Color ConSurf Grade
      No Conservation data available
      1
      2
      3
      4
      5
      6
      7
      8
      9

Index: hub id, click on each number to highlight the corresponding hub in the 3D visualization.

Hub: the hub being considered.

Avg Int. Strength: the average interaction strength of all the links of the corresponding hub.

Num Of Links: the number of links of the corresponding hub.

Community: the id of the community the link belong to, otherwise 0.

ConSurf: this column reports the ConSurf conservation grades of each hub.

Index Hub Avg Int. Strength Num Of Links Community ConSurf
1A:A:L43 3.3975447
2A:A:L45 7.0325448
3A:A:L46 4.6725418
4A:A:N50 4.54174
5A:A:V214 5.146546
6A:A:F219 5.84429748
7A:A:H220 6.585417
8A:A:M221 6.105408
9A:A:F222 8.804517
10A:A:Q227 6.0475419
11A:A:W234 6.4125419
12A:A:F238 8.1075419
13A:A:I244 3.945418
14A:A:W277 9.8725406
15A:A:W281 8.874515
16A:A:L282 4.8975419
17A:A:F290 5.1225409
18A:A:L296 4.5125406
19A:A:F312 2.8175408
20A:A:F315 12.83254236
21A:A:P321 4.3625405
22A:A:D331 4.9654104
23A:A:V334 3.0665104
24A:A:K338 5.82254105
25A:A:F340 8.54754237
26A:A:F345 7.7525408
27A:A:S349 3.395407
28A:A:Y360 7.3565218
29A:A:F363 6.3525105
30A:A:N371 8.3054229
31A:A:R373 6.895445
32A:A:F376 5.24833648
33A:A:I383 3.25167608
34A:A:L388 2.49254248
35A:A:Y391 8.0225154
36A:A:L393 4.6925248
37B:B:L7 1.8075408
38B:B:Q9 5.745403
39B:B:I18 2.444527
40B:B:L30 3.234255
41B:B:T34 4.8354255
42B:B:H54 6.646589
43B:B:K57 9.83419
44B:B:Y59 7.1025418
45B:B:W63 7.24407
46B:B:V71 3.4225408
47B:B:Q75 5.9675419
48B:B:D76 6.72409
49B:B:L79 4.775457
50B:B:I81 3.905457
51B:B:W82 9.45689
52B:B:K89 5.27589
53B:B:H91 5.49455
54B:B:I93 3.62457
55B:B:W99 8.326519
56B:B:Y105 4.412506
57B:B:C114 4.1525458
58B:B:L117 4.446519
59B:B:N119 5.2275409
60B:B:Y124 5.50667656
61B:B:H142 7.8345169
62B:B:Y145 6.35286718
63B:B:F151 6.6509
64B:B:N155 5.05403
65B:B:W169 9.876168
66B:B:Q176 7.1454164
67B:B:F180 8.0475437
68B:B:H183 9.01439
69B:B:V187 4.125439
70B:B:L190 3.995435
71B:B:F199 5.74439
72B:B:V200 5.93426
73B:B:S201 5.305439
74B:B:C204 3.16254197
75B:B:K209 9.344536
76B:B:W211 8.31833638
77B:B:H225 5.1125429
78B:B:I232 5.506528
79B:B:F234 7.5675425
80B:B:F235 8.25754126
81B:B:F241 6.125626
82B:B:D247 8.226529
83B:B:R251 4.66428
84B:B:F253 8.6675426
85B:B:R256 6.08409
86B:B:D258 8.3427
87B:B:Y264 5.62167605
88B:B:H266 8.0625134
89B:B:I269 4.0254134
90B:B:L284 4.354115
91B:B:L285 6.034126
92B:B:Y289 6.4825407
93B:B:W297 4.1954138
94B:B:L300 4.73254256
95B:B:R314 13.41418
96B:B:T321 5.236597
97B:B:W332 9.7275819
98B:B:D333 7.7825409
99B:B:K337 5.295266
100B:B:W339 8.82254269
101G:G:R27 4.48833628
102G:G:D48 6.668336119
103G:G:L51 4.984116
104G:G:F61 4.8725498
105L:L:?1 9.06960
106R:R:N92 5.445409
107R:R:V95 3.505409
108R:R:F112 8.2425408
109R:R:D120 5.5465149
110R:R:M121 3.795407
111R:R:M128 5.618508
112R:R:S131 3.9175477
113R:R:W141 6.78429777
114R:R:W151 7.944575
115R:R:I152 4.1175405
116R:R:F158 6.3925407
117R:R:T160 4.69567
118R:R:H165 7.4645148
119R:R:D172 6.614159
120R:R:R173 8.45409
121R:R:H183 5.673336157
122R:R:N187 4.3975406
123R:R:W200 4.17754149
124R:R:I210 4.675406
125R:R:F222 4.135402
126R:R:C227 7.535479
127R:R:F243 7.97167668
128R:R:P246 3.475409
129R:R:Y254 9.7375409
130R:R:L261 4.67408
131R:R:F332 5.97469
132R:R:M335 4.8525408
133R:R:W336 5.58668
134R:R:F339 8.5125467
135R:R:F340 13.22467
136R:R:W367 7.09833676
137R:R:Y370 8.75477
138R:R:Y380 4.55409
139R:R:Y387 10.1454298
140R:R:F391 4.11406
   

Color ConSurf Grade
      No Conservation data available
      1
      2
      3
      4
      5
      6
      7
      8
      9

Index: link id, click on each number to highlight the corresponding link in the 3D visualization.

Node1 Node2: the two nodes of the corresponding link.

Recurrence: the relative Recurrence in the pool of shortest paths.

Int. Strength: the interaction strength between the two nodes.

Hub1?, Hub2?: "Yes" if the corresponding node has more than 3 links, otherwise "No".

Community: the id of the community the link belong to, otherwise 0.

ConSurf1, ConSurf2: these columns report the ConSurf conservation grades of the two nodes involved in a link.

Index Node1 Node2 Recurrence Int. Strength Hub1? Hub2? Community ConSurf1 ConSurf2
1B:B:H54 B:B:W82 89.96573.17YesYes899
2B:B:H54 B:B:S74 90.55039.76YesNo099
3B:B:D76 B:B:S74 90.63255.89YesNo099
4B:B:D76 B:B:L55 91.124912.21YesNo096
5A:A:Y37 B:B:L55 91.37049.38NoNo046
6A:A:R42 A:A:Y37 91.452116.46NoNo094
7A:A:F222 A:A:R42 91.53386.41YesNo079
8A:A:F222 B:B:W99 49.782316.04YesYes179
9B:B:L117 B:B:W99 49.01674.56YesYes199
10B:B:M188 B:B:Y145 11.34693.59NoYes088
11B:B:M188 B:B:S147 10.69466.13NoNo089
12B:B:S147 B:B:S160 10.62183.26NoNo096
13A:A:F222 A:A:F238 42.1594.29YesYes179
14A:A:F238 A:A:L44 42.192312.18YesNo199
15A:A:L44 A:A:L46 42.12176.92NoYes198
16A:A:L46 A:A:R231 47.31386.07YesNo089
17A:A:D272 A:A:R231 1005.96NoNo089
18A:A:D272 A:A:F246 99.9853.58NoNo089
19A:A:F246 A:A:F273 33.2356.43NoNo099
20A:A:F273 A:A:F345 33.11669.65NoYes098
21A:A:F345 A:A:V248 66.01079.18YesNo087
22A:A:L291 A:A:V248 65.82022.98NoNo087
23A:A:F363 A:A:L291 65.72526.09YesNo058
24A:A:F363 A:A:Y339 96.80294.13YesNo053
25A:A:P321 A:A:Y339 96.04554.17YesNo053
26A:A:P321 A:A:Y318 95.59034.17YesNo056
27A:A:F315 A:A:Y318 93.10267.22YesNo2366
28A:A:F315 A:A:I308 93.00248.79YesNo067
29A:A:I308 A:A:Y253 92.6977.25NoNo078
30A:A:K300 A:A:Y253 92.238414.33NoNo098
31A:A:K300 A:A:S251 91.93249.18NoNo099
32A:A:L296 A:A:S251 91.77943YesNo069
33A:A:K293 A:A:L296 90.85985.64NoYes096
34A:A:K293 A:A:N292 89.4775.6NoNo099
35A:A:N292 A:A:T364 88.55284.39NoNo099
36A:A:N371 A:A:T364 88.062410.24YesNo2299
37A:A:F290 A:A:N371 85.94296.04YesYes099
38A:A:F290 A:A:I375 81.92835.02YesNo099
39A:A:I375 A:A:L43 81.09622.85NoYes497
40A:A:F219 A:A:L43 80.24433.65YesYes487
41A:A:W234 B:B:L117 44.82413.42YesYes199
42A:A:R231 A:A:W234 52.79334NoYes099
43A:A:F246 A:A:L289 66.74483.65NoNo099
44A:A:F345 A:A:L289 33.0876.09YesNo089
45A:A:C359 A:A:L289 33.64043.17NoNo059
46A:A:C359 A:A:P361 33.12243.77NoNo055
47A:A:P361 A:A:R342 33.08225.76NoNo054
48A:A:F363 A:A:R342 33.04223.21YesNo054
49A:A:F219 A:A:L41 77.00187.31YesNo086
50A:A:I383 A:A:L41 76.68612.85YesNo086
51A:A:I383 A:A:N387 68.84262.83YesNo088
52A:A:N387 R:R:A176 19.54923.13NoNo1588
53A:A:N387 R:R:H183 49.1345.1NoYes1587
54A:A:Y391 R:R:A176 19.38865.34YesNo1548
55A:A:Y391 R:R:T109 15.36087.49YesNo048
56A:A:Y391 R:R:H183 19.39198.71YesYes1547
57R:R:D172 R:R:H183 26.54845.04YesYes1597
58A:A:Y391 R:R:R173 23.18668.23YesYes049
59B:B:L70 B:B:W82 86.99845.69NoYes059
60B:B:L70 B:B:W63 86.91447.97NoYes057
61B:B:T321 B:B:W63 85.754410.92YesYes077
62B:B:G324 B:B:T321 85.52121.82NoYes097
63B:B:G324 B:B:K280 85.43613.49NoNo091
64B:B:K280 G:G:D48 85.35095.53NoYes019
65B:B:S279 G:G:D48 42.37665.89NoYes1199
66B:B:L284 B:B:S279 42.28054.5YesNo1159
67B:B:I43 B:B:L284 83.34464.28NoYes035
68B:B:I43 B:B:V40 82.93883.07NoNo033
69B:B:D298 B:B:V40 82.73572.92NoNo093
70B:B:D298 B:B:R283 40.733315.48NoNo099
71B:B:L300 B:B:R283 40.5257.29YesNo069
72B:B:L30 B:B:L300 40.10824.15YesYes2556
73B:B:L261 B:B:L30 78.55312.77NoYes055
74B:B:L252 B:B:L261 78.1314.15NoNo075
75B:B:L252 B:B:Y264 77.70887.03NoYes075
76B:B:C250 B:B:Y264 52.28274.03NoYes085
77B:B:C250 B:B:I273 51.85733.27NoNo086
78B:B:G244 B:B:I273 51.00643.53NoNo056
79B:B:G244 B:B:T243 50.58093.64NoNo058
80B:B:I232 B:B:T243 49.3044.56YesNo088
81B:B:F241 B:B:I232 33.87557.54YesYes268
82B:B:F222 B:B:F241 19.32126.43NoYes286
83B:B:D258 B:B:F222 18.91265.97YesNo278
84B:B:I18 G:G:L19 12.04082.85YesNo079
85G:G:D48 G:G:L50 42.37664.07YesNo1199
86B:B:L284 G:G:L50 42.28054.15YesNo1159
87B:B:D298 B:B:K301 41.79966.91NoNo095
88B:B:K301 B:B:T34 40.96686.01NoYes055
89B:B:L30 B:B:T34 40.13284.42YesYes2555
90B:B:D258 G:G:R27 10.31724.76YesYes278
91B:B:L285 B:B:Y264 14.64917.03YesYes065
92B:B:F278 B:B:L285 12.497910.96NoYes1276
93B:B:F235 B:B:F278 12.06849.65YesNo1267
94B:B:A193 B:B:F234 18.03422.77NoYes045
95B:B:A193 B:B:D195 14.17064.63NoNo045
96B:B:D195 B:B:R197 12.88263.57NoNo055
97B:B:R197 B:B:R214 10.30654.26NoNo059
98R:R:D172 R:R:K195 26.24416.91YesNo096
99R:R:F112 R:R:K195 26.076316.13YesNo086
100R:R:F112 R:R:H165 25.8379.05YesYes088
101R:R:H165 R:R:W200 15.11415.29YesYes1489
102R:R:A161 R:R:W200 14.77963.89NoYes089
103R:R:A161 R:R:S203 14.61023.42NoNo088
104R:R:S203 R:R:T160 14.44116.4NoYes087
105L:L:?1 R:R:T160 11.40333.16YesYes607
106R:R:R173 R:R:Y380 22.53067.2YesYes099
107R:R:L166 R:R:Y380 20.15864.69NoYes089
108R:R:L166 R:R:N376 19.82189.61NoNo089
109R:R:D120 R:R:N376 19.48576.73YesNo099
110R:R:D120 R:R:S373 14.91664.42YesNo099
111R:R:L123 R:R:S373 14.40723NoNo079
112R:R:H165 R:R:L116 10.06717.71YesNo1489
113R:R:L113 R:R:T109 15.00721.47NoNo088
114R:R:L113 R:R:T381 14.66991.47NoNo087
115R:R:T381 R:R:V95 13.36563.17NoYes079
116R:R:N92 R:R:T88 14.61442.92YesNo097
117R:R:M128 R:R:T88 12.91576.02YesNo087
118R:R:D120 R:R:N92 13.86376.73YesYes099
Download PSN data

2D representation of the global metapath, ligand(s) interactions and
histograms of path distribution according to several parameters
(click on the image to enlarge it 🔍):

A 2D representation of the global communication in the network.

ConSurf Conservation Grade (See documentation): 

 n/a   1    2    3    4    5    6    7    8    9  

Number of shortest communication paths as a function of the average residue correlation.

Number of shortest communication paths as a function of the average interaction strength of their links.

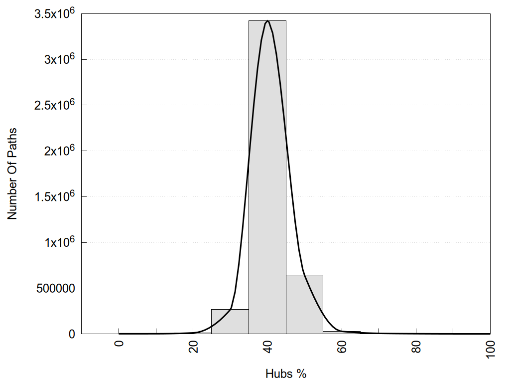
Number of shortest communication paths as a function of the % of hub nodes in each path.

Number of shortest communication paths as a function of the number of nodes in each path.

Number of shortest communication paths as a function of the % of correlated nodes in each path.


2D representation of the interactions of this orthosteric/allosteric ligand.


Links and nodes colored according to ConSurf Conservation Grade (See documentation): 

 n/a   1    2    3    4    5    6    7    8    9  

Node1 Node2 LinkStrength Comm IsNode1Hub? IsNode2Hub? Node1Cons Node2Cons Node1Shell Node2Shell
L:L:?1 R:R:D155 8.72 6 Yes No 0 8 0 1
L:L:?1 R:R:V156 11.17 6 Yes No 0 6 0 1
L:L:?1 R:R:S159 16.08 6 Yes No 0 7 0 1
L:L:?1 R:R:T160 3.16 6 Yes Yes 0 7 0 1
L:L:?1 R:R:L229 4.45 6 Yes No 0 4 0 1
L:L:?1 R:R:S242 3.22 6 Yes No 0 6 0 1
L:L:?1 R:R:F339 16.96 6 Yes Yes 0 7 0 1
L:L:?1 R:R:F340 10.43 6 Yes Yes 0 7 0 1
L:L:?1 R:R:N343 7.35 6 Yes No 0 7 0 1
R:R:D155 R:R:V127 7.3 0 No No 8 8 1 2
R:R:I152 R:R:I210 4.42 0 Yes Yes 5 6 2 2
R:R:I152 R:R:L229 5.71 0 Yes No 5 4 2 1
R:R:D155 R:R:Y370 6.9 0 No Yes 8 7 1 2
R:R:S207 R:R:V156 4.85 0 No No 7 6 2 1
R:R:I210 R:R:V156 4.61 0 Yes No 6 6 2 1
R:R:M164 R:R:T160 3.01 0 No Yes 6 7 2 1
R:R:S203 R:R:T160 6.4 0 No Yes 8 7 2 1
R:R:I206 R:R:T160 6.08 0 No Yes 6 7 2 1
R:R:S242 R:R:T160 4.8 6 No Yes 6 7 1 1
R:R:F234 R:R:I210 6.28 0 No Yes 7 6 2 2
R:R:F234 R:R:L229 3.65 0 No No 7 4 2 1
R:R:N343 R:R:V235 4.43 0 No No 7 6 1 2
R:R:F243 R:R:W336 4.01 6 Yes Yes 8 8 2 2
R:R:F243 R:R:F340 25.72 6 Yes Yes 8 7 2 1
R:R:F340 R:R:W336 6.01 6 Yes Yes 7 8 1 2
R:R:F339 R:R:F340 10.72 6 Yes Yes 7 7 1 1
R:R:F339 R:R:V366 3.93 6 Yes No 7 6 1 2
R:R:F339 R:R:L362 2.44 6 Yes No 7 3 1 2

Location and physicochemical properties of the interaction partners of this ligand

Interactions of this ligand

Similarities between the interactions of this ligand and those of other networks

ShowSimilarityNetwork TypeNameLigandDescription
88.89Single7YS6Serotonin7YS6-5-HT6-Serotonin-chim(NtGi1-Gs)/β1/γ2
80.00Single7X2FDopamine7X2F-D1-Dopamine-Mevidalen-Gs/β1/γ2
80.00Single7X5H5-CT7X5H-5-HT5A-5-CT-Gi1/β1/γ2
80.00Single7XT8Serotonin7XT8-5-HT4-Serotonin-Gs/β1/γ2
80.00Single8YUTAmthamine8YUT-H2-Amthamine-Gs/β1/γ2
80.00Consensus5ht_onOrthosteric Ligand5ht1_on 5ht2_on 5ht4_on 5ht5_on 5ht6_on 5ht7_on
80.00Consensusgs_5htOrthosteric Ligand7XTC-5-HT7-5-CT-Gs/β1/γ2 7XTB-5-HT6-Serotonin-Gs/β1/γ2 8JLZ-5-HT6-ST1936-Gs/β1/γ2 7XT8-5-HT4-Serotonin-Gs/β1/γ2
75.00Single8GFYConstrained Epinephrine8GFY-β2-Constrained Epinephrine-GTP-Gs/β1/γ2
75.00Single8GG2Constrained Epinephrine8GG2-β2-Constrained Epinephrine-GTP-Gs/β1/γ2
75.00Single9ARYSerotonin9ARY-5-HT2A-Serotonin-chim(NtGi1-Gs-CtGq)/β1/γ2
75.00Consensus5ht1_onOrthosteric Ligand5ht1a_on 5ht1d_on 5ht1e_on 5ht1f_on
75.00Consensus5ht1_on_gpOrthosteric Ligand5ht1a_on_gp 5ht1d_on_gp 5ht1e_on_gp 5ht1f_on_gp
75.00Consensus5ht1e_on_gpOrthosteric Ligand7E33-5-HT1E-BRL-54443-Gi1/β1/γ2 8UGY-5-HT1E-Mianserin-Gi1/β1/γ1 8UH3-5-HT1E-Setiptiline-Gi1/β1/γ1
72.73Single3RZECidoxepin3RZE-H1-Cidoxepin
72.73Single6PS5Propranolol6PS5-β2-Propranolol
72.73Single7F24Dopamine7F24-D1-Dopamine-GDP-Gs/β1/γ2
72.73Single8GG7Constrained Epinephrine8GG7-β2-Constrained Epinephrine-GTP-Gs/β1/γ2
72.73Single8GGLConstrained Epinephrine8GGL-β2-Constrained Epinephrine
72.73Single8GGMConstrained Epinephrine8GGM-β2-Constrained Epinephrine
72.73Single8GGPConstrained Epinephrine8GGP-β2-Constrained Epinephrine
72.73Single8JSPUlotaront8JSP-5-HT1A-Ulotaront-Gi1/β1/γ2
72.73Single8UNLConstrained Epinephrine8UNL-β2-Constrained Epinephrine-GTP-Gs/β1/γ2
72.73Single8UNOConstrained Epinephrine8UNO-β2-Constrained Epinephrine-GTP-Gs/β1/γ2
72.73Single8W8BSEP-3638568W8B-5-HT1A-SEP-363856-Gi1/β1/γ2
72.73Single9AS3LSD9AS3-5-HT2A-LSD
72.73Single9AS4LSD9AS4-5-HT2A-LSD-chim(NtGi1-Gs-CtGq)/β1/γ2
72.73Single9AS5Mescaline9AS5-5-HT2A-Mescaline
72.73Single9AS6Mescaline9AS6-5-HT2A-Mescaline-chim(NtGi1-Gs-CtGq)/β1/γ2
72.73Single9JKQMETH9JKQ-TA1-METH-Gs/β1/γ2
72.73Single9L84Epinephrine9L84-β1-Epinephrine-Atazanavir-Gs/β1/γ2
72.73Single9W6W5-CT9W6W-5-HT5A-5-CT-Gi1/β1/γ2
72.73Consensus5ht_on_gpOrthosteric Ligand5ht1_on_gp 5ht2_on_gp 5ht4_on_gp 5ht5_on_gp 5ht6_on_gp 5ht7_on_gp
70.00Single7DFLHistamine7DFL-H1-Histamine-chim(NtGi1L-Gq)/β1/γ2
70.00Single7SRQLSD7SRQ-5-HT2B-LSD
70.00Single7XT9Serotonin7XT9-5-HT4-Serotonin-Gs/β1/γ2
70.00Single7XTBSerotonin7XTB-5-HT6-Serotonin-Gs/β1/γ2
70.00Single8YN2Histamine8YN2-H1-Histamine-chim(NtGi1L-Gs-CtGq)/β1/γ2
70.00Single9AS2DMT9AS2-5-HT2A-DMT-chim(NtGi1-Gs-CtGq)/β1/γ2
70.00Consensush1_onOrthosteric Ligand7DFL-H1-Histamine-chim(NtGi1L-Gq)/β1/γ2
69.23Single7W6PN-pyridin-4-ylisoquinolin-4-amine7W6P-α2a-N-pyridin-4-ylisoquinolin-4-amine-Go/β1/γ2
69.23Single7W7EPubChem 1649466767W7E-α2a-PubChem 164946676-Go/β1/γ2
69.23Consensusamine_on_gpOrthosteric Ligand5ht_on_gp adrenergic_on_gp dopamine_on_gp histamine_on_gp muscarinic_on_gp trace-amine_on_gp
69.23Consensusgi_5htOrthosteric Ligand8FYT-5-HT1A-LSD-PtdIns4P-Gi1/β1/γ1 7UM7-5-HT5A-Methylergometrine-chim(NtGi1-Go)/β1/γ2 8UGY-5-HT1E-Mianserin-Gi1/β1/γ1 8W8B-5-HT1A-SEP-363856-Gi1/β1/γ2 7E2Y-5-HT1A-Serotonin-PtdIns4P-Gi1/β1/γ2 7E32-5-HT1D-Serotonin-Gi1/β1/γ2 7XTA-5-HT4-Serotonin-Gi1/β1/γ2 8UH3-5-HT1E-Setiptiline-Gi1/β1/γ1 8JSP-5-HT1A-Ulotaront-Gi1/β1/γ2 8FYL-5-HT1A-Vilazodone-PtdIns4P-Gi1/β1/γ1 8JT6-5-HT1A-(R)-IHCH-7179-PtdIns4P-Gi1/β1/γ2 8FYE-5-HT1A-4-F,5-MeO-PyrT-PtdIns4P-Gi1/β1/γ1 7X5H-5-HT5A-5-CT-Gi1/β1/γ2 8FY8-5-HT1A-5-MeO-DMT-PtdIns4P-Gi1/β1/γ1 7E2Z-5-HT1A-Aripiprazole-PtdIns4P-Gi1/β1/γ2 7E33-5-HT1E-BRL-54443-Gi1/β1/γ2 8FYX-5-HT1A-Buspirone-PtdIns4P-Gi1/β1/γ1 7EXD-5-HT1F-Lasmiditan-Gi1/β1/γ2 7UM6-5-HT5A-Lisuride-chim(NtGi1-Go)/β1/γ2
66.67Single3NYAAlprenolol3NYA-β2-Alprenolol
66.67Single3ZPQPubChem 5945903ZPQ-β1-PubChem 594590-Na
66.67Single6K42Dexmedetomidine6K42-α2b-Dexmedetomidine-Gi1/β1/γ2
66.67Single6PS1Timolol6PS1-β2-Timolol
66.67Single6PS2Alprenolol6PS2-β2-Alprenolol
66.67Single7BTSEpinephrine7BTS-β1-Epinephrine
66.67Single7BU6Norepinephrine7BU6-β1-Norepinephrine
66.67Single7E32Serotonin7E32-5-HT1D-Serotonin-Gi1/β1/γ2
66.67Single7UM55-CT7UM5-5-HT5A-5-CT-chim(NtGi1-Go)/β1/γ2
66.67Single7UM6Lisuride7UM6-5-HT5A-Lisuride-chim(NtGi1-Go)/β1/γ2
66.67Single7XTC5-CT7XTC-5-HT7-5-CT-Gs/β1/γ2
66.67Single8FY85-MeO-DMT8FY8-5-HT1A-5-MeO-DMT-PtdIns4P-Gi1/β1/γ1
66.67Single8GE2Constrained Epinephrine8GE2-β2-Constrained Epinephrine-Gs/β1/γ1
66.67Single8GE3Constrained Epinephrine8GE3-β2-Constrained Epinephrine-Gs/β1/γ2
66.67Single8GECConstrained Epinephrine8GEC-β2-Constrained Epinephrine-Gs/β1/γ2
66.67Single8GEEConstrained Epinephrine8GEE-β2-Constrained Epinephrine-Gs/β1/γ2
66.67Single8GEHConstrained Epinephrine8GEH-β2-Constrained Epinephrine-Gs/β1/γ2
66.67Single8GFVConstrained Epinephrine8GFV-β2-Constrained Epinephrine-GTP-Gs/β1/γ2
66.67Single8GFWConstrained Epinephrine8GFW-β2-Constrained Epinephrine-GTP-Gs/β1/γ2
66.67Single8GFXConstrained Epinephrine8GFX-β2-Constrained Epinephrine-GTP-Gs/β1/γ2
66.67Single8GFZConstrained Epinephrine8GFZ-β2-Constrained Epinephrine-GTP-Gs/β1/γ2
66.67Single8GG0Constrained Epinephrine8GG0-β2-Constrained Epinephrine-GTP-Gs/β1/γ2
66.67Single8GG1Constrained Epinephrine8GG1-β2-Constrained Epinephrine-GTP-Gs/β1/γ2
66.67Single8GG3Constrained Epinephrine8GG3-β2-Constrained Epinephrine-GTP-Gs/β1/γ2
66.67Single8GG4Constrained Epinephrine8GG4-β2-Constrained Epinephrine-GTP-Gs/β1/γ2
66.67Single8GG6Constrained Epinephrine8GG6-β2-Constrained Epinephrine-GTP-Gs/β1/γ2
66.67Single8GG9Constrained Epinephrine8GG9-β2-Constrained Epinephrine-GTP-Gs/β1/γ2
66.67Single8GGIConstrained Epinephrine8GGI-β2-Constrained Epinephrine
66.67Single8GGJConstrained Epinephrine8GGJ-β2-Constrained Epinephrine
66.67Single8GGKConstrained Epinephrine8GGK-β2-Constrained Epinephrine
66.67Single8GGNConstrained Epinephrine8GGN-β2-Constrained Epinephrine
66.67Single8GGOConstrained Epinephrine8GGO-β2-Constrained Epinephrine
66.67Single8GGUConstrained Epinephrine8GGU-β2-Constrained Epinephrine
66.67Single8JJOAlprenolol8JJO-β2-Alprenolol
66.67Single8UGYMianserin8UGY-5-HT1E-Mianserin-Gi1/β1/γ1
66.67Single8UH3Setiptiline8UH3-5-HT1E-Setiptiline-Gi1/β1/γ1
66.67Single8UNQConstrained Epinephrine8UNQ-β2-Constrained Epinephrine-GTP-Gs/β1/γ2
66.67Single8UNYConstrained Epinephrine8UNY-β2-Constrained Epinephrine-GTP-Gs/β1/γ2
66.67Single9AS1DMT9AS1-5-HT2A-DMT
66.67Single9LLAAriadne9LLA-5-HT2A-Ariadne-chim(NtGi1L-Gs-CtGq)/β1/γ2
66.67Single9PQDPubChem 1764919279PQD-α2a-PubChem 176491927
66.67Consensus5ht1d_onOrthosteric Ligand7E32-5-HT1D-Serotonin-Gi1/β1/γ2
66.67Consensus5ht1d_on_gpOrthosteric Ligand7E32-5-HT1D-Serotonin-Gi1/β1/γ2
66.67Consensus5ht5_onOrthosteric Ligand5ht5a_on
66.67Consensus5ht5a_onOrthosteric Ligand7X5H-5-HT5A-5-CT-Gi1/β1/γ2 7UM6-5-HT5A-Lisuride-chim(NtGi1-Go)/β1/γ2 7UM7-5-HT5A-Methylergometrine-chim(NtGi1-Go)/β1/γ2
66.67Consensus5ht7_onOrthosteric Ligand7XTC-5-HT7-5-CT-Gs/β1/γ2
66.67Consensus5ht7_on_gpOrthosteric Ligand7XTC-5-HT7-5-CT-Gs/β1/γ2
66.67Consensusadrenergic_onOrthosteric Ligandalpha_on beta_on
66.67Consensusalpha2_onOrthosteric Ligandalpha2b_on
66.67Consensusalpha2_on_gpOrthosteric Ligandalpha2b_on_gp
66.67Consensusalpha2b_onOrthosteric Ligand6K42-α2b-Dexmedetomidine-Gi1/β1/γ2
66.67Consensusalpha2b_on_gpOrthosteric Ligand6K42-α2b-Dexmedetomidine-Gi1/β1/γ2
66.67Consensusdopamine_onOrthosteric Ligandd2_on d1_on d3_on d4_on d5_on
66.67Consensusdopamine_on_gpOrthosteric Ligandd2_on_gp d1_on_gp d3_on_gp d4_on_gp d5_on_gp
64.29Single3D4STimolol3D4S-β2-Timolol
64.29Single6VMSBromoergocryptine6VMS-D2-Bromoergocryptine-Gi1/β1/γ2
64.29Single8FYE4-F,5-MeO-PyrT8FYE-5-HT1A-4-F,5-MeO-PyrT-PtdIns4P-Gi1/β1/γ1
64.29Consensusd2_on_gpOrthosteric Ligand7JVR-D2-Bromoergocryptine-Gi1/β1/γ2 8IRS-D2-Rotigotine-Gi1/β1/γ2
63.64Single7F1ODopamine7F1O-D1-Dopamine-GDP; Mg-Gs/β1/γ2
63.64Single7LJDDopamine7LJD-D1-Dopamine-Mevidalen-Gs/β1/γ1
63.64Single8TZQDopamine8TZQ-D2-Dopamine-Go/β1/γ2
63.64Single8UNSConstrained Epinephrine8UNS-β2-Constrained Epinephrine-GTP-Gs/β1/γ2
63.64Single8UNTConstrained Epinephrine8UNT-β2-Constrained Epinephrine-GTP-Gs/β1/γ2
63.64Single9LRBHistamine9LRB-H1-Histamine-Gs/β1/γ2
63.64Consensus5ht1e_onOrthosteric Ligand7E33-5-HT1E-BRL-54443-Gi1/β1/γ2 8UGY-5-HT1E-Mianserin-Gi1/β1/γ1 8UH3-5-HT1E-Setiptiline-Gi1/β1/γ1
63.64Consensusalpha2_offOrthosteric Ligandalpha2c_off
63.64Consensusgq_histamineOrthosteric Ligand7DFL-H1-Histamine-chim(NtGi1L-Gq)/β1/γ2
63.64Consensush1_on_gpOrthosteric Ligand7DFL-H1-Histamine-chim(NtGi1L-Gq)/β1/γ2
61.54Single2RH1Carazolol2RH1-β2-Carazolol
61.54Single6E67BI1671076E67-β2-BI167107-Gs(CT)
61.54Single6KUWPubChem 572132346KUW-α2c-PubChem 57213234
61.54Single6PS3Carvedilol6PS3-β2-Carvedilol
61.54Single7BVQCarazolol7BVQ-β1-Carazolol
61.54Single7CKXA776367CKX-D1-A77636-Gs/β1/γ2
61.54Single7S0FIsoprenaline7S0F-β1-Isoprenaline-Gi1/β1/γ2
61.54Single7XK9Constrained Isoproterenol7XK9-β2-Constrained Isoproterenol-Na
61.54Single7XKAConstrained Epinephrine7XKA-β2-Constrained Epinephrine
61.54Single8GDZConstrained Epinephrine8GDZ-β2-Constrained Epinephrine-Gs/β1/γ2
61.54Single8GEBConstrained Epinephrine8GEB-β2-Constrained Epinephrine-Gs/β1/γ2
61.54Single8GEGConstrained Epinephrine8GEG-β2-Constrained Epinephrine-Gs/β1/γ2
61.54Single8GGBConstrained Epinephrine8GGB-β2-Constrained Epinephrine-GTP-Gs/β1/γ2
61.54Single8UNNConstrained Epinephrine8UNN-β2-Constrained Epinephrine-GTP-Gs/β1/γ2
61.54Single8UNPConstrained Epinephrine8UNP-β2-Constrained Epinephrine-GTP-Gs/β1/γ2
61.54Single9DYDAsenapine9DYD-5-HT1A-Asenapine-PtdIns4P-Go/β1/γ2
61.54Single9K07DSO-5a9K07-BB3-DSO-5a-chim(NtGi2L-Gs-CtGq)/β1/γ2
61.54Consensus5ht5_on_gpOrthosteric Ligand5ht5a_on_gp
61.54Consensus5ht5a_on_gpOrthosteric Ligand7X5H-5-HT5A-5-CT-Gi1/β1/γ2 7UM6-5-HT5A-Lisuride-chim(NtGi1-Go)/β1/γ2 7UM7-5-HT5A-Methylergometrine-chim(NtGi1-Go)/β1/γ2
61.54Consensusadrenergic_offOrthosteric Ligandalpha_off beta_off
61.54Consensusadrenergic_on_gpOrthosteric Ligandalpha_on_gp beta_on_gp
61.54Consensusalpha2c_offOrthosteric Ligand6KUW-α2c-PubChem 57213234
61.54Consensusalpha_on_gpOrthosteric Ligandalpha1_on_gp alpha2_on_gp
61.54Consensusamine_offOrthosteric Ligand5ht_off adrenergic_off dopamine_off histamine_off muscarinic_off
61.54Consensusamine_offonOrthosteric Ligandamine_off amine_on
61.54Consensusamine_offon_gpOrthosteric Ligandamine_on_gp amine_off
61.54Consensusamine_onOrthosteric Ligand5ht_on adrenergic_on dopamine_on histamine_on muscarinic_on trace-amine_on
61.54Consensusbeta2_offOrthosteric Ligand2RH1-β2-Carazolol 6PS3-β2-Carvedilol 6PS5-β2-Propranolol 3D4S-β2-Timolol 3NY8-β2-ICI118-551 3NY9-β2-PubChem 913103 6PRZ-β2-Alprenolol
61.54Consensusbeta_offOrthosteric Ligandbeta1_off beta2_off
61.54Consensusd1_onOrthosteric Ligand7F0T-D1-Dopamine-Gs/β1/γ2 7CKY-D1-PW0464-Gs/β1/γ2 8IRR-D1-Rotigotine-Gs/β1/γ2 7JV5-D1-SKF81297-Gs/β1/γ2 7JVP-D1-SKF83959-Gs/β1/γ2 7X2D-D1-Tavapadon-Gs/β1/γ2 7CKX-D1-A77636-Gs/β1/γ2 7JVQ-D1-Apomorphine-Gs/β1/γ2 7CKW-D1-Fenoldopam-Gs/β1/γ2
61.54Consensusgi_adrenergicOrthosteric Ligand7EJ0-α2a-Norepinephrine-Go/β1/γ2 7EJK-α2a-Oxymetazoline-Go/β1/γ2 7W7E-α2a-PubChem 164946676-Go/β1/γ2 7W6P-α2a-N-pyridin-4-ylisoquinolin-4-amine-Go/β1/γ2 7EJ8-α2a-Brimonidine-Go/β1/γ2 6K42-α2b-Dexmedetomidine-Gi1/β1/γ2 7EJA-α2a-Dexmedetomidine-Go/β1/γ2 7S0F-β1-Isoprenaline-Gi1/β1/γ2
61.54Consensusgs_amineOrthosteric Ligandgs_5ht gs_adrenergic gs_dopamine gs_histamine gs_trace-amine
60.00Single7UM4AS26747237UM4-5-HT5A-AS2674723
60.00Single8DPILorcaserin8DPI-5-HT2C-Lorcaserin-chim(NtGi2L-Gs-CtGq)/β1/γ2
60.00Single8S2TIsoprenaline8S2T-β1-Isoprenaline-chim(NtGi1-Gs)/β1/γ2
60.00Single9LL7DOI9LL7-5-HT2A-DOI-Gi1/β1/γ2
58.33Single4LDOEpinephrine4LDO-β2-Epinephrine
58.33Single4MQTIperoxo4MQT-M2-Iperoxo-LY2119620
58.33Single6A94Zotepine6A94-5-HT2A-Zotepine
58.33Single6K41Dexmedetomidine6K41-α2b-Dexmedetomidine-Go/β1/γ2
58.33Single6PS0Carazolol6PS0-β2-Carazolol
58.33Single6PS4ICI118-5516PS4-β2-ICI118-551
58.33Single6WH4Methiothepin6WH4-5-HT2A-Methiothepin
58.33Single6WJCAtropine6WJC-M1-Atropine-Muscarinic toxin 7
58.33Single7CKWFenoldopam7CKW-D1-Fenoldopam-Gs/β1/γ2
58.33Single7CKZDopamine7CKZ-D1-Dopamine-Mevidalen-Gs/β1/γ2
58.33Single7CMUPramipexole7CMU-D3-Pramipexole-Gi1/β1/γ2
58.33Single7DHISalbutamol7DHI-β2-Salbutamol-Gs/β1/γ2
58.33Single7E33BRL-544437E33-5-HT1E-BRL-54443-Gi1/β1/γ2
58.33Single7F0TDopamine7F0T-D1-Dopamine-Gs/β1/γ2
58.33Single7F1ZDopamine7F1Z-D1-Dopamine-GDP-Gs/β1/γ2
58.33Single7RANPubChem 1645758477RAN-5-HT2A-PubChem 164575847-chim(NtGi2L-Gs-CtGq)/β1/γ2
58.33Single7UL3Famotidine7UL3-H2-Famotidine
58.33Single8GE1Constrained Epinephrine8GE1-β2-Constrained Epinephrine-Gs/β1/γ2
58.33Single8GE4Constrained Epinephrine8GE4-β2-Constrained Epinephrine-Gs/β1/γ2
58.33Single8GE5Constrained Epinephrine8GE5-β2-Constrained Epinephrine-Gs/β1/γ1
58.33Single8GE6Constrained Epinephrine8GE6-β2-Constrained Epinephrine-Gs/β1/γ2
58.33Single8GE7Constrained Epinephrine8GE7-β2-Constrained Epinephrine-Gs/β1/γ2
58.33Single8GE8Constrained Epinephrine8GE8-β2-Constrained Epinephrine-Gs/β1/γ2
58.33Single8GEDConstrained Epinephrine8GED-β2-Constrained Epinephrine-Gs/β1/γ2
58.33Single8GEFConstrained Epinephrine8GEF-β2-Constrained Epinephrine-Gs/β1/γ2
58.33Single8GG5Constrained Epinephrine8GG5-β2-Constrained Epinephrine-GTP-Gs/β1/γ2
58.33Single8GGQConstrained Epinephrine8GGQ-β2-Constrained Epinephrine
58.33Single8GGVConstrained Epinephrine8GGV-β2-Constrained Epinephrine
58.33Single8GGXConstrained Epinephrine8GGX-β2-Constrained Epinephrine
58.33Single8JLNT1AM8JLN-TA1-T1AM-Gs/β1/γ2
58.33Single8U02Dopamine8U02-D2-Dopamine-Go/β1/γ2
58.33Single8UHBRO52563908UHB-TA1-RO5256390-Gs/β1/γ2
58.33Single8UNMConstrained Epinephrine8UNM-β2-Constrained Epinephrine-GTP-Gs/β1/γ2
58.33Single8UNWConstrained Epinephrine8UNW-β2-Constrained Epinephrine-GTP-Gs/β1/γ2
58.33Single8UO1Constrained Epinephrine8UO1-β2-Constrained Epinephrine-GTP; Mg-Gs/β1/γ2
58.33Single8V6UPubChem 1713924568V6U-5-HT2A-PubChem 171392456-chim(NtGi2-Gs-CtGq)/β1/γ2
58.33Single8YN3Histamine8YN3-H2-Histamine-Gs/β1/γ2
58.33Single9ARXSerotonin9ARX-5-HT2A-Serotonin
58.33Single9AS8Psilocin9AS8-5-HT2A-Psilocin-chim(NtGi2L-Gs-CtGq)/β1/γ2
58.33Single9CBLEpinephrine9CBL-α2a-Epinephrine-Gi1/β1/γ2
58.33Single9KVIBufotenin9KVI-5-HT1A-Bufotenin-PtdIns4P-Gi1/β1/γ2
58.33Single9LL8Psilocin9LL8-5-HT2A-Psilocin-Gi1/β1/γ2
58.33Single9LRDHistamine9LRD-H1-Histamine-Gi1/β1/γ2
58.33Single9VJG8-OH-DPAT9VJG-5-HT1A-8-OH-DPAT-chim(NtGi2-Gz)/β1/γ2
58.33Consensusd3_onOrthosteric Ligand7CMV-D3-PD128907-Gi1/β1/γ2 8IRT-D3-Rotigotine-Gi1/β1/γ2 7CMU-D3-Pramipexole-Gi1/β1/γ2
58.33Consensusd3_on_gpOrthosteric Ligand7CMV-D3-PD128907-Gi1/β1/γ2 8IRT-D3-Rotigotine-Gi1/β1/γ2 7CMU-D3-Pramipexole-Gi1/β1/γ2
57.14Single3P0GBI1671073P0G-β2-BI167107
57.14Single3SN6BI1671073SN6-β2-BI167107-Gs/β1/γ2
57.14Single5D5ACarazolol5D5A-β2-Carazolol
57.14Single5D5BCarazolol5D5B-β2-Carazolol
57.14Single6H7JIsoprenaline6H7J-β1-Isoprenaline
57.14Single6J20Aprepitant6J20-NK1-Aprepitant
57.14Single6N48BI1671076N48-β2-BI167107-PubChem 138454256
57.14Single6WGTLSD6WGT-5-HT2A-LSD
57.14Single7JJOIsoprenaline7JJO-β1-Isoprenaline-Gs/β1/γ2
57.14Single7JV5SKF812977JV5-D1-SKF81297-Gs/β1/γ2
57.14Single7JVPSKF839597JVP-D1-SKF83959-Gs/β1/γ2
57.14Single8IRRRotigotine8IRR-D1-Rotigotine-Gs/β1/γ2
57.14Single8IRVRotigotine8IRV-D5-Rotigotine-chim(NtGi1-Gs)/β1/γ2
57.14Single9BS9LSD9BS9-D2-LSD
57.14Single9BSBLSD9BSB-D2-LSD-chim(NtGi1-Go)/β1/γ2
57.14Single9I54PubChem 1764520919I54-D1-PubChem 176452091-Gs/β1/γ2
57.14Single9IJDCarazolol9IJD-β3-Carazolol-chim(NtGi1-Gs)/β1/γ2
57.14Consensusbeta1_offOrthosteric Ligand2VT4-β1-Cyanopindolol 2YCW-β1-Carazolol 2YCZ-β1-Iodocyanopindolol 5A8E-β1-7-Methylcyanopindolol-Na 3ZPQ-β1-PubChem 594590-Na 3ZPR-β1-PubChem 598754-Na
57.14Consensusbeta2_onOrthosteric Ligand7DHI-β2-Salbutamol-Gs/β1/γ2 6NI3-β2-BI167107-Gs/β1/γ2
57.14Consensusbeta2_on_gpOrthosteric Ligand7DHI-β2-Salbutamol-Gs/β1/γ2 6NI3-β2-BI167107-Gs/β1/γ2
57.14Consensusd1_on_gpOrthosteric Ligand7F0T-D1-Dopamine-Gs/β1/γ2 7CKY-D1-PW0464-Gs/β1/γ2 8IRR-D1-Rotigotine-Gs/β1/γ2 7JV5-D1-SKF81297-Gs/β1/γ2 7JVP-D1-SKF83959-Gs/β1/γ2 7X2D-D1-Tavapadon-Gs/β1/γ2 7CKX-D1-A77636-Gs/β1/γ2 7JVQ-D1-Apomorphine-Gs/β1/γ2 7CKW-D1-Fenoldopam-Gs/β1/γ2
57.14Consensusd5_on_gpOrthosteric Ligand8IRV-D5-Rotigotine-chim(NtGi1-Gs)/β1/γ2
57.14Consensusgi_dopamineOrthosteric Ligand7JVR-D2-Bromoergocryptine-Gi1/β1/γ2 7CMV-D3-PD128907-Gi1/β1/γ2 7CMU-D3-Pramipexole-Gi1/β1/γ2 8IRS-D2-Rotigotine-Gi1/β1/γ2 8IRT-D3-Rotigotine-Gi1/β1/γ2
57.14Consensusgs_dopamineOrthosteric Ligand7F0T-D1-Dopamine-Gs/β1/γ2 7CKW-D1-Fenoldopam-Gs/β1/γ2 7CKY-D1-PW0464-Gs/β1/γ2 8IRV-D5-Rotigotine-chim(NtGi1-Gs)/β1/γ2 8IRR-D1-Rotigotine-Gs/β1/γ2 7JV5-D1-SKF81297-Gs/β1/γ2 7JVP-D1-SKF83959-Gs/β1/γ2 7X2D-D1-Tavapadon-Gs/β1/γ2 7CKX-D1-A77636-Gs/β1/γ2 7JVQ-D1-Apomorphine-Gs/β1/γ2
57.14Consensusta1_on_gpOrthosteric Ligand8W87-TA1-METH-chim(NtGi1L-Gs)/β1/γ2 8W89-TA1-2-Phenylethylamine-chim(NtGi1L-Gs)/β1/γ2 8JLP-TA1-Ralmitaront-Gs/β1/γ2 8W8A-TA1-RO5256390-chim(NtGi1L-Gs)/β1/γ2 8W88-TA1-SEP-363856-Gs/β1/γ2 8JLO-TA1-Ulotaront-Gs/β1/γ2 8JLR-TA1-A77636-chim(NtGi1-Gs)/β1/γ2 8JSO-TA1-AMPH-chim(NtGi1-Gs)/β1/γ2 8ZSP-TA1-LSD-chim(NtGi1L-Gs)/β1/γ2
57.14Consensustrace-amine_on_gpOrthosteric Ligandta1_on_gp
56.25Single6G79Donitriptan6G79-5-HT1B-Donitriptan-Go/β1/γ2
54.55Single3PBLEticlopride3PBL-D3-Eticlopride
54.55Single7E2YSerotonin7E2Y-5-HT1A-Serotonin-PtdIns4P-Gi1/β1/γ2
54.55Single7XTASerotonin7XTA-5-HT4-Serotonin-Gi1/β1/γ2
54.55Single8DPFLorcaserin8DPF-5-HT2C-Lorcaserin-chim(NtGi2L-Gs-CtGq)/β1/γ2
54.55Single8EF6Morphine8EF6-μ-Morphine-Gi1/β1/γ2
54.55Single8UO4Constrained Epinephrine8UO4-β2-Constrained Epinephrine-GTP; Mg-Gs/β1/γ2
54.55Single8YN4Histamine8YN4-H2-Histamine-chim(NtGi1L-Gs-CtGq)/β1/γ2
54.55Single9AS7Psilocin9AS7-5-HT2A-Psilocin
54.55Single9IJEEpinephrine9IJE-β3-Epinephrine-chim(NtGi1-Gs)/β1/γ2
54.55Single9IXJHistamine9IXJ-H2-Histamine-Gs/β1/γ2
54.55Single9U9VMETH9U9V-β2-METH-Gs/β1/γ2
54.55Consensus5ht4_onOrthosteric Ligand7XTA-5-HT4-Serotonin-Gi1/β1/γ2
54.55Consensus5ht4_on_gpOrthosteric Ligand7XTA-5-HT4-Serotonin-Gi1/β1/γ2
54.55Consensusd3_offOrthosteric Ligand3PBL-D3-Eticlopride
53.85Single2VT4Cyanopindolol2VT4-β1-Cyanopindolol
53.85Single2Y02Carmoterol2Y02-β1-Carmoterol
53.85Single2YCYCyanopindolol2YCY-β1-Cyanopindolol
53.85Single3NY8ICI118-5513NY8-β2-ICI118-551
53.85Single4GBRCarazolol4GBR-β2-Carazolol
53.85Single4MQSIperoxo4MQS-M2-Iperoxo
53.85Single4U14Tiotropium4U14-M3-Tiotropium
53.85Single6DRZMethysergide6DRZ-5-HT2B-Methysergide
53.85Single6H7MSalbutamol6H7M-β1-Salbutamol
53.85Single6PRZAlprenolol6PRZ-β2-Alprenolol
53.85Single7JOZPubChem 752020227JOZ-D1-PubChem 75202022-Gs/β1/γ2
53.85Single7JVQApomorphine7JVQ-D1-Apomorphine-Gs/β1/γ2
53.85Single7LJCSKF812977LJC-D1-SKF81297-Mevidalen-Gs/β1/γ2
53.85Single7S0GIsoprenaline7S0G-β1-Isoprenaline-chim(Gi1-CtGs)/β1/γ2
53.85Single7TRPIperoxo7TRP-M4-Iperoxo-LY2033298-Gi1/β1/γ2
53.85Single7WC7Lisuride7WC7-5-HT2A-Lisuride
53.85Single7X2CFenoldopam7X2C-D1-Fenoldopam-Fenoldopam-Gs/β1/γ2
53.85Single7XJHIsoprenaline7XJH-β3-Isoprenaline-Gs/β1/γ2
53.85Single8GE9Constrained Epinephrine8GE9-β2-Constrained Epinephrine-Gs/β1/γ2
53.85Single8IRTRotigotine8IRT-D3-Rotigotine-Gi1/β1/γ2
53.85Single8UNRConstrained Epinephrine8UNR-β2-Constrained Epinephrine-GTP-Gs/β1/γ2
53.85Single8UNUConstrained Epinephrine8UNU-β2-Constrained Epinephrine-GTP-Gs/β1/γ2
53.85Single8UNVConstrained Epinephrine8UNV-β2-Constrained Epinephrine-GTP-Gs/β1/γ2
53.85Single8UNZConstrained Epinephrine8UNZ-β2-Constrained Epinephrine-GTP-Gs/β1/γ2
53.85Single8UO2Constrained Epinephrine8UO2-β2-Constrained Epinephrine-GTP-Gs/β1/γ2
53.85Single8UWLLisuride8UWL-5-HT2A-Lisuride-chim(NtGi2-Gs-CtGq)/β1/γ2
53.85Single8VVGGB188VVG-κ-GB18-Gi1/β1/γ2
53.85Single8W8ARO52563908W8A-TA1-RO5256390-chim(NtGi1L-Gs)/β1/γ2
53.85Single8WC7ZH86678WC7-TA1-ZH8667-chim(NtGi1-Gs)/β1/γ2
53.85Single8X63Mepyramine8X63-H1-Mepyramine
53.85Single8X64Desloratadine8X64-H1-Desloratadine
53.85Single9CBMDexmedetomidine9CBM-α2a-Dexmedetomidine-Gi1/β1/γ2
53.85Single9CHXCarazolol9CHX-β2-Carazolol
53.85Single9DYFAsenapine9DYF-5-HT1A-Asenapine-PtdIns4P-Gi1/β1/γ2
53.85Single9JEAAtropine9JEA-M1-Atropine
53.85Single9PLNPubChem 1682595949PLN-α2a-PubChem 168259594
53.85Single9PLOPubChem 1682595949PLO-α2a-PubChem 168259594-Go/β1/γ2
53.85Consensus5ht2b_offOrthosteric Ligand6DRZ-5-HT2B-Methysergide
53.85Consensus5ht6_onOrthosteric Ligand7XTB-5-HT6-Serotonin-Gs/β1/γ2 8JLZ-5-HT6-ST1936-Gs/β1/γ2
53.85Consensus5ht6_on_gpOrthosteric Ligand7XTB-5-HT6-Serotonin-Gs/β1/γ2 8JLZ-5-HT6-ST1936-Gs/β1/γ2
53.85Consensusalpha_onOrthosteric Ligandalpha1_on alpha2_on
53.85Consensusd5_onOrthosteric Ligand8IRV-D5-Rotigotine-chim(NtGi1-Gs)/β1/γ2
53.85Consensusdopamine_offOrthosteric Ligandd2_off d3_off
53.85Consensusgq_amineOrthosteric Ligandgq_muscarinic gq_histamine
53.85Consensushistamine_offOrthosteric Ligandh1_off
53.33Single4AMIBucindolol4AMI-β1-Bucindolol
53.33Single4LDEBI1671074LDE-β2-BI167107
53.33Single5F8UCyanopindolol5F8U-β1-Cyanopindolol
53.33Single6DRYMethylergometrine6DRY-5-HT2B-Methylergometrine
53.33Single6H7OCyanopindolol6H7O-β1-Cyanopindolol
53.33Single6MXTSalmeterol6MXT-β2-Salmeterol
53.33Single7EXDLasmiditan7EXD-5-HT1F-Lasmiditan-Gi1/β1/γ2
53.33Single8E9W2-Deoxycytidine8E9W-M3-2-Deoxycytidine-chim(NtGi2L-Gs-CtGq)/β1/γ2
53.33Single8FYTLSD8FYT-5-HT1A-LSD-PtdIns4P-Gi1/β1/γ1
53.33Single8IRSRotigotine8IRS-D2-Rotigotine-Gi1/β1/γ2
53.33Single8JJ8Arformoterol8JJ8-β2-Arformoterol
53.33Single9KVG5-MeO-DMT9KVG-5-HT1A-5-MeO-DMT-PtdIns4P-Gi1/β1/γ2
53.33Consensus5ht1a_onOrthosteric Ligand8FYT-5-HT1A-LSD-PtdIns4P-Gi1/β1/γ1 7E2Y-5-HT1A-Serotonin-PtdIns4P-Gi1/β1/γ2 7E2Z-5-HT1A-Aripiprazole-PtdIns4P-Gi1/β1/γ2 8FYX-5-HT1A-Buspirone-PtdIns4P-Gi1/β1/γ1 8JSP-5-HT1A-Ulotaront-Gi1/β1/γ2 8JT6-5-HT1A-(R)-IHCH-7179-PtdIns4P-Gi1/β1/γ2 8FY8-5-HT1A-5-MeO-DMT-PtdIns4P-Gi1/β1/γ1 8FYE-5-HT1A-4-F,5-MeO-PyrT-PtdIns4P-Gi1/β1/γ1 8FYL-5-HT1A-Vilazodone-PtdIns4P-Gi1/β1/γ1
53.33Consensus5ht1a_on_gpOrthosteric Ligand8FYT-5-HT1A-LSD-PtdIns4P-Gi1/β1/γ1 8FYX-5-HT1A-Buspirone-PtdIns4P-Gi1/β1/γ1 8JSP-5-HT1A-Ulotaront-Gi1/β1/γ2 8JT6-5-HT1A-(R)-IHCH-7179-PtdIns4P-Gi1/β1/γ2 7E2Y-5-HT1A-Serotonin-PtdIns4P-Gi1/β1/γ2 7E2Z-5-HT1A-Aripiprazole-PtdIns4P-Gi1/β1/γ2 8FY8-5-HT1A-5-MeO-DMT-PtdIns4P-Gi1/β1/γ1 8FYE-5-HT1A-4-F,5-MeO-PyrT-PtdIns4P-Gi1/β1/γ1 8FYL-5-HT1A-Vilazodone-PtdIns4P-Gi1/β1/γ1
53.33Consensus5ht1f_onOrthosteric Ligand7EXD-5-HT1F-Lasmiditan-Gi1/β1/γ2
53.33Consensus5ht1f_on_gpOrthosteric Ligand7EXD-5-HT1F-Lasmiditan-Gi1/β1/γ2
53.33Consensusbeta_onOrthosteric Ligandbeta1_on beta2_on beta3_on
53.33Consensusbeta_on_gpOrthosteric Ligandbeta1_on_gp beta2_on_gp beta3_on_gp
53.33Consensusnk1_offOrthosteric Ligand6HLP-NK1-Netupitant 6HLO-NK1-Aprepitant 6HLL-NK1-CP99994 6E59-NK1-L-760735
52.94Single4IARErgotamine4IAR-5-HT1B-Ergotamine
52.94Single4IB4Ergotamine4IB4-5-HT2B-Ergotamine
52.94Single8FYLVilazodone8FYL-5-HT1A-Vilazodone-PtdIns4P-Gi1/β1/γ1
50.00Single2Y03Isoprenaline2Y03-β1-Isoprenaline
50.00Single2YCWCarazolol2YCW-β1-Carazolol
50.00Single2YCZIodocyanopindolol2YCZ-β1-Iodocyanopindolol
50.00Single4BVNCyanopindolol4BVN-β1-Cyanopindolol-Na
50.00Single5D6LCarazolol5D6L-β2-Carazolol
50.00Single5JQHCarazolol5JQH-β2-Carazolol
50.00Single5TVNLSD5TVN-5-HT2B-LSD
50.00Single5WIUNemonapride5WIU-D4-Nemonapride
50.00Single5WIVNemonapride5WIV-D4-Nemonapride-Na
50.00Single5X7DCarazolol5X7D-β2-Carazolol-PubChem 129318963
50.00Single6BQGErgotamine6BQG-5-HT2C-Ergotamine
50.00Single6H7LDobutamine6H7L-β1-Dobutamine
50.00Single6IBLArformoterol6IBL-β1-Arformoterol
50.00Single6KUYPubChem 1457046436KUY-α2a-PubChem 145704643
50.00Single6ME82-Phenylmelatonin6ME8-MT2-2-Phenylmelatonin
50.00Single6OBAAlprenolol6OBA-β2-Alprenolol-GTPL11074
50.00Single6PS6Timolol6PS6-β2-Timolol
50.00Single6TKOArformoterol6TKO-β1-Arformoterol-Arrestin2
50.00Single7C61Ergotamine7C61-5-HT1B-Ergotamine
50.00Single7DHRIsoprenaline7DHR-β2-Isoprenaline-Gs/β1/γ2
50.00Single7JVRBromoergocryptine7JVR-D2-Bromoergocryptine-Gi1/β1/γ2
50.00Single7LD4Adenosine7LD4-A1-Adenosine-Gi2/β1/γ2
50.00Single7SRRLSD7SRR-5-HT2B-LSD-chim(NtGi2L-Gs-CtGq)/β1/γ2
50.00Single7SRSLSD7SRS-5-HT2B-LSD-Arrestin2
50.00Single7TRKIperoxo7TRK-M4-Iperoxo-Gi1/β1/γ2
50.00Single7VGY2-Iodomelatonin7VGY-MT1-2-Iodomelatonin-Gi1/β1/γ2
50.00Single7WC6LSD7WC6-5-HT2A-LSD
50.00Single7YMHNorepinephrine7YMH-Alpha1A-Norepinephrine-chim(Gs-CtGq)
50.00Single8C9WEtrumadenant8C9W-A2A-Etrumadenant
50.00Single8E9X2-Deoxycytidine8E9X-M4-2-Deoxycytidine-chim(NtGi1-Go)/β1/γ2
50.00Single8E9YClozapine-N-oxide8E9Y-M3-Clozapine-N-oxide-chim(NtGi2L-Gs-CtGq)/β1/γ2
50.00Single8FX5Xanomeline8FX5-M4-Xanomeline-Xanomeline-Gi1/β1/γ2
50.00Single8GGAConstrained Epinephrine8GGA-β2-Constrained Epinephrine-GTP-Gs/β1/γ2
50.00Single8GGRConstrained Epinephrine8GGR-β2-Constrained Epinephrine
50.00Single8GGWConstrained Epinephrine8GGW-β2-Constrained Epinephrine
50.00Single8GGZConstrained Epinephrine8GGZ-β2-Constrained Epinephrine
50.00Single8GH0Constrained Epinephrine8GH0-β2-Constrained Epinephrine
50.00Single8JSOAMPH8JSO-TA1-AMPH-chim(NtGi1-Gs)/β1/γ2
50.00Single8UNXConstrained Epinephrine8UNX-β2-Constrained Epinephrine-GTP-Gs/β1/γ2
50.00Single8WC3SEP-3638568WC3-TA1-SEP-363856-chim(NtGi1-Gs)/β1/γ2
50.00Single9ARZ2-bromo-LSD9ARZ-5-HT2A-2-bromo-LSD
50.00Single9AS02-bromo-LSD9AS0-5-HT2A-2-bromo-LSD-chim(NtGi1-Gs-CtGq)/β1/γ2
50.00Single9CHUNorepinephrine9CHU-β2-Norepinephrine
50.00Single9DYEBuspirone9DYE-5-HT1A-Buspirone-PtdIns4P-Go/β1/γ2
50.00Single9HYIDP819HYI-5-HT1A-DP81-Gi1/β1/γ2
50.00Single9KVHCinobufotenine9KVH-5-HT1A-Cinobufotenine-PtdIns4P-Gi1/β1/γ2
50.00Single9LLBDOI-NBOMe9LLB-5-HT2A-DOI-NBOMe-chim(NtGi1L-Gs-CtGq)/β1/γ2
50.00Single9MQJIsoquinuclidine9MQJ-μ-Isoquinuclidine
50.00Consensus5ht2_on_gpOrthosteric Ligand5ht2b_on_gp
50.00Consensus5ht2b_on_gpOrthosteric Ligand7SRR-5-HT2B-LSD-chim(NtGi2L-Gs-CtGq)/β1/γ2
50.00Consensusa1_onOrthosteric Ligand7LD4-A1-Adenosine-Gi2/β1/γ2
50.00Consensusa1_on_gpOrthosteric Ligand7LD4-A1-Adenosine-Gi2/β1/γ2
50.00Consensusalpha_offOrthosteric Ligandalpha1_off alpha2_off
50.00Consensusbeta1_onOrthosteric Ligand8DCR-β1-Dobutamine-Gs/β1/γ2 7S0F-β1-Isoprenaline-Gi1/β1/γ2
50.00Consensusbeta1_on_gpOrthosteric Ligand8DCR-β1-Dobutamine-Gs/β1/γ2 7S0F-β1-Isoprenaline-Gi1/β1/γ2
50.00Consensusd2_onOrthosteric Ligand7JVR-D2-Bromoergocryptine-Gi1/β1/γ2 8IRS-D2-Rotigotine-Gi1/β1/γ2
50.00Consensusd4_onOrthosteric Ligand8IRU-D4-Rotigotine-chim(NtGi1-Gs-CtGi1)/β1/γ2
50.00Consensusgs_histamineOrthosteric Ligand8POK-H2-Histamine-Gs/β1/γ2
50.00Consensush1_offOrthosteric Ligand8X63-H1-Mepyramine 3RZE-H1-Cidoxepin 8X5Y-H1-Astemizole
50.00Consensush2_onOrthosteric Ligand8POK-H2-Histamine-Gs/β1/γ2
50.00Consensusm3_onOrthosteric Ligand8E9Z-M3-Iperoxo-chim(NtGi2L-Gs-CtGq)/β1/γ2 8E9W-M3-2-Deoxycytidine-chim(NtGi2L-Gs-CtGq)/β1/γ2 8E9Y-M3-Clozapine-N-oxide-chim(NtGi2L-Gs-CtGq)/β1/γ2
50.00Consensusm3_on_gpOrthosteric Ligand8E9Z-M3-Iperoxo-chim(NtGi2L-Gs-CtGq)/β1/γ2 8E9W-M3-2-Deoxycytidine-chim(NtGi2L-Gs-CtGq)/β1/γ2 8E9Y-M3-Clozapine-N-oxide-chim(NtGi2L-Gs-CtGq)/β1/γ2
50.00Consensusta1_onOrthosteric Ligand8W87-TA1-METH-chim(NtGi1L-Gs)/β1/γ2 8W89-TA1-2-Phenylethylamine-chim(NtGi1L-Gs)/β1/γ2 8JLP-TA1-Ralmitaront-Gs/β1/γ2 8W8A-TA1-RO5256390-chim(NtGi1L-Gs)/β1/γ2 8W88-TA1-SEP-363856-Gs/β1/γ2 8JLO-TA1-Ulotaront-Gs/β1/γ2 8JLR-TA1-A77636-chim(NtGi1-Gs)/β1/γ2 8JSO-TA1-AMPH-chim(NtGi1-Gs)/β1/γ2 8ZSP-TA1-LSD-chim(NtGi1L-Gs)/β1/γ2
50.00Consensustrace-amine_onOrthosteric Ligandta1_on
47.06Single3NY9PubChem 9131033NY9-β2-PubChem 913103
47.06Single8JLRA776368JLR-TA1-A77636-chim(NtGi1-Gs)/β1/γ2
47.06Single9MD1Buspirone9MD1-5-HT1A-Buspirone-PtdIns4P-Gz/β1/γ2
46.67Single2YDVNECA2YDV-A2A-NECA
46.67Single3PDSFAUC503PDS-β2-FAUC50
46.67Single4LDLHydroxybenzyl Isoproterenol4LDL-β2-Hydroxybenzyl Isoproterenol
46.67Single4U15Tiotropium4U15-M3-Tiotropium
46.67Single4UHRCGS216804UHR-A2A-CGS21680
46.67Single5A8E7-Methylcyanopindolol5A8E-β1-7-Methylcyanopindolol-Na
46.67Single5G53NECA5G53-A2A-NECA-Gs
46.67Single5V54Methiothepin5V54-5-HT1B-Methiothepin
46.67Single6E59L-7607356E59-NK1-L-760735
46.67Single6J21Aprepitant6J21-NK1-Aprepitant
46.67Single6NI3BI1671076NI3-β2-BI167107-Gs/β1/γ2
46.67Single6OL9Tiotropium6OL9-M5-Tiotropium
46.67Single6TQ7SB-3348676TQ7-OX1-SB-334867
46.67Single7CKYPW04647CKY-D1-PW0464-Gs/β1/γ2
46.67Single7TRQIperoxo7TRQ-M4-Iperoxo-VU0467154-Gi1/β1/γ2
46.67Single8DCSCyanopindolol8DCS-β1-Cyanopindolol-Gs/β1/γ2
46.67Single8IRURotigotine8IRU-D4-Rotigotine-chim(NtGi1-Gs-CtGi1)/β1/γ2
46.67Single8JLPRalmitaront8JLP-TA1-Ralmitaront-Gs/β1/γ2
46.67Single8JXVClozapine8JXV-H4-Clozapine-Gi1/β1/γ2
46.67Single9AS9RS130-1809AS9-5-HT2A-RS130-180
46.67Single9ASARS130-1809ASA-5-HT2A-RS130-180-chim(NtGi1-Gs-CtGq)/β1/γ2
46.67Single9PY4Loperamide9PY4-μ-Loperamide-GDPβS-Gi1/β1/γ2
46.67Consensus5ht1_offOrthosteric Ligand5ht1b_off
46.67Consensus5ht1b_offOrthosteric Ligand5V54-5-HT1B-Methiothepin
46.67Consensus5ht_offOrthosteric Ligand5ht2_off 5ht1_off
46.67Consensusd4_on_gpOrthosteric Ligand8IRU-D4-Rotigotine-chim(NtGi1-Gs-CtGi1)/β1/γ2
46.67Consensusgs_adrenergicOrthosteric Ligand7DHI-β2-Salbutamol-Gs/β1/γ2 7XJI-β3-Solabegron-Gs/β1/γ2 7JJO-β1-Isoprenaline-Gs/β1/γ2 6NI3-β2-BI167107-Gs/β1/γ2 8DCR-β1-Dobutamine-Gs/β1/γ2 7XJH-β3-Isoprenaline-Gs/β1/γ2 7DH5-β3-Mirabegron-Gs/β1/γ2
46.67Consensusm3_offOrthosteric Ligand4U15-M3-Tiotropium 4U16-M3-N-methyl-Scopolamine 5ZHP-M3-PubChem 134828589
46.67Consensusm5_offOrthosteric Ligand6OL9-M5-Tiotropium
46.67Consensustachykinin_offOrthosteric Ligandnk1_off
46.15Single6TPNHTL66416TPN-OX2-HTL6641
46.15Single7CMVPD1289077CMV-D3-PD128907-Gi1/β1/γ2
46.15Single7EJ8Brimonidine7EJ8-α2a-Brimonidine-Go/β1/γ2
46.15Single7EJADexmedetomidine7EJA-α2a-Dexmedetomidine-Go/β1/γ2
46.15Single7UM7Methylergometrine7UM7-5-HT5A-Methylergometrine-chim(NtGi1-Go)/β1/γ2
46.15Single8DPGPsilocin8DPG-5-HT2C-Psilocin-chim(NtGi2L-Gs-CtGq)/β1/γ2
46.15Single8GEAConstrained Epinephrine8GEA-β2-Constrained Epinephrine-Gs/β1/γ2
46.15Single8GG8Constrained Epinephrine8GG8-β2-Constrained Epinephrine-GTP-Gs/β1/γ2
46.15Single8GGSConstrained Epinephrine8GGS-β2-Constrained Epinephrine
46.15Single8GGTConstrained Epinephrine8GGT-β2-Constrained Epinephrine
46.15Single8JLKUlotaront8JLK-TA1-Ulotaront-chim(NtGi1-Gs)/β1/γ2
46.15Single8JLQFenoldopam8JLQ-TA1-Fenoldopam-Gs/β1/γ2
46.15Single8THKA-616038THK-Alpha1A-A-61603-chim(NtGi2L-Gs-CtGq)/β1/γ2
46.15Single8THLEpinephrine8THL-Alpha1A-Epinephrine-chim(NtGi2L-Gs-CtGq)/β1/γ2
46.15Single8UO0Constrained Epinephrine8UO0-β2-Constrained Epinephrine-GTP-Gs/β1/γ2
46.15Single8W88SEP-3638568W88-TA1-SEP-363856-Gs/β1/γ2
46.15Single8YH2Adenosine8YH2-A3A-Adenosine-Gi1/β1/γ2
46.15Single8ZMGPimavanserin8ZMG-5-HT2A-Pimavanserin
46.15Single9L8LBI1671079L8L-β2-BI167107-Atazanavir-Gs/β1/γ2 ; Arrestin2
46.15Single9MQIIsoquinuclidine9MQI-μ-Isoquinuclidine
46.15Single9ODJMitragynine Pseudoindoxyl9ODJ-μ-Mitragynine Pseudoindoxyl-GTP; Mg-Gi1/β1/γ2
46.15Single9ODLMitragynine Pseudoindoxyl9ODL-μ-Mitragynine Pseudoindoxyl-GTP; Mg-Gi1/β1/γ2
46.15Single9VNFPindolol9VNF-5-HT1A-Pindolol-Go/β1/γ2
46.15Consensusalpha1_onOrthosteric Ligandalpha1a_on
46.15Consensusalpha1_on_gpOrthosteric Ligandalpha1a_on_gp
46.15Consensusalpha1a_onOrthosteric Ligand7EJ0-α2a-Norepinephrine-Go/β1/γ2 7EJ8-α2a-Brimonidine-Go/β1/γ2 7EJA-α2a-Dexmedetomidine-Go/β1/γ2 7EJK-α2a-Oxymetazoline-Go/β1/γ2 7W6P-α2a-N-pyridin-4-ylisoquinolin-4-amine-Go/β1/γ2 7W7E-α2a-PubChem 164946676-Go/β1/γ2
46.15Consensusalpha1a_on_gpOrthosteric Ligand7EJ0-α2a-Norepinephrine-Go/β1/γ2 7EJ8-α2a-Brimonidine-Go/β1/γ2 7EJA-α2a-Dexmedetomidine-Go/β1/γ2 7EJK-α2a-Oxymetazoline-Go/β1/γ2 7W6P-α2a-N-pyridin-4-ylisoquinolin-4-amine-Go/β1/γ2 7W7E-α2a-PubChem 164946676-Go/β1/γ2
46.15Consensusnop_offOrthosteric Ligand4EA3-NOP-PubChem 10296561 5DHG-NOP-C-35 5DHH-NOP-SB-612111
45.45Single6FUFAll-trans-Retinal6FUF-Rhodopsin-All-trans-Retinal-Go
45.45Single7F23Dopamine7F23-D1-Dopamine-GDP-Gs/β1/γ2
45.45Single8GH1Constrained Epinephrine8GH1-β2-Constrained Epinephrine
45.45Single8POKHistamine8POK-H2-Histamine-Gs/β1/γ2
45.45Single8WC62-Phenylethylamine8WC6-TA1-2-Phenylethylamine-chim(NtGi1-Gs)/β1/γ2
45.45Single8WC9ZH86518WC9-TA1-ZH8651-chim(NtGi1-Gs-CtGq)/β1/γ2
45.45Consensus5ht2_onOrthosteric Ligand5ht2b_on
45.45Consensus5ht2b_onOrthosteric Ligand7SRR-5-HT2B-LSD-chim(NtGi2L-Gs-CtGq)/β1/γ2
45.45Consensush2_on_gpOrthosteric Ligand8POK-H2-Histamine-Gs/β1/γ2
44.44Single4AMJCarvedilol4AMJ-β1-Carvedilol
44.44Single8DCRDobutamine8DCR-β1-Dobutamine-Gs/β1/γ2
44.44Single8ZSPLSD8ZSP-TA1-LSD-chim(NtGi1L-Gs)/β1/γ2
44.44Single9M4TSilodosin9M4T-Alpha1A-Silodosin
43.75Single2YCXCyanopindolol2YCX-β1-Cyanopindolol
43.75Single5CXVTiotropium5CXV-M1-Tiotropium
43.75Single6H7NXamoterol6H7N-β1-Xamoterol
43.75Single7DH5Mirabegron7DH5-β3-Mirabegron-Gs/β1/γ2
43.75Single7XMTJ-21567XMT-SST4-J-2156-Gi1/β1/γ2
43.75Single7YMJTamsulosin7YMJ-Alpha1A-Tamsulosin
43.75Single8JJLOlodaterol8JJL-β2-Olodaterol
43.75Single9EBIPiclidenoson9EBI-A3A-Piclidenoson-chim(NtGi1L-Gs-CtGi1)/β1/γ2
43.75Single9EK0Iperoxo9EK0-M5-Iperoxo-chim(NtGi1-Gs-CtGq)/β1/γ2
43.75Single9GL2Befiradol9GL2-5-HT1A-Befiradol-Gs/β1/γ2
43.75Single9VJ6F-155999VJ6-5-HT1A-F-15599-Gi3/β1/γ2
43.75Consensusalpha1_offOrthosteric Ligandalpha1a_off
43.75Consensusalpha1a_offOrthosteric Ligand7YMJ-Alpha1A-Tamsulosin
43.75Consensusbeta3_onOrthosteric Ligand7DH5-β3-Mirabegron-Gs/β1/γ2 7XJH-β3-Isoprenaline-Gs/β1/γ2 7XJI-β3-Solabegron-Gs/β1/γ2
43.75Consensusbeta3_on_gpOrthosteric Ligand7DH5-β3-Mirabegron-Gs/β1/γ2 7XJH-β3-Isoprenaline-Gs/β1/γ2 7XJI-β3-Solabegron-Gs/β1/γ2
43.75Consensusgi_amineOrthosteric Ligandgi_5ht gi_muscarinic gi_adrenergic gi_dopamine gi_histamine
43.75Consensusm1_offOrthosteric Ligand5CXV-M1-Tiotropium
42.86Single2Y04Salbutamol2Y04-β1-Salbutamol
42.86Single3ZPRPubChem 5987543ZPR-β1-PubChem 598754-Na
42.86Single4DAJTiotropium4DAJ-M3-Tiotropium
42.86Single4EA3PubChem 102965614EA3-NOP-PubChem 10296561
42.86Single4QKXPubChem 762106284QKX-β2-PubChem 76210628
42.86Single4U16N-methyl-Scopolamine4U16-M3-N-methyl-Scopolamine
42.86Single4X1HNonyl-Beta-D-Glucopyranoside4X1H-Rhodopsin-Nonyl-β-D-Glucopyranoside-Gt(CT)
42.86Single5DHGC-355DHG-NOP-C-35
42.86Single5YC8N-methyl-Scopolamine5YC8-M2-N-methyl-Scopolamine
42.86Single5ZK8N-methyl-Scopolamine5ZK8-M2-N-methyl-Scopolamine
42.86Single5ZKCN-methyl-Scopolamine5ZKC-M2-N-methyl-Scopolamine
42.86Single6DRXLisuride6DRX-5-HT2B-Lisuride
42.86Single6WHADB139486WHA-5-HT2A-DB13948-chim(NtGi2L-Gs-CtGq)/β1/γ2
42.86Single7BU7BI1671077BU7-β1-BI167107
42.86Single7CRHSKF839597CRH-D1-SKF83959-Gs/β1/γ2
42.86Single7DB6Ramelteon7DB6-MT1-Ramelteon-Gi1/β1/γ2
42.86Single7SQOTAK-9257SQO-OX2-TAK-925-Gi1/β1/γ2
42.86Single7T2GMitragynine Pseudoindoxyl7T2G-μ-Mitragynine Pseudoindoxyl-Gi1/β1/γ2
42.86Single7T6VfMLFII7T6V-FPR2-ALX-fMLFII-Gi1/β1/γ2
42.86Single7VGZRamelteon7VGZ-MT1-Ramelteon-Gi1/β1/γ2
42.86Single7VH0Ramelteon7VH0-MT2-Ramelteon-Gi1/β1/γ1
42.86Single8CICEtrumadenant8CIC-A2A-Etrumadenant-Na
42.86Single8JD0NAM5638JD0-mGlu2; mGlu3-Glutamate-NAM563
42.86Single8JLJT1AM8JLJ-TA1-T1AM-chim(NtGi1-Gs)/β1/γ2
42.86Single8JLZST19368JLZ-5-HT6-ST1936-Gs/β1/γ2
42.86Single8PJKST1718PJK-5-HT1A-ST171-Gi1/β1/γ1
42.86Single8W87METH8W87-TA1-METH-chim(NtGi1L-Gs)/β1/γ2
42.86Single8XVKAmbrisentan8XVK-ETA-Ambrisentan
42.86Single8Y71A1D6F8Y71-δ-A1D6F-BMS986187-Gi1/β1/γ2
42.86Single8YN8Proxyfan8YN8-H3-Proxyfan-Go/β1/γ2
42.86Single8ZSSRO52633978ZSS-TA1-RO5263397-chim(NtGi1-Gs)/β1/γ2
42.86Single9VMYTMU41429VMY-5-HT1A-TMU4142-Go/β1/γ2
42.86Consensusadenosine_on_gpOrthosteric Liganda1_on_gp a2_on_gp a3_on_gp
42.86Consensusgi_orexinOrthosteric Ligand7SQO-OX2-TAK-925-Gi1/β1/γ2
42.86Consensusgs_trace-amineOrthosteric Ligand8W88-TA1-SEP-363856-Gs/β1/γ2 8JLJ-TA1-T1AM-chim(NtGi1-Gs)/β1/γ2 8JLO-TA1-Ulotaront-Gs/β1/γ2 8WC4-TA1-ZH8651-chim(NtGi1-Gs)/β1/γ2 8WC7-TA1-ZH8667-chim(NtGi1-Gs)/β1/γ2 8JLR-TA1-A77636-chim(NtGi1-Gs)/β1/γ2 8JSO-TA1-AMPH-chim(NtGi1-Gs)/β1/γ2 8W87-TA1-METH-chim(NtGi1L-Gs)/β1/γ2 8W89-TA1-2-Phenylethylamine-chim(NtGi1L-Gs)/β1/γ2 8JLP-TA1-Ralmitaront-Gs/β1/γ2 8W8A-TA1-RO5256390-chim(NtGi1L-Gs)/β1/γ2
42.86Consensusmuscarinic_onOrthosteric Ligandm2_on m3_on m4_on m1_on
42.86Consensusmuscarinic_on_gpOrthosteric Ligandm2_on_gp m3_on_gp m4_on_gp m1_on_gp
41.67Single1U1911-cis-Retinal1U19-Rhodopsin-11-cis-Retinal
41.67Single2G87All-trans-Retinal2G87-Rhodopsin-All-trans-Retinal
41.67Single2I3511-cis-Retinal2I35-Rhodopsin-11-cis-Retinal
41.67Single6HLLCP999946HLL-NK1-CP99994
41.67Single7V68Iperoxo7V68-M4-Iperoxo-LY2119620-Gi1/β1/γ2
41.67Single7YFCHistamine7YFC-H4-Histamine-chim(NtGi1-Gs-CtGq)/β1/γ2
41.67Single8GGYConstrained Epinephrine8GGY-β2-Constrained Epinephrine
41.67Single8JLOUlotaront8JLO-TA1-Ulotaront-Gs/β1/γ2
41.67Single8W892-Phenylethylamine8W89-TA1-2-Phenylethylamine-chim(NtGi1L-Gs)/β1/γ2
41.67Single8YN5Histamine8YN5-H3-Histamine-Gi1/β1/γ2
41.67Single8YN6Imetit8YN6-H3-Imetit-Gi1/β1/γ2
41.67Single8YN7Immethridine8YN7-H3-Immethridine-Go/β1/γ2
41.67Single8ZSVRO52633978ZSV-TA1-RO5263397-chim(NtGi1-Gs)/β1/γ2
41.18Single4NC3Ergotamine4NC3-5-HT2B-Ergotamine
41.18Single5TUDErgotamine5TUD-5-HT2B-Ergotamine
41.18Single7SK8CCX6627SK8-ACKR3-CXCL12-CCX662
41.18Single7WVVfMLFII7WVV-FPR2-ALX-fMLFII-Gi2/β1/γ2
41.18Single7X2DTavapadon7X2D-D1-Tavapadon-Gs/β1/γ2
41.18Single8T3OTUG-8918T3O-FFA4-TUG-891-chim(NtGi2L-Gs-CtGq)/β1/γ2
41.18Single9WP9S1P9WP9-S1P3-S1P-chim(NtGi2L-Gs-CtGq)/β1/γ2
41.18Consensusd2_offOrthosteric Ligand6CM4-D2-Risperidone 6LUQ-D2-Haloperidol 7DFP-D2-Spiperone
40.00Single4RWDDIPP-NH24RWD-δ-DIPP-NH2-Na
40.00Single5C1MBU725C1M-μ-BU72
40.00Single5WF5UK-4320975WF5-A2A-UK-432097
40.00Single5ZK33-quinuclidinyl-benzilate5ZK3-M2-3-quinuclidinyl-benzilate
40.00Single6ME62-Phenylmelatonin6ME6-MT2-2-Phenylmelatonin
40.00Single6ME72-Phenylmelatonin6ME7-MT2-2-Phenylmelatonin
40.00Single6OIKIperoxo6OIK-M2-Iperoxo-LY2119620-chim(NtGi1-Go)/β1/γ2
40.00Single7EUOfMLF7EUO-FPR1-ALX-fMLF-Gi1/β1/γ2
40.00Single7LD3Adenosine7LD3-A1-Adenosine-MIPS521-Gi2/β1/γ2
40.00Single7X1TTaltirelin7X1T-TRH-Taltirelin-chim(NtGi2L-Gs-CtGq)/β1/γ2
40.00Single8DZRGR89,6968DZR-κ-GR89,696-chim(NtGi2-Gt3)/β1/γ2
40.00Single8E9ZIperoxo8E9Z-M3-Iperoxo-chim(NtGi2L-Gs-CtGq)/β1/γ2
40.00Single8J18(3R)-3-Hydroxydodecanoic acid8J18-GPR84-(3R)-3-Hydroxydodecanoic acid-Gi1/β1/γ2
40.00Single8JXSPF-61428JXS-D1-PF-6142
40.00Single8YH0NECA8YH0-A3A-NECA-Gi1/β1/γ2
40.00Single8ZMFPubChem 1719206738ZMF-5-HT2C-PubChem 171920673
40.00Single9EE8Adenosine9EE8-A2A-Adenosine-Gs/β1/γ2
40.00Single9F33FOB02-04A9F33-D3-FOB02-04A-Go/β1/γ2
40.00Single9F34FOB02-04A9F34-D3-FOB02-04A-Go/β1/γ2
40.00Single9I52A1IZU9I52-D1-A1IZU-Gs/β1/γ2
40.00Single9L74S1P d16:19L74-S1P3-S1P d16:1-chim(NtGi2L-Gs-CtGq)/β1/γ2
40.00Single9MQKIsoquinuclidine9MQK-κ-Isoquinuclidine
40.00Single9PXYNaloxone9PXY-μ-Naloxone-GDPβS-Gi1/β1/γ2
40.00Consensus5ht2_offOrthosteric Ligand5ht2a_off 5ht2b_off 5ht2c_off
40.00Consensusa3_on_gpOrthosteric Liganda3a_on_gp
40.00Consensusa3a_onOrthosteric Ligand8X17-A3A-Namodenoson-Gi1/β1/γ2 8X16-A3A-Piclidenoson-Gi1/β1/γ2
40.00Consensusa3a_on_gpOrthosteric Ligand8X17-A3A-Namodenoson-Gi1/β1/γ2 8X16-A3A-Piclidenoson-Gi1/β1/γ2
40.00Consensusm2_offOrthosteric Ligand5ZKC-M2-N-methyl-Scopolamine 5ZK3-M2-3-quinuclidinyl-benzilate 5ZKB-M2-AF-DX 384
40.00Consensusnucleotide_onOrthosteric Ligandadenosine_on p2y_on
38.89Single4UG2CGS216804UG2-A2A-CGS21680
38.89Single8X5YAstemizole8X5Y-H1-Astemizole
38.89Single8Y72Peptide8Y72-μ-Peptide-BMS-986122-Gi1/β1/γ2
38.46Single2PED9-cis-Retinal2PED-Rhodopsin-9-cis-Retinal
38.46Single2X72All-trans-Retinal2X72-Rhodopsin-All-trans-Retinal-Gt(CT)
38.46Single3VGAZM-2413853VGA-A2A-ZM-241385-Antibody
38.46Single6AKXA4R6AKX-CCR5-A4R
38.46Single6D9HAdenosine6D9H-A1-Adenosine-Gi2/β1/γ2
38.46Single6ME2Ramelteon6ME2-MT1-Ramelteon
38.46Single6NWEOctyl-Beta-D-Glucopyranoside6NWE-Rhodopsin-Octyl-β-D-Glucopyranoside-Gt(CT)
38.46Single7EJ0Norepinephrine7EJ0-α2a-Norepinephrine-Go/β1/γ2
38.46Single7T6STC-FPR 437T6S-FPR2-ALX-TC-FPR 43-Gi1/β1/γ2
38.46Single7YM8Oxymetazoline7YM8-Alpha1A-Oxymetazoline-chim(Gs-CtGq)
38.46Single8FYXBuspirone8FYX-5-HT1A-Buspirone-PtdIns4P-Gi1/β1/γ1
38.46Single8GGCConstrained Epinephrine8GGC-β2-Constrained Epinephrine-GTP-Gs/β1/γ2
38.46Single8HDPAdenosine8HDP-A2B-Adenosine-Gs/β1/γ2
38.46Single8HOCImetit8HOC-H4-Imetit-Gi1/β1/γ2
38.46Single8IW4Spermidine8IW4-TAA9-Spermidine-chim(NtGi1-Gs)/β1/γ2
38.46Single8IWESpermidine8IWE-TAA9-Spermidine
38.46Single8WC4ZH86518WC4-TA1-ZH8651-chim(NtGi1-Gs)/β1/γ2
38.46Single8WCA2-Phenylethylamine8WCA-TA1-2-Phenylethylamine-chim(NtGi1-Gs)/β1/γ2
38.46Single8YNAImmepip8YNA-H4-Immepip-Gi1/β1/γ2
38.46Single8YUVImmepip8YUV-H3-Immepip-Gi1/β1/γ2
38.46Single8YYWAlpha-ketoglutarate8YYW-Oxoglutarate-α-ketoglutarate-α-ketoglutarate-chim(Gi1-CtGq)/β1/γ2
38.46Single9EBHAdenosine9EBH-A3A-Adenosine-Gi1/β1/γ2
38.46Single9EEAAdenosine9EEA-A2A-Adenosine-Gs/β1/γ2
38.46Single9PEEPF-07054894; OXM29PEE-CCR6-PF-07054894; OXM2
38.46Single9VJ5Gepirone9VJ5-5-HT1A-Gepirone-Go/β1/γ2
38.46Single9VJEBuspirone9VJE-5-HT1A-Buspirone-Go/β1/γ2
38.46Consensushistamine_onOrthosteric Ligandh1_on h2_on h3_on h4_on
38.46Consensushistamine_on_gpOrthosteric Ligandh1_on_gp h2_on_gp h3_on_gp h4_on_gp
38.46Consensusrhodopsin_offOrthosteric Ligand1U19-Rhodopsin-11-cis-Retinal 2PED-Rhodopsin-9-cis-Retinal 5TE5-Rhodopsin-20-Methanoretinal
38.46Consensussensory_offonOrthosteric Ligandsensory_off sensory_on
38.46Consensussensory_offon_gpOrthosteric Ligandsensory_on_gp sensory_on
38.10Single7W40Bombesin7W40-BB2-Bombesin-chim(NtGi1L-Gq)/β1/γ2
37.50Single3UON3-quinuclidinyl-benzilate3UON-M2-3-quinuclidinyl-benzilate
37.50Single4IAQDihydroergotamine4IAQ-5-HT1B-Dihydroergotamine
37.50Single5ZHPPubChem 1348285895ZHP-M3-PubChem 134828589
37.50Single5ZKBAF-DX 3845ZKB-M2-AF-DX 384
37.50Single6GT3Imaradenant6GT3-A2A-Imaradenant-Na
37.50Single6OIJIperoxo6OIJ-M1-Iperoxo-chim(NtGi1L-G11)/β1/γ2
37.50Single7B6WCyclazosin7B6W-α1b-Cyclazosin
37.50Single7E2ZAripiprazole7E2Z-5-HT1A-Aripiprazole-PtdIns4P-Gi1/β1/γ2
37.50Single7EW4CYM-55417EW4-S1P3-CYM-5541-Gi1/β1/γ2
37.50Single7EW7SEW28717EW7-S1P1-SEW2871-Gi1/β1/γ2
37.50Single7U2LC5-guano7U2L-μ-C5-guano-Gi1/β1/γ2
37.50Single7XY7NECA7XY7-A2B-NECA-chim(NtGi1-Gs)/β1/γ2
37.50Single8DZPmomSalB8DZP-κ-momSalB-Gi1/β1/γ2
37.50Single8EA0Iperoxo8EA0-M3-Iperoxo
37.50Single8EFLSR170188EFL-μ-SR17018-Gi1/β1/γ2
37.50Single8ID39-Hydroxystearic acid8ID3-FFA4-9-Hydroxystearic acid-Gi1/β1/γ2
37.50Single8IYHMK68928IYH-HCA2-MK6892-Go/β1/γ2
37.50Single8JT6(R)-IHCH-71798JT6-5-HT1A-(R)-IHCH-7179-PtdIns4P-Gi1/β1/γ2
37.50Single8JXWVUF68848JXW-H4-VUF6884-Gi1/β1/γ2
37.50Single8JXXClobenpropit8JXX-H4-Clobenpropit-Gi1/β1/γ2
37.50Single8VVEnorBNI8VVE-κ-norBNI-Gi1/β1/γ2
37.50Single8VVFJDTic8VVF-κ-JDTic-Gi1/β1/γ2
37.50Single9BJKNaloxone9BJK-μ-Naloxone-PubChem 171642066
37.50Single9KVPSB2901579KVP-C3aB-SB290157-Go/β1/γ2
37.50Single9PY3Loperamide9PY3-μ-Loperamide-GDPβS-Gi1/β1/γ2
37.50Single9UCPIperoxo9UCP-M1-Iperoxo-G11(CT)
37.50Consensusm1_on_gpOrthosteric Ligand6OIJ-M1-Iperoxo-chim(NtGi1L-G11)/β1/γ2
37.50Consensusmuscarinic_offOrthosteric Ligandm2_off m3_off m4_off m5_off m1_off
36.84Single7WVWfMYFINILTL7WVW-FPR2-ALX-fMYFINILTL-Gi2/β1/γ2
36.84Single8PKMBefiradol8PKM-5-HT1A-Befiradol-Gi1/β1/γ1
36.84Single8WDTphotoNECA8WDT-A2A-photoNECA
36.84Single9BUYLM1899BUY-β2-LM189-Gi1/β1/γ2
36.84Consensusmop_offOrthosteric Ligand4DKL-μ-β-Funaltrexamine 8QOT-μ-Nanobody-E 7UL4-μ-Alvimopan
36.36Single8DPHLorcaserin8DPH-5-HT2C-Lorcaserin-chim(NtGi2L-Gs-CtGq)/β1/γ2
36.36Single8GEIConstrained Epinephrine8GEI-β2-Constrained Epinephrine-Gs/β1/γ2
36.36Single8IWM2-Phenylethylamine8IWM-TAA9-2-Phenylethylamine
35.71Single2YDOAdenosine2YDO-A2A-Adenosine
35.71Single3UZCPubChem 1355666093UZC-A2A-PubChem 135566609
35.71Single4DKLBeta-Funaltrexamine4DKL-μ-β-Funaltrexamine
35.71Single4MBSMaraviroc4MBS-CCR5-Maraviroc
35.71Single4N6HNaltrindole4N6H-δ-Naltrindole-Na
35.71Single5TE3Octyl-Beta-D-Glucopyranoside5TE3-Rhodopsin-Octyl-β-D-Glucopyranoside
35.71Single6IQLL7458706IQL-D4-L745870
35.71Single6KUXRS799486KUX-α2a-RS79948
35.71Single6ME42-Iodomelatonin6ME4-MT1-2-Iodomelatonin
35.71Single6TPGEMPA6TPG-OX2-EMPA
35.71Single7SR8TAK-9257SR8-OX2-TAK-925-chim(NtGi1L-Gs-CtGq)/β1/γ2
35.71Single7T94Acetylcholine7T94-M2-Acetylcholine-LY2119620-chim(NtGi1-Go)/β1/γ2
35.71Single7TRSAcetylcholine7TRS-M4-Acetylcholine-Gi1/β1/γ2
35.71Single7WC9PubChem 1624213647WC9-5-HT2A-PubChem 162421364
35.71Single8FCZ11-cis-Retinal8FCZ-Rhodopsin-11-cis-Retinal
35.71Single8PM2DMCHA8PM2-TA7-DMCHA-Gs/β1/γ2
35.71Single8RLNLUF58348RLN-A2A-LUF5834
35.71Single8WC8ZH86518WC8-TA1-ZH8651-chim(NtGi1-Gs)/β1/γ2
35.71Single8Y45ADL58598Y45-δ-ADL5859-Gi2/β1/γ2
35.71Single8Y53MK50468Y53-BB3-MK5046-chim(NtGi1-Gs-CtGq)/β1/γ2
35.71Single9PXVNaloxone9PXV-μ-Naloxone-Gi1/β1/γ2
35.71Single9PXXNaloxone9PXX-μ-Naloxone-GDPβS-Gi1/β1/γ2
35.71Consensus5ht2a_offOrthosteric Ligand6A94-5-HT2A-Zotepine 6A93-5-HT2A-Risperidone 7VOD-5-HT2A-Cariprazine 7WC8-5-HT2A-Lumateperone 8JT8-5-HT2A-(R)-IHCH-7179
35.71Consensusadenosine_onOrthosteric Liganda1_on a2_on a3_on
35.71Consensusgi_adenosineOrthosteric Ligand7LD4-A1-Adenosine-Gi2/β1/γ2 8X17-A3A-Namodenoson-Gi1/β1/γ2 8X16-A3A-Piclidenoson-Gi1/β1/γ2
35.71Consensusopsins_offOrthosteric Ligandrhodopsin_off
35.71Consensussensory_offOrthosteric Ligandopsins_off
35.29Single4PXFOctyl-Beta-D-Glucopyranoside4PXF-Rhodopsin-Octyl-β-D-Glucopyranoside-Arrestin1 Finger Loop
35.29Single4RWADIPP-NH24RWA-δ-DIPP-NH2
35.29Single6CM4Risperidone6CM4-D2-Risperidone
35.29Single6ZG4HTL00099366ZG4-M1-HTL0009936
35.29Single7BZ2Arformoterol7BZ2-β2-Arformoterol-Gs/β1/γ2
35.29Single7EVYSiponimod7EVY-S1P1-Siponimod-Gi1/β1/γ2
35.29Single7EW2FTY720-P7EW2-S1P3-FTY720-P-Gi1/β1/γ2
35.29Single7XW9TRH7XW9-TRH-TRH-chim(NtGi1L-Gs-CtGq)/β1/γ2
35.29Single7YITNalfurafine7YIT-κ-Nalfurafine
35.29Single8G056-OAU8G05-GPR84-6-OAU-Gi1/β1/γ2
35.29Single8JWY2-1188JWY-A2A-2-118
35.29Single8JWZEtrumadenant8JWZ-A2A-Etrumadenant-Na
35.29Single8T3QDoconexent8T3Q-FFA4-Doconexent-chim(NtGi2L-Gs-CtGq)/β1/γ2
35.29Single8W1VPubChem 1717162658W1V-β2-PubChem 171716265
35.29Single9GYOP3959GYO-GPBA-P395-chim(NtGi1-Gs)/β1/γ2
35.29Single9M4QDoxazosin9M4Q-Alpha1A-Doxazosin
35.29Single9MQLIsoquinuclidine9MQL-κ-Isoquinuclidine
35.29Single9V6ONalfurafine9V6O-κ-Nalfurafine-Gi1/β1/γ2
35.29Single9WSVDAMGO9WSV-μ-DAMGO-Arrestin2
35.29Single9YDQDADLE9YDQ-δ-DADLE-MIPS3614-chim(NtGi1L-Gs-CtGi1)/β1/γ2
35.29Consensusgi_muscarinicOrthosteric Ligand8E9X-M4-2-Deoxycytidine-chim(NtGi1-Go)/β1/γ2 7T8X-M2-Acetylcholine-chim(NtGi1-Go)/β1/γ2 7TRS-M4-Acetylcholine-Gi1/β1/γ2 7TRK-M4-Iperoxo-Gi1/β1/γ2 7V6A-M4-PubChem 9864275-Gi1/β1/γ2
35.29Consensusm4_onOrthosteric Ligand7TRS-M4-Acetylcholine-Gi1/β1/γ2 7V6A-M4-PubChem 9864275-Gi1/β1/γ2 8E9X-M4-2-Deoxycytidine-chim(NtGi1-Go)/β1/γ2 7TRK-M4-Iperoxo-Gi1/β1/γ2
35.29Consensusm4_on_gpOrthosteric Ligand7TRS-M4-Acetylcholine-Gi1/β1/γ2 7V6A-M4-PubChem 9864275-Gi1/β1/γ2 8E9X-M4-2-Deoxycytidine-chim(NtGi1-Go)/β1/γ2 7TRK-M4-Iperoxo-Gi1/β1/γ2
35.29Consensusmop_onOrthosteric Ligand8F7R-μ-Endomorphin-Gi1/β1/γ2 8EF5-μ-Fentanyl-Gi1/β1/γ2 7SCG-μ-FH210-Gi1/β1/γ2 7T2H-μ-Lofentanil-Gi1/β1/γ2 7T2G-μ-Mitragynine Pseudoindoxyl-Gi1/β1/γ2 8EF6-μ-Morphine-Gi1/β1/γ2 8EFB-μ-Oliceridine-Gi1/β1/γ2 7U2L-μ-C5-guano-Gi1/β1/γ2 8EFO-μ-PZM21-Gi1/β1/γ2 8EFL-μ-SR17018-Gi1/β1/γ2 8F7Q-μ-β-Endorphin-Gi1/β1/γ2 7U2K-μ-C6-guano-Gi1/β1/γ2 8EFQ-μ-DAMGO-Gi1/β1/γ2
35.29Consensusmop_on_gpOrthosteric Ligand8F7R-μ-Endomorphin-Gi1/β1/γ2 8EF5-μ-Fentanyl-Gi1/β1/γ2 7SCG-μ-FH210-Gi1/β1/γ2 7T2H-μ-Lofentanil-Gi1/β1/γ2 7T2G-μ-Mitragynine Pseudoindoxyl-Gi1/β1/γ2 8EF6-μ-Morphine-Gi1/β1/γ2 8EFB-μ-Oliceridine-Gi1/β1/γ2 7U2L-μ-C5-guano-Gi1/β1/γ2 8EFO-μ-PZM21-Gi1/β1/γ2 8EFL-μ-SR17018-Gi1/β1/γ2 8F7Q-μ-β-Endorphin-Gi1/β1/γ2 7U2K-μ-C6-guano-Gi1/β1/γ2 8EFQ-μ-DAMGO-Gi1/β1/γ2
35.29Consensusopioid_offOrthosteric Ligandmop_off nop_off dop_off kop_off
35.29Consensuss1p1_onOrthosteric Ligand7VIE-S1P1-S1P-Gi1/β1/γ2 7VIF-S1P1-FTY720-P-Gi1/β1/γ2 7VIG-S1P1-CBP-307-Gi1/β1/γ2 7EVY-S1P1-Siponimod-Gi1/β1/γ2 7EVZ-S1P1-Cenerimod-Gi1/β1/γ2 7EW0-S1P1-Ozanimod-Gi1/β1/γ2 7EW7-S1P1-SEW2871-Gi1/β1/γ2
35.29Consensuss1p1_on_gpOrthosteric Ligand7VIE-S1P1-S1P-Gi1/β1/γ2 7VIF-S1P1-FTY720-P-Gi1/β1/γ2 7VIG-S1P1-CBP-307-Gi1/β1/γ2 7EVY-S1P1-Siponimod-Gi1/β1/γ2 7EVZ-S1P1-Cenerimod-Gi1/β1/γ2 7EW0-S1P1-Ozanimod-Gi1/β1/γ2 7EW7-S1P1-SEW2871-Gi1/β1/γ2
35.29Consensuss1p3_onOrthosteric Ligand7EW3-S1P3-S1P-Gi1/β1/γ2 7EW4-S1P3-CYM-5541-Gi1/β1/γ2 7EW2-S1P3-FTY720-P-Gi1/β1/γ2
35.29Consensustrh_onOrthosteric Ligand7XW9-TRH-TRH-chim(NtGi1L-Gs-CtGq)/β1/γ2
35.29Consensustrh_on_gpOrthosteric Ligand7XW9-TRH-TRH-chim(NtGi1L-Gs-CtGq)/β1/γ2
35.00Single3QAKUK-4320973QAK-A2A-UK-432097
35.00Single6HLOAprepitant6HLO-NK1-Aprepitant
35.00Consensuss1p3_on_gpOrthosteric Ligand7EW3-S1P3-S1P-Gi1/β1/γ2 7EW4-S1P3-CYM-5541-Gi1/β1/γ2 7EW2-S1P3-FTY720-P-Gi1/β1/γ2
33.33Single1HZX11-cis-Retinal1HZX-Rhodopsin-11-cis-Retinal
33.33Single2Y01Dobutamine2Y01-β1-Dobutamine
33.33Single3UZAGTPL92363UZA-A2A-GTPL9236
33.33Single4EJ4Naltrindole4EJ4-δ-Naltrindole
33.33Single4J4QOctyl Beta-D-Glucopyranoside4J4Q-Rhodopsin-Octyl β-D-Glucopyranoside-Gt(CT)
33.33Single5DHHSB-6121115DHH-NOP-SB-612111
33.33Single5DSGTiotropium5DSG-M4-Tiotropium
33.33Single5OLZPubChem 1355666095OLZ-A2A-PubChem 135566609-Na
33.33Single5OM1PubChem 1355666095OM1-A2A-PubChem 135566609-Na
33.33Single5UIGPubChem 1240811965UIG-A2A-PubChem 124081196
33.33Single5X93K-87945X93-ETB-K-8794
33.33Single6BQHRitanserin6BQH-5-HT2C-Ritanserin
33.33Single6DDFDAMGO6DDF-μ-DAMGO-Gi1/β1/γ2
33.33Single7DD7Ca; Ca; Tryptophan; Evocalcet7DD7-CaS; CaS-Ca-Ca; Ca; Tryptophan; Evocalcet
33.33Single7EJKOxymetazoline7EJK-α2a-Oxymetazoline-Go/β1/γ2
33.33Single7EVZCenerimod7EVZ-S1P1-Cenerimod-Gi1/β1/γ2
33.33Single7EW0Ozanimod7EW0-S1P1-Ozanimod-Gi1/β1/γ2
33.33Single7EZCUK-4320977EZC-A2A-UK-432097
33.33Single7MBYCholecystokinin-87MBY-CCKA-Cholecystokinin-8-chim(NtGi1L-Gs-CtGq)/β1/γ2
33.33Single7SCGFH2107SCG-μ-FH210-Gi1/β1/γ2
33.33Single7SK7CCX6627SK7-ACKR3-CXCL12-CCX662
33.33Single7T6TfMLFII7T6T-FPR1-ALX-fMLFII-Gi1/β1/γ2
33.33Single7UL4Alvimopan7UL4-μ-Alvimopan
33.33Single7VIES1P7VIE-S1P1-S1P-Gi1/β1/γ2
33.33Single7WC5Psilocin7WC5-5-HT2A-Psilocin
33.33Single7XJISolabegron7XJI-β3-Solabegron-Gs/β1/γ2
33.33Single8CU6LJ-45178CU6-A2A-LJ-4517
33.33Single8CU7LJ-45178CU7-A2A-LJ-4517-Na
33.33Single8DZSGR89,6968DZS-κ-GR89,696-chim(NtGi2-Gz)/β1/γ2
33.33Single8E0GBU728E0G-μ-BU72
33.33Single8GGEConstrained Epinephrine8GGE-β2-Constrained Epinephrine-GTP-Gs/β1/γ2
33.33Single8GGFConstrained Epinephrine8GGF-β2-Constrained Epinephrine-GTP-Gs/β1/γ2
33.33Single8ITFDMCHA8ITF-TAA9-DMCHA-chim(NtGi1-Gs)/β1/γ2
33.33Single8IW72-Phenylethylamine8IW7-TAA9-2-Phenylethylamine-chim(NtGi1-Gs)/β1/γ2
33.33Single8J19LY2378J19-GPR84-LY237-Gi1/β1/γ2
33.33Single8JT8(R)-IHCH-71798JT8-5-HT2A-(R)-IHCH-7179
33.33Single8JXRLSD8JXR-D1-LSD
33.33Single8X17Namodenoson8X17-A3A-Namodenoson-Gi1/β1/γ2
33.33Single8XIOL7975918XIO-SST1-L797591-chim(NtGi1-Gs-CtGi1)/β1/γ2
33.33Single8XIQL7967788XIQ-SST3-L796778-chim(NtGi1-Gs-CtGi1)/β1/γ2
33.33Single8Y63C20:0 Ceramide8Y63-FPR2-ALX-C20:0 Ceramide-Gi1/β1/γ2
33.33Single8YN9Histamine8YN9-H4-Histamine-Gi1/β1/γ2
33.33Single8YUUHistamine8YUU-H3-Histamine-Gi1/β1/γ1
33.33Single9CGJC6-Quino9CGJ-δ-C6-Quino-Gi1/β1/γ2
33.33Single9D61JDTic9D61-κ-JDTic-Gi1/β1/γ2
33.33Single9L79AR2314539L79-GPR119-AR231453-chim(NtGi1-Gs)/β1/γ2
33.33Single9LRCHistamine9LRC-H4-Histamine
33.33Single9LREHistamine9LRE-H4-Histamine-Gi1/β1/γ2
33.33Single9MEUCXCL129MEU-CXCR4-CXCL12
33.33Single9PXWNaloxone9PXW-μ-Naloxone-GDPβS-Gi1/β1/γ2
33.33Single9UAZAtropine9UAZ-M1-Atropine
33.33Single9YDPDADLE9YDP-δ-DADLE-chim(NtGi1L-Gs-CtGi1)/β1/γ2
33.33Consensus5ht2c_offOrthosteric Ligand6BQH-5-HT2C-Ritanserin
33.33Consensusa3_onOrthosteric Liganda3a_on
33.33Consensusdop_offOrthosteric Ligand4EJ4-δ-Naltrindole
33.33Consensusendothelin_offOrthosteric Ligandetb_off
33.33Consensusetb_offOrthosteric Ligand5X93-ETB-K-8794 5XPR-ETB-Bosentan 6K1Q-ETB-IRL2500
33.33Consensusgi_histamineOrthosteric Ligand8JXX-H4-Clobenpropit-Gi1/β1/γ2 8JXV-H4-Clozapine-Gi1/β1/γ2 8YUU-H3-Histamine-Gi1/β1/γ1 8HN8-H4-Histamine-Gi1/β1/γ2 8HOC-H4-Imetit-Gi1/β1/γ2 8JXW-H4-VUF6884-Gi1/β1/γ2
33.33Consensusgi_s1pOrthosteric Ligand7VIE-S1P1-S1P-Gi1/β1/γ2 7EW3-S1P3-S1P-Gi1/β1/γ2 7EVY-S1P1-Siponimod-Gi1/β1/γ2 7EW1-S1P5-Siponimod-Gi1/β1/γ2 7VIF-S1P1-FTY720-P-Gi1/β1/γ2 7VIG-S1P1-CBP-307-Gi1/β1/γ2 7EVZ-S1P1-Cenerimod-Gi1/β1/γ2 7EW4-S1P3-CYM-5541-Gi1/β1/γ2 7EW2-S1P3-FTY720-P-Gi1/β1/γ2 7EW0-S1P1-Ozanimod-Gi1/β1/γ2 7EW7-S1P1-SEW2871-Gi1/β1/γ2
33.33Consensusgs_class-aOrthosteric Ligandgs_peptide gs_nucleotide gs_amine
33.33Consensush3_onOrthosteric Ligand8YUU-H3-Histamine-Gi1/β1/γ1
33.33Consensush3_on_gpOrthosteric Ligand8YUU-H3-Histamine-Gi1/β1/γ1
33.33Consensusm4_offOrthosteric Ligand5DSG-M4-Tiotropium
33.33Consensusnucleotide_on_gpOrthosteric Ligandadenosine_on_gp p2y_on_gp
33.33Consensusopsins_on_gpOrthosteric Ligandrhodopsin_on_gp opsin1lw_on_gp
33.33Consensusorexin_on_gpOrthosteric Ligandox2_on_gp
33.33Consensusrhodopsin_onOrthosteric Ligand6OYA-Rhodopsin-All-trans-Retinal-Gt/β1/γ1
33.33Consensussensory_on_gpOrthosteric Ligandopsins_on_gp
31.58Single6PT3DPI-2876PT3-δ-DPI-287
31.58Single7SK9CCX6627SK9-ACKR3-CCX662
31.58Single7XY6BAY 60-65837XY6-A2B-BAY 60-6583-chim(NtGi1-Gs)/β1/γ2
31.58Single8H4IDoconexent8H4I-FFA4-Doconexent-chim(NtGi1-Gs)/β1/γ2
31.58Single9CGKC5-Quino9CGK-δ-C5-Quino-Gi1/β1/γ2
31.58Single9M0RNeuropeptide-VF9M0R-NPFF1-Neuropeptide-VF-Gi1/β1/γ2
31.58Consensusox2_onOrthosteric Ligand7L1V-OX2-PubChem 155491009-chim(NtGi1-Gs-CtGq)/β1/γ2 7SQO-OX2-TAK-925-Gi1/β1/γ2 7L1U-OX2-Orexin-chim(NtGi1-Gs-CtGq)/β1/γ2
31.58Consensusox2_on_gpOrthosteric Ligand7L1V-OX2-PubChem 155491009-chim(NtGi1-Gs-CtGq)/β1/γ2 7SQO-OX2-TAK-925-Gi1/β1/γ2 7L1U-OX2-Orexin-chim(NtGi1-Gs-CtGq)/β1/γ2
31.58Consensuss1p_onOrthosteric Ligands1p1_on s1p3_on s1p5_on
31.58Consensuss1p_on_gpOrthosteric Ligands1p1_on_gp s1p3_on_gp s1p5_on_gp
31.25Single2Y00Dobutamine2Y00-β1-Dobutamine
31.25Single4WW3All-trans-Retinal4WW3-Rhodopsin-All-trans-Retinal
31.25Single5NM2ZM-2413855NM2-A2A-ZM-241385-Na
31.25Single5OM4PubChem 1355666095OM4-A2A-PubChem 135566609-Na
31.25Single5WQCEMPA5WQC-OX2-EMPA
31.25Single5XPRBosentan5XPR-ETB-Bosentan
31.25Single5ZBQUR-MK-2995ZBQ-Y1-UR-MK-299
31.25Single6GDGNECA6GDG-A2A-NECA-Gs/β1/γ1
31.25Single6HLPNetupitant6HLP-NK1-Netupitant
31.25Single6LUQHaloperidol6LUQ-D2-Haloperidol
31.25Single7BB7AVP7BB7-V2-AVP-Gs/β1/γ2
31.25Single7CFNINT-7777CFN-GPBA-INT-777-Gs/β1/γ2
31.25Single7SBFPZM217SBF-μ-PZM21-Gi1/β1/γ2
31.25Single7VFXfMIFL7VFX-FPR1-ALX-fMIFL-Gi1/β1/γ2
31.25Single7VOEAripiprazole7VOE-5-HT2A-Aripiprazole
31.25Single7W41PD1762527W41-BB2-PD176252
31.25Single8DZQmomSalB8DZQ-κ-momSalB-Go/β1/γ2
31.25Single8EFBOliceridine8EFB-μ-Oliceridine-Gi1/β1/γ2
31.25Single8ID4Linoleic acid8ID4-FFA4-Linoleic acid-Gi1/β1/γ2
31.25Single8QOTNanobody-E8QOT-μ-Nanobody-E
31.25Single8YICSAR2477998YIC-S1P1-SAR247799-Gi1/β1/γ2
31.25Single8ZRKGSK12922638ZRK-GPR119-GSK1292263-Gs/β1/γ2
31.25Single9AXFCa; Ca; Ca; Cyclomethyltryptophan; R-568; PO49AXF-CaS; CaS-Ca-Ca; Ca; Ca; Cyclomethyltryptophan; R-568; PO4-chim(NtGi1-Gs-CtGq)/β1/γ2
31.25Single9EHSLUF76029EHS-A3A-LUF7602
31.25Single9U81Tolvaptan9U81-V2-Tolvaptan
31.25Single9VJFBuspirone9VJF-5-HT1A-Buspirone-Gi3/β1/γ2
31.25Consensusadenosine_offOrthosteric Liganda1_off a2_off
31.25Consensusbb2_offOrthosteric Ligand7W41-BB2-PD176252
31.25Consensusbombesin_offOrthosteric Ligandbb2_off
31.25Consensusfpr1-alx_onOrthosteric Ligand7VFX-FPR1-ALX-fMIFL-Gi1/β1/γ2
31.25Consensusfpr1-alx_on_gpOrthosteric Ligand7VFX-FPR1-ALX-fMIFL-Gi1/β1/γ2
31.25Consensusgq_muscarinicOrthosteric Ligand6OIJ-M1-Iperoxo-chim(NtGi1L-G11)/β1/γ2
31.25Consensusm1_onOrthosteric Ligand6OIJ-M1-Iperoxo-chim(NtGi1L-G11)/β1/γ2
30.77Single1L9H11-cis-Retinal1L9H-Rhodopsin-11-cis-Retinal
30.77Single3AYMAll-trans-Retinal3AYM-Rhodopsin-All-trans-Retinal
30.77Single6PGSGeraniol6PGS-Rhodopsin-Geraniol-Gt(CT)
30.77Single6TP4ACT-4622066TP4-OX1-ACT-462206
30.77Single6TQ4PubChem 160468446TQ4-OX1-PubChem 16046844-Na
30.77Single7DD7Ca; Ca; Tryptophan; Evocalcet7DD7-CaS; CaS-Ca-Ca; Ca; Tryptophan; Evocalcet
30.77Single7YFDImetit7YFD-H4-Imetit-chim(NtGi1-Gs-CtGq)/β1/γ2
30.77Single8A2PLUAA470708A2P-A2A-LUAA47070-Na
30.77Single8HN8Histamine8HN8-H4-Histamine-Gi1/β1/γ2
30.77Single8UO3Constrained Epinephrine8UO3-β2-Constrained Epinephrine-GTP; Mg-Gs/β1/γ2
30.77Single8YH3N-methyladenosine8YH3-A3A-N-methyladenosine-Gi1/β1/γ2
30.77Single9JEDHistamine9JED-H4-Histamine-PO4-Gi1/β1/γ2
30.77Single9JEQHistamine9JEQ-H3-Histamine-Gi1/β1/γ2
30.77Single9L3ZLRH7-C29L3Z-CML1-LRH7-C2
30.77Single9L42Histamine9L42-H4-Histamine-Gi1/β1/γ2
30.43Single8ZPSPrRP208ZPS-PrRP-PrRP20-chim(NtGi1-Gs-CtGi1)/β1/γ2
30.00Single5MZPCaffeine5MZP-A2A-Caffeine-Na
30.00Single5UNFPubChem 157800525UNF-AT2-PubChem 15780052
30.00Single7W0PElabela7W0P-Apelin-Elabela-Gi1/β1/γ2
30.00Single7WKDTRH7WKD-TRH-TRH-chim(NtGi1-Gs-CtGq)/β1/γ2
30.00Single8G59TUG-8918G59-FFA4-TUG-891-chim(Gi1-CtGq)/β1/γ2
30.00Single8GEJConstrained Epinephrine8GEJ-β2-Constrained Epinephrine-Gs/β1/γ2
30.00Single8WCBCyclohexylammonium Ion8WCB-TA1-Cyclohexylammonium Ion-chim(NtGi1-Gs-CtGq)/β1/γ2
30.00Single8WCCCyclohexylammonium Ion8WCC-TA1-Cyclohexylammonium Ion
30.00Single8WZ2Orexigenic Neuropeptide QRFP8WZ2-QRFP-Orexigenic Neuropeptide QRFP-chim(NtGi1L-Gs-CtGq)/β1/γ2
30.00Consensusclass-a_on_gpOrthosteric Ligandsensory_on_gp alicarboxylic_on_gp amine_on_gp lipid_on_gp nucleotide_on_gp peptide_on_gp protein_on_gp
30.00Consensusgi_nucleotideOrthosteric Ligandgi_adenosine gi_p2y
30.00Consensusgi_opioidOrthosteric Ligand8F7R-μ-Endomorphin-Gi1/β1/γ2 8EF5-μ-Fentanyl-Gi1/β1/γ2 7SCG-μ-FH210-Gi1/β1/γ2 7T2H-μ-Lofentanil-Gi1/β1/γ2 7T2G-μ-Mitragynine Pseudoindoxyl-Gi1/β1/γ2 8DZP-κ-momSalB-Gi1/β1/γ2 8EF6-μ-Morphine-Gi1/β1/γ2 8F7X-NOP-Nociceptin-Gi1/β1/γ2 8EFB-μ-Oliceridine-Gi1/β1/γ2 7U2L-μ-C5-guano-Gi1/β1/γ2 8EFO-μ-PZM21-Gi1/β1/γ2 8EFL-μ-SR17018-Gi1/β1/γ2 8F7Q-μ-β-Endorphin-Gi1/β1/γ2 7U2K-μ-C6-guano-Gi1/β1/γ2 8EFQ-μ-DAMGO-Gi1/β1/γ2 8F7S-δ-Deltorphin-Gi1/β1/γ2 8F7W-κ-Dynorphin-Gi1/β1/γ2
29.41Single6DDEDAMGO6DDE-μ-DAMGO-Gi1/β1/γ2
29.41Single6KO5PubChem 574000026KO5-Ghrelin-PubChem 57400002
29.41Single7EW1Siponimod7EW1-S1P5-Siponimod-Gi1/β1/γ2
29.41Single7T2HLofentanil7T2H-μ-Lofentanil-Gi1/β1/γ2
29.41Single7TUYGSK682753A7TUY-GPR183-GSK682753A
29.41Single7WVXHumanin7WVX-FPR2-ALX-Humanin-Gi2/β1/γ2
29.41Single7Y24Octreotide7Y24-SST2-Octreotide-Go/β1/γ2
29.41Single8HDOBAY 60-65838HDO-A2B-BAY 60-6583-Gs/β1/γ2
29.41Single8I2GPubChem 675302408I2G-FSH-FSH-PubChem 67530240-Gs/β1/γ2
29.41Single8ID6Oleic acid8ID6-FFA4-Oleic acid-Gi1/β1/γ2
29.41Single8T1VPubChem 1183102098T1V-GPR6-PubChem 118310209-Na
29.41Single8UGWCGS216808UGW-A2A-CGS21680
29.41Single8X16Piclidenoson8X16-A3A-Piclidenoson-Gi1/β1/γ2
29.41Single8XVLZibotentan8XVL-ETA-Zibotentan
29.41Single8YH6Namodenoson8YH6-A3A-Namodenoson-Gi1/β1/γ2
29.41Single8ZR5Firuglipel8ZR5-GPR119-Firuglipel-Gs/β1/γ2
29.41Single8ZWFJR14a8ZWF-C3aB-JR14a
29.41Single9JMCDS-3801b9JMC-Motilin-DS-3801b-chim(Gs-CtGq)/β1/γ2
29.41Consensusa2_onOrthosteric Liganda2b_on
29.41Consensusa2_on_gpOrthosteric Liganda2b_on_gp
29.41Consensusa2b_onOrthosteric Ligand8HDP-A2B-Adenosine-Gs/β1/γ2 7XY6-A2B-BAY 60-6583-chim(NtGi1-Gs)/β1/γ2 7XY7-A2B-NECA-chim(NtGi1-Gs)/β1/γ2 8HDO-A2B-BAY 60-6583-Gs/β1/γ2
29.41Consensusa2b_on_gpOrthosteric Ligand8HDP-A2B-Adenosine-Gs/β1/γ2 7XY6-A2B-BAY 60-6583-chim(NtGi1-Gs)/β1/γ2 7XY7-A2B-NECA-chim(NtGi1-Gs)/β1/γ2 8HDO-A2B-BAY 60-6583-Gs/β1/γ2
29.41Consensusclass-a_offOrthosteric Ligandsensory_off alicarboxylic_off amine_off lipid_off nucleotide_off peptide_off protein_off
29.41Consensusgs_adenosineOrthosteric Ligand8HDP-A2B-Adenosine-Gs/β1/γ2 8HDO-A2B-BAY 60-6583-Gs/β1/γ2 7XY7-A2B-NECA-chim(NtGi1-Gs)/β1/γ2 7XY6-A2B-BAY 60-6583-chim(NtGi1-Gs)/β1/γ2
29.41Consensusgs_nucleotideOrthosteric Ligandgs_adenosine
29.41Consensush4_on_gpOrthosteric Ligand8HN8-H4-Histamine-Gi1/β1/γ2 8HOC-H4-Imetit-Gi1/β1/γ2 8JXV-H4-Clozapine-Gi1/β1/γ2 8JXW-H4-VUF6884-Gi1/β1/γ2 8JXX-H4-Clobenpropit-Gi1/β1/γ2
29.41Consensusnpy1_offOrthosteric Ligand5ZBH-Y1-BMS-193885 5ZBQ-Y1-UR-MK-299
29.41Consensuss1p5_onOrthosteric Ligand7EW1-S1P5-Siponimod-Gi1/β1/γ2
29.41Consensuss1p5_on_gpOrthosteric Ligand7EW1-S1P5-Siponimod-Gi1/β1/γ2
28.57Single1GZM11-cis-Retinal1GZM-Rhodopsin-11-cis-Retinal
28.57Single2Z7311-cis-Retinal2Z73-Rhodopsin-11-cis-Retinal
28.57Single3AYN9-cis-Retinal3AYN-Rhodopsin-9-cis-Retinal
28.57Single3C9L11-cis-Retinal3C9L-Rhodopsin-11-cis-Retinal
28.57Single3VG9ZM-2413853VG9-A2A-ZM-241385-Antibody
28.57Single5K2DZM-2413855K2D-A2A-ZM-241385-Na
28.57Single5OLHVipadenant5OLH-A2A-Vipadenant-Na
28.57Single5OLOTozadenant5OLO-A2A-Tozadenant-Na
28.57Single5OLVLUAA470705OLV-A2A-LUAA47070-Na
28.57Single6AKYMaraviroc6AKY-CCR5-Maraviroc
28.57Single6B73MP11046B73-κ-MP1104
28.57Single6DS0LY2660976DS0-5-HT2B-LY266097
28.57Single6JZHZM-2413856JZH-A2A-ZM-241385-Na
28.57Single6ME9Ramelteon6ME9-MT2-Ramelteon
28.57Single6OYAAll-trans-Retinal6OYA-Rhodopsin-All-trans-Retinal-Gt/β1/γ1
28.57Single6PS7ZM-2413856PS7-A2A-ZM-241385-Na
28.57Single6TODEMPA6TOD-OX1-EMPA-Na
28.57Single7DDZJNJ-310200287DDZ-Y2-JNJ-31020028
28.57Single7EZKCholecystokinin-87EZK-CCKA-Cholecystokinin-8-chim(NtGi1-Gs)/β1/γ2
28.57Single7F8ULintitript7F8U-CCKA-Lintitript
28.57Single7M3ECa; Ca; Tryptophan; NPS-21437M3E-CaS; CaS-Ca; Ca; Tryptophan; NPS-2143
28.57Single7M3ECa; Ca; Tryptophan; NPS-21437M3E-CaS; CaS-Ca; Ca; Tryptophan; NPS-2143
28.57Single7M3FCa; Ca; Tryptophan; Cinacalcet7M3F-CaS; CaS-Ca; Ca; Tryptophan; Cinacalcet
28.57Single7T8XAcetylcholine7T8X-M2-Acetylcholine-chim(NtGi1-Go)/β1/γ2
28.57Single7T90Acetylcholine7T90-M2-Acetylcholine-chim(NtGi1-Go)/β1/γ2
28.57Single7T96Acetylcholine7T96-M2-Acetylcholine-LY2119620-Go/β1/γ2
28.57Single7VIHCBP-3077VIH-S1P1-CBP-307-Gi1/β1/γ2
28.57Single7VUJJNJ-635330547VUJ-GPR139-JNJ-63533054-GDP-chim(Gs-CtGq)/β1/γ2
28.57Single7W0MPubChem 1227019087W0M-Apelin-PubChem 122701908-Gi1/β1/γ2
28.57Single8A6CAll-trans-Retinal8A6C-Rhodopsin-All-trans-Retinal
28.57Single8A6DAll-trans-Retinal8A6D-Rhodopsin-All-trans-Retinal
28.57Single8A6EAll-trans-Retinal8A6E-Rhodopsin-All-trans-Retinal
28.57Single8DU3PubChem 1055260648DU3-A2A-PubChem 105526064
28.57Single8EFOPZM218EFO-μ-PZM21-Gi1/β1/γ2
28.57Single8GNGIstradefylline8GNG-A2A-Istradefylline
28.57Single8J20Valeric acid8J20-FFA3-Valeric acid-AR420626-Gi1/β1/γ2
28.57Single8RW0Istradefylline8RW0-A2A-Istradefylline-Na
28.57Single9C1PCa; Tryptophan; '6218; PO49C1P-CaS; CaS-Ca-Ca; Tryptophan; '6218; PO4
28.57Single9H2XPubChem 1756706449H2X-A2A-PubChem 175670644-Na
28.57Single9M88Oleic monoethanolamide9M88-GPR3 ; GPR3-Oleic monoethanolamide-AF64394
28.57Single9ME1CXCL129ME1-CXCR4-CXCL12
28.57Single9PXUNaloxone9PXU-μ-Naloxone-Na
28.57Consensusm2_onOrthosteric Ligand7T8X-M2-Acetylcholine-chim(NtGi1-Go)/β1/γ2
28.57Consensusm2_on_gpOrthosteric Ligand7T8X-M2-Acetylcholine-chim(NtGi1-Go)/β1/γ2
28.57Consensusnpy2_offOrthosteric Ligand7DDZ-Y2-JNJ-31020028
28.57Consensusorexin_offOrthosteric Ligandox2_off ox1_off
28.57Consensusox2_offOrthosteric Ligand5WQC-OX2-EMPA 6TPN-OX2-HTL6641 7XRR-OX2-Lemborexant 6TPJ-OX2-Suvorexant
28.57Consensusrhodopsin_on_gpOrthosteric Ligand6OYA-Rhodopsin-All-trans-Retinal-Gt/β1/γ1
28.57Consensussst4_onOrthosteric Ligand7XMS-SST4-Somatostatin-14-Gi1/β1/γ2 7XMT-SST4-J-2156-Gi1/β1/γ2
28.57Consensussst4_on_gpOrthosteric Ligand7XMS-SST4-Somatostatin-14-Gi1/β1/γ2 7XMT-SST4-J-2156-Gi1/β1/γ2
28.00Single7WVYAmyloid-Beta427WVY-FPR2-ALX-Amyloid-β42-Gi2/β1/γ2
28.00Single9K26PrRP319K26-PrRP-PrRP31-Gi1/β1/γ2
28.00Single9KDFRES-701-39KDF-ETB-RES-701-3
27.78Single5UNHPubChem 1264564065UNH-AT2-PubChem 126456406
27.78Single6A93Risperidone6A93-5-HT2A-Risperidone
27.78Single7DFPSpiperone7DFP-D2-Spiperone
27.78Single7EO4Siponimod7EO4-S1P1-Siponimod-Gi1/β1/γ2
27.78Single7EPENAM5637EPE-mGlu2-NAM563
27.78Single7JNIOlodanrigan7JNI-AT2-Olodanrigan
27.78Single7L1VPubChem 1554910097L1V-OX2-PubChem 155491009-chim(NtGi1-Gs-CtGq)/β1/γ2
27.78Single7WCMMBX-29827WCM-GPR119-MBX-2982-Gs/β1/γ2
27.78Single7WCNAR2314537WCN-GPR119-AR231453-Gs/β1/γ2
27.78Single8I9AEP548I9A-C3aB-EP54-chim(NtGi1-Gs-CtGq)/β1/γ2
27.78Single8IA8E7 peptide8IA8-C3aB-E7 peptide-Gi1/β1/γ2
27.78Single8ID9Icosapent8ID9-FFA4-Icosapent-Gi1/β1/γ2
27.78Single8JD3JNJ-404118138JD3-mGlu2; mGlu3-Glutamate-JNJ-40411813-Gi1/β1/γ2
27.78Single8JZ7MK68928JZ7-HCA2-MK6892-Gi1/β1/γ2
27.78Single8VHFMBX-29828VHF-GPR119-MBX-2982-Gs/β1/γ2
27.78Single9VIFNeuropeptide-VF9VIF-NPFF1-Neuropeptide-VF-Gi1/β1/γ2
27.78Consensuskop_onOrthosteric Ligand8F7W-κ-Dynorphin-Gi1/β1/γ2 8DZS-κ-GR89,696-chim(NtGi2-Gz)/β1/γ2 8DZP-κ-momSalB-Gi1/β1/γ2
27.78Consensusorexin_onOrthosteric Ligandox2_on
27.27Single5MZJTheophylline5MZJ-A2A-Theophylline-Na
27.27Single6PT2KGCHM076PT2-δ-KGCHM07
27.27Single7WC4Serotonin7WC4-5-HT2A-Serotonin
27.27Single8PWNTheophylline8PWN-A2A-Theophylline
27.27Single9B54VIP369B54-CB1-VIP36-Gi1/β1/γ2
27.27Single9U4WGonadoliberin-19U4W-GnRH1-Gonadoliberin-1-chim(NtGi1L-Gs-CtGq)/β1/γ2
27.27Consensusangiotensin_onOrthosteric Ligandat1_on
27.27Consensusat1_onOrthosteric Ligand7F6G-AT1-(Sar1)-Angiotensin II-Gq/β1/γ2
27.27Consensusgs_cckOrthosteric Ligand7MBX-CCKA-Cholecystokinin-8-Gs/β1/γ1
27.27Consensuspeptide_offonOrthosteric Ligandpeptide_off peptide_on
26.67Single1F8811-cis-Retinal1F88-Rhodopsin-11-cis-Retinal
26.67Single3OAX11-cis-Retinal3OAX-Rhodopsin-11-cis-Retinal
26.67Single3REYPubChem 56973REY-A2A-PubChem 5697
26.67Single4ZJCSB-6740424ZJC-OX1-SB-674042
26.67Single5IU4ZM-2413855IU4-A2A-ZM-241385-Na
26.67Single5IU7Q274563465IU7-A2A-Q27456346-Na
26.67Single5IUBQ274563445IUB-A2A-Q27456344-Na
26.67Single5JTBZM-2413855JTB-A2A-ZM-241385
26.67Single5K2BZM-2413855K2B-A2A-ZM-241385-Na
26.67Single5K2CZM-2413855K2C-A2A-ZM-241385-Na
26.67Single5NLXZM-2413855NLX-A2A-ZM-241385-Na
26.67Single5NM4ZM-2413855NM4-A2A-ZM-241385-Na
26.67Single5UVIZM-2413855UVI-A2A-ZM-241385
26.67Single6AQFZM-2413856AQF-A2A-ZM-241385
26.67Single6ME32-Phenylmelatonin6ME3-MT1-2-Phenylmelatonin
26.67Single6PELCitronellol6PEL-Rhodopsin-Citronellol-Gt(CT)
26.67Single6PS82-Phenylmelatonin6PS8-MT1-2-Phenylmelatonin
26.67Single6TPKRetosiban6TPK-OT-Retosiban
26.67Single6V9SGTPL114036V9S-OX1-GTPL11403
26.67Single6VI4JDTic6VI4-κ-JDTic
26.67Single6ZDRHMS1413f126ZDR-A2A-HMS1413f12-Na
26.67Single6ZDVPubChem 9840736ZDV-A2A-PubChem 984073-Na
26.67Single6ZFZ77-LH-28-16ZFZ-M1-77-LH-28-1
26.67Single7AROLUF58337ARO-A2A-LUF5833-Na
26.67Single7F61PF-036547467F61-H3-PF-03654746
26.67Single7M3GCa; Ca; Tryptophan; Evocalcet; Etelcalcetide; PO47M3G-CaS; CaS-Ca; Ca; Tryptophan; Evocalcet; Etelcalcetide; PO4
26.67Single7T32ZM-2413857T32-A2A-ZM-241385
26.67Single7VODCariprazine7VOD-5-HT2A-Cariprazine
26.67Single7VUGJNJ-635330547VUG-GPR139-JNJ-63533054-Gi1/β1/γ2
26.67Single7WVUfMLF7WVU-FPR1-ALX-fMLF-Gi1/β1/γ2
26.67Single7ZBC11-cis-Retinal7ZBC-Rhodopsin-11-cis-Retinal
26.67Single7ZBE11-cis-Retinal7ZBE-Rhodopsin-11-cis-Retinal
26.67Single8K9KDAMGO8K9K-μ-DAMGO-Gi3/β1/γ1
26.67Single8RQQZM-2413858RQQ-A2A-ZM-241385-Na
26.67Single8RWCStilSwitch28RWC-A2A-StilSwitch2-Na
26.67Single8RWDStilSwitch38RWD-A2A-StilSwitch3-Na
26.67Single8RWIStilSwitch28RWI-A2A-StilSwitch2-Na
26.67Single8WPGTryptophan; Cinacalcet; PO4; Ca8WPG-CaS; CaS-Tryptophan; Cinacalcet; PO4; Ca
26.67Single8Y01All-trans-Retinal8Y01-Opsin1MW-All-trans-Retinal-Gi1/β1/γ2
26.67Single8Y62C16:0 Ceramide8Y62-FPR2-ALX-C16:0 Ceramide-Gi1/β1/γ2
26.67Single8ZBWQuin-C18ZBW-FPR2-ALX-Quin-C1-Gi2/β1/γ2
26.67Single9ASBCa; Ca; Cyclomethyltryptophan; R-568; PO49ASB-CaS; CaS-Ca-Ca; Ca; Cyclomethyltryptophan; R-568; PO4-chim(NtGi1-Gs-CtGq)/β1/γ2
26.67Single9EPQ11,20-Ethanoretinal9EPQ-Rhodopsin-11,20-Ethanoretinal-chim(Gi1-CtGq)/β1/γ2
26.67Single9KUWCMPD6449KUW-Apelin; Apelin-CMPD644-Arrestin2 ; Arrestin2
26.67Single9P1TZM-2413859P1T-A2A-ZM-241385
26.67Single9PY2Loperamide9PY2-μ-Loperamide-GDPβS-Gi1/β1/γ2
26.67Consensusa2_offOrthosteric Liganda2a_off
26.67Consensusa2a_offOrthosteric Ligand3RFM-A2A-Caffeine 8C9W-A2A-Etrumadenant 3UZA-A2A-GTPL9236 8GNG-A2A-Istradefylline 8CU6-A2A-LJ-4517 7PX4-A2A-PSB-2113 7PYR-A2A-PSB-2115 8DU3-A2A-PubChem 105526064 8JWY-A2A-2-118 8PWN-A2A-Theophylline 5IU4-A2A-ZM-241385-Na 5OLZ-A2A-PubChem 135566609-Na 6GT3-A2A-Imaradenant-Na 5OLV-A2A-LUAA47070-Na 5N2R-A2A-PSB36-Na 5IU7-A2A-Q27456346-Na 5OLH-A2A-Vipadenant-Na 5OLO-A2A-Tozadenant-Na 6ZDR-A2A-HMS1413f12-Na 8GNE-A2A-KW-6356-Na 8JWZ-A2A-Etrumadenant-Na 5IU8-A2A-Q27456347-Na 5IUB-A2A-Q27456344-Na 6ZDV-A2A-PubChem 984073-Na 5IUA-A2A-Q27456348-Na 8A2P-A2A-LUAA47070-Na
26.67Consensusot_offOrthosteric Ligand6TPK-OT-Retosiban
26.67Consensusvasop-oxy_offOrthosteric Ligandot_off
26.32Single5UNGPubChem 157800525UNG-AT2-PubChem 15780052
26.32Single7EZHCholecystokinin-87EZH-CCKA-Cholecystokinin-8-Gi1/β1/γ2
26.32Single7EZMCholecystokinin-87EZM-CCKA-Cholecystokinin-8-chim(NtGsL-Gq)/β1/γ2
26.32Single7MTSADX551647MTS-mGlu2; mGlu2-Glutamate-ADX55164-Gi1/β1/γ2
26.32Single7U2KC6-guano7U2K-μ-C6-guano-Gi1/β1/γ2
26.32Single7X1UTRH7X1U-TRH-TRH-chim(NtGi2L-Gs-CtGq)/β1/γ2
26.32Single7XK2MK68927XK2-HCA2-MK6892-Gi1/β1/γ2
26.32Single7XZ6APD6687XZ6-GPR119-APD668-Gs/β1/γ2
26.32Single8I95EP548I95-C3aB-EP54-Go/β1/γ2
26.32Single8IJDMK68928IJD-HCA2-MK6892-Gi1/β1/γ2
26.32Single8ZWGJR14a8ZWG-C3aB-JR14a-Gi1/β1/γ2
26.32Single9KUGEP679KUG-C5a1-EP67-Go/β1/γ2
26.32Single9M54Neuropeptide-VF9M54-NPFF2-Neuropeptide-VF-Gi1/β1/γ2
26.32Single9YDRDADLE9YDR-δ-DADLE-MIPS3983-chim(NtGi1L-Gs-CtGi1)/β1/γ2
26.32Consensuscck_onOrthosteric Ligandccka_on cckb_on
26.32Consensuscck_on_gpOrthosteric Ligandccka_on_gp cckb_on_gp
26.32Consensusccka_onOrthosteric Ligand7EZH-CCKA-Cholecystokinin-8-Gi1/β1/γ2
26.32Consensusccka_on_gpOrthosteric Ligand7EZH-CCKA-Cholecystokinin-8-Gi1/β1/γ2
26.32Consensuschemerin_onOrthosteric Ligandcml1_on
26.32Consensusclass-a_onOrthosteric Ligandsensory_on alicarboxylic_on amine_on lipid_on nucleotide_on peptide_on protein_on
26.32Consensuskop_on_gpOrthosteric Ligand8F7W-κ-Dynorphin-Gi1/β1/γ2 8DZS-κ-GR89,696-chim(NtGi2-Gz)/β1/γ2 8DZP-κ-momSalB-Gi1/β1/γ2
26.32Consensusnk2_onOrthosteric Ligand7XWO-NK2-Neurokinin-A-chim(NtGi1-Gs-CtGq)/β1/γ2
26.32Consensuspeptide_offOrthosteric Ligandcck_off angiotensin_off bombesin_off endothelin_off ghrelin_off npy_off opioid_off orexin_off somatostatin_off tachykinin_off vasop-oxy_off neurotensin_off
26.09Single7DW9AVP7DW9-V2-AVP-chim(NtGi1-Gs)/β1/γ2
26.09Single7F6G(Sar1)-Angiotensin II7F6G-AT1-(Sar1)-Angiotensin II-Gq/β1/γ2
26.09Single8H4KGW95088H4K-FFA4-GW9508-chim(NtGi1-Gs-CtGq)/β1/γ2
26.09Single8IEDPubChem 1347468948IED-GPR156; GPR156-PubChem 134746894-Go/β1/γ2
26.09Single8IHFMK68928IHF-HCA2-MK6892-Gi1/β1/γ2
26.09Single8J6IMK68928J6I-HCA2-MK6892-Gi1/β1/γ2
26.09Single9BKKCholecystokinin-89BKK-CCKA-Cholecystokinin-8-chim(NtGi1-Gs-CtGq)/β1/γ2
26.09Consensusangiotensin_on_gpOrthosteric Ligandat1_on_gp
26.09Consensusat1_on_gpOrthosteric Ligand7F6G-AT1-(Sar1)-Angiotensin II-Gq/β1/γ2
26.09Consensusfpr2-alx_on_gpOrthosteric Ligand7WVX-FPR2-ALX-Humanin-Gi2/β1/γ2 7T6U-FPR2-ALX-CGEN-855A-Gi1/β1/γ2 7T6V-FPR2-ALX-fMLFII-Gi1/β1/γ2 7WVY-FPR2-ALX-Amyloid-β42-Gi2/β1/γ2 7T6S-FPR2-ALX-TC-FPR 43-Gi1/β1/γ2 6OMM-FPR2-ALX-WKYMVX-Gi1/β1/γ2
26.09Consensusgi_class-aOrthosteric Ligandgi_peptide gi_sensory gi_alicarboxylic gi_amine gi_lipid gi_nucleotide gi_protein
26.09Consensusgq_angiotensinOrthosteric Ligand7F6G-AT1-(Sar1)-Angiotensin II-Gq/β1/γ2
26.09Consensusgs_vasop-oxyOrthosteric Ligand7DW9-V2-AVP-chim(NtGi1-Gs)/β1/γ2
26.09Consensuspeptide_offon_gpOrthosteric Ligandpeptide_on_gp peptide_off
26.09Consensusv2_onOrthosteric Ligand7DW9-V2-AVP-chim(NtGi1-Gs)/β1/γ2
26.09Consensusv2_on_gpOrthosteric Ligand7DW9-V2-AVP-chim(NtGi1-Gs)/β1/γ2
26.09Consensusvasop-oxy_onOrthosteric Ligandv2_on
26.09Consensusvasop-oxy_on_gpOrthosteric Ligandv2_on_gp
25.93Consensusbb2_onOrthosteric Ligand7W40-BB2-Bombesin-chim(NtGi1L-Gq)/β1/γ2 7W3Z-BB2-Gastrin Releasing Peptide-chim(NtGi1L-Gq)/β1/γ2
25.93Consensusbb2_on_gpOrthosteric Ligand7W40-BB2-Bombesin-chim(NtGi1L-Gq)/β1/γ2 7W3Z-BB2-Gastrin Releasing Peptide-chim(NtGi1L-Gq)/β1/γ2
25.93Consensusbombesin_onOrthosteric Ligandbb2_on
25.93Consensusbombesin_on_gpOrthosteric Ligandbb2_on_gp
25.93Consensusgq_bombesinOrthosteric Ligand7W40-BB2-Bombesin-chim(NtGi1L-Gq)/β1/γ2 7W3Z-BB2-Gastrin Releasing Peptide-chim(NtGi1L-Gq)/β1/γ2
25.00Single2HPYAll-trans-Retinal2HPY-Rhodopsin-All-trans-Retinal
25.00Single3EMLZM-2413853EML-A2A-ZM-241385
25.00Single3RFMCaffeine3RFM-A2A-Caffeine
25.00Single4EIYZM-2413854EIY-A2A-ZM-241385-Na
25.00Single5IU8Q274563475IU8-A2A-Q27456347-Na
25.00Single5K2AZM-2413855K2A-A2A-ZM-241385-Na
25.00Single5OLGZM-2413855OLG-A2A-ZM-241385-Na
25.00Single5UENDU1725UEN-A1-DU172
25.00Single5VRAZM-2413855VRA-A2A-ZM-241385-Na
25.00Single5WF6UK-4320975WF6-A2A-UK-432097
25.00Single5ZTYAM102575ZTY-CB2-AM10257
25.00Single6LPJZM-2413856LPJ-A2A-ZM-241385-Na
25.00Single6LPKZM-2413856LPK-A2A-ZM-241385-Na
25.00Single6OY9All-trans-Retinal6OY9-Rhodopsin-All-trans-Retinal-Gt/β1/γ1
25.00Single6S0LZM-2413856S0L-A2A-ZM-241385
25.00Single6TOTLemborexant6TOT-OX1-Lemborexant
25.00Single7DD5Ca; Ca; Tryptophan; NPS-21437DD5-CaS; CaS-Ca-Ca; Ca; Tryptophan; NPS-2143
25.00Single7M3JNPS-2143; PO47M3J-CaS; CaS-NPS-2143; PO4
25.00Single7MTBAll-trans-Retinal7MTB-Rhodopsin-All-trans-Retinal-GRK1
25.00Single7PYRPSB-21157PYR-A2A-PSB-2115
25.00Single7T11Octreotide7T11-SST2-Octreotide-Gi3/β1/γ2
25.00Single7VIFFTY720-P7VIF-S1P1-FTY720-P-Gi1/β1/γ2
25.00Single7WC8Lumateperone7WC8-5-HT2A-Lumateperone
25.00Single7XN9L-0545227XN9-SST2-L-054522
25.00Single7XV3Lysophosphatidylserine (WJS)7XV3-GPR174-Lysophosphatidylserine (WJS)-chim(NtGi1-Gs)/β1/γ2
25.00Single7YACPaltusotine7YAC-SST2-Paltusotine-Gi1/β1/γ2
25.00Single7YAEOctreotide7YAE-SST2-Octreotide-Gi1/β1/γ2
25.00Single8A2OTheophylline8A2O-A2A-Theophylline-Na
25.00Single8EFQDAMGO8EFQ-μ-DAMGO-Gi1/β1/γ2
25.00Single8IA7Cholecystokinin-88IA7-CCKB-Cholecystokinin-8-chim(NtGi1L-Gq)/β1/γ2
25.00Single8KEXDCA-3P8KEX-MRGPRX4-DCA-3P
25.00Single8RW7StilSwitch18RW7-A2A-StilSwitch1-Na
25.00Single8RWXStilSwitch38RWX-A2A-StilSwitch3-Na
25.00Single8T1WCVN4248T1W-GPR6-CVN424
25.00Single8WC5Tetramethylammonium Ion8WC5-TA1-Tetramethylammonium Ion-chim(NtGi1-Gs)/β1/γ2
25.00Single8XGOTAK4488XGO-Kiss1-TAK448-chim(NtGi1-Gq)/β1/γ2
25.00Single8YH5Riboprine8YH5-A3A-Riboprine-Gi1/β1/γ2
25.00Single8Z8ALactate8Z8A-HCA1-Lactate-Gi1/β1/γ2
25.00Single8ZQEGPR15L(CT)8ZQE-GPR15-GPR15L(CT)-Gi1/β1/γ1
25.00Single9BQJRO769BQJ-μ-RO76-Gi1/β1/γ2
25.00Single9EE9Adenosine9EE9-A2A-Adenosine-Gs/β1/γ2
25.00Single9H37PubChem 1756706469H37-A2A-PubChem 175670646-Na
25.00Single9IPVJR14a9IPV-C3aB-JR14a-Gi1/β1/γ2
25.00Single9IYAONO-97105319IYA-GPR55-ONO-9710531
25.00Single9JF4PD1683689JF4-BB1-PD168368
25.00Single9JGKBalovaptan9JGK-5-HT2B-Balovaptan
25.00Single9KFTfMLFC9KFT-FPR1-ALX-fMLFC-Gi1/β1/γ2
25.00Single9KUXCMPD6449KUX-Apelin; Apelin-CMPD644-Arrestin2
25.00Single9KZ2EP679KZ2-C3aB-EP67-Go/β1/γ2
25.00Single9M42A1L8O9M42-GPR139-A1L8O-chim(Gs-CtGq)/β1/γ2
25.00Single9P1SZM-2413859P1S-A2A-ZM-241385
25.00Single9UMJEP549UMJ-C3aB-EP54-Go/β1/γ2
25.00Single9V2NMacimorelin9V2N-Ghrelin-Macimorelin-chim(NtGi1-Gs-CtGq)/β1/γ2
25.00Consensusalicarboxylic_on_gpOrthosteric Ligandsuccinate_on_gp hca_on_gp
25.00Consensuscb2_offOrthosteric Ligand5ZTY-CB2-AM10257
25.00Consensuscck_offOrthosteric Ligandccka_off
25.00Consensusccka_offOrthosteric Ligand7F8Y-CCKA-Devazepide 7F8U-CCKA-Lintitript
25.00Consensusdop_onOrthosteric Ligand8F7S-δ-Deltorphin-Gi1/β1/γ2
25.00Consensusformylpeptide_onOrthosteric Ligandfpr2-alx_on fpr1-alx_on
25.00Consensusgi_alicarboxylicOrthosteric Ligandgi_hca gi_succinate
25.00Consensusnucleotide_offonOrthosteric Ligandnucleotide_off nucleotide_on
25.00Consensusnucleotide_offon_gpOrthosteric Ligandnucleotide_on_gp nucleotide_off
25.00Consensusopioid_onOrthosteric Ligandmop_on nop_on dop_on kop_on
25.00Consensusopsins_onOrthosteric Ligandrhodopsin_on opsin1lw_on
25.00Consensussensory_onOrthosteric Ligandopsins_on
25.00Consensussst2_onOrthosteric Ligand7WIC-SST2-Somatostatin-14-Gi1/β1/γ2 7WIG-SST2-L-054264-Gi1/β1/γ2 7YAE-SST2-Octreotide-Gi1/β1/γ2 7YAC-SST2-Paltusotine-Gi1/β1/γ2
25.00Consensussst2_on_gpOrthosteric Ligand7WIC-SST2-Somatostatin-14-Gi1/β1/γ2 7WIG-SST2-L-054264-Gi1/β1/γ2 7YAE-SST2-Octreotide-Gi1/β1/γ2 7YAC-SST2-Paltusotine-Gi1/β1/γ2
24.00Single8H0PNMB308H0P-BB1-NMB30-chim(NtGi1-Gs-CtGq)/β1/γ2
24.00Consensusgi_peptideOrthosteric Ligandgi_cck gi_apelin gi_compl-pept gi_endothelin gi_formylpeptide gi_galanin gi_ghrelin gi_npy gi_neurotensin gi_opioid gi_orexin gi_relaxin gi_somatostatin
24.00Consensusopioid_on_gpOrthosteric Ligandmop_on_gp nop_on_gp dop_on_gp kop_on_gp
23.81Single7F8XNN90567F8X-CCKA-NN9056
23.81Single8F7XNociceptin8F7X-NOP-Nociceptin-Gi1/β1/γ2
23.81Single8IEBPubChem 1347468948IEB-GPR156; GPR156-PubChem 134746894
23.81Single8J6RMK68928J6R-HCA2-MK6892-Gi1/β1/γ2
23.81Single8ZBJSomatostatin-148ZBJ-SST5-Somatostatin-14-Gi1/β1/γ2
23.81Single8ZCJPasireotide8ZCJ-SST5-Pasireotide-Gi1/β1/γ1
23.81Single9UMRC5a-pep9UMR-C5a1-C5a-pep-Go/β1/γ2
23.81Single9UYJChemerin-99UYJ-CML2-Chemerin-9-Arrestin2
23.81Consensuschemerin_on_gpOrthosteric Ligandcml1_on_gp
23.81Consensuscml1_onOrthosteric Ligand7YKD-CML1-Chemerin-9-Gi1/β1/γ2
23.81Consensusgi_chemerinOrthosteric Ligand7YKD-CML1-Chemerin-9-Gi1/β1/γ2
23.81Consensuslpl_onOrthosteric Ligands1p_on lpa_on
23.81Consensuslpl_on_gpOrthosteric Ligands1p_on_gp lpa_on_gp
23.81Consensusnop_onOrthosteric Ligand8F7X-NOP-Nociceptin-Gi1/β1/γ2
23.81Consensusnop_on_gpOrthosteric Ligand8F7X-NOP-Nociceptin-Gi1/β1/γ2
23.53Single4NTJAZD12834NTJ-P2Y12-AZD1283
23.53Single4ZJ8Suvorexant4ZJ8-OX1-Suvorexant
23.53Single5IUAQ274563485IUA-A2A-Q27456348-Na
23.53Single5N2RPSB365N2R-A2A-PSB36-Na
23.53Single5N2SPSB365N2S-A1-PSB36
23.53Single6D26Fevipiprant6D26-DP2-Fevipiprant
23.53Single6LPLZM-2413856LPL-A2A-ZM-241385-Na
23.53Single6S0QZM-2413856S0Q-A2A-ZM-241385
23.53Single6TO7Suvorexant6TO7-OX1-Suvorexant-Na
23.53Single6TP6Filorexant6TP6-OX1-Filorexant
23.53Single6WQAZM-2413856WQA-A2A-ZM-241385-Na
23.53Single7E9GJNJ-404118137E9G-mGlu2; mGlu2-Eglumetad-JNJ-40411813-Gi1/β1/γ2
23.53Single7EO2FTY720-P7EO2-S1P1-FTY720-P-Gi1/β1/γ2
23.53Single7EPFNAM5977EPF-mGlu2-NAM597
23.53Single7M3GCa; Ca; Tryptophan; Evocalcet; Etelcalcetide; PO47M3G-CaS; CaS-Ca; Ca; Tryptophan; Evocalcet; Etelcalcetide; PO4
23.53Single7M3JNPS-2143; PO47M3J-CaS; CaS-NPS-2143; PO4
23.53Single7RM5ZM-2413857RM5-A2A-ZM-241385-Na
23.53Single7SINNPS-21437SIN-CaS; CaS-NPS-2143
23.53Single7SINNPS-21437SIN-CaS; CaS-NPS-2143
23.53Single7TD3S1P7TD3-S1P1-S1P-Gi1/β1/γ2
23.53Single7VUHJNJ-635330547VUH-GPR139-JNJ-63533054-chim(Gs-CtGq)/β1/γ2
23.53Single7WIGL-0542647WIG-SST2-L-054264-Gi1/β1/γ2
23.53Single7Y26Octreotide7Y26-SST2-Octreotide-chim(NtGi2L-Gs-CtGq)/β1/γ2
23.53Single8FYNZM-2413858FYN-A2A-ZM-241385-Na
23.53Single8GNEKW-63568GNE-A2A-KW-6356-Na
23.53Single8HNLPS3724248HNL-CXCR3-PS372424-Gi1/β1/γ2
23.53Single8J6JGSK2560738J6J-HCA2-GSK256073-Gi1/β1/γ2
23.53Single8K8JFenofibrate8K8J-CB1-Fenofibrate-chim(Gs-CtGq)/β1/γ2
23.53Single8KFXLMD-0098KFX-CCR8-LMD-009-Gi1/β1/γ2
23.53Single8S4DCMF-0198S4D-Apelin-CMF-019
23.53Single8SZGCa; Ca; Tryptophan; Cinacalcet; PO4; Spermine8SZG-CaS; CaS-Ca; Ca; Tryptophan; Cinacalcet; PO4; Spermine-chim(NtGi1-Gq)/β1/γ2
23.53Single8TF5Oleic acid8TF5-GPR6-Oleic acid
23.53Single8XYKVUF106618XYK-CXCR3-VUF10661-Go/β1/γ2
23.53Single8ZPTPrRP208ZPT-PrRP-PrRP20-chim(NtGi1-Gs-CtGq)/β1/γ2
23.53Single9AVLCa; Ca; Cyclomethyltryptophan; R-568; PO49AVL-CaS; CaS-Ca-Ca; Ca; Cyclomethyltryptophan; R-568; PO4-Gi3/β2/γ2
23.53Single9HAPTolvaptan9HAP-V2-Tolvaptan
23.53Single9IYBPGD29IYB-DP2-PGD2-A1D5Q-Gi1/β1/γ2
23.53Single9KUTJR14a9KUT-C3aB-JR14a-Go/β1/γ2
23.53Single9KUVCMPD6449KUV-Apelin-CMPD644-Arrestin2
23.53Single9M8POleic monoethanolamide9M8P-GPR3 ; GPR3-Oleic monoethanolamide-AF64394
23.53Consensusa1_offOrthosteric Ligand5UEN-A1-DU172 5N2S-A1-PSB36
23.53Consensusdp2_offOrthosteric Ligand6D26-DP2-Fevipiprant
23.53Consensusdp_offOrthosteric Liganddp2_off
23.08Single2J4Y11-cis-Retinal2J4Y-Rhodopsin-11-cis-Retinal
23.08Single3C9M11-cis-Retinal3C9M-Rhodopsin-11-cis-Retinal
23.08Single3PQRAll-trans-Retinal3PQR-Rhodopsin-All-trans-Retinal-Gt(CT)
23.08Single5WKTOctyl-Beta-D-Glucopyranoside5WKT-Rhodopsin-Octyl-β-D-Glucopyranoside-Gt(CT)
23.08Single6FK9PubChem 1324730366FK9-Rhodopsin-PubChem 132473036
23.08Single6ME5Agomelatine6ME5-MT1-Agomelatine
23.08Single8EITDoconexent8EIT-FFA1-Doconexent-chim(NtGi1L-Gs-CtGq)/β1/γ2
23.08Single8IU2All-trans-Retinal8IU2-Opsin1LW-All-trans-Retinal-Gi1/β1/γ2
23.08Single8J21Butyric acid8J21-FFA3-Butyric acid-Gi1/β1/γ2
23.08Single8J24Acetic acid8J24-FFA2-Acetic acid-Gi1/β1/γ2
23.08Single8J6QBeta-Hydroxybutyrate8J6Q-HCA2-β-Hydroxybutyrate-PubChem 25101223-Gi1/β1/γ2
23.08Single8JXTHistamine8JXT-H4-Histamine-PO4-Gi1/β1/γ2
23.08Single8SZFCa; Ca; Tryptophan; Cinacalcet; PO4; Spermine8SZF-CaS; CaS-Ca; Ca; Tryptophan; Cinacalcet; PO4; Spermine
23.08Single8ZH8QRFP268ZH8-QRFP-QRFP26-Gq/β1/γ1
23.08Single9IV15alpha-DHT9IV1-ADGRD1-5α-DHT-chim(NtGi1-Gs)/β1/γ2
23.08Single9JG1Adriforant9JG1-H4-Adriforant
23.08Consensusffa3_onOrthosteric Ligand8J21-FFA3-Butyric acid-Gi1/β1/γ2
23.08Consensusffa3_on_gpOrthosteric Ligand8J21-FFA3-Butyric acid-Gi1/β1/γ2
23.08Consensusgi_opsinsOrthosteric Ligand8IU2-Opsin1LW-All-trans-Retinal-Gi1/β1/γ2
23.08Consensusgi_sensoryOrthosteric Ligandgi_opsins
23.08Consensusgq_peptideOrthosteric Ligandgq_cck gq_kisspeptin gq_bradykinin gq_bombesin gq_angiotensin
23.08Consensusopsin1lw_onOrthosteric Ligand8IU2-Opsin1LW-All-trans-Retinal-Gi1/β1/γ2
23.08Consensusopsin1lw_on_gpOrthosteric Ligand8IU2-Opsin1LW-All-trans-Retinal-Gi1/β1/γ2
23.08Consensuspeptide_onOrthosteric Ligandcck_on angiotensin_on apelin_on bombesin_on bradykinin_on compl-peptide_on endothelin_on formylpeptide_on galanin_on ghrelin_on kisspeptin_on melanocortin_on motilin_on neuromedin-u_on npy_on neurotensin_on opioid_on orexin_on relaxin_on somatostatin_on tachykinin_on trh_on vasop-oxy_on
23.08Consensuspeptide_on_gpOrthosteric Ligandcck_on_gp angiotensin_on_gp apelin_on_gp bombesin_on_gp bradykinin_on_gp compl-peptide_on_gp endothelin_on_gp formylpeptide_on_gp galanin_on_gp ghrelin_on_gp kisspeptin_on_gp melanocortin_on_gp motilin_on_gp neuromedin-u_on_gp npy_on_gp neurotensin_on_gp opioid_on_gp orexin_on_gp relaxin_on_gp somatostatin_on_gp tachykinin_on_gp trh_on_gp vasop-oxy_on_gp
22.73Single8F7SDeltorphin8F7S-δ-Deltorphin-Gi1/β1/γ2
22.73Single9IK8Pasireotide9IK8-SST1-Pasireotide-Gi1/β1/γ2
22.73Single9KT7MK68929KT7-HCA2-MK6892-Gi1/β1/γ2
22.73Single9L60Dynorphin9L60-κ-Dynorphin-MPAM-15-Gi1/β1/γ2
22.73Single9UMXEP549UMX-C5a1-EP54-Go/β1/γ2
22.73Consensuscckb_onOrthosteric Ligand8IA7-CCKB-Cholecystokinin-8-chim(NtGi1L-Gq)/β1/γ2 7XOW-CCKB-Sulfated Gastrin-(10-17)-chim(NtGi1-Gq)/β1/γ2 7F8V-CCKB-Gastrin-17-Gi2/β1/γ2
22.73Consensusdop_on_gpOrthosteric Ligand8F7S-δ-Deltorphin-Gi1/β1/γ2
22.73Consensusformylpeptide_on_gpOrthosteric Ligandfpr2-alx_on_gp fpr1-alx_on_gp
22.73Consensusgi_cckOrthosteric Ligand7EZH-CCKA-Cholecystokinin-8-Gi1/β1/γ2 7F8V-CCKB-Gastrin-17-Gi2/β1/γ2
22.73Consensusgq_class-aOrthosteric Ligandgq_peptide gq_amine gq_nucleotide
22.22Single4DJHJDTic4DJH-κ-JDTic
22.22Single4Z34ONO-97803074Z34-LPA1-ONO-9780307
22.22Single5ZBHBMS-1938855ZBH-Y1-BMS-193885
22.22Single6RZ5Zafirlukast6RZ5-CysLT1-Zafirlukast-Na
22.22Single7EW3S1P7EW3-S1P3-S1P-Gi1/β1/γ2
22.22Single7M8W15r-Methyl-PGD27M8W-DP2-15r-Methyl-PGD2-Na
22.22Single7PX4PSB-21137PX4-A2A-PSB-2113
22.22Single7T9NDPPC7T9N-TSH-M22 Fab-DPPC-Gs/β1/γ2
22.22Single7VGXNeuropeptide-Y7VGX-Y1-Neuropeptide-Y-Gi1/β1/γ2
22.22Single7VIGCBP-3077VIG-S1P1-CBP-307-Gi1/β1/γ2
22.22Single7WV9CP559407WV9-CB1-CP55940-ZCZ011-Gi2/β1/γ2
22.22Single7XAVLanreotide7XAV-SST2-Lanreotide-Gi1/β1/γ2
22.22Single8EF5Fentanyl8EF5-μ-Fentanyl-Gi1/β1/γ2
22.22Single8HPTC5a (C-terminal peptide)8HPT-C5a1-C5a (C-terminal peptide)-Go/β1/γ2
22.22Single8JD5JNJ-40411813; ADX881788JD5-mGlu2; mGlu4-Glutamate-JNJ-40411813; ADX88178-Gi1/β1/γ2
22.22Single8JZPC5a8JZP-C5a1-C5a-Go/β1/γ2
22.22Single8WU1MDMB-Fubinaca8WU1-CB1-MDMB-Fubinaca-Arrestin2
22.22Single8XIPPasireotide8XIP-SST1-Pasireotide-chim(NtGi1-Gs-CtGi1)/β1/γ2
22.22Single8Y52BA18Y52-BB3-BA1-chim(NtGi1-Gs-CtGq)/β1/γ2
22.22Single8Y73Peptide8Y73-μ-Peptide-MPAM-15-Gi1/β1/γ2
22.22Single9AYFCa; Ca; Ca; Cyclomethyltryptophan; R-568; PO49AYF-CaS; CaS-Ca-Ca; Ca; Ca; Cyclomethyltryptophan; R-568; PO4-Gi1/β1/γ2
22.22Single9B65MDMB-Fubinaca9B65-CB1-MDMB-Fubinaca-Gi1/β1/γ2
22.22Single9IK9Lanreotide9IK9-SST1-Lanreotide-Gi1/β1/γ2
22.22Single9UY3Anamorelin9UY3-Ghrelin-Anamorelin-chim(NtGi1-Gs-CtGq)/β1/γ2
22.22Single9WSTDAMGO9WST-μ-DAMGO-chim(NtGi1-Gz)/β1/γ2
22.22Consensuscyslt1_offOrthosteric Ligand6RZ5-CysLT1-Zafirlukast-Na 6RZ4-CysLT1-Pranlukast-Na
22.22Consensuskop_offOrthosteric Ligand4DJH-κ-JDTic
22.22Consensusnpy_offOrthosteric Ligandnpy1_off npy2_off
21.74Single7MBXCholecystokinin-87MBX-CCKA-Cholecystokinin-8-Gs/β1/γ1
21.74Single7TD0LPA7TD0-LPA1-LPA-Gi1/β1/γ2
21.74Single8XIRPasireotide8XIR-SST3-Pasireotide-chim(NtGi1-Gs-CtGi1)/β1/γ2
21.74Single9K27PrRP319K27-PrRP-PrRP31-chim(NtGi1-Gq)/β1/γ2
21.74Single9M1ONeuropeptide-FF9M1O-NPFF2-Neuropeptide-FF-Gi1/β1/γ2
21.74Consensuscckb_on_gpOrthosteric Ligand8IA7-CCKB-Cholecystokinin-8-chim(NtGi1L-Gq)/β1/γ2 7XOW-CCKB-Sulfated Gastrin-(10-17)-chim(NtGi1-Gq)/β1/γ2 7F8V-CCKB-Gastrin-17-Gi2/β1/γ2
21.74Consensusfpr2-alx_onOrthosteric Ligand7WVX-FPR2-ALX-Humanin-Gi2/β1/γ2 7T6U-FPR2-ALX-CGEN-855A-Gi1/β1/γ2 7T6V-FPR2-ALX-fMLFII-Gi1/β1/γ2 7WVY-FPR2-ALX-Amyloid-β42-Gi2/β1/γ2 7T6S-FPR2-ALX-TC-FPR 43-Gi1/β1/γ2 6OMM-FPR2-ALX-WKYMVX-Gi1/β1/γ2
21.74Consensusgi_somatostatinOrthosteric Ligand7WIC-SST2-Somatostatin-14-Gi1/β1/γ2 7XMS-SST4-Somatostatin-14-Gi1/β1/γ2 8X8L-SST5-Cortistatin-14-chim(NtGi1-Gs-CtGi1)/β1/γ2 7XMT-SST4-J-2156-Gi1/β1/γ2 7WIG-SST2-L-054264-Gi1/β1/γ2 8X8N-SST5-Octreotide-chim(NtGi1-Gs-CtGi1)/β1/γ2 7YAE-SST2-Octreotide-Gi1/β1/γ2 7YAC-SST2-Paltusotine-Gi1/β1/γ2
21.74Consensussomatostatin_onOrthosteric Ligandsst2_on sst4_on sst5_on
21.74Consensussomatostatin_on_gpOrthosteric Ligandsst2_on_gp sst4_on_gp sst5_on_gp
21.43Single5TE520-Methanoretinal5TE5-Rhodopsin-20-Methanoretinal
21.43Single6FK6PubChem 1324730336FK6-Rhodopsin-PubChem 132473033
21.43Single6I9K9-cis-Retinal6I9K-Rhodopsin-9-cis-Retinal
21.43Single6PH7Nerol6PH7-Rhodopsin-Nerol-Gt(CT)
21.43Single6QNOAll-trans-Retinal6QNO-Rhodopsin-All-trans-Retinal-Gi1/β1/γ1
21.43Single7DD5Ca; Ca; Tryptophan; NPS-21437DD5-CaS; CaS-Ca-Ca; Ca; Tryptophan; NPS-2143
21.43Single7VUIJNJ-635330547VUI-GPR139-JNJ-63533054-GTP-chim(Gs-CtGq)/β1/γ2
21.43Single8H2GNiacin8H2G-HCA2-Niacin-Gi1/β1/γ2
21.43Single8JPNCis-Epoxysuccinic acid8JPN-Succinate-Cis-Epoxysuccinic acid-Gi1/β1/γ1
21.43Single8K5BNiacin8K5B-HCA2-Niacin
21.43Single8RWHStilSwitch28RWH-A2A-StilSwitch2-Na
21.43Single8WP1Cis-Epoxysuccinic acid8WP1-Succinate-Cis-Epoxysuccinic acid-Gi1/β1/γ2
21.43Single9IQTNiacin9IQT-HCA2-Niacin-Gi1/β1/γ2
21.43Single9KUWCMPD6449KUW-Apelin; Apelin-CMPD644-Arrestin2 ; Arrestin2
21.43Single9M88Oleic monoethanolamide9M88-GPR3 ; GPR3-Oleic monoethanolamide-AF64394
21.43Consensush4_onOrthosteric Ligand8HN8-H4-Histamine-Gi1/β1/γ2 8HOC-H4-Imetit-Gi1/β1/γ2 8JXV-H4-Clozapine-Gi1/β1/γ2 8JXW-H4-VUF6884-Gi1/β1/γ2 8JXX-H4-Clobenpropit-Gi1/β1/γ2
21.05Single4OR2FITM4OR2-mGlu1; mGlu1-FITM
21.05Single4Z36ONO-30805734Z36-LPA1-ONO-3080573
21.05Single6OS0Angiotensin II6OS0-AT1-Angiotensin II
21.05Single7L1UOrexin7L1U-OX2-Orexin-chim(NtGi1-Gs-CtGq)/β1/γ2
21.05Single7MTRADX551647MTR-mGlu2; mGlu2-Glutamate-ADX55164
21.05Single7SUSPubChem 1227019087SUS-Apelin-PubChem 122701908
21.05Single7W0LPubChem 1227019087W0L-Apelin; Apelin-PubChem 122701908-Gi1/β1/γ2
21.05Single7W0LPubChem 1227019087W0L-Apelin; Apelin-PubChem 122701908-Gi1/β1/γ2
21.05Single7XZ5Lysophosphatidylcholine7XZ5-GPR119-Lysophosphatidylcholine-Gs/β1/γ2
21.05Single7Y66BM2137Y66-C5a1-BM213-Gi1/β1/γ2
21.05Single8H0QGastrin Releasing Peptide8H0Q-BB2-Gastrin Releasing Peptide-chim(NtGi1-Gs-CtGq)/β1/γ2
21.05Single8JJPChemerin-98JJP-CML2-Chemerin-9-Gi1/β1/γ2
21.05Single8XYIVUF106618XYI-CXCR3-VUF10661
21.05Single9L3WChemerin9L3W-CML1-Chemerin-Gi1/β1/γ2
21.05Single9M8POleic monoethanolamide9M8P-GPR3 ; GPR3-Oleic monoethanolamide-AF64394
21.05Single9W32SSTR5 antagonist 19W32-SST5-SSTR5 antagonist 1
21.05Single9WSWEndomorphin9WSW-μ-Endomorphin-chim(NtGi1-Gz)/β1/γ2
21.05Consensusc3a_onOrthosteric Ligand8HK2-C3aB-C3a-Gi1/β1/γ2 8IA8-C3aB-E7 peptide-Gi1/β1/γ2
21.05Consensuscannabinoid_offOrthosteric Ligandcb2_off cb1_off
21.05Consensuscb1_onOrthosteric Ligand6KPG-CB1-AM841-Gi1/β1/γ2 8K8J-CB1-Fenofibrate-chim(Gs-CtGq)/β1/γ2
21.05Consensusccr8_onOrthosteric Ligand8KFX-CCR8-LMD-009-Gi1/β1/γ2 8KFY-CCR8-ZK-756326-Gi1/β1/γ2 8U1U-CCR8-CCL1-Gi1/β1/γ2
21.05Consensusgi_lipidOrthosteric Ligandgi_cannabinoid gi_ffa gi_leukotriene gi_lpa gi_s1p
21.05Consensusleukotriene_offOrthosteric Ligandblt_off cyslt_off
21.05Consensuslpa1_offOrthosteric Ligand4Z36-LPA1-ONO-3080573 4Z35-LPA1-ONO-9910539 4Z34-LPA1-ONO-9780307
21.05Consensuslpa_offOrthosteric Ligandlpa1_off
21.05Consensuslpl_offOrthosteric Ligands1p_off lpa_off
20.83Single7F4HAfamelanotide7F4H-MC1-Afamelanotide-chim(NtGi1-Gs)/β1/γ2
20.83Single7KH0AVP7KH0-V2-AVP-chim(NtGi1-Gs)/β1/γ2
20.83Single8XWQEndothelin-18XWQ-ETB-Endothelin-1-Gi1/β1/γ2
20.83Single8ZBISomatostatin-148ZBI-SST3-Somatostatin-14-Gi1/β1/γ2
20.83Consensuscxcr3_on_gpOrthosteric Ligand8HNK-CXCR3-CXCL11-Gi1/β1/γ2 8HNL-CXCR3-PS372424-Gi1/β1/γ2
20.83Consensusgi_formylpeptideOrthosteric Ligand7WVY-FPR2-ALX-Amyloid-β42-Gi2/β1/γ2 7T6U-FPR2-ALX-CGEN-855A-Gi1/β1/γ2 7VFX-FPR1-ALX-fMIFL-Gi1/β1/γ2 7T6V-FPR2-ALX-fMLFII-Gi1/β1/γ2 7WVX-FPR2-ALX-Humanin-Gi2/β1/γ2 7T6S-FPR2-ALX-TC-FPR 43-Gi1/β1/γ2 6OMM-FPR2-ALX-WKYMVX-Gi1/β1/γ2
20.83Consensusprotein_onOrthosteric Ligandchemokine_on chemerin_on
20.00Single3PWHZM-2413853PWH-A2A-ZM-241385
20.00Single3V2WPubChem 518926453V2W-S1P1-PubChem 51892645
20.00Single4OR2FITM4OR2-mGlu1; mGlu1-FITM
20.00Single4S0VSuvorexant4S0V-OX2-Suvorexant
20.00Single4Z35ONO-99105394Z35-LPA1-ONO-9910539
20.00Single5WS3EMPA5WS3-OX2-EMPA
20.00Single6FKBPubChem 1324730386FKB-Rhodopsin-PubChem 132473038
20.00Single6K1QIRL25006K1Q-ETB-IRL2500
20.00Single6TPJSuvorexant6TPJ-OX2-Suvorexant
20.00Single6TQ6PubChem 1457142836TQ6-OX1-PubChem 145714283
20.00Single7BR3Elagolix7BR3-GnRH1-Elagolix
20.00Single7TUZ7-alpha,25-dihydroxycholesterol7TUZ-GPR183-7-α,25-dihydroxycholesterol-Gi1/β1/γ2
20.00Single7W0OElabela7W0O-Apelin-Elabela-Gi1/β1/γ2
20.00Single7X9CPancreatic Hormone7X9C-Y4-Pancreatic Hormone-Gi1/β1/γ2
20.00Single7XRRLemborexant7XRR-OX2-Lemborexant
20.00Single7Y64C5a7Y64-C5a1-C5a-Gi1/β1/γ2
20.00Single7Y65C5a (C-terminal peptide)7Y65-C5a1-C5a (C-terminal peptide)-Gi1/β1/γ2
20.00Single8DWGML3828DWG-MRGPRX1-BAM8-22-ML382-chim(NtGi2L-Gs-CtGq)/β1/γ2
20.00Single8HK5C5a8HK5-C5a1-C5a-Gi1/β1/γ2
20.00Single8ID8TUG-8918ID8-FFA4-TUG-891-Gi1/β1/γ2
20.00Single8IJANiacin8IJA-HCA2-Niacin-Gi1/β1/γ2
20.00Single8IJBAcipimox8IJB-HCA2-Acipimox-Gi1/β1/γ2
20.00Single8IYSTUG-8918IYS-FFA4-TUG-891-GDP-chim(NtGi1L-Gq)/β1/γ2
20.00Single8RVWStilSwitch38RVW-A2A-StilSwitch3-Na
20.00Single8RW4AzoSwitch28RW4-A2A-AzoSwitch2-Na
20.00Single8RWEStilSwitch48RWE-A2A-StilSwitch4-Na
20.00Single8T3SButyric acid8T3S-FFA2-Butyric acid-chim(NtGi2L-Gs-CtGq)/β1/γ2
20.00Single8WOGSuccinic acid8WOG-Succinate-Succinic acid-Gi1/β1/γ2
20.00Single8WPGTryptophan; Cinacalcet; PO4; Ca8WPG-CaS; CaS-Tryptophan; Cinacalcet; PO4; Ca
20.00Single8WWKMCH8WWK-MCH1-MCH-Gi1/β1/γ2
20.00Single8XGSKisspeptin-18XGS-Kiss1-Kisspeptin-1-chim(NtGi1-Gq)/β1/γ2
20.00Single8XVHEndothelin-18XVH-ETB-Endothelin-1-chim(Gs-CtGq)/β1/γ2
20.00Single8XVJMacitentan8XVJ-ETA-Macitentan
20.00Single8XXVIndomethacin8XXV-DP2-Indomethacin-A1D5Q-Gi1/β1/γ2
20.00Single8Y0HVUF114188Y0H-CXCR3-VUF11418
20.00Single8Y0NVUF114188Y0N-CXCR3-VUF11418-Go/β1/γ2
20.00Single8YKXMaleic acid8YKX-Succinate-Maleic acid-Gi1/β1/γ1
20.00Single8Z87CHBA8Z87-HCA1-CHBA-Gi1/β1/γ2
20.00Single8ZX4Lysophosphatidylinositol 8ZX4-GPR55-Lysophosphatidylinositol-chim(NtGi1-G13)/β1/γ2
20.00Single9AVLCa; Ca; Cyclomethyltryptophan; R-568; PO49AVL-CaS; CaS-Ca-Ca; Ca; Cyclomethyltryptophan; R-568; PO4-Gi3/β2/γ2
20.00Single9C2FCa; Ca; Tryptophan; '54149; PO49C2F-CaS; CaS-Ca-Ca; Ca; Tryptophan; '54149; PO4
20.00Single9FUPIstradefylline9FUP-A2A-Istradefylline-Na
20.00Single9GE3Lysophosphatidylinositol9GE3-GPR55-Lysophosphatidylinositol-chim(NtGi1-G13)/β1/γ2
20.00Single9IZFLPA9IZF-LPA1-LPA-Gi1/β1/γ2
20.00Single9J5VCpY9J5V-LPA1-CpY-Gi1/β1/γ2
20.00Single9JFYNeuropeptide-SF9JFY-NPFF2-Neuropeptide-SF-Gi1/β1/γ2
20.00Single9K6LSalicin9K6L-TAS2R16-Salicin-Gi2/β1/γ2
20.00Single9KPESalicin9KPE-TAS2R16-Salicin-Gi1/β1/γ2
20.00Single9LKDPL459LKD-OR5V1-PL45
20.00Single9VI9RFRP-39VI9-NPFF1-RFRP-3-Gi1/β1/γ2
20.00Single9W49U-50488H9W49-κ-U-50488H-Gi1/β1/γ2
20.00Consensusangiotensin_offOrthosteric Ligandat1_off
20.00Consensusc3a_on_gpOrthosteric Ligand8HK2-C3aB-C3a-Gi1/β1/γ2 8IA8-C3aB-E7 peptide-Gi1/β1/γ2
20.00Consensuscb1_on_gpOrthosteric Ligand6KPG-CB1-AM841-Gi1/β1/γ2 8K8J-CB1-Fenofibrate-chim(Gs-CtGq)/β1/γ2
20.00Consensuscml1_on_gpOrthosteric Ligand7YKD-CML1-Chemerin-9-Gi1/β1/γ2
20.00Consensusgi_succinateOrthosteric Ligand8YKW-Succinate-Succinic acid-Gi1/β1/γ1 8YKX-Succinate-Maleic acid-Gi1/β1/γ1
20.00Consensusgnrh1_offOrthosteric Ligand7BR3-GnRH1-Elagolix
20.00Consensusgs_peptideOrthosteric Ligandgs_cck gs_melanocortin gs_vasop-oxy
20.00Consensusmc1_onOrthosteric Ligand7F4H-MC1-Afamelanotide-chim(NtGi1-Gs)/β1/γ2 7F4D-MC1-α-MSH-chim(NtGi1-Gs)/β1/γ2 7F4I-MC1-SHU9119-chim(NtGi1-Gs)/β1/γ2
20.00Consensusmc1_on_gpOrthosteric Ligand7F4H-MC1-Afamelanotide-chim(NtGi1-Gs)/β1/γ2 7F4D-MC1-α-MSH-chim(NtGi1-Gs)/β1/γ2 7F4I-MC1-SHU9119-chim(NtGi1-Gs)/β1/γ2
20.00Consensusox1_offOrthosteric Ligand6TP6-OX1-Filorexant 6TP4-OX1-ACT-462206 6V9S-OX1-GTPL11403 6TOT-OX1-Lemborexant 6TP3-OX1-Nemorexant 6TQ6-OX1-PubChem 145714283 6TQ9-OX1-SB-408124 4ZJC-OX1-SB-674042 4ZJ8-OX1-Suvorexant 6TOD-OX1-EMPA-Na 6TOS-OX1-GSK1059865-Na 6TQ4-OX1-PubChem 16046844-Na
20.00Consensusprostanoid_offOrthosteric Ligandep_off dp_off
20.00Consensuss1p1_offOrthosteric Ligand3V2W-S1P1-PubChem 51892645
20.00Consensussst5_on_gpOrthosteric Ligand8X8L-SST5-Cortistatin-14-chim(NtGi1-Gs-CtGi1)/β1/γ2 8X8N-SST5-Octreotide-chim(NtGi1-Gs-CtGi1)/β1/γ2
20.00Consensussuccinate_onOrthosteric Ligand8YKW-Succinate-Succinic acid-Gi1/β1/γ1 8YKX-Succinate-Maleic acid-Gi1/β1/γ1
20.00Consensussuccinate_on_gpOrthosteric Ligand8YKW-Succinate-Succinic acid-Gi1/β1/γ1 8YKX-Succinate-Maleic acid-Gi1/β1/γ1
19.23Single7F8VGastrin-177F8V-CCKB-Gastrin-17-Gi2/β1/γ2
19.23Single7YKDChemerin-97YKD-CML1-Chemerin-9-Gi1/β1/γ2
19.23Single8XVEBQ30208XVE-ETB-BQ3020-chim(Gs-CtGq)/β1/γ2
19.23Consensusgi_compl-peptOrthosteric Ligand8HK5-C5a1-C5a-Gi1/β1/γ2 8IA8-C3aB-E7 peptide-Gi1/β1/γ2 7Y66-C5a1-BM213-Gi1/β1/γ2 7Y67-C5a1-C089 peptide-Gi1/β1/γ2 8HK2-C3aB-C3a-Gi1/β1/γ2 7Y64-C5a1-C5a-Gi1/β1/γ2
19.23Consensusgi_proteinOrthosteric Ligandgi_chemokine gi_chemerin
19.23Consensusnpy4_onOrthosteric Ligand7X9C-Y4-Pancreatic Hormone-Gi1/β1/γ2
19.23Consensusnpy4_on_gpOrthosteric Ligand7X9C-Y4-Pancreatic Hormone-Gi1/β1/γ2
19.23Consensusprotein_on_gpOrthosteric Ligandchemokine_on_gp chemerin_on_gp
19.05Single6OMMWKYMVX6OMM-FPR2-ALX-WKYMVX-Gi1/β1/γ2
19.05Single7F2OBradykinin7F2O-BK2-Bradykinin-chim(NtGi1-Gs-CtGq)/β1/γ2
19.05Single7F8WGastrin-177F8W-CCKB-Gastrin-17-chim(NtGsL-Gq)/β1/γ2
19.05Single8F7REndomorphin8F7R-μ-Endomorphin-Gi1/β1/γ2
19.05Single8JBFSenktide8JBF-NK3-Senktide-chim(NtGi1-Gs-CtGq)/β1/γ2
19.05Single8QJ2pN1628QJ2-MC4-pN162-Gs/β1/γ2
19.05Single8X3LXWD8X3L-CB2-XWD-Gi1/β1/γ2
19.05Single8Z74JN241-98Z74-Apelin; Apelin-JN241-9
19.05Single8Z74JN241-98Z74-Apelin; Apelin-JN241-9
19.05Single9IPYJR14a9IPY-C3aB-JR14a
19.05Single9KZ8EP679KZ8-C3aB-EP67-Go/β1/γ2
19.05Consensuscxcr3_onOrthosteric Ligand8HNK-CXCR3-CXCL11-Gi1/β1/γ2 8HNL-CXCR3-PS372424-Gi1/β1/γ2
19.05Consensusgq_cckOrthosteric Ligand8IA7-CCKB-Cholecystokinin-8-chim(NtGi1L-Gq)/β1/γ2 7XOW-CCKB-Sulfated Gastrin-(10-17)-chim(NtGi1-Gq)/β1/γ2 7EZM-CCKA-Cholecystokinin-8-chim(NtGsL-Gq)/β1/γ2 7F8W-CCKB-Gastrin-17-chim(NtGsL-Gq)/β1/γ2
19.05Consensuskiss1_onOrthosteric Ligand8ZJD-Kiss1-Kisspeptin-1-chim(NtGi1-Gq)/β1/γ1
19.05Consensuskisspeptin_onOrthosteric Ligandkiss1_on
18.75Single3V2YPubChem 518926453V2Y-S1P1-PubChem 51892645
18.75Single4ZUDOlmesartan4ZUD-AT1-Olmesartan
18.75Single6FK8PubChem 1324730356FK8-Rhodopsin-PubChem 132473035
18.75Single6FKAPubChem 1324730376FKA-Rhodopsin-PubChem 132473037
18.75Single6MH8ZM-2413856MH8-A2A-ZM-241385
18.75Single6TOSGSK10598656TOS-OX1-GSK1059865-Na
18.75Single6TP3Nemorexant6TP3-OX1-Nemorexant
18.75Single7BB6AVP7BB6-V2-AVP-Gs/β1/γ2
18.75Single8GURCP559408GUR-CB2-CP55940-Gi1/β1/γ2
18.75Single8H4LDoconexent8H4L-FFA4-Doconexent-chim(NtGi1-Gs-CtGq)/β1/γ2
18.75Single8HNMVUF112228HNM-CXCR3-VUF11222-Gi1/β1/γ2
18.75Single8HQN9-S-HODE8HQN-GPR132-9-S-HODE-Gi1/β1/γ2
18.75Single8IY9Niacin8IY9-HCA2-Niacin-Go/β1/γ2
18.75Single8JEIPubChem 117155568JEI-HCAR3-PubChem 11715556-Gi1/β1/γ2
18.75Single8JERAcipimox8JER-HCA2-Acipimox-Go/β1/γ2
18.75Single8JIMMonomethyl fumarate8JIM-HCA2-Monomethyl fumarate-Gi1/β1/γ2
18.75Single8K4SDCA-3P8K4S-MRGPRX4-DCA-3P-chim(NtGi1L-Gs-CtGq)/β1/γ2
18.75Single8K5CAcipimox8K5C-HCA2-Acipimox
18.75Single8K9LDAMGO8K9L-μ-DAMGO-BMS-986122-Gi3/β1/γ1
18.75Single8WPUTryptophan; Cinacalcet; PO4; Ca8WPU-CaS; CaS-Tryptophan; Cinacalcet; PO4; Ca-chim(NtGi2L-Gs-CtGq)/β1/γ2
18.75Single8YKVPubChem 1375531688YKV-Succinate-PubChem 137553168-Gi1/β1/γ2
18.75Single9ASBCa; Ca; Cyclomethyltryptophan; R-568; PO49ASB-CaS; CaS-Ca-Ca; Ca; Cyclomethyltryptophan; R-568; PO4-chim(NtGi1-Gs-CtGq)/β1/γ2
18.75Single9AVGCa; Ca; Cyclomethyltryptophan; R-568; PO49AVG-CaS; CaS-Ca-Ca; Ca; Cyclomethyltryptophan; R-568; PO4-chim(NtGi1-Gs)/β1/γ2
18.75Single9AXFCa; Ca; Ca; Cyclomethyltryptophan; R-568; PO49AXF-CaS; CaS-Ca-Ca; Ca; Ca; Cyclomethyltryptophan; R-568; PO4-chim(NtGi1-Gs-CtGq)/β1/γ2
18.75Single9DQJEP-39459DQJ-MRGPRD-EP-3945-chim(NtGi1-Gs-CtGq)/β1/γ2
18.75Single9IXXLTD49IXX-CysLT2-LTD4-chim(NtGi1-Gs-CtGq)/β1/γ2
18.75Single9JH3CMF-0199JH3-Apelin; Apelin-CMF-019-Gi1/β1/γ2
18.75Single9JKYAcifran9JKY-HCA2-Acifran-Gi1/β1/γ2
18.75Single9K1DButyric acid9K1D-FFA2-Butyric acid-Gi1/β1/γ2
18.75Single9KPDSalicin9KPD-TAS2R16-Salicin-chim(Gs-CtGt3)/β1/γ2
18.75Single9LKBPL459LKB-OR5V1-PL45-chim(NtGi1-Gs)/β1
18.75Single9M2FNeuropeptide-FF9M2F-NPFF1-Neuropeptide-FF-Gi1/β1/γ2
18.75Single9W33S5A19W33-SST5-S5A1
18.75Consensusat1_offOrthosteric Ligand4YAY-AT1-ZD-7155 4ZUD-AT1-Olmesartan
18.75Consensusghrelin_offOrthosteric Ligand6KO5-Ghrelin-PubChem 57400002 7F83-Ghrelin-PF-05190457
18.75Consensusgrh_offOrthosteric Ligandgnrh1_off
18.75Consensushca_onOrthosteric Ligandhca2_on
18.75Consensusnucleotide_offOrthosteric Ligandadenosine_off p2y_off
18.52Single6B3JExendin-P56B3J-GLP-1-Exendin-P5-Gs/β1/γ2
18.52Single7EIBKallidin-des-Arg107EIB-BK1-Kallidin-des-Arg10-chim(NtGi1-Gs-CtGq)/β1/γ2
18.52Single7F4FAfamelanotide7F4F-MC1-Afamelanotide-chim(NtGi1-Gs)/β1/γ2
18.52Single7XATSomatostatin-147XAT-SST2-Somatostatin-14-Gi1/β1/γ2
18.52Single7YOONeuropeptide-Y7YOO-Y2-Neuropeptide-Y-Gi1/β1/γ2
18.52Single8FEG(DNCP)-Beta-Naloxamine8FEG-κ-(DNCP)-β-Naloxamine-Gi1/β1/γ2
18.52Single8WWLMCH8WWL-MCH1-MCH-Gi1/β1/γ2
18.52Single8XWPEndothelin-18XWP-ETB-Endothelin-1-Gi1/β1/γ2
18.52Consensusnpy2_onOrthosteric Ligand7YOO-Y2-Neuropeptide-Y-Gi1/β1/γ2
18.52Consensusnpy2_on_gpOrthosteric Ligand7YOO-Y2-Neuropeptide-Y-Gi1/β1/γ2
18.18Single7F4ISHU91197F4I-MC1-SHU9119-chim(NtGi1-Gs)/β1/γ2
18.18Single7NA7Ghrelin7NA7-Ghrelin-Ghrelin-Gi1/β1/γ2
18.18Single7T6UCGEN-855A7T6U-FPR2-ALX-CGEN-855A-Gi1/β1/γ2
18.18Single7TD4Siponimod7TD4-S1P1-Siponimod-Gi1/β1/γ2
18.18Single7WICSomatostatin-147WIC-SST2-Somatostatin-14-Gi1/β1/γ2
18.18Single7XAUOctreotide7XAU-SST2-Octreotide-Gi1/β1/γ2
18.18Single8GHVAMG3158GHV-CB1-AMG315-Gi1/β1/γ2
18.18Single8IZBLysophosphatidylserine (UBL)8IZB-GPR174-Lysophosphatidylserine (UBL)-Gs/β1/γ2
18.18Single8WKYPG-9348WKY-MC4-PG-934
18.18Single8ZJDKisspeptin-18ZJD-Kiss1-Kisspeptin-1-chim(NtGi1-Gq)/β1/γ1
18.18Single9BKJCholecystokinin-89BKJ-CCKA-Cholecystokinin-8-chim(NtGi1-Gs-CtGq)/β1/γ2
18.18Single9KWGC5a9KWG-C5a1-C5a-Go/β1/γ2
18.18Single9L3YChemerin9L3Y-CML2-Chemerin-Gi1/β1/γ2
18.18Consensusgq_kisspeptinOrthosteric Ligand8ZJD-Kiss1-Kisspeptin-1-chim(NtGi1-Gq)/β1/γ1
18.18Consensuskiss1_on_gpOrthosteric Ligand8ZJD-Kiss1-Kisspeptin-1-chim(NtGi1-Gq)/β1/γ1
18.18Consensuskisspeptin_on_gpOrthosteric Ligandkiss1_on_gp
18.18Consensusnk3_onOrthosteric Ligand8JBF-NK3-Senktide-chim(NtGi1-Gs-CtGq)/β1/γ2
18.18Consensusnk3_on_gpOrthosteric Ligand8JBF-NK3-Senktide-chim(NtGi1-Gs-CtGq)/β1/γ2
18.18Consensusp2y_onOrthosteric Ligandp2y1_on p2y10_on p2y12_on
17.86Single6IGLIRL16206IGL-ETB-IRL1620
17.86Single8IY5Endothelin-18IY5-ETB-Endothelin-1-Gi1/β1/γ2
17.86Single8WWNMCH8WWN-MCH1-MCH-Gi1/β1/γ2
17.86Consensusbk2_onOrthosteric Ligand7F6H-BK2-Bradykinin-Gq/β1/γ2 7F6I-BK2-Kallidin-Gq/β1/γ2
17.86Consensusbk2_on_gpOrthosteric Ligand7F6H-BK2-Bradykinin-Gq/β1/γ2 7F6I-BK2-Kallidin-Gq/β1/γ2
17.86Consensusbradykinin_onOrthosteric Ligandbk2_on
17.86Consensusbradykinin_on_gpOrthosteric Ligandbk2_on_gp
17.86Consensusetb_onOrthosteric Ligand8IY5-ETB-Endothelin-1-Gi1/β1/γ2 8HBD-ETB-IRL1620-Gi1/β1/γ2
17.86Consensusgq_bradykininOrthosteric Ligand7F6H-BK2-Bradykinin-Gq/β1/γ2 7F6I-BK2-Kallidin-Gq/β1/γ2
17.65Single4YAYZD-71554YAY-AT1-ZD-7155
17.65Single5ZKPSR274175ZKP-PAF-SR27417
17.65Single6D27CAY104716D27-DP2-CAY10471
17.65Single6FK7PubChem 1324730346FK7-Rhodopsin-PubChem 132473034
17.65Single6FKCPubChem 1324730396FKC-Rhodopsin-PubChem 132473039
17.65Single6XBM25(S)-Epoxycholesterol6XBM-SMO-25(S)-Epoxycholesterol-Gi1/β1/γ2
17.65Single7CFMP3957CFM-GPBA-P395-Gs/β1/γ2
17.65Single7NA8Ibutamoren7NA8-Ghrelin-Ibutamoren-Gi1/β1/γ2
17.65Single7PP1Selatogrel7PP1-P2Y12-Selatogrel
17.65Single7VKTLTB47VKT-BLT1-LTB4-Gi1/β1/γ2
17.65Single8I7VAcipimox8I7V-HCA2-Acipimox-Gi1/β1/γ2
17.65Single8J6PNiacin8J6P-HCA2-Niacin-PubChem 25101223-Gi1/β1/γ2
17.65Single8JHNMonomethyl fumarate8JHN-HCA2-Monomethyl fumarate-Go/β1/γ2
17.65Single8JIINiacin8JII-HCA2-Niacin-PubChem 25101223-Gi1/β1/γ2
17.65Single8K5DGSK2560738K5D-HCA2-GSK256073
17.65Single8ZBEOctreotide8ZBE-SST5-Octreotide-Gi1/β1/γ1
17.65Single9AVGCa; Ca; Cyclomethyltryptophan; R-568; PO49AVG-CaS; CaS-Ca-Ca; Ca; Cyclomethyltryptophan; R-568; PO4-chim(NtGi1-Gs)/β1/γ2
17.65Single9EPP11,20-Ethanoretinal9EPP-Rhodopsin-11,20-Ethanoretinal-chim(Gi1-CtGq)/β1/γ2
17.65Single9IZCMK19039IZC-HCA2-MK1903-Gi1/β1/γ2
17.65Single9KFJPubChem 1383196749KFJ-RXFP3-PubChem 138319674-Gi2/β1/γ2
17.65Consensusblt1_onOrthosteric Ligand7VKT-BLT1-LTB4-Gi1/β1/γ2
17.65Consensusblt1_on_gpOrthosteric Ligand7VKT-BLT1-LTB4-Gi1/β1/γ2
17.65Consensusblt_onOrthosteric Ligandblt1_on
17.65Consensusblt_on_gpOrthosteric Ligandblt1_on_gp
17.65Consensusgi_hcaOrthosteric Ligand8J6R-HCA2-MK6892-Gi1/β1/γ2 8JIM-HCA2-Monomethyl fumarate-Gi1/β1/γ2 8IHI-HCA2-Acifran-Gi1/β1/γ2 8IHH-HCA2-LUF6283-Gi1/β1/γ2 8I7V-HCA2-Acipimox-Gi1/β1/γ2 8I7W-HCA2-GSK256073-Gi1/β1/γ2
17.65Consensusgi_leukotrieneOrthosteric Ligand7VKT-BLT1-LTB4-Gi1/β1/γ2
17.65Consensushca2_onOrthosteric Ligand8J6R-HCA2-MK6892-Gi1/β1/γ2 8JIM-HCA2-Monomethyl fumarate-Gi1/β1/γ2 8I7V-HCA2-Acipimox-Gi1/β1/γ2 8I7W-HCA2-GSK256073-Gi1/β1/γ2 8IHH-HCA2-LUF6283-Gi1/β1/γ2 8IHI-HCA2-Acifran-Gi1/β1/γ2
17.65Consensushca2_on_gpOrthosteric Ligand8J6R-HCA2-MK6892-Gi1/β1/γ2 8IHI-HCA2-Acifran-Gi1/β1/γ2 8IHH-HCA2-LUF6283-Gi1/β1/γ2 8I7V-HCA2-Acipimox-Gi1/β1/γ2 8JIM-HCA2-Monomethyl fumarate-Gi1/β1/γ2 8I7W-HCA2-GSK256073-Gi1/β1/γ2
17.65Consensushca_on_gpOrthosteric Ligandhca2_on_gp
17.65Consensusleukotriene_onOrthosteric Ligandblt_on
17.65Consensusleukotriene_on_gpOrthosteric Ligandblt_on_gp
17.65Consensuslipid_offOrthosteric Ligandcannabinoid_off paf_off lpl_off prostanoid_off leukotriene_off
17.39Single6DO1(Sar1,Ile8)-Angiotensin II6DO1-AT1-(Sar1,Ile8)-Angiotensin II
17.39Single7XMSSomatostatin-147XMS-SST4-Somatostatin-14-Gi1/β1/γ2
17.39Single8F7WDynorphin8F7W-κ-Dynorphin-Gi1/β1/γ2
17.39Single8JZZC5a-des-Arg8JZZ-C5a1-C5a-des-Arg-Go/β1/γ2
17.39Single8KH5Lysophosphatidylserine8KH5-GPR174-Lysophosphatidylserine-Gs/β1/γ2
17.39Single8SG1Chemerin-98SG1-CML1-Chemerin-9-Gi1/β1/γ2
17.39Single8WSSMCH8WSS-MCH1-MCH-Gi1/β1/γ1
17.39Single9E82CXCL12 (fragment)9E82-ACKR3-CXCL12 (fragment)-Arrestin2
17.39Consensusccr8_on_gpOrthosteric Ligand8KFX-CCR8-LMD-009-Gi1/β1/γ2 8KFY-CCR8-ZK-756326-Gi1/β1/γ2 8U1U-CCR8-CCL1-Gi1/β1/γ2
17.39Consensuscompl-peptide_onOrthosteric Ligandc5a1_on c3a_on
17.39Consensusghrelin_onOrthosteric Ligand7NA7-Ghrelin-Ghrelin-Gi1/β1/γ2 7F9Z-Ghrelin-GHRP-6-chim(NtGi1-Gs-CtGq)/β1/γ2 7NA8-Ghrelin-Ibutamoren-Gi1/β1/γ2
17.39Consensusghrelin_on_gpOrthosteric Ligand7NA7-Ghrelin-Ghrelin-Gi1/β1/γ2 7F9Z-Ghrelin-GHRP-6-chim(NtGi1-Gs-CtGq)/β1/γ2 7NA8-Ghrelin-Ibutamoren-Gi1/β1/γ2
17.39Consensusgi_ghrelinOrthosteric Ligand7NA7-Ghrelin-Ghrelin-Gi1/β1/γ2 7NA8-Ghrelin-Ibutamoren-Gi1/β1/γ2
17.24Single5GLHEndothelin-15GLH-ETB-Endothelin-1
17.24Single6IGKEndothelin-36IGK-ETB-Endothelin-3
17.24Single8ZJETAK4488ZJE-Kiss1-TAK448-chim(NtGi1-Gq)/β1/γ1
17.24Consensusccr5_on_gpOrthosteric Ligand7O7F-CCR5-6P4-CCL5-Gi1/β1/γ1 7F1Q-CCR5-CCL3-Gi1/β1/γ2
17.24Consensusgi_endothelinOrthosteric Ligand8IY5-ETB-Endothelin-1-Gi1/β1/γ2 8HBD-ETB-IRL1620-Gi1/β1/γ2
17.24Consensusgi_npyOrthosteric Ligand8K6M-Y1-Neuropeptide-Y-Gi2/β1/γ1 7X9C-Y4-Pancreatic Hormone-Gi1/β1/γ2 7YOO-Y2-Neuropeptide-Y-Gi1/β1/γ2
17.24Consensusnpy_onOrthosteric Ligandnpy1_on npy2_on npy4_on
17.24Consensusnpy_on_gpOrthosteric Ligandnpy1_on_gp npy2_on_gp npy4_on_gp
16.67Single3PXOAll-trans-Retinal3PXO-Rhodopsin-All-trans-Retinal
16.67Single4PHUFasiglifam4PHU-FFA1-Fasiglifam
16.67Single5CGCHTL142425CGC-mGlu5-HTL14242
16.67Single5DYSAll-trans-Retinal5DYS-Rhodopsin-All-trans-Retinal
16.67Single6LW5WKYMVm6LW5-FPR2-ALX-WKYMVm
16.67Single6RZ4Pranlukast6RZ4-CysLT1-Pranlukast-Na
16.67Single6UUNAdrenomedullin6UUN-CT Like (AM1)-Adrenomedullin-Gs/β1/γ2; RAMP2
16.67Single6VN7PACAP276VN7-VPAC1-PACAP27-Gs/β1/γ2
16.67Single6W25SHU91196W25-MC4-SHU9119-Ca
16.67Single7C4SS1P7C4S-S1P3-S1P
16.67Single7F4DAlpha-MSH7F4D-MC1-α-MSH-chim(NtGi1-Gs)/β1/γ2
16.67Single7TD2LPA7TD2-LPA1-LPA-Gi1/β1/γ2
16.67Single7XOUCholecystokinin-87XOU-CCKA-Cholecystokinin-8-Gs/β1/γ2
16.67Single8EJCTAK-8758EJC-FFA1-TAK-875-chim(NtGi1L-Gs-CtGq)/β1/γ2
16.67Single8HBDIRL16208HBD-ETB-IRL1620-Gi1/β1/γ2
16.67Single8I7WGSK2560738I7W-HCA2-GSK256073-Gi1/β1/γ2
16.67Single8K6NNeuropeptide-Y8K6N-Y2-Neuropeptide-Y-Gi2/β1/γ1
16.67Single8TH4Losartan8TH4-AT1-Losartan-AT118-L Nanobody
16.67Single8UUJFCH-22964138UUJ-HCA2-FCH-2296413-Gi1/β1/γ2
16.67Single8WGBVU01550418WGB-mGlu4; mGlu2-Glutamate-VU0155041-Gi3/β1/γ2
16.67Single8WKZSBL-MC-318WKZ-MC4-SBL-MC-31
16.67Single8X0DVU04244658X0D-mGlu5; mGlu5-Quisqualate-VU0424465
16.67Single8X0DVU04244658X0D-mGlu5; mGlu5-Quisqualate-VU0424465
16.67Single8XGUTAK4488XGU-Kiss1-TAK448-Gi1/β1/γ2
16.67Single8XZGApelin-138XZG-Apelin; Apelin-Apelin-13-Gi1/β1/γ2
16.67Single8XZHMM078XZH-Apelin; Apelin-MM07-Gi1/β1/γ2
16.67Single8YNSSNAP-948478YNS-MCH1-SNAP-94847
16.67Single9AYFCa; Ca; Ca; Cyclomethyltryptophan; R-568; PO49AYF-CaS; CaS-Ca-Ca; Ca; Ca; Cyclomethyltryptophan; R-568; PO4-Gi1/β1/γ2
16.67Single9CIBFCH-22964139CIB-HCA2-FCH-2296413
16.67Single9DQHEP-28259DQH-MRGPRD-EP-2825-chim(NtGi1-Gs-CtGq)/β1/γ2
16.67Single9EAHOlmesartan9EAH-AT1-Olmesartan-Nanobody AT209
16.67Single9GE2ML1849GE2-GPR55-ML184-chim(NtGi1-G13)/β1/γ2
16.67Single9IV25alpha-DHT9IV2-ADGRD1-5α-DHT-chim(NtGi1-Gs)/β1/γ2
16.67Single9JIDNiacin9JID-HCA3-Niacin-Gi1/β1/γ2
16.67Single9KPFSalicin9KPF-TAS2R16-Salicin-Gi1/β1/γ2
16.67Single9UYIChemerin-99UYI-CML2-Chemerin-9-Arrestin2
16.67Consensusc5a1_onOrthosteric Ligand8HK5-C5a1-C5a-Gi1/β1/γ2 7Y66-C5a1-BM213-Gi1/β1/γ2 7Y67-C5a1-C089 peptide-Gi1/β1/γ2 7Y64-C5a1-C5a-Gi1/β1/γ2
16.67Consensuscb2_onOrthosteric Ligand8GUR-CB2-CP55940-Gi1/β1/γ2 8GUS-CB2-HU-308-Gi1/β1/γ2 8GUT-CB2-LEI-102-Gi1/β1/γ2 6KPF-CB2-AM12033-Gi1/β1/γ2 6PT0-CB2-WIN 55212-2-Gi1/β1/γ2 8GUQ-CB2-Olorinab-Gi1/β1/γ2
16.67Consensuscb2_on_gpOrthosteric Ligand8GUR-CB2-CP55940-Gi1/β1/γ2 8GUS-CB2-HU-308-Gi1/β1/γ2 8GUT-CB2-LEI-102-Gi1/β1/γ2 6KPF-CB2-AM12033-Gi1/β1/γ2 6PT0-CB2-WIN 55212-2-Gi1/β1/γ2 8GUQ-CB2-Olorinab-Gi1/β1/γ2
16.67Consensuscompl-peptide_on_gpOrthosteric Ligandc5a1_on_gp c3a_on_gp
16.67Consensuscyslt_offOrthosteric Ligandcyslt2_off cyslt1_off
16.67Consensusetb_on_gpOrthosteric Ligand8IY5-ETB-Endothelin-1-Gi1/β1/γ2 8HBD-ETB-IRL1620-Gi1/β1/γ2
16.13Single6LRYSarafotoxin-B6LRY-ETB-Sarafotoxin-B
16.00Single6JODAngiotensin II6JOD-AT2-Angiotensin II
16.00Single6WI9Secretin6WI9-Secretin-Secretin-Gs/β1/γ2
16.00Single6WIVPubChem 52923113; PubChem 529246456WIV-GABAB1, GABAB2-PubChem 52923113; PubChem 52924645
16.00Single7FIMTirzepatide7FIM-GLP-1-Tirzepatide-Gs/β1/γ2
16.00Single7V9MSomatoliberin7V9M-GHRH (SV1)-Somatoliberin-Gs/β1/γ2
16.00Single7WUIIP157WUI-ADGRG2-IP15-chim(NtGi1-Gs)/β1/γ2
16.00Single7YONPeptide-YY(3-36)7YON-Y2-Peptide-YY(3-36)-Gi1/β1/γ2
16.00Single8IEDPubChem 1347468948IED-GPR156; GPR156-PubChem 134746894-Go/β1/γ2
16.00Single8WSTMCH8WST-MCH2-MCH-chim(NtGi1L-Gs-CtGq)/β1/γ2
16.00Single8X8LCortistatin-148X8L-SST5-Cortistatin-14-chim(NtGi1-Gs-CtGi1)/β1/γ2
16.00Consensusapelin_onOrthosteric Ligand8XZH-Apelin; Apelin-MM07-Gi1/β1/γ2 7W0M-Apelin-PubChem 122701908-Gi1/β1/γ2 8XZJ-Apelin; Apelin-WN353-Gi1/β1/γ2 8XZF-Apelin; Apelin-WN561-Gi1/β1/γ2 8XZG-Apelin; Apelin-Apelin-13-Gi1/β1/γ2
16.00Consensusapelin_on_gpOrthosteric Ligand8XZH-Apelin; Apelin-MM07-Gi1/β1/γ2 7W0M-Apelin-PubChem 122701908-Gi1/β1/γ2 8XZJ-Apelin; Apelin-WN353-Gi1/β1/γ2 8XZF-Apelin; Apelin-WN561-Gi1/β1/γ2 8XZG-Apelin; Apelin-Apelin-13-Gi1/β1/γ2
16.00Consensusc5a1_on_gpOrthosteric Ligand8HK5-C5a1-C5a-Gi1/β1/γ2 7Y66-C5a1-BM213-Gi1/β1/γ2 7Y67-C5a1-C089 peptide-Gi1/β1/γ2 7Y64-C5a1-C5a-Gi1/β1/γ2
16.00Consensusp2y_on_gpOrthosteric Ligandp2y1_on_gp p2y10_on_gp p2y12_on_gp
15.79Single4OO9Mavoglurant4OO9-mGlu5-Mavoglurant
15.79Single5TZRMK86665TZR-FFA1-MK8666
15.79Single5XR8AM120335XR8-CB1-AM12033
15.79Single5XRAAM115425XRA-CB1-AM11542
15.79Single6N4BMDMB-Fubinaca6N4B-CB1-MDMB-Fubinaca-Gi1/β1/γ2
15.79Single6O3CCholesterol6O3C-SMO-SAG21k-Cholesterol
15.79Single7F58THIQ7F58-MC4-THIQ-Gs/β1/γ2
15.79Single7R0CAVP7R0C-V2-AVP-Arrestin2
15.79Single7TD1LPA7TD1-LPA1-LPA-Gi1/β1/γ2
15.79Single7XOWSulfated Gastrin-(10-17)7XOW-CCKB-Sulfated Gastrin-(10-17)-chim(NtGi1-Gq)/β1/γ2
15.79Single7XTQR3997XTQ-GPBA-R399-Gs/β1/γ2
15.79Single7XWONeurokinin-A7XWO-NK2-Neurokinin-A-chim(NtGi1-Gs-CtGq)/β1/γ2
15.79Single8I9LC3a8I9L-C3aB-C3a-Go/β1/γ2
15.79Single8IHBGSK2560738IHB-HCA2-GSK256073-Gi1/β1/γ2
15.79Single8IHHLUF62838IHH-HCA2-LUF6283-Gi1/β1/γ2
15.79Single8JSRAnamorelin8JSR-Ghrelin-Anamorelin-chim(NtGi1-Gs-CtGq)/β1/γ2
15.79Single8X0BVU04244658X0B-mGlu5; mGlu5-Quisqualate-VU0424465
15.79Single8X0FVU298X0F-mGlu5; mGlu5-Quisqualate-VU29
15.79Single8XJMLatanoprost8XJM-FP-alpha-Latanoprost-chim(NtGi2-Gs-CtGq)/β1/γ2
15.79Single8XZICMF-0198XZI-Apelin; Apelin-CMF-019-Gi1/β1/γ2
15.79Single8YNTSNAP-948478YNT-MCH1-SNAP-94847
15.79Single9KUXCMPD6449KUX-Apelin; Apelin-CMPD644-Arrestin2
15.79Single9RHGC4079RHG-FZD7-C407
15.79Consensusffa2_onOrthosteric Ligand8J22-FFA2-TUG-1375-Gi1/β1/γ2
15.79Consensusffa_onOrthosteric Ligandffa2_on ffa3_on
15.79Consensusffa_on_gpOrthosteric Ligandffa2_on_gp ffa3_on_gp
15.79Consensusgi_cannabinoidOrthosteric Ligand8GUR-CB2-CP55940-Gi1/β1/γ2 8GUS-CB2-HU-308-Gi1/β1/γ2 8GUT-CB2-LEI-102-Gi1/β1/γ2 8GUQ-CB2-Olorinab-Gi1/β1/γ2 6KPF-CB2-AM12033-Gi1/β1/γ2 6PT0-CB2-WIN 55212-2-Gi1/β1/γ2 6KPG-CB1-AM841-Gi1/β1/γ2
15.79Consensusgi_ffaOrthosteric Ligand8J21-FFA3-Butyric acid-Gi1/β1/γ2 8J22-FFA2-TUG-1375-Gi1/β1/γ2
15.79Consensusnk2_on_gpOrthosteric Ligand7XWO-NK2-Neurokinin-A-chim(NtGi1-Gs-CtGq)/β1/γ2
15.79Consensusp2y12_onOrthosteric Ligand7XXI-P2Y12-2MeSADP-Gi2/β1/γ2
15.62Single7X9ANeuropeptide-Y7X9A-Y1-Neuropeptide-Y-Gi1/β1/γ2
15.62Consensusclass-a_class-b1_cons_on_gpOrthosteric Ligandclass-a_on_gp class-b1_on_gp
15.38Single6TQ9SB-4081246TQ9-OX1-SB-408124
15.38Single7F6HBradykinin7F6H-BK2-Bradykinin-Gq/β1/γ2
15.38Single7F6IKallidin7F6I-BK2-Kallidin-Gq/β1/γ2
15.38Single7F9YGhrelin7F9Y-Ghrelin-Ghrelin-chim(NtGi1-Gs-CtGq)/β1/γ2
15.38Single7QBIAlpha-factor mating pheromone7QBI-STE2; STE2-α-factor mating pheromone
15.38Single7WBJPACAP277WBJ-VPAC1-PACAP27-Gs/β1/γ2
15.38Single7X9BNeuropeptide-Y7X9B-Y2-Neuropeptide-Y-Gi1/β1/γ2
15.38Single8E3YPACAP278E3Y-VPAC1-PACAP27-Gs/β1/γ2
15.38Single8E3ZVIP8E3Z-VPAC1-VIP-Gs/β1/γ2
15.38Single8HCXEndothelin-18HCX-ETB-Endothelin-1-chim(NtGi2L-Gs-CtGq)/β1/γ2
15.38Single8HNKCXCL118HNK-CXCR3-CXCL11-Gi1/β1/γ2
15.38Single8IA2C5a8IA2-C5a1-C5a-Go/β1/γ2
15.38Single8IODPG-9018IOD-MC5-PG-901-Ca-chim(NtGi1-Gs)/β1/γ2
15.38Single8WWMMCH8WWM-MCH1-MCH-Gi1/β1/γ2
15.38Single8XOFLys058XOF-GPR30-Lys05-chim(NtGi1-Gs-CtGq)/β1/γ2
15.38Single8XQEApelin-138XQE-Apelin; Apelin-Apelin-13-Gi1/β1/γ2
15.38Single8XVIEndothelin-18XVI-ETA-Endothelin-1-chim(Gs-CtGq)/β1/γ2
15.38Single8ZRTEndothelin-18ZRT-ETB-Endothelin-1
15.38Single9C2FCa; Ca; Tryptophan; '54149; PO49C2F-CaS; CaS-Ca-Ca; Ca; Tryptophan; '54149; PO4
15.38Single9E2AGLP-19E2A-GLP-1-GLP-1-Gs/β1/γ2
15.38Single9L0HJR14a9L0H-C3aB-JR14a-Go/β1/γ2
15.38Consensusgi_apelinOrthosteric Ligand8XZH-Apelin; Apelin-MM07-Gi1/β1/γ2 7W0M-Apelin-PubChem 122701908-Gi1/β1/γ2 8XZJ-Apelin; Apelin-WN353-Gi1/β1/γ2 8XZF-Apelin; Apelin-WN561-Gi1/β1/γ2 8XZG-Apelin; Apelin-Apelin-13-Gi1/β1/γ2
15.38Consensusvpac1_onOrthosteric Ligand8E3Z-VPAC1-VIP-Gs/β1/γ2
15.00Single4N4WSANT-14N4W-SMO-SANT-1
15.00Single5TZYMK8666; AP85TZY-FFA1-MK8666; AP8
15.00Single6RZ7ONO-25703666RZ7-CysLT2-ONO-2570366
15.00Single6XBLCholesterol6XBL-SMO-SAG-Cholesterol-Gi1/β1/γ2
15.00Single7F55Bremelanotide7F55-MC4-Bremelanotide-Gs/β1/γ2
15.00Single7K15MKD0467K15-BLT1-MKD046-Na
15.00Single7XW5ML1097XW5-TSH-TSH-ML109-Gs/β1/γ2
15.00Single7XW6ML1097XW6-TSH-M22 Fab-ML109-Gs/β1/γ2
15.00Single7XXI2MeSADP7XXI-P2Y12-2MeSADP-Gi2/β1/γ2
15.00Single8HK2C3a8HK2-C3aB-C3a-Gi1/β1/γ2
15.00Single8IYWGSK2560738IYW-HCA2-GSK256073-Go/β1/γ2
15.00Single8J6DEP1418J6D-C3aB-EP141-Go/β1/γ2
15.00Single8U26Substance-P8U26-NK1-Substance-P-Gs/β1/γ2
15.00Single8X8NOctreotide8X8N-SST5-Octreotide-chim(NtGi1-Gs-CtGi1)/β1/γ2
15.00Single9DGIZ85267113509DGI-CB1-Z8526711350
15.00Single9ECJS-geranylgeranyl-L-glutathione9ECJ-P2Y8-S-geranylgeranyl-L-glutathione-G13/β1/γ2
15.00Single9IZHLPA9IZH-LPA1-LPA-chim(NtGi2-G13)/β1/γ2
15.00Single9KZKC3a (fragment)9KZK-C3aB-C3a (fragment)-Go/β1/γ2
15.00Single9WXMGPR15L(CT)9WXM-GPR15-GPR15L(CT)-Gi3/β1/γ2
15.00Consensuscannabinoid_onOrthosteric Ligandcb2_on cb1_on
15.00Consensuscannabinoid_on_gpOrthosteric Ligandcb2_on_gp cb1_on_gp
15.00Consensusffa2_on_gpOrthosteric Ligand8J22-FFA2-TUG-1375-Gi1/β1/γ2
15.00Consensusgi_p2yOrthosteric Ligand7XXI-P2Y12-2MeSADP-Gi2/β1/γ2
15.00Consensuslipid_offonOrthosteric Ligandlipid_off lipid_on
15.00Consensuslipid_offon_gpOrthosteric Ligandlipid_on_gp lipid_off
15.00Consensusp2y12_on_gpOrthosteric Ligand7XXI-P2Y12-2MeSADP-Gi2/β1/γ2
14.81Single6P9YPACAP276P9Y-PAC1-PACAP27-Gs/β1/γ2
14.81Single7QBIAlpha-factor mating pheromone7QBI-STE2; STE2-α-factor mating pheromone
14.81Single7RGPTirzepatide7RGP-GLP-1-Tirzepatide-chim(NtGi1-Gs)/β1/γ2
14.81Single8E3XPACAP278E3X-PAC1-PACAP27-Gs/β1/γ2
14.81Single8XQFApelin-138XQF-Apelin-Apelin-13-Gi1/β1/γ2
14.81Single9P92VIP9P92-PAC1-VIP-Gs/β1/γ2
14.81Consensuspac_on_gpOrthosteric Ligandpac1_on_gp
14.81Consensusvpac1_on_gpOrthosteric Ligand8E3Z-VPAC1-VIP-Gs/β1/γ2
14.29Single2ZIY11-cis-Retinal2ZIY-Rhodopsin-11-cis-Retinal
14.29Single5CGDHTL142425CGD-mGlu5-HTL14242
14.29Single6P9XCorticoliberin-16P9X-CRF1-Corticoliberin-1-Gs/β1/γ2
14.29Single6RZ9ONO-27703726RZ9-CysLT2-ONO-2770372
14.29Single6VCBGLP-16VCB-GLP-1-GLP-1-LSN3160440-Gs/β1/γ2
14.29Single7AD3Alpha-factor mating pheromone7AD3-STE2; STE2-α-factor mating pheromone-Gi1/STE4/γ2
14.29Single7F53Alpha-MSH7F53-MC4-α-MSH-Gs/β1/γ2
14.29Single7LLLExendin-47LLL-GLP-1-Exendin-4-Gs/β1/γ2
14.29Single7MT8All-trans-Retinal7MT8-Rhodopsin-All-trans-Retinal-GRK1
14.29Single7MT9All-trans-Retinal7MT9-Rhodopsin-All-trans-Retinal-GRK1
14.29Single7MTAAll-trans-Retinal7MTA-Rhodopsin-All-trans-Retinal-GRK1
14.29Single7P00Substance-P7P00-NK1-Substance-P-chim(NtGi1-Gs-CtGq)/β1/γ2
14.29Single7QBCAlpha-factor mating pheromone7QBC-STE2; STE2-α-factor mating pheromone
14.29Single7QVMOxytocin7QVM-OT-Oxytocin-chim(NtGi1-Go-CtGq)/β1/γ2
14.29Single7V6APubChem 98642757V6A-M4-PubChem 9864275-Gi1/β1/γ2
14.29Single7Y27Somatostatin-147Y27-SST2-Somatostatin-14-chim(NtGi2L-Gs-CtGq)/β1/γ2
14.29Single7YU8ONO-07405567YU8-LPA1-ONO-0740556-Gi1/β1/γ2
14.29Single8F76Propanoic acid8F76-OR51E2-Propanoic acid-Gs/β1/γ2
14.29Single8GAGZ85267113508GAG-CB1-Z8526711350-Gi1/β1/γ2
14.29Single8GUTLEI-1028GUT-CB2-LEI-102-Gi1/β1/γ2
14.29Single8IULLatanoprost8IUL-FP-alpha-Latanoprost-chim(NtGi1-Gs-CtGq)/β1/γ2
14.29Single8K2XCXCL108K2X-CXCR3-CXCL10-Gi1/β1/γ2
14.29Single8WRZAM8418WRZ-CB1-AM841-Arrestin2
14.29Single8X9UMetenolone8X9U-ADGRD1-Metenolone-chim(NtGi1-Gs)/β1/γ2
14.29Single8XJKCloprosetnol8XJK-FP-alpha-Cloprosetnol-chim(NtGi1-Gs-CtGq)/β1/γ2
14.29Single8ZJGChemerin8ZJG-CML1-Chemerin-Gi1/β1/γ2
14.29Single9BUCCagrilintide9BUC-CT-Cagrilintide-Gs/β1/γ2
14.29Single9EAILosartan9EAI-AT1-Losartan-Nanobody AT209
14.29Single9JHJC18:0 Ceramide9JHJ-FPR2-ALX-C18:0 Ceramide-Gi1/β1/γ2
14.29Single9JKT(2R)-2-hydroxy-3-phenylpropanoic acid9JKT-HCA3-(2R)-2-hydroxy-3-phenylpropanoic acid-Gi1/β1/γ2
14.29Single9KT8Acifran9KT8-HCA2-Acifran-Gi1/β1/γ2
14.29Single9KT93,5-DHBA9KT9-HCA1-3,5-DHBA-Gi1/β1/γ2
14.29Consensusclass-b1_onOrthosteric Ligandglucagon_on vip-pacap_on pth_on crf_on calcitonin_on
14.29Consensuscrf_onOrthosteric Ligandcrf2_on crf1_on
14.29Consensuscyslt2_offOrthosteric Ligand6RZ7-CysLT2-ONO-2570366 6RZ8-CysLT2-ONO-2080365 6RZ9-CysLT2-ONO-2770372
14.29Consensusfp-alpha_onOrthosteric Ligand8IUK-FP-alpha-PGF2-α-chim(NtGi1-Gs-CtGq)/β1/γ2 8IUL-FP-alpha-Latanoprost-chim(NtGi1-Gs-CtGq)/β1/γ2 8IUM-FP-alpha-Tafluprost acid-chim(NtGi1-Gs-CtGq)/β1/γ2
14.29Consensusfp-alpha_on_gpOrthosteric Ligand8IUK-FP-alpha-PGF2-α-chim(NtGi1-Gs-CtGq)/β1/γ2 8IUL-FP-alpha-Latanoprost-chim(NtGi1-Gs-CtGq)/β1/γ2 8IUM-FP-alpha-Tafluprost acid-chim(NtGi1-Gs-CtGq)/β1/γ2
14.29Consensusglp_onOrthosteric Ligandglp1_on glp2_on
14.29Consensusglp_on_gpOrthosteric Ligandglp1_on_gp glp2_on_gp
14.29Consensusnk1_onOrthosteric Ligand7P00-NK1-Substance-P-chim(NtGi1-Gs-CtGq)/β1/γ2
14.29Consensusnk1_on_gpOrthosteric Ligand7P00-NK1-Substance-P-chim(NtGi1-Gs-CtGq)/β1/γ2
13.79Single6LMLGlucagon6LML-Glucagon-Glucagon-Gi1/β1/γ1
13.79Single6PB1Urocortin6PB1-CRF2-Urocortin-chim(NtGi1-Gs)/β1/γ2
13.79Single6WZGSecretin6WZG-Secretin-Secretin-Gs/β1/γ2
13.79Single7D68GLP-27D68-GLP-2-GLP-2-Gs/β1/γ2
13.79Single7KI1Taspoglutide7KI1-GLP-1-Taspoglutide-Gs/β1/γ2
13.79Single7QBCAlpha-factor mating pheromone7QBC-STE2; STE2-α-factor mating pheromone
13.79Single7TS0Urocortin7TS0-CRF2-Urocortin-chim(NtGi1L-Go)/β1/γ2
13.79Single8F0KPramlintide Analogue San3858F0K-CT (AMY3)-Pramlintide Analogue San385-Gs/β1/γ2; RAMP3
13.79Single8IY6Endothelin-18IY6-ETB-Endothelin-1
13.79Single8KGGLysophosphatidylserine (WJS)8KGG-P2Y10-Lysophosphatidylserine (WJS)-chim(NtGi2-G13)/β1/γ2
13.79Single9BYOExendin-39BYO-GLP-1-Exendin-3-Gs/β1/γ2
13.79Single9P93VIP9P93-PAC1-VIP-Gs/β1/γ2
13.79Consensusendothelin_onOrthosteric Ligandetb_on eta_on
13.79Consensusvip-pacap_onOrthosteric Ligandvpac_on pac_on
13.79Consensusvip-pacap_on_gpOrthosteric Ligandvpac_on_gp pac_on_gp
13.64Single6C1QPMX536C1Q-C5a1-PMX53-NDT9513727
13.64Single6RZ6ONO-25703666RZ6-CysLT2-ONO-2570366
13.64Single6XBJCholesterol6XBJ-SMO-Cholesterol-Gi1/β1/γ2
13.64Single7F9ZGHRP-67F9Z-Ghrelin-GHRP-6-chim(NtGi1-Gs-CtGq)/β1/γ2
13.64Single7RKFCX3CL17RKF-US28-CX3CL1-GDP-chim(NtGi1-G11)/β1/γ2
13.64Single7RMGSubstance-P7RMG-NK1-Substance-P-chim(Gs-CtGq)/β1/γ2
13.64Single7RMHSubstance-P7RMH-NK1-Substance-P-Gs/β1/γ2
13.64Single7Y1FDynorphin7Y1F-κ-Dynorphin-Gi1/β1/γ2
13.64Single7YJ4INSL57YJ4-RXFP4-INSL5-Gi2/β1/γ2
13.64Single8IUMTafluprost acid8IUM-FP-alpha-Tafluprost acid-chim(NtGi1-Gs-CtGq)/β1/γ2
13.64Single8J22TUG-13758J22-FFA2-TUG-1375-Gi1/β1/γ2
13.64Single8XZFWN5618XZF-Apelin; Apelin-WN561-Gi1/β1/γ2
13.64Single9IZASCH9002719IZA-HCA2-SCH900271-Gi1/β1/γ2
13.64Single9JH6C20:0 Ceramide9JH6-CysLT2-C20:0 Ceramide-chim(NtGi1-Gs-CtGq)/β1/γ2
13.64Single9KX6C5a-des-Arg9KX6-C5a1-C5a-des-Arg-Go/β1/γ2
13.64Single9WSXEndomorphin9WSX-μ-Endomorphin-Arrestin2
13.33Single3OE9IT1t3OE9-CXCR4-IT1t
13.33Single6PB0Urocortin6PB0-CRF1-Urocortin-chim(NtGi1-Gs)/β1/γ2
13.33Single7D76Beclomethasone7D76-ADGRG3-Beclomethasone-Go/β1/γ2
13.33Single7DUQGLP-17DUQ-GLP-1-GLP-1-PubChem 156022738-Gs/β1/γ2
13.33Single7XP6Strychnine7XP6-TAS2R46-Strychnine-chim(Gs-CtGt3)/β1/γ2
13.33Single8IHIAcifran8IHI-HCA2-Acifran-Gi1/β1/γ2
13.33Single8JILNiacin8JIL-HCA2-Niacin-Gi1/β1/γ2
13.33Single8SZFCa; Ca; Tryptophan; Cinacalcet; PO4; Spermine8SZF-CaS; CaS-Ca; Ca; Tryptophan; Cinacalcet; PO4; Spermine
13.33Single8WPUTryptophan; Cinacalcet; PO4; Ca8WPU-CaS; CaS-Tryptophan; Cinacalcet; PO4; Ca-chim(NtGi2L-Gs-CtGq)/β1/γ2
13.33Single8X2KOleic monoethanolamide8X2K-GPR3-Oleic monoethanolamide-chim(NtGi1-Gs)/β1/γ2
13.33Single8YKWSuccinic acid8YKW-Succinate-Succinic acid-Gi1/β1/γ1
13.33Single9B9YTaranabant9B9Y-CB1-Taranabant
13.33Single9C1PCa; Tryptophan; '6218; PO49C1P-CaS; CaS-Ca-Ca; Tryptophan; '6218; PO4
13.33Single9IZDCHBA9IZD-HCA1-CHBA-Gi1/β1/γ2
13.33Single9YDAAll-trans-Retinal9YDA-Opsin1MW-All-trans-Retinal-chim(NtGi1L-Gs-CtGt)/β1/γ2
13.33Consensusclass-a_class-b1_cons_onOrthosteric Ligandclass-a_on class-b1_on
13.33Consensuscrf1_onOrthosteric Ligand6PB0-CRF1-Urocortin-chim(NtGi1-Gs)/β1/γ2 6P9X-CRF1-Corticoliberin-1-Gs/β1/γ2
13.04Single4XT1CX3CL14XT1-US28-CX3CL1
13.04Single6RZ8ONO-20803656RZ8-CysLT2-ONO-2080365
13.04Single6WIVPubChem 52923113; PubChem 529246456WIV-GABAB1, GABAB2-PubChem 52923113; PubChem 52924645
13.04Single7F54Afamelanotide7F54-MC4-Afamelanotide-Gs/β1/γ2
13.04Single7QA8Antagonist Peptide7QA8-STE2; STE2-Antagonist Peptide
13.04Single7QA8Antagonist Peptide7QA8-STE2; STE2-Antagonist Peptide
13.04Single7W2ZGhrelin7W2Z-Ghrelin-Ghrelin-Go/β1/γ2
13.04Single8IEIPubChem 1347468948IEI-GPR156; GPR156-PubChem 134746894
13.04Single8IEIPubChem 1347468948IEI-GPR156; GPR156-PubChem 134746894
13.04Single8IEPPubChem 1347468948IEP-GPR156; GPR156-PubChem 134746894
13.04Single8IEPPubChem 1347468948IEP-GPR156; GPR156-PubChem 134746894
13.04Single8K3ZCXCL128K3Z-CXCR4-CXCL12-Gi1/β1/γ1
13.04Single8XGMChemerin8XGM-CML2-Chemerin-Gi1/β1/γ2
13.04Single8YWFRetatrutide8YWF-GLP-1-Retatrutide-chim(NtGi1-Gs)/β1/γ2
13.04Single9HB3Mambaquaretin-19HB3-V2-Mambaquaretin-1
13.04Consensuscxcr4_onOrthosteric Ligand8K3Z-CXCR4-CXCL12-Gi1/β1/γ1
13.04Consensusmc4_onOrthosteric Ligand7AUE-MC4-Setmelanotide-chim(NtGi1L-Gs)/β1/γ2 7F58-MC4-THIQ-Gs/β1/γ2 7F54-MC4-Afamelanotide-Gs/β1/γ2 7F53-MC4-α-MSH-Gs/β1/γ2 7F55-MC4-Bremelanotide-Gs/β1/γ2
13.04Consensussomatostatin_offOrthosteric Ligandsst2_off
13.04Consensussst5_onOrthosteric Ligand8X8L-SST5-Cortistatin-14-chim(NtGi1-Gs-CtGi1)/β1/γ2 8X8N-SST5-Octreotide-chim(NtGi1-Gs-CtGi1)/β1/γ2
12.90Single6LPBPACAP276LPB-PAC1-PACAP27-Gs/β1/γ1
12.90Single8FLSAbaloparatide8FLS-PTH1-Abaloparatide-Gs/β1/γ2
12.90Single8FLULA-PTH Analog8FLU-PTH1-LA-PTH Analog-Gs/β1/γ2
12.90Consensusendothelin_on_gpOrthosteric Ligandetb_on_gp eta_on_gp
12.90Consensusmelanocortin_onOrthosteric Ligandmc1_on mc4_on mc2_on mc3_on mc5_on
12.90Consensusmelanocortin_on_gpOrthosteric Ligandmc1_on_gp mc4_on_gp mc2_on_gp mc3_on_gp mc5_on_gp
12.82Consensusclass-b1_on_gpOrthosteric Ligandglucagon_on_gp vip-pacap_on_gp pth_on_gp crf_on_gp calcitonin_on_gp
12.50Single5XJM(Sar1,Ile8)-Angiotensin II5XJM-AT2-(Sar1,Ile8)-Angiotensin II
12.50Single6WPWZP37806WPW-Glucagon-ZP3780-Gs/β1/γ2
12.50Single7F8YDevazepide7F8Y-CCKA-Devazepide
12.50Single7M3FCa; Ca; Tryptophan; Cinacalcet7M3F-CaS; CaS-Ca; Ca; Tryptophan; Cinacalcet
12.50Single7PIVAfamelanotide7PIV-MC4-Afamelanotide-Gs/β1/γ2
12.50Single7RKMCX3CL17RKM-US28-CX3CL1-Gi1/β1/γ2
12.50Single7RMISubstance-P7RMI-NK1-Substance-P-chim(Gs-CtGq)/β1/γ2
12.50Single7SILCa; Ca; Ca; Cyclomethyltryptophan; R-568; PO47SIL-CaS; CaS-Ca-Ca; Ca; Ca; Cyclomethyltryptophan; R-568; PO4
12.50Single7SILCa; Ca; Ca; Cyclomethyltryptophan; R-568; PO47SIL-CaS; CaS-Ca-Ca; Ca; Ca; Cyclomethyltryptophan; R-568; PO4
12.50Single7VBITirzepatide (non-acylated)7VBI-GLP-1-Tirzepatide (non-acylated)-Gs/β1/γ2
12.50Single7VDLCortistatin-147VDL-MRGPRX2-Cortistatin-14-Gi1/β1/γ2
12.50Single7VVMPTH7VVM-PTH1-PTH-Gs/β1/γ2
12.50Single7W0NElabela7W0N-Apelin; Apelin-Elabela-Gi1/β1/γ2
12.50Single7WF7S1P7WF7-S1P1-S1P-Gi1/β1/γ2
12.50Single7WJ5Somatostatin-147WJ5-SST2-Somatostatin-14-Gi1/β1/γ2
12.50Single7XNACYN1548067XNA-SST2-CYN154806
12.50Single8F7QBeta-Endorphin8F7Q-μ-β-Endorphin-Gi1/β1/γ2
12.50Single8H8JLodoxamide8H8J-GPR35-Lodoxamide-Ca-chim(NtGi1L-G13)/β1/γ2
12.50Single8IEBPubChem 1347468948IEB-GPR156; GPR156-PubChem 134746894
12.50Single8J6LNiacin8J6L-HCA2-Niacin-Gi1/β1/γ2
12.50Single8JBHSubstance-P8JBH-NK3-Substance-P-chim(NtGi1-Gs-CtGq)/β1/γ2
12.50Single8JPPSuccinic acid8JPP-Succinate-Succinic acid-chim(Gs-CtGq)/β1/γ1
12.50Single8K6ONeuropeptide-Y8K6O-Y1-Neuropeptide-Y-Gi2/β1/γ1
12.50Single8U8FPalmitic Acid8U8F-GPR3-Palmitic Acid-Gs/β1/γ2
12.50Single8UTDMK19038UTD-HCA2-MK1903-Gi1/β1/γ2
12.50Single8XYDPlatelet Activating Factor8XYD-PAF-Platelet Activating Factor-Gi1/β1/γ2
12.50Single8Z7JJN241-98Z7J-Apelin-JN241-9-Gi1/β1/γ2
12.50Single9EAINanobody AT2099EAI-AT1-Losartan-Nanobody AT209
12.50Single9IQRMuscarinic toxin 39IQR-α2a-Muscarinic toxin 3
12.50Single9IQSMuscarinic toxin 39IQS-M4-Muscarinic toxin 3
12.50Single9IQVMuscarinic toxin 39IQV-Alpha1A-Muscarinic toxin 3
12.50Single9JFK(Pen5)-Urotensin II9JFK-UT-(Pen5)-Urotensin II-chim(NtGi2L-Gs-CtGq)/β1/γ2
12.50Single9JKXAcifran9JKX-HCA3-Acifran-Gi1/β1/γ2
12.50Single9KV6TLQP219KV6-C3aB-TLQP21-Go/β1/γ2
12.50Consensuscrf1_on_gpOrthosteric Ligand6PB0-CRF1-Urocortin-chim(NtGi1-Gs)/β1/γ2 6P9X-CRF1-Corticoliberin-1-Gs/β1/γ2
12.50Consensuscrf_on_gpOrthosteric Ligandcrf2_on_gp crf1_on_gp
12.50Consensusglp1_on_gpOrthosteric Ligand7S1M-GLP-1-Exendin-4-D-Ala-Gs/β1/γ2 7X8R-GLP-1-BOC5-Gs/β1/γ2 6X19-GLP-1-CHU-128-Gs/β1/γ2 6X1A-GLP-1-Danuglipron-Gs/β1/γ2 6X18-GLP-1-GLP-1-Gs/β1/γ2 8JIP-GLP-1-MEDI0382-chim(NtGi1-Gs)/β1/γ2 7C2E-GLP-1-PubChem 149050799-Gs/β1/γ2 7KI0-GLP-1-Semaglutide-Gs/β1/γ2 7KI1-GLP-1-Taspoglutide-Gs/β1/γ2 7X8S-GLP-1-WB4-24-Gs/β1/γ2 8JIS-GLP-1-Peptide-15-chim(NtGi1-Gs)/β1/γ2 7VBI-GLP-1-Tirzepatide (non-acylated)-Gs/β1/γ2
12.50Consensusmc4_on_gpOrthosteric Ligand7AUE-MC4-Setmelanotide-chim(NtGi1L-Gs)/β1/γ2 7F58-MC4-THIQ-Gs/β1/γ2 7F54-MC4-Afamelanotide-Gs/β1/γ2 7F53-MC4-α-MSH-Gs/β1/γ2 7F55-MC4-Bremelanotide-Gs/β1/γ2
12.50Consensussst2_offOrthosteric Ligand7XNA-SST2-CYN154806
12.50Consensustachykinin_on_gpOrthosteric Ligandnk1_on_gp nk2_on_gp nk3_on_gp
12.12Single7Y36PTH7Y36-PTH1-PTH-Gs/β1/γ2
12.12Single8FLQPTH8FLQ-PTH1-PTH-Gs/β1/γ2
12.12Consensusglucagon_onOrthosteric Ligandglp_on gluc_on secretin_on gip_on
12.12Consensuspth2_onOrthosteric Ligand7F16-PTH2-TIP39-Gs/β1/γ2
12.00Single3OE0CVX153OE0-CXCR4-CVX15
12.00Single6MEOGp160; CD46MEO-CCR5-Gp160; CD4
12.00Single7O7F6P4-CCL57O7F-CCR5-6P4-CCL5-Gi1/β1/γ1
12.00Single7RYCOxytocin7RYC-OT-Oxytocin-chim(NtGi2L-Gs-CtGq)/β1/γ2
12.00Single8K6MNeuropeptide-Y8K6M-Y1-Neuropeptide-Y-Gi2/β1/γ1
12.00Single9LXRLA-PTH Analog9LXR-PTH1-LA-PTH Analog-Arrestin2
12.00Consensusclass-b1_class-b2_cons_onOrthosteric Ligandclass-b1_on class-b2_on
12.00Consensusclass-b1_class-b2_cons_on_gpOrthosteric Ligandclass-b1_on_gp class-b2_on_gp
12.00Consensuscxcr4_on_gpOrthosteric Ligand8K3Z-CXCR4-CXCL12-Gi1/β1/γ1
12.00Consensusmc3_onOrthosteric Ligand8IOC-MC3-γ-MSH-Ca-chim(NtGi1-Gs)/β1/γ2
12.00Consensusmc3_on_gpOrthosteric Ligand8IOC-MC3-γ-MSH-Ca-chim(NtGi1-Gs)/β1/γ2
12.00Consensusnpy1_onOrthosteric Ligand8K6M-Y1-Neuropeptide-Y-Gi2/β1/γ1
12.00Consensusnpy1_on_gpOrthosteric Ligand8K6M-Y1-Neuropeptide-Y-Gi2/β1/γ1
11.76Single6E3YCalcitonin gene-related peptide-16E3Y-CT Like-Calcitonin gene-related peptide-1-Gs/β1/γ2; RAMP1
11.76Single6FFIMPEP6FFI-mGlu5-MPEP
11.76Single6ZG9GSK10347026ZG9-M1-GSK1034702
11.76Single7UTZDPPC7UTZ-TSH-TSH-DPPC-Gs/β1/γ2
11.76Single7XOVSR1461317XOV-CCKA-SR146131-Gs/β1/γ2
11.76Single8GUQOlorinab8GUQ-CB2-Olorinab-Gi1/β1/γ2
11.76Single8IHKAcifran8IHK-HCA3-Acifran
11.76Single8IYXYL-3658IYX-GPR34-YL-365
11.76Single8K4NPubChem 1687197658K4N-GPR34-PubChem 168719765-Gi1/β1/γ2
11.76Single8Y6YGLPG09748Y6Y-FFA2-GLPG0974
11.76Single9BA0MRI-18919BA0-CB1-MRI-1891
11.76Single9JMDAzithromycin9JMD-Motilin-Azithromycin-chim(Gs-CtGq)/β1/γ2
11.76Single9KXSEP679KXS-C5a1-EP67-Go/β1/γ2
11.76Single9U80Conivaptan9U80-V2-Conivaptan
11.76Consensuscb1_offOrthosteric Ligand5U09-CB1-Taranabant 5TGZ-CB1-AM6538
11.76Consensusglucagon_on_gpOrthosteric Ligandglp_on_gp gluc_on_gp secretin_on_gp gip_on_gp
11.76Consensuspth_onOrthosteric Ligandpth1_on pth2_on
11.54Single5WB2CX3CL1.355WB2-US28-CX3CL1.35
11.54Single6M1IPACAP276M1I-PAC1-PACAP27-Gs/β1/γ2
11.54Single6METGp160; CD46MET-CCR5-Gp160; CD4
11.54Single7AD3Alpha-factor mating pheromone7AD3-STE2; STE2-α-factor mating pheromone-Gi1/STE4/γ2
11.54Single7XK8Neuromedin-U-257XK8-NMUR2-Neuromedin-U-25-Gi1/β1/γ2
11.54Single8HA0PTH8HA0-PTH1-PTH-chim(NtGi1-Gs)/β1/γ2
11.54Single8XZJWN3538XZJ-Apelin; Apelin-WN353-Gi1/β1/γ2
11.54Single8YW3Retatrutide8YW3-GLP-1-Retatrutide-Gs/β1/γ2
11.54Single8YW4Retatrutide8YW4-GIP-Retatrutide-chim(NtGi1-Gs)/β1/γ2
11.54Single8YW5Retatrutide8YW5-Glucagon-Retatrutide-Gs/β1/γ2
11.54Single9BLCCagrilintide (non-acylated)9BLC-CT-Cagrilintide (non-acylated)-Gs/β1/γ2
11.54Single9EBOGLP-1 (ACPC18)9EBO-GLP-1-GLP-1 (ACPC18)-Gs/β1/γ2
11.54Consensuscrf2_onOrthosteric Ligand7TS0-CRF2-Urocortin-chim(NtGi1L-Go)/β1/γ2
11.54Consensusprotein_offonOrthosteric Ligandprotein_off protein_on
11.54Consensusprotein_offon_gpOrthosteric Ligandprotein_on_gp protein_off
11.54Consensustachykinin_onOrthosteric Ligandnk1_on nk2_on nk3_on
11.43Consensusmc2_onOrthosteric Ligand8GY7-MC2-Corticotropin-Ca-chim(NtGi1-Gs)/β1/γ2; MRAP1
11.43Consensusmc2_on_gpOrthosteric Ligand8GY7-MC2-Corticotropin-Ca-chim(NtGi1-Gs)/β1/γ2; MRAP1
11.11Single5NDDAZ8838; Na5NDD-PAR2-AZ8838; Na
11.11Single5TGZAM65385TGZ-CB1-AM6538
11.11Single6FFHFenobam6FFH-mGlu5-Fenobam
11.11Single6FKDPubChem 1373491836FKD-Rhodopsin-PubChem 137349183
11.11Single6GPSMK08126GPS-CCR2-MK0812
11.11Single6KPFAM120336KPF-CB2-AM12033-Gi1/β1/γ2
11.11Single6X18GLP-16X18-GLP-1-GLP-1-Gs/β1/γ2
11.11Single6Z10PubChem 1545855546Z10-Succinate-PubChem 154585554
11.11Single7F16TIP397F16-PTH2-TIP39-Gs/β1/γ2
11.11Single7F83PF-051904577F83-Ghrelin-PF-05190457
11.11Single7FIHOrg435537FIH-LH-hCG-Org43553-chim(NtGi1-Gs)/β1/γ2
11.11Single7LLYOxyntomodulin7LLY-GLP-1-Oxyntomodulin-Gs/β1/γ2
11.11Single7P02Substance-P7P02-NK1-Substance-P-chim(NtGi1-Gs)/β1/γ2
11.11Single7V3ZCP559407V3Z-CB1-CP55940
11.11Single7YU4ONO-07405567YU4-LPA1-ONO-0740556
11.11Single8EJKTAK-8758EJK-FFA1-TAK-875-chim(NtGi1L-Gs-CtGq)/β1/γ2
11.11Single8HCQEndothelin-18HCQ-ETA-Endothelin-1-chim(NtGi1-Gs-CtGq)/β1/γ2
11.11Single8IHJAcifran8IHJ-HCA3-Acifran-Gi1/β1/γ2
11.11Single8KFYZK-7563268KFY-CCR8-ZK-756326-Gi1/β1/γ2
11.11Single8X9TAP5038X9T-ADGRD1-AP503-chim(NtGi1-Gs)/β1/γ2
11.11Single8XBGS3E-Lysophosphatidylserine 8XBG-GPR34-S3E-Lysophosphatidylserine
11.11Single8ZYYNeurotensin-(8-13)8ZYY-NTS1-Neurotensin-(8-13)-SBI-553-Arrestin2
11.11Consensuscalcitonin_onOrthosteric Ligandctlike_on
11.11Consensusccr2_offOrthosteric Ligand6GPS-CCR2-MK0812
11.11Consensuschemokine_on_gpOrthosteric Ligandccr_on_gp cxcr_on_gp
11.11Consensuseta_onOrthosteric Ligand8HCQ-ETA-Endothelin-1-chim(NtGi1-Gs-CtGq)/β1/γ2
11.11Consensuseta_on_gpOrthosteric Ligand8HCQ-ETA-Endothelin-1-chim(NtGi1-Gs-CtGq)/β1/γ2
11.11Consensusgi_chemokineOrthosteric Ligand6WWZ-CCR6-CCL20-Go/β1/γ2 8HNK-CXCR3-CXCL11-Gi1/β1/γ2 8K3Z-CXCR4-CXCL12-Gi1/β1/γ1 8IC0-CXCR1-CXCL8-Gi1/β1/γ2 6LFM-CXCR2-CXCL8-Gi1/β1/γ2 8KFX-CCR8-LMD-009-Gi1/β1/γ2 7F1Q-CCR5-CCL3-Gi1/β1/γ2 8HNL-CXCR3-PS372424-Gi1/β1/γ2 8KFY-CCR8-ZK-756326-Gi1/β1/γ2 7O7F-CCR5-6P4-CCL5-Gi1/β1/γ1 8U1U-CCR8-CCL1-Gi1/β1/γ2 7VLA-CCR1-CCL15(27-92)-Gi1/β1/γ2 7XA3-CCR2-CCL2-Gi1/β1/γ2
11.11Consensuspac_onOrthosteric Ligandpac1_on
11.11Consensuspth2_on_gpOrthosteric Ligand7F16-PTH2-TIP39-Gs/β1/γ2
11.11Consensusvpac_onOrthosteric Ligandvpac1_on vpac2_on
10.71Single4XT3CX3CL14XT3-US28-CX3CL1
10.71Single5UIW5P7-CCL55UIW-CCR5-5P7-CCL5
10.71Single6FJ3PTH6FJ3-PTH1-PTH
10.71Single6NBFLA-PTH Analog6NBF-PTH1-LA-PTH Analog-Gs/β1/γ2
10.71Single6NBILA-PTH Analog6NBI-PTH1-LA-PTH Analog-Gs/β1/γ2
10.71Single7CZ5Somatoliberin7CZ5-GHRH-Somatoliberin-Gs/β1/γ2
10.71Single7D3SSecretin7D3S-Secretin-Secretin-Gs/β1/γ2
10.71Single7KI0Semaglutide7KI0-GLP-1-Semaglutide-Gs/β1/γ2
10.71Single7RA3GIP7RA3-GIP-GIP-chim(NtGi1-Gs)/β1/γ2
10.71Single7VABTirzepatide (non-acylated)7VAB-GIP-Tirzepatide (non-acylated)-chim(NtGi1-Gs)/β1/γ2
10.71Single7W3ZGastrin Releasing Peptide7W3Z-BB2-Gastrin Releasing Peptide-chim(NtGi1L-Gq)/β1/γ2
10.71Single8JISPeptide-158JIS-GLP-1-Peptide-15-chim(NtGi1-Gs)/β1/γ2
10.71Single9BLWCagrilintide (non-acylated)9BLW-CT (AMY1)-Cagrilintide (non-acylated)-Gs/β1/γ2; RAMP1
10.71Single9J1Pg1:Ox9J1P-GLP-1-g1:Ox-chim(NtGi1-Gs)/β1/γ2
10.71Single9KFKRelaxin-39KFK-RXFP4-Relaxin-3-Gi2/β1/γ2
10.71Consensuscalcitonin_on_gpOrthosteric Ligandctlike_on_gp
10.71Consensusccr5_offOrthosteric Ligand5UIW-CCR5-5P7-CCL5
10.71Consensusccr5_onOrthosteric Ligand7O7F-CCR5-6P4-CCL5-Gi1/β1/γ1 7F1Q-CCR5-CCL3-Gi1/β1/γ2
10.71Consensuscrf2_on_gpOrthosteric Ligand7TS0-CRF2-Urocortin-chim(NtGi1L-Go)/β1/γ2
10.71Consensuspac1_onOrthosteric Ligand8E3X-PAC1-PACAP27-Gs/β1/γ2 6M1H-PAC1-Maxadilan-Gs/β1/γ2
10.71Consensuspac1_on_gpOrthosteric Ligand8E3X-PAC1-PACAP27-Gs/β1/γ2 6M1H-PAC1-Maxadilan-Gs/β1/γ2
10.71Consensussecretin_onOrthosteric Ligand7D3S-Secretin-Secretin-Gs/β1/γ2
10.71Consensusvpac_on_gpOrthosteric Ligandvpac1_on_gp vpac2_on_gp
10.53Single6GPXMK08126GPX-CCR2-MK0812
10.53Single6KPCAM120336KPC-CB2-AM12033
10.53Single6M9TMisoprostol-FA6M9T-EP3-Misoprostol-FA
10.53Single6XBKCholesterol6XBK-SMO-Cholesterol-Gi1/β1/γ2
10.53Single7VV0PAMP-127VV0-MRGPRX2-PAMP-12
10.53Single7VV4Cortistatin-147VV4-MRGPRX2-Cortistatin-14
10.53Single7YU3ONO-07405567YU3-LPA1-ONO-0740556-Gi1/β1/γ2
10.53Single7YU6ONO-07405567YU6-LPA1-ONO-0740556-Gi1/β1/γ2
10.53Single8GD9Rivenprost8GD9-EP4-Rivenprost-Gs/β1/γ2
10.53Single8GDCPGE28GDC-EP3-PGE2-Gi1/β1/γ2
10.53Single8IZ4Lysophosphatidylserine (TJR)8IZ4-GPR34-Lysophosphatidylserine (TJR)-Gi1/β1/γ2
10.53Single8X0BVU04244658X0B-mGlu5; mGlu5-Quisqualate-VU0424465
10.53Single8X0CVU04244658X0C-mGlu5; mGlu5-Quisqualate-VU0424465
10.53Single8X0CVU04244658X0C-mGlu5; mGlu5-Quisqualate-VU0424465
10.53Single8ZVZBW245C8ZVZ-DP1-BW245C-Gs/β1/γ2
10.53Single8ZYTNeurotensin-(8-13)8ZYT-NTS1-Neurotensin-(8-13)-SBI-553-Arrestin2
10.53Single9B9ZMRI-18679B9Z-CB1-MRI-1867
10.53Single9EE5ONO-25502899EE5-DP1-ONO-2550289
10.53Single9EKHONO-30302979EKH-DP1-ONO-3030297
10.53Single9ERXD9-THC analog9ERX-CB1-D9-THC analog-Gi1/β1/γ2
10.53Single9HC04YI9HC0-mGlu5-4YI
10.53Single9JKSPubChem 442501769JKS-HCA3-PubChem 44250176-Gi1/β1/γ2
10.53Single9KO4CCL219KO4-CCR7-CCL21-Gi1/β1/γ2
10.53Single9KT6Acifran9KT6-HCA3-Acifran-Gi1/β1/γ2
10.53Consensusblt1_offOrthosteric Ligand5X33-BLT1-BIIL260 7K15-BLT1-MKD046-Na
10.53Consensusblt_offOrthosteric Ligandblt1_off
10.53Consensuslipid_onOrthosteric Ligandcannabinoid_on ffa_on lpl_on prostanoid_on leukotriene_on
10.53Consensuslipid_on_gpOrthosteric Ligandcannabinoid_on_gp ffa_on_gp lpl_on_gp prostanoid_on_gp leukotriene_on_gp
10.53Consensuslpa1_onOrthosteric Ligand7TD1-LPA1-LPA-Gi1/β1/γ2 7YU3-LPA1-ONO-0740556-Gi1/β1/γ2
10.53Consensuslpa1_on_gpOrthosteric Ligand7TD1-LPA1-LPA-Gi1/β1/γ2 7YU3-LPA1-ONO-0740556-Gi1/β1/γ2
10.53Consensuspth_on_gpOrthosteric Ligandpth1_on_gp pth2_on_gp
10.53Consensuss1p_offOrthosteric Ligands1p1_off s1p5_off
10.34Single6UVAAdrenomedullin-26UVA-CT Like (AM2)-Adrenomedullin-2-Gs/β1/γ2; RAMP3
10.34Single7DTYGIP7DTY-GIP-GIP-Gs/β1/γ2
10.34Single7FIYTirzepatide7FIY-GIP-Tirzepatide-Gs/β1/γ2
10.34Single7S1MExendin-4-D-Ala7S1M-GLP-1-Exendin-4-D-Ala-Gs/β1/γ2
10.34Single7TYFAmylin7TYF-CT (AMY1)-Amylin-Gs/β1/γ2; RAMP1
10.34Single7VQXPACAP277VQX-VPAC1-PACAP27-Gs/β1/γ2
10.34Single8FU6ZP37808FU6-Glucagon-ZP3780-Gs/β1/γ2
10.34Single8W8WAlpha-MSH8W8W-MC3-α-MSH-Ca-Gs/β1/γ2
10.34Single9P94PACAP279P94-PAC1-PACAP27-Gs/β1/γ2
10.34Consensusglp2_onOrthosteric Ligand7D68-GLP-2-GLP-2-Gs/β1/γ2
10.34Consensusglp2_on_gpOrthosteric Ligand7D68-GLP-2-GLP-2-Gs/β1/γ2
10.34Consensusp2y10_on_gpOrthosteric Ligand8KGG-P2Y10-Lysophosphatidylserine (WJS)-chim(NtGi2-G13)/β1/γ2
10.34Consensussecretin_on_gpOrthosteric Ligand7D3S-Secretin-Secretin-Gs/β1/γ2
10.00Single5VAIGLP-15VAI-GLP-1-GLP-1-Gs/β1/γ2
10.00Single6LMKGlucagon6LMK-Glucagon-Glucagon-Gs/β1/γ2
10.00Single6NBHLA-PTH Analog6NBH-PTH1-LA-PTH Analog-Gs/β1/γ2
10.00Single6UUSAdrenomedullin6UUS-CT Like (AM2)-Adrenomedullin-Gs/β1/γ2; RAMP3
10.00Single7F1TCCL37F1T-CCR5-CCL3
10.00Single7FEECP559407FEE-CB1-CP55940-ZCZ011
10.00Single7P2L4YI7P2L-mGlu5-4YI
10.00Single7S8MCortistatin-147S8M-MRGPRX2-Cortistatin-14-Gi1/β1/γ2
10.00Single7VVJPTHrP(1-36)7VVJ-PTH1-PTHrP(1-36)-Gs/β1/γ2
10.00Single7Y67C089 peptide7Y67-C5a1-C089 peptide-Gi1/β1/γ2
10.00Single7YU5ONO-07405567YU5-LPA1-ONO-0740556-Gi1/β1/γ2
10.00Single7YU7ONO-07405567YU7-LPA1-ONO-0740556-Gi1/β1/γ2
10.00Single8FLTM-PTH(1-14)8FLT-PTH1-M-PTH(1-14)-Gs/β1/γ2
10.00Single8FN1Neurotensin-(8-13)8FN1-NTS1-Neurotensin-(8-13)-chim(NtGi1-Go)/β1/γ2
10.00Single8GUSHU-3088GUS-CB2-HU-308-Gi1/β1/γ2
10.00Single8HAFPTHrP(1-36)8HAF-PTH1-PTHrP(1-36)-chim(NtGi1-Gs)/β1/γ2
10.00Single8HQCC5a8HQC-C5a1-C5a-Go/β1/γ2
10.00Single8IUKPGF2-alpha8IUK-FP-alpha-PGF2-α-chim(NtGi1-Gs-CtGq)/β1/γ2
10.00Single8JBGNeurokinin-B8JBG-NK3-Neurokinin-B-chim(NtGi1-Gs-CtGq)/β1/γ2
10.00Single8TAOCDPPB8TAO-mGlu5; mGlu5-Quisqualate-CDPPB
10.00Single8X79MRE-2698X79-I2-MRE-269-Gs/β1/γ2
10.00Single8XBIPubChem 1626566368XBI-GPR34-PubChem 162656636
10.00Single9ASTLymphotactin9AST-XCR1-Lymphotactin-Gi1/β1/γ2
10.00Single9CLWTUG-13759CLW-FFA2-TUG-1375-4-CMTB-chim(NtGi1L-Gs-CtGq)/β1/γ2
10.00Single9E9SPGD29E9S-DP1-PGD2-Gs/β1/γ1
10.00Single9EGOZ85267113509EGO-CB1-Z8526711350-Gi1/β1/γ2
10.00Single9ITELPA9ITE-LPA6-LPA-chim(NtGi2-G13)/β1/γ2
10.00Single9IZGLPA9IZG-LPA1-LPA-chim(NtGi1-Gs-CtGq)/β1/γ2
10.00Single9L16CCL219L16-CCR7-CCL21
10.00Single9YDVMRS29059YDV-P2Y14-MRS2905-Gi1/β1/γ2
10.00Consensusctlike_on_gpOrthosteric Ligand6E3Y-CT Like-Calcitonin gene-related peptide-1-Gs/β1/γ2; RAMP1
10.00Consensusgi_lpaOrthosteric Ligand7TD1-LPA1-LPA-Gi1/β1/γ2 7YU3-LPA1-ONO-0740556-Gi1/β1/γ2
10.00Consensusgs_melanocortinOrthosteric Ligand7F4H-MC1-Afamelanotide-chim(NtGi1-Gs)/β1/γ2 7F54-MC4-Afamelanotide-Gs/β1/γ2 7F4D-MC1-α-MSH-chim(NtGi1-Gs)/β1/γ2 8INR-MC5-α-MSH-Ca-chim(NtGi1-Gs)/β1/γ2 7F53-MC4-α-MSH-Gs/β1/γ2 7F55-MC4-Bremelanotide-Gs/β1/γ2 8GY7-MC2-Corticotropin-Ca-chim(NtGi1-Gs)/β1/γ2; MRAP1 8IOC-MC3-γ-MSH-Ca-chim(NtGi1-Gs)/β1/γ2 8IOD-MC5-PG-901-Ca-chim(NtGi1-Gs)/β1/γ2 7AUE-MC4-Setmelanotide-chim(NtGi1L-Gs)/β1/γ2 7F4I-MC1-SHU9119-chim(NtGi1-Gs)/β1/γ2 7F58-MC4-THIQ-Gs/β1/γ2
10.00Consensuslpa_onOrthosteric Ligandlpa1_on
10.00Consensuslpa_on_gpOrthosteric Ligandlpa1_on_gp
10.00Consensusprotein_offOrthosteric Ligandchemokine_off grh_off
9.76Single8GY7Corticotropin8GY7-MC2-Corticotropin-Ca-chim(NtGi1-Gs)/β1/γ2; MRAP1
9.68Single7TYXAmylin7TYX-CT (AMY2)-Amylin-Gs/β1/γ2; RAMP2
9.68Single8U1UCCL18U1U-CCR8-CCL1-Gi1/β1/γ2
9.52Single3VW7Vorapaxar; Na3VW7-PAR1-Vorapaxar; Na
9.52Single4PXZ2MeSADP4PXZ-P2Y12-2MeSADP
9.52Single4XEENeurotensin-(8-13)4XEE-NTS1-Neurotensin-(8-13)
9.52Single4XESNeurotensin-(8-13)4XES-NTS1-Neurotensin-(8-13)
9.52Single6C1RPMX536C1R-C5a1-PMX53-Avacopan; Na
9.52Single6KQICP559406KQI-CB1-CP55940-Org27569
9.52Single7L0SNeurotensin-(8-13)7L0S-NTS1-Neurotensin-(8-13)-Gi1/β1/γ1
9.52Single7T6BS1P7T6B-S1P2-S1P-chim(NtGi1L-G13)/β1/γ2
9.52Single7W0NElabela7W0N-Apelin; Apelin-Elabela-Gi1/β1/γ2
9.52Single8GCPPGE28GCP-EP4-PGE2-Gi1/β1/γ2
9.52Single8IQ6Latanoprost8IQ6-FP-alpha-Latanoprost-chim(NtGi1-Gs-CtGq)/β1/γ2
9.52Single8WRBLysophosphatidylserine (UBL)8WRB-GPR34-Lysophosphatidylserine (UBL)-Gi1/β1/γ2
9.52Single8XJNCloprosetnol8XJN-TXA2-Cloprosetnol-chim(NtGi1-Gs-CtGq)/β1/γ2
9.52Single8Y6WTUG-13758Y6W-FFA2-TUG-1375-4-CMTB-Gi1/β1/γ2
9.52Single9AU0BW245C9AU0-DP1-BW245C-Gs/β1/γ2
9.52Single9CM3TUG-13759CM3-FFA2-TUG-1375-PubChem 118615810-chim(NtGi1L-Gs-CtGq)/β1/γ2
9.52Single9GGGI-BOP9GGG-TXA2-I-BOP-chim(NtGi2L-Gs-CtGq)/β1/γ2
9.52Single9YDUUDP-Glucose9YDU-P2Y14-UDP-Glucose-Gi1/β1/γ2
9.52Consensuscxcr_onOrthosteric Ligandcxcr3_on cxcr4_on cxcr1_on cxcr2_on
9.38Single7TZFAmylin7TZF-CT (AMY3)-Amylin-Gs/β1/γ2; RAMP3
9.38Single9AUCCalcitonin gene-related peptide-19AUC-CT (AMY1)-Calcitonin gene-related peptide-1-Gs/β1/γ2; RAMP1
9.38Consensusglp1_onOrthosteric Ligand7S1M-GLP-1-Exendin-4-D-Ala-Gs/β1/γ2 7X8R-GLP-1-BOC5-Gs/β1/γ2 6X19-GLP-1-CHU-128-Gs/β1/γ2 6X1A-GLP-1-Danuglipron-Gs/β1/γ2 6X18-GLP-1-GLP-1-Gs/β1/γ2 8JIP-GLP-1-MEDI0382-chim(NtGi1-Gs)/β1/γ2 7C2E-GLP-1-PubChem 149050799-Gs/β1/γ2 7KI0-GLP-1-Semaglutide-Gs/β1/γ2 7KI1-GLP-1-Taspoglutide-Gs/β1/γ2 7X8S-GLP-1-WB4-24-Gs/β1/γ2 8JIS-GLP-1-Peptide-15-chim(NtGi1-Gs)/β1/γ2 7VBI-GLP-1-Tirzepatide (non-acylated)-Gs/β1/γ2
9.09Single4BUONeurotensin-(8-13)4BUO-NTS1-Neurotensin-(8-13)
9.09Single6KPGAM8416KPG-CB1-AM841-Gi1/β1/γ2
9.09Single7PIUSetmelanotide7PIU-MC4-Setmelanotide-Gs/β1/γ2
9.09Single7V35Peptide-207V35-Glucagon-Peptide-20-Gs/β1/γ2
9.09Single7VVNPTH7VVN-PTH1-PTH-Gs/β1/γ2
9.09Single7X8RBOC57X8R-GLP-1-BOC5-Gs/β1/γ2
9.09Single8FN0Neurotensin-(8-13)8FN0-NTS1-Neurotensin-(8-13)-SBI-553-chim(NtGi1-Go)/β1/γ2
9.09Single8HN1Toxin AdTx18HN1-Alpha1A-Toxin AdTx1
9.09Single8JIPMEDI03828JIP-GLP-1-MEDI0382-chim(NtGi1-Gs)/β1/γ2
9.09Single8JIRSAR4258998JIR-GLP-1-SAR425899-chim(NtGi1-Gs)/β1/γ2
9.09Single8XBES3E-Lysophosphatidylserine 8XBE-GPR34-S3E-Lysophosphatidylserine-Gi1/β1/γ1
9.09Single8XJOU466198XJO-TXA2-U46619-chim(NtGi1-Gs-CtGq)/β1/γ2
9.09Single9C0KExendin-49C0K-GLP-1-Exendin-4-Gs/β1/γ2
9.09Single9GG5U466199GG5-TXA2-U46619-chim(NtGi2L-Gs-CtGq)/β1/γ2
9.09Single9J0BUDP-Glucose9J0B-P2Y14-UDP-Glucose-Gi1/β1/γ2
9.09Single9JH5C16:0 Ceramide9JH5-CysLT2-C16:0 Ceramide-chim(NtGi1-Gs-CtGq)/β1/γ2
9.09Single9JR2PTH9JR2-PTH1-PTH-chim(NtGi1L-Gs-CtGq)/β1/γ2
9.09Single9KV8TLQP219KV8-C3aB-TLQP21-Go/β1/γ2
9.09Single9M1HPGE29M1H-EP1-PGE2-chim(NtGi1-Gs-CtGq)/β1/γ2
9.09Single9UYMChemerin-99UYM-CML2-Chemerin-9-chim(Arrestin3-CtArrestin2)
9.09Consensusprostanoid_onOrthosteric Ligandtp_on fp-alpha_on
9.09Consensusprostanoid_on_gpOrthosteric Ligandtp_on_gp fp-alpha_on_gp
9.09Consensuspth1_on_gpOrthosteric Ligand6NBF-PTH1-LA-PTH Analog-Gs/β1/γ2 8HA0-PTH1-PTH-chim(NtGi1-Gs)/β1/γ2 8HAF-PTH1-PTHrP(1-36)-chim(NtGi1-Gs)/β1/γ2 7Y36-PTH1-PTH-Gs/β1/γ2 7Y35-PTH1-Abaloparatide-Gs/β1/γ2
9.09Consensustp_onOrthosteric Ligand8XJO-TXA2-U46619-chim(NtGi1-Gs-CtGq)/β1/γ2
9.09Consensustp_on_gpOrthosteric Ligand8XJO-TXA2-U46619-chim(NtGi1-Gs-CtGq)/β1/γ2
8.82Single8JIUSAR4258998JIU-Glucagon-SAR425899-Gs/β1/γ2
8.82Single9JR3PTH9JR3-PTH1-PTH-chim(NtGi1L-Gs-CtGq)/β1/γ2
8.70Single5VBLAMG3054 5VBL-Apelin-AMG3054
8.70Single7RKNCX3CL17RKN-US28-CX3CL1-Gi1/β1/γ2
8.70Single7S8LCortistatin-147S8L-MRGPRX2-Cortistatin-14-chim(NtGi2L-Gs-CtGq)/β1/γ2
8.70Single7XBXCX3CL17XBX-CX3CR1-CX3CL1-Gi1/β1/γ2
8.70Single8GDAL9026888GDA-EP4-L902688-Gs/β1/γ2
8.70Single8IQ4Carboprost8IQ4-FP-alpha-Carboprost-chim(NtGi1-Gs-CtGq)/β1/γ2
8.70Single8SAILysophosphatidylserine (S12)8SAI-GPR34-Lysophosphatidylserine (S12)-Gi1/β1/γ2
8.70Single8XQJJN2418XQJ-Apelin; Apelin-JN241
8.70Single9CM7TUG-13759CM7-FFA2-TUG-1375-AZ-1729-Gi1/β1/γ2
8.70Single9ITBLPA9ITB-LPA6-LPA-chim(NtGi1-Gs-CtGq)/β1/γ2
8.70Single9NS9TUG-13759NS9-FFA2-TUG-1375-PubChem 118615810-Gi1/β1/γ2
8.70Consensuscxcr4_offOrthosteric Ligand4RWS-CXCR4-vMIP-II 3OE0-CXCR4-CVX15 3OE6-CXCR4-IT1t
8.70Consensuscxcr_on_gpOrthosteric Ligandcxcr3_on_gp cxcr4_on_gp cxcr1_on_gp cxcr2_on_gp
8.33Single4A4MAll-trans-Retinal4A4M-Rhodopsin-All-trans-Retinal-Gt(CT)
8.33Single5EN0All-trans-Retinal5EN0-Rhodopsin-All-trans-Retinal-Gt(CT)
8.33Single6X19CHU-1286X19-GLP-1-CHU-128-Gs/β1/γ2
8.33Single7L0RNeurotensin-(8-13)7L0R-NTS1-Neurotensin-(8-13)-Gi1/β1/γ1
8.33Single7W53Neuromedin-U-257W53-NMUR1-Neuromedin-U-25-chim(NtGi1-Gs-CtGq)/β1/γ2
8.33Single7XMRSomatostatin-147XMR-SST2-Somatostatin-14-Gi1/β1/γ2
8.33Single8JGBConorfamide-Tx28JGB-MRGPRX1-Conorfamide-Tx2-Gi1/β1/γ2
8.33Single8KIGSHU91198KIG-MC3-SHU9119-Ca
8.33Single8XBHPubChem 1626566368XBH-GPR34-PubChem 162656636-Gi1/β1/γ2
8.33Single9J0IUDP-Glucuronic acid9J0I-P2Y14-UDP-Glucuronic acid-Gi1/β1/γ2
8.33Single9MEJGp1209MEJ-CXCR4-Gp120
8.33Single9UYLChemerin-99UYL-CML2-Chemerin-9-Arrestin2
8.33Consensusnmur1_on_gpOrthosteric Ligand7W53-NMUR1-Neuromedin-U-25-chim(NtGi1-Gs-CtGq)/β1/γ2
8.00Single6WHCGlu16 analog of GCG6WHC-Glucagon-Glu16 analog of GCG-Gs/β1/γ2
8.00Single7E14Orforglipron7E14-GLP-1-Orforglipron-PubChem 156022738-Gs/β1/γ2
8.00Single7F1QCCL37F1Q-CCR5-CCL3-Gi1/β1/γ2
8.00Single7SK5CXCL127SK5-ACKR3-CXCL12
8.00Single7TRYUrocortin7TRY-CRF2-Urocortin-chim(NtGi1-G11)/β1/γ2
8.00Single8IBVMotilin8IBV-Motilin-Motilin-chim(NtGi1-Gs-CtGq)/β1/γ2
8.00Single8IOCGamma-MSH8IOC-MC3-γ-MSH-Ca-chim(NtGi1-Gs)/β1/γ2
8.00Single9J0FNADH9J0F-P2Y14-NADH-Gi1/β1/γ2
8.00Single9KFIRelaxin-39KFI-RXFP3-Relaxin-3-Gi2/β1/γ2
8.00Consensusmc5_onOrthosteric Ligand8INR-MC5-α-MSH-Ca-chim(NtGi1-Gs)/β1/γ2 8IOD-MC5-PG-901-Ca-chim(NtGi1-Gs)/β1/γ2
7.89Single8F0JPramlintide Analogue San458F0J-CT-Pramlintide Analogue San45-Gs/β1/γ2
7.69Single7XA3CCL27XA3-CCR2-CCL2-Gi1/β1/γ2
7.69Single8F2BPramlintide Analogue San458F2B-CT (AMY3)-Pramlintide Analogue San45-Gs/β1/γ2; RAMP3
7.69Single8HQMNPGLY8HQM-GPR132-NPGLY-Gi1/β1/γ2
7.69Single8HVINOX-6-78HVI-GPR132-NOX-6-7-Gi1/β1/γ2
7.69Single8W8YGamma-MSH8W8Y-MC3-γ-MSH-Ca-Gs/β1/γ2
7.69Single8YFOAc-LA-PTH Analog8YFO-PTH1-Ac-LA-PTH Analog-chim(NtGi1-Gs)/β1/γ2
7.69Single9JKVPubChem 27366909JKV-HCA3-PubChem 2736690-Gi1/β1/γ2
7.69Consensusccr2_onOrthosteric Ligand7XA3-CCR2-CCL2-Gi1/β1/γ2
7.69Consensusccr2_on_gpOrthosteric Ligand7XA3-CCR2-CCL2-Gi1/β1/γ2
7.69Consensusccr_onOrthosteric Ligandccr6_on ccr8_on ccr2_on ccr1_on ccr5_on
7.41Single7FINPeptide-20; GGL7FIN-GIP-Peptide-20; GGL-Gs/β1/γ2
7.41Single7T10Somatostatin-147T10-SST2-Somatostatin-14-Gi3/β1/γ2
7.41Single7TYIAmylin7TYI-CT-Amylin-Gs/β1/γ2
7.41Single7W57Neuromedin-S7W57-NMUR2-Neuromedin-S-chim(NtGi1-Gs-CtGq)/β1/γ2
7.41Single9BUDCagrilintide9BUD-CT-Cagrilintide-Gs/β1/γ2
7.41Consensusmc5_on_gpOrthosteric Ligand8INR-MC5-α-MSH-Ca-chim(NtGi1-Gs)/β1/γ2 8IOD-MC5-PG-901-Ca-chim(NtGi1-Gs)/β1/γ2
7.14Single3OE8IT1t3OE8-CXCR4-IT1t
7.14Single5YQZNNC17025YQZ-Glucagon-NNC1702
7.14Single6OT025(S)-Epoxycholesterol6OT0-SMO-25(S)-Epoxycholesterol-Gi1/β1/γ2
7.14Single7TYWCalcitonin-17TYW-CT (AMY1)-Calcitonin-1-Gs/β1/γ2; RAMP1
7.14Single7VDMSubstance-P7VDM-MRGPRX2-Substance-P-Gi1/β1/γ2
7.14Single7Y14Beta-Alanine7Y14-MRGPRD-β-Alanine
7.14Single7Y35Abaloparatide7Y35-PTH1-Abaloparatide-Gs/β1/γ2
7.14Single8Y02All-trans-Retinal8Y02-OPN1SW-All-trans-Retinal-Gi1/β1/γ2
7.14Single8YG4LA-PTH Analog8YG4-PTH1-LA-PTH Analog-chim(NtGi1-Gs)/β1/γ2
7.14Consensusccr_on_gpOrthosteric Ligandccr6_on_gp ccr8_on_gp ccr2_on_gp ccr1_on_gp ccr5_on_gp
7.14Consensuschemokine_offOrthosteric Ligandccr_off cxcr_off
7.14Consensuscxcr_offOrthosteric Ligandcxcr3_off cxcr4_off
7.14Consensusp2y10_onOrthosteric Ligand8KGG-P2Y10-Lysophosphatidylserine (WJS)-chim(NtGi2-G13)/β1/γ2
6.90Single7SK4CXCL12_LRHQ7SK4-ACKR3-CXCL12_LRHQ
6.90Single8FLRPTHrP(1-36)8FLR-PTH1-PTHrP(1-36)-Gs/β1/γ2
6.90Single9BLBCagrilintide (non-acylated)9BLB-CT-Cagrilintide (non-acylated)-Gs/β1/γ2
6.90Single9BP3Cagrilintide9BP3-CT (AMY1)-Cagrilintide-Gs/β1/γ2; RAMP1
6.90Consensusccr_offOrthosteric Ligandccr2_off ccr5_off
6.90Consensusctlike_onOrthosteric Ligand6E3Y-CT Like-Calcitonin gene-related peptide-1-Gs/β1/γ2; RAMP1
6.67Single3OE6IT1t3OE6-CXCR4-IT1t
6.67Single6PWCNeurotensin-(9-13)6PWC-NTS1-Neurotensin-(9-13)-Arrestin2
6.67Single7D77Hydrocortisone7D77-ADGRG3-Hydrocortisone-Go/β1/γ2
6.67Single7TYNCalcitonin-17TYN-CT-Calcitonin-1-Gs/β1/γ2
6.67Single7Y12Beta-Alanine7Y12-MRGPRD-β-Alanine-Gi1/β1/γ2
6.67Single8HAOPTH8HAO-PTH1-PTH-chim(NtGi1-Gs)/β1/γ2
6.67Single8JEFPubChem 113671668JEF-HCA3-PubChem 11367166-Gi1/β1/γ2
6.67Single8RQLFlufenamic acid8RQL-TAS2R14-Flufenamic acid-Flufenamic acid-chim(NtGi1-Gt3)/β1/γ2
6.67Single8W8XBeta-MSH8W8X-MC3-β-MSH-Ca-Gs/β1/γ2
6.45Single7TYLAmylin7TYL-CT-Amylin-Gs/β1/γ2
6.45Single7VVLPTH7VVL-PTH1-PTH-Gs/β1/γ2
6.45Consensuspth1_onOrthosteric Ligand6NBF-PTH1-LA-PTH Analog-Gs/β1/γ2 8HA0-PTH1-PTH-chim(NtGi1-Gs)/β1/γ2 8HAF-PTH1-PTHrP(1-36)-chim(NtGi1-Gs)/β1/γ2 7Y36-PTH1-PTH-Gs/β1/γ2 7Y35-PTH1-Abaloparatide-Gs/β1/γ2
6.45Consensusvpac2_onOrthosteric Ligand7VQX-VPAC1-PACAP27-Gs/β1/γ2
6.45Consensusvpac2_on_gpOrthosteric Ligand7VQX-VPAC1-PACAP27-Gs/β1/γ2
6.25Single7RBTTirzepatide7RBT-GIP-Tirzepatide-LSN3556672-chim(NtGi1-Gs)/β1/γ2
6.25Single7S8NR-Zinc-35737S8N-MRGPRX2-R-Zinc-3573-chim(NtGi2L-Gs-CtGq)/β1/γ2
6.25Single7S8OR-Zinc-35737S8O-MRGPRX2-R-Zinc-3573-Gi1/β1/γ2
6.25Single7VDHC48/807VDH-MRGPRX2-C48/80-Gi1/β1/γ2
6.25Single8U4RREGN7663-Fab8U4R-CXCR4-REGN7663-Fab
6.25Single8ZX5AM2518ZX5-GPR55-AM251-chim(NtGi1-G13)/β1/γ2
6.25Single9EPRAll-trans-Retinal9EPR-Rhodopsin-All-trans-Retinal-Gi1/β1/γ2
6.25Single9JCPLPC9JCP-GPR4-LPC-chim(NtGi1-Gs-CtGq)/β1/γ2
6.25Consensusadgrg_onOrthosteric Ligandadgrg2_on adgrg4_on
6.25Consensusadgrg_on_gpOrthosteric Ligandadgrg2_on_gp adgrg4_on_gp
6.25Consensusgip_onOrthosteric Ligand7FIN-GIP-Peptide-20; GGL-Gs/β1/γ2 7FIY-GIP-Tirzepatide-Gs/β1/γ2 7DTY-GIP-GIP-Gs/β1/γ2
6.25Consensusgip_on_gpOrthosteric Ligand7FIN-GIP-Peptide-20; GGL-Gs/β1/γ2 7FIY-GIP-Tirzepatide-Gs/β1/γ2 7DTY-GIP-GIP-Gs/β1/γ2
6.25Consensusgq_nucleotideOrthosteric Ligandgq_p2y
6.25Consensusgq_p2yOrthosteric Ligand7XXH-P2Y1-2MeSADP-chim(NtGi1-G11)/β1/γ2
6.06Single7VBHPeptide-207VBH-GLP-1-Peptide-20-Gs/β1/γ2
6.06Single8F2APramlintide Analogue San3858F2A-CT (AMY3)-Pramlintide Analogue San385-Gs/β1/γ2; RAMP3
5.88Single3ODUIT1t3ODU-CXCR4-IT1t
5.88Single5U09Taranabant5U09-CB1-Taranabant
5.88Single5ZKQABT-4915ZKQ-PAF-ABT-491
5.88Single6RNKNF-56-EJ406RNK-Succinate-NF-56-EJ40
5.88Single6ZA8RTI-3a6ZA8-NTS1-RTI-3a
5.88Single7LCJDanuglipron7LCJ-GLP-1-Danuglipron
5.88Single7S8PMS471347S8P-MRGPRX4-MS47134-chim(NtGi2L-Gs-CtGq)/β1/γ2
5.88Single7VV5C48/807VV5-MRGPRX2-C48/80-Gi1/β1/γ2
5.88Single7VVOPTH7VVO-PTH1-PTH-Gs/β1/γ2
5.88Single7X2CFenoldopam7X2C-D1-Fenoldopam-Fenoldopam-Gs/β1/γ2
5.88Single8T3VDoconexent8T3V-FFA1-Doconexent-chim(NtGi2L-Gs-CtGq)/β1/γ2
5.88Single8U4PAMD31008U4P-CXCR4-AMD3100-Gi1/β1/γ2
5.88Single8YYWAlpha-ketoglutarate8YYW-Oxoglutarate-α-ketoglutarate-α-ketoglutarate-chim(Gi1-CtGq)/β1/γ2
5.88Single9KO2CCL199KO2-CCR7-CCL19-Gi1/β1
5.88Single9KO6CCL199KO6-CCR7-CCL19
5.88Consensusp2y1_onOrthosteric Ligand7XXH-P2Y1-2MeSADP-chim(NtGi1-G11)/β1/γ2
5.88Consensuspaf_offOrthosteric Ligand5ZKQ-PAF-ABT-491
5.71Single7TYYCalcitonin-17TYY-CT (AMY2)-Calcitonin-1-Gs/β1/γ2; RAMP2
5.71Single8JITMEDI03828JIT-Glucagon-MEDI0382-Gs/β1/γ2
5.56Single6PT0WIN 55212-26PT0-CB2-WIN 55212-2-Gi1/β1/γ2
5.56Single6U1NLY21196206U1N-M2-LY2119620-Arrestin2
5.56Single6ZINSR486926ZIN-NTS1-SR48692
5.56Single7C2EPubChem 1490507997C2E-GLP-1-PubChem 149050799-Gs/β1/γ2
5.56Single7VV6C48/807VV6-MRGPRX2-C48/80
5.56Single7XXH2MeSADP7XXH-P2Y1-2MeSADP-chim(NtGi1-G11)/β1/γ2
5.56Single7YK6PubChem 1383196747YK6-RXFP4-PubChem 138319674-Gi2/β1/γ2
5.56Single8HJ5PubChem 1390305318HJ5-MRGPRX1-PubChem 139030531-chim(NtGi1-Gs-CtGq)/β1/γ2
5.56Single8JD6VU03647708JD6-mGlu4; mGlu4-Phosphoserine-VU0364770-Gi3/β1/γ2
5.56Single8ZPMAMD0708ZPM-CXCR4-AMD070
5.56Single8ZPNAMD31008ZPN-CXCR4-AMD3100
5.56Single9K0KUTP9K0K-P2Y4-UTP-chim(NtGi1-Gs-CtGq)/β1/γ2
5.56Single9K0XATP9K0X-P2Y2-ATP-chim(NtGi1-Gs-CtGq)/β1/γ2
5.56Single9K20ATP9K20-P2Y2-ATP-chim(NtGi1-Go)/β1/γ2
5.56Consensusgluc_onOrthosteric Ligand6LMK-Glucagon-Glucagon-Gs/β1/γ2 8JIT-Glucagon-MEDI0382-Gs/β1/γ2 7V35-Glucagon-Peptide-20-Gs/β1/γ2
5.56Consensusp2y1_on_gpOrthosteric Ligand7XXH-P2Y1-2MeSADP-chim(NtGi1-G11)/β1/γ2
5.41Consensusgluc_on_gpOrthosteric Ligand6LMK-Glucagon-Glucagon-Gs/β1/γ2 8JIT-Glucagon-MEDI0382-Gs/β1/γ2 7V35-Glucagon-Peptide-20-Gs/β1/γ2
5.26Single4QIMANTA XV4QIM-SMO-ANTA XV
5.26Single6IIVDaltroban6IIV-TXA2-Daltroban
5.26Single6X1ADanuglipron6X1A-GLP-1-Danuglipron-Gs/β1/γ2
5.26Single6Z4VNeurotensin-(9-13)6Z4V-NTS1-Neurotensin-(9-13)
5.26Single7LCIDanuglipron7LCI-GLP-1-Danuglipron-Gs/β1/γ2
5.26Single7LCKDanuglipron7LCK-GLP-1-Danuglipron
5.26Single7YK7DC5910537YK7-RXFP4-DC591053-Gi2/β1/γ2
5.26Single7YXAONO-54306087YXA-S1P5-ONO-5430608
5.26Single8GCML-9026888GCM-EP4-L-902688-Gi1/β1/γ2
5.26Single8XJLPGF2-alpha8XJL-FP-alpha-PGF2-α-chim(NtGi2-Gs-CtGq)/β1/γ2
5.26Single9JQZGrapiprant 9JQZ-EP4-Grapiprant
5.26Single9METGp120; CD49MET-CXCR4-Gp120; CD4
5.26Consensusalicarboxylic_offOrthosteric Ligandsuccinate_off
5.26Consensussuccinate_offOrthosteric Ligand6RNK-Succinate-NF-56-EJ40 6Z10-Succinate-PubChem 154585554
5.00Single5T1ABMS-6815T1A-CCR2-BMS-681-PubChem 12093170
5.00Single5YHLPubChem 1351213525YHL-EP4-PubChem 135121352
5.00Single5YWYONO-AE3-2085YWY-EP4-ONO-AE3-208
5.00Single6LFMCXCL86LFM-CXCR2-CXCL8-Gi1/β1/γ2
5.00Single6Z4QSR142948A6Z4Q-NTS1-SR142948A
5.00Single6Z4SSR486926Z4S-NTS1-SR48692
5.00Single8JGGBAM8-228JGG-MRGPRX1-BAM8-22-Gi1/β1/γ2
5.00Single8T6JCDPPB8T6J-mGlu5; mGlu5-CDPPB
5.00Single8T6JCDPPB8T6J-mGlu5; mGlu5-CDPPB
5.00Single8XQPCholesterol8XQP-TAS2R14-Cholesterol-Aristolochic acid A-Gt3/β1/γ1
5.00Single9EAHNanobody AT2099EAH-AT1-Olmesartan-Nanobody AT209
5.00Consensuscxcr2_on_gpOrthosteric Ligand6LFM-CXCR2-CXCL8-Gi1/β1/γ2
5.00Consensusep4_offOrthosteric Ligand5YWY-EP4-ONO-AE3-208 5YHL-EP4-PubChem 135121352
5.00Consensusep_offOrthosteric Ligandep4_off
5.00Consensusrxfp4_onOrthosteric Ligand7YK7-RXFP4-DC591053-Gi2/β1/γ2 7YJ4-RXFP4-INSL5-Gi2/β1/γ2 7YK6-RXFP4-PubChem 138319674-Gi2/β1/γ2
5.00Consensusrxfp4_on_gpOrthosteric Ligand7YK7-RXFP4-DC591053-Gi2/β1/γ2 7YJ4-RXFP4-INSL5-Gi2/β1/γ2 7YK6-RXFP4-PubChem 138319674-Gi2/β1/γ2
5.00Consensuss1p5_offOrthosteric Ligand7YXA-S1P5-ONO-5430608
4.76Single3ZEVNeurotensin-(7-13)3ZEV-NTS1-Neurotensin-(7-13)
4.76Single4BV0Neurotensin-(7-13)4BV0-NTS1-Neurotensin-(7-13)
4.76Single5V56TC1145V56-SMO-TC114
4.76Single6OS1TRV0266OS1-AT1-TRV026
4.76Single6Z8NSRI-98296Z8N-NTS1-SRI-9829
4.76Single7L0PNeurotensin-(8-13)7L0P-NTS1-Neurotensin-(8-13)-Gi1/β1/γ1
4.76Single7L0QNeurotensin-(8-13)7L0Q-NTS1-Neurotensin-(8-13)-Gi1/β1/γ1
4.76Single7XBDGalanin7XBD-GAL2-Galanin-chim(NtGi2L-Gs-CtGq)/β1/γ2
4.76Single7XJLSpexin7XJL-GAL2-Spexin-chim(NtGi2L-Gs-CtGq)/β1/γ2
4.76Single8FMZNeurotensin-(8-13)8FMZ-NTS1-Neurotensin-(8-13)-chim(NtGi2L-Gs-CtGq)/β1/γ2
4.76Single8GDBPGE28GDB-EP4-PGE2-Gs/β1/γ2
4.76Single8JD5JNJ-40411813; ADX881788JD5-mGlu2; mGlu4-Glutamate-JNJ-40411813; ADX88178-Gi1/β1/γ2
4.76Single8JGFBAM8-228JGF-MRGPRX1-BAM8-22-chim(NtGi1-Gs-CtGq)/β1/γ2
4.76Single8WJXADP8WJX-P2Y1-ADP-chim(Gs-CtGq)/β1/γ2
4.76Single8XQTCholesterol8XQT-TAS2R14-Cholesterol-Gi1/β1/γ1
4.76Single8ZW0PGD28ZW0-DP1-PGD2-Gs/β1/γ2
4.76Single9MENGp120 (V3 loop)9MEN-CXCR4-Gp120 (V3 loop)
4.76Consensusgi_relaxinOrthosteric Ligand7YK7-RXFP4-DC591053-Gi2/β1/γ2 7YJ4-RXFP4-INSL5-Gi2/β1/γ2 7YK6-RXFP4-PubChem 138319674-Gi2/β1/γ2
4.76Consensusmotilin_onOrthosteric Ligand8IBU-Motilin-Erythromycin-A-chim(NtGi1-Gs-CtGq)/β1/γ2
4.76Consensusneurotensin_onOrthosteric Ligandnts1_on
4.76Consensusnts1_onOrthosteric Ligand6OSA-NTS1-JMV449-Gi1/β1/γ2 7L0S-NTS1-Neurotensin-(8-13)-Gi1/β1/γ1
4.76Consensusrelaxin_onOrthosteric Ligandrxfp4_on
4.76Consensusrelaxin_on_gpOrthosteric Ligandrxfp4_on_gp
4.55Single4GRVNeurotensin-(8-13)4GRV-NTS1-Neurotensin-(8-13)
4.55Single4PY02MeSATP4PY0-P2Y12-2MeSATP
4.55Single5X33BIIL2605X33-BLT1-BIIL260
4.55Single6AK3PGE26AK3-EP3-PGE2
4.55Single6IIURamatroban6IIU-TXA2-Ramatroban
4.55Single6OS2TRV0266OS2-AT1-TRV026
4.55Single6OSAJMV4496OSA-NTS1-JMV449-Gi1/β1/γ2
4.55Single6XOXOrforglipron6XOX-GLP-1-Orforglipron-chim(NtGi1-Gs)/β1/γ2
4.55Single6YVRNeurotensin-(6-13)6YVR-NTS1-Neurotensin-(6-13)
4.55Single8IBUErythromycin-A8IBU-Motilin-Erythromycin-A-chim(NtGi1-Gs-CtGq)/β1/γ2
4.55Single8JPBNeurotensin-(8-13)8JPB-NTS1-Neurotensin-(8-13)-SBI-553; GDP; Mg-Gq; GRK2
4.55Single8JPCNeurotensin-(8-13)8JPC-NTS1-Neurotensin-(8-13)-SBI-553; GDP; Mg-Gq; GRK2
4.55Single8XQJJN2418XQJ-Apelin; Apelin-JN241
4.55Single8XQNCholesterol8XQN-TAS2R14-Cholesterol-Aristolochic acid A-Gi1/β1/γ1
4.55Single8XQSCholesterol8XQS-TAS2R14-Cholesterol-Flufenamic acid-Gi1/β1/γ1
4.55Single9BJKPubChem 1716420669BJK-μ-Naloxone-PubChem 171642066
4.55Consensusgalanin_onOrthosteric Ligandgal2_on gal1_on
4.55Consensusgalanin_on_gpOrthosteric Ligandgal2_on_gp gal1_on_gp
4.55Consensusgi_neurotensinOrthosteric Ligand6OSA-NTS1-JMV449-Gi1/β1/γ2 7L0S-NTS1-Neurotensin-(8-13)-Gi1/β1/γ1
4.55Consensusmotilin_on_gpOrthosteric Ligand8IBU-Motilin-Erythromycin-A-chim(NtGi1-Gs-CtGq)/β1/γ2
4.55Consensusneurotensin_on_gpOrthosteric Ligandnts1_on_gp
4.55Consensusnts1_on_gpOrthosteric Ligand6OSA-NTS1-JMV449-Gi1/β1/γ2 7L0S-NTS1-Neurotensin-(8-13)-Gi1/β1/γ1
4.35Single6M1HMaxadilan6M1H-PAC1-Maxadilan-Gs/β1/γ2
4.35Single6UP7Neurotensin-(8-13)6UP7-NTS1-Neurotensin-(8-13)-Arrestin2
4.35Single7CX4Evatanepag7CX4-EP2-Evatanepag-Gs/β1/γ2
4.35Single7D7MPGE27D7M-EP4-PGE2-Gs/β1/γ1
4.35Single8JPFNeurotensin-(8-13)8JPF-NTS1-Neurotensin-(8-13)-SBI-553
4.35Single8K4OCXCL18K4O-KSHV-CXCL1-Gi1/β1/γ1
4.35Single9KWXC5a-des-Arg9KWX-C5a1-C5a-des-Arg-Go/β1/γ2
4.35Single9UYHChemerin-99UYH-CML2-Chemerin-9-Arrestin2
4.35Consensusgal2_onOrthosteric Ligand7WQ4-GAL2-Galanin-chim(NtGi1-Gs-CtGq)/β1/γ2 7XJL-GAL2-Spexin-chim(NtGi2L-Gs-CtGq)/β1/γ2
4.35Consensusgal2_on_gpOrthosteric Ligand7WQ4-GAL2-Galanin-chim(NtGi1-Gs-CtGq)/β1/γ2 7XJL-GAL2-Spexin-chim(NtGi2L-Gs-CtGq)/β1/γ2
4.17Single5TZYMK8666; AP85TZY-FFA1-MK8666; AP8
4.17Single6KNMJN241-96KNM-Apelin-JN241-9
4.17Single6OS9JMV4496OS9-NTS1-JMV449-Gi1/β1/γ2
4.17Single7AUESetmelanotide7AUE-MC4-Setmelanotide-chim(NtGi1L-Gs)/β1/γ2
4.17Single7CX2PGE27CX2-EP2-PGE2-Gs/β1/γ2
4.17Single7X8SWB4-247X8S-GLP-1-WB4-24-Gs/β1/γ2
4.17Single8XQLCholesterol8XQL-TAS2R14-Cholesterol-Aristolochic acid A-Gt3/β1/γ1
4.17Single8XQOCholesterol8XQO-TAS2R14-Cholesterol-Aristolochic acid A-Gi1/β1/γ1
4.17Single9EAJNanobody AT2099EAJ-AT1-Nanobody AT209
4.17Consensusnmur1_onOrthosteric Ligand7W53-NMUR1-Neuromedin-U-25-chim(NtGi1-Gs-CtGq)/β1/γ2
4.00Single7CX3Taprenepag7CX3-EP2-Taprenepag-Gs/β1/γ2
4.00Single7W56Neuromedin-S7W56-NMUR1-Neuromedin-S-chim(NtGi1-Gs-CtGq)/β1/γ2
4.00Single8DWGBAM8-228DWG-MRGPRX1-BAM8-22-ML382-chim(NtGi2L-Gs-CtGq)/β1/γ2
4.00Single8INRAlpha-MSH8INR-MC5-α-MSH-Ca-chim(NtGi1-Gs)/β1/γ2
4.00Single8JIQPeptide-158JIQ-Glucagon-Peptide-15-Gs/β1/γ2
4.00Single8U4OCXCL128U4O-CXCR4-CXCL12-Gi1/β1/γ2
4.00Single9BUECagrilintide9BUE-CT-Cagrilintide-Gs/β1/γ2
4.00Consensuschemokine_onOrthosteric Ligandccr_on cxcr_on
3.85Single7C6A(Sar1,Ile8)-Angiotensin II7C6A-AT2-(Sar1,Ile8)-Angiotensin II
3.70Single7W55Neuromedin-U-257W55-NMUR2-Neuromedin-U-25-chim(NtGi1-Gs-CtGq)/β1/γ2
3.70Single9B5YLA-PTH Analog9B5Y-PTH1-LA-PTH Analog-chim(NtGi1-Gq)/β1/γ2
3.70Single9IVMGLP-1 (Truncated)9IVM-GLP-1-GLP-1 (Truncated)-LSN3318839-chim(NtGi1-Gs)/β2/γ2
3.70Consensusnmur2_onOrthosteric Ligand7W55-NMUR2-Neuromedin-U-25-chim(NtGi1-Gs-CtGq)/β1/γ2
3.70Consensusnmur2_on_gpOrthosteric Ligand7W55-NMUR2-Neuromedin-U-25-chim(NtGi1-Gs-CtGq)/β1/γ2
3.57Single6NIYCalcitonin-16NIY-CT-Calcitonin-1-Gs/β1/γ2
3.57Consensusneuromedin-u_onOrthosteric Ligandnmur1_on nmur2_on
3.45Single7TYHCalcitonin7TYH-CT (AMY2)-Calcitonin-Gs/β1/γ2; RAMP2
3.45Single7VL9CCL15(26-92)7VL9-CCR1-CCL15(26-92)-Gi1/β1/γ2
3.45Consensusneuromedin-u_on_gpOrthosteric Ligandnmur1_on_gp nmur2_on_gp
3.33Single7SK3CXCL127SK3-ACKR3-CXCL12
3.33Single9BUBCagrilintide9BUB-CT-Cagrilintide-Gs/β1/γ2
3.23Single5NX2GLP-1 (Truncated)5NX2-GLP-1-GLP-1 (Truncated)
3.23Single7VVKPTH7VVK-PTH1-PTH-Gs/β1/γ2
3.12Single9BTWCagrilintide9BTW-CT (AMY3)-Cagrilintide-Gs/β1/γ2; RAMP3
2.94Single7SK6CXCL12_LRHQ7SK6-ACKR3-CXCL12_LRHQ
2.78Single7TYOCalcitonin7TYO-CT-Calcitonin-Gs/β1/γ2

PDB Summary
PDB 9LL9
Class A
SubFamily Amine
Type 5-Hydroxytryptamine
SubType 5-HT2A
Species Homo Sapiens
Ligand DOI
Other Ligand(s) -
Protein Partners chim(NtGi1L-Gs-CtGq)/Beta1/Gamma2
PDB Resolution 2.76
Date 2026-01-14
D.O.I. To be published
Net Summary
Imin 2.83
Number of Linked Nodes 829
Number of Links 957
Number of Hubs 140
Number of Links mediated by Hubs 517
Number of Communities 30
Number of Nodes involved in Communities 196
Number of Links involved in Communities 258
Path Summary
Number Of Nodes in MetaPath 119
Number Of Links MetaPath 118
Number of Shortest Paths 4377490
Length Of Smallest Path 3
Average Path Length 59.3608
Length of Longest Path 93
Minimum Path Strength 1.295
Average Path Strength 6.08162
Maximum Path Strength 24.94
Minimum Path Correlation 0.7
Average Path Correlation 0.99338
Maximum Path Correlation 1
Minimum % Of Corr. Nodes 1.33333
Average % Of Corr. Nodes 27.6208
Maximum % Of Corr. Nodes 100
Minimum Path Hubs % 0
Average Path Hubs % 41.6918
Maximum Path Hubs % 100
AnnotationTypeLinks
Gene OntologyMolecular Function• protein tyrosine kinase activator activity   • enzyme regulator activity   • kinase activator activity   • enzyme activator activity   • molecular function activator activity   • molecular function regulator activity   • protein kinase activator activity   • protein kinase regulator activity   • kinase regulator activity   • neurotransmitter receptor activity   • molecular transducer activity   • signaling receptor activity   • serotonin receptor activity   • transmembrane signaling receptor activity   • G protein-coupled amine receptor activity   • G protein-coupled serotonin receptor activity   • G protein-coupled receptor activity   • Gq/11-coupled serotonin receptor activity   • protein-containing complex binding   • binding   • identical protein binding   • protein binding   • cation binding   • ion binding   • serotonin binding   • amine binding   • heterocyclic compound binding   • small molecule binding   • virus receptor activity   • exogenous protein binding   • 1-(4-iodo-2,5-dimethoxyphenyl)propan-2-amine binding   • response to stimulus   • response to chemical   • response to xenobiotic stimulus   • cellular response to stimulus   • regulation of biological process   • regulation of cellular process   • signaling   • biological regulation   • phospholipase C-activating serotonin receptor signaling pathway   • G protein-coupled serotonin receptor signaling pathway   • cell communication   • phospholipase C-activating G protein-coupled receptor signaling pathway   • G protein-coupled receptor signaling pathway   • cellular process
Gene OntologyBiological Process• response to stimulus   • response to chemical   • response to xenobiotic stimulus   • cellular response to stimulus   • regulation of biological process   • regulation of cellular process   • signaling   • biological regulation   • phospholipase C-activating serotonin receptor signaling pathway   • G protein-coupled serotonin receptor signaling pathway   • cell communication   • phospholipase C-activating G protein-coupled receptor signaling pathway   • G protein-coupled receptor signaling pathway   • cellular process   • signal transduction   • trans-synaptic signaling   • regulation of signaling   • modulation of chemical synaptic transmission   • cell-cell signaling   • presynaptic modulation of chemical synaptic transmission   • chemical synaptic transmission   • synaptic signaling   • regulation of trans-synaptic signaling   • anterograde trans-synaptic signaling   • regulation of cell communication   • regulation of defense response   • regulation of response to external stimulus   • defense response   • positive regulation of biological process   • response to external stimulus   • regulation of inflammatory response   • positive regulation of response to stimulus   • positive regulation of response to external stimulus   • positive regulation of inflammatory response   • regulation of response to stimulus   • regulation of response to stress   • response to stress   • positive regulation of defense response   • inflammatory response   • regulation of tube diameter   • multicellular organismal process   • system process   • regulation of tube size   • regulation of system process   • positive regulation of vasoconstriction   • circulatory system process   • regulation of blood circulation   • vascular process in circulatory system   • regulation of vasoconstriction   • positive regulation of multicellular organismal process   • regulation of multicellular organismal process   • blood vessel diameter maintenance   • regulation of biological quality   • vasoconstriction   • blood circulation   • regulation of anatomical structure size   • localization   • protein localization to cytoskeleton   • protein localization to organelle   • macromolecule localization   • intracellular protein localization   • regulation of lipid metabolic process   • glycerophospholipid metabolic process   • lipid biosynthetic process   • positive regulation of phosphate metabolic process   • regulation of primary metabolic process   • phospholipid metabolic process   • positive regulation of metabolic process   • positive regulation of biosynthetic process   • phosphate-containing compound metabolic process   • positive regulation of lipid metabolic process   • positive regulation of phosphatidylinositol biosynthetic process   • phosphorus metabolic process   • positive regulation of cellular process   • regulation of phosphatidylinositol biosynthetic process   • regulation of biosynthetic process   • phosphatidylinositol metabolic process   • positive regulation of phosphorus metabolic process   • glycerophospholipid biosynthetic process   • positive regulation of phospholipid biosynthetic process   • regulation of phospholipid metabolic process   • primary metabolic process   • phospholipid biosynthetic process   • regulation of phospholipid biosynthetic process   • phosphatidylinositol biosynthetic process   • positive regulation of phospholipid metabolic process   • biosynthetic process   • positive regulation of lipid biosynthetic process   • glycerolipid biosynthetic process   • organophosphate metabolic process   • organophosphate biosynthetic process   • metabolic process   • regulation of phosphorus metabolic process   • glycerolipid metabolic process   • regulation of lipid biosynthetic process   • regulation of metabolic process   • lipid metabolic process   • neuron apoptotic process   • positive regulation of programmed cell death   • regulation of apoptotic process   • regulation of programmed cell death   • cell death   • positive regulation of apoptotic process   • apoptotic process   • positive regulation of neuron apoptotic process   • programmed cell death   • regulation of neuron apoptotic process   • behavior   • learning or memory   • nervous system process   • cognition   • memory   • inorganic ion homeostasis   • intracellular calcium ion homeostasis   • homeostatic process   • calcium ion homeostasis   • cellular homeostasis   • chemical homeostasis   • intracellular monoatomic cation homeostasis   • monoatomic ion homeostasis   • intracellular chemical homeostasis   • monoatomic cation homeostasis   • intracellular monoatomic ion homeostasis   • regulation of execution phase of apoptosis   • positive regulation of execution phase of apoptosis   • execution phase of apoptosis   • regulation of body fluid levels   • homotypic cell-cell adhesion   • regulation of cell activation   • positive regulation of cell-cell adhesion   • cell adhesion   • cell-cell adhesion   • coagulation   • regulation of cell-cell adhesion   • response to wounding   • wound healing   • regulation of homotypic cell-cell adhesion   • positive regulation of cell adhesion   • regulation of cell adhesion   • cell activation   • hemostasis   • platelet aggregation   • blood coagulation   • regulation of platelet activation   • regulation of platelet aggregation   • positive regulation of homotypic cell-cell adhesion   • positive regulation of platelet aggregation   • platelet activation   • ribonucleotide catabolic process   • pyridine nucleotide catabolic process   • aerobic respiration   • oxoacid metabolic process   • carbohydrate catabolic process   • carbohydrate derivative metabolic process   • organophosphate catabolic process   • nucleoside phosphate catabolic process   • organic acid metabolic process   • nucleobase-containing compound metabolic process   • glycolytic process   • pyridine-containing compound metabolic process   • small molecule metabolic process   • purine ribonucleotide catabolic process   • nucleoside phosphate metabolic process   • nicotinamide nucleotide metabolic process   • pyruvate metabolic process   • purine nucleoside diphosphate metabolic process   • purine-containing compound catabolic process   • nucleotide metabolic process   • nucleobase-containing compound catabolic process   • nucleoside diphosphate metabolic process   • purine nucleoside diphosphate catabolic process   • nucleoside diphosphate catabolic process   • nucleoside triphosphate metabolic process   • monocarboxylic acid metabolic process   • purine ribonucleotide metabolic process   • pyridine-containing compound catabolic process   • ribose phosphate metabolic process   • cellular respiration   • catabolic process   • ATP metabolic process   • energy derivation by oxidation of organic compounds   • purine nucleotide metabolic process   • ribonucleotide metabolic process   • nucleobase-containing small molecule metabolic process   • purine ribonucleoside triphosphate metabolic process   • ribonucleoside diphosphate metabolic process   • ribonucleoside diphosphate catabolic process   • nucleotide catabolic process   • purine nucleoside triphosphate metabolic process   • purine nucleotide catabolic process   • carbohydrate metabolic process   • carbohydrate derivative catabolic process   • ADP catabolic process   • carboxylic acid metabolic process   • generation of precursor metabolites and energy   • purine-containing compound metabolic process   • ADP metabolic process   • purine ribonucleoside diphosphate metabolic process   • purine ribonucleoside diphosphate catabolic process   • detection of external stimulus   • sensory perception of temperature stimulus   • sensory perception of pain   • detection of temperature stimulus involved in sensory perception   • response to temperature stimulus   • detection of abiotic stimulus   • detection of stimulus   • sensory perception   • detection of temperature stimulus   • response to abiotic stimulus   • detection of stimulus involved in sensory perception   • detection of temperature stimulus involved in sensory perception of pain   • negative regulation of signaling   • synaptic transmission, glutamatergic   • negative regulation of biological process   • regulation of synaptic transmission, glutamatergic   • negative regulation of synaptic transmission   • negative regulation of cell communication   • negative regulation of cellular process   • negative regulation of synaptic transmission, glutamatergic   • smooth muscle contraction   • urinary bladder smooth muscle contraction   • urinary tract smooth muscle contraction   • muscle contraction   • muscle system process   • developmental process   • fat cell differentiation   • positive regulation of fat cell differentiation   • regulation of developmental process   • cellular developmental process   • regulation of cell differentiation   • positive regulation of developmental process   • positive regulation of cell differentiation   • cell differentiation   • regulation of fat cell differentiation   • G protein-coupled receptor signaling pathway, coupled to cyclic nucleotide second messenger   • negative regulation of potassium ion transport   • regulation of localization   • regulation of potassium ion transport   • transport   • regulation of transport   • negative regulation of monoatomic ion transport   • regulation of monoatomic ion transport   • negative regulation of transport   • establishment of localization   • metal ion transport   • monoatomic ion transport   • potassium ion transport   • monoatomic cation transport   • regulation of metal ion transport   • positive regulation of cytosolic calcium ion concentration   • regulation of heat generation   • positive regulation of heat generation   • heat generation   • multicellular organismal-level homeostasis   • temperature homeostasis   • regulation of generation of precursor metabolites and energy   • regulation of ATP metabolic process   • regulation of purine nucleotide catabolic process   • positive regulation of nucleotide catabolic process   • regulation of small molecule metabolic process   • regulation of nucleotide metabolic process   • regulation of nucleobase-containing compound metabolic process   • regulation of carbohydrate catabolic process   • regulation of purine nucleotide metabolic process   • positive regulation of ATP metabolic process   • regulation of nucleotide catabolic process   • positive regulation of carbohydrate metabolic process   • positive regulation of nucleotide metabolic process   • positive regulation of purine nucleotide catabolic process   • regulation of carbohydrate metabolic process   • positive regulation of glycolytic process   • regulation of catabolic process   • regulation of glycolytic process   • positive regulation of purine nucleotide metabolic process   • positive regulation of catabolic process   • positive regulation of small molecule metabolic process   • adult behavior   • behavioral response to cocaine   • response to oxygen-containing compound   • response to nitrogen compound   • response to cocaine   • response to alkaloid   • detection of mechanical stimulus involved in sensory perception of pain   • response to mechanical stimulus   • detection of mechanical stimulus involved in sensory perception   • sensory perception of mechanical stimulus   • detection of mechanical stimulus   • positive regulation of cell communication   • positive regulation of signal transduction   • regulation of signal transduction   • intracellular signal transduction   • positive regulation of ERK1 and ERK2 cascade   • regulation of intracellular signal transduction   • intracellular signaling cassette   • positive regulation of MAPK cascade   • positive regulation of intracellular signal transduction   • regulation of MAPK cascade   • MAPK cascade   • ERK1 and ERK2 cascade   • regulation of ERK1 and ERK2 cascade   • positive regulation of signaling   • learning   • nonassociative learning   • sensitization   • monoamine transport   • nitrogen compound transport   • regulation of catecholamine secretion   • organic hydroxy compound transport   • dopamine transport   • secretion by cell   • regulation of secretion by cell   • catecholamine transport   • signal release   • secretion   • export from cell   • dopamine secretion   • regulation of secretion   • catecholamine secretion   • amine transport   • regulation of amine transport   • regulation of dopamine secretion   • cellular response to nitrogen compound   • response to dopamine   • serotonin receptor signaling pathway   • cellular response to dopamine   • response to monoamine   • cellular response to oxygen-containing compound   • cellular response to chemical stimulus   • response to catecholamine   • cellular response to monoamine stimulus   • cellular response to catecholamine stimulus   • cell population proliferation   • positive regulation of cell population proliferation   • regulation of cell population proliferation   • calcium ion transmembrane import into cytosol   • monoatomic ion transmembrane transport   • calcium ion transport   • monoatomic cation transmembrane transport   • transmembrane transport   • release of sequestered calcium ion into cytosol   • calcium ion transmembrane transport   • vascular associated smooth muscle contraction   • artery smooth muscle contraction   • tonic smooth muscle contraction   • regulation of DNA biosynthetic process   • positive regulation of macromolecule biosynthetic process   • nucleic acid biosynthetic process   • positive regulation of macromolecule metabolic process   • positive regulation of DNA biosynthetic process   • regulation of macromolecule metabolic process   • DNA metabolic process   • nucleobase-containing compound biosynthetic process   • macromolecule biosynthetic process   • nucleic acid metabolic process   • positive regulation of DNA metabolic process   • regulation of macromolecule biosynthetic process   • macromolecule metabolic process   • DNA biosynthetic process   • regulation of DNA metabolic process   • regulation of immune effector process   • cytokine production   • regulation of cytokine production   • positive regulation of immune effector process   • regulation of immune system process   • cytokine production involved in immune response   • positive regulation of immune system process   • production of molecular mediator of immune response   • regulation of cytokine production involved in immune response   • immune response   • gene expression   • immune effector process   • regulation of gene expression   • positive regulation of gene expression   • immune system process   • positive regulation of cytokine production involved in immune response   • positive regulation of production of molecular mediator of immune response   • regulation of production of molecular mediator of immune response   • positive regulation of cytokine production   • cell periphery   • postsynapse   • cellular anatomical structure   • postsynaptic membrane   • synapse   • cell junction   • membrane   • plasma membrane   • plasma membrane region   • synaptic membrane   • protein-containing complex   • G protein-coupled serotonin receptor complex   • receptor complex   • presynapse
Gene OntologyCellular Component• cell periphery   • postsynapse   • cellular anatomical structure   • postsynaptic membrane   • synapse   • cell junction   • membrane   • plasma membrane   • plasma membrane region   • synaptic membrane   • protein-containing complex   • G protein-coupled serotonin receptor complex   • receptor complex   • presynapse   • presynaptic membrane   • somatodendritic compartment   • cell projection   • dendrite   • dendritic tree   • neuron projection   • plasma membrane bounded cell projection   • glutamatergic synapse   • dendritic shaft   • cell body   • neuronal cell body   • axon   • membrane microdomain   • membrane raft   • plasma membrane raft   • caveola   • cell body fiber   • membrane-bounded organelle   • intracellular organelle   • intracellular anatomical structure   • cytoplasmic vesicle   • organelle   • intracellular vesicle   • cytoplasm   • intracellular membrane-bounded organelle   • vesicle   • polymeric cytoskeletal fiber   • neurofilament   • intracellular membraneless organelle   • intermediate filament cytoskeleton   • cytoskeleton   • membraneless organelle   • intermediate filament   • supramolecular fiber   • supramolecular polymer   • supramolecular complex   • GTPase regulator activity   • enzyme regulator activity   • enzyme activator activity   • GTPase activator activity   • molecular function activator activity   • nucleoside-triphosphatase regulator activity   • molecular function regulator activity   • binding   • guanyl nucleotide binding   • GTP binding   • nucleotide binding   • guanyl ribonucleotide binding   • purine ribonucleotide binding   • purine ribonucleoside triphosphate binding   • nucleoside phosphate binding   • ion binding   • purine nucleotide binding   • anion binding   • heterocyclic compound binding   • carbohydrate derivative binding   • ribonucleotide binding   • small molecule binding   • protein-containing complex binding   • G-protein beta/gamma-subunit complex binding   • pyrophosphatase activity   • GTPase activity   • G protein activity   • ribonucleoside triphosphate phosphatase activity   • hydrolase activity, acting on acid anhydrides, in phosphorus-containing anhydrides   • hydrolase activity   • hydrolase activity, acting on acid anhydrides   • catalytic activity   • protein binding   • signaling receptor binding   • G protein-coupled receptor binding   • cation binding   • metal ion binding   • D1 dopamine receptor binding   • dopamine receptor binding   • cyclase regulator activity   • cyclase activator activity   • adenylate cyclase regulator activity   • adenylate cyclase activator activity   • D2 dopamine receptor binding   • adenylate cyclase inhibitor activity   • molecular function inhibitor activity   • cyclase inhibitor activity   • enzyme inhibitor activity   • magnesium ion binding   • GDP binding   • G protein-coupled serotonin receptor binding   • cellular response to stimulus   • regulation of biological process   • regulation of signaling   • regulation of cellular process   • cell surface receptor signaling pathway   • response to stimulus   • regulation of Wnt signaling pathway   • signaling   • regulation of canonical Wnt signaling pathway   • canonical Wnt signaling pathway   • biological regulation   • regulation of signal transduction   • cell communication   • regulation of response to stimulus   • regulation of cell communication   • cellular process   • signal transduction   • Wnt signaling pathway   • G protein-coupled receptor signaling pathway   • neuropeptide signaling pathway   • multicellular organismal process   • regulation of body fluid levels   • wound healing   • hemostasis   • blood coagulation   • response to stress   • coagulation   • regulation of biological quality   • response to wounding   • regulation of protein stability   • protein stabilization   • phospholipase C-activating serotonin receptor signaling pathway   • G protein-coupled serotonin receptor signaling pathway   • phospholipase C-activating G protein-coupled receptor signaling pathway   • rhythmic process   • entrainment of circadian clock   • circadian rhythm   • response to external stimulus   • regulation of circadian rhythm   • response to endogenous stimulus   • hormone-mediated signaling pathway   • cellular response to endogenous stimulus   • cellular response to chemical stimulus   • response to hormone   • response to chemical   • cellular response to hormone stimulus   • response to pH   • cellular response to pH   • response to abiotic stimulus   • cellular response to acidic pH   • response to acidic pH   • cellular response to abiotic stimulus   • cellular response to environmental stimulus   • glutamate receptor signaling pathway   • system process   • sensory perception   • nervous system process   • sensory perception of itch   • adenylate cyclase-activating G protein-coupled receptor signaling pathway   • adenylate cyclase-modulating G protein-coupled receptor signaling pathway   • establishment of organelle localization   • regulated exocytosis   • cellular localization   • transport   • cell activation involved in immune response   • leukocyte degranulation   • myeloid leukocyte activation   • myeloid leukocyte mediated immunity   • vesicle-mediated transport   • leukocyte activation   • localization   • secretion by cell   • organelle localization   • leukocyte activation involved in immune response   • establishment of localization in cell   • mast cell activation   • leukocyte mediated immunity   • mast cell mediated immunity   • immune response   • secretion   • cell activation   • vacuolar localization   • export from cell   • mast cell degranulation   • establishment of localization   • myeloid cell activation involved in immune response   • immune effector process   • mast cell activation involved in immune response   • exocytosis   • immune system process   • lysosome localization   • response to ketone   • response to prostaglandin   • response to lipid   • response to alcohol   • response to prostaglandin E   • response to oxygen-containing compound   • detection of light stimulus   • response to light stimulus   • phototransduction   • detection of external stimulus   • detection of visible light   • detection of abiotic stimulus   • detection of stimulus   • response to radiation   • phototransduction, visible light   • regulation of cell activation   • regulation of platelet activation   • regulation of multicellular organismal process   • platelet activation   • phospholipase C-activating G protein-coupled glutamate receptor signaling pathway   • G protein-coupled glutamate receptor signaling pathway   • cellular response to nitrogen compound   • synaptic signaling   • cellular response to acetylcholine   • cell-cell signaling   • response to nitrogen compound   • acetylcholine receptor signaling pathway   • postsynaptic signal transduction   • cellular response to oxygen-containing compound   • G protein-coupled acetylcholine receptor signaling pathway   • response to acetylcholine   • developmental process   • epithelium development   • ectodermal placode morphogenesis   • epidermis development   • molting cycle process   • hair cycle   • animal organ development   • hair follicle placode formation   • tissue development   • ectodermal placode formation   • anatomical structure morphogenesis   • skin development   • skin epidermis development   • hair follicle development   • molting cycle   • anatomical structure development   • anatomical structure formation involved in morphogenesis   • ectodermal placode development   • hair cycle process   • cellular homeostasis   • chemical homeostasis   • homeostatic process   • glucose homeostasis   • carbohydrate homeostasis   • intracellular chemical homeostasis   • intracellular glucose homeostasis   • neuromuscular process   • regulation of system process   • skeletal muscle contraction   • muscle contraction   • muscle system process   • regulation of muscle system process   • striated muscle contraction   • multicellular organismal movement   • musculoskeletal movement   • regulation of striated muscle contraction   • regulation of muscle contraction   • regulation of skeletal muscle contraction   • sensory perception of chemical stimulus   • sensory perception of smell   • response to peptide hormone   • cellular response to peptide hormone stimulus   • response to glucagon   • cellular response to glucagon stimulus   • multicellular organism development   • skeletal system development   • bone development   • system development   • homotypic cell-cell adhesion   • platelet aggregation   • cell adhesion   • cell-cell adhesion   • response to fluid shear stress   • vascular endothelial cell response to laminar fluid shear stress   • response to laminar fluid shear stress   • cellular response to stress   • cellular response to laminar fluid shear stress   • vascular endothelial cell response to fluid shear stress   • cellular response to fluid shear stress   • cognition   • developmental growth   • growth   • cellular response to prostaglandin stimulus   • cellular response to prostaglandin E stimulus   • cellular response to alcohol   • cellular response to lipid   • cellular response to ketone   • positive regulation of biological process   • adaptive thermogenesis   • multicellular organismal-level homeostasis   • regulation of cold-induced thermogenesis   • cold-induced thermogenesis   • temperature homeostasis   • positive regulation of cold-induced thermogenesis   • positive regulation of multicellular organismal process   • positive regulation of cell communication   • regulation of localization   • establishment of protein localization   • nitrogen compound transport   • positive regulation of establishment of protein localization   • positive regulation of insulin secretion involved in cellular response to glucose stimulus   • positive regulation of insulin secretion   • intracellular protein localization   • regulation of peptide hormone secretion   • regulation of hormone levels   • positive regulation of peptide hormone secretion   • establishment of protein localization to extracellular region   • protein secretion   • regulation of protein secretion   • regulation of secretion   • cellular response to carbohydrate stimulus   • response to glucose   • positive regulation of protein localization   • insulin secretion involved in cellular response to glucose stimulus   • regulation of hormone secretion   • regulation of protein localization   • regulation of peptide secretion   • positive regulation of secretion by cell   • hormone secretion   • protein localization to extracellular region   • positive regulation of protein transport   • peptide secretion   • regulation of secretion by cell   • positive regulation of hormone secretion   • response to monosaccharide   • response to carbohydrate   • positive regulation of secretion   • signal release   • cellular response to hexose stimulus   • cellular response to monosaccharide stimulus   • positive regulation of cellular process   • positive regulation of peptide secretion   • regulation of transport   • regulation of peptide transport   • regulation of establishment of protein localization   • cellular response to glucose stimulus   • regulation of protein transport   • positive regulation of protein secretion   • peptide transport   • response to hexose   • positive regulation of transport   • regulation of cellular localization   • protein transport   • regulation of insulin secretion   • peptide hormone secretion   • macromolecule localization   • regulation of insulin secretion involved in cellular response to glucose stimulus   • hormone transport   • insulin secretion   • positive regulation of signaling   • adenylate cyclase-activating adrenergic receptor signaling pathway   • adrenergic receptor signaling pathway   • response to dopamine   • cellular response to dopamine   • response to monoamine   • response to catecholamine   • cellular response to catecholamine stimulus   • serotonin receptor signaling pathway   • cellular response to monoamine stimulus   • adenylate cyclase-activating serotonin receptor signaling pathway   • intracellular transport   • regulation of defense response   • regulation of response to external stimulus   • negative regulation of inflammatory response   • negative regulation of biological process   • inflammatory response to antigenic stimulus   • regulation of response to stress   • regulation of immune system process   • negative regulation of inflammatory response to antigenic stimulus   • defense response   • negative regulation of response to stimulus   • negative regulation of immune response   • regulation of inflammatory response to antigenic stimulus   • regulation of inflammatory response   • negative regulation of immune system process   • negative regulation of response to external stimulus   • negative regulation of defense response   • regulation of immune response   • inflammatory response   • positive regulation of adenylate cyclase activity   • positive regulation of molecular function   • regulation of molecular function   • positive regulation of cyclase activity   • activation of adenylate cyclase activity   • regulation of adenylate cyclase activity   • regulation of catalytic activity   • positive regulation of catalytic activity   • positive regulation of lyase activity   • adenylate cyclase-activating dopamine receptor signaling pathway   • G protein-coupled dopamine receptor signaling pathway   • bile acid signaling pathway   • adenylate cyclase-activating G protein-coupled bile acid receptor signaling pathway   • renal system process   • multicellular organismal-level water homeostasis   • multicellular organismal-level chemical homeostasis   • renal water homeostasis   • adenylate cyclase-inhibiting serotonin receptor signaling pathway   • adenylate cyclase-inhibiting G protein-coupled receptor signaling pathway   • cell division   • leukocyte migration   • mononuclear cell migration   • lymphocyte migration   • cell migration   • T cell migration   • cell motility   • regulation of steroid biosynthetic process   • regulation of cholesterol biosynthetic process   • regulation of cholesterol metabolic process   • steroid metabolic process   • regulation of lipid metabolic process   • sterol metabolic process   • cholesterol metabolic process   • lipid biosynthetic process   • alcohol metabolic process   • regulation of primary metabolic process   • positive regulation of metabolic process   • regulation of small molecule metabolic process   • positive regulation of biosynthetic process   • positive regulation of lipid metabolic process   • small molecule metabolic process   • steroid biosynthetic process   • regulation of biosynthetic process   • secondary alcohol biosynthetic process   • regulation of alcohol biosynthetic process   • small molecule biosynthetic process   • regulation of steroid metabolic process   • cholesterol biosynthetic process   • positive regulation of cholesterol biosynthetic process   • primary metabolic process   • secondary alcohol metabolic process   • positive regulation of steroid biosynthetic process   • biosynthetic process   • sterol biosynthetic process   • positive regulation of lipid biosynthetic process   • regulation of sterol biosynthetic process   • alcohol biosynthetic process   • positive regulation of cholesterol metabolic process   • positive regulation of steroid metabolic process   • metabolic process   • regulation of lipid biosynthetic process   • positive regulation of small molecule metabolic process   • regulation of metabolic process   • positive regulation of alcohol biosynthetic process   • positive regulation of sterol biosynthetic process   • lipid metabolic process   • response to cytokine   • response to chemokine   • cytokine-mediated signaling pathway   • cellular response to chemokine   • chemokine-mediated signaling pathway   • response to peptide   • cellular response to cytokine stimulus   • relaxation of smooth muscle   • relaxation of muscle   • positive regulation of relaxation of smooth muscle   • positive regulation of relaxation of muscle   • regulation of relaxation of smooth muscle   • regulation of relaxation of muscle   • negative regulation of protein transport   • negative regulation of transport   • negative regulation of secretion   • negative regulation of hormone secretion   • negative regulation of secretion by cell   • negative regulation of peptide hormone secretion   • negative regulation of establishment of protein localization   • negative regulation of protein secretion   • negative regulation of signaling   • negative regulation of cell communication   • negative regulation of peptide secretion   • negative regulation of cellular process   • negative regulation of protein localization   • negative regulation of insulin secretion   • regulation of cytoskeleton organization   • regulation of cellular component organization   • microtubule cytoskeleton organization   • regulation of mitotic spindle organization   • mitotic cell cycle   • cellular component organization   • cell cycle   • cellular component organization or biogenesis   • regulation of cell cycle   • microtubule cytoskeleton organization involved in mitosis   • spindle organization   • cell cycle process   • regulation of cell cycle process   • regulation of microtubule-based process   • regulation of spindle organization   • regulation of organelle organization   • mitotic spindle organization   • organelle organization   • mitotic cell cycle process   • microtubule-based process   • cytoskeleton organization   • regulation of microtubule cytoskeleton organization   • positive regulation of protein localization to cell periphery   • protein localization to cell periphery   • positive regulation of protein localization to cell cortex   • regulation of protein localization to cell periphery   • regulation of protein localization to cell cortex   • protein localization to cell cortex   • cellular response to forskolin   • response to forskolin   • extrinsic component of plasma membrane   • catalytic complex   • plasma membrane protein complex   • cytoplasmic side of membrane   • membrane protein complex   • heterotrimeric G-protein complex   • side of membrane   • cytoplasmic side of plasma membrane   • GTPase complex   • extrinsic component of membrane   • extrinsic component of cytoplasmic side of plasma membrane   • nuclear membrane   • nucleus   • endomembrane system   • organelle envelope   • nuclear envelope   • organelle membrane   • extracellular exosome   • extracellular vesicle   • extracellular organelle   • extracellular region   • extracellular space   • extracellular membrane-bounded organelle   • non-motile cilium   • 9+0 non-motile cilium   • cilium   • photoreceptor outer segment   • photoreceptor cell cilium   • vacuolar membrane   • lytic vacuole   • vacuole   • lytic vacuole membrane   • bounding membrane of organelle   • lysosomal membrane   • lysosome   • Golgi apparatus   • postsynaptic cytosol   • cytosol   • Golgi apparatus subcompartment   • organelle subcompartment   • trans-Golgi network membrane   • trans-Golgi network   • midbody   • membrane-enclosed lumen   • nucleolus   • intracellular organelle lumen   • organelle lumen   • nuclear lumen   • cell cortex   • centrosome   • microtubule organizing center   • microtubule cytoskeleton   • centriolar satellite   • sperm principal piece   • 9+2 motile cilium   • sperm flagellum   • motile cilium   • nucleoplasm   • ciliary basal body   • G-protein beta-subunit binding   • fibroblast proliferation   • cell population proliferation   • enzyme binding   • GTPase binding   • signaling receptor complex adaptor activity   • protein-macromolecule adaptor activity   • molecular adaptor activity   • signaling adaptor activity   • sensory perception of taste   • sensory organ development   • eye development   • retina development in camera-type eye   • visual system development   • camera-type eye development   • sensory system development   • small GTPase-mediated signal transduction   • Ras protein signal transduction   • intracellular signal transduction   • intracellular signaling cassette   • photoreceptor disc membrane
SCOP2Domain Identifier• G protein-coupled receptor-like   • Transducin (heterotrimeric G protein), gamma chain
SCOP2Family Identifier• G protein-coupled receptor-like   • Transducin (heterotrimeric G protein), gamma chain
Membrane Protein Annotations-• Orientations of Proteins in Membranes database (OPM)   • Protein Data Bank of Transmembrane Proteins (PDBTM)   • MemProtMD


Details about the values in these tables can be found in the corresponding documentation page .
Code_L_
PDB ResiduesL:L:?1
Environment DetailsOpen EMBL-EBI Page
Code_L_
Name
Synonyms
Identifier
Formula
Molecular Weight
SMILES
PubChem
Formal Charge
Total Atoms
Total Chiral Atoms
Total Bonds
Total Aromatic Bonds

PDBsumOpen PDBsum Page
ChainA
ProteinG Protein α Sub unit
UniProtP63092
Sequence
>9LL9_Chain_A
EKAEKIEKQ LQKDKQVYR TRLLLLGAD NSGKSTIVK QMRISGIFE 
TKFQVDKVN FHMFDVGAQ RDERRKWIQ CFNDVTAII FVVDSSDYN 
RLQEALNDF KSIWNNRWL RTISVILFL NKQDLLAEK VLAGKSKIE 
DYFPEFARY TTPEDATPE PGEDPRVTR AKYFIRKEF VDISTASGD 
GRHICYPHF TCVDTENAR RIFNDCKDI ILQMNLREY NLVLSADAV 
RSMRLYS


Click on each residue to open a popup with some information about it.

ConSurf Conservation Grade (See documentation): 

 n/a   1    2    3    4    5    6    7    8    9  

ChainB
ProteinG Protein β Sub unit
UniProtP62873
Sequence
>9LL9_Chain_B
ELDQLRQEA EQLKNQIRD ARKACADAT LSQITNNID PVGRIQMRT 
RRTLRGHLA KIYAMHWGT DSRLLVSAS QDGKLIIWD SYTTNKVHA 
IPLRSSWVM TCAYAPSGN YVACGGLDN ICSIYNLKT REGNVRVSR 
ELAGHTGYL SCCRFLDDN QIVTSSGDT TCALWDIET GQQTTTFTG 
HTGDVMSLS LAPDTRLFV SGACDASAK LWDVREGMC RQTFTGHES 
DINAICFFP NGNAFATGS DDATCRLFD LRADQELMT YSHDNIICG 
ITSVSFSKS GRLLLAGYD DFNCNVWDA LKADRAGVL AGHDNRVSC 
LGVTDDGMA VATGSWDSF LKIWN


Click on each residue to open a popup with some information about it.

ConSurf Conservation Grade (See documentation): 

 n/a   1    2    3    4    5    6    7    8    9  

ChainG
ProteinG Protein γ Sub unit
UniProtP59768
Sequence
>9LL9_Chain_G
QARKLVEQL KMEANIDRI KVSKAAADL MAYCEAHAK EDPLLTPVP 
ASENPF


Click on each residue to open a popup with some information about it.

ConSurf Conservation Grade (See documentation): 

 n/a   1    2    3    4    5    6    7    8    9  

ChainR
ProteinReceptor
UniProtP28223
Sequence
>9LL9_Chain_R
ALLTAVVII LTIAGNILV IMAVSLEKK LQNATNYFL MSLAIADML 
LGFLVMPVS MLTILYGYR WPLPSKLCA VWIYLDVLF STASIMHLC 
AISLDRYVA IQNPIHHSR FNSRTKAFL KIIAVWTIS VGISMPIPV 
FGLQDDSKV FKEGSCLLA DDNFVLIGS FVSFFIPLT IMVITYFLT 
IKSLQISNE QKACKVLGI VFFLFVVMW CPFFITNIM AVICKESCN 
EDVIGALLN VFVWIGYLS SAVNPLVYT LFNKTYRSA FSR


Click on each residue to open a popup with some information about it.

ConSurf Conservation Grade (See documentation): 

 n/a   1    2    3    4    5    6    7    8    9  




This receptor, from the same or other species and bound to the same or other ligands, is also present in the following networks:
Show PDB Class SubFamily Type SubType Species Orthosteric Ligand Other Ligand(s) Protein Partners Resolution Date DOI
6A93AAmine5-Hydroxytryptamine5-HT2AHomo sapiensRisperidone--32019-02-13doi.org/10.1038/s41594-018-0180-z
6A94AAmine5-Hydroxytryptamine5-HT2AHomo sapiensZotepine--2.92019-02-13doi.org/10.1038/s41594-018-0180-z
6WGTAAmine5-Hydroxytryptamine5-HT2AHomo sapiensLSD--3.42020-09-23doi.org/10.1016/j.cell.2020.08.024
6WH4AAmine5-Hydroxytryptamine5-HT2AHomo sapiensMethiothepin--3.42020-09-23doi.org/10.1016/j.cell.2020.08.024
6WHAAAmine5-Hydroxytryptamine5-HT2AHomo sapiensDB13948-chim(NtGi2L-Gs-CtGq)/β1/γ23.362020-09-23doi.org/10.1016/j.cell.2020.08.024
6WHA (No Gprot) AAmine5-Hydroxytryptamine5-HT2AHomo sapiensDB13948-3.362020-09-23doi.org/10.1016/j.cell.2020.08.024
7VODAAmine5-Hydroxytryptamine5-HT2AHomo sapiensCariprazine--3.32021-12-22doi.org/10.1038/s41593-021-00971-w
7VOEAAmine5-Hydroxytryptamine5-HT2AHomo sapiensAripiprazole--2.92021-12-22doi.org/10.1038/s41593-021-00971-w
7WC4AAmine5-Hydroxytryptamine5-HT2AHomo sapiensSerotonin--3.22022-01-26doi.org/10.1126/science.abl8615
7WC5AAmine5-Hydroxytryptamine5-HT2AHomo sapiensPsilocin--3.22022-01-26doi.org/10.1126/science.abl8615
7WC6AAmine5-Hydroxytryptamine5-HT2AHomo sapiensLSD--2.62022-01-26doi.org/10.1126/science.abl8615
7WC7AAmine5-Hydroxytryptamine5-HT2AHomo sapiensLisuride--2.62022-01-26doi.org/10.1126/science.abl8615
7WC8AAmine5-Hydroxytryptamine5-HT2AHomo sapiensLumateperone--2.452022-01-26doi.org/10.1126/science.abl8615
7WC9AAmine5-Hydroxytryptamine5-HT2AHomo sapiensPubChem 162421364--2.52022-01-26doi.org/10.1126/science.abl8615
7RANAAmine5-Hydroxytryptamine5-HT2AHomo sapiensPubChem 164575847-chim(NtGi2L-Gs-CtGq)/β1/γ23.452022-07-06doi.org/10.1038/s41586-022-05258-z
7RAN (No Gprot) AAmine5-Hydroxytryptamine5-HT2AHomo sapiensPubChem 164575847-3.452022-07-06doi.org/10.1038/s41586-022-05258-z
8UWLAAmine5-Hydroxytryptamine5-HT2AHomo sapiensLisuride-chim(NtGi2-Gs-CtGq)/β1/γ22.82024-05-29doi.org/10.1126/science.adn6354
8UWL (No Gprot) AAmine5-Hydroxytryptamine5-HT2AHomo sapiensLisuride-2.82024-05-29doi.org/10.1126/science.adn6354
8V6UAAmine5-Hydroxytryptamine5-HT2AHomo sapiensPubChem 171392456-chim(NtGi2-Gs-CtGq)/β1/γ232024-05-29doi.org/10.1126/science.adn6354
8V6U (No Gprot) AAmine5-Hydroxytryptamine5-HT2AHomo sapiensPubChem 171392456-32024-05-29doi.org/10.1126/science.adn6354
8ZMGAAmine5-Hydroxytryptamine5-HT2AHomo sapiensPimavanserin--3.42024-08-28doi.org/10.1021/acs.jmedchem.4c01244
8JT8AAmine5-Hydroxytryptamine5-HT2AHomo sapiens(R)-IHCH-7179--2.72024-02-28doi.org/10.1016/j.cell.2024.02.034
9ARXAAmine5-Hydroxytryptamine5-HT2AHomo sapiensSerotonin--3.242025-04-02doi.org/10.1038/s41467-025-57956-7
9ARYAAmine5-Hydroxytryptamine5-HT2AHomo sapiensSerotonin-chim(NtGi1-Gs-CtGq)/β1/γ23.272025-04-02doi.org/10.1038/s41467-025-57956-7
9ARY (No Gprot) AAmine5-Hydroxytryptamine5-HT2AHomo sapiensSerotonin-3.272025-04-02doi.org/10.1038/s41467-025-57956-7
9ARZAAmine5-Hydroxytryptamine5-HT2AHomo sapiens2-bromo-LSD--3.372025-04-02doi.org/10.1038/s41467-025-57956-7
9AS0AAmine5-Hydroxytryptamine5-HT2AHomo sapiens2-bromo-LSD-chim(NtGi1-Gs-CtGq)/β1/γ23.382025-04-02doi.org/10.1038/s41467-025-57956-7
9AS0 (No Gprot) AAmine5-Hydroxytryptamine5-HT2AHomo sapiens2-bromo-LSD-3.382025-04-02doi.org/10.1038/s41467-025-57956-7
9AS1AAmine5-Hydroxytryptamine5-HT2AHomo sapiensDMT--3.382025-04-02doi.org/10.1038/s41467-025-57956-7
9AS2AAmine5-Hydroxytryptamine5-HT2AHomo sapiensDMT-chim(NtGi1-Gs-CtGq)/β1/γ23.212025-04-02doi.org/10.1038/s41467-025-57956-7
9AS2 (No Gprot) AAmine5-Hydroxytryptamine5-HT2AHomo sapiensDMT-3.212025-04-02doi.org/10.1038/s41467-025-57956-7
9AS3AAmine5-Hydroxytryptamine5-HT2AHomo sapiensLSD--3.182025-04-02doi.org/10.1038/s41467-025-57956-7
9AS4AAmine5-Hydroxytryptamine5-HT2AHomo sapiensLSD-chim(NtGi1-Gs-CtGq)/β1/γ23.062025-04-02doi.org/10.1038/s41467-025-57956-7
9AS4 (No Gprot) AAmine5-Hydroxytryptamine5-HT2AHomo sapiensLSD-3.062025-04-02doi.org/10.1038/s41467-025-57956-7
9AS5AAmine5-Hydroxytryptamine5-HT2AHomo sapiensMescaline--3.342025-04-02doi.org/10.1038/s41467-025-57956-7
9AS6AAmine5-Hydroxytryptamine5-HT2AHomo sapiensMescaline-chim(NtGi1-Gs-CtGq)/β1/γ23.072025-04-02doi.org/10.1038/s41467-025-57956-7
9AS6 (No Gprot) AAmine5-Hydroxytryptamine5-HT2AHomo sapiensMescaline-3.072025-04-02doi.org/10.1038/s41467-025-57956-7
9AS7AAmine5-Hydroxytryptamine5-HT2AHomo sapiensPsilocin--2.722025-04-02doi.org/10.1038/s41467-025-57956-7
9AS9AAmine5-Hydroxytryptamine5-HT2AHomo sapiensRS130-180--3.472025-04-02doi.org/10.1038/s41467-025-57956-7
9ASAAAmine5-Hydroxytryptamine5-HT2AHomo sapiensRS130-180-chim(NtGi1-Gs-CtGq)/β1/γ23.122025-04-02doi.org/10.1038/s41467-025-57956-7
9ASA (No Gprot) AAmine5-Hydroxytryptamine5-HT2AHomo sapiensRS130-180-3.122025-04-02doi.org/10.1038/s41467-025-57956-7
9AS8AAmine5-Hydroxytryptamine5-HT2AHomo sapiensPsilocin-chim(NtGi2L-Gs-CtGq)/β1/γ22.542025-04-0210.1038/s41467-025-57956-7
9AS8 (No Gprot) AAmine5-Hydroxytryptamine5-HT2AHomo sapiensPsilocin-2.542025-04-0210.1038/s41467-025-57956-7
9LL9 (No Gprot) AAmine5-Hydroxytryptamine5-HT2AHomo sapiensDOI-2.762026-01-14To be published
9LLAAAmine5-Hydroxytryptamine5-HT2AHomo sapiensAriadne-chim(NtGi1L-Gs-CtGq)/β1/γ23.272026-01-14To be published
9LLA (No Gprot) AAmine5-Hydroxytryptamine5-HT2AHomo sapiensAriadne-3.272026-01-14To be published
9LLBAAmine5-Hydroxytryptamine5-HT2AHomo sapiensDOI-NBOMe-chim(NtGi1L-Gs-CtGq)/β1/γ22.982026-01-14To be published
9LLB (No Gprot) AAmine5-Hydroxytryptamine5-HT2AHomo sapiensDOI-NBOMe-2.982026-01-14To be published
9LL7AAmine5-Hydroxytryptamine5-HT2AHomo sapiensDOI-Gi1/β1/γ22.842026-01-14To be published
9LL7 (No Gprot) AAmine5-Hydroxytryptamine5-HT2AHomo sapiensDOI-2.842026-01-14To be published
9LL8AAmine5-Hydroxytryptamine5-HT2AHomo sapiensPsilocin-Gi1/β1/γ22.622026-01-14To be published
9LL8 (No Gprot) AAmine5-Hydroxytryptamine5-HT2AHomo sapiensPsilocin-2.622026-01-14To be published




You can download a compressed (zip) file with structure(s), 3D outputs (as PyMol and VMD scripts) and numerical data files (as csv and plain text files).

Download 9LL9.zip



You can click to copy the link of this page to easily come back here later

or use this QR code to link and share this page.



You can also  read or  download a guide explaining the meaning of all files and numerical data.