi2/β1/γ2
30.00Single8WCBCyclohexylammonium Ion8WCB-TA1-Cyclohexylammonium Ion-chim(NtGi1-Gs-CtGq)/β1/γ2
30.00Single8WCCCyclohexylammonium Ion8WCC-TA1-Cyclohexylammonium Ion
30.00Single9BUYLM1899BUY-β2-LM189-Gi1/β1/γ2
29.41Single4DJHJDTic4DJH-κ-JDTic
29.41Single4Z34ONO-97803074Z34-LPA1-ONO-9780307
29.41Single6DDEDAMGO6DDE-μ-DAMGO-Gi1/β1/γ2
29.41Single7B6WCyclazosin7B6W-α1b-Cyclazosin
29.41Single7WVXHumanin7WVX-FPR2-ALX-Humanin-Gi2/β1/γ2
29.41Single7XY7NECA7XY7-A2B-NECA-chim(NtGi1-Gs)/β1/γ2
29.41Single8EF5Fentanyl8EF5-μ-Fentanyl-Gi1/β1/γ2
29.41Single8HDOBAY 60-65838HDO-A2B-BAY 60-6583-Gs/β1/γ2
29.41Single8ID6Oleic acid8ID6-FFA4-Oleic acid-Gi1/β1/γ2
29.41Single8IYHMK68928IYH-HCA2-MK6892-Go/β1/γ2
29.41Single8JD5JNJ-40411813; ADX881788JD5-mGlu2; mGlu4-Glutamate-JNJ-40411813; ADX88178-Gi1/β1/γ2
29.41Single8JT6(R)-IHCH-71798JT6-5-HT1A-(R)-IHCH-7179-PtdIns4P-Gi1/β1/γ2
29.41Single8UGWCGS216808UGW-A2A-CGS21680
29.41Single8YH6Namodenoson8YH6-A3A-Namodenoson-Gi1/β1/γ2
29.41Single9KVPSB2901579KVP-C3aB-SB290157-Go/β1/γ2
29.41Consensusa2_onOrthosteric Liganda2b_on
29.41Consensusa2_on_gpOrthosteric Liganda2b_on_gp
29.41Consensusa2b_onOrthosteric Ligand8HDP-A2B-Adenosine-Gs/β1/γ2 7XY6-A2B-BAY 60-6583-chim(NtGi1-Gs)/β1/γ2 7XY7-A2B-NECA-chim(NtGi1-Gs)/β1/γ2 8HDO-A2B-BAY 60-6583-Gs/β1/γ2
29.41Consensusa2b_on_gpOrthosteric Ligand8HDP-A2B-Adenosine-Gs/β1/γ2 7XY6-A2B-BAY 60-6583-chim(NtGi1-Gs)/β1/γ2 7XY7-A2B-NECA-chim(NtGi1-Gs)/β1/γ2 8HDO-A2B-BAY 60-6583-Gs/β1/γ2
29.41Consensusclass-a_offOrthosteric Ligandsensory_off alicarboxylic_off amine_off lipid_off nucleotide_off peptide_off protein_off
29.41Consensusgs_adenosineOrthosteric Ligand8HDP-A2B-Adenosine-Gs/β1/γ2 8HDO-A2B-BAY 60-6583-Gs/β1/γ2 7XY7-A2B-NECA-chim(NtGi1-Gs)/β1/γ2 7XY6-A2B-BAY 60-6583-chim(NtGi1-Gs)/β1/γ2
29.41Consensusgs_nucleotideOrthosteric Ligandgs_adenosine
29.41Consensuskop_offOrthosteric Ligand4DJH-κ-JDTic
28.57Single1GZM11-cis-Retinal1GZM-Rhodopsin-11-cis-Retinal
28.57Single2X72All-trans-Retinal2X72-Rhodopsin-All-trans-Retinal-Gt(CT)
28.57Single3C9L11-cis-Retinal3C9L-Rhodopsin-11-cis-Retinal
28.57Single3V2WPubChem 518926453V2W-S1P1-PubChem 51892645
28.57Single3VG9ZM-2413853VG9-A2A-ZM-241385-Antibody
28.57Single3VGAZM-2413853VGA-A2A-ZM-241385-Antibody
28.57Single6AKYMaraviroc6AKY-CCR5-Maraviroc
28.57Single6D9HAdenosine6D9H-A1-Adenosine-Gi2/β1/γ2
28.57Single6DS0LY2660976DS0-5-HT2B-LY266097
28.57Single6TODEMPA6TOD-OX1-EMPA-Na
28.57Single6TQ6PubChem 1457142836TQ6-OX1-PubChem 145714283
28.57Single7F8ULintitript7F8U-CCKA-Lintitript
28.57Single7VUJJNJ-635330547VUJ-GPR139-JNJ-63533054-GDP-chim(Gs-CtGq)/β1/γ2
28.57Single7W0MPubChem 1227019087W0M-Apelin-PubChem 122701908-Gi1/β1/γ2
28.57Single8A6CAll-trans-Retinal8A6C-Rhodopsin-All-trans-Retinal
28.57Single8A6DAll-trans-Retinal8A6D-Rhodopsin-All-trans-Retinal
28.57Single8A6EAll-trans-Retinal8A6E-Rhodopsin-All-trans-Retinal
28.57Single8DU3PubChem 1055260648DU3-A2A-PubChem 105526064
28.57Single8EFOPZM218EFO-μ-PZM21-Gi1/β1/γ2
28.57Single8GGCConstrained Epinephrine8GGC-β2-Constrained Epinephrine-GTP-Gs/β1/γ2
28.57Single8HDPAdenosine8HDP-A2B-Adenosine-Gs/β1/γ2
28.57Single8IW4Spermidine8IW4-TAA9-Spermidine-chim(NtGi1-Gs)/β1/γ2
28.57Single8IWESpermidine8IWE-TAA9-Spermidine
28.57Single8J20Valeric acid8J20-FFA3-Valeric acid-AR420626-Gi1/β1/γ2
28.57Single8T3SButyric acid8T3S-FFA2-Butyric acid-chim(NtGi2L-Gs-CtGq)/β1/γ2
28.57Single8WPGTryptophan; Cinacalcet; PO4; Ca8WPG-CaS; CaS-Tryptophan; Cinacalcet; PO4; Ca
28.57Single8Y0HVUF114188Y0H-CXCR3-VUF11418
28.57Single8Y0NVUF114188Y0N-CXCR3-VUF11418-Go/β1/γ2
28.57Single8YYWAlpha-ketoglutarate8YYW-Oxoglutarate-α-ketoglutarate-α-ketoglutarate-chim(Gi1-CtGq)/β1/γ2
28.57Single9AVLCa; Ca; Cyclomethyltryptophan; R-568; PO49AVL-CaS; CaS-Ca-Ca; Ca; Cyclomethyltryptophan; R-568; PO4-Gi3/β2/γ2
28.57Single9C2FCa; Ca; Tryptophan; '54149; PO49C2F-CaS; CaS-Ca-Ca; Ca; Tryptophan; '54149; PO4
28.57Single9EBHAdenosine9EBH-A3A-Adenosine-Gi1/β1/γ2
28.57Single9H2XPubChem 1756706449H2X-A2A-PubChem 175670644-Na
28.57Single9J5VCpY9J5V-LPA1-CpY-Gi1/β1/γ2
28.57Single9PEEPF-07054894; OXM29PEE-CCR6-PF-07054894; OXM2
28.57Single9W49U-50488H9W49-κ-U-50488H-Gi1/β1/γ2
28.57Consensusorexin_offOrthosteric Ligandox2_off ox1_off
28.57Consensusox2_offOrthosteric Ligand5WQC-OX2-EMPA 6TPN-OX2-HTL6641 7XRR-OX2-Lemborexant 6TPJ-OX2-Suvorexant
28.57Consensuss1p1_offOrthosteric Ligand3V2W-S1P1-PubChem 51892645
28.57Consensussensory_offonOrthosteric Ligandsensory_off sensory_on
28.57Consensussensory_offon_gpOrthosteric Ligandsensory_on_gp sensory_on
27.78Single4Z36ONO-30805734Z36-LPA1-ONO-3080573
27.78Single5UNHPubChem 1264564065UNH-AT2-PubChem 126456406
27.78Single7BZ2Arformoterol7BZ2-β2-Arformoterol-Gs/β1/γ2
27.78Single7EW2FTY720-P7EW2-S1P3-FTY720-P-Gi1/β1/γ2
27.78Single7JNIOlodanrigan7JNI-AT2-Olodanrigan
27.78Single7L1VPubChem 1554910097L1V-OX2-PubChem 155491009-chim(NtGi1-Gs-CtGq)/β1/γ2
27.78Single7MTRADX551647MTR-mGlu2; mGlu2-Glutamate-ADX55164
27.78Single7W0LPubChem 1227019087W0L-Apelin; Apelin-PubChem 122701908-Gi1/β1/γ2
27.78Single7W0LPubChem 1227019087W0L-Apelin; Apelin-PubChem 122701908-Gi1/β1/γ2
27.78Single7WCNAR2314537WCN-GPR119-AR231453-Gs/β1/γ2
27.78Single7XMTJ-21567XMT-SST4-J-2156-Gi1/β1/γ2
27.78Single7XW9TRH7XW9-TRH-TRH-chim(NtGi1L-Gs-CtGq)/β1/γ2
27.78Single8ID9Icosapent8ID9-FFA4-Icosapent-Gi1/β1/γ2
27.78Single9GYOP3959GYO-GPBA-P395-chim(NtGi1-Gs)/β1/γ2
27.78Single9M4QDoxazosin9M4Q-Alpha1A-Doxazosin
27.78Single9VJ6F-155999VJ6-5-HT1A-F-15599-Gi3/β1/γ2
27.78Consensuscannabinoid_offOrthosteric Ligandcb2_off cb1_off
27.78Consensuskop_onOrthosteric Ligand8F7W-κ-Dynorphin-Gi1/β1/γ2 8DZS-κ-GR89,696-chim(NtGi2-Gz)/β1/γ2 8DZP-κ-momSalB-Gi1/β1/γ2
27.78Consensuslpa1_offOrthosteric Ligand4Z36-LPA1-ONO-3080573 4Z35-LPA1-ONO-9910539 4Z34-LPA1-ONO-9780307
27.78Consensuslpa_offOrthosteric Ligandlpa1_off
27.78Consensuslpl_offOrthosteric Ligands1p_off lpa_off
27.78Consensusorexin_onOrthosteric Ligandox2_on
27.78Consensuss1p3_onOrthosteric Ligand7EW3-S1P3-S1P-Gi1/β1/γ2 7EW4-S1P3-CYM-5541-Gi1/β1/γ2 7EW2-S1P3-FTY720-P-Gi1/β1/γ2
27.78Consensustrh_onOrthosteric Ligand7XW9-TRH-TRH-chim(NtGi1L-Gs-CtGq)/β1/γ2
27.78Consensustrh_on_gpOrthosteric Ligand7XW9-TRH-TRH-chim(NtGi1L-Gs-CtGq)/β1/γ2
27.27Single3PXOAll-trans-Retinal3PXO-Rhodopsin-All-trans-Retinal
27.27Single5DYSAll-trans-Retinal5DYS-Rhodopsin-All-trans-Retinal
27.27Single7T6TfMLFII7T6T-FPR1-ALX-fMLFII-Gi1/β1/γ2
27.27Single7WC4Serotonin7WC4-5-HT2A-Serotonin
27.27Single9M1ONeuropeptide-FF9M1O-NPFF2-Neuropeptide-FF-Gi1/β1/γ2
27.27Single9U4WGonadoliberin-19U4W-GnRH1-Gonadoliberin-1-chim(NtGi1L-Gs-CtGq)/β1/γ2
27.27Consensusgs_class-aOrthosteric Ligandgs_peptide gs_nucleotide gs_amine
26.67Single1F8811-cis-Retinal1F88-Rhodopsin-11-cis-Retinal
26.67Single3OAX11-cis-Retinal3OAX-Rhodopsin-11-cis-Retinal
26.67Single4ZJCSB-6740424ZJC-OX1-SB-674042
26.67Single5IU7Q274563465IU7-A2A-Q27456346-Na
26.67Single5JTBZM-2413855JTB-A2A-ZM-241385
26.67Single5K2BZM-2413855K2B-A2A-ZM-241385-Na
26.67Single5UVIZM-2413855UVI-A2A-ZM-241385
26.67Single6AQFZM-2413856AQF-A2A-ZM-241385
26.67Single6KUXRS799486KUX-α2a-RS79948
26.67Single6PELCitronellol6PEL-Rhodopsin-Citronellol-Gt(CT)
26.67Single6PS82-Phenylmelatonin6PS8-MT1-2-Phenylmelatonin
26.67Single6VI4JDTic6VI4-κ-JDTic
26.67Single6ZDRHMS1413f126ZDR-A2A-HMS1413f12-Na
26.67Single6ZFZ77-LH-28-16ZFZ-M1-77-LH-28-1
26.67Single7F61PF-036547467F61-H3-PF-03654746
26.67Single7T32ZM-2413857T32-A2A-ZM-241385
26.67Single7VUGJNJ-635330547VUG-GPR139-JNJ-63533054-Gi1/β1/γ2
26.67Single7WVUfMLF7WVU-FPR1-ALX-fMLF-Gi1/β1/γ2
26.67Single7ZBC11-cis-Retinal7ZBC-Rhodopsin-11-cis-Retinal
26.67Single7ZBE11-cis-Retinal7ZBE-Rhodopsin-11-cis-Retinal
26.67Single8H4LDoconexent8H4L-FFA4-Doconexent-chim(NtGi1-Gs-CtGq)/β1/γ2
26.67Single8HNMVUF112228HNM-CXCR3-VUF11222-Gi1/β1/γ2
26.67Single8K9KDAMGO8K9K-μ-DAMGO-Gi3/β1/γ1
26.67Single8RQQZM-2413858RQQ-A2A-ZM-241385-Na
26.67Single8WPUTryptophan; Cinacalcet; PO4; Ca8WPU-CaS; CaS-Tryptophan; Cinacalcet; PO4; Ca-chim(NtGi2L-Gs-CtGq)/β1/γ2
26.67Single8ZBWQuin-C18ZBW-FPR2-ALX-Quin-C1-Gi2/β1/γ2
26.67Single9ASBCa; Ca; Cyclomethyltryptophan; R-568; PO49ASB-CaS; CaS-Ca-Ca; Ca; Cyclomethyltryptophan; R-568; PO4-chim(NtGi1-Gs-CtGq)/β1/γ2
26.67Single9ASBCa; Ca; Cyclomethyltryptophan; R-568; PO49ASB-CaS; CaS-Ca-Ca; Ca; Cyclomethyltryptophan; R-568; PO4-chim(NtGi1-Gs-CtGq)/β1/γ2
26.67Single9AVGCa; Ca; Cyclomethyltryptophan; R-568; PO49AVG-CaS; CaS-Ca-Ca; Ca; Cyclomethyltryptophan; R-568; PO4-chim(NtGi1-Gs)/β1/γ2
26.67Single9AXFCa; Ca; Ca; Cyclomethyltryptophan; R-568; PO49AXF-CaS; CaS-Ca-Ca; Ca; Ca; Cyclomethyltryptophan; R-568; PO4-chim(NtGi1-Gs-CtGq)/β1/γ2
26.67Single9K1DButyric acid9K1D-FFA2-Butyric acid-Gi1/β1/γ2
26.67Single9P1TZM-2413859P1T-A2A-ZM-241385
26.67Single9PY2Loperamide9PY2-μ-Loperamide-GDPβS-Gi1/β1/γ2
26.67Consensusa2_offOrthosteric Liganda2a_off
26.67Consensusa2a_offOrthosteric Ligand3RFM-A2A-Caffeine 8C9W-A2A-Etrumadenant 3UZA-A2A-GTPL9236 8GNG-A2A-Istradefylline 8CU6-A2A-LJ-4517 7PX4-A2A-PSB-2113 7PYR-A2A-PSB-2115 8DU3-A2A-PubChem 105526064 8JWY-A2A-2-118 8PWN-A2A-Theophylline 5IU4-A2A-ZM-241385-Na 5OLZ-A2A-PubChem 135566609-Na 6GT3-A2A-Imaradenant-Na 5OLV-A2A-LUAA47070-Na 5N2R-A2A-PSB36-Na 5IU7-A2A-Q27456346-Na 5OLH-A2A-Vipadenant-Na 5OLO-A2A-Tozadenant-Na 6ZDR-A2A-HMS1413f12-Na 8GNE-A2A-KW-6356-Na 8JWZ-A2A-Etrumadenant-Na 5IU8-A2A-Q27456347-Na 5IUB-A2A-Q27456344-Na 6ZDV-A2A-PubChem 984073-Na 5IUA-A2A-Q27456348-Na 8A2P-A2A-LUAA47070-Na
26.67Consensusadenosine_onOrthosteric Liganda1_on a2_on a3_on
26.67Consensusghrelin_offOrthosteric Ligand6KO5-Ghrelin-PubChem 57400002 7F83-Ghrelin-PF-05190457
26.67Consensusgi_adenosineOrthosteric Ligand7LD4-A1-Adenosine-Gi2/β1/γ2 8X17-A3A-Namodenoson-Gi1/β1/γ2 8X16-A3A-Piclidenoson-Gi1/β1/γ2
26.32Single4NC3Ergotamine4NC3-5-HT2B-Ergotamine
26.32Single4Z35ONO-99105394Z35-LPA1-ONO-9910539
26.32Single6K1QIRL25006K1Q-ETB-IRL2500
26.32Single7MBYCholecystokinin-87MBY-CCKA-Cholecystokinin-8-chim(NtGi1L-Gs-CtGq)/β1/γ2
26.32Single7XZ6APD6687XZ6-GPR119-APD668-Gs/β1/γ2
26.32Single8IYSTUG-8918IYS-FFA4-TUG-891-GDP-chim(NtGi1L-Gq)/β1/γ2
26.32Single8XVJMacitentan8XVJ-ETA-Macitentan
26.32Single9L79AR2314539L79-GPR119-AR231453-chim(NtGi1-Gs)/β1/γ2
26.09Single8H4KGW95088H4K-FFA4-GW9508-chim(NtGi1-Gs-CtGq)/β1/γ2
25.93Consensusbb2_onOrthosteric Ligand7W40-BB2-Bombesin-chim(NtGi1L-Gq)/β1/γ2 7W3Z-BB2-Gastrin Releasing Peptide-chim(NtGi1L-Gq)/β1/γ2
25.93Consensusbb2_on_gpOrthosteric Ligand7W40-BB2-Bombesin-chim(NtGi1L-Gq)/β1/γ2 7W3Z-BB2-Gastrin Releasing Peptide-chim(NtGi1L-Gq)/β1/γ2
25.93Consensusbombesin_onOrthosteric Ligandbb2_on
25.93Consensusbombesin_on_gpOrthosteric Ligandbb2_on_gp
25.93Consensusgq_bombesinOrthosteric Ligand7W40-BB2-Bombesin-chim(NtGi1L-Gq)/β1/γ2 7W3Z-BB2-Gastrin Releasing Peptide-chim(NtGi1L-Gq)/β1/γ2
25.00Single2HPYAll-trans-Retinal2HPY-Rhodopsin-All-trans-Retinal
25.00Single2Y01Dobutamine2Y01-β1-Dobutamine
25.00Single3EMLZM-2413853EML-A2A-ZM-241385
25.00Single4EIYZM-2413854EIY-A2A-ZM-241385-Na
25.00Single4J4QOctyl Beta-D-Glucopyranoside4J4Q-Rhodopsin-Octyl β-D-Glucopyranoside-Gt(CT)
25.00Single5IU8Q274563475IU8-A2A-Q27456347-Na
25.00Single5K2AZM-2413855K2A-A2A-ZM-241385-Na
25.00Single5OLGZM-2413855OLG-A2A-ZM-241385-Na
25.00Single5UIGPubChem 1240811965UIG-A2A-PubChem 124081196
25.00Single5VRAZM-2413855VRA-A2A-ZM-241385-Na
25.00Single5WF6UK-4320975WF6-A2A-UK-432097
25.00Single6S0LZM-2413856S0L-A2A-ZM-241385
25.00Single6TOTLemborexant6TOT-OX1-Lemborexant
25.00Single7PP1Selatogrel7PP1-P2Y12-Selatogrel
25.00Single7PYRPSB-21157PYR-A2A-PSB-2115
25.00Single7T6VfMLFII7T6V-FPR2-ALX-fMLFII-Gi1/β1/γ2
25.00Single7UL4Alvimopan7UL4-μ-Alvimopan
25.00Single7VGZRamelteon7VGZ-MT1-Ramelteon-Gi1/β1/γ2
25.00Single7VIFFTY720-P7VIF-S1P1-FTY720-P-Gi1/β1/γ2
25.00Single8EFQDAMGO8EFQ-μ-DAMGO-Gi1/β1/γ2
25.00Single8GEIConstrained Epinephrine8GEI-β2-Constrained Epinephrine-Gs/β1/γ2
25.00Single8H4IDoconexent8H4I-FFA4-Doconexent-chim(NtGi1-Gs)/β1/γ2
25.00Single8X17Namodenoson8X17-A3A-Namodenoson-Gi1/β1/γ2
25.00Single8XOFLys058XOF-GPR30-Lys05-chim(NtGi1-Gs-CtGq)/β1/γ2
25.00Single9H37PubChem 1756706469H37-A2A-PubChem 175670646-Na
25.00Single9JF4PD1683689JF4-BB1-PD168368
25.00Single9KFJPubChem 1383196749KFJ-RXFP3-PubChem 138319674-Gi2/β1/γ2
25.00Single9M0RNeuropeptide-VF9M0R-NPFF1-Neuropeptide-VF-Gi1/β1/γ2
25.00Single9M42A1L8O9M42-GPR139-A1L8O-chim(Gs-CtGq)/β1/γ2
25.00Single9P1SZM-2413859P1S-A2A-ZM-241385
25.00Consensusa3_onOrthosteric Liganda3a_on
25.00Consensuscck_offOrthosteric Ligandccka_off
25.00Consensusccka_offOrthosteric Ligand7F8Y-CCKA-Devazepide 7F8U-CCKA-Lintitript
25.00Consensusopioid_onOrthosteric Ligandmop_on nop_on dop_on kop_on
25.00Consensusopsins_onOrthosteric Ligandrhodopsin_on opsin1lw_on
25.00Consensussensory_onOrthosteric Ligandopsins_on
24.00Consensusopioid_on_gpOrthosteric Ligandmop_on_gp nop_on_gp dop_on_gp kop_on_gp
23.81Single7W0PElabela7W0P-Apelin-Elabela-Gi1/β1/γ2
23.81Single7WKDTRH7WKD-TRH-TRH-chim(NtGi1-Gs-CtGq)/β1/γ2
23.81Single8F7XNociceptin8F7X-NOP-Nociceptin-Gi1/β1/γ2
23.81Single8G59TUG-8918G59-FFA4-TUG-891-chim(Gi1-CtGq)/β1/γ2
23.81Single8IEBPubChem 1347468948IEB-GPR156; GPR156-PubChem 134746894
23.81Single8WZ2Orexigenic Neuropeptide QRFP8WZ2-QRFP-Orexigenic Neuropeptide QRFP-chim(NtGi1L-Gs-CtGq)/β1/γ2
23.81Consensusclass-a_on_gpOrthosteric Ligandsensory_on_gp alicarboxylic_on_gp amine_on_gp lipid_on_gp nucleotide_on_gp peptide_on_gp protein_on_gp
23.81Consensusnop_onOrthosteric Ligand8F7X-NOP-Nociceptin-Gi1/β1/γ2
23.81Consensusnop_on_gpOrthosteric Ligand8F7X-NOP-Nociceptin-Gi1/β1/γ2
23.53Single2Y00Dobutamine2Y00-β1-Dobutamine
23.53Single4WW3All-trans-Retinal4WW3-Rhodopsin-All-trans-Retinal
23.53Single4ZJ8Suvorexant4ZJ8-OX1-Suvorexant
23.53Single5CGCHTL142425CGC-mGlu5-HTL14242
23.53Single5IUAQ274563485IUA-A2A-Q27456348-Na
23.53Single5N2RPSB365N2R-A2A-PSB36-Na
23.53Single5N2SPSB365N2S-A1-PSB36
23.53Single6LPLZM-2413856LPL-A2A-ZM-241385-Na
23.53Single6ME62-Phenylmelatonin6ME6-MT2-2-Phenylmelatonin
23.53Single6S0QZM-2413856S0Q-A2A-ZM-241385
23.53Single6TO7Suvorexant6TO7-OX1-Suvorexant-Na
23.53Single6TP6Filorexant6TP6-OX1-Filorexant
23.53Single6WQAZM-2413856WQA-A2A-ZM-241385-Na
23.53Single7C4SS1P7C4S-S1P3-S1P
23.53Single7CFNINT-7777CFN-GPBA-INT-777-Gs/β1/γ2
23.53Single7EO2FTY720-P7EO2-S1P1-FTY720-P-Gi1/β1/γ2
23.53Single7RM5ZM-2413857RM5-A2A-ZM-241385-Na
23.53Single7SINNPS-21437SIN-CaS; CaS-NPS-2143
23.53Single7SINNPS-21437SIN-CaS; CaS-NPS-2143
23.53Single7WIGL-0542647WIG-SST2-L-054264-Gi1/β1/γ2
23.53Single8FYNZM-2413858FYN-A2A-ZM-241385-Na
23.53Single8GNEKW-63568GNE-A2A-KW-6356-Na
23.53Single8ID4Linoleic acid8ID4-FFA4-Linoleic acid-Gi1/β1/γ2
23.53Single8K8JFenofibrate8K8J-CB1-Fenofibrate-chim(Gs-CtGq)/β1/γ2
23.53Single8KFXLMD-0098KFX-CCR8-LMD-009-Gi1/β1/γ2
23.53Single8S4DCMF-0198S4D-Apelin-CMF-019
23.53Single8TF5Oleic acid8TF5-GPR6-Oleic acid
23.53Single8X0DVU04244658X0D-mGlu5; mGlu5-Quisqualate-VU0424465
23.53Single8X0DVU04244658X0D-mGlu5; mGlu5-Quisqualate-VU0424465
23.53Single8YICSAR2477998YIC-S1P1-SAR247799-Gi1/β1/γ2
23.53Single8YNSSNAP-948478YNS-MCH1-SNAP-94847
23.53Single9AVLCa; Ca; Cyclomethyltryptophan; R-568; PO49AVL-CaS; CaS-Ca-Ca; Ca; Cyclomethyltryptophan; R-568; PO4-Gi3/β2/γ2
23.53Single9AYFCa; Ca; Ca; Cyclomethyltryptophan; R-568; PO49AYF-CaS; CaS-Ca-Ca; Ca; Ca; Cyclomethyltryptophan; R-568; PO4-Gi1/β1/γ2
23.53Single9EHSLUF76029EHS-A3A-LUF7602
23.53Single9HAPTolvaptan9HAP-V2-Tolvaptan
23.53Single9KUVCMPD6449KUV-Apelin-CMPD644-Arrestin2
23.53Single9M8POleic monoethanolamide9M8P-GPR3 ; GPR3-Oleic monoethanolamide-AF64394
23.53Consensusa1_offOrthosteric Ligand5UEN-A1-DU172 5N2S-A1-PSB36
23.53Consensusa3_on_gpOrthosteric Liganda3a_on_gp
23.53Consensusa3a_onOrthosteric Ligand8X17-A3A-Namodenoson-Gi1/β1/γ2 8X16-A3A-Piclidenoson-Gi1/β1/γ2
23.53Consensusa3a_on_gpOrthosteric Ligand8X17-A3A-Namodenoson-Gi1/β1/γ2 8X16-A3A-Piclidenoson-Gi1/β1/γ2
23.53Consensusnucleotide_onOrthosteric Ligandadenosine_on p2y_on
23.08Single3PQRAll-trans-Retinal3PQR-Rhodopsin-All-trans-Retinal-Gt(CT)
23.08Single3UZAGTPL92363UZA-A2A-GTPL9236
23.08Single5WKTOctyl-Beta-D-Glucopyranoside5WKT-Rhodopsin-Octyl-β-D-Glucopyranoside-Gt(CT)
23.08Single6FUFAll-trans-Retinal6FUF-Rhodopsin-All-trans-Retinal-Go
23.08Single7MT8All-trans-Retinal7MT8-Rhodopsin-All-trans-Retinal-GRK1
23.08Single7WVYAmyloid-Beta427WVY-FPR2-ALX-Amyloid-β42-Gi2/β1/γ2
23.08Single8GGEConstrained Epinephrine8GGE-β2-Constrained Epinephrine-GTP-Gs/β1/γ2
23.08Single8ITFDMCHA8ITF-TAA9-DMCHA-chim(NtGi1-Gs)/β1/γ2
23.08Single8IU2All-trans-Retinal8IU2-Opsin1LW-All-trans-Retinal-Gi1/β1/γ2
23.08Single8J21Butyric acid8J21-FFA3-Butyric acid-Gi1/β1/γ2
23.08Single8J24Acetic acid8J24-FFA2-Acetic acid-Gi1/β1/γ2
23.08Single8JXTHistamine8JXT-H4-Histamine-PO4-Gi1/β1/γ2
23.08Single9K26PrRP319K26-PrRP-PrRP31-Gi1/β1/γ2
23.08Consensusffa3_onOrthosteric Ligand8J21-FFA3-Butyric acid-Gi1/β1/γ2
23.08Consensusffa3_on_gpOrthosteric Ligand8J21-FFA3-Butyric acid-Gi1/β1/γ2
23.08Consensusgi_opsinsOrthosteric Ligand8IU2-Opsin1LW-All-trans-Retinal-Gi1/β1/γ2
23.08Consensusgi_sensoryOrthosteric Ligandgi_opsins
23.08Consensusopsin1lw_onOrthosteric Ligand8IU2-Opsin1LW-All-trans-Retinal-Gi1/β1/γ2
23.08Consensusopsin1lw_on_gpOrthosteric Ligand8IU2-Opsin1LW-All-trans-Retinal-Gi1/β1/γ2
23.08Consensusopsins_on_gpOrthosteric Ligandrhodopsin_on_gp opsin1lw_on_gp
23.08Consensusrhodopsin_onOrthosteric Ligand6OYA-Rhodopsin-All-trans-Retinal-Gt/β1/γ1
23.08Consensussensory_on_gpOrthosteric Ligandopsins_on_gp
22.73Single7DDZJNJ-310200287DDZ-Y2-JNJ-31020028
22.73Single7EZKCholecystokinin-87EZK-CCKA-Cholecystokinin-8-chim(NtGi1-Gs)/β1/γ2
22.73Single9L60Dynorphin9L60-κ-Dynorphin-MPAM-15-Gi1/β1/γ2
22.73Single9ME1CXCL129ME1-CXCR4-CXCL12
22.73Consensusgq_class-aOrthosteric Ligandgq_peptide gq_amine gq_nucleotide
22.73Consensusnpy2_offOrthosteric Ligand7DDZ-Y2-JNJ-31020028
22.22Single4IAQDihydroergotamine4IAQ-5-HT1B-Dihydroergotamine
22.22Single6IGLIRL16206IGL-ETB-IRL1620
22.22Single6KO5PubChem 574000026KO5-Ghrelin-PubChem 57400002
22.22Single6RZ5Zafirlukast6RZ5-CysLT1-Zafirlukast-Na
22.22Single7EW1Siponimod7EW1-S1P5-Siponimod-Gi1/β1/γ2
22.22Single7EW3S1P7EW3-S1P3-S1P-Gi1/β1/γ2
22.22Single7PX4PSB-21137PX4-A2A-PSB-2113
22.22Single7TUYGSK682753A7TUY-GPR183-GSK682753A
22.22Single7VIGCBP-3077VIG-S1P1-CBP-307-Gi1/β1/γ2
22.22Single7WV9CP559407WV9-CB1-CP55940-ZCZ011-Gi2/β1/γ2
22.22Single7Y24Octreotide7Y24-SST2-Octreotide-Go/β1/γ2
22.22Single8HPTC5a (C-terminal peptide)8HPT-C5a1-C5a (C-terminal peptide)-Go/β1/γ2
22.22Single8WU1MDMB-Fubinaca8WU1-CB1-MDMB-Fubinaca-Arrestin2
22.22Single8X0BVU04244658X0B-mGlu5; mGlu5-Quisqualate-VU0424465
22.22Single8X0FVU298X0F-mGlu5; mGlu5-Quisqualate-VU29
22.22Single8X16Piclidenoson8X16-A3A-Piclidenoson-Gi1/β1/γ2
22.22Single8XJMLatanoprost8XJM-FP-alpha-Latanoprost-chim(NtGi2-Gs-CtGq)/β1/γ2
22.22Single8XZICMF-0198XZI-Apelin; Apelin-CMF-019-Gi1/β1/γ2
22.22Single8Y52BA18Y52-BB3-BA1-chim(NtGi1-Gs-CtGq)/β1/γ2
22.22Single8Y73Peptide8Y73-μ-Peptide-MPAM-15-Gi1/β1/γ2
22.22Single8YNTSNAP-948478YNT-MCH1-SNAP-94847
22.22Single8ZR5Firuglipel8ZR5-GPR119-Firuglipel-Gs/β1/γ2
22.22Single8ZWFJR14a8ZWF-C3aB-JR14a
22.22Single9AYFCa; Ca; Ca; Cyclomethyltryptophan; R-568; PO49AYF-CaS; CaS-Ca-Ca; Ca; Ca; Cyclomethyltryptophan; R-568; PO4-Gi1/β1/γ2
22.22Single9B65MDMB-Fubinaca9B65-CB1-MDMB-Fubinaca-Gi1/β1/γ2
22.22Single9IK9Lanreotide9IK9-SST1-Lanreotide-Gi1/β1/γ2
22.22Single9JMCDS-3801b9JMC-Motilin-DS-3801b-chim(Gs-CtGq)/β1/γ2
22.22Single9WSTDAMGO9WST-μ-DAMGO-chim(NtGi1-Gz)/β1/γ2
22.22Consensusetb_onOrthosteric Ligand8IY5-ETB-Endothelin-1-Gi1/β1/γ2 8HBD-ETB-IRL1620-Gi1/β1/γ2
22.22Consensusnpy1_offOrthosteric Ligand5ZBH-Y1-BMS-193885 5ZBQ-Y1-UR-MK-299
22.22Consensusnpy_offOrthosteric Ligandnpy1_off npy2_off
22.22Consensuss1p5_onOrthosteric Ligand7EW1-S1P5-Siponimod-Gi1/β1/γ2
22.22Consensuss1p5_on_gpOrthosteric Ligand7EW1-S1P5-Siponimod-Gi1/β1/γ2
21.74Single7TD0LPA7TD0-LPA1-LPA-Gi1/β1/γ2
21.74Single7TD2LPA7TD2-LPA1-LPA-Gi1/β1/γ2
21.74Single8XIQL7967788XIQ-SST3-L796778-chim(NtGi1-Gs-CtGi1)/β1/γ2
21.74Single9MEUCXCL129MEU-CXCR4-CXCL12
21.74Consensusgs_cckOrthosteric Ligand7MBX-CCKA-Cholecystokinin-8-Gs/β1/γ1
21.74Consensuspeptide_offonOrthosteric Ligandpeptide_off peptide_on
21.43Single3AYMAll-trans-Retinal3AYM-Rhodopsin-All-trans-Retinal
21.43Single6PGSGeraniol6PGS-Rhodopsin-Geraniol-Gt(CT)
21.43Single6PH7Nerol6PH7-Rhodopsin-Nerol-Gt(CT)
21.43Single6QNOAll-trans-Retinal6QNO-Rhodopsin-All-trans-Retinal-Gi1/β1/γ1
21.43Single6TQ4PubChem 160468446TQ4-OX1-PubChem 16046844-Na
21.43Single7D76Beclomethasone7D76-ADGRG3-Beclomethasone-Go/β1/γ2
21.43Single7VUIJNJ-635330547VUI-GPR139-JNJ-63533054-GTP-chim(Gs-CtGq)/β1/γ2
21.43Single8A2PLUAA470708A2P-A2A-LUAA47070-Na
21.43Single8SZFCa; Ca; Tryptophan; Cinacalcet; PO4; Spermine8SZF-CaS; CaS-Ca; Ca; Tryptophan; Cinacalcet; PO4; Spermine
21.43Single8UO3Constrained Epinephrine8UO3-β2-Constrained Epinephrine-GTP; Mg-Gs/β1/γ2
21.43Single8WPUTryptophan; Cinacalcet; PO4; Ca8WPU-CaS; CaS-Tryptophan; Cinacalcet; PO4; Ca-chim(NtGi2L-Gs-CtGq)/β1/γ2
21.43Single8YH3N-methyladenosine8YH3-A3A-N-methyladenosine-Gi1/β1/γ2
21.43Single9C1PCa; Tryptophan; '6218; PO49C1P-CaS; CaS-Ca-Ca; Tryptophan; '6218; PO4
21.43Single9KUWCMPD6449KUW-Apelin; Apelin-CMPD644-Arrestin2 ; Arrestin2
21.43Single9YDAAll-trans-Retinal9YDA-Opsin1MW-All-trans-Retinal-chim(NtGi1L-Gs-CtGt)/β1/γ2
21.43Consensusgi_endothelinOrthosteric Ligand8IY5-ETB-Endothelin-1-Gi1/β1/γ2 8HBD-ETB-IRL1620-Gi1/β1/γ2
21.05Single4OR2FITM4OR2-mGlu1; mGlu1-FITM
21.05Single6XBLCholesterol6XBL-SMO-SAG-Cholesterol-Gi1/β1/γ2
21.05Single7EO4Siponimod7EO4-S1P1-Siponimod-Gi1/β1/γ2
21.05Single7L1UOrexin7L1U-OX2-Orexin-chim(NtGi1-Gs-CtGq)/β1/γ2
21.05Single7SUSPubChem 1227019087SUS-Apelin-PubChem 122701908
21.05Single7WCMMBX-29827WCM-GPR119-MBX-2982-Gs/β1/γ2
21.05Single7Y66BM2137Y66-C5a1-BM213-Gi1/β1/γ2
21.05Single8I9AEP548I9A-C3aB-EP54-chim(NtGi1-Gs-CtGq)/β1/γ2
21.05Single8IA8E7 peptide8IA8-C3aB-E7 peptide-Gi1/β1/γ2
21.05Single8JZ7MK68928JZ7-HCA2-MK6892-Gi1/β1/γ2
21.05Single8VHFMBX-29828VHF-GPR119-MBX-2982-Gs/β1/γ2
21.05Single9M8POleic monoethanolamide9M8P-GPR3 ; GPR3-Oleic monoethanolamide-AF64394
21.05Single9VIFNeuropeptide-VF9VIF-NPFF1-Neuropeptide-VF-Gi1/β1/γ2
21.05Single9W32SSTR5 antagonist 19W32-SST5-SSTR5 antagonist 1
21.05Single9WSWEndomorphin9WSW-μ-Endomorphin-chim(NtGi1-Gz)/β1/γ2
21.05Consensuscb1_onOrthosteric Ligand6KPG-CB1-AM841-Gi1/β1/γ2 8K8J-CB1-Fenofibrate-chim(Gs-CtGq)/β1/γ2
21.05Consensusccr8_onOrthosteric Ligand8KFX-CCR8-LMD-009-Gi1/β1/γ2 8KFY-CCR8-ZK-756326-Gi1/β1/γ2 8U1U-CCR8-CCL1-Gi1/β1/γ2
21.05Consensusgi_lipidOrthosteric Ligandgi_cannabinoid gi_ffa gi_leukotriene gi_lpa gi_s1p
21.05Consensusleukotriene_offOrthosteric Ligandblt_off cyslt_off
20.83Single6WIVPubChem 52923113; PubChem 529246456WIV-GABAB1, GABAB2-PubChem 52923113; PubChem 52924645
20.83Single7DW9AVP7DW9-V2-AVP-chim(NtGi1-Gs)/β1/γ2
20.83Single7F4HAfamelanotide7F4H-MC1-Afamelanotide-chim(NtGi1-Gs)/β1/γ2
20.83Single7KH0AVP7KH0-V2-AVP-chim(NtGi1-Gs)/β1/γ2
20.83Single7WUIIP157WUI-ADGRG2-IP15-chim(NtGi1-Gs)/β1/γ2
20.83Single8IEDPubChem 1347468948IED-GPR156; GPR156-PubChem 134746894-Go/β1/γ2
20.83Single8IHFMK68928IHF-HCA2-MK6892-Gi1/β1/γ2
20.83Single8J6IMK68928J6I-HCA2-MK6892-Gi1/β1/γ2
20.83Single9BKKCholecystokinin-89BKK-CCKA-Cholecystokinin-8-chim(NtGi1-Gs-CtGq)/β1/γ2
20.83Consensusfpr2-alx_on_gpOrthosteric Ligand7WVX-FPR2-ALX-Humanin-Gi2/β1/γ2 7T6U-FPR2-ALX-CGEN-855A-Gi1/β1/γ2 7T6V-FPR2-ALX-fMLFII-Gi1/β1/γ2 7WVY-FPR2-ALX-Amyloid-β42-Gi2/β1/γ2 7T6S-FPR2-ALX-TC-FPR 43-Gi1/β1/γ2 6OMM-FPR2-ALX-WKYMVX-Gi1/β1/γ2
20.83Consensusgi_class-aOrthosteric Ligandgi_peptide gi_sensory gi_alicarboxylic gi_amine gi_lipid gi_nucleotide gi_protein
20.83Consensusgs_vasop-oxyOrthosteric Ligand7DW9-V2-AVP-chim(NtGi1-Gs)/β1/γ2
20.83Consensuspeptide_offon_gpOrthosteric Ligandpeptide_on_gp peptide_off
20.83Consensusv2_onOrthosteric Ligand7DW9-V2-AVP-chim(NtGi1-Gs)/β1/γ2
20.83Consensusv2_on_gpOrthosteric Ligand7DW9-V2-AVP-chim(NtGi1-Gs)/β1/γ2
20.83Consensusvasop-oxy_onOrthosteric Ligandv2_on
20.83Consensusvasop-oxy_on_gpOrthosteric Ligandv2_on_gp
20.69Single8HBDIRL16208HBD-ETB-IRL1620-Gi1/β1/γ2
20.69Consensusetb_on_gpOrthosteric Ligand8IY5-ETB-Endothelin-1-Gi1/β1/γ2 8HBD-ETB-IRL1620-Gi1/β1/γ2
20.00Single2Z7311-cis-Retinal2Z73-Rhodopsin-11-cis-Retinal
20.00Single3AYN9-cis-Retinal3AYN-Rhodopsin-9-cis-Retinal
20.00Single4OR2FITM4OR2-mGlu1; mGlu1-FITM
20.00Single4S0VSuvorexant4S0V-OX2-Suvorexant
20.00Single5CGDHTL142425CGD-mGlu5-HTL14242
20.00Single5K2DZM-2413855K2D-A2A-ZM-241385-Na
20.00Single5OLHVipadenant5OLH-A2A-Vipadenant-Na
20.00Single5OLOTozadenant5OLO-A2A-Tozadenant-Na
20.00Single5OLVLUAA470705OLV-A2A-LUAA47070-Na
20.00Single5UNGPubChem 157800525UNG-AT2-PubChem 15780052
20.00Single5WS3EMPA5WS3-OX2-EMPA
20.00Single6JZHZM-2413856JZH-A2A-ZM-241385-Na
20.00Single6OYAAll-trans-Retinal6OYA-Rhodopsin-All-trans-Retinal-Gt/β1/γ1
20.00Single6PS7ZM-2413856PS7-A2A-ZM-241385-Na
20.00Single6TPJSuvorexant6TPJ-OX2-Suvorexant
20.00Single7BR3Elagolix7BR3-GnRH1-Elagolix
20.00Single7EZHCholecystokinin-87EZH-CCKA-Cholecystokinin-8-Gi1/β1/γ2
20.00Single7EZMCholecystokinin-87EZM-CCKA-Cholecystokinin-8-chim(NtGsL-Gq)/β1/γ2
20.00Single7M3FCa; Ca; Tryptophan; Cinacalcet7M3F-CaS; CaS-Ca; Ca; Tryptophan; Cinacalcet
20.00Single7SILCa; Ca; Ca; Cyclomethyltryptophan; R-568; PO47SIL-CaS; CaS-Ca-Ca; Ca; Ca; Cyclomethyltryptophan; R-568; PO4
20.00Single7SILCa; Ca; Ca; Cyclomethyltryptophan; R-568; PO47SIL-CaS; CaS-Ca-Ca; Ca; Ca; Cyclomethyltryptophan; R-568; PO4
20.00Single7VIHCBP-3077VIH-S1P1-CBP-307-Gi1/β1/γ2
20.00Single7X1UTRH7X1U-TRH-TRH-chim(NtGi2L-Gs-CtGq)/β1/γ2
20.00Single7X9CPancreatic Hormone7X9C-Y4-Pancreatic Hormone-Gi1/β1/γ2
20.00Single7XRRLemborexant7XRR-OX2-Lemborexant
20.00Single8DWGML3828DWG-MRGPRX1-BAM8-22-ML382-chim(NtGi2L-Gs-CtGq)/β1/γ2
20.00Single8GNGIstradefylline8GNG-A2A-Istradefylline
20.00Single8GUTLEI-1028GUT-CB2-LEI-102-Gi1/β1/γ2
20.00Single8HCXEndothelin-18HCX-ETB-Endothelin-1-chim(NtGi2L-Gs-CtGq)/β1/γ2
20.00Single8I95EP548I95-C3aB-EP54-Go/β1/γ2
20.00Single8ID8TUG-8918ID8-FFA4-TUG-891-Gi1/β1/γ2
20.00Single8IJDMK68928IJD-HCA2-MK6892-Gi1/β1/γ2
20.00Single8IULLatanoprost8IUL-FP-alpha-Latanoprost-chim(NtGi1-Gs-CtGq)/β1/γ2
20.00Single8RW0Istradefylline8RW0-A2A-Istradefylline-Na
20.00Single8XGOTAK4488XGO-Kiss1-TAK448-chim(NtGi1-Gq)/β1/γ2
20.00Single8XGSKisspeptin-18XGS-Kiss1-Kisspeptin-1-chim(NtGi1-Gq)/β1/γ2
20.00Single8XJKCloprosetnol8XJK-FP-alpha-Cloprosetnol-chim(NtGi1-Gs-CtGq)/β1/γ2
20.00Single8ZPSPrRP208ZPS-PrRP-PrRP20-chim(NtGi1-Gs-CtGi1)/β1/γ2
20.00Single8ZRTEndothelin-18ZRT-ETB-Endothelin-1
20.00Single8ZWGJR14a8ZWG-C3aB-JR14a-Gi1/β1/γ2
20.00Single9IZFLPA9IZF-LPA1-LPA-Gi1/β1/γ2
20.00Single9K6LSalicin9K6L-TAS2R16-Salicin-Gi2/β1/γ2
20.00Single9KPESalicin9KPE-TAS2R16-Salicin-Gi1/β1/γ2
20.00Single9KUGEP679KUG-C5a1-EP67-Go/β1/γ2
20.00Single9LKDPL459LKD-OR5V1-PL45
20.00Single9M88Oleic monoethanolamide9M88-GPR3 ; GPR3-Oleic monoethanolamide-AF64394
20.00Consensuscb1_on_gpOrthosteric Ligand6KPG-CB1-AM841-Gi1/β1/γ2 8K8J-CB1-Fenofibrate-chim(Gs-CtGq)/β1/γ2
20.00Consensuscck_onOrthosteric Ligandccka_on cckb_on
20.00Consensuscck_on_gpOrthosteric Ligandccka_on_gp cckb_on_gp
20.00Consensusccka_onOrthosteric Ligand7EZH-CCKA-Cholecystokinin-8-Gi1/β1/γ2
20.00Consensusccka_on_gpOrthosteric Ligand7EZH-CCKA-Cholecystokinin-8-Gi1/β1/γ2
20.00Consensuschemerin_onOrthosteric Ligandcml1_on
20.00Consensusclass-a_onOrthosteric Ligandsensory_on alicarboxylic_on amine_on lipid_on nucleotide_on peptide_on protein_on
20.00Consensusgnrh1_offOrthosteric Ligand7BR3-GnRH1-Elagolix
20.00Consensusmc1_onOrthosteric Ligand7F4H-MC1-Afamelanotide-chim(NtGi1-Gs)/β1/γ2 7F4D-MC1-α-MSH-chim(NtGi1-Gs)/β1/γ2 7F4I-MC1-SHU9119-chim(NtGi1-Gs)/β1/γ2
20.00Consensusmc1_on_gpOrthosteric Ligand7F4H-MC1-Afamelanotide-chim(NtGi1-Gs)/β1/γ2 7F4D-MC1-α-MSH-chim(NtGi1-Gs)/β1/γ2 7F4I-MC1-SHU9119-chim(NtGi1-Gs)/β1/γ2
20.00Consensusnk2_onOrthosteric Ligand7XWO-NK2-Neurokinin-A-chim(NtGi1-Gs-CtGq)/β1/γ2
20.00Consensusnucleotide_on_gpOrthosteric Ligandadenosine_on_gp p2y_on_gp
20.00Consensusox1_offOrthosteric Ligand6TP6-OX1-Filorexant 6TP4-OX1-ACT-462206 6V9S-OX1-GTPL11403 6TOT-OX1-Lemborexant 6TP3-OX1-Nemorexant 6TQ6-OX1-PubChem 145714283 6TQ9-OX1-SB-408124 4ZJC-OX1-SB-674042 4ZJ8-OX1-Suvorexant 6TOD-OX1-EMPA-Na 6TOS-OX1-GSK1059865-Na 6TQ4-OX1-PubChem 16046844-Na
20.00Consensusrhodopsin_on_gpOrthosteric Ligand6OYA-Rhodopsin-All-trans-Retinal-Gt/β1/γ1
19.23Single8H0PNMB308H0P-BB1-NMB30-chim(NtGi1-Gs-CtGq)/β1/γ2
19.23Single8XVEBQ30208XVE-ETB-BQ3020-chim(Gs-CtGq)/β1/γ2
19.23Consensusgi_peptideOrthosteric Ligandgi_cck gi_apelin gi_compl-pept gi_endothelin gi_formylpeptide gi_galanin gi_ghrelin gi_npy gi_neurotensin gi_opioid gi_orexin gi_relaxin gi_somatostatin
19.23Consensusnpy4_onOrthosteric Ligand7X9C-Y4-Pancreatic Hormone-Gi1/β1/γ2
19.23Consensusnpy4_on_gpOrthosteric Ligand7X9C-Y4-Pancreatic Hormone-Gi1/β1/γ2
19.05Single6XBJCholesterol6XBJ-SMO-Cholesterol-Gi1/β1/γ2
19.05Single7T11Octreotide7T11-SST2-Octreotide-Gi3/β1/γ2
19.05Single7XN9L-0545227XN9-SST2-L-054522
19.05Single7YAEOctreotide7YAE-SST2-Octreotide-Gi1/β1/γ2
19.05Single8F7REndomorphin8F7R-μ-Endomorphin-Gi1/β1/γ2
19.05Single8IA7Cholecystokinin-88IA7-CCKB-Cholecystokinin-8-chim(NtGi1L-Gq)/β1/γ2
19.05Single8QJ2pN1628QJ2-MC4-pN162-Gs/β1/γ2
19.05Single8X3LXWD8X3L-CB2-XWD-Gi1/β1/γ2
19.05Single9IPVJR14a9IPV-C3aB-JR14a-Gi1/β1/γ2
19.05Single9KZ2EP679KZ2-C3aB-EP67-Go/β1/γ2
19.05Single9KZ8EP679KZ8-C3aB-EP67-Go/β1/γ2
19.05Single9UMJEP549UMJ-C3aB-EP54-Go/β1/γ2
19.05Single9V2NMacimorelin9V2N-Ghrelin-Macimorelin-chim(NtGi1-Gs-CtGq)/β1/γ2
19.05Consensusdop_onOrthosteric Ligand8F7S-δ-Deltorphin-Gi1/β1/γ2
19.05Consensusformylpeptide_onOrthosteric Ligandfpr2-alx_on fpr1-alx_on
19.05Consensuskiss1_onOrthosteric Ligand8ZJD-Kiss1-Kisspeptin-1-chim(NtGi1-Gq)/β1/γ1
19.05Consensuskisspeptin_onOrthosteric Ligandkiss1_on
19.05Consensussst2_onOrthosteric Ligand7WIC-SST2-Somatostatin-14-Gi1/β1/γ2 7WIG-SST2-L-054264-Gi1/β1/γ2 7YAE-SST2-Octreotide-Gi1/β1/γ2 7YAC-SST2-Paltusotine-Gi1/β1/γ2
19.05Consensussst2_on_gpOrthosteric Ligand7WIC-SST2-Somatostatin-14-Gi1/β1/γ2 7WIG-SST2-L-054264-Gi1/β1/γ2 7YAE-SST2-Octreotide-Gi1/β1/γ2 7YAC-SST2-Paltusotine-Gi1/β1/γ2
18.75Single3REYPubChem 56973REY-A2A-PubChem 5697
18.75Single3V2YPubChem 518926453V2Y-S1P1-PubChem 51892645
18.75Single5IU4ZM-2413855IU4-A2A-ZM-241385-Na
18.75Single5IUBQ274563445IUB-A2A-Q27456344-Na
18.75Single5K2CZM-2413855K2C-A2A-ZM-241385-Na
18.75Single5NLXZM-2413855NLX-A2A-ZM-241385-Na
18.75Single5NM4ZM-2413855NM4-A2A-ZM-241385-Na
18.75Single6FFIMPEP6FFI-mGlu5-MPEP
18.75Single6FKAPubChem 1324730376FKA-Rhodopsin-PubChem 132473037
18.75Single6ME32-Phenylmelatonin6ME3-MT1-2-Phenylmelatonin
18.75Single6MH8ZM-2413856MH8-A2A-ZM-241385
18.75Single6TOSGSK10598656TOS-OX1-GSK1059865-Na
18.75Single6TP3Nemorexant6TP3-OX1-Nemorexant
18.75Single6V9SGTPL114036V9S-OX1-GTPL11403
18.75Single6ZDVPubChem 9840736ZDV-A2A-PubChem 984073-Na
18.75Single6ZG9GSK10347026ZG9-M1-GSK1034702
18.75Single7AROLUF58337ARO-A2A-LUF5833-Na
18.75Single8GURCP559408GUR-CB2-CP55940-Gi1/β1/γ2
18.75Single8HQN9-S-HODE8HQN-GPR132-9-S-HODE-Gi1/β1/γ2
18.75Single8K9LDAMGO8K9L-μ-DAMGO-BMS-986122-Gi3/β1/γ1
18.75Single8RWCStilSwitch28RWC-A2A-StilSwitch2-Na
18.75Single8RWDStilSwitch38RWD-A2A-StilSwitch3-Na
18.75Single8RWIStilSwitch28RWI-A2A-StilSwitch2-Na
18.75Single8Y62C16:0 Ceramide8Y62-FPR2-ALX-C16:0 Ceramide-Gi1/β1/γ2
18.75Single9DQJEP-39459DQJ-MRGPRD-EP-3945-chim(NtGi1-Gs-CtGq)/β1/γ2
18.75Single9JH3CMF-0199JH3-Apelin; Apelin-CMF-019-Gi1/β1/γ2
18.75Single9KPDSalicin9KPD-TAS2R16-Salicin-chim(Gs-CtGt3)/β1/γ2
18.75Single9KUWCMPD6449KUW-Apelin; Apelin-CMPD644-Arrestin2 ; Arrestin2
18.75Single9LKBPL459LKB-OR5V1-PL45-chim(NtGi1-Gs)/β1
18.75Single9M2FNeuropeptide-FF9M2F-NPFF1-Neuropeptide-FF-Gi1/β1/γ2
18.75Single9W33S5A19W33-SST5-S5A1
18.75Consensusgrh_offOrthosteric Ligandgnrh1_off
18.52Single7AD3Alpha-factor mating pheromone7AD3-STE2; STE2-α-factor mating pheromone-Gi1/STE4/γ2
18.52Single7F4FAfamelanotide7F4F-MC1-Afamelanotide-chim(NtGi1-Gs)/β1/γ2
18.52Single7QBCAlpha-factor mating pheromone7QBC-STE2; STE2-α-factor mating pheromone
18.52Single8FEG(DNCP)-Beta-Naloxamine8FEG-κ-(DNCP)-β-Naloxamine-Gi1/β1/γ2
18.52Single8ZH8QRFP268ZH8-QRFP-QRFP26-Gq/β1/γ1
18.52Consensusgq_peptideOrthosteric Ligandgq_cck gq_kisspeptin gq_bradykinin gq_bombesin gq_angiotensin
18.52Consensuspeptide_onOrthosteric Ligandcck_on angiotensin_on apelin_on bombesin_on bradykinin_on compl-peptide_on endothelin_on formylpeptide_on galanin_on ghrelin_on kisspeptin_on melanocortin_on motilin_on neuromedin-u_on npy_on neurotensin_on opioid_on orexin_on relaxin_on somatostatin_on tachykinin_on trh_on vasop-oxy_on
18.52Consensuspeptide_on_gpOrthosteric Ligandcck_on_gp angiotensin_on_gp apelin_on_gp bombesin_on_gp bradykinin_on_gp compl-peptide_on_gp endothelin_on_gp formylpeptide_on_gp galanin_on_gp ghrelin_on_gp kisspeptin_on_gp melanocortin_on_gp motilin_on_gp neuromedin-u_on_gp npy_on_gp neurotensin_on_gp opioid_on_gp orexin_on_gp relaxin_on_gp somatostatin_on_gp tachykinin_on_gp trh_on_gp vasop-oxy_on_gp
18.18Single4A4MAll-trans-Retinal4A4M-Rhodopsin-All-trans-Retinal-Gt(CT)
18.18Single5EN0All-trans-Retinal5EN0-Rhodopsin-All-trans-Retinal-Gt(CT)
18.18Single5MZPCaffeine5MZP-A2A-Caffeine-Na
18.18Single5UNFPubChem 157800525UNF-AT2-PubChem 15780052
18.18Single6WIVPubChem 52923113; PubChem 529246456WIV-GABAB1, GABAB2-PubChem 52923113; PubChem 52924645
18.18Single7F4ISHU91197F4I-MC1-SHU9119-chim(NtGi1-Gs)/β1/γ2
18.18Single7F8XNN90567F8X-CCKA-NN9056
18.18Single7TD4Siponimod7TD4-S1P1-Siponimod-Gi1/β1/γ2
18.18Single8GEJConstrained Epinephrine8GEJ-β2-Constrained Epinephrine-Gs/β1/γ2
18.18Single8GHVAMG3158GHV-CB1-AMG315-Gi1/β1/γ2
18.18Single8WKYPG-9348WKY-MC4-PG-934
18.18Single8ZBJSomatostatin-148ZBJ-SST5-Somatostatin-14-Gi1/β1/γ2
18.18Single8ZCJPasireotide8ZCJ-SST5-Pasireotide-Gi1/β1/γ1
18.18Single8ZJDKisspeptin-18ZJD-Kiss1-Kisspeptin-1-chim(NtGi1-Gq)/β1/γ1
18.18Single9BKJCholecystokinin-89BKJ-CCKA-Cholecystokinin-8-chim(NtGi1-Gs-CtGq)/β1/γ2
18.18Single9UMRC5a-pep9UMR-C5a1-C5a-pep-Go/β1/γ2
18.18Single9UYJChemerin-99UYJ-CML2-Chemerin-9-Arrestin2
18.18Consensuschemerin_on_gpOrthosteric Ligandcml1_on_gp
18.18Consensuscml1_onOrthosteric Ligand7YKD-CML1-Chemerin-9-Gi1/β1/γ2
18.18Consensusgi_chemerinOrthosteric Ligand7YKD-CML1-Chemerin-9-Gi1/β1/γ2
18.18Consensusgi_nucleotideOrthosteric Ligandgi_adenosine gi_p2y
18.18Consensusgq_kisspeptinOrthosteric Ligand8ZJD-Kiss1-Kisspeptin-1-chim(NtGi1-Gq)/β1/γ1
18.18Consensuskiss1_on_gpOrthosteric Ligand8ZJD-Kiss1-Kisspeptin-1-chim(NtGi1-Gq)/β1/γ1
18.18Consensuskisspeptin_on_gpOrthosteric Ligandkiss1_on_gp
18.18Consensuslpl_onOrthosteric Ligands1p_on lpa_on
18.18Consensuslpl_on_gpOrthosteric Ligands1p_on_gp lpa_on_gp
17.86Single7QBCAlpha-factor mating pheromone7QBC-STE2; STE2-α-factor mating pheromone
17.86Single7VGXNeuropeptide-Y7VGX-Y1-Neuropeptide-Y-Gi1/β1/γ2
17.86Single8IY5Endothelin-18IY5-ETB-Endothelin-1-Gi1/β1/γ2
17.86Single8IY6Endothelin-18IY6-ETB-Endothelin-1
17.86Consensusendothelin_onOrthosteric Ligandetb_on eta_on
17.65Single5TGZAM65385TGZ-CB1-AM6538
17.65Single5UENDU1725UEN-A1-DU172
17.65Single6FFHFenobam6FFH-mGlu5-Fenobam
17.65Single6FKDPubChem 1373491836FKD-Rhodopsin-PubChem 137349183
17.65Single6LPJZM-2413856LPJ-A2A-ZM-241385-Na
17.65Single6LPKZM-2413856LPK-A2A-ZM-241385-Na
17.65Single6XBM25(S)-Epoxycholesterol6XBM-SMO-25(S)-Epoxycholesterol-Gi1/β1/γ2
17.65Single7CFMP3957CFM-GPBA-P395-Gs/β1/γ2
17.65Single7F83PF-051904577F83-Ghrelin-PF-05190457
17.65Single7NA8Ibutamoren7NA8-Ghrelin-Ibutamoren-Gi1/β1/γ2
17.65Single7VKTLTB47VKT-BLT1-LTB4-Gi1/β1/γ2
17.65Single7YACPaltusotine7YAC-SST2-Paltusotine-Gi1/β1/γ2
17.65Single8KEXDCA-3P8KEX-MRGPRX4-DCA-3P
17.65Single8RW7StilSwitch18RW7-A2A-StilSwitch1-Na
17.65Single8RWXStilSwitch38RWX-A2A-StilSwitch3-Na
17.65Single8X9TAP5038X9T-ADGRD1-AP503-chim(NtGi1-Gs)/β1/γ2
17.65Single8YH5Riboprine8YH5-A3A-Riboprine-Gi1/β1/γ2
17.65Single8ZQEGPR15L(CT)8ZQE-GPR15-GPR15L(CT)-Gi1/β1/γ1
17.65Single9AVGCa; Ca; Cyclomethyltryptophan; R-568; PO49AVG-CaS; CaS-Ca-Ca; Ca; Cyclomethyltryptophan; R-568; PO4-chim(NtGi1-Gs)/β1/γ2
17.65Single9EPP11,20-Ethanoretinal9EPP-Rhodopsin-11,20-Ethanoretinal-chim(Gi1-CtGq)/β1/γ2
17.65Single9JGKBalovaptan9JGK-5-HT2B-Balovaptan
17.65Single9KFTfMLFC9KFT-FPR1-ALX-fMLFC-Gi1/β1/γ2
17.65Single9KUXCMPD6449KUX-Apelin; Apelin-CMPD644-Arrestin2
17.65Consensusalicarboxylic_on_gpOrthosteric Ligandsuccinate_on_gp hca_on_gp
17.65Consensusblt1_onOrthosteric Ligand7VKT-BLT1-LTB4-Gi1/β1/γ2
17.65Consensusblt1_on_gpOrthosteric Ligand7VKT-BLT1-LTB4-Gi1/β1/γ2
17.65Consensusblt_onOrthosteric Ligandblt1_on
17.65Consensusblt_on_gpOrthosteric Ligandblt1_on_gp
17.65Consensusgi_alicarboxylicOrthosteric Ligandgi_hca gi_succinate
17.65Consensusgi_leukotrieneOrthosteric Ligand7VKT-BLT1-LTB4-Gi1/β1/γ2
17.65Consensusleukotriene_onOrthosteric Ligandblt_on
17.65Consensusleukotriene_on_gpOrthosteric Ligandblt_on_gp
17.65Consensuslipid_offOrthosteric Ligandcannabinoid_off paf_off lpl_off prostanoid_off leukotriene_off
17.65Consensusnucleotide_offonOrthosteric Ligandnucleotide_off nucleotide_on
17.65Consensusnucleotide_offon_gpOrthosteric Ligandnucleotide_on_gp nucleotide_off
17.39Single8F7SDeltorphin8F7S-δ-Deltorphin-Gi1/β1/γ2
17.39Single8F7WDynorphin8F7W-κ-Dynorphin-Gi1/β1/γ2
17.39Single9IK8Pasireotide9IK8-SST1-Pasireotide-Gi1/β1/γ2
17.39Single9UMXEP549UMX-C5a1-EP54-Go/β1/γ2
17.39Consensuscckb_onOrthosteric Ligand8IA7-CCKB-Cholecystokinin-8-chim(NtGi1L-Gq)/β1/γ2 7XOW-CCKB-Sulfated Gastrin-(10-17)-chim(NtGi1-Gq)/β1/γ2 7F8V-CCKB-Gastrin-17-Gi2/β1/γ2
17.39Consensusccr8_on_gpOrthosteric Ligand8KFX-CCR8-LMD-009-Gi1/β1/γ2 8KFY-CCR8-ZK-756326-Gi1/β1/γ2 8U1U-CCR8-CCL1-Gi1/β1/γ2
17.39Consensusdop_on_gpOrthosteric Ligand8F7S-δ-Deltorphin-Gi1/β1/γ2
17.39Consensusformylpeptide_on_gpOrthosteric Ligandfpr2-alx_on_gp fpr1-alx_on_gp
17.39Consensusghrelin_onOrthosteric Ligand7NA7-Ghrelin-Ghrelin-Gi1/β1/γ2 7F9Z-Ghrelin-GHRP-6-chim(NtGi1-Gs-CtGq)/β1/γ2 7NA8-Ghrelin-Ibutamoren-Gi1/β1/γ2
17.39Consensusghrelin_on_gpOrthosteric Ligand7NA7-Ghrelin-Ghrelin-Gi1/β1/γ2 7F9Z-Ghrelin-GHRP-6-chim(NtGi1-Gs-CtGq)/β1/γ2 7NA8-Ghrelin-Ibutamoren-Gi1/β1/γ2
17.39Consensusgi_cckOrthosteric Ligand7EZH-CCKA-Cholecystokinin-8-Gi1/β1/γ2 7F8V-CCKB-Gastrin-17-Gi2/β1/γ2
17.39Consensusgi_ghrelinOrthosteric Ligand7NA7-Ghrelin-Ghrelin-Gi1/β1/γ2 7NA8-Ghrelin-Ibutamoren-Gi1/β1/γ2
17.39Consensussst4_onOrthosteric Ligand7XMS-SST4-Somatostatin-14-Gi1/β1/γ2 7XMT-SST4-J-2156-Gi1/β1/γ2
17.39Consensussst4_on_gpOrthosteric Ligand7XMS-SST4-Somatostatin-14-Gi1/β1/γ2 7XMT-SST4-J-2156-Gi1/β1/γ2
17.24Single5GLHEndothelin-15GLH-ETB-Endothelin-1
17.24Single6IGKEndothelin-36IGK-ETB-Endothelin-3
17.24Single8ZJETAK4488ZJE-Kiss1-TAK448-chim(NtGi1-Gq)/β1/γ1
16.67Single4NTJAZD12834NTJ-P2Y12-AZD1283
16.67Single4PHUFasiglifam4PHU-FFA1-Fasiglifam
16.67Single5MZJTheophylline5MZJ-A2A-Theophylline-Na
16.67Single6D26Fevipiprant6D26-DP2-Fevipiprant
16.67Single6W25SHU91196W25-MC4-SHU9119-Ca
16.67Single7BB7AVP7BB7-V2-AVP-Gs/β1/γ2
16.67Single7F4DAlpha-MSH7F4D-MC1-α-MSH-chim(NtGi1-Gs)/β1/γ2
16.67Single7M3GCa; Ca; Tryptophan; Evocalcet; Etelcalcetide; PO47M3G-CaS; CaS-Ca; Ca; Tryptophan; Evocalcet; Etelcalcetide; PO4
16.67Single7MBXCholecystokinin-87MBX-CCKA-Cholecystokinin-8-Gs/β1/γ1
16.67Single7TD3S1P7TD3-S1P1-S1P-Gi1/β1/γ2
16.67Single7VFXfMIFL7VFX-FPR1-ALX-fMIFL-Gi1/β1/γ2
16.67Single7XOUCholecystokinin-87XOU-CCKA-Cholecystokinin-8-Gs/β1/γ2
16.67Single7Y26Octreotide7Y26-SST2-Octreotide-chim(NtGi2L-Gs-CtGq)/β1/γ2
16.67Single8EJCTAK-8758EJC-FFA1-TAK-875-chim(NtGi1L-Gs-CtGq)/β1/γ2
16.67Single8GDCPGE28GDC-EP3-PGE2-Gi1/β1/γ2
16.67Single8HNLPS3724248HNL-CXCR3-PS372424-Gi1/β1/γ2
16.67Single8J6JGSK2560738J6J-HCA2-GSK256073-Gi1/β1/γ2
16.67Single8PWNTheophylline8PWN-A2A-Theophylline
16.67Single8WKZSBL-MC-318WKZ-MC4-SBL-MC-31
16.67Single8X0BVU04244658X0B-mGlu5; mGlu5-Quisqualate-VU0424465
16.67Single8X0CVU04244658X0C-mGlu5; mGlu5-Quisqualate-VU0424465
16.67Single8X0CVU04244658X0C-mGlu5; mGlu5-Quisqualate-VU0424465
16.67Single8XGUTAK4488XGU-Kiss1-TAK448-Gi1/β1/γ2
16.67Single8XIRPasireotide8XIR-SST3-Pasireotide-chim(NtGi1-Gs-CtGi1)/β1/γ2
16.67Single8XYKVUF106618XYK-CXCR3-VUF10661-Go/β1/γ2
16.67Single8ZPTPrRP208ZPT-PrRP-PrRP20-chim(NtGi1-Gs-CtGq)/β1/γ2
16.67Single9DQHEP-28259DQH-MRGPRD-EP-2825-chim(NtGi1-Gs-CtGq)/β1/γ2
16.67Single9HC04YI9HC0-mGlu5-4YI
16.67Single9IV25alpha-DHT9IV2-ADGRD1-5α-DHT-chim(NtGi1-Gs)/β1/γ2
16.67Single9IYBPGD29IYB-DP2-PGD2-A1D5Q-Gi1/β1/γ2
16.67Single9JIDNiacin9JID-HCA3-Niacin-Gi1/β1/γ2
16.67Single9KPFSalicin9KPF-TAS2R16-Salicin-Gi1/β1/γ2
16.67Single9KUTJR14a9KUT-C3aB-JR14a-Go/β1/γ2
16.67Single9UYIChemerin-99UYI-CML2-Chemerin-9-Arrestin2
16.67Consensusangiotensin_onOrthosteric Ligandat1_on
16.67Consensusat1_onOrthosteric Ligand7F6G-AT1-(Sar1)-Angiotensin II-Gq/β1/γ2
16.67Consensusc5a1_onOrthosteric Ligand8HK5-C5a1-C5a-Gi1/β1/γ2 7Y66-C5a1-BM213-Gi1/β1/γ2 7Y67-C5a1-C089 peptide-Gi1/β1/γ2 7Y64-C5a1-C5a-Gi1/β1/γ2
16.67Consensuscb2_onOrthosteric Ligand8GUR-CB2-CP55940-Gi1/β1/γ2 8GUS-CB2-HU-308-Gi1/β1/γ2 8GUT-CB2-LEI-102-Gi1/β1/γ2 6KPF-CB2-AM12033-Gi1/β1/γ2 6PT0-CB2-WIN 55212-2-Gi1/β1/γ2 8GUQ-CB2-Olorinab-Gi1/β1/γ2
16.67Consensuscb2_on_gpOrthosteric Ligand8GUR-CB2-CP55940-Gi1/β1/γ2 8GUS-CB2-HU-308-Gi1/β1/γ2 8GUT-CB2-LEI-102-Gi1/β1/γ2 6KPF-CB2-AM12033-Gi1/β1/γ2 6PT0-CB2-WIN 55212-2-Gi1/β1/γ2 8GUQ-CB2-Olorinab-Gi1/β1/γ2
16.67Consensuscckb_on_gpOrthosteric Ligand8IA7-CCKB-Cholecystokinin-8-chim(NtGi1L-Gq)/β1/γ2 7XOW-CCKB-Sulfated Gastrin-(10-17)-chim(NtGi1-Gq)/β1/γ2 7F8V-CCKB-Gastrin-17-Gi2/β1/γ2
16.67Consensuscyslt_offOrthosteric Ligandcyslt2_off cyslt1_off
16.67Consensusdp2_offOrthosteric Ligand6D26-DP2-Fevipiprant
16.67Consensusdp_offOrthosteric Liganddp2_off
16.67Consensusendothelin_on_gpOrthosteric Ligandetb_on_gp eta_on_gp
16.67Consensusfpr1-alx_onOrthosteric Ligand7VFX-FPR1-ALX-fMIFL-Gi1/β1/γ2
16.67Consensusfpr1-alx_on_gpOrthosteric Ligand7VFX-FPR1-ALX-fMIFL-Gi1/β1/γ2
16.67Consensusfpr2-alx_onOrthosteric Ligand7WVX-FPR2-ALX-Humanin-Gi2/β1/γ2 7T6U-FPR2-ALX-CGEN-855A-Gi1/β1/γ2 7T6V-FPR2-ALX-fMLFII-Gi1/β1/γ2 7WVY-FPR2-ALX-Amyloid-β42-Gi2/β1/γ2 7T6S-FPR2-ALX-TC-FPR 43-Gi1/β1/γ2 6OMM-FPR2-ALX-WKYMVX-Gi1/β1/γ2
16.67Consensusgi_somatostatinOrthosteric Ligand7WIC-SST2-Somatostatin-14-Gi1/β1/γ2 7XMS-SST4-Somatostatin-14-Gi1/β1/γ2 8X8L-SST5-Cortistatin-14-chim(NtGi1-Gs-CtGi1)/β1/γ2 7XMT-SST4-J-2156-Gi1/β1/γ2 7WIG-SST2-L-054264-Gi1/β1/γ2 8X8N-SST5-Octreotide-chim(NtGi1-Gs-CtGi1)/β1/γ2 7YAE-SST2-Octreotide-Gi1/β1/γ2 7YAC-SST2-Paltusotine-Gi1/β1/γ2
16.67Consensuss1p_offOrthosteric Ligands1p1_off s1p5_off
16.67Consensussomatostatin_onOrthosteric Ligandsst2_on sst4_on sst5_on
16.67Consensussomatostatin_on_gpOrthosteric Ligandsst2_on_gp sst4_on_gp sst5_on_gp
16.13Single6LRYSarafotoxin-B6LRY-ETB-Sarafotoxin-B
16.13Consensusgs_peptideOrthosteric Ligandgs_cck gs_melanocortin gs_vasop-oxy
16.00Single6JODAngiotensin II6JOD-AT2-Angiotensin II
16.00Single7AD3Alpha-factor mating pheromone7AD3-STE2; STE2-α-factor mating pheromone-Gi1/STE4/γ2
16.00Single7F6G(Sar1)-Angiotensin II7F6G-AT1-(Sar1)-Angiotensin II-Gq/β1/γ2
16.00Single8IEDPubChem 1347468948IED-GPR156; GPR156-PubChem 134746894-Go/β1/γ2
16.00Single8XWQEndothelin-18XWQ-ETB-Endothelin-1-Gi1/β1/γ2
16.00Single8ZBISomatostatin-148ZBI-SST3-Somatostatin-14-Gi1/β1/γ2
16.00Consensusangiotensin_on_gpOrthosteric Ligandat1_on_gp
16.00Consensusat1_on_gpOrthosteric Ligand7F6G-AT1-(Sar1)-Angiotensin II-Gq/β1/γ2
16.00Consensusc5a1_on_gpOrthosteric Ligand8HK5-C5a1-C5a-Gi1/β1/γ2 7Y66-C5a1-BM213-Gi1/β1/γ2 7Y67-C5a1-C089 peptide-Gi1/β1/γ2 7Y64-C5a1-C5a-Gi1/β1/γ2
16.00Consensuscxcr3_on_gpOrthosteric Ligand8HNK-CXCR3-CXCL11-Gi1/β1/γ2 8HNL-CXCR3-PS372424-Gi1/β1/γ2
16.00Consensusgi_formylpeptideOrthosteric Ligand7WVY-FPR2-ALX-Amyloid-β42-Gi2/β1/γ2 7T6U-FPR2-ALX-CGEN-855A-Gi1/β1/γ2 7VFX-FPR1-ALX-fMIFL-Gi1/β1/γ2 7T6V-FPR2-ALX-fMLFII-Gi1/β1/γ2 7WVX-FPR2-ALX-Humanin-Gi2/β1/γ2 7T6S-FPR2-ALX-TC-FPR 43-Gi1/β1/γ2 6OMM-FPR2-ALX-WKYMVX-Gi1/β1/γ2
16.00Consensusgq_angiotensinOrthosteric Ligand7F6G-AT1-(Sar1)-Angiotensin II-Gq/β1/γ2
16.00Consensusprotein_onOrthosteric Ligandchemokine_on chemerin_on
15.79Single4OO9Mavoglurant4OO9-mGlu5-Mavoglurant
15.79Single5TZRMK86665TZR-FFA1-MK8666
15.79Single5XR8AM120335XR8-CB1-AM12033
15.79Single5XRAAM115425XRA-CB1-AM11542
15.79Single5ZBHBMS-1938855ZBH-Y1-BMS-193885
15.79Single6N4BMDMB-Fubinaca6N4B-CB1-MDMB-Fubinaca-Gi1/β1/γ2
15.79Single6O3CCholesterol6O3C-SMO-SAG21k-Cholesterol
15.79Single7F58THIQ7F58-MC4-THIQ-Gs/β1/γ2
15.79Single7FEECP559407FEE-CB1-CP55940-ZCZ011
15.79Single7M8W15r-Methyl-PGD27M8W-DP2-15r-Methyl-PGD2-Na
15.79Single7P2L4YI7P2L-mGlu5-4YI
15.79Single7R0CAVP7R0C-V2-AVP-Arrestin2
15.79Single7T9NDPPC7T9N-TSH-M22 Fab-DPPC-Gs/β1/γ2
15.79Single7TD1LPA7TD1-LPA1-LPA-Gi1/β1/γ2
15.79Single7XAVLanreotide7XAV-SST2-Lanreotide-Gi1/β1/γ2
15.79Single7XTQR3997XTQ-GPBA-R399-Gs/β1/γ2
15.79Single7XWONeurokinin-A7XWO-NK2-Neurokinin-A-chim(NtGi1-Gs-CtGq)/β1/γ2
15.79Single8I2GPubChem 675302408I2G-FSH-FSH-PubChem 67530240-Gs/β1/γ2
15.79Single8I9LC3a8I9L-C3aB-C3a-Go/β1/γ2
15.79Single8JSRAnamorelin8JSR-Ghrelin-Anamorelin-chim(NtGi1-Gs-CtGq)/β1/γ2
15.79Single8JZPC5a8JZP-C5a1-C5a-Go/β1/γ2
15.79Single8TAOCDPPB8TAO-mGlu5; mGlu5-Quisqualate-CDPPB
15.79Single8XIPPasireotide8XIP-SST1-Pasireotide-chim(NtGi1-Gs-CtGi1)/β1/γ2
15.79Single9KUXCMPD6449KUX-Apelin; Apelin-CMPD644-Arrestin2
15.79Single9RHGC4079RHG-FZD7-C407
15.79Single9UY3Anamorelin9UY3-Ghrelin-Anamorelin-chim(NtGi1-Gs-CtGq)/β1/γ2
15.79Consensuscyslt1_offOrthosteric Ligand6RZ5-CysLT1-Zafirlukast-Na 6RZ4-CysLT1-Pranlukast-Na
15.79Consensusffa_onOrthosteric Ligandffa2_on ffa3_on
15.79Consensusffa_on_gpOrthosteric Ligandffa2_on_gp ffa3_on_gp
15.79Consensusgi_cannabinoidOrthosteric Ligand8GUR-CB2-CP55940-Gi1/β1/γ2 8GUS-CB2-HU-308-Gi1/β1/γ2 8GUT-CB2-LEI-102-Gi1/β1/γ2 8GUQ-CB2-Olorinab-Gi1/β1/γ2 6KPF-CB2-AM12033-Gi1/β1/γ2 6PT0-CB2-WIN 55212-2-Gi1/β1/γ2 6KPG-CB1-AM841-Gi1/β1/γ2
15.79Consensusgi_ffaOrthosteric Ligand8J21-FFA3-Butyric acid-Gi1/β1/γ2 8J22-FFA2-TUG-1375-Gi1/β1/γ2
15.79Consensusnk2_on_gpOrthosteric Ligand7XWO-NK2-Neurokinin-A-chim(NtGi1-Gs-CtGq)/β1/γ2
15.38Single3RFMCaffeine3RFM-A2A-Caffeine
15.38Single6TQ9SB-4081246TQ9-OX1-SB-408124
15.38Single7MTBAll-trans-Retinal7MTB-Rhodopsin-All-trans-Retinal-GRK1
15.38Single7QBIAlpha-factor mating pheromone7QBI-STE2; STE2-α-factor mating pheromone
15.38Single7XV3Lysophosphatidylserine (WJS)7XV3-GPR174-Lysophosphatidylserine (WJS)-chim(NtGi1-Gs)/β1/γ2
15.38Single7Y64C5a7Y64-C5a1-C5a-Gi1/β1/γ2
15.38Single8A2OTheophylline8A2O-A2A-Theophylline-Na
15.38Single8HCQEndothelin-18HCQ-ETA-Endothelin-1-chim(NtGi1-Gs-CtGq)/β1/γ2
15.38Single8HK5C5a8HK5-C5a1-C5a-Gi1/β1/γ2
15.38Single8IODPG-9018IOD-MC5-PG-901-Ca-chim(NtGi1-Gs)/β1/γ2
15.38Single8WWKMCH8WWK-MCH1-MCH-Gi1/β1/γ2
15.38Single8XVHEndothelin-18XVH-ETB-Endothelin-1-chim(Gs-CtGq)/β1/γ2
15.38Single8Z8ALactate8Z8A-HCA1-Lactate-Gi1/β1/γ2
15.38Single9C2FCa; Ca; Tryptophan; '54149; PO49C2F-CaS; CaS-Ca-Ca; Ca; Tryptophan; '54149; PO4
15.38Single9EE9Adenosine9EE9-A2A-Adenosine-Gs/β1/γ2
15.38Single9JFYNeuropeptide-SF9JFY-NPFF2-Neuropeptide-SF-Gi1/β1/γ2
15.38Single9L0HJR14a9L0H-C3aB-JR14a-Go/β1/γ2
15.38Consensuscml1_on_gpOrthosteric Ligand7YKD-CML1-Chemerin-9-Gi1/β1/γ2
15.38Consensuseta_onOrthosteric Ligand8HCQ-ETA-Endothelin-1-chim(NtGi1-Gs-CtGq)/β1/γ2
15.38Consensuseta_on_gpOrthosteric Ligand8HCQ-ETA-Endothelin-1-chim(NtGi1-Gs-CtGq)/β1/γ2
15.38Consensussst5_on_gpOrthosteric Ligand8X8L-SST5-Cortistatin-14-chim(NtGi1-Gs-CtGi1)/β1/γ2 8X8N-SST5-Octreotide-chim(NtGi1-Gs-CtGi1)/β1/γ2
15.00Single4N4WSANT-14N4W-SMO-SANT-1
15.00Single5TZYMK8666; AP85TZY-FFA1-MK8666; AP8
15.00Single6KQICP559406KQI-CB1-CP55940-Org27569
15.00Single7F55Bremelanotide7F55-MC4-Bremelanotide-Gs/β1/γ2
15.00Single7K15MKD0467K15-BLT1-MKD046-Na
15.00Single7XZ5Lysophosphatidylcholine7XZ5-GPR119-Lysophosphatidylcholine-Gs/β1/γ2
15.00Single8H0QGastrin Releasing Peptide8H0Q-BB2-Gastrin Releasing Peptide-chim(NtGi1-Gs-CtGq)/β1/γ2
15.00Single8IQ6Latanoprost8IQ6-FP-alpha-Latanoprost-chim(NtGi1-Gs-CtGq)/β1/γ2
15.00Single8J6DEP1418J6D-C3aB-EP141-Go/β1/γ2
15.00Single8JJPChemerin-98JJP-CML2-Chemerin-9-Gi1/β1/γ2
15.00Single8U26Substance-P8U26-NK1-Substance-P-Gs/β1/γ2
15.00Single8X8NOctreotide8X8N-SST5-Octreotide-chim(NtGi1-Gs-CtGi1)/β1/γ2
15.00Single8XJNCloprosetnol8XJN-TXA2-Cloprosetnol-chim(NtGi1-Gs-CtGq)/β1/γ2
15.00Single8XYIVUF106618XYI-CXCR3-VUF10661
15.00Single8Y6WTUG-13758Y6W-FFA2-TUG-1375-4-CMTB-Gi1/β1/γ2
15.00Single9CM3TUG-13759CM3-FFA2-TUG-1375-PubChem 118615810-chim(NtGi1L-Gs-CtGq)/β1/γ2
15.00Single9DGIZ85267113509DGI-CB1-Z8526711350
15.00Single9GGGI-BOP9GGG-TXA2-I-BOP-chim(NtGi2L-Gs-CtGq)/β1/γ2
15.00Single9IZHLPA9IZH-LPA1-LPA-chim(NtGi2-G13)/β1/γ2
15.00Single9L3WChemerin9L3W-CML1-Chemerin-Gi1/β1/γ2
15.00Single9WXMGPR15L(CT)9WXM-GPR15-GPR15L(CT)-Gi3/β1/γ2
15.00Consensusc3a_onOrthosteric Ligand8HK2-C3aB-C3a-Gi1/β1/γ2 8IA8-C3aB-E7 peptide-Gi1/β1/γ2
15.00Consensuscannabinoid_onOrthosteric Ligandcb2_on cb1_on
15.00Consensuscannabinoid_on_gpOrthosteric Ligandcb2_on_gp cb1_on_gp
15.00Consensuslipid_offonOrthosteric Ligandlipid_off lipid_on
15.00Consensuslipid_offon_gpOrthosteric Ligandlipid_on_gp lipid_off
14.81Single7F8VGastrin-177F8V-CCKB-Gastrin-17-Gi2/β1/γ2
14.81Single7QBIAlpha-factor mating pheromone7QBI-STE2; STE2-α-factor mating pheromone
14.81Single7YKDChemerin-97YKD-CML1-Chemerin-9-Gi1/β1/γ2
14.81Single9KFKRelaxin-39KFK-RXFP4-Relaxin-3-Gi2/β1/γ2
14.81Consensusgi_compl-peptOrthosteric Ligand8HK5-C5a1-C5a-Gi1/β1/γ2 8IA8-C3aB-E7 peptide-Gi1/β1/γ2 7Y66-C5a1-BM213-Gi1/β1/γ2 7Y67-C5a1-C089 peptide-Gi1/β1/γ2 8HK2-C3aB-C3a-Gi1/β1/γ2 7Y64-C5a1-C5a-Gi1/β1/γ2
14.81Consensusgi_proteinOrthosteric Ligandgi_chemokine gi_chemerin
14.81Consensusprotein_on_gpOrthosteric Ligandchemokine_on_gp chemerin_on_gp
14.29Single2ZIY11-cis-Retinal2ZIY-Rhodopsin-11-cis-Retinal
14.29Single6B3JExendin-P56B3J-GLP-1-Exendin-P5-Gs/β1/γ2
14.29Single6FK9PubChem 1324730366FK9-Rhodopsin-PubChem 132473036
14.29Single6ME5Agomelatine6ME5-MT1-Agomelatine
14.29Single6P9XCorticoliberin-16P9X-CRF1-Corticoliberin-1-Gs/β1/γ2
14.29Single6RZ9ONO-27703726RZ9-CysLT2-ONO-2770372
14.29Single7D77Hydrocortisone7D77-ADGRG3-Hydrocortisone-Go/β1/γ2
14.29Single7EIBKallidin-des-Arg107EIB-BK1-Kallidin-des-Arg10-chim(NtGi1-Gs-CtGq)/β1/γ2
14.29Single7F53Alpha-MSH7F53-MC4-α-MSH-Gs/β1/γ2
14.29Single7MT9All-trans-Retinal7MT9-Rhodopsin-All-trans-Retinal-GRK1
14.29Single7MTAAll-trans-Retinal7MTA-Rhodopsin-All-trans-Retinal-GRK1
14.29Single7P00Substance-P7P00-NK1-Substance-P-chim(NtGi1-Gs-CtGq)/β1/γ2
14.29Single7QVMOxytocin7QVM-OT-Oxytocin-chim(NtGi1-Go-CtGq)/β1/γ2
14.29Single7V6APubChem 98642757V6A-M4-PubChem 9864275-Gi1/β1/γ2
14.29Single7XK2MK68927XK2-HCA2-MK6892-Gi1/β1/γ2
14.29Single7Y65C5a (C-terminal peptide)7Y65-C5a1-C5a (C-terminal peptide)-Gi1/β1/γ2
14.29Single7YOONeuropeptide-Y7YOO-Y2-Neuropeptide-Y-Gi1/β1/γ2
14.29Single7YU8ONO-07405567YU8-LPA1-ONO-0740556-Gi1/β1/γ2
14.29Single8EITDoconexent8EIT-FFA1-Doconexent-chim(NtGi1L-Gs-CtGq)/β1/γ2
14.29Single8GAGZ85267113508GAG-CB1-Z8526711350-Gi1/β1/γ2
14.29Single8J6QBeta-Hydroxybutyrate8J6Q-HCA2-β-Hydroxybutyrate-PubChem 25101223-Gi1/β1/γ2
14.29Single8WRZAM8418WRZ-CB1-AM841-Arrestin2
14.29Single8WWLMCH8WWL-MCH1-MCH-Gi1/β1/γ2
14.29Single8XJOU466198XJO-TXA2-U46619-chim(NtGi1-Gs-CtGq)/β1/γ2
14.29Single8XWPEndothelin-18XWP-ETB-Endothelin-1-Gi1/β1/γ2
14.29Single8Y63C20:0 Ceramide8Y63-FPR2-ALX-C20:0 Ceramide-Gi1/β1/γ2
14.29Single9BUCCagrilintide9BUC-CT-Cagrilintide-Gs/β1/γ2
14.29Single9GG5U466199GG5-TXA2-U46619-chim(NtGi2L-Gs-CtGq)/β1/γ2
14.29Single9IV15alpha-DHT9IV1-ADGRD1-5α-DHT-chim(NtGi1-Gs)/β1/γ2
14.29Single9JKT(2R)-2-hydroxy-3-phenylpropanoic acid9JKT-HCA3-(2R)-2-hydroxy-3-phenylpropanoic acid-Gi1/β1/γ2
14.29Single9VI9RFRP-39VI9-NPFF1-RFRP-3-Gi1/β1/γ2
14.29Consensusc3a_on_gpOrthosteric Ligand8HK2-C3aB-C3a-Gi1/β1/γ2 8IA8-C3aB-E7 peptide-Gi1/β1/γ2
14.29Consensuscrf_onOrthosteric Ligandcrf2_on crf1_on
14.29Consensuscyslt2_offOrthosteric Ligand6RZ7-CysLT2-ONO-2570366 6RZ8-CysLT2-ONO-2080365 6RZ9-CysLT2-ONO-2770372
14.29Consensusfp-alpha_onOrthosteric Ligand8IUK-FP-alpha-PGF2-α-chim(NtGi1-Gs-CtGq)/β1/γ2 8IUL-FP-alpha-Latanoprost-chim(NtGi1-Gs-CtGq)/β1/γ2 8IUM-FP-alpha-Tafluprost acid-chim(NtGi1-Gs-CtGq)/β1/γ2
14.29Consensusfp-alpha_on_gpOrthosteric Ligand8IUK-FP-alpha-PGF2-α-chim(NtGi1-Gs-CtGq)/β1/γ2 8IUL-FP-alpha-Latanoprost-chim(NtGi1-Gs-CtGq)/β1/γ2 8IUM-FP-alpha-Tafluprost acid-chim(NtGi1-Gs-CtGq)/β1/γ2
14.29Consensusnk1_onOrthosteric Ligand7P00-NK1-Substance-P-chim(NtGi1-Gs-CtGq)/β1/γ2
14.29Consensusnk1_on_gpOrthosteric Ligand7P00-NK1-Substance-P-chim(NtGi1-Gs-CtGq)/β1/γ2
14.29Consensusnpy2_onOrthosteric Ligand7YOO-Y2-Neuropeptide-Y-Gi1/β1/γ2
14.29Consensusnpy2_on_gpOrthosteric Ligand7YOO-Y2-Neuropeptide-Y-Gi1/β1/γ2
14.29Consensusprostanoid_offOrthosteric Ligandep_off dp_off
14.29Consensusprostanoid_onOrthosteric Ligandtp_on fp-alpha_on
14.29Consensusprostanoid_on_gpOrthosteric Ligandtp_on_gp fp-alpha_on_gp
14.29Consensustp_onOrthosteric Ligand8XJO-TXA2-U46619-chim(NtGi1-Gs-CtGq)/β1/γ2
14.29Consensustp_on_gpOrthosteric Ligand8XJO-TXA2-U46619-chim(NtGi1-Gs-CtGq)/β1/γ2
13.79Single6PB1Urocortin6PB1-CRF2-Urocortin-chim(NtGi1-Gs)/β1/γ2
13.79Single7TS0Urocortin7TS0-CRF2-Urocortin-chim(NtGi1L-Go)/β1/γ2
13.79Single8WWNMCH8WWN-MCH1-MCH-Gi1/β1/γ2
13.79Consensusbk2_onOrthosteric Ligand7F6H-BK2-Bradykinin-Gq/β1/γ2 7F6I-BK2-Kallidin-Gq/β1/γ2
13.79Consensusbk2_on_gpOrthosteric Ligand7F6H-BK2-Bradykinin-Gq/β1/γ2 7F6I-BK2-Kallidin-Gq/β1/γ2
13.79Consensusbradykinin_onOrthosteric Ligandbk2_on
13.79Consensusbradykinin_on_gpOrthosteric Ligandbk2_on_gp
13.79Consensusgq_bradykininOrthosteric Ligand7F6H-BK2-Bradykinin-Gq/β1/γ2 7F6I-BK2-Kallidin-Gq/β1/γ2
13.64Single6OMMWKYMVX6OMM-FPR2-ALX-WKYMVX-Gi1/β1/γ2
13.64Single6RZ6ONO-25703666RZ6-CysLT2-ONO-2570366
13.64Single7F2OBradykinin7F2O-BK2-Bradykinin-chim(NtGi1-Gs-CtGq)/β1/γ2
13.64Single7F8WGastrin-177F8W-CCKB-Gastrin-17-chim(NtGsL-Gq)/β1/γ2
13.64Single7RKFCX3CL17RKF-US28-CX3CL1-GDP-chim(NtGi1-G11)/β1/γ2
13.64Single7RMGSubstance-P7RMG-NK1-Substance-P-chim(Gs-CtGq)/β1/γ2
13.64Single7RMHSubstance-P7RMH-NK1-Substance-P-Gs/β1/γ2
13.64Single7Y1FDynorphin7Y1F-κ-Dynorphin-Gi1/β1/γ2
13.64Single7YJ4INSL57YJ4-RXFP4-INSL5-Gi2/β1/γ2
13.64Single8IUMTafluprost acid8IUM-FP-alpha-Tafluprost acid-chim(NtGi1-Gs-CtGq)/β1/γ2
13.64Single8JBFSenktide8JBF-NK3-Senktide-chim(NtGi1-Gs-CtGq)/β1/γ2
13.64Single8Z74JN241-98Z74-Apelin; Apelin-JN241-9
13.64Single8Z74JN241-98Z74-Apelin; Apelin-JN241-9
13.64Single9CM7TUG-13759CM7-FFA2-TUG-1375-AZ-1729-Gi1/β1/γ2
13.64Single9IPYJR14a9IPY-C3aB-JR14a
13.64Single9JH6C20:0 Ceramide9JH6-CysLT2-C20:0 Ceramide-chim(NtGi1-Gs-CtGq)/β1/γ2
13.64Single9NS9TUG-13759NS9-FFA2-TUG-1375-PubChem 118615810-Gi1/β1/γ2
13.64Single9WSXEndomorphin9WSX-μ-Endomorphin-Arrestin2
13.64Consensuscxcr3_onOrthosteric Ligand8HNK-CXCR3-CXCL11-Gi1/β1/γ2 8HNL-CXCR3-PS372424-Gi1/β1/γ2
13.64Consensusgq_cckOrthosteric Ligand8IA7-CCKB-Cholecystokinin-8-chim(NtGi1L-Gq)/β1/γ2 7XOW-CCKB-Sulfated Gastrin-(10-17)-chim(NtGi1-Gq)/β1/γ2 7EZM-CCKA-Cholecystokinin-8-chim(NtGsL-Gq)/β1/γ2 7F8W-CCKB-Gastrin-17-chim(NtGsL-Gq)/β1/γ2
13.33Single6FK6PubChem 1324730336FK6-Rhodopsin-PubChem 132473033
13.33Single6PB0Urocortin6PB0-CRF1-Urocortin-chim(NtGi1-Gs)/β1/γ2
13.33Single7XP6Strychnine7XP6-TAS2R46-Strychnine-chim(Gs-CtGt3)/β1/γ2
13.33Single8H2GNiacin8H2G-HCA2-Niacin-Gi1/β1/γ2
13.33Single8IHIAcifran8IHI-HCA2-Acifran-Gi1/β1/γ2
13.33Single8JILNiacin8JIL-HCA2-Niacin-Gi1/β1/γ2
13.33Single8JPNCis-Epoxysuccinic acid8JPN-Succinate-Cis-Epoxysuccinic acid-Gi1/β1/γ1
13.33Single8K5BNiacin8K5B-HCA2-Niacin
13.33Single8RWHStilSwitch28RWH-A2A-StilSwitch2-Na
13.33Single8WP1Cis-Epoxysuccinic acid8WP1-Succinate-Cis-Epoxysuccinic acid-Gi1/β1/γ2
13.33Single8X2KOleic monoethanolamide8X2K-GPR3-Oleic monoethanolamide-chim(NtGi1-Gs)/β1/γ2
13.33Single8YKWSuccinic acid8YKW-Succinate-Succinic acid-Gi1/β1/γ1
13.33Single9B9YTaranabant9B9Y-CB1-Taranabant
13.33Single9EPRAll-trans-Retinal9EPR-Rhodopsin-All-trans-Retinal-Gi1/β1/γ2
13.33Single9IQTNiacin9IQT-HCA2-Niacin-Gi1/β1/γ2
13.33Single9IZDCHBA9IZD-HCA1-CHBA-Gi1/β1/γ2
13.33Single9M88Oleic monoethanolamide9M88-GPR3 ; GPR3-Oleic monoethanolamide-AF64394
13.33Consensusccr5_on_gpOrthosteric Ligand7O7F-CCR5-6P4-CCL5-Gi1/β1/γ1 7F1Q-CCR5-CCL3-Gi1/β1/γ2
13.33Consensusgi_npyOrthosteric Ligand8K6M-Y1-Neuropeptide-Y-Gi2/β1/γ1 7X9C-Y4-Pancreatic Hormone-Gi1/β1/γ2 7YOO-Y2-Neuropeptide-Y-Gi1/β1/γ2
13.33Consensusnpy_onOrthosteric Ligandnpy1_on npy2_on npy4_on
13.33Consensusnpy_on_gpOrthosteric Ligandnpy1_on_gp npy2_on_gp npy4_on_gp
13.04Single6RZ8ONO-20803656RZ8-CysLT2-ONO-2080365
13.04Single7F54Afamelanotide7F54-MC4-Afamelanotide-Gs/β1/γ2
13.04Single7NA7Ghrelin7NA7-Ghrelin-Ghrelin-Gi1/β1/γ2
13.04Single7QA8Antagonist Peptide7QA8-STE2; STE2-Antagonist Peptide
13.04Single7QA8Antagonist Peptide7QA8-STE2; STE2-Antagonist Peptide
13.04Single7T6UCGEN-855A7T6U-FPR2-ALX-CGEN-855A-Gi1/β1/γ2
13.04Single7W2ZGhrelin7W2Z-Ghrelin-Ghrelin-Go/β1/γ2
13.04Single7WICSomatostatin-147WIC-SST2-Somatostatin-14-Gi1/β1/γ2
13.04Single7XAUOctreotide7XAU-SST2-Octreotide-Gi1/β1/γ2
13.04Single8IEIPubChem 1347468948IEI-GPR156; GPR156-PubChem 134746894
13.04Single8IEIPubChem 1347468948IEI-GPR156; GPR156-PubChem 134746894
13.04Single8IEPPubChem 1347468948IEP-GPR156; GPR156-PubChem 134746894
13.04Single8IEPPubChem 1347468948IEP-GPR156; GPR156-PubChem 134746894
13.04Single8IZBLysophosphatidylserine (UBL)8IZB-GPR174-Lysophosphatidylserine (UBL)-Gs/β1/γ2
13.04Single8J6RMK68928J6R-HCA2-MK6892-Gi1/β1/γ2
13.04Single8K3ZCXCL128K3Z-CXCR4-CXCL12-Gi1/β1/γ1
13.04Single8XGMChemerin8XGM-CML2-Chemerin-Gi1/β1/γ2
13.04Single9KWGC5a9KWG-C5a1-C5a-Go/β1/γ2
13.04Single9L3YChemerin9L3Y-CML2-Chemerin-Gi1/β1/γ2
13.04Consensuscxcr4_onOrthosteric Ligand8K3Z-CXCR4-CXCL12-Gi1/β1/γ1
13.04Consensusmc4_onOrthosteric Ligand7AUE-MC4-Setmelanotide-chim(NtGi1L-Gs)/β1/γ2 7F58-MC4-THIQ-Gs/β1/γ2 7F54-MC4-Afamelanotide-Gs/β1/γ2 7F53-MC4-α-MSH-Gs/β1/γ2 7F55-MC4-Bremelanotide-Gs/β1/γ2
13.04Consensusnk3_onOrthosteric Ligand8JBF-NK3-Senktide-chim(NtGi1-Gs-CtGq)/β1/γ2
13.04Consensusnk3_on_gpOrthosteric Ligand8JBF-NK3-Senktide-chim(NtGi1-Gs-CtGq)/β1/γ2
13.04Consensussst5_onOrthosteric Ligand8X8L-SST5-Cortistatin-14-chim(NtGi1-Gs-CtGi1)/β1/γ2 8X8N-SST5-Octreotide-chim(NtGi1-Gs-CtGi1)/β1/γ2
12.90Consensusmelanocortin_onOrthosteric Ligandmc1_on mc4_on mc2_on mc3_on mc5_on
12.90Consensusmelanocortin_on_gpOrthosteric Ligandmc1_on_gp mc4_on_gp mc2_on_gp mc3_on_gp mc5_on_gp
12.50Single3PWHZM-2413853PWH-A2A-ZM-241385
12.50Single5XJM(Sar1,Ile8)-Angiotensin II5XJM-AT2-(Sar1,Ile8)-Angiotensin II
12.50Single6DO1(Sar1,Ile8)-Angiotensin II6DO1-AT1-(Sar1,Ile8)-Angiotensin II
12.50Single6FKBPubChem 1324730386FKB-Rhodopsin-PubChem 132473038
12.50Single6ME9Ramelteon6ME9-MT2-Ramelteon
12.50Single7F8YDevazepide7F8Y-CCKA-Devazepide
12.50Single7PIVAfamelanotide7PIV-MC4-Afamelanotide-Gs/β1/γ2
12.50Single7RMISubstance-P7RMI-NK1-Substance-P-chim(Gs-CtGq)/β1/γ2
12.50Single7TUZ7-alpha,25-dihydroxycholesterol7TUZ-GPR183-7-α,25-dihydroxycholesterol-Gi1/β1/γ2
12.50Single7VDLCortistatin-147VDL-MRGPRX2-Cortistatin-14-Gi1/β1/γ2
12.50Single7VVOPTH7VVO-PTH1-PTH-Gs/β1/γ2
12.50Single7W0OElabela7W0O-Apelin-Elabela-Gi1/β1/γ2
12.50Single7WF7S1P7WF7-S1P1-S1P-Gi1/β1/γ2
12.50Single7WJ5Somatostatin-147WJ5-SST2-Somatostatin-14-Gi1/β1/γ2
12.50Single7XMSSomatostatin-147XMS-SST4-Somatostatin-14-Gi1/β1/γ2
12.50Single8F7QBeta-Endorphin8F7Q-μ-β-Endorphin-Gi1/β1/γ2
12.50Single8IEBPubChem 1347468948IEB-GPR156; GPR156-PubChem 134746894
12.50Single8IJANiacin8IJA-HCA2-Niacin-Gi1/β1/γ2
12.50Single8IJBAcipimox8IJB-HCA2-Acipimox-Gi1/β1/γ2
12.50Single8J6LNiacin8J6L-HCA2-Niacin-Gi1/β1/γ2
12.50Single8JBHSubstance-P8JBH-NK3-Substance-P-chim(NtGi1-Gs-CtGq)/β1/γ2
12.50Single8JZZC5a-des-Arg8JZZ-C5a1-C5a-des-Arg-Go/β1/γ2
12.50Single8K6ONeuropeptide-Y8K6O-Y1-Neuropeptide-Y-Gi2/β1/γ1
12.50Single8RVWStilSwitch38RVW-A2A-StilSwitch3-Na
12.50Single8RW4AzoSwitch28RW4-A2A-AzoSwitch2-Na
12.50Single8RWEStilSwitch48RWE-A2A-StilSwitch4-Na
12.50Single8SG1Chemerin-98SG1-CML1-Chemerin-9-Gi1/β1/γ2
12.50Single8T3VDoconexent8T3V-FFA1-Doconexent-chim(NtGi2L-Gs-CtGq)/β1/γ2
12.50Single8UTDMK19038UTD-HCA2-MK1903-Gi1/β1/γ2
12.50Single8WOGSuccinic acid8WOG-Succinate-Succinic acid-Gi1/β1/γ2
12.50Single8WSSMCH8WSS-MCH1-MCH-Gi1/β1/γ1
12.50Single8XXVIndomethacin8XXV-DP2-Indomethacin-A1D5Q-Gi1/β1/γ2
12.50Single8YKXMaleic acid8YKX-Succinate-Maleic acid-Gi1/β1/γ1
12.50Single8Z87CHBA8Z87-HCA1-CHBA-Gi1/β1/γ2
12.50Single9FUPIstradefylline9FUP-A2A-Istradefylline-Na
12.50Single9IQRMuscarinic toxin 39IQR-α2a-Muscarinic toxin 3
12.50Single9IQVMuscarinic toxin 39IQV-Alpha1A-Muscarinic toxin 3
12.50Single9JKXAcifran9JKX-HCA3-Acifran-Gi1/β1/γ2
12.50Single9KT7MK68929KT7-HCA2-MK6892-Gi1/β1/γ2
12.50Single9KV6TLQP219KV6-C3aB-TLQP21-Go/β1/γ2
12.50Consensusangiotensin_offOrthosteric Ligandat1_off
12.50Consensuscompl-peptide_onOrthosteric Ligandc5a1_on c3a_on
12.50Consensuscrf_on_gpOrthosteric Ligandcrf2_on_gp crf1_on_gp
12.50Consensusgi_succinateOrthosteric Ligand8YKW-Succinate-Succinic acid-Gi1/β1/γ1 8YKX-Succinate-Maleic acid-Gi1/β1/γ1
12.50Consensusmc4_on_gpOrthosteric Ligand7AUE-MC4-Setmelanotide-chim(NtGi1L-Gs)/β1/γ2 7F58-MC4-THIQ-Gs/β1/γ2 7F54-MC4-Afamelanotide-Gs/β1/γ2 7F53-MC4-α-MSH-Gs/β1/γ2 7F55-MC4-Bremelanotide-Gs/β1/γ2
12.50Consensussuccinate_onOrthosteric Ligand8YKW-Succinate-Succinic acid-Gi1/β1/γ1 8YKX-Succinate-Maleic acid-Gi1/β1/γ1
12.50Consensussuccinate_on_gpOrthosteric Ligand8YKW-Succinate-Succinic acid-Gi1/β1/γ1 8YKX-Succinate-Maleic acid-Gi1/β1/γ1
12.50Consensustachykinin_on_gpOrthosteric Ligandnk1_on_gp nk2_on_gp nk3_on_gp
12.12Single7X9ANeuropeptide-Y7X9A-Y1-Neuropeptide-Y-Gi1/β1/γ2
12.12Consensusclass-a_class-b1_cons_on_gpOrthosteric Ligandclass-a_on_gp class-b1_on_gp
12.00Single6LW5WKYMVm6LW5-FPR2-ALX-WKYMVm
12.00Single6MEOGp160; CD46MEO-CCR5-Gp160; CD4
12.00Single6UUNAdrenomedullin6UUN-CT Like (AM1)-Adrenomedullin-Gs/β1/γ2; RAMP2
12.00Single6VN7PACAP276VN7-VPAC1-PACAP27-Gs/β1/γ2
12.00Single7O7F6P4-CCL57O7F-CCR5-6P4-CCL5-Gi1/β1/γ1
12.00Single7RYCOxytocin7RYC-OT-Oxytocin-chim(NtGi2L-Gs-CtGq)/β1/γ2
12.00Single8K6MNeuropeptide-Y8K6M-Y1-Neuropeptide-Y-Gi2/β1/γ1
12.00Single8K6NNeuropeptide-Y8K6N-Y2-Neuropeptide-Y-Gi2/β1/γ1
12.00Single8XZGApelin-138XZG-Apelin; Apelin-Apelin-13-Gi1/β1/γ2
12.00Single8XZHMM078XZH-Apelin; Apelin-MM07-Gi1/β1/γ2
12.00Single9K27PrRP319K27-PrRP-PrRP31-chim(NtGi1-Gq)/β1/γ2
12.00Consensuscompl-peptide_on_gpOrthosteric Ligandc5a1_on_gp c3a_on_gp
12.00Consensuscxcr4_on_gpOrthosteric Ligand8K3Z-CXCR4-CXCL12-Gi1/β1/γ1
12.00Consensusmc3_onOrthosteric Ligand8IOC-MC3-γ-MSH-Ca-chim(NtGi1-Gs)/β1/γ2
12.00Consensusmc3_on_gpOrthosteric Ligand8IOC-MC3-γ-MSH-Ca-chim(NtGi1-Gs)/β1/γ2
12.00Consensusnpy1_onOrthosteric Ligand8K6M-Y1-Neuropeptide-Y-Gi2/β1/γ1
12.00Consensusnpy1_on_gpOrthosteric Ligand8K6M-Y1-Neuropeptide-Y-Gi2/β1/γ1
11.76Single4ZUDOlmesartan4ZUD-AT1-Olmesartan
11.76Single6FK8PubChem 1324730356FK8-Rhodopsin-PubChem 132473035
11.76Single7BB6AVP7BB6-V2-AVP-Gs/β1/γ2
11.76Single7M3GCa; Ca; Tryptophan; Evocalcet; Etelcalcetide; PO47M3G-CaS; CaS-Ca; Ca; Tryptophan; Evocalcet; Etelcalcetide; PO4
11.76Single7UTZDPPC7UTZ-TSH-TSH-DPPC-Gs/β1/γ2
11.76Single7XOVSR1461317XOV-CCKA-SR146131-Gs/β1/γ2
11.76Single8GUQOlorinab8GUQ-CB2-Olorinab-Gi1/β1/γ2
11.76Single8IHKAcifran8IHK-HCA3-Acifran
11.76Single8IY9Niacin8IY9-HCA2-Niacin-Go/β1/γ2
11.76Single8JEIPubChem 117155568JEI-HCAR3-PubChem 11715556-Gi1/β1/γ2
11.76Single8JERAcipimox8JER-HCA2-Acipimox-Go/β1/γ2
11.76Single8JIMMonomethyl fumarate8JIM-HCA2-Monomethyl fumarate-Gi1/β1/γ2
11.76Single8K4NPubChem 1687197658K4N-GPR34-PubChem 168719765-Gi1/β1/γ2
11.76Single8K4SDCA-3P8K4S-MRGPRX4-DCA-3P-chim(NtGi1L-Gs-CtGq)/β1/γ2
11.76Single8K5CAcipimox8K5C-HCA2-Acipimox
11.76Single8Y6YGLPG09748Y6Y-FFA2-GLPG0974
11.76Single8YKVPubChem 1375531688YKV-Succinate-PubChem 137553168-Gi1/β1/γ2
11.76Single9BA0MRI-18919BA0-CB1-MRI-1891
11.76Single9IXXLTD49IXX-CysLT2-LTD4-chim(NtGi1-Gs-CtGq)/β1/γ2
11.76Single9JKYAcifran9JKY-HCA2-Acifran-Gi1/β1/γ2
11.76Single9JMDAzithromycin9JMD-Motilin-Azithromycin-chim(Gs-CtGq)/β1/γ2
11.76Single9KXSEP679KXS-C5a1-EP67-Go/β1/γ2
11.76Single9U80Conivaptan9U80-V2-Conivaptan
11.76Consensusat1_offOrthosteric Ligand4YAY-AT1-ZD-7155 4ZUD-AT1-Olmesartan
11.76Consensuscb1_offOrthosteric Ligand5U09-CB1-Taranabant 5TGZ-CB1-AM6538
11.76Consensushca_onOrthosteric Ligandhca2_on
11.76Consensusnucleotide_offOrthosteric Ligandadenosine_off p2y_off
11.54Single5WB2CX3CL1.355WB2-US28-CX3CL1.35
11.54Single6METGp160; CD46MET-CCR5-Gp160; CD4
11.54Single6WI9Secretin6WI9-Secretin-Secretin-Gs/β1/γ2
11.54Single7FIMTirzepatide7FIM-GLP-1-Tirzepatide-Gs/β1/γ2
11.54Single7V9MSomatoliberin7V9M-GHRH (SV1)-Somatoliberin-Gs/β1/γ2
11.54Single7XK8Neuromedin-U-257XK8-NMUR2-Neuromedin-U-25-Gi1/β1/γ2
11.54Single7YONPeptide-YY(3-36)7YON-Y2-Peptide-YY(3-36)-Gi1/β1/γ2
11.54Single8WSTMCH8WST-MCH2-MCH-chim(NtGi1L-Gs-CtGq)/β1/γ2
11.54Single8X8LCortistatin-148X8L-SST5-Cortistatin-14-chim(NtGi1-Gs-CtGi1)/β1/γ2
11.54Consensusapelin_onOrthosteric Ligand8XZH-Apelin; Apelin-MM07-Gi1/β1/γ2 7W0M-Apelin-PubChem 122701908-Gi1/β1/γ2 8XZJ-Apelin; Apelin-WN353-Gi1/β1/γ2 8XZF-Apelin; Apelin-WN561-Gi1/β1/γ2 8XZG-Apelin; Apelin-Apelin-13-Gi1/β1/γ2
11.54Consensusapelin_on_gpOrthosteric Ligand8XZH-Apelin; Apelin-MM07-Gi1/β1/γ2 7W0M-Apelin-PubChem 122701908-Gi1/β1/γ2 8XZJ-Apelin; Apelin-WN353-Gi1/β1/γ2 8XZF-Apelin; Apelin-WN561-Gi1/β1/γ2 8XZG-Apelin; Apelin-Apelin-13-Gi1/β1/γ2
11.54Consensustachykinin_onOrthosteric Ligandnk1_on nk2_on nk3_on
11.43Consensusmc2_onOrthosteric Ligand8GY7-MC2-Corticotropin-Ca-chim(NtGi1-Gs)/β1/γ2; MRAP1
11.43Consensusmc2_on_gpOrthosteric Ligand8GY7-MC2-Corticotropin-Ca-chim(NtGi1-Gs)/β1/γ2; MRAP1
11.11Single4YAYZD-71554YAY-AT1-ZD-7155
11.11Single5ZKPSR274175ZKP-PAF-SR27417
11.11Single6D27CAY104716D27-DP2-CAY10471
11.11Single6FK7PubChem 1324730346FK7-Rhodopsin-PubChem 132473034
11.11Single6FKCPubChem 1324730396FKC-Rhodopsin-PubChem 132473039
11.11Single6GPSMK08126GPS-CCR2-MK0812
11.11Single6IIVDaltroban6IIV-TXA2-Daltroban
11.11Single6KPFAM120336KPF-CB2-AM12033-Gi1/β1/γ2
11.11Single6Z10PubChem 1545855546Z10-Succinate-PubChem 154585554
11.11Single7F6HBradykinin7F6H-BK2-Bradykinin-Gq/β1/γ2
11.11Single7F6IKallidin7F6I-BK2-Kallidin-Gq/β1/γ2
11.11Single7F9YGhrelin7F9Y-Ghrelin-Ghrelin-chim(NtGi1-Gs-CtGq)/β1/γ2
11.11Single7P02Substance-P7P02-NK1-Substance-P-chim(NtGi1-Gs)/β1/γ2
11.11Single7V3ZCP559407V3Z-CB1-CP55940
11.11Single7WBJPACAP277WBJ-VPAC1-PACAP27-Gs/β1/γ2
11.11Single7X9BNeuropeptide-Y7X9B-Y2-Neuropeptide-Y-Gi1/β1/γ2
11.11Single7YU4ONO-07405567YU4-LPA1-ONO-0740556
11.11Single8E3YPACAP278E3Y-VPAC1-PACAP27-Gs/β1/γ2
11.11Single8E3ZVIP8E3Z-VPAC1-VIP-Gs/β1/γ2
11.11Single8EJKTAK-8758EJK-FFA1-TAK-875-chim(NtGi1L-Gs-CtGq)/β1/γ2
11.11Single8HNKCXCL118HNK-CXCR3-CXCL11-Gi1/β1/γ2
11.11Single8I7VAcipimox8I7V-HCA2-Acipimox-Gi1/β1/γ2
11.11Single8IA2C5a8IA2-C5a1-C5a-Go/β1/γ2
11.11Single8IHJAcifran8IHJ-HCA3-Acifran-Gi1/β1/γ2
11.11Single8J6PNiacin8J6P-HCA2-Niacin-PubChem 25101223-Gi1/β1/γ2
11.11Single8JHNMonomethyl fumarate8JHN-HCA2-Monomethyl fumarate-Go/β1/γ2
11.11Single8JIINiacin8JII-HCA2-Niacin-PubChem 25101223-Gi1/β1/γ2
11.11Single8K5DGSK2560738K5D-HCA2-GSK256073
11.11Single8KFYZK-7563268KFY-CCR8-ZK-756326-Gi1/β1/γ2
11.11Single8WWMMCH8WWM-MCH1-MCH-Gi1/β1/γ2
11.11Single8XBGS3E-Lysophosphatidylserine 8XBG-GPR34-S3E-Lysophosphatidylserine
11.11Single8XQEApelin-138XQE-Apelin; Apelin-Apelin-13-Gi1/β1/γ2
11.11Single8XVIEndothelin-18XVI-ETA-Endothelin-1-chim(Gs-CtGq)/β1/γ2
11.11Single8ZBEOctreotide8ZBE-SST5-Octreotide-Gi1/β1/γ1
11.11Single9E2AGLP-19E2A-GLP-1-GLP-1-Gs/β1/γ2
11.11Single9IYAONO-97105319IYA-GPR55-ONO-9710531
11.11Single9IZCMK19039IZC-HCA2-MK1903-Gi1/β1/γ2
11.11Consensusccr2_offOrthosteric Ligand6GPS-CCR2-MK0812
11.11Consensusclass-b1_onOrthosteric Ligandglucagon_on vip-pacap_on pth_on crf_on calcitonin_on
11.11Consensusgi_apelinOrthosteric Ligand8XZH-Apelin; Apelin-MM07-Gi1/β1/γ2 7W0M-Apelin-PubChem 122701908-Gi1/β1/γ2 8XZJ-Apelin; Apelin-WN353-Gi1/β1/γ2 8XZF-Apelin; Apelin-WN561-Gi1/β1/γ2 8XZG-Apelin; Apelin-Apelin-13-Gi1/β1/γ2
11.11Consensusgi_hcaOrthosteric Ligand8J6R-HCA2-MK6892-Gi1/β1/γ2 8JIM-HCA2-Monomethyl fumarate-Gi1/β1/γ2 8IHI-HCA2-Acifran-Gi1/β1/γ2 8IHH-HCA2-LUF6283-Gi1/β1/γ2 8I7V-HCA2-Acipimox-Gi1/β1/γ2 8I7W-HCA2-GSK256073-Gi1/β1/γ2
11.11Consensushca2_onOrthosteric Ligand8J6R-HCA2-MK6892-Gi1/β1/γ2 8JIM-HCA2-Monomethyl fumarate-Gi1/β1/γ2 8I7V-HCA2-Acipimox-Gi1/β1/γ2 8I7W-HCA2-GSK256073-Gi1/β1/γ2 8IHH-HCA2-LUF6283-Gi1/β1/γ2 8IHI-HCA2-Acifran-Gi1/β1/γ2
11.11Consensushca2_on_gpOrthosteric Ligand8J6R-HCA2-MK6892-Gi1/β1/γ2 8IHI-HCA2-Acifran-Gi1/β1/γ2 8IHH-HCA2-LUF6283-Gi1/β1/γ2 8I7V-HCA2-Acipimox-Gi1/β1/γ2 8JIM-HCA2-Monomethyl fumarate-Gi1/β1/γ2 8I7W-HCA2-GSK256073-Gi1/β1/γ2
11.11Consensushca_on_gpOrthosteric Ligandhca2_on_gp
10.71Single6P9YPACAP276P9Y-PAC1-PACAP27-Gs/β1/γ2
10.71Single7RGPTirzepatide7RGP-GLP-1-Tirzepatide-chim(NtGi1-Gs)/β1/γ2
10.71Single7W3ZGastrin Releasing Peptide7W3Z-BB2-Gastrin Releasing Peptide-chim(NtGi1L-Gq)/β1/γ2
10.71Single8E3XPACAP278E3X-PAC1-PACAP27-Gs/β1/γ2
10.71Single8XQFApelin-138XQF-Apelin-Apelin-13-Gi1/β1/γ2
10.71Single9BLWCagrilintide (non-acylated)9BLW-CT (AMY1)-Cagrilintide (non-acylated)-Gs/β1/γ2; RAMP1
10.71Single9P92VIP9P92-PAC1-VIP-Gs/β1/γ2
10.71Consensuspac_on_gpOrthosteric Ligandpac1_on_gp
10.53Single6GPXMK08126GPX-CCR2-MK0812
10.53Single6KPCAM120336KPC-CB2-AM12033
10.53Single6M9TMisoprostol-FA6M9T-EP3-Misoprostol-FA
10.53Single6RZ4Pranlukast6RZ4-CysLT1-Pranlukast-Na
10.53Single6XBKCholesterol6XBK-SMO-Cholesterol-Gi1/β1/γ2
10.53Single7VV0PAMP-127VV0-MRGPRX2-PAMP-12
10.53Single7VV4Cortistatin-147VV4-MRGPRX2-Cortistatin-14
10.53Single7YU3ONO-07405567YU3-LPA1-ONO-0740556-Gi1/β1/γ2
10.53Single7YU6ONO-07405567YU6-LPA1-ONO-0740556-Gi1/β1/γ2
10.53Single8GD9Rivenprost8GD9-EP4-Rivenprost-Gs/β1/γ2
10.53Single8I7WGSK2560738I7W-HCA2-GSK256073-Gi1/β1/γ2
10.53Single8IZ4Lysophosphatidylserine (TJR)8IZ4-GPR34-Lysophosphatidylserine (TJR)-Gi1/β1/γ2
10.53Single8TH4Losartan8TH4-AT1-Losartan-AT118-L Nanobody
10.53Single8UUJFCH-22964138UUJ-HCA2-FCH-2296413-Gi1/β1/γ2
10.53Single8WGBVU01550418WGB-mGlu4; mGlu2-Glutamate-VU0155041-Gi3/β1/γ2
10.53Single8ZVZBW245C8ZVZ-DP1-BW245C-Gs/β1/γ2
10.53Single9B9ZMRI-18679B9Z-CB1-MRI-1867
10.53Single9CIBFCH-22964139CIB-HCA2-FCH-2296413
10.53Single9EAHOlmesartan9EAH-AT1-Olmesartan-Nanobody AT209
10.53Single9EE5ONO-25502899EE5-DP1-ONO-2550289
10.53Single9EKHONO-30302979EKH-DP1-ONO-3030297
10.53Single9ERXD9-THC analog9ERX-CB1-D9-THC analog-Gi1/β1/γ2
10.53Single9GE2ML1849GE2-GPR55-ML184-chim(NtGi1-G13)/β1/γ2
10.53Single9KT6Acifran9KT6-HCA3-Acifran-Gi1/β1/γ2
10.53Consensusblt1_offOrthosteric Ligand5X33-BLT1-BIIL260 7K15-BLT1-MKD046-Na
10.53Consensusblt_offOrthosteric Ligandblt1_off
10.53Consensuslipid_onOrthosteric Ligandcannabinoid_on ffa_on lpl_on prostanoid_on leukotriene_on
10.53Consensuslipid_on_gpOrthosteric Ligandcannabinoid_on_gp ffa_on_gp lpl_on_gp prostanoid_on_gp leukotriene_on_gp
10.53Consensuslpa1_onOrthosteric Ligand7TD1-LPA1-LPA-Gi1/β1/γ2 7YU3-LPA1-ONO-0740556-Gi1/β1/γ2
10.53Consensuslpa1_on_gpOrthosteric Ligand7TD1-LPA1-LPA-Gi1/β1/γ2 7YU3-LPA1-ONO-0740556-Gi1/β1/γ2
10.34Single6VCBGLP-16VCB-GLP-1-GLP-1-LSN3160440-Gs/β1/γ2
10.34Single7TYFAmylin7TYF-CT (AMY1)-Amylin-Gs/β1/γ2; RAMP1
10.34Single7XATSomatostatin-147XAT-SST2-Somatostatin-14-Gi1/β1/γ2
10.34Single8W8WAlpha-MSH8W8W-MC3-α-MSH-Ca-Gs/β1/γ2
10.34Single8ZJGChemerin8ZJG-CML1-Chemerin-Gi1/β1/γ2
10.34Consensusglp_onOrthosteric Ligandglp1_on glp2_on
10.34Consensusglp_on_gpOrthosteric Ligandglp1_on_gp glp2_on_gp
10.00Single6LMLGlucagon6LML-Glucagon-Glucagon-Gi1/β1/γ1
10.00Single6UUSAdrenomedullin6UUS-CT Like (AM2)-Adrenomedullin-Gs/β1/γ2; RAMP3
10.00Single6WZGSecretin6WZG-Secretin-Secretin-Gs/β1/γ2
10.00Single7D68GLP-27D68-GLP-2-GLP-2-Gs/β1/γ2
10.00Single7KI1Taspoglutide7KI1-GLP-1-Taspoglutide-Gs/β1/γ2
10.00Single7S8MCortistatin-147S8M-MRGPRX2-Cortistatin-14-Gi1/β1/γ2
10.00Single7TYLAmylin7TYL-CT-Amylin-Gs/β1/γ2
10.00Single7XOWSulfated Gastrin-(10-17)7XOW-CCKB-Sulfated Gastrin-(10-17)-chim(NtGi1-Gq)/β1/γ2
10.00Single7Y67C089 peptide7Y67-C5a1-C089 peptide-Gi1/β1/γ2
10.00Single7YU5ONO-07405567YU5-LPA1-ONO-0740556-Gi1/β1/γ2
10.00Single7YU7ONO-07405567YU7-LPA1-ONO-0740556-Gi1/β1/γ2
10.00Single8F0KPramlintide Analogue San3858F0K-CT (AMY3)-Pramlintide Analogue San385-Gs/β1/γ2; RAMP3
10.00Single8GUSHU-3088GUS-CB2-HU-308-Gi1/β1/γ2
10.00Single8HQCC5a8HQC-C5a1-C5a-Go/β1/γ2
10.00Single8IHBGSK2560738IHB-HCA2-GSK256073-Gi1/β1/γ2
10.00Single8IHHLUF62838IHH-HCA2-LUF6283-Gi1/β1/γ2
10.00Single8IUKPGF2-alpha8IUK-FP-alpha-PGF2-α-chim(NtGi1-Gs-CtGq)/β1/γ2
10.00Single8JBGNeurokinin-B8JBG-NK3-Neurokinin-B-chim(NtGi1-Gs-CtGq)/β1/γ2
10.00Single8KGGLysophosphatidylserine (WJS)8KGG-P2Y10-Lysophosphatidylserine (WJS)-chim(NtGi2-G13)/β1/γ2
10.00Single8X79MRE-2698X79-I2-MRE-269-Gs/β1/γ2
10.00Single8XBIPubChem 1626566368XBI-GPR34-PubChem 162656636
10.00Single9BYOExendin-39BYO-GLP-1-Exendin-3-Gs/β1/γ2
10.00Single9CLWTUG-13759CLW-FFA2-TUG-1375-4-CMTB-chim(NtGi1L-Gs-CtGq)/β1/γ2
10.00Single9E9SPGD29E9S-DP1-PGD2-Gs/β1/γ1
10.00Single9EGOZ85267113509EGO-CB1-Z8526711350-Gi1/β1/γ2
10.00Single9ITELPA9ITE-LPA6-LPA-chim(NtGi2-G13)/β1/γ2
10.00Single9IZGLPA9IZG-LPA1-LPA-chim(NtGi1-Gs-CtGq)/β1/γ2
10.00Single9P93VIP9P93-PAC1-VIP-Gs/β1/γ2
10.00Single9YDVMRS29059YDV-P2Y14-MRS2905-Gi1/β1/γ2
10.00Consensusclass-b1_on_gpOrthosteric Ligandglucagon_on_gp vip-pacap_on_gp pth_on_gp crf_on_gp calcitonin_on_gp
10.00Consensusffa2_onOrthosteric Ligand8J22-FFA2-TUG-1375-Gi1/β1/γ2
10.00Consensusgi_lpaOrthosteric Ligand7TD1-LPA1-LPA-Gi1/β1/γ2 7YU3-LPA1-ONO-0740556-Gi1/β1/γ2
10.00Consensusgs_melanocortinOrthosteric Ligand7F4H-MC1-Afamelanotide-chim(NtGi1-Gs)/β1/γ2 7F54-MC4-Afamelanotide-Gs/β1/γ2 7F4D-MC1-α-MSH-chim(NtGi1-Gs)/β1/γ2 8INR-MC5-α-MSH-Ca-chim(NtGi1-Gs)/β1/γ2 7F53-MC4-α-MSH-Gs/β1/γ2 7F55-MC4-Bremelanotide-Gs/β1/γ2 8GY7-MC2-Corticotropin-Ca-chim(NtGi1-Gs)/β1/γ2; MRAP1 8IOC-MC3-γ-MSH-Ca-chim(NtGi1-Gs)/β1/γ2 8IOD-MC5-PG-901-Ca-chim(NtGi1-Gs)/β1/γ2 7AUE-MC4-Setmelanotide-chim(NtGi1L-Gs)/β1/γ2 7F4I-MC1-SHU9119-chim(NtGi1-Gs)/β1/γ2 7F58-MC4-THIQ-Gs/β1/γ2
10.00Consensuslpa_onOrthosteric Ligandlpa1_on
10.00Consensuslpa_on_gpOrthosteric Ligandlpa1_on_gp
10.00Consensusp2y12_onOrthosteric Ligand7XXI-P2Y12-2MeSADP-Gi2/β1/γ2
10.00Consensusprotein_offOrthosteric Ligandchemokine_off grh_off
10.00Consensusvip-pacap_onOrthosteric Ligandvpac_on pac_on
10.00Consensusvip-pacap_on_gpOrthosteric Ligandvpac_on_gp pac_on_gp
9.76Single8GY7Corticotropin8GY7-MC2-Corticotropin-Ca-chim(NtGi1-Gs)/β1/γ2; MRAP1
9.68Single7DUQGLP-17DUQ-GLP-1-GLP-1-PubChem 156022738-Gs/β1/γ2
9.68Single7TYXAmylin7TYX-CT (AMY2)-Amylin-Gs/β1/γ2; RAMP2
9.68Single8U1UCCL18U1U-CCR8-CCL1-Gi1/β1/γ2
9.68Consensusclass-a_class-b1_cons_onOrthosteric Ligandclass-a_on class-b1_on
9.52Single3VW7Vorapaxar; Na3VW7-PAR1-Vorapaxar; Na
9.52Single4PXZ2MeSADP4PXZ-P2Y12-2MeSADP
9.52Single5X33BIIL2605X33-BLT1-BIIL260
9.52Single6AK3PGE26AK3-EP3-PGE2
9.52Single6IIURamatroban6IIU-TXA2-Ramatroban
9.52Single6OS0Angiotensin II6OS0-AT1-Angiotensin II
9.52Single6RZ7ONO-25703666RZ7-CysLT2-ONO-2570366
9.52Single7T6BS1P7T6B-S1P2-S1P-chim(NtGi1L-G13)/β1/γ2
9.52Single7W0NElabela7W0N-Apelin; Apelin-Elabela-Gi1/β1/γ2
9.52Single7XW5ML1097XW5-TSH-TSH-ML109-Gs/β1/γ2
9.52Single7XW6ML1097XW6-TSH-M22 Fab-ML109-Gs/β1/γ2
9.52Single7XXI2MeSADP7XXI-P2Y12-2MeSADP-Gi2/β1/γ2
9.52Single8GCPPGE28GCP-EP4-PGE2-Gi1/β1/γ2
9.52Single8HK2C3a8HK2-C3aB-C3a-Gi1/β1/γ2
9.52Single8IYWGSK2560738IYW-HCA2-GSK256073-Go/β1/γ2
9.52Single8WRBLysophosphatidylserine (UBL)8WRB-GPR34-Lysophosphatidylserine (UBL)-Gi1/β1/γ2
9.52Single9AU0BW245C9AU0-DP1-BW245C-Gs/β1/γ2
9.52Single9ECJS-geranylgeranyl-L-glutathione9ECJ-P2Y8-S-geranylgeranyl-L-glutathione-G13/β1/γ2
9.52Single9KZKC3a (fragment)9KZK-C3aB-C3a (fragment)-Go/β1/γ2
9.52Single9YDUUDP-Glucose9YDU-P2Y14-UDP-Glucose-Gi1/β1/γ2
9.52Consensuscxcr_onOrthosteric Ligandcxcr3_on cxcr4_on cxcr1_on cxcr2_on
9.52Consensusffa2_on_gpOrthosteric Ligand8J22-FFA2-TUG-1375-Gi1/β1/γ2
9.52Consensusgi_p2yOrthosteric Ligand7XXI-P2Y12-2MeSADP-Gi2/β1/γ2
9.52Consensusp2y12_on_gpOrthosteric Ligand7XXI-P2Y12-2MeSADP-Gi2/β1/γ2
9.38Single6LPBPACAP276LPB-PAC1-PACAP27-Gs/β1/γ1
9.38Single7TZFAmylin7TZF-CT (AMY3)-Amylin-Gs/β1/γ2; RAMP3
9.38Single8F2APramlintide Analogue San3858F2A-CT (AMY3)-Pramlintide Analogue San385-Gs/β1/γ2; RAMP3
9.38Single8FLSAbaloparatide8FLS-PTH1-Abaloparatide-Gs/β1/γ2
9.38Single8FLULA-PTH Analog8FLU-PTH1-LA-PTH Analog-Gs/β1/γ2
9.38Single9AUCCalcitonin gene-related peptide-19AUC-CT (AMY1)-Calcitonin gene-related peptide-1-Gs/β1/γ2; RAMP1
9.09Single6KPGAM8416KPG-CB1-AM841-Gi1/β1/γ2
9.09Single6WPWZP37806WPW-Glucagon-ZP3780-Gs/β1/γ2
9.09Single7LLLExendin-47LLL-GLP-1-Exendin-4-Gs/β1/γ2
9.09Single7PIUSetmelanotide7PIU-MC4-Setmelanotide-Gs/β1/γ2
9.09Single7VVMPTH7VVM-PTH1-PTH-Gs/β1/γ2
9.09Single7VVNPTH7VVN-PTH1-PTH-Gs/β1/γ2
9.09Single7Y27Somatostatin-147Y27-SST2-Somatostatin-14-chim(NtGi2L-Gs-CtGq)/β1/γ2
9.09Single8K2XCXCL108K2X-CXCR3-CXCL10-Gi1/β1/γ2
9.09Single8XBES3E-Lysophosphatidylserine 8XBE-GPR34-S3E-Lysophosphatidylserine-Gi1/β1/γ1
9.09Single8ZX4Lysophosphatidylinositol 8ZX4-GPR55-Lysophosphatidylinositol-chim(NtGi1-G13)/β1/γ2
9.09Single9C0KExendin-49C0K-GLP-1-Exendin-4-Gs/β1/γ2
9.09Single9EAILosartan9EAI-AT1-Losartan-Nanobody AT209
9.09Single9GE3Lysophosphatidylinositol9GE3-GPR55-Lysophosphatidylinositol-chim(NtGi1-G13)/β1/γ2
9.09Single9J0BUDP-Glucose9J0B-P2Y14-UDP-Glucose-Gi1/β1/γ2
9.09Single9JH5C16:0 Ceramide9JH5-CysLT2-C16:0 Ceramide-chim(NtGi1-Gs-CtGq)/β1/γ2
9.09Single9JR2PTH9JR2-PTH1-PTH-chim(NtGi1L-Gs-CtGq)/β1/γ2
9.09Single9KT8Acifran9KT8-HCA2-Acifran-Gi1/β1/γ2
9.09Single9KV8TLQP219KV8-C3aB-TLQP21-Go/β1/γ2
9.09Single9M1HPGE29M1H-EP1-PGE2-chim(NtGi1-Gs-CtGq)/β1/γ2
9.09Single9UYMChemerin-99UYM-CML2-Chemerin-9-chim(Arrestin3-CtArrestin2)
8.82Single7Y36PTH7Y36-PTH1-PTH-Gs/β1/γ2
8.82Single8FLQPTH8FLQ-PTH1-PTH-Gs/β1/γ2
8.82Single9JR3PTH9JR3-PTH1-PTH-chim(NtGi1L-Gs-CtGq)/β1/γ2
8.82Consensusglucagon_onOrthosteric Ligandglp_on gluc_on secretin_on gip_on
8.70Single5VBLAMG3054 5VBL-Apelin-AMG3054
8.70Single6C1QPMX536C1Q-C5a1-PMX53-NDT9513727
8.70Single7F9ZGHRP-67F9Z-Ghrelin-GHRP-6-chim(NtGi1-Gs-CtGq)/β1/γ2
8.70Single7RKNCX3CL17RKN-US28-CX3CL1-Gi1/β1/γ2
8.70Single7S8LCortistatin-147S8L-MRGPRX2-Cortistatin-14-chim(NtGi2L-Gs-CtGq)/β1/γ2
8.70Single7XBXCX3CL17XBX-CX3CR1-CX3CL1-Gi1/β1/γ2
8.70Single8GDAL9026888GDA-EP4-L902688-Gs/β1/γ2
8.70Single8IQ4Carboprost8IQ4-FP-alpha-Carboprost-chim(NtGi1-Gs-CtGq)/β1/γ2
8.70Single8J22TUG-13758J22-FFA2-TUG-1375-Gi1/β1/γ2
8.70Single8SAILysophosphatidylserine (S12)8SAI-GPR34-Lysophosphatidylserine (S12)-Gi1/β1/γ2
8.70Single8XQJJN2418XQJ-Apelin; Apelin-JN241
8.70Single8XZFWN5618XZF-Apelin; Apelin-WN561-Gi1/β1/γ2
8.70Single9ITBLPA9ITB-LPA6-LPA-chim(NtGi1-Gs-CtGq)/β1/γ2
8.70Single9IZASCH9002719IZA-HCA2-SCH900271-Gi1/β1/γ2
8.70Single9KX6C5a-des-Arg9KX6-C5a1-C5a-des-Arg-Go/β1/γ2
8.70Consensuscxcr_on_gpOrthosteric Ligandcxcr3_on_gp cxcr4_on_gp cxcr1_on_gp cxcr2_on_gp
8.57Single6E3YCalcitonin gene-related peptide-16E3Y-CT Like-Calcitonin gene-related peptide-1-Gs/β1/γ2; RAMP1
8.57Consensusglucagon_on_gpOrthosteric Ligandglp_on_gp gluc_on_gp secretin_on_gp gip_on_gp
8.57Consensuspth_onOrthosteric Ligandpth1_on pth2_on
8.33Single4XT1CX3CL14XT1-US28-CX3CL1
8.33Single7W53Neuromedin-U-257W53-NMUR1-Neuromedin-U-25-chim(NtGi1-Gs-CtGq)/β1/γ2
8.33Single7XMRSomatostatin-147XMR-SST2-Somatostatin-14-Gi1/β1/γ2
8.33Single8JGBConorfamide-Tx28JGB-MRGPRX1-Conorfamide-Tx2-Gi1/β1/γ2
8.33Single8KIGSHU91198KIG-MC3-SHU9119-Ca
8.33Single8XBHPubChem 1626566368XBH-GPR34-PubChem 162656636-Gi1/β1/γ2
8.33Single8YWFRetatrutide8YWF-GLP-1-Retatrutide-chim(NtGi1-Gs)/β1/γ2
8.33Single9HB3Mambaquaretin-19HB3-V2-Mambaquaretin-1
8.33Single9J0IUDP-Glucuronic acid9J0I-P2Y14-UDP-Glucuronic acid-Gi1/β1/γ2
8.33Single9UYLChemerin-99UYL-CML2-Chemerin-9-Arrestin2
8.33Consensusnmur1_on_gpOrthosteric Ligand7W53-NMUR1-Neuromedin-U-25-chim(NtGi1-Gs-CtGq)/β1/γ2
8.33Consensusp2y_onOrthosteric Ligandp2y1_on p2y10_on p2y12_on
8.33Consensussomatostatin_offOrthosteric Ligandsst2_off
8.11Single7F16TIP397F16-PTH2-TIP39-Gs/β1/γ2
8.00Single7RKMCX3CL17RKM-US28-CX3CL1-Gi1/β1/γ2
8.00Single7TRYUrocortin7TRY-CRF2-Urocortin-chim(NtGi1-G11)/β1/γ2
8.00Single7VBITirzepatide (non-acylated)7VBI-GLP-1-Tirzepatide (non-acylated)-Gs/β1/γ2
8.00Single7W0NElabela7W0N-Apelin; Apelin-Elabela-Gi1/β1/γ2
8.00Single7XNACYN1548067XNA-SST2-CYN154806
8.00Single8IBVMotilin8IBV-Motilin-Motilin-chim(NtGi1-Gs-CtGq)/β1/γ2
8.00Single8IOCGamma-MSH8IOC-MC3-γ-MSH-Ca-chim(NtGi1-Gs)/β1/γ2
8.00Single8KH5Lysophosphatidylserine8KH5-GPR174-Lysophosphatidylserine-Gs/β1/γ2
8.00Single8XYDPlatelet Activating Factor8XYD-PAF-Platelet Activating Factor-Gi1/β1/γ2
8.00Single8Z7JJN241-98Z7J-Apelin-JN241-9-Gi1/β1/γ2
8.00Single9E82CXCL12 (fragment)9E82-ACKR3-CXCL12 (fragment)-Arrestin2
8.00Single9EAINanobody AT2099EAI-AT1-Losartan-Nanobody AT209
8.00Single9IQSMuscarinic toxin 39IQS-M4-Muscarinic toxin 3
8.00Single9J0FNADH9J0F-P2Y14-NADH-Gi1/β1/γ2
8.00Single9JFK(Pen5)-Urotensin II9JFK-UT-(Pen5)-Urotensin II-chim(NtGi2L-Gs-CtGq)/β1/γ2
8.00Single9KFIRelaxin-39KFI-RXFP3-Relaxin-3-Gi2/β1/γ2
8.00Consensusmc5_onOrthosteric Ligand8INR-MC5-α-MSH-Ca-chim(NtGi1-Gs)/β1/γ2 8IOD-MC5-PG-901-Ca-chim(NtGi1-Gs)/β1/γ2
8.00Consensussst2_offOrthosteric Ligand7XNA-SST2-CYN154806
7.89Single8F0JPramlintide Analogue San458F0J-CT-Pramlintide Analogue San45-Gs/β1/γ2
7.69Single3OE0CVX153OE0-CXCR4-CVX15
7.69Single8F2BPramlintide Analogue San458F2B-CT (AMY3)-Pramlintide Analogue San45-Gs/β1/γ2; RAMP3
7.69Single8W8YGamma-MSH8W8Y-MC3-γ-MSH-Ca-Gs/β1/γ2
7.69Single9JKVPubChem 27366909JKV-HCA3-PubChem 2736690-Gi1/β1/γ2
7.69Single9LXRLA-PTH Analog9LXR-PTH1-LA-PTH Analog-Arrestin2
7.69Consensusclass-b1_class-b2_cons_onOrthosteric Ligandclass-b1_on class-b2_on
7.69Consensusclass-b1_class-b2_cons_on_gpOrthosteric Ligandclass-b1_on_gp class-b2_on_gp
7.69Consensuspth_on_gpOrthosteric Ligandpth1_on_gp pth2_on_gp
7.41Single6M1IPACAP276M1I-PAC1-PACAP27-Gs/β1/γ2
7.41Single7T10Somatostatin-147T10-SST2-Somatostatin-14-Gi3/β1/γ2
7.41Single7TYIAmylin7TYI-CT-Amylin-Gs/β1/γ2
7.41Single7W57Neuromedin-S7W57-NMUR2-Neuromedin-S-chim(NtGi1-Gs-CtGq)/β1/γ2
7.41Single8HA0PTH8HA0-PTH1-PTH-chim(NtGi1-Gs)/β1/γ2
7.41Single8XZJWN3538XZJ-Apelin; Apelin-WN353-Gi1/β1/γ2
7.41Single8YW3Retatrutide8YW3-GLP-1-Retatrutide-Gs/β1/γ2
7.41Single8YW4Retatrutide8YW4-GIP-Retatrutide-chim(NtGi1-Gs)/β1/γ2
7.41Single8YW5Retatrutide8YW5-Glucagon-Retatrutide-Gs/β1/γ2
7.41Single9BLCCagrilintide (non-acylated)9BLC-CT-Cagrilintide (non-acylated)-Gs/β1/γ2
7.41Single9BUDCagrilintide9BUD-CT-Cagrilintide-Gs/β1/γ2
7.41Single9EBOGLP-1 (ACPC18)9EBO-GLP-1-GLP-1 (ACPC18)-Gs/β1/γ2
7.41Consensusmc5_on_gpOrthosteric Ligand8INR-MC5-α-MSH-Ca-chim(NtGi1-Gs)/β1/γ2 8IOD-MC5-PG-901-Ca-chim(NtGi1-Gs)/β1/γ2
7.41Consensusp2y_on_gpOrthosteric Ligandp2y1_on_gp p2y10_on_gp p2y12_on_gp
7.41Consensusprotein_offonOrthosteric Ligandprotein_off protein_on
7.41Consensusprotein_offon_gpOrthosteric Ligandprotein_on_gp protein_off
7.14Single3OE8IT1t3OE8-CXCR4-IT1t
7.14Single6OT025(S)-Epoxycholesterol6OT0-SMO-25(S)-Epoxycholesterol-Gi1/β1/γ2
7.14Single6X18GLP-16X18-GLP-1-GLP-1-Gs/β1/γ2
7.14Single7LLYOxyntomodulin7LLY-GLP-1-Oxyntomodulin-Gs/β1/γ2
7.14Single7TYWCalcitonin-17TYW-CT (AMY1)-Calcitonin-1-Gs/β1/γ2; RAMP1
7.14Single7VDMSubstance-P7VDM-MRGPRX2-Substance-P-Gi1/β1/γ2
7.14Single7Y14Beta-Alanine7Y14-MRGPRD-β-Alanine
7.14Single8IKGPubChem 7032058IKG-CB1-PubChem 703205-Gi1/β1/γ1
7.14Single8Y02All-trans-Retinal8Y02-OPN1SW-All-trans-Retinal-Gi1/β1/γ2
7.14Consensuscalcitonin_onOrthosteric Ligandctlike_on
7.14Consensuschemokine_on_gpOrthosteric Ligandccr_on_gp cxcr_on_gp
7.14Consensusgi_chemokineOrthosteric Ligand6WWZ-CCR6-CCL20-Go/β1/γ2 8HNK-CXCR3-CXCL11-Gi1/β1/γ2 8K3Z-CXCR4-CXCL12-Gi1/β1/γ1 8IC0-CXCR1-CXCL8-Gi1/β1/γ2 6LFM-CXCR2-CXCL8-Gi1/β1/γ2 8KFX-CCR8-LMD-009-Gi1/β1/γ2 7F1Q-CCR5-CCL3-Gi1/β1/γ2 8HNL-CXCR3-PS372424-Gi1/β1/γ2 8KFY-CCR8-ZK-756326-Gi1/β1/γ2 7O7F-CCR5-6P4-CCL5-Gi1/β1/γ1 8U1U-CCR8-CCL1-Gi1/β1/γ2 7VLA-CCR1-CCL15(27-92)-Gi1/β1/γ2 7XA3-CCR2-CCL2-Gi1/β1/γ2
7.14Consensuspac_onOrthosteric Ligandpac1_on
7.14Consensusvpac1_onOrthosteric Ligand8E3Z-VPAC1-VIP-Gs/β1/γ2
7.14Consensusvpac_onOrthosteric Ligandvpac1_on vpac2_on
6.90Single4XT3CX3CL14XT3-US28-CX3CL1
6.90Single5UIW5P7-CCL55UIW-CCR5-5P7-CCL5
6.90Single6FJ3PTH6FJ3-PTH1-PTH
6.90Single6NBFLA-PTH Analog6NBF-PTH1-LA-PTH Analog-Gs/β1/γ2
6.90Single6NBILA-PTH Analog6NBI-PTH1-LA-PTH Analog-Gs/β1/γ2
6.90Single7CZ5Somatoliberin7CZ5-GHRH-Somatoliberin-Gs/β1/γ2
6.90Single7D3SSecretin7D3S-Secretin-Secretin-Gs/β1/γ2
6.90Single7KI0Semaglutide7KI0-GLP-1-Semaglutide-Gs/β1/γ2
6.90Single7RA3GIP7RA3-GIP-GIP-chim(NtGi1-Gs)/β1/γ2
6.90Single7VABTirzepatide (non-acylated)7VAB-GIP-Tirzepatide (non-acylated)-chim(NtGi1-Gs)/β1/γ2
6.90Single8JISPeptide-158JIS-GLP-1-Peptide-15-chim(NtGi1-Gs)/β1/γ2
6.90Single9BLBCagrilintide (non-acylated)9BLB-CT-Cagrilintide (non-acylated)-Gs/β1/γ2
6.90Single9BP3Cagrilintide9BP3-CT (AMY1)-Cagrilintide-Gs/β1/γ2; RAMP1
6.90Single9J1Pg1:Ox9J1P-GLP-1-g1:Ox-chim(NtGi1-Gs)/β1/γ2
6.90Consensuscalcitonin_on_gpOrthosteric Ligandctlike_on_gp
6.90Consensusccr5_offOrthosteric Ligand5UIW-CCR5-5P7-CCL5
6.90Consensusccr5_onOrthosteric Ligand7O7F-CCR5-6P4-CCL5-Gi1/β1/γ1 7F1Q-CCR5-CCL3-Gi1/β1/γ2
6.90Consensusvpac1_on_gpOrthosteric Ligand8E3Z-VPAC1-VIP-Gs/β1/γ2
6.90Consensusvpac_on_gpOrthosteric Ligandvpac1_on_gp vpac2_on_gp
6.67Single3OE6IT1t3OE6-CXCR4-IT1t
6.67Single6UVAAdrenomedullin-26UVA-CT Like (AM2)-Adrenomedullin-2-Gs/β1/γ2; RAMP3
6.67Single7DTYGIP7DTY-GIP-GIP-Gs/β1/γ2
6.67Single7FIYTirzepatide7FIY-GIP-Tirzepatide-Gs/β1/γ2
6.67Single7S1MExendin-4-D-Ala7S1M-GLP-1-Exendin-4-D-Ala-Gs/β1/γ2
6.67Single7TYNCalcitonin-17TYN-CT-Calcitonin-1-Gs/β1/γ2
6.67Single7VQXPACAP277VQX-VPAC1-PACAP27-Gs/β1/γ2
6.67Single7Y12Beta-Alanine7Y12-MRGPRD-β-Alanine-Gi1/β1/γ2
6.67Single8F76Propanoic acid8F76-OR51E2-Propanoic acid-Gs/β1/γ2
6.67Single8FU6ZP37808FU6-Glucagon-ZP3780-Gs/β1/γ2
6.67Single8JEFPubChem 113671668JEF-HCA3-PubChem 11367166-Gi1/β1/γ2
6.67Single8RQLFlufenamic acid8RQL-TAS2R14-Flufenamic acid-Flufenamic acid-chim(NtGi1-Gt3)/β1/γ2
6.67Single8W8XBeta-MSH8W8X-MC3-β-MSH-Ca-Gs/β1/γ2
6.67Single8X9UMetenolone8X9U-ADGRD1-Metenolone-chim(NtGi1-Gs)/β1/γ2
6.67Single9JHJC18:0 Ceramide9JHJ-FPR2-ALX-C18:0 Ceramide-Gi1/β1/γ2
6.67Single9KT93,5-DHBA9KT9-HCA1-3,5-DHBA-Gi1/β1/γ2
6.67Single9P94PACAP279P94-PAC1-PACAP27-Gs/β1/γ2
6.67Consensusp2y10_on_gpOrthosteric Ligand8KGG-P2Y10-Lysophosphatidylserine (WJS)-chim(NtGi2-G13)/β1/γ2
6.45Single5VAIGLP-15VAI-GLP-1-GLP-1-Gs/β1/γ2
6.45Single6LMKGlucagon6LMK-Glucagon-Glucagon-Gs/β1/γ2
6.45Single6NBHLA-PTH Analog6NBH-PTH1-LA-PTH Analog-Gs/β1/γ2
6.45Single7VVJPTHrP(1-36)7VVJ-PTH1-PTHrP(1-36)-Gs/β1/γ2
6.45Single7VVLPTH7VVL-PTH1-PTH-Gs/β1/γ2
6.45Single8FLTM-PTH(1-14)8FLT-PTH1-M-PTH(1-14)-Gs/β1/γ2
6.45Single8HAFPTHrP(1-36)8HAF-PTH1-PTHrP(1-36)-chim(NtGi1-Gs)/β1/γ2
6.25Single3OE9IT1t3OE9-CXCR4-IT1t
6.25Single7S8NR-Zinc-35737S8N-MRGPRX2-R-Zinc-3573-chim(NtGi2L-Gs-CtGq)/β1/γ2
6.25Single7S8OR-Zinc-35737S8O-MRGPRX2-R-Zinc-3573-Gi1/β1/γ2
6.25Single7VDHC48/807VDH-MRGPRX2-C48/80-Gi1/β1/γ2
6.25Single7XKFDehydroepiandrosterone7XKF-ADGRG2-Dehydroepiandrosterone-Gs/β1/γ2
6.25Single8IKHPubChem 1713935418IKH-CB1-PubChem 171393541-Gi1/β1/γ1
6.25Single8U4RREGN7663-Fab8U4R-CXCR4-REGN7663-Fab
6.25Single8YKDDehydroepiandrosterone8YKD-ADGRG2-Dehydroepiandrosterone-chim(NtGi1-Gs)/β1/γ2
6.25Single8ZX5AM2518ZX5-GPR55-AM251-chim(NtGi1-G13)/β1/γ2
6.25Single9JCPLPC9JCP-GPR4-LPC-chim(NtGi1-Gs-CtGq)/β1/γ2
6.25Consensusadgrg_onOrthosteric Ligandadgrg2_on adgrg4_on
6.25Consensusadgrg_on_gpOrthosteric Ligandadgrg2_on_gp adgrg4_on_gp
6.25Consensuscrf1_onOrthosteric Ligand6PB0-CRF1-Urocortin-chim(NtGi1-Gs)/β1/γ2 6P9X-CRF1-Corticoliberin-1-Gs/β1/γ2
5.88Single3ODUIT1t3ODU-CXCR4-IT1t
5.88Single4K5YCP-3763954K5Y-CRF1-CP-376395
5.88Single5U09Taranabant5U09-CB1-Taranabant
5.88Single5ZKQABT-4915ZKQ-PAF-ABT-491
5.88Single6RNKNF-56-EJ406RNK-Succinate-NF-56-EJ40
5.88Single6ZA8RTI-3a6ZA8-NTS1-RTI-3a
5.88Single7S8PMS471347S8P-MRGPRX4-MS47134-chim(NtGi2L-Gs-CtGq)/β1/γ2
5.88Single7V35Peptide-207V35-Glucagon-Peptide-20-Gs/β1/γ2
5.88Single7VV5C48/807VV5-MRGPRX2-C48/80-Gi1/β1/γ2
5.88Single7WV9ZCZ0117WV9-CB1-CP55940-ZCZ011-Gi2/β1/γ2
5.88Single7X2CFenoldopam7X2C-D1-Fenoldopam-Fenoldopam-Gs/β1/γ2
5.88Single8H8JLodoxamide8H8J-GPR35-Lodoxamide-Ca-chim(NtGi1L-G13)/β1/γ2
5.88Single8JIPMEDI03828JIP-GLP-1-MEDI0382-chim(NtGi1-Gs)/β1/γ2
5.88Single8JIRSAR4258998JIR-GLP-1-SAR425899-chim(NtGi1-Gs)/β1/γ2
5.88Single8JPPSuccinic acid8JPP-Succinate-Succinic acid-chim(Gs-CtGq)/β1/γ1
5.88Single8U4PAMD31008U4P-CXCR4-AMD3100-Gi1/β1/γ2
5.88Single8U8FPalmitic Acid8U8F-GPR3-Palmitic Acid-Gs/β1/γ2
5.88Single8Y71BMS9861878Y71-δ-A1D6F-BMS986187-Gi1/β1/γ2
5.88Single9KO2CCL199KO2-CCR7-CCL19-Gi1/β1
5.88Single9KO6CCL199KO6-CCR7-CCL19
5.88Single9L60MPAM-159L60-κ-Dynorphin-MPAM-15-Gi1/β1/γ2
5.88Consensuscrf1_on_gpOrthosteric Ligand6PB0-CRF1-Urocortin-chim(NtGi1-Gs)/β1/γ2 6P9X-CRF1-Corticoliberin-1-Gs/β1/γ2
5.88Consensusglp1_on_gpOrthosteric Ligand7S1M-GLP-1-Exendin-4-D-Ala-Gs/β1/γ2 7X8R-GLP-1-BOC5-Gs/β1/γ2 6X19-GLP-1-CHU-128-Gs/β1/γ2 6X1A-GLP-1-Danuglipron-Gs/β1/γ2 6X18-GLP-1-GLP-1-Gs/β1/γ2 8JIP-GLP-1-MEDI0382-chim(NtGi1-Gs)/β1/γ2 7C2E-GLP-1-PubChem 149050799-Gs/β1/γ2 7KI0-GLP-1-Semaglutide-Gs/β1/γ2 7KI1-GLP-1-Taspoglutide-Gs/β1/γ2 7X8S-GLP-1-WB4-24-Gs/β1/γ2 8JIS-GLP-1-Peptide-15-chim(NtGi1-Gs)/β1/γ2 7VBI-GLP-1-Tirzepatide (non-acylated)-Gs/β1/γ2
5.88Consensuspaf_offOrthosteric Ligand5ZKQ-PAF-ABT-491
5.71Single7TYYCalcitonin-17TYY-CT (AMY2)-Calcitonin-1-Gs/β1/γ2; RAMP2
5.71Single8JIUSAR4258998JIU-Glucagon-SAR425899-Gs/β1/γ2
5.71Consensuspth2_onOrthosteric Ligand7F16-PTH2-TIP39-Gs/β1/γ2
5.56Single6PT0WIN 55212-26PT0-CB2-WIN 55212-2-Gi1/β1/γ2
5.56Single6ZINSR486926ZIN-NTS1-SR48692
5.56Single7VV6C48/807VV6-MRGPRX2-C48/80
5.56Single7YK6PubChem 1383196747YK6-RXFP4-PubChem 138319674-Gi2/β1/γ2
5.56Single8HJ5PubChem 1390305318HJ5-MRGPRX1-PubChem 139030531-chim(NtGi1-Gs-CtGq)/β1/γ2
5.56Single8IYXYL-3658IYX-GPR34-YL-365
5.56Single8JD6VU03647708JD6-mGlu4; mGlu4-Phosphoserine-VU0364770-Gi3/β1/γ2
5.56Single8ZPMAMD0708ZPM-CXCR4-AMD070
5.56Single8ZPNAMD31008ZPN-CXCR4-AMD3100
5.26Single4QIMANTA XV4QIM-SMO-ANTA XV
5.26Single4Z9GCP-3763954Z9G-CRF1-CP-376395
5.26Single5NDDAZ8838; Na5NDD-PAR2-AZ8838; Na
5.26Single6Z4VNeurotensin-(9-13)6Z4V-NTS1-Neurotensin-(9-13)
5.26Single7FIHOrg435537FIH-LH-hCG-Org43553-chim(NtGi1-Gs)/β1/γ2
5.26Single7YXAONO-54306087YXA-S1P5-ONO-5430608
5.26Single8GCML-9026888GCM-EP4-L-902688-Gi1/β1/γ2
5.26Single8GTIBMK-C2058GTI-CRF1-BMK-C205
5.26Single8XJLPGF2-alpha8XJL-FP-alpha-PGF2-α-chim(NtGi2-Gs-CtGq)/β1/γ2
5.26Single8Y73MPAM-158Y73-μ-Peptide-MPAM-15-Gi1/β1/γ2
5.26Single8ZYYNeurotensin-(8-13)8ZYY-NTS1-Neurotensin-(8-13)-SBI-553-Arrestin2
5.26Single9JQZGrapiprant 9JQZ-EP4-Grapiprant
5.26Consensusalicarboxylic_offOrthosteric Ligandsuccinate_off
5.26Consensuspth2_on_gpOrthosteric Ligand7F16-PTH2-TIP39-Gs/β1/γ2
5.26Consensussuccinate_offOrthosteric Ligand6RNK-Succinate-NF-56-EJ40 6Z10-Succinate-PubChem 154585554
5.00Single5T1ABMS-6815T1A-CCR2-BMS-681-PubChem 12093170
5.00Single5YHLPubChem 1351213525YHL-EP4-PubChem 135121352
5.00Single5YWYONO-AE3-2085YWY-EP4-ONO-AE3-208
5.00Single6LFMCXCL86LFM-CXCR2-CXCL8-Gi1/β1/γ2
5.00Single6Z4SSR486926Z4S-NTS1-SR48692
5.00Single8GTGBMK-I1528GTG-CRF1-BMK-I152
5.00Single8JGGBAM8-228JGG-MRGPRX1-BAM8-22-Gi1/β1/γ2
5.00Single8T6JCDPPB8T6J-mGlu5; mGlu5-CDPPB
5.00Single8T6JCDPPB8T6J-mGlu5; mGlu5-CDPPB
5.00Single8XQPCholesterol8XQP-TAS2R14-Cholesterol-Aristolochic acid A-Gt3/β1/γ1
5.00Single8ZYTNeurotensin-(8-13)8ZYT-NTS1-Neurotensin-(8-13)-SBI-553-Arrestin2
5.00Single9JKSPubChem 442501769JKS-HCA3-PubChem 44250176-Gi1/β1/γ2
5.00Single9KO4CCL219KO4-CCR7-CCL21-Gi1/β1/γ2
5.00Consensuscxcr2_on_gpOrthosteric Ligand6LFM-CXCR2-CXCL8-Gi1/β1/γ2
5.00Consensusep4_offOrthosteric Ligand5YWY-EP4-ONO-AE3-208 5YHL-EP4-PubChem 135121352
5.00Consensusep_offOrthosteric Ligandep4_off
5.00Consensuss1p5_offOrthosteric Ligand7YXA-S1P5-ONO-5430608
4.76Single3ZEVNeurotensin-(7-13)3ZEV-NTS1-Neurotensin-(7-13)
4.76Single4BV0Neurotensin-(7-13)4BV0-NTS1-Neurotensin-(7-13)
4.76Single5V56TC1145V56-SMO-TC114
4.76Single6OS1TRV0266OS1-AT1-TRV026
4.76Single6Z8NSRI-98296Z8N-NTS1-SRI-9829
4.76Single7F1TCCL37F1T-CCR5-CCL3
4.76Single7L0PNeurotensin-(8-13)7L0P-NTS1-Neurotensin-(8-13)-Gi1/β1/γ1
4.76Single7L0QNeurotensin-(8-13)7L0Q-NTS1-Neurotensin-(8-13)-Gi1/β1/γ1
4.76Single8FMZNeurotensin-(8-13)8FMZ-NTS1-Neurotensin-(8-13)-chim(NtGi2L-Gs-CtGq)/β1/γ2
4.76Single8FN1Neurotensin-(8-13)8FN1-NTS1-Neurotensin-(8-13)-chim(NtGi1-Go)/β1/γ2
4.76Single8GDBPGE28GDB-EP4-PGE2-Gs/β1/γ2
4.76Single8JD5JNJ-40411813; ADX881788JD5-mGlu2; mGlu4-Glutamate-JNJ-40411813; ADX88178-Gi1/β1/γ2
4.76Single8JGFBAM8-228JGF-MRGPRX1-BAM8-22-chim(NtGi1-Gs-CtGq)/β1/γ2
4.76Single8XQTCholesterol8XQT-TAS2R14-Cholesterol-Gi1/β1/γ1
4.76Single8ZW0PGD28ZW0-DP1-PGD2-Gs/β1/γ2
4.76Single9ASTLymphotactin9AST-XCR1-Lymphotactin-Gi1/β1/γ2
4.76Single9L16CCL219L16-CCR7-CCL21
4.76Consensusmotilin_onOrthosteric Ligand8IBU-Motilin-Erythromycin-A-chim(NtGi1-Gs-CtGq)/β1/γ2
4.76Consensusneurotensin_onOrthosteric Ligandnts1_on
4.76Consensusnts1_onOrthosteric Ligand6OSA-NTS1-JMV449-Gi1/β1/γ2 7L0S-NTS1-Neurotensin-(8-13)-Gi1/β1/γ1
4.55Single4GRVNeurotensin-(8-13)4GRV-NTS1-Neurotensin-(8-13)
4.55Single4PY02MeSATP4PY0-P2Y12-2MeSATP
4.55Single4XEENeurotensin-(8-13)4XEE-NTS1-Neurotensin-(8-13)
4.55Single4XESNeurotensin-(8-13)4XES-NTS1-Neurotensin-(8-13)
4.55Single6C1RPMX536C1R-C5a1-PMX53-Avacopan; Na
4.55Single6OSAJMV4496OSA-NTS1-JMV449-Gi1/β1/γ2
4.55Single7L0SNeurotensin-(8-13)7L0S-NTS1-Neurotensin-(8-13)-Gi1/β1/γ1
4.55Single8GTMBMK-C2038GTM-CRF1-BMK-C203
4.55Single8IBUErythromycin-A8IBU-Motilin-Erythromycin-A-chim(NtGi1-Gs-CtGq)/β1/γ2
4.55Single8JPBNeurotensin-(8-13)8JPB-NTS1-Neurotensin-(8-13)-SBI-553; GDP; Mg-Gq; GRK2
4.55Single8XQJJN2418XQJ-Apelin; Apelin-JN241
4.55Single8XQNCholesterol8XQN-TAS2R14-Cholesterol-Aristolochic acid A-Gi1/β1/γ1
4.55Single8XQSCholesterol8XQS-TAS2R14-Cholesterol-Flufenamic acid-Gi1/β1/γ1
4.55Single9BJKPubChem 1716420669BJK-μ-Naloxone-PubChem 171642066
4.55Consensusgi_neurotensinOrthosteric Ligand6OSA-NTS1-JMV449-Gi1/β1/γ2 7L0S-NTS1-Neurotensin-(8-13)-Gi1/β1/γ1
4.55Consensusmotilin_on_gpOrthosteric Ligand8IBU-Motilin-Erythromycin-A-chim(NtGi1-Gs-CtGq)/β1/γ2
4.55Consensusneurotensin_on_gpOrthosteric Ligandnts1_on_gp
4.55Consensusnts1_on_gpOrthosteric Ligand6OSA-NTS1-JMV449-Gi1/β1/γ2 7L0S-NTS1-Neurotensin-(8-13)-Gi1/β1/γ1
4.35Single4BUONeurotensin-(8-13)4BUO-NTS1-Neurotensin-(8-13)
4.35Single6M1HMaxadilan6M1H-PAC1-Maxadilan-Gs/β1/γ2
4.35Single6UP7Neurotensin-(8-13)6UP7-NTS1-Neurotensin-(8-13)-Arrestin2
4.35Single7CX4Evatanepag7CX4-EP2-Evatanepag-Gs/β1/γ2
4.35Single7D7MPGE27D7M-EP4-PGE2-Gs/β1/γ1
4.35Single7X8RBOC57X8R-GLP-1-BOC5-Gs/β1/γ2
4.35Single8FN0Neurotensin-(8-13)8FN0-NTS1-Neurotensin-(8-13)-SBI-553-chim(NtGi1-Go)/β1/γ2
4.35Single8HN1Toxin AdTx18HN1-Alpha1A-Toxin AdTx1
4.35Single8JPFNeurotensin-(8-13)8JPF-NTS1-Neurotensin-(8-13)-SBI-553
4.35Single8K4OCXCL18K4O-KSHV-CXCL1-Gi1/β1/γ1
4.17Single5TZYMK8666; AP85TZY-FFA1-MK8666; AP8
4.17Single6KNMJN241-96KNM-Apelin-JN241-9
4.17Single6OS9JMV4496OS9-NTS1-JMV449-Gi1/β1/γ2
4.17Single7AUESetmelanotide7AUE-MC4-Setmelanotide-chim(NtGi1L-Gs)/β1/γ2
4.17Single7CX2PGE27CX2-EP2-PGE2-Gs/β1/γ2
4.17Single8XQLCholesterol8XQL-TAS2R14-Cholesterol-Aristolochic acid A-Gt3/β1/γ1
4.17Single8XQOCholesterol8XQO-TAS2R14-Cholesterol-Aristolochic acid A-Gi1/β1/γ1
4.17Consensuscxcr4_offOrthosteric Ligand4RWS-CXCR4-vMIP-II 3OE0-CXCR4-CVX15 3OE6-CXCR4-IT1t
4.17Consensusnmur1_onOrthosteric Ligand7W53-NMUR1-Neuromedin-U-25-chim(NtGi1-Gs-CtGq)/β1/γ2
4.00Single6X19CHU-1286X19-GLP-1-CHU-128-Gs/β1/γ2
4.00Single7CX3Taprenepag7CX3-EP2-Taprenepag-Gs/β1/γ2
4.00Single7L0RNeurotensin-(8-13)7L0R-NTS1-Neurotensin-(8-13)-Gi1/β1/γ1
4.00Single7W56Neuromedin-S7W56-NMUR1-Neuromedin-S-chim(NtGi1-Gs-CtGq)/β1/γ2
4.00Single8DWGBAM8-228DWG-MRGPRX1-BAM8-22-ML382-chim(NtGi2L-Gs-CtGq)/β1/γ2
4.00Single8INRAlpha-MSH8INR-MC5-α-MSH-Ca-chim(NtGi1-Gs)/β1/γ2
4.00Single8U4OCXCL128U4O-CXCR4-CXCL12-Gi1/β1/γ2
4.00Single9MEJGp1209MEJ-CXCR4-Gp120
4.00Consensuschemokine_onOrthosteric Ligandccr_on cxcr_on
3.85Single6WHCGlu16 analog of GCG6WHC-Glucagon-Glu16 analog of GCG-Gs/β1/γ2
3.85Single7C6A(Sar1,Ile8)-Angiotensin II7C6A-AT2-(Sar1,Ile8)-Angiotensin II
3.85Single7E14Orforglipron7E14-GLP-1-Orforglipron-PubChem 156022738-Gs/β1/γ2
3.85Single7F1QCCL37F1Q-CCR5-CCL3-Gi1/β1/γ2
3.85Single7SK5CXCL127SK5-ACKR3-CXCL12
3.70Single7W55Neuromedin-U-257W55-NMUR2-Neuromedin-U-25-chim(NtGi1-Gs-CtGq)/β1/γ2
3.70Single7XA3CCL27XA3-CCR2-CCL2-Gi1/β1/γ2
3.70Single8YFOAc-LA-PTH Analog8YFO-PTH1-Ac-LA-PTH Analog-chim(NtGi1-Gs)/β1/γ2
3.70Single9B5YLA-PTH Analog9B5Y-PTH1-LA-PTH Analog-chim(NtGi1-Gq)/β1/γ2
3.70Consensusccr2_onOrthosteric Ligand7XA3-CCR2-CCL2-Gi1/β1/γ2
3.70Consensusccr2_on_gpOrthosteric Ligand7XA3-CCR2-CCL2-Gi1/β1/γ2
3.70Consensusccr_onOrthosteric Ligandccr6_on ccr8_on ccr2_on ccr1_on ccr5_on
3.70Consensusnmur2_onOrthosteric Ligand7W55-NMUR2-Neuromedin-U-25-chim(NtGi1-Gs-CtGq)/β1/γ2
3.70Consensusnmur2_on_gpOrthosteric Ligand7W55-NMUR2-Neuromedin-U-25-chim(NtGi1-Gs-CtGq)/β1/γ2
3.57Single7FINPeptide-20; GGL7FIN-GIP-Peptide-20; GGL-Gs/β1/γ2
3.57Consensuscrf2_onOrthosteric Ligand7TS0-CRF2-Urocortin-chim(NtGi1L-Go)/β1/γ2
3.57Consensusneuromedin-u_onOrthosteric Ligandnmur1_on nmur2_on
3.45Single5YQZNNC17025YQZ-Glucagon-NNC1702
3.45Single7TYHCalcitonin7TYH-CT (AMY2)-Calcitonin-Gs/β1/γ2; RAMP2
3.45Single7VL9CCL15(26-92)7VL9-CCR1-CCL15(26-92)-Gi1/β1/γ2
3.45Single7Y35Abaloparatide7Y35-PTH1-Abaloparatide-Gs/β1/γ2
3.45Single8YG4LA-PTH Analog8YG4-PTH1-LA-PTH Analog-chim(NtGi1-Gs)/β1/γ2
3.45Consensusccr_on_gpOrthosteric Ligandccr6_on_gp ccr8_on_gp ccr2_on_gp ccr1_on_gp ccr5_on_gp
3.45Consensuschemokine_offOrthosteric Ligandccr_off cxcr_off
3.45Consensuscxcr_offOrthosteric Ligandcxcr3_off cxcr4_off
3.45Consensusneuromedin-u_on_gpOrthosteric Ligandnmur1_on_gp nmur2_on_gp
3.45Consensusp2y10_onOrthosteric Ligand8KGG-P2Y10-Lysophosphatidylserine (WJS)-chim(NtGi2-G13)/β1/γ2
3.33Single7SK3CXCL127SK3-ACKR3-CXCL12
3.33Single7SK4CXCL12_LRHQ7SK4-ACKR3-CXCL12_LRHQ
3.33Single8FLRPTHrP(1-36)8FLR-PTH1-PTHrP(1-36)-Gs/β1/γ2
3.33Single9BUBCagrilintide9BUB-CT-Cagrilintide-Gs/β1/γ2
3.33Consensusccr_offOrthosteric Ligandccr2_off ccr5_off
3.33Consensuscrf2_on_gpOrthosteric Ligand7TS0-CRF2-Urocortin-chim(NtGi1L-Go)/β1/γ2
3.33Consensusctlike_onOrthosteric Ligand6E3Y-CT Like-Calcitonin gene-related peptide-1-Gs/β1/γ2; RAMP1
3.33Consensuspac1_onOrthosteric Ligand8E3X-PAC1-PACAP27-Gs/β1/γ2 6M1H-PAC1-Maxadilan-Gs/β1/γ2
3.33Consensuspac1_on_gpOrthosteric Ligand8E3X-PAC1-PACAP27-Gs/β1/γ2 6M1H-PAC1-Maxadilan-Gs/β1/γ2
3.33Consensussecretin_onOrthosteric Ligand7D3S-Secretin-Secretin-Gs/β1/γ2
3.23Single5NX2GLP-1 (Truncated)5NX2-GLP-1-GLP-1 (Truncated)
3.23Single7VVKPTH7VVK-PTH1-PTH-Gs/β1/γ2
3.23Single8HAOPTH8HAO-PTH1-PTH-chim(NtGi1-Gs)/β1/γ2
3.23Consensusglp2_onOrthosteric Ligand7D68-GLP-2-GLP-2-Gs/β1/γ2
3.23Consensusglp2_on_gpOrthosteric Ligand7D68-GLP-2-GLP-2-Gs/β1/γ2
3.23Consensussecretin_on_gpOrthosteric Ligand7D3S-Secretin-Secretin-Gs/β1/γ2
3.12Single9BQ3Cagrilintide9BQ3-CT (AMY2)-Cagrilintide-Gs/β1/γ2; RAMP2
3.12Single9BTWCagrilintide9BTW-CT (AMY3)-Cagrilintide-Gs/β1/γ2; RAMP3
3.12Consensusctlike_on_gpOrthosteric Ligand6E3Y-CT Like-Calcitonin gene-related peptide-1-Gs/β1/γ2; RAMP1
3.12Consensuspth1_onOrthosteric Ligand6NBF-PTH1-LA-PTH Analog-Gs/β1/γ2 8HA0-PTH1-PTH-chim(NtGi1-Gs)/β1/γ2 8HAF-PTH1-PTHrP(1-36)-chim(NtGi1-Gs)/β1/γ2 7Y36-PTH1-PTH-Gs/β1/γ2 7Y35-PTH1-Abaloparatide-Gs/β1/γ2
3.03Single7RBTTirzepatide7RBT-GIP-Tirzepatide-LSN3556672-chim(NtGi1-Gs)/β1/γ2
2.94Single7SK6CXCL12_LRHQ7SK6-ACKR3-CXCL12_LRHQ
2.94Single7VBHPeptide-207VBH-GLP-1-Peptide-20-Gs/β1/γ2
2.94Consensusglp1_onOrthosteric Ligand7S1M-GLP-1-Exendin-4-D-Ala-Gs/β1/γ2 7X8R-GLP-1-BOC5-Gs/β1/γ2 6X19-GLP-1-CHU-128-Gs/β1/γ2 6X1A-GLP-1-Danuglipron-Gs/β1/γ2 6X18-GLP-1-GLP-1-Gs/β1/γ2 8JIP-GLP-1-MEDI0382-chim(NtGi1-Gs)/β1/γ2 7C2E-GLP-1-PubChem 149050799-Gs/β1/γ2 7KI0-GLP-1-Semaglutide-Gs/β1/γ2 7KI1-GLP-1-Taspoglutide-Gs/β1/γ2 7X8S-GLP-1-WB4-24-Gs/β1/γ2 8JIS-GLP-1-Peptide-15-chim(NtGi1-Gs)/β1/γ2 7VBI-GLP-1-Tirzepatide (non-acylated)-Gs/β1/γ2
2.86Consensuspth1_on_gpOrthosteric Ligand6NBF-PTH1-LA-PTH Analog-Gs/β1/γ2 8HA0-PTH1-PTH-chim(NtGi1-Gs)/β1/γ2 8HAF-PTH1-PTHrP(1-36)-chim(NtGi1-Gs)/β1/γ2 7Y36-PTH1-PTH-Gs/β1/γ2 7Y35-PTH1-Abaloparatide-Gs/β1/γ2
2.78Single7TYOCalcitonin7TYO-CT-Calcitonin-Gs/β1/γ2
2.78Single8JITMEDI03828JIT-Glucagon-MEDI0382-Gs/β1/γ2

PDB Summary
PDB 9LRB
Class A
SubFamily Amine
Type Histamine
SubType H1
Species Homo Sapiens
Ligand Histamine
Other Ligand(s) -
Protein Partners Gs/Beta1/Gamma2
PDB Resolution 2.77
Date 2025-06-11
D.O.I. doi.org/10.1038/s42003-025-08363-7
Net Summary
Imin 3
Number of Linked Nodes 853
Number of Links 1069
Number of Hubs 182
Number of Links mediated by Hubs 660
Number of Communities 30
Number of Nodes involved in Communities 283
Number of Links involved in Communities 423
Path Summary
Number Of Nodes in MetaPath 188
Number Of Links MetaPath 187
Number of Shortest Paths 48121060
Length Of Smallest Path 3
Average Path Length 64.687
Length of Longest Path 70
Minimum Path Strength 1.25
Average Path Strength 8.25322
Maximum Path Strength 23.72
Minimum Path Correlation 0.7
Average Path Correlation 1
Maximum Path Correlation 1
Minimum % Of Corr. Nodes 2.12766
Average % Of Corr. Nodes 46.336
Maximum % Of Corr. Nodes 100
Minimum Path Hubs % 0
Average Path Hubs % 64.6732
Maximum Path Hubs % 100
AnnotationTypeLinks
Gene OntologyMolecular Function
Gene OntologyBiological Process• cellular response to nitrogen compound   • cellular response to stimulus   • response to dopamine   • regulation of cellular process   • response to stimulus   • signaling   • cellular response to dopamine   • response to monoamine   • cell communication   • response to catecholamine   • adenylate cyclase-activating dopamine receptor signaling pathway   • cellular response to catecholamine stimulus   • signal transduction   • regulation of biological process   • G protein-coupled dopamine receptor signaling pathway   • biological regulation   • response to oxygen-containing compound   • response to nitrogen compound   • adenylate cyclase-activating G protein-coupled receptor signaling pathway   • cellular response to oxygen-containing compound   • cellular response to chemical stimulus   • cellular response to monoamine stimulus   • response to chemical   • adenylate cyclase-modulating G protein-coupled receptor signaling pathway   • cellular process   • G protein-coupled receptor signaling pathway   • response to ketone   • response to prostaglandin   • response to lipid   • response to endogenous stimulus   • response to alcohol   • cellular response to prostaglandin stimulus   • cellular response to endogenous stimulus   • cellular response to prostaglandin E stimulus   • cellular response to alcohol   • response to hormone   • cellular response to lipid   • response to prostaglandin E   • cellular response to ketone   • cellular response to hormone stimulus   • cell periphery   • cellular anatomical structure   • plasma membrane   • membrane   • protein-containing complex   • extrinsic component of plasma membrane   • catalytic complex   • plasma membrane protein complex   • cytoplasmic side of membrane   • membrane protein complex   • heterotrimeric G-protein complex   • side of membrane   • cytoplasmic side of plasma membrane   • GTPase complex
Gene OntologyCellular Component• cell periphery   • cellular anatomical structure   • plasma membrane   • membrane   • protein-containing complex   • extrinsic component of plasma membrane   • catalytic complex   • plasma membrane protein complex   • cytoplasmic side of membrane   • membrane protein complex   • heterotrimeric G-protein complex   • side of membrane   • cytoplasmic side of plasma membrane   • GTPase complex   • extrinsic component of membrane   • extrinsic component of cytoplasmic side of plasma membrane   • G protein-coupled amine receptor activity   • molecular transducer activity   • G protein-coupled receptor activity   • transmembrane signaling receptor activity   • signaling receptor activity   • histamine receptor activity   • regulation of tube diameter   • multicellular organismal process   • regulation of biological process   • system process   • regulation of tube size   • regulation of system process   • biological regulation   • positive regulation of biological process   • positive regulation of vasoconstriction   • circulatory system process   • regulation of blood circulation   • vascular process in circulatory system   • regulation of vasoconstriction   • positive regulation of multicellular organismal process   • regulation of multicellular organismal process   • blood vessel diameter maintenance   • regulation of biological quality   • vasoconstriction   • blood circulation   • regulation of anatomical structure size   • cellular response to stimulus   • regulation of cellular process   • response to stimulus   • signaling   • phospholipase C-activating G protein-coupled receptor signaling pathway   • cell communication   • G protein-coupled receptor signaling pathway   • cellular process   • signal transduction   • trans-synaptic signaling   • synaptic signaling   • anterograde trans-synaptic signaling   • cell-cell signaling   • chemical synaptic transmission   • regulation of synaptic plasticity   • regulation of signaling   • modulation of chemical synaptic transmission   • regulation of trans-synaptic signaling   • regulation of cell communication   • cellular response to nitrogen compound   • cellular response to chemical stimulus   • response to histamine   • response to chemical   • cellular response to histamine   • response to nitrogen compound   • defense response   • response to stress   • inflammatory response   • regulation of vascular permeability   • behavior   • learning or memory   • nervous system process   • cognition   • memory   • response to light stimulus   • learning   • visual learning   • visual behavior   • associative learning   • response to radiation   • response to abiotic stimulus   • G protein-coupled receptor signaling pathway, coupled to cyclic nucleotide second messenger   • synapse   • cell junction   • intracellular anatomical structure   • cytoplasm   • cytosol   • somatodendritic compartment   • cell projection   • dendrite   • dendritic tree   • neuron projection   • plasma membrane bounded cell projection   • cytoskeletal protein binding   • spectrin binding   • protein-containing complex binding   • protein binding   • binding   • enzyme binding   • GTPase binding   • phosphoric ester hydrolase activity   • alkylglycerophosphoethanolamine phosphodiesterase activity   • hydrolase activity, acting on ester bonds   • phosphoric diester hydrolase activity   • hydrolase activity   • catalytic activity   • pyrophosphatase activity   • GTPase activity   • ribonucleoside triphosphate phosphatase activity   • hydrolase activity, acting on acid anhydrides, in phosphorus-containing anhydrides   • hydrolase activity, acting on acid anhydrides   • signaling receptor complex adaptor activity   • protein-macromolecule adaptor activity   • molecular adaptor activity   • signaling adaptor activity   • positive regulation of cytosolic calcium ion concentration   • sensory perception of chemical stimulus   • sensory perception   • sensory perception of taste   • developmental process   • sensory organ development   • eye development   • animal organ development   • retina development in camera-type eye   • visual system development   • multicellular organism development   • camera-type eye development   • anatomical structure development   • sensory system development   • system development   • response to decreased oxygen levels   • cellular response to oxygen levels   • cellular response to hypoxia   • cellular response to decreased oxygen levels   • cellular response to stress   • response to hypoxia   • response to oxygen levels   • cell population proliferation   • muscle cell apoptotic process   • striated muscle cell apoptotic process   • apoptotic process   • cell death   • programmed cell death   • cardiac muscle cell apoptotic process   • photoreceptor inner segment   • membrane-bounded organelle   • non-motile cilium   • 9+0 non-motile cilium   • cilium   • photoreceptor outer segment   • photoreceptor cell cilium   • organelle   • ciliary membrane   • photoreceptor outer segment membrane   • bounding membrane of organelle   • plasma membrane region   • organelle membrane   • cell projection membrane   • cell body   • guanyl nucleotide binding   • GTP binding   • nucleotide binding   • guanyl ribonucleotide binding   • purine ribonucleotide binding   • purine ribonucleoside triphosphate binding   • nucleoside phosphate binding   • ion binding   • purine nucleotide binding   • anion binding   • heterocyclic compound binding   • carbohydrate derivative binding   • ribonucleotide binding   • small molecule binding   • D1 dopamine receptor binding   • signaling receptor binding   • G protein-coupled receptor binding   • dopamine receptor binding   • G-protein beta/gamma-subunit complex binding   • G protein activity   • molecular function regulator activity   • enzyme regulator activity   • cyclase regulator activity   • enzyme activator activity   • cyclase activator activity   • molecular function activator activity   • adenylate cyclase regulator activity   • adenylate cyclase activator activity   • cation binding   • metal ion binding   • epithelium development   • ectodermal placode morphogenesis   • epidermis development   • molting cycle process   • hair cycle   • hair follicle placode formation   • tissue development   • ectodermal placode formation   • anatomical structure morphogenesis   • skin development   • skin epidermis development   • hair follicle development   • molting cycle   • anatomical structure formation involved in morphogenesis   • ectodermal placode development   • hair cycle process   • cellular homeostasis   • chemical homeostasis   • homeostatic process   • glucose homeostasis   • carbohydrate homeostasis   • intracellular chemical homeostasis   • intracellular glucose homeostasis   • neuromuscular process   • skeletal muscle contraction   • muscle contraction   • muscle system process   • regulation of muscle system process   • striated muscle contraction   • multicellular organismal movement   • musculoskeletal movement   • regulation of striated muscle contraction   • regulation of muscle contraction   • regulation of skeletal muscle contraction   • sensory perception of smell   • response to endogenous stimulus   • response to peptide hormone   • cellular response to peptide hormone stimulus   • response to oxygen-containing compound   • response to glucagon   • cellular response to oxygen-containing compound   • cellular response to glucagon stimulus   • cellular response to endogenous stimulus   • response to hormone   • cellular response to hormone stimulus   • skeletal system development   • bone development   • response to pH   • cellular response to pH   • cellular response to acidic pH   • response to acidic pH   • cellular response to abiotic stimulus   • cellular response to environmental stimulus   • regulation of body fluid levels   • wound healing   • homotypic cell-cell adhesion   • cell activation   • hemostasis   • platelet aggregation   • blood coagulation   • cell adhesion   • cell-cell adhesion   • coagulation   • response to wounding   • platelet activation   • response to fluid shear stress   • vascular endothelial cell response to laminar fluid shear stress   • response to laminar fluid shear stress   • cellular response to laminar fluid shear stress   • vascular endothelial cell response to fluid shear stress   • cellular response to fluid shear stress   • developmental growth   • growth   • response to ketone   • response to prostaglandin   • response to lipid   • response to alcohol   • cellular response to prostaglandin stimulus   • cellular response to prostaglandin E stimulus   • cellular response to alcohol   • cellular response to lipid   • response to prostaglandin E   • cellular response to ketone   • adenylate cyclase-activating G protein-coupled receptor signaling pathway   • adenylate cyclase-modulating G protein-coupled receptor signaling pathway   • adaptive thermogenesis   • multicellular organismal-level homeostasis   • regulation of cold-induced thermogenesis   • cold-induced thermogenesis   • temperature homeostasis   • positive regulation of cold-induced thermogenesis   • positive regulation of cell communication   • regulation of localization   • establishment of protein localization   • nitrogen compound transport   • positive regulation of establishment of protein localization   • localization   • establishment of localization in cell   • positive regulation of insulin secretion involved in cellular response to glucose stimulus   • positive regulation of insulin secretion   • intracellular protein localization   • regulation of peptide hormone secretion   • regulation of hormone levels   • positive regulation of peptide hormone secretion   • establishment of protein localization to extracellular region   • protein secretion   • establishment of localization   • regulation of protein secretion   • regulation of secretion   • cellular response to carbohydrate stimulus   • response to glucose   • positive regulation of protein localization   • insulin secretion involved in cellular response to glucose stimulus   • cellular localization   • regulation of hormone secretion   • regulation of protein localization   • regulation of peptide secretion   • transport   • positive regulation of secretion by cell   • hormone secretion   • protein localization to extracellular region   • positive regulation of protein transport   • peptide secretion   • regulation of secretion by cell   • secretion by cell   • positive regulation of hormone secretion   • response to monosaccharide   • response to carbohydrate   • positive regulation of secretion   • signal release   • cellular response to hexose stimulus   • cellular response to monosaccharide stimulus   • positive regulation of cellular process   • positive regulation of peptide secretion   • regulation of transport   • secretion   • regulation of peptide transport   • regulation of establishment of protein localization   • export from cell   • cellular response to glucose stimulus   • regulation of protein transport   • positive regulation of protein secretion   • peptide transport   • response to hexose   • positive regulation of transport   • regulation of cellular localization   • protein transport   • regulation of insulin secretion   • peptide hormone secretion   • macromolecule localization   • regulation of insulin secretion involved in cellular response to glucose stimulus   • hormone transport   • insulin secretion   • positive regulation of signaling   • adenylate cyclase-activating adrenergic receptor signaling pathway   • adrenergic receptor signaling pathway   • response to dopamine   • cellular response to dopamine   • response to monoamine   • response to catecholamine   • cellular response to catecholamine stimulus   • serotonin receptor signaling pathway   • cellular response to monoamine stimulus   • adenylate cyclase-activating serotonin receptor signaling pathway   • intracellular transport   • regulation of defense response   • regulation of response to external stimulus   • negative regulation of inflammatory response   • negative regulation of biological process   • inflammatory response to antigenic stimulus   • regulation of response to stress   • regulation of immune system process   • negative regulation of inflammatory response to antigenic stimulus   • immune response   • negative regulation of response to stimulus   • negative regulation of immune response   • regulation of inflammatory response to antigenic stimulus   • response to external stimulus   • regulation of inflammatory response   • regulation of response to stimulus   • negative regulation of immune system process   • immune system process   • negative regulation of response to external stimulus   • negative regulation of defense response   • regulation of immune response   • positive regulation of adenylate cyclase activity   • positive regulation of molecular function   • regulation of molecular function   • positive regulation of cyclase activity   • activation of adenylate cyclase activity   • regulation of adenylate cyclase activity   • regulation of catalytic activity   • positive regulation of catalytic activity   • positive regulation of lyase activity   • adenylate cyclase-activating dopamine receptor signaling pathway   • G protein-coupled dopamine receptor signaling pathway   • cell surface receptor signaling pathway   • bile acid signaling pathway   • adenylate cyclase-activating G protein-coupled bile acid receptor signaling pathway   • renal system process   • multicellular organismal-level water homeostasis   • multicellular organismal-level chemical homeostasis   • renal water homeostasis   • extracellular exosome   • extracellular vesicle   • extracellular organelle   • extracellular region   • extracellular space   • vesicle   • extracellular membrane-bounded organelle   • Golgi apparatus subcompartment   • Golgi apparatus   • organelle subcompartment   • trans-Golgi network membrane   • intracellular membrane-bounded organelle   • endomembrane system   • intracellular organelle   • trans-Golgi network
SCOP2Domain Identifier• Transducin (heterotrimeric G protein), gamma chain   • G protein-coupled receptor-like
SCOP2Family Identifier• Transducin (heterotrimeric G protein), gamma chain   • G protein-coupled receptor-like
Membrane Protein Annotations-• Orientations of Proteins in Membranes database (OPM)   • Protein Data Bank of Transmembrane Proteins (PDBTM)   • MemProtMD


Details about the values in these tables can be found in the corresponding documentation page .
CodeHSM
PDB ResiduesL:L:?1
Environment DetailsOpen EMBL-EBI Page
CodeHSM
NameHistamine
Synonymsbeta-aminoethylglyoxaline
Identifier
FormulaC5 H9 N3
Molecular Weight111.145
SMILES
PubChem774
Formal Charge0
Total Atoms17
Total Chiral Atoms0
Total Bonds17
Total Aromatic Bonds5

PDBsumOpen PDBsum Page
ChainA
ProteinG Protein α Sub unit
UniProtP63092
Sequence
>9LRB_Chain_A
TEDQRNEEK AQREANKKI EKQLQKDKQ VYRATHRLL LLGASGKST 
IVKQSGIFE TKFQVDKVN FHMFDVGGQ RDERRKWIQ CFNDVTAII 
FVVSSYNRL QEALNLFKS IWNNRWLRT ISVILFLNK QDLLAEKVL 
AGKSKIEDY FPEFARYTT PEDATPEPG EDPRVTRAK YFIRDEFLR 
ISTASGDGR HYCYPHFTC AVDTENRRF NDCRDIIQR MHLRQYELL 
DNDDAI


Click on each residue to open a popup with some information about it.

ConSurf Conservation Grade (See documentation): 

 n/a   1    2    3    4    5    6    7    8    9  

ChainB
ProteinG Protein β Sub unit
UniProtP54311
Sequence
>9LRB_Chain_B
SELDQLRQE AEQLKNQIR DARKACADA TLSQITNNI DPVGRIQMR 
TRRTLRGHL AKIYAMHWG TDSRLLVSA SQDGKLIIW DSYTTNKVH 
AIPLRSSWV MTCAYAPSG NYVACGGLD NICSIYNLK TREGNVRVS 
RELAGHTGY LSCCRFLDD NQIVTSSGD TTCALWDIE TGQQTTTFT 
GHTGDVMSL SLAPDTRLF VSGACDASA KLWDVREGM CRQTFTGHE 
SDINAICFF PNGNAFATG SDDATCRLF DLRADQELM TYSHDNIIC 
GITSVSFSK SGRLLLAGY DDFNCNVWD ALKADRAGV LAGHDNRVS 
CLGVTDDGM AVATGSWDS FLKIWNQ


Click on each residue to open a popup with some information about it.

ConSurf Conservation Grade (See documentation): 

 n/a   1    2    3    4    5    6    7    8    9  

ChainG
ProteinG Protein γ Sub unit
UniProtP63212
Sequence
>9LRB_Chain_G
AQARKLVEQ LKMEANIDR IKVSKAAAD LMAYCEAHA KEDPLLTPV 
PASENPF


Click on each residue to open a popup with some information about it.

ConSurf Conservation Grade (See documentation): 

 n/a   1    2    3    4    5    6    7    8    9  

ChainR
ProteinReceptor
UniProtP35367
Sequence
>9LRB_Chain_R
QLMPLVVVL STICLVTVG LNLLVLYAV RSERKLHTV GNLYIVSLS 
VADLIVGAV VMPMNILYL LMSKWSLGR PLCLFWLSM DYVASTASI 
FSVFILCID RYRSVQQPL RYLKYRTKT RASATILGA WFLSFLWVI 
PILGWNHFR REDKCETDF YDVTWFKVM TAIINFYLP TLLMLWFYA 
KIYKAVRQH CQHNRERKA AKQLGFIMA AFILCWIPY FIFFMVIAF 
CKNCCNEHL HMFTIWLGY INSTLNPLI YPLCNENFK KTFKRI


Click on each residue to open a popup with some information about it.

ConSurf Conservation Grade (See documentation): 

 n/a   1    2    3    4    5    6    7    8    9  




This receptor, from the same or other species and bound to the same or other ligands, is also present in the following networks:
Show PDB Class SubFamily Type SubType Species Orthosteric Ligand Other Ligand(s) Protein Partners Resolution Date DOI
2RH1AAmineAdrenergicβ2Homo sapiensCarazolol--2.42007-10-30doi.org/10.1126/science.1150577
3RZEAAmineHistamineH1Homo sapiensCidoxepin--3.12011-06-15doi.org/10.1038/nature10236
6FJ3B1PeptideParathyroid HormonePTH1Homo sapiensPTH--2.52018-11-21doi.org/10.1038/s41594-018-0151-4
6NBFB1PeptideParathyroid HormonePTH1Homo sapiensLA-PTH Analog-Gs/β1/γ232019-04-17doi.org/10.1126/science.aav7942
6NBF (No Gprot) B1PeptideParathyroid HormonePTH1Homo sapiensLA-PTH Analog-32019-04-17doi.org/10.1126/science.aav7942
6NBHB1PeptideParathyroid HormonePTH1Homo sapiensLA-PTH Analog-Gs/β1/γ23.52019-04-17doi.org/10.1126/science.aav7942
6NBH (No Gprot) B1PeptideParathyroid HormonePTH1Homo sapiensLA-PTH Analog-3.52019-04-17doi.org/10.1126/science.aav7942
6NBIB1PeptideParathyroid HormonePTH1Homo sapiensLA-PTH Analog-Gs/β1/γ242019-04-17doi.org/10.1126/science.aav7942
6NBI (No Gprot) B1PeptideParathyroid HormonePTH1Homo sapiensLA-PTH Analog-42019-04-17doi.org/10.1126/science.aav7942
7DFLAAmineHistamineH1Homo sapiensHistamine-chim(NtGi1L-Gq)/β1/γ23.32021-03-31doi.org/10.1038/s41467-021-22427-2
7DFL (No Gprot) AAmineHistamineH1Homo sapiensHistamine-3.32021-03-31doi.org/10.1038/s41467-021-22427-2
7VVJB1PeptideParathyroid HormonePTH1Homo sapiensPTHrP(1-36)-Gs/β1/γ23.22022-08-03doi.org/10.1016/j.molcel.2022.07.003
7VVJ (No Gprot) B1PeptideParathyroid HormonePTH1Homo sapiensPTHrP(1-36)-3.22022-08-03doi.org/10.1016/j.molcel.2022.07.003
7VVKB1PeptideParathyroid HormonePTH1Homo sapiensPTH-Gs/β1/γ23.32022-08-03doi.org/10.1016/j.molcel.2022.07.003
7VVK (No Gprot) B1PeptideParathyroid HormonePTH1Homo sapiensPTH-3.32022-08-03doi.org/10.1016/j.molcel.2022.07.003
7VVLB1PeptideParathyroid HormonePTH1Homo sapiensPTH-Gs/β1/γ22.82022-08-03doi.org/10.1016/j.molcel.2022.07.003
7VVL (No Gprot) B1PeptideParathyroid HormonePTH1Homo sapiensPTH-2.82022-08-03doi.org/10.1016/j.molcel.2022.07.003
7VVMB1PeptideParathyroid HormonePTH1Homo sapiensPTH-Gs/β1/γ23.22022-08-03doi.org/10.1016/j.molcel.2022.07.003
7VVM (No Gprot) B1PeptideParathyroid HormonePTH1Homo sapiensPTH-3.22022-08-03doi.org/10.1016/j.molcel.2022.07.003
7VVNB1PeptideParathyroid HormonePTH1Homo sapiensPTH-Gs/β1/γ23.82022-08-03doi.org/10.1016/j.molcel.2022.07.003
7VVN (No Gprot) B1PeptideParathyroid HormonePTH1Homo sapiensPTH-3.82022-08-03doi.org/10.1016/j.molcel.2022.07.003
7VVOB1PeptideParathyroid HormonePTH1Homo sapiensPTH-Gs/β1/γ24.12022-08-03doi.org/10.1016/j.molcel.2022.07.003
7VVO (No Gprot) B1PeptideParathyroid HormonePTH1Homo sapiensPTH-4.12022-08-03doi.org/10.1016/j.molcel.2022.07.003
8HA0B1PeptideParathyroid HormonePTH1Homo sapiensPTH-chim(NtGi1-Gs)/β1/γ22.622022-12-21doi.org/10.1038/s41401-022-01032-z
8HA0 (No Gprot) B1PeptideParathyroid HormonePTH1Homo sapiensPTH-2.622022-12-21doi.org/10.1038/s41401-022-01032-z
8HAFB1PeptideParathyroid HormonePTH1Homo sapiensPTHrP(1-36)-chim(NtGi1-Gs)/β1/γ23.252022-12-21doi.org/10.1038/s41401-022-01032-z
8HAF (No Gprot) B1PeptideParathyroid HormonePTH1Homo sapiensPTHrP(1-36)-3.252022-12-21doi.org/10.1038/s41401-022-01032-z
8HAOB1PeptideParathyroid HormonePTH1Homo sapiensPTH-chim(NtGi1-Gs)/β1/γ23.762022-12-21doi.org/10.1038/s41401-022-01032-z
8HAO (No Gprot) B1PeptideParathyroid HormonePTH1Homo sapiensPTH-3.762022-12-21doi.org/10.1038/s41401-022-01032-z
8FLQB1PeptideParathyroid HormonePTH1Homo sapiensPTH-Gs/β1/γ22.552023-04-26doi.org/10.1016/j.str.2023.04.002
8FLQ (No Gprot) B1PeptideParathyroid HormonePTH1Homo sapiensPTH-2.552023-04-26doi.org/10.1016/j.str.2023.04.002
8FLRB1PeptideParathyroid HormonePTH1Homo sapiensPTHrP(1-36)-Gs/β1/γ22.942023-04-26doi.org/10.1016/j.str.2023.04.002
8FLR (No Gprot) B1PeptideParathyroid HormonePTH1Homo sapiensPTHrP(1-36)-2.942023-04-26doi.org/10.1016/j.str.2023.04.002
8FLSB1PeptideParathyroid HormonePTH1Homo sapiensAbaloparatide-Gs/β1/γ23.092023-04-26doi.org/10.1016/j.str.2023.04.002
8FLS (No Gprot) B1PeptideParathyroid HormonePTH1Homo sapiensAbaloparatide-3.092023-04-26doi.org/10.1016/j.str.2023.04.002
8FLTB1PeptideParathyroid HormonePTH1Homo sapiensM-PTH(1-14)-Gs/β1/γ23.032023-04-26doi.org/10.1016/j.str.2023.04.002
8FLT (No Gprot) B1PeptideParathyroid HormonePTH1Homo sapiensM-PTH(1-14)-3.032023-04-26doi.org/10.1016/j.str.2023.04.002
8FLUB1PeptideParathyroid HormonePTH1Homo sapiensLA-PTH Analog-Gs/β1/γ22.762023-04-26doi.org/10.1016/j.str.2023.04.002
8FLU (No Gprot) B1PeptideParathyroid HormonePTH1Homo sapiensLA-PTH Analog-2.762023-04-26doi.org/10.1016/j.str.2023.04.002
8GW8B1PeptideParathyroid HormonePTH1Homo sapiens-PCO371Gs/β1/γ22.92023-06-14doi.org/10.1038/s41586-023-06169-3
8GW8 (No Gprot) B1PeptideParathyroid HormonePTH1Homo sapiens-PCO3712.92023-06-14doi.org/10.1038/s41586-023-06169-3
7Y35B1PeptideParathyroid HormonePTH1Homo sapiensAbaloparatide-Gs/β1/γ22.92023-07-05To be published
7Y35 (No Gprot) B1PeptideParathyroid HormonePTH1Homo sapiensAbaloparatide-2.92023-07-05To be published
7Y36B1PeptideParathyroid HormonePTH1Homo sapiensPTH-Gs/β1/γ22.82023-07-05To be published
7Y36 (No Gprot) B1PeptideParathyroid HormonePTH1Homo sapiensPTH-2.82023-07-05To be published
8JR9B1PeptideParathyroid HormonePTH1Homo sapiens-PCO371chim(NtGi1-Gs)/β1/γ22.572023-08-02doi.org/10.1038/s41586-023-06467-w
8JR9 (No Gprot) B1PeptideParathyroid HormonePTH1Homo sapiens-PCO3712.572023-08-02doi.org/10.1038/s41586-023-06467-w
8WSSAPeptideMelanin Concentrating HormoneMCH1Homo sapiensMCH-Gi1/β1/γ13.012024-06-19doi.org/10.1038/s41421-024-00679-8
8WSS (No Gprot) APeptideMelanin Concentrating HormoneMCH1Homo sapiensMCH-3.012024-06-19doi.org/10.1038/s41421-024-00679-8
8YNSAPeptideMelanin Concentrating HormoneMCH1Homo sapiensSNAP-94847--3.332024-12-18doi.org/10.1038/s41421-024-00754-0
8YNTAPeptideMelanin Concentrating HormoneMCH1Homo sapiensSNAP-94847--3.432024-12-18doi.org/10.1038/s41421-024-00754-0
9LXRB1PeptideParathyroid HormonePTH1Homo sapiensLA-PTH Analog-Arrestin23.072025-09-10To be published
8X5XAAmineHistamineH1Homo sapiens---3.52024-01-17doi.org/10.1038/s41467-023-44477-4
8X5YAAmineHistamineH1Homo sapiensAstemizole--32024-01-17doi.org/10.1038/s41467-023-44477-4
8X63AAmineHistamineH1Homo sapiensMepyramine--3.22024-01-17doi.org/10.1038/s41467-023-44477-4
8X64AAmineHistamineH1Homo sapiensDesloratadine--3.42024-01-17doi.org/10.1038/s41467-023-44477-4
8GH1AAmineAdrenergicβ2Homo sapiensConstrained Epinephrine--4.12024-03-06doi.org/10.1038/s41586-024-07153-1
8YN2AAmineHistamineH1Homo sapiensHistamine-chim(NtGi1L-Gs-CtGq)/β1/γ22.662024-10-09doi.org/10.1038/s41467-024-52585-y
8YN2 (No Gprot) AAmineHistamineH1Homo sapiensHistamine-2.662024-10-09doi.org/10.1038/s41467-024-52585-y
9JR2B1PeptideParathyroid HormonePTH1Homo sapiensPTH-chim(NtGi1L-Gs-CtGq)/β1/γ22.82024-10-16doi.org/10.1038/s41589-025-01957-6
9JR2 (No Gprot) B1PeptideParathyroid HormonePTH1Homo sapiensPTH-2.82024-10-16doi.org/10.1038/s41589-025-01957-6
9JR3B1PeptideParathyroid HormonePTH1Homo sapiensPTH-chim(NtGi1L-Gs-CtGq)/β1/γ22.82024-10-16doi.org/10.1038/s41589-025-01957-6
9JR3 (No Gprot) B1PeptideParathyroid HormonePTH1Homo sapiensPTH-2.82024-10-16doi.org/10.1038/s41589-025-01957-6
8WWHAPeptideMelanin Concentrating HormoneMCH1Homo sapiens--Gi1/β1/γ22.842024-11-13To be published
8WWH (No Gprot) APeptideMelanin Concentrating HormoneMCH1Homo sapiens--2.842024-11-13To be published
8WWIAPeptideMelanin Concentrating HormoneMCH1Homo sapiens--Gi1/β1/γ23.432024-11-13To be published
8WWI (No Gprot) APeptideMelanin Concentrating HormoneMCH1Homo sapiens--3.432024-11-13To be published
8WWJAPeptideMelanin Concentrating HormoneMCH1Homo sapiens--Gi1/β1/γ23.032024-11-13To be published
8WWJ (No Gprot) APeptideMelanin Concentrating HormoneMCH1Homo sapiens--3.032024-11-13To be published
8WWKAPeptideMelanin Concentrating HormoneMCH1Homo sapiensMCH-Gi1/β1/γ22.612024-11-13doi.org/10.1038/s41421-024-00754-0
8WWK (No Gprot) APeptideMelanin Concentrating HormoneMCH1Homo sapiensMCH-2.612024-11-13doi.org/10.1038/s41421-024-00754-0
8WWLAPeptideMelanin Concentrating HormoneMCH1Homo sapiensMCH-Gi1/β1/γ22.782024-11-13doi.org/10.1038/s41421-024-00754-0
8WWL (No Gprot) APeptideMelanin Concentrating HormoneMCH1Homo sapiensMCH-2.782024-11-13doi.org/10.1038/s41421-024-00754-0
8WWMAPeptideMelanin Concentrating HormoneMCH1Homo sapiensMCH-Gi1/β1/γ22.812024-11-13doi.org/10.1038/s41421-024-00754-0
8WWM (No Gprot) APeptideMelanin Concentrating HormoneMCH1Homo sapiensMCH-2.812024-11-13doi.org/10.1038/s41421-024-00754-0
8WWNAPeptideMelanin Concentrating HormoneMCH1Homo sapiensMCH-Gi1/β1/γ22.652024-11-13doi.org/10.1038/s41421-024-00754-0
8WWN (No Gprot) APeptideMelanin Concentrating HormoneMCH1Homo sapiensMCH-2.652024-11-13doi.org/10.1038/s41421-024-00754-0
9B5YB1PeptideParathyroid HormonePTH1Homo sapiensLA-PTH Analog-chim(NtGi1-Gq)/β1/γ23.492025-03-19doi.org/10.1073/pnas.2426178122
9B5Y (No Gprot) B1PeptideParathyroid HormonePTH1Homo sapiensLA-PTH Analog-3.492025-03-19doi.org/10.1073/pnas.2426178122
9LRB (No Gprot) AAmineHistamineH1Homo sapiensHistamine-2.772025-06-11doi.org/10.1038/s42003-025-08363-7
9LRDAAmineHistamineH1Homo sapiensHistamine-Gi1/β1/γ23.232025-06-11doi.org/10.1038/s42003-025-08363-7
9LRD (No Gprot) AAmineHistamineH1Homo sapiensHistamine-3.232025-06-11doi.org/10.1038/s42003-025-08363-7
8YFOB1PeptideParathyroid HormonePTH1Homo sapiensAc-LA-PTH Analog-chim(NtGi1-Gs)/β1/γ22.712025-09-03To be published
8YFO (No Gprot) B1PeptideParathyroid HormonePTH1Homo sapiensAc-LA-PTH Analog-2.712025-09-03To be published
8YG4B1PeptideParathyroid HormonePTH1Homo sapiensLA-PTH Analog-chim(NtGi1-Gs)/β1/γ22.592025-09-03To be published
8YG4 (No Gprot) B1PeptideParathyroid HormonePTH1Homo sapiensLA-PTH Analog-2.592025-09-03To be published




You can download a compressed (zip) file with structure(s), 3D outputs (as PyMol and VMD scripts) and numerical data files (as csv and plain text files).

Download 9LRB.zip



You can click to copy the link of this page to easily come back here later

or use this QR code to link and share this page.



You can also  read or  download a guide explaining the meaning of all files and numerical data.