Color ConSurf Grade
      No Conservation data available
      1
      2
      3
      4
      5
      6
      7
      8
      9

Index: hub id, click on each number to highlight the corresponding hub in the 3D visualization.

Hub: the hub being considered.

Avg Int. Strength: the average interaction strength of all the links of the corresponding hub.

Num Of Links: the number of links of the corresponding hub.

Community: the id of the community the link belong to, otherwise 0.

ConSurf: this column reports the ConSurf conservation grades of each hub.

Index Hub Avg Int. Strength Num Of Links Community ConSurf
1A:A:R20 4.255463
2A:A:N23 5.995467
3A:A:H41 4.055406
4A:A:L46 4.5675408
5A:A:F219 5.488508
6A:A:H220 8.164177
7A:A:F222 9.92254177
8A:A:Q227 5.1525419
9A:A:K233 5.348519
10A:A:W234 5.758519
11A:A:C237 4.0075418
12A:A:F246 4.635409
13A:A:Q267 7.1125184
14A:A:F273 5.4254199
15A:A:W277 9.1165196
16A:A:W281 12.3425415
17A:A:F315 5.935686
18A:A:Y318 6.492586
19A:A:R336 5.39485
20A:A:F340 9.69587
21A:A:R342 6.19474
22A:A:F345 7.51408
23A:A:R356 5.03402
24A:A:Y360 6.835448
25A:A:F363 7.735475
26A:A:T364 6.93754149
27A:A:N371 8.41254149
28A:A:R374 7.14144
29A:A:F376 4.091676138
30A:A:R385 7.902545
31A:A:Y391 8.1125404
32B:B:L4 2.0925404
33B:B:L14 3.835408
34B:B:V40 4.78254213
35B:B:H54 9.278509
36B:B:K57 7.53419
37B:B:Y59 5.056518
38B:B:W63 5.86333697
39B:B:D76 6.4565169
40B:B:I80 6.804568
41B:B:N88 10.6575467
42B:B:K89 8.25569
43B:B:I93 4.2525407
44B:B:W99 8.38509
45B:B:M101 4.0775419
46B:B:Y105 3.76833606
47B:B:Y111 5.28534
48B:B:I123 3.176536
49B:B:Y124 5.5475406
50B:B:H142 7.87539
51B:B:Y145 6.14429718
52B:B:C149 3.3825408
53B:B:F151 4.01714739
54B:B:L152 3.5075403
55B:B:I157 4.3725437
56B:B:D163 7.3025439
57B:B:W169 7.76572738
58B:B:I171 3.78436
59B:B:F180 7.256557
60B:B:H183 8.132559
61B:B:D186 7.4225419
62B:B:A193 2.7125404
63B:B:S201 4.6075459
64B:B:C204 4.44667617
65B:B:D205 6.77459
66B:B:K209 8.512556
67B:B:W211 9.698558
68B:B:Q220 7.055427
69B:B:F222 7.7425428
70B:B:H225 11.31529
71B:B:D228 7.58519
72B:B:F235 6.47506
73B:B:F241 7.5525426
74B:B:D247 8.182529
75B:B:R251 8.51628
76B:B:F253 6.325626
77B:B:D258 6.288527
78B:B:M262 5.4525404
79B:B:Y264 6.8405
80B:B:C271 3.83415
81B:B:R283 8.85754219
82B:B:L284 5.4575405
83B:B:Y289 5.94286717
84B:B:C294 3.73505
85B:B:R314 12.194518
86B:B:W332 9.035619
87B:B:K337 6.64754226
88B:B:W339 7.3156229
89G:G:L19 3.1825409
90G:G:R27 5.355428
91G:G:D48 6.384509
92G:G:L51 3.77506
93G:G:P60 6.4054239
94G:G:F61 4.677238
95L:L:F6 5.3985260
96L:L:R7 9.146120
97L:L:W8 5.52254120
98R:R:F45 9.0254257
99R:R:N56 4.105409
100R:R:N66 5.68254107
101R:R:N68 8.3954107
102R:R:Y74 6.6325108
103R:R:F76 4.9675407
104R:R:D84 6.44509
105R:R:T95 5.7954255
106R:R:D117 6.1254123
107R:R:F120 3.9325405
108R:R:D121 8.615404
109R:R:I124 5.38404
110R:R:C125 2.9225404
111R:R:R142 7.374119
112R:R:I146 4.98409
113R:R:F147 10.62446
114R:R:Y152 6.7885208
115R:R:W169 4.4565289
116R:R:F179 2.705403
117R:R:F196 9.7645157
118R:R:Y207 4.871437119
119R:R:F211 4.572506
120R:R:H217 9.99447
121R:R:F251 5.924158
122R:R:W255 6.367147158
123R:R:H261 6.6125405
124R:R:C268 3.33404
125R:R:F281 8.2725263
126R:R:Y284 7.3925405
127R:R:Y299 4.49758119
128R:R:F301 6.34754276
129R:R:L306 4.065408
   

Color ConSurf Grade
      No Conservation data available
      1
      2
      3
      4
      5
      6
      7
      8
      9

Index: link id, click on each number to highlight the corresponding link in the 3D visualization.

Node1 Node2: the two nodes of the corresponding link.

Recurrence: the relative Recurrence in the pool of shortest paths.

Int. Strength: the interaction strength between the two nodes.

Hub1?, Hub2?: "Yes" if the corresponding node has more than 3 links, otherwise "No".

Community: the id of the community the link belong to, otherwise 0.

ConSurf1, ConSurf2: these columns report the ConSurf conservation grades of the two nodes involved in a link.

Index Node1 Node2 Recurrence Int. Strength Hub1? Hub2? Community ConSurf1 ConSurf2
1A:A:Q19 B:B:D83 68.22356.53NoNo048
2A:A:N23 B:B:N88 68.83510.9YesYes677
3A:A:N23 B:B:K89 70.32174.2YesYes679
4B:B:I80 B:B:K89 70.93265.82YesYes689
5B:B:H54 B:B:I80 73.435110.61YesYes098
6B:B:H54 B:B:S74 74.168816.74YesNo099
7B:B:D76 B:B:S74 74.350810.31YesNo099
8B:B:D76 B:B:L55 30.199912.21YesNo1696
9A:A:K34 B:B:L55 85.40425.64NoNo046
10A:A:K34 A:A:R38 84.560812.38NoNo044
11A:A:R38 R:R:H153 84.41785.64NoNo045
12R:R:H153 R:R:Y152 84.27429.8NoYes058
13A:A:Y37 B:B:D76 44.69253.45NoYes1649
14A:A:R42 A:A:Y37 10014.4NoNo094
15R:R:T145 R:R:Y152 79.72727.49NoYes2088
16A:A:Y391 R:R:T145 80.64236.24YesNo048
17A:A:Q390 A:A:Y391 10.62919.02NoYes044
18A:A:H387 A:A:Q390 10.29774.95NoNo084
19A:A:F222 A:A:R42 99.96394.28YesNo079
20A:A:F222 B:B:W99 99.652616.04YesYes079
21A:A:F238 B:B:W99 28.46711.02NoYes099
22A:A:F238 A:A:L44 24.76979.74NoNo099
23A:A:L44 A:A:L46 23.51956.92NoYes098
24A:A:F246 A:A:L46 22.38773.65YesYes098
25R:R:F147 R:R:F213 10.78149.65YesNo465
26R:R:F147 R:R:I146 13.31635.02YesYes069
27A:A:Y391 R:R:I146 15.2364.84YesYes049
28B:B:L117 B:B:W99 15.28364.56NoYes099
29B:B:Q75 B:B:W99 56.14976.57NoYes099
30B:B:K57 B:B:Q75 24.08288.14YesNo199
31B:B:K57 B:B:W332 23.431811.6YesYes199
32B:B:R314 B:B:W332 50.426317.99YesYes189
33B:B:Q75 B:B:Y59 31.93069.02NoYes198
34B:B:W332 B:B:Y59 29.95413.86YesYes198
35A:A:C237 A:A:F238 13.55965.59YesNo089
36A:A:C237 B:B:M101 17.96523.24YesYes189
37B:B:M101 B:B:Y59 11.20763.59YesYes198
38A:A:F246 A:A:L289 15.34963.65YesNo099
39B:B:D290 B:B:R314 28.931813.1NoYes168
40A:A:Y391 R:R:R142 66.174112.35YesYes049
41R:R:R142 R:R:Y207 49.45787.2YesYes1199
42B:B:D83 B:B:R68 68.021817.87NoNo085
43B:B:D66 B:B:R68 53.58853.57NoNo085
44B:B:D66 B:B:L69 53.34614.07NoNo085
45B:B:L69 B:B:Y105 53.1033.52NoYes056
46B:B:H62 B:B:Y105 37.94923.27NoYes066
47B:B:H62 B:B:R150 37.669712.41NoNo066
48B:B:C148 B:B:R150 37.38962.79NoNo066
49B:B:C148 B:B:L190 37.10884.76NoNo065
50B:B:L190 B:B:S160 32.53313NoNo056
51B:B:S160 B:B:V187 32.24196.46NoNo069
52B:B:S201 B:B:V187 28.07733.23YesNo599
53B:B:S201 B:B:W211 26.64126.18YesYes598
54B:B:F199 B:B:W211 25.020211.02NoYes598
55B:B:F199 B:B:V213 24.80672.62NoNo094
56B:B:R214 B:B:V213 24.49883.92NoNo094
57B:B:R197 B:B:R214 24.19033.2NoNo059
58B:B:D195 B:B:R197 23.88125.96NoNo055
59B:B:A193 B:B:D195 23.57144.63YesNo045
60B:B:A193 B:B:F234 20.75582.77YesNo045
61B:B:F234 B:B:V200 20.12339.18NoNo056
62B:B:F241 B:B:V200 19.13473.93YesNo266
63B:B:F222 B:B:F241 11.445111.79YesYes286
64B:B:C271 B:B:D290 28.67243.11YesNo156
65B:B:C271 B:B:Y289 25.88614.03YesYes157
66B:B:W297 B:B:Y289 18.58443.86NoYes087
67B:B:W297 B:B:Y264 18.119610.61NoYes085
68B:B:R68 B:B:Y85 21.346323.66NoNo054
69B:B:Y85 G:G:P60 15.35679.74NoYes2349
70B:B:M325 G:G:P60 14.8755.03NoYes059
71B:B:M325 G:G:P49 13.66255.03NoNo057
72G:G:D48 G:G:P49 12.00873.22YesNo097
73B:B:R314 B:B:T274 18.11963.88YesNo088
74B:B:S275 B:B:T274 17.65424.8NoNo088
75B:B:L318 B:B:S275 17.18813NoNo068
76B:B:C294 B:B:L318 16.72153.17YesNo056
77B:B:H91 B:B:I81 16.84666.63NoNo057
78B:B:H91 B:B:V133 15.5134.15NoNo054
79B:B:I93 B:B:V133 14.84533.07YesNo074
80B:B:G116 B:B:M101 28.71753.49NoYes099
81B:B:G115 B:B:G116 28.02942.11NoNo099
82B:B:G115 B:B:L146 27.34073.42NoNo097
83B:B:H142 B:B:L146 26.65145.14YesNo097
84B:B:H142 B:B:W169 18.99483.17YesYes398
85B:B:I157 B:B:W169 14.82463.52YesYes378
86B:B:F151 B:B:I157 10.60816.28YesYes397
87B:B:L285 B:B:Y264 11.07354.69NoYes065
88B:B:F278 B:B:L285 10.12367.31NoNo076
89R:R:M203 R:R:Y207 44.89143.59NoYes089
90R:R:F251 R:R:M203 44.64258.71YesNo088
91R:R:F196 R:R:F251 42.05453.22YesYes1578
92R:R:F196 R:R:F259 44.185430.01YesNo076
93R:R:F258 R:R:F259 43.91274.29NoNo056
94L:L:F6 R:R:F258 34.46835.36YesNo2605
95L:L:F6 R:R:D121 20.8455.97YesYes004
96L:L:R7 R:R:D121 12.514911.91YesYes004
97R:R:E94 R:R:F120 12.77985.83NoYes055
98L:L:F6 R:R:I124 14.65458.79YesYes004
99R:R:R142 R:R:Y299 16.27956.17YesYes1199
100R:R:D295 R:R:Y299 10.35493.45NoYes099
101A:A:Q19 B:B:N88 68.195714.52NoYes647
102A:A:Y37 B:B:L55 55.34275.86NoNo1646
Download PSN data

2D representation of the global metapath, ligand(s) interactions and
histograms of path distribution according to several parameters
(click on the image to enlarge it 🔍):

A 2D representation of the global communication in the network.

ConSurf Conservation Grade (See documentation): 

 n/a   1    2    3    4    5    6    7    8    9  

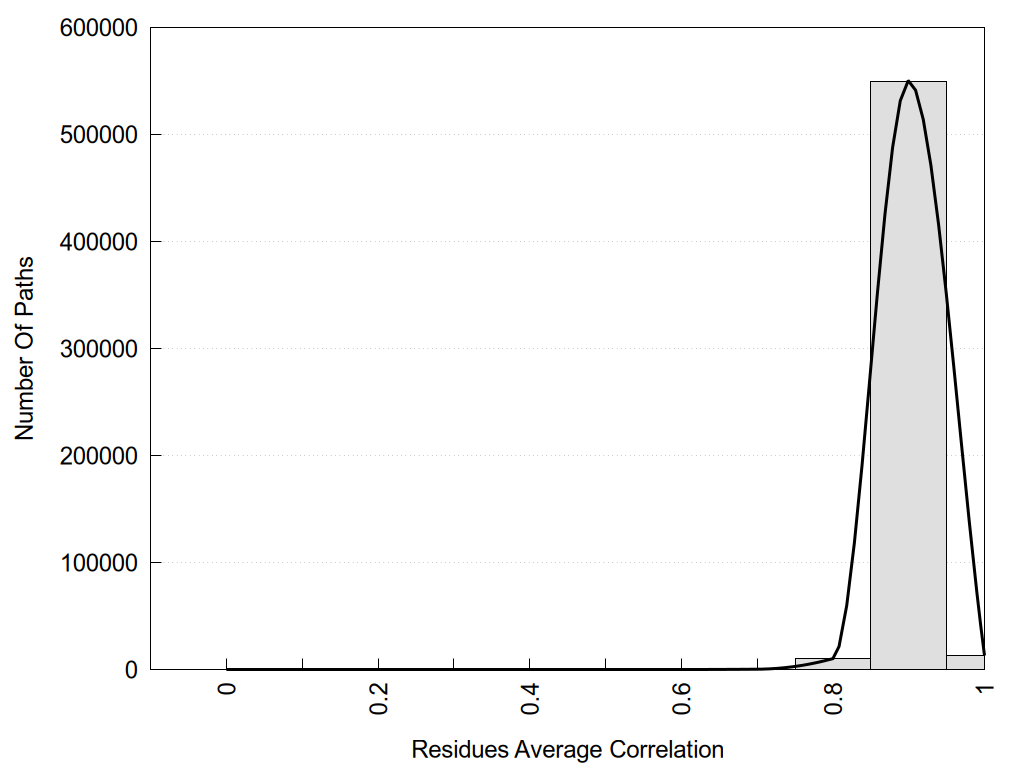
Number of shortest communication paths as a function of the average residue correlation.

Number of shortest communication paths as a function of the average interaction strength of their links.

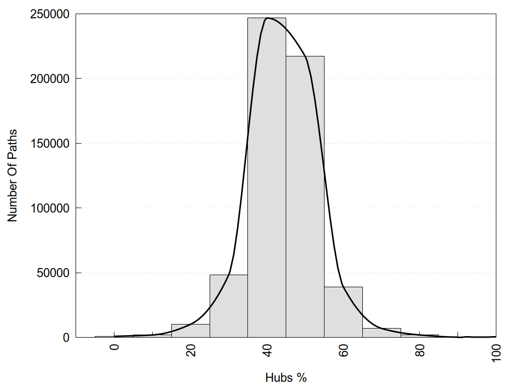
Number of shortest communication paths as a function of the % of hub nodes in each path.

Number of shortest communication paths as a function of the number of nodes in each path.

Number of shortest communication paths as a function of the % of correlated nodes in each path.


2D representation of the interactions of this orthosteric/allosteric ligand.


Links and nodes colored according to ConSurf Conservation Grade (See documentation): 

 n/a   1    2    3    4    5    6    7    8    9  

Node1 Node2 LinkStrength Comm IsNode1Hub? IsNode2Hub? Node1Cons Node2Cons Node1Shell Node2Shell
I:I:?1 L:L:G4 3.14 0 No No 0 0 1 0
I:I:?1 R:R:D117 7.49 0 No Yes 0 3 1 1
I:I:?1 R:R:D121 7.49 0 No Yes 0 4 1 1
L:L:Y1 R:R:D110 4.6 0 No No 0 6 0 1
L:L:Y1 R:R:D117 8.05 0 No Yes 0 3 0 1
L:L:M3 R:R:M97 5.78 0 No No 0 4 0 1
L:L:M3 R:R:I98 8.75 0 No No 0 4 0 1
L:L:H5 R:R:F45 16.97 25 No Yes 0 7 0 1
L:L:H5 R:R:T95 9.58 25 No Yes 0 5 0 1
L:L:F6 R:R:D121 5.97 26 Yes Yes 0 4 0 1
L:L:F6 R:R:I124 8.79 26 Yes Yes 0 4 0 1
L:L:F6 R:R:F258 5.36 26 Yes No 0 5 0 1
L:L:F6 R:R:F281 3.22 26 Yes Yes 0 3 0 1
L:L:F6 R:R:L285 3.65 26 Yes No 0 3 0 1
L:L:R7 R:R:D117 3.57 12 Yes Yes 0 3 0 1
L:L:R7 R:R:N118 4.82 12 Yes No 0 4 0 1
L:L:R7 R:R:D121 11.91 12 Yes Yes 0 4 0 1
L:L:R7 R:R:I180 8.77 12 Yes No 0 5 0 1
L:L:R7 R:R:E184 19.77 12 Yes No 0 4 0 1
L:L:W8 R:R:E184 3.27 12 Yes No 0 4 0 1
L:L:W8 R:R:I189 9.4 12 Yes No 0 6 0 1
L:L:W8 R:R:L192 3.42 12 Yes No 0 4 0 1
L:L:D9 R:R:F281 16.72 0 No Yes 0 3 0 1
R:R:F45 R:R:I40 5.02 25 Yes No 7 5 1 2
R:R:F45 R:R:T95 10.38 25 Yes Yes 7 5 1 1
R:R:F45 R:R:M289 3.73 25 Yes No 7 6 1 2
R:R:I124 R:R:N91 7.08 0 Yes No 4 6 1 2
R:R:M289 R:R:N91 8.41 0 No No 6 6 2 2
R:R:E94 R:R:F120 5.83 0 No Yes 5 5 2 2
R:R:D121 R:R:E94 9.09 0 Yes No 4 5 1 2
R:R:E94 R:R:I124 4.1 0 No Yes 5 4 2 1
R:R:F120 R:R:M97 3.73 0 Yes No 5 4 2 1
R:R:D110 R:R:E109 15.59 0 No No 6 3 1 2
R:R:N118 R:R:Q114 3.96 12 No No 4 5 1 2
R:R:D117 R:R:N118 5.39 12 Yes No 3 4 1 1
R:R:I180 R:R:S122 7.74 0 No No 5 4 1 2
R:R:C125 R:R:I180 3.27 0 Yes No 4 5 2 1
R:R:F258 R:R:F259 4.29 26 No No 5 6 1 2
R:R:F258 R:R:F281 5.36 26 No Yes 5 3 1 1
R:R:H261 R:R:I265 6.63 0 Yes No 5 3 2 1
R:R:F281 R:R:H261 12.44 26 Yes Yes 3 5 1 2
R:R:F281 R:R:N282 3.62 26 Yes No 3 3 1 2
R:R:I189 R:R:I266 2.94 0 No No 6 3 1 2
L:L:M3 R:R:I113 2.92 0 No No 0 8 0 1
R:R:I265 R:R:L262 2.85 0 No No 3 5 1 2
L:L:F11 R:R:I265 2.51 0 No No 0 3 0 1
R:R:P42 R:R:T95 1.75 0 No Yes 4 5 2 1
R:R:I124 R:R:S90 1.55 0 Yes No 4 5 1 2
R:R:L46 R:R:T95 1.47 0 No Yes 5 5 2 1
R:R:I113 R:R:L106 1.43 0 No No 8 5 1 2
R:R:H102 R:R:I98 1.33 0 No No 5 4 2 1

Location and physicochemical properties of the interaction partners of this ligand

Interactions of this ligand

Similarities between the interactions of this ligand and those of other networks

ShowSimilarityNetwork TypeNameLigandDescription
68.00Single8W8XBeta-MSH8W8X-MC3-β-MSH-Ca-Gs/β1/γ2
66.67Consensusmelanocortin_onOrthosteric Ligandmc1_on mc4_on mc2_on mc3_on mc5_on
66.67Consensusmelanocortin_on_gpOrthosteric Ligandmc1_on_gp mc4_on_gp mc2_on_gp mc3_on_gp mc5_on_gp
65.38Consensusgs_melanocortinOrthosteric Ligand7F4H-MC1-Afamelanotide-chim(NtGi1-Gs)/β1/γ2 7F54-MC4-Afamelanotide-Gs/β1/γ2 7F4D-MC1-α-MSH-chim(NtGi1-Gs)/β1/γ2 8INR-MC5-α-MSH-Ca-chim(NtGi1-Gs)/β1/γ2 7F53-MC4-α-MSH-Gs/β1/γ2 7F55-MC4-Bremelanotide-Gs/β1/γ2 8GY7-MC2-Corticotropin-Ca-chim(NtGi1-Gs)/β1/γ2; MRAP1 8IOC-MC3-γ-MSH-Ca-chim(NtGi1-Gs)/β1/γ2 8IOD-MC5-PG-901-Ca-chim(NtGi1-Gs)/β1/γ2 7AUE-MC4-Setmelanotide-chim(NtGi1L-Gs)/β1/γ2 7F4I-MC1-SHU9119-chim(NtGi1-Gs)/β1/γ2 7F58-MC4-THIQ-Gs/β1/γ2
65.22Single7F4DAlpha-MSH7F4D-MC1-α-MSH-chim(NtGi1-Gs)/β1/γ2
63.64Single8KIGSHU91198KIG-MC3-SHU9119-Ca
62.50Consensusmc5_on_gpOrthosteric Ligand8INR-MC5-α-MSH-Ca-chim(NtGi1-Gs)/β1/γ2 8IOD-MC5-PG-901-Ca-chim(NtGi1-Gs)/β1/γ2
61.54Single8W8WAlpha-MSH8W8W-MC3-α-MSH-Ca-Gs/β1/γ2
60.87Consensusmc5_onOrthosteric Ligand8INR-MC5-α-MSH-Ca-chim(NtGi1-Gs)/β1/γ2 8IOD-MC5-PG-901-Ca-chim(NtGi1-Gs)/β1/γ2
60.00Single8IODPG-9018IOD-MC5-PG-901-Ca-chim(NtGi1-Gs)/β1/γ2
58.33Single6W25SHU91196W25-MC4-SHU9119-Ca
56.52Single7F4ISHU91197F4I-MC1-SHU9119-chim(NtGi1-Gs)/β1/γ2
55.56Single7F4FAfamelanotide7F4F-MC1-Afamelanotide-chim(NtGi1-Gs)/β1/γ2
54.55Single7PIUSetmelanotide7PIU-MC4-Setmelanotide-Gs/β1/γ2
54.17Single8IOCGamma-MSH8IOC-MC3-γ-MSH-Ca-chim(NtGi1-Gs)/β1/γ2
53.85Consensusmc1_onOrthosteric Ligand7F4H-MC1-Afamelanotide-chim(NtGi1-Gs)/β1/γ2 7F4D-MC1-α-MSH-chim(NtGi1-Gs)/β1/γ2 7F4I-MC1-SHU9119-chim(NtGi1-Gs)/β1/γ2
53.85Consensusmc1_on_gpOrthosteric Ligand7F4H-MC1-Afamelanotide-chim(NtGi1-Gs)/β1/γ2 7F4D-MC1-α-MSH-chim(NtGi1-Gs)/β1/γ2 7F4I-MC1-SHU9119-chim(NtGi1-Gs)/β1/γ2
53.12Consensusmc2_on_gpOrthosteric Ligand8GY7-MC2-Corticotropin-Ca-chim(NtGi1-Gs)/β1/γ2; MRAP1
52.17Single7AUESetmelanotide7AUE-MC4-Setmelanotide-chim(NtGi1L-Gs)/β1/γ2
52.00Consensusmc3_onOrthosteric Ligand8IOC-MC3-γ-MSH-Ca-chim(NtGi1-Gs)/β1/γ2
52.00Consensusmc3_on_gpOrthosteric Ligand8IOC-MC3-γ-MSH-Ca-chim(NtGi1-Gs)/β1/γ2
50.00Single7F4HAfamelanotide7F4H-MC1-Afamelanotide-chim(NtGi1-Gs)/β1/γ2
50.00Single7F53Alpha-MSH7F53-MC4-α-MSH-Gs/β1/γ2
50.00Single8WKYPG-9348WKY-MC4-PG-934
48.48Consensusmc2_onOrthosteric Ligand8GY7-MC2-Corticotropin-Ca-chim(NtGi1-Gs)/β1/γ2; MRAP1
48.00Single7PIVAfamelanotide7PIV-MC4-Afamelanotide-Gs/β1/γ2
48.00Consensusmc4_on_gpOrthosteric Ligand7AUE-MC4-Setmelanotide-chim(NtGi1L-Gs)/β1/γ2 7F58-MC4-THIQ-Gs/β1/γ2 7F54-MC4-Afamelanotide-Gs/β1/γ2 7F53-MC4-α-MSH-Gs/β1/γ2 7F55-MC4-Bremelanotide-Gs/β1/γ2
44.00Single8INRAlpha-MSH8INR-MC5-α-MSH-Ca-chim(NtGi1-Gs)/β1/γ2
44.00Consensusmc4_onOrthosteric Ligand7AUE-MC4-Setmelanotide-chim(NtGi1L-Gs)/β1/γ2 7F58-MC4-THIQ-Gs/β1/γ2 7F54-MC4-Afamelanotide-Gs/β1/γ2 7F53-MC4-α-MSH-Gs/β1/γ2 7F55-MC4-Bremelanotide-Gs/β1/γ2
43.75Consensusgs_peptideOrthosteric Ligandgs_cck gs_melanocortin gs_vasop-oxy
43.48Single7F55Bremelanotide7F55-MC4-Bremelanotide-Gs/β1/γ2
40.74Single8WKZSBL-MC-318WKZ-MC4-SBL-MC-31
40.00Single8IA7Cholecystokinin-88IA7-CCKB-Cholecystokinin-8-chim(NtGi1L-Gq)/β1/γ2
40.00Single8QJ2pN1628QJ2-MC4-pN162-Gs/β1/γ2
39.13Single5XR8AM120335XR8-CB1-AM12033
39.13Single5XRAAM115425XRA-CB1-AM11542
39.13Single8GUSHU-3088GUS-CB2-HU-308-Gi1/β1/γ2
39.13Single8WU1MDMB-Fubinaca8WU1-CB1-MDMB-Fubinaca-Arrestin2
39.13Single9EGOZ85267113509EGO-CB1-Z8526711350-Gi1/β1/γ2
38.46Single7F54Afamelanotide7F54-MC4-Afamelanotide-Gs/β1/γ2
37.50Single8GY7Corticotropin8GY7-MC2-Corticotropin-Ca-chim(NtGi1-Gs)/β1/γ2; MRAP1
37.50Single8I9AEP548I9A-C3aB-EP54-chim(NtGi1-Gs-CtGq)/β1/γ2
37.50Single9DGIZ85267113509DGI-CB1-Z8526711350
36.36Single7V3ZCP559407V3Z-CB1-CP55940
36.00Single5UNGPubChem 157800525UNG-AT2-PubChem 15780052
36.00Single8GAGZ85267113508GAG-CB1-Z8526711350-Gi1/β1/γ2
36.00Single8IYSTUG-8918IYS-FFA4-TUG-891-GDP-chim(NtGi1L-Gq)/β1/γ2
35.71Consensusgs_class-aOrthosteric Ligandgs_peptide gs_nucleotide gs_amine
35.71Consensuspeptide_offonOrthosteric Ligandpeptide_off peptide_on
35.48Consensusgq_peptideOrthosteric Ligandgq_cck gq_kisspeptin gq_bradykinin gq_bombesin gq_angiotensin
35.48Consensuspeptide_onOrthosteric Ligandcck_on angiotensin_on apelin_on bombesin_on bradykinin_on compl-peptide_on endothelin_on formylpeptide_on galanin_on ghrelin_on kisspeptin_on melanocortin_on motilin_on neuromedin-u_on npy_on neurotensin_on opioid_on orexin_on relaxin_on somatostatin_on tachykinin_on trh_on vasop-oxy_on
35.48Consensuspeptide_on_gpOrthosteric Ligandcck_on_gp angiotensin_on_gp apelin_on_gp bombesin_on_gp bradykinin_on_gp compl-peptide_on_gp endothelin_on_gp formylpeptide_on_gp galanin_on_gp ghrelin_on_gp kisspeptin_on_gp melanocortin_on_gp motilin_on_gp neuromedin-u_on_gp npy_on_gp neurotensin_on_gp opioid_on_gp orexin_on_gp relaxin_on_gp somatostatin_on_gp tachykinin_on_gp trh_on_gp vasop-oxy_on_gp
34.78Single5N2SPSB365N2S-A1-PSB36
34.78Single9ERXD9-THC analog9ERX-CB1-D9-THC analog-Gi1/β1/γ2
34.78Consensuscb2_onOrthosteric Ligand8GUR-CB2-CP55940-Gi1/β1/γ2 8GUS-CB2-HU-308-Gi1/β1/γ2 8GUT-CB2-LEI-102-Gi1/β1/γ2 6KPF-CB2-AM12033-Gi1/β1/γ2 6PT0-CB2-WIN 55212-2-Gi1/β1/γ2 8GUQ-CB2-Olorinab-Gi1/β1/γ2
34.78Consensuscb2_on_gpOrthosteric Ligand8GUR-CB2-CP55940-Gi1/β1/γ2 8GUS-CB2-HU-308-Gi1/β1/γ2 8GUT-CB2-LEI-102-Gi1/β1/γ2 6KPF-CB2-AM12033-Gi1/β1/γ2 6PT0-CB2-WIN 55212-2-Gi1/β1/γ2 8GUQ-CB2-Olorinab-Gi1/β1/γ2
34.62Single8X3LXWD8X3L-CB2-XWD-Gi1/β1/γ2
34.62Single9IPVJR14a9IPV-C3aB-JR14a-Gi1/β1/γ2
34.62Single9IPYJR14a9IPY-C3aB-JR14a
34.62Single9KZ8EP679KZ8-C3aB-EP67-Go/β1/γ2
34.62Single9V2NMacimorelin9V2N-Ghrelin-Macimorelin-chim(NtGi1-Gs-CtGq)/β1/γ2
34.62Single9WSXEndomorphin9WSX-μ-Endomorphin-Arrestin2
34.48Single7T10Somatostatin-147T10-SST2-Somatostatin-14-Gi3/β1/γ2
34.48Single7XK8Neuromedin-U-257XK8-NMUR2-Neuromedin-U-25-Gi1/β1/γ2
34.48Consensuspeptide_offon_gpOrthosteric Ligandpeptide_on_gp peptide_off
33.33Single5UNFPubChem 157800525UNF-AT2-PubChem 15780052
33.33Single7F8XNN90567F8X-CCKA-NN9056
33.33Single7FEECP559407FEE-CB1-CP55940-ZCZ011
33.33Single7W56Neuromedin-S7W56-NMUR1-Neuromedin-S-chim(NtGi1-Gs-CtGq)/β1/γ2
33.33Single7XRRLemborexant7XRR-OX2-Lemborexant
33.33Single8G59TUG-8918G59-FFA4-TUG-891-chim(Gi1-CtGq)/β1/γ2
33.33Single8JSRAnamorelin8JSR-Ghrelin-Anamorelin-chim(NtGi1-Gs-CtGq)/β1/γ2
33.33Single8XQEApelin-138XQE-Apelin; Apelin-Apelin-13-Gi1/β1/γ2
33.33Single9BKJCholecystokinin-89BKJ-CCKA-Cholecystokinin-8-chim(NtGi1-Gs-CtGq)/β1/γ2
33.33Consensusclass-a_on_gpOrthosteric Ligandsensory_on_gp alicarboxylic_on_gp amine_on_gp lipid_on_gp nucleotide_on_gp peptide_on_gp protein_on_gp
33.33Consensusgi_cannabinoidOrthosteric Ligand8GUR-CB2-CP55940-Gi1/β1/γ2 8GUS-CB2-HU-308-Gi1/β1/γ2 8GUT-CB2-LEI-102-Gi1/β1/γ2 8GUQ-CB2-Olorinab-Gi1/β1/γ2 6KPF-CB2-AM12033-Gi1/β1/γ2 6PT0-CB2-WIN 55212-2-Gi1/β1/γ2 6KPG-CB1-AM841-Gi1/β1/γ2
33.33Consensusopioid_onOrthosteric Ligandmop_on nop_on dop_on kop_on
32.26Single7SK4CXCL12_LRHQ7SK4-ACKR3-CXCL12_LRHQ
32.26Consensusgi_peptideOrthosteric Ligandgi_cck gi_apelin gi_compl-pept gi_endothelin gi_formylpeptide gi_galanin gi_ghrelin gi_npy gi_neurotensin gi_opioid gi_orexin gi_relaxin gi_somatostatin
32.26Consensusnpy4_onOrthosteric Ligand7X9C-Y4-Pancreatic Hormone-Gi1/β1/γ2
32.26Consensusnpy4_on_gpOrthosteric Ligand7X9C-Y4-Pancreatic Hormone-Gi1/β1/γ2
32.26Consensusopioid_on_gpOrthosteric Ligandmop_on_gp nop_on_gp dop_on_gp kop_on_gp
32.14Single7EZKCholecystokinin-87EZK-CCKA-Cholecystokinin-8-chim(NtGi1-Gs)/β1/γ2
32.14Single7WJ5Somatostatin-147WJ5-SST2-Somatostatin-14-Gi1/β1/γ2
32.14Consensusghrelin_onOrthosteric Ligand7NA7-Ghrelin-Ghrelin-Gi1/β1/γ2 7F9Z-Ghrelin-GHRP-6-chim(NtGi1-Gs-CtGq)/β1/γ2 7NA8-Ghrelin-Ibutamoren-Gi1/β1/γ2
32.14Consensusghrelin_on_gpOrthosteric Ligand7NA7-Ghrelin-Ghrelin-Gi1/β1/γ2 7F9Z-Ghrelin-GHRP-6-chim(NtGi1-Gs-CtGq)/β1/γ2 7NA8-Ghrelin-Ibutamoren-Gi1/β1/γ2
32.14Consensusgi_ghrelinOrthosteric Ligand7NA7-Ghrelin-Ghrelin-Gi1/β1/γ2 7NA8-Ghrelin-Ibutamoren-Gi1/β1/γ2
32.00Single4RWADIPP-NH24RWA-δ-DIPP-NH2
32.00Single4Z36ONO-30805734Z36-LPA1-ONO-3080573
32.00Single5TZYMK8666; AP85TZY-FFA1-MK8666; AP8
32.00Single6KQICP559406KQI-CB1-CP55940-Org27569
32.00Single8ID9Icosapent8ID9-FFA4-Icosapent-Gi1/β1/γ2
32.00Single8XYIVUF106618XYI-CXCR3-VUF10661
32.00Single9W32SSTR5 antagonist 19W32-SST5-SSTR5 antagonist 1
32.00Single9YDQDADLE9YDQ-δ-DADLE-MIPS3614-chim(NtGi1L-Gs-CtGi1)/β1/γ2
32.00Consensuscannabinoid_onOrthosteric Ligandcb2_on cb1_on
32.00Consensuscannabinoid_on_gpOrthosteric Ligandcb2_on_gp cb1_on_gp
32.00Consensusgi_lipidOrthosteric Ligandgi_cannabinoid gi_ffa gi_leukotriene gi_lpa gi_s1p
31.82Single8GURCP559408GUR-CB2-CP55940-Gi1/β1/γ2
31.82Single8Y6YGLPG09748Y6Y-FFA2-GLPG0974
31.82Single9JMDAzithromycin9JMD-Motilin-Azithromycin-chim(Gs-CtGq)/β1/γ2
31.82Single9W33S5A19W33-SST5-S5A1
31.25Single8FEG(DNCP)-Beta-Naloxamine8FEG-κ-(DNCP)-β-Naloxamine-Gi1/β1/γ2
31.25Single9KDFRES-701-39KDF-ETB-RES-701-3
31.03Consensuscxcr4_on_gpOrthosteric Ligand8K3Z-CXCR4-CXCL12-Gi1/β1/γ1
30.77Single6KPGAM8416KPG-CB1-AM841-Gi1/β1/γ2
30.77Single7EZHCholecystokinin-87EZH-CCKA-Cholecystokinin-8-Gi1/β1/γ2
30.77Single7EZMCholecystokinin-87EZM-CCKA-Cholecystokinin-8-chim(NtGsL-Gq)/β1/γ2
30.77Single8I95EP548I95-C3aB-EP54-Go/β1/γ2
30.77Single8ID8TUG-8918ID8-FFA4-TUG-891-Gi1/β1/γ2
30.77Single8WRZAM8418WRZ-CB1-AM841-Arrestin2
30.77Single8ZWGJR14a8ZWG-C3aB-JR14a-Gi1/β1/γ2
30.77Single9YDPDADLE9YDP-δ-DADLE-chim(NtGi1L-Gs-CtGi1)/β1/γ2
30.77Consensuscb1_on_gpOrthosteric Ligand6KPG-CB1-AM841-Gi1/β1/γ2 8K8J-CB1-Fenofibrate-chim(Gs-CtGq)/β1/γ2
30.77Consensuscck_onOrthosteric Ligandccka_on cckb_on
30.77Consensuscck_on_gpOrthosteric Ligandccka_on_gp cckb_on_gp
30.77Consensusccka_onOrthosteric Ligand7EZH-CCKA-Cholecystokinin-8-Gi1/β1/γ2
30.77Consensusccka_on_gpOrthosteric Ligand7EZH-CCKA-Cholecystokinin-8-Gi1/β1/γ2
30.77Consensusclass-a_onOrthosteric Ligandsensory_on alicarboxylic_on amine_on lipid_on nucleotide_on peptide_on protein_on
30.77Consensuspeptide_offOrthosteric Ligandcck_off angiotensin_off bombesin_off endothelin_off ghrelin_off npy_off opioid_off orexin_off somatostatin_off tachykinin_off vasop-oxy_off neurotensin_off
30.43Single5ZKPSR274175ZKP-PAF-SR27417
30.43Single6KPFAM120336KPF-CB2-AM12033-Gi1/β1/γ2
30.43Single6Z10PubChem 1545855546Z10-Succinate-PubChem 154585554
30.43Single7SQOTAK-9257SQO-OX2-TAK-925-Gi1/β1/γ2
30.43Single8CU6LJ-45178CU6-A2A-LJ-4517
30.43Single8YH5Riboprine8YH5-A3A-Riboprine-Gi1/β1/γ2
30.43Single8ZBEOctreotide8ZBE-SST5-Octreotide-Gi1/β1/γ1
30.43Consensusgi_orexinOrthosteric Ligand7SQO-OX2-TAK-925-Gi1/β1/γ2
30.00Single5WB2CX3CL1.355WB2-US28-CX3CL1.35
30.00Single7F6G(Sar1)-Angiotensin II7F6G-AT1-(Sar1)-Angiotensin II-Gq/β1/γ2
30.00Single8H4KGW95088H4K-FFA4-GW9508-chim(NtGi1-Gs-CtGq)/β1/γ2
30.00Single8X8LCortistatin-148X8L-SST5-Cortistatin-14-chim(NtGi1-Gs-CtGi1)/β1/γ2
30.00Single8ZBISomatostatin-148ZBI-SST3-Somatostatin-14-Gi1/β1/γ2
30.00Single9BKKCholecystokinin-89BKK-CCKA-Cholecystokinin-8-chim(NtGi1-Gs-CtGq)/β1/γ2
30.00Consensusangiotensin_on_gpOrthosteric Ligandat1_on_gp
30.00Consensusat1_on_gpOrthosteric Ligand7F6G-AT1-(Sar1)-Angiotensin II-Gq/β1/γ2
30.00Consensuscxcr3_on_gpOrthosteric Ligand8HNK-CXCR3-CXCL11-Gi1/β1/γ2 8HNL-CXCR3-PS372424-Gi1/β1/γ2
30.00Consensusgi_class-aOrthosteric Ligandgi_peptide gi_sensory gi_alicarboxylic gi_amine gi_lipid gi_nucleotide gi_protein
30.00Consensusgq_angiotensinOrthosteric Ligand7F6G-AT1-(Sar1)-Angiotensin II-Gq/β1/γ2
29.63Single5ZTYAM102575ZTY-CB2-AM10257
29.63Single7RKFCX3CL17RKF-US28-CX3CL1-GDP-chim(NtGi1-G11)/β1/γ2
29.63Single7T11Octreotide7T11-SST2-Octreotide-Gi3/β1/γ2
29.63Single8F7REndomorphin8F7R-μ-Endomorphin-Gi1/β1/γ2
29.63Single8JBFSenktide8JBF-NK3-Senktide-chim(NtGi1-Gs-CtGq)/β1/γ2
29.63Single9KZ2EP679KZ2-C3aB-EP67-Go/β1/γ2
29.63Consensuscb2_offOrthosteric Ligand5ZTY-CB2-AM10257
29.63Consensuscxcr3_onOrthosteric Ligand8HNK-CXCR3-CXCL11-Gi1/β1/γ2 8HNL-CXCR3-PS372424-Gi1/β1/γ2
29.63Consensusdop_onOrthosteric Ligand8F7S-δ-Deltorphin-Gi1/β1/γ2
29.63Consensusgq_cckOrthosteric Ligand8IA7-CCKB-Cholecystokinin-8-chim(NtGi1L-Gq)/β1/γ2 7XOW-CCKB-Sulfated Gastrin-(10-17)-chim(NtGi1-Gq)/β1/γ2 7EZM-CCKA-Cholecystokinin-8-chim(NtGsL-Gq)/β1/γ2 7F8W-CCKB-Gastrin-17-chim(NtGsL-Gq)/β1/γ2
29.63Consensusox2_onOrthosteric Ligand7L1V-OX2-PubChem 155491009-chim(NtGi1-Gs-CtGq)/β1/γ2 7SQO-OX2-TAK-925-Gi1/β1/γ2 7L1U-OX2-Orexin-chim(NtGi1-Gs-CtGq)/β1/γ2
29.63Consensusox2_on_gpOrthosteric Ligand7L1V-OX2-PubChem 155491009-chim(NtGi1-Gs-CtGq)/β1/γ2 7SQO-OX2-TAK-925-Gi1/β1/γ2 7L1U-OX2-Orexin-chim(NtGi1-Gs-CtGq)/β1/γ2
29.41Consensusgi_npyOrthosteric Ligand8K6M-Y1-Neuropeptide-Y-Gi2/β1/γ1 7X9C-Y4-Pancreatic Hormone-Gi1/β1/γ2 7YOO-Y2-Neuropeptide-Y-Gi1/β1/γ2
29.41Consensusnpy_onOrthosteric Ligandnpy1_on npy2_on npy4_on
29.41Consensusnpy_on_gpOrthosteric Ligandnpy1_on_gp npy2_on_gp npy4_on_gp
29.17Single4PHUFasiglifam4PHU-FFA1-Fasiglifam
29.17Single4RWDDIPP-NH24RWD-δ-DIPP-NH2-Na
29.17Single6KPCAM120336KPC-CB2-AM12033
29.17Single6TO7Suvorexant6TO7-OX1-Suvorexant-Na
29.17Single7CFNINT-7777CFN-GPBA-INT-777-Gs/β1/γ2
29.17Single8GNEKW-63568GNE-A2A-KW-6356-Na
29.17Single8XYKVUF106618XYK-CXCR3-VUF10661-Go/β1/γ2
29.17Single9EHSLUF76029EHS-A3A-LUF7602
29.17Single9HAPTolvaptan9HAP-V2-Tolvaptan
29.17Single9U81Tolvaptan9U81-V2-Tolvaptan
29.17Consensusa1_offOrthosteric Ligand5UEN-A1-DU172 5N2S-A1-PSB36
29.17Consensuslipid_onOrthosteric Ligandcannabinoid_on ffa_on lpl_on prostanoid_on leukotriene_on
29.17Consensuslipid_on_gpOrthosteric Ligandcannabinoid_on_gp ffa_on_gp lpl_on_gp prostanoid_on_gp leukotriene_on_gp
29.03Single7F9YGhrelin7F9Y-Ghrelin-Ghrelin-chim(NtGi1-Gs-CtGq)/β1/γ2
29.03Single7P02Substance-P7P02-NK1-Substance-P-chim(NtGi1-Gs)/β1/γ2
29.03Single7X9CPancreatic Hormone7X9C-Y4-Pancreatic Hormone-Gi1/β1/γ2
29.03Single8XGOTAK4488XGO-Kiss1-TAK448-chim(NtGi1-Gq)/β1/γ2
29.03Consensuscxcr_offOrthosteric Ligandcxcr3_off cxcr4_off
29.03Consensussst5_on_gpOrthosteric Ligand8X8L-SST5-Cortistatin-14-chim(NtGi1-Gs-CtGi1)/β1/γ2 8X8N-SST5-Octreotide-chim(NtGi1-Gs-CtGi1)/β1/γ2
28.57Single4XT1CX3CL14XT1-US28-CX3CL1
28.57Single6TQ4PubChem 160468446TQ4-OX1-PubChem 16046844-Na
28.57Single7SK6CXCL12_LRHQ7SK6-ACKR3-CXCL12_LRHQ
28.57Single7W53Neuromedin-U-257W53-NMUR1-Neuromedin-U-25-chim(NtGi1-Gs-CtGq)/β1/γ2
28.57Single7WICSomatostatin-147WIC-SST2-Somatostatin-14-Gi1/β1/γ2
28.57Single7XAUOctreotide7XAU-SST2-Octreotide-Gi1/β1/γ2
28.57Single8GHVAMG3158GHV-CB1-AMG315-Gi1/β1/γ2
28.57Single8K3ZCXCL128K3Z-CXCR4-CXCL12-Gi1/β1/γ1
28.57Single8U4OCXCL128U4O-CXCR4-CXCL12-Gi1/β1/γ2
28.57Single8ZSPLSD8ZSP-TA1-LSD-chim(NtGi1L-Gs)/β1/γ2
28.57Single9UYJChemerin-99UYJ-CML2-Chemerin-9-Arrestin2
28.57Consensuschemerin_on_gpOrthosteric Ligandcml1_on_gp
28.57Consensuscml1_onOrthosteric Ligand7YKD-CML1-Chemerin-9-Gi1/β1/γ2
28.57Consensuscxcr4_onOrthosteric Ligand8K3Z-CXCR4-CXCL12-Gi1/β1/γ1
28.57Consensusgi_chemerinOrthosteric Ligand7YKD-CML1-Chemerin-9-Gi1/β1/γ2
28.57Consensusgi_opioidOrthosteric Ligand8F7R-μ-Endomorphin-Gi1/β1/γ2 8EF5-μ-Fentanyl-Gi1/β1/γ2 7SCG-μ-FH210-Gi1/β1/γ2 7T2H-μ-Lofentanil-Gi1/β1/γ2 7T2G-μ-Mitragynine Pseudoindoxyl-Gi1/β1/γ2 8DZP-κ-momSalB-Gi1/β1/γ2 8EF6-μ-Morphine-Gi1/β1/γ2 8F7X-NOP-Nociceptin-Gi1/β1/γ2 8EFB-μ-Oliceridine-Gi1/β1/γ2 7U2L-μ-C5-guano-Gi1/β1/γ2 8EFO-μ-PZM21-Gi1/β1/γ2 8EFL-μ-SR17018-Gi1/β1/γ2 8F7Q-μ-β-Endorphin-Gi1/β1/γ2 7U2K-μ-C6-guano-Gi1/β1/γ2 8EFQ-μ-DAMGO-Gi1/β1/γ2 8F7S-δ-Deltorphin-Gi1/β1/γ2 8F7W-κ-Dynorphin-Gi1/β1/γ2
28.57Consensusnk3_onOrthosteric Ligand8JBF-NK3-Senktide-chim(NtGi1-Gs-CtGq)/β1/γ2
28.57Consensusnk3_on_gpOrthosteric Ligand8JBF-NK3-Senktide-chim(NtGi1-Gs-CtGq)/β1/γ2
28.57Consensusnmur1_on_gpOrthosteric Ligand7W53-NMUR1-Neuromedin-U-25-chim(NtGi1-Gs-CtGq)/β1/γ2
28.57Consensussst5_onOrthosteric Ligand8X8L-SST5-Cortistatin-14-chim(NtGi1-Gs-CtGi1)/β1/γ2 8X8N-SST5-Octreotide-chim(NtGi1-Gs-CtGi1)/β1/γ2
28.12Single7F8VGastrin-177F8V-CCKB-Gastrin-17-Gi2/β1/γ2
28.12Single7SK3CXCL127SK3-ACKR3-CXCL12
28.12Single8H0PNMB308H0P-BB1-NMB30-chim(NtGi1-Gs-CtGq)/β1/γ2
28.12Single8XQFApelin-138XQF-Apelin-Apelin-13-Gi1/β1/γ2
28.12Single8XVEBQ30208XVE-ETB-BQ3020-chim(Gs-CtGq)/β1/γ2
28.00Single5TZRMK86665TZR-FFA1-MK8666
28.00Single6N4BMDMB-Fubinaca6N4B-CB1-MDMB-Fubinaca-Gi1/β1/γ2
28.00Single7F58THIQ7F58-MC4-THIQ-Gs/β1/γ2
28.00Single7JVPSKF839597JVP-D1-SKF83959-Gs/β1/γ2
28.00Single7TUYGSK682753A7TUY-GPR183-GSK682753A
28.00Single7WV9CP559407WV9-CB1-CP55940-ZCZ011-Gi2/β1/γ2
28.00Single7XTQR3997XTQ-GPBA-R399-Gs/β1/γ2
28.00Single7Y24Octreotide7Y24-SST2-Octreotide-Go/β1/γ2
28.00Single8HPTC5a (C-terminal peptide)8HPT-C5a1-C5a (C-terminal peptide)-Go/β1/γ2
28.00Single8HQCC5a8HQC-C5a1-C5a-Go/β1/γ2
28.00Single8ID6Oleic acid8ID6-FFA4-Oleic acid-Gi1/β1/γ2
28.00Single8JT6(R)-IHCH-71798JT6-5-HT1A-(R)-IHCH-7179-PtdIns4P-Gi1/β1/γ2
28.00Single8VVFJDTic8VVF-κ-JDTic-Gi1/β1/γ2
28.00Single9B65MDMB-Fubinaca9B65-CB1-MDMB-Fubinaca-Gi1/β1/γ2
28.00Single9JMCDS-3801b9JMC-Motilin-DS-3801b-chim(Gs-CtGq)/β1/γ2
28.00Single9KUXCMPD6449KUX-Apelin; Apelin-CMPD644-Arrestin2
28.00Single9KVPSB2901579KVP-C3aB-SB290157-Go/β1/γ2
28.00Single9UY3Anamorelin9UY3-Ghrelin-Anamorelin-chim(NtGi1-Gs-CtGq)/β1/γ2
28.00Consensusa2_onOrthosteric Liganda2b_on
28.00Consensusa2_on_gpOrthosteric Liganda2b_on_gp
28.00Consensusa2b_onOrthosteric Ligand8HDP-A2B-Adenosine-Gs/β1/γ2 7XY6-A2B-BAY 60-6583-chim(NtGi1-Gs)/β1/γ2 7XY7-A2B-NECA-chim(NtGi1-Gs)/β1/γ2 8HDO-A2B-BAY 60-6583-Gs/β1/γ2
28.00Consensusa2b_on_gpOrthosteric Ligand8HDP-A2B-Adenosine-Gs/β1/γ2 7XY6-A2B-BAY 60-6583-chim(NtGi1-Gs)/β1/γ2 7XY7-A2B-NECA-chim(NtGi1-Gs)/β1/γ2 8HDO-A2B-BAY 60-6583-Gs/β1/γ2
28.00Consensuscyslt1_offOrthosteric Ligand6RZ5-CysLT1-Zafirlukast-Na 6RZ4-CysLT1-Pranlukast-Na
28.00Consensusgs_adenosineOrthosteric Ligand8HDP-A2B-Adenosine-Gs/β1/γ2 8HDO-A2B-BAY 60-6583-Gs/β1/γ2 7XY7-A2B-NECA-chim(NtGi1-Gs)/β1/γ2 7XY6-A2B-BAY 60-6583-chim(NtGi1-Gs)/β1/γ2
28.00Consensusgs_nucleotideOrthosteric Ligandgs_adenosine
28.00Consensusmotilin_onOrthosteric Ligand8IBU-Motilin-Erythromycin-A-chim(NtGi1-Gs-CtGq)/β1/γ2
27.59Single5XJM(Sar1,Ile8)-Angiotensin II5XJM-AT2-(Sar1,Ile8)-Angiotensin II
27.59Single6DO1(Sar1,Ile8)-Angiotensin II6DO1-AT1-(Sar1,Ile8)-Angiotensin II
27.59Single6HLOAprepitant6HLO-NK1-Aprepitant
27.59Single7RKMCX3CL17RKM-US28-CX3CL1-Gi1/β1/γ2
27.59Single7W0NElabela7W0N-Apelin; Apelin-Elabela-Gi1/β1/γ2
27.59Single8F7SDeltorphin8F7S-δ-Deltorphin-Gi1/β1/γ2
27.59Single8F7WDynorphin8F7W-κ-Dynorphin-Gi1/β1/γ2
27.59Single8XYDPlatelet Activating Factor8XYD-PAF-Platelet Activating Factor-Gi1/β1/γ2
27.59Single9E82CXCL12 (fragment)9E82-ACKR3-CXCL12 (fragment)-Arrestin2
27.59Single9KFIRelaxin-39KFI-RXFP3-Relaxin-3-Gi2/β1/γ2
27.59Single9KV6TLQP219KV6-C3aB-TLQP21-Go/β1/γ2
27.59Consensuscckb_onOrthosteric Ligand8IA7-CCKB-Cholecystokinin-8-chim(NtGi1L-Gq)/β1/γ2 7XOW-CCKB-Sulfated Gastrin-(10-17)-chim(NtGi1-Gq)/β1/γ2 7F8V-CCKB-Gastrin-17-Gi2/β1/γ2
27.59Consensusdop_on_gpOrthosteric Ligand8F7S-δ-Deltorphin-Gi1/β1/γ2
27.59Consensusgi_cckOrthosteric Ligand7EZH-CCKA-Cholecystokinin-8-Gi1/β1/γ2 7F8V-CCKB-Gastrin-17-Gi2/β1/γ2
27.59Consensusgq_class-aOrthosteric Ligandgq_peptide gq_amine gq_nucleotide
27.27Single3PWHZM-2413853PWH-A2A-ZM-241385
27.27Single5WS3EMPA5WS3-OX2-EMPA
27.27Single5ZKQABT-4915ZKQ-PAF-ABT-491
27.27Single6TODEMPA6TOD-OX1-EMPA-Na
27.27Single6TQ6PubChem 1457142836TQ6-OX1-PubChem 145714283
27.27Single7F8ULintitript7F8U-CCKA-Lintitript
27.27Single7S8PMS471347S8P-MRGPRX4-MS47134-chim(NtGi2L-Gs-CtGq)/β1/γ2
27.27Single7TUZ7-alpha,25-dihydroxycholesterol7TUZ-GPR183-7-α,25-dihydroxycholesterol-Gi1/β1/γ2
27.27Single7XATSomatostatin-147XAT-SST2-Somatostatin-14-Gi1/β1/γ2
27.27Single7YOONeuropeptide-Y7YOO-Y2-Neuropeptide-Y-Gi1/β1/γ2
27.27Single8YYWAlpha-ketoglutarate8YYW-Oxoglutarate-α-ketoglutarate-α-ketoglutarate-chim(Gi1-CtGq)/β1/γ2
27.27Single9J5VCpY9J5V-LPA1-CpY-Gi1/β1/γ2
27.27Single9K26PrRP319K26-PrRP-PrRP31-Gi1/β1/γ2
27.27Consensusnpy2_onOrthosteric Ligand7YOO-Y2-Neuropeptide-Y-Gi1/β1/γ2
27.27Consensusnpy2_on_gpOrthosteric Ligand7YOO-Y2-Neuropeptide-Y-Gi1/β1/γ2
27.27Consensusorexin_offOrthosteric Ligandox2_off ox1_off
27.27Consensusox1_offOrthosteric Ligand6TP6-OX1-Filorexant 6TP4-OX1-ACT-462206 6V9S-OX1-GTPL11403 6TOT-OX1-Lemborexant 6TP3-OX1-Nemorexant 6TQ6-OX1-PubChem 145714283 6TQ9-OX1-SB-408124 4ZJC-OX1-SB-674042 4ZJ8-OX1-Suvorexant 6TOD-OX1-EMPA-Na 6TOS-OX1-GSK1059865-Na 6TQ4-OX1-PubChem 16046844-Na
27.27Consensusox2_offOrthosteric Ligand5WQC-OX2-EMPA 6TPN-OX2-HTL6641 7XRR-OX2-Lemborexant 6TPJ-OX2-Suvorexant
27.27Consensuspaf_offOrthosteric Ligand5ZKQ-PAF-ABT-491
26.92Single4PY02MeSATP4PY0-P2Y12-2MeSATP
26.92Single5UNHPubChem 1264564065UNH-AT2-PubChem 126456406
26.92Single6C1RPMX536C1R-C5a1-PMX53-Avacopan; Na
26.92Single7JNIOlodanrigan7JNI-AT2-Olodanrigan
26.92Single7L1UOrexin7L1U-OX2-Orexin-chim(NtGi1-Gs-CtGq)/β1/γ2
26.92Single7YITNalfurafine7YIT-κ-Nalfurafine
26.92Single8IBUErythromycin-A8IBU-Motilin-Erythromycin-A-chim(NtGi1-Gs-CtGq)/β1/γ2
26.92Single8J6DEP1418J6D-C3aB-EP141-Go/β1/γ2
26.92Single8W1VPubChem 1717162658W1V-β2-PubChem 171716265
26.92Single8X8NOctreotide8X8N-SST5-Octreotide-chim(NtGi1-Gs-CtGi1)/β1/γ2
26.92Single9GYOP3959GYO-GPBA-P395-chim(NtGi1-Gs)/β1/γ2
26.92Single9IZHLPA9IZH-LPA1-LPA-chim(NtGi2-G13)/β1/γ2
26.92Single9M4QDoxazosin9M4Q-Alpha1A-Doxazosin
26.92Single9M8POleic monoethanolamide9M8P-GPR3 ; GPR3-Oleic monoethanolamide-AF64394
26.92Single9MQLIsoquinuclidine9MQL-κ-Isoquinuclidine
26.92Single9VIFNeuropeptide-VF9VIF-NPFF1-Neuropeptide-VF-Gi1/β1/γ2
26.92Single9WSVDAMGO9WSV-μ-DAMGO-Arrestin2
26.92Single9WSWEndomorphin9WSW-μ-Endomorphin-chim(NtGi1-Gz)/β1/γ2
26.92Consensusc3a_onOrthosteric Ligand8HK2-C3aB-C3a-Gi1/β1/γ2 8IA8-C3aB-E7 peptide-Gi1/β1/γ2
26.92Consensuscannabinoid_offOrthosteric Ligandcb2_off cb1_off
26.92Consensuscb1_onOrthosteric Ligand6KPG-CB1-AM841-Gi1/β1/γ2 8K8J-CB1-Fenofibrate-chim(Gs-CtGq)/β1/γ2
26.92Consensuslipid_offonOrthosteric Ligandlipid_off lipid_on
26.92Consensuslipid_offon_gpOrthosteric Ligandlipid_on_gp lipid_off
26.92Consensuslpa1_offOrthosteric Ligand4Z36-LPA1-ONO-3080573 4Z35-LPA1-ONO-9910539 4Z34-LPA1-ONO-9780307
26.92Consensuslpa_offOrthosteric Ligandlpa1_off
26.92Consensusmotilin_on_gpOrthosteric Ligand8IBU-Motilin-Erythromycin-A-chim(NtGi1-Gs-CtGq)/β1/γ2
26.92Consensusopioid_offOrthosteric Ligandmop_off nop_off dop_off kop_off
26.92Consensusorexin_onOrthosteric Ligandox2_on
26.67Single3OE0CVX153OE0-CXCR4-CVX15
26.67Single6PT2KGCHM076PT2-δ-KGCHM07
26.67Single7MBXCholecystokinin-87MBX-CCKA-Cholecystokinin-8-Gs/β1/γ1
26.67Single8K6NNeuropeptide-Y8K6N-Y2-Neuropeptide-Y-Gi2/β1/γ1
26.67Single8XIQL7967788XIQ-SST3-L796778-chim(NtGi1-Gs-CtGi1)/β1/γ2
26.67Single8XIRPasireotide8XIR-SST3-Pasireotide-chim(NtGi1-Gs-CtGi1)/β1/γ2
26.67Single9B54VIP369B54-CB1-VIP36-Gi1/β1/γ2
26.67Single9MEUCXCL129MEU-CXCR4-CXCL12
26.67Single9U4WGonadoliberin-19U4W-GnRH1-Gonadoliberin-1-chim(NtGi1L-Gs-CtGq)/β1/γ2
26.67Single9UYIChemerin-99UYI-CML2-Chemerin-9-Arrestin2
26.67Consensusangiotensin_onOrthosteric Ligandat1_on
26.67Consensusat1_onOrthosteric Ligand7F6G-AT1-(Sar1)-Angiotensin II-Gq/β1/γ2
26.67Consensuscckb_on_gpOrthosteric Ligand8IA7-CCKB-Cholecystokinin-8-chim(NtGi1L-Gq)/β1/γ2 7XOW-CCKB-Sulfated Gastrin-(10-17)-chim(NtGi1-Gq)/β1/γ2 7F8V-CCKB-Gastrin-17-Gi2/β1/γ2
26.67Consensusgi_somatostatinOrthosteric Ligand7WIC-SST2-Somatostatin-14-Gi1/β1/γ2 7XMS-SST4-Somatostatin-14-Gi1/β1/γ2 8X8L-SST5-Cortistatin-14-chim(NtGi1-Gs-CtGi1)/β1/γ2 7XMT-SST4-J-2156-Gi1/β1/γ2 7WIG-SST2-L-054264-Gi1/β1/γ2 8X8N-SST5-Octreotide-chim(NtGi1-Gs-CtGi1)/β1/γ2 7YAE-SST2-Octreotide-Gi1/β1/γ2 7YAC-SST2-Paltusotine-Gi1/β1/γ2
26.67Consensusgs_cckOrthosteric Ligand7MBX-CCKA-Cholecystokinin-8-Gs/β1/γ1
26.67Consensussomatostatin_onOrthosteric Ligandsst2_on sst4_on sst5_on
26.67Consensussomatostatin_on_gpOrthosteric Ligandsst2_on_gp sst4_on_gp sst5_on_gp
26.47Single6IGLIRL16206IGL-ETB-IRL1620
26.47Single8Y52BA18Y52-BB3-BA1-chim(NtGi1-Gs-CtGq)/β1/γ2
26.09Single4ZJCSB-6740424ZJC-OX1-SB-674042
26.09Single6PT0WIN 55212-26PT0-CB2-WIN 55212-2-Gi1/β1/γ2
26.09Single6TOSGSK10598656TOS-OX1-GSK1059865-Na
26.09Single7AROLUF58337ARO-A2A-LUF5833-Na
26.09Single8GUQOlorinab8GUQ-CB2-Olorinab-Gi1/β1/γ2
26.09Single8HQN9-S-HODE8HQN-GPR132-9-S-HODE-Gi1/β1/γ2
26.09Single8JLQFenoldopam8JLQ-TA1-Fenoldopam-Gs/β1/γ2
26.09Single8RWCStilSwitch28RWC-A2A-StilSwitch2-Na
26.09Single8RWDStilSwitch38RWD-A2A-StilSwitch3-Na
26.09Single8RWIStilSwitch28RWI-A2A-StilSwitch2-Na
26.09Single8Y45ADL58598Y45-δ-ADL5859-Gi2/β1/γ2
26.09Single8YRGFospropofol8YRG-MRGPRX4-Fospropofol-chim(NtGi1-Gs-CtGq)/β1/γ2
26.09Single9JH3CMF-0199JH3-Apelin; Apelin-CMF-019-Gi1/β1/γ2
25.93Single4Z35ONO-99105394Z35-LPA1-ONO-9910539
25.93Single6DDFDAMGO6DDF-μ-DAMGO-Gi1/β1/γ2
25.93Single7P00Substance-P7P00-NK1-Substance-P-chim(NtGi1-Gs-CtGq)/β1/γ2
25.93Single7X8RBOC57X8R-GLP-1-BOC5-Gs/β1/γ2
25.93Single7YU8ONO-07405567YU8-LPA1-ONO-0740556-Gi1/β1/γ2
25.93Single8E0GBU728E0G-μ-BU72
25.93Single8GUTLEI-1028GUT-CB2-LEI-102-Gi1/β1/γ2
25.93Single8T3OTUG-8918T3O-FFA4-TUG-891-chim(NtGi2L-Gs-CtGq)/β1/γ2
25.93Single8ZPLHF511168ZPL-CXCR4-HF51116
25.93Single9EAILosartan9EAI-AT1-Losartan-Nanobody AT209
25.93Single9J0BUDP-Glucose9J0B-P2Y14-UDP-Glucose-Gi1/β1/γ2
25.93Single9KV8TLQP219KV8-C3aB-TLQP21-Go/β1/γ2
25.93Single9YDRDADLE9YDR-δ-DADLE-MIPS3983-chim(NtGi1L-Gs-CtGi1)/β1/γ2
25.93Consensusc3a_on_gpOrthosteric Ligand8HK2-C3aB-C3a-Gi1/β1/γ2 8IA8-C3aB-E7 peptide-Gi1/β1/γ2
25.93Consensusgi_s1pOrthosteric Ligand7VIE-S1P1-S1P-Gi1/β1/γ2 7EW3-S1P3-S1P-Gi1/β1/γ2 7EVY-S1P1-Siponimod-Gi1/β1/γ2 7EW1-S1P5-Siponimod-Gi1/β1/γ2 7VIF-S1P1-FTY720-P-Gi1/β1/γ2 7VIG-S1P1-CBP-307-Gi1/β1/γ2 7EVZ-S1P1-Cenerimod-Gi1/β1/γ2 7EW4-S1P3-CYM-5541-Gi1/β1/γ2 7EW2-S1P3-FTY720-P-Gi1/β1/γ2 7EW0-S1P1-Ozanimod-Gi1/β1/γ2 7EW7-S1P1-SEW2871-Gi1/β1/γ2
25.93Consensusnk1_onOrthosteric Ligand7P00-NK1-Substance-P-chim(NtGi1-Gs-CtGq)/β1/γ2
25.93Consensusnk1_on_gpOrthosteric Ligand7P00-NK1-Substance-P-chim(NtGi1-Gs-CtGq)/β1/γ2
25.93Consensusnucleotide_on_gpOrthosteric Ligandadenosine_on_gp p2y_on_gp
25.93Consensusorexin_on_gpOrthosteric Ligandox2_on_gp
25.81Single6JODAngiotensin II6JOD-AT2-Angiotensin II
25.81Single7YONPeptide-YY(3-36)7YON-Y2-Peptide-YY(3-36)-Gi1/β1/γ2
25.81Single8XWQEndothelin-18XWQ-ETB-Endothelin-1-Gi1/β1/γ2
25.81Single8XZJWN3538XZJ-Apelin; Apelin-WN353-Gi1/β1/γ2
25.71Single8ZJETAK4488ZJE-Kiss1-TAK448-chim(NtGi1-Gq)/β1/γ1
25.71Consensusccr5_on_gpOrthosteric Ligand7O7F-CCR5-6P4-CCL5-Gi1/β1/γ1 7F1Q-CCR5-CCL3-Gi1/β1/γ2
25.00Single3NY9PubChem 9131033NY9-β2-PubChem 913103
25.00Single4EJ4Naltrindole4EJ4-δ-Naltrindole
25.00Single4UG2CGS216804UG2-A2A-CGS21680
25.00Single4YAYZD-71554YAY-AT1-ZD-7155
25.00Single5NDDAZ8838; Na5NDD-PAR2-AZ8838; Na
25.00Single5UENDU1725UEN-A1-DU172
25.00Single5UIGPubChem 1240811965UIG-A2A-PubChem 124081196
25.00Single6C1QPMX536C1Q-C5a1-PMX53-NDT9513727
25.00Single6FKCPubChem 1324730396FKC-Rhodopsin-PubChem 132473039
25.00Single6G79Donitriptan6G79-5-HT1B-Donitriptan-Go/β1/γ2
25.00Single6PT3DPI-2876PT3-δ-DPI-287
25.00Single6TOTLemborexant6TOT-OX1-Lemborexant
25.00Single7CFMP3957CFM-GPBA-P395-Gs/β1/γ2
25.00Single7CRHSKF839597CRH-D1-SKF83959-Gs/β1/γ2
25.00Single7F8WGastrin-177F8W-CCKB-Gastrin-17-chim(NtGsL-Gq)/β1/γ2
25.00Single7NA8Ibutamoren7NA8-Ghrelin-Ibutamoren-Gi1/β1/γ2
25.00Single7RKNCX3CL17RKN-US28-CX3CL1-Gi1/β1/γ2
25.00Single7RMGSubstance-P7RMG-NK1-Substance-P-chim(Gs-CtGq)/β1/γ2
25.00Single7RMHSubstance-P7RMH-NK1-Substance-P-Gs/β1/γ2
25.00Single7S8LCortistatin-147S8L-MRGPRX2-Cortistatin-14-chim(NtGi2L-Gs-CtGq)/β1/γ2
25.00Single7TRQVU04671547TRQ-M4-Iperoxo-VU0467154-Gi1/β1/γ2
25.00Single7WQ3Galanin7WQ3-GAL1-Galanin-Gi1/β1/γ2
25.00Single7X9BNeuropeptide-Y7X9B-Y2-Neuropeptide-Y-Gi1/β1/γ2
25.00Single7XBXCX3CL17XBX-CX3CR1-CX3CL1-Gi1/β1/γ2
25.00Single7XN9L-0545227XN9-SST2-L-054522
25.00Single7XY6BAY 60-65837XY6-A2B-BAY 60-6583-chim(NtGi1-Gs)/β1/γ2
25.00Single7Y64C5a7Y64-C5a1-C5a-Gi1/β1/γ2
25.00Single7YACPaltusotine7YAC-SST2-Paltusotine-Gi1/β1/γ2
25.00Single7YK7DC5910537YK7-RXFP4-DC591053-Gi2/β1/γ2
25.00Single8CU7LJ-45178CU7-A2A-LJ-4517-Na
25.00Single8H4IDoconexent8H4I-FFA4-Doconexent-chim(NtGi1-Gs)/β1/γ2
25.00Single8HCXEndothelin-18HCX-ETB-Endothelin-1-chim(NtGi2L-Gs-CtGq)/β1/γ2
25.00Single8IA2C5a8IA2-C5a1-C5a-Go/β1/γ2
25.00Single8JLRA776368JLR-TA1-A77636-chim(NtGi1-Gs)/β1/γ2
25.00Single8PJKST1718PJK-5-HT1A-ST171-Gi1/β1/γ1
25.00Single8RW7StilSwitch18RW7-A2A-StilSwitch1-Na
25.00Single8RWXStilSwitch38RWX-A2A-StilSwitch3-Na
25.00Single8WWKMCH8WWK-MCH1-MCH-Gi1/β1/γ2
25.00Single8XZFWN5618XZF-Apelin; Apelin-WN561-Gi1/β1/γ2
25.00Single8ZPSPrRP208ZPS-PrRP-PrRP20-chim(NtGi1-Gs-CtGi1)/β1/γ2
25.00Single8ZRTEndothelin-18ZRT-ETB-Endothelin-1
25.00Single9EAJNanobody AT2099EAJ-AT1-Nanobody AT209
25.00Single9H37PubChem 1756706469H37-A2A-PubChem 175670646-Na
25.00Single9IZASCH9002719IZA-HCA2-SCH900271-Gi1/β1/γ2
25.00Single9JFYNeuropeptide-SF9JFY-NPFF2-Neuropeptide-SF-Gi1/β1/γ2
25.00Single9M0RNeuropeptide-VF9M0R-NPFF1-Neuropeptide-VF-Gi1/β1/γ2
25.00Single9PXWNaloxone9PXW-μ-Naloxone-GDPβS-Gi1/β1/γ2
25.00Consensusa3_onOrthosteric Liganda3a_on
25.00Consensusadenosine_on_gpOrthosteric Liganda1_on_gp a2_on_gp a3_on_gp
25.00Consensusalicarboxylic_on_gpOrthosteric Ligandsuccinate_on_gp hca_on_gp
25.00Consensuscck_offOrthosteric Ligandccka_off
25.00Consensusccka_offOrthosteric Ligand7F8Y-CCKA-Devazepide 7F8U-CCKA-Lintitript
25.00Consensuschemokine_offOrthosteric Ligandccr_off cxcr_off
25.00Consensuschemokine_on_gpOrthosteric Ligandccr_on_gp cxcr_on_gp
25.00Consensuscml1_on_gpOrthosteric Ligand7YKD-CML1-Chemerin-9-Gi1/β1/γ2
25.00Consensuscxcr4_offOrthosteric Ligand4RWS-CXCR4-vMIP-II 3OE0-CXCR4-CVX15 3OE6-CXCR4-IT1t
25.00Consensuscxcr_on_gpOrthosteric Ligandcxcr3_on_gp cxcr4_on_gp cxcr1_on_gp cxcr2_on_gp
25.00Consensusdop_offOrthosteric Ligand4EJ4-δ-Naltrindole
25.00Consensusgal1_onOrthosteric Ligand7WQ3-GAL1-Galanin-Gi1/β1/γ2
25.00Consensusgal1_on_gpOrthosteric Ligand7WQ3-GAL1-Galanin-Gi1/β1/γ2
25.00Consensusgi_alicarboxylicOrthosteric Ligandgi_hca gi_succinate
25.00Consensusgi_chemokineOrthosteric Ligand6WWZ-CCR6-CCL20-Go/β1/γ2 8HNK-CXCR3-CXCL11-Gi1/β1/γ2 8K3Z-CXCR4-CXCL12-Gi1/β1/γ1 8IC0-CXCR1-CXCL8-Gi1/β1/γ2 6LFM-CXCR2-CXCL8-Gi1/β1/γ2 8KFX-CCR8-LMD-009-Gi1/β1/γ2 7F1Q-CCR5-CCL3-Gi1/β1/γ2 8HNL-CXCR3-PS372424-Gi1/β1/γ2 8KFY-CCR8-ZK-756326-Gi1/β1/γ2 7O7F-CCR5-6P4-CCL5-Gi1/β1/γ1 8U1U-CCR8-CCL1-Gi1/β1/γ2 7VLA-CCR1-CCL15(27-92)-Gi1/β1/γ2 7XA3-CCR2-CCL2-Gi1/β1/γ2
25.00Consensusgi_galaninOrthosteric Ligand7WQ3-GAL1-Galanin-Gi1/β1/γ2
25.00Consensusnmur1_onOrthosteric Ligand7W53-NMUR1-Neuromedin-U-25-chim(NtGi1-Gs-CtGq)/β1/γ2
25.00Consensuss1p_onOrthosteric Ligands1p1_on s1p3_on s1p5_on
25.00Consensuss1p_on_gpOrthosteric Ligands1p1_on_gp s1p3_on_gp s1p5_on_gp
24.24Single4XT3CX3CL14XT3-US28-CX3CL1
24.24Single7W3ZGastrin Releasing Peptide7W3Z-BB2-Gastrin Releasing Peptide-chim(NtGi1L-Gq)/β1/γ2
24.24Single7YKDChemerin-97YKD-CML1-Chemerin-9-Gi1/β1/γ2
24.24Consensusgi_proteinOrthosteric Ligandgi_chemokine gi_chemerin
24.24Consensusprotein_on_gpOrthosteric Ligandchemokine_on_gp chemerin_on_gp
24.14Single4IB4Ergotamine4IB4-5-HT2B-Ergotamine
24.14Single7NA7Ghrelin7NA7-Ghrelin-Ghrelin-Gi1/β1/γ2
24.14Single8J6RMK68928J6R-HCA2-MK6892-Gi1/β1/γ2
24.14Single8XBHPubChem 1626566368XBH-GPR34-PubChem 162656636-Gi1/β1/γ2
24.14Single8ZCJPasireotide8ZCJ-SST5-Pasireotide-Gi1/β1/γ1
24.14Single9BUYLM1899BUY-β2-LM189-Gi1/β1/γ2
24.14Single9HB3Mambaquaretin-19HB3-V2-Mambaquaretin-1
24.14Single9J0IUDP-Glucuronic acid9J0I-P2Y14-UDP-Glucuronic acid-Gi1/β1/γ2
24.14Single9KWGC5a9KWG-C5a1-C5a-Go/β1/γ2
24.14Single9UMRC5a-pep9UMR-C5a1-C5a-pep-Go/β1/γ2
24.14Consensusgi_nucleotideOrthosteric Ligandgi_adenosine gi_p2y
24.14Consensuslpl_onOrthosteric Ligands1p_on lpa_on
24.14Consensuslpl_on_gpOrthosteric Ligands1p_on_gp lpa_on_gp
24.14Consensusmop_offOrthosteric Ligand4DKL-μ-β-Funaltrexamine 8QOT-μ-Nanobody-E 7UL4-μ-Alvimopan
24.00Single4ZJ8Suvorexant4ZJ8-OX1-Suvorexant
24.00Single5N2RPSB365N2R-A2A-PSB36-Na
24.00Single5OM4PubChem 1355666095OM4-A2A-PubChem 135566609-Na
24.00Single5WQCEMPA5WQC-OX2-EMPA
24.00Single5ZBQUR-MK-2995ZBQ-Y1-UR-MK-299
24.00Single6HLPNetupitant6HLP-NK1-Netupitant
24.00Single6ME62-Phenylmelatonin6ME6-MT2-2-Phenylmelatonin
24.00Single6ME82-Phenylmelatonin6ME8-MT2-2-Phenylmelatonin
24.00Single6TP6Filorexant6TP6-OX1-Filorexant
24.00Single7CKXA776367CKX-D1-A77636-Gs/β1/γ2
24.00Single7EO2FTY720-P7EO2-S1P1-FTY720-P-Gi1/β1/γ2
24.00Single7LD3Adenosine7LD3-A1-Adenosine-MIPS521-Gi2/β1/γ2
24.00Single7W41PD1762527W41-BB2-PD176252
24.00Single7WIGL-0542647WIG-SST2-L-054264-Gi1/β1/γ2
24.00Single7YU3ONO-07405567YU3-LPA1-ONO-0740556-Gi1/β1/γ2
24.00Single8DZQmomSalB8DZQ-κ-momSalB-Go/β1/γ2
24.00Single8EJCTAK-8758EJC-FFA1-TAK-875-chim(NtGi1L-Gs-CtGq)/β1/γ2
24.00Single8HNLPS3724248HNL-CXCR3-PS372424-Gi1/β1/γ2
24.00Single8ID4Linoleic acid8ID4-FFA4-Linoleic acid-Gi1/β1/γ2
24.00Single8J6JGSK2560738J6J-HCA2-GSK256073-Gi1/β1/γ2
24.00Single8JXSPF-61428JXS-D1-PF-6142
24.00Single8K8JFenofibrate8K8J-CB1-Fenofibrate-chim(Gs-CtGq)/β1/γ2
24.00Single8S4DCMF-0198S4D-Apelin-CMF-019
24.00Single8SZGCa; Ca; Tryptophan; Cinacalcet; PO4; Spermine8SZG-CaS; CaS-Ca; Ca; Tryptophan; Cinacalcet; PO4; Spermine-chim(NtGi1-Gq)/β1/γ2
24.00Single8TF5Oleic acid8TF5-GPR6-Oleic acid
24.00Single8TH4Losartan8TH4-AT1-Losartan-AT118-L Nanobody
24.00Single8YICSAR2477998YIC-S1P1-SAR247799-Gi1/β1/γ2
24.00Single8ZPTPrRP208ZPT-PrRP-PrRP20-chim(NtGi1-Gs-CtGq)/β1/γ2
24.00Single9AVLCa; Ca; Cyclomethyltryptophan; R-568; PO49AVL-CaS; CaS-Ca-Ca; Ca; Cyclomethyltryptophan; R-568; PO4-Gi3/β2/γ2
24.00Single9I52A1IZU9I52-D1-A1IZU-Gs/β1/γ2
24.00Single9JKSPubChem 442501769JKS-HCA3-PubChem 44250176-Gi1/β1/γ2
24.00Single9KUTJR14a9KUT-C3aB-JR14a-Go/β1/γ2
24.00Single9L74S1P d16:19L74-S1P3-S1P d16:1-chim(NtGi2L-Gs-CtGq)/β1/γ2
24.00Consensusa3_on_gpOrthosteric Liganda3a_on_gp
24.00Consensusa3a_onOrthosteric Ligand8X17-A3A-Namodenoson-Gi1/β1/γ2 8X16-A3A-Piclidenoson-Gi1/β1/γ2
24.00Consensusa3a_on_gpOrthosteric Ligand8X17-A3A-Namodenoson-Gi1/β1/γ2 8X16-A3A-Piclidenoson-Gi1/β1/γ2
24.00Consensusadenosine_offOrthosteric Liganda1_off a2_off
24.00Consensusbb2_offOrthosteric Ligand7W41-BB2-PD176252
24.00Consensusbombesin_offOrthosteric Ligandbb2_off
24.00Consensusd1_onOrthosteric Ligand7F0T-D1-Dopamine-Gs/β1/γ2 7CKY-D1-PW0464-Gs/β1/γ2 8IRR-D1-Rotigotine-Gs/β1/γ2 7JV5-D1-SKF81297-Gs/β1/γ2 7JVP-D1-SKF83959-Gs/β1/γ2 7X2D-D1-Tavapadon-Gs/β1/γ2 7CKX-D1-A77636-Gs/β1/γ2 7JVQ-D1-Apomorphine-Gs/β1/γ2 7CKW-D1-Fenoldopam-Gs/β1/γ2
24.00Consensusrxfp4_onOrthosteric Ligand7YK7-RXFP4-DC591053-Gi2/β1/γ2 7YJ4-RXFP4-INSL5-Gi2/β1/γ2 7YK6-RXFP4-PubChem 138319674-Gi2/β1/γ2
24.00Consensusrxfp4_on_gpOrthosteric Ligand7YK7-RXFP4-DC591053-Gi2/β1/γ2 7YJ4-RXFP4-INSL5-Gi2/β1/γ2 7YK6-RXFP4-PubChem 138319674-Gi2/β1/γ2
23.81Single3OE6IT1t3OE6-CXCR4-IT1t
23.81Single8EITDoconexent8EIT-FFA1-Doconexent-chim(NtGi1L-Gs-CtGq)/β1/γ2
23.68Single7X9ANeuropeptide-Y7X9A-Y1-Neuropeptide-Y-Gi1/β1/γ2
23.53Single8WWLMCH8WWL-MCH1-MCH-Gi1/β1/γ2
23.53Single8XWPEndothelin-18XWP-ETB-Endothelin-1-Gi1/β1/γ2
23.53Single8ZH8QRFP268ZH8-QRFP-QRFP26-Gq/β1/γ1
23.53Consensusp2y10_on_gpOrthosteric Ligand8KGG-P2Y10-Lysophosphatidylserine (WJS)-chim(NtGi2-G13)/β1/γ2
23.33Single3QAKUK-4320973QAK-A2A-UK-432097
23.33Single7C6A(Sar1,Ile8)-Angiotensin II7C6A-AT2-(Sar1,Ile8)-Angiotensin II
23.33Single7DDZJNJ-310200287DDZ-Y2-JNJ-31020028
23.33Single7E14Orforglipron7E14-GLP-1-Orforglipron-PubChem 156022738-Gs/β1/γ2
23.33Single7RMISubstance-P7RMI-NK1-Substance-P-chim(Gs-CtGq)/β1/γ2
23.33Single7SK5CXCL127SK5-ACKR3-CXCL12
23.33Single7XMSSomatostatin-147XMS-SST4-Somatostatin-14-Gi1/β1/γ2
23.33Single8F7QBeta-Endorphin8F7Q-μ-β-Endorphin-Gi1/β1/γ2
23.33Single8IBVMotilin8IBV-Motilin-Motilin-chim(NtGi1-Gs-CtGq)/β1/γ2
23.33Single8JBHSubstance-P8JBH-NK3-Substance-P-chim(NtGi1-Gs-CtGq)/β1/γ2
23.33Single8WSSMCH8WSS-MCH1-MCH-Gi1/β1/γ1
23.33Single9IK8Pasireotide9IK8-SST1-Pasireotide-Gi1/β1/γ2
23.33Single9IQRMuscarinic toxin 39IQR-α2a-Muscarinic toxin 3
23.33Single9IQVMuscarinic toxin 39IQV-Alpha1A-Muscarinic toxin 3
23.33Single9J0FNADH9J0F-P2Y14-NADH-Gi1/β1/γ2
23.33Single9KT7MK68929KT7-HCA2-MK6892-Gi1/β1/γ2
23.33Single9L60Dynorphin9L60-κ-Dynorphin-MPAM-15-Gi1/β1/γ2
23.33Single9ME1CXCL129ME1-CXCR4-CXCL12
23.33Single9UMXEP549UMX-C5a1-EP54-Go/β1/γ2
23.33Consensuscompl-peptide_onOrthosteric Ligandc5a1_on c3a_on
23.33Consensusnpy2_offOrthosteric Ligand7DDZ-Y2-JNJ-31020028
23.33Consensuss1p3_on_gpOrthosteric Ligand7EW3-S1P3-S1P-Gi1/β1/γ2 7EW4-S1P3-CYM-5541-Gi1/β1/γ2 7EW2-S1P3-FTY720-P-Gi1/β1/γ2
23.33Consensussst4_onOrthosteric Ligand7XMS-SST4-Somatostatin-14-Gi1/β1/γ2 7XMT-SST4-J-2156-Gi1/β1/γ2
23.33Consensussst4_on_gpOrthosteric Ligand7XMS-SST4-Somatostatin-14-Gi1/β1/γ2 7XMT-SST4-J-2156-Gi1/β1/γ2
23.33Consensustachykinin_on_gpOrthosteric Ligandnk1_on_gp nk2_on_gp nk3_on_gp
23.08Single3SN6BI1671073SN6-β2-BI167107-Gs/β1/γ2
23.08Single4IAQDihydroergotamine4IAQ-5-HT1B-Dihydroergotamine
23.08Single4Z34ONO-97803074Z34-LPA1-ONO-9780307
23.08Single6DDEDAMGO6DDE-μ-DAMGO-Gi1/β1/γ2
23.08Single6GT3Imaradenant6GT3-A2A-Imaradenant-Na
23.08Single6KO5PubChem 574000026KO5-Ghrelin-PubChem 57400002
23.08Single6NI3BI1671076NI3-β2-BI167107-Gs/β1/γ2
23.08Single6RZ5Zafirlukast6RZ5-CysLT1-Zafirlukast-Na
23.08Single6Z8NSRI-98296Z8N-NTS1-SRI-9829
23.08Single7E2ZAripiprazole7E2Z-5-HT1A-Aripiprazole-PtdIns4P-Gi1/β1/γ2
23.08Single7EW1Siponimod7EW1-S1P5-Siponimod-Gi1/β1/γ2
23.08Single7JV5SKF812977JV5-D1-SKF81297-Gs/β1/γ2
23.08Single7M8W15r-Methyl-PGD27M8W-DP2-15r-Methyl-PGD2-Na
23.08Single7XAVLanreotide7XAV-SST2-Lanreotide-Gi1/β1/γ2
23.08Single7XBDGalanin7XBD-GAL2-Galanin-chim(NtGi2L-Gs-CtGq)/β1/γ2
23.08Single7XOWSulfated Gastrin-(10-17)7XOW-CCKB-Sulfated Gastrin-(10-17)-chim(NtGi1-Gq)/β1/γ2
23.08Single7YU5ONO-07405567YU5-LPA1-ONO-0740556-Gi1/β1/γ2
23.08Single7YU7ONO-07405567YU7-LPA1-ONO-0740556-Gi1/β1/γ2
23.08Single8DCSCyanopindolol8DCS-β1-Cyanopindolol-Gs/β1/γ2
23.08Single8EF5Fentanyl8EF5-μ-Fentanyl-Gi1/β1/γ2
23.08Single8FMZNeurotensin-(8-13)8FMZ-NTS1-Neurotensin-(8-13)-chim(NtGi2L-Gs-CtGq)/β1/γ2
23.08Single8HDOBAY 60-65838HDO-A2B-BAY 60-6583-Gs/β1/γ2
23.08Single8I9LC3a8I9L-C3aB-C3a-Go/β1/γ2
23.08Single8ID39-Hydroxystearic acid8ID3-FFA4-9-Hydroxystearic acid-Gi1/β1/γ2
23.08Single8IHHLUF62838IHH-HCA2-LUF6283-Gi1/β1/γ2
23.08Single8JBGNeurokinin-B8JBG-NK3-Neurokinin-B-chim(NtGi1-Gs-CtGq)/β1/γ2
23.08Single8T1VPubChem 1183102098T1V-GPR6-PubChem 118310209-Na
23.08Single8WJXADP8WJX-P2Y1-ADP-chim(Gs-CtGq)/β1/γ2
23.08Single8XBIPubChem 1626566368XBI-GPR34-PubChem 162656636
23.08Single8XJMLatanoprost8XJM-FP-alpha-Latanoprost-chim(NtGi2-Gs-CtGq)/β1/γ2
23.08Single8XVLZibotentan8XVL-ETA-Zibotentan
23.08Single8XZICMF-0198XZI-Apelin; Apelin-CMF-019-Gi1/β1/γ2
23.08Single8Y73Peptide8Y73-μ-Peptide-MPAM-15-Gi1/β1/γ2
23.08Single8YH6Namodenoson8YH6-A3A-Namodenoson-Gi1/β1/γ2
23.08Single9AYFCa; Ca; Ca; Cyclomethyltryptophan; R-568; PO49AYF-CaS; CaS-Ca-Ca; Ca; Ca; Cyclomethyltryptophan; R-568; PO4-Gi1/β1/γ2
23.08Single9BJKNaloxone9BJK-μ-Naloxone-PubChem 171642066
23.08Single9IJDCarazolol9IJD-β3-Carazolol-chim(NtGi1-Gs)/β1/γ2
23.08Single9ITELPA9ITE-LPA6-LPA-chim(NtGi2-G13)/β1/γ2
23.08Single9JCLADP9JCL-P2Y1-ADP-chim(Gs-CtGq)/β1/γ2
23.08Single9WSTDAMGO9WST-μ-DAMGO-chim(NtGi1-Gz)/β1/γ2
23.08Consensusd1_on_gpOrthosteric Ligand7F0T-D1-Dopamine-Gs/β1/γ2 7CKY-D1-PW0464-Gs/β1/γ2 8IRR-D1-Rotigotine-Gs/β1/γ2 7JV5-D1-SKF81297-Gs/β1/γ2 7JVP-D1-SKF83959-Gs/β1/γ2 7X2D-D1-Tavapadon-Gs/β1/γ2 7CKX-D1-A77636-Gs/β1/γ2 7JVQ-D1-Apomorphine-Gs/β1/γ2 7CKW-D1-Fenoldopam-Gs/β1/γ2
23.08Consensusgi_lpaOrthosteric Ligand7TD1-LPA1-LPA-Gi1/β1/γ2 7YU3-LPA1-ONO-0740556-Gi1/β1/γ2
23.08Consensusgi_relaxinOrthosteric Ligand7YK7-RXFP4-DC591053-Gi2/β1/γ2 7YJ4-RXFP4-INSL5-Gi2/β1/γ2 7YK6-RXFP4-PubChem 138319674-Gi2/β1/γ2
23.08Consensusgs_dopamineOrthosteric Ligand7F0T-D1-Dopamine-Gs/β1/γ2 7CKW-D1-Fenoldopam-Gs/β1/γ2 7CKY-D1-PW0464-Gs/β1/γ2 8IRV-D5-Rotigotine-chim(NtGi1-Gs)/β1/γ2 8IRR-D1-Rotigotine-Gs/β1/γ2 7JV5-D1-SKF81297-Gs/β1/γ2 7JVP-D1-SKF83959-Gs/β1/γ2 7X2D-D1-Tavapadon-Gs/β1/γ2 7CKX-D1-A77636-Gs/β1/γ2 7JVQ-D1-Apomorphine-Gs/β1/γ2
23.08Consensuslpa_onOrthosteric Ligandlpa1_on
23.08Consensuslpa_on_gpOrthosteric Ligandlpa1_on_gp
23.08Consensusnpy_offOrthosteric Ligandnpy1_off npy2_off
23.08Consensusrelaxin_onOrthosteric Ligandrxfp4_on
23.08Consensusrelaxin_on_gpOrthosteric Ligandrxfp4_on_gp
23.08Consensuss1p5_onOrthosteric Ligand7EW1-S1P5-Siponimod-Gi1/β1/γ2
23.08Consensuss1p5_on_gpOrthosteric Ligand7EW1-S1P5-Siponimod-Gi1/β1/γ2
22.86Single7VGXNeuropeptide-Y7VGX-Y1-Neuropeptide-Y-Gi1/β1/γ2
22.86Single8KGGLysophosphatidylserine (WJS)8KGG-P2Y10-Lysophosphatidylserine (WJS)-chim(NtGi2-G13)/β1/γ2
22.86Single8WWNMCH8WWN-MCH1-MCH-Gi1/β1/γ2
22.86Consensusbk2_onOrthosteric Ligand7F6H-BK2-Bradykinin-Gq/β1/γ2 7F6I-BK2-Kallidin-Gq/β1/γ2
22.86Consensusbk2_on_gpOrthosteric Ligand7F6H-BK2-Bradykinin-Gq/β1/γ2 7F6I-BK2-Kallidin-Gq/β1/γ2
22.86Consensusbradykinin_onOrthosteric Ligandbk2_on
22.86Consensusbradykinin_on_gpOrthosteric Ligandbk2_on_gp
22.86Consensusgq_bradykininOrthosteric Ligand7F6H-BK2-Bradykinin-Gq/β1/γ2 7F6I-BK2-Kallidin-Gq/β1/γ2
22.73Single3OE9IT1t3OE9-CXCR4-IT1t
22.73Single6HLLCP999946HLL-NK1-CP99994
22.73Single6TP4ACT-4622066TP4-OX1-ACT-462206
22.73Single7T96LY21196207T96-M2-Acetylcholine-LY2119620-Go/β1/γ2
22.73Single7TRPLY20332987TRP-M4-Iperoxo-LY2033298-Gi1/β1/γ2
22.73Single8JPNCis-Epoxysuccinic acid8JPN-Succinate-Cis-Epoxysuccinic acid-Gi1/β1/γ1
22.73Single8RWHStilSwitch28RWH-A2A-StilSwitch2-Na
22.73Single8WP1Cis-Epoxysuccinic acid8WP1-Succinate-Cis-Epoxysuccinic acid-Gi1/β1/γ2
22.73Single8YH3N-methyladenosine8YH3-A3A-N-methyladenosine-Gi1/β1/γ2
22.73Single8YKWSuccinic acid8YKW-Succinate-Succinic acid-Gi1/β1/γ1
22.73Single9JLCAVE 09919JLC-MAS1-AVE 0991-Gi1/β1/γ2
22.73Single9KUWCMPD6449KUW-Apelin; Apelin-CMPD644-Arrestin2 ; Arrestin2
22.73Single9L3ZLRH7-C29L3Z-CML1-LRH7-C2
22.73Single9LMPNE52-QQ579LMP-GPR4-NE52-QQ57
22.58Single6MEOGp160; CD46MEO-CCR5-Gp160; CD4
22.58Single7TD0LPA7TD0-LPA1-LPA-Gi1/β1/γ2
22.58Single7TD2LPA7TD2-LPA1-LPA-Gi1/β1/γ2
22.58Single7W55Neuromedin-U-257W55-NMUR2-Neuromedin-U-25-chim(NtGi1-Gs-CtGq)/β1/γ2
22.58Single7XOUCholecystokinin-87XOU-CCKA-Cholecystokinin-8-Gs/β1/γ2
22.58Single8K6MNeuropeptide-Y8K6M-Y1-Neuropeptide-Y-Gi2/β1/γ1
22.58Single8XGUTAK4488XGU-Kiss1-TAK448-Gi1/β1/γ2
22.58Single8XZGApelin-138XZG-Apelin; Apelin-Apelin-13-Gi1/β1/γ2
22.58Single9K27PrRP319K27-PrRP-PrRP31-chim(NtGi1-Gq)/β1/γ2
22.58Consensuscompl-peptide_on_gpOrthosteric Ligandc5a1_on_gp c3a_on_gp
22.58Consensusnmur2_onOrthosteric Ligand7W55-NMUR2-Neuromedin-U-25-chim(NtGi1-Gs-CtGq)/β1/γ2
22.58Consensusnmur2_on_gpOrthosteric Ligand7W55-NMUR2-Neuromedin-U-25-chim(NtGi1-Gs-CtGq)/β1/γ2
22.58Consensusnpy1_onOrthosteric Ligand8K6M-Y1-Neuropeptide-Y-Gi2/β1/γ1
22.58Consensusnpy1_on_gpOrthosteric Ligand8K6M-Y1-Neuropeptide-Y-Gi2/β1/γ1
22.22Single2YCXCyanopindolol2YCX-β1-Cyanopindolol
22.22Single4PXZ2MeSADP4PXZ-P2Y12-2MeSADP
22.22Single5F8UCyanopindolol5F8U-β1-Cyanopindolol
22.22Single5GLHEndothelin-15GLH-ETB-Endothelin-1
22.22Single6IGKEndothelin-36IGK-ETB-Endothelin-3
22.22Single6MXTSalmeterol6MXT-β2-Salmeterol
22.22Single7BZ2Arformoterol7BZ2-β2-Arformoterol-Gs/β1/γ2
22.22Single7EO4Siponimod7EO4-S1P1-Siponimod-Gi1/β1/γ2
22.22Single7L1VPubChem 1554910097L1V-OX2-PubChem 155491009-chim(NtGi1-Gs-CtGq)/β1/γ2
22.22Single7MTRADX551647MTR-mGlu2; mGlu2-Glutamate-ADX55164
22.22Single7SUSPubChem 1227019087SUS-Apelin-PubChem 122701908
22.22Single7W0LPubChem 1227019087W0L-Apelin; Apelin-PubChem 122701908-Gi1/β1/γ2
22.22Single7W0LPubChem 1227019087W0L-Apelin; Apelin-PubChem 122701908-Gi1/β1/γ2
22.22Single7XJKGalanin7XJK-GAL2-Galanin-chim(NtGi2L-Gs-CtGq)/β1/γ2
22.22Single7YMJTamsulosin7YMJ-Alpha1A-Tamsulosin
22.22Single8H0QGastrin Releasing Peptide8H0Q-BB2-Gastrin Releasing Peptide-chim(NtGi1-Gs-CtGq)/β1/γ2
22.22Single8IA8E7 peptide8IA8-C3aB-E7 peptide-Gi1/β1/γ2
22.22Single8IQ6Latanoprost8IQ6-FP-alpha-Latanoprost-chim(NtGi1-Gs-CtGq)/β1/γ2
22.22Single8IYWGSK2560738IYW-HCA2-GSK256073-Go/β1/γ2
22.22Single8JJLOlodaterol8JJL-β2-Olodaterol
22.22Single8JPBNeurotensin-(8-13)8JPB-NTS1-Neurotensin-(8-13)-SBI-553; GDP; Mg-Gq; GRK2
22.22Single8JWY2-1188JWY-A2A-2-118
22.22Single8T3QDoconexent8T3Q-FFA4-Doconexent-chim(NtGi2L-Gs-CtGq)/β1/γ2
22.22Single8U26Substance-P8U26-NK1-Substance-P-Gs/β1/γ2
22.22Single9BJKPubChem 1716420669BJK-μ-Naloxone-PubChem 171642066
22.22Single9KZKC3a (fragment)9KZK-C3aB-C3a (fragment)-Go/β1/γ2
22.22Single9L3WChemerin9L3W-CML1-Chemerin-Gi1/β1/γ2
22.22Single9V6ONalfurafine9V6O-κ-Nalfurafine-Gi1/β1/γ2
22.22Single9WXMGPR15L(CT)9WXM-GPR15-GPR15L(CT)-Gi3/β1/γ2
22.22Single9YDUUDP-Glucose9YDU-P2Y14-UDP-Glucose-Gi1/β1/γ2
22.22Consensus5ht1a_onOrthosteric Ligand8FYT-5-HT1A-LSD-PtdIns4P-Gi1/β1/γ1 7E2Y-5-HT1A-Serotonin-PtdIns4P-Gi1/β1/γ2 7E2Z-5-HT1A-Aripiprazole-PtdIns4P-Gi1/β1/γ2 8FYX-5-HT1A-Buspirone-PtdIns4P-Gi1/β1/γ1 8JSP-5-HT1A-Ulotaront-Gi1/β1/γ2 8JT6-5-HT1A-(R)-IHCH-7179-PtdIns4P-Gi1/β1/γ2 8FY8-5-HT1A-5-MeO-DMT-PtdIns4P-Gi1/β1/γ1 8FYE-5-HT1A-4-F,5-MeO-PyrT-PtdIns4P-Gi1/β1/γ1 8FYL-5-HT1A-Vilazodone-PtdIns4P-Gi1/β1/γ1
22.22Consensus5ht1a_on_gpOrthosteric Ligand8FYT-5-HT1A-LSD-PtdIns4P-Gi1/β1/γ1 8FYX-5-HT1A-Buspirone-PtdIns4P-Gi1/β1/γ1 8JSP-5-HT1A-Ulotaront-Gi1/β1/γ2 8JT6-5-HT1A-(R)-IHCH-7179-PtdIns4P-Gi1/β1/γ2 7E2Y-5-HT1A-Serotonin-PtdIns4P-Gi1/β1/γ2 7E2Z-5-HT1A-Aripiprazole-PtdIns4P-Gi1/β1/γ2 8FY8-5-HT1A-5-MeO-DMT-PtdIns4P-Gi1/β1/γ1 8FYE-5-HT1A-4-F,5-MeO-PyrT-PtdIns4P-Gi1/β1/γ1 8FYL-5-HT1A-Vilazodone-PtdIns4P-Gi1/β1/γ1
22.22Consensusalpha1_offOrthosteric Ligandalpha1a_off
22.22Consensusalpha1a_offOrthosteric Ligand7YMJ-Alpha1A-Tamsulosin
22.22Consensusbb2_onOrthosteric Ligand7W40-BB2-Bombesin-chim(NtGi1L-Gq)/β1/γ2 7W3Z-BB2-Gastrin Releasing Peptide-chim(NtGi1L-Gq)/β1/γ2
22.22Consensusbb2_on_gpOrthosteric Ligand7W40-BB2-Bombesin-chim(NtGi1L-Gq)/β1/γ2 7W3Z-BB2-Gastrin Releasing Peptide-chim(NtGi1L-Gq)/β1/γ2
22.22Consensusbombesin_onOrthosteric Ligandbb2_on
22.22Consensusbombesin_on_gpOrthosteric Ligandbb2_on_gp
22.22Consensuscxcr_onOrthosteric Ligandcxcr3_on cxcr4_on cxcr1_on cxcr2_on
22.22Consensusffa2_on_gpOrthosteric Ligand8J22-FFA2-TUG-1375-Gi1/β1/γ2
22.22Consensusgalanin_onOrthosteric Ligandgal2_on gal1_on
22.22Consensusgalanin_on_gpOrthosteric Ligandgal2_on_gp gal1_on_gp
22.22Consensusgi_endothelinOrthosteric Ligand8IY5-ETB-Endothelin-1-Gi1/β1/γ2 8HBD-ETB-IRL1620-Gi1/β1/γ2
22.22Consensusgq_bombesinOrthosteric Ligand7W40-BB2-Bombesin-chim(NtGi1L-Gq)/β1/γ2 7W3Z-BB2-Gastrin Releasing Peptide-chim(NtGi1L-Gq)/β1/γ2
22.22Consensuskop_onOrthosteric Ligand8F7W-κ-Dynorphin-Gi1/β1/γ2 8DZS-κ-GR89,696-chim(NtGi2-Gz)/β1/γ2 8DZP-κ-momSalB-Gi1/β1/γ2
22.22Consensuslpl_offOrthosteric Ligands1p_off lpa_off
22.22Consensusmop_onOrthosteric Ligand8F7R-μ-Endomorphin-Gi1/β1/γ2 8EF5-μ-Fentanyl-Gi1/β1/γ2 7SCG-μ-FH210-Gi1/β1/γ2 7T2H-μ-Lofentanil-Gi1/β1/γ2 7T2G-μ-Mitragynine Pseudoindoxyl-Gi1/β1/γ2 8EF6-μ-Morphine-Gi1/β1/γ2 8EFB-μ-Oliceridine-Gi1/β1/γ2 7U2L-μ-C5-guano-Gi1/β1/γ2 8EFO-μ-PZM21-Gi1/β1/γ2 8EFL-μ-SR17018-Gi1/β1/γ2 8F7Q-μ-β-Endorphin-Gi1/β1/γ2 7U2K-μ-C6-guano-Gi1/β1/γ2 8EFQ-μ-DAMGO-Gi1/β1/γ2
22.22Consensusmop_on_gpOrthosteric Ligand8F7R-μ-Endomorphin-Gi1/β1/γ2 8EF5-μ-Fentanyl-Gi1/β1/γ2 7SCG-μ-FH210-Gi1/β1/γ2 7T2H-μ-Lofentanil-Gi1/β1/γ2 7T2G-μ-Mitragynine Pseudoindoxyl-Gi1/β1/γ2 8EF6-μ-Morphine-Gi1/β1/γ2 8EFB-μ-Oliceridine-Gi1/β1/γ2 7U2L-μ-C5-guano-Gi1/β1/γ2 8EFO-μ-PZM21-Gi1/β1/γ2 8EFL-μ-SR17018-Gi1/β1/γ2 8F7Q-μ-β-Endorphin-Gi1/β1/γ2 7U2K-μ-C6-guano-Gi1/β1/γ2 8EFQ-μ-DAMGO-Gi1/β1/γ2
22.22Consensuss1p1_onOrthosteric Ligand7VIE-S1P1-S1P-Gi1/β1/γ2 7VIF-S1P1-FTY720-P-Gi1/β1/γ2 7VIG-S1P1-CBP-307-Gi1/β1/γ2 7EVY-S1P1-Siponimod-Gi1/β1/γ2 7EVZ-S1P1-Cenerimod-Gi1/β1/γ2 7EW0-S1P1-Ozanimod-Gi1/β1/γ2 7EW7-S1P1-SEW2871-Gi1/β1/γ2
22.22Consensuss1p1_on_gpOrthosteric Ligand7VIE-S1P1-S1P-Gi1/β1/γ2 7VIF-S1P1-FTY720-P-Gi1/β1/γ2 7VIG-S1P1-CBP-307-Gi1/β1/γ2 7EVY-S1P1-Siponimod-Gi1/β1/γ2 7EVZ-S1P1-Cenerimod-Gi1/β1/γ2 7EW0-S1P1-Ozanimod-Gi1/β1/γ2 7EW7-S1P1-SEW2871-Gi1/β1/γ2
21.88Single6METGp160; CD46MET-CCR5-Gp160; CD4
21.88Single7KH0AVP7KH0-V2-AVP-chim(NtGi1-Gs)/β1/γ2
21.88Single7W40Bombesin7W40-BB2-Bombesin-chim(NtGi1L-Gq)/β1/γ2
21.88Single7W57Neuromedin-S7W57-NMUR2-Neuromedin-S-chim(NtGi1-Gs-CtGq)/β1/γ2
21.88Single8J6IMK68928J6I-HCA2-MK6892-Gi1/β1/γ2
21.88Single8WSTMCH8WST-MCH2-MCH-chim(NtGi1L-Gs-CtGq)/β1/γ2
21.88Consensusapelin_onOrthosteric Ligand8XZH-Apelin; Apelin-MM07-Gi1/β1/γ2 7W0M-Apelin-PubChem 122701908-Gi1/β1/γ2 8XZJ-Apelin; Apelin-WN353-Gi1/β1/γ2 8XZF-Apelin; Apelin-WN561-Gi1/β1/γ2 8XZG-Apelin; Apelin-Apelin-13-Gi1/β1/γ2
21.88Consensusapelin_on_gpOrthosteric Ligand8XZH-Apelin; Apelin-MM07-Gi1/β1/γ2 7W0M-Apelin-PubChem 122701908-Gi1/β1/γ2 8XZJ-Apelin; Apelin-WN353-Gi1/β1/γ2 8XZF-Apelin; Apelin-WN561-Gi1/β1/γ2 8XZG-Apelin; Apelin-Apelin-13-Gi1/β1/γ2
21.88Consensusc5a1_on_gpOrthosteric Ligand8HK5-C5a1-C5a-Gi1/β1/γ2 7Y66-C5a1-BM213-Gi1/β1/γ2 7Y67-C5a1-C089 peptide-Gi1/β1/γ2 7Y64-C5a1-C5a-Gi1/β1/γ2
21.88Consensusp2y_on_gpOrthosteric Ligandp2y1_on_gp p2y10_on_gp p2y12_on_gp
21.88Consensusprotein_offonOrthosteric Ligandprotein_off protein_on
21.88Consensusprotein_offon_gpOrthosteric Ligandprotein_on_gp protein_off
21.88Consensusprotein_onOrthosteric Ligandchemokine_on chemerin_on
21.88Consensustachykinin_onOrthosteric Ligandnk1_on nk2_on nk3_on
21.74Single3ODUIT1t3ODU-CXCR4-IT1t
21.74Single3VGAZM-2413853VGA-A2A-ZM-241385-Antibody
21.74Single4MQTLY21196204MQT-M2-Iperoxo-LY2119620
21.74Single4S0VSuvorexant4S0V-OX2-Suvorexant
21.74Single5K2DZM-2413855K2D-A2A-ZM-241385-Na
21.74Single5OLOTozadenant5OLO-A2A-Tozadenant-Na
21.74Single6AKXA4R6AKX-CCR5-A4R
21.74Single6AKYMaraviroc6AKY-CCR5-Maraviroc
21.74Single6JZHZM-2413856JZH-A2A-ZM-241385-Na
21.74Single6PS7ZM-2413856PS7-A2A-ZM-241385-Na
21.74Single6RNKNF-56-EJ406RNK-Succinate-NF-56-EJ40
21.74Single6TPJSuvorexant6TPJ-OX2-Suvorexant
21.74Single7F8YDevazepide7F8Y-CCKA-Devazepide
21.74Single7VDLCortistatin-147VDL-MRGPRX2-Cortistatin-14-Gi1/β1/γ2
21.74Single8DU3PubChem 1055260648DU3-A2A-PubChem 105526064
21.74Single8GGCConstrained Epinephrine8GGC-β2-Constrained Epinephrine-GTP-Gs/β1/γ2
21.74Single8GNGIstradefylline8GNG-A2A-Istradefylline
21.74Single8JPPSuccinic acid8JPP-Succinate-Succinic acid-chim(Gs-CtGq)/β1/γ1
21.74Single8JSOAMPH8JSO-TA1-AMPH-chim(NtGi1-Gs)/β1/γ2
21.74Single8RVWStilSwitch38RVW-A2A-StilSwitch3-Na
21.74Single8RW0Istradefylline8RW0-A2A-Istradefylline-Na
21.74Single8RW4AzoSwitch28RW4-A2A-AzoSwitch2-Na
21.74Single8RWEStilSwitch48RWE-A2A-StilSwitch4-Na
21.74Single8U4PAMD31008U4P-CXCR4-AMD3100-Gi1/β1/γ2
21.74Single8WC4ZH86518WC4-TA1-ZH8651-chim(NtGi1-Gs)/β1/γ2
21.74Single8WCA2-Phenylethylamine8WCA-TA1-2-Phenylethylamine-chim(NtGi1-Gs)/β1/γ2
21.74Single8WOGSuccinic acid8WOG-Succinate-Succinic acid-Gi1/β1/γ2
21.74Single8YKXMaleic acid8YKX-Succinate-Maleic acid-Gi1/β1/γ1
21.74Single9C2FCa; Ca; Tryptophan; '54149; PO49C2F-CaS; CaS-Ca-Ca; Ca; Tryptophan; '54149; PO4
21.74Single9FUPIstradefylline9FUP-A2A-Istradefylline-Na
21.74Single9H2XPubChem 1756706449H2X-A2A-PubChem 175670644-Na
21.74Single9VJ5Gepirone9VJ5-5-HT1A-Gepirone-Go/β1/γ2
21.74Consensusgi_succinateOrthosteric Ligand8YKW-Succinate-Succinic acid-Gi1/β1/γ1 8YKX-Succinate-Maleic acid-Gi1/β1/γ1
21.74Consensussuccinate_onOrthosteric Ligand8YKW-Succinate-Succinic acid-Gi1/β1/γ1 8YKX-Succinate-Maleic acid-Gi1/β1/γ1
21.74Consensussuccinate_on_gpOrthosteric Ligand8YKW-Succinate-Succinic acid-Gi1/β1/γ1 8YKX-Succinate-Maleic acid-Gi1/β1/γ1
21.62Single8HBDIRL16208HBD-ETB-IRL1620-Gi1/β1/γ2
21.62Consensusendothelin_on_gpOrthosteric Ligandetb_on_gp eta_on_gp
21.62Consensusetb_on_gpOrthosteric Ligand8IY5-ETB-Endothelin-1-Gi1/β1/γ2 8HBD-ETB-IRL1620-Gi1/β1/γ2
21.43Single4NC3Ergotamine4NC3-5-HT2B-Ergotamine
21.43Single6BQGErgotamine6BQG-5-HT2C-Ergotamine
21.43Single7EVZCenerimod7EVZ-S1P1-Cenerimod-Gi1/β1/γ2
21.43Single7EW0Ozanimod7EW0-S1P1-Ozanimod-Gi1/β1/γ2
21.43Single7JVRBromoergocryptine7JVR-D2-Bromoergocryptine-Gi1/β1/γ2
21.43Single7MTSADX551647MTS-mGlu2; mGlu2-Glutamate-ADX55164-Gi1/β1/γ2
21.43Single7QVMOxytocin7QVM-OT-Oxytocin-chim(NtGi1-Go-CtGq)/β1/γ2
21.43Single7SK7CCX6627SK7-ACKR3-CXCL12-CCX662
21.43Single7SK8CCX6627SK8-ACKR3-CXCL12-CCX662
21.43Single7UM4AS26747237UM4-5-HT5A-AS2674723
21.43Single7VGY2-Iodomelatonin7VGY-MT1-2-Iodomelatonin-Gi1/β1/γ2
21.43Single7WVVfMLFII7WVV-FPR2-ALX-fMLFII-Gi2/β1/γ2
21.43Single7X1UTRH7X1U-TRH-TRH-chim(NtGi2L-Gs-CtGq)/β1/γ2
21.43Single7X2DTavapadon7X2D-D1-Tavapadon-Gs/β1/γ2
21.43Single7XJISolabegron7XJI-β3-Solabegron-Gs/β1/γ2
21.43Single7XK2MK68927XK2-HCA2-MK6892-Gi1/β1/γ2
21.43Single7Y27Somatostatin-147Y27-SST2-Somatostatin-14-chim(NtGi2L-Gs-CtGq)/β1/γ2
21.43Single7Y65C5a (C-terminal peptide)7Y65-C5a1-C5a (C-terminal peptide)-Gi1/β1/γ2
21.43Single8HN1Toxin AdTx18HN1-Alpha1A-Toxin AdTx1
21.43Single8IJDMK68928IJD-HCA2-MK6892-Gi1/β1/γ2
21.43Single8JPFNeurotensin-(8-13)8JPF-NTS1-Neurotensin-(8-13)-SBI-553
21.43Single8K2XCXCL108K2X-CXCR3-CXCL10-Gi1/β1/γ2
21.43Single8XBES3E-Lysophosphatidylserine 8XBE-GPR34-S3E-Lysophosphatidylserine-Gi1/β1/γ1
21.43Single8XJKCloprosetnol8XJK-FP-alpha-Cloprosetnol-chim(NtGi1-Gs-CtGq)/β1/γ2
21.43Single9CGJC6-Quino9CGJ-δ-C6-Quino-Gi1/β1/γ2
21.43Single9GE3Lysophosphatidylinositol9GE3-GPR55-Lysophosphatidylinositol-chim(NtGi1-G13)/β1/γ2
21.43Single9HYIDP819HYI-5-HT1A-DP81-Gi1/β1/γ2
21.43Single9IZFLPA9IZF-LPA1-LPA-Gi1/β1/γ2
21.43Single9KT8Acifran9KT8-HCA2-Acifran-Gi1/β1/γ2
21.43Single9KWXC5a-des-Arg9KWX-C5a1-C5a-des-Arg-Go/β1/γ2
21.43Single9VI9RFRP-39VI9-NPFF1-RFRP-3-Gi1/β1/γ2
21.43Single9WP9S1P9WP9-S1P3-S1P-chim(NtGi2L-Gs-CtGq)/β1/γ2
21.43Consensuschemerin_onOrthosteric Ligandcml1_on
21.43Consensusendothelin_offOrthosteric Ligandetb_off
21.43Consensusetb_offOrthosteric Ligand5X93-ETB-K-8794 5XPR-ETB-Bosentan 6K1Q-ETB-IRL2500
21.43Consensuskop_on_gpOrthosteric Ligand8F7W-κ-Dynorphin-Gi1/β1/γ2 8DZS-κ-GR89,696-chim(NtGi2-Gz)/β1/γ2 8DZP-κ-momSalB-Gi1/β1/γ2
21.43Consensusprostanoid_offOrthosteric Ligandep_off dp_off
21.21Single7F6HBradykinin7F6H-BK2-Bradykinin-Gq/β1/γ2
21.21Single7VL9CCL15(26-92)7VL9-CCR1-CCL15(26-92)-Gi1/β1/γ2
21.21Single8WWMMCH8WWM-MCH1-MCH-Gi1/β1/γ2
21.21Consensusgi_apelinOrthosteric Ligand8XZH-Apelin; Apelin-MM07-Gi1/β1/γ2 7W0M-Apelin-PubChem 122701908-Gi1/β1/γ2 8XZJ-Apelin; Apelin-WN353-Gi1/β1/γ2 8XZF-Apelin; Apelin-WN561-Gi1/β1/γ2 8XZG-Apelin; Apelin-Apelin-13-Gi1/β1/γ2
21.21Consensusneuromedin-u_on_gpOrthosteric Ligandnmur1_on_gp nmur2_on_gp
21.21Consensusp2y10_onOrthosteric Ligand8KGG-P2Y10-Lysophosphatidylserine (WJS)-chim(NtGi2-G13)/β1/γ2
21.05Single6LRYSarafotoxin-B6LRY-ETB-Sarafotoxin-B
20.83Single3REYPubChem 56973REY-A2A-PubChem 5697
20.83Single3UZCPubChem 1355666093UZC-A2A-PubChem 135566609
20.83Single4DKLBeta-Funaltrexamine4DKL-μ-β-Funaltrexamine
20.83Single4MBSMaraviroc4MBS-CCR5-Maraviroc
20.83Single4N6HNaltrindole4N6H-δ-Naltrindole-Na
20.83Single5IU4ZM-2413855IU4-A2A-ZM-241385-Na
20.83Single5IU7Q274563465IU7-A2A-Q27456346-Na
20.83Single5IUBQ274563445IUB-A2A-Q27456344-Na
20.83Single5JTBZM-2413855JTB-A2A-ZM-241385
20.83Single5K2CZM-2413855K2C-A2A-ZM-241385-Na
20.83Single5NLXZM-2413855NLX-A2A-ZM-241385-Na
20.83Single5NM4ZM-2413855NM4-A2A-ZM-241385-Na
20.83Single6AQFZM-2413856AQF-A2A-ZM-241385
20.83Single6FK8PubChem 1324730356FK8-Rhodopsin-PubChem 132473035
20.83Single6ME32-Phenylmelatonin6ME3-MT1-2-Phenylmelatonin
20.83Single6ME42-Iodomelatonin6ME4-MT1-2-Iodomelatonin
20.83Single6MH8ZM-2413856MH8-A2A-ZM-241385
20.83Single6PS82-Phenylmelatonin6PS8-MT1-2-Phenylmelatonin
20.83Single6TP3Nemorexant6TP3-OX1-Nemorexant
20.83Single6TPGEMPA6TPG-OX2-EMPA
20.83Single6TPKRetosiban6TPK-OT-Retosiban
20.83Single6TPNHTL66416TPN-OX2-HTL6641
20.83Single6V9SGTPL114036V9S-OX1-GTPL11403
20.83Single6ZDRHMS1413f126ZDR-A2A-HMS1413f12-Na
20.83Single7F61PF-036547467F61-H3-PF-03654746
20.83Single7SR8TAK-9257SR8-OX2-TAK-925-chim(NtGi1L-Gs-CtGq)/β1/γ2
20.83Single7T94LY21196207T94-M2-Acetylcholine-LY2119620-chim(NtGi1-Go)/β1/γ2
20.83Single7XOVSR1461317XOV-CCKA-SR146131-Gs/β1/γ2
20.83Single7XXH2MeSADP7XXH-P2Y1-2MeSADP-chim(NtGi1-G11)/β1/γ2
20.83Single7YK6PubChem 1383196747YK6-RXFP4-PubChem 138319674-Gi2/β1/γ2
20.83Single8GEAConstrained Epinephrine8GEA-β2-Constrained Epinephrine-Gs/β1/γ2
20.83Single8GG8Constrained Epinephrine8GG8-β2-Constrained Epinephrine-GTP-Gs/β1/γ2
20.83Single8GGSConstrained Epinephrine8GGS-β2-Constrained Epinephrine
20.83Single8GGTConstrained Epinephrine8GGT-β2-Constrained Epinephrine
20.83Single8HNMVUF112228HNM-CXCR3-VUF11222-Gi1/β1/γ2
20.83Single8IHKAcifran8IHK-HCA3-Acifran
20.83Single8JEIPubChem 117155568JEI-HCAR3-PubChem 11715556-Gi1/β1/γ2
20.83Single8JERAcipimox8JER-HCA2-Acipimox-Go/β1/γ2
20.83Single8JIMMonomethyl fumarate8JIM-HCA2-Monomethyl fumarate-Gi1/β1/γ2
20.83Single8K4SDCA-3P8K4S-MRGPRX4-DCA-3P-chim(NtGi1L-Gs-CtGq)/β1/γ2
20.83Single8K5CAcipimox8K5C-HCA2-Acipimox
20.83Single8K9KDAMGO8K9K-μ-DAMGO-Gi3/β1/γ1
20.83Single8RQQZM-2413858RQQ-A2A-ZM-241385-Na
20.83Single8UO0Constrained Epinephrine8UO0-β2-Constrained Epinephrine-GTP-Gs/β1/γ2
20.83Single8UO1Constrained Epinephrine8UO1-β2-Constrained Epinephrine-GTP; Mg-Gs/β1/γ2
20.83Single8WC8ZH86518WC8-TA1-ZH8651-chim(NtGi1-Gs)/β1/γ2
20.83Single8YH2Adenosine8YH2-A3A-Adenosine-Gi1/β1/γ2
20.83Single8YKVPubChem 1375531688YKV-Succinate-PubChem 137553168-Gi1/β1/γ2
20.83Single8ZPMAMD0708ZPM-CXCR4-AMD070
20.83Single8ZPNAMD31008ZPN-CXCR4-AMD3100
20.83Single9ASBCa; Ca; Cyclomethyltryptophan; R-568; PO49ASB-CaS; CaS-Ca-Ca; Ca; Cyclomethyltryptophan; R-568; PO4-chim(NtGi1-Gs-CtGq)/β1/γ2
20.83Single9JFUNE52-QQ579JFU-GPR4-NE52-QQ57
20.83Single9KUWCMPD6449KUW-Apelin; Apelin-CMPD644-Arrestin2 ; Arrestin2
20.83Single9KXSEP679KXS-C5a1-EP67-Go/β1/γ2
20.83Single9L8LBI1671079L8L-β2-BI167107-Atazanavir-Gs/β1/γ2 ; Arrestin2
20.83Single9M2FNeuropeptide-FF9M2F-NPFF1-Neuropeptide-FF-Gi1/β1/γ2
20.83Single9PXXNaloxone9PXX-μ-Naloxone-GDPβS-Gi1/β1/γ2
20.83Single9U80Conivaptan9U80-V2-Conivaptan
20.83Consensusa2_offOrthosteric Liganda2a_off
20.83Consensusa2a_offOrthosteric Ligand3RFM-A2A-Caffeine 8C9W-A2A-Etrumadenant 3UZA-A2A-GTPL9236 8GNG-A2A-Istradefylline 8CU6-A2A-LJ-4517 7PX4-A2A-PSB-2113 7PYR-A2A-PSB-2115 8DU3-A2A-PubChem 105526064 8JWY-A2A-2-118 8PWN-A2A-Theophylline 5IU4-A2A-ZM-241385-Na 5OLZ-A2A-PubChem 135566609-Na 6GT3-A2A-Imaradenant-Na 5OLV-A2A-LUAA47070-Na 5N2R-A2A-PSB36-Na 5IU7-A2A-Q27456346-Na 5OLH-A2A-Vipadenant-Na 5OLO-A2A-Tozadenant-Na 6ZDR-A2A-HMS1413f12-Na 8GNE-A2A-KW-6356-Na 8JWZ-A2A-Etrumadenant-Na 5IU8-A2A-Q27456347-Na 5IUB-A2A-Q27456344-Na 6ZDV-A2A-PubChem 984073-Na 5IUA-A2A-Q27456348-Na 8A2P-A2A-LUAA47070-Na
20.83Consensusadenosine_onOrthosteric Liganda1_on a2_on a3_on
20.83Consensusat1_offOrthosteric Ligand4YAY-AT1-ZD-7155 4ZUD-AT1-Olmesartan
20.83Consensuscb1_offOrthosteric Ligand5U09-CB1-Taranabant 5TGZ-CB1-AM6538
20.83Consensusghrelin_offOrthosteric Ligand6KO5-Ghrelin-PubChem 57400002 7F83-Ghrelin-PF-05190457
20.83Consensusgi_adenosineOrthosteric Ligand7LD4-A1-Adenosine-Gi2/β1/γ2 8X17-A3A-Namodenoson-Gi1/β1/γ2 8X16-A3A-Piclidenoson-Gi1/β1/γ2
20.83Consensushca_onOrthosteric Ligandhca2_on
20.83Consensusnucleotide_offOrthosteric Ligandadenosine_off p2y_off
20.83Consensusot_offOrthosteric Ligand6TPK-OT-Retosiban
20.83Consensusp2y1_on_gpOrthosteric Ligand7XXH-P2Y1-2MeSADP-chim(NtGi1-G11)/β1/γ2
20.83Consensusvasop-oxy_offOrthosteric Ligandot_off
20.69Single5VBLAMG3054 5VBL-Apelin-AMG3054
20.69Single5WF6UK-4320975WF6-A2A-UK-432097
20.69Single7F9ZGHRP-67F9Z-Ghrelin-GHRP-6-chim(NtGi1-Gs-CtGq)/β1/γ2
20.69Single7SK9CCX6627SK9-ACKR3-CCX662
20.69Single7Y1FDynorphin7Y1F-κ-Dynorphin-Gi1/β1/γ2
20.69Single7YAEOctreotide7YAE-SST2-Octreotide-Gi1/β1/γ2
20.69Single7YJ4INSL57YJ4-RXFP4-INSL5-Gi2/β1/γ2
20.69Single8J22TUG-13758J22-FFA2-TUG-1375-Gi1/β1/γ2
20.69Single8SAILysophosphatidylserine (S12)8SAI-GPR34-Lysophosphatidylserine (S12)-Gi1/β1/γ2
20.69Single8XX6CXCL88XX6-CXCR2-CXCL8-Go/β1/γ2
20.69Single8Y72Peptide8Y72-μ-Peptide-BMS-986122-Gi1/β1/γ2
20.69Single9CGKC5-Quino9CGK-δ-C5-Quino-Gi1/β1/γ2
20.69Single9JH6C20:0 Ceramide9JH6-CysLT2-C20:0 Ceramide-chim(NtGi1-Gs-CtGq)/β1/γ2
20.69Single9NS9TUG-13759NS9-FFA2-TUG-1375-PubChem 118615810-Gi1/β1/γ2
20.69Single9UMJEP549UMJ-C3aB-EP54-Go/β1/γ2
20.69Consensusformylpeptide_onOrthosteric Ligandfpr2-alx_on fpr1-alx_on
20.69Consensussst2_onOrthosteric Ligand7WIC-SST2-Somatostatin-14-Gi1/β1/γ2 7WIG-SST2-L-054264-Gi1/β1/γ2 7YAE-SST2-Octreotide-Gi1/β1/γ2 7YAC-SST2-Paltusotine-Gi1/β1/γ2
20.69Consensussst2_on_gpOrthosteric Ligand7WIC-SST2-Somatostatin-14-Gi1/β1/γ2 7WIG-SST2-L-054264-Gi1/β1/γ2 7YAE-SST2-Octreotide-Gi1/β1/γ2 7YAC-SST2-Paltusotine-Gi1/β1/γ2
20.59Single5UIW5P7-CCL55UIW-CCR5-5P7-CCL5
20.59Single7RGPTirzepatide7RGP-GLP-1-Tirzepatide-chim(NtGi1-Gs)/β1/γ2
20.59Single9KFKRelaxin-39KFK-RXFP4-Relaxin-3-Gi2/β1/γ2
20.59Consensusccr5_offOrthosteric Ligand5UIW-CCR5-5P7-CCL5
20.59Consensusccr5_onOrthosteric Ligand7O7F-CCR5-6P4-CCL5-Gi1/β1/γ1 7F1Q-CCR5-CCL3-Gi1/β1/γ2
20.59Consensusgi_compl-peptOrthosteric Ligand8HK5-C5a1-C5a-Gi1/β1/γ2 8IA8-C3aB-E7 peptide-Gi1/β1/γ2 7Y66-C5a1-BM213-Gi1/β1/γ2 7Y67-C5a1-C089 peptide-Gi1/β1/γ2 8HK2-C3aB-C3a-Gi1/β1/γ2 7Y64-C5a1-C5a-Gi1/β1/γ2
20.51Consensusclass-a_class-b1_cons_on_gpOrthosteric Ligandclass-a_on_gp class-b1_on_gp
20.00Single2Y04Salbutamol2Y04-β1-Salbutamol
20.00Single3EMLZM-2413853EML-A2A-ZM-241385
20.00Single4EIYZM-2413854EIY-A2A-ZM-241385-Na
20.00Single4IARErgotamine4IAR-5-HT1B-Ergotamine
20.00Single4QKXPubChem 762106284QKX-β2-PubChem 76210628
20.00Single5IU8Q274563475IU8-A2A-Q27456347-Na
20.00Single5K2AZM-2413855K2A-A2A-ZM-241385-Na
20.00Single5OLGZM-2413855OLG-A2A-ZM-241385-Na
20.00Single5OLZPubChem 1355666095OLZ-A2A-PubChem 135566609-Na
20.00Single5OM1PubChem 1355666095OM1-A2A-PubChem 135566609-Na
20.00Single5TGZAM65385TGZ-CB1-AM6538
20.00Single5VRAZM-2413855VRA-A2A-ZM-241385-Na
20.00Single6D27CAY104716D27-DP2-CAY10471
20.00Single6FK7PubChem 1324730346FK7-Rhodopsin-PubChem 132473034
20.00Single6LPJZM-2413856LPJ-A2A-ZM-241385-Na
20.00Single6LPKZM-2413856LPK-A2A-ZM-241385-Na
20.00Single6S0LZM-2413856S0L-A2A-ZM-241385
20.00Single6X19CHU-1286X19-GLP-1-CHU-128-Gs/β1/γ2
20.00Single6XBM25(S)-Epoxycholesterol6XBM-SMO-25(S)-Epoxycholesterol-Gi1/β1/γ2
20.00Single6Z4VNeurotensin-(9-13)6Z4V-NTS1-Neurotensin-(9-13)
20.00Single7JOZPubChem 752020227JOZ-D1-PubChem 75202022-Gs/β1/γ2
20.00Single7JVQApomorphine7JVQ-D1-Apomorphine-Gs/β1/γ2
20.00Single7L0RNeurotensin-(8-13)7L0R-NTS1-Neurotensin-(8-13)-Gi1/β1/γ1
20.00Single7LJCSKF812977LJC-D1-SKF81297-Mevidalen-Gs/β1/γ2
20.00Single7PYRPSB-21157PYR-A2A-PSB-2115
20.00Single7QA8Antagonist Peptide7QA8-STE2; STE2-Antagonist Peptide
20.00Single7QA8Antagonist Peptide7QA8-STE2; STE2-Antagonist Peptide
20.00Single7T6VfMLFII7T6V-FPR2-ALX-fMLFII-Gi1/β1/γ2
20.00Single7UL4Alvimopan7UL4-μ-Alvimopan
20.00Single7VGZRamelteon7VGZ-MT1-Ramelteon-Gi1/β1/γ2
20.00Single7VIES1P7VIE-S1P1-S1P-Gi1/β1/γ2
20.00Single7W0PElabela7W0P-Apelin-Elabela-Gi1/β1/γ2
20.00Single7W2ZGhrelin7W2Z-Ghrelin-Ghrelin-Go/β1/γ2
20.00Single7WKDTRH7WKD-TRH-TRH-chim(NtGi1-Gs-CtGq)/β1/γ2
20.00Single7XJHIsoprenaline7XJH-β3-Isoprenaline-Gs/β1/γ2
20.00Single7YU4ONO-07405567YU4-LPA1-ONO-0740556
20.00Single8CICEtrumadenant8CIC-A2A-Etrumadenant-Na
20.00Single8DCRDobutamine8DCR-β1-Dobutamine-Gs/β1/γ2
20.00Single8EFQDAMGO8EFQ-μ-DAMGO-Gi1/β1/γ2
20.00Single8EJKTAK-8758EJK-FFA1-TAK-875-chim(NtGi1L-Gs-CtGq)/β1/γ2
20.00Single8F7XNociceptin8F7X-NOP-Nociceptin-Gi1/β1/γ2
20.00Single8FYLVilazodone8FYL-5-HT1A-Vilazodone-PtdIns4P-Gi1/β1/γ1
20.00Single8GCML-9026888GCM-EP4-L-902688-Gi1/β1/γ2
20.00Single8GE9Constrained Epinephrine8GE9-β2-Constrained Epinephrine-Gs/β1/γ2
20.00Single8I7VAcipimox8I7V-HCA2-Acipimox-Gi1/β1/γ2
20.00Single8IC0CXCL88IC0-CXCR1-CXCL8-Gi1/β1/γ2
20.00Single8IHJAcifran8IHJ-HCA3-Acifran-Gi1/β1/γ2
20.00Single8IRTRotigotine8IRT-D3-Rotigotine-Gi1/β1/γ2
20.00Single8J6PNiacin8J6P-HCA2-Niacin-PubChem 25101223-Gi1/β1/γ2
20.00Single8JIINiacin8JII-HCA2-Niacin-PubChem 25101223-Gi1/β1/γ2
20.00Single8JXRLSD8JXR-D1-LSD
20.00Single8K5DGSK2560738K5D-HCA2-GSK256073
20.00Single8KEXDCA-3P8KEX-MRGPRX4-DCA-3P
20.00Single8PKMBefiradol8PKM-5-HT1A-Befiradol-Gi1/β1/γ1
20.00Single8T1WCVN4248T1W-GPR6-CVN424
20.00Single8UNRConstrained Epinephrine8UNR-β2-Constrained Epinephrine-GTP-Gs/β1/γ2
20.00Single8UNUConstrained Epinephrine8UNU-β2-Constrained Epinephrine-GTP-Gs/β1/γ2
20.00Single8UNVConstrained Epinephrine8UNV-β2-Constrained Epinephrine-GTP-Gs/β1/γ2
20.00Single8UNZConstrained Epinephrine8UNZ-β2-Constrained Epinephrine-GTP-Gs/β1/γ2
20.00Single8UO2Constrained Epinephrine8UO2-β2-Constrained Epinephrine-GTP-Gs/β1/γ2
20.00Single8VVGGB188VVG-κ-GB18-Gi1/β1/γ2
20.00Single8W87METH8W87-TA1-METH-chim(NtGi1L-Gs)/β1/γ2
20.00Single8WDTphotoNECA8WDT-A2A-photoNECA
20.00Single8X17Namodenoson8X17-A3A-Namodenoson-Gi1/β1/γ2
20.00Single8XGMChemerin8XGM-CML2-Chemerin-Gi1/β1/γ2
20.00Single8XWNCXCL88XWN-CXCR2-CXCL8
20.00Single8Y71A1D6F8Y71-δ-A1D6F-BMS986187-Gi1/β1/γ2
20.00Single8ZBJSomatostatin-148ZBJ-SST5-Somatostatin-14-Gi1/β1/γ2
20.00Single8ZJGChemerin8ZJG-CML1-Chemerin-Gi1/β1/γ2
20.00Single8ZQEGPR15L(CT)8ZQE-GPR15-GPR15L(CT)-Gi1/β1/γ1
20.00Single8ZSSRO52633978ZSS-TA1-RO5263397-chim(NtGi1-Gs)/β1/γ2
20.00Single9AVGCa; Ca; Cyclomethyltryptophan; R-568; PO49AVG-CaS; CaS-Ca-Ca; Ca; Cyclomethyltryptophan; R-568; PO4-chim(NtGi1-Gs)/β1/γ2
20.00Single9CHXCarazolol9CHX-β2-Carazolol
20.00Single9D61JDTic9D61-κ-JDTic-Gi1/β1/γ2
20.00Single9EPP11,20-Ethanoretinal9EPP-Rhodopsin-11,20-Ethanoretinal-chim(Gi1-CtGq)/β1/γ2
20.00Single9KFJPubChem 1383196749KFJ-RXFP3-PubChem 138319674-Gi2/β1/γ2
20.00Single9KUXCMPD6449KUX-Apelin; Apelin-CMPD644-Arrestin2
20.00Single9L3YChemerin9L3Y-CML2-Chemerin-Gi1/β1/γ2
20.00Single9M4TSilodosin9M4T-Alpha1A-Silodosin
20.00Single9MEJGp1209MEJ-CXCR4-Gp120
20.00Single9P1SZM-2413859P1S-A2A-ZM-241385
20.00Single9UYLChemerin-99UYL-CML2-Chemerin-9-Arrestin2
20.00Single9VMYTMU41429VMY-5-HT1A-TMU4142-Go/β1/γ2
20.00Consensusalicarboxylic_offOrthosteric Ligandsuccinate_off
20.00Consensuscxcr1_on_gpOrthosteric Ligand8IC0-CXCR1-CXCL8-Gi1/β1/γ2
20.00Consensusd5_onOrthosteric Ligand8IRV-D5-Rotigotine-chim(NtGi1-Gs)/β1/γ2
20.00Consensusgi_hcaOrthosteric Ligand8J6R-HCA2-MK6892-Gi1/β1/γ2 8JIM-HCA2-Monomethyl fumarate-Gi1/β1/γ2 8IHI-HCA2-Acifran-Gi1/β1/γ2 8IHH-HCA2-LUF6283-Gi1/β1/γ2 8I7V-HCA2-Acipimox-Gi1/β1/γ2 8I7W-HCA2-GSK256073-Gi1/β1/γ2
20.00Consensusgs_trace-amineOrthosteric Ligand8W88-TA1-SEP-363856-Gs/β1/γ2 8JLJ-TA1-T1AM-chim(NtGi1-Gs)/β1/γ2 8JLO-TA1-Ulotaront-Gs/β1/γ2 8WC4-TA1-ZH8651-chim(NtGi1-Gs)/β1/γ2 8WC7-TA1-ZH8667-chim(NtGi1-Gs)/β1/γ2 8JLR-TA1-A77636-chim(NtGi1-Gs)/β1/γ2 8JSO-TA1-AMPH-chim(NtGi1-Gs)/β1/γ2 8W87-TA1-METH-chim(NtGi1L-Gs)/β1/γ2 8W89-TA1-2-Phenylethylamine-chim(NtGi1L-Gs)/β1/γ2 8JLP-TA1-Ralmitaront-Gs/β1/γ2 8W8A-TA1-RO5256390-chim(NtGi1L-Gs)/β1/γ2
20.00Consensushca2_onOrthosteric Ligand8J6R-HCA2-MK6892-Gi1/β1/γ2 8JIM-HCA2-Monomethyl fumarate-Gi1/β1/γ2 8I7V-HCA2-Acipimox-Gi1/β1/γ2 8I7W-HCA2-GSK256073-Gi1/β1/γ2 8IHH-HCA2-LUF6283-Gi1/β1/γ2 8IHI-HCA2-Acifran-Gi1/β1/γ2
20.00Consensushca2_on_gpOrthosteric Ligand8J6R-HCA2-MK6892-Gi1/β1/γ2 8IHI-HCA2-Acifran-Gi1/β1/γ2 8IHH-HCA2-LUF6283-Gi1/β1/γ2 8I7V-HCA2-Acipimox-Gi1/β1/γ2 8JIM-HCA2-Monomethyl fumarate-Gi1/β1/γ2 8I7W-HCA2-GSK256073-Gi1/β1/γ2
20.00Consensushca_on_gpOrthosteric Ligandhca2_on_gp
20.00Consensuslipid_offOrthosteric Ligandcannabinoid_off paf_off lpl_off prostanoid_off leukotriene_off
20.00Consensusnop_onOrthosteric Ligand8F7X-NOP-Nociceptin-Gi1/β1/γ2
20.00Consensusnop_on_gpOrthosteric Ligand8F7X-NOP-Nociceptin-Gi1/β1/γ2
20.00Consensusnucleotide_offonOrthosteric Ligandnucleotide_off nucleotide_on
20.00Consensusnucleotide_offon_gpOrthosteric Ligandnucleotide_on_gp nucleotide_off
20.00Consensusp2y_onOrthosteric Ligandp2y1_on p2y10_on p2y12_on
20.00Consensussuccinate_offOrthosteric Ligand6RNK-Succinate-NF-56-EJ40 6Z10-Succinate-PubChem 154585554
19.44Single8IY5Endothelin-18IY5-ETB-Endothelin-1-Gi1/β1/γ2
19.44Single8IY6Endothelin-18IY6-ETB-Endothelin-1
19.44Consensusendothelin_onOrthosteric Ligandetb_on eta_on
19.44Consensusetb_onOrthosteric Ligand8IY5-ETB-Endothelin-1-Gi1/β1/γ2 8HBD-ETB-IRL1620-Gi1/β1/γ2
19.35Single8IEBPubChem 1347468948IEB-GPR156; GPR156-PubChem 134746894
19.35Single8K6ONeuropeptide-Y8K6O-Y1-Neuropeptide-Y-Gi2/β1/γ1
19.35Single8KH5Lysophosphatidylserine8KH5-GPR174-Lysophosphatidylserine-Gs/β1/γ2
19.35Single8SG1Chemerin-98SG1-CML1-Chemerin-9-Gi1/β1/γ2
19.35Single9EAINanobody AT2099EAI-AT1-Losartan-Nanobody AT209
19.35Single9IQSMuscarinic toxin 39IQS-M4-Muscarinic toxin 3
19.35Single9JFK(Pen5)-Urotensin II9JFK-UT-(Pen5)-Urotensin II-chim(NtGi2L-Gs-CtGq)/β1/γ2
19.35Consensusccr8_on_gpOrthosteric Ligand8KFX-CCR8-LMD-009-Gi1/β1/γ2 8KFY-CCR8-ZK-756326-Gi1/β1/γ2 8U1U-CCR8-CCL1-Gi1/β1/γ2
19.35Consensusformylpeptide_on_gpOrthosteric Ligandfpr2-alx_on_gp fpr1-alx_on_gp
19.23Single2Y00Dobutamine2Y00-β1-Dobutamine
19.23Single2Y03Isoprenaline2Y03-β1-Isoprenaline
19.23Single4NTJAZD12834NTJ-P2Y12-AZD1283
19.23Single5C1MBU725C1M-μ-BU72
19.23Single5IUAQ274563485IUA-A2A-Q27456348-Na
19.23Single5NM2ZM-2413855NM2-A2A-ZM-241385-Na
19.23Single5X7DCarazolol5X7D-β2-Carazolol-PubChem 129318963
19.23Single5XPRBosentan5XPR-ETB-Bosentan
19.23Single5YHLPubChem 1351213525YHL-EP4-PubChem 135121352
19.23Single5YWYONO-AE3-2085YWY-EP4-ONO-AE3-208
19.23Single6D26Fevipiprant6D26-DP2-Fevipiprant
19.23Single6GDGNECA6GDG-A2A-NECA-Gs/β1/γ1
19.23Single6LPLZM-2413856LPL-A2A-ZM-241385-Na
19.23Single6ME72-Phenylmelatonin6ME7-MT2-2-Phenylmelatonin
19.23Single6RZ4Pranlukast6RZ4-CysLT1-Pranlukast-Na
19.23Single6S0QZM-2413856S0Q-A2A-ZM-241385
19.23Single6WQAZM-2413856WQA-A2A-ZM-241385-Na
19.23Single6XBKCholesterol6XBK-SMO-Cholesterol-Gi1/β1/γ2
19.23Single7EPFNAM5977EPF-mGlu2-NAM597
19.23Single7EUOfMLF7EUO-FPR1-ALX-fMLF-Gi1/β1/γ2
19.23Single7RM5ZM-2413857RM5-A2A-ZM-241385-Na
19.23Single7SBFPZM217SBF-μ-PZM21-Gi1/β1/γ2
19.23Single7SINNPS-21437SIN-CaS; CaS-NPS-2143
19.23Single7SINNPS-21437SIN-CaS; CaS-NPS-2143
19.23Single7TD3S1P7TD3-S1P1-S1P-Gi1/β1/γ2
19.23Single7VFXfMIFL7VFX-FPR1-ALX-fMIFL-Gi1/β1/γ2
19.23Single7VUHJNJ-635330547VUH-GPR139-JNJ-63533054-chim(Gs-CtGq)/β1/γ2
19.23Single7VV4Cortistatin-147VV4-MRGPRX2-Cortistatin-14
19.23Single7WC6LSD7WC6-5-HT2A-LSD
19.23Single7X1TTaltirelin7X1T-TRH-Taltirelin-chim(NtGi2L-Gs-CtGq)/β1/γ2
19.23Single7XKAConstrained Epinephrine7XKA-β2-Constrained Epinephrine
19.23Single7Y26Octreotide7Y26-SST2-Octreotide-chim(NtGi2L-Gs-CtGq)/β1/γ2
19.23Single7YU6ONO-07405567YU6-LPA1-ONO-0740556-Gi1/β1/γ2
19.23Single8C9WEtrumadenant8C9W-A2A-Etrumadenant
19.23Single8DZRGR89,6968DZR-κ-GR89,696-chim(NtGi2-Gt3)/β1/γ2
19.23Single8FYNZM-2413858FYN-A2A-ZM-241385-Na
19.23Single8GDZConstrained Epinephrine8GDZ-β2-Constrained Epinephrine-Gs/β1/γ2
19.23Single8GEBConstrained Epinephrine8GEB-β2-Constrained Epinephrine-Gs/β1/γ2
19.23Single8GEGConstrained Epinephrine8GEG-β2-Constrained Epinephrine-Gs/β1/γ2
19.23Single8GGBConstrained Epinephrine8GGB-β2-Constrained Epinephrine-GTP-Gs/β1/γ2
19.23Single8I7WGSK2560738I7W-HCA2-GSK256073-Gi1/β1/γ2
19.23Single8KFXLMD-0098KFX-CCR8-LMD-009-Gi1/β1/γ2
19.23Single8QOTNanobody-E8QOT-μ-Nanobody-E
19.23Single8UNNConstrained Epinephrine8UNN-β2-Constrained Epinephrine-GTP-Gs/β1/γ2
19.23Single8UNPConstrained Epinephrine8UNP-β2-Constrained Epinephrine-GTP-Gs/β1/γ2
19.23Single8UUJFCH-22964138UUJ-HCA2-FCH-2296413-Gi1/β1/γ2
19.23Single8WGBVU01550418WGB-mGlu4; mGlu2-Glutamate-VU0155041-Gi3/β1/γ2
19.23Single8ZRKGSK12922638ZRK-GPR119-GSK1292263-Gs/β1/γ2
19.23Single9AXFCa; Ca; Ca; Cyclomethyltryptophan; R-568; PO49AXF-CaS; CaS-Ca-Ca; Ca; Ca; Cyclomethyltryptophan; R-568; PO4-chim(NtGi1-Gs-CtGq)/β1/γ2
19.23Single9AYFCa; Ca; Ca; Cyclomethyltryptophan; R-568; PO49AYF-CaS; CaS-Ca-Ca; Ca; Ca; Cyclomethyltryptophan; R-568; PO4-Gi1/β1/γ2
19.23Single9B9ZMRI-18679B9Z-CB1-MRI-1867
19.23Single9CIBFCH-22964139CIB-HCA2-FCH-2296413
19.23Single9EAHOlmesartan9EAH-AT1-Olmesartan-Nanobody AT209
19.23Single9EE8Adenosine9EE8-A2A-Adenosine-Gs/β1/γ2
19.23Single9F33FOB02-04A9F33-D3-FOB02-04A-Go/β1/γ2
19.23Single9F34FOB02-04A9F34-D3-FOB02-04A-Go/β1/γ2
19.23Single9GE2ML1849GE2-GPR55-ML184-chim(NtGi1-G13)/β1/γ2
19.23Single9IYBPGD29IYB-DP2-PGD2-A1D5Q-Gi1/β1/γ2
19.23Single9KT6Acifran9KT6-HCA3-Acifran-Gi1/β1/γ2
19.23Single9KUVCMPD6449KUV-Apelin-CMPD644-Arrestin2
19.23Single9M8POleic monoethanolamide9M8P-GPR3 ; GPR3-Oleic monoethanolamide-AF64394
19.23Single9MQKIsoquinuclidine9MQK-κ-Isoquinuclidine
19.23Single9PXYNaloxone9PXY-μ-Naloxone-GDPβS-Gi1/β1/γ2
19.23Single9VJFBuspirone9VJF-5-HT1A-Buspirone-Gi3/β1/γ2
19.23Consensusalpha_offOrthosteric Ligandalpha1_off alpha2_off
19.23Consensusd2_onOrthosteric Ligand7JVR-D2-Bromoergocryptine-Gi1/β1/γ2 8IRS-D2-Rotigotine-Gi1/β1/γ2
19.23Consensusd4_onOrthosteric Ligand8IRU-D4-Rotigotine-chim(NtGi1-Gs-CtGi1)/β1/γ2
19.23Consensusdp2_offOrthosteric Ligand6D26-DP2-Fevipiprant
19.23Consensusdp_offOrthosteric Liganddp2_off
19.23Consensusep4_offOrthosteric Ligand5YWY-EP4-ONO-AE3-208 5YHL-EP4-PubChem 135121352
19.23Consensusep_offOrthosteric Ligandep4_off
19.23Consensusfpr1-alx_onOrthosteric Ligand7VFX-FPR1-ALX-fMIFL-Gi1/β1/γ2
19.23Consensusfpr1-alx_on_gpOrthosteric Ligand7VFX-FPR1-ALX-fMIFL-Gi1/β1/γ2
19.23Consensusgs_amineOrthosteric Ligandgs_5ht gs_adrenergic gs_dopamine gs_histamine gs_trace-amine
19.23Consensuslpa1_onOrthosteric Ligand7TD1-LPA1-LPA-Gi1/β1/γ2 7YU3-LPA1-ONO-0740556-Gi1/β1/γ2
19.23Consensuslpa1_on_gpOrthosteric Ligand7TD1-LPA1-LPA-Gi1/β1/γ2 7YU3-LPA1-ONO-0740556-Gi1/β1/γ2
19.23Consensusnucleotide_onOrthosteric Ligandadenosine_on p2y_on
19.23Consensuss1p5_offOrthosteric Ligand7YXA-S1P5-ONO-5430608
19.23Consensusta1_onOrthosteric Ligand8W87-TA1-METH-chim(NtGi1L-Gs)/β1/γ2 8W89-TA1-2-Phenylethylamine-chim(NtGi1L-Gs)/β1/γ2 8JLP-TA1-Ralmitaront-Gs/β1/γ2 8W8A-TA1-RO5256390-chim(NtGi1L-Gs)/β1/γ2 8W88-TA1-SEP-363856-Gs/β1/γ2 8JLO-TA1-Ulotaront-Gs/β1/γ2 8JLR-TA1-A77636-chim(NtGi1-Gs)/β1/γ2 8JSO-TA1-AMPH-chim(NtGi1-Gs)/β1/γ2 8ZSP-TA1-LSD-chim(NtGi1L-Gs)/β1/γ2
19.23Consensustrace-amine_onOrthosteric Ligandta1_on
19.05Single3OE8IT1t3OE8-CXCR4-IT1t
19.05Single3RFMCaffeine3RFM-A2A-Caffeine
19.05Single6TQ9SB-4081246TQ9-OX1-SB-408124
19.05Single8A2OTheophylline8A2O-A2A-Theophylline-Na
19.05Single8XOFLys058XOF-GPR30-Lys05-chim(NtGi1-Gs-CtGq)/β1/γ2
18.92Single6PB0Urocortin6PB0-CRF1-Urocortin-chim(NtGi1-Gs)/β1/γ2
18.75Single5WF5UK-4320975WF5-A2A-UK-432097
18.75Single6VN7PACAP276VN7-VPAC1-PACAP27-Gs/β1/γ2
18.75Single7O7F6P4-CCL57O7F-CCR5-6P4-CCL5-Gi1/β1/γ1
18.75Single7RYCOxytocin7RYC-OT-Oxytocin-chim(NtGi2L-Gs-CtGq)/β1/γ2
18.75Single7XA3CCL27XA3-CCR2-CCL2-Gi1/β1/γ2
18.75Single8XZHMM078XZH-Apelin; Apelin-MM07-Gi1/β1/γ2
18.75Single9IVMGLP-1 (Truncated)9IVM-GLP-1-GLP-1 (Truncated)-LSN3318839-chim(NtGi1-Gs)/β2/γ2
18.75Single9M1ONeuropeptide-FF9M1O-NPFF2-Neuropeptide-FF-Gi1/β1/γ2
18.75Consensusc5a1_onOrthosteric Ligand8HK5-C5a1-C5a-Gi1/β1/γ2 7Y66-C5a1-BM213-Gi1/β1/γ2 7Y67-C5a1-C089 peptide-Gi1/β1/γ2 7Y64-C5a1-C5a-Gi1/β1/γ2
18.75Consensusccr2_onOrthosteric Ligand7XA3-CCR2-CCL2-Gi1/β1/γ2
18.75Consensusccr2_on_gpOrthosteric Ligand7XA3-CCR2-CCL2-Gi1/β1/γ2
18.75Consensusccr_onOrthosteric Ligandccr6_on ccr8_on ccr2_on ccr1_on ccr5_on
18.52Single2YDVNECA2YDV-A2A-NECA
18.52Single3P0GBI1671073P0G-β2-BI167107
18.52Single3PDSFAUC503PDS-β2-FAUC50
18.52Single3ZEVNeurotensin-(7-13)3ZEV-NTS1-Neurotensin-(7-13)
18.52Single4BV0Neurotensin-(7-13)4BV0-NTS1-Neurotensin-(7-13)
18.52Single4LDLHydroxybenzyl Isoproterenol4LDL-β2-Hydroxybenzyl Isoproterenol
18.52Single4UHRCGS216804UHR-A2A-CGS21680
18.52Single5A8E7-Methylcyanopindolol5A8E-β1-7-Methylcyanopindolol-Na
18.52Single5G53NECA5G53-A2A-NECA-Gs
18.52Single6E59L-7607356E59-NK1-L-760735
18.52Single6H7JIsoprenaline6H7J-β1-Isoprenaline
18.52Single6J20Aprepitant6J20-NK1-Aprepitant
18.52Single6J21Aprepitant6J21-NK1-Aprepitant
18.52Single6N48BI1671076N48-β2-BI167107-PubChem 138454256
18.52Single6TQ7SB-3348676TQ7-OX1-SB-334867
18.52Single7B6WCyclazosin7B6W-α1b-Cyclazosin
18.52Single7CKYPW04647CKY-D1-PW0464-Gs/β1/γ2
18.52Single7EW7SEW28717EW7-S1P1-SEW2871-Gi1/β1/γ2
18.52Single7JJOIsoprenaline7JJO-β1-Isoprenaline-Gs/β1/γ2
18.52Single7L0PNeurotensin-(8-13)7L0P-NTS1-Neurotensin-(8-13)-Gi1/β1/γ1
18.52Single7L0QNeurotensin-(8-13)7L0Q-NTS1-Neurotensin-(8-13)-Gi1/β1/γ1
18.52Single7PX4PSB-21137PX4-A2A-PSB-2113
18.52Single7S8MCortistatin-147S8M-MRGPRX2-Cortistatin-14-Gi1/β1/γ2
18.52Single7T2HLofentanil7T2H-μ-Lofentanil-Gi1/β1/γ2
18.52Single7TD1LPA7TD1-LPA1-LPA-Gi1/β1/γ2
18.52Single7VIGCBP-3077VIG-S1P1-CBP-307-Gi1/β1/γ2
18.52Single7XJLSpexin7XJL-GAL2-Spexin-chim(NtGi2L-Gs-CtGq)/β1/γ2
18.52Single7XY7NECA7XY7-A2B-NECA-chim(NtGi1-Gs)/β1/γ2
18.52Single7Y67C089 peptide7Y67-C5a1-C089 peptide-Gi1/β1/γ2
18.52Single8DZPmomSalB8DZP-κ-momSalB-Gi1/β1/γ2
18.52Single8FN1Neurotensin-(8-13)8FN1-NTS1-Neurotensin-(8-13)-chim(NtGi1-Go)/β1/γ2
18.52Single8IHBGSK2560738IHB-HCA2-GSK256073-Gi1/β1/γ2
18.52Single8IRURotigotine8IRU-D4-Rotigotine-chim(NtGi1-Gs-CtGi1)/β1/γ2
18.52Single8IRVRotigotine8IRV-D5-Rotigotine-chim(NtGi1-Gs)/β1/γ2
18.52Single8IYHMK68928IYH-HCA2-MK6892-Go/β1/γ2
18.52Single8JLPRalmitaront8JLP-TA1-Ralmitaront-Gs/β1/γ2
18.52Single8JXVClozapine8JXV-H4-Clozapine-Gi1/β1/γ2
18.52Single8JXWVUF68848JXW-H4-VUF6884-Gi1/β1/γ2
18.52Single8JXXClobenpropit8JXX-H4-Clobenpropit-Gi1/β1/γ2
18.52Single8UGWCGS216808UGW-A2A-CGS21680
18.52Single8X16Piclidenoson8X16-A3A-Piclidenoson-Gi1/β1/γ2
18.52Single8ZWFJR14a8ZWF-C3aB-JR14a
18.52Single9ASTLymphotactin9AST-XCR1-Lymphotactin-Gi1/β1/γ2
18.52Single9I54PubChem 1764520919I54-D1-PubChem 176452091-Gs/β1/γ2
18.52Single9IK9Lanreotide9IK9-SST1-Lanreotide-Gi1/β1/γ2
18.52Single9IZGLPA9IZG-LPA1-LPA-chim(NtGi1-Gs-CtGq)/β1/γ2
18.52Single9MENGp120 (V3 loop)9MEN-CXCR4-Gp120 (V3 loop)
18.52Single9YDVMRS29059YDV-P2Y14-MRS2905-Gi1/β1/γ2
18.52Consensusbeta2_onOrthosteric Ligand7DHI-β2-Salbutamol-Gs/β1/γ2 6NI3-β2-BI167107-Gs/β1/γ2
18.52Consensusbeta2_on_gpOrthosteric Ligand7DHI-β2-Salbutamol-Gs/β1/γ2 6NI3-β2-BI167107-Gs/β1/γ2
18.52Consensusclass-a_offOrthosteric Ligandsensory_off alicarboxylic_off amine_off lipid_off nucleotide_off peptide_off protein_off
18.52Consensusd4_on_gpOrthosteric Ligand8IRU-D4-Rotigotine-chim(NtGi1-Gs-CtGi1)/β1/γ2
18.52Consensusd5_on_gpOrthosteric Ligand8IRV-D5-Rotigotine-chim(NtGi1-Gs)/β1/γ2
18.52Consensusffa2_onOrthosteric Ligand8J22-FFA2-TUG-1375-Gi1/β1/γ2
18.52Consensusffa_onOrthosteric Ligandffa2_on ffa3_on
18.52Consensusffa_on_gpOrthosteric Ligandffa2_on_gp ffa3_on_gp
18.52Consensusgi_5htOrthosteric Ligand8FYT-5-HT1A-LSD-PtdIns4P-Gi1/β1/γ1 7UM7-5-HT5A-Methylergometrine-chim(NtGi1-Go)/β1/γ2 8UGY-5-HT1E-Mianserin-Gi1/β1/γ1 8W8B-5-HT1A-SEP-363856-Gi1/β1/γ2 7E2Y-5-HT1A-Serotonin-PtdIns4P-Gi1/β1/γ2 7E32-5-HT1D-Serotonin-Gi1/β1/γ2 7XTA-5-HT4-Serotonin-Gi1/β1/γ2 8UH3-5-HT1E-Setiptiline-Gi1/β1/γ1 8JSP-5-HT1A-Ulotaront-Gi1/β1/γ2 8FYL-5-HT1A-Vilazodone-PtdIns4P-Gi1/β1/γ1 8JT6-5-HT1A-(R)-IHCH-7179-PtdIns4P-Gi1/β1/γ2 8FYE-5-HT1A-4-F,5-MeO-PyrT-PtdIns4P-Gi1/β1/γ1 7X5H-5-HT5A-5-CT-Gi1/β1/γ2 8FY8-5-HT1A-5-MeO-DMT-PtdIns4P-Gi1/β1/γ1 7E2Z-5-HT1A-Aripiprazole-PtdIns4P-Gi1/β1/γ2 7E33-5-HT1E-BRL-54443-Gi1/β1/γ2 8FYX-5-HT1A-Buspirone-PtdIns4P-Gi1/β1/γ1 7EXD-5-HT1F-Lasmiditan-Gi1/β1/γ2 7UM6-5-HT5A-Lisuride-chim(NtGi1-Go)/β1/γ2
18.52Consensusgi_dopamineOrthosteric Ligand7JVR-D2-Bromoergocryptine-Gi1/β1/γ2 7CMV-D3-PD128907-Gi1/β1/γ2 7CMU-D3-Pramipexole-Gi1/β1/γ2 8IRS-D2-Rotigotine-Gi1/β1/γ2 8IRT-D3-Rotigotine-Gi1/β1/γ2
18.52Consensusgi_ffaOrthosteric Ligand8J21-FFA3-Butyric acid-Gi1/β1/γ2 8J22-FFA2-TUG-1375-Gi1/β1/γ2
18.52Consensusneurotensin_onOrthosteric Ligandnts1_on
18.52Consensusnpy1_offOrthosteric Ligand5ZBH-Y1-BMS-193885 5ZBQ-Y1-UR-MK-299
18.52Consensusnts1_onOrthosteric Ligand6OSA-NTS1-JMV449-Gi1/β1/γ2 7L0S-NTS1-Neurotensin-(8-13)-Gi1/β1/γ1
18.52Consensusprotein_offOrthosteric Ligandchemokine_off grh_off
18.52Consensusta1_on_gpOrthosteric Ligand8W87-TA1-METH-chim(NtGi1L-Gs)/β1/γ2 8W89-TA1-2-Phenylethylamine-chim(NtGi1L-Gs)/β1/γ2 8JLP-TA1-Ralmitaront-Gs/β1/γ2 8W8A-TA1-RO5256390-chim(NtGi1L-Gs)/β1/γ2 8W88-TA1-SEP-363856-Gs/β1/γ2 8JLO-TA1-Ulotaront-Gs/β1/γ2 8JLR-TA1-A77636-chim(NtGi1-Gs)/β1/γ2 8JSO-TA1-AMPH-chim(NtGi1-Gs)/β1/γ2 8ZSP-TA1-LSD-chim(NtGi1L-Gs)/β1/γ2
18.52Consensustachykinin_offOrthosteric Ligandnk1_off
18.52Consensustrace-amine_on_gpOrthosteric Ligandta1_on_gp
18.18Single6M1IPACAP276M1I-PAC1-PACAP27-Gs/β1/γ2
18.18Single6ME5Agomelatine6ME5-MT1-Agomelatine
18.18Single6OIKLY21196206OIK-M2-Iperoxo-LY2119620-chim(NtGi1-Go)/β1/γ2
18.18Single6WI9Secretin6WI9-Secretin-Secretin-Gs/β1/γ2
18.18Single7EJKOxymetazoline7EJK-α2a-Oxymetazoline-Go/β1/γ2
18.18Single7FIMTirzepatide7FIM-GLP-1-Tirzepatide-Gs/β1/γ2
18.18Single7MT8All-trans-Retinal7MT8-Rhodopsin-All-trans-Retinal-GRK1
18.18Single7V9MSomatoliberin7V9M-GHRH (SV1)-Somatoliberin-Gs/β1/γ2
18.18Single8GGEConstrained Epinephrine8GGE-β2-Constrained Epinephrine-GTP-Gs/β1/γ2
18.18Single8GGFConstrained Epinephrine8GGF-β2-Constrained Epinephrine-GTP-Gs/β1/γ2
18.18Single8IEDPubChem 1347468948IED-GPR156; GPR156-PubChem 134746894-Go/β1/γ2
18.18Single8IHFMK68928IHF-HCA2-MK6892-Gi1/β1/γ2
18.18Single8J21Butyric acid8J21-FFA3-Butyric acid-Gi1/β1/γ2
18.18Single8J24Acetic acid8J24-FFA2-Acetic acid-Gi1/β1/γ2
18.18Single8J6QBeta-Hydroxybutyrate8J6Q-HCA2-β-Hydroxybutyrate-PubChem 25101223-Gi1/β1/γ2
18.18Single8RQLFlufenamic acid8RQL-TAS2R14-Flufenamic acid-Flufenamic acid-chim(NtGi1-Gt3)/β1/γ2
18.18Single9JKT(2R)-2-hydroxy-3-phenylpropanoic acid9JKT-HCA3-(2R)-2-hydroxy-3-phenylpropanoic acid-Gi1/β1/γ2
18.18Single9KT93,5-DHBA9KT9-HCA1-3,5-DHBA-Gi1/β1/γ2
18.18Consensusffa3_onOrthosteric Ligand8J21-FFA3-Butyric acid-Gi1/β1/γ2
18.18Consensusffa3_on_gpOrthosteric Ligand8J21-FFA3-Butyric acid-Gi1/β1/γ2
18.18Consensusneuromedin-u_onOrthosteric Ligandnmur1_on nmur2_on
17.95Consensuscrf_on_gpOrthosteric Ligandcrf2_on_gp crf1_on_gp
17.86Single4GRVNeurotensin-(8-13)4GRV-NTS1-Neurotensin-(8-13)
17.86Single4LDEBI1671074LDE-β2-BI167107
17.86Single4OR2FITM4OR2-mGlu1; mGlu1-FITM
17.86Single4XEENeurotensin-(8-13)4XEE-NTS1-Neurotensin-(8-13)
17.86Single4XESNeurotensin-(8-13)4XES-NTS1-Neurotensin-(8-13)
17.86Single6AK3PGE26AK3-EP3-PGE2
17.86Single6IIURamatroban6IIU-TXA2-Ramatroban
17.86Single6OS0Angiotensin II6OS0-AT1-Angiotensin II
17.86Single6OS2TRV0266OS2-AT1-TRV026
17.86Single6OSAJMV4496OSA-NTS1-JMV449-Gi1/β1/γ2
17.86Single6YVRNeurotensin-(6-13)6YVR-NTS1-Neurotensin-(6-13)
17.86Single6ZG4HTL00099366ZG4-M1-HTL0009936
17.86Single7DH5Mirabegron7DH5-β3-Mirabegron-Gs/β1/γ2
17.86Single7EVYSiponimod7EVY-S1P1-Siponimod-Gi1/β1/γ2
17.86Single7EW2FTY720-P7EW2-S1P3-FTY720-P-Gi1/β1/γ2
17.86Single7EXDLasmiditan7EXD-5-HT1F-Lasmiditan-Gi1/β1/γ2
17.86Single7K15MKD0467K15-BLT1-MKD046-Na
17.86Single7L0SNeurotensin-(8-13)7L0S-NTS1-Neurotensin-(8-13)-Gi1/β1/γ1
17.86Single7W0NElabela7W0N-Apelin; Apelin-Elabela-Gi1/β1/γ2
17.86Single7WQ4Galanin7WQ4-GAL2-Galanin-chim(NtGi1-Gs-CtGq)/β1/γ2
17.86Single7XMTJ-21567XMT-SST4-J-2156-Gi1/β1/γ2
17.86Single7XW5ML1097XW5-TSH-TSH-ML109-Gs/β1/γ2
17.86Single7XW6ML1097XW6-TSH-M22 Fab-ML109-Gs/β1/γ2
17.86Single7XW9TRH7XW9-TRH-TRH-chim(NtGi1L-Gs-CtGq)/β1/γ2
17.86Single7XXI2MeSADP7XXI-P2Y12-2MeSADP-Gi2/β1/γ2
17.86Single8DWCBAM8-228DWC-MRGPRX1-BAM8-22-chim(NtGi2L-Gs-CtGq)/β1/γ2
17.86Single8FYTLSD8FYT-5-HT1A-LSD-PtdIns4P-Gi1/β1/γ1
17.86Single8GCPPGE28GCP-EP4-PGE2-Gi1/β1/γ2
17.86Single8HK2C3a8HK2-C3aB-C3a-Gi1/β1/γ2
17.86Single8IRSRotigotine8IRS-D2-Rotigotine-Gi1/β1/γ2
17.86Single8JJ8Arformoterol8JJ8-β2-Arformoterol
17.86Single8JJPChemerin-98JJP-CML2-Chemerin-9-Gi1/β1/γ2
17.86Single8JPCNeurotensin-(8-13)8JPC-NTS1-Neurotensin-(8-13)-SBI-553; GDP; Mg-Gq; GRK2
17.86Single8JWZEtrumadenant8JWZ-A2A-Etrumadenant-Na
17.86Single8JZ7MK68928JZ7-HCA2-MK6892-Gi1/β1/γ2
17.86Single8XJNCloprosetnol8XJN-TXA2-Cloprosetnol-chim(NtGi1-Gs-CtGq)/β1/γ2
17.86Single8XQSCholesterol8XQS-TAS2R14-Cholesterol-Flufenamic acid-Gi1/β1/γ1
17.86Single8Y6WTUG-13758Y6W-FFA2-TUG-1375-4-CMTB-Gi1/β1/γ2
17.86Single9CM3TUG-13759CM3-FFA2-TUG-1375-PubChem 118615810-chim(NtGi1L-Gs-CtGq)/β1/γ2
17.86Single9EBIPiclidenoson9EBI-A3A-Piclidenoson-chim(NtGi1L-Gs-CtGi1)/β1/γ2
17.86Single9ECJS-geranylgeranyl-L-glutathione9ECJ-P2Y8-S-geranylgeranyl-L-glutathione-G13/β1/γ2
17.86Single9GGGI-BOP9GGG-TXA2-I-BOP-chim(NtGi2L-Gs-CtGq)/β1/γ2
17.86Single9GL2Befiradol9GL2-5-HT1A-Befiradol-Gs/β1/γ2
17.86Single9KVG5-MeO-DMT9KVG-5-HT1A-5-MeO-DMT-PtdIns4P-Gi1/β1/γ2
17.86Single9VJ6F-155999VJ6-5-HT1A-F-15599-Gi3/β1/γ2
17.86Consensus5ht1f_onOrthosteric Ligand7EXD-5-HT1F-Lasmiditan-Gi1/β1/γ2
17.86Consensus5ht1f_on_gpOrthosteric Ligand7EXD-5-HT1F-Lasmiditan-Gi1/β1/γ2
17.86Consensusbeta3_onOrthosteric Ligand7DH5-β3-Mirabegron-Gs/β1/γ2 7XJH-β3-Isoprenaline-Gs/β1/γ2 7XJI-β3-Solabegron-Gs/β1/γ2
17.86Consensusbeta3_on_gpOrthosteric Ligand7DH5-β3-Mirabegron-Gs/β1/γ2 7XJH-β3-Isoprenaline-Gs/β1/γ2 7XJI-β3-Solabegron-Gs/β1/γ2
17.86Consensusccr8_onOrthosteric Ligand8KFX-CCR8-LMD-009-Gi1/β1/γ2 8KFY-CCR8-ZK-756326-Gi1/β1/γ2 8U1U-CCR8-CCL1-Gi1/β1/γ2
17.86Consensusd2_on_gpOrthosteric Ligand7JVR-D2-Bromoergocryptine-Gi1/β1/γ2 8IRS-D2-Rotigotine-Gi1/β1/γ2
17.86Consensusgi_neurotensinOrthosteric Ligand6OSA-NTS1-JMV449-Gi1/β1/γ2 7L0S-NTS1-Neurotensin-(8-13)-Gi1/β1/γ1
17.86Consensusgi_p2yOrthosteric Ligand7XXI-P2Y12-2MeSADP-Gi2/β1/γ2
17.86Consensusleukotriene_offOrthosteric Ligandblt_off cyslt_off
17.86Consensusneurotensin_on_gpOrthosteric Ligandnts1_on_gp
17.86Consensusnk1_offOrthosteric Ligand6HLP-NK1-Netupitant 6HLO-NK1-Aprepitant 6HLL-NK1-CP99994 6E59-NK1-L-760735
17.86Consensusnts1_on_gpOrthosteric Ligand6OSA-NTS1-JMV449-Gi1/β1/γ2 7L0S-NTS1-Neurotensin-(8-13)-Gi1/β1/γ1
17.86Consensusp2y12_on_gpOrthosteric Ligand7XXI-P2Y12-2MeSADP-Gi2/β1/γ2
17.86Consensustrh_onOrthosteric Ligand7XW9-TRH-TRH-chim(NtGi1L-Gs-CtGq)/β1/γ2
17.86Consensustrh_on_gpOrthosteric Ligand7XW9-TRH-TRH-chim(NtGi1L-Gs-CtGq)/β1/γ2
17.65Single7F6IKallidin7F6I-BK2-Kallidin-Gq/β1/γ2
17.65Single7QBIAlpha-factor mating pheromone7QBI-STE2; STE2-α-factor mating pheromone
17.65Single7XV3Lysophosphatidylserine (WJS)7XV3-GPR174-Lysophosphatidylserine (WJS)-chim(NtGi1-Gs)/β1/γ2
17.65Single8E3ZVIP8E3Z-VPAC1-VIP-Gs/β1/γ2
17.65Single8HCQEndothelin-18HCQ-ETA-Endothelin-1-chim(NtGi1-Gs-CtGq)/β1/γ2
17.65Single8HK5C5a8HK5-C5a1-C5a-Gi1/β1/γ2
17.65Single8HNKCXCL118HNK-CXCR3-CXCL11-Gi1/β1/γ2
17.65Consensusccr_on_gpOrthosteric Ligandccr6_on_gp ccr8_on_gp ccr2_on_gp ccr1_on_gp ccr5_on_gp
17.65Consensuseta_onOrthosteric Ligand8HCQ-ETA-Endothelin-1-chim(NtGi1-Gs-CtGq)/β1/γ2
17.65Consensuseta_on_gpOrthosteric Ligand8HCQ-ETA-Endothelin-1-chim(NtGi1-Gs-CtGq)/β1/γ2
17.39Single6PH7Nerol6PH7-Rhodopsin-Nerol-Gt(CT)
17.39Single6QNOAll-trans-Retinal6QNO-Rhodopsin-All-trans-Retinal-Gi1/β1/γ1
17.39Single7DD5Ca; Ca; Tryptophan; NPS-21437DD5-CaS; CaS-Ca-Ca; Ca; Tryptophan; NPS-2143
17.39Single7VUIJNJ-635330547VUI-GPR139-JNJ-63533054-GTP-chim(Gs-CtGq)/β1/γ2
17.39Single7XTASerotonin7XTA-5-HT4-Serotonin-Gi1/β1/γ2
17.39Single8A2PLUAA470708A2P-A2A-LUAA47070-Na
17.39Single8EF6Morphine8EF6-μ-Morphine-Gi1/β1/γ2
17.39Single8H2GNiacin8H2G-HCA2-Niacin-Gi1/β1/γ2
17.39Single8IHIAcifran8IHI-HCA2-Acifran-Gi1/β1/γ2
17.39Single8JLOUlotaront8JLO-TA1-Ulotaront-Gs/β1/γ2
17.39Single8K5BNiacin8K5B-HCA2-Niacin
17.39Single8UO3Constrained Epinephrine8UO3-β2-Constrained Epinephrine-GTP; Mg-Gs/β1/γ2
17.39Single8ZSVRO52633978ZSV-TA1-RO5263397-chim(NtGi1-Gs)/β1/γ2
17.39Single8ZX5AM2518ZX5-GPR55-AM251-chim(NtGi1-G13)/β1/γ2
17.39Single8ZYUNeurotensin-(8-13)8ZYU-NTS1-Neurotensin-(8-13)-SBI-553-Arrestin2
17.39Single9B9YTaranabant9B9Y-CB1-Taranabant
17.39Single9C1PCa; Tryptophan; '6218; PO49C1P-CaS; CaS-Ca-Ca; Tryptophan; '6218; PO4
17.39Single9IJEEpinephrine9IJE-β3-Epinephrine-chim(NtGi1-Gs)/β1/γ2
17.39Consensus5ht4_onOrthosteric Ligand7XTA-5-HT4-Serotonin-Gi1/β1/γ2
17.39Consensus5ht4_on_gpOrthosteric Ligand7XTA-5-HT4-Serotonin-Gi1/β1/γ2
17.39Consensusgq_nucleotideOrthosteric Ligandgq_p2y
17.39Consensusgq_p2yOrthosteric Ligand7XXH-P2Y1-2MeSADP-chim(NtGi1-G11)/β1/γ2
17.24Single2YCZIodocyanopindolol2YCZ-β1-Iodocyanopindolol
17.24Single4BUONeurotensin-(8-13)4BUO-NTS1-Neurotensin-(8-13)
17.24Single4BVNCyanopindolol4BVN-β1-Cyanopindolol-Na
17.24Single4OR2FITM4OR2-mGlu1; mGlu1-FITM
17.24Single4RWSvMIP-II4RWS-CXCR4-vMIP-II
17.24Single5TUDErgotamine5TUD-5-HT2B-Ergotamine
17.24Single5X93K-87945X93-ETB-K-8794
17.24Single6H7LDobutamine6H7L-β1-Dobutamine
17.24Single6UP7Neurotensin-(8-13)6UP7-NTS1-Neurotensin-(8-13)-Arrestin2
17.24Single7EZCUK-4320977EZC-A2A-UK-432097
17.24Single7LLLExendin-47LLL-GLP-1-Exendin-4-Gs/β1/γ2
17.24Single7MBYCholecystokinin-87MBY-CCKA-Cholecystokinin-8-chim(NtGi1L-Gs-CtGq)/β1/γ2
17.24Single7XZ6APD6687XZ6-GPR119-APD668-Gs/β1/γ2
17.24Single8E9X2-Deoxycytidine8E9X-M4-2-Deoxycytidine-chim(NtGi1-Go)/β1/γ2
17.24Single8E9YClozapine-N-oxide8E9Y-M3-Clozapine-N-oxide-chim(NtGi2L-Gs-CtGq)/β1/γ2
17.24Single8FX5Xanomeline8FX5-M4-Xanomeline-Xanomeline-Gi1/β1/γ2
17.24Single8IULLatanoprost8IUL-FP-alpha-Latanoprost-chim(NtGi1-Gs-CtGq)/β1/γ2
17.24Single8J19LY2378J19-GPR84-LY237-Gi1/β1/γ2
17.24Single8K4OCXCL18K4O-KSHV-CXCL1-Gi1/β1/γ1
17.24Single8S2TIsoprenaline8S2T-β1-Isoprenaline-chim(NtGi1-Gs)/β1/γ2
17.24Single8XJOU466198XJO-TXA2-U46619-chim(NtGi1-Gs-CtGq)/β1/γ2
17.24Single8XVUCXCL28XVU-CXCR2-CXCL2
17.24Single8XXHCXCL28XXH-CXCR2-CXCL2-Go/β1/γ2
17.24Single9C0KExendin-49C0K-GLP-1-Exendin-4-Gs/β1/γ2
17.24Single9KUGEP679KUG-C5a1-EP67-Go/β1/γ2
17.24Single9M1HPGE29M1H-EP1-PGE2-chim(NtGi1-Gs-CtGq)/β1/γ2
17.24Single9M54Neuropeptide-VF9M54-NPFF2-Neuropeptide-VF-Gi1/β1/γ2
17.24Single9UYHChemerin-99UYH-CML2-Chemerin-9-Arrestin2
17.24Single9UYMChemerin-99UYM-CML2-Chemerin-9-chim(Arrestin3-CtArrestin2)
17.24Consensusbeta1_onOrthosteric Ligand8DCR-β1-Dobutamine-Gs/β1/γ2 7S0F-β1-Isoprenaline-Gi1/β1/γ2
17.24Consensusbeta1_on_gpOrthosteric Ligand8DCR-β1-Dobutamine-Gs/β1/γ2 7S0F-β1-Isoprenaline-Gi1/β1/γ2
17.24Consensusd2_offOrthosteric Ligand6CM4-D2-Risperidone 6LUQ-D2-Haloperidol 7DFP-D2-Spiperone
17.24Consensusfp-alpha_onOrthosteric Ligand8IUK-FP-alpha-PGF2-α-chim(NtGi1-Gs-CtGq)/β1/γ2 8IUL-FP-alpha-Latanoprost-chim(NtGi1-Gs-CtGq)/β1/γ2 8IUM-FP-alpha-Tafluprost acid-chim(NtGi1-Gs-CtGq)/β1/γ2
17.24Consensusfp-alpha_on_gpOrthosteric Ligand8IUK-FP-alpha-PGF2-α-chim(NtGi1-Gs-CtGq)/β1/γ2 8IUL-FP-alpha-Latanoprost-chim(NtGi1-Gs-CtGq)/β1/γ2 8IUM-FP-alpha-Tafluprost acid-chim(NtGi1-Gs-CtGq)/β1/γ2
17.24Consensusgal2_onOrthosteric Ligand7WQ4-GAL2-Galanin-chim(NtGi1-Gs-CtGq)/β1/γ2 7XJL-GAL2-Spexin-chim(NtGi2L-Gs-CtGq)/β1/γ2
17.24Consensusgal2_on_gpOrthosteric Ligand7WQ4-GAL2-Galanin-chim(NtGi1-Gs-CtGq)/β1/γ2 7XJL-GAL2-Spexin-chim(NtGi2L-Gs-CtGq)/β1/γ2
17.24Consensusprostanoid_onOrthosteric Ligandtp_on fp-alpha_on
17.24Consensusprostanoid_on_gpOrthosteric Ligandtp_on_gp fp-alpha_on_gp
17.24Consensustp_onOrthosteric Ligand8XJO-TXA2-U46619-chim(NtGi1-Gs-CtGq)/β1/γ2
17.24Consensustp_on_gpOrthosteric Ligand8XJO-TXA2-U46619-chim(NtGi1-Gs-CtGq)/β1/γ2
17.14Single6NBFLA-PTH Analog6NBF-PTH1-LA-PTH Analog-Gs/β1/γ2
17.14Single7QBIAlpha-factor mating pheromone7QBI-STE2; STE2-α-factor mating pheromone
17.14Consensusccr_offOrthosteric Ligandccr2_off ccr5_off
17.07Consensuspth_onOrthosteric Ligandpth1_on pth2_on
16.67Single2X72All-trans-Retinal2X72-Rhodopsin-All-trans-Retinal-Gt(CT)
16.67Single5OLHVipadenant5OLH-A2A-Vipadenant-Na
16.67Single5OLVLUAA470705OLV-A2A-LUAA47070-Na
16.67Single5U09Taranabant5U09-CB1-Taranabant
16.67Single6B3JExendin-P56B3J-GLP-1-Exendin-P5-Gs/β1/γ2
16.67Single6D9HAdenosine6D9H-A1-Adenosine-Gi2/β1/γ2
16.67Single6FKBPubChem 1324730386FKB-Rhodopsin-PubChem 132473038
16.67Single6LFOCXCL86LFO-CXCR2-CXCL8-Gi1/β1/γ2
16.67Single6ME2Ramelteon6ME2-MT1-Ramelteon
16.67Single6ME9Ramelteon6ME9-MT2-Ramelteon
16.67Single6OBAAlprenolol6OBA-β2-Alprenolol-GTPL11074
16.67Single6OS9JMV4496OS9-NTS1-JMV449-Gi1/β1/γ2
16.67Single6OYAAll-trans-Retinal6OYA-Rhodopsin-All-trans-Retinal-Gt/β1/γ1
16.67Single6P9XCorticoliberin-16P9X-CRF1-Corticoliberin-1-Gs/β1/γ2
16.67Single6ZA8RTI-3a6ZA8-NTS1-RTI-3a
16.67Single7AD3Alpha-factor mating pheromone7AD3-STE2; STE2-α-factor mating pheromone-Gi1/STE4/γ2
16.67Single7BR3Elagolix7BR3-GnRH1-Elagolix
16.67Single7F1ODopamine7F1O-D1-Dopamine-GDP; Mg-Gs/β1/γ2
16.67Single7F2OBradykinin7F2O-BK2-Bradykinin-chim(NtGi1-Gs-CtGq)/β1/γ2
16.67Single7LD4Adenosine7LD4-A1-Adenosine-Gi2/β1/γ2
16.67Single7M3ECa; Ca; Tryptophan; NPS-21437M3E-CaS; CaS-Ca; Ca; Tryptophan; NPS-2143
16.67Single7M3ECa; Ca; Tryptophan; NPS-21437M3E-CaS; CaS-Ca; Ca; Tryptophan; NPS-2143
16.67Single7M3FCa; Ca; Tryptophan; Cinacalcet7M3F-CaS; CaS-Ca; Ca; Tryptophan; Cinacalcet
16.67Single7QBCAlpha-factor mating pheromone7QBC-STE2; STE2-α-factor mating pheromone
16.67Single7SILCa; Ca; Ca; Cyclomethyltryptophan; R-568; PO47SIL-CaS; CaS-Ca-Ca; Ca; Ca; Cyclomethyltryptophan; R-568; PO4
16.67Single7SILCa; Ca; Ca; Cyclomethyltryptophan; R-568; PO47SIL-CaS; CaS-Ca-Ca; Ca; Ca; Cyclomethyltryptophan; R-568; PO4
16.67Single7SRSLSD7SRS-5-HT2B-LSD-Arrestin2
16.67Single7VIHCBP-3077VIH-S1P1-CBP-307-Gi1/β1/γ2
16.67Single7VUJJNJ-635330547VUJ-GPR139-JNJ-63533054-GDP-chim(Gs-CtGq)/β1/γ2
16.67Single7W0MPubChem 1227019087W0M-Apelin-PubChem 122701908-Gi1/β1/γ2
16.67Single7WF7S1P7WF7-S1P1-S1P-Gi1/β1/γ2
16.67Single7WVYAmyloid-Beta427WVY-FPR2-ALX-Amyloid-β42-Gi2/β1/γ2
16.67Single7X8SWB4-247X8S-GLP-1-WB4-24-Gs/β1/γ2
16.67Single7XJJGalanin7XJJ-GAL1-Galanin-Go/β1/γ2
16.67Single7YMHNorepinephrine7YMH-Alpha1A-Norepinephrine-chim(Gs-CtGq)
16.67Single8DWGML3828DWG-MRGPRX1-BAM8-22-ML382-chim(NtGi2L-Gs-CtGq)/β1/γ2
16.67Single8DWHPubChem 1390305318DWH-MRGPRX1-PubChem 139030531-chim(NtGi2L-Gs-CtGq)/β1/γ2
16.67Single8EFOPZM218EFO-μ-PZM21-Gi1/β1/γ2
16.67Single8FYXBuspirone8FYX-5-HT1A-Buspirone-PtdIns4P-Gi1/β1/γ1
16.67Single8GDAL9026888GDA-EP4-L902688-Gs/β1/γ2
16.67Single8GGAConstrained Epinephrine8GGA-β2-Constrained Epinephrine-GTP-Gs/β1/γ2
16.67Single8GGRConstrained Epinephrine8GGR-β2-Constrained Epinephrine
16.67Single8GGWConstrained Epinephrine8GGW-β2-Constrained Epinephrine
16.67Single8GGZConstrained Epinephrine8GGZ-β2-Constrained Epinephrine
16.67Single8GH0Constrained Epinephrine8GH0-β2-Constrained Epinephrine
16.67Single8HAOPTH8HAO-PTH1-PTH-chim(NtGi1-Gs)/β1/γ2
16.67Single8HDPAdenosine8HDP-A2B-Adenosine-Gs/β1/γ2
16.67Single8IQ4Carboprost8IQ4-FP-alpha-Carboprost-chim(NtGi1-Gs-CtGq)/β1/γ2
16.67Single8IUMTafluprost acid8IUM-FP-alpha-Tafluprost acid-chim(NtGi1-Gs-CtGq)/β1/γ2
16.67Single8IW4Spermidine8IW4-TAA9-Spermidine-chim(NtGi1-Gs)/β1/γ2
16.67Single8IWESpermidine8IWE-TAA9-Spermidine
16.67Single8J20Valeric acid8J20-FFA3-Valeric acid-AR420626-Gi1/β1/γ2
16.67Single8J6LNiacin8J6L-HCA2-Niacin-Gi1/β1/γ2
16.67Single8T3SButyric acid8T3S-FFA2-Butyric acid-chim(NtGi2L-Gs-CtGq)/β1/γ2
16.67Single8T3VDoconexent8T3V-FFA1-Doconexent-chim(NtGi2L-Gs-CtGq)/β1/γ2
16.67Single8UNSConstrained Epinephrine8UNS-β2-Constrained Epinephrine-GTP-Gs/β1/γ2
16.67Single8UNTConstrained Epinephrine8UNT-β2-Constrained Epinephrine-GTP-Gs/β1/γ2
16.67Single8UNXConstrained Epinephrine8UNX-β2-Constrained Epinephrine-GTP-Gs/β1/γ2
16.67Single8WPGTryptophan; Cinacalcet; PO4; Ca8WPG-CaS; CaS-Tryptophan; Cinacalcet; PO4; Ca
16.67Single8X5YAstemizole8X5Y-H1-Astemizole
16.67Single8XQLCholesterol8XQL-TAS2R14-Cholesterol-Aristolochic acid A-Gt3/β1/γ1
16.67Single8Y0HVUF114188Y0H-CXCR3-VUF11418
16.67Single8Y0NVUF114188Y0N-CXCR3-VUF11418-Go/β1/γ2
16.67Single8Z74JN241-98Z74-Apelin; Apelin-JN241-9
16.67Single8Z87CHBA8Z87-HCA1-CHBA-Gi1/β1/γ2
16.67Single9C1PCa; Tryptophan; '6218; PO49C1P-CaS; CaS-Ca-Ca; Tryptophan; '6218; PO4
16.67Single9CM7TUG-13759CM7-FFA2-TUG-1375-AZ-1729-Gi1/β1/γ2
16.67Single9EEAAdenosine9EEA-A2A-Adenosine-Gs/β1/γ2
16.67Single9ITBLPA9ITB-LPA6-LPA-chim(NtGi1-Gs-CtGq)/β1/γ2
16.67Single9JKXAcifran9JKX-HCA3-Acifran-Gi1/β1/γ2
16.67Single9KX6C5a-des-Arg9KX6-C5a1-C5a-des-Arg-Go/β1/γ2
16.67Single9LKDPL459LKD-OR5V1-PL45
16.67Single9M88Oleic monoethanolamide9M88-GPR3 ; GPR3-Oleic monoethanolamide-AF64394
16.67Single9PXUNaloxone9PXU-μ-Naloxone-Na
16.67Single9VJEBuspirone9VJE-5-HT1A-Buspirone-Go/β1/γ2
16.67Consensusa1_onOrthosteric Ligand7LD4-A1-Adenosine-Gi2/β1/γ2
16.67Consensusa1_on_gpOrthosteric Ligand7LD4-A1-Adenosine-Gi2/β1/γ2
16.67Consensusangiotensin_offOrthosteric Ligandat1_off
16.67Consensuscxcr1_onOrthosteric Ligand8IC0-CXCR1-CXCL8-Gi1/β1/γ2
16.67Consensusglp_onOrthosteric Ligandglp1_on glp2_on
16.67Consensusglp_on_gpOrthosteric Ligandglp1_on_gp glp2_on_gp
16.67Consensusgnrh1_offOrthosteric Ligand7BR3-GnRH1-Elagolix
16.67Consensusp2y1_onOrthosteric Ligand7XXH-P2Y1-2MeSADP-chim(NtGi1-G11)/β1/γ2
16.67Consensusrhodopsin_on_gpOrthosteric Ligand6OYA-Rhodopsin-All-trans-Retinal-Gt/β1/γ1
16.28Single7F16TIP397F16-PTH2-TIP39-Gs/β1/γ2
16.22Single6NBHLA-PTH Analog6NBH-PTH1-LA-PTH Analog-Gs/β1/γ2
16.22Single7KI1Taspoglutide7KI1-GLP-1-Taspoglutide-Gs/β1/γ2
16.22Single7QBCAlpha-factor mating pheromone7QBC-STE2; STE2-α-factor mating pheromone
16.22Single7TS0Urocortin7TS0-CRF2-Urocortin-chim(NtGi1L-Go)/β1/γ2
16.22Single8FLTM-PTH(1-14)8FLT-PTH1-M-PTH(1-14)-Gs/β1/γ2
16.22Single9BYOExendin-39BYO-GLP-1-Exendin-3-Gs/β1/γ2
16.13Single4AMJCarvedilol4AMJ-β1-Carvedilol
16.13Single6RZ8ONO-20803656RZ8-CysLT2-ONO-2080365
16.13Single7T6UCGEN-855A7T6U-FPR2-ALX-CGEN-855A-Gi1/β1/γ2
16.13Single7TD4Siponimod7TD4-S1P1-Siponimod-Gi1/β1/γ2
16.13Single7WVWfMYFINILTL7WVW-FPR2-ALX-fMYFINILTL-Gi2/β1/γ2
16.13Single7XMRSomatostatin-147XMR-SST2-Somatostatin-14-Gi1/β1/γ2
16.13Single8DWGBAM8-228DWG-MRGPRX1-BAM8-22-ML382-chim(NtGi2L-Gs-CtGq)/β1/γ2
16.13Single8IEBPubChem 1347468948IEB-GPR156; GPR156-PubChem 134746894
16.13Single8IEIPubChem 1347468948IEI-GPR156; GPR156-PubChem 134746894
16.13Single8IEPPubChem 1347468948IEP-GPR156; GPR156-PubChem 134746894
16.13Single8IEPPubChem 1347468948IEP-GPR156; GPR156-PubChem 134746894
16.13Single8WZ2Orexigenic Neuropeptide QRFP8WZ2-QRFP-Orexigenic Neuropeptide QRFP-chim(NtGi1L-Gs-CtGq)/β1/γ2
16.13Single8ZJDKisspeptin-18ZJD-Kiss1-Kisspeptin-1-chim(NtGi1-Gq)/β1/γ1
16.13Consensuschemokine_onOrthosteric Ligandccr_on cxcr_on
16.13Consensusgq_kisspeptinOrthosteric Ligand8ZJD-Kiss1-Kisspeptin-1-chim(NtGi1-Gq)/β1/γ1
16.13Consensuskiss1_on_gpOrthosteric Ligand8ZJD-Kiss1-Kisspeptin-1-chim(NtGi1-Gq)/β1/γ1
16.13Consensuskisspeptin_on_gpOrthosteric Ligandkiss1_on_gp
16.00Single1F8811-cis-Retinal1F88-Rhodopsin-11-cis-Retinal
16.00Single2YDOAdenosine2YDO-A2A-Adenosine
16.00Single3V2YPubChem 518926453V2Y-S1P1-PubChem 51892645
16.00Single4LDOEpinephrine4LDO-β2-Epinephrine
16.00Single4ZUDOlmesartan4ZUD-AT1-Olmesartan
16.00Single5K2BZM-2413855K2B-A2A-ZM-241385-Na
16.00Single5UVIZM-2413855UVI-A2A-ZM-241385
16.00Single6IQLL7458706IQL-D4-L745870
16.00Single6KUXRS799486KUX-α2a-RS79948
16.00Single6PELCitronellol6PEL-Rhodopsin-Citronellol-Gt(CT)
16.00Single6PS0Carazolol6PS0-β2-Carazolol
16.00Single6PS4ICI118-5516PS4-β2-ICI118-551
16.00Single6PS5Propranolol6PS5-β2-Propranolol
16.00Single6U1NLY21196206U1N-M2-LY2119620-Arrestin2
16.00Single6WJCMuscarinic toxin 76WJC-M1-Atropine-Muscarinic toxin 7
16.00Single6ZDVPubChem 9840736ZDV-A2A-PubChem 984073-Na
16.00Single6ZG9GSK10347026ZG9-M1-GSK1034702
16.00Single7CKWFenoldopam7CKW-D1-Fenoldopam-Gs/β1/γ2
16.00Single7CKZDopamine7CKZ-D1-Dopamine-Mevidalen-Gs/β1/γ2
16.00Single7CMUPramipexole7CMU-D3-Pramipexole-Gi1/β1/γ2
16.00Single7DHISalbutamol7DHI-β2-Salbutamol-Gs/β1/γ2
16.00Single7EJ8Brimonidine7EJ8-α2a-Brimonidine-Go/β1/γ2
16.00Single7EJADexmedetomidine7EJA-α2a-Dexmedetomidine-Go/β1/γ2
16.00Single7F0TDopamine7F0T-D1-Dopamine-Gs/β1/γ2
16.00Single7F1ZDopamine7F1Z-D1-Dopamine-GDP-Gs/β1/γ2
16.00Single7RANPubChem 1645758477RAN-5-HT2A-PubChem 164575847-chim(NtGi2L-Gs-CtGq)/β1/γ2
16.00Single7T32ZM-2413857T32-A2A-ZM-241385
16.00Single7UL3Famotidine7UL3-H2-Famotidine
16.00Single7UM7Methylergometrine7UM7-5-HT5A-Methylergometrine-chim(NtGi1-Go)/β1/γ2
16.00Single7VUGJNJ-635330547VUG-GPR139-JNJ-63533054-Gi1/β1/γ2
16.00Single7WC9PubChem 1624213647WC9-5-HT2A-PubChem 162421364
16.00Single7WVUfMLF7WVU-FPR1-ALX-fMLF-Gi1/β1/γ2
16.00Single8GE1Constrained Epinephrine8GE1-β2-Constrained Epinephrine-Gs/β1/γ2
16.00Single8GE4Constrained Epinephrine8GE4-β2-Constrained Epinephrine-Gs/β1/γ2
16.00Single8GE5Constrained Epinephrine8GE5-β2-Constrained Epinephrine-Gs/β1/γ1
16.00Single8GE6Constrained Epinephrine8GE6-β2-Constrained Epinephrine-Gs/β1/γ2
16.00Single8GE7Constrained Epinephrine8GE7-β2-Constrained Epinephrine-Gs/β1/γ2
16.00Single8GE8Constrained Epinephrine8GE8-β2-Constrained Epinephrine-Gs/β1/γ2
16.00Single8GEDConstrained Epinephrine8GED-β2-Constrained Epinephrine-Gs/β1/γ2
16.00Single8GEFConstrained Epinephrine8GEF-β2-Constrained Epinephrine-Gs/β1/γ2
16.00Single8GG7Constrained Epinephrine8GG7-β2-Constrained Epinephrine-GTP-Gs/β1/γ2
16.00Single8GGLConstrained Epinephrine8GGL-β2-Constrained Epinephrine
16.00Single8GGMConstrained Epinephrine8GGM-β2-Constrained Epinephrine
16.00Single8GGPConstrained Epinephrine8GGP-β2-Constrained Epinephrine
16.00Single8GGQConstrained Epinephrine8GGQ-β2-Constrained Epinephrine
16.00Single8GGVConstrained Epinephrine8GGV-β2-Constrained Epinephrine
16.00Single8GGXConstrained Epinephrine8GGX-β2-Constrained Epinephrine
16.00Single8H4LDoconexent8H4L-FFA4-Doconexent-chim(NtGi1-Gs-CtGq)/β1/γ2
16.00Single8HJ5PubChem 1390305318HJ5-MRGPRX1-PubChem 139030531-chim(NtGi1-Gs-CtGq)/β1/γ2
16.00Single8IY9Niacin8IY9-HCA2-Niacin-Go/β1/γ2
16.00Single8JLKUlotaront8JLK-TA1-Ulotaront-chim(NtGi1-Gs)/β1/γ2
16.00Single8K2WAMG4878K2W-CXCR3-AMG487
16.00Single8K4NPubChem 1687197658K4N-GPR34-PubChem 168719765-Gi1/β1/γ2
16.00Single8RLNLUF58348RLN-A2A-LUF5834
16.00Single8THKA-616038THK-Alpha1A-A-61603-chim(NtGi2L-Gs-CtGq)/β1/γ2
16.00Single8THLEpinephrine8THL-Alpha1A-Epinephrine-chim(NtGi2L-Gs-CtGq)/β1/γ2
16.00Single8UNLConstrained Epinephrine8UNL-β2-Constrained Epinephrine-GTP-Gs/β1/γ2
16.00Single8UNMConstrained Epinephrine8UNM-β2-Constrained Epinephrine-GTP-Gs/β1/γ2
16.00Single8UNOConstrained Epinephrine8UNO-β2-Constrained Epinephrine-GTP-Gs/β1/γ2
16.00Single8UNWConstrained Epinephrine8UNW-β2-Constrained Epinephrine-GTP-Gs/β1/γ2
16.00Single8V6UPubChem 1713924568V6U-5-HT2A-PubChem 171392456-chim(NtGi2-Gs-CtGq)/β1/γ2
16.00Single8W88SEP-3638568W88-TA1-SEP-363856-Gs/β1/γ2
16.00Single8WPUTryptophan; Cinacalcet; PO4; Ca8WPU-CaS; CaS-Tryptophan; Cinacalcet; PO4; Ca-chim(NtGi2L-Gs-CtGq)/β1/γ2
16.00Single8X7ATreprostinil8X7A-I2-Treprostinil-Gs/β1/γ2
16.00Single8Y62C16:0 Ceramide8Y62-FPR2-ALX-C16:0 Ceramide-Gi1/β1/γ2
16.00Single8ZMGPimavanserin8ZMG-5-HT2A-Pimavanserin
16.00Single9ARXSerotonin9ARX-5-HT2A-Serotonin
16.00Single9ASBCa; Ca; Cyclomethyltryptophan; R-568; PO49ASB-CaS; CaS-Ca-Ca; Ca; Cyclomethyltryptophan; R-568; PO4-chim(NtGi1-Gs-CtGq)/β1/γ2
16.00Single9AVGCa; Ca; Cyclomethyltryptophan; R-568; PO49AVG-CaS; CaS-Ca-Ca; Ca; Cyclomethyltryptophan; R-568; PO4-chim(NtGi1-Gs)/β1/γ2
16.00Single9AXFCa; Ca; Ca; Cyclomethyltryptophan; R-568; PO49AXF-CaS; CaS-Ca-Ca; Ca; Ca; Cyclomethyltryptophan; R-568; PO4-chim(NtGi1-Gs-CtGq)/β1/γ2
16.00Single9BA0MRI-18919BA0-CB1-MRI-1891
16.00Single9CBLEpinephrine9CBL-α2a-Epinephrine-Gi1/β1/γ2
16.00Single9EPQ11,20-Ethanoretinal9EPQ-Rhodopsin-11,20-Ethanoretinal-chim(Gi1-CtGq)/β1/γ2
16.00Single9JKQMETH9JKQ-TA1-METH-Gs/β1/γ2
16.00Single9K0KUTP9K0K-P2Y4-UTP-chim(NtGi1-Gs-CtGq)/β1/γ2
16.00Single9K0XATP9K0X-P2Y2-ATP-chim(NtGi1-Gs-CtGq)/β1/γ2
16.00Single9K1DButyric acid9K1D-FFA2-Butyric acid-Gi1/β1/γ2
16.00Single9K20ATP9K20-P2Y2-ATP-chim(NtGi1-Go)/β1/γ2
16.00Single9L84Epinephrine9L84-β1-Epinephrine-Atazanavir-Gs/β1/γ2
16.00Single9LKBPL459LKB-OR5V1-PL45-chim(NtGi1-Gs)/β1
16.00Single9MQIIsoquinuclidine9MQI-μ-Isoquinuclidine
16.00Single9ODJMitragynine Pseudoindoxyl9ODJ-μ-Mitragynine Pseudoindoxyl-GTP; Mg-Gi1/β1/γ2
16.00Single9ODLMitragynine Pseudoindoxyl9ODL-μ-Mitragynine Pseudoindoxyl-GTP; Mg-Gi1/β1/γ2
16.00Single9P1TZM-2413859P1T-A2A-ZM-241385
16.00Single9PXVNaloxone9PXV-μ-Naloxone-Gi1/β1/γ2
16.00Single9VNFPindolol9VNF-5-HT1A-Pindolol-Go/β1/γ2
16.00Consensus5ht_on_gpOrthosteric Ligand5ht1_on_gp 5ht2_on_gp 5ht4_on_gp 5ht5_on_gp 5ht6_on_gp 5ht7_on_gp
16.00Consensusalpha1_onOrthosteric Ligandalpha1a_on
16.00Consensusalpha1_on_gpOrthosteric Ligandalpha1a_on_gp
16.00Consensusalpha1a_onOrthosteric Ligand7EJ0-α2a-Norepinephrine-Go/β1/γ2 7EJ8-α2a-Brimonidine-Go/β1/γ2 7EJA-α2a-Dexmedetomidine-Go/β1/γ2 7EJK-α2a-Oxymetazoline-Go/β1/γ2 7W6P-α2a-N-pyridin-4-ylisoquinolin-4-amine-Go/β1/γ2 7W7E-α2a-PubChem 164946676-Go/β1/γ2
16.00Consensusalpha1a_on_gpOrthosteric Ligand7EJ0-α2a-Norepinephrine-Go/β1/γ2 7EJ8-α2a-Brimonidine-Go/β1/γ2 7EJA-α2a-Dexmedetomidine-Go/β1/γ2 7EJK-α2a-Oxymetazoline-Go/β1/γ2 7W6P-α2a-N-pyridin-4-ylisoquinolin-4-amine-Go/β1/γ2 7W7E-α2a-PubChem 164946676-Go/β1/γ2
16.00Consensuscxcr3_offOrthosteric Ligand8K2W-CXCR3-AMG487
16.00Consensusd3_onOrthosteric Ligand7CMV-D3-PD128907-Gi1/β1/γ2 8IRT-D3-Rotigotine-Gi1/β1/γ2 7CMU-D3-Pramipexole-Gi1/β1/γ2
16.00Consensusd3_on_gpOrthosteric Ligand7CMV-D3-PD128907-Gi1/β1/γ2 8IRT-D3-Rotigotine-Gi1/β1/γ2 7CMU-D3-Pramipexole-Gi1/β1/γ2
16.00Consensusgrh_offOrthosteric Ligandgnrh1_off
15.79Single7DUQGLP-17DUQ-GLP-1-GLP-1-PubChem 156022738-Gs/β1/γ2
15.79Single8U1UCCL18U1U-CCR8-CCL1-Gi1/β1/γ2
15.79Consensusclass-a_class-b1_cons_onOrthosteric Ligandclass-a_on class-b1_on
15.79Consensuscrf1_onOrthosteric Ligand6PB0-CRF1-Urocortin-chim(NtGi1-Gs)/β1/γ2 6P9X-CRF1-Corticoliberin-1-Gs/β1/γ2
15.62Single6WHCGlu16 analog of GCG6WHC-Glucagon-Glu16 analog of GCG-Gs/β1/γ2
15.62Single7F1QCCL37F1Q-CCR5-CCL3-Gi1/β1/γ2
15.62Single7XNACYN1548067XNA-SST2-CYN154806
15.62Single8JZZC5a-des-Arg8JZZ-C5a1-C5a-des-Arg-Go/β1/γ2
15.62Single8Z7JJN241-98Z7J-Apelin-JN241-9-Gi1/β1/γ2
15.62Consensussst2_offOrthosteric Ligand7XNA-SST2-CYN154806
15.56Consensuspth_on_gpOrthosteric Ligandpth1_on_gp pth2_on_gp
15.38Single2VT4Cyanopindolol2VT4-β1-Cyanopindolol
15.38Single2Y01Dobutamine2Y01-β1-Dobutamine
15.38Single2Y02Carmoterol2Y02-β1-Carmoterol
15.38Single2YCYCyanopindolol2YCY-β1-Cyanopindolol
15.38Single3NY8ICI118-5513NY8-β2-ICI118-551
15.38Single3ZPQPubChem 5945903ZPQ-β1-PubChem 594590-Na
15.38Single3ZPRPubChem 5987543ZPR-β1-PubChem 598754-Na
15.38Single4EA3PubChem 102965614EA3-NOP-PubChem 10296561
15.38Single4GBRCarazolol4GBR-β2-Carazolol
15.38Single4J4QOctyl Beta-D-Glucopyranoside4J4Q-Rhodopsin-Octyl β-D-Glucopyranoside-Gt(CT)
15.38Single4QIMANTA XV4QIM-SMO-ANTA XV
15.38Single5T04Neurotensin-(8-13)5T04-NTS1-Neurotensin-(8-13)
15.38Single6DRXLisuride6DRX-5-HT2B-Lisuride
15.38Single6FKDPubChem 1373491836FKD-Rhodopsin-PubChem 137349183
15.38Single6H7MSalbutamol6H7M-β1-Salbutamol
15.38Single6IIVDaltroban6IIV-TXA2-Daltroban
15.38Single6LPBPACAP276LPB-PAC1-PACAP27-Gs/β1/γ1
15.38Single6ORVTT-OAD26ORV-GLP-1-TT-OAD2-Gs/β1/γ2
15.38Single6PRZAlprenolol6PRZ-β2-Alprenolol
15.38Single6PS1Timolol6PS1-β2-Timolol
15.38Single6PS2Alprenolol6PS2-β2-Alprenolol
15.38Single6WHADB139486WHA-5-HT2A-DB13948-chim(NtGi2L-Gs-CtGq)/β1/γ2
15.38Single7BTSEpinephrine7BTS-β1-Epinephrine
15.38Single7BU6Norepinephrine7BU6-β1-Norepinephrine
15.38Single7BU7BI1671077BU7-β1-BI167107
15.38Single7F83PF-051904577F83-Ghrelin-PF-05190457
15.38Single7M3JNPS-2143; PO47M3J-CaS; CaS-NPS-2143; PO4
15.38Single7PP1Selatogrel7PP1-P2Y12-Selatogrel
15.38Single7S0GIsoprenaline7S0G-β1-Isoprenaline-chim(Gi1-CtGs)/β1/γ2
15.38Single7SCGFH2107SCG-μ-FH210-Gi1/β1/γ2
15.38Single7T2GMitragynine Pseudoindoxyl7T2G-μ-Mitragynine Pseudoindoxyl-Gi1/β1/γ2
15.38Single7UM6Lisuride7UM6-5-HT5A-Lisuride-chim(NtGi1-Go)/β1/γ2
15.38Single7VH0Ramelteon7VH0-MT2-Ramelteon-Gi1/β1/γ1
15.38Single7VIFFTY720-P7VIF-S1P1-FTY720-P-Gi1/β1/γ2
15.38Single7VKTLTB47VKT-BLT1-LTB4-Gi1/β1/γ2
15.38Single7WC7Lisuride7WC7-5-HT2A-Lisuride
15.38Single7X2CFenoldopam7X2C-D1-Fenoldopam-Fenoldopam-Gs/β1/γ2
15.38Single7XTC5-CT7XTC-5-HT7-5-CT-Gs/β1/γ2
15.38Single7YXAONO-54306087YXA-S1P5-ONO-5430608
15.38Single8GE2Constrained Epinephrine8GE2-β2-Constrained Epinephrine-Gs/β1/γ1
15.38Single8GE3Constrained Epinephrine8GE3-β2-Constrained Epinephrine-Gs/β1/γ2
15.38Single8GECConstrained Epinephrine8GEC-β2-Constrained Epinephrine-Gs/β1/γ2
15.38Single8GEEConstrained Epinephrine8GEE-β2-Constrained Epinephrine-Gs/β1/γ2
15.38Single8GEHConstrained Epinephrine8GEH-β2-Constrained Epinephrine-Gs/β1/γ2
15.38Single8GFVConstrained Epinephrine8GFV-β2-Constrained Epinephrine-GTP-Gs/β1/γ2
15.38Single8GFWConstrained Epinephrine8GFW-β2-Constrained Epinephrine-GTP-Gs/β1/γ2
15.38Single8GFXConstrained Epinephrine8GFX-β2-Constrained Epinephrine-GTP-Gs/β1/γ2
15.38Single8GFZConstrained Epinephrine8GFZ-β2-Constrained Epinephrine-GTP-Gs/β1/γ2
15.38Single8GG0Constrained Epinephrine8GG0-β2-Constrained Epinephrine-GTP-Gs/β1/γ2
15.38Single8GG1Constrained Epinephrine8GG1-β2-Constrained Epinephrine-GTP-Gs/β1/γ2
15.38Single8GG3Constrained Epinephrine8GG3-β2-Constrained Epinephrine-GTP-Gs/β1/γ2
15.38Single8GG4Constrained Epinephrine8GG4-β2-Constrained Epinephrine-GTP-Gs/β1/γ2
15.38Single8GG6Constrained Epinephrine8GG6-β2-Constrained Epinephrine-GTP-Gs/β1/γ2
15.38Single8GG9Constrained Epinephrine8GG9-β2-Constrained Epinephrine-GTP-Gs/β1/γ2
15.38Single8GGIConstrained Epinephrine8GGI-β2-Constrained Epinephrine
15.38Single8GGJConstrained Epinephrine8GGJ-β2-Constrained Epinephrine
15.38Single8GGKConstrained Epinephrine8GGK-β2-Constrained Epinephrine
15.38Single8GGNConstrained Epinephrine8GGN-β2-Constrained Epinephrine
15.38Single8GGOConstrained Epinephrine8GGO-β2-Constrained Epinephrine
15.38Single8GGUConstrained Epinephrine8GGU-β2-Constrained Epinephrine
15.38Single8JD0NAM5638JD0-mGlu2; mGlu3-Glutamate-NAM563
15.38Single8JHNMonomethyl fumarate8JHN-HCA2-Monomethyl fumarate-Go/β1/γ2
15.38Single8JLJT1AM8JLJ-TA1-T1AM-chim(NtGi1-Gs)/β1/γ2
15.38Single8JLZST19368JLZ-5-HT6-ST1936-Gs/β1/γ2
15.38Single8KFYZK-7563268KFY-CCR8-ZK-756326-Gi1/β1/γ2
15.38Single8UGYMianserin8UGY-5-HT1E-Mianserin-Gi1/β1/γ1
15.38Single8UH3Setiptiline8UH3-5-HT1E-Setiptiline-Gi1/β1/γ1
15.38Single8UNQConstrained Epinephrine8UNQ-β2-Constrained Epinephrine-GTP-Gs/β1/γ2
15.38Single8UNYConstrained Epinephrine8UNY-β2-Constrained Epinephrine-GTP-Gs/β1/γ2
15.38Single8W8ARO52563908W8A-TA1-RO5256390-chim(NtGi1L-Gs)/β1/γ2
15.38Single8WC7ZH86678WC7-TA1-ZH8667-chim(NtGi1-Gs)/β1/γ2
15.38Single8XBGS3E-Lysophosphatidylserine 8XBG-GPR34-S3E-Lysophosphatidylserine
15.38Single8XJLPGF2-alpha8XJL-FP-alpha-PGF2-α-chim(NtGi2-Gs-CtGq)/β1/γ2
15.38Single8XVKAmbrisentan8XVK-ETA-Ambrisentan
15.38Single8ZYYNeurotensin-(8-13)8ZYY-NTS1-Neurotensin-(8-13)-SBI-553-Arrestin2
15.38Single9BQJRO769BQJ-μ-RO76-Gi1/β1/γ2
15.38Single9CBMDexmedetomidine9CBM-α2a-Dexmedetomidine-Gi1/β1/γ2
15.38Single9IYAONO-97105319IYA-GPR55-ONO-9710531
15.38Single9IZCMK19039IZC-HCA2-MK1903-Gi1/β1/γ2
15.38Single9JQZGrapiprant 9JQZ-EP4-Grapiprant
15.38Single9KFTfMLFC9KFT-FPR1-ALX-fMLFC-Gi1/β1/γ2
15.38Single9PLNPubChem 1682595949PLN-α2a-PubChem 168259594
15.38Single9PLOPubChem 1682595949PLO-α2a-PubChem 168259594-Go/β1/γ2
15.38Single9PQDPubChem 1764919279PQD-α2a-PubChem 176491927
15.38Consensus5ht5_onOrthosteric Ligand5ht5a_on
15.38Consensus5ht5a_onOrthosteric Ligand7X5H-5-HT5A-5-CT-Gi1/β1/γ2 7UM6-5-HT5A-Lisuride-chim(NtGi1-Go)/β1/γ2 7UM7-5-HT5A-Methylergometrine-chim(NtGi1-Go)/β1/γ2
15.38Consensus5ht6_onOrthosteric Ligand7XTB-5-HT6-Serotonin-Gs/β1/γ2 8JLZ-5-HT6-ST1936-Gs/β1/γ2
15.38Consensus5ht6_on_gpOrthosteric Ligand7XTB-5-HT6-Serotonin-Gs/β1/γ2 8JLZ-5-HT6-ST1936-Gs/β1/γ2
15.38Consensus5ht7_onOrthosteric Ligand7XTC-5-HT7-5-CT-Gs/β1/γ2
15.38Consensus5ht7_on_gpOrthosteric Ligand7XTC-5-HT7-5-CT-Gs/β1/γ2
15.38Consensusadrenergic_onOrthosteric Ligandalpha_on beta_on
15.38Consensusalpha_onOrthosteric Ligandalpha1_on alpha2_on
15.38Consensusblt1_onOrthosteric Ligand7VKT-BLT1-LTB4-Gi1/β1/γ2
15.38Consensusblt1_on_gpOrthosteric Ligand7VKT-BLT1-LTB4-Gi1/β1/γ2
15.38Consensusblt_onOrthosteric Ligandblt1_on
15.38Consensusblt_on_gpOrthosteric Ligandblt1_on_gp
15.38Consensusdopamine_offOrthosteric Ligandd2_off d3_off
15.38Consensusdopamine_onOrthosteric Ligandd2_on d1_on d3_on d4_on d5_on
15.38Consensusdopamine_on_gpOrthosteric Ligandd2_on_gp d1_on_gp d3_on_gp d4_on_gp d5_on_gp
15.38Consensusgi_leukotrieneOrthosteric Ligand7VKT-BLT1-LTB4-Gi1/β1/γ2
15.38Consensusleukotriene_onOrthosteric Ligandblt_on
15.38Consensusleukotriene_on_gpOrthosteric Ligandblt_on_gp
15.15Single6LW5WKYMVm6LW5-FPR2-ALX-WKYMVm
15.15Single6UUNAdrenomedullin6UUN-CT Like (AM1)-Adrenomedullin-Gs/β1/γ2; RAMP2
15.15Single7T6TfMLFII7T6T-FPR1-ALX-fMLFII-Gi1/β1/γ2
15.15Single9LXRLA-PTH Analog9LXR-PTH1-LA-PTH Analog-Arrestin2
15.00Single6WPWZP37806WPW-Glucagon-ZP3780-Gs/β1/γ2
15.00Single8WCBCyclohexylammonium Ion8WCB-TA1-Cyclohexylammonium Ion-chim(NtGi1-Gs-CtGq)/β1/γ2
15.00Single8WCCCyclohexylammonium Ion8WCC-TA1-Cyclohexylammonium Ion
15.00Consensuscrf1_on_gpOrthosteric Ligand6PB0-CRF1-Urocortin-chim(NtGi1-Gs)/β1/γ2 6P9X-CRF1-Corticoliberin-1-Gs/β1/γ2
15.00Consensuspth1_on_gpOrthosteric Ligand6NBF-PTH1-LA-PTH Analog-Gs/β1/γ2 8HA0-PTH1-PTH-chim(NtGi1-Gs)/β1/γ2 8HAF-PTH1-PTHrP(1-36)-chim(NtGi1-Gs)/β1/γ2 7Y36-PTH1-PTH-Gs/β1/γ2 7Y35-PTH1-Abaloparatide-Gs/β1/γ2
14.81Single2RH1Carazolol2RH1-β2-Carazolol
14.81Single2YCWCarazolol2YCW-β1-Carazolol
14.81Single5D6LCarazolol5D6L-β2-Carazolol
14.81Single5JQHCarazolol5JQH-β2-Carazolol
14.81Single5T1ABMS-6815T1A-CCR2-BMS-681-PubChem 12093170
14.81Single5TVNLSD5TVN-5-HT2B-LSD
14.81Single5WIUNemonapride5WIU-D4-Nemonapride
14.81Single5WIVNemonapride5WIV-D4-Nemonapride-Na
14.81Single5ZK33-quinuclidinyl-benzilate5ZK3-M2-3-quinuclidinyl-benzilate
14.81Single6E67BI1671076E67-β2-BI167107-Gs(CT)
14.81Single6KUWPubChem 572132346KUW-α2c-PubChem 57213234
14.81Single6LFMCXCL86LFM-CXCR2-CXCL8-Gi1/β1/γ2
14.81Single6LUQHaloperidol6LUQ-D2-Haloperidol
14.81Single6PS3Carvedilol6PS3-β2-Carvedilol
14.81Single6Z4QSR142948A6Z4Q-NTS1-SR142948A
14.81Single6Z4SSR486926Z4S-NTS1-SR48692
14.81Single7BVQCarazolol7BVQ-β1-Carazolol
14.81Single7C4SS1P7C4S-S1P3-S1P
14.81Single7C61Ergotamine7C61-5-HT1B-Ergotamine
14.81Single7M3JNPS-2143; PO47M3J-CaS; CaS-NPS-2143; PO4
14.81Single7S0FIsoprenaline7S0F-β1-Isoprenaline-Gi1/β1/γ2
14.81Single7VV0PAMP-127VV0-MRGPRX2-PAMP-12
14.81Single7XK9Constrained Isoproterenol7XK9-β2-Constrained Isoproterenol-Na
14.81Single8EFBOliceridine8EFB-μ-Oliceridine-Gi1/β1/γ2
14.81Single8GD9Rivenprost8GD9-EP4-Rivenprost-Gs/β1/γ2
14.81Single8GFYConstrained Epinephrine8GFY-β2-Constrained Epinephrine-GTP-Gs/β1/γ2
14.81Single8GG2Constrained Epinephrine8GG2-β2-Constrained Epinephrine-GTP-Gs/β1/γ2
14.81Single8IZ4Lysophosphatidylserine (TJR)8IZ4-GPR34-Lysophosphatidylserine (TJR)-Gi1/β1/γ2
14.81Single8J18(3R)-3-Hydroxydodecanoic acid8J18-GPR84-(3R)-3-Hydroxydodecanoic acid-Gi1/β1/γ2
14.81Single8JGGBAM8-228JGG-MRGPRX1-BAM8-22-Gi1/β1/γ2
14.81Single8YH0NECA8YH0-A3A-NECA-Gi1/β1/γ2
14.81Single8ZMFPubChem 1719206738ZMF-5-HT2C-PubChem 171920673
14.81Single8ZVZBW245C8ZVZ-DP1-BW245C-Gs/β1/γ2
14.81Single9ARYSerotonin9ARY-5-HT2A-Serotonin-chim(NtGi1-Gs-CtGq)/β1/γ2
14.81Single9ARZ2-bromo-LSD9ARZ-5-HT2A-2-bromo-LSD
14.81Single9K07DSO-5a9K07-BB3-DSO-5a-chim(NtGi2L-Gs-CtGq)/β1/γ2
14.81Single9KO4CCL219KO4-CCR7-CCL21-Gi1/β1/γ2
14.81Single9KPFSalicin9KPF-TAS2R16-Salicin-Gi1/β1/γ2
14.81Consensus5ht2_offOrthosteric Ligand5ht2a_off 5ht2b_off 5ht2c_off
14.81Consensus5ht5_on_gpOrthosteric Ligand5ht5a_on_gp
14.81Consensus5ht5a_on_gpOrthosteric Ligand7X5H-5-HT5A-5-CT-Gi1/β1/γ2 7UM6-5-HT5A-Lisuride-chim(NtGi1-Go)/β1/γ2 7UM7-5-HT5A-Methylergometrine-chim(NtGi1-Go)/β1/γ2
14.81Consensusadgrg2_onOrthosteric Ligand7WUI-ADGRG2-IP15-chim(NtGi1-Gs)/β1/γ2 7WUQ-ADGRG2-Gs/β1/γ2 7XKF-ADGRG2-Dehydroepiandrosterone-Gs/β1/γ2
14.81Consensusadgrg2_on_gpOrthosteric Ligand7WUI-ADGRG2-IP15-chim(NtGi1-Gs)/β1/γ2 7WUQ-ADGRG2-Gs/β1/γ2 7XKF-ADGRG2-Dehydroepiandrosterone-Gs/β1/γ2
14.81Consensusadrenergic_offOrthosteric Ligandalpha_off beta_off
14.81Consensusadrenergic_on_gpOrthosteric Ligandalpha_on_gp beta_on_gp
14.81Consensusalpha2c_offOrthosteric Ligand6KUW-α2c-PubChem 57213234
14.81Consensusalpha_on_gpOrthosteric Ligandalpha1_on_gp alpha2_on_gp
14.81Consensusamine_offOrthosteric Ligand5ht_off adrenergic_off dopamine_off histamine_off muscarinic_off
14.81Consensusamine_offonOrthosteric Ligandamine_off amine_on
14.81Consensusamine_offon_gpOrthosteric Ligandamine_on_gp amine_off
14.81Consensusamine_onOrthosteric Ligand5ht_on adrenergic_on dopamine_on histamine_on muscarinic_on trace-amine_on
14.81Consensusbeta2_offOrthosteric Ligand2RH1-β2-Carazolol 6PS3-β2-Carvedilol 6PS5-β2-Propranolol 3D4S-β2-Timolol 3NY8-β2-ICI118-551 3NY9-β2-PubChem 913103 6PRZ-β2-Alprenolol
14.81Consensusbeta_offOrthosteric Ligandbeta1_off beta2_off
14.81Consensusblt1_offOrthosteric Ligand5X33-BLT1-BIIL260 7K15-BLT1-MKD046-Na
14.81Consensusblt_offOrthosteric Ligandblt1_off
14.81Consensuscxcr2_on_gpOrthosteric Ligand6LFM-CXCR2-CXCL8-Gi1/β1/γ2
14.81Consensuscyslt_offOrthosteric Ligandcyslt2_off cyslt1_off
14.81Consensusgi_adrenergicOrthosteric Ligand7EJ0-α2a-Norepinephrine-Go/β1/γ2 7EJK-α2a-Oxymetazoline-Go/β1/γ2 7W7E-α2a-PubChem 164946676-Go/β1/γ2 7W6P-α2a-N-pyridin-4-ylisoquinolin-4-amine-Go/β1/γ2 7EJ8-α2a-Brimonidine-Go/β1/γ2 6K42-α2b-Dexmedetomidine-Gi1/β1/γ2 7EJA-α2a-Dexmedetomidine-Go/β1/γ2 7S0F-β1-Isoprenaline-Gi1/β1/γ2
14.81Consensush1_offOrthosteric Ligand8X63-H1-Mepyramine 3RZE-H1-Cidoxepin 8X5Y-H1-Astemizole
14.81Consensuss1p_offOrthosteric Ligands1p1_off s1p5_off
14.71Single7AD3Alpha-factor mating pheromone7AD3-STE2; STE2-α-factor mating pheromone-Gi1/STE4/γ2
14.71Single7DW9AVP7DW9-V2-AVP-chim(NtGi1-Gs)/β1/γ2
14.71Single7WUIIP157WUI-ADGRG2-IP15-chim(NtGi1-Gs)/β1/γ2
14.71Single8IEDPubChem 1347468948IED-GPR156; GPR156-PubChem 134746894-Go/β1/γ2
14.71Single8YW5Retatrutide8YW5-Glucagon-Retatrutide-Gs/β1/γ2
14.71Consensusgi_formylpeptideOrthosteric Ligand7WVY-FPR2-ALX-Amyloid-β42-Gi2/β1/γ2 7T6U-FPR2-ALX-CGEN-855A-Gi1/β1/γ2 7VFX-FPR1-ALX-fMIFL-Gi1/β1/γ2 7T6V-FPR2-ALX-fMLFII-Gi1/β1/γ2 7WVX-FPR2-ALX-Humanin-Gi2/β1/γ2 7T6S-FPR2-ALX-TC-FPR 43-Gi1/β1/γ2 6OMM-FPR2-ALX-WKYMVX-Gi1/β1/γ2
14.71Consensusgs_vasop-oxyOrthosteric Ligand7DW9-V2-AVP-chim(NtGi1-Gs)/β1/γ2
14.71Consensusv2_onOrthosteric Ligand7DW9-V2-AVP-chim(NtGi1-Gs)/β1/γ2
14.71Consensusv2_on_gpOrthosteric Ligand7DW9-V2-AVP-chim(NtGi1-Gs)/β1/γ2
14.71Consensusvasop-oxy_onOrthosteric Ligandv2_on
14.71Consensusvasop-oxy_on_gpOrthosteric Ligandv2_on_gp
14.63Single9JR3PTH9JR3-PTH1-PTH-chim(NtGi1L-Gs-CtGq)/β1/γ2
14.29Single3PXOAll-trans-Retinal3PXO-Rhodopsin-All-trans-Retinal
14.29Single3UON3-quinuclidinyl-benzilate3UON-M2-3-quinuclidinyl-benzilate
14.29Single4DJHJDTic4DJH-κ-JDTic
14.29Single4U15Tiotropium4U15-M3-Tiotropium
14.29Single5D5ACarazolol5D5A-β2-Carazolol
14.29Single5D5BCarazolol5D5B-β2-Carazolol
14.29Single5DYSAll-trans-Retinal5DYS-Rhodopsin-All-trans-Retinal
14.29Single5MZJTheophylline5MZJ-A2A-Theophylline-Na
14.29Single5V54Methiothepin5V54-5-HT1B-Methiothepin
14.29Single5YQZNNC17025YQZ-Glucagon-NNC1702
14.29Single5ZHPPubChem 1348285895ZHP-M3-PubChem 134828589
14.29Single5ZKBAF-DX 3845ZKB-M2-AF-DX 384
14.29Single6OL9Tiotropium6OL9-M5-Tiotropium
14.29Single6OS1TRV0266OS1-AT1-TRV026
14.29Single6WGTLSD6WGT-5-HT2A-LSD
14.29Single6X18GLP-16X18-GLP-1-GLP-1-Gs/β1/γ2
14.29Single7EW3S1P7EW3-S1P3-S1P-Gi1/β1/γ2
14.29Single7LLYOxyntomodulin7LLY-GLP-1-Oxyntomodulin-Gs/β1/γ2
14.29Single7U2LC5-guano7U2L-μ-C5-guano-Gi1/β1/γ2
14.29Single7W6PN-pyridin-4-ylisoquinolin-4-amine7W6P-α2a-N-pyridin-4-ylisoquinolin-4-amine-Go/β1/γ2
14.29Single7W7EPubChem 1649466767W7E-α2a-PubChem 164946676-Go/β1/γ2
14.29Single7WBJPACAP277WBJ-VPAC1-PACAP27-Gs/β1/γ2
14.29Single7WVXHumanin7WVX-FPR2-ALX-Humanin-Gi2/β1/γ2
14.29Single7XKDDehydroepiandrosterone7XKD-ADGRG2-Dehydroepiandrosterone-Gs/β1/γ2
14.29Single7XKEDehydroepiandrosterone7XKE-ADGRG2-Dehydroepiandrosterone-chim(NtGi1-Gs)/β1/γ2
14.29Single7XWONeurokinin-A7XWO-NK2-Neurokinin-A-chim(NtGi1-Gs-CtGq)/β1/γ2
14.29Single8E3YPACAP278E3Y-VPAC1-PACAP27-Gs/β1/γ2
14.29Single8EFLSR170188EFL-μ-SR17018-Gi1/β1/γ2
14.29Single8GDBPGE28GDB-EP4-PGE2-Gs/β1/γ2
14.29Single8IRRRotigotine8IRR-D1-Rotigotine-Gs/β1/γ2
14.29Single8JGFBAM8-228JGF-MRGPRX1-BAM8-22-chim(NtGi1-Gs-CtGq)/β1/γ2
14.29Single8JZPC5a8JZP-C5a1-C5a-Go/β1/γ2
14.29Single8PWNTheophylline8PWN-A2A-Theophylline
14.29Single8VVEnorBNI8VVE-κ-norBNI-Gi1/β1/γ2
14.29Single8X79MRE-2698X79-I2-MRE-269-Gs/β1/γ2
14.29Single8XIPPasireotide8XIP-SST1-Pasireotide-chim(NtGi1-Gs-CtGi1)/β1/γ2
14.29Single8XVIEndothelin-18XVI-ETA-Endothelin-1-chim(Gs-CtGq)/β1/γ2
14.29Single8XX7CXCL58XX7-CXCR2-CXCL5-Go/β1/γ2
14.29Single8YG4LA-PTH Analog8YG4-PTH1-LA-PTH Analog-chim(NtGi1-Gs)/β1/γ2
14.29Single8YNTSNAP-948478YNT-MCH1-SNAP-94847
14.29Single8ZW0PGD28ZW0-DP1-PGD2-Gs/β1/γ2
14.29Single9BS9LSD9BS9-D2-LSD
14.29Single9BSBLSD9BSB-D2-LSD-chim(NtGi1-Go)/β1/γ2
14.29Single9CLWTUG-13759CLW-FFA2-TUG-1375-4-CMTB-chim(NtGi1L-Gs-CtGq)/β1/γ2
14.29Single9E9SPGD29E9S-DP1-PGD2-Gs/β1/γ1
14.29Single9JIDNiacin9JID-HCA3-Niacin-Gi1/β1/γ2
14.29Single9L16CCL219L16-CCR7-CCL21
14.29Single9PY3Loperamide9PY3-μ-Loperamide-GDPβS-Gi1/β1/γ2
14.29Single9PY4Loperamide9PY4-μ-Loperamide-GDPβS-Gi1/β1/γ2
14.29Consensus5ht1_offOrthosteric Ligand5ht1b_off
14.29Consensus5ht1b_offOrthosteric Ligand5V54-5-HT1B-Methiothepin
14.29Consensus5ht_offOrthosteric Ligand5ht2_off 5ht1_off
14.29Consensusamine_on_gpOrthosteric Ligand5ht_on_gp adrenergic_on_gp dopamine_on_gp histamine_on_gp muscarinic_on_gp trace-amine_on_gp
14.29Consensusbeta1_offOrthosteric Ligand2VT4-β1-Cyanopindolol 2YCW-β1-Carazolol 2YCZ-β1-Iodocyanopindolol 5A8E-β1-7-Methylcyanopindolol-Na 3ZPQ-β1-PubChem 594590-Na 3ZPR-β1-PubChem 598754-Na
14.29Consensusgluc_onOrthosteric Ligand6LMK-Glucagon-Glucagon-Gs/β1/γ2 8JIT-Glucagon-MEDI0382-Gs/β1/γ2 7V35-Glucagon-Peptide-20-Gs/β1/γ2
14.29Consensusglucagon_on_gpOrthosteric Ligandglp_on_gp gluc_on_gp secretin_on_gp gip_on_gp
14.29Consensusgs_adrenergicOrthosteric Ligand7DHI-β2-Salbutamol-Gs/β1/γ2 7XJI-β3-Solabegron-Gs/β1/γ2 7JJO-β1-Isoprenaline-Gs/β1/γ2 6NI3-β2-BI167107-Gs/β1/γ2 8DCR-β1-Dobutamine-Gs/β1/γ2 7XJH-β3-Isoprenaline-Gs/β1/γ2 7DH5-β3-Mirabegron-Gs/β1/γ2
14.29Consensush4_on_gpOrthosteric Ligand8HN8-H4-Histamine-Gi1/β1/γ2 8HOC-H4-Imetit-Gi1/β1/γ2 8JXV-H4-Clozapine-Gi1/β1/γ2 8JXW-H4-VUF6884-Gi1/β1/γ2 8JXX-H4-Clobenpropit-Gi1/β1/γ2
14.29Consensuskop_offOrthosteric Ligand4DJH-κ-JDTic
14.29Consensusm3_offOrthosteric Ligand4U15-M3-Tiotropium 4U16-M3-N-methyl-Scopolamine 5ZHP-M3-PubChem 134828589
14.29Consensusm5_offOrthosteric Ligand6OL9-M5-Tiotropium
14.29Consensusmuscarinic_offOrthosteric Ligandm2_off m3_off m4_off m5_off m1_off
14.29Consensusnk2_on_gpOrthosteric Ligand7XWO-NK2-Neurokinin-A-chim(NtGi1-Gs-CtGq)/β1/γ2
14.29Consensusp2y12_onOrthosteric Ligand7XXI-P2Y12-2MeSADP-Gi2/β1/γ2
14.29Consensuspac_onOrthosteric Ligandpac1_on
13.95Consensusgluc_on_gpOrthosteric Ligand6LMK-Glucagon-Glucagon-Gs/β1/γ2 8JIT-Glucagon-MEDI0382-Gs/β1/γ2 7V35-Glucagon-Peptide-20-Gs/β1/γ2
13.89Single6FJ3PTH6FJ3-PTH1-PTH
13.89Single6NBILA-PTH Analog6NBI-PTH1-LA-PTH Analog-Gs/β1/γ2
13.89Single7VABTirzepatide (non-acylated)7VAB-GIP-Tirzepatide (non-acylated)-chim(NtGi1-Gs)/β1/γ2
13.89Single8E3XPACAP278E3X-PAC1-PACAP27-Gs/β1/γ2
13.89Single8JISPeptide-158JIS-GLP-1-Peptide-15-chim(NtGi1-Gs)/β1/γ2
13.89Single9P92VIP9P92-PAC1-VIP-Gs/β1/γ2
13.89Consensuspac_on_gpOrthosteric Ligandpac1_on_gp
13.89Consensussecretin_onOrthosteric Ligand7D3S-Secretin-Secretin-Gs/β1/γ2
13.79Single3D4STimolol3D4S-β2-Timolol
13.79Single3VW7Vorapaxar; Na3VW7-PAR1-Vorapaxar; Na
13.79Single4AMIBucindolol4AMI-β1-Bucindolol
13.79Single5CXVTiotropium5CXV-M1-Tiotropium
13.79Single5X33BIIL2605X33-BLT1-BIIL260
13.79Single6A93Risperidone6A93-5-HT2A-Risperidone
13.79Single6CM4Risperidone6CM4-D2-Risperidone
13.79Single6DRYMethylergometrine6DRY-5-HT2B-Methylergometrine
13.79Single6H7NXamoterol6H7N-β1-Xamoterol
13.79Single6H7OCyanopindolol6H7O-β1-Cyanopindolol
13.79Single6VMSBromoergocryptine6VMS-D2-Bromoergocryptine-Gi1/β1/γ2
13.79Single6XBLCholesterol6XBL-SMO-SAG-Cholesterol-Gi1/β1/γ2
13.79Single6XOXOrforglipron6XOX-GLP-1-Orforglipron-chim(NtGi1-Gs)/β1/γ2
13.79Single7DFPSpiperone7DFP-D2-Spiperone
13.79Single7WCMMBX-29827WCM-GPR119-MBX-2982-Gs/β1/γ2
13.79Single7WCNAR2314537WCN-GPR119-AR231453-Gs/β1/γ2
13.79Single7XZ5Lysophosphatidylcholine7XZ5-GPR119-Lysophosphatidylcholine-Gs/β1/γ2
13.79Single7Y66BM2137Y66-C5a1-BM213-Gi1/β1/γ2
13.79Single8FYE4-F,5-MeO-PyrT8FYE-5-HT1A-4-F,5-MeO-PyrT-PtdIns4P-Gi1/β1/γ1
13.79Single8G056-OAU8G05-GPR84-6-OAU-Gi1/β1/γ2
13.79Single8JD3JNJ-404118138JD3-mGlu2; mGlu3-Glutamate-JNJ-40411813-Gi1/β1/γ2
13.79Single8VHFMBX-29828VHF-GPR119-MBX-2982-Gs/β1/γ2
13.79Single8WRBLysophosphatidylserine (UBL)8WRB-GPR34-Lysophosphatidylserine (UBL)-Gi1/β1/γ2
13.79Single8XQNCholesterol8XQN-TAS2R14-Cholesterol-Aristolochic acid A-Gi1/β1/γ1
13.79Single8XWACXCL18XWA-CXCR2-CXCL1
13.79Single8XWMCXCL68XWM-CXCR2-CXCL6
13.79Single8XWSCXCL58XWS-CXCR2-CXCL5
13.79Single8XX3CXCL38XX3-CXCR2-CXCL3-Go/β1/γ2
13.79Single9AU0BW245C9AU0-DP1-BW245C-Gs/β1/γ2
13.79Consensusbeta_onOrthosteric Ligandbeta1_on beta2_on beta3_on
13.79Consensusbeta_on_gpOrthosteric Ligandbeta1_on_gp beta2_on_gp beta3_on_gp
13.79Consensusgi_amineOrthosteric Ligandgi_5ht gi_muscarinic gi_adrenergic gi_dopamine gi_histamine
13.79Consensusgi_muscarinicOrthosteric Ligand8E9X-M4-2-Deoxycytidine-chim(NtGi1-Go)/β1/γ2 7T8X-M2-Acetylcholine-chim(NtGi1-Go)/β1/γ2 7TRS-M4-Acetylcholine-Gi1/β1/γ2 7TRK-M4-Iperoxo-Gi1/β1/γ2 7V6A-M4-PubChem 9864275-Gi1/β1/γ2
13.79Consensusm1_offOrthosteric Ligand5CXV-M1-Tiotropium
13.79Consensusm4_onOrthosteric Ligand7TRS-M4-Acetylcholine-Gi1/β1/γ2 7V6A-M4-PubChem 9864275-Gi1/β1/γ2 8E9X-M4-2-Deoxycytidine-chim(NtGi1-Go)/β1/γ2 7TRK-M4-Iperoxo-Gi1/β1/γ2
13.79Consensusm4_on_gpOrthosteric Ligand7TRS-M4-Acetylcholine-Gi1/β1/γ2 7V6A-M4-PubChem 9864275-Gi1/β1/γ2 8E9X-M4-2-Deoxycytidine-chim(NtGi1-Go)/β1/γ2 7TRK-M4-Iperoxo-Gi1/β1/γ2
13.79Consensuss1p3_onOrthosteric Ligand7EW3-S1P3-S1P-Gi1/β1/γ2 7EW4-S1P3-CYM-5541-Gi1/β1/γ2 7EW2-S1P3-FTY720-P-Gi1/β1/γ2
13.64Single6OT025(S)-Epoxycholesterol6OT0-SMO-25(S)-Epoxycholesterol-Gi1/β1/γ2
13.64Single7DD5Ca; Ca; Tryptophan; NPS-21437DD5-CaS; CaS-Ca-Ca; Ca; Tryptophan; NPS-2143
13.64Single7MTBAll-trans-Retinal7MTB-Rhodopsin-All-trans-Retinal-GRK1
13.64Single8DPHLorcaserin8DPH-5-HT2C-Lorcaserin-chim(NtGi2L-Gs-CtGq)/β1/γ2
13.64Single8GEIConstrained Epinephrine8GEI-β2-Constrained Epinephrine-Gs/β1/γ2
13.64Single8IWM2-Phenylethylamine8IWM-TAA9-2-Phenylethylamine
13.64Single8WC5Tetramethylammonium Ion8WC5-TA1-Tetramethylammonium Ion-chim(NtGi1-Gs)/β1/γ2
13.64Single9C2FCa; Ca; Tryptophan; '54149; PO49C2F-CaS; CaS-Ca-Ca; Ca; Tryptophan; '54149; PO4
13.64Single9CHUNorepinephrine9CHU-β2-Norepinephrine
13.64Single9EE9Adenosine9EE9-A2A-Adenosine-Gs/β1/γ2
13.64Single9L0HJR14a9L0H-C3aB-JR14a-Go/β1/γ2
13.64Single9M42A1L8O9M42-GPR139-A1L8O-chim(Gs-CtGq)/β1/γ2
13.64Consensusgs_histamineOrthosteric Ligand8POK-H2-Histamine-Gs/β1/γ2
13.64Consensush2_onOrthosteric Ligand8POK-H2-Histamine-Gs/β1/γ2
13.64Consensusopsins_onOrthosteric Ligandrhodopsin_on opsin1lw_on
13.64Consensusp2y_offOrthosteric Ligandp2y1_off
13.64Consensuspth2_on_gpOrthosteric Ligand7F16-PTH2-TIP39-Gs/β1/γ2
13.64Consensussensory_onOrthosteric Ligandopsins_on
13.51Single6UVAAdrenomedullin-26UVA-CT Like (AM2)-Adrenomedullin-2-Gs/β1/γ2; RAMP3
13.51Single6VCBGLP-16VCB-GLP-1-GLP-1-LSN3160440-Gs/β1/γ2
13.51Single7EIBKallidin-des-Arg107EIB-BK1-Kallidin-des-Arg10-chim(NtGi1-Gs-CtGq)/β1/γ2
13.51Single7VVKPTH7VVK-PTH1-PTH-Gs/β1/γ2
13.51Single8FU6ZP37808FU6-Glucagon-ZP3780-Gs/β1/γ2
13.51Single9P94PACAP279P94-PAC1-PACAP27-Gs/β1/γ2
13.51Consensuscrf_onOrthosteric Ligandcrf2_on crf1_on
13.51Consensussecretin_on_gpOrthosteric Ligand7D3S-Secretin-Secretin-Gs/β1/γ2
13.33Single6BQHRitanserin6BQH-5-HT2C-Ritanserin
13.33Single6IBLArformoterol6IBL-β1-Arformoterol
13.33Single6K1QIRL25006K1Q-ETB-IRL2500
13.33Single6TKOArformoterol6TKO-β1-Arformoterol-Arrestin2
13.33Single7CX4Evatanepag7CX4-EP2-Evatanepag-Gs/β1/γ2
13.33Single7D7MPGE27D7M-EP4-PGE2-Gs/β1/γ1
13.33Single7U2KC6-guano7U2K-μ-C6-guano-Gi1/β1/γ2
13.33Single8FN0Neurotensin-(8-13)8FN0-NTS1-Neurotensin-(8-13)-SBI-553-chim(NtGi1-Go)/β1/γ2
13.33Single8XGSKisspeptin-18XGS-Kiss1-Kisspeptin-1-chim(NtGi1-Gq)/β1/γ2
13.33Single8XIOL7975918XIO-SST1-L797591-chim(NtGi1-Gs-CtGi1)/β1/γ2
13.33Single8XWFCXCL38XWF-CXCR2-CXCL3
13.33Single8XWVCXCL18XWV-CXCR2-CXCL1-Go/β1/γ2
13.33Single8ZX4Lysophosphatidylinositol 8ZX4-GPR55-Lysophosphatidylinositol-chim(NtGi1-G13)/β1/γ2
13.33Single9AS02-bromo-LSD9AS0-5-HT2A-2-bromo-LSD-chim(NtGi1-Gs-CtGq)/β1/γ2
13.33Single9GG5U466199GG5-TXA2-U46619-chim(NtGi2L-Gs-CtGq)/β1/γ2
13.33Single9L79AR2314539L79-GPR119-AR231453-chim(NtGi1-Gs)/β1/γ2
13.33Consensus5ht2c_offOrthosteric Ligand6BQH-5-HT2C-Ritanserin
13.33Consensusnk2_onOrthosteric Ligand7XWO-NK2-Neurokinin-A-chim(NtGi1-Gs-CtGq)/β1/γ2
13.16Single5VAIGLP-15VAI-GLP-1-GLP-1-Gs/β1/γ2
13.16Single6LMLGlucagon6LML-Glucagon-Glucagon-Gi1/β1/γ1
13.16Single6PB1Urocortin6PB1-CRF2-Urocortin-chim(NtGi1-Gs)/β1/γ2
13.16Single6UUSAdrenomedullin6UUS-CT Like (AM2)-Adrenomedullin-Gs/β1/γ2; RAMP3
13.16Single6WZGSecretin6WZG-Secretin-Secretin-Gs/β1/γ2
13.16Single7D68GLP-27D68-GLP-2-GLP-2-Gs/β1/γ2
13.16Single9P93VIP9P93-PAC1-VIP-Gs/β1/γ2
13.16Consensuspth1_onOrthosteric Ligand6NBF-PTH1-LA-PTH Analog-Gs/β1/γ2 8HA0-PTH1-PTH-chim(NtGi1-Gs)/β1/γ2 8HAF-PTH1-PTHrP(1-36)-chim(NtGi1-Gs)/β1/γ2 7Y36-PTH1-PTH-Gs/β1/γ2 7Y35-PTH1-Abaloparatide-Gs/β1/γ2
13.16Consensusvip-pacap_onOrthosteric Ligandvpac_on pac_on
13.16Consensusvip-pacap_on_gpOrthosteric Ligandvpac_on_gp pac_on_gp
13.16Consensusvpac2_onOrthosteric Ligand7VQX-VPAC1-PACAP27-Gs/β1/γ2
13.16Consensusvpac2_on_gpOrthosteric Ligand7VQX-VPAC1-PACAP27-Gs/β1/γ2
13.04Single2J4Y11-cis-Retinal2J4Y-Rhodopsin-11-cis-Retinal
13.04Single3PQRAll-trans-Retinal3PQR-Rhodopsin-All-trans-Retinal-Gt(CT)
13.04Single3UZAGTPL92363UZA-A2A-GTPL9236
13.04Single4XNWMRS25004XNW-P2Y1-MRS2500
13.04Single5WKTOctyl-Beta-D-Glucopyranoside5WKT-Rhodopsin-Octyl-β-D-Glucopyranoside-Gt(CT)
13.04Single6FK9PubChem 1324730366FK9-Rhodopsin-PubChem 132473036
13.04Single6FUFAll-trans-Retinal6FUF-Rhodopsin-All-trans-Retinal-Go
13.04Single7DD7Ca; Ca; Tryptophan; Evocalcet7DD7-CaS; CaS-Ca-Ca; Ca; Tryptophan; Evocalcet
13.04Single7F23Dopamine7F23-D1-Dopamine-GDP-Gs/β1/γ2
13.04Single7MT9All-trans-Retinal7MT9-Rhodopsin-All-trans-Retinal-GRK1
13.04Single7MTAAll-trans-Retinal7MTA-Rhodopsin-All-trans-Retinal-GRK1
13.04Single7V6APubChem 98642757V6A-M4-PubChem 9864275-Gi1/β1/γ2
13.04Single8GH1Constrained Epinephrine8GH1-β2-Constrained Epinephrine
13.04Single8ITFDMCHA8ITF-TAA9-DMCHA-chim(NtGi1-Gs)/β1/γ2
13.04Single8IU2All-trans-Retinal8IU2-Opsin1LW-All-trans-Retinal-Gi1/β1/γ2
13.04Single8IW72-Phenylethylamine8IW7-TAA9-2-Phenylethylamine-chim(NtGi1-Gs)/β1/γ2
13.04Single8JXTHistamine8JXT-H4-Histamine-PO4-Gi1/β1/γ2
13.04Single8POKHistamine8POK-H2-Histamine-Gs/β1/γ2
13.04Single8WC62-Phenylethylamine8WC6-TA1-2-Phenylethylamine-chim(NtGi1-Gs)/β1/γ2
13.04Single8WC9ZH86518WC9-TA1-ZH8651-chim(NtGi1-Gs-CtGq)/β1/γ2
13.04Single8Y63C20:0 Ceramide8Y63-FPR2-ALX-C20:0 Ceramide-Gi1/β1/γ2
13.04Single8YN9Histamine8YN9-H4-Histamine-Gi1/β1/γ2
13.04Single8YUUHistamine8YUU-H3-Histamine-Gi1/β1/γ1
13.04Single9IJRC179IJR-GPR52-C17-Arrestin2
13.04Single9LL7DOI9LL7-5-HT2A-DOI-Gi1/β1/γ2
13.04Single9LRCHistamine9LRC-H4-Histamine
13.04Single9LREHistamine9LRE-H4-Histamine-Gi1/β1/γ2
13.04Consensus5ht2_onOrthosteric Ligand5ht2b_on
13.04Consensus5ht2b_onOrthosteric Ligand7SRR-5-HT2B-LSD-chim(NtGi2L-Gs-CtGq)/β1/γ2
13.04Consensusgi_opsinsOrthosteric Ligand8IU2-Opsin1LW-All-trans-Retinal-Gi1/β1/γ2
13.04Consensusgi_sensoryOrthosteric Ligandgi_opsins
13.04Consensush2_on_gpOrthosteric Ligand8POK-H2-Histamine-Gs/β1/γ2
13.04Consensush3_onOrthosteric Ligand8YUU-H3-Histamine-Gi1/β1/γ1
13.04Consensush3_on_gpOrthosteric Ligand8YUU-H3-Histamine-Gi1/β1/γ1
13.04Consensusopsin1lw_onOrthosteric Ligand8IU2-Opsin1LW-All-trans-Retinal-Gi1/β1/γ2
13.04Consensusopsin1lw_on_gpOrthosteric Ligand8IU2-Opsin1LW-All-trans-Retinal-Gi1/β1/γ2
13.04Consensusopsins_on_gpOrthosteric Ligandrhodopsin_on_gp opsin1lw_on_gp
13.04Consensusp2y1_offOrthosteric Ligand4XNW-P2Y1-MRS2500
13.04Consensusrhodopsin_onOrthosteric Ligand6OYA-Rhodopsin-All-trans-Retinal-Gt/β1/γ1
13.04Consensussensory_on_gpOrthosteric Ligandopsins_on_gp
12.90Single6KNMJN241-96KNM-Apelin-JN241-9
12.90Single6RZ6ONO-25703666RZ6-CysLT2-ONO-2570366
12.90Single6XBJCholesterol6XBJ-SMO-Cholesterol-Gi1/β1/γ2
12.90Single7CX2PGE27CX2-EP2-PGE2-Gs/β1/γ2
12.90Single8XQJJN2418XQJ-Apelin; Apelin-JN241
12.90Single8XQOCholesterol8XQO-TAS2R14-Cholesterol-Aristolochic acid A-Gi1/β1/γ1
12.90Single8Z74JN241-98Z74-Apelin; Apelin-JN241-9
12.90Single9JF4PD1683689JF4-BB1-PD168368
12.90Single9MD1Buspirone9MD1-5-HT1A-Buspirone-PtdIns4P-Gz/β1/γ2
12.90Consensuskiss1_onOrthosteric Ligand8ZJD-Kiss1-Kisspeptin-1-chim(NtGi1-Gq)/β1/γ1
12.90Consensuskisspeptin_onOrthosteric Ligandkiss1_on
12.82Single7RBTTirzepatide7RBT-GIP-Tirzepatide-LSN3556672-chim(NtGi1-Gs)/β1/γ2
12.82Consensusgip_onOrthosteric Ligand7FIN-GIP-Peptide-20; GGL-Gs/β1/γ2 7FIY-GIP-Tirzepatide-Gs/β1/γ2 7DTY-GIP-GIP-Gs/β1/γ2
12.82Consensusgip_on_gpOrthosteric Ligand7FIN-GIP-Peptide-20; GGL-Gs/β1/γ2 7FIY-GIP-Tirzepatide-Gs/β1/γ2 7DTY-GIP-GIP-Gs/β1/γ2
12.50Single3PBLEticlopride3PBL-D3-Eticlopride
12.50Single5L7IVismodegib5L7I-SMO-Vismodegib
12.50Single6FK6PubChem 1324730336FK6-Rhodopsin-PubChem 132473033
12.50Single6LI0C176LI0-GPR52-C17
12.50Single6PGSGeraniol6PGS-Rhodopsin-Geraniol-Gt(CT)
12.50Single6WIVPubChem 52923113; PubChem 529246456WIV-GABAB1, GABAB2-PubChem 52923113; PubChem 52924645
12.50Single7CX3Taprenepag7CX3-EP2-Taprenepag-Gs/β1/γ2
12.50Single7DD7Ca; Ca; Tryptophan; Evocalcet7DD7-CaS; CaS-Ca-Ca; Ca; Tryptophan; Evocalcet
12.50Single7E2YSerotonin7E2Y-5-HT1A-Serotonin-PtdIns4P-Gi1/β1/γ2
12.50Single7SRQLSD7SRQ-5-HT2B-LSD
12.50Single7UL2SR486927UL2-NTS1-SR48692-Na
12.50Single7VBHPeptide-207VBH-GLP-1-Peptide-20-Gs/β1/γ2
12.50Single7VLACCL15(27-92)7VLA-CCR1-CCL15(27-92)-Gi1/β1/γ2
12.50Single7XP6Strychnine7XP6-TAS2R46-Strychnine-chim(Gs-CtGt3)/β1/γ2
12.50Single7XT9Serotonin7XT9-5-HT4-Serotonin-Gs/β1/γ2
12.50Single7XTBSerotonin7XTB-5-HT6-Serotonin-Gs/β1/γ2
12.50Single7YFCHistamine7YFC-H4-Histamine-chim(NtGi1-Gs-CtGq)/β1/γ2
12.50Single8DPFLorcaserin8DPF-5-HT2C-Lorcaserin-chim(NtGi2L-Gs-CtGq)/β1/γ2
12.50Single8FLULA-PTH Analog8FLU-PTH1-LA-PTH Analog-Gs/β1/γ2
12.50Single8FX5Xanomeline8FX5-M4-Xanomeline-Xanomeline-Gi1/β1/γ2
12.50Single8GGYConstrained Epinephrine8GGY-β2-Constrained Epinephrine
12.50Single8IEIPubChem 1347468948IEI-GPR156; GPR156-PubChem 134746894
12.50Single8IZBLysophosphatidylserine (UBL)8IZB-GPR174-Lysophosphatidylserine (UBL)-Gs/β1/γ2
12.50Single8JILNiacin8JIL-HCA2-Niacin-Gi1/β1/γ2
12.50Single8JIQPeptide-158JIQ-Glucagon-Peptide-15-Gs/β1/γ2
12.50Single8SZFCa; Ca; Tryptophan; Cinacalcet; PO4; Spermine8SZF-CaS; CaS-Ca; Ca; Tryptophan; Cinacalcet; PO4; Spermine
12.50Single8U4RREGN7663-Fab8U4R-CXCR4-REGN7663-Fab
12.50Single8UO4Constrained Epinephrine8UO4-β2-Constrained Epinephrine-GTP; Mg-Gs/β1/γ2
12.50Single8W892-Phenylethylamine8W89-TA1-2-Phenylethylamine-chim(NtGi1L-Gs)/β1/γ2
12.50Single8WPUTryptophan; Cinacalcet; PO4; Ca8WPU-CaS; CaS-Tryptophan; Cinacalcet; PO4; Ca-chim(NtGi2L-Gs-CtGq)/β1/γ2
12.50Single8X2KOleic monoethanolamide8X2K-GPR3-Oleic monoethanolamide-chim(NtGi1-Gs)/β1/γ2
12.50Single8YN4Histamine8YN4-H2-Histamine-chim(NtGi1L-Gs-CtGq)/β1/γ2
12.50Single8YN5Histamine8YN5-H3-Histamine-Gi1/β1/γ2
12.50Single8YN6Imetit8YN6-H3-Imetit-Gi1/β1/γ2
12.50Single8YN7Immethridine8YN7-H3-Immethridine-Go/β1/γ2
12.50Single8YWFRetatrutide8YWF-GLP-1-Retatrutide-chim(NtGi1-Gs)/β1/γ2
12.50Single9EPRAll-trans-Retinal9EPR-Rhodopsin-All-trans-Retinal-Gi1/β1/γ2
12.50Single9IQTNiacin9IQT-HCA2-Niacin-Gi1/β1/γ2
12.50Single9IXJHistamine9IXJ-H2-Histamine-Gs/β1/γ2
12.50Single9IZDCHBA9IZD-HCA1-CHBA-Gi1/β1/γ2
12.50Single9JEDHistamine9JED-H4-Histamine-PO4-Gi1/β1/γ2
12.50Single9JEQHistamine9JEQ-H3-Histamine-Gi1/β1/γ2
12.50Single9L42Histamine9L42-H4-Histamine-Gi1/β1/γ2
12.50Single9M88Oleic monoethanolamide9M88-GPR3 ; GPR3-Oleic monoethanolamide-AF64394
12.50Single9U9VMETH9U9V-β2-METH-Gs/β1/γ2
12.50Consensusadgrg_onOrthosteric Ligandadgrg2_on adgrg4_on
12.50Consensusadgrg_on_gpOrthosteric Ligandadgrg2_on_gp adgrg4_on_gp
12.50Consensusccr1_onOrthosteric Ligand7VLA-CCR1-CCL15(27-92)-Gi1/β1/γ2
12.50Consensusccr1_on_gpOrthosteric Ligand7VLA-CCR1-CCL15(27-92)-Gi1/β1/γ2
12.50Consensusd3_offOrthosteric Ligand3PBL-D3-Eticlopride
12.50Consensusneurotensin_offOrthosteric Ligandnts1_off
12.50Consensusnts1_offOrthosteric Ligand7UL2-NTS1-SR48692-Na
12.50Consensussomatostatin_offOrthosteric Ligandsst2_off
12.20Single7V35Peptide-207V35-Glucagon-Peptide-20-Gs/β1/γ2
12.20Single9JR2PTH9JR2-PTH1-PTH-chim(NtGi1L-Gs-CtGq)/β1/γ2
12.12Single7TRYUrocortin7TRY-CRF2-Urocortin-chim(NtGi1-G11)/β1/γ2
12.00Single1GZM11-cis-Retinal1GZM-Rhodopsin-11-cis-Retinal
12.00Single2PED9-cis-Retinal2PED-Rhodopsin-9-cis-Retinal
12.00Single3C9L11-cis-Retinal3C9L-Rhodopsin-11-cis-Retinal
12.00Single3V2WPubChem 518926453V2W-S1P1-PubChem 51892645
12.00Single3VG9ZM-2413853VG9-A2A-ZM-241385-Antibody
12.00Single4BWBNeurotensin-(8-12)4BWB-NTS1-Neurotensin-(8-12)
12.00Single6B73MP11046B73-κ-MP1104
12.00Single6DS0LY2660976DS0-5-HT2B-LY266097
12.00Single6KUYPubChem 1457046436KUY-α2a-PubChem 145704643
12.00Single6NWEOctyl-Beta-D-Glucopyranoside6NWE-Rhodopsin-Octyl-β-D-Glucopyranoside-Gt(CT)
12.00Single7DHRIsoprenaline7DHR-β2-Isoprenaline-Gs/β1/γ2
12.00Single7EJ0Norepinephrine7EJ0-α2a-Norepinephrine-Go/β1/γ2
12.00Single7LJDDopamine7LJD-D1-Dopamine-Mevidalen-Gs/β1/γ1
12.00Single7M3FCa; Ca; Tryptophan; Cinacalcet7M3F-CaS; CaS-Ca; Ca; Tryptophan; Cinacalcet
12.00Single7SRRLSD7SRR-5-HT2B-LSD-chim(NtGi2L-Gs-CtGq)/β1/γ2
12.00Single7T6STC-FPR 437T6S-FPR2-ALX-TC-FPR 43-Gi1/β1/γ2
12.00Single7T8XAcetylcholine7T8X-M2-Acetylcholine-chim(NtGi1-Go)/β1/γ2
12.00Single7T90Acetylcholine7T90-M2-Acetylcholine-chim(NtGi1-Go)/β1/γ2
12.00Single7T96Acetylcholine7T96-M2-Acetylcholine-LY2119620-Go/β1/γ2
12.00Single7W0OElabela7W0O-Apelin-Elabela-Gi1/β1/γ2
12.00Single7X2CFenoldopam7X2C-D1-Fenoldopam-Fenoldopam-Gs/β1/γ2
12.00Single7X2FDopamine7X2F-D1-Dopamine-Mevidalen-Gs/β1/γ2
12.00Single7X5H5-CT7X5H-5-HT5A-5-CT-Gi1/β1/γ2
12.00Single7XT8Serotonin7XT8-5-HT4-Serotonin-Gs/β1/γ2
12.00Single7YM8Oxymetazoline7YM8-Alpha1A-Oxymetazoline-chim(Gs-CtGq)
12.00Single8H8JLodoxamide8H8J-GPR35-Lodoxamide-Ca-chim(NtGi1L-G13)/β1/γ2
12.00Single8HMPC178HMP-GPR52-C17-Gs/β1/γ2
12.00Single8HOCImetit8HOC-H4-Imetit-Gi1/β1/γ2
12.00Single8IJANiacin8IJA-HCA2-Niacin-Gi1/β1/γ2
12.00Single8IJBAcipimox8IJB-HCA2-Acipimox-Gi1/β1/γ2
12.00Single8TZQDopamine8TZQ-D2-Dopamine-Go/β1/γ2
12.00Single8U8FPalmitic Acid8U8F-GPR3-Palmitic Acid-Gs/β1/γ2
12.00Single8UTDMK19038UTD-HCA2-MK1903-Gi1/β1/γ2
12.00Single8WC3SEP-3638568WC3-TA1-SEP-363856-chim(NtGi1-Gs)/β1/γ2
12.00Single8XXVIndomethacin8XXV-DP2-Indomethacin-A1D5Q-Gi1/β1/γ2
12.00Single8YNAImmepip8YNA-H4-Immepip-Gi1/β1/γ2
12.00Single8YUTAmthamine8YUT-H2-Amthamine-Gs/β1/γ2
12.00Single8YUVImmepip8YUV-H3-Immepip-Gi1/β1/γ2
12.00Single8YYWAlpha-ketoglutarate8YYW-Oxoglutarate-α-ketoglutarate-α-ketoglutarate-chim(Gi1-CtGq)/β1/γ2
12.00Single9AVLCa; Ca; Cyclomethyltryptophan; R-568; PO49AVL-CaS; CaS-Ca-Ca; Ca; Cyclomethyltryptophan; R-568; PO4-Gi3/β2/γ2
12.00Single9EBHAdenosine9EBH-A3A-Adenosine-Gi1/β1/γ2
12.00Single9K6LSalicin9K6L-TAS2R16-Salicin-Gi2/β1/γ2
12.00Single9KO2CCL199KO2-CCR7-CCL19-Gi1/β1
12.00Single9KO6CCL199KO6-CCR7-CCL19
12.00Single9KPESalicin9KPE-TAS2R16-Salicin-Gi1/β1/γ2
12.00Single9KVHCinobufotenine9KVH-5-HT1A-Cinobufotenine-PtdIns4P-Gi1/β1/γ2
12.00Single9LLBDOI-NBOMe9LLB-5-HT2A-DOI-NBOMe-chim(NtGi1L-Gs-CtGq)/β1/γ2
12.00Single9MQJIsoquinuclidine9MQJ-μ-Isoquinuclidine
12.00Single9PEEPF-07054894; OXM29PEE-CCR6-PF-07054894; OXM2
12.00Single9W49U-50488H9W49-κ-U-50488H-Gi1/β1/γ2
12.00Consensus5ht1e_onOrthosteric Ligand7E33-5-HT1E-BRL-54443-Gi1/β1/γ2 8UGY-5-HT1E-Mianserin-Gi1/β1/γ1 8UH3-5-HT1E-Setiptiline-Gi1/β1/γ1
12.00Consensus5ht2_on_gpOrthosteric Ligand5ht2b_on_gp
12.00Consensus5ht2b_on_gpOrthosteric Ligand7SRR-5-HT2B-LSD-chim(NtGi2L-Gs-CtGq)/β1/γ2
12.00Consensus5ht_onOrthosteric Ligand5ht1_on 5ht2_on 5ht4_on 5ht5_on 5ht6_on 5ht7_on
12.00Consensusalpha2_offOrthosteric Ligandalpha2c_off
12.00Consensusgq_histamineOrthosteric Ligand7DFL-H1-Histamine-chim(NtGi1L-Gq)/β1/γ2
12.00Consensusgs_5htOrthosteric Ligand7XTC-5-HT7-5-CT-Gs/β1/γ2 7XTB-5-HT6-Serotonin-Gs/β1/γ2 8JLZ-5-HT6-ST1936-Gs/β1/γ2 7XT8-5-HT4-Serotonin-Gs/β1/γ2
12.00Consensush1_on_gpOrthosteric Ligand7DFL-H1-Histamine-chim(NtGi1L-Gq)/β1/γ2
12.00Consensushistamine_onOrthosteric Ligandh1_on h2_on h3_on h4_on
12.00Consensushistamine_on_gpOrthosteric Ligandh1_on_gp h2_on_gp h3_on_gp h4_on_gp
12.00Consensusm2_onOrthosteric Ligand7T8X-M2-Acetylcholine-chim(NtGi1-Go)/β1/γ2
12.00Consensusm2_on_gpOrthosteric Ligand7T8X-M2-Acetylcholine-chim(NtGi1-Go)/β1/γ2
12.00Consensuss1p1_offOrthosteric Ligand3V2W-S1P1-PubChem 51892645
12.00Consensussensory_offonOrthosteric Ligandsensory_off sensory_on
12.00Consensussensory_offon_gpOrthosteric Ligandsensory_on_gp sensory_on
11.90Single7Y36PTH7Y36-PTH1-PTH-Gs/β1/γ2
11.90Single8FLQPTH8FLQ-PTH1-PTH-Gs/β1/γ2
11.90Consensusglucagon_onOrthosteric Ligandglp_on gluc_on secretin_on gip_on
11.90Consensuspth2_onOrthosteric Ligand7F16-PTH2-TIP39-Gs/β1/γ2
11.76Single8YFOAc-LA-PTH Analog8YFO-PTH1-Ac-LA-PTH Analog-chim(NtGi1-Gs)/β1/γ2
11.76Single9B5YLA-PTH Analog9B5Y-PTH1-LA-PTH Analog-chim(NtGi1-Gq)/β1/γ2
11.76Consensusclass-b1_class-b2_cons_onOrthosteric Ligandclass-b1_on class-b2_on
11.76Consensusclass-b1_class-b2_cons_on_gpOrthosteric Ligandclass-b1_on_gp class-b2_on_gp
11.76Consensusfpr2-alx_onOrthosteric Ligand7WVX-FPR2-ALX-Humanin-Gi2/β1/γ2 7T6U-FPR2-ALX-CGEN-855A-Gi1/β1/γ2 7T6V-FPR2-ALX-fMLFII-Gi1/β1/γ2 7WVY-FPR2-ALX-Amyloid-β42-Gi2/β1/γ2 7T6S-FPR2-ALX-TC-FPR 43-Gi1/β1/γ2 6OMM-FPR2-ALX-WKYMVX-Gi1/β1/γ2
11.63Single6E3YCalcitonin gene-related peptide-16E3Y-CT Like-Calcitonin gene-related peptide-1-Gs/β1/γ2; RAMP1
11.54Single3OAX11-cis-Retinal3OAX-Rhodopsin-11-cis-Retinal
11.54Single4MQTIperoxo4MQT-M2-Iperoxo-LY2119620
11.54Single5TE3Octyl-Beta-D-Glucopyranoside5TE3-Rhodopsin-Octyl-β-D-Glucopyranoside
11.54Single6A94Zotepine6A94-5-HT2A-Zotepine
11.54Single6FKAPubChem 1324730376FKA-Rhodopsin-PubChem 132473037
11.54Single6K41Dexmedetomidine6K41-α2b-Dexmedetomidine-Go/β1/γ2
11.54Single6VI4JDTic6VI4-κ-JDTic
11.54Single6WH4Methiothepin6WH4-5-HT2A-Methiothepin
11.54Single6WJCAtropine6WJC-M1-Atropine-Muscarinic toxin 7
11.54Single6ZFZ77-LH-28-16ZFZ-M1-77-LH-28-1
11.54Single6ZINSR486926ZIN-NTS1-SR48692
11.54Single7C2EPubChem 1490507997C2E-GLP-1-PubChem 149050799-Gs/β1/γ2
11.54Single7CMVPD1289077CMV-D3-PD128907-Gi1/β1/γ2
11.54Single7E33BRL-544437E33-5-HT1E-BRL-54443-Gi1/β1/γ2
11.54Single7F24Dopamine7F24-D1-Dopamine-GDP-Gs/β1/γ2
11.54Single7T94Acetylcholine7T94-M2-Acetylcholine-LY2119620-chim(NtGi1-Go)/β1/γ2
11.54Single7TRSAcetylcholine7TRS-M4-Acetylcholine-Gi1/β1/γ2
11.54Single7UTZDPPC7UTZ-TSH-TSH-DPPC-Gs/β1/γ2
11.54Single7ZBC11-cis-Retinal7ZBC-Rhodopsin-11-cis-Retinal
11.54Single7ZBE11-cis-Retinal7ZBE-Rhodopsin-11-cis-Retinal
11.54Single8DPGPsilocin8DPG-5-HT2C-Psilocin-chim(NtGi2L-Gs-CtGq)/β1/γ2
11.54Single8FCZ11-cis-Retinal8FCZ-Rhodopsin-11-cis-Retinal
11.54Single8GG5Constrained Epinephrine8GG5-β2-Constrained Epinephrine-GTP-Gs/β1/γ2
11.54Single8JLNT1AM8JLN-TA1-T1AM-Gs/β1/γ2
11.54Single8JSPUlotaront8JSP-5-HT1A-Ulotaront-Gi1/β1/γ2
11.54Single8K9LDAMGO8K9L-μ-DAMGO-BMS-986122-Gi3/β1/γ1
11.54Single8PM2DMCHA8PM2-TA7-DMCHA-Gs/β1/γ2
11.54Single8U02Dopamine8U02-D2-Dopamine-Go/β1/γ2
11.54Single8UHBRO52563908UHB-TA1-RO5256390-Gs/β1/γ2
11.54Single8WPGTryptophan; Cinacalcet; PO4; Ca8WPG-CaS; CaS-Tryptophan; Cinacalcet; PO4; Ca
11.54Single8Y01All-trans-Retinal8Y01-Opsin1MW-All-trans-Retinal-Gi1/β1/γ2
11.54Single8Y53MK50468Y53-BB3-MK5046-chim(NtGi1-Gs-CtGq)/β1/γ2
11.54Single8YN3Histamine8YN3-H2-Histamine-Gs/β1/γ2
11.54Single9AS5Mescaline9AS5-5-HT2A-Mescaline
11.54Single9AS6Mescaline9AS6-5-HT2A-Mescaline-chim(NtGi1-Gs-CtGq)/β1/γ2
11.54Single9AS8Psilocin9AS8-5-HT2A-Psilocin-chim(NtGi2L-Gs-CtGq)/β1/γ2
11.54Single9JKYAcifran9JKY-HCA2-Acifran-Gi1/β1/γ2
11.54Single9KPDSalicin9KPD-TAS2R16-Salicin-chim(Gs-CtGt3)/β1/γ2
11.54Single9KVIBufotenin9KVI-5-HT1A-Bufotenin-PtdIns4P-Gi1/β1/γ2
11.54Single9LL8Psilocin9LL8-5-HT2A-Psilocin-Gi1/β1/γ2
11.54Single9PY2Loperamide9PY2-μ-Loperamide-GDPβS-Gi1/β1/γ2
11.54Single9VJG8-OH-DPAT9VJG-5-HT1A-8-OH-DPAT-chim(NtGi2-Gz)/β1/γ2
11.54Single9W6W5-CT9W6W-5-HT5A-5-CT-Gi1/β1/γ2
11.54Consensus5ht2a_offOrthosteric Ligand6A94-5-HT2A-Zotepine 6A93-5-HT2A-Risperidone 7VOD-5-HT2A-Cariprazine 7WC8-5-HT2A-Lumateperone 8JT8-5-HT2A-(R)-IHCH-7179
11.54Consensuscxcr2_onOrthosteric Ligand6LFM-CXCR2-CXCL8-Gi1/β1/γ2
11.54Consensusnop_offOrthosteric Ligand4EA3-NOP-PubChem 10296561 5DHG-NOP-C-35 5DHH-NOP-SB-612111
11.54Consensusopsins_offOrthosteric Ligandrhodopsin_off
11.54Consensussensory_offOrthosteric Ligandopsins_off
11.43Single6WIVPubChem 52923113; PubChem 529246456WIV-GABAB1, GABAB2-PubChem 52923113; PubChem 52924645
11.43Single8HA0PTH8HA0-PTH1-PTH-chim(NtGi1-Gs)/β1/γ2
11.43Single8YW3Retatrutide8YW3-GLP-1-Retatrutide-Gs/β1/γ2
11.43Single8YW4Retatrutide8YW4-GIP-Retatrutide-chim(NtGi1-Gs)/β1/γ2
11.43Consensusfpr2-alx_on_gpOrthosteric Ligand7WVX-FPR2-ALX-Humanin-Gi2/β1/γ2 7T6U-FPR2-ALX-CGEN-855A-Gi1/β1/γ2 7T6V-FPR2-ALX-fMLFII-Gi1/β1/γ2 7WVY-FPR2-ALX-Amyloid-β42-Gi2/β1/γ2 7T6S-FPR2-ALX-TC-FPR 43-Gi1/β1/γ2 6OMM-FPR2-ALX-WKYMVX-Gi1/β1/γ2
11.11Single1HZX11-cis-Retinal1HZX-Rhodopsin-11-cis-Retinal
11.11Single3NYAAlprenolol3NYA-β2-Alprenolol
11.11Single4DAJTiotropium4DAJ-M3-Tiotropium
11.11Single4MQSIperoxo4MQS-M2-Iperoxo
11.11Single4U14Tiotropium4U14-M3-Tiotropium
11.11Single4U16N-methyl-Scopolamine4U16-M3-N-methyl-Scopolamine
11.11Single4X1HNonyl-Beta-D-Glucopyranoside4X1H-Rhodopsin-Nonyl-β-D-Glucopyranoside-Gt(CT)
11.11Single5DHGC-355DHG-NOP-C-35
11.11Single5DHHSB-6121115DHH-NOP-SB-612111
11.11Single5YC8N-methyl-Scopolamine5YC8-M2-N-methyl-Scopolamine
11.11Single5ZK8N-methyl-Scopolamine5ZK8-M2-N-methyl-Scopolamine
11.11Single5ZKCN-methyl-Scopolamine5ZKC-M2-N-methyl-Scopolamine
11.11Single6DRZMethysergide6DRZ-5-HT2B-Methysergide
11.11Single6GPSMK08126GPS-CCR2-MK0812
11.11Single6K42Dexmedetomidine6K42-α2b-Dexmedetomidine-Gi1/β1/γ2
11.11Single7DB6Ramelteon7DB6-MT1-Ramelteon-Gi1/β1/γ2
11.11Single7E32Serotonin7E32-5-HT1D-Serotonin-Gi1/β1/γ2
11.11Single7FIHOrg435537FIH-LH-hCG-Org43553-chim(NtGi1-Gs)/β1/γ2
11.11Single7LCIDanuglipron7LCI-GLP-1-Danuglipron-Gs/β1/γ2
11.11Single7LCKDanuglipron7LCK-GLP-1-Danuglipron
11.11Single7S15PubChem 1346112237S15-GLP-1-PubChem 134611223
11.11Single7SK8CXCL127SK8-ACKR3-CXCL12-CCX662
11.11Single7TRPIperoxo7TRP-M4-Iperoxo-LY2033298-Gi1/β1/γ2
11.11Single7UM55-CT7UM5-5-HT5A-5-CT-chim(NtGi1-Go)/β1/γ2
11.11Single7WC8Lumateperone7WC8-5-HT2A-Lumateperone
11.11Single8FY85-MeO-DMT8FY8-5-HT1A-5-MeO-DMT-PtdIns4P-Gi1/β1/γ1
11.11Single8JJOAlprenolol8JJO-β2-Alprenolol
11.11Single8JT8(R)-IHCH-71798JT8-5-HT2A-(R)-IHCH-7179
11.11Single8UWLLisuride8UWL-5-HT2A-Lisuride-chim(NtGi2-Gs-CtGq)/β1/γ2
11.11Single8X63Mepyramine8X63-H1-Mepyramine
11.11Single8X64Desloratadine8X64-H1-Desloratadine
11.11Single8XVHEndothelin-18XVH-ETB-Endothelin-1-chim(Gs-CtGq)/β1/γ2
11.11Single8YN8Proxyfan8YN8-H3-Proxyfan-Go/β1/γ2
11.11Single9AS1DMT9AS1-5-HT2A-DMT
11.11Single9DYFAsenapine9DYF-5-HT1A-Asenapine-PtdIns4P-Gi1/β1/γ2
11.11Single9IMATalquetamab9IMA-GPRC5D; GPRC5D-Talquetamab
11.11Single9IVGGLP-1 (Truncated)9IVG-GLP-1-GLP-1 (Truncated)-chim(NtGi1-Gs)/β1/γ2
11.11Single9JEAAtropine9JEA-M1-Atropine
11.11Single9JROPF-044189489JRO-EP2-PF-04418948
11.11Single9LLAAriadne9LLA-5-HT2A-Ariadne-chim(NtGi1L-Gs-CtGq)/β1/γ2
11.11Single9METGp120; CD49MET-CXCR4-Gp120; CD4
11.11Single9UAZAtropine9UAZ-M1-Atropine
11.11Consensus5ht1d_onOrthosteric Ligand7E32-5-HT1D-Serotonin-Gi1/β1/γ2
11.11Consensus5ht1d_on_gpOrthosteric Ligand7E32-5-HT1D-Serotonin-Gi1/β1/γ2
11.11Consensus5ht2b_offOrthosteric Ligand6DRZ-5-HT2B-Methysergide
11.11Consensusalpha2_onOrthosteric Ligandalpha2b_on
11.11Consensusalpha2_on_gpOrthosteric Ligandalpha2b_on_gp
11.11Consensusalpha2b_onOrthosteric Ligand6K42-α2b-Dexmedetomidine-Gi1/β1/γ2
11.11Consensusalpha2b_on_gpOrthosteric Ligand6K42-α2b-Dexmedetomidine-Gi1/β1/γ2
11.11Consensuscalcitonin_onOrthosteric Ligandctlike_on
11.11Consensusccr2_offOrthosteric Ligand6GPS-CCR2-MK0812
11.11Consensusclass-b1_onOrthosteric Ligandglucagon_on vip-pacap_on pth_on crf_on calcitonin_on
11.11Consensusgi_histamineOrthosteric Ligand8JXX-H4-Clobenpropit-Gi1/β1/γ2 8JXV-H4-Clozapine-Gi1/β1/γ2 8YUU-H3-Histamine-Gi1/β1/γ1 8HN8-H4-Histamine-Gi1/β1/γ2 8HOC-H4-Imetit-Gi1/β1/γ2 8JXW-H4-VUF6884-Gi1/β1/γ2
11.11Consensusgq_amineOrthosteric Ligandgq_muscarinic gq_histamine
11.11Consensushistamine_offOrthosteric Ligandh1_off
11.11Consensusmuscarinic_onOrthosteric Ligandm2_on m3_on m4_on m1_on
11.11Consensusmuscarinic_on_gpOrthosteric Ligandm2_on_gp m3_on_gp m4_on_gp m1_on_gp
11.11Consensusvpac_onOrthosteric Ligandvpac1_on vpac2_on
10.81Single6P9YPACAP276P9Y-PAC1-PACAP27-Gs/β1/γ2
10.81Single7D3SSecretin7D3S-Secretin-Secretin-Gs/β1/γ2
10.81Single7KI0Semaglutide7KI0-GLP-1-Semaglutide-Gs/β1/γ2
10.81Single7RA3GIP7RA3-GIP-GIP-chim(NtGi1-Gs)/β1/γ2
10.81Single9J1Pg1:Ox9J1P-GLP-1-g1:Ox-chim(NtGi1-Gs)/β1/γ2
10.81Consensuscalcitonin_on_gpOrthosteric Ligandctlike_on_gp
10.81Consensuscrf2_on_gpOrthosteric Ligand7TS0-CRF2-Urocortin-chim(NtGi1L-Go)/β1/γ2
10.81Consensuspac1_onOrthosteric Ligand8E3X-PAC1-PACAP27-Gs/β1/γ2 6M1H-PAC1-Maxadilan-Gs/β1/γ2
10.81Consensuspac1_on_gpOrthosteric Ligand8E3X-PAC1-PACAP27-Gs/β1/γ2 6M1H-PAC1-Maxadilan-Gs/β1/γ2
10.81Consensusvpac_on_gpOrthosteric Ligandvpac1_on_gp vpac2_on_gp
10.71Single4JKVTaladegib4JKV-SMO-Taladegib
10.71Single5CGCHTL142425CGC-mGlu5-HTL14242
10.71Single6GPXMK08126GPX-CCR2-MK0812
10.71Single6M9TMisoprostol-FA6M9T-EP3-Misoprostol-FA
10.71Single6PS6Timolol6PS6-β2-Timolol
10.71Single7E9GJNJ-404118137E9G-mGlu2; mGlu2-Eglumetad-JNJ-40411813-Gi1/β1/γ2
10.71Single7TRKIperoxo7TRK-M4-Iperoxo-Gi1/β1/γ2
10.71Single7VOEAripiprazole7VOE-5-HT2A-Aripiprazole
10.71Single8E9ZIperoxo8E9Z-M3-Iperoxo-chim(NtGi2L-Gs-CtGq)/β1/γ2
10.71Single8GDCPGE28GDC-EP3-PGE2-Gi1/β1/γ2
10.71Single8TH4AT118-L Nanobody8TH4-AT1-Losartan-AT118-L Nanobody
10.71Single8XQPCholesterol8XQP-TAS2R14-Cholesterol-Aristolochic acid A-Gt3/β1/γ1
10.71Single8YNSSNAP-948478YNS-MCH1-SNAP-94847
10.71Single8ZYTNeurotensin-(8-13)8ZYT-NTS1-Neurotensin-(8-13)-SBI-553-Arrestin2
10.71Single9DYDAsenapine9DYD-5-HT1A-Asenapine-PtdIns4P-Go/β1/γ2
10.71Single9EKHONO-30302979EKH-DP1-ONO-3030297
10.71Single9JRTTG6-1299JRT-EP2-TG6-129
10.71Consensus5ht1_onOrthosteric Ligand5ht1a_on 5ht1d_on 5ht1e_on 5ht1f_on
10.71Consensus5ht1_on_gpOrthosteric Ligand5ht1a_on_gp 5ht1d_on_gp 5ht1e_on_gp 5ht1f_on_gp
10.71Consensus5ht1e_on_gpOrthosteric Ligand7E33-5-HT1E-BRL-54443-Gi1/β1/γ2 8UGY-5-HT1E-Mianserin-Gi1/β1/γ1 8UH3-5-HT1E-Setiptiline-Gi1/β1/γ1
10.71Consensusgq_muscarinicOrthosteric Ligand6OIJ-M1-Iperoxo-chim(NtGi1L-G11)/β1/γ2
10.71Consensusm1_onOrthosteric Ligand6OIJ-M1-Iperoxo-chim(NtGi1L-G11)/β1/γ2
10.71Consensusm2_offOrthosteric Ligand5ZKC-M2-N-methyl-Scopolamine 5ZK3-M2-3-quinuclidinyl-benzilate 5ZKB-M2-AF-DX 384
10.71Consensusm3_onOrthosteric Ligand8E9Z-M3-Iperoxo-chim(NtGi2L-Gs-CtGq)/β1/γ2 8E9W-M3-2-Deoxycytidine-chim(NtGi2L-Gs-CtGq)/β1/γ2 8E9Y-M3-Clozapine-N-oxide-chim(NtGi2L-Gs-CtGq)/β1/γ2
10.71Consensusm3_on_gpOrthosteric Ligand8E9Z-M3-Iperoxo-chim(NtGi2L-Gs-CtGq)/β1/γ2 8E9W-M3-2-Deoxycytidine-chim(NtGi2L-Gs-CtGq)/β1/γ2 8E9Y-M3-Clozapine-N-oxide-chim(NtGi2L-Gs-CtGq)/β1/γ2
10.53Single5NX2GLP-1 (Truncated)5NX2-GLP-1-GLP-1 (Truncated)
10.53Single7DTYGIP7DTY-GIP-GIP-Gs/β1/γ2
10.53Single7FIYTirzepatide7FIY-GIP-Tirzepatide-Gs/β1/γ2
10.53Single7S1MExendin-4-D-Ala7S1M-GLP-1-Exendin-4-D-Ala-Gs/β1/γ2
10.53Single7VQXPACAP277VQX-VPAC1-PACAP27-Gs/β1/γ2
10.53Consensusglp2_onOrthosteric Ligand7D68-GLP-2-GLP-2-Gs/β1/γ2
10.53Consensusglp2_on_gpOrthosteric Ligand7D68-GLP-2-GLP-2-Gs/β1/γ2
10.34Single5V56TC1145V56-SMO-TC114
10.34Single5V57TC1145V57-SMO-TC114
10.34Single5ZBHBMS-1938855ZBH-Y1-BMS-193885
10.34Single6O3CCholesterol6O3C-SMO-SAG21k-Cholesterol
10.34Single6OIJIperoxo6OIJ-M1-Iperoxo-chim(NtGi1L-G11)/β1/γ2
10.34Single7EW4CYM-55417EW4-S1P3-CYM-5541-Gi1/β1/γ2
10.34Single7R0CAVP7R0C-V2-AVP-Arrestin2
10.34Single7SK7CXCL127SK7-ACKR3-CXCL12-CCX662
10.34Single7T9NDPPC7T9N-TSH-M22 Fab-DPPC-Gs/β1/γ2
10.34Single7TRQIperoxo7TRQ-M4-Iperoxo-VU0467154-Gi1/β1/γ2
10.34Single8EA0Iperoxo8EA0-M3-Iperoxo
10.34Single8I2GPubChem 675302408I2G-FSH-FSH-PubChem 67530240-Gs/β1/γ2
10.34Single8IUKPGF2-alpha8IUK-FP-alpha-PGF2-α-chim(NtGi1-Gs-CtGq)/β1/γ2
10.34Single8XQTCholesterol8XQT-TAS2R14-Cholesterol-Gi1/β1/γ1
10.34Single9RHGC4079RHG-FZD7-C407
10.34Consensusm1_on_gpOrthosteric Ligand6OIJ-M1-Iperoxo-chim(NtGi1L-G11)/β1/γ2
10.26Single6LMKGlucagon6LMK-Glucagon-Glucagon-Gs/β1/γ2
10.26Single7VVLPTH7VVL-PTH1-PTH-Gs/β1/γ2
10.26Single8HAFPTHrP(1-36)8HAF-PTH1-PTHrP(1-36)-chim(NtGi1-Gs)/β1/γ2
10.20Consensusclass-b1_on_gpOrthosteric Ligandglucagon_on_gp vip-pacap_on_gp pth_on_gp crf_on_gp calcitonin_on_gp
10.00Single4N4WSANT-14N4W-SMO-SANT-1
10.00Single4PXFOctyl-Beta-D-Glucopyranoside4PXF-Rhodopsin-Octyl-β-D-Glucopyranoside-Arrestin1 Finger Loop
10.00Single6RZ7ONO-25703666RZ7-CysLT2-ONO-2570366
10.00Single7EPENAM5637EPE-mGlu2-NAM563
10.00Single7T6BS1P7T6B-S1P2-S1P-chim(NtGi1L-G13)/β1/γ2
10.00Single8E9W2-Deoxycytidine8E9W-M3-2-Deoxycytidine-chim(NtGi2L-Gs-CtGq)/β1/γ2
10.00Single8XQJJN2418XQJ-Apelin; Apelin-JN241
10.00Single9EK0Iperoxo9EK0-M5-Iperoxo-chim(NtGi1-Gs-CtGq)/β1/γ2
9.76Single8FLSAbaloparatide8FLS-PTH1-Abaloparatide-Gs/β1/γ2
9.76Consensusglp1_onOrthosteric Ligand7S1M-GLP-1-Exendin-4-D-Ala-Gs/β1/γ2 7X8R-GLP-1-BOC5-Gs/β1/γ2 6X19-GLP-1-CHU-128-Gs/β1/γ2 6X1A-GLP-1-Danuglipron-Gs/β1/γ2 6X18-GLP-1-GLP-1-Gs/β1/γ2 8JIP-GLP-1-MEDI0382-chim(NtGi1-Gs)/β1/γ2 7C2E-GLP-1-PubChem 149050799-Gs/β1/γ2 7KI0-GLP-1-Semaglutide-Gs/β1/γ2 7KI1-GLP-1-Taspoglutide-Gs/β1/γ2 7X8S-GLP-1-WB4-24-Gs/β1/γ2 8JIS-GLP-1-Peptide-15-chim(NtGi1-Gs)/β1/γ2 7VBI-GLP-1-Tirzepatide (non-acylated)-Gs/β1/γ2
9.68Single5CGDHTL142425CGD-mGlu5-HTL14242
9.68Single6M1HMaxadilan6M1H-PAC1-Maxadilan-Gs/β1/γ2
9.68Single6RZ9ONO-27703726RZ9-CysLT2-ONO-2770372
9.68Single8XVJMacitentan8XVJ-ETA-Macitentan
9.68Single9DYEBuspirone9DYE-5-HT1A-Buspirone-PtdIns4P-Go/β1/γ2
9.68Single9JH5C16:0 Ceramide9JH5-CysLT2-C16:0 Ceramide-chim(NtGi1-Gs-CtGq)/β1/γ2
9.68Consensuscyslt2_offOrthosteric Ligand6RZ7-CysLT2-ONO-2570366 6RZ8-CysLT2-ONO-2080365 6RZ9-CysLT2-ONO-2770372
9.52Single4A4MAll-trans-Retinal4A4M-Rhodopsin-All-trans-Retinal-Gt(CT)
9.52Single5EN0All-trans-Retinal5EN0-Rhodopsin-All-trans-Retinal-Gt(CT)
9.52Single5MZPCaffeine5MZP-A2A-Caffeine-Na
9.52Single7VVMPTH7VVM-PTH1-PTH-Gs/β1/γ2
9.52Single8GEJConstrained Epinephrine8GEJ-β2-Constrained Epinephrine-Gs/β1/γ2
9.52Single8JIPMEDI03828JIP-GLP-1-MEDI0382-chim(NtGi1-Gs)/β1/γ2
9.52Single8JIRSAR4258998JIR-GLP-1-SAR425899-chim(NtGi1-Gs)/β1/γ2
9.52Consensusglp1_on_gpOrthosteric Ligand7S1M-GLP-1-Exendin-4-D-Ala-Gs/β1/γ2 7X8R-GLP-1-BOC5-Gs/β1/γ2 6X19-GLP-1-CHU-128-Gs/β1/γ2 6X1A-GLP-1-Danuglipron-Gs/β1/γ2 6X18-GLP-1-GLP-1-Gs/β1/γ2 8JIP-GLP-1-MEDI0382-chim(NtGi1-Gs)/β1/γ2 7C2E-GLP-1-PubChem 149050799-Gs/β1/γ2 7KI0-GLP-1-Semaglutide-Gs/β1/γ2 7KI1-GLP-1-Taspoglutide-Gs/β1/γ2 7X8S-GLP-1-WB4-24-Gs/β1/γ2 8JIS-GLP-1-Peptide-15-chim(NtGi1-Gs)/β1/γ2 7VBI-GLP-1-Tirzepatide (non-acylated)-Gs/β1/γ2
9.38Single6OMMWKYMVX6OMM-FPR2-ALX-WKYMVX-Gi1/β1/γ2
9.30Single7TYYCalcitonin-17TYY-CT (AMY2)-Calcitonin-1-Gs/β1/γ2; RAMP2
9.30Single8JITMEDI03828JIT-Glucagon-MEDI0382-Gs/β1/γ2
9.30Single8JIUSAR4258998JIU-Glucagon-SAR425899-Gs/β1/γ2
9.09Single7RTBPeptide-197RTB-GLP-1-Peptide-19-Gs/β1/γ2
9.09Single7V68LY21196207V68-M4-Iperoxo-LY2119620-Gi1/β1/γ2
9.09Single7WC4Serotonin7WC4-5-HT2A-Serotonin
9.09Single9BUECagrilintide9BUE-CT-Cagrilintide-Gs/β1/γ2
9.09Single9JKVPubChem 27366909JKV-HCA3-PubChem 2736690-Gi1/β1/γ2
8.82Single7VBITirzepatide (non-acylated)7VBI-GLP-1-Tirzepatide (non-acylated)-Gs/β1/γ2
8.70Single6OY9All-trans-Retinal6OY9-Rhodopsin-All-trans-Retinal-Gt/β1/γ1
8.70Single8Y02All-trans-Retinal8Y02-OPN1SW-All-trans-Retinal-Gi1/β1/γ2
8.70Single8Z8ALactate8Z8A-HCA1-Lactate-Gi1/β1/γ2
8.33Single3C9M11-cis-Retinal3C9M-Rhodopsin-11-cis-Retinal
8.33Single6D32Cyclopamine6D32-SMO-Cyclopamine-Cyclopamine
8.33Single6NIYCalcitonin-16NIY-CT-Calcitonin-1-Gs/β1/γ2
8.33Single6PWCNeurotensin-(9-13)6PWC-NTS1-Neurotensin-(9-13)-Arrestin2
8.33Single7FINPeptide-20; GGL7FIN-GIP-Peptide-20; GGL-Gs/β1/γ2
8.33Single7TYIAmylin7TYI-CT-Amylin-Gs/β1/γ2
8.33Single7WC5Psilocin7WC5-5-HT2A-Psilocin
8.33Single8DPILorcaserin8DPI-5-HT2C-Lorcaserin-chim(NtGi2L-Gs-CtGq)/β1/γ2
8.33Single8F76Propanoic acid8F76-OR51E2-Propanoic acid-Gs/β1/γ2
8.33Single8JEFPubChem 113671668JEF-HCA3-PubChem 11367166-Gi1/β1/γ2
8.33Single8JRVGlucagon8JRV-Glucagon-Glucagon-Arrestin2
8.33Single8SZFCa; Ca; Tryptophan; Cinacalcet; PO4; Spermine8SZF-CaS; CaS-Ca; Ca; Tryptophan; Cinacalcet; PO4; Spermine
8.33Single8X9UMetenolone8X9U-ADGRD1-Metenolone-chim(NtGi1-Gs)/β1/γ2
8.33Single9BLCCagrilintide (non-acylated)9BLC-CT-Cagrilintide (non-acylated)-Gs/β1/γ2
8.33Single9EBOGLP-1 (ACPC18)9EBO-GLP-1-GLP-1 (ACPC18)-Gs/β1/γ2
8.33Single9IV15alpha-DHT9IV1-ADGRD1-5α-DHT-chim(NtGi1-Gs)/β1/γ2
8.33Single9JG1Adriforant9JG1-H4-Adriforant
8.33Single9JHJC18:0 Ceramide9JHJ-FPR2-ALX-C18:0 Ceramide-Gi1/β1/γ2
8.33Consensuscrf2_onOrthosteric Ligand7TS0-CRF2-Urocortin-chim(NtGi1L-Go)/β1/γ2
8.11Single7TYWCalcitonin-17TYW-CT (AMY1)-Calcitonin-1-Gs/β1/γ2; RAMP1
8.11Single7Y35Abaloparatide7Y35-PTH1-Abaloparatide-Gs/β1/γ2
8.11Single9E2AGLP-19E2A-GLP-1-GLP-1-Gs/β1/γ2
8.11Consensusvpac1_onOrthosteric Ligand8E3Z-VPAC1-VIP-Gs/β1/γ2
8.00Single1L9H11-cis-Retinal1L9H-Rhodopsin-11-cis-Retinal
8.00Single1U1911-cis-Retinal1U19-Rhodopsin-11-cis-Retinal
8.00Single2G87All-trans-Retinal2G87-Rhodopsin-All-trans-Retinal
8.00Single2I3511-cis-Retinal2I35-Rhodopsin-11-cis-Retinal
8.00Single4O9RCyclopamine4O9R-SMO-Cyclopamine
8.00Single5TE520-Methanoretinal5TE5-Rhodopsin-20-Methanoretinal
8.00Single6I9K9-cis-Retinal6I9K-Rhodopsin-9-cis-Retinal
8.00Single7D76Beclomethasone7D76-ADGRG3-Beclomethasone-Go/β1/γ2
8.00Single7DFLHistamine7DFL-H1-Histamine-chim(NtGi1L-Gq)/β1/γ2
8.00Single7S8NR-Zinc-35737S8N-MRGPRX2-R-Zinc-3573-chim(NtGi2L-Gs-CtGq)/β1/γ2
8.00Single7S8OR-Zinc-35737S8O-MRGPRX2-R-Zinc-3573-Gi1/β1/γ2
8.00Single7V68Iperoxo7V68-M4-Iperoxo-LY2119620-Gi1/β1/γ2
8.00Single7VDHC48/807VDH-MRGPRX2-C48/80-Gi1/β1/γ2
8.00Single7XKFDehydroepiandrosterone7XKF-ADGRG2-Dehydroepiandrosterone-Gs/β1/γ2
8.00Single7YFDImetit7YFD-H4-Imetit-chim(NtGi1-Gs-CtGq)/β1/γ2
8.00Single7YS6Serotonin7YS6-5-HT6-Serotonin-chim(NtGi1-Gs)/β1/γ2
8.00Single8HN8Histamine8HN8-H4-Histamine-Gi1/β1/γ2
8.00Single8YN2Histamine8YN2-H1-Histamine-chim(NtGi1L-Gs-CtGq)/β1/γ2
8.00Single9AS2DMT9AS2-5-HT2A-DMT-chim(NtGi1-Gs-CtGq)/β1/γ2
8.00Single9AS7Psilocin9AS7-5-HT2A-Psilocin
8.00Single9E7RGB889E7R-PAR2-GB88-chim(NtGi1L-Gs-CtGq)/β1/γ2
8.00Single9YDAAll-trans-Retinal9YDA-Opsin1MW-All-trans-Retinal-chim(NtGi1L-Gs-CtGt)/β1/γ2
8.00Consensush1_onOrthosteric Ligand7DFL-H1-Histamine-chim(NtGi1L-Gq)/β1/γ2
8.00Consensush4_onOrthosteric Ligand8HN8-H4-Histamine-Gi1/β1/γ2 8HOC-H4-Imetit-Gi1/β1/γ2 8JXV-H4-Clozapine-Gi1/β1/γ2 8JXW-H4-VUF6884-Gi1/β1/γ2 8JXX-H4-Clobenpropit-Gi1/β1/γ2
7.89Single7CZ5Somatoliberin7CZ5-GHRH-Somatoliberin-Gs/β1/γ2
7.89Single8FLRPTHrP(1-36)8FLR-PTH1-PTHrP(1-36)-Gs/β1/γ2
7.89Single9BLWCagrilintide (non-acylated)9BLW-CT (AMY1)-Cagrilintide (non-acylated)-Gs/β1/γ2; RAMP1
7.89Single9BP3Cagrilintide9BP3-CT (AMY1)-Cagrilintide-Gs/β1/γ2; RAMP1
7.89Consensusctlike_onOrthosteric Ligand6E3Y-CT Like-Calcitonin gene-related peptide-1-Gs/β1/γ2; RAMP1
7.89Consensusvpac1_on_gpOrthosteric Ligand8E3Z-VPAC1-VIP-Gs/β1/γ2
7.69Single4QINSAG1.54QIN-SMO-SAG1.5
7.69Single6O3CSAG21k6O3C-SMO-SAG21k-Cholesterol
7.69Single6WWZCCL206WWZ-CCR6-CCL20-Go/β1/γ2
7.69Single7LCJDanuglipron7LCJ-GLP-1-Danuglipron
7.69Single7TYFAmylin7TYF-CT (AMY1)-Amylin-Gs/β1/γ2; RAMP1
7.69Single7VV5C48/807VV5-MRGPRX2-C48/80-Gi1/β1/γ2
7.69Single8A6CAll-trans-Retinal8A6C-Rhodopsin-All-trans-Retinal
7.69Single8A6DAll-trans-Retinal8A6D-Rhodopsin-All-trans-Retinal
7.69Single8A6EAll-trans-Retinal8A6E-Rhodopsin-All-trans-Retinal
7.69Single8XXXCXCL68XXX-CXCR2-CXCL6-Go/β1/γ2
7.69Single8YNFCXCL88YNF-ACKR1-CXCL8
7.69Single9BUCCagrilintide9BUC-CT-Cagrilintide-Gs/β1/γ2
7.69Single9LL9DOI9LL9-5-HT2A-DOI-chim(NtGi1L-Gs-CtGq)/β1/γ2
7.69Single9LRBHistamine9LRB-H1-Histamine-Gs/β1/γ2
7.69Consensusccr6_onOrthosteric Ligand6WWZ-CCR6-CCL20-Go/β1/γ2
7.69Consensusccr6_on_gpOrthosteric Ligand6WWZ-CCR6-CCL20-Go/β1/γ2
7.69Consensusrhodopsin_offOrthosteric Ligand1U19-Rhodopsin-11-cis-Retinal 2PED-Rhodopsin-9-cis-Retinal 5TE5-Rhodopsin-20-Methanoretinal
7.50Single7VVJPTHrP(1-36)7VVJ-PTH1-PTHrP(1-36)-Gs/β1/γ2
7.50Single8F0KPramlintide Analogue San3858F0K-CT (AMY3)-Pramlintide Analogue San385-Gs/β1/γ2; RAMP3
7.50Consensusctlike_on_gpOrthosteric Ligand6E3Y-CT Like-Calcitonin gene-related peptide-1-Gs/β1/γ2; RAMP1
7.41Single3RZECidoxepin3RZE-H1-Cidoxepin
7.41Single6XBLSAG6XBL-SMO-SAG-Cholesterol-Gi1/β1/γ2
7.41Single7BB6AVP7BB6-V2-AVP-Gs/β1/γ2
7.41Single7VODCariprazine7VOD-5-HT2A-Cariprazine
7.41Single7VV6C48/807VV6-MRGPRX2-C48/80
7.41Single7ZI0SAG7ZI0-SMO-SAG-Cholesterol
7.41Single8W8BSEP-3638568W8B-5-HT1A-SEP-363856-Gi1/β1/γ2
7.41Single8ZBWQuin-C18ZBW-FPR2-ALX-Quin-C1-Gi2/β1/γ2
7.41Single9AS3LSD9AS3-5-HT2A-LSD
7.41Single9AS4LSD9AS4-5-HT2A-LSD-chim(NtGi1-Gs-CtGq)/β1/γ2
7.41Single9IXXLTD49IXX-CysLT2-LTD4-chim(NtGi1-Gs-CtGq)/β1/γ2
7.41Single9JQYTG6-1299JQY-EP4-TG6-129
7.41Single9LRDHistamine9LRD-H1-Histamine-Gi1/β1/γ2
7.14Single5DSGTiotropium5DSG-M4-Tiotropium
7.14Single6X1ADanuglipron6X1A-GLP-1-Danuglipron-Gs/β1/γ2
7.14Single7TZFAmylin7TZF-CT (AMY3)-Amylin-Gs/β1/γ2; RAMP3
7.14Single8DZSGR89,6968DZS-κ-GR89,696-chim(NtGi2-Gz)/β1/γ2
7.14Single8F2APramlintide Analogue San3858F2A-CT (AMY3)-Pramlintide Analogue San385-Gs/β1/γ2; RAMP3
7.14Single8TH3AT118-H Nanobody8TH3-AT1-AT118-H Nanobody
7.14Single8X9TAP5038X9T-ADGRD1-AP503-chim(NtGi1-Gs)/β1/γ2
7.14Single9AUCCalcitonin gene-related peptide-19AUC-CT (AMY1)-Calcitonin gene-related peptide-1-Gs/β1/γ2; RAMP1
7.14Single9JGKBalovaptan9JGK-5-HT2B-Balovaptan
7.14Single9YDQMIPS36149YDQ-δ-DADLE-MIPS3614-chim(NtGi1L-Gs-CtGi1)/β1/γ2
7.14Single9YDRMIPS39839YDR-δ-DADLE-MIPS3983-chim(NtGi1L-Gs-CtGi1)/β1/γ2
7.14Consensusm4_offOrthosteric Ligand5DSG-M4-Tiotropium
6.90Single6OIKIperoxo6OIK-M2-Iperoxo-LY2119620-chim(NtGi1-Go)/β1/γ2
6.90Single7BB7AVP7BB7-V2-AVP-Gs/β1/γ2
6.90Single7M3GCa; Ca; Tryptophan; Evocalcet; Etelcalcetide; PO47M3G-CaS; CaS-Ca; Ca; Tryptophan; Evocalcet; Etelcalcetide; PO4
6.90Single8X0CVU04244658X0C-mGlu5; mGlu5-Quisqualate-VU0424465
6.90Single8X0DVU04244658X0D-mGlu5; mGlu5-Quisqualate-VU0424465
6.90Single8X0DVU04244658X0D-mGlu5; mGlu5-Quisqualate-VU0424465
6.90Single9EAHNanobody AT2099EAH-AT1-Olmesartan-Nanobody AT209
6.90Single9EE5ONO-25502899EE5-DP1-ONO-2550289
6.82Single7TYOCalcitonin7TYO-CT-Calcitonin-Gs/β1/γ2
6.67Single4OO9Mavoglurant4OO9-mGlu5-Mavoglurant
6.67Single7F1TCCL37F1T-CCR5-CCL3
6.67Single8JD5JNJ-40411813; ADX881788JD5-mGlu2; mGlu4-Glutamate-JNJ-40411813; ADX88178-Gi1/β1/γ2
6.67Single8X0FVU298X0F-mGlu5; mGlu5-Quisqualate-VU29
6.67Single8ZR5Firuglipel8ZR5-GPR119-Firuglipel-Gs/β1/γ2
6.67Single9AS9RS130-1809AS9-5-HT2A-RS130-180
6.67Single9ASARS130-1809ASA-5-HT2A-RS130-180-chim(NtGi1-Gs-CtGq)/β1/γ2
6.67Single9UCPIperoxo9UCP-M1-Iperoxo-G11(CT)
6.25Single7VVNPTH7VVN-PTH1-PTH-Gs/β1/γ2
6.25Single8F0JPramlintide Analogue San458F0J-CT-Pramlintide Analogue San45-Gs/β1/γ2
6.12Single8F2BPramlintide Analogue San458F2B-CT (AMY3)-Pramlintide Analogue San45-Gs/β1/γ2; RAMP3
5.41Single9BUDCagrilintide9BUD-CT-Cagrilintide-Gs/β1/γ2
5.26Single7TYHCalcitonin7TYH-CT (AMY2)-Calcitonin-Gs/β1/γ2; RAMP2
5.13Single9BLBCagrilintide (non-acylated)9BLB-CT-Cagrilintide (non-acylated)-Gs/β1/γ2
5.13Single9BUBCagrilintide9BUB-CT-Cagrilintide-Gs/β1/γ2
5.00Single7TYNCalcitonin-17TYN-CT-Calcitonin-1-Gs/β1/γ2
5.00Single8W8SAA-148W8S-GPR101-AA-14
5.00Consensusclass-b2_onOrthosteric Ligandadgrg_on adgrf_on adgrl_on adgre_on adgrd_on
5.00Consensusclass-b2_on_gpOrthosteric Ligandadgrg_on_gp adgrf_on_gp adgrl_on_gp adgre_on_gp adgrd_on_gp
4.88Single7TYLAmylin7TYL-CT-Amylin-Gs/β1/γ2
4.88Single9BQ3Cagrilintide9BQ3-CT (AMY2)-Cagrilintide-Gs/β1/γ2; RAMP2
4.88Single9BTWCagrilintide9BTW-CT (AMY3)-Cagrilintide-Gs/β1/γ2; RAMP3
4.76Single7TYXAmylin7TYX-CT (AMY2)-Amylin-Gs/β1/γ2; RAMP2
4.76Single8SZGCa; Ca; Tryptophan; Cinacalcet; PO4; Spermine8SZG-CaS; CaS-Ca; Ca; Tryptophan; Cinacalcet; PO4; Spermine-chim(NtGi1-Gq)/β1/γ2
4.76Single8TLMAnti-murine CCR8 antibody8TLM-CCR8-Anti-murine CCR8 antibody
4.76Single8W8RAA-148W8R-GPR101-AA-14-chim(NtGi1-Gs)/β1/γ2
4.35Single8HQMNPGLY8HQM-GPR132-NPGLY-Gi1/β1/γ2
4.35Single8HVINOX-6-78HVI-GPR132-NOX-6-7-Gi1/β1/γ2
4.35Single8X9S5alpha-DHT8X9S-ADGRD1-5α-DHT-chim(NtGi1-Gs)/β1/γ2
4.35Single9IV25alpha-DHT9IV2-ADGRD1-5α-DHT-chim(NtGi1-Gs)/β1/γ2
4.17Single2HPYAll-trans-Retinal2HPY-Rhodopsin-All-trans-Retinal
4.17Single6XBM25(S)-Epoxycholesterol6XBM-SMO-25(S)-Epoxycholesterol-Gi1/β1/γ2
4.17Single7VDMSubstance-P7VDM-MRGPRX2-Substance-P-Gi1/β1/γ2
4.17Single8U4QREGN7663-Fab8U4Q-CXCR4-REGN7663-Fab-Gi1/β1/γ2
4.17Single9IVMLSN33188399IVM-GLP-1-GLP-1 (Truncated)-LSN3318839-chim(NtGi1-Gs)/β2/γ2
4.00Single7D77Hydrocortisone7D77-ADGRG3-Hydrocortisone-Go/β1/γ2
4.00Single8J6QPubChem 251012238J6Q-HCA2-β-Hydroxybutyrate-PubChem 25101223-Gi1/β1/γ2
4.00Single8JPSCCL78JPS-ACKR1-CCL7
3.85Single8J6PPubChem 251012238J6P-HCA2-Niacin-PubChem 25101223-Gi1/β1/γ2
3.85Single8JHYPubChem 251012238JHY-HCA2-PubChem 25101223-Gi1/β1/γ2
3.85Single8JIIPubChem 251012238JII-HCA2-Niacin-PubChem 25101223-Gi1/β1/γ2
3.85Single8YKDDehydroepiandrosterone8YKD-ADGRG2-Dehydroepiandrosterone-chim(NtGi1-Gs)/β1/γ2
3.85Single9MBCAZ122160529MBC-mGlu8; mGlu8-DCPG-AZ12216052
3.70Single7VVOPTH7VVO-PTH1-PTH-Gs/β1/γ2
3.70Single8G94CD698G94-S1P1-CD69-Gi1/β1/γ2
3.70Single8U4SREGN7663-Fab8U4S-CXCR4-REGN7663-Fab
3.70Single8U4TREGN7663-Fab8U4T-CXCR4-REGN7663-Fab
3.70Single8Y71BMS9861878Y71-δ-A1D6F-BMS986187-Gi1/β1/γ2
3.70Single9L60MPAM-159L60-κ-Dynorphin-MPAM-15-Gi1/β1/γ2
3.57Single6FFIMPEP6FFI-mGlu5-MPEP
3.57Single7M3GCa; Ca; Tryptophan; Evocalcet; Etelcalcetide; PO47M3G-CaS; CaS-Ca; Ca; Tryptophan; Evocalcet; Etelcalcetide; PO4
3.57Single9DQJEP-39459DQJ-MRGPRD-EP-3945-chim(NtGi1-Gs-CtGq)/β1/γ2
3.45Single6FFHFenobam6FFH-mGlu5-Fenobam
3.45Single8Y73MPAM-158Y73-μ-Peptide-MPAM-15-Gi1/β1/γ2
3.33Single8X0BVU04244658X0B-mGlu5; mGlu5-Quisqualate-VU0424465
3.33Single8X0CVU04244658X0C-mGlu5; mGlu5-Quisqualate-VU0424465
3.33Single9DQHEP-28259DQH-MRGPRD-EP-2825-chim(NtGi1-Gs-CtGq)/β1/γ2
3.33Single9HC04YI9HC0-mGlu5-4YI
3.23Single7P2L4YI7P2L-mGlu5-4YI
3.23Single8JD5JNJ-40411813; ADX881788JD5-mGlu2; mGlu4-Glutamate-JNJ-40411813; ADX88178-Gi1/β1/γ2
3.23Single8TAOCDPPB8TAO-mGlu5; mGlu5-Quisqualate-CDPPB
3.23Single8X0BVU04244658X0B-mGlu5; mGlu5-Quisqualate-VU0424465

PDB Summary
PDB 8W8Y
Class A
SubFamily Peptide
Type Melanocortin
SubType MC3
Species Homo Sapiens
Ligand Gamma-MSH
Other Ligand(s) Ca
Protein Partners Gs/Beta1/Gamma2
PDB Resolution 2.9
Date 2025-03-19
D.O.I. To be published
Net Summary
Imin 3.07
Number of Linked Nodes 812
Number of Links 915
Number of Hubs 129
Number of Links mediated by Hubs 496
Number of Communities 28
Number of Nodes involved in Communities 168
Number of Links involved in Communities 219
Path Summary
Number Of Nodes in MetaPath 103
Number Of Links MetaPath 102
Number of Shortest Paths 573235
Length Of Smallest Path 3
Average Path Length 27.9075
Length of Longest Path 67
Minimum Path Strength 1.285
Average Path Strength 7.39061
Maximum Path Strength 20.765
Minimum Path Correlation 0.7
Average Path Correlation 0.973765
Maximum Path Correlation 1
Minimum % Of Corr. Nodes 2.27273
Average % Of Corr. Nodes 51.8415
Maximum % Of Corr. Nodes 100
Minimum Path Hubs % 0
Average Path Hubs % 44.2335
Maximum Path Hubs % 100
AnnotationTypeLinks
Gene OntologyMolecular Function
Gene OntologyBiological Process• cellular response to stimulus   • regulation of biological process   • regulation of cellular process   • response to stimulus   • signaling   • biological regulation   • adenylate cyclase-activating G protein-coupled receptor signaling pathway   • cell communication   • adenylate cyclase-modulating G protein-coupled receptor signaling pathway   • G protein-coupled receptor signaling pathway   • cellular process   • signal transduction   • heart process   • multicellular organismal process   • system process   • regulation of heart contraction   • regulation of system process   • circulatory system process   • regulation of blood circulation   • regulation of multicellular organismal process   • regulation of biological quality   • heart contraction   • blood circulation   • regulation of heart rate   • regulation of blood pressure   • phospholipase C-activating G protein-coupled receptor signaling pathway   • behavior   • rhythmic process   • circadian behavior   • locomotory behavior   • rhythmic behavior   • circadian rhythm   • locomotor rhythm   • multicellular organismal-level homeostasis   • homoiothermy   • homeostatic process   • temperature homeostasis   • sodium ion homeostasis   • inorganic ion homeostasis   • chemical homeostasis   • monoatomic ion homeostasis   • monoatomic cation homeostasis   • regulation of behavior   • feeding behavior   • regulation of feeding behavior   • regulation of biosynthetic process   • circadian regulation of gene expression   • regulation of macromolecule metabolic process   • gene expression   • macromolecule biosynthetic process   • regulation of gene expression   • biosynthetic process   • regulation of macromolecule biosynthetic process   • metabolic process   • macromolecule metabolic process   • regulation of metabolic process   • G protein-coupled receptor signaling pathway, coupled to cyclic nucleotide second messenger   • cell periphery   • cellular anatomical structure   • plasma membrane   • membrane   • intracellular anatomical structure   • cytoplasm   • binding   • guanyl nucleotide binding   • GTP binding   • nucleotide binding   • guanyl ribonucleotide binding   • purine ribonucleotide binding   • purine ribonucleoside triphosphate binding   • nucleoside phosphate binding   • ion binding   • purine nucleotide binding   • anion binding   • heterocyclic compound binding   • carbohydrate derivative binding   • ribonucleotide binding   • small molecule binding   • D1 dopamine receptor binding   • protein binding   • signaling receptor binding   • G protein-coupled receptor binding   • dopamine receptor binding   • protein-containing complex binding   • G-protein beta/gamma-subunit complex binding   • pyrophosphatase activity   • GTPase activity   • G protein activity   • ribonucleoside triphosphate phosphatase activity   • molecular function regulator activity   • hydrolase activity, acting on acid anhydrides, in phosphorus-containing anhydrides   • hydrolase activity   • hydrolase activity, acting on acid anhydrides   • catalytic activity   • enzyme regulator activity   • cyclase regulator activity   • enzyme activator activity   • cyclase activator activity   • molecular function activator activity   • adenylate cyclase regulator activity   • adenylate cyclase activator activity   • cation binding   • metal ion binding   • developmental process   • epithelium development   • ectodermal placode morphogenesis   • epidermis development   • molting cycle process   • hair cycle   • animal organ development   • hair follicle placode formation   • tissue development   • ectodermal placode formation   • anatomical structure morphogenesis   • skin development   • skin epidermis development   • hair follicle development   • molting cycle   • anatomical structure development   • anatomical structure formation involved in morphogenesis   • ectodermal placode development   • hair cycle process   • cellular homeostasis   • glucose homeostasis   • carbohydrate homeostasis   • intracellular chemical homeostasis   • intracellular glucose homeostasis   • nervous system process   • neuromuscular process   • skeletal muscle contraction   • muscle contraction   • muscle system process   • regulation of muscle system process   • striated muscle contraction   • multicellular organismal movement   • musculoskeletal movement   • regulation of striated muscle contraction   • regulation of muscle contraction   • regulation of skeletal muscle contraction   • sensory perception of chemical stimulus   • sensory perception   • sensory perception of smell   • cellular response to nitrogen compound   • response to endogenous stimulus   • response to peptide hormone   • cellular response to peptide hormone stimulus   • response to oxygen-containing compound   • response to nitrogen compound   • response to glucagon   • cellular response to oxygen-containing compound   • cellular response to glucagon stimulus   • cellular response to endogenous stimulus   • cellular response to chemical stimulus   • response to hormone   • response to chemical   • cellular response to hormone stimulus   • multicellular organism development   • skeletal system development   • bone development   • system development   • response to pH   • cellular response to pH   • response to abiotic stimulus   • cellular response to acidic pH   • response to acidic pH   • cellular response to abiotic stimulus   • cellular response to environmental stimulus   • regulation of body fluid levels   • wound healing   • homotypic cell-cell adhesion   • cell activation   • hemostasis   • platelet aggregation   • blood coagulation   • cell adhesion   • cell-cell adhesion   • response to stress   • coagulation   • response to wounding   • platelet activation   • response to fluid shear stress   • vascular endothelial cell response to laminar fluid shear stress   • response to laminar fluid shear stress   • cellular response to stress   • cellular response to laminar fluid shear stress   • vascular endothelial cell response to fluid shear stress   • cellular response to fluid shear stress   • cognition   • developmental growth   • growth   • response to ketone   • response to prostaglandin   • response to lipid   • response to alcohol   • cellular response to prostaglandin stimulus   • cellular response to prostaglandin E stimulus   • cellular response to alcohol   • cellular response to lipid   • response to prostaglandin E   • cellular response to ketone   • positive regulation of biological process   • adaptive thermogenesis   • regulation of cold-induced thermogenesis   • cold-induced thermogenesis   • positive regulation of cold-induced thermogenesis   • positive regulation of multicellular organismal process   • positive regulation of cell communication   • regulation of localization   • establishment of protein localization   • nitrogen compound transport   • positive regulation of establishment of protein localization   • localization   • establishment of localization in cell   • positive regulation of insulin secretion involved in cellular response to glucose stimulus   • positive regulation of insulin secretion   • intracellular protein localization   • regulation of peptide hormone secretion   • regulation of hormone levels   • positive regulation of peptide hormone secretion   • establishment of protein localization to extracellular region   • protein secretion   • establishment of localization   • regulation of protein secretion   • regulation of secretion   • cellular response to carbohydrate stimulus   • response to glucose   • positive regulation of protein localization   • insulin secretion involved in cellular response to glucose stimulus   • cellular localization   • regulation of hormone secretion   • regulation of protein localization   • regulation of peptide secretion   • transport   • positive regulation of secretion by cell   • hormone secretion   • protein localization to extracellular region   • positive regulation of protein transport   • peptide secretion   • regulation of secretion by cell   • secretion by cell   • positive regulation of hormone secretion   • response to monosaccharide   • response to carbohydrate   • positive regulation of secretion   • signal release   • cellular response to hexose stimulus   • cellular response to monosaccharide stimulus   • positive regulation of cellular process   • positive regulation of peptide secretion   • regulation of signaling   • regulation of transport   • secretion   • regulation of peptide transport   • regulation of establishment of protein localization   • export from cell   • cell-cell signaling   • cellular response to glucose stimulus   • regulation of protein transport   • positive regulation of protein secretion   • peptide transport   • response to hexose   • positive regulation of transport   • regulation of cellular localization   • protein transport   • regulation of insulin secretion   • peptide hormone secretion   • macromolecule localization   • regulation of insulin secretion involved in cellular response to glucose stimulus   • hormone transport   • regulation of cell communication   • insulin secretion   • positive regulation of signaling   • adenylate cyclase-activating adrenergic receptor signaling pathway   • adrenergic receptor signaling pathway   • response to dopamine   • cellular response to dopamine   • response to monoamine   • response to catecholamine   • cellular response to catecholamine stimulus   • serotonin receptor signaling pathway   • cellular response to monoamine stimulus   • adenylate cyclase-activating serotonin receptor signaling pathway   • intracellular transport   • regulation of defense response   • regulation of response to external stimulus   • negative regulation of inflammatory response   • negative regulation of biological process   • inflammatory response to antigenic stimulus   • regulation of response to stress   • regulation of immune system process   • negative regulation of inflammatory response to antigenic stimulus   • defense response   • immune response   • negative regulation of response to stimulus   • negative regulation of immune response   • regulation of inflammatory response to antigenic stimulus   • response to external stimulus   • regulation of inflammatory response   • regulation of response to stimulus   • negative regulation of immune system process   • immune system process   • negative regulation of response to external stimulus   • negative regulation of defense response   • regulation of immune response   • inflammatory response   • positive regulation of adenylate cyclase activity   • positive regulation of molecular function   • regulation of molecular function   • positive regulation of cyclase activity   • activation of adenylate cyclase activity   • regulation of adenylate cyclase activity   • regulation of catalytic activity   • positive regulation of catalytic activity   • positive regulation of lyase activity   • adenylate cyclase-activating dopamine receptor signaling pathway   • G protein-coupled dopamine receptor signaling pathway   • cell surface receptor signaling pathway   • bile acid signaling pathway   • adenylate cyclase-activating G protein-coupled bile acid receptor signaling pathway   • renal system process   • multicellular organismal-level water homeostasis   • multicellular organismal-level chemical homeostasis   • renal water homeostasis   • protein-containing complex   • extrinsic component of plasma membrane   • catalytic complex   • plasma membrane protein complex   • cytoplasmic side of membrane   • membrane protein complex   • heterotrimeric G-protein complex   • side of membrane   • cytoplasmic side of plasma membrane   • GTPase complex   • extrinsic component of membrane   • extrinsic component of cytoplasmic side of plasma membrane   • extracellular exosome   • membrane-bounded organelle   • extracellular vesicle   • extracellular organelle   • extracellular region   • organelle   • extracellular space   • vesicle   • extracellular membrane-bounded organelle   • cytosol   • Golgi apparatus subcompartment   • Golgi apparatus   • organelle subcompartment   • trans-Golgi network membrane   • intracellular membrane-bounded organelle   • endomembrane system   • intracellular organelle   • trans-Golgi network   • organelle membrane   • G-protein beta-subunit binding   • cytoskeletal protein binding   • spectrin binding   • enzyme binding   • GTPase binding   • phosphoric ester hydrolase activity   • alkylglycerophosphoethanolamine phosphodiesterase activity   • hydrolase activity, acting on ester bonds   • phosphoric diester hydrolase activity   • signaling receptor complex adaptor activity   • protein-macromolecule adaptor activity   • molecular adaptor activity   • signaling adaptor activity   • positive regulation of cytosolic calcium ion concentration   • sensory perception of taste   • sensory organ development   • eye development   • retina development in camera-type eye   • visual system development   • camera-type eye development   • sensory system development   • response to decreased oxygen levels   • cellular response to oxygen levels   • cellular response to hypoxia   • cellular response to decreased oxygen levels   • response to hypoxia   • response to oxygen levels   • cell population proliferation   • muscle cell apoptotic process   • striated muscle cell apoptotic process   • apoptotic process   • cell death   • programmed cell death   • cardiac muscle cell apoptotic process   • photoreceptor inner segment   • somatodendritic compartment   • cell projection   • dendrite   • dendritic tree   • neuron projection   • plasma membrane bounded cell projection   • non-motile cilium   • 9+0 non-motile cilium   • cilium   • photoreceptor outer segment   • photoreceptor cell cilium   • ciliary membrane   • photoreceptor outer segment membrane   • bounding membrane of organelle   • plasma membrane region   • cell projection membrane   • synapse   • cell junction   • cell body   • melanocortin receptor binding   • neuropeptide receptor binding   • type 1 melanocortin receptor binding   • type 3 melanocortin receptor binding   • type 4 melanocortin receptor binding   • hormone activity   • signaling receptor regulator activity   • receptor ligand activity   • signaling receptor activator activity   • neuropeptide signaling pathway   • regulation of tumor necrosis factor production   • negative regulation of tumor necrosis factor production   • cytokine production   • regulation of cytokine production   • negative regulation of cellular process   • negative regulation of macromolecule metabolic process   • negative regulation of metabolic process   • tumor necrosis factor superfamily cytokine production   • negative regulation of cytokine production   • tumor necrosis factor production   • negative regulation of gene expression   • regulation of tumor necrosis factor superfamily cytokine production   • negative regulation of biosynthetic process   • negative regulation of macromolecule biosynthetic process   • negative regulation of tumor necrosis factor superfamily cytokine production   • negative regulation of multicellular organismal process   • corticosterone secretion   • regulation of glucocorticoid secretion   • regulation of steroid hormone secretion   • lipid transport   • regulation of corticosteroid hormone secretion   • endocrine hormone secretion   • lipid export from cell   • glucocorticoid secretion   • regulation of endocrine process   • corticosteroid hormone secretion   • regulation of corticosterone secretion   • steroid hormone secretion   • regulation of lipid transport   • organic hydroxy compound transport   • lipid localization   • endocrine process   • regulation of lipid localization   • carbohydrate metabolic process   • energy derivation by oxidation of organic compounds   • glycogen metabolic process   • primary metabolic process   • regulation of generation of precursor metabolites and energy   • generation of precursor metabolites and energy   • regulation of polysaccharide metabolic process   • regulation of primary metabolic process   • glucan metabolic process   • polysaccharide metabolic process   • energy reserve metabolic process   • regulation of glycogen metabolic process   • regulation of carbohydrate metabolic process   • intracellular signal transduction   • calcium-mediated signaling   • intracellular signaling cassette   • positive regulation of signal transduction   • regulation of signal transduction   • positive regulation of response to stimulus   • positive regulation of adenylate cyclase-activating G protein-coupled receptor signaling pathway   • regulation of G protein-coupled receptor signaling pathway   • positive regulation of G protein-coupled receptor signaling pathway   • regulation of adenylate cyclase-activating G protein-coupled receptor signaling pathway   • pigmentation   • cellular pigmentation   • response to nutrient levels   • regulation of appetite   • response to melanocyte-stimulating hormone   • oxytocin production   • positive regulation of macromolecule biosynthetic process   • positive regulation of metabolic process   • positive regulation of biosynthetic process   • positive regulation of macromolecule metabolic process   • regulation of oxytocin production   • positive regulation of gene expression   • positive regulation of oxytocin production   • positive regulation of DNA-templated transcription   • RNA metabolic process   • nucleobase-containing compound metabolic process   • RNA biosynthetic process   • nucleic acid biosynthetic process   • DNA-templated transcription   • regulation of RNA metabolic process   • transcription by RNA polymerase II   • regulation of nucleobase-containing compound metabolic process   • regulation of RNA biosynthetic process   • regulation of transcription by RNA polymerase II   • positive regulation of transcription by RNA polymerase II   • nucleobase-containing compound biosynthetic process   • nucleic acid metabolic process   • positive regulation of RNA metabolic process   • positive regulation of RNA biosynthetic process   • regulation of DNA-templated transcription   • intracellular vesicle   • cytoplasmic vesicle   • secretory granule   • secretory vesicle   • vesicle lumen   • membrane-enclosed lumen   • cytoplasmic vesicle lumen   • secretory granule lumen   • intracellular organelle lumen   • organelle lumen
Gene OntologyCellular Component
SCOP2Domain Identifier• Transducin (heterotrimeric G protein), gamma chain
SCOP2Family Identifier• Transducin (heterotrimeric G protein), gamma chain
Membrane Protein Annotations-• Orientations of Proteins in Membranes database (OPM)   • Protein Data Bank of Transmembrane Proteins (PDBTM)   • MemProtMD


Details about the values in these tables can be found in the corresponding documentation page .
CodeCA
PDB ResiduesI:I:?1
Environment DetailsOpen EMBL-EBI Page
CodeCA
NameCALCIUM ION
Synonyms
Identifier
FormulaCa
Molecular Weight40.078
SMILES
PubChem
Formal Charge2
Total Atoms1
Total Chiral Atoms0
Total Bonds0
Total Aromatic Bonds0

PDBsumOpen PDBsum Page
ChainA
ProteinG Protein α Sub unit
UniProtP63092
Sequence
>8W8Y_Chain_A
EEKAQREAN KKIEKQLQK DKQVYRATH RLLLLGAGF ETKFQVDKV 
NFHMFDVGG QRDERRKWI QCFNDVTAI IFVVANRLQ EALNLFKSI 
WNNRWLRTI SVILFLNKQ IEDYFPEFA RYTTDPRVT RAKYFIRDE 
FLRISTASG DGRHYCYPH FTCAVDTEN IRRVFNDCR DIIQRMHLR 
QYELL


Click on each residue to open a popup with some information about it.

ConSurf Conservation Grade (See documentation): 

 n/a   1    2    3    4    5    6    7    8    9  

ChainB
ProteinG Protein β Sub unit
UniProtP54311
Sequence
>8W8Y_Chain_B
ELDQLRQEA EQLKNQIRD ARKACADAT LSQITNNID PVGRIQMRT 
RRTLRGHLA KIYAMHWGT DSRLLVSAS QDGKLIIWD SYTTNKVHA 
IPLRSSWVM TCAYAPSGN YVACGGLDN ICSIYNLKT REGNVRVSR 
ELAGHTGYL SCCRFLDDN QIVTSSGDT TCALWDIET GQQTTTFTG 
HTGDVMSLS LAPDTRLFV SGACDASAK LWDVREGMC RQTFTGHES 
DINAICFFP NGNAFATGS DDATCRLFD LRADQELMT YSHDNIICG 
ITSVSFSKS GRLLLAGYD DFNCNVWDA LKADRAGVL AGHDNRVSC 
LGVTDDGMA VATGSWDSF LKIWN


Click on each residue to open a popup with some information about it.

ConSurf Conservation Grade (See documentation): 

 n/a   1    2    3    4    5    6    7    8    9  

ChainG
ProteinG Protein γ Sub unit
UniProtP63212
Sequence
>8W8Y_Chain_G
TASIAQARK LVEQLKMEA NIDRIKVSK AAADLMAYC EAHAKEDPL 
LTPVPASEN PFR


Click on each residue to open a popup with some information about it.

ConSurf Conservation Grade (See documentation): 

 n/a   1    2    3    4    5    6    7    8    9  

ChainL
ProteinGamma-MSH
UniProtP01189
Sequence
>8W8Y_Chain_L


Click on each residue to open a popup with some information about it.

ConSurf Conservation Grade (See documentation): 

 n/a   1    2    3    4    5    6    7    8    9  

ChainR
ProteinReceptor
UniProtP41968
Sequence
>8W8Y_Chain_R
VFIKPEVFL SLGIVSLLE NILVILAVV RNGNLHSPM YFFLCSLAV 
ADMLVSVSN ALETIMIAI VHSDYLTFE DQFIQHMDN IFDSMICIS 
LVASICNLL AIAVDRYVT IFYALRYHS IMTVRKALT LIVAIWVCC 
GVCGVVFIV YSESKMVIV CLITMFFAM MLLMGTLYV HMFLFARLH 
VKRIAALMK GAVTITILL GVFIFCWAP FFLHLVLII TCPTNPYCI 
CYTAHFNTY LVLIMCNSV IDPLIYAFR SLELRNTF


Click on each residue to open a popup with some information about it.

ConSurf Conservation Grade (See documentation): 

 n/a   1    2    3    4    5    6    7    8    9  




This receptor, from the same or other species and bound to the same or other ligands, is also present in the following networks:
Show PDB Class SubFamily Type SubType Species Orthosteric Ligand Other Ligand(s) Protein Partners Resolution Date DOI
8IOCAPeptideMelanocortinMC3Homo sapiensγ-MSHCachim(NtGi1-Gs)/β1/γ22.862023-09-20doi.org/10.1038/s41421-023-00586-4
8IOC (No Gprot) APeptideMelanocortinMC3Homo sapiensγ-MSHCa2.862023-09-20doi.org/10.1038/s41421-023-00586-4
8KIGAPeptideMelanocortinMC3Homo sapiensSHU9119Ca-3.12025-02-26doi.org/10.2210/pdb8KIG/pdb
8W8WAPeptideMelanocortinMC3Homo sapiensα-MSHCaGs/β1/γ22.92025-03-19To be published
8W8W (No Gprot) APeptideMelanocortinMC3Homo sapiensα-MSHCa2.92025-03-19To be published
8W8XAPeptideMelanocortinMC3Homo sapiensβ-MSHCaGs/β1/γ22.92025-03-19To be published
8W8X (No Gprot) APeptideMelanocortinMC3Homo sapiensβ-MSHCa2.92025-03-19To be published
8W8Y (No Gprot) APeptideMelanocortinMC3Homo sapiensγ-MSHCa2.92025-03-19To be published
9K3FAPeptideMelanocortinMC3Homo sapiens--chim(NtGi1-Gs)/β1/γ22.752025-08-06doi.org/10.1016/j.str.2025.03.004
9K3F (No Gprot) APeptideMelanocortinMC3Homo sapiens--2.752025-08-06doi.org/10.1016/j.str.2025.03.004




You can download a compressed (zip) file with structure(s), 3D outputs (as PyMol and VMD scripts) and numerical data files (as csv and plain text files).

Download 8W8Y.zip



You can click to copy the link of this page to easily come back here later

or use this QR code to link and share this page.



You can also  read or  download a guide explaining the meaning of all files and numerical data.