Color ConSurf Grade
      No Conservation data available
      1
      2
      3
      4
      5
      6
      7
      8
      9

Index: hub id, click on each number to highlight the corresponding hub in the 3D visualization.

Hub: the hub being considered.

Avg Int. Strength: the average interaction strength of all the links of the corresponding hub.

Num Of Links: the number of links of the corresponding hub.

Community: the id of the community the link belong to, otherwise 0.

ConSurf: this column reports the ConSurf conservation grades of each hub.

Index Hub Avg Int. Strength Num Of Links Community ConSurf
1A:A:E16 2.9945184
2A:A:Q19 7.98254184
3A:A:Y37 7.54404
4A:A:H41 5.834506
5A:A:L45 5.21754198
6A:A:K53 6.6725199
7A:A:V214 6.0075486
8A:A:F219 6.40571788
9A:A:F222 11.43254257
10A:A:Q227 5.795409
11A:A:E230 6.12419
12A:A:K233 6.34619
13A:A:W234 5.646509
14A:A:F238 9.755409
15A:A:V247 4.40254197
16A:A:F273 6.7625239
17A:A:W277 11.554236
18A:A:W281 9.686515
19A:A:N292 4.362509
20A:A:L296 2.3925406
21A:A:F312 5.4625158
22A:A:E314 5.7554156
23A:A:F315 10.1054156
24A:A:Y318 7.0045156
25A:A:D331 4.84254284
26A:A:K338 6.1654165
27A:A:Y339 7.5354163
28A:A:F340 10.845157
29A:A:R342 6.2185164
30A:A:E344 6.9345155
31A:A:F345 9.52408
32A:A:R356 8.7275402
33A:A:Y360 6.8675408
34A:A:F363 7.6485165
35A:A:T364 7.7854229
36A:A:N371 7.1054229
37A:A:R373 6.83485
38A:A:R374 6.6354224
39A:A:F376 8.45667688
40A:A:D381 7.6425408
41A:A:Q384 6.7486
42A:A:R385 5.665405
43A:A:Y391 6.6775404
44A:A:L393 3.806508
45B:B:L7 3.47408
46B:B:T34 4.1945125
47B:B:I37 4.243336122
48B:B:I43 3.4025173
49B:B:H54 7.915679
50B:B:K57 10.772519
51B:B:Y59 9.566518
52B:B:W63 7.662507
53B:B:Q75 11.015419
54B:B:D76 5.592579
55B:B:I81 4.092597
56B:B:W82 10.4083679
57B:B:D83 8.334188
58B:B:T86 5.3854186
59B:B:N88 9.08254187
60B:B:K89 6.09286779
61B:B:I93 5.65497
62B:B:L95 5.3025408
63B:B:W99 10.646509
64B:B:M101 4.98519
65B:B:Y105 3.94796
66B:B:Y111 7.2825404
67B:B:L117 4.4575409
68B:B:I123 3.47406
69B:B:Y124 4.94167696
70B:B:L126 4.93495
71B:B:V133 5.715494
72B:B:H142 6.623336109
73B:B:Y145 4.88286718
74B:B:L146 3.9954107
75B:B:F151 6.7875409
76B:B:L152 5.185403
77B:B:T159 5.103336109
78B:B:S161 6.274109
79B:B:D163 7.474109
80B:B:W169 10.25836108
81B:B:Q176 6.24754104
82B:B:F180 7.684537
83B:B:H183 8.04833639
84B:B:D186 7.3775419
85B:B:L190 3.7625435
86B:B:F199 5.94333639
87B:B:S201 4.915439
88B:B:C204 4.965617
89B:B:D205 7.385439
90B:B:K209 10.4175436
91B:B:W211 8.54167638
92B:B:Q220 7.3575427
93B:B:F222 6.818528
94B:B:H225 9.02143729
95B:B:D228 8.4925419
96B:B:I232 4.388528
97B:B:F234 6.6125405
98B:B:F235 8.9725136
99B:B:P236 7.7854137
100B:B:N237 7.2225135
101B:B:F241 7.562526
102B:B:D247 8.8925429
103B:B:R251 9.87528
104B:B:F253 7.178526
105B:B:D258 8.434527
106B:B:Q259 3.33406
107B:B:M262 4.62404
108B:B:Y264 4.95605
109B:B:F278 6.1045137
110B:B:R283 8.4125129
111B:B:L284 3.994175
112B:B:Y289 7.9445207
113B:B:D290 5.1325416
114B:B:N295 6.97254206
115B:B:V296 4.60754175
116B:B:W297 5.69754208
117B:B:L300 5.1365126
118B:B:R304 5.53254205
119B:B:H311 8.13669
120B:B:L318 4.22466
121B:B:M325 4.455455
122B:B:W332 12.1014719
123B:B:D333 7.68469
124B:B:F335 8.005404
125B:B:K337 8.428566
126B:B:W339 6.68669
127G:G:L19 3.485409
128G:G:S31 3.405409
129G:G:Y40 9.584136
130G:G:D48 6.9625179
131G:G:L51 3.8675406
132G:G:N59 7.205459
133G:G:P60 6.6075459
134G:G:F61 4.34658
135L:L:T4 3.414140
136L:L:T6 6.654140
137L:L:C7 5.55254140
138L:L:L16 4.53254210
139L:L:F23 5.5965210
140L:L:T36 4.255400
141L:L:?38 6.18440
142R:R:W76 7.1665248
143R:R:D77 3.275449
144R:R:L80 6.19445
145R:R:W82 6.635649
146R:R:Y98 5.08167604
147R:R:F99 8.964545
148R:R:D101 6.7675404
149R:R:F102 6.93833644
150R:R:D103 7.115403
151R:R:K110 7.19448
152R:R:D113 5.1425405
153R:R:W118 8.2549
154R:R:H121 10.22254324
155R:R:S129 5.8425447
156R:R:Y131 6.36714745
157R:R:Y149 6.8445215
158R:R:H156 8.06407
159R:R:L163 4.316508
160R:R:F173 6.214507
161R:R:F188 4.79408
162R:R:Y191 7.8775408
163R:R:Q227 5.4454117
164R:R:Y234 8.7085147
165R:R:W236 8.448336369
166R:R:L238 5.135408
167R:R:E240 6.7725409
168R:R:L247 6.45408
169R:R:I248 4.24407
170R:R:V249 8.2854396
171R:R:F253 7.82586
172R:R:L259 4.865355
173R:R:P270 4.225389
174R:R:H277 8.34754117
175R:R:R281 6.8725117
176R:R:W290 10.1054119
177R:R:L291 6.21254316
178R:R:V293 3.6406
179R:R:L298 3.7875406
180R:R:H302 6.0345146
181R:R:I354 6.415406
182R:R:F356 5.532867147
183R:R:R362 5.8254304
184R:R:P363 5.1985307
185R:R:Y374 6.225406
186R:R:I380 5.0375406
187R:R:H381 7.716509
188R:R:Q383 6.6665149
189R:R:Y391 8.04408
   

Color ConSurf Grade
      No Conservation data available
      1
      2
      3
      4
      5
      6
      7
      8
      9

Index: link id, click on each number to highlight the corresponding link in the 3D visualization.

Node1 Node2: the two nodes of the corresponding link.

Recurrence: the relative Recurrence in the pool of shortest paths.

Int. Strength: the interaction strength between the two nodes.

Hub1?, Hub2?: "Yes" if the corresponding node has more than 3 links, otherwise "No".

Community: the id of the community the link belong to, otherwise 0.

ConSurf1, ConSurf2: these columns report the ConSurf conservation grades of the two nodes involved in a link.

Index Node1 Node2 Recurrence Int. Strength Hub1? Hub2? Community ConSurf1 ConSurf2
1A:A:W281 B:B:W332 28.64494.69YesYes159
2A:A:K280 A:A:W281 26.814516.24NoYes155
3A:A:K280 A:A:R283 35.08776.19NoNo053
4A:A:R283 A:A:R356 35.118214.93NoYes032
5A:A:G353 A:A:R356 35.21124.5NoYes042
6A:A:G353 A:A:H357 34.98293.18NoNo047
7A:A:H357 A:A:S286 96.63842.79NoNo078
8A:A:I382 A:A:S286 96.61897.74NoNo068
9A:A:I382 A:A:Y360 96.59967.25NoYes068
10A:A:D381 A:A:Y360 10010.34YesYes088
11A:A:D381 R:R:K326 77.8866.91YesNo089
12A:A:Q384 R:R:K326 77.848310.85YesNo069
13A:A:Q384 R:R:I248 75.7214.12YesYes067
14R:R:I248 R:R:L247 29.19652.85YesYes078
15B:B:W332 B:B:Y59 22.21359.65YesYes198
16B:B:M101 B:B:Y59 20.80524.79YesYes198
17B:B:M101 B:B:Y145 20.75397.18YesYes198
18A:A:R231 A:A:W234 57.55899NoYes099
19A:A:L272 A:A:R231 57.67094.86NoNo089
20A:A:F246 A:A:L272 57.75396.09NoNo2798
21A:A:F246 A:A:L289 58.01783.65NoNo099
22A:A:F345 A:A:L289 20.47.31YesNo089
23A:A:H357 A:A:W277 63.399132.8NoYes076
24A:A:F273 A:A:W277 44.45776.01YesYes2396
25A:A:S349 A:A:W277 18.92983.71NoYes2376
26A:A:C359 A:A:L289 37.75933.17NoNo059
27A:A:D381 A:A:R385 22.160410.72YesYes085
28A:A:L394 A:A:R385 22.19814.86NoYes085
29A:A:L388 R:R:I248 21.93277.14NoYes087
30A:A:L394 R:R:L323 22.13992.77NoNo089
31R:R:A344 R:R:L323 22.0831.58NoNo099
32A:A:L393 R:R:A344 22.02661.58YesNo089
33A:A:L388 A:A:L393 21.87055.54NoYes088
34R:R:I248 R:R:L244 24.58022.85YesNo079
35A:A:Y391 R:R:L244 23.56068.21YesNo049
36A:A:Y391 R:R:R180 47.243710.29YesNo049
37A:A:Y391 R:R:L247 23.80654.69YesYes048
38A:A:L393 R:R:L348 43.30865.54YesNo089
39B:B:F199 B:B:L190 54.84493.65YesYes395
40B:B:F199 B:B:V213 42.76892.62YesNo094
41B:B:R214 B:B:V213 42.3653.92NoNo094
42B:B:R197 B:B:R214 41.961110.66NoNo059
43B:B:D195 B:B:R197 41.5575.96NoNo055
44B:B:D195 B:B:L198 24.85744.07NoNo053
45B:B:L198 B:B:L210 22.82985.54NoNo035
46B:B:L210 B:B:Q220 22.01973.99NoYes057
47B:B:D258 B:B:Q220 14.273611.75YesYes277
48B:B:D258 B:B:R22 13.07867.15YesNo076
49B:B:I18 B:B:R22 11.85547.52NoNo076
50B:B:I18 G:G:L19 10.63151.43NoYes079
51B:B:C148 B:B:T102 57.92923.38NoNo068
52B:B:C149 B:B:T102 58.31645.07NoNo088
53B:B:C149 B:B:T159 58.70873.38NoYes089
54B:B:L146 B:B:T159 31.12714.42YesYes1079
55B:B:H142 B:B:T159 31.16835.48YesYes1099
56B:B:H142 B:B:S161 39.013113.95YesYes1099
57B:B:L146 B:B:S161 31.51533YesYes1079
58B:B:G162 B:B:Y145 72.12234.35NoYes098
59B:B:G162 B:B:S161 71.9343.71NoYes099
60B:B:A193 B:B:D195 16.30084.63NoNo045
61B:B:A193 B:B:F234 15.89578.32NoYes045
62B:B:F234 B:B:V200 10.59997.87YesNo056
63R:R:L316 R:R:L348 42.25054.15NoNo099
64R:R:I354 R:R:L316 41.83887.14YesNo069
65R:R:I354 R:R:V349 41.14029.22YesNo068
66R:R:P350 R:R:V349 41.00155.3NoNo098
67R:R:P350 R:R:Q383 40.04963.16NoYes099
68R:R:F356 R:R:Q383 77.60043.51YesYes1479
69L:L:T6 R:R:F356 18.1883.89YesYes1407
70R:R:H184 R:R:R180 45.0539.03NoNo099
71R:R:E240 R:R:H184 44.916811.08YesNo099
72R:R:E240 R:R:M187 44.98255.41YesNo098
73R:R:M187 R:R:Y191 44.84195.99NoYes088
74R:R:Q383 R:R:Y191 40.85683.38YesYes098
75L:L:T6 R:R:H302 14.56619.58YesYes1406
76R:R:H302 R:R:L298 12.4853.86YesYes066
77R:R:F356 R:R:I380 58.106810.05YesYes076
78R:R:H381 R:R:I380 53.14692.65YesYes096
79R:R:H377 R:R:H381 46.91789.55NoYes079
80L:L:L12 R:R:H377 45.14225.14NoNo007
81L:L:L12 L:L:L16 44.84624.15NoYes000
82L:L:L16 R:R:A145 40.42483.15YesNo004
83L:L:F15 R:R:A145 40.12742.77NoNo004
84L:L:F15 L:L:S19 37.7259.25NoNo000
85L:L:H18 L:L:S19 37.42734.18NoNo000
86L:L:H18 R:R:D97 36.85572.52NoNo002
87R:R:D97 R:R:K47 36.55765.53NoNo024
88R:R:K47 R:R:Y98 36.25947.17NoYes044
89R:R:F99 R:R:Y98 14.22563.09YesYes054
90R:R:P96 R:R:Y98 17.554812.52NoYes094
91R:R:L80 R:R:P96 13.024411.49YesNo059
92A:A:W234 B:B:Y145 55.57882.89YesYes098
93A:A:F273 A:A:F345 22.267210.72YesYes098
94A:A:C359 A:A:F273 18.95924.19NoYes2359
95A:A:C359 A:A:S349 18.89045.16NoNo2357
96B:B:C148 B:B:L190 56.07954.76NoYes365
Download PSN data

2D representation of the global metapath, ligand(s) interactions and
histograms of path distribution according to several parameters
(click on the image to enlarge it 🔍):

A 2D representation of the global communication in the network.

ConSurf Conservation Grade (See documentation): 

 n/a   1    2    3    4    5    6    7    8    9  

Number of shortest communication paths as a function of the average residue correlation.

Number of shortest communication paths as a function of the average interaction strength of their links.

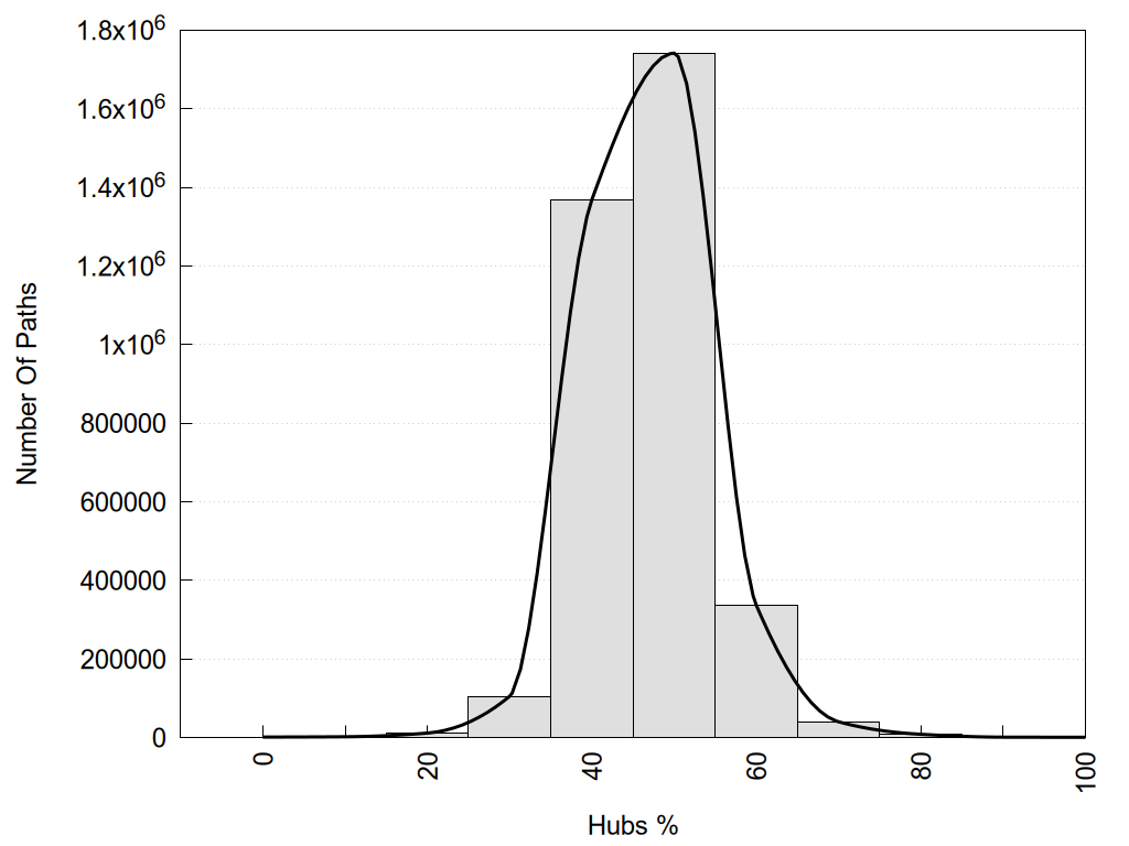
Number of shortest communication paths as a function of the % of hub nodes in each path.

Number of shortest communication paths as a function of the number of nodes in each path.

Number of shortest communication paths as a function of the % of correlated nodes in each path.


2D representation of the interactions of this orthosteric/allosteric ligand.


Links and nodes colored according to ConSurf Conservation Grade (See documentation): 

 n/a   1    2    3    4    5    6    7    8    9  

Node1 Node2 LinkStrength Comm IsNode1Hub? IsNode2Hub? Node1Cons Node2Cons Node1Shell Node2Shell
L:L:C2 R:R:L298 3.17 0 No Yes 0 6 0 1
L:L:C2 R:R:Y299 4.03 0 No No 0 7 0 1
L:L:T4 R:R:H302 4.11 14 Yes Yes 0 6 0 1
L:L:T4 R:R:M306 3.01 14 Yes No 0 4 0 1
L:L:T6 R:R:Y234 9.99 14 Yes Yes 0 7 0 1
L:L:T6 R:R:H302 9.58 14 Yes Yes 0 6 0 1
L:L:T6 R:R:F356 3.89 14 Yes Yes 0 7 0 1
L:L:C7 R:R:H302 7.37 14 Yes Yes 0 6 0 1
L:L:T9 R:R:H381 6.85 0 No Yes 0 9 0 1
L:L:Q10 R:R:Q227 6.4 0 No Yes 0 7 0 1
L:L:Q10 R:R:V293 2.87 0 No Yes 0 6 0 1
L:L:R11 R:R:R362 3.2 0 No Yes 0 4 0 1
L:L:L12 R:R:H377 5.14 0 No No 0 7 0 1
L:L:E14 R:R:L291 3.98 31 No Yes 0 6 0 1
L:L:E14 R:R:V293 5.7 31 No Yes 0 6 0 1
L:L:F15 R:R:K141 13.65 0 No No 0 3 0 1
L:L:L16 R:R:A145 3.15 21 Yes No 0 4 0 1
L:L:L16 R:R:Y149 3.52 21 Yes Yes 0 5 0 1
L:L:R17 R:R:L291 3.64 31 No Yes 0 6 0 1
L:L:H18 R:R:P104 3.05 0 No No 0 3 0 1
L:L:S20 R:R:Y146 5.09 21 No No 0 2 0 1
L:L:N22 R:R:G209 3.39 0 No No 0 3 0 1
L:L:F23 R:R:Y146 8.25 21 Yes No 0 2 0 1
L:L:F23 R:R:Y149 4.13 21 Yes Yes 0 5 0 1
L:L:F23 R:R:P207 4.33 21 Yes No 0 3 0 1
L:L:P29 R:R:D101 4.83 0 No Yes 0 4 0 1
L:L:T30 R:R:F99 14.27 4 No Yes 0 5 0 1
L:L:T30 R:R:D101 4.34 4 No Yes 0 4 0 1
L:L:T30 R:R:F102 6.49 4 No Yes 0 4 0 1
L:L:V32 R:R:T132 4.76 0 No No 0 6 0 1
L:L:V32 R:R:N135 7.39 0 No No 0 3 0 1
L:L:S34 R:R:H121 4.18 32 No Yes 0 4 0 1
L:L:S34 R:R:E123 5.75 32 No No 0 4 0 1
L:L:S34 R:R:N124 2.98 32 No No 0 5 0 1
L:L:P37 R:R:R126 2.88 0 No No 0 4 0 1
L:L:?38 R:R:D77 3.36 4 Yes Yes 0 9 0 1
L:L:?38 R:R:S129 7.43 4 Yes Yes 0 7 0 1
L:L:?38 R:R:Y131 5.8 4 Yes Yes 0 5 0 1
R:R:D97 R:R:K47 5.53 0 No No 2 4 1 2
R:R:K47 R:R:Y98 7.17 0 No Yes 4 4 2 2
R:R:D77 R:R:W82 3.35 4 Yes Yes 9 9 1 2
R:R:D77 R:R:S129 2.94 4 Yes Yes 9 7 1 1
R:R:D77 R:R:Y131 3.45 4 Yes Yes 9 5 1 1
R:R:F99 R:R:W79 11.02 4 Yes No 5 6 1 2
R:R:F102 R:R:W79 5.01 4 Yes No 4 6 1 2
R:R:W79 R:R:Y131 15.43 4 No Yes 6 5 2 1
R:R:L80 R:R:W82 3.42 4 Yes Yes 5 9 2 2
R:R:L80 R:R:P96 11.49 4 Yes No 5 9 2 2
R:R:L80 R:R:Y131 5.86 4 Yes Yes 5 5 2 1
R:R:V108 R:R:W82 3.68 0 No Yes 7 9 2 2
R:R:K110 R:R:W82 5.8 4 Yes Yes 8 9 2 2
R:R:P96 R:R:Y98 12.52 0 No Yes 9 4 2 2
R:R:F102 R:R:P96 5.78 4 Yes No 4 9 1 2
R:R:F99 R:R:Y98 3.09 4 Yes Yes 5 4 1 2
R:R:F102 R:R:F99 15 4 Yes Yes 4 5 1 1
R:R:D101 R:R:N135 12.12 0 Yes No 4 3 1 1
R:R:D101 R:R:T138 5.78 0 Yes No 4 2 1 2
R:R:F102 R:R:Y131 5.16 4 Yes Yes 4 5 1 1
R:R:C134 R:R:F102 4.19 0 No Yes 9 4 2 1
R:R:D103 R:R:P104 4.83 0 Yes No 3 3 2 1
R:R:D103 R:R:S105 8.83 0 Yes No 3 1 2 1
R:R:D103 R:R:K141 8.3 0 Yes No 3 3 2 1
R:R:V108 R:R:Y131 5.05 0 No Yes 7 5 2 1
R:R:K110 R:R:S129 9.18 4 Yes Yes 8 7 2 1
R:R:H121 R:R:P122 7.63 32 Yes No 4 5 1 2
R:R:E123 R:R:H121 3.69 32 No Yes 4 4 1 1
R:R:H121 R:R:W128 25.39 32 Yes No 4 5 1 2
R:R:N130 R:R:W128 11.3 0 No No 8 5 2 2
R:R:S129 R:R:Y131 3.82 4 Yes Yes 7 5 1 1
R:R:N130 R:R:T132 5.85 0 No No 8 6 2 1
R:R:L142 R:R:Y146 4.69 0 No No 2 2 1 1
R:R:H377 R:R:L148 24.43 0 No No 7 5 1 2
R:R:Y149 R:R:Y150 3.97 21 Yes No 5 4 1 2
R:R:I153 R:R:Y149 10.88 0 No Yes 7 5 2 1
R:R:L202 R:R:Y149 11.72 0 No Yes 7 5 2 1
R:R:A152 R:R:H381 8.78 0 No Yes 7 9 2 1
R:R:H156 R:R:H381 10.75 0 Yes Yes 7 9 2 1
R:R:P207 R:R:V206 7.07 0 No No 3 3 1 1
R:R:C289 R:R:V212 3.42 0 No No 9 3 2 2
R:R:H223 R:R:Q227 6.18 0 No Yes 5 7 2 1
R:R:H223 R:R:L291 7.71 0 No Yes 5 6 2 1
R:R:H277 R:R:Q227 3.71 11 Yes Yes 7 7 2 1
R:R:I301 R:R:Q227 5.49 11 No Yes 7 7 2 1
R:R:M230 R:R:Y234 3.59 0 No Yes 6 7 2 1
R:R:H302 R:R:M230 5.25 14 Yes No 6 6 1 2
R:R:M237 R:R:Y234 5.99 0 No Yes 9 7 2 1
R:R:V305 R:R:Y234 12.62 0 No Yes 7 7 2 1
R:R:F356 R:R:Y234 11.35 14 Yes Yes 7 7 1 1
R:R:M237 R:R:Q383 4.08 0 No Yes 9 9 2 2
R:R:H277 R:R:L298 5.14 11 Yes Yes 7 6 2 1
R:R:H277 R:R:I301 13.26 11 Yes No 7 7 2 2
R:R:C289 R:R:L291 9.52 0 No Yes 9 6 2 1
R:R:E294 R:R:V293 2.85 0 No Yes 3 6 2 1
R:R:L298 R:R:V293 2.98 0 Yes Yes 6 6 1 1
R:R:H296 R:R:Y299 7.62 0 No No 2 7 2 1
R:R:H302 R:R:L298 3.86 14 Yes Yes 6 6 1 1
R:R:L309 R:R:V305 2.98 0 No No 7 7 2 2
R:R:F356 R:R:L309 3.65 14 Yes No 7 7 1 2
R:R:F356 R:R:Q355 3.51 14 Yes No 7 8 1 2
R:R:Q355 R:R:Q383 19.2 14 No Yes 8 9 2 2
R:R:F356 R:R:I380 10.05 14 Yes Yes 7 6 1 1
R:R:F356 R:R:Q383 3.51 14 Yes Yes 7 9 1 2
R:R:P363 R:R:R362 2.88 30 Yes Yes 7 4 2 1
R:R:R362 R:R:Y372 4.12 30 Yes No 4 7 1 2
R:R:D373 R:R:R362 13.1 0 No Yes 5 4 2 1
R:R:P363 R:R:Y372 8.34 30 Yes No 7 7 2 2
R:R:M376 R:R:Y372 11.97 0 No No 7 7 2 2
R:R:I380 R:R:M376 5.83 0 Yes No 6 7 1 2
R:R:H377 R:R:H381 9.55 0 No Yes 7 9 1 1
L:L:A5 R:R:F356 2.77 0 No Yes 0 7 0 1
L:L:F15 R:R:A145 2.77 0 No No 0 4 0 1
R:R:H201 R:R:V206 2.77 0 No No 6 3 2 1
R:R:H381 R:R:I380 2.65 0 Yes Yes 9 6 1 1
L:L:H18 R:R:D97 2.52 0 No No 0 2 0 1
R:R:G209 R:R:V212 1.84 0 No No 3 3 1 2
L:L:A13 R:R:V206 1.7 0 No No 0 3 0 1
L:L:A8 R:R:I380 1.62 0 No Yes 0 6 0 1
L:L:K1 R:R:S105 1.53 0 No No 0 1 0 1
R:R:M306 R:R:V357 1.52 0 No No 4 7 1 2
R:R:F99 R:R:P100 1.44 4 Yes No 5 4 1 2
L:L:I26 R:R:L142 1.43 0 No No 0 2 0 1

Location and physicochemical properties of the interaction partners of this ligand

Interactions of this ligand

Similarities between the interactions of this ligand and those of other networks

ShowSimilarityNetwork TypeNameLigandDescription
76.92Single7TYLAmylin7TYL-CT-Amylin-Gs/β1/γ2
76.00Single9BUBCagrilintide9BUB-CT-Cagrilintide-Gs/β1/γ2
69.23Single9BLWCagrilintide (non-acylated)9BLW-CT (AMY1)-Cagrilintide (non-acylated)-Gs/β1/γ2; RAMP1
69.23Single9BP3Cagrilintide9BP3-CT (AMY1)-Cagrilintide-Gs/β1/γ2; RAMP1
66.67Single7TYNCalcitonin-17TYN-CT-Calcitonin-1-Gs/β1/γ2
66.67Single9BUCCagrilintide9BUC-CT-Cagrilintide-Gs/β1/γ2
64.29Single9BQ3Cagrilintide9BQ3-CT (AMY2)-Cagrilintide-Gs/β1/γ2; RAMP2
64.29Single9BTWCagrilintide9BTW-CT (AMY3)-Cagrilintide-Gs/β1/γ2; RAMP3
62.07Single7TYXAmylin7TYX-CT (AMY2)-Amylin-Gs/β1/γ2; RAMP2
61.54Single9BUDCagrilintide9BUD-CT-Cagrilintide-Gs/β1/γ2
61.29Single7TYOCalcitonin7TYO-CT-Calcitonin-Gs/β1/γ2
61.29Single7TYYCalcitonin-17TYY-CT (AMY2)-Calcitonin-1-Gs/β1/γ2; RAMP2
60.71Single7TYFAmylin7TYF-CT (AMY1)-Amylin-Gs/β1/γ2; RAMP1
60.00Single7TZFAmylin7TZF-CT (AMY3)-Amylin-Gs/β1/γ2; RAMP3
59.26Single7TYHCalcitonin7TYH-CT (AMY2)-Calcitonin-Gs/β1/γ2; RAMP2
59.26Single7TYWCalcitonin-17TYW-CT (AMY1)-Calcitonin-1-Gs/β1/γ2; RAMP1
58.62Single8F0KPramlintide Analogue San3858F0K-CT (AMY3)-Pramlintide Analogue San385-Gs/β1/γ2; RAMP3
57.14Consensuscalcitonin_on_gpOrthosteric Ligandctlike_on_gp
55.56Single7TYIAmylin7TYI-CT-Amylin-Gs/β1/γ2
55.56Single9BLCCagrilintide (non-acylated)9BLC-CT-Cagrilintide (non-acylated)-Gs/β1/γ2
54.84Single8F2APramlintide Analogue San3858F2A-CT (AMY3)-Pramlintide Analogue San385-Gs/β1/γ2; RAMP3
53.57Consensuscalcitonin_onOrthosteric Ligandctlike_on
53.33Single6UUSAdrenomedullin6UUS-CT Like (AM2)-Adrenomedullin-Gs/β1/γ2; RAMP3
51.85Single6UUNAdrenomedullin6UUN-CT Like (AM1)-Adrenomedullin-Gs/β1/γ2; RAMP2
50.00Single6E3YCalcitonin gene-related peptide-16E3Y-CT Like-Calcitonin gene-related peptide-1-Gs/β1/γ2; RAMP1
50.00Single6UVAAdrenomedullin-26UVA-CT Like (AM2)-Adrenomedullin-2-Gs/β1/γ2; RAMP3
50.00Single9AUCCalcitonin gene-related peptide-19AUC-CT (AMY1)-Calcitonin gene-related peptide-1-Gs/β1/γ2; RAMP1
48.65Single8F2BPramlintide Analogue San458F2B-CT (AMY3)-Pramlintide Analogue San45-Gs/β1/γ2; RAMP3
45.16Single7FIYTirzepatide7FIY-GIP-Tirzepatide-Gs/β1/γ2
44.83Single6NIYCalcitonin-16NIY-CT-Calcitonin-1-Gs/β1/γ2
44.44Single9BUECagrilintide9BUE-CT-Cagrilintide-Gs/β1/γ2
43.33Single8YG4LA-PTH Analog8YG4-PTH1-LA-PTH Analog-chim(NtGi1-Gs)/β1/γ2
42.42Single6PB0Urocortin6PB0-CRF1-Urocortin-chim(NtGi1-Gs)/β1/γ2
42.11Single8F0JPramlintide Analogue San458F0J-CT-Pramlintide Analogue San45-Gs/β1/γ2
41.94Single7RA3GIP7RA3-GIP-GIP-chim(NtGi1-Gs)/β1/γ2
41.94Single8FLRPTHrP(1-36)8FLR-PTH1-PTHrP(1-36)-Gs/β1/γ2
41.94Consensusvpac1_on_gpOrthosteric Ligand8E3Z-VPAC1-VIP-Gs/β1/γ2
41.38Single8YFOAc-LA-PTH Analog8YFO-PTH1-Ac-LA-PTH Analog-chim(NtGi1-Gs)/β1/γ2
40.62Single7DTYGIP7DTY-GIP-GIP-Gs/β1/γ2
40.62Consensuscrf_onOrthosteric Ligandcrf2_on crf1_on
40.00Single7VVMPTH7VVM-PTH1-PTH-Gs/β1/γ2
40.00Consensuscrf_on_gpOrthosteric Ligandcrf2_on_gp crf1_on_gp
39.39Single7VVLPTH7VVL-PTH1-PTH-Gs/β1/γ2
39.39Single9P93VIP9P93-PAC1-VIP-Gs/β1/γ2
39.39Consensusctlike_on_gpOrthosteric Ligand6E3Y-CT Like-Calcitonin gene-related peptide-1-Gs/β1/γ2; RAMP1
38.71Single9E2AGLP-19E2A-GLP-1-GLP-1-Gs/β1/γ2
38.71Consensusvpac1_onOrthosteric Ligand8E3Z-VPAC1-VIP-Gs/β1/γ2
37.93Single7TRYUrocortin7TRY-CRF2-Urocortin-chim(NtGi1-G11)/β1/γ2
37.50Single9P92VIP9P92-PAC1-VIP-Gs/β1/γ2
37.50Consensusctlike_onOrthosteric Ligand6E3Y-CT Like-Calcitonin gene-related peptide-1-Gs/β1/γ2; RAMP1
37.14Single6LPBPACAP276LPB-PAC1-PACAP27-Gs/β1/γ1
37.14Single8FLSAbaloparatide8FLS-PTH1-Abaloparatide-Gs/β1/γ2
37.14Single8FLULA-PTH Analog8FLU-PTH1-LA-PTH Analog-Gs/β1/γ2
36.67Single9LXRLA-PTH Analog9LXR-PTH1-LA-PTH Analog-Arrestin2
36.36Single6P9XCorticoliberin-16P9X-CRF1-Corticoliberin-1-Gs/β1/γ2
35.90Single7F16TIP397F16-PTH2-TIP39-Gs/β1/γ2
35.90Consensusclass-b1_onOrthosteric Ligandglucagon_on vip-pacap_on pth_on crf_on calcitonin_on
35.90Consensuspth2_on_gpOrthosteric Ligand7F16-PTH2-TIP39-Gs/β1/γ2
35.71Consensusclass-b1_on_gpOrthosteric Ligandglucagon_on_gp vip-pacap_on_gp pth_on_gp crf_on_gp calcitonin_on_gp
35.48Single8HA0PTH8HA0-PTH1-PTH-chim(NtGi1-Gs)/β1/γ2
35.48Single8YW3Retatrutide8YW3-GLP-1-Retatrutide-Gs/β1/γ2
35.48Single8YW4Retatrutide8YW4-GIP-Retatrutide-chim(NtGi1-Gs)/β1/γ2
35.48Single9EBOGLP-1 (ACPC18)9EBO-GLP-1-GLP-1 (ACPC18)-Gs/β1/γ2
35.29Single6PB1Urocortin6PB1-CRF2-Urocortin-chim(NtGi1-Gs)/β1/γ2
35.29Single6WZGSecretin6WZG-Secretin-Secretin-Gs/β1/γ2
35.29Single7TS0Urocortin7TS0-CRF2-Urocortin-chim(NtGi1L-Go)/β1/γ2
35.29Single7VVJPTHrP(1-36)7VVJ-PTH1-PTHrP(1-36)-Gs/β1/γ2
35.29Single8FLTM-PTH(1-14)8FLT-PTH1-M-PTH(1-14)-Gs/β1/γ2
35.29Single8HAFPTHrP(1-36)8HAF-PTH1-PTHrP(1-36)-chim(NtGi1-Gs)/β1/γ2
35.29Consensuspth1_onOrthosteric Ligand6NBF-PTH1-LA-PTH Analog-Gs/β1/γ2 8HA0-PTH1-PTH-chim(NtGi1-Gs)/β1/γ2 8HAF-PTH1-PTHrP(1-36)-chim(NtGi1-Gs)/β1/γ2 7Y36-PTH1-PTH-Gs/β1/γ2 7Y35-PTH1-Abaloparatide-Gs/β1/γ2
35.29Consensusvpac2_onOrthosteric Ligand7VQX-VPAC1-PACAP27-Gs/β1/γ2
35.29Consensusvpac2_on_gpOrthosteric Ligand7VQX-VPAC1-PACAP27-Gs/β1/γ2
35.14Single7Y36PTH7Y36-PTH1-PTH-Gs/β1/γ2
35.14Single8FLQPTH8FLQ-PTH1-PTH-Gs/β1/γ2
35.14Single9JR3PTH9JR3-PTH1-PTH-chim(NtGi1L-Gs-CtGq)/β1/γ2
35.14Consensusclass-a_class-b1_cons_on_gpOrthosteric Ligandclass-a_on_gp class-b1_on_gp
35.14Consensuspth2_onOrthosteric Ligand7F16-PTH2-TIP39-Gs/β1/γ2
34.48Single7RTBPeptide-197RTB-GLP-1-Peptide-19-Gs/β1/γ2
34.48Single8JIQPeptide-158JIQ-Glucagon-Peptide-15-Gs/β1/γ2
34.38Single8E3YPACAP278E3Y-VPAC1-PACAP27-Gs/β1/γ2
34.29Single7RBTTirzepatide7RBT-GIP-Tirzepatide-LSN3556672-chim(NtGi1-Gs)/β1/γ2
34.29Consensusclass-a_class-b1_cons_onOrthosteric Ligandclass-a_on class-b1_on
34.15Consensuspth_on_gpOrthosteric Ligandpth1_on_gp pth2_on_gp
33.33Single6FJ3PTH6FJ3-PTH1-PTH
33.33Single6P9YPACAP276P9Y-PAC1-PACAP27-Gs/β1/γ2
33.33Single7CZ5Somatoliberin7CZ5-GHRH-Somatoliberin-Gs/β1/γ2
33.33Single7D3SSecretin7D3S-Secretin-Secretin-Gs/β1/γ2
33.33Single7KI0Semaglutide7KI0-GLP-1-Semaglutide-Gs/β1/γ2
33.33Single7VABTirzepatide (non-acylated)7VAB-GIP-Tirzepatide (non-acylated)-chim(NtGi1-Gs)/β1/γ2
33.33Single7VBHPeptide-207VBH-GLP-1-Peptide-20-Gs/β1/γ2
33.33Single8E3XPACAP278E3X-PAC1-PACAP27-Gs/β1/γ2
33.33Consensusglp1_onOrthosteric Ligand7S1M-GLP-1-Exendin-4-D-Ala-Gs/β1/γ2 7X8R-GLP-1-BOC5-Gs/β1/γ2 6X19-GLP-1-CHU-128-Gs/β1/γ2 6X1A-GLP-1-Danuglipron-Gs/β1/γ2 6X18-GLP-1-GLP-1-Gs/β1/γ2 8JIP-GLP-1-MEDI0382-chim(NtGi1-Gs)/β1/γ2 7C2E-GLP-1-PubChem 149050799-Gs/β1/γ2 7KI0-GLP-1-Semaglutide-Gs/β1/γ2 7KI1-GLP-1-Taspoglutide-Gs/β1/γ2 7X8S-GLP-1-WB4-24-Gs/β1/γ2 8JIS-GLP-1-Peptide-15-chim(NtGi1-Gs)/β1/γ2 7VBI-GLP-1-Tirzepatide (non-acylated)-Gs/β1/γ2
33.33Consensuspac1_onOrthosteric Ligand8E3X-PAC1-PACAP27-Gs/β1/γ2 6M1H-PAC1-Maxadilan-Gs/β1/γ2
33.33Consensuspac1_on_gpOrthosteric Ligand8E3X-PAC1-PACAP27-Gs/β1/γ2 6M1H-PAC1-Maxadilan-Gs/β1/γ2
33.33Consensuspac_on_gpOrthosteric Ligandpac1_on_gp
33.33Consensusvpac_on_gpOrthosteric Ligandvpac1_on_gp vpac2_on_gp
32.43Single6WPWZP37806WPW-Glucagon-ZP3780-Gs/β1/γ2
32.43Single9JR2PTH9JR2-PTH1-PTH-chim(NtGi1L-Gs-CtGq)/β1/γ2
32.43Consensusglp1_on_gpOrthosteric Ligand7S1M-GLP-1-Exendin-4-D-Ala-Gs/β1/γ2 7X8R-GLP-1-BOC5-Gs/β1/γ2 6X19-GLP-1-CHU-128-Gs/β1/γ2 6X1A-GLP-1-Danuglipron-Gs/β1/γ2 6X18-GLP-1-GLP-1-Gs/β1/γ2 8JIP-GLP-1-MEDI0382-chim(NtGi1-Gs)/β1/γ2 7C2E-GLP-1-PubChem 149050799-Gs/β1/γ2 7KI0-GLP-1-Semaglutide-Gs/β1/γ2 7KI1-GLP-1-Taspoglutide-Gs/β1/γ2 7X8S-GLP-1-WB4-24-Gs/β1/γ2 8JIS-GLP-1-Peptide-15-chim(NtGi1-Gs)/β1/γ2 7VBI-GLP-1-Tirzepatide (non-acylated)-Gs/β1/γ2
32.43Consensuspth1_on_gpOrthosteric Ligand6NBF-PTH1-LA-PTH Analog-Gs/β1/γ2 8HA0-PTH1-PTH-chim(NtGi1-Gs)/β1/γ2 8HAF-PTH1-PTHrP(1-36)-chim(NtGi1-Gs)/β1/γ2 7Y36-PTH1-PTH-Gs/β1/γ2 7Y35-PTH1-Abaloparatide-Gs/β1/γ2
32.35Single6VCBGLP-16VCB-GLP-1-GLP-1-LSN3160440-Gs/β1/γ2
32.35Single7S1MExendin-4-D-Ala7S1M-GLP-1-Exendin-4-D-Ala-Gs/β1/γ2
32.35Single8FU6ZP37808FU6-Glucagon-ZP3780-Gs/β1/γ2
32.35Single8HAOPTH8HAO-PTH1-PTH-chim(NtGi1-Gs)/β1/γ2
32.35Single9P94PACAP279P94-PAC1-PACAP27-Gs/β1/γ2
32.35Consensusglp2_onOrthosteric Ligand7D68-GLP-2-GLP-2-Gs/β1/γ2
32.35Consensusglp2_on_gpOrthosteric Ligand7D68-GLP-2-GLP-2-Gs/β1/γ2
32.35Consensussecretin_on_gpOrthosteric Ligand7D3S-Secretin-Secretin-Gs/β1/γ2
31.58Single8JIUSAR4258998JIU-Glucagon-SAR425899-Gs/β1/γ2
31.58Consensusglucagon_onOrthosteric Ligandglp_on gluc_on secretin_on gip_on
31.43Single5VAIGLP-15VAI-GLP-1-GLP-1-Gs/β1/γ2
31.43Single6LMLGlucagon6LML-Glucagon-Glucagon-Gi1/β1/γ1
31.43Single6NBHLA-PTH Analog6NBH-PTH1-LA-PTH Analog-Gs/β1/γ2
31.43Single7D68GLP-27D68-GLP-2-GLP-2-Gs/β1/γ2
31.43Single7KI1Taspoglutide7KI1-GLP-1-Taspoglutide-Gs/β1/γ2
31.43Single9BYOExendin-39BYO-GLP-1-Exendin-3-Gs/β1/γ2
31.43Consensusvip-pacap_onOrthosteric Ligandvpac_on pac_on
31.43Consensusvip-pacap_on_gpOrthosteric Ligandvpac_on_gp pac_on_gp
31.25Single6WI9Secretin6WI9-Secretin-Secretin-Gs/β1/γ2
31.25Single7FINPeptide-20; GGL7FIN-GIP-Peptide-20; GGL-Gs/β1/γ2
31.25Single7V9MSomatoliberin7V9M-GHRH (SV1)-Somatoliberin-Gs/β1/γ2
31.25Single8YW5Retatrutide8YW5-Glucagon-Retatrutide-Gs/β1/γ2
30.77Consensusglucagon_on_gpOrthosteric Ligandglp_on_gp gluc_on_gp secretin_on_gp gip_on_gp
30.77Consensuspth_onOrthosteric Ligandpth1_on pth2_on
30.56Consensusgip_onOrthosteric Ligand7FIN-GIP-Peptide-20; GGL-Gs/β1/γ2 7FIY-GIP-Tirzepatide-Gs/β1/γ2 7DTY-GIP-GIP-Gs/β1/γ2
30.56Consensusgip_on_gpOrthosteric Ligand7FIN-GIP-Peptide-20; GGL-Gs/β1/γ2 7FIY-GIP-Tirzepatide-Gs/β1/γ2 7DTY-GIP-GIP-Gs/β1/γ2
30.30Single5YQZNNC17025YQZ-Glucagon-NNC1702
30.30Single6X18GLP-16X18-GLP-1-GLP-1-Gs/β1/γ2
30.30Single7LLYOxyntomodulin7LLY-GLP-1-Oxyntomodulin-Gs/β1/γ2
30.30Single7WBJPACAP277WBJ-VPAC1-PACAP27-Gs/β1/γ2
30.30Single7Y35Abaloparatide7Y35-PTH1-Abaloparatide-Gs/β1/γ2
30.30Single8E3ZVIP8E3Z-VPAC1-VIP-Gs/β1/γ2
30.30Consensuspac_onOrthosteric Ligandpac1_on
30.30Consensusvpac_onOrthosteric Ligandvpac1_on vpac2_on
30.00Single8YWFRetatrutide8YWF-GLP-1-Retatrutide-chim(NtGi1-Gs)/β1/γ2
29.41Single8JISPeptide-158JIS-GLP-1-Peptide-15-chim(NtGi1-Gs)/β1/γ2
29.41Single9J1Pg1:Ox9J1P-GLP-1-g1:Ox-chim(NtGi1-Gs)/β1/γ2
29.41Consensussecretin_onOrthosteric Ligand7D3S-Secretin-Secretin-Gs/β1/γ2
29.03Single6WHCGlu16 analog of GCG6WHC-Glucagon-Glu16 analog of GCG-Gs/β1/γ2
29.03Single7VBITirzepatide (non-acylated)7VBI-GLP-1-Tirzepatide (non-acylated)-Gs/β1/γ2
28.95Single7V35Peptide-207V35-Glucagon-Peptide-20-Gs/β1/γ2
28.95Single8JIRSAR4258998JIR-GLP-1-SAR425899-chim(NtGi1-Gs)/β1/γ2
28.57Single6B3JExendin-P56B3J-GLP-1-Exendin-P5-Gs/β1/γ2
28.57Single7VQXPACAP277VQX-VPAC1-PACAP27-Gs/β1/γ2
28.57Single7VVKPTH7VVK-PTH1-PTH-Gs/β1/γ2
28.57Consensusglp_onOrthosteric Ligandglp1_on glp2_on
28.57Consensusglp_on_gpOrthosteric Ligandglp1_on_gp glp2_on_gp
28.12Single6VN7PACAP276VN7-VPAC1-PACAP27-Gs/β1/γ2
28.12Single9IVMGLP-1 (Truncated)9IVM-GLP-1-GLP-1 (Truncated)-LSN3318839-chim(NtGi1-Gs)/β2/γ2
28.12Consensusclass-b1_class-b2_cons_onOrthosteric Ligandclass-b1_on class-b2_on
28.12Consensusclass-b1_class-b2_cons_on_gpOrthosteric Ligandclass-b1_on_gp class-b2_on_gp
27.78Single6LMKGlucagon6LMK-Glucagon-Glucagon-Gs/β1/γ2
27.59Single6M1HMaxadilan6M1H-PAC1-Maxadilan-Gs/β1/γ2
27.59Single7VVNPTH7VVN-PTH1-PTH-Gs/β1/γ2
27.59Single9C0KExendin-49C0K-GLP-1-Exendin-4-Gs/β1/γ2
27.50Consensusgluc_onOrthosteric Ligand6LMK-Glucagon-Glucagon-Gs/β1/γ2 8JIT-Glucagon-MEDI0382-Gs/β1/γ2 7V35-Glucagon-Peptide-20-Gs/β1/γ2
27.27Single6M1IPACAP276M1I-PAC1-PACAP27-Gs/β1/γ2
27.03Single7DUQGLP-17DUQ-GLP-1-GLP-1-PubChem 156022738-Gs/β1/γ2
27.03Consensuscrf1_onOrthosteric Ligand6PB0-CRF1-Urocortin-chim(NtGi1-Gs)/β1/γ2 6P9X-CRF1-Corticoliberin-1-Gs/β1/γ2
26.83Consensusgluc_on_gpOrthosteric Ligand6LMK-Glucagon-Glucagon-Gs/β1/γ2 8JIT-Glucagon-MEDI0382-Gs/β1/γ2 7V35-Glucagon-Peptide-20-Gs/β1/γ2
26.67Single4UG2CGS216804UG2-A2A-CGS21680
25.93Single9EE8Adenosine9EE8-A2A-Adenosine-Gs/β1/γ2
25.71Single6NBFLA-PTH Analog6NBF-PTH1-LA-PTH Analog-Gs/β1/γ2
25.71Single6NBILA-PTH Analog6NBI-PTH1-LA-PTH Analog-Gs/β1/γ2
25.71Single7RGPTirzepatide7RGP-GLP-1-Tirzepatide-chim(NtGi1-Gs)/β1/γ2
25.71Single9KFKRelaxin-39KFK-RXFP4-Relaxin-3-Gi2/β1/γ2
25.64Single8JIPMEDI03828JIP-GLP-1-MEDI0382-chim(NtGi1-Gs)/β1/γ2
25.64Consensuscrf1_on_gpOrthosteric Ligand6PB0-CRF1-Urocortin-chim(NtGi1-Gs)/β1/γ2 6P9X-CRF1-Corticoliberin-1-Gs/β1/γ2
25.00Single2YDVNECA2YDV-A2A-NECA
25.00Single3QAKUK-4320973QAK-A2A-UK-432097
25.00Single4UHRCGS216804UHR-A2A-CGS21680
25.00Single5G53NECA5G53-A2A-NECA-Gs
25.00Single8JITMEDI03828JIT-Glucagon-MEDI0382-Gs/β1/γ2
25.00Single8JZZC5a-des-Arg8JZZ-C5a1-C5a-des-Arg-Go/β1/γ2
25.00Single8UGWCGS216808UGW-A2A-CGS21680
25.00Single8Z7JJN241-98Z7J-Apelin-JN241-9-Gi1/β1/γ2
25.00Consensus5ht_offOrthosteric Ligand5ht2_off 5ht1_off
25.00Consensusclass-a_offOrthosteric Ligandsensory_off alicarboxylic_off amine_off lipid_off nucleotide_off peptide_off protein_off
25.00Consensusgq_class-aOrthosteric Ligandgq_peptide gq_amine gq_nucleotide
24.24Single5WF5UK-4320975WF5-A2A-UK-432097
24.24Single6LW5WKYMVm6LW5-FPR2-ALX-WKYMVm
24.24Single9B5YLA-PTH Analog9B5Y-PTH1-LA-PTH Analog-chim(NtGi1-Gq)/β1/γ2
24.14Single7WCMMBX-29827WCM-GPR119-MBX-2982-Gs/β1/γ2
24.14Single7WCNAR2314537WCN-GPR119-AR231453-Gs/β1/γ2
24.14Single8VHFMBX-29828VHF-GPR119-MBX-2982-Gs/β1/γ2
24.14Single9EBIPiclidenoson9EBI-A3A-Piclidenoson-chim(NtGi1L-Gs-CtGi1)/β1/γ2
23.53Single7FIMTirzepatide7FIM-GLP-1-Tirzepatide-Gs/β1/γ2
23.53Consensuscrf2_onOrthosteric Ligand7TS0-CRF2-Urocortin-chim(NtGi1L-Go)/β1/γ2
23.33Single4BVNCyanopindolol4BVN-β1-Cyanopindolol-Na
23.33Single7EZCUK-4320977EZC-A2A-UK-432097
23.33Single7LLLExendin-47LLL-GLP-1-Exendin-4-Gs/β1/γ2
23.33Single7XZ6APD6687XZ6-GPR119-APD668-Gs/β1/γ2
23.33Single8J19LY2378J19-GPR84-LY237-Gi1/β1/γ2
23.33Single9L79AR2314539L79-GPR119-AR231453-chim(NtGi1-Gs)/β1/γ2
23.08Single2YDOAdenosine2YDO-A2A-Adenosine
23.08Single7T32ZM-2413857T32-A2A-ZM-241385
23.08Single8PM2DMCHA8PM2-TA7-DMCHA-Gs/β1/γ2
23.08Single8W88SEP-3638568W88-TA1-SEP-363856-Gs/β1/γ2
23.08Single9K0KUTP9K0K-P2Y4-UTP-chim(NtGi1-Gs-CtGq)/β1/γ2
22.86Consensusgi_apelinOrthosteric Ligand8XZH-Apelin; Apelin-MM07-Gi1/β1/γ2 7W0M-Apelin-PubChem 122701908-Gi1/β1/γ2 8XZJ-Apelin; Apelin-WN353-Gi1/β1/γ2 8XZF-Apelin; Apelin-WN561-Gi1/β1/γ2 8XZG-Apelin; Apelin-Apelin-13-Gi1/β1/γ2
22.58Single3NY9PubChem 9131033NY9-β2-PubChem 913103
22.58Single5WF6UK-4320975WF6-A2A-UK-432097
22.58Single9KX6C5a-des-Arg9KX6-C5a1-C5a-des-Arg-Go/β1/γ2
22.22Single4U16N-methyl-Scopolamine4U16-M3-N-methyl-Scopolamine
22.22Single5DSGTiotropium5DSG-M4-Tiotropium
22.22Single5TGZAM65385TGZ-CB1-AM6538
22.22Single8W8ARO52563908W8A-TA1-RO5256390-chim(NtGi1L-Gs)/β1/γ2
22.22Single8ZSSRO52633978ZSS-TA1-RO5263397-chim(NtGi1-Gs)/β1/γ2
22.22Consensuscrf2_on_gpOrthosteric Ligand7TS0-CRF2-Urocortin-chim(NtGi1L-Go)/β1/γ2
22.22Consensusm4_offOrthosteric Ligand5DSG-M4-Tiotropium
21.88Single7W0PElabela7W0P-Apelin-Elabela-Gi1/β1/γ2
21.88Single8WDTphotoNECA8WDT-A2A-photoNECA
21.88Single9L3YChemerin9L3Y-CML2-Chemerin-Gi1/β1/γ2
21.88Consensusmop_offOrthosteric Ligand4DKL-μ-β-Funaltrexamine 8QOT-μ-Nanobody-E 7UL4-μ-Alvimopan
21.62Single5NX2GLP-1 (Truncated)5NX2-GLP-1-GLP-1 (Truncated)
21.62Single7EIBKallidin-des-Arg107EIB-BK1-Kallidin-des-Arg10-chim(NtGi1-Gs-CtGq)/β1/γ2
21.62Single7WVYAmyloid-Beta427WVY-FPR2-ALX-Amyloid-β42-Gi2/β1/γ2
21.62Consensusgq_peptideOrthosteric Ligandgq_cck gq_kisspeptin gq_bradykinin gq_bombesin gq_angiotensin
21.43Single5NM2ZM-2413855NM2-A2A-ZM-241385-Na
21.43Single5ZK33-quinuclidinyl-benzilate5ZK3-M2-3-quinuclidinyl-benzilate
21.43Single6GDGNECA6GDG-A2A-NECA-Gs/β1/γ1
21.43Single6PS6Timolol6PS6-β2-Timolol
21.43Single7EPFNAM5977EPF-mGlu2-NAM597
21.43Single7LD3Adenosine7LD3-A1-Adenosine-MIPS521-Gi2/β1/γ2
21.43Single8E9ZIperoxo8E9Z-M3-Iperoxo-chim(NtGi2L-Gs-CtGq)/β1/γ2
21.43Single8J18(3R)-3-Hydroxydodecanoic acid8J18-GPR84-(3R)-3-Hydroxydodecanoic acid-Gi1/β1/γ2
21.43Single8J6JGSK2560738J6J-HCA2-GSK256073-Gi1/β1/γ2
21.43Single8X0BVU04244658X0B-mGlu5; mGlu5-Quisqualate-VU0424465
21.43Single8X0CVU04244658X0C-mGlu5; mGlu5-Quisqualate-VU0424465
21.43Single8X0CVU04244658X0C-mGlu5; mGlu5-Quisqualate-VU0424465
21.43Single8X0DVU04244658X0D-mGlu5; mGlu5-Quisqualate-VU0424465
21.43Single8X0DVU04244658X0D-mGlu5; mGlu5-Quisqualate-VU0424465
21.43Single8ZPTPrRP208ZPT-PrRP-PrRP20-chim(NtGi1-Gs-CtGq)/β1/γ2
21.43Single8ZRKGSK12922638ZRK-GPR119-GSK1292263-Gs/β1/γ2
21.43Single9AXFCa; Ca; Ca; Cyclomethyltryptophan; R-568; PO49AXF-CaS; CaS-Ca-Ca; Ca; Ca; Cyclomethyltryptophan; R-568; PO4-chim(NtGi1-Gs-CtGq)/β1/γ2
21.43Consensusgq_muscarinicOrthosteric Ligand6OIJ-M1-Iperoxo-chim(NtGi1L-G11)/β1/γ2
21.43Consensusm1_onOrthosteric Ligand6OIJ-M1-Iperoxo-chim(NtGi1L-G11)/β1/γ2
21.43Consensusm2_offOrthosteric Ligand5ZKC-M2-N-methyl-Scopolamine 5ZK3-M2-3-quinuclidinyl-benzilate 5ZKB-M2-AF-DX 384
21.43Consensuss1p_offOrthosteric Ligands1p1_off s1p5_off
21.43Consensusta1_onOrthosteric Ligand8W87-TA1-METH-chim(NtGi1L-Gs)/β1/γ2 8W89-TA1-2-Phenylethylamine-chim(NtGi1L-Gs)/β1/γ2 8JLP-TA1-Ralmitaront-Gs/β1/γ2 8W8A-TA1-RO5256390-chim(NtGi1L-Gs)/β1/γ2 8W88-TA1-SEP-363856-Gs/β1/γ2 8JLO-TA1-Ulotaront-Gs/β1/γ2 8JLR-TA1-A77636-chim(NtGi1-Gs)/β1/γ2 8JSO-TA1-AMPH-chim(NtGi1-Gs)/β1/γ2 8ZSP-TA1-LSD-chim(NtGi1L-Gs)/β1/γ2
21.43Consensustrace-amine_onOrthosteric Ligandta1_on
21.21Single6HLOAprepitant6HLO-NK1-Aprepitant
21.21Single7RKMCX3CL17RKM-US28-CX3CL1-Gi1/β1/γ2
21.21Single8F7QBeta-Endorphin8F7Q-μ-β-Endorphin-Gi1/β1/γ2
21.21Consensusformylpeptide_on_gpOrthosteric Ligandfpr2-alx_on_gp fpr1-alx_on_gp
20.69Single3UON3-quinuclidinyl-benzilate3UON-M2-3-quinuclidinyl-benzilate
20.69Single4Z34ONO-97803074Z34-LPA1-ONO-9780307
20.69Single5A8E7-Methylcyanopindolol5A8E-β1-7-Methylcyanopindolol-Na
20.69Single5V54Methiothepin5V54-5-HT1B-Methiothepin
20.69Single6GT3Imaradenant6GT3-A2A-Imaradenant-Na
20.69Single6OIJIperoxo6OIJ-M1-Iperoxo-chim(NtGi1L-G11)/β1/γ2
20.69Single7P2L4YI7P2L-mGlu5-4YI
20.69Single7PX4PSB-21137PX4-A2A-PSB-2113
20.69Single7TRQIperoxo7TRQ-M4-Iperoxo-VU0467154-Gi1/β1/γ2
20.69Single8EA0Iperoxo8EA0-M3-Iperoxo
20.69Single8JXXClobenpropit8JXX-H4-Clobenpropit-Gi1/β1/γ2
20.69Single8T1VPubChem 1183102098T1V-GPR6-PubChem 118310209-Na
20.69Single8X0BVU04244658X0B-mGlu5; mGlu5-Quisqualate-VU0424465
20.69Single8X16Piclidenoson8X16-A3A-Piclidenoson-Gi1/β1/γ2
20.69Single8YH6Namodenoson8YH6-A3A-Namodenoson-Gi1/β1/γ2
20.69Single8ZR5Firuglipel8ZR5-GPR119-Firuglipel-Gs/β1/γ2
20.69Single9UCPIperoxo9UCP-M1-Iperoxo-G11(CT)
20.69Consensus5ht1_offOrthosteric Ligand5ht1b_off
20.69Consensus5ht1b_offOrthosteric Ligand5V54-5-HT1B-Methiothepin
20.69Consensusgi_relaxinOrthosteric Ligand7YK7-RXFP4-DC591053-Gi2/β1/γ2 7YJ4-RXFP4-INSL5-Gi2/β1/γ2 7YK6-RXFP4-PubChem 138319674-Gi2/β1/γ2
20.69Consensush4_on_gpOrthosteric Ligand8HN8-H4-Histamine-Gi1/β1/γ2 8HOC-H4-Imetit-Gi1/β1/γ2 8JXV-H4-Clozapine-Gi1/β1/γ2 8JXW-H4-VUF6884-Gi1/β1/γ2 8JXX-H4-Clobenpropit-Gi1/β1/γ2
20.69Consensusm1_on_gpOrthosteric Ligand6OIJ-M1-Iperoxo-chim(NtGi1L-G11)/β1/γ2
20.69Consensusmuscarinic_offOrthosteric Ligandm2_off m3_off m4_off m5_off m1_off
20.69Consensusprotein_offOrthosteric Ligandchemokine_off grh_off
20.69Consensusrelaxin_onOrthosteric Ligandrxfp4_on
20.69Consensusrelaxin_on_gpOrthosteric Ligandrxfp4_on_gp
20.69Consensusta1_on_gpOrthosteric Ligand8W87-TA1-METH-chim(NtGi1L-Gs)/β1/γ2 8W89-TA1-2-Phenylethylamine-chim(NtGi1L-Gs)/β1/γ2 8JLP-TA1-Ralmitaront-Gs/β1/γ2 8W8A-TA1-RO5256390-chim(NtGi1L-Gs)/β1/γ2 8W88-TA1-SEP-363856-Gs/β1/γ2 8JLO-TA1-Ulotaront-Gs/β1/γ2 8JLR-TA1-A77636-chim(NtGi1-Gs)/β1/γ2 8JSO-TA1-AMPH-chim(NtGi1-Gs)/β1/γ2 8ZSP-TA1-LSD-chim(NtGi1L-Gs)/β1/γ2
20.69Consensustrace-amine_on_gpOrthosteric Ligandta1_on_gp
20.59Single7TD2LPA7TD2-LPA1-LPA-Gi1/β1/γ2
20.51Single5GLHEndothelin-15GLH-ETB-Endothelin-1
20.51Single6IGKEndothelin-36IGK-ETB-Endothelin-3
20.51Consensusbb2_onOrthosteric Ligand7W40-BB2-Bombesin-chim(NtGi1L-Gq)/β1/γ2 7W3Z-BB2-Gastrin Releasing Peptide-chim(NtGi1L-Gq)/β1/γ2
20.51Consensusbb2_on_gpOrthosteric Ligand7W40-BB2-Bombesin-chim(NtGi1L-Gq)/β1/γ2 7W3Z-BB2-Gastrin Releasing Peptide-chim(NtGi1L-Gq)/β1/γ2
20.51Consensusbombesin_onOrthosteric Ligandbb2_on
20.51Consensusbombesin_on_gpOrthosteric Ligandbb2_on_gp
20.51Consensusccr5_on_gpOrthosteric Ligand7O7F-CCR5-6P4-CCL5-Gi1/β1/γ1 7F1Q-CCR5-CCL3-Gi1/β1/γ2
20.51Consensusgq_bombesinOrthosteric Ligand7W40-BB2-Bombesin-chim(NtGi1L-Gq)/β1/γ2 7W3Z-BB2-Gastrin Releasing Peptide-chim(NtGi1L-Gq)/β1/γ2
20.00Single3AYMAll-trans-Retinal3AYM-Rhodopsin-All-trans-Retinal
20.00Single5CXVTiotropium5CXV-M1-Tiotropium
20.00Single6OS0Angiotensin II6OS0-AT1-Angiotensin II
20.00Single6XOXOrforglipron6XOX-GLP-1-Orforglipron-chim(NtGi1-Gs)/β1/γ2
20.00Single7EPENAM5637EPE-mGlu2-NAM563
20.00Single7EVYSiponimod7EVY-S1P1-Siponimod-Gi1/β1/γ2
20.00Single7WUIIP157WUI-ADGRG2-IP15-chim(NtGi1-Gs)/β1/γ2
20.00Single7YFDImetit7YFD-H4-Imetit-chim(NtGi1-Gs-CtGq)/β1/γ2
20.00Single8E9W2-Deoxycytidine8E9W-M3-2-Deoxycytidine-chim(NtGi2L-Gs-CtGq)/β1/γ2
20.00Single8FYE4-F,5-MeO-PyrT8FYE-5-HT1A-4-F,5-MeO-PyrT-PtdIns4P-Gi1/β1/γ1
20.00Single8G056-OAU8G05-GPR84-6-OAU-Gi1/β1/γ2
20.00Single8H4KGW95088H4K-FFA4-GW9508-chim(NtGi1-Gs-CtGq)/β1/γ2
20.00Single8HN8Histamine8HN8-H4-Histamine-Gi1/β1/γ2
20.00Single8WSTMCH8WST-MCH2-MCH-chim(NtGi1L-Gs-CtGq)/β1/γ2
20.00Single9EK0Iperoxo9EK0-M5-Iperoxo-chim(NtGi1-Gs-CtGq)/β1/γ2
20.00Single9EPRAll-trans-Retinal9EPR-Rhodopsin-All-trans-Retinal-Gi1/β1/γ2
20.00Single9KVG5-MeO-DMT9KVG-5-HT1A-5-MeO-DMT-PtdIns4P-Gi1/β1/γ2
20.00Single9L42Histamine9L42-H4-Histamine-Gi1/β1/γ2
20.00Consensusapelin_onOrthosteric Ligand8XZH-Apelin; Apelin-MM07-Gi1/β1/γ2 7W0M-Apelin-PubChem 122701908-Gi1/β1/γ2 8XZJ-Apelin; Apelin-WN353-Gi1/β1/γ2 8XZF-Apelin; Apelin-WN561-Gi1/β1/γ2 8XZG-Apelin; Apelin-Apelin-13-Gi1/β1/γ2
20.00Consensusapelin_on_gpOrthosteric Ligand8XZH-Apelin; Apelin-MM07-Gi1/β1/γ2 7W0M-Apelin-PubChem 122701908-Gi1/β1/γ2 8XZJ-Apelin; Apelin-WN353-Gi1/β1/γ2 8XZF-Apelin; Apelin-WN561-Gi1/β1/γ2 8XZG-Apelin; Apelin-Apelin-13-Gi1/β1/γ2
20.00Consensuscannabinoid_offOrthosteric Ligandcb2_off cb1_off
20.00Consensuscxcr3_on_gpOrthosteric Ligand8HNK-CXCR3-CXCL11-Gi1/β1/γ2 8HNL-CXCR3-PS372424-Gi1/β1/γ2
20.00Consensusgi_class-aOrthosteric Ligandgi_peptide gi_sensory gi_alicarboxylic gi_amine gi_lipid gi_nucleotide gi_protein
20.00Consensusgi_formylpeptideOrthosteric Ligand7WVY-FPR2-ALX-Amyloid-β42-Gi2/β1/γ2 7T6U-FPR2-ALX-CGEN-855A-Gi1/β1/γ2 7VFX-FPR1-ALX-fMIFL-Gi1/β1/γ2 7T6V-FPR2-ALX-fMLFII-Gi1/β1/γ2 7WVX-FPR2-ALX-Humanin-Gi2/β1/γ2 7T6S-FPR2-ALX-TC-FPR 43-Gi1/β1/γ2 6OMM-FPR2-ALX-WKYMVX-Gi1/β1/γ2
20.00Consensush4_onOrthosteric Ligand8HN8-H4-Histamine-Gi1/β1/γ2 8HOC-H4-Imetit-Gi1/β1/γ2 8JXV-H4-Clozapine-Gi1/β1/γ2 8JXW-H4-VUF6884-Gi1/β1/γ2 8JXX-H4-Clobenpropit-Gi1/β1/γ2
20.00Consensuslpa1_offOrthosteric Ligand4Z36-LPA1-ONO-3080573 4Z35-LPA1-ONO-9910539 4Z34-LPA1-ONO-9780307
20.00Consensuslpa_offOrthosteric Ligandlpa1_off
20.00Consensuslpl_offOrthosteric Ligands1p_off lpa_off
20.00Consensusm1_offOrthosteric Ligand5CXV-M1-Tiotropium
20.00Consensusprotein_onOrthosteric Ligandchemokine_on chemerin_on
19.51Single6LRYSarafotoxin-B6LRY-ETB-Sarafotoxin-B
19.44Single8HCQEndothelin-18HCQ-ETA-Endothelin-1-chim(NtGi1-Gs-CtGq)/β1/γ2
19.44Single8WWKMCH8WWK-MCH1-MCH-Gi1/β1/γ2
19.44Single8WWMMCH8WWM-MCH1-MCH-Gi1/β1/γ2
19.44Single8XQEApelin-138XQE-Apelin; Apelin-Apelin-13-Gi1/β1/γ2
19.44Consensuseta_onOrthosteric Ligand8HCQ-ETA-Endothelin-1-chim(NtGi1-Gs-CtGq)/β1/γ2
19.44Consensuseta_on_gpOrthosteric Ligand8HCQ-ETA-Endothelin-1-chim(NtGi1-Gs-CtGq)/β1/γ2
19.35Single2YCZIodocyanopindolol2YCZ-β1-Iodocyanopindolol
19.35Single4Z35ONO-99105394Z35-LPA1-ONO-9910539
19.35Single6BQHRitanserin6BQH-5-HT2C-Ritanserin
19.35Single7EVZCenerimod7EVZ-S1P1-Cenerimod-Gi1/β1/γ2
19.35Single7SK7CCX6627SK7-ACKR3-CXCL12-CCX662
19.35Single7XJISolabegron7XJI-β3-Solabegron-Gs/β1/γ2
19.35Single7Y65C5a (C-terminal peptide)7Y65-C5a1-C5a (C-terminal peptide)-Gi1/β1/γ2
19.35Single8E9X2-Deoxycytidine8E9X-M4-2-Deoxycytidine-chim(NtGi1-Go)/β1/γ2
19.35Single8FX5Xanomeline8FX5-M4-Xanomeline-Xanomeline-Gi1/β1/γ2
19.35Single8IJDMK68928IJD-HCA2-MK6892-Gi1/β1/γ2
19.35Single9AS02-bromo-LSD9AS0-5-HT2A-2-bromo-LSD-chim(NtGi1-Gs-CtGq)/β1/γ2
19.35Single9KUGEP679KUG-C5a1-EP67-Go/β1/γ2
19.35Single9UYHChemerin-99UYH-CML2-Chemerin-9-Arrestin2
19.35Consensus5ht2c_offOrthosteric Ligand6BQH-5-HT2C-Ritanserin
19.35Consensusclass-a_onOrthosteric Ligandsensory_on alicarboxylic_on amine_on lipid_on nucleotide_on peptide_on protein_on
19.23Single2Z7311-cis-Retinal2Z73-Rhodopsin-11-cis-Retinal
19.23Single3AYN9-cis-Retinal3AYN-Rhodopsin-9-cis-Retinal
19.23Single7LD4Adenosine7LD4-A1-Adenosine-Gi2/β1/γ2
19.23Single7T8XAcetylcholine7T8X-M2-Acetylcholine-chim(NtGi1-Go)/β1/γ2
19.23Single7T90Acetylcholine7T90-M2-Acetylcholine-chim(NtGi1-Go)/β1/γ2
19.23Single7T96Acetylcholine7T96-M2-Acetylcholine-LY2119620-Go/β1/γ2
19.23Single8HMPC178HMP-GPR52-C17-Gs/β1/γ2
19.23Single8HOCImetit8HOC-H4-Imetit-Gi1/β1/γ2
19.23Single8IJANiacin8IJA-HCA2-Niacin-Gi1/β1/γ2
19.23Single8IW4Spermidine8IW4-TAA9-Spermidine-chim(NtGi1-Gs)/β1/γ2
19.23Single8IWESpermidine8IWE-TAA9-Spermidine
19.23Single8JPPSuccinic acid8JPP-Succinate-Succinic acid-chim(Gs-CtGq)/β1/γ1
19.23Single8YNAImmepip8YNA-H4-Immepip-Gi1/β1/γ2
19.23Single9EBHAdenosine9EBH-A3A-Adenosine-Gi1/β1/γ2
19.23Consensusa1_onOrthosteric Ligand7LD4-A1-Adenosine-Gi2/β1/γ2
19.23Consensusa1_on_gpOrthosteric Ligand7LD4-A1-Adenosine-Gi2/β1/γ2
19.23Consensusm2_onOrthosteric Ligand7T8X-M2-Acetylcholine-chim(NtGi1-Go)/β1/γ2
19.23Consensusm2_on_gpOrthosteric Ligand7T8X-M2-Acetylcholine-chim(NtGi1-Go)/β1/γ2
18.92Single7W3ZGastrin Releasing Peptide7W3Z-BB2-Gastrin Releasing Peptide-chim(NtGi1L-Gq)/β1/γ2
18.92Consensusccr_offOrthosteric Ligandccr2_off ccr5_off
18.92Consensusgi_compl-peptOrthosteric Ligand8HK5-C5a1-C5a-Gi1/β1/γ2 8IA8-C3aB-E7 peptide-Gi1/β1/γ2 7Y66-C5a1-BM213-Gi1/β1/γ2 7Y67-C5a1-C089 peptide-Gi1/β1/γ2 8HK2-C3aB-C3a-Gi1/β1/γ2 7Y64-C5a1-C5a-Gi1/β1/γ2
18.92Consensusgi_peptideOrthosteric Ligandgi_cck gi_apelin gi_compl-pept gi_endothelin gi_formylpeptide gi_galanin gi_ghrelin gi_npy gi_neurotensin gi_opioid gi_orexin gi_relaxin gi_somatostatin
18.92Consensusgi_proteinOrthosteric Ligandgi_chemokine gi_chemerin
18.92Consensusprotein_on_gpOrthosteric Ligandchemokine_on_gp chemerin_on_gp
18.75Single7SK9CCX6627SK9-ACKR3-CCX662
18.75Single7X8SWB4-247X8S-GLP-1-WB4-24-Gs/β1/γ2
18.75Single7YJ4INSL57YJ4-RXFP4-INSL5-Gi2/β1/γ2
18.75Single8JLRA776368JLR-TA1-A77636-chim(NtGi1-Gs)/β1/γ2
18.75Single8XZFWN5618XZF-Apelin; Apelin-WN561-Gi1/β1/γ2
18.75Single9UMJEP549UMJ-C3aB-EP54-Go/β1/γ2
18.75Consensusformylpeptide_onOrthosteric Ligandfpr2-alx_on fpr1-alx_on
18.75Consensuss1p_onOrthosteric Ligands1p1_on s1p3_on s1p5_on
18.75Consensuss1p_on_gpOrthosteric Ligands1p1_on_gp s1p3_on_gp s1p5_on_gp
18.52Single4ZUDOlmesartan4ZUD-AT1-Olmesartan
18.52Single5IU7Q274563465IU7-A2A-Q27456346-Na
18.52Single5JTBZM-2413855JTB-A2A-ZM-241385
18.52Single5K2BZM-2413855K2B-A2A-ZM-241385-Na
18.52Single6ME32-Phenylmelatonin6ME3-MT1-2-Phenylmelatonin
18.52Single6PS82-Phenylmelatonin6PS8-MT1-2-Phenylmelatonin
18.52Single6ZDRHMS1413f126ZDR-A2A-HMS1413f12-Na
18.52Single7T94Acetylcholine7T94-M2-Acetylcholine-LY2119620-chim(NtGi1-Go)/β1/γ2
18.52Single7TRSAcetylcholine7TRS-M4-Acetylcholine-Gi1/β1/γ2
18.52Single7YK6PubChem 1383196747YK6-RXFP4-PubChem 138319674-Gi2/β1/γ2
18.52Single8JLKUlotaront8JLK-TA1-Ulotaront-chim(NtGi1-Gs)/β1/γ2
18.52Single8JLNT1AM8JLN-TA1-T1AM-Gs/β1/γ2
18.52Single8RQQZM-2413858RQQ-A2A-ZM-241385-Na
18.52Single8UHBRO52563908UHB-TA1-RO5256390-Gs/β1/γ2
18.52Single8WC8ZH86518WC8-TA1-ZH8651-chim(NtGi1-Gs)/β1/γ2
18.52Single9AXFCa; Ca; Ca; Cyclomethyltryptophan; R-568; PO49AXF-CaS; CaS-Ca-Ca; Ca; Ca; Cyclomethyltryptophan; R-568; PO4-chim(NtGi1-Gs-CtGq)/β1/γ2
18.52Single9K0XATP9K0X-P2Y2-ATP-chim(NtGi1-Gs-CtGq)/β1/γ2
18.52Single9K20ATP9K20-P2Y2-ATP-chim(NtGi1-Go)/β1/γ2
18.52Single9P1TZM-2413859P1T-A2A-ZM-241385
18.52Single9VNFPindolol9VNF-5-HT1A-Pindolol-Go/β1/γ2
18.52Consensusa2_offOrthosteric Liganda2a_off
18.52Consensusa2a_offOrthosteric Ligand3RFM-A2A-Caffeine 8C9W-A2A-Etrumadenant 3UZA-A2A-GTPL9236 8GNG-A2A-Istradefylline 8CU6-A2A-LJ-4517 7PX4-A2A-PSB-2113 7PYR-A2A-PSB-2115 8DU3-A2A-PubChem 105526064 8JWY-A2A-2-118 8PWN-A2A-Theophylline 5IU4-A2A-ZM-241385-Na 5OLZ-A2A-PubChem 135566609-Na 6GT3-A2A-Imaradenant-Na 5OLV-A2A-LUAA47070-Na 5N2R-A2A-PSB36-Na 5IU7-A2A-Q27456346-Na 5OLH-A2A-Vipadenant-Na 5OLO-A2A-Tozadenant-Na 6ZDR-A2A-HMS1413f12-Na 8GNE-A2A-KW-6356-Na 8JWZ-A2A-Etrumadenant-Na 5IU8-A2A-Q27456347-Na 5IUB-A2A-Q27456344-Na 6ZDV-A2A-PubChem 984073-Na 5IUA-A2A-Q27456348-Na 8A2P-A2A-LUAA47070-Na
18.52Consensusadenosine_onOrthosteric Liganda1_on a2_on a3_on
18.52Consensusgi_adenosineOrthosteric Ligand7LD4-A1-Adenosine-Gi2/β1/γ2 8X17-A3A-Namodenoson-Gi1/β1/γ2 8X16-A3A-Piclidenoson-Gi1/β1/γ2
18.42Single8WWLMCH8WWL-MCH1-MCH-Gi1/β1/γ2
18.42Single8ZH8QRFP268ZH8-QRFP-QRFP26-Gq/β1/γ1
18.42Single8ZJGChemerin8ZJG-CML1-Chemerin-Gi1/β1/γ2
18.42Consensuspeptide_onOrthosteric Ligandcck_on angiotensin_on apelin_on bombesin_on bradykinin_on compl-peptide_on endothelin_on formylpeptide_on galanin_on ghrelin_on kisspeptin_on melanocortin_on motilin_on neuromedin-u_on npy_on neurotensin_on opioid_on orexin_on relaxin_on somatostatin_on tachykinin_on trh_on vasop-oxy_on
18.42Consensuspeptide_on_gpOrthosteric Ligandcck_on_gp angiotensin_on_gp apelin_on_gp bombesin_on_gp bradykinin_on_gp compl-peptide_on_gp endothelin_on_gp formylpeptide_on_gp galanin_on_gp ghrelin_on_gp kisspeptin_on_gp melanocortin_on_gp motilin_on_gp neuromedin-u_on_gp npy_on_gp neurotensin_on_gp opioid_on_gp orexin_on_gp relaxin_on_gp somatostatin_on_gp tachykinin_on_gp trh_on_gp vasop-oxy_on_gp
18.18Single4XT1CX3CL14XT1-US28-CX3CL1
18.18Single6WIVPubChem 52923113; PubChem 529246456WIV-GABAB1, GABAB2-PubChem 52923113; PubChem 52924645
18.18Single6X19CHU-1286X19-GLP-1-CHU-128-Gs/β1/γ2
18.18Single7QA8Antagonist Peptide7QA8-STE2; STE2-Antagonist Peptide
18.18Single7QA8Antagonist Peptide7QA8-STE2; STE2-Antagonist Peptide
18.18Single7T6UCGEN-855A7T6U-FPR2-ALX-CGEN-855A-Gi1/β1/γ2
18.18Single7TD4Siponimod7TD4-S1P1-Siponimod-Gi1/β1/γ2
18.18Single7WVWfMYFINILTL7WVW-FPR2-ALX-fMYFINILTL-Gi2/β1/γ2
18.18Single8J6RMK68928J6R-HCA2-MK6892-Gi1/β1/γ2
18.18Single8ZSPLSD8ZSP-TA1-LSD-chim(NtGi1L-Gs)/β1/γ2
18.18Single9UYJChemerin-99UYJ-CML2-Chemerin-9-Arrestin2
18.18Consensusclass-a_on_gpOrthosteric Ligandsensory_on_gp alicarboxylic_on_gp amine_on_gp lipid_on_gp nucleotide_on_gp peptide_on_gp protein_on_gp
18.18Consensusgi_opioidOrthosteric Ligand8F7R-μ-Endomorphin-Gi1/β1/γ2 8EF5-μ-Fentanyl-Gi1/β1/γ2 7SCG-μ-FH210-Gi1/β1/γ2 7T2H-μ-Lofentanil-Gi1/β1/γ2 7T2G-μ-Mitragynine Pseudoindoxyl-Gi1/β1/γ2 8DZP-κ-momSalB-Gi1/β1/γ2 8EF6-μ-Morphine-Gi1/β1/γ2 8F7X-NOP-Nociceptin-Gi1/β1/γ2 8EFB-μ-Oliceridine-Gi1/β1/γ2 7U2L-μ-C5-guano-Gi1/β1/γ2 8EFO-μ-PZM21-Gi1/β1/γ2 8EFL-μ-SR17018-Gi1/β1/γ2 8F7Q-μ-β-Endorphin-Gi1/β1/γ2 7U2K-μ-C6-guano-Gi1/β1/γ2 8EFQ-μ-DAMGO-Gi1/β1/γ2 8F7S-δ-Deltorphin-Gi1/β1/γ2 8F7W-κ-Dynorphin-Gi1/β1/γ2
17.95Single8WWNMCH8WWN-MCH1-MCH-Gi1/β1/γ2
17.95Consensusendothelin_onOrthosteric Ligandetb_on eta_on
17.86Single3EMLZM-2413853EML-A2A-ZM-241385
17.86Single3NY8ICI118-5513NY8-β2-ICI118-551
17.86Single3NYAAlprenolol3NYA-β2-Alprenolol
17.86Single3ZPRPubChem 5987543ZPR-β1-PubChem 598754-Na
17.86Single4DAJTiotropium4DAJ-M3-Tiotropium
17.86Single4EIYZM-2413854EIY-A2A-ZM-241385-Na
17.86Single4GBRCarazolol4GBR-β2-Carazolol
17.86Single4J4QOctyl Beta-D-Glucopyranoside4J4Q-Rhodopsin-Octyl β-D-Glucopyranoside-Gt(CT)
17.86Single4X1HNonyl-Beta-D-Glucopyranoside4X1H-Rhodopsin-Nonyl-β-D-Glucopyranoside-Gt(CT)
17.86Single5IU8Q274563475IU8-A2A-Q27456347-Na
17.86Single5K2AZM-2413855K2A-A2A-ZM-241385-Na
17.86Single5OLGZM-2413855OLG-A2A-ZM-241385-Na
17.86Single5OLZPubChem 1355666095OLZ-A2A-PubChem 135566609-Na
17.86Single5OM1PubChem 1355666095OM1-A2A-PubChem 135566609-Na
17.86Single5VRAZM-2413855VRA-A2A-ZM-241385-Na
17.86Single5YC8N-methyl-Scopolamine5YC8-M2-N-methyl-Scopolamine
17.86Single5ZK8N-methyl-Scopolamine5ZK8-M2-N-methyl-Scopolamine
17.86Single5ZKCN-methyl-Scopolamine5ZKC-M2-N-methyl-Scopolamine
17.86Single6S0LZM-2413856S0L-A2A-ZM-241385
17.86Single7FIHOrg435537FIH-LH-hCG-Org43553-chim(NtGi1-Gs)/β1/γ2
17.86Single7M3JNPS-2143; PO47M3J-CaS; CaS-NPS-2143; PO4
17.86Single7PYRPSB-21157PYR-A2A-PSB-2115
17.86Single7YK7DC5910537YK7-RXFP4-DC591053-Gi2/β1/γ2
17.86Single7YU4ONO-07405567YU4-LPA1-ONO-0740556
17.86Single8CU7LJ-45178CU7-A2A-LJ-4517-Na
17.86Single8I7VAcipimox8I7V-HCA2-Acipimox-Gi1/β1/γ2
17.86Single8J6PNiacin8J6P-HCA2-Niacin-PubChem 25101223-Gi1/β1/γ2
17.86Single8JHNMonomethyl fumarate8JHN-HCA2-Monomethyl fumarate-Go/β1/γ2
17.86Single8JJOAlprenolol8JJO-β2-Alprenolol
17.86Single8T1WCVN4248T1W-GPR6-CVN424
17.86Single8W87METH8W87-TA1-METH-chim(NtGi1L-Gs)/β1/γ2
17.86Single8X17Namodenoson8X17-A3A-Namodenoson-Gi1/β1/γ2
17.86Single8YN8Proxyfan8YN8-H3-Proxyfan-Go/β1/γ2
17.86Single9AS1DMT9AS1-5-HT2A-DMT
17.86Single9CHXCarazolol9CHX-β2-Carazolol
17.86Single9DYFAsenapine9DYF-5-HT1A-Asenapine-PtdIns4P-Gi1/β1/γ2
17.86Single9IVGGLP-1 (Truncated)9IVG-GLP-1-GLP-1 (Truncated)-chim(NtGi1-Gs)/β1/γ2
17.86Single9JEAAtropine9JEA-M1-Atropine
17.86Single9P1SZM-2413859P1S-A2A-ZM-241385
17.86Single9UAZAtropine9UAZ-M1-Atropine
17.86Single9VMYTMU41429VMY-5-HT1A-TMU4142-Go/β1/γ2
17.86Consensusa3_onOrthosteric Liganda3a_on
17.86Consensusadenosine_on_gpOrthosteric Liganda1_on_gp a2_on_gp a3_on_gp
17.86Consensusalicarboxylic_on_gpOrthosteric Ligandsuccinate_on_gp hca_on_gp
17.86Consensusdopamine_offOrthosteric Ligandd2_off d3_off
17.86Consensusgi_alicarboxylicOrthosteric Ligandgi_hca gi_succinate
17.86Consensusgi_hcaOrthosteric Ligand8J6R-HCA2-MK6892-Gi1/β1/γ2 8JIM-HCA2-Monomethyl fumarate-Gi1/β1/γ2 8IHI-HCA2-Acifran-Gi1/β1/γ2 8IHH-HCA2-LUF6283-Gi1/β1/γ2 8I7V-HCA2-Acipimox-Gi1/β1/γ2 8I7W-HCA2-GSK256073-Gi1/β1/γ2
17.86Consensusgi_histamineOrthosteric Ligand8JXX-H4-Clobenpropit-Gi1/β1/γ2 8JXV-H4-Clozapine-Gi1/β1/γ2 8YUU-H3-Histamine-Gi1/β1/γ1 8HN8-H4-Histamine-Gi1/β1/γ2 8HOC-H4-Imetit-Gi1/β1/γ2 8JXW-H4-VUF6884-Gi1/β1/γ2
17.86Consensusgs_trace-amineOrthosteric Ligand8W88-TA1-SEP-363856-Gs/β1/γ2 8JLJ-TA1-T1AM-chim(NtGi1-Gs)/β1/γ2 8JLO-TA1-Ulotaront-Gs/β1/γ2 8WC4-TA1-ZH8651-chim(NtGi1-Gs)/β1/γ2 8WC7-TA1-ZH8667-chim(NtGi1-Gs)/β1/γ2 8JLR-TA1-A77636-chim(NtGi1-Gs)/β1/γ2 8JSO-TA1-AMPH-chim(NtGi1-Gs)/β1/γ2 8W87-TA1-METH-chim(NtGi1L-Gs)/β1/γ2 8W89-TA1-2-Phenylethylamine-chim(NtGi1L-Gs)/β1/γ2 8JLP-TA1-Ralmitaront-Gs/β1/γ2 8W8A-TA1-RO5256390-chim(NtGi1L-Gs)/β1/γ2
17.86Consensushca2_onOrthosteric Ligand8J6R-HCA2-MK6892-Gi1/β1/γ2 8JIM-HCA2-Monomethyl fumarate-Gi1/β1/γ2 8I7V-HCA2-Acipimox-Gi1/β1/γ2 8I7W-HCA2-GSK256073-Gi1/β1/γ2 8IHH-HCA2-LUF6283-Gi1/β1/γ2 8IHI-HCA2-Acifran-Gi1/β1/γ2
17.86Consensushca2_on_gpOrthosteric Ligand8J6R-HCA2-MK6892-Gi1/β1/γ2 8IHI-HCA2-Acifran-Gi1/β1/γ2 8IHH-HCA2-LUF6283-Gi1/β1/γ2 8I7V-HCA2-Acipimox-Gi1/β1/γ2 8JIM-HCA2-Monomethyl fumarate-Gi1/β1/γ2 8I7W-HCA2-GSK256073-Gi1/β1/γ2
17.86Consensushca_on_gpOrthosteric Ligandhca2_on_gp
17.86Consensusmuscarinic_onOrthosteric Ligandm2_on m3_on m4_on m1_on
17.86Consensusmuscarinic_on_gpOrthosteric Ligandm2_on_gp m3_on_gp m4_on_gp m1_on_gp
17.86Consensusnucleotide_offonOrthosteric Ligandnucleotide_off nucleotide_on
17.86Consensusnucleotide_offon_gpOrthosteric Ligandnucleotide_on_gp nucleotide_off
17.65Single6DO1(Sar1,Ile8)-Angiotensin II6DO1-AT1-(Sar1,Ile8)-Angiotensin II
17.65Single7E14Orforglipron7E14-GLP-1-Orforglipron-PubChem 156022738-Gs/β1/γ2
17.65Single7W0NElabela7W0N-Apelin; Apelin-Elabela-Gi1/β1/γ2
17.65Single7XMSSomatostatin-147XMS-SST4-Somatostatin-14-Gi1/β1/γ2
17.65Single9IQSMuscarinic toxin 39IQS-M4-Muscarinic toxin 3
17.65Single9ME1CXCL129ME1-CXCR4-CXCL12
17.65Consensuscompl-peptide_onOrthosteric Ligandc5a1_on c3a_on
17.24Single2RH1Carazolol2RH1-β2-Carazolol
17.24Single2YCWCarazolol2YCW-β1-Carazolol
17.24Single4WW3All-trans-Retinal4WW3-Rhodopsin-All-trans-Retinal
17.24Single5D6LCarazolol5D6L-β2-Carazolol
17.24Single5IUAQ274563485IUA-A2A-Q27456348-Na
17.24Single5JQHCarazolol5JQH-β2-Carazolol
17.24Single5N2RPSB365N2R-A2A-PSB36-Na
17.24Single5N2SPSB365N2S-A1-PSB36
17.24Single5OM4PubChem 1355666095OM4-A2A-PubChem 135566609-Na
17.24Single5X7DCarazolol5X7D-β2-Carazolol-PubChem 129318963
17.24Single6LPLZM-2413856LPL-A2A-ZM-241385-Na
17.24Single6ME72-Phenylmelatonin6ME7-MT2-2-Phenylmelatonin
17.24Single6OIKIperoxo6OIK-M2-Iperoxo-LY2119620-chim(NtGi1-Go)/β1/γ2
17.24Single6S0QZM-2413856S0Q-A2A-ZM-241385
17.24Single6WQAZM-2413856WQA-A2A-ZM-241385-Na
17.24Single7M3JNPS-2143; PO47M3J-CaS; CaS-NPS-2143; PO4
17.24Single7RM5ZM-2413857RM5-A2A-ZM-241385-Na
17.24Single7SINNPS-21437SIN-CaS; CaS-NPS-2143
17.24Single7SINNPS-21437SIN-CaS; CaS-NPS-2143
17.24Single7TRKIperoxo7TRK-M4-Iperoxo-Gi1/β1/γ2
17.24Single7VUHJNJ-635330547VUH-GPR139-JNJ-63533054-chim(Gs-CtGq)/β1/γ2
17.24Single7YU3ONO-07405567YU3-LPA1-ONO-0740556-Gi1/β1/γ2
17.24Single7YU6ONO-07405567YU6-LPA1-ONO-0740556-Gi1/β1/γ2
17.24Single8EFBOliceridine8EFB-μ-Oliceridine-Gi1/β1/γ2
17.24Single8FYNZM-2413858FYN-A2A-ZM-241385-Na
17.24Single8GNEKW-63568GNE-A2A-KW-6356-Na
17.24Single8QOTNanobody-E8QOT-μ-Nanobody-E
17.24Single8T6JCDPPB8T6J-mGlu5; mGlu5-CDPPB
17.24Single8T6JCDPPB8T6J-mGlu5; mGlu5-CDPPB
17.24Single8UUJFCH-22964138UUJ-HCA2-FCH-2296413-Gi1/β1/γ2
17.24Single8YH0NECA8YH0-A3A-NECA-Gi1/β1/γ2
17.24Single8ZMFPubChem 1719206738ZMF-5-HT2C-PubChem 171920673
17.24Single8ZYTNeurotensin-(8-13)8ZYT-NTS1-Neurotensin-(8-13)-SBI-553-Arrestin2
17.24Single9AVLCa; Ca; Cyclomethyltryptophan; R-568; PO49AVL-CaS; CaS-Ca-Ca; Ca; Cyclomethyltryptophan; R-568; PO4-Gi3/β2/γ2
17.24Single9AYFCa; Ca; Ca; Cyclomethyltryptophan; R-568; PO49AYF-CaS; CaS-Ca-Ca; Ca; Ca; Cyclomethyltryptophan; R-568; PO4-Gi1/β1/γ2
17.24Single9CIBFCH-22964139CIB-HCA2-FCH-2296413
17.24Single9DYDAsenapine9DYD-5-HT1A-Asenapine-PtdIns4P-Go/β1/γ2
17.24Single9EAHOlmesartan9EAH-AT1-Olmesartan-Nanobody AT209
17.24Single9HC04YI9HC0-mGlu5-4YI
17.24Single9PXYNaloxone9PXY-μ-Naloxone-GDPβS-Gi1/β1/γ2
17.24Consensusa3_on_gpOrthosteric Liganda3a_on_gp
17.24Consensusa3a_onOrthosteric Ligand8X17-A3A-Namodenoson-Gi1/β1/γ2 8X16-A3A-Piclidenoson-Gi1/β1/γ2
17.24Consensusa3a_on_gpOrthosteric Ligand8X17-A3A-Namodenoson-Gi1/β1/γ2 8X16-A3A-Piclidenoson-Gi1/β1/γ2
17.24Consensusadenosine_offOrthosteric Liganda1_off a2_off
17.24Consensusamine_offOrthosteric Ligand5ht_off adrenergic_off dopamine_off histamine_off muscarinic_off
17.24Consensusamine_offonOrthosteric Ligandamine_off amine_on
17.24Consensusamine_offon_gpOrthosteric Ligandamine_on_gp amine_off
17.24Consensusamine_onOrthosteric Ligand5ht_on adrenergic_on dopamine_on histamine_on muscarinic_on trace-amine_on
17.24Consensusbeta2_offOrthosteric Ligand2RH1-β2-Carazolol 6PS3-β2-Carvedilol 6PS5-β2-Propranolol 3D4S-β2-Timolol 3NY8-β2-ICI118-551 3NY9-β2-PubChem 913103 6PRZ-β2-Alprenolol
17.24Consensusbeta_offOrthosteric Ligandbeta1_off beta2_off
17.24Consensusgi_adrenergicOrthosteric Ligand7EJ0-α2a-Norepinephrine-Go/β1/γ2 7EJK-α2a-Oxymetazoline-Go/β1/γ2 7W7E-α2a-PubChem 164946676-Go/β1/γ2 7W6P-α2a-N-pyridin-4-ylisoquinolin-4-amine-Go/β1/γ2 7EJ8-α2a-Brimonidine-Go/β1/γ2 6K42-α2b-Dexmedetomidine-Gi1/β1/γ2 7EJA-α2a-Dexmedetomidine-Go/β1/γ2 7S0F-β1-Isoprenaline-Gi1/β1/γ2
17.24Consensusgs_amineOrthosteric Ligandgs_5ht gs_adrenergic gs_dopamine gs_histamine gs_trace-amine
17.24Consensusm3_onOrthosteric Ligand8E9Z-M3-Iperoxo-chim(NtGi2L-Gs-CtGq)/β1/γ2 8E9W-M3-2-Deoxycytidine-chim(NtGi2L-Gs-CtGq)/β1/γ2 8E9Y-M3-Clozapine-N-oxide-chim(NtGi2L-Gs-CtGq)/β1/γ2
17.24Consensusm3_on_gpOrthosteric Ligand8E9Z-M3-Iperoxo-chim(NtGi2L-Gs-CtGq)/β1/γ2 8E9W-M3-2-Deoxycytidine-chim(NtGi2L-Gs-CtGq)/β1/γ2 8E9Y-M3-Clozapine-N-oxide-chim(NtGi2L-Gs-CtGq)/β1/γ2
17.24Consensusrxfp4_onOrthosteric Ligand7YK7-RXFP4-DC591053-Gi2/β1/γ2 7YJ4-RXFP4-INSL5-Gi2/β1/γ2 7YK6-RXFP4-PubChem 138319674-Gi2/β1/γ2
17.24Consensusrxfp4_on_gpOrthosteric Ligand7YK7-RXFP4-DC591053-Gi2/β1/γ2 7YJ4-RXFP4-INSL5-Gi2/β1/γ2 7YK6-RXFP4-PubChem 138319674-Gi2/β1/γ2
17.14Single7O7F6P4-CCL57O7F-CCR5-6P4-CCL5-Gi1/β1/γ1
17.14Single7T6TfMLFII7T6T-FPR1-ALX-fMLFII-Gi1/β1/γ2
17.14Single7XA3CCL27XA3-CCR2-CCL2-Gi1/β1/γ2
17.14Single9MEUCXCL129MEU-CXCR4-CXCL12
17.14Consensusangiotensin_onOrthosteric Ligandat1_on
17.14Consensusat1_onOrthosteric Ligand7F6G-AT1-(Sar1)-Angiotensin II-Gq/β1/γ2
17.14Consensusccr2_onOrthosteric Ligand7XA3-CCR2-CCL2-Gi1/β1/γ2
17.14Consensusccr2_on_gpOrthosteric Ligand7XA3-CCR2-CCL2-Gi1/β1/γ2
17.14Consensusccr_onOrthosteric Ligandccr6_on ccr8_on ccr2_on ccr1_on ccr5_on
17.14Consensuscompl-peptide_on_gpOrthosteric Ligandc5a1_on_gp c3a_on_gp
17.14Consensusfpr2-alx_onOrthosteric Ligand7WVX-FPR2-ALX-Humanin-Gi2/β1/γ2 7T6U-FPR2-ALX-CGEN-855A-Gi1/β1/γ2 7T6V-FPR2-ALX-fMLFII-Gi1/β1/γ2 7WVY-FPR2-ALX-Amyloid-β42-Gi2/β1/γ2 7T6S-FPR2-ALX-TC-FPR 43-Gi1/β1/γ2 6OMM-FPR2-ALX-WKYMVX-Gi1/β1/γ2
17.14Consensuspeptide_offonOrthosteric Ligandpeptide_off peptide_on
17.07Consensusendothelin_on_gpOrthosteric Ligandetb_on_gp eta_on_gp
16.67Single4U15Tiotropium4U15-M3-Tiotropium
16.67Single5D5ACarazolol5D5A-β2-Carazolol
16.67Single5D5BCarazolol5D5B-β2-Carazolol
16.67Single5WB2CX3CL1.355WB2-US28-CX3CL1.35
16.67Single5ZHPPubChem 1348285895ZHP-M3-PubChem 134828589
16.67Single5ZKBAF-DX 3845ZKB-M2-AF-DX 384
16.67Single6J21Aprepitant6J21-NK1-Aprepitant
16.67Single6JODAngiotensin II6JOD-AT2-Angiotensin II
16.67Single6KO5PubChem 574000026KO5-Ghrelin-PubChem 57400002
16.67Single6OL9Tiotropium6OL9-M5-Tiotropium
16.67Single6WIVPubChem 52923113; PubChem 529246456WIV-GABAB1, GABAB2-PubChem 52923113; PubChem 52924645
16.67Single7DW9AVP7DW9-V2-AVP-chim(NtGi1-Gs)/β1/γ2
16.67Single7EW7SEW28717EW7-S1P1-SEW2871-Gi1/β1/γ2
16.67Single7F1TCCL37F1T-CCR5-CCL3
16.67Single7F6G(Sar1)-Angiotensin II7F6G-AT1-(Sar1)-Angiotensin II-Gq/β1/γ2
16.67Single7T2HLofentanil7T2H-μ-Lofentanil-Gi1/β1/γ2
16.67Single7T9NDPPC7T9N-TSH-M22 Fab-DPPC-Gs/β1/γ2
16.67Single7VIGCBP-3077VIG-S1P1-CBP-307-Gi1/β1/γ2
16.67Single7W40Bombesin7W40-BB2-Bombesin-chim(NtGi1L-Gq)/β1/γ2
16.67Single7W6PN-pyridin-4-ylisoquinolin-4-amine7W6P-α2a-N-pyridin-4-ylisoquinolin-4-amine-Go/β1/γ2
16.67Single7W7EPubChem 1649466767W7E-α2a-PubChem 164946676-Go/β1/γ2
16.67Single7WVXHumanin7WVX-FPR2-ALX-Humanin-Gi2/β1/γ2
16.67Single7XTQR3997XTQ-GPBA-R399-Gs/β1/γ2
16.67Single7XY7NECA7XY7-A2B-NECA-chim(NtGi1-Gs)/β1/γ2
16.67Single7YONPeptide-YY(3-36)7YON-Y2-Peptide-YY(3-36)-Gi1/β1/γ2
16.67Single7YU5ONO-07405567YU5-LPA1-ONO-0740556-Gi1/β1/γ2
16.67Single7YU7ONO-07405567YU7-LPA1-ONO-0740556-Gi1/β1/γ2
16.67Single8DCSCyanopindolol8DCS-β1-Cyanopindolol-Gs/β1/γ2
16.67Single8EF5Fentanyl8EF5-μ-Fentanyl-Gi1/β1/γ2
16.67Single8ID39-Hydroxystearic acid8ID3-FFA4-9-Hydroxystearic acid-Gi1/β1/γ2
16.67Single8IHBGSK2560738IHB-HCA2-GSK256073-Gi1/β1/γ2
16.67Single8IHFMK68928IHF-HCA2-MK6892-Gi1/β1/γ2
16.67Single8IHHLUF62838IHH-HCA2-LUF6283-Gi1/β1/γ2
16.67Single8IRRRotigotine8IRR-D1-Rotigotine-Gs/β1/γ2
16.67Single8JXVClozapine8JXV-H4-Clozapine-Gi1/β1/γ2
16.67Single8JXWVUF68848JXW-H4-VUF6884-Gi1/β1/γ2
16.67Single8TAOCDPPB8TAO-mGlu5; mGlu5-Quisqualate-CDPPB
16.67Single8WJXADP8WJX-P2Y1-ADP-chim(Gs-CtGq)/β1/γ2
16.67Single8X0FVU298X0F-mGlu5; mGlu5-Quisqualate-VU29
16.67Single8X8LCortistatin-148X8L-SST5-Cortistatin-14-chim(NtGi1-Gs-CtGi1)/β1/γ2
16.67Single8XZICMF-0198XZI-Apelin; Apelin-CMF-019-Gi1/β1/γ2
16.67Single8Y02All-trans-Retinal8Y02-OPN1SW-All-trans-Retinal-Gi1/β1/γ2
16.67Single9AS9RS130-1809AS9-5-HT2A-RS130-180
16.67Single9ASARS130-1809ASA-5-HT2A-RS130-180-chim(NtGi1-Gs-CtGq)/β1/γ2
16.67Single9AYFCa; Ca; Ca; Cyclomethyltryptophan; R-568; PO49AYF-CaS; CaS-Ca-Ca; Ca; Ca; Cyclomethyltryptophan; R-568; PO4-Gi1/β1/γ2
16.67Single9BKKCholecystokinin-89BKK-CCKA-Cholecystokinin-8-chim(NtGi1-Gs-CtGq)/β1/γ2
16.67Single9BS9LSD9BS9-D2-LSD
16.67Single9BSBLSD9BSB-D2-LSD-chim(NtGi1-Go)/β1/γ2
16.67Single9IZGLPA9IZG-LPA1-LPA-chim(NtGi1-Gs-CtGq)/β1/γ2
16.67Consensusa2_onOrthosteric Liganda2b_on
16.67Consensusa2_on_gpOrthosteric Liganda2b_on_gp
16.67Consensusa2b_onOrthosteric Ligand8HDP-A2B-Adenosine-Gs/β1/γ2 7XY6-A2B-BAY 60-6583-chim(NtGi1-Gs)/β1/γ2 7XY7-A2B-NECA-chim(NtGi1-Gs)/β1/γ2 8HDO-A2B-BAY 60-6583-Gs/β1/γ2
16.67Consensusa2b_on_gpOrthosteric Ligand8HDP-A2B-Adenosine-Gs/β1/γ2 7XY6-A2B-BAY 60-6583-chim(NtGi1-Gs)/β1/γ2 7XY7-A2B-NECA-chim(NtGi1-Gs)/β1/γ2 8HDO-A2B-BAY 60-6583-Gs/β1/γ2
16.67Consensusamine_on_gpOrthosteric Ligand5ht_on_gp adrenergic_on_gp dopamine_on_gp histamine_on_gp muscarinic_on_gp trace-amine_on_gp
16.67Consensusangiotensin_on_gpOrthosteric Ligandat1_on_gp
16.67Consensusat1_on_gpOrthosteric Ligand7F6G-AT1-(Sar1)-Angiotensin II-Gq/β1/γ2
16.67Consensusbeta1_offOrthosteric Ligand2VT4-β1-Cyanopindolol 2YCW-β1-Carazolol 2YCZ-β1-Iodocyanopindolol 5A8E-β1-7-Methylcyanopindolol-Na 3ZPQ-β1-PubChem 594590-Na 3ZPR-β1-PubChem 598754-Na
16.67Consensusd1_on_gpOrthosteric Ligand7F0T-D1-Dopamine-Gs/β1/γ2 7CKY-D1-PW0464-Gs/β1/γ2 8IRR-D1-Rotigotine-Gs/β1/γ2 7JV5-D1-SKF81297-Gs/β1/γ2 7JVP-D1-SKF83959-Gs/β1/γ2 7X2D-D1-Tavapadon-Gs/β1/γ2 7CKX-D1-A77636-Gs/β1/γ2 7JVQ-D1-Apomorphine-Gs/β1/γ2 7CKW-D1-Fenoldopam-Gs/β1/γ2
16.67Consensusfpr2-alx_on_gpOrthosteric Ligand7WVX-FPR2-ALX-Humanin-Gi2/β1/γ2 7T6U-FPR2-ALX-CGEN-855A-Gi1/β1/γ2 7T6V-FPR2-ALX-fMLFII-Gi1/β1/γ2 7WVY-FPR2-ALX-Amyloid-β42-Gi2/β1/γ2 7T6S-FPR2-ALX-TC-FPR 43-Gi1/β1/γ2 6OMM-FPR2-ALX-WKYMVX-Gi1/β1/γ2
16.67Consensusgi_lpaOrthosteric Ligand7TD1-LPA1-LPA-Gi1/β1/γ2 7YU3-LPA1-ONO-0740556-Gi1/β1/γ2
16.67Consensusgq_angiotensinOrthosteric Ligand7F6G-AT1-(Sar1)-Angiotensin II-Gq/β1/γ2
16.67Consensusgs_adenosineOrthosteric Ligand8HDP-A2B-Adenosine-Gs/β1/γ2 8HDO-A2B-BAY 60-6583-Gs/β1/γ2 7XY7-A2B-NECA-chim(NtGi1-Gs)/β1/γ2 7XY6-A2B-BAY 60-6583-chim(NtGi1-Gs)/β1/γ2
16.67Consensusgs_dopamineOrthosteric Ligand7F0T-D1-Dopamine-Gs/β1/γ2 7CKW-D1-Fenoldopam-Gs/β1/γ2 7CKY-D1-PW0464-Gs/β1/γ2 8IRV-D5-Rotigotine-chim(NtGi1-Gs)/β1/γ2 8IRR-D1-Rotigotine-Gs/β1/γ2 7JV5-D1-SKF81297-Gs/β1/γ2 7JVP-D1-SKF83959-Gs/β1/γ2 7X2D-D1-Tavapadon-Gs/β1/γ2 7CKX-D1-A77636-Gs/β1/γ2 7JVQ-D1-Apomorphine-Gs/β1/γ2
16.67Consensusgs_nucleotideOrthosteric Ligandgs_adenosine
16.67Consensusgs_vasop-oxyOrthosteric Ligand7DW9-V2-AVP-chim(NtGi1-Gs)/β1/γ2
16.67Consensuslpa_onOrthosteric Ligandlpa1_on
16.67Consensuslpa_on_gpOrthosteric Ligandlpa1_on_gp
16.67Consensusm3_offOrthosteric Ligand4U15-M3-Tiotropium 4U16-M3-N-methyl-Scopolamine 5ZHP-M3-PubChem 134828589
16.67Consensusm5_offOrthosteric Ligand6OL9-M5-Tiotropium
16.67Consensuspeptide_offon_gpOrthosteric Ligandpeptide_on_gp peptide_off
16.67Consensusprotein_offonOrthosteric Ligandprotein_off protein_on
16.67Consensusprotein_offon_gpOrthosteric Ligandprotein_on_gp protein_off
16.67Consensusv2_onOrthosteric Ligand7DW9-V2-AVP-chim(NtGi1-Gs)/β1/γ2
16.67Consensusv2_on_gpOrthosteric Ligand7DW9-V2-AVP-chim(NtGi1-Gs)/β1/γ2
16.67Consensusvasop-oxy_onOrthosteric Ligandv2_on
16.67Consensusvasop-oxy_on_gpOrthosteric Ligandv2_on_gp
16.22Single7F6HBradykinin7F6H-BK2-Bradykinin-Gq/β1/γ2
16.22Single7F6IKallidin7F6I-BK2-Kallidin-Gq/β1/γ2
16.22Single7Y64C5a7Y64-C5a1-C5a-Gi1/β1/γ2
16.22Single8HK5C5a8HK5-C5a1-C5a-Gi1/β1/γ2
16.22Single8XGOTAK4488XGO-Kiss1-TAK448-chim(NtGi1-Gq)/β1/γ2
16.22Single8XVHEndothelin-18XVH-ETB-Endothelin-1-chim(Gs-CtGq)/β1/γ2
16.22Single8ZRTEndothelin-18ZRT-ETB-Endothelin-1
16.22Consensusccr_on_gpOrthosteric Ligandccr6_on_gp ccr8_on_gp ccr2_on_gp ccr1_on_gp ccr5_on_gp
16.22Consensuschemokine_offOrthosteric Ligandccr_off cxcr_off
16.22Consensuschemokine_on_gpOrthosteric Ligandccr_on_gp cxcr_on_gp
16.22Consensuscml1_on_gpOrthosteric Ligand7YKD-CML1-Chemerin-9-Gi1/β1/γ2
16.22Consensusgi_chemokineOrthosteric Ligand6WWZ-CCR6-CCL20-Go/β1/γ2 8HNK-CXCR3-CXCL11-Gi1/β1/γ2 8K3Z-CXCR4-CXCL12-Gi1/β1/γ1 8IC0-CXCR1-CXCL8-Gi1/β1/γ2 6LFM-CXCR2-CXCL8-Gi1/β1/γ2 8KFX-CCR8-LMD-009-Gi1/β1/γ2 7F1Q-CCR5-CCL3-Gi1/β1/γ2 8HNL-CXCR3-PS372424-Gi1/β1/γ2 8KFY-CCR8-ZK-756326-Gi1/β1/γ2 7O7F-CCR5-6P4-CCL5-Gi1/β1/γ1 8U1U-CCR8-CCL1-Gi1/β1/γ2 7VLA-CCR1-CCL15(27-92)-Gi1/β1/γ2 7XA3-CCR2-CCL2-Gi1/β1/γ2
16.22Consensusopioid_onOrthosteric Ligandmop_on nop_on dop_on kop_on
16.22Consensussst5_on_gpOrthosteric Ligand8X8L-SST5-Cortistatin-14-chim(NtGi1-Gs-CtGi1)/β1/γ2 8X8N-SST5-Octreotide-chim(NtGi1-Gs-CtGi1)/β1/γ2
16.13Single2YCXCyanopindolol2YCX-β1-Cyanopindolol
16.13Single3D4STimolol3D4S-β2-Timolol
16.13Single4AMIBucindolol4AMI-β1-Bucindolol
16.13Single4OR2FITM4OR2-mGlu1; mGlu1-FITM
16.13Single4XEENeurotensin-(8-13)4XEE-NTS1-Neurotensin-(8-13)
16.13Single4XESNeurotensin-(8-13)4XES-NTS1-Neurotensin-(8-13)
16.13Single4Z36ONO-30805734Z36-LPA1-ONO-3080573
16.13Single5UNHPubChem 1264564065UNH-AT2-PubChem 126456406
16.13Single6A93Risperidone6A93-5-HT2A-Risperidone
16.13Single6H7NXamoterol6H7N-β1-Xamoterol
16.13Single6H7OCyanopindolol6H7O-β1-Cyanopindolol
16.13Single6OS2TRV0266OS2-AT1-TRV026
16.13Single6YVRNeurotensin-(6-13)6YVR-NTS1-Neurotensin-(6-13)
16.13Single7BZ2Arformoterol7BZ2-β2-Arformoterol-Gs/β1/γ2
16.13Single7DFPSpiperone7DFP-D2-Spiperone
16.13Single7EXDLasmiditan7EXD-5-HT1F-Lasmiditan-Gi1/β1/γ2
16.13Single7K15MKD0467K15-BLT1-MKD046-Na
16.13Single7MTRADX551647MTR-mGlu2; mGlu2-Glutamate-ADX55164
16.13Single7T6BS1P7T6B-S1P2-S1P-chim(NtGi1L-G13)/β1/γ2
16.13Single7W0LPubChem 1227019087W0L-Apelin; Apelin-PubChem 122701908-Gi1/β1/γ2
16.13Single7XW5ML1097XW5-TSH-TSH-ML109-Gs/β1/γ2
16.13Single7XZ5Lysophosphatidylcholine7XZ5-GPR119-Lysophosphatidylcholine-Gs/β1/γ2
16.13Single8FYTLSD8FYT-5-HT1A-LSD-PtdIns4P-Gi1/β1/γ1
16.13Single8I9AEP548I9A-C3aB-EP54-chim(NtGi1-Gs-CtGq)/β1/γ2
16.13Single8IBUErythromycin-A8IBU-Motilin-Erythromycin-A-chim(NtGi1-Gs-CtGq)/β1/γ2
16.13Single8JD3JNJ-404118138JD3-mGlu2; mGlu3-Glutamate-JNJ-40411813-Gi1/β1/γ2
16.13Single8JJPChemerin-98JJP-CML2-Chemerin-9-Gi1/β1/γ2
16.13Single8JPCNeurotensin-(8-13)8JPC-NTS1-Neurotensin-(8-13)-SBI-553; GDP; Mg-Gq; GRK2
16.13Single8JWY2-1188JWY-A2A-2-118
16.13Single8JZ7MK68928JZ7-HCA2-MK6892-Gi1/β1/γ2
16.13Single8XQSCholesterol8XQS-TAS2R14-Cholesterol-Flufenamic acid-Gi1/β1/γ1
16.13Single9IZHLPA9IZH-LPA1-LPA-chim(NtGi2-G13)/β1/γ2
16.13Consensus5ht1f_onOrthosteric Ligand7EXD-5-HT1F-Lasmiditan-Gi1/β1/γ2
16.13Consensus5ht1f_on_gpOrthosteric Ligand7EXD-5-HT1F-Lasmiditan-Gi1/β1/γ2
16.13Consensusbeta3_onOrthosteric Ligand7DH5-β3-Mirabegron-Gs/β1/γ2 7XJH-β3-Isoprenaline-Gs/β1/γ2 7XJI-β3-Solabegron-Gs/β1/γ2
16.13Consensusbeta3_on_gpOrthosteric Ligand7DH5-β3-Mirabegron-Gs/β1/γ2 7XJH-β3-Isoprenaline-Gs/β1/γ2 7XJI-β3-Solabegron-Gs/β1/γ2
16.13Consensusgi_amineOrthosteric Ligandgi_5ht gi_muscarinic gi_adrenergic gi_dopamine gi_histamine
16.13Consensusgi_muscarinicOrthosteric Ligand8E9X-M4-2-Deoxycytidine-chim(NtGi1-Go)/β1/γ2 7T8X-M2-Acetylcholine-chim(NtGi1-Go)/β1/γ2 7TRS-M4-Acetylcholine-Gi1/β1/γ2 7TRK-M4-Iperoxo-Gi1/β1/γ2 7V6A-M4-PubChem 9864275-Gi1/β1/γ2
16.13Consensusleukotriene_offOrthosteric Ligandblt_off cyslt_off
16.13Consensusm4_onOrthosteric Ligand7TRS-M4-Acetylcholine-Gi1/β1/γ2 7V6A-M4-PubChem 9864275-Gi1/β1/γ2 8E9X-M4-2-Deoxycytidine-chim(NtGi1-Go)/β1/γ2 7TRK-M4-Iperoxo-Gi1/β1/γ2
16.13Consensusm4_on_gpOrthosteric Ligand7TRS-M4-Acetylcholine-Gi1/β1/γ2 7V6A-M4-PubChem 9864275-Gi1/β1/γ2 8E9X-M4-2-Deoxycytidine-chim(NtGi1-Go)/β1/γ2 7TRK-M4-Iperoxo-Gi1/β1/γ2
16.13Consensusmop_onOrthosteric Ligand8F7R-μ-Endomorphin-Gi1/β1/γ2 8EF5-μ-Fentanyl-Gi1/β1/γ2 7SCG-μ-FH210-Gi1/β1/γ2 7T2H-μ-Lofentanil-Gi1/β1/γ2 7T2G-μ-Mitragynine Pseudoindoxyl-Gi1/β1/γ2 8EF6-μ-Morphine-Gi1/β1/γ2 8EFB-μ-Oliceridine-Gi1/β1/γ2 7U2L-μ-C5-guano-Gi1/β1/γ2 8EFO-μ-PZM21-Gi1/β1/γ2 8EFL-μ-SR17018-Gi1/β1/γ2 8F7Q-μ-β-Endorphin-Gi1/β1/γ2 7U2K-μ-C6-guano-Gi1/β1/γ2 8EFQ-μ-DAMGO-Gi1/β1/γ2
16.13Consensusmop_on_gpOrthosteric Ligand8F7R-μ-Endomorphin-Gi1/β1/γ2 8EF5-μ-Fentanyl-Gi1/β1/γ2 7SCG-μ-FH210-Gi1/β1/γ2 7T2H-μ-Lofentanil-Gi1/β1/γ2 7T2G-μ-Mitragynine Pseudoindoxyl-Gi1/β1/γ2 8EF6-μ-Morphine-Gi1/β1/γ2 8EFB-μ-Oliceridine-Gi1/β1/γ2 7U2L-μ-C5-guano-Gi1/β1/γ2 8EFO-μ-PZM21-Gi1/β1/γ2 8EFL-μ-SR17018-Gi1/β1/γ2 8F7Q-μ-β-Endorphin-Gi1/β1/γ2 7U2K-μ-C6-guano-Gi1/β1/γ2 8EFQ-μ-DAMGO-Gi1/β1/γ2
16.13Consensusmotilin_on_gpOrthosteric Ligand8IBU-Motilin-Erythromycin-A-chim(NtGi1-Gs-CtGq)/β1/γ2
16.13Consensusopioid_offOrthosteric Ligandmop_off nop_off dop_off kop_off
16.13Consensuss1p1_onOrthosteric Ligand7VIE-S1P1-S1P-Gi1/β1/γ2 7VIF-S1P1-FTY720-P-Gi1/β1/γ2 7VIG-S1P1-CBP-307-Gi1/β1/γ2 7EVY-S1P1-Siponimod-Gi1/β1/γ2 7EVZ-S1P1-Cenerimod-Gi1/β1/γ2 7EW0-S1P1-Ozanimod-Gi1/β1/γ2 7EW7-S1P1-SEW2871-Gi1/β1/γ2
16.13Consensuss1p1_on_gpOrthosteric Ligand7VIE-S1P1-S1P-Gi1/β1/γ2 7VIF-S1P1-FTY720-P-Gi1/β1/γ2 7VIG-S1P1-CBP-307-Gi1/β1/γ2 7EVY-S1P1-Siponimod-Gi1/β1/γ2 7EVZ-S1P1-Cenerimod-Gi1/β1/γ2 7EW0-S1P1-Ozanimod-Gi1/β1/γ2 7EW7-S1P1-SEW2871-Gi1/β1/γ2
16.00Single2J4Y11-cis-Retinal2J4Y-Rhodopsin-11-cis-Retinal
16.00Single5WKTOctyl-Beta-D-Glucopyranoside5WKT-Rhodopsin-Octyl-β-D-Glucopyranoside-Gt(CT)
16.00Single7MT9All-trans-Retinal7MT9-Rhodopsin-All-trans-Retinal-GRK1
16.00Single7MTAAll-trans-Retinal7MTA-Rhodopsin-All-trans-Retinal-GRK1
16.00Single8F76Propanoic acid8F76-OR51E2-Propanoic acid-Gs/β1/γ2
16.00Single8ITFDMCHA8ITF-TAA9-DMCHA-chim(NtGi1-Gs)/β1/γ2
16.00Single8J6QBeta-Hydroxybutyrate8J6Q-HCA2-β-Hydroxybutyrate-PubChem 25101223-Gi1/β1/γ2
16.00Single8JRVGlucagon8JRV-Glucagon-Glucagon-Arrestin2
16.00Single8JXTHistamine8JXT-H4-Histamine-PO4-Gi1/β1/γ2
16.00Single8YN9Histamine8YN9-H4-Histamine-Gi1/β1/γ2
16.00Single8YUUHistamine8YUU-H3-Histamine-Gi1/β1/γ1
16.00Single9IJRC179IJR-GPR52-C17-Arrestin2
16.00Single9JG1Adriforant9JG1-H4-Adriforant
16.00Single9KT93,5-DHBA9KT9-HCA1-3,5-DHBA-Gi1/β1/γ2
16.00Single9LRCHistamine9LRC-H4-Histamine
16.00Single9LREHistamine9LRE-H4-Histamine-Gi1/β1/γ2
16.00Consensush3_onOrthosteric Ligand8YUU-H3-Histamine-Gi1/β1/γ1
16.00Consensush3_on_gpOrthosteric Ligand8YUU-H3-Histamine-Gi1/β1/γ1
15.79Single4XT3CX3CL14XT3-US28-CX3CL1
15.79Single5UIW5P7-CCL55UIW-CCR5-5P7-CCL5
15.79Single7YKDChemerin-97YKD-CML1-Chemerin-9-Gi1/β1/γ2
15.79Single8XQFApelin-138XQF-Apelin-Apelin-13-Gi1/β1/γ2
15.79Consensusccr5_offOrthosteric Ligand5UIW-CCR5-5P7-CCL5
15.79Consensusccr5_onOrthosteric Ligand7O7F-CCR5-6P4-CCL5-Gi1/β1/γ1 7F1Q-CCR5-CCL3-Gi1/β1/γ2
15.79Consensusopioid_on_gpOrthosteric Ligandmop_on_gp nop_on_gp dop_on_gp kop_on_gp
15.62Single4BUONeurotensin-(8-13)4BUO-NTS1-Neurotensin-(8-13)
15.62Single4OR2FITM4OR2-mGlu1; mGlu1-FITM
15.62Single5CGDHTL142425CGD-mGlu5-HTL14242
15.62Single6KPGAM8416KPG-CB1-AM841-Gi1/β1/γ2
15.62Single7EW0Ozanimod7EW0-S1P1-Ozanimod-Gi1/β1/γ2
15.62Single7MTSADX551647MTS-mGlu2; mGlu2-Glutamate-ADX55164-Gi1/β1/γ2
15.62Single7SK8CCX6627SK8-ACKR3-CXCL12-CCX662
15.62Single7U2KC6-guano7U2K-μ-C6-guano-Gi1/β1/γ2
15.62Single7VGY2-Iodomelatonin7VGY-MT1-2-Iodomelatonin-Gi1/β1/γ2
15.62Single7X8RBOC57X8R-GLP-1-BOC5-Gs/β1/γ2
15.62Single7XK2MK68927XK2-HCA2-MK6892-Gi1/β1/γ2
15.62Single7YU8ONO-07405567YU8-LPA1-ONO-0740556-Gi1/β1/γ2
15.62Single8E0GBU728E0G-μ-BU72
15.62Single8E9YClozapine-N-oxide8E9Y-M3-Clozapine-N-oxide-chim(NtGi2L-Gs-CtGq)/β1/γ2
15.62Single8FN0Neurotensin-(8-13)8FN0-NTS1-Neurotensin-(8-13)-SBI-553-chim(NtGi1-Go)/β1/γ2
15.62Single8ID8TUG-8918ID8-FFA4-TUG-891-Gi1/β1/γ2
15.62Single8IYSTUG-8918IYS-FFA4-TUG-891-GDP-chim(NtGi1L-Gq)/β1/γ2
15.62Single8S2TIsoprenaline8S2T-β1-Isoprenaline-chim(NtGi1-Gs)/β1/γ2
15.62Single8XGSKisspeptin-18XGS-Kiss1-Kisspeptin-1-chim(NtGi1-Gq)/β1/γ2
15.62Single8XIOL7975918XIO-SST1-L797591-chim(NtGi1-Gs-CtGi1)/β1/γ2
15.62Single8XVUCXCL28XVU-CXCR2-CXCL2
15.62Single8XXHCXCL28XXH-CXCR2-CXCL2-Go/β1/γ2
15.62Single8ZX4Lysophosphatidylinositol 8ZX4-GPR55-Lysophosphatidylinositol-chim(NtGi1-G13)/β1/γ2
15.62Single9DYEBuspirone9DYE-5-HT1A-Buspirone-PtdIns4P-Go/β1/γ2
15.62Single9GE3Lysophosphatidylinositol9GE3-GPR55-Lysophosphatidylinositol-chim(NtGi1-G13)/β1/γ2
15.62Single9IZFLPA9IZF-LPA1-LPA-Gi1/β1/γ2
15.62Single9KT8Acifran9KT8-HCA2-Acifran-Gi1/β1/γ2
15.62Single9KWXC5a-des-Arg9KWX-C5a1-C5a-des-Arg-Go/β1/γ2
15.62Single9WP9S1P9WP9-S1P3-S1P-chim(NtGi2L-Gs-CtGq)/β1/γ2
15.62Consensusc3a_on_gpOrthosteric Ligand8HK2-C3aB-C3a-Gi1/β1/γ2 8IA8-C3aB-E7 peptide-Gi1/β1/γ2
15.62Consensusd2_offOrthosteric Ligand6CM4-D2-Risperidone 6LUQ-D2-Haloperidol 7DFP-D2-Spiperone
15.62Consensusgi_s1pOrthosteric Ligand7VIE-S1P1-S1P-Gi1/β1/γ2 7EW3-S1P3-S1P-Gi1/β1/γ2 7EVY-S1P1-Siponimod-Gi1/β1/γ2 7EW1-S1P5-Siponimod-Gi1/β1/γ2 7VIF-S1P1-FTY720-P-Gi1/β1/γ2 7VIG-S1P1-CBP-307-Gi1/β1/γ2 7EVZ-S1P1-Cenerimod-Gi1/β1/γ2 7EW4-S1P3-CYM-5541-Gi1/β1/γ2 7EW2-S1P3-FTY720-P-Gi1/β1/γ2 7EW0-S1P1-Ozanimod-Gi1/β1/γ2 7EW7-S1P1-SEW2871-Gi1/β1/γ2
15.62Consensusnucleotide_on_gpOrthosteric Ligandadenosine_on_gp p2y_on_gp
15.62Consensusprostanoid_offOrthosteric Ligandep_off dp_off
15.38Single4O9RCyclopamine4O9R-SMO-Cyclopamine
15.38Single5L7IVismodegib5L7I-SMO-Vismodegib
15.38Single6LI0C176LI0-GPR52-C17
15.38Single6QNOAll-trans-Retinal6QNO-Rhodopsin-All-trans-Retinal-Gi1/β1/γ1
15.38Single7AD3Alpha-factor mating pheromone7AD3-STE2; STE2-α-factor mating pheromone-Gi1/STE4/γ2
15.38Single7DD5Ca; Ca; Tryptophan; NPS-21437DD5-CaS; CaS-Ca-Ca; Ca; Tryptophan; NPS-2143
15.38Single7DD7Ca; Ca; Tryptophan; Evocalcet7DD7-CaS; CaS-Ca-Ca; Ca; Tryptophan; Evocalcet
15.38Single7QBCAlpha-factor mating pheromone7QBC-STE2; STE2-α-factor mating pheromone
15.38Single7XKFDehydroepiandrosterone7XKF-ADGRG2-Dehydroepiandrosterone-Gs/β1/γ2
15.38Single7YFCHistamine7YFC-H4-Histamine-chim(NtGi1-Gs-CtGq)/β1/γ2
15.38Single7YOONeuropeptide-Y7YOO-Y2-Neuropeptide-Y-Gi1/β1/γ2
15.38Single8FEG(DNCP)-Beta-Naloxamine8FEG-κ-(DNCP)-β-Naloxamine-Gi1/β1/γ2
15.38Single8GGYConstrained Epinephrine8GGY-β2-Constrained Epinephrine
15.38Single8H2GNiacin8H2G-HCA2-Niacin-Gi1/β1/γ2
15.38Single8J6PPubChem 251012238J6P-HCA2-Niacin-PubChem 25101223-Gi1/β1/γ2
15.38Single8JHYPubChem 251012238JHY-HCA2-PubChem 25101223-Gi1/β1/γ2
15.38Single8JIIPubChem 251012238JII-HCA2-Niacin-PubChem 25101223-Gi1/β1/γ2
15.38Single8K5BNiacin8K5B-HCA2-Niacin
15.38Single8U4RREGN7663-Fab8U4R-CXCR4-REGN7663-Fab
15.38Single8UO3Constrained Epinephrine8UO3-β2-Constrained Epinephrine-GTP; Mg-Gs/β1/γ2
15.38Single8W892-Phenylethylamine8W89-TA1-2-Phenylethylamine-chim(NtGi1L-Gs)/β1/γ2
15.38Single8YN5Histamine8YN5-H3-Histamine-Gi1/β1/γ2
15.38Single8YN6Imetit8YN6-H3-Imetit-Gi1/β1/γ2
15.38Single8YN7Immethridine8YN7-H3-Immethridine-Go/β1/γ2
15.38Single8ZSVRO52633978ZSV-TA1-RO5263397-chim(NtGi1-Gs)/β1/γ2
15.38Single9JEDHistamine9JED-H4-Histamine-PO4-Gi1/β1/γ2
15.38Single9JEQHistamine9JEQ-H3-Histamine-Gi1/β1/γ2
15.38Single9U9VMETH9U9V-β2-METH-Gs/β1/γ2
15.38Consensusnpy2_onOrthosteric Ligand7YOO-Y2-Neuropeptide-Y-Gi1/β1/γ2
15.38Consensusnpy2_on_gpOrthosteric Ligand7YOO-Y2-Neuropeptide-Y-Gi1/β1/γ2
15.15Single5VBLAMG3054 5VBL-Apelin-AMG3054
15.15Single5ZTYAM102575ZTY-CB2-AM10257
15.15Single6OMMWKYMVX6OMM-FPR2-ALX-WKYMVX-Gi1/β1/γ2
15.15Single6XBJCholesterol6XBJ-SMO-Cholesterol-Gi1/β1/γ2
15.15Single7F2OBradykinin7F2O-BK2-Bradykinin-chim(NtGi1-Gs-CtGq)/β1/γ2
15.15Single7F8WGastrin-177F8W-CCKB-Gastrin-17-chim(NtGsL-Gq)/β1/γ2
15.15Single7XBXCX3CL17XBX-CX3CR1-CX3CL1-Gi1/β1/γ2
15.15Single7XY6BAY 60-65837XY6-A2B-BAY 60-6583-chim(NtGi1-Gs)/β1/γ2
15.15Single8IA7Cholecystokinin-88IA7-CCKB-Cholecystokinin-8-chim(NtGi1L-Gq)/β1/γ2
15.15Single8IUMTafluprost acid8IUM-FP-alpha-Tafluprost acid-chim(NtGi1-Gs-CtGq)/β1/γ2
15.15Single8JBFSenktide8JBF-NK3-Senktide-chim(NtGi1-Gs-CtGq)/β1/γ2
15.15Single8QJ2pN1628QJ2-MC4-pN162-Gs/β1/γ2
15.15Single8X5YAstemizole8X5Y-H1-Astemizole
15.15Single8XQLCholesterol8XQL-TAS2R14-Cholesterol-Aristolochic acid A-Gt3/β1/γ1
15.15Single8XQOCholesterol8XQO-TAS2R14-Cholesterol-Aristolochic acid A-Gi1/β1/γ1
15.15Single9IZASCH9002719IZA-HCA2-SCH900271-Gi1/β1/γ2
15.15Single9KZ2EP679KZ2-C3aB-EP67-Go/β1/γ2
15.15Single9M0RNeuropeptide-VF9M0R-NPFF1-Neuropeptide-VF-Gi1/β1/γ2
15.15Consensuscb2_offOrthosteric Ligand5ZTY-CB2-AM10257
15.15Consensuscxcr3_onOrthosteric Ligand8HNK-CXCR3-CXCL11-Gi1/β1/γ2 8HNL-CXCR3-PS372424-Gi1/β1/γ2
15.00Single6IGLIRL16206IGL-ETB-IRL1620
15.00Single7QBCAlpha-factor mating pheromone7QBC-STE2; STE2-α-factor mating pheromone
15.00Single8IY5Endothelin-18IY5-ETB-Endothelin-1-Gi1/β1/γ2
15.00Single8IY6Endothelin-18IY6-ETB-Endothelin-1
15.00Consensusbk2_onOrthosteric Ligand7F6H-BK2-Bradykinin-Gq/β1/γ2 7F6I-BK2-Kallidin-Gq/β1/γ2
15.00Consensusbk2_on_gpOrthosteric Ligand7F6H-BK2-Bradykinin-Gq/β1/γ2 7F6I-BK2-Kallidin-Gq/β1/γ2
15.00Consensusbradykinin_onOrthosteric Ligandbk2_on
15.00Consensusbradykinin_on_gpOrthosteric Ligandbk2_on_gp
15.00Consensusgq_bradykininOrthosteric Ligand7F6H-BK2-Bradykinin-Gq/β1/γ2 7F6I-BK2-Kallidin-Gq/β1/γ2
14.81Single2X72All-trans-Retinal2X72-Rhodopsin-All-trans-Retinal-Gt(CT)
14.81Single3V2WPubChem 518926453V2W-S1P1-PubChem 51892645
14.81Single3VG9ZM-2413853VG9-A2A-ZM-241385-Antibody
14.81Single3VGAZM-2413853VGA-A2A-ZM-241385-Antibody
14.81Single4BWBNeurotensin-(8-12)4BWB-NTS1-Neurotensin-(8-12)
14.81Single4QINSAG1.54QIN-SMO-SAG1.5
14.81Single5K2DZM-2413855K2D-A2A-ZM-241385-Na
14.81Single5OLOTozadenant5OLO-A2A-Tozadenant-Na
14.81Single5U09Taranabant5U09-CB1-Taranabant
14.81Single6D9HAdenosine6D9H-A1-Adenosine-Gi2/β1/γ2
14.81Single6JZHZM-2413856JZH-A2A-ZM-241385-Na
14.81Single6KUYPubChem 1457046436KUY-α2a-PubChem 145704643
14.81Single6NWEOctyl-Beta-D-Glucopyranoside6NWE-Rhodopsin-Octyl-β-D-Glucopyranoside-Gt(CT)
14.81Single6O3CSAG21k6O3C-SMO-SAG21k-Cholesterol
14.81Single6OYAAll-trans-Retinal6OYA-Rhodopsin-All-trans-Retinal-Gt/β1/γ1
14.81Single6PS7ZM-2413856PS7-A2A-ZM-241385-Na
14.81Single7EJ0Norepinephrine7EJ0-α2a-Norepinephrine-Go/β1/γ2
14.81Single7M3FCa; Ca; Tryptophan; Cinacalcet7M3F-CaS; CaS-Ca; Ca; Tryptophan; Cinacalcet
14.81Single7VUJJNJ-635330547VUJ-GPR139-JNJ-63533054-GDP-chim(Gs-CtGq)/β1/γ2
14.81Single7VVOPTH7VVO-PTH1-PTH-Gs/β1/γ2
14.81Single7W0OElabela7W0O-Apelin-Elabela-Gi1/β1/γ2
14.81Single7WF7S1P7WF7-S1P1-S1P-Gi1/β1/γ2
14.81Single7YM8Oxymetazoline7YM8-Alpha1A-Oxymetazoline-chim(Gs-CtGq)
14.81Single7YMHNorepinephrine7YMH-Alpha1A-Norepinephrine-chim(Gs-CtGq)
14.81Single8DU3PubChem 1055260648DU3-A2A-PubChem 105526064
14.81Single8GGAConstrained Epinephrine8GGA-β2-Constrained Epinephrine-GTP-Gs/β1/γ2
14.81Single8GGCConstrained Epinephrine8GGC-β2-Constrained Epinephrine-GTP-Gs/β1/γ2
14.81Single8GGRConstrained Epinephrine8GGR-β2-Constrained Epinephrine
14.81Single8GGWConstrained Epinephrine8GGW-β2-Constrained Epinephrine
14.81Single8GGZConstrained Epinephrine8GGZ-β2-Constrained Epinephrine
14.81Single8GH0Constrained Epinephrine8GH0-β2-Constrained Epinephrine
14.81Single8HDPAdenosine8HDP-A2B-Adenosine-Gs/β1/γ2
14.81Single8RVWStilSwitch38RVW-A2A-StilSwitch3-Na
14.81Single8WC3SEP-3638568WC3-TA1-SEP-363856-chim(NtGi1-Gs)/β1/γ2
14.81Single8WC4ZH86518WC4-TA1-ZH8651-chim(NtGi1-Gs)/β1/γ2
14.81Single8WCA2-Phenylethylamine8WCA-TA1-2-Phenylethylamine-chim(NtGi1-Gs)/β1/γ2
14.81Single8WOGSuccinic acid8WOG-Succinate-Succinic acid-Gi1/β1/γ2
14.81Single8Y0HVUF114188Y0H-CXCR3-VUF11418
14.81Single8Y0NVUF114188Y0N-CXCR3-VUF11418-Go/β1/γ2
14.81Single8YKXMaleic acid8YKX-Succinate-Maleic acid-Gi1/β1/γ1
14.81Single8YUVImmepip8YUV-H3-Immepip-Gi1/β1/γ2
14.81Single8YYWAlpha-ketoglutarate8YYW-Oxoglutarate-α-ketoglutarate-α-ketoglutarate-chim(Gi1-CtGq)/β1/γ2
14.81Single8YYWAlpha-ketoglutarate8YYW-Oxoglutarate-α-ketoglutarate-α-ketoglutarate-chim(Gi1-CtGq)/β1/γ2
14.81Single8Z87CHBA8Z87-HCA1-CHBA-Gi1/β1/γ2
14.81Single9EEAAdenosine9EEA-A2A-Adenosine-Gs/β1/γ2
14.81Single9H2XPubChem 1756706449H2X-A2A-PubChem 175670644-Na
14.81Single9J5VCpY9J5V-LPA1-CpY-Gi1/β1/γ2
14.81Single9JKXAcifran9JKX-HCA3-Acifran-Gi1/β1/γ2
14.81Single9KPESalicin9KPE-TAS2R16-Salicin-Gi1/β1/γ2
14.81Single9MQJIsoquinuclidine9MQJ-μ-Isoquinuclidine
14.81Single9PXUNaloxone9PXU-μ-Naloxone-Na
14.81Single9W49U-50488H9W49-κ-U-50488H-Gi1/β1/γ2
14.81Consensusalpha2_offOrthosteric Ligandalpha2c_off
14.81Consensusangiotensin_offOrthosteric Ligandat1_off
14.81Consensusgi_succinateOrthosteric Ligand8YKW-Succinate-Succinic acid-Gi1/β1/γ1 8YKX-Succinate-Maleic acid-Gi1/β1/γ1
14.81Consensushistamine_onOrthosteric Ligandh1_on h2_on h3_on h4_on
14.81Consensushistamine_on_gpOrthosteric Ligandh1_on_gp h2_on_gp h3_on_gp h4_on_gp
14.81Consensusrhodopsin_on_gpOrthosteric Ligand6OYA-Rhodopsin-All-trans-Retinal-Gt/β1/γ1
14.81Consensuss1p1_offOrthosteric Ligand3V2W-S1P1-PubChem 51892645
14.81Consensussensory_offonOrthosteric Ligandsensory_off sensory_on
14.81Consensussensory_offon_gpOrthosteric Ligandsensory_on_gp sensory_on
14.81Consensussuccinate_onOrthosteric Ligand8YKW-Succinate-Succinic acid-Gi1/β1/γ1 8YKX-Succinate-Maleic acid-Gi1/β1/γ1
14.81Consensussuccinate_on_gpOrthosteric Ligand8YKW-Succinate-Succinic acid-Gi1/β1/γ1 8YKX-Succinate-Maleic acid-Gi1/β1/γ1
14.71Single4AMJCarvedilol4AMJ-β1-Carvedilol
14.71Single5UNFPubChem 157800525UNF-AT2-PubChem 15780052
14.71Single7F8XNN90567F8X-CCKA-NN9056
14.71Single7L0RNeurotensin-(8-13)7L0R-NTS1-Neurotensin-(8-13)-Gi1/β1/γ1
14.71Single7NA7Ghrelin7NA7-Ghrelin-Ghrelin-Gi1/β1/γ2
14.71Single7W2ZGhrelin7W2Z-Ghrelin-Ghrelin-Go/β1/γ2
14.71Single7WKDTRH7WKD-TRH-TRH-chim(NtGi1-Gs-CtGq)/β1/γ2
14.71Single7XAUOctreotide7XAU-SST2-Octreotide-Gi1/β1/γ2
14.71Single8FYLVilazodone8FYL-5-HT1A-Vilazodone-PtdIns4P-Gi1/β1/γ1
14.71Single8G59TUG-8918G59-FFA4-TUG-891-chim(Gi1-CtGq)/β1/γ2
14.71Single8PKMBefiradol8PKM-5-HT1A-Befiradol-Gi1/β1/γ1
14.71Single8XGMChemerin8XGM-CML2-Chemerin-Gi1/β1/γ2
14.71Single9BUYLM1899BUY-β2-LM189-Gi1/β1/γ2
14.71Single9KWGC5a9KWG-C5a1-C5a-Go/β1/γ2
14.71Single9M4TSilodosin9M4T-Alpha1A-Silodosin
14.71Consensuschemerin_on_gpOrthosteric Ligandcml1_on_gp
14.71Consensuschemokine_onOrthosteric Ligandccr_on cxcr_on
14.71Consensuscml1_onOrthosteric Ligand7YKD-CML1-Chemerin-9-Gi1/β1/γ2
14.71Consensusgi_chemerinOrthosteric Ligand7YKD-CML1-Chemerin-9-Gi1/β1/γ2
14.71Consensusgi_nucleotideOrthosteric Ligandgi_adenosine gi_p2y
14.71Consensuslpl_onOrthosteric Ligands1p_on lpa_on
14.71Consensuslpl_on_gpOrthosteric Ligands1p_on_gp lpa_on_gp
14.71Consensusnk3_onOrthosteric Ligand8JBF-NK3-Senktide-chim(NtGi1-Gs-CtGq)/β1/γ2
14.71Consensusnk3_on_gpOrthosteric Ligand8JBF-NK3-Senktide-chim(NtGi1-Gs-CtGq)/β1/γ2
14.71Consensusp2y_onOrthosteric Ligandp2y1_on p2y10_on p2y12_on
14.71Consensussst5_onOrthosteric Ligand8X8L-SST5-Cortistatin-14-chim(NtGi1-Gs-CtGi1)/β1/γ2 8X8N-SST5-Octreotide-chim(NtGi1-Gs-CtGi1)/β1/γ2
14.63Consensusgi_endothelinOrthosteric Ligand8IY5-ETB-Endothelin-1-Gi1/β1/γ2 8HBD-ETB-IRL1620-Gi1/β1/γ2
14.29Single1F8811-cis-Retinal1F88-Rhodopsin-11-cis-Retinal
14.29Single3UZCPubChem 1355666093UZC-A2A-PubChem 135566609
14.29Single4LDOEpinephrine4LDO-β2-Epinephrine
14.29Single5IU4ZM-2413855IU4-A2A-ZM-241385-Na
14.29Single5IUBQ274563445IUB-A2A-Q27456344-Na
14.29Single5K2CZM-2413855K2C-A2A-ZM-241385-Na
14.29Single5NLXZM-2413855NLX-A2A-ZM-241385-Na
14.29Single5NM4ZM-2413855NM4-A2A-ZM-241385-Na
14.29Single5TE3Octyl-Beta-D-Glucopyranoside5TE3-Rhodopsin-Octyl-β-D-Glucopyranoside
14.29Single5UVIZM-2413855UVI-A2A-ZM-241385
14.29Single6AQFZM-2413856AQF-A2A-ZM-241385
14.29Single6FFIMPEP6FFI-mGlu5-MPEP
14.29Single6FKAPubChem 1324730376FKA-Rhodopsin-PubChem 132473037
14.29Single6K41Dexmedetomidine6K41-α2b-Dexmedetomidine-Go/β1/γ2
14.29Single6KUXRS799486KUX-α2a-RS79948
14.29Single6MH8ZM-2413856MH8-A2A-ZM-241385
14.29Single6PS0Carazolol6PS0-β2-Carazolol
14.29Single6PS4ICI118-5516PS4-β2-ICI118-551
14.29Single6WH4Methiothepin6WH4-5-HT2A-Methiothepin
14.29Single6WJCAtropine6WJC-M1-Atropine-Muscarinic toxin 7
14.29Single6XBLSAG6XBL-SMO-SAG-Cholesterol-Gi1/β1/γ2
14.29Single7BB6AVP7BB6-V2-AVP-Gs/β1/γ2
14.29Single7C6A(Sar1,Ile8)-Angiotensin II7C6A-AT2-(Sar1,Ile8)-Angiotensin II
14.29Single7CMVPD1289077CMV-D3-PD128907-Gi1/β1/γ2
14.29Single7DHISalbutamol7DHI-β2-Salbutamol-Gs/β1/γ2
14.29Single7EJ8Brimonidine7EJ8-α2a-Brimonidine-Go/β1/γ2
14.29Single7EJADexmedetomidine7EJA-α2a-Dexmedetomidine-Go/β1/γ2
14.29Single7F1QCCL37F1Q-CCR5-CCL3-Gi1/β1/γ2
14.29Single7UTZDPPC7UTZ-TSH-TSH-DPPC-Gs/β1/γ2
14.29Single7VUGJNJ-635330547VUG-GPR139-JNJ-63533054-Gi1/β1/γ2
14.29Single7XNACYN1548067XNA-SST2-CYN154806
14.29Single7XXH2MeSADP7XXH-P2Y1-2MeSADP-chim(NtGi1-G11)/β1/γ2
14.29Single7ZI0SAG7ZI0-SMO-SAG-Cholesterol
14.29Single8GE1Constrained Epinephrine8GE1-β2-Constrained Epinephrine-Gs/β1/γ2
14.29Single8GE4Constrained Epinephrine8GE4-β2-Constrained Epinephrine-Gs/β1/γ2
14.29Single8GE5Constrained Epinephrine8GE5-β2-Constrained Epinephrine-Gs/β1/γ1
14.29Single8GE6Constrained Epinephrine8GE6-β2-Constrained Epinephrine-Gs/β1/γ2
14.29Single8GE7Constrained Epinephrine8GE7-β2-Constrained Epinephrine-Gs/β1/γ2
14.29Single8GE8Constrained Epinephrine8GE8-β2-Constrained Epinephrine-Gs/β1/γ2
14.29Single8GEFConstrained Epinephrine8GEF-β2-Constrained Epinephrine-Gs/β1/γ2
14.29Single8GG5Constrained Epinephrine8GG5-β2-Constrained Epinephrine-GTP-Gs/β1/γ2
14.29Single8GGQConstrained Epinephrine8GGQ-β2-Constrained Epinephrine
14.29Single8GGSConstrained Epinephrine8GGS-β2-Constrained Epinephrine
14.29Single8GGTConstrained Epinephrine8GGT-β2-Constrained Epinephrine
14.29Single8GGVConstrained Epinephrine8GGV-β2-Constrained Epinephrine
14.29Single8GGXConstrained Epinephrine8GGX-β2-Constrained Epinephrine
14.29Single8HNMVUF112228HNM-CXCR3-VUF11222-Gi1/β1/γ2
14.29Single8IBVMotilin8IBV-Motilin-Motilin-chim(NtGi1-Gs-CtGq)/β1/γ2
14.29Single8IY9Niacin8IY9-HCA2-Niacin-Go/β1/γ2
14.29Single8JERAcipimox8JER-HCA2-Acipimox-Go/β1/γ2
14.29Single8JIMMonomethyl fumarate8JIM-HCA2-Monomethyl fumarate-Gi1/β1/γ2
14.29Single8JLQFenoldopam8JLQ-TA1-Fenoldopam-Gs/β1/γ2
14.29Single8K5CAcipimox8K5C-HCA2-Acipimox
14.29Single8RLNLUF58348RLN-A2A-LUF5834
14.29Single8RWCStilSwitch28RWC-A2A-StilSwitch2-Na
14.29Single8RWDStilSwitch38RWD-A2A-StilSwitch3-Na
14.29Single8THKA-616038THK-Alpha1A-A-61603-chim(NtGi2L-Gs-CtGq)/β1/γ2
14.29Single8THLEpinephrine8THL-Alpha1A-Epinephrine-chim(NtGi2L-Gs-CtGq)/β1/γ2
14.29Single8UO0Constrained Epinephrine8UO0-β2-Constrained Epinephrine-GTP-Gs/β1/γ2
14.29Single8W8BSEP-3638568W8B-5-HT1A-SEP-363856-Gi1/β1/γ2
14.29Single8WPGTryptophan; Cinacalcet; PO4; Ca8WPG-CaS; CaS-Tryptophan; Cinacalcet; PO4; Ca
14.29Single8WSSMCH8WSS-MCH1-MCH-Gi1/β1/γ1
14.29Single8Y01All-trans-Retinal8Y01-Opsin1MW-All-trans-Retinal-Gi1/β1/γ2
14.29Single8YH2Adenosine8YH2-A3A-Adenosine-Gi1/β1/γ2
14.29Single8ZBWQuin-C18ZBW-FPR2-ALX-Quin-C1-Gi2/β1/γ2
14.29Single9AS5Mescaline9AS5-5-HT2A-Mescaline
14.29Single9AS6Mescaline9AS6-5-HT2A-Mescaline-chim(NtGi1-Gs-CtGq)/β1/γ2
14.29Single9ASBCa; Ca; Cyclomethyltryptophan; R-568; PO49ASB-CaS; CaS-Ca-Ca; Ca; Cyclomethyltryptophan; R-568; PO4-chim(NtGi1-Gs-CtGq)/β1/γ2
14.29Single9DQJEP-39459DQJ-MRGPRD-EP-3945-chim(NtGi1-Gs-CtGq)/β1/γ2
14.29Single9IQVMuscarinic toxin 39IQV-Alpha1A-Muscarinic toxin 3
14.29Single9JFK(Pen5)-Urotensin II9JFK-UT-(Pen5)-Urotensin II-chim(NtGi2L-Gs-CtGq)/β1/γ2
14.29Single9JKQMETH9JKQ-TA1-METH-Gs/β1/γ2
14.29Single9KPDSalicin9KPD-TAS2R16-Salicin-chim(Gs-CtGt3)/β1/γ2
14.29Single9KT7MK68929KT7-HCA2-MK6892-Gi1/β1/γ2
14.29Single9M2FNeuropeptide-FF9M2F-NPFF1-Neuropeptide-FF-Gi1/β1/γ2
14.29Single9MQIIsoquinuclidine9MQI-μ-Isoquinuclidine
14.29Single9PXVNaloxone9PXV-μ-Naloxone-Gi1/β1/γ2
14.29Single9PXXNaloxone9PXX-μ-Naloxone-GDPβS-Gi1/β1/γ2
14.29Single9UMXEP549UMX-C5a1-EP54-Go/β1/γ2
14.29Single9VJG8-OH-DPAT9VJG-5-HT1A-8-OH-DPAT-chim(NtGi2-Gz)/β1/γ2
14.29Consensusalpha1_onOrthosteric Ligandalpha1a_on
14.29Consensusalpha1_on_gpOrthosteric Ligandalpha1a_on_gp
14.29Consensusalpha1a_onOrthosteric Ligand7EJ0-α2a-Norepinephrine-Go/β1/γ2 7EJ8-α2a-Brimonidine-Go/β1/γ2 7EJA-α2a-Dexmedetomidine-Go/β1/γ2 7EJK-α2a-Oxymetazoline-Go/β1/γ2 7W6P-α2a-N-pyridin-4-ylisoquinolin-4-amine-Go/β1/γ2 7W7E-α2a-PubChem 164946676-Go/β1/γ2
14.29Consensusalpha1a_on_gpOrthosteric Ligand7EJ0-α2a-Norepinephrine-Go/β1/γ2 7EJ8-α2a-Brimonidine-Go/β1/γ2 7EJA-α2a-Dexmedetomidine-Go/β1/γ2 7EJK-α2a-Oxymetazoline-Go/β1/γ2 7W6P-α2a-N-pyridin-4-ylisoquinolin-4-amine-Go/β1/γ2 7W7E-α2a-PubChem 164946676-Go/β1/γ2
14.29Consensusat1_offOrthosteric Ligand4YAY-AT1-ZD-7155 4ZUD-AT1-Olmesartan
14.29Consensuscb1_offOrthosteric Ligand5U09-CB1-Taranabant 5TGZ-CB1-AM6538
14.29Consensuscxcr2_onOrthosteric Ligand6LFM-CXCR2-CXCL8-Gi1/β1/γ2
14.29Consensusetb_on_gpOrthosteric Ligand8IY5-ETB-Endothelin-1-Gi1/β1/γ2 8HBD-ETB-IRL1620-Gi1/β1/γ2
14.29Consensusgi_ghrelinOrthosteric Ligand7NA7-Ghrelin-Ghrelin-Gi1/β1/γ2 7NA8-Ghrelin-Ibutamoren-Gi1/β1/γ2
14.29Consensushca_onOrthosteric Ligandhca2_on
14.29Consensusnucleotide_offOrthosteric Ligandadenosine_off p2y_off
14.29Consensusopsins_offOrthosteric Ligandrhodopsin_off
14.29Consensusp2y1_on_gpOrthosteric Ligand7XXH-P2Y1-2MeSADP-chim(NtGi1-G11)/β1/γ2
14.29Consensuss1p3_on_gpOrthosteric Ligand7EW3-S1P3-S1P-Gi1/β1/γ2 7EW4-S1P3-CYM-5541-Gi1/β1/γ2 7EW2-S1P3-FTY720-P-Gi1/β1/γ2
14.29Consensussensory_offOrthosteric Ligandopsins_off
14.29Consensussst2_offOrthosteric Ligand7XNA-SST2-CYN154806
14.29Consensussst4_onOrthosteric Ligand7XMS-SST4-Somatostatin-14-Gi1/β1/γ2 7XMT-SST4-J-2156-Gi1/β1/γ2
14.29Consensussst4_on_gpOrthosteric Ligand7XMS-SST4-Somatostatin-14-Gi1/β1/γ2 7XMT-SST4-J-2156-Gi1/β1/γ2
13.89Single3OE0CVX153OE0-CXCR4-CVX15
13.89Single6PT2KGCHM076PT2-δ-KGCHM07
13.89Single7RYCOxytocin7RYC-OT-Oxytocin-chim(NtGi2L-Gs-CtGq)/β1/γ2
13.89Single7TD0LPA7TD0-LPA1-LPA-Gi1/β1/γ2
13.89Single7XOUCholecystokinin-87XOU-CCKA-Cholecystokinin-8-Gs/β1/γ2
13.89Single8XGUTAK4488XGU-Kiss1-TAK448-Gi1/β1/γ2
13.89Single8XIQL7967788XIQ-SST3-L796778-chim(NtGi1-Gs-CtGi1)/β1/γ2
13.89Single8XZGApelin-138XZG-Apelin; Apelin-Apelin-13-Gi1/β1/γ2
13.89Single8XZHMM078XZH-Apelin; Apelin-MM07-Gi1/β1/γ2
13.89Single9B54VIP369B54-CB1-VIP36-Gi1/β1/γ2
13.89Single9K27PrRP319K27-PrRP-PrRP31-chim(NtGi1-Gq)/β1/γ2
13.89Single9UYIChemerin-99UYI-CML2-Chemerin-9-Arrestin2
13.89Consensusc5a1_onOrthosteric Ligand8HK5-C5a1-C5a-Gi1/β1/γ2 7Y66-C5a1-BM213-Gi1/β1/γ2 7Y67-C5a1-C089 peptide-Gi1/β1/γ2 7Y64-C5a1-C5a-Gi1/β1/γ2
13.89Consensusgi_somatostatinOrthosteric Ligand7WIC-SST2-Somatostatin-14-Gi1/β1/γ2 7XMS-SST4-Somatostatin-14-Gi1/β1/γ2 8X8L-SST5-Cortistatin-14-chim(NtGi1-Gs-CtGi1)/β1/γ2 7XMT-SST4-J-2156-Gi1/β1/γ2 7WIG-SST2-L-054264-Gi1/β1/γ2 8X8N-SST5-Octreotide-chim(NtGi1-Gs-CtGi1)/β1/γ2 7YAE-SST2-Octreotide-Gi1/β1/γ2 7YAC-SST2-Paltusotine-Gi1/β1/γ2
13.89Consensusgs_class-aOrthosteric Ligandgs_peptide gs_nucleotide gs_amine
13.89Consensussomatostatin_onOrthosteric Ligandsst2_on sst4_on sst5_on
13.89Consensussomatostatin_on_gpOrthosteric Ligandsst2_on_gp sst4_on_gp sst5_on_gp
13.79Single2VT4Cyanopindolol2VT4-β1-Cyanopindolol
13.79Single2Y01Dobutamine2Y01-β1-Dobutamine
13.79Single2Y04Salbutamol2Y04-β1-Salbutamol
13.79Single2YCYCyanopindolol2YCY-β1-Cyanopindolol
13.79Single3ZPQPubChem 5945903ZPQ-β1-PubChem 594590-Na
13.79Single4EJ4Naltrindole4EJ4-δ-Naltrindole
13.79Single4MQSIperoxo4MQS-M2-Iperoxo
13.79Single4QKXPubChem 762106284QKX-β2-PubChem 76210628
13.79Single4U14Tiotropium4U14-M3-Tiotropium
13.79Single4YAYZD-71554YAY-AT1-ZD-7155
13.79Single5T04Neurotensin-(8-13)5T04-NTS1-Neurotensin-(8-13)
13.79Single6DRZMethysergide6DRZ-5-HT2B-Methysergide
13.79Single6FFHFenobam6FFH-mGlu5-Fenobam
13.79Single6FKDPubChem 1373491836FKD-Rhodopsin-PubChem 137349183
13.79Single6H7MSalbutamol6H7M-β1-Salbutamol
13.79Single6IIVDaltroban6IIV-TXA2-Daltroban
13.79Single6K42Dexmedetomidine6K42-α2b-Dexmedetomidine-Gi1/β1/γ2
13.79Single6LPJZM-2413856LPJ-A2A-ZM-241385-Na
13.79Single6LPKZM-2413856LPK-A2A-ZM-241385-Na
13.79Single6PRZAlprenolol6PRZ-β2-Alprenolol
13.79Single6PS1Timolol6PS1-β2-Timolol
13.79Single6PS2Alprenolol6PS2-β2-Alprenolol
13.79Single6WHADB139486WHA-5-HT2A-DB13948-chim(NtGi2L-Gs-CtGq)/β1/γ2
13.79Single6XBM25(S)-Epoxycholesterol6XBM-SMO-25(S)-Epoxycholesterol-Gi1/β1/γ2
13.79Single6Z4VNeurotensin-(9-13)6Z4V-NTS1-Neurotensin-(9-13)
13.79Single7BTSEpinephrine7BTS-β1-Epinephrine
13.79Single7BU6Norepinephrine7BU6-β1-Norepinephrine
13.79Single7BU7BI1671077BU7-β1-BI167107
13.79Single7CRHSKF839597CRH-D1-SKF83959-Gs/β1/γ2
13.79Single7DB6Ramelteon7DB6-MT1-Ramelteon-Gi1/β1/γ2
13.79Single7E32Serotonin7E32-5-HT1D-Serotonin-Gi1/β1/γ2
13.79Single7JVQApomorphine7JVQ-D1-Apomorphine-Gs/β1/γ2
13.79Single7S0GIsoprenaline7S0G-β1-Isoprenaline-chim(Gi1-CtGs)/β1/γ2
13.79Single7TRPIperoxo7TRP-M4-Iperoxo-LY2033298-Gi1/β1/γ2
13.79Single7UM55-CT7UM5-5-HT5A-5-CT-chim(NtGi1-Go)/β1/γ2
13.79Single7VGZRamelteon7VGZ-MT1-Ramelteon-Gi1/β1/γ2
13.79Single7VIES1P7VIE-S1P1-S1P-Gi1/β1/γ2
13.79Single7VIFFTY720-P7VIF-S1P1-FTY720-P-Gi1/β1/γ2
13.79Single7VKTLTB47VKT-BLT1-LTB4-Gi1/β1/γ2
13.79Single7WC7Lisuride7WC7-5-HT2A-Lisuride
13.79Single8CICEtrumadenant8CIC-A2A-Etrumadenant-Na
13.79Single8CU6LJ-45178CU6-A2A-LJ-4517
13.79Single8FY85-MeO-DMT8FY8-5-HT1A-5-MeO-DMT-PtdIns4P-Gi1/β1/γ1
13.79Single8GE2Constrained Epinephrine8GE2-β2-Constrained Epinephrine-Gs/β1/γ1
13.79Single8GE3Constrained Epinephrine8GE3-β2-Constrained Epinephrine-Gs/β1/γ2
13.79Single8GE9Constrained Epinephrine8GE9-β2-Constrained Epinephrine-Gs/β1/γ2
13.79Single8GECConstrained Epinephrine8GEC-β2-Constrained Epinephrine-Gs/β1/γ2
13.79Single8GEEConstrained Epinephrine8GEE-β2-Constrained Epinephrine-Gs/β1/γ2
13.79Single8GEHConstrained Epinephrine8GEH-β2-Constrained Epinephrine-Gs/β1/γ2
13.79Single8GFVConstrained Epinephrine8GFV-β2-Constrained Epinephrine-GTP-Gs/β1/γ2
13.79Single8GFWConstrained Epinephrine8GFW-β2-Constrained Epinephrine-GTP-Gs/β1/γ2
13.79Single8GFXConstrained Epinephrine8GFX-β2-Constrained Epinephrine-GTP-Gs/β1/γ2
13.79Single8GFZConstrained Epinephrine8GFZ-β2-Constrained Epinephrine-GTP-Gs/β1/γ2
13.79Single8GG0Constrained Epinephrine8GG0-β2-Constrained Epinephrine-GTP-Gs/β1/γ2
13.79Single8GG1Constrained Epinephrine8GG1-β2-Constrained Epinephrine-GTP-Gs/β1/γ2
13.79Single8GG3Constrained Epinephrine8GG3-β2-Constrained Epinephrine-GTP-Gs/β1/γ2
13.79Single8GG4Constrained Epinephrine8GG4-β2-Constrained Epinephrine-GTP-Gs/β1/γ2
13.79Single8GG6Constrained Epinephrine8GG6-β2-Constrained Epinephrine-GTP-Gs/β1/γ2
13.79Single8GG9Constrained Epinephrine8GG9-β2-Constrained Epinephrine-GTP-Gs/β1/γ2
13.79Single8GGIConstrained Epinephrine8GGI-β2-Constrained Epinephrine
13.79Single8GGJConstrained Epinephrine8GGJ-β2-Constrained Epinephrine
13.79Single8GGKConstrained Epinephrine8GGK-β2-Constrained Epinephrine
13.79Single8GGNConstrained Epinephrine8GGN-β2-Constrained Epinephrine
13.79Single8GGOConstrained Epinephrine8GGO-β2-Constrained Epinephrine
13.79Single8GGUConstrained Epinephrine8GGU-β2-Constrained Epinephrine
13.79Single8JIINiacin8JII-HCA2-Niacin-PubChem 25101223-Gi1/β1/γ2
13.79Single8JLJT1AM8JLJ-TA1-T1AM-chim(NtGi1-Gs)/β1/γ2
13.79Single8JLZST19368JLZ-5-HT6-ST1936-Gs/β1/γ2
13.79Single8JXRLSD8JXR-D1-LSD
13.79Single8K5DGSK2560738K5D-HCA2-GSK256073
13.79Single8PJKST1718PJK-5-HT1A-ST171-Gi1/β1/γ1
13.79Single8UH3Setiptiline8UH3-5-HT1E-Setiptiline-Gi1/β1/γ1
13.79Single8UNQConstrained Epinephrine8UNQ-β2-Constrained Epinephrine-GTP-Gs/β1/γ2
13.79Single8UNVConstrained Epinephrine8UNV-β2-Constrained Epinephrine-GTP-Gs/β1/γ2
13.79Single8UNYConstrained Epinephrine8UNY-β2-Constrained Epinephrine-GTP-Gs/β1/γ2
13.79Single8UNZConstrained Epinephrine8UNZ-β2-Constrained Epinephrine-GTP-Gs/β1/γ2
13.79Single8UO2Constrained Epinephrine8UO2-β2-Constrained Epinephrine-GTP-Gs/β1/γ2
13.79Single8X63Mepyramine8X63-H1-Mepyramine
13.79Single8X64Desloratadine8X64-H1-Desloratadine
13.79Single8XVKAmbrisentan8XVK-ETA-Ambrisentan
13.79Single8Y71A1D6F8Y71-δ-A1D6F-BMS986187-Gi1/β1/γ2
13.79Single8ZQEGPR15L(CT)8ZQE-GPR15-GPR15L(CT)-Gi1/β1/γ1
13.79Single9AVGCa; Ca; Cyclomethyltryptophan; R-568; PO49AVG-CaS; CaS-Ca-Ca; Ca; Cyclomethyltryptophan; R-568; PO4-chim(NtGi1-Gs)/β1/γ2
13.79Single9CBMDexmedetomidine9CBM-α2a-Dexmedetomidine-Gi1/β1/γ2
13.79Single9EPP11,20-Ethanoretinal9EPP-Rhodopsin-11,20-Ethanoretinal-chim(Gi1-CtGq)/β1/γ2
13.79Single9H37PubChem 1756706469H37-A2A-PubChem 175670646-Na
13.79Single9IZCMK19039IZC-HCA2-MK1903-Gi1/β1/γ2
13.79Single9JQZGrapiprant 9JQZ-EP4-Grapiprant
13.79Single9KFJPubChem 1383196749KFJ-RXFP3-PubChem 138319674-Gi2/β1/γ2
13.79Single9KUXCMPD6449KUX-Apelin; Apelin-CMPD644-Arrestin2
13.79Single9PLNPubChem 1682595949PLN-α2a-PubChem 168259594
13.79Single9PLOPubChem 1682595949PLO-α2a-PubChem 168259594-Go/β1/γ2
13.79Single9PXWNaloxone9PXW-μ-Naloxone-GDPβS-Gi1/β1/γ2
13.79Consensus5ht1d_onOrthosteric Ligand7E32-5-HT1D-Serotonin-Gi1/β1/γ2
13.79Consensus5ht1d_on_gpOrthosteric Ligand7E32-5-HT1D-Serotonin-Gi1/β1/γ2
13.79Consensus5ht2b_offOrthosteric Ligand6DRZ-5-HT2B-Methysergide
13.79Consensusadrenergic_onOrthosteric Ligandalpha_on beta_on
13.79Consensusalpha2_onOrthosteric Ligandalpha2b_on
13.79Consensusalpha2_on_gpOrthosteric Ligandalpha2b_on_gp
13.79Consensusalpha2b_onOrthosteric Ligand6K42-α2b-Dexmedetomidine-Gi1/β1/γ2
13.79Consensusalpha2b_on_gpOrthosteric Ligand6K42-α2b-Dexmedetomidine-Gi1/β1/γ2
13.79Consensusalpha_onOrthosteric Ligandalpha1_on alpha2_on
13.79Consensusblt1_onOrthosteric Ligand7VKT-BLT1-LTB4-Gi1/β1/γ2
13.79Consensusblt1_on_gpOrthosteric Ligand7VKT-BLT1-LTB4-Gi1/β1/γ2
13.79Consensusblt_onOrthosteric Ligandblt1_on
13.79Consensusblt_on_gpOrthosteric Ligandblt1_on_gp
13.79Consensusd5_onOrthosteric Ligand8IRV-D5-Rotigotine-chim(NtGi1-Gs)/β1/γ2
13.79Consensusdop_offOrthosteric Ligand4EJ4-δ-Naltrindole
13.79Consensusdopamine_onOrthosteric Ligandd2_on d1_on d3_on d4_on d5_on
13.79Consensusdopamine_on_gpOrthosteric Ligandd2_on_gp d1_on_gp d3_on_gp d4_on_gp d5_on_gp
13.79Consensusgi_leukotrieneOrthosteric Ligand7VKT-BLT1-LTB4-Gi1/β1/γ2
13.79Consensusgq_amineOrthosteric Ligandgq_muscarinic gq_histamine
13.79Consensushistamine_offOrthosteric Ligandh1_off
13.79Consensusleukotriene_onOrthosteric Ligandblt_on
13.79Consensusleukotriene_on_gpOrthosteric Ligandblt_on_gp
13.79Consensuslipid_offOrthosteric Ligandcannabinoid_off paf_off lpl_off prostanoid_off leukotriene_off
13.51Single7AD3Alpha-factor mating pheromone7AD3-STE2; STE2-α-factor mating pheromone-Gi1/STE4/γ2
13.51Single7KH0AVP7KH0-V2-AVP-chim(NtGi1-Gs)/β1/γ2
13.51Single7T10Somatostatin-147T10-SST2-Somatostatin-14-Gi3/β1/γ2
13.51Single7W57Neuromedin-S7W57-NMUR2-Neuromedin-S-chim(NtGi1-Gs-CtGq)/β1/γ2
13.51Single8J6IMK68928J6I-HCA2-MK6892-Gi1/β1/γ2
13.51Single8XZJWN3538XZJ-Apelin; Apelin-WN353-Gi1/β1/γ2
13.51Single8ZBISomatostatin-148ZBI-SST3-Somatostatin-14-Gi1/β1/γ2
13.51Consensusc5a1_on_gpOrthosteric Ligand8HK5-C5a1-C5a-Gi1/β1/γ2 7Y66-C5a1-BM213-Gi1/β1/γ2 7Y67-C5a1-C089 peptide-Gi1/β1/γ2 7Y64-C5a1-C5a-Gi1/β1/γ2
13.51Consensusneuromedin-u_onOrthosteric Ligandnmur1_on nmur2_on
13.51Consensusp2y_on_gpOrthosteric Ligandp2y1_on_gp p2y10_on_gp p2y12_on_gp
13.33Single2Y00Dobutamine2Y00-β1-Dobutamine
13.33Single2Y03Isoprenaline2Y03-β1-Isoprenaline
13.33Single4JKVTaladegib4JKV-SMO-Taladegib
13.33Single5C1MBU725C1M-μ-BU72
13.33Single5CGCHTL142425CGC-mGlu5-HTL14242
13.33Single5TVNLSD5TVN-5-HT2B-LSD
13.33Single6D26Fevipiprant6D26-DP2-Fevipiprant
13.33Single6KUWPubChem 572132346KUW-α2c-PubChem 57213234
13.33Single6LFMCXCL86LFM-CXCR2-CXCL8-Gi1/β1/γ2
13.33Single6ME62-Phenylmelatonin6ME6-MT2-2-Phenylmelatonin
13.33Single6ME82-Phenylmelatonin6ME8-MT2-2-Phenylmelatonin
13.33Single6PS3Carvedilol6PS3-β2-Carvedilol
13.33Single6RZ4Pranlukast6RZ4-CysLT1-Pranlukast-Na
13.33Single6XBKCholesterol6XBK-SMO-Cholesterol-Gi1/β1/γ2
13.33Single7BB7AVP7BB7-V2-AVP-Gs/β1/γ2
13.33Single7BVQCarazolol7BVQ-β1-Carazolol
13.33Single7C4SS1P7C4S-S1P3-S1P
13.33Single7C61Ergotamine7C61-5-HT1B-Ergotamine
13.33Single7CFNINT-7777CFN-GPBA-INT-777-Gs/β1/γ2
13.33Single7EO2FTY720-P7EO2-S1P1-FTY720-P-Gi1/β1/γ2
13.33Single7S0FIsoprenaline7S0F-β1-Isoprenaline-Gi1/β1/γ2
13.33Single7TD3S1P7TD3-S1P1-S1P-Gi1/β1/γ2
13.33Single7W41PD1762527W41-BB2-PD176252
13.33Single7X1TTaltirelin7X1T-TRH-Taltirelin-chim(NtGi2L-Gs-CtGq)/β1/γ2
13.33Single7XK9Constrained Isoproterenol7XK9-β2-Constrained Isoproterenol-Na
13.33Single7XKAConstrained Epinephrine7XKA-β2-Constrained Epinephrine
13.33Single8C9WEtrumadenant8C9W-A2A-Etrumadenant
13.33Single8GDZConstrained Epinephrine8GDZ-β2-Constrained Epinephrine-Gs/β1/γ2
13.33Single8GEBConstrained Epinephrine8GEB-β2-Constrained Epinephrine-Gs/β1/γ2
13.33Single8GEGConstrained Epinephrine8GEG-β2-Constrained Epinephrine-Gs/β1/γ2
13.33Single8GFYConstrained Epinephrine8GFY-β2-Constrained Epinephrine-GTP-Gs/β1/γ2
13.33Single8GG2Constrained Epinephrine8GG2-β2-Constrained Epinephrine-GTP-Gs/β1/γ2
13.33Single8GGBConstrained Epinephrine8GGB-β2-Constrained Epinephrine-GTP-Gs/β1/γ2
13.33Single8I7WGSK2560738I7W-HCA2-GSK256073-Gi1/β1/γ2
13.33Single8S4DCMF-0198S4D-Apelin-CMF-019
13.33Single8SZGCa; Ca; Tryptophan; Cinacalcet; PO4; Spermine8SZG-CaS; CaS-Ca; Ca; Tryptophan; Cinacalcet; PO4; Spermine-chim(NtGi1-Gq)/β1/γ2
13.33Single8TH4Losartan8TH4-AT1-Losartan-AT118-L Nanobody
13.33Single8UNNConstrained Epinephrine8UNN-β2-Constrained Epinephrine-GTP-Gs/β1/γ2
13.33Single8UNPConstrained Epinephrine8UNP-β2-Constrained Epinephrine-GTP-Gs/β1/γ2
13.33Single8YICSAR2477998YIC-S1P1-SAR247799-Gi1/β1/γ2
13.33Single9ARZ2-bromo-LSD9ARZ-5-HT2A-2-bromo-LSD
13.33Single9B9ZMRI-18679B9Z-CB1-MRI-1867
13.33Single9DQHEP-28259DQH-MRGPRD-EP-2825-chim(NtGi1-Gs-CtGq)/β1/γ2
13.33Single9EHSLUF76029EHS-A3A-LUF7602
13.33Single9ERXD9-THC analog9ERX-CB1-D9-THC analog-Gi1/β1/γ2
13.33Single9F33FOB02-04A9F33-D3-FOB02-04A-Go/β1/γ2
13.33Single9F34FOB02-04A9F34-D3-FOB02-04A-Go/β1/γ2
13.33Single9JKSPubChem 442501769JKS-HCA3-PubChem 44250176-Gi1/β1/γ2
13.33Single9K07DSO-5a9K07-BB3-DSO-5a-chim(NtGi2L-Gs-CtGq)/β1/γ2
13.33Single9KO4CCL219KO4-CCR7-CCL21-Gi1/β1/γ2
13.33Single9KPFSalicin9KPF-TAS2R16-Salicin-Gi1/β1/γ2
13.33Single9MQKIsoquinuclidine9MQK-κ-Isoquinuclidine
13.33Consensus5ht1_onOrthosteric Ligand5ht1a_on 5ht1d_on 5ht1e_on 5ht1f_on
13.33Consensus5ht1_on_gpOrthosteric Ligand5ht1a_on_gp 5ht1d_on_gp 5ht1e_on_gp 5ht1f_on_gp
13.33Consensus5ht1e_on_gpOrthosteric Ligand7E33-5-HT1E-BRL-54443-Gi1/β1/γ2 8UGY-5-HT1E-Mianserin-Gi1/β1/γ1 8UH3-5-HT1E-Setiptiline-Gi1/β1/γ1
13.33Consensus5ht2_offOrthosteric Ligand5ht2a_off 5ht2b_off 5ht2c_off
13.33Consensus5ht5_on_gpOrthosteric Ligand5ht5a_on_gp
13.33Consensus5ht5a_on_gpOrthosteric Ligand7X5H-5-HT5A-5-CT-Gi1/β1/γ2 7UM6-5-HT5A-Lisuride-chim(NtGi1-Go)/β1/γ2 7UM7-5-HT5A-Methylergometrine-chim(NtGi1-Go)/β1/γ2
13.33Consensusa1_offOrthosteric Ligand5UEN-A1-DU172 5N2S-A1-PSB36
13.33Consensusadrenergic_offOrthosteric Ligandalpha_off beta_off
13.33Consensusadrenergic_on_gpOrthosteric Ligandalpha_on_gp beta_on_gp
13.33Consensusalpha2c_offOrthosteric Ligand6KUW-α2c-PubChem 57213234
13.33Consensusalpha_offOrthosteric Ligandalpha1_off alpha2_off
13.33Consensusalpha_on_gpOrthosteric Ligandalpha1_on_gp alpha2_on_gp
13.33Consensusbb2_offOrthosteric Ligand7W41-BB2-PD176252
13.33Consensusblt1_offOrthosteric Ligand5X33-BLT1-BIIL260 7K15-BLT1-MKD046-Na
13.33Consensusblt_offOrthosteric Ligandblt1_off
13.33Consensusbombesin_offOrthosteric Ligandbb2_off
13.33Consensuscxcr2_on_gpOrthosteric Ligand6LFM-CXCR2-CXCL8-Gi1/β1/γ2
13.33Consensusd1_onOrthosteric Ligand7F0T-D1-Dopamine-Gs/β1/γ2 7CKY-D1-PW0464-Gs/β1/γ2 8IRR-D1-Rotigotine-Gs/β1/γ2 7JV5-D1-SKF81297-Gs/β1/γ2 7JVP-D1-SKF83959-Gs/β1/γ2 7X2D-D1-Tavapadon-Gs/β1/γ2 7CKX-D1-A77636-Gs/β1/γ2 7JVQ-D1-Apomorphine-Gs/β1/γ2 7CKW-D1-Fenoldopam-Gs/β1/γ2
13.33Consensusd2_onOrthosteric Ligand7JVR-D2-Bromoergocryptine-Gi1/β1/γ2 8IRS-D2-Rotigotine-Gi1/β1/γ2
13.33Consensusdp2_offOrthosteric Ligand6D26-DP2-Fevipiprant
13.33Consensusdp_offOrthosteric Liganddp2_off
13.33Consensush1_offOrthosteric Ligand8X63-H1-Mepyramine 3RZE-H1-Cidoxepin 8X5Y-H1-Astemizole
13.33Consensuslpa1_onOrthosteric Ligand7TD1-LPA1-LPA-Gi1/β1/γ2 7YU3-LPA1-ONO-0740556-Gi1/β1/γ2
13.33Consensuslpa1_on_gpOrthosteric Ligand7TD1-LPA1-LPA-Gi1/β1/γ2 7YU3-LPA1-ONO-0740556-Gi1/β1/γ2
13.33Consensusnucleotide_onOrthosteric Ligandadenosine_on p2y_on
13.33Consensuss1p5_offOrthosteric Ligand7YXA-S1P5-ONO-5430608
13.16Single7QBIAlpha-factor mating pheromone7QBI-STE2; STE2-α-factor mating pheromone
13.16Single7VL9CCL15(26-92)7VL9-CCR1-CCL15(26-92)-Gi1/β1/γ2
13.16Single7X9BNeuropeptide-Y7X9B-Y2-Neuropeptide-Y-Gi1/β1/γ2
13.16Single8HCXEndothelin-18HCX-ETB-Endothelin-1-chim(NtGi2L-Gs-CtGq)/β1/γ2
13.16Single8HNKCXCL118HNK-CXCR3-CXCL11-Gi1/β1/γ2
13.16Single8IA2C5a8IA2-C5a1-C5a-Go/β1/γ2
13.16Single8XVIEndothelin-18XVI-ETA-Endothelin-1-chim(Gs-CtGq)/β1/γ2
13.16Single8ZPSPrRP208ZPS-PrRP-PrRP20-chim(NtGi1-Gs-CtGi1)/β1/γ2
13.16Single9JFYNeuropeptide-SF9JFY-NPFF2-Neuropeptide-SF-Gi1/β1/γ2
13.16Consensuscxcr_offOrthosteric Ligandcxcr3_off cxcr4_off
13.16Consensusmc1_onOrthosteric Ligand7F4H-MC1-Afamelanotide-chim(NtGi1-Gs)/β1/γ2 7F4D-MC1-α-MSH-chim(NtGi1-Gs)/β1/γ2 7F4I-MC1-SHU9119-chim(NtGi1-Gs)/β1/γ2
13.16Consensusmc1_on_gpOrthosteric Ligand7F4H-MC1-Afamelanotide-chim(NtGi1-Gs)/β1/γ2 7F4D-MC1-α-MSH-chim(NtGi1-Gs)/β1/γ2 7F4I-MC1-SHU9119-chim(NtGi1-Gs)/β1/γ2
13.16Consensusneuromedin-u_on_gpOrthosteric Ligandnmur1_on_gp nmur2_on_gp
13.04Consensusmc2_onOrthosteric Ligand8GY7-MC2-Corticotropin-Ca-chim(NtGi1-Gs)/β1/γ2; MRAP1
13.04Consensusmc2_on_gpOrthosteric Ligand8GY7-MC2-Corticotropin-Ca-chim(NtGi1-Gs)/β1/γ2; MRAP1
12.90Single3ZEVNeurotensin-(7-13)3ZEV-NTS1-Neurotensin-(7-13)
12.90Single4BV0Neurotensin-(7-13)4BV0-NTS1-Neurotensin-(7-13)
12.90Single4DJHJDTic4DJH-κ-JDTic
12.90Single4LDLHydroxybenzyl Isoproterenol4LDL-β2-Hydroxybenzyl Isoproterenol
12.90Single4OO9Mavoglurant4OO9-mGlu5-Mavoglurant
12.90Single5V56TC1145V56-SMO-TC114
12.90Single5V57TC1145V57-SMO-TC114
12.90Single5XRAAM115425XRA-CB1-AM11542
12.90Single6H7JIsoprenaline6H7J-β1-Isoprenaline
12.90Single6N48BI1671076N48-β2-BI167107-PubChem 138454256
12.90Single6NI3BI1671076NI3-β2-BI167107-Gs/β1/γ2
12.90Single6O3CCholesterol6O3C-SMO-SAG21k-Cholesterol
12.90Single6OS1TRV0266OS1-AT1-TRV026
12.90Single6TQ7SB-3348676TQ7-OX1-SB-334867
12.90Single6WGTLSD6WGT-5-HT2A-LSD
12.90Single7CKYPW04647CKY-D1-PW0464-Gs/β1/γ2
12.90Single7EW1Siponimod7EW1-S1P5-Siponimod-Gi1/β1/γ2
12.90Single7EW4CYM-55417EW4-S1P3-CYM-5541-Gi1/β1/γ2
12.90Single7FEECP559407FEE-CB1-CP55940-ZCZ011
12.90Single7JJOIsoprenaline7JJO-β1-Isoprenaline-Gs/β1/γ2
12.90Single7JV5SKF812977JV5-D1-SKF81297-Gs/β1/γ2
12.90Single7JVPSKF839597JVP-D1-SKF83959-Gs/β1/γ2
12.90Single7L0PNeurotensin-(8-13)7L0P-NTS1-Neurotensin-(8-13)-Gi1/β1/γ1
12.90Single7L0QNeurotensin-(8-13)7L0Q-NTS1-Neurotensin-(8-13)-Gi1/β1/γ1
12.90Single7TD1LPA7TD1-LPA1-LPA-Gi1/β1/γ2
12.90Single7TUYGSK682753A7TUY-GPR183-GSK682753A
12.90Single7U2LC5-guano7U2L-μ-C5-guano-Gi1/β1/γ2
12.90Single7XJLSpexin7XJL-GAL2-Spexin-chim(NtGi2L-Gs-CtGq)/β1/γ2
12.90Single7XOWSulfated Gastrin-(10-17)7XOW-CCKB-Sulfated Gastrin-(10-17)-chim(NtGi1-Gq)/β1/γ2
12.90Single8DZPmomSalB8DZP-κ-momSalB-Gi1/β1/γ2
12.90Single8FN1Neurotensin-(8-13)8FN1-NTS1-Neurotensin-(8-13)-chim(NtGi1-Go)/β1/γ2
12.90Single8HDOBAY 60-65838HDO-A2B-BAY 60-6583-Gs/β1/γ2
12.90Single8HQCC5a8HQC-C5a1-C5a-Go/β1/γ2
12.90Single8I2GPubChem 675302408I2G-FSH-FSH-PubChem 67530240-Gs/β1/γ2
12.90Single8IRURotigotine8IRU-D4-Rotigotine-chim(NtGi1-Gs-CtGi1)/β1/γ2
12.90Single8IRVRotigotine8IRV-D5-Rotigotine-chim(NtGi1-Gs)/β1/γ2
12.90Single8IYHMK68928IYH-HCA2-MK6892-Go/β1/γ2
12.90Single8JZPC5a8JZP-C5a1-C5a-Go/β1/γ2
12.90Single8VVEnorBNI8VVE-κ-norBNI-Gi1/β1/γ2
12.90Single8X79MRE-2698X79-I2-MRE-269-Gs/β1/γ2
12.90Single8XJMLatanoprost8XJM-FP-alpha-Latanoprost-chim(NtGi2-Gs-CtGq)/β1/γ2
12.90Single8XQTCholesterol8XQT-TAS2R14-Cholesterol-Gi1/β1/γ1
12.90Single8XVLZibotentan8XVL-ETA-Zibotentan
12.90Single8ZW0PGD28ZW0-DP1-PGD2-Gs/β1/γ2
12.90Single9ASTLymphotactin9AST-XCR1-Lymphotactin-Gi1/β1/γ2
12.90Single9BJKNaloxone9BJK-μ-Naloxone-PubChem 171642066
12.90Single9JCLADP9JCL-P2Y1-ADP-chim(Gs-CtGq)/β1/γ2
12.90Single9JMCDS-3801b9JMC-Motilin-DS-3801b-chim(Gs-CtGq)/β1/γ2
12.90Single9L16CCL219L16-CCR7-CCL21
12.90Single9MENGp120 (V3 loop)9MEN-CXCR4-Gp120 (V3 loop)
12.90Single9PY3Loperamide9PY3-μ-Loperamide-GDPβS-Gi1/β1/γ2
12.90Consensusbeta2_onOrthosteric Ligand7DHI-β2-Salbutamol-Gs/β1/γ2 6NI3-β2-BI167107-Gs/β1/γ2
12.90Consensusbeta2_on_gpOrthosteric Ligand7DHI-β2-Salbutamol-Gs/β1/γ2 6NI3-β2-BI167107-Gs/β1/γ2
12.90Consensusd4_on_gpOrthosteric Ligand8IRU-D4-Rotigotine-chim(NtGi1-Gs-CtGi1)/β1/γ2
12.90Consensusd5_on_gpOrthosteric Ligand8IRV-D5-Rotigotine-chim(NtGi1-Gs)/β1/γ2
12.90Consensusgi_5htOrthosteric Ligand8FYT-5-HT1A-LSD-PtdIns4P-Gi1/β1/γ1 7UM7-5-HT5A-Methylergometrine-chim(NtGi1-Go)/β1/γ2 8UGY-5-HT1E-Mianserin-Gi1/β1/γ1 8W8B-5-HT1A-SEP-363856-Gi1/β1/γ2 7E2Y-5-HT1A-Serotonin-PtdIns4P-Gi1/β1/γ2 7E32-5-HT1D-Serotonin-Gi1/β1/γ2 7XTA-5-HT4-Serotonin-Gi1/β1/γ2 8UH3-5-HT1E-Setiptiline-Gi1/β1/γ1 8JSP-5-HT1A-Ulotaront-Gi1/β1/γ2 8FYL-5-HT1A-Vilazodone-PtdIns4P-Gi1/β1/γ1 8JT6-5-HT1A-(R)-IHCH-7179-PtdIns4P-Gi1/β1/γ2 8FYE-5-HT1A-4-F,5-MeO-PyrT-PtdIns4P-Gi1/β1/γ1 7X5H-5-HT5A-5-CT-Gi1/β1/γ2 8FY8-5-HT1A-5-MeO-DMT-PtdIns4P-Gi1/β1/γ1 7E2Z-5-HT1A-Aripiprazole-PtdIns4P-Gi1/β1/γ2 7E33-5-HT1E-BRL-54443-Gi1/β1/γ2 8FYX-5-HT1A-Buspirone-PtdIns4P-Gi1/β1/γ1 7EXD-5-HT1F-Lasmiditan-Gi1/β1/γ2 7UM6-5-HT5A-Lisuride-chim(NtGi1-Go)/β1/γ2
12.90Consensusgi_dopamineOrthosteric Ligand7JVR-D2-Bromoergocryptine-Gi1/β1/γ2 7CMV-D3-PD128907-Gi1/β1/γ2 7CMU-D3-Pramipexole-Gi1/β1/γ2 8IRS-D2-Rotigotine-Gi1/β1/γ2 8IRT-D3-Rotigotine-Gi1/β1/γ2
12.90Consensusgs_adrenergicOrthosteric Ligand7DHI-β2-Salbutamol-Gs/β1/γ2 7XJI-β3-Solabegron-Gs/β1/γ2 7JJO-β1-Isoprenaline-Gs/β1/γ2 6NI3-β2-BI167107-Gs/β1/γ2 8DCR-β1-Dobutamine-Gs/β1/γ2 7XJH-β3-Isoprenaline-Gs/β1/γ2 7DH5-β3-Mirabegron-Gs/β1/γ2
12.90Consensuskop_offOrthosteric Ligand4DJH-κ-JDTic
12.90Consensusmotilin_onOrthosteric Ligand8IBU-Motilin-Erythromycin-A-chim(NtGi1-Gs-CtGq)/β1/γ2
12.90Consensusneurotensin_onOrthosteric Ligandnts1_on
12.90Consensusnts1_onOrthosteric Ligand6OSA-NTS1-JMV449-Gi1/β1/γ2 7L0S-NTS1-Neurotensin-(8-13)-Gi1/β1/γ1
12.90Consensuss1p5_onOrthosteric Ligand7EW1-S1P5-Siponimod-Gi1/β1/γ2
12.90Consensuss1p5_on_gpOrthosteric Ligand7EW1-S1P5-Siponimod-Gi1/β1/γ2
12.90Consensustachykinin_offOrthosteric Ligandnk1_off
12.82Single7F8VGastrin-177F8V-CCKB-Gastrin-17-Gi2/β1/γ2
12.82Single7QBIAlpha-factor mating pheromone7QBI-STE2; STE2-α-factor mating pheromone
12.82Single7SK4CXCL12_LRHQ7SK4-ACKR3-CXCL12_LRHQ
12.82Single8H0PNMB308H0P-BB1-NMB30-chim(NtGi1-Gs-CtGq)/β1/γ2
12.50Single4GRVNeurotensin-(8-13)4GRV-NTS1-Neurotensin-(8-13)
12.50Single4LDEBI1671074LDE-β2-BI167107
12.50Single4N4WSANT-14N4W-SMO-SANT-1
12.50Single5F8UCyanopindolol5F8U-β1-Cyanopindolol
12.50Single5MZJTheophylline5MZJ-A2A-Theophylline-Na
12.50Single6AK3PGE26AK3-EP3-PGE2
12.50Single6C1RPMX536C1R-C5a1-PMX53-Avacopan; Na
12.50Single6CM4Risperidone6CM4-D2-Risperidone
12.50Single6DRYMethylergometrine6DRY-5-HT2B-Methylergometrine
12.50Single6IIURamatroban6IIU-TXA2-Ramatroban
12.50Single6KQICP559406KQI-CB1-CP55940-Org27569
12.50Single6OSAJMV4496OSA-NTS1-JMV449-Gi1/β1/γ2
12.50Single6VMSBromoergocryptine6VMS-D2-Bromoergocryptine-Gi1/β1/γ2
12.50Single6XBLCholesterol6XBL-SMO-SAG-Cholesterol-Gi1/β1/γ2
12.50Single6ZG4HTL00099366ZG4-M1-HTL0009936
12.50Single7DH5Mirabegron7DH5-β3-Mirabegron-Gs/β1/γ2
12.50Single7EO4Siponimod7EO4-S1P1-Siponimod-Gi1/β1/γ2
12.50Single7EW2FTY720-P7EW2-S1P3-FTY720-P-Gi1/β1/γ2
12.50Single7F4FAfamelanotide7F4F-MC1-Afamelanotide-chim(NtGi1-Gs)/β1/γ2
12.50Single7JNIOlodanrigan7JNI-AT2-Olodanrigan
12.50Single7L0SNeurotensin-(8-13)7L0S-NTS1-Neurotensin-(8-13)-Gi1/β1/γ1
12.50Single7SUSPubChem 1227019087SUS-Apelin-PubChem 122701908
12.50Single7W0LPubChem 1227019087W0L-Apelin; Apelin-PubChem 122701908-Gi1/β1/γ2
12.50Single7W0NElabela7W0N-Apelin; Apelin-Elabela-Gi1/β1/γ2
12.50Single7XATSomatostatin-147XAT-SST2-Somatostatin-14-Gi1/β1/γ2
12.50Single7XW6ML1097XW6-TSH-M22 Fab-ML109-Gs/β1/γ2
12.50Single7Y66BM2137Y66-C5a1-BM213-Gi1/β1/γ2
12.50Single7YITNalfurafine7YIT-κ-Nalfurafine
12.50Single8HK2C3a8HK2-C3aB-C3a-Gi1/β1/γ2
12.50Single8HQMNPGLY8HQM-GPR132-NPGLY-Gi1/β1/γ2
12.50Single8HVINOX-6-78HVI-GPR132-NOX-6-7-Gi1/β1/γ2
12.50Single8IA8E7 peptide8IA8-C3aB-E7 peptide-Gi1/β1/γ2
12.50Single8IQ6Latanoprost8IQ6-FP-alpha-Latanoprost-chim(NtGi1-Gs-CtGq)/β1/γ2
12.50Single8IRSRotigotine8IRS-D2-Rotigotine-Gi1/β1/γ2
12.50Single8IYWGSK2560738IYW-HCA2-GSK256073-Go/β1/γ2
12.50Single8J6DEP1418J6D-C3aB-EP141-Go/β1/γ2
12.50Single8JJ8Arformoterol8JJ8-β2-Arformoterol
12.50Single8JPBNeurotensin-(8-13)8JPB-NTS1-Neurotensin-(8-13)-SBI-553; GDP; Mg-Gq; GRK2
12.50Single8JWZEtrumadenant8JWZ-A2A-Etrumadenant-Na
12.50Single8PWNTheophylline8PWN-A2A-Theophylline
12.50Single8T3QDoconexent8T3Q-FFA4-Doconexent-chim(NtGi2L-Gs-CtGq)/β1/γ2
12.50Single8U26Substance-P8U26-NK1-Substance-P-Gs/β1/γ2
12.50Single8X9S5alpha-DHT8X9S-ADGRD1-5α-DHT-chim(NtGi1-Gs)/β1/γ2
12.50Single8XJNCloprosetnol8XJN-TXA2-Cloprosetnol-chim(NtGi1-Gs-CtGq)/β1/γ2
12.50Single8XQNCholesterol8XQN-TAS2R14-Cholesterol-Aristolochic acid A-Gi1/β1/γ1
12.50Single8XWMCXCL68XWM-CXCR2-CXCL6
12.50Single8XWPEndothelin-18XWP-ETB-Endothelin-1-Gi1/β1/γ2
12.50Single9ECJS-geranylgeranyl-L-glutathione9ECJ-P2Y8-S-geranylgeranyl-L-glutathione-G13/β1/γ2
12.50Single9GGGI-BOP9GGG-TXA2-I-BOP-chim(NtGi2L-Gs-CtGq)/β1/γ2
12.50Single9GL2Befiradol9GL2-5-HT1A-Befiradol-Gs/β1/γ2
12.50Single9GYOP3959GYO-GPBA-P395-chim(NtGi1-Gs)/β1/γ2
12.50Single9K26PrRP319K26-PrRP-PrRP31-Gi1/β1/γ2
12.50Single9L3WChemerin9L3W-CML1-Chemerin-Gi1/β1/γ2
12.50Single9M8POleic monoethanolamide9M8P-GPR3 ; GPR3-Oleic monoethanolamide-AF64394
12.50Single9MQLIsoquinuclidine9MQL-κ-Isoquinuclidine
12.50Single9V6ONalfurafine9V6O-κ-Nalfurafine-Gi1/β1/γ2
12.50Single9VJ6F-155999VJ6-5-HT1A-F-15599-Gi3/β1/γ2
12.50Consensus5ht1a_onOrthosteric Ligand8FYT-5-HT1A-LSD-PtdIns4P-Gi1/β1/γ1 7E2Y-5-HT1A-Serotonin-PtdIns4P-Gi1/β1/γ2 7E2Z-5-HT1A-Aripiprazole-PtdIns4P-Gi1/β1/γ2 8FYX-5-HT1A-Buspirone-PtdIns4P-Gi1/β1/γ1 8JSP-5-HT1A-Ulotaront-Gi1/β1/γ2 8JT6-5-HT1A-(R)-IHCH-7179-PtdIns4P-Gi1/β1/γ2 8FY8-5-HT1A-5-MeO-DMT-PtdIns4P-Gi1/β1/γ1 8FYE-5-HT1A-4-F,5-MeO-PyrT-PtdIns4P-Gi1/β1/γ1 8FYL-5-HT1A-Vilazodone-PtdIns4P-Gi1/β1/γ1
12.50Consensus5ht1a_on_gpOrthosteric Ligand8FYT-5-HT1A-LSD-PtdIns4P-Gi1/β1/γ1 8FYX-5-HT1A-Buspirone-PtdIns4P-Gi1/β1/γ1 8JSP-5-HT1A-Ulotaront-Gi1/β1/γ2 8JT6-5-HT1A-(R)-IHCH-7179-PtdIns4P-Gi1/β1/γ2 7E2Y-5-HT1A-Serotonin-PtdIns4P-Gi1/β1/γ2 7E2Z-5-HT1A-Aripiprazole-PtdIns4P-Gi1/β1/γ2 8FY8-5-HT1A-5-MeO-DMT-PtdIns4P-Gi1/β1/γ1 8FYE-5-HT1A-4-F,5-MeO-PyrT-PtdIns4P-Gi1/β1/γ1 8FYL-5-HT1A-Vilazodone-PtdIns4P-Gi1/β1/γ1
12.50Consensusbeta_onOrthosteric Ligandbeta1_on beta2_on beta3_on
12.50Consensusbeta_on_gpOrthosteric Ligandbeta1_on_gp beta2_on_gp beta3_on_gp
12.50Consensusc3a_onOrthosteric Ligand8HK2-C3aB-C3a-Gi1/β1/γ2 8IA8-C3aB-E7 peptide-Gi1/β1/γ2
12.50Consensusccr8_onOrthosteric Ligand8KFX-CCR8-LMD-009-Gi1/β1/γ2 8KFY-CCR8-ZK-756326-Gi1/β1/γ2 8U1U-CCR8-CCL1-Gi1/β1/γ2
12.50Consensusd2_on_gpOrthosteric Ligand7JVR-D2-Bromoergocryptine-Gi1/β1/γ2 8IRS-D2-Rotigotine-Gi1/β1/γ2
12.50Consensusgi_lipidOrthosteric Ligandgi_cannabinoid gi_ffa gi_leukotriene gi_lpa gi_s1p
12.50Consensusgi_neurotensinOrthosteric Ligand6OSA-NTS1-JMV449-Gi1/β1/γ2 7L0S-NTS1-Neurotensin-(8-13)-Gi1/β1/γ1
12.50Consensuslipid_offonOrthosteric Ligandlipid_off lipid_on
12.50Consensuslipid_offon_gpOrthosteric Ligandlipid_on_gp lipid_off
12.50Consensusneurotensin_on_gpOrthosteric Ligandnts1_on_gp
12.50Consensusnk1_offOrthosteric Ligand6HLP-NK1-Netupitant 6HLO-NK1-Aprepitant 6HLL-NK1-CP99994 6E59-NK1-L-760735
12.50Consensusnts1_on_gpOrthosteric Ligand6OSA-NTS1-JMV449-Gi1/β1/γ2 7L0S-NTS1-Neurotensin-(8-13)-Gi1/β1/γ1
12.20Single7VGXNeuropeptide-Y7VGX-Y1-Neuropeptide-Y-Gi1/β1/γ2
12.20Single8Y52BA18Y52-BB3-BA1-chim(NtGi1-Gs-CtGq)/β1/γ2
12.20Consensusetb_onOrthosteric Ligand8IY5-ETB-Endothelin-1-Gi1/β1/γ2 8HBD-ETB-IRL1620-Gi1/β1/γ2
12.12Single5TUDErgotamine5TUD-5-HT2B-Ergotamine
12.12Single5UNGPubChem 157800525UNG-AT2-PubChem 15780052
12.12Single5X93K-87945X93-ETB-K-8794
12.12Single6H7LDobutamine6H7L-β1-Dobutamine
12.12Single6IBLArformoterol6IBL-β1-Arformoterol
12.12Single6TKOArformoterol6TKO-β1-Arformoterol-Arrestin2
12.12Single6UP7Neurotensin-(8-13)6UP7-NTS1-Neurotensin-(8-13)-Arrestin2
12.12Single7JVRBromoergocryptine7JVR-D2-Bromoergocryptine-Gi1/β1/γ2
12.12Single7P00Substance-P7P00-NK1-Substance-P-chim(NtGi1-Gs-CtGq)/β1/γ2
12.12Single7UM4AS26747237UM4-5-HT5A-AS2674723
12.12Single7WVVfMLFII7WVV-FPR2-ALX-fMLFII-Gi2/β1/γ2
12.12Single7X1UTRH7X1U-TRH-TRH-chim(NtGi2L-Gs-CtGq)/β1/γ2
12.12Single7X2DTavapadon7X2D-D1-Tavapadon-Gs/β1/γ2
12.12Single7Y27Somatostatin-147Y27-SST2-Somatostatin-14-chim(NtGi2L-Gs-CtGq)/β1/γ2
12.12Single8GUTLEI-1028GUT-CB2-LEI-102-Gi1/β1/γ2
12.12Single8HN1Toxin AdTx18HN1-Alpha1A-Toxin AdTx1
12.12Single8IULLatanoprost8IUL-FP-alpha-Latanoprost-chim(NtGi1-Gs-CtGq)/β1/γ2
12.12Single8JPFNeurotensin-(8-13)8JPF-NTS1-Neurotensin-(8-13)-SBI-553
12.12Single8K4OCXCL18K4O-KSHV-CXCL1-Gi1/β1/γ1
12.12Single8XJKCloprosetnol8XJK-FP-alpha-Cloprosetnol-chim(NtGi1-Gs-CtGq)/β1/γ2
12.12Single8XJOU466198XJO-TXA2-U46619-chim(NtGi1-Gs-CtGq)/β1/γ2
12.12Single8XVJMacitentan8XVJ-ETA-Macitentan
12.12Single8XWFCXCL38XWF-CXCR2-CXCL3
12.12Single9CGJC6-Quino9CGJ-δ-C6-Quino-Gi1/β1/γ2
12.12Single9EAILosartan9EAI-AT1-Losartan-Nanobody AT209
12.12Single9HYIDP819HYI-5-HT1A-DP81-Gi1/β1/γ2
12.12Single9M54Neuropeptide-VF9M54-NPFF2-Neuropeptide-VF-Gi1/β1/γ2
12.12Single9UYMChemerin-99UYM-CML2-Chemerin-9-chim(Arrestin3-CtArrestin2)
12.12Consensusbeta1_onOrthosteric Ligand8DCR-β1-Dobutamine-Gs/β1/γ2 7S0F-β1-Isoprenaline-Gi1/β1/γ2
12.12Consensusbeta1_on_gpOrthosteric Ligand8DCR-β1-Dobutamine-Gs/β1/γ2 7S0F-β1-Isoprenaline-Gi1/β1/γ2
12.12Consensuscck_onOrthosteric Ligandccka_on cckb_on
12.12Consensuscck_on_gpOrthosteric Ligandccka_on_gp cckb_on_gp
12.12Consensuschemerin_onOrthosteric Ligandcml1_on
12.12Consensusendothelin_offOrthosteric Ligandetb_off
12.12Consensusetb_offOrthosteric Ligand5X93-ETB-K-8794 5XPR-ETB-Bosentan 6K1Q-ETB-IRL2500
12.12Consensusgal2_onOrthosteric Ligand7WQ4-GAL2-Galanin-chim(NtGi1-Gs-CtGq)/β1/γ2 7XJL-GAL2-Spexin-chim(NtGi2L-Gs-CtGq)/β1/γ2
12.12Consensusgal2_on_gpOrthosteric Ligand7WQ4-GAL2-Galanin-chim(NtGi1-Gs-CtGq)/β1/γ2 7XJL-GAL2-Spexin-chim(NtGi2L-Gs-CtGq)/β1/γ2
12.12Consensuskop_on_gpOrthosteric Ligand8F7W-κ-Dynorphin-Gi1/β1/γ2 8DZS-κ-GR89,696-chim(NtGi2-Gz)/β1/γ2 8DZP-κ-momSalB-Gi1/β1/γ2
12.12Consensusnk1_onOrthosteric Ligand7P00-NK1-Substance-P-chim(NtGi1-Gs-CtGq)/β1/γ2
12.12Consensusnk1_on_gpOrthosteric Ligand7P00-NK1-Substance-P-chim(NtGi1-Gs-CtGq)/β1/γ2
12.12Consensuspeptide_offOrthosteric Ligandcck_off angiotensin_off bombesin_off endothelin_off ghrelin_off npy_off opioid_off orexin_off somatostatin_off tachykinin_off vasop-oxy_off neurotensin_off
12.12Consensusprostanoid_onOrthosteric Ligandtp_on fp-alpha_on
12.12Consensusprostanoid_on_gpOrthosteric Ligandtp_on_gp fp-alpha_on_gp
12.12Consensustp_onOrthosteric Ligand8XJO-TXA2-U46619-chim(NtGi1-Gs-CtGq)/β1/γ2
12.12Consensustp_on_gpOrthosteric Ligand8XJO-TXA2-U46619-chim(NtGi1-Gs-CtGq)/β1/γ2
12.00Single2HPYAll-trans-Retinal2HPY-Rhodopsin-All-trans-Retinal
12.00Single6OT025(S)-Epoxycholesterol6OT0-SMO-25(S)-Epoxycholesterol-Gi1/β1/γ2
12.00Single6XBM25(S)-Epoxycholesterol6XBM-SMO-25(S)-Epoxycholesterol-Gi1/β1/γ2
12.00Single7DD5Ca; Ca; Tryptophan; NPS-21437DD5-CaS; CaS-Ca-Ca; Ca; Tryptophan; NPS-2143
12.00Single8A2OTheophylline8A2O-A2A-Theophylline-Na
12.00Single8DPHLorcaserin8DPH-5-HT2C-Lorcaserin-chim(NtGi2L-Gs-CtGq)/β1/γ2
12.00Single8GEIConstrained Epinephrine8GEI-β2-Constrained Epinephrine-Gs/β1/γ2
12.00Single8WC5Tetramethylammonium Ion8WC5-TA1-Tetramethylammonium Ion-chim(NtGi1-Gs)/β1/γ2
12.00Single8Z8ALactate8Z8A-HCA1-Lactate-Gi1/β1/γ2
12.00Single9EE9Adenosine9EE9-A2A-Adenosine-Gs/β1/γ2
12.00Consensusopsins_onOrthosteric Ligandrhodopsin_on opsin1lw_on
12.00Consensussensory_onOrthosteric Ligandopsins_on
11.90Single8U1UCCL18U1U-CCR8-CCL1-Gi1/β1/γ2
11.90Consensusgi_npyOrthosteric Ligand8K6M-Y1-Neuropeptide-Y-Gi2/β1/γ1 7X9C-Y4-Pancreatic Hormone-Gi1/β1/γ2 7YOO-Y2-Neuropeptide-Y-Gi1/β1/γ2
11.90Consensusnpy_onOrthosteric Ligandnpy1_on npy2_on npy4_on
11.90Consensusnpy_on_gpOrthosteric Ligandnpy1_on_gp npy2_on_gp npy4_on_gp
11.76Single6C1QPMX536C1Q-C5a1-PMX53-NDT9513727
11.76Single6G79Donitriptan6G79-5-HT1B-Donitriptan-Go/β1/γ2
11.76Single6OS9JMV4496OS9-NTS1-JMV449-Gi1/β1/γ2
11.76Single6PT3DPI-2876PT3-δ-DPI-287
11.76Single7RKFCX3CL17RKF-US28-CX3CL1-GDP-chim(NtGi1-G11)/β1/γ2
11.76Single7RKNCX3CL17RKN-US28-CX3CL1-Gi1/β1/γ2
11.76Single7RMHSubstance-P7RMH-NK1-Substance-P-Gs/β1/γ2
11.76Single7T11Octreotide7T11-SST2-Octreotide-Gi3/β1/γ2
11.76Single7XN9L-0545227XN9-SST2-L-054522
11.76Single7Y1FDynorphin7Y1F-κ-Dynorphin-Gi1/β1/γ2
11.76Single7YAEOctreotide7YAE-SST2-Octreotide-Gi1/β1/γ2
11.76Single8H4IDoconexent8H4I-FFA4-Doconexent-chim(NtGi1-Gs)/β1/γ2
11.76Single8X3LXWD8X3L-CB2-XWD-Gi1/β1/γ2
11.76Single8XQJJN2418XQJ-Apelin; Apelin-JN241
11.76Single8XX6CXCL88XX6-CXCR2-CXCL8-Go/β1/γ2
11.76Single8Z74JN241-98Z74-Apelin; Apelin-JN241-9
11.76Single9CGKC5-Quino9CGK-δ-C5-Quino-Gi1/β1/γ2
11.76Single9EAJNanobody AT2099EAJ-AT1-Nanobody AT209
11.76Single9KZ8EP679KZ8-C3aB-EP67-Go/β1/γ2
11.76Single9MD1Buspirone9MD1-5-HT1A-Buspirone-PtdIns4P-Gz/β1/γ2
11.76Single9V2NMacimorelin9V2N-Ghrelin-Macimorelin-chim(NtGi1-Gs-CtGq)/β1/γ2
11.76Consensuscxcr4_offOrthosteric Ligand4RWS-CXCR4-vMIP-II 3OE0-CXCR4-CVX15 3OE6-CXCR4-IT1t
11.76Consensuscxcr_on_gpOrthosteric Ligandcxcr3_on_gp cxcr4_on_gp cxcr1_on_gp cxcr2_on_gp
11.76Consensusdop_onOrthosteric Ligand8F7S-δ-Deltorphin-Gi1/β1/γ2
11.76Consensusgq_cckOrthosteric Ligand8IA7-CCKB-Cholecystokinin-8-chim(NtGi1L-Gq)/β1/γ2 7XOW-CCKB-Sulfated Gastrin-(10-17)-chim(NtGi1-Gq)/β1/γ2 7EZM-CCKA-Cholecystokinin-8-chim(NtGsL-Gq)/β1/γ2 7F8W-CCKB-Gastrin-17-chim(NtGsL-Gq)/β1/γ2
11.76Consensusnmur1_onOrthosteric Ligand7W53-NMUR1-Neuromedin-U-25-chim(NtGi1-Gs-CtGq)/β1/γ2
11.76Consensusox2_onOrthosteric Ligand7L1V-OX2-PubChem 155491009-chim(NtGi1-Gs-CtGq)/β1/γ2 7SQO-OX2-TAK-925-Gi1/β1/γ2 7L1U-OX2-Orexin-chim(NtGi1-Gs-CtGq)/β1/γ2
11.76Consensusox2_on_gpOrthosteric Ligand7L1V-OX2-PubChem 155491009-chim(NtGi1-Gs-CtGq)/β1/γ2 7SQO-OX2-TAK-925-Gi1/β1/γ2 7L1U-OX2-Orexin-chim(NtGi1-Gs-CtGq)/β1/γ2
11.63Single7SK6CXCL12_LRHQ7SK6-ACKR3-CXCL12_LRHQ
11.63Single8HBDIRL16208HBD-ETB-IRL1620-Gi1/β1/γ2
11.63Consensusmelanocortin_onOrthosteric Ligandmc1_on mc4_on mc2_on mc3_on mc5_on
11.63Consensusmelanocortin_on_gpOrthosteric Ligandmc1_on_gp mc4_on_gp mc2_on_gp mc3_on_gp mc5_on_gp
11.54Single3C9M11-cis-Retinal3C9M-Rhodopsin-11-cis-Retinal
11.54Single3UZAGTPL92363UZA-A2A-GTPL9236
11.54Single4XNWMRS25004XNW-P2Y1-MRS2500
11.54Single6FUFAll-trans-Retinal6FUF-Rhodopsin-All-trans-Retinal-Go
11.54Single6ME5Agomelatine6ME5-MT1-Agomelatine
11.54Single6PWCNeurotensin-(9-13)6PWC-NTS1-Neurotensin-(9-13)-Arrestin2
11.54Single7D77Hydrocortisone7D77-ADGRG3-Hydrocortisone-Go/β1/γ2
11.54Single7DD7Ca; Ca; Tryptophan; Evocalcet7DD7-CaS; CaS-Ca-Ca; Ca; Tryptophan; Evocalcet
11.54Single7EJKOxymetazoline7EJK-α2a-Oxymetazoline-Go/β1/γ2
11.54Single7F23Dopamine7F23-D1-Dopamine-GDP-Gs/β1/γ2
11.54Single7MT8All-trans-Retinal7MT8-Rhodopsin-All-trans-Retinal-GRK1
11.54Single8GGEConstrained Epinephrine8GGE-β2-Constrained Epinephrine-GTP-Gs/β1/γ2
11.54Single8GGFConstrained Epinephrine8GGF-β2-Constrained Epinephrine-GTP-Gs/β1/γ2
11.54Single8GH1Constrained Epinephrine8GH1-β2-Constrained Epinephrine
11.54Single8GY7Corticotropin8GY7-MC2-Corticotropin-Ca-chim(NtGi1-Gs)/β1/γ2; MRAP1
11.54Single8IU2All-trans-Retinal8IU2-Opsin1LW-All-trans-Retinal-Gi1/β1/γ2
11.54Single8IW72-Phenylethylamine8IW7-TAA9-2-Phenylethylamine-chim(NtGi1-Gs)/β1/γ2
11.54Single8J6QPubChem 251012238J6Q-HCA2-β-Hydroxybutyrate-PubChem 25101223-Gi1/β1/γ2
11.54Single8JEFPubChem 113671668JEF-HCA3-PubChem 11367166-Gi1/β1/γ2
11.54Single8WC62-Phenylethylamine8WC6-TA1-2-Phenylethylamine-chim(NtGi1-Gs)/β1/γ2
11.54Single8WC9ZH86518WC9-TA1-ZH8651-chim(NtGi1-Gs-CtGq)/β1/γ2
11.54Single8Y63C20:0 Ceramide8Y63-FPR2-ALX-C20:0 Ceramide-Gi1/β1/γ2
11.54Single9IV15alpha-DHT9IV1-ADGRD1-5α-DHT-chim(NtGi1-Gs)/β1/γ2
11.54Single9JHJC18:0 Ceramide9JHJ-FPR2-ALX-C18:0 Ceramide-Gi1/β1/γ2
11.54Consensusgi_opsinsOrthosteric Ligand8IU2-Opsin1LW-All-trans-Retinal-Gi1/β1/γ2
11.54Consensusgi_sensoryOrthosteric Ligandgi_opsins
11.54Consensusopsin1lw_onOrthosteric Ligand8IU2-Opsin1LW-All-trans-Retinal-Gi1/β1/γ2
11.54Consensusopsin1lw_on_gpOrthosteric Ligand8IU2-Opsin1LW-All-trans-Retinal-Gi1/β1/γ2
11.54Consensusopsins_on_gpOrthosteric Ligandrhodopsin_on_gp opsin1lw_on_gp
11.54Consensusp2y1_offOrthosteric Ligand4XNW-P2Y1-MRS2500
11.54Consensusrhodopsin_onOrthosteric Ligand6OYA-Rhodopsin-All-trans-Retinal-Gt/β1/γ1
11.54Consensussensory_on_gpOrthosteric Ligandopsins_on_gp
11.43Single4IARErgotamine4IAR-5-HT1B-Ergotamine
11.43Single7W53Neuromedin-U-257W53-NMUR1-Neuromedin-U-25-chim(NtGi1-Gs-CtGq)/β1/γ2
11.43Single7WICSomatostatin-147WIC-SST2-Somatostatin-14-Gi1/β1/γ2
11.43Single8DCRDobutamine8DCR-β1-Dobutamine-Gs/β1/γ2
11.43Single8K3ZCXCL128K3Z-CXCR4-CXCL12-Gi1/β1/γ1
11.43Single8U4OCXCL128U4O-CXCR4-CXCL12-Gi1/β1/γ2
11.43Single8WZ2Orexigenic Neuropeptide QRFP8WZ2-QRFP-Orexigenic Neuropeptide QRFP-chim(NtGi1L-Gs-CtGq)/β1/γ2
11.43Single8XWNCXCL88XWN-CXCR2-CXCL8
11.43Single9BKJCholecystokinin-89BKJ-CCKA-Cholecystokinin-8-chim(NtGi1-Gs-CtGq)/β1/γ2
11.43Single9MEJGp1209MEJ-CXCR4-Gp120
11.43Single9UMRC5a-pep9UMR-C5a1-C5a-pep-Go/β1/γ2
11.43Consensuscxcr4_onOrthosteric Ligand8K3Z-CXCR4-CXCL12-Gi1/β1/γ1
11.43Consensusnmur1_on_gpOrthosteric Ligand7W53-NMUR1-Neuromedin-U-25-chim(NtGi1-Gs-CtGq)/β1/γ2
11.43Consensussomatostatin_offOrthosteric Ligandsst2_off
11.36Consensusgs_peptideOrthosteric Ligandgs_cck gs_melanocortin gs_vasop-oxy
11.11Single1L9H11-cis-Retinal1L9H-Rhodopsin-11-cis-Retinal
11.11Single1U1911-cis-Retinal1U19-Rhodopsin-11-cis-Retinal
11.11Single2G87All-trans-Retinal2G87-Rhodopsin-All-trans-Retinal
11.11Single2I3511-cis-Retinal2I35-Rhodopsin-11-cis-Retinal
11.11Single3OE9IT1t3OE9-CXCR4-IT1t
11.11Single3PBLEticlopride3PBL-D3-Eticlopride
11.11Single5TE520-Methanoretinal5TE5-Rhodopsin-20-Methanoretinal
11.11Single5XJM(Sar1,Ile8)-Angiotensin II5XJM-AT2-(Sar1,Ile8)-Angiotensin II
11.11Single6FK6PubChem 1324730336FK6-Rhodopsin-PubChem 132473033
11.11Single6I9K9-cis-Retinal6I9K-Rhodopsin-9-cis-Retinal
11.11Single7D76Beclomethasone7D76-ADGRG3-Beclomethasone-Go/β1/γ2
11.11Single7SK5CXCL127SK5-ACKR3-CXCL12
11.11Single7V68Iperoxo7V68-M4-Iperoxo-LY2119620-Gi1/β1/γ2
11.11Single7VDHC48/807VDH-MRGPRX2-C48/80-Gi1/β1/γ2
11.11Single7VUIJNJ-635330547VUI-GPR139-JNJ-63533054-GTP-chim(Gs-CtGq)/β1/γ2
11.11Single7WJ5Somatostatin-147WJ5-SST2-Somatostatin-14-Gi1/β1/γ2
11.11Single7X9ANeuropeptide-Y7X9A-Y1-Neuropeptide-Y-Gi1/β1/γ2
11.11Single7XT9Serotonin7XT9-5-HT4-Serotonin-Gs/β1/γ2
11.11Single8DPFLorcaserin8DPF-5-HT2C-Lorcaserin-chim(NtGi2L-Gs-CtGq)/β1/γ2
11.11Single8F7SDeltorphin8F7S-δ-Deltorphin-Gi1/β1/γ2
11.11Single8JLOUlotaront8JLO-TA1-Ulotaront-Gs/β1/γ2
11.11Single8JPNCis-Epoxysuccinic acid8JPN-Succinate-Cis-Epoxysuccinic acid-Gi1/β1/γ1
11.11Single8RWHStilSwitch28RWH-A2A-StilSwitch2-Na
11.11Single8SG1Chemerin-98SG1-CML1-Chemerin-9-Gi1/β1/γ2
11.11Single8WP1Cis-Epoxysuccinic acid8WP1-Succinate-Cis-Epoxysuccinic acid-Gi1/β1/γ2
11.11Single8WPUTryptophan; Cinacalcet; PO4; Ca8WPU-CaS; CaS-Tryptophan; Cinacalcet; PO4; Ca-chim(NtGi2L-Gs-CtGq)/β1/γ2
11.11Single8XYDPlatelet Activating Factor8XYD-PAF-Platelet Activating Factor-Gi1/β1/γ2
11.11Single8YH3N-methyladenosine8YH3-A3A-N-methyladenosine-Gi1/β1/γ2
11.11Single8YKWSuccinic acid8YKW-Succinate-Succinic acid-Gi1/β1/γ1
11.11Single9AS2DMT9AS2-5-HT2A-DMT-chim(NtGi1-Gs-CtGq)/β1/γ2
11.11Single9B9YTaranabant9B9Y-CB1-Taranabant
11.11Single9C1PCa; Tryptophan; '6218; PO49C1P-CaS; CaS-Ca-Ca; Tryptophan; '6218; PO4
11.11Single9E7RGB889E7R-PAR2-GB88-chim(NtGi1L-Gs-CtGq)/β1/γ2
11.11Single9E82CXCL12 (fragment)9E82-ACKR3-CXCL12 (fragment)-Arrestin2
11.11Single9EAINanobody AT2099EAI-AT1-Losartan-Nanobody AT209
11.11Single9IQRMuscarinic toxin 39IQR-α2a-Muscarinic toxin 3
11.11Single9IQTNiacin9IQT-HCA2-Niacin-Gi1/β1/γ2
11.11Single9KFIRelaxin-39KFI-RXFP3-Relaxin-3-Gi2/β1/γ2
11.11Single9KV6TLQP219KV6-C3aB-TLQP21-Go/β1/γ2
11.11Single9YDAAll-trans-Retinal9YDA-Opsin1MW-All-trans-Retinal-chim(NtGi1L-Gs-CtGt)/β1/γ2
11.11Consensuscckb_onOrthosteric Ligand8IA7-CCKB-Cholecystokinin-8-chim(NtGi1L-Gq)/β1/γ2 7XOW-CCKB-Sulfated Gastrin-(10-17)-chim(NtGi1-Gq)/β1/γ2 7F8V-CCKB-Gastrin-17-Gi2/β1/γ2
11.11Consensusccr8_on_gpOrthosteric Ligand8KFX-CCR8-LMD-009-Gi1/β1/γ2 8KFY-CCR8-ZK-756326-Gi1/β1/γ2 8U1U-CCR8-CCL1-Gi1/β1/γ2
11.11Consensusd3_offOrthosteric Ligand3PBL-D3-Eticlopride
11.11Consensusdop_on_gpOrthosteric Ligand8F7S-δ-Deltorphin-Gi1/β1/γ2
11.11Consensusgi_cckOrthosteric Ligand7EZH-CCKA-Cholecystokinin-8-Gi1/β1/γ2 7F8V-CCKB-Gastrin-17-Gi2/β1/γ2
11.11Consensustachykinin_on_gpOrthosteric Ligandnk1_on_gp nk2_on_gp nk3_on_gp
10.81Single6MEOGp160; CD46MEO-CCR5-Gp160; CD4
10.81Single7MBXCholecystokinin-87MBX-CCKA-Cholecystokinin-8-Gs/β1/γ1
10.81Single8K6NNeuropeptide-Y8K6N-Y2-Neuropeptide-Y-Gi2/β1/γ1
10.81Single8XIRPasireotide8XIR-SST3-Pasireotide-chim(NtGi1-Gs-CtGi1)/β1/γ2
10.81Single9M1ONeuropeptide-FF9M1O-NPFF2-Neuropeptide-FF-Gi1/β1/γ2
10.81Single9U4WGonadoliberin-19U4W-GnRH1-Gonadoliberin-1-chim(NtGi1L-Gs-CtGq)/β1/γ2
10.81Consensuscckb_on_gpOrthosteric Ligand8IA7-CCKB-Cholecystokinin-8-chim(NtGi1L-Gq)/β1/γ2 7XOW-CCKB-Sulfated Gastrin-(10-17)-chim(NtGi1-Gq)/β1/γ2 7F8V-CCKB-Gastrin-17-Gi2/β1/γ2
10.81Consensuscxcr4_on_gpOrthosteric Ligand8K3Z-CXCR4-CXCL12-Gi1/β1/γ1
10.81Consensusgs_cckOrthosteric Ligand7MBX-CCKA-Cholecystokinin-8-Gs/β1/γ1
10.71Single1GZM11-cis-Retinal1GZM-Rhodopsin-11-cis-Retinal
10.71Single2PED9-cis-Retinal2PED-Rhodopsin-9-cis-Retinal
10.71Single3C9L11-cis-Retinal3C9L-Rhodopsin-11-cis-Retinal
10.71Single3PWHZM-2413853PWH-A2A-ZM-241385
10.71Single4MQTLY21196204MQT-M2-Iperoxo-LY2119620
10.71Single4S0VSuvorexant4S0V-OX2-Suvorexant
10.71Single6B73MP11046B73-κ-MP1104
10.71Single6ME2Ramelteon6ME2-MT1-Ramelteon
10.71Single6ME9Ramelteon6ME9-MT2-Ramelteon
10.71Single6OBAAlprenolol6OBA-β2-Alprenolol-GTPL11074
10.71Single6TPJSuvorexant6TPJ-OX2-Suvorexant
10.71Single6WWZCCL206WWZ-CCR6-CCL20-Go/β1/γ2
10.71Single7DHRIsoprenaline7DHR-β2-Isoprenaline-Gs/β1/γ2
10.71Single7LCJDanuglipron7LCJ-GLP-1-Danuglipron
10.71Single7M3ECa; Ca; Tryptophan; NPS-21437M3E-CaS; CaS-Ca; Ca; Tryptophan; NPS-2143
10.71Single7M3ECa; Ca; Tryptophan; NPS-21437M3E-CaS; CaS-Ca; Ca; Tryptophan; NPS-2143
10.71Single7M3FCa; Ca; Tryptophan; Cinacalcet7M3F-CaS; CaS-Ca; Ca; Tryptophan; Cinacalcet
10.71Single7SILCa; Ca; Ca; Cyclomethyltryptophan; R-568; PO47SIL-CaS; CaS-Ca-Ca; Ca; Ca; Cyclomethyltryptophan; R-568; PO4
10.71Single7SILCa; Ca; Ca; Cyclomethyltryptophan; R-568; PO47SIL-CaS; CaS-Ca-Ca; Ca; Ca; Cyclomethyltryptophan; R-568; PO4
10.71Single7TUZ7-alpha,25-dihydroxycholesterol7TUZ-GPR183-7-α,25-dihydroxycholesterol-Gi1/β1/γ2
10.71Single7VIHCBP-3077VIH-S1P1-CBP-307-Gi1/β1/γ2
10.71Single7VV5C48/807VV5-MRGPRX2-C48/80-Gi1/β1/γ2
10.71Single7XT8Serotonin7XT8-5-HT4-Serotonin-Gs/β1/γ2
10.71Single8A6CAll-trans-Retinal8A6C-Rhodopsin-All-trans-Retinal
10.71Single8A6DAll-trans-Retinal8A6D-Rhodopsin-All-trans-Retinal
10.71Single8A6EAll-trans-Retinal8A6E-Rhodopsin-All-trans-Retinal
10.71Single8EFOPZM218EFO-μ-PZM21-Gi1/β1/γ2
10.71Single8FYXBuspirone8FYX-5-HT1A-Buspirone-PtdIns4P-Gi1/β1/γ1
10.71Single8GNGIstradefylline8GNG-A2A-Istradefylline
10.71Single8H8JLodoxamide8H8J-GPR35-Lodoxamide-Ca-chim(NtGi1L-G13)/β1/γ2
10.71Single8IJBAcipimox8IJB-HCA2-Acipimox-Gi1/β1/γ2
10.71Single8J6LNiacin8J6L-HCA2-Niacin-Gi1/β1/γ2
10.71Single8JSOAMPH8JSO-TA1-AMPH-chim(NtGi1-Gs)/β1/γ2
10.71Single8RW0Istradefylline8RW0-A2A-Istradefylline-Na
10.71Single8RW4AzoSwitch28RW4-A2A-AzoSwitch2-Na
10.71Single8RWEStilSwitch48RWE-A2A-StilSwitch4-Na
10.71Single8U4SREGN7663-Fab8U4S-CXCR4-REGN7663-Fab
10.71Single8U4TREGN7663-Fab8U4T-CXCR4-REGN7663-Fab
10.71Single8UNXConstrained Epinephrine8UNX-β2-Constrained Epinephrine-GTP-Gs/β1/γ2
10.71Single8WPGTryptophan; Cinacalcet; PO4; Ca8WPG-CaS; CaS-Tryptophan; Cinacalcet; PO4; Ca
10.71Single8XXXCXCL68XXX-CXCR2-CXCL6-Go/β1/γ2
10.71Single9AVLCa; Ca; Cyclomethyltryptophan; R-568; PO49AVL-CaS; CaS-Ca-Ca; Ca; Cyclomethyltryptophan; R-568; PO4-Gi3/β2/γ2
10.71Single9C1PCa; Tryptophan; '6218; PO49C1P-CaS; CaS-Ca-Ca; Tryptophan; '6218; PO4
10.71Single9C2FCa; Ca; Tryptophan; '54149; PO49C2F-CaS; CaS-Ca-Ca; Ca; Tryptophan; '54149; PO4
10.71Single9FUPIstradefylline9FUP-A2A-Istradefylline-Na
10.71Single9K6LSalicin9K6L-TAS2R16-Salicin-Gi2/β1/γ2
10.71Single9KVHCinobufotenine9KVH-5-HT1A-Cinobufotenine-PtdIns4P-Gi1/β1/γ2
10.71Single9LLBDOI-NBOMe9LLB-5-HT2A-DOI-NBOMe-chim(NtGi1L-Gs-CtGq)/β1/γ2
10.71Single9VJ5Gepirone9VJ5-5-HT1A-Gepirone-Go/β1/γ2
10.71Single9VJEBuspirone9VJE-5-HT1A-Buspirone-Go/β1/γ2
10.71Consensus5ht1e_onOrthosteric Ligand7E33-5-HT1E-BRL-54443-Gi1/β1/γ2 8UGY-5-HT1E-Mianserin-Gi1/β1/γ1 8UH3-5-HT1E-Setiptiline-Gi1/β1/γ1
10.71Consensusccr6_onOrthosteric Ligand6WWZ-CCR6-CCL20-Go/β1/γ2
10.71Consensusccr6_on_gpOrthosteric Ligand6WWZ-CCR6-CCL20-Go/β1/γ2
10.71Consensuscxcr1_onOrthosteric Ligand8IC0-CXCR1-CXCL8-Gi1/β1/γ2
10.71Consensusgq_histamineOrthosteric Ligand7DFL-H1-Histamine-chim(NtGi1L-Gq)/β1/γ2
10.71Consensush1_on_gpOrthosteric Ligand7DFL-H1-Histamine-chim(NtGi1L-Gq)/β1/γ2
10.71Consensusp2y1_onOrthosteric Ligand7XXH-P2Y1-2MeSADP-chim(NtGi1-G11)/β1/γ2
10.71Consensusrhodopsin_offOrthosteric Ligand1U19-Rhodopsin-11-cis-Retinal 2PED-Rhodopsin-9-cis-Retinal 5TE5-Rhodopsin-20-Methanoretinal
10.53Single6METGp160; CD46MET-CCR5-Gp160; CD4
10.53Single7F4HAfamelanotide7F4H-MC1-Afamelanotide-chim(NtGi1-Gs)/β1/γ2
10.53Single7XK8Neuromedin-U-257XK8-NMUR2-Neuromedin-U-25-Gi1/β1/γ2
10.53Single8IEDPubChem 1347468948IED-GPR156; GPR156-PubChem 134746894-Go/β1/γ2
10.53Single8XWQEndothelin-18XWQ-ETB-Endothelin-1-Gi1/β1/γ2
10.53Consensustachykinin_onOrthosteric Ligandnk1_on nk2_on nk3_on
10.34Single3OAX11-cis-Retinal3OAX-Rhodopsin-11-cis-Retinal
10.34Single3V2YPubChem 518926453V2Y-S1P1-PubChem 51892645
10.34Single4DKLBeta-Funaltrexamine4DKL-μ-β-Funaltrexamine
10.34Single4MQTIperoxo4MQT-M2-Iperoxo-LY2119620
10.34Single4N6HNaltrindole4N6H-δ-Naltrindole-Na
10.34Single6A94Zotepine6A94-5-HT2A-Zotepine
10.34Single6ME42-Iodomelatonin6ME4-MT1-2-Iodomelatonin
10.34Single6PELCitronellol6PEL-Rhodopsin-Citronellol-Gt(CT)
10.34Single6PS5Propranolol6PS5-β2-Propranolol
10.34Single6PT0WIN 55212-26PT0-CB2-WIN 55212-2-Gi1/β1/γ2
10.34Single6TOSGSK10598656TOS-OX1-GSK1059865-Na
10.34Single6TP3Nemorexant6TP3-OX1-Nemorexant
10.34Single6U1NLY21196206U1N-M2-LY2119620-Arrestin2
10.34Single6V9SGTPL114036V9S-OX1-GTPL11403
10.34Single6VI4JDTic6VI4-κ-JDTic
10.34Single6ZFZ77-LH-28-16ZFZ-M1-77-LH-28-1
10.34Single6ZG9GSK10347026ZG9-M1-GSK1034702
10.34Single7AROLUF58337ARO-A2A-LUF5833-Na
10.34Single7C2EPubChem 1490507997C2E-GLP-1-PubChem 149050799-Gs/β1/γ2
10.34Single7CKWFenoldopam7CKW-D1-Fenoldopam-Gs/β1/γ2
10.34Single7CKZDopamine7CKZ-D1-Dopamine-Mevidalen-Gs/β1/γ2
10.34Single7CMUPramipexole7CMU-D3-Pramipexole-Gi1/β1/γ2
10.34Single7E33BRL-544437E33-5-HT1E-BRL-54443-Gi1/β1/γ2
10.34Single7F0TDopamine7F0T-D1-Dopamine-Gs/β1/γ2
10.34Single7F1ZDopamine7F1Z-D1-Dopamine-GDP-Gs/β1/γ2
10.34Single7F61PF-036547467F61-H3-PF-03654746
10.34Single7M3GCa; Ca; Tryptophan; Evocalcet; Etelcalcetide; PO47M3G-CaS; CaS-Ca; Ca; Tryptophan; Evocalcet; Etelcalcetide; PO4
10.34Single7RANPubChem 1645758477RAN-5-HT2A-PubChem 164575847-chim(NtGi2L-Gs-CtGq)/β1/γ2
10.34Single7T94LY21196207T94-M2-Acetylcholine-LY2119620-chim(NtGi1-Go)/β1/γ2
10.34Single7UL3Famotidine7UL3-H2-Famotidine
10.34Single7UM7Methylergometrine7UM7-5-HT5A-Methylergometrine-chim(NtGi1-Go)/β1/γ2
10.34Single7VV6C48/807VV6-MRGPRX2-C48/80
10.34Single7WVUfMLF7WVU-FPR1-ALX-fMLF-Gi1/β1/γ2
10.34Single7XOVSR1461317XOV-CCKA-SR146131-Gs/β1/γ2
10.34Single7ZBC11-cis-Retinal7ZBC-Rhodopsin-11-cis-Retinal
10.34Single7ZBE11-cis-Retinal7ZBE-Rhodopsin-11-cis-Retinal
10.34Single8DPGPsilocin8DPG-5-HT2C-Psilocin-chim(NtGi2L-Gs-CtGq)/β1/γ2
10.34Single8FCZ11-cis-Retinal8FCZ-Rhodopsin-11-cis-Retinal
10.34Single8GEAConstrained Epinephrine8GEA-β2-Constrained Epinephrine-Gs/β1/γ2
10.34Single8GEDConstrained Epinephrine8GED-β2-Constrained Epinephrine-Gs/β1/γ2
10.34Single8GG7Constrained Epinephrine8GG7-β2-Constrained Epinephrine-GTP-Gs/β1/γ2
10.34Single8GG8Constrained Epinephrine8GG8-β2-Constrained Epinephrine-GTP-Gs/β1/γ2
10.34Single8GGLConstrained Epinephrine8GGL-β2-Constrained Epinephrine
10.34Single8GGMConstrained Epinephrine8GGM-β2-Constrained Epinephrine
10.34Single8GGPConstrained Epinephrine8GGP-β2-Constrained Epinephrine
10.34Single8GUQOlorinab8GUQ-CB2-Olorinab-Gi1/β1/γ2
10.34Single8GURCP559408GUR-CB2-CP55940-Gi1/β1/γ2
10.34Single8IHKAcifran8IHK-HCA3-Acifran
10.34Single8JEIPubChem 117155568JEI-HCAR3-PubChem 11715556-Gi1/β1/γ2
10.34Single8JSPUlotaront8JSP-5-HT1A-Ulotaront-Gi1/β1/γ2
10.34Single8RWIStilSwitch28RWI-A2A-StilSwitch2-Na
10.34Single8U02Dopamine8U02-D2-Dopamine-Go/β1/γ2
10.34Single8UNLConstrained Epinephrine8UNL-β2-Constrained Epinephrine-GTP-Gs/β1/γ2
10.34Single8UNMConstrained Epinephrine8UNM-β2-Constrained Epinephrine-GTP-Gs/β1/γ2
10.34Single8UNOConstrained Epinephrine8UNO-β2-Constrained Epinephrine-GTP-Gs/β1/γ2
10.34Single8UNWConstrained Epinephrine8UNW-β2-Constrained Epinephrine-GTP-Gs/β1/γ2
10.34Single8WPUTryptophan; Cinacalcet; PO4; Ca8WPU-CaS; CaS-Tryptophan; Cinacalcet; PO4; Ca-chim(NtGi2L-Gs-CtGq)/β1/γ2
10.34Single8X7ATreprostinil8X7A-I2-Treprostinil-Gs/β1/γ2
10.34Single8Y45ADL58598Y45-δ-ADL5859-Gi2/β1/γ2
10.34Single8Y62C16:0 Ceramide8Y62-FPR2-ALX-C16:0 Ceramide-Gi1/β1/γ2
10.34Single8YKVPubChem 1375531688YKV-Succinate-PubChem 137553168-Gi1/β1/γ2
10.34Single8YN3Histamine8YN3-H2-Histamine-Gs/β1/γ2
10.34Single9AS3LSD9AS3-5-HT2A-LSD
10.34Single9AS4LSD9AS4-5-HT2A-LSD-chim(NtGi1-Gs-CtGq)/β1/γ2
10.34Single9AS8Psilocin9AS8-5-HT2A-Psilocin-chim(NtGi2L-Gs-CtGq)/β1/γ2
10.34Single9ASBCa; Ca; Cyclomethyltryptophan; R-568; PO49ASB-CaS; CaS-Ca-Ca; Ca; Cyclomethyltryptophan; R-568; PO4-chim(NtGi1-Gs-CtGq)/β1/γ2
10.34Single9AVGCa; Ca; Cyclomethyltryptophan; R-568; PO49AVG-CaS; CaS-Ca-Ca; Ca; Cyclomethyltryptophan; R-568; PO4-chim(NtGi1-Gs)/β1/γ2
10.34Single9BA0MRI-18919BA0-CB1-MRI-1891
10.34Single9CBLEpinephrine9CBL-α2a-Epinephrine-Gi1/β1/γ2
10.34Single9EPQ11,20-Ethanoretinal9EPQ-Rhodopsin-11,20-Ethanoretinal-chim(Gi1-CtGq)/β1/γ2
10.34Single9JFUNE52-QQ579JFU-GPR4-NE52-QQ57
10.34Single9JH3CMF-0199JH3-Apelin; Apelin-CMF-019-Gi1/β1/γ2
10.34Single9JKYAcifran9JKY-HCA2-Acifran-Gi1/β1/γ2
10.34Single9JMDAzithromycin9JMD-Motilin-Azithromycin-chim(Gs-CtGq)/β1/γ2
10.34Single9KUWCMPD6449KUW-Apelin; Apelin-CMPD644-Arrestin2 ; Arrestin2
10.34Single9KVIBufotenin9KVI-5-HT1A-Bufotenin-PtdIns4P-Gi1/β1/γ2
10.34Single9L84Epinephrine9L84-β1-Epinephrine-Atazanavir-Gs/β1/γ2
10.34Single9LL8Psilocin9LL8-5-HT2A-Psilocin-Gi1/β1/γ2
10.34Single9LRDHistamine9LRD-H1-Histamine-Gi1/β1/γ2
10.34Single9ODJMitragynine Pseudoindoxyl9ODJ-μ-Mitragynine Pseudoindoxyl-GTP; Mg-Gi1/β1/γ2
10.34Single9PY2Loperamide9PY2-μ-Loperamide-GDPβS-Gi1/β1/γ2
10.34Single9W6W5-CT9W6W-5-HT5A-5-CT-Gi1/β1/γ2
10.34Consensus5ht2a_offOrthosteric Ligand6A94-5-HT2A-Zotepine 6A93-5-HT2A-Risperidone 7VOD-5-HT2A-Cariprazine 7WC8-5-HT2A-Lumateperone 8JT8-5-HT2A-(R)-IHCH-7179
10.34Consensus5ht_on_gpOrthosteric Ligand5ht1_on_gp 5ht2_on_gp 5ht4_on_gp 5ht5_on_gp 5ht6_on_gp 5ht7_on_gp
10.34Consensusd3_onOrthosteric Ligand7CMV-D3-PD128907-Gi1/β1/γ2 8IRT-D3-Rotigotine-Gi1/β1/γ2 7CMU-D3-Pramipexole-Gi1/β1/γ2
10.34Consensusd3_on_gpOrthosteric Ligand7CMV-D3-PD128907-Gi1/β1/γ2 8IRT-D3-Rotigotine-Gi1/β1/γ2 7CMU-D3-Pramipexole-Gi1/β1/γ2
10.34Consensusghrelin_offOrthosteric Ligand6KO5-Ghrelin-PubChem 57400002 7F83-Ghrelin-PF-05190457
10.34Consensusgrh_offOrthosteric Ligandgnrh1_off
10.26Single7F9YGhrelin7F9Y-Ghrelin-Ghrelin-chim(NtGi1-Gs-CtGq)/β1/γ2
10.26Single7P02Substance-P7P02-NK1-Substance-P-chim(NtGi1-Gs)/β1/γ2
10.00Single1HZX11-cis-Retinal1HZX-Rhodopsin-11-cis-Retinal
10.00Single2Y02Carmoterol2Y02-β1-Carmoterol
10.00Single4EA3PubChem 102965614EA3-NOP-PubChem 10296561
10.00Single4QIMANTA XV4QIM-SMO-ANTA XV
10.00Single5DHHSB-6121115DHH-NOP-SB-612111
10.00Single5UENDU1725UEN-A1-DU172
10.00Single5UIGPubChem 1240811965UIG-A2A-PubChem 124081196
10.00Single6D27CAY104716D27-DP2-CAY10471
10.00Single6FK7PubChem 1324730346FK7-Rhodopsin-PubChem 132473034
10.00Single6FKCPubChem 1324730396FKC-Rhodopsin-PubChem 132473039
10.00Single6GPSMK08126GPS-CCR2-MK0812
10.00Single6KPFAM120336KPF-CB2-AM12033-Gi1/β1/γ2
10.00Single6TOTLemborexant6TOT-OX1-Lemborexant
10.00Single6X1ADanuglipron6X1A-GLP-1-Danuglipron-Gs/β1/γ2
10.00Single7LCIDanuglipron7LCI-GLP-1-Danuglipron-Gs/β1/γ2
10.00Single7LCKDanuglipron7LCK-GLP-1-Danuglipron
10.00Single7LJCSKF812977LJC-D1-SKF81297-Mevidalen-Gs/β1/γ2
10.00Single7S15PubChem 1346112237S15-GLP-1-PubChem 134611223
10.00Single7SK3CXCL127SK3-ACKR3-CXCL12
10.00Single7SK8CXCL127SK8-ACKR3-CXCL12-CCX662
10.00Single7T2GMitragynine Pseudoindoxyl7T2G-μ-Mitragynine Pseudoindoxyl-Gi1/β1/γ2
10.00Single7UL4Alvimopan7UL4-μ-Alvimopan
10.00Single7UM6Lisuride7UM6-5-HT5A-Lisuride-chim(NtGi1-Go)/β1/γ2
10.00Single7V3ZCP559407V3Z-CB1-CP55940
10.00Single7VH0Ramelteon7VH0-MT2-Ramelteon-Gi1/β1/γ1
10.00Single7WC8Lumateperone7WC8-5-HT2A-Lumateperone
10.00Single7X2CFenoldopam7X2C-D1-Fenoldopam-Fenoldopam-Gs/β1/γ2
10.00Single7XJHIsoprenaline7XJH-β3-Isoprenaline-Gs/β1/γ2
10.00Single7XTC5-CT7XTC-5-HT7-5-CT-Gs/β1/γ2
10.00Single7YACPaltusotine7YAC-SST2-Paltusotine-Gi1/β1/γ2
10.00Single7YXAONO-54306087YXA-S1P5-ONO-5430608
10.00Single8DZSGR89,6968DZS-κ-GR89,696-chim(NtGi2-Gz)/β1/γ2
10.00Single8GCML-9026888GCM-EP4-L-902688-Gi1/β1/γ2
10.00Single8IC0CXCL88IC0-CXCR1-CXCL8-Gi1/β1/γ2
10.00Single8IHJAcifran8IHJ-HCA3-Acifran-Gi1/β1/γ2
10.00Single8IRTRotigotine8IRT-D3-Rotigotine-Gi1/β1/γ2
10.00Single8JD0NAM5638JD0-mGlu2; mGlu3-Glutamate-NAM563
10.00Single8RW7StilSwitch18RW7-A2A-StilSwitch1-Na
10.00Single8RWXStilSwitch38RWX-A2A-StilSwitch3-Na
10.00Single8TH3AT118-H Nanobody8TH3-AT1-AT118-H Nanobody
10.00Single8UGYMianserin8UGY-5-HT1E-Mianserin-Gi1/β1/γ1
10.00Single8UNRConstrained Epinephrine8UNR-β2-Constrained Epinephrine-GTP-Gs/β1/γ2
10.00Single8UNUConstrained Epinephrine8UNU-β2-Constrained Epinephrine-GTP-Gs/β1/γ2
10.00Single8UWLLisuride8UWL-5-HT2A-Lisuride-chim(NtGi2-Gs-CtGq)/β1/γ2
10.00Single8VVGGB188VVG-κ-GB18-Gi1/β1/γ2
10.00Single8WC7ZH86678WC7-TA1-ZH8667-chim(NtGi1-Gs)/β1/γ2
10.00Single8X9TAP5038X9T-ADGRD1-AP503-chim(NtGi1-Gs)/β1/γ2
10.00Single8XJLPGF2-alpha8XJL-FP-alpha-PGF2-α-chim(NtGi2-Gs-CtGq)/β1/γ2
10.00Single8YH5Riboprine8YH5-A3A-Riboprine-Gi1/β1/γ2
10.00Single8ZYYNeurotensin-(8-13)8ZYY-NTS1-Neurotensin-(8-13)-SBI-553-Arrestin2
10.00Single9BQJRO769BQJ-μ-RO76-Gi1/β1/γ2
10.00Single9D61JDTic9D61-κ-JDTic-Gi1/β1/γ2
10.00Single9IMATalquetamab9IMA-GPRC5D; GPRC5D-Talquetamab
10.00Single9IYAONO-97105319IYA-GPR55-ONO-9710531
10.00Single9JGKBalovaptan9JGK-5-HT2B-Balovaptan
10.00Single9METGp120; CD49MET-CXCR4-Gp120; CD4
10.00Single9PQDPubChem 1764919279PQD-α2a-PubChem 176491927
10.00Consensus5ht5_onOrthosteric Ligand5ht5a_on
10.00Consensus5ht5a_onOrthosteric Ligand7X5H-5-HT5A-5-CT-Gi1/β1/γ2 7UM6-5-HT5A-Lisuride-chim(NtGi1-Go)/β1/γ2 7UM7-5-HT5A-Methylergometrine-chim(NtGi1-Go)/β1/γ2
10.00Consensus5ht6_onOrthosteric Ligand7XTB-5-HT6-Serotonin-Gs/β1/γ2 8JLZ-5-HT6-ST1936-Gs/β1/γ2
10.00Consensus5ht6_on_gpOrthosteric Ligand7XTB-5-HT6-Serotonin-Gs/β1/γ2 8JLZ-5-HT6-ST1936-Gs/β1/γ2
10.00Consensus5ht7_onOrthosteric Ligand7XTC-5-HT7-5-CT-Gs/β1/γ2
10.00Consensus5ht7_on_gpOrthosteric Ligand7XTC-5-HT7-5-CT-Gs/β1/γ2
10.00Consensusccr2_offOrthosteric Ligand6GPS-CCR2-MK0812
10.00Consensuscxcr1_on_gpOrthosteric Ligand8IC0-CXCR1-CXCL8-Gi1/β1/γ2
9.76Single7F53Alpha-MSH7F53-MC4-α-MSH-Gs/β1/γ2
9.76Single9KDFRES-701-39KDF-ETB-RES-701-3
9.68Single4ZJ8Suvorexant4ZJ8-OX1-Suvorexant
9.68Single5WIUNemonapride5WIU-D4-Nemonapride
9.68Single5WIVNemonapride5WIV-D4-Nemonapride-Na
9.68Single5XPRBosentan5XPR-ETB-Bosentan
9.68Single5YHLPubChem 1351213525YHL-EP4-PubChem 135121352
9.68Single5YWYONO-AE3-2085YWY-EP4-ONO-AE3-208
9.68Single6E67BI1671076E67-β2-BI167107-Gs(CT)
9.68Single6GPXMK08126GPX-CCR2-MK0812
9.68Single6HLPNetupitant6HLP-NK1-Netupitant
9.68Single6KPCAM120336KPC-CB2-AM12033
9.68Single6LUQHaloperidol6LUQ-D2-Haloperidol
9.68Single6TO7Suvorexant6TO7-OX1-Suvorexant-Na
9.68Single6TP6Filorexant6TP6-OX1-Filorexant
9.68Single7CKXA776367CKX-D1-A77636-Gs/β1/γ2
9.68Single7E9GJNJ-404118137E9G-mGlu2; mGlu2-Eglumetad-JNJ-40411813-Gi1/β1/γ2
9.68Single7M3GCa; Ca; Tryptophan; Evocalcet; Etelcalcetide; PO47M3G-CaS; CaS-Ca; Ca; Tryptophan; Evocalcet; Etelcalcetide; PO4
9.68Single7SBFPZM217SBF-μ-PZM21-Gi1/β1/γ2
9.68Single7VOEAripiprazole7VOE-5-HT2A-Aripiprazole
9.68Single7WC6LSD7WC6-5-HT2A-LSD
9.68Single8DZQmomSalB8DZQ-κ-momSalB-Go/β1/γ2
9.68Single8DZRGR89,6968DZR-κ-GR89,696-chim(NtGi2-Gt3)/β1/γ2
9.68Single8GD9Rivenprost8GD9-EP4-Rivenprost-Gs/β1/γ2
9.68Single8GDCPGE28GDC-EP3-PGE2-Gi1/β1/γ2
9.68Single8HNLPS3724248HNL-CXCR3-PS372424-Gi1/β1/γ2
9.68Single8ID4Linoleic acid8ID4-FFA4-Linoleic acid-Gi1/β1/γ2
9.68Single8IZ4Lysophosphatidylserine (TJR)8IZ4-GPR34-Lysophosphatidylserine (TJR)-Gi1/β1/γ2
9.68Single8TF5Oleic acid8TF5-GPR6-Oleic acid
9.68Single8TH4AT118-L Nanobody8TH4-AT1-Losartan-AT118-L Nanobody
9.68Single8WGBVU01550418WGB-mGlu4; mGlu2-Glutamate-VU0155041-Gi3/β1/γ2
9.68Single8XQPCholesterol8XQP-TAS2R14-Cholesterol-Aristolochic acid A-Gt3/β1/γ1
9.68Single8XYKVUF106618XYK-CXCR3-VUF10661-Go/β1/γ2
9.68Single8YNSSNAP-948478YNS-MCH1-SNAP-94847
9.68Single8ZVZBW245C8ZVZ-DP1-BW245C-Gs/β1/γ2
9.68Single9ARYSerotonin9ARY-5-HT2A-Serotonin-chim(NtGi1-Gs-CtGq)/β1/γ2
9.68Single9EAHNanobody AT2099EAH-AT1-Olmesartan-Nanobody AT209
9.68Single9GE2ML1849GE2-GPR55-ML184-chim(NtGi1-G13)/β1/γ2
9.68Single9HAPTolvaptan9HAP-V2-Tolvaptan
9.68Single9I52A1IZU9I52-D1-A1IZU-Gs/β1/γ2
9.68Single9IYBPGD29IYB-DP2-PGD2-A1D5Q-Gi1/β1/γ2
9.68Single9KT6Acifran9KT6-HCA3-Acifran-Gi1/β1/γ2
9.68Single9KUVCMPD6449KUV-Apelin-CMPD644-Arrestin2
9.68Single9L74S1P d16:19L74-S1P3-S1P d16:1-chim(NtGi2L-Gs-CtGq)/β1/γ2
9.68Single9M8POleic monoethanolamide9M8P-GPR3 ; GPR3-Oleic monoethanolamide-AF64394
9.68Single9VJFBuspirone9VJF-5-HT1A-Buspirone-Gi3/β1/γ2
9.68Consensusadgrg2_onOrthosteric Ligand7WUI-ADGRG2-IP15-chim(NtGi1-Gs)/β1/γ2 7WUQ-ADGRG2-Gs/β1/γ2 7XKF-ADGRG2-Dehydroepiandrosterone-Gs/β1/γ2
9.68Consensusadgrg2_on_gpOrthosteric Ligand7WUI-ADGRG2-IP15-chim(NtGi1-Gs)/β1/γ2 7WUQ-ADGRG2-Gs/β1/γ2 7XKF-ADGRG2-Dehydroepiandrosterone-Gs/β1/γ2
9.68Consensuscb2_onOrthosteric Ligand8GUR-CB2-CP55940-Gi1/β1/γ2 8GUS-CB2-HU-308-Gi1/β1/γ2 8GUT-CB2-LEI-102-Gi1/β1/γ2 6KPF-CB2-AM12033-Gi1/β1/γ2 6PT0-CB2-WIN 55212-2-Gi1/β1/γ2 8GUQ-CB2-Olorinab-Gi1/β1/γ2
9.68Consensuscb2_on_gpOrthosteric Ligand8GUR-CB2-CP55940-Gi1/β1/γ2 8GUS-CB2-HU-308-Gi1/β1/γ2 8GUT-CB2-LEI-102-Gi1/β1/γ2 6KPF-CB2-AM12033-Gi1/β1/γ2 6PT0-CB2-WIN 55212-2-Gi1/β1/γ2 8GUQ-CB2-Olorinab-Gi1/β1/γ2
9.68Consensusd4_onOrthosteric Ligand8IRU-D4-Rotigotine-chim(NtGi1-Gs-CtGi1)/β1/γ2
9.68Consensusep4_offOrthosteric Ligand5YWY-EP4-ONO-AE3-208 5YHL-EP4-PubChem 135121352
9.68Consensusep_offOrthosteric Ligandep4_off
9.68Consensuslipid_onOrthosteric Ligandcannabinoid_on ffa_on lpl_on prostanoid_on leukotriene_on
9.68Consensuslipid_on_gpOrthosteric Ligandcannabinoid_on_gp ffa_on_gp lpl_on_gp prostanoid_on_gp leukotriene_on_gp
9.52Consensusgs_melanocortinOrthosteric Ligand7F4H-MC1-Afamelanotide-chim(NtGi1-Gs)/β1/γ2 7F54-MC4-Afamelanotide-Gs/β1/γ2 7F4D-MC1-α-MSH-chim(NtGi1-Gs)/β1/γ2 8INR-MC5-α-MSH-Ca-chim(NtGi1-Gs)/β1/γ2 7F53-MC4-α-MSH-Gs/β1/γ2 7F55-MC4-Bremelanotide-Gs/β1/γ2 8GY7-MC2-Corticotropin-Ca-chim(NtGi1-Gs)/β1/γ2; MRAP1 8IOC-MC3-γ-MSH-Ca-chim(NtGi1-Gs)/β1/γ2 8IOD-MC5-PG-901-Ca-chim(NtGi1-Gs)/β1/γ2 7AUE-MC4-Setmelanotide-chim(NtGi1L-Gs)/β1/γ2 7F4I-MC1-SHU9119-chim(NtGi1-Gs)/β1/γ2 7F58-MC4-THIQ-Gs/β1/γ2
9.38Single3P0GBI1671073P0G-β2-BI167107
9.38Single3PDSFAUC503PDS-β2-FAUC50
9.38Single3SN6BI1671073SN6-β2-BI167107-Gs/β1/γ2
9.38Single4IAQDihydroergotamine4IAQ-5-HT1B-Dihydroergotamine
9.38Single5XR8AM120335XR8-CB1-AM12033
9.38Single6J20Aprepitant6J20-NK1-Aprepitant
9.38Single6N4BMDMB-Fubinaca6N4B-CB1-MDMB-Fubinaca-Gi1/β1/γ2
9.38Single7B6WCyclazosin7B6W-α1b-Cyclazosin
9.38Single7E2ZAripiprazole7E2Z-5-HT1A-Aripiprazole-PtdIns4P-Gi1/β1/γ2
9.38Single7EW3S1P7EW3-S1P3-S1P-Gi1/β1/γ2
9.38Single7M8W15r-Methyl-PGD27M8W-DP2-15r-Methyl-PGD2-Na
9.38Single7SK7CXCL127SK7-ACKR3-CXCL12-CCX662
9.38Single7WV9CP559407WV9-CB1-CP55940-ZCZ011-Gi2/β1/γ2
9.38Single7XBDGalanin7XBD-GAL2-Galanin-chim(NtGi2L-Gs-CtGq)/β1/γ2
9.38Single7XWONeurokinin-A7XWO-NK2-Neurokinin-A-chim(NtGi1-Gs-CtGq)/β1/γ2
9.38Single7Y67C089 peptide7Y67-C5a1-C089 peptide-Gi1/β1/γ2
9.38Single8FMZNeurotensin-(8-13)8FMZ-NTS1-Neurotensin-(8-13)-chim(NtGi2L-Gs-CtGq)/β1/γ2
9.38Single8GUSHU-3088GUS-CB2-HU-308-Gi1/β1/γ2
9.38Single8HPTC5a (C-terminal peptide)8HPT-C5a1-C5a (C-terminal peptide)-Go/β1/γ2
9.38Single8I9LC3a8I9L-C3aB-C3a-Go/β1/γ2
9.38Single8ID6Oleic acid8ID6-FFA4-Oleic acid-Gi1/β1/γ2
9.38Single8IUKPGF2-alpha8IUK-FP-alpha-PGF2-α-chim(NtGi1-Gs-CtGq)/β1/γ2
9.38Single8JD5JNJ-40411813; ADX881788JD5-mGlu2; mGlu4-Glutamate-JNJ-40411813; ADX88178-Gi1/β1/γ2
9.38Single8JLPRalmitaront8JLP-TA1-Ralmitaront-Gs/β1/γ2
9.38Single8JT6(R)-IHCH-71798JT6-5-HT1A-(R)-IHCH-7179-PtdIns4P-Gi1/β1/γ2
9.38Single8VVFJDTic8VVF-κ-JDTic-Gi1/β1/γ2
9.38Single8WU1MDMB-Fubinaca8WU1-CB1-MDMB-Fubinaca-Arrestin2
9.38Single8XIPPasireotide8XIP-SST1-Pasireotide-chim(NtGi1-Gs-CtGi1)/β1/γ2
9.38Single8XX7CXCL58XX7-CXCR2-CXCL5-Go/β1/γ2
9.38Single8ZWFJR14a8ZWF-C3aB-JR14a
9.38Single9B65MDMB-Fubinaca9B65-CB1-MDMB-Fubinaca-Gi1/β1/γ2
9.38Single9E9SPGD29E9S-DP1-PGD2-Gs/β1/γ1
9.38Single9EGOZ85267113509EGO-CB1-Z8526711350-Gi1/β1/γ2
9.38Single9I54PubChem 1764520919I54-D1-PubChem 176452091-Gs/β1/γ2
9.38Single9IJDCarazolol9IJD-β3-Carazolol-chim(NtGi1-Gs)/β1/γ2
9.38Single9IK9Lanreotide9IK9-SST1-Lanreotide-Gi1/β1/γ2
9.38Single9KUXCMPD6449KUX-Apelin; Apelin-CMPD644-Arrestin2
9.38Single9KVPSB2901579KVP-C3aB-SB290157-Go/β1/γ2
9.38Single9PY4Loperamide9PY4-μ-Loperamide-GDPβS-Gi1/β1/γ2
9.38Single9RHGC4079RHG-FZD7-C407
9.38Consensuscyslt1_offOrthosteric Ligand6RZ5-CysLT1-Zafirlukast-Na 6RZ4-CysLT1-Pranlukast-Na
9.38Consensusffa2_onOrthosteric Ligand8J22-FFA2-TUG-1375-Gi1/β1/γ2
9.38Consensusgi_cannabinoidOrthosteric Ligand8GUR-CB2-CP55940-Gi1/β1/γ2 8GUS-CB2-HU-308-Gi1/β1/γ2 8GUT-CB2-LEI-102-Gi1/β1/γ2 8GUQ-CB2-Olorinab-Gi1/β1/γ2 6KPF-CB2-AM12033-Gi1/β1/γ2 6PT0-CB2-WIN 55212-2-Gi1/β1/γ2 6KPG-CB1-AM841-Gi1/β1/γ2
9.38Consensusnk2_on_gpOrthosteric Ligand7XWO-NK2-Neurokinin-A-chim(NtGi1-Gs-CtGq)/β1/γ2
9.30Single8ZJETAK4488ZJE-Kiss1-TAK448-chim(NtGi1-Gq)/β1/γ1
9.09Single4PXFOctyl-Beta-D-Glucopyranoside4PXF-Rhodopsin-Octyl-β-D-Glucopyranoside-Arrestin1 Finger Loop
9.09Single4RWADIPP-NH24RWA-δ-DIPP-NH2
9.09Single5X33BIIL2605X33-BLT1-BIIL260
9.09Single6MXTSalmeterol6MXT-β2-Salmeterol
9.09Single6RZ7ONO-25703666RZ7-CysLT2-ONO-2570366
9.09Single7XJKGalanin7XJK-GAL2-Galanin-chim(NtGi2L-Gs-CtGq)/β1/γ2
9.09Single7XW9TRH7XW9-TRH-TRH-chim(NtGi1L-Gs-CtGq)/β1/γ2
9.09Single7YMJTamsulosin7YMJ-Alpha1A-Tamsulosin
9.09Single8GCPPGE28GCP-EP4-PGE2-Gi1/β1/γ2
9.09Single8H0QGastrin Releasing Peptide8H0Q-BB2-Gastrin Releasing Peptide-chim(NtGi1-Gs-CtGq)/β1/γ2
9.09Single8ID9Icosapent8ID9-FFA4-Icosapent-Gi1/β1/γ2
9.09Single8JJLOlodaterol8JJL-β2-Olodaterol
9.09Single8W1VPubChem 1717162658W1V-β2-PubChem 171716265
9.09Single8WRBLysophosphatidylserine (UBL)8WRB-GPR34-Lysophosphatidylserine (UBL)-Gi1/β1/γ2
9.09Single8X8NOctreotide8X8N-SST5-Octreotide-chim(NtGi1-Gs-CtGi1)/β1/γ2
9.09Single8XQJJN2418XQJ-Apelin; Apelin-JN241
9.09Single8XWACXCL18XWA-CXCR2-CXCL1
9.09Single8XWSCXCL58XWS-CXCR2-CXCL5
9.09Single8XX3CXCL38XX3-CXCR2-CXCL3-Go/β1/γ2
9.09Single8XYIVUF106618XYI-CXCR3-VUF10661
9.09Single9AU0BW245C9AU0-DP1-BW245C-Gs/β1/γ2
9.09Single9DGIZ85267113509DGI-CB1-Z8526711350
9.09Single9KZKC3a (fragment)9KZK-C3aB-C3a (fragment)-Go/β1/γ2
9.09Single9M4QDoxazosin9M4Q-Alpha1A-Doxazosin
9.09Single9WXMGPR15L(CT)9WXM-GPR15-GPR15L(CT)-Gi3/β1/γ2
9.09Consensusalpha1_offOrthosteric Ligandalpha1a_off
9.09Consensusalpha1a_offOrthosteric Ligand7YMJ-Alpha1A-Tamsulosin
9.09Consensuscannabinoid_onOrthosteric Ligandcb2_on cb1_on
9.09Consensuscannabinoid_on_gpOrthosteric Ligandcb2_on_gp cb1_on_gp
9.09Consensuscxcr_onOrthosteric Ligandcxcr3_on cxcr4_on cxcr1_on cxcr2_on
9.09Consensusffa2_on_gpOrthosteric Ligand8J22-FFA2-TUG-1375-Gi1/β1/γ2
9.09Consensusgalanin_onOrthosteric Ligandgal2_on gal1_on
9.09Consensusgalanin_on_gpOrthosteric Ligandgal2_on_gp gal1_on_gp
9.09Consensuskop_onOrthosteric Ligand8F7W-κ-Dynorphin-Gi1/β1/γ2 8DZS-κ-GR89,696-chim(NtGi2-Gz)/β1/γ2 8DZP-κ-momSalB-Gi1/β1/γ2
9.09Consensusorexin_onOrthosteric Ligandox2_on
9.09Consensuss1p3_onOrthosteric Ligand7EW3-S1P3-S1P-Gi1/β1/γ2 7EW4-S1P3-CYM-5541-Gi1/β1/γ2 7EW2-S1P3-FTY720-P-Gi1/β1/γ2
9.09Consensustrh_onOrthosteric Ligand7XW9-TRH-TRH-chim(NtGi1L-Gs-CtGq)/β1/γ2
9.09Consensustrh_on_gpOrthosteric Ligand7XW9-TRH-TRH-chim(NtGi1L-Gs-CtGq)/β1/γ2
8.82Single4NC3Ergotamine4NC3-5-HT2B-Ergotamine
8.82Single4RWSvMIP-II4RWS-CXCR4-vMIP-II
8.82Single6BQGErgotamine6BQG-5-HT2C-Ergotamine
8.82Single6RZ9ONO-27703726RZ9-CysLT2-ONO-2770372
8.82Single7D7MPGE27D7M-EP4-PGE2-Gs/β1/γ1
8.82Single7EZHCholecystokinin-87EZH-CCKA-Cholecystokinin-8-Gi1/β1/γ2
8.82Single7EZMCholecystokinin-87EZM-CCKA-Cholecystokinin-8-chim(NtGsL-Gq)/β1/γ2
8.82Single7MBYCholecystokinin-87MBY-CCKA-Cholecystokinin-8-chim(NtGi1L-Gs-CtGq)/β1/γ2
8.82Single8GAGZ85267113508GAG-CB1-Z8526711350-Gi1/β1/γ2
8.82Single8I95EP548I95-C3aB-EP54-Go/β1/γ2
8.82Single8K2XCXCL108K2X-CXCR3-CXCL10-Gi1/β1/γ2
8.82Single8T3OTUG-8918T3O-FFA4-TUG-891-chim(NtGi2L-Gs-CtGq)/β1/γ2
8.82Single8WRZAM8418WRZ-CB1-AM841-Arrestin2
8.82Single8XWVCXCL18XWV-CXCR2-CXCL1-Go/β1/γ2
8.82Single8ZWGJR14a8ZWG-C3aB-JR14a-Gi1/β1/γ2
8.82Single9GG5U466199GG5-TXA2-U46619-chim(NtGi2L-Gs-CtGq)/β1/γ2
8.82Single9KV8TLQP219KV8-C3aB-TLQP21-Go/β1/γ2
8.82Single9M1HPGE29M1H-EP1-PGE2-chim(NtGi1-Gs-CtGq)/β1/γ2
8.82Single9YDRDADLE9YDR-δ-DADLE-MIPS3983-chim(NtGi1L-Gs-CtGi1)/β1/γ2
8.82Consensuscb1_on_gpOrthosteric Ligand6KPG-CB1-AM841-Gi1/β1/γ2 8K8J-CB1-Fenofibrate-chim(Gs-CtGq)/β1/γ2
8.82Consensusccka_onOrthosteric Ligand7EZH-CCKA-Cholecystokinin-8-Gi1/β1/γ2
8.82Consensusccka_on_gpOrthosteric Ligand7EZH-CCKA-Cholecystokinin-8-Gi1/β1/γ2
8.82Consensuscyslt2_offOrthosteric Ligand6RZ7-CysLT2-ONO-2570366 6RZ8-CysLT2-ONO-2080365 6RZ9-CysLT2-ONO-2770372
8.82Consensusfp-alpha_onOrthosteric Ligand8IUK-FP-alpha-PGF2-α-chim(NtGi1-Gs-CtGq)/β1/γ2 8IUL-FP-alpha-Latanoprost-chim(NtGi1-Gs-CtGq)/β1/γ2 8IUM-FP-alpha-Tafluprost acid-chim(NtGi1-Gs-CtGq)/β1/γ2
8.82Consensusfp-alpha_on_gpOrthosteric Ligand8IUK-FP-alpha-PGF2-α-chim(NtGi1-Gs-CtGq)/β1/γ2 8IUL-FP-alpha-Latanoprost-chim(NtGi1-Gs-CtGq)/β1/γ2 8IUM-FP-alpha-Tafluprost acid-chim(NtGi1-Gs-CtGq)/β1/γ2
8.82Consensusnk2_onOrthosteric Ligand7XWO-NK2-Neurokinin-A-chim(NtGi1-Gs-CtGq)/β1/γ2
8.82Consensusorexin_on_gpOrthosteric Ligandox2_on_gp
8.57Single6KNMJN241-96KNM-Apelin-JN241-9
8.57Single6RZ6ONO-25703666RZ6-CysLT2-ONO-2570366
8.57Single7CX2PGE27CX2-EP2-PGE2-Gs/β1/γ2
8.57Single7F9ZGHRP-67F9Z-Ghrelin-GHRP-6-chim(NtGi1-Gs-CtGq)/β1/γ2
8.57Single7RMGSubstance-P7RMG-NK1-Substance-P-chim(Gs-CtGq)/β1/γ2
8.57Single8GDAL9026888GDA-EP4-L902688-Gs/β1/γ2
8.57Single8IQ4Carboprost8IQ4-FP-alpha-Carboprost-chim(NtGi1-Gs-CtGq)/β1/γ2
8.57Single8J22TUG-13758J22-FFA2-TUG-1375-Gi1/β1/γ2
8.57Single8SAILysophosphatidylserine (S12)8SAI-GPR34-Lysophosphatidylserine (S12)-Gi1/β1/γ2
8.57Single8Y72Peptide8Y72-μ-Peptide-BMS-986122-Gi1/β1/γ2
8.57Single8Z74JN241-98Z74-Apelin; Apelin-JN241-9
8.57Single9IPVJR14a9IPV-C3aB-JR14a-Gi1/β1/γ2
8.57Single9ITBLPA9ITB-LPA6-LPA-chim(NtGi1-Gs-CtGq)/β1/γ2
8.57Single9JF4PD1683689JF4-BB1-PD168368
8.57Consensuskiss1_onOrthosteric Ligand8ZJD-Kiss1-Kisspeptin-1-chim(NtGi1-Gq)/β1/γ1
8.57Consensuskisspeptin_onOrthosteric Ligandkiss1_on
8.57Consensussst2_onOrthosteric Ligand7WIC-SST2-Somatostatin-14-Gi1/β1/γ2 7WIG-SST2-L-054264-Gi1/β1/γ2 7YAE-SST2-Octreotide-Gi1/β1/γ2 7YAC-SST2-Paltusotine-Gi1/β1/γ2
8.57Consensussst2_on_gpOrthosteric Ligand7WIC-SST2-Somatostatin-14-Gi1/β1/γ2 7WIG-SST2-L-054264-Gi1/β1/γ2 7YAE-SST2-Octreotide-Gi1/β1/γ2 7YAC-SST2-Paltusotine-Gi1/β1/γ2
8.33Single4A4MAll-trans-Retinal4A4M-Rhodopsin-All-trans-Retinal-Gt(CT)
8.33Single4IB4Ergotamine4IB4-5-HT2B-Ergotamine
8.33Single5EN0All-trans-Retinal5EN0-Rhodopsin-All-trans-Retinal-Gt(CT)
8.33Single5MZPCaffeine5MZP-A2A-Caffeine-Na
8.33Single7F4ISHU91197F4I-MC1-SHU9119-chim(NtGi1-Gs)/β1/γ2
8.33Single7VLACCL15(27-92)7VLA-CCR1-CCL15(27-92)-Gi1/β1/γ2
8.33Single7XMRSomatostatin-147XMR-SST2-Somatostatin-14-Gi1/β1/γ2
8.33Single8F7XNociceptin8F7X-NOP-Nociceptin-Gi1/β1/γ2
8.33Single8GEJConstrained Epinephrine8GEJ-β2-Constrained Epinephrine-Gs/β1/γ2
8.33Single8GHVAMG3158GHV-CB1-AMG315-Gi1/β1/γ2
8.33Single8IEBPubChem 1347468948IEB-GPR156; GPR156-PubChem 134746894
8.33Single8WCCCyclohexylammonium Ion8WCC-TA1-Cyclohexylammonium Ion
8.33Single8XBHPubChem 1626566368XBH-GPR34-PubChem 162656636-Gi1/β1/γ2
8.33Single8ZBJSomatostatin-148ZBJ-SST5-Somatostatin-14-Gi1/β1/γ2
8.33Single8ZCJPasireotide8ZCJ-SST5-Pasireotide-Gi1/β1/γ1
8.33Single8ZJDKisspeptin-18ZJD-Kiss1-Kisspeptin-1-chim(NtGi1-Gq)/β1/γ1
8.33Single9HB3Mambaquaretin-19HB3-V2-Mambaquaretin-1
8.33Consensusccr1_onOrthosteric Ligand7VLA-CCR1-CCL15(27-92)-Gi1/β1/γ2
8.33Consensusccr1_on_gpOrthosteric Ligand7VLA-CCR1-CCL15(27-92)-Gi1/β1/γ2
8.33Consensusgq_kisspeptinOrthosteric Ligand8ZJD-Kiss1-Kisspeptin-1-chim(NtGi1-Gq)/β1/γ1
8.33Consensuskiss1_on_gpOrthosteric Ligand8ZJD-Kiss1-Kisspeptin-1-chim(NtGi1-Gq)/β1/γ1
8.33Consensuskisspeptin_on_gpOrthosteric Ligandkiss1_on_gp
8.33Consensusnop_onOrthosteric Ligand8F7X-NOP-Nociceptin-Gi1/β1/γ2
8.33Consensusnop_on_gpOrthosteric Ligand8F7X-NOP-Nociceptin-Gi1/β1/γ2
8.11Single7DDZJNJ-310200287DDZ-Y2-JNJ-31020028
8.11Single7EZKCholecystokinin-87EZK-CCKA-Cholecystokinin-8-chim(NtGi1-Gs)/β1/γ2
8.11Single7RMISubstance-P7RMI-NK1-Substance-P-chim(Gs-CtGq)/β1/γ2
8.11Single8F7WDynorphin8F7W-κ-Dynorphin-Gi1/β1/γ2
8.11Single8JBHSubstance-P8JBH-NK3-Substance-P-chim(NtGi1-Gs-CtGq)/β1/γ2
8.11Single8KH5Lysophosphatidylserine8KH5-GPR174-Lysophosphatidylserine-Gs/β1/γ2
8.11Single9L60Dynorphin9L60-κ-Dynorphin-MPAM-15-Gi1/β1/γ2
8.11Consensusghrelin_onOrthosteric Ligand7NA7-Ghrelin-Ghrelin-Gi1/β1/γ2 7F9Z-Ghrelin-GHRP-6-chim(NtGi1-Gs-CtGq)/β1/γ2 7NA8-Ghrelin-Ibutamoren-Gi1/β1/γ2
8.11Consensusghrelin_on_gpOrthosteric Ligand7NA7-Ghrelin-Ghrelin-Gi1/β1/γ2 7F9Z-Ghrelin-GHRP-6-chim(NtGi1-Gs-CtGq)/β1/γ2 7NA8-Ghrelin-Ibutamoren-Gi1/β1/γ2
8.11Consensusnpy2_offOrthosteric Ligand7DDZ-Y2-JNJ-31020028
8.00Single3PXOAll-trans-Retinal3PXO-Rhodopsin-All-trans-Retinal
8.00Single5DYSAll-trans-Retinal5DYS-Rhodopsin-All-trans-Retinal
8.00Single6VCBLSN31604406VCB-GLP-1-GLP-1-LSN3160440-Gs/β1/γ2
8.00Single7V68LY21196207V68-M4-Iperoxo-LY2119620-Gi1/β1/γ2
8.00Single7XKEDehydroepiandrosterone7XKE-ADGRG2-Dehydroepiandrosterone-chim(NtGi1-Gs)/β1/γ2
8.00Single9IV25alpha-DHT9IV2-ADGRD1-5α-DHT-chim(NtGi1-Gs)/β1/γ2
7.89Single7W55Neuromedin-U-257W55-NMUR2-Neuromedin-U-25-chim(NtGi1-Gs-CtGq)/β1/γ2
7.89Single8WKZSBL-MC-318WKZ-MC4-SBL-MC-31
7.89Consensusnmur2_onOrthosteric Ligand7W55-NMUR2-Neuromedin-U-25-chim(NtGi1-Gs-CtGq)/β1/γ2
7.89Consensusnmur2_on_gpOrthosteric Ligand7W55-NMUR2-Neuromedin-U-25-chim(NtGi1-Gs-CtGq)/β1/γ2
7.69Single3RFMCaffeine3RFM-A2A-Caffeine
7.69Single6OY9All-trans-Retinal6OY9-Rhodopsin-All-trans-Retinal-Gt/β1/γ1
7.69Single7MTBAll-trans-Retinal7MTB-Rhodopsin-All-trans-Retinal-GRK1
7.69Single8IEDPubChem 1347468948IED-GPR156; GPR156-PubChem 134746894-Go/β1/γ2
7.69Single8IWM2-Phenylethylamine8IWM-TAA9-2-Phenylethylamine
7.69Single8U4QREGN7663-Fab8U4Q-CXCR4-REGN7663-Fab-Gi1/β1/γ2
7.69Single8XOFLys058XOF-GPR30-Lys05-chim(NtGi1-Gs-CtGq)/β1/γ2
7.69Single9C2FCa; Ca; Tryptophan; '54149; PO49C2F-CaS; CaS-Ca-Ca; Ca; Tryptophan; '54149; PO4
7.69Single9CHUNorepinephrine9CHU-β2-Norepinephrine
7.69Single9IVMLSN33188399IVM-GLP-1-GLP-1 (Truncated)-LSN3318839-chim(NtGi1-Gs)/β2/γ2
7.69Single9M42A1L8O9M42-GPR139-A1L8O-chim(Gs-CtGq)/β1/γ2
7.69Consensusp2y_offOrthosteric Ligandp2y1_off
7.50Single7X9CPancreatic Hormone7X9C-Y4-Pancreatic Hormone-Gi1/β1/γ2
7.50Single7XV3Lysophosphatidylserine (WJS)7XV3-GPR174-Lysophosphatidylserine (WJS)-chim(NtGi1-Gs)/β1/γ2
7.41Single2ZIY11-cis-Retinal2ZIY-Rhodopsin-11-cis-Retinal
7.41Single3OE6IT1t3OE6-CXCR4-IT1t
7.41Single3PQRAll-trans-Retinal3PQR-Rhodopsin-All-trans-Retinal-Gt(CT)
7.41Single6D32Cyclopamine6D32-SMO-Cyclopamine-Cyclopamine
7.41Single6FK9PubChem 1324730366FK9-Rhodopsin-PubChem 132473036
7.41Single8DPILorcaserin8DPI-5-HT2C-Lorcaserin-chim(NtGi2L-Gs-CtGq)/β1/γ2
7.41Single8JPSCCL78JPS-ACKR1-CCL7
7.41Single8POKHistamine8POK-H2-Histamine-Gs/β1/γ2
7.41Single8RQLFlufenamic acid8RQL-TAS2R14-Flufenamic acid-Flufenamic acid-chim(NtGi1-Gt3)/β1/γ2
7.41Single8SZFCa; Ca; Tryptophan; Cinacalcet; PO4; Spermine8SZF-CaS; CaS-Ca; Ca; Tryptophan; Cinacalcet; PO4; Spermine
7.41Single8X9UMetenolone8X9U-ADGRD1-Metenolone-chim(NtGi1-Gs)/β1/γ2
7.41Consensus5ht2_onOrthosteric Ligand5ht2b_on
7.41Consensus5ht2b_onOrthosteric Ligand7SRR-5-HT2B-LSD-chim(NtGi2L-Gs-CtGq)/β1/γ2
7.41Consensush2_on_gpOrthosteric Ligand8POK-H2-Histamine-Gs/β1/γ2
7.32Single8XVEBQ30208XVE-ETB-BQ3020-chim(Gs-CtGq)/β1/γ2
7.32Consensusnpy4_onOrthosteric Ligand7X9C-Y4-Pancreatic Hormone-Gi1/β1/γ2
7.32Consensusnpy4_on_gpOrthosteric Ligand7X9C-Y4-Pancreatic Hormone-Gi1/β1/γ2
7.14Single6HLLCP999946HLL-NK1-CP99994
7.14Single6PGSGeraniol6PGS-Rhodopsin-Geraniol-Gt(CT)
7.14Single6PH7Nerol6PH7-Rhodopsin-Nerol-Gt(CT)
7.14Single7DFLHistamine7DFL-H1-Histamine-chim(NtGi1L-Gq)/β1/γ2
7.14Single7SRQLSD7SRQ-5-HT2B-LSD
7.14Single7T96LY21196207T96-M2-Acetylcholine-LY2119620-Go/β1/γ2
7.14Single7TRPLY20332987TRP-M4-Iperoxo-LY2033298-Gi1/β1/γ2
7.14Single7XP6Strychnine7XP6-TAS2R46-Strychnine-chim(Gs-CtGt3)/β1/γ2
7.14Single7XTASerotonin7XTA-5-HT4-Serotonin-Gi1/β1/γ2
7.14Single7YS6Serotonin7YS6-5-HT6-Serotonin-chim(NtGi1-Gs)/β1/γ2
7.14Single8A2PLUAA470708A2P-A2A-LUAA47070-Na
7.14Single8IHIAcifran8IHI-HCA2-Acifran-Gi1/β1/γ2
7.14Single8JILNiacin8JIL-HCA2-Niacin-Gi1/β1/γ2
7.14Single8SZFCa; Ca; Tryptophan; Cinacalcet; PO4; Spermine8SZF-CaS; CaS-Ca; Ca; Tryptophan; Cinacalcet; PO4; Spermine
7.14Single8UO4Constrained Epinephrine8UO4-β2-Constrained Epinephrine-GTP; Mg-Gs/β1/γ2
7.14Single8W8XBeta-MSH8W8X-MC3-β-MSH-Ca-Gs/β1/γ2
7.14Single8X2KOleic monoethanolamide8X2K-GPR3-Oleic monoethanolamide-chim(NtGi1-Gs)/β1/γ2
7.14Single8YKDDehydroepiandrosterone8YKD-ADGRG2-Dehydroepiandrosterone-chim(NtGi1-Gs)/β1/γ2
7.14Single8YN4Histamine8YN4-H2-Histamine-chim(NtGi1L-Gs-CtGq)/β1/γ2
7.14Single8ZX5AM2518ZX5-GPR55-AM251-chim(NtGi1-G13)/β1/γ2
7.14Single8ZYUNeurotensin-(8-13)8ZYU-NTS1-Neurotensin-(8-13)-SBI-553-Arrestin2
7.14Single9AS7Psilocin9AS7-5-HT2A-Psilocin
7.14Single9IJEEpinephrine9IJE-β3-Epinephrine-chim(NtGi1-Gs)/β1/γ2
7.14Single9IXJHistamine9IXJ-H2-Histamine-Gs/β1/γ2
7.14Single9KUWCMPD6449KUW-Apelin; Apelin-CMPD644-Arrestin2 ; Arrestin2
7.14Single9LMPNE52-QQ579LMP-GPR4-NE52-QQ57
7.14Single9M88Oleic monoethanolamide9M88-GPR3 ; GPR3-Oleic monoethanolamide-AF64394
7.14Consensus5ht4_onOrthosteric Ligand7XTA-5-HT4-Serotonin-Gi1/β1/γ2
7.14Consensus5ht4_on_gpOrthosteric Ligand7XTA-5-HT4-Serotonin-Gi1/β1/γ2
7.14Consensusgq_nucleotideOrthosteric Ligandgq_p2y
7.14Consensusgq_p2yOrthosteric Ligand7XXH-P2Y1-2MeSADP-chim(NtGi1-G11)/β1/γ2
7.14Consensush1_onOrthosteric Ligand7DFL-H1-Histamine-chim(NtGi1L-Gq)/β1/γ2
6.90Single3ODUIT1t3ODU-CXCR4-IT1t
6.90Single4K5YCP-3763954K5Y-CRF1-CP-376395
6.90Single5OLHVipadenant5OLH-A2A-Vipadenant-Na
6.90Single5OLVLUAA470705OLV-A2A-LUAA47070-Na
6.90Single5WS3EMPA5WS3-OX2-EMPA
6.90Single5ZKQABT-4915ZKQ-PAF-ABT-491
6.90Single6AKXA4R6AKX-CCR5-A4R
6.90Single6AKYMaraviroc6AKY-CCR5-Maraviroc
6.90Single6DS0LY2660976DS0-5-HT2B-LY266097
6.90Single6FKBPubChem 1324730386FKB-Rhodopsin-PubChem 132473038
6.90Single6LFOCXCL86LFO-CXCR2-CXCL8-Gi1/β1/γ2
6.90Single6TODEMPA6TOD-OX1-EMPA-Na
6.90Single7BR3Elagolix7BR3-GnRH1-Elagolix
6.90Single7F1ODopamine7F1O-D1-Dopamine-GDP; Mg-Gs/β1/γ2
6.90Single7F8ULintitript7F8U-CCKA-Lintitript
6.90Single7SRRLSD7SRR-5-HT2B-LSD-chim(NtGi2L-Gs-CtGq)/β1/γ2
6.90Single7T6STC-FPR 437T6S-FPR2-ALX-TC-FPR 43-Gi1/β1/γ2
6.90Single7VDLCortistatin-147VDL-MRGPRX2-Cortistatin-14-Gi1/β1/γ2
6.90Single7X5H5-CT7X5H-5-HT5A-5-CT-Gi1/β1/γ2
6.90Single7XJJGalanin7XJJ-GAL1-Galanin-Go/β1/γ2
6.90Single8DWGML3828DWG-MRGPRX1-BAM8-22-ML382-chim(NtGi2L-Gs-CtGq)/β1/γ2
6.90Single8TZQDopamine8TZQ-D2-Dopamine-Go/β1/γ2
6.90Single8U8FPalmitic Acid8U8F-GPR3-Palmitic Acid-Gs/β1/γ2
6.90Single8UNSConstrained Epinephrine8UNS-β2-Constrained Epinephrine-GTP-Gs/β1/γ2
6.90Single8UNTConstrained Epinephrine8UNT-β2-Constrained Epinephrine-GTP-Gs/β1/γ2
6.90Single8UTDMK19038UTD-HCA2-MK1903-Gi1/β1/γ2
6.90Single8XXVIndomethacin8XXV-DP2-Indomethacin-A1D5Q-Gi1/β1/γ2
6.90Single8YNFCXCL88YNF-ACKR1-CXCL8
6.90Single9KO2CCL199KO2-CCR7-CCL19-Gi1/β1
6.90Single9KO6CCL199KO6-CCR7-CCL19
6.90Single9LL9DOI9LL9-5-HT2A-DOI-chim(NtGi1L-Gs-CtGq)/β1/γ2
6.90Single9LRBHistamine9LRB-H1-Histamine-Gs/β1/γ2
6.90Single9M88Oleic monoethanolamide9M88-GPR3 ; GPR3-Oleic monoethanolamide-AF64394
6.90Single9PEEPF-07054894; OXM29PEE-CCR6-PF-07054894; OXM2
6.90Consensus5ht2_on_gpOrthosteric Ligand5ht2b_on_gp
6.90Consensus5ht2b_on_gpOrthosteric Ligand7SRR-5-HT2B-LSD-chim(NtGi2L-Gs-CtGq)/β1/γ2
6.90Consensus5ht_onOrthosteric Ligand5ht1_on 5ht2_on 5ht4_on 5ht5_on 5ht6_on 5ht7_on
6.90Consensusgnrh1_offOrthosteric Ligand7BR3-GnRH1-Elagolix
6.90Consensusgs_5htOrthosteric Ligand7XTC-5-HT7-5-CT-Gs/β1/γ2 7XTB-5-HT6-Serotonin-Gs/β1/γ2 8JLZ-5-HT6-ST1936-Gs/β1/γ2 7XT8-5-HT4-Serotonin-Gs/β1/γ2
6.90Consensusox1_offOrthosteric Ligand6TP6-OX1-Filorexant 6TP4-OX1-ACT-462206 6V9S-OX1-GTPL11403 6TOT-OX1-Lemborexant 6TP3-OX1-Nemorexant 6TQ6-OX1-PubChem 145714283 6TQ9-OX1-SB-408124 4ZJC-OX1-SB-674042 4ZJ8-OX1-Suvorexant 6TOD-OX1-EMPA-Na 6TOS-OX1-GSK1059865-Na 6TQ4-OX1-PubChem 16046844-Na
6.90Consensuspaf_offOrthosteric Ligand5ZKQ-PAF-ABT-491
6.67Single3REYPubChem 56973REY-A2A-PubChem 5697
6.67Single3RZECidoxepin3RZE-H1-Cidoxepin
6.67Single4MBSMaraviroc4MBS-CCR5-Maraviroc
6.67Single4ZJCSB-6740424ZJC-OX1-SB-674042
6.67Single6FK8PubChem 1324730356FK8-Rhodopsin-PubChem 132473035
6.67Single6IQLL7458706IQL-D4-L745870
6.67Single6TPGEMPA6TPG-OX2-EMPA
6.67Single6TPNHTL66416TPN-OX2-HTL6641
6.67Single6WJCMuscarinic toxin 76WJC-M1-Atropine-Muscarinic toxin 7
6.67Single6ZDVPubChem 9840736ZDV-A2A-PubChem 984073-Na
6.67Single7F24Dopamine7F24-D1-Dopamine-GDP-Gs/β1/γ2
6.67Single7SR8TAK-9257SR8-OX2-TAK-925-chim(NtGi1L-Gs-CtGq)/β1/γ2
6.67Single7WC9PubChem 1624213647WC9-5-HT2A-PubChem 162421364
6.67Single8H4LDoconexent8H4L-FFA4-Doconexent-chim(NtGi1-Gs-CtGq)/β1/γ2
6.67Single8HQN9-S-HODE8HQN-GPR132-9-S-HODE-Gi1/β1/γ2
6.67Single8K2WAMG4878K2W-CXCR3-AMG487
6.67Single8K4NPubChem 1687197658K4N-GPR34-PubChem 168719765-Gi1/β1/γ2
6.67Single8K4SDCA-3P8K4S-MRGPRX4-DCA-3P-chim(NtGi1L-Gs-CtGq)/β1/γ2
6.67Single8K9KDAMGO8K9K-μ-DAMGO-Gi3/β1/γ1
6.67Single8UO1Constrained Epinephrine8UO1-β2-Constrained Epinephrine-GTP; Mg-Gs/β1/γ2
6.67Single8V6UPubChem 1713924568V6U-5-HT2A-PubChem 171392456-chim(NtGi2-Gs-CtGq)/β1/γ2
6.67Single8Y53MK50468Y53-BB3-MK5046-chim(NtGi1-Gs-CtGq)/β1/γ2
6.67Single8Y6YGLPG09748Y6Y-FFA2-GLPG0974
6.67Single8ZMGPimavanserin8ZMG-5-HT2A-Pimavanserin
6.67Single8ZPMAMD0708ZPM-CXCR4-AMD070
6.67Single8ZPNAMD31008ZPN-CXCR4-AMD3100
6.67Single9ARXSerotonin9ARX-5-HT2A-Serotonin
6.67Single9L8LBI1671079L8L-β2-BI167107-Atazanavir-Gs/β1/γ2 ; Arrestin2
6.67Single9ODLMitragynine Pseudoindoxyl9ODL-μ-Mitragynine Pseudoindoxyl-GTP; Mg-Gi1/β1/γ2
6.67Consensuscxcr3_offOrthosteric Ligand8K2W-CXCR3-AMG487
6.67Consensusnop_offOrthosteric Ligand4EA3-NOP-PubChem 10296561 5DHG-NOP-C-35 5DHH-NOP-SB-612111
6.45Single4Z9GCP-3763954Z9G-CRF1-CP-376395
6.45Single5DHGC-355DHG-NOP-C-35
6.45Single5NDDAZ8838; Na5NDD-PAR2-AZ8838; Na
6.45Single5ZKPSR274175ZKP-PAF-SR27417
6.45Single6DRXLisuride6DRX-5-HT2B-Lisuride
6.45Single6ORVTT-OAD26ORV-GLP-1-TT-OAD2-Gs/β1/γ2
6.45Single6Z10PubChem 1545855546Z10-Succinate-PubChem 154585554
6.45Single7CFMP3957CFM-GPBA-P395-Gs/β1/γ2
6.45Single7F83PF-051904577F83-Ghrelin-PF-05190457
6.45Single7JOZPubChem 752020227JOZ-D1-PubChem 75202022-Gs/β1/γ2
6.45Single7SCGFH2107SCG-μ-FH210-Gi1/β1/γ2
6.45Single7SQOTAK-9257SQO-OX2-TAK-925-Gi1/β1/γ2
6.45Single7T6VfMLFII7T6V-FPR2-ALX-fMLFII-Gi1/β1/γ2
6.45Single7TRQVU04671547TRQ-M4-Iperoxo-VU0467154-Gi1/β1/γ2
6.45Single7WQ3Galanin7WQ3-GAL1-Galanin-Gi1/β1/γ2
6.45Single8EJKTAK-8758EJK-FFA1-TAK-875-chim(NtGi1L-Gs-CtGq)/β1/γ2
6.45Single8GTIBMK-C2058GTI-CRF1-BMK-C205
6.45Single8JT8(R)-IHCH-71798JT8-5-HT2A-(R)-IHCH-7179
6.45Single8KEXDCA-3P8KEX-MRGPRX4-DCA-3P
6.45Single8KFYZK-7563268KFY-CCR8-ZK-756326-Gi1/β1/γ2
6.45Single9JROPF-044189489JRO-EP2-PF-04418948
6.45Single9KFTfMLFC9KFT-FPR1-ALX-fMLFC-Gi1/β1/γ2
6.45Single9LLAAriadne9LLA-5-HT2A-Ariadne-chim(NtGi1L-Gs-CtGq)/β1/γ2
6.45Consensusalicarboxylic_offOrthosteric Ligandsuccinate_off
6.45Consensusgal1_onOrthosteric Ligand7WQ3-GAL1-Galanin-Gi1/β1/γ2
6.45Consensusgal1_on_gpOrthosteric Ligand7WQ3-GAL1-Galanin-Gi1/β1/γ2
6.45Consensusgi_galaninOrthosteric Ligand7WQ3-GAL1-Galanin-Gi1/β1/γ2
6.45Consensusgi_orexinOrthosteric Ligand7SQO-OX2-TAK-925-Gi1/β1/γ2
6.45Consensussuccinate_offOrthosteric Ligand6RNK-Succinate-NF-56-EJ40 6Z10-Succinate-PubChem 154585554
6.25Single4PHUFasiglifam4PHU-FFA1-Fasiglifam
6.25Single4RWDDIPP-NH24RWD-δ-DIPP-NH2-Na
6.25Single5T1ABMS-6815T1A-CCR2-BMS-681-PubChem 12093170
6.25Single5WQCEMPA5WQC-OX2-EMPA
6.25Single6M9TMisoprostol-FA6M9T-EP3-Misoprostol-FA
6.25Single7EUOfMLF7EUO-FPR1-ALX-fMLF-Gi1/β1/γ2
6.25Single7VFXfMIFL7VFX-FPR1-ALX-fMIFL-Gi1/β1/γ2
6.25Single7VV0PAMP-127VV0-MRGPRX2-PAMP-12
6.25Single7WIGL-0542647WIG-SST2-L-054264-Gi1/β1/γ2
6.25Single7Y26Octreotide7Y26-SST2-Octreotide-chim(NtGi2L-Gs-CtGq)/β1/γ2
6.25Single8EJCTAK-8758EJC-FFA1-TAK-875-chim(NtGi1L-Gs-CtGq)/β1/γ2
6.25Single8GTGBMK-I1528GTG-CRF1-BMK-I152
6.25Single8JXSPF-61428JXS-D1-PF-6142
6.25Single8K8JFenofibrate8K8J-CB1-Fenofibrate-chim(Gs-CtGq)/β1/γ2
6.25Single8KFXLMD-0098KFX-CCR8-LMD-009-Gi1/β1/γ2
6.25Single9EKHONO-30302979EKH-DP1-ONO-3030297
6.25Single9JRTTG6-1299JRT-EP2-TG6-129
6.25Single9KUTJR14a9KUT-C3aB-JR14a-Go/β1/γ2
6.25Single9U81Tolvaptan9U81-V2-Tolvaptan
6.25Consensuscyslt_offOrthosteric Ligandcyslt2_off cyslt1_off
6.25Consensusfpr1-alx_onOrthosteric Ligand7VFX-FPR1-ALX-fMIFL-Gi1/β1/γ2
6.25Consensusfpr1-alx_on_gpOrthosteric Ligand7VFX-FPR1-ALX-fMIFL-Gi1/β1/γ2
6.06Single5TZRMK86665TZR-FFA1-MK8666
6.06Single5ZBHBMS-1938855ZBH-Y1-BMS-193885
6.06Single6DDEDAMGO6DDE-μ-DAMGO-Gi1/β1/γ2
6.06Single6E59L-7607356E59-NK1-L-760735
6.06Single6RZ5Zafirlukast6RZ5-CysLT1-Zafirlukast-Na
6.06Single6Z8NSRI-98296Z8N-NTS1-SRI-9829
6.06Single7F58THIQ7F58-MC4-THIQ-Gs/β1/γ2
6.06Single7R0CAVP7R0C-V2-AVP-Arrestin2
6.06Single7XAVLanreotide7XAV-SST2-Lanreotide-Gi1/β1/γ2
6.06Single7Y24Octreotide7Y24-SST2-Octreotide-Go/β1/γ2
6.06Single8EFLSR170188EFL-μ-SR17018-Gi1/β1/γ2
6.06Single8GDBPGE28GDB-EP4-PGE2-Gs/β1/γ2
6.06Single8JBGNeurokinin-B8JBG-NK3-Neurokinin-B-chim(NtGi1-Gs-CtGq)/β1/γ2
6.06Single8JSRAnamorelin8JSR-Ghrelin-Anamorelin-chim(NtGi1-Gs-CtGq)/β1/γ2
6.06Single8XBIPubChem 1626566368XBI-GPR34-PubChem 162656636
6.06Single8Y73Peptide8Y73-μ-Peptide-MPAM-15-Gi1/β1/γ2
6.06Single8YNTSNAP-948478YNT-MCH1-SNAP-94847
6.06Single9ITELPA9ITE-LPA6-LPA-chim(NtGi2-G13)/β1/γ2
6.06Single9UY3Anamorelin9UY3-Ghrelin-Anamorelin-chim(NtGi1-Gs-CtGq)/β1/γ2
6.06Single9WSTDAMGO9WST-μ-DAMGO-chim(NtGi1-Gz)/β1/γ2
6.06Consensusffa_onOrthosteric Ligandffa2_on ffa3_on
6.06Consensusffa_on_gpOrthosteric Ligandffa2_on_gp ffa3_on_gp
6.06Consensusgi_ffaOrthosteric Ligand8J21-FFA3-Butyric acid-Gi1/β1/γ2 8J22-FFA2-TUG-1375-Gi1/β1/γ2
6.06Consensusnpy1_offOrthosteric Ligand5ZBH-Y1-BMS-193885 5ZBQ-Y1-UR-MK-299
5.88Single3VW7Vorapaxar; Na3VW7-PAR1-Vorapaxar; Na
5.88Single4PXZ2MeSADP4PXZ-P2Y12-2MeSADP
5.88Single4PY02MeSATP4PY0-P2Y12-2MeSATP
5.88Single5TZYMK8666; AP85TZY-FFA1-MK8666; AP8
5.88Single7L1UOrexin7L1U-OX2-Orexin-chim(NtGi1-Gs-CtGq)/β1/γ2
5.88Single7L1VPubChem 1554910097L1V-OX2-PubChem 155491009-chim(NtGi1-Gs-CtGq)/β1/γ2
5.88Single7WQ4Galanin7WQ4-GAL2-Galanin-chim(NtGi1-Gs-CtGq)/β1/γ2
5.88Single7XMTJ-21567XMT-SST4-J-2156-Gi1/β1/γ2
5.88Single8DWCBAM8-228DWC-MRGPRX1-BAM8-22-chim(NtGi2L-Gs-CtGq)/β1/γ2
5.88Single8GTMBMK-C2038GTM-CRF1-BMK-C203
5.88Single8Y6WTUG-13758Y6W-FFA2-TUG-1375-4-CMTB-Gi1/β1/γ2
5.88Single9BJKPubChem 1716420669BJK-μ-Naloxone-PubChem 171642066
5.88Single9VIFNeuropeptide-VF9VIF-NPFF1-Neuropeptide-VF-Gi1/β1/γ2
5.88Single9WSVDAMGO9WSV-μ-DAMGO-Arrestin2
5.88Single9WSWEndomorphin9WSW-μ-Endomorphin-chim(NtGi1-Gz)/β1/γ2
5.88Single9YDQDADLE9YDQ-δ-DADLE-MIPS3614-chim(NtGi1L-Gs-CtGi1)/β1/γ2
5.88Consensuscb1_onOrthosteric Ligand6KPG-CB1-AM841-Gi1/β1/γ2 8K8J-CB1-Fenofibrate-chim(Gs-CtGq)/β1/γ2
5.71Single6DDFDAMGO6DDF-μ-DAMGO-Gi1/β1/γ2
5.71Single6K1QIRL25006K1Q-ETB-IRL2500
5.71Single7CX4Evatanepag7CX4-EP2-Evatanepag-Gs/β1/γ2
5.71Single8XBES3E-Lysophosphatidylserine 8XBE-GPR34-S3E-Lysophosphatidylserine-Gi1/β1/γ1
5.71Single8ZPLHF511168ZPL-CXCR4-HF51116
5.71Single9J0BUDP-Glucose9J0B-P2Y14-UDP-Glucose-Gi1/β1/γ2
5.71Single9YDPDADLE9YDP-δ-DADLE-chim(NtGi1L-Gs-CtGi1)/β1/γ2
5.56Single7AUESetmelanotide7AUE-MC4-Setmelanotide-chim(NtGi1L-Gs)/β1/γ2
5.56Single8F7REndomorphin8F7R-μ-Endomorphin-Gi1/β1/γ2
5.56Single9IPYJR14a9IPY-C3aB-JR14a
5.56Single9JH6C20:0 Ceramide9JH6-CysLT2-C20:0 Ceramide-chim(NtGi1-Gs-CtGq)/β1/γ2
5.41Single6RZ8ONO-20803656RZ8-CysLT2-ONO-2080365
5.41Single7CX3Taprenepag7CX3-EP2-Taprenepag-Gs/β1/γ2
5.41Single7F54Afamelanotide7F54-MC4-Afamelanotide-Gs/β1/γ2
5.41Single7W56Neuromedin-S7W56-NMUR1-Neuromedin-S-chim(NtGi1-Gs-CtGq)/β1/γ2
5.41Single8DWGBAM8-228DWG-MRGPRX1-BAM8-22-ML382-chim(NtGi2L-Gs-CtGq)/β1/γ2
5.41Single8IEIPubChem 1347468948IEI-GPR156; GPR156-PubChem 134746894
5.41Single8IEIPubChem 1347468948IEI-GPR156; GPR156-PubChem 134746894
5.41Single8IEPPubChem 1347468948IEP-GPR156; GPR156-PubChem 134746894
5.41Single8IEPPubChem 1347468948IEP-GPR156; GPR156-PubChem 134746894
5.41Single8WKYPG-9348WKY-MC4-PG-934
5.41Single9J0IUDP-Glucuronic acid9J0I-P2Y14-UDP-Glucuronic acid-Gi1/β1/γ2
5.41Single9UYLChemerin-99UYL-CML2-Chemerin-9-Arrestin2
5.41Consensusmc4_onOrthosteric Ligand7AUE-MC4-Setmelanotide-chim(NtGi1L-Gs)/β1/γ2 7F58-MC4-THIQ-Gs/β1/γ2 7F54-MC4-Afamelanotide-Gs/β1/γ2 7F53-MC4-α-MSH-Gs/β1/γ2 7F55-MC4-Bremelanotide-Gs/β1/γ2
5.26Single8IEBPubChem 1347468948IEB-GPR156; GPR156-PubChem 134746894
5.26Single8K6ONeuropeptide-Y8K6O-Y1-Neuropeptide-Y-Gi2/β1/γ1
5.26Single9IK8Pasireotide9IK8-SST1-Pasireotide-Gi1/β1/γ2
5.26Single9J0FNADH9J0F-P2Y14-NADH-Gi1/β1/γ2
5.26Consensusmc4_on_gpOrthosteric Ligand7AUE-MC4-Setmelanotide-chim(NtGi1L-Gs)/β1/γ2 7F58-MC4-THIQ-Gs/β1/γ2 7F54-MC4-Afamelanotide-Gs/β1/γ2 7F53-MC4-α-MSH-Gs/β1/γ2 7F55-MC4-Bremelanotide-Gs/β1/γ2
5.13Single6W25SHU91196W25-MC4-SHU9119-Ca
5.13Single7F4DAlpha-MSH7F4D-MC1-α-MSH-chim(NtGi1-Gs)/β1/γ2
5.13Single8W8YGamma-MSH8W8Y-MC3-γ-MSH-Ca-Gs/β1/γ2
5.13Consensusmc3_onOrthosteric Ligand8IOC-MC3-γ-MSH-Ca-chim(NtGi1-Gs)/β1/γ2
5.13Consensusmc3_on_gpOrthosteric Ligand8IOC-MC3-γ-MSH-Ca-chim(NtGi1-Gs)/β1/γ2
4.88Consensusp2y10_onOrthosteric Ligand8KGG-P2Y10-Lysophosphatidylserine (WJS)-chim(NtGi2-G13)/β1/γ2
4.65Single8W8WAlpha-MSH8W8W-MC3-α-MSH-Ca-Gs/β1/γ2
4.65Consensusp2y10_on_gpOrthosteric Ligand8KGG-P2Y10-Lysophosphatidylserine (WJS)-chim(NtGi2-G13)/β1/γ2
4.55Single6D32Cyclopamine6D32-SMO-Cyclopamine-Cyclopamine
4.55Single6D35Cholesterol6D35-SMO-Cholesterol
4.55Single6N51Quisqualate6N51-mGlu5; mGlu5-Quisqualate
4.55Single6N51Quisqualate6N51-mGlu5; mGlu5-Quisqualate
4.55Single6UO8SKF975416UO8-GABAB1, GABAB2-SKF97541-GS39783
4.55Single6UO9SKF975416UO9-GABAB1, GABAB2-SKF97541
4.55Single6W2XPubChem 53110426W2X-GABAB1, GABAB2-PubChem 5311042
4.55Single6W2YPubChem 53110426W2Y-GABAB1; GABAB1-PubChem 5311042
4.55Single6W2YPubChem 53110426W2Y-GABAB1; GABAB1-PubChem 5311042
4.55Single7C7QBaclofen7C7Q-GABAB1, GABAB2-Baclofen-BHFF
4.55Single7C7SCGP546267C7S-GABAB1, GABAB2-CGP54626
4.55Single7CUMCGP546267CUM-GABAB1, GABAB2-CGP54626
4.55Single7DD5Ca7DD5-CaS; CaS-Ca-Ca; Ca; Tryptophan; NPS-2143
4.55Single7DD5Ca; Ca; Tryptophan; NPS-21437DD5-CaS; CaS-Ca-Ca; Ca; Tryptophan; NPS-2143
4.55Single7DD5Ca7DD5-CaS; CaS-Ca-Ca; Ca; Tryptophan; NPS-2143
4.55Single7DD5Ca; Ca; Tryptophan; NPS-21437DD5-CaS; CaS-Ca-Ca; Ca; Tryptophan; NPS-2143
4.55Single7DGEQuisqualate7DGE-mGlu1; mGlu1-Quisqualate
4.55Single7DTTCa7DTT-CaS; CaS-Ca-Ca
4.55Single7DTTCa7DTT-CaS; CaS-Ca-Ca
4.55Single7DTUTryptophan7DTU-CaS; CaS-Tryptophan
4.55Single7DTUTryptophan7DTU-CaS; CaS-Tryptophan
4.55Single7DTVCa7DTV-CaS; CaS-Ca-Ca; Tryptophan
4.55Single7DTVCa; Tryptophan7DTV-CaS; CaS-Ca-Ca; Tryptophan
4.55Single7DTVCa7DTV-CaS; CaS-Ca-Ca; Tryptophan
4.55Single7DTVCa; Tryptophan7DTV-CaS; CaS-Ca-Ca; Tryptophan
4.55Single7E6TCa; Ca; Cyclomethyltryptophan; PO47E6T-CaS; CaS-Ca-Ca; Ca; Cyclomethyltryptophan; PO4
4.55Single7E6TCa7E6T-CaS; CaS-Ca-Ca; Ca; Cyclomethyltryptophan; PO4
4.55Single7E6TCa; Ca; Cyclomethyltryptophan; PO47E6T-CaS; CaS-Ca-Ca; Ca; Cyclomethyltryptophan; PO4
4.55Single7E6TCa7E6T-CaS; CaS-Ca-Ca; Ca; Cyclomethyltryptophan; PO4
4.55Single7E9GEglumetad7E9G-mGlu2; mGlu2-Eglumetad-JNJ-40411813-Gi1/β1/γ2
4.55Single7E9GEglumetad7E9G-mGlu2; mGlu2-Eglumetad-JNJ-40411813-Gi1/β1/γ2
4.55Single7E9HPhosphoserine7E9H-mGlu4; mGlu4-Phosphoserine-Gi3/β1/γ2
4.55Single7E9HPhosphoserine7E9H-mGlu4; mGlu4-Phosphoserine-Gi3/β1/γ2
4.55Single7EB2Baclofen7EB2-GABAB2; GABAB1-Baclofen-rac-BHFF-Gi1/β1/γ2
4.55Single7EPBEglumetad7EPB-mGlu2; mGlu2-Eglumetad
4.55Single7EPBEglumetad7EPB-mGlu2; mGlu2-Eglumetad
4.55Single7FD8Quisqualate7FD8-mGlu5; mGlu5-Quisqualate
4.55Single7FD8Quisqualate7FD8-mGlu5; mGlu5-Quisqualate
4.55Single7FD9LY3414957FD9-mGlu5; mGlu5-LY341495
4.55Single7FD9LY3414957FD9-mGlu5; mGlu5-LY341495
4.55Single7FIHhCG7FIH-LH-hCG-Org43553-chim(NtGi1-Gs)/β1/γ2
4.55Single7FIIhCG7FII-LH-hCG-chim(NtGi1-Gs)/β1/γ2
4.55Single7M3ECa; Ca; Tryptophan; NPS-21437M3E-CaS; CaS-Ca; Ca; Tryptophan; NPS-2143
4.55Single7M3ECa; Ca; Tryptophan; NPS-21437M3E-CaS; CaS-Ca; Ca; Tryptophan; NPS-2143
4.55Single7M3FCa; Ca; Tryptophan; Cinacalcet7M3F-CaS; CaS-Ca; Ca; Tryptophan; Cinacalcet
4.55Single7M3FCa; Ca; Tryptophan; Cinacalcet7M3F-CaS; CaS-Ca; Ca; Tryptophan; Cinacalcet
4.55Single7M3GCa; Ca; Tryptophan; Evocalcet; Etelcalcetide; PO47M3G-CaS; CaS-Ca; Ca; Tryptophan; Evocalcet; Etelcalcetide; PO4
4.55Single7M3GCa; Ca; Tryptophan; Evocalcet; Etelcalcetide; PO47M3G-CaS; CaS-Ca; Ca; Tryptophan; Evocalcet; Etelcalcetide; PO4
4.55Single7M3GCa; Ca; Tryptophan; Evocalcet; Etelcalcetide; PO47M3G-CaS; CaS-Ca; Ca; Tryptophan; Evocalcet; Etelcalcetide; PO4
4.55Single7M3GCa; Ca; Tryptophan; Evocalcet; Etelcalcetide; PO47M3G-CaS; CaS-Ca; Ca; Tryptophan; Evocalcet; Etelcalcetide; PO4
4.55Single7MTQLY3414957MTQ-mGlu2; mGlu2-LY341495
4.55Single7MTQLY3414957MTQ-mGlu2; mGlu2-LY341495
4.55Single7MTRGlutamate7MTR-mGlu2; mGlu2-Glutamate-ADX55164
4.55Single7MTRGlutamate7MTR-mGlu2; mGlu2-Glutamate-ADX55164
4.55Single7MTSGlutamate7MTS-mGlu2; mGlu2-Glutamate-ADX55164-Gi1/β1/γ2
4.55Single7MTSGlutamate7MTS-mGlu2; mGlu2-Glutamate-ADX55164-Gi1/β1/γ2
4.55Single7SILCa7SIL-CaS; CaS-Ca-Ca; Ca; Ca; Cyclomethyltryptophan; R-568; PO4
4.55Single7SILCa; Ca; Ca; Cyclomethyltryptophan; R-568; PO47SIL-CaS; CaS-Ca-Ca; Ca; Ca; Cyclomethyltryptophan; R-568; PO4
4.55Single7SILCa7SIL-CaS; CaS-Ca-Ca; Ca; Ca; Cyclomethyltryptophan; R-568; PO4
4.55Single7SILCa; Ca; Ca; Cyclomethyltryptophan; R-568; PO47SIL-CaS; CaS-Ca-Ca; Ca; Ca; Cyclomethyltryptophan; R-568; PO4
4.55Single7SIMCa; Ca; Cyclomethyltryptophan; PO47SIM-CaS; CaS-Ca-Ca; Ca; Cyclomethyltryptophan; PO4
4.55Single7SIMCa7SIM-CaS; CaS-Ca-Ca; Ca; Cyclomethyltryptophan; PO4
4.55Single7SIMCa; Ca; Cyclomethyltryptophan; PO47SIM-CaS; CaS-Ca-Ca; Ca; Cyclomethyltryptophan; PO4
4.55Single7SIMCa7SIM-CaS; CaS-Ca-Ca; Ca; Cyclomethyltryptophan; PO4
4.55Single7T9NM22 Fab7T9N-TSH-M22 Fab-DPPC-Gs/β1/γ2
4.55Single7WI6LY3414957WI6-mGlu3; mGlu3-LY341495
4.55Single7WI6LY3414957WI6-mGlu3; mGlu3-LY341495
4.55Single7WI8LY3414957WI8-mGlu3; mGlu3-LY341495
4.55Single7WI8LY3414957WI8-mGlu3; mGlu3-LY341495
4.55Single7WIHLY27941937WIH-mGlu3; mGlu3-LY2794193
4.55Single7WIHLY27941937WIH-mGlu3; mGlu3-LY2794193
4.55Single7XW6M22 Fab7XW6-TSH-M22 Fab-ML109-Gs/β1/γ2
4.55Single7XW7K1-707XW7-TSH-K1-70
4.55Single8JCULY3414958JCU-mGlu2; mGlu3-LY341495
4.55Single8JCULY3414958JCU-mGlu2; mGlu3-LY341495
4.55Single8JCVLY3414958JCV-mGlu2; mGlu3-LY341495
4.55Single8JCVLY3414958JCV-mGlu2; mGlu3-LY341495
4.55Single8JCWLY3414958JCW-mGlu2; mGlu3-LY341495
4.55Single8JCWLY3414958JCW-mGlu2; mGlu3-LY341495
4.55Single8JCXLY3414958JCX-mGlu2; mGlu3-LY341495
4.55Single8JCXLY3414958JCX-mGlu2; mGlu3-LY341495
4.55Single8JCYLY3414958JCY-mGlu2; mGlu3-LY341495
4.55Single8JCYLY3414958JCY-mGlu2; mGlu3-LY341495
4.55Single8JCZLY3414958JCZ-mGlu2; mGlu3-LY341495
4.55Single8JCZLY3414958JCZ-mGlu2; mGlu3-LY341495
4.55Single8JD0Glutamate8JD0-mGlu2; mGlu3-Glutamate-NAM563
4.55Single8JD1Glutamate8JD1-mGlu2; mGlu3-Glutamate
4.55Single8JD1Glutamate8JD1-mGlu2; mGlu3-Glutamate
4.55Single8JD2Glutamate8JD2-mGlu2; mGlu3-Glutamate
4.55Single8JD2Glutamate8JD2-mGlu2; mGlu3-Glutamate
4.55Single8JD3Glutamate8JD3-mGlu2; mGlu3-Glutamate-JNJ-40411813-Gi1/β1/γ2
4.55Single8JD3Glutamate8JD3-mGlu2; mGlu3-Glutamate-JNJ-40411813-Gi1/β1/γ2
4.55Single8JD4Glutamate8JD4-mGlu2; mGlu4-Glutamate
4.55Single8JD4Glutamate8JD4-mGlu2; mGlu4-Glutamate
4.55Single8JD5Glutamate8JD5-mGlu2; mGlu4-Glutamate-JNJ-40411813; ADX88178-Gi1/β1/γ2
4.55Single8JD5Glutamate8JD5-mGlu2; mGlu4-Glutamate-JNJ-40411813; ADX88178-Gi1/β1/γ2
4.55Single8JD6Phosphoserine8JD6-mGlu4; mGlu4-Phosphoserine-VU0364770-Gi3/β1/γ2
4.55Single8JD6Phosphoserine8JD6-mGlu4; mGlu4-Phosphoserine-VU0364770-Gi3/β1/γ2
4.55Single8KGGLysophosphatidylserine (WJS)8KGG-P2Y10-Lysophosphatidylserine (WJS)-chim(NtGi2-G13)/β1/γ2
4.55Single8SZFCa; Ca; Tryptophan; Cinacalcet; PO4; Spermine8SZF-CaS; CaS-Ca; Ca; Tryptophan; Cinacalcet; PO4; Spermine
4.55Single8SZFCa; Ca; Tryptophan; Cinacalcet; PO4; Spermine8SZF-CaS; CaS-Ca; Ca; Tryptophan; Cinacalcet; PO4; Spermine
4.55Single8SZGCa; Ca; Tryptophan; Cinacalcet; PO4; Spermine8SZG-CaS; CaS-Ca; Ca; Tryptophan; Cinacalcet; PO4; Spermine-chim(NtGi1-Gq)/β1/γ2
4.55Single8T7HQuisqualate8T7H-mGlu5; mGlu5-Quisqualate
4.55Single8T7HQuisqualate8T7H-mGlu5; mGlu5-Quisqualate
4.55Single8T8MQuisqualate8T8M-mGlu5; mGlu5-Quisqualate
4.55Single8T8MQuisqualate8T8M-mGlu5; mGlu5-Quisqualate
4.55Single8TAOQuisqualate8TAO-mGlu5; mGlu5-Quisqualate-CDPPB
4.55Single8TAOQuisqualate8TAO-mGlu5; mGlu5-Quisqualate-CDPPB
4.55Single8TQBCa; LY3792688TQB-mGlu3; mGlu3-Ca; LY379268-Ca
4.55Single8TQBCa; LY3792688TQB-mGlu3; mGlu3-Ca; LY379268-Ca
4.55Single8TR0LY3414958TR0-mGlu3; mGlu3-LY341495
4.55Single8TR0LY3414958TR0-mGlu3; mGlu3-LY341495
4.55Single8TR2Ca; LY3792688TR2-mGlu3; mGlu3-Ca; LY379268-Ca
4.55Single8TR2Ca; LY3792688TR2-mGlu3; mGlu3-Ca; LY379268-Ca
4.55Single8TRCLY3414958TRC-mGlu3; mGlu3-LY341495
4.55Single8TRCLY3414958TRC-mGlu3; mGlu3-LY341495
4.55Single8TRDLY3414958TRD-mGlu3; mGlu3-LY341495
4.55Single8TRDLY3414958TRD-mGlu3; mGlu3-LY341495
4.55Single8WG9PubChem 1793948WG9-mGlu4; mGlu2-PubChem 179394
4.55Single8WGBGlutamate8WGB-mGlu4; mGlu2-Glutamate-VU0155041-Gi3/β1/γ2
4.55Single8WGBGlutamate8WGB-mGlu4; mGlu2-Glutamate-VU0155041-Gi3/β1/γ2
4.55Single8WGCLY3792688WGC-mGlu2; mGlu4-LY379268
4.55Single8WGDLY341495; CPPG8WGD-mGlu4; mGlu2-LY341495; CPPG
4.55Single8WGDLY341495; CPPG8WGD-mGlu4; mGlu2-LY341495; CPPG
4.55Single8WPGTryptophan; Cinacalcet; PO4; Ca8WPG-CaS; CaS-Tryptophan; Cinacalcet; PO4; Ca
4.55Single8WPGTryptophan; Cinacalcet; PO4; Ca8WPG-CaS; CaS-Tryptophan; Cinacalcet; PO4; Ca
4.55Single8WPUTryptophan; Cinacalcet; PO4; Ca8WPU-CaS; CaS-Tryptophan; Cinacalcet; PO4; Ca-chim(NtGi2L-Gs-CtGq)/β1/γ2
4.55Single8WPUTryptophan; Cinacalcet; PO4; Ca8WPU-CaS; CaS-Tryptophan; Cinacalcet; PO4; Ca-chim(NtGi2L-Gs-CtGq)/β1/γ2
4.55Single8WVXNorrin8WVX-LGR4-Norrin
4.55Single8WVYNorrin8WVY-LGR4-Norrin
4.55Single8X0BQuisqualate8X0B-mGlu5; mGlu5-Quisqualate-VU0424465
4.55Single8X0BQuisqualate8X0B-mGlu5; mGlu5-Quisqualate-VU0424465
4.55Single8X0CQuisqualate8X0C-mGlu5; mGlu5-Quisqualate-VU0424465
4.55Single8X0CQuisqualate8X0C-mGlu5; mGlu5-Quisqualate-VU0424465
4.55Single8X0DQuisqualate8X0D-mGlu5; mGlu5-Quisqualate-VU0424465
4.55Single8X0DQuisqualate8X0D-mGlu5; mGlu5-Quisqualate-VU0424465
4.55Single8X0EQuisqualate8X0E-mGlu5; mGlu5-Quisqualate
4.55Single8X0EQuisqualate8X0E-mGlu5; mGlu5-Quisqualate
4.55Single8X0FQuisqualate8X0F-mGlu5; mGlu5-Quisqualate-VU29
4.55Single8X0FQuisqualate8X0F-mGlu5; mGlu5-Quisqualate-VU29
4.55Single8X0GQuisqualate8X0G-mGlu5; mGlu5-Quisqualate
4.55Single8X0GQuisqualate8X0G-mGlu5; mGlu5-Quisqualate
4.55Single8X0HQuisqualate8X0H-mGlu5; mGlu5-Quisqualate
4.55Single8X0HQuisqualate8X0H-mGlu5; mGlu5-Quisqualate
4.55Single8XUMR-spondin-28XUM-LGR4-R-spondin-2
4.55Single9ASBCa9ASB-CaS; CaS-Ca-Ca; Ca; Cyclomethyltryptophan; R-568; PO4-chim(NtGi1-Gs-CtGq)/β1/γ2
4.55Single9ASBCa; Ca; Cyclomethyltryptophan; R-568; PO49ASB-CaS; CaS-Ca-Ca; Ca; Cyclomethyltryptophan; R-568; PO4-chim(NtGi1-Gs-CtGq)/β1/γ2
4.55Single9AVGCa9AVG-CaS; CaS-Ca-Ca; Ca; Cyclomethyltryptophan; R-568; PO4-chim(NtGi1-Gs)/β1/γ2
4.55Single9AVGCa; Ca; Cyclomethyltryptophan; R-568; PO49AVG-CaS; CaS-Ca-Ca; Ca; Cyclomethyltryptophan; R-568; PO4-chim(NtGi1-Gs)/β1/γ2
4.55Single9AVLCa9AVL-CaS; CaS-Ca-Ca; Ca; Cyclomethyltryptophan; R-568; PO4-Gi3/β2/γ2
4.55Single9AVLCa; Ca; Cyclomethyltryptophan; R-568; PO49AVL-CaS; CaS-Ca-Ca; Ca; Cyclomethyltryptophan; R-568; PO4-Gi3/β2/γ2
4.55Single9AVLCa9AVL-CaS; CaS-Ca-Ca; Ca; Cyclomethyltryptophan; R-568; PO4-Gi3/β2/γ2
4.55Single9AVLCa; Ca; Cyclomethyltryptophan; R-568; PO49AVL-CaS; CaS-Ca-Ca; Ca; Cyclomethyltryptophan; R-568; PO4-Gi3/β2/γ2
4.55Single9AXFCa9AXF-CaS; CaS-Ca-Ca; Ca; Ca; Cyclomethyltryptophan; R-568; PO4-chim(NtGi1-Gs-CtGq)/β1/γ2
4.55Single9AXFCa; Ca; Ca; Cyclomethyltryptophan; R-568; PO49AXF-CaS; CaS-Ca-Ca; Ca; Ca; Cyclomethyltryptophan; R-568; PO4-chim(NtGi1-Gs-CtGq)/β1/γ2
4.55Single9AXFCa9AXF-CaS; CaS-Ca-Ca; Ca; Ca; Cyclomethyltryptophan; R-568; PO4-chim(NtGi1-Gs-CtGq)/β1/γ2
4.55Single9AXFCa; Ca; Ca; Cyclomethyltryptophan; R-568; PO49AXF-CaS; CaS-Ca-Ca; Ca; Ca; Cyclomethyltryptophan; R-568; PO4-chim(NtGi1-Gs-CtGq)/β1/γ2
4.55Single9AYFCa9AYF-CaS; CaS-Ca-Ca; Ca; Ca; Cyclomethyltryptophan; R-568; PO4-Gi1/β1/γ2
4.55Single9AYFCa; Ca; Ca; Cyclomethyltryptophan; R-568; PO49AYF-CaS; CaS-Ca-Ca; Ca; Ca; Cyclomethyltryptophan; R-568; PO4-Gi1/β1/γ2
4.55Single9C1PCa9C1P-CaS; CaS-Ca-Ca; Tryptophan; '6218; PO4
4.55Single9C1PCa; Tryptophan; '6218; PO49C1P-CaS; CaS-Ca-Ca; Tryptophan; '6218; PO4
4.55Single9C1PCa9C1P-CaS; CaS-Ca-Ca; Tryptophan; '6218; PO4
4.55Single9C1PCa; Tryptophan; '6218; PO49C1P-CaS; CaS-Ca-Ca; Tryptophan; '6218; PO4
4.55Single9C2FCa9C2F-CaS; CaS-Ca-Ca; Ca; Tryptophan; '54149; PO4
4.55Single9C2FCa; Ca; Tryptophan; '54149; PO49C2F-CaS; CaS-Ca-Ca; Ca; Tryptophan; '54149; PO4
4.55Single9C2FCa9C2F-CaS; CaS-Ca-Ca; Ca; Tryptophan; '54149; PO4
4.55Single9C2FCa; Ca; Tryptophan; '54149; PO49C2F-CaS; CaS-Ca-Ca; Ca; Tryptophan; '54149; PO4
4.55Single9II2Glutamate9II2-mGlu3; mGlu3-Glutamate-Arrestin2; Arrestin2
4.55Single9II2Glutamate9II2-mGlu3; mGlu3-Glutamate-Arrestin2; Arrestin2
4.55Single9II3Glutamate9II3-mGlu3; mGlu3-Glutamate-Arrestin2
4.55Single9II3Glutamate9II3-mGlu3; mGlu3-Glutamate-Arrestin2
4.55Single9KB7R-spondin-29KB7-LGR4-R-spondin-2
4.55Single9KGKNB189KGK-LGR4-NB18
4.55Single9KHHNorrin9KHH-LGR4-Norrin
4.55Single9MBAGlutamate9MBA-mGlu8; mGlu8-Glutamate-Arrestin2 ; Arrestin2
4.55Single9MBAGlutamate9MBA-mGlu8; mGlu8-Glutamate-Arrestin2 ; Arrestin2
4.55Single9MBBLY3414959MBB-mGlu8; mGlu8-LY341495
4.55Single9MBBLY3414959MBB-mGlu8; mGlu8-LY341495
4.55Single9MBCDCPG9MBC-mGlu8; mGlu8-DCPG-AZ12216052
4.55Single9MBCDCPG9MBC-mGlu8; mGlu8-DCPG-AZ12216052
4.55Single9S37NB219S37-LGR4-NB21
4.55Single9S38NB219S38-LGR4-NB21
4.55Single9UTBSucralose9UTB-TAS1R2; TAS1R3-Sucralose
4.35Single7DD6Ca7DD6-CaS; CaS-Ca-Ca; Ca; Tryptophan
4.35Single7DD6Ca; Ca; Tryptophan7DD6-CaS; CaS-Ca-Ca; Ca; Tryptophan
4.35Single7DD6Ca7DD6-CaS; CaS-Ca-Ca; Ca; Tryptophan
4.35Single7DD6Ca; Ca; Tryptophan7DD6-CaS; CaS-Ca-Ca; Ca; Tryptophan
4.35Single7DD7Ca7DD7-CaS; CaS-Ca-Ca; Ca; Tryptophan; Evocalcet
4.35Single7DD7Ca; Ca; Tryptophan; Evocalcet7DD7-CaS; CaS-Ca-Ca; Ca; Tryptophan; Evocalcet
4.35Single7DD7Ca7DD7-CaS; CaS-Ca-Ca; Ca; Tryptophan; Evocalcet
4.35Single7DD7Ca; Ca; Tryptophan; Evocalcet7DD7-CaS; CaS-Ca-Ca; Ca; Tryptophan; Evocalcet
4.35Single8SZFCa; Ca; Tryptophan; Cinacalcet; PO4; Spermine8SZF-CaS; CaS-Ca; Ca; Tryptophan; Cinacalcet; PO4; Spermine
4.35Single8SZFCa; Ca; Tryptophan; Cinacalcet; PO4; Spermine8SZF-CaS; CaS-Ca; Ca; Tryptophan; Cinacalcet; PO4; Spermine
4.35Single9ASBCa9ASB-CaS; CaS-Ca-Ca; Ca; Cyclomethyltryptophan; R-568; PO4-chim(NtGi1-Gs-CtGq)/β1/γ2
4.35Single9ASBCa; Ca; Cyclomethyltryptophan; R-568; PO49ASB-CaS; CaS-Ca-Ca; Ca; Cyclomethyltryptophan; R-568; PO4-chim(NtGi1-Gs-CtGq)/β1/γ2
4.35Single9AVGCa9AVG-CaS; CaS-Ca-Ca; Ca; Cyclomethyltryptophan; R-568; PO4-chim(NtGi1-Gs)/β1/γ2
4.35Single9AVGCa; Ca; Cyclomethyltryptophan; R-568; PO49AVG-CaS; CaS-Ca-Ca; Ca; Cyclomethyltryptophan; R-568; PO4-chim(NtGi1-Gs)/β1/γ2
4.35Single9AYFCa9AYF-CaS; CaS-Ca-Ca; Ca; Ca; Cyclomethyltryptophan; R-568; PO4-Gi1/β1/γ2
4.35Single9AYFCa; Ca; Ca; Cyclomethyltryptophan; R-568; PO49AYF-CaS; CaS-Ca-Ca; Ca; Ca; Cyclomethyltryptophan; R-568; PO4-Gi1/β1/γ2
4.35Consensusclass-b2_onOrthosteric Ligandadgrg_on adgrf_on adgrl_on adgre_on adgrd_on
4.35Consensusclass-b2_on_gpOrthosteric Ligandadgrg_on_gp adgrf_on_gp adgrl_on_gp adgre_on_gp adgrd_on_gp
4.17Single7KNUCalcitonin gene-related peptide-17KNU-CT Like-Calcitonin gene-related peptide-1-RAMP1
4.17Single7T9MCS-17 Antibody7T9M-TSH-CS-17 Antibody
4.17Single8SZGCa; Ca; Tryptophan; Cinacalcet; PO4; Spermine8SZG-CaS; CaS-Ca; Ca; Tryptophan; Cinacalcet; PO4; Spermine-chim(NtGi1-Gq)/β1/γ2
4.17Single8TLMAnti-murine CCR8 antibody8TLM-CCR8-Anti-murine CCR8 antibody
4.00Single6O3CCholesterol6O3C-SMO-SAG21k-Cholesterol
4.00Single7FIGhCG7FIG-LH-hCG-chim(NtGi1L-Gs)/β1/γ2
4.00Single7UTZTSH7UTZ-TSH-TSH-DPPC-Gs/β1/γ2
4.00Single7XW5TSH7XW5-TSH-TSH-ML109-Gs/β1/γ2
4.00Single7ZI0Cholesterol7ZI0-SMO-SAG-Cholesterol
4.00Single8WCBCyclohexylammonium Ion8WCB-TA1-Cyclohexylammonium Ion-chim(NtGi1-Gs-CtGq)/β1/γ2
3.85Single5L7DCholesterol5L7D-SMO-Cholesterol
3.85Single7T9ITSH7T9I-TSH-TSH-Gs/β1/γ2
3.85Single7WC4Serotonin7WC4-5-HT2A-Serotonin
3.85Single7XKDDehydroepiandrosterone7XKD-ADGRG2-Dehydroepiandrosterone-Gs/β1/γ2
3.85Single8I2GFSH8I2G-FSH-FSH-PubChem 67530240-Gs/β1/γ2
3.85Single9JIDNiacin9JID-HCA3-Niacin-Gi1/β1/γ2
3.85Single9JKVPubChem 27366909JKV-HCA3-PubChem 2736690-Gi1/β1/γ2
3.70Single3OE8IT1t3OE8-CXCR4-IT1t
3.70Single6TQ9SB-4081246TQ9-OX1-SB-408124
3.70Single7VDMSubstance-P7VDM-MRGPRX2-Substance-P-Gi1/β1/γ2
3.70Single9L0HJR14a9L0H-C3aB-JR14a-Go/β1/γ2
3.70Consensusgs_histamineOrthosteric Ligand8POK-H2-Histamine-Gs/β1/γ2
3.70Consensush2_onOrthosteric Ligand8POK-H2-Histamine-Gs/β1/γ2
3.57Single6OIKLY21196206OIK-M2-Iperoxo-LY2119620-chim(NtGi1-Go)/β1/γ2
3.57Single7V6APubChem 98642757V6A-M4-PubChem 9864275-Gi1/β1/γ2
3.57Single7WC5Psilocin7WC5-5-HT2A-Psilocin
3.57Single8EITDoconexent8EIT-FFA1-Doconexent-chim(NtGi1L-Gs-CtGq)/β1/γ2
3.57Single8J21Butyric acid8J21-FFA3-Butyric acid-Gi1/β1/γ2
3.57Single8J24Acetic acid8J24-FFA2-Acetic acid-Gi1/β1/γ2
3.57Single9JKT(2R)-2-hydroxy-3-phenylpropanoic acid9JKT-HCA3-(2R)-2-hydroxy-3-phenylpropanoic acid-Gi1/β1/γ2
3.57Single9MBCAZ122160529MBC-mGlu8; mGlu8-DCPG-AZ12216052
3.57Consensusffa3_onOrthosteric Ligand8J21-FFA3-Butyric acid-Gi1/β1/γ2
3.57Consensusffa3_on_gpOrthosteric Ligand8J21-FFA3-Butyric acid-Gi1/β1/γ2
3.45Single6TQ4PubChem 160468446TQ4-OX1-PubChem 16046844-Na
3.45Single7E2YSerotonin7E2Y-5-HT1A-Serotonin-PtdIns4P-Gi1/β1/γ2
3.45Single7S8NR-Zinc-35737S8N-MRGPRX2-R-Zinc-3573-chim(NtGi2L-Gs-CtGq)/β1/γ2
3.45Single7S8OR-Zinc-35737S8O-MRGPRX2-R-Zinc-3573-Gi1/β1/γ2
3.45Single7UL2SR486927UL2-NTS1-SR48692-Na
3.45Single7XTBSerotonin7XTB-5-HT6-Serotonin-Gs/β1/γ2
3.45Single8EF6Morphine8EF6-μ-Morphine-Gi1/β1/γ2
3.45Single8FX5Xanomeline8FX5-M4-Xanomeline-Xanomeline-Gi1/β1/γ2
3.45Single8YN2Histamine8YN2-H1-Histamine-chim(NtGi1L-Gs-CtGq)/β1/γ2
3.45Single9IZDCHBA9IZD-HCA1-CHBA-Gi1/β1/γ2
3.45Single9JLCAVE 09919JLC-MAS1-AVE 0991-Gi1/β1/γ2
3.45Single9L3ZLRH7-C29L3Z-CML1-LRH7-C2
3.45Single9MBCAZ122160529MBC-mGlu8; mGlu8-DCPG-AZ12216052
3.45Single9MNIdC2_059MNI-CTLike-dC2_05-RAMP1
3.45Consensusadgrg_onOrthosteric Ligandadgrg2_on adgrg4_on
3.45Consensusadgrg_on_gpOrthosteric Ligandadgrg2_on_gp adgrg4_on_gp
3.45Consensusneurotensin_offOrthosteric Ligandnts1_off
3.45Consensusnts1_offOrthosteric Ligand7UL2-NTS1-SR48692-Na
3.33Single6C1QNDT95137276C1Q-C5a1-PMX53-NDT9513727
3.33Single6RNKNF-56-EJ406RNK-Succinate-NF-56-EJ40
3.33Single6TQ6PubChem 1457142836TQ6-OX1-PubChem 145714283
3.33Single6ZA8RTI-3a6ZA8-NTS1-RTI-3a
3.33Single7F8YDevazepide7F8Y-CCKA-Devazepide
3.33Single7LJDDopamine7LJD-D1-Dopamine-Mevidalen-Gs/β1/γ1
3.33Single7SRSLSD7SRS-5-HT2B-LSD-Arrestin2
3.33Single7W0MPubChem 1227019087W0M-Apelin-PubChem 122701908-Gi1/β1/γ2
3.33Single7X2CFenoldopam7X2C-D1-Fenoldopam-Fenoldopam-Gs/β1/γ2
3.33Single7X2FDopamine7X2F-D1-Dopamine-Mevidalen-Gs/β1/γ2
3.33Single7XRRLemborexant7XRR-OX2-Lemborexant
3.33Single8DWHPubChem 1390305318DWH-MRGPRX1-PubChem 139030531-chim(NtGi2L-Gs-CtGq)/β1/γ2
3.33Single8J20Valeric acid8J20-FFA3-Valeric acid-AR420626-Gi1/β1/γ2
3.33Single8T3SButyric acid8T3S-FFA2-Butyric acid-chim(NtGi2L-Gs-CtGq)/β1/γ2
3.33Single8T3VDoconexent8T3V-FFA1-Doconexent-chim(NtGi2L-Gs-CtGq)/β1/γ2
3.33Single8U4PAMD31008U4P-CXCR4-AMD3100-Gi1/β1/γ2
3.33Single8YUTAmthamine8YUT-H2-Amthamine-Gs/β1/γ2
3.33Single9LKDPL459LKD-OR5V1-PL45
3.33Consensusorexin_offOrthosteric Ligandox2_off ox1_off
3.33Consensusox2_offOrthosteric Ligand5WQC-OX2-EMPA 6TPN-OX2-HTL6641 7XRR-OX2-Lemborexant 6TPJ-OX2-Suvorexant
3.23Single6TPKRetosiban6TPK-OT-Retosiban
3.23Single7VODCariprazine7VOD-5-HT2A-Cariprazine
3.23Single8IYXYL-3658IYX-GPR34-YL-365
3.23Single8JD6VU03647708JD6-mGlu4; mGlu4-Phosphoserine-VU0364770-Gi3/β1/γ2
3.23Single8K9LDAMGO8K9L-μ-DAMGO-BMS-986122-Gi3/β1/γ1
3.23Single8YRGFospropofol8YRG-MRGPRX4-Fospropofol-chim(NtGi1-Gs-CtGq)/β1/γ2
3.23Single9IXXLTD49IXX-CysLT2-LTD4-chim(NtGi1-Gs-CtGq)/β1/γ2
3.23Single9JQYTG6-1299JQY-EP4-TG6-129
3.23Single9K1DButyric acid9K1D-FFA2-Butyric acid-Gi1/β1/γ2
3.23Single9KXSEP679KXS-C5a1-EP67-Go/β1/γ2
3.23Single9LKBPL459LKB-OR5V1-PL45-chim(NtGi1-Gs)/β1
3.23Single9W33S5A19W33-SST5-S5A1
3.23Consensusot_offOrthosteric Ligand6TPK-OT-Retosiban
3.23Consensusvasop-oxy_offOrthosteric Ligandot_off
3.12Single7NA8Ibutamoren7NA8-Ghrelin-Ibutamoren-Gi1/β1/γ2
3.12Single7PP1Selatogrel7PP1-P2Y12-Selatogrel
3.12Single8EFQDAMGO8EFQ-μ-DAMGO-Gi1/β1/γ2
3.12Single8XBGS3E-Lysophosphatidylserine 8XBG-GPR34-S3E-Lysophosphatidylserine
3.12Single8ZBEOctreotide8ZBE-SST5-Octreotide-Gi1/β1/γ1
3.12Consensuscck_offOrthosteric Ligandccka_off
3.12Consensusccka_offOrthosteric Ligand7F8Y-CCKA-Devazepide 7F8U-CCKA-Lintitript
3.03Single4NTJAZD12834NTJ-P2Y12-AZD1283
3.03Single5ZBQUR-MK-2995ZBQ-Y1-UR-MK-299
3.03Single6Z4QSR142948A6Z4Q-NTS1-SR142948A
3.03Single7VV4Cortistatin-147VV4-MRGPRX2-Cortistatin-14
3.03Single9EE5ONO-25502899EE5-DP1-ONO-2550289
2.94Single7S8MCortistatin-147S8M-MRGPRX2-Cortistatin-14-Gi1/β1/γ2
2.94Single8JD5JNJ-40411813; ADX881788JD5-mGlu2; mGlu4-Glutamate-JNJ-40411813; ADX88178-Gi1/β1/γ2
2.94Single8JGFBAM8-228JGF-MRGPRX1-BAM8-22-chim(NtGi1-Gs-CtGq)/β1/γ2
2.94Single9CLWTUG-13759CLW-FFA2-TUG-1375-4-CMTB-chim(NtGi1L-Gs-CtGq)/β1/γ2
2.94Single9YDVMRS29059YDV-P2Y14-MRS2905-Gi1/β1/γ2
2.94Consensusnpy_offOrthosteric Ligandnpy1_off npy2_off
2.94Consensusp2y12_onOrthosteric Ligand7XXI-P2Y12-2MeSADP-Gi2/β1/γ2
2.86Single7XXI2MeSADP7XXI-P2Y12-2MeSADP-Gi2/β1/γ2
2.86Single9CM3TUG-13759CM3-FFA2-TUG-1375-PubChem 118615810-chim(NtGi1L-Gs-CtGq)/β1/γ2
2.86Single9YDUUDP-Glucose9YDU-P2Y14-UDP-Glucose-Gi1/β1/γ2
2.86Consensusgi_p2yOrthosteric Ligand7XXI-P2Y12-2MeSADP-Gi2/β1/γ2
2.86Consensusp2y12_on_gpOrthosteric Ligand7XXI-P2Y12-2MeSADP-Gi2/β1/γ2
2.78Single9JH5C16:0 Ceramide9JH5-CysLT2-C16:0 Ceramide-chim(NtGi1-Gs-CtGq)/β1/γ2
2.78Single9VI9RFRP-39VI9-NPFF1-RFRP-3-Gi1/β1/γ2
2.70Single7S8LCortistatin-147S8L-MRGPRX2-Cortistatin-14-chim(NtGi2L-Gs-CtGq)/β1/γ2
2.70Single9CM7TUG-13759CM7-FFA2-TUG-1375-AZ-1729-Gi1/β1/γ2
2.70Single9NS9TUG-13759NS9-FFA2-TUG-1375-PubChem 118615810-Gi1/β1/γ2
2.70Single9WSXEndomorphin9WSX-μ-Endomorphin-Arrestin2
2.63Single8INRAlpha-MSH8INR-MC5-α-MSH-Ca-chim(NtGi1-Gs)/β1/γ2
2.63Single8IZBLysophosphatidylserine (UBL)8IZB-GPR174-Lysophosphatidylserine (UBL)-Gs/β1/γ2
2.63Single8KIGSHU91198KIG-MC3-SHU9119-Ca
2.63Single8XFSR-spondin-28XFS-LGR4-R-spondin-2-ZNRF3; ZNRF3
2.63Single8XFTR-spondin-28XFT-LGR4-R-spondin-2-ZNRF3
2.63Single8Y69R-spondin-28Y69-LGR4; LGR4-R-spondin-2-ZNRF3
2.56Single7PIVAfamelanotide7PIV-MC4-Afamelanotide-Gs/β1/γ2
2.56Single8IOCGamma-MSH8IOC-MC3-γ-MSH-Ca-chim(NtGi1-Gs)/β1/γ2
2.56Single8XFPR-spondin-28XFP-LGR4-R-spondin-2-ZNRF3; ZNRF3
2.56Single9KB8R-spondin-29KB8-LGR4-R-spondin-2-ZNRF3; ZNRF3
2.56Single9KB9R-spondin-29KB9-LGR4; LGR4-R-spondin-2-ZNRF3; ZNRF3
2.56Consensusmc5_onOrthosteric Ligand8INR-MC5-α-MSH-Ca-chim(NtGi1-Gs)/β1/γ2 8IOD-MC5-PG-901-Ca-chim(NtGi1-Gs)/β1/γ2
2.50Single8K6MNeuropeptide-Y8K6M-Y1-Neuropeptide-Y-Gi2/β1/γ1
2.50Single8WVUR-spondin-18WVU-LGR4-R-spondin-1-RNF43
2.50Single8Y69R-spondin-28Y69-LGR4; LGR4-R-spondin-2-ZNRF3
2.50Single9KB9R-spondin-29KB9-LGR4; LGR4-R-spondin-2-ZNRF3; ZNRF3
2.50Consensusnpy1_onOrthosteric Ligand8K6M-Y1-Neuropeptide-Y-Gi2/β1/γ1
2.50Consensusnpy1_on_gpOrthosteric Ligand8K6M-Y1-Neuropeptide-Y-Gi2/β1/γ1
2.44Consensusmc5_on_gpOrthosteric Ligand8INR-MC5-α-MSH-Ca-chim(NtGi1-Gs)/β1/γ2 8IOD-MC5-PG-901-Ca-chim(NtGi1-Gs)/β1/γ2
2.38Single8IODPG-9018IOD-MC5-PG-901-Ca-chim(NtGi1-Gs)/β1/γ2

PDB Summary
PDB 9BLB
Class B1
SubFamily Peptide
Type Calcitonin
SubType CT
Species Homo Sapiens
Ligand Cagrilintide (non-acylated)
Other Ligand(s) -
Protein Partners Gs/Beta1/Gamma2
PDB Resolution 3.2
Date 2025-04-16
D.O.I. doi.org/10.1038/s41467-025-58680-y
Net Summary
Imin 2.79
Number of Linked Nodes 963
Number of Links 1186
Number of Hubs 189
Number of Links mediated by Hubs 690
Number of Communities 40
Number of Nodes involved in Communities 267
Number of Links involved in Communities 372
Path Summary
Number Of Nodes in MetaPath 97
Number Of Links MetaPath 96
Number of Shortest Paths 3614448
Length Of Smallest Path 3
Average Path Length 40.8639
Length of Longest Path 79
Minimum Path Strength 1.385
Average Path Strength 6.47148
Maximum Path Strength 24.27
Minimum Path Correlation 0.7
Average Path Correlation 0.99212
Maximum Path Correlation 1
Minimum % Of Corr. Nodes 1.81818
Average % Of Corr. Nodes 40.703
Maximum % Of Corr. Nodes 100
Minimum Path Hubs % 0
Average Path Hubs % 46.8072
Maximum Path Hubs % 100
AnnotationTypeLinks
Gene OntologyMolecular Function
Gene OntologyBiological Process• fibroblast proliferation   • cell population proliferation   • cellular process   • cellular response to nitrogen compound   • cellular response to stimulus   • response to dopamine   • regulation of cellular process   • response to stimulus   • signaling   • cellular response to dopamine   • response to monoamine   • cell communication   • response to catecholamine   • adenylate cyclase-activating dopamine receptor signaling pathway   • cellular response to catecholamine stimulus   • signal transduction   • regulation of biological process   • G protein-coupled dopamine receptor signaling pathway   • biological regulation   • response to oxygen-containing compound   • response to nitrogen compound   • adenylate cyclase-activating G protein-coupled receptor signaling pathway   • cellular response to oxygen-containing compound   • cellular response to chemical stimulus   • cellular response to monoamine stimulus   • response to chemical   • adenylate cyclase-modulating G protein-coupled receptor signaling pathway   • G protein-coupled receptor signaling pathway   • response to ketone   • response to prostaglandin   • response to lipid   • response to endogenous stimulus   • response to alcohol   • cellular response to prostaglandin stimulus   • cellular response to endogenous stimulus   • cellular response to prostaglandin E stimulus   • cellular response to alcohol   • response to hormone   • cellular response to lipid   • response to prostaglandin E   • cellular response to ketone   • cellular response to hormone stimulus   • cellular anatomical structure   • membrane   • protein-containing complex   • extrinsic component of plasma membrane   • catalytic complex   • plasma membrane protein complex   • cytoplasmic side of membrane   • plasma membrane   • membrane protein complex   • heterotrimeric G-protein complex   • side of membrane   • cell periphery   • cytoplasmic side of plasma membrane   • GTPase complex
Gene OntologyCellular Component• cellular anatomical structure   • membrane   • protein-containing complex   • extrinsic component of plasma membrane   • catalytic complex   • plasma membrane protein complex   • cytoplasmic side of membrane   • plasma membrane   • membrane protein complex   • heterotrimeric G-protein complex   • side of membrane   • cell periphery   • cytoplasmic side of plasma membrane   • GTPase complex   • extrinsic component of membrane   • extrinsic component of cytoplasmic side of plasma membrane   • extracellular exosome   • membrane-bounded organelle   • extracellular vesicle   • extracellular organelle   • extracellular region   • organelle   • extracellular space   • vesicle   • extracellular membrane-bounded organelle   • synapse   • cell junction   • protein binding   • binding   • enzyme binding   • GTPase binding   • protein-containing complex binding   • pyrophosphatase activity   • GTPase activity   • ribonucleoside triphosphate phosphatase activity   • hydrolase activity, acting on acid anhydrides, in phosphorus-containing anhydrides   • hydrolase activity   • hydrolase activity, acting on acid anhydrides   • catalytic activity   • signaling receptor complex adaptor activity   • protein-macromolecule adaptor activity   • molecular adaptor activity   • signaling adaptor activity   • multicellular organismal process   • system process   • sensory perception of chemical stimulus   • sensory perception   • nervous system process   • sensory perception of taste   • developmental process   • sensory organ development   • eye development   • animal organ development   • retina development in camera-type eye   • visual system development   • multicellular organism development   • camera-type eye development   • anatomical structure development   • sensory system development   • system development   • cell population proliferation   • cellular process   • cellular response to stimulus   • regulation of biological process   • regulation of cellular process   • response to stimulus   • signaling   • biological regulation   • signal transduction   • cell communication   • response to ketone   • response to prostaglandin   • response to lipid   • response to endogenous stimulus   • response to alcohol   • cellular response to prostaglandin stimulus   • response to oxygen-containing compound   • cellular response to oxygen-containing compound   • cellular response to endogenous stimulus   • cellular response to prostaglandin E stimulus   • cellular response to chemical stimulus   • cellular response to alcohol   • response to hormone   • response to chemical   • cellular response to lipid   • response to prostaglandin E   • cellular response to ketone   • cellular response to hormone stimulus   • small GTPase-mediated signal transduction   • Ras protein signal transduction   • intracellular signal transduction   • intracellular signaling cassette   • phospholipase C-activating G protein-coupled receptor signaling pathway   • G protein-coupled receptor signaling pathway   • cellular response to nitrogen compound   • response to dopamine   • cellular response to dopamine   • response to monoamine   • response to catecholamine   • adenylate cyclase-activating dopamine receptor signaling pathway   • cellular response to catecholamine stimulus   • G protein-coupled dopamine receptor signaling pathway   • response to nitrogen compound   • adenylate cyclase-activating G protein-coupled receptor signaling pathway   • cellular response to monoamine stimulus   • adenylate cyclase-modulating G protein-coupled receptor signaling pathway   • synaptic signaling   • cellular response to acetylcholine   • cell-cell signaling   • acetylcholine receptor signaling pathway   • postsynaptic signal transduction   • G protein-coupled acetylcholine receptor signaling pathway   • response to acetylcholine   • non-motile cilium   • 9+0 non-motile cilium   • cilium   • neuron projection   • photoreceptor disc membrane   • photoreceptor outer segment   • plasma membrane bounded cell projection   • cell projection   • photoreceptor cell cilium   • organelle membrane   • intracellular anatomical structure   • cytoplasm   • cytosol   • vacuolar membrane   • lytic vacuole   • vacuole   • intracellular membrane-bounded organelle   • intracellular organelle   • lytic vacuole membrane   • bounding membrane of organelle   • lysosomal membrane   • lysosome   • guanyl nucleotide binding   • GTP binding   • nucleotide binding   • guanyl ribonucleotide binding   • purine ribonucleotide binding   • purine ribonucleoside triphosphate binding   • nucleoside phosphate binding   • ion binding   • purine nucleotide binding   • anion binding   • heterocyclic compound binding   • carbohydrate derivative binding   • ribonucleotide binding   • small molecule binding   • D1 dopamine receptor binding   • signaling receptor binding   • G protein-coupled receptor binding   • dopamine receptor binding   • G-protein beta/gamma-subunit complex binding   • G protein activity   • molecular function regulator activity   • enzyme regulator activity   • cyclase regulator activity   • enzyme activator activity   • cyclase activator activity   • molecular function activator activity   • adenylate cyclase regulator activity   • adenylate cyclase activator activity   • cation binding   • metal ion binding   • epithelium development   • ectodermal placode morphogenesis   • epidermis development   • molting cycle process   • hair cycle   • hair follicle placode formation   • tissue development   • ectodermal placode formation   • anatomical structure morphogenesis   • skin development   • skin epidermis development   • hair follicle development   • molting cycle   • anatomical structure formation involved in morphogenesis   • ectodermal placode development   • hair cycle process   • cellular homeostasis   • chemical homeostasis   • homeostatic process   • glucose homeostasis   • carbohydrate homeostasis   • intracellular chemical homeostasis   • intracellular glucose homeostasis   • neuromuscular process   • regulation of system process   • skeletal muscle contraction   • muscle contraction   • muscle system process   • regulation of muscle system process   • striated muscle contraction   • multicellular organismal movement   • musculoskeletal movement   • regulation of striated muscle contraction   • regulation of muscle contraction   • regulation of skeletal muscle contraction   • regulation of multicellular organismal process   • sensory perception of smell   • response to peptide hormone   • cellular response to peptide hormone stimulus   • response to glucagon   • cellular response to glucagon stimulus   • skeletal system development   • bone development   • response to pH   • cellular response to pH   • response to abiotic stimulus   • cellular response to acidic pH   • response to acidic pH   • cellular response to abiotic stimulus   • cellular response to environmental stimulus   • regulation of body fluid levels   • wound healing   • homotypic cell-cell adhesion   • cell activation   • hemostasis   • platelet aggregation   • blood coagulation   • cell adhesion   • cell-cell adhesion   • response to stress   • coagulation   • regulation of biological quality   • response to wounding   • platelet activation   • response to fluid shear stress   • vascular endothelial cell response to laminar fluid shear stress   • response to laminar fluid shear stress   • cellular response to stress   • cellular response to laminar fluid shear stress   • vascular endothelial cell response to fluid shear stress   • cellular response to fluid shear stress   • cognition   • developmental growth   • growth   • positive regulation of biological process   • adaptive thermogenesis   • multicellular organismal-level homeostasis   • regulation of cold-induced thermogenesis   • cold-induced thermogenesis   • temperature homeostasis   • positive regulation of cold-induced thermogenesis   • positive regulation of multicellular organismal process   • positive regulation of cell communication   • regulation of localization   • establishment of protein localization   • nitrogen compound transport   • positive regulation of establishment of protein localization   • localization   • establishment of localization in cell   • positive regulation of insulin secretion involved in cellular response to glucose stimulus   • positive regulation of insulin secretion   • intracellular protein localization   • regulation of peptide hormone secretion   • regulation of hormone levels   • positive regulation of peptide hormone secretion   • establishment of protein localization to extracellular region   • protein secretion   • establishment of localization   • regulation of protein secretion   • regulation of secretion   • cellular response to carbohydrate stimulus   • response to glucose   • positive regulation of protein localization   • insulin secretion involved in cellular response to glucose stimulus   • cellular localization   • regulation of hormone secretion   • regulation of protein localization   • regulation of peptide secretion   • transport   • positive regulation of secretion by cell   • hormone secretion   • protein localization to extracellular region   • positive regulation of protein transport   • peptide secretion   • regulation of secretion by cell   • secretion by cell   • positive regulation of hormone secretion   • response to monosaccharide   • response to carbohydrate   • positive regulation of secretion   • signal release   • cellular response to hexose stimulus   • cellular response to monosaccharide stimulus   • positive regulation of cellular process   • positive regulation of peptide secretion   • regulation of signaling   • regulation of transport   • secretion   • regulation of peptide transport   • regulation of establishment of protein localization   • export from cell   • cellular response to glucose stimulus   • regulation of protein transport   • positive regulation of protein secretion   • peptide transport   • response to hexose   • positive regulation of transport   • regulation of cellular localization   • protein transport   • regulation of insulin secretion   • peptide hormone secretion   • macromolecule localization   • regulation of insulin secretion involved in cellular response to glucose stimulus   • hormone transport   • regulation of cell communication   • insulin secretion   • positive regulation of signaling   • adenylate cyclase-activating adrenergic receptor signaling pathway   • adrenergic receptor signaling pathway   • serotonin receptor signaling pathway   • adenylate cyclase-activating serotonin receptor signaling pathway   • intracellular transport   • regulation of defense response   • regulation of response to external stimulus   • negative regulation of inflammatory response   • negative regulation of biological process   • inflammatory response to antigenic stimulus   • regulation of response to stress   • regulation of immune system process   • negative regulation of inflammatory response to antigenic stimulus   • defense response   • immune response   • negative regulation of response to stimulus   • negative regulation of immune response   • regulation of inflammatory response to antigenic stimulus   • response to external stimulus   • regulation of inflammatory response   • regulation of response to stimulus   • negative regulation of immune system process   • immune system process   • negative regulation of response to external stimulus   • negative regulation of defense response   • regulation of immune response   • inflammatory response   • positive regulation of adenylate cyclase activity   • positive regulation of molecular function   • regulation of molecular function   • positive regulation of cyclase activity   • activation of adenylate cyclase activity   • regulation of adenylate cyclase activity   • regulation of catalytic activity   • positive regulation of catalytic activity   • positive regulation of lyase activity   • cell surface receptor signaling pathway   • bile acid signaling pathway   • adenylate cyclase-activating G protein-coupled bile acid receptor signaling pathway   • renal system process   • multicellular organismal-level water homeostasis   • multicellular organismal-level chemical homeostasis   • renal water homeostasis   • Golgi apparatus subcompartment   • Golgi apparatus   • organelle subcompartment   • trans-Golgi network membrane   • endomembrane system   • trans-Golgi network   • amyloid-beta binding   • peptide binding   • calcitonin family receptor activity   • peptide receptor activity   • molecular transducer activity   • G protein-coupled receptor activity   • G protein-coupled peptide receptor activity   • signaling receptor activity   • transmembrane signaling receptor activity   • calcitonin receptor activity   • amylin receptor activity   • calcitonin gene-related peptide receptor activity   • calcitonin binding   • calcitonin family binding   • peptide hormone binding   • hormone binding   • positive regulation of cytosolic calcium ion concentration   • positive regulation of signal transduction   • regulation of signal transduction   • positive regulation of response to stimulus   • regulation of intracellular signal transduction   • regulation of calcium-mediated signaling   • positive regulation of calcium-mediated signaling   • positive regulation of intracellular signal transduction   • calcium-mediated signaling   • catabolic process   • RNA metabolic process   • macromolecule catabolic process   • regulation of primary metabolic process   • nucleobase-containing compound metabolic process   • post-transcriptional regulation of gene expression   • regulation of RNA metabolic process   • regulation of mRNA catabolic process   • negative regulation of cellular process   • regulation of nucleobase-containing compound metabolic process   • RNA catabolic process   • negative regulation of macromolecule metabolic process   • regulation of biosynthetic process   • mRNA catabolic process   • negative regulation of metabolic process   • primary metabolic process   • regulation of macromolecule metabolic process   • regulation of catabolic process   • gene expression   • mRNA metabolic process   • macromolecule biosynthetic process   • nucleic acid metabolic process   • nucleobase-containing compound catabolic process   • regulation of mRNA stability   • regulation of gene expression   • negative regulation of gene expression   • biosynthetic process   • negative regulation of biosynthetic process   • negative regulation of macromolecule biosynthetic process   • regulation of RNA stability   • nucleic acid catabolic process   • metabolic process   • regulation of macromolecule biosynthetic process   • macromolecule metabolic process   • regulation of mRNA metabolic process   • regulation of metabolic process   • positive regulation of ERK1 and ERK2 cascade   • positive regulation of MAPK cascade   • regulation of MAPK cascade   • MAPK cascade   • ERK1 and ERK2 cascade   • regulation of ERK1 and ERK2 cascade   • positive regulation of macromolecule biosynthetic process   • positive regulation of metabolic process   • positive regulation of gene expression   • positive regulation of biosynthetic process   • positive regulation of macromolecule metabolic process   • amylin receptor 1 signaling pathway   • amylin receptor signaling pathway   • calcitonin family receptor signaling pathway   • regulation of phosphatidylinositol 3-kinase/protein kinase B signal transduction   • positive regulation of phosphatidylinositol 3-kinase/protein kinase B signal transduction   • phosphatidylinositol 3-kinase/protein kinase B signal transduction   • response to corticosteroid   • response to steroid hormone   • response to glucocorticoid   • response to amyloid-beta   • calcitonin gene-related peptide receptor signaling pathway   • ossification   • amylin receptor 2 signaling pathway   • myeloid leukocyte differentiation   • cellular developmental process   • hemopoiesis   • cell development   • myeloid cell differentiation   • cell differentiation   • osteoclast differentiation   • leukocyte differentiation   • positive regulation of cAMP/PKA signal transduction   • cAMP/PKA signal transduction   • regulation of cAMP/PKA signal transduction   • negative regulation of multicellular organismal process   • regulation of ossification   • negative regulation of ossification   • amylin receptor 3 signaling pathway   • amylin receptor complex   • amylin receptor complex 3   • receptor complex   • plasma membrane signaling receptor complex   • G protein-coupled receptor complex   • calcitonin family receptor complex   • amylin receptor complex 2   • amylin receptor complex 1   • axon   • acrosomal vesicle   • intracellular vesicle   • cytoplasmic vesicle   • secretory granule   • secretory vesicle   • signaling receptor regulator activity   • receptor ligand activity   • signaling receptor activator activity   • hormone activity   • lipid binding   • identical protein binding   • apoptotic process   • cell death   • programmed cell death   • positive regulation of programmed cell death   • regulation of apoptotic process   • regulation of programmed cell death   • positive regulation of apoptotic process   • behavior   • eating behavior   • feeding behavior   • regulation of cellular component organization   • negative regulation of cellular component organization   • protein-containing complex organization   • regulation of cellular component biogenesis   • negative regulation of protein-containing complex assembly   • cellular component organization   • cellular component biogenesis   • regulation of protein-containing complex assembly   • cellular component assembly   • protein-containing complex assembly   • cellular component organization or biogenesis   • regulation of leukocyte differentiation   • regulation of developmental process   • regulation of cell differentiation   • regulation of cell development   • regulation of osteoclast differentiation   • negative regulation of cell differentiation   • negative regulation of hemopoiesis   • regulation of multicellular organismal development   • negative regulation of leukocyte differentiation   • regulation of myeloid cell differentiation   • negative regulation of developmental process   • regulation of myeloid leukocyte differentiation   • negative regulation of myeloid cell differentiation   • negative regulation of osteoclast differentiation   • negative regulation of myeloid leukocyte differentiation   • negative regulation of cell development   • regulation of hemopoiesis   • negative regulation of tissue remodeling   • negative regulation of bone remodeling   • regulation of bone remodeling   • tissue homeostasis   • regulation of tissue remodeling   • regulation of bone resorption   • bone resorption   • negative regulation of bone resorption   • tissue remodeling   • bone remodeling   • anatomical structure homeostasis   • sensory perception of pain   • negative regulation of amyloid fibril formation   • regulation of amyloid fibril formation   • amyloid fibril formation   • negative regulation of supramolecular fiber organization   • protein metabolic process   • negative regulation of protein metabolic process   • regulation of protein metabolic process   • regulation of supramolecular fiber organization   • supramolecular fiber organization   • somatodendritic compartment   • cell body   • neuronal cell body
SCOP2Domain Identifier• Transducin (heterotrimeric G protein), gamma chain   • G protein-coupled receptor-like
SCOP2Family Identifier• Transducin (heterotrimeric G protein), gamma chain   • G protein-coupled receptor-like
Membrane Protein Annotations-• Orientations of Proteins in Membranes database (OPM)   • Protein Data Bank of Transmembrane Proteins (PDBTM)   • MemProtMD


Details about the values in these tables can be found in the corresponding documentation page .
CodeNH2
PDB ResiduesL:L:?38
Environment DetailsOpen EMBL-EBI Page
CodeNH2
NameAMINO GROUP
Synonyms
Identifier
FormulaH2 N
Molecular Weight16.023
SMILES
PubChem123329
Formal Charge0
Total Atoms3
Total Chiral Atoms0
Total Bonds2
Total Aromatic Bonds0

PDBsumOpen PDBsum Page
ChainA
ProteinG Protein α Sub unit
UniProtP63092
Sequence
>9BLB_Chain_A
RNEEKAQRE ANKKIEKQL QKDKQVYRA THRLLLLGA GESGKTIVK 
QMTSGIFET KFQVDKVNF HMFDVGQRD ERRKWIQCF NDVTAIIFV 
VASNRLQAL LFSIWNNWL RSVILFLNK QDLLAEKVL AGKSKIEDY 
FPEFARYTT PEDATPEPG EDPRVTRAK YFIRDEFLR ISTASGDGR 
HYCYPHFTC VDTENIRRV FNDCRDIIQ RMHLRQYEL LNAAKDKDT 
S


Click on each residue to open a popup with some information about it.

ConSurf Conservation Grade (See documentation): 

 n/a   1    2    3    4    5    6    7    8    9  

ChainB
ProteinG Protein β Sub unit
UniProtP62873
Sequence
>9BLB_Chain_B
SELDQLRQE AEQLKNQIR DARKACADA TLSQITNNI DPVGRIQMR 
TRRTLRGHL AKIYAMHWG TDSRLLVSA SQDGKLIIW DSYTTNKVH 
AIPLRSSWV MTCAYAPSG NYVACGGLD NICSIYNLK TREGNVRVS 
RELAGHTGY LSCCRFLDD NQIVTSSGD TTCALWDIE TGQQTTTFT 
GHTGDVMSL SLAPDTRLF VSGACDASA KLWDVREGM CRQTFTGHE 
SDINAICFF PNGNAFATG SDDATCRLF DLRADQELM TYSHDNIIC 
GITSVSFSK SGRLLLAGY DDFNCNVWD ALKADRAGV LAGHDNRVS 
CLGVTDDGM AVATGSWDS FLKIWN


Click on each residue to open a popup with some information about it.

ConSurf Conservation Grade (See documentation): 

 n/a   1    2    3    4    5    6    7    8    9  

ChainG
ProteinG Protein γ Sub unit
UniProtP59768
Sequence
>9BLB_Chain_G
SIAQARKLV EQLKMEANI DRIKVSKAA ADLMAYCEA HAKEDPLLT 
PVPASENPF R


Click on each residue to open a popup with some information about it.

ConSurf Conservation Grade (See documentation): 

 n/a   1    2    3    4    5    6    7    8    9  

ChainL
ProteinCagrilintide (non-acylated)
UniProtP10997
Sequence
>9BLB_Chain_L


Click on each residue to open a popup with some information about it.

ConSurf Conservation Grade (See documentation): 

 n/a   1    2    3    4    5    6    7    8    9  

ChainR
ProteinReceptor
UniProtP30988
Sequence
>9BLB_Chain_R
GRKKMMDAQ YKCYDRMQG PYCNRTWDG WLCWDDTPA GVLSYQFCP 
DYFPDFDPS EKVTKYCDE KGVWFKHPE NNRTWSNYT MCNAFTPEK 
LKNAYVLYY LAIVGHSLS IFTLVISLG IFVFFRSLG CQRVTLHKN 
MFLTYILNS MIIIIHLVE VVPNGELVR RDPVSCKIL HFFHQYMMA 
CNYFWMLCE GIYLHTLIV VAVFTEKQR LRWYYLLGW GFPLVPTTI 
HAITRAVYF NDNCWLSVE THLLYIIHG PVMAALVVN FFFLLNIVR 
VLVTKMRET HEAESHMYL KAVKATMIL VPLLGIQFV VFPWRPSNK 
MLGKIYDYV MHSLIHFQG FFVATIYCF CNNEVQTTV KRQWAQ


Click on each residue to open a popup with some information about it.

ConSurf Conservation Grade (See documentation): 

 n/a   1    2    3    4    5    6    7    8    9  




This receptor, from the same or other species and bound to the same or other ligands, is also present in the following networks:
Show PDB Class SubFamily Type SubType Species Orthosteric Ligand Other Ligand(s) Protein Partners Resolution Date DOI
3DQBASensoryOpsinsRhodopsinBos taurus--Gt(CT)3.22008-09-23doi.org/10.1038/nature07330
3PQRASensoryOpsinsRhodopsinBos taurusAll-trans-Retinal-Gt(CT)2.852011-03-09doi.org/10.1038/nature09789
2X72ASensoryOpsinsRhodopsinBos taurusAll-trans-Retinal-Gt(CT)32011-03-16doi.org/10.1038/nature09795
4A4MASensoryOpsinsRhodopsinBos taurusAll-trans-Retinal-Gt(CT)3.32012-01-25doi.org/10.1073/pnas.1114089108
4BEYASensoryOpsinsRhodopsinBos taurus--Gt(CT)2.92013-05-08doi.org/10.1038/embor.2013.44
4J4QASensoryOpsinsRhodopsinBos taurusOctyl β-D-Glucopyranoside-Gt(CT)2.652013-10-30doi.org/10.1002/anie.201302374
4X1HASensoryOpsinsRhodopsinBos taurusNonyl-β-D-Glucopyranoside-Gt(CT)2.292015-11-04doi.org/10.1016/j.str.2015.09.015
5EN0ASensoryOpsinsRhodopsinBos taurusAll-trans-Retinal-Gt(CT)2.812016-08-10doi.org/10.15252/embr.201642671
5UZ7B1PeptideCalcitoninCTHomo sapiens--Gs/β1/γ24.12017-05-03doi.org/10.1038/nature22327
5UZ7 (No Gprot) B1PeptideCalcitoninCTHomo sapiens--4.12017-05-03doi.org/10.1038/nature22327
5WKTASensoryOpsinsRhodopsinBos taurusOctyl-β-D-Glucopyranoside-Gt(CT)3.22017-12-13doi.org/10.1038/nprot.2017.135
6E3YB1PeptideCalcitoninCT LikeHomo sapiensCalcitonin gene-related peptide-1-Gs/β1/γ2; RAMP13.32018-09-19doi.org/10.1038/s41586-018-0535-y
6E3Y (No Gprot) B1PeptideCalcitoninCT LikeHomo sapiensCalcitonin gene-related peptide-1-3.32018-09-19doi.org/10.1038/s41586-018-0535-y
6NIYB1PeptideCalcitoninCTHomo sapiensCalcitonin-1-Gs/β1/γ23.342019-01-23doi.org/10.1021/acsptsci.8b00056
6NIY (No Gprot) B1PeptideCalcitoninCTHomo sapiensCalcitonin-1-3.342019-01-23doi.org/10.1021/acsptsci.8b00056
6E67AAmineAdrenergicβ2Homo sapiensBI167107-Gs(CT)3.72019-06-05doi.org/10.1016/j.cell.2019.04.021
6TP4APeptideOrexinOX1Homo sapiensACT-462206--3.012020-01-01doi.org/10.1021/acs.jmedchem.9b01787
6NWEASensoryOpsinsRhodopsinBos taurusOctyl-β-D-Glucopyranoside-Gt(CT)2.712020-02-12To be published
6UUNB1PeptideCalcitoninCT Like (AM1)Homo sapiensAdrenomedullin-Gs/β1/γ2; RAMP232020-03-25doi.org/10.1021/acsptsci.9b00080
6UUN (No Gprot) B1PeptideCalcitoninCT Like (AM1)Homo sapiensAdrenomedullin-32020-03-25doi.org/10.1021/acsptsci.9b00080
6UUSB1PeptideCalcitoninCT Like (AM2)Homo sapiensAdrenomedullin-Gs/β1/γ2; RAMP32.42020-04-01doi.org/10.1021/acsptsci.9b00080
6UUS (No Gprot) B1PeptideCalcitoninCT Like (AM2)Homo sapiensAdrenomedullin-2.42020-04-01doi.org/10.1021/acsptsci.9b00080
6UVAB1PeptideCalcitoninCT Like (AM2)Homo sapiensAdrenomedullin-2-Gs/β1/γ2; RAMP32.32020-04-01doi.org/10.1021/acsptsci.9b00080
6UVA (No Gprot) B1PeptideCalcitoninCT Like (AM2)Homo sapiensAdrenomedullin-2-2.32020-04-01doi.org/10.1021/acsptsci.9b00080
6PELASensoryOpsinsRhodopsinBos taurus-CitronellolGt(CT)3.192020-06-24To be published
6PGSASensoryOpsinsRhodopsinBos taurus-GeraniolGt(CT)2.92020-07-01To be published
6PH7ASensoryOpsinsRhodopsinBos taurus-NerolGt(CT)2.92020-07-01To be published
7KNTB1PeptideCalcitoninCT LikeHomo sapiens--RAMP13.152021-02-24doi.org/10.1126/science.abf7258
7KNUB1PeptideCalcitoninCT LikeHomo sapiensCalcitonin gene-related peptide-1-RAMP13.492021-02-24doi.org/10.1126/science.abf7258
7TYLB1PeptideCalcitoninCTHomo sapiensAmylin-Gs/β1/γ23.32022-03-23doi.org/10.1126/science.abm9609
7TYL (No Gprot) B1PeptideCalcitoninCTHomo sapiensAmylin-3.32022-03-23doi.org/10.1126/science.abm9609
7TYOB1PeptideCalcitoninCTHomo sapiensCalcitonin-Gs/β1/γ22.72022-03-23doi.org/10.1126/science.abm9609
7TYO (No Gprot) B1PeptideCalcitoninCTHomo sapiensCalcitonin-2.72022-03-23doi.org/10.1126/science.abm9609
7TYFB1PeptideCalcitoninCT (AMY1)Homo sapiensAmylin-Gs/β1/γ2; RAMP12.22022-03-23doi.org/10.1126/science.abm9609
7TYF (No Gprot) B1PeptideCalcitoninCT (AMY1)Homo sapiensAmylin-2.22022-03-23doi.org/10.1126/science.abm9609
7TYWB1PeptideCalcitoninCT (AMY1)Homo sapiensCalcitonin-1-Gs/β1/γ2; RAMP132022-03-23doi.org/10.1126/science.abm9609
7TYW (No Gprot) B1PeptideCalcitoninCT (AMY1)Homo sapiensCalcitonin-1-32022-03-23doi.org/10.1126/science.abm9609
7TYHB1PeptideCalcitoninCT (AMY2)Homo sapiensCalcitonin-Gs/β1/γ2; RAMP23.32022-03-23doi.org/10.1126/science.abm9609
7TYH (No Gprot) B1PeptideCalcitoninCT (AMY2)Homo sapiensCalcitonin-3.32022-03-23doi.org/10.1126/science.abm9609
7TYYB1PeptideCalcitoninCT (AMY2)Homo sapiensCalcitonin-1-Gs/β1/γ2; RAMP232022-03-23doi.org/10.1126/science.abm9609
7TYY (No Gprot) B1PeptideCalcitoninCT (AMY2)Homo sapiensCalcitonin-1-32022-03-23doi.org/10.1126/science.abm9609
7TZFB1PeptideCalcitoninCT (AMY3)Homo sapiensAmylin-Gs/β1/γ2; RAMP32.42022-03-23doi.org/10.1126/science.abm9609
7TZF (No Gprot) B1PeptideCalcitoninCT (AMY3)Homo sapiensAmylin-2.42022-03-23doi.org/10.1126/science.abm9609
7TYIB1PeptideCalcitoninCTHomo sapiensAmylin-Gs/β1/γ23.32022-03-30doi.org/10.1126/science.abm9609
7TYI (No Gprot) B1PeptideCalcitoninCTHomo sapiensAmylin-3.32022-03-30doi.org/10.1126/science.abm9609
7TYNB1PeptideCalcitoninCTHomo sapiensCalcitonin-1-Gs/β1/γ22.62022-03-30doi.org/10.1126/science.abm9609
7TYN (No Gprot) B1PeptideCalcitoninCTHomo sapiensCalcitonin-1-2.62022-03-30doi.org/10.1126/science.abm9609
7TYXB1PeptideCalcitoninCT (AMY2)Homo sapiensAmylin-Gs/β1/γ2; RAMP22.552022-03-30doi.org/10.1126/science.abm9609
7TYX (No Gprot) B1PeptideCalcitoninCT (AMY2)Homo sapiensAmylin-2.552022-03-30doi.org/10.1126/science.abm9609
7UM5AAmine5-Hydroxytryptamine5-HT5AHomo sapiens5-CT-chim(NtGi1-Go)/β1/γ22.732022-07-20doi.org/10.1038/s41594-022-00796-6
7UM5 (No Gprot) AAmine5-Hydroxytryptamine5-HT5AHomo sapiens5-CT-2.732022-07-20doi.org/10.1038/s41594-022-00796-6
7XTCAAmine5-Hydroxytryptamine5-HT7Homo sapiens5-CT-Gs/β1/γ23.22022-07-27doi.org/10.1016/j.molcel.2022.05.031
7XTC (No Gprot) AAmine5-Hydroxytryptamine5-HT7Homo sapiens5-CT-3.22022-07-27doi.org/10.1016/j.molcel.2022.05.031
7X5HAAmine5-Hydroxytryptamine5-HT5AHomo sapiens5-CT-Gi1/β1/γ23.12022-09-14doi.org/10.1038/s41421-022-00412-3
7X5H (No Gprot) AAmine5-Hydroxytryptamine5-HT5AHomo sapiens5-CT-3.12022-09-14doi.org/10.1038/s41421-022-00412-3
8F0JB1PeptideCalcitoninCTHomo sapiensPramlintide Analogue San45-Gs/β1/γ222023-08-02doi.org/10.1038/s41589-023-01393-4
8F0J (No Gprot) B1PeptideCalcitoninCTHomo sapiensPramlintide Analogue San45-22023-08-02doi.org/10.1038/s41589-023-01393-4
8F0KB1PeptideCalcitoninCT (AMY3)Homo sapiensPramlintide Analogue San385-Gs/β1/γ2; RAMP31.92023-08-02doi.org/10.1038/s41589-023-01393-4
8F0K (No Gprot) B1PeptideCalcitoninCT (AMY3)Homo sapiensPramlintide Analogue San385-1.92023-08-02doi.org/10.1038/s41589-023-01393-4
8F2AB1PeptideCalcitoninCT (AMY3)Homo sapiensPramlintide Analogue San385-Gs/β1/γ2; RAMP32.22023-08-02doi.org/10.1038/s41589-023-01393-4
8F2A (No Gprot) B1PeptideCalcitoninCT (AMY3)Homo sapiensPramlintide Analogue San385-2.22023-08-02doi.org/10.1038/s41589-023-01393-4
8F2BB1PeptideCalcitoninCT (AMY3)Homo sapiensPramlintide Analogue San45-Gs/β1/γ2; RAMP322023-08-02doi.org/10.1038/s41589-023-01393-4
8F2B (No Gprot) B1PeptideCalcitoninCT (AMY3)Homo sapiensPramlintide Analogue San45-22023-08-02doi.org/10.1038/s41589-023-01393-4
8ZQEAOrphanOrphanGPR15Homo sapiensGPR15L(CT)-Gi1/β1/γ12.92024-07-10doi.org/10.1038/s41421-024-00698-5
8ZQE (No Gprot) AOrphanOrphanGPR15Homo sapiensGPR15L(CT)-2.92024-07-10doi.org/10.1038/s41421-024-00698-5
9MNIB1PeptideCalcitoninCTLikeHomo sapiensdC2_05-RAMP14.062025-10-22doi.org/10.1101/2025.03.23.644666
9AUCB1PeptideCalcitoninCT (AMY1)Homo sapiensCalcitonin gene-related peptide-1-Gs/β1/γ2; RAMP12.42024-04-24doi.org/10.1021/acs.biochem.4c00114
9AUC (No Gprot) B1PeptideCalcitoninCT (AMY1)Homo sapiensCalcitonin gene-related peptide-1-2.42024-04-24doi.org/10.1021/acs.biochem.4c00114
9BLBB1PeptideCalcitoninCTHomo sapiensCagrilintide (non-acylated)-Gs/β1/γ23.22025-04-16doi.org/10.1038/s41467-025-58680-y
9BLB (No Gprot) B1PeptideCalcitoninCTHomo sapiensCagrilintide (non-acylated)-3.22025-04-16doi.org/10.1038/s41467-025-58680-y
9BLCB1PeptideCalcitoninCTHomo sapiensCagrilintide (non-acylated)-Gs/β1/γ23.32025-04-16doi.org/10.1038/s41467-025-58680-y
9BLC (No Gprot) B1PeptideCalcitoninCTHomo sapiensCagrilintide (non-acylated)-3.32025-04-16doi.org/10.1038/s41467-025-58680-y
9BUEB1PeptideCalcitoninCTHomo sapiensCagrilintide-Gs/β1/γ23.62025-04-16doi.org/10.1038/s41467-025-58680-y
9BUE (No Gprot) B1PeptideCalcitoninCTHomo sapiensCagrilintide-3.62025-04-16doi.org/10.1038/s41467-025-58680-y
9BLWB1PeptideCalcitoninCT (AMY1)Homo sapiensCagrilintide (non-acylated)-Gs/β1/γ2; RAMP13.22025-04-16doi.org/10.1038/s41467-025-58680-y
9BLW (No Gprot) B1PeptideCalcitoninCT (AMY1)Homo sapiensCagrilintide (non-acylated)-3.22025-04-16doi.org/10.1038/s41467-025-58680-y
9BTWB1PeptideCalcitoninCT (AMY3)Homo sapiensCagrilintide-Gs/β1/γ2; RAMP332025-04-16To be published
9BTW (No Gprot) B1PeptideCalcitoninCT (AMY3)Homo sapiensCagrilintide-32025-04-16To be published
9BUBB1PeptideCalcitoninCTHomo sapiensCagrilintide-Gs/β1/γ22.32025-04-23doi.org/10.1038/s41467-025-58680-y
9BUB (No Gprot) B1PeptideCalcitoninCTHomo sapiensCagrilintide-2.32025-04-23doi.org/10.1038/s41467-025-58680-y
9BUCB1PeptideCalcitoninCTHomo sapiensCagrilintide-Gs/β1/γ23.42025-04-23doi.org/10.1038/s41467-025-58680-y
9BUC (No Gprot) B1PeptideCalcitoninCTHomo sapiensCagrilintide-3.42025-04-23doi.org/10.1038/s41467-025-58680-y
9BUDB1PeptideCalcitoninCTHomo sapiensCagrilintide-Gs/β1/γ22.52025-04-23doi.org/10.1038/s41467-025-58680-y
9BUD (No Gprot) B1PeptideCalcitoninCTHomo sapiensCagrilintide-2.52025-04-23doi.org/10.1038/s41467-025-58680-y
9BP3B1PeptideCalcitoninCT (AMY1)Homo sapiensCagrilintide-Gs/β1/γ2; RAMP12.22025-04-23doi.org/10.1038/s41467-025-58680-y
9BP3 (No Gprot) B1PeptideCalcitoninCT (AMY1)Homo sapiensCagrilintide-2.22025-04-23doi.org/10.1038/s41467-025-58680-y
9BQ3B1PeptideCalcitoninCT (AMY2)Homo sapiensCagrilintide-Gs/β1/γ2; RAMP22.82025-04-23doi.org/10.1038/s41467-025-58680-y
9BQ3 (No Gprot) B1PeptideCalcitoninCT (AMY2)Homo sapiensCagrilintide-2.82025-04-23doi.org/10.1038/s41467-025-58680-y
9UAPAAmineAcetylcholine (muscarinic)M1Homo sapiens--G11(CT)3.622025-10-29To be published
9UCPAAmineAcetylcholine (muscarinic)M1Homo sapiensIperoxo-G11(CT)2.882025-10-29To be published
9WXMAOrphanOrphanGPR15Homo sapiensGPR15L(CT)-Gi3/β1/γ23.32025-11-1910.1016/j.isci.2025.113935
9WXM (No Gprot) AOrphanOrphanGPR15Homo sapiensGPR15L(CT)-3.32025-11-1910.1016/j.isci.2025.113935
9W6WAAmine5-Hydroxytryptamine5-HT5AHomo sapiens5-CT-Gi1/β1/γ23.132025-11-2610.1186/s43556-025-00359-3
9W6W (No Gprot) AAmine5-Hydroxytryptamine5-HT5AHomo sapiens5-CT-3.132025-11-2610.1186/s43556-025-00359-3




You can download a compressed (zip) file with structure(s), 3D outputs (as PyMol and VMD scripts) and numerical data files (as csv and plain text files).

Download 9BLB.zip



You can click to copy the link of this page to easily come back here later

or use this QR code to link and share this page.



You can also  read or  download a guide explaining the meaning of all files and numerical data.