Color ConSurf Grade
      No Conservation data available
      1
      2
      3
      4
      5
      6
      7
      8
      9

Index: hub id, click on each number to highlight the corresponding hub in the 3D visualization.

Hub: the hub being considered.

Avg Int. Strength: the average interaction strength of all the links of the corresponding hub.

Num Of Links: the number of links of the corresponding hub.

Community: the id of the community the link belong to, otherwise 0.

ConSurf: this column reports the ConSurf conservation grades of each hub.

Index Hub Avg Int. Strength Num Of Links Community ConSurf
1L:L:I12 7.0275420
2R:R:T67 6.685426
3R:R:Y70 5.3925827
4R:R:N81 6.22509
5R:R:T84 3.3125409
6R:R:R90 7.238525
7R:R:T100 6.835427
8R:R:H102 10.425428
9R:R:Y103 8.556525
10R:R:H104 3.93286728
11R:R:L105 8.8125428
12R:R:L108 5.51333629
13R:R:S111 3.37428
14R:R:E123 6.21826
15R:R:L124 6.065426
16R:R:F127 7.92167624
17R:R:I128 7.14167624
18R:R:W129 11.4775425
19R:R:W134 10.02828
20R:R:R142 3.775407
21R:R:Y144 9.372526
22R:R:D149 6.9125425
23R:R:T152 3.815427
24R:R:Y153 9.46527
25R:R:T155 3.6325429
26R:R:L162 5.36429
27R:R:S163 3.2375429
28R:R:E165 5.736528
29R:R:R166 9.43833629
30R:R:Y167 7.875408
31R:R:I189 3.8325427
32R:R:W193 3.87833629
33R:R:T206 3.145405
34R:R:M207 4.038526
35R:R:D215 6.12402
36R:R:P226 6.02405
37R:R:I237 9.71426
38R:R:N240 4.3925426
39R:R:F245 8.865428
40R:R:P248 3.2075409
41R:R:M249 5.56754106
42R:R:I252 5.12428
43R:R:L255 5.436507
44R:R:N256 8.4825429
45R:R:I259 3.815409
46R:R:R299 8.176525
47R:R:F312 8.0025409
48R:R:W316 10.828528
49R:R:Y319 10.005426
50R:R:H320 5.89167627
51R:R:R322 7.284525
52R:R:R323 4.4325426
53R:R:L324 6.2825426
54R:R:F326 9.82333624
55R:R:C327 5.6425423
56R:R:Y328 8.325425
57R:R:W334 7.725424
58R:R:Y339 8.072562
59R:R:F345 4.28404
60R:R:Y346 8.765624
61R:R:M347 6.646523
62R:R:N350 5.29333626
63R:R:F353 11.835427
64R:R:Y354 8.645427
65R:R:N360 3.125429
66R:R:Y364 6.69529
67R:R:N365 5.66427
68R:R:V367 6.8425427
69R:R:F371 5.295628
70R:R:F375 6.192527
71R:R:I376 2.995424
72R:R:?407 7.35667617
73R:R:?410 10.5386716
74V:V:R7 12.115414
75V:V:K10 7.545419
76V:V:N15 4.036538
77V:V:L18 3.658536
78V:V:V20 3.018516
79V:V:Y21 5.77875818
80V:V:R25 7.74419
81V:V:F27 8.8825418
82V:V:V28 4.86418
83V:V:D35 4.616516
84V:V:V37 5.494518
85V:V:D38 12.2575417
86V:V:G39 4.045418
87V:V:V40 3.615418
88V:V:V43 4.425436
89V:V:Y47 5.98535
90V:V:L48 3.9725434
91V:V:R51 3.4625436
92V:V:R52 5.2475436
93V:V:V53 3.682537
94V:V:Y54 9.315434
95V:V:V55 6.6675418
96V:V:T56 4.34437
97V:V:L57 5.1125417
98V:V:T58 3.485437
99V:V:C59 5.9825418
100V:V:F61 5.65625819
101V:V:Y63 8.36571719
102V:V:G64 3.6825419
103V:V:R65 12.87407
104V:V:D69 11.242529
105V:V:L79 5.304518
106V:V:F80 5.035414
107V:V:Q85 6.985439
108V:V:F87 6.79333634
109V:V:P88 7.975439
110V:V:Q101 8.34833619
111V:V:L104 4.19833619
112V:V:L108 6.744518
113V:V:F115 6.208519
114V:V:F117 5.56833618
115V:V:I119 3.96667615
116V:V:P120 4.735417
117V:V:L123 3.55833616
118V:V:P124 4.976519
119V:V:V127 3.1875418
120V:V:L129 3.196518
121V:V:Q130 4.026519
122V:V:C140 2.775419
123V:V:G141 2.11419
124V:V:V142 3.43333619
125V:V:Y144 5.01286717
126V:V:K147 7.2475437
127V:V:F149 4.18667635
128V:V:C150 4.09535
129V:V:N162 4.88538
130V:V:L166 5.156518
131V:V:R169 9.715419
132V:V:K170 8.5625419
133V:V:Y173 6.45333614
134V:V:P175 2.62549
135V:V:R177 2.982543
136V:V:F190 5.71833689
137V:V:H198 5.78254126
138V:V:L199 5.8406
139V:V:L203 6.222518
140V:V:E206 5.6425447
141V:V:Y208 11.955416
142V:V:H210 10.3725419
143V:V:V216 3.49417
144V:V:V218 3.6925417
145V:V:K226 5.43488
146V:V:K232 8.08754136
147V:V:I233 3.8975405
148V:V:V235 3.146518
149V:V:R236 8.58575
150V:V:Q237 8.1025419
151V:V:Y238 7.43674
152V:V:I241 5.92418
153V:V:Y249 7.626517
154V:V:C251 4.5475406
155V:V:V253 3.6125419
156V:V:P264 3.41405
157V:V:F268 7.48833615
158V:V:Y272 8.10714714
159V:V:L274 4.26415
160V:V:P276 3.856519
161V:V:L287 4.136517
162V:V:A288 2.435419
163V:V:L289 4.4575419
164V:V:D290 4.232519
165V:V:K292 8.3525416
166V:V:L293 6.2275418
167V:V:E296 4.26417
168V:V:L305 3.2375445
169V:V:R307 11.14114
170V:V:G316 3.0325418
171V:V:I317 3.72714718
172V:V:V319 3.75333618
173V:V:Y321 7.655619
174V:V:V323 3.6925417
175V:V:K324 5.9075476
176V:V:V325 4.745418
177V:V:L327 5.74507
178V:V:L335 4.0575404
179V:V:V343 4.0325407
180V:V:V345 4.325407
181V:V:E346 7.8425478
182V:V:L347 3.7375416
183V:V:F349 4.10429717
184V:V:T350 4.8375444
185V:V:M352 2.685448
186V:V:H353 6.934518
187W:W:?1 9.289411720
   

Color ConSurf Grade
      No Conservation data available
      1
      2
      3
      4
      5
      6
      7
      8
      9

Index: link id, click on each number to highlight the corresponding link in the 3D visualization.

Node1 Node2: the two nodes of the corresponding link.

Recurrence: the relative Recurrence in the pool of shortest paths.

Int. Strength: the interaction strength between the two nodes.

Hub1?, Hub2?: "Yes" if the corresponding node has more than 3 links, otherwise "No".

Community: the id of the community the link belong to, otherwise 0.

ConSurf1, ConSurf2: these columns report the ConSurf conservation grades of the two nodes involved in a link.

Index Node1 Node2 Recurrence Int. Strength Hub1? Hub2? Community ConSurf1 ConSurf2
1R:R:F127 R:R:Y346 17.22273.09YesYes244
2R:R:F127 R:R:W134 17.995213.03YesYes248
3R:R:N350 R:R:Y346 21.302410.47YesYes264
4R:R:V159 W:W:?1 43.76883.05NoYes080
5R:R:H320 R:R:W316 42.76224.23YesYes278
6R:R:F312 R:R:W316 77.071419.04YesYes098
7R:R:F312 R:R:V159 39.04352.62YesNo098
8R:R:N350 R:R:Y319 65.43862.33YesYes266
9R:R:H320 R:R:Y319 33.862110.89YesYes276
10R:R:F353 R:R:Y319 33.821817.54YesYes276
11R:R:F353 R:R:W316 33.859421.05YesYes278
12R:R:S163 W:W:?1 19.7762.05YesYes290
13R:R:L255 R:R:S163 32.96193YesYes079
14R:R:L255 R:R:Y167 58.98615.24YesYes078
15R:R:C171 R:R:Y167 1005.38NoYes078
16R:R:C171 R:R:H172 99.97362.95NoNo076
17R:R:H172 R:R:P173 99.86671.53NoNo068
18R:R:P173 V:V:R65 99.85328.65NoYes087
19V:V:L73 V:V:R65 99.74453.64NoYes087
20V:V:G64 V:V:L73 99.70321.71YesNo098
21V:V:G64 V:V:Y63 99.43554.35YesYes199
22R:R:F312 R:R:P248 38.75072.89YesYes099
23R:R:A160 R:R:P248 25.94661.87NoYes089
24R:R:A160 R:R:S163 13.011.71NoYes089
25R:R:A160 R:R:V251 13.00261.7NoNo086
26R:R:L255 R:R:V251 26.01892.98YesNo076
27R:R:F247 R:R:P248 12.97844.33NoYes069
28R:R:F247 R:R:V251 13.0025.24NoNo066
29R:R:L170 W:W:?1 19.78464.73NoYes290
30R:R:I259 R:R:L170 20.94454.28YesNo099
31R:R:I259 R:R:Y167 41.04292.42YesYes098
32R:R:L305 W:W:?1 19.79417.57NoYes080
33R:R:I259 R:R:L305 20.02194.28YesNo098
34V:V:L129 V:V:Y63 18.7823.52YesYes189
35R:R:E123 R:R:Y144 13.12412.24YesYes266
36R:R:E209 R:R:W134 12.38462.18NoYes058
37R:R:E209 R:R:L222 11.25897.95NoNo054
38R:R:G221 R:R:L222 10.13311.71NoNo024
39V:V:F61 V:V:Y63 52.20953.09YesYes199
40V:V:F61 V:V:V142 32.21272.62YesYes199
41V:V:V142 V:V:Y144 32.07642.52YesYes197
42V:V:I119 V:V:Y144 17.70432.42YesYes157
43V:V:F117 V:V:V37 17.30683.93YesYes188
44V:V:F115 V:V:F117 14.23555.36YesYes198
45V:V:I168 V:V:Y144 10.45752.42NoYes187
46V:V:F115 V:V:V20 11.22792.62YesYes196
47V:V:V164 V:V:V20 11.27314.81NoYes086
48V:V:F117 V:V:V55 11.52283.93YesYes188
49V:V:S86 V:V:V55 11.22513.23NoYes068
50V:V:S86 V:V:V41 11.05984.85NoNo065
51V:V:L18 V:V:V41 10.91392.98YesNo065
52V:V:L18 V:V:V164 11.98562.98YesNo068
53V:V:L18 V:V:V53 16.58762.98YesYes367
54V:V:F87 V:V:V53 14.87582.62YesYes347
55V:V:F87 V:V:P88 13.743211.56YesYes349
56V:V:I241 V:V:Y63 18.693413.3YesYes189
57V:V:F61 V:V:I317 18.69356.28YesYes198
58V:V:I317 V:V:L129 18.7344.28YesYes188
59V:V:I241 V:V:I317 18.73852.94YesYes188
60V:V:I317 V:V:V127 56.1556.14YesYes188
61V:V:V127 V:V:V319 55.5993.21YesYes188
62V:V:V319 V:V:Y321 54.68225.05YesYes189
63V:V:F349 V:V:Y321 52.99496.19YesYes179
64V:V:F349 V:V:L203 21.60013.65YesYes178
65V:V:F349 V:V:V323 21.04392.62YesYes177
66V:V:A184 V:V:L347 13.67343.15NoYes056
67V:V:A184 V:V:V345 13.39593.39NoYes057
68V:V:L203 V:V:V216 13.93554.47YesYes187
69V:V:V216 V:V:V218 13.93783.21YesYes177
70V:V:L199 V:V:V325 22.52034.47YesYes068
71V:V:L199 V:V:V343 18.89712.98YesYes067
72V:V:V216 V:V:V323 13.93383.21YesYes177
73V:V:I233 V:V:V216 13.65523.07YesYes057
74V:V:I233 V:V:V325 15.10554.61YesYes058
75V:V:L274 V:V:V235 16.34492.98YesYes158
76V:V:I233 V:V:L274 11.51964.28YesYes055
77V:V:R188 V:V:V343 11.90923.92NoYes087
78V:V:I231 V:V:Y272 11.07643.63NoYes164
79V:V:I231 V:V:L327 10.0715.71NoYes067
80V:V:L197 V:V:L327 16.45592.77NoYes077
81V:V:L197 V:V:N222 23.65866.87NoNo079
82V:V:L199 V:V:L327 10.49928.3YesYes067
83V:V:L197 V:V:V343 10.5854.47NoYes077
84V:V:N222 V:V:P264 16.89923.26NoYes095
85R:R:E123 R:R:F127 17.25683.5YesYes264
86R:R:E123 R:R:N350 34.42246.57YesYes266
Download PSN data

2D representation of the global metapath, ligand(s) interactions and
histograms of path distribution according to several parameters
(click on the image to enlarge it 🔍):

A 2D representation of the global communication in the network.

ConSurf Conservation Grade (See documentation): 

 n/a   1    2    3    4    5    6    7    8    9  

Number of shortest communication paths as a function of the average residue correlation.

Number of shortest communication paths as a function of the average interaction strength of their links.

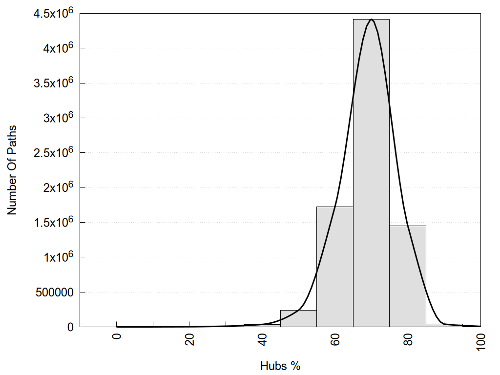
Number of shortest communication paths as a function of the % of hub nodes in each path.

Number of shortest communication paths as a function of the number of nodes in each path.

Number of shortest communication paths as a function of the % of correlated nodes in each path.


2D representation of the interactions of this orthosteric/allosteric ligand.


Links and nodes colored according to ConSurf Conservation Grade (See documentation): 

 n/a   1    2    3    4    5    6    7    8    9  

Node1 Node2 LinkStrength Comm IsNode1Hub? IsNode2Hub? Node1Cons Node2Cons Node1Shell Node2Shell
L:L:R8 R:R:F326 14.97 2 No Yes 0 4 0 1
L:L:R8 R:R:W334 17.99 2 No Yes 0 4 0 1
L:L:R9 R:R:V56 3.92 6 No No 0 2 0 1
L:L:R9 R:R:Y339 19.55 6 No Yes 0 2 0 1
L:L:P10 R:R:F326 28.9 2 No Yes 0 4 0 1
L:L:Y11 R:R:H131 6.53 0 No No 0 3 0 1
L:L:Y11 R:R:V223 2.52 0 No No 0 4 0 1
L:L:Y11 R:R:T225 2.5 0 No No 0 4 0 1
L:L:I12 R:R:P226 13.55 2 Yes Yes 0 5 0 1
L:L:I12 R:R:R323 5.01 2 Yes Yes 0 6 0 1
L:L:I12 R:R:F326 6.28 2 Yes Yes 0 4 0 1
L:L:I12 R:R:C327 3.27 2 Yes Yes 0 3 0 1
L:L:L13 R:R:R322 20.65 2 No Yes 0 5 0 1
L:L:L13 R:R:Y346 16.41 2 No Yes 0 4 0 1
R:R:H131 R:R:V56 2.77 0 No No 3 2 1 1
R:R:V56 R:R:Y339 6.31 6 No Yes 2 2 1 1
R:R:N57 R:R:Y339 3.49 0 No Yes 2 2 2 1
R:R:E123 R:R:F127 3.5 2 Yes Yes 6 4 2 2
R:R:E123 R:R:Y346 12.35 2 Yes Yes 6 4 2 1
R:R:E123 R:R:M347 2.71 2 Yes Yes 6 3 2 2
R:R:E123 R:R:N350 6.57 2 Yes Yes 6 6 2 2
R:R:F127 R:R:H131 12.44 2 Yes No 4 3 2 1
R:R:F127 R:R:W134 13.03 2 Yes Yes 4 8 2 2
R:R:F127 R:R:Y346 3.09 2 Yes Yes 4 4 2 1
R:R:V223 R:R:W134 7.36 0 No Yes 4 8 1 2
R:R:P226 R:R:T206 1.75 0 Yes Yes 5 5 1 2
R:R:Q210 R:R:T225 2.83 0 No No 1 4 2 1
R:R:P226 R:R:T225 5.25 0 Yes No 5 4 1 1
R:R:P226 R:R:V233 3.53 0 Yes No 5 5 1 2
R:R:C327 R:R:V233 3.42 2 Yes No 3 5 1 2
R:R:I237 R:R:R323 7.52 2 Yes Yes 6 6 2 1
R:R:C327 R:R:I237 13.09 2 Yes Yes 3 6 1 2
R:R:N240 R:R:R323 2.41 2 Yes Yes 6 6 2 1
R:R:F326 R:R:R322 4.28 2 Yes Yes 4 5 1 1
R:R:R322 R:R:Y342 4.12 2 Yes No 5 4 1 2
R:R:F345 R:R:R322 4.28 0 Yes Yes 4 5 2 1
R:R:R322 R:R:Y346 3.09 2 Yes Yes 5 4 1 1
R:R:C327 R:R:R323 2.79 2 Yes Yes 3 6 1 1
R:R:F326 R:R:I329 2.51 2 Yes No 4 3 1 2
R:R:F326 R:R:W334 2 2 Yes Yes 4 4 1 1
R:R:I329 R:R:W334 7.05 2 No Yes 3 4 2 1
R:R:W334 R:R:Y342 3.86 2 Yes No 4 4 1 2
R:R:D340 R:R:Y339 2.3 6 No Yes 1 2 2 1
R:R:H343 R:R:Y339 8.71 0 No Yes 4 2 2 1
R:R:M347 R:R:Y346 7.18 2 Yes Yes 3 4 2 1
R:R:N350 R:R:Y346 10.47 2 Yes Yes 6 4 2 1

Location and physicochemical properties of the interaction partners of this ligand

Interactions of this ligand

Similarities between the interactions of this ligand and those of other networks

ShowSimilarityNetwork TypeNameLigandDescription
68.75Single8FN0Neurotensin-(8-13)8FN0-NTS1-Neurotensin-(8-13)-SBI-553-chim(NtGi1-Go)/β1/γ2
61.11Single7L0RNeurotensin-(8-13)7L0R-NTS1-Neurotensin-(8-13)-Gi1/β1/γ1
58.82Single4BUONeurotensin-(8-13)4BUO-NTS1-Neurotensin-(8-13)
58.82Single6UP7Neurotensin-(8-13)6UP7-NTS1-Neurotensin-(8-13)-Arrestin2
56.25Single3ZEVNeurotensin-(7-13)3ZEV-NTS1-Neurotensin-(7-13)
56.25Single4BV0Neurotensin-(7-13)4BV0-NTS1-Neurotensin-(7-13)
56.25Single8FN1Neurotensin-(8-13)8FN1-NTS1-Neurotensin-(8-13)-chim(NtGi1-Go)/β1/γ2
55.56Single6OS9JMV4496OS9-NTS1-JMV449-Gi1/β1/γ2
53.33Single6Z4VNeurotensin-(9-13)6Z4V-NTS1-Neurotensin-(9-13)
52.94Single4XEENeurotensin-(8-13)4XEE-NTS1-Neurotensin-(8-13)
52.94Single4XESNeurotensin-(8-13)4XES-NTS1-Neurotensin-(8-13)
52.94Single6OSAJMV4496OSA-NTS1-JMV449-Gi1/β1/γ2
52.94Single7L0SNeurotensin-(8-13)7L0S-NTS1-Neurotensin-(8-13)-Gi1/β1/γ1
52.94Single8JPCNeurotensin-(8-13)8JPC-NTS1-Neurotensin-(8-13)-SBI-553; GDP; Mg-Gq; GRK2
52.94Consensusgi_neurotensinOrthosteric Ligand6OSA-NTS1-JMV449-Gi1/β1/γ2 7L0S-NTS1-Neurotensin-(8-13)-Gi1/β1/γ1
52.94Consensusneurotensin_on_gpOrthosteric Ligandnts1_on_gp
52.94Consensusnts1_on_gpOrthosteric Ligand6OSA-NTS1-JMV449-Gi1/β1/γ2 7L0S-NTS1-Neurotensin-(8-13)-Gi1/β1/γ1
47.62Single8K6NNeuropeptide-Y8K6N-Y2-Neuropeptide-Y-Gi2/β1/γ1
47.37Single8XQJJN2418XQJ-Apelin; Apelin-JN241
47.06Single7L0PNeurotensin-(8-13)7L0P-NTS1-Neurotensin-(8-13)-Gi1/β1/γ1
47.06Single7L0QNeurotensin-(8-13)7L0Q-NTS1-Neurotensin-(8-13)-Gi1/β1/γ1
47.06Single8FMZNeurotensin-(8-13)8FMZ-NTS1-Neurotensin-(8-13)-chim(NtGi2L-Gs-CtGq)/β1/γ2
47.06Consensusneurotensin_onOrthosteric Ligandnts1_on
47.06Consensusnts1_onOrthosteric Ligand6OSA-NTS1-JMV449-Gi1/β1/γ2 7L0S-NTS1-Neurotensin-(8-13)-Gi1/β1/γ1
46.67Single7UTZDPPC7UTZ-TSH-TSH-DPPC-Gs/β1/γ2
44.44Single4GRVNeurotensin-(8-13)4GRV-NTS1-Neurotensin-(8-13)
44.44Single6YVRNeurotensin-(6-13)6YVR-NTS1-Neurotensin-(6-13)
44.44Single7XW5ML1097XW5-TSH-TSH-ML109-Gs/β1/γ2
44.44Single7Y66BM2137Y66-C5a1-BM213-Gi1/β1/γ2
44.44Single8JPBNeurotensin-(8-13)8JPB-NTS1-Neurotensin-(8-13)-SBI-553; GDP; Mg-Gq; GRK2
44.44Single8XQJJN2418XQJ-Apelin; Apelin-JN241
44.44Single9ECJS-geranylgeranyl-L-glutathione9ECJ-P2Y8-S-geranylgeranyl-L-glutathione-G13/β1/γ2
44.44Single9L3WChemerin9L3W-CML1-Chemerin-Gi1/β1/γ2
43.75Single7FIHOrg435537FIH-LH-hCG-Org43553-chim(NtGi1-Gs)/β1/γ2
43.75Single8ZYYNeurotensin-(8-13)8ZYY-NTS1-Neurotensin-(8-13)-SBI-553-Arrestin2
43.48Single8HCQEndothelin-18HCQ-ETA-Endothelin-1-chim(NtGi1-Gs-CtGq)/β1/γ2
43.48Consensuseta_onOrthosteric Ligand8HCQ-ETA-Endothelin-1-chim(NtGi1-Gs-CtGq)/β1/γ2
43.48Consensuseta_on_gpOrthosteric Ligand8HCQ-ETA-Endothelin-1-chim(NtGi1-Gs-CtGq)/β1/γ2
42.86Single7XMSSomatostatin-147XMS-SST4-Somatostatin-14-Gi1/β1/γ2
42.86Single8IBVMotilin8IBV-Motilin-Motilin-chim(NtGi1-Gs-CtGq)/β1/γ2
42.86Single8JZZC5a-des-Arg8JZZ-C5a1-C5a-des-Arg-Go/β1/γ2
42.86Single9E7RGB889E7R-PAR2-GB88-chim(NtGi1L-Gs-CtGq)/β1/γ2
42.86Consensuscompl-peptide_onOrthosteric Ligandc5a1_on c3a_on
42.11Single8JPFNeurotensin-(8-13)8JPF-NTS1-Neurotensin-(8-13)-SBI-553
41.67Consensusgi_compl-peptOrthosteric Ligand8HK5-C5a1-C5a-Gi1/β1/γ2 8IA8-C3aB-E7 peptide-Gi1/β1/γ2 7Y66-C5a1-BM213-Gi1/β1/γ2 7Y67-C5a1-C089 peptide-Gi1/β1/γ2 8HK2-C3aB-C3a-Gi1/β1/γ2 7Y64-C5a1-C5a-Gi1/β1/γ2
41.18Single9KO4CCL219KO4-CCR7-CCL21-Gi1/β1/γ2
40.91Single9K27PrRP319K27-PrRP-PrRP31-chim(NtGi1-Gq)/β1/γ2
40.91Single9MEUCXCL129MEU-CXCR4-CXCL12
40.91Consensuscompl-peptide_on_gpOrthosteric Ligandc5a1_on_gp c3a_on_gp
40.00Single4BWBNeurotensin-(8-12)4BWB-NTS1-Neurotensin-(8-12)
40.00Single5OLOTozadenant5OLO-A2A-Tozadenant-Na
40.00Single6LFOCXCL86LFO-CXCR2-CXCL8-Gi1/β1/γ2
40.00Single8H8JLodoxamide8H8J-GPR35-Lodoxamide-Ca-chim(NtGi1L-G13)/β1/γ2
40.00Single8Z74JN241-98Z74-Apelin; Apelin-JN241-9
40.00Consensuscxcr1_onOrthosteric Ligand8IC0-CXCR1-CXCL8-Gi1/β1/γ2
40.00Consensusgq_cckOrthosteric Ligand8IA7-CCKB-Cholecystokinin-8-chim(NtGi1L-Gq)/β1/γ2 7XOW-CCKB-Sulfated Gastrin-(10-17)-chim(NtGi1-Gq)/β1/γ2 7EZM-CCKA-Cholecystokinin-8-chim(NtGsL-Gq)/β1/γ2 7F8W-CCKB-Gastrin-17-chim(NtGsL-Gq)/β1/γ2
40.00Consensuspeptide_onOrthosteric Ligandcck_on angiotensin_on apelin_on bombesin_on bradykinin_on compl-peptide_on endothelin_on formylpeptide_on galanin_on ghrelin_on kisspeptin_on melanocortin_on motilin_on neuromedin-u_on npy_on neurotensin_on opioid_on orexin_on relaxin_on somatostatin_on tachykinin_on trh_on vasop-oxy_on
40.00Consensuspeptide_on_gpOrthosteric Ligandcck_on_gp angiotensin_on_gp apelin_on_gp bombesin_on_gp bradykinin_on_gp compl-peptide_on_gp endothelin_on_gp formylpeptide_on_gp galanin_on_gp ghrelin_on_gp kisspeptin_on_gp melanocortin_on_gp motilin_on_gp neuromedin-u_on_gp npy_on_gp neurotensin_on_gp opioid_on_gp orexin_on_gp relaxin_on_gp somatostatin_on_gp tachykinin_on_gp trh_on_gp vasop-oxy_on_gp
39.13Single8XZJWN3538XZJ-Apelin; Apelin-WN353-Gi1/β1/γ2
38.89Single6OS1TRV0266OS1-AT1-TRV026
38.89Single6Z8NSRI-98296Z8N-NTS1-SRI-9829
38.89Single7SK7CXCL127SK7-ACKR3-CXCL12-CCX662
38.89Single7T9NDPPC7T9N-TSH-M22 Fab-DPPC-Gs/β1/γ2
38.89Single7Y67C089 peptide7Y67-C5a1-C089 peptide-Gi1/β1/γ2
38.89Single8I2GPubChem 675302408I2G-FSH-FSH-PubChem 67530240-Gs/β1/γ2
38.89Single8XX7CXCL58XX7-CXCR2-CXCL5-Go/β1/γ2
38.89Single9L16CCL219L16-CCR7-CCL21
38.89Consensusnpy1_offOrthosteric Ligand5ZBH-Y1-BMS-193885 5ZBQ-Y1-UR-MK-299
38.10Single7W0PElabela7W0P-Apelin-Elabela-Gi1/β1/γ2
38.10Single9KWGC5a9KWG-C5a1-C5a-Go/β1/γ2
38.10Single9L3YChemerin9L3Y-CML2-Chemerin-Gi1/β1/γ2
38.10Single9UMRC5a-pep9UMR-C5a1-C5a-pep-Go/β1/γ2
38.10Consensusnk3_onOrthosteric Ligand8JBF-NK3-Senktide-chim(NtGi1-Gs-CtGq)/β1/γ2
38.10Consensusnk3_on_gpOrthosteric Ligand8JBF-NK3-Senktide-chim(NtGi1-Gs-CtGq)/β1/γ2
37.93Single7X9ANeuropeptide-Y7X9A-Y1-Neuropeptide-Y-Gi1/β1/γ2
37.50Single6U1NLY21196206U1N-M2-LY2119620-Arrestin2
37.50Single7F6IKallidin7F6I-BK2-Kallidin-Gq/β1/γ2
37.50Single7X9BNeuropeptide-Y7X9B-Y2-Neuropeptide-Y-Gi1/β1/γ2
37.50Single7Y64C5a7Y64-C5a1-C5a-Gi1/β1/γ2
37.50Single8HK5C5a8HK5-C5a1-C5a-Gi1/β1/γ2
37.50Single8ZPSPrRP208ZPS-PrRP-PrRP20-chim(NtGi1-Gs-CtGi1)/β1/γ2
37.50Single9K0KUTP9K0K-P2Y4-UTP-chim(NtGi1-Gs-CtGq)/β1/γ2
37.50Single9K0XATP9K0X-P2Y2-ATP-chim(NtGi1-Gs-CtGq)/β1/γ2
37.50Single9K20ATP9K20-P2Y2-ATP-chim(NtGi1-Go)/β1/γ2
37.50Consensuscxcr2_onOrthosteric Ligand6LFM-CXCR2-CXCL8-Gi1/β1/γ2
37.50Consensusgrh_offOrthosteric Ligandgnrh1_off
37.50Consensusnucleotide_offOrthosteric Ligandadenosine_off p2y_off
37.04Single5GLHEndothelin-15GLH-ETB-Endothelin-1
37.04Consensusgi_npyOrthosteric Ligand8K6M-Y1-Neuropeptide-Y-Gi2/β1/γ1 7X9C-Y4-Pancreatic Hormone-Gi1/β1/γ2 7YOO-Y2-Neuropeptide-Y-Gi1/β1/γ2
37.04Consensusnpy_onOrthosteric Ligandnpy1_on npy2_on npy4_on
37.04Consensusnpy_on_gpOrthosteric Ligandnpy1_on_gp npy2_on_gp npy4_on_gp
36.84Single3VW7Vorapaxar; Na3VW7-PAR1-Vorapaxar; Na
36.84Single6OS0Angiotensin II6OS0-AT1-Angiotensin II
36.84Single6OS2TRV0266OS2-AT1-TRV026
36.84Single7L1UOrexin7L1U-OX2-Orexin-chim(NtGi1-Gs-CtGq)/β1/γ2
36.84Single7XW6ML1097XW6-TSH-M22 Fab-ML109-Gs/β1/γ2
36.84Single8XWACXCL18XWA-CXCR2-CXCL1
36.84Single8XWMCXCL68XWM-CXCR2-CXCL6
36.84Single8XWSCXCL58XWS-CXCR2-CXCL5
36.36Single7F1QCCL37F1Q-CCR5-CCL3-Gi1/β1/γ2
36.36Single8WSSMCH8WSS-MCH1-MCH-Gi1/β1/γ1
36.36Single8Z7JJN241-98Z7J-Apelin-JN241-9-Gi1/β1/γ2
36.36Single9KV6TLQP219KV6-C3aB-TLQP21-Go/β1/γ2
36.36Single9ME1CXCL129ME1-CXCR4-CXCL12
36.36Single9UMXEP549UMX-C5a1-EP54-Go/β1/γ2
36.00Consensusccr5_onOrthosteric Ligand7O7F-CCR5-6P4-CCL5-Gi1/β1/γ1 7F1Q-CCR5-CCL3-Gi1/β1/γ2
36.00Consensusgi_peptideOrthosteric Ligandgi_cck gi_apelin gi_compl-pept gi_endothelin gi_formylpeptide gi_galanin gi_ghrelin gi_npy gi_neurotensin gi_opioid gi_orexin gi_relaxin gi_somatostatin
35.71Single4XNWMRS25004XNW-P2Y1-MRS2500
35.71Single6PWCNeurotensin-(9-13)6PWC-NTS1-Neurotensin-(9-13)-Arrestin2
35.71Single7V6APubChem 98642757V6A-M4-PubChem 9864275-Gi1/β1/γ2
35.71Consensusp2y1_offOrthosteric Ligand4XNW-P2Y1-MRS2500
35.29Single5T04Neurotensin-(8-13)5T04-NTS1-Neurotensin-(8-13)
35.29Single7SK8CXCL127SK8-ACKR3-CXCL12-CCX662
35.29Single8IC0CXCL88IC0-CXCR1-CXCL8-Gi1/β1/γ2
35.29Single9METGp120; CD49MET-CXCR4-Gp120; CD4
35.29Consensuscxcr1_on_gpOrthosteric Ligand8IC0-CXCR1-CXCL8-Gi1/β1/γ2
35.29Consensusnucleotide_offonOrthosteric Ligandnucleotide_off nucleotide_on
35.29Consensusnucleotide_offon_gpOrthosteric Ligandnucleotide_on_gp nucleotide_off
35.00Single7EZCUK-4320977EZC-A2A-UK-432097
35.00Single7EZHCholecystokinin-87EZH-CCKA-Cholecystokinin-8-Gi1/β1/γ2
35.00Single7EZMCholecystokinin-87EZM-CCKA-Cholecystokinin-8-chim(NtGsL-Gq)/β1/γ2
35.00Single7Y65C5a (C-terminal peptide)7Y65-C5a1-C5a (C-terminal peptide)-Gi1/β1/γ2
35.00Single8K4OCXCL18K4O-KSHV-CXCL1-Gi1/β1/γ1
35.00Single8XVUCXCL28XVU-CXCR2-CXCL2
35.00Single8XWFCXCL38XWF-CXCR2-CXCL3
35.00Single8XWVCXCL18XWV-CXCR2-CXCL1-Go/β1/γ2
35.00Single8XXHCXCL28XXH-CXCR2-CXCL2-Go/β1/γ2
35.00Single9KUGEP679KUG-C5a1-EP67-Go/β1/γ2
35.00Consensusc3a_on_gpOrthosteric Ligand8HK2-C3aB-C3a-Gi1/β1/γ2 8IA8-C3aB-E7 peptide-Gi1/β1/γ2
35.00Consensuscck_onOrthosteric Ligandccka_on cckb_on
35.00Consensuscck_on_gpOrthosteric Ligandccka_on_gp cckb_on_gp
35.00Consensusccka_onOrthosteric Ligand7EZH-CCKA-Cholecystokinin-8-Gi1/β1/γ2
35.00Consensusccka_on_gpOrthosteric Ligand7EZH-CCKA-Cholecystokinin-8-Gi1/β1/γ2
34.78Single7W55Neuromedin-U-257W55-NMUR2-Neuromedin-U-25-chim(NtGi1-Gs-CtGq)/β1/γ2
34.78Single9U4WGonadoliberin-19U4W-GnRH1-Gonadoliberin-1-chim(NtGi1L-Gs-CtGq)/β1/γ2
34.78Consensusc5a1_onOrthosteric Ligand8HK5-C5a1-C5a-Gi1/β1/γ2 7Y66-C5a1-BM213-Gi1/β1/γ2 7Y67-C5a1-C089 peptide-Gi1/β1/γ2 7Y64-C5a1-C5a-Gi1/β1/γ2
34.78Consensusnmur2_onOrthosteric Ligand7W55-NMUR2-Neuromedin-U-25-chim(NtGi1-Gs-CtGq)/β1/γ2
34.78Consensusnmur2_on_gpOrthosteric Ligand7W55-NMUR2-Neuromedin-U-25-chim(NtGi1-Gs-CtGq)/β1/γ2
34.62Single7YOONeuropeptide-Y7YOO-Y2-Neuropeptide-Y-Gi1/β1/γ2
34.62Single9K26PrRP319K26-PrRP-PrRP31-Gi1/β1/γ2
34.62Consensusgq_peptideOrthosteric Ligandgq_cck gq_kisspeptin gq_bradykinin gq_bombesin gq_angiotensin
34.62Consensusnpy2_onOrthosteric Ligand7YOO-Y2-Neuropeptide-Y-Gi1/β1/γ2
34.62Consensusnpy2_on_gpOrthosteric Ligand7YOO-Y2-Neuropeptide-Y-Gi1/β1/γ2
34.48Single6LRYSarafotoxin-B6LRY-ETB-Sarafotoxin-B
33.33Single4O9RCyclopamine4O9R-SMO-Cyclopamine
33.33Single5N2RPSB365N2R-A2A-PSB36-Na
33.33Single5N2SPSB365N2S-A1-PSB36
33.33Single5WF6UK-4320975WF6-A2A-UK-432097
33.33Single5ZBQUR-MK-2995ZBQ-Y1-UR-MK-299
33.33Single6C1QPMX536C1Q-C5a1-PMX53-NDT9513727
33.33Single6KNMJN241-96KNM-Apelin-JN241-9
33.33Single6LFMCXCL86LFM-CXCR2-CXCL8-Gi1/β1/γ2
33.33Single7F2OBradykinin7F2O-BK2-Bradykinin-chim(NtGi1-Gs-CtGq)/β1/γ2
33.33Single7F8WGastrin-177F8W-CCKB-Gastrin-17-chim(NtGsL-Gq)/β1/γ2
33.33Single7T10Somatostatin-147T10-SST2-Somatostatin-14-Gi3/β1/γ2
33.33Single7UL2SR486927UL2-NTS1-SR48692-Na
33.33Single7VDHC48/807VDH-MRGPRX2-C48/80-Gi1/β1/γ2
33.33Single7VGXNeuropeptide-Y7VGX-Y1-Neuropeptide-Y-Gi1/β1/γ2
33.33Single7XN9L-0545227XN9-SST2-L-054522
33.33Single7Y26Octreotide7Y26-SST2-Octreotide-chim(NtGi2L-Gs-CtGq)/β1/γ2
33.33Single7YAEOctreotide7YAE-SST2-Octreotide-Gi1/β1/γ2
33.33Single8GNEKW-63568GNE-A2A-KW-6356-Na
33.33Single8IA7Cholecystokinin-88IA7-CCKB-Cholecystokinin-8-chim(NtGi1L-Gq)/β1/γ2
33.33Single8IY5Endothelin-18IY5-ETB-Endothelin-1-Gi1/β1/γ2
33.33Single8IY6Endothelin-18IY6-ETB-Endothelin-1
33.33Single8JBFSenktide8JBF-NK3-Senktide-chim(NtGi1-Gs-CtGq)/β1/γ2
33.33Single8QJ2pN1628QJ2-MC4-pN162-Gs/β1/γ2
33.33Single8QOTNanobody-E8QOT-μ-Nanobody-E
33.33Single8TH4AT118-L Nanobody8TH4-AT1-Losartan-AT118-L Nanobody
33.33Single8XX6CXCL88XX6-CXCR2-CXCL8-Go/β1/γ2
33.33Single8Z74JN241-98Z74-Apelin; Apelin-JN241-9
33.33Single8ZPTPrRP208ZPT-PrRP-PrRP20-chim(NtGi1-Gs-CtGq)/β1/γ2
33.33Single9KX6C5a-des-Arg9KX6-C5a1-C5a-des-Arg-Go/β1/γ2
33.33Consensusbk2_onOrthosteric Ligand7F6H-BK2-Bradykinin-Gq/β1/γ2 7F6I-BK2-Kallidin-Gq/β1/γ2
33.33Consensusbk2_on_gpOrthosteric Ligand7F6H-BK2-Bradykinin-Gq/β1/γ2 7F6I-BK2-Kallidin-Gq/β1/γ2
33.33Consensusbradykinin_onOrthosteric Ligandbk2_on
33.33Consensusbradykinin_on_gpOrthosteric Ligandbk2_on_gp
33.33Consensusc5a1_on_gpOrthosteric Ligand8HK5-C5a1-C5a-Gi1/β1/γ2 7Y66-C5a1-BM213-Gi1/β1/γ2 7Y67-C5a1-C089 peptide-Gi1/β1/γ2 7Y64-C5a1-C5a-Gi1/β1/γ2
33.33Consensuscxcr2_on_gpOrthosteric Ligand6LFM-CXCR2-CXCL8-Gi1/β1/γ2
33.33Consensusendothelin_onOrthosteric Ligandetb_on eta_on
33.33Consensusformylpeptide_onOrthosteric Ligandfpr2-alx_on fpr1-alx_on
33.33Consensusgi_class-aOrthosteric Ligandgi_peptide gi_sensory gi_alicarboxylic gi_amine gi_lipid gi_nucleotide gi_protein
33.33Consensusgq_bradykininOrthosteric Ligand7F6H-BK2-Bradykinin-Gq/β1/γ2 7F6I-BK2-Kallidin-Gq/β1/γ2
33.33Consensusneuromedin-u_onOrthosteric Ligandnmur1_on nmur2_on
33.33Consensusneurotensin_offOrthosteric Ligandnts1_off
33.33Consensusnmur1_onOrthosteric Ligand7W53-NMUR1-Neuromedin-U-25-chim(NtGi1-Gs-CtGq)/β1/γ2
33.33Consensusnts1_offOrthosteric Ligand7UL2-NTS1-SR48692-Na
33.33Consensuspeptide_offon_gpOrthosteric Ligandpeptide_on_gp peptide_off
33.33Consensusprotein_offonOrthosteric Ligandprotein_off protein_on
33.33Consensusprotein_offon_gpOrthosteric Ligandprotein_on_gp protein_off
33.33Consensusprotein_onOrthosteric Ligandchemokine_on chemerin_on
33.33Consensussst2_onOrthosteric Ligand7WIC-SST2-Somatostatin-14-Gi1/β1/γ2 7WIG-SST2-L-054264-Gi1/β1/γ2 7YAE-SST2-Octreotide-Gi1/β1/γ2 7YAC-SST2-Paltusotine-Gi1/β1/γ2
33.33Consensussst2_on_gpOrthosteric Ligand7WIC-SST2-Somatostatin-14-Gi1/β1/γ2 7WIG-SST2-L-054264-Gi1/β1/γ2 7YAE-SST2-Octreotide-Gi1/β1/γ2 7YAC-SST2-Paltusotine-Gi1/β1/γ2
32.14Single6IGKEndothelin-36IGK-ETB-Endothelin-3
32.14Consensusccr5_on_gpOrthosteric Ligand7O7F-CCR5-6P4-CCL5-Gi1/β1/γ1 7F1Q-CCR5-CCL3-Gi1/β1/γ2
32.00Single7F6HBradykinin7F6H-BK2-Bradykinin-Gq/β1/γ2
32.00Single7X9CPancreatic Hormone7X9C-Y4-Pancreatic Hormone-Gi1/β1/γ2
32.00Single8HCXEndothelin-18HCX-ETB-Endothelin-1-chim(NtGi2L-Gs-CtGq)/β1/γ2
32.00Single8IA2C5a8IA2-C5a1-C5a-Go/β1/γ2
32.00Single8XVIEndothelin-18XVI-ETA-Endothelin-1-chim(Gs-CtGq)/β1/γ2
32.00Consensuschemokine_on_gpOrthosteric Ligandccr_on_gp cxcr_on_gp
32.00Consensusneuromedin-u_on_gpOrthosteric Ligandnmur1_on_gp nmur2_on_gp
31.82Single7F8XNN90567F8X-CCKA-NN9056
31.82Single7W53Neuromedin-U-257W53-NMUR1-Neuromedin-U-25-chim(NtGi1-Gs-CtGq)/β1/γ2
31.82Single7WICSomatostatin-147WIC-SST2-Somatostatin-14-Gi1/β1/γ2
31.82Single7XAUOctreotide7XAU-SST2-Octreotide-Gi1/β1/γ2
31.82Single8XGMChemerin8XGM-CML2-Chemerin-Gi1/β1/γ2
31.82Single8XWNCXCL88XWN-CXCR2-CXCL8
31.82Single9UYJChemerin-99UYJ-CML2-Chemerin-9-Arrestin2
31.82Consensusclass-a_on_gpOrthosteric Ligandsensory_on_gp alicarboxylic_on_gp amine_on_gp lipid_on_gp nucleotide_on_gp peptide_on_gp protein_on_gp
31.82Consensusnmur1_on_gpOrthosteric Ligand7W53-NMUR1-Neuromedin-U-25-chim(NtGi1-Gs-CtGq)/β1/γ2
31.82Consensusp2y_onOrthosteric Ligandp2y1_on p2y10_on p2y12_on
31.58Single5ZBHBMS-1938855ZBH-Y1-BMS-193885
31.58Single7F1TCCL37F1T-CCR5-CCL3
31.58Single7PX4PSB-21137PX4-A2A-PSB-2113
31.58Single7XBDGalanin7XBD-GAL2-Galanin-chim(NtGi2L-Gs-CtGq)/β1/γ2
31.58Single7XOWSulfated Gastrin-(10-17)7XOW-CCKB-Sulfated Gastrin-(10-17)-chim(NtGi1-Gq)/β1/γ2
31.58Single7Y24Octreotide7Y24-SST2-Octreotide-Go/β1/γ2
31.58Single8HQCC5a8HQC-C5a1-C5a-Go/β1/γ2
31.58Single8ID39-Hydroxystearic acid8ID3-FFA4-9-Hydroxystearic acid-Gi1/β1/γ2
31.58Single8UGWCGS216808UGW-A2A-CGS21680
31.58Single8WJXADP8WJX-P2Y1-ADP-chim(Gs-CtGq)/β1/γ2
31.58Single9JCLADP9JCL-P2Y1-ADP-chim(Gs-CtGq)/β1/γ2
31.58Consensusmotilin_onOrthosteric Ligand8IBU-Motilin-Erythromycin-A-chim(NtGi1-Gs-CtGq)/β1/γ2
31.25Single3VG9ZM-2413853VG9-A2A-ZM-241385-Antibody
31.25Single4MQTLY21196204MQT-M2-Iperoxo-LY2119620
31.25Single4QINSAG1.54QIN-SMO-SAG1.5
31.25Single5K2DZM-2413855K2D-A2A-ZM-241385-Na
31.25Single6JZHZM-2413856JZH-A2A-ZM-241385-Na
31.25Single6O3CSAG21k6O3C-SMO-SAG21k-Cholesterol
31.25Single6PS7ZM-2413856PS7-A2A-ZM-241385-Na
31.25Single6ZA8RTI-3a6ZA8-NTS1-RTI-3a
31.25Single7BR3Elagolix7BR3-GnRH1-Elagolix
31.25Single7F8YDevazepide7F8Y-CCKA-Devazepide
31.25Single7VDLCortistatin-147VDL-MRGPRX2-Cortistatin-14-Gi1/β1/γ2
31.25Single7VV5C48/807VV5-MRGPRX2-C48/80-Gi1/β1/γ2
31.25Single8GNGIstradefylline8GNG-A2A-Istradefylline
31.25Single8RVWStilSwitch38RVW-A2A-StilSwitch3-Na
31.25Single8RW4AzoSwitch28RW4-A2A-AzoSwitch2-Na
31.25Single8RWEStilSwitch48RWE-A2A-StilSwitch4-Na
31.25Single8XXXCXCL68XXX-CXCR2-CXCL6-Go/β1/γ2
31.25Single8YNFCXCL88YNF-ACKR1-CXCL8
31.25Single8YYWAlpha-ketoglutarate8YYW-Oxoglutarate-α-ketoglutarate-α-ketoglutarate-chim(Gi1-CtGq)/β1/γ2
31.25Single9FUPIstradefylline9FUP-A2A-Istradefylline-Na
31.25Consensusgnrh1_offOrthosteric Ligand7BR3-GnRH1-Elagolix
31.03Consensusendothelin_on_gpOrthosteric Ligandetb_on_gp eta_on_gp
30.77Single5UIW5P7-CCL55UIW-CCR5-5P7-CCL5
30.77Single7F8VGastrin-177F8V-CCKB-Gastrin-17-Gi2/β1/γ2
30.77Single8HQMNPGLY8HQM-GPR132-NPGLY-Gi1/β1/γ2
30.77Single8XQFApelin-138XQF-Apelin-Apelin-13-Gi1/β1/γ2
30.77Consensusccr5_offOrthosteric Ligand5UIW-CCR5-5P7-CCL5
30.77Consensusgi_proteinOrthosteric Ligandgi_chemokine gi_chemerin
30.77Consensusnpy4_onOrthosteric Ligand7X9C-Y4-Pancreatic Hormone-Gi1/β1/γ2
30.77Consensusnpy4_on_gpOrthosteric Ligand7X9C-Y4-Pancreatic Hormone-Gi1/β1/γ2
30.77Consensusprotein_on_gpOrthosteric Ligandchemokine_on_gp chemerin_on_gp
30.43Single3QAKUK-4320973QAK-A2A-UK-432097
30.43Single6DO1(Sar1,Ile8)-Angiotensin II6DO1-AT1-(Sar1,Ile8)-Angiotensin II
30.43Single7C6A(Sar1,Ile8)-Angiotensin II7C6A-AT2-(Sar1,Ile8)-Angiotensin II
30.43Single7EZKCholecystokinin-87EZK-CCKA-Cholecystokinin-8-chim(NtGi1-Gs)/β1/γ2
30.43Single7XNACYN1548067XNA-SST2-CYN154806
30.43Single8K6ONeuropeptide-Y8K6O-Y1-Neuropeptide-Y-Gi2/β1/γ1
30.43Consensuscckb_onOrthosteric Ligand8IA7-CCKB-Cholecystokinin-8-chim(NtGi1L-Gq)/β1/γ2 7XOW-CCKB-Sulfated Gastrin-(10-17)-chim(NtGi1-Gq)/β1/γ2 7F8V-CCKB-Gastrin-17-Gi2/β1/γ2
30.43Consensusformylpeptide_on_gpOrthosteric Ligandfpr2-alx_on_gp fpr1-alx_on_gp
30.43Consensusgi_cckOrthosteric Ligand7EZH-CCKA-Cholecystokinin-8-Gi1/β1/γ2 7F8V-CCKB-Gastrin-17-Gi2/β1/γ2
30.43Consensussst2_offOrthosteric Ligand7XNA-SST2-CYN154806
30.43Consensussst4_onOrthosteric Ligand7XMS-SST4-Somatostatin-14-Gi1/β1/γ2 7XMT-SST4-J-2156-Gi1/β1/γ2
30.43Consensussst4_on_gpOrthosteric Ligand7XMS-SST4-Somatostatin-14-Gi1/β1/γ2 7XMT-SST4-J-2156-Gi1/β1/γ2
30.43Consensustachykinin_on_gpOrthosteric Ligandnk1_on_gp nk2_on_gp nk3_on_gp
30.00Single6C1RPMX536C1R-C5a1-PMX53-Avacopan; Na
30.00Single7XJKGalanin7XJK-GAL2-Galanin-chim(NtGi2L-Gs-CtGq)/β1/γ2
30.00Single8HK2C3a8HK2-C3aB-C3a-Gi1/β1/γ2
30.00Single8I9AEP548I9A-C3aB-EP54-chim(NtGi1-Gs-CtGq)/β1/γ2
30.00Single8IA8E7 peptide8IA8-C3aB-E7 peptide-Gi1/β1/γ2
30.00Single8IBUErythromycin-A8IBU-Motilin-Erythromycin-A-chim(NtGi1-Gs-CtGq)/β1/γ2
30.00Single8ID9Icosapent8ID9-FFA4-Icosapent-Gi1/β1/γ2
30.00Single8U26Substance-P8U26-NK1-Substance-P-Gs/β1/γ2
30.00Single8XX3CXCL38XX3-CXCR2-CXCL3-Go/β1/γ2
30.00Consensusc3a_onOrthosteric Ligand8HK2-C3aB-C3a-Gi1/β1/γ2 8IA8-C3aB-E7 peptide-Gi1/β1/γ2
30.00Consensuscxcr_onOrthosteric Ligandcxcr3_on cxcr4_on cxcr1_on cxcr2_on
30.00Consensusgalanin_onOrthosteric Ligandgal2_on gal1_on
30.00Consensusgalanin_on_gpOrthosteric Ligandgal2_on_gp gal1_on_gp
30.00Consensusmotilin_on_gpOrthosteric Ligand8IBU-Motilin-Erythromycin-A-chim(NtGi1-Gs-CtGq)/β1/γ2
29.63Single8XWPEndothelin-18XWP-ETB-Endothelin-1-Gi1/β1/γ2
29.63Single8ZJGChemerin8ZJG-CML1-Chemerin-Gi1/β1/γ2
29.41Single5IU4ZM-2413855IU4-A2A-ZM-241385-Na
29.41Single5IU7Q274563465IU7-A2A-Q27456346-Na
29.41Single5IUBQ274563445IUB-A2A-Q27456344-Na
29.41Single5JTBZM-2413855JTB-A2A-ZM-241385
29.41Single5K2BZM-2413855K2B-A2A-ZM-241385-Na
29.41Single5K2CZM-2413855K2C-A2A-ZM-241385-Na
29.41Single5NLXZM-2413855NLX-A2A-ZM-241385-Na
29.41Single5NM4ZM-2413855NM4-A2A-ZM-241385-Na
29.41Single5UVIZM-2413855UVI-A2A-ZM-241385
29.41Single6MH8ZM-2413856MH8-A2A-ZM-241385
29.41Single6XBLSAG6XBL-SMO-SAG-Cholesterol-Gi1/β1/γ2
29.41Single6ZDRHMS1413f126ZDR-A2A-HMS1413f12-Na
29.41Single6ZINSR486926ZIN-NTS1-SR48692
29.41Single7BB6AVP7BB6-V2-AVP-Gs/β1/γ2
29.41Single7T94LY21196207T94-M2-Acetylcholine-LY2119620-chim(NtGi1-Go)/β1/γ2
29.41Single7VV6C48/807VV6-MRGPRX2-C48/80
29.41Single7XOVSR1461317XOV-CCKA-SR146131-Gs/β1/γ2
29.41Single7ZI0SAG7ZI0-SMO-SAG-Cholesterol
29.41Single8RQQZM-2413858RQQ-A2A-ZM-241385-Na
29.41Single8RWCStilSwitch28RWC-A2A-StilSwitch2-Na
29.41Single8RWDStilSwitch38RWD-A2A-StilSwitch3-Na
29.41Single9P1TZM-2413859P1T-A2A-ZM-241385
29.41Consensusa2_offOrthosteric Liganda2a_off
29.41Consensusa2a_offOrthosteric Ligand3RFM-A2A-Caffeine 8C9W-A2A-Etrumadenant 3UZA-A2A-GTPL9236 8GNG-A2A-Istradefylline 8CU6-A2A-LJ-4517 7PX4-A2A-PSB-2113 7PYR-A2A-PSB-2115 8DU3-A2A-PubChem 105526064 8JWY-A2A-2-118 8PWN-A2A-Theophylline 5IU4-A2A-ZM-241385-Na 5OLZ-A2A-PubChem 135566609-Na 6GT3-A2A-Imaradenant-Na 5OLV-A2A-LUAA47070-Na 5N2R-A2A-PSB36-Na 5IU7-A2A-Q27456346-Na 5OLH-A2A-Vipadenant-Na 5OLO-A2A-Tozadenant-Na 6ZDR-A2A-HMS1413f12-Na 8GNE-A2A-KW-6356-Na 8JWZ-A2A-Etrumadenant-Na 5IU8-A2A-Q27456347-Na 5IUB-A2A-Q27456344-Na 6ZDV-A2A-PubChem 984073-Na 5IUA-A2A-Q27456348-Na 8A2P-A2A-LUAA47070-Na
29.17Single3OE0CVX153OE0-CXCR4-CVX15
29.17Single5WF5UK-4320975WF5-A2A-UK-432097
29.17Single6LW5WKYMVm6LW5-FPR2-ALX-WKYMVm
29.17Single7MBXCholecystokinin-87MBX-CCKA-Cholecystokinin-8-Gs/β1/γ1
29.17Single7XA3CCL27XA3-CCR2-CCL2-Gi1/β1/γ2
29.17Single7XOUCholecystokinin-87XOU-CCKA-Cholecystokinin-8-Gs/β1/γ2
29.17Single9UYIChemerin-99UYI-CML2-Chemerin-9-Arrestin2
29.17Consensusangiotensin_onOrthosteric Ligandat1_on
29.17Consensusat1_onOrthosteric Ligand7F6G-AT1-(Sar1)-Angiotensin II-Gq/β1/γ2
29.17Consensuscckb_on_gpOrthosteric Ligand8IA7-CCKB-Cholecystokinin-8-chim(NtGi1L-Gq)/β1/γ2 7XOW-CCKB-Sulfated Gastrin-(10-17)-chim(NtGi1-Gq)/β1/γ2 7F8V-CCKB-Gastrin-17-Gi2/β1/γ2
29.17Consensusccr2_onOrthosteric Ligand7XA3-CCR2-CCL2-Gi1/β1/γ2
29.17Consensusccr2_on_gpOrthosteric Ligand7XA3-CCR2-CCL2-Gi1/β1/γ2
29.17Consensusccr_onOrthosteric Ligandccr6_on ccr8_on ccr2_on ccr1_on ccr5_on
29.17Consensusgi_somatostatinOrthosteric Ligand7WIC-SST2-Somatostatin-14-Gi1/β1/γ2 7XMS-SST4-Somatostatin-14-Gi1/β1/γ2 8X8L-SST5-Cortistatin-14-chim(NtGi1-Gs-CtGi1)/β1/γ2 7XMT-SST4-J-2156-Gi1/β1/γ2 7WIG-SST2-L-054264-Gi1/β1/γ2 8X8N-SST5-Octreotide-chim(NtGi1-Gs-CtGi1)/β1/γ2 7YAE-SST2-Octreotide-Gi1/β1/γ2 7YAC-SST2-Paltusotine-Gi1/β1/γ2
29.17Consensusgs_cckOrthosteric Ligand7MBX-CCKA-Cholecystokinin-8-Gs/β1/γ1
29.17Consensuspeptide_offonOrthosteric Ligandpeptide_off peptide_on
28.57Single6IGLIRL16206IGL-ETB-IRL1620
28.57Single7MBYCholecystokinin-87MBY-CCKA-Cholecystokinin-8-chim(NtGi1L-Gs-CtGq)/β1/γ2
28.57Single7P00Substance-P7P00-NK1-Substance-P-chim(NtGi1-Gs-CtGq)/β1/γ2
28.57Single7WVVfMLFII7WVV-FPR2-ALX-fMLFII-Gi2/β1/γ2
28.57Single7Y27Somatostatin-147Y27-SST2-Somatostatin-14-chim(NtGi2L-Gs-CtGq)/β1/γ2
28.57Single8A2OTheophylline8A2O-A2A-Theophylline-Na
28.57Single9GE3Lysophosphatidylinositol9GE3-GPR55-Lysophosphatidylinositol-chim(NtGi1-G13)/β1/γ2
28.57Single9KWXC5a-des-Arg9KWX-C5a1-C5a-des-Arg-Go/β1/γ2
28.57Single9UYHChemerin-99UYH-CML2-Chemerin-9-Arrestin2
28.57Consensusetb_onOrthosteric Ligand8IY5-ETB-Endothelin-1-Gi1/β1/γ2 8HBD-ETB-IRL1620-Gi1/β1/γ2
28.57Consensusgal2_onOrthosteric Ligand7WQ4-GAL2-Galanin-chim(NtGi1-Gs-CtGq)/β1/γ2 7XJL-GAL2-Spexin-chim(NtGi2L-Gs-CtGq)/β1/γ2
28.57Consensusgal2_on_gpOrthosteric Ligand7WQ4-GAL2-Galanin-chim(NtGi1-Gs-CtGq)/β1/γ2 7XJL-GAL2-Spexin-chim(NtGi2L-Gs-CtGq)/β1/γ2
28.57Consensusnk1_onOrthosteric Ligand7P00-NK1-Substance-P-chim(NtGi1-Gs-CtGq)/β1/γ2
28.57Consensusnk1_on_gpOrthosteric Ligand7P00-NK1-Substance-P-chim(NtGi1-Gs-CtGq)/β1/γ2
28.57Consensusp2y_offOrthosteric Ligandp2y1_off
28.00Single6JODAngiotensin II6JOD-AT2-Angiotensin II
28.00Single7F6G(Sar1)-Angiotensin II7F6G-AT1-(Sar1)-Angiotensin II-Gq/β1/γ2
28.00Single7W57Neuromedin-S7W57-NMUR2-Neuromedin-S-chim(NtGi1-Gs-CtGq)/β1/γ2
28.00Single7YONPeptide-YY(3-36)7YON-Y2-Peptide-YY(3-36)-Gi1/β1/γ2
28.00Single9BKKCholecystokinin-89BKK-CCKA-Cholecystokinin-8-chim(NtGi1-Gs-CtGq)/β1/γ2
28.00Consensusangiotensin_on_gpOrthosteric Ligandat1_on_gp
28.00Consensusat1_on_gpOrthosteric Ligand7F6G-AT1-(Sar1)-Angiotensin II-Gq/β1/γ2
28.00Consensusgq_angiotensinOrthosteric Ligand7F6G-AT1-(Sar1)-Angiotensin II-Gq/β1/γ2
28.00Consensusp2y_on_gpOrthosteric Ligandp2y1_on_gp p2y10_on_gp p2y12_on_gp
28.00Consensustachykinin_onOrthosteric Ligandnk1_on nk2_on nk3_on
27.78Single3EMLZM-2413853EML-A2A-ZM-241385
27.78Single4EIYZM-2413854EIY-A2A-ZM-241385-Na
27.78Single4QIMANTA XV4QIM-SMO-ANTA XV
27.78Single5IU8Q274563475IU8-A2A-Q27456347-Na
27.78Single5K2AZM-2413855K2A-A2A-ZM-241385-Na
27.78Single5OLGZM-2413855OLG-A2A-ZM-241385-Na
27.78Single5UENDU1725UEN-A1-DU172
27.78Single5VRAZM-2413855VRA-A2A-ZM-241385-Na
27.78Single6LPJZM-2413856LPJ-A2A-ZM-241385-Na
27.78Single6LPKZM-2413856LPK-A2A-ZM-241385-Na
27.78Single6S0LZM-2413856S0L-A2A-ZM-241385
27.78Single6XBM25(S)-Epoxycholesterol6XBM-SMO-25(S)-Epoxycholesterol-Gi1/β1/γ2
27.78Single7PYRPSB-21157PYR-A2A-PSB-2115
27.78Single7WQ3Galanin7WQ3-GAL1-Galanin-Gi1/β1/γ2
27.78Single7YU4ONO-07405567YU4-LPA1-ONO-0740556
27.78Single8RW7StilSwitch18RW7-A2A-StilSwitch1-Na
27.78Single8X17Namodenoson8X17-A3A-Namodenoson-Gi1/β1/γ2
27.78Single9P1SZM-2413859P1S-A2A-ZM-241385
27.78Consensusa3_onOrthosteric Liganda3a_on
27.78Consensuscck_offOrthosteric Ligandccka_off
27.78Consensusccka_offOrthosteric Ligand7F8Y-CCKA-Devazepide 7F8U-CCKA-Lintitript
27.78Consensusgal1_onOrthosteric Ligand7WQ3-GAL1-Galanin-Gi1/β1/γ2
27.78Consensusgal1_on_gpOrthosteric Ligand7WQ3-GAL1-Galanin-Gi1/β1/γ2
27.78Consensusgi_galaninOrthosteric Ligand7WQ3-GAL1-Galanin-Gi1/β1/γ2
27.59Consensusgi_endothelinOrthosteric Ligand8IY5-ETB-Endothelin-1-Gi1/β1/γ2 8HBD-ETB-IRL1620-Gi1/β1/γ2
27.27Single5VBLAMG3054 5VBL-Apelin-AMG3054
27.27Single7RMHSubstance-P7RMH-NK1-Substance-P-Gs/β1/γ2
27.27Single7T11Octreotide7T11-SST2-Octreotide-Gi3/β1/γ2
27.27Single7XBXCX3CL17XBX-CX3CR1-CX3CL1-Gi1/β1/γ2
27.27Single9EAJNanobody AT2099EAJ-AT1-Nanobody AT209
27.27Single9UMJEP549UMJ-C3aB-EP54-Go/β1/γ2
27.27Consensuscxcr4_offOrthosteric Ligand4RWS-CXCR4-vMIP-II 3OE0-CXCR4-CVX15 3OE6-CXCR4-IT1t
27.27Consensuscxcr_on_gpOrthosteric Ligandcxcr3_on_gp cxcr4_on_gp cxcr1_on_gp cxcr2_on_gp
26.92Single5YQZNNC17025YQZ-Glucagon-NNC1702
26.92Single7F9YGhrelin7F9Y-Ghrelin-Ghrelin-chim(NtGi1-Gs-CtGq)/β1/γ2
26.92Single8WWKMCH8WWK-MCH1-MCH-Gi1/β1/γ2
26.92Single8XQEApelin-138XQE-Apelin; Apelin-Apelin-13-Gi1/β1/γ2
26.92Single8XVHEndothelin-18XVH-ETB-Endothelin-1-chim(Gs-CtGq)/β1/γ2
26.92Single9JFYNeuropeptide-SF9JFY-NPFF2-Neuropeptide-SF-Gi1/β1/γ2
26.92Consensusccr_on_gpOrthosteric Ligandccr6_on_gp ccr8_on_gp ccr2_on_gp ccr1_on_gp ccr5_on_gp
26.92Consensuscxcr_offOrthosteric Ligandcxcr3_off cxcr4_off
26.92Consensusgi_apelinOrthosteric Ligand8XZH-Apelin; Apelin-MM07-Gi1/β1/γ2 7W0M-Apelin-PubChem 122701908-Gi1/β1/γ2 8XZJ-Apelin; Apelin-WN353-Gi1/β1/γ2 8XZF-Apelin; Apelin-WN561-Gi1/β1/γ2 8XZG-Apelin; Apelin-Apelin-13-Gi1/β1/γ2
26.92Consensusgi_chemokineOrthosteric Ligand6WWZ-CCR6-CCL20-Go/β1/γ2 8HNK-CXCR3-CXCL11-Gi1/β1/γ2 8K3Z-CXCR4-CXCL12-Gi1/β1/γ1 8IC0-CXCR1-CXCL8-Gi1/β1/γ2 6LFM-CXCR2-CXCL8-Gi1/β1/γ2 8KFX-CCR8-LMD-009-Gi1/β1/γ2 7F1Q-CCR5-CCL3-Gi1/β1/γ2 8HNL-CXCR3-PS372424-Gi1/β1/γ2 8KFY-CCR8-ZK-756326-Gi1/β1/γ2 7O7F-CCR5-6P4-CCL5-Gi1/β1/γ1 8U1U-CCR8-CCL1-Gi1/β1/γ2 7VLA-CCR1-CCL15(27-92)-Gi1/β1/γ2 7XA3-CCR2-CCL2-Gi1/β1/γ2
26.92Consensussst5_on_gpOrthosteric Ligand8X8L-SST5-Cortistatin-14-chim(NtGi1-Gs-CtGi1)/β1/γ2 8X8N-SST5-Octreotide-chim(NtGi1-Gs-CtGi1)/β1/γ2
26.67Single7SK6CXCL12_LRHQ7SK6-ACKR3-CXCL12_LRHQ
26.67Single8HBDIRL16208HBD-ETB-IRL1620-Gi1/β1/γ2
26.67Single8JPSCCL78JPS-ACKR1-CCL7
26.67Consensusetb_on_gpOrthosteric Ligand8IY5-ETB-Endothelin-1-Gi1/β1/γ2 8HBD-ETB-IRL1620-Gi1/β1/γ2
26.32Single5IUAQ274563485IUA-A2A-Q27456348-Na
26.32Single5NM2ZM-2413855NM2-A2A-ZM-241385-Na
26.32Single6LPLZM-2413856LPL-A2A-ZM-241385-Na
26.32Single6S0QZM-2413856S0Q-A2A-ZM-241385
26.32Single6WQAZM-2413856WQA-A2A-ZM-241385-Na
26.32Single6XBKCholesterol6XBK-SMO-Cholesterol-Gi1/β1/γ2
26.32Single6Z4QSR142948A6Z4Q-NTS1-SR142948A
26.32Single6Z4SSR486926Z4S-NTS1-SR48692
26.32Single7RM5ZM-2413857RM5-A2A-ZM-241385-Na
26.32Single7VUHJNJ-635330547VUH-GPR139-JNJ-63533054-chim(Gs-CtGq)/β1/γ2
26.32Single7YU3ONO-07405567YU3-LPA1-ONO-0740556-Gi1/β1/γ2
26.32Single7YU6ONO-07405567YU6-LPA1-ONO-0740556-Gi1/β1/γ2
26.32Single8FYNZM-2413858FYN-A2A-ZM-241385-Na
26.32Single9EAHNanobody AT2099EAH-AT1-Olmesartan-Nanobody AT209
26.32Consensusa1_offOrthosteric Ligand5UEN-A1-DU172 5N2S-A1-PSB36
26.32Consensusa3_on_gpOrthosteric Liganda3a_on_gp
26.32Consensusa3a_onOrthosteric Ligand8X17-A3A-Namodenoson-Gi1/β1/γ2 8X16-A3A-Piclidenoson-Gi1/β1/γ2
26.32Consensusa3a_on_gpOrthosteric Ligand8X17-A3A-Namodenoson-Gi1/β1/γ2 8X16-A3A-Piclidenoson-Gi1/β1/γ2
26.32Consensusadenosine_offOrthosteric Liganda1_off a2_off
26.09Single7NA7Ghrelin7NA7-Ghrelin-Ghrelin-Gi1/β1/γ2
26.09Single7W2ZGhrelin7W2Z-Ghrelin-Ghrelin-Go/β1/γ2
26.09Single7XMRSomatostatin-147XMR-SST2-Somatostatin-14-Gi1/β1/γ2
26.09Single8K3ZCXCL128K3Z-CXCR4-CXCL12-Gi1/β1/γ1
26.09Single8WZ2Orexigenic Neuropeptide QRFP8WZ2-QRFP-Orexigenic Neuropeptide QRFP-chim(NtGi1L-Gs-CtGq)/β1/γ2
26.09Single8ZCJPasireotide8ZCJ-SST5-Pasireotide-Gi1/β1/γ1
26.09Single9BKJCholecystokinin-89BKJ-CCKA-Cholecystokinin-8-chim(NtGi1-Gs-CtGq)/β1/γ2
26.09Single9BUYLM1899BUY-β2-LM189-Gi1/β1/γ2
26.09Single9HB3Mambaquaretin-19HB3-V2-Mambaquaretin-1
26.09Single9MEJGp1209MEJ-CXCR4-Gp120
26.09Consensuschemerin_on_gpOrthosteric Ligandcml1_on_gp
26.09Consensuschemokine_onOrthosteric Ligandccr_on cxcr_on
26.09Consensuscml1_onOrthosteric Ligand7YKD-CML1-Chemerin-9-Gi1/β1/γ2
26.09Consensusgi_chemerinOrthosteric Ligand7YKD-CML1-Chemerin-9-Gi1/β1/γ2
26.09Consensussomatostatin_offOrthosteric Ligandsst2_off
25.93Single7SK3CXCL127SK3-ACKR3-CXCL12
25.93Single7SK4CXCL12_LRHQ7SK4-ACKR3-CXCL12_LRHQ
25.93Single8H0PNMB308H0P-BB1-NMB30-chim(NtGi1-Gs-CtGq)/β1/γ2
25.00Single4Z34ONO-97803074Z34-LPA1-ONO-9780307
25.00Single5V56TC1145V56-SMO-TC114
25.00Single5XJM(Sar1,Ile8)-Angiotensin II5XJM-AT2-(Sar1,Ile8)-Angiotensin II
25.00Single7F58THIQ7F58-MC4-THIQ-Gs/β1/γ2
25.00Single7R0CAVP7R0C-V2-AVP-Arrestin2
25.00Single7SK5CXCL127SK5-ACKR3-CXCL12
25.00Single7T96LY21196207T96-M2-Acetylcholine-LY2119620-Go/β1/γ2
25.00Single7TRPLY20332987TRP-M4-Iperoxo-LY2033298-Gi1/β1/γ2
25.00Single7W0NElabela7W0N-Apelin; Apelin-Elabela-Gi1/β1/γ2
25.00Single7XATSomatostatin-147XAT-SST2-Somatostatin-14-Gi1/β1/γ2
25.00Single7XJLSpexin7XJL-GAL2-Spexin-chim(NtGi2L-Gs-CtGq)/β1/γ2
25.00Single7XWONeurokinin-A7XWO-NK2-Neurokinin-A-chim(NtGi1-Gs-CtGq)/β1/γ2
25.00Single7YU5ONO-07405567YU5-LPA1-ONO-0740556-Gi1/β1/γ2
25.00Single7YU7ONO-07405567YU7-LPA1-ONO-0740556-Gi1/β1/γ2
25.00Single8FEG(DNCP)-Beta-Naloxamine8FEG-κ-(DNCP)-β-Naloxamine-Gi1/β1/γ2
25.00Single8ID6Oleic acid8ID6-FFA4-Oleic acid-Gi1/β1/γ2
25.00Single8JBGNeurokinin-B8JBG-NK3-Neurokinin-B-chim(NtGi1-Gs-CtGq)/β1/γ2
25.00Single8JZPC5a8JZP-C5a1-C5a-Go/β1/γ2
25.00Single8RWHStilSwitch28RWH-A2A-StilSwitch2-Na
25.00Single8VVEnorBNI8VVE-κ-norBNI-Gi1/β1/γ2
25.00Single8WWLMCH8WWL-MCH1-MCH-Gi1/β1/γ2
25.00Single8X16Piclidenoson8X16-A3A-Piclidenoson-Gi1/β1/γ2
25.00Single8XIPPasireotide8XIP-SST1-Pasireotide-chim(NtGi1-Gs-CtGi1)/β1/γ2
25.00Single8YH6Namodenoson8YH6-A3A-Namodenoson-Gi1/β1/γ2
25.00Single9E82CXCL12 (fragment)9E82-ACKR3-CXCL12 (fragment)-Arrestin2
25.00Single9EAINanobody AT2099EAI-AT1-Losartan-Nanobody AT209
25.00Single9IQRMuscarinic toxin 39IQR-α2a-Muscarinic toxin 3
25.00Single9IQSMuscarinic toxin 39IQS-M4-Muscarinic toxin 3
25.00Single9IZGLPA9IZG-LPA1-LPA-chim(NtGi1-Gs-CtGq)/β1/γ2
25.00Single9L60Dynorphin9L60-κ-Dynorphin-MPAM-15-Gi1/β1/γ2
25.00Single9MENGp120 (V3 loop)9MEN-CXCR4-Gp120 (V3 loop)
25.00Consensusgi_ghrelinOrthosteric Ligand7NA7-Ghrelin-Ghrelin-Gi1/β1/γ2 7NA8-Ghrelin-Ibutamoren-Gi1/β1/γ2
25.00Consensusgi_lpaOrthosteric Ligand7TD1-LPA1-LPA-Gi1/β1/γ2 7YU3-LPA1-ONO-0740556-Gi1/β1/γ2
25.00Consensusgi_relaxinOrthosteric Ligand7YK7-RXFP4-DC591053-Gi2/β1/γ2 7YJ4-RXFP4-INSL5-Gi2/β1/γ2 7YK6-RXFP4-PubChem 138319674-Gi2/β1/γ2
25.00Consensusgq_class-aOrthosteric Ligandgq_peptide gq_amine gq_nucleotide
25.00Consensuslpa_onOrthosteric Ligandlpa1_on
25.00Consensuslpa_on_gpOrthosteric Ligandlpa1_on_gp
25.00Consensusnk2_on_gpOrthosteric Ligand7XWO-NK2-Neurokinin-A-chim(NtGi1-Gs-CtGq)/β1/γ2
25.00Consensusnpy_offOrthosteric Ligandnpy1_off npy2_off
25.00Consensusprotein_offOrthosteric Ligandchemokine_off grh_off
25.00Consensusrelaxin_onOrthosteric Ligandrxfp4_on
25.00Consensusrelaxin_on_gpOrthosteric Ligandrxfp4_on_gp
24.14Single8WWNMCH8WWN-MCH1-MCH-Gi1/β1/γ2
24.00Single6MEOGp160; CD46MEO-CCR5-Gp160; CD4
24.00Single7TD0LPA7TD0-LPA1-LPA-Gi1/β1/γ2
24.00Single8K6MNeuropeptide-Y8K6M-Y1-Neuropeptide-Y-Gi2/β1/γ1
24.00Single8XIRPasireotide8XIR-SST3-Pasireotide-chim(NtGi1-Gs-CtGi1)/β1/γ2
24.00Single8XZGApelin-138XZG-Apelin; Apelin-Apelin-13-Gi1/β1/γ2
24.00Single8XZHMM078XZH-Apelin; Apelin-MM07-Gi1/β1/γ2
24.00Single9IVMGLP-1 (Truncated)9IVM-GLP-1-GLP-1 (Truncated)-LSN3318839-chim(NtGi1-Gs)/β2/γ2
24.00Single9M1ONeuropeptide-FF9M1O-NPFF2-Neuropeptide-FF-Gi1/β1/γ2
24.00Consensuscxcr4_on_gpOrthosteric Ligand8K3Z-CXCR4-CXCL12-Gi1/β1/γ1
24.00Consensusgs_class-aOrthosteric Ligandgs_peptide gs_nucleotide gs_amine
24.00Consensusnpy1_onOrthosteric Ligand8K6M-Y1-Neuropeptide-Y-Gi2/β1/γ1
24.00Consensusnpy1_on_gpOrthosteric Ligand8K6M-Y1-Neuropeptide-Y-Gi2/β1/γ1
24.00Consensussomatostatin_onOrthosteric Ligandsst2_on sst4_on sst5_on
24.00Consensussomatostatin_on_gpOrthosteric Ligandsst2_on_gp sst4_on_gp sst5_on_gp
23.81Single6MXTSalmeterol6MXT-β2-Salmeterol
23.81Single7WQ4Galanin7WQ4-GAL2-Galanin-chim(NtGi1-Gs-CtGq)/β1/γ2
23.81Single8H0QGastrin Releasing Peptide8H0Q-BB2-Gastrin Releasing Peptide-chim(NtGi1-Gs-CtGq)/β1/γ2
23.81Single8J6DEP1418J6D-C3aB-EP141-Go/β1/γ2
23.81Single8JJPChemerin-98JJP-CML2-Chemerin-9-Gi1/β1/γ2
23.81Single8W1VPubChem 1717162658W1V-β2-PubChem 171716265
23.81Single9IZHLPA9IZH-LPA1-LPA-chim(NtGi2-G13)/β1/γ2
23.81Consensusccr8_onOrthosteric Ligand8KFX-CCR8-LMD-009-Gi1/β1/γ2 8KFY-CCR8-ZK-756326-Gi1/β1/γ2 8U1U-CCR8-CCL1-Gi1/β1/γ2
23.81Consensuslpa1_offOrthosteric Ligand4Z36-LPA1-ONO-3080573 4Z35-LPA1-ONO-9910539 4Z34-LPA1-ONO-9780307
23.81Consensuslpa_offOrthosteric Ligandlpa1_off
23.81Consensuslpl_offOrthosteric Ligands1p_off lpa_off
23.53Single2X72All-trans-Retinal2X72-Rhodopsin-All-trans-Retinal-Gt(CT)
23.53Single3PWHZM-2413853PWH-A2A-ZM-241385
23.53Single3VGAZM-2413853VGA-A2A-ZM-241385-Antibody
23.53Single6NWEOctyl-Beta-D-Glucopyranoside6NWE-Rhodopsin-Octyl-β-D-Glucopyranoside-Gt(CT)
23.53Single6WWZCCL206WWZ-CCR6-CCL20-Go/β1/γ2
23.53Single7F8ULintitript7F8U-CCKA-Lintitript
23.53Single7VUJJNJ-635330547VUJ-GPR139-JNJ-63533054-GDP-chim(Gs-CtGq)/β1/γ2
23.53Single7W0OElabela7W0O-Apelin-Elabela-Gi1/β1/γ2
23.53Single7XJJGalanin7XJJ-GAL1-Galanin-Go/β1/γ2
23.53Single8DU3PubChem 1055260648DU3-A2A-PubChem 105526064
23.53Single8RW0Istradefylline8RW0-A2A-Istradefylline-Na
23.53Single8YYWAlpha-ketoglutarate8YYW-Oxoglutarate-α-ketoglutarate-α-ketoglutarate-chim(Gi1-CtGq)/β1/γ2
23.53Single9KO2CCL199KO2-CCR7-CCL19-Gi1/β1
23.53Single9KO6CCL199KO6-CCR7-CCL19
23.53Consensusccr6_onOrthosteric Ligand6WWZ-CCR6-CCL20-Go/β1/γ2
23.53Consensusccr6_on_gpOrthosteric Ligand6WWZ-CCR6-CCL20-Go/β1/γ2
23.53Consensusp2y1_onOrthosteric Ligand7XXH-P2Y1-2MeSADP-chim(NtGi1-G11)/β1/γ2
23.33Single8U1UCCL18U1U-CCR8-CCL1-Gi1/β1/γ2
23.08Single5WB2CX3CL1.355WB2-US28-CX3CL1.35
23.08Single6METGp160; CD46MET-CCR5-Gp160; CD4
23.08Single7KH0AVP7KH0-V2-AVP-chim(NtGi1-Gs)/β1/γ2
23.08Single8H4KGW95088H4K-FFA4-GW9508-chim(NtGi1-Gs-CtGq)/β1/γ2
23.08Single8WSTMCH8WST-MCH2-MCH-chim(NtGi1L-Gs-CtGq)/β1/γ2
23.08Single8X8LCortistatin-148X8L-SST5-Cortistatin-14-chim(NtGi1-Gs-CtGi1)/β1/γ2
23.08Single8ZBISomatostatin-148ZBI-SST3-Somatostatin-14-Gi1/β1/γ2
23.08Consensusapelin_onOrthosteric Ligand8XZH-Apelin; Apelin-MM07-Gi1/β1/γ2 7W0M-Apelin-PubChem 122701908-Gi1/β1/γ2 8XZJ-Apelin; Apelin-WN353-Gi1/β1/γ2 8XZF-Apelin; Apelin-WN561-Gi1/β1/γ2 8XZG-Apelin; Apelin-Apelin-13-Gi1/β1/γ2
23.08Consensusapelin_on_gpOrthosteric Ligand8XZH-Apelin; Apelin-MM07-Gi1/β1/γ2 7W0M-Apelin-PubChem 122701908-Gi1/β1/γ2 8XZJ-Apelin; Apelin-WN353-Gi1/β1/γ2 8XZF-Apelin; Apelin-WN561-Gi1/β1/γ2 8XZG-Apelin; Apelin-Apelin-13-Gi1/β1/γ2
23.08Consensusgi_formylpeptideOrthosteric Ligand7WVY-FPR2-ALX-Amyloid-β42-Gi2/β1/γ2 7T6U-FPR2-ALX-CGEN-855A-Gi1/β1/γ2 7VFX-FPR1-ALX-fMIFL-Gi1/β1/γ2 7T6V-FPR2-ALX-fMLFII-Gi1/β1/γ2 7WVX-FPR2-ALX-Humanin-Gi2/β1/γ2 7T6S-FPR2-ALX-TC-FPR 43-Gi1/β1/γ2 6OMM-FPR2-ALX-WKYMVX-Gi1/β1/γ2
22.73Single4RWSvMIP-II4RWS-CXCR4-vMIP-II
22.73Single4Z35ONO-99105394Z35-LPA1-ONO-9910539
22.73Single5TUDErgotamine5TUD-5-HT2B-Ergotamine
22.73Single6BQGErgotamine6BQG-5-HT2C-Ergotamine
22.73Single7LLLExendin-47LLL-GLP-1-Exendin-4-Gs/β1/γ2
22.73Single7X1UTRH7X1U-TRH-TRH-chim(NtGi2L-Gs-CtGq)/β1/γ2
22.73Single7YU8ONO-07405567YU8-LPA1-ONO-0740556-Gi1/β1/γ2
22.73Single8E0GBU728E0G-μ-BU72
22.73Single8HN1Toxin AdTx18HN1-Alpha1A-Toxin AdTx1
22.73Single8I95EP548I95-C3aB-EP54-Go/β1/γ2
22.73Single8IYSTUG-8918IYS-FFA4-TUG-891-GDP-chim(NtGi1L-Gq)/β1/γ2
22.73Single8XBES3E-Lysophosphatidylserine 8XBE-GPR34-S3E-Lysophosphatidylserine-Gi1/β1/γ1
22.73Single8ZX4Lysophosphatidylinositol 8ZX4-GPR55-Lysophosphatidylinositol-chim(NtGi1-G13)/β1/γ2
22.73Single9UYMChemerin-99UYM-CML2-Chemerin-9-chim(Arrestin3-CtArrestin2)
22.73Single9VI9RFRP-39VI9-NPFF1-RFRP-3-Gi1/β1/γ2
22.73Consensuschemerin_onOrthosteric Ligandcml1_on
22.73Consensusclass-a_onOrthosteric Ligandsensory_on alicarboxylic_on amine_on lipid_on nucleotide_on peptide_on protein_on
22.73Consensusnk2_onOrthosteric Ligand7XWO-NK2-Neurokinin-A-chim(NtGi1-Gs-CtGq)/β1/γ2
22.22Single5TE3Octyl-Beta-D-Glucopyranoside5TE3-Rhodopsin-Octyl-β-D-Glucopyranoside
22.22Single6AQFZM-2413856AQF-A2A-ZM-241385
22.22Single6X18GLP-16X18-GLP-1-GLP-1-Gs/β1/γ2
22.22Single7AROLUF58337ARO-A2A-LUF5833-Na
22.22Single7C2EPubChem 1490507997C2E-GLP-1-PubChem 149050799-Gs/β1/γ2
22.22Single7P02Substance-P7P02-NK1-Substance-P-chim(NtGi1-Gs)/β1/γ2
22.22Single7T32ZM-2413857T32-A2A-ZM-241385
22.22Single7XXH2MeSADP7XXH-P2Y1-2MeSADP-chim(NtGi1-G11)/β1/γ2
22.22Single8E3YPACAP278E3Y-VPAC1-PACAP27-Gs/β1/γ2
22.22Single8E3ZVIP8E3Z-VPAC1-VIP-Gs/β1/γ2
22.22Single8K4NPubChem 1687197658K4N-GPR34-PubChem 168719765-Gi1/β1/γ2
22.22Single8RWIStilSwitch28RWI-A2A-StilSwitch2-Na
22.22Single8WWMMCH8WWM-MCH1-MCH-Gi1/β1/γ2
22.22Single8XGOTAK4488XGO-Kiss1-TAK448-chim(NtGi1-Gq)/β1/γ2
22.22Single8ZRTEndothelin-18ZRT-ETB-Endothelin-1
22.22Single9M2FNeuropeptide-FF9M2F-NPFF1-Neuropeptide-FF-Gi1/β1/γ2
22.22Consensusadenosine_onOrthosteric Liganda1_on a2_on a3_on
22.22Consensuschemokine_offOrthosteric Ligandccr_off cxcr_off
22.22Consensuscml1_on_gpOrthosteric Ligand7YKD-CML1-Chemerin-9-Gi1/β1/γ2
22.22Consensusgi_adenosineOrthosteric Ligand7LD4-A1-Adenosine-Gi2/β1/γ2 8X17-A3A-Namodenoson-Gi1/β1/γ2 8X16-A3A-Piclidenoson-Gi1/β1/γ2
22.22Consensusopioid_onOrthosteric Ligandmop_on nop_on dop_on kop_on
22.22Consensusp2y1_on_gpOrthosteric Ligand7XXH-P2Y1-2MeSADP-chim(NtGi1-G11)/β1/γ2
22.22Consensuspac_onOrthosteric Ligandpac1_on
21.88Consensusgs_peptideOrthosteric Ligandgs_cck gs_melanocortin gs_vasop-oxy
21.74Single4UG2CGS216804UG2-A2A-CGS21680
21.74Single6G79Donitriptan6G79-5-HT1B-Donitriptan-Go/β1/γ2
21.74Single6OMMWKYMVX6OMM-FPR2-ALX-WKYMVX-Gi1/β1/γ2
21.74Single7F9ZGHRP-67F9Z-Ghrelin-GHRP-6-chim(NtGi1-Gs-CtGq)/β1/γ2
21.74Single7RKNCX3CL17RKN-US28-CX3CL1-Gi1/β1/γ2
21.74Single7RMGSubstance-P7RMG-NK1-Substance-P-chim(Gs-CtGq)/β1/γ2
21.74Single7Y1FDynorphin7Y1F-κ-Dynorphin-Gi1/β1/γ2
21.74Single8H4IDoconexent8H4I-FFA4-Doconexent-chim(NtGi1-Gs)/β1/γ2
21.74Single8SAILysophosphatidylserine (S12)8SAI-GPR34-Lysophosphatidylserine (S12)-Gi1/β1/γ2
21.74Single9KZ2EP679KZ2-C3aB-EP67-Go/β1/γ2
21.74Single9M0RNeuropeptide-VF9M0R-NPFF1-Neuropeptide-VF-Gi1/β1/γ2
21.74Consensusdop_onOrthosteric Ligand8F7S-δ-Deltorphin-Gi1/β1/γ2
21.43Single4XT3CX3CL14XT3-US28-CX3CL1
21.43Single5MZJTheophylline5MZJ-A2A-Theophylline-Na
21.43Single6FJ3PTH6FJ3-PTH1-PTH
21.43Single7RGPTirzepatide7RGP-GLP-1-Tirzepatide-chim(NtGi1-Gs)/β1/γ2
21.43Single7V68LY21196207V68-M4-Iperoxo-LY2119620-Gi1/β1/γ2
21.43Single7W3ZGastrin Releasing Peptide7W3Z-BB2-Gastrin Releasing Peptide-chim(NtGi1L-Gq)/β1/γ2
21.43Single7YKDChemerin-97YKD-CML1-Chemerin-9-Gi1/β1/γ2
21.43Single8E3XPACAP278E3X-PAC1-PACAP27-Gs/β1/γ2
21.43Single8HVINOX-6-78HVI-GPR132-NOX-6-7-Gi1/β1/γ2
21.43Single8JISPeptide-158JIS-GLP-1-Peptide-15-chim(NtGi1-Gs)/β1/γ2
21.43Single8PWNTheophylline8PWN-A2A-Theophylline
21.43Single8XVEBQ30208XVE-ETB-BQ3020-chim(Gs-CtGq)/β1/γ2
21.43Single9J1Pg1:Ox9J1P-GLP-1-g1:Ox-chim(NtGi1-Gs)/β1/γ2
21.43Single9P92VIP9P92-PAC1-VIP-Gs/β1/γ2
21.43Consensusccr_offOrthosteric Ligandccr2_off ccr5_off
21.43Consensusctlike_onOrthosteric Ligand6E3Y-CT Like-Calcitonin gene-related peptide-1-Gs/β1/γ2; RAMP1
21.43Consensusopioid_on_gpOrthosteric Ligandmop_on_gp nop_on_gp dop_on_gp kop_on_gp
21.43Consensuspac1_onOrthosteric Ligand8E3X-PAC1-PACAP27-Gs/β1/γ2 6M1H-PAC1-Maxadilan-Gs/β1/γ2
21.43Consensuspac1_on_gpOrthosteric Ligand8E3X-PAC1-PACAP27-Gs/β1/γ2 6M1H-PAC1-Maxadilan-Gs/β1/γ2
21.43Consensuspac_on_gpOrthosteric Ligandpac1_on_gp
21.05Single4J4QOctyl Beta-D-Glucopyranoside4J4Q-Rhodopsin-Octyl β-D-Glucopyranoside-Gt(CT)
21.05Single6D27CAY104716D27-DP2-CAY10471
21.05Single6FKCPubChem 1324730396FKC-Rhodopsin-PubChem 132473039
21.05Single7LCIDanuglipron7LCI-GLP-1-Danuglipron-Gs/β1/γ2
21.05Single7LCKDanuglipron7LCK-GLP-1-Danuglipron
21.05Single7TRQVU04671547TRQ-M4-Iperoxo-VU0467154-Gi1/β1/γ2
21.05Single7YK7DC5910537YK7-RXFP4-DC591053-Gi2/β1/γ2
21.05Single8CU6LJ-45178CU6-A2A-LJ-4517
21.05Single8CU7LJ-45178CU7-A2A-LJ-4517-Na
21.05Single8J6PNiacin8J6P-HCA2-Niacin-PubChem 25101223-Gi1/β1/γ2
21.05Single8JHNMonomethyl fumarate8JHN-HCA2-Monomethyl fumarate-Go/β1/γ2
21.05Single8RWXStilSwitch38RWX-A2A-StilSwitch3-Na
21.05Single8TH3AT118-H Nanobody8TH3-AT1-AT118-H Nanobody
21.05Single8XBGS3E-Lysophosphatidylserine 8XBG-GPR34-S3E-Lysophosphatidylserine
21.05Single8YH5Riboprine8YH5-A3A-Riboprine-Gi1/β1/γ2
21.05Single9H37PubChem 1756706469H37-A2A-PubChem 175670646-Na
21.05Single9IMATalquetamab9IMA-GPRC5D; GPRC5D-Talquetamab
21.05Single9IZCMK19039IZC-HCA2-MK1903-Gi1/β1/γ2
21.05Consensusadenosine_on_gpOrthosteric Liganda1_on_gp a2_on_gp a3_on_gp
21.05Consensusgi_hcaOrthosteric Ligand8J6R-HCA2-MK6892-Gi1/β1/γ2 8JIM-HCA2-Monomethyl fumarate-Gi1/β1/γ2 8IHI-HCA2-Acifran-Gi1/β1/γ2 8IHH-HCA2-LUF6283-Gi1/β1/γ2 8I7V-HCA2-Acipimox-Gi1/β1/γ2 8I7W-HCA2-GSK256073-Gi1/β1/γ2
21.05Consensushca2_onOrthosteric Ligand8J6R-HCA2-MK6892-Gi1/β1/γ2 8JIM-HCA2-Monomethyl fumarate-Gi1/β1/γ2 8I7V-HCA2-Acipimox-Gi1/β1/γ2 8I7W-HCA2-GSK256073-Gi1/β1/γ2 8IHH-HCA2-LUF6283-Gi1/β1/γ2 8IHI-HCA2-Acifran-Gi1/β1/γ2
21.05Consensushca2_on_gpOrthosteric Ligand8J6R-HCA2-MK6892-Gi1/β1/γ2 8IHI-HCA2-Acifran-Gi1/β1/γ2 8IHH-HCA2-LUF6283-Gi1/β1/γ2 8I7V-HCA2-Acipimox-Gi1/β1/γ2 8JIM-HCA2-Monomethyl fumarate-Gi1/β1/γ2 8I7W-HCA2-GSK256073-Gi1/β1/γ2
21.05Consensushca_on_gpOrthosteric Ligandhca2_on_gp
21.05Consensuslipid_offOrthosteric Ligandcannabinoid_off paf_off lpl_off prostanoid_off leukotriene_off
20.83Single4IARErgotamine4IAR-5-HT1B-Ergotamine
20.83Single4IB4Ergotamine4IB4-5-HT2B-Ergotamine
20.83Single4XT1CX3CL14XT1-US28-CX3CL1
20.83Single7F54Afamelanotide7F54-MC4-Afamelanotide-Gs/β1/γ2
20.83Single7T6UCGEN-855A7T6U-FPR2-ALX-CGEN-855A-Gi1/β1/γ2
20.83Single7WKDTRH7WKD-TRH-TRH-chim(NtGi1-Gs-CtGq)/β1/γ2
20.83Single7WVWfMYFINILTL7WVW-FPR2-ALX-fMYFINILTL-Gi2/β1/γ2
20.83Single8DWGBAM8-228DWG-MRGPRX1-BAM8-22-ML382-chim(NtGi2L-Gs-CtGq)/β1/γ2
20.83Single8G59TUG-8918G59-FFA4-TUG-891-chim(Gi1-CtGq)/β1/γ2
20.83Single8WDTphotoNECA8WDT-A2A-photoNECA
20.83Single8XBHPubChem 1626566368XBH-GPR34-PubChem 162656636-Gi1/β1/γ2
20.83Single8YWFRetatrutide8YWF-GLP-1-Retatrutide-chim(NtGi1-Gs)/β1/γ2
20.83Single8ZBJSomatostatin-148ZBJ-SST5-Somatostatin-14-Gi1/β1/γ2
20.83Consensuscxcr4_onOrthosteric Ligand8K3Z-CXCR4-CXCL12-Gi1/β1/γ1
20.83Consensusgi_nucleotideOrthosteric Ligandgi_adenosine gi_p2y
20.83Consensuslpl_onOrthosteric Ligands1p_on lpa_on
20.83Consensuslpl_on_gpOrthosteric Ligands1p_on_gp lpa_on_gp
20.83Consensusmop_offOrthosteric Ligand4DKL-μ-β-Funaltrexamine 8QOT-μ-Nanobody-E 7UL4-μ-Alvimopan
20.83Consensusnop_onOrthosteric Ligand8F7X-NOP-Nociceptin-Gi1/β1/γ2
20.83Consensusnop_on_gpOrthosteric Ligand8F7X-NOP-Nociceptin-Gi1/β1/γ2
20.83Consensussst5_onOrthosteric Ligand8X8L-SST5-Cortistatin-14-chim(NtGi1-Gs-CtGi1)/β1/γ2 8X8N-SST5-Octreotide-chim(NtGi1-Gs-CtGi1)/β1/γ2
20.69Single6VCBGLP-16VCB-GLP-1-GLP-1-LSN3160440-Gs/β1/γ2
20.69Single7EIBKallidin-des-Arg107EIB-BK1-Kallidin-des-Arg10-chim(NtGi1-Gs-CtGq)/β1/γ2
20.69Single7S1MExendin-4-D-Ala7S1M-GLP-1-Exendin-4-D-Ala-Gs/β1/γ2
20.69Single7WVYAmyloid-Beta427WVY-FPR2-ALX-Amyloid-β42-Gi2/β1/γ2
20.69Single8ZH8QRFP268ZH8-QRFP-QRFP26-Gq/β1/γ1
20.69Single9KDFRES-701-39KDF-ETB-RES-701-3
20.69Single9P94PACAP279P94-PAC1-PACAP27-Gs/β1/γ2
20.00Single3RFMCaffeine3RFM-A2A-Caffeine
20.00Single4JKVTaladegib4JKV-SMO-Taladegib
20.00Single4NTJAZD12834NTJ-P2Y12-AZD1283
20.00Single4RWDDIPP-NH24RWD-δ-DIPP-NH2-Na
20.00Single5OM4PubChem 1355666095OM4-A2A-PubChem 135566609-Na
20.00Single6GDGNECA6GDG-A2A-NECA-Gs/β1/γ1
20.00Single6OT025(S)-Epoxycholesterol6OT0-SMO-25(S)-Epoxycholesterol-Gi1/β1/γ2
20.00Single6RZ4Pranlukast6RZ4-CysLT1-Pranlukast-Na
20.00Single6XBM25(S)-Epoxycholesterol6XBM-SMO-25(S)-Epoxycholesterol-Gi1/β1/γ2
20.00Single7BB7AVP7BB7-V2-AVP-Gs/β1/γ2
20.00Single7C61Ergotamine7C61-5-HT1B-Ergotamine
20.00Single7CFNINT-7777CFN-GPBA-INT-777-Gs/β1/γ2
20.00Single7CKXA776367CKX-D1-A77636-Gs/β1/γ2
20.00Single7KI1Taspoglutide7KI1-GLP-1-Taspoglutide-Gs/β1/γ2
20.00Single7LD3Adenosine7LD3-A1-Adenosine-MIPS521-Gi2/β1/γ2
20.00Single7RKMCX3CL17RKM-US28-CX3CL1-Gi1/β1/γ2
20.00Single7RMISubstance-P7RMI-NK1-Substance-P-chim(Gs-CtGq)/β1/γ2
20.00Single7TRYUrocortin7TRY-CRF2-Urocortin-chim(NtGi1-G11)/β1/γ2
20.00Single7VBITirzepatide (non-acylated)7VBI-GLP-1-Tirzepatide (non-acylated)-Gs/β1/γ2
20.00Single7VDMSubstance-P7VDM-MRGPRX2-Substance-P-Gi1/β1/γ2
20.00Single7VFXfMIFL7VFX-FPR1-ALX-fMIFL-Gi1/β1/γ2
20.00Single7VV0PAMP-127VV0-MRGPRX2-PAMP-12
20.00Single7WIGL-0542647WIG-SST2-L-054264-Gi1/β1/γ2
20.00Single7WJ5Somatostatin-147WJ5-SST2-Somatostatin-14-Gi1/β1/γ2
20.00Single7X1TTaltirelin7X1T-TRH-Taltirelin-chim(NtGi2L-Gs-CtGq)/β1/γ2
20.00Single8F7QBeta-Endorphin8F7Q-μ-β-Endorphin-Gi1/β1/γ2
20.00Single8F7SDeltorphin8F7S-δ-Deltorphin-Gi1/β1/γ2
20.00Single8ID4Linoleic acid8ID4-FFA4-Linoleic acid-Gi1/β1/γ2
20.00Single8IEBPubChem 1347468948IEB-GPR156; GPR156-PubChem 134746894
20.00Single8IZ4Lysophosphatidylserine (TJR)8IZ4-GPR34-Lysophosphatidylserine (TJR)-Gi1/β1/γ2
20.00Single8JBHSubstance-P8JBH-NK3-Substance-P-chim(NtGi1-Gs-CtGq)/β1/γ2
20.00Single8S4DCMF-0198S4D-Apelin-CMF-019
20.00Single8SG1Chemerin-98SG1-CML1-Chemerin-9-Gi1/β1/γ2
20.00Single8U4QREGN7663-Fab8U4Q-CXCR4-REGN7663-Fab-Gi1/β1/γ2
20.00Single8UUJFCH-22964138UUJ-HCA2-FCH-2296413-Gi1/β1/γ2
20.00Single8Y52BA18Y52-BB3-BA1-chim(NtGi1-Gs-CtGq)/β1/γ2
20.00Single9BYOExendin-39BYO-GLP-1-Exendin-3-Gs/β1/γ2
20.00Single9CIBFCH-22964139CIB-HCA2-FCH-2296413
20.00Single9EHSLUF76029EHS-A3A-LUF7602
20.00Single9IK8Pasireotide9IK8-SST1-Pasireotide-Gi1/β1/γ2
20.00Single9IYBPGD29IYB-DP2-PGD2-A1D5Q-Gi1/β1/γ2
20.00Single9JFK(Pen5)-Urotensin II9JFK-UT-(Pen5)-Urotensin II-chim(NtGi2L-Gs-CtGq)/β1/γ2
20.00Single9KFIRelaxin-39KFI-RXFP3-Relaxin-3-Gi2/β1/γ2
20.00Single9M42A1L8O9M42-GPR139-A1L8O-chim(Gs-CtGq)/β1/γ2
20.00Single9P93VIP9P93-PAC1-VIP-Gs/β1/γ2
20.00Consensusccr8_on_gpOrthosteric Ligand8KFX-CCR8-LMD-009-Gi1/β1/γ2 8KFY-CCR8-ZK-756326-Gi1/β1/γ2 8U1U-CCR8-CCL1-Gi1/β1/γ2
20.00Consensusctlike_on_gpOrthosteric Ligand6E3Y-CT Like-Calcitonin gene-related peptide-1-Gs/β1/γ2; RAMP1
20.00Consensuscyslt_offOrthosteric Ligandcyslt2_off cyslt1_off
20.00Consensusdop_on_gpOrthosteric Ligand8F7S-δ-Deltorphin-Gi1/β1/γ2
20.00Consensusfpr1-alx_onOrthosteric Ligand7VFX-FPR1-ALX-fMIFL-Gi1/β1/γ2
20.00Consensusfpr1-alx_on_gpOrthosteric Ligand7VFX-FPR1-ALX-fMIFL-Gi1/β1/γ2
20.00Consensusgs_melanocortinOrthosteric Ligand7F4H-MC1-Afamelanotide-chim(NtGi1-Gs)/β1/γ2 7F54-MC4-Afamelanotide-Gs/β1/γ2 7F4D-MC1-α-MSH-chim(NtGi1-Gs)/β1/γ2 8INR-MC5-α-MSH-Ca-chim(NtGi1-Gs)/β1/γ2 7F53-MC4-α-MSH-Gs/β1/γ2 7F55-MC4-Bremelanotide-Gs/β1/γ2 8GY7-MC2-Corticotropin-Ca-chim(NtGi1-Gs)/β1/γ2; MRAP1 8IOC-MC3-γ-MSH-Ca-chim(NtGi1-Gs)/β1/γ2 8IOD-MC5-PG-901-Ca-chim(NtGi1-Gs)/β1/γ2 7AUE-MC4-Setmelanotide-chim(NtGi1L-Gs)/β1/γ2 7F4I-MC1-SHU9119-chim(NtGi1-Gs)/β1/γ2 7F58-MC4-THIQ-Gs/β1/γ2
20.00Consensuslpa1_onOrthosteric Ligand7TD1-LPA1-LPA-Gi1/β1/γ2 7YU3-LPA1-ONO-0740556-Gi1/β1/γ2
20.00Consensuslpa1_on_gpOrthosteric Ligand7TD1-LPA1-LPA-Gi1/β1/γ2 7YU3-LPA1-ONO-0740556-Gi1/β1/γ2
20.00Consensusmc2_onOrthosteric Ligand8GY7-MC2-Corticotropin-Ca-chim(NtGi1-Gs)/β1/γ2; MRAP1
20.00Consensusnucleotide_onOrthosteric Ligandadenosine_on p2y_on
20.00Consensusrxfp4_onOrthosteric Ligand7YK7-RXFP4-DC591053-Gi2/β1/γ2 7YJ4-RXFP4-INSL5-Gi2/β1/γ2 7YK6-RXFP4-PubChem 138319674-Gi2/β1/γ2
20.00Consensusrxfp4_on_gpOrthosteric Ligand7YK7-RXFP4-DC591053-Gi2/β1/γ2 7YJ4-RXFP4-INSL5-Gi2/β1/γ2 7YK6-RXFP4-PubChem 138319674-Gi2/β1/γ2
20.00Consensusvip-pacap_onOrthosteric Ligandvpac_on pac_on
20.00Consensusvip-pacap_on_gpOrthosteric Ligandvpac_on_gp pac_on_gp
19.35Single7DUQGLP-17DUQ-GLP-1-GLP-1-PubChem 156022738-Gs/β1/γ2
19.35Consensusclass-a_class-b1_cons_onOrthosteric Ligandclass-a_on class-b1_on
19.23Single6PT2KGCHM076PT2-δ-KGCHM07
19.23Single7O7F6P4-CCL57O7F-CCR5-6P4-CCL5-Gi1/β1/γ1
19.23Single7RYCOxytocin7RYC-OT-Oxytocin-chim(NtGi2L-Gs-CtGq)/β1/γ2
19.23Single7T6TfMLFII7T6T-FPR1-ALX-fMLFII-Gi1/β1/γ2
19.23Single7TD2LPA7TD2-LPA1-LPA-Gi1/β1/γ2
19.23Single8YFOAc-LA-PTH Analog8YFO-PTH1-Ac-LA-PTH Analog-chim(NtGi1-Gs)/β1/γ2
19.23Single9LXRLA-PTH Analog9LXR-PTH1-LA-PTH Analog-Arrestin2
19.23Consensusclass-b1_class-b2_cons_onOrthosteric Ligandclass-b1_on class-b2_on
19.23Consensusclass-b1_class-b2_cons_on_gpOrthosteric Ligandclass-b1_on_gp class-b2_on_gp
19.23Consensusfpr2-alx_onOrthosteric Ligand7WVX-FPR2-ALX-Humanin-Gi2/β1/γ2 7T6U-FPR2-ALX-CGEN-855A-Gi1/β1/γ2 7T6V-FPR2-ALX-fMLFII-Gi1/β1/γ2 7WVY-FPR2-ALX-Amyloid-β42-Gi2/β1/γ2 7T6S-FPR2-ALX-TC-FPR 43-Gi1/β1/γ2 6OMM-FPR2-ALX-WKYMVX-Gi1/β1/γ2
19.05Single4IAQDihydroergotamine4IAQ-5-HT1B-Dihydroergotamine
19.05Single5V57TC1145V57-SMO-TC114
19.05Single6GT3Imaradenant6GT3-A2A-Imaradenant-Na
19.05Single6RZ5Zafirlukast6RZ5-CysLT1-Zafirlukast-Na
19.05Single7JV5SKF812977JV5-D1-SKF81297-Gs/β1/γ2
19.05Single7JVPSKF839597JVP-D1-SKF83959-Gs/β1/γ2
19.05Single7TD1LPA7TD1-LPA1-LPA-Gi1/β1/γ2
19.05Single7WVXHumanin7WVX-FPR2-ALX-Humanin-Gi2/β1/γ2
19.05Single7XAVLanreotide7XAV-SST2-Lanreotide-Gi1/β1/γ2
19.05Single8HPTC5a (C-terminal peptide)8HPT-C5a1-C5a (C-terminal peptide)-Go/β1/γ2
19.05Single8I9LC3a8I9L-C3aB-C3a-Go/β1/γ2
19.05Single8IHBGSK2560738IHB-HCA2-GSK256073-Gi1/β1/γ2
19.05Single8IHHLUF62838IHH-HCA2-LUF6283-Gi1/β1/γ2
19.05Single8JGFBAM8-228JGF-MRGPRX1-BAM8-22-chim(NtGi1-Gs-CtGq)/β1/γ2
19.05Single8XBIPubChem 1626566368XBI-GPR34-PubChem 162656636
19.05Single9ASTLymphotactin9AST-XCR1-Lymphotactin-Gi1/β1/γ2
19.05Single9IK9Lanreotide9IK9-SST1-Lanreotide-Gi1/β1/γ2
19.05Single9JMCDS-3801b9JMC-Motilin-DS-3801b-chim(Gs-CtGq)/β1/γ2
19.05Single9UY3Anamorelin9UY3-Ghrelin-Anamorelin-chim(NtGi1-Gs-CtGq)/β1/γ2
19.05Consensusa2_onOrthosteric Liganda2b_on
19.05Consensusa2_on_gpOrthosteric Liganda2b_on_gp
19.05Consensusa2b_onOrthosteric Ligand8HDP-A2B-Adenosine-Gs/β1/γ2 7XY6-A2B-BAY 60-6583-chim(NtGi1-Gs)/β1/γ2 7XY7-A2B-NECA-chim(NtGi1-Gs)/β1/γ2 8HDO-A2B-BAY 60-6583-Gs/β1/γ2
19.05Consensusa2b_on_gpOrthosteric Ligand8HDP-A2B-Adenosine-Gs/β1/γ2 7XY6-A2B-BAY 60-6583-chim(NtGi1-Gs)/β1/γ2 7XY7-A2B-NECA-chim(NtGi1-Gs)/β1/γ2 8HDO-A2B-BAY 60-6583-Gs/β1/γ2
19.05Consensusclass-a_offOrthosteric Ligandsensory_off alicarboxylic_off amine_off lipid_off nucleotide_off peptide_off protein_off
19.05Consensuscyslt1_offOrthosteric Ligand6RZ5-CysLT1-Zafirlukast-Na 6RZ4-CysLT1-Pranlukast-Na
19.05Consensusgi_dopamineOrthosteric Ligand7JVR-D2-Bromoergocryptine-Gi1/β1/γ2 7CMV-D3-PD128907-Gi1/β1/γ2 7CMU-D3-Pramipexole-Gi1/β1/γ2 8IRS-D2-Rotigotine-Gi1/β1/γ2 8IRT-D3-Rotigotine-Gi1/β1/γ2
19.05Consensusgs_adenosineOrthosteric Ligand8HDP-A2B-Adenosine-Gs/β1/γ2 8HDO-A2B-BAY 60-6583-Gs/β1/γ2 7XY7-A2B-NECA-chim(NtGi1-Gs)/β1/γ2 7XY6-A2B-BAY 60-6583-chim(NtGi1-Gs)/β1/γ2
19.05Consensusgs_nucleotideOrthosteric Ligandgs_adenosine
18.75Single5WKTOctyl-Beta-D-Glucopyranoside5WKT-Rhodopsin-Octyl-β-D-Glucopyranoside-Gt(CT)
18.75Single6ME5Agomelatine6ME5-MT1-Agomelatine
18.75Single6OIKLY21196206OIK-M2-Iperoxo-LY2119620-chim(NtGi1-Go)/β1/γ2
18.75Single7VBHPeptide-207VBH-GLP-1-Peptide-20-Gs/β1/γ2
18.75Single8F76Propanoic acid8F76-OR51E2-Propanoic acid-Gs/β1/γ2
18.75Single8J24Acetic acid8J24-FFA2-Acetic acid-Gi1/β1/γ2
18.75Single8JEFPubChem 113671668JEF-HCA3-PubChem 11367166-Gi1/β1/γ2
18.75Single8JRVGlucagon8JRV-Glucagon-Glucagon-Arrestin2
18.75Single8RQLFlufenamic acid8RQL-TAS2R14-Flufenamic acid-Flufenamic acid-chim(NtGi1-Gt3)/β1/γ2
18.75Single8Y63C20:0 Ceramide8Y63-FPR2-ALX-C20:0 Ceramide-Gi1/β1/γ2
18.75Single9IJRC179IJR-GPR52-C17-Arrestin2
18.75Single9IV15alpha-DHT9IV1-ADGRD1-5α-DHT-chim(NtGi1-Gs)/β1/γ2
18.75Single9JHJC18:0 Ceramide9JHJ-FPR2-ALX-C18:0 Ceramide-Gi1/β1/γ2
18.75Consensusglp1_onOrthosteric Ligand7S1M-GLP-1-Exendin-4-D-Ala-Gs/β1/γ2 7X8R-GLP-1-BOC5-Gs/β1/γ2 6X19-GLP-1-CHU-128-Gs/β1/γ2 6X1A-GLP-1-Danuglipron-Gs/β1/γ2 6X18-GLP-1-GLP-1-Gs/β1/γ2 8JIP-GLP-1-MEDI0382-chim(NtGi1-Gs)/β1/γ2 7C2E-GLP-1-PubChem 149050799-Gs/β1/γ2 7KI0-GLP-1-Semaglutide-Gs/β1/γ2 7KI1-GLP-1-Taspoglutide-Gs/β1/γ2 7X8S-GLP-1-WB4-24-Gs/β1/γ2 8JIS-GLP-1-Peptide-15-chim(NtGi1-Gs)/β1/γ2 7VBI-GLP-1-Tirzepatide (non-acylated)-Gs/β1/γ2
18.75Consensusmelanocortin_onOrthosteric Ligandmc1_on mc4_on mc2_on mc3_on mc5_on
18.75Consensusmelanocortin_on_gpOrthosteric Ligandmc1_on_gp mc4_on_gp mc2_on_gp mc3_on_gp mc5_on_gp
18.52Single6M1IPACAP276M1I-PAC1-PACAP27-Gs/β1/γ2
18.52Single6WI9Secretin6WI9-Secretin-Secretin-Gs/β1/γ2
18.52Single7DW9AVP7DW9-V2-AVP-chim(NtGi1-Gs)/β1/γ2
18.52Single7FIMTirzepatide7FIM-GLP-1-Tirzepatide-Gs/β1/γ2
18.52Single7W40Bombesin7W40-BB2-Bombesin-chim(NtGi1L-Gq)/β1/γ2
18.52Single7XK8Neuromedin-U-257XK8-NMUR2-Neuromedin-U-25-Gi1/β1/γ2
18.52Single8HA0PTH8HA0-PTH1-PTH-chim(NtGi1-Gs)/β1/γ2
18.52Single8IEDPubChem 1347468948IED-GPR156; GPR156-PubChem 134746894-Go/β1/γ2
18.52Single8IEDPubChem 1347468948IED-GPR156; GPR156-PubChem 134746894-Go/β1/γ2
18.52Single8XWQEndothelin-18XWQ-ETB-Endothelin-1-Gi1/β1/γ2
18.52Single8YW3Retatrutide8YW3-GLP-1-Retatrutide-Gs/β1/γ2
18.52Single8YW4Retatrutide8YW4-GIP-Retatrutide-chim(NtGi1-Gs)/β1/γ2
18.52Single9EBOGLP-1 (ACPC18)9EBO-GLP-1-GLP-1 (ACPC18)-Gs/β1/γ2
18.52Consensuscxcr3_on_gpOrthosteric Ligand8HNK-CXCR3-CXCL11-Gi1/β1/γ2 8HNL-CXCR3-PS372424-Gi1/β1/γ2
18.52Consensusfpr2-alx_on_gpOrthosteric Ligand7WVX-FPR2-ALX-Humanin-Gi2/β1/γ2 7T6U-FPR2-ALX-CGEN-855A-Gi1/β1/γ2 7T6V-FPR2-ALX-fMLFII-Gi1/β1/γ2 7WVY-FPR2-ALX-Amyloid-β42-Gi2/β1/γ2 7T6S-FPR2-ALX-TC-FPR 43-Gi1/β1/γ2 6OMM-FPR2-ALX-WKYMVX-Gi1/β1/γ2
18.52Consensusgs_vasop-oxyOrthosteric Ligand7DW9-V2-AVP-chim(NtGi1-Gs)/β1/γ2
18.52Consensusv2_onOrthosteric Ligand7DW9-V2-AVP-chim(NtGi1-Gs)/β1/γ2
18.52Consensusv2_on_gpOrthosteric Ligand7DW9-V2-AVP-chim(NtGi1-Gs)/β1/γ2
18.52Consensusvasop-oxy_onOrthosteric Ligandv2_on
18.52Consensusvasop-oxy_on_gpOrthosteric Ligandv2_on_gp
18.18Single4PXZ2MeSADP4PXZ-P2Y12-2MeSADP
18.18Single4RWADIPP-NH24RWA-δ-DIPP-NH2
18.18Single4Z36ONO-30805734Z36-LPA1-ONO-3080573
18.18Single6VMSBromoergocryptine6VMS-D2-Bromoergocryptine-Gi1/β1/γ2
18.18Single7BZ2Arformoterol7BZ2-β2-Arformoterol-Gs/β1/γ2
18.18Single7EXDLasmiditan7EXD-5-HT1F-Lasmiditan-Gi1/β1/γ2
18.18Single7W0NElabela7W0N-Apelin; Apelin-Elabela-Gi1/β1/γ2
18.18Single7XW9TRH7XW9-TRH-TRH-chim(NtGi1L-Gs-CtGq)/β1/γ2
18.18Single8DWCBAM8-228DWC-MRGPRX1-BAM8-22-chim(NtGi2L-Gs-CtGq)/β1/γ2
18.18Single8JIRSAR4258998JIR-GLP-1-SAR425899-chim(NtGi1-Gs)/β1/γ2
18.18Single8JJLOlodaterol8JJL-β2-Olodaterol
18.18Single8T3QDoconexent8T3Q-FFA4-Doconexent-chim(NtGi2L-Gs-CtGq)/β1/γ2
18.18Single8WRBLysophosphatidylserine (UBL)8WRB-GPR34-Lysophosphatidylserine (UBL)-Gi1/β1/γ2
18.18Single8X8NOctreotide8X8N-SST5-Octreotide-chim(NtGi1-Gs-CtGi1)/β1/γ2
18.18Single9GYOP3959GYO-GPBA-P395-chim(NtGi1-Gs)/β1/γ2
18.18Single9VIFNeuropeptide-VF9VIF-NPFF1-Neuropeptide-VF-Gi1/β1/γ2
18.18Single9WXMGPR15L(CT)9WXM-GPR15-GPR15L(CT)-Gi3/β1/γ2
18.18Consensus5ht1f_onOrthosteric Ligand7EXD-5-HT1F-Lasmiditan-Gi1/β1/γ2
18.18Consensus5ht1f_on_gpOrthosteric Ligand7EXD-5-HT1F-Lasmiditan-Gi1/β1/γ2
18.18Consensusd2_on_gpOrthosteric Ligand7JVR-D2-Bromoergocryptine-Gi1/β1/γ2 8IRS-D2-Rotigotine-Gi1/β1/γ2
18.18Consensusgi_lipidOrthosteric Ligandgi_cannabinoid gi_ffa gi_leukotriene gi_lpa gi_s1p
18.18Consensusglp1_on_gpOrthosteric Ligand7S1M-GLP-1-Exendin-4-D-Ala-Gs/β1/γ2 7X8R-GLP-1-BOC5-Gs/β1/γ2 6X19-GLP-1-CHU-128-Gs/β1/γ2 6X1A-GLP-1-Danuglipron-Gs/β1/γ2 6X18-GLP-1-GLP-1-Gs/β1/γ2 8JIP-GLP-1-MEDI0382-chim(NtGi1-Gs)/β1/γ2 7C2E-GLP-1-PubChem 149050799-Gs/β1/γ2 7KI0-GLP-1-Semaglutide-Gs/β1/γ2 7KI1-GLP-1-Taspoglutide-Gs/β1/γ2 7X8S-GLP-1-WB4-24-Gs/β1/γ2 8JIS-GLP-1-Peptide-15-chim(NtGi1-Gs)/β1/γ2 7VBI-GLP-1-Tirzepatide (non-acylated)-Gs/β1/γ2
18.18Consensuslipid_offonOrthosteric Ligandlipid_off lipid_on
18.18Consensuslipid_offon_gpOrthosteric Ligandlipid_on_gp lipid_off
18.18Consensustrh_onOrthosteric Ligand7XW9-TRH-TRH-chim(NtGi1L-Gs-CtGq)/β1/γ2
18.18Consensustrh_on_gpOrthosteric Ligand7XW9-TRH-TRH-chim(NtGi1L-Gs-CtGq)/β1/γ2
17.86Single7LLYOxyntomodulin7LLY-GLP-1-Oxyntomodulin-Gs/β1/γ2
17.86Single7TYHCalcitonin7TYH-CT (AMY2)-Calcitonin-Gs/β1/γ2; RAMP2
17.86Single7WBJPACAP277WBJ-VPAC1-PACAP27-Gs/β1/γ2
17.86Single7Y35Abaloparatide7Y35-PTH1-Abaloparatide-Gs/β1/γ2
17.86Single8HNKCXCL118HNK-CXCR3-CXCL11-Gi1/β1/γ2
17.86Single8YG4LA-PTH Analog8YG4-PTH1-LA-PTH Analog-chim(NtGi1-Gs)/β1/γ2
17.86Single9E2AGLP-19E2A-GLP-1-GLP-1-Gs/β1/γ2
17.86Consensuscalcitonin_onOrthosteric Ligandctlike_on
17.86Consensusvpac_onOrthosteric Ligandvpac1_on vpac2_on
17.65Single3OE9IT1t3OE9-CXCR4-IT1t
17.65Single5L7IVismodegib5L7I-SMO-Vismodegib
17.65Single7S8OR-Zinc-35737S8O-MRGPRX2-R-Zinc-3573-Gi1/β1/γ2
17.65Single7TYOCalcitonin7TYO-CT-Calcitonin-Gs/β1/γ2
17.65Single7VUIJNJ-635330547VUI-GPR139-JNJ-63533054-GTP-chim(Gs-CtGq)/β1/γ2
17.65Single7XT9Serotonin7XT9-5-HT4-Serotonin-Gs/β1/γ2
17.65Single8A2PLUAA470708A2P-A2A-LUAA47070-Na
17.65Single8U4RREGN7663-Fab8U4R-CXCR4-REGN7663-Fab
17.65Single8YH3N-methyladenosine8YH3-A3A-N-methyladenosine-Gi1/β1/γ2
17.65Single8ZX5AM2518ZX5-GPR55-AM251-chim(NtGi1-G13)/β1/γ2
17.65Single8ZYUNeurotensin-(8-13)8ZYU-NTS1-Neurotensin-(8-13)-SBI-553-Arrestin2
17.65Single9IQTNiacin9IQT-HCA2-Niacin-Gi1/β1/γ2
17.65Single9L3ZLRH7-C29L3Z-CML1-LRH7-C2
17.65Consensusadgrg_onOrthosteric Ligandadgrg2_on adgrg4_on
17.65Consensusadgrg_on_gpOrthosteric Ligandadgrg2_on_gp adgrg4_on_gp
17.65Consensusclass-a_class-b1_cons_on_gpOrthosteric Ligandclass-a_on_gp class-b1_on_gp
17.65Consensusgq_nucleotideOrthosteric Ligandgq_p2y
17.65Consensusgq_p2yOrthosteric Ligand7XXH-P2Y1-2MeSADP-chim(NtGi1-G11)/β1/γ2
17.39Single4NC3Ergotamine4NC3-5-HT2B-Ergotamine
17.39Single6M1HMaxadilan6M1H-PAC1-Maxadilan-Gs/β1/γ2
17.39Single8K2XCXCL108K2X-CXCR3-CXCL10-Gi1/β1/γ2
17.39Single8ZPLHF511168ZPL-CXCR4-HF51116
17.39Single9C0KExendin-49C0K-GLP-1-Exendin-4-Gs/β1/γ2
17.39Single9IZFLPA9IZF-LPA1-LPA-Gi1/β1/γ2
17.39Single9J0BUDP-Glucose9J0B-P2Y14-UDP-Glucose-Gi1/β1/γ2
17.39Single9JH5C16:0 Ceramide9JH5-CysLT2-C16:0 Ceramide-chim(NtGi1-Gs-CtGq)/β1/γ2
17.39Single9KT8Acifran9KT8-HCA2-Acifran-Gi1/β1/γ2
17.39Single9M54Neuropeptide-VF9M54-NPFF2-Neuropeptide-VF-Gi1/β1/γ2
17.39Consensusnucleotide_on_gpOrthosteric Ligandadenosine_on_gp p2y_on_gp
17.39Consensuspeptide_offOrthosteric Ligandcck_off angiotensin_off bombesin_off endothelin_off ghrelin_off npy_off opioid_off orexin_off somatostatin_off tachykinin_off vasop-oxy_off neurotensin_off
17.24Single6NBFLA-PTH Analog6NBF-PTH1-LA-PTH Analog-Gs/β1/γ2
17.24Single6NBILA-PTH Analog6NBI-PTH1-LA-PTH Analog-Gs/β1/γ2
17.24Single7KI0Semaglutide7KI0-GLP-1-Semaglutide-Gs/β1/γ2
17.24Single7RA3GIP7RA3-GIP-GIP-chim(NtGi1-Gs)/β1/γ2
17.24Single7VABTirzepatide (non-acylated)7VAB-GIP-Tirzepatide (non-acylated)-chim(NtGi1-Gs)/β1/γ2
17.24Single8FLRPTHrP(1-36)8FLR-PTH1-PTHrP(1-36)-Gs/β1/γ2
17.24Single9BLBCagrilintide (non-acylated)9BLB-CT-Cagrilintide (non-acylated)-Gs/β1/γ2
17.24Single9KFKRelaxin-39KFK-RXFP4-Relaxin-3-Gi2/β1/γ2
17.24Consensuscalcitonin_on_gpOrthosteric Ligandctlike_on_gp
17.24Consensusvpac1_on_gpOrthosteric Ligand8E3Z-VPAC1-VIP-Gs/β1/γ2
17.24Consensusvpac_on_gpOrthosteric Ligandvpac1_on_gp vpac2_on_gp
17.14Single6E3YCalcitonin gene-related peptide-16E3Y-CT Like-Calcitonin gene-related peptide-1-Gs/β1/γ2; RAMP1
16.67Single3NY9PubChem 9131033NY9-β2-PubChem 913103
16.67Single5OLHVipadenant5OLH-A2A-Vipadenant-Na
16.67Single5OLVLUAA470705OLV-A2A-LUAA47070-Na
16.67Single6B3JExendin-P56B3J-GLP-1-Exendin-P5-Gs/β1/γ2
16.67Single6D9HAdenosine6D9H-A1-Adenosine-Gi2/β1/γ2
16.67Single6ME9Ramelteon6ME9-MT2-Ramelteon
16.67Single6RZ6ONO-25703666RZ6-CysLT2-ONO-2570366
16.67Single7AUESetmelanotide7AUE-MC4-Setmelanotide-chim(NtGi1L-Gs)/β1/γ2
16.67Single7DTYGIP7DTY-GIP-GIP-Gs/β1/γ2
16.67Single7F53Alpha-MSH7F53-MC4-α-MSH-Gs/β1/γ2
16.67Single7FIYTirzepatide7FIY-GIP-Tirzepatide-Gs/β1/γ2
16.67Single7LCJDanuglipron7LCJ-GLP-1-Danuglipron
16.67Single7LD4Adenosine7LD4-A1-Adenosine-Gi2/β1/γ2
16.67Single7RKFCX3CL17RKF-US28-CX3CL1-GDP-chim(NtGi1-G11)/β1/γ2
16.67Single7TYFAmylin7TYF-CT (AMY1)-Amylin-Gs/β1/γ2; RAMP1
16.67Single7TYNCalcitonin-17TYN-CT-Calcitonin-1-Gs/β1/γ2
16.67Single7VQXPACAP277VQX-VPAC1-PACAP27-Gs/β1/γ2
16.67Single7VVKPTH7VVK-PTH1-PTH-Gs/β1/γ2
16.67Single7W0MPubChem 1227019087W0M-Apelin-PubChem 122701908-Gi1/β1/γ2
16.67Single7X2CFenoldopam7X2C-D1-Fenoldopam-Fenoldopam-Gs/β1/γ2
16.67Single7X8SWB4-247X8S-GLP-1-WB4-24-Gs/β1/γ2
16.67Single7XT8Serotonin7XT8-5-HT4-Serotonin-Gs/β1/γ2
16.67Single7XY6BAY 60-65837XY6-A2B-BAY 60-6583-chim(NtGi1-Gs)/β1/γ2
16.67Single7YJ4INSL57YJ4-RXFP4-INSL5-Gi2/β1/γ2
16.67Single8FU6ZP37808FU6-Glucagon-ZP3780-Gs/β1/γ2
16.67Single8HAOPTH8HAO-PTH1-PTH-chim(NtGi1-Gs)/β1/γ2
16.67Single8HDPAdenosine8HDP-A2B-Adenosine-Gs/β1/γ2
16.67Single8IJANiacin8IJA-HCA2-Niacin-Gi1/β1/γ2
16.67Single8IJBAcipimox8IJB-HCA2-Acipimox-Gi1/β1/γ2
16.67Single8U4PAMD31008U4P-CXCR4-AMD3100-Gi1/β1/γ2
16.67Single8U4SREGN7663-Fab8U4S-CXCR4-REGN7663-Fab
16.67Single8U4TREGN7663-Fab8U4T-CXCR4-REGN7663-Fab
16.67Single8W8XBeta-MSH8W8X-MC3-β-MSH-Ca-Gs/β1/γ2
16.67Single8XXVIndomethacin8XXV-DP2-Indomethacin-A1D5Q-Gi1/β1/γ2
16.67Single8XZFWN5618XZF-Apelin; Apelin-WN561-Gi1/β1/γ2
16.67Single8Y72Peptide8Y72-μ-Peptide-BMS-986122-Gi1/β1/γ2
16.67Single9EBHAdenosine9EBH-A3A-Adenosine-Gi1/β1/γ2
16.67Single9EEAAdenosine9EEA-A2A-Adenosine-Gs/β1/γ2
16.67Single9H2XPubChem 1756706449H2X-A2A-PubChem 175670644-Na
16.67Single9J5VCpY9J5V-LPA1-CpY-Gi1/β1/γ2
16.67Single9KZ8EP679KZ8-C3aB-EP67-Go/β1/γ2
16.67Single9V2NMacimorelin9V2N-Ghrelin-Macimorelin-chim(NtGi1-Gs-CtGq)/β1/γ2
16.67Consensusa1_onOrthosteric Ligand7LD4-A1-Adenosine-Gi2/β1/γ2
16.67Consensusa1_on_gpOrthosteric Ligand7LD4-A1-Adenosine-Gi2/β1/γ2
16.67Consensuscrf_onOrthosteric Ligandcrf2_on crf1_on
16.67Consensuscxcr3_onOrthosteric Ligand8HNK-CXCR3-CXCL11-Gi1/β1/γ2 8HNL-CXCR3-PS372424-Gi1/β1/γ2
16.67Consensusglp2_onOrthosteric Ligand7D68-GLP-2-GLP-2-Gs/β1/γ2
16.67Consensusglp2_on_gpOrthosteric Ligand7D68-GLP-2-GLP-2-Gs/β1/γ2
16.67Consensusglp_onOrthosteric Ligandglp1_on glp2_on
16.67Consensusglp_on_gpOrthosteric Ligandglp1_on_gp glp2_on_gp
16.67Consensusmc2_on_gpOrthosteric Ligand8GY7-MC2-Corticotropin-Ca-chim(NtGi1-Gs)/β1/γ2; MRAP1
16.67Consensusox2_onOrthosteric Ligand7L1V-OX2-PubChem 155491009-chim(NtGi1-Gs-CtGq)/β1/γ2 7SQO-OX2-TAK-925-Gi1/β1/γ2 7L1U-OX2-Orexin-chim(NtGi1-Gs-CtGq)/β1/γ2
16.67Consensusox2_on_gpOrthosteric Ligand7L1V-OX2-PubChem 155491009-chim(NtGi1-Gs-CtGq)/β1/γ2 7SQO-OX2-TAK-925-Gi1/β1/γ2 7L1U-OX2-Orexin-chim(NtGi1-Gs-CtGq)/β1/γ2
16.22Consensusclass-b1_onOrthosteric Ligandglucagon_on vip-pacap_on pth_on crf_on calcitonin_on
16.13Single6LMKGlucagon6LMK-Glucagon-Glucagon-Gs/β1/γ2
16.13Single6LMLGlucagon6LML-Glucagon-Glucagon-Gi1/β1/γ1
16.13Single6NBHLA-PTH Analog6NBH-PTH1-LA-PTH Analog-Gs/β1/γ2
16.13Single6WZGSecretin6WZG-Secretin-Secretin-Gs/β1/γ2
16.13Single7TS0Urocortin7TS0-CRF2-Urocortin-chim(NtGi1L-Go)/β1/γ2
16.13Single7VVJPTHrP(1-36)7VVJ-PTH1-PTHrP(1-36)-Gs/β1/γ2
16.13Single8F0KPramlintide Analogue San3858F0K-CT (AMY3)-Pramlintide Analogue San385-Gs/β1/γ2; RAMP3
16.13Single8HAFPTHrP(1-36)8HAF-PTH1-PTHrP(1-36)-chim(NtGi1-Gs)/β1/γ2
16.13Single8KGGLysophosphatidylserine (WJS)8KGG-P2Y10-Lysophosphatidylserine (WJS)-chim(NtGi2-G13)/β1/γ2
16.13Consensuspth1_onOrthosteric Ligand6NBF-PTH1-LA-PTH Analog-Gs/β1/γ2 8HA0-PTH1-PTH-chim(NtGi1-Gs)/β1/γ2 8HAF-PTH1-PTHrP(1-36)-chim(NtGi1-Gs)/β1/γ2 7Y36-PTH1-PTH-Gs/β1/γ2 7Y35-PTH1-Abaloparatide-Gs/β1/γ2
16.13Consensusvpac2_onOrthosteric Ligand7VQX-VPAC1-PACAP27-Gs/β1/γ2
16.13Consensusvpac2_on_gpOrthosteric Ligand7VQX-VPAC1-PACAP27-Gs/β1/γ2
16.00Single6WIVPubChem 52923113; PubChem 529246456WIV-GABAB1, GABAB2-PubChem 52923113; PubChem 52924645
16.00Single7VLACCL15(27-92)7VLA-CCR1-CCL15(27-92)-Gi1/β1/γ2
16.00Single7W56Neuromedin-S7W56-NMUR1-Neuromedin-S-chim(NtGi1-Gs-CtGq)/β1/γ2
16.00Single8F7XNociceptin8F7X-NOP-Nociceptin-Gi1/β1/γ2
16.00Single8IEBPubChem 1347468948IEB-GPR156; GPR156-PubChem 134746894
16.00Single8IEIPubChem 1347468948IEI-GPR156; GPR156-PubChem 134746894
16.00Single8IEIPubChem 1347468948IEI-GPR156; GPR156-PubChem 134746894
16.00Single8IEPPubChem 1347468948IEP-GPR156; GPR156-PubChem 134746894
16.00Single8IEPPubChem 1347468948IEP-GPR156; GPR156-PubChem 134746894
16.00Single8J6RMK68928J6R-HCA2-MK6892-Gi1/β1/γ2
16.00Single8JIQPeptide-158JIQ-Glucagon-Peptide-15-Gs/β1/γ2
16.00Single8U4OCXCL128U4O-CXCR4-CXCL12-Gi1/β1/γ2
16.00Single8ZSPLSD8ZSP-TA1-LSD-chim(NtGi1L-Gs)/β1/γ2
16.00Single9BUECagrilintide9BUE-CT-Cagrilintide-Gs/β1/γ2
16.00Single9J0IUDP-Glucuronic acid9J0I-P2Y14-UDP-Glucuronic acid-Gi1/β1/γ2
16.00Single9UYLChemerin-99UYL-CML2-Chemerin-9-Arrestin2
16.00Consensusccr1_onOrthosteric Ligand7VLA-CCR1-CCL15(27-92)-Gi1/β1/γ2
16.00Consensusccr1_on_gpOrthosteric Ligand7VLA-CCR1-CCL15(27-92)-Gi1/β1/γ2
16.00Consensusgi_opioidOrthosteric Ligand8F7R-μ-Endomorphin-Gi1/β1/γ2 8EF5-μ-Fentanyl-Gi1/β1/γ2 7SCG-μ-FH210-Gi1/β1/γ2 7T2H-μ-Lofentanil-Gi1/β1/γ2 7T2G-μ-Mitragynine Pseudoindoxyl-Gi1/β1/γ2 8DZP-κ-momSalB-Gi1/β1/γ2 8EF6-μ-Morphine-Gi1/β1/γ2 8F7X-NOP-Nociceptin-Gi1/β1/γ2 8EFB-μ-Oliceridine-Gi1/β1/γ2 7U2L-μ-C5-guano-Gi1/β1/γ2 8EFO-μ-PZM21-Gi1/β1/γ2 8EFL-μ-SR17018-Gi1/β1/γ2 8F7Q-μ-β-Endorphin-Gi1/β1/γ2 7U2K-μ-C6-guano-Gi1/β1/γ2 8EFQ-μ-DAMGO-Gi1/β1/γ2 8F7S-δ-Deltorphin-Gi1/β1/γ2 8F7W-κ-Dynorphin-Gi1/β1/γ2
16.00Consensusmc4_onOrthosteric Ligand7AUE-MC4-Setmelanotide-chim(NtGi1L-Gs)/β1/γ2 7F58-MC4-THIQ-Gs/β1/γ2 7F54-MC4-Afamelanotide-Gs/β1/γ2 7F53-MC4-α-MSH-Gs/β1/γ2 7F55-MC4-Bremelanotide-Gs/β1/γ2
15.79Single2YDOAdenosine2YDO-A2A-Adenosine
15.79Single3REYPubChem 56973REY-A2A-PubChem 5697
15.79Single3UZCPubChem 1355666093UZC-A2A-PubChem 135566609
15.79Single6FK8PubChem 1324730356FK8-Rhodopsin-PubChem 132473035
15.79Single6ME32-Phenylmelatonin6ME3-MT1-2-Phenylmelatonin
15.79Single6ME42-Iodomelatonin6ME4-MT1-2-Iodomelatonin
15.79Single6WJCMuscarinic toxin 76WJC-M1-Atropine-Muscarinic toxin 7
15.79Single6ZDVPubChem 9840736ZDV-A2A-PubChem 984073-Na
15.79Single7WC9PubChem 1624213647WC9-5-HT2A-PubChem 162421364
15.79Single7YK6PubChem 1383196747YK6-RXFP4-PubChem 138319674-Gi2/β1/γ2
15.79Single8H4LDoconexent8H4L-FFA4-Doconexent-chim(NtGi1-Gs-CtGq)/β1/γ2
15.79Single8IY9Niacin8IY9-HCA2-Niacin-Go/β1/γ2
15.79Single8JEIPubChem 117155568JEI-HCAR3-PubChem 11715556-Gi1/β1/γ2
15.79Single8JERAcipimox8JER-HCA2-Acipimox-Go/β1/γ2
15.79Single8JIMMonomethyl fumarate8JIM-HCA2-Monomethyl fumarate-Gi1/β1/γ2
15.79Single8K4SDCA-3P8K4S-MRGPRX4-DCA-3P-chim(NtGi1L-Gs-CtGq)/β1/γ2
15.79Single8K9KDAMGO8K9K-μ-DAMGO-Gi3/β1/γ1
15.79Single8K9LDAMGO8K9L-μ-DAMGO-BMS-986122-Gi3/β1/γ1
15.79Single8UO0Constrained Epinephrine8UO0-β2-Constrained Epinephrine-GTP-Gs/β1/γ2
15.79Single8UO1Constrained Epinephrine8UO1-β2-Constrained Epinephrine-GTP; Mg-Gs/β1/γ2
15.79Single8Y45ADL58598Y45-δ-ADL5859-Gi2/β1/γ2
15.79Single8Y62C16:0 Ceramide8Y62-FPR2-ALX-C16:0 Ceramide-Gi1/β1/γ2
15.79Single8YH2Adenosine8YH2-A3A-Adenosine-Gi1/β1/γ2
15.79Single8ZPNAMD31008ZPN-CXCR4-AMD3100
15.79Single9DQJEP-39459DQJ-MRGPRD-EP-3945-chim(NtGi1-Gs-CtGq)/β1/γ2
15.79Single9EPQ11,20-Ethanoretinal9EPQ-Rhodopsin-11,20-Ethanoretinal-chim(Gi1-CtGq)/β1/γ2
15.79Single9JFUNE52-QQ579JFU-GPR4-NE52-QQ57
15.79Single9K1DButyric acid9K1D-FFA2-Butyric acid-Gi1/β1/γ2
15.79Single9KUWCMPD6449KUW-Apelin; Apelin-CMPD644-Arrestin2 ; Arrestin2
15.79Single9KXSEP679KXS-C5a1-EP67-Go/β1/γ2
15.79Consensushca_onOrthosteric Ligandhca2_on
15.62Single7RBTTirzepatide7RBT-GIP-Tirzepatide-LSN3556672-chim(NtGi1-Gs)/β1/γ2
15.62Single7TYXAmylin7TYX-CT (AMY2)-Amylin-Gs/β1/γ2; RAMP2
15.62Single8ZJETAK4488ZJE-Kiss1-TAK448-chim(NtGi1-Gq)/β1/γ1
15.62Consensusbb2_onOrthosteric Ligand7W40-BB2-Bombesin-chim(NtGi1L-Gq)/β1/γ2 7W3Z-BB2-Gastrin Releasing Peptide-chim(NtGi1L-Gq)/β1/γ2
15.62Consensusbb2_on_gpOrthosteric Ligand7W40-BB2-Bombesin-chim(NtGi1L-Gq)/β1/γ2 7W3Z-BB2-Gastrin Releasing Peptide-chim(NtGi1L-Gq)/β1/γ2
15.62Consensusbombesin_onOrthosteric Ligandbb2_on
15.62Consensusbombesin_on_gpOrthosteric Ligandbb2_on_gp
15.62Consensusgip_onOrthosteric Ligand7FIN-GIP-Peptide-20; GGL-Gs/β1/γ2 7FIY-GIP-Tirzepatide-Gs/β1/γ2 7DTY-GIP-GIP-Gs/β1/γ2
15.62Consensusgip_on_gpOrthosteric Ligand7FIN-GIP-Peptide-20; GGL-Gs/β1/γ2 7FIY-GIP-Tirzepatide-Gs/β1/γ2 7DTY-GIP-GIP-Gs/β1/γ2
15.62Consensusgq_bombesinOrthosteric Ligand7W40-BB2-Bombesin-chim(NtGi1L-Gq)/β1/γ2 7W3Z-BB2-Gastrin Releasing Peptide-chim(NtGi1L-Gq)/β1/γ2
15.38Single7PIVAfamelanotide7PIV-MC4-Afamelanotide-Gs/β1/γ2
15.38Single8F7WDynorphin8F7W-κ-Dynorphin-Gi1/β1/γ2
15.38Single8IOCGamma-MSH8IOC-MC3-γ-MSH-Ca-chim(NtGi1-Gs)/β1/γ2
15.38Single8KH5Lysophosphatidylserine8KH5-GPR174-Lysophosphatidylserine-Gs/β1/γ2
15.38Single8SZGCa; Ca; Tryptophan; Cinacalcet; PO4; Spermine8SZG-CaS; CaS-Ca; Ca; Tryptophan; Cinacalcet; PO4; Spermine-chim(NtGi1-Gq)/β1/γ2
15.38Single8XYDPlatelet Activating Factor8XYD-PAF-Platelet Activating Factor-Gi1/β1/γ2
15.38Single9IQVMuscarinic toxin 39IQV-Alpha1A-Muscarinic toxin 3
15.38Single9J0FNADH9J0F-P2Y14-NADH-Gi1/β1/γ2
15.38Consensusghrelin_onOrthosteric Ligand7NA7-Ghrelin-Ghrelin-Gi1/β1/γ2 7F9Z-Ghrelin-GHRP-6-chim(NtGi1-Gs-CtGq)/β1/γ2 7NA8-Ghrelin-Ibutamoren-Gi1/β1/γ2
15.38Consensusghrelin_on_gpOrthosteric Ligand7NA7-Ghrelin-Ghrelin-Gi1/β1/γ2 7F9Z-Ghrelin-GHRP-6-chim(NtGi1-Gs-CtGq)/β1/γ2 7NA8-Ghrelin-Ibutamoren-Gi1/β1/γ2
15.38Consensusmc4_on_gpOrthosteric Ligand7AUE-MC4-Setmelanotide-chim(NtGi1L-Gs)/β1/γ2 7F58-MC4-THIQ-Gs/β1/γ2 7F54-MC4-Afamelanotide-Gs/β1/γ2 7F53-MC4-α-MSH-Gs/β1/γ2 7F55-MC4-Bremelanotide-Gs/β1/γ2
15.15Single6LPBPACAP276LPB-PAC1-PACAP27-Gs/β1/γ1
15.15Single7TZFAmylin7TZF-CT (AMY3)-Amylin-Gs/β1/γ2; RAMP3
15.15Single8FLSAbaloparatide8FLS-PTH1-Abaloparatide-Gs/β1/γ2
15.15Single8FLULA-PTH Analog8FLU-PTH1-LA-PTH Analog-Gs/β1/γ2
15.00Single2Y02Carmoterol2Y02-β1-Carmoterol
15.00Single4X1HNonyl-Beta-D-Glucopyranoside4X1H-Rhodopsin-Nonyl-β-D-Glucopyranoside-Gt(CT)
15.00Single5OLZPubChem 1355666095OLZ-A2A-PubChem 135566609-Na
15.00Single5OM1PubChem 1355666095OM1-A2A-PubChem 135566609-Na
15.00Single5UIGPubChem 1240811965UIG-A2A-PubChem 124081196
15.00Single6FK7PubChem 1324730346FK7-Rhodopsin-PubChem 132473034
15.00Single6FKDPubChem 1373491836FKD-Rhodopsin-PubChem 137349183
15.00Single6PS1Timolol6PS1-β2-Timolol
15.00Single6X1ADanuglipron6X1A-GLP-1-Danuglipron-Gs/β1/γ2
15.00Single7CFMP3957CFM-GPBA-P395-Gs/β1/γ2
15.00Single7CRHSKF839597CRH-D1-SKF83959-Gs/β1/γ2
15.00Single7DB6Ramelteon7DB6-MT1-Ramelteon-Gi1/β1/γ2
15.00Single7JOZPubChem 752020227JOZ-D1-PubChem 75202022-Gs/β1/γ2
15.00Single7LJCSKF812977LJC-D1-SKF81297-Mevidalen-Gs/β1/γ2
15.00Single7NA8Ibutamoren7NA8-Ghrelin-Ibutamoren-Gi1/β1/γ2
15.00Single7PP1Selatogrel7PP1-P2Y12-Selatogrel
15.00Single7S15PubChem 1346112237S15-GLP-1-PubChem 134611223
15.00Single7VGZRamelteon7VGZ-MT1-Ramelteon-Gi1/β1/γ2
15.00Single7YACPaltusotine7YAC-SST2-Paltusotine-Gi1/β1/γ2
15.00Single8EFQDAMGO8EFQ-μ-DAMGO-Gi1/β1/γ2
15.00Single8GEHConstrained Epinephrine8GEH-β2-Constrained Epinephrine-Gs/β1/γ2
15.00Single8I7VAcipimox8I7V-HCA2-Acipimox-Gi1/β1/γ2
15.00Single8JIINiacin8JII-HCA2-Niacin-PubChem 25101223-Gi1/β1/γ2
15.00Single8JT8(R)-IHCH-71798JT8-5-HT2A-(R)-IHCH-7179
15.00Single8K5DGSK2560738K5D-HCA2-GSK256073
15.00Single8KEXDCA-3P8KEX-MRGPRX4-DCA-3P
15.00Single8UNRConstrained Epinephrine8UNR-β2-Constrained Epinephrine-GTP-Gs/β1/γ2
15.00Single8UNUConstrained Epinephrine8UNU-β2-Constrained Epinephrine-GTP-Gs/β1/γ2
15.00Single8UNVConstrained Epinephrine8UNV-β2-Constrained Epinephrine-GTP-Gs/β1/γ2
15.00Single8UNZConstrained Epinephrine8UNZ-β2-Constrained Epinephrine-GTP-Gs/β1/γ2
15.00Single8UO2Constrained Epinephrine8UO2-β2-Constrained Epinephrine-GTP-Gs/β1/γ2
15.00Single8ZBEOctreotide8ZBE-SST5-Octreotide-Gi1/β1/γ1
15.00Single8ZQEGPR15L(CT)8ZQE-GPR15-GPR15L(CT)-Gi1/β1/γ1
15.00Single9CHXCarazolol9CHX-β2-Carazolol
15.00Single9IYAONO-97105319IYA-GPR55-ONO-9710531
15.00Single9KUXCMPD6449KUX-Apelin; Apelin-CMPD644-Arrestin2
14.81Single6UUNAdrenomedullin6UUN-CT Like (AM1)-Adrenomedullin-Gs/β1/γ2; RAMP2
14.81Single6VN7PACAP276VN7-VPAC1-PACAP27-Gs/β1/γ2
14.81Single7F4DAlpha-MSH7F4D-MC1-α-MSH-chim(NtGi1-Gs)/β1/γ2
14.81Single8WKZSBL-MC-318WKZ-MC4-SBL-MC-31
14.81Single8XIQL7967788XIQ-SST3-L796778-chim(NtGi1-Gs-CtGi1)/β1/γ2
14.81Consensusmc3_onOrthosteric Ligand8IOC-MC3-γ-MSH-Ca-chim(NtGi1-Gs)/β1/γ2
14.81Consensusmc3_on_gpOrthosteric Ligand8IOC-MC3-γ-MSH-Ca-chim(NtGi1-Gs)/β1/γ2
14.71Single6WPWZP37806WPW-Glucagon-ZP3780-Gs/β1/γ2
14.71Single7V35Peptide-207V35-Glucagon-Peptide-20-Gs/β1/γ2
14.71Single7VVMPTH7VVM-PTH1-PTH-Gs/β1/γ2
14.71Single8JIPMEDI03828JIP-GLP-1-MEDI0382-chim(NtGi1-Gs)/β1/γ2
14.71Consensuscrf_on_gpOrthosteric Ligandcrf2_on_gp crf1_on_gp
14.71Consensuspth1_on_gpOrthosteric Ligand6NBF-PTH1-LA-PTH Analog-Gs/β1/γ2 8HA0-PTH1-PTH-chim(NtGi1-Gs)/β1/γ2 8HAF-PTH1-PTHrP(1-36)-chim(NtGi1-Gs)/β1/γ2 7Y36-PTH1-PTH-Gs/β1/γ2 7Y35-PTH1-Abaloparatide-Gs/β1/γ2
14.63Consensusclass-b1_on_gpOrthosteric Ligandglucagon_on_gp vip-pacap_on_gp pth_on_gp crf_on_gp calcitonin_on_gp
14.29Single5C1MBU725C1M-μ-BU72
14.29Single5MZPCaffeine5MZP-A2A-Caffeine-Na
14.29Single6D26Fevipiprant6D26-DP2-Fevipiprant
14.29Single6ME62-Phenylmelatonin6ME6-MT2-2-Phenylmelatonin
14.29Single6ME72-Phenylmelatonin6ME7-MT2-2-Phenylmelatonin
14.29Single7E9GJNJ-404118137E9G-mGlu2; mGlu2-Eglumetad-JNJ-40411813-Gi1/β1/γ2
14.29Single7F4HAfamelanotide7F4H-MC1-Afamelanotide-chim(NtGi1-Gs)/β1/γ2
14.29Single7FINPeptide-20; GGL7FIN-GIP-Peptide-20; GGL-Gs/β1/γ2
14.29Single7TYYCalcitonin-17TYY-CT (AMY2)-Calcitonin-1-Gs/β1/γ2; RAMP2
14.29Single7V9MSomatoliberin7V9M-GHRH (SV1)-Somatoliberin-Gs/β1/γ2
14.29Single7VV4Cortistatin-147VV4-MRGPRX2-Cortistatin-14
14.29Single7W41PD1762527W41-BB2-PD176252
14.29Single7XKAConstrained Epinephrine7XKA-β2-Constrained Epinephrine
14.29Single7Y36PTH7Y36-PTH1-PTH-Gs/β1/γ2
14.29Single8FLQPTH8FLQ-PTH1-PTH-Gs/β1/γ2
14.29Single8GDZConstrained Epinephrine8GDZ-β2-Constrained Epinephrine-Gs/β1/γ2
14.29Single8GEBConstrained Epinephrine8GEB-β2-Constrained Epinephrine-Gs/β1/γ2
14.29Single8GEGConstrained Epinephrine8GEG-β2-Constrained Epinephrine-Gs/β1/γ2
14.29Single8GGBConstrained Epinephrine8GGB-β2-Constrained Epinephrine-GTP-Gs/β1/γ2
14.29Single8GY7Corticotropin8GY7-MC2-Corticotropin-Ca-chim(NtGi1-Gs)/β1/γ2; MRAP1
14.29Single8I7WGSK2560738I7W-HCA2-GSK256073-Gi1/β1/γ2
14.29Single8IHFMK68928IHF-HCA2-MK6892-Gi1/β1/γ2
14.29Single8J6JGSK2560738J6J-HCA2-GSK256073-Gi1/β1/γ2
14.29Single8JGBConorfamide-Tx28JGB-MRGPRX1-Conorfamide-Tx2-Gi1/β1/γ2
14.29Single8JGGBAM8-228JGG-MRGPRX1-BAM8-22-Gi1/β1/γ2
14.29Single8JITMEDI03828JIT-Glucagon-MEDI0382-Gs/β1/γ2
14.29Single8JIUSAR4258998JIU-Glucagon-SAR425899-Gs/β1/γ2
14.29Single8KFXLMD-0098KFX-CCR8-LMD-009-Gi1/β1/γ2
14.29Single8TF5Oleic acid8TF5-GPR6-Oleic acid
14.29Single8UNNConstrained Epinephrine8UNN-β2-Constrained Epinephrine-GTP-Gs/β1/γ2
14.29Single8UNPConstrained Epinephrine8UNP-β2-Constrained Epinephrine-GTP-Gs/β1/γ2
14.29Single8WGBVU01550418WGB-mGlu4; mGlu2-Glutamate-VU0155041-Gi3/β1/γ2
14.29Single8YH0NECA8YH0-A3A-NECA-Gi1/β1/γ2
14.29Single8YW5Retatrutide8YW5-Glucagon-Retatrutide-Gs/β1/γ2
14.29Single9BLCCagrilintide (non-acylated)9BLC-CT-Cagrilintide (non-acylated)-Gs/β1/γ2
14.29Single9BUDCagrilintide9BUD-CT-Cagrilintide-Gs/β1/γ2
14.29Single9DQHEP-28259DQH-MRGPRD-EP-2825-chim(NtGi1-Gs-CtGq)/β1/γ2
14.29Single9EE8Adenosine9EE8-A2A-Adenosine-Gs/β1/γ2
14.29Single9ERXD9-THC analog9ERX-CB1-D9-THC analog-Gi1/β1/γ2
14.29Single9GE2ML1849GE2-GPR55-ML184-chim(NtGi1-G13)/β1/γ2
14.29Single9KUTJR14a9KUT-C3aB-JR14a-Go/β1/γ2
14.29Consensusbb2_offOrthosteric Ligand7W41-BB2-PD176252
14.29Consensusbombesin_offOrthosteric Ligandbb2_off
14.29Consensuscrf2_onOrthosteric Ligand7TS0-CRF2-Urocortin-chim(NtGi1L-Go)/β1/γ2
14.29Consensusd1_onOrthosteric Ligand7F0T-D1-Dopamine-Gs/β1/γ2 7CKY-D1-PW0464-Gs/β1/γ2 8IRR-D1-Rotigotine-Gs/β1/γ2 7JV5-D1-SKF81297-Gs/β1/γ2 7JVP-D1-SKF83959-Gs/β1/γ2 7X2D-D1-Tavapadon-Gs/β1/γ2 7CKX-D1-A77636-Gs/β1/γ2 7JVQ-D1-Apomorphine-Gs/β1/γ2 7CKW-D1-Fenoldopam-Gs/β1/γ2
14.29Consensusd2_onOrthosteric Ligand7JVR-D2-Bromoergocryptine-Gi1/β1/γ2 8IRS-D2-Rotigotine-Gi1/β1/γ2
14.29Consensusdp2_offOrthosteric Ligand6D26-DP2-Fevipiprant
14.29Consensusdp_offOrthosteric Liganddp2_off
14.29Consensusglucagon_onOrthosteric Ligandglp_on gluc_on secretin_on gip_on
14.29Consensusgs_amineOrthosteric Ligandgs_5ht gs_adrenergic gs_dopamine gs_histamine gs_trace-amine
14.29Consensuspth2_onOrthosteric Ligand7F16-PTH2-TIP39-Gs/β1/γ2
13.89Consensusgluc_onOrthosteric Ligand6LMK-Glucagon-Glucagon-Gs/β1/γ2 8JIT-Glucagon-MEDI0382-Gs/β1/γ2 7V35-Glucagon-Peptide-20-Gs/β1/γ2
13.89Consensusglucagon_on_gpOrthosteric Ligandglp_on_gp gluc_on_gp secretin_on_gp gip_on_gp
13.89Consensuspth_onOrthosteric Ligandpth1_on pth2_on
13.79Single7TYWCalcitonin-17TYW-CT (AMY1)-Calcitonin-1-Gs/β1/γ2; RAMP1
13.79Single7VL9CCL15(26-92)7VL9-CCR1-CCL15(26-92)-Gi1/β1/γ2
13.79Single7XV3Lysophosphatidylserine (WJS)7XV3-GPR174-Lysophosphatidylserine (WJS)-chim(NtGi1-Gs)/β1/γ2
13.79Single8IODPG-9018IOD-MC5-PG-901-Ca-chim(NtGi1-Gs)/β1/γ2
13.79Consensusmc1_onOrthosteric Ligand7F4H-MC1-Afamelanotide-chim(NtGi1-Gs)/β1/γ2 7F4D-MC1-α-MSH-chim(NtGi1-Gs)/β1/γ2 7F4I-MC1-SHU9119-chim(NtGi1-Gs)/β1/γ2
13.79Consensusmc1_on_gpOrthosteric Ligand7F4H-MC1-Afamelanotide-chim(NtGi1-Gs)/β1/γ2 7F4D-MC1-α-MSH-chim(NtGi1-Gs)/β1/γ2 7F4I-MC1-SHU9119-chim(NtGi1-Gs)/β1/γ2
13.79Consensusvpac1_onOrthosteric Ligand8E3Z-VPAC1-VIP-Gs/β1/γ2
13.64Single2YDVNECA2YDV-A2A-NECA
13.64Single3P0GBI1671073P0G-β2-BI167107
13.64Single3SN6BI1671073SN6-β2-BI167107-Gs/β1/γ2
13.64Single4UHRCGS216804UHR-A2A-CGS21680
13.64Single5A8E7-Methylcyanopindolol5A8E-β1-7-Methylcyanopindolol-Na
13.64Single5G53NECA5G53-A2A-NECA-Gs
13.64Single5TZRMK86665TZR-FFA1-MK8666
13.64Single5XRAAM115425XRA-CB1-AM11542
13.64Single6DDEDAMGO6DDE-μ-DAMGO-Gi1/β1/γ2
13.64Single6J21Aprepitant6J21-NK1-Aprepitant
13.64Single6NI3BI1671076NI3-β2-BI167107-Gs/β1/γ2
13.64Single6O3CCholesterol6O3C-SMO-SAG21k-Cholesterol
13.64Single6WGTLSD6WGT-5-HT2A-LSD
13.64Single7CKYPW04647CKY-D1-PW0464-Gs/β1/γ2
13.64Single7FEECP559407FEE-CB1-CP55940-ZCZ011
13.64Single7M8W15r-Methyl-PGD27M8W-DP2-15r-Methyl-PGD2-Na
13.64Single7S8MCortistatin-147S8M-MRGPRX2-Cortistatin-14-Gi1/β1/γ2
13.64Single7TUYGSK682753A7TUY-GPR183-GSK682753A
13.64Single7WV9CP559407WV9-CB1-CP55940-ZCZ011-Gi2/β1/γ2
13.64Single7XTQR3997XTQ-GPBA-R399-Gs/β1/γ2
13.64Single7XY7NECA7XY7-A2B-NECA-chim(NtGi1-Gs)/β1/γ2
13.64Single8DCSCyanopindolol8DCS-β1-Cyanopindolol-Gs/β1/γ2
13.64Single8HDOBAY 60-65838HDO-A2B-BAY 60-6583-Gs/β1/γ2
13.64Single8IRVRotigotine8IRV-D5-Rotigotine-chim(NtGi1-Gs)/β1/γ2
13.64Single8JSRAnamorelin8JSR-Ghrelin-Anamorelin-chim(NtGi1-Gs-CtGq)/β1/γ2
13.64Single8Y73Peptide8Y73-μ-Peptide-MPAM-15-Gi1/β1/γ2
13.64Single8ZWFJR14a8ZWF-C3aB-JR14a
13.64Single9I54PubChem 1764520919I54-D1-PubChem 176452091-Gs/β1/γ2
13.64Single9ITELPA9ITE-LPA6-LPA-chim(NtGi2-G13)/β1/γ2
13.64Single9KVPSB2901579KVP-C3aB-SB290157-Go/β1/γ2
13.64Single9RHGC4079RHG-FZD7-C407
13.64Single9YDVMRS29059YDV-P2Y14-MRS2905-Gi1/β1/γ2
13.64Consensusd1_on_gpOrthosteric Ligand7F0T-D1-Dopamine-Gs/β1/γ2 7CKY-D1-PW0464-Gs/β1/γ2 8IRR-D1-Rotigotine-Gs/β1/γ2 7JV5-D1-SKF81297-Gs/β1/γ2 7JVP-D1-SKF83959-Gs/β1/γ2 7X2D-D1-Tavapadon-Gs/β1/γ2 7CKX-D1-A77636-Gs/β1/γ2 7JVQ-D1-Apomorphine-Gs/β1/γ2 7CKW-D1-Fenoldopam-Gs/β1/γ2
13.64Consensusd5_on_gpOrthosteric Ligand8IRV-D5-Rotigotine-chim(NtGi1-Gs)/β1/γ2
13.64Consensusffa2_onOrthosteric Ligand8J22-FFA2-TUG-1375-Gi1/β1/γ2
13.64Consensusffa_onOrthosteric Ligandffa2_on ffa3_on
13.64Consensusffa_on_gpOrthosteric Ligandffa2_on_gp ffa3_on_gp
13.64Consensusgi_ffaOrthosteric Ligand8J21-FFA3-Butyric acid-Gi1/β1/γ2 8J22-FFA2-TUG-1375-Gi1/β1/γ2
13.64Consensusgs_dopamineOrthosteric Ligand7F0T-D1-Dopamine-Gs/β1/γ2 7CKW-D1-Fenoldopam-Gs/β1/γ2 7CKY-D1-PW0464-Gs/β1/γ2 8IRV-D5-Rotigotine-chim(NtGi1-Gs)/β1/γ2 8IRR-D1-Rotigotine-Gs/β1/γ2 7JV5-D1-SKF81297-Gs/β1/γ2 7JVP-D1-SKF83959-Gs/β1/γ2 7X2D-D1-Tavapadon-Gs/β1/γ2 7CKX-D1-A77636-Gs/β1/γ2 7JVQ-D1-Apomorphine-Gs/β1/γ2
13.64Consensusp2y12_onOrthosteric Ligand7XXI-P2Y12-2MeSADP-Gi2/β1/γ2
13.51Consensusgluc_on_gpOrthosteric Ligand6LMK-Glucagon-Glucagon-Gs/β1/γ2 8JIT-Glucagon-MEDI0382-Gs/β1/γ2 7V35-Glucagon-Peptide-20-Gs/β1/γ2
13.33Single6P9YPACAP276P9Y-PAC1-PACAP27-Gs/β1/γ2
13.33Single7CZ5Somatoliberin7CZ5-GHRH-Somatoliberin-Gs/β1/γ2
13.33Single7D3SSecretin7D3S-Secretin-Secretin-Gs/β1/γ2
13.33Single7XKDDehydroepiandrosterone7XKD-ADGRG2-Dehydroepiandrosterone-Gs/β1/γ2
13.33Single7XKEDehydroepiandrosterone7XKE-ADGRG2-Dehydroepiandrosterone-chim(NtGi1-Gs)/β1/γ2
13.33Single8X9S5alpha-DHT8X9S-ADGRD1-5α-DHT-chim(NtGi1-Gs)/β1/γ2
13.33Single9BLWCagrilintide (non-acylated)9BLW-CT (AMY1)-Cagrilintide (non-acylated)-Gs/β1/γ2; RAMP1
13.33Single9BP3Cagrilintide9BP3-CT (AMY1)-Cagrilintide-Gs/β1/γ2; RAMP1
13.33Single9BUBCagrilintide9BUB-CT-Cagrilintide-Gs/β1/γ2
13.33Single9IV25alpha-DHT9IV2-ADGRD1-5α-DHT-chim(NtGi1-Gs)/β1/γ2
13.33Consensuscrf2_on_gpOrthosteric Ligand7TS0-CRF2-Urocortin-chim(NtGi1L-Go)/β1/γ2
13.33Consensussecretin_onOrthosteric Ligand7D3S-Secretin-Secretin-Gs/β1/γ2
13.16Single7F16TIP397F16-PTH2-TIP39-Gs/β1/γ2
13.16Consensuspth2_on_gpOrthosteric Ligand7F16-PTH2-TIP39-Gs/β1/γ2
13.04Single2YCXCyanopindolol2YCX-β1-Cyanopindolol
13.04Single4AMIBucindolol4AMI-β1-Bucindolol
13.04Single4N4WSANT-14N4W-SMO-SANT-1
13.04Single4PY02MeSATP4PY0-P2Y12-2MeSATP
13.04Single5TZYMK8666; AP85TZY-FFA1-MK8666; AP8
13.04Single6KQICP559406KQI-CB1-CP55940-Org27569
13.04Single6RZ7ONO-25703666RZ7-CysLT2-ONO-2570366
13.04Single6XBLCholesterol6XBL-SMO-SAG-Cholesterol-Gi1/β1/γ2
13.04Single6XOXOrforglipron6XOX-GLP-1-Orforglipron-chim(NtGi1-Gs)/β1/γ2
13.04Single7DH5Mirabegron7DH5-β3-Mirabegron-Gs/β1/γ2
13.04Single7EVYSiponimod7EVY-S1P1-Siponimod-Gi1/β1/γ2
13.04Single7EW2FTY720-P7EW2-S1P3-FTY720-P-Gi1/β1/γ2
13.04Single7F55Bremelanotide7F55-MC4-Bremelanotide-Gs/β1/γ2
13.04Single7SUSPubChem 1227019087SUS-Apelin-PubChem 122701908
13.04Single7W0LPubChem 1227019087W0L-Apelin; Apelin-PubChem 122701908-Gi1/β1/γ2
13.04Single7WCNAR2314537WCN-GPR119-AR231453-Gs/β1/γ2
13.04Single7XMTJ-21567XMT-SST4-J-2156-Gi1/β1/γ2
13.04Single7XXI2MeSADP7XXI-P2Y12-2MeSADP-Gi2/β1/γ2
13.04Single7XZ5Lysophosphatidylcholine7XZ5-GPR119-Lysophosphatidylcholine-Gs/β1/γ2
13.04Single8IRSRotigotine8IRS-D2-Rotigotine-Gi1/β1/γ2
13.04Single8IYWGSK2560738IYW-HCA2-GSK256073-Go/β1/γ2
13.04Single8JJ8Arformoterol8JJ8-β2-Arformoterol
13.04Single8JWY2-1188JWY-A2A-2-118
13.04Single8JZ7MK68928JZ7-HCA2-MK6892-Gi1/β1/γ2
13.04Single8XQNCholesterol8XQN-TAS2R14-Cholesterol-Aristolochic acid A-Gi1/β1/γ1
13.04Single8XQSCholesterol8XQS-TAS2R14-Cholesterol-Flufenamic acid-Gi1/β1/γ1
13.04Single8Y6WTUG-13758Y6W-FFA2-TUG-1375-4-CMTB-Gi1/β1/γ2
13.04Single9EBIPiclidenoson9EBI-A3A-Piclidenoson-chim(NtGi1L-Gs-CtGi1)/β1/γ2
13.04Single9V6ONalfurafine9V6O-κ-Nalfurafine-Gi1/β1/γ2
13.04Single9W32SSTR5 antagonist 19W32-SST5-SSTR5 antagonist 1
13.04Single9WSVDAMGO9WSV-μ-DAMGO-Arrestin2
13.04Single9YDUUDP-Glucose9YDU-P2Y14-UDP-Glucose-Gi1/β1/γ2
13.04Consensuscb1_onOrthosteric Ligand6KPG-CB1-AM841-Gi1/β1/γ2 8K8J-CB1-Fenofibrate-chim(Gs-CtGq)/β1/γ2
13.04Consensusffa2_on_gpOrthosteric Ligand8J22-FFA2-TUG-1375-Gi1/β1/γ2
13.04Consensusgi_p2yOrthosteric Ligand7XXI-P2Y12-2MeSADP-Gi2/β1/γ2
13.04Consensuskop_onOrthosteric Ligand8F7W-κ-Dynorphin-Gi1/β1/γ2 8DZS-κ-GR89,696-chim(NtGi2-Gz)/β1/γ2 8DZP-κ-momSalB-Gi1/β1/γ2
13.04Consensusm4_onOrthosteric Ligand7TRS-M4-Acetylcholine-Gi1/β1/γ2 7V6A-M4-PubChem 9864275-Gi1/β1/γ2 8E9X-M4-2-Deoxycytidine-chim(NtGi1-Go)/β1/γ2 7TRK-M4-Iperoxo-Gi1/β1/γ2
13.04Consensusm4_on_gpOrthosteric Ligand7TRS-M4-Acetylcholine-Gi1/β1/γ2 7V6A-M4-PubChem 9864275-Gi1/β1/γ2 8E9X-M4-2-Deoxycytidine-chim(NtGi1-Go)/β1/γ2 7TRK-M4-Iperoxo-Gi1/β1/γ2
13.04Consensusorexin_onOrthosteric Ligandox2_on
13.04Consensusp2y12_on_gpOrthosteric Ligand7XXI-P2Y12-2MeSADP-Gi2/β1/γ2
13.04Consensuss1p1_onOrthosteric Ligand7VIE-S1P1-S1P-Gi1/β1/γ2 7VIF-S1P1-FTY720-P-Gi1/β1/γ2 7VIG-S1P1-CBP-307-Gi1/β1/γ2 7EVY-S1P1-Siponimod-Gi1/β1/γ2 7EVZ-S1P1-Cenerimod-Gi1/β1/γ2 7EW0-S1P1-Ozanimod-Gi1/β1/γ2 7EW7-S1P1-SEW2871-Gi1/β1/γ2
13.04Consensuss1p1_on_gpOrthosteric Ligand7VIE-S1P1-S1P-Gi1/β1/γ2 7VIF-S1P1-FTY720-P-Gi1/β1/γ2 7VIG-S1P1-CBP-307-Gi1/β1/γ2 7EVY-S1P1-Siponimod-Gi1/β1/γ2 7EVZ-S1P1-Cenerimod-Gi1/β1/γ2 7EW0-S1P1-Ozanimod-Gi1/β1/γ2 7EW7-S1P1-SEW2871-Gi1/β1/γ2
12.90Single6UVAAdrenomedullin-26UVA-CT Like (AM2)-Adrenomedullin-2-Gs/β1/γ2; RAMP3
12.90Single7F4FAfamelanotide7F4F-MC1-Afamelanotide-chim(NtGi1-Gs)/β1/γ2
12.90Single8W8WAlpha-MSH8W8W-MC3-α-MSH-Ca-Gs/β1/γ2
12.90Single9BUCCagrilintide9BUC-CT-Cagrilintide-Gs/β1/γ2
12.90Consensusp2y10_on_gpOrthosteric Ligand8KGG-P2Y10-Lysophosphatidylserine (WJS)-chim(NtGi2-G13)/β1/γ2
12.90Consensussecretin_on_gpOrthosteric Ligand7D3S-Secretin-Secretin-Gs/β1/γ2
12.82Single8F0JPramlintide Analogue San458F0J-CT-Pramlintide Analogue San45-Gs/β1/γ2
12.50Single2YCZIodocyanopindolol2YCZ-β1-Iodocyanopindolol
12.50Single4BVNCyanopindolol4BVN-β1-Cyanopindolol-Na
12.50Single5VAIGLP-15VAI-GLP-1-GLP-1-Gs/β1/γ2
12.50Single6DDFDAMGO6DDF-μ-DAMGO-Gi1/β1/γ2
12.50Single6IBLArformoterol6IBL-β1-Arformoterol
12.50Single6KPGAM8416KPG-CB1-AM841-Gi1/β1/γ2
12.50Single6PB1Urocortin6PB1-CRF2-Urocortin-chim(NtGi1-Gs)/β1/γ2
12.50Single6RZ9ONO-27703726RZ9-CysLT2-ONO-2770372
12.50Single6TKOArformoterol6TKO-β1-Arformoterol-Arrestin2
12.50Single6UUSAdrenomedullin6UUS-CT Like (AM2)-Adrenomedullin-Gs/β1/γ2; RAMP3
12.50Single7D68GLP-27D68-GLP-2-GLP-2-Gs/β1/γ2
12.50Single7EVZCenerimod7EVZ-S1P1-Cenerimod-Gi1/β1/γ2
12.50Single7EW0Ozanimod7EW0-S1P1-Ozanimod-Gi1/β1/γ2
12.50Single7JVRBromoergocryptine7JVR-D2-Bromoergocryptine-Gi1/β1/γ2
12.50Single7QVMOxytocin7QVM-OT-Oxytocin-chim(NtGi1-Go-CtGq)/β1/γ2
12.50Single7TYLAmylin7TYL-CT-Amylin-Gs/β1/γ2
12.50Single7VVLPTH7VVL-PTH1-PTH-Gs/β1/γ2
12.50Single7X8RBOC57X8R-GLP-1-BOC5-Gs/β1/γ2
12.50Single7XJISolabegron7XJI-β3-Solabegron-Gs/β1/γ2
12.50Single7Y14Beta-Alanine7Y14-MRGPRD-β-Alanine
12.50Single8F2BPramlintide Analogue San458F2B-CT (AMY3)-Pramlintide Analogue San45-Gs/β1/γ2; RAMP3
12.50Single8FLTM-PTH(1-14)8FLT-PTH1-M-PTH(1-14)-Gs/β1/γ2
12.50Single8GUTLEI-1028GUT-CB2-LEI-102-Gi1/β1/γ2
12.50Single8ID8TUG-8918ID8-FFA4-TUG-891-Gi1/β1/γ2
12.50Single8IJDMK68928IJD-HCA2-MK6892-Gi1/β1/γ2
12.50Single8T3OTUG-8918T3O-FFA4-TUG-891-chim(NtGi2L-Gs-CtGq)/β1/γ2
12.50Single8WRZAM8418WRZ-CB1-AM841-Arrestin2
12.50Single8XGSKisspeptin-18XGS-Kiss1-Kisspeptin-1-chim(NtGi1-Gq)/β1/γ2
12.50Single8XIOL7975918XIO-SST1-L797591-chim(NtGi1-Gs-CtGi1)/β1/γ2
12.50Single8ZWGJR14a8ZWG-C3aB-JR14a-Gi1/β1/γ2
12.50Single9BQ3Cagrilintide9BQ3-CT (AMY2)-Cagrilintide-Gs/β1/γ2; RAMP2
12.50Single9BTWCagrilintide9BTW-CT (AMY3)-Cagrilintide-Gs/β1/γ2; RAMP3
12.50Single9EE9Adenosine9EE9-A2A-Adenosine-Gs/β1/γ2
12.50Single9KV8TLQP219KV8-C3aB-TLQP21-Go/β1/γ2
12.50Single9L0HJR14a9L0H-C3aB-JR14a-Go/β1/γ2
12.50Single9WP9S1P9WP9-S1P3-S1P-chim(NtGi2L-Gs-CtGq)/β1/γ2
12.50Consensuscb1_on_gpOrthosteric Ligand6KPG-CB1-AM841-Gi1/β1/γ2 8K8J-CB1-Fenofibrate-chim(Gs-CtGq)/β1/γ2
12.50Consensuscyslt2_offOrthosteric Ligand6RZ7-CysLT2-ONO-2570366 6RZ8-CysLT2-ONO-2080365 6RZ9-CysLT2-ONO-2770372
12.50Consensusgi_s1pOrthosteric Ligand7VIE-S1P1-S1P-Gi1/β1/γ2 7EW3-S1P3-S1P-Gi1/β1/γ2 7EVY-S1P1-Siponimod-Gi1/β1/γ2 7EW1-S1P5-Siponimod-Gi1/β1/γ2 7VIF-S1P1-FTY720-P-Gi1/β1/γ2 7VIG-S1P1-CBP-307-Gi1/β1/γ2 7EVZ-S1P1-Cenerimod-Gi1/β1/γ2 7EW4-S1P3-CYM-5541-Gi1/β1/γ2 7EW2-S1P3-FTY720-P-Gi1/β1/γ2 7EW0-S1P1-Ozanimod-Gi1/β1/γ2 7EW7-S1P1-SEW2871-Gi1/β1/γ2
12.50Consensuskop_on_gpOrthosteric Ligand8F7W-κ-Dynorphin-Gi1/β1/γ2 8DZS-κ-GR89,696-chim(NtGi2-Gz)/β1/γ2 8DZP-κ-momSalB-Gi1/β1/γ2
12.50Consensusorexin_on_gpOrthosteric Ligandox2_on_gp
12.50Consensusprostanoid_offOrthosteric Ligandep_off dp_off
12.50Consensuspth_on_gpOrthosteric Ligandpth1_on_gp pth2_on_gp
12.12Single6PB0Urocortin6PB0-CRF1-Urocortin-chim(NtGi1-Gs)/β1/γ2
12.12Consensuscrf1_onOrthosteric Ligand6PB0-CRF1-Urocortin-chim(NtGi1-Gs)/β1/γ2 6P9X-CRF1-Corticoliberin-1-Gs/β1/γ2
12.00Single6PT3DPI-2876PT3-δ-DPI-287
12.00Single6XBJCholesterol6XBJ-SMO-Cholesterol-Gi1/β1/γ2
12.00Single7S8LCortistatin-147S8L-MRGPRX2-Cortistatin-14-chim(NtGi2L-Gs-CtGq)/β1/γ2
12.00Single8J22TUG-13758J22-FFA2-TUG-1375-Gi1/β1/γ2
12.00Single8JLRA776368JLR-TA1-A77636-chim(NtGi1-Gs)/β1/γ2
12.00Single8X3LXWD8X3L-CB2-XWD-Gi1/β1/γ2
12.00Single8XQLCholesterol8XQL-TAS2R14-Cholesterol-Aristolochic acid A-Gt3/β1/γ1
12.00Single8XQOCholesterol8XQO-TAS2R14-Cholesterol-Aristolochic acid A-Gi1/β1/γ1
12.00Single9CGKC5-Quino9CGK-δ-C5-Quino-Gi1/β1/γ2
12.00Single9IPVJR14a9IPV-C3aB-JR14a-Gi1/β1/γ2
12.00Single9IPYJR14a9IPY-C3aB-JR14a
12.00Single9ITBLPA9ITB-LPA6-LPA-chim(NtGi1-Gs-CtGq)/β1/γ2
12.00Single9IZASCH9002719IZA-HCA2-SCH900271-Gi1/β1/γ2
12.00Single9JF4PD1683689JF4-BB1-PD168368
12.00Consensuskiss1_onOrthosteric Ligand8ZJD-Kiss1-Kisspeptin-1-chim(NtGi1-Gq)/β1/γ1
12.00Consensuskisspeptin_onOrthosteric Ligandkiss1_on
12.00Consensuss1p_onOrthosteric Ligands1p1_on s1p3_on s1p5_on
12.00Consensuss1p_on_gpOrthosteric Ligands1p1_on_gp s1p3_on_gp s1p5_on_gp
11.76Single3OE6IT1t3OE6-CXCR4-IT1t
11.76Single3UZAGTPL92363UZA-A2A-GTPL9236
11.76Single6D32Cyclopamine6D32-SMO-Cyclopamine-Cyclopamine
11.76Single6FK9PubChem 1324730366FK9-Rhodopsin-PubChem 132473036
11.76Single7D77Hydrocortisone7D77-ADGRG3-Hydrocortisone-Go/β1/γ2
11.76Single7MT9All-trans-Retinal7MT9-Rhodopsin-All-trans-Retinal-GRK1
11.76Single7MTAAll-trans-Retinal7MTA-Rhodopsin-All-trans-Retinal-GRK1
11.76Single7WC5Psilocin7WC5-5-HT2A-Psilocin
11.76Single7Y12Beta-Alanine7Y12-MRGPRD-β-Alanine-Gi1/β1/γ2
11.76Single8F2APramlintide Analogue San3858F2A-CT (AMY3)-Pramlintide Analogue San385-Gs/β1/γ2; RAMP3
11.76Single8GGEConstrained Epinephrine8GGE-β2-Constrained Epinephrine-GTP-Gs/β1/γ2
11.76Single8GH1Constrained Epinephrine8GH1-β2-Constrained Epinephrine
11.76Single8J21Butyric acid8J21-FFA3-Butyric acid-Gi1/β1/γ2
11.76Single8J6QBeta-Hydroxybutyrate8J6Q-HCA2-β-Hydroxybutyrate-PubChem 25101223-Gi1/β1/γ2
11.76Single8J6QPubChem 251012238J6Q-HCA2-β-Hydroxybutyrate-PubChem 25101223-Gi1/β1/γ2
11.76Single8X9UMetenolone8X9U-ADGRD1-Metenolone-chim(NtGi1-Gs)/β1/γ2
11.76Single9KT93,5-DHBA9KT9-HCA1-3,5-DHBA-Gi1/β1/γ2
11.76Consensusffa3_onOrthosteric Ligand8J21-FFA3-Butyric acid-Gi1/β1/γ2
11.76Consensusffa3_on_gpOrthosteric Ligand8J21-FFA3-Butyric acid-Gi1/β1/γ2
11.54Single4AMJCarvedilol4AMJ-β1-Carvedilol
11.54Single6RZ8ONO-20803656RZ8-CysLT2-ONO-2080365
11.54Single6X19CHU-1286X19-GLP-1-CHU-128-Gs/β1/γ2
11.54Single7F4ISHU91197F4I-MC1-SHU9119-chim(NtGi1-Gs)/β1/γ2
11.54Single7RTBPeptide-197RTB-GLP-1-Peptide-19-Gs/β1/γ2
11.54Single7TD4Siponimod7TD4-S1P1-Siponimod-Gi1/β1/γ2
11.54Single8GHVAMG3158GHV-CB1-AMG315-Gi1/β1/γ2
11.54Single8IZBLysophosphatidylserine (UBL)8IZB-GPR174-Lysophosphatidylserine (UBL)-Gs/β1/γ2
11.54Single8WKYPG-9348WKY-MC4-PG-934
11.54Single8ZJDKisspeptin-18ZJD-Kiss1-Kisspeptin-1-chim(NtGi1-Gq)/β1/γ1
11.54Consensusgq_kisspeptinOrthosteric Ligand8ZJD-Kiss1-Kisspeptin-1-chim(NtGi1-Gq)/β1/γ1
11.54Consensuskiss1_on_gpOrthosteric Ligand8ZJD-Kiss1-Kisspeptin-1-chim(NtGi1-Gq)/β1/γ1
11.54Consensuskisspeptin_on_gpOrthosteric Ligandkiss1_on_gp
11.43Single9JR2PTH9JR2-PTH1-PTH-chim(NtGi1L-Gs-CtGq)/β1/γ2
11.43Consensuscrf1_on_gpOrthosteric Ligand6PB0-CRF1-Urocortin-chim(NtGi1-Gs)/β1/γ2 6P9X-CRF1-Corticoliberin-1-Gs/β1/γ2
11.11Single3PBLEticlopride3PBL-D3-Eticlopride
11.11Single6FK6PubChem 1324730336FK6-Rhodopsin-PubChem 132473033
11.11Single6HLLCP999946HLL-NK1-CP99994
11.11Single6HLOAprepitant6HLO-NK1-Aprepitant
11.11Single6LI0C176LI0-GPR52-C17
11.11Single6PGSGeraniol6PGS-Rhodopsin-Geraniol-Gt(CT)
11.11Single6PH7Nerol6PH7-Rhodopsin-Nerol-Gt(CT)
11.11Single6QNOAll-trans-Retinal6QNO-Rhodopsin-All-trans-Retinal-Gi1/β1/γ1
11.11Single6TQ4PubChem 160468446TQ4-OX1-PubChem 16046844-Na
11.11Single6WHCGlu16 analog of GCG6WHC-Glucagon-Glu16 analog of GCG-Gs/β1/γ2
11.11Single7D76Beclomethasone7D76-ADGRG3-Beclomethasone-Go/β1/γ2
11.11Single7E14Orforglipron7E14-GLP-1-Orforglipron-PubChem 156022738-Gs/β1/γ2
11.11Single7S8NR-Zinc-35737S8N-MRGPRX2-R-Zinc-3573-chim(NtGi2L-Gs-CtGq)/β1/γ2
11.11Single7XP6Strychnine7XP6-TAS2R46-Strychnine-chim(Gs-CtGt3)/β1/γ2
11.11Single7XTASerotonin7XTA-5-HT4-Serotonin-Gi1/β1/γ2
11.11Single7YS6Serotonin7YS6-5-HT6-Serotonin-chim(NtGi1-Gs)/β1/γ2
11.11Single8EF6Morphine8EF6-μ-Morphine-Gi1/β1/γ2
11.11Single8FX5Xanomeline8FX5-M4-Xanomeline-Xanomeline-Gi1/β1/γ2
11.11Single8H2GNiacin8H2G-HCA2-Niacin-Gi1/β1/γ2
11.11Single8J6PPubChem 251012238J6P-HCA2-Niacin-PubChem 25101223-Gi1/β1/γ2
11.11Single8JHYPubChem 251012238JHY-HCA2-PubChem 25101223-Gi1/β1/γ2
11.11Single8JIIPubChem 251012238JII-HCA2-Niacin-PubChem 25101223-Gi1/β1/γ2
11.11Single8JILNiacin8JIL-HCA2-Niacin-Gi1/β1/γ2
11.11Single8K5BNiacin8K5B-HCA2-Niacin
11.11Single8UO3Constrained Epinephrine8UO3-β2-Constrained Epinephrine-GTP; Mg-Gs/β1/γ2
11.11Single9B9YTaranabant9B9Y-CB1-Taranabant
11.11Single9JLCAVE 09919JLC-MAS1-AVE 0991-Gi1/β1/γ2
11.11Single9JR3PTH9JR3-PTH1-PTH-chim(NtGi1L-Gs-CtGq)/β1/γ2
11.11Single9KT7MK68929KT7-HCA2-MK6892-Gi1/β1/γ2
11.11Single9KUWCMPD6449KUW-Apelin; Apelin-CMPD644-Arrestin2 ; Arrestin2
11.11Single9LMPNE52-QQ579LMP-GPR4-NE52-QQ57
11.11Single9MBCAZ122160529MBC-mGlu8; mGlu8-DCPG-AZ12216052
11.11Single9U9VMETH9U9V-β2-METH-Gs/β1/γ2
11.11Consensus5ht4_onOrthosteric Ligand7XTA-5-HT4-Serotonin-Gi1/β1/γ2
11.11Consensus5ht4_on_gpOrthosteric Ligand7XTA-5-HT4-Serotonin-Gi1/β1/γ2
11.11Consensusd3_offOrthosteric Ligand3PBL-D3-Eticlopride
11.11Consensuss1p3_on_gpOrthosteric Ligand7EW3-S1P3-S1P-Gi1/β1/γ2 7EW4-S1P3-CYM-5541-Gi1/β1/γ2 7EW2-S1P3-FTY720-P-Gi1/β1/γ2
10.71Single6W25SHU91196W25-MC4-SHU9119-Ca
10.71Single8W8YGamma-MSH8W8Y-MC3-γ-MSH-Ca-Gs/β1/γ2
10.71Single8XGUTAK4488XGU-Kiss1-TAK448-Gi1/β1/γ2
10.71Single9B5YLA-PTH Analog9B5Y-PTH1-LA-PTH Analog-chim(NtGi1-Gq)/β1/γ2
10.53Single2Z7311-cis-Retinal2Z73-Rhodopsin-11-cis-Retinal
10.53Single3AYN9-cis-Retinal3AYN-Rhodopsin-9-cis-Retinal
10.53Single3ODUIT1t3ODU-CXCR4-IT1t
10.53Single5U09Taranabant5U09-CB1-Taranabant
10.53Single5ZKQABT-4915ZKQ-PAF-ABT-491
10.53Single6DS0LY2660976DS0-5-HT2B-LY266097
10.53Single6FKBPubChem 1324730386FKB-Rhodopsin-PubChem 132473038
10.53Single6ME2Ramelteon6ME2-MT1-Ramelteon
10.53Single6OYAAll-trans-Retinal6OYA-Rhodopsin-All-trans-Retinal-Gt/β1/γ1
10.53Single7DHRIsoprenaline7DHR-β2-Isoprenaline-Gs/β1/γ2
10.53Single7F1ODopamine7F1O-D1-Dopamine-GDP; Mg-Gs/β1/γ2
10.53Single7TUZ7-alpha,25-dihydroxycholesterol7TUZ-GPR183-7-α,25-dihydroxycholesterol-Gi1/β1/γ2
10.53Single7WF7S1P7WF7-S1P1-S1P-Gi1/β1/γ2
10.53Single7X5H5-CT7X5H-5-HT5A-5-CT-Gi1/β1/γ2
10.53Single8DWGML3828DWG-MRGPRX1-BAM8-22-ML382-chim(NtGi2L-Gs-CtGq)/β1/γ2
10.53Single8DWHPubChem 1390305318DWH-MRGPRX1-PubChem 139030531-chim(NtGi2L-Gs-CtGq)/β1/γ2
10.53Single8GGCConstrained Epinephrine8GGC-β2-Constrained Epinephrine-GTP-Gs/β1/γ2
10.53Single8GGZConstrained Epinephrine8GGZ-β2-Constrained Epinephrine
10.53Single8HMPC178HMP-GPR52-C17-Gs/β1/γ2
10.53Single8J20Valeric acid8J20-FFA3-Valeric acid-AR420626-Gi1/β1/γ2
10.53Single8J6LNiacin8J6L-HCA2-Niacin-Gi1/β1/γ2
10.53Single8JPPSuccinic acid8JPP-Succinate-Succinic acid-chim(Gs-CtGq)/β1/γ1
10.53Single8T3SButyric acid8T3S-FFA2-Butyric acid-chim(NtGi2L-Gs-CtGq)/β1/γ2
10.53Single8UNSConstrained Epinephrine8UNS-β2-Constrained Epinephrine-GTP-Gs/β1/γ2
10.53Single8UNTConstrained Epinephrine8UNT-β2-Constrained Epinephrine-GTP-Gs/β1/γ2
10.53Single8UNXConstrained Epinephrine8UNX-β2-Constrained Epinephrine-GTP-Gs/β1/γ2
10.53Single8UTDMK19038UTD-HCA2-MK1903-Gi1/β1/γ2
10.53Single8Z87CHBA8Z87-HCA1-CHBA-Gi1/β1/γ2
10.53Single9JKXAcifran9JKX-HCA3-Acifran-Gi1/β1/γ2
10.53Single9LL9DOI9LL9-5-HT2A-DOI-chim(NtGi1L-Gs-CtGq)/β1/γ2
10.53Single9PXUNaloxone9PXU-μ-Naloxone-Na
10.53Consensus5ht1e_onOrthosteric Ligand7E33-5-HT1E-BRL-54443-Gi1/β1/γ2 8UGY-5-HT1E-Mianserin-Gi1/β1/γ1 8UH3-5-HT1E-Setiptiline-Gi1/β1/γ1
10.53Consensus5ht_onOrthosteric Ligand5ht1_on 5ht2_on 5ht4_on 5ht5_on 5ht6_on 5ht7_on
10.53Consensusalpha2_offOrthosteric Ligandalpha2c_off
10.53Consensusgs_5htOrthosteric Ligand7XTC-5-HT7-5-CT-Gs/β1/γ2 7XTB-5-HT6-Serotonin-Gs/β1/γ2 8JLZ-5-HT6-ST1936-Gs/β1/γ2 7XT8-5-HT4-Serotonin-Gs/β1/γ2
10.53Consensuspaf_offOrthosteric Ligand5ZKQ-PAF-ABT-491
10.53Consensusrhodopsin_on_gpOrthosteric Ligand6OYA-Rhodopsin-All-trans-Retinal-Gt/β1/γ1
10.34Single6NIYCalcitonin-16NIY-CT-Calcitonin-1-Gs/β1/γ2
10.34Single7TYIAmylin7TYI-CT-Amylin-Gs/β1/γ2
10.34Single7WUIIP157WUI-ADGRG2-IP15-chim(NtGi1-Gs)/β1/γ2
10.34Single8J6IMK68928J6I-HCA2-MK6892-Gi1/β1/γ2
10.00Single4DKLBeta-Funaltrexamine4DKL-μ-β-Funaltrexamine
10.00Single4LDOEpinephrine4LDO-β2-Epinephrine
10.00Single4N6HNaltrindole4N6H-δ-Naltrindole-Na
10.00Single4ZUDOlmesartan4ZUD-AT1-Olmesartan
10.00Single6FKAPubChem 1324730376FKA-Rhodopsin-PubChem 132473037
10.00Single6KUXRS799486KUX-α2a-RS79948
10.00Single6PELCitronellol6PEL-Rhodopsin-Citronellol-Gt(CT)
10.00Single6PS0Carazolol6PS0-β2-Carazolol
10.00Single6PS4ICI118-5516PS4-β2-ICI118-551
10.00Single6PS5Propranolol6PS5-β2-Propranolol
10.00Single6PS82-Phenylmelatonin6PS8-MT1-2-Phenylmelatonin
10.00Single6PT0WIN 55212-26PT0-CB2-WIN 55212-2-Gi1/β1/γ2
10.00Single6V9SGTPL114036V9S-OX1-GTPL11403
10.00Single7CKWFenoldopam7CKW-D1-Fenoldopam-Gs/β1/γ2
10.00Single7CKZDopamine7CKZ-D1-Dopamine-Mevidalen-Gs/β1/γ2
10.00Single7F0TDopamine7F0T-D1-Dopamine-Gs/β1/γ2
10.00Single7F1ZDopamine7F1Z-D1-Dopamine-GDP-Gs/β1/γ2
10.00Single7F61PF-036547467F61-H3-PF-03654746
10.00Single7UL3Famotidine7UL3-H2-Famotidine
10.00Single7WVUfMLF7WVU-FPR1-ALX-fMLF-Gi1/β1/γ2
10.00Single8GEAConstrained Epinephrine8GEA-β2-Constrained Epinephrine-Gs/β1/γ2
10.00Single8GEDConstrained Epinephrine8GED-β2-Constrained Epinephrine-Gs/β1/γ2
10.00Single8GG5Constrained Epinephrine8GG5-β2-Constrained Epinephrine-GTP-Gs/β1/γ2
10.00Single8GG7Constrained Epinephrine8GG7-β2-Constrained Epinephrine-GTP-Gs/β1/γ2
10.00Single8GG8Constrained Epinephrine8GG8-β2-Constrained Epinephrine-GTP-Gs/β1/γ2
10.00Single8GGLConstrained Epinephrine8GGL-β2-Constrained Epinephrine
10.00Single8GGMConstrained Epinephrine8GGM-β2-Constrained Epinephrine
10.00Single8GGPConstrained Epinephrine8GGP-β2-Constrained Epinephrine
10.00Single8GGQConstrained Epinephrine8GGQ-β2-Constrained Epinephrine
10.00Single8GGSConstrained Epinephrine8GGS-β2-Constrained Epinephrine
10.00Single8GGTConstrained Epinephrine8GGT-β2-Constrained Epinephrine
10.00Single8GGXConstrained Epinephrine8GGX-β2-Constrained Epinephrine
10.00Single8GURCP559408GUR-CB2-CP55940-Gi1/β1/γ2
10.00Single8HJ5PubChem 1390305318HJ5-MRGPRX1-PubChem 139030531-chim(NtGi1-Gs-CtGq)/β1/γ2
10.00Single8HQN9-S-HODE8HQN-GPR132-9-S-HODE-Gi1/β1/γ2
10.00Single8IHKAcifran8IHK-HCA3-Acifran
10.00Single8JLQFenoldopam8JLQ-TA1-Fenoldopam-Gs/β1/γ2
10.00Single8K5CAcipimox8K5C-HCA2-Acipimox
10.00Single8RLNLUF58348RLN-A2A-LUF5834
10.00Single8UHBRO52563908UHB-TA1-RO5256390-Gs/β1/γ2
10.00Single8UNLConstrained Epinephrine8UNL-β2-Constrained Epinephrine-GTP-Gs/β1/γ2
10.00Single8UNMConstrained Epinephrine8UNM-β2-Constrained Epinephrine-GTP-Gs/β1/γ2
10.00Single8UNOConstrained Epinephrine8UNO-β2-Constrained Epinephrine-GTP-Gs/β1/γ2
10.00Single8UNWConstrained Epinephrine8UNW-β2-Constrained Epinephrine-GTP-Gs/β1/γ2
10.00Single8W88SEP-3638568W88-TA1-SEP-363856-Gs/β1/γ2
10.00Single8Y6YGLPG09748Y6Y-FFA2-GLPG0974
10.00Single8YRGFospropofol8YRG-MRGPRX4-Fospropofol-chim(NtGi1-Gs-CtGq)/β1/γ2
10.00Single8ZPMAMD0708ZPM-CXCR4-AMD070
10.00Single9AS3LSD9AS3-5-HT2A-LSD
10.00Single9AS4LSD9AS4-5-HT2A-LSD-chim(NtGi1-Gs-CtGq)/β1/γ2
10.00Single9AS5Mescaline9AS5-5-HT2A-Mescaline
10.00Single9AS6Mescaline9AS6-5-HT2A-Mescaline-chim(NtGi1-Gs-CtGq)/β1/γ2
10.00Single9ASBCa; Ca; Cyclomethyltryptophan; R-568; PO49ASB-CaS; CaS-Ca-Ca; Ca; Cyclomethyltryptophan; R-568; PO4-chim(NtGi1-Gs-CtGq)/β1/γ2
10.00Single9BA0MRI-18919BA0-CB1-MRI-1891
10.00Single9IXXLTD49IXX-CysLT2-LTD4-chim(NtGi1-Gs-CtGq)/β1/γ2
10.00Single9JH3CMF-0199JH3-Apelin; Apelin-CMF-019-Gi1/β1/γ2
10.00Single9JKQMETH9JKQ-TA1-METH-Gs/β1/γ2
10.00Single9JKYAcifran9JKY-HCA2-Acifran-Gi1/β1/γ2
10.00Single9JMDAzithromycin9JMD-Motilin-Azithromycin-chim(Gs-CtGq)/β1/γ2
10.00Single9KPDSalicin9KPD-TAS2R16-Salicin-chim(Gs-CtGt3)/β1/γ2
10.00Single9L84Epinephrine9L84-β1-Epinephrine-Atazanavir-Gs/β1/γ2
10.00Single9L8LBI1671079L8L-β2-BI167107-Atazanavir-Gs/β1/γ2 ; Arrestin2
10.00Single9PXVNaloxone9PXV-μ-Naloxone-Gi1/β1/γ2
10.00Single9PXXNaloxone9PXX-μ-Naloxone-GDPβS-Gi1/β1/γ2
10.00Single9U80Conivaptan9U80-V2-Conivaptan
10.00Single9W33S5A19W33-SST5-S5A1
10.00Single9W6W5-CT9W6W-5-HT5A-5-CT-Gi1/β1/γ2
10.00Consensus5ht_on_gpOrthosteric Ligand5ht1_on_gp 5ht2_on_gp 5ht4_on_gp 5ht5_on_gp 5ht6_on_gp 5ht7_on_gp
10.00Consensuscb1_offOrthosteric Ligand5U09-CB1-Taranabant 5TGZ-CB1-AM6538
10.00Consensusp2y10_onOrthosteric Ligand8KGG-P2Y10-Lysophosphatidylserine (WJS)-chim(NtGi2-G13)/β1/γ2
9.52Single2VT4Cyanopindolol2VT4-β1-Cyanopindolol
9.52Single2YCYCyanopindolol2YCY-β1-Cyanopindolol
9.52Single3NY8ICI118-5513NY8-β2-ICI118-551
9.52Single3NYAAlprenolol3NYA-β2-Alprenolol
9.52Single3ZPQPubChem 5945903ZPQ-β1-PubChem 594590-Na
9.52Single3ZPRPubChem 5987543ZPR-β1-PubChem 598754-Na
9.52Single4EJ4Naltrindole4EJ4-δ-Naltrindole
9.52Single4GBRCarazolol4GBR-β2-Carazolol
9.52Single5NDDAZ8838; Na5NDD-PAR2-AZ8838; Na
9.52Single5TGZAM65385TGZ-CB1-AM6538
9.52Single5ZKPSR274175ZKP-PAF-SR27417
9.52Single6DRZMethysergide6DRZ-5-HT2B-Methysergide
9.52Single6ORVTT-OAD26ORV-GLP-1-TT-OAD2-Gs/β1/γ2
9.52Single6PRZAlprenolol6PRZ-β2-Alprenolol
9.52Single6PS2Alprenolol6PS2-β2-Alprenolol
9.52Single7BTSEpinephrine7BTS-β1-Epinephrine
9.52Single7BU6Norepinephrine7BU6-β1-Norepinephrine
9.52Single7BU7BI1671077BU7-β1-BI167107
9.52Single7E32Serotonin7E32-5-HT1D-Serotonin-Gi1/β1/γ2
9.52Single7JVQApomorphine7JVQ-D1-Apomorphine-Gs/β1/γ2
9.52Single7S0GIsoprenaline7S0G-β1-Isoprenaline-chim(Gi1-CtGs)/β1/γ2
9.52Single7T6VfMLFII7T6V-FPR2-ALX-fMLFII-Gi1/β1/γ2
9.52Single7UL4Alvimopan7UL4-μ-Alvimopan
9.52Single7UM55-CT7UM5-5-HT5A-5-CT-chim(NtGi1-Go)/β1/γ2
9.52Single7UM6Lisuride7UM6-5-HT5A-Lisuride-chim(NtGi1-Go)/β1/γ2
9.52Single7V3ZCP559407V3Z-CB1-CP55940
9.52Single7VH0Ramelteon7VH0-MT2-Ramelteon-Gi1/β1/γ1
9.52Single7VIES1P7VIE-S1P1-S1P-Gi1/β1/γ2
9.52Single7X2CFenoldopam7X2C-D1-Fenoldopam-Fenoldopam-Gs/β1/γ2
9.52Single7XTC5-CT7XTC-5-HT7-5-CT-Gs/β1/γ2
9.52Single8CICEtrumadenant8CIC-A2A-Etrumadenant-Na
9.52Single8EJKTAK-8758EJK-FFA1-TAK-875-chim(NtGi1L-Gs-CtGq)/β1/γ2
9.52Single8GE2Constrained Epinephrine8GE2-β2-Constrained Epinephrine-Gs/β1/γ1
9.52Single8GE3Constrained Epinephrine8GE3-β2-Constrained Epinephrine-Gs/β1/γ2
9.52Single8GE9Constrained Epinephrine8GE9-β2-Constrained Epinephrine-Gs/β1/γ2
9.52Single8GECConstrained Epinephrine8GEC-β2-Constrained Epinephrine-Gs/β1/γ2
9.52Single8GEEConstrained Epinephrine8GEE-β2-Constrained Epinephrine-Gs/β1/γ2
9.52Single8GFVConstrained Epinephrine8GFV-β2-Constrained Epinephrine-GTP-Gs/β1/γ2
9.52Single8GFWConstrained Epinephrine8GFW-β2-Constrained Epinephrine-GTP-Gs/β1/γ2
9.52Single8GFXConstrained Epinephrine8GFX-β2-Constrained Epinephrine-GTP-Gs/β1/γ2
9.52Single8GFZConstrained Epinephrine8GFZ-β2-Constrained Epinephrine-GTP-Gs/β1/γ2
9.52Single8GG0Constrained Epinephrine8GG0-β2-Constrained Epinephrine-GTP-Gs/β1/γ2
9.52Single8GG1Constrained Epinephrine8GG1-β2-Constrained Epinephrine-GTP-Gs/β1/γ2
9.52Single8GG3Constrained Epinephrine8GG3-β2-Constrained Epinephrine-GTP-Gs/β1/γ2
9.52Single8GG4Constrained Epinephrine8GG4-β2-Constrained Epinephrine-GTP-Gs/β1/γ2
9.52Single8GG6Constrained Epinephrine8GG6-β2-Constrained Epinephrine-GTP-Gs/β1/γ2
9.52Single8GG9Constrained Epinephrine8GG9-β2-Constrained Epinephrine-GTP-Gs/β1/γ2
9.52Single8GGIConstrained Epinephrine8GGI-β2-Constrained Epinephrine
9.52Single8GGJConstrained Epinephrine8GGJ-β2-Constrained Epinephrine
9.52Single8GGKConstrained Epinephrine8GGK-β2-Constrained Epinephrine
9.52Single8GGNConstrained Epinephrine8GGN-β2-Constrained Epinephrine
9.52Single8GGOConstrained Epinephrine8GGO-β2-Constrained Epinephrine
9.52Single8GGUConstrained Epinephrine8GGU-β2-Constrained Epinephrine
9.52Single8IHJAcifran8IHJ-HCA3-Acifran-Gi1/β1/γ2
9.52Single8JJOAlprenolol8JJO-β2-Alprenolol
9.52Single8JLZST19368JLZ-5-HT6-ST1936-Gs/β1/γ2
9.52Single8UGYMianserin8UGY-5-HT1E-Mianserin-Gi1/β1/γ1
9.52Single8UH3Setiptiline8UH3-5-HT1E-Setiptiline-Gi1/β1/γ1
9.52Single8UNQConstrained Epinephrine8UNQ-β2-Constrained Epinephrine-GTP-Gs/β1/γ2
9.52Single8UNYConstrained Epinephrine8UNY-β2-Constrained Epinephrine-GTP-Gs/β1/γ2
9.52Single8VVGGB188VVG-κ-GB18-Gi1/β1/γ2
9.52Single8W8ARO52563908W8A-TA1-RO5256390-chim(NtGi1L-Gs)/β1/γ2
9.52Single8X9TAP5038X9T-ADGRD1-AP503-chim(NtGi1-Gs)/β1/γ2
9.52Single8Y71A1D6F8Y71-δ-A1D6F-BMS986187-Gi1/β1/γ2
9.52Single8ZSSRO52633978ZSS-TA1-RO5263397-chim(NtGi1-Gs)/β1/γ2
9.52Single9AVGCa; Ca; Cyclomethyltryptophan; R-568; PO49AVG-CaS; CaS-Ca-Ca; Ca; Cyclomethyltryptophan; R-568; PO4-chim(NtGi1-Gs)/β1/γ2
9.52Single9EPP11,20-Ethanoretinal9EPP-Rhodopsin-11,20-Ethanoretinal-chim(Gi1-CtGq)/β1/γ2
9.52Single9IVGGLP-1 (Truncated)9IVG-GLP-1-GLP-1 (Truncated)-chim(NtGi1-Gs)/β1/γ2
9.52Single9JGKBalovaptan9JGK-5-HT2B-Balovaptan
9.52Single9KFJPubChem 1383196749KFJ-RXFP3-PubChem 138319674-Gi2/β1/γ2
9.52Single9KFTfMLFC9KFT-FPR1-ALX-fMLFC-Gi1/β1/γ2
9.52Single9PXWNaloxone9PXW-μ-Naloxone-GDPβS-Gi1/β1/γ2
9.52Single9VMYTMU41429VMY-5-HT1A-TMU4142-Go/β1/γ2
9.52Consensus5ht1d_onOrthosteric Ligand7E32-5-HT1D-Serotonin-Gi1/β1/γ2
9.52Consensus5ht1d_on_gpOrthosteric Ligand7E32-5-HT1D-Serotonin-Gi1/β1/γ2
9.52Consensus5ht2b_offOrthosteric Ligand6DRZ-5-HT2B-Methysergide
9.52Consensus5ht5_onOrthosteric Ligand5ht5a_on
9.52Consensus5ht5a_onOrthosteric Ligand7X5H-5-HT5A-5-CT-Gi1/β1/γ2 7UM6-5-HT5A-Lisuride-chim(NtGi1-Go)/β1/γ2 7UM7-5-HT5A-Methylergometrine-chim(NtGi1-Go)/β1/γ2
9.52Consensus5ht6_onOrthosteric Ligand7XTB-5-HT6-Serotonin-Gs/β1/γ2 8JLZ-5-HT6-ST1936-Gs/β1/γ2
9.52Consensus5ht6_on_gpOrthosteric Ligand7XTB-5-HT6-Serotonin-Gs/β1/γ2 8JLZ-5-HT6-ST1936-Gs/β1/γ2
9.52Consensus5ht7_onOrthosteric Ligand7XTC-5-HT7-5-CT-Gs/β1/γ2
9.52Consensus5ht7_on_gpOrthosteric Ligand7XTC-5-HT7-5-CT-Gs/β1/γ2
9.52Consensusadrenergic_onOrthosteric Ligandalpha_on beta_on
9.52Consensusalicarboxylic_on_gpOrthosteric Ligandsuccinate_on_gp hca_on_gp
9.52Consensusd5_onOrthosteric Ligand8IRV-D5-Rotigotine-chim(NtGi1-Gs)/β1/γ2
9.52Consensusdop_offOrthosteric Ligand4EJ4-δ-Naltrindole
9.52Consensusdopamine_offOrthosteric Ligandd2_off d3_off
9.52Consensusdopamine_onOrthosteric Ligandd2_on d1_on d3_on d4_on d5_on
9.52Consensusdopamine_on_gpOrthosteric Ligandd2_on_gp d1_on_gp d3_on_gp d4_on_gp d5_on_gp
9.52Consensusgi_alicarboxylicOrthosteric Ligandgi_hca gi_succinate
9.38Single5NX2GLP-1 (Truncated)5NX2-GLP-1-GLP-1 (Truncated)
9.38Single6P9XCorticoliberin-16P9X-CRF1-Corticoliberin-1-Gs/β1/γ2
9.09Single2RH1Carazolol2RH1-β2-Carazolol
9.09Single2YCWCarazolol2YCW-β1-Carazolol
9.09Single4PHUFasiglifam4PHU-FFA1-Fasiglifam
9.09Single4WW3All-trans-Retinal4WW3-Rhodopsin-All-trans-Retinal
9.09Single5D6LCarazolol5D6L-β2-Carazolol
9.09Single5JQHCarazolol5JQH-β2-Carazolol
9.09Single5TVNLSD5TVN-5-HT2B-LSD
9.09Single5X7DCarazolol5X7D-β2-Carazolol-PubChem 129318963
9.09Single6E67BI1671076E67-β2-BI167107-Gs(CT)
9.09Single6HLPNetupitant6HLP-NK1-Netupitant
9.09Single6KPCAM120336KPC-CB2-AM12033
9.09Single6KUWPubChem 572132346KUW-α2c-PubChem 57213234
9.09Single6LUQHaloperidol6LUQ-D2-Haloperidol
9.09Single6ME82-Phenylmelatonin6ME8-MT2-2-Phenylmelatonin
9.09Single6PS3Carvedilol6PS3-β2-Carvedilol
9.09Single6PS6Timolol6PS6-β2-Timolol
9.09Single7BVQCarazolol7BVQ-β1-Carazolol
9.09Single7EO2FTY720-P7EO2-S1P1-FTY720-P-Gi1/β1/γ2
9.09Single7EPFNAM5977EPF-mGlu2-NAM597
9.09Single7EUOfMLF7EUO-FPR1-ALX-fMLF-Gi1/β1/γ2
9.09Single7S0FIsoprenaline7S0F-β1-Isoprenaline-Gi1/β1/γ2
9.09Single7SINNPS-21437SIN-CaS; CaS-NPS-2143
9.09Single7SINNPS-21437SIN-CaS; CaS-NPS-2143
9.09Single7TD3S1P7TD3-S1P1-S1P-Gi1/β1/γ2
9.09Single7XK9Constrained Isoproterenol7XK9-β2-Constrained Isoproterenol-Na
9.09Single8C9WEtrumadenant8C9W-A2A-Etrumadenant
9.09Single8DZQmomSalB8DZQ-κ-momSalB-Go/β1/γ2
9.09Single8EJCTAK-8758EJC-FFA1-TAK-875-chim(NtGi1L-Gs-CtGq)/β1/γ2
9.09Single8GDCPGE28GDC-EP3-PGE2-Gi1/β1/γ2
9.09Single8GFYConstrained Epinephrine8GFY-β2-Constrained Epinephrine-GTP-Gs/β1/γ2
9.09Single8GG2Constrained Epinephrine8GG2-β2-Constrained Epinephrine-GTP-Gs/β1/γ2
9.09Single8JXSPF-61428JXS-D1-PF-6142
9.09Single8K8JFenofibrate8K8J-CB1-Fenofibrate-chim(Gs-CtGq)/β1/γ2
9.09Single8XQPCholesterol8XQP-TAS2R14-Cholesterol-Aristolochic acid A-Gt3/β1/γ1
9.09Single8YICSAR2477998YIC-S1P1-SAR247799-Gi1/β1/γ2
9.09Single8ZRKGSK12922638ZRK-GPR119-GSK1292263-Gs/β1/γ2
9.09Single9ARYSerotonin9ARY-5-HT2A-Serotonin-chim(NtGi1-Gs-CtGq)/β1/γ2
9.09Single9AVLCa; Ca; Cyclomethyltryptophan; R-568; PO49AVL-CaS; CaS-Ca-Ca; Ca; Cyclomethyltryptophan; R-568; PO4-Gi3/β2/γ2
9.09Single9AXFCa; Ca; Ca; Cyclomethyltryptophan; R-568; PO49AXF-CaS; CaS-Ca-Ca; Ca; Ca; Cyclomethyltryptophan; R-568; PO4-chim(NtGi1-Gs-CtGq)/β1/γ2
9.09Single9B9ZMRI-18679B9Z-CB1-MRI-1867
9.09Single9EAHOlmesartan9EAH-AT1-Olmesartan-Nanobody AT209
9.09Single9I52A1IZU9I52-D1-A1IZU-Gs/β1/γ2
9.09Single9JKSPubChem 442501769JKS-HCA3-PubChem 44250176-Gi1/β1/γ2
9.09Single9K07DSO-5a9K07-BB3-DSO-5a-chim(NtGi2L-Gs-CtGq)/β1/γ2
9.09Single9KPFSalicin9KPF-TAS2R16-Salicin-Gi1/β1/γ2
9.09Single9KUVCMPD6449KUV-Apelin-CMPD644-Arrestin2
9.09Single9L74S1P d16:19L74-S1P3-S1P d16:1-chim(NtGi2L-Gs-CtGq)/β1/γ2
9.09Single9PXYNaloxone9PXY-μ-Naloxone-GDPβS-Gi1/β1/γ2
9.09Consensus5ht1_onOrthosteric Ligand5ht1a_on 5ht1d_on 5ht1e_on 5ht1f_on
9.09Consensus5ht1_on_gpOrthosteric Ligand5ht1a_on_gp 5ht1d_on_gp 5ht1e_on_gp 5ht1f_on_gp
9.09Consensus5ht1e_on_gpOrthosteric Ligand7E33-5-HT1E-BRL-54443-Gi1/β1/γ2 8UGY-5-HT1E-Mianserin-Gi1/β1/γ1 8UH3-5-HT1E-Setiptiline-Gi1/β1/γ1
9.09Consensus5ht5_on_gpOrthosteric Ligand5ht5a_on_gp
9.09Consensus5ht5a_on_gpOrthosteric Ligand7X5H-5-HT5A-5-CT-Gi1/β1/γ2 7UM6-5-HT5A-Lisuride-chim(NtGi1-Go)/β1/γ2 7UM7-5-HT5A-Methylergometrine-chim(NtGi1-Go)/β1/γ2
9.09Consensusadgrg2_onOrthosteric Ligand7WUI-ADGRG2-IP15-chim(NtGi1-Gs)/β1/γ2 7WUQ-ADGRG2-Gs/β1/γ2 7XKF-ADGRG2-Dehydroepiandrosterone-Gs/β1/γ2
9.09Consensusadgrg2_on_gpOrthosteric Ligand7WUI-ADGRG2-IP15-chim(NtGi1-Gs)/β1/γ2 7WUQ-ADGRG2-Gs/β1/γ2 7XKF-ADGRG2-Dehydroepiandrosterone-Gs/β1/γ2
9.09Consensusadrenergic_offOrthosteric Ligandalpha_off beta_off
9.09Consensusadrenergic_on_gpOrthosteric Ligandalpha_on_gp beta_on_gp
9.09Consensusalpha2c_offOrthosteric Ligand6KUW-α2c-PubChem 57213234
9.09Consensusalpha_offOrthosteric Ligandalpha1_off alpha2_off
9.09Consensusamine_offOrthosteric Ligand5ht_off adrenergic_off dopamine_off histamine_off muscarinic_off
9.09Consensusamine_offonOrthosteric Ligandamine_off amine_on
9.09Consensusamine_offon_gpOrthosteric Ligandamine_on_gp amine_off
9.09Consensusamine_onOrthosteric Ligand5ht_on adrenergic_on dopamine_on histamine_on muscarinic_on trace-amine_on
9.09Consensusbeta2_offOrthosteric Ligand2RH1-β2-Carazolol 6PS3-β2-Carvedilol 6PS5-β2-Propranolol 3D4S-β2-Timolol 3NY8-β2-ICI118-551 3NY9-β2-PubChem 913103 6PRZ-β2-Alprenolol
9.09Consensusbeta_offOrthosteric Ligandbeta1_off beta2_off
9.09Consensuscb2_onOrthosteric Ligand8GUR-CB2-CP55940-Gi1/β1/γ2 8GUS-CB2-HU-308-Gi1/β1/γ2 8GUT-CB2-LEI-102-Gi1/β1/γ2 6KPF-CB2-AM12033-Gi1/β1/γ2 6PT0-CB2-WIN 55212-2-Gi1/β1/γ2 8GUQ-CB2-Olorinab-Gi1/β1/γ2
9.09Consensuscb2_on_gpOrthosteric Ligand8GUR-CB2-CP55940-Gi1/β1/γ2 8GUS-CB2-HU-308-Gi1/β1/γ2 8GUT-CB2-LEI-102-Gi1/β1/γ2 6KPF-CB2-AM12033-Gi1/β1/γ2 6PT0-CB2-WIN 55212-2-Gi1/β1/γ2 8GUQ-CB2-Olorinab-Gi1/β1/γ2
9.09Consensusgi_adrenergicOrthosteric Ligand7EJ0-α2a-Norepinephrine-Go/β1/γ2 7EJK-α2a-Oxymetazoline-Go/β1/γ2 7W7E-α2a-PubChem 164946676-Go/β1/γ2 7W6P-α2a-N-pyridin-4-ylisoquinolin-4-amine-Go/β1/γ2 7EJ8-α2a-Brimonidine-Go/β1/γ2 6K42-α2b-Dexmedetomidine-Gi1/β1/γ2 7EJA-α2a-Dexmedetomidine-Go/β1/γ2 7S0F-β1-Isoprenaline-Gi1/β1/γ2
9.09Consensuslipid_onOrthosteric Ligandcannabinoid_on ffa_on lpl_on prostanoid_on leukotriene_on
9.09Consensuslipid_on_gpOrthosteric Ligandcannabinoid_on_gp ffa_on_gp lpl_on_gp prostanoid_on_gp leukotriene_on_gp
9.09Consensuss1p5_offOrthosteric Ligand7YXA-S1P5-ONO-5430608
9.09Consensuss1p_offOrthosteric Ligands1p1_off s1p5_off
9.09Consensusta1_onOrthosteric Ligand8W87-TA1-METH-chim(NtGi1L-Gs)/β1/γ2 8W89-TA1-2-Phenylethylamine-chim(NtGi1L-Gs)/β1/γ2 8JLP-TA1-Ralmitaront-Gs/β1/γ2 8W8A-TA1-RO5256390-chim(NtGi1L-Gs)/β1/γ2 8W88-TA1-SEP-363856-Gs/β1/γ2 8JLO-TA1-Ulotaront-Gs/β1/γ2 8JLR-TA1-A77636-chim(NtGi1-Gs)/β1/γ2 8JSO-TA1-AMPH-chim(NtGi1-Gs)/β1/γ2 8ZSP-TA1-LSD-chim(NtGi1L-Gs)/β1/γ2
9.09Consensustrace-amine_onOrthosteric Ligandta1_on
8.70Single3PDSFAUC503PDS-β2-FAUC50
8.70Single4LDLHydroxybenzyl Isoproterenol4LDL-β2-Hydroxybenzyl Isoproterenol
8.70Single5D5ACarazolol5D5A-β2-Carazolol
8.70Single5D5BCarazolol5D5B-β2-Carazolol
8.70Single5XR8AM120335XR8-CB1-AM12033
8.70Single6H7JIsoprenaline6H7J-β1-Isoprenaline
8.70Single6J20Aprepitant6J20-NK1-Aprepitant
8.70Single6KO5PubChem 574000026KO5-Ghrelin-PubChem 57400002
8.70Single6N48BI1671076N48-β2-BI167107-PubChem 138454256
8.70Single6N4BMDMB-Fubinaca6N4B-CB1-MDMB-Fubinaca-Gi1/β1/γ2
8.70Single7B6WCyclazosin7B6W-α1b-Cyclazosin
8.70Single7EW1Siponimod7EW1-S1P5-Siponimod-Gi1/β1/γ2
8.70Single7EW7SEW28717EW7-S1P1-SEW2871-Gi1/β1/γ2
8.70Single7JJOIsoprenaline7JJO-β1-Isoprenaline-Gs/β1/γ2
8.70Single7VIGCBP-3077VIG-S1P1-CBP-307-Gi1/β1/γ2
8.70Single7W6PN-pyridin-4-ylisoquinolin-4-amine7W6P-α2a-N-pyridin-4-ylisoquinolin-4-amine-Go/β1/γ2
8.70Single7W7EPubChem 1649466767W7E-α2a-PubChem 164946676-Go/β1/γ2
8.70Single8DZPmomSalB8DZP-κ-momSalB-Gi1/β1/γ2
8.70Single8GUSHU-3088GUS-CB2-HU-308-Gi1/β1/γ2
8.70Single8IRRRotigotine8IRR-D1-Rotigotine-Gs/β1/γ2
8.70Single8IYHMK68928IYH-HCA2-MK6892-Go/β1/γ2
8.70Single8JXVClozapine8JXV-H4-Clozapine-Gi1/β1/γ2
8.70Single8T1VPubChem 1183102098T1V-GPR6-PubChem 118310209-Na
8.70Single8VVFJDTic8VVF-κ-JDTic-Gi1/β1/γ2
8.70Single8WU1MDMB-Fubinaca8WU1-CB1-MDMB-Fubinaca-Arrestin2
8.70Single8XZICMF-0198XZI-Apelin; Apelin-CMF-019-Gi1/β1/γ2
8.70Single9AYFCa; Ca; Ca; Cyclomethyltryptophan; R-568; PO49AYF-CaS; CaS-Ca-Ca; Ca; Ca; Cyclomethyltryptophan; R-568; PO4-Gi1/β1/γ2
8.70Single9B65MDMB-Fubinaca9B65-CB1-MDMB-Fubinaca-Gi1/β1/γ2
8.70Single9BJKNaloxone9BJK-μ-Naloxone-PubChem 171642066
8.70Single9BS9LSD9BS9-D2-LSD
8.70Single9BSBLSD9BSB-D2-LSD-chim(NtGi1-Go)/β1/γ2
8.70Single9KUXCMPD6449KUX-Apelin; Apelin-CMPD644-Arrestin2
8.70Single9WSTDAMGO9WST-μ-DAMGO-chim(NtGi1-Gz)/β1/γ2
8.70Consensusamine_on_gpOrthosteric Ligand5ht_on_gp adrenergic_on_gp dopamine_on_gp histamine_on_gp muscarinic_on_gp trace-amine_on_gp
8.70Consensusbeta1_offOrthosteric Ligand2VT4-β1-Cyanopindolol 2YCW-β1-Carazolol 2YCZ-β1-Iodocyanopindolol 5A8E-β1-7-Methylcyanopindolol-Na 3ZPQ-β1-PubChem 594590-Na 3ZPR-β1-PubChem 598754-Na
8.70Consensusbeta2_onOrthosteric Ligand7DHI-β2-Salbutamol-Gs/β1/γ2 6NI3-β2-BI167107-Gs/β1/γ2
8.70Consensusbeta2_on_gpOrthosteric Ligand7DHI-β2-Salbutamol-Gs/β1/γ2 6NI3-β2-BI167107-Gs/β1/γ2
8.70Consensusgi_5htOrthosteric Ligand8FYT-5-HT1A-LSD-PtdIns4P-Gi1/β1/γ1 7UM7-5-HT5A-Methylergometrine-chim(NtGi1-Go)/β1/γ2 8UGY-5-HT1E-Mianserin-Gi1/β1/γ1 8W8B-5-HT1A-SEP-363856-Gi1/β1/γ2 7E2Y-5-HT1A-Serotonin-PtdIns4P-Gi1/β1/γ2 7E32-5-HT1D-Serotonin-Gi1/β1/γ2 7XTA-5-HT4-Serotonin-Gi1/β1/γ2 8UH3-5-HT1E-Setiptiline-Gi1/β1/γ1 8JSP-5-HT1A-Ulotaront-Gi1/β1/γ2 8FYL-5-HT1A-Vilazodone-PtdIns4P-Gi1/β1/γ1 8JT6-5-HT1A-(R)-IHCH-7179-PtdIns4P-Gi1/β1/γ2 8FYE-5-HT1A-4-F,5-MeO-PyrT-PtdIns4P-Gi1/β1/γ1 7X5H-5-HT5A-5-CT-Gi1/β1/γ2 8FY8-5-HT1A-5-MeO-DMT-PtdIns4P-Gi1/β1/γ1 7E2Z-5-HT1A-Aripiprazole-PtdIns4P-Gi1/β1/γ2 7E33-5-HT1E-BRL-54443-Gi1/β1/γ2 8FYX-5-HT1A-Buspirone-PtdIns4P-Gi1/β1/γ1 7EXD-5-HT1F-Lasmiditan-Gi1/β1/γ2 7UM6-5-HT5A-Lisuride-chim(NtGi1-Go)/β1/γ2
8.70Consensusgi_cannabinoidOrthosteric Ligand8GUR-CB2-CP55940-Gi1/β1/γ2 8GUS-CB2-HU-308-Gi1/β1/γ2 8GUT-CB2-LEI-102-Gi1/β1/γ2 8GUQ-CB2-Olorinab-Gi1/β1/γ2 6KPF-CB2-AM12033-Gi1/β1/γ2 6PT0-CB2-WIN 55212-2-Gi1/β1/γ2 6KPG-CB1-AM841-Gi1/β1/γ2
8.70Consensuss1p5_onOrthosteric Ligand7EW1-S1P5-Siponimod-Gi1/β1/γ2
8.70Consensuss1p5_on_gpOrthosteric Ligand7EW1-S1P5-Siponimod-Gi1/β1/γ2
8.70Consensusta1_on_gpOrthosteric Ligand8W87-TA1-METH-chim(NtGi1L-Gs)/β1/γ2 8W89-TA1-2-Phenylethylamine-chim(NtGi1L-Gs)/β1/γ2 8JLP-TA1-Ralmitaront-Gs/β1/γ2 8W8A-TA1-RO5256390-chim(NtGi1L-Gs)/β1/γ2 8W88-TA1-SEP-363856-Gs/β1/γ2 8JLO-TA1-Ulotaront-Gs/β1/γ2 8JLR-TA1-A77636-chim(NtGi1-Gs)/β1/γ2 8JSO-TA1-AMPH-chim(NtGi1-Gs)/β1/γ2 8ZSP-TA1-LSD-chim(NtGi1L-Gs)/β1/γ2
8.70Consensustachykinin_offOrthosteric Ligandnk1_off
8.70Consensustrace-amine_on_gpOrthosteric Ligandta1_on_gp
8.57Single9AUCCalcitonin gene-related peptide-19AUC-CT (AMY1)-Calcitonin gene-related peptide-1-Gs/β1/γ2; RAMP1
8.33Single3D4STimolol3D4S-β2-Timolol
8.33Single4LDEBI1671074LDE-β2-BI167107
8.33Single4OR2FITM4OR2-mGlu1; mGlu1-FITM
8.33Single4PXFOctyl-Beta-D-Glucopyranoside4PXF-Rhodopsin-Octyl-β-D-Glucopyranoside-Arrestin1 Finger Loop
8.33Single5F8UCyanopindolol5F8U-β1-Cyanopindolol
8.33Single5UNHPubChem 1264564065UNH-AT2-PubChem 126456406
8.33Single6A93Risperidone6A93-5-HT2A-Risperidone
8.33Single6D32Cyclopamine6D32-SMO-Cyclopamine-Cyclopamine
8.33Single6D35Cholesterol6D35-SMO-Cholesterol
8.33Single6DRYMethylergometrine6DRY-5-HT2B-Methylergometrine
8.33Single6H7OCyanopindolol6H7O-β1-Cyanopindolol
8.33Single6N51Quisqualate6N51-mGlu5; mGlu5-Quisqualate
8.33Single6N51Quisqualate6N51-mGlu5; mGlu5-Quisqualate
8.33Single6UO8SKF975416UO8-GABAB1, GABAB2-SKF97541-GS39783
8.33Single6UO9SKF975416UO9-GABAB1, GABAB2-SKF97541
8.33Single6W2XPubChem 53110426W2X-GABAB1, GABAB2-PubChem 5311042
8.33Single6W2YPubChem 53110426W2Y-GABAB1; GABAB1-PubChem 5311042
8.33Single6W2YPubChem 53110426W2Y-GABAB1; GABAB1-PubChem 5311042
8.33Single7C7QBaclofen7C7Q-GABAB1, GABAB2-Baclofen-BHFF
8.33Single7C7SCGP546267C7S-GABAB1, GABAB2-CGP54626
8.33Single7CUMCGP546267CUM-GABAB1, GABAB2-CGP54626
8.33Single7DD5Ca7DD5-CaS; CaS-Ca-Ca; Ca; Tryptophan; NPS-2143
8.33Single7DD5Ca; Ca; Tryptophan; NPS-21437DD5-CaS; CaS-Ca-Ca; Ca; Tryptophan; NPS-2143
8.33Single7DD5Ca7DD5-CaS; CaS-Ca-Ca; Ca; Tryptophan; NPS-2143
8.33Single7DD5Ca; Ca; Tryptophan; NPS-21437DD5-CaS; CaS-Ca-Ca; Ca; Tryptophan; NPS-2143
8.33Single7DGEQuisqualate7DGE-mGlu1; mGlu1-Quisqualate
8.33Single7DTTCa7DTT-CaS; CaS-Ca-Ca
8.33Single7DTTCa7DTT-CaS; CaS-Ca-Ca
8.33Single7DTUTryptophan7DTU-CaS; CaS-Tryptophan
8.33Single7DTUTryptophan7DTU-CaS; CaS-Tryptophan
8.33Single7DTVCa7DTV-CaS; CaS-Ca-Ca; Tryptophan
8.33Single7DTVCa; Tryptophan7DTV-CaS; CaS-Ca-Ca; Tryptophan
8.33Single7DTVCa7DTV-CaS; CaS-Ca-Ca; Tryptophan
8.33Single7DTVCa; Tryptophan7DTV-CaS; CaS-Ca-Ca; Tryptophan
8.33Single7E6TCa; Ca; Cyclomethyltryptophan; PO47E6T-CaS; CaS-Ca-Ca; Ca; Cyclomethyltryptophan; PO4
8.33Single7E6TCa7E6T-CaS; CaS-Ca-Ca; Ca; Cyclomethyltryptophan; PO4
8.33Single7E6TCa; Ca; Cyclomethyltryptophan; PO47E6T-CaS; CaS-Ca-Ca; Ca; Cyclomethyltryptophan; PO4
8.33Single7E6TCa7E6T-CaS; CaS-Ca-Ca; Ca; Cyclomethyltryptophan; PO4
8.33Single7E9GEglumetad7E9G-mGlu2; mGlu2-Eglumetad-JNJ-40411813-Gi1/β1/γ2
8.33Single7E9GEglumetad7E9G-mGlu2; mGlu2-Eglumetad-JNJ-40411813-Gi1/β1/γ2
8.33Single7E9HPhosphoserine7E9H-mGlu4; mGlu4-Phosphoserine-Gi3/β1/γ2
8.33Single7E9HPhosphoserine7E9H-mGlu4; mGlu4-Phosphoserine-Gi3/β1/γ2
8.33Single7EB2Baclofen7EB2-GABAB2; GABAB1-Baclofen-rac-BHFF-Gi1/β1/γ2
8.33Single7EO4Siponimod7EO4-S1P1-Siponimod-Gi1/β1/γ2
8.33Single7EPBEglumetad7EPB-mGlu2; mGlu2-Eglumetad
8.33Single7EPBEglumetad7EPB-mGlu2; mGlu2-Eglumetad
8.33Single7FD8Quisqualate7FD8-mGlu5; mGlu5-Quisqualate
8.33Single7FD8Quisqualate7FD8-mGlu5; mGlu5-Quisqualate
8.33Single7FD9LY3414957FD9-mGlu5; mGlu5-LY341495
8.33Single7FD9LY3414957FD9-mGlu5; mGlu5-LY341495
8.33Single7FIHhCG7FIH-LH-hCG-Org43553-chim(NtGi1-Gs)/β1/γ2
8.33Single7FIIhCG7FII-LH-hCG-chim(NtGi1-Gs)/β1/γ2
8.33Single7K15MKD0467K15-BLT1-MKD046-Na
8.33Single7M3ECa; Ca; Tryptophan; NPS-21437M3E-CaS; CaS-Ca; Ca; Tryptophan; NPS-2143
8.33Single7M3ECa; Ca; Tryptophan; NPS-21437M3E-CaS; CaS-Ca; Ca; Tryptophan; NPS-2143
8.33Single7M3FCa; Ca; Tryptophan; Cinacalcet7M3F-CaS; CaS-Ca; Ca; Tryptophan; Cinacalcet
8.33Single7M3FCa; Ca; Tryptophan; Cinacalcet7M3F-CaS; CaS-Ca; Ca; Tryptophan; Cinacalcet
8.33Single7M3GCa; Ca; Tryptophan; Evocalcet; Etelcalcetide; PO47M3G-CaS; CaS-Ca; Ca; Tryptophan; Evocalcet; Etelcalcetide; PO4
8.33Single7M3GCa; Ca; Tryptophan; Evocalcet; Etelcalcetide; PO47M3G-CaS; CaS-Ca; Ca; Tryptophan; Evocalcet; Etelcalcetide; PO4
8.33Single7M3GCa; Ca; Tryptophan; Evocalcet; Etelcalcetide; PO47M3G-CaS; CaS-Ca; Ca; Tryptophan; Evocalcet; Etelcalcetide; PO4
8.33Single7M3GCa; Ca; Tryptophan; Evocalcet; Etelcalcetide; PO47M3G-CaS; CaS-Ca; Ca; Tryptophan; Evocalcet; Etelcalcetide; PO4
8.33Single7MTQLY3414957MTQ-mGlu2; mGlu2-LY341495
8.33Single7MTQLY3414957MTQ-mGlu2; mGlu2-LY341495
8.33Single7MTRGlutamate7MTR-mGlu2; mGlu2-Glutamate-ADX55164
8.33Single7MTRGlutamate7MTR-mGlu2; mGlu2-Glutamate-ADX55164
8.33Single7MTRADX551647MTR-mGlu2; mGlu2-Glutamate-ADX55164
8.33Single7MTSGlutamate7MTS-mGlu2; mGlu2-Glutamate-ADX55164-Gi1/β1/γ2
8.33Single7MTSGlutamate7MTS-mGlu2; mGlu2-Glutamate-ADX55164-Gi1/β1/γ2
8.33Single7SILCa7SIL-CaS; CaS-Ca-Ca; Ca; Ca; Cyclomethyltryptophan; R-568; PO4
8.33Single7SILCa; Ca; Ca; Cyclomethyltryptophan; R-568; PO47SIL-CaS; CaS-Ca-Ca; Ca; Ca; Cyclomethyltryptophan; R-568; PO4
8.33Single7SILCa7SIL-CaS; CaS-Ca-Ca; Ca; Ca; Cyclomethyltryptophan; R-568; PO4
8.33Single7SILCa; Ca; Ca; Cyclomethyltryptophan; R-568; PO47SIL-CaS; CaS-Ca-Ca; Ca; Ca; Cyclomethyltryptophan; R-568; PO4
8.33Single7SIMCa; Ca; Cyclomethyltryptophan; PO47SIM-CaS; CaS-Ca-Ca; Ca; Cyclomethyltryptophan; PO4
8.33Single7SIMCa7SIM-CaS; CaS-Ca-Ca; Ca; Cyclomethyltryptophan; PO4
8.33Single7SIMCa; Ca; Cyclomethyltryptophan; PO47SIM-CaS; CaS-Ca-Ca; Ca; Cyclomethyltryptophan; PO4
8.33Single7SIMCa7SIM-CaS; CaS-Ca-Ca; Ca; Cyclomethyltryptophan; PO4
8.33Single7T9NM22 Fab7T9N-TSH-M22 Fab-DPPC-Gs/β1/γ2
8.33Single7W0LPubChem 1227019087W0L-Apelin; Apelin-PubChem 122701908-Gi1/β1/γ2
8.33Single7WCMMBX-29827WCM-GPR119-MBX-2982-Gs/β1/γ2
8.33Single7WI6LY3414957WI6-mGlu3; mGlu3-LY341495
8.33Single7WI6LY3414957WI6-mGlu3; mGlu3-LY341495
8.33Single7WI8LY3414957WI8-mGlu3; mGlu3-LY341495
8.33Single7WI8LY3414957WI8-mGlu3; mGlu3-LY341495
8.33Single7WIHLY27941937WIH-mGlu3; mGlu3-LY2794193
8.33Single7WIHLY27941937WIH-mGlu3; mGlu3-LY2794193
8.33Single7XW6M22 Fab7XW6-TSH-M22 Fab-ML109-Gs/β1/γ2
8.33Single7XW7K1-707XW7-TSH-K1-70
8.33Single7YITNalfurafine7YIT-κ-Nalfurafine
8.33Single8FYE4-F,5-MeO-PyrT8FYE-5-HT1A-4-F,5-MeO-PyrT-PtdIns4P-Gi1/β1/γ1
8.33Single8G056-OAU8G05-GPR84-6-OAU-Gi1/β1/γ2
8.33Single8JCULY3414958JCU-mGlu2; mGlu3-LY341495
8.33Single8JCULY3414958JCU-mGlu2; mGlu3-LY341495
8.33Single8JCVLY3414958JCV-mGlu2; mGlu3-LY341495
8.33Single8JCVLY3414958JCV-mGlu2; mGlu3-LY341495
8.33Single8JCWLY3414958JCW-mGlu2; mGlu3-LY341495
8.33Single8JCWLY3414958JCW-mGlu2; mGlu3-LY341495
8.33Single8JCXLY3414958JCX-mGlu2; mGlu3-LY341495
8.33Single8JCXLY3414958JCX-mGlu2; mGlu3-LY341495
8.33Single8JCYLY3414958JCY-mGlu2; mGlu3-LY341495
8.33Single8JCYLY3414958JCY-mGlu2; mGlu3-LY341495
8.33Single8JCZLY3414958JCZ-mGlu2; mGlu3-LY341495
8.33Single8JCZLY3414958JCZ-mGlu2; mGlu3-LY341495
8.33Single8JD0Glutamate8JD0-mGlu2; mGlu3-Glutamate-NAM563
8.33Single8JD1Glutamate8JD1-mGlu2; mGlu3-Glutamate
8.33Single8JD1Glutamate8JD1-mGlu2; mGlu3-Glutamate
8.33Single8JD2Glutamate8JD2-mGlu2; mGlu3-Glutamate
8.33Single8JD2Glutamate8JD2-mGlu2; mGlu3-Glutamate
8.33Single8JD3Glutamate8JD3-mGlu2; mGlu3-Glutamate-JNJ-40411813-Gi1/β1/γ2
8.33Single8JD3Glutamate8JD3-mGlu2; mGlu3-Glutamate-JNJ-40411813-Gi1/β1/γ2
8.33Single8JD4Glutamate8JD4-mGlu2; mGlu4-Glutamate
8.33Single8JD4Glutamate8JD4-mGlu2; mGlu4-Glutamate
8.33Single8JD5Glutamate8JD5-mGlu2; mGlu4-Glutamate-JNJ-40411813; ADX88178-Gi1/β1/γ2
8.33Single8JD5Glutamate8JD5-mGlu2; mGlu4-Glutamate-JNJ-40411813; ADX88178-Gi1/β1/γ2
8.33Single8JD6Phosphoserine8JD6-mGlu4; mGlu4-Phosphoserine-VU0364770-Gi3/β1/γ2
8.33Single8JD6Phosphoserine8JD6-mGlu4; mGlu4-Phosphoserine-VU0364770-Gi3/β1/γ2
8.33Single8JWZEtrumadenant8JWZ-A2A-Etrumadenant-Na
8.33Single8SZFCa; Ca; Tryptophan; Cinacalcet; PO4; Spermine8SZF-CaS; CaS-Ca; Ca; Tryptophan; Cinacalcet; PO4; Spermine
8.33Single8SZFCa; Ca; Tryptophan; Cinacalcet; PO4; Spermine8SZF-CaS; CaS-Ca; Ca; Tryptophan; Cinacalcet; PO4; Spermine
8.33Single8SZGCa; Ca; Tryptophan; Cinacalcet; PO4; Spermine8SZG-CaS; CaS-Ca; Ca; Tryptophan; Cinacalcet; PO4; Spermine-chim(NtGi1-Gq)/β1/γ2
8.33Single8T7HQuisqualate8T7H-mGlu5; mGlu5-Quisqualate
8.33Single8T7HQuisqualate8T7H-mGlu5; mGlu5-Quisqualate
8.33Single8T8MQuisqualate8T8M-mGlu5; mGlu5-Quisqualate
8.33Single8T8MQuisqualate8T8M-mGlu5; mGlu5-Quisqualate
8.33Single8TAOQuisqualate8TAO-mGlu5; mGlu5-Quisqualate-CDPPB
8.33Single8TAOQuisqualate8TAO-mGlu5; mGlu5-Quisqualate-CDPPB
8.33Single8TQBCa; LY3792688TQB-mGlu3; mGlu3-Ca; LY379268-Ca
8.33Single8TQBCa; LY3792688TQB-mGlu3; mGlu3-Ca; LY379268-Ca
8.33Single8TR0LY3414958TR0-mGlu3; mGlu3-LY341495
8.33Single8TR0LY3414958TR0-mGlu3; mGlu3-LY341495
8.33Single8TR2Ca; LY3792688TR2-mGlu3; mGlu3-Ca; LY379268-Ca
8.33Single8TR2Ca; LY3792688TR2-mGlu3; mGlu3-Ca; LY379268-Ca
8.33Single8TRCLY3414958TRC-mGlu3; mGlu3-LY341495
8.33Single8TRCLY3414958TRC-mGlu3; mGlu3-LY341495
8.33Single8TRDLY3414958TRD-mGlu3; mGlu3-LY341495
8.33Single8TRDLY3414958TRD-mGlu3; mGlu3-LY341495
8.33Single8VHFMBX-29828VHF-GPR119-MBX-2982-Gs/β1/γ2
8.33Single8WG9PubChem 1793948WG9-mGlu4; mGlu2-PubChem 179394
8.33Single8WGBGlutamate8WGB-mGlu4; mGlu2-Glutamate-VU0155041-Gi3/β1/γ2
8.33Single8WGBGlutamate8WGB-mGlu4; mGlu2-Glutamate-VU0155041-Gi3/β1/γ2
8.33Single8WGCLY3792688WGC-mGlu2; mGlu4-LY379268
8.33Single8WGDLY341495; CPPG8WGD-mGlu4; mGlu2-LY341495; CPPG
8.33Single8WGDLY341495; CPPG8WGD-mGlu4; mGlu2-LY341495; CPPG
8.33Single8WPGTryptophan; Cinacalcet; PO4; Ca8WPG-CaS; CaS-Tryptophan; Cinacalcet; PO4; Ca
8.33Single8WPGTryptophan; Cinacalcet; PO4; Ca8WPG-CaS; CaS-Tryptophan; Cinacalcet; PO4; Ca
8.33Single8WPUTryptophan; Cinacalcet; PO4; Ca8WPU-CaS; CaS-Tryptophan; Cinacalcet; PO4; Ca-chim(NtGi2L-Gs-CtGq)/β1/γ2
8.33Single8WPUTryptophan; Cinacalcet; PO4; Ca8WPU-CaS; CaS-Tryptophan; Cinacalcet; PO4; Ca-chim(NtGi2L-Gs-CtGq)/β1/γ2
8.33Single8WVXNorrin8WVX-LGR4-Norrin
8.33Single8WVYNorrin8WVY-LGR4-Norrin
8.33Single8X0BQuisqualate8X0B-mGlu5; mGlu5-Quisqualate-VU0424465
8.33Single8X0BQuisqualate8X0B-mGlu5; mGlu5-Quisqualate-VU0424465
8.33Single8X0CQuisqualate8X0C-mGlu5; mGlu5-Quisqualate-VU0424465
8.33Single8X0CQuisqualate8X0C-mGlu5; mGlu5-Quisqualate-VU0424465
8.33Single8X0DQuisqualate8X0D-mGlu5; mGlu5-Quisqualate-VU0424465
8.33Single8X0DQuisqualate8X0D-mGlu5; mGlu5-Quisqualate-VU0424465
8.33Single8X0EQuisqualate8X0E-mGlu5; mGlu5-Quisqualate
8.33Single8X0EQuisqualate8X0E-mGlu5; mGlu5-Quisqualate
8.33Single8X0FQuisqualate8X0F-mGlu5; mGlu5-Quisqualate-VU29
8.33Single8X0FQuisqualate8X0F-mGlu5; mGlu5-Quisqualate-VU29
8.33Single8X0GQuisqualate8X0G-mGlu5; mGlu5-Quisqualate
8.33Single8X0GQuisqualate8X0G-mGlu5; mGlu5-Quisqualate
8.33Single8X0HQuisqualate8X0H-mGlu5; mGlu5-Quisqualate
8.33Single8X0HQuisqualate8X0H-mGlu5; mGlu5-Quisqualate
8.33Single8XUMR-spondin-28XUM-LGR4-R-spondin-2
8.33Single9ASBCa9ASB-CaS; CaS-Ca-Ca; Ca; Cyclomethyltryptophan; R-568; PO4-chim(NtGi1-Gs-CtGq)/β1/γ2
8.33Single9ASBCa; Ca; Cyclomethyltryptophan; R-568; PO49ASB-CaS; CaS-Ca-Ca; Ca; Cyclomethyltryptophan; R-568; PO4-chim(NtGi1-Gs-CtGq)/β1/γ2
8.33Single9AVGCa9AVG-CaS; CaS-Ca-Ca; Ca; Cyclomethyltryptophan; R-568; PO4-chim(NtGi1-Gs)/β1/γ2
8.33Single9AVGCa; Ca; Cyclomethyltryptophan; R-568; PO49AVG-CaS; CaS-Ca-Ca; Ca; Cyclomethyltryptophan; R-568; PO4-chim(NtGi1-Gs)/β1/γ2
8.33Single9AVLCa9AVL-CaS; CaS-Ca-Ca; Ca; Cyclomethyltryptophan; R-568; PO4-Gi3/β2/γ2
8.33Single9AVLCa; Ca; Cyclomethyltryptophan; R-568; PO49AVL-CaS; CaS-Ca-Ca; Ca; Cyclomethyltryptophan; R-568; PO4-Gi3/β2/γ2
8.33Single9AVLCa9AVL-CaS; CaS-Ca-Ca; Ca; Cyclomethyltryptophan; R-568; PO4-Gi3/β2/γ2
8.33Single9AVLCa; Ca; Cyclomethyltryptophan; R-568; PO49AVL-CaS; CaS-Ca-Ca; Ca; Cyclomethyltryptophan; R-568; PO4-Gi3/β2/γ2
8.33Single9AXFCa9AXF-CaS; CaS-Ca-Ca; Ca; Ca; Cyclomethyltryptophan; R-568; PO4-chim(NtGi1-Gs-CtGq)/β1/γ2
8.33Single9AXFCa; Ca; Ca; Cyclomethyltryptophan; R-568; PO49AXF-CaS; CaS-Ca-Ca; Ca; Ca; Cyclomethyltryptophan; R-568; PO4-chim(NtGi1-Gs-CtGq)/β1/γ2
8.33Single9AXFCa9AXF-CaS; CaS-Ca-Ca; Ca; Ca; Cyclomethyltryptophan; R-568; PO4-chim(NtGi1-Gs-CtGq)/β1/γ2
8.33Single9AXFCa; Ca; Ca; Cyclomethyltryptophan; R-568; PO49AXF-CaS; CaS-Ca-Ca; Ca; Ca; Cyclomethyltryptophan; R-568; PO4-chim(NtGi1-Gs-CtGq)/β1/γ2
8.33Single9AYFCa9AYF-CaS; CaS-Ca-Ca; Ca; Ca; Cyclomethyltryptophan; R-568; PO4-Gi1/β1/γ2
8.33Single9AYFCa; Ca; Ca; Cyclomethyltryptophan; R-568; PO49AYF-CaS; CaS-Ca-Ca; Ca; Ca; Cyclomethyltryptophan; R-568; PO4-Gi1/β1/γ2
8.33Single9C1PCa9C1P-CaS; CaS-Ca-Ca; Tryptophan; '6218; PO4
8.33Single9C1PCa; Tryptophan; '6218; PO49C1P-CaS; CaS-Ca-Ca; Tryptophan; '6218; PO4
8.33Single9C1PCa9C1P-CaS; CaS-Ca-Ca; Tryptophan; '6218; PO4
8.33Single9C1PCa; Tryptophan; '6218; PO49C1P-CaS; CaS-Ca-Ca; Tryptophan; '6218; PO4
8.33Single9C2FCa9C2F-CaS; CaS-Ca-Ca; Ca; Tryptophan; '54149; PO4
8.33Single9C2FCa; Ca; Tryptophan; '54149; PO49C2F-CaS; CaS-Ca-Ca; Ca; Tryptophan; '54149; PO4
8.33Single9C2FCa9C2F-CaS; CaS-Ca-Ca; Ca; Tryptophan; '54149; PO4
8.33Single9C2FCa; Ca; Tryptophan; '54149; PO49C2F-CaS; CaS-Ca-Ca; Ca; Tryptophan; '54149; PO4
8.33Single9CM3TUG-13759CM3-FFA2-TUG-1375-PubChem 118615810-chim(NtGi1L-Gs-CtGq)/β1/γ2
8.33Single9GGGI-BOP9GGG-TXA2-I-BOP-chim(NtGi2L-Gs-CtGq)/β1/γ2
8.33Single9II2Glutamate9II2-mGlu3; mGlu3-Glutamate-Arrestin2; Arrestin2
8.33Single9II2Glutamate9II2-mGlu3; mGlu3-Glutamate-Arrestin2; Arrestin2
8.33Single9II3Glutamate9II3-mGlu3; mGlu3-Glutamate-Arrestin2
8.33Single9II3Glutamate9II3-mGlu3; mGlu3-Glutamate-Arrestin2
8.33Single9KB7R-spondin-29KB7-LGR4-R-spondin-2
8.33Single9KGKNB189KGK-LGR4-NB18
8.33Single9KHHNorrin9KHH-LGR4-Norrin
8.33Single9KVG5-MeO-DMT9KVG-5-HT1A-5-MeO-DMT-PtdIns4P-Gi1/β1/γ2
8.33Single9KZKC3a (fragment)9KZK-C3aB-C3a (fragment)-Go/β1/γ2
8.33Single9M4QDoxazosin9M4Q-Alpha1A-Doxazosin
8.33Single9MBAGlutamate9MBA-mGlu8; mGlu8-Glutamate-Arrestin2 ; Arrestin2
8.33Single9MBAGlutamate9MBA-mGlu8; mGlu8-Glutamate-Arrestin2 ; Arrestin2
8.33Single9MBBLY3414959MBB-mGlu8; mGlu8-LY341495
8.33Single9MBBLY3414959MBB-mGlu8; mGlu8-LY341495
8.33Single9MBCDCPG9MBC-mGlu8; mGlu8-DCPG-AZ12216052
8.33Single9MBCDCPG9MBC-mGlu8; mGlu8-DCPG-AZ12216052
8.33Single9MQLIsoquinuclidine9MQL-κ-Isoquinuclidine
8.33Single9S37NB219S37-LGR4-NB21
8.33Single9S38NB219S38-LGR4-NB21
8.33Single9UTBSucralose9UTB-TAS1R2; TAS1R3-Sucralose
8.33Single9YDQDADLE9YDQ-δ-DADLE-MIPS3614-chim(NtGi1L-Gs-CtGi1)/β1/γ2
8.33Consensusbeta3_onOrthosteric Ligand7DH5-β3-Mirabegron-Gs/β1/γ2 7XJH-β3-Isoprenaline-Gs/β1/γ2 7XJI-β3-Solabegron-Gs/β1/γ2
8.33Consensusbeta3_on_gpOrthosteric Ligand7DH5-β3-Mirabegron-Gs/β1/γ2 7XJH-β3-Isoprenaline-Gs/β1/γ2 7XJI-β3-Solabegron-Gs/β1/γ2
8.33Consensusbeta_onOrthosteric Ligandbeta1_on beta2_on beta3_on
8.33Consensusbeta_on_gpOrthosteric Ligandbeta1_on_gp beta2_on_gp beta3_on_gp
8.33Consensuscannabinoid_offOrthosteric Ligandcb2_off cb1_off
8.33Consensuscannabinoid_onOrthosteric Ligandcb2_on cb1_on
8.33Consensuscannabinoid_on_gpOrthosteric Ligandcb2_on_gp cb1_on_gp
8.33Consensusgi_muscarinicOrthosteric Ligand8E9X-M4-2-Deoxycytidine-chim(NtGi1-Go)/β1/γ2 7T8X-M2-Acetylcholine-chim(NtGi1-Go)/β1/γ2 7TRS-M4-Acetylcholine-Gi1/β1/γ2 7TRK-M4-Iperoxo-Gi1/β1/γ2 7V6A-M4-PubChem 9864275-Gi1/β1/γ2
8.33Consensusleukotriene_offOrthosteric Ligandblt_off cyslt_off
8.33Consensusmop_onOrthosteric Ligand8F7R-μ-Endomorphin-Gi1/β1/γ2 8EF5-μ-Fentanyl-Gi1/β1/γ2 7SCG-μ-FH210-Gi1/β1/γ2 7T2H-μ-Lofentanil-Gi1/β1/γ2 7T2G-μ-Mitragynine Pseudoindoxyl-Gi1/β1/γ2 8EF6-μ-Morphine-Gi1/β1/γ2 8EFB-μ-Oliceridine-Gi1/β1/γ2 7U2L-μ-C5-guano-Gi1/β1/γ2 8EFO-μ-PZM21-Gi1/β1/γ2 8EFL-μ-SR17018-Gi1/β1/γ2 8F7Q-μ-β-Endorphin-Gi1/β1/γ2 7U2K-μ-C6-guano-Gi1/β1/γ2 8EFQ-μ-DAMGO-Gi1/β1/γ2
8.33Consensusmop_on_gpOrthosteric Ligand8F7R-μ-Endomorphin-Gi1/β1/γ2 8EF5-μ-Fentanyl-Gi1/β1/γ2 7SCG-μ-FH210-Gi1/β1/γ2 7T2H-μ-Lofentanil-Gi1/β1/γ2 7T2G-μ-Mitragynine Pseudoindoxyl-Gi1/β1/γ2 8EF6-μ-Morphine-Gi1/β1/γ2 8EFB-μ-Oliceridine-Gi1/β1/γ2 7U2L-μ-C5-guano-Gi1/β1/γ2 8EFO-μ-PZM21-Gi1/β1/γ2 8EFL-μ-SR17018-Gi1/β1/γ2 8F7Q-μ-β-Endorphin-Gi1/β1/γ2 7U2K-μ-C6-guano-Gi1/β1/γ2 8EFQ-μ-DAMGO-Gi1/β1/γ2
8.33Consensusnk1_offOrthosteric Ligand6HLP-NK1-Netupitant 6HLO-NK1-Aprepitant 6HLL-NK1-CP99994 6E59-NK1-L-760735
8.33Consensusopioid_offOrthosteric Ligandmop_off nop_off dop_off kop_off
8.33Consensuss1p3_onOrthosteric Ligand7EW3-S1P3-S1P-Gi1/β1/γ2 7EW4-S1P3-CYM-5541-Gi1/β1/γ2 7EW2-S1P3-FTY720-P-Gi1/β1/γ2
8.00Single4OR2FITM4OR2-mGlu1; mGlu1-FITM
8.00Single6H7LDobutamine6H7L-β1-Dobutamine
8.00Single7MTSADX551647MTS-mGlu2; mGlu2-Glutamate-ADX55164-Gi1/β1/γ2
8.00Single7PIUSetmelanotide7PIU-MC4-Setmelanotide-Gs/β1/γ2
8.00Single7UM4AS26747237UM4-5-HT5A-AS2674723
8.00Single7VGY2-Iodomelatonin7VGY-MT1-2-Iodomelatonin-Gi1/β1/γ2
8.00Single7VVNPTH7VVN-PTH1-PTH-Gs/β1/γ2
8.00Single7X2DTavapadon7X2D-D1-Tavapadon-Gs/β1/γ2
8.00Single7XK2MK68927XK2-HCA2-MK6892-Gi1/β1/γ2
8.00Single8E9X2-Deoxycytidine8E9X-M4-2-Deoxycytidine-chim(NtGi1-Go)/β1/γ2
8.00Single8FX5Xanomeline8FX5-M4-Xanomeline-Xanomeline-Gi1/β1/γ2
8.00Single8IULLatanoprost8IUL-FP-alpha-Latanoprost-chim(NtGi1-Gs-CtGq)/β1/γ2
8.00Single8J19LY2378J19-GPR84-LY237-Gi1/β1/γ2
8.00Single8S2TIsoprenaline8S2T-β1-Isoprenaline-chim(NtGi1-Gs)/β1/γ2
8.00Single9AS02-bromo-LSD9AS0-5-HT2A-2-bromo-LSD-chim(NtGi1-Gs-CtGq)/β1/γ2
8.00Single9CGJC6-Quino9CGJ-δ-C6-Quino-Gi1/β1/γ2
8.00Single9GG5U466199GG5-TXA2-U46619-chim(NtGi2L-Gs-CtGq)/β1/γ2
8.00Single9L79AR2314539L79-GPR119-AR231453-chim(NtGi1-Gs)/β1/γ2
8.00Single9YDPDADLE9YDP-δ-DADLE-chim(NtGi1L-Gs-CtGi1)/β1/γ2
8.00Single9YDRDADLE9YDR-δ-DADLE-MIPS3983-chim(NtGi1L-Gs-CtGi1)/β1/γ2
8.00Consensusbeta1_onOrthosteric Ligand8DCR-β1-Dobutamine-Gs/β1/γ2 7S0F-β1-Isoprenaline-Gi1/β1/γ2
8.00Consensusbeta1_on_gpOrthosteric Ligand8DCR-β1-Dobutamine-Gs/β1/γ2 7S0F-β1-Isoprenaline-Gi1/β1/γ2
8.00Consensusd2_offOrthosteric Ligand6CM4-D2-Risperidone 6LUQ-D2-Haloperidol 7DFP-D2-Spiperone
7.69Single5ZTYAM102575ZTY-CB2-AM10257
7.69Single7DD6Ca7DD6-CaS; CaS-Ca-Ca; Ca; Tryptophan
7.69Single7DD6Ca; Ca; Tryptophan7DD6-CaS; CaS-Ca-Ca; Ca; Tryptophan
7.69Single7DD6Ca7DD6-CaS; CaS-Ca-Ca; Ca; Tryptophan
7.69Single7DD6Ca; Ca; Tryptophan7DD6-CaS; CaS-Ca-Ca; Ca; Tryptophan
7.69Single7DD7Ca7DD7-CaS; CaS-Ca-Ca; Ca; Tryptophan; Evocalcet
7.69Single7DD7Ca; Ca; Tryptophan; Evocalcet7DD7-CaS; CaS-Ca-Ca; Ca; Tryptophan; Evocalcet
7.69Single7DD7Ca7DD7-CaS; CaS-Ca-Ca; Ca; Tryptophan; Evocalcet
7.69Single7DD7Ca; Ca; Tryptophan; Evocalcet7DD7-CaS; CaS-Ca-Ca; Ca; Tryptophan; Evocalcet
7.69Single8F7REndomorphin8F7R-μ-Endomorphin-Gi1/β1/γ2
7.69Single8SZFCa; Ca; Tryptophan; Cinacalcet; PO4; Spermine8SZF-CaS; CaS-Ca; Ca; Tryptophan; Cinacalcet; PO4; Spermine
7.69Single8SZFCa; Ca; Tryptophan; Cinacalcet; PO4; Spermine8SZF-CaS; CaS-Ca; Ca; Tryptophan; Cinacalcet; PO4; Spermine
7.69Single9ASBCa9ASB-CaS; CaS-Ca-Ca; Ca; Cyclomethyltryptophan; R-568; PO4-chim(NtGi1-Gs-CtGq)/β1/γ2
7.69Single9ASBCa; Ca; Cyclomethyltryptophan; R-568; PO49ASB-CaS; CaS-Ca-Ca; Ca; Cyclomethyltryptophan; R-568; PO4-chim(NtGi1-Gs-CtGq)/β1/γ2
7.69Single9AVGCa9AVG-CaS; CaS-Ca-Ca; Ca; Cyclomethyltryptophan; R-568; PO4-chim(NtGi1-Gs)/β1/γ2
7.69Single9AVGCa; Ca; Cyclomethyltryptophan; R-568; PO49AVG-CaS; CaS-Ca-Ca; Ca; Cyclomethyltryptophan; R-568; PO4-chim(NtGi1-Gs)/β1/γ2
7.69Single9AYFCa9AYF-CaS; CaS-Ca-Ca; Ca; Ca; Cyclomethyltryptophan; R-568; PO4-Gi1/β1/γ2
7.69Single9AYFCa; Ca; Ca; Cyclomethyltryptophan; R-568; PO49AYF-CaS; CaS-Ca-Ca; Ca; Ca; Cyclomethyltryptophan; R-568; PO4-Gi1/β1/γ2
7.69Single9CM7TUG-13759CM7-FFA2-TUG-1375-AZ-1729-Gi1/β1/γ2
7.69Single9JH6C20:0 Ceramide9JH6-CysLT2-C20:0 Ceramide-chim(NtGi1-Gs-CtGq)/β1/γ2
7.69Single9NS9TUG-13759NS9-FFA2-TUG-1375-PubChem 118615810-Gi1/β1/γ2
7.69Single9WSXEndomorphin9WSX-μ-Endomorphin-Arrestin2
7.69Consensuscb2_offOrthosteric Ligand5ZTY-CB2-AM10257
7.69Consensusclass-b2_onOrthosteric Ligandadgrg_on adgrf_on adgrl_on adgre_on adgrd_on
7.69Consensusclass-b2_on_gpOrthosteric Ligandadgrg_on_gp adgrf_on_gp adgrl_on_gp adgre_on_gp adgrd_on_gp
7.41Single7QA8Antagonist Peptide7QA8-STE2; STE2-Antagonist Peptide
7.41Single7QA8Antagonist Peptide7QA8-STE2; STE2-Antagonist Peptide
7.41Single8DCRDobutamine8DCR-β1-Dobutamine-Gs/β1/γ2
7.41Single8FYLVilazodone8FYL-5-HT1A-Vilazodone-PtdIns4P-Gi1/β1/γ1
7.41Single8INRAlpha-MSH8INR-MC5-α-MSH-Ca-chim(NtGi1-Gs)/β1/γ2
7.41Single9M4TSilodosin9M4T-Alpha1A-Silodosin
7.14Single7DDZJNJ-310200287DDZ-Y2-JNJ-31020028
7.14Single7KNUCalcitonin gene-related peptide-17KNU-CT Like-Calcitonin gene-related peptide-1-RAMP1
7.14Single7T9MCS-17 Antibody7T9M-TSH-CS-17 Antibody
7.14Single8TLMAnti-murine CCR8 antibody8TLM-CCR8-Anti-murine CCR8 antibody
7.14Consensusnpy2_offOrthosteric Ligand7DDZ-Y2-JNJ-31020028
6.90Single9B54VIP369B54-CB1-VIP36-Gi1/β1/γ2
6.67Single6O3CCholesterol6O3C-SMO-SAG21k-Cholesterol
6.67Single6WIVPubChem 52923113; PubChem 529246456WIV-GABAB1, GABAB2-PubChem 52923113; PubChem 52924645
6.67Single7FIGhCG7FIG-LH-hCG-chim(NtGi1L-Gs)/β1/γ2
6.67Single7UTZTSH7UTZ-TSH-TSH-DPPC-Gs/β1/γ2
6.67Single7XW5TSH7XW5-TSH-TSH-ML109-Gs/β1/γ2
6.67Single7ZI0Cholesterol7ZI0-SMO-SAG-Cholesterol
6.67Single8GEJConstrained Epinephrine8GEJ-β2-Constrained Epinephrine-Gs/β1/γ2
6.67Single8WCBCyclohexylammonium Ion8WCB-TA1-Cyclohexylammonium Ion-chim(NtGi1-Gs-CtGq)/β1/γ2
6.67Single8WCCCyclohexylammonium Ion8WCC-TA1-Cyclohexylammonium Ion
6.67Consensusmc5_on_gpOrthosteric Ligand8INR-MC5-α-MSH-Ca-chim(NtGi1-Gs)/β1/γ2 8IOD-MC5-PG-901-Ca-chim(NtGi1-Gs)/β1/γ2
6.45Single7QBIAlpha-factor mating pheromone7QBI-STE2; STE2-α-factor mating pheromone
6.25Single5L7DCholesterol5L7D-SMO-Cholesterol
6.25Single7QBIAlpha-factor mating pheromone7QBI-STE2; STE2-α-factor mating pheromone
6.25Single7T9ITSH7T9I-TSH-TSH-Gs/β1/γ2
6.25Single7WC4Serotonin7WC4-5-HT2A-Serotonin
6.25Single8I2GFSH8I2G-FSH-FSH-PubChem 67530240-Gs/β1/γ2
6.06Single7AD3Alpha-factor mating pheromone7AD3-STE2; STE2-α-factor mating pheromone-Gi1/STE4/γ2
6.06Single7QBCAlpha-factor mating pheromone7QBC-STE2; STE2-α-factor mating pheromone
5.88Single6OY9All-trans-Retinal6OY9-Rhodopsin-All-trans-Retinal-Gt/β1/γ1
5.88Single7DD5Ca; Ca; Tryptophan; NPS-21437DD5-CaS; CaS-Ca-Ca; Ca; Tryptophan; NPS-2143
5.88Single7MTBAll-trans-Retinal7MTB-Rhodopsin-All-trans-Retinal-GRK1
5.88Single7QBCAlpha-factor mating pheromone7QBC-STE2; STE2-α-factor mating pheromone
5.88Single8GEIConstrained Epinephrine8GEI-β2-Constrained Epinephrine-Gs/β1/γ2
5.88Single8XOFLys058XOF-GPR30-Lys05-chim(NtGi1-Gs-CtGq)/β1/γ2
5.88Single8Z8ALactate8Z8A-HCA1-Lactate-Gi1/β1/γ2
5.88Single9C2FCa; Ca; Tryptophan; '54149; PO49C2F-CaS; CaS-Ca-Ca; Ca; Tryptophan; '54149; PO4
5.88Consensusopsins_onOrthosteric Ligandrhodopsin_on opsin1lw_on
5.88Consensussensory_onOrthosteric Ligandopsins_on
5.56Single2J4Y11-cis-Retinal2J4Y-Rhodopsin-11-cis-Retinal
5.56Single2ZIY11-cis-Retinal2ZIY-Rhodopsin-11-cis-Retinal
5.56Single6FUFAll-trans-Retinal6FUF-Rhodopsin-All-trans-Retinal-Go
5.56Single7DD7Ca; Ca; Tryptophan; Evocalcet7DD7-CaS; CaS-Ca-Ca; Ca; Tryptophan; Evocalcet
5.56Single7F23Dopamine7F23-D1-Dopamine-GDP-Gs/β1/γ2
5.56Single7MT8All-trans-Retinal7MT8-Rhodopsin-All-trans-Retinal-GRK1
5.56Single8EITDoconexent8EIT-FFA1-Doconexent-chim(NtGi1L-Gs-CtGq)/β1/γ2
5.56Single8GGFConstrained Epinephrine8GGF-β2-Constrained Epinephrine-GTP-Gs/β1/γ2
5.56Single8IU2All-trans-Retinal8IU2-Opsin1LW-All-trans-Retinal-Gi1/β1/γ2
5.56Single8SZFCa; Ca; Tryptophan; Cinacalcet; PO4; Spermine8SZF-CaS; CaS-Ca; Ca; Tryptophan; Cinacalcet; PO4; Spermine
5.56Single8WC62-Phenylethylamine8WC6-TA1-2-Phenylethylamine-chim(NtGi1-Gs)/β1/γ2
5.56Single9MBCAZ122160529MBC-mGlu8; mGlu8-DCPG-AZ12216052
5.56Consensus5ht2_onOrthosteric Ligand5ht2b_on
5.56Consensus5ht2b_onOrthosteric Ligand7SRR-5-HT2B-LSD-chim(NtGi2L-Gs-CtGq)/β1/γ2
5.56Consensusgi_opsinsOrthosteric Ligand8IU2-Opsin1LW-All-trans-Retinal-Gi1/β1/γ2
5.56Consensusgi_sensoryOrthosteric Ligandgi_opsins
5.56Consensusopsin1lw_onOrthosteric Ligand8IU2-Opsin1LW-All-trans-Retinal-Gi1/β1/γ2
5.56Consensusopsin1lw_on_gpOrthosteric Ligand8IU2-Opsin1LW-All-trans-Retinal-Gi1/β1/γ2
5.56Consensusopsins_on_gpOrthosteric Ligandrhodopsin_on_gp opsin1lw_on_gp
5.56Consensusrhodopsin_onOrthosteric Ligand6OYA-Rhodopsin-All-trans-Retinal-Gt/β1/γ1
5.56Consensussensory_on_gpOrthosteric Ligandopsins_on_gp
5.26Single3AYMAll-trans-Retinal3AYM-Rhodopsin-All-trans-Retinal
5.26Single5TE520-Methanoretinal5TE5-Rhodopsin-20-Methanoretinal
5.26Single6I9K9-cis-Retinal6I9K-Rhodopsin-9-cis-Retinal
5.26Single6TP4ACT-4622066TP4-OX1-ACT-462206
5.26Single7DD5Ca; Ca; Tryptophan; NPS-21437DD5-CaS; CaS-Ca-Ca; Ca; Tryptophan; NPS-2143
5.26Single7DD7Ca; Ca; Tryptophan; Evocalcet7DD7-CaS; CaS-Ca-Ca; Ca; Tryptophan; Evocalcet
5.26Single7E2YSerotonin7E2Y-5-HT1A-Serotonin-PtdIns4P-Gi1/β1/γ2
5.26Single7SRQLSD7SRQ-5-HT2B-LSD
5.26Single7XKFDehydroepiandrosterone7XKF-ADGRG2-Dehydroepiandrosterone-Gs/β1/γ2
5.26Single7XTBSerotonin7XTB-5-HT6-Serotonin-Gs/β1/γ2
5.26Single8GGYConstrained Epinephrine8GGY-β2-Constrained Epinephrine
5.26Single8IHIAcifran8IHI-HCA2-Acifran-Gi1/β1/γ2
5.26Single8JLOUlotaront8JLO-TA1-Ulotaront-Gs/β1/γ2
5.26Single8JPNCis-Epoxysuccinic acid8JPN-Succinate-Cis-Epoxysuccinic acid-Gi1/β1/γ1
5.26Single8SZFCa; Ca; Tryptophan; Cinacalcet; PO4; Spermine8SZF-CaS; CaS-Ca; Ca; Tryptophan; Cinacalcet; PO4; Spermine
5.26Single8UO4Constrained Epinephrine8UO4-β2-Constrained Epinephrine-GTP; Mg-Gs/β1/γ2
5.26Single8W892-Phenylethylamine8W89-TA1-2-Phenylethylamine-chim(NtGi1L-Gs)/β1/γ2
5.26Single8WP1Cis-Epoxysuccinic acid8WP1-Succinate-Cis-Epoxysuccinic acid-Gi1/β1/γ2
5.26Single8WPUTryptophan; Cinacalcet; PO4; Ca8WPU-CaS; CaS-Tryptophan; Cinacalcet; PO4; Ca-chim(NtGi2L-Gs-CtGq)/β1/γ2
5.26Single8YN4Histamine8YN4-H2-Histamine-chim(NtGi1L-Gs-CtGq)/β1/γ2
5.26Single8ZSVRO52633978ZSV-TA1-RO5263397-chim(NtGi1-Gs)/β1/γ2
5.26Single9AS2DMT9AS2-5-HT2A-DMT-chim(NtGi1-Gs-CtGq)/β1/γ2
5.26Single9C1PCa; Tryptophan; '6218; PO49C1P-CaS; CaS-Ca-Ca; Tryptophan; '6218; PO4
5.26Single9IXJHistamine9IXJ-H2-Histamine-Gs/β1/γ2
5.26Single9IZDCHBA9IZD-HCA1-CHBA-Gi1/β1/γ2
5.26Single9MNIdC2_059MNI-CTLike-dC2_05-RAMP1
5.26Single9YDAAll-trans-Retinal9YDA-Opsin1MW-All-trans-Retinal-chim(NtGi1L-Gs-CtGt)/β1/γ2
5.00Single3V2WPubChem 518926453V2W-S1P1-PubChem 51892645
5.00Single4S0VSuvorexant4S0V-OX2-Suvorexant
5.00Single5WS3EMPA5WS3-OX2-EMPA
5.00Single6AKXA4R6AKX-CCR5-A4R
5.00Single6B73MP11046B73-κ-MP1104
5.00Single6OBAAlprenolol6OBA-β2-Alprenolol-GTPL11074
5.00Single6TODEMPA6TOD-OX1-EMPA-Na
5.00Single6TPJSuvorexant6TPJ-OX2-Suvorexant
5.00Single6TQ6PubChem 1457142836TQ6-OX1-PubChem 145714283
5.00Single7EJ0Norepinephrine7EJ0-α2a-Norepinephrine-Go/β1/γ2
5.00Single7LJDDopamine7LJD-D1-Dopamine-Mevidalen-Gs/β1/γ1
5.00Single7M3ECa; Ca; Tryptophan; NPS-21437M3E-CaS; CaS-Ca; Ca; Tryptophan; NPS-2143
5.00Single7M3ECa; Ca; Tryptophan; NPS-21437M3E-CaS; CaS-Ca; Ca; Tryptophan; NPS-2143
5.00Single7M3FCa; Ca; Tryptophan; Cinacalcet7M3F-CaS; CaS-Ca; Ca; Tryptophan; Cinacalcet
5.00Single7S8PMS471347S8P-MRGPRX4-MS47134-chim(NtGi2L-Gs-CtGq)/β1/γ2
5.00Single7SILCa; Ca; Ca; Cyclomethyltryptophan; R-568; PO47SIL-CaS; CaS-Ca-Ca; Ca; Ca; Cyclomethyltryptophan; R-568; PO4
5.00Single7SILCa; Ca; Ca; Cyclomethyltryptophan; R-568; PO47SIL-CaS; CaS-Ca-Ca; Ca; Ca; Cyclomethyltryptophan; R-568; PO4
5.00Single7SRRLSD7SRR-5-HT2B-LSD-chim(NtGi2L-Gs-CtGq)/β1/γ2
5.00Single7SRSLSD7SRS-5-HT2B-LSD-Arrestin2
5.00Single7T6STC-FPR 437T6S-FPR2-ALX-TC-FPR 43-Gi1/β1/γ2
5.00Single7VIHCBP-3077VIH-S1P1-CBP-307-Gi1/β1/γ2
5.00Single7X2FDopamine7X2F-D1-Dopamine-Mevidalen-Gs/β1/γ2
5.00Single7XRRLemborexant7XRR-OX2-Lemborexant
5.00Single7YMHNorepinephrine7YMH-Alpha1A-Norepinephrine-chim(Gs-CtGq)
5.00Single8EFOPZM218EFO-μ-PZM21-Gi1/β1/γ2
5.00Single8GGAConstrained Epinephrine8GGA-β2-Constrained Epinephrine-GTP-Gs/β1/γ2
5.00Single8GGRConstrained Epinephrine8GGR-β2-Constrained Epinephrine
5.00Single8GGWConstrained Epinephrine8GGW-β2-Constrained Epinephrine
5.00Single8GH0Constrained Epinephrine8GH0-β2-Constrained Epinephrine
5.00Single8IW4Spermidine8IW4-TAA9-Spermidine-chim(NtGi1-Gs)/β1/γ2
5.00Single8IWESpermidine8IWE-TAA9-Spermidine
5.00Single8JSOAMPH8JSO-TA1-AMPH-chim(NtGi1-Gs)/β1/γ2
5.00Single8T3VDoconexent8T3V-FFA1-Doconexent-chim(NtGi2L-Gs-CtGq)/β1/γ2
5.00Single8TZQDopamine8TZQ-D2-Dopamine-Go/β1/γ2
5.00Single8U8FPalmitic Acid8U8F-GPR3-Palmitic Acid-Gs/β1/γ2
5.00Single8WC4ZH86518WC4-TA1-ZH8651-chim(NtGi1-Gs)/β1/γ2
5.00Single8WCA2-Phenylethylamine8WCA-TA1-2-Phenylethylamine-chim(NtGi1-Gs)/β1/γ2
5.00Single8WOGSuccinic acid8WOG-Succinate-Succinic acid-Gi1/β1/γ2
5.00Single8WPGTryptophan; Cinacalcet; PO4; Ca8WPG-CaS; CaS-Tryptophan; Cinacalcet; PO4; Ca
5.00Single8YKXMaleic acid8YKX-Succinate-Maleic acid-Gi1/β1/γ1
5.00Single8YUTAmthamine8YUT-H2-Amthamine-Gs/β1/γ2
5.00Single9AVLCa; Ca; Cyclomethyltryptophan; R-568; PO49AVL-CaS; CaS-Ca-Ca; Ca; Cyclomethyltryptophan; R-568; PO4-Gi3/β2/γ2
5.00Single9C1PCa; Tryptophan; '6218; PO49C1P-CaS; CaS-Ca-Ca; Tryptophan; '6218; PO4
5.00Single9C2FCa; Ca; Tryptophan; '54149; PO49C2F-CaS; CaS-Ca-Ca; Ca; Tryptophan; '54149; PO4
5.00Single9K6LSalicin9K6L-TAS2R16-Salicin-Gi2/β1/γ2
5.00Single9KPESalicin9KPE-TAS2R16-Salicin-Gi1/β1/γ2
5.00Single9LKDPL459LKD-OR5V1-PL45
5.00Single9LLBDOI-NBOMe9LLB-5-HT2A-DOI-NBOMe-chim(NtGi1L-Gs-CtGq)/β1/γ2
5.00Single9LRBHistamine9LRB-H1-Histamine-Gs/β1/γ2
5.00Single9MQJIsoquinuclidine9MQJ-μ-Isoquinuclidine
5.00Consensus5ht2_on_gpOrthosteric Ligand5ht2b_on_gp
5.00Consensus5ht2b_on_gpOrthosteric Ligand7SRR-5-HT2B-LSD-chim(NtGi2L-Gs-CtGq)/β1/γ2
5.00Consensusangiotensin_offOrthosteric Ligandat1_off
5.00Consensusgi_succinateOrthosteric Ligand8YKW-Succinate-Succinic acid-Gi1/β1/γ1 8YKX-Succinate-Maleic acid-Gi1/β1/γ1
5.00Consensusorexin_offOrthosteric Ligandox2_off ox1_off
5.00Consensusox1_offOrthosteric Ligand6TP6-OX1-Filorexant 6TP4-OX1-ACT-462206 6V9S-OX1-GTPL11403 6TOT-OX1-Lemborexant 6TP3-OX1-Nemorexant 6TQ6-OX1-PubChem 145714283 6TQ9-OX1-SB-408124 4ZJC-OX1-SB-674042 4ZJ8-OX1-Suvorexant 6TOD-OX1-EMPA-Na 6TOS-OX1-GSK1059865-Na 6TQ4-OX1-PubChem 16046844-Na
5.00Consensusox2_offOrthosteric Ligand5WQC-OX2-EMPA 6TPN-OX2-HTL6641 7XRR-OX2-Lemborexant 6TPJ-OX2-Suvorexant
5.00Consensuss1p1_offOrthosteric Ligand3V2W-S1P1-PubChem 51892645
5.00Consensussensory_offonOrthosteric Ligandsensory_off sensory_on
5.00Consensussensory_offon_gpOrthosteric Ligandsensory_on_gp sensory_on
5.00Consensussuccinate_onOrthosteric Ligand8YKW-Succinate-Succinic acid-Gi1/β1/γ1 8YKX-Succinate-Maleic acid-Gi1/β1/γ1
5.00Consensussuccinate_on_gpOrthosteric Ligand8YKW-Succinate-Succinic acid-Gi1/β1/γ1 8YKX-Succinate-Maleic acid-Gi1/β1/γ1
4.76Single1F8811-cis-Retinal1F88-Rhodopsin-11-cis-Retinal
4.76Single3RZECidoxepin3RZE-H1-Cidoxepin
4.76Single3V2YPubChem 518926453V2Y-S1P1-PubChem 51892645
4.76Single4MBSMaraviroc4MBS-CCR5-Maraviroc
4.76Single4ZJCSB-6740424ZJC-OX1-SB-674042
4.76Single6A94Zotepine6A94-5-HT2A-Zotepine
4.76Single6IQLL7458706IQL-D4-L745870
4.76Single6K41Dexmedetomidine6K41-α2b-Dexmedetomidine-Go/β1/γ2
4.76Single6TOSGSK10598656TOS-OX1-GSK1059865-Na
4.76Single6TP3Nemorexant6TP3-OX1-Nemorexant
4.76Single6TPGEMPA6TPG-OX2-EMPA
4.76Single6TPKRetosiban6TPK-OT-Retosiban
4.76Single6TPNHTL66416TPN-OX2-HTL6641
4.76Single6VI4JDTic6VI4-κ-JDTic
4.76Single6WH4Methiothepin6WH4-5-HT2A-Methiothepin
4.76Single7CMUPramipexole7CMU-D3-Pramipexole-Gi1/β1/γ2
4.76Single7CMVPD1289077CMV-D3-PD128907-Gi1/β1/γ2
4.76Single7DHISalbutamol7DHI-β2-Salbutamol-Gs/β1/γ2
4.76Single7E33BRL-544437E33-5-HT1E-BRL-54443-Gi1/β1/γ2
4.76Single7EJ8Brimonidine7EJ8-α2a-Brimonidine-Go/β1/γ2
4.76Single7EJADexmedetomidine7EJA-α2a-Dexmedetomidine-Go/β1/γ2
4.76Single7F24Dopamine7F24-D1-Dopamine-GDP-Gs/β1/γ2
4.76Single7M3GCa; Ca; Tryptophan; Evocalcet; Etelcalcetide; PO47M3G-CaS; CaS-Ca; Ca; Tryptophan; Evocalcet; Etelcalcetide; PO4
4.76Single7RANPubChem 1645758477RAN-5-HT2A-PubChem 164575847-chim(NtGi2L-Gs-CtGq)/β1/γ2
4.76Single7SR8TAK-9257SR8-OX2-TAK-925-chim(NtGi1L-Gs-CtGq)/β1/γ2
4.76Single7VODCariprazine7VOD-5-HT2A-Cariprazine
4.76Single7VUGJNJ-635330547VUG-GPR139-JNJ-63533054-Gi1/β1/γ2
4.76Single8GE1Constrained Epinephrine8GE1-β2-Constrained Epinephrine-Gs/β1/γ2
4.76Single8GE4Constrained Epinephrine8GE4-β2-Constrained Epinephrine-Gs/β1/γ2
4.76Single8GE5Constrained Epinephrine8GE5-β2-Constrained Epinephrine-Gs/β1/γ1
4.76Single8GE6Constrained Epinephrine8GE6-β2-Constrained Epinephrine-Gs/β1/γ2
4.76Single8GE7Constrained Epinephrine8GE7-β2-Constrained Epinephrine-Gs/β1/γ2
4.76Single8GE8Constrained Epinephrine8GE8-β2-Constrained Epinephrine-Gs/β1/γ2
4.76Single8GEFConstrained Epinephrine8GEF-β2-Constrained Epinephrine-Gs/β1/γ2
4.76Single8GGVConstrained Epinephrine8GGV-β2-Constrained Epinephrine
4.76Single8GUQOlorinab8GUQ-CB2-Olorinab-Gi1/β1/γ2
4.76Single8JD6VU03647708JD6-mGlu4; mGlu4-Phosphoserine-VU0364770-Gi3/β1/γ2
4.76Single8JLKUlotaront8JLK-TA1-Ulotaront-chim(NtGi1-Gs)/β1/γ2
4.76Single8JLNT1AM8JLN-TA1-T1AM-Gs/β1/γ2
4.76Single8JSPUlotaront8JSP-5-HT1A-Ulotaront-Gi1/β1/γ2
4.76Single8K2WAMG4878K2W-CXCR3-AMG487
4.76Single8THLEpinephrine8THL-Alpha1A-Epinephrine-chim(NtGi2L-Gs-CtGq)/β1/γ2
4.76Single8U02Dopamine8U02-D2-Dopamine-Go/β1/γ2
4.76Single8V6UPubChem 1713924568V6U-5-HT2A-PubChem 171392456-chim(NtGi2-Gs-CtGq)/β1/γ2
4.76Single8W8BSEP-3638568W8B-5-HT1A-SEP-363856-Gi1/β1/γ2
4.76Single8WC8ZH86518WC8-TA1-ZH8651-chim(NtGi1-Gs)/β1/γ2
4.76Single8WPGTryptophan; Cinacalcet; PO4; Ca8WPG-CaS; CaS-Tryptophan; Cinacalcet; PO4; Ca
4.76Single8WPUTryptophan; Cinacalcet; PO4; Ca8WPU-CaS; CaS-Tryptophan; Cinacalcet; PO4; Ca-chim(NtGi2L-Gs-CtGq)/β1/γ2
4.76Single8X7ATreprostinil8X7A-I2-Treprostinil-Gs/β1/γ2
4.76Single8Y01All-trans-Retinal8Y01-Opsin1MW-All-trans-Retinal-Gi1/β1/γ2
4.76Single8Y53MK50468Y53-BB3-MK5046-chim(NtGi1-Gs-CtGq)/β1/γ2
4.76Single8YKVPubChem 1375531688YKV-Succinate-PubChem 137553168-Gi1/β1/γ2
4.76Single8YN3Histamine8YN3-H2-Histamine-Gs/β1/γ2
4.76Single9ARXSerotonin9ARX-5-HT2A-Serotonin
4.76Single9ASBCa; Ca; Cyclomethyltryptophan; R-568; PO49ASB-CaS; CaS-Ca-Ca; Ca; Cyclomethyltryptophan; R-568; PO4-chim(NtGi1-Gs-CtGq)/β1/γ2
4.76Single9AVGCa; Ca; Cyclomethyltryptophan; R-568; PO49AVG-CaS; CaS-Ca-Ca; Ca; Cyclomethyltryptophan; R-568; PO4-chim(NtGi1-Gs)/β1/γ2
4.76Single9AXFCa; Ca; Ca; Cyclomethyltryptophan; R-568; PO49AXF-CaS; CaS-Ca-Ca; Ca; Ca; Cyclomethyltryptophan; R-568; PO4-chim(NtGi1-Gs-CtGq)/β1/γ2
4.76Single9LKBPL459LKB-OR5V1-PL45-chim(NtGi1-Gs)/β1
4.76Single9LL8Psilocin9LL8-5-HT2A-Psilocin-Gi1/β1/γ2
4.76Single9LRDHistamine9LRD-H1-Histamine-Gi1/β1/γ2
4.76Single9MQIIsoquinuclidine9MQI-μ-Isoquinuclidine
4.76Single9ODJMitragynine Pseudoindoxyl9ODJ-μ-Mitragynine Pseudoindoxyl-GTP; Mg-Gi1/β1/γ2
4.76Single9ODLMitragynine Pseudoindoxyl9ODL-μ-Mitragynine Pseudoindoxyl-GTP; Mg-Gi1/β1/γ2
4.76Single9VJG8-OH-DPAT9VJG-5-HT1A-8-OH-DPAT-chim(NtGi2-Gz)/β1/γ2
4.76Single9VNFPindolol9VNF-5-HT1A-Pindolol-Go/β1/γ2
4.76Consensus5ht2a_offOrthosteric Ligand6A94-5-HT2A-Zotepine 6A93-5-HT2A-Risperidone 7VOD-5-HT2A-Cariprazine 7WC8-5-HT2A-Lumateperone 8JT8-5-HT2A-(R)-IHCH-7179
4.76Consensusalpha1_onOrthosteric Ligandalpha1a_on
4.76Consensusalpha1_on_gpOrthosteric Ligandalpha1a_on_gp
4.76Consensusalpha1a_onOrthosteric Ligand7EJ0-α2a-Norepinephrine-Go/β1/γ2 7EJ8-α2a-Brimonidine-Go/β1/γ2 7EJA-α2a-Dexmedetomidine-Go/β1/γ2 7EJK-α2a-Oxymetazoline-Go/β1/γ2 7W6P-α2a-N-pyridin-4-ylisoquinolin-4-amine-Go/β1/γ2 7W7E-α2a-PubChem 164946676-Go/β1/γ2
4.76Consensusalpha1a_on_gpOrthosteric Ligand7EJ0-α2a-Norepinephrine-Go/β1/γ2 7EJ8-α2a-Brimonidine-Go/β1/γ2 7EJA-α2a-Dexmedetomidine-Go/β1/γ2 7EJK-α2a-Oxymetazoline-Go/β1/γ2 7W6P-α2a-N-pyridin-4-ylisoquinolin-4-amine-Go/β1/γ2 7W7E-α2a-PubChem 164946676-Go/β1/γ2
4.76Consensusat1_offOrthosteric Ligand4YAY-AT1-ZD-7155 4ZUD-AT1-Olmesartan
4.76Consensuscxcr3_offOrthosteric Ligand8K2W-CXCR3-AMG487
4.76Consensusd3_onOrthosteric Ligand7CMV-D3-PD128907-Gi1/β1/γ2 8IRT-D3-Rotigotine-Gi1/β1/γ2 7CMU-D3-Pramipexole-Gi1/β1/γ2
4.76Consensusd3_on_gpOrthosteric Ligand7CMV-D3-PD128907-Gi1/β1/γ2 8IRT-D3-Rotigotine-Gi1/β1/γ2 7CMU-D3-Pramipexole-Gi1/β1/γ2
4.76Consensusghrelin_offOrthosteric Ligand6KO5-Ghrelin-PubChem 57400002 7F83-Ghrelin-PF-05190457
4.76Consensusnop_offOrthosteric Ligand4EA3-NOP-PubChem 10296561 5DHG-NOP-C-35 5DHH-NOP-SB-612111
4.76Consensusopsins_offOrthosteric Ligandrhodopsin_off
4.76Consensusot_offOrthosteric Ligand6TPK-OT-Retosiban
4.76Consensussensory_offOrthosteric Ligandopsins_off
4.76Consensusvasop-oxy_offOrthosteric Ligandot_off
4.55Single2Y01Dobutamine2Y01-β1-Dobutamine
4.55Single2Y04Salbutamol2Y04-β1-Salbutamol
4.55Single4EA3PubChem 102965614EA3-NOP-PubChem 10296561
4.55Single4QKXPubChem 762106284QKX-β2-PubChem 76210628
4.55Single4YAYZD-71554YAY-AT1-ZD-7155
4.55Single5DHGC-355DHG-NOP-C-35
4.55Single5DHHSB-6121115DHH-NOP-SB-612111
4.55Single6DRXLisuride6DRX-5-HT2B-Lisuride
4.55Single6H7MSalbutamol6H7M-β1-Salbutamol
4.55Single6IIVDaltroban6IIV-TXA2-Daltroban
4.55Single6K42Dexmedetomidine6K42-α2b-Dexmedetomidine-Gi1/β1/γ2
4.55Single6KPFAM120336KPF-CB2-AM12033-Gi1/β1/γ2
4.55Single6TOTLemborexant6TOT-OX1-Lemborexant
4.55Single7M3JNPS-2143; PO47M3J-CaS; CaS-NPS-2143; PO4
4.55Single7SCGFH2107SCG-μ-FH210-Gi1/β1/γ2
4.55Single7SQOTAK-9257SQO-OX2-TAK-925-Gi1/β1/γ2
4.55Single7T2GMitragynine Pseudoindoxyl7T2G-μ-Mitragynine Pseudoindoxyl-Gi1/β1/γ2
4.55Single7VIFFTY720-P7VIF-S1P1-FTY720-P-Gi1/β1/γ2
4.55Single7WC7Lisuride7WC7-5-HT2A-Lisuride
4.55Single7WC8Lumateperone7WC8-5-HT2A-Lumateperone
4.55Single7XJHIsoprenaline7XJH-β3-Isoprenaline-Gs/β1/γ2
4.55Single7YXAONO-54306087YXA-S1P5-ONO-5430608
4.55Single8DZSGR89,6968DZS-κ-GR89,696-chim(NtGi2-Gz)/β1/γ2
4.55Single8FY85-MeO-DMT8FY8-5-HT1A-5-MeO-DMT-PtdIns4P-Gi1/β1/γ1
4.55Single8GCML-9026888GCM-EP4-L-902688-Gi1/β1/γ2
4.55Single8IRTRotigotine8IRT-D3-Rotigotine-Gi1/β1/γ2
4.55Single8JD0NAM5638JD0-mGlu2; mGlu3-Glutamate-NAM563
4.55Single8JXRLSD8JXR-D1-LSD
4.55Single8PJKST1718PJK-5-HT1A-ST171-Gi1/β1/γ1
4.55Single8T1WCVN4248T1W-GPR6-CVN424
4.55Single8UWLLisuride8UWL-5-HT2A-Lisuride-chim(NtGi2-Gs-CtGq)/β1/γ2
4.55Single8W87METH8W87-TA1-METH-chim(NtGi1L-Gs)/β1/γ2
4.55Single8X63Mepyramine8X63-H1-Mepyramine
4.55Single8X64Desloratadine8X64-H1-Desloratadine
4.55Single8XJLPGF2-alpha8XJL-FP-alpha-PGF2-α-chim(NtGi2-Gs-CtGq)/β1/γ2
4.55Single8XVKAmbrisentan8XVK-ETA-Ambrisentan
4.55Single9AS1DMT9AS1-5-HT2A-DMT
4.55Single9CBMDexmedetomidine9CBM-α2a-Dexmedetomidine-Gi1/β1/γ2
4.55Single9D61JDTic9D61-κ-JDTic-Gi1/β1/γ2
4.55Single9DYFAsenapine9DYF-5-HT1A-Asenapine-PtdIns4P-Gi1/β1/γ2
4.55Single9JQZGrapiprant 9JQZ-EP4-Grapiprant
4.55Single9JROPF-044189489JRO-EP2-PF-04418948
4.55Single9LLAAriadne9LLA-5-HT2A-Ariadne-chim(NtGi1L-Gs-CtGq)/β1/γ2
4.55Single9PLNPubChem 1682595949PLN-α2a-PubChem 168259594
4.55Single9PLOPubChem 1682595949PLO-α2a-PubChem 168259594-Go/β1/γ2
4.55Single9PQDPubChem 1764919279PQD-α2a-PubChem 176491927
4.55Consensusalpha2_onOrthosteric Ligandalpha2b_on
4.55Consensusalpha2_on_gpOrthosteric Ligandalpha2b_on_gp
4.55Consensusalpha2b_onOrthosteric Ligand6K42-α2b-Dexmedetomidine-Gi1/β1/γ2
4.55Consensusalpha2b_on_gpOrthosteric Ligand6K42-α2b-Dexmedetomidine-Gi1/β1/γ2
4.55Consensusalpha_onOrthosteric Ligandalpha1_on alpha2_on
4.55Consensusgi_orexinOrthosteric Ligand7SQO-OX2-TAK-925-Gi1/β1/γ2
4.55Consensusgs_trace-amineOrthosteric Ligand8W88-TA1-SEP-363856-Gs/β1/γ2 8JLJ-TA1-T1AM-chim(NtGi1-Gs)/β1/γ2 8JLO-TA1-Ulotaront-Gs/β1/γ2 8WC4-TA1-ZH8651-chim(NtGi1-Gs)/β1/γ2 8WC7-TA1-ZH8667-chim(NtGi1-Gs)/β1/γ2 8JLR-TA1-A77636-chim(NtGi1-Gs)/β1/γ2 8JSO-TA1-AMPH-chim(NtGi1-Gs)/β1/γ2 8W87-TA1-METH-chim(NtGi1L-Gs)/β1/γ2 8W89-TA1-2-Phenylethylamine-chim(NtGi1L-Gs)/β1/γ2 8JLP-TA1-Ralmitaront-Gs/β1/γ2 8W8A-TA1-RO5256390-chim(NtGi1L-Gs)/β1/γ2
4.55Consensushistamine_offOrthosteric Ligandh1_off
4.35Single2Y00Dobutamine2Y00-β1-Dobutamine
4.35Single2Y03Isoprenaline2Y03-β1-Isoprenaline
4.35Single4ZJ8Suvorexant4ZJ8-OX1-Suvorexant
4.35Single5WIUNemonapride5WIU-D4-Nemonapride
4.35Single5WIVNemonapride5WIV-D4-Nemonapride-Na
4.35Single5WQCEMPA5WQC-OX2-EMPA
4.35Single5XPRBosentan5XPR-ETB-Bosentan
4.35Single5YHLPubChem 1351213525YHL-EP4-PubChem 135121352
4.35Single5YWYONO-AE3-2085YWY-EP4-ONO-AE3-208
4.35Single5ZK33-quinuclidinyl-benzilate5ZK3-M2-3-quinuclidinyl-benzilate
4.35Single6M9TMisoprostol-FA6M9T-EP3-Misoprostol-FA
4.35Single6TO7Suvorexant6TO7-OX1-Suvorexant-Na
4.35Single6TP6Filorexant6TP6-OX1-Filorexant
4.35Single7C4SS1P7C4S-S1P3-S1P
4.35Single7M3GCa; Ca; Tryptophan; Evocalcet; Etelcalcetide; PO47M3G-CaS; CaS-Ca; Ca; Tryptophan; Evocalcet; Etelcalcetide; PO4
4.35Single7M3JNPS-2143; PO47M3J-CaS; CaS-NPS-2143; PO4
4.35Single7SBFPZM217SBF-μ-PZM21-Gi1/β1/γ2
4.35Single7VOEAripiprazole7VOE-5-HT2A-Aripiprazole
4.35Single7WC6LSD7WC6-5-HT2A-LSD
4.35Single8DZRGR89,6968DZR-κ-GR89,696-chim(NtGi2-Gt3)/β1/γ2
4.35Single8GD9Rivenprost8GD9-EP4-Rivenprost-Gs/β1/γ2
4.35Single8HNLPS3724248HNL-CXCR3-PS372424-Gi1/β1/γ2
4.35Single8J18(3R)-3-Hydroxydodecanoic acid8J18-GPR84-(3R)-3-Hydroxydodecanoic acid-Gi1/β1/γ2
4.35Single8SZGCa; Ca; Tryptophan; Cinacalcet; PO4; Spermine8SZG-CaS; CaS-Ca; Ca; Tryptophan; Cinacalcet; PO4; Spermine-chim(NtGi1-Gq)/β1/γ2
4.35Single8TH4Losartan8TH4-AT1-Losartan-AT118-L Nanobody
4.35Single8X0BVU04244658X0B-mGlu5; mGlu5-Quisqualate-VU0424465
4.35Single8X0DVU04244658X0D-mGlu5; mGlu5-Quisqualate-VU0424465
4.35Single8X0DVU04244658X0D-mGlu5; mGlu5-Quisqualate-VU0424465
4.35Single8XYKVUF106618XYK-CXCR3-VUF10661-Go/β1/γ2
4.35Single8ZMFPubChem 1719206738ZMF-5-HT2C-PubChem 171920673
4.35Single8ZVZBW245C8ZVZ-DP1-BW245C-Gs/β1/γ2
4.35Single9AYFCa; Ca; Ca; Cyclomethyltryptophan; R-568; PO49AYF-CaS; CaS-Ca-Ca; Ca; Ca; Cyclomethyltryptophan; R-568; PO4-Gi1/β1/γ2
4.35Single9DYDAsenapine9DYD-5-HT1A-Asenapine-PtdIns4P-Go/β1/γ2
4.35Single9EKHONO-30302979EKH-DP1-ONO-3030297
4.35Single9F33FOB02-04A9F33-D3-FOB02-04A-Go/β1/γ2
4.35Single9F34FOB02-04A9F34-D3-FOB02-04A-Go/β1/γ2
4.35Single9HAPTolvaptan9HAP-V2-Tolvaptan
4.35Single9HC04YI9HC0-mGlu5-4YI
4.35Single9JRTTG6-1299JRT-EP2-TG6-129
4.35Single9KT6Acifran9KT6-HCA3-Acifran-Gi1/β1/γ2
4.35Single9MQKIsoquinuclidine9MQK-κ-Isoquinuclidine
4.35Single9U81Tolvaptan9U81-V2-Tolvaptan
4.35Consensus5ht2_offOrthosteric Ligand5ht2a_off 5ht2b_off 5ht2c_off
4.35Consensusalpha_on_gpOrthosteric Ligandalpha1_on_gp alpha2_on_gp
4.35Consensusblt1_offOrthosteric Ligand5X33-BLT1-BIIL260 7K15-BLT1-MKD046-Na
4.35Consensusblt_offOrthosteric Ligandblt1_off
4.35Consensusd4_onOrthosteric Ligand8IRU-D4-Rotigotine-chim(NtGi1-Gs-CtGi1)/β1/γ2
4.35Consensusep4_offOrthosteric Ligand5YWY-EP4-ONO-AE3-208 5YHL-EP4-PubChem 135121352
4.35Consensusep_offOrthosteric Ligandep4_off
4.35Consensush1_offOrthosteric Ligand8X63-H1-Mepyramine 3RZE-H1-Cidoxepin 8X5Y-H1-Astemizole
4.17Single3UON3-quinuclidinyl-benzilate3UON-M2-3-quinuclidinyl-benzilate
4.17Single4DJHJDTic4DJH-κ-JDTic
4.17Single5V54Methiothepin5V54-5-HT1B-Methiothepin
4.17Single5ZHPPubChem 1348285895ZHP-M3-PubChem 134828589
4.17Single6E59L-7607356E59-NK1-L-760735
4.17Single6TQ7SB-3348676TQ7-OX1-SB-334867
4.17Single7EW3S1P7EW3-S1P3-S1P-Gi1/β1/γ2
4.17Single7EW4CYM-55417EW4-S1P3-CYM-5541-Gi1/β1/γ2
4.17Single7P2L4YI7P2L-mGlu5-4YI
4.17Single7T2HLofentanil7T2H-μ-Lofentanil-Gi1/β1/γ2
4.17Single7U2LC5-guano7U2L-μ-C5-guano-Gi1/β1/γ2
4.17Single8EFLSR170188EFL-μ-SR17018-Gi1/β1/γ2
4.17Single8IRURotigotine8IRU-D4-Rotigotine-chim(NtGi1-Gs-CtGi1)/β1/γ2
4.17Single8JD5JNJ-40411813; ADX881788JD5-mGlu2; mGlu4-Glutamate-JNJ-40411813; ADX88178-Gi1/β1/γ2
4.17Single8JLPRalmitaront8JLP-TA1-Ralmitaront-Gs/β1/γ2
4.17Single8JT6(R)-IHCH-71798JT6-5-HT1A-(R)-IHCH-7179-PtdIns4P-Gi1/β1/γ2
4.17Single8JXWVUF68848JXW-H4-VUF6884-Gi1/β1/γ2
4.17Single8X0BVU04244658X0B-mGlu5; mGlu5-Quisqualate-VU0424465
4.17Single8X0FVU298X0F-mGlu5; mGlu5-Quisqualate-VU29
4.17Single8X79MRE-2698X79-I2-MRE-269-Gs/β1/γ2
4.17Single8XJMLatanoprost8XJM-FP-alpha-Latanoprost-chim(NtGi2-Gs-CtGq)/β1/γ2
4.17Single8XVLZibotentan8XVL-ETA-Zibotentan
4.17Single8ZR5Firuglipel8ZR5-GPR119-Firuglipel-Gs/β1/γ2
4.17Single8ZW0PGD28ZW0-DP1-PGD2-Gs/β1/γ2
4.17Single9CLWTUG-13759CLW-FFA2-TUG-1375-4-CMTB-chim(NtGi1L-Gs-CtGq)/β1/γ2
4.17Single9E9SPGD29E9S-DP1-PGD2-Gs/β1/γ1
4.17Single9EGOZ85267113509EGO-CB1-Z8526711350-Gi1/β1/γ2
4.17Single9IJDCarazolol9IJD-β3-Carazolol-chim(NtGi1-Gs)/β1/γ2
4.17Single9PY3Loperamide9PY3-μ-Loperamide-GDPβS-Gi1/β1/γ2
4.17Single9PY4Loperamide9PY4-μ-Loperamide-GDPβS-Gi1/β1/γ2
4.17Consensus5ht1_offOrthosteric Ligand5ht1b_off
4.17Consensus5ht1b_offOrthosteric Ligand5V54-5-HT1B-Methiothepin
4.17Consensus5ht_offOrthosteric Ligand5ht2_off 5ht1_off
4.17Consensusd4_on_gpOrthosteric Ligand8IRU-D4-Rotigotine-chim(NtGi1-Gs-CtGi1)/β1/γ2
4.17Consensusgs_adrenergicOrthosteric Ligand7DHI-β2-Salbutamol-Gs/β1/γ2 7XJI-β3-Solabegron-Gs/β1/γ2 7JJO-β1-Isoprenaline-Gs/β1/γ2 6NI3-β2-BI167107-Gs/β1/γ2 8DCR-β1-Dobutamine-Gs/β1/γ2 7XJH-β3-Isoprenaline-Gs/β1/γ2 7DH5-β3-Mirabegron-Gs/β1/γ2
4.17Consensuskop_offOrthosteric Ligand4DJH-κ-JDTic
4.00Single6AK3PGE26AK3-EP3-PGE2
4.00Single6CM4Risperidone6CM4-D2-Risperidone
4.00Single6H7NXamoterol6H7N-β1-Xamoterol
4.00Single6IIURamatroban6IIU-TXA2-Ramatroban
4.00Single7DFPSpiperone7DFP-D2-Spiperone
4.00Single7EPENAM5637EPE-mGlu2-NAM563
4.00Single7L1VPubChem 1554910097L1V-OX2-PubChem 155491009-chim(NtGi1-Gs-CtGq)/β1/γ2
4.00Single7T6BS1P7T6B-S1P2-S1P-chim(NtGi1L-G13)/β1/γ2
4.00Single7YMJTamsulosin7YMJ-Alpha1A-Tamsulosin
4.00Single8E9W2-Deoxycytidine8E9W-M3-2-Deoxycytidine-chim(NtGi2L-Gs-CtGq)/β1/γ2
4.00Single8FYTLSD8FYT-5-HT1A-LSD-PtdIns4P-Gi1/β1/γ1
4.00Single8GCPPGE28GCP-EP4-PGE2-Gi1/β1/γ2
4.00Single8IQ6Latanoprost8IQ6-FP-alpha-Latanoprost-chim(NtGi1-Gs-CtGq)/β1/γ2
4.00Single8JD3JNJ-404118138JD3-mGlu2; mGlu3-Glutamate-JNJ-40411813-Gi1/β1/γ2
4.00Single8XJNCloprosetnol8XJN-TXA2-Cloprosetnol-chim(NtGi1-Gs-CtGq)/β1/γ2
4.00Single8XYIVUF106618XYI-CXCR3-VUF10661
4.00Single9AU0BW245C9AU0-DP1-BW245C-Gs/β1/γ2
4.00Single9DGIZ85267113509DGI-CB1-Z8526711350
4.00Single9GL2Befiradol9GL2-5-HT1A-Befiradol-Gs/β1/γ2
4.00Single9M8POleic monoethanolamide9M8P-GPR3 ; GPR3-Oleic monoethanolamide-AF64394
4.00Single9VJ6F-155999VJ6-5-HT1A-F-15599-Gi3/β1/γ2
4.00Single9WSWEndomorphin9WSW-μ-Endomorphin-chim(NtGi1-Gz)/β1/γ2
4.00Consensus5ht1a_onOrthosteric Ligand8FYT-5-HT1A-LSD-PtdIns4P-Gi1/β1/γ1 7E2Y-5-HT1A-Serotonin-PtdIns4P-Gi1/β1/γ2 7E2Z-5-HT1A-Aripiprazole-PtdIns4P-Gi1/β1/γ2 8FYX-5-HT1A-Buspirone-PtdIns4P-Gi1/β1/γ1 8JSP-5-HT1A-Ulotaront-Gi1/β1/γ2 8JT6-5-HT1A-(R)-IHCH-7179-PtdIns4P-Gi1/β1/γ2 8FY8-5-HT1A-5-MeO-DMT-PtdIns4P-Gi1/β1/γ1 8FYE-5-HT1A-4-F,5-MeO-PyrT-PtdIns4P-Gi1/β1/γ1 8FYL-5-HT1A-Vilazodone-PtdIns4P-Gi1/β1/γ1
4.00Consensus5ht1a_on_gpOrthosteric Ligand8FYT-5-HT1A-LSD-PtdIns4P-Gi1/β1/γ1 8FYX-5-HT1A-Buspirone-PtdIns4P-Gi1/β1/γ1 8JSP-5-HT1A-Ulotaront-Gi1/β1/γ2 8JT6-5-HT1A-(R)-IHCH-7179-PtdIns4P-Gi1/β1/γ2 7E2Y-5-HT1A-Serotonin-PtdIns4P-Gi1/β1/γ2 7E2Z-5-HT1A-Aripiprazole-PtdIns4P-Gi1/β1/γ2 8FY8-5-HT1A-5-MeO-DMT-PtdIns4P-Gi1/β1/γ1 8FYE-5-HT1A-4-F,5-MeO-PyrT-PtdIns4P-Gi1/β1/γ1 8FYL-5-HT1A-Vilazodone-PtdIns4P-Gi1/β1/γ1
4.00Consensusalpha1_offOrthosteric Ligandalpha1a_off
4.00Consensusalpha1a_offOrthosteric Ligand7YMJ-Alpha1A-Tamsulosin
4.00Consensusgi_amineOrthosteric Ligandgi_5ht gi_muscarinic gi_adrenergic gi_dopamine gi_histamine
3.85Single5UNGPubChem 157800525UNG-AT2-PubChem 15780052
3.85Single5X93K-87945X93-ETB-K-8794
3.85Single6BQHRitanserin6BQH-5-HT2C-Ritanserin
3.85Single6K1QIRL25006K1Q-ETB-IRL2500
3.85Single7CX4Evatanepag7CX4-EP2-Evatanepag-Gs/β1/γ2
3.85Single7D7MPGE27D7M-EP4-PGE2-Gs/β1/γ1
3.85Single7SK7CCX6627SK7-ACKR3-CXCL12-CCX662
3.85Single7SK8CCX6627SK8-ACKR3-CXCL12-CCX662
3.85Single7XZ6APD6687XZ6-GPR119-APD668-Gs/β1/γ2
3.85Single8E9YClozapine-N-oxide8E9Y-M3-Clozapine-N-oxide-chim(NtGi2L-Gs-CtGq)/β1/γ2
3.85Single8GAGZ85267113508GAG-CB1-Z8526711350-Gi1/β1/γ2
3.85Single8XJKCloprosetnol8XJK-FP-alpha-Cloprosetnol-chim(NtGi1-Gs-CtGq)/β1/γ2
3.85Single8XJOU466198XJO-TXA2-U46619-chim(NtGi1-Gs-CtGq)/β1/γ2
3.85Single8XVJMacitentan8XVJ-ETA-Macitentan
3.85Single9DYEBuspirone9DYE-5-HT1A-Buspirone-PtdIns4P-Go/β1/γ2
3.85Single9EAILosartan9EAI-AT1-Losartan-Nanobody AT209
3.85Single9HYIDP819HYI-5-HT1A-DP81-Gi1/β1/γ2
3.85Single9M1HPGE29M1H-EP1-PGE2-chim(NtGi1-Gs-CtGq)/β1/γ2
3.85Consensus5ht2c_offOrthosteric Ligand6BQH-5-HT2C-Ritanserin
3.85Consensusendothelin_offOrthosteric Ligandetb_off
3.85Consensusetb_offOrthosteric Ligand5X93-ETB-K-8794 5XPR-ETB-Bosentan 6K1Q-ETB-IRL2500
3.85Consensusfp-alpha_onOrthosteric Ligand8IUK-FP-alpha-PGF2-α-chim(NtGi1-Gs-CtGq)/β1/γ2 8IUL-FP-alpha-Latanoprost-chim(NtGi1-Gs-CtGq)/β1/γ2 8IUM-FP-alpha-Tafluprost acid-chim(NtGi1-Gs-CtGq)/β1/γ2
3.85Consensusfp-alpha_on_gpOrthosteric Ligand8IUK-FP-alpha-PGF2-α-chim(NtGi1-Gs-CtGq)/β1/γ2 8IUL-FP-alpha-Latanoprost-chim(NtGi1-Gs-CtGq)/β1/γ2 8IUM-FP-alpha-Tafluprost acid-chim(NtGi1-Gs-CtGq)/β1/γ2
3.85Consensusprostanoid_onOrthosteric Ligandtp_on fp-alpha_on
3.85Consensusprostanoid_on_gpOrthosteric Ligandtp_on_gp fp-alpha_on_gp
3.85Consensustp_onOrthosteric Ligand8XJO-TXA2-U46619-chim(NtGi1-Gs-CtGq)/β1/γ2
3.85Consensustp_on_gpOrthosteric Ligand8XJO-TXA2-U46619-chim(NtGi1-Gs-CtGq)/β1/γ2
3.70Single7CX2PGE27CX2-EP2-PGE2-Gs/β1/γ2
3.70Single7SK9CCX6627SK9-ACKR3-CCX662
3.70Single8GDAL9026888GDA-EP4-L902688-Gs/β1/γ2
3.70Single8IQ4Carboprost8IQ4-FP-alpha-Carboprost-chim(NtGi1-Gs-CtGq)/β1/γ2
3.70Single8IUMTafluprost acid8IUM-FP-alpha-Tafluprost acid-chim(NtGi1-Gs-CtGq)/β1/γ2
3.70Single8X5YAstemizole8X5Y-H1-Astemizole
3.70Single9MD1Buspirone9MD1-5-HT1A-Buspirone-PtdIns4P-Gz/β1/γ2
3.57Single5UNFPubChem 157800525UNF-AT2-PubChem 15780052
3.57Single7CX3Taprenepag7CX3-EP2-Taprenepag-Gs/β1/γ2
3.57Single8KIGSHU91198KIG-MC3-SHU9119-Ca
3.57Single8PKMBefiradol8PKM-5-HT1A-Befiradol-Gi1/β1/γ1
3.57Single8XFSR-spondin-28XFS-LGR4-R-spondin-2-ZNRF3; ZNRF3
3.57Single8XFTR-spondin-28XFT-LGR4-R-spondin-2-ZNRF3
3.57Single8Y69R-spondin-28Y69-LGR4; LGR4-R-spondin-2-ZNRF3
3.45Single8XFPR-spondin-28XFP-LGR4-R-spondin-2-ZNRF3; ZNRF3
3.45Single9KB8R-spondin-29KB8-LGR4-R-spondin-2-ZNRF3; ZNRF3
3.45Single9KB9R-spondin-29KB9-LGR4; LGR4-R-spondin-2-ZNRF3; ZNRF3
3.45Consensusmc5_onOrthosteric Ligand8INR-MC5-α-MSH-Ca-chim(NtGi1-Gs)/β1/γ2 8IOD-MC5-PG-901-Ca-chim(NtGi1-Gs)/β1/γ2
3.33Single8WVUR-spondin-18WVU-LGR4-R-spondin-1-RNF43
3.33Single8Y69R-spondin-28Y69-LGR4; LGR4-R-spondin-2-ZNRF3
3.33Single9KB9R-spondin-29KB9-LGR4; LGR4-R-spondin-2-ZNRF3; ZNRF3
3.23Single7AD3Alpha-factor mating pheromone7AD3-STE2; STE2-α-factor mating pheromone-Gi1/STE4/γ2

2D representation of the interactions of this orthosteric/allosteric ligand.


Links and nodes colored according to ConSurf Conservation Grade (See documentation): 

 n/a   1    2    3    4    5    6    7    8    9  

Node1 Node2 LinkStrength Comm IsNode1Hub? IsNode2Hub? Node1Cons Node2Cons Node1Shell Node2Shell
R:R:T84 R:R:Y364 2.5 0 Yes Yes 9 9 2 1
R:R:F371 R:R:T84 3.89 2 Yes Yes 8 9 1 2
R:R:F371 R:R:T87 9.08 2 Yes No 8 7 1 2
R:R:G106 R:R:L88 1.71 0 No No 6 7 2 2
R:R:F371 R:R:L88 4.87 2 Yes No 8 7 1 2
R:R:E165 R:R:V101 5.7 2 Yes No 8 8 2 1
R:R:R166 R:R:V101 7.85 2 Yes No 9 8 1 1
R:R:V101 W:W:?1 10.18 2 No Yes 8 0 1 0
R:R:H104 R:R:L162 2.57 2 Yes Yes 8 9 2 1
R:R:E165 R:R:H104 4.92 2 Yes Yes 8 8 2 2
R:R:G106 R:R:L105 1.71 0 No Yes 6 8 2 1
R:R:L105 R:R:L162 4.15 2 Yes Yes 8 9 1 1
R:R:L105 R:R:Y364 19.93 2 Yes Yes 8 9 1 1
R:R:L105 W:W:?1 9.46 2 Yes Yes 8 0 1 0
R:R:L108 R:R:V159 4.47 2 Yes No 9 8 2 1
R:R:L108 R:R:N360 5.49 2 Yes Yes 9 9 2 2
R:R:L108 R:R:Y364 4.69 2 Yes Yes 9 9 2 1
R:R:F312 R:R:V159 2.62 0 Yes No 9 8 2 1
R:R:V159 W:W:?1 3.05 0 No Yes 8 0 1 0
R:R:A160 R:R:S163 1.71 0 No Yes 8 9 2 1
R:R:L162 R:R:R166 2.43 2 Yes Yes 9 9 1 1
R:R:L162 W:W:?1 12.29 2 Yes Yes 9 0 1 0
R:R:I252 R:R:S163 6.19 2 Yes Yes 8 9 1 1
R:R:L255 R:R:S163 3 0 Yes Yes 7 9 2 1
R:R:S163 W:W:?1 2.05 2 Yes Yes 9 0 1 0
R:R:E165 R:R:R166 9.3 2 Yes Yes 8 9 2 1
R:R:L170 R:R:R166 9.72 2 No Yes 9 9 1 1
R:R:R166 V:V:L68 2.43 2 Yes No 9 7 1 1
R:R:R166 W:W:?1 24.9 2 Yes Yes 9 0 1 0
R:R:I259 R:R:L170 4.28 0 Yes No 9 9 2 1
R:R:L170 W:W:?1 4.73 2 No Yes 9 0 1 0
R:R:I252 R:R:N256 4.25 2 Yes Yes 8 9 1 2
R:R:I252 R:R:V309 6.14 2 Yes No 8 8 1 2
R:R:I252 W:W:?1 3.9 2 Yes Yes 8 0 1 0
R:R:L305 R:R:N256 17.85 0 No Yes 8 9 1 2
R:R:N256 R:R:V308 2.96 2 Yes No 9 8 2 1
R:R:N256 R:R:V309 8.87 2 Yes No 9 8 2 2
R:R:I259 R:R:L305 4.28 0 Yes No 9 8 2 1
R:R:R299 R:R:V304 5.23 2 Yes No 5 8 2 2
R:R:R299 R:R:V367 9.15 2 Yes Yes 5 7 2 1
R:R:R299 V:V:D69 8.34 2 Yes Yes 5 9 2 1
R:R:V304 R:R:V367 4.81 2 No Yes 8 7 2 1
R:R:L305 W:W:?1 7.57 0 No Yes 8 0 1 0
R:R:L363 R:R:V308 4.47 2 No No 8 8 1 1
R:R:V308 W:W:?1 11.2 2 No Yes 8 0 1 0
R:R:N360 R:R:Y364 2.33 2 Yes Yes 9 9 2 1
R:R:L363 W:W:?1 2.84 2 No Yes 8 0 1 0
R:R:Y364 W:W:?1 4 2 Yes Yes 9 0 1 0
R:R:V367 V:V:D69 7.3 2 Yes Yes 7 9 1 1
R:R:V367 W:W:?1 6.11 2 Yes Yes 7 0 1 0
R:R:F371 R:R:S368 2.64 2 Yes No 8 8 1 1
R:R:S368 V:V:D69 10.31 2 No Yes 8 9 1 1
R:R:S368 W:W:?1 6.16 2 No Yes 8 0 1 0
R:R:F371 R:R:F375 2.14 2 Yes Yes 8 7 1 2
R:R:F371 W:W:?1 9.15 2 Yes Yes 8 0 1 0
V:V:D69 V:V:L68 13.57 2 Yes No 9 7 1 1
V:V:L68 W:W:?1 23.64 2 No Yes 7 0 1 0
V:V:D69 W:W:?1 16.69 2 Yes Yes 9 0 1 0

Location and physicochemical properties of the interaction partners of this ligand

Interactions of this ligand

Similarities between the interactions of this ligand and those of other networks

ShowSimilarityNetwork TypeNameLigandDescription
55.56Single8JPFSBI-5538JPF-NTS1-Neurotensin-(8-13)-SBI-553
55.00Single8ZYUSBI-5538ZYU-NTS1-Neurotensin-(8-13)-SBI-553-Arrestin2
50.00Single8JPBSBI-553; GDP; Mg8JPB-NTS1-Neurotensin-(8-13)-SBI-553; GDP; Mg-Gq; GRK2
47.62Single8ZYYSBI-5538ZYY-NTS1-Neurotensin-(8-13)-SBI-553-Arrestin2
47.37Single8JPCSBI-553; GDP; Mg8JPC-NTS1-Neurotensin-(8-13)-SBI-553; GDP; Mg-Gq; GRK2
41.67Single8FN0SBI-5538FN0-NTS1-Neurotensin-(8-13)-SBI-553-chim(NtGi1-Go)/β1/γ2
34.78Single5LWEVercirnon5LWE-CCR9-Vercirnon
34.78Single8JR9PCO3718JR9-PTH1-PCO371-chim(NtGi1-Gs)/β1/γ2
29.17Single8TB7PubChem 1685102188TB7-GPR61-PubChem 168510218
26.09Single6LFLPubChem 1534669966LFL-CXCR2-PubChem 153466996
26.09Single8GW8PCO3718GW8-PTH1-PCO371-Gs/β1/γ2
25.00Single5T1APubChem 120931705T1A-CCR2-BMS-681-PubChem 12093170
21.74Single6QZHPubChem 136165388; Na6QZH-CCR7-PubChem 136165388; Na
21.74Single8XQLAristolochic acid A8XQL-TAS2R14-Cholesterol-Aristolochic acid A-Gt3/β1/γ1
20.00Single8J20AR4206268J20-FFA3-Valeric acid-AR420626-Gi1/β1/γ2
18.18Single8XQRFlufenamic acid8XQR-TAS2R14-Flufenamic acid-Gt3/β1/γ1
17.39Single8XQOAristolochic acid A8XQO-TAS2R14-Cholesterol-Aristolochic acid A-Gi1/β1/γ1
17.39Single8XQSFlufenamic acid8XQS-TAS2R14-Cholesterol-Flufenamic acid-Gi1/β1/γ1
16.67Single4Z9GCP-3763954Z9G-CRF1-CP-376395
16.67Single5XF1NNC06405XF1-Glucagon-NNC0640
16.67Single7E2YPtdIns4P7E2Y-5-HT1A-Serotonin-PtdIns4P-Gi1/β1/γ2
16.00Single8GTGBMK-I1528GTG-CRF1-BMK-I152
15.38Single9PEEPF-07054894; OXM29PEE-CCR6-PF-07054894; OXM2
14.29Single8XQPAristolochic acid A8XQP-TAS2R14-Cholesterol-Aristolochic acid A-Gt3/β1/γ1
13.64Single9DYDPtdIns4P9DYD-5-HT1A-Asenapine-PtdIns4P-Go/β1/γ2
13.04Single4K5YCP-3763954K5Y-CRF1-CP-376395
13.04Single5VEWPF-063722225VEW-GLP-1-PF-06372222
13.04Single8XQNAristolochic acid A8XQN-TAS2R14-Cholesterol-Aristolochic acid A-Gi1/β1/γ1
13.04Single9DYEPtdIns4P9DYE-5-HT1A-Buspirone-PtdIns4P-Go/β1/γ2
12.50Single5X7DPubChem 1293189635X7D-β2-Carazolol-PubChem 129318963
12.50Single5XEZNNC06405XEZ-Glucagon-NNC0640
12.50Single8RQLFlufenamic acid8RQL-TAS2R14-Flufenamic acid-Flufenamic acid-chim(NtGi1-Gt3)/β1/γ2
12.50Single9KVHPtdIns4P9KVH-5-HT1A-Cinobufotenine-PtdIns4P-Gi1/β1/γ2
12.00Single7E2ZPtdIns4P7E2Z-5-HT1A-Aripiprazole-PtdIns4P-Gi1/β1/γ2
12.00Single8FYEPtdIns4P8FYE-5-HT1A-4-F,5-MeO-PyrT-PtdIns4P-Gi1/β1/γ1
12.00Single8FYTPtdIns4P8FYT-5-HT1A-LSD-PtdIns4P-Gi1/β1/γ1
12.00Single8GTIBMK-C2058GTI-CRF1-BMK-C205
11.54Single8FYLPtdIns4P8FYL-5-HT1A-Vilazodone-PtdIns4P-Gi1/β1/γ1
11.54Single8FYXPtdIns4P8FYX-5-HT1A-Buspirone-PtdIns4P-Gi1/β1/γ1
10.71Single8GTMBMK-C2038GTM-CRF1-BMK-C203
10.71Single9DYFPtdIns4P9DYF-5-HT1A-Asenapine-PtdIns4P-Gi1/β1/γ2
10.34Single6LN2PF-063722226LN2-GLP-1-PF-06372222
9.09Single5EE7MK08935EE7-Glucagon-MK0893
9.09Single8JT6PtdIns4P8JT6-5-HT1A-(R)-IHCH-7179-PtdIns4P-Gi1/β1/γ2
8.70Single5VEXNNC06405VEX-GLP-1-NNC0640
8.70Single6KK7PF-063722226KK7-GLP-1-PF-06372222
8.33Single6KJVPF-063722226KJV-GLP-1-PF-06372222
8.33Single6KK1PF-063722226KK1-GLP-1-PF-06372222
8.33Single9CLW4-CMTB9CLW-FFA2-TUG-1375-4-CMTB-chim(NtGi1L-Gs-CtGq)/β1/γ2
8.33Single9MD1PtdIns4P9MD1-5-HT1A-Buspirone-PtdIns4P-Gz/β1/γ2
7.69Single7E2XPtdIns4P7E2X-5-HT1A-PtdIns4P-Gi1/β1/γ2
7.69Single9KVGPtdIns4P9KVG-5-HT1A-5-MeO-DMT-PtdIns4P-Gi1/β1/γ2
7.41Single8FY8PtdIns4P8FY8-5-HT1A-5-MeO-DMT-PtdIns4P-Gi1/β1/γ1
5.41Single3VG9Antibody3VG9-A2A-ZM-241385-Antibody
5.00Single3VGAAntibody3VGA-A2A-ZM-241385-Antibody
5.00Single9KVIPtdIns4P9KVI-5-HT1A-Bufotenin-PtdIns4P-Gi1/β1/γ2
4.55Single9L80Atazanavir9L80-GPR119-Atazanavir-chim(NtGi1-Gs)/β1/γ2
4.35Single8Y6W4-CMTB8Y6W-FFA2-TUG-1375-4-CMTB-Gi1/β1/γ2
4.17Single7CA3rac-BHFF7CA3-GABAB1, GABAB2-rac-BHFF
4.17Single8HNNSCH5467388HNN-CXCR3-SCH546738
4.00Single7C7QBHFF7C7Q-GABAB1, GABAB2-Baclofen-BHFF
4.00Single7EJX(1R;2R)-2-PCCA7EJX-GPR88-(1R;2R)-2-PCCA-Gi1/β1/γ2
3.85Single8XQLAristolochic acid A8XQL-TAS2R14-Cholesterol-Aristolochic acid A-Gt3/β1/γ1
3.33Single6XBLCholesterol6XBL-SMO-SAG-Cholesterol-Gi1/β1/γ2
3.12Single6XBJCholesterol6XBJ-SMO-Cholesterol-Gi1/β1/γ2

PDB Summary
PDB 8ZYT
Class A
SubFamily Peptide
Type Neurotensin
SubType NTS1
Species Homo Sapiens
Ligand Neurotensin-(8-13)
Other Ligand(s) SBI-553
Protein Partners Arrestin2
PDB Resolution 2.65
Date 2025-04-09
D.O.I. doi.org/10.1038/s41422-025-01095-7
Net Summary
Imin 1.68
Number of Linked Nodes 629
Number of Links 899
Number of Hubs 187
Number of Links mediated by Hubs 634
Number of Communities 13
Number of Nodes involved in Communities 293
Number of Links involved in Communities 479
Path Summary
Number Of Nodes in MetaPath 87
Number Of Links MetaPath 86
Number of Shortest Paths 7925885
Length Of Smallest Path 3
Average Path Length 31.7434
Length of Longest Path 48
Minimum Path Strength 1.43
Average Path Strength 5.225
Maximum Path Strength 24.22
Minimum Path Correlation 0.7
Average Path Correlation 0.992683
Maximum Path Correlation 1
Minimum % Of Corr. Nodes 3.33333
Average % Of Corr. Nodes 32.7695
Maximum % Of Corr. Nodes 100
Minimum Path Hubs % 0
Average Path Hubs % 67.0655
Maximum Path Hubs % 100
AnnotationTypeLinks
Gene OntologyMolecular Function• protein binding   • binding   • arrestin family protein binding   • GTPase regulator activity   • enzyme regulator activity   • enzyme activator activity   • GTPase activator activity   • molecular function activator activity   • nucleoside-triphosphatase regulator activity   • molecular function regulator activity   • angiotensin receptor binding   • signaling receptor binding   • G protein-coupled receptor binding   • molecular adaptor activity   • ubiquitin protein ligase binding   • ubiquitin-like protein ligase binding   • enzyme binding   • insulin-like growth factor receptor binding   • molecular function inhibitor activity   • enzyme inhibitor activity   • transcription coactivator activity   • transcription regulator activity   • transcription coregulator activity   • protein-macromolecule adaptor activity   • cellular homeostasis   • chemical homeostasis   • homeostatic process   • glucose homeostasis   • carbohydrate homeostasis   • intracellular chemical homeostasis   • intracellular glucose homeostasis   • interleukin-6 production   • multicellular organismal process   • regulation of cellular process   • negative regulation of biological process   • regulation of interleukin-6 production   • regulation of cytokine production   • cytokine production
Gene OntologyBiological Process• cellular homeostasis   • chemical homeostasis   • homeostatic process   • glucose homeostasis   • carbohydrate homeostasis   • intracellular chemical homeostasis   • intracellular glucose homeostasis   • interleukin-6 production   • multicellular organismal process   • regulation of cellular process   • negative regulation of biological process   • regulation of interleukin-6 production   • regulation of cytokine production   • cytokine production   • negative regulation of cellular process   • regulation of multicellular organismal process   • negative regulation of macromolecule metabolic process   • regulation of biosynthetic process   • regulation of biological process   • negative regulation of metabolic process   • biological regulation   • negative regulation of cytokine production   • regulation of macromolecule metabolic process   • gene expression   • macromolecule biosynthetic process   • regulation of gene expression   • negative regulation of interleukin-6 production   • negative regulation of gene expression   • biosynthetic process   • negative regulation of biosynthetic process   • negative regulation of macromolecule biosynthetic process   • regulation of macromolecule biosynthetic process   • metabolic process   • cellular process   • macromolecule metabolic process   • negative regulation of multicellular organismal process   • regulation of metabolic process   • negative regulation of post-translational protein modification   • regulation of protein modification process   • regulation of protein ubiquitination   • regulation of primary metabolic process   • protein ubiquitination   • negative regulation of protein modification process   • protein metabolic process   • negative regulation of protein ubiquitination   • regulation of protein modification by small protein conjugation or removal   • protein modification process   • negative regulation of protein metabolic process   • negative regulation of protein modification by small protein conjugation or removal   • regulation of post-translational protein modification   • regulation of protein metabolic process   • primary metabolic process   • macromolecule modification   • post-translational protein modification   • protein modification by small protein conjugation   • protein modification by small protein conjugation or removal   • actomyosin structure organization   • actin cytoskeleton organization   • actin filament organization   • cellular component organization   • cellular component biogenesis   • organelle organization   • cellular component assembly   • actin filament bundle organization   • contractile actin filament bundle assembly   • actin filament-based process   • actin filament bundle assembly   • stress fiber assembly   • cellular component organization or biogenesis   • supramolecular fiber organization   • cytoskeleton organization   • cellular response to stimulus   • negative adaptation of signaling pathway   • response to stimulus   • negative regulation of signaling   • signaling   • desensitization of G protein-coupled receptor signaling pathway   • regulation of signal transduction   • negative regulation of G protein-coupled receptor signaling pathway   • negative regulation of cell communication   • cell communication   • signal transduction   • regulation of G protein-coupled receptor signaling pathway   • regulation of signaling   • negative regulation of response to stimulus   • negative regulation of signal transduction   • regulation of response to stimulus   • adaptation of signaling pathway   • regulation of cell communication   • G protein-coupled receptor signaling pathway   • system process   • sensory perception   • nervous system process   • catabolic process   • protein catabolic process   • macromolecule catabolic process   • modification-dependent macromolecule catabolic process   • modification-dependent protein catabolic process   • ubiquitin-dependent protein catabolic process   • muscle hypertrophy   • regulation of muscle adaptation   • positive regulation of cardiac muscle hypertrophy   • regulation of system process   • positive regulation of biological process   • striated muscle hypertrophy   • regulation of muscle system process   • muscle system process   • regulation of cardiac muscle hypertrophy   • regulation of muscle hypertrophy   • muscle adaptation   • positive regulation of muscle hypertrophy   • cardiac muscle hypertrophy   • positive regulation of multicellular organismal process   • negative regulation of interleukin-8 production   • interleukin-8 production   • regulation of interleukin-8 production   • positive regulation of DNA-templated transcription   • RNA metabolic process   • positive regulation of macromolecule biosynthetic process   • nucleobase-containing compound metabolic process   • RNA biosynthetic process   • nucleic acid biosynthetic process   • positive regulation of metabolic process   • DNA-templated transcription   • regulation of RNA metabolic process   • transcription by RNA polymerase II   • positive regulation of biosynthetic process   • positive regulation of macromolecule metabolic process   • regulation of nucleobase-containing compound metabolic process   • positive regulation of cellular process   • regulation of RNA biosynthetic process   • regulation of transcription by RNA polymerase II   • positive regulation of transcription by RNA polymerase II   • nucleobase-containing compound biosynthetic process   • nucleic acid metabolic process   • positive regulation of RNA metabolic process   • positive regulation of RNA biosynthetic process   • regulation of DNA-templated transcription   • import into cell   • receptor internalization   • transport   • vesicle-mediated transport   • localization   • G protein-coupled receptor internalization   • establishment of localization   • receptor-mediated endocytosis   • endocytosis   • positive regulation of cell communication   • positive regulation of signal transduction   • intracellular signal transduction   • positive regulation of response to stimulus   • positive regulation of ERK1 and ERK2 cascade   • regulation of intracellular signal transduction   • intracellular signaling cassette   • positive regulation of MAPK cascade   • positive regulation of intracellular signal transduction   • regulation of MAPK cascade   • MAPK cascade   • ERK1 and ERK2 cascade   • regulation of ERK1 and ERK2 cascade   • positive regulation of signaling   • establishment of protein localization   • protein transport   • macromolecule localization   • intracellular protein localization   • regulation of localization   • regulation of cellular component organization   • positive regulation of cellular component organization   • regulation of receptor internalization   • positive regulation of endocytosis   • positive regulation of receptor-mediated endocytosis   • regulation of endocytosis   • regulation of transport   • regulation of receptor-mediated endocytosis   • regulation of vesicle-mediated transport   • positive regulation of receptor internalization   • positive regulation of transport   • small GTPase-mediated signal transduction   • regulation of small GTPase mediated signal transduction   • Rho protein signal transduction   • regulation of Rho protein signal transduction   • positive regulation of Rho protein signal transduction   • positive regulation of small GTPase mediated signal transduction   • proteasomal protein catabolic process   • proteasome-mediated ubiquitin-dependent protein catabolic process   • cell surface receptor signaling pathway   • Notch signaling pathway   • negative regulation of Notch signaling pathway   • regulation of Notch signaling pathway   • positive regulation of phosphorylation   • regulation of protein phosphorylation   • positive regulation of protein metabolic process   • positive regulation of phosphate metabolic process   • positive regulation of protein modification process   • phosphate-containing compound metabolic process   • positive regulation of protein phosphorylation   • phosphorus metabolic process   • protein phosphorylation   • positive regulation of phosphorus metabolic process   • phosphorylation   • regulation of phosphorus metabolic process   • regulation of phosphorylation   • cell projection   • cellular anatomical structure   • pseudopodium   • plasma membrane bounded cell projection   • clathrin-coated pit   • membrane   • endomembrane system   • intracellular anatomical structure   • cytoplasm   • cytosol   • intracellular organelle   • organelle   • membraneless organelle   • intracellular membraneless organelle
Gene OntologyCellular Component• cell projection   • cellular anatomical structure   • pseudopodium   • plasma membrane bounded cell projection   • clathrin-coated pit   • membrane   • endomembrane system   • intracellular anatomical structure   • cytoplasm   • cytosol   • intracellular organelle   • organelle   • membraneless organelle   • intracellular membraneless organelle   • chromatin   • chromosome   • membrane-bounded organelle   • intracellular vesicle   • intracellular membrane-bounded organelle   • cytoplasmic vesicle membrane   • bounding membrane of organelle   • cytoplasmic vesicle   • vesicle membrane   • endocytic vesicle membrane   • vesicle   • organelle membrane   • endocytic vesicle   • vacuolar membrane   • lytic vacuole   • vacuole   • lytic vacuole membrane   • lysosomal membrane   • lysosome   • Golgi membrane   • Golgi apparatus   • cell periphery   • plasma membrane   • nucleus   • membrane-enclosed lumen   • intracellular organelle lumen   • nucleoplasm   • organelle lumen   • nuclear lumen   • nuclear body   • peptide receptor activity   • molecular transducer activity   • G protein-coupled receptor activity   • G protein-coupled neurotensin receptor activity   • G protein-coupled peptide receptor activity   • signaling receptor activity   • transmembrane signaling receptor activity   • neuropeptide receptor activity   • protein-containing complex binding   • binding   • identical protein binding   • protein binding   • positive regulation of locomotion   • regulation of biological process   • regulation of locomotion   • biological regulation   • positive regulation of biological process   • locomotion   • cellular response to stimulus   • multicellular organismal process   • regulation of postsynaptic membrane potential   • system process   • regulation of cellular process   • response to stimulus   • signaling   • regulation of system process   • regulation of signal transduction   • chemical synaptic transmission, postsynaptic   • cell communication   • synaptic signaling   • positive regulation of inhibitory postsynaptic potential   • positive regulation of nervous system process   • regulation of multicellular organismal process   • signal transduction   • regulation of biological quality   • modulation of inhibitory postsynaptic potential   • trans-synaptic signaling   • regulation of signaling   • nervous system process   • cell surface receptor signaling pathway   • cell-cell signaling   • regulation of nervous system process   • chemical synaptic transmission   • regulation of response to stimulus   • anterograde trans-synaptic signaling   • inhibitory postsynaptic potential   • positive regulation of multicellular organismal process   • regulation of cell communication   • cellular process   • regulation of membrane potential   • regulation of biosynthetic process   • regulation of macromolecule metabolic process   • gene expression   • macromolecule biosynthetic process   • positive regulation of macromolecule biosynthetic process   • regulation of gene expression   • positive regulation of metabolic process   • biosynthetic process   • positive regulation of gene expression   • positive regulation of biosynthetic process   • regulation of macromolecule biosynthetic process   • metabolic process   • positive regulation of macromolecule metabolic process   • macromolecule metabolic process   • regulation of metabolic process   • positive regulation of cellular process   • positive regulation of programmed cell death   • regulation of apoptotic process   • regulation of programmed cell death   • cell death   • positive regulation of apoptotic process   • apoptotic process   • programmed cell death   • regulation of localization   • positive regulation of arachidonate secretion   • transport   • regulation of lipid transport   • regulation of arachidonate secretion   • localization   • arachidonate secretion   • monocarboxylic acid transport   • positive regulation of secretion   • fatty acid transport   • icosanoid transport   • regulation of icosanoid secretion   • icosanoid secretion   • long-chain fatty acid transport   • positive regulation of icosanoid secretion   • organic anion transport   • carboxylic acid transport   • secretion   • arachidonate transport   • regulation of transport   • lipid localization   • lipid transport   • positive regulation of lipid localization   • establishment of localization   • regulation of fatty acid transport   • regulation of secretion   • positive regulation of organic acid transport   • organic acid transport   • positive regulation of lipid transport   • positive regulation of transport   • regulation of lipid localization   • macromolecule localization   • regulation of organic acid transport   • positive regulation of fatty acid transport   • regulation of inositol phosphate biosynthetic process   • regulation of inositol trisphosphate biosynthetic process   • alcohol metabolic process   • inositol phosphate metabolic process   • regulation of primary metabolic process   • regulation of small molecule metabolic process   • phosphate-containing compound metabolic process   • polyol biosynthetic process   • inositol trisphosphate metabolic process   • small molecule metabolic process   • phosphorus metabolic process   • regulation of carbohydrate metabolic process   • carbohydrate metabolic process   • polyol metabolic process   • regulation of alcohol biosynthetic process   • small molecule biosynthetic process   • inositol trisphosphate biosynthetic process   • carbohydrate biosynthetic process   • primary metabolic process   • organophosphate metabolic process   • organophosphate biosynthetic process   • inositol phosphate biosynthetic process   • alcohol biosynthetic process   • regulation of phosphorus metabolic process   • regulation of carbohydrate biosynthetic process   • alcohol catabolic process   • catabolic process   • polyol catabolic process   • organophosphate catabolic process   • inositol phosphate catabolic process   • small molecule catabolic process   • detection of external stimulus   • response to external stimulus   • sensory perception of temperature stimulus   • sensory perception of pain   • detection of temperature stimulus involved in sensory perception   • response to temperature stimulus   • detection of abiotic stimulus   • detection of stimulus   • sensory perception   • detection of temperature stimulus   • response to abiotic stimulus   • detection of stimulus involved in sensory perception   • detection of temperature stimulus involved in sensory perception of pain   • L-glutamate import across plasma membrane   • import into cell   • nitrogen compound transport   • carboxylic acid transmembrane transport   • import across plasma membrane   • amino acid transmembrane transport   • L-amino acid transport   • L-glutamate import   • transmembrane transport   • amino acid transport   • acidic amino acid transport   • dicarboxylic acid transport   • L-alpha-amino acid transmembrane transport   • amino acid import across plasma membrane   • L-glutamate transmembrane transport   • ribose phosphate metabolic process   • nucleotide biosynthetic process   • carbohydrate derivative metabolic process   • purine ribonucleotide biosynthetic process   • cAMP biosynthetic process   • cyclic nucleotide metabolic process   • nucleobase-containing compound metabolic process   • ribonucleotide biosynthetic process   • purine nucleotide metabolic process   • ribonucleotide metabolic process   • nucleobase-containing small molecule metabolic process   • purine-containing compound biosynthetic process   • cyclic nucleotide biosynthetic process   • ribose phosphate biosynthetic process   • nucleoside phosphate metabolic process   • carbohydrate derivative biosynthetic process   • cAMP metabolic process   • cyclic purine nucleotide metabolic process   • nucleotide metabolic process   • nucleobase-containing compound biosynthetic process   • purine-containing compound metabolic process   • nucleoside phosphate biosynthetic process   • purine ribonucleotide metabolic process   • purine nucleotide biosynthetic process   • behavior   • learning   • learning or memory   • cognition   • conditioned place preference   • associative learning   • regulation of respiratory gaseous exchange   • respiratory gaseous exchange by respiratory system   • response to lipid   • response to chemical   • positive regulation of phosphate metabolic process   • positive regulation of phosphorus metabolic process   • positive regulation of inositol phosphate biosynthetic process   • positive regulation of carbohydrate metabolic process   • positive regulation of small molecule metabolic process   • positive regulation of alcohol biosynthetic process   • G protein-coupled receptor signaling pathway   • neuropeptide signaling pathway   • adult locomotory behavior   • adult behavior   • locomotory behavior   • regulation of calcium ion transport   • monoatomic ion transmembrane transport   • negative regulation of monoatomic ion transport   • negative regulation of biological process   • negative regulation of transport   • regulation of monoatomic ion transmembrane transport   • calcium ion transport   • metal ion transport   • negative regulation of transmembrane transport   • regulation of calcium ion transmembrane transport   • monoatomic cation transmembrane transport   • negative regulation of monoatomic ion transmembrane transport   • negative regulation of release of sequestered calcium ion into cytosol   • negative regulation of cellular process   • monoatomic ion transport   • negative regulation of cation transmembrane transport   • monoatomic cation transport   • regulation of metal ion transport   • calcium ion transmembrane import into cytosol   • regulation of release of sequestered calcium ion into cytosol   • regulation of monoatomic ion transport   • negative regulation of calcium ion transport   • release of sequestered calcium ion into cytosol   • regulation of transmembrane transport   • regulation of monoatomic cation transmembrane transport   • negative regulation of calcium ion transmembrane transport   • calcium ion transmembrane transport   • negative regulation of programmed cell death   • negative regulation of apoptotic process   • regulation of defense response   • behavioral fear response   • defense response   • regulation of fear response   • multicellular organismal response to stress   • regulation of behavioral fear response   • regulation of behavior   • behavioral defense response   • fear response   • regulation of response to stress   • response to stress   • aspartate transmembrane transport   • C4-dicarboxylate transport   • D-amino acid transport   • D-aspartate transmembrane transport   • D-aspartate import across plasma membrane   • regulation of membrane depolarization   • membrane depolarization   • multicellular organismal-level homeostasis   • homeostatic process   • temperature homeostasis   • regulation of systemic arterial blood pressure   • circulatory system process   • regulation of blood pressure   • negative regulation of systemic arterial blood pressure   • blood circulation   • negative regulation of blood pressure   • positive regulation of amine transport   • gamma-aminobutyric acid transport   • regulation of amino acid transport   • gamma-aminobutyric acid secretion   • regulation of gamma-aminobutyric acid secretion   • positive regulation of gamma-aminobutyric acid secretion   • acid secretion   • amine transport   • positive regulation of amino acid transport   • regulation of amine transport   • positive regulation of cation transmembrane transport   • positive regulation of calcium ion transport   • positive regulation of monoatomic ion transport   • positive regulation of calcium ion transmembrane transport   • positive regulation of transmembrane transport   • positive regulation of monoatomic ion transmembrane transport   • positive regulation of release of sequestered calcium ion into cytosol   • vocalization behavior   • regulation of glutamate secretion   • positive regulation of secretion by cell   • secretion by cell   • regulation of secretion by cell   • glutamate secretion   • positive regulation of glutamate secretion   • export from cell   • response to nutrient levels   • response to food   • somatodendritic compartment   • cell body   • perikaryon   • neuronal cell body   • dendrite   • dendritic tree   • neuron projection   • dendritic shaft   • neuron spine   • synapse   • dendritic spine   • postsynapse   • cell junction   • symmetric synapse   • neuron to neuron synapse   • axon   • axon terminus   • presynapse   • distal axon   • terminal bouton   • neuron projection terminus   • cell surface   • membrane microdomain   • membrane raft   • cytoplasmic side of plasma membrane   • cytoplasmic side of membrane   • side of membrane   • endoplasmic reticulum
SCOP2Domain Identifier• G protein-coupled receptor-like
SCOP2Family Identifier• G protein-coupled receptor-like
Membrane Protein Annotations-• Orientations of Proteins in Membranes database (OPM)   • Protein Data Bank of Transmembrane Proteins (PDBTM)   • MemProtMD


Details about the values in these tables can be found in the corresponding documentation page .
CodeTPO
PDB ResiduesR:R:?407
Environment DetailsOpen EMBL-EBI Page
CodeTPO
NamePHOSPHOTHREONINE
SynonymsPHOSPHONOTHREONINE
Identifier
FormulaC4 H10 N O6 P
Molecular Weight199.099
SMILES
PubChem139055008
Formal Charge0
Total Atoms22
Total Chiral Atoms2
Total Bonds21
Total Aromatic Bonds0

CodeSEP
PDB ResiduesR:R:?409 R:R:?410
Environment DetailsOpen EMBL-EBI Page
CodeSEP
NameDexfosfoserine
SynonymsPHOSPHONOSERINE
Identifier
FormulaC3 H8 N O6 P
Molecular Weight185.072
SMILES
PubChem57689797
Formal Charge0
Total Atoms19
Total Chiral Atoms1
Total Bonds18
Total Aromatic Bonds0

CodeSRW
PDB ResiduesW:W:?1
Environment DetailsOpen EMBL-EBI Page
CodeSRW
Name2-[{2-(1-fluorocyclopropyl)-4-[4-(2-methoxyphenyl)piperidin-1-yl]quinazolin-6-yl}(methyl)amino]ethan-1-ol
Synonyms
Identifier
FormulaC26 H31 F N4 O2
Molecular Weight450.548
SMILES
PubChem118610427
Formal Charge0
Total Atoms64
Total Chiral Atoms0
Total Bonds68
Total Aromatic Bonds17

PDBsumOpen PDBsum Page
ChainR
ProteinReceptor
UniProtP30989
Sequence
>8ZYT_Chain_R
VNTDIYSKV LVTAVYLAL FVVGTVGNT VTAFTLARK KSLQSLQST 
VHYHLGSLA LSDLLTLLL AMPVELYNF IWVHHPWAF GDAGCRGYY 
FLRDACTYA TALNVASLS VERYLACHP FKAKTLMSR SRTKKFISA 
IWLASALLA VPMLFTMGE QNRSADGQH AGGLVCTPT IHTATVKVV 
IQVNTFMSF IFPMVVISV LNTIIANKL TVMVRHGVR VLRAVVIAF 
VVCWLPYHV RRLMFCYIS DEQWTPFLY DFYHYFYMV TNALFYVSS 
TINPILYNL VSANFRHIF ATLANHLNA LI???


Click on each residue to open a popup with some information about it.

ConSurf Conservation Grade (See documentation): 

 n/a   1    2    3    4    5    6    7    8    9  

ChainV
ProteinArrestin
UniProtP49407
Sequence
>8ZYT_Chain_V
TRVFKKASP NGKLTVYLG KRDFVDHID LVDPVDGVV LVDPEYLKE 
RRVYVTLTC AFRYGREDL DVLGLTFRK DLFVANVQS FPPAPEDKK 
PLTRLQERL IKKLGEHAY PFTFEIPPN LPCSVTLQP GPEDTGKAC 
GVDYEVKAF CAENLEEKI HKRNSVRLV IRKVQYAPE RPGPQPTAE 
TTRQFLMSD KPLHLEASL DKEIYYHGE PISVNVHVT NNTNKTVKK 
IKISVRQYA DICLFNTAQ YKCPVAMEE ADDTVAPSS TFCKVYTLT 
PFLANNREK RGLALDGKL KHEDTNLAS STLLREGAN REILGIIVS 
YKVKVKLVV SRGGLLGDL ASSDVAVEL PFTLMHPKP KEEPPHREV 
P


Click on each residue to open a popup with some information about it.

ConSurf Conservation Grade (See documentation): 

 n/a   1    2    3    4    5    6    7    8    9  




This receptor, from the same or other species and bound to the same or other ligands, is also present in the following networks:
Show PDB Class SubFamily Type SubType Species Orthosteric Ligand Other Ligand(s) Protein Partners Resolution Date DOI
4GRVAPeptideNeurotensinNTS1Rattus norvegicusNeurotensin-(8-13)--2.82012-10-17doi.org/10.1038/nature11558
3ZEVAPeptideNeurotensinNTS1Rattus norvegicusNeurotensin-(7-13)--32014-01-29doi.org/10.1073/pnas.1317903111
4BUOAPeptideNeurotensinNTS1Rattus norvegicusNeurotensin-(8-13)--2.752014-01-29doi.org/10.1073/pnas.1317903111
4BV0APeptideNeurotensinNTS1Rattus norvegicusNeurotensin-(7-13)--3.12014-01-29doi.org/10.1073/pnas.1317903111
4BWBAPeptideNeurotensinNTS1Rattus norvegicusNeurotensin-(8-12)--3.572014-01-29doi.org/10.1073/pnas.1317903111
4XEEAPeptideNeurotensinNTS1Rattus norvegicusNeurotensin-(8-13)--2.92015-07-29doi.org/10.1038/ncomms8895
4XESAPeptideNeurotensinNTS1Rattus norvegicusNeurotensin-(8-13)--2.62015-07-29doi.org/10.1038/ncomms8895
5T04APeptideNeurotensinNTS1Rattus norvegicusNeurotensin-(8-13)--3.32016-12-21doi.org/10.1038/srep38564
6OS9APeptideNeurotensinNTS1Homo sapiensJMV449-Gi1/β1/γ232019-07-10doi.org/10.1038/s41586-019-1337-6
6OS9 (No Gprot) APeptideNeurotensinNTS1Homo sapiensJMV449-32019-07-10doi.org/10.1038/s41586-019-1337-6
6OSAAPeptideNeurotensinNTS1Homo sapiensJMV449-Gi1/β1/γ232019-07-10doi.org/10.1038/s41586-019-1337-6
6OSA (No Gprot) APeptideNeurotensinNTS1Homo sapiensJMV449-32019-07-10doi.org/10.1038/s41586-019-1337-6
6PWCAPeptideNeurotensinNTS1Homo sapiensNeurotensin-(9-13)-Arrestin24.92019-12-04doi.org/10.1038/s41422-019-0256-2
6UP7APeptideNeurotensinNTS1Homo sapiensNeurotensin-(8-13)-Arrestin24.22020-02-26doi.org/10.1038/s41586-020-1953-1
7L0PAPeptideNeurotensinNTS1Rattus norvegicusNeurotensin-(8-13)-Gi1/β1/γ14.12021-01-06doi.org/10.1038/s41594-020-00554-6
7L0P (No Gprot) APeptideNeurotensinNTS1Rattus norvegicusNeurotensin-(8-13)-4.12021-01-06doi.org/10.1038/s41594-020-00554-6
7L0QAPeptideNeurotensinNTS1Rattus norvegicusNeurotensin-(8-13)-Gi1/β1/γ14.32021-01-06doi.org/10.1038/s41594-020-00554-6
7L0Q (No Gprot) APeptideNeurotensinNTS1Rattus norvegicusNeurotensin-(8-13)-4.32021-01-06doi.org/10.1038/s41594-020-00554-6
7L0RAPeptideNeurotensinNTS1Rattus norvegicusNeurotensin-(8-13)-Gi1/β1/γ14.22021-01-06doi.org/10.1038/s41594-020-00554-6
7L0R (No Gprot) APeptideNeurotensinNTS1Rattus norvegicusNeurotensin-(8-13)-4.22021-01-06doi.org/10.1038/s41594-020-00554-6
7L0SAPeptideNeurotensinNTS1Rattus norvegicusNeurotensin-(8-13)-Gi1/β1/γ14.52021-01-06doi.org/10.1038/s41594-020-00554-6
7L0S (No Gprot) APeptideNeurotensinNTS1Rattus norvegicusNeurotensin-(8-13)-4.52021-01-06doi.org/10.1038/s41594-020-00554-6
6YVRAPeptideNeurotensinNTS1Rattus norvegicusNeurotensin-(6-13)--2.462021-02-10doi.org/10.1126/sciadv.abe5504
6Z4QAPeptideNeurotensinNTS1Rattus norvegicusSR142948A--2.922021-02-10doi.org/10.1126/sciadv.abe5504
6Z4SAPeptideNeurotensinNTS1Rattus norvegicusSR48692--2.712021-02-10doi.org/10.1126/sciadv.abe5504
6Z4VAPeptideNeurotensinNTS1Rattus norvegicusNeurotensin-(9-13)--2.62021-02-10doi.org/10.1126/sciadv.abe5504
6Z66APeptideNeurotensinNTS1Rattus norvegicus---3.192021-02-10doi.org/10.1126/sciadv.abe5504
6Z8NAPeptideNeurotensinNTS1Rattus norvegicusSRI-9829--2.82021-02-10doi.org/10.1126/sciadv.abe5504
6ZA8APeptideNeurotensinNTS1Rattus norvegicusRTI-3a--2.722021-02-10doi.org/10.1126/sciadv.abe5504
6ZINAPeptideNeurotensinNTS1Rattus norvegicusSR48692--2.642021-02-10doi.org/10.1126/sciadv.abe5504
7UL2APeptideNeurotensinNTS1Homo sapiensSR48692Na-2.42022-06-29doi.org/10.1038/s41594-022-00859-8
8FMZAPeptideNeurotensinNTS1Rattus norvegicusNeurotensin-(8-13)-chim(NtGi2L-Gs-CtGq)/β1/γ22.592023-03-29doi.org/10.1021/acs.biochem.3c00029
8FMZ (No Gprot) APeptideNeurotensinNTS1Rattus norvegicusNeurotensin-(8-13)-2.592023-03-29doi.org/10.1021/acs.biochem.3c00029
8FN0APeptideNeurotensinNTS1Rattus norvegicusNeurotensin-(8-13)SBI-553chim(NtGi1-Go)/β1/γ22.892023-03-29doi.org/10.1021/acs.biochem.3c00029
8FN0 (No Gprot) APeptideNeurotensinNTS1Rattus norvegicusNeurotensin-(8-13)SBI-5532.892023-03-29doi.org/10.1021/acs.biochem.3c00029
8FN1APeptideNeurotensinNTS1Rattus norvegicusNeurotensin-(8-13)-chim(NtGi1-Go)/β1/γ22.882023-03-29doi.org/10.1021/acs.biochem.3c00029
8FN1 (No Gprot) APeptideNeurotensinNTS1Rattus norvegicusNeurotensin-(8-13)-2.882023-03-29doi.org/10.1021/acs.biochem.3c00029
8JPBAPeptideNeurotensinNTS1Homo sapiensNeurotensin-(8-13)SBI-553; GDP; MgGq; GRK23.072023-08-09doi.org/10.1038/s41586-023-06395-9
8JPB (No Gprot) APeptideNeurotensinNTS1Homo sapiensNeurotensin-(8-13)SBI-553; GDP; Mg3.072023-08-09doi.org/10.1038/s41586-023-06395-9
8JPCAPeptideNeurotensinNTS1Homo sapiensNeurotensin-(8-13)SBI-553; GDP; MgGq; GRK23.072023-08-09doi.org/10.1038/s41586-023-06395-9
8JPC (No Gprot) APeptideNeurotensinNTS1Homo sapiensNeurotensin-(8-13)SBI-553; GDP; Mg3.072023-08-09doi.org/10.1038/s41586-023-06395-9
8JPFAPeptideNeurotensinNTS1Homo sapiensNeurotensin-(8-13)SBI-553-3.022023-08-09doi.org/10.1038/s41586-023-06395-9
8ZYYAPeptideNeurotensinNTS1Homo sapiensNeurotensin-(8-13)SBI-553Arrestin22.832025-04-09doi.org/10.1038/s41422-025-01095-7
9M0DAPeptideNeurotensinNTS1Homo sapiens--Arrestin23.412025-04-09doi.org/10.1038/s41422-025-01095-7
8ZYUAPeptideNeurotensinNTS1Homo sapiensNeurotensin-(8-13)SBI-553Arrestin22.652025-04-16doi.org/10.1038/s41422-025-01095-7




You can download a compressed (zip) file with structure(s), 3D outputs (as PyMol and VMD scripts) and numerical data files (as csv and plain text files).

Download 8ZYT.zip



You can click to copy the link of this page to easily come back here later

or use this QR code to link and share this page.



You can also  read or  download a guide explaining the meaning of all files and numerical data.