Color ConSurf Grade
      No Conservation data available
      1
      2
      3
      4
      5
      6
      7
      8
      9

Index: hub id, click on each number to highlight the corresponding hub in the 3D visualization.

Hub: the hub being considered.

Avg Int. Strength: the average interaction strength of all the links of the corresponding hub.

Num Of Links: the number of links of the corresponding hub.

Community: the id of the community the link belong to, otherwise 0.

ConSurf: this column reports the ConSurf conservation grades of each hub.

Index Hub Avg Int. Strength Num Of Links Community ConSurf
1A:A:I19 3.2499
2A:A:E33 8.14416
3A:A:V34 5.545435
4A:A:K35 4.78419
5A:A:L37 5.2775419
6A:A:L39 3.4925409
7A:A:K46 4.325439
8A:A:I49 3.6475437
9A:A:M53 4.34667608
10A:A:F191 5.836535
11A:A:F196 7.016537
12A:A:K197 8.87516
13A:A:F199 5.97615
14A:A:Q204 5.89419
15A:A:S206 4.7575418
16A:A:R208 3.816519
17A:A:K210 5.42714719
18A:A:W211 3.6075819
19A:A:I212 3.35418
20A:A:H213 6.4575418
21A:A:F215 5.1875819
22A:A:I222 2.7875437
23A:A:F223 5.532509
24A:A:V225 4.175407
25A:A:L227 6.275447
26A:A:D229 8.67448
27A:A:Y230 4.70429748
28A:A:L232 4.9025448
29A:A:R242 8.91449
30A:A:L249 3.915419
31A:A:F250 5.776676129
32A:A:C254 4.274125
33A:A:W258 6.59715
34A:A:F259 5.33419
35A:A:I265 2.818538
36A:A:F267 3.35875839
37A:A:K270 5.9025449
38A:A:L273 4.8575446
39A:A:F274 4.42549
40A:A:K277 5.205449
41A:A:I278 3.0875446
42A:A:P282 2.595405
43A:A:C286 4.018546
44A:A:Y287 5.54429747
45A:A:Y290 8.012547
46A:A:Y296 8.4625404
47A:A:E298 4.715444
48A:A:Y302 11.2375446
49A:A:F307 4.245608
50A:A:K317 3.7154127
51A:A:Y320 6.23167637
52A:A:F323 4.9525444
53A:A:T324 6.4175439
54A:A:N331 8.266538
55A:A:F334 8.465433
56A:A:F336 6.502538
57A:A:T340 7.0225436
58A:A:I344 3.3875436
59A:A:L353 2.985407
60A:A:F354 6.32833635
61B:B:R8 3.7575403
62B:B:D27 6.82408
63B:B:L30 5.0775405
64B:B:V40 3.98413
65B:B:R48 3.608577
66B:B:R49 5.4825477
67B:B:H54 8.15667699
68B:B:Y59 6.814518
69B:B:W63 5.68714707
70B:B:S74 6.18499
71B:B:D76 5.515499
72B:B:K78 6.05408
73B:B:L79 4.106587
74B:B:I81 4.315487
75B:B:W82 8.75429799
76B:B:Y85 9.916574
77B:B:N88 6.295407
78B:B:K89 6.12571799
79B:B:H91 4.875485
80B:B:I93 4.995487
81B:B:L95 4.465488
82B:B:W99 7.42719
83B:B:N110 6.5275414
84B:B:Y111 5.61833614
85B:B:V112 4.0125488
86B:B:C114 3.48488
87B:B:L117 2.89519
88B:B:N119 5.2925419
89B:B:C121 3.68418
90B:B:Y124 4.81571786
91B:B:E130 2.7425403
92B:B:V133 3.8825484
93B:B:E138 4.865486
94B:B:L139 8.1375409
95B:B:H142 6.73429719
96B:B:Y145 4.25333918
97B:B:F151 4.285619
98B:B:L152 3.396553
99B:B:V158 3.2175455
100B:B:T159 5.4175419
101B:B:S160 4.42456
102B:B:G162 3.8419
103B:B:D163 9.165419
104B:B:T165 4.7525417
105B:B:W169 8.39714718
106B:B:F180 8.132557
107B:B:H183 7.85833659
108B:B:D186 3.982519
109B:B:V187 4.3375459
110B:B:L190 4.065455
111B:B:F199 7.825459
112B:B:V200 6.2125466
113B:B:S201 4.915459
114B:B:C204 5.9125417
115B:B:D205 7.385459
116B:B:K209 9.404556
117B:B:L210 4.536565
118B:B:W211 8.915658
119B:B:D212 8.1625469
120B:B:C218 4.8825455
121B:B:R219 6.5925465
122B:B:Q220 6.546567
123B:B:F222 6.444568
124B:B:H225 7.4075869
125B:B:D228 7.5675419
126B:B:I232 4.71468
127B:B:F234 5.85465
128B:B:F235 5.03857716
129B:B:P236 6.39417
130B:B:F241 5.205866
131B:B:T243 4.932568
132B:B:D246 6.135419
133B:B:D247 6.436569
134B:B:T249 4.326566
135B:B:R251 10.042568
136B:B:F253 6.01667666
137B:B:D254 3.885409
138B:B:L255 2.5775466
139B:B:R256 7.28409
140B:B:D258 7.135467
141B:B:Y264 4.60667615
142B:B:I269 3.414514
143B:B:C271 4.22415
144B:B:F278 5.692517
145B:B:R283 6.95519
146B:B:L285 4.296516
147B:B:Y289 6.55714717
148B:B:N295 5.95833616
149B:B:W297 4.498518
150B:B:R304 5.876515
151B:B:H311 8.3385119
152B:B:R314 11.505418
153B:B:M325 4.46475
154B:B:W332 9.52143719
155B:B:D333 7.11754119
156B:B:L336 4.15597
157B:B:K337 7.35254116
158B:B:W339 9.94754119
159B:B:N340 5.4975479
160G:G:L19 3.52754139
161G:G:R27 3.994508
162G:G:Y40 11.03416
163G:G:D48 6.71833609
164G:G:N59 4.21333679
165G:G:P60 6.8375479
166G:G:F61 4.62222978
167R:R:F10 7.1675427
168R:R:C19 3.9475424
169R:R:F21 5.998522
170R:R:L30 5.522525
171R:R:L34 2.3125428
172R:R:E37 3.978507
173R:R:F38 3.3625407
174R:R:F52 4.47333627
175R:R:F67 4.93606
176R:R:N68 7.505429
177R:R:L69 3.34429729
178R:R:D73 7.258529
179R:R:F74 3.292507
180R:R:L83 3.24426
181R:R:Y87 5.67333626
182R:R:R89 3.9875404
183R:R:W91 5.62667624
184R:R:W93 6.43333629
185R:R:F95 8.418527
186R:R:C100 5.3529
187R:R:L104 3.74667625
188R:R:F105 5.015406
189R:R:L107 4.77426
190R:R:M109 5.9275425
191R:R:R111 6.12833628
192R:R:Q112 6.82407
193R:R:Y126 6.306676107
194R:R:F127 4.46254105
195R:R:R128 6.686676108
196R:R:V130 6.0985108
197R:R:H131 4.2054107
198R:R:H133 8.4625436
199R:R:H134 2.735104
200R:R:W152 4.17429729
201R:R:T155 3.192527
202R:R:M167 5.385423
203R:R:P168 5.748524
204R:R:N175 3.81404
205R:R:C177 4.066529
206R:R:F180 9.756523
207R:R:I182 6.7275423
208R:R:F193 5.12667626
209R:R:F197 5.46333628
210R:R:L201 4.165427
211R:R:R210 5.2085104
212R:R:I212 3.0325405
213R:R:R218 5.678535
214R:R:M220 4.77533
215R:R:I226 5.324536
216R:R:I233 2.59407
217R:R:F240 3.474529
218R:R:F244 6.16667628
219R:R:L245 2.92406
220R:R:R251 8.124525
221R:R:I254 5.9675424
222R:R:L258 4.4775423
223R:R:Y269 5.71714722
224R:R:V272 4.214524
225R:R:L274 5.785421
226R:R:F276 5.32833624
227R:R:F277 6.5175425
228R:R:Y284 4.456527
229R:R:N286 6.015409
230R:R:D290 5.5529
231R:R:Y294 4.48875829
232R:R:Y295 4.51444927
233R:R:F296 4.03833628
234R:R:F301 5.29429
235L:L:?1 6.027331520
   

Color ConSurf Grade
      No Conservation data available
      1
      2
      3
      4
      5
      6
      7
      8
      9

Index: link id, click on each number to highlight the corresponding link in the 3D visualization.

Node1 Node2: the two nodes of the corresponding link.

Recurrence: the relative Recurrence in the pool of shortest paths.

Int. Strength: the interaction strength between the two nodes.

Hub1?, Hub2?: "Yes" if the corresponding node has more than 3 links, otherwise "No".

Community: the id of the community the link belong to, otherwise 0.

ConSurf1, ConSurf2: these columns report the ConSurf conservation grades of the two nodes involved in a link.

Index Node1 Node2 Recurrence Int. Strength Hub1? Hub2? Community ConSurf1 ConSurf2
1B:B:C317 B:B:S316 14.63023.44NoNo079
2B:B:S316 B:B:W332 14.72513.71NoYes099
3A:A:W258 B:B:W332 14.61023.75YesYes159
4A:A:I212 A:A:W258 28.42652.35YesYes185
5A:A:I212 A:A:R208 25.62792.51YesYes189
6A:A:L249 A:A:R208 55.2944.86YesYes199
7A:A:G40 A:A:L249 71.38671.71NoYes099
8A:A:G40 A:A:S44 99.77971.86NoNo099
9A:A:K46 A:A:S44 99.86323.06YesNo099
10A:A:K46 A:A:L38 99.82582.82YesNo398
11A:A:I222 A:A:L38 1002.85YesNo378
12A:A:F223 A:A:L249 29.73136.09YesYes099
13A:A:F223 A:A:V225 22.38292.62YesYes097
14A:A:K277 A:A:Y230 12.44623.58YesYes498
15A:A:C286 A:A:Y230 18.1332.69YesYes468
16A:A:C286 A:A:M243 20.70063.24YesNo068
17A:A:F307 A:A:M243 21.21572.49YesNo088
18A:A:F307 A:A:V225 13.09257.87YesYes087
19A:A:F250 A:A:F307 13.16266.43YesYes098
20A:A:F223 A:A:F250 17.047512.86YesYes099
21A:A:F307 A:A:L266 13.09212.44YesNo089
22A:A:F223 A:A:L266 13.77333.65YesNo099
23A:A:F267 A:A:I222 34.48672.51YesYes397
24A:A:W211 B:B:Y145 28.73031.93YesYes198
25A:A:K210 B:B:Y145 20.33813.58YesYes198
26A:A:K210 B:B:D246 19.86824.15YesYes199
27A:A:I222 A:A:I265 64.64452.94YesYes378
28A:A:F334 A:A:I265 32.32332.51YesYes338
29A:A:F334 A:A:Y320 65.37172.06YesYes337
30A:A:F267 A:A:F334 33.02462.14YesYes393
31A:A:A338 A:A:I265 32.32493.25NoYes068
32A:A:A338 A:A:Y320 32.30095.34NoYes067
33A:A:E318 A:A:Y320 91.207920.2NoYes047
34A:A:E318 A:A:K345 91.08922.7NoNo045
35A:A:F354 A:A:K345 90.97254.96YesNo055
36A:A:F354 A:A:L348 91.79934.87YesNo059
37A:A:L348 A:A:L353 91.67972.77NoYes097
38A:A:C351 A:A:L353 91.62983.17NoYes047
39A:A:C351 A:A:G352 90.46611.96NoNo048
40B:B:D246 B:B:S227 19.81192.94YesNo096
41B:B:D247 B:B:S227 19.71515.89YesNo096
42B:B:D247 B:B:H225 18.79846.3YesYes699
43B:B:F253 B:B:H225 15.9413.39YesYes669
44B:B:F222 B:B:F253 14.12398.57YesYes686
45B:B:D290 B:B:R314 10.955421.44NoYes168
46B:B:C271 B:B:D290 10.98756.22YesNo156
47B:B:C271 B:B:Y289 10.58374.03YesYes157
48A:A:G352 R:R:S300 90.34381.86NoNo085
49R:R:R63 R:R:S300 89.48513.95NoNo075
50R:R:L66 R:R:R63 75.14982.43NoNo087
51R:R:L66 R:R:Y294 65.09113.52NoYes289
52R:R:L118 R:R:Y294 28.37255.86NoYes299
53R:R:F240 R:R:L118 28.42762.44YesNo299
54R:R:F240 R:R:F244 25.80323.22YesYes298
55R:R:F244 R:R:R111 49.24074.28YesYes288
56L:L:?1 R:R:R111 38.46648.52YesYes208
57R:R:D290 R:R:Y294 28.78892.3YesYes299
58R:R:D290 R:R:N286 26.69554.04YesYes099
59R:R:F244 R:R:N286 26.00016.04YesYes089
60R:R:F95 R:R:W93 10.918915.03YesYes279
61L:L:?1 R:R:C177 12.06792.78YesYes209
62R:R:L56 R:R:R63 14.28193.64NoNo057
63R:R:T155 R:R:W152 11.00132.43YesYes279
64A:A:G40 A:A:L39 28.36541.71NoYes099
65A:A:R208 A:A:W211 29.6744YesYes199
66A:A:F223 A:A:L39 23.6242.44YesYes099
67A:A:W258 B:B:R314 13.14993YesYes158
Download PSN data

2D representation of the global metapath, ligand(s) interactions and
histograms of path distribution according to several parameters
(click on the image to enlarge it 🔍):

A 2D representation of the global communication in the network.

ConSurf Conservation Grade (See documentation): 

 n/a   1    2    3    4    5    6    7    8    9  

Number of shortest communication paths as a function of the average residue correlation.

Number of shortest communication paths as a function of the average interaction strength of their links.

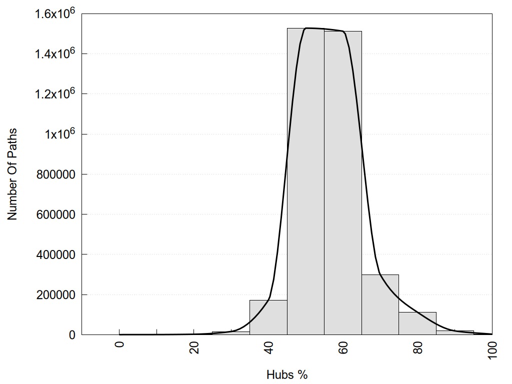
Number of shortest communication paths as a function of the % of hub nodes in each path.

Number of shortest communication paths as a function of the number of nodes in each path.

Number of shortest communication paths as a function of the % of correlated nodes in each path.


2D representation of the interactions of this orthosteric/allosteric ligand.


Links and nodes colored according to ConSurf Conservation Grade (See documentation): 

 n/a   1    2    3    4    5    6    7    8    9  

Node1 Node2 LinkStrength Comm IsNode1Hub? IsNode2Hub? Node1Cons Node2Cons Node1Shell Node2Shell
R:R:R22 R:R:W91 2 0 No Yes 3 4 2 1
R:R:I26 R:R:L30 7.14 2 No Yes 5 5 2 2
R:R:I26 R:R:Y87 3.63 2 No Yes 5 6 2 1
R:R:L30 R:R:L34 2.77 2 Yes Yes 5 8 2 2
R:R:L30 R:R:Y87 11.72 2 Yes Yes 5 6 2 1
R:R:E37 R:R:L34 2.65 0 Yes Yes 7 8 2 2
R:R:L34 R:R:Y87 2.34 2 Yes Yes 8 6 2 1
R:R:E37 R:R:Y284 3.37 0 Yes Yes 7 7 2 1
R:R:L107 R:R:L76 2.77 2 Yes No 6 7 1 2
R:R:L76 R:R:Y284 2.34 2 No Yes 7 7 2 1
R:R:C79 R:R:L107 3.17 0 No Yes 6 6 2 1
R:R:L80 R:R:L83 4.15 0 No Yes 8 6 2 1
R:R:L80 R:R:Y284 3.52 0 No Yes 8 7 2 1
R:R:L83 R:R:Y87 2.34 2 Yes Yes 6 6 1 1
R:R:L83 R:R:M103 2.83 2 Yes No 6 5 1 1
L:L:?1 R:R:L83 3.64 2 Yes Yes 0 6 0 1
R:R:N86 R:R:W91 6.78 2 No Yes 5 4 1 1
R:R:N86 R:R:W93 9.04 2 No Yes 5 9 1 2
L:L:?1 R:R:N86 7.22 2 Yes No 0 5 0 1
R:R:W91 R:R:Y87 5.79 2 Yes Yes 4 6 1 1
L:L:?1 R:R:Y87 8.22 2 Yes Yes 0 6 0 1
R:R:S178 R:R:W91 6.18 2 No Yes 4 4 1 1
R:R:F277 R:R:W91 9.02 2 Yes Yes 5 4 1 1
L:L:?1 R:R:W91 3.99 2 Yes Yes 0 4 0 1
R:R:C100 R:R:W93 3.92 2 Yes Yes 9 9 2 2
R:R:C177 R:R:W93 5.22 2 Yes Yes 9 9 1 2
R:R:C100 R:R:L104 3.17 2 Yes Yes 9 5 2 1
R:R:C100 R:R:M167 6.48 2 Yes Yes 9 3 2 2
R:R:C100 R:R:P168 5.65 2 Yes Yes 9 4 2 2
R:R:C100 R:R:C177 7.28 2 Yes Yes 9 9 2 1
R:R:L104 R:R:M103 4.24 2 Yes No 5 5 1 1
L:L:?1 R:R:M103 7.44 2 Yes No 0 5 0 1
R:R:L104 R:R:M167 2.83 2 Yes Yes 5 3 1 2
R:R:C177 R:R:L104 3.17 2 Yes Yes 9 5 1 1
R:R:L104 R:R:S179 3 2 Yes No 5 4 1 1
L:L:?1 R:R:L104 6.07 2 Yes Yes 0 5 0 1
R:R:L107 R:R:Y284 5.86 2 Yes Yes 6 7 1 1
L:L:?1 R:R:L107 7.28 2 Yes Yes 0 6 0 1
R:R:F180 R:R:R111 2.14 2 Yes Yes 3 8 1 1
R:R:F193 R:R:R111 7.48 2 Yes Yes 6 8 2 1
R:R:E196 R:R:R111 10.47 2 No Yes 5 8 2 1
R:R:F244 R:R:R111 4.28 2 Yes Yes 8 8 2 1
R:R:R111 R:R:T283 3.88 2 Yes No 8 8 1 2
L:L:?1 R:R:R111 8.52 2 Yes Yes 0 8 0 1
R:R:M167 R:R:P168 5.03 2 Yes Yes 3 4 2 2
R:R:C177 R:R:P168 1.88 2 Yes Yes 9 4 1 2
R:R:L176 R:R:S178 3 0 No No 4 4 2 1
L:L:?1 R:R:C177 2.78 2 Yes Yes 0 9 0 1
L:L:?1 R:R:S178 6.58 2 Yes No 0 4 0 1
R:R:H189 R:R:S179 6.97 0 No No 5 4 2 1
L:L:?1 R:R:S179 3.95 2 Yes No 0 4 0 1
R:R:F180 R:R:H189 11.31 2 Yes No 3 5 1 2
R:R:F180 R:R:F193 12.86 2 Yes Yes 3 6 1 2
R:R:F180 R:R:F276 10.72 2 Yes Yes 3 4 1 2
L:L:?1 R:R:F180 11.75 2 Yes Yes 0 3 0 1
R:R:E196 R:R:F193 3.5 2 No Yes 5 6 2 2
R:R:F193 R:R:F276 2.14 2 Yes Yes 6 4 2 2
R:R:F244 R:R:T283 10.38 2 Yes No 8 8 2 2
R:R:D273 R:R:F277 9.55 0 No Yes 4 5 2 1
R:R:F276 R:R:F277 5.36 2 Yes Yes 4 5 2 1
R:R:F276 R:R:L280 3.65 2 Yes No 4 5 2 1
L:L:?1 R:R:F277 2.14 2 Yes Yes 0 5 0 1
L:L:?1 R:R:L280 3.64 2 Yes No 0 5 0 1
L:L:?1 R:R:Y284 7.19 2 Yes Yes 0 7 0 1

Location and physicochemical properties of the interaction partners of this ligand

Interactions of this ligand

Similarities between the interactions of this ligand and those of other networks

ShowSimilarityNetwork TypeNameLigandDescription
93.33Single8IYWGSK2560738IYW-HCA2-GSK256073-Go/β1/γ2
86.67Single8IHBGSK2560738IHB-HCA2-GSK256073-Gi1/β1/γ2
86.67Single8IHHLUF62838IHH-HCA2-LUF6283-Gi1/β1/γ2
82.35Single9IZASCH9002719IZA-HCA2-SCH900271-Gi1/β1/γ2
80.00Single8UUJFCH-22964138UUJ-HCA2-FCH-2296413-Gi1/β1/γ2
80.00Single9CIBFCH-22964139CIB-HCA2-FCH-2296413
73.33Single8I7VAcipimox8I7V-HCA2-Acipimox-Gi1/β1/γ2
73.33Single8IHJAcifran8IHJ-HCA3-Acifran-Gi1/β1/γ2
73.33Single8J6PNiacin8J6P-HCA2-Niacin-PubChem 25101223-Gi1/β1/γ2
73.33Single8JHNMonomethyl fumarate8JHN-HCA2-Monomethyl fumarate-Go/β1/γ2
73.33Single8JIINiacin8JII-HCA2-Niacin-PubChem 25101223-Gi1/β1/γ2
73.33Single8K5DGSK2560738K5D-HCA2-GSK256073
73.33Single9IZCMK19039IZC-HCA2-MK1903-Gi1/β1/γ2
73.33Consensusgi_hcaOrthosteric Ligand8J6R-HCA2-MK6892-Gi1/β1/γ2 8JIM-HCA2-Monomethyl fumarate-Gi1/β1/γ2 8IHI-HCA2-Acifran-Gi1/β1/γ2 8IHH-HCA2-LUF6283-Gi1/β1/γ2 8I7V-HCA2-Acipimox-Gi1/β1/γ2 8I7W-HCA2-GSK256073-Gi1/β1/γ2
73.33Consensushca2_onOrthosteric Ligand8J6R-HCA2-MK6892-Gi1/β1/γ2 8JIM-HCA2-Monomethyl fumarate-Gi1/β1/γ2 8I7V-HCA2-Acipimox-Gi1/β1/γ2 8I7W-HCA2-GSK256073-Gi1/β1/γ2 8IHH-HCA2-LUF6283-Gi1/β1/γ2 8IHI-HCA2-Acifran-Gi1/β1/γ2
73.33Consensushca2_on_gpOrthosteric Ligand8J6R-HCA2-MK6892-Gi1/β1/γ2 8IHI-HCA2-Acifran-Gi1/β1/γ2 8IHH-HCA2-LUF6283-Gi1/β1/γ2 8I7V-HCA2-Acipimox-Gi1/β1/γ2 8JIM-HCA2-Monomethyl fumarate-Gi1/β1/γ2 8I7W-HCA2-GSK256073-Gi1/β1/γ2
73.33Consensushca_on_gpOrthosteric Ligandhca2_on_gp
68.75Single8I7WGSK2560738I7W-HCA2-GSK256073-Gi1/β1/γ2
68.75Single9KT6Acifran9KT6-HCA3-Acifran-Gi1/β1/γ2
66.67Single8IHKAcifran8IHK-HCA3-Acifran
66.67Single8IY9Niacin8IY9-HCA2-Niacin-Go/β1/γ2
66.67Single8JEIPubChem 117155568JEI-HCAR3-PubChem 11715556-Gi1/β1/γ2
66.67Single8JERAcipimox8JER-HCA2-Acipimox-Go/β1/γ2
66.67Single8JIMMonomethyl fumarate8JIM-HCA2-Monomethyl fumarate-Gi1/β1/γ2
66.67Single8K5CAcipimox8K5C-HCA2-Acipimox
66.67Single9JKYAcifran9JKY-HCA2-Acifran-Gi1/β1/γ2
66.67Consensushca_onOrthosteric Ligandhca2_on
62.50Single5NDDAZ8838; Na5NDD-PAR2-AZ8838; Na
60.00Single8IJANiacin8IJA-HCA2-Niacin-Gi1/β1/γ2
60.00Single8IJBAcipimox8IJB-HCA2-Acipimox-Gi1/β1/γ2
60.00Single8J6LNiacin8J6L-HCA2-Niacin-Gi1/β1/γ2
60.00Single8UTDMK19038UTD-HCA2-MK1903-Gi1/β1/γ2
60.00Single8Z87CHBA8Z87-HCA1-CHBA-Gi1/β1/γ2
58.82Single8J6JGSK2560738J6J-HCA2-GSK256073-Gi1/β1/γ2
58.82Single9JKSPubChem 442501769JKS-HCA3-PubChem 44250176-Gi1/β1/γ2
53.33Single3OE9IT1t3OE9-CXCR4-IT1t
53.33Single8H2GNiacin8H2G-HCA2-Niacin-Gi1/β1/γ2
53.33Single8IHIAcifran8IHI-HCA2-Acifran-Gi1/β1/γ2
53.33Single8JILNiacin8JIL-HCA2-Niacin-Gi1/β1/γ2
53.33Single8K5BNiacin8K5B-HCA2-Niacin
53.33Single9IQTNiacin9IQT-HCA2-Niacin-Gi1/β1/γ2
53.33Single9IZDCHBA9IZD-HCA1-CHBA-Gi1/β1/γ2
52.94Consensusalicarboxylic_on_gpOrthosteric Ligandsuccinate_on_gp hca_on_gp
52.94Consensusgi_alicarboxylicOrthosteric Ligandgi_hca gi_succinate
52.63Single8IA8E7 peptide8IA8-C3aB-E7 peptide-Gi1/β1/γ2
52.63Single9GL2Befiradol9GL2-5-HT1A-Befiradol-Gs/β1/γ2
50.00Single3ODUIT1t3ODU-CXCR4-IT1t
50.00Single6DO1(Sar1,Ile8)-Angiotensin II6DO1-AT1-(Sar1,Ile8)-Angiotensin II
50.00Single7RKMCX3CL17RKM-US28-CX3CL1-Gi1/β1/γ2
50.00Single8WGBVU01550418WGB-mGlu4; mGlu2-Glutamate-VU0155041-Gi3/β1/γ2
50.00Single9JKXAcifran9JKX-HCA3-Acifran-Gi1/β1/γ2
50.00Single9KWXC5a-des-Arg9KWX-C5a1-C5a-des-Arg-Go/β1/γ2
50.00Consensusclass-a_onOrthosteric Ligandsensory_on alicarboxylic_on amine_on lipid_on nucleotide_on peptide_on protein_on
50.00Consensusgq_class-aOrthosteric Ligandgq_peptide gq_amine gq_nucleotide
50.00Consensusprostanoid_offOrthosteric Ligandep_off dp_off
50.00Consensusrxfp4_onOrthosteric Ligand7YK7-RXFP4-DC591053-Gi2/β1/γ2 7YJ4-RXFP4-INSL5-Gi2/β1/γ2 7YK6-RXFP4-PubChem 138319674-Gi2/β1/γ2
50.00Consensusrxfp4_on_gpOrthosteric Ligand7YK7-RXFP4-DC591053-Gi2/β1/γ2 7YJ4-RXFP4-INSL5-Gi2/β1/γ2 7YK6-RXFP4-PubChem 138319674-Gi2/β1/γ2
48.00Single4XT3CX3CL14XT3-US28-CX3CL1
47.83Single8XIRPasireotide8XIR-SST3-Pasireotide-chim(NtGi1-Gs-CtGi1)/β1/γ2
47.62Single9M0RNeuropeptide-VF9M0R-NPFF1-Neuropeptide-VF-Gi1/β1/γ2
47.37Single7M8W15r-Methyl-PGD27M8W-DP2-15r-Methyl-PGD2-Na
47.37Single8JT6(R)-IHCH-71798JT6-5-HT1A-(R)-IHCH-7179-PtdIns4P-Gi1/β1/γ2
47.37Single8XIPPasireotide8XIP-SST1-Pasireotide-chim(NtGi1-Gs-CtGi1)/β1/γ2
47.37Consensusgi_relaxinOrthosteric Ligand7YK7-RXFP4-DC591053-Gi2/β1/γ2 7YJ4-RXFP4-INSL5-Gi2/β1/γ2 7YK6-RXFP4-PubChem 138319674-Gi2/β1/γ2
47.37Consensusrelaxin_onOrthosteric Ligandrxfp4_on
47.37Consensusrelaxin_on_gpOrthosteric Ligandrxfp4_on_gp
47.06Single3V2YPubChem 518926453V2Y-S1P1-PubChem 51892645
47.06Single6ZG9GSK10347026ZG9-M1-GSK1034702
47.06Single7F61PF-036547467F61-H3-PF-03654746
47.06Single7YK6PubChem 1383196747YK6-RXFP4-PubChem 138319674-Gi2/β1/γ2
47.06Single9JFUNE52-QQ579JFU-GPR4-NE52-QQ57
46.67Single3OE6IT1t3OE6-CXCR4-IT1t
46.67Single8J6QBeta-Hydroxybutyrate8J6Q-HCA2-β-Hydroxybutyrate-PubChem 25101223-Gi1/β1/γ2
46.67Single9JKT(2R)-2-hydroxy-3-phenylpropanoic acid9JKT-HCA3-(2R)-2-hydroxy-3-phenylpropanoic acid-Gi1/β1/γ2
46.67Single9KT93,5-DHBA9KT9-HCA1-3,5-DHBA-Gi1/β1/γ2
46.15Consensusgq_peptideOrthosteric Ligandgq_cck gq_kisspeptin gq_bradykinin gq_bombesin gq_angiotensin
45.83Single8IHFMK68928IHF-HCA2-MK6892-Gi1/β1/γ2
45.83Single8J6IMK68928J6I-HCA2-MK6892-Gi1/β1/γ2
45.83Single8X8LCortistatin-148X8L-SST5-Cortistatin-14-chim(NtGi1-Gs-CtGi1)/β1/γ2
45.83Consensusgi_class-aOrthosteric Ligandgi_peptide gi_sensory gi_alicarboxylic gi_amine gi_lipid gi_nucleotide gi_protein
45.45Single4XT1CX3CL14XT1-US28-CX3CL1
45.45Single7W0PElabela7W0P-Apelin-Elabela-Gi1/β1/γ2
45.45Single8DCRDobutamine8DCR-β1-Dobutamine-Gs/β1/γ2
45.45Single8J6RMK68928J6R-HCA2-MK6892-Gi1/β1/γ2
45.45Single8PKMBefiradol8PKM-5-HT1A-Befiradol-Gi1/β1/γ1
45.45Single9KWGC5a9KWG-C5a1-C5a-Go/β1/γ2
45.45Consensusclass-a_on_gpOrthosteric Ligandsensory_on_gp alicarboxylic_on_gp amine_on_gp lipid_on_gp nucleotide_on_gp peptide_on_gp protein_on_gp
45.45Consensussst5_onOrthosteric Ligand8X8L-SST5-Cortistatin-14-chim(NtGi1-Gs-CtGi1)/β1/γ2 8X8N-SST5-Octreotide-chim(NtGi1-Gs-CtGi1)/β1/γ2
45.00Single6C1RPMX536C1R-C5a1-PMX53-Avacopan; Na
45.00Single7BZ2Arformoterol7BZ2-β2-Arformoterol-Gs/β1/γ2
45.00Single7K15MKD0467K15-BLT1-MKD046-Na
45.00Single9BJKPubChem 1716420669BJK-μ-Naloxone-PubChem 171642066
45.00Single9VJ6F-155999VJ6-5-HT1A-F-15599-Gi3/β1/γ2
44.44Single6Z10PubChem 1545855546Z10-Succinate-PubChem 154585554
44.44Single7YACPaltusotine7YAC-SST2-Paltusotine-Gi1/β1/γ2
44.44Single8WWNMCH8WWN-MCH1-MCH-Gi1/β1/γ2
44.44Single9BQJRO769BQJ-μ-RO76-Gi1/β1/γ2
44.00Single8WWKMCH8WWK-MCH1-MCH-Gi1/β1/γ2
44.00Consensussst5_on_gpOrthosteric Ligand8X8L-SST5-Cortistatin-14-chim(NtGi1-Gs-CtGi1)/β1/γ2 8X8N-SST5-Octreotide-chim(NtGi1-Gs-CtGi1)/β1/γ2
43.75Single9LMPNE52-QQ579LMP-GPR4-NE52-QQ57
43.48Single5XJM(Sar1,Ile8)-Angiotensin II5XJM-AT2-(Sar1,Ile8)-Angiotensin II
43.48Single7W0NElabela7W0N-Apelin; Apelin-Elabela-Gi1/β1/γ2
43.48Single7XMSSomatostatin-147XMS-SST4-Somatostatin-14-Gi1/β1/γ2
43.48Single8F7SDeltorphin8F7S-δ-Deltorphin-Gi1/β1/γ2
43.48Single9E82CXCL12 (fragment)9E82-ACKR3-CXCL12 (fragment)-Arrestin2
43.48Single9KT7MK68929KT7-HCA2-MK6892-Gi1/β1/γ2
43.48Consensuscompl-peptide_onOrthosteric Ligandc5a1_on c3a_on
43.48Consensusdop_on_gpOrthosteric Ligand8F7S-δ-Deltorphin-Gi1/β1/γ2
43.48Consensusgi_cckOrthosteric Ligand7EZH-CCKA-Cholecystokinin-8-Gi1/β1/γ2 7F8V-CCKB-Gastrin-17-Gi2/β1/γ2
42.86Single5UNGPubChem 157800525UNG-AT2-PubChem 15780052
42.86Single7X8RBOC57X8R-GLP-1-BOC5-Gs/β1/γ2
42.86Single7XK2MK68927XK2-HCA2-MK6892-Gi1/β1/γ2
42.86Single8I95EP548I95-C3aB-EP54-Go/β1/γ2
42.86Single8IJDMK68928IJD-HCA2-MK6892-Gi1/β1/γ2
42.86Single9M54Neuropeptide-VF9M54-NPFF2-Neuropeptide-VF-Gi1/β1/γ2
42.86Consensusbb2_onOrthosteric Ligand7W40-BB2-Bombesin-chim(NtGi1L-Gq)/β1/γ2 7W3Z-BB2-Gastrin Releasing Peptide-chim(NtGi1L-Gq)/β1/γ2
42.86Consensusbb2_on_gpOrthosteric Ligand7W40-BB2-Bombesin-chim(NtGi1L-Gq)/β1/γ2 7W3Z-BB2-Gastrin Releasing Peptide-chim(NtGi1L-Gq)/β1/γ2
42.86Consensusbombesin_onOrthosteric Ligandbb2_on
42.86Consensusbombesin_on_gpOrthosteric Ligandbb2_on_gp
42.86Consensusc3a_on_gpOrthosteric Ligand8HK2-C3aB-C3a-Gi1/β1/γ2 8IA8-C3aB-E7 peptide-Gi1/β1/γ2
42.86Consensuscck_onOrthosteric Ligandccka_on cckb_on
42.86Consensuscck_on_gpOrthosteric Ligandccka_on_gp cckb_on_gp
42.86Consensusgq_bombesinOrthosteric Ligand7W40-BB2-Bombesin-chim(NtGi1L-Gq)/β1/γ2 7W3Z-BB2-Gastrin Releasing Peptide-chim(NtGi1L-Gq)/β1/γ2
42.31Single7F8VGastrin-177F8V-CCKB-Gastrin-17-Gi2/β1/γ2
42.31Single8H0PNMB308H0P-BB1-NMB30-chim(NtGi1-Gs-CtGq)/β1/γ2
42.31Consensusgi_peptideOrthosteric Ligandgi_cck gi_apelin gi_compl-pept gi_endothelin gi_formylpeptide gi_galanin gi_ghrelin gi_npy gi_neurotensin gi_opioid gi_orexin gi_relaxin gi_somatostatin
42.11Single6D26Fevipiprant6D26-DP2-Fevipiprant
42.11Single7TD3S1P7TD3-S1P1-S1P-Gi1/β1/γ2
42.11Single8HNLPS3724248HNL-CXCR3-PS372424-Gi1/β1/γ2
42.11Single9IYBPGD29IYB-DP2-PGD2-A1D5Q-Gi1/β1/γ2
42.11Single9L74S1P d16:19L74-S1P3-S1P d16:1-chim(NtGi2L-Gs-CtGq)/β1/γ2
42.11Consensusblt1_offOrthosteric Ligand5X33-BLT1-BIIL260 7K15-BLT1-MKD046-Na
42.11Consensusblt_offOrthosteric Ligandblt1_off
42.11Consensusdp2_offOrthosteric Ligand6D26-DP2-Fevipiprant
42.11Consensusdp_offOrthosteric Liganddp2_off
42.11Consensuss1p5_offOrthosteric Ligand7YXA-S1P5-ONO-5430608
42.11Consensuss1p_offOrthosteric Ligands1p1_off s1p5_off
41.67Single8XIQL7967788XIQ-SST3-L796778-chim(NtGi1-Gs-CtGi1)/β1/γ2
41.67Consensusangiotensin_onOrthosteric Ligandat1_on
41.67Consensusat1_onOrthosteric Ligand7F6G-AT1-(Sar1)-Angiotensin II-Gq/β1/γ2
41.67Consensuscompl-peptide_on_gpOrthosteric Ligandc5a1_on_gp c3a_on_gp
41.18Single8JPPSuccinic acid8JPP-Succinate-Succinic acid-chim(Gs-CtGq)/β1/γ1
41.18Single8WOGSuccinic acid8WOG-Succinate-Succinic acid-Gi1/β1/γ2
41.18Single8YKXMaleic acid8YKX-Succinate-Maleic acid-Gi1/β1/γ1
41.18Consensusgi_succinateOrthosteric Ligand8YKW-Succinate-Succinic acid-Gi1/β1/γ1 8YKX-Succinate-Maleic acid-Gi1/β1/γ1
41.18Consensussuccinate_onOrthosteric Ligand8YKW-Succinate-Succinic acid-Gi1/β1/γ1 8YKX-Succinate-Maleic acid-Gi1/β1/γ1
41.18Consensussuccinate_on_gpOrthosteric Ligand8YKW-Succinate-Succinic acid-Gi1/β1/γ1 8YKX-Succinate-Maleic acid-Gi1/β1/γ1
40.91Single6C1QPMX536C1Q-C5a1-PMX53-NDT9513727
40.91Single7F8WGastrin-177F8W-CCKB-Gastrin-17-chim(NtGsL-Gq)/β1/γ2
40.91Single7RKFCX3CL17RKF-US28-CX3CL1-GDP-chim(NtGi1-G11)/β1/γ2
40.91Single8F7REndomorphin8F7R-μ-Endomorphin-Gi1/β1/γ2
40.91Single8JLRA776368JLR-TA1-A77636-chim(NtGi1-Gs)/β1/γ2
40.91Single8XZFWN5618XZF-Apelin; Apelin-WN561-Gi1/β1/γ2
40.91Single9EAJNanobody AT2099EAJ-AT1-Nanobody AT209
40.91Single9KZ2EP679KZ2-C3aB-EP67-Go/β1/γ2
40.91Single9MD1Buspirone9MD1-5-HT1A-Buspirone-PtdIns4P-Gz/β1/γ2
40.91Single9WSXEndomorphin9WSX-μ-Endomorphin-Arrestin2
40.74Single8WWLMCH8WWL-MCH1-MCH-Gi1/β1/γ2
40.74Single8XWPEndothelin-18XWP-ETB-Endothelin-1-Gi1/β1/γ2
40.74Single8ZH8QRFP268ZH8-QRFP-QRFP26-Gq/β1/γ1
40.74Consensuspeptide_onOrthosteric Ligandcck_on angiotensin_on apelin_on bombesin_on bradykinin_on compl-peptide_on endothelin_on formylpeptide_on galanin_on ghrelin_on kisspeptin_on melanocortin_on motilin_on neuromedin-u_on npy_on neurotensin_on opioid_on orexin_on relaxin_on somatostatin_on tachykinin_on trh_on vasop-oxy_on
40.74Consensuspeptide_on_gpOrthosteric Ligandcck_on_gp angiotensin_on_gp apelin_on_gp bombesin_on_gp bradykinin_on_gp compl-peptide_on_gp endothelin_on_gp formylpeptide_on_gp galanin_on_gp ghrelin_on_gp kisspeptin_on_gp melanocortin_on_gp motilin_on_gp neuromedin-u_on_gp npy_on_gp neurotensin_on_gp opioid_on_gp orexin_on_gp relaxin_on_gp somatostatin_on_gp tachykinin_on_gp trh_on_gp vasop-oxy_on_gp
40.00Single4DJHJDTic4DJH-κ-JDTic
40.00Single6JODAngiotensin II6JOD-AT2-Angiotensin II
40.00Single7F6G(Sar1)-Angiotensin II7F6G-AT1-(Sar1)-Angiotensin II-Gq/β1/γ2
40.00Single7W40Bombesin7W40-BB2-Bombesin-chim(NtGi1L-Gq)/β1/γ2
40.00Single8EFLSR170188EFL-μ-SR17018-Gi1/β1/γ2
40.00Single8XWQEndothelin-18XWQ-ETB-Endothelin-1-Gi1/β1/γ2
40.00Single8XZJWN3538XZJ-Apelin; Apelin-WN353-Gi1/β1/γ2
40.00Single8Z8ALactate8Z8A-HCA1-Lactate-Gi1/β1/γ2
40.00Single8ZBISomatostatin-148ZBI-SST3-Somatostatin-14-Gi1/β1/γ2
40.00Single8ZWFJR14a8ZWF-C3aB-JR14a
40.00Single9ASTLymphotactin9AST-XCR1-Lymphotactin-Gi1/β1/γ2
40.00Single9BKKCholecystokinin-89BKK-CCKA-Cholecystokinin-8-chim(NtGi1-Gs-CtGq)/β1/γ2
40.00Single9KVPSB2901579KVP-C3aB-SB290157-Go/β1/γ2
40.00Single9WSTDAMGO9WST-μ-DAMGO-chim(NtGi1-Gz)/β1/γ2
40.00Consensusangiotensin_on_gpOrthosteric Ligandat1_on_gp
40.00Consensusat1_on_gpOrthosteric Ligand7F6G-AT1-(Sar1)-Angiotensin II-Gq/β1/γ2
40.00Consensusgq_angiotensinOrthosteric Ligand7F6G-AT1-(Sar1)-Angiotensin II-Gq/β1/γ2
40.00Consensuskop_offOrthosteric Ligand4DJH-κ-JDTic
40.00Consensuspeptide_offon_gpOrthosteric Ligandpeptide_on_gp peptide_off
39.13Single5UNFPubChem 157800525UNF-AT2-PubChem 15780052
39.13Single8K3ZCXCL128K3Z-CXCR4-CXCL12-Gi1/β1/γ1
39.13Single8U4OCXCL128U4O-CXCR4-CXCL12-Gi1/β1/γ2
39.13Single8ZBJSomatostatin-148ZBJ-SST5-Somatostatin-14-Gi1/β1/γ2
39.13Single8ZSPLSD8ZSP-TA1-LSD-chim(NtGi1L-Gs)/β1/γ2
39.13Single9BUYLM1899BUY-β2-LM189-Gi1/β1/γ2
39.13Single9UYJChemerin-99UYJ-CML2-Chemerin-9-Arrestin2
39.13Consensuscxcr4_onOrthosteric Ligand8K3Z-CXCR4-CXCL12-Gi1/β1/γ1
39.13Consensusgi_opioidOrthosteric Ligand8F7R-μ-Endomorphin-Gi1/β1/γ2 8EF5-μ-Fentanyl-Gi1/β1/γ2 7SCG-μ-FH210-Gi1/β1/γ2 7T2H-μ-Lofentanil-Gi1/β1/γ2 7T2G-μ-Mitragynine Pseudoindoxyl-Gi1/β1/γ2 8DZP-κ-momSalB-Gi1/β1/γ2 8EF6-μ-Morphine-Gi1/β1/γ2 8F7X-NOP-Nociceptin-Gi1/β1/γ2 8EFB-μ-Oliceridine-Gi1/β1/γ2 7U2L-μ-C5-guano-Gi1/β1/γ2 8EFO-μ-PZM21-Gi1/β1/γ2 8EFL-μ-SR17018-Gi1/β1/γ2 8F7Q-μ-β-Endorphin-Gi1/β1/γ2 7U2K-μ-C6-guano-Gi1/β1/γ2 8EFQ-μ-DAMGO-Gi1/β1/γ2 8F7S-δ-Deltorphin-Gi1/β1/γ2 8F7W-κ-Dynorphin-Gi1/β1/γ2
39.13Consensuslpl_onOrthosteric Ligands1p_on lpa_on
39.13Consensuslpl_on_gpOrthosteric Ligands1p_on_gp lpa_on_gp
38.89Single6ZFZ77-LH-28-16ZFZ-M1-77-LH-28-1
38.89Single7XXH2MeSADP7XXH-P2Y1-2MeSADP-chim(NtGi1-G11)/β1/γ2
38.89Single8JLQFenoldopam8JLQ-TA1-Fenoldopam-Gs/β1/γ2
38.89Single8Y6YGLPG09748Y6Y-FFA2-GLPG0974
38.89Single8YKVPubChem 1375531688YKV-Succinate-PubChem 137553168-Gi1/β1/γ2
38.89Single8ZPMAMD0708ZPM-CXCR4-AMD070
38.89Consensusp2y1_on_gpOrthosteric Ligand7XXH-P2Y1-2MeSADP-chim(NtGi1-G11)/β1/γ2
38.46Single7Y64C5a7Y64-C5a1-C5a-Gi1/β1/γ2
38.46Single8IA2C5a8IA2-C5a1-C5a-Go/β1/γ2
38.46Single8WWMMCH8WWM-MCH1-MCH-Gi1/β1/γ2
38.46Single8XGOTAK4488XGO-Kiss1-TAK448-chim(NtGi1-Gq)/β1/γ2
38.46Single8XQEApelin-138XQE-Apelin; Apelin-Apelin-13-Gi1/β1/γ2
38.46Consensuschemokine_offOrthosteric Ligandccr_off cxcr_off
38.46Consensuscxcr_offOrthosteric Ligandcxcr3_off cxcr4_off
38.46Consensusopioid_onOrthosteric Ligandmop_on nop_on dop_on kop_on
38.10Single4LDEBI1671074LDE-β2-BI167107
38.10Single5UNHPubChem 1264564065UNH-AT2-PubChem 126456406
38.10Single6OS2TRV0266OS2-AT1-TRV026
38.10Single7DFPSpiperone7DFP-D2-Spiperone
38.10Single7DH5Mirabegron7DH5-β3-Mirabegron-Gs/β1/γ2
38.10Single7EW2FTY720-P7EW2-S1P3-FTY720-P-Gi1/β1/γ2
38.10Single7YMJTamsulosin7YMJ-Alpha1A-Tamsulosin
38.10Single8J6DEP1418J6D-C3aB-EP141-Go/β1/γ2
38.10Single8JJLOlodaterol8JJL-β2-Olodaterol
38.10Single8JZ7MK68928JZ7-HCA2-MK6892-Gi1/β1/γ2
38.10Single8XYIVUF106618XYI-CXCR3-VUF10661
38.10Single9DGIZ85267113509DGI-CB1-Z8526711350
38.10Single9GYOP3959GYO-GPBA-P395-chim(NtGi1-Gs)/β1/γ2
38.10Single9M4QDoxazosin9M4Q-Alpha1A-Doxazosin
38.10Single9WSVDAMGO9WSV-μ-DAMGO-Arrestin2
38.10Consensusalpha1_offOrthosteric Ligandalpha1a_off
38.10Consensusalpha1a_offOrthosteric Ligand7YMJ-Alpha1A-Tamsulosin
38.10Consensusbeta3_onOrthosteric Ligand7DH5-β3-Mirabegron-Gs/β1/γ2 7XJH-β3-Isoprenaline-Gs/β1/γ2 7XJI-β3-Solabegron-Gs/β1/γ2
38.10Consensusbeta3_on_gpOrthosteric Ligand7DH5-β3-Mirabegron-Gs/β1/γ2 7XJH-β3-Isoprenaline-Gs/β1/γ2 7XJI-β3-Solabegron-Gs/β1/γ2
38.10Consensusc3a_onOrthosteric Ligand8HK2-C3aB-C3a-Gi1/β1/γ2 8IA8-C3aB-E7 peptide-Gi1/β1/γ2
37.50Single7EZKCholecystokinin-87EZK-CCKA-Cholecystokinin-8-chim(NtGi1-Gs)/β1/γ2
37.50Single7XNACYN1548067XNA-SST2-CYN154806
37.50Single8F7WDynorphin8F7W-κ-Dynorphin-Gi1/β1/γ2
37.50Single8JEFPubChem 113671668JEF-HCA3-PubChem 11367166-Gi1/β1/γ2
37.50Single8JZZC5a-des-Arg8JZZ-C5a1-C5a-des-Arg-Go/β1/γ2
37.50Single8WSSMCH8WSS-MCH1-MCH-Gi1/β1/γ1
37.50Single9IQVMuscarinic toxin 39IQV-Alpha1A-Muscarinic toxin 3
37.50Single9JFK(Pen5)-Urotensin II9JFK-UT-(Pen5)-Urotensin II-chim(NtGi2L-Gs-CtGq)/β1/γ2
37.50Single9KFIRelaxin-39KFI-RXFP3-Relaxin-3-Gi2/β1/γ2
37.50Consensussst2_offOrthosteric Ligand7XNA-SST2-CYN154806
37.50Consensussst4_onOrthosteric Ligand7XMS-SST4-Somatostatin-14-Gi1/β1/γ2 7XMT-SST4-J-2156-Gi1/β1/γ2
37.50Consensussst4_on_gpOrthosteric Ligand7XMS-SST4-Somatostatin-14-Gi1/β1/γ2 7XMT-SST4-J-2156-Gi1/β1/γ2
37.04Single7W3ZGastrin Releasing Peptide7W3Z-BB2-Gastrin Releasing Peptide-chim(NtGi1L-Gq)/β1/γ2
37.04Consensusgi_compl-peptOrthosteric Ligand8HK5-C5a1-C5a-Gi1/β1/γ2 8IA8-C3aB-E7 peptide-Gi1/β1/γ2 7Y66-C5a1-BM213-Gi1/β1/γ2 7Y67-C5a1-C089 peptide-Gi1/β1/γ2 8HK2-C3aB-C3a-Gi1/β1/γ2 7Y64-C5a1-C5a-Gi1/β1/γ2
37.04Consensusopioid_on_gpOrthosteric Ligandmop_on_gp nop_on_gp dop_on_gp kop_on_gp
36.84Single2Y04Salbutamol2Y04-β1-Salbutamol
36.84Single4EA3PubChem 102965614EA3-NOP-PubChem 10296561
36.84Single4QKXPubChem 762106284QKX-β2-PubChem 76210628
36.84Single4YAYZD-71554YAY-AT1-ZD-7155
36.84Single5DHHSB-6121115DHH-NOP-SB-612111
36.84Single6TOTLemborexant6TOT-OX1-Lemborexant
36.84Single6X1ADanuglipron6X1A-GLP-1-Danuglipron-Gs/β1/γ2
36.84Single7SCGFH2107SCG-μ-FH210-Gi1/β1/γ2
36.84Single7TRQVU04671547TRQ-M4-Iperoxo-VU0467154-Gi1/β1/γ2
36.84Single7UL4Alvimopan7UL4-μ-Alvimopan
36.84Single7YK7DC5910537YK7-RXFP4-DC591053-Gi2/β1/γ2
36.84Single7YXAONO-54306087YXA-S1P5-ONO-5430608
36.84Single8PJKST1718PJK-5-HT1A-ST171-Gi1/β1/γ1
36.84Single9D61JDTic9D61-κ-JDTic-Gi1/β1/γ2
36.84Single9JGKBalovaptan9JGK-5-HT2B-Balovaptan
36.84Consensusalicarboxylic_offOrthosteric Ligandsuccinate_off
36.84Consensuslipid_offOrthosteric Ligandcannabinoid_off paf_off lpl_off prostanoid_off leukotriene_off
36.84Consensussuccinate_offOrthosteric Ligand6RNK-Succinate-NF-56-EJ40 6Z10-Succinate-PubChem 154585554
36.36Single4RWSvMIP-II4RWS-CXCR4-vMIP-II
36.36Single6H7LDobutamine6H7L-β1-Dobutamine
36.36Single6IBLArformoterol6IBL-β1-Arformoterol
36.36Single6TKOArformoterol6TKO-β1-Arformoterol-Arrestin2
36.36Single7EZHCholecystokinin-87EZH-CCKA-Cholecystokinin-8-Gi1/β1/γ2
36.36Single7SK7CCX6627SK7-ACKR3-CXCL12-CCX662
36.36Single7X2DTavapadon7X2D-D1-Tavapadon-Gs/β1/γ2
36.36Single7XJISolabegron7XJI-β3-Solabegron-Gs/β1/γ2
36.36Single7Y65C5a (C-terminal peptide)7Y65-C5a1-C5a (C-terminal peptide)-Gi1/β1/γ2
36.36Single8E0GBU728E0G-μ-BU72
36.36Single8GAGZ85267113508GAG-CB1-Z8526711350-Gi1/β1/γ2
36.36Single8HN1Toxin AdTx18HN1-Alpha1A-Toxin AdTx1
36.36Single8XGSKisspeptin-18XGS-Kiss1-Kisspeptin-1-chim(NtGi1-Gq)/β1/γ2
36.36Single8XIOL7975918XIO-SST1-L797591-chim(NtGi1-Gs-CtGi1)/β1/γ2
36.36Single8ZPLHF511168ZPL-CXCR4-HF51116
36.36Single9AS02-bromo-LSD9AS0-5-HT2A-2-bromo-LSD-chim(NtGi1-Gs-CtGq)/β1/γ2
36.36Single9DYEBuspirone9DYE-5-HT1A-Buspirone-PtdIns4P-Go/β1/γ2
36.36Single9HYIDP819HYI-5-HT1A-DP81-Gi1/β1/γ2
36.36Single9UYHChemerin-99UYH-CML2-Chemerin-9-Arrestin2
36.36Consensusbeta1_onOrthosteric Ligand8DCR-β1-Dobutamine-Gs/β1/γ2 7S0F-β1-Isoprenaline-Gi1/β1/γ2
36.36Consensusbeta1_on_gpOrthosteric Ligand8DCR-β1-Dobutamine-Gs/β1/γ2 7S0F-β1-Isoprenaline-Gi1/β1/γ2
36.36Consensusccka_onOrthosteric Ligand7EZH-CCKA-Cholecystokinin-8-Gi1/β1/γ2
36.36Consensusccka_on_gpOrthosteric Ligand7EZH-CCKA-Cholecystokinin-8-Gi1/β1/γ2
36.36Consensusgal2_onOrthosteric Ligand7WQ4-GAL2-Galanin-chim(NtGi1-Gs-CtGq)/β1/γ2 7XJL-GAL2-Spexin-chim(NtGi2L-Gs-CtGq)/β1/γ2
36.36Consensusgal2_on_gpOrthosteric Ligand7WQ4-GAL2-Galanin-chim(NtGi1-Gs-CtGq)/β1/γ2 7XJL-GAL2-Spexin-chim(NtGi2L-Gs-CtGq)/β1/γ2
36.00Single7TD0LPA7TD0-LPA1-LPA-Gi1/β1/γ2
36.00Single7XA3CCL27XA3-CCR2-CCL2-Gi1/β1/γ2
36.00Single8XGUTAK4488XGU-Kiss1-TAK448-Gi1/β1/γ2
36.00Single9UYIChemerin-99UYI-CML2-Chemerin-9-Arrestin2
36.00Consensusccr2_onOrthosteric Ligand7XA3-CCR2-CCL2-Gi1/β1/γ2
36.00Consensusccr2_on_gpOrthosteric Ligand7XA3-CCR2-CCL2-Gi1/β1/γ2
36.00Consensusccr_onOrthosteric Ligandccr6_on ccr8_on ccr2_on ccr1_on ccr5_on
36.00Consensuscxcr4_on_gpOrthosteric Ligand8K3Z-CXCR4-CXCL12-Gi1/β1/γ1
36.00Consensusgi_somatostatinOrthosteric Ligand7WIC-SST2-Somatostatin-14-Gi1/β1/γ2 7XMS-SST4-Somatostatin-14-Gi1/β1/γ2 8X8L-SST5-Cortistatin-14-chim(NtGi1-Gs-CtGi1)/β1/γ2 7XMT-SST4-J-2156-Gi1/β1/γ2 7WIG-SST2-L-054264-Gi1/β1/γ2 8X8N-SST5-Octreotide-chim(NtGi1-Gs-CtGi1)/β1/γ2 7YAE-SST2-Octreotide-Gi1/β1/γ2 7YAC-SST2-Paltusotine-Gi1/β1/γ2
36.00Consensusgs_cckOrthosteric Ligand7MBX-CCKA-Cholecystokinin-8-Gs/β1/γ1
36.00Consensuspeptide_offonOrthosteric Ligandpeptide_off peptide_on
36.00Consensussomatostatin_onOrthosteric Ligandsst2_on sst4_on sst5_on
36.00Consensussomatostatin_on_gpOrthosteric Ligandsst2_on_gp sst4_on_gp sst5_on_gp
35.71Single7EIBKallidin-des-Arg107EIB-BK1-Kallidin-des-Arg10-chim(NtGi1-Gs-CtGq)/β1/γ2
35.71Single7XATSomatostatin-147XAT-SST2-Somatostatin-14-Gi1/β1/γ2
35.71Single8FEG(DNCP)-Beta-Naloxamine8FEG-κ-(DNCP)-β-Naloxamine-Gi1/β1/γ2
35.29Single7T96LY21196207T96-M2-Acetylcholine-LY2119620-Go/β1/γ2
35.29Single8FX5Xanomeline8FX5-M4-Xanomeline-Xanomeline-Gi1/β1/γ2
35.29Single8JPNCis-Epoxysuccinic acid8JPN-Succinate-Cis-Epoxysuccinic acid-Gi1/β1/γ1
35.29Single8WP1Cis-Epoxysuccinic acid8WP1-Succinate-Cis-Epoxysuccinic acid-Gi1/β1/γ2
35.29Single8YKWSuccinic acid8YKW-Succinate-Succinic acid-Gi1/β1/γ1
35.29Single8ZX5AM2518ZX5-GPR55-AM251-chim(NtGi1-G13)/β1/γ2
35.29Consensusgq_nucleotideOrthosteric Ligandgq_p2y
35.29Consensusgq_p2yOrthosteric Ligand7XXH-P2Y1-2MeSADP-chim(NtGi1-G11)/β1/γ2
35.00Single2Y00Dobutamine2Y00-β1-Dobutamine
35.00Single2Y03Isoprenaline2Y03-β1-Isoprenaline
35.00Single5WIUNemonapride5WIU-D4-Nemonapride
35.00Single5WIVNemonapride5WIV-D4-Nemonapride-Na
35.00Single5YHLPubChem 1351213525YHL-EP4-PubChem 135121352
35.00Single5YWYONO-AE3-2085YWY-EP4-ONO-AE3-208
35.00Single6ME72-Phenylmelatonin6ME7-MT2-2-Phenylmelatonin
35.00Single6TP6Filorexant6TP6-OX1-Filorexant
35.00Single7C4SS1P7C4S-S1P3-S1P
35.00Single7C61Ergotamine7C61-5-HT1B-Ergotamine
35.00Single7EO2FTY720-P7EO2-S1P1-FTY720-P-Gi1/β1/γ2
35.00Single7SBFPZM217SBF-μ-PZM21-Gi1/β1/γ2
35.00Single7YU6ONO-07405567YU6-LPA1-ONO-0740556-Gi1/β1/γ2
35.00Single8DZQmomSalB8DZQ-κ-momSalB-Go/β1/γ2
35.00Single8DZRGR89,6968DZR-κ-GR89,696-chim(NtGi2-Gt3)/β1/γ2
35.00Single8EFBOliceridine8EFB-μ-Oliceridine-Gi1/β1/γ2
35.00Single8XYKVUF106618XYK-CXCR3-VUF10661-Go/β1/γ2
35.00Single8YICSAR2477998YIC-S1P1-SAR247799-Gi1/β1/γ2
35.00Single8ZPTPrRP208ZPT-PrRP-PrRP20-chim(NtGi1-Gs-CtGq)/β1/γ2
35.00Single9EAHOlmesartan9EAH-AT1-Olmesartan-Nanobody AT209
35.00Single9EHSLUF76029EHS-A3A-LUF7602
35.00Single9F33FOB02-04A9F33-D3-FOB02-04A-Go/β1/γ2
35.00Single9I52A1IZU9I52-D1-A1IZU-Gs/β1/γ2
35.00Single9VJFBuspirone9VJF-5-HT1A-Buspirone-Gi3/β1/γ2
35.00Consensusalpha_offOrthosteric Ligandalpha1_off alpha2_off
35.00Consensuscb2_onOrthosteric Ligand8GUR-CB2-CP55940-Gi1/β1/γ2 8GUS-CB2-HU-308-Gi1/β1/γ2 8GUT-CB2-LEI-102-Gi1/β1/γ2 6KPF-CB2-AM12033-Gi1/β1/γ2 6PT0-CB2-WIN 55212-2-Gi1/β1/γ2 8GUQ-CB2-Olorinab-Gi1/β1/γ2
35.00Consensuscb2_on_gpOrthosteric Ligand8GUR-CB2-CP55940-Gi1/β1/γ2 8GUS-CB2-HU-308-Gi1/β1/γ2 8GUT-CB2-LEI-102-Gi1/β1/γ2 6KPF-CB2-AM12033-Gi1/β1/γ2 6PT0-CB2-WIN 55212-2-Gi1/β1/γ2 8GUQ-CB2-Olorinab-Gi1/β1/γ2
35.00Consensusep4_offOrthosteric Ligand5YWY-EP4-ONO-AE3-208 5YHL-EP4-PubChem 135121352
35.00Consensusep_offOrthosteric Ligandep4_off
35.00Consensuslipid_onOrthosteric Ligandcannabinoid_on ffa_on lpl_on prostanoid_on leukotriene_on
35.00Consensuslipid_on_gpOrthosteric Ligandcannabinoid_on_gp ffa_on_gp lpl_on_gp prostanoid_on_gp leukotriene_on_gp
34.78Single7F2OBradykinin7F2O-BK2-Bradykinin-chim(NtGi1-Gs-CtGq)/β1/γ2
34.78Single7SK9CCX6627SK9-ACKR3-CCX662
34.78Single7XBXCX3CL17XBX-CX3CR1-CX3CL1-Gi1/β1/γ2
34.78Single7XY6BAY 60-65837XY6-A2B-BAY 60-6583-chim(NtGi1-Gs)/β1/γ2
34.78Single7YJ4INSL57YJ4-RXFP4-INSL5-Gi2/β1/γ2
34.78Single8IA7Cholecystokinin-88IA7-CCKB-Cholecystokinin-8-chim(NtGi1L-Gq)/β1/γ2
34.78Single8X5YAstemizole8X5Y-H1-Astemizole
34.78Single8Y72Peptide8Y72-μ-Peptide-BMS-986122-Gi1/β1/γ2
34.78Single9IPVJR14a9IPV-C3aB-JR14a-Gi1/β1/γ2
34.78Single9IPYJR14a9IPY-C3aB-JR14a
34.78Single9UMJEP549UMJ-C3aB-EP54-Go/β1/γ2
34.78Consensuscxcr3_onOrthosteric Ligand8HNK-CXCR3-CXCL11-Gi1/β1/γ2 8HNL-CXCR3-PS372424-Gi1/β1/γ2
34.78Consensuscxcr4_offOrthosteric Ligand4RWS-CXCR4-vMIP-II 3OE0-CXCR4-CVX15 3OE6-CXCR4-IT1t
34.78Consensusdop_onOrthosteric Ligand8F7S-δ-Deltorphin-Gi1/β1/γ2
34.78Consensusgq_cckOrthosteric Ligand8IA7-CCKB-Cholecystokinin-8-chim(NtGi1L-Gq)/β1/γ2 7XOW-CCKB-Sulfated Gastrin-(10-17)-chim(NtGi1-Gq)/β1/γ2 7EZM-CCKA-Cholecystokinin-8-chim(NtGsL-Gq)/β1/γ2 7F8W-CCKB-Gastrin-17-chim(NtGsL-Gq)/β1/γ2
34.62Single8WSTMCH8WST-MCH2-MCH-chim(NtGi1L-Gs-CtGq)/β1/γ2
34.62Consensusc5a1_on_gpOrthosteric Ligand8HK5-C5a1-C5a-Gi1/β1/γ2 7Y66-C5a1-BM213-Gi1/β1/γ2 7Y67-C5a1-C089 peptide-Gi1/β1/γ2 7Y64-C5a1-C5a-Gi1/β1/γ2
34.62Consensuscxcr3_on_gpOrthosteric Ligand8HNK-CXCR3-CXCL11-Gi1/β1/γ2 8HNL-CXCR3-PS372424-Gi1/β1/γ2
34.48Single6IGLIRL16206IGL-ETB-IRL1620
34.48Consensusbk2_onOrthosteric Ligand7F6H-BK2-Bradykinin-Gq/β1/γ2 7F6I-BK2-Kallidin-Gq/β1/γ2
34.48Consensusbk2_on_gpOrthosteric Ligand7F6H-BK2-Bradykinin-Gq/β1/γ2 7F6I-BK2-Kallidin-Gq/β1/γ2
34.48Consensusbradykinin_onOrthosteric Ligandbk2_on
34.48Consensusbradykinin_on_gpOrthosteric Ligandbk2_on_gp
34.48Consensusgq_bradykininOrthosteric Ligand7F6H-BK2-Bradykinin-Gq/β1/γ2 7F6I-BK2-Kallidin-Gq/β1/γ2
33.33Single3V2WPubChem 518926453V2W-S1P1-PubChem 51892645
33.33Single4AMJCarvedilol4AMJ-β1-Carvedilol
33.33Single4LDLHydroxybenzyl Isoproterenol4LDL-β2-Hydroxybenzyl Isoproterenol
33.33Single5ZKQABT-4915ZKQ-PAF-ABT-491
33.33Single6H7JIsoprenaline6H7J-β1-Isoprenaline
33.33Single6IGKEndothelin-36IGK-ETB-Endothelin-3
33.33Single6KO5PubChem 574000026KO5-Ghrelin-PubChem 57400002
33.33Single6N48BI1671076N48-β2-BI167107-PubChem 138454256
33.33Single6X19CHU-1286X19-GLP-1-CHU-128-Gs/β1/γ2
33.33Single7B6WCyclazosin7B6W-α1b-Cyclazosin
33.33Single7CKYPW04647CKY-D1-PW0464-Gs/β1/γ2
33.33Single7E2ZAripiprazole7E2Z-5-HT1A-Aripiprazole-PtdIns4P-Gi1/β1/γ2
33.33Single7EW3S1P7EW3-S1P3-S1P-Gi1/β1/γ2
33.33Single7F6HBradykinin7F6H-BK2-Bradykinin-Gq/β1/γ2
33.33Single7F6IKallidin7F6I-BK2-Kallidin-Gq/β1/γ2
33.33Single7F8XNN90567F8X-CCKA-NN9056
33.33Single7JJOIsoprenaline7JJO-β1-Isoprenaline-Gs/β1/γ2
33.33Single7LD4Adenosine7LD4-A1-Adenosine-Gi2/β1/γ2
33.33Single7TUYGSK682753A7TUY-GPR183-GSK682753A
33.33Single7VIGCBP-3077VIG-S1P1-CBP-307-Gi1/β1/γ2
33.33Single7WF7S1P7WF7-S1P1-S1P-Gi1/β1/γ2
33.33Single7WKDTRH7WKD-TRH-TRH-chim(NtGi1-Gs-CtGq)/β1/γ2
33.33Single7X2CFenoldopam7X2C-D1-Fenoldopam-Fenoldopam-Gs/β1/γ2
33.33Single7XBDGalanin7XBD-GAL2-Galanin-chim(NtGi2L-Gs-CtGq)/β1/γ2
33.33Single7XTQR3997XTQ-GPBA-R399-Gs/β1/γ2
33.33Single7YU7ONO-07405567YU7-LPA1-ONO-0740556-Gi1/β1/γ2
33.33Single8DZPmomSalB8DZP-κ-momSalB-Gi1/β1/γ2
33.33Single8EF5Fentanyl8EF5-μ-Fentanyl-Gi1/β1/γ2
33.33Single8EFOPZM218EFO-μ-PZM21-Gi1/β1/γ2
33.33Single8HK5C5a8HK5-C5a1-C5a-Gi1/β1/γ2
33.33Single8HQCC5a8HQC-C5a1-C5a-Go/β1/γ2
33.33Single8I9LC3a8I9L-C3aB-C3a-Go/β1/γ2
33.33Single8IYHMK68928IYH-HCA2-MK6892-Go/β1/γ2
33.33Single8VVFJDTic8VVF-κ-JDTic-Gi1/β1/γ2
33.33Single8WDTphotoNECA8WDT-A2A-photoNECA
33.33Single8WJXADP8WJX-P2Y1-ADP-chim(Gs-CtGq)/β1/γ2
33.33Single8XXVIndomethacin8XXV-DP2-Indomethacin-A1D5Q-Gi1/β1/γ2
33.33Single8Y0HVUF114188Y0H-CXCR3-VUF11418
33.33Single8Y0NVUF114188Y0N-CXCR3-VUF11418-Go/β1/γ2
33.33Single8Y73Peptide8Y73-μ-Peptide-MPAM-15-Gi1/β1/γ2
33.33Single8YYWAlpha-ketoglutarate8YYW-Oxoglutarate-α-ketoglutarate-α-ketoglutarate-chim(Gi1-CtGq)/β1/γ2
33.33Single8ZPSPrRP208ZPS-PrRP-PrRP20-chim(NtGi1-Gs-CtGi1)/β1/γ2
33.33Single8ZRTEndothelin-18ZRT-ETB-Endothelin-1
33.33Single9BKJCholecystokinin-89BKJ-CCKA-Cholecystokinin-8-chim(NtGi1-Gs-CtGq)/β1/γ2
33.33Single9EGOZ85267113509EGO-CB1-Z8526711350-Gi1/β1/γ2
33.33Single9HB3Mambaquaretin-19HB3-V2-Mambaquaretin-1
33.33Single9I54PubChem 1764520919I54-D1-PubChem 176452091-Gs/β1/γ2
33.33Single9IZGLPA9IZG-LPA1-LPA-chim(NtGi1-Gs-CtGq)/β1/γ2
33.33Single9JIDNiacin9JID-HCA3-Niacin-Gi1/β1/γ2
33.33Single9M4TSilodosin9M4T-Alpha1A-Silodosin
33.33Single9RHGC4079RHG-FZD7-C407
33.33Single9VJ5Gepirone9VJ5-5-HT1A-Gepirone-Go/β1/γ2
33.33Single9VJEBuspirone9VJE-5-HT1A-Buspirone-Go/β1/γ2
33.33Single9W49U-50488H9W49-κ-U-50488H-Gi1/β1/γ2
33.33Consensusa1_onOrthosteric Ligand7LD4-A1-Adenosine-Gi2/β1/γ2
33.33Consensusa1_on_gpOrthosteric Ligand7LD4-A1-Adenosine-Gi2/β1/γ2
33.33Consensusbeta2_onOrthosteric Ligand7DHI-β2-Salbutamol-Gs/β1/γ2 6NI3-β2-BI167107-Gs/β1/γ2
33.33Consensusbeta2_on_gpOrthosteric Ligand7DHI-β2-Salbutamol-Gs/β1/γ2 6NI3-β2-BI167107-Gs/β1/γ2
33.33Consensusccr_on_gpOrthosteric Ligandccr6_on_gp ccr8_on_gp ccr2_on_gp ccr1_on_gp ccr5_on_gp
33.33Consensuschemokine_on_gpOrthosteric Ligandccr_on_gp cxcr_on_gp
33.33Consensusclass-a_offOrthosteric Ligandsensory_off alicarboxylic_off amine_off lipid_off nucleotide_off peptide_off protein_off
33.33Consensusd1_on_gpOrthosteric Ligand7F0T-D1-Dopamine-Gs/β1/γ2 7CKY-D1-PW0464-Gs/β1/γ2 8IRR-D1-Rotigotine-Gs/β1/γ2 7JV5-D1-SKF81297-Gs/β1/γ2 7JVP-D1-SKF83959-Gs/β1/γ2 7X2D-D1-Tavapadon-Gs/β1/γ2 7CKX-D1-A77636-Gs/β1/γ2 7JVQ-D1-Apomorphine-Gs/β1/γ2 7CKW-D1-Fenoldopam-Gs/β1/γ2
33.33Consensusgi_cannabinoidOrthosteric Ligand8GUR-CB2-CP55940-Gi1/β1/γ2 8GUS-CB2-HU-308-Gi1/β1/γ2 8GUT-CB2-LEI-102-Gi1/β1/γ2 8GUQ-CB2-Olorinab-Gi1/β1/γ2 6KPF-CB2-AM12033-Gi1/β1/γ2 6PT0-CB2-WIN 55212-2-Gi1/β1/γ2 6KPG-CB1-AM841-Gi1/β1/γ2
33.33Consensusgi_chemokineOrthosteric Ligand6WWZ-CCR6-CCL20-Go/β1/γ2 8HNK-CXCR3-CXCL11-Gi1/β1/γ2 8K3Z-CXCR4-CXCL12-Gi1/β1/γ1 8IC0-CXCR1-CXCL8-Gi1/β1/γ2 6LFM-CXCR2-CXCL8-Gi1/β1/γ2 8KFX-CCR8-LMD-009-Gi1/β1/γ2 7F1Q-CCR5-CCL3-Gi1/β1/γ2 8HNL-CXCR3-PS372424-Gi1/β1/γ2 8KFY-CCR8-ZK-756326-Gi1/β1/γ2 7O7F-CCR5-6P4-CCL5-Gi1/β1/γ1 8U1U-CCR8-CCL1-Gi1/β1/γ2 7VLA-CCR1-CCL15(27-92)-Gi1/β1/γ2 7XA3-CCR2-CCL2-Gi1/β1/γ2
33.33Consensusgs_adrenergicOrthosteric Ligand7DHI-β2-Salbutamol-Gs/β1/γ2 7XJI-β3-Solabegron-Gs/β1/γ2 7JJO-β1-Isoprenaline-Gs/β1/γ2 6NI3-β2-BI167107-Gs/β1/γ2 8DCR-β1-Dobutamine-Gs/β1/γ2 7XJH-β3-Isoprenaline-Gs/β1/γ2 7DH5-β3-Mirabegron-Gs/β1/γ2
33.33Consensusgs_dopamineOrthosteric Ligand7F0T-D1-Dopamine-Gs/β1/γ2 7CKW-D1-Fenoldopam-Gs/β1/γ2 7CKY-D1-PW0464-Gs/β1/γ2 8IRV-D5-Rotigotine-chim(NtGi1-Gs)/β1/γ2 8IRR-D1-Rotigotine-Gs/β1/γ2 7JV5-D1-SKF81297-Gs/β1/γ2 7JVP-D1-SKF83959-Gs/β1/γ2 7X2D-D1-Tavapadon-Gs/β1/γ2 7CKX-D1-A77636-Gs/β1/γ2 7JVQ-D1-Apomorphine-Gs/β1/γ2
33.33Consensusmotilin_onOrthosteric Ligand8IBU-Motilin-Erythromycin-A-chim(NtGi1-Gs-CtGq)/β1/γ2
33.33Consensusnop_onOrthosteric Ligand8F7X-NOP-Nociceptin-Gi1/β1/γ2
33.33Consensusnop_on_gpOrthosteric Ligand8F7X-NOP-Nociceptin-Gi1/β1/γ2
33.33Consensusp2y1_onOrthosteric Ligand7XXH-P2Y1-2MeSADP-chim(NtGi1-G11)/β1/γ2
33.33Consensuspaf_offOrthosteric Ligand5ZKQ-PAF-ABT-491
33.33Consensuss1p1_offOrthosteric Ligand3V2W-S1P1-PubChem 51892645
33.33Consensussomatostatin_offOrthosteric Ligandsst2_off
32.14Single5UIW5P7-CCL55UIW-CCR5-5P7-CCL5
32.14Single7YKDChemerin-97YKD-CML1-Chemerin-9-Gi1/β1/γ2
32.14Single8XVEBQ30208XVE-ETB-BQ3020-chim(Gs-CtGq)/β1/γ2
32.14Single9KFKRelaxin-39KFK-RXFP4-Relaxin-3-Gi2/β1/γ2
32.14Consensusccr5_offOrthosteric Ligand5UIW-CCR5-5P7-CCL5
32.14Consensusccr_offOrthosteric Ligandccr2_off ccr5_off
32.00Single3QAKUK-4320973QAK-A2A-UK-432097
32.00Single7C6A(Sar1,Ile8)-Angiotensin II7C6A-AT2-(Sar1,Ile8)-Angiotensin II
32.00Single7E14Orforglipron7E14-GLP-1-Orforglipron-PubChem 156022738-Gs/β1/γ2
32.00Single7SK5CXCL127SK5-ACKR3-CXCL12
32.00Single8SG1Chemerin-98SG1-CML1-Chemerin-9-Gi1/β1/γ2
32.00Single9IQSMuscarinic toxin 39IQS-M4-Muscarinic toxin 3
32.00Single9KV6TLQP219KV6-C3aB-TLQP21-Go/β1/γ2
32.00Single9UMXEP549UMX-C5a1-EP54-Go/β1/γ2
32.00Consensuscckb_onOrthosteric Ligand8IA7-CCKB-Cholecystokinin-8-chim(NtGi1L-Gq)/β1/γ2 7XOW-CCKB-Sulfated Gastrin-(10-17)-chim(NtGi1-Gq)/β1/γ2 7F8V-CCKB-Gastrin-17-Gi2/β1/γ2
32.00Consensusgi_ghrelinOrthosteric Ligand7NA7-Ghrelin-Ghrelin-Gi1/β1/γ2 7NA8-Ghrelin-Ibutamoren-Gi1/β1/γ2
32.00Consensuss1p3_on_gpOrthosteric Ligand7EW3-S1P3-S1P-Gi1/β1/γ2 7EW4-S1P3-CYM-5541-Gi1/β1/γ2 7EW2-S1P3-FTY720-P-Gi1/β1/γ2
31.82Single4AMIBucindolol4AMI-β1-Bucindolol
31.82Single5X33BIIL2605X33-BLT1-BIIL260
31.82Single6A93Risperidone6A93-5-HT2A-Risperidone
31.82Single6H7NXamoterol6H7N-β1-Xamoterol
31.82Single6OS0Angiotensin II6OS0-AT1-Angiotensin II
31.82Single6VMSBromoergocryptine6VMS-D2-Bromoergocryptine-Gi1/β1/γ2
31.82Single6XOXOrforglipron6XOX-GLP-1-Orforglipron-chim(NtGi1-Gs)/β1/γ2
31.82Single6ZG4HTL00099366ZG4-M1-HTL0009936
31.82Single7EO4Siponimod7EO4-S1P1-Siponimod-Gi1/β1/γ2
31.82Single7JNIOlodanrigan7JNI-AT2-Olodanrigan
31.82Single7W0NElabela7W0N-Apelin; Apelin-Elabela-Gi1/β1/γ2
31.82Single7XJKGalanin7XJK-GAL2-Galanin-chim(NtGi2L-Gs-CtGq)/β1/γ2
31.82Single7XMTJ-21567XMT-SST4-J-2156-Gi1/β1/γ2
31.82Single8FYTLSD8FYT-5-HT1A-LSD-PtdIns4P-Gi1/β1/γ1
31.82Single8HK2C3a8HK2-C3aB-C3a-Gi1/β1/γ2
31.82Single8I9AEP548I9A-C3aB-EP54-chim(NtGi1-Gs-CtGq)/β1/γ2
31.82Single8IBUErythromycin-A8IBU-Motilin-Erythromycin-A-chim(NtGi1-Gs-CtGq)/β1/γ2
31.82Single8JJ8Arformoterol8JJ8-β2-Arformoterol
31.82Single8JJPChemerin-98JJP-CML2-Chemerin-9-Gi1/β1/γ2
31.82Single8JWY2-1188JWY-A2A-2-118
31.82Single8JWZEtrumadenant8JWZ-A2A-Etrumadenant-Na
31.82Single8W1VPubChem 1717162658W1V-β2-PubChem 171716265
31.82Single8X8NOctreotide8X8N-SST5-Octreotide-chim(NtGi1-Gs-CtGi1)/β1/γ2
31.82Single9KZKC3a (fragment)9KZK-C3aB-C3a (fragment)-Go/β1/γ2
31.82Single9V6ONalfurafine9V6O-κ-Nalfurafine-Gi1/β1/γ2
31.82Single9WSWEndomorphin9WSW-μ-Endomorphin-chim(NtGi1-Gz)/β1/γ2
31.82Single9YDQDADLE9YDQ-δ-DADLE-MIPS3614-chim(NtGi1L-Gs-CtGi1)/β1/γ2
31.82Consensus5ht1a_onOrthosteric Ligand8FYT-5-HT1A-LSD-PtdIns4P-Gi1/β1/γ1 7E2Y-5-HT1A-Serotonin-PtdIns4P-Gi1/β1/γ2 7E2Z-5-HT1A-Aripiprazole-PtdIns4P-Gi1/β1/γ2 8FYX-5-HT1A-Buspirone-PtdIns4P-Gi1/β1/γ1 8JSP-5-HT1A-Ulotaront-Gi1/β1/γ2 8JT6-5-HT1A-(R)-IHCH-7179-PtdIns4P-Gi1/β1/γ2 8FY8-5-HT1A-5-MeO-DMT-PtdIns4P-Gi1/β1/γ1 8FYE-5-HT1A-4-F,5-MeO-PyrT-PtdIns4P-Gi1/β1/γ1 8FYL-5-HT1A-Vilazodone-PtdIns4P-Gi1/β1/γ1
31.82Consensus5ht1a_on_gpOrthosteric Ligand8FYT-5-HT1A-LSD-PtdIns4P-Gi1/β1/γ1 8FYX-5-HT1A-Buspirone-PtdIns4P-Gi1/β1/γ1 8JSP-5-HT1A-Ulotaront-Gi1/β1/γ2 8JT6-5-HT1A-(R)-IHCH-7179-PtdIns4P-Gi1/β1/γ2 7E2Y-5-HT1A-Serotonin-PtdIns4P-Gi1/β1/γ2 7E2Z-5-HT1A-Aripiprazole-PtdIns4P-Gi1/β1/γ2 8FY8-5-HT1A-5-MeO-DMT-PtdIns4P-Gi1/β1/γ1 8FYE-5-HT1A-4-F,5-MeO-PyrT-PtdIns4P-Gi1/β1/γ1 8FYL-5-HT1A-Vilazodone-PtdIns4P-Gi1/β1/γ1
31.82Consensusbeta_onOrthosteric Ligandbeta1_on beta2_on beta3_on
31.82Consensusbeta_on_gpOrthosteric Ligandbeta1_on_gp beta2_on_gp beta3_on_gp
31.82Consensuscannabinoid_onOrthosteric Ligandcb2_on cb1_on
31.82Consensuscannabinoid_on_gpOrthosteric Ligandcb2_on_gp cb1_on_gp
31.82Consensusgalanin_onOrthosteric Ligandgal2_on gal1_on
31.82Consensusgalanin_on_gpOrthosteric Ligandgal2_on_gp gal1_on_gp
31.82Consensusgi_lipidOrthosteric Ligandgi_cannabinoid gi_ffa gi_leukotriene gi_lpa gi_s1p
31.82Consensuskop_onOrthosteric Ligand8F7W-κ-Dynorphin-Gi1/β1/γ2 8DZS-κ-GR89,696-chim(NtGi2-Gz)/β1/γ2 8DZP-κ-momSalB-Gi1/β1/γ2
31.82Consensusleukotriene_offOrthosteric Ligandblt_off cyslt_off
31.82Consensuslipid_offonOrthosteric Ligandlipid_off lipid_on
31.82Consensuslipid_offon_gpOrthosteric Ligandlipid_on_gp lipid_off
31.82Consensuslpl_offOrthosteric Ligands1p_off lpa_off
31.82Consensusmop_onOrthosteric Ligand8F7R-μ-Endomorphin-Gi1/β1/γ2 8EF5-μ-Fentanyl-Gi1/β1/γ2 7SCG-μ-FH210-Gi1/β1/γ2 7T2H-μ-Lofentanil-Gi1/β1/γ2 7T2G-μ-Mitragynine Pseudoindoxyl-Gi1/β1/γ2 8EF6-μ-Morphine-Gi1/β1/γ2 8EFB-μ-Oliceridine-Gi1/β1/γ2 7U2L-μ-C5-guano-Gi1/β1/γ2 8EFO-μ-PZM21-Gi1/β1/γ2 8EFL-μ-SR17018-Gi1/β1/γ2 8F7Q-μ-β-Endorphin-Gi1/β1/γ2 7U2K-μ-C6-guano-Gi1/β1/γ2 8EFQ-μ-DAMGO-Gi1/β1/γ2
31.82Consensusmop_on_gpOrthosteric Ligand8F7R-μ-Endomorphin-Gi1/β1/γ2 8EF5-μ-Fentanyl-Gi1/β1/γ2 7SCG-μ-FH210-Gi1/β1/γ2 7T2H-μ-Lofentanil-Gi1/β1/γ2 7T2G-μ-Mitragynine Pseudoindoxyl-Gi1/β1/γ2 8EF6-μ-Morphine-Gi1/β1/γ2 8EFB-μ-Oliceridine-Gi1/β1/γ2 7U2L-μ-C5-guano-Gi1/β1/γ2 8EFO-μ-PZM21-Gi1/β1/γ2 8EFL-μ-SR17018-Gi1/β1/γ2 8F7Q-μ-β-Endorphin-Gi1/β1/γ2 7U2K-μ-C6-guano-Gi1/β1/γ2 8EFQ-μ-DAMGO-Gi1/β1/γ2
31.82Consensusmotilin_on_gpOrthosteric Ligand8IBU-Motilin-Erythromycin-A-chim(NtGi1-Gs-CtGq)/β1/γ2
31.82Consensusopioid_offOrthosteric Ligandmop_off nop_off dop_off kop_off
31.82Consensuss1p1_onOrthosteric Ligand7VIE-S1P1-S1P-Gi1/β1/γ2 7VIF-S1P1-FTY720-P-Gi1/β1/γ2 7VIG-S1P1-CBP-307-Gi1/β1/γ2 7EVY-S1P1-Siponimod-Gi1/β1/γ2 7EVZ-S1P1-Cenerimod-Gi1/β1/γ2 7EW0-S1P1-Ozanimod-Gi1/β1/γ2 7EW7-S1P1-SEW2871-Gi1/β1/γ2
31.82Consensuss1p1_on_gpOrthosteric Ligand7VIE-S1P1-S1P-Gi1/β1/γ2 7VIF-S1P1-FTY720-P-Gi1/β1/γ2 7VIG-S1P1-CBP-307-Gi1/β1/γ2 7EVY-S1P1-Siponimod-Gi1/β1/γ2 7EVZ-S1P1-Cenerimod-Gi1/β1/γ2 7EW0-S1P1-Ozanimod-Gi1/β1/γ2 7EW7-S1P1-SEW2871-Gi1/β1/γ2
31.82Consensuss1p3_onOrthosteric Ligand7EW3-S1P3-S1P-Gi1/β1/γ2 7EW4-S1P3-CYM-5541-Gi1/β1/γ2 7EW2-S1P3-FTY720-P-Gi1/β1/γ2
31.58Single2YDOAdenosine2YDO-A2A-Adenosine
31.58Single4ZJCSB-6740424ZJC-OX1-SB-674042
31.58Single4ZUDOlmesartan4ZUD-AT1-Olmesartan
31.58Single6KUXRS799486KUX-α2a-RS79948
31.58Single6ME32-Phenylmelatonin6ME3-MT1-2-Phenylmelatonin
31.58Single6TP3Nemorexant6TP3-OX1-Nemorexant
31.58Single6TPGEMPA6TPG-OX2-EMPA
31.58Single6U1NLY21196206U1N-M2-LY2119620-Arrestin2
31.58Single6V9SGTPL114036V9S-OX1-GTPL11403
31.58Single6WJCMuscarinic toxin 76WJC-M1-Atropine-Muscarinic toxin 7
31.58Single7C2EPubChem 1490507997C2E-GLP-1-PubChem 149050799-Gs/β1/γ2
31.58Single7T94LY21196207T94-M2-Acetylcholine-LY2119620-chim(NtGi1-Go)/β1/γ2
31.58Single8GUQOlorinab8GUQ-CB2-Olorinab-Gi1/β1/γ2
31.58Single8GURCP559408GUR-CB2-CP55940-Gi1/β1/γ2
31.58Single8HNMVUF112228HNM-CXCR3-VUF11222-Gi1/β1/γ2
31.58Single8K9KDAMGO8K9K-μ-DAMGO-Gi3/β1/γ1
31.58Single8K9LDAMGO8K9L-μ-DAMGO-BMS-986122-Gi3/β1/γ1
31.58Single8RWIStilSwitch28RWI-A2A-StilSwitch2-Na
31.58Single8W88SEP-3638568W88-TA1-SEP-363856-Gs/β1/γ2
31.58Single9JMDAzithromycin9JMD-Motilin-Azithromycin-chim(Gs-CtGq)/β1/γ2
31.58Single9K0KUTP9K0K-P2Y4-UTP-chim(NtGi1-Gs-CtGq)/β1/γ2
31.58Single9K0XATP9K0X-P2Y2-ATP-chim(NtGi1-Gs-CtGq)/β1/γ2
31.58Single9K20ATP9K20-P2Y2-ATP-chim(NtGi1-Go)/β1/γ2
31.58Single9W33S5A19W33-SST5-S5A1
31.58Consensusat1_offOrthosteric Ligand4YAY-AT1-ZD-7155 4ZUD-AT1-Olmesartan
31.58Consensusnop_offOrthosteric Ligand4EA3-NOP-PubChem 10296561 5DHG-NOP-C-35 5DHH-NOP-SB-612111
31.25Single3OE8IT1t3OE8-CXCR4-IT1t
31.25Single6LRYSarafotoxin-B6LRY-ETB-Sarafotoxin-B
31.25Single8GEIConstrained Epinephrine8GEI-β2-Constrained Epinephrine-Gs/β1/γ2
31.25Consensusgs_peptideOrthosteric Ligandgs_cck gs_melanocortin gs_vasop-oxy
31.03Single7WVYAmyloid-Beta427WVY-FPR2-ALX-Amyloid-β42-Gi2/β1/γ2
31.03Single7YOONeuropeptide-Y7YOO-Y2-Neuropeptide-Y-Gi1/β1/γ2
31.03Single9KDFRES-701-39KDF-ETB-RES-701-3
31.03Consensusnpy2_onOrthosteric Ligand7YOO-Y2-Neuropeptide-Y-Gi1/β1/γ2
31.03Consensusnpy2_on_gpOrthosteric Ligand7YOO-Y2-Neuropeptide-Y-Gi1/β1/γ2
30.77Single5WF5UK-4320975WF5-A2A-UK-432097
30.77Single6LW5WKYMVm6LW5-FPR2-ALX-WKYMVm
30.77Single7MBXCholecystokinin-87MBX-CCKA-Cholecystokinin-8-Gs/β1/γ1
30.77Single7O7F6P4-CCL57O7F-CCR5-6P4-CCL5-Gi1/β1/γ1
30.77Single7TD2LPA7TD2-LPA1-LPA-Gi1/β1/γ2
30.77Single7XOUCholecystokinin-87XOU-CCKA-Cholecystokinin-8-Gs/β1/γ2
30.77Single9B54VIP369B54-CB1-VIP36-Gi1/β1/γ2
30.77Single9K27PrRP319K27-PrRP-PrRP31-chim(NtGi1-Gq)/β1/γ2
30.77Single9U4WGonadoliberin-19U4W-GnRH1-Gonadoliberin-1-chim(NtGi1L-Gs-CtGq)/β1/γ2
30.77Consensusc5a1_onOrthosteric Ligand8HK5-C5a1-C5a-Gi1/β1/γ2 7Y66-C5a1-BM213-Gi1/β1/γ2 7Y67-C5a1-C089 peptide-Gi1/β1/γ2 7Y64-C5a1-C5a-Gi1/β1/γ2
30.77Consensuscckb_on_gpOrthosteric Ligand8IA7-CCKB-Cholecystokinin-8-chim(NtGi1L-Gq)/β1/γ2 7XOW-CCKB-Sulfated Gastrin-(10-17)-chim(NtGi1-Gq)/β1/γ2 7F8V-CCKB-Gastrin-17-Gi2/β1/γ2
30.77Consensusgs_class-aOrthosteric Ligandgs_peptide gs_nucleotide gs_amine
30.43Single2YCZIodocyanopindolol2YCZ-β1-Iodocyanopindolol
30.43Single4Z35ONO-99105394Z35-LPA1-ONO-9910539
30.43Single5TUDErgotamine5TUD-5-HT2B-Ergotamine
30.43Single5X93K-87945X93-ETB-K-8794
30.43Single6DDFDAMGO6DDF-μ-DAMGO-Gi1/β1/γ2
30.43Single7D7MPGE27D7M-EP4-PGE2-Gs/β1/γ1
30.43Single7EZCUK-4320977EZC-A2A-UK-432097
30.43Single7EZMCholecystokinin-87EZM-CCKA-Cholecystokinin-8-chim(NtGsL-Gq)/β1/γ2
30.43Single7JVRBromoergocryptine7JVR-D2-Bromoergocryptine-Gi1/β1/γ2
30.43Single7LLLExendin-47LLL-GLP-1-Exendin-4-Gs/β1/γ2
30.43Single7SK8CCX6627SK8-ACKR3-CXCL12-CCX662
30.43Single7U2KC6-guano7U2K-μ-C6-guano-Gi1/β1/γ2
30.43Single7XZ6APD6687XZ6-GPR119-APD668-Gs/β1/γ2
30.43Single7Y27Somatostatin-147Y27-SST2-Somatostatin-14-chim(NtGi2L-Gs-CtGq)/β1/γ2
30.43Single7YU8ONO-07405567YU8-LPA1-ONO-0740556-Gi1/β1/γ2
30.43Single8GUTLEI-1028GUT-CB2-LEI-102-Gi1/β1/γ2
30.43Single8IULLatanoprost8IUL-FP-alpha-Latanoprost-chim(NtGi1-Gs-CtGq)/β1/γ2
30.43Single8S2TIsoprenaline8S2T-β1-Isoprenaline-chim(NtGi1-Gs)/β1/γ2
30.43Single8WRZAM8418WRZ-CB1-AM841-Arrestin2
30.43Single8ZWGJR14a8ZWG-C3aB-JR14a-Gi1/β1/γ2
30.43Single9EAILosartan9EAI-AT1-Losartan-Nanobody AT209
30.43Single9KUGEP679KUG-C5a1-EP67-Go/β1/γ2
30.43Single9L79AR2314539L79-GPR119-AR231453-chim(NtGi1-Gs)/β1/γ2
30.43Single9WP9S1P9WP9-S1P3-S1P-chim(NtGi2L-Gs-CtGq)/β1/γ2
30.43Single9YDPDADLE9YDP-δ-DADLE-chim(NtGi1L-Gs-CtGi1)/β1/γ2
30.43Consensuscb1_on_gpOrthosteric Ligand6KPG-CB1-AM841-Gi1/β1/γ2 8K8J-CB1-Fenofibrate-chim(Gs-CtGq)/β1/γ2
30.43Consensusd2_offOrthosteric Ligand6CM4-D2-Risperidone 6LUQ-D2-Haloperidol 7DFP-D2-Spiperone
30.43Consensusendothelin_offOrthosteric Ligandetb_off
30.43Consensusetb_offOrthosteric Ligand5X93-ETB-K-8794 5XPR-ETB-Bosentan 6K1Q-ETB-IRL2500
30.43Consensusgi_s1pOrthosteric Ligand7VIE-S1P1-S1P-Gi1/β1/γ2 7EW3-S1P3-S1P-Gi1/β1/γ2 7EVY-S1P1-Siponimod-Gi1/β1/γ2 7EW1-S1P5-Siponimod-Gi1/β1/γ2 7VIF-S1P1-FTY720-P-Gi1/β1/γ2 7VIG-S1P1-CBP-307-Gi1/β1/γ2 7EVZ-S1P1-Cenerimod-Gi1/β1/γ2 7EW4-S1P3-CYM-5541-Gi1/β1/γ2 7EW2-S1P3-FTY720-P-Gi1/β1/γ2 7EW0-S1P1-Ozanimod-Gi1/β1/γ2 7EW7-S1P1-SEW2871-Gi1/β1/γ2
30.43Consensuskop_on_gpOrthosteric Ligand8F7W-κ-Dynorphin-Gi1/β1/γ2 8DZS-κ-GR89,696-chim(NtGi2-Gz)/β1/γ2 8DZP-κ-momSalB-Gi1/β1/γ2
30.43Consensusnucleotide_on_gpOrthosteric Ligandadenosine_on_gp p2y_on_gp
30.00Single2Y01Dobutamine2Y01-β1-Dobutamine
30.00Single5DHGC-355DHG-NOP-C-35
30.00Single5OLZPubChem 1355666095OLZ-A2A-PubChem 135566609-Na
30.00Single5OM1PubChem 1355666095OM1-A2A-PubChem 135566609-Na
30.00Single6D27CAY104716D27-DP2-CAY10471
30.00Single6DRXLisuride6DRX-5-HT2B-Lisuride
30.00Single6DRZMethysergide6DRZ-5-HT2B-Methysergide
30.00Single6GPSMK08126GPS-CCR2-MK0812
30.00Single6H7MSalbutamol6H7M-β1-Salbutamol
30.00Single6ORVTT-OAD26ORV-GLP-1-TT-OAD2-Gs/β1/γ2
30.00Single6XBM25(S)-Epoxycholesterol6XBM-SMO-25(S)-Epoxycholesterol-Gi1/β1/γ2
30.00Single7BU7BI1671077BU7-β1-BI167107
30.00Single7LCIDanuglipron7LCI-GLP-1-Danuglipron-Gs/β1/γ2
30.00Single7LCKDanuglipron7LCK-GLP-1-Danuglipron
30.00Single7S0GIsoprenaline7S0G-β1-Isoprenaline-chim(Gi1-CtGs)/β1/γ2
30.00Single7T2GMitragynine Pseudoindoxyl7T2G-μ-Mitragynine Pseudoindoxyl-Gi1/β1/γ2
30.00Single7V3ZCP559407V3Z-CB1-CP55940
30.00Single7VGXNeuropeptide-Y7VGX-Y1-Neuropeptide-Y-Gi1/β1/γ2
30.00Single7VIES1P7VIE-S1P1-S1P-Gi1/β1/γ2
30.00Single7VKTLTB47VKT-BLT1-LTB4-Gi1/β1/γ2
30.00Single7WQ3Galanin7WQ3-GAL1-Galanin-Gi1/β1/γ2
30.00Single7XJHIsoprenaline7XJH-β3-Isoprenaline-Gs/β1/γ2
30.00Single7YU4ONO-07405567YU4-LPA1-ONO-0740556
30.00Single8EFQDAMGO8EFQ-μ-DAMGO-Gi1/β1/γ2
30.00Single8RW7StilSwitch18RW7-A2A-StilSwitch1-Na
30.00Single8RWXStilSwitch38RWX-A2A-StilSwitch3-Na
30.00Single8T1WCVN4248T1W-GPR6-CVN424
30.00Single8W8ARO52563908W8A-TA1-RO5256390-chim(NtGi1L-Gs)/β1/γ2
30.00Single8X17Namodenoson8X17-A3A-Namodenoson-Gi1/β1/γ2
30.00Single8ZSSRO52633978ZSS-TA1-RO5263397-chim(NtGi1-Gs)/β1/γ2
30.00Single9EPP11,20-Ethanoretinal9EPP-Rhodopsin-11,20-Ethanoretinal-chim(Gi1-CtGq)/β1/γ2
30.00Single9KFJPubChem 1383196749KFJ-RXFP3-PubChem 138319674-Gi2/β1/γ2
30.00Consensus5ht2b_offOrthosteric Ligand6DRZ-5-HT2B-Methysergide
30.00Consensusadenosine_on_gpOrthosteric Liganda1_on_gp a2_on_gp a3_on_gp
30.00Consensusblt1_onOrthosteric Ligand7VKT-BLT1-LTB4-Gi1/β1/γ2
30.00Consensusblt1_on_gpOrthosteric Ligand7VKT-BLT1-LTB4-Gi1/β1/γ2
30.00Consensusblt_onOrthosteric Ligandblt1_on
30.00Consensusblt_on_gpOrthosteric Ligandblt1_on_gp
30.00Consensusccr2_offOrthosteric Ligand6GPS-CCR2-MK0812
30.00Consensusgal1_onOrthosteric Ligand7WQ3-GAL1-Galanin-Gi1/β1/γ2
30.00Consensusgal1_on_gpOrthosteric Ligand7WQ3-GAL1-Galanin-Gi1/β1/γ2
30.00Consensusgi_galaninOrthosteric Ligand7WQ3-GAL1-Galanin-Gi1/β1/γ2
30.00Consensusgi_leukotrieneOrthosteric Ligand7VKT-BLT1-LTB4-Gi1/β1/γ2
30.00Consensusleukotriene_onOrthosteric Ligandblt_on
30.00Consensusleukotriene_on_gpOrthosteric Ligandblt_on_gp
29.63Single6M1IPACAP276M1I-PAC1-PACAP27-Gs/β1/γ2
29.63Single7FIMTirzepatide7FIM-GLP-1-Tirzepatide-Gs/β1/γ2
29.63Single7V9MSomatoliberin7V9M-GHRH (SV1)-Somatoliberin-Gs/β1/γ2
29.63Consensusapelin_onOrthosteric Ligand8XZH-Apelin; Apelin-MM07-Gi1/β1/γ2 7W0M-Apelin-PubChem 122701908-Gi1/β1/γ2 8XZJ-Apelin; Apelin-WN353-Gi1/β1/γ2 8XZF-Apelin; Apelin-WN561-Gi1/β1/γ2 8XZG-Apelin; Apelin-Apelin-13-Gi1/β1/γ2
29.63Consensusapelin_on_gpOrthosteric Ligand8XZH-Apelin; Apelin-MM07-Gi1/β1/γ2 7W0M-Apelin-PubChem 122701908-Gi1/β1/γ2 8XZJ-Apelin; Apelin-WN353-Gi1/β1/γ2 8XZF-Apelin; Apelin-WN561-Gi1/β1/γ2 8XZG-Apelin; Apelin-Apelin-13-Gi1/β1/γ2
29.63Consensusgi_formylpeptideOrthosteric Ligand7WVY-FPR2-ALX-Amyloid-β42-Gi2/β1/γ2 7T6U-FPR2-ALX-CGEN-855A-Gi1/β1/γ2 7VFX-FPR1-ALX-fMIFL-Gi1/β1/γ2 7T6V-FPR2-ALX-fMLFII-Gi1/β1/γ2 7WVX-FPR2-ALX-Humanin-Gi2/β1/γ2 7T6S-FPR2-ALX-TC-FPR 43-Gi1/β1/γ2 6OMM-FPR2-ALX-WKYMVX-Gi1/β1/γ2
29.63Consensusp2y_on_gpOrthosteric Ligandp2y1_on_gp p2y10_on_gp p2y12_on_gp
29.63Consensusprotein_offonOrthosteric Ligandprotein_off protein_on
29.63Consensusprotein_offon_gpOrthosteric Ligandprotein_on_gp protein_off
29.63Consensusprotein_onOrthosteric Ligandchemokine_on chemerin_on
29.41Single6OIKLY21196206OIK-M2-Iperoxo-LY2119620-chim(NtGi1-Go)/β1/γ2
29.17Single4UG2CGS216804UG2-A2A-CGS21680
29.17Single5WF6UK-4320975WF6-A2A-UK-432097
29.17Single5ZTYAM102575ZTY-CB2-AM10257
29.17Single7RKNCX3CL17RKN-US28-CX3CL1-Gi1/β1/γ2
29.17Single7T11Octreotide7T11-SST2-Octreotide-Gi3/β1/γ2
29.17Single7XN9L-0545227XN9-SST2-L-054522
29.17Single7YAEOctreotide7YAE-SST2-Octreotide-Gi1/β1/γ2
29.17Single8X3LXWD8X3L-CB2-XWD-Gi1/β1/γ2
29.17Single9JF4PD1683689JF4-BB1-PD168368
29.17Single9KX6C5a-des-Arg9KX6-C5a1-C5a-des-Arg-Go/β1/γ2
29.17Single9KZ8EP679KZ8-C3aB-EP67-Go/β1/γ2
29.17Consensuscb2_offOrthosteric Ligand5ZTY-CB2-AM10257
29.17Consensuscxcr_on_gpOrthosteric Ligandcxcr3_on_gp cxcr4_on_gp cxcr1_on_gp cxcr2_on_gp
29.17Consensusox2_onOrthosteric Ligand7L1V-OX2-PubChem 155491009-chim(NtGi1-Gs-CtGq)/β1/γ2 7SQO-OX2-TAK-925-Gi1/β1/γ2 7L1U-OX2-Orexin-chim(NtGi1-Gs-CtGq)/β1/γ2
29.17Consensusox2_on_gpOrthosteric Ligand7L1V-OX2-PubChem 155491009-chim(NtGi1-Gs-CtGq)/β1/γ2 7SQO-OX2-TAK-925-Gi1/β1/γ2 7L1U-OX2-Orexin-chim(NtGi1-Gs-CtGq)/β1/γ2
29.17Consensuss1p_onOrthosteric Ligands1p1_on s1p3_on s1p5_on
29.17Consensuss1p_on_gpOrthosteric Ligands1p1_on_gp s1p3_on_gp s1p5_on_gp
29.17Consensussst2_onOrthosteric Ligand7WIC-SST2-Somatostatin-14-Gi1/β1/γ2 7WIG-SST2-L-054264-Gi1/β1/γ2 7YAE-SST2-Octreotide-Gi1/β1/γ2 7YAC-SST2-Paltusotine-Gi1/β1/γ2
29.17Consensussst2_on_gpOrthosteric Ligand7WIC-SST2-Somatostatin-14-Gi1/β1/γ2 7WIG-SST2-L-054264-Gi1/β1/γ2 7YAE-SST2-Octreotide-Gi1/β1/γ2 7YAC-SST2-Paltusotine-Gi1/β1/γ2
29.03Single5GLHEndothelin-15GLH-ETB-Endothelin-1
29.03Single8U1UCCL18U1U-CCR8-CCL1-Gi1/β1/γ2
29.03Consensusccr5_on_gpOrthosteric Ligand7O7F-CCR5-6P4-CCL5-Gi1/β1/γ1 7F1Q-CCR5-CCL3-Gi1/β1/γ2
29.03Consensusgi_npyOrthosteric Ligand8K6M-Y1-Neuropeptide-Y-Gi2/β1/γ1 7X9C-Y4-Pancreatic Hormone-Gi1/β1/γ2 7YOO-Y2-Neuropeptide-Y-Gi1/β1/γ2
29.03Consensusnpy_onOrthosteric Ligandnpy1_on npy2_on npy4_on
29.03Consensusnpy_on_gpOrthosteric Ligandnpy1_on_gp npy2_on_gp npy4_on_gp
28.57Single4ZJ8Suvorexant4ZJ8-OX1-Suvorexant
28.57Single5JQHCarazolol5JQH-β2-Carazolol
28.57Single5OM4PubChem 1355666095OM4-A2A-PubChem 135566609-Na
28.57Single5T1ABMS-6815T1A-CCR2-BMS-681-PubChem 12093170
28.57Single5WQCEMPA5WQC-OX2-EMPA
28.57Single6E67BI1671076E67-β2-BI167107-Gs(CT)
28.57Single6GPXMK08126GPX-CCR2-MK0812
28.57Single6KUWPubChem 572132346KUW-α2c-PubChem 57213234
28.57Single6LUQHaloperidol6LUQ-D2-Haloperidol
28.57Single6ME62-Phenylmelatonin6ME6-MT2-2-Phenylmelatonin
28.57Single6PS3Carvedilol6PS3-β2-Carvedilol
28.57Single6TO7Suvorexant6TO7-OX1-Suvorexant-Na
28.57Single7BVQCarazolol7BVQ-β1-Carazolol
28.57Single7CFNINT-7777CFN-GPBA-INT-777-Gs/β1/γ2
28.57Single7LD3Adenosine7LD3-A1-Adenosine-MIPS521-Gi2/β1/γ2
28.57Single7S0FIsoprenaline7S0F-β1-Isoprenaline-Gi1/β1/γ2
28.57Single7VL9CCL15(26-92)7VL9-CCR1-CCL15(26-92)-Gi1/β1/γ2
28.57Single7X1TTaltirelin7X1T-TRH-Taltirelin-chim(NtGi2L-Gs-CtGq)/β1/γ2
28.57Single7XK9Constrained Isoproterenol7XK9-β2-Constrained Isoproterenol-Na
28.57Single7YU3ONO-07405567YU3-LPA1-ONO-0740556-Gi1/β1/γ2
28.57Single8E3ZVIP8E3Z-VPAC1-VIP-Gs/β1/γ2
28.57Single8GD9Rivenprost8GD9-EP4-Rivenprost-Gs/β1/γ2
28.57Single8JXSPF-61428JXS-D1-PF-6142
28.57Single8K8JFenofibrate8K8J-CB1-Fenofibrate-chim(Gs-CtGq)/β1/γ2
28.57Single8TF5Oleic acid8TF5-GPR6-Oleic acid
28.57Single8TH4Losartan8TH4-AT1-Losartan-AT118-L Nanobody
28.57Single8XVHEndothelin-18XVH-ETB-Endothelin-1-chim(Gs-CtGq)/β1/γ2
28.57Single9ARZ2-bromo-LSD9ARZ-5-HT2A-2-bromo-LSD
28.57Single9EE8Adenosine9EE8-A2A-Adenosine-Gs/β1/γ2
28.57Single9KO4CCL219KO4-CCR7-CCL21-Gi1/β1/γ2
28.57Single9KUTJR14a9KUT-C3aB-JR14a-Go/β1/γ2
28.57Single9MQKIsoquinuclidine9MQK-κ-Isoquinuclidine
28.57Consensus5ht5_on_gpOrthosteric Ligand5ht5a_on_gp
28.57Consensus5ht5a_on_gpOrthosteric Ligand7X5H-5-HT5A-5-CT-Gi1/β1/γ2 7UM6-5-HT5A-Lisuride-chim(NtGi1-Go)/β1/γ2 7UM7-5-HT5A-Methylergometrine-chim(NtGi1-Go)/β1/γ2
28.57Consensusadrenergic_offOrthosteric Ligandalpha_off beta_off
28.57Consensusadrenergic_on_gpOrthosteric Ligandalpha_on_gp beta_on_gp
28.57Consensusalpha2c_offOrthosteric Ligand6KUW-α2c-PubChem 57213234
28.57Consensuscml1_on_gpOrthosteric Ligand7YKD-CML1-Chemerin-9-Gi1/β1/γ2
28.57Consensusd1_onOrthosteric Ligand7F0T-D1-Dopamine-Gs/β1/γ2 7CKY-D1-PW0464-Gs/β1/γ2 8IRR-D1-Rotigotine-Gs/β1/γ2 7JV5-D1-SKF81297-Gs/β1/γ2 7JVP-D1-SKF83959-Gs/β1/γ2 7X2D-D1-Tavapadon-Gs/β1/γ2 7CKX-D1-A77636-Gs/β1/γ2 7JVQ-D1-Apomorphine-Gs/β1/γ2 7CKW-D1-Fenoldopam-Gs/β1/γ2
28.57Consensusd2_onOrthosteric Ligand7JVR-D2-Bromoergocryptine-Gi1/β1/γ2 8IRS-D2-Rotigotine-Gi1/β1/γ2
28.57Consensusd4_onOrthosteric Ligand8IRU-D4-Rotigotine-chim(NtGi1-Gs-CtGi1)/β1/γ2
28.57Consensusgi_apelinOrthosteric Ligand8XZH-Apelin; Apelin-MM07-Gi1/β1/γ2 7W0M-Apelin-PubChem 122701908-Gi1/β1/γ2 8XZJ-Apelin; Apelin-WN353-Gi1/β1/γ2 8XZF-Apelin; Apelin-WN561-Gi1/β1/γ2 8XZG-Apelin; Apelin-Apelin-13-Gi1/β1/γ2
28.57Consensusgs_amineOrthosteric Ligandgs_5ht gs_adrenergic gs_dopamine gs_histamine gs_trace-amine
28.57Consensusmc1_onOrthosteric Ligand7F4H-MC1-Afamelanotide-chim(NtGi1-Gs)/β1/γ2 7F4D-MC1-α-MSH-chim(NtGi1-Gs)/β1/γ2 7F4I-MC1-SHU9119-chim(NtGi1-Gs)/β1/γ2
28.57Consensusmc1_on_gpOrthosteric Ligand7F4H-MC1-Afamelanotide-chim(NtGi1-Gs)/β1/γ2 7F4D-MC1-α-MSH-chim(NtGi1-Gs)/β1/γ2 7F4I-MC1-SHU9119-chim(NtGi1-Gs)/β1/γ2
28.57Consensusta1_onOrthosteric Ligand8W87-TA1-METH-chim(NtGi1L-Gs)/β1/γ2 8W89-TA1-2-Phenylethylamine-chim(NtGi1L-Gs)/β1/γ2 8JLP-TA1-Ralmitaront-Gs/β1/γ2 8W8A-TA1-RO5256390-chim(NtGi1L-Gs)/β1/γ2 8W88-TA1-SEP-363856-Gs/β1/γ2 8JLO-TA1-Ulotaront-Gs/β1/γ2 8JLR-TA1-A77636-chim(NtGi1-Gs)/β1/γ2 8JSO-TA1-AMPH-chim(NtGi1-Gs)/β1/γ2 8ZSP-TA1-LSD-chim(NtGi1L-Gs)/β1/γ2
28.57Consensustrace-amine_onOrthosteric Ligandta1_on
28.12Single8HBDIRL16208HBD-ETB-IRL1620-Gi1/β1/γ2
28.00Single4IARErgotamine4IAR-5-HT1B-Ergotamine
28.00Single7T6UCGEN-855A7T6U-FPR2-ALX-CGEN-855A-Gi1/β1/γ2
28.00Single7TD4Siponimod7TD4-S1P1-Siponimod-Gi1/β1/γ2
28.00Single7WICSomatostatin-147WIC-SST2-Somatostatin-14-Gi1/β1/γ2
28.00Single7WVWfMYFINILTL7WVW-FPR2-ALX-fMYFINILTL-Gi2/β1/γ2
28.00Single7XAUOctreotide7XAU-SST2-Octreotide-Gi1/β1/γ2
28.00Single7XMRSomatostatin-147XMR-SST2-Somatostatin-14-Gi1/β1/γ2
28.00Single8F7XNociceptin8F7X-NOP-Nociceptin-Gi1/β1/γ2
28.00Single8FYLVilazodone8FYL-5-HT1A-Vilazodone-PtdIns4P-Gi1/β1/γ1
28.00Single8GHVAMG3158GHV-CB1-AMG315-Gi1/β1/γ2
28.00Single8WZ2Orexigenic Neuropeptide QRFP8WZ2-QRFP-Orexigenic Neuropeptide QRFP-chim(NtGi1L-Gs-CtGq)/β1/γ2
28.00Single9L3YChemerin9L3Y-CML2-Chemerin-Gi1/β1/γ2
28.00Consensuschemerin_on_gpOrthosteric Ligandcml1_on_gp
28.00Consensuschemokine_onOrthosteric Ligandccr_on cxcr_on
28.00Consensuscml1_onOrthosteric Ligand7YKD-CML1-Chemerin-9-Gi1/β1/γ2
28.00Consensusgi_chemerinOrthosteric Ligand7YKD-CML1-Chemerin-9-Gi1/β1/γ2
28.00Consensusmop_offOrthosteric Ligand4DKL-μ-β-Funaltrexamine 8QOT-μ-Nanobody-E 7UL4-μ-Alvimopan
28.00Consensusp2y_onOrthosteric Ligandp2y1_on p2y10_on p2y12_on
27.78Single7TRPLY20332987TRP-M4-Iperoxo-LY2033298-Gi1/β1/γ2
27.78Single9JLCAVE 09919JLC-MAS1-AVE 0991-Gi1/β1/γ2
27.78Single9U9VMETH9U9V-β2-METH-Gs/β1/γ2
27.59Single6FJ3PTH6FJ3-PTH1-PTH
27.59Single7RGPTirzepatide7RGP-GLP-1-Tirzepatide-chim(NtGi1-Gs)/β1/γ2
27.59Single7SK3CXCL127SK3-ACKR3-CXCL12
27.59Single7SK4CXCL12_LRHQ7SK4-ACKR3-CXCL12_LRHQ
27.59Consensusccr5_onOrthosteric Ligand7O7F-CCR5-6P4-CCL5-Gi1/β1/γ1 7F1Q-CCR5-CCL3-Gi1/β1/γ2
27.59Consensusgi_proteinOrthosteric Ligandgi_chemokine gi_chemerin
27.59Consensusnpy4_onOrthosteric Ligand7X9C-Y4-Pancreatic Hormone-Gi1/β1/γ2
27.59Consensusnpy4_on_gpOrthosteric Ligand7X9C-Y4-Pancreatic Hormone-Gi1/β1/γ2
27.59Consensuspac1_onOrthosteric Ligand8E3X-PAC1-PACAP27-Gs/β1/γ2 6M1H-PAC1-Maxadilan-Gs/β1/γ2
27.59Consensuspac1_on_gpOrthosteric Ligand8E3X-PAC1-PACAP27-Gs/β1/γ2 6M1H-PAC1-Maxadilan-Gs/β1/γ2
27.59Consensusprotein_on_gpOrthosteric Ligandchemokine_on_gp chemerin_on_gp
27.59Consensussecretin_onOrthosteric Ligand7D3S-Secretin-Secretin-Gs/β1/γ2
27.27Single2YDVNECA2YDV-A2A-NECA
27.27Single3P0GBI1671073P0G-β2-BI167107
27.27Single3PDSFAUC503PDS-β2-FAUC50
27.27Single3SN6BI1671073SN6-β2-BI167107-Gs/β1/γ2
27.27Single4UHRCGS216804UHR-A2A-CGS21680
27.27Single4Z34ONO-97803074Z34-LPA1-ONO-9780307
27.27Single5A8E7-Methylcyanopindolol5A8E-β1-7-Methylcyanopindolol-Na
27.27Single5G53NECA5G53-A2A-NECA-Gs
27.27Single5XR8AM120335XR8-CB1-AM12033
27.27Single6GT3Imaradenant6GT3-A2A-Imaradenant-Na
27.27Single6N4BMDMB-Fubinaca6N4B-CB1-MDMB-Fubinaca-Gi1/β1/γ2
27.27Single6NI3BI1671076NI3-β2-BI167107-Gs/β1/γ2
27.27Single6OS1TRV0266OS1-AT1-TRV026
27.27Single6TQ7SB-3348676TQ7-OX1-SB-334867
27.27Single6WGTLSD6WGT-5-HT2A-LSD
27.27Single7EW7SEW28717EW7-S1P1-SEW2871-Gi1/β1/γ2
27.27Single7JVPSKF839597JVP-D1-SKF83959-Gs/β1/γ2
27.27Single7T2HLofentanil7T2H-μ-Lofentanil-Gi1/β1/γ2
27.27Single7TD1LPA7TD1-LPA1-LPA-Gi1/β1/γ2
27.27Single7U2LC5-guano7U2L-μ-C5-guano-Gi1/β1/γ2
27.27Single7WV9CP559407WV9-CB1-CP55940-ZCZ011-Gi2/β1/γ2
27.27Single7XJLSpexin7XJL-GAL2-Spexin-chim(NtGi2L-Gs-CtGq)/β1/γ2
27.27Single7XOWSulfated Gastrin-(10-17)7XOW-CCKB-Sulfated Gastrin-(10-17)-chim(NtGi1-Gq)/β1/γ2
27.27Single7Y67C089 peptide7Y67-C5a1-C089 peptide-Gi1/β1/γ2
27.27Single7YU5ONO-07405567YU5-LPA1-ONO-0740556-Gi1/β1/γ2
27.27Single8DCSCyanopindolol8DCS-β1-Cyanopindolol-Gs/β1/γ2
27.27Single8IRRRotigotine8IRR-D1-Rotigotine-Gs/β1/γ2
27.27Single8IRURotigotine8IRU-D4-Rotigotine-chim(NtGi1-Gs-CtGi1)/β1/γ2
27.27Single8IRVRotigotine8IRV-D5-Rotigotine-chim(NtGi1-Gs)/β1/γ2
27.27Single8JSRAnamorelin8JSR-Ghrelin-Anamorelin-chim(NtGi1-Gs-CtGq)/β1/γ2
27.27Single8T1VPubChem 1183102098T1V-GPR6-PubChem 118310209-Na
27.27Single8UGWCGS216808UGW-A2A-CGS21680
27.27Single9B65MDMB-Fubinaca9B65-CB1-MDMB-Fubinaca-Gi1/β1/γ2
27.27Single9BS9LSD9BS9-D2-LSD
27.27Single9BSBLSD9BSB-D2-LSD-chim(NtGi1-Go)/β1/γ2
27.27Single9IK9Lanreotide9IK9-SST1-Lanreotide-Gi1/β1/γ2
27.27Single9JCLADP9JCL-P2Y1-ADP-chim(Gs-CtGq)/β1/γ2
27.27Single9KUXCMPD6449KUX-Apelin; Apelin-CMPD644-Arrestin2
27.27Single9L16CCL219L16-CCR7-CCL21
27.27Single9PY3Loperamide9PY3-μ-Loperamide-GDPβS-Gi1/β1/γ2
27.27Single9UY3Anamorelin9UY3-Ghrelin-Anamorelin-chim(NtGi1-Gs-CtGq)/β1/γ2
27.27Consensusa2_onOrthosteric Liganda2b_on
27.27Consensusa2_on_gpOrthosteric Liganda2b_on_gp
27.27Consensusa2b_onOrthosteric Ligand8HDP-A2B-Adenosine-Gs/β1/γ2 7XY6-A2B-BAY 60-6583-chim(NtGi1-Gs)/β1/γ2 7XY7-A2B-NECA-chim(NtGi1-Gs)/β1/γ2 8HDO-A2B-BAY 60-6583-Gs/β1/γ2
27.27Consensusa2b_on_gpOrthosteric Ligand8HDP-A2B-Adenosine-Gs/β1/γ2 7XY6-A2B-BAY 60-6583-chim(NtGi1-Gs)/β1/γ2 7XY7-A2B-NECA-chim(NtGi1-Gs)/β1/γ2 8HDO-A2B-BAY 60-6583-Gs/β1/γ2
27.27Consensusd4_on_gpOrthosteric Ligand8IRU-D4-Rotigotine-chim(NtGi1-Gs-CtGi1)/β1/γ2
27.27Consensusd5_on_gpOrthosteric Ligand8IRV-D5-Rotigotine-chim(NtGi1-Gs)/β1/γ2
27.27Consensusgi_5htOrthosteric Ligand8FYT-5-HT1A-LSD-PtdIns4P-Gi1/β1/γ1 7UM7-5-HT5A-Methylergometrine-chim(NtGi1-Go)/β1/γ2 8UGY-5-HT1E-Mianserin-Gi1/β1/γ1 8W8B-5-HT1A-SEP-363856-Gi1/β1/γ2 7E2Y-5-HT1A-Serotonin-PtdIns4P-Gi1/β1/γ2 7E32-5-HT1D-Serotonin-Gi1/β1/γ2 7XTA-5-HT4-Serotonin-Gi1/β1/γ2 8UH3-5-HT1E-Setiptiline-Gi1/β1/γ1 8JSP-5-HT1A-Ulotaront-Gi1/β1/γ2 8FYL-5-HT1A-Vilazodone-PtdIns4P-Gi1/β1/γ1 8JT6-5-HT1A-(R)-IHCH-7179-PtdIns4P-Gi1/β1/γ2 8FYE-5-HT1A-4-F,5-MeO-PyrT-PtdIns4P-Gi1/β1/γ1 7X5H-5-HT5A-5-CT-Gi1/β1/γ2 8FY8-5-HT1A-5-MeO-DMT-PtdIns4P-Gi1/β1/γ1 7E2Z-5-HT1A-Aripiprazole-PtdIns4P-Gi1/β1/γ2 7E33-5-HT1E-BRL-54443-Gi1/β1/γ2 8FYX-5-HT1A-Buspirone-PtdIns4P-Gi1/β1/γ1 7EXD-5-HT1F-Lasmiditan-Gi1/β1/γ2 7UM6-5-HT5A-Lisuride-chim(NtGi1-Go)/β1/γ2
27.27Consensusgi_dopamineOrthosteric Ligand7JVR-D2-Bromoergocryptine-Gi1/β1/γ2 7CMV-D3-PD128907-Gi1/β1/γ2 7CMU-D3-Pramipexole-Gi1/β1/γ2 8IRS-D2-Rotigotine-Gi1/β1/γ2 8IRT-D3-Rotigotine-Gi1/β1/γ2
27.27Consensusgi_lpaOrthosteric Ligand7TD1-LPA1-LPA-Gi1/β1/γ2 7YU3-LPA1-ONO-0740556-Gi1/β1/γ2
27.27Consensusgs_adenosineOrthosteric Ligand8HDP-A2B-Adenosine-Gs/β1/γ2 8HDO-A2B-BAY 60-6583-Gs/β1/γ2 7XY7-A2B-NECA-chim(NtGi1-Gs)/β1/γ2 7XY6-A2B-BAY 60-6583-chim(NtGi1-Gs)/β1/γ2
27.27Consensusgs_nucleotideOrthosteric Ligandgs_adenosine
27.27Consensuslpa_onOrthosteric Ligandlpa1_on
27.27Consensuslpa_on_gpOrthosteric Ligandlpa1_on_gp
27.27Consensusprotein_offOrthosteric Ligandchemokine_off grh_off
27.27Consensusta1_on_gpOrthosteric Ligand8W87-TA1-METH-chim(NtGi1L-Gs)/β1/γ2 8W89-TA1-2-Phenylethylamine-chim(NtGi1L-Gs)/β1/γ2 8JLP-TA1-Ralmitaront-Gs/β1/γ2 8W8A-TA1-RO5256390-chim(NtGi1L-Gs)/β1/γ2 8W88-TA1-SEP-363856-Gs/β1/γ2 8JLO-TA1-Ulotaront-Gs/β1/γ2 8JLR-TA1-A77636-chim(NtGi1-Gs)/β1/γ2 8JSO-TA1-AMPH-chim(NtGi1-Gs)/β1/γ2 8ZSP-TA1-LSD-chim(NtGi1L-Gs)/β1/γ2
27.27Consensustrace-amine_on_gpOrthosteric Ligandta1_on_gp
26.92Single7WJ5Somatostatin-147WJ5-SST2-Somatostatin-14-Gi1/β1/γ2
26.92Single8Z7JJN241-98Z7J-Apelin-JN241-9-Gi1/β1/γ2
26.92Single9EAINanobody AT2099EAI-AT1-Losartan-Nanobody AT209
26.92Single9IK8Pasireotide9IK8-SST1-Pasireotide-Gi1/β1/γ2
26.92Single9IQRMuscarinic toxin 39IQR-α2a-Muscarinic toxin 3
26.92Single9L60Dynorphin9L60-κ-Dynorphin-MPAM-15-Gi1/β1/γ2
26.92Single9ME1CXCL129ME1-CXCR4-CXCL12
26.92Consensusccr8_on_gpOrthosteric Ligand8KFX-CCR8-LMD-009-Gi1/β1/γ2 8KFY-CCR8-ZK-756326-Gi1/β1/γ2 8U1U-CCR8-CCL1-Gi1/β1/γ2
26.92Consensusformylpeptide_on_gpOrthosteric Ligandfpr2-alx_on_gp fpr1-alx_on_gp
26.92Consensusghrelin_onOrthosteric Ligand7NA7-Ghrelin-Ghrelin-Gi1/β1/γ2 7F9Z-Ghrelin-GHRP-6-chim(NtGi1-Gs-CtGq)/β1/γ2 7NA8-Ghrelin-Ibutamoren-Gi1/β1/γ2
26.92Consensusghrelin_on_gpOrthosteric Ligand7NA7-Ghrelin-Ghrelin-Gi1/β1/γ2 7F9Z-Ghrelin-GHRP-6-chim(NtGi1-Gs-CtGq)/β1/γ2 7NA8-Ghrelin-Ibutamoren-Gi1/β1/γ2
26.92Consensusmc5_onOrthosteric Ligand8INR-MC5-α-MSH-Ca-chim(NtGi1-Gs)/β1/γ2 8IOD-MC5-PG-901-Ca-chim(NtGi1-Gs)/β1/γ2
26.67Single7F4FAfamelanotide7F4F-MC1-Afamelanotide-chim(NtGi1-Gs)/β1/γ2
26.67Single7TYFAmylin7TYF-CT (AMY1)-Amylin-Gs/β1/γ2; RAMP1
26.67Single8GEJConstrained Epinephrine8GEJ-β2-Constrained Epinephrine-Gs/β1/γ2
26.67Single9BUCCagrilintide9BUC-CT-Cagrilintide-Gs/β1/γ2
26.67Single9K26PrRP319K26-PrRP-PrRP31-Gi1/β1/γ2
26.67Consensusglp_onOrthosteric Ligandglp1_on glp2_on
26.67Consensusglp_on_gpOrthosteric Ligandglp1_on_gp glp2_on_gp
26.67Consensussecretin_on_gpOrthosteric Ligand7D3S-Secretin-Secretin-Gs/β1/γ2
26.47Single7X9ANeuropeptide-Y7X9A-Y1-Neuropeptide-Y-Gi1/β1/γ2
26.32Single3PWHZM-2413853PWH-A2A-ZM-241385
26.32Single4MQTLY21196204MQT-M2-Iperoxo-LY2119620
26.32Single4S0VSuvorexant4S0V-OX2-Suvorexant
26.32Single5OLVLUAA470705OLV-A2A-LUAA47070-Na
26.32Single5WS3EMPA5WS3-OX2-EMPA
26.32Single6B73MP11046B73-κ-MP1104
26.32Single6D9HAdenosine6D9H-A1-Adenosine-Gi2/β1/γ2
26.32Single6DS0LY2660976DS0-5-HT2B-LY266097
26.32Single6OBAAlprenolol6OBA-β2-Alprenolol-GTPL11074
26.32Single6RNKNF-56-EJ406RNK-Succinate-NF-56-EJ40
26.32Single6TODEMPA6TOD-OX1-EMPA-Na
26.32Single6TPJSuvorexant6TPJ-OX2-Suvorexant
26.32Single7DHRIsoprenaline7DHR-β2-Isoprenaline-Gs/β1/γ2
26.32Single7LCJDanuglipron7LCJ-GLP-1-Danuglipron
26.32Single7VIHCBP-3077VIH-S1P1-CBP-307-Gi1/β1/γ2
26.32Single7W0OElabela7W0O-Apelin-Elabela-Gi1/β1/γ2
26.32Single7XJJGalanin7XJJ-GAL1-Galanin-Go/β1/γ2
26.32Single7XRRLemborexant7XRR-OX2-Lemborexant
26.32Single7YMHNorepinephrine7YMH-Alpha1A-Norepinephrine-chim(Gs-CtGq)
26.32Single8FYXBuspirone8FYX-5-HT1A-Buspirone-PtdIns4P-Gi1/β1/γ1
26.32Single8GGAConstrained Epinephrine8GGA-β2-Constrained Epinephrine-GTP-Gs/β1/γ2
26.32Single8GGCConstrained Epinephrine8GGC-β2-Constrained Epinephrine-GTP-Gs/β1/γ2
26.32Single8GGRConstrained Epinephrine8GGR-β2-Constrained Epinephrine
26.32Single8GGWConstrained Epinephrine8GGW-β2-Constrained Epinephrine
26.32Single8GGZConstrained Epinephrine8GGZ-β2-Constrained Epinephrine
26.32Single8GH0Constrained Epinephrine8GH0-β2-Constrained Epinephrine
26.32Single8GNGIstradefylline8GNG-A2A-Istradefylline
26.32Single8H8JLodoxamide8H8J-GPR35-Lodoxamide-Ca-chim(NtGi1L-G13)/β1/γ2
26.32Single8HDPAdenosine8HDP-A2B-Adenosine-Gs/β1/γ2
26.32Single8HMPC178HMP-GPR52-C17-Gs/β1/γ2
26.32Single8IW4Spermidine8IW4-TAA9-Spermidine-chim(NtGi1-Gs)/β1/γ2
26.32Single8IWESpermidine8IWE-TAA9-Spermidine
26.32Single8RW0Istradefylline8RW0-A2A-Istradefylline-Na
26.32Single8UNXConstrained Epinephrine8UNX-β2-Constrained Epinephrine-GTP-Gs/β1/γ2
26.32Single8WC4ZH86518WC4-TA1-ZH8651-chim(NtGi1-Gs)/β1/γ2
26.32Single8WCA2-Phenylethylamine8WCA-TA1-2-Phenylethylamine-chim(NtGi1-Gs)/β1/γ2
26.32Single8YYWAlpha-ketoglutarate8YYW-Oxoglutarate-α-ketoglutarate-α-ketoglutarate-chim(Gi1-CtGq)/β1/γ2
26.32Single9KPESalicin9KPE-TAS2R16-Salicin-Gi1/β1/γ2
26.32Single9LKDPL459LKD-OR5V1-PL45
26.32Consensusalpha2_offOrthosteric Ligandalpha2c_off
26.32Consensusangiotensin_offOrthosteric Ligandat1_off
26.32Consensusorexin_offOrthosteric Ligandox2_off ox1_off
26.32Consensusox1_offOrthosteric Ligand6TP6-OX1-Filorexant 6TP4-OX1-ACT-462206 6V9S-OX1-GTPL11403 6TOT-OX1-Lemborexant 6TP3-OX1-Nemorexant 6TQ6-OX1-PubChem 145714283 6TQ9-OX1-SB-408124 4ZJC-OX1-SB-674042 4ZJ8-OX1-Suvorexant 6TOD-OX1-EMPA-Na 6TOS-OX1-GSK1059865-Na 6TQ4-OX1-PubChem 16046844-Na
26.32Consensusox2_offOrthosteric Ligand5WQC-OX2-EMPA 6TPN-OX2-HTL6641 7XRR-OX2-Lemborexant 6TPJ-OX2-Suvorexant
26.09Single2YCXCyanopindolol2YCX-β1-Cyanopindolol
26.09Single4N4WSANT-14N4W-SMO-SANT-1
26.09Single4RWADIPP-NH24RWA-δ-DIPP-NH2
26.09Single4Z36ONO-30805734Z36-LPA1-ONO-3080573
26.09Single5F8UCyanopindolol5F8U-β1-Cyanopindolol
26.09Single6DRYMethylergometrine6DRY-5-HT2B-Methylergometrine
26.09Single6H7OCyanopindolol6H7O-β1-Cyanopindolol
26.09Single6MXTSalmeterol6MXT-β2-Salmeterol
26.09Single7L1VPubChem 1554910097L1V-OX2-PubChem 155491009-chim(NtGi1-Gs-CtGq)/β1/γ2
26.09Single7T6BS1P7T6B-S1P2-S1P-chim(NtGi1L-G13)/β1/γ2
26.09Single7WCNAR2314537WCN-GPR119-AR231453-Gs/β1/γ2
26.09Single7WQ4Galanin7WQ4-GAL2-Galanin-chim(NtGi1-Gs-CtGq)/β1/γ2
26.09Single7XZ5Lysophosphatidylcholine7XZ5-GPR119-Lysophosphatidylcholine-Gs/β1/γ2
26.09Single7YITNalfurafine7YIT-κ-Nalfurafine
26.09Single8G056-OAU8G05-GPR84-6-OAU-Gi1/β1/γ2
26.09Single8GCPPGE28GCP-EP4-PGE2-Gi1/β1/γ2
26.09Single8H0QGastrin Releasing Peptide8H0Q-BB2-Gastrin Releasing Peptide-chim(NtGi1-Gs-CtGq)/β1/γ2
26.09Single8JPCNeurotensin-(8-13)8JPC-NTS1-Neurotensin-(8-13)-SBI-553; GDP; Mg-Gq; GRK2
26.09Single8XQSCholesterol8XQS-TAS2R14-Cholesterol-Flufenamic acid-Gi1/β1/γ1
26.09Single9EBIPiclidenoson9EBI-A3A-Piclidenoson-chim(NtGi1L-Gs-CtGi1)/β1/γ2
26.09Single9GGGI-BOP9GGG-TXA2-I-BOP-chim(NtGi2L-Gs-CtGq)/β1/γ2
26.09Single9IZHLPA9IZH-LPA1-LPA-chim(NtGi2-G13)/β1/γ2
26.09Single9L3WChemerin9L3W-CML1-Chemerin-Gi1/β1/γ2
26.09Single9M8POleic monoethanolamide9M8P-GPR3 ; GPR3-Oleic monoethanolamide-AF64394
26.09Single9MQLIsoquinuclidine9MQL-κ-Isoquinuclidine
26.09Consensuscannabinoid_offOrthosteric Ligandcb2_off cb1_off
26.09Consensuscb1_onOrthosteric Ligand6KPG-CB1-AM841-Gi1/β1/γ2 8K8J-CB1-Fenofibrate-chim(Gs-CtGq)/β1/γ2
26.09Consensuscxcr_onOrthosteric Ligandcxcr3_on cxcr4_on cxcr1_on cxcr2_on
26.09Consensusd2_on_gpOrthosteric Ligand7JVR-D2-Bromoergocryptine-Gi1/β1/γ2 8IRS-D2-Rotigotine-Gi1/β1/γ2
26.09Consensuslpa1_offOrthosteric Ligand4Z36-LPA1-ONO-3080573 4Z35-LPA1-ONO-9910539 4Z34-LPA1-ONO-9780307
26.09Consensuslpa_offOrthosteric Ligandlpa1_off
26.09Consensusorexin_onOrthosteric Ligandox2_on
25.93Single3OE0CVX153OE0-CXCR4-CVX15
25.93Single6MEOGp160; CD46MEO-CCR5-Gp160; CD4
25.93Single6PT2KGCHM076PT2-δ-KGCHM07
25.93Single7F4DAlpha-MSH7F4D-MC1-α-MSH-chim(NtGi1-Gs)/β1/γ2
25.93Single7T6TfMLFII7T6T-FPR1-ALX-fMLFII-Gi1/β1/γ2
25.93Single8K6NNeuropeptide-Y8K6N-Y2-Neuropeptide-Y-Gi2/β1/γ1
25.93Single8XZHMM078XZH-Apelin; Apelin-MM07-Gi1/β1/γ2
25.93Single9IVMGLP-1 (Truncated)9IVM-GLP-1-GLP-1 (Truncated)-LSN3318839-chim(NtGi1-Gs)/β2/γ2
25.93Single9M1ONeuropeptide-FF9M1O-NPFF2-Neuropeptide-FF-Gi1/β1/γ2
25.93Single9MEUCXCL129MEU-CXCR4-CXCL12
25.93Consensusfpr2-alx_onOrthosteric Ligand7WVX-FPR2-ALX-Humanin-Gi2/β1/γ2 7T6U-FPR2-ALX-CGEN-855A-Gi1/β1/γ2 7T6V-FPR2-ALX-fMLFII-Gi1/β1/γ2 7WVY-FPR2-ALX-Amyloid-β42-Gi2/β1/γ2 7T6S-FPR2-ALX-TC-FPR 43-Gi1/β1/γ2 6OMM-FPR2-ALX-WKYMVX-Gi1/β1/γ2
25.81Single5VAIGLP-15VAI-GLP-1-GLP-1-Gs/β1/γ2
25.81Single6NBHLA-PTH Analog6NBH-PTH1-LA-PTH Analog-Gs/β1/γ2
25.81Single7D68GLP-27D68-GLP-2-GLP-2-Gs/β1/γ2
25.81Single7KI1Taspoglutide7KI1-GLP-1-Taspoglutide-Gs/β1/γ2
25.81Single8F0KPramlintide Analogue San3858F0K-CT (AMY3)-Pramlintide Analogue San385-Gs/β1/γ2; RAMP3
25.81Single8Y52BA18Y52-BB3-BA1-chim(NtGi1-Gs-CtGq)/β1/γ2
25.81Single9BYOExendin-39BYO-GLP-1-Exendin-3-Gs/β1/γ2
25.81Consensusgs_melanocortinOrthosteric Ligand7F4H-MC1-Afamelanotide-chim(NtGi1-Gs)/β1/γ2 7F54-MC4-Afamelanotide-Gs/β1/γ2 7F4D-MC1-α-MSH-chim(NtGi1-Gs)/β1/γ2 8INR-MC5-α-MSH-Ca-chim(NtGi1-Gs)/β1/γ2 7F53-MC4-α-MSH-Gs/β1/γ2 7F55-MC4-Bremelanotide-Gs/β1/γ2 8GY7-MC2-Corticotropin-Ca-chim(NtGi1-Gs)/β1/γ2; MRAP1 8IOC-MC3-γ-MSH-Ca-chim(NtGi1-Gs)/β1/γ2 8IOD-MC5-PG-901-Ca-chim(NtGi1-Gs)/β1/γ2 7AUE-MC4-Setmelanotide-chim(NtGi1L-Gs)/β1/γ2 7F4I-MC1-SHU9119-chim(NtGi1-Gs)/β1/γ2 7F58-MC4-THIQ-Gs/β1/γ2
25.00Single4BVNCyanopindolol4BVN-β1-Cyanopindolol-Na
25.00Single4LDOEpinephrine4LDO-β2-Epinephrine
25.00Single4NC3Ergotamine4NC3-5-HT2B-Ergotamine
25.00Single5WB2CX3CL1.355WB2-US28-CX3CL1.35
25.00Single6BQGErgotamine6BQG-5-HT2C-Ergotamine
25.00Single6BQHRitanserin6BQH-5-HT2C-Ritanserin
25.00Single6IQLL7458706IQL-D4-L745870
25.00Single6K1QIRL25006K1Q-ETB-IRL2500
25.00Single6METGp160; CD46MET-CCR5-Gp160; CD4
25.00Single6PS0Carazolol6PS0-β2-Carazolol
25.00Single6PS4ICI118-5516PS4-β2-ICI118-551
25.00Single6PS82-Phenylmelatonin6PS8-MT1-2-Phenylmelatonin
25.00Single6PT0WIN 55212-26PT0-CB2-WIN 55212-2-Gi1/β1/γ2
25.00Single6TOSGSK10598656TOS-OX1-GSK1059865-Na
25.00Single6VI4JDTic6VI4-κ-JDTic
25.00Single6ZDVPubChem 9840736ZDV-A2A-PubChem 984073-Na
25.00Single7AROLUF58337ARO-A2A-LUF5833-Na
25.00Single7BB6AVP7BB6-V2-AVP-Gs/β1/γ2
25.00Single7DHISalbutamol7DHI-β2-Salbutamol-Gs/β1/γ2
25.00Single7DUQGLP-17DUQ-GLP-1-GLP-1-PubChem 156022738-Gs/β1/γ2
25.00Single7DW9AVP7DW9-V2-AVP-chim(NtGi1-Gs)/β1/γ2
25.00Single7EW0Ozanimod7EW0-S1P1-Ozanimod-Gi1/β1/γ2
25.00Single7F4HAfamelanotide7F4H-MC1-Afamelanotide-chim(NtGi1-Gs)/β1/γ2
25.00Single7KH0AVP7KH0-V2-AVP-chim(NtGi1-Gs)/β1/γ2
25.00Single7SR8TAK-9257SR8-OX2-TAK-925-chim(NtGi1L-Gs-CtGq)/β1/γ2
25.00Single7T10Somatostatin-147T10-SST2-Somatostatin-14-Gi3/β1/γ2
25.00Single7UL3Famotidine7UL3-H2-Famotidine
25.00Single7UM7Methylergometrine7UM7-5-HT5A-Methylergometrine-chim(NtGi1-Go)/β1/γ2
25.00Single7VUGJNJ-635330547VUG-GPR139-JNJ-63533054-Gi1/β1/γ2
25.00Single7X1UTRH7X1U-TRH-TRH-chim(NtGi2L-Gs-CtGq)/β1/γ2
25.00Single7XK8Neuromedin-U-257XK8-NMUR2-Neuromedin-U-25-Gi1/β1/γ2
25.00Single7YONPeptide-YY(3-36)7YON-Y2-Peptide-YY(3-36)-Gi1/β1/γ2
25.00Single8GE1Constrained Epinephrine8GE1-β2-Constrained Epinephrine-Gs/β1/γ2
25.00Single8GE4Constrained Epinephrine8GE4-β2-Constrained Epinephrine-Gs/β1/γ2
25.00Single8GE5Constrained Epinephrine8GE5-β2-Constrained Epinephrine-Gs/β1/γ1
25.00Single8GE6Constrained Epinephrine8GE6-β2-Constrained Epinephrine-Gs/β1/γ2
25.00Single8GE7Constrained Epinephrine8GE7-β2-Constrained Epinephrine-Gs/β1/γ2
25.00Single8GE8Constrained Epinephrine8GE8-β2-Constrained Epinephrine-Gs/β1/γ2
25.00Single8GEAConstrained Epinephrine8GEA-β2-Constrained Epinephrine-Gs/β1/γ2
25.00Single8GEDConstrained Epinephrine8GED-β2-Constrained Epinephrine-Gs/β1/γ2
25.00Single8GEFConstrained Epinephrine8GEF-β2-Constrained Epinephrine-Gs/β1/γ2
25.00Single8GG8Constrained Epinephrine8GG8-β2-Constrained Epinephrine-GTP-Gs/β1/γ2
25.00Single8GGQConstrained Epinephrine8GGQ-β2-Constrained Epinephrine
25.00Single8GGSConstrained Epinephrine8GGS-β2-Constrained Epinephrine
25.00Single8GGTConstrained Epinephrine8GGT-β2-Constrained Epinephrine
25.00Single8GGVConstrained Epinephrine8GGV-β2-Constrained Epinephrine
25.00Single8GGXConstrained Epinephrine8GGX-β2-Constrained Epinephrine
25.00Single8J19LY2378J19-GPR84-LY237-Gi1/β1/γ2
25.00Single8JLKUlotaront8JLK-TA1-Ulotaront-chim(NtGi1-Gs)/β1/γ2
25.00Single8JLNT1AM8JLN-TA1-T1AM-Gs/β1/γ2
25.00Single8K2WAMG4878K2W-CXCR3-AMG487
25.00Single8K2XCXCL108K2X-CXCR3-CXCL10-Gi1/β1/γ2
25.00Single8K4OCXCL18K4O-KSHV-CXCL1-Gi1/β1/γ1
25.00Single8RLNLUF58348RLN-A2A-LUF5834
25.00Single8UHBRO52563908UHB-TA1-RO5256390-Gs/β1/γ2
25.00Single8UNMConstrained Epinephrine8UNM-β2-Constrained Epinephrine-GTP-Gs/β1/γ2
25.00Single8UNWConstrained Epinephrine8UNW-β2-Constrained Epinephrine-GTP-Gs/β1/γ2
25.00Single8UO0Constrained Epinephrine8UO0-β2-Constrained Epinephrine-GTP-Gs/β1/γ2
25.00Single8WC8ZH86518WC8-TA1-ZH8651-chim(NtGi1-Gs)/β1/γ2
25.00Single8YH2Adenosine8YH2-A3A-Adenosine-Gi1/β1/γ2
25.00Single8YW3Retatrutide8YW3-GLP-1-Retatrutide-Gs/β1/γ2
25.00Single8YW5Retatrutide8YW5-Glucagon-Retatrutide-Gs/β1/γ2
25.00Single8ZJETAK4488ZJE-Kiss1-TAK448-chim(NtGi1-Gq)/β1/γ1
25.00Single9AS3LSD9AS3-5-HT2A-LSD
25.00Single9AS4LSD9AS4-5-HT2A-LSD-chim(NtGi1-Gs-CtGq)/β1/γ2
25.00Single9AS5Mescaline9AS5-5-HT2A-Mescaline
25.00Single9AS6Mescaline9AS6-5-HT2A-Mescaline-chim(NtGi1-Gs-CtGq)/β1/γ2
25.00Single9BLCCagrilintide (non-acylated)9BLC-CT-Cagrilintide (non-acylated)-Gs/β1/γ2
25.00Single9GG5U466199GG5-TXA2-U46619-chim(NtGi2L-Gs-CtGq)/β1/γ2
25.00Single9IZFLPA9IZF-LPA1-LPA-Gi1/β1/γ2
25.00Single9JKQMETH9JKQ-TA1-METH-Gs/β1/γ2
25.00Single9JKVPubChem 27366909JKV-HCA3-PubChem 2736690-Gi1/β1/γ2
25.00Single9KV8TLQP219KV8-C3aB-TLQP21-Go/β1/γ2
25.00Single9L8LBI1671079L8L-β2-BI167107-Atazanavir-Gs/β1/γ2 ; Arrestin2
25.00Single9LKBPL459LKB-OR5V1-PL45-chim(NtGi1-Gs)/β1
25.00Single9M1HPGE29M1H-EP1-PGE2-chim(NtGi1-Gs-CtGq)/β1/γ2
25.00Single9M2FNeuropeptide-FF9M2F-NPFF1-Neuropeptide-FF-Gi1/β1/γ2
25.00Single9MQIIsoquinuclidine9MQI-μ-Isoquinuclidine
25.00Single9ODJMitragynine Pseudoindoxyl9ODJ-μ-Mitragynine Pseudoindoxyl-GTP; Mg-Gi1/β1/γ2
25.00Single9ODLMitragynine Pseudoindoxyl9ODL-μ-Mitragynine Pseudoindoxyl-GTP; Mg-Gi1/β1/γ2
25.00Single9PY2Loperamide9PY2-μ-Loperamide-GDPβS-Gi1/β1/γ2
25.00Single9UYMChemerin-99UYM-CML2-Chemerin-9-chim(Arrestin3-CtArrestin2)
25.00Single9VI9RFRP-39VI9-NPFF1-RFRP-3-Gi1/β1/γ2
25.00Single9VNFPindolol9VNF-5-HT1A-Pindolol-Go/β1/γ2
25.00Single9YDRDADLE9YDR-δ-DADLE-MIPS3983-chim(NtGi1L-Gs-CtGi1)/β1/γ2
25.00Consensus5ht2c_offOrthosteric Ligand6BQH-5-HT2C-Ritanserin
25.00Consensusadenosine_onOrthosteric Liganda1_on a2_on a3_on
25.00Consensuschemerin_onOrthosteric Ligandcml1_on
25.00Consensusclass-a_class-b1_cons_onOrthosteric Ligandclass-a_on class-b1_on
25.00Consensuscxcr3_offOrthosteric Ligand8K2W-CXCR3-AMG487
25.00Consensusfp-alpha_onOrthosteric Ligand8IUK-FP-alpha-PGF2-α-chim(NtGi1-Gs-CtGq)/β1/γ2 8IUL-FP-alpha-Latanoprost-chim(NtGi1-Gs-CtGq)/β1/γ2 8IUM-FP-alpha-Tafluprost acid-chim(NtGi1-Gs-CtGq)/β1/γ2
25.00Consensusfp-alpha_on_gpOrthosteric Ligand8IUK-FP-alpha-PGF2-α-chim(NtGi1-Gs-CtGq)/β1/γ2 8IUL-FP-alpha-Latanoprost-chim(NtGi1-Gs-CtGq)/β1/γ2 8IUM-FP-alpha-Tafluprost acid-chim(NtGi1-Gs-CtGq)/β1/γ2
25.00Consensusfpr2-alx_on_gpOrthosteric Ligand7WVX-FPR2-ALX-Humanin-Gi2/β1/γ2 7T6U-FPR2-ALX-CGEN-855A-Gi1/β1/γ2 7T6V-FPR2-ALX-fMLFII-Gi1/β1/γ2 7WVY-FPR2-ALX-Amyloid-β42-Gi2/β1/γ2 7T6S-FPR2-ALX-TC-FPR 43-Gi1/β1/γ2 6OMM-FPR2-ALX-WKYMVX-Gi1/β1/γ2
25.00Consensusghrelin_offOrthosteric Ligand6KO5-Ghrelin-PubChem 57400002 7F83-Ghrelin-PF-05190457
25.00Consensusgi_adenosineOrthosteric Ligand7LD4-A1-Adenosine-Gi2/β1/γ2 8X17-A3A-Namodenoson-Gi1/β1/γ2 8X16-A3A-Piclidenoson-Gi1/β1/γ2
25.00Consensusgi_endothelinOrthosteric Ligand8IY5-ETB-Endothelin-1-Gi1/β1/γ2 8HBD-ETB-IRL1620-Gi1/β1/γ2
25.00Consensusgs_vasop-oxyOrthosteric Ligand7DW9-V2-AVP-chim(NtGi1-Gs)/β1/γ2
25.00Consensusmc5_on_gpOrthosteric Ligand8INR-MC5-α-MSH-Ca-chim(NtGi1-Gs)/β1/γ2 8IOD-MC5-PG-901-Ca-chim(NtGi1-Gs)/β1/γ2
25.00Consensusorexin_on_gpOrthosteric Ligandox2_on_gp
25.00Consensusv2_onOrthosteric Ligand7DW9-V2-AVP-chim(NtGi1-Gs)/β1/γ2
25.00Consensusv2_on_gpOrthosteric Ligand7DW9-V2-AVP-chim(NtGi1-Gs)/β1/γ2
25.00Consensusvasop-oxy_onOrthosteric Ligandv2_on
25.00Consensusvasop-oxy_on_gpOrthosteric Ligandv2_on_gp
24.32Single7F16TIP397F16-PTH2-TIP39-Gs/β1/γ2
24.24Single7SK6CXCL12_LRHQ7SK6-ACKR3-CXCL12_LRHQ
24.24Single7TZFAmylin7TZF-CT (AMY3)-Amylin-Gs/β1/γ2; RAMP3
24.24Consensusendothelin_on_gpOrthosteric Ligandetb_on_gp eta_on_gp
24.24Consensusetb_on_gpOrthosteric Ligand8IY5-ETB-Endothelin-1-Gi1/β1/γ2 8HBD-ETB-IRL1620-Gi1/β1/γ2
24.24Consensusmelanocortin_onOrthosteric Ligandmc1_on mc4_on mc2_on mc3_on mc5_on
24.24Consensusmelanocortin_on_gpOrthosteric Ligandmc1_on_gp mc4_on_gp mc2_on_gp mc3_on_gp mc5_on_gp
24.14Single6X18GLP-16X18-GLP-1-GLP-1-Gs/β1/γ2
24.14Single7F9YGhrelin7F9Y-Ghrelin-Ghrelin-chim(NtGi1-Gs-CtGq)/β1/γ2
24.14Single7WBJPACAP277WBJ-VPAC1-PACAP27-Gs/β1/γ2
24.14Single7X9BNeuropeptide-Y7X9B-Y2-Neuropeptide-Y-Gi1/β1/γ2
24.14Single7X9CPancreatic Hormone7X9C-Y4-Pancreatic Hormone-Gi1/β1/γ2
24.14Single8E3YPACAP278E3Y-VPAC1-PACAP27-Gs/β1/γ2
24.14Single8HCXEndothelin-18HCX-ETB-Endothelin-1-chim(NtGi2L-Gs-CtGq)/β1/γ2
24.14Single8HNKCXCL118HNK-CXCR3-CXCL11-Gi1/β1/γ2
24.14Single8IODPG-9018IOD-MC5-PG-901-Ca-chim(NtGi1-Gs)/β1/γ2
24.14Single8XVIEndothelin-18XVI-ETA-Endothelin-1-chim(Gs-CtGq)/β1/γ2
24.14Single9E2AGLP-19E2A-GLP-1-GLP-1-Gs/β1/γ2
24.14Single9JFYNeuropeptide-SF9JFY-NPFF2-Neuropeptide-SF-Gi1/β1/γ2
24.14Consensuspac_onOrthosteric Ligandpac1_on
24.14Consensusvpac1_onOrthosteric Ligand8E3Z-VPAC1-VIP-Gs/β1/γ2
24.00Single3NY9PubChem 9131033NY9-β2-PubChem 913103
24.00Single5VBLAMG3054 5VBL-Apelin-AMG3054
24.00Single6OMMWKYMVX6OMM-FPR2-ALX-WKYMVX-Gi1/β1/γ2
24.00Single6XBJCholesterol6XBJ-SMO-Cholesterol-Gi1/β1/γ2
24.00Single7F9ZGHRP-67F9Z-Ghrelin-GHRP-6-chim(NtGi1-Gs-CtGq)/β1/γ2
24.00Single7RMGSubstance-P7RMG-NK1-Substance-P-chim(Gs-CtGq)/β1/γ2
24.00Single7S8LCortistatin-147S8L-MRGPRX2-Cortistatin-14-chim(NtGi2L-Gs-CtGq)/β1/γ2
24.00Single7X8SWB4-247X8S-GLP-1-WB4-24-Gs/β1/γ2
24.00Single7Y1FDynorphin7Y1F-κ-Dynorphin-Gi1/β1/γ2
24.00Single8GDAL9026888GDA-EP4-L902688-Gs/β1/γ2
24.00Single8IQ4Carboprost8IQ4-FP-alpha-Carboprost-chim(NtGi1-Gs-CtGq)/β1/γ2
24.00Single8IUMTafluprost acid8IUM-FP-alpha-Tafluprost acid-chim(NtGi1-Gs-CtGq)/β1/γ2
24.00Single8QJ2pN1628QJ2-MC4-pN162-Gs/β1/γ2
24.00Single8XQLCholesterol8XQL-TAS2R14-Cholesterol-Aristolochic acid A-Gt3/β1/γ1
24.00Single9V2NMacimorelin9V2N-Ghrelin-Macimorelin-chim(NtGi1-Gs-CtGq)/β1/γ2
24.00Consensusformylpeptide_onOrthosteric Ligandfpr2-alx_on fpr1-alx_on
24.00Consensusnmur1_onOrthosteric Ligand7W53-NMUR1-Neuromedin-U-25-chim(NtGi1-Gs-CtGq)/β1/γ2
23.81Single2Y02Carmoterol2Y02-β1-Carmoterol
23.81Single2YCYCyanopindolol2YCY-β1-Cyanopindolol
23.81Single3NY8ICI118-5513NY8-β2-ICI118-551
23.81Single3NYAAlprenolol3NYA-β2-Alprenolol
23.81Single4GBRCarazolol4GBR-β2-Carazolol
23.81Single4J4QOctyl Beta-D-Glucopyranoside4J4Q-Rhodopsin-Octyl β-D-Glucopyranoside-Gt(CT)
23.81Single5TGZAM65385TGZ-CB1-AM6538
23.81Single5UENDU1725UEN-A1-DU172
23.81Single5UIGPubChem 1240811965UIG-A2A-PubChem 124081196
23.81Single5ZKPSR274175ZKP-PAF-SR27417
23.81Single6KPFAM120336KPF-CB2-AM12033-Gi1/β1/γ2
23.81Single6PRZAlprenolol6PRZ-β2-Alprenolol
23.81Single6PS1Timolol6PS1-β2-Timolol
23.81Single7BTSEpinephrine7BTS-β1-Epinephrine
23.81Single7BU6Norepinephrine7BU6-β1-Norepinephrine
23.81Single7CFMP3957CFM-GPBA-P395-Gs/β1/γ2
23.81Single7CRHSKF839597CRH-D1-SKF83959-Gs/β1/γ2
23.81Single7F83PF-051904577F83-Ghrelin-PF-05190457
23.81Single7JOZPubChem 752020227JOZ-D1-PubChem 75202022-Gs/β1/γ2
23.81Single7JVQApomorphine7JVQ-D1-Apomorphine-Gs/β1/γ2
23.81Single7NA8Ibutamoren7NA8-Ghrelin-Ibutamoren-Gi1/β1/γ2
23.81Single7S15PubChem 1346112237S15-GLP-1-PubChem 134611223
23.81Single7SQOTAK-9257SQO-OX2-TAK-925-Gi1/β1/γ2
23.81Single7T6VfMLFII7T6V-FPR2-ALX-fMLFII-Gi1/β1/γ2
23.81Single7UM6Lisuride7UM6-5-HT5A-Lisuride-chim(NtGi1-Go)/β1/γ2
23.81Single7VGZRamelteon7VGZ-MT1-Ramelteon-Gi1/β1/γ2
23.81Single7VIFFTY720-P7VIF-S1P1-FTY720-P-Gi1/β1/γ2
23.81Single7WC7Lisuride7WC7-5-HT2A-Lisuride
23.81Single7WC8Lumateperone7WC8-5-HT2A-Lumateperone
23.81Single8CU6LJ-45178CU6-A2A-LJ-4517
23.81Single8CU7LJ-45178CU7-A2A-LJ-4517-Na
23.81Single8DZSGR89,6968DZS-κ-GR89,696-chim(NtGi2-Gz)/β1/γ2
23.81Single8GCML-9026888GCM-EP4-L-902688-Gi1/β1/γ2
23.81Single8GE2Constrained Epinephrine8GE2-β2-Constrained Epinephrine-Gs/β1/γ1
23.81Single8GE3Constrained Epinephrine8GE3-β2-Constrained Epinephrine-Gs/β1/γ2
23.81Single8GE9Constrained Epinephrine8GE9-β2-Constrained Epinephrine-Gs/β1/γ2
23.81Single8GECConstrained Epinephrine8GEC-β2-Constrained Epinephrine-Gs/β1/γ2
23.81Single8GEEConstrained Epinephrine8GEE-β2-Constrained Epinephrine-Gs/β1/γ2
23.81Single8GEHConstrained Epinephrine8GEH-β2-Constrained Epinephrine-Gs/β1/γ2
23.81Single8GFVConstrained Epinephrine8GFV-β2-Constrained Epinephrine-GTP-Gs/β1/γ2
23.81Single8GFWConstrained Epinephrine8GFW-β2-Constrained Epinephrine-GTP-Gs/β1/γ2
23.81Single8GFXConstrained Epinephrine8GFX-β2-Constrained Epinephrine-GTP-Gs/β1/γ2
23.81Single8GFZConstrained Epinephrine8GFZ-β2-Constrained Epinephrine-GTP-Gs/β1/γ2
23.81Single8GG0Constrained Epinephrine8GG0-β2-Constrained Epinephrine-GTP-Gs/β1/γ2
23.81Single8GG1Constrained Epinephrine8GG1-β2-Constrained Epinephrine-GTP-Gs/β1/γ2
23.81Single8GG3Constrained Epinephrine8GG3-β2-Constrained Epinephrine-GTP-Gs/β1/γ2
23.81Single8GG4Constrained Epinephrine8GG4-β2-Constrained Epinephrine-GTP-Gs/β1/γ2
23.81Single8GG6Constrained Epinephrine8GG6-β2-Constrained Epinephrine-GTP-Gs/β1/γ2
23.81Single8GG9Constrained Epinephrine8GG9-β2-Constrained Epinephrine-GTP-Gs/β1/γ2
23.81Single8GGIConstrained Epinephrine8GGI-β2-Constrained Epinephrine
23.81Single8GGJConstrained Epinephrine8GGJ-β2-Constrained Epinephrine
23.81Single8GGKConstrained Epinephrine8GGK-β2-Constrained Epinephrine
23.81Single8GGNConstrained Epinephrine8GGN-β2-Constrained Epinephrine
23.81Single8GGOConstrained Epinephrine8GGO-β2-Constrained Epinephrine
23.81Single8GGUConstrained Epinephrine8GGU-β2-Constrained Epinephrine
23.81Single8IRTRotigotine8IRT-D3-Rotigotine-Gi1/β1/γ2
23.81Single8JJOAlprenolol8JJO-β2-Alprenolol
23.81Single8JXRLSD8JXR-D1-LSD
23.81Single8UGYMianserin8UGY-5-HT1E-Mianserin-Gi1/β1/γ1
23.81Single8UH3Setiptiline8UH3-5-HT1E-Setiptiline-Gi1/β1/γ1
23.81Single8UNQConstrained Epinephrine8UNQ-β2-Constrained Epinephrine-GTP-Gs/β1/γ2
23.81Single8UNRConstrained Epinephrine8UNR-β2-Constrained Epinephrine-GTP-Gs/β1/γ2
23.81Single8UNUConstrained Epinephrine8UNU-β2-Constrained Epinephrine-GTP-Gs/β1/γ2
23.81Single8UNVConstrained Epinephrine8UNV-β2-Constrained Epinephrine-GTP-Gs/β1/γ2
23.81Single8UNYConstrained Epinephrine8UNY-β2-Constrained Epinephrine-GTP-Gs/β1/γ2
23.81Single8UNZConstrained Epinephrine8UNZ-β2-Constrained Epinephrine-GTP-Gs/β1/γ2
23.81Single8UO2Constrained Epinephrine8UO2-β2-Constrained Epinephrine-GTP-Gs/β1/γ2
23.81Single8UWLLisuride8UWL-5-HT2A-Lisuride-chim(NtGi2-Gs-CtGq)/β1/γ2
23.81Single8W87METH8W87-TA1-METH-chim(NtGi1L-Gs)/β1/γ2
23.81Single8XJLPGF2-alpha8XJL-FP-alpha-PGF2-α-chim(NtGi2-Gs-CtGq)/β1/γ2
23.81Single8XVKAmbrisentan8XVK-ETA-Ambrisentan
23.81Single8YH5Riboprine8YH5-A3A-Riboprine-Gi1/β1/γ2
23.81Single8ZBEOctreotide8ZBE-SST5-Octreotide-Gi1/β1/γ1
23.81Single8ZQEGPR15L(CT)8ZQE-GPR15-GPR15L(CT)-Gi1/β1/γ1
23.81Single9CHXCarazolol9CHX-β2-Carazolol
23.81Single9H37PubChem 1756706469H37-A2A-PubChem 175670646-Na
23.81Single9KUXCMPD6449KUX-Apelin; Apelin-CMPD644-Arrestin2
23.81Single9VMYTMU41429VMY-5-HT1A-TMU4142-Go/β1/γ2
23.81Consensus5ht5_onOrthosteric Ligand5ht5a_on
23.81Consensus5ht5a_onOrthosteric Ligand7X5H-5-HT5A-5-CT-Gi1/β1/γ2 7UM6-5-HT5A-Lisuride-chim(NtGi1-Go)/β1/γ2 7UM7-5-HT5A-Methylergometrine-chim(NtGi1-Go)/β1/γ2
23.81Consensusa3_onOrthosteric Liganda3a_on
23.81Consensusadrenergic_onOrthosteric Ligandalpha_on beta_on
23.81Consensusd5_onOrthosteric Ligand8IRV-D5-Rotigotine-chim(NtGi1-Gs)/β1/γ2
23.81Consensusdopamine_offOrthosteric Ligandd2_off d3_off
23.81Consensusdopamine_onOrthosteric Ligandd2_on d1_on d3_on d4_on d5_on
23.81Consensusdopamine_on_gpOrthosteric Ligandd2_on_gp d1_on_gp d3_on_gp d4_on_gp d5_on_gp
23.81Consensusgi_orexinOrthosteric Ligand7SQO-OX2-TAK-925-Gi1/β1/γ2
23.81Consensusgs_trace-amineOrthosteric Ligand8W88-TA1-SEP-363856-Gs/β1/γ2 8JLJ-TA1-T1AM-chim(NtGi1-Gs)/β1/γ2 8JLO-TA1-Ulotaront-Gs/β1/γ2 8WC4-TA1-ZH8651-chim(NtGi1-Gs)/β1/γ2 8WC7-TA1-ZH8667-chim(NtGi1-Gs)/β1/γ2 8JLR-TA1-A77636-chim(NtGi1-Gs)/β1/γ2 8JSO-TA1-AMPH-chim(NtGi1-Gs)/β1/γ2 8W87-TA1-METH-chim(NtGi1L-Gs)/β1/γ2 8W89-TA1-2-Phenylethylamine-chim(NtGi1L-Gs)/β1/γ2 8JLP-TA1-Ralmitaront-Gs/β1/γ2 8W8A-TA1-RO5256390-chim(NtGi1L-Gs)/β1/γ2
23.53Single6OT025(S)-Epoxycholesterol6OT0-SMO-25(S)-Epoxycholesterol-Gi1/β1/γ2
23.53Single8DPHLorcaserin8DPH-5-HT2C-Lorcaserin-chim(NtGi2L-Gs-CtGq)/β1/γ2
23.53Single8WC5Tetramethylammonium Ion8WC5-TA1-Tetramethylammonium Ion-chim(NtGi1-Gs)/β1/γ2
23.53Single9EE9Adenosine9EE9-A2A-Adenosine-Gs/β1/γ2
23.53Consensusglp1_on_gpOrthosteric Ligand7S1M-GLP-1-Exendin-4-D-Ala-Gs/β1/γ2 7X8R-GLP-1-BOC5-Gs/β1/γ2 6X19-GLP-1-CHU-128-Gs/β1/γ2 6X1A-GLP-1-Danuglipron-Gs/β1/γ2 6X18-GLP-1-GLP-1-Gs/β1/γ2 8JIP-GLP-1-MEDI0382-chim(NtGi1-Gs)/β1/γ2 7C2E-GLP-1-PubChem 149050799-Gs/β1/γ2 7KI0-GLP-1-Semaglutide-Gs/β1/γ2 7KI1-GLP-1-Taspoglutide-Gs/β1/γ2 7X8S-GLP-1-WB4-24-Gs/β1/γ2 8JIS-GLP-1-Peptide-15-chim(NtGi1-Gs)/β1/γ2 7VBI-GLP-1-Tirzepatide (non-acylated)-Gs/β1/γ2
23.33Single6NBFLA-PTH Analog6NBF-PTH1-LA-PTH Analog-Gs/β1/γ2
23.33Single6P9YPACAP276P9Y-PAC1-PACAP27-Gs/β1/γ2
23.33Single7KI0Semaglutide7KI0-GLP-1-Semaglutide-Gs/β1/γ2
23.33Single8E3XPACAP278E3X-PAC1-PACAP27-Gs/β1/γ2
23.33Single8JISPeptide-158JIS-GLP-1-Peptide-15-chim(NtGi1-Gs)/β1/γ2
23.33Single8XQFApelin-138XQF-Apelin-Apelin-13-Gi1/β1/γ2
23.33Single9BLWCagrilintide (non-acylated)9BLW-CT (AMY1)-Cagrilintide (non-acylated)-Gs/β1/γ2; RAMP1
23.33Single9BP3Cagrilintide9BP3-CT (AMY1)-Cagrilintide-Gs/β1/γ2; RAMP1
23.33Single9P92VIP9P92-PAC1-VIP-Gs/β1/γ2
23.33Consensuscrf2_on_gpOrthosteric Ligand7TS0-CRF2-Urocortin-chim(NtGi1L-Go)/β1/γ2
23.33Consensuspac_on_gpOrthosteric Ligandpac1_on_gp
23.33Consensusvpac1_on_gpOrthosteric Ligand8E3Z-VPAC1-VIP-Gs/β1/γ2
23.08Single4IB4Ergotamine4IB4-5-HT2B-Ergotamine
23.08Single6WIVPubChem 52923113; PubChem 529246456WIV-GABAB1, GABAB2-PubChem 52923113; PubChem 52924645
23.08Single7F4ISHU91197F4I-MC1-SHU9119-chim(NtGi1-Gs)/β1/γ2
23.08Single7L0RNeurotensin-(8-13)7L0R-NTS1-Neurotensin-(8-13)-Gi1/β1/γ1
23.08Single7QA8Antagonist Peptide7QA8-STE2; STE2-Antagonist Peptide
23.08Single7QA8Antagonist Peptide7QA8-STE2; STE2-Antagonist Peptide
23.08Single7W53Neuromedin-U-257W53-NMUR1-Neuromedin-U-25-chim(NtGi1-Gs-CtGq)/β1/γ2
23.08Single7W56Neuromedin-S7W56-NMUR1-Neuromedin-S-chim(NtGi1-Gs-CtGq)/β1/γ2
23.08Single8XGMChemerin8XGM-CML2-Chemerin-Gi1/β1/γ2
23.08Single9UMRC5a-pep9UMR-C5a1-C5a-pep-Go/β1/γ2
23.08Single9UYLChemerin-99UYL-CML2-Chemerin-9-Arrestin2
23.08Consensusgi_nucleotideOrthosteric Ligandgi_adenosine gi_p2y
23.08Consensusmc4_onOrthosteric Ligand7AUE-MC4-Setmelanotide-chim(NtGi1L-Gs)/β1/γ2 7F58-MC4-THIQ-Gs/β1/γ2 7F54-MC4-Afamelanotide-Gs/β1/γ2 7F53-MC4-α-MSH-Gs/β1/γ2 7F55-MC4-Bremelanotide-Gs/β1/γ2
23.08Consensusnmur1_on_gpOrthosteric Ligand7W53-NMUR1-Neuromedin-U-25-chim(NtGi1-Gs-CtGq)/β1/γ2
22.86Consensusclass-a_class-b1_cons_on_gpOrthosteric Ligandclass-a_on_gp class-b1_on_gp
22.73Single2RH1Carazolol2RH1-β2-Carazolol
22.73Single2YCWCarazolol2YCW-β1-Carazolol
22.73Single4RWDDIPP-NH24RWD-δ-DIPP-NH2-Na
22.73Single4WW3All-trans-Retinal4WW3-Rhodopsin-All-trans-Retinal
22.73Single5C1MBU725C1M-μ-BU72
22.73Single5D6LCarazolol5D6L-β2-Carazolol
22.73Single5N2RPSB365N2R-A2A-PSB36-Na
22.73Single5N2SPSB365N2S-A1-PSB36
22.73Single5TVNLSD5TVN-5-HT2B-LSD
22.73Single5X7DCarazolol5X7D-β2-Carazolol-PubChem 129318963
22.73Single6GDGNECA6GDG-A2A-NECA-Gs/β1/γ1
22.73Single6KPCAM120336KPC-CB2-AM12033
22.73Single6M9TMisoprostol-FA6M9T-EP3-Misoprostol-FA
22.73Single6ME82-Phenylmelatonin6ME8-MT2-2-Phenylmelatonin
22.73Single6PS6Timolol6PS6-β2-Timolol
22.73Single6XBKCholesterol6XBK-SMO-Cholesterol-Gi1/β1/γ2
22.73Single7BB7AVP7BB7-V2-AVP-Gs/β1/γ2
22.73Single7CKXA776367CKX-D1-A77636-Gs/β1/γ2
22.73Single7SINNPS-21437SIN-CaS; CaS-NPS-2143
22.73Single7SINNPS-21437SIN-CaS; CaS-NPS-2143
22.73Single7W41PD1762527W41-BB2-PD176252
22.73Single7WC6LSD7WC6-5-HT2A-LSD
22.73Single7WIGL-0542647WIG-SST2-L-054264-Gi1/β1/γ2
22.73Single7XKAConstrained Epinephrine7XKA-β2-Constrained Epinephrine
22.73Single8C9WEtrumadenant8C9W-A2A-Etrumadenant
22.73Single8GDCPGE28GDC-EP3-PGE2-Gi1/β1/γ2
22.73Single8GDZConstrained Epinephrine8GDZ-β2-Constrained Epinephrine-Gs/β1/γ2
22.73Single8GEBConstrained Epinephrine8GEB-β2-Constrained Epinephrine-Gs/β1/γ2
22.73Single8GEGConstrained Epinephrine8GEG-β2-Constrained Epinephrine-Gs/β1/γ2
22.73Single8GFYConstrained Epinephrine8GFY-β2-Constrained Epinephrine-GTP-Gs/β1/γ2
22.73Single8GG2Constrained Epinephrine8GG2-β2-Constrained Epinephrine-GTP-Gs/β1/γ2
22.73Single8GGBConstrained Epinephrine8GGB-β2-Constrained Epinephrine-GTP-Gs/β1/γ2
22.73Single8S4DCMF-0198S4D-Apelin-CMF-019
22.73Single8UNNConstrained Epinephrine8UNN-β2-Constrained Epinephrine-GTP-Gs/β1/γ2
22.73Single8UNPConstrained Epinephrine8UNP-β2-Constrained Epinephrine-GTP-Gs/β1/γ2
22.73Single8YNSSNAP-948478YNS-MCH1-SNAP-94847
22.73Single8ZRKGSK12922638ZRK-GPR119-GSK1292263-Gs/β1/γ2
22.73Single9AVLCa; Ca; Cyclomethyltryptophan; R-568; PO49AVL-CaS; CaS-Ca-Ca; Ca; Cyclomethyltryptophan; R-568; PO4-Gi3/β2/γ2
22.73Single9AXFCa; Ca; Ca; Cyclomethyltryptophan; R-568; PO49AXF-CaS; CaS-Ca-Ca; Ca; Ca; Cyclomethyltryptophan; R-568; PO4-chim(NtGi1-Gs-CtGq)/β1/γ2
22.73Single9EAHNanobody AT2099EAH-AT1-Olmesartan-Nanobody AT209
22.73Single9ERXD9-THC analog9ERX-CB1-D9-THC analog-Gi1/β1/γ2
22.73Single9F34FOB02-04A9F34-D3-FOB02-04A-Go/β1/γ2
22.73Single9KUVCMPD6449KUV-Apelin-CMPD644-Arrestin2
22.73Single9M8POleic monoethanolamide9M8P-GPR3 ; GPR3-Oleic monoethanolamide-AF64394
22.73Consensus5ht2_offOrthosteric Ligand5ht2a_off 5ht2b_off 5ht2c_off
22.73Consensusa1_offOrthosteric Ligand5UEN-A1-DU172 5N2S-A1-PSB36
22.73Consensusa3_on_gpOrthosteric Liganda3a_on_gp
22.73Consensusa3a_onOrthosteric Ligand8X17-A3A-Namodenoson-Gi1/β1/γ2 8X16-A3A-Piclidenoson-Gi1/β1/γ2
22.73Consensusa3a_on_gpOrthosteric Ligand8X17-A3A-Namodenoson-Gi1/β1/γ2 8X16-A3A-Piclidenoson-Gi1/β1/γ2
22.73Consensusadenosine_offOrthosteric Liganda1_off a2_off
22.73Consensusamine_offOrthosteric Ligand5ht_off adrenergic_off dopamine_off histamine_off muscarinic_off
22.73Consensusamine_offonOrthosteric Ligandamine_off amine_on
22.73Consensusamine_offon_gpOrthosteric Ligandamine_on_gp amine_off
22.73Consensusamine_onOrthosteric Ligand5ht_on adrenergic_on dopamine_on histamine_on muscarinic_on trace-amine_on
22.73Consensusbb2_offOrthosteric Ligand7W41-BB2-PD176252
22.73Consensusbeta2_offOrthosteric Ligand2RH1-β2-Carazolol 6PS3-β2-Carvedilol 6PS5-β2-Propranolol 3D4S-β2-Timolol 3NY8-β2-ICI118-551 3NY9-β2-PubChem 913103 6PRZ-β2-Alprenolol
22.73Consensusbeta_offOrthosteric Ligandbeta1_off beta2_off
22.73Consensusbombesin_offOrthosteric Ligandbb2_off
22.73Consensusgi_adrenergicOrthosteric Ligand7EJ0-α2a-Norepinephrine-Go/β1/γ2 7EJK-α2a-Oxymetazoline-Go/β1/γ2 7W7E-α2a-PubChem 164946676-Go/β1/γ2 7W6P-α2a-N-pyridin-4-ylisoquinolin-4-amine-Go/β1/γ2 7EJ8-α2a-Brimonidine-Go/β1/γ2 6K42-α2b-Dexmedetomidine-Gi1/β1/γ2 7EJA-α2a-Dexmedetomidine-Go/β1/γ2 7S0F-β1-Isoprenaline-Gi1/β1/γ2
22.73Consensuslpa1_onOrthosteric Ligand7TD1-LPA1-LPA-Gi1/β1/γ2 7YU3-LPA1-ONO-0740556-Gi1/β1/γ2
22.73Consensuslpa1_on_gpOrthosteric Ligand7TD1-LPA1-LPA-Gi1/β1/γ2 7YU3-LPA1-ONO-0740556-Gi1/β1/γ2
22.58Single5NX2GLP-1 (Truncated)5NX2-GLP-1-GLP-1 (Truncated)
22.58Single6B3JExendin-P56B3J-GLP-1-Exendin-P5-Gs/β1/γ2
22.58Single6VCBGLP-16VCB-GLP-1-GLP-1-LSN3160440-Gs/β1/γ2
22.58Single7F53Alpha-MSH7F53-MC4-α-MSH-Gs/β1/γ2
22.58Single8HAOPTH8HAO-PTH1-PTH-chim(NtGi1-Gs)/β1/γ2
22.58Single8W8WAlpha-MSH8W8W-MC3-α-MSH-Ca-Gs/β1/γ2
22.58Single8W8XBeta-MSH8W8X-MC3-β-MSH-Ca-Gs/β1/γ2
22.58Single8ZJGChemerin8ZJG-CML1-Chemerin-Gi1/β1/γ2
22.58Single9P94PACAP279P94-PAC1-PACAP27-Gs/β1/γ2
22.22Single2J4Y11-cis-Retinal2J4Y-Rhodopsin-11-cis-Retinal
22.22Single7DDZJNJ-310200287DDZ-Y2-JNJ-31020028
22.22Single7EJKOxymetazoline7EJK-α2a-Oxymetazoline-Go/β1/γ2
22.22Single7F1QCCL37F1Q-CCR5-CCL3-Gi1/β1/γ2
22.22Single7F23Dopamine7F23-D1-Dopamine-GDP-Gs/β1/γ2
22.22Single7VBITirzepatide (non-acylated)7VBI-GLP-1-Tirzepatide (non-acylated)-Gs/β1/γ2
22.22Single7WC5Psilocin7WC5-5-HT2A-Psilocin
22.22Single8GGEConstrained Epinephrine8GGE-β2-Constrained Epinephrine-GTP-Gs/β1/γ2
22.22Single8GH1Constrained Epinephrine8GH1-β2-Constrained Epinephrine
22.22Single8RQLFlufenamic acid8RQL-TAS2R14-Flufenamic acid-Flufenamic acid-chim(NtGi1-Gt3)/β1/γ2
22.22Single8WC62-Phenylethylamine8WC6-TA1-2-Phenylethylamine-chim(NtGi1-Gs)/β1/γ2
22.22Single8WC9ZH86518WC9-TA1-ZH8651-chim(NtGi1-Gs-CtGq)/β1/γ2
22.22Single8XYDPlatelet Activating Factor8XYD-PAF-Platelet Activating Factor-Gi1/β1/γ2
22.22Single8YN9Histamine8YN9-H4-Histamine-Gi1/β1/γ2
22.22Single8YUUHistamine8YUU-H3-Histamine-Gi1/β1/γ1
22.22Single9IJRC179IJR-GPR52-C17-Arrestin2
22.22Single9IV15alpha-DHT9IV1-ADGRD1-5α-DHT-chim(NtGi1-Gs)/β1/γ2
22.22Single9J0FNADH9J0F-P2Y14-NADH-Gi1/β1/γ2
22.22Single9LRCHistamine9LRC-H4-Histamine
22.22Single9LREHistamine9LRE-H4-Histamine-Gi1/β1/γ2
22.22Consensusglucagon_on_gpOrthosteric Ligandglp_on_gp gluc_on_gp secretin_on_gp gip_on_gp
22.22Consensush3_onOrthosteric Ligand8YUU-H3-Histamine-Gi1/β1/γ1
22.22Consensush3_on_gpOrthosteric Ligand8YUU-H3-Histamine-Gi1/β1/γ1
22.22Consensusmc4_on_gpOrthosteric Ligand7AUE-MC4-Setmelanotide-chim(NtGi1L-Gs)/β1/γ2 7F58-MC4-THIQ-Gs/β1/γ2 7F54-MC4-Afamelanotide-Gs/β1/γ2 7F53-MC4-α-MSH-Gs/β1/γ2 7F55-MC4-Bremelanotide-Gs/β1/γ2
22.22Consensusnpy2_offOrthosteric Ligand7DDZ-Y2-JNJ-31020028
22.22Consensuspth_onOrthosteric Ligandpth1_on pth2_on
21.88Single6WZGSecretin6WZG-Secretin-Secretin-Gs/β1/γ2
21.88Single8IY6Endothelin-18IY6-ETB-Endothelin-1
21.88Single9P93VIP9P93-PAC1-VIP-Gs/β1/γ2
21.88Consensusendothelin_onOrthosteric Ligandetb_on eta_on
21.88Consensusetb_onOrthosteric Ligand8IY5-ETB-Endothelin-1-Gi1/β1/γ2 8HBD-ETB-IRL1620-Gi1/β1/γ2
21.88Consensusvip-pacap_onOrthosteric Ligandvpac_on pac_on
21.88Consensusvip-pacap_on_gpOrthosteric Ligandvpac_on_gp pac_on_gp
21.88Consensusvpac2_onOrthosteric Ligand7VQX-VPAC1-PACAP27-Gs/β1/γ2
21.88Consensusvpac2_on_gpOrthosteric Ligand7VQX-VPAC1-PACAP27-Gs/β1/γ2
21.74Single4IAQDihydroergotamine4IAQ-5-HT1B-Dihydroergotamine
21.74Single5D5ACarazolol5D5A-β2-Carazolol
21.74Single5D5BCarazolol5D5B-β2-Carazolol
21.74Single5XRAAM115425XRA-CB1-AM11542
21.74Single5ZKBAF-DX 3845ZKB-M2-AF-DX 384
21.74Single6DDEDAMGO6DDE-μ-DAMGO-Gi1/β1/γ2
21.74Single6J21Aprepitant6J21-NK1-Aprepitant
21.74Single6O3CCholesterol6O3C-SMO-SAG21k-Cholesterol
21.74Single7EW1Siponimod7EW1-S1P5-Siponimod-Gi1/β1/γ2
21.74Single7F58THIQ7F58-MC4-THIQ-Gs/β1/γ2
21.74Single7FEECP559407FEE-CB1-CP55940-ZCZ011
21.74Single7JV5SKF812977JV5-D1-SKF81297-Gs/β1/γ2
21.74Single7PX4PSB-21137PX4-A2A-PSB-2113
21.74Single7W6PN-pyridin-4-ylisoquinolin-4-amine7W6P-α2a-N-pyridin-4-ylisoquinolin-4-amine-Go/β1/γ2
21.74Single7W7EPubChem 1649466767W7E-α2a-PubChem 164946676-Go/β1/γ2
21.74Single8FN1Neurotensin-(8-13)8FN1-NTS1-Neurotensin-(8-13)-chim(NtGi1-Go)/β1/γ2
21.74Single8GUSHU-3088GUS-CB2-HU-308-Gi1/β1/γ2
21.74Single8HDOBAY 60-65838HDO-A2B-BAY 60-6583-Gs/β1/γ2
21.74Single8HPTC5a (C-terminal peptide)8HPT-C5a1-C5a (C-terminal peptide)-Go/β1/γ2
21.74Single8IUKPGF2-alpha8IUK-FP-alpha-PGF2-α-chim(NtGi1-Gs-CtGq)/β1/γ2
21.74Single8JXVClozapine8JXV-H4-Clozapine-Gi1/β1/γ2
21.74Single8JXWVUF68848JXW-H4-VUF6884-Gi1/β1/γ2
21.74Single8WU1MDMB-Fubinaca8WU1-CB1-MDMB-Fubinaca-Arrestin2
21.74Single8X16Piclidenoson8X16-A3A-Piclidenoson-Gi1/β1/γ2
21.74Single8X79MRE-2698X79-I2-MRE-269-Gs/β1/γ2
21.74Single8XJMLatanoprost8XJM-FP-alpha-Latanoprost-chim(NtGi2-Gs-CtGq)/β1/γ2
21.74Single8XVLZibotentan8XVL-ETA-Zibotentan
21.74Single8YH6Namodenoson8YH6-A3A-Namodenoson-Gi1/β1/γ2
21.74Single8ZW0PGD28ZW0-DP1-PGD2-Gs/β1/γ2
21.74Single9AYFCa; Ca; Ca; Cyclomethyltryptophan; R-568; PO49AYF-CaS; CaS-Ca-Ca; Ca; Ca; Cyclomethyltryptophan; R-568; PO4-Gi1/β1/γ2
21.74Single9E9SPGD29E9S-DP1-PGD2-Gs/β1/γ1
21.74Single9IJDCarazolol9IJD-β3-Carazolol-chim(NtGi1-Gs)/β1/γ2
21.74Single9JMCDS-3801b9JMC-Motilin-DS-3801b-chim(Gs-CtGq)/β1/γ2
21.74Single9PY4Loperamide9PY4-μ-Loperamide-GDPβS-Gi1/β1/γ2
21.74Consensus5ht_offOrthosteric Ligand5ht2_off 5ht1_off
21.74Consensusamine_on_gpOrthosteric Ligand5ht_on_gp adrenergic_on_gp dopamine_on_gp histamine_on_gp muscarinic_on_gp trace-amine_on_gp
21.74Consensusbeta1_offOrthosteric Ligand2VT4-β1-Cyanopindolol 2YCW-β1-Carazolol 2YCZ-β1-Iodocyanopindolol 5A8E-β1-7-Methylcyanopindolol-Na 3ZPQ-β1-PubChem 594590-Na 3ZPR-β1-PubChem 598754-Na
21.74Consensuss1p5_onOrthosteric Ligand7EW1-S1P5-Siponimod-Gi1/β1/γ2
21.74Consensuss1p5_on_gpOrthosteric Ligand7EW1-S1P5-Siponimod-Gi1/β1/γ2
21.62Consensusmc2_onOrthosteric Ligand8GY7-MC2-Corticotropin-Ca-chim(NtGi1-Gs)/β1/γ2; MRAP1
21.62Consensusmc2_on_gpOrthosteric Ligand8GY7-MC2-Corticotropin-Ca-chim(NtGi1-Gs)/β1/γ2; MRAP1
21.43Single6UUNAdrenomedullin6UUN-CT Like (AM1)-Adrenomedullin-Gs/β1/γ2; RAMP2
21.43Single6VN7PACAP276VN7-VPAC1-PACAP27-Gs/β1/γ2
21.43Single7W55Neuromedin-U-257W55-NMUR2-Neuromedin-U-25-chim(NtGi1-Gs-CtGq)/β1/γ2
21.43Single8K6MNeuropeptide-Y8K6M-Y1-Neuropeptide-Y-Gi2/β1/γ1
21.43Single8W8YGamma-MSH8W8Y-MC3-γ-MSH-Ca-Gs/β1/γ2
21.43Single8WKZSBL-MC-318WKZ-MC4-SBL-MC-31
21.43Single8XZGApelin-138XZG-Apelin; Apelin-Apelin-13-Gi1/β1/γ2
21.43Single9LXRLA-PTH Analog9LXR-PTH1-LA-PTH Analog-Arrestin2
21.43Consensusclass-b1_class-b2_cons_onOrthosteric Ligandclass-b1_on class-b2_on
21.43Consensusclass-b1_class-b2_cons_on_gpOrthosteric Ligandclass-b1_on_gp class-b2_on_gp
21.43Consensusnmur2_onOrthosteric Ligand7W55-NMUR2-Neuromedin-U-25-chim(NtGi1-Gs-CtGq)/β1/γ2
21.43Consensusnmur2_on_gpOrthosteric Ligand7W55-NMUR2-Neuromedin-U-25-chim(NtGi1-Gs-CtGq)/β1/γ2
21.43Consensusnpy1_onOrthosteric Ligand8K6M-Y1-Neuropeptide-Y-Gi2/β1/γ1
21.43Consensusnpy1_on_gpOrthosteric Ligand8K6M-Y1-Neuropeptide-Y-Gi2/β1/γ1
21.21Consensuscrf1_onOrthosteric Ligand6PB0-CRF1-Urocortin-chim(NtGi1-Gs)/β1/γ2 6P9X-CRF1-Corticoliberin-1-Gs/β1/γ2
21.21Consensusgip_onOrthosteric Ligand7FIN-GIP-Peptide-20; GGL-Gs/β1/γ2 7FIY-GIP-Tirzepatide-Gs/β1/γ2 7DTY-GIP-GIP-Gs/β1/γ2
21.21Consensusgip_on_gpOrthosteric Ligand7FIN-GIP-Peptide-20; GGL-Gs/β1/γ2 7FIY-GIP-Tirzepatide-Gs/β1/γ2 7DTY-GIP-GIP-Gs/β1/γ2
21.05Single5L7IVismodegib5L7I-SMO-Vismodegib
21.05Single5TE520-Methanoretinal5TE5-Rhodopsin-20-Methanoretinal
21.05Single6LI0C176LI0-GPR52-C17
21.05Single7XP6Strychnine7XP6-TAS2R46-Strychnine-chim(Gs-CtGt3)/β1/γ2
21.05Single7XT9Serotonin7XT9-5-HT4-Serotonin-Gs/β1/γ2
21.05Single7YFDImetit7YFD-H4-Imetit-chim(NtGi1-Gs-CtGq)/β1/γ2
21.05Single8A2PLUAA470708A2P-A2A-LUAA47070-Na
21.05Single8GGYConstrained Epinephrine8GGY-β2-Constrained Epinephrine
21.05Single8HN8Histamine8HN8-H4-Histamine-Gi1/β1/γ2
21.05Single8JLOUlotaront8JLO-TA1-Ulotaront-Gs/β1/γ2
21.05Single8UO3Constrained Epinephrine8UO3-β2-Constrained Epinephrine-GTP; Mg-Gs/β1/γ2
21.05Single8UO4Constrained Epinephrine8UO4-β2-Constrained Epinephrine-GTP; Mg-Gs/β1/γ2
21.05Single8W892-Phenylethylamine8W89-TA1-2-Phenylethylamine-chim(NtGi1L-Gs)/β1/γ2
21.05Single8YH3N-methyladenosine8YH3-A3A-N-methyladenosine-Gi1/β1/γ2
21.05Single8YN5Histamine8YN5-H3-Histamine-Gi1/β1/γ2
21.05Single8YN6Imetit8YN6-H3-Imetit-Gi1/β1/γ2
21.05Single8YN7Immethridine8YN7-H3-Immethridine-Go/β1/γ2
21.05Single8ZSVRO52633978ZSV-TA1-RO5263397-chim(NtGi1-Gs)/β1/γ2
21.05Single9JEDHistamine9JED-H4-Histamine-PO4-Gi1/β1/γ2
21.05Single9JEQHistamine9JEQ-H3-Histamine-Gi1/β1/γ2
21.05Single9L42Histamine9L42-H4-Histamine-Gi1/β1/γ2
21.05Consensush4_onOrthosteric Ligand8HN8-H4-Histamine-Gi1/β1/γ2 8HOC-H4-Imetit-Gi1/β1/γ2 8JXV-H4-Clozapine-Gi1/β1/γ2 8JXW-H4-VUF6884-Gi1/β1/γ2 8JXX-H4-Clobenpropit-Gi1/β1/γ2
21.05Consensuspth2_on_gpOrthosteric Ligand7F16-PTH2-TIP39-Gs/β1/γ2
20.83Single3D4STimolol3D4S-β2-Timolol
20.83Single4XEENeurotensin-(8-13)4XEE-NTS1-Neurotensin-(8-13)
20.83Single4XESNeurotensin-(8-13)4XES-NTS1-Neurotensin-(8-13)
20.83Single6AK3PGE26AK3-EP3-PGE2
20.83Single6CM4Risperidone6CM4-D2-Risperidone
20.83Single6KQICP559406KQI-CB1-CP55940-Org27569
20.83Single6OSAJMV4496OSA-NTS1-JMV449-Gi1/β1/γ2
20.83Single6XBLCholesterol6XBL-SMO-SAG-Cholesterol-Gi1/β1/γ2
20.83Single6YVRNeurotensin-(6-13)6YVR-NTS1-Neurotensin-(6-13)
20.83Single7EVYSiponimod7EVY-S1P1-Siponimod-Gi1/β1/γ2
20.83Single7EXDLasmiditan7EXD-5-HT1F-Lasmiditan-Gi1/β1/γ2
20.83Single7F55Bremelanotide7F55-MC4-Bremelanotide-Gs/β1/γ2
20.83Single7MTRADX551647MTR-mGlu2; mGlu2-Glutamate-ADX55164
20.83Single7SUSPubChem 1227019087SUS-Apelin-PubChem 122701908
20.83Single7W0LPubChem 1227019087W0L-Apelin; Apelin-PubChem 122701908-Gi1/β1/γ2
20.83Single7W0LPubChem 1227019087W0L-Apelin; Apelin-PubChem 122701908-Gi1/β1/γ2
20.83Single7XW9TRH7XW9-TRH-TRH-chim(NtGi1L-Gs-CtGq)/β1/γ2
20.83Single7Y66BM2137Y66-C5a1-BM213-Gi1/β1/γ2
20.83Single8FYE4-F,5-MeO-PyrT8FYE-5-HT1A-4-F,5-MeO-PyrT-PtdIns4P-Gi1/β1/γ1
20.83Single8ID9Icosapent8ID9-FFA4-Icosapent-Gi1/β1/γ2
20.83Single8IRSRotigotine8IRS-D2-Rotigotine-Gi1/β1/γ2
20.83Single8XJNCloprosetnol8XJN-TXA2-Cloprosetnol-chim(NtGi1-Gs-CtGq)/β1/γ2
20.83Single8XQNCholesterol8XQN-TAS2R14-Cholesterol-Aristolochic acid A-Gi1/β1/γ1
20.83Single9AU0BW245C9AU0-DP1-BW245C-Gs/β1/γ2
20.83Single9KVG5-MeO-DMT9KVG-5-HT1A-5-MeO-DMT-PtdIns4P-Gi1/β1/γ2
20.83Single9VIFNeuropeptide-VF9VIF-NPFF1-Neuropeptide-VF-Gi1/β1/γ2
20.83Single9W32SSTR5 antagonist 19W32-SST5-SSTR5 antagonist 1
20.83Single9WXMGPR15L(CT)9WXM-GPR15-GPR15L(CT)-Gi3/β1/γ2
20.83Consensus5ht1f_onOrthosteric Ligand7EXD-5-HT1F-Lasmiditan-Gi1/β1/γ2
20.83Consensus5ht1f_on_gpOrthosteric Ligand7EXD-5-HT1F-Lasmiditan-Gi1/β1/γ2
20.83Consensusccr8_onOrthosteric Ligand8KFX-CCR8-LMD-009-Gi1/β1/γ2 8KFY-CCR8-ZK-756326-Gi1/β1/γ2 8U1U-CCR8-CCL1-Gi1/β1/γ2
20.83Consensusgi_muscarinicOrthosteric Ligand8E9X-M4-2-Deoxycytidine-chim(NtGi1-Go)/β1/γ2 7T8X-M2-Acetylcholine-chim(NtGi1-Go)/β1/γ2 7TRS-M4-Acetylcholine-Gi1/β1/γ2 7TRK-M4-Iperoxo-Gi1/β1/γ2 7V6A-M4-PubChem 9864275-Gi1/β1/γ2
20.83Consensusgi_neurotensinOrthosteric Ligand6OSA-NTS1-JMV449-Gi1/β1/γ2 7L0S-NTS1-Neurotensin-(8-13)-Gi1/β1/γ1
20.83Consensusneurotensin_on_gpOrthosteric Ligandnts1_on_gp
20.83Consensusnts1_on_gpOrthosteric Ligand6OSA-NTS1-JMV449-Gi1/β1/γ2 7L0S-NTS1-Neurotensin-(8-13)-Gi1/β1/γ1
20.83Consensustrh_onOrthosteric Ligand7XW9-TRH-TRH-chim(NtGi1L-Gs-CtGq)/β1/γ2
20.83Consensustrh_on_gpOrthosteric Ligand7XW9-TRH-TRH-chim(NtGi1L-Gs-CtGq)/β1/γ2
20.69Single6WI9Secretin6WI9-Secretin-Secretin-Gs/β1/γ2
20.69Single6WIVPubChem 52923113; PubChem 529246456WIV-GABAB1, GABAB2-PubChem 52923113; PubChem 52924645
20.69Single7FINPeptide-20; GGL7FIN-GIP-Peptide-20; GGL-Gs/β1/γ2
20.69Single8H4KGW95088H4K-FFA4-GW9508-chim(NtGi1-Gs-CtGq)/β1/γ2
20.69Single8IEDPubChem 1347468948IED-GPR156; GPR156-PubChem 134746894-Go/β1/γ2
20.69Single8YW4Retatrutide8YW4-GIP-Retatrutide-chim(NtGi1-Gs)/β1/γ2
20.69Single9BUDCagrilintide9BUD-CT-Cagrilintide-Gs/β1/γ2
20.69Single9EBOGLP-1 (ACPC18)9EBO-GLP-1-GLP-1 (ACPC18)-Gs/β1/γ2
20.69Consensuscrf2_onOrthosteric Ligand7TS0-CRF2-Urocortin-chim(NtGi1L-Go)/β1/γ2
20.69Consensusneuromedin-u_onOrthosteric Ligandnmur1_on nmur2_on
20.69Consensustachykinin_onOrthosteric Ligandnk1_on nk2_on nk3_on
20.59Single6LPBPACAP276LPB-PAC1-PACAP27-Gs/β1/γ1
20.59Single8FLULA-PTH Analog8FLU-PTH1-LA-PTH Analog-Gs/β1/γ2
20.59Consensusglp1_onOrthosteric Ligand7S1M-GLP-1-Exendin-4-D-Ala-Gs/β1/γ2 7X8R-GLP-1-BOC5-Gs/β1/γ2 6X19-GLP-1-CHU-128-Gs/β1/γ2 6X1A-GLP-1-Danuglipron-Gs/β1/γ2 6X18-GLP-1-GLP-1-Gs/β1/γ2 8JIP-GLP-1-MEDI0382-chim(NtGi1-Gs)/β1/γ2 7C2E-GLP-1-PubChem 149050799-Gs/β1/γ2 7KI0-GLP-1-Semaglutide-Gs/β1/γ2 7KI1-GLP-1-Taspoglutide-Gs/β1/γ2 7X8S-GLP-1-WB4-24-Gs/β1/γ2 8JIS-GLP-1-Peptide-15-chim(NtGi1-Gs)/β1/γ2 7VBI-GLP-1-Tirzepatide (non-acylated)-Gs/β1/γ2
20.51Single8F0JPramlintide Analogue San458F0J-CT-Pramlintide Analogue San45-Gs/β1/γ2
20.00Single2X72All-trans-Retinal2X72-Rhodopsin-All-trans-Retinal-Gt(CT)
20.00Single4BUONeurotensin-(8-13)4BUO-NTS1-Neurotensin-(8-13)
20.00Single6AKXA4R6AKX-CCR5-A4R
20.00Single6AKYMaraviroc6AKY-CCR5-Maraviroc
20.00Single6KPGAM8416KPG-CB1-AM841-Gi1/β1/γ2
20.00Single6KUYPubChem 1457046436KUY-α2a-PubChem 145704643
20.00Single6LFOCXCL86LFO-CXCR2-CXCL8-Gi1/β1/γ2
20.00Single6OYAAll-trans-Retinal6OYA-Rhodopsin-All-trans-Retinal-Gt/β1/γ1
20.00Single6WPWZP37806WPW-Glucagon-ZP3780-Gs/β1/γ2
20.00Single7EJ0Norepinephrine7EJ0-α2a-Norepinephrine-Go/β1/γ2
20.00Single7EVZCenerimod7EVZ-S1P1-Cenerimod-Gi1/β1/γ2
20.00Single7LLYOxyntomodulin7LLY-GLP-1-Oxyntomodulin-Gs/β1/γ2
20.00Single7MBYCholecystokinin-87MBY-CCKA-Cholecystokinin-8-chim(NtGi1L-Gs-CtGq)/β1/γ2
20.00Single7MTSADX551647MTS-mGlu2; mGlu2-Glutamate-ADX55164-Gi1/β1/γ2
20.00Single7P00Substance-P7P00-NK1-Substance-P-chim(NtGi1-Gs-CtGq)/β1/γ2
20.00Single7P02Substance-P7P02-NK1-Substance-P-chim(NtGi1-Gs)/β1/γ2
20.00Single7PIUSetmelanotide7PIU-MC4-Setmelanotide-Gs/β1/γ2
20.00Single7QBIAlpha-factor mating pheromone7QBI-STE2; STE2-α-factor mating pheromone
20.00Single7S8PMS471347S8P-MRGPRX4-MS47134-chim(NtGi2L-Gs-CtGq)/β1/γ2
20.00Single7SRRLSD7SRR-5-HT2B-LSD-chim(NtGi2L-Gs-CtGq)/β1/γ2
20.00Single7SRSLSD7SRS-5-HT2B-LSD-Arrestin2
20.00Single7T8XAcetylcholine7T8X-M2-Acetylcholine-chim(NtGi1-Go)/β1/γ2
20.00Single7T90Acetylcholine7T90-M2-Acetylcholine-chim(NtGi1-Go)/β1/γ2
20.00Single7T96Acetylcholine7T96-M2-Acetylcholine-LY2119620-Go/β1/γ2
20.00Single7UM4AS26747237UM4-5-HT5A-AS2674723
20.00Single7VDLCortistatin-147VDL-MRGPRX2-Cortistatin-14-Gi1/β1/γ2
20.00Single7VGY2-Iodomelatonin7VGY-MT1-2-Iodomelatonin-Gi1/β1/γ2
20.00Single7VUJJNJ-635330547VUJ-GPR139-JNJ-63533054-GDP-chim(Gs-CtGq)/β1/γ2
20.00Single7WVVfMLFII7WVV-FPR2-ALX-fMLFII-Gi2/β1/γ2
20.00Single7XT8Serotonin7XT8-5-HT4-Serotonin-Gs/β1/γ2
20.00Single7YM8Oxymetazoline7YM8-Alpha1A-Oxymetazoline-chim(Gs-CtGq)
20.00Single8E9X2-Deoxycytidine8E9X-M4-2-Deoxycytidine-chim(NtGi1-Go)/β1/γ2
20.00Single8F2BPramlintide Analogue San458F2B-CT (AMY3)-Pramlintide Analogue San45-Gs/β1/γ2; RAMP3
20.00Single8FN0Neurotensin-(8-13)8FN0-NTS1-Neurotensin-(8-13)-SBI-553-chim(NtGi1-Go)/β1/γ2
20.00Single8FX5Xanomeline8FX5-M4-Xanomeline-Xanomeline-Gi1/β1/γ2
20.00Single8HCQEndothelin-18HCQ-ETA-Endothelin-1-chim(NtGi1-Gs-CtGq)/β1/γ2
20.00Single8HOCImetit8HOC-H4-Imetit-Gi1/β1/γ2
20.00Single8JSOAMPH8JSO-TA1-AMPH-chim(NtGi1-Gs)/β1/γ2
20.00Single8RW4AzoSwitch28RW4-A2A-AzoSwitch2-Na
20.00Single8RWEStilSwitch48RWE-A2A-StilSwitch4-Na
20.00Single8UNSConstrained Epinephrine8UNS-β2-Constrained Epinephrine-GTP-Gs/β1/γ2
20.00Single8UNTConstrained Epinephrine8UNT-β2-Constrained Epinephrine-GTP-Gs/β1/γ2
20.00Single8WC3SEP-3638568WC3-TA1-SEP-363856-chim(NtGi1-Gs)/β1/γ2
20.00Single8XJKCloprosetnol8XJK-FP-alpha-Cloprosetnol-chim(NtGi1-Gs-CtGq)/β1/γ2
20.00Single8XJOU466198XJO-TXA2-U46619-chim(NtGi1-Gs-CtGq)/β1/γ2
20.00Single8YNAImmepip8YNA-H4-Immepip-Gi1/β1/γ2
20.00Single8YUVImmepip8YUV-H3-Immepip-Gi1/β1/γ2
20.00Single9C0KExendin-49C0K-GLP-1-Exendin-4-Gs/β1/γ2
20.00Single9EBHAdenosine9EBH-A3A-Adenosine-Gi1/β1/γ2
20.00Single9EEAAdenosine9EEA-A2A-Adenosine-Gs/β1/γ2
20.00Single9FUPIstradefylline9FUP-A2A-Istradefylline-Na
20.00Single9H2XPubChem 1756706449H2X-A2A-PubChem 175670644-Na
20.00Single9J5VCpY9J5V-LPA1-CpY-Gi1/β1/γ2
20.00Single9K6LSalicin9K6L-TAS2R16-Salicin-Gi2/β1/γ2
20.00Single9KO2CCL199KO2-CCR7-CCL19-Gi1/β1
20.00Single9KO6CCL199KO6-CCR7-CCL19
20.00Single9MQJIsoquinuclidine9MQJ-μ-Isoquinuclidine
20.00Consensus5ht1e_onOrthosteric Ligand7E33-5-HT1E-BRL-54443-Gi1/β1/γ2 8UGY-5-HT1E-Mianserin-Gi1/β1/γ1 8UH3-5-HT1E-Setiptiline-Gi1/β1/γ1
20.00Consensus5ht2_on_gpOrthosteric Ligand5ht2b_on_gp
20.00Consensus5ht2b_on_gpOrthosteric Ligand7SRR-5-HT2B-LSD-chim(NtGi2L-Gs-CtGq)/β1/γ2
20.00Consensuscalcitonin_onOrthosteric Ligandctlike_on
20.00Consensuscrf1_on_gpOrthosteric Ligand6PB0-CRF1-Urocortin-chim(NtGi1-Gs)/β1/γ2 6P9X-CRF1-Corticoliberin-1-Gs/β1/γ2
20.00Consensuscrf_on_gpOrthosteric Ligandcrf2_on_gp crf1_on_gp
20.00Consensuscxcr1_onOrthosteric Ligand8IC0-CXCR1-CXCL8-Gi1/β1/γ2
20.00Consensuseta_onOrthosteric Ligand8HCQ-ETA-Endothelin-1-chim(NtGi1-Gs-CtGq)/β1/γ2
20.00Consensuseta_on_gpOrthosteric Ligand8HCQ-ETA-Endothelin-1-chim(NtGi1-Gs-CtGq)/β1/γ2
20.00Consensusgq_histamineOrthosteric Ligand7DFL-H1-Histamine-chim(NtGi1L-Gq)/β1/γ2
20.00Consensush1_on_gpOrthosteric Ligand7DFL-H1-Histamine-chim(NtGi1L-Gq)/β1/γ2
20.00Consensushistamine_onOrthosteric Ligandh1_on h2_on h3_on h4_on
20.00Consensushistamine_on_gpOrthosteric Ligandh1_on_gp h2_on_gp h3_on_gp h4_on_gp
20.00Consensusm2_onOrthosteric Ligand7T8X-M2-Acetylcholine-chim(NtGi1-Go)/β1/γ2
20.00Consensusm2_on_gpOrthosteric Ligand7T8X-M2-Acetylcholine-chim(NtGi1-Go)/β1/γ2
20.00Consensusneuromedin-u_on_gpOrthosteric Ligandnmur1_on_gp nmur2_on_gp
20.00Consensusnk1_onOrthosteric Ligand7P00-NK1-Substance-P-chim(NtGi1-Gs-CtGq)/β1/γ2
20.00Consensusnk1_on_gpOrthosteric Ligand7P00-NK1-Substance-P-chim(NtGi1-Gs-CtGq)/β1/γ2
20.00Consensuspeptide_offOrthosteric Ligandcck_off angiotensin_off bombesin_off endothelin_off ghrelin_off npy_off opioid_off orexin_off somatostatin_off tachykinin_off vasop-oxy_off neurotensin_off
20.00Consensusprostanoid_onOrthosteric Ligandtp_on fp-alpha_on
20.00Consensusprostanoid_on_gpOrthosteric Ligandtp_on_gp fp-alpha_on_gp
20.00Consensuspth_on_gpOrthosteric Ligandpth1_on_gp pth2_on_gp
20.00Consensusrhodopsin_on_gpOrthosteric Ligand6OYA-Rhodopsin-All-trans-Retinal-Gt/β1/γ1
20.00Consensustp_onOrthosteric Ligand8XJO-TXA2-U46619-chim(NtGi1-Gs-CtGq)/β1/γ2
20.00Consensustp_on_gpOrthosteric Ligand8XJO-TXA2-U46619-chim(NtGi1-Gs-CtGq)/β1/γ2
20.00Consensusvpac_onOrthosteric Ligandvpac1_on vpac2_on
19.44Single7TYYCalcitonin-17TYY-CT (AMY2)-Calcitonin-1-Gs/β1/γ2; RAMP2
19.44Single7Y36PTH7Y36-PTH1-PTH-Gs/β1/γ2
19.44Single8FLQPTH8FLQ-PTH1-PTH-Gs/β1/γ2
19.44Single9JR3PTH9JR3-PTH1-PTH-chim(NtGi1L-Gs-CtGq)/β1/γ2
19.44Consensusglucagon_onOrthosteric Ligandglp_on gluc_on secretin_on gip_on
19.44Consensuspth2_onOrthosteric Ligand7F16-PTH2-TIP39-Gs/β1/γ2
19.35Single7CZ5Somatoliberin7CZ5-GHRH-Somatoliberin-Gs/β1/γ2
19.35Single7D3SSecretin7D3S-Secretin-Secretin-Gs/β1/γ2
19.35Single7QBIAlpha-factor mating pheromone7QBI-STE2; STE2-α-factor mating pheromone
19.35Single7RA3GIP7RA3-GIP-GIP-chim(NtGi1-Gs)/β1/γ2
19.35Single7VABTirzepatide (non-acylated)7VAB-GIP-Tirzepatide (non-acylated)-chim(NtGi1-Gs)/β1/γ2
19.35Single9J1Pg1:Ox9J1P-GLP-1-g1:Ox-chim(NtGi1-Gs)/β1/γ2
19.35Consensuscalcitonin_on_gpOrthosteric Ligandctlike_on_gp
19.35Consensusvpac_on_gpOrthosteric Ligandvpac1_on_gp vpac2_on_gp
19.23Single7AUESetmelanotide7AUE-MC4-Setmelanotide-chim(NtGi1L-Gs)/β1/γ2
19.23Single7RMHSubstance-P7RMH-NK1-Substance-P-Gs/β1/γ2
19.23Single8JBFSenktide8JBF-NK3-Senktide-chim(NtGi1-Gs-CtGq)/β1/γ2
19.23Single8XQOCholesterol8XQO-TAS2R14-Cholesterol-Aristolochic acid A-Gi1/β1/γ1
19.23Single8XX6CXCL88XX6-CXCR2-CXCL8-Go/β1/γ2
19.05Single1F8811-cis-Retinal1F88-Rhodopsin-11-cis-Retinal
19.05Single3REYPubChem 56973REY-A2A-PubChem 5697
19.05Single3UZCPubChem 1355666093UZC-A2A-PubChem 135566609
19.05Single4MBSMaraviroc4MBS-CCR5-Maraviroc
19.05Single5IU4ZM-2413855IU4-A2A-ZM-241385-Na
19.05Single5IUBQ274563445IUB-A2A-Q27456344-Na
19.05Single5K2CZM-2413855K2C-A2A-ZM-241385-Na
19.05Single5NM4ZM-2413855NM4-A2A-ZM-241385-Na
19.05Single6AQFZM-2413856AQF-A2A-ZM-241385
19.05Single6K41Dexmedetomidine6K41-α2b-Dexmedetomidine-Go/β1/γ2
19.05Single6ME42-Iodomelatonin6ME4-MT1-2-Iodomelatonin
19.05Single6MH8ZM-2413856MH8-A2A-ZM-241385
19.05Single6PS5Propranolol6PS5-β2-Propranolol
19.05Single6WH4Methiothepin6WH4-5-HT2A-Methiothepin
19.05Single7CKZDopamine7CKZ-D1-Dopamine-Mevidalen-Gs/β1/γ2
19.05Single7CMUPramipexole7CMU-D3-Pramipexole-Gi1/β1/γ2
19.05Single7EJADexmedetomidine7EJA-α2a-Dexmedetomidine-Go/β1/γ2
19.05Single7F0TDopamine7F0T-D1-Dopamine-Gs/β1/γ2
19.05Single7F1ZDopamine7F1Z-D1-Dopamine-GDP-Gs/β1/γ2
19.05Single7RANPubChem 1645758477RAN-5-HT2A-PubChem 164575847-chim(NtGi2L-Gs-CtGq)/β1/γ2
19.05Single7T32ZM-2413857T32-A2A-ZM-241385
19.05Single7T94Acetylcholine7T94-M2-Acetylcholine-LY2119620-chim(NtGi1-Go)/β1/γ2
19.05Single7TRSAcetylcholine7TRS-M4-Acetylcholine-Gi1/β1/γ2
19.05Single7VODCariprazine7VOD-5-HT2A-Cariprazine
19.05Single7WC9PubChem 1624213647WC9-5-HT2A-PubChem 162421364
19.05Single7XOVSR1461317XOV-CCKA-SR146131-Gs/β1/γ2
19.05Single8GG5Constrained Epinephrine8GG5-β2-Constrained Epinephrine-GTP-Gs/β1/γ2
19.05Single8GG7Constrained Epinephrine8GG7-β2-Constrained Epinephrine-GTP-Gs/β1/γ2
19.05Single8GGLConstrained Epinephrine8GGL-β2-Constrained Epinephrine
19.05Single8GGMConstrained Epinephrine8GGM-β2-Constrained Epinephrine
19.05Single8GGPConstrained Epinephrine8GGP-β2-Constrained Epinephrine
19.05Single8PM2DMCHA8PM2-TA7-DMCHA-Gs/β1/γ2
19.05Single8RWCStilSwitch28RWC-A2A-StilSwitch2-Na
19.05Single8RWDStilSwitch38RWD-A2A-StilSwitch3-Na
19.05Single8THKA-616038THK-Alpha1A-A-61603-chim(NtGi2L-Gs-CtGq)/β1/γ2
19.05Single8THLEpinephrine8THL-Alpha1A-Epinephrine-chim(NtGi2L-Gs-CtGq)/β1/γ2
19.05Single8UNLConstrained Epinephrine8UNL-β2-Constrained Epinephrine-GTP-Gs/β1/γ2
19.05Single8UNOConstrained Epinephrine8UNO-β2-Constrained Epinephrine-GTP-Gs/β1/γ2
19.05Single8UO1Constrained Epinephrine8UO1-β2-Constrained Epinephrine-GTP; Mg-Gs/β1/γ2
19.05Single8V6UPubChem 1713924568V6U-5-HT2A-PubChem 171392456-chim(NtGi2-Gs-CtGq)/β1/γ2
19.05Single8W8BSEP-3638568W8B-5-HT1A-SEP-363856-Gi1/β1/γ2
19.05Single8X7ATreprostinil8X7A-I2-Treprostinil-Gs/β1/γ2
19.05Single8Y45ADL58598Y45-δ-ADL5859-Gi2/β1/γ2
19.05Single8ZPNAMD31008ZPN-CXCR4-AMD3100
19.05Single9ASBCa; Ca; Cyclomethyltryptophan; R-568; PO49ASB-CaS; CaS-Ca-Ca; Ca; Cyclomethyltryptophan; R-568; PO4-chim(NtGi1-Gs-CtGq)/β1/γ2
19.05Single9AXFCa; Ca; Ca; Cyclomethyltryptophan; R-568; PO49AXF-CaS; CaS-Ca-Ca; Ca; Ca; Cyclomethyltryptophan; R-568; PO4-chim(NtGi1-Gs-CtGq)/β1/γ2
19.05Single9BA0MRI-18919BA0-CB1-MRI-1891
19.05Single9CBLEpinephrine9CBL-α2a-Epinephrine-Gi1/β1/γ2
19.05Single9EPQ11,20-Ethanoretinal9EPQ-Rhodopsin-11,20-Ethanoretinal-chim(Gi1-CtGq)/β1/γ2
19.05Single9JH3CMF-0199JH3-Apelin; Apelin-CMF-019-Gi1/β1/γ2
19.05Single9KPDSalicin9KPD-TAS2R16-Salicin-chim(Gs-CtGt3)/β1/γ2
19.05Single9KUWCMPD6449KUW-Apelin; Apelin-CMPD644-Arrestin2 ; Arrestin2
19.05Single9KXSEP679KXS-C5a1-EP67-Go/β1/γ2
19.05Single9L84Epinephrine9L84-β1-Epinephrine-Atazanavir-Gs/β1/γ2
19.05Single9VJG8-OH-DPAT9VJG-5-HT1A-8-OH-DPAT-chim(NtGi2-Gz)/β1/γ2
19.05Single9W6W5-CT9W6W-5-HT5A-5-CT-Gi1/β1/γ2
19.05Consensus5ht2a_offOrthosteric Ligand6A94-5-HT2A-Zotepine 6A93-5-HT2A-Risperidone 7VOD-5-HT2A-Cariprazine 7WC8-5-HT2A-Lumateperone 8JT8-5-HT2A-(R)-IHCH-7179
19.05Consensus5ht_on_gpOrthosteric Ligand5ht1_on_gp 5ht2_on_gp 5ht4_on_gp 5ht5_on_gp 5ht6_on_gp 5ht7_on_gp
19.05Consensusalpha1_onOrthosteric Ligandalpha1a_on
19.05Consensusalpha1_on_gpOrthosteric Ligandalpha1a_on_gp
19.05Consensusalpha1a_onOrthosteric Ligand7EJ0-α2a-Norepinephrine-Go/β1/γ2 7EJ8-α2a-Brimonidine-Go/β1/γ2 7EJA-α2a-Dexmedetomidine-Go/β1/γ2 7EJK-α2a-Oxymetazoline-Go/β1/γ2 7W6P-α2a-N-pyridin-4-ylisoquinolin-4-amine-Go/β1/γ2 7W7E-α2a-PubChem 164946676-Go/β1/γ2
19.05Consensusalpha1a_on_gpOrthosteric Ligand7EJ0-α2a-Norepinephrine-Go/β1/γ2 7EJ8-α2a-Brimonidine-Go/β1/γ2 7EJA-α2a-Dexmedetomidine-Go/β1/γ2 7EJK-α2a-Oxymetazoline-Go/β1/γ2 7W6P-α2a-N-pyridin-4-ylisoquinolin-4-amine-Go/β1/γ2 7W7E-α2a-PubChem 164946676-Go/β1/γ2
19.05Consensusd3_onOrthosteric Ligand7CMV-D3-PD128907-Gi1/β1/γ2 8IRT-D3-Rotigotine-Gi1/β1/γ2 7CMU-D3-Pramipexole-Gi1/β1/γ2
19.05Consensusd3_on_gpOrthosteric Ligand7CMV-D3-PD128907-Gi1/β1/γ2 8IRT-D3-Rotigotine-Gi1/β1/γ2 7CMU-D3-Pramipexole-Gi1/β1/γ2
19.05Consensusopsins_offOrthosteric Ligandrhodopsin_off
19.05Consensussensory_offOrthosteric Ligandopsins_off
18.75Single6P9XCorticoliberin-16P9X-CRF1-Corticoliberin-1-Gs/β1/γ2
18.75Single6UVAAdrenomedullin-26UVA-CT Like (AM2)-Adrenomedullin-2-Gs/β1/γ2; RAMP3
18.75Single7DTYGIP7DTY-GIP-GIP-Gs/β1/γ2
18.75Single7FIYTirzepatide7FIY-GIP-Tirzepatide-Gs/β1/γ2
18.75Single7QBCAlpha-factor mating pheromone7QBC-STE2; STE2-α-factor mating pheromone
18.75Single7S1MExendin-4-D-Ala7S1M-GLP-1-Exendin-4-D-Ala-Gs/β1/γ2
18.75Single7VQXPACAP277VQX-VPAC1-PACAP27-Gs/β1/γ2
18.75Single8FU6ZP37808FU6-Glucagon-ZP3780-Gs/β1/γ2
18.75Consensusglp2_onOrthosteric Ligand7D68-GLP-2-GLP-2-Gs/β1/γ2
18.75Consensusglp2_on_gpOrthosteric Ligand7D68-GLP-2-GLP-2-Gs/β1/γ2
18.75Consensusp2y10_on_gpOrthosteric Ligand8KGG-P2Y10-Lysophosphatidylserine (WJS)-chim(NtGi2-G13)/β1/γ2
18.60Single8GY7Corticotropin8GY7-MC2-Corticotropin-Ca-chim(NtGi1-Gs)/β1/γ2; MRAP1
18.52Single7F54Afamelanotide7F54-MC4-Afamelanotide-Gs/β1/γ2
18.52Single7NA7Ghrelin7NA7-Ghrelin-Ghrelin-Gi1/β1/γ2
18.52Single7VLACCL15(27-92)7VLA-CCR1-CCL15(27-92)-Gi1/β1/γ2
18.52Single8G59TUG-8918G59-FFA4-TUG-891-chim(Gi1-CtGq)/β1/γ2
18.52Single8IEBPubChem 1347468948IEB-GPR156; GPR156-PubChem 134746894
18.52Single8IEIPubChem 1347468948IEI-GPR156; GPR156-PubChem 134746894
18.52Single8IEIPubChem 1347468948IEI-GPR156; GPR156-PubChem 134746894
18.52Single8IEPPubChem 1347468948IEP-GPR156; GPR156-PubChem 134746894
18.52Single8IEPPubChem 1347468948IEP-GPR156; GPR156-PubChem 134746894
18.52Single8INRAlpha-MSH8INR-MC5-α-MSH-Ca-chim(NtGi1-Gs)/β1/γ2
18.52Single8JIQPeptide-158JIQ-Glucagon-Peptide-15-Gs/β1/γ2
18.52Single8KIGSHU91198KIG-MC3-SHU9119-Ca
18.52Single8WKYPG-9348WKY-MC4-PG-934
18.52Single8XWNCXCL88XWN-CXCR2-CXCL8
18.52Single8YWFRetatrutide8YWF-GLP-1-Retatrutide-chim(NtGi1-Gs)/β1/γ2
18.52Single8ZJDKisspeptin-18ZJD-Kiss1-Kisspeptin-1-chim(NtGi1-Gq)/β1/γ1
18.52Single9BUECagrilintide9BUE-CT-Cagrilintide-Gs/β1/γ2
18.52Single9MEJGp1209MEJ-CXCR4-Gp120
18.52Consensusccr1_onOrthosteric Ligand7VLA-CCR1-CCL15(27-92)-Gi1/β1/γ2
18.52Consensusccr1_on_gpOrthosteric Ligand7VLA-CCR1-CCL15(27-92)-Gi1/β1/γ2
18.52Consensusgq_kisspeptinOrthosteric Ligand8ZJD-Kiss1-Kisspeptin-1-chim(NtGi1-Gq)/β1/γ1
18.52Consensuskiss1_on_gpOrthosteric Ligand8ZJD-Kiss1-Kisspeptin-1-chim(NtGi1-Gq)/β1/γ1
18.52Consensuskisspeptin_on_gpOrthosteric Ligandkiss1_on_gp
18.52Consensusnk3_onOrthosteric Ligand8JBF-NK3-Senktide-chim(NtGi1-Gs-CtGq)/β1/γ2
18.52Consensusnk3_on_gpOrthosteric Ligand8JBF-NK3-Senktide-chim(NtGi1-Gs-CtGq)/β1/γ2
18.18Single2VT4Cyanopindolol2VT4-β1-Cyanopindolol
18.18Single3ZPQPubChem 5945903ZPQ-β1-PubChem 594590-Na
18.18Single3ZPRPubChem 5987543ZPR-β1-PubChem 598754-Na
18.18Single4EIYZM-2413854EIY-A2A-ZM-241385-Na
18.18Single4EJ4Naltrindole4EJ4-δ-Naltrindole
18.18Single4QIMANTA XV4QIM-SMO-ANTA XV
18.18Single4U16N-methyl-Scopolamine4U16-M3-N-methyl-Scopolamine
18.18Single4X1HNonyl-Beta-D-Glucopyranoside4X1H-Rhodopsin-Nonyl-β-D-Glucopyranoside-Gt(CT)
18.18Single5IU8Q274563475IU8-A2A-Q27456347-Na
18.18Single5OLGZM-2413855OLG-A2A-ZM-241385-Na
18.18Single5T04Neurotensin-(8-13)5T04-NTS1-Neurotensin-(8-13)
18.18Single5YC8N-methyl-Scopolamine5YC8-M2-N-methyl-Scopolamine
18.18Single5ZK8N-methyl-Scopolamine5ZK8-M2-N-methyl-Scopolamine
18.18Single5ZKCN-methyl-Scopolamine5ZKC-M2-N-methyl-Scopolamine
18.18Single6IIVDaltroban6IIV-TXA2-Daltroban
18.18Single6K42Dexmedetomidine6K42-α2b-Dexmedetomidine-Gi1/β1/γ2
18.18Single6LMLGlucagon6LML-Glucagon-Glucagon-Gi1/β1/γ1
18.18Single6LPJZM-2413856LPJ-A2A-ZM-241385-Na
18.18Single6LPKZM-2413856LPK-A2A-ZM-241385-Na
18.18Single6PB1Urocortin6PB1-CRF2-Urocortin-chim(NtGi1-Gs)/β1/γ2
18.18Single6PS2Alprenolol6PS2-β2-Alprenolol
18.18Single6UUSAdrenomedullin6UUS-CT Like (AM2)-Adrenomedullin-Gs/β1/γ2; RAMP3
18.18Single6WHADB139486WHA-5-HT2A-DB13948-chim(NtGi2L-Gs-CtGq)/β1/γ2
18.18Single6Z4VNeurotensin-(9-13)6Z4V-NTS1-Neurotensin-(9-13)
18.18Single7E32Serotonin7E32-5-HT1D-Serotonin-Gi1/β1/γ2
18.18Single7LJCSKF812977LJC-D1-SKF81297-Mevidalen-Gs/β1/γ2
18.18Single7M3JNPS-2143; PO47M3J-CaS; CaS-NPS-2143; PO4
18.18Single7PYRPSB-21157PYR-A2A-PSB-2115
18.18Single7QBCAlpha-factor mating pheromone7QBC-STE2; STE2-α-factor mating pheromone
18.18Single7TS0Urocortin7TS0-CRF2-Urocortin-chim(NtGi1L-Go)/β1/γ2
18.18Single7UM55-CT7UM5-5-HT5A-5-CT-chim(NtGi1-Go)/β1/γ2
18.18Single7X2CFenoldopam7X2C-D1-Fenoldopam-Fenoldopam-Gs/β1/γ2
18.18Single8CICEtrumadenant8CIC-A2A-Etrumadenant-Na
18.18Single8FLTM-PTH(1-14)8FLT-PTH1-M-PTH(1-14)-Gs/β1/γ2
18.18Single8FY85-MeO-DMT8FY8-5-HT1A-5-MeO-DMT-PtdIns4P-Gi1/β1/γ1
18.18Single8HAFPTHrP(1-36)8HAF-PTH1-PTHrP(1-36)-chim(NtGi1-Gs)/β1/γ2
18.18Single8IC0CXCL88IC0-CXCR1-CXCL8-Gi1/β1/γ2
18.18Single8IY5Endothelin-18IY5-ETB-Endothelin-1-Gi1/β1/γ2
18.18Single8JLJT1AM8JLJ-TA1-T1AM-chim(NtGi1-Gs)/β1/γ2
18.18Single8JLZST19368JLZ-5-HT6-ST1936-Gs/β1/γ2
18.18Single8KFYZK-7563268KFY-CCR8-ZK-756326-Gi1/β1/γ2
18.18Single8KGGLysophosphatidylserine (WJS)8KGG-P2Y10-Lysophosphatidylserine (WJS)-chim(NtGi2-G13)/β1/γ2
18.18Single8VVGGB188VVG-κ-GB18-Gi1/β1/γ2
18.18Single8WC7ZH86678WC7-TA1-ZH8667-chim(NtGi1-Gs)/β1/γ2
18.18Single8Y71A1D6F8Y71-δ-A1D6F-BMS986187-Gi1/β1/γ2
18.18Single8YN8Proxyfan8YN8-H3-Proxyfan-Go/β1/γ2
18.18Single8ZYYNeurotensin-(8-13)8ZYY-NTS1-Neurotensin-(8-13)-SBI-553-Arrestin2
18.18Single9AS1DMT9AS1-5-HT2A-DMT
18.18Single9AVGCa; Ca; Cyclomethyltryptophan; R-568; PO49AVG-CaS; CaS-Ca-Ca; Ca; Cyclomethyltryptophan; R-568; PO4-chim(NtGi1-Gs)/β1/γ2
18.18Single9CBMDexmedetomidine9CBM-α2a-Dexmedetomidine-Gi1/β1/γ2
18.18Single9DYFAsenapine9DYF-5-HT1A-Asenapine-PtdIns4P-Gi1/β1/γ2
18.18Single9JEAAtropine9JEA-M1-Atropine
18.18Single9JQZGrapiprant 9JQZ-EP4-Grapiprant
18.18Single9METGp120; CD49MET-CXCR4-Gp120; CD4
18.18Single9PLNPubChem 1682595949PLN-α2a-PubChem 168259594
18.18Single9PLOPubChem 1682595949PLO-α2a-PubChem 168259594-Go/β1/γ2
18.18Single9PQDPubChem 1764919279PQD-α2a-PubChem 176491927
18.18Consensus5ht1d_onOrthosteric Ligand7E32-5-HT1D-Serotonin-Gi1/β1/γ2
18.18Consensus5ht1d_on_gpOrthosteric Ligand7E32-5-HT1D-Serotonin-Gi1/β1/γ2
18.18Consensusalpha2_onOrthosteric Ligandalpha2b_on
18.18Consensusalpha2_on_gpOrthosteric Ligandalpha2b_on_gp
18.18Consensusalpha2b_onOrthosteric Ligand6K42-α2b-Dexmedetomidine-Gi1/β1/γ2
18.18Consensusalpha2b_on_gpOrthosteric Ligand6K42-α2b-Dexmedetomidine-Gi1/β1/γ2
18.18Consensusalpha_onOrthosteric Ligandalpha1_on alpha2_on
18.18Consensuscxcr1_on_gpOrthosteric Ligand8IC0-CXCR1-CXCL8-Gi1/β1/γ2
18.18Consensusdop_offOrthosteric Ligand4EJ4-δ-Naltrindole
18.18Consensusgi_histamineOrthosteric Ligand8JXX-H4-Clobenpropit-Gi1/β1/γ2 8JXV-H4-Clozapine-Gi1/β1/γ2 8YUU-H3-Histamine-Gi1/β1/γ1 8HN8-H4-Histamine-Gi1/β1/γ2 8HOC-H4-Imetit-Gi1/β1/γ2 8JXW-H4-VUF6884-Gi1/β1/γ2
18.18Consensusgq_amineOrthosteric Ligandgq_muscarinic gq_histamine
18.18Consensusmuscarinic_onOrthosteric Ligandm2_on m3_on m4_on m1_on
18.18Consensusmuscarinic_on_gpOrthosteric Ligandm2_on_gp m3_on_gp m4_on_gp m1_on_gp
18.18Consensuspth1_onOrthosteric Ligand6NBF-PTH1-LA-PTH Analog-Gs/β1/γ2 8HA0-PTH1-PTH-chim(NtGi1-Gs)/β1/γ2 8HAF-PTH1-PTHrP(1-36)-chim(NtGi1-Gs)/β1/γ2 7Y36-PTH1-PTH-Gs/β1/γ2 7Y35-PTH1-Abaloparatide-Gs/β1/γ2
17.95Consensusclass-b1_onOrthosteric Ligandglucagon_on vip-pacap_on pth_on crf_on calcitonin_on
17.86Single6HLOAprepitant6HLO-NK1-Aprepitant
17.86Single6WHCGlu16 analog of GCG6WHC-Glucagon-Glu16 analog of GCG-Gs/β1/γ2
17.86Single7PIVAfamelanotide7PIV-MC4-Afamelanotide-Gs/β1/γ2
17.86Single7RMISubstance-P7RMI-NK1-Substance-P-chim(Gs-CtGq)/β1/γ2
17.86Single7TRYUrocortin7TRY-CRF2-Urocortin-chim(NtGi1-G11)/β1/γ2
17.86Single8F7QBeta-Endorphin8F7Q-μ-β-Endorphin-Gi1/β1/γ2
17.86Single8IBVMotilin8IBV-Motilin-Motilin-chim(NtGi1-Gs-CtGq)/β1/γ2
17.86Single8IEBPubChem 1347468948IEB-GPR156; GPR156-PubChem 134746894
17.86Single8JBHSubstance-P8JBH-NK3-Substance-P-chim(NtGi1-Gs-CtGq)/β1/γ2
17.86Single8K6ONeuropeptide-Y8K6O-Y1-Neuropeptide-Y-Gi2/β1/γ1
17.86Single8KH5Lysophosphatidylserine8KH5-GPR174-Lysophosphatidylserine-Gs/β1/γ2
17.86Consensustachykinin_on_gpOrthosteric Ligandnk1_on_gp nk2_on_gp nk3_on_gp
17.65Single5MZJTheophylline5MZJ-A2A-Theophylline-Na
17.65Single6PB0Urocortin6PB0-CRF1-Urocortin-chim(NtGi1-Gs)/β1/γ2
17.65Single7RBTTirzepatide7RBT-GIP-Tirzepatide-LSN3556672-chim(NtGi1-Gs)/β1/γ2
17.65Single7TYXAmylin7TYX-CT (AMY2)-Amylin-Gs/β1/γ2; RAMP2
17.65Single7WC4Serotonin7WC4-5-HT2A-Serotonin
17.65Single8HQMNPGLY8HQM-GPR132-NPGLY-Gi1/β1/γ2
17.65Single8HVINOX-6-78HVI-GPR132-NOX-6-7-Gi1/β1/γ2
17.65Single8PWNTheophylline8PWN-A2A-Theophylline
17.39Single4JKVTaladegib4JKV-SMO-Taladegib
17.39Single5CGCHTL142425CGC-mGlu5-HTL14242
17.39Single5IUAQ274563485IUA-A2A-Q27456348-Na
17.39Single5NM2ZM-2413855NM2-A2A-ZM-241385-Na
17.39Single5ZK33-quinuclidinyl-benzilate5ZK3-M2-3-quinuclidinyl-benzilate
17.39Single6LPLZM-2413856LPL-A2A-ZM-241385-Na
17.39Single6S0QZM-2413856S0Q-A2A-ZM-241385
17.39Single6WQAZM-2413856WQA-A2A-ZM-241385-Na
17.39Single7EPFNAM5977EPF-mGlu2-NAM597
17.39Single7M3JNPS-2143; PO47M3J-CaS; CaS-NPS-2143; PO4
17.39Single7RM5ZM-2413857RM5-A2A-ZM-241385-Na
17.39Single7VFXfMIFL7VFX-FPR1-ALX-fMIFL-Gi1/β1/γ2
17.39Single7VOEAripiprazole7VOE-5-HT2A-Aripiprazole
17.39Single7VUHJNJ-635330547VUH-GPR139-JNJ-63533054-chim(Gs-CtGq)/β1/γ2
17.39Single7VV4Cortistatin-147VV4-MRGPRX2-Cortistatin-14
17.39Single7Y26Octreotide7Y26-SST2-Octreotide-chim(NtGi2L-Gs-CtGq)/β1/γ2
17.39Single8E9ZIperoxo8E9Z-M3-Iperoxo-chim(NtGi2L-Gs-CtGq)/β1/γ2
17.39Single8FYNZM-2413858FYN-A2A-ZM-241385-Na
17.39Single8GNEKW-63568GNE-A2A-KW-6356-Na
17.39Single8J18(3R)-3-Hydroxydodecanoic acid8J18-GPR84-(3R)-3-Hydroxydodecanoic acid-Gi1/β1/γ2
17.39Single8KFXLMD-0098KFX-CCR8-LMD-009-Gi1/β1/γ2
17.39Single8YH0NECA8YH0-A3A-NECA-Gi1/β1/γ2
17.39Single8ZMFPubChem 1719206738ZMF-5-HT2C-PubChem 171920673
17.39Single8ZVZBW245C8ZVZ-DP1-BW245C-Gs/β1/γ2
17.39Single8ZYTNeurotensin-(8-13)8ZYT-NTS1-Neurotensin-(8-13)-SBI-553-Arrestin2
17.39Single9AYFCa; Ca; Ca; Cyclomethyltryptophan; R-568; PO49AYF-CaS; CaS-Ca-Ca; Ca; Ca; Cyclomethyltryptophan; R-568; PO4-Gi1/β1/γ2
17.39Single9B9ZMRI-18679B9Z-CB1-MRI-1867
17.39Single9DYDAsenapine9DYD-5-HT1A-Asenapine-PtdIns4P-Go/β1/γ2
17.39Single9EKHONO-30302979EKH-DP1-ONO-3030297
17.39Single9GE2ML1849GE2-GPR55-ML184-chim(NtGi1-G13)/β1/γ2
17.39Single9HAPTolvaptan9HAP-V2-Tolvaptan
17.39Single9K07DSO-5a9K07-BB3-DSO-5a-chim(NtGi2L-Gs-CtGq)/β1/γ2
17.39Single9KPFSalicin9KPF-TAS2R16-Salicin-Gi1/β1/γ2
17.39Single9PXYNaloxone9PXY-μ-Naloxone-GDPβS-Gi1/β1/γ2
17.39Single9U81Tolvaptan9U81-V2-Tolvaptan
17.39Consensus5ht1_onOrthosteric Ligand5ht1a_on 5ht1d_on 5ht1e_on 5ht1f_on
17.39Consensus5ht1_on_gpOrthosteric Ligand5ht1a_on_gp 5ht1d_on_gp 5ht1e_on_gp 5ht1f_on_gp
17.39Consensus5ht1e_on_gpOrthosteric Ligand7E33-5-HT1E-BRL-54443-Gi1/β1/γ2 8UGY-5-HT1E-Mianserin-Gi1/β1/γ1 8UH3-5-HT1E-Setiptiline-Gi1/β1/γ1
17.39Consensusalpha_on_gpOrthosteric Ligandalpha1_on_gp alpha2_on_gp
17.39Consensusfpr1-alx_onOrthosteric Ligand7VFX-FPR1-ALX-fMIFL-Gi1/β1/γ2
17.39Consensusfpr1-alx_on_gpOrthosteric Ligand7VFX-FPR1-ALX-fMIFL-Gi1/β1/γ2
17.39Consensusgq_muscarinicOrthosteric Ligand6OIJ-M1-Iperoxo-chim(NtGi1L-G11)/β1/γ2
17.39Consensusm1_onOrthosteric Ligand6OIJ-M1-Iperoxo-chim(NtGi1L-G11)/β1/γ2
17.39Consensusm2_offOrthosteric Ligand5ZKC-M2-N-methyl-Scopolamine 5ZK3-M2-3-quinuclidinyl-benzilate 5ZKB-M2-AF-DX 384
17.39Consensusm3_onOrthosteric Ligand8E9Z-M3-Iperoxo-chim(NtGi2L-Gs-CtGq)/β1/γ2 8E9W-M3-2-Deoxycytidine-chim(NtGi2L-Gs-CtGq)/β1/γ2 8E9Y-M3-Clozapine-N-oxide-chim(NtGi2L-Gs-CtGq)/β1/γ2
17.39Consensusm3_on_gpOrthosteric Ligand8E9Z-M3-Iperoxo-chim(NtGi2L-Gs-CtGq)/β1/γ2 8E9W-M3-2-Deoxycytidine-chim(NtGi2L-Gs-CtGq)/β1/γ2 8E9Y-M3-Clozapine-N-oxide-chim(NtGi2L-Gs-CtGq)/β1/γ2
17.39Consensusnucleotide_onOrthosteric Ligandadenosine_on p2y_on
17.24Single6W25SHU91196W25-MC4-SHU9119-Ca
17.24Single7RYCOxytocin7RYC-OT-Oxytocin-chim(NtGi2L-Gs-CtGq)/β1/γ2
17.24Single9B5YLA-PTH Analog9B5Y-PTH1-LA-PTH Analog-chim(NtGi1-Gq)/β1/γ2
17.14Single7VBHPeptide-207VBH-GLP-1-Peptide-20-Gs/β1/γ2
17.14Single8FLSAbaloparatide8FLS-PTH1-Abaloparatide-Gs/β1/γ2
17.14Single9AUCCalcitonin gene-related peptide-19AUC-CT (AMY1)-Calcitonin gene-related peptide-1-Gs/β1/γ2; RAMP1
16.67Single3UON3-quinuclidinyl-benzilate3UON-M2-3-quinuclidinyl-benzilate
16.67Single3ZEVNeurotensin-(7-13)3ZEV-NTS1-Neurotensin-(7-13)
16.67Single4BV0Neurotensin-(7-13)4BV0-NTS1-Neurotensin-(7-13)
16.67Single4U15Tiotropium4U15-M3-Tiotropium
16.67Single5V54Methiothepin5V54-5-HT1B-Methiothepin
16.67Single5V56TC1145V56-SMO-TC114
16.67Single5V57TC1145V57-SMO-TC114
16.67Single6J20Aprepitant6J20-NK1-Aprepitant
16.67Single6OIJIperoxo6OIJ-M1-Iperoxo-chim(NtGi1L-G11)/β1/γ2
16.67Single6OL9Tiotropium6OL9-M5-Tiotropium
16.67Single6TQ9SB-4081246TQ9-OX1-SB-408124
16.67Single7F1TCCL37F1T-CCR5-CCL3
16.67Single7L0PNeurotensin-(8-13)7L0P-NTS1-Neurotensin-(8-13)-Gi1/β1/γ1
16.67Single7L0QNeurotensin-(8-13)7L0Q-NTS1-Neurotensin-(8-13)-Gi1/β1/γ1
16.67Single7MTBAll-trans-Retinal7MTB-Rhodopsin-All-trans-Retinal-GRK1
16.67Single7S8MCortistatin-147S8M-MRGPRX2-Cortistatin-14-Gi1/β1/γ2
16.67Single7T9NDPPC7T9N-TSH-M22 Fab-DPPC-Gs/β1/γ2
16.67Single7TRQIperoxo7TRQ-M4-Iperoxo-VU0467154-Gi1/β1/γ2
16.67Single7TYIAmylin7TYI-CT-Amylin-Gs/β1/γ2
16.67Single7V35Peptide-207V35-Glucagon-Peptide-20-Gs/β1/γ2
16.67Single7VVMPTH7VVM-PTH1-PTH-Gs/β1/γ2
16.67Single7W57Neuromedin-S7W57-NMUR2-Neuromedin-S-chim(NtGi1-Gs-CtGq)/β1/γ2
16.67Single7WUIIP157WUI-ADGRG2-IP15-chim(NtGi1-Gs)/β1/γ2
16.67Single7XAVLanreotide7XAV-SST2-Lanreotide-Gi1/β1/γ2
16.67Single7XY7NECA7XY7-A2B-NECA-chim(NtGi1-Gs)/β1/γ2
16.67Single7Y24Octreotide7Y24-SST2-Octreotide-Go/β1/γ2
16.67Single8A2OTheophylline8A2O-A2A-Theophylline-Na
16.67Single8EA0Iperoxo8EA0-M3-Iperoxo
16.67Single8GDBPGE28GDB-EP4-PGE2-Gs/β1/γ2
16.67Single8I2GPubChem 675302408I2G-FSH-FSH-PubChem 67530240-Gs/β1/γ2
16.67Single8IEDPubChem 1347468948IED-GPR156; GPR156-PubChem 134746894-Go/β1/γ2
16.67Single8IWM2-Phenylethylamine8IWM-TAA9-2-Phenylethylamine
16.67Single8JBGNeurokinin-B8JBG-NK3-Neurokinin-B-chim(NtGi1-Gs-CtGq)/β1/γ2
16.67Single8JIPMEDI03828JIP-GLP-1-MEDI0382-chim(NtGi1-Gs)/β1/γ2
16.67Single8JIRSAR4258998JIR-GLP-1-SAR425899-chim(NtGi1-Gs)/β1/γ2
16.67Single8JLPRalmitaront8JLP-TA1-Ralmitaront-Gs/β1/γ2
16.67Single8JXXClobenpropit8JXX-H4-Clobenpropit-Gi1/β1/γ2
16.67Single8JZPC5a8JZP-C5a1-C5a-Go/β1/γ2
16.67Single8VVEnorBNI8VVE-κ-norBNI-Gi1/β1/γ2
16.67Single8XZICMF-0198XZI-Apelin; Apelin-CMF-019-Gi1/β1/γ2
16.67Single8YNTSNAP-948478YNT-MCH1-SNAP-94847
16.67Single8ZR5Firuglipel8ZR5-GPR119-Firuglipel-Gs/β1/γ2
16.67Single9BJKNaloxone9BJK-μ-Naloxone-PubChem 171642066
16.67Single9C2FCa; Ca; Tryptophan; '54149; PO49C2F-CaS; CaS-Ca-Ca; Ca; Tryptophan; '54149; PO4
16.67Single9CHUNorepinephrine9CHU-β2-Norepinephrine
16.67Single9JR2PTH9JR2-PTH1-PTH-chim(NtGi1L-Gs-CtGq)/β1/γ2
16.67Single9L0HJR14a9L0H-C3aB-JR14a-Go/β1/γ2
16.67Single9MENGp120 (V3 loop)9MEN-CXCR4-Gp120 (V3 loop)
16.67Consensus5ht1_offOrthosteric Ligand5ht1b_off
16.67Consensus5ht1b_offOrthosteric Ligand5V54-5-HT1B-Methiothepin
16.67Consensush4_on_gpOrthosteric Ligand8HN8-H4-Histamine-Gi1/β1/γ2 8HOC-H4-Imetit-Gi1/β1/γ2 8JXV-H4-Clozapine-Gi1/β1/γ2 8JXW-H4-VUF6884-Gi1/β1/γ2 8JXX-H4-Clobenpropit-Gi1/β1/γ2
16.67Consensusm1_on_gpOrthosteric Ligand6OIJ-M1-Iperoxo-chim(NtGi1L-G11)/β1/γ2
16.67Consensusm5_offOrthosteric Ligand6OL9-M5-Tiotropium
16.67Consensusmuscarinic_offOrthosteric Ligandm2_off m3_off m4_off m5_off m1_off
16.67Consensusneurotensin_onOrthosteric Ligandnts1_on
16.67Consensusnpy_offOrthosteric Ligandnpy1_off npy2_off
16.67Consensusnts1_onOrthosteric Ligand6OSA-NTS1-JMV449-Gi1/β1/γ2 7L0S-NTS1-Neurotensin-(8-13)-Gi1/β1/γ1
16.67Consensusopsins_onOrthosteric Ligandrhodopsin_on opsin1lw_on
16.67Consensuspth1_on_gpOrthosteric Ligand6NBF-PTH1-LA-PTH Analog-Gs/β1/γ2 8HA0-PTH1-PTH-chim(NtGi1-Gs)/β1/γ2 8HAF-PTH1-PTHrP(1-36)-chim(NtGi1-Gs)/β1/γ2 7Y36-PTH1-PTH-Gs/β1/γ2 7Y35-PTH1-Abaloparatide-Gs/β1/γ2
16.67Consensussensory_onOrthosteric Ligandopsins_on
16.28Consensusclass-b1_on_gpOrthosteric Ligandglucagon_on_gp vip-pacap_on_gp pth_on_gp crf_on_gp calcitonin_on_gp
16.13Single5YQZNNC17025YQZ-Glucagon-NNC1702
16.13Single7TYWCalcitonin-17TYW-CT (AMY1)-Calcitonin-1-Gs/β1/γ2; RAMP1
16.13Single8YG4LA-PTH Analog8YG4-PTH1-LA-PTH Analog-chim(NtGi1-Gs)/β1/γ2
16.13Consensusp2y10_onOrthosteric Ligand8KGG-P2Y10-Lysophosphatidylserine (WJS)-chim(NtGi2-G13)/β1/γ2
16.00Single4GRVNeurotensin-(8-13)4GRV-NTS1-Neurotensin-(8-13)
16.00Single4OR2FITM4OR2-mGlu1; mGlu1-FITM
16.00Single5CXVTiotropium5CXV-M1-Tiotropium
16.00Single6IIURamatroban6IIU-TXA2-Ramatroban
16.00Single7L1UOrexin7L1U-OX2-Orexin-chim(NtGi1-Gs-CtGq)/β1/γ2
16.00Single7WCMMBX-29827WCM-GPR119-MBX-2982-Gs/β1/γ2
16.00Single8E9W2-Deoxycytidine8E9W-M3-2-Deoxycytidine-chim(NtGi2L-Gs-CtGq)/β1/γ2
16.00Single8IQ6Latanoprost8IQ6-FP-alpha-Latanoprost-chim(NtGi1-Gs-CtGq)/β1/γ2
16.00Single8JPBNeurotensin-(8-13)8JPB-NTS1-Neurotensin-(8-13)-SBI-553; GDP; Mg-Gq; GRK2
16.00Single8U26Substance-P8U26-NK1-Substance-P-Gs/β1/γ2
16.00Single8VHFMBX-29828VHF-GPR119-MBX-2982-Gs/β1/γ2
16.00Single9EK0Iperoxo9EK0-M5-Iperoxo-chim(NtGi1-Gs-CtGq)/β1/γ2
16.00Single9YDUUDP-Glucose9YDU-P2Y14-UDP-Glucose-Gi1/β1/γ2
16.00Consensusgi_amineOrthosteric Ligandgi_5ht gi_muscarinic gi_adrenergic gi_dopamine gi_histamine
16.00Consensusm1_offOrthosteric Ligand5CXV-M1-Tiotropium
16.00Consensusm4_onOrthosteric Ligand7TRS-M4-Acetylcholine-Gi1/β1/γ2 7V6A-M4-PubChem 9864275-Gi1/β1/γ2 8E9X-M4-2-Deoxycytidine-chim(NtGi1-Go)/β1/γ2 7TRK-M4-Iperoxo-Gi1/β1/γ2
16.00Consensusm4_on_gpOrthosteric Ligand7TRS-M4-Acetylcholine-Gi1/β1/γ2 7V6A-M4-PubChem 9864275-Gi1/β1/γ2 8E9X-M4-2-Deoxycytidine-chim(NtGi1-Go)/β1/γ2 7TRK-M4-Iperoxo-Gi1/β1/γ2
16.00Consensusnk1_offOrthosteric Ligand6HLP-NK1-Netupitant 6HLO-NK1-Aprepitant 6HLL-NK1-CP99994 6E59-NK1-L-760735
15.79Single2ZIY11-cis-Retinal2ZIY-Rhodopsin-11-cis-Retinal
15.79Single3C9M11-cis-Retinal3C9M-Rhodopsin-11-cis-Retinal
15.79Single3UZAGTPL92363UZA-A2A-GTPL9236
15.79Single5WKTOctyl-Beta-D-Glucopyranoside5WKT-Rhodopsin-Octyl-β-D-Glucopyranoside-Gt(CT)
15.79Single6E3YCalcitonin gene-related peptide-16E3Y-CT Like-Calcitonin gene-related peptide-1-Gs/β1/γ2; RAMP1
15.79Single6FUFAll-trans-Retinal6FUF-Rhodopsin-All-trans-Retinal-Go
15.79Single6ME5Agomelatine6ME5-MT1-Agomelatine
15.79Single7DD7Ca; Ca; Tryptophan; Evocalcet7DD7-CaS; CaS-Ca-Ca; Ca; Tryptophan; Evocalcet
15.79Single7MT8All-trans-Retinal7MT8-Rhodopsin-All-trans-Retinal-GRK1
15.79Single7MT9All-trans-Retinal7MT9-Rhodopsin-All-trans-Retinal-GRK1
15.79Single7MTAAll-trans-Retinal7MTA-Rhodopsin-All-trans-Retinal-GRK1
15.79Single8GGFConstrained Epinephrine8GGF-β2-Constrained Epinephrine-GTP-Gs/β1/γ2
15.79Single8ITFDMCHA8ITF-TAA9-DMCHA-chim(NtGi1-Gs)/β1/γ2
15.79Single8IU2All-trans-Retinal8IU2-Opsin1LW-All-trans-Retinal-Gi1/β1/γ2
15.79Single8IW72-Phenylethylamine8IW7-TAA9-2-Phenylethylamine-chim(NtGi1-Gs)/β1/γ2
15.79Single8JXTHistamine8JXT-H4-Histamine-PO4-Gi1/β1/γ2
15.79Single8Y63C20:0 Ceramide8Y63-FPR2-ALX-C20:0 Ceramide-Gi1/β1/γ2
15.79Single9JG1Adriforant9JG1-H4-Adriforant
15.79Single9JHJC18:0 Ceramide9JHJ-FPR2-ALX-C18:0 Ceramide-Gi1/β1/γ2
15.79Consensus5ht2_onOrthosteric Ligand5ht2b_on
15.79Consensus5ht2b_onOrthosteric Ligand7SRR-5-HT2B-LSD-chim(NtGi2L-Gs-CtGq)/β1/γ2
15.79Consensusgi_opsinsOrthosteric Ligand8IU2-Opsin1LW-All-trans-Retinal-Gi1/β1/γ2
15.79Consensusgi_sensoryOrthosteric Ligandgi_opsins
15.79Consensusgluc_onOrthosteric Ligand6LMK-Glucagon-Glucagon-Gs/β1/γ2 8JIT-Glucagon-MEDI0382-Gs/β1/γ2 7V35-Glucagon-Peptide-20-Gs/β1/γ2
15.79Consensusopsin1lw_onOrthosteric Ligand8IU2-Opsin1LW-All-trans-Retinal-Gi1/β1/γ2
15.79Consensusopsin1lw_on_gpOrthosteric Ligand8IU2-Opsin1LW-All-trans-Retinal-Gi1/β1/γ2
15.79Consensusopsins_on_gpOrthosteric Ligandrhodopsin_on_gp opsin1lw_on_gp
15.79Consensusrhodopsin_onOrthosteric Ligand6OYA-Rhodopsin-All-trans-Retinal-Gt/β1/γ1
15.79Consensussensory_on_gpOrthosteric Ligandopsins_on_gp
15.62Single6NBILA-PTH Analog6NBI-PTH1-LA-PTH Analog-Gs/β1/γ2
15.62Single9BLBCagrilintide (non-acylated)9BLB-CT-Cagrilintide (non-acylated)-Gs/β1/γ2
15.62Single9BUBCagrilintide9BUB-CT-Cagrilintide-Gs/β1/γ2
15.62Consensusctlike_onOrthosteric Ligand6E3Y-CT Like-Calcitonin gene-related peptide-1-Gs/β1/γ2; RAMP1
15.38Single4OR2FITM4OR2-mGlu1; mGlu1-FITM
15.38Single5CGDHTL142425CGD-mGlu5-HTL14242
15.38Single6UP7Neurotensin-(8-13)6UP7-NTS1-Neurotensin-(8-13)-Arrestin2
15.38Single7CX4Evatanepag7CX4-EP2-Evatanepag-Gs/β1/γ2
15.38Single7QVMOxytocin7QVM-OT-Oxytocin-chim(NtGi1-Go-CtGq)/β1/γ2
15.38Single7VVNPTH7VVN-PTH1-PTH-Gs/β1/γ2
15.38Single8E9YClozapine-N-oxide8E9Y-M3-Clozapine-N-oxide-chim(NtGi2L-Gs-CtGq)/β1/γ2
15.38Single8JPFNeurotensin-(8-13)8JPF-NTS1-Neurotensin-(8-13)-SBI-553
15.38Single8XVJMacitentan8XVJ-ETA-Macitentan
15.38Single9CGJC6-Quino9CGJ-δ-C6-Quino-Gi1/β1/γ2
15.38Consensusgluc_on_gpOrthosteric Ligand6LMK-Glucagon-Glucagon-Gs/β1/γ2 8JIT-Glucagon-MEDI0382-Gs/β1/γ2 7V35-Glucagon-Peptide-20-Gs/β1/γ2
15.38Consensusnk2_onOrthosteric Ligand7XWO-NK2-Neurokinin-A-chim(NtGi1-Gs-CtGq)/β1/γ2
15.15Single7AD3Alpha-factor mating pheromone7AD3-STE2; STE2-α-factor mating pheromone-Gi1/STE4/γ2
15.15Single7TYNCalcitonin-17TYN-CT-Calcitonin-1-Gs/β1/γ2
15.15Single7VVKPTH7VVK-PTH1-PTH-Gs/β1/γ2
15.15Consensuscrf_onOrthosteric Ligandcrf2_on crf1_on
15.00Single1L9H11-cis-Retinal1L9H-Rhodopsin-11-cis-Retinal
15.00Single3PBLEticlopride3PBL-D3-Eticlopride
15.00Single4O9RCyclopamine4O9R-SMO-Cyclopamine
15.00Single6I9K9-cis-Retinal6I9K-Rhodopsin-9-cis-Retinal
15.00Single6TP4ACT-4622066TP4-OX1-ACT-462206
15.00Single6TQ4PubChem 160468446TQ4-OX1-PubChem 16046844-Na
15.00Single7DD5Ca; Ca; Tryptophan; NPS-21437DD5-CaS; CaS-Ca-Ca; Ca; Tryptophan; NPS-2143
15.00Single7DD7Ca; Ca; Tryptophan; Evocalcet7DD7-CaS; CaS-Ca-Ca; Ca; Tryptophan; Evocalcet
15.00Single7DFLHistamine7DFL-H1-Histamine-chim(NtGi1L-Gq)/β1/γ2
15.00Single7E2YSerotonin7E2Y-5-HT1A-Serotonin-PtdIns4P-Gi1/β1/γ2
15.00Single7SRQLSD7SRQ-5-HT2B-LSD
15.00Single7XTASerotonin7XTA-5-HT4-Serotonin-Gi1/β1/γ2
15.00Single7YFCHistamine7YFC-H4-Histamine-chim(NtGi1-Gs-CtGq)/β1/γ2
15.00Single7YS6Serotonin7YS6-5-HT6-Serotonin-chim(NtGi1-Gs)/β1/γ2
15.00Single8DPFLorcaserin8DPF-5-HT2C-Lorcaserin-chim(NtGi2L-Gs-CtGq)/β1/γ2
15.00Single8RWHStilSwitch28RWH-A2A-StilSwitch2-Na
15.00Single8U4RREGN7663-Fab8U4R-CXCR4-REGN7663-Fab
15.00Single8WPUTryptophan; Cinacalcet; PO4; Ca8WPU-CaS; CaS-Tryptophan; Cinacalcet; PO4; Ca-chim(NtGi2L-Gs-CtGq)/β1/γ2
15.00Single8YN4Histamine8YN4-H2-Histamine-chim(NtGi1L-Gs-CtGq)/β1/γ2
15.00Single9AS2DMT9AS2-5-HT2A-DMT-chim(NtGi1-Gs-CtGq)/β1/γ2
15.00Single9B9YTaranabant9B9Y-CB1-Taranabant
15.00Single9C1PCa; Tryptophan; '6218; PO49C1P-CaS; CaS-Ca-Ca; Tryptophan; '6218; PO4
15.00Single9IJEEpinephrine9IJE-β3-Epinephrine-chim(NtGi1-Gs)/β1/γ2
15.00Single9IXJHistamine9IXJ-H2-Histamine-Gs/β1/γ2
15.00Single9KUWCMPD6449KUW-Apelin; Apelin-CMPD644-Arrestin2 ; Arrestin2
15.00Consensus5ht4_onOrthosteric Ligand7XTA-5-HT4-Serotonin-Gi1/β1/γ2
15.00Consensus5ht4_on_gpOrthosteric Ligand7XTA-5-HT4-Serotonin-Gi1/β1/γ2
15.00Consensusd3_offOrthosteric Ligand3PBL-D3-Eticlopride
15.00Consensush1_onOrthosteric Ligand7DFL-H1-Histamine-chim(NtGi1L-Gq)/β1/γ2
14.81Single6G79Donitriptan6G79-5-HT1B-Donitriptan-Go/β1/γ2
14.81Single6OS9JMV4496OS9-NTS1-JMV449-Gi1/β1/γ2
14.81Single6PT3DPI-2876PT3-δ-DPI-287
14.81Single7CX2PGE27CX2-EP2-PGE2-Gs/β1/γ2
14.81Single8Z74JN241-98Z74-Apelin; Apelin-JN241-9
14.81Single9CGKC5-Quino9CGK-δ-C5-Quino-Gi1/β1/γ2
14.81Consensuskiss1_onOrthosteric Ligand8ZJD-Kiss1-Kisspeptin-1-chim(NtGi1-Gq)/β1/γ1
14.81Consensuskisspeptin_onOrthosteric Ligandkiss1_on
14.71Single7TYLAmylin7TYL-CT-Amylin-Gs/β1/γ2
14.71Single7VVJPTHrP(1-36)7VVJ-PTH1-PTHrP(1-36)-Gs/β1/γ2
14.71Single9BQ3Cagrilintide9BQ3-CT (AMY2)-Cagrilintide-Gs/β1/γ2; RAMP2
14.71Single9BTWCagrilintide9BTW-CT (AMY3)-Cagrilintide-Gs/β1/γ2; RAMP3
14.71Consensusctlike_on_gpOrthosteric Ligand6E3Y-CT Like-Calcitonin gene-related peptide-1-Gs/β1/γ2; RAMP1
14.29Single1GZM11-cis-Retinal1GZM-Rhodopsin-11-cis-Retinal
14.29Single2Z7311-cis-Retinal2Z73-Rhodopsin-11-cis-Retinal
14.29Single3AYN9-cis-Retinal3AYN-Rhodopsin-9-cis-Retinal
14.29Single3C9L11-cis-Retinal3C9L-Rhodopsin-11-cis-Retinal
14.29Single3VG9ZM-2413853VG9-A2A-ZM-241385-Antibody
14.29Single3VGAZM-2413853VGA-A2A-ZM-241385-Antibody
14.29Single4BWBNeurotensin-(8-12)4BWB-NTS1-Neurotensin-(8-12)
14.29Single4QINSAG1.54QIN-SMO-SAG1.5
14.29Single5K2DZM-2413855K2D-A2A-ZM-241385-Na
14.29Single5OLHVipadenant5OLH-A2A-Vipadenant-Na
14.29Single5OLOTozadenant5OLO-A2A-Tozadenant-Na
14.29Single5U09Taranabant5U09-CB1-Taranabant
14.29Single6JZHZM-2413856JZH-A2A-ZM-241385-Na
14.29Single6ME2Ramelteon6ME2-MT1-Ramelteon
14.29Single6ME9Ramelteon6ME9-MT2-Ramelteon
14.29Single6NWEOctyl-Beta-D-Glucopyranoside6NWE-Rhodopsin-Octyl-β-D-Glucopyranoside-Gt(CT)
14.29Single6O3CSAG21k6O3C-SMO-SAG21k-Cholesterol
14.29Single6PS7ZM-2413856PS7-A2A-ZM-241385-Na
14.29Single6TQ6PubChem 1457142836TQ6-OX1-PubChem 145714283
14.29Single6ZA8RTI-3a6ZA8-NTS1-RTI-3a
14.29Single7CX3Taprenepag7CX3-EP2-Taprenepag-Gs/β1/γ2
14.29Single7F1ODopamine7F1O-D1-Dopamine-GDP; Mg-Gs/β1/γ2
14.29Single7F8YDevazepide7F8Y-CCKA-Devazepide
14.29Single7LJDDopamine7LJD-D1-Dopamine-Mevidalen-Gs/β1/γ1
14.29Single7M3ECa; Ca; Tryptophan; NPS-21437M3E-CaS; CaS-Ca; Ca; Tryptophan; NPS-2143
14.29Single7M3ECa; Ca; Tryptophan; NPS-21437M3E-CaS; CaS-Ca; Ca; Tryptophan; NPS-2143
14.29Single7M3FCa; Ca; Tryptophan; Cinacalcet7M3F-CaS; CaS-Ca; Ca; Tryptophan; Cinacalcet
14.29Single7RTBPeptide-197RTB-GLP-1-Peptide-19-Gs/β1/γ2
14.29Single7SILCa; Ca; Ca; Cyclomethyltryptophan; R-568; PO47SIL-CaS; CaS-Ca-Ca; Ca; Ca; Cyclomethyltryptophan; R-568; PO4
14.29Single7SILCa; Ca; Ca; Cyclomethyltryptophan; R-568; PO47SIL-CaS; CaS-Ca-Ca; Ca; Ca; Cyclomethyltryptophan; R-568; PO4
14.29Single7W2ZGhrelin7W2Z-Ghrelin-Ghrelin-Go/β1/γ2
14.29Single7X5H5-CT7X5H-5-HT5A-5-CT-Gi1/β1/γ2
14.29Single8A6CAll-trans-Retinal8A6C-Rhodopsin-All-trans-Retinal
14.29Single8A6DAll-trans-Retinal8A6D-Rhodopsin-All-trans-Retinal
14.29Single8A6EAll-trans-Retinal8A6E-Rhodopsin-All-trans-Retinal
14.29Single8DU3PubChem 1055260648DU3-A2A-PubChem 105526064
14.29Single8DWGML3828DWG-MRGPRX1-BAM8-22-ML382-chim(NtGi2L-Gs-CtGq)/β1/γ2
14.29Single8DWHPubChem 1390305318DWH-MRGPRX1-PubChem 139030531-chim(NtGi2L-Gs-CtGq)/β1/γ2
14.29Single8RVWStilSwitch38RVW-A2A-StilSwitch3-Na
14.29Single8TZQDopamine8TZQ-D2-Dopamine-Go/β1/γ2
14.29Single8U4PAMD31008U4P-CXCR4-AMD3100-Gi1/β1/γ2
14.29Single8WPGTryptophan; Cinacalcet; PO4; Ca8WPG-CaS; CaS-Tryptophan; Cinacalcet; PO4; Ca
14.29Single8XBHPubChem 1626566368XBH-GPR34-PubChem 162656636-Gi1/β1/γ2
14.29Single8ZCJPasireotide8ZCJ-SST5-Pasireotide-Gi1/β1/γ1
14.29Single9AVLCa; Ca; Cyclomethyltryptophan; R-568; PO49AVL-CaS; CaS-Ca-Ca; Ca; Cyclomethyltryptophan; R-568; PO4-Gi3/β2/γ2
14.29Single9C2FCa; Ca; Tryptophan; '54149; PO49C2F-CaS; CaS-Ca-Ca; Ca; Tryptophan; '54149; PO4
14.29Single9J0IUDP-Glucuronic acid9J0I-P2Y14-UDP-Glucuronic acid-Gi1/β1/γ2
14.29Single9KVHCinobufotenine9KVH-5-HT1A-Cinobufotenine-PtdIns4P-Gi1/β1/γ2
14.29Single9LL9DOI9LL9-5-HT2A-DOI-chim(NtGi1L-Gs-CtGq)/β1/γ2
14.29Single9M88Oleic monoethanolamide9M88-GPR3 ; GPR3-Oleic monoethanolamide-AF64394
14.29Single9PXUNaloxone9PXU-μ-Naloxone-Na
14.29Consensus5ht_onOrthosteric Ligand5ht1_on 5ht2_on 5ht4_on 5ht5_on 5ht6_on 5ht7_on
14.29Consensusgs_5htOrthosteric Ligand7XTC-5-HT7-5-CT-Gs/β1/γ2 7XTB-5-HT6-Serotonin-Gs/β1/γ2 8JLZ-5-HT6-ST1936-Gs/β1/γ2 7XT8-5-HT4-Serotonin-Gs/β1/γ2
14.29Consensusrhodopsin_offOrthosteric Ligand1U19-Rhodopsin-11-cis-Retinal 2PED-Rhodopsin-9-cis-Retinal 5TE5-Rhodopsin-20-Methanoretinal
14.29Consensussensory_offonOrthosteric Ligandsensory_off sensory_on
14.29Consensussensory_offon_gpOrthosteric Ligandsensory_on_gp sensory_on
13.89Single8F2APramlintide Analogue San3858F2A-CT (AMY3)-Pramlintide Analogue San385-Gs/β1/γ2; RAMP3
13.64Single3OAX11-cis-Retinal3OAX-Rhodopsin-11-cis-Retinal
13.64Single4DKLBeta-Funaltrexamine4DKL-μ-β-Funaltrexamine
13.64Single4MQTIperoxo4MQT-M2-Iperoxo-LY2119620
13.64Single4N6HNaltrindole4N6H-δ-Naltrindole-Na
13.64Single5IU7Q274563465IU7-A2A-Q27456346-Na
13.64Single5JTBZM-2413855JTB-A2A-ZM-241385
13.64Single5K2BZM-2413855K2B-A2A-ZM-241385-Na
13.64Single5NLXZM-2413855NLX-A2A-ZM-241385-Na
13.64Single5TE3Octyl-Beta-D-Glucopyranoside5TE3-Rhodopsin-Octyl-β-D-Glucopyranoside
13.64Single6A94Zotepine6A94-5-HT2A-Zotepine
13.64Single6TPKRetosiban6TPK-OT-Retosiban
13.64Single6TPNHTL66416TPN-OX2-HTL6641
13.64Single6WJCAtropine6WJC-M1-Atropine-Muscarinic toxin 7
13.64Single6XBLSAG6XBL-SMO-SAG-Cholesterol-Gi1/β1/γ2
13.64Single6ZDRHMS1413f126ZDR-A2A-HMS1413f12-Na
13.64Single7CKWFenoldopam7CKW-D1-Fenoldopam-Gs/β1/γ2
13.64Single7CMVPD1289077CMV-D3-PD128907-Gi1/β1/γ2
13.64Single7E33BRL-544437E33-5-HT1E-BRL-54443-Gi1/β1/γ2
13.64Single7EJ8Brimonidine7EJ8-α2a-Brimonidine-Go/β1/γ2
13.64Single7F24Dopamine7F24-D1-Dopamine-GDP-Gs/β1/γ2
13.64Single7ZBC11-cis-Retinal7ZBC-Rhodopsin-11-cis-Retinal
13.64Single7ZBE11-cis-Retinal7ZBE-Rhodopsin-11-cis-Retinal
13.64Single7ZI0SAG7ZI0-SMO-SAG-Cholesterol
13.64Single8DPGPsilocin8DPG-5-HT2C-Psilocin-chim(NtGi2L-Gs-CtGq)/β1/γ2
13.64Single8FCZ11-cis-Retinal8FCZ-Rhodopsin-11-cis-Retinal
13.64Single8JSPUlotaront8JSP-5-HT1A-Ulotaront-Gi1/β1/γ2
13.64Single8RQQZM-2413858RQQ-A2A-ZM-241385-Na
13.64Single8U02Dopamine8U02-D2-Dopamine-Go/β1/γ2
13.64Single8WPGTryptophan; Cinacalcet; PO4; Ca8WPG-CaS; CaS-Tryptophan; Cinacalcet; PO4; Ca
13.64Single8WPUTryptophan; Cinacalcet; PO4; Ca8WPU-CaS; CaS-Tryptophan; Cinacalcet; PO4; Ca-chim(NtGi2L-Gs-CtGq)/β1/γ2
13.64Single8Y62C16:0 Ceramide8Y62-FPR2-ALX-C16:0 Ceramide-Gi1/β1/γ2
13.64Single8YN3Histamine8YN3-H2-Histamine-Gs/β1/γ2
13.64Single8YRGFospropofol8YRG-MRGPRX4-Fospropofol-chim(NtGi1-Gs-CtGq)/β1/γ2
13.64Single8ZBWQuin-C18ZBW-FPR2-ALX-Quin-C1-Gi2/β1/γ2
13.64Single9AS8Psilocin9AS8-5-HT2A-Psilocin-chim(NtGi2L-Gs-CtGq)/β1/γ2
13.64Single9ASBCa; Ca; Cyclomethyltryptophan; R-568; PO49ASB-CaS; CaS-Ca-Ca; Ca; Cyclomethyltryptophan; R-568; PO4-chim(NtGi1-Gs-CtGq)/β1/γ2
13.64Single9AVGCa; Ca; Cyclomethyltryptophan; R-568; PO49AVG-CaS; CaS-Ca-Ca; Ca; Cyclomethyltryptophan; R-568; PO4-chim(NtGi1-Gs)/β1/γ2
13.64Single9KVIBufotenin9KVI-5-HT1A-Bufotenin-PtdIns4P-Gi1/β1/γ2
13.64Single9LL8Psilocin9LL8-5-HT2A-Psilocin-Gi1/β1/γ2
13.64Single9LRDHistamine9LRD-H1-Histamine-Gi1/β1/γ2
13.64Single9P1TZM-2413859P1T-A2A-ZM-241385
13.64Single9PXVNaloxone9PXV-μ-Naloxone-Gi1/β1/γ2
13.64Single9PXXNaloxone9PXX-μ-Naloxone-GDPβS-Gi1/β1/γ2
13.64Consensusa2_offOrthosteric Liganda2a_off
13.64Consensusa2a_offOrthosteric Ligand3RFM-A2A-Caffeine 8C9W-A2A-Etrumadenant 3UZA-A2A-GTPL9236 8GNG-A2A-Istradefylline 8CU6-A2A-LJ-4517 7PX4-A2A-PSB-2113 7PYR-A2A-PSB-2115 8DU3-A2A-PubChem 105526064 8JWY-A2A-2-118 8PWN-A2A-Theophylline 5IU4-A2A-ZM-241385-Na 5OLZ-A2A-PubChem 135566609-Na 6GT3-A2A-Imaradenant-Na 5OLV-A2A-LUAA47070-Na 5N2R-A2A-PSB36-Na 5IU7-A2A-Q27456346-Na 5OLH-A2A-Vipadenant-Na 5OLO-A2A-Tozadenant-Na 6ZDR-A2A-HMS1413f12-Na 8GNE-A2A-KW-6356-Na 8JWZ-A2A-Etrumadenant-Na 5IU8-A2A-Q27456347-Na 5IUB-A2A-Q27456344-Na 6ZDV-A2A-PubChem 984073-Na 5IUA-A2A-Q27456348-Na 8A2P-A2A-LUAA47070-Na
13.64Consensuscb1_offOrthosteric Ligand5U09-CB1-Taranabant 5TGZ-CB1-AM6538
13.64Consensuscxcr2_onOrthosteric Ligand6LFM-CXCR2-CXCL8-Gi1/β1/γ2
13.64Consensusnucleotide_offOrthosteric Ligandadenosine_off p2y_off
13.64Consensusot_offOrthosteric Ligand6TPK-OT-Retosiban
13.64Consensusvasop-oxy_offOrthosteric Ligandot_off
13.33Single8YFOAc-LA-PTH Analog8YFO-PTH1-Ac-LA-PTH Analog-chim(NtGi1-Gs)/β1/γ2
13.16Single7TYOCalcitonin7TYO-CT-Calcitonin-Gs/β1/γ2
13.16Single8JITMEDI03828JIT-Glucagon-MEDI0382-Gs/β1/γ2
13.16Single8JIUSAR4258998JIU-Glucagon-SAR425899-Gs/β1/γ2
13.04Single1HZX11-cis-Retinal1HZX-Rhodopsin-11-cis-Retinal
13.04Single3EMLZM-2413853EML-A2A-ZM-241385
13.04Single4DAJTiotropium4DAJ-M3-Tiotropium
13.04Single4MQSIperoxo4MQS-M2-Iperoxo
13.04Single4U14Tiotropium4U14-M3-Tiotropium
13.04Single5DSGTiotropium5DSG-M4-Tiotropium
13.04Single5K2AZM-2413855K2A-A2A-ZM-241385-Na
13.04Single5VRAZM-2413855VRA-A2A-ZM-241385-Na
13.04Single6S0LZM-2413856S0L-A2A-ZM-241385
13.04Single7DB6Ramelteon7DB6-MT1-Ramelteon-Gi1/β1/γ2
13.04Single7FIHOrg435537FIH-LH-hCG-Org43553-chim(NtGi1-Gs)/β1/γ2
13.04Single7TRPIperoxo7TRP-M4-Iperoxo-LY2033298-Gi1/β1/γ2
13.04Single7VH0Ramelteon7VH0-MT2-Ramelteon-Gi1/β1/γ1
13.04Single7XTC5-CT7XTC-5-HT7-5-CT-Gs/β1/γ2
13.04Single8EJKTAK-8758EJK-FFA1-TAK-875-chim(NtGi1L-Gs-CtGq)/β1/γ2
13.04Single8JD0NAM5638JD0-mGlu2; mGlu3-Glutamate-NAM563
13.04Single8JT8(R)-IHCH-71798JT8-5-HT2A-(R)-IHCH-7179
13.04Single8X63Mepyramine8X63-H1-Mepyramine
13.04Single8X64Desloratadine8X64-H1-Desloratadine
13.04Single9IMATalquetamab9IMA-GPRC5D; GPRC5D-Talquetamab
13.04Single9IVGGLP-1 (Truncated)9IVG-GLP-1-GLP-1 (Truncated)-chim(NtGi1-Gs)/β1/γ2
13.04Single9IYAONO-97105319IYA-GPR55-ONO-9710531
13.04Single9KFTfMLFC9KFT-FPR1-ALX-fMLFC-Gi1/β1/γ2
13.04Single9P1SZM-2413859P1S-A2A-ZM-241385
13.04Single9PXWNaloxone9PXW-μ-Naloxone-GDPβS-Gi1/β1/γ2
13.04Single9UAZAtropine9UAZ-M1-Atropine
13.04Consensus5ht6_onOrthosteric Ligand7XTB-5-HT6-Serotonin-Gs/β1/γ2 8JLZ-5-HT6-ST1936-Gs/β1/γ2
13.04Consensus5ht6_on_gpOrthosteric Ligand7XTB-5-HT6-Serotonin-Gs/β1/γ2 8JLZ-5-HT6-ST1936-Gs/β1/γ2
13.04Consensus5ht7_onOrthosteric Ligand7XTC-5-HT7-5-CT-Gs/β1/γ2
13.04Consensus5ht7_on_gpOrthosteric Ligand7XTC-5-HT7-5-CT-Gs/β1/γ2
13.04Consensuscck_offOrthosteric Ligandccka_off
13.04Consensusccka_offOrthosteric Ligand7F8Y-CCKA-Devazepide 7F8U-CCKA-Lintitript
13.04Consensushistamine_offOrthosteric Ligandh1_off
13.04Consensusm4_offOrthosteric Ligand5DSG-M4-Tiotropium
13.04Consensusnucleotide_offonOrthosteric Ligandnucleotide_off nucleotide_on
13.04Consensusnucleotide_offon_gpOrthosteric Ligandnucleotide_on_gp nucleotide_off
12.90Single6NIYCalcitonin-16NIY-CT-Calcitonin-1-Gs/β1/γ2
12.90Single7AD3Alpha-factor mating pheromone7AD3-STE2; STE2-α-factor mating pheromone-Gi1/STE4/γ2
12.90Single8HA0PTH8HA0-PTH1-PTH-chim(NtGi1-Gs)/β1/γ2
12.50Single5XPRBosentan5XPR-ETB-Bosentan
12.50Single6LFMCXCL86LFM-CXCR2-CXCL8-Gi1/β1/γ2
12.50Single6OIKIperoxo6OIK-M2-Iperoxo-LY2119620-chim(NtGi1-Go)/β1/γ2
12.50Single7TRKIperoxo7TRK-M4-Iperoxo-Gi1/β1/γ2
12.50Single7TYHCalcitonin7TYH-CT (AMY2)-Calcitonin-Gs/β1/γ2; RAMP2
12.50Single7VV0PAMP-127VV0-MRGPRX2-PAMP-12
12.50Single7XV3Lysophosphatidylserine (WJS)7XV3-GPR174-Lysophosphatidylserine (WJS)-chim(NtGi1-Gs)/β1/γ2
12.50Single7Y35Abaloparatide7Y35-PTH1-Abaloparatide-Gs/β1/γ2
12.50Single8EJCTAK-8758EJC-FFA1-TAK-875-chim(NtGi1L-Gs-CtGq)/β1/γ2
12.50Single8ID4Linoleic acid8ID4-FFA4-Linoleic acid-Gi1/β1/γ2
12.50Single8QOTNanobody-E8QOT-μ-Nanobody-E
12.50Single8SZGCa; Ca; Tryptophan; Cinacalcet; PO4; Spermine8SZG-CaS; CaS-Ca; Ca; Tryptophan; Cinacalcet; PO4; Spermine-chim(NtGi1-Gq)/β1/γ2
12.50Single8TH4AT118-L Nanobody8TH4-AT1-Losartan-AT118-L Nanobody
12.50Single8X0BVU04244658X0B-mGlu5; mGlu5-Quisqualate-VU0424465
12.50Single8X0CVU04244658X0C-mGlu5; mGlu5-Quisqualate-VU0424465
12.50Single8X0CVU04244658X0C-mGlu5; mGlu5-Quisqualate-VU0424465
12.50Single8X0DVU04244658X0D-mGlu5; mGlu5-Quisqualate-VU0424465
12.50Single8X0DVU04244658X0D-mGlu5; mGlu5-Quisqualate-VU0424465
12.50Single8XQPCholesterol8XQP-TAS2R14-Cholesterol-Aristolochic acid A-Gt3/β1/γ1
12.50Single9ARYSerotonin9ARY-5-HT2A-Serotonin-chim(NtGi1-Gs-CtGq)/β1/γ2
12.50Single9EE5ONO-25502899EE5-DP1-ONO-2550289
12.50Single9HC04YI9HC0-mGlu5-4YI
12.50Consensusadgrg2_onOrthosteric Ligand7WUI-ADGRG2-IP15-chim(NtGi1-Gs)/β1/γ2 7WUQ-ADGRG2-Gs/β1/γ2 7XKF-ADGRG2-Dehydroepiandrosterone-Gs/β1/γ2
12.50Consensusadgrg2_on_gpOrthosteric Ligand7WUI-ADGRG2-IP15-chim(NtGi1-Gs)/β1/γ2 7WUQ-ADGRG2-Gs/β1/γ2 7XKF-ADGRG2-Dehydroepiandrosterone-Gs/β1/γ2
12.50Consensuscxcr2_on_gpOrthosteric Ligand6LFM-CXCR2-CXCL8-Gi1/β1/γ2
12.50Consensush1_offOrthosteric Ligand8X63-H1-Mepyramine 3RZE-H1-Cidoxepin 8X5Y-H1-Astemizole
12.00Single4OO9Mavoglurant4OO9-mGlu5-Mavoglurant
12.00Single5TZRMK86665TZR-FFA1-MK8666
12.00Single5ZHPPubChem 1348285895ZHP-M3-PubChem 134828589
12.00Single6E59L-7607356E59-NK1-L-760735
12.00Single6Z8NSRI-98296Z8N-NTS1-SRI-9829
12.00Single7P2L4YI7P2L-mGlu5-4YI
12.00Single7R0CAVP7R0C-V2-AVP-Arrestin2
12.00Single7WVXHumanin7WVX-FPR2-ALX-Humanin-Gi2/β1/γ2
12.00Single7XWONeurokinin-A7XWO-NK2-Neurokinin-A-chim(NtGi1-Gs-CtGq)/β1/γ2
12.00Single8FMZNeurotensin-(8-13)8FMZ-NTS1-Neurotensin-(8-13)-chim(NtGi2L-Gs-CtGq)/β1/γ2
12.00Single8ID39-Hydroxystearic acid8ID3-FFA4-9-Hydroxystearic acid-Gi1/β1/γ2
12.00Single8ID6Oleic acid8ID6-FFA4-Oleic acid-Gi1/β1/γ2
12.00Single8X0BVU04244658X0B-mGlu5; mGlu5-Quisqualate-VU0424465
12.00Single8X0FVU298X0F-mGlu5; mGlu5-Quisqualate-VU29
12.00Single8XQTCholesterol8XQT-TAS2R14-Cholesterol-Gi1/β1/γ1
12.00Single9AS9RS130-1809AS9-5-HT2A-RS130-180
12.00Single9ASARS130-1809ASA-5-HT2A-RS130-180-chim(NtGi1-Gs-CtGq)/β1/γ2
12.00Single9UCPIperoxo9UCP-M1-Iperoxo-G11(CT)
12.00Consensusm3_offOrthosteric Ligand4U15-M3-Tiotropium 4U16-M3-N-methyl-Scopolamine 5ZHP-M3-PubChem 134828589
12.00Consensusnk2_on_gpOrthosteric Ligand7XWO-NK2-Neurokinin-A-chim(NtGi1-Gs-CtGq)/β1/γ2
12.00Consensusnpy1_offOrthosteric Ligand5ZBH-Y1-BMS-193885 5ZBQ-Y1-UR-MK-299
12.00Consensustachykinin_offOrthosteric Ligandnk1_off
11.76Single5MZPCaffeine5MZP-A2A-Caffeine-Na
11.76Single8WCBCyclohexylammonium Ion8WCB-TA1-Cyclohexylammonium Ion-chim(NtGi1-Gs-CtGq)/β1/γ2
11.76Single8WCCCyclohexylammonium Ion8WCC-TA1-Cyclohexylammonium Ion
11.54Single4PXZ2MeSADP4PXZ-P2Y12-2MeSADP
11.54Single4PY02MeSATP4PY0-P2Y12-2MeSATP
11.54Single5TZYMK8666; AP85TZY-FFA1-MK8666; AP8
11.54Single7EPENAM5637EPE-mGlu2-NAM563
11.54Single7L0SNeurotensin-(8-13)7L0S-NTS1-Neurotensin-(8-13)-Gi1/β1/γ1
11.54Single7XW5ML1097XW5-TSH-TSH-ML109-Gs/β1/γ2
11.54Single7XW6ML1097XW6-TSH-M22 Fab-ML109-Gs/β1/γ2
11.54Single8T3QDoconexent8T3Q-FFA4-Doconexent-chim(NtGi2L-Gs-CtGq)/β1/γ2
11.54Single8XQJJN2418XQJ-Apelin; Apelin-JN241
11.54Single8XX3CXCL38XX3-CXCR2-CXCL3-Go/β1/γ2
11.43Single6LMKGlucagon6LMK-Glucagon-Glucagon-Gs/β1/γ2
11.43Single7VVLPTH7VVL-PTH1-PTH-Gs/β1/γ2
11.11Single3PXOAll-trans-Retinal3PXO-Rhodopsin-All-trans-Retinal
11.11Single5DYSAll-trans-Retinal5DYS-Rhodopsin-All-trans-Retinal
11.11Single7V68LY21196207V68-M4-Iperoxo-LY2119620-Gi1/β1/γ2
11.11Single7XKEDehydroepiandrosterone7XKE-ADGRG2-Dehydroepiandrosterone-chim(NtGi1-Gs)/β1/γ2
11.11Single8ID8TUG-8918ID8-FFA4-TUG-891-Gi1/β1/γ2
11.11Single8IYSTUG-8918IYS-FFA4-TUG-891-GDP-chim(NtGi1L-Gq)/β1/γ2
11.11Single8T3OTUG-8918T3O-FFA4-TUG-891-chim(NtGi2L-Gs-CtGq)/β1/γ2
11.11Single8XBES3E-Lysophosphatidylserine 8XBE-GPR34-S3E-Lysophosphatidylserine-Gi1/β1/γ1
11.11Single8XVUCXCL28XVU-CXCR2-CXCL2
11.11Single8XWFCXCL38XWF-CXCR2-CXCL3
11.11Single8XXHCXCL28XXH-CXCR2-CXCL2-Go/β1/γ2
11.11Single8ZX4Lysophosphatidylinositol 8ZX4-GPR55-Lysophosphatidylinositol-chim(NtGi1-G13)/β1/γ2
11.11Single9GE3Lysophosphatidylinositol9GE3-GPR55-Lysophosphatidylinositol-chim(NtGi1-G13)/β1/γ2
11.11Single9IV25alpha-DHT9IV2-ADGRD1-5α-DHT-chim(NtGi1-Gs)/β1/γ2
11.11Single9J0BUDP-Glucose9J0B-P2Y14-UDP-Glucose-Gi1/β1/γ2
10.71Single6KNMJN241-96KNM-Apelin-JN241-9
10.71Single8H4IDoconexent8H4I-FFA4-Doconexent-chim(NtGi1-Gs)/β1/γ2
10.71Single8XQJJN2418XQJ-Apelin; Apelin-JN241
10.71Single8Z74JN241-98Z74-Apelin; Apelin-JN241-9
10.53Single2HPYAll-trans-Retinal2HPY-Rhodopsin-All-trans-Retinal
10.53Single3RFMCaffeine3RFM-A2A-Caffeine
10.53Single6XBM25(S)-Epoxycholesterol6XBM-SMO-25(S)-Epoxycholesterol-Gi1/β1/γ2
10.53Single7DD5Ca; Ca; Tryptophan; NPS-21437DD5-CaS; CaS-Ca-Ca; Ca; Tryptophan; NPS-2143
10.53Single8U4QREGN7663-Fab8U4Q-CXCR4-REGN7663-Fab-Gi1/β1/γ2
10.53Single8XOFLys058XOF-GPR30-Lys05-chim(NtGi1-Gs-CtGq)/β1/γ2
10.53Single8Y02All-trans-Retinal8Y02-OPN1SW-All-trans-Retinal-Gi1/β1/γ2
10.53Single9M42A1L8O9M42-GPR139-A1L8O-chim(Gs-CtGq)/β1/γ2
10.53Consensusgs_histamineOrthosteric Ligand8POK-H2-Histamine-Gs/β1/γ2
10.53Consensush2_onOrthosteric Ligand8POK-H2-Histamine-Gs/β1/γ2
10.34Single8IZBLysophosphatidylserine (UBL)8IZB-GPR174-Lysophosphatidylserine (UBL)-Gs/β1/γ2
10.00Single3PQRAll-trans-Retinal3PQR-Rhodopsin-All-trans-Retinal-Gt(CT)
10.00Single6D32Cyclopamine6D32-SMO-Cyclopamine-Cyclopamine
10.00Single6PWCNeurotensin-(9-13)6PWC-NTS1-Neurotensin-(9-13)-Arrestin2
10.00Single7D77Hydrocortisone7D77-ADGRG3-Hydrocortisone-Go/β1/γ2
10.00Single8DPILorcaserin8DPI-5-HT2C-Lorcaserin-chim(NtGi2L-Gs-CtGq)/β1/γ2
10.00Single8F76Propanoic acid8F76-OR51E2-Propanoic acid-Gs/β1/γ2
10.00Single8IOCGamma-MSH8IOC-MC3-γ-MSH-Ca-chim(NtGi1-Gs)/β1/γ2
10.00Single8JRVGlucagon8JRV-Glucagon-Glucagon-Arrestin2
10.00Single8POKHistamine8POK-H2-Histamine-Gs/β1/γ2
10.00Single8SZFCa; Ca; Tryptophan; Cinacalcet; PO4; Spermine8SZF-CaS; CaS-Ca; Ca; Tryptophan; Cinacalcet; PO4; Spermine
10.00Single8X9UMetenolone8X9U-ADGRD1-Metenolone-chim(NtGi1-Gs)/β1/γ2
10.00Single9LL7DOI9LL7-5-HT2A-DOI-Gi1/β1/γ2
10.00Consensush2_on_gpOrthosteric Ligand8POK-H2-Histamine-Gs/β1/γ2
9.68Consensusmc3_onOrthosteric Ligand8IOC-MC3-γ-MSH-Ca-chim(NtGi1-Gs)/β1/γ2
9.68Consensusmc3_on_gpOrthosteric Ligand8IOC-MC3-γ-MSH-Ca-chim(NtGi1-Gs)/β1/γ2
9.52Single1U1911-cis-Retinal1U19-Rhodopsin-11-cis-Retinal
9.52Single2G87All-trans-Retinal2G87-Rhodopsin-All-trans-Retinal
9.52Single2I3511-cis-Retinal2I35-Rhodopsin-11-cis-Retinal
9.52Single3AYMAll-trans-Retinal3AYM-Rhodopsin-All-trans-Retinal
9.52Single6HLLCP999946HLL-NK1-CP99994
9.52Single6QNOAll-trans-Retinal6QNO-Rhodopsin-All-trans-Retinal-Gi1/β1/γ1
9.52Single7D76Beclomethasone7D76-ADGRG3-Beclomethasone-Go/β1/γ2
9.52Single7V68Iperoxo7V68-M4-Iperoxo-LY2119620-Gi1/β1/γ2
9.52Single7VUIJNJ-635330547VUI-GPR139-JNJ-63533054-GTP-chim(Gs-CtGq)/β1/γ2
9.52Single7XKFDehydroepiandrosterone7XKF-ADGRG2-Dehydroepiandrosterone-Gs/β1/γ2
9.52Single7XTBSerotonin7XTB-5-HT6-Serotonin-Gs/β1/γ2
9.52Single8EF6Morphine8EF6-μ-Morphine-Gi1/β1/γ2
9.52Single8SZFCa; Ca; Tryptophan; Cinacalcet; PO4; Spermine8SZF-CaS; CaS-Ca; Ca; Tryptophan; Cinacalcet; PO4; Spermine
9.52Single8X2KOleic monoethanolamide8X2K-GPR3-Oleic monoethanolamide-chim(NtGi1-Gs)/β1/γ2
9.52Single8YN2Histamine8YN2-H1-Histamine-chim(NtGi1L-Gs-CtGq)/β1/γ2
9.52Single8ZYUNeurotensin-(8-13)8ZYU-NTS1-Neurotensin-(8-13)-SBI-553-Arrestin2
9.52Single9AS7Psilocin9AS7-5-HT2A-Psilocin
9.52Single9E7RGB889E7R-PAR2-GB88-chim(NtGi1L-Gs-CtGq)/β1/γ2
9.52Single9EPRAll-trans-Retinal9EPR-Rhodopsin-All-trans-Retinal-Gi1/β1/γ2
9.52Single9L3ZLRH7-C29L3Z-CML1-LRH7-C2
9.52Single9M88Oleic monoethanolamide9M88-GPR3 ; GPR3-Oleic monoethanolamide-AF64394
9.52Consensusadgrg_onOrthosteric Ligandadgrg2_on adgrg4_on
9.52Consensusadgrg_on_gpOrthosteric Ligandadgrg2_on_gp adgrg4_on_gp
9.09Single2PED9-cis-Retinal2PED-Rhodopsin-9-cis-Retinal
9.09Single7BR3Elagolix7BR3-GnRH1-Elagolix
9.09Single7F8ULintitript7F8U-CCKA-Lintitript
9.09Single7M3FCa; Ca; Tryptophan; Cinacalcet7M3F-CaS; CaS-Ca; Ca; Tryptophan; Cinacalcet
9.09Single7TUZ7-alpha,25-dihydroxycholesterol7TUZ-GPR183-7-α,25-dihydroxycholesterol-Gi1/β1/γ2
9.09Single7W0MPubChem 1227019087W0M-Apelin-PubChem 122701908-Gi1/β1/γ2
9.09Single7X2FDopamine7X2F-D1-Dopamine-Mevidalen-Gs/β1/γ2
9.09Single8U4SREGN7663-Fab8U4S-CXCR4-REGN7663-Fab
9.09Single8U4TREGN7663-Fab8U4T-CXCR4-REGN7663-Fab
9.09Single8XXXCXCL68XXX-CXCR2-CXCL6-Go/β1/γ2
9.09Single8YNFCXCL88YNF-ACKR1-CXCL8
9.09Single8YUTAmthamine8YUT-H2-Amthamine-Gs/β1/γ2
9.09Single9C1PCa; Tryptophan; '6218; PO49C1P-CaS; CaS-Ca-Ca; Tryptophan; '6218; PO4
9.09Single9LLBDOI-NBOMe9LLB-5-HT2A-DOI-NBOMe-chim(NtGi1L-Gs-CtGq)/β1/γ2
9.09Single9LRBHistamine9LRB-H1-Histamine-Gs/β1/γ2
9.09Single9PEEPF-07054894; OXM29PEE-CCR6-PF-07054894; OXM2
9.09Consensusgnrh1_offOrthosteric Ligand7BR3-GnRH1-Elagolix
8.82Single8FLRPTHrP(1-36)8FLR-PTH1-PTHrP(1-36)-Gs/β1/γ2
8.70Single3RZECidoxepin3RZE-H1-Cidoxepin
8.70Single5UVIZM-2413855UVI-A2A-ZM-241385
8.70Single6FFIMPEP6FFI-mGlu5-MPEP
8.70Single7M3GCa; Ca; Tryptophan; Evocalcet; Etelcalcetide; PO47M3G-CaS; CaS-Ca; Ca; Tryptophan; Evocalcet; Etelcalcetide; PO4
8.70Single7UTZDPPC7UTZ-TSH-TSH-DPPC-Gs/β1/γ2
8.70Single7WVUfMLF7WVU-FPR1-ALX-fMLF-Gi1/β1/γ2
8.70Single8H4LDoconexent8H4L-FFA4-Doconexent-chim(NtGi1-Gs-CtGq)/β1/γ2
8.70Single8K4NPubChem 1687197658K4N-GPR34-PubChem 168719765-Gi1/β1/γ2
8.70Single8Y01All-trans-Retinal8Y01-Opsin1MW-All-trans-Retinal-Gi1/β1/γ2
8.70Single8Y53MK50468Y53-BB3-MK5046-chim(NtGi1-Gs-CtGq)/β1/γ2
8.70Single8ZMGPimavanserin8ZMG-5-HT2A-Pimavanserin
8.70Single9ARXSerotonin9ARX-5-HT2A-Serotonin
8.70Consensusgrh_offOrthosteric Ligandgnrh1_off
8.33Single6FFHFenobam6FFH-mGlu5-Fenobam
8.33Single7SK8CXCL127SK8-ACKR3-CXCL12-CCX662
8.33Single8KEXDCA-3P8KEX-MRGPRX4-DCA-3P
8.33Single8TH3AT118-H Nanobody8TH3-AT1-AT118-H Nanobody
8.33Single8X9TAP5038X9T-ADGRD1-AP503-chim(NtGi1-Gs)/β1/γ2
8.33Single9JROPF-044189489JRO-EP2-PF-04418948
8.33Single9LLAAriadne9LLA-5-HT2A-Ariadne-chim(NtGi1L-Gs-CtGq)/β1/γ2
8.00Single4PHUFasiglifam4PHU-FFA1-Fasiglifam
8.00Single6HLPNetupitant6HLP-NK1-Netupitant
8.00Single6RZ4Pranlukast6RZ4-CysLT1-Pranlukast-Na
8.00Single6Z4QSR142948A6Z4Q-NTS1-SR142948A
8.00Single7E9GJNJ-404118137E9G-mGlu2; mGlu2-Eglumetad-JNJ-40411813-Gi1/β1/γ2
8.00Single7EUOfMLF7EUO-FPR1-ALX-fMLF-Gi1/β1/γ2
8.00Single8IZ4Lysophosphatidylserine (TJR)8IZ4-GPR34-Lysophosphatidylserine (TJR)-Gi1/β1/γ2
8.00Single8T6JCDPPB8T6J-mGlu5; mGlu5-CDPPB
8.00Single8T6JCDPPB8T6J-mGlu5; mGlu5-CDPPB
8.00Single9JRTTG6-1299JRT-EP2-TG6-129
7.69Single5ZBHBMS-1938855ZBH-Y1-BMS-193885
7.69Single7EW4CYM-55417EW4-S1P3-CYM-5541-Gi1/β1/γ2
7.69Single7SK7CXCL127SK7-ACKR3-CXCL12-CCX662
7.69Single8JD5JNJ-40411813; ADX881788JD5-mGlu2; mGlu4-Glutamate-JNJ-40411813; ADX88178-Gi1/β1/γ2
7.69Single8TAOCDPPB8TAO-mGlu5; mGlu5-Quisqualate-CDPPB
7.69Single8XBIPubChem 1626566368XBI-GPR34-PubChem 162656636
7.69Single8XX7CXCL58XX7-CXCR2-CXCL5-Go/β1/γ2
7.69Single9YDVMRS29059YDV-P2Y14-MRS2905-Gi1/β1/γ2
7.69Consensuscyslt1_offOrthosteric Ligand6RZ5-CysLT1-Zafirlukast-Na 6RZ4-CysLT1-Pranlukast-Na
7.69Consensusffa2_onOrthosteric Ligand8J22-FFA2-TUG-1375-Gi1/β1/γ2
7.69Consensusp2y12_onOrthosteric Ligand7XXI-P2Y12-2MeSADP-Gi2/β1/γ2
7.41Single3VW7Vorapaxar; Na3VW7-PAR1-Vorapaxar; Na
7.41Single4PXFOctyl-Beta-D-Glucopyranoside4PXF-Rhodopsin-Octyl-β-D-Glucopyranoside-Arrestin1 Finger Loop
7.41Single7XXI2MeSADP7XXI-P2Y12-2MeSADP-Gi2/β1/γ2
7.41Single8DWCBAM8-228DWC-MRGPRX1-BAM8-22-chim(NtGi2L-Gs-CtGq)/β1/γ2
7.41Single8JD3JNJ-404118138JD3-mGlu2; mGlu3-Glutamate-JNJ-40411813-Gi1/β1/γ2
7.41Single8WRBLysophosphatidylserine (UBL)8WRB-GPR34-Lysophosphatidylserine (UBL)-Gi1/β1/γ2
7.41Single8XWACXCL18XWA-CXCR2-CXCL1
7.41Single8XWMCXCL68XWM-CXCR2-CXCL6
7.41Single8XWSCXCL58XWS-CXCR2-CXCL5
7.41Single8Y6WTUG-13758Y6W-FFA2-TUG-1375-4-CMTB-Gi1/β1/γ2
7.41Single9ECJS-geranylgeranyl-L-glutathione9ECJ-P2Y8-S-geranylgeranyl-L-glutathione-G13/β1/γ2
7.41Consensusffa2_on_gpOrthosteric Ligand8J22-FFA2-TUG-1375-Gi1/β1/γ2
7.41Consensusgi_p2yOrthosteric Ligand7XXI-P2Y12-2MeSADP-Gi2/β1/γ2
7.41Consensusp2y12_on_gpOrthosteric Ligand7XXI-P2Y12-2MeSADP-Gi2/β1/γ2
7.14Single6M1HMaxadilan6M1H-PAC1-Maxadilan-Gs/β1/γ2
7.14Single8XWVCXCL18XWV-CXCR2-CXCL1-Go/β1/γ2
6.90Single8J22TUG-13758J22-FFA2-TUG-1375-Gi1/β1/γ2
6.90Single9JH6C20:0 Ceramide9JH6-CysLT2-C20:0 Ceramide-chim(NtGi1-Gs-CtGq)/β1/γ2
6.90Single9NS9TUG-13759NS9-FFA2-TUG-1375-PubChem 118615810-Gi1/β1/γ2
6.67Single6RZ8ONO-20803656RZ8-CysLT2-ONO-2080365
6.67Single8DWGBAM8-228DWG-MRGPRX1-BAM8-22-ML382-chim(NtGi2L-Gs-CtGq)/β1/γ2
6.25Consensusclass-b2_onOrthosteric Ligandadgrg_on adgrf_on adgrl_on adgre_on adgrd_on
6.25Consensusclass-b2_on_gpOrthosteric Ligandadgrg_on_gp adgrf_on_gp adgrl_on_gp adgre_on_gp adgrd_on_gp
5.88Single8TLMAnti-murine CCR8 antibody8TLM-CCR8-Anti-murine CCR8 antibody
5.56Single4A4MAll-trans-Retinal4A4M-Rhodopsin-All-trans-Retinal-Gt(CT)
5.56Single5EN0All-trans-Retinal5EN0-Rhodopsin-All-trans-Retinal-Gt(CT)
5.26Single7XKDDehydroepiandrosterone7XKD-ADGRG2-Dehydroepiandrosterone-Gs/β1/γ2
5.26Single8X9S5alpha-DHT8X9S-ADGRD1-5α-DHT-chim(NtGi1-Gs)/β1/γ2
5.00Single6OY9All-trans-Retinal6OY9-Rhodopsin-All-trans-Retinal-Gt/β1/γ1
5.00Single7VDMSubstance-P7VDM-MRGPRX2-Substance-P-Gi1/β1/γ2
5.00Single9IVMLSN33188399IVM-GLP-1-GLP-1 (Truncated)-LSN3318839-chim(NtGi1-Gs)/β2/γ2
5.00Consensusp2y_offOrthosteric Ligandp2y1_off
4.76Single4XNWMRS25004XNW-P2Y1-MRS2500
4.76Single6FK9PubChem 1324730366FK9-Rhodopsin-PubChem 132473036
4.76Single7V6APubChem 98642757V6A-M4-PubChem 9864275-Gi1/β1/γ2
4.76Single8J24Acetic acid8J24-FFA2-Acetic acid-Gi1/β1/γ2
4.76Single8J6QPubChem 251012238J6Q-HCA2-β-Hydroxybutyrate-PubChem 25101223-Gi1/β1/γ2
4.76Consensusp2y1_offOrthosteric Ligand4XNW-P2Y1-MRS2500
4.55Single6FK6PubChem 1324730336FK6-Rhodopsin-PubChem 132473033
4.55Single6PGSGeraniol6PGS-Rhodopsin-Geraniol-Gt(CT)
4.55Single6PH7Nerol6PH7-Rhodopsin-Nerol-Gt(CT)
4.55Single7S8NR-Zinc-35737S8N-MRGPRX2-R-Zinc-3573-chim(NtGi2L-Gs-CtGq)/β1/γ2
4.55Single7S8OR-Zinc-35737S8O-MRGPRX2-R-Zinc-3573-Gi1/β1/γ2
4.55Single7VDHC48/807VDH-MRGPRX2-C48/80-Gi1/β1/γ2
4.55Single8J6PPubChem 251012238J6P-HCA2-Niacin-PubChem 25101223-Gi1/β1/γ2
4.55Single8JHYPubChem 251012238JHY-HCA2-PubChem 25101223-Gi1/β1/γ2
4.55Single8JIIPubChem 251012238JII-HCA2-Niacin-PubChem 25101223-Gi1/β1/γ2
4.55Single8YKDDehydroepiandrosterone8YKD-ADGRG2-Dehydroepiandrosterone-chim(NtGi1-Gs)/β1/γ2
4.55Single9YDAAll-trans-Retinal9YDA-Opsin1MW-All-trans-Retinal-chim(NtGi1L-Gs-CtGt)/β1/γ2
4.35Single4XNVBPTU4XNV-P2Y1-BPTU
4.35Single6FKBPubChem 1324730386FKB-Rhodopsin-PubChem 132473038
4.35Single6WWZCCL206WWZ-CCR6-CCL20-Go/β1/γ2
4.35Single7T6STC-FPR 437T6S-FPR2-ALX-TC-FPR 43-Gi1/β1/γ2
4.35Single7VV5C48/807VV5-MRGPRX2-C48/80-Gi1/β1/γ2
4.35Single7VVOPTH7VVO-PTH1-PTH-Gs/β1/γ2
4.35Single7WV9ZCZ0117WV9-CB1-CP55940-ZCZ011-Gi2/β1/γ2
4.35Single8T3VDoconexent8T3V-FFA1-Doconexent-chim(NtGi2L-Gs-CtGq)/β1/γ2
4.35Single8U8FPalmitic Acid8U8F-GPR3-Palmitic Acid-Gs/β1/γ2
4.35Consensusccr6_onOrthosteric Ligand6WWZ-CCR6-CCL20-Go/β1/γ2
4.35Consensusccr6_on_gpOrthosteric Ligand6WWZ-CCR6-CCL20-Go/β1/γ2
4.17Single6FK8PubChem 1324730356FK8-Rhodopsin-PubChem 132473035
4.17Single6FKAPubChem 1324730376FKA-Rhodopsin-PubChem 132473037
4.17Single6PELCitronellol6PEL-Rhodopsin-Citronellol-Gt(CT)
4.17Single6ZINSR486926ZIN-NTS1-SR48692
4.17Single7VV6C48/807VV6-MRGPRX2-C48/80
4.17Single8HJ5PubChem 1390305318HJ5-MRGPRX1-PubChem 139030531-chim(NtGi1-Gs-CtGq)/β1/γ2
4.17Single8HQN9-S-HODE8HQN-GPR132-9-S-HODE-Gi1/β1/γ2
4.17Single8K4SDCA-3P8K4S-MRGPRX4-DCA-3P-chim(NtGi1L-Gs-CtGq)/β1/γ2
4.17Single9DQJEP-39459DQJ-MRGPRD-EP-3945-chim(NtGi1-Gs-CtGq)/β1/γ2
4.17Single9JQYTG6-1299JQY-EP4-TG6-129
4.17Single9K1DButyric acid9K1D-FFA2-Butyric acid-Gi1/β1/γ2
4.17Single9U80Conivaptan9U80-V2-Conivaptan
4.00Single6FK7PubChem 1324730346FK7-Rhodopsin-PubChem 132473034
4.00Single6FKCPubChem 1324730396FKC-Rhodopsin-PubChem 132473039
4.00Single6FKDPubChem 1373491836FKD-Rhodopsin-PubChem 137349183
4.00Single8XBGS3E-Lysophosphatidylserine 8XBG-GPR34-S3E-Lysophosphatidylserine
3.85Single5ZBQUR-MK-2995ZBQ-Y1-UR-MK-299
3.85Single6Z4SSR486926Z4S-NTS1-SR48692
3.85Single7M3GCa; Ca; Tryptophan; Evocalcet; Etelcalcetide; PO47M3G-CaS; CaS-Ca; Ca; Tryptophan; Evocalcet; Etelcalcetide; PO4
3.85Single8JGGBAM8-228JGG-MRGPRX1-BAM8-22-Gi1/β1/γ2
3.85Single9DQHEP-28259DQH-MRGPRD-EP-2825-chim(NtGi1-Gs-CtGq)/β1/γ2
3.85Consensuscyslt_offOrthosteric Ligandcyslt2_off cyslt1_off
3.70Single6RZ5Zafirlukast6RZ5-CysLT1-Zafirlukast-Na
3.70Single8JGFBAM8-228JGF-MRGPRX1-BAM8-22-chim(NtGi1-Gs-CtGq)/β1/γ2
3.70Single9CLWTUG-13759CLW-FFA2-TUG-1375-4-CMTB-chim(NtGi1L-Gs-CtGq)/β1/γ2
3.70Single9ITELPA9ITE-LPA6-LPA-chim(NtGi2-G13)/β1/γ2
3.70Consensusffa_onOrthosteric Ligandffa2_on ffa3_on
3.70Consensusffa_on_gpOrthosteric Ligandffa2_on_gp ffa3_on_gp
3.70Consensusgi_ffaOrthosteric Ligand8J21-FFA3-Butyric acid-Gi1/β1/γ2 8J22-FFA2-TUG-1375-Gi1/β1/γ2
3.57Single6RZ7ONO-25703666RZ7-CysLT2-ONO-2570366
3.57Single9CM3TUG-13759CM3-FFA2-TUG-1375-PubChem 118615810-chim(NtGi1L-Gs-CtGq)/β1/γ2
3.45Single6RZ9ONO-27703726RZ9-CysLT2-ONO-2770372
3.45Consensuscyslt2_offOrthosteric Ligand6RZ7-CysLT2-ONO-2570366 6RZ8-CysLT2-ONO-2080365 6RZ9-CysLT2-ONO-2770372
3.33Single6RZ6ONO-25703666RZ6-CysLT2-ONO-2570366
3.33Single8SAILysophosphatidylserine (S12)8SAI-GPR34-Lysophosphatidylserine (S12)-Gi1/β1/γ2
3.33Single9CM7TUG-13759CM7-FFA2-TUG-1375-AZ-1729-Gi1/β1/γ2
3.33Single9ITBLPA9ITB-LPA6-LPA-chim(NtGi1-Gs-CtGq)/β1/γ2

PDB Summary
PDB 9KT8
Class A
SubFamily Alicarboxylic acid
Type Hydroxycarboxylic Acid
SubType HCA2
Species Homo Sapiens
Ligand Acifran
Other Ligand(s) -
Protein Partners Gi1/Beta1/Gamma2
PDB Resolution 2.73
Date 2025-12-10
D.O.I. 10.1021/acs.jmedchem.4c02567
Net Summary
Imin 1.87
Number of Linked Nodes 879
Number of Links 1197
Number of Hubs 235
Number of Links mediated by Hubs 856
Number of Communities 15
Number of Nodes involved in Communities 349
Number of Links involved in Communities 565
Path Summary
Number Of Nodes in MetaPath 68
Number Of Links MetaPath 67
Number of Shortest Paths 3665747
Length Of Smallest Path 3
Average Path Length 31.8933
Length of Longest Path 58
Minimum Path Strength 1.19
Average Path Strength 4.47336
Maximum Path Strength 21.2133
Minimum Path Correlation 0.7
Average Path Correlation 0.993357
Maximum Path Correlation 1
Minimum % Of Corr. Nodes 2.27273
Average % Of Corr. Nodes 41.2828
Maximum % Of Corr. Nodes 100
Minimum Path Hubs % 0
Average Path Hubs % 56.1615
Maximum Path Hubs % 100
AnnotationTypeLinks
Gene OntologyMolecular Function
Gene OntologyBiological Process• myeloid cell apoptotic process   • multicellular organismal process   • homeostatic process   • leukocyte apoptotic process   • cell death   • neutrophil homeostasis   • neutrophil apoptotic process   • multicellular organismal-level homeostasis   • leukocyte homeostasis   • immune system process   • inflammatory cell apoptotic process   • cellular process   • homeostasis of number of cells   • apoptotic process   • myeloid cell homeostasis   • programmed cell death   • cellular response to stimulus   • regulation of biological process   • regulation of cellular process   • response to stimulus   • signaling   • biological regulation   • G protein-coupled receptor signaling pathway   • signal transduction   • cell communication   • positive regulation of cell communication   • regulation of localization   • establishment of protein localization   • system process   • regulation of adiponectin secretion   • positive regulation of establishment of protein localization   • positive regulation of adiponectin secretion   • localization   • adiponectin secretion   • intracellular protein localization   • regulation of biological quality   • regulation of hormone levels   • establishment of protein localization to extracellular region   • protein secretion   • establishment of localization   • regulation of protein secretion   • regulation of secretion   • endocrine hormone secretion   • positive regulation of protein localization   • positive regulation of multicellular organismal process   • regulation of hormone secretion   • regulation of protein localization   • transport   • positive regulation of biological process   • positive regulation of secretion by cell   • hormone secretion   • protein localization to extracellular region   • positive regulation of protein transport   • secretion by cell   • regulation of secretion by cell   • positive regulation of hormone secretion   • positive regulation of secretion   • signal release   • regulation of multicellular organismal process   • positive regulation of cellular process   • regulation of signaling   • secretion   • regulation of transport   • regulation of establishment of protein localization   • export from cell   • cell-cell signaling   • regulation of protein transport   • positive regulation of protein secretion   • endocrine process   • positive regulation of transport   • protein transport   • macromolecule localization   • hormone transport   • regulation of cell communication   • positive regulation of signaling   • regulation of programmed cell death   • regulation of neutrophil apoptotic process   • positive regulation of myeloid cell apoptotic process   • positive regulation of neutrophil apoptotic process   • regulation of immune system process   • positive regulation of leukocyte apoptotic process   • positive regulation of immune system process   • regulation of leukocyte apoptotic process   • positive regulation of programmed cell death   • regulation of apoptotic process   • positive regulation of apoptotic process   • regulation of myeloid cell apoptotic process   • negative regulation of catabolic process   • lipid catabolic process   • catabolic process   • regulation of lipid metabolic process   • negative regulation of metabolic process   • negative regulation of biological process   • primary metabolic process   • regulation of catabolic process   • regulation of lipid catabolic process   • regulation of primary metabolic process   • negative regulation of cellular process   • metabolic process   • regulation of metabolic process   • negative regulation of lipid metabolic process   • negative regulation of lipid catabolic process   • lipid metabolic process   • cellular anatomical structure   • cell junction   • cell periphery   • plasma membrane   • membrane   • protein binding   • binding   • G-protein beta-subunit binding   • fibroblast proliferation   • cell population proliferation   • cellular response to nitrogen compound   • response to dopamine   • cellular response to dopamine   • response to monoamine   • response to catecholamine   • adenylate cyclase-activating dopamine receptor signaling pathway   • cellular response to catecholamine stimulus   • G protein-coupled dopamine receptor signaling pathway   • response to oxygen-containing compound   • response to nitrogen compound   • adenylate cyclase-activating G protein-coupled receptor signaling pathway   • cellular response to oxygen-containing compound   • cellular response to chemical stimulus   • cellular response to monoamine stimulus   • response to chemical   • adenylate cyclase-modulating G protein-coupled receptor signaling pathway   • response to ketone   • response to prostaglandin   • response to lipid   • response to endogenous stimulus   • response to alcohol   • cellular response to prostaglandin stimulus   • cellular response to endogenous stimulus   • cellular response to prostaglandin E stimulus   • cellular response to alcohol   • response to hormone   • cellular response to lipid   • response to prostaglandin E   • cellular response to ketone   • cellular response to hormone stimulus   • protein-containing complex   • extrinsic component of plasma membrane   • catalytic complex   • plasma membrane protein complex   • cytoplasmic side of membrane   • membrane protein complex   • heterotrimeric G-protein complex   • side of membrane   • cytoplasmic side of plasma membrane   • GTPase complex   • extrinsic component of membrane   • extrinsic component of cytoplasmic side of plasma membrane   • extracellular exosome   • membrane-bounded organelle   • extracellular vesicle   • extracellular organelle   • extracellular region   • organelle   • extracellular space   • vesicle   • extracellular membrane-bounded organelle   • synapse   • enzyme binding   • GTPase binding   • protein-containing complex binding   • pyrophosphatase activity   • GTPase activity   • ribonucleoside triphosphate phosphatase activity   • hydrolase activity, acting on acid anhydrides, in phosphorus-containing anhydrides   • hydrolase activity   • hydrolase activity, acting on acid anhydrides   • catalytic activity   • signaling receptor complex adaptor activity   • protein-macromolecule adaptor activity   • molecular adaptor activity   • signaling adaptor activity   • sensory perception of chemical stimulus   • sensory perception   • nervous system process   • sensory perception of taste   • developmental process   • sensory organ development   • eye development   • animal organ development   • retina development in camera-type eye   • visual system development   • multicellular organism development   • camera-type eye development   • anatomical structure development   • sensory system development   • system development   • small GTPase-mediated signal transduction   • Ras protein signal transduction   • intracellular signal transduction   • intracellular signaling cassette   • phospholipase C-activating G protein-coupled receptor signaling pathway   • synaptic signaling   • cellular response to acetylcholine   • acetylcholine receptor signaling pathway   • postsynaptic signal transduction   • G protein-coupled acetylcholine receptor signaling pathway   • response to acetylcholine   • non-motile cilium   • 9+0 non-motile cilium   • cilium   • neuron projection   • photoreceptor disc membrane   • photoreceptor outer segment   • plasma membrane bounded cell projection   • cell projection   • photoreceptor cell cilium   • organelle membrane   • intracellular anatomical structure   • cytoplasm   • cytosol   • vacuolar membrane   • lytic vacuole   • vacuole   • intracellular membrane-bounded organelle   • intracellular organelle   • lytic vacuole membrane   • bounding membrane of organelle   • lysosomal membrane   • lysosome   • D2 dopamine receptor binding   • signaling receptor binding   • G protein-coupled receptor binding   • dopamine receptor binding   • enzyme regulator activity   • adenylate cyclase inhibitor activity   • cyclase regulator activity   • molecular function inhibitor activity   • cyclase inhibitor activity   • molecular function regulator activity   • enzyme inhibitor activity   • adenylate cyclase regulator activity   • guanyl nucleotide binding   • GTP binding   • nucleotide binding   • guanyl ribonucleotide binding   • purine ribonucleotide binding   • purine ribonucleoside triphosphate binding   • nucleoside phosphate binding   • ion binding   • purine nucleotide binding   • anion binding   • heterocyclic compound binding   • carbohydrate derivative binding   • ribonucleotide binding   • small molecule binding   • cation binding   • magnesium ion binding   • metal ion binding   • GDP binding   • G protein-coupled serotonin receptor binding   • G-protein beta/gamma-subunit complex binding   • G protein activity   • neuropeptide signaling pathway   • adenylate cyclase-inhibiting serotonin receptor signaling pathway   • G protein-coupled serotonin receptor signaling pathway   • adenylate cyclase-inhibiting G protein-coupled receptor signaling pathway   • response to peptide hormone   • cell division   • leukocyte migration   • mononuclear cell migration   • lymphocyte migration   • cell migration   • T cell migration   • cell motility   • regulation of steroid biosynthetic process   • regulation of cholesterol biosynthetic process   • regulation of cholesterol metabolic process   • steroid metabolic process   • sterol metabolic process   • cholesterol metabolic process   • lipid biosynthetic process   • alcohol metabolic process   • positive regulation of metabolic process   • regulation of small molecule metabolic process   • positive regulation of biosynthetic process   • positive regulation of lipid metabolic process   • small molecule metabolic process   • steroid biosynthetic process   • regulation of biosynthetic process   • secondary alcohol biosynthetic process   • regulation of alcohol biosynthetic process   • small molecule biosynthetic process   • regulation of steroid metabolic process   • cholesterol biosynthetic process   • positive regulation of cholesterol biosynthetic process   • secondary alcohol metabolic process   • positive regulation of steroid biosynthetic process   • biosynthetic process   • sterol biosynthetic process   • positive regulation of lipid biosynthetic process   • regulation of sterol biosynthetic process   • alcohol biosynthetic process   • positive regulation of cholesterol metabolic process   • positive regulation of steroid metabolic process   • regulation of lipid biosynthetic process   • positive regulation of small molecule metabolic process   • positive regulation of alcohol biosynthetic process   • positive regulation of sterol biosynthetic process   • cell surface receptor signaling pathway   • response to cytokine   • response to chemokine   • cytokine-mediated signaling pathway   • cellular response to chemokine   • chemokine-mediated signaling pathway   • response to peptide   • cellular response to cytokine stimulus   • relaxation of smooth muscle   • regulation of system process   • regulation of muscle system process   • muscle system process   • relaxation of muscle   • positive regulation of relaxation of smooth muscle   • positive regulation of relaxation of muscle   • regulation of relaxation of smooth muscle   • regulation of relaxation of muscle   • negative regulation of protein transport   • nitrogen compound transport   • negative regulation of transport   • negative regulation of secretion   • negative regulation of hormone secretion   • negative regulation of secretion by cell   • regulation of peptide hormone secretion   • negative regulation of peptide hormone secretion   • negative regulation of establishment of protein localization   • negative regulation of protein secretion   • regulation of peptide secretion   • negative regulation of signaling   • negative regulation of cell communication   • negative regulation of peptide secretion   • peptide secretion   • negative regulation of protein localization   • regulation of peptide transport   • peptide transport   • negative regulation of insulin secretion   • regulation of insulin secretion   • peptide hormone secretion   • insulin secretion   • regulation of cytoskeleton organization   • regulation of cellular component organization   • microtubule cytoskeleton organization   • regulation of mitotic spindle organization   • mitotic cell cycle   • cellular component organization   • cell cycle   • cellular component organization or biogenesis   • regulation of cell cycle   • microtubule cytoskeleton organization involved in mitosis   • spindle organization   • cell cycle process   • regulation of cell cycle process   • regulation of microtubule-based process   • regulation of spindle organization   • regulation of organelle organization   • mitotic spindle organization   • organelle organization   • mitotic cell cycle process   • microtubule-based process   • cytoskeleton organization   • regulation of microtubule cytoskeleton organization   • positive regulation of protein localization to cell periphery   • protein localization to cell periphery   • positive regulation of protein localization to cell cortex   • regulation of protein localization to cell periphery   • regulation of protein localization to cell cortex   • protein localization to cell cortex   • cellular response to forskolin   • response to forskolin   • midbody   • nucleus   • membrane-enclosed lumen   • intracellular membraneless organelle   • nucleolus   • intracellular organelle lumen   • organelle lumen   • membraneless organelle   • nuclear lumen   • cell cortex   • centrosome   • microtubule organizing center   • cytoskeleton   • microtubule cytoskeleton   • centriolar satellite   • sperm principal piece   • 9+2 motile cilium   • sperm flagellum   • motile cilium   • nucleoplasm   • Golgi apparatus   • endomembrane system   • ciliary basal body
Gene OntologyCellular Component
SCOP2Domain Identifier• Transducin (heterotrimeric G protein), gamma chain   • Ras-like P-loop GTPases
SCOP2Family Identifier• Transducin (heterotrimeric G protein), gamma chain   • Ras-like P-loop GTPases
Membrane Protein Annotations-• Orientations of Proteins in Membranes database (OPM)   • Protein Data Bank of Transmembrane Proteins (PDBTM)   • MemProtMD


Details about the values in these tables can be found in the corresponding documentation page .
CodeP9X
PDB ResiduesL:L:?1
Environment DetailsOpen EMBL-EBI Page
CodeP9X
Name(5~{S})-5-methyl-4-oxidanylidene-5-phenyl-furan-2-carboxylic acid
SynonymsAcifran
Identifier
FormulaC12 H10 O4
Molecular Weight218.205
SMILES
PubChem76969700
Formal Charge0
Total Atoms26
Total Chiral Atoms1
Total Bonds27
Total Aromatic Bonds6

PDBsumOpen PDBsum Page
ChainA
ProteinG Protein α Sub unit
UniProtP63096
Sequence
>9KT8_Chain_A
GCTLSAEDK AAVERSKMI DRNLREDGE KAAREVKLL LLGAGESGK 
TIVKQMKIT TGIVETHFT FKDLHFKMF DVGQRSERK KWIHCFEGV 
TAIIFCVAL SDYDLVLAE DEEMNRMHS MKLFDSICN NKWFTDTSI 
ILFLNKKDL FEEKIKKSP LTICYPEYA GSNTYEEAA AYIQCQFED 
LNKRKDTKE IYTHFTCTD TKNVQFVFD AVTDVIIKN NLKDCGLFN 
AAS


Click on each residue to open a popup with some information about it.

ConSurf Conservation Grade (See documentation): 

 n/a   1    2    3    4    5    6    7    8    9  

ChainB
ProteinG Protein β Sub unit
UniProtP62873
Sequence
>9KT8_Chain_B
SELDQLRQE AEQLKNQIR DARKACADA TLSQITNNI DPVGRIQMR 
TRRTLRGHL AKIYAMHWG TDSRLLVSA SQDGKLIIW DSYTTNKVH 
AIPLRSSWV MTCAYAPSG NYVACGGLD NICSIYNLK TREGNVRVS 
RELAGHTGY LSCCRFLDD NQIVTSSGD TTCALWDIE TGQQTTTFT 
GHTGDVMSL SLAPDTRLF VSGACDASA KLWDVREGM CRQTFTGHE 
SDINAICFF PNGNAFATG SDDATCRLF DLRADQELM TYSHDNIIC 
GITSVSFSK SGRLLLAGY DDFNCNVWD ALKADRAGV LAGHDNRVS 
CLGVTDDGM AVATGSWDS FLKIWNQ


Click on each residue to open a popup with some information about it.

ConSurf Conservation Grade (See documentation): 

 n/a   1    2    3    4    5    6    7    8    9  

ChainG
ProteinG Protein γ Sub unit
UniProtP59768
Sequence
>9KT8_Chain_G
TASIAQARK LVEQLKMEA NIDRIKVSK AAADLMAYC EAHAKEDPL 
LTPVPASEN PFR


Click on each residue to open a popup with some information about it.

ConSurf Conservation Grade (See documentation): 

 n/a   1    2    3    4    5    6    7    8    9  

ChainR
ProteinReceptor
UniProtQ8TDS4
Sequence
>9KT8_Chain_R
HFLEIDKKN CCVFRDDFI VKVLPPVLG LEFIFGLLG NGLALWIFC 
FHLKSWKSS RIFLFNLAV ADFLLIICL PFLMDNYVR RWDWKFGDI 
PCRLMLFML AMNRQGSII FLTVVAVDR YFRVVHPHH ALNKISNRT 
AAIISCLLW GITIGLTVH LLKKKMPIQ NGGANLCSS FSICHTFQW 
HEAMFLLEF FLPLGIILF CSARIIWSL RQRQMDRHA KIKRAITFI 
MVVAIVFVI CFLPSVVVR IRIFWLLHT SGTQNCEVY RSVDLAFFI 
TLSFTYMNS MLDPVVYYF SSPSF


Click on each residue to open a popup with some information about it.

ConSurf Conservation Grade (See documentation): 

 n/a   1    2    3    4    5    6    7    8    9  




This receptor, from the same or other species and bound to the same or other ligands, is also present in the following networks:
Show PDB Class SubFamily Type SubType Species Orthosteric Ligand Other Ligand(s) Protein Partners Resolution Date DOI
7XK2AAlicarboxylic acidHydroxycarboxylic AcidHCA2Homo sapiensMK6892-Gi1/β1/γ23.12023-02-22doi.org/10.1038/s41467-023-37177-6
7XK2 (No Gprot) AAlicarboxylic acidHydroxycarboxylic AcidHCA2Homo sapiensMK6892-3.12023-02-22doi.org/10.1038/s41467-023-37177-6
7ZL9AAlicarboxylic acidHydroxycarboxylic AcidHCA2Homo sapiens---2.72023-04-12doi.org/10.1038/s41467-023-37177-6
7ZLYAAlicarboxylic acidHydroxycarboxylic AcidHCA2Homo sapiens---2.72023-04-12doi.org/10.1038/s41467-023-37177-6
8IHFAAlicarboxylic acidHydroxycarboxylic AcidHCA2Homo sapiensMK6892-Gi1/β1/γ22.972023-08-30doi.org/10.1038/s41467-023-41650-7
8IHF (No Gprot) AAlicarboxylic acidHydroxycarboxylic AcidHCA2Homo sapiensMK6892-2.972023-08-30doi.org/10.1038/s41467-023-41650-7
8IHHAAlicarboxylic acidHydroxycarboxylic AcidHCA2Homo sapiensLUF6283-Gi1/β1/γ23.062023-08-30doi.org/10.1038/s41467-023-41650-7
8IHH (No Gprot) AAlicarboxylic acidHydroxycarboxylic AcidHCA2Homo sapiensLUF6283-3.062023-08-30doi.org/10.1038/s41467-023-41650-7
8IHIAAlicarboxylic acidHydroxycarboxylic AcidHCA2Homo sapiensAcifran-Gi1/β1/γ23.112023-08-30doi.org/10.1038/s41467-023-41650-7
8IHI (No Gprot) AAlicarboxylic acidHydroxycarboxylic AcidHCA2Homo sapiensAcifran-3.112023-08-30doi.org/10.1038/s41467-023-41650-7
8JHYAAlicarboxylic acidHydroxycarboxylic AcidHCA2Homo sapiens-PubChem 25101223Gi1/β1/γ22.872023-09-06doi.org/10.1016/j.molcel.2023.07.030
8JHY (No Gprot) AAlicarboxylic acidHydroxycarboxylic AcidHCA2Homo sapiens-PubChem 251012232.872023-09-06doi.org/10.1016/j.molcel.2023.07.030
8JIIAAlicarboxylic acidHydroxycarboxylic AcidHCA2Homo sapiensNiacinPubChem 25101223Gi1/β1/γ23.172023-09-06doi.org/10.1016/j.molcel.2023.07.030
8JII (No Gprot) AAlicarboxylic acidHydroxycarboxylic AcidHCA2Homo sapiensNiacinPubChem 251012233.172023-09-06doi.org/10.1016/j.molcel.2023.07.030
8JILAAlicarboxylic acidHydroxycarboxylic AcidHCA2Homo sapiensNiacin-Gi1/β1/γ23.52023-09-06doi.org/10.1016/j.molcel.2023.07.030
8JIL (No Gprot) AAlicarboxylic acidHydroxycarboxylic AcidHCA2Homo sapiensNiacin-3.52023-09-06doi.org/10.1016/j.molcel.2023.07.030
8JIMAAlicarboxylic acidHydroxycarboxylic AcidHCA2Homo sapiensMonomethyl fumarate-Gi1/β1/γ22.982023-09-06doi.org/10.1016/j.molcel.2023.07.030
8JIM (No Gprot) AAlicarboxylic acidHydroxycarboxylic AcidHCA2Homo sapiensMonomethyl fumarate-2.982023-09-06doi.org/10.1016/j.molcel.2023.07.030
8IHBAAlicarboxylic acidHydroxycarboxylic AcidHCA2Homo sapiensGSK256073-Gi1/β1/γ22.852023-09-13doi.org/10.1038/s41467-023-41650-7
8IHB (No Gprot) AAlicarboxylic acidHydroxycarboxylic AcidHCA2Homo sapiensGSK256073-2.852023-09-13doi.org/10.1038/s41467-023-41650-7
8JZ7AAlicarboxylic acidHydroxycarboxylic AcidHCA2Homo sapiensMK6892-Gi1/β1/γ22.62023-10-04doi.org/10.1038/s41392-023-01625-y
8JZ7 (No Gprot) AAlicarboxylic acidHydroxycarboxylic AcidHCA2Homo sapiensMK6892-2.62023-10-04doi.org/10.1038/s41392-023-01625-y
8H2GAAlicarboxylic acidHydroxycarboxylic AcidHCA2Homo sapiensNiacin-Gi1/β1/γ23.012023-10-11doi.org/10.1038/s41467-023-42764-8
8H2G (No Gprot) AAlicarboxylic acidHydroxycarboxylic AcidHCA2Homo sapiensNiacin-3.012023-10-11doi.org/10.1038/s41467-023-42764-8
8K5BAAlicarboxylic acidHydroxycarboxylic AcidHCA2Homo sapiensNiacin--3.432023-11-22doi.org/10.1038/s41467-023-42764-8
8K5CAAlicarboxylic acidHydroxycarboxylic AcidHCA2Homo sapiensAcipimox--3.132023-11-22doi.org/10.1038/s41467-023-42764-8
8K5DAAlicarboxylic acidHydroxycarboxylic AcidHCA2Homo sapiensGSK256073--3.742023-11-22doi.org/10.1038/s41467-023-42764-8
8IJ3AAlicarboxylic acidHydroxycarboxylic AcidHCA2Homo sapiens--Gi1/β1/γ23.282024-01-03doi.org/10.1038/s41421-023-00610-7
8IJ3 (No Gprot) AAlicarboxylic acidHydroxycarboxylic AcidHCA2Homo sapiens--3.282024-01-03doi.org/10.1038/s41421-023-00610-7
8IJAAAlicarboxylic acidHydroxycarboxylic AcidHCA2Homo sapiensNiacin-Gi1/β1/γ22.692024-01-03doi.org/10.1038/s41421-023-00610-7
8IJA (No Gprot) AAlicarboxylic acidHydroxycarboxylic AcidHCA2Homo sapiensNiacin-2.692024-01-03doi.org/10.1038/s41421-023-00610-7
8IJBAAlicarboxylic acidHydroxycarboxylic AcidHCA2Homo sapiensAcipimox-Gi1/β1/γ23.232024-01-03doi.org/10.1038/s41421-023-00610-7
8IJB (No Gprot) AAlicarboxylic acidHydroxycarboxylic AcidHCA2Homo sapiensAcipimox-3.232024-01-03doi.org/10.1038/s41421-023-00610-7
8IJDAAlicarboxylic acidHydroxycarboxylic AcidHCA2Homo sapiensMK6892-Gi1/β1/γ23.252024-01-03doi.org/10.1038/s41421-023-00610-7
8IJD (No Gprot) AAlicarboxylic acidHydroxycarboxylic AcidHCA2Homo sapiensMK6892-3.252024-01-03doi.org/10.1038/s41421-023-00610-7
9IQTAAlicarboxylic acidHydroxycarboxylic acidHCA2Homo sapiensNiacin-Gi1/β1/γ22.92024-10-02doi.org/10.1016/j.jmb.2024.168795
9IQT (No Gprot) AAlicarboxylic acidHydroxycarboxylic acidHCA2Homo sapiensNiacin-2.92024-10-02doi.org/10.1016/j.jmb.2024.168795
8UTDAAlicarboxylic acidHydroxycarboxylic AcidHCA2Homo sapiensMK1903-Gi1/β1/γ23.242025-02-26doi.org/10.1016/j.cell.2024.11.001
8UTD (No Gprot) AAlicarboxylic acidHydroxycarboxylic AcidHCA2Homo sapiensMK1903-3.242025-02-26doi.org/10.1016/j.cell.2024.11.001
8UUJAAlicarboxylic acidHydroxycarboxylic AcidHCA2Mus musculusFCH-2296413-Gi1/β1/γ22.622025-02-26doi.org/10.1016/j.cell.2024.11.001
8UUJ (No Gprot) AAlicarboxylic acidHydroxycarboxylic AcidHCA2Mus musculusFCH-2296413-2.622025-02-26doi.org/10.1016/j.cell.2024.11.001
9JKYAAlicarboxylic acidHydroxycarboxylic AcidHCA2Homo sapiensAcifran-Gi1/β1/γ22.722025-10-29To be published
9JKY (No Gprot) AAlicarboxylic acidHydroxycarboxylic AcidHCA2Homo sapiensAcifran-2.722025-10-29To be published
8J6PAAlicarboxylic acidHydroxycarboxylic AcidHCA2Homo sapiensNiacinPubChem 25101223Gi1/β1/γ22.552023-12-06doi.org/10.1038/s41467-023-43537-z
8J6P (No Gprot) AAlicarboxylic acidHydroxycarboxylic AcidHCA2Homo sapiensNiacinPubChem 251012232.552023-12-06doi.org/10.1038/s41467-023-43537-z
8J6QAAlicarboxylic acidHydroxycarboxylic AcidHCA2Homo sapiensβ-HydroxybutyratePubChem 25101223Gi1/β1/γ22.62023-12-06doi.org/10.1038/s41467-023-43537-z
8J6Q (No Gprot) AAlicarboxylic acidHydroxycarboxylic AcidHCA2Homo sapiensβ-HydroxybutyratePubChem 251012232.62023-12-06doi.org/10.1038/s41467-023-43537-z
8J6RAAlicarboxylic acidHydroxycarboxylic AcidHCA2Homo sapiensMK6892-Gi1/β1/γ22.762023-12-06doi.org/10.1038/s41467-023-43537-z
8J6R (No Gprot) AAlicarboxylic acidHydroxycarboxylic AcidHCA2Homo sapiensMK6892-2.762023-12-06doi.org/10.1038/s41467-023-43537-z
8J6JAAlicarboxylic acidHydroxycarboxylic AcidHCA2Homo sapiensGSK256073-Gi1/β1/γ22.82024-01-10doi.org/10.1016/j.celrep.2023.113406
8J6J (No Gprot) AAlicarboxylic acidHydroxycarboxylic AcidHCA2Homo sapiensGSK256073-2.82024-01-10doi.org/10.1016/j.celrep.2023.113406
8I7VAAlicarboxylic acidHydroxycarboxylic AcidHCA2Homo sapiensAcipimox-Gi1/β1/γ22.772024-02-07doi.org/10.1038/s41467-023-42764-8
8I7V (No Gprot) AAlicarboxylic acidHydroxycarboxylic AcidHCA2Homo sapiensAcipimox-2.772024-02-07doi.org/10.1038/s41467-023-42764-8
8I7WAAlicarboxylic acidHydroxycarboxylic AcidHCA2Homo sapiensGSK256073-Gi1/β1/γ23.392024-02-07doi.org/10.1038/s41467-023-42764-8
8I7W (No Gprot) AAlicarboxylic acidHydroxycarboxylic AcidHCA2Homo sapiensGSK256073-3.392024-02-07doi.org/10.1038/s41467-023-42764-8
8IY9AAlicarboxylic acidHydroxycarboxylic AcidHCA2Homo sapiensNiacin-Go/β1/γ23.372024-03-06doi.org/10.1038/s41467-024-46239-2
8IY9 (No Gprot) AAlicarboxylic acidHydroxycarboxylic AcidHCA2Homo sapiensNiacin-3.372024-03-06doi.org/10.1038/s41467-024-46239-2
8IYHAAlicarboxylic acidHydroxycarboxylic AcidHCA2Homo sapiensMK6892-Go/β1/γ23.32024-03-06doi.org/10.1038/s41467-024-46239-2
8IYH (No Gprot) AAlicarboxylic acidHydroxycarboxylic AcidHCA2Homo sapiensMK6892-3.32024-03-06doi.org/10.1038/s41467-024-46239-2
8IYWAAlicarboxylic acidHydroxycarboxylic AcidHCA2Homo sapiensGSK256073-Go/β1/γ23.452024-03-06doi.org/10.1038/s41467-024-46239-2
8IYW (No Gprot) AAlicarboxylic acidHydroxycarboxylic AcidHCA2Homo sapiensGSK256073-3.452024-03-06doi.org/10.1038/s41467-024-46239-2
8JERAAlicarboxylic acidHydroxycarboxylic AcidHCA2Homo sapiensAcipimox-Go/β1/γ23.452024-03-06doi.org/10.1038/s41467-024-46239-2
8JER (No Gprot) AAlicarboxylic acidHydroxycarboxylic AcidHCA2Homo sapiensAcipimox-3.452024-03-06doi.org/10.1038/s41467-024-46239-2
8JHNAAlicarboxylic acidHydroxycarboxylic AcidHCA2Homo sapiensMonomethyl fumarate-Go/β1/γ23.752024-03-06doi.org/10.1038/s41467-024-46239-2
8JHN (No Gprot) AAlicarboxylic acidHydroxycarboxylic AcidHCA2Homo sapiensMonomethyl fumarate-3.752024-03-06doi.org/10.1038/s41467-024-46239-2
8J6IAAlicarboxylic acidHydroxycarboxylic AcidHCA2Homo sapiensMK6892-Gi1/β1/γ22.922024-04-03doi.org/10.1016/j.celrep.2023.113406
8J6I (No Gprot) AAlicarboxylic acidHydroxycarboxylic AcidHCA2Homo sapiensMK6892-2.922024-04-03doi.org/10.1016/j.celrep.2023.113406
8J6LAAlicarboxylic acidHydroxycarboxylic AcidHCA2Homo sapiensNiacin-Gi1/β1/γ23.052024-04-03doi.org/10.1016/j.celrep.2023.113406
8J6L (No Gprot) AAlicarboxylic acidHydroxycarboxylic AcidHCA2Homo sapiensNiacin-3.052024-04-03doi.org/10.1016/j.celrep.2023.113406
9IZAAAlicarboxylic acidHydroxycarboxylic AcidHCA2Homo sapiensSCH900271-Gi1/β1/γ23.062025-04-02doi.org/10.1371/journal.pbio.3003126
9IZA (No Gprot) AAlicarboxylic acidHydroxycarboxylic AcidHCA2Homo sapiensSCH900271-3.062025-04-02doi.org/10.1371/journal.pbio.3003126
9IZCAAlicarboxylic acidHydroxycarboxylic AcidHCA2Homo sapiensMK1903-Gi1/β1/γ22.682025-04-02doi.org/10.1371/journal.pbio.3003126
9IZC (No Gprot) AAlicarboxylic acidHydroxycarboxylic AcidHCA2Homo sapiensMK1903-2.682025-04-02doi.org/10.1371/journal.pbio.3003126
9CIBAAlicarboxylic acidHydroxycarboxylic acidHCA2Mus musculusFCH-2296413--2.622025-05-14doi.org/10.1016/j.cell.2024.11.001
9KT7AAlicarboxylic acidHydroxycarboxylic AcidHCA2Homo sapiensMK6892-Gi1/β1/γ22.82025-12-1010.1021/acs.jmedchem.4c02567
9KT7 (No Gprot) AAlicarboxylic acidHydroxycarboxylic AcidHCA2Homo sapiensMK6892-2.82025-12-1010.1021/acs.jmedchem.4c02567
9KT8 (No Gprot) AAlicarboxylic acidHydroxycarboxylic AcidHCA2Homo sapiensAcifran-2.732025-12-1010.1021/acs.jmedchem.4c02567




You can download a compressed (zip) file with structure(s), 3D outputs (as PyMol and VMD scripts) and numerical data files (as csv and plain text files).

Download 9KT8.zip



You can click to copy the link of this page to easily come back here later

or use this QR code to link and share this page.



You can also  read or  download a guide explaining the meaning of all files and numerical data.