Color ConSurf Grade
      No Conservation data available
      1
      2
      3
      4
      5
      6
      7
      8
      9

Index: hub id, click on each number to highlight the corresponding hub in the 3D visualization.

Hub: the hub being considered.

Avg Int. Strength: the average interaction strength of all the links of the corresponding hub.

Num Of Links: the number of links of the corresponding hub.

Community: the id of the community the link belong to, otherwise 0.

ConSurf: this column reports the ConSurf conservation grades of each hub.

Index Hub Avg Int. Strength Num Of Links Community ConSurf
1A:A:D33 3.4125416
2A:A:V34 5.2985134
3A:A:L37 5.398519
4A:A:I49 4.07407
5A:A:F190 5.7745138
6A:A:F192 4.545135
7A:A:H196 3.61413
8A:A:F197 6.7645137
9A:A:R198 8.72516
10A:A:F200 10.106516
11A:A:V202 5.2525419
12A:A:K211 6.40833699
13A:A:W212 6.024519
14A:A:F216 5.10143719
15A:A:I222 4.7525417
16A:A:I223 3.98407
17A:A:F224 6.67409
18A:A:C225 3.6575407
19A:A:Y231 4.4054208
20A:A:R243 2.87509
21A:A:F251 7.555419
22A:A:F259 8.0675404
23A:A:L267 5.54189
24A:A:F268 4.4865149
25A:A:L269 4.30754188
26A:A:N270 4.2965149
27A:A:F288 3.7585238
28A:A:Y297 5.094223
29A:A:F308 5.475408
30A:A:Y320 7.7725258
31A:A:T324 5.3825149
32A:A:C325 3.226507
33A:A:Y354 10.144245
34B:B:Q13 7.445401
35B:B:I37 3.702502
36B:B:M45 3.9575404
37B:B:H54 8.82167659
38B:B:Y59 8.0075418
39B:B:M61 3.77506
40B:B:W63 7.474507
41B:B:Q75 6.3419
42B:B:D76 6.112559
43B:B:L79 4.0825437
44B:B:W82 9.26659
45B:B:K89 5.555659
46B:B:H91 5.87435
47B:B:I93 5.405437
48B:B:L95 4.15438
49B:B:W99 8.088519
50B:B:Y105 4.34606
51B:B:N110 7.2154164
52B:B:Y111 6.4054164
53B:B:C114 2.93438
54B:B:I123 3.8675406
55B:B:Y124 5.35167636
56B:B:V133 5.0225434
57B:B:H142 6.221676119
58B:B:Y145 5.67429798
59B:B:L146 3.535117
60B:B:F151 5.37509
61B:B:L152 4.5425403
62B:B:D163 5.5365119
63B:B:C166 3.81468
64B:B:W169 8.436118
65B:B:F180 7.94567
66B:B:H183 7.225869
67B:B:D186 5.47599
68B:B:V187 4.6625469
69B:B:F199 6.666569
70B:B:V200 5.6426
71B:B:S201 4.336569
72B:B:C204 4.775497
73B:B:D205 6.055469
74B:B:K209 10.3025466
75B:B:L210 4.5375405
76B:B:W211 9.18167668
77B:B:D212 4.855409
78B:B:C218 4.445465
79B:B:F222 7.7775428
80B:B:H225 9.778529
81B:B:D228 8.33599
82B:B:I232 4.71428
83B:B:F234 4.755405
84B:B:F235 5.827106
85B:B:P236 6.37754107
86B:B:F241 8.2525426
87B:B:T243 5.9175428
88B:B:T249 4.326526
89B:B:R251 10.376528
90B:B:F253 7.628526
91B:B:D258 8.8675427
92B:B:M262 5.135404
93B:B:T263 5.9375421
94B:B:Y264 5.74833605
95B:B:F278 5.76754107
96B:B:R283 7.6145159
97B:B:L284 5.1405
98B:B:Y289 7.0785177
99B:B:N295 7.315176
100B:B:W297 6.284178
101B:B:L300 5.525406
102B:B:K301 3.1725405
103B:B:H311 7.47649
104B:B:T321 7.33754267
105B:B:V327 3.425406
106B:B:W332 13.4383619
107B:B:D333 7.3275449
108B:B:L336 3.94407
109B:B:K337 6.42446
110B:B:W339 9.1325449
111G:G:R27 6.1975408
112G:G:Y40 7.19254106
113G:G:D48 4.956509
114G:G:L51 3.8025156
115G:G:N59 6.6054129
116G:G:P60 7.1154129
117G:G:F61 5.902867128
118R:R:N71 5.208509
119R:R:D89 5.7825448
120R:R:F91 4.782587
121R:R:L93 3.535406
122R:R:L95 6.515489
123R:R:D99 6.96489
124R:R:W109 4.212575
125R:R:W117 8.9045299
126R:R:F119 7.93254297
127R:R:F131 10.316575
128R:R:I133 2.875406
129R:R:L142 4.94488
130R:R:R149 6.26589
131R:R:Y150 6.4825308
132R:R:R162 6.095404
133R:R:W176 4.385409
134R:R:F182 5.455405
135R:R:F189 11.245405
136R:R:Y205 4.02403
137R:R:F224 8.925478
138R:R:Y235 6.78833688
139R:R:W268 7.81429779
140R:R:Y271 10.6475406
141R:R:H272 9.585478
142R:R:V274 3.1775404
143R:R:R292 5.9865323
144R:R:C312 2.48408
145R:R:N314 5.5925489
146R:R:L317 1.7525408
147R:R:Y318 4.81789
148R:R:F325 8.15754278
149L:L:?1 10.6522970
   

Color ConSurf Grade
      No Conservation data available
      1
      2
      3
      4
      5
      6
      7
      8
      9

Index: link id, click on each number to highlight the corresponding link in the 3D visualization.

Node1 Node2: the two nodes of the corresponding link.

Recurrence: the relative Recurrence in the pool of shortest paths.

Int. Strength: the interaction strength between the two nodes.

Hub1?, Hub2?: "Yes" if the corresponding node has more than 3 links, otherwise "No".

Community: the id of the community the link belong to, otherwise 0.

ConSurf1, ConSurf2: these columns report the ConSurf conservation grades of the two nodes involved in a link.

Index Node1 Node2 Recurrence Int. Strength Hub1? Hub2? Community ConSurf1 ConSurf2
1B:B:K57 B:B:Q75 22.9256.78NoYes199
2B:B:K57 B:B:W332 22.887426.69NoYes199
3B:B:R314 B:B:W332 89.578324.99NoYes089
4B:B:D290 B:B:R314 89.357926.2NoNo068
5B:B:D290 B:B:T274 73.75514.34NoNo068
6B:B:S275 B:B:T274 73.53023.2NoNo088
7B:B:L318 B:B:S275 73.30593NoNo068
8B:B:L318 B:B:S277 33.03243NoNo065
9B:B:S277 B:B:V320 32.56184.85NoNo057
10B:B:V320 B:B:V327 32.35353.21NoYes076
11B:B:M45 B:B:V327 23.48683.04YesYes046
12B:B:M45 B:B:N340 31.67142.8YesNo049
13B:B:N340 G:G:N59 30.322610.9NoYes099
14B:B:Q75 B:B:Y59 22.92639.02YesYes198
15B:B:W332 B:B:Y59 45.234410.61YesYes198
16B:B:L318 B:B:T329 40.0842.95NoNo068
17B:B:T329 B:B:W339 25.80157.28NoYes089
18B:B:L308 B:B:W339 25.385312.53NoYes079
19B:B:L308 B:B:M45 25.99067.07NoYes074
20G:G:F61 G:G:N59 23.7486.04YesYes1289
21B:B:Q75 B:B:W99 45.44335.48YesYes199
22B:B:S160 B:B:V187 13.64816.46NoYes069
23B:B:S147 B:B:S160 13.71963.26NoNo096
24B:B:S147 B:B:Y145 13.79335.09NoYes098
25A:A:S207 B:B:Y145 14.6975.09NoYes988
26A:A:Q205 A:A:S207 16.16352.89NoNo098
27A:A:Q205 A:A:W212 22.15324.38NoYes099
28A:A:R209 A:A:W212 95.89656NoYes099
29A:A:L250 A:A:R209 95.85163.64NoNo099
30A:A:F224 A:A:L250 95.82986.09YesNo099
31A:A:F224 A:A:L267 95.88383.65YesYes099
32A:A:L267 A:A:L269 97.43695.54YesYes1898
33A:A:L228 A:A:L269 1005.54NoYes078
34A:A:F275 A:A:L228 99.96969.74NoNo087
35A:A:F275 A:A:Y297 99.90854.13NoYes083
36A:A:K272 A:A:Y297 99.68514.78NoYes2253
37A:A:C325 A:A:K272 99.75454.85YesNo075
38A:A:C325 A:A:D328 98.73493.11YesNo079
39A:A:D328 A:A:T324 98.70312.89NoYes099
40A:A:F268 A:A:T324 64.7065.19YesYes1499
41A:A:F268 A:A:I266 32.99493.77YesNo098
42A:A:I223 A:A:I266 32.33332.94YesNo078
43A:A:I223 A:A:L36 64.3855.71YesNo077
44A:A:F268 A:A:I335 32.25075.02YesNo098
45A:A:I223 A:A:I335 32.18464.42YesNo078
46A:A:L36 A:A:V34 64.08332.98NoYes074
47A:A:N331 A:A:T324 32.842610.24NoYes1489
48A:A:I49 A:A:N331 32.77915.66YesNo078
49A:A:I49 A:A:V50 33.04153.07YesNo077
50A:A:F190 A:A:V50 32.97443.93YesNo087
51A:A:F190 A:A:F197 32.258712.86YesYes1387
52A:A:V34 R:R:Y160 63.18236.31YesNo045
53A:A:F216 A:A:W212 66.24344.01YesYes199
54A:A:F216 B:B:W99 45.00437.02YesYes199
55A:A:H214 B:B:Y59 22.41267.62NoYes088
56A:A:C215 A:A:H214 22.45982.95NoNo068
57A:A:C215 A:A:F216 22.5062.79NoYes069
58A:A:F259 A:A:N257 22.46944.83YesNo048
59A:A:E217 A:A:F259 22.37877NoYes074
60A:A:E217 B:B:W332 22.34374.36NoYes079
61A:A:F197 A:A:V339 31.84823.93YesNo078
62A:A:I213 A:A:W212 21.88084.7NoYes189
63A:A:I213 A:A:N257 21.75962.83NoNo188
64R:R:R328 R:R:R81 12.349117.06NoNo455
65B:B:D312 R:R:R81 12.639410.72NoNo455
66B:B:D312 B:B:D333 13.22542.66NoYes459
67B:B:D333 B:B:H311 13.52938.82YesYes499
68B:B:H311 B:B:T329 15.30126.85YesNo098
69A:A:I343 A:A:V339 31.77953.07NoNo088
70A:A:I343 R:R:Y160 63.03116.04NoNo085
71A:A:I343 A:A:N347 94.57724.25NoNo088
72A:A:N347 R:R:N152 93.87672.72NoNo088
73A:A:C351 R:R:N152 92.94154.72NoNo048
74A:A:C351 R:R:R149 92.70752.79NoYes049
75R:R:R149 R:R:Y235 39.47564.12YesYes898
76B:B:C271 B:B:D290 18.72783.11NoNo056
77B:B:C271 B:B:D291 18.19056.22NoNo058
78B:B:D291 B:B:Y289 17.10934.6NoYes087
79B:B:W297 B:B:Y289 13.58376.75YesYes1787
80B:B:W297 B:B:Y264 12.51567.72YesYes085
81B:B:R283 G:G:L51 10.75944.86YesYes1596
82B:B:I43 B:B:M45 17.4852.92NoYes034
83B:B:L284 G:G:L51 19.6724.15YesYes056
84B:B:I43 B:B:L284 16.49854.28NoYes035
85B:B:L70 B:B:W63 12.707814.81NoYes057
86B:B:S84 B:B:W63 18.85934.94NoYes057
87B:B:S84 G:G:F61 19.33216.61NoYes1258
88R:R:S146 R:R:Y235 37.618212.72NoYes098
89R:R:M231 R:R:S146 34.16576.13NoNo089
90R:R:F264 R:R:M231 67.982411.2NoNo098
91R:R:F264 R:R:W268 64.967721.05NoYes099
92L:L:?1 R:R:W268 16.20946.28YesYes709
93R:R:R149 R:R:Y318 41.95017.2YesYes899
94R:R:L142 R:R:Y318 34.90795.86YesYes889
95R:R:L142 R:R:M231 34.35824.24YesNo088
96R:R:H272 R:R:W268 38.40534.23YesYes789
97R:R:H272 R:R:L220 33.98593.86YesNo084
98R:R:L220 R:R:L276 33.48132.77NoNo045
99R:R:L276 R:R:L280 32.97672.77NoNo054
100R:R:L280 R:R:L286 31.96712.77NoNo041
101R:R:L286 R:R:M281 27.915.65NoNo3213
102R:R:M281 R:R:R288 27.42022.48NoNo034
103R:R:D282 R:R:R288 26.40899.53NoNo024
104R:R:D278 R:R:D282 25.903111.98NoNo052
105R:R:D278 R:R:R216 25.39734.76NoNo053
106R:R:R212 R:R:R216 21.85392.13NoNo043
107R:R:R212 R:R:Y205 19.82742.06NoYes043
108R:R:L190 R:R:Y205 10.18347.03NoYes053
Download PSN data

2D representation of the global metapath, ligand(s) interactions and
histograms of path distribution according to several parameters
(click on the image to enlarge it 🔍):

A 2D representation of the global communication in the network.

ConSurf Conservation Grade (See documentation): 

 n/a   1    2    3    4    5    6    7    8    9  

Number of shortest communication paths as a function of the average residue correlation.

Number of shortest communication paths as a function of the average interaction strength of their links.

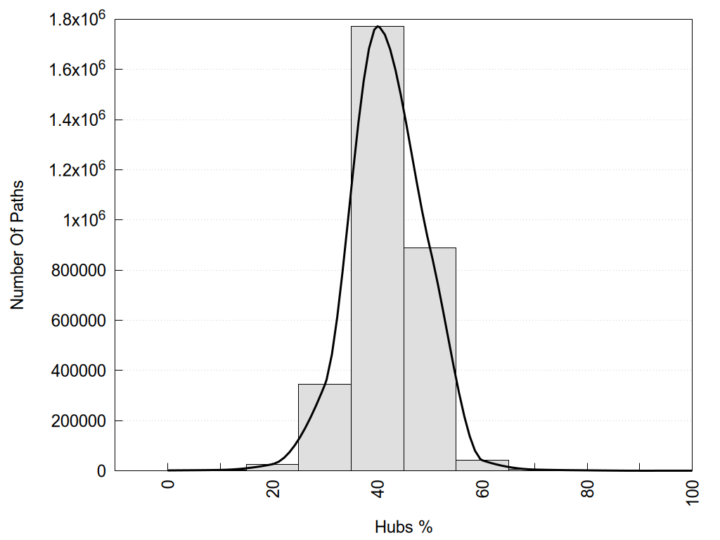
Number of shortest communication paths as a function of the % of hub nodes in each path.

Number of shortest communication paths as a function of the number of nodes in each path.

Number of shortest communication paths as a function of the % of correlated nodes in each path.


2D representation of the interactions of this orthosteric/allosteric ligand.


Links and nodes colored according to ConSurf Conservation Grade (See documentation): 

 n/a   1    2    3    4    5    6    7    8    9  

Node1 Node2 LinkStrength Comm IsNode1Hub? IsNode2Hub? Node1Cons Node2Cons Node1Shell Node2Shell
R:R:W109 R:R:Y60 4.82 7 Yes No 5 8 1 2
R:R:F131 R:R:L102 9.74 7 Yes No 5 6 1 2
R:R:L106 R:R:Y308 11.72 7 No No 8 6 2 1
R:R:S304 R:R:W109 8.65 7 No Yes 5 5 1 1
L:L:?1 R:R:W109 3.59 7 Yes Yes 0 5 0 1
R:R:F131 R:R:F135 4.29 7 Yes No 5 7 1 1
R:R:F131 R:R:Y308 6.19 7 Yes No 5 6 1 1
L:L:?1 R:R:F131 28.77 7 Yes Yes 0 5 0 1
R:R:F135 R:R:W268 8.02 7 No Yes 7 9 1 1
L:L:?1 R:R:F135 8.63 7 Yes No 0 7 0 1
R:R:F224 R:R:W268 3.01 7 Yes Yes 8 9 2 1
R:R:F224 R:R:H272 22.63 7 Yes Yes 8 8 2 2
R:R:F264 R:R:W268 21.05 0 No Yes 9 9 2 1
R:R:H272 R:R:W268 4.23 7 Yes Yes 8 9 2 1
R:R:H310 R:R:W268 9.52 0 No Yes 9 9 2 1
L:L:?1 R:R:W268 6.28 7 Yes Yes 0 9 0 1
R:R:H272 R:R:Y271 7.62 7 Yes Yes 8 6 2 1
R:R:V275 R:R:Y271 5.05 0 No Yes 5 6 2 1
R:R:T303 R:R:Y271 4.99 0 No Yes 7 6 2 1
L:L:?1 R:R:Y271 24.93 7 Yes Yes 0 6 0 1
L:L:?1 R:R:S304 8.28 7 Yes No 0 5 0 1
L:L:?1 R:R:G307 8.08 7 Yes No 0 8 0 1
L:L:?1 R:R:Y308 4.62 7 Yes No 0 6 0 1
L:L:?1 R:R:G128 2.69 7 Yes No 0 6 0 1
R:R:F131 R:R:T105 2.59 7 Yes No 5 7 1 2
R:R:A113 R:R:W109 2.59 0 No Yes 5 5 2 1
R:R:A139 R:R:W268 2.59 0 No Yes 8 9 2 1
R:R:A127 R:R:G128 1.95 0 No No 5 6 2 1
R:R:G307 R:R:L306 1.71 0 No No 8 8 1 2
R:R:G305 R:R:W109 1.41 0 No Yes 5 5 2 1

Location and physicochemical properties of the interaction partners of this ligand

Interactions of this ligand

Similarities between the interactions of this ligand and those of other networks

ShowSimilarityNetwork TypeNameLigandDescription
100.00Single8Y0HVUF114188Y0H-CXCR3-VUF11418
75.00Single8EFBOliceridine8EFB-μ-Oliceridine-Gi1/β1/γ2
72.73Single8HNMVUF112228HNM-CXCR3-VUF11222-Gi1/β1/γ2
70.00Single9L42Histamine9L42-H4-Histamine-Gi1/β1/γ2
69.23Single7T2HLofentanil7T2H-μ-Lofentanil-Gi1/β1/γ2
69.23Single8EF5Fentanyl8EF5-μ-Fentanyl-Gi1/β1/γ2
66.67Single6TOTLemborexant6TOT-OX1-Lemborexant
66.67Single8WC5Tetramethylammonium Ion8WC5-TA1-Tetramethylammonium Ion-chim(NtGi1-Gs)/β1/γ2
63.64Single4S0VSuvorexant4S0V-OX2-Suvorexant
63.64Single6TPJSuvorexant6TPJ-OX2-Suvorexant
63.64Single7T8XAcetylcholine7T8X-M2-Acetylcholine-chim(NtGi1-Go)/β1/γ2
63.64Single7T90Acetylcholine7T90-M2-Acetylcholine-chim(NtGi1-Go)/β1/γ2
63.64Single7T96Acetylcholine7T96-M2-Acetylcholine-LY2119620-Go/β1/γ2
63.64Single8HOCImetit8HOC-H4-Imetit-Gi1/β1/γ2
63.64Single8YNAImmepip8YNA-H4-Immepip-Gi1/β1/γ2
63.64Single9JKXAcifran9JKX-HCA3-Acifran-Gi1/β1/γ2
63.64Consensusm2_onOrthosteric Ligand7T8X-M2-Acetylcholine-chim(NtGi1-Go)/β1/γ2
63.64Consensusm2_on_gpOrthosteric Ligand7T8X-M2-Acetylcholine-chim(NtGi1-Go)/β1/γ2
61.54Single4ZJ8Suvorexant4ZJ8-OX1-Suvorexant
61.54Single6TO7Suvorexant6TO7-OX1-Suvorexant-Na
61.54Single6TP6Filorexant6TP6-OX1-Filorexant
60.00Single7U2KC6-guano7U2K-μ-C6-guano-Gi1/β1/γ2
60.00Single8YN9Histamine8YN9-H4-Histamine-Gi1/β1/γ2
60.00Single8YUUHistamine8YUU-H3-Histamine-Gi1/β1/γ1
60.00Single9LRCHistamine9LRC-H4-Histamine
60.00Single9LREHistamine9LRE-H4-Histamine-Gi1/β1/γ2
60.00Consensush3_onOrthosteric Ligand8YUU-H3-Histamine-Gi1/β1/γ1
60.00Consensush3_on_gpOrthosteric Ligand8YUU-H3-Histamine-Gi1/β1/γ1
58.33Single2YDOAdenosine2YDO-A2A-Adenosine
58.33Single4ZJCSB-6740424ZJC-OX1-SB-674042
58.33Single6TOSGSK10598656TOS-OX1-GSK1059865-Na
58.33Single6TP3Nemorexant6TP3-OX1-Nemorexant
58.33Single6TPGEMPA6TPG-OX2-EMPA
58.33Single6ZG9GSK10347026ZG9-M1-GSK1034702
58.33Single7T94Acetylcholine7T94-M2-Acetylcholine-LY2119620-chim(NtGi1-Go)/β1/γ2
58.33Single7TRSAcetylcholine7TRS-M4-Acetylcholine-Gi1/β1/γ2
58.33Single8PM2DMCHA8PM2-TA7-DMCHA-Gs/β1/γ2
58.33Single9AXFCa; Ca; Ca; Cyclomethyltryptophan; R-568; PO49AXF-CaS; CaS-Ca-Ca; Ca; Ca; Cyclomethyltryptophan; R-568; PO4-chim(NtGi1-Gs-CtGq)/β1/γ2
58.33Consensusghrelin_offOrthosteric Ligand6KO5-Ghrelin-PubChem 57400002 7F83-Ghrelin-PF-05190457
57.14Single6TQ7SB-3348676TQ7-OX1-SB-334867
57.14Single7U2LC5-guano7U2L-μ-C5-guano-Gi1/β1/γ2
57.14Single8DZPmomSalB8DZP-κ-momSalB-Gi1/β1/γ2
57.14Single9PY3Loperamide9PY3-μ-Loperamide-GDPβS-Gi1/β1/γ2
54.55Single7YFCHistamine7YFC-H4-Histamine-chim(NtGi1-Gs-CtGq)/β1/γ2
54.55Single7YFDImetit7YFD-H4-Imetit-chim(NtGi1-Gs-CtGq)/β1/γ2
54.55Single8HN8Histamine8HN8-H4-Histamine-Gi1/β1/γ2
54.55Single8YN5Histamine8YN5-H3-Histamine-Gi1/β1/γ2
54.55Single8YN6Imetit8YN6-H3-Imetit-Gi1/β1/γ2
54.55Single8YN7Immethridine8YN7-H3-Immethridine-Go/β1/γ2
54.55Single9JEDHistamine9JED-H4-Histamine-PO4-Gi1/β1/γ2
54.55Single9JEQHistamine9JEQ-H3-Histamine-Gi1/β1/γ2
54.55Consensush4_onOrthosteric Ligand8HN8-H4-Histamine-Gi1/β1/γ2 8HOC-H4-Imetit-Gi1/β1/γ2 8JXV-H4-Clozapine-Gi1/β1/γ2 8JXW-H4-VUF6884-Gi1/β1/γ2 8JXX-H4-Clobenpropit-Gi1/β1/γ2
53.85Single4U16N-methyl-Scopolamine4U16-M3-N-methyl-Scopolamine
53.85Single5TGZAM65385TGZ-CB1-AM6538
53.85Single5YC8N-methyl-Scopolamine5YC8-M2-N-methyl-Scopolamine
53.85Single5ZK8N-methyl-Scopolamine5ZK8-M2-N-methyl-Scopolamine
53.85Single5ZKCN-methyl-Scopolamine5ZKC-M2-N-methyl-Scopolamine
53.85Single6WHADB139486WHA-5-HT2A-DB13948-chim(NtGi2L-Gs-CtGq)/β1/γ2
53.85Single7M3JNPS-2143; PO47M3J-CaS; CaS-NPS-2143; PO4
53.85Single7UL4Alvimopan7UL4-μ-Alvimopan
53.85Single7VIES1P7VIE-S1P1-S1P-Gi1/β1/γ2
53.85Single8T1WCVN4248T1W-GPR6-CVN424
53.85Single9JEAAtropine9JEA-M1-Atropine
53.85Single9KFJPubChem 1383196749KFJ-RXFP3-PubChem 138319674-Gi2/β1/γ2
53.85Consensusgi_histamineOrthosteric Ligand8JXX-H4-Clobenpropit-Gi1/β1/γ2 8JXV-H4-Clozapine-Gi1/β1/γ2 8YUU-H3-Histamine-Gi1/β1/γ1 8HN8-H4-Histamine-Gi1/β1/γ2 8HOC-H4-Imetit-Gi1/β1/γ2 8JXW-H4-VUF6884-Gi1/β1/γ2
53.85Consensusmuscarinic_onOrthosteric Ligandm2_on m3_on m4_on m1_on
53.85Consensusmuscarinic_on_gpOrthosteric Ligandm2_on_gp m3_on_gp m4_on_gp m1_on_gp
53.33Single6ZG4HTL00099366ZG4-M1-HTL0009936
53.33Single7DFPSpiperone7DFP-D2-Spiperone
53.33Single7JNIOlodanrigan7JNI-AT2-Olodanrigan
53.33Single7K15MKD0467K15-BLT1-MKD046-Na
53.33Single7W0LPubChem 1227019087W0L-Apelin; Apelin-PubChem 122701908-Gi1/β1/γ2
53.33Single7YITNalfurafine7YIT-κ-Nalfurafine
53.33Single9V6ONalfurafine9V6O-κ-Nalfurafine-Gi1/β1/γ2
53.33Consensusmop_onOrthosteric Ligand8F7R-μ-Endomorphin-Gi1/β1/γ2 8EF5-μ-Fentanyl-Gi1/β1/γ2 7SCG-μ-FH210-Gi1/β1/γ2 7T2H-μ-Lofentanil-Gi1/β1/γ2 7T2G-μ-Mitragynine Pseudoindoxyl-Gi1/β1/γ2 8EF6-μ-Morphine-Gi1/β1/γ2 8EFB-μ-Oliceridine-Gi1/β1/γ2 7U2L-μ-C5-guano-Gi1/β1/γ2 8EFO-μ-PZM21-Gi1/β1/γ2 8EFL-μ-SR17018-Gi1/β1/γ2 8F7Q-μ-β-Endorphin-Gi1/β1/γ2 7U2K-μ-C6-guano-Gi1/β1/γ2 8EFQ-μ-DAMGO-Gi1/β1/γ2
53.33Consensusmop_on_gpOrthosteric Ligand8F7R-μ-Endomorphin-Gi1/β1/γ2 8EF5-μ-Fentanyl-Gi1/β1/γ2 7SCG-μ-FH210-Gi1/β1/γ2 7T2H-μ-Lofentanil-Gi1/β1/γ2 7T2G-μ-Mitragynine Pseudoindoxyl-Gi1/β1/γ2 8EF6-μ-Morphine-Gi1/β1/γ2 8EFB-μ-Oliceridine-Gi1/β1/γ2 7U2L-μ-C5-guano-Gi1/β1/γ2 8EFO-μ-PZM21-Gi1/β1/γ2 8EFL-μ-SR17018-Gi1/β1/γ2 8F7Q-μ-β-Endorphin-Gi1/β1/γ2 7U2K-μ-C6-guano-Gi1/β1/γ2 8EFQ-μ-DAMGO-Gi1/β1/γ2
53.33Consensusopioid_offOrthosteric Ligandmop_off nop_off dop_off kop_off
50.00Single3V2WPubChem 518926453V2W-S1P1-PubChem 51892645
50.00Single5WQCEMPA5WQC-OX2-EMPA
50.00Single5WS3EMPA5WS3-OX2-EMPA
50.00Single5X93K-87945X93-ETB-K-8794
50.00Single6B73MP11046B73-κ-MP1104
50.00Single6KUYPubChem 1457046436KUY-α2a-PubChem 145704643
50.00Single6TODEMPA6TOD-OX1-EMPA-Na
50.00Single7M3JNPS-2143; PO47M3J-CaS; CaS-NPS-2143; PO4
50.00Single7SK7CCX6627SK7-ACKR3-CXCL12-CCX662
50.00Single7YM8Oxymetazoline7YM8-Alpha1A-Oxymetazoline-chim(Gs-CtGq)
50.00Single8DPHLorcaserin8DPH-5-HT2C-Lorcaserin-chim(NtGi2L-Gs-CtGq)/β1/γ2
50.00Single8DZQmomSalB8DZQ-κ-momSalB-Go/β1/γ2
50.00Single8DZRGR89,6968DZR-κ-GR89,696-chim(NtGi2-Gt3)/β1/γ2
50.00Single8E9ZIperoxo8E9Z-M3-Iperoxo-chim(NtGi2L-Gs-CtGq)/β1/γ2
50.00Single8EFOPZM218EFO-μ-PZM21-Gi1/β1/γ2
50.00Single8GEIConstrained Epinephrine8GEI-β2-Constrained Epinephrine-Gs/β1/γ2
50.00Single8IW4Spermidine8IW4-TAA9-Spermidine-chim(NtGi1-Gs)/β1/γ2
50.00Single8IWESpermidine8IWE-TAA9-Spermidine
50.00Single8WC3SEP-3638568WC3-TA1-SEP-363856-chim(NtGi1-Gs)/β1/γ2
50.00Single8XIOL7975918XIO-SST1-L797591-chim(NtGi1-Gs-CtGi1)/β1/γ2
50.00Single8YUVImmepip8YUV-H3-Immepip-Gi1/β1/γ2
50.00Single8Z8ALactate8Z8A-HCA1-Lactate-Gi1/β1/γ2
50.00Single9EE8Adenosine9EE8-A2A-Adenosine-Gs/β1/γ2
50.00Single9EEAAdenosine9EEA-A2A-Adenosine-Gs/β1/γ2
50.00Single9KPESalicin9KPE-TAS2R16-Salicin-Gi1/β1/γ2
50.00Single9M8POleic monoethanolamide9M8P-GPR3 ; GPR3-Oleic monoethanolamide-AF64394
50.00Single9MQJIsoquinuclidine9MQJ-μ-Isoquinuclidine
50.00Single9MQKIsoquinuclidine9MQK-κ-Isoquinuclidine
50.00Single9PXYNaloxone9PXY-μ-Naloxone-GDPβS-Gi1/β1/γ2
50.00Single9VJEBuspirone9VJE-5-HT1A-Buspirone-Go/β1/γ2
50.00Single9W49U-50488H9W49-κ-U-50488H-Gi1/β1/γ2
50.00Consensusd4_onOrthosteric Ligand8IRU-D4-Rotigotine-chim(NtGi1-Gs-CtGi1)/β1/γ2
50.00Consensusendothelin_offOrthosteric Ligandetb_off
50.00Consensusetb_offOrthosteric Ligand5X93-ETB-K-8794 5XPR-ETB-Bosentan 6K1Q-ETB-IRL2500
50.00Consensusgq_muscarinicOrthosteric Ligand6OIJ-M1-Iperoxo-chim(NtGi1L-G11)/β1/γ2
50.00Consensushistamine_onOrthosteric Ligandh1_on h2_on h3_on h4_on
50.00Consensushistamine_on_gpOrthosteric Ligandh1_on_gp h2_on_gp h3_on_gp h4_on_gp
50.00Consensusm1_onOrthosteric Ligand6OIJ-M1-Iperoxo-chim(NtGi1L-G11)/β1/γ2
50.00Consensusm2_offOrthosteric Ligand5ZKC-M2-N-methyl-Scopolamine 5ZK3-M2-3-quinuclidinyl-benzilate 5ZKB-M2-AF-DX 384
50.00Consensusm3_onOrthosteric Ligand8E9Z-M3-Iperoxo-chim(NtGi2L-Gs-CtGq)/β1/γ2 8E9W-M3-2-Deoxycytidine-chim(NtGi2L-Gs-CtGq)/β1/γ2 8E9Y-M3-Clozapine-N-oxide-chim(NtGi2L-Gs-CtGq)/β1/γ2
50.00Consensusm3_on_gpOrthosteric Ligand8E9Z-M3-Iperoxo-chim(NtGi2L-Gs-CtGq)/β1/γ2 8E9W-M3-2-Deoxycytidine-chim(NtGi2L-Gs-CtGq)/β1/γ2 8E9Y-M3-Clozapine-N-oxide-chim(NtGi2L-Gs-CtGq)/β1/γ2
50.00Consensusorexin_offOrthosteric Ligandox2_off ox1_off
50.00Consensusox1_offOrthosteric Ligand6TP6-OX1-Filorexant 6TP4-OX1-ACT-462206 6V9S-OX1-GTPL11403 6TOT-OX1-Lemborexant 6TP3-OX1-Nemorexant 6TQ6-OX1-PubChem 145714283 6TQ9-OX1-SB-408124 4ZJC-OX1-SB-674042 4ZJ8-OX1-Suvorexant 6TOD-OX1-EMPA-Na 6TOS-OX1-GSK1059865-Na 6TQ4-OX1-PubChem 16046844-Na
50.00Consensusox2_offOrthosteric Ligand5WQC-OX2-EMPA 6TPN-OX2-HTL6641 7XRR-OX2-Lemborexant 6TPJ-OX2-Suvorexant
50.00Consensuss1p1_offOrthosteric Ligand3V2W-S1P1-PubChem 51892645
47.06Single5ZTYAM102575ZTY-CB2-AM10257
47.06Single7SK9CCX6627SK9-ACKR3-CCX662
47.06Consensuscb2_offOrthosteric Ligand5ZTY-CB2-AM10257
46.67Single2YDVNECA2YDV-A2A-NECA
46.67Single4DJHJDTic4DJH-κ-JDTic
46.67Single4U15Tiotropium4U15-M3-Tiotropium
46.67Single4UHRCGS216804UHR-A2A-CGS21680
46.67Single5G53NECA5G53-A2A-NECA-Gs
46.67Single5ZKBAF-DX 3845ZKB-M2-AF-DX 384
46.67Single6KO5PubChem 574000026KO5-Ghrelin-PubChem 57400002
46.67Single6OIJIperoxo6OIJ-M1-Iperoxo-chim(NtGi1L-G11)/β1/γ2
46.67Single6OL9Tiotropium6OL9-M5-Tiotropium
46.67Single7EW7SEW28717EW7-S1P1-SEW2871-Gi1/β1/γ2
46.67Single7TRQIperoxo7TRQ-M4-Iperoxo-VU0467154-Gi1/β1/γ2
46.67Single8EA0Iperoxo8EA0-M3-Iperoxo
46.67Single8IRURotigotine8IRU-D4-Rotigotine-chim(NtGi1-Gs-CtGi1)/β1/γ2
46.67Single8JXXClobenpropit8JXX-H4-Clobenpropit-Gi1/β1/γ2
46.67Single8T1VPubChem 1183102098T1V-GPR6-PubChem 118310209-Na
46.67Single8VVFJDTic8VVF-κ-JDTic-Gi1/β1/γ2
46.67Single8XZICMF-0198XZI-Apelin; Apelin-CMF-019-Gi1/β1/γ2
46.67Single9PY4Loperamide9PY4-μ-Loperamide-GDPβS-Gi1/β1/γ2
46.67Consensusclass-a_offOrthosteric Ligandsensory_off alicarboxylic_off amine_off lipid_off nucleotide_off peptide_off protein_off
46.67Consensusd4_on_gpOrthosteric Ligand8IRU-D4-Rotigotine-chim(NtGi1-Gs-CtGi1)/β1/γ2
46.67Consensush4_on_gpOrthosteric Ligand8HN8-H4-Histamine-Gi1/β1/γ2 8HOC-H4-Imetit-Gi1/β1/γ2 8JXV-H4-Clozapine-Gi1/β1/γ2 8JXW-H4-VUF6884-Gi1/β1/γ2 8JXX-H4-Clobenpropit-Gi1/β1/γ2
46.67Consensuskop_offOrthosteric Ligand4DJH-κ-JDTic
46.67Consensusm1_on_gpOrthosteric Ligand6OIJ-M1-Iperoxo-chim(NtGi1L-G11)/β1/γ2
46.67Consensusm5_offOrthosteric Ligand6OL9-M5-Tiotropium
46.67Consensusmuscarinic_offOrthosteric Ligandm2_off m3_off m4_off m5_off m1_off
46.15Single6K41Dexmedetomidine6K41-α2b-Dexmedetomidine-Go/β1/γ2
46.15Single6V9SGTPL114036V9S-OX1-GTPL11403
46.15Single6WJCAtropine6WJC-M1-Atropine-Muscarinic toxin 7
46.15Single7CMVPD1289077CMV-D3-PD128907-Gi1/β1/γ2
46.15Single7EJADexmedetomidine7EJA-α2a-Dexmedetomidine-Go/β1/γ2
46.15Single7SR8TAK-9257SR8-OX2-TAK-925-chim(NtGi1L-Gs-CtGq)/β1/γ2
46.15Single8IHKAcifran8IHK-HCA3-Acifran
46.15Single8IY9Niacin8IY9-HCA2-Niacin-Go/β1/γ2
46.15Single8JIMMonomethyl fumarate8JIM-HCA2-Monomethyl fumarate-Gi1/β1/γ2
46.15Single8JLKUlotaront8JLK-TA1-Ulotaront-chim(NtGi1-Gs)/β1/γ2
46.15Single8JLNT1AM8JLN-TA1-T1AM-Gs/β1/γ2
46.15Single8K5CAcipimox8K5C-HCA2-Acipimox
46.15Single8THKA-616038THK-Alpha1A-A-61603-chim(NtGi2L-Gs-CtGq)/β1/γ2
46.15Single8THLEpinephrine8THL-Alpha1A-Epinephrine-chim(NtGi2L-Gs-CtGq)/β1/γ2
46.15Single8W88SEP-3638568W88-TA1-SEP-363856-Gs/β1/γ2
46.15Single8WC8ZH86518WC8-TA1-ZH8651-chim(NtGi1-Gs)/β1/γ2
46.15Single9MQIIsoquinuclidine9MQI-μ-Isoquinuclidine
46.15Single9ODJMitragynine Pseudoindoxyl9ODJ-μ-Mitragynine Pseudoindoxyl-GTP; Mg-Gi1/β1/γ2
46.15Single9PY2Loperamide9PY2-μ-Loperamide-GDPβS-Gi1/β1/γ2
46.15Single9VNFPindolol9VNF-5-HT1A-Pindolol-Go/β1/γ2
46.15Consensusalpha1_onOrthosteric Ligandalpha1a_on
46.15Consensusalpha1_on_gpOrthosteric Ligandalpha1a_on_gp
46.15Consensusalpha1a_onOrthosteric Ligand7EJ0-α2a-Norepinephrine-Go/β1/γ2 7EJ8-α2a-Brimonidine-Go/β1/γ2 7EJA-α2a-Dexmedetomidine-Go/β1/γ2 7EJK-α2a-Oxymetazoline-Go/β1/γ2 7W6P-α2a-N-pyridin-4-ylisoquinolin-4-amine-Go/β1/γ2 7W7E-α2a-PubChem 164946676-Go/β1/γ2
46.15Consensusalpha1a_on_gpOrthosteric Ligand7EJ0-α2a-Norepinephrine-Go/β1/γ2 7EJ8-α2a-Brimonidine-Go/β1/γ2 7EJA-α2a-Dexmedetomidine-Go/β1/γ2 7EJK-α2a-Oxymetazoline-Go/β1/γ2 7W6P-α2a-N-pyridin-4-ylisoquinolin-4-amine-Go/β1/γ2 7W7E-α2a-PubChem 164946676-Go/β1/γ2
46.15Consensushca_onOrthosteric Ligandhca2_on
45.45Single7EJKOxymetazoline7EJK-α2a-Oxymetazoline-Go/β1/γ2
45.45Single8ITFDMCHA8ITF-TAA9-DMCHA-chim(NtGi1-Gs)/β1/γ2
45.45Single8IW72-Phenylethylamine8IW7-TAA9-2-Phenylethylamine-chim(NtGi1-Gs)/β1/γ2
45.45Single8J6QBeta-Hydroxybutyrate8J6Q-HCA2-β-Hydroxybutyrate-PubChem 25101223-Gi1/β1/γ2
45.45Single8JXTHistamine8JXT-H4-Histamine-PO4-Gi1/β1/γ2
45.45Single8WC9ZH86518WC9-TA1-ZH8651-chim(NtGi1-Gs-CtGq)/β1/γ2
45.45Single9JKT(2R)-2-hydroxy-3-phenylpropanoic acid9JKT-HCA3-(2R)-2-hydroxy-3-phenylpropanoic acid-Gi1/β1/γ2
44.44Single8PKMBefiradol8PKM-5-HT1A-Befiradol-Gi1/β1/γ1
44.44Consensusgi_opioidOrthosteric Ligand8F7R-μ-Endomorphin-Gi1/β1/γ2 8EF5-μ-Fentanyl-Gi1/β1/γ2 7SCG-μ-FH210-Gi1/β1/γ2 7T2H-μ-Lofentanil-Gi1/β1/γ2 7T2G-μ-Mitragynine Pseudoindoxyl-Gi1/β1/γ2 8DZP-κ-momSalB-Gi1/β1/γ2 8EF6-μ-Morphine-Gi1/β1/γ2 8F7X-NOP-Nociceptin-Gi1/β1/γ2 8EFB-μ-Oliceridine-Gi1/β1/γ2 7U2L-μ-C5-guano-Gi1/β1/γ2 8EFO-μ-PZM21-Gi1/β1/γ2 8EFL-μ-SR17018-Gi1/β1/γ2 8F7Q-μ-β-Endorphin-Gi1/β1/γ2 7U2K-μ-C6-guano-Gi1/β1/γ2 8EFQ-μ-DAMGO-Gi1/β1/γ2 8F7S-δ-Deltorphin-Gi1/β1/γ2 8F7W-κ-Dynorphin-Gi1/β1/γ2
43.75Single5CXVTiotropium5CXV-M1-Tiotropium
43.75Single5UNHPubChem 1264564065UNH-AT2-PubChem 126456406
43.75Single6A93Risperidone6A93-5-HT2A-Risperidone
43.75Single7SUSPubChem 1227019087SUS-Apelin-PubChem 122701908
43.75Single7W0LPubChem 1227019087W0L-Apelin; Apelin-PubChem 122701908-Gi1/β1/γ2
43.75Single8E9W2-Deoxycytidine8E9W-M3-2-Deoxycytidine-chim(NtGi2L-Gs-CtGq)/β1/γ2
43.75Single8FYTLSD8FYT-5-HT1A-LSD-PtdIns4P-Gi1/β1/γ1
43.75Single8G056-OAU8G05-GPR84-6-OAU-Gi1/β1/γ2
43.75Single8XYIVUF106618XYI-CXCR3-VUF10661
43.75Single9EBIPiclidenoson9EBI-A3A-Piclidenoson-chim(NtGi1L-Gs-CtGi1)/β1/γ2
43.75Single9EK0Iperoxo9EK0-M5-Iperoxo-chim(NtGi1-Gs-CtGq)/β1/γ2
43.75Single9GL2Befiradol9GL2-5-HT1A-Befiradol-Gs/β1/γ2
43.75Single9M8POleic monoethanolamide9M8P-GPR3 ; GPR3-Oleic monoethanolamide-AF64394
43.75Single9MQLIsoquinuclidine9MQL-κ-Isoquinuclidine
43.75Single9VJ6F-155999VJ6-5-HT1A-F-15599-Gi3/β1/γ2
43.75Consensuscannabinoid_offOrthosteric Ligandcb2_off cb1_off
43.75Consensusgi_amineOrthosteric Ligandgi_5ht gi_muscarinic gi_adrenergic gi_dopamine gi_histamine
43.75Consensusgi_muscarinicOrthosteric Ligand8E9X-M4-2-Deoxycytidine-chim(NtGi1-Go)/β1/γ2 7T8X-M2-Acetylcholine-chim(NtGi1-Go)/β1/γ2 7TRS-M4-Acetylcholine-Gi1/β1/γ2 7TRK-M4-Iperoxo-Gi1/β1/γ2 7V6A-M4-PubChem 9864275-Gi1/β1/γ2
43.75Consensusm1_offOrthosteric Ligand5CXV-M1-Tiotropium
43.75Consensuss1p1_onOrthosteric Ligand7VIE-S1P1-S1P-Gi1/β1/γ2 7VIF-S1P1-FTY720-P-Gi1/β1/γ2 7VIG-S1P1-CBP-307-Gi1/β1/γ2 7EVY-S1P1-Siponimod-Gi1/β1/γ2 7EVZ-S1P1-Cenerimod-Gi1/β1/γ2 7EW0-S1P1-Ozanimod-Gi1/β1/γ2 7EW7-S1P1-SEW2871-Gi1/β1/γ2
43.75Consensuss1p1_on_gpOrthosteric Ligand7VIE-S1P1-S1P-Gi1/β1/γ2 7VIF-S1P1-FTY720-P-Gi1/β1/γ2 7VIG-S1P1-CBP-307-Gi1/β1/γ2 7EVY-S1P1-Siponimod-Gi1/β1/γ2 7EVZ-S1P1-Cenerimod-Gi1/β1/γ2 7EW0-S1P1-Ozanimod-Gi1/β1/γ2 7EW7-S1P1-SEW2871-Gi1/β1/γ2
42.86Single2Y04Salbutamol2Y04-β1-Salbutamol
42.86Single3NY8ICI118-5513NY8-β2-ICI118-551
42.86Single3NYAAlprenolol3NYA-β2-Alprenolol
42.86Single4DAJTiotropium4DAJ-M3-Tiotropium
42.86Single4EA3PubChem 102965614EA3-NOP-PubChem 10296561
42.86Single4EJ4Naltrindole4EJ4-δ-Naltrindole
42.86Single4GBRCarazolol4GBR-β2-Carazolol
42.86Single4MQSIperoxo4MQS-M2-Iperoxo
42.86Single4U14Tiotropium4U14-M3-Tiotropium
42.86Single5DSGTiotropium5DSG-M4-Tiotropium
42.86Single5OLZPubChem 1355666095OLZ-A2A-PubChem 135566609-Na
42.86Single5OM1PubChem 1355666095OM1-A2A-PubChem 135566609-Na
42.86Single6K42Dexmedetomidine6K42-α2b-Dexmedetomidine-Gi1/β1/γ2
42.86Single6Z10PubChem 1545855546Z10-Succinate-PubChem 154585554
42.86Single7F83PF-051904577F83-Ghrelin-PF-05190457
42.86Single7T2GMitragynine Pseudoindoxyl7T2G-μ-Mitragynine Pseudoindoxyl-Gi1/β1/γ2
42.86Single7TRPIperoxo7TRP-M4-Iperoxo-LY2033298-Gi1/β1/γ2
42.86Single7VIFFTY720-P7VIF-S1P1-FTY720-P-Gi1/β1/γ2
42.86Single7YACPaltusotine7YAC-SST2-Paltusotine-Gi1/β1/γ2
42.86Single8I7VAcipimox8I7V-HCA2-Acipimox-Gi1/β1/γ2
42.86Single8IHJAcifran8IHJ-HCA3-Acifran-Gi1/β1/γ2
42.86Single8J6PNiacin8J6P-HCA2-Niacin-PubChem 25101223-Gi1/β1/γ2
42.86Single8JIINiacin8JII-HCA2-Niacin-PubChem 25101223-Gi1/β1/γ2
42.86Single8JJOAlprenolol8JJO-β2-Alprenolol
42.86Single8JLJT1AM8JLJ-TA1-T1AM-chim(NtGi1-Gs)/β1/γ2
42.86Single8JXRLSD8JXR-D1-LSD
42.86Single8K5DGSK2560738K5D-HCA2-GSK256073
42.86Single8UH3Setiptiline8UH3-5-HT1E-Setiptiline-Gi1/β1/γ1
42.86Single8VVGGB188VVG-κ-GB18-Gi1/β1/γ2
42.86Single8W87METH8W87-TA1-METH-chim(NtGi1L-Gs)/β1/γ2
42.86Single8W8ARO52563908W8A-TA1-RO5256390-chim(NtGi1L-Gs)/β1/γ2
42.86Single8XVKAmbrisentan8XVK-ETA-Ambrisentan
42.86Single8Y71A1D6F8Y71-δ-A1D6F-BMS986187-Gi1/β1/γ2
42.86Single8YN8Proxyfan8YN8-H3-Proxyfan-Go/β1/γ2
42.86Single8ZSSRO52633978ZSS-TA1-RO5263397-chim(NtGi1-Gs)/β1/γ2
42.86Single9BQJRO769BQJ-μ-RO76-Gi1/β1/γ2
42.86Single9CBMDexmedetomidine9CBM-α2a-Dexmedetomidine-Gi1/β1/γ2
42.86Single9D61JDTic9D61-κ-JDTic-Gi1/β1/γ2
42.86Single9PLNPubChem 1682595949PLN-α2a-PubChem 168259594
42.86Single9PLOPubChem 1682595949PLO-α2a-PubChem 168259594-Go/β1/γ2
42.86Single9UAZAtropine9UAZ-M1-Atropine
42.86Single9VMYTMU41429VMY-5-HT1A-TMU4142-Go/β1/γ2
42.86Consensusalicarboxylic_on_gpOrthosteric Ligandsuccinate_on_gp hca_on_gp
42.86Consensusalpha2_onOrthosteric Ligandalpha2b_on
42.86Consensusalpha2_on_gpOrthosteric Ligandalpha2b_on_gp
42.86Consensusalpha2b_onOrthosteric Ligand6K42-α2b-Dexmedetomidine-Gi1/β1/γ2
42.86Consensusalpha2b_on_gpOrthosteric Ligand6K42-α2b-Dexmedetomidine-Gi1/β1/γ2
42.86Consensusalpha_onOrthosteric Ligandalpha1_on alpha2_on
42.86Consensusdop_offOrthosteric Ligand4EJ4-δ-Naltrindole
42.86Consensusdopamine_offOrthosteric Ligandd2_off d3_off
42.86Consensusgi_alicarboxylicOrthosteric Ligandgi_hca gi_succinate
42.86Consensusgi_hcaOrthosteric Ligand8J6R-HCA2-MK6892-Gi1/β1/γ2 8JIM-HCA2-Monomethyl fumarate-Gi1/β1/γ2 8IHI-HCA2-Acifran-Gi1/β1/γ2 8IHH-HCA2-LUF6283-Gi1/β1/γ2 8I7V-HCA2-Acipimox-Gi1/β1/γ2 8I7W-HCA2-GSK256073-Gi1/β1/γ2
42.86Consensusgq_amineOrthosteric Ligandgq_muscarinic gq_histamine
42.86Consensusgs_trace-amineOrthosteric Ligand8W88-TA1-SEP-363856-Gs/β1/γ2 8JLJ-TA1-T1AM-chim(NtGi1-Gs)/β1/γ2 8JLO-TA1-Ulotaront-Gs/β1/γ2 8WC4-TA1-ZH8651-chim(NtGi1-Gs)/β1/γ2 8WC7-TA1-ZH8667-chim(NtGi1-Gs)/β1/γ2 8JLR-TA1-A77636-chim(NtGi1-Gs)/β1/γ2 8JSO-TA1-AMPH-chim(NtGi1-Gs)/β1/γ2 8W87-TA1-METH-chim(NtGi1L-Gs)/β1/γ2 8W89-TA1-2-Phenylethylamine-chim(NtGi1L-Gs)/β1/γ2 8JLP-TA1-Ralmitaront-Gs/β1/γ2 8W8A-TA1-RO5256390-chim(NtGi1L-Gs)/β1/γ2
42.86Consensushca2_onOrthosteric Ligand8J6R-HCA2-MK6892-Gi1/β1/γ2 8JIM-HCA2-Monomethyl fumarate-Gi1/β1/γ2 8I7V-HCA2-Acipimox-Gi1/β1/γ2 8I7W-HCA2-GSK256073-Gi1/β1/γ2 8IHH-HCA2-LUF6283-Gi1/β1/γ2 8IHI-HCA2-Acifran-Gi1/β1/γ2
42.86Consensushca2_on_gpOrthosteric Ligand8J6R-HCA2-MK6892-Gi1/β1/γ2 8IHI-HCA2-Acifran-Gi1/β1/γ2 8IHH-HCA2-LUF6283-Gi1/β1/γ2 8I7V-HCA2-Acipimox-Gi1/β1/γ2 8JIM-HCA2-Monomethyl fumarate-Gi1/β1/γ2 8I7W-HCA2-GSK256073-Gi1/β1/γ2
42.86Consensushca_on_gpOrthosteric Ligandhca2_on_gp
42.86Consensusm4_offOrthosteric Ligand5DSG-M4-Tiotropium
41.67Single7DD5Ca; Ca; Tryptophan; NPS-21437DD5-CaS; CaS-Ca-Ca; Ca; Tryptophan; NPS-2143
41.67Single8H2GNiacin8H2G-HCA2-Niacin-Gi1/β1/γ2
41.67Single8IHIAcifran8IHI-HCA2-Acifran-Gi1/β1/γ2
41.67Single8K5BNiacin8K5B-HCA2-Niacin
41.67Single8W892-Phenylethylamine8W89-TA1-2-Phenylethylamine-chim(NtGi1L-Gs)/β1/γ2
41.67Single8YKWSuccinic acid8YKW-Succinate-Succinic acid-Gi1/β1/γ1
41.67Single8ZSVRO52633978ZSV-TA1-RO5263397-chim(NtGi1-Gs)/β1/γ2
41.67Single9EPRAll-trans-Retinal9EPR-Rhodopsin-All-trans-Retinal-Gi1/β1/γ2
41.67Single9IQTNiacin9IQT-HCA2-Niacin-Gi1/β1/γ2
41.67Single9IZDCHBA9IZD-HCA1-CHBA-Gi1/β1/γ2
41.67Single9U9VMETH9U9V-β2-METH-Gs/β1/γ2
41.18Single5UNGPubChem 157800525UNG-AT2-PubChem 15780052
41.18Single7SK8CCX6627SK8-ACKR3-CXCL12-CCX662
41.18Single7X2DTavapadon7X2D-D1-Tavapadon-Gs/β1/γ2
41.18Single7XZ6APD6687XZ6-GPR119-APD668-Gs/β1/γ2
41.18Single8E0GBU728E0G-μ-BU72
41.18Single8E9X2-Deoxycytidine8E9X-M4-2-Deoxycytidine-chim(NtGi1-Go)/β1/γ2
41.18Single8E9YClozapine-N-oxide8E9Y-M3-Clozapine-N-oxide-chim(NtGi2L-Gs-CtGq)/β1/γ2
41.18Single8FX5Xanomeline8FX5-M4-Xanomeline-Xanomeline-Gi1/β1/γ2
41.18Single8S2TIsoprenaline8S2T-β1-Isoprenaline-chim(NtGi1-Gs)/β1/γ2
41.18Single9AS02-bromo-LSD9AS0-5-HT2A-2-bromo-LSD-chim(NtGi1-Gs-CtGq)/β1/γ2
41.18Single9DYEBuspirone9DYE-5-HT1A-Buspirone-PtdIns4P-Go/β1/γ2
41.18Single9WP9S1P9WP9-S1P3-S1P-chim(NtGi2L-Gs-CtGq)/β1/γ2
41.18Consensusclass-a_onOrthosteric Ligandsensory_on alicarboxylic_on amine_on lipid_on nucleotide_on peptide_on protein_on
41.18Consensusd2_offOrthosteric Ligand6CM4-D2-Risperidone 6LUQ-D2-Haloperidol 7DFP-D2-Spiperone
41.18Consensusgi_s1pOrthosteric Ligand7VIE-S1P1-S1P-Gi1/β1/γ2 7EW3-S1P3-S1P-Gi1/β1/γ2 7EVY-S1P1-Siponimod-Gi1/β1/γ2 7EW1-S1P5-Siponimod-Gi1/β1/γ2 7VIF-S1P1-FTY720-P-Gi1/β1/γ2 7VIG-S1P1-CBP-307-Gi1/β1/γ2 7EVZ-S1P1-Cenerimod-Gi1/β1/γ2 7EW4-S1P3-CYM-5541-Gi1/β1/γ2 7EW2-S1P3-FTY720-P-Gi1/β1/γ2 7EW0-S1P1-Ozanimod-Gi1/β1/γ2 7EW7-S1P1-SEW2871-Gi1/β1/γ2
41.18Consensuskop_on_gpOrthosteric Ligand8F7W-κ-Dynorphin-Gi1/β1/γ2 8DZS-κ-GR89,696-chim(NtGi2-Gz)/β1/γ2 8DZP-κ-momSalB-Gi1/β1/γ2
41.18Consensuspeptide_offOrthosteric Ligandcck_off angiotensin_off bombesin_off endothelin_off ghrelin_off npy_off opioid_off orexin_off somatostatin_off tachykinin_off vasop-oxy_off neurotensin_off
40.00Single2RH1Carazolol2RH1-β2-Carazolol
40.00Single2Y03Isoprenaline2Y03-β1-Isoprenaline
40.00Single2YCWCarazolol2YCW-β1-Carazolol
40.00Single3PXOAll-trans-Retinal3PXO-Rhodopsin-All-trans-Retinal
40.00Single5C1MBU725C1M-μ-BU72
40.00Single5CGCHTL142425CGC-mGlu5-HTL14242
40.00Single5D6LCarazolol5D6L-β2-Carazolol
40.00Single5DYSAll-trans-Retinal5DYS-Rhodopsin-All-trans-Retinal
40.00Single5OM4PubChem 1355666095OM4-A2A-PubChem 135566609-Na
40.00Single5X7DCarazolol5X7D-β2-Carazolol-PubChem 129318963
40.00Single5ZK33-quinuclidinyl-benzilate5ZK3-M2-3-quinuclidinyl-benzilate
40.00Single6GDGNECA6GDG-A2A-NECA-Gs/β1/γ1
40.00Single6OIKIperoxo6OIK-M2-Iperoxo-LY2119620-chim(NtGi1-Go)/β1/γ2
40.00Single6PS6Timolol6PS6-β2-Timolol
40.00Single7C4SS1P7C4S-S1P3-S1P
40.00Single7EO2FTY720-P7EO2-S1P1-FTY720-P-Gi1/β1/γ2
40.00Single7LD3Adenosine7LD3-A1-Adenosine-MIPS521-Gi2/β1/γ2
40.00Single7SBFPZM217SBF-μ-PZM21-Gi1/β1/γ2
40.00Single7SINNPS-21437SIN-CaS; CaS-NPS-2143
40.00Single7SINNPS-21437SIN-CaS; CaS-NPS-2143
40.00Single7TRKIperoxo7TRK-M4-Iperoxo-Gi1/β1/γ2
40.00Single7WIGL-0542647WIG-SST2-L-054264-Gi1/β1/γ2
40.00Single7X1TTaltirelin7X1T-TRH-Taltirelin-chim(NtGi2L-Gs-CtGq)/β1/γ2
40.00Single8HNLPS3724248HNL-CXCR3-PS372424-Gi1/β1/γ2
40.00Single8I7WGSK2560738I7W-HCA2-GSK256073-Gi1/β1/γ2
40.00Single8J18(3R)-3-Hydroxydodecanoic acid8J18-GPR84-(3R)-3-Hydroxydodecanoic acid-Gi1/β1/γ2
40.00Single8J6JGSK2560738J6J-HCA2-GSK256073-Gi1/β1/γ2
40.00Single8UUJFCH-22964138UUJ-HCA2-FCH-2296413-Gi1/β1/γ2
40.00Single8X0CVU04244658X0C-mGlu5; mGlu5-Quisqualate-VU0424465
40.00Single8X0DVU04244658X0D-mGlu5; mGlu5-Quisqualate-VU0424465
40.00Single8X0DVU04244658X0D-mGlu5; mGlu5-Quisqualate-VU0424465
40.00Single8XYKVUF106618XYK-CXCR3-VUF10661-Go/β1/γ2
40.00Single8YICSAR2477998YIC-S1P1-SAR247799-Gi1/β1/γ2
40.00Single8YNSSNAP-948478YNS-MCH1-SNAP-94847
40.00Single8ZRKGSK12922638ZRK-GPR119-GSK1292263-Gs/β1/γ2
40.00Single9ARZ2-bromo-LSD9ARZ-5-HT2A-2-bromo-LSD
40.00Single9AVLCa; Ca; Cyclomethyltryptophan; R-568; PO49AVL-CaS; CaS-Ca-Ca; Ca; Cyclomethyltryptophan; R-568; PO4-Gi3/β2/γ2
40.00Single9AXFCa; Ca; Ca; Cyclomethyltryptophan; R-568; PO49AXF-CaS; CaS-Ca-Ca; Ca; Ca; Cyclomethyltryptophan; R-568; PO4-chim(NtGi1-Gs-CtGq)/β1/γ2
40.00Single9B54VIP369B54-CB1-VIP36-Gi1/β1/γ2
40.00Single9CIBFCH-22964139CIB-HCA2-FCH-2296413
40.00Single9F34FOB02-04A9F34-D3-FOB02-04A-Go/β1/γ2
40.00Single9I52A1IZU9I52-D1-A1IZU-Gs/β1/γ2
40.00Single9JIDNiacin9JID-HCA3-Niacin-Gi1/β1/γ2
40.00Single9JKVPubChem 27366909JKV-HCA3-PubChem 2736690-Gi1/β1/γ2
40.00Single9KT6Acifran9KT6-HCA3-Acifran-Gi1/β1/γ2
40.00Single9KUVCMPD6449KUV-Apelin-CMPD644-Arrestin2
40.00Single9L74S1P d16:19L74-S1P3-S1P d16:1-chim(NtGi2L-Gs-CtGq)/β1/γ2
40.00Single9VJFBuspirone9VJF-5-HT1A-Buspirone-Gi3/β1/γ2
40.00Consensus5ht2_offOrthosteric Ligand5ht2a_off 5ht2b_off 5ht2c_off
40.00Consensusalpha_on_gpOrthosteric Ligandalpha1_on_gp alpha2_on_gp
40.00Consensusamine_offOrthosteric Ligand5ht_off adrenergic_off dopamine_off histamine_off muscarinic_off
40.00Consensusamine_offonOrthosteric Ligandamine_off amine_on
40.00Consensusamine_offon_gpOrthosteric Ligandamine_on_gp amine_off
40.00Consensusamine_onOrthosteric Ligand5ht_on adrenergic_on dopamine_on histamine_on muscarinic_on trace-amine_on
40.00Consensusbeta2_offOrthosteric Ligand2RH1-β2-Carazolol 6PS3-β2-Carvedilol 6PS5-β2-Propranolol 3D4S-β2-Timolol 3NY8-β2-ICI118-551 3NY9-β2-PubChem 913103 6PRZ-β2-Alprenolol
40.00Consensusbeta_offOrthosteric Ligandbeta1_off beta2_off
40.00Consensusblt1_offOrthosteric Ligand5X33-BLT1-BIIL260 7K15-BLT1-MKD046-Na
40.00Consensusblt_offOrthosteric Ligandblt1_off
40.00Consensusgi_adrenergicOrthosteric Ligand7EJ0-α2a-Norepinephrine-Go/β1/γ2 7EJK-α2a-Oxymetazoline-Go/β1/γ2 7W7E-α2a-PubChem 164946676-Go/β1/γ2 7W6P-α2a-N-pyridin-4-ylisoquinolin-4-amine-Go/β1/γ2 7EJ8-α2a-Brimonidine-Go/β1/γ2 6K42-α2b-Dexmedetomidine-Gi1/β1/γ2 7EJA-α2a-Dexmedetomidine-Go/β1/γ2 7S0F-β1-Isoprenaline-Gi1/β1/γ2
40.00Consensuss1p_offOrthosteric Ligands1p1_off s1p5_off
40.00Consensusta1_onOrthosteric Ligand8W87-TA1-METH-chim(NtGi1L-Gs)/β1/γ2 8W89-TA1-2-Phenylethylamine-chim(NtGi1L-Gs)/β1/γ2 8JLP-TA1-Ralmitaront-Gs/β1/γ2 8W8A-TA1-RO5256390-chim(NtGi1L-Gs)/β1/γ2 8W88-TA1-SEP-363856-Gs/β1/γ2 8JLO-TA1-Ulotaront-Gs/β1/γ2 8JLR-TA1-A77636-chim(NtGi1-Gs)/β1/γ2 8JSO-TA1-AMPH-chim(NtGi1-Gs)/β1/γ2 8ZSP-TA1-LSD-chim(NtGi1L-Gs)/β1/γ2
40.00Consensustrace-amine_onOrthosteric Ligandta1_on
38.89Single4UG2CGS216804UG2-A2A-CGS21680
38.89Single8JLRA776368JLR-TA1-A77636-chim(NtGi1-Gs)/β1/γ2
38.89Single8X5YAstemizole8X5Y-H1-Astemizole
38.89Consensuscxcr3_onOrthosteric Ligand8HNK-CXCR3-CXCL11-Gi1/β1/γ2 8HNL-CXCR3-PS372424-Gi1/β1/γ2
38.89Consensuss1p_onOrthosteric Ligands1p1_on s1p3_on s1p5_on
38.89Consensuss1p_on_gpOrthosteric Ligands1p1_on_gp s1p3_on_gp s1p5_on_gp
38.46Single6AKXA4R6AKX-CCR5-A4R
38.46Single6AKYMaraviroc6AKY-CCR5-Maraviroc
38.46Single6D9HAdenosine6D9H-A1-Adenosine-Gi2/β1/γ2
38.46Single7EJ0Norepinephrine7EJ0-α2a-Norepinephrine-Go/β1/γ2
38.46Single7LD4Adenosine7LD4-A1-Adenosine-Gi2/β1/γ2
38.46Single7M3ECa; Ca; Tryptophan; NPS-21437M3E-CaS; CaS-Ca; Ca; Tryptophan; NPS-2143
38.46Single7M3ECa; Ca; Tryptophan; NPS-21437M3E-CaS; CaS-Ca; Ca; Tryptophan; NPS-2143
38.46Single7VIHCBP-3077VIH-S1P1-CBP-307-Gi1/β1/γ2
38.46Single7XRRLemborexant7XRR-OX2-Lemborexant
38.46Single7YMHNorepinephrine7YMH-Alpha1A-Norepinephrine-chim(Gs-CtGq)
38.46Single8FYXBuspirone8FYX-5-HT1A-Buspirone-PtdIns4P-Gi1/β1/γ1
38.46Single8GGAConstrained Epinephrine8GGA-β2-Constrained Epinephrine-GTP-Gs/β1/γ2
38.46Single8GGCConstrained Epinephrine8GGC-β2-Constrained Epinephrine-GTP-Gs/β1/γ2
38.46Single8GGRConstrained Epinephrine8GGR-β2-Constrained Epinephrine
38.46Single8GGWConstrained Epinephrine8GGW-β2-Constrained Epinephrine
38.46Single8GGZConstrained Epinephrine8GGZ-β2-Constrained Epinephrine
38.46Single8GH0Constrained Epinephrine8GH0-β2-Constrained Epinephrine
38.46Single8IJANiacin8IJA-HCA2-Niacin-Gi1/β1/γ2
38.46Single8IJBAcipimox8IJB-HCA2-Acipimox-Gi1/β1/γ2
38.46Single8J6LNiacin8J6L-HCA2-Niacin-Gi1/β1/γ2
38.46Single8UNXConstrained Epinephrine8UNX-β2-Constrained Epinephrine-GTP-Gs/β1/γ2
38.46Single8UTDMK19038UTD-HCA2-MK1903-Gi1/β1/γ2
38.46Single8WC4ZH86518WC4-TA1-ZH8651-chim(NtGi1-Gs)/β1/γ2
38.46Single8WCA2-Phenylethylamine8WCA-TA1-2-Phenylethylamine-chim(NtGi1-Gs)/β1/γ2
38.46Single8WOGSuccinic acid8WOG-Succinate-Succinic acid-Gi1/β1/γ2
38.46Single8YKXMaleic acid8YKX-Succinate-Maleic acid-Gi1/β1/γ1
38.46Single8Z87CHBA8Z87-HCA1-CHBA-Gi1/β1/γ2
38.46Single9C2FCa; Ca; Tryptophan; '54149; PO49C2F-CaS; CaS-Ca-Ca; Ca; Tryptophan; '54149; PO4
38.46Single9EBHAdenosine9EBH-A3A-Adenosine-Gi1/β1/γ2
38.46Single9KVHCinobufotenine9KVH-5-HT1A-Cinobufotenine-PtdIns4P-Gi1/β1/γ2
38.46Single9LLBDOI-NBOMe9LLB-5-HT2A-DOI-NBOMe-chim(NtGi1L-Gs-CtGq)/β1/γ2
38.46Single9PXUNaloxone9PXU-μ-Naloxone-Na
38.46Single9VJ5Gepirone9VJ5-5-HT1A-Gepirone-Go/β1/γ2
38.46Consensusa1_onOrthosteric Ligand7LD4-A1-Adenosine-Gi2/β1/γ2
38.46Consensusa1_on_gpOrthosteric Ligand7LD4-A1-Adenosine-Gi2/β1/γ2
38.46Consensusalpha2_offOrthosteric Ligandalpha2c_off
38.46Consensusgi_succinateOrthosteric Ligand8YKW-Succinate-Succinic acid-Gi1/β1/γ1 8YKX-Succinate-Maleic acid-Gi1/β1/γ1
38.46Consensusgq_histamineOrthosteric Ligand7DFL-H1-Histamine-chim(NtGi1L-Gq)/β1/γ2
38.46Consensush1_on_gpOrthosteric Ligand7DFL-H1-Histamine-chim(NtGi1L-Gq)/β1/γ2
38.46Consensussuccinate_onOrthosteric Ligand8YKW-Succinate-Succinic acid-Gi1/β1/γ1 8YKX-Succinate-Maleic acid-Gi1/β1/γ1
38.46Consensussuccinate_on_gpOrthosteric Ligand8YKW-Succinate-Succinic acid-Gi1/β1/γ1 8YKX-Succinate-Maleic acid-Gi1/β1/γ1
37.50Single3UON3-quinuclidinyl-benzilate3UON-M2-3-quinuclidinyl-benzilate
37.50Single5A8E7-Methylcyanopindolol5A8E-β1-7-Methylcyanopindolol-Na
37.50Single5D5ACarazolol5D5A-β2-Carazolol
37.50Single5D5BCarazolol5D5B-β2-Carazolol
37.50Single6GT3Imaradenant6GT3-A2A-Imaradenant-Na
37.50Single6H7JIsoprenaline6H7J-β1-Isoprenaline
37.50Single6N48BI1671076N48-β2-BI167107-PubChem 138454256
37.50Single7EW1Siponimod7EW1-S1P5-Siponimod-Gi1/β1/γ2
37.50Single7JJOIsoprenaline7JJO-β1-Isoprenaline-Gs/β1/γ2
37.50Single7VIGCBP-3077VIG-S1P1-CBP-307-Gi1/β1/γ2
37.50Single7W6PN-pyridin-4-ylisoquinolin-4-amine7W6P-α2a-N-pyridin-4-ylisoquinolin-4-amine-Go/β1/γ2
37.50Single7W7EPubChem 1649466767W7E-α2a-PubChem 164946676-Go/β1/γ2
37.50Single7XY7NECA7XY7-A2B-NECA-chim(NtGi1-Gs)/β1/γ2
37.50Single8EFLSR170188EFL-μ-SR17018-Gi1/β1/γ2
37.50Single8IHBGSK2560738IHB-HCA2-GSK256073-Gi1/β1/γ2
37.50Single8IHHLUF62838IHH-HCA2-LUF6283-Gi1/β1/γ2
37.50Single8IRRRotigotine8IRR-D1-Rotigotine-Gs/β1/γ2
37.50Single8IRVRotigotine8IRV-D5-Rotigotine-chim(NtGi1-Gs)/β1/γ2
37.50Single8JT6(R)-IHCH-71798JT6-5-HT1A-(R)-IHCH-7179-PtdIns4P-Gi1/β1/γ2
37.50Single8JXVClozapine8JXV-H4-Clozapine-Gi1/β1/γ2
37.50Single8JXWVUF68848JXW-H4-VUF6884-Gi1/β1/γ2
37.50Single8XJMLatanoprost8XJM-FP-alpha-Latanoprost-chim(NtGi2-Gs-CtGq)/β1/γ2
37.50Single8XVLZibotentan8XVL-ETA-Zibotentan
37.50Single8YNTSNAP-948478YNT-MCH1-SNAP-94847
37.50Single9AS9RS130-1809AS9-5-HT2A-RS130-180
37.50Single9ASARS130-1809ASA-5-HT2A-RS130-180-chim(NtGi1-Gs-CtGq)/β1/γ2
37.50Single9AYFCa; Ca; Ca; Cyclomethyltryptophan; R-568; PO49AYF-CaS; CaS-Ca-Ca; Ca; Ca; Cyclomethyltryptophan; R-568; PO4-Gi1/β1/γ2
37.50Single9BJKNaloxone9BJK-μ-Naloxone-PubChem 171642066
37.50Single9BS9LSD9BS9-D2-LSD
37.50Single9BSBLSD9BSB-D2-LSD-chim(NtGi1-Go)/β1/γ2
37.50Single9IJDCarazolol9IJD-β3-Carazolol-chim(NtGi1-Gs)/β1/γ2
37.50Single9IK9Lanreotide9IK9-SST1-Lanreotide-Gi1/β1/γ2
37.50Single9JMCDS-3801b9JMC-Motilin-DS-3801b-chim(Gs-CtGq)/β1/γ2
37.50Single9KVPSB2901579KVP-C3aB-SB290157-Go/β1/γ2
37.50Single9UCPIperoxo9UCP-M1-Iperoxo-G11(CT)
37.50Single9WSTDAMGO9WST-μ-DAMGO-chim(NtGi1-Gz)/β1/γ2
37.50Consensus5ht_offOrthosteric Ligand5ht2_off 5ht1_off
37.50Consensusamine_on_gpOrthosteric Ligand5ht_on_gp adrenergic_on_gp dopamine_on_gp histamine_on_gp muscarinic_on_gp trace-amine_on_gp
37.50Consensusbeta1_offOrthosteric Ligand2VT4-β1-Cyanopindolol 2YCW-β1-Carazolol 2YCZ-β1-Iodocyanopindolol 5A8E-β1-7-Methylcyanopindolol-Na 3ZPQ-β1-PubChem 594590-Na 3ZPR-β1-PubChem 598754-Na
37.50Consensusd1_on_gpOrthosteric Ligand7F0T-D1-Dopamine-Gs/β1/γ2 7CKY-D1-PW0464-Gs/β1/γ2 8IRR-D1-Rotigotine-Gs/β1/γ2 7JV5-D1-SKF81297-Gs/β1/γ2 7JVP-D1-SKF83959-Gs/β1/γ2 7X2D-D1-Tavapadon-Gs/β1/γ2 7CKX-D1-A77636-Gs/β1/γ2 7JVQ-D1-Apomorphine-Gs/β1/γ2 7CKW-D1-Fenoldopam-Gs/β1/γ2
37.50Consensusd5_on_gpOrthosteric Ligand8IRV-D5-Rotigotine-chim(NtGi1-Gs)/β1/γ2
37.50Consensusgs_dopamineOrthosteric Ligand7F0T-D1-Dopamine-Gs/β1/γ2 7CKW-D1-Fenoldopam-Gs/β1/γ2 7CKY-D1-PW0464-Gs/β1/γ2 8IRV-D5-Rotigotine-chim(NtGi1-Gs)/β1/γ2 8IRR-D1-Rotigotine-Gs/β1/γ2 7JV5-D1-SKF81297-Gs/β1/γ2 7JVP-D1-SKF83959-Gs/β1/γ2 7X2D-D1-Tavapadon-Gs/β1/γ2 7CKX-D1-A77636-Gs/β1/γ2 7JVQ-D1-Apomorphine-Gs/β1/γ2
37.50Consensusm3_offOrthosteric Ligand4U15-M3-Tiotropium 4U16-M3-N-methyl-Scopolamine 5ZHP-M3-PubChem 134828589
37.50Consensuss1p5_onOrthosteric Ligand7EW1-S1P5-Siponimod-Gi1/β1/γ2
37.50Consensuss1p5_on_gpOrthosteric Ligand7EW1-S1P5-Siponimod-Gi1/β1/γ2
37.50Consensusta1_on_gpOrthosteric Ligand8W87-TA1-METH-chim(NtGi1L-Gs)/β1/γ2 8W89-TA1-2-Phenylethylamine-chim(NtGi1L-Gs)/β1/γ2 8JLP-TA1-Ralmitaront-Gs/β1/γ2 8W8A-TA1-RO5256390-chim(NtGi1L-Gs)/β1/γ2 8W88-TA1-SEP-363856-Gs/β1/γ2 8JLO-TA1-Ulotaront-Gs/β1/γ2 8JLR-TA1-A77636-chim(NtGi1-Gs)/β1/γ2 8JSO-TA1-AMPH-chim(NtGi1-Gs)/β1/γ2 8ZSP-TA1-LSD-chim(NtGi1L-Gs)/β1/γ2
37.50Consensustrace-amine_on_gpOrthosteric Ligandta1_on_gp
36.84Single5UNFPubChem 157800525UNF-AT2-PubChem 15780052
36.84Single7WKDTRH7WKD-TRH-TRH-chim(NtGi1-Gs-CtGq)/β1/γ2
36.84Single8WDTphotoNECA8WDT-A2A-photoNECA
36.84Single8ZSPLSD8ZSP-TA1-LSD-chim(NtGi1L-Gs)/β1/γ2
36.84Consensusclass-a_on_gpOrthosteric Ligandsensory_on_gp alicarboxylic_on_gp amine_on_gp lipid_on_gp nucleotide_on_gp peptide_on_gp protein_on_gp
36.84Consensusmop_offOrthosteric Ligand4DKL-μ-β-Funaltrexamine 8QOT-μ-Nanobody-E 7UL4-μ-Alvimopan
36.36Single3OE8IT1t3OE8-CXCR4-IT1t
36.36Single7DD5Ca; Ca; Tryptophan; NPS-21437DD5-CaS; CaS-Ca-Ca; Ca; Tryptophan; NPS-2143
36.36Single8IWM2-Phenylethylamine8IWM-TAA9-2-Phenylethylamine
36.36Single8XOFLys058XOF-GPR30-Lys05-chim(NtGi1-Gs-CtGq)/β1/γ2
36.36Single8Y02All-trans-Retinal8Y02-OPN1SW-All-trans-Retinal-Gi1/β1/γ2
36.36Single9CHUNorepinephrine9CHU-β2-Norepinephrine
36.36Single9EE9Adenosine9EE9-A2A-Adenosine-Gs/β1/γ2
36.36Consensusopsins_onOrthosteric Ligandrhodopsin_on opsin1lw_on
36.36Consensussensory_onOrthosteric Ligandopsins_on
35.71Single3UZCPubChem 1355666093UZC-A2A-PubChem 135566609
35.71Single3V2YPubChem 518926453V2Y-S1P1-PubChem 51892645
35.71Single4DKLBeta-Funaltrexamine4DKL-μ-β-Funaltrexamine
35.71Single4LDOEpinephrine4LDO-β2-Epinephrine
35.71Single4MBSMaraviroc4MBS-CCR5-Maraviroc
35.71Single4MQTIperoxo4MQT-M2-Iperoxo-LY2119620
35.71Single4N6HNaltrindole4N6H-δ-Naltrindole-Na
35.71Single6FFIMPEP6FFI-mGlu5-MPEP
35.71Single6IQLL7458706IQL-D4-L745870
35.71Single6PS0Carazolol6PS0-β2-Carazolol
35.71Single6PS4ICI118-5516PS4-β2-ICI118-551
35.71Single6TPKRetosiban6TPK-OT-Retosiban
35.71Single6TPNHTL66416TPN-OX2-HTL6641
35.71Single6WH4Methiothepin6WH4-5-HT2A-Methiothepin
35.71Single6ZFZ77-LH-28-16ZFZ-M1-77-LH-28-1
35.71Single7CMUPramipexole7CMU-D3-Pramipexole-Gi1/β1/γ2
35.71Single7DHISalbutamol7DHI-β2-Salbutamol-Gs/β1/γ2
35.71Single7E33BRL-544437E33-5-HT1E-BRL-54443-Gi1/β1/γ2
35.71Single7EJ8Brimonidine7EJ8-α2a-Brimonidine-Go/β1/γ2
35.71Single7F61PF-036547467F61-H3-PF-03654746
35.71Single7RANPubChem 1645758477RAN-5-HT2A-PubChem 164575847-chim(NtGi2L-Gs-CtGq)/β1/γ2
35.71Single7UM7Methylergometrine7UM7-5-HT5A-Methylergometrine-chim(NtGi1-Go)/β1/γ2
35.71Single7VUGJNJ-635330547VUG-GPR139-JNJ-63533054-Gi1/β1/γ2
35.71Single7WC9PubChem 1624213647WC9-5-HT2A-PubChem 162421364
35.71Single8GE1Constrained Epinephrine8GE1-β2-Constrained Epinephrine-Gs/β1/γ2
35.71Single8GE4Constrained Epinephrine8GE4-β2-Constrained Epinephrine-Gs/β1/γ2
35.71Single8GE5Constrained Epinephrine8GE5-β2-Constrained Epinephrine-Gs/β1/γ1
35.71Single8GE6Constrained Epinephrine8GE6-β2-Constrained Epinephrine-Gs/β1/γ2
35.71Single8GE7Constrained Epinephrine8GE7-β2-Constrained Epinephrine-Gs/β1/γ2
35.71Single8GE8Constrained Epinephrine8GE8-β2-Constrained Epinephrine-Gs/β1/γ2
35.71Single8GEAConstrained Epinephrine8GEA-β2-Constrained Epinephrine-Gs/β1/γ2
35.71Single8GEDConstrained Epinephrine8GED-β2-Constrained Epinephrine-Gs/β1/γ2
35.71Single8GEFConstrained Epinephrine8GEF-β2-Constrained Epinephrine-Gs/β1/γ2
35.71Single8GG8Constrained Epinephrine8GG8-β2-Constrained Epinephrine-GTP-Gs/β1/γ2
35.71Single8GGQConstrained Epinephrine8GGQ-β2-Constrained Epinephrine
35.71Single8GGSConstrained Epinephrine8GGS-β2-Constrained Epinephrine
35.71Single8GGTConstrained Epinephrine8GGT-β2-Constrained Epinephrine
35.71Single8GGVConstrained Epinephrine8GGV-β2-Constrained Epinephrine
35.71Single8GGXConstrained Epinephrine8GGX-β2-Constrained Epinephrine
35.71Single8JEIPubChem 117155568JEI-HCAR3-PubChem 11715556-Gi1/β1/γ2
35.71Single8JERAcipimox8JER-HCA2-Acipimox-Go/β1/γ2
35.71Single8JLQFenoldopam8JLQ-TA1-Fenoldopam-Gs/β1/γ2
35.71Single8K9KDAMGO8K9K-μ-DAMGO-Gi3/β1/γ1
35.71Single8U02Dopamine8U02-D2-Dopamine-Go/β1/γ2
35.71Single8UHBRO52563908UHB-TA1-RO5256390-Gs/β1/γ2
35.71Single8UNMConstrained Epinephrine8UNM-β2-Constrained Epinephrine-GTP-Gs/β1/γ2
35.71Single8UNWConstrained Epinephrine8UNW-β2-Constrained Epinephrine-GTP-Gs/β1/γ2
35.71Single8UO0Constrained Epinephrine8UO0-β2-Constrained Epinephrine-GTP-Gs/β1/γ2
35.71Single8W8BSEP-3638568W8B-5-HT1A-SEP-363856-Gi1/β1/γ2
35.71Single8Y01All-trans-Retinal8Y01-Opsin1MW-All-trans-Retinal-Gi1/β1/γ2
35.71Single8Y45ADL58598Y45-δ-ADL5859-Gi2/β1/γ2
35.71Single8Y53MK50468Y53-BB3-MK5046-chim(NtGi1-Gs-CtGq)/β1/γ2
35.71Single8YH2Adenosine8YH2-A3A-Adenosine-Gi1/β1/γ2
35.71Single8YN3Histamine8YN3-H2-Histamine-Gs/β1/γ2
35.71Single9AS5Mescaline9AS5-5-HT2A-Mescaline
35.71Single9AS6Mescaline9AS6-5-HT2A-Mescaline-chim(NtGi1-Gs-CtGq)/β1/γ2
35.71Single9ASBCa; Ca; Cyclomethyltryptophan; R-568; PO49ASB-CaS; CaS-Ca-Ca; Ca; Cyclomethyltryptophan; R-568; PO4-chim(NtGi1-Gs-CtGq)/β1/γ2
35.71Single9CBLEpinephrine9CBL-α2a-Epinephrine-Gi1/β1/γ2
35.71Single9JH3CMF-0199JH3-Apelin; Apelin-CMF-019-Gi1/β1/γ2
35.71Single9JKYAcifran9JKY-HCA2-Acifran-Gi1/β1/γ2
35.71Single9KVIBufotenin9KVI-5-HT1A-Bufotenin-PtdIns4P-Gi1/β1/γ2
35.71Single9LRDHistamine9LRD-H1-Histamine-Gi1/β1/γ2
35.71Single9ODLMitragynine Pseudoindoxyl9ODL-μ-Mitragynine Pseudoindoxyl-GTP; Mg-Gi1/β1/γ2
35.71Single9PXVNaloxone9PXV-μ-Naloxone-Gi1/β1/γ2
35.71Single9PXXNaloxone9PXX-μ-Naloxone-GDPβS-Gi1/β1/γ2
35.71Single9VJG8-OH-DPAT9VJG-5-HT1A-8-OH-DPAT-chim(NtGi2-Gz)/β1/γ2
35.71Consensus5ht2a_offOrthosteric Ligand6A94-5-HT2A-Zotepine 6A93-5-HT2A-Risperidone 7VOD-5-HT2A-Cariprazine 7WC8-5-HT2A-Lumateperone 8JT8-5-HT2A-(R)-IHCH-7179
35.71Consensusat1_offOrthosteric Ligand4YAY-AT1-ZD-7155 4ZUD-AT1-Olmesartan
35.71Consensusd3_onOrthosteric Ligand7CMV-D3-PD128907-Gi1/β1/γ2 8IRT-D3-Rotigotine-Gi1/β1/γ2 7CMU-D3-Pramipexole-Gi1/β1/γ2
35.71Consensusd3_on_gpOrthosteric Ligand7CMV-D3-PD128907-Gi1/β1/γ2 8IRT-D3-Rotigotine-Gi1/β1/γ2 7CMU-D3-Pramipexole-Gi1/β1/γ2
35.71Consensusnop_offOrthosteric Ligand4EA3-NOP-PubChem 10296561 5DHG-NOP-C-35 5DHH-NOP-SB-612111
35.71Consensusot_offOrthosteric Ligand6TPK-OT-Retosiban
35.71Consensusvasop-oxy_offOrthosteric Ligandot_off
35.29Single3D4STimolol3D4S-β2-Timolol
35.29Single4AMIBucindolol4AMI-β1-Bucindolol
35.29Single4LDEBI1671074LDE-β2-BI167107
35.29Single4RWADIPP-NH24RWA-δ-DIPP-NH2
35.29Single5F8UCyanopindolol5F8U-β1-Cyanopindolol
35.29Single5X33BIIL2605X33-BLT1-BIIL260
35.29Single6CM4Risperidone6CM4-D2-Risperidone
35.29Single6H7NXamoterol6H7N-β1-Xamoterol
35.29Single6H7OCyanopindolol6H7O-β1-Cyanopindolol
35.29Single7EVYSiponimod7EVY-S1P1-Siponimod-Gi1/β1/γ2
35.29Single7L1VPubChem 1554910097L1V-OX2-PubChem 155491009-chim(NtGi1-Gs-CtGq)/β1/γ2
35.29Single7MTRADX551647MTR-mGlu2; mGlu2-Glutamate-ADX55164
35.29Single7WCNAR2314537WCN-GPR119-AR231453-Gs/β1/γ2
35.29Single7XMTJ-21567XMT-SST4-J-2156-Gi1/β1/γ2
35.29Single7YMJTamsulosin7YMJ-Alpha1A-Tamsulosin
35.29Single8FYE4-F,5-MeO-PyrT8FYE-5-HT1A-4-F,5-MeO-PyrT-PtdIns4P-Gi1/β1/γ1
35.29Single8IA8E7 peptide8IA8-C3aB-E7 peptide-Gi1/β1/γ2
35.29Single8IRSRotigotine8IRS-D2-Rotigotine-Gi1/β1/γ2
35.29Single8IYWGSK2560738IYW-HCA2-GSK256073-Go/β1/γ2
35.29Single9KVG5-MeO-DMT9KVG-5-HT1A-5-MeO-DMT-PtdIns4P-Gi1/β1/γ2
35.29Single9WSVDAMGO9WSV-μ-DAMGO-Arrestin2
35.29Single9YDQDADLE9YDQ-δ-DADLE-MIPS3614-chim(NtGi1L-Gs-CtGi1)/β1/γ2
35.29Consensusalpha1_offOrthosteric Ligandalpha1a_off
35.29Consensusalpha1a_offOrthosteric Ligand7YMJ-Alpha1A-Tamsulosin
35.29Consensuskop_onOrthosteric Ligand8F7W-κ-Dynorphin-Gi1/β1/γ2 8DZS-κ-GR89,696-chim(NtGi2-Gz)/β1/γ2 8DZP-κ-momSalB-Gi1/β1/γ2
35.29Consensusleukotriene_offOrthosteric Ligandblt_off cyslt_off
35.29Consensuslpl_offOrthosteric Ligands1p_off lpa_off
35.29Consensusm4_onOrthosteric Ligand7TRS-M4-Acetylcholine-Gi1/β1/γ2 7V6A-M4-PubChem 9864275-Gi1/β1/γ2 8E9X-M4-2-Deoxycytidine-chim(NtGi1-Go)/β1/γ2 7TRK-M4-Iperoxo-Gi1/β1/γ2
35.29Consensusm4_on_gpOrthosteric Ligand7TRS-M4-Acetylcholine-Gi1/β1/γ2 7V6A-M4-PubChem 9864275-Gi1/β1/γ2 8E9X-M4-2-Deoxycytidine-chim(NtGi1-Go)/β1/γ2 7TRK-M4-Iperoxo-Gi1/β1/γ2
35.29Consensusorexin_onOrthosteric Ligandox2_on
35.00Single3QAKUK-4320973QAK-A2A-UK-432097
35.00Consensusgq_class-aOrthosteric Ligandgq_peptide gq_amine gq_nucleotide
35.00Consensuss1p3_on_gpOrthosteric Ligand7EW3-S1P3-S1P-Gi1/β1/γ2 7EW4-S1P3-CYM-5541-Gi1/β1/γ2 7EW2-S1P3-FTY720-P-Gi1/β1/γ2
33.33Single2J4Y11-cis-Retinal2J4Y-Rhodopsin-11-cis-Retinal
33.33Single2YCZIodocyanopindolol2YCZ-β1-Iodocyanopindolol
33.33Single3C9M11-cis-Retinal3C9M-Rhodopsin-11-cis-Retinal
33.33Single3OE6IT1t3OE6-CXCR4-IT1t
33.33Single3PQRAll-trans-Retinal3PQR-Rhodopsin-All-trans-Retinal-Gt(CT)
33.33Single3ZPQPubChem 5945903ZPQ-β1-PubChem 594590-Na
33.33Single3ZPRPubChem 5987543ZPR-β1-PubChem 598754-Na
33.33Single4BVNCyanopindolol4BVN-β1-Cyanopindolol-Na
33.33Single4QKXPubChem 762106284QKX-β2-PubChem 76210628
33.33Single4YAYZD-71554YAY-AT1-ZD-7155
33.33Single5CGDHTL142425CGD-mGlu5-HTL14242
33.33Single5DHGC-355DHG-NOP-C-35
33.33Single5DHHSB-6121115DHH-NOP-SB-612111
33.33Single5WF5UK-4320975WF5-A2A-UK-432097
33.33Single6BQHRitanserin6BQH-5-HT2C-Ritanserin
33.33Single6DDFDAMGO6DDF-μ-DAMGO-Gi1/β1/γ2
33.33Single6DRXLisuride6DRX-5-HT2B-Lisuride
33.33Single6DRZMethysergide6DRZ-5-HT2B-Methysergide
33.33Single6FFHFenobam6FFH-mGlu5-Fenobam
33.33Single6GPSMK08126GPS-CCR2-MK0812
33.33Single6H7MSalbutamol6H7M-β1-Salbutamol
33.33Single6PS1Timolol6PS1-β2-Timolol
33.33Single6PS2Alprenolol6PS2-β2-Alprenolol
33.33Single6PT2KGCHM076PT2-δ-KGCHM07
33.33Single7BTSEpinephrine7BTS-β1-Epinephrine
33.33Single7BU6Norepinephrine7BU6-β1-Norepinephrine
33.33Single7CRHSKF839597CRH-D1-SKF83959-Gs/β1/γ2
33.33Single7E32Serotonin7E32-5-HT1D-Serotonin-Gi1/β1/γ2
33.33Single7EVZCenerimod7EVZ-S1P1-Cenerimod-Gi1/β1/γ2
33.33Single7EW0Ozanimod7EW0-S1P1-Ozanimod-Gi1/β1/γ2
33.33Single7F23Dopamine7F23-D1-Dopamine-GDP-Gs/β1/γ2
33.33Single7JVQApomorphine7JVQ-D1-Apomorphine-Gs/β1/γ2
33.33Single7MT8All-trans-Retinal7MT8-Rhodopsin-All-trans-Retinal-GRK1
33.33Single7MTSADX551647MTS-mGlu2; mGlu2-Glutamate-ADX55164-Gi1/β1/γ2
33.33Single7S0GIsoprenaline7S0G-β1-Isoprenaline-chim(Gi1-CtGs)/β1/γ2
33.33Single7SCGFH2107SCG-μ-FH210-Gi1/β1/γ2
33.33Single7SQOTAK-9257SQO-OX2-TAK-925-Gi1/β1/γ2
33.33Single7T6TfMLFII7T6T-FPR1-ALX-fMLFII-Gi1/β1/γ2
33.33Single7T6VfMLFII7T6V-FPR2-ALX-fMLFII-Gi1/β1/γ2
33.33Single7TD2LPA7TD2-LPA1-LPA-Gi1/β1/γ2
33.33Single7VKTLTB47VKT-BLT1-LTB4-Gi1/β1/γ2
33.33Single7WC7Lisuride7WC7-5-HT2A-Lisuride
33.33Single7WC8Lumateperone7WC8-5-HT2A-Lumateperone
33.33Single7X1UTRH7X1U-TRH-TRH-chim(NtGi2L-Gs-CtGq)/β1/γ2
33.33Single7XJHIsoprenaline7XJH-β3-Isoprenaline-Gs/β1/γ2
33.33Single7XJISolabegron7XJI-β3-Solabegron-Gs/β1/γ2
33.33Single7XK2MK68927XK2-HCA2-MK6892-Gi1/β1/γ2
33.33Single7YXAONO-54306087YXA-S1P5-ONO-5430608
33.33Single8CU7LJ-45178CU7-A2A-LJ-4517-Na
33.33Single8DZSGR89,6968DZS-κ-GR89,696-chim(NtGi2-Gz)/β1/γ2
33.33Single8FEG(DNCP)-Beta-Naloxamine8FEG-κ-(DNCP)-β-Naloxamine-Gi1/β1/γ2
33.33Single8FY85-MeO-DMT8FY8-5-HT1A-5-MeO-DMT-PtdIns4P-Gi1/β1/γ1
33.33Single8GE2Constrained Epinephrine8GE2-β2-Constrained Epinephrine-Gs/β1/γ1
33.33Single8GE3Constrained Epinephrine8GE3-β2-Constrained Epinephrine-Gs/β1/γ2
33.33Single8GE9Constrained Epinephrine8GE9-β2-Constrained Epinephrine-Gs/β1/γ2
33.33Single8GECConstrained Epinephrine8GEC-β2-Constrained Epinephrine-Gs/β1/γ2
33.33Single8GEEConstrained Epinephrine8GEE-β2-Constrained Epinephrine-Gs/β1/γ2
33.33Single8GEHConstrained Epinephrine8GEH-β2-Constrained Epinephrine-Gs/β1/γ2
33.33Single8GFVConstrained Epinephrine8GFV-β2-Constrained Epinephrine-GTP-Gs/β1/γ2
33.33Single8GFWConstrained Epinephrine8GFW-β2-Constrained Epinephrine-GTP-Gs/β1/γ2
33.33Single8GFXConstrained Epinephrine8GFX-β2-Constrained Epinephrine-GTP-Gs/β1/γ2
33.33Single8GFZConstrained Epinephrine8GFZ-β2-Constrained Epinephrine-GTP-Gs/β1/γ2
33.33Single8GG0Constrained Epinephrine8GG0-β2-Constrained Epinephrine-GTP-Gs/β1/γ2
33.33Single8GG1Constrained Epinephrine8GG1-β2-Constrained Epinephrine-GTP-Gs/β1/γ2
33.33Single8GG3Constrained Epinephrine8GG3-β2-Constrained Epinephrine-GTP-Gs/β1/γ2
33.33Single8GG4Constrained Epinephrine8GG4-β2-Constrained Epinephrine-GTP-Gs/β1/γ2
33.33Single8GG6Constrained Epinephrine8GG6-β2-Constrained Epinephrine-GTP-Gs/β1/γ2
33.33Single8GG9Constrained Epinephrine8GG9-β2-Constrained Epinephrine-GTP-Gs/β1/γ2
33.33Single8GGFConstrained Epinephrine8GGF-β2-Constrained Epinephrine-GTP-Gs/β1/γ2
33.33Single8GGIConstrained Epinephrine8GGI-β2-Constrained Epinephrine
33.33Single8GGJConstrained Epinephrine8GGJ-β2-Constrained Epinephrine
33.33Single8GGKConstrained Epinephrine8GGK-β2-Constrained Epinephrine
33.33Single8GGNConstrained Epinephrine8GGN-β2-Constrained Epinephrine
33.33Single8GGOConstrained Epinephrine8GGO-β2-Constrained Epinephrine
33.33Single8GGUConstrained Epinephrine8GGU-β2-Constrained Epinephrine
33.33Single8IJDMK68928IJD-HCA2-MK6892-Gi1/β1/γ2
33.33Single8IRTRotigotine8IRT-D3-Rotigotine-Gi1/β1/γ2
33.33Single8IU2All-trans-Retinal8IU2-Opsin1LW-All-trans-Retinal-Gi1/β1/γ2
33.33Single8IULLatanoprost8IUL-FP-alpha-Latanoprost-chim(NtGi1-Gs-CtGq)/β1/γ2
33.33Single8J19LY2378J19-GPR84-LY237-Gi1/β1/γ2
33.33Single8JD0NAM5638JD0-mGlu2; mGlu3-Glutamate-NAM563
33.33Single8JHNMonomethyl fumarate8JHN-HCA2-Monomethyl fumarate-Go/β1/γ2
33.33Single8PJKST1718PJK-5-HT1A-ST171-Gi1/β1/γ1
33.33Single8POKHistamine8POK-H2-Histamine-Gs/β1/γ2
33.33Single8UGYMianserin8UGY-5-HT1E-Mianserin-Gi1/β1/γ1
33.33Single8UNQConstrained Epinephrine8UNQ-β2-Constrained Epinephrine-GTP-Gs/β1/γ2
33.33Single8UNRConstrained Epinephrine8UNR-β2-Constrained Epinephrine-GTP-Gs/β1/γ2
33.33Single8UNUConstrained Epinephrine8UNU-β2-Constrained Epinephrine-GTP-Gs/β1/γ2
33.33Single8UNVConstrained Epinephrine8UNV-β2-Constrained Epinephrine-GTP-Gs/β1/γ2
33.33Single8UNYConstrained Epinephrine8UNY-β2-Constrained Epinephrine-GTP-Gs/β1/γ2
33.33Single8UNZConstrained Epinephrine8UNZ-β2-Constrained Epinephrine-GTP-Gs/β1/γ2
33.33Single8UO2Constrained Epinephrine8UO2-β2-Constrained Epinephrine-GTP-Gs/β1/γ2
33.33Single8WC62-Phenylethylamine8WC6-TA1-2-Phenylethylamine-chim(NtGi1-Gs)/β1/γ2
33.33Single8WC7ZH86678WC7-TA1-ZH8667-chim(NtGi1-Gs)/β1/γ2
33.33Single8X63Mepyramine8X63-H1-Mepyramine
33.33Single8X64Desloratadine8X64-H1-Desloratadine
33.33Single8XGSKisspeptin-18XGS-Kiss1-Kisspeptin-1-chim(NtGi1-Gq)/β1/γ2
33.33Single8XGUTAK4488XGU-Kiss1-TAK448-Gi1/β1/γ2
33.33Single8XIQL7967788XIQ-SST3-L796778-chim(NtGi1-Gs-CtGi1)/β1/γ2
33.33Single8XJKCloprosetnol8XJK-FP-alpha-Cloprosetnol-chim(NtGi1-Gs-CtGq)/β1/γ2
33.33Single9AS1DMT9AS1-5-HT2A-DMT
33.33Single9CGJC6-Quino9CGJ-δ-C6-Quino-Gi1/β1/γ2
33.33Single9CHXCarazolol9CHX-β2-Carazolol
33.33Single9DYFAsenapine9DYF-5-HT1A-Asenapine-PtdIns4P-Gi1/β1/γ2
33.33Single9EPP11,20-Ethanoretinal9EPP-Rhodopsin-11,20-Ethanoretinal-chim(Gi1-CtGq)/β1/γ2
33.33Single9HYIDP819HYI-5-HT1A-DP81-Gi1/β1/γ2
33.33Single9IZCMK19039IZC-HCA2-MK1903-Gi1/β1/γ2
33.33Single9JG1Adriforant9JG1-H4-Adriforant
33.33Single9KT8Acifran9KT8-HCA2-Acifran-Gi1/β1/γ2
33.33Single9KT93,5-DHBA9KT9-HCA1-3,5-DHBA-Gi1/β1/γ2
33.33Single9KUXCMPD6449KUX-Apelin; Apelin-CMPD644-Arrestin2
33.33Single9L79AR2314539L79-GPR119-AR231453-chim(NtGi1-Gs)/β1/γ2
33.33Single9PQDPubChem 1764919279PQD-α2a-PubChem 176491927
33.33Single9PXWNaloxone9PXW-μ-Naloxone-GDPβS-Gi1/β1/γ2
33.33Single9YDPDADLE9YDP-δ-DADLE-chim(NtGi1L-Gs-CtGi1)/β1/γ2
33.33Single9YDRDADLE9YDR-δ-DADLE-MIPS3983-chim(NtGi1L-Gs-CtGi1)/β1/γ2
33.33Consensus5ht1d_onOrthosteric Ligand7E32-5-HT1D-Serotonin-Gi1/β1/γ2
33.33Consensus5ht1d_on_gpOrthosteric Ligand7E32-5-HT1D-Serotonin-Gi1/β1/γ2
33.33Consensus5ht2_onOrthosteric Ligand5ht2b_on
33.33Consensus5ht2b_offOrthosteric Ligand6DRZ-5-HT2B-Methysergide
33.33Consensus5ht2b_onOrthosteric Ligand7SRR-5-HT2B-LSD-chim(NtGi2L-Gs-CtGq)/β1/γ2
33.33Consensus5ht2c_offOrthosteric Ligand6BQH-5-HT2C-Ritanserin
33.33Consensusadenosine_on_gpOrthosteric Liganda1_on_gp a2_on_gp a3_on_gp
33.33Consensusadrenergic_onOrthosteric Ligandalpha_on beta_on
33.33Consensusalicarboxylic_offOrthosteric Ligandsuccinate_off
33.33Consensusblt1_onOrthosteric Ligand7VKT-BLT1-LTB4-Gi1/β1/γ2
33.33Consensusblt1_on_gpOrthosteric Ligand7VKT-BLT1-LTB4-Gi1/β1/γ2
33.33Consensusblt_onOrthosteric Ligandblt1_on
33.33Consensusblt_on_gpOrthosteric Ligandblt1_on_gp
33.33Consensusccr2_offOrthosteric Ligand6GPS-CCR2-MK0812
33.33Consensusd5_onOrthosteric Ligand8IRV-D5-Rotigotine-chim(NtGi1-Gs)/β1/γ2
33.33Consensusdopamine_onOrthosteric Ligandd2_on d1_on d3_on d4_on d5_on
33.33Consensusdopamine_on_gpOrthosteric Ligandd2_on_gp d1_on_gp d3_on_gp d4_on_gp d5_on_gp
33.33Consensusgi_leukotrieneOrthosteric Ligand7VKT-BLT1-LTB4-Gi1/β1/γ2
33.33Consensusgi_opsinsOrthosteric Ligand8IU2-Opsin1LW-All-trans-Retinal-Gi1/β1/γ2
33.33Consensusgi_orexinOrthosteric Ligand7SQO-OX2-TAK-925-Gi1/β1/γ2
33.33Consensusgi_sensoryOrthosteric Ligandgi_opsins
33.33Consensush2_on_gpOrthosteric Ligand8POK-H2-Histamine-Gs/β1/γ2
33.33Consensushistamine_offOrthosteric Ligandh1_off
33.33Consensusleukotriene_onOrthosteric Ligandblt_on
33.33Consensusleukotriene_on_gpOrthosteric Ligandblt_on_gp
33.33Consensusopsin1lw_onOrthosteric Ligand8IU2-Opsin1LW-All-trans-Retinal-Gi1/β1/γ2
33.33Consensusopsin1lw_on_gpOrthosteric Ligand8IU2-Opsin1LW-All-trans-Retinal-Gi1/β1/γ2
33.33Consensusopsins_on_gpOrthosteric Ligandrhodopsin_on_gp opsin1lw_on_gp
33.33Consensusorexin_on_gpOrthosteric Ligandox2_on_gp
33.33Consensusrhodopsin_onOrthosteric Ligand6OYA-Rhodopsin-All-trans-Retinal-Gt/β1/γ1
33.33Consensussensory_on_gpOrthosteric Ligandopsins_on_gp
33.33Consensussuccinate_offOrthosteric Ligand6RNK-Succinate-NF-56-EJ40 6Z10-Succinate-PubChem 154585554
31.82Single8ZBISomatostatin-148ZBI-SST3-Somatostatin-14-Gi1/β1/γ2
31.82Consensuscxcr3_on_gpOrthosteric Ligand8HNK-CXCR3-CXCL11-Gi1/β1/γ2 8HNL-CXCR3-PS372424-Gi1/β1/γ2
31.82Consensusgi_class-aOrthosteric Ligandgi_peptide gi_sensory gi_alicarboxylic gi_amine gi_lipid gi_nucleotide gi_protein
31.58Single3NY9PubChem 9131033NY9-β2-PubChem 913103
31.58Single5WF6UK-4320975WF6-A2A-UK-432097
31.58Single6PT3DPI-2876PT3-δ-DPI-287
31.58Single8IA7Cholecystokinin-88IA7-CCKB-Cholecystokinin-8-chim(NtGi1L-Gq)/β1/γ2
31.58Single8IUMTafluprost acid8IUM-FP-alpha-Tafluprost acid-chim(NtGi1-Gs-CtGq)/β1/γ2
31.58Single8X3LXWD8X3L-CB2-XWD-Gi1/β1/γ2
31.58Single8Y72Peptide8Y72-μ-Peptide-BMS-986122-Gi1/β1/γ2
31.58Single9CGKC5-Quino9CGK-δ-C5-Quino-Gi1/β1/γ2
31.58Single9IZASCH9002719IZA-HCA2-SCH900271-Gi1/β1/γ2
31.58Single9MD1Buspirone9MD1-5-HT1A-Buspirone-PtdIns4P-Gz/β1/γ2
31.58Single9V2NMacimorelin9V2N-Ghrelin-Macimorelin-chim(NtGi1-Gs-CtGq)/β1/γ2
31.58Consensusox2_onOrthosteric Ligand7L1V-OX2-PubChem 155491009-chim(NtGi1-Gs-CtGq)/β1/γ2 7SQO-OX2-TAK-925-Gi1/β1/γ2 7L1U-OX2-Orexin-chim(NtGi1-Gs-CtGq)/β1/γ2
31.58Consensusox2_on_gpOrthosteric Ligand7L1V-OX2-PubChem 155491009-chim(NtGi1-Gs-CtGq)/β1/γ2 7SQO-OX2-TAK-925-Gi1/β1/γ2 7L1U-OX2-Orexin-chim(NtGi1-Gs-CtGq)/β1/γ2
31.25Single4RWDDIPP-NH24RWD-δ-DIPP-NH2-Na
31.25Single5JQHCarazolol5JQH-β2-Carazolol
31.25Single5T1ABMS-6815T1A-CCR2-BMS-681-PubChem 12093170
31.25Single5WIUNemonapride5WIU-D4-Nemonapride
31.25Single5WIVNemonapride5WIV-D4-Nemonapride-Na
31.25Single5XPRBosentan5XPR-ETB-Bosentan
31.25Single6GPXMK08126GPX-CCR2-MK0812
31.25Single6KUWPubChem 572132346KUW-α2c-PubChem 57213234
31.25Single6LUQHaloperidol6LUQ-D2-Haloperidol
31.25Single6ME72-Phenylmelatonin6ME7-MT2-2-Phenylmelatonin
31.25Single6PS3Carvedilol6PS3-β2-Carvedilol
31.25Single7BVQCarazolol7BVQ-β1-Carazolol
31.25Single7C61Ergotamine7C61-5-HT1B-Ergotamine
31.25Single7EPFNAM5977EPF-mGlu2-NAM597
31.25Single7S0FIsoprenaline7S0F-β1-Isoprenaline-Gi1/β1/γ2
31.25Single7TD3S1P7TD3-S1P1-S1P-Gi1/β1/γ2
31.25Single7VOEAripiprazole7VOE-5-HT2A-Aripiprazole
31.25Single7VUHJNJ-635330547VUH-GPR139-JNJ-63533054-chim(Gs-CtGq)/β1/γ2
31.25Single7W41PD1762527W41-BB2-PD176252
31.25Single7WC6LSD7WC6-5-HT2A-LSD
31.25Single7XK9Constrained Isoproterenol7XK9-β2-Constrained Isoproterenol-Na
31.25Single7XKAConstrained Epinephrine7XKA-β2-Constrained Epinephrine
31.25Single8C9WEtrumadenant8C9W-A2A-Etrumadenant
31.25Single8GDZConstrained Epinephrine8GDZ-β2-Constrained Epinephrine-Gs/β1/γ2
31.25Single8GEBConstrained Epinephrine8GEB-β2-Constrained Epinephrine-Gs/β1/γ2
31.25Single8GEGConstrained Epinephrine8GEG-β2-Constrained Epinephrine-Gs/β1/γ2
31.25Single8GFYConstrained Epinephrine8GFY-β2-Constrained Epinephrine-GTP-Gs/β1/γ2
31.25Single8GG2Constrained Epinephrine8GG2-β2-Constrained Epinephrine-GTP-Gs/β1/γ2
31.25Single8GGBConstrained Epinephrine8GGB-β2-Constrained Epinephrine-GTP-Gs/β1/γ2
31.25Single8JXSPF-61428JXS-D1-PF-6142
31.25Single8S4DCMF-0198S4D-Apelin-CMF-019
31.25Single8SZGCa; Ca; Tryptophan; Cinacalcet; PO4; Spermine8SZG-CaS; CaS-Ca; Ca; Tryptophan; Cinacalcet; PO4; Spermine-chim(NtGi1-Gq)/β1/γ2
31.25Single8TF5Oleic acid8TF5-GPR6-Oleic acid
31.25Single8UNNConstrained Epinephrine8UNN-β2-Constrained Epinephrine-GTP-Gs/β1/γ2
31.25Single8UNPConstrained Epinephrine8UNP-β2-Constrained Epinephrine-GTP-Gs/β1/γ2
31.25Single8X0BVU04244658X0B-mGlu5; mGlu5-Quisqualate-VU0424465
31.25Single8X0CVU04244658X0C-mGlu5; mGlu5-Quisqualate-VU0424465
31.25Single8YH0NECA8YH0-A3A-NECA-Gi1/β1/γ2
31.25Single8ZMFPubChem 1719206738ZMF-5-HT2C-PubChem 171920673
31.25Single9AYFCa; Ca; Ca; Cyclomethyltryptophan; R-568; PO49AYF-CaS; CaS-Ca-Ca; Ca; Ca; Cyclomethyltryptophan; R-568; PO4-Gi1/β1/γ2
31.25Single9DYDAsenapine9DYD-5-HT1A-Asenapine-PtdIns4P-Go/β1/γ2
31.25Single9F33FOB02-04A9F33-D3-FOB02-04A-Go/β1/γ2
31.25Single9HAPTolvaptan9HAP-V2-Tolvaptan
31.25Single9JKSPubChem 442501769JKS-HCA3-PubChem 44250176-Gi1/β1/γ2
31.25Single9K07DSO-5a9K07-BB3-DSO-5a-chim(NtGi2L-Gs-CtGq)/β1/γ2
31.25Single9U81Tolvaptan9U81-V2-Tolvaptan
31.25Consensus5ht1_onOrthosteric Ligand5ht1a_on 5ht1d_on 5ht1e_on 5ht1f_on
31.25Consensus5ht1_on_gpOrthosteric Ligand5ht1a_on_gp 5ht1d_on_gp 5ht1e_on_gp 5ht1f_on_gp
31.25Consensus5ht1e_on_gpOrthosteric Ligand7E33-5-HT1E-BRL-54443-Gi1/β1/γ2 8UGY-5-HT1E-Mianserin-Gi1/β1/γ1 8UH3-5-HT1E-Setiptiline-Gi1/β1/γ1
31.25Consensus5ht5_on_gpOrthosteric Ligand5ht5a_on_gp
31.25Consensus5ht5a_on_gpOrthosteric Ligand7X5H-5-HT5A-5-CT-Gi1/β1/γ2 7UM6-5-HT5A-Lisuride-chim(NtGi1-Go)/β1/γ2 7UM7-5-HT5A-Methylergometrine-chim(NtGi1-Go)/β1/γ2
31.25Consensusadrenergic_offOrthosteric Ligandalpha_off beta_off
31.25Consensusadrenergic_on_gpOrthosteric Ligandalpha_on_gp beta_on_gp
31.25Consensusalpha2c_offOrthosteric Ligand6KUW-α2c-PubChem 57213234
31.25Consensusalpha_offOrthosteric Ligandalpha1_off alpha2_off
31.25Consensusbb2_offOrthosteric Ligand7W41-BB2-PD176252
31.25Consensusbombesin_offOrthosteric Ligandbb2_off
31.25Consensuscb2_onOrthosteric Ligand8GUR-CB2-CP55940-Gi1/β1/γ2 8GUS-CB2-HU-308-Gi1/β1/γ2 8GUT-CB2-LEI-102-Gi1/β1/γ2 6KPF-CB2-AM12033-Gi1/β1/γ2 6PT0-CB2-WIN 55212-2-Gi1/β1/γ2 8GUQ-CB2-Olorinab-Gi1/β1/γ2
31.25Consensuscb2_on_gpOrthosteric Ligand8GUR-CB2-CP55940-Gi1/β1/γ2 8GUS-CB2-HU-308-Gi1/β1/γ2 8GUT-CB2-LEI-102-Gi1/β1/γ2 6KPF-CB2-AM12033-Gi1/β1/γ2 6PT0-CB2-WIN 55212-2-Gi1/β1/γ2 8GUQ-CB2-Olorinab-Gi1/β1/γ2
31.25Consensusd1_onOrthosteric Ligand7F0T-D1-Dopamine-Gs/β1/γ2 7CKY-D1-PW0464-Gs/β1/γ2 8IRR-D1-Rotigotine-Gs/β1/γ2 7JV5-D1-SKF81297-Gs/β1/γ2 7JVP-D1-SKF83959-Gs/β1/γ2 7X2D-D1-Tavapadon-Gs/β1/γ2 7CKX-D1-A77636-Gs/β1/γ2 7JVQ-D1-Apomorphine-Gs/β1/γ2 7CKW-D1-Fenoldopam-Gs/β1/γ2
31.25Consensusd2_onOrthosteric Ligand7JVR-D2-Bromoergocryptine-Gi1/β1/γ2 8IRS-D2-Rotigotine-Gi1/β1/γ2
31.25Consensusgs_amineOrthosteric Ligandgs_5ht gs_adrenergic gs_dopamine gs_histamine gs_trace-amine
31.25Consensush1_offOrthosteric Ligand8X63-H1-Mepyramine 3RZE-H1-Cidoxepin 8X5Y-H1-Astemizole
31.25Consensuss1p5_offOrthosteric Ligand7YXA-S1P5-ONO-5430608
30.77Single1L9H11-cis-Retinal1L9H-Rhodopsin-11-cis-Retinal
30.77Single1U1911-cis-Retinal1U19-Rhodopsin-11-cis-Retinal
30.77Single2G87All-trans-Retinal2G87-Rhodopsin-All-trans-Retinal
30.77Single2I3511-cis-Retinal2I35-Rhodopsin-11-cis-Retinal
30.77Single3OE9IT1t3OE9-CXCR4-IT1t
30.77Single5TE520-Methanoretinal5TE5-Rhodopsin-20-Methanoretinal
30.77Single7D76Beclomethasone7D76-ADGRG3-Beclomethasone-Go/β1/γ2
30.77Single7DD7Ca; Ca; Tryptophan; Evocalcet7DD7-CaS; CaS-Ca-Ca; Ca; Tryptophan; Evocalcet
30.77Single7DFLHistamine7DFL-H1-Histamine-chim(NtGi1L-Gq)/β1/γ2
30.77Single7E2YSerotonin7E2Y-5-HT1A-Serotonin-PtdIns4P-Gi1/β1/γ2
30.77Single7SRQLSD7SRQ-5-HT2B-LSD
30.77Single7V68Iperoxo7V68-M4-Iperoxo-LY2119620-Gi1/β1/γ2
30.77Single7XP6Strychnine7XP6-TAS2R46-Strychnine-chim(Gs-CtGt3)/β1/γ2
30.77Single8DPFLorcaserin8DPF-5-HT2C-Lorcaserin-chim(NtGi2L-Gs-CtGq)/β1/γ2
30.77Single8GGYConstrained Epinephrine8GGY-β2-Constrained Epinephrine
30.77Single8JILNiacin8JIL-HCA2-Niacin-Gi1/β1/γ2
30.77Single8JLOUlotaront8JLO-TA1-Ulotaront-Gs/β1/γ2
30.77Single8JPNCis-Epoxysuccinic acid8JPN-Succinate-Cis-Epoxysuccinic acid-Gi1/β1/γ1
30.77Single8UO3Constrained Epinephrine8UO3-β2-Constrained Epinephrine-GTP; Mg-Gs/β1/γ2
30.77Single8WP1Cis-Epoxysuccinic acid8WP1-Succinate-Cis-Epoxysuccinic acid-Gi1/β1/γ2
30.77Single8WPUTryptophan; Cinacalcet; PO4; Ca8WPU-CaS; CaS-Tryptophan; Cinacalcet; PO4; Ca-chim(NtGi2L-Gs-CtGq)/β1/γ2
30.77Single8YH3N-methyladenosine8YH3-A3A-N-methyladenosine-Gi1/β1/γ2
30.77Single8YN4Histamine8YN4-H2-Histamine-chim(NtGi1L-Gs-CtGq)/β1/γ2
30.77Single9AS2DMT9AS2-5-HT2A-DMT-chim(NtGi1-Gs-CtGq)/β1/γ2
30.77Single9C1PCa; Tryptophan; '6218; PO49C1P-CaS; CaS-Ca-Ca; Tryptophan; '6218; PO4
30.77Single9IJEEpinephrine9IJE-β3-Epinephrine-chim(NtGi1-Gs)/β1/γ2
30.77Single9IXJHistamine9IXJ-H2-Histamine-Gs/β1/γ2
30.77Single9KUWCMPD6449KUW-Apelin; Apelin-CMPD644-Arrestin2 ; Arrestin2
30.77Consensusbb2_onOrthosteric Ligand7W40-BB2-Bombesin-chim(NtGi1L-Gq)/β1/γ2 7W3Z-BB2-Gastrin Releasing Peptide-chim(NtGi1L-Gq)/β1/γ2
30.77Consensusbb2_on_gpOrthosteric Ligand7W40-BB2-Bombesin-chim(NtGi1L-Gq)/β1/γ2 7W3Z-BB2-Gastrin Releasing Peptide-chim(NtGi1L-Gq)/β1/γ2
30.77Consensusbombesin_onOrthosteric Ligandbb2_on
30.77Consensusbombesin_on_gpOrthosteric Ligandbb2_on_gp
30.77Consensusgq_bombesinOrthosteric Ligand7W40-BB2-Bombesin-chim(NtGi1L-Gq)/β1/γ2 7W3Z-BB2-Gastrin Releasing Peptide-chim(NtGi1L-Gq)/β1/γ2
30.77Consensush1_onOrthosteric Ligand7DFL-H1-Histamine-chim(NtGi1L-Gq)/β1/γ2
30.43Single8XGOTAK4488XGO-Kiss1-TAK448-chim(NtGi1-Gq)/β1/γ2
30.43Consensusopioid_onOrthosteric Ligandmop_on nop_on dop_on kop_on
30.00Single4A4MAll-trans-Retinal4A4M-Rhodopsin-All-trans-Retinal-Gt(CT)
30.00Single4AMJCarvedilol4AMJ-β1-Carvedilol
30.00Single5EN0All-trans-Retinal5EN0-Rhodopsin-All-trans-Retinal-Gt(CT)
30.00Single7QA8Antagonist Peptide7QA8-STE2; STE2-Antagonist Peptide
30.00Single7QA8Antagonist Peptide7QA8-STE2; STE2-Antagonist Peptide
30.00Single7W0PElabela7W0P-Apelin-Elabela-Gi1/β1/γ2
30.00Single7WVWfMYFINILTL7WVW-FPR2-ALX-fMYFINILTL-Gi2/β1/γ2
30.00Single8DCRDobutamine8DCR-β1-Dobutamine-Gs/β1/γ2
30.00Single8FYLVilazodone8FYL-5-HT1A-Vilazodone-PtdIns4P-Gi1/β1/γ1
30.00Single8GEJConstrained Epinephrine8GEJ-β2-Constrained Epinephrine-Gs/β1/γ2
30.00Single8K3ZCXCL128K3Z-CXCR4-CXCL12-Gi1/β1/γ1
30.00Single9M4TSilodosin9M4T-Alpha1A-Silodosin
30.00Single9UYJChemerin-99UYJ-CML2-Chemerin-9-Arrestin2
30.00Consensuscxcr4_onOrthosteric Ligand8K3Z-CXCR4-CXCL12-Gi1/β1/γ1
30.00Consensussst5_onOrthosteric Ligand8X8L-SST5-Cortistatin-14-chim(NtGi1-Gs-CtGi1)/β1/γ2 8X8N-SST5-Octreotide-chim(NtGi1-Gs-CtGi1)/β1/γ2
29.41Single3SN6BI1671073SN6-β2-BI167107-Gs/β1/γ2
29.41Single4LDLHydroxybenzyl Isoproterenol4LDL-β2-Hydroxybenzyl Isoproterenol
29.41Single4OO9Mavoglurant4OO9-mGlu5-Mavoglurant
29.41Single4Z34ONO-97803074Z34-LPA1-ONO-9780307
29.41Single5V54Methiothepin5V54-5-HT1B-Methiothepin
29.41Single5ZHPPubChem 1348285895ZHP-M3-PubChem 134828589
29.41Single6DDEDAMGO6DDE-μ-DAMGO-Gi1/β1/γ2
29.41Single6E59L-7607356E59-NK1-L-760735
29.41Single6J20Aprepitant6J20-NK1-Aprepitant
29.41Single6J21Aprepitant6J21-NK1-Aprepitant
29.41Single7B6WCyclazosin7B6W-α1b-Cyclazosin
29.41Single7CKYPW04647CKY-D1-PW0464-Gs/β1/γ2
29.41Single7E2ZAripiprazole7E2Z-5-HT1A-Aripiprazole-PtdIns4P-Gi1/β1/γ2
29.41Single7EW3S1P7EW3-S1P3-S1P-Gi1/β1/γ2
29.41Single7F58THIQ7F58-MC4-THIQ-Gs/β1/γ2
29.41Single7JVPSKF839597JVP-D1-SKF83959-Gs/β1/γ2
29.41Single7P2L4YI7P2L-mGlu5-4YI
29.41Single7WV9CP559407WV9-CB1-CP55940-ZCZ011-Gi2/β1/γ2
29.41Single7XTQR3997XTQ-GPBA-R399-Gs/β1/γ2
29.41Single8I9LC3a8I9L-C3aB-C3a-Go/β1/γ2
29.41Single8IUKPGF2-alpha8IUK-FP-alpha-PGF2-α-chim(NtGi1-Gs-CtGq)/β1/γ2
29.41Single8TAOCDPPB8TAO-mGlu5; mGlu5-Quisqualate-CDPPB
29.41Single8UGWCGS216808UGW-A2A-CGS21680
29.41Single8VVEnorBNI8VVE-κ-norBNI-Gi1/β1/γ2
29.41Single8WU1MDMB-Fubinaca8WU1-CB1-MDMB-Fubinaca-Arrestin2
29.41Single8X0BVU04244658X0B-mGlu5; mGlu5-Quisqualate-VU0424465
29.41Single8X0FVU298X0F-mGlu5; mGlu5-Quisqualate-VU29
29.41Single8X79MRE-2698X79-I2-MRE-269-Gs/β1/γ2
29.41Single8XIPPasireotide8XIP-SST1-Pasireotide-chim(NtGi1-Gs-CtGi1)/β1/γ2
29.41Single8YH6Namodenoson8YH6-A3A-Namodenoson-Gi1/β1/γ2
29.41Single9B65MDMB-Fubinaca9B65-CB1-MDMB-Fubinaca-Gi1/β1/γ2
29.41Single9I54PubChem 1764520919I54-D1-PubChem 176452091-Gs/β1/γ2
29.41Single9KUXCMPD6449KUX-Apelin; Apelin-CMPD644-Arrestin2
29.41Consensus5ht1_offOrthosteric Ligand5ht1b_off
29.41Consensus5ht1b_offOrthosteric Ligand5V54-5-HT1B-Methiothepin
29.41Consensusa2_onOrthosteric Liganda2b_on
29.41Consensusa2_on_gpOrthosteric Liganda2b_on_gp
29.41Consensusa2b_onOrthosteric Ligand8HDP-A2B-Adenosine-Gs/β1/γ2 7XY6-A2B-BAY 60-6583-chim(NtGi1-Gs)/β1/γ2 7XY7-A2B-NECA-chim(NtGi1-Gs)/β1/γ2 8HDO-A2B-BAY 60-6583-Gs/β1/γ2
29.41Consensusa2b_on_gpOrthosteric Ligand8HDP-A2B-Adenosine-Gs/β1/γ2 7XY6-A2B-BAY 60-6583-chim(NtGi1-Gs)/β1/γ2 7XY7-A2B-NECA-chim(NtGi1-Gs)/β1/γ2 8HDO-A2B-BAY 60-6583-Gs/β1/γ2
29.41Consensusbeta2_onOrthosteric Ligand7DHI-β2-Salbutamol-Gs/β1/γ2 6NI3-β2-BI167107-Gs/β1/γ2
29.41Consensusbeta2_on_gpOrthosteric Ligand7DHI-β2-Salbutamol-Gs/β1/γ2 6NI3-β2-BI167107-Gs/β1/γ2
29.41Consensusgi_5htOrthosteric Ligand8FYT-5-HT1A-LSD-PtdIns4P-Gi1/β1/γ1 7UM7-5-HT5A-Methylergometrine-chim(NtGi1-Go)/β1/γ2 8UGY-5-HT1E-Mianserin-Gi1/β1/γ1 8W8B-5-HT1A-SEP-363856-Gi1/β1/γ2 7E2Y-5-HT1A-Serotonin-PtdIns4P-Gi1/β1/γ2 7E32-5-HT1D-Serotonin-Gi1/β1/γ2 7XTA-5-HT4-Serotonin-Gi1/β1/γ2 8UH3-5-HT1E-Setiptiline-Gi1/β1/γ1 8JSP-5-HT1A-Ulotaront-Gi1/β1/γ2 8FYL-5-HT1A-Vilazodone-PtdIns4P-Gi1/β1/γ1 8JT6-5-HT1A-(R)-IHCH-7179-PtdIns4P-Gi1/β1/γ2 8FYE-5-HT1A-4-F,5-MeO-PyrT-PtdIns4P-Gi1/β1/γ1 7X5H-5-HT5A-5-CT-Gi1/β1/γ2 8FY8-5-HT1A-5-MeO-DMT-PtdIns4P-Gi1/β1/γ1 7E2Z-5-HT1A-Aripiprazole-PtdIns4P-Gi1/β1/γ2 7E33-5-HT1E-BRL-54443-Gi1/β1/γ2 8FYX-5-HT1A-Buspirone-PtdIns4P-Gi1/β1/γ1 7EXD-5-HT1F-Lasmiditan-Gi1/β1/γ2 7UM6-5-HT5A-Lisuride-chim(NtGi1-Go)/β1/γ2
29.41Consensusgi_cannabinoidOrthosteric Ligand8GUR-CB2-CP55940-Gi1/β1/γ2 8GUS-CB2-HU-308-Gi1/β1/γ2 8GUT-CB2-LEI-102-Gi1/β1/γ2 8GUQ-CB2-Olorinab-Gi1/β1/γ2 6KPF-CB2-AM12033-Gi1/β1/γ2 6PT0-CB2-WIN 55212-2-Gi1/β1/γ2 6KPG-CB1-AM841-Gi1/β1/γ2
29.41Consensusgi_dopamineOrthosteric Ligand7JVR-D2-Bromoergocryptine-Gi1/β1/γ2 7CMV-D3-PD128907-Gi1/β1/γ2 7CMU-D3-Pramipexole-Gi1/β1/γ2 8IRS-D2-Rotigotine-Gi1/β1/γ2 8IRT-D3-Rotigotine-Gi1/β1/γ2
29.41Consensusgs_adenosineOrthosteric Ligand8HDP-A2B-Adenosine-Gs/β1/γ2 8HDO-A2B-BAY 60-6583-Gs/β1/γ2 7XY7-A2B-NECA-chim(NtGi1-Gs)/β1/γ2 7XY6-A2B-BAY 60-6583-chim(NtGi1-Gs)/β1/γ2
29.41Consensusgs_adrenergicOrthosteric Ligand7DHI-β2-Salbutamol-Gs/β1/γ2 7XJI-β3-Solabegron-Gs/β1/γ2 7JJO-β1-Isoprenaline-Gs/β1/γ2 6NI3-β2-BI167107-Gs/β1/γ2 8DCR-β1-Dobutamine-Gs/β1/γ2 7XJH-β3-Isoprenaline-Gs/β1/γ2 7DH5-β3-Mirabegron-Gs/β1/γ2
29.41Consensusgs_nucleotideOrthosteric Ligandgs_adenosine
29.41Consensusprotein_offOrthosteric Ligandchemokine_off grh_off
29.17Consensusopioid_on_gpOrthosteric Ligandmop_on_gp nop_on_gp dop_on_gp kop_on_gp
28.57Single1GZM11-cis-Retinal1GZM-Rhodopsin-11-cis-Retinal
28.57Single2PED9-cis-Retinal2PED-Rhodopsin-9-cis-Retinal
28.57Single3C9L11-cis-Retinal3C9L-Rhodopsin-11-cis-Retinal
28.57Single3ODUIT1t3ODU-CXCR4-IT1t
28.57Single5XJM(Sar1,Ile8)-Angiotensin II5XJM-AT2-(Sar1,Ile8)-Angiotensin II
28.57Single6DO1(Sar1,Ile8)-Angiotensin II6DO1-AT1-(Sar1,Ile8)-Angiotensin II
28.57Single6OBAAlprenolol6OBA-β2-Alprenolol-GTPL11074
28.57Single6OYAAll-trans-Retinal6OYA-Rhodopsin-All-trans-Retinal-Gt/β1/γ1
28.57Single6RNKNF-56-EJ406RNK-Succinate-NF-56-EJ40
28.57Single6TQ6PubChem 1457142836TQ6-OX1-PubChem 145714283
28.57Single7DHRIsoprenaline7DHR-β2-Isoprenaline-Gs/β1/γ2
28.57Single7LJDDopamine7LJD-D1-Dopamine-Mevidalen-Gs/β1/γ1
28.57Single7M3FCa; Ca; Tryptophan; Cinacalcet7M3F-CaS; CaS-Ca; Ca; Tryptophan; Cinacalcet
28.57Single7SILCa; Ca; Ca; Cyclomethyltryptophan; R-568; PO47SIL-CaS; CaS-Ca-Ca; Ca; Ca; Cyclomethyltryptophan; R-568; PO4
28.57Single7SILCa; Ca; Ca; Cyclomethyltryptophan; R-568; PO47SIL-CaS; CaS-Ca-Ca; Ca; Ca; Cyclomethyltryptophan; R-568; PO4
28.57Single7SRRLSD7SRR-5-HT2B-LSD-chim(NtGi2L-Gs-CtGq)/β1/γ2
28.57Single7SRSLSD7SRS-5-HT2B-LSD-Arrestin2
28.57Single7VUJJNJ-635330547VUJ-GPR139-JNJ-63533054-GDP-chim(Gs-CtGq)/β1/γ2
28.57Single7WF7S1P7WF7-S1P1-S1P-Gi1/β1/γ2
28.57Single7WJ5Somatostatin-147WJ5-SST2-Somatostatin-14-Gi1/β1/γ2
28.57Single7XMSSomatostatin-147XMS-SST4-Somatostatin-14-Gi1/β1/γ2
28.57Single8A6CAll-trans-Retinal8A6C-Rhodopsin-All-trans-Retinal
28.57Single8A6DAll-trans-Retinal8A6D-Rhodopsin-All-trans-Retinal
28.57Single8A6EAll-trans-Retinal8A6E-Rhodopsin-All-trans-Retinal
28.57Single8DWGML3828DWG-MRGPRX1-BAM8-22-ML382-chim(NtGi2L-Gs-CtGq)/β1/γ2
28.57Single8HDPAdenosine8HDP-A2B-Adenosine-Gs/β1/γ2
28.57Single8JPPSuccinic acid8JPP-Succinate-Succinic acid-chim(Gs-CtGq)/β1/γ1
28.57Single8JSOAMPH8JSO-TA1-AMPH-chim(NtGi1-Gs)/β1/γ2
28.57Single8SG1Chemerin-98SG1-CML1-Chemerin-9-Gi1/β1/γ2
28.57Single8TZQDopamine8TZQ-D2-Dopamine-Go/β1/γ2
28.57Single8UNSConstrained Epinephrine8UNS-β2-Constrained Epinephrine-GTP-Gs/β1/γ2
28.57Single8UNTConstrained Epinephrine8UNT-β2-Constrained Epinephrine-GTP-Gs/β1/γ2
28.57Single8WPGTryptophan; Cinacalcet; PO4; Ca8WPG-CaS; CaS-Tryptophan; Cinacalcet; PO4; Ca
28.57Single8XXVIndomethacin8XXV-DP2-Indomethacin-A1D5Q-Gi1/β1/γ2
28.57Single8YYWAlpha-ketoglutarate8YYW-Oxoglutarate-α-ketoglutarate-α-ketoglutarate-chim(Gi1-CtGq)/β1/γ2
28.57Single9AVLCa; Ca; Cyclomethyltryptophan; R-568; PO49AVL-CaS; CaS-Ca-Ca; Ca; Cyclomethyltryptophan; R-568; PO4-Gi3/β2/γ2
28.57Single9C1PCa; Tryptophan; '6218; PO49C1P-CaS; CaS-Ca-Ca; Tryptophan; '6218; PO4
28.57Single9IK8Pasireotide9IK8-SST1-Pasireotide-Gi1/β1/γ2
28.57Single9IQVMuscarinic toxin 39IQV-Alpha1A-Muscarinic toxin 3
28.57Single9J5VCpY9J5V-LPA1-CpY-Gi1/β1/γ2
28.57Single9K6LSalicin9K6L-TAS2R16-Salicin-Gi2/β1/γ2
28.57Single9LKDPL459LKD-OR5V1-PL45
28.57Single9LRBHistamine9LRB-H1-Histamine-Gs/β1/γ2
28.57Single9M88Oleic monoethanolamide9M88-GPR3 ; GPR3-Oleic monoethanolamide-AF64394
28.57Consensus5ht1e_onOrthosteric Ligand7E33-5-HT1E-BRL-54443-Gi1/β1/γ2 8UGY-5-HT1E-Mianserin-Gi1/β1/γ1 8UH3-5-HT1E-Setiptiline-Gi1/β1/γ1
28.57Consensus5ht2_on_gpOrthosteric Ligand5ht2b_on_gp
28.57Consensus5ht2b_on_gpOrthosteric Ligand7SRR-5-HT2B-LSD-chim(NtGi2L-Gs-CtGq)/β1/γ2
28.57Consensusangiotensin_offOrthosteric Ligandat1_off
28.57Consensusrhodopsin_offOrthosteric Ligand1U19-Rhodopsin-11-cis-Retinal 2PED-Rhodopsin-9-cis-Retinal 5TE5-Rhodopsin-20-Methanoretinal
28.57Consensusrhodopsin_on_gpOrthosteric Ligand6OYA-Rhodopsin-All-trans-Retinal-Gt/β1/γ1
28.57Consensussensory_offonOrthosteric Ligandsensory_off sensory_on
28.57Consensussensory_offon_gpOrthosteric Ligandsensory_on_gp sensory_on
28.57Consensussst4_onOrthosteric Ligand7XMS-SST4-Somatostatin-14-Gi1/β1/γ2 7XMT-SST4-J-2156-Gi1/β1/γ2
28.57Consensussst4_on_gpOrthosteric Ligand7XMS-SST4-Somatostatin-14-Gi1/β1/γ2 7XMT-SST4-J-2156-Gi1/β1/γ2
28.00Single7EIBKallidin-des-Arg107EIB-BK1-Kallidin-des-Arg10-chim(NtGi1-Gs-CtGq)/β1/γ2
28.00Single8ZH8QRFP268ZH8-QRFP-QRFP26-Gq/β1/γ1
28.00Consensusgq_peptideOrthosteric Ligandgq_cck gq_kisspeptin gq_bradykinin gq_bombesin gq_angiotensin
27.78Single4OR2FITM4OR2-mGlu1; mGlu1-FITM
27.78Single4Z36ONO-30805734Z36-LPA1-ONO-3080573
27.78Single6DRYMethylergometrine6DRY-5-HT2B-Methylergometrine
27.78Single6VMSBromoergocryptine6VMS-D2-Bromoergocryptine-Gi1/β1/γ2
27.78Single6XBLCholesterol6XBL-SMO-SAG-Cholesterol-Gi1/β1/γ2
27.78Single7EO4Siponimod7EO4-S1P1-Siponimod-Gi1/β1/γ2
27.78Single7EPENAM5637EPE-mGlu2-NAM563
27.78Single7EW2FTY720-P7EW2-S1P3-FTY720-P-Gi1/β1/γ2
27.78Single7EXDLasmiditan7EXD-5-HT1F-Lasmiditan-Gi1/β1/γ2
27.78Single7WCMMBX-29827WCM-GPR119-MBX-2982-Gs/β1/γ2
27.78Single7XW9TRH7XW9-TRH-TRH-chim(NtGi1L-Gs-CtGq)/β1/γ2
27.78Single8ID9Icosapent8ID9-FFA4-Icosapent-Gi1/β1/γ2
27.78Single8IQ6Latanoprost8IQ6-FP-alpha-Latanoprost-chim(NtGi1-Gs-CtGq)/β1/γ2
27.78Single8J6DEP1418J6D-C3aB-EP141-Go/β1/γ2
27.78Single8JJ8Arformoterol8JJ8-β2-Arformoterol
27.78Single8JWZEtrumadenant8JWZ-A2A-Etrumadenant-Na
27.78Single8JZ7MK68928JZ7-HCA2-MK6892-Gi1/β1/γ2
27.78Single8VHFMBX-29828VHF-GPR119-MBX-2982-Gs/β1/γ2
27.78Single8X8NOctreotide8X8N-SST5-Octreotide-chim(NtGi1-Gs-CtGi1)/β1/γ2
27.78Single8XJNCloprosetnol8XJN-TXA2-Cloprosetnol-chim(NtGi1-Gs-CtGq)/β1/γ2
27.78Single9BJKPubChem 1716420669BJK-μ-Naloxone-PubChem 171642066
27.78Single9DGIZ85267113509DGI-CB1-Z8526711350
27.78Single9GGGI-BOP9GGG-TXA2-I-BOP-chim(NtGi2L-Gs-CtGq)/β1/γ2
27.78Single9GYOP3959GYO-GPBA-P395-chim(NtGi1-Gs)/β1/γ2
27.78Single9KZKC3a (fragment)9KZK-C3aB-C3a (fragment)-Go/β1/γ2
27.78Single9M4QDoxazosin9M4Q-Alpha1A-Doxazosin
27.78Single9WSWEndomorphin9WSW-μ-Endomorphin-chim(NtGi1-Gz)/β1/γ2
27.78Consensus5ht1a_onOrthosteric Ligand8FYT-5-HT1A-LSD-PtdIns4P-Gi1/β1/γ1 7E2Y-5-HT1A-Serotonin-PtdIns4P-Gi1/β1/γ2 7E2Z-5-HT1A-Aripiprazole-PtdIns4P-Gi1/β1/γ2 8FYX-5-HT1A-Buspirone-PtdIns4P-Gi1/β1/γ1 8JSP-5-HT1A-Ulotaront-Gi1/β1/γ2 8JT6-5-HT1A-(R)-IHCH-7179-PtdIns4P-Gi1/β1/γ2 8FY8-5-HT1A-5-MeO-DMT-PtdIns4P-Gi1/β1/γ1 8FYE-5-HT1A-4-F,5-MeO-PyrT-PtdIns4P-Gi1/β1/γ1 8FYL-5-HT1A-Vilazodone-PtdIns4P-Gi1/β1/γ1
27.78Consensus5ht1a_on_gpOrthosteric Ligand8FYT-5-HT1A-LSD-PtdIns4P-Gi1/β1/γ1 8FYX-5-HT1A-Buspirone-PtdIns4P-Gi1/β1/γ1 8JSP-5-HT1A-Ulotaront-Gi1/β1/γ2 8JT6-5-HT1A-(R)-IHCH-7179-PtdIns4P-Gi1/β1/γ2 7E2Y-5-HT1A-Serotonin-PtdIns4P-Gi1/β1/γ2 7E2Z-5-HT1A-Aripiprazole-PtdIns4P-Gi1/β1/γ2 8FY8-5-HT1A-5-MeO-DMT-PtdIns4P-Gi1/β1/γ1 8FYE-5-HT1A-4-F,5-MeO-PyrT-PtdIns4P-Gi1/β1/γ1 8FYL-5-HT1A-Vilazodone-PtdIns4P-Gi1/β1/γ1
27.78Consensus5ht1f_onOrthosteric Ligand7EXD-5-HT1F-Lasmiditan-Gi1/β1/γ2
27.78Consensus5ht1f_on_gpOrthosteric Ligand7EXD-5-HT1F-Lasmiditan-Gi1/β1/γ2
27.78Consensusbeta3_onOrthosteric Ligand7DH5-β3-Mirabegron-Gs/β1/γ2 7XJH-β3-Isoprenaline-Gs/β1/γ2 7XJI-β3-Solabegron-Gs/β1/γ2
27.78Consensusbeta3_on_gpOrthosteric Ligand7DH5-β3-Mirabegron-Gs/β1/γ2 7XJH-β3-Isoprenaline-Gs/β1/γ2 7XJI-β3-Solabegron-Gs/β1/γ2
27.78Consensusbeta_onOrthosteric Ligandbeta1_on beta2_on beta3_on
27.78Consensusbeta_on_gpOrthosteric Ligandbeta1_on_gp beta2_on_gp beta3_on_gp
27.78Consensusc3a_onOrthosteric Ligand8HK2-C3aB-C3a-Gi1/β1/γ2 8IA8-C3aB-E7 peptide-Gi1/β1/γ2
27.78Consensuscannabinoid_onOrthosteric Ligandcb2_on cb1_on
27.78Consensuscannabinoid_on_gpOrthosteric Ligandcb2_on_gp cb1_on_gp
27.78Consensusd2_on_gpOrthosteric Ligand7JVR-D2-Bromoergocryptine-Gi1/β1/γ2 8IRS-D2-Rotigotine-Gi1/β1/γ2
27.78Consensusgi_lipidOrthosteric Ligandgi_cannabinoid gi_ffa gi_leukotriene gi_lpa gi_s1p
27.78Consensuslpa1_offOrthosteric Ligand4Z36-LPA1-ONO-3080573 4Z35-LPA1-ONO-9910539 4Z34-LPA1-ONO-9780307
27.78Consensuslpa_offOrthosteric Ligandlpa1_off
27.78Consensusnk1_offOrthosteric Ligand6HLP-NK1-Netupitant 6HLO-NK1-Aprepitant 6HLL-NK1-CP99994 6E59-NK1-L-760735
27.78Consensuss1p3_onOrthosteric Ligand7EW3-S1P3-S1P-Gi1/β1/γ2 7EW4-S1P3-CYM-5541-Gi1/β1/γ2 7EW2-S1P3-FTY720-P-Gi1/β1/γ2
27.78Consensustrh_onOrthosteric Ligand7XW9-TRH-TRH-chim(NtGi1L-Gs-CtGq)/β1/γ2
27.78Consensustrh_on_gpOrthosteric Ligand7XW9-TRH-TRH-chim(NtGi1L-Gs-CtGq)/β1/γ2
27.27Single7TD0LPA7TD0-LPA1-LPA-Gi1/β1/γ2
27.27Single8XIRPasireotide8XIR-SST3-Pasireotide-chim(NtGi1-Gs-CtGi1)/β1/γ2
27.27Single9UYIChemerin-99UYI-CML2-Chemerin-9-Arrestin2
27.27Consensuscxcr4_on_gpOrthosteric Ligand8K3Z-CXCR4-CXCL12-Gi1/β1/γ1
27.27Consensusgi_somatostatinOrthosteric Ligand7WIC-SST2-Somatostatin-14-Gi1/β1/γ2 7XMS-SST4-Somatostatin-14-Gi1/β1/γ2 8X8L-SST5-Cortistatin-14-chim(NtGi1-Gs-CtGi1)/β1/γ2 7XMT-SST4-J-2156-Gi1/β1/γ2 7WIG-SST2-L-054264-Gi1/β1/γ2 8X8N-SST5-Octreotide-chim(NtGi1-Gs-CtGi1)/β1/γ2 7YAE-SST2-Octreotide-Gi1/β1/γ2 7YAC-SST2-Paltusotine-Gi1/β1/γ2
27.27Consensusgs_class-aOrthosteric Ligandgs_peptide gs_nucleotide gs_amine
27.27Consensuspeptide_offonOrthosteric Ligandpeptide_off peptide_on
27.27Consensussomatostatin_onOrthosteric Ligandsst2_on sst4_on sst5_on
27.27Consensussomatostatin_on_gpOrthosteric Ligandsst2_on_gp sst4_on_gp sst5_on_gp
26.92Single6IGLIRL16206IGL-ETB-IRL1620
26.92Single8WWNMCH8WWN-MCH1-MCH-Gi1/β1/γ2
26.67Single1F8811-cis-Retinal1F88-Rhodopsin-11-cis-Retinal
26.67Single3OAX11-cis-Retinal3OAX-Rhodopsin-11-cis-Retinal
26.67Single3RZECidoxepin3RZE-H1-Cidoxepin
26.67Single4ZUDOlmesartan4ZUD-AT1-Olmesartan
26.67Single6A94Zotepine6A94-5-HT2A-Zotepine
26.67Single6KUXRS799486KUX-α2a-RS79948
26.67Single6ME32-Phenylmelatonin6ME3-MT1-2-Phenylmelatonin
26.67Single6PS5Propranolol6PS5-β2-Propranolol
26.67Single6PS82-Phenylmelatonin6PS8-MT1-2-Phenylmelatonin
26.67Single6VI4JDTic6VI4-κ-JDTic
26.67Single7CKZDopamine7CKZ-D1-Dopamine-Mevidalen-Gs/β1/γ2
26.67Single7F0TDopamine7F0T-D1-Dopamine-Gs/β1/γ2
26.67Single7F1ZDopamine7F1Z-D1-Dopamine-GDP-Gs/β1/γ2
26.67Single7F24Dopamine7F24-D1-Dopamine-GDP-Gs/β1/γ2
26.67Single7UL3Famotidine7UL3-H2-Famotidine
26.67Single7VODCariprazine7VOD-5-HT2A-Cariprazine
26.67Single7WVUfMLF7WVU-FPR1-ALX-fMLF-Gi1/β1/γ2
26.67Single7XOVSR1461317XOV-CCKA-SR146131-Gs/β1/γ2
26.67Single7YK6PubChem 1383196747YK6-RXFP4-PubChem 138319674-Gi2/β1/γ2
26.67Single7ZBC11-cis-Retinal7ZBC-Rhodopsin-11-cis-Retinal
26.67Single7ZBE11-cis-Retinal7ZBE-Rhodopsin-11-cis-Retinal
26.67Single8DPGPsilocin8DPG-5-HT2C-Psilocin-chim(NtGi2L-Gs-CtGq)/β1/γ2
26.67Single8FCZ11-cis-Retinal8FCZ-Rhodopsin-11-cis-Retinal
26.67Single8GG5Constrained Epinephrine8GG5-β2-Constrained Epinephrine-GTP-Gs/β1/γ2
26.67Single8GG7Constrained Epinephrine8GG7-β2-Constrained Epinephrine-GTP-Gs/β1/γ2
26.67Single8GGLConstrained Epinephrine8GGL-β2-Constrained Epinephrine
26.67Single8GGMConstrained Epinephrine8GGM-β2-Constrained Epinephrine
26.67Single8GGPConstrained Epinephrine8GGP-β2-Constrained Epinephrine
26.67Single8GUQOlorinab8GUQ-CB2-Olorinab-Gi1/β1/γ2
26.67Single8GURCP559408GUR-CB2-CP55940-Gi1/β1/γ2
26.67Single8JSPUlotaront8JSP-5-HT1A-Ulotaront-Gi1/β1/γ2
26.67Single8K2WAMG4878K2W-CXCR3-AMG487
26.67Single8RLNLUF58348RLN-A2A-LUF5834
26.67Single8UNLConstrained Epinephrine8UNL-β2-Constrained Epinephrine-GTP-Gs/β1/γ2
26.67Single8UNOConstrained Epinephrine8UNO-β2-Constrained Epinephrine-GTP-Gs/β1/γ2
26.67Single8UO1Constrained Epinephrine8UO1-β2-Constrained Epinephrine-GTP; Mg-Gs/β1/γ2
26.67Single8V6UPubChem 1713924568V6U-5-HT2A-PubChem 171392456-chim(NtGi2-Gs-CtGq)/β1/γ2
26.67Single8WPGTryptophan; Cinacalcet; PO4; Ca8WPG-CaS; CaS-Tryptophan; Cinacalcet; PO4; Ca
26.67Single8WPUTryptophan; Cinacalcet; PO4; Ca8WPU-CaS; CaS-Tryptophan; Cinacalcet; PO4; Ca-chim(NtGi2L-Gs-CtGq)/β1/γ2
26.67Single8Y6YGLPG09748Y6Y-FFA2-GLPG0974
26.67Single8YKVPubChem 1375531688YKV-Succinate-PubChem 137553168-Gi1/β1/γ2
26.67Single8ZBWQuin-C18ZBW-FPR2-ALX-Quin-C1-Gi2/β1/γ2
26.67Single8ZMGPimavanserin8ZMG-5-HT2A-Pimavanserin
26.67Single8ZPMAMD0708ZPM-CXCR4-AMD070
26.67Single8ZPNAMD31008ZPN-CXCR4-AMD3100
26.67Single9AS3LSD9AS3-5-HT2A-LSD
26.67Single9AS4LSD9AS4-5-HT2A-LSD-chim(NtGi1-Gs-CtGq)/β1/γ2
26.67Single9AS8Psilocin9AS8-5-HT2A-Psilocin-chim(NtGi2L-Gs-CtGq)/β1/γ2
26.67Single9ASBCa; Ca; Cyclomethyltryptophan; R-568; PO49ASB-CaS; CaS-Ca-Ca; Ca; Cyclomethyltryptophan; R-568; PO4-chim(NtGi1-Gs-CtGq)/β1/γ2
26.67Single9AVGCa; Ca; Cyclomethyltryptophan; R-568; PO49AVG-CaS; CaS-Ca-Ca; Ca; Cyclomethyltryptophan; R-568; PO4-chim(NtGi1-Gs)/β1/γ2
26.67Single9EPQ11,20-Ethanoretinal9EPQ-Rhodopsin-11,20-Ethanoretinal-chim(Gi1-CtGq)/β1/γ2
26.67Single9JKQMETH9JKQ-TA1-METH-Gs/β1/γ2
26.67Single9JMDAzithromycin9JMD-Motilin-Azithromycin-chim(Gs-CtGq)/β1/γ2
26.67Single9KPDSalicin9KPD-TAS2R16-Salicin-chim(Gs-CtGt3)/β1/γ2
26.67Single9KUWCMPD6449KUW-Apelin; Apelin-CMPD644-Arrestin2 ; Arrestin2
26.67Single9KXSEP679KXS-C5a1-EP67-Go/β1/γ2
26.67Single9L84Epinephrine9L84-β1-Epinephrine-Atazanavir-Gs/β1/γ2
26.67Single9L8LBI1671079L8L-β2-BI167107-Atazanavir-Gs/β1/γ2 ; Arrestin2
26.67Single9LKBPL459LKB-OR5V1-PL45-chim(NtGi1-Gs)/β1
26.67Single9W33S5A19W33-SST5-S5A1
26.67Single9W6W5-CT9W6W-5-HT5A-5-CT-Gi1/β1/γ2
26.67Consensus5ht_on_gpOrthosteric Ligand5ht1_on_gp 5ht2_on_gp 5ht4_on_gp 5ht5_on_gp 5ht6_on_gp 5ht7_on_gp
26.67Consensusadenosine_onOrthosteric Liganda1_on a2_on a3_on
26.67Consensuscb1_offOrthosteric Ligand5U09-CB1-Taranabant 5TGZ-CB1-AM6538
26.67Consensuscxcr3_offOrthosteric Ligand8K2W-CXCR3-AMG487
26.67Consensusgi_adenosineOrthosteric Ligand7LD4-A1-Adenosine-Gi2/β1/γ2 8X17-A3A-Namodenoson-Gi1/β1/γ2 8X16-A3A-Piclidenoson-Gi1/β1/γ2
26.67Consensusopsins_offOrthosteric Ligandrhodopsin_off
26.67Consensussensory_offOrthosteric Ligandopsins_off
26.32Single4OR2FITM4OR2-mGlu1; mGlu1-FITM
26.32Single4Z35ONO-99105394Z35-LPA1-ONO-9910539
26.32Single5TUDErgotamine5TUD-5-HT2B-Ergotamine
26.32Single6H7LDobutamine6H7L-β1-Dobutamine
26.32Single6IBLArformoterol6IBL-β1-Arformoterol
26.32Single6K1QIRL25006K1Q-ETB-IRL2500
26.32Single6KPGAM8416KPG-CB1-AM841-Gi1/β1/γ2
26.32Single6TKOArformoterol6TKO-β1-Arformoterol-Arrestin2
26.32Single7EZCUK-4320977EZC-A2A-UK-432097
26.32Single7JVRBromoergocryptine7JVR-D2-Bromoergocryptine-Gi1/β1/γ2
26.32Single7VGY2-Iodomelatonin7VGY-MT1-2-Iodomelatonin-Gi1/β1/γ2
26.32Single7WVVfMLFII7WVV-FPR2-ALX-fMLFII-Gi2/β1/γ2
26.32Single7Y65C5a (C-terminal peptide)7Y65-C5a1-C5a (C-terminal peptide)-Gi1/β1/γ2
26.32Single8GAGZ85267113508GAG-CB1-Z8526711350-Gi1/β1/γ2
26.32Single8GUTLEI-1028GUT-CB2-LEI-102-Gi1/β1/γ2
26.32Single8I95EP548I95-C3aB-EP54-Go/β1/γ2
26.32Single8K2XCXCL108K2X-CXCR3-CXCL10-Gi1/β1/γ2
26.32Single8XJOU466198XJO-TXA2-U46619-chim(NtGi1-Gs-CtGq)/β1/γ2
26.32Single8XVJMacitentan8XVJ-ETA-Macitentan
26.32Single9EAILosartan9EAI-AT1-Losartan-Nanobody AT209
26.32Single9IZFLPA9IZF-LPA1-LPA-Gi1/β1/γ2
26.32Single9KUGEP679KUG-C5a1-EP67-Go/β1/γ2
26.32Single9M54Neuropeptide-VF9M54-NPFF2-Neuropeptide-VF-Gi1/β1/γ2
26.32Consensusbeta1_onOrthosteric Ligand8DCR-β1-Dobutamine-Gs/β1/γ2 7S0F-β1-Isoprenaline-Gi1/β1/γ2
26.32Consensusbeta1_on_gpOrthosteric Ligand8DCR-β1-Dobutamine-Gs/β1/γ2 7S0F-β1-Isoprenaline-Gi1/β1/γ2
26.32Consensusc3a_on_gpOrthosteric Ligand8HK2-C3aB-C3a-Gi1/β1/γ2 8IA8-C3aB-E7 peptide-Gi1/β1/γ2
26.32Consensuscb1_on_gpOrthosteric Ligand6KPG-CB1-AM841-Gi1/β1/γ2 8K8J-CB1-Fenofibrate-chim(Gs-CtGq)/β1/γ2
26.32Consensusfp-alpha_onOrthosteric Ligand8IUK-FP-alpha-PGF2-α-chim(NtGi1-Gs-CtGq)/β1/γ2 8IUL-FP-alpha-Latanoprost-chim(NtGi1-Gs-CtGq)/β1/γ2 8IUM-FP-alpha-Tafluprost acid-chim(NtGi1-Gs-CtGq)/β1/γ2
26.32Consensusfp-alpha_on_gpOrthosteric Ligand8IUK-FP-alpha-PGF2-α-chim(NtGi1-Gs-CtGq)/β1/γ2 8IUL-FP-alpha-Latanoprost-chim(NtGi1-Gs-CtGq)/β1/γ2 8IUM-FP-alpha-Tafluprost acid-chim(NtGi1-Gs-CtGq)/β1/γ2
26.32Consensusnucleotide_on_gpOrthosteric Ligandadenosine_on_gp p2y_on_gp
26.32Consensusprostanoid_offOrthosteric Ligandep_off dp_off
26.32Consensusprostanoid_onOrthosteric Ligandtp_on fp-alpha_on
26.32Consensusprostanoid_on_gpOrthosteric Ligandtp_on_gp fp-alpha_on_gp
26.32Consensustp_onOrthosteric Ligand8XJO-TXA2-U46619-chim(NtGi1-Gs-CtGq)/β1/γ2
26.32Consensustp_on_gpOrthosteric Ligand8XJO-TXA2-U46619-chim(NtGi1-Gs-CtGq)/β1/γ2
26.09Single6WIVPubChem 52923113; PubChem 529246456WIV-GABAB1, GABAB2-PubChem 52923113; PubChem 52924645
26.09Single8IHFMK68928IHF-HCA2-MK6892-Gi1/β1/γ2
26.09Single8J6IMK68928J6I-HCA2-MK6892-Gi1/β1/γ2
26.09Consensuspeptide_offon_gpOrthosteric Ligandpeptide_on_gp peptide_off
25.00Single1HZX11-cis-Retinal1HZX-Rhodopsin-11-cis-Retinal
25.00Single2HPYAll-trans-Retinal2HPY-Rhodopsin-All-trans-Retinal
25.00Single2VT4Cyanopindolol2VT4-β1-Cyanopindolol
25.00Single2Y01Dobutamine2Y01-β1-Dobutamine
25.00Single2YCYCyanopindolol2YCY-β1-Cyanopindolol
25.00Single4J4QOctyl Beta-D-Glucopyranoside4J4Q-Rhodopsin-Octyl β-D-Glucopyranoside-Gt(CT)
25.00Single4X1HNonyl-Beta-D-Glucopyranoside4X1H-Rhodopsin-Nonyl-β-D-Glucopyranoside-Gt(CT)
25.00Single5NDDAZ8838; Na5NDD-PAR2-AZ8838; Na
25.00Single6IIVDaltroban6IIV-TXA2-Daltroban
25.00Single6OY9All-trans-Retinal6OY9-Rhodopsin-All-trans-Retinal-Gt/β1/γ1
25.00Single6PRZAlprenolol6PRZ-β2-Alprenolol
25.00Single6XBJCholesterol6XBJ-SMO-Cholesterol-Gi1/β1/γ2
25.00Single6XBM25(S)-Epoxycholesterol6XBM-SMO-25(S)-Epoxycholesterol-Gi1/β1/γ2
25.00Single7BU7BI1671077BU7-β1-BI167107
25.00Single7CFMP3957CFM-GPBA-P395-Gs/β1/γ2
25.00Single7F2OBradykinin7F2O-BK2-Bradykinin-chim(NtGi1-Gs-CtGq)/β1/γ2
25.00Single7F8WGastrin-177F8W-CCKB-Gastrin-17-chim(NtGsL-Gq)/β1/γ2
25.00Single7JOZPubChem 752020227JOZ-D1-PubChem 75202022-Gs/β1/γ2
25.00Single7LJCSKF812977LJC-D1-SKF81297-Mevidalen-Gs/β1/γ2
25.00Single7MTBAll-trans-Retinal7MTB-Rhodopsin-All-trans-Retinal-GRK1
25.00Single7RKFCX3CL17RKF-US28-CX3CL1-GDP-chim(NtGi1-G11)/β1/γ2
25.00Single7UM55-CT7UM5-5-HT5A-5-CT-chim(NtGi1-Go)/β1/γ2
25.00Single7UM6Lisuride7UM6-5-HT5A-Lisuride-chim(NtGi1-Go)/β1/γ2
25.00Single7V3ZCP559407V3Z-CB1-CP55940
25.00Single7X2CFenoldopam7X2C-D1-Fenoldopam-Fenoldopam-Gs/β1/γ2
25.00Single7XN9L-0545227XN9-SST2-L-054522
25.00Single7XTC5-CT7XTC-5-HT7-5-CT-Gs/β1/γ2
25.00Single7XY6BAY 60-65837XY6-A2B-BAY 60-6583-chim(NtGi1-Gs)/β1/γ2
25.00Single7YJ4INSL57YJ4-RXFP4-INSL5-Gi2/β1/γ2
25.00Single7YK7DC5910537YK7-RXFP4-DC591053-Gi2/β1/γ2
25.00Single8CICEtrumadenant8CIC-A2A-Etrumadenant-Na
25.00Single8CU6LJ-45178CU6-A2A-LJ-4517
25.00Single8EFQDAMGO8EFQ-μ-DAMGO-Gi1/β1/γ2
25.00Single8F7REndomorphin8F7R-μ-Endomorphin-Gi1/β1/γ2
25.00Single8HNKCXCL118HNK-CXCR3-CXCL11-Gi1/β1/γ2
25.00Single8IODPG-9018IOD-MC5-PG-901-Ca-chim(NtGi1-Gs)/β1/γ2
25.00Single8JLZST19368JLZ-5-HT6-ST1936-Gs/β1/γ2
25.00Single8JT8(R)-IHCH-71798JT8-5-HT2A-(R)-IHCH-7179
25.00Single8QJ2pN1628QJ2-MC4-pN162-Gs/β1/γ2
25.00Single8UWLLisuride8UWL-5-HT2A-Lisuride-chim(NtGi2-Gs-CtGq)/β1/γ2
25.00Single8WWKMCH8WWK-MCH1-MCH-Gi1/β1/γ2
25.00Single8X17Namodenoson8X17-A3A-Namodenoson-Gi1/β1/γ2
25.00Single8XZFWN5618XZF-Apelin; Apelin-WN561-Gi1/β1/γ2
25.00Single8YH5Riboprine8YH5-A3A-Riboprine-Gi1/β1/γ2
25.00Single8ZQEGPR15L(CT)8ZQE-GPR15-GPR15L(CT)-Gi1/β1/γ1
25.00Single8ZRTEndothelin-18ZRT-ETB-Endothelin-1
25.00Single9AVGCa; Ca; Cyclomethyltryptophan; R-568; PO49AVG-CaS; CaS-Ca-Ca; Ca; Cyclomethyltryptophan; R-568; PO4-chim(NtGi1-Gs)/β1/γ2
25.00Single9C2FCa; Ca; Tryptophan; '54149; PO49C2F-CaS; CaS-Ca-Ca; Ca; Tryptophan; '54149; PO4
25.00Single9H37PubChem 1756706469H37-A2A-PubChem 175670646-Na
25.00Single9IPVJR14a9IPV-C3aB-JR14a-Gi1/β1/γ2
25.00Single9IPYJR14a9IPY-C3aB-JR14a
25.00Single9JGKBalovaptan9JGK-5-HT2B-Balovaptan
25.00Single9JQZGrapiprant 9JQZ-EP4-Grapiprant
25.00Single9KZ2EP679KZ2-C3aB-EP67-Go/β1/γ2
25.00Single9KZ8EP679KZ8-C3aB-EP67-Go/β1/γ2
25.00Single9L0HJR14a9L0H-C3aB-JR14a-Go/β1/γ2
25.00Single9LLAAriadne9LLA-5-HT2A-Ariadne-chim(NtGi1L-Gs-CtGq)/β1/γ2
25.00Single9M0RNeuropeptide-VF9M0R-NPFF1-Neuropeptide-VF-Gi1/β1/γ2
25.00Single9WSXEndomorphin9WSX-μ-Endomorphin-Arrestin2
25.00Consensus5ht5_onOrthosteric Ligand5ht5a_on
25.00Consensus5ht5a_onOrthosteric Ligand7X5H-5-HT5A-5-CT-Gi1/β1/γ2 7UM6-5-HT5A-Lisuride-chim(NtGi1-Go)/β1/γ2 7UM7-5-HT5A-Methylergometrine-chim(NtGi1-Go)/β1/γ2
25.00Consensus5ht7_onOrthosteric Ligand7XTC-5-HT7-5-CT-Gs/β1/γ2
25.00Consensus5ht7_on_gpOrthosteric Ligand7XTC-5-HT7-5-CT-Gs/β1/γ2
25.00Consensusa3_onOrthosteric Liganda3a_on
25.00Consensuscck_offOrthosteric Ligandccka_off
25.00Consensusccka_offOrthosteric Ligand7F8Y-CCKA-Devazepide 7F8U-CCKA-Lintitript
25.00Consensuscxcr_on_gpOrthosteric Ligandcxcr3_on_gp cxcr4_on_gp cxcr1_on_gp cxcr2_on_gp
25.00Consensusgs_histamineOrthosteric Ligand8POK-H2-Histamine-Gs/β1/γ2
25.00Consensush2_onOrthosteric Ligand8POK-H2-Histamine-Gs/β1/γ2
25.00Consensuslipid_offOrthosteric Ligandcannabinoid_off paf_off lpl_off prostanoid_off leukotriene_off
25.00Consensusmc1_onOrthosteric Ligand7F4H-MC1-Afamelanotide-chim(NtGi1-Gs)/β1/γ2 7F4D-MC1-α-MSH-chim(NtGi1-Gs)/β1/γ2 7F4I-MC1-SHU9119-chim(NtGi1-Gs)/β1/γ2
25.00Consensusmc1_on_gpOrthosteric Ligand7F4H-MC1-Afamelanotide-chim(NtGi1-Gs)/β1/γ2 7F4D-MC1-α-MSH-chim(NtGi1-Gs)/β1/γ2 7F4I-MC1-SHU9119-chim(NtGi1-Gs)/β1/γ2
25.00Consensussst2_onOrthosteric Ligand7WIC-SST2-Somatostatin-14-Gi1/β1/γ2 7WIG-SST2-L-054264-Gi1/β1/γ2 7YAE-SST2-Octreotide-Gi1/β1/γ2 7YAC-SST2-Paltusotine-Gi1/β1/γ2
25.00Consensussst2_on_gpOrthosteric Ligand7WIC-SST2-Somatostatin-14-Gi1/β1/γ2 7WIG-SST2-L-054264-Gi1/β1/γ2 7YAE-SST2-Octreotide-Gi1/β1/γ2 7YAC-SST2-Paltusotine-Gi1/β1/γ2
25.00Consensussst5_on_gpOrthosteric Ligand8X8L-SST5-Cortistatin-14-chim(NtGi1-Gs-CtGi1)/β1/γ2 8X8N-SST5-Octreotide-chim(NtGi1-Gs-CtGi1)/β1/γ2
24.00Single7W3ZGastrin Releasing Peptide7W3Z-BB2-Gastrin Releasing Peptide-chim(NtGi1L-Gq)/β1/γ2
24.00Single7YKDChemerin-97YKD-CML1-Chemerin-9-Gi1/β1/γ2
24.00Single8XVEBQ30208XVE-ETB-BQ3020-chim(Gs-CtGq)/β1/γ2
24.00Single9BLWCagrilintide (non-acylated)9BLW-CT (AMY1)-Cagrilintide (non-acylated)-Gs/β1/γ2; RAMP1
24.00Single9KFKRelaxin-39KFK-RXFP4-Relaxin-3-Gi2/β1/γ2
24.00Consensusgi_peptideOrthosteric Ligandgi_cck gi_apelin gi_compl-pept gi_endothelin gi_formylpeptide gi_galanin gi_ghrelin gi_npy gi_neurotensin gi_opioid gi_orexin gi_relaxin gi_somatostatin
23.81Single4IARErgotamine4IAR-5-HT1B-Ergotamine
23.81Single6WIVPubChem 52923113; PubChem 529246456WIV-GABAB1, GABAB2-PubChem 52923113; PubChem 52924645
23.81Single7F4ISHU91197F4I-MC1-SHU9119-chim(NtGi1-Gs)/β1/γ2
23.81Single7T6UCGEN-855A7T6U-FPR2-ALX-CGEN-855A-Gi1/β1/γ2
23.81Single7TD4Siponimod7TD4-S1P1-Siponimod-Gi1/β1/γ2
23.81Single7W56Neuromedin-S7W56-NMUR1-Neuromedin-S-chim(NtGi1-Gs-CtGq)/β1/γ2
23.81Single7XAUOctreotide7XAU-SST2-Octreotide-Gi1/β1/γ2
23.81Single8GHVAMG3158GHV-CB1-AMG315-Gi1/β1/γ2
23.81Single8J6RMK68928J6R-HCA2-MK6892-Gi1/β1/γ2
23.81Single8KIGSHU91198KIG-MC3-SHU9119-Ca
23.81Single8U4OCXCL128U4O-CXCR4-CXCL12-Gi1/β1/γ2
23.81Single8WKYPG-9348WKY-MC4-PG-934
23.81Single8ZBJSomatostatin-148ZBJ-SST5-Somatostatin-14-Gi1/β1/γ2
23.81Single9BUYLM1899BUY-β2-LM189-Gi1/β1/γ2
23.81Single9KWGC5a9KWG-C5a1-C5a-Go/β1/γ2
23.81Consensusgi_nucleotideOrthosteric Ligandgi_adenosine gi_p2y
23.81Consensuslpl_onOrthosteric Ligands1p_on lpa_on
23.81Consensuslpl_on_gpOrthosteric Ligands1p_on_gp lpa_on_gp
23.81Consensusmc4_onOrthosteric Ligand7AUE-MC4-Setmelanotide-chim(NtGi1L-Gs)/β1/γ2 7F58-MC4-THIQ-Gs/β1/γ2 7F54-MC4-Afamelanotide-Gs/β1/γ2 7F53-MC4-α-MSH-Gs/β1/γ2 7F55-MC4-Bremelanotide-Gs/β1/γ2
23.53Single2Y00Dobutamine2Y00-β1-Dobutamine
23.53Single5N2RPSB365N2R-A2A-PSB36-Na
23.53Single5N2SPSB365N2S-A1-PSB36
23.53Single5TVNLSD5TVN-5-HT2B-LSD
23.53Single5YHLPubChem 1351213525YHL-EP4-PubChem 135121352
23.53Single5YWYONO-AE3-2085YWY-EP4-ONO-AE3-208
23.53Single6D26Fevipiprant6D26-DP2-Fevipiprant
23.53Single6E67BI1671076E67-β2-BI167107-Gs(CT)
23.53Single6HLPNetupitant6HLP-NK1-Netupitant
23.53Single6ME62-Phenylmelatonin6ME6-MT2-2-Phenylmelatonin
23.53Single6ME82-Phenylmelatonin6ME8-MT2-2-Phenylmelatonin
23.53Single7CFNINT-7777CFN-GPBA-INT-777-Gs/β1/γ2
23.53Single7CKXA776367CKX-D1-A77636-Gs/β1/γ2
23.53Single7EUOfMLF7EUO-FPR1-ALX-fMLF-Gi1/β1/γ2
23.53Single8GD9Rivenprost8GD9-EP4-Rivenprost-Gs/β1/γ2
23.53Single8GDCPGE28GDC-EP3-PGE2-Gi1/β1/γ2
23.53Single8K8JFenofibrate8K8J-CB1-Fenofibrate-chim(Gs-CtGq)/β1/γ2
23.53Single8KFXLMD-0098KFX-CCR8-LMD-009-Gi1/β1/γ2
23.53Single8TH4Losartan8TH4-AT1-Losartan-AT118-L Nanobody
23.53Single8WGBVU01550418WGB-mGlu4; mGlu2-Glutamate-VU0155041-Gi3/β1/γ2
23.53Single8ZPTPrRP208ZPT-PrRP-PrRP20-chim(NtGi1-Gs-CtGq)/β1/γ2
23.53Single8ZVZBW245C8ZVZ-DP1-BW245C-Gs/β1/γ2
23.53Single9B9ZMRI-18679B9Z-CB1-MRI-1867
23.53Single9EAHOlmesartan9EAH-AT1-Olmesartan-Nanobody AT209
23.53Single9HC04YI9HC0-mGlu5-4YI
23.53Single9KPFSalicin9KPF-TAS2R16-Salicin-Gi1/β1/γ2
23.53Single9KUTJR14a9KUT-C3aB-JR14a-Go/β1/γ2
23.53Consensusa1_offOrthosteric Ligand5UEN-A1-DU172 5N2S-A1-PSB36
23.53Consensusa3_on_gpOrthosteric Liganda3a_on_gp
23.53Consensusa3a_onOrthosteric Ligand8X17-A3A-Namodenoson-Gi1/β1/γ2 8X16-A3A-Piclidenoson-Gi1/β1/γ2
23.53Consensusa3a_on_gpOrthosteric Ligand8X17-A3A-Namodenoson-Gi1/β1/γ2 8X16-A3A-Piclidenoson-Gi1/β1/γ2
23.53Consensusadenosine_offOrthosteric Liganda1_off a2_off
23.53Consensusdp2_offOrthosteric Ligand6D26-DP2-Fevipiprant
23.53Consensusdp_offOrthosteric Liganddp2_off
23.53Consensusep4_offOrthosteric Ligand5YWY-EP4-ONO-AE3-208 5YHL-EP4-PubChem 135121352
23.53Consensusep_offOrthosteric Ligandep4_off
23.53Consensuslipid_onOrthosteric Ligandcannabinoid_on ffa_on lpl_on prostanoid_on leukotriene_on
23.53Consensuslipid_on_gpOrthosteric Ligandcannabinoid_on_gp ffa_on_gp lpl_on_gp prostanoid_on_gp leukotriene_on_gp
23.53Consensusrxfp4_onOrthosteric Ligand7YK7-RXFP4-DC591053-Gi2/β1/γ2 7YJ4-RXFP4-INSL5-Gi2/β1/γ2 7YK6-RXFP4-PubChem 138319674-Gi2/β1/γ2
23.53Consensusrxfp4_on_gpOrthosteric Ligand7YK7-RXFP4-DC591053-Gi2/β1/γ2 7YJ4-RXFP4-INSL5-Gi2/β1/γ2 7YK6-RXFP4-PubChem 138319674-Gi2/β1/γ2
23.08Single3UZAGTPL92363UZA-A2A-GTPL9236
23.08Single6FUFAll-trans-Retinal6FUF-Rhodopsin-All-trans-Retinal-Go
23.08Single7D77Hydrocortisone7D77-ADGRG3-Hydrocortisone-Go/β1/γ2
23.08Single7DD7Ca; Ca; Tryptophan; Evocalcet7DD7-CaS; CaS-Ca-Ca; Ca; Tryptophan; Evocalcet
23.08Single7F4FAfamelanotide7F4F-MC1-Afamelanotide-chim(NtGi1-Gs)/β1/γ2
23.08Single7MT9All-trans-Retinal7MT9-Rhodopsin-All-trans-Retinal-GRK1
23.08Single7MTAAll-trans-Retinal7MTA-Rhodopsin-All-trans-Retinal-GRK1
23.08Single7TYFAmylin7TYF-CT (AMY1)-Amylin-Gs/β1/γ2; RAMP1
23.08Single7WVYAmyloid-Beta427WVY-FPR2-ALX-Amyloid-β42-Gi2/β1/γ2
23.08Single7XATSomatostatin-147XAT-SST2-Somatostatin-14-Gi1/β1/γ2
23.08Single8DPILorcaserin8DPI-5-HT2C-Lorcaserin-chim(NtGi2L-Gs-CtGq)/β1/γ2
23.08Single8GGEConstrained Epinephrine8GGE-β2-Constrained Epinephrine-GTP-Gs/β1/γ2
23.08Single8GH1Constrained Epinephrine8GH1-β2-Constrained Epinephrine
23.08Single8JEFPubChem 113671668JEF-HCA3-PubChem 11367166-Gi1/β1/γ2
23.08Single8SZFCa; Ca; Tryptophan; Cinacalcet; PO4; Spermine8SZF-CaS; CaS-Ca; Ca; Tryptophan; Cinacalcet; PO4; Spermine
23.08Single8WWLMCH8WWL-MCH1-MCH-Gi1/β1/γ2
23.08Single9BUCCagrilintide9BUC-CT-Cagrilintide-Gs/β1/γ2
23.08Single9KDFRES-701-39KDF-ETB-RES-701-3
23.08Single9LL7DOI9LL7-5-HT2A-DOI-Gi1/β1/γ2
23.08Consensuspeptide_onOrthosteric Ligandcck_on angiotensin_on apelin_on bombesin_on bradykinin_on compl-peptide_on endothelin_on formylpeptide_on galanin_on ghrelin_on kisspeptin_on melanocortin_on motilin_on neuromedin-u_on npy_on neurotensin_on opioid_on orexin_on relaxin_on somatostatin_on tachykinin_on trh_on vasop-oxy_on
23.08Consensuspeptide_on_gpOrthosteric Ligandcck_on_gp angiotensin_on_gp apelin_on_gp bombesin_on_gp bradykinin_on_gp compl-peptide_on_gp endothelin_on_gp formylpeptide_on_gp galanin_on_gp ghrelin_on_gp kisspeptin_on_gp melanocortin_on_gp motilin_on_gp neuromedin-u_on_gp npy_on_gp neurotensin_on_gp opioid_on_gp orexin_on_gp relaxin_on_gp somatostatin_on_gp tachykinin_on_gp trh_on_gp vasop-oxy_on_gp
22.73Single6HLOAprepitant6HLO-NK1-Aprepitant
22.73Single7RKMCX3CL17RKM-US28-CX3CL1-Gi1/β1/γ2
22.73Single8F7WDynorphin8F7W-κ-Dynorphin-Gi1/β1/γ2
22.73Single8JZZC5a-des-Arg8JZZ-C5a1-C5a-des-Arg-Go/β1/γ2
22.73Single9E82CXCL12 (fragment)9E82-ACKR3-CXCL12 (fragment)-Arrestin2
22.73Single9JFK(Pen5)-Urotensin II9JFK-UT-(Pen5)-Urotensin II-chim(NtGi2L-Gs-CtGq)/β1/γ2
22.73Single9KFIRelaxin-39KFI-RXFP3-Relaxin-3-Gi2/β1/γ2
22.73Single9KT7MK68929KT7-HCA2-MK6892-Gi1/β1/γ2
22.73Single9KV6TLQP219KV6-C3aB-TLQP21-Go/β1/γ2
22.73Single9ME1CXCL129ME1-CXCR4-CXCL12
22.73Single9UMXEP549UMX-C5a1-EP54-Go/β1/γ2
22.73Consensuscompl-peptide_onOrthosteric Ligandc5a1_on c3a_on
22.73Consensusformylpeptide_on_gpOrthosteric Ligandfpr2-alx_on_gp fpr1-alx_on_gp
22.73Consensusghrelin_onOrthosteric Ligand7NA7-Ghrelin-Ghrelin-Gi1/β1/γ2 7F9Z-Ghrelin-GHRP-6-chim(NtGi1-Gs-CtGq)/β1/γ2 7NA8-Ghrelin-Ibutamoren-Gi1/β1/γ2
22.73Consensusghrelin_on_gpOrthosteric Ligand7NA7-Ghrelin-Ghrelin-Gi1/β1/γ2 7F9Z-Ghrelin-GHRP-6-chim(NtGi1-Gs-CtGq)/β1/γ2 7NA8-Ghrelin-Ibutamoren-Gi1/β1/γ2
22.73Consensusmc4_on_gpOrthosteric Ligand7AUE-MC4-Setmelanotide-chim(NtGi1L-Gs)/β1/γ2 7F58-MC4-THIQ-Gs/β1/γ2 7F54-MC4-Afamelanotide-Gs/β1/γ2 7F53-MC4-α-MSH-Gs/β1/γ2 7F55-MC4-Bremelanotide-Gs/β1/γ2
22.73Consensusmc5_onOrthosteric Ligand8INR-MC5-α-MSH-Ca-chim(NtGi1-Gs)/β1/γ2 8IOD-MC5-PG-901-Ca-chim(NtGi1-Gs)/β1/γ2
22.22Single3P0GBI1671073P0G-β2-BI167107
22.22Single5XR8AM120335XR8-CB1-AM12033
22.22Single5XRAAM115425XRA-CB1-AM11542
22.22Single6N4BMDMB-Fubinaca6N4B-CB1-MDMB-Fubinaca-Gi1/β1/γ2
22.22Single6NI3BI1671076NI3-β2-BI167107-Gs/β1/γ2
22.22Single6O3CCholesterol6O3C-SMO-SAG21k-Cholesterol
22.22Single6WGTLSD6WGT-5-HT2A-LSD
22.22Single7EW4CYM-55417EW4-S1P3-CYM-5541-Gi1/β1/γ2
22.22Single7FEECP559407FEE-CB1-CP55940-ZCZ011
22.22Single7JV5SKF812977JV5-D1-SKF81297-Gs/β1/γ2
22.22Single7M8W15r-Methyl-PGD27M8W-DP2-15r-Methyl-PGD2-Na
22.22Single7TUYGSK682753A7TUY-GPR183-GSK682753A
22.22Single7XAVLanreotide7XAV-SST2-Lanreotide-Gi1/β1/γ2
22.22Single8DCSCyanopindolol8DCS-β1-Cyanopindolol-Gs/β1/γ2
22.22Single8HPTC5a (C-terminal peptide)8HPT-C5a1-C5a (C-terminal peptide)-Go/β1/γ2
22.22Single8HQCC5a8HQC-C5a1-C5a-Go/β1/γ2
22.22Single8IYHMK68928IYH-HCA2-MK6892-Go/β1/γ2
22.22Single8JLPRalmitaront8JLP-TA1-Ralmitaront-Gs/β1/γ2
22.22Single8JSRAnamorelin8JSR-Ghrelin-Anamorelin-chim(NtGi1-Gs-CtGq)/β1/γ2
22.22Single8X16Piclidenoson8X16-A3A-Piclidenoson-Gi1/β1/γ2
22.22Single8Y52BA18Y52-BB3-BA1-chim(NtGi1-Gs-CtGq)/β1/γ2
22.22Single8Y73Peptide8Y73-μ-Peptide-MPAM-15-Gi1/β1/γ2
22.22Single8ZR5Firuglipel8ZR5-GPR119-Firuglipel-Gs/β1/γ2
22.22Single8ZW0PGD28ZW0-DP1-PGD2-Gs/β1/γ2
22.22Single8ZWFJR14a8ZWF-C3aB-JR14a
22.22Single9ASTLymphotactin9AST-XCR1-Lymphotactin-Gi1/β1/γ2
22.22Single9E9SPGD29E9S-DP1-PGD2-Gs/β1/γ1
22.22Single9EGOZ85267113509EGO-CB1-Z8526711350-Gi1/β1/γ2
22.22Single9RHGC4079RHG-FZD7-C407
22.22Consensusbk2_onOrthosteric Ligand7F6H-BK2-Bradykinin-Gq/β1/γ2 7F6I-BK2-Kallidin-Gq/β1/γ2
22.22Consensusbk2_on_gpOrthosteric Ligand7F6H-BK2-Bradykinin-Gq/β1/γ2 7F6I-BK2-Kallidin-Gq/β1/γ2
22.22Consensusbradykinin_onOrthosteric Ligandbk2_on
22.22Consensusbradykinin_on_gpOrthosteric Ligandbk2_on_gp
22.22Consensusgi_relaxinOrthosteric Ligand7YK7-RXFP4-DC591053-Gi2/β1/γ2 7YJ4-RXFP4-INSL5-Gi2/β1/γ2 7YK6-RXFP4-PubChem 138319674-Gi2/β1/γ2
22.22Consensusgq_bradykininOrthosteric Ligand7F6H-BK2-Bradykinin-Gq/β1/γ2 7F6I-BK2-Kallidin-Gq/β1/γ2
22.22Consensusmotilin_onOrthosteric Ligand8IBU-Motilin-Erythromycin-A-chim(NtGi1-Gs-CtGq)/β1/γ2
22.22Consensusnpy_offOrthosteric Ligandnpy1_off npy2_off
22.22Consensusrelaxin_onOrthosteric Ligandrxfp4_on
22.22Consensusrelaxin_on_gpOrthosteric Ligandrxfp4_on_gp
22.22Consensustachykinin_offOrthosteric Ligandnk1_off
21.74Single6W25SHU91196W25-MC4-SHU9119-Ca
21.74Single7F4DAlpha-MSH7F4D-MC1-α-MSH-chim(NtGi1-Gs)/β1/γ2
21.74Single7RYCOxytocin7RYC-OT-Oxytocin-chim(NtGi2L-Gs-CtGq)/β1/γ2
21.74Single7XOUCholecystokinin-87XOU-CCKA-Cholecystokinin-8-Gs/β1/γ2
21.74Single8WKZSBL-MC-318WKZ-MC4-SBL-MC-31
21.74Single8XZHMM078XZH-Apelin; Apelin-MM07-Gi1/β1/γ2
21.74Single9LXRLA-PTH Analog9LXR-PTH1-LA-PTH Analog-Arrestin2
21.74Single9MEUCXCL129MEU-CXCR4-CXCL12
21.74Single9U4WGonadoliberin-19U4W-GnRH1-Gonadoliberin-1-chim(NtGi1L-Gs-CtGq)/β1/γ2
21.74Consensusangiotensin_onOrthosteric Ligandat1_on
21.74Consensusat1_onOrthosteric Ligand7F6G-AT1-(Sar1)-Angiotensin II-Gq/β1/γ2
21.74Consensuscompl-peptide_on_gpOrthosteric Ligandc5a1_on_gp c3a_on_gp
21.74Consensusfpr2-alx_onOrthosteric Ligand7WVX-FPR2-ALX-Humanin-Gi2/β1/γ2 7T6U-FPR2-ALX-CGEN-855A-Gi1/β1/γ2 7T6V-FPR2-ALX-fMLFII-Gi1/β1/γ2 7WVY-FPR2-ALX-Amyloid-β42-Gi2/β1/γ2 7T6S-FPR2-ALX-TC-FPR 43-Gi1/β1/γ2 6OMM-FPR2-ALX-WKYMVX-Gi1/β1/γ2
21.43Single3PBLEticlopride3PBL-D3-Eticlopride
21.43Single5GLHEndothelin-15GLH-ETB-Endothelin-1
21.43Single6I9K9-cis-Retinal6I9K-Rhodopsin-9-cis-Retinal
21.43Single6IGKEndothelin-36IGK-ETB-Endothelin-3
21.43Single6TP4ACT-4622066TP4-OX1-ACT-462206
21.43Single6TQ4PubChem 160468446TQ4-OX1-PubChem 16046844-Na
21.43Single7XT9Serotonin7XT9-5-HT4-Serotonin-Gs/β1/γ2
21.43Single7XTASerotonin7XTA-5-HT4-Serotonin-Gi1/β1/γ2
21.43Single7XTBSerotonin7XTB-5-HT6-Serotonin-Gs/β1/γ2
21.43Single7YS6Serotonin7YS6-5-HT6-Serotonin-chim(NtGi1-Gs)/β1/γ2
21.43Single8EF6Morphine8EF6-μ-Morphine-Gi1/β1/γ2
21.43Single8SZFCa; Ca; Tryptophan; Cinacalcet; PO4; Spermine8SZF-CaS; CaS-Ca; Ca; Tryptophan; Cinacalcet; PO4; Spermine
21.43Single8UO4Constrained Epinephrine8UO4-β2-Constrained Epinephrine-GTP; Mg-Gs/β1/γ2
21.43Single8X2KOleic monoethanolamide8X2K-GPR3-Oleic monoethanolamide-chim(NtGi1-Gs)/β1/γ2
21.43Single8YN2Histamine8YN2-H1-Histamine-chim(NtGi1L-Gs-CtGq)/β1/γ2
21.43Single8ZX5AM2518ZX5-GPR55-AM251-chim(NtGi1-G13)/β1/γ2
21.43Single9AS7Psilocin9AS7-5-HT2A-Psilocin
21.43Single9B9YTaranabant9B9Y-CB1-Taranabant
21.43Single9JLCAVE 09919JLC-MAS1-AVE 0991-Gi1/β1/γ2
21.43Single9M88Oleic monoethanolamide9M88-GPR3 ; GPR3-Oleic monoethanolamide-AF64394
21.43Single9YDAAll-trans-Retinal9YDA-Opsin1MW-All-trans-Retinal-chim(NtGi1L-Gs-CtGt)/β1/γ2
21.43Consensus5ht4_onOrthosteric Ligand7XTA-5-HT4-Serotonin-Gi1/β1/γ2
21.43Consensus5ht4_on_gpOrthosteric Ligand7XTA-5-HT4-Serotonin-Gi1/β1/γ2
21.43Consensusd3_offOrthosteric Ligand3PBL-D3-Eticlopride
21.05Single2YCXCyanopindolol2YCX-β1-Cyanopindolol
21.05Single4N4WSANT-14N4W-SMO-SANT-1
21.05Single6AK3PGE26AK3-EP3-PGE2
21.05Single6C1RPMX536C1R-C5a1-PMX53-Avacopan; Na
21.05Single6IIURamatroban6IIU-TXA2-Ramatroban
21.05Single6KQICP559406KQI-CB1-CP55940-Org27569
21.05Single6MXTSalmeterol6MXT-β2-Salmeterol
21.05Single7BZ2Arformoterol7BZ2-β2-Arformoterol-Gs/β1/γ2
21.05Single7DH5Mirabegron7DH5-β3-Mirabegron-Gs/β1/γ2
21.05Single7F55Bremelanotide7F55-MC4-Bremelanotide-Gs/β1/γ2
21.05Single7T6BS1P7T6B-S1P2-S1P-chim(NtGi1L-G13)/β1/γ2
21.05Single7XZ5Lysophosphatidylcholine7XZ5-GPR119-Lysophosphatidylcholine-Gs/β1/γ2
21.05Single8GCPPGE28GCP-EP4-PGE2-Gi1/β1/γ2
21.05Single8I9AEP548I9A-C3aB-EP54-chim(NtGi1-Gs-CtGq)/β1/γ2
21.05Single8IBUErythromycin-A8IBU-Motilin-Erythromycin-A-chim(NtGi1-Gs-CtGq)/β1/γ2
21.05Single8JD3JNJ-404118138JD3-mGlu2; mGlu3-Glutamate-JNJ-40411813-Gi1/β1/γ2
21.05Single8JJLOlodaterol8JJL-β2-Olodaterol
21.05Single8JJPChemerin-98JJP-CML2-Chemerin-9-Gi1/β1/γ2
21.05Single8JWY2-1188JWY-A2A-2-118
21.05Single8T3QDoconexent8T3Q-FFA4-Doconexent-chim(NtGi2L-Gs-CtGq)/β1/γ2
21.05Single8W1VPubChem 1717162658W1V-β2-PubChem 171716265
21.05Single8XQSCholesterol8XQS-TAS2R14-Cholesterol-Flufenamic acid-Gi1/β1/γ1
21.05Single9AU0BW245C9AU0-DP1-BW245C-Gs/β1/γ2
21.05Single9IZHLPA9IZH-LPA1-LPA-chim(NtGi2-G13)/β1/γ2
21.05Single9W32SSTR5 antagonist 19W32-SST5-SSTR5 antagonist 1
21.05Consensuscb1_onOrthosteric Ligand6KPG-CB1-AM841-Gi1/β1/γ2 8K8J-CB1-Fenofibrate-chim(Gs-CtGq)/β1/γ2
21.05Consensusccr8_onOrthosteric Ligand8KFX-CCR8-LMD-009-Gi1/β1/γ2 8KFY-CCR8-ZK-756326-Gi1/β1/γ2 8U1U-CCR8-CCL1-Gi1/β1/γ2
21.05Consensuscxcr_onOrthosteric Ligandcxcr3_on cxcr4_on cxcr1_on cxcr2_on
21.05Consensuslipid_offonOrthosteric Ligandlipid_off lipid_on
21.05Consensuslipid_offon_gpOrthosteric Ligandlipid_on_gp lipid_off
21.05Consensusmotilin_on_gpOrthosteric Ligand8IBU-Motilin-Erythromycin-A-chim(NtGi1-Gs-CtGq)/β1/γ2
20.83Single6JODAngiotensin II6JOD-AT2-Angiotensin II
20.83Single7AD3Alpha-factor mating pheromone7AD3-STE2; STE2-α-factor mating pheromone-Gi1/STE4/γ2
20.83Single7DW9AVP7DW9-V2-AVP-chim(NtGi1-Gs)/β1/γ2
20.83Single7F4HAfamelanotide7F4H-MC1-Afamelanotide-chim(NtGi1-Gs)/β1/γ2
20.83Single7F6G(Sar1)-Angiotensin II7F6G-AT1-(Sar1)-Angiotensin II-Gq/β1/γ2
20.83Single7KH0AVP7KH0-V2-AVP-chim(NtGi1-Gs)/β1/γ2
20.83Single7T10Somatostatin-147T10-SST2-Somatostatin-14-Gi3/β1/γ2
20.83Single7W40Bombesin7W40-BB2-Bombesin-chim(NtGi1L-Gq)/β1/γ2
20.83Single7W57Neuromedin-S7W57-NMUR2-Neuromedin-S-chim(NtGi1-Gs-CtGq)/β1/γ2
20.83Single7WUIIP157WUI-ADGRG2-IP15-chim(NtGi1-Gs)/β1/γ2
20.83Single7XK8Neuromedin-U-257XK8-NMUR2-Neuromedin-U-25-Gi1/β1/γ2
20.83Single8H4KGW95088H4K-FFA4-GW9508-chim(NtGi1-Gs-CtGq)/β1/γ2
20.83Single8WSTMCH8WST-MCH2-MCH-chim(NtGi1L-Gs-CtGq)/β1/γ2
20.83Single8X8LCortistatin-148X8L-SST5-Cortistatin-14-chim(NtGi1-Gs-CtGi1)/β1/γ2
20.83Single8XWQEndothelin-18XWQ-ETB-Endothelin-1-Gi1/β1/γ2
20.83Single9BKKCholecystokinin-89BKK-CCKA-Cholecystokinin-8-chim(NtGi1-Gs-CtGq)/β1/γ2
20.83Consensusangiotensin_on_gpOrthosteric Ligandat1_on_gp
20.83Consensusapelin_onOrthosteric Ligand8XZH-Apelin; Apelin-MM07-Gi1/β1/γ2 7W0M-Apelin-PubChem 122701908-Gi1/β1/γ2 8XZJ-Apelin; Apelin-WN353-Gi1/β1/γ2 8XZF-Apelin; Apelin-WN561-Gi1/β1/γ2 8XZG-Apelin; Apelin-Apelin-13-Gi1/β1/γ2
20.83Consensusapelin_on_gpOrthosteric Ligand8XZH-Apelin; Apelin-MM07-Gi1/β1/γ2 7W0M-Apelin-PubChem 122701908-Gi1/β1/γ2 8XZJ-Apelin; Apelin-WN353-Gi1/β1/γ2 8XZF-Apelin; Apelin-WN561-Gi1/β1/γ2 8XZG-Apelin; Apelin-Apelin-13-Gi1/β1/γ2
20.83Consensusat1_on_gpOrthosteric Ligand7F6G-AT1-(Sar1)-Angiotensin II-Gq/β1/γ2
20.83Consensusc5a1_on_gpOrthosteric Ligand8HK5-C5a1-C5a-Gi1/β1/γ2 7Y66-C5a1-BM213-Gi1/β1/γ2 7Y67-C5a1-C089 peptide-Gi1/β1/γ2 7Y64-C5a1-C5a-Gi1/β1/γ2
20.83Consensusfpr2-alx_on_gpOrthosteric Ligand7WVX-FPR2-ALX-Humanin-Gi2/β1/γ2 7T6U-FPR2-ALX-CGEN-855A-Gi1/β1/γ2 7T6V-FPR2-ALX-fMLFII-Gi1/β1/γ2 7WVY-FPR2-ALX-Amyloid-β42-Gi2/β1/γ2 7T6S-FPR2-ALX-TC-FPR 43-Gi1/β1/γ2 6OMM-FPR2-ALX-WKYMVX-Gi1/β1/γ2
20.83Consensusgi_formylpeptideOrthosteric Ligand7WVY-FPR2-ALX-Amyloid-β42-Gi2/β1/γ2 7T6U-FPR2-ALX-CGEN-855A-Gi1/β1/γ2 7VFX-FPR1-ALX-fMIFL-Gi1/β1/γ2 7T6V-FPR2-ALX-fMLFII-Gi1/β1/γ2 7WVX-FPR2-ALX-Humanin-Gi2/β1/γ2 7T6S-FPR2-ALX-TC-FPR 43-Gi1/β1/γ2 6OMM-FPR2-ALX-WKYMVX-Gi1/β1/γ2
20.83Consensusgq_angiotensinOrthosteric Ligand7F6G-AT1-(Sar1)-Angiotensin II-Gq/β1/γ2
20.83Consensusgs_vasop-oxyOrthosteric Ligand7DW9-V2-AVP-chim(NtGi1-Gs)/β1/γ2
20.83Consensusmc5_on_gpOrthosteric Ligand8INR-MC5-α-MSH-Ca-chim(NtGi1-Gs)/β1/γ2 8IOD-MC5-PG-901-Ca-chim(NtGi1-Gs)/β1/γ2
20.83Consensusprotein_onOrthosteric Ligandchemokine_on chemerin_on
20.83Consensusv2_onOrthosteric Ligand7DW9-V2-AVP-chim(NtGi1-Gs)/β1/γ2
20.83Consensusv2_on_gpOrthosteric Ligand7DW9-V2-AVP-chim(NtGi1-Gs)/β1/γ2
20.83Consensusvasop-oxy_onOrthosteric Ligandv2_on
20.83Consensusvasop-oxy_on_gpOrthosteric Ligandv2_on_gp
20.69Single7TZFAmylin7TZF-CT (AMY3)-Amylin-Gs/β1/γ2; RAMP3
20.69Single9AUCCalcitonin gene-related peptide-19AUC-CT (AMY1)-Calcitonin gene-related peptide-1-Gs/β1/γ2; RAMP1
20.00Single4NC3Ergotamine4NC3-5-HT2B-Ergotamine
20.00Single5OLVLUAA470705OLV-A2A-LUAA47070-Na
20.00Single5U09Taranabant5U09-CB1-Taranabant
20.00Single5ZKQABT-4915ZKQ-PAF-ABT-491
20.00Single6BQGErgotamine6BQG-5-HT2C-Ergotamine
20.00Single6DS0LY2660976DS0-5-HT2B-LY266097
20.00Single6LRYSarafotoxin-B6LRY-ETB-Sarafotoxin-B
20.00Single7BR3Elagolix7BR3-GnRH1-Elagolix
20.00Single7D7MPGE27D7M-EP4-PGE2-Gs/β1/γ1
20.00Single7F1ODopamine7F1O-D1-Dopamine-GDP; Mg-Gs/β1/γ2
20.00Single7F6HBradykinin7F6H-BK2-Bradykinin-Gq/β1/γ2
20.00Single7F6IKallidin7F6I-BK2-Kallidin-Gq/β1/γ2
20.00Single7F8ULintitript7F8U-CCKA-Lintitript
20.00Single7F8YDevazepide7F8Y-CCKA-Devazepide
20.00Single7LLLExendin-47LLL-GLP-1-Exendin-4-Gs/β1/γ2
20.00Single7M3FCa; Ca; Tryptophan; Cinacalcet7M3F-CaS; CaS-Ca; Ca; Tryptophan; Cinacalcet
20.00Single7PIUSetmelanotide7PIU-MC4-Setmelanotide-Gs/β1/γ2
20.00Single7QBIAlpha-factor mating pheromone7QBI-STE2; STE2-α-factor mating pheromone
20.00Single7S8PMS471347S8P-MRGPRX4-MS47134-chim(NtGi2L-Gs-CtGq)/β1/γ2
20.00Single7T6STC-FPR 437T6S-FPR2-ALX-TC-FPR 43-Gi1/β1/γ2
20.00Single7UM4AS26747237UM4-5-HT5A-AS2674723
20.00Single7VVNPTH7VVN-PTH1-PTH-Gs/β1/γ2
20.00Single7W0MPubChem 1227019087W0M-Apelin-PubChem 122701908-Gi1/β1/γ2
20.00Single7X2FDopamine7X2F-D1-Dopamine-Mevidalen-Gs/β1/γ2
20.00Single7X5H5-CT7X5H-5-HT5A-5-CT-Gi1/β1/γ2
20.00Single7X8RBOC57X8R-GLP-1-BOC5-Gs/β1/γ2
20.00Single7XT8Serotonin7XT8-5-HT4-Serotonin-Gs/β1/γ2
20.00Single7Y27Somatostatin-147Y27-SST2-Somatostatin-14-chim(NtGi2L-Gs-CtGq)/β1/γ2
20.00Single7Y64C5a7Y64-C5a1-C5a-Gi1/β1/γ2
20.00Single7YU8ONO-07405567YU8-LPA1-ONO-0740556-Gi1/β1/γ2
20.00Single8DU3PubChem 1055260648DU3-A2A-PubChem 105526064
20.00Single8E3ZVIP8E3Z-VPAC1-VIP-Gs/β1/γ2
20.00Single8GNGIstradefylline8GNG-A2A-Istradefylline
20.00Single8IA2C5a8IA2-C5a1-C5a-Go/β1/γ2
20.00Single8ID8TUG-8918ID8-FFA4-TUG-891-Gi1/β1/γ2
20.00Single8IYSTUG-8918IYS-FFA4-TUG-891-GDP-chim(NtGi1L-Gq)/β1/γ2
20.00Single8RW0Istradefylline8RW0-A2A-Istradefylline-Na
20.00Single8T3OTUG-8918T3O-FFA4-TUG-891-chim(NtGi2L-Gs-CtGq)/β1/γ2
20.00Single8U4PAMD31008U4P-CXCR4-AMD3100-Gi1/β1/γ2
20.00Single8WRZAM8418WRZ-CB1-AM841-Arrestin2
20.00Single8WWMMCH8WWM-MCH1-MCH-Gi1/β1/γ2
20.00Single8XQEApelin-138XQE-Apelin; Apelin-Apelin-13-Gi1/β1/γ2
20.00Single8YUTAmthamine8YUT-H2-Amthamine-Gs/β1/γ2
20.00Single8ZPSPrRP208ZPS-PrRP-PrRP20-chim(NtGi1-Gs-CtGi1)/β1/γ2
20.00Single8ZWGJR14a8ZWG-C3aB-JR14a-Gi1/β1/γ2
20.00Single9GG5U466199GG5-TXA2-U46619-chim(NtGi2L-Gs-CtGq)/β1/γ2
20.00Single9H2XPubChem 1756706449H2X-A2A-PubChem 175670644-Na
20.00Single9KV8TLQP219KV8-C3aB-TLQP21-Go/β1/γ2
20.00Single9LL9DOI9LL9-5-HT2A-DOI-chim(NtGi1L-Gs-CtGq)/β1/γ2
20.00Single9M1HPGE29M1H-EP1-PGE2-chim(NtGi1-Gs-CtGq)/β1/γ2
20.00Single9UYMChemerin-99UYM-CML2-Chemerin-9-chim(Arrestin3-CtArrestin2)
20.00Consensus5ht_onOrthosteric Ligand5ht1_on 5ht2_on 5ht4_on 5ht5_on 5ht6_on 5ht7_on
20.00Consensuschemokine_offOrthosteric Ligandccr_off cxcr_off
20.00Consensuschemokine_on_gpOrthosteric Ligandccr_on_gp cxcr_on_gp
20.00Consensuscml1_on_gpOrthosteric Ligand7YKD-CML1-Chemerin-9-Gi1/β1/γ2
20.00Consensuscrf_on_gpOrthosteric Ligandcrf2_on_gp crf1_on_gp
20.00Consensuscxcr_offOrthosteric Ligandcxcr3_off cxcr4_off
20.00Consensusgi_apelinOrthosteric Ligand8XZH-Apelin; Apelin-MM07-Gi1/β1/γ2 7W0M-Apelin-PubChem 122701908-Gi1/β1/γ2 8XZJ-Apelin; Apelin-WN353-Gi1/β1/γ2 8XZF-Apelin; Apelin-WN561-Gi1/β1/γ2 8XZG-Apelin; Apelin-Apelin-13-Gi1/β1/γ2
20.00Consensusgi_chemokineOrthosteric Ligand6WWZ-CCR6-CCL20-Go/β1/γ2 8HNK-CXCR3-CXCL11-Gi1/β1/γ2 8K3Z-CXCR4-CXCL12-Gi1/β1/γ1 8IC0-CXCR1-CXCL8-Gi1/β1/γ2 6LFM-CXCR2-CXCL8-Gi1/β1/γ2 8KFX-CCR8-LMD-009-Gi1/β1/γ2 7F1Q-CCR5-CCL3-Gi1/β1/γ2 8HNL-CXCR3-PS372424-Gi1/β1/γ2 8KFY-CCR8-ZK-756326-Gi1/β1/γ2 7O7F-CCR5-6P4-CCL5-Gi1/β1/γ1 8U1U-CCR8-CCL1-Gi1/β1/γ2 7VLA-CCR1-CCL15(27-92)-Gi1/β1/γ2 7XA3-CCR2-CCL2-Gi1/β1/γ2
20.00Consensusgnrh1_offOrthosteric Ligand7BR3-GnRH1-Elagolix
20.00Consensusgs_5htOrthosteric Ligand7XTC-5-HT7-5-CT-Gs/β1/γ2 7XTB-5-HT6-Serotonin-Gs/β1/γ2 8JLZ-5-HT6-ST1936-Gs/β1/γ2 7XT8-5-HT4-Serotonin-Gs/β1/γ2
20.00Consensusgs_peptideOrthosteric Ligandgs_cck gs_melanocortin gs_vasop-oxy
20.00Consensuspaf_offOrthosteric Ligand5ZKQ-PAF-ABT-491
20.00Consensusvpac1_onOrthosteric Ligand8E3Z-VPAC1-VIP-Gs/β1/γ2
19.35Single7Y36PTH7Y36-PTH1-PTH-Gs/β1/γ2
19.35Single8FLQPTH8FLQ-PTH1-PTH-Gs/β1/γ2
19.35Single9JR3PTH9JR3-PTH1-PTH-chim(NtGi1L-Gs-CtGq)/β1/γ2
19.35Consensusclass-a_class-b1_cons_on_gpOrthosteric Ligandclass-a_on_gp class-b1_on_gp
19.23Single6FJ3PTH6FJ3-PTH1-PTH
19.23Single7F8VGastrin-177F8V-CCKB-Gastrin-17-Gi2/β1/γ2
19.23Single7QBIAlpha-factor mating pheromone7QBI-STE2; STE2-α-factor mating pheromone
19.23Single8H0PNMB308H0P-BB1-NMB30-chim(NtGi1-Gs-CtGq)/β1/γ2
19.23Single9BP3Cagrilintide9BP3-CT (AMY1)-Cagrilintide-Gs/β1/γ2; RAMP1
19.23Consensusccr_offOrthosteric Ligandccr2_off ccr5_off
19.23Consensusgi_compl-peptOrthosteric Ligand8HK5-C5a1-C5a-Gi1/β1/γ2 8IA8-C3aB-E7 peptide-Gi1/β1/γ2 7Y66-C5a1-BM213-Gi1/β1/γ2 7Y67-C5a1-C089 peptide-Gi1/β1/γ2 8HK2-C3aB-C3a-Gi1/β1/γ2 7Y64-C5a1-C5a-Gi1/β1/γ2
19.23Consensusgi_proteinOrthosteric Ligandgi_chemokine gi_chemerin
19.23Consensuspac1_onOrthosteric Ligand8E3X-PAC1-PACAP27-Gs/β1/γ2 6M1H-PAC1-Maxadilan-Gs/β1/γ2
19.23Consensuspac1_on_gpOrthosteric Ligand8E3X-PAC1-PACAP27-Gs/β1/γ2 6M1H-PAC1-Maxadilan-Gs/β1/γ2
19.23Consensusprotein_on_gpOrthosteric Ligandchemokine_on_gp chemerin_on_gp
19.23Consensussecretin_onOrthosteric Ligand7D3S-Secretin-Secretin-Gs/β1/γ2
19.23Consensusvpac1_on_gpOrthosteric Ligand8E3Z-VPAC1-VIP-Gs/β1/γ2
19.05Single5VBLAMG3054 5VBL-Apelin-AMG3054
19.05Single6C1QPMX536C1Q-C5a1-PMX53-NDT9513727
19.05Single6G79Donitriptan6G79-5-HT1B-Donitriptan-Go/β1/γ2
19.05Single7AUESetmelanotide7AUE-MC4-Setmelanotide-chim(NtGi1L-Gs)/β1/γ2
19.05Single7T11Octreotide7T11-SST2-Octreotide-Gi3/β1/γ2
19.05Single7XBXCX3CL17XBX-CX3CR1-CX3CL1-Gi1/β1/γ2
19.05Single7Y1FDynorphin7Y1F-κ-Dynorphin-Gi1/β1/γ2
19.05Single7YAEOctreotide7YAE-SST2-Octreotide-Gi1/β1/γ2
19.05Single8GDAL9026888GDA-EP4-L902688-Gs/β1/γ2
19.05Single8IQ4Carboprost8IQ4-FP-alpha-Carboprost-chim(NtGi1-Gs-CtGq)/β1/γ2
19.05Single8XQLCholesterol8XQL-TAS2R14-Cholesterol-Aristolochic acid A-Gt3/β1/γ1
19.05Single9JF4PD1683689JF4-BB1-PD168368
19.05Single9UMJEP549UMJ-C3aB-EP54-Go/β1/γ2
19.05Consensuscxcr4_offOrthosteric Ligand4RWS-CXCR4-vMIP-II 3OE0-CXCR4-CVX15 3OE6-CXCR4-IT1t
19.05Consensusdop_onOrthosteric Ligand8F7S-δ-Deltorphin-Gi1/β1/γ2
19.05Consensusformylpeptide_onOrthosteric Ligandfpr2-alx_on fpr1-alx_on
18.75Single5IU7Q274563465IU7-A2A-Q27456346-Na
18.75Single5JTBZM-2413855JTB-A2A-ZM-241385
18.75Single5K2BZM-2413855K2B-A2A-ZM-241385-Na
18.75Single6AQFZM-2413856AQF-A2A-ZM-241385
18.75Single6MH8ZM-2413856MH8-A2A-ZM-241385
18.75Single6PT0WIN 55212-26PT0-CB2-WIN 55212-2-Gi1/β1/γ2
18.75Single6ZDRHMS1413f126ZDR-A2A-HMS1413f12-Na
18.75Single6ZDVPubChem 9840736ZDV-A2A-PubChem 984073-Na
18.75Single7AROLUF58337ARO-A2A-LUF5833-Na
18.75Single7BB6AVP7BB6-V2-AVP-Gs/β1/γ2
18.75Single7CKWFenoldopam7CKW-D1-Fenoldopam-Gs/β1/γ2
18.75Single7T32ZM-2413857T32-A2A-ZM-241385
18.75Single8H4LDoconexent8H4L-FFA4-Doconexent-chim(NtGi1-Gs-CtGq)/β1/γ2
18.75Single8K9LDAMGO8K9L-μ-DAMGO-BMS-986122-Gi3/β1/γ1
18.75Single8RQQZM-2413858RQQ-A2A-ZM-241385-Na
18.75Single8RWCStilSwitch28RWC-A2A-StilSwitch2-Na
18.75Single8RWDStilSwitch38RWD-A2A-StilSwitch3-Na
18.75Single8RWIStilSwitch28RWI-A2A-StilSwitch2-Na
18.75Single9ARXSerotonin9ARX-5-HT2A-Serotonin
18.75Single9BA0MRI-18919BA0-CB1-MRI-1891
18.75Single9LL8Psilocin9LL8-5-HT2A-Psilocin-Gi1/β1/γ2
18.75Single9M2FNeuropeptide-FF9M2F-NPFF1-Neuropeptide-FF-Gi1/β1/γ2
18.75Single9P1TZM-2413859P1T-A2A-ZM-241385
18.75Consensusa2_offOrthosteric Liganda2a_off
18.75Consensusa2a_offOrthosteric Ligand3RFM-A2A-Caffeine 8C9W-A2A-Etrumadenant 3UZA-A2A-GTPL9236 8GNG-A2A-Istradefylline 8CU6-A2A-LJ-4517 7PX4-A2A-PSB-2113 7PYR-A2A-PSB-2115 8DU3-A2A-PubChem 105526064 8JWY-A2A-2-118 8PWN-A2A-Theophylline 5IU4-A2A-ZM-241385-Na 5OLZ-A2A-PubChem 135566609-Na 6GT3-A2A-Imaradenant-Na 5OLV-A2A-LUAA47070-Na 5N2R-A2A-PSB36-Na 5IU7-A2A-Q27456346-Na 5OLH-A2A-Vipadenant-Na 5OLO-A2A-Tozadenant-Na 6ZDR-A2A-HMS1413f12-Na 8GNE-A2A-KW-6356-Na 8JWZ-A2A-Etrumadenant-Na 5IU8-A2A-Q27456347-Na 5IUB-A2A-Q27456344-Na 6ZDV-A2A-PubChem 984073-Na 5IUA-A2A-Q27456348-Na 8A2P-A2A-LUAA47070-Na
18.75Consensusgrh_offOrthosteric Ligandgnrh1_off
18.52Single6P9XCorticoliberin-16P9X-CRF1-Corticoliberin-1-Gs/β1/γ2
18.52Single7AD3Alpha-factor mating pheromone7AD3-STE2; STE2-α-factor mating pheromone-Gi1/STE4/γ2
18.52Single7F53Alpha-MSH7F53-MC4-α-MSH-Gs/β1/γ2
18.52Single7QBCAlpha-factor mating pheromone7QBC-STE2; STE2-α-factor mating pheromone
18.52Single8W8WAlpha-MSH8W8W-MC3-α-MSH-Ca-Gs/β1/γ2
18.52Single8XWPEndothelin-18XWP-ETB-Endothelin-1-Gi1/β1/γ2
18.52Single9K26PrRP319K26-PrRP-PrRP31-Gi1/β1/γ2
18.52Consensussecretin_on_gpOrthosteric Ligand7D3S-Secretin-Secretin-Gs/β1/γ2
18.18Single4IB4Ergotamine4IB4-5-HT2B-Ergotamine
18.18Single4XT1CX3CL14XT1-US28-CX3CL1
18.18Single5MZPCaffeine5MZP-A2A-Caffeine-Na
18.18Single7F54Afamelanotide7F54-MC4-Afamelanotide-Gs/β1/γ2
18.18Single7F8XNN90567F8X-CCKA-NN9056
18.18Single7W53Neuromedin-U-257W53-NMUR1-Neuromedin-U-25-chim(NtGi1-Gs-CtGq)/β1/γ2
18.18Single7WICSomatostatin-147WIC-SST2-Somatostatin-14-Gi1/β1/γ2
18.18Single7XMRSomatostatin-147XMR-SST2-Somatostatin-14-Gi1/β1/γ2
18.18Single8F7XNociceptin8F7X-NOP-Nociceptin-Gi1/β1/γ2
18.18Single8G59TUG-8918G59-FFA4-TUG-891-chim(Gi1-CtGq)/β1/γ2
18.18Single8IEBPubChem 1347468948IEB-GPR156; GPR156-PubChem 134746894
18.18Single8WCBCyclohexylammonium Ion8WCB-TA1-Cyclohexylammonium Ion-chim(NtGi1-Gs-CtGq)/β1/γ2
18.18Single8WCCCyclohexylammonium Ion8WCC-TA1-Cyclohexylammonium Ion
18.18Single8WZ2Orexigenic Neuropeptide QRFP8WZ2-QRFP-Orexigenic Neuropeptide QRFP-chim(NtGi1L-Gs-CtGq)/β1/γ2
18.18Single8XGMChemerin8XGM-CML2-Chemerin-Gi1/β1/γ2
18.18Single8ZCJPasireotide8ZCJ-SST5-Pasireotide-Gi1/β1/γ1
18.18Single9HB3Mambaquaretin-19HB3-V2-Mambaquaretin-1
18.18Single9L3YChemerin9L3Y-CML2-Chemerin-Gi1/β1/γ2
18.18Single9UYLChemerin-99UYL-CML2-Chemerin-9-Arrestin2
18.18Consensuschemerin_on_gpOrthosteric Ligandcml1_on_gp
18.18Consensuscml1_onOrthosteric Ligand7YKD-CML1-Chemerin-9-Gi1/β1/γ2
18.18Consensusgi_chemerinOrthosteric Ligand7YKD-CML1-Chemerin-9-Gi1/β1/γ2
18.18Consensusnmur1_on_gpOrthosteric Ligand7W53-NMUR1-Neuromedin-U-25-chim(NtGi1-Gs-CtGq)/β1/γ2
18.18Consensusnop_onOrthosteric Ligand8F7X-NOP-Nociceptin-Gi1/β1/γ2
18.18Consensusnop_on_gpOrthosteric Ligand8F7X-NOP-Nociceptin-Gi1/β1/γ2
17.86Single6NBHLA-PTH Analog6NBH-PTH1-LA-PTH Analog-Gs/β1/γ2
17.86Single6PB1Urocortin6PB1-CRF2-Urocortin-chim(NtGi1-Gs)/β1/γ2
17.86Single6UUSAdrenomedullin6UUS-CT Like (AM2)-Adrenomedullin-Gs/β1/γ2; RAMP3
17.86Single7QBCAlpha-factor mating pheromone7QBC-STE2; STE2-α-factor mating pheromone
17.86Single7TS0Urocortin7TS0-CRF2-Urocortin-chim(NtGi1L-Go)/β1/γ2
17.86Single7TYLAmylin7TYL-CT-Amylin-Gs/β1/γ2
17.86Single8F0KPramlintide Analogue San3858F0K-CT (AMY3)-Pramlintide Analogue San385-Gs/β1/γ2; RAMP3
17.86Single8FLTM-PTH(1-14)8FLT-PTH1-M-PTH(1-14)-Gs/β1/γ2
17.86Consensusendothelin_onOrthosteric Ligandetb_on eta_on
17.86Consensusgs_melanocortinOrthosteric Ligand7F4H-MC1-Afamelanotide-chim(NtGi1-Gs)/β1/γ2 7F54-MC4-Afamelanotide-Gs/β1/γ2 7F4D-MC1-α-MSH-chim(NtGi1-Gs)/β1/γ2 8INR-MC5-α-MSH-Ca-chim(NtGi1-Gs)/β1/γ2 7F53-MC4-α-MSH-Gs/β1/γ2 7F55-MC4-Bremelanotide-Gs/β1/γ2 8GY7-MC2-Corticotropin-Ca-chim(NtGi1-Gs)/β1/γ2; MRAP1 8IOC-MC3-γ-MSH-Ca-chim(NtGi1-Gs)/β1/γ2 8IOD-MC5-PG-901-Ca-chim(NtGi1-Gs)/β1/γ2 7AUE-MC4-Setmelanotide-chim(NtGi1L-Gs)/β1/γ2 7F4I-MC1-SHU9119-chim(NtGi1-Gs)/β1/γ2 7F58-MC4-THIQ-Gs/β1/γ2
17.86Consensuspth1_onOrthosteric Ligand6NBF-PTH1-LA-PTH Analog-Gs/β1/γ2 8HA0-PTH1-PTH-chim(NtGi1-Gs)/β1/γ2 8HAF-PTH1-PTHrP(1-36)-chim(NtGi1-Gs)/β1/γ2 7Y36-PTH1-PTH-Gs/β1/γ2 7Y35-PTH1-Abaloparatide-Gs/β1/γ2
17.65Single2Y02Carmoterol2Y02-β1-Carmoterol
17.65Single3EMLZM-2413853EML-A2A-ZM-241385
17.65Single4EIYZM-2413854EIY-A2A-ZM-241385-Na
17.65Single5IU8Q274563475IU8-A2A-Q27456347-Na
17.65Single5K2AZM-2413855K2A-A2A-ZM-241385-Na
17.65Single5OLGZM-2413855OLG-A2A-ZM-241385-Na
17.65Single5UENDU1725UEN-A1-DU172
17.65Single5VRAZM-2413855VRA-A2A-ZM-241385-Na
17.65Single5ZKPSR274175ZKP-PAF-SR27417
17.65Single6D27CAY104716D27-DP2-CAY10471
17.65Single6KPFAM120336KPF-CB2-AM12033-Gi1/β1/γ2
17.65Single6S0LZM-2413856S0L-A2A-ZM-241385
17.65Single7DB6Ramelteon7DB6-MT1-Ramelteon-Gi1/β1/γ2
17.65Single7NA8Ibutamoren7NA8-Ghrelin-Ibutamoren-Gi1/β1/γ2
17.65Single7PYRPSB-21157PYR-A2A-PSB-2115
17.65Single7VGZRamelteon7VGZ-MT1-Ramelteon-Gi1/β1/γ2
17.65Single8GCML-9026888GCM-EP4-L-902688-Gi1/β1/γ2
17.65Single8KEXDCA-3P8KEX-MRGPRX4-DCA-3P
17.65Single8KFYZK-7563268KFY-CCR8-ZK-756326-Gi1/β1/γ2
17.65Single8RW7StilSwitch18RW7-A2A-StilSwitch1-Na
17.65Single8RWXStilSwitch38RWX-A2A-StilSwitch3-Na
17.65Single8X9TAP5038X9T-ADGRD1-AP503-chim(NtGi1-Gs)/β1/γ2
17.65Single8XJLPGF2-alpha8XJL-FP-alpha-PGF2-α-chim(NtGi2-Gs-CtGq)/β1/γ2
17.65Single8ZBEOctreotide8ZBE-SST5-Octreotide-Gi1/β1/γ1
17.65Single9KFTfMLFC9KFT-FPR1-ALX-fMLFC-Gi1/β1/γ2
17.65Single9P1SZM-2413859P1S-A2A-ZM-241385
17.65Consensus5ht6_onOrthosteric Ligand7XTB-5-HT6-Serotonin-Gs/β1/γ2 8JLZ-5-HT6-ST1936-Gs/β1/γ2
17.65Consensus5ht6_on_gpOrthosteric Ligand7XTB-5-HT6-Serotonin-Gs/β1/γ2 8JLZ-5-HT6-ST1936-Gs/β1/γ2
17.39Single7C6A(Sar1,Ile8)-Angiotensin II7C6A-AT2-(Sar1,Ile8)-Angiotensin II
17.39Single7DDZJNJ-310200287DDZ-Y2-JNJ-31020028
17.39Single7EZKCholecystokinin-87EZK-CCKA-Cholecystokinin-8-chim(NtGi1-Gs)/β1/γ2
17.39Single7PIVAfamelanotide7PIV-MC4-Afamelanotide-Gs/β1/γ2
17.39Single7W0NElabela7W0N-Apelin; Apelin-Elabela-Gi1/β1/γ2
17.39Single8F7QBeta-Endorphin8F7Q-μ-β-Endorphin-Gi1/β1/γ2
17.39Single8F7SDeltorphin8F7S-δ-Deltorphin-Gi1/β1/γ2
17.39Single8Z7JJN241-98Z7J-Apelin-JN241-9-Gi1/β1/γ2
17.39Single9L60Dynorphin9L60-κ-Dynorphin-MPAM-15-Gi1/β1/γ2
17.39Consensusccr8_on_gpOrthosteric Ligand8KFX-CCR8-LMD-009-Gi1/β1/γ2 8KFY-CCR8-ZK-756326-Gi1/β1/γ2 8U1U-CCR8-CCL1-Gi1/β1/γ2
17.39Consensusdop_on_gpOrthosteric Ligand8F7S-δ-Deltorphin-Gi1/β1/γ2
17.39Consensusgi_cckOrthosteric Ligand7EZH-CCKA-Cholecystokinin-8-Gi1/β1/γ2 7F8V-CCKB-Gastrin-17-Gi2/β1/γ2
17.39Consensusgi_ghrelinOrthosteric Ligand7NA7-Ghrelin-Ghrelin-Gi1/β1/γ2 7NA8-Ghrelin-Ibutamoren-Gi1/β1/γ2
17.39Consensusnpy2_offOrthosteric Ligand7DDZ-Y2-JNJ-31020028
17.24Single6PB0Urocortin6PB0-CRF1-Urocortin-chim(NtGi1-Gs)/β1/γ2
17.24Single8ZJETAK4488ZJE-Kiss1-TAK448-chim(NtGi1-Gq)/β1/γ1
17.24Consensusccr5_on_gpOrthosteric Ligand7O7F-CCR5-6P4-CCL5-Gi1/β1/γ1 7F1Q-CCR5-CCL3-Gi1/β1/γ2
17.24Consensusclass-a_class-b1_cons_onOrthosteric Ligandclass-a_on class-b1_on
17.24Consensusgi_endothelinOrthosteric Ligand8IY5-ETB-Endothelin-1-Gi1/β1/γ2 8HBD-ETB-IRL1620-Gi1/β1/γ2
17.14Single8F0JPramlintide Analogue San458F0J-CT-Pramlintide Analogue San45-Gs/β1/γ2
16.67Single4WW3All-trans-Retinal4WW3-Rhodopsin-All-trans-Retinal
16.67Single5IUAQ274563485IUA-A2A-Q27456348-Na
16.67Single5MZJTheophylline5MZJ-A2A-Theophylline-Na
16.67Single5NM2ZM-2413855NM2-A2A-ZM-241385-Na
16.67Single6KPCAM120336KPC-CB2-AM12033
16.67Single6LPLZM-2413856LPL-A2A-ZM-241385-Na
16.67Single6LW5WKYMVm6LW5-FPR2-ALX-WKYMVm
16.67Single6M9TMisoprostol-FA6M9T-EP3-Misoprostol-FA
16.67Single6MEOGp160; CD46MEO-CCR5-Gp160; CD4
16.67Single6S0QZM-2413856S0Q-A2A-ZM-241385
16.67Single6WQAZM-2413856WQA-A2A-ZM-241385-Na
16.67Single6XBKCholesterol6XBK-SMO-Cholesterol-Gi1/β1/γ2
16.67Single7BB7AVP7BB7-V2-AVP-Gs/β1/γ2
16.67Single7E9GJNJ-404118137E9G-mGlu2; mGlu2-Eglumetad-JNJ-40411813-Gi1/β1/γ2
16.67Single7O7F6P4-CCL57O7F-CCR5-6P4-CCL5-Gi1/β1/γ1
16.67Single7RM5ZM-2413857RM5-A2A-ZM-241385-Na
16.67Single7VFXfMIFL7VFX-FPR1-ALX-fMIFL-Gi1/β1/γ2
16.67Single7VV4Cortistatin-147VV4-MRGPRX2-Cortistatin-14
16.67Single7WC4Serotonin7WC4-5-HT2A-Serotonin
16.67Single7XA3CCL27XA3-CCR2-CCL2-Gi1/β1/γ2
16.67Single7YU6ONO-07405567YU6-LPA1-ONO-0740556-Gi1/β1/γ2
16.67Single8F2BPramlintide Analogue San458F2B-CT (AMY3)-Pramlintide Analogue San45-Gs/β1/γ2; RAMP3
16.67Single8FLSAbaloparatide8FLS-PTH1-Abaloparatide-Gs/β1/γ2
16.67Single8FLULA-PTH Analog8FLU-PTH1-LA-PTH Analog-Gs/β1/γ2
16.67Single8FYNZM-2413858FYN-A2A-ZM-241385-Na
16.67Single8GNEKW-63568GNE-A2A-KW-6356-Na
16.67Single8HBDIRL16208HBD-ETB-IRL1620-Gi1/β1/γ2
16.67Single8ID4Linoleic acid8ID4-FFA4-Linoleic acid-Gi1/β1/γ2
16.67Single8PWNTheophylline8PWN-A2A-Theophylline
16.67Single8T6JCDPPB8T6J-mGlu5; mGlu5-CDPPB
16.67Single8T6JCDPPB8T6J-mGlu5; mGlu5-CDPPB
16.67Single8W8YGamma-MSH8W8Y-MC3-γ-MSH-Ca-Gs/β1/γ2
16.67Single8XZGApelin-138XZG-Apelin; Apelin-Apelin-13-Gi1/β1/γ2
16.67Single9ARYSerotonin9ARY-5-HT2A-Serotonin-chim(NtGi1-Gs-CtGq)/β1/γ2
16.67Single9B5YLA-PTH Analog9B5Y-PTH1-LA-PTH Analog-chim(NtGi1-Gq)/β1/γ2
16.67Single9EE5ONO-25502899EE5-DP1-ONO-2550289
16.67Single9EHSLUF76029EHS-A3A-LUF7602
16.67Single9EKHONO-30302979EKH-DP1-ONO-3030297
16.67Single9ERXD9-THC analog9ERX-CB1-D9-THC analog-Gi1/β1/γ2
16.67Single9IYBPGD29IYB-DP2-PGD2-A1D5Q-Gi1/β1/γ2
16.67Single9K27PrRP319K27-PrRP-PrRP31-chim(NtGi1-Gq)/β1/γ2
16.67Single9KO4CCL219KO4-CCR7-CCL21-Gi1/β1/γ2
16.67Consensusc5a1_onOrthosteric Ligand8HK5-C5a1-C5a-Gi1/β1/γ2 7Y66-C5a1-BM213-Gi1/β1/γ2 7Y67-C5a1-C089 peptide-Gi1/β1/γ2 7Y64-C5a1-C5a-Gi1/β1/γ2
16.67Consensusccr2_onOrthosteric Ligand7XA3-CCR2-CCL2-Gi1/β1/γ2
16.67Consensusccr2_on_gpOrthosteric Ligand7XA3-CCR2-CCL2-Gi1/β1/γ2
16.67Consensusccr_onOrthosteric Ligandccr6_on ccr8_on ccr2_on ccr1_on ccr5_on
16.67Consensusendothelin_on_gpOrthosteric Ligandetb_on_gp eta_on_gp
16.67Consensusetb_on_gpOrthosteric Ligand8IY5-ETB-Endothelin-1-Gi1/β1/γ2 8HBD-ETB-IRL1620-Gi1/β1/γ2
16.67Consensusfpr1-alx_onOrthosteric Ligand7VFX-FPR1-ALX-fMIFL-Gi1/β1/γ2
16.67Consensusfpr1-alx_on_gpOrthosteric Ligand7VFX-FPR1-ALX-fMIFL-Gi1/β1/γ2
16.67Consensusgs_cckOrthosteric Ligand7MBX-CCKA-Cholecystokinin-8-Gs/β1/γ1
16.67Consensusmelanocortin_onOrthosteric Ligandmc1_on mc4_on mc2_on mc3_on mc5_on
16.67Consensusmelanocortin_on_gpOrthosteric Ligandmc1_on_gp mc4_on_gp mc2_on_gp mc3_on_gp mc5_on_gp
16.67Consensusnucleotide_onOrthosteric Ligandadenosine_on p2y_on
16.67Consensuspth_on_gpOrthosteric Ligandpth1_on_gp pth2_on_gp
16.13Single7VVMPTH7VVM-PTH1-PTH-Gs/β1/γ2
16.13Consensusglp1_on_gpOrthosteric Ligand7S1M-GLP-1-Exendin-4-D-Ala-Gs/β1/γ2 7X8R-GLP-1-BOC5-Gs/β1/γ2 6X19-GLP-1-CHU-128-Gs/β1/γ2 6X1A-GLP-1-Danuglipron-Gs/β1/γ2 6X18-GLP-1-GLP-1-Gs/β1/γ2 8JIP-GLP-1-MEDI0382-chim(NtGi1-Gs)/β1/γ2 7C2E-GLP-1-PubChem 149050799-Gs/β1/γ2 7KI0-GLP-1-Semaglutide-Gs/β1/γ2 7KI1-GLP-1-Taspoglutide-Gs/β1/γ2 7X8S-GLP-1-WB4-24-Gs/β1/γ2 8JIS-GLP-1-Peptide-15-chim(NtGi1-Gs)/β1/γ2 7VBI-GLP-1-Tirzepatide (non-acylated)-Gs/β1/γ2
16.13Consensuspth1_on_gpOrthosteric Ligand6NBF-PTH1-LA-PTH Analog-Gs/β1/γ2 8HA0-PTH1-PTH-chim(NtGi1-Gs)/β1/γ2 8HAF-PTH1-PTHrP(1-36)-chim(NtGi1-Gs)/β1/γ2 7Y36-PTH1-PTH-Gs/β1/γ2 7Y35-PTH1-Abaloparatide-Gs/β1/γ2
16.00Single5WB2CX3CL1.355WB2-US28-CX3CL1.35
16.00Single6M1IPACAP276M1I-PAC1-PACAP27-Gs/β1/γ2
16.00Single6METGp160; CD46MET-CCR5-Gp160; CD4
16.00Single7FIMTirzepatide7FIM-GLP-1-Tirzepatide-Gs/β1/γ2
16.00Single7V9MSomatoliberin7V9M-GHRH (SV1)-Somatoliberin-Gs/β1/γ2
16.00Single8IEDPubChem 1347468948IED-GPR156; GPR156-PubChem 134746894-Go/β1/γ2
16.00Single8XZJWN3538XZJ-Apelin; Apelin-WN353-Gi1/β1/γ2
16.00Single8YW5Retatrutide8YW5-Glucagon-Retatrutide-Gs/β1/γ2
16.00Single9BLCCagrilintide (non-acylated)9BLC-CT-Cagrilintide (non-acylated)-Gs/β1/γ2
16.00Single9BUDCagrilintide9BUD-CT-Cagrilintide-Gs/β1/γ2
16.00Single9EBOGLP-1 (ACPC18)9EBO-GLP-1-GLP-1 (ACPC18)-Gs/β1/γ2
16.00Consensuscrf2_onOrthosteric Ligand7TS0-CRF2-Urocortin-chim(NtGi1L-Go)/β1/γ2
16.00Consensusprotein_offonOrthosteric Ligandprotein_off protein_on
16.00Consensusprotein_offon_gpOrthosteric Ligandprotein_on_gp protein_off
15.79Single3PDSFAUC503PDS-β2-FAUC50
15.79Single4IAQDihydroergotamine4IAQ-5-HT1B-Dihydroergotamine
15.79Single7PX4PSB-21137PX4-A2A-PSB-2113
15.79Single7R0CAVP7R0C-V2-AVP-Arrestin2
15.79Single7S8MCortistatin-147S8M-MRGPRX2-Cortistatin-14-Gi1/β1/γ2
15.79Single7T9NDPPC7T9N-TSH-M22 Fab-DPPC-Gs/β1/γ2
15.79Single7TD1LPA7TD1-LPA1-LPA-Gi1/β1/γ2
15.79Single7WVXHumanin7WVX-FPR2-ALX-Humanin-Gi2/β1/γ2
15.79Single7Y24Octreotide7Y24-SST2-Octreotide-Go/β1/γ2
15.79Single7Y67C089 peptide7Y67-C5a1-C089 peptide-Gi1/β1/γ2
15.79Single7YU7ONO-07405567YU7-LPA1-ONO-0740556-Gi1/β1/γ2
15.79Single8GDBPGE28GDB-EP4-PGE2-Gs/β1/γ2
15.79Single8GUSHU-3088GUS-CB2-HU-308-Gi1/β1/γ2
15.79Single8HDOBAY 60-65838HDO-A2B-BAY 60-6583-Gs/β1/γ2
15.79Single8I2GPubChem 675302408I2G-FSH-FSH-PubChem 67530240-Gs/β1/γ2
15.79Single8ID39-Hydroxystearic acid8ID3-FFA4-9-Hydroxystearic acid-Gi1/β1/γ2
15.79Single8ID6Oleic acid8ID6-FFA4-Oleic acid-Gi1/β1/γ2
15.79Single8JD5JNJ-40411813; ADX881788JD5-mGlu2; mGlu4-Glutamate-JNJ-40411813; ADX88178-Gi1/β1/γ2
15.79Single8XQTCholesterol8XQT-TAS2R14-Cholesterol-Gi1/β1/γ1
15.79Single9IZGLPA9IZG-LPA1-LPA-chim(NtGi1-Gs-CtGq)/β1/γ2
15.79Single9L16CCL219L16-CCR7-CCL21
15.79Single9UY3Anamorelin9UY3-Ghrelin-Anamorelin-chim(NtGi1-Gs-CtGq)/β1/γ2
15.62Single7TYYCalcitonin-17TYY-CT (AMY2)-Calcitonin-1-Gs/β1/γ2; RAMP2
15.38Single3RFMCaffeine3RFM-A2A-Caffeine
15.38Single6OT025(S)-Epoxycholesterol6OT0-SMO-25(S)-Epoxycholesterol-Gi1/β1/γ2
15.38Single6TQ9SB-4081246TQ9-OX1-SB-408124
15.38Single7VL9CCL15(26-92)7VL9-CCR1-CCL15(26-92)-Gi1/β1/γ2
15.38Single7WBJPACAP277WBJ-VPAC1-PACAP27-Gs/β1/γ2
15.38Single7X9CPancreatic Hormone7X9C-Y4-Pancreatic Hormone-Gi1/β1/γ2
15.38Single8A2OTheophylline8A2O-A2A-Theophylline-Na
15.38Single8E3YPACAP278E3Y-VPAC1-PACAP27-Gs/β1/γ2
15.38Single8HCQEndothelin-18HCQ-ETA-Endothelin-1-chim(NtGi1-Gs-CtGq)/β1/γ2
15.38Single8HCXEndothelin-18HCX-ETB-Endothelin-1-chim(NtGi2L-Gs-CtGq)/β1/γ2
15.38Single8HK5C5a8HK5-C5a1-C5a-Gi1/β1/γ2
15.38Single8XVHEndothelin-18XVH-ETB-Endothelin-1-chim(Gs-CtGq)/β1/γ2
15.38Single8YG4LA-PTH Analog8YG4-PTH1-LA-PTH Analog-chim(NtGi1-Gs)/β1/γ2
15.38Single9E2AGLP-19E2A-GLP-1-GLP-1-Gs/β1/γ2
15.38Single9JFYNeuropeptide-SF9JFY-NPFF2-Neuropeptide-SF-Gi1/β1/γ2
15.38Single9M42A1L8O9M42-GPR139-A1L8O-chim(Gs-CtGq)/β1/γ2
15.38Consensuscalcitonin_onOrthosteric Ligandctlike_on
15.38Consensusccr_on_gpOrthosteric Ligandccr6_on_gp ccr8_on_gp ccr2_on_gp ccr1_on_gp ccr5_on_gp
15.38Consensuseta_onOrthosteric Ligand8HCQ-ETA-Endothelin-1-chim(NtGi1-Gs-CtGq)/β1/γ2
15.38Consensuseta_on_gpOrthosteric Ligand8HCQ-ETA-Endothelin-1-chim(NtGi1-Gs-CtGq)/β1/γ2
15.38Consensuspac_onOrthosteric Ligandpac1_on
15.15Consensuspth_onOrthosteric Ligandpth1_on pth2_on
15.00Single4PXFOctyl-Beta-D-Glucopyranoside4PXF-Rhodopsin-Octyl-β-D-Glucopyranoside-Arrestin1 Finger Loop
15.00Single6OS0Angiotensin II6OS0-AT1-Angiotensin II
15.00Single7L1UOrexin7L1U-OX2-Orexin-chim(NtGi1-Gs-CtGq)/β1/γ2
15.00Single7W0NElabela7W0N-Apelin; Apelin-Elabela-Gi1/β1/γ2
15.00Single7Y66BM2137Y66-C5a1-BM213-Gi1/β1/γ2
15.00Single8H0QGastrin Releasing Peptide8H0Q-BB2-Gastrin Releasing Peptide-chim(NtGi1-Gs-CtGq)/β1/γ2
15.00Single8HK2C3a8HK2-C3aB-C3a-Gi1/β1/γ2
15.00Single8XQNCholesterol8XQN-TAS2R14-Cholesterol-Aristolochic acid A-Gi1/β1/γ1
15.00Single9L3WChemerin9L3W-CML1-Chemerin-Gi1/β1/γ2
15.00Single9WXMGPR15L(CT)9WXM-GPR15-GPR15L(CT)-Gi3/β1/γ2
14.81Single4XT3CX3CL14XT3-US28-CX3CL1
14.81Single5UIW5P7-CCL55UIW-CCR5-5P7-CCL5
14.81Single6NBFLA-PTH Analog6NBF-PTH1-LA-PTH Analog-Gs/β1/γ2
14.81Single6P9YPACAP276P9Y-PAC1-PACAP27-Gs/β1/γ2
14.81Single7KI0Semaglutide7KI0-GLP-1-Semaglutide-Gs/β1/γ2
14.81Single7RA3GIP7RA3-GIP-GIP-chim(NtGi1-Gs)/β1/γ2
14.81Single7RGPTirzepatide7RGP-GLP-1-Tirzepatide-chim(NtGi1-Gs)/β1/γ2
14.81Single7SK3CXCL127SK3-ACKR3-CXCL12
14.81Single7SK4CXCL12_LRHQ7SK4-ACKR3-CXCL12_LRHQ
14.81Single8E3XPACAP278E3X-PAC1-PACAP27-Gs/β1/γ2
14.81Single8XQFApelin-138XQF-Apelin-Apelin-13-Gi1/β1/γ2
14.81Single9BLBCagrilintide (non-acylated)9BLB-CT-Cagrilintide (non-acylated)-Gs/β1/γ2
14.81Single9P92VIP9P92-PAC1-VIP-Gs/β1/γ2
14.81Consensuscalcitonin_on_gpOrthosteric Ligandctlike_on_gp
14.81Consensusccr5_offOrthosteric Ligand5UIW-CCR5-5P7-CCL5
14.81Consensuscrf2_on_gpOrthosteric Ligand7TS0-CRF2-Urocortin-chim(NtGi1L-Go)/β1/γ2
14.81Consensusnpy4_onOrthosteric Ligand7X9C-Y4-Pancreatic Hormone-Gi1/β1/γ2
14.81Consensusnpy4_on_gpOrthosteric Ligand7X9C-Y4-Pancreatic Hormone-Gi1/β1/γ2
14.81Consensuspac_on_gpOrthosteric Ligandpac1_on_gp
14.71Consensusmc2_onOrthosteric Ligand8GY7-MC2-Corticotropin-Ca-chim(NtGi1-Gs)/β1/γ2; MRAP1
14.71Consensusmc2_on_gpOrthosteric Ligand8GY7-MC2-Corticotropin-Ca-chim(NtGi1-Gs)/β1/γ2; MRAP1
14.29Single2ZIY11-cis-Retinal2ZIY-Rhodopsin-11-cis-Retinal
14.29Single4RWSvMIP-II4RWS-CXCR4-vMIP-II
14.29Single5WKTOctyl-Beta-D-Glucopyranoside5WKT-Rhodopsin-Octyl-β-D-Glucopyranoside-Gt(CT)
14.29Single6UVAAdrenomedullin-26UVA-CT Like (AM2)-Adrenomedullin-2-Gs/β1/γ2; RAMP3
14.29Single6VCBGLP-16VCB-GLP-1-GLP-1-LSN3160440-Gs/β1/γ2
14.29Single7DTYGIP7DTY-GIP-GIP-Gs/β1/γ2
14.29Single7F16TIP397F16-PTH2-TIP39-Gs/β1/γ2
14.29Single7FIYTirzepatide7FIY-GIP-Tirzepatide-Gs/β1/γ2
14.29Single7QVMOxytocin7QVM-OT-Oxytocin-chim(NtGi1-Go-CtGq)/β1/γ2
14.29Single7VVKPTH7VVK-PTH1-PTH-Gs/β1/γ2
14.29Single7WC5Psilocin7WC5-5-HT2A-Psilocin
14.29Single7YOONeuropeptide-Y7YOO-Y2-Neuropeptide-Y-Gi1/β1/γ2
14.29Single8HAOPTH8HAO-PTH1-PTH-chim(NtGi1-Gs)/β1/γ2
14.29Single8RQLFlufenamic acid8RQL-TAS2R14-Flufenamic acid-Flufenamic acid-chim(NtGi1-Gt3)/β1/γ2
14.29Single8ZJGChemerin8ZJG-CML1-Chemerin-Gi1/β1/γ2
14.29Single8ZPLHF511168ZPL-CXCR4-HF51116
14.29Single9C0KExendin-49C0K-GLP-1-Exendin-4-Gs/β1/γ2
14.29Single9KWXC5a-des-Arg9KWX-C5a1-C5a-des-Arg-Go/β1/γ2
14.29Single9P94PACAP279P94-PAC1-PACAP27-Gs/β1/γ2
14.29Single9UYHChemerin-99UYH-CML2-Chemerin-9-Arrestin2
14.29Consensuscck_onOrthosteric Ligandccka_on cckb_on
14.29Consensuscck_on_gpOrthosteric Ligandccka_on_gp cckb_on_gp
14.29Consensuschemerin_onOrthosteric Ligandcml1_on
14.29Consensuscrf_onOrthosteric Ligandcrf2_on crf1_on
14.29Consensusglp_onOrthosteric Ligandglp1_on glp2_on
14.29Consensusglp_on_gpOrthosteric Ligandglp1_on_gp glp2_on_gp
14.29Consensusnpy2_onOrthosteric Ligand7YOO-Y2-Neuropeptide-Y-Gi1/β1/γ2
14.29Consensusnpy2_on_gpOrthosteric Ligand7YOO-Y2-Neuropeptide-Y-Gi1/β1/γ2
14.29Consensusp2y10_on_gpOrthosteric Ligand8KGG-P2Y10-Lysophosphatidylserine (WJS)-chim(NtGi2-G13)/β1/γ2
14.29Consensuspth2_on_gpOrthosteric Ligand7F16-PTH2-TIP39-Gs/β1/γ2
13.79Single6WZGSecretin6WZG-Secretin-Secretin-Gs/β1/γ2
13.79Single7D68GLP-27D68-GLP-2-GLP-2-Gs/β1/γ2
13.79Single7KI1Taspoglutide7KI1-GLP-1-Taspoglutide-Gs/β1/γ2
13.79Single7VGXNeuropeptide-Y7VGX-Y1-Neuropeptide-Y-Gi1/β1/γ2
13.79Single7VVJPTHrP(1-36)7VVJ-PTH1-PTHrP(1-36)-Gs/β1/γ2
13.79Single7VVLPTH7VVL-PTH1-PTH-Gs/β1/γ2
13.79Single8HAFPTHrP(1-36)8HAF-PTH1-PTHrP(1-36)-chim(NtGi1-Gs)/β1/γ2
13.79Single8IY6Endothelin-18IY6-ETB-Endothelin-1
13.79Single8KGGLysophosphatidylserine (WJS)8KGG-P2Y10-Lysophosphatidylserine (WJS)-chim(NtGi2-G13)/β1/γ2
13.79Single9BQ3Cagrilintide9BQ3-CT (AMY2)-Cagrilintide-Gs/β1/γ2; RAMP2
13.79Single9BTWCagrilintide9BTW-CT (AMY3)-Cagrilintide-Gs/β1/γ2; RAMP3
13.79Single9BYOExendin-39BYO-GLP-1-Exendin-3-Gs/β1/γ2
13.79Single9P93VIP9P93-PAC1-VIP-Gs/β1/γ2
13.79Consensusetb_onOrthosteric Ligand8IY5-ETB-Endothelin-1-Gi1/β1/γ2 8HBD-ETB-IRL1620-Gi1/β1/γ2
13.79Consensusvip-pacap_onOrthosteric Ligandvpac_on pac_on
13.79Consensusvip-pacap_on_gpOrthosteric Ligandvpac_on_gp pac_on_gp
13.79Consensusvpac2_onOrthosteric Ligand7VQX-VPAC1-PACAP27-Gs/β1/γ2
13.79Consensusvpac2_on_gpOrthosteric Ligand7VQX-VPAC1-PACAP27-Gs/β1/γ2
13.64Single6OMMWKYMVX6OMM-FPR2-ALX-WKYMVX-Gi1/β1/γ2
13.64Single7F9ZGHRP-67F9Z-Ghrelin-GHRP-6-chim(NtGi1-Gs-CtGq)/β1/γ2
13.64Single7RKNCX3CL17RKN-US28-CX3CL1-Gi1/β1/γ2
13.64Single7S8LCortistatin-147S8L-MRGPRX2-Cortistatin-14-chim(NtGi2L-Gs-CtGq)/β1/γ2
13.64Single8H4IDoconexent8H4I-FFA4-Doconexent-chim(NtGi1-Gs)/β1/γ2
13.64Single8XQOCholesterol8XQO-TAS2R14-Cholesterol-Aristolochic acid A-Gi1/β1/γ1
13.64Consensusgq_cckOrthosteric Ligand8IA7-CCKB-Cholecystokinin-8-chim(NtGi1L-Gq)/β1/γ2 7XOW-CCKB-Sulfated Gastrin-(10-17)-chim(NtGi1-Gq)/β1/γ2 7EZM-CCKA-Cholecystokinin-8-chim(NtGsL-Gq)/β1/γ2 7F8W-CCKB-Gastrin-17-chim(NtGsL-Gq)/β1/γ2
13.64Consensuskiss1_onOrthosteric Ligand8ZJD-Kiss1-Kisspeptin-1-chim(NtGi1-Gq)/β1/γ1
13.64Consensuskisspeptin_onOrthosteric Ligandkiss1_on
13.64Consensusnmur1_onOrthosteric Ligand7W53-NMUR1-Neuromedin-U-25-chim(NtGi1-Gs-CtGq)/β1/γ2
13.33Single3AYMAll-trans-Retinal3AYM-Rhodopsin-All-trans-Retinal
13.33Single5L7IVismodegib5L7I-SMO-Vismodegib
13.33Single6HLLCP999946HLL-NK1-CP99994
13.33Single6PH7Nerol6PH7-Rhodopsin-Nerol-Gt(CT)
13.33Single6QNOAll-trans-Retinal6QNO-Rhodopsin-All-trans-Retinal-Gi1/β1/γ1
13.33Single7DUQGLP-17DUQ-GLP-1-GLP-1-PubChem 156022738-Gs/β1/γ2
13.33Single7RBTTirzepatide7RBT-GIP-Tirzepatide-LSN3556672-chim(NtGi1-Gs)/β1/γ2
13.33Single7T96LY21196207T96-M2-Acetylcholine-LY2119620-Go/β1/γ2
13.33Single7TRPLY20332987TRP-M4-Iperoxo-LY2033298-Gi1/β1/γ2
13.33Single7TYXAmylin7TYX-CT (AMY2)-Amylin-Gs/β1/γ2; RAMP2
13.33Single7VUIJNJ-635330547VUI-GPR139-JNJ-63533054-GTP-chim(Gs-CtGq)/β1/γ2
13.33Single7XKFDehydroepiandrosterone7XKF-ADGRG2-Dehydroepiandrosterone-Gs/β1/γ2
13.33Single8A2PLUAA470708A2P-A2A-LUAA47070-Na
13.33Single8RWHStilSwitch28RWH-A2A-StilSwitch2-Na
13.33Single8U4RREGN7663-Fab8U4R-CXCR4-REGN7663-Fab
13.33Single8YKDDehydroepiandrosterone8YKD-ADGRG2-Dehydroepiandrosterone-chim(NtGi1-Gs)/β1/γ2
13.33Single9L3ZLRH7-C29L3Z-CML1-LRH7-C2
13.33Single9LMPNE52-QQ579LMP-GPR4-NE52-QQ57
13.33Consensuscrf1_onOrthosteric Ligand6PB0-CRF1-Urocortin-chim(NtGi1-Gs)/β1/γ2 6P9X-CRF1-Corticoliberin-1-Gs/β1/γ2
13.33Consensusgi_npyOrthosteric Ligand8K6M-Y1-Neuropeptide-Y-Gi2/β1/γ1 7X9C-Y4-Pancreatic Hormone-Gi1/β1/γ2 7YOO-Y2-Neuropeptide-Y-Gi1/β1/γ2
13.33Consensusgip_onOrthosteric Ligand7FIN-GIP-Peptide-20; GGL-Gs/β1/γ2 7FIY-GIP-Tirzepatide-Gs/β1/γ2 7DTY-GIP-GIP-Gs/β1/γ2
13.33Consensusgip_on_gpOrthosteric Ligand7FIN-GIP-Peptide-20; GGL-Gs/β1/γ2 7FIY-GIP-Tirzepatide-Gs/β1/γ2 7DTY-GIP-GIP-Gs/β1/γ2
13.33Consensusnpy_onOrthosteric Ligandnpy1_on npy2_on npy4_on
13.33Consensusnpy_on_gpOrthosteric Ligandnpy1_on_gp npy2_on_gp npy4_on_gp
13.04Single6X19CHU-1286X19-GLP-1-CHU-128-Gs/β1/γ2
13.04Single7RTBPeptide-197RTB-GLP-1-Peptide-19-Gs/β1/γ2
13.04Single8IEIPubChem 1347468948IEI-GPR156; GPR156-PubChem 134746894
13.04Single8IEIPubChem 1347468948IEI-GPR156; GPR156-PubChem 134746894
13.04Single8IEPPubChem 1347468948IEP-GPR156; GPR156-PubChem 134746894
13.04Single8IEPPubChem 1347468948IEP-GPR156; GPR156-PubChem 134746894
13.04Single8INRAlpha-MSH8INR-MC5-α-MSH-Ca-chim(NtGi1-Gs)/β1/γ2
13.04Single8IZBLysophosphatidylserine (UBL)8IZB-GPR174-Lysophosphatidylserine (UBL)-Gs/β1/γ2
13.04Single8ZJDKisspeptin-18ZJD-Kiss1-Kisspeptin-1-chim(NtGi1-Gq)/β1/γ1
13.04Single9BKJCholecystokinin-89BKJ-CCKA-Cholecystokinin-8-chim(NtGi1-Gs-CtGq)/β1/γ2
13.04Single9MEJGp1209MEJ-CXCR4-Gp120
13.04Single9UMRC5a-pep9UMR-C5a1-C5a-pep-Go/β1/γ2
13.04Consensuschemokine_onOrthosteric Ligandccr_on cxcr_on
13.04Consensusgq_kisspeptinOrthosteric Ligand8ZJD-Kiss1-Kisspeptin-1-chim(NtGi1-Gq)/β1/γ1
13.04Consensuskiss1_on_gpOrthosteric Ligand8ZJD-Kiss1-Kisspeptin-1-chim(NtGi1-Gq)/β1/γ1
13.04Consensuskisspeptin_on_gpOrthosteric Ligandkiss1_on_gp
13.04Consensusp2y_onOrthosteric Ligandp2y1_on p2y10_on p2y12_on
13.04Consensussomatostatin_offOrthosteric Ligandsst2_off
12.90Single6LPBPACAP276LPB-PAC1-PACAP27-Gs/β1/γ1
12.90Single7SK6CXCL12_LRHQ7SK6-ACKR3-CXCL12_LRHQ
12.90Single8F2APramlintide Analogue San3858F2A-CT (AMY3)-Pramlintide Analogue San385-Gs/β1/γ2; RAMP3
12.90Consensusglp1_onOrthosteric Ligand7S1M-GLP-1-Exendin-4-D-Ala-Gs/β1/γ2 7X8R-GLP-1-BOC5-Gs/β1/γ2 6X19-GLP-1-CHU-128-Gs/β1/γ2 6X1A-GLP-1-Danuglipron-Gs/β1/γ2 6X18-GLP-1-GLP-1-Gs/β1/γ2 8JIP-GLP-1-MEDI0382-chim(NtGi1-Gs)/β1/γ2 7C2E-GLP-1-PubChem 149050799-Gs/β1/γ2 7KI0-GLP-1-Semaglutide-Gs/β1/γ2 7KI1-GLP-1-Taspoglutide-Gs/β1/γ2 7X8S-GLP-1-WB4-24-Gs/β1/γ2 8JIS-GLP-1-Peptide-15-chim(NtGi1-Gs)/β1/γ2 7VBI-GLP-1-Tirzepatide (non-acylated)-Gs/β1/γ2
12.82Consensusclass-b1_on_gpOrthosteric Ligandglucagon_on_gp vip-pacap_on_gp pth_on_gp crf_on_gp calcitonin_on_gp
12.50Single2X72All-trans-Retinal2X72-Rhodopsin-All-trans-Retinal-Gt(CT)
12.50Single2Z7311-cis-Retinal2Z73-Rhodopsin-11-cis-Retinal
12.50Single3AYN9-cis-Retinal3AYN-Rhodopsin-9-cis-Retinal
12.50Single3PWHZM-2413853PWH-A2A-ZM-241385
12.50Single3VG9ZM-2413853VG9-A2A-ZM-241385-Antibody
12.50Single3VGAZM-2413853VGA-A2A-ZM-241385-Antibody
12.50Single4MQTLY21196204MQT-M2-Iperoxo-LY2119620
12.50Single5K2DZM-2413855K2D-A2A-ZM-241385-Na
12.50Single5OLHVipadenant5OLH-A2A-Vipadenant-Na
12.50Single5OLOTozadenant5OLO-A2A-Tozadenant-Na
12.50Single6JZHZM-2413856JZH-A2A-ZM-241385-Na
12.50Single6ME2Ramelteon6ME2-MT1-Ramelteon
12.50Single6NWEOctyl-Beta-D-Glucopyranoside6NWE-Rhodopsin-Octyl-β-D-Glucopyranoside-Gt(CT)
12.50Single6PS7ZM-2413856PS7-A2A-ZM-241385-Na
12.50Single7E14Orforglipron7E14-GLP-1-Orforglipron-PubChem 156022738-Gs/β1/γ2
12.50Single7F1QCCL37F1Q-CCR5-CCL3-Gi1/β1/γ2
12.50Single7LCJDanuglipron7LCJ-GLP-1-Danuglipron
12.50Single7SK5CXCL127SK5-ACKR3-CXCL12
12.50Single7TRYUrocortin7TRY-CRF2-Urocortin-chim(NtGi1-G11)/β1/γ2
12.50Single7TUZ7-alpha,25-dihydroxycholesterol7TUZ-GPR183-7-α,25-dihydroxycholesterol-Gi1/β1/γ2
12.50Single7VBITirzepatide (non-acylated)7VBI-GLP-1-Tirzepatide (non-acylated)-Gs/β1/γ2
12.50Single7VDLCortistatin-147VDL-MRGPRX2-Cortistatin-14-Gi1/β1/γ2
12.50Single7VVOPTH7VVO-PTH1-PTH-Gs/β1/γ2
12.50Single7W0OElabela7W0O-Apelin-Elabela-Gi1/β1/γ2
12.50Single7X2CFenoldopam7X2C-D1-Fenoldopam-Fenoldopam-Gs/β1/γ2
12.50Single7XJJGalanin7XJJ-GAL1-Galanin-Go/β1/γ2
12.50Single7XNACYN1548067XNA-SST2-CYN154806
12.50Single8DWHPubChem 1390305318DWH-MRGPRX1-PubChem 139030531-chim(NtGi2L-Gs-CtGq)/β1/γ2
12.50Single8GY7Corticotropin8GY7-MC2-Corticotropin-Ca-chim(NtGi1-Gs)/β1/γ2; MRAP1
12.50Single8HMPC178HMP-GPR52-C17-Gs/β1/γ2
12.50Single8IBVMotilin8IBV-Motilin-Motilin-chim(NtGi1-Gs-CtGq)/β1/γ2
12.50Single8IEBPubChem 1347468948IEB-GPR156; GPR156-PubChem 134746894
12.50Single8IOCGamma-MSH8IOC-MC3-γ-MSH-Ca-chim(NtGi1-Gs)/β1/γ2
12.50Single8KH5Lysophosphatidylserine8KH5-GPR174-Lysophosphatidylserine-Gs/β1/γ2
12.50Single8RVWStilSwitch38RVW-A2A-StilSwitch3-Na
12.50Single8RW4AzoSwitch28RW4-A2A-AzoSwitch2-Na
12.50Single8RWEStilSwitch48RWE-A2A-StilSwitch4-Na
12.50Single8WSSMCH8WSS-MCH1-MCH-Gi1/β1/γ1
12.50Single8XYDPlatelet Activating Factor8XYD-PAF-Platelet Activating Factor-Gi1/β1/γ2
12.50Single9FUPIstradefylline9FUP-A2A-Istradefylline-Na
12.50Single9IQRMuscarinic toxin 39IQR-α2a-Muscarinic toxin 3
12.50Single9IQSMuscarinic toxin 39IQS-M4-Muscarinic toxin 3
12.50Single9JR2PTH9JR2-PTH1-PTH-chim(NtGi1L-Gs-CtGq)/β1/γ2
12.50Single9PEEPF-07054894; OXM29PEE-CCR6-PF-07054894; OXM2
12.50Consensuscckb_onOrthosteric Ligand8IA7-CCKB-Cholecystokinin-8-chim(NtGi1L-Gq)/β1/γ2 7XOW-CCKB-Sulfated Gastrin-(10-17)-chim(NtGi1-Gq)/β1/γ2 7F8V-CCKB-Gastrin-17-Gi2/β1/γ2
12.50Consensuscrf1_on_gpOrthosteric Ligand6PB0-CRF1-Urocortin-chim(NtGi1-Gs)/β1/γ2 6P9X-CRF1-Corticoliberin-1-Gs/β1/γ2
12.50Consensussst2_offOrthosteric Ligand7XNA-SST2-CYN154806
12.12Single7TYOCalcitonin7TYO-CT-Calcitonin-Gs/β1/γ2
12.12Single7X9ANeuropeptide-Y7X9A-Y1-Neuropeptide-Y-Gi1/β1/γ2
12.12Consensusglucagon_onOrthosteric Ligandglp_on gluc_on secretin_on gip_on
12.12Consensuspth2_onOrthosteric Ligand7F16-PTH2-TIP39-Gs/β1/γ2
12.00Single3OE0CVX153OE0-CXCR4-CVX15
12.00Single6UUNAdrenomedullin6UUN-CT Like (AM1)-Adrenomedullin-Gs/β1/γ2; RAMP2
12.00Single6VN7PACAP276VN7-VPAC1-PACAP27-Gs/β1/γ2
12.00Single7MBXCholecystokinin-87MBX-CCKA-Cholecystokinin-8-Gs/β1/γ1
12.00Single9IVMGLP-1 (Truncated)9IVM-GLP-1-GLP-1 (Truncated)-LSN3318839-chim(NtGi1-Gs)/β2/γ2
12.00Single9M1ONeuropeptide-FF9M1O-NPFF2-Neuropeptide-FF-Gi1/β1/γ2
12.00Consensuscckb_on_gpOrthosteric Ligand8IA7-CCKB-Cholecystokinin-8-chim(NtGi1L-Gq)/β1/γ2 7XOW-CCKB-Sulfated Gastrin-(10-17)-chim(NtGi1-Gq)/β1/γ2 7F8V-CCKB-Gastrin-17-Gi2/β1/γ2
12.00Consensusclass-b1_class-b2_cons_onOrthosteric Ligandclass-b1_on class-b2_on
12.00Consensusclass-b1_class-b2_cons_on_gpOrthosteric Ligandclass-b1_on_gp class-b2_on_gp
12.00Consensusmc3_onOrthosteric Ligand8IOC-MC3-γ-MSH-Ca-chim(NtGi1-Gs)/β1/γ2
12.00Consensusmc3_on_gpOrthosteric Ligand8IOC-MC3-γ-MSH-Ca-chim(NtGi1-Gs)/β1/γ2
11.76Single3REYPubChem 56973REY-A2A-PubChem 5697
11.76Single5IU4ZM-2413855IU4-A2A-ZM-241385-Na
11.76Single5IUBQ274563445IUB-A2A-Q27456344-Na
11.76Single5K2CZM-2413855K2C-A2A-ZM-241385-Na
11.76Single5NLXZM-2413855NLX-A2A-ZM-241385-Na
11.76Single5NM4ZM-2413855NM4-A2A-ZM-241385-Na
11.76Single5TE3Octyl-Beta-D-Glucopyranoside5TE3-Rhodopsin-Octyl-β-D-Glucopyranoside
11.76Single5UVIZM-2413855UVI-A2A-ZM-241385
11.76Single6E3YCalcitonin gene-related peptide-16E3Y-CT Like-Calcitonin gene-related peptide-1-Gs/β1/γ2; RAMP1
11.76Single6FKAPubChem 1324730376FKA-Rhodopsin-PubChem 132473037
11.76Single6ME42-Iodomelatonin6ME4-MT1-2-Iodomelatonin
11.76Single6PELCitronellol6PEL-Rhodopsin-Citronellol-Gt(CT)
11.76Single6WJCMuscarinic toxin 76WJC-M1-Atropine-Muscarinic toxin 7
11.76Single7T94LY21196207T94-M2-Acetylcholine-LY2119620-chim(NtGi1-Go)/β1/γ2
11.76Single7UTZDPPC7UTZ-TSH-TSH-DPPC-Gs/β1/γ2
11.76Single7XXH2MeSADP7XXH-P2Y1-2MeSADP-chim(NtGi1-G11)/β1/γ2
11.76Single8X7ATreprostinil8X7A-I2-Treprostinil-Gs/β1/γ2
11.76Single8Y62C16:0 Ceramide8Y62-FPR2-ALX-C16:0 Ceramide-Gi1/β1/γ2
11.76Single8YRGFospropofol8YRG-MRGPRX4-Fospropofol-chim(NtGi1-Gs-CtGq)/β1/γ2
11.76Single9JFUNE52-QQ579JFU-GPR4-NE52-QQ57
11.76Single9U80Conivaptan9U80-V2-Conivaptan
11.76Consensusglucagon_on_gpOrthosteric Ligandglp_on_gp gluc_on_gp secretin_on_gp gip_on_gp
11.76Consensusnucleotide_offOrthosteric Ligandadenosine_off p2y_off
11.76Consensusp2y1_on_gpOrthosteric Ligand7XXH-P2Y1-2MeSADP-chim(NtGi1-G11)/β1/γ2
11.54Single6NIYCalcitonin-16NIY-CT-Calcitonin-1-Gs/β1/γ2
11.54Single6WI9Secretin6WI9-Secretin-Secretin-Gs/β1/γ2
11.54Single7FINPeptide-20; GGL7FIN-GIP-Peptide-20; GGL-Gs/β1/γ2
11.54Single7TYIAmylin7TYI-CT-Amylin-Gs/β1/γ2
11.54Single7YONPeptide-YY(3-36)7YON-Y2-Peptide-YY(3-36)-Gi1/β1/γ2
11.54Single8IEDPubChem 1347468948IED-GPR156; GPR156-PubChem 134746894-Go/β1/γ2
11.54Single8YW3Retatrutide8YW3-GLP-1-Retatrutide-Gs/β1/γ2
11.54Single8YW4Retatrutide8YW4-GIP-Retatrutide-chim(NtGi1-Gs)/β1/γ2
11.54Consensusneuromedin-u_onOrthosteric Ligandnmur1_on nmur2_on
11.54Consensusp2y_on_gpOrthosteric Ligandp2y1_on_gp p2y10_on_gp p2y12_on_gp
11.11Single5UIGPubChem 1240811965UIG-A2A-PubChem 124081196
11.11Single6FKDPubChem 1373491836FKD-Rhodopsin-PubChem 137349183
11.11Single6LPJZM-2413856LPJ-A2A-ZM-241385-Na
11.11Single6LPKZM-2413856LPK-A2A-ZM-241385-Na
11.11Single6ORVTT-OAD26ORV-GLP-1-TT-OAD2-Gs/β1/γ2
11.11Single6X18GLP-16X18-GLP-1-GLP-1-Gs/β1/γ2
11.11Single6X1ADanuglipron6X1A-GLP-1-Danuglipron-Gs/β1/γ2
11.11Single7F9YGhrelin7F9Y-Ghrelin-Ghrelin-chim(NtGi1-Gs-CtGq)/β1/γ2
11.11Single7LCIDanuglipron7LCI-GLP-1-Danuglipron-Gs/β1/γ2
11.11Single7LCKDanuglipron7LCK-GLP-1-Danuglipron
11.11Single7LLYOxyntomodulin7LLY-GLP-1-Oxyntomodulin-Gs/β1/γ2
11.11Single7S15PubChem 1346112237S15-GLP-1-PubChem 134611223
11.11Single7TRQVU04671547TRQ-M4-Iperoxo-VU0467154-Gi1/β1/γ2
11.11Single7TYWCalcitonin-17TYW-CT (AMY1)-Calcitonin-1-Gs/β1/γ2; RAMP1
11.11Single7VH0Ramelteon7VH0-MT2-Ramelteon-Gi1/β1/γ1
11.11Single7WQ3Galanin7WQ3-GAL1-Galanin-Gi1/β1/γ2
11.11Single7X9BNeuropeptide-Y7X9B-Y2-Neuropeptide-Y-Gi1/β1/γ2
11.11Single7XV3Lysophosphatidylserine (WJS)7XV3-GPR174-Lysophosphatidylserine (WJS)-chim(NtGi1-Gs)/β1/γ2
11.11Single7Y35Abaloparatide7Y35-PTH1-Abaloparatide-Gs/β1/γ2
11.11Single7YU4ONO-07405567YU4-LPA1-ONO-0740556
11.11Single8XVIEndothelin-18XVI-ETA-Endothelin-1-chim(Gs-CtGq)/β1/γ2
11.11Consensusclass-b1_onOrthosteric Ligandglucagon_on vip-pacap_on pth_on crf_on calcitonin_on
11.11Consensusgal1_onOrthosteric Ligand7WQ3-GAL1-Galanin-Gi1/β1/γ2
11.11Consensusgal1_on_gpOrthosteric Ligand7WQ3-GAL1-Galanin-Gi1/β1/γ2
11.11Consensusgi_galaninOrthosteric Ligand7WQ3-GAL1-Galanin-Gi1/β1/γ2
11.11Consensusneuromedin-u_on_gpOrthosteric Ligandnmur1_on_gp nmur2_on_gp
11.11Consensusnucleotide_offonOrthosteric Ligandnucleotide_off nucleotide_on
11.11Consensusnucleotide_offon_gpOrthosteric Ligandnucleotide_on_gp nucleotide_off
11.11Consensusp2y10_onOrthosteric Ligand8KGG-P2Y10-Lysophosphatidylserine (WJS)-chim(NtGi2-G13)/β1/γ2
11.11Consensusvpac_onOrthosteric Ligandvpac1_on vpac2_on
10.71Single7CZ5Somatoliberin7CZ5-GHRH-Somatoliberin-Gs/β1/γ2
10.71Single7D3SSecretin7D3S-Secretin-Secretin-Gs/β1/γ2
10.71Single7VABTirzepatide (non-acylated)7VAB-GIP-Tirzepatide (non-acylated)-chim(NtGi1-Gs)/β1/γ2
10.71Single8JISPeptide-158JIS-GLP-1-Peptide-15-chim(NtGi1-Gs)/β1/γ2
10.71Single9BUBCagrilintide9BUB-CT-Cagrilintide-Gs/β1/γ2
10.71Single9J1Pg1:Ox9J1P-GLP-1-g1:Ox-chim(NtGi1-Gs)/β1/γ2
10.71Consensusccr5_onOrthosteric Ligand7O7F-CCR5-6P4-CCL5-Gi1/β1/γ1 7F1Q-CCR5-CCL3-Gi1/β1/γ2
10.71Consensusctlike_onOrthosteric Ligand6E3Y-CT Like-Calcitonin gene-related peptide-1-Gs/β1/γ2; RAMP1
10.71Consensusvpac_on_gpOrthosteric Ligandvpac1_on_gp vpac2_on_gp
10.53Single4PHUFasiglifam4PHU-FFA1-Fasiglifam
10.53Single5ZBQUR-MK-2995ZBQ-Y1-UR-MK-299
10.53Single6LFMCXCL86LFM-CXCR2-CXCL8-Gi1/β1/γ2
10.53Single7M3GCa; Ca; Tryptophan; Evocalcet; Etelcalcetide; PO47M3G-CaS; CaS-Ca; Ca; Tryptophan; Evocalcet; Etelcalcetide; PO4
10.53Single7VV0PAMP-127VV0-MRGPRX2-PAMP-12
10.53Single7Y26Octreotide7Y26-SST2-Octreotide-chim(NtGi2L-Gs-CtGq)/β1/γ2
10.53Single7YU3ONO-07405567YU3-LPA1-ONO-0740556-Gi1/β1/γ2
10.53Single8EJCTAK-8758EJC-FFA1-TAK-875-chim(NtGi1L-Gs-CtGq)/β1/γ2
10.53Single8QOTNanobody-E8QOT-μ-Nanobody-E
10.53Single9GE2ML1849GE2-GPR55-ML184-chim(NtGi1-G13)/β1/γ2
10.53Consensuscxcr2_on_gpOrthosteric Ligand6LFM-CXCR2-CXCL8-Gi1/β1/γ2
10.53Consensuslpa1_onOrthosteric Ligand7TD1-LPA1-LPA-Gi1/β1/γ2 7YU3-LPA1-ONO-0740556-Gi1/β1/γ2
10.53Consensuslpa1_on_gpOrthosteric Ligand7TD1-LPA1-LPA-Gi1/β1/γ2 7YU3-LPA1-ONO-0740556-Gi1/β1/γ2
10.34Single5NX2GLP-1 (Truncated)5NX2-GLP-1-GLP-1 (Truncated)
10.34Single6B3JExendin-P56B3J-GLP-1-Exendin-P5-Gs/β1/γ2
10.34Single7S1MExendin-4-D-Ala7S1M-GLP-1-Exendin-4-D-Ala-Gs/β1/γ2
10.34Single7TYNCalcitonin-17TYN-CT-Calcitonin-1-Gs/β1/γ2
10.34Single7VQXPACAP277VQX-VPAC1-PACAP27-Gs/β1/γ2
10.34Single8W8XBeta-MSH8W8X-MC3-β-MSH-Ca-Gs/β1/γ2
10.34Consensusglp2_onOrthosteric Ligand7D68-GLP-2-GLP-2-Gs/β1/γ2
10.34Consensusglp2_on_gpOrthosteric Ligand7D68-GLP-2-GLP-2-Gs/β1/γ2
10.00Single5TZRMK86665TZR-FFA1-MK8666
10.00Single5VAIGLP-15VAI-GLP-1-GLP-1-Gs/β1/γ2
10.00Single6LMLGlucagon6LML-Glucagon-Glucagon-Gi1/β1/γ1
10.00Single7XBDGalanin7XBD-GAL2-Galanin-chim(NtGi2L-Gs-CtGq)/β1/γ2
10.00Single7XOWSulfated Gastrin-(10-17)7XOW-CCKB-Sulfated Gastrin-(10-17)-chim(NtGi1-Gq)/β1/γ2
10.00Single7YU5ONO-07405567YU5-LPA1-ONO-0740556-Gi1/β1/γ2
10.00Single8IY5Endothelin-18IY5-ETB-Endothelin-1-Gi1/β1/γ2
10.00Single8JBGNeurokinin-B8JBG-NK3-Neurokinin-B-chim(NtGi1-Gs-CtGq)/β1/γ2
10.00Single8JZPC5a8JZP-C5a1-C5a-Go/β1/γ2
10.00Single8WJXADP8WJX-P2Y1-ADP-chim(Gs-CtGq)/β1/γ2
10.00Single9JCLADP9JCL-P2Y1-ADP-chim(Gs-CtGq)/β1/γ2
10.00Consensusctlike_on_gpOrthosteric Ligand6E3Y-CT Like-Calcitonin gene-related peptide-1-Gs/β1/γ2; RAMP1
10.00Consensuscyslt1_offOrthosteric Ligand6RZ5-CysLT1-Zafirlukast-Na 6RZ4-CysLT1-Pranlukast-Na
10.00Consensusgi_lpaOrthosteric Ligand7TD1-LPA1-LPA-Gi1/β1/γ2 7YU3-LPA1-ONO-0740556-Gi1/β1/γ2
10.00Consensuslpa_onOrthosteric Ligandlpa1_on
10.00Consensuslpa_on_gpOrthosteric Ligandlpa1_on_gp
10.00Consensusnpy1_offOrthosteric Ligand5ZBH-Y1-BMS-193885 5ZBQ-Y1-UR-MK-299
9.68Single8U1UCCL18U1U-CCR8-CCL1-Gi1/β1/γ2
9.52Single5TZYMK8666; AP85TZY-FFA1-MK8666; AP8
9.52Single6OS2TRV0266OS2-AT1-TRV026
9.52Single6XOXOrforglipron6XOX-GLP-1-Orforglipron-chim(NtGi1-Gs)/β1/γ2
9.52Single7WQ4Galanin7WQ4-GAL2-Galanin-chim(NtGi1-Gs-CtGq)/β1/γ2
9.52Single7XJKGalanin7XJK-GAL2-Galanin-chim(NtGi2L-Gs-CtGq)/β1/γ2
9.52Single7XW6ML1097XW6-TSH-M22 Fab-ML109-Gs/β1/γ2
9.52Single8U26Substance-P8U26-NK1-Substance-P-Gs/β1/γ2
9.52Single9VIFNeuropeptide-VF9VIF-NPFF1-Neuropeptide-VF-Gi1/β1/γ2
9.52Single9YDUUDP-Glucose9YDU-P2Y14-UDP-Glucose-Gi1/β1/γ2
9.52Consensusgalanin_onOrthosteric Ligandgal2_on gal1_on
9.52Consensusgalanin_on_gpOrthosteric Ligandgal2_on_gp gal1_on_gp
9.09Single6WPWZP37806WPW-Glucagon-ZP3780-Gs/β1/γ2
9.09Single7CX4Evatanepag7CX4-EP2-Evatanepag-Gs/β1/γ2
9.09Single7EZHCholecystokinin-87EZH-CCKA-Cholecystokinin-8-Gi1/β1/γ2
9.09Single7EZMCholecystokinin-87EZM-CCKA-Cholecystokinin-8-chim(NtGsL-Gq)/β1/γ2
9.09Single7MBYCholecystokinin-87MBY-CCKA-Cholecystokinin-8-chim(NtGi1L-Gs-CtGq)/β1/γ2
9.09Single7P00Substance-P7P00-NK1-Substance-P-chim(NtGi1-Gs-CtGq)/β1/γ2
9.09Single8HN1Toxin AdTx18HN1-Alpha1A-Toxin AdTx1
9.09Single8JIPMEDI03828JIP-GLP-1-MEDI0382-chim(NtGi1-Gs)/β1/γ2
9.09Single8JIRSAR4258998JIR-GLP-1-SAR425899-chim(NtGi1-Gs)/β1/γ2
9.09Single8K4OCXCL18K4O-KSHV-CXCL1-Gi1/β1/γ1
9.09Consensusccka_onOrthosteric Ligand7EZH-CCKA-Cholecystokinin-8-Gi1/β1/γ2
9.09Consensusccka_on_gpOrthosteric Ligand7EZH-CCKA-Cholecystokinin-8-Gi1/β1/γ2
9.09Consensusgal2_onOrthosteric Ligand7WQ4-GAL2-Galanin-chim(NtGi1-Gs-CtGq)/β1/γ2 7XJL-GAL2-Spexin-chim(NtGi2L-Gs-CtGq)/β1/γ2
9.09Consensusgal2_on_gpOrthosteric Ligand7WQ4-GAL2-Galanin-chim(NtGi1-Gs-CtGq)/β1/γ2 7XJL-GAL2-Spexin-chim(NtGi2L-Gs-CtGq)/β1/γ2
9.09Consensusnk1_onOrthosteric Ligand7P00-NK1-Substance-P-chim(NtGi1-Gs-CtGq)/β1/γ2
9.09Consensusnk1_on_gpOrthosteric Ligand7P00-NK1-Substance-P-chim(NtGi1-Gs-CtGq)/β1/γ2
9.09Consensusnk2_onOrthosteric Ligand7XWO-NK2-Neurokinin-A-chim(NtGi1-Gs-CtGq)/β1/γ2
8.70Single7CX2PGE27CX2-EP2-PGE2-Gs/β1/γ2
8.70Single7RMGSubstance-P7RMG-NK1-Substance-P-chim(Gs-CtGq)/β1/γ2
8.70Single7RMHSubstance-P7RMH-NK1-Substance-P-Gs/β1/γ2
8.70Single7X8SWB4-247X8S-GLP-1-WB4-24-Gs/β1/γ2
8.70Single8JBFSenktide8JBF-NK3-Senktide-chim(NtGi1-Gs-CtGq)/β1/γ2
8.70Single9EAJNanobody AT2099EAJ-AT1-Nanobody AT209
8.70Single9KX6C5a-des-Arg9KX6-C5a1-C5a-des-Arg-Go/β1/γ2
8.70Single9NS9TUG-13759NS9-FFA2-TUG-1375-PubChem 118615810-Gi1/β1/γ2
8.57Consensusgluc_onOrthosteric Ligand6LMK-Glucagon-Glucagon-Gs/β1/γ2 8JIT-Glucagon-MEDI0382-Gs/β1/γ2 7V35-Glucagon-Peptide-20-Gs/β1/γ2
8.33Single7CX3Taprenepag7CX3-EP2-Taprenepag-Gs/β1/γ2
8.33Single7NA7Ghrelin7NA7-Ghrelin-Ghrelin-Gi1/β1/γ2
8.33Single7W2ZGhrelin7W2Z-Ghrelin-Ghrelin-Go/β1/γ2
8.33Single8XBHPubChem 1626566368XBH-GPR34-PubChem 162656636-Gi1/β1/γ2
8.33Single8YWFRetatrutide8YWF-GLP-1-Retatrutide-chim(NtGi1-Gs)/β1/γ2
8.33Single9BUECagrilintide9BUE-CT-Cagrilintide-Gs/β1/γ2
8.33Single9J0IUDP-Glucuronic acid9J0I-P2Y14-UDP-Glucuronic acid-Gi1/β1/γ2
8.33Consensusgluc_on_gpOrthosteric Ligand6LMK-Glucagon-Glucagon-Gs/β1/γ2 8JIT-Glucagon-MEDI0382-Gs/β1/γ2 7V35-Glucagon-Peptide-20-Gs/β1/γ2
8.33Consensusnk3_onOrthosteric Ligand8JBF-NK3-Senktide-chim(NtGi1-Gs-CtGq)/β1/γ2
8.33Consensusnk3_on_gpOrthosteric Ligand8JBF-NK3-Senktide-chim(NtGi1-Gs-CtGq)/β1/γ2
8.00Single6WHCGlu16 analog of GCG6WHC-Glucagon-Glu16 analog of GCG-Gs/β1/γ2
8.00Single8JBHSubstance-P8JBH-NK3-Substance-P-chim(NtGi1-Gs-CtGq)/β1/γ2
8.00Single8K6ONeuropeptide-Y8K6O-Y1-Neuropeptide-Y-Gi2/β1/γ1
8.00Single9EAINanobody AT2099EAI-AT1-Losartan-Nanobody AT209
8.00Single9J0FNADH9J0F-P2Y14-NADH-Gi1/β1/γ2
8.00Consensustachykinin_on_gpOrthosteric Ligandnk1_on_gp nk2_on_gp nk3_on_gp
7.69Single7V68LY21196207V68-M4-Iperoxo-LY2119620-Gi1/β1/γ2
7.69Single7W55Neuromedin-U-257W55-NMUR2-Neuromedin-U-25-chim(NtGi1-Gs-CtGq)/β1/γ2
7.69Single7XKEDehydroepiandrosterone7XKE-ADGRG2-Dehydroepiandrosterone-chim(NtGi1-Gs)/β1/γ2
7.69Single8K6MNeuropeptide-Y8K6M-Y1-Neuropeptide-Y-Gi2/β1/γ1
7.69Single8K6NNeuropeptide-Y8K6N-Y2-Neuropeptide-Y-Gi2/β1/γ1
7.69Single8X9S5alpha-DHT8X9S-ADGRD1-5α-DHT-chim(NtGi1-Gs)/β1/γ2
7.69Single8YFOAc-LA-PTH Analog8YFO-PTH1-Ac-LA-PTH Analog-chim(NtGi1-Gs)/β1/γ2
7.69Single9IV25alpha-DHT9IV2-ADGRD1-5α-DHT-chim(NtGi1-Gs)/β1/γ2
7.69Consensusnmur2_onOrthosteric Ligand7W55-NMUR2-Neuromedin-U-25-chim(NtGi1-Gs-CtGq)/β1/γ2
7.69Consensusnmur2_on_gpOrthosteric Ligand7W55-NMUR2-Neuromedin-U-25-chim(NtGi1-Gs-CtGq)/β1/γ2
7.69Consensusnpy1_onOrthosteric Ligand8K6M-Y1-Neuropeptide-Y-Gi2/β1/γ1
7.69Consensusnpy1_on_gpOrthosteric Ligand8K6M-Y1-Neuropeptide-Y-Gi2/β1/γ1
7.41Single8HA0PTH8HA0-PTH1-PTH-chim(NtGi1-Gs)/β1/γ2
7.41Consensustachykinin_onOrthosteric Ligandnk1_on nk2_on nk3_on
7.14Single7P02Substance-P7P02-NK1-Substance-P-chim(NtGi1-Gs)/β1/γ2
7.14Single7TYHCalcitonin7TYH-CT (AMY2)-Calcitonin-Gs/β1/γ2; RAMP2
6.90Single6NBILA-PTH Analog6NBI-PTH1-LA-PTH Analog-Gs/β1/γ2
6.90Single8FLRPTHrP(1-36)8FLR-PTH1-PTHrP(1-36)-Gs/β1/γ2
6.67Single6FK9PubChem 1324730366FK9-Rhodopsin-PubChem 132473036
6.67Single6ME5Agomelatine6ME5-MT1-Agomelatine
6.67Single6OIKLY21196206OIK-M2-Iperoxo-LY2119620-chim(NtGi1-Go)/β1/γ2
6.67Single7V6APubChem 98642757V6A-M4-PubChem 9864275-Gi1/β1/γ2
6.67Single8EITDoconexent8EIT-FFA1-Doconexent-chim(NtGi1L-Gs-CtGq)/β1/γ2
6.67Single8FU6ZP37808FU6-Glucagon-ZP3780-Gs/β1/γ2
6.67Single8J21Butyric acid8J21-FFA3-Butyric acid-Gi1/β1/γ2
6.67Single8J24Acetic acid8J24-FFA2-Acetic acid-Gi1/β1/γ2
6.67Single8Y63C20:0 Ceramide8Y63-FPR2-ALX-C20:0 Ceramide-Gi1/β1/γ2
6.67Single9IJRC179IJR-GPR52-C17-Arrestin2
6.67Single9IV15alpha-DHT9IV1-ADGRD1-5α-DHT-chim(NtGi1-Gs)/β1/γ2
6.67Single9MBCAZ122160529MBC-mGlu8; mGlu8-DCPG-AZ12216052
6.67Consensusffa3_onOrthosteric Ligand8J21-FFA3-Butyric acid-Gi1/β1/γ2
6.67Consensusffa3_on_gpOrthosteric Ligand8J21-FFA3-Butyric acid-Gi1/β1/γ2
6.45Single6LMKGlucagon6LMK-Glucagon-Glucagon-Gs/β1/γ2
6.25Single6FK6PubChem 1324730336FK6-Rhodopsin-PubChem 132473033
6.25Single6LI0C176LI0-GPR52-C17
6.25Single6PGSGeraniol6PGS-Rhodopsin-Geraniol-Gt(CT)
6.25Single8FX5Xanomeline8FX5-M4-Xanomeline-Xanomeline-Gi1/β1/γ2
6.25Single9MBCAZ122160529MBC-mGlu8; mGlu8-DCPG-AZ12216052
6.25Consensusgq_nucleotideOrthosteric Ligandgq_p2y
6.25Consensusgq_p2yOrthosteric Ligand7XXH-P2Y1-2MeSADP-chim(NtGi1-G11)/β1/γ2
6.06Single7VBHPeptide-207VBH-GLP-1-Peptide-20-Gs/β1/γ2
5.88Single4K5YCP-3763954K5Y-CRF1-CP-376395
5.88Single6FKBPubChem 1324730386FKB-Rhodopsin-PubChem 132473038
5.88Single6LFOCXCL86LFO-CXCR2-CXCL8-Gi1/β1/γ2
5.88Single6ME9Ramelteon6ME9-MT2-Ramelteon
5.88Single6ZA8RTI-3a6ZA8-NTS1-RTI-3a
5.88Single7V35Peptide-207V35-Glucagon-Peptide-20-Gs/β1/γ2
5.88Single8H8JLodoxamide8H8J-GPR35-Lodoxamide-Ca-chim(NtGi1L-G13)/β1/γ2
5.88Single8J20Valeric acid8J20-FFA3-Valeric acid-AR420626-Gi1/β1/γ2
5.88Single8T3SButyric acid8T3S-FFA2-Butyric acid-chim(NtGi2L-Gs-CtGq)/β1/γ2
5.88Single8T3VDoconexent8T3V-FFA1-Doconexent-chim(NtGi2L-Gs-CtGq)/β1/γ2
5.88Single8U8FPalmitic Acid8U8F-GPR3-Palmitic Acid-Gs/β1/γ2
5.88Single8YYWAlpha-ketoglutarate8YYW-Oxoglutarate-α-ketoglutarate-α-ketoglutarate-chim(Gi1-CtGq)/β1/γ2
5.88Single9KO2CCL199KO2-CCR7-CCL19-Gi1/β1
5.88Single9KO6CCL199KO6-CCR7-CCL19
5.88Consensuscxcr1_onOrthosteric Ligand8IC0-CXCR1-CXCL8-Gi1/β1/γ2
5.88Consensusp2y1_onOrthosteric Ligand7XXH-P2Y1-2MeSADP-chim(NtGi1-G11)/β1/γ2
5.71Single8JITMEDI03828JIT-Glucagon-MEDI0382-Gs/β1/γ2
5.71Single8JIUSAR4258998JIU-Glucagon-SAR425899-Gs/β1/γ2
5.56Single6FK8PubChem 1324730356FK8-Rhodopsin-PubChem 132473035
5.56Single6U1NLY21196206U1N-M2-LY2119620-Arrestin2
5.56Single6ZINSR486926ZIN-NTS1-SR48692
5.56Single7C2EPubChem 1490507997C2E-GLP-1-PubChem 149050799-Gs/β1/γ2
5.56Single7M3GCa; Ca; Tryptophan; Evocalcet; Etelcalcetide; PO47M3G-CaS; CaS-Ca; Ca; Tryptophan; Evocalcet; Etelcalcetide; PO4
5.56Single8HJ5PubChem 1390305318HJ5-MRGPRX1-PubChem 139030531-chim(NtGi1-Gs-CtGq)/β1/γ2
5.56Single8HQN9-S-HODE8HQN-GPR132-9-S-HODE-Gi1/β1/γ2
5.56Single8JD6VU03647708JD6-mGlu4; mGlu4-Phosphoserine-VU0364770-Gi3/β1/γ2
5.56Single8K4SDCA-3P8K4S-MRGPRX4-DCA-3P-chim(NtGi1L-Gs-CtGq)/β1/γ2
5.56Single9JQYTG6-1299JQY-EP4-TG6-129
5.56Single9K0KUTP9K0K-P2Y4-UTP-chim(NtGi1-Gs-CtGq)/β1/γ2
5.56Single9K0XATP9K0X-P2Y2-ATP-chim(NtGi1-Gs-CtGq)/β1/γ2
5.56Single9K1DButyric acid9K1D-FFA2-Butyric acid-Gi1/β1/γ2
5.56Single9K20ATP9K20-P2Y2-ATP-chim(NtGi1-Go)/β1/γ2
5.56Consensuscxcr2_onOrthosteric Ligand6LFM-CXCR2-CXCL8-Gi1/β1/γ2
5.26Single4QIMANTA XV4QIM-SMO-ANTA XV
5.26Single4Z9GCP-3763954Z9G-CRF1-CP-376395
5.26Single5T04Neurotensin-(8-13)5T04-NTS1-Neurotensin-(8-13)
5.26Single6FK7PubChem 1324730346FK7-Rhodopsin-PubChem 132473034
5.26Single6FKCPubChem 1324730396FKC-Rhodopsin-PubChem 132473039
5.26Single6Z4VNeurotensin-(9-13)6Z4V-NTS1-Neurotensin-(9-13)
5.26Single7FIHOrg435537FIH-LH-hCG-Org43553-chim(NtGi1-Gs)/β1/γ2
5.26Single7PP1Selatogrel7PP1-P2Y12-Selatogrel
5.26Single8EJKTAK-8758EJK-FFA1-TAK-875-chim(NtGi1L-Gs-CtGq)/β1/γ2
5.26Single8GTIBMK-C2058GTI-CRF1-BMK-C205
5.26Single8IC0CXCL88IC0-CXCR1-CXCL8-Gi1/β1/γ2
5.26Single8ZYYNeurotensin-(8-13)8ZYY-NTS1-Neurotensin-(8-13)-SBI-553-Arrestin2
5.26Single9IVGGLP-1 (Truncated)9IVG-GLP-1-GLP-1 (Truncated)-chim(NtGi1-Gs)/β1/γ2
5.26Single9IYAONO-97105319IYA-GPR55-ONO-9710531
5.26Single9JROPF-044189489JRO-EP2-PF-04418948
5.26Single9METGp120; CD49MET-CXCR4-Gp120; CD4
5.26Consensuscxcr1_on_gpOrthosteric Ligand8IC0-CXCR1-CXCL8-Gi1/β1/γ2
5.00Single4JKVTaladegib4JKV-SMO-Taladegib
5.00Single4NTJAZD12834NTJ-P2Y12-AZD1283
5.00Single6RZ4Pranlukast6RZ4-CysLT1-Pranlukast-Na
5.00Single6Z4QSR142948A6Z4Q-NTS1-SR142948A
5.00Single6Z4SSR486926Z4S-NTS1-SR48692
5.00Single8GTGBMK-I1528GTG-CRF1-BMK-I152
5.00Single8JGGBAM8-228JGG-MRGPRX1-BAM8-22-Gi1/β1/γ2
5.00Single8XQPCholesterol8XQP-TAS2R14-Cholesterol-Aristolochic acid A-Gt3/β1/γ1
5.00Single9JRTTG6-1299JRT-EP2-TG6-129
5.00Consensusadgrg2_onOrthosteric Ligand7WUI-ADGRG2-IP15-chim(NtGi1-Gs)/β1/γ2 7WUQ-ADGRG2-Gs/β1/γ2 7XKF-ADGRG2-Dehydroepiandrosterone-Gs/β1/γ2
5.00Consensusadgrg2_on_gpOrthosteric Ligand7WUI-ADGRG2-IP15-chim(NtGi1-Gs)/β1/γ2 7WUQ-ADGRG2-Gs/β1/γ2 7XKF-ADGRG2-Dehydroepiandrosterone-Gs/β1/γ2
4.76Single3ZEVNeurotensin-(7-13)3ZEV-NTS1-Neurotensin-(7-13)
4.76Single4BV0Neurotensin-(7-13)4BV0-NTS1-Neurotensin-(7-13)
4.76Single5V56TC1145V56-SMO-TC114
4.76Single5V57TC1145V57-SMO-TC114
4.76Single5ZBHBMS-1938855ZBH-Y1-BMS-193885
4.76Single6OS1TRV0266OS1-AT1-TRV026
4.76Single6RZ5Zafirlukast6RZ5-CysLT1-Zafirlukast-Na
4.76Single6Z8NSRI-98296Z8N-NTS1-SRI-9829
4.76Single7L0PNeurotensin-(8-13)7L0P-NTS1-Neurotensin-(8-13)-Gi1/β1/γ1
4.76Single7L0QNeurotensin-(8-13)7L0Q-NTS1-Neurotensin-(8-13)-Gi1/β1/γ1
4.76Single7XJLSpexin7XJL-GAL2-Spexin-chim(NtGi2L-Gs-CtGq)/β1/γ2
4.76Single7XWONeurokinin-A7XWO-NK2-Neurokinin-A-chim(NtGi1-Gs-CtGq)/β1/γ2
4.76Single8FMZNeurotensin-(8-13)8FMZ-NTS1-Neurotensin-(8-13)-chim(NtGi2L-Gs-CtGq)/β1/γ2
4.76Single8FN1Neurotensin-(8-13)8FN1-NTS1-Neurotensin-(8-13)-chim(NtGi1-Go)/β1/γ2
4.76Single8JD5JNJ-40411813; ADX881788JD5-mGlu2; mGlu4-Glutamate-JNJ-40411813; ADX88178-Gi1/β1/γ2
4.76Single8JGFBAM8-228JGF-MRGPRX1-BAM8-22-chim(NtGi1-Gs-CtGq)/β1/γ2
4.76Single8XBIPubChem 1626566368XBI-GPR34-PubChem 162656636
4.76Single9CLWTUG-13759CLW-FFA2-TUG-1375-4-CMTB-chim(NtGi1L-Gs-CtGq)/β1/γ2
4.76Single9MENGp120 (V3 loop)9MEN-CXCR4-Gp120 (V3 loop)
4.76Single9YDVMRS29059YDV-P2Y14-MRS2905-Gi1/β1/γ2
4.76Consensusffa2_onOrthosteric Ligand8J22-FFA2-TUG-1375-Gi1/β1/γ2
4.76Consensusffa_onOrthosteric Ligandffa2_on ffa3_on
4.76Consensusffa_on_gpOrthosteric Ligandffa2_on_gp ffa3_on_gp
4.76Consensusgi_ffaOrthosteric Ligand8J21-FFA3-Butyric acid-Gi1/β1/γ2 8J22-FFA2-TUG-1375-Gi1/β1/γ2
4.76Consensusneurotensin_onOrthosteric Ligandnts1_on
4.76Consensusnk2_on_gpOrthosteric Ligand7XWO-NK2-Neurokinin-A-chim(NtGi1-Gs-CtGq)/β1/γ2
4.76Consensusnts1_onOrthosteric Ligand6OSA-NTS1-JMV449-Gi1/β1/γ2 7L0S-NTS1-Neurotensin-(8-13)-Gi1/β1/γ1
4.76Consensusp2y12_onOrthosteric Ligand7XXI-P2Y12-2MeSADP-Gi2/β1/γ2
4.55Single4GRVNeurotensin-(8-13)4GRV-NTS1-Neurotensin-(8-13)
4.55Single4PXZ2MeSADP4PXZ-P2Y12-2MeSADP
4.55Single4PY02MeSATP4PY0-P2Y12-2MeSATP
4.55Single4XEENeurotensin-(8-13)4XEE-NTS1-Neurotensin-(8-13)
4.55Single4XESNeurotensin-(8-13)4XES-NTS1-Neurotensin-(8-13)
4.55Single6OSAJMV4496OSA-NTS1-JMV449-Gi1/β1/γ2
4.55Single6YVRNeurotensin-(6-13)6YVR-NTS1-Neurotensin-(6-13)
4.55Single7L0SNeurotensin-(8-13)7L0S-NTS1-Neurotensin-(8-13)-Gi1/β1/γ1
4.55Single7XW5ML1097XW5-TSH-TSH-ML109-Gs/β1/γ2
4.55Single7XXI2MeSADP7XXI-P2Y12-2MeSADP-Gi2/β1/γ2
4.55Single8DWCBAM8-228DWC-MRGPRX1-BAM8-22-chim(NtGi2L-Gs-CtGq)/β1/γ2
4.55Single8GTMBMK-C2038GTM-CRF1-BMK-C203
4.55Single8JPBNeurotensin-(8-13)8JPB-NTS1-Neurotensin-(8-13)-SBI-553; GDP; Mg-Gq; GRK2
4.55Single8JPCNeurotensin-(8-13)8JPC-NTS1-Neurotensin-(8-13)-SBI-553; GDP; Mg-Gq; GRK2
4.55Single8Y6WTUG-13758Y6W-FFA2-TUG-1375-4-CMTB-Gi1/β1/γ2
4.55Single9CM3TUG-13759CM3-FFA2-TUG-1375-PubChem 118615810-chim(NtGi1L-Gs-CtGq)/β1/γ2
4.55Consensusffa2_on_gpOrthosteric Ligand8J22-FFA2-TUG-1375-Gi1/β1/γ2
4.55Consensusgi_neurotensinOrthosteric Ligand6OSA-NTS1-JMV449-Gi1/β1/γ2 7L0S-NTS1-Neurotensin-(8-13)-Gi1/β1/γ1
4.55Consensusgi_p2yOrthosteric Ligand7XXI-P2Y12-2MeSADP-Gi2/β1/γ2
4.55Consensusneurotensin_on_gpOrthosteric Ligandnts1_on_gp
4.55Consensusnts1_on_gpOrthosteric Ligand6OSA-NTS1-JMV449-Gi1/β1/γ2 7L0S-NTS1-Neurotensin-(8-13)-Gi1/β1/γ1
4.55Consensusp2y12_on_gpOrthosteric Ligand7XXI-P2Y12-2MeSADP-Gi2/β1/γ2
4.35Single4BUONeurotensin-(8-13)4BUO-NTS1-Neurotensin-(8-13)
4.35Single8JPFNeurotensin-(8-13)8JPF-NTS1-Neurotensin-(8-13)-SBI-553
4.35Single8XVUCXCL28XVU-CXCR2-CXCL2
4.35Single8XXHCXCL28XXH-CXCR2-CXCL2-Go/β1/γ2
4.35Single8ZX4Lysophosphatidylinositol 8ZX4-GPR55-Lysophosphatidylinositol-chim(NtGi1-G13)/β1/γ2
4.35Single9GE3Lysophosphatidylinositol9GE3-GPR55-Lysophosphatidylinositol-chim(NtGi1-G13)/β1/γ2
4.35Single9J0BUDP-Glucose9J0B-P2Y14-UDP-Glucose-Gi1/β1/γ2
4.35Single9VI9RFRP-39VI9-NPFF1-RFRP-3-Gi1/β1/γ2
4.17Single6KNMJN241-96KNM-Apelin-JN241-9
4.17Single8J22TUG-13758J22-FFA2-TUG-1375-Gi1/β1/γ2
4.17Single8XQJJN2418XQJ-Apelin; Apelin-JN241
4.17Single8XX6CXCL88XX6-CXCR2-CXCL8-Go/β1/γ2
4.17Single8Z74JN241-98Z74-Apelin; Apelin-JN241-9
4.17Single8Z74JN241-98Z74-Apelin; Apelin-JN241-9
4.17Single9CM7TUG-13759CM7-FFA2-TUG-1375-AZ-1729-Gi1/β1/γ2
4.17Single9JH6C20:0 Ceramide9JH6-CysLT2-C20:0 Ceramide-chim(NtGi1-Gs-CtGq)/β1/γ2
4.00Single6RZ8ONO-20803656RZ8-CysLT2-ONO-2080365
4.00Single7L0RNeurotensin-(8-13)7L0R-NTS1-Neurotensin-(8-13)-Gi1/β1/γ1
4.00Single8DWGBAM8-228DWG-MRGPRX1-BAM8-22-ML382-chim(NtGi2L-Gs-CtGq)/β1/γ2
4.00Single8JIQPeptide-158JIQ-Glucagon-Peptide-15-Gs/β1/γ2
4.00Single8XWNCXCL88XWN-CXCR2-CXCL8
3.85Single7RMISubstance-P7RMI-NK1-Substance-P-chim(Gs-CtGq)/β1/γ2
3.45Single5YQZNNC17025YQZ-Glucagon-NNC1702

PDB Summary
PDB 8Y0N
Class A
SubFamily Protein
Type Chemokine
SubType CXCR3
Species Homo Sapiens
Ligand VUF11418
Other Ligand(s) -
Protein Partners Go/Beta1/Gamma2
PDB Resolution 3.07
Date 2025-02-26
D.O.I. doi.org/10.1038/s41467-025-58264-w
Net Summary
Imin 2.72
Number of Linked Nodes 825
Number of Links 995
Number of Hubs 149
Number of Links mediated by Hubs 559
Number of Communities 32
Number of Nodes involved in Communities 219
Number of Links involved in Communities 303
Path Summary
Number Of Nodes in MetaPath 109
Number Of Links MetaPath 108
Number of Shortest Paths 3084136
Length Of Smallest Path 3
Average Path Length 44.2523
Length of Longest Path 76
Minimum Path Strength 1.315
Average Path Strength 6.21997
Maximum Path Strength 26.85
Minimum Path Correlation 0.71
Average Path Correlation 0.990612
Maximum Path Correlation 1
Minimum % Of Corr. Nodes 2
Average % Of Corr. Nodes 33.7475
Maximum % Of Corr. Nodes 100
Minimum Path Hubs % 0
Average Path Hubs % 41.734
Maximum Path Hubs % 100
AnnotationTypeLinks
Gene OntologyMolecular Function• molecular transducer activity   • signaling receptor activity   • G protein-coupled chemoattractant receptor activity   • C-C chemokine receptor activity   • chemokine receptor activity   • G protein-coupled receptor activity   • transmembrane signaling receptor activity   • cytokine receptor activity   • immune receptor activity   • protein binding   • binding   • chemokine binding   • cytokine binding   • C-X-C chemokine receptor activity   • C-C chemokine binding   • C-X-C chemokine binding   • positive regulation of cytosolic calcium ion concentration   • biological regulation   • regulation of biological quality   • regulation of biological process   • cell adhesion   • regulation of cellular process   • regulation of cell adhesion   • cellular process   • developmental process   • multicellular organismal process   • blood vessel morphogenesis   • tube development   • angiogenesis   • vasculature development
Gene OntologyBiological Process• positive regulation of cytosolic calcium ion concentration   • biological regulation   • regulation of biological quality   • regulation of biological process   • cell adhesion   • regulation of cellular process   • regulation of cell adhesion   • cellular process   • developmental process   • multicellular organismal process   • blood vessel morphogenesis   • tube development   • angiogenesis   • vasculature development   • circulatory system development   • anatomical structure morphogenesis   • multicellular organism development   • tube morphogenesis   • anatomical structure formation involved in morphogenesis   • anatomical structure development   • blood vessel development   • system development   • response to stimulus   • immune response   • immune system process   • chemotaxis   • positive regulation of locomotion   • regulation of response to external stimulus   • positive regulation of biological process   • response to external stimulus   • regulation of chemotaxis   • positive regulation of chemotaxis   • positive regulation of response to stimulus   • positive regulation of response to external stimulus   • taxis   • regulation of response to stimulus   • response to chemical   • regulation of locomotion   • locomotion   • apoptotic process   • cell death   • programmed cell death   • cellular response to stimulus   • signaling   • intracellular signal transduction   • cell communication   • calcium-mediated signaling   • intracellular signaling cassette   • signal transduction   • positive regulation of programmed cell death   • regulation of apoptotic process   • regulation of programmed cell death   • positive regulation of apoptotic process   • regulation of execution phase of apoptosis   • positive regulation of execution phase of apoptosis   • execution phase of apoptosis   • positive regulation of cellular process   • negative regulation of programmed cell death   • negative regulation of biological process   • negative regulation of execution phase of apoptosis   • negative regulation of apoptotic process   • negative regulation of cellular process   • adenylate cyclase-activating G protein-coupled receptor signaling pathway   • adenylate cyclase-modulating G protein-coupled receptor signaling pathway   • G protein-coupled receptor signaling pathway   • cell population proliferation   • positive regulation of cell population proliferation   • regulation of cell population proliferation   • cell chemotaxis   • cellular response to chemical stimulus   • cell migration   • cell motility   • cell surface receptor signaling pathway   • regulation of developmental process   • regulation of vasculature development   • positive regulation of developmental process   • regulation of multicellular organismal process   • regulation of anatomical structure morphogenesis   • regulation of multicellular organismal development   • positive regulation of angiogenesis   • positive regulation of vasculature development   • regulation of angiogenesis   • positive regulation of multicellular organismal process   • regulation of calcium ion transport   • regulation of localization   • positive regulation of cation transmembrane transport   • positive regulation of calcium ion transport   • transport   • monoatomic ion transmembrane transport   • regulation of monoatomic ion transmembrane transport   • calcium ion transport   • metal ion transport   • regulation of calcium ion transmembrane transport   • monoatomic cation transmembrane transport   • localization   • positive regulation of monoatomic ion transport   • positive regulation of calcium ion transmembrane transport   • positive regulation of transmembrane transport   • monoatomic ion transport   • positive regulation of monoatomic ion transmembrane transport   • positive regulation of release of sequestered calcium ion into cytosol   • monoatomic cation transport   • regulation of metal ion transport   • calcium ion transmembrane import into cytosol   • regulation of transport   • regulation of release of sequestered calcium ion into cytosol   • regulation of monoatomic ion transport   • establishment of localization   • transmembrane transport   • release of sequestered calcium ion into cytosol   • regulation of transmembrane transport   • positive regulation of transport   • regulation of monoatomic cation transmembrane transport   • calcium ion transmembrane transport   • defense response   • response to stress   • inflammatory response   • negative regulation of blood vessel morphogenesis   • negative regulation of developmental process   • negative regulation of angiogenesis   • negative regulation of vasculature development   • negative regulation of multicellular organismal process   • positive regulation of DNA-templated transcription   • RNA metabolic process   • positive regulation of macromolecule biosynthetic process   • regulation of primary metabolic process   • nucleobase-containing compound metabolic process   • RNA biosynthetic process   • nucleic acid biosynthetic process   • positive regulation of metabolic process   • DNA-templated transcription   • regulation of RNA metabolic process   • transcription by RNA polymerase II   • positive regulation of biosynthetic process   • positive regulation of macromolecule metabolic process   • regulation of nucleobase-containing compound metabolic process   • regulation of RNA biosynthetic process   • regulation of biosynthetic process   • regulation of transcription by RNA polymerase II   • primary metabolic process   • regulation of macromolecule metabolic process   • positive regulation of transcription by RNA polymerase II   • nucleobase-containing compound biosynthetic process   • gene expression   • macromolecule biosynthetic process   • nucleic acid metabolic process   • positive regulation of RNA metabolic process   • regulation of gene expression   • biosynthetic process   • positive regulation of RNA biosynthetic process   • metabolic process   • regulation of macromolecule biosynthetic process   • macromolecule metabolic process   • regulation of DNA-templated transcription   • regulation of metabolic process   • regulation of cell motility   • regulation of leukocyte migration   • leukocyte migration   • regulation of cell migration   • regulation of immune system process   • lymphocyte chemotaxis   • lymphocyte migration   • mononuclear cell migration   • T cell chemotaxis   • T cell migration   • leukocyte chemotaxis   • negative regulation of cell population proliferation   • endothelial cell proliferation   • negative regulation of endothelial cell proliferation   • regulation of endothelial cell proliferation   • regulation of epithelial cell proliferation   • epithelial cell proliferation   • negative regulation of epithelial cell proliferation   • cell periphery   • cellular anatomical structure   • cell surface   • membrane   • plasma membrane   • external side of plasma membrane   • side of membrane   • intracellular anatomical structure   • cytoplasm   • protein binding   • binding   • G-protein beta-subunit binding   • fibroblast proliferation   • cellular response to nitrogen compound   • response to dopamine   • cellular response to dopamine   • response to monoamine   • response to catecholamine   • adenylate cyclase-activating dopamine receptor signaling pathway   • cellular response to catecholamine stimulus   • G protein-coupled dopamine receptor signaling pathway   • response to oxygen-containing compound   • response to nitrogen compound   • cellular response to oxygen-containing compound   • cellular response to monoamine stimulus   • response to ketone   • response to prostaglandin   • response to lipid   • response to endogenous stimulus   • response to alcohol   • cellular response to prostaglandin stimulus   • cellular response to endogenous stimulus   • cellular response to prostaglandin E stimulus   • cellular response to alcohol   • response to hormone   • cellular response to lipid   • response to prostaglandin E   • cellular response to ketone   • cellular response to hormone stimulus   • protein-containing complex   • extrinsic component of plasma membrane   • catalytic complex   • plasma membrane protein complex   • cytoplasmic side of membrane   • membrane protein complex   • heterotrimeric G-protein complex   • cytoplasmic side of plasma membrane   • GTPase complex   • extrinsic component of membrane   • extrinsic component of cytoplasmic side of plasma membrane   • extracellular exosome   • membrane-bounded organelle   • extracellular vesicle   • extracellular organelle   • extracellular region   • organelle   • extracellular space   • vesicle   • extracellular membrane-bounded organelle   • synapse   • cell junction   • enzyme binding   • GTPase binding   • protein-containing complex binding   • pyrophosphatase activity   • GTPase activity   • ribonucleoside triphosphate phosphatase activity   • hydrolase activity, acting on acid anhydrides, in phosphorus-containing anhydrides   • hydrolase activity   • hydrolase activity, acting on acid anhydrides   • catalytic activity   • signaling receptor complex adaptor activity   • protein-macromolecule adaptor activity   • molecular adaptor activity   • signaling adaptor activity   • system process   • sensory perception of chemical stimulus   • sensory perception   • nervous system process   • sensory perception of taste   • sensory organ development   • eye development   • animal organ development   • retina development in camera-type eye   • visual system development   • camera-type eye development   • sensory system development   • small GTPase-mediated signal transduction   • Ras protein signal transduction   • phospholipase C-activating G protein-coupled receptor signaling pathway   • synaptic signaling   • cellular response to acetylcholine   • cell-cell signaling   • acetylcholine receptor signaling pathway   • postsynaptic signal transduction   • G protein-coupled acetylcholine receptor signaling pathway   • response to acetylcholine   • non-motile cilium   • 9+0 non-motile cilium   • cilium   • neuron projection   • photoreceptor disc membrane   • photoreceptor outer segment   • plasma membrane bounded cell projection   • cell projection   • photoreceptor cell cilium   • organelle membrane   • cytosol   • vacuolar membrane   • lytic vacuole   • vacuole   • intracellular membrane-bounded organelle   • intracellular organelle   • lytic vacuole membrane   • bounding membrane of organelle   • lysosomal membrane   • lysosome   • mu-type opioid receptor binding   • signaling receptor binding   • G protein-coupled receptor binding   • opioid receptor binding   • guanyl nucleotide binding   • GTP binding   • nucleotide binding   • guanyl ribonucleotide binding   • purine ribonucleotide binding   • purine ribonucleoside triphosphate binding   • nucleoside phosphate binding   • ion binding   • purine nucleotide binding   • anion binding   • heterocyclic compound binding   • carbohydrate derivative binding   • ribonucleotide binding   • small molecule binding   • peptide hormone receptor binding   • corticotropin-releasing hormone receptor binding   • corticotropin-releasing hormone receptor 1 binding   • hormone receptor binding   • neuropeptide receptor binding   • G protein-coupled serotonin receptor binding   • G-protein beta/gamma-subunit complex binding   • G protein activity   • molecular function regulator activity   • cation binding   • metal ion binding   • adenylate cyclase-inhibiting serotonin receptor signaling pathway   • G protein-coupled serotonin receptor signaling pathway   • adenylate cyclase-inhibiting G protein-coupled receptor signaling pathway   • heart process   • regulation of heart contraction   • regulation of system process   • circulatory system process   • regulation of blood circulation   • heart contraction   • blood circulation   • behavior   • locomotory behavior   • secretion   • export from cell   • membrane docking   • vesicle-mediated transport   • organelle localization by membrane tethering   • secretion by cell   • exocytosis   • organelle localization   • vesicle docking   • exocytic process   • vesicle docking involved in exocytosis   • negative regulation of protein transport   • establishment of protein localization   • nitrogen compound transport   • negative regulation of transport   • negative regulation of secretion   • negative regulation of hormone secretion   • negative regulation of secretion by cell   • intracellular protein localization   • regulation of peptide hormone secretion   • negative regulation of peptide hormone secretion   • regulation of hormone levels   • establishment of protein localization to extracellular region   • negative regulation of establishment of protein localization   • protein secretion   • regulation of protein secretion   • regulation of secretion   • negative regulation of protein secretion   • regulation of hormone secretion   • regulation of protein localization   • regulation of peptide secretion   • negative regulation of signaling   • hormone secretion   • negative regulation of cell communication   • protein localization to extracellular region   • negative regulation of peptide secretion   • peptide secretion   • regulation of secretion by cell   • signal release   • negative regulation of protein localization   • regulation of signaling   • regulation of peptide transport   • regulation of establishment of protein localization   • regulation of protein transport   • peptide transport   • negative regulation of insulin secretion   • protein transport   • regulation of insulin secretion   • peptide hormone secretion   • macromolecule localization   • hormone transport   • regulation of cell communication   • insulin secretion   • trans-synaptic signaling   • modulation of chemical synaptic transmission   • chemical synaptic transmission   • regulation of trans-synaptic signaling   • anterograde trans-synaptic signaling   • postsynaptic modulation of chemical synaptic transmission   • muscle contraction   • muscle system process   • postsynapse   • postsynaptic membrane   • plasma membrane region   • synaptic membrane   • parallel fiber to Purkinje cell synapse   • excitatory synapse   • presynapse   • presynaptic membrane   • somatodendritic compartment   • dendrite   • dendritic tree   • GABA-ergic synapse   • glutamatergic synapse   • cell body
Gene OntologyCellular Component
SCOP2Domain Identifier• Transducin (heterotrimeric G protein), gamma chain
SCOP2Family Identifier• Transducin (heterotrimeric G protein), gamma chain
Membrane Protein Annotations-• Orientations of Proteins in Membranes database (OPM)   • Protein Data Bank of Transmembrane Proteins (PDBTM)   • MemProtMD


Details about the values in these tables can be found in the corresponding documentation page .
Code_L_
PDB ResiduesL:L:?1
Environment DetailsOpen EMBL-EBI Page
Code_L_
Name
Synonyms
Identifier
Formula
Molecular Weight
SMILES
PubChem
Formal Charge
Total Atoms
Total Chiral Atoms
Total Bonds
Total Aromatic Bonds

PDBsumOpen PDBsum Page
ChainA
ProteinG Protein α Sub unit
UniProtP09471
Sequence
>8Y0N_Chain_A
TLSAEERAA LERSKAIEK NLKEDGISA AKDVKLLLL GASGKSTIV 
KQMKIITGI VETHFTFKN LHFRLFDVG GQRSERKKW IHCFEDVTA 
IIFCVLSYN RMHESLMLF DSICNNKFF IDTSIILFL NKKDLFGEK 
IKKSPLTIC FPEYTGPNT YEDAAAYIQ AQFESKNRS PNKEIYCHM 
TCATDTNNQ VFDAVTDII IANNLRGCG LYDNDDAI


Click on each residue to open a popup with some information about it.

ConSurf Conservation Grade (See documentation): 

 n/a   1    2    3    4    5    6    7    8    9  

ChainB
ProteinG Protein β Sub unit
UniProtP62873
Sequence
>8Y0N_Chain_B
DQLRQEAEQ LKNQIRDAR KACADATLS QITNNIDPV GRIQMRTRR 
TLRGHLAKI YAMHWGTDS RLLVSASQD GKLIIWDSY TTNKVHAIP 
LRSSWVMTC AYAPSGNYV ACGGLDNIC SIYNLKTRE GNVRVSREL 
AGHTGYLSC CRFLDDNQI VTSSGDTTC ALWDIETGQ QTTTFTGHT 
GDVMSLSLA PDTRLFVSG ACDASAKLW DVREGMCRQ TFTGHESDI 
NAICFFPNG NAFATGSDD ATCRLFDLR ADQELMTYS HDNIICGIT 
SVSFSKSGR LLLAGYDDF NCNVWDALK ADRAGVLAG HDNRVSCLG 
VTDDGMAVA TGSWDSFLK IWN


Click on each residue to open a popup with some information about it.

ConSurf Conservation Grade (See documentation): 

 n/a   1    2    3    4    5    6    7    8    9  

ChainG
ProteinG Protein γ Sub unit
UniProtP59768
Sequence
>8Y0N_Chain_G
IAQARKLVE QLKMEANID RIKVSKAAA DLMAYCEAH AKEDPLLTP 
VPASENPF


Click on each residue to open a popup with some information about it.

ConSurf Conservation Grade (See documentation): 

 n/a   1    2    3    4    5    6    7    8    9  

ChainR
ProteinReceptor
UniProtP49682
Sequence
>8Y0N_Chain_R
PALYSLLFL LGLLGNGAV AAVLLSRRT ALSSTDTFL LHLAVADTL 
LVLTLPLWA VDAAVQWVF GSGLCKVAG ALFNINFYA GALLLACIS 
FDRYLNIVH ATQLYRRGP PARVTLTCL AVWGLCLLF ALPDFIFLS 
AHHDERLNA THCQYNFPQ VGRTALRVL QLVAGFLLP LLVMAYCYA 
HILAVLLVS RGQRRLRAM RLVVVVVVA FALCWTPYH LVVLVDILM 
DLGALARNC GRESRVDVA KSVTSGLGY MHCCLNPLL YAFVGVKFR 
ERMWMLLLR


Click on each residue to open a popup with some information about it.

ConSurf Conservation Grade (See documentation): 

 n/a   1    2    3    4    5    6    7    8    9  




This receptor, from the same or other species and bound to the same or other ligands, is also present in the following networks:
Show PDB Class SubFamily Type SubType Species Orthosteric Ligand Other Ligand(s) Protein Partners Resolution Date DOI
8HNKAProteinChemokineCXCR3Homo sapiensCXCL11-Gi1/β1/γ23.012023-11-29doi.org/10.1038/s41594-023-01175-5
8HNK (No Gprot) AProteinChemokineCXCR3Homo sapiensCXCL11-3.012023-11-29doi.org/10.1038/s41594-023-01175-5
8HNLAProteinChemokineCXCR3Homo sapiensPS372424-Gi1/β1/γ22.982023-11-29doi.org/10.1038/s41594-023-01175-5
8HNL (No Gprot) AProteinChemokineCXCR3Homo sapiensPS372424-2.982023-11-29doi.org/10.1038/s41594-023-01175-5
8HNMAProteinChemokineCXCR3Homo sapiensVUF11222-Gi1/β1/γ22.942023-11-29doi.org/10.1038/s41594-023-01175-5
8HNM (No Gprot) AProteinChemokineCXCR3Homo sapiensVUF11222-2.942023-11-29doi.org/10.1038/s41594-023-01175-5
8HNNAProteinChemokineCXCR3Homo sapiens-SCH546738-3.62023-11-29doi.org/10.1038/s41594-023-01175-5
8K2WAProteinChemokineCXCR3Homo sapiensAMG487--32023-11-29doi.org/10.1038/s41594-023-01175-5
8K2XAProteinChemokineCXCR3Homo sapiensCXCL10-Gi1/β1/γ23.22023-11-29doi.org/10.1038/s41594-023-01175-5
8K2X (No Gprot) AProteinChemokineCXCR3Homo sapiensCXCL10-3.22023-11-29doi.org/10.1038/s41594-023-01175-5
8XXYAProteinChemokineCXCR3Homo sapiens---3.682025-02-26doi.org/10.1038/s41467-025-58264-w
8XXZAProteinChemokineCXCR3Homo sapiens--Go/β1/γ23.32025-02-26doi.org/10.1038/s41467-025-58264-w
8XXZ (No Gprot) AProteinChemokineCXCR3Homo sapiens--3.32025-02-26doi.org/10.1038/s41467-025-58264-w
8XYIAProteinChemokineCXCR3Homo sapiensVUF10661--3.162025-02-26doi.org/10.1038/s41467-025-58264-w
8XYKAProteinChemokineCXCR3Homo sapiensVUF10661-Go/β1/γ23.032025-02-26doi.org/10.1038/s41467-025-58264-w
8XYK (No Gprot) AProteinChemokineCXCR3Homo sapiensVUF10661-3.032025-02-26doi.org/10.1038/s41467-025-58264-w
8Y0HAProteinChemokineCXCR3Homo sapiensVUF11418--3.532025-02-26doi.org/10.1038/s41467-025-58264-w
8Y0NAProteinChemokineCXCR3Homo sapiensVUF11418-Go/β1/γ23.072025-02-26doi.org/10.1038/s41467-025-58264-w
8Y0N (No Gprot) AProteinChemokineCXCR3Homo sapiensVUF11418-3.072025-02-26doi.org/10.1038/s41467-025-58264-w




You can download a compressed (zip) file with structure(s), 3D outputs (as PyMol and VMD scripts) and numerical data files (as csv and plain text files).

Download 8Y0N.zip



You can click to copy the link of this page to easily come back here later

or use this QR code to link and share this page.



You can also  read or  download a guide explaining the meaning of all files and numerical data.