Color ConSurf Grade
      No Conservation data available
      1
      2
      3
      4
      5
      6
      7
      8
      9

Index: hub id, click on each number to highlight the corresponding hub in the 3D visualization.

Hub: the hub being considered.

Avg Int. Strength: the average interaction strength of all the links of the corresponding hub.

Num Of Links: the number of links of the corresponding hub.

Community: the id of the community the link belong to, otherwise 0.

ConSurf: this column reports the ConSurf conservation grades of each hub.

Index Hub Avg Int. Strength Num Of Links Community ConSurf
1A:A:R38 8.025404
2A:A:L44 9.7575479
3A:A:L45 5.985488
4A:A:K53 5.905489
5A:A:E209 5.7975479
6A:A:F219 6.4856138
7A:A:H220 11.415477
8A:A:F222 10.11577
9A:A:K233 5.73143719
10A:A:W234 5.756509
11A:A:F238 9.848579
12A:A:F246 6.3725409
13A:A:V247 3.802587
14A:A:S250 4.1325446
15A:A:Y253 9.134548
16A:A:R265 9.18754149
17A:A:F273 6.8425409
18A:A:W277 9.576506
19A:A:W281 8.61833655
20A:A:I288 4.94409
21A:A:L289 5.2625449
22A:A:F290 5.55714789
23A:A:L291 4.786548
24A:A:N292 5.218589
25A:A:Q294 6.91546
26A:A:F315 9.726506
27A:A:Y318 4.852506
28A:A:E330 5.918543
29A:A:D331 7.185404
30A:A:V334 3.44404
31A:A:F340 11.65407
32A:A:F345 6.278548
33A:A:Y360 9.9475408
34A:A:F363 8.7475445
35A:A:T364 8.19409
36A:A:D368 5.276509
37A:A:F376 4.513336138
38A:A:Q385 5.525125
39A:A:Y391 5.255624
40B:B:E3 3.82254185
41B:B:L7 3.7485188
42B:B:T34 4.484105
43B:B:I37 4.5185102
44B:B:M45 4.78254114
45B:B:R48 6.32437
46B:B:L51 8.63439
47B:B:H54 9.484539
48B:B:K57 12.1625459
49B:B:W63 6.95167637
50B:B:V71 3.95498
51B:B:D76 6.7225409
52B:B:K78 5.8425408
53B:B:L79 5.1925497
54B:B:I81 4.705497
55B:B:W82 10.21739
56B:B:N88 7.7625407
57B:B:K89 6.30833639
58B:B:H91 5.275405
59B:B:I93 7.4875497
60B:B:W99 8.45429779
61B:B:Y105 4.2425896
62B:B:N110 6.5425414
63B:B:Y111 7.57414
64B:B:V112 4.496598
65B:B:I123 3.78516
66B:B:Y124 5.19857796
67B:B:L126 4.93495
68B:B:T128 3.9025413
69B:B:E130 3.495413
70B:B:V133 6.1375494
71B:B:H142 7.356519
72B:B:Y145 6.305618
73B:B:L146 3.49417
74B:B:F151 5.59509
75B:B:L152 3.84403
76B:B:I157 4.686517
77B:B:V158 3.545405
78B:B:T159 5.204519
79B:B:D163 6.884519
80B:B:C166 4.235468
81B:B:L168 3.7466
82B:B:W169 10.605618
83B:B:Q176 7.62414
84B:B:F180 8.936567
85B:B:H183 9.12669
86B:B:V187 4.426569
87B:B:F199 8.58469
88B:B:V200 7.1975416
89B:B:S201 4.915469
90B:B:D205 7.385469
91B:B:K209 11.4475466
92B:B:L210 5.535405
93B:B:W211 9.05333668
94B:B:Q220 8.05417
95B:B:F222 8.5475418
96B:B:H225 9.01619
97B:B:D228 9.3175419
98B:B:I232 5.09418
99B:B:F234 5.072505
100B:B:F235 6.9785156
101B:B:P236 6.0154157
102B:B:F241 8.634516
103B:B:T243 7.0375418
104B:B:D246 6.17419
105B:B:D247 8.672519
106B:B:T249 8.185416
107B:B:R251 13.074518
108B:B:F253 8.292516
109B:B:D258 8.758517
110B:B:E260 9.8416
111B:B:M262 7.3575404
112B:B:T263 6.9375411
113B:B:Y264 6.9505
114B:B:H266 6.715404
115B:B:F278 6.68254157
116B:B:R283 7.256109
117B:B:L285 4.79406
118B:B:Y289 7.33143757
119B:B:D290 5.006556
120B:B:N295 9.0875456
121B:B:V296 4.93405
122B:B:W297 6.9975458
123B:B:L300 6.19254106
124B:B:K301 4.88505
125B:B:L308 8.61254117
126B:B:H311 8.0665119
127B:B:R314 12.126558
128B:B:W332 12.3886759
129B:B:D333 6.59254119
130B:B:L336 5.038537
131B:B:K337 8.0985116
132B:B:W339 8.685119
133B:B:N340 8.0675439
134G:G:R27 6.9675418
135G:G:I28 4.395404
136G:G:D48 8.0275409
137G:G:L51 3.8585106
138G:G:N59 4.988539
139G:G:P60 6.7525439
140G:G:F61 5.745838
141L:L:?1 6.876881620
142R:R:E21 5.738522
143R:R:H58 5.95605
144R:R:R60 4.875406
145R:R:F63 6.675428
146R:R:F66 4.718507
147R:R:L67 5.312528
148R:R:L70 5.385429
149R:R:T73 4.6175429
150R:R:D74 5.495629
151R:R:W95 6.0925166
152R:R:F114 6.32427
153R:R:F115 7.2475407
154R:R:S118 3.8525427
155R:R:P119 4.8775428
156R:R:M126 5.62429
157R:R:R130 8.715429
158R:R:Y131 7.13507
159R:R:F138 6.8585135
160R:R:V153 4.7925407
161R:R:W157 5.802527
162R:R:L163 3.21406
163R:R:Y178 7.596523
164R:R:P179 5.0525428
165R:R:S181 3.855428
166R:R:W182 8.608527
167R:R:C183 4.794169
168R:R:L185 6.8405
169R:R:F196 5.11833607
170R:R:S207 2.7675407
171R:R:L214 4.3325407
172R:R:N215 4.27409
173R:R:Y226 8.06406
174R:R:R235 6.916127
175R:R:E240 5.384128
176R:R:L247 5.4725408
177R:R:M251 4.694208
178R:R:W258 9.36667628
179R:R:F264 7.5375404
180R:R:T268 4.2325406
181R:R:M276 5.055401
182R:R:S277 2.06402
183R:R:R284 6.6725421
184R:R:R295 9.1275408
185R:R:N300 7.248529
186R:R:Q301 8.374529
187R:R:D304 8.075429
188R:R:Y308 6.965629
189R:R:I309 5.012529
190R:R:L310 7.34428
   

Color ConSurf Grade
      No Conservation data available
      1
      2
      3
      4
      5
      6
      7
      8
      9

Index: link id, click on each number to highlight the corresponding link in the 3D visualization.

Node1 Node2: the two nodes of the corresponding link.

Recurrence: the relative Recurrence in the pool of shortest paths.

Int. Strength: the interaction strength between the two nodes.

Hub1?, Hub2?: "Yes" if the corresponding node has more than 3 links, otherwise "No".

Community: the id of the community the link belong to, otherwise 0.

ConSurf1, ConSurf2: these columns report the ConSurf conservation grades of the two nodes involved in a link.

Index Node1 Node2 Recurrence Int. Strength Hub1? Hub2? Community ConSurf1 ConSurf2
1B:B:H54 B:B:S74 67.27312.55YesNo399
2B:B:D76 B:B:S74 69.11667.36YesNo099
3B:B:D76 B:B:K78 31.11388.3YesYes098
4B:B:H54 B:B:W82 66.1935.29YesYes399
5B:B:D76 B:B:L55 99.87158.14YesNo096
6A:A:K34 B:B:L55 99.895.64NoNo046
7A:A:K34 A:A:R38 99.92689.9NoYes044
8B:B:L70 B:B:W82 64.00796.83NoYes359
9B:B:L70 B:B:W63 64.089910.25NoYes357
10B:B:M61 B:B:W63 57.46656.98NoYes367
11B:B:C317 B:B:M61 57.44634.86NoNo076
12B:B:C317 B:B:S316 57.4093.44NoNo079
13B:B:S316 B:B:W332 57.37524.94NoYes099
14B:B:W332 B:B:Y59 20.236415.43YesNo598
15B:B:Q75 B:B:Y59 20.225219.16NoNo098
16A:A:R38 R:R:P141 99.98187.21YesNo045
17R:R:P141 R:R:R140 1002.88NoNo058
18R:R:E129 R:R:R140 98.860413.96NoNo098
19A:A:Y391 R:R:E129 63.12826.73YesNo049
20A:A:N387 A:A:Y391 18.57435.81NoYes084
21A:A:N387 R:R:R60 18.44846.03NoYes086
22A:A:M386 R:R:R60 18.43857.44NoYes036
23A:A:I383 A:A:M386 18.3752.92NoNo083
24A:A:I383 R:R:F138 16.32566.28NoYes085
25A:A:F219 A:A:L43 12.88946.09YesNo087
26A:A:I245 A:A:L43 12.68474.28NoNo077
27A:A:W281 B:B:W332 32.31185.62YesYes559
28A:A:N279 A:A:W281 30.50953.39NoYes085
29A:A:I235 A:A:N279 30.11935.66NoNo098
30A:A:I235 A:A:W234 30.07353.52NoYes099
31A:A:R231 A:A:W234 12.840511NoYes099
32A:A:F290 A:A:I245 11.85493.77YesNo897
33A:A:D272 A:A:R231 12.67949.53NoNo1789
34A:A:D272 A:A:F246 12.63465.97NoYes089
35A:A:C237 B:B:Q75 18.60479.16NoNo089
36A:A:W234 B:B:Y145 21.87942.89YesYes098
37A:A:K233 B:B:Y145 40.34733.58YesYes198
38A:A:C237 B:B:M101 18.52043.24NoNo089
39B:B:M101 B:B:Y145 18.4317.18NoYes098
40B:B:H62 B:B:Y105 29.82113.27NoYes066
41B:B:H62 B:B:R150 29.626814.67NoNo066
42B:B:C148 B:B:R150 15.0024.18NoNo066
43B:B:A104 B:B:R150 14.48352.77NoNo076
44B:B:A104 B:B:F151 14.28312.77NoYes079
45A:A:K233 B:B:D246 39.71434.15YesYes199
46A:A:Y391 R:R:F63 58.72396.19YesYes248
47R:R:F63 R:R:L67 29.68686.09YesYes288
48B:B:D246 B:B:S227 39.61864.42YesNo196
49B:B:S227 B:B:S245 16.0074.89NoNo169
50B:B:H225 B:B:S245 15.877812.55YesNo199
51B:B:H225 B:B:T243 17.59358.21YesYes198
52B:B:F253 B:B:T243 12.0597.78YesYes168
53B:B:F222 B:B:F253 28.180510.72YesYes186
54B:B:D258 B:B:F222 26.24033.58YesYes178
55B:B:D258 B:B:R22 19.143810.72YesNo076
56B:B:I18 B:B:R22 16.31286.26NoNo076
57B:B:I18 G:G:A23 15.66073.25NoNo078
58B:B:Q17 G:G:A23 14.35663.03NoNo048
59B:B:L14 B:B:Q17 13.70452.66NoNo084
60B:B:L14 G:G:L19 13.05235.54NoNo089
61B:B:A11 G:G:L19 11.09551.58NoNo059
62B:B:A11 G:G:V16 10.44321.7NoNo057
63B:B:D247 B:B:S227 23.48667.36YesNo196
64B:B:D247 B:B:H225 15.88138.82YesYes199
65B:B:H225 B:B:R251 13.113912.41YesYes198
66B:B:F253 B:B:R251 18.09026.41YesYes168
67B:B:V112 B:B:Y105 15.62845.05YesYes986
68B:B:K78 B:B:P94 31.15796.69YesNo085
69B:B:I93 B:B:L79 15.18048.56YesYes977
70B:B:I93 B:B:P94 31.23433.39YesNo075
71B:B:C148 B:B:L190 10.67126.35NoNo065
72R:R:L67 R:R:Y308 29.41053.52YesYes289
73R:R:L70 R:R:Y308 32.7674.69YesYes299
74R:R:D74 R:R:L70 16.455.43YesYes299
75R:R:D74 R:R:Q301 36.970210.44YesYes299
76L:L:?1 R:R:Q301 73.34827.72YesYes209
77R:R:F63 R:R:M126 29.22633.73YesYes289
78R:R:M126 R:R:Y308 54.069410.78YesYes299
79R:R:E129 R:R:S62 36.09818.62NoNo096
80R:R:F66 R:R:S62 36.07465.28YesNo076
81R:R:F66 R:R:M126 25.27393.73YesYes079
82R:R:D304 R:R:Y308 50.07558.05YesYes299
83R:R:D304 R:R:D74 16.45213.99YesYes299
84R:R:F66 R:R:V153 11.10673.93YesYes077
85R:R:V153 R:R:W157 10.60447.36YesYes077
86R:R:L70 R:R:P119 16.19873.28YesYes298
87R:R:P119 R:R:Q301 20.91317.9YesYes289
88R:R:D304 R:R:N300 33.512312.12YesYes299
89R:R:N300 R:R:Q301 16.06649.24YesYes299
90R:R:N300 R:R:W258 16.968710.17YesYes298
91L:L:?1 R:R:W258 16.0438.07YesYes208
92L:L:?1 R:R:T81 11.29186.65YesNo207
93L:L:?1 R:R:P179 20.45553.17YesYes208
94L:L:?1 R:R:W182 33.138114.68YesYes207
95R:R:F184 R:R:W182 23.27627.02NoYes087
96R:R:F184 R:R:L185 22.571614.61NoYes085
97R:R:F196 R:R:L185 14.11446.09YesYes075
98R:R:M108 R:R:T81 10.58664.52NoNo067
99R:R:P179 R:R:Y178 19.05489.74YesYes283
100R:R:E287 R:R:Y178 11.99937.86NoYes233
101R:R:E287 R:R:L282 11.29545.3NoNo034
Download PSN data

2D representation of the global metapath, ligand(s) interactions and
histograms of path distribution according to several parameters
(click on the image to enlarge it 🔍):

A 2D representation of the global communication in the network.

ConSurf Conservation Grade (See documentation): 

 n/a   1    2    3    4    5    6    7    8    9  

Number of shortest communication paths as a function of the average residue correlation.

Number of shortest communication paths as a function of the average interaction strength of their links.

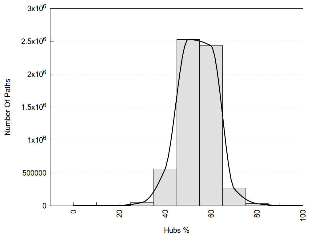
Number of shortest communication paths as a function of the % of hub nodes in each path.

Number of shortest communication paths as a function of the number of nodes in each path.

Number of shortest communication paths as a function of the % of correlated nodes in each path.


2D representation of the interactions of this orthosteric/allosteric ligand.


Links and nodes colored according to ConSurf Conservation Grade (See documentation): 

 n/a   1    2    3    4    5    6    7    8    9  

Node1 Node2 LinkStrength Comm IsNode1Hub? IsNode2Hub? Node1Cons Node2Cons Node1Shell Node2Shell
L:L:?1 R:R:A31 7.11 2 Yes No 0 7 0 1
L:L:?1 R:R:C35 3.07 2 Yes No 0 6 0 1
L:L:?1 R:R:L78 4.46 2 Yes No 0 8 0 1
L:L:?1 R:R:T81 6.65 2 Yes No 0 7 0 1
L:L:?1 R:R:V85 11.52 2 Yes No 0 8 0 1
L:L:?1 R:R:H89 6.63 2 Yes No 0 7 0 1
L:L:?1 R:R:M112 9.11 2 Yes No 0 8 0 1
L:L:?1 R:R:G116 4.41 2 Yes No 0 7 0 1
L:L:?1 R:R:P179 3.17 2 Yes Yes 0 8 0 1
L:L:?1 R:R:S181 4.84 2 Yes Yes 0 8 0 1
L:L:?1 R:R:W182 14.68 2 Yes Yes 0 7 0 1
L:L:?1 R:R:W258 8.07 2 Yes Yes 0 8 0 1
L:L:?1 R:R:L294 8.03 2 Yes No 0 7 0 1
L:L:?1 R:R:R295 3.91 2 Yes Yes 0 8 0 1
L:L:?1 R:R:T298 6.65 2 Yes No 0 8 0 1
L:L:?1 R:R:Q301 7.72 2 Yes Yes 0 9 0 1
R:R:A26 R:R:P179 3.74 0 No Yes 4 8 2 1
R:R:H89 R:R:P28 4.58 2 No No 7 6 1 2
R:R:F30 R:R:R295 16.03 0 No Yes 5 8 2 1
R:R:F34 R:R:R295 3.21 0 No Yes 8 8 2 1
R:R:D74 R:R:P119 4.83 2 Yes Yes 9 8 2 2
R:R:D74 R:R:Q301 10.44 2 Yes Yes 9 9 2 1
R:R:M108 R:R:T81 4.52 0 No No 6 7 2 1
R:R:M112 R:R:T81 3.01 2 No No 8 7 1 1
R:R:H89 R:R:S181 5.58 2 No Yes 7 8 1 1
R:R:P119 R:R:Q301 7.9 2 Yes Yes 8 9 2 1
R:R:L120 R:R:W258 21.64 0 No Yes 8 8 2 1
R:R:Q177 R:R:W182 7.67 0 No Yes 7 7 2 1
R:R:P179 R:R:Y178 9.74 2 Yes Yes 8 3 1 2
R:R:P179 R:R:S181 3.56 2 Yes Yes 8 8 1 1
R:R:F184 R:R:W182 7.02 0 No Yes 8 7 2 1
R:R:L291 R:R:W182 3.42 0 No Yes 7 7 2 1
R:R:L294 R:R:W182 10.25 2 No Yes 7 7 1 1
R:R:L262 R:R:W258 4.56 0 No Yes 8 8 2 1
R:R:A297 R:R:W258 5.19 0 No Yes 8 8 2 1
R:R:N300 R:R:W258 10.17 2 Yes Yes 9 8 2 1
R:R:Q301 R:R:W258 6.57 2 Yes Yes 9 8 1 1
R:R:L291 R:R:R295 13.36 0 No Yes 7 8 2 1
R:R:N300 R:R:Q301 9.24 2 Yes Yes 9 9 2 1
R:R:L39 R:R:L78 2.77 0 No No 6 8 2 1
R:R:C35 R:R:G82 1.96 0 No No 6 8 1 2
R:R:Q88 R:R:S181 1.44 0 No Yes 6 8 2 1

Location and physicochemical properties of the interaction partners of this ligand

Interactions of this ligand

Similarities between the interactions of this ligand and those of other networks

ShowSimilarityNetwork TypeNameLigandDescription
93.33Single8XJOU466198XJO-TXA2-U46619-chim(NtGi1-Gs-CtGq)/β1/γ2
93.33Consensusprostanoid_onOrthosteric Ligandtp_on fp-alpha_on
93.33Consensusprostanoid_on_gpOrthosteric Ligandtp_on_gp fp-alpha_on_gp
93.33Consensustp_onOrthosteric Ligand8XJO-TXA2-U46619-chim(NtGi1-Gs-CtGq)/β1/γ2
93.33Consensustp_on_gpOrthosteric Ligand8XJO-TXA2-U46619-chim(NtGi1-Gs-CtGq)/β1/γ2
86.67Single6IIURamatroban6IIU-TXA2-Ramatroban
81.25Single8XJKCloprosetnol8XJK-FP-alpha-Cloprosetnol-chim(NtGi1-Gs-CtGq)/β1/γ2
80.00Single8XJMLatanoprost8XJM-FP-alpha-Latanoprost-chim(NtGi2-Gs-CtGq)/β1/γ2
78.57Single6IIVDaltroban6IIV-TXA2-Daltroban
75.00Single8GCPPGE28GCP-EP4-PGE2-Gi1/β1/γ2
75.00Single9GGGI-BOP9GGG-TXA2-I-BOP-chim(NtGi2L-Gs-CtGq)/β1/γ2
70.59Single9GG5U466199GG5-TXA2-U46619-chim(NtGi2L-Gs-CtGq)/β1/γ2
70.59Single9M1HPGE29M1H-EP1-PGE2-chim(NtGi1-Gs-CtGq)/β1/γ2
66.67Single8GDAL9026888GDA-EP4-L902688-Gs/β1/γ2
66.67Single8IQ4Carboprost8IQ4-FP-alpha-Carboprost-chim(NtGi1-Gs-CtGq)/β1/γ2
64.71Single6AK3PGE26AK3-EP3-PGE2
64.71Single8IQ6Latanoprost8IQ6-FP-alpha-Latanoprost-chim(NtGi1-Gs-CtGq)/β1/γ2
64.71Single9AU0BW245C9AU0-DP1-BW245C-Gs/β1/γ2
62.50Single8ZVZBW245C8ZVZ-DP1-BW245C-Gs/β1/γ2
61.11Consensusfp-alpha_onOrthosteric Ligand8IUK-FP-alpha-PGF2-α-chim(NtGi1-Gs-CtGq)/β1/γ2 8IUL-FP-alpha-Latanoprost-chim(NtGi1-Gs-CtGq)/β1/γ2 8IUM-FP-alpha-Tafluprost acid-chim(NtGi1-Gs-CtGq)/β1/γ2
61.11Consensusfp-alpha_on_gpOrthosteric Ligand8IUK-FP-alpha-PGF2-α-chim(NtGi1-Gs-CtGq)/β1/γ2 8IUL-FP-alpha-Latanoprost-chim(NtGi1-Gs-CtGq)/β1/γ2 8IUM-FP-alpha-Tafluprost acid-chim(NtGi1-Gs-CtGq)/β1/γ2
60.00Single8X7ATreprostinil8X7A-I2-Treprostinil-Gs/β1/γ2
58.82Single8GDBPGE28GDB-EP4-PGE2-Gs/β1/γ2
58.82Single8X79MRE-2698X79-I2-MRE-269-Gs/β1/γ2
58.82Single8ZW0PGD28ZW0-DP1-PGD2-Gs/β1/γ2
57.89Single8IUMTafluprost acid8IUM-FP-alpha-Tafluprost acid-chim(NtGi1-Gs-CtGq)/β1/γ2
56.25Single8XJLPGF2-alpha8XJL-FP-alpha-PGF2-α-chim(NtGi2-Gs-CtGq)/β1/γ2
55.00Single7CX3Taprenepag7CX3-EP2-Taprenepag-Gs/β1/γ2
52.94Single6M9TMisoprostol-FA6M9T-EP3-Misoprostol-FA
52.94Single8GD9Rivenprost8GD9-EP4-Rivenprost-Gs/β1/γ2
52.94Single8GDCPGE28GDC-EP3-PGE2-Gi1/β1/γ2
52.94Single9JRTTG6-1299JRT-EP2-TG6-129
52.63Single7CX4Evatanepag7CX4-EP2-Evatanepag-Gs/β1/γ2
52.63Single8IULLatanoprost8IUL-FP-alpha-Latanoprost-chim(NtGi1-Gs-CtGq)/β1/γ2
50.00Single7CX2PGE27CX2-EP2-PGE2-Gs/β1/γ2
50.00Single8IUKPGF2-alpha8IUK-FP-alpha-PGF2-α-chim(NtGi1-Gs-CtGq)/β1/γ2
50.00Single9E9SPGD29E9S-DP1-PGD2-Gs/β1/γ1
47.06Single9JQZGrapiprant 9JQZ-EP4-Grapiprant
47.06Single9JROPF-044189489JRO-EP2-PF-04418948
45.00Single7D7MPGE27D7M-EP4-PGE2-Gs/β1/γ1
44.44Single9EKHONO-30302979EKH-DP1-ONO-3030297
38.89Single5TGZAM65385TGZ-CB1-AM6538
37.50Single8YKDDehydroepiandrosterone8YKD-ADGRG2-Dehydroepiandrosterone-chim(NtGi1-Gs)/β1/γ2
36.84Single8YNSSNAP-948478YNS-MCH1-SNAP-94847
36.84Single9EE5ONO-25502899EE5-DP1-ONO-2550289
36.84Consensuss1p5_offOrthosteric Ligand7YXA-S1P5-ONO-5430608
35.29Single5U09Taranabant5U09-CB1-Taranabant
35.00Single6N4BMDMB-Fubinaca6N4B-CB1-MDMB-Fubinaca-Gi1/β1/γ2
35.00Single8YNTSNAP-948478YNT-MCH1-SNAP-94847
35.00Single9RHGC4079RHG-FZD7-C407
33.33Single2YDOAdenosine2YDO-A2A-Adenosine
33.33Single7VUGJNJ-635330547VUG-GPR139-JNJ-63533054-Gi1/β1/γ2
33.33Single8HNMVUF112228HNM-CXCR3-VUF11222-Gi1/β1/γ2
33.33Single8JLKUlotaront8JLK-TA1-Ulotaront-chim(NtGi1-Gs)/β1/γ2
33.33Single8W88SEP-3638568W88-TA1-SEP-363856-Gs/β1/γ2
33.33Single8WC5Tetramethylammonium Ion8WC5-TA1-Tetramethylammonium Ion-chim(NtGi1-Gs)/β1/γ2
33.33Single8WC8ZH86518WC8-TA1-ZH8651-chim(NtGi1-Gs)/β1/γ2
33.33Single9JQYTG6-1299JQY-EP4-TG6-129
33.33Consensuscannabinoid_offOrthosteric Ligandcb2_off cb1_off
33.33Consensuscannabinoid_onOrthosteric Ligandcb2_on cb1_on
33.33Consensuscannabinoid_on_gpOrthosteric Ligandcb2_on_gp cb1_on_gp
33.33Consensuscb1_offOrthosteric Ligand5U09-CB1-Taranabant 5TGZ-CB1-AM6538
31.82Consensuscb1_on_gpOrthosteric Ligand6KPG-CB1-AM841-Gi1/β1/γ2 8K8J-CB1-Fenofibrate-chim(Gs-CtGq)/β1/γ2
31.58Single6KPFAM120336KPF-CB2-AM12033-Gi1/β1/γ2
31.58Single7YXAONO-54306087YXA-S1P5-ONO-5430608
31.58Single8GCML-9026888GCM-EP4-L-902688-Gi1/β1/γ2
31.58Single8T1WCVN4248T1W-GPR6-CVN424
31.58Single8W87METH8W87-TA1-METH-chim(NtGi1L-Gs)/β1/γ2
31.58Single8W8ARO52563908W8A-TA1-RO5256390-chim(NtGi1L-Gs)/β1/γ2
31.58Single8ZSSRO52633978ZSS-TA1-RO5263397-chim(NtGi1-Gs)/β1/γ2
31.58Consensusalicarboxylic_on_gpOrthosteric Ligandsuccinate_on_gp hca_on_gp
31.58Consensusgi_alicarboxylicOrthosteric Ligandgi_hca gi_succinate
31.58Consensusgs_trace-amineOrthosteric Ligand8W88-TA1-SEP-363856-Gs/β1/γ2 8JLJ-TA1-T1AM-chim(NtGi1-Gs)/β1/γ2 8JLO-TA1-Ulotaront-Gs/β1/γ2 8WC4-TA1-ZH8651-chim(NtGi1-Gs)/β1/γ2 8WC7-TA1-ZH8667-chim(NtGi1-Gs)/β1/γ2 8JLR-TA1-A77636-chim(NtGi1-Gs)/β1/γ2 8JSO-TA1-AMPH-chim(NtGi1-Gs)/β1/γ2 8W87-TA1-METH-chim(NtGi1L-Gs)/β1/γ2 8W89-TA1-2-Phenylethylamine-chim(NtGi1L-Gs)/β1/γ2 8JLP-TA1-Ralmitaront-Gs/β1/γ2 8W8A-TA1-RO5256390-chim(NtGi1L-Gs)/β1/γ2
31.25Single8J6QBeta-Hydroxybutyrate8J6Q-HCA2-β-Hydroxybutyrate-PubChem 25101223-Gi1/β1/γ2
30.77Single7WUIIP157WUI-ADGRG2-IP15-chim(NtGi1-Gs)/β1/γ2
30.43Single5ZTYAM102575ZTY-CB2-AM10257
30.43Consensuscb2_offOrthosteric Ligand5ZTY-CB2-AM10257
30.00Single5CGCHTL142425CGC-mGlu5-HTL14242
30.00Single5YHLPubChem 1351213525YHL-EP4-PubChem 135121352
30.00Single5YWYONO-AE3-2085YWY-EP4-ONO-AE3-208
30.00Single6KPCAM120336KPC-CB2-AM12033
30.00Single7VUHJNJ-635330547VUH-GPR139-JNJ-63533054-chim(Gs-CtGq)/β1/γ2
30.00Single8K8JFenofibrate8K8J-CB1-Fenofibrate-chim(Gs-CtGq)/β1/γ2
30.00Single9B9ZMRI-18679B9Z-CB1-MRI-1867
30.00Single9EE8Adenosine9EE8-A2A-Adenosine-Gs/β1/γ2
30.00Single9ERXD9-THC analog9ERX-CB1-D9-THC analog-Gi1/β1/γ2
30.00Consensuscb2_onOrthosteric Ligand8GUR-CB2-CP55940-Gi1/β1/γ2 8GUS-CB2-HU-308-Gi1/β1/γ2 8GUT-CB2-LEI-102-Gi1/β1/γ2 6KPF-CB2-AM12033-Gi1/β1/γ2 6PT0-CB2-WIN 55212-2-Gi1/β1/γ2 8GUQ-CB2-Olorinab-Gi1/β1/γ2
30.00Consensuscb2_on_gpOrthosteric Ligand8GUR-CB2-CP55940-Gi1/β1/γ2 8GUS-CB2-HU-308-Gi1/β1/γ2 8GUT-CB2-LEI-102-Gi1/β1/γ2 6KPF-CB2-AM12033-Gi1/β1/γ2 6PT0-CB2-WIN 55212-2-Gi1/β1/γ2 8GUQ-CB2-Olorinab-Gi1/β1/γ2
30.00Consensusep4_offOrthosteric Ligand5YWY-EP4-ONO-AE3-208 5YHL-EP4-PubChem 135121352
30.00Consensusep_offOrthosteric Ligandep4_off
30.00Consensuss1p_offOrthosteric Ligands1p1_off s1p5_off
30.00Consensusta1_onOrthosteric Ligand8W87-TA1-METH-chim(NtGi1L-Gs)/β1/γ2 8W89-TA1-2-Phenylethylamine-chim(NtGi1L-Gs)/β1/γ2 8JLP-TA1-Ralmitaront-Gs/β1/γ2 8W8A-TA1-RO5256390-chim(NtGi1L-Gs)/β1/γ2 8W88-TA1-SEP-363856-Gs/β1/γ2 8JLO-TA1-Ulotaront-Gs/β1/γ2 8JLR-TA1-A77636-chim(NtGi1-Gs)/β1/γ2 8JSO-TA1-AMPH-chim(NtGi1-Gs)/β1/γ2 8ZSP-TA1-LSD-chim(NtGi1L-Gs)/β1/γ2
30.00Consensustrace-amine_onOrthosteric Ligandta1_on
29.41Single7XKFDehydroepiandrosterone7XKF-ADGRG2-Dehydroepiandrosterone-Gs/β1/γ2
29.41Single7YFDImetit7YFD-H4-Imetit-chim(NtGi1-Gs-CtGq)/β1/γ2
29.41Single8H2GNiacin8H2G-HCA2-Niacin-Gi1/β1/γ2
29.41Single8HN8Histamine8HN8-H4-Histamine-Gi1/β1/γ2
29.41Single8K5BNiacin8K5B-HCA2-Niacin
29.41Single8W892-Phenylethylamine8W89-TA1-2-Phenylethylamine-chim(NtGi1L-Gs)/β1/γ2
29.41Single8ZSVRO52633978ZSV-TA1-RO5263397-chim(NtGi1-Gs)/β1/γ2
29.41Single9B9YTaranabant9B9Y-CB1-Taranabant
29.41Single9L42Histamine9L42-H4-Histamine-Gi1/β1/γ2
29.41Consensush4_onOrthosteric Ligand8HN8-H4-Histamine-Gi1/β1/γ2 8HOC-H4-Imetit-Gi1/β1/γ2 8JXV-H4-Clozapine-Gi1/β1/γ2 8JXW-H4-VUF6884-Gi1/β1/γ2 8JXX-H4-Clobenpropit-Gi1/β1/γ2
28.57Single2YDVNECA2YDV-A2A-NECA
28.57Single4UHRCGS216804UHR-A2A-CGS21680
28.57Single5A8E7-Methylcyanopindolol5A8E-β1-7-Methylcyanopindolol-Na
28.57Single5G53NECA5G53-A2A-NECA-Gs
28.57Single5XR8AM120335XR8-CB1-AM12033
28.57Single6O3CCholesterol6O3C-SMO-SAG21k-Cholesterol
28.57Single7U2LC5-guano7U2L-μ-C5-guano-Gi1/β1/γ2
28.57Single8GUSHU-3088GUS-CB2-HU-308-Gi1/β1/γ2
28.57Single8T1VPubChem 1183102098T1V-GPR6-PubChem 118310209-Na
28.57Single8WU1MDMB-Fubinaca8WU1-CB1-MDMB-Fubinaca-Arrestin2
28.57Consensusgi_cannabinoidOrthosteric Ligand8GUR-CB2-CP55940-Gi1/β1/γ2 8GUS-CB2-HU-308-Gi1/β1/γ2 8GUT-CB2-LEI-102-Gi1/β1/γ2 8GUQ-CB2-Olorinab-Gi1/β1/γ2 6KPF-CB2-AM12033-Gi1/β1/γ2 6PT0-CB2-WIN 55212-2-Gi1/β1/γ2 6KPG-CB1-AM841-Gi1/β1/γ2
28.57Consensusta1_on_gpOrthosteric Ligand8W87-TA1-METH-chim(NtGi1L-Gs)/β1/γ2 8W89-TA1-2-Phenylethylamine-chim(NtGi1L-Gs)/β1/γ2 8JLP-TA1-Ralmitaront-Gs/β1/γ2 8W8A-TA1-RO5256390-chim(NtGi1L-Gs)/β1/γ2 8W88-TA1-SEP-363856-Gs/β1/γ2 8JLO-TA1-Ulotaront-Gs/β1/γ2 8JLR-TA1-A77636-chim(NtGi1-Gs)/β1/γ2 8JSO-TA1-AMPH-chim(NtGi1-Gs)/β1/γ2 8ZSP-TA1-LSD-chim(NtGi1L-Gs)/β1/γ2
28.57Consensustrace-amine_on_gpOrthosteric Ligandta1_on_gp
27.78Single6KUYPubChem 1457046436KUY-α2a-PubChem 145704643
27.78Single7LD4Adenosine7LD4-A1-Adenosine-Gi2/β1/γ2
27.78Single7T8XAcetylcholine7T8X-M2-Acetylcholine-chim(NtGi1-Go)/β1/γ2
27.78Single7T90Acetylcholine7T90-M2-Acetylcholine-chim(NtGi1-Go)/β1/γ2
27.78Single7T96Acetylcholine7T96-M2-Acetylcholine-LY2119620-Go/β1/γ2
27.78Single7VVOPTH7VVO-PTH1-PTH-Gs/β1/γ2
27.78Single7YM8Oxymetazoline7YM8-Alpha1A-Oxymetazoline-chim(Gs-CtGq)
27.78Single8HMPC178HMP-GPR52-C17-Gs/β1/γ2
27.78Single8HOCImetit8HOC-H4-Imetit-Gi1/β1/γ2
27.78Single8IJANiacin8IJA-HCA2-Niacin-Gi1/β1/γ2
27.78Single8J6LNiacin8J6L-HCA2-Niacin-Gi1/β1/γ2
27.78Single8WC3SEP-3638568WC3-TA1-SEP-363856-chim(NtGi1-Gs)/β1/γ2
27.78Single8WC4ZH86518WC4-TA1-ZH8651-chim(NtGi1-Gs)/β1/γ2
27.78Single8WCA2-Phenylethylamine8WCA-TA1-2-Phenylethylamine-chim(NtGi1-Gs)/β1/γ2
27.78Single8Y0HVUF114188Y0H-CXCR3-VUF11418
27.78Single8Y0NVUF114188Y0N-CXCR3-VUF11418-Go/β1/γ2
27.78Single8YNAImmepip8YNA-H4-Immepip-Gi1/β1/γ2
27.78Single8Z87CHBA8Z87-HCA1-CHBA-Gi1/β1/γ2
27.78Single9JKXAcifran9JKX-HCA3-Acifran-Gi1/β1/γ2
27.78Single9K6LSalicin9K6L-TAS2R16-Salicin-Gi2/β1/γ2
27.78Single9MQJIsoquinuclidine9MQJ-μ-Isoquinuclidine
27.78Single9W49U-50488H9W49-κ-U-50488H-Gi1/β1/γ2
27.78Consensusa1_onOrthosteric Ligand7LD4-A1-Adenosine-Gi2/β1/γ2
27.78Consensusa1_on_gpOrthosteric Ligand7LD4-A1-Adenosine-Gi2/β1/γ2
27.78Consensusm2_onOrthosteric Ligand7T8X-M2-Acetylcholine-chim(NtGi1-Go)/β1/γ2
27.78Consensusm2_on_gpOrthosteric Ligand7T8X-M2-Acetylcholine-chim(NtGi1-Go)/β1/γ2
27.27Single4N4WSANT-14N4W-SMO-SANT-1
27.27Single6H7NXamoterol6H7N-β1-Xamoterol
27.27Single6KQICP559406KQI-CB1-CP55940-Org27569
27.27Single6XBLCholesterol6XBL-SMO-SAG-Cholesterol-Gi1/β1/γ2
27.27Single7JNIOlodanrigan7JNI-AT2-Olodanrigan
27.27Single7W0LPubChem 1227019087W0L-Apelin; Apelin-PubChem 122701908-Gi1/β1/γ2
27.27Single8G056-OAU8G05-GPR84-6-OAU-Gi1/β1/γ2
27.27Single9DGIZ85267113509DGI-CB1-Z8526711350
27.27Single9EBIPiclidenoson9EBI-A3A-Piclidenoson-chim(NtGi1L-Gs-CtGi1)/β1/γ2
27.27Single9M8POleic monoethanolamide9M8P-GPR3 ; GPR3-Oleic monoethanolamide-AF64394
27.27Single9MQLIsoquinuclidine9MQL-κ-Isoquinuclidine
27.27Consensuscb1_onOrthosteric Ligand6KPG-CB1-AM841-Gi1/β1/γ2 8K8J-CB1-Fenofibrate-chim(Gs-CtGq)/β1/γ2
27.27Consensusopioid_offOrthosteric Ligandmop_off nop_off dop_off kop_off
26.67Single8FLTM-PTH(1-14)8FLT-PTH1-M-PTH(1-14)-Gs/β1/γ2
26.32Single6K41Dexmedetomidine6K41-α2b-Dexmedetomidine-Go/β1/γ2
26.32Single6ZG9GSK10347026ZG9-M1-GSK1034702
26.32Single7EJADexmedetomidine7EJA-α2a-Dexmedetomidine-Go/β1/γ2
26.32Single7T94Acetylcholine7T94-M2-Acetylcholine-LY2119620-chim(NtGi1-Go)/β1/γ2
26.32Single7TRSAcetylcholine7TRS-M4-Acetylcholine-Gi1/β1/γ2
26.32Single8GURCP559408GUR-CB2-CP55940-Gi1/β1/γ2
26.32Single8IHKAcifran8IHK-HCA3-Acifran
26.32Single8IY9Niacin8IY9-HCA2-Niacin-Go/β1/γ2
26.32Single8JERAcipimox8JER-HCA2-Acipimox-Go/β1/γ2
26.32Single8JIMMonomethyl fumarate8JIM-HCA2-Monomethyl fumarate-Gi1/β1/γ2
26.32Single8JLNT1AM8JLN-TA1-T1AM-Gs/β1/γ2
26.32Single8K5CAcipimox8K5C-HCA2-Acipimox
26.32Single8PM2DMCHA8PM2-TA7-DMCHA-Gs/β1/γ2
26.32Single8THKA-616038THK-Alpha1A-A-61603-chim(NtGi2L-Gs-CtGq)/β1/γ2
26.32Single8THLEpinephrine8THL-Alpha1A-Epinephrine-chim(NtGi2L-Gs-CtGq)/β1/γ2
26.32Single8UHBRO52563908UHB-TA1-RO5256390-Gs/β1/γ2
26.32Single9BA0MRI-18919BA0-CB1-MRI-1891
26.32Single9EPQ11,20-Ethanoretinal9EPQ-Rhodopsin-11,20-Ethanoretinal-chim(Gi1-CtGq)/β1/γ2
26.32Single9MQIIsoquinuclidine9MQI-μ-Isoquinuclidine
26.32Single9ODJMitragynine Pseudoindoxyl9ODJ-μ-Mitragynine Pseudoindoxyl-GTP; Mg-Gi1/β1/γ2
26.32Single9VNFPindolol9VNF-5-HT1A-Pindolol-Go/β1/γ2
26.32Consensusalpha1_onOrthosteric Ligandalpha1a_on
26.32Consensusalpha1_on_gpOrthosteric Ligandalpha1a_on_gp
26.32Consensusalpha1a_onOrthosteric Ligand7EJ0-α2a-Norepinephrine-Go/β1/γ2 7EJ8-α2a-Brimonidine-Go/β1/γ2 7EJA-α2a-Dexmedetomidine-Go/β1/γ2 7EJK-α2a-Oxymetazoline-Go/β1/γ2 7W6P-α2a-N-pyridin-4-ylisoquinolin-4-amine-Go/β1/γ2 7W7E-α2a-PubChem 164946676-Go/β1/γ2
26.32Consensusalpha1a_on_gpOrthosteric Ligand7EJ0-α2a-Norepinephrine-Go/β1/γ2 7EJ8-α2a-Brimonidine-Go/β1/γ2 7EJA-α2a-Dexmedetomidine-Go/β1/γ2 7EJK-α2a-Oxymetazoline-Go/β1/γ2 7W6P-α2a-N-pyridin-4-ylisoquinolin-4-amine-Go/β1/γ2 7W7E-α2a-PubChem 164946676-Go/β1/γ2
26.32Consensushca_onOrthosteric Ligandhca2_on
26.09Single2YCZIodocyanopindolol2YCZ-β1-Iodocyanopindolol
26.09Single4BVNCyanopindolol4BVN-β1-Cyanopindolol-Na
26.09Single5CGDHTL142425CGD-mGlu5-HTL14242
26.09Single7SK7CCX6627SK7-ACKR3-CXCL12-CCX662
26.09Single7SK8CCX6627SK8-ACKR3-CXCL12-CCX662
26.09Single7U2KC6-guano7U2K-μ-C6-guano-Gi1/β1/γ2
26.09Single7XJISolabegron7XJI-β3-Solabegron-Gs/β1/γ2
26.09Single8E9X2-Deoxycytidine8E9X-M4-2-Deoxycytidine-chim(NtGi1-Go)/β1/γ2
26.09Single8FX5Xanomeline8FX5-M4-Xanomeline-Xanomeline-Gi1/β1/γ2
26.09Single8GAGZ85267113508GAG-CB1-Z8526711350-Gi1/β1/γ2
26.09Single8XVJMacitentan8XVJ-ETA-Macitentan
26.09Single9CGJC6-Quino9CGJ-δ-C6-Quino-Gi1/β1/γ2
25.93Single7FIMTirzepatide7FIM-GLP-1-Tirzepatide-Gs/β1/γ2
25.93Single8YW5Retatrutide8YW5-Glucagon-Retatrutide-Gs/β1/γ2
25.00Single3NY8ICI118-5513NY8-β2-ICI118-551
25.00Single3NY9PubChem 9131033NY9-β2-PubChem 913103
25.00Single3NYAAlprenolol3NYA-β2-Alprenolol
25.00Single4EJ4Naltrindole4EJ4-δ-Naltrindole
25.00Single4GBRCarazolol4GBR-β2-Carazolol
25.00Single4U16N-methyl-Scopolamine4U16-M3-N-methyl-Scopolamine
25.00Single4UG2CGS216804UG2-A2A-CGS21680
25.00Single5OLZPubChem 1355666095OLZ-A2A-PubChem 135566609-Na
25.00Single5OM1PubChem 1355666095OM1-A2A-PubChem 135566609-Na
25.00Single5YC8N-methyl-Scopolamine5YC8-M2-N-methyl-Scopolamine
25.00Single5ZK8N-methyl-Scopolamine5ZK8-M2-N-methyl-Scopolamine
25.00Single5ZKCN-methyl-Scopolamine5ZKC-M2-N-methyl-Scopolamine
25.00Single6K42Dexmedetomidine6K42-α2b-Dexmedetomidine-Gi1/β1/γ2
25.00Single6PT3DPI-2876PT3-δ-DPI-287
25.00Single6WHADB139486WHA-5-HT2A-DB13948-chim(NtGi2L-Gs-CtGq)/β1/γ2
25.00Single6XBJCholesterol6XBJ-SMO-Cholesterol-Gi1/β1/γ2
25.00Single7CRHSKF839597CRH-D1-SKF83959-Gs/β1/γ2
25.00Single7JVQApomorphine7JVQ-D1-Apomorphine-Gs/β1/γ2
25.00Single7QBIAlpha-factor mating pheromone7QBI-STE2; STE2-α-factor mating pheromone
25.00Single7SK9CCX6627SK9-ACKR3-CCX662
25.00Single7T2GMitragynine Pseudoindoxyl7T2G-μ-Mitragynine Pseudoindoxyl-Gi1/β1/γ2
25.00Single7V3ZCP559407V3Z-CB1-CP55940
25.00Single8CU7LJ-45178CU7-A2A-LJ-4517-Na
25.00Single8DPHLorcaserin8DPH-5-HT2C-Lorcaserin-chim(NtGi2L-Gs-CtGq)/β1/γ2
25.00Single8GEIConstrained Epinephrine8GEI-β2-Constrained Epinephrine-Gs/β1/γ2
25.00Single8I7VAcipimox8I7V-HCA2-Acipimox-Gi1/β1/γ2
25.00Single8IHJAcifran8IHJ-HCA3-Acifran-Gi1/β1/γ2
25.00Single8J6PNiacin8J6P-HCA2-Niacin-PubChem 25101223-Gi1/β1/γ2
25.00Single8JHNMonomethyl fumarate8JHN-HCA2-Monomethyl fumarate-Go/β1/γ2
25.00Single8JIINiacin8JII-HCA2-Niacin-PubChem 25101223-Gi1/β1/γ2
25.00Single8JJOAlprenolol8JJO-β2-Alprenolol
25.00Single8JLJT1AM8JLJ-TA1-T1AM-chim(NtGi1-Gs)/β1/γ2
25.00Single8JLRA776368JLR-TA1-A77636-chim(NtGi1-Gs)/β1/γ2
25.00Single8JXRLSD8JXR-D1-LSD
25.00Single8X3LXWD8X3L-CB2-XWD-Gi1/β1/γ2
25.00Single8XVKAmbrisentan8XVK-ETA-Ambrisentan
25.00Single8Y71A1D6F8Y71-δ-A1D6F-BMS986187-Gi1/β1/γ2
25.00Single8Z8ALactate8Z8A-HCA1-Lactate-Gi1/β1/γ2
25.00Single9CBMDexmedetomidine9CBM-α2a-Dexmedetomidine-Gi1/β1/γ2
25.00Single9CGKC5-Quino9CGK-δ-C5-Quino-Gi1/β1/γ2
25.00Single9CHXCarazolol9CHX-β2-Carazolol
25.00Single9EPP11,20-Ethanoretinal9EPP-Rhodopsin-11,20-Ethanoretinal-chim(Gi1-CtGq)/β1/γ2
25.00Single9JEAAtropine9JEA-M1-Atropine
25.00Single9KFJPubChem 1383196749KFJ-RXFP3-PubChem 138319674-Gi2/β1/γ2
25.00Single9PLNPubChem 1682595949PLN-α2a-PubChem 168259594
25.00Single9PLOPubChem 1682595949PLO-α2a-PubChem 168259594-Go/β1/γ2
25.00Single9VMYTMU41429VMY-5-HT1A-TMU4142-Go/β1/γ2
25.00Consensusadenosine_on_gpOrthosteric Liganda1_on_gp a2_on_gp a3_on_gp
25.00Consensusalpha2_onOrthosteric Ligandalpha2b_on
25.00Consensusalpha2_on_gpOrthosteric Ligandalpha2b_on_gp
25.00Consensusalpha2b_onOrthosteric Ligand6K42-α2b-Dexmedetomidine-Gi1/β1/γ2
25.00Consensusalpha2b_on_gpOrthosteric Ligand6K42-α2b-Dexmedetomidine-Gi1/β1/γ2
25.00Consensusalpha_onOrthosteric Ligandalpha1_on alpha2_on
25.00Consensuscxcr3_onOrthosteric Ligand8HNK-CXCR3-CXCL11-Gi1/β1/γ2 8HNL-CXCR3-PS372424-Gi1/β1/γ2
25.00Consensusdop_offOrthosteric Ligand4EJ4-δ-Naltrindole
25.00Consensusdopamine_offOrthosteric Ligandd2_off d3_off
25.00Consensusgi_hcaOrthosteric Ligand8J6R-HCA2-MK6892-Gi1/β1/γ2 8JIM-HCA2-Monomethyl fumarate-Gi1/β1/γ2 8IHI-HCA2-Acifran-Gi1/β1/γ2 8IHH-HCA2-LUF6283-Gi1/β1/γ2 8I7V-HCA2-Acipimox-Gi1/β1/γ2 8I7W-HCA2-GSK256073-Gi1/β1/γ2
25.00Consensusgi_histamineOrthosteric Ligand8JXX-H4-Clobenpropit-Gi1/β1/γ2 8JXV-H4-Clozapine-Gi1/β1/γ2 8YUU-H3-Histamine-Gi1/β1/γ1 8HN8-H4-Histamine-Gi1/β1/γ2 8HOC-H4-Imetit-Gi1/β1/γ2 8JXW-H4-VUF6884-Gi1/β1/γ2
25.00Consensusgq_amineOrthosteric Ligandgq_muscarinic gq_histamine
25.00Consensushca2_onOrthosteric Ligand8J6R-HCA2-MK6892-Gi1/β1/γ2 8JIM-HCA2-Monomethyl fumarate-Gi1/β1/γ2 8I7V-HCA2-Acipimox-Gi1/β1/γ2 8I7W-HCA2-GSK256073-Gi1/β1/γ2 8IHH-HCA2-LUF6283-Gi1/β1/γ2 8IHI-HCA2-Acifran-Gi1/β1/γ2
25.00Consensushca2_on_gpOrthosteric Ligand8J6R-HCA2-MK6892-Gi1/β1/γ2 8IHI-HCA2-Acifran-Gi1/β1/γ2 8IHH-HCA2-LUF6283-Gi1/β1/γ2 8I7V-HCA2-Acipimox-Gi1/β1/γ2 8JIM-HCA2-Monomethyl fumarate-Gi1/β1/γ2 8I7W-HCA2-GSK256073-Gi1/β1/γ2
25.00Consensushca_on_gpOrthosteric Ligandhca2_on_gp
25.00Consensusmuscarinic_onOrthosteric Ligandm2_on m3_on m4_on m1_on
25.00Consensusmuscarinic_on_gpOrthosteric Ligandm2_on_gp m3_on_gp m4_on_gp m1_on_gp
24.14Single7QBIAlpha-factor mating pheromone7QBI-STE2; STE2-α-factor mating pheromone
24.14Single7RGPTirzepatide7RGP-GLP-1-Tirzepatide-chim(NtGi1-Gs)/β1/γ2
24.14Single8JISPeptide-158JIS-GLP-1-Peptide-15-chim(NtGi1-Gs)/β1/γ2
24.00Single4AMJCarvedilol4AMJ-β1-Carvedilol
24.00Single6WIVPubChem 52923113; PubChem 529246456WIV-GABAB1, GABAB2-PubChem 52923113; PubChem 52924645
24.00Single7QA8Antagonist Peptide7QA8-STE2; STE2-Antagonist Peptide
24.00Single7QA8Antagonist Peptide7QA8-STE2; STE2-Antagonist Peptide
24.00Single8FYLVilazodone8FYL-5-HT1A-Vilazodone-PtdIns4P-Gi1/β1/γ1
24.00Single8GHVAMG3158GHV-CB1-AMG315-Gi1/β1/γ2
24.00Single8WDTphotoNECA8WDT-A2A-photoNECA
24.00Single8ZSPLSD8ZSP-TA1-LSD-chim(NtGi1L-Gs)/β1/γ2
24.00Single9M4TSilodosin9M4T-Alpha1A-Silodosin
24.00Consensusgi_opioidOrthosteric Ligand8F7R-μ-Endomorphin-Gi1/β1/γ2 8EF5-μ-Fentanyl-Gi1/β1/γ2 7SCG-μ-FH210-Gi1/β1/γ2 7T2H-μ-Lofentanil-Gi1/β1/γ2 7T2G-μ-Mitragynine Pseudoindoxyl-Gi1/β1/γ2 8DZP-κ-momSalB-Gi1/β1/γ2 8EF6-μ-Morphine-Gi1/β1/γ2 8F7X-NOP-Nociceptin-Gi1/β1/γ2 8EFB-μ-Oliceridine-Gi1/β1/γ2 7U2L-μ-C5-guano-Gi1/β1/γ2 8EFO-μ-PZM21-Gi1/β1/γ2 8EFL-μ-SR17018-Gi1/β1/γ2 8F7Q-μ-β-Endorphin-Gi1/β1/γ2 7U2K-μ-C6-guano-Gi1/β1/γ2 8EFQ-μ-DAMGO-Gi1/β1/γ2 8F7S-δ-Deltorphin-Gi1/β1/γ2 8F7W-κ-Dynorphin-Gi1/β1/γ2
24.00Consensusmop_offOrthosteric Ligand4DKL-μ-β-Funaltrexamine 8QOT-μ-Nanobody-E 7UL4-μ-Alvimopan
23.81Single2RH1Carazolol2RH1-β2-Carazolol
23.81Single2YCWCarazolol2YCW-β1-Carazolol
23.81Single5D6LCarazolol5D6L-β2-Carazolol
23.81Single5OM4PubChem 1355666095OM4-A2A-PubChem 135566609-Na
23.81Single5T1ABMS-6815T1A-CCR2-BMS-681-PubChem 12093170
23.81Single5X7DCarazolol5X7D-β2-Carazolol-PubChem 129318963
23.81Single5ZK33-quinuclidinyl-benzilate5ZK3-M2-3-quinuclidinyl-benzilate
23.81Single6GDGNECA6GDG-A2A-NECA-Gs/β1/γ1
23.81Single6ME72-Phenylmelatonin6ME7-MT2-2-Phenylmelatonin
23.81Single6PS6Timolol6PS6-β2-Timolol
23.81Single7EPFNAM5977EPF-mGlu2-NAM597
23.81Single7LD3Adenosine7LD3-A1-Adenosine-MIPS521-Gi2/β1/γ2
23.81Single8E9ZIperoxo8E9Z-M3-Iperoxo-chim(NtGi2L-Gs-CtGq)/β1/γ2
23.81Single8EFBOliceridine8EFB-μ-Oliceridine-Gi1/β1/γ2
23.81Single8HNLPS3724248HNL-CXCR3-PS372424-Gi1/β1/γ2
23.81Single8J18(3R)-3-Hydroxydodecanoic acid8J18-GPR84-(3R)-3-Hydroxydodecanoic acid-Gi1/β1/γ2
23.81Single8J6JGSK2560738J6J-HCA2-GSK256073-Gi1/β1/γ2
23.81Single8UUJFCH-22964138UUJ-HCA2-FCH-2296413-Gi1/β1/γ2
23.81Single8X0BVU04244658X0B-mGlu5; mGlu5-Quisqualate-VU0424465
23.81Single8X0CVU04244658X0C-mGlu5; mGlu5-Quisqualate-VU0424465
23.81Single8X0CVU04244658X0C-mGlu5; mGlu5-Quisqualate-VU0424465
23.81Single8X0DVU04244658X0D-mGlu5; mGlu5-Quisqualate-VU0424465
23.81Single8XYKVUF106618XYK-CXCR3-VUF10661-Go/β1/γ2
23.81Single9CIBFCH-22964139CIB-HCA2-FCH-2296413
23.81Single9F34FOB02-04A9F34-D3-FOB02-04A-Go/β1/γ2
23.81Single9HC04YI9HC0-mGlu5-4YI
23.81Single9JKSPubChem 442501769JKS-HCA3-PubChem 44250176-Gi1/β1/γ2
23.81Single9KT6Acifran9KT6-HCA3-Acifran-Gi1/β1/γ2
23.81Single9MQKIsoquinuclidine9MQK-κ-Isoquinuclidine
23.81Single9PXYNaloxone9PXY-μ-Naloxone-GDPβS-Gi1/β1/γ2
23.81Consensus5ht2_offOrthosteric Ligand5ht2a_off 5ht2b_off 5ht2c_off
23.81Consensusalpha_on_gpOrthosteric Ligandalpha1_on_gp alpha2_on_gp
23.81Consensusamine_offOrthosteric Ligand5ht_off adrenergic_off dopamine_off histamine_off muscarinic_off
23.81Consensusamine_offonOrthosteric Ligandamine_off amine_on
23.81Consensusamine_offon_gpOrthosteric Ligandamine_on_gp amine_off
23.81Consensusamine_onOrthosteric Ligand5ht_on adrenergic_on dopamine_on histamine_on muscarinic_on trace-amine_on
23.81Consensusbeta2_offOrthosteric Ligand2RH1-β2-Carazolol 6PS3-β2-Carvedilol 6PS5-β2-Propranolol 3D4S-β2-Timolol 3NY8-β2-ICI118-551 3NY9-β2-PubChem 913103 6PRZ-β2-Alprenolol
23.81Consensusbeta_offOrthosteric Ligandbeta1_off beta2_off
23.81Consensusgi_adrenergicOrthosteric Ligand7EJ0-α2a-Norepinephrine-Go/β1/γ2 7EJK-α2a-Oxymetazoline-Go/β1/γ2 7W7E-α2a-PubChem 164946676-Go/β1/γ2 7W6P-α2a-N-pyridin-4-ylisoquinolin-4-amine-Go/β1/γ2 7EJ8-α2a-Brimonidine-Go/β1/γ2 6K42-α2b-Dexmedetomidine-Gi1/β1/γ2 7EJA-α2a-Dexmedetomidine-Go/β1/γ2 7S0F-β1-Isoprenaline-Gi1/β1/γ2
23.81Consensusgq_muscarinicOrthosteric Ligand6OIJ-M1-Iperoxo-chim(NtGi1L-G11)/β1/γ2
23.81Consensusgs_amineOrthosteric Ligandgs_5ht gs_adrenergic gs_dopamine gs_histamine gs_trace-amine
23.81Consensusm1_onOrthosteric Ligand6OIJ-M1-Iperoxo-chim(NtGi1L-G11)/β1/γ2
23.81Consensusm2_offOrthosteric Ligand5ZKC-M2-N-methyl-Scopolamine 5ZK3-M2-3-quinuclidinyl-benzilate 5ZKB-M2-AF-DX 384
23.81Consensusm3_onOrthosteric Ligand8E9Z-M3-Iperoxo-chim(NtGi2L-Gs-CtGq)/β1/γ2 8E9W-M3-2-Deoxycytidine-chim(NtGi2L-Gs-CtGq)/β1/γ2 8E9Y-M3-Clozapine-N-oxide-chim(NtGi2L-Gs-CtGq)/β1/γ2
23.81Consensusm3_on_gpOrthosteric Ligand8E9Z-M3-Iperoxo-chim(NtGi2L-Gs-CtGq)/β1/γ2 8E9W-M3-2-Deoxycytidine-chim(NtGi2L-Gs-CtGq)/β1/γ2 8E9Y-M3-Clozapine-N-oxide-chim(NtGi2L-Gs-CtGq)/β1/γ2
23.53Single2J4Y11-cis-Retinal2J4Y-Rhodopsin-11-cis-Retinal
23.53Single7EJKOxymetazoline7EJK-α2a-Oxymetazoline-Go/β1/γ2
23.53Single7F23Dopamine7F23-D1-Dopamine-GDP-Gs/β1/γ2
23.53Single7MT8All-trans-Retinal7MT8-Rhodopsin-All-trans-Retinal-GRK1
23.53Single8WC62-Phenylethylamine8WC6-TA1-2-Phenylethylamine-chim(NtGi1-Gs)/β1/γ2
23.53Single8WC9ZH86518WC9-TA1-ZH8651-chim(NtGi1-Gs-CtGq)/β1/γ2
23.53Single8YN9Histamine8YN9-H4-Histamine-Gi1/β1/γ2
23.53Single8YUUHistamine8YUU-H3-Histamine-Gi1/β1/γ1
23.53Single9KT93,5-DHBA9KT9-HCA1-3,5-DHBA-Gi1/β1/γ2
23.53Single9LRCHistamine9LRC-H4-Histamine
23.53Single9LREHistamine9LRE-H4-Histamine-Gi1/β1/γ2
23.53Consensusglucagon_onOrthosteric Ligandglp_on gluc_on secretin_on gip_on
23.53Consensush3_onOrthosteric Ligand8YUU-H3-Histamine-Gi1/β1/γ1
23.53Consensush3_on_gpOrthosteric Ligand8YUU-H3-Histamine-Gi1/β1/γ1
23.33Single5NX2GLP-1 (Truncated)5NX2-GLP-1-GLP-1 (Truncated)
23.33Single6B3JExendin-P56B3J-GLP-1-Exendin-P5-Gs/β1/γ2
23.33Single6P9XCorticoliberin-16P9X-CRF1-Corticoliberin-1-Gs/β1/γ2
23.33Single7AD3Alpha-factor mating pheromone7AD3-STE2; STE2-α-factor mating pheromone-Gi1/STE4/γ2
23.33Consensusglp_onOrthosteric Ligandglp1_on glp2_on
23.33Consensusglp_on_gpOrthosteric Ligandglp1_on_gp glp2_on_gp
23.08Single3QAKUK-4320973QAK-A2A-UK-432097
23.08Single6HLOAprepitant6HLO-NK1-Aprepitant
23.08Consensusgq_class-aOrthosteric Ligandgq_peptide gq_amine gq_nucleotide
22.86Consensusglucagon_on_gpOrthosteric Ligandglp_on_gp gluc_on_gp secretin_on_gp gip_on_gp
22.73Single3UON3-quinuclidinyl-benzilate3UON-M2-3-quinuclidinyl-benzilate
22.73Single4DJHJDTic4DJH-κ-JDTic
22.73Single4U15Tiotropium4U15-M3-Tiotropium
22.73Single5D5ACarazolol5D5A-β2-Carazolol
22.73Single5D5BCarazolol5D5B-β2-Carazolol
22.73Single5XRAAM115425XRA-CB1-AM11542
22.73Single5ZKBAF-DX 3845ZKB-M2-AF-DX 384
22.73Single6GT3Imaradenant6GT3-A2A-Imaradenant-Na
22.73Single6J21Aprepitant6J21-NK1-Aprepitant
22.73Single6OIJIperoxo6OIJ-M1-Iperoxo-chim(NtGi1L-G11)/β1/γ2
22.73Single6OL9Tiotropium6OL9-M5-Tiotropium
22.73Single6TQ7SB-3348676TQ7-OX1-SB-334867
22.73Single7EW7SEW28717EW7-S1P1-SEW2871-Gi1/β1/γ2
22.73Single7FEECP559407FEE-CB1-CP55940-ZCZ011
22.73Single7P2L4YI7P2L-mGlu5-4YI
22.73Single7T2HLofentanil7T2H-μ-Lofentanil-Gi1/β1/γ2
22.73Single7TRQIperoxo7TRQ-M4-Iperoxo-VU0467154-Gi1/β1/γ2
22.73Single7W6PN-pyridin-4-ylisoquinolin-4-amine7W6P-α2a-N-pyridin-4-ylisoquinolin-4-amine-Go/β1/γ2
22.73Single7W7EPubChem 1649466767W7E-α2a-PubChem 164946676-Go/β1/γ2
22.73Single7WV9CP559407WV9-CB1-CP55940-ZCZ011-Gi2/β1/γ2
22.73Single8DZPmomSalB8DZP-κ-momSalB-Gi1/β1/γ2
22.73Single8EA0Iperoxo8EA0-M3-Iperoxo
22.73Single8EF5Fentanyl8EF5-μ-Fentanyl-Gi1/β1/γ2
22.73Single8IHBGSK2560738IHB-HCA2-GSK256073-Gi1/β1/γ2
22.73Single8IHHLUF62838IHH-HCA2-LUF6283-Gi1/β1/γ2
22.73Single8IRRRotigotine8IRR-D1-Rotigotine-Gs/β1/γ2
22.73Single8JXVClozapine8JXV-H4-Clozapine-Gi1/β1/γ2
22.73Single8JXWVUF68848JXW-H4-VUF6884-Gi1/β1/γ2
22.73Single8JXXClobenpropit8JXX-H4-Clobenpropit-Gi1/β1/γ2
22.73Single8UGWCGS216808UGW-A2A-CGS21680
22.73Single8X16Piclidenoson8X16-A3A-Piclidenoson-Gi1/β1/γ2
22.73Single8XZICMF-0198XZI-Apelin; Apelin-CMF-019-Gi1/β1/γ2
22.73Single8YH6Namodenoson8YH6-A3A-Namodenoson-Gi1/β1/γ2
22.73Single9B65MDMB-Fubinaca9B65-CB1-MDMB-Fubinaca-Gi1/β1/γ2
22.73Single9BJKNaloxone9BJK-μ-Naloxone-PubChem 171642066
22.73Single9BS9LSD9BS9-D2-LSD
22.73Single9BSBLSD9BSB-D2-LSD-chim(NtGi1-Go)/β1/γ2
22.73Single9EGOZ85267113509EGO-CB1-Z8526711350-Gi1/β1/γ2
22.73Consensus5ht_offOrthosteric Ligand5ht2_off 5ht1_off
22.73Consensusa2_onOrthosteric Liganda2b_on
22.73Consensusa2_on_gpOrthosteric Liganda2b_on_gp
22.73Consensusa2b_onOrthosteric Ligand8HDP-A2B-Adenosine-Gs/β1/γ2 7XY6-A2B-BAY 60-6583-chim(NtGi1-Gs)/β1/γ2 7XY7-A2B-NECA-chim(NtGi1-Gs)/β1/γ2 8HDO-A2B-BAY 60-6583-Gs/β1/γ2
22.73Consensusa2b_on_gpOrthosteric Ligand8HDP-A2B-Adenosine-Gs/β1/γ2 7XY6-A2B-BAY 60-6583-chim(NtGi1-Gs)/β1/γ2 7XY7-A2B-NECA-chim(NtGi1-Gs)/β1/γ2 8HDO-A2B-BAY 60-6583-Gs/β1/γ2
22.73Consensusamine_on_gpOrthosteric Ligand5ht_on_gp adrenergic_on_gp dopamine_on_gp histamine_on_gp muscarinic_on_gp trace-amine_on_gp
22.73Consensusbeta1_offOrthosteric Ligand2VT4-β1-Cyanopindolol 2YCW-β1-Carazolol 2YCZ-β1-Iodocyanopindolol 5A8E-β1-7-Methylcyanopindolol-Na 3ZPQ-β1-PubChem 594590-Na 3ZPR-β1-PubChem 598754-Na
22.73Consensusclass-a_offOrthosteric Ligandsensory_off alicarboxylic_off amine_off lipid_off nucleotide_off peptide_off protein_off
22.73Consensusd1_on_gpOrthosteric Ligand7F0T-D1-Dopamine-Gs/β1/γ2 7CKY-D1-PW0464-Gs/β1/γ2 8IRR-D1-Rotigotine-Gs/β1/γ2 7JV5-D1-SKF81297-Gs/β1/γ2 7JVP-D1-SKF83959-Gs/β1/γ2 7X2D-D1-Tavapadon-Gs/β1/γ2 7CKX-D1-A77636-Gs/β1/γ2 7JVQ-D1-Apomorphine-Gs/β1/γ2 7CKW-D1-Fenoldopam-Gs/β1/γ2
22.73Consensusgs_adenosineOrthosteric Ligand8HDP-A2B-Adenosine-Gs/β1/γ2 8HDO-A2B-BAY 60-6583-Gs/β1/γ2 7XY7-A2B-NECA-chim(NtGi1-Gs)/β1/γ2 7XY6-A2B-BAY 60-6583-chim(NtGi1-Gs)/β1/γ2
22.73Consensusgs_dopamineOrthosteric Ligand7F0T-D1-Dopamine-Gs/β1/γ2 7CKW-D1-Fenoldopam-Gs/β1/γ2 7CKY-D1-PW0464-Gs/β1/γ2 8IRV-D5-Rotigotine-chim(NtGi1-Gs)/β1/γ2 8IRR-D1-Rotigotine-Gs/β1/γ2 7JV5-D1-SKF81297-Gs/β1/γ2 7JVP-D1-SKF83959-Gs/β1/γ2 7X2D-D1-Tavapadon-Gs/β1/γ2 7CKX-D1-A77636-Gs/β1/γ2 7JVQ-D1-Apomorphine-Gs/β1/γ2
22.73Consensusgs_nucleotideOrthosteric Ligandgs_adenosine
22.73Consensush4_on_gpOrthosteric Ligand8HN8-H4-Histamine-Gi1/β1/γ2 8HOC-H4-Imetit-Gi1/β1/γ2 8JXV-H4-Clozapine-Gi1/β1/γ2 8JXW-H4-VUF6884-Gi1/β1/γ2 8JXX-H4-Clobenpropit-Gi1/β1/γ2
22.73Consensuskop_offOrthosteric Ligand4DJH-κ-JDTic
22.73Consensusm1_on_gpOrthosteric Ligand6OIJ-M1-Iperoxo-chim(NtGi1L-G11)/β1/γ2
22.73Consensusm5_offOrthosteric Ligand6OL9-M5-Tiotropium
22.73Consensusmuscarinic_offOrthosteric Ligandm2_off m3_off m4_off m5_off m1_off
22.58Single6LMLGlucagon6LML-Glucagon-Glucagon-Gi1/β1/γ1
22.58Single6WZGSecretin6WZG-Secretin-Secretin-Gs/β1/γ2
22.58Single7D68GLP-27D68-GLP-2-GLP-2-Gs/β1/γ2
22.22Single5L7IVismodegib5L7I-SMO-Vismodegib
22.22Single5WF5UK-4320975WF5-A2A-UK-432097
22.22Single6LI0C176LI0-GPR52-C17
22.22Single6UUNAdrenomedullin6UUN-CT Like (AM1)-Adrenomedullin-Gs/β1/γ2; RAMP2
22.22Single7DD5Ca; Ca; Tryptophan; NPS-21437DD5-CaS; CaS-Ca-Ca; Ca; Tryptophan; NPS-2143
22.22Single7YFCHistamine7YFC-H4-Histamine-chim(NtGi1-Gs-CtGq)/β1/γ2
22.22Single8IHIAcifran8IHI-HCA2-Acifran-Gi1/β1/γ2
22.22Single8JILNiacin8JIL-HCA2-Niacin-Gi1/β1/γ2
22.22Single8JLOUlotaront8JLO-TA1-Ulotaront-Gs/β1/γ2
22.22Single8YFOAc-LA-PTH Analog8YFO-PTH1-Ac-LA-PTH Analog-chim(NtGi1-Gs)/β1/γ2
22.22Single8YKWSuccinic acid8YKW-Succinate-Succinic acid-Gi1/β1/γ1
22.22Single8YN5Histamine8YN5-H3-Histamine-Gi1/β1/γ2
22.22Single8YN6Imetit8YN6-H3-Imetit-Gi1/β1/γ2
22.22Single8YN7Immethridine8YN7-H3-Immethridine-Go/β1/γ2
22.22Single9B54VIP369B54-CB1-VIP36-Gi1/β1/γ2
22.22Single9IQTNiacin9IQT-HCA2-Niacin-Gi1/β1/γ2
22.22Single9JEDHistamine9JED-H4-Histamine-PO4-Gi1/β1/γ2
22.22Single9JEQHistamine9JEQ-H3-Histamine-Gi1/β1/γ2
22.22Single9U9VMETH9U9V-β2-METH-Gs/β1/γ2
21.88Single7DUQGLP-17DUQ-GLP-1-GLP-1-PubChem 156022738-Gs/β1/γ2
21.88Single7RBTTirzepatide7RBT-GIP-Tirzepatide-LSN3556672-chim(NtGi1-Gs)/β1/γ2
21.74Single3D4STimolol3D4S-β2-Timolol
21.74Single4AMIBucindolol4AMI-β1-Bucindolol
21.74Single4Z36ONO-30805734Z36-LPA1-ONO-3080573
21.74Single5CXVTiotropium5CXV-M1-Tiotropium
21.74Single5X33BIIL2605X33-BLT1-BIIL260
21.74Single6A93Risperidone6A93-5-HT2A-Risperidone
21.74Single6CM4Risperidone6CM4-D2-Risperidone
21.74Single6H7OCyanopindolol6H7O-β1-Cyanopindolol
21.74Single6ZG4HTL00099366ZG4-M1-HTL0009936
21.74Single7BZ2Arformoterol7BZ2-β2-Arformoterol-Gs/β1/γ2
21.74Single7DFPSpiperone7DFP-D2-Spiperone
21.74Single7EVYSiponimod7EVY-S1P1-Siponimod-Gi1/β1/γ2
21.74Single7EXDLasmiditan7EXD-5-HT1F-Lasmiditan-Gi1/β1/γ2
21.74Single7MTRADX551647MTR-mGlu2; mGlu2-Glutamate-ADX55164
21.74Single7YITNalfurafine7YIT-κ-Nalfurafine
21.74Single8E9W2-Deoxycytidine8E9W-M3-2-Deoxycytidine-chim(NtGi2L-Gs-CtGq)/β1/γ2
21.74Single8FYE4-F,5-MeO-PyrT8FYE-5-HT1A-4-F,5-MeO-PyrT-PtdIns4P-Gi1/β1/γ1
21.74Single8FYTLSD8FYT-5-HT1A-LSD-PtdIns4P-Gi1/β1/γ1
21.74Single8IRSRotigotine8IRS-D2-Rotigotine-Gi1/β1/γ2
21.74Single8IYWGSK2560738IYW-HCA2-GSK256073-Go/β1/γ2
21.74Single8JZ7MK68928JZ7-HCA2-MK6892-Gi1/β1/γ2
21.74Single8XYIVUF106618XYI-CXCR3-VUF10661
21.74Single9BJKPubChem 1716420669BJK-μ-Naloxone-PubChem 171642066
21.74Single9EK0Iperoxo9EK0-M5-Iperoxo-chim(NtGi1-Gs-CtGq)/β1/γ2
21.74Single9KVG5-MeO-DMT9KVG-5-HT1A-5-MeO-DMT-PtdIns4P-Gi1/β1/γ2
21.74Single9V6ONalfurafine9V6O-κ-Nalfurafine-Gi1/β1/γ2
21.74Consensus5ht1f_onOrthosteric Ligand7EXD-5-HT1F-Lasmiditan-Gi1/β1/γ2
21.74Consensus5ht1f_on_gpOrthosteric Ligand7EXD-5-HT1F-Lasmiditan-Gi1/β1/γ2
21.74Consensusbeta3_onOrthosteric Ligand7DH5-β3-Mirabegron-Gs/β1/γ2 7XJH-β3-Isoprenaline-Gs/β1/γ2 7XJI-β3-Solabegron-Gs/β1/γ2
21.74Consensusbeta3_on_gpOrthosteric Ligand7DH5-β3-Mirabegron-Gs/β1/γ2 7XJH-β3-Isoprenaline-Gs/β1/γ2 7XJI-β3-Solabegron-Gs/β1/γ2
21.74Consensusgi_amineOrthosteric Ligandgi_5ht gi_muscarinic gi_adrenergic gi_dopamine gi_histamine
21.74Consensusgi_muscarinicOrthosteric Ligand8E9X-M4-2-Deoxycytidine-chim(NtGi1-Go)/β1/γ2 7T8X-M2-Acetylcholine-chim(NtGi1-Go)/β1/γ2 7TRS-M4-Acetylcholine-Gi1/β1/γ2 7TRK-M4-Iperoxo-Gi1/β1/γ2 7V6A-M4-PubChem 9864275-Gi1/β1/γ2
21.74Consensusleukotriene_offOrthosteric Ligandblt_off cyslt_off
21.74Consensuslipid_offonOrthosteric Ligandlipid_off lipid_on
21.74Consensuslipid_offon_gpOrthosteric Ligandlipid_on_gp lipid_off
21.74Consensuslpl_offOrthosteric Ligands1p_off lpa_off
21.74Consensusm1_offOrthosteric Ligand5CXV-M1-Tiotropium
21.74Consensusmop_onOrthosteric Ligand8F7R-μ-Endomorphin-Gi1/β1/γ2 8EF5-μ-Fentanyl-Gi1/β1/γ2 7SCG-μ-FH210-Gi1/β1/γ2 7T2H-μ-Lofentanil-Gi1/β1/γ2 7T2G-μ-Mitragynine Pseudoindoxyl-Gi1/β1/γ2 8EF6-μ-Morphine-Gi1/β1/γ2 8EFB-μ-Oliceridine-Gi1/β1/γ2 7U2L-μ-C5-guano-Gi1/β1/γ2 8EFO-μ-PZM21-Gi1/β1/γ2 8EFL-μ-SR17018-Gi1/β1/γ2 8F7Q-μ-β-Endorphin-Gi1/β1/γ2 7U2K-μ-C6-guano-Gi1/β1/γ2 8EFQ-μ-DAMGO-Gi1/β1/γ2
21.74Consensusmop_on_gpOrthosteric Ligand8F7R-μ-Endomorphin-Gi1/β1/γ2 8EF5-μ-Fentanyl-Gi1/β1/γ2 7SCG-μ-FH210-Gi1/β1/γ2 7T2H-μ-Lofentanil-Gi1/β1/γ2 7T2G-μ-Mitragynine Pseudoindoxyl-Gi1/β1/γ2 8EF6-μ-Morphine-Gi1/β1/γ2 8EFB-μ-Oliceridine-Gi1/β1/γ2 7U2L-μ-C5-guano-Gi1/β1/γ2 8EFO-μ-PZM21-Gi1/β1/γ2 8EFL-μ-SR17018-Gi1/β1/γ2 8F7Q-μ-β-Endorphin-Gi1/β1/γ2 7U2K-μ-C6-guano-Gi1/β1/γ2 8EFQ-μ-DAMGO-Gi1/β1/γ2
21.74Consensuss1p1_onOrthosteric Ligand7VIE-S1P1-S1P-Gi1/β1/γ2 7VIF-S1P1-FTY720-P-Gi1/β1/γ2 7VIG-S1P1-CBP-307-Gi1/β1/γ2 7EVY-S1P1-Siponimod-Gi1/β1/γ2 7EVZ-S1P1-Cenerimod-Gi1/β1/γ2 7EW0-S1P1-Ozanimod-Gi1/β1/γ2 7EW7-S1P1-SEW2871-Gi1/β1/γ2
21.74Consensuss1p1_on_gpOrthosteric Ligand7VIE-S1P1-S1P-Gi1/β1/γ2 7VIF-S1P1-FTY720-P-Gi1/β1/γ2 7VIG-S1P1-CBP-307-Gi1/β1/γ2 7EVY-S1P1-Siponimod-Gi1/β1/γ2 7EVZ-S1P1-Cenerimod-Gi1/β1/γ2 7EW0-S1P1-Ozanimod-Gi1/β1/γ2 7EW7-S1P1-SEW2871-Gi1/β1/γ2
21.43Single6M1IPACAP276M1I-PAC1-PACAP27-Gs/β1/γ2
21.43Single6WI9Secretin6WI9-Secretin-Secretin-Gs/β1/γ2
21.43Single7FINPeptide-20; GGL7FIN-GIP-Peptide-20; GGL-Gs/β1/γ2
21.43Single8YW3Retatrutide8YW3-GLP-1-Retatrutide-Gs/β1/γ2
21.43Single8YW4Retatrutide8YW4-GIP-Retatrutide-chim(NtGi1-Gs)/β1/γ2
21.43Consensuscxcr3_on_gpOrthosteric Ligand8HNK-CXCR3-CXCL11-Gi1/β1/γ2 8HNL-CXCR3-PS372424-Gi1/β1/γ2
21.21Single6LPBPACAP276LPB-PAC1-PACAP27-Gs/β1/γ1
21.21Single8FLSAbaloparatide8FLS-PTH1-Abaloparatide-Gs/β1/γ2
21.21Single8FLULA-PTH Analog8FLU-PTH1-LA-PTH Analog-Gs/β1/γ2
21.05Single3V2WPubChem 518926453V2W-S1P1-PubChem 51892645
21.05Single5ZKQABT-4915ZKQ-PAF-ABT-491
21.05Single6AKXA4R6AKX-CCR5-A4R
21.05Single6AKYMaraviroc6AKY-CCR5-Maraviroc
21.05Single6B73MP11046B73-κ-MP1104
21.05Single6D9HAdenosine6D9H-A1-Adenosine-Gi2/β1/γ2
21.05Single6OYAAll-trans-Retinal6OYA-Rhodopsin-All-trans-Retinal-Gt/β1/γ1
21.05Single6TODEMPA6TOD-OX1-EMPA-Na
21.05Single7DHRIsoprenaline7DHR-β2-Isoprenaline-Gs/β1/γ2
21.05Single7EJ0Norepinephrine7EJ0-α2a-Norepinephrine-Go/β1/γ2
21.05Single7VUJJNJ-635330547VUJ-GPR139-JNJ-63533054-GDP-chim(Gs-CtGq)/β1/γ2
21.05Single7YMHNorepinephrine7YMH-Alpha1A-Norepinephrine-chim(Gs-CtGq)
21.05Single8EFOPZM218EFO-μ-PZM21-Gi1/β1/γ2
21.05Single8FYXBuspirone8FYX-5-HT1A-Buspirone-PtdIns4P-Gi1/β1/γ1
21.05Single8GGAConstrained Epinephrine8GGA-β2-Constrained Epinephrine-GTP-Gs/β1/γ2
21.05Single8GGCConstrained Epinephrine8GGC-β2-Constrained Epinephrine-GTP-Gs/β1/γ2
21.05Single8GGRConstrained Epinephrine8GGR-β2-Constrained Epinephrine
21.05Single8GGWConstrained Epinephrine8GGW-β2-Constrained Epinephrine
21.05Single8GGZConstrained Epinephrine8GGZ-β2-Constrained Epinephrine
21.05Single8GH0Constrained Epinephrine8GH0-β2-Constrained Epinephrine
21.05Single8HDPAdenosine8HDP-A2B-Adenosine-Gs/β1/γ2
21.05Single8IJBAcipimox8IJB-HCA2-Acipimox-Gi1/β1/γ2
21.05Single8IW4Spermidine8IW4-TAA9-Spermidine-chim(NtGi1-Gs)/β1/γ2
21.05Single8IWESpermidine8IWE-TAA9-Spermidine
21.05Single8JPPSuccinic acid8JPP-Succinate-Succinic acid-chim(Gs-CtGq)/β1/γ1
21.05Single8JSOAMPH8JSO-TA1-AMPH-chim(NtGi1-Gs)/β1/γ2
21.05Single8UNXConstrained Epinephrine8UNX-β2-Constrained Epinephrine-GTP-Gs/β1/γ2
21.05Single8WOGSuccinic acid8WOG-Succinate-Succinic acid-Gi1/β1/γ2
21.05Single8YKXMaleic acid8YKX-Succinate-Maleic acid-Gi1/β1/γ1
21.05Single8YUVImmepip8YUV-H3-Immepip-Gi1/β1/γ2
21.05Single9EEAAdenosine9EEA-A2A-Adenosine-Gs/β1/γ2
21.05Single9J5VCpY9J5V-LPA1-CpY-Gi1/β1/γ2
21.05Single9KVHCinobufotenine9KVH-5-HT1A-Cinobufotenine-PtdIns4P-Gi1/β1/γ2
21.05Single9PXUNaloxone9PXU-μ-Naloxone-Na
21.05Single9VJ5Gepirone9VJ5-5-HT1A-Gepirone-Go/β1/γ2
21.05Single9VJEBuspirone9VJE-5-HT1A-Buspirone-Go/β1/γ2
21.05Consensusalpha2_offOrthosteric Ligandalpha2c_off
21.05Consensusangiotensin_offOrthosteric Ligandat1_off
21.05Consensusgi_succinateOrthosteric Ligand8YKW-Succinate-Succinic acid-Gi1/β1/γ1 8YKX-Succinate-Maleic acid-Gi1/β1/γ1
21.05Consensusgq_histamineOrthosteric Ligand7DFL-H1-Histamine-chim(NtGi1L-Gq)/β1/γ2
21.05Consensush1_on_gpOrthosteric Ligand7DFL-H1-Histamine-chim(NtGi1L-Gq)/β1/γ2
21.05Consensushistamine_onOrthosteric Ligandh1_on h2_on h3_on h4_on
21.05Consensushistamine_on_gpOrthosteric Ligandh1_on_gp h2_on_gp h3_on_gp h4_on_gp
21.05Consensuspaf_offOrthosteric Ligand5ZKQ-PAF-ABT-491
21.05Consensusrhodopsin_on_gpOrthosteric Ligand6OYA-Rhodopsin-All-trans-Retinal-Gt/β1/γ1
21.05Consensuss1p1_offOrthosteric Ligand3V2W-S1P1-PubChem 51892645
21.05Consensussuccinate_onOrthosteric Ligand8YKW-Succinate-Succinic acid-Gi1/β1/γ1 8YKX-Succinate-Maleic acid-Gi1/β1/γ1
21.05Consensussuccinate_on_gpOrthosteric Ligand8YKW-Succinate-Succinic acid-Gi1/β1/γ1 8YKX-Succinate-Maleic acid-Gi1/β1/γ1
20.83Single5UNGPubChem 157800525UNG-AT2-PubChem 15780052
20.83Single5X93K-87945X93-ETB-K-8794
20.83Single6BQHRitanserin6BQH-5-HT2C-Ritanserin
20.83Single6H7LDobutamine6H7L-β1-Dobutamine
20.83Single7EVZCenerimod7EVZ-S1P1-Cenerimod-Gi1/β1/γ2
20.83Single7EW0Ozanimod7EW0-S1P1-Ozanimod-Gi1/β1/γ2
20.83Single7EZCUK-4320977EZC-A2A-UK-432097
20.83Single7LLLExendin-47LLL-GLP-1-Exendin-4-Gs/β1/γ2
20.83Single7MTSADX551647MTS-mGlu2; mGlu2-Glutamate-ADX55164-Gi1/β1/γ2
20.83Single7VGY2-Iodomelatonin7VGY-MT1-2-Iodomelatonin-Gi1/β1/γ2
20.83Single7X2DTavapadon7X2D-D1-Tavapadon-Gs/β1/γ2
20.83Single7XK2MK68927XK2-HCA2-MK6892-Gi1/β1/γ2
20.83Single8E0GBU728E0G-μ-BU72
20.83Single8E9YClozapine-N-oxide8E9Y-M3-Clozapine-N-oxide-chim(NtGi2L-Gs-CtGq)/β1/γ2
20.83Single8GUTLEI-1028GUT-CB2-LEI-102-Gi1/β1/γ2
20.83Single8IJDMK68928IJD-HCA2-MK6892-Gi1/β1/γ2
20.83Single8J19LY2378J19-GPR84-LY237-Gi1/β1/γ2
20.83Single8S2TIsoprenaline8S2T-β1-Isoprenaline-chim(NtGi1-Gs)/β1/γ2
20.83Single8WRZAM8418WRZ-CB1-AM841-Arrestin2
20.83Single8XGSKisspeptin-18XGS-Kiss1-Kisspeptin-1-chim(NtGi1-Gq)/β1/γ2
20.83Single8XIOL7975918XIO-SST1-L797591-chim(NtGi1-Gs-CtGi1)/β1/γ2
20.83Single9AS02-bromo-LSD9AS0-5-HT2A-2-bromo-LSD-chim(NtGi1-Gs-CtGq)/β1/γ2
20.83Single9DYEBuspirone9DYE-5-HT1A-Buspirone-PtdIns4P-Go/β1/γ2
20.83Single9HYIDP819HYI-5-HT1A-DP81-Gi1/β1/γ2
20.83Single9KT8Acifran9KT8-HCA2-Acifran-Gi1/β1/γ2
20.83Single9M54Neuropeptide-VF9M54-NPFF2-Neuropeptide-VF-Gi1/β1/γ2
20.83Single9WP9S1P9WP9-S1P3-S1P-chim(NtGi2L-Gs-CtGq)/β1/γ2
20.83Consensus5ht2c_offOrthosteric Ligand6BQH-5-HT2C-Ritanserin
20.83Consensusbeta1_onOrthosteric Ligand8DCR-β1-Dobutamine-Gs/β1/γ2 7S0F-β1-Isoprenaline-Gi1/β1/γ2
20.83Consensusbeta1_on_gpOrthosteric Ligand8DCR-β1-Dobutamine-Gs/β1/γ2 7S0F-β1-Isoprenaline-Gi1/β1/γ2
20.83Consensusclass-a_onOrthosteric Ligandsensory_on alicarboxylic_on amine_on lipid_on nucleotide_on peptide_on protein_on
20.83Consensusd2_offOrthosteric Ligand6CM4-D2-Risperidone 6LUQ-D2-Haloperidol 7DFP-D2-Spiperone
20.83Consensusendothelin_offOrthosteric Ligandetb_off
20.83Consensusetb_offOrthosteric Ligand5X93-ETB-K-8794 5XPR-ETB-Bosentan 6K1Q-ETB-IRL2500
20.83Consensusgi_s1pOrthosteric Ligand7VIE-S1P1-S1P-Gi1/β1/γ2 7EW3-S1P3-S1P-Gi1/β1/γ2 7EVY-S1P1-Siponimod-Gi1/β1/γ2 7EW1-S1P5-Siponimod-Gi1/β1/γ2 7VIF-S1P1-FTY720-P-Gi1/β1/γ2 7VIG-S1P1-CBP-307-Gi1/β1/γ2 7EVZ-S1P1-Cenerimod-Gi1/β1/γ2 7EW4-S1P3-CYM-5541-Gi1/β1/γ2 7EW2-S1P3-FTY720-P-Gi1/β1/γ2 7EW0-S1P1-Ozanimod-Gi1/β1/γ2 7EW7-S1P1-SEW2871-Gi1/β1/γ2
20.83Consensuskop_on_gpOrthosteric Ligand8F7W-κ-Dynorphin-Gi1/β1/γ2 8DZS-κ-GR89,696-chim(NtGi2-Gz)/β1/γ2 8DZP-κ-momSalB-Gi1/β1/γ2
20.83Consensusprostanoid_offOrthosteric Ligandep_off dp_off
20.69Single7LLYOxyntomodulin7LLY-GLP-1-Oxyntomodulin-Gs/β1/γ2
20.69Single7VL9CCL15(26-92)7VL9-CCR1-CCL15(26-92)-Gi1/β1/γ2
20.69Single7WBJPACAP277WBJ-VPAC1-PACAP27-Gs/β1/γ2
20.69Single8E3YPACAP278E3Y-VPAC1-PACAP27-Gs/β1/γ2
20.69Single8E3ZVIP8E3Z-VPAC1-VIP-Gs/β1/γ2
20.69Single8XQEApelin-138XQE-Apelin; Apelin-Apelin-13-Gi1/β1/γ2
20.69Consensuscml1_on_gpOrthosteric Ligand7YKD-CML1-Chemerin-9-Gi1/β1/γ2
20.69Consensusmc1_onOrthosteric Ligand7F4H-MC1-Afamelanotide-chim(NtGi1-Gs)/β1/γ2 7F4D-MC1-α-MSH-chim(NtGi1-Gs)/β1/γ2 7F4I-MC1-SHU9119-chim(NtGi1-Gs)/β1/γ2
20.69Consensusmc1_on_gpOrthosteric Ligand7F4H-MC1-Afamelanotide-chim(NtGi1-Gs)/β1/γ2 7F4D-MC1-α-MSH-chim(NtGi1-Gs)/β1/γ2 7F4I-MC1-SHU9119-chim(NtGi1-Gs)/β1/γ2
20.69Consensusvpac1_onOrthosteric Ligand8E3Z-VPAC1-VIP-Gs/β1/γ2
20.59Single6WPWZP37806WPW-Glucagon-ZP3780-Gs/β1/γ2
20.59Single7VVMPTH7VVM-PTH1-PTH-Gs/β1/γ2
20.59Single8JIPMEDI03828JIP-GLP-1-MEDI0382-chim(NtGi1-Gs)/β1/γ2
20.59Single8JIRSAR4258998JIR-GLP-1-SAR425899-chim(NtGi1-Gs)/β1/γ2
20.59Single9JR2PTH9JR2-PTH1-PTH-chim(NtGi1L-Gs-CtGq)/β1/γ2
20.00Single1F8811-cis-Retinal1F88-Rhodopsin-11-cis-Retinal
20.00Single3UZCPubChem 1355666093UZC-A2A-PubChem 135566609
20.00Single4DKLBeta-Funaltrexamine4DKL-μ-β-Funaltrexamine
20.00Single4LDOEpinephrine4LDO-β2-Epinephrine
20.00Single4MBSMaraviroc4MBS-CCR5-Maraviroc
20.00Single4MQTIperoxo4MQT-M2-Iperoxo-LY2119620
20.00Single4N6HNaltrindole4N6H-δ-Naltrindole-Na
20.00Single4ZJCSB-6740424ZJC-OX1-SB-674042
20.00Single4ZUDOlmesartan4ZUD-AT1-Olmesartan
20.00Single5WF6UK-4320975WF6-A2A-UK-432097
20.00Single6FFIMPEP6FFI-mGlu5-MPEP
20.00Single6FJ3PTH6FJ3-PTH1-PTH
20.00Single6ME32-Phenylmelatonin6ME3-MT1-2-Phenylmelatonin
20.00Single6NBFLA-PTH Analog6NBF-PTH1-LA-PTH Analog-Gs/β1/γ2
20.00Single6NBILA-PTH Analog6NBI-PTH1-LA-PTH Analog-Gs/β1/γ2
20.00Single6P9YPACAP276P9Y-PAC1-PACAP27-Gs/β1/γ2
20.00Single6PS0Carazolol6PS0-β2-Carazolol
20.00Single6PS4ICI118-5516PS4-β2-ICI118-551
20.00Single6PS82-Phenylmelatonin6PS8-MT1-2-Phenylmelatonin
20.00Single6TPGEMPA6TPG-OX2-EMPA
20.00Single6VI4JDTic6VI4-κ-JDTic
20.00Single6WH4Methiothepin6WH4-5-HT2A-Methiothepin
20.00Single6WJCAtropine6WJC-M1-Atropine-Muscarinic toxin 7
20.00Single6ZFZ77-LH-28-16ZFZ-M1-77-LH-28-1
20.00Single7CKZDopamine7CKZ-D1-Dopamine-Mevidalen-Gs/β1/γ2
20.00Single7CMUPramipexole7CMU-D3-Pramipexole-Gi1/β1/γ2
20.00Single7CMVPD1289077CMV-D3-PD128907-Gi1/β1/γ2
20.00Single7CZ5Somatoliberin7CZ5-GHRH-Somatoliberin-Gs/β1/γ2
20.00Single7D3SSecretin7D3S-Secretin-Secretin-Gs/β1/γ2
20.00Single7DHISalbutamol7DHI-β2-Salbutamol-Gs/β1/γ2
20.00Single7E33BRL-544437E33-5-HT1E-BRL-54443-Gi1/β1/γ2
20.00Single7EJ8Brimonidine7EJ8-α2a-Brimonidine-Go/β1/γ2
20.00Single7F0TDopamine7F0T-D1-Dopamine-Gs/β1/γ2
20.00Single7F1ZDopamine7F1Z-D1-Dopamine-GDP-Gs/β1/γ2
20.00Single7F2OBradykinin7F2O-BK2-Bradykinin-chim(NtGi1-Gs-CtGq)/β1/γ2
20.00Single7F61PF-036547467F61-H3-PF-03654746
20.00Single7F8WGastrin-177F8W-CCKB-Gastrin-17-chim(NtGsL-Gq)/β1/γ2
20.00Single7RANPubChem 1645758477RAN-5-HT2A-PubChem 164575847-chim(NtGi2L-Gs-CtGq)/β1/γ2
20.00Single7TYYCalcitonin-17TYY-CT (AMY2)-Calcitonin-1-Gs/β1/γ2; RAMP2
20.00Single7UM7Methylergometrine7UM7-5-HT5A-Methylergometrine-chim(NtGi1-Go)/β1/γ2
20.00Single7VABTirzepatide (non-acylated)7VAB-GIP-Tirzepatide (non-acylated)-chim(NtGi1-Gs)/β1/γ2
20.00Single7WC9PubChem 1624213647WC9-5-HT2A-PubChem 162421364
20.00Single7XY6BAY 60-65837XY6-A2B-BAY 60-6583-chim(NtGi1-Gs)/β1/γ2
20.00Single7Y36PTH7Y36-PTH1-PTH-Gs/β1/γ2
20.00Single7YJ4INSL57YJ4-RXFP4-INSL5-Gi2/β1/γ2
20.00Single7YKDChemerin-97YKD-CML1-Chemerin-9-Gi1/β1/γ2
20.00Single8E3XPACAP278E3X-PAC1-PACAP27-Gs/β1/γ2
20.00Single8FLQPTH8FLQ-PTH1-PTH-Gs/β1/γ2
20.00Single8GE1Constrained Epinephrine8GE1-β2-Constrained Epinephrine-Gs/β1/γ2
20.00Single8GE4Constrained Epinephrine8GE4-β2-Constrained Epinephrine-Gs/β1/γ2
20.00Single8GE5Constrained Epinephrine8GE5-β2-Constrained Epinephrine-Gs/β1/γ1
20.00Single8GE6Constrained Epinephrine8GE6-β2-Constrained Epinephrine-Gs/β1/γ2
20.00Single8GE7Constrained Epinephrine8GE7-β2-Constrained Epinephrine-Gs/β1/γ2
20.00Single8GE8Constrained Epinephrine8GE8-β2-Constrained Epinephrine-Gs/β1/γ2
20.00Single8GEAConstrained Epinephrine8GEA-β2-Constrained Epinephrine-Gs/β1/γ2
20.00Single8GEDConstrained Epinephrine8GED-β2-Constrained Epinephrine-Gs/β1/γ2
20.00Single8GEFConstrained Epinephrine8GEF-β2-Constrained Epinephrine-Gs/β1/γ2
20.00Single8GEJConstrained Epinephrine8GEJ-β2-Constrained Epinephrine-Gs/β1/γ2
20.00Single8GG8Constrained Epinephrine8GG8-β2-Constrained Epinephrine-GTP-Gs/β1/γ2
20.00Single8GGQConstrained Epinephrine8GGQ-β2-Constrained Epinephrine
20.00Single8GGSConstrained Epinephrine8GGS-β2-Constrained Epinephrine
20.00Single8GGTConstrained Epinephrine8GGT-β2-Constrained Epinephrine
20.00Single8GGVConstrained Epinephrine8GGV-β2-Constrained Epinephrine
20.00Single8GGXConstrained Epinephrine8GGX-β2-Constrained Epinephrine
20.00Single8GUQOlorinab8GUQ-CB2-Olorinab-Gi1/β1/γ2
20.00Single8IA7Cholecystokinin-88IA7-CCKB-Cholecystokinin-8-chim(NtGi1L-Gq)/β1/γ2
20.00Single8JEIPubChem 117155568JEI-HCAR3-PubChem 11715556-Gi1/β1/γ2
20.00Single8JITMEDI03828JIT-Glucagon-MEDI0382-Gs/β1/γ2
20.00Single8JIUSAR4258998JIU-Glucagon-SAR425899-Gs/β1/γ2
20.00Single8JLQFenoldopam8JLQ-TA1-Fenoldopam-Gs/β1/γ2
20.00Single8K2WAMG4878K2W-CXCR3-AMG487
20.00Single8U02Dopamine8U02-D2-Dopamine-Go/β1/γ2
20.00Single8UNMConstrained Epinephrine8UNM-β2-Constrained Epinephrine-GTP-Gs/β1/γ2
20.00Single8UNWConstrained Epinephrine8UNW-β2-Constrained Epinephrine-GTP-Gs/β1/γ2
20.00Single8UO0Constrained Epinephrine8UO0-β2-Constrained Epinephrine-GTP-Gs/β1/γ2
20.00Single8W8BSEP-3638568W8B-5-HT1A-SEP-363856-Gi1/β1/γ2
20.00Single8X5YAstemizole8X5Y-H1-Astemizole
20.00Single8Y45ADL58598Y45-δ-ADL5859-Gi2/β1/γ2
20.00Single8YH2Adenosine8YH2-A3A-Adenosine-Gi1/β1/γ2
20.00Single8YN3Histamine8YN3-H2-Histamine-Gs/β1/γ2
20.00Single8ZBWQuin-C18ZBW-FPR2-ALX-Quin-C1-Gi2/β1/γ2
20.00Single8ZPMAMD0708ZPM-CXCR4-AMD070
20.00Single9AS5Mescaline9AS5-5-HT2A-Mescaline
20.00Single9AS6Mescaline9AS6-5-HT2A-Mescaline-chim(NtGi1-Gs-CtGq)/β1/γ2
20.00Single9AXFCa; Ca; Ca; Cyclomethyltryptophan; R-568; PO49AXF-CaS; CaS-Ca-Ca; Ca; Ca; Cyclomethyltryptophan; R-568; PO4-chim(NtGi1-Gs-CtGq)/β1/γ2
20.00Single9CBLEpinephrine9CBL-α2a-Epinephrine-Gi1/β1/γ2
20.00Single9IZASCH9002719IZA-HCA2-SCH900271-Gi1/β1/γ2
20.00Single9J1Pg1:Ox9J1P-GLP-1-g1:Ox-chim(NtGi1-Gs)/β1/γ2
20.00Single9JFUNE52-QQ579JFU-GPR4-NE52-QQ57
20.00Single9JH3CMF-0199JH3-Apelin; Apelin-CMF-019-Gi1/β1/γ2
20.00Single9JKQMETH9JKQ-TA1-METH-Gs/β1/γ2
20.00Single9JKYAcifran9JKY-HCA2-Acifran-Gi1/β1/γ2
20.00Single9JR3PTH9JR3-PTH1-PTH-chim(NtGi1L-Gs-CtGq)/β1/γ2
20.00Single9KFKRelaxin-39KFK-RXFP4-Relaxin-3-Gi2/β1/γ2
20.00Single9KVIBufotenin9KVI-5-HT1A-Bufotenin-PtdIns4P-Gi1/β1/γ2
20.00Single9LRDHistamine9LRD-H1-Histamine-Gi1/β1/γ2
20.00Single9M0RNeuropeptide-VF9M0R-NPFF1-Neuropeptide-VF-Gi1/β1/γ2
20.00Single9ODLMitragynine Pseudoindoxyl9ODL-μ-Mitragynine Pseudoindoxyl-GTP; Mg-Gi1/β1/γ2
20.00Single9P92VIP9P92-PAC1-VIP-Gs/β1/γ2
20.00Single9PXVNaloxone9PXV-μ-Naloxone-Gi1/β1/γ2
20.00Single9PY2Loperamide9PY2-μ-Loperamide-GDPβS-Gi1/β1/γ2
20.00Single9VJG8-OH-DPAT9VJG-5-HT1A-8-OH-DPAT-chim(NtGi2-Gz)/β1/γ2
20.00Consensus5ht2a_offOrthosteric Ligand6A94-5-HT2A-Zotepine 6A93-5-HT2A-Risperidone 7VOD-5-HT2A-Cariprazine 7WC8-5-HT2A-Lumateperone 8JT8-5-HT2A-(R)-IHCH-7179
20.00Consensusadenosine_onOrthosteric Liganda1_on a2_on a3_on
20.00Consensusat1_offOrthosteric Ligand4YAY-AT1-ZD-7155 4ZUD-AT1-Olmesartan
20.00Consensuscxcr3_offOrthosteric Ligand8K2W-CXCR3-AMG487
20.00Consensusd3_onOrthosteric Ligand7CMV-D3-PD128907-Gi1/β1/γ2 8IRT-D3-Rotigotine-Gi1/β1/γ2 7CMU-D3-Pramipexole-Gi1/β1/γ2
20.00Consensusd3_on_gpOrthosteric Ligand7CMV-D3-PD128907-Gi1/β1/γ2 8IRT-D3-Rotigotine-Gi1/β1/γ2 7CMU-D3-Pramipexole-Gi1/β1/γ2
20.00Consensusgi_adenosineOrthosteric Ligand7LD4-A1-Adenosine-Gi2/β1/γ2 8X17-A3A-Namodenoson-Gi1/β1/γ2 8X16-A3A-Piclidenoson-Gi1/β1/γ2
20.00Consensusopsins_offOrthosteric Ligandrhodopsin_off
20.00Consensuspac1_onOrthosteric Ligand8E3X-PAC1-PACAP27-Gs/β1/γ2 6M1H-PAC1-Maxadilan-Gs/β1/γ2
20.00Consensuspac1_on_gpOrthosteric Ligand8E3X-PAC1-PACAP27-Gs/β1/γ2 6M1H-PAC1-Maxadilan-Gs/β1/γ2
20.00Consensuss1p_onOrthosteric Ligands1p1_on s1p3_on s1p5_on
20.00Consensuss1p_on_gpOrthosteric Ligands1p1_on_gp s1p3_on_gp s1p5_on_gp
20.00Consensussecretin_onOrthosteric Ligand7D3S-Secretin-Secretin-Gs/β1/γ2
20.00Consensussensory_offOrthosteric Ligandopsins_off
20.00Consensusvpac1_on_gpOrthosteric Ligand8E3Z-VPAC1-VIP-Gs/β1/γ2
19.51Consensusclass-b1_on_gpOrthosteric Ligandglucagon_on_gp vip-pacap_on_gp pth_on_gp crf_on_gp calcitonin_on_gp
19.35Single6VCBGLP-16VCB-GLP-1-GLP-1-LSN3160440-Gs/β1/γ2
19.35Single7EIBKallidin-des-Arg107EIB-BK1-Kallidin-des-Arg10-chim(NtGi1-Gs-CtGq)/β1/γ2
19.35Single7F4FAfamelanotide7F4F-MC1-Afamelanotide-chim(NtGi1-Gs)/β1/γ2
19.35Single7QBCAlpha-factor mating pheromone7QBC-STE2; STE2-α-factor mating pheromone
19.35Single7S1MExendin-4-D-Ala7S1M-GLP-1-Exendin-4-D-Ala-Gs/β1/γ2
19.35Single7TYFAmylin7TYF-CT (AMY1)-Amylin-Gs/β1/γ2; RAMP1
19.35Single7VQXPACAP277VQX-VPAC1-PACAP27-Gs/β1/γ2
19.35Single8FU6ZP37808FU6-Glucagon-ZP3780-Gs/β1/γ2
19.35Single9BUCCagrilintide9BUC-CT-Cagrilintide-Gs/β1/γ2
19.35Single9P94PACAP279P94-PAC1-PACAP27-Gs/β1/γ2
19.35Consensuscrf_onOrthosteric Ligandcrf2_on crf1_on
19.35Consensussecretin_on_gpOrthosteric Ligand7D3S-Secretin-Secretin-Gs/β1/γ2
19.23Single5UNFPubChem 157800525UNF-AT2-PubChem 15780052
19.23Single7F4ISHU91197F4I-MC1-SHU9119-chim(NtGi1-Gs)/β1/γ2
19.23Single7W0PElabela7W0P-Apelin-Elabela-Gi1/β1/γ2
19.23Single7WVWfMYFINILTL7WVW-FPR2-ALX-fMYFINILTL-Gi2/β1/γ2
19.23Single8DCRDobutamine8DCR-β1-Dobutamine-Gs/β1/γ2
19.23Single8J6RMK68928J6R-HCA2-MK6892-Gi1/β1/γ2
19.23Single8PKMBefiradol8PKM-5-HT1A-Befiradol-Gi1/β1/γ1
19.23Single8YWFRetatrutide8YWF-GLP-1-Retatrutide-chim(NtGi1-Gs)/β1/γ2
19.23Single9BUYLM1899BUY-β2-LM189-Gi1/β1/γ2
19.23Consensusclass-a_on_gpOrthosteric Ligandsensory_on_gp alicarboxylic_on_gp amine_on_gp lipid_on_gp nucleotide_on_gp peptide_on_gp protein_on_gp
19.23Consensuscxcr4_onOrthosteric Ligand8K3Z-CXCR4-CXCL12-Gi1/β1/γ1
19.23Consensussst5_onOrthosteric Ligand8X8L-SST5-Cortistatin-14-chim(NtGi1-Gs-CtGi1)/β1/γ2 8X8N-SST5-Octreotide-chim(NtGi1-Gs-CtGi1)/β1/γ2
19.05Single2Y01Dobutamine2Y01-β1-Dobutamine
19.05Single2Y04Salbutamol2Y04-β1-Salbutamol
19.05Single3ZPQPubChem 5945903ZPQ-β1-PubChem 594590-Na
19.05Single3ZPRPubChem 5987543ZPR-β1-PubChem 598754-Na
19.05Single4DAJTiotropium4DAJ-M3-Tiotropium
19.05Single4EA3PubChem 102965614EA3-NOP-PubChem 10296561
19.05Single4MQSIperoxo4MQS-M2-Iperoxo
19.05Single4QKXPubChem 762106284QKX-β2-PubChem 76210628
19.05Single4U14Tiotropium4U14-M3-Tiotropium
19.05Single4X1HNonyl-Beta-D-Glucopyranoside4X1H-Rhodopsin-Nonyl-β-D-Glucopyranoside-Gt(CT)
19.05Single4YAYZD-71554YAY-AT1-ZD-7155
19.05Single5DHHSB-6121115DHH-NOP-SB-612111
19.05Single5DSGTiotropium5DSG-M4-Tiotropium
19.05Single6DRZMethysergide6DRZ-5-HT2B-Methysergide
19.05Single6FFHFenobam6FFH-mGlu5-Fenobam
19.05Single6H7MSalbutamol6H7M-β1-Salbutamol
19.05Single6PS1Timolol6PS1-β2-Timolol
19.05Single6PS2Alprenolol6PS2-β2-Alprenolol
19.05Single6TOTLemborexant6TOT-OX1-Lemborexant
19.05Single6XBM25(S)-Epoxycholesterol6XBM-SMO-25(S)-Epoxycholesterol-Gi1/β1/γ2
19.05Single6Z10PubChem 1545855546Z10-Succinate-PubChem 154585554
19.05Single7BTSEpinephrine7BTS-β1-Epinephrine
19.05Single7BU6Norepinephrine7BU6-β1-Norepinephrine
19.05Single7E32Serotonin7E32-5-HT1D-Serotonin-Gi1/β1/γ2
19.05Single7LJCSKF812977LJC-D1-SKF81297-Mevidalen-Gs/β1/γ2
19.05Single7M3JNPS-2143; PO47M3J-CaS; CaS-NPS-2143; PO4
19.05Single7S0GIsoprenaline7S0G-β1-Isoprenaline-chim(Gi1-CtGs)/β1/γ2
19.05Single7TRPIperoxo7TRP-M4-Iperoxo-LY2033298-Gi1/β1/γ2
19.05Single7UL4Alvimopan7UL4-μ-Alvimopan
19.05Single7VIES1P7VIE-S1P1-S1P-Gi1/β1/γ2
19.05Single7VKTLTB47VKT-BLT1-LTB4-Gi1/β1/γ2
19.05Single7WC7Lisuride7WC7-5-HT2A-Lisuride
19.05Single7WC8Lumateperone7WC8-5-HT2A-Lumateperone
19.05Single7X2CFenoldopam7X2C-D1-Fenoldopam-Fenoldopam-Gs/β1/γ2
19.05Single7YACPaltusotine7YAC-SST2-Paltusotine-Gi1/β1/γ2
19.05Single8CU6LJ-45178CU6-A2A-LJ-4517
19.05Single8DZSGR89,6968DZS-κ-GR89,696-chim(NtGi2-Gz)/β1/γ2
19.05Single8FY85-MeO-DMT8FY8-5-HT1A-5-MeO-DMT-PtdIns4P-Gi1/β1/γ1
19.05Single8GE2Constrained Epinephrine8GE2-β2-Constrained Epinephrine-Gs/β1/γ1
19.05Single8GE3Constrained Epinephrine8GE3-β2-Constrained Epinephrine-Gs/β1/γ2
19.05Single8GE9Constrained Epinephrine8GE9-β2-Constrained Epinephrine-Gs/β1/γ2
19.05Single8GECConstrained Epinephrine8GEC-β2-Constrained Epinephrine-Gs/β1/γ2
19.05Single8GEEConstrained Epinephrine8GEE-β2-Constrained Epinephrine-Gs/β1/γ2
19.05Single8GEHConstrained Epinephrine8GEH-β2-Constrained Epinephrine-Gs/β1/γ2
19.05Single8GFVConstrained Epinephrine8GFV-β2-Constrained Epinephrine-GTP-Gs/β1/γ2
19.05Single8GFWConstrained Epinephrine8GFW-β2-Constrained Epinephrine-GTP-Gs/β1/γ2
19.05Single8GFXConstrained Epinephrine8GFX-β2-Constrained Epinephrine-GTP-Gs/β1/γ2
19.05Single8GFZConstrained Epinephrine8GFZ-β2-Constrained Epinephrine-GTP-Gs/β1/γ2
19.05Single8GG0Constrained Epinephrine8GG0-β2-Constrained Epinephrine-GTP-Gs/β1/γ2
19.05Single8GG1Constrained Epinephrine8GG1-β2-Constrained Epinephrine-GTP-Gs/β1/γ2
19.05Single8GG3Constrained Epinephrine8GG3-β2-Constrained Epinephrine-GTP-Gs/β1/γ2
19.05Single8GG4Constrained Epinephrine8GG4-β2-Constrained Epinephrine-GTP-Gs/β1/γ2
19.05Single8GG6Constrained Epinephrine8GG6-β2-Constrained Epinephrine-GTP-Gs/β1/γ2
19.05Single8GG9Constrained Epinephrine8GG9-β2-Constrained Epinephrine-GTP-Gs/β1/γ2
19.05Single8GGIConstrained Epinephrine8GGI-β2-Constrained Epinephrine
19.05Single8GGJConstrained Epinephrine8GGJ-β2-Constrained Epinephrine
19.05Single8GGKConstrained Epinephrine8GGK-β2-Constrained Epinephrine
19.05Single8GGNConstrained Epinephrine8GGN-β2-Constrained Epinephrine
19.05Single8GGOConstrained Epinephrine8GGO-β2-Constrained Epinephrine
19.05Single8GGUConstrained Epinephrine8GGU-β2-Constrained Epinephrine
19.05Single8IRTRotigotine8IRT-D3-Rotigotine-Gi1/β1/γ2
19.05Single8JD0NAM5638JD0-mGlu2; mGlu3-Glutamate-NAM563
19.05Single8JLZST19368JLZ-5-HT6-ST1936-Gs/β1/γ2
19.05Single8K5DGSK2560738K5D-HCA2-GSK256073
19.05Single8PJKST1718PJK-5-HT1A-ST171-Gi1/β1/γ1
19.05Single8UH3Setiptiline8UH3-5-HT1E-Setiptiline-Gi1/β1/γ1
19.05Single8UNQConstrained Epinephrine8UNQ-β2-Constrained Epinephrine-GTP-Gs/β1/γ2
19.05Single8UNRConstrained Epinephrine8UNR-β2-Constrained Epinephrine-GTP-Gs/β1/γ2
19.05Single8UNUConstrained Epinephrine8UNU-β2-Constrained Epinephrine-GTP-Gs/β1/γ2
19.05Single8UNVConstrained Epinephrine8UNV-β2-Constrained Epinephrine-GTP-Gs/β1/γ2
19.05Single8UNYConstrained Epinephrine8UNY-β2-Constrained Epinephrine-GTP-Gs/β1/γ2
19.05Single8UNZConstrained Epinephrine8UNZ-β2-Constrained Epinephrine-GTP-Gs/β1/γ2
19.05Single8UO2Constrained Epinephrine8UO2-β2-Constrained Epinephrine-GTP-Gs/β1/γ2
19.05Single8VVGGB188VVG-κ-GB18-Gi1/β1/γ2
19.05Single8WC7ZH86678WC7-TA1-ZH8667-chim(NtGi1-Gs)/β1/γ2
19.05Single8X17Namodenoson8X17-A3A-Namodenoson-Gi1/β1/γ2
19.05Single8X63Mepyramine8X63-H1-Mepyramine
19.05Single8X64Desloratadine8X64-H1-Desloratadine
19.05Single8X9TAP5038X9T-ADGRD1-AP503-chim(NtGi1-Gs)/β1/γ2
19.05Single8YN8Proxyfan8YN8-H3-Proxyfan-Go/β1/γ2
19.05Single9AS1DMT9AS1-5-HT2A-DMT
19.05Single9BQJRO769BQJ-μ-RO76-Gi1/β1/γ2
19.05Single9D61JDTic9D61-κ-JDTic-Gi1/β1/γ2
19.05Single9DYFAsenapine9DYF-5-HT1A-Asenapine-PtdIns4P-Gi1/β1/γ2
19.05Single9IZCMK19039IZC-HCA2-MK1903-Gi1/β1/γ2
19.05Single9PQDPubChem 1764919279PQD-α2a-PubChem 176491927
19.05Single9PXWNaloxone9PXW-μ-Naloxone-GDPβS-Gi1/β1/γ2
19.05Single9UAZAtropine9UAZ-M1-Atropine
19.05Consensus5ht1d_onOrthosteric Ligand7E32-5-HT1D-Serotonin-Gi1/β1/γ2
19.05Consensus5ht1d_on_gpOrthosteric Ligand7E32-5-HT1D-Serotonin-Gi1/β1/γ2
19.05Consensus5ht2b_offOrthosteric Ligand6DRZ-5-HT2B-Methysergide
19.05Consensusa3_onOrthosteric Liganda3a_on
19.05Consensusadrenergic_onOrthosteric Ligandalpha_on beta_on
19.05Consensusalicarboxylic_offOrthosteric Ligandsuccinate_off
19.05Consensusblt1_onOrthosteric Ligand7VKT-BLT1-LTB4-Gi1/β1/γ2
19.05Consensusblt1_on_gpOrthosteric Ligand7VKT-BLT1-LTB4-Gi1/β1/γ2
19.05Consensusblt_onOrthosteric Ligandblt1_on
19.05Consensusblt_on_gpOrthosteric Ligandblt1_on_gp
19.05Consensusd5_onOrthosteric Ligand8IRV-D5-Rotigotine-chim(NtGi1-Gs)/β1/γ2
19.05Consensusdopamine_onOrthosteric Ligandd2_on d1_on d3_on d4_on d5_on
19.05Consensusdopamine_on_gpOrthosteric Ligandd2_on_gp d1_on_gp d3_on_gp d4_on_gp d5_on_gp
19.05Consensusgi_leukotrieneOrthosteric Ligand7VKT-BLT1-LTB4-Gi1/β1/γ2
19.05Consensushistamine_offOrthosteric Ligandh1_off
19.05Consensusleukotriene_onOrthosteric Ligandblt_on
19.05Consensusleukotriene_on_gpOrthosteric Ligandblt_on_gp
19.05Consensuslipid_offOrthosteric Ligandcannabinoid_off paf_off lpl_off prostanoid_off leukotriene_off
19.05Consensusm4_offOrthosteric Ligand5DSG-M4-Tiotropium
19.05Consensussuccinate_offOrthosteric Ligand6RNK-Succinate-NF-56-EJ40 6Z10-Succinate-PubChem 154585554
18.75Single3PXOAll-trans-Retinal3PXO-Rhodopsin-All-trans-Retinal
18.75Single5DYSAll-trans-Retinal5DYS-Rhodopsin-All-trans-Retinal
18.75Single6NBHLA-PTH Analog6NBH-PTH1-LA-PTH Analog-Gs/β1/γ2
18.75Single7KI1Taspoglutide7KI1-GLP-1-Taspoglutide-Gs/β1/γ2
18.75Single7QBCAlpha-factor mating pheromone7QBC-STE2; STE2-α-factor mating pheromone
18.75Single7TS0Urocortin7TS0-CRF2-Urocortin-chim(NtGi1L-Go)/β1/γ2
18.75Single7TYLAmylin7TYL-CT-Amylin-Gs/β1/γ2
18.75Single7VVJPTHrP(1-36)7VVJ-PTH1-PTHrP(1-36)-Gs/β1/γ2
18.75Single9BYOExendin-39BYO-GLP-1-Exendin-3-Gs/β1/γ2
18.75Single9JIDNiacin9JID-HCA3-Niacin-Gi1/β1/γ2
18.75Single9P93VIP9P93-PAC1-VIP-Gs/β1/γ2
18.75Consensusbk2_onOrthosteric Ligand7F6H-BK2-Bradykinin-Gq/β1/γ2 7F6I-BK2-Kallidin-Gq/β1/γ2
18.75Consensusbk2_on_gpOrthosteric Ligand7F6H-BK2-Bradykinin-Gq/β1/γ2 7F6I-BK2-Kallidin-Gq/β1/γ2
18.75Consensusbradykinin_onOrthosteric Ligandbk2_on
18.75Consensusbradykinin_on_gpOrthosteric Ligandbk2_on_gp
18.75Consensusgq_bradykininOrthosteric Ligand7F6H-BK2-Bradykinin-Gq/β1/γ2 7F6I-BK2-Kallidin-Gq/β1/γ2
18.75Consensusvip-pacap_onOrthosteric Ligandvpac_on pac_on
18.75Consensusvip-pacap_on_gpOrthosteric Ligandvpac_on_gp pac_on_gp
18.52Single5XJM(Sar1,Ile8)-Angiotensin II5XJM-AT2-(Sar1,Ile8)-Angiotensin II
18.52Single6DO1(Sar1,Ile8)-Angiotensin II6DO1-AT1-(Sar1,Ile8)-Angiotensin II
18.52Single6WHCGlu16 analog of GCG6WHC-Glucagon-Glu16 analog of GCG-Gs/β1/γ2
18.52Single7RKMCX3CL17RKM-US28-CX3CL1-Gi1/β1/γ2
18.52Single7VBITirzepatide (non-acylated)7VBI-GLP-1-Tirzepatide (non-acylated)-Gs/β1/γ2
18.52Single7W0NElabela7W0N-Apelin; Apelin-Elabela-Gi1/β1/γ2
18.52Single7WJ5Somatostatin-147WJ5-SST2-Somatostatin-14-Gi1/β1/γ2
18.52Single7XMSSomatostatin-147XMS-SST4-Somatostatin-14-Gi1/β1/γ2
18.52Single8JZZC5a-des-Arg8JZZ-C5a1-C5a-des-Arg-Go/β1/γ2
18.52Single8SG1Chemerin-98SG1-CML1-Chemerin-9-Gi1/β1/γ2
18.52Single9IQVMuscarinic toxin 39IQV-Alpha1A-Muscarinic toxin 3
18.52Single9KT7MK68929KT7-HCA2-MK6892-Gi1/β1/γ2
18.52Consensuss1p3_on_gpOrthosteric Ligand7EW3-S1P3-S1P-Gi1/β1/γ2 7EW4-S1P3-CYM-5541-Gi1/β1/γ2 7EW2-S1P3-FTY720-P-Gi1/β1/γ2
18.42Consensusclass-b1_onOrthosteric Ligandglucagon_on vip-pacap_on pth_on crf_on calcitonin_on
18.18Single2Y00Dobutamine2Y00-β1-Dobutamine
18.18Single2Y03Isoprenaline2Y03-β1-Isoprenaline
18.18Single4JKVTaladegib4JKV-SMO-Taladegib
18.18Single4WW3All-trans-Retinal4WW3-Rhodopsin-All-trans-Retinal
18.18Single4ZJ8Suvorexant4ZJ8-OX1-Suvorexant
18.18Single5C1MBU725C1M-μ-BU72
18.18Single5JQHCarazolol5JQH-β2-Carazolol
18.18Single5N2RPSB365N2R-A2A-PSB36-Na
18.18Single5N2SPSB365N2S-A1-PSB36
18.18Single5WQCEMPA5WQC-OX2-EMPA
18.18Single6GPXMK08126GPX-CCR2-MK0812
18.18Single6HLPNetupitant6HLP-NK1-Netupitant
18.18Single6KUWPubChem 572132346KUW-α2c-PubChem 57213234
18.18Single6LUQHaloperidol6LUQ-D2-Haloperidol
18.18Single6ME62-Phenylmelatonin6ME6-MT2-2-Phenylmelatonin
18.18Single6ME82-Phenylmelatonin6ME8-MT2-2-Phenylmelatonin
18.18Single6OIKIperoxo6OIK-M2-Iperoxo-LY2119620-chim(NtGi1-Go)/β1/γ2
18.18Single6PB0Urocortin6PB0-CRF1-Urocortin-chim(NtGi1-Gs)/β1/γ2
18.18Single6PS3Carvedilol6PS3-β2-Carvedilol
18.18Single6TO7Suvorexant6TO7-OX1-Suvorexant-Na
18.18Single6TP6Filorexant6TP6-OX1-Filorexant
18.18Single6XBKCholesterol6XBK-SMO-Cholesterol-Gi1/β1/γ2
18.18Single7BVQCarazolol7BVQ-β1-Carazolol
18.18Single7C4SS1P7C4S-S1P3-S1P
18.18Single7C61Ergotamine7C61-5-HT1B-Ergotamine
18.18Single7EO2FTY720-P7EO2-S1P1-FTY720-P-Gi1/β1/γ2
18.18Single7M3JNPS-2143; PO47M3J-CaS; CaS-NPS-2143; PO4
18.18Single7S0FIsoprenaline7S0F-β1-Isoprenaline-Gi1/β1/γ2
18.18Single7SBFPZM217SBF-μ-PZM21-Gi1/β1/γ2
18.18Single7SINNPS-21437SIN-CaS; CaS-NPS-2143
18.18Single7SINNPS-21437SIN-CaS; CaS-NPS-2143
18.18Single7TD3S1P7TD3-S1P1-S1P-Gi1/β1/γ2
18.18Single7TRKIperoxo7TRK-M4-Iperoxo-Gi1/β1/γ2
18.18Single7VOEAripiprazole7VOE-5-HT2A-Aripiprazole
18.18Single7W41PD1762527W41-BB2-PD176252
18.18Single7WC6LSD7WC6-5-HT2A-LSD
18.18Single7WIGL-0542647WIG-SST2-L-054264-Gi1/β1/γ2
18.18Single7X1TTaltirelin7X1T-TRH-Taltirelin-chim(NtGi2L-Gs-CtGq)/β1/γ2
18.18Single7XK9Constrained Isoproterenol7XK9-β2-Constrained Isoproterenol-Na
18.18Single7XKAConstrained Epinephrine7XKA-β2-Constrained Epinephrine
18.18Single8C9WEtrumadenant8C9W-A2A-Etrumadenant
18.18Single8DZQmomSalB8DZQ-κ-momSalB-Go/β1/γ2
18.18Single8DZRGR89,6968DZR-κ-GR89,696-chim(NtGi2-Gt3)/β1/γ2
18.18Single8GDZConstrained Epinephrine8GDZ-β2-Constrained Epinephrine-Gs/β1/γ2
18.18Single8GEBConstrained Epinephrine8GEB-β2-Constrained Epinephrine-Gs/β1/γ2
18.18Single8GEGConstrained Epinephrine8GEG-β2-Constrained Epinephrine-Gs/β1/γ2
18.18Single8GFYConstrained Epinephrine8GFY-β2-Constrained Epinephrine-GTP-Gs/β1/γ2
18.18Single8GG2Constrained Epinephrine8GG2-β2-Constrained Epinephrine-GTP-Gs/β1/γ2
18.18Single8GGBConstrained Epinephrine8GGB-β2-Constrained Epinephrine-GTP-Gs/β1/γ2
18.18Single8I7WGSK2560738I7W-HCA2-GSK256073-Gi1/β1/γ2
18.18Single8S4DCMF-0198S4D-Apelin-CMF-019
18.18Single8TF5Oleic acid8TF5-GPR6-Oleic acid
18.18Single8TH4Losartan8TH4-AT1-Losartan-AT118-L Nanobody
18.18Single8UNNConstrained Epinephrine8UNN-β2-Constrained Epinephrine-GTP-Gs/β1/γ2
18.18Single8UNPConstrained Epinephrine8UNP-β2-Constrained Epinephrine-GTP-Gs/β1/γ2
18.18Single8X0DVU04244658X0D-mGlu5; mGlu5-Quisqualate-VU0424465
18.18Single8YH0NECA8YH0-A3A-NECA-Gi1/β1/γ2
18.18Single8YICSAR2477998YIC-S1P1-SAR247799-Gi1/β1/γ2
18.18Single8ZMFPubChem 1719206738ZMF-5-HT2C-PubChem 171920673
18.18Single8ZRKGSK12922638ZRK-GPR119-GSK1292263-Gs/β1/γ2
18.18Single9ARZ2-bromo-LSD9ARZ-5-HT2A-2-bromo-LSD
18.18Single9AVLCa; Ca; Cyclomethyltryptophan; R-568; PO49AVL-CaS; CaS-Ca-Ca; Ca; Cyclomethyltryptophan; R-568; PO4-Gi3/β2/γ2
18.18Single9AXFCa; Ca; Ca; Cyclomethyltryptophan; R-568; PO49AXF-CaS; CaS-Ca-Ca; Ca; Ca; Cyclomethyltryptophan; R-568; PO4-chim(NtGi1-Gs-CtGq)/β1/γ2
18.18Single9AYFCa; Ca; Ca; Cyclomethyltryptophan; R-568; PO49AYF-CaS; CaS-Ca-Ca; Ca; Ca; Cyclomethyltryptophan; R-568; PO4-Gi1/β1/γ2
18.18Single9DYDAsenapine9DYD-5-HT1A-Asenapine-PtdIns4P-Go/β1/γ2
18.18Single9EAHOlmesartan9EAH-AT1-Olmesartan-Nanobody AT209
18.18Single9F33FOB02-04A9F33-D3-FOB02-04A-Go/β1/γ2
18.18Single9I52A1IZU9I52-D1-A1IZU-Gs/β1/γ2
18.18Single9K07DSO-5a9K07-BB3-DSO-5a-chim(NtGi2L-Gs-CtGq)/β1/γ2
18.18Single9KPFSalicin9KPF-TAS2R16-Salicin-Gi1/β1/γ2
18.18Single9KUVCMPD6449KUV-Apelin-CMPD644-Arrestin2
18.18Single9L74S1P d16:19L74-S1P3-S1P d16:1-chim(NtGi2L-Gs-CtGq)/β1/γ2
18.18Single9M8POleic monoethanolamide9M8P-GPR3 ; GPR3-Oleic monoethanolamide-AF64394
18.18Single9VJFBuspirone9VJF-5-HT1A-Buspirone-Gi3/β1/γ2
18.18Consensus5ht1_onOrthosteric Ligand5ht1a_on 5ht1d_on 5ht1e_on 5ht1f_on
18.18Consensus5ht1_on_gpOrthosteric Ligand5ht1a_on_gp 5ht1d_on_gp 5ht1e_on_gp 5ht1f_on_gp
18.18Consensus5ht1e_on_gpOrthosteric Ligand7E33-5-HT1E-BRL-54443-Gi1/β1/γ2 8UGY-5-HT1E-Mianserin-Gi1/β1/γ1 8UH3-5-HT1E-Setiptiline-Gi1/β1/γ1
18.18Consensus5ht5_on_gpOrthosteric Ligand5ht5a_on_gp
18.18Consensus5ht5a_on_gpOrthosteric Ligand7X5H-5-HT5A-5-CT-Gi1/β1/γ2 7UM6-5-HT5A-Lisuride-chim(NtGi1-Go)/β1/γ2 7UM7-5-HT5A-Methylergometrine-chim(NtGi1-Go)/β1/γ2
18.18Consensusa1_offOrthosteric Ligand5UEN-A1-DU172 5N2S-A1-PSB36
18.18Consensusa3_on_gpOrthosteric Liganda3a_on_gp
18.18Consensusa3a_onOrthosteric Ligand8X17-A3A-Namodenoson-Gi1/β1/γ2 8X16-A3A-Piclidenoson-Gi1/β1/γ2
18.18Consensusa3a_on_gpOrthosteric Ligand8X17-A3A-Namodenoson-Gi1/β1/γ2 8X16-A3A-Piclidenoson-Gi1/β1/γ2
18.18Consensusadenosine_offOrthosteric Liganda1_off a2_off
18.18Consensusadrenergic_offOrthosteric Ligandalpha_off beta_off
18.18Consensusadrenergic_on_gpOrthosteric Ligandalpha_on_gp beta_on_gp
18.18Consensusalpha2c_offOrthosteric Ligand6KUW-α2c-PubChem 57213234
18.18Consensusalpha_offOrthosteric Ligandalpha1_off alpha2_off
18.18Consensusbb2_offOrthosteric Ligand7W41-BB2-PD176252
18.18Consensusbb2_onOrthosteric Ligand7W40-BB2-Bombesin-chim(NtGi1L-Gq)/β1/γ2 7W3Z-BB2-Gastrin Releasing Peptide-chim(NtGi1L-Gq)/β1/γ2
18.18Consensusbb2_on_gpOrthosteric Ligand7W40-BB2-Bombesin-chim(NtGi1L-Gq)/β1/γ2 7W3Z-BB2-Gastrin Releasing Peptide-chim(NtGi1L-Gq)/β1/γ2
18.18Consensusblt1_offOrthosteric Ligand5X33-BLT1-BIIL260 7K15-BLT1-MKD046-Na
18.18Consensusblt_offOrthosteric Ligandblt1_off
18.18Consensusbombesin_offOrthosteric Ligandbb2_off
18.18Consensusbombesin_onOrthosteric Ligandbb2_on
18.18Consensusbombesin_on_gpOrthosteric Ligandbb2_on_gp
18.18Consensusd1_onOrthosteric Ligand7F0T-D1-Dopamine-Gs/β1/γ2 7CKY-D1-PW0464-Gs/β1/γ2 8IRR-D1-Rotigotine-Gs/β1/γ2 7JV5-D1-SKF81297-Gs/β1/γ2 7JVP-D1-SKF83959-Gs/β1/γ2 7X2D-D1-Tavapadon-Gs/β1/γ2 7CKX-D1-A77636-Gs/β1/γ2 7JVQ-D1-Apomorphine-Gs/β1/γ2 7CKW-D1-Fenoldopam-Gs/β1/γ2
18.18Consensusd2_onOrthosteric Ligand7JVR-D2-Bromoergocryptine-Gi1/β1/γ2 8IRS-D2-Rotigotine-Gi1/β1/γ2
18.18Consensusd4_onOrthosteric Ligand8IRU-D4-Rotigotine-chim(NtGi1-Gs-CtGi1)/β1/γ2
18.18Consensusgq_bombesinOrthosteric Ligand7W40-BB2-Bombesin-chim(NtGi1L-Gq)/β1/γ2 7W3Z-BB2-Gastrin Releasing Peptide-chim(NtGi1L-Gq)/β1/γ2
18.18Consensush1_offOrthosteric Ligand8X63-H1-Mepyramine 3RZE-H1-Cidoxepin 8X5Y-H1-Astemizole
18.18Consensuslipid_onOrthosteric Ligandcannabinoid_on ffa_on lpl_on prostanoid_on leukotriene_on
18.18Consensuslipid_on_gpOrthosteric Ligandcannabinoid_on_gp ffa_on_gp lpl_on_gp prostanoid_on_gp leukotriene_on_gp
17.95Single8F0JPramlintide Analogue San458F0J-CT-Pramlintide Analogue San45-Gs/β1/γ2
17.86Single6PT2KGCHM076PT2-δ-KGCHM07
17.86Single6VN7PACAP276VN7-VPAC1-PACAP27-Gs/β1/γ2
17.86Single6W25SHU91196W25-MC4-SHU9119-Ca
17.86Single7F4DAlpha-MSH7F4D-MC1-α-MSH-chim(NtGi1-Gs)/β1/γ2
17.86Single8W8YGamma-MSH8W8Y-MC3-γ-MSH-Ca-Gs/β1/γ2
17.86Single8XGUTAK4488XGU-Kiss1-TAK448-Gi1/β1/γ2
17.86Single8XIQL7967788XIQ-SST3-L796778-chim(NtGi1-Gs-CtGi1)/β1/γ2
17.86Single9LXRLA-PTH Analog9LXR-PTH1-LA-PTH Analog-Arrestin2
17.86Consensusclass-b1_class-b2_cons_onOrthosteric Ligandclass-b1_on class-b2_on
17.86Consensusclass-b1_class-b2_cons_on_gpOrthosteric Ligandclass-b1_on_gp class-b2_on_gp
17.86Consensuscxcr4_on_gpOrthosteric Ligand8K3Z-CXCR4-CXCL12-Gi1/β1/γ1
17.86Consensusgi_somatostatinOrthosteric Ligand7WIC-SST2-Somatostatin-14-Gi1/β1/γ2 7XMS-SST4-Somatostatin-14-Gi1/β1/γ2 8X8L-SST5-Cortistatin-14-chim(NtGi1-Gs-CtGi1)/β1/γ2 7XMT-SST4-J-2156-Gi1/β1/γ2 7WIG-SST2-L-054264-Gi1/β1/γ2 8X8N-SST5-Octreotide-chim(NtGi1-Gs-CtGi1)/β1/γ2 7YAE-SST2-Octreotide-Gi1/β1/γ2 7YAC-SST2-Paltusotine-Gi1/β1/γ2
17.86Consensussomatostatin_onOrthosteric Ligandsst2_on sst4_on sst5_on
17.86Consensussomatostatin_on_gpOrthosteric Ligandsst2_on_gp sst4_on_gp sst5_on_gp
17.65Single2HPYAll-trans-Retinal2HPY-Rhodopsin-All-trans-Retinal
17.65Single6OT025(S)-Epoxycholesterol6OT0-SMO-25(S)-Epoxycholesterol-Gi1/β1/γ2
17.65Single7DD5Ca; Ca; Tryptophan; NPS-21437DD5-CaS; CaS-Ca-Ca; Ca; Tryptophan; NPS-2143
17.65Single7TZFAmylin7TZF-CT (AMY3)-Amylin-Gs/β1/γ2; RAMP3
17.65Single7VBHPeptide-207VBH-GLP-1-Peptide-20-Gs/β1/γ2
17.65Single8IWM2-Phenylethylamine8IWM-TAA9-2-Phenylethylamine
17.65Single8XOFLys058XOF-GPR30-Lys05-chim(NtGi1-Gs-CtGq)/β1/γ2
17.65Single9AUCCalcitonin gene-related peptide-19AUC-CT (AMY1)-Calcitonin gene-related peptide-1-Gs/β1/γ2; RAMP1
17.65Single9CHUNorepinephrine9CHU-β2-Norepinephrine
17.65Single9EE9Adenosine9EE9-A2A-Adenosine-Gs/β1/γ2
17.65Consensusopsins_onOrthosteric Ligandrhodopsin_on opsin1lw_on
17.65Consensussensory_onOrthosteric Ligandopsins_on
17.50Consensuspth_on_gpOrthosteric Ligandpth1_on_gp pth2_on_gp
17.39Single4LDLHydroxybenzyl Isoproterenol4LDL-β2-Hydroxybenzyl Isoproterenol
17.39Single4OO9Mavoglurant4OO9-mGlu5-Mavoglurant
17.39Single4Z34ONO-97803074Z34-LPA1-ONO-9780307
17.39Single5V54Methiothepin5V54-5-HT1B-Methiothepin
17.39Single5V56TC1145V56-SMO-TC114
17.39Single5V57TC1145V57-SMO-TC114
17.39Single5ZHPPubChem 1348285895ZHP-M3-PubChem 134828589
17.39Single6H7JIsoprenaline6H7J-β1-Isoprenaline
17.39Single6N48BI1671076N48-β2-BI167107-PubChem 138454256
17.39Single7E2ZAripiprazole7E2Z-5-HT1A-Aripiprazole-PtdIns4P-Gi1/β1/γ2
17.39Single7JJOIsoprenaline7JJO-β1-Isoprenaline-Gs/β1/γ2
17.39Single7JVPSKF839597JVP-D1-SKF83959-Gs/β1/γ2
17.39Single7TUYGSK682753A7TUY-GPR183-GSK682753A
17.39Single7VIGCBP-3077VIG-S1P1-CBP-307-Gi1/β1/γ2
17.39Single7XTQR3997XTQ-GPBA-R399-Gs/β1/γ2
17.39Single7XY7NECA7XY7-A2B-NECA-chim(NtGi1-Gs)/β1/γ2
17.39Single8DCSCyanopindolol8DCS-β1-Cyanopindolol-Gs/β1/γ2
17.39Single8IRURotigotine8IRU-D4-Rotigotine-chim(NtGi1-Gs-CtGi1)/β1/γ2
17.39Single8IRVRotigotine8IRV-D5-Rotigotine-chim(NtGi1-Gs)/β1/γ2
17.39Single8IYHMK68928IYH-HCA2-MK6892-Go/β1/γ2
17.39Single8JLPRalmitaront8JLP-TA1-Ralmitaront-Gs/β1/γ2
17.39Single8JT6(R)-IHCH-71798JT6-5-HT1A-(R)-IHCH-7179-PtdIns4P-Gi1/β1/γ2
17.39Single8TAOCDPPB8TAO-mGlu5; mGlu5-Quisqualate-CDPPB
17.39Single8VVEnorBNI8VVE-κ-norBNI-Gi1/β1/γ2
17.39Single8VVFJDTic8VVF-κ-JDTic-Gi1/β1/γ2
17.39Single8X0BVU04244658X0B-mGlu5; mGlu5-Quisqualate-VU0424465
17.39Single8X0FVU298X0F-mGlu5; mGlu5-Quisqualate-VU29
17.39Single8XVLZibotentan8XVL-ETA-Zibotentan
17.39Single9AS9RS130-1809AS9-5-HT2A-RS130-180
17.39Single9ASARS130-1809ASA-5-HT2A-RS130-180-chim(NtGi1-Gs-CtGq)/β1/γ2
17.39Single9AYFCa; Ca; Ca; Cyclomethyltryptophan; R-568; PO49AYF-CaS; CaS-Ca-Ca; Ca; Ca; Cyclomethyltryptophan; R-568; PO4-Gi1/β1/γ2
17.39Single9IJDCarazolol9IJD-β3-Carazolol-chim(NtGi1-Gs)/β1/γ2
17.39Single9IK9Lanreotide9IK9-SST1-Lanreotide-Gi1/β1/γ2
17.39Single9KUXCMPD6449KUX-Apelin; Apelin-CMPD644-Arrestin2
17.39Single9PY3Loperamide9PY3-μ-Loperamide-GDPβS-Gi1/β1/γ2
17.39Single9PY4Loperamide9PY4-μ-Loperamide-GDPβS-Gi1/β1/γ2
17.39Single9UCPIperoxo9UCP-M1-Iperoxo-G11(CT)
17.39Consensus5ht1_offOrthosteric Ligand5ht1b_off
17.39Consensus5ht1b_offOrthosteric Ligand5V54-5-HT1B-Methiothepin
17.39Consensusbeta2_onOrthosteric Ligand7DHI-β2-Salbutamol-Gs/β1/γ2 6NI3-β2-BI167107-Gs/β1/γ2
17.39Consensusbeta2_on_gpOrthosteric Ligand7DHI-β2-Salbutamol-Gs/β1/γ2 6NI3-β2-BI167107-Gs/β1/γ2
17.39Consensusd4_on_gpOrthosteric Ligand8IRU-D4-Rotigotine-chim(NtGi1-Gs-CtGi1)/β1/γ2
17.39Consensusd5_on_gpOrthosteric Ligand8IRV-D5-Rotigotine-chim(NtGi1-Gs)/β1/γ2
17.39Consensusgi_5htOrthosteric Ligand8FYT-5-HT1A-LSD-PtdIns4P-Gi1/β1/γ1 7UM7-5-HT5A-Methylergometrine-chim(NtGi1-Go)/β1/γ2 8UGY-5-HT1E-Mianserin-Gi1/β1/γ1 8W8B-5-HT1A-SEP-363856-Gi1/β1/γ2 7E2Y-5-HT1A-Serotonin-PtdIns4P-Gi1/β1/γ2 7E32-5-HT1D-Serotonin-Gi1/β1/γ2 7XTA-5-HT4-Serotonin-Gi1/β1/γ2 8UH3-5-HT1E-Setiptiline-Gi1/β1/γ1 8JSP-5-HT1A-Ulotaront-Gi1/β1/γ2 8FYL-5-HT1A-Vilazodone-PtdIns4P-Gi1/β1/γ1 8JT6-5-HT1A-(R)-IHCH-7179-PtdIns4P-Gi1/β1/γ2 8FYE-5-HT1A-4-F,5-MeO-PyrT-PtdIns4P-Gi1/β1/γ1 7X5H-5-HT5A-5-CT-Gi1/β1/γ2 8FY8-5-HT1A-5-MeO-DMT-PtdIns4P-Gi1/β1/γ1 7E2Z-5-HT1A-Aripiprazole-PtdIns4P-Gi1/β1/γ2 7E33-5-HT1E-BRL-54443-Gi1/β1/γ2 8FYX-5-HT1A-Buspirone-PtdIns4P-Gi1/β1/γ1 7EXD-5-HT1F-Lasmiditan-Gi1/β1/γ2 7UM6-5-HT5A-Lisuride-chim(NtGi1-Go)/β1/γ2
17.39Consensusgi_dopamineOrthosteric Ligand7JVR-D2-Bromoergocryptine-Gi1/β1/γ2 7CMV-D3-PD128907-Gi1/β1/γ2 7CMU-D3-Pramipexole-Gi1/β1/γ2 8IRS-D2-Rotigotine-Gi1/β1/γ2 8IRT-D3-Rotigotine-Gi1/β1/γ2
17.39Consensusgs_adrenergicOrthosteric Ligand7DHI-β2-Salbutamol-Gs/β1/γ2 7XJI-β3-Solabegron-Gs/β1/γ2 7JJO-β1-Isoprenaline-Gs/β1/γ2 6NI3-β2-BI167107-Gs/β1/γ2 8DCR-β1-Dobutamine-Gs/β1/γ2 7XJH-β3-Isoprenaline-Gs/β1/γ2 7DH5-β3-Mirabegron-Gs/β1/γ2
17.39Consensusm3_offOrthosteric Ligand4U15-M3-Tiotropium 4U16-M3-N-methyl-Scopolamine 5ZHP-M3-PubChem 134828589
17.39Consensusprotein_offOrthosteric Ligandchemokine_off grh_off
17.24Single5WB2CX3CL1.355WB2-US28-CX3CL1.35
17.24Single6WIVPubChem 52923113; PubChem 529246456WIV-GABAB1, GABAB2-PubChem 52923113; PubChem 52924645
17.24Single7AD3Alpha-factor mating pheromone7AD3-STE2; STE2-α-factor mating pheromone-Gi1/STE4/γ2
17.24Single7F4HAfamelanotide7F4H-MC1-Afamelanotide-chim(NtGi1-Gs)/β1/γ2
17.24Single7F6G(Sar1)-Angiotensin II7F6G-AT1-(Sar1)-Angiotensin II-Gq/β1/γ2
17.24Single7TYIAmylin7TYI-CT-Amylin-Gs/β1/γ2
17.24Single7V9MSomatoliberin7V9M-GHRH (SV1)-Somatoliberin-Gs/β1/γ2
17.24Single8H4KGW95088H4K-FFA4-GW9508-chim(NtGi1-Gs-CtGq)/β1/γ2
17.24Single8HA0PTH8HA0-PTH1-PTH-chim(NtGi1-Gs)/β1/γ2
17.24Single8IHFMK68928IHF-HCA2-MK6892-Gi1/β1/γ2
17.24Single8J6IMK68928J6I-HCA2-MK6892-Gi1/β1/γ2
17.24Single8WSTMCH8WST-MCH2-MCH-chim(NtGi1L-Gs-CtGq)/β1/γ2
17.24Single8X8LCortistatin-148X8L-SST5-Cortistatin-14-chim(NtGi1-Gs-CtGi1)/β1/γ2
17.24Single8ZBISomatostatin-148ZBI-SST3-Somatostatin-14-Gi1/β1/γ2
17.24Single9BKKCholecystokinin-89BKK-CCKA-Cholecystokinin-8-chim(NtGi1-Gs-CtGq)/β1/γ2
17.24Single9BLCCagrilintide (non-acylated)9BLC-CT-Cagrilintide (non-acylated)-Gs/β1/γ2
17.24Single9BUDCagrilintide9BUD-CT-Cagrilintide-Gs/β1/γ2
17.24Single9EBOGLP-1 (ACPC18)9EBO-GLP-1-GLP-1 (ACPC18)-Gs/β1/γ2
17.24Consensusangiotensin_on_gpOrthosteric Ligandat1_on_gp
17.24Consensusat1_on_gpOrthosteric Ligand7F6G-AT1-(Sar1)-Angiotensin II-Gq/β1/γ2
17.24Consensusgi_class-aOrthosteric Ligandgi_peptide gi_sensory gi_alicarboxylic gi_amine gi_lipid gi_nucleotide gi_protein
17.24Consensusgq_angiotensinOrthosteric Ligand7F6G-AT1-(Sar1)-Angiotensin II-Gq/β1/γ2
17.14Single7V35Peptide-207V35-Glucagon-Peptide-20-Gs/β1/γ2
17.14Consensuscrf_on_gpOrthosteric Ligandcrf2_on_gp crf1_on_gp
17.14Consensusglp1_on_gpOrthosteric Ligand7S1M-GLP-1-Exendin-4-D-Ala-Gs/β1/γ2 7X8R-GLP-1-BOC5-Gs/β1/γ2 6X19-GLP-1-CHU-128-Gs/β1/γ2 6X1A-GLP-1-Danuglipron-Gs/β1/γ2 6X18-GLP-1-GLP-1-Gs/β1/γ2 8JIP-GLP-1-MEDI0382-chim(NtGi1-Gs)/β1/γ2 7C2E-GLP-1-PubChem 149050799-Gs/β1/γ2 7KI0-GLP-1-Semaglutide-Gs/β1/γ2 7KI1-GLP-1-Taspoglutide-Gs/β1/γ2 7X8S-GLP-1-WB4-24-Gs/β1/γ2 8JIS-GLP-1-Peptide-15-chim(NtGi1-Gs)/β1/γ2 7VBI-GLP-1-Tirzepatide (non-acylated)-Gs/β1/γ2
16.67Single2YCXCyanopindolol2YCX-β1-Cyanopindolol
16.67Single3C9M11-cis-Retinal3C9M-Rhodopsin-11-cis-Retinal
16.67Single3OE6IT1t3OE6-CXCR4-IT1t
16.67Single3PQRAll-trans-Retinal3PQR-Rhodopsin-All-trans-Retinal-Gt(CT)
16.67Single4LDEBI1671074LDE-β2-BI167107
16.67Single4PXFOctyl-Beta-D-Glucopyranoside4PXF-Rhodopsin-Octyl-β-D-Glucopyranoside-Arrestin1 Finger Loop
16.67Single4RWADIPP-NH24RWA-δ-DIPP-NH2
16.67Single5F8UCyanopindolol5F8U-β1-Cyanopindolol
16.67Single5UNHPubChem 1264564065UNH-AT2-PubChem 126456406
16.67Single5YQZNNC17025YQZ-Glucagon-NNC1702
16.67Single6DRYMethylergometrine6DRY-5-HT2B-Methylergometrine
16.67Single6VMSBromoergocryptine6VMS-D2-Bromoergocryptine-Gi1/β1/γ2
16.67Single6X18GLP-16X18-GLP-1-GLP-1-Gs/β1/γ2
16.67Single7D77Hydrocortisone7D77-ADGRG3-Hydrocortisone-Go/β1/γ2
16.67Single7DH5Mirabegron7DH5-β3-Mirabegron-Gs/β1/γ2
16.67Single7EO4Siponimod7EO4-S1P1-Siponimod-Gi1/β1/γ2
16.67Single7EPENAM5637EPE-mGlu2-NAM563
16.67Single7EW2FTY720-P7EW2-S1P3-FTY720-P-Gi1/β1/γ2
16.67Single7F6HBradykinin7F6H-BK2-Bradykinin-Gq/β1/γ2
16.67Single7F6IKallidin7F6I-BK2-Kallidin-Gq/β1/γ2
16.67Single7K15MKD0467K15-BLT1-MKD046-Na
16.67Single7MT9All-trans-Retinal7MT9-Rhodopsin-All-trans-Retinal-GRK1
16.67Single7MTAAll-trans-Retinal7MTA-Rhodopsin-All-trans-Retinal-GRK1
16.67Single7TYWCalcitonin-17TYW-CT (AMY1)-Calcitonin-1-Gs/β1/γ2; RAMP1
16.67Single7W0LPubChem 1227019087W0L-Apelin; Apelin-PubChem 122701908-Gi1/β1/γ2
16.67Single7WCNAR2314537WCN-GPR119-AR231453-Gs/β1/γ2
16.67Single7YMJTamsulosin7YMJ-Alpha1A-Tamsulosin
16.67Single8GGEConstrained Epinephrine8GGE-β2-Constrained Epinephrine-GTP-Gs/β1/γ2
16.67Single8GGFConstrained Epinephrine8GGF-β2-Constrained Epinephrine-GTP-Gs/β1/γ2
16.67Single8GH1Constrained Epinephrine8GH1-β2-Constrained Epinephrine
16.67Single8IA8E7 peptide8IA8-C3aB-E7 peptide-Gi1/β1/γ2
16.67Single8ID9Icosapent8ID9-FFA4-Icosapent-Gi1/β1/γ2
16.67Single8ITFDMCHA8ITF-TAA9-DMCHA-chim(NtGi1-Gs)/β1/γ2
16.67Single8IU2All-trans-Retinal8IU2-Opsin1LW-All-trans-Retinal-Gi1/β1/γ2
16.67Single8IW72-Phenylethylamine8IW7-TAA9-2-Phenylethylamine-chim(NtGi1-Gs)/β1/γ2
16.67Single8J6DEP1418J6D-C3aB-EP141-Go/β1/γ2
16.67Single8JEFPubChem 113671668JEF-HCA3-PubChem 11367166-Gi1/β1/γ2
16.67Single8JJ8Arformoterol8JJ8-β2-Arformoterol
16.67Single8JWY2-1188JWY-A2A-2-118
16.67Single8JXTHistamine8JXT-H4-Histamine-PO4-Gi1/β1/γ2
16.67Single8POKHistamine8POK-H2-Histamine-Gs/β1/γ2
16.67Single8W1VPubChem 1717162658W1V-β2-PubChem 171716265
16.67Single8WWKMCH8WWK-MCH1-MCH-Gi1/β1/γ2
16.67Single8WWMMCH8WWM-MCH1-MCH-Gi1/β1/γ2
16.67Single8X8NOctreotide8X8N-SST5-Octreotide-chim(NtGi1-Gs-CtGi1)/β1/γ2
16.67Single8XGOTAK4488XGO-Kiss1-TAK448-chim(NtGi1-Gq)/β1/γ2
16.67Single8YG4LA-PTH Analog8YG4-PTH1-LA-PTH Analog-chim(NtGi1-Gs)/β1/γ2
16.67Single8ZRTEndothelin-18ZRT-ETB-Endothelin-1
16.67Single9E2AGLP-19E2A-GLP-1-GLP-1-Gs/β1/γ2
16.67Single9GL2Befiradol9GL2-5-HT1A-Befiradol-Gs/β1/γ2
16.67Single9IJRC179IJR-GPR52-C17-Arrestin2
16.67Single9IV15alpha-DHT9IV1-ADGRD1-5α-DHT-chim(NtGi1-Gs)/β1/γ2
16.67Single9JG1Adriforant9JG1-H4-Adriforant
16.67Single9JKT(2R)-2-hydroxy-3-phenylpropanoic acid9JKT-HCA3-(2R)-2-hydroxy-3-phenylpropanoic acid-Gi1/β1/γ2
16.67Single9VJ6F-155999VJ6-5-HT1A-F-15599-Gi3/β1/γ2
16.67Single9WXMGPR15L(CT)9WXM-GPR15-GPR15L(CT)-Gi3/β1/γ2
16.67Consensus5ht1a_onOrthosteric Ligand8FYT-5-HT1A-LSD-PtdIns4P-Gi1/β1/γ1 7E2Y-5-HT1A-Serotonin-PtdIns4P-Gi1/β1/γ2 7E2Z-5-HT1A-Aripiprazole-PtdIns4P-Gi1/β1/γ2 8FYX-5-HT1A-Buspirone-PtdIns4P-Gi1/β1/γ1 8JSP-5-HT1A-Ulotaront-Gi1/β1/γ2 8JT6-5-HT1A-(R)-IHCH-7179-PtdIns4P-Gi1/β1/γ2 8FY8-5-HT1A-5-MeO-DMT-PtdIns4P-Gi1/β1/γ1 8FYE-5-HT1A-4-F,5-MeO-PyrT-PtdIns4P-Gi1/β1/γ1 8FYL-5-HT1A-Vilazodone-PtdIns4P-Gi1/β1/γ1
16.67Consensus5ht1a_on_gpOrthosteric Ligand8FYT-5-HT1A-LSD-PtdIns4P-Gi1/β1/γ1 8FYX-5-HT1A-Buspirone-PtdIns4P-Gi1/β1/γ1 8JSP-5-HT1A-Ulotaront-Gi1/β1/γ2 8JT6-5-HT1A-(R)-IHCH-7179-PtdIns4P-Gi1/β1/γ2 7E2Y-5-HT1A-Serotonin-PtdIns4P-Gi1/β1/γ2 7E2Z-5-HT1A-Aripiprazole-PtdIns4P-Gi1/β1/γ2 8FY8-5-HT1A-5-MeO-DMT-PtdIns4P-Gi1/β1/γ1 8FYE-5-HT1A-4-F,5-MeO-PyrT-PtdIns4P-Gi1/β1/γ1 8FYL-5-HT1A-Vilazodone-PtdIns4P-Gi1/β1/γ1
16.67Consensus5ht2_onOrthosteric Ligand5ht2b_on
16.67Consensus5ht2b_onOrthosteric Ligand7SRR-5-HT2B-LSD-chim(NtGi2L-Gs-CtGq)/β1/γ2
16.67Consensusalpha1_offOrthosteric Ligandalpha1a_off
16.67Consensusalpha1a_offOrthosteric Ligand7YMJ-Alpha1A-Tamsulosin
16.67Consensusbeta_onOrthosteric Ligandbeta1_on beta2_on beta3_on
16.67Consensusbeta_on_gpOrthosteric Ligandbeta1_on_gp beta2_on_gp beta3_on_gp
16.67Consensuscalcitonin_onOrthosteric Ligandctlike_on
16.67Consensuschemokine_offOrthosteric Ligandccr_off cxcr_off
16.67Consensusclass-a_class-b1_cons_on_gpOrthosteric Ligandclass-a_on_gp class-b1_on_gp
16.67Consensuscxcr_offOrthosteric Ligandcxcr3_off cxcr4_off
16.67Consensusd2_on_gpOrthosteric Ligand7JVR-D2-Bromoergocryptine-Gi1/β1/γ2 8IRS-D2-Rotigotine-Gi1/β1/γ2
16.67Consensusgi_opsinsOrthosteric Ligand8IU2-Opsin1LW-All-trans-Retinal-Gi1/β1/γ2
16.67Consensusgi_sensoryOrthosteric Ligandgi_opsins
16.67Consensush2_on_gpOrthosteric Ligand8POK-H2-Histamine-Gs/β1/γ2
16.67Consensuskop_onOrthosteric Ligand8F7W-κ-Dynorphin-Gi1/β1/γ2 8DZS-κ-GR89,696-chim(NtGi2-Gz)/β1/γ2 8DZP-κ-momSalB-Gi1/β1/γ2
16.67Consensuslpa1_offOrthosteric Ligand4Z36-LPA1-ONO-3080573 4Z35-LPA1-ONO-9910539 4Z34-LPA1-ONO-9780307
16.67Consensuslpa_offOrthosteric Ligandlpa1_off
16.67Consensusm4_onOrthosteric Ligand7TRS-M4-Acetylcholine-Gi1/β1/γ2 7V6A-M4-PubChem 9864275-Gi1/β1/γ2 8E9X-M4-2-Deoxycytidine-chim(NtGi1-Go)/β1/γ2 7TRK-M4-Iperoxo-Gi1/β1/γ2
16.67Consensusm4_on_gpOrthosteric Ligand7TRS-M4-Acetylcholine-Gi1/β1/γ2 7V6A-M4-PubChem 9864275-Gi1/β1/γ2 8E9X-M4-2-Deoxycytidine-chim(NtGi1-Go)/β1/γ2 7TRK-M4-Iperoxo-Gi1/β1/γ2
16.67Consensusnk1_offOrthosteric Ligand6HLP-NK1-Netupitant 6HLO-NK1-Aprepitant 6HLL-NK1-CP99994 6E59-NK1-L-760735
16.67Consensusopioid_onOrthosteric Ligandmop_on nop_on dop_on kop_on
16.67Consensusopsin1lw_onOrthosteric Ligand8IU2-Opsin1LW-All-trans-Retinal-Gi1/β1/γ2
16.67Consensusopsin1lw_on_gpOrthosteric Ligand8IU2-Opsin1LW-All-trans-Retinal-Gi1/β1/γ2
16.67Consensusopsins_on_gpOrthosteric Ligandrhodopsin_on_gp opsin1lw_on_gp
16.67Consensuspac_onOrthosteric Ligandpac1_on
16.67Consensusrhodopsin_onOrthosteric Ligand6OYA-Rhodopsin-All-trans-Retinal-Gt/β1/γ1
16.67Consensussensory_on_gpOrthosteric Ligandopsins_on_gp
16.67Consensussst5_on_gpOrthosteric Ligand8X8L-SST5-Cortistatin-14-chim(NtGi1-Gs-CtGi1)/β1/γ2 8X8N-SST5-Octreotide-chim(NtGi1-Gs-CtGi1)/β1/γ2
16.67Consensusvpac_onOrthosteric Ligandvpac1_on vpac2_on
16.22Single6E3YCalcitonin gene-related peptide-16E3Y-CT Like-Calcitonin gene-related peptide-1-Gs/β1/γ2; RAMP1
16.22Consensusgluc_onOrthosteric Ligand6LMK-Glucagon-Glucagon-Gs/β1/γ2 8JIT-Glucagon-MEDI0382-Gs/β1/γ2 7V35-Glucagon-Peptide-20-Gs/β1/γ2
16.22Consensuspth_onOrthosteric Ligandpth1_on pth2_on
16.13Single7F8VGastrin-177F8V-CCKB-Gastrin-17-Gi2/β1/γ2
16.13Single7KI0Semaglutide7KI0-GLP-1-Semaglutide-Gs/β1/γ2
16.13Single7RA3GIP7RA3-GIP-GIP-chim(NtGi1-Gs)/β1/γ2
16.13Single8FLRPTHrP(1-36)8FLR-PTH1-PTHrP(1-36)-Gs/β1/γ2
16.13Single9BLWCagrilintide (non-acylated)9BLW-CT (AMY1)-Cagrilintide (non-acylated)-Gs/β1/γ2; RAMP1
16.13Single9BP3Cagrilintide9BP3-CT (AMY1)-Cagrilintide-Gs/β1/γ2; RAMP1
16.13Consensuscalcitonin_on_gpOrthosteric Ligandctlike_on_gp
16.13Consensusopioid_on_gpOrthosteric Ligandmop_on_gp nop_on_gp dop_on_gp kop_on_gp
16.13Consensuspac_on_gpOrthosteric Ligandpac1_on_gp
16.13Consensusvpac_on_gpOrthosteric Ligandvpac1_on_gp vpac2_on_gp
16.00Single4Z35ONO-99105394Z35-LPA1-ONO-9910539
16.00Single5TUDErgotamine5TUD-5-HT2B-Ergotamine
16.00Single6IBLArformoterol6IBL-β1-Arformoterol
16.00Single6K1QIRL25006K1Q-ETB-IRL2500
16.00Single6KPGAM8416KPG-CB1-AM841-Gi1/β1/γ2
16.00Single6TKOArformoterol6TKO-β1-Arformoterol-Arrestin2
16.00Single7JVRBromoergocryptine7JVR-D2-Bromoergocryptine-Gi1/β1/γ2
16.00Single7VVNPTH7VVN-PTH1-PTH-Gs/β1/γ2
16.00Single7XZ6APD6687XZ6-GPR119-APD668-Gs/β1/γ2
16.00Single7Y27Somatostatin-147Y27-SST2-Somatostatin-14-chim(NtGi2L-Gs-CtGq)/β1/γ2
16.00Single8I95EP548I95-C3aB-EP54-Go/β1/γ2
16.00Single8IYSTUG-8918IYS-FFA4-TUG-891-GDP-chim(NtGi1L-Gq)/β1/γ2
16.00Single8K2XCXCL108K2X-CXCR3-CXCL10-Gi1/β1/γ2
16.00Single9C0KExendin-49C0K-GLP-1-Exendin-4-Gs/β1/γ2
16.00Single9EAILosartan9EAI-AT1-Losartan-Nanobody AT209
16.00Single9KUGEP679KUG-C5a1-EP67-Go/β1/γ2
16.00Single9L79AR2314539L79-GPR119-AR231453-chim(NtGi1-Gs)/β1/γ2
16.00Consensuscck_onOrthosteric Ligandccka_on cckb_on
16.00Consensuscck_on_gpOrthosteric Ligandccka_on_gp cckb_on_gp
16.00Consensusnucleotide_on_gpOrthosteric Ligandadenosine_on_gp p2y_on_gp
16.00Consensuspeptide_offOrthosteric Ligandcck_off angiotensin_off bombesin_off endothelin_off ghrelin_off npy_off opioid_off orexin_off somatostatin_off tachykinin_off vasop-oxy_off neurotensin_off
15.79Single1L9H11-cis-Retinal1L9H-Rhodopsin-11-cis-Retinal
15.79Single1U1911-cis-Retinal1U19-Rhodopsin-11-cis-Retinal
15.79Single2G87All-trans-Retinal2G87-Rhodopsin-All-trans-Retinal
15.79Single2I3511-cis-Retinal2I35-Rhodopsin-11-cis-Retinal
15.79Single3OE9IT1t3OE9-CXCR4-IT1t
15.79Single5TE520-Methanoretinal5TE5-Rhodopsin-20-Methanoretinal
15.79Single7D76Beclomethasone7D76-ADGRG3-Beclomethasone-Go/β1/γ2
15.79Single7DD7Ca; Ca; Tryptophan; Evocalcet7DD7-CaS; CaS-Ca-Ca; Ca; Tryptophan; Evocalcet
15.79Single7DFLHistamine7DFL-H1-Histamine-chim(NtGi1L-Gq)/β1/γ2
15.79Single7E2YSerotonin7E2Y-5-HT1A-Serotonin-PtdIns4P-Gi1/β1/γ2
15.79Single7SRQLSD7SRQ-5-HT2B-LSD
15.79Single7V68Iperoxo7V68-M4-Iperoxo-LY2119620-Gi1/β1/γ2
15.79Single7VUIJNJ-635330547VUI-GPR139-JNJ-63533054-GTP-chim(Gs-CtGq)/β1/γ2
15.79Single7XP6Strychnine7XP6-TAS2R46-Strychnine-chim(Gs-CtGt3)/β1/γ2
15.79Single7XT9Serotonin7XT9-5-HT4-Serotonin-Gs/β1/γ2
15.79Single7XTASerotonin7XTA-5-HT4-Serotonin-Gi1/β1/γ2
15.79Single8DPFLorcaserin8DPF-5-HT2C-Lorcaserin-chim(NtGi2L-Gs-CtGq)/β1/γ2
15.79Single8GGYConstrained Epinephrine8GGY-β2-Constrained Epinephrine
15.79Single8JPNCis-Epoxysuccinic acid8JPN-Succinate-Cis-Epoxysuccinic acid-Gi1/β1/γ1
15.79Single8UO3Constrained Epinephrine8UO3-β2-Constrained Epinephrine-GTP; Mg-Gs/β1/γ2
15.79Single8WP1Cis-Epoxysuccinic acid8WP1-Succinate-Cis-Epoxysuccinic acid-Gi1/β1/γ2
15.79Single8WPUTryptophan; Cinacalcet; PO4; Ca8WPU-CaS; CaS-Tryptophan; Cinacalcet; PO4; Ca-chim(NtGi2L-Gs-CtGq)/β1/γ2
15.79Single8YH3N-methyladenosine8YH3-A3A-N-methyladenosine-Gi1/β1/γ2
15.79Single8YN4Histamine8YN4-H2-Histamine-chim(NtGi1L-Gs-CtGq)/β1/γ2
15.79Single8ZX5AM2518ZX5-GPR55-AM251-chim(NtGi1-G13)/β1/γ2
15.79Single9AS2DMT9AS2-5-HT2A-DMT-chim(NtGi1-Gs-CtGq)/β1/γ2
15.79Single9C1PCa; Tryptophan; '6218; PO49C1P-CaS; CaS-Ca-Ca; Tryptophan; '6218; PO4
15.79Single9EPRAll-trans-Retinal9EPR-Rhodopsin-All-trans-Retinal-Gi1/β1/γ2
15.79Single9IJEEpinephrine9IJE-β3-Epinephrine-chim(NtGi1-Gs)/β1/γ2
15.79Single9IXJHistamine9IXJ-H2-Histamine-Gs/β1/γ2
15.79Single9IZDCHBA9IZD-HCA1-CHBA-Gi1/β1/γ2
15.79Single9LMPNE52-QQ579LMP-GPR4-NE52-QQ57
15.79Consensus5ht4_onOrthosteric Ligand7XTA-5-HT4-Serotonin-Gi1/β1/γ2
15.79Consensus5ht4_on_gpOrthosteric Ligand7XTA-5-HT4-Serotonin-Gi1/β1/γ2
15.79Consensusadgrg_onOrthosteric Ligandadgrg2_on adgrg4_on
15.79Consensusadgrg_on_gpOrthosteric Ligandadgrg2_on_gp adgrg4_on_gp
15.79Consensusgluc_on_gpOrthosteric Ligand6LMK-Glucagon-Glucagon-Gs/β1/γ2 8JIT-Glucagon-MEDI0382-Gs/β1/γ2 7V35-Glucagon-Peptide-20-Gs/β1/γ2
15.79Consensush1_onOrthosteric Ligand7DFL-H1-Histamine-chim(NtGi1L-Gq)/β1/γ2
15.79Consensusmc2_onOrthosteric Ligand8GY7-MC2-Corticotropin-Ca-chim(NtGi1-Gs)/β1/γ2; MRAP1
15.79Consensusmc2_on_gpOrthosteric Ligand8GY7-MC2-Corticotropin-Ca-chim(NtGi1-Gs)/β1/γ2; MRAP1
15.62Single6UVAAdrenomedullin-26UVA-CT Like (AM2)-Adrenomedullin-2-Gs/β1/γ2; RAMP3
15.62Single7DTYGIP7DTY-GIP-GIP-Gs/β1/γ2
15.62Single7F53Alpha-MSH7F53-MC4-α-MSH-Gs/β1/γ2
15.62Single7FIYTirzepatide7FIY-GIP-Tirzepatide-Gs/β1/γ2
15.62Single7TYNCalcitonin-17TYN-CT-Calcitonin-1-Gs/β1/γ2
15.62Single7VVKPTH7VVK-PTH1-PTH-Gs/β1/γ2
15.62Single7XATSomatostatin-147XAT-SST2-Somatostatin-14-Gi1/β1/γ2
15.62Single8FEG(DNCP)-Beta-Naloxamine8FEG-κ-(DNCP)-β-Naloxamine-Gi1/β1/γ2
15.62Single8W8XBeta-MSH8W8X-MC3-β-MSH-Ca-Gs/β1/γ2
15.62Single8WWLMCH8WWL-MCH1-MCH-Gi1/β1/γ2
15.62Single8ZH8QRFP268ZH8-QRFP-QRFP26-Gq/β1/γ1
15.62Single8ZJGChemerin8ZJG-CML1-Chemerin-Gi1/β1/γ2
15.62Single9KDFRES-701-39KDF-ETB-RES-701-3
15.62Consensusglp2_onOrthosteric Ligand7D68-GLP-2-GLP-2-Gs/β1/γ2
15.62Consensusglp2_on_gpOrthosteric Ligand7D68-GLP-2-GLP-2-Gs/β1/γ2
15.62Consensusgq_peptideOrthosteric Ligandgq_cck gq_kisspeptin gq_bradykinin gq_bombesin gq_angiotensin
15.38Single6G79Donitriptan6G79-5-HT1B-Donitriptan-Go/β1/γ2
15.38Single7AUESetmelanotide7AUE-MC4-Setmelanotide-chim(NtGi1L-Gs)/β1/γ2
15.38Single7F16TIP397F16-PTH2-TIP39-Gs/β1/γ2
15.38Single7RKFCX3CL17RKF-US28-CX3CL1-GDP-chim(NtGi1-G11)/β1/γ2
15.38Single7RKNCX3CL17RKN-US28-CX3CL1-Gi1/β1/γ2
15.38Single7T11Octreotide7T11-SST2-Octreotide-Gi3/β1/γ2
15.38Single7XN9L-0545227XN9-SST2-L-054522
15.38Single7YAEOctreotide7YAE-SST2-Octreotide-Gi1/β1/γ2
15.38Single8XZFWN5618XZF-Apelin; Apelin-WN561-Gi1/β1/γ2
15.38Single9JF4PD1683689JF4-BB1-PD168368
15.38Single9MD1Buspirone9MD1-5-HT1A-Buspirone-PtdIns4P-Gz/β1/γ2
15.38Single9UMJEP549UMJ-C3aB-EP54-Go/β1/γ2
15.38Consensuscxcr_on_gpOrthosteric Ligandcxcr3_on_gp cxcr4_on_gp cxcr1_on_gp cxcr2_on_gp
15.38Consensusgq_cckOrthosteric Ligand8IA7-CCKB-Cholecystokinin-8-chim(NtGi1L-Gq)/β1/γ2 7XOW-CCKB-Sulfated Gastrin-(10-17)-chim(NtGi1-Gq)/β1/γ2 7EZM-CCKA-Cholecystokinin-8-chim(NtGsL-Gq)/β1/γ2 7F8W-CCKB-Gastrin-17-chim(NtGsL-Gq)/β1/γ2
15.38Consensusox2_onOrthosteric Ligand7L1V-OX2-PubChem 155491009-chim(NtGi1-Gs-CtGq)/β1/γ2 7SQO-OX2-TAK-925-Gi1/β1/γ2 7L1U-OX2-Orexin-chim(NtGi1-Gs-CtGq)/β1/γ2
15.38Consensusox2_on_gpOrthosteric Ligand7L1V-OX2-PubChem 155491009-chim(NtGi1-Gs-CtGq)/β1/γ2 7SQO-OX2-TAK-925-Gi1/β1/γ2 7L1U-OX2-Orexin-chim(NtGi1-Gs-CtGq)/β1/γ2
15.15Single6IGLIRL16206IGL-ETB-IRL1620
15.15Single6LMKGlucagon6LMK-Glucagon-Glucagon-Gs/β1/γ2
15.15Single6PB1Urocortin6PB1-CRF2-Urocortin-chim(NtGi1-Gs)/β1/γ2
15.15Single6UUSAdrenomedullin6UUS-CT Like (AM2)-Adrenomedullin-Gs/β1/γ2; RAMP3
15.15Single7VVLPTH7VVL-PTH1-PTH-Gs/β1/γ2
15.15Single8F0KPramlintide Analogue San3858F0K-CT (AMY3)-Pramlintide Analogue San385-Gs/β1/γ2; RAMP3
15.15Single8HAFPTHrP(1-36)8HAF-PTH1-PTHrP(1-36)-chim(NtGi1-Gs)/β1/γ2
15.15Single8WWNMCH8WWN-MCH1-MCH-Gi1/β1/γ2
15.15Single8Y52BA18Y52-BB3-BA1-chim(NtGi1-Gs-CtGq)/β1/γ2
15.15Single9BTWCagrilintide9BTW-CT (AMY3)-Cagrilintide-Gs/β1/γ2; RAMP3
15.15Consensusgs_melanocortinOrthosteric Ligand7F4H-MC1-Afamelanotide-chim(NtGi1-Gs)/β1/γ2 7F54-MC4-Afamelanotide-Gs/β1/γ2 7F4D-MC1-α-MSH-chim(NtGi1-Gs)/β1/γ2 8INR-MC5-α-MSH-Ca-chim(NtGi1-Gs)/β1/γ2 7F53-MC4-α-MSH-Gs/β1/γ2 7F55-MC4-Bremelanotide-Gs/β1/γ2 8GY7-MC2-Corticotropin-Ca-chim(NtGi1-Gs)/β1/γ2; MRAP1 8IOC-MC3-γ-MSH-Ca-chim(NtGi1-Gs)/β1/γ2 8IOD-MC5-PG-901-Ca-chim(NtGi1-Gs)/β1/γ2 7AUE-MC4-Setmelanotide-chim(NtGi1L-Gs)/β1/γ2 7F4I-MC1-SHU9119-chim(NtGi1-Gs)/β1/γ2 7F58-MC4-THIQ-Gs/β1/γ2
15.15Consensusvpac2_onOrthosteric Ligand7VQX-VPAC1-PACAP27-Gs/β1/γ2
15.15Consensusvpac2_on_gpOrthosteric Ligand7VQX-VPAC1-PACAP27-Gs/β1/γ2
15.00Single1GZM11-cis-Retinal1GZM-Rhodopsin-11-cis-Retinal
15.00Single2PED9-cis-Retinal2PED-Rhodopsin-9-cis-Retinal
15.00Single3C9L11-cis-Retinal3C9L-Rhodopsin-11-cis-Retinal
15.00Single3ODUIT1t3ODU-CXCR4-IT1t
15.00Single4S0VSuvorexant4S0V-OX2-Suvorexant
15.00Single5WS3EMPA5WS3-OX2-EMPA
15.00Single6OBAAlprenolol6OBA-β2-Alprenolol-GTPL11074
15.00Single6RNKNF-56-EJ406RNK-Succinate-NF-56-EJ40
15.00Single6TPJSuvorexant6TPJ-OX2-Suvorexant
15.00Single7F1ODopamine7F1O-D1-Dopamine-GDP; Mg-Gs/β1/γ2
15.00Single7LJDDopamine7LJD-D1-Dopamine-Mevidalen-Gs/β1/γ1
15.00Single7M3ECa; Ca; Tryptophan; NPS-21437M3E-CaS; CaS-Ca; Ca; Tryptophan; NPS-2143
15.00Single7M3ECa; Ca; Tryptophan; NPS-21437M3E-CaS; CaS-Ca; Ca; Tryptophan; NPS-2143
15.00Single7M3FCa; Ca; Tryptophan; Cinacalcet7M3F-CaS; CaS-Ca; Ca; Tryptophan; Cinacalcet
15.00Single7SILCa; Ca; Ca; Cyclomethyltryptophan; R-568; PO47SIL-CaS; CaS-Ca-Ca; Ca; Ca; Cyclomethyltryptophan; R-568; PO4
15.00Single7SILCa; Ca; Ca; Cyclomethyltryptophan; R-568; PO47SIL-CaS; CaS-Ca-Ca; Ca; Ca; Cyclomethyltryptophan; R-568; PO4
15.00Single7SRRLSD7SRR-5-HT2B-LSD-chim(NtGi2L-Gs-CtGq)/β1/γ2
15.00Single7SRSLSD7SRS-5-HT2B-LSD-Arrestin2
15.00Single7WF7S1P7WF7-S1P1-S1P-Gi1/β1/γ2
15.00Single7XT8Serotonin7XT8-5-HT4-Serotonin-Gs/β1/γ2
15.00Single8A6CAll-trans-Retinal8A6C-Rhodopsin-All-trans-Retinal
15.00Single8A6DAll-trans-Retinal8A6D-Rhodopsin-All-trans-Retinal
15.00Single8A6EAll-trans-Retinal8A6E-Rhodopsin-All-trans-Retinal
15.00Single8DU3PubChem 1055260648DU3-A2A-PubChem 105526064
15.00Single8DWGML3828DWG-MRGPRX1-BAM8-22-ML382-chim(NtGi2L-Gs-CtGq)/β1/γ2
15.00Single8GNGIstradefylline8GNG-A2A-Istradefylline
15.00Single8RW0Istradefylline8RW0-A2A-Istradefylline-Na
15.00Single8TZQDopamine8TZQ-D2-Dopamine-Go/β1/γ2
15.00Single8U4PAMD31008U4P-CXCR4-AMD3100-Gi1/β1/γ2
15.00Single8UNSConstrained Epinephrine8UNS-β2-Constrained Epinephrine-GTP-Gs/β1/γ2
15.00Single8UNTConstrained Epinephrine8UNT-β2-Constrained Epinephrine-GTP-Gs/β1/γ2
15.00Single8UTDMK19038UTD-HCA2-MK1903-Gi1/β1/γ2
15.00Single8WPGTryptophan; Cinacalcet; PO4; Ca8WPG-CaS; CaS-Tryptophan; Cinacalcet; PO4; Ca
15.00Single8YYWAlpha-ketoglutarate8YYW-Oxoglutarate-α-ketoglutarate-α-ketoglutarate-chim(Gi1-CtGq)/β1/γ2
15.00Single9AVLCa; Ca; Cyclomethyltryptophan; R-568; PO49AVL-CaS; CaS-Ca-Ca; Ca; Cyclomethyltryptophan; R-568; PO4-Gi3/β2/γ2
15.00Single9C2FCa; Ca; Tryptophan; '54149; PO49C2F-CaS; CaS-Ca-Ca; Ca; Tryptophan; '54149; PO4
15.00Single9EBHAdenosine9EBH-A3A-Adenosine-Gi1/β1/γ2
15.00Single9H2XPubChem 1756706449H2X-A2A-PubChem 175670644-Na
15.00Single9KPESalicin9KPE-TAS2R16-Salicin-Gi1/β1/γ2
15.00Single9LLBDOI-NBOMe9LLB-5-HT2A-DOI-NBOMe-chim(NtGi1L-Gs-CtGq)/β1/γ2
15.00Single9LRBHistamine9LRB-H1-Histamine-Gs/β1/γ2
15.00Single9M88Oleic monoethanolamide9M88-GPR3 ; GPR3-Oleic monoethanolamide-AF64394
15.00Consensus5ht1e_onOrthosteric Ligand7E33-5-HT1E-BRL-54443-Gi1/β1/γ2 8UGY-5-HT1E-Mianserin-Gi1/β1/γ1 8UH3-5-HT1E-Setiptiline-Gi1/β1/γ1
15.00Consensus5ht2_on_gpOrthosteric Ligand5ht2b_on_gp
15.00Consensus5ht2b_on_gpOrthosteric Ligand7SRR-5-HT2B-LSD-chim(NtGi2L-Gs-CtGq)/β1/γ2
15.00Consensusorexin_offOrthosteric Ligandox2_off ox1_off
15.00Consensusox1_offOrthosteric Ligand6TP6-OX1-Filorexant 6TP4-OX1-ACT-462206 6V9S-OX1-GTPL11403 6TOT-OX1-Lemborexant 6TP3-OX1-Nemorexant 6TQ6-OX1-PubChem 145714283 6TQ9-OX1-SB-408124 4ZJC-OX1-SB-674042 4ZJ8-OX1-Suvorexant 6TOD-OX1-EMPA-Na 6TOS-OX1-GSK1059865-Na 6TQ4-OX1-PubChem 16046844-Na
15.00Consensusox2_offOrthosteric Ligand5WQC-OX2-EMPA 6TPN-OX2-HTL6641 7XRR-OX2-Lemborexant 6TPJ-OX2-Suvorexant
15.00Consensusrhodopsin_offOrthosteric Ligand1U19-Rhodopsin-11-cis-Retinal 2PED-Rhodopsin-9-cis-Retinal 5TE5-Rhodopsin-20-Methanoretinal
15.00Consensussensory_offonOrthosteric Ligandsensory_off sensory_on
15.00Consensussensory_offon_gpOrthosteric Ligandsensory_on_gp sensory_on
14.81Single4IARErgotamine4IAR-5-HT1B-Ergotamine
14.81Single4XT1CX3CL14XT1-US28-CX3CL1
14.81Single6X19CHU-1286X19-GLP-1-CHU-128-Gs/β1/γ2
14.81Single7F8XNN90567F8X-CCKA-NN9056
14.81Single7RTBPeptide-197RTB-GLP-1-Peptide-19-Gs/β1/γ2
14.81Single7T6UCGEN-855A7T6U-FPR2-ALX-CGEN-855A-Gi1/β1/γ2
14.81Single7TD4Siponimod7TD4-S1P1-Siponimod-Gi1/β1/γ2
14.81Single7WICSomatostatin-147WIC-SST2-Somatostatin-14-Gi1/β1/γ2
14.81Single7WKDTRH7WKD-TRH-TRH-chim(NtGi1-Gs-CtGq)/β1/γ2
14.81Single7XAUOctreotide7XAU-SST2-Octreotide-Gi1/β1/γ2
14.81Single7XMRSomatostatin-147XMR-SST2-Somatostatin-14-Gi1/β1/γ2
14.81Single8JIQPeptide-158JIQ-Glucagon-Peptide-15-Gs/β1/γ2
14.81Single8K3ZCXCL128K3Z-CXCR4-CXCL12-Gi1/β1/γ1
14.81Single8KIGSHU91198KIG-MC3-SHU9119-Ca
14.81Single8U4OCXCL128U4O-CXCR4-CXCL12-Gi1/β1/γ2
14.81Single9UYJChemerin-99UYJ-CML2-Chemerin-9-Arrestin2
14.81Consensuschemerin_on_gpOrthosteric Ligandcml1_on_gp
14.81Consensuscml1_onOrthosteric Ligand7YKD-CML1-Chemerin-9-Gi1/β1/γ2
14.81Consensusgi_chemerinOrthosteric Ligand7YKD-CML1-Chemerin-9-Gi1/β1/γ2
14.81Consensusgi_nucleotideOrthosteric Ligandgi_adenosine gi_p2y
14.71Consensusclass-a_class-b1_cons_onOrthosteric Ligandclass-a_on class-b1_on
14.71Consensusgip_onOrthosteric Ligand7FIN-GIP-Peptide-20; GGL-Gs/β1/γ2 7FIY-GIP-Tirzepatide-Gs/β1/γ2 7DTY-GIP-GIP-Gs/β1/γ2
14.71Consensusgip_on_gpOrthosteric Ligand7FIN-GIP-Peptide-20; GGL-Gs/β1/γ2 7FIY-GIP-Tirzepatide-Gs/β1/γ2 7DTY-GIP-GIP-Gs/β1/γ2
14.63Single8F2BPramlintide Analogue San458F2B-CT (AMY3)-Pramlintide Analogue San45-Gs/β1/γ2; RAMP3
14.29Single3OAX11-cis-Retinal3OAX-Rhodopsin-11-cis-Retinal
14.29Single3RZECidoxepin3RZE-H1-Cidoxepin
14.29Single3V2YPubChem 518926453V2Y-S1P1-PubChem 51892645
14.29Single5IU7Q274563465IU7-A2A-Q27456346-Na
14.29Single5JTBZM-2413855JTB-A2A-ZM-241385
14.29Single5K2BZM-2413855K2B-A2A-ZM-241385-Na
14.29Single6A94Zotepine6A94-5-HT2A-Zotepine
14.29Single6AQFZM-2413856AQF-A2A-ZM-241385
14.29Single6KUXRS799486KUX-α2a-RS79948
14.29Single6MH8ZM-2413856MH8-A2A-ZM-241385
14.29Single6PS5Propranolol6PS5-β2-Propranolol
14.29Single6PT0WIN 55212-26PT0-CB2-WIN 55212-2-Gi1/β1/γ2
14.29Single6TOSGSK10598656TOS-OX1-GSK1059865-Na
14.29Single6TP3Nemorexant6TP3-OX1-Nemorexant
14.29Single6TPKRetosiban6TPK-OT-Retosiban
14.29Single6TPNHTL66416TPN-OX2-HTL6641
14.29Single6V9SGTPL114036V9S-OX1-GTPL11403
14.29Single6ZDRHMS1413f126ZDR-A2A-HMS1413f12-Na
14.29Single7AROLUF58337ARO-A2A-LUF5833-Na
14.29Single7BB6AVP7BB6-V2-AVP-Gs/β1/γ2
14.29Single7CKWFenoldopam7CKW-D1-Fenoldopam-Gs/β1/γ2
14.29Single7E14Orforglipron7E14-GLP-1-Orforglipron-PubChem 156022738-Gs/β1/γ2
14.29Single7F24Dopamine7F24-D1-Dopamine-GDP-Gs/β1/γ2
14.29Single7SR8TAK-9257SR8-OX2-TAK-925-chim(NtGi1L-Gs-CtGq)/β1/γ2
14.29Single7T32ZM-2413857T32-A2A-ZM-241385
14.29Single7UL3Famotidine7UL3-H2-Famotidine
14.29Single7VODCariprazine7VOD-5-HT2A-Cariprazine
14.29Single7YK6PubChem 1383196747YK6-RXFP4-PubChem 138319674-Gi2/β1/γ2
14.29Single7ZBC11-cis-Retinal7ZBC-Rhodopsin-11-cis-Retinal
14.29Single7ZBE11-cis-Retinal7ZBE-Rhodopsin-11-cis-Retinal
14.29Single8DPGPsilocin8DPG-5-HT2C-Psilocin-chim(NtGi2L-Gs-CtGq)/β1/γ2
14.29Single8F2APramlintide Analogue San3858F2A-CT (AMY3)-Pramlintide Analogue San385-Gs/β1/γ2; RAMP3
14.29Single8F7QBeta-Endorphin8F7Q-μ-β-Endorphin-Gi1/β1/γ2
14.29Single8F7WDynorphin8F7W-κ-Dynorphin-Gi1/β1/γ2
14.29Single8FCZ11-cis-Retinal8FCZ-Rhodopsin-11-cis-Retinal
14.29Single8GG5Constrained Epinephrine8GG5-β2-Constrained Epinephrine-GTP-Gs/β1/γ2
14.29Single8GG7Constrained Epinephrine8GG7-β2-Constrained Epinephrine-GTP-Gs/β1/γ2
14.29Single8GGLConstrained Epinephrine8GGL-β2-Constrained Epinephrine
14.29Single8GGMConstrained Epinephrine8GGM-β2-Constrained Epinephrine
14.29Single8GGPConstrained Epinephrine8GGP-β2-Constrained Epinephrine
14.29Single8H4LDoconexent8H4L-FFA4-Doconexent-chim(NtGi1-Gs-CtGq)/β1/γ2
14.29Single8JSPUlotaront8JSP-5-HT1A-Ulotaront-Gi1/β1/γ2
14.29Single8K9KDAMGO8K9K-μ-DAMGO-Gi3/β1/γ1
14.29Single8RLNLUF58348RLN-A2A-LUF5834
14.29Single8RQQZM-2413858RQQ-A2A-ZM-241385-Na
14.29Single8RWCStilSwitch28RWC-A2A-StilSwitch2-Na
14.29Single8RWDStilSwitch38RWD-A2A-StilSwitch3-Na
14.29Single8RWIStilSwitch28RWI-A2A-StilSwitch2-Na
14.29Single8UNLConstrained Epinephrine8UNL-β2-Constrained Epinephrine-GTP-Gs/β1/γ2
14.29Single8UNOConstrained Epinephrine8UNO-β2-Constrained Epinephrine-GTP-Gs/β1/γ2
14.29Single8UO1Constrained Epinephrine8UO1-β2-Constrained Epinephrine-GTP; Mg-Gs/β1/γ2
14.29Single8V6UPubChem 1713924568V6U-5-HT2A-PubChem 171392456-chim(NtGi2-Gs-CtGq)/β1/γ2
14.29Single8WPGTryptophan; Cinacalcet; PO4; Ca8WPG-CaS; CaS-Tryptophan; Cinacalcet; PO4; Ca
14.29Single8WPUTryptophan; Cinacalcet; PO4; Ca8WPU-CaS; CaS-Tryptophan; Cinacalcet; PO4; Ca-chim(NtGi2L-Gs-CtGq)/β1/γ2
14.29Single8WSSMCH8WSS-MCH1-MCH-Gi1/β1/γ1
14.29Single8Y01All-trans-Retinal8Y01-Opsin1MW-All-trans-Retinal-Gi1/β1/γ2
14.29Single8Y53MK50468Y53-BB3-MK5046-chim(NtGi1-Gs-CtGq)/β1/γ2
14.29Single8Y6YGLPG09748Y6Y-FFA2-GLPG0974
14.29Single8YKVPubChem 1375531688YKV-Succinate-PubChem 137553168-Gi1/β1/γ2
14.29Single8Z7JJN241-98Z7J-Apelin-JN241-9-Gi1/β1/γ2
14.29Single8ZMGPimavanserin8ZMG-5-HT2A-Pimavanserin
14.29Single8ZPNAMD31008ZPN-CXCR4-AMD3100
14.29Single9AS3LSD9AS3-5-HT2A-LSD
14.29Single9AS4LSD9AS4-5-HT2A-LSD-chim(NtGi1-Gs-CtGq)/β1/γ2
14.29Single9AS8Psilocin9AS8-5-HT2A-Psilocin-chim(NtGi2L-Gs-CtGq)/β1/γ2
14.29Single9ASBCa; Ca; Cyclomethyltryptophan; R-568; PO49ASB-CaS; CaS-Ca-Ca; Ca; Cyclomethyltryptophan; R-568; PO4-chim(NtGi1-Gs-CtGq)/β1/γ2
14.29Single9ASBCa; Ca; Cyclomethyltryptophan; R-568; PO49ASB-CaS; CaS-Ca-Ca; Ca; Cyclomethyltryptophan; R-568; PO4-chim(NtGi1-Gs-CtGq)/β1/γ2
14.29Single9AVGCa; Ca; Cyclomethyltryptophan; R-568; PO49AVG-CaS; CaS-Ca-Ca; Ca; Cyclomethyltryptophan; R-568; PO4-chim(NtGi1-Gs)/β1/γ2
14.29Single9JFK(Pen5)-Urotensin II9JFK-UT-(Pen5)-Urotensin II-chim(NtGi2L-Gs-CtGq)/β1/γ2
14.29Single9KFIRelaxin-39KFI-RXFP3-Relaxin-3-Gi2/β1/γ2
14.29Single9KPDSalicin9KPD-TAS2R16-Salicin-chim(Gs-CtGt3)/β1/γ2
14.29Single9L84Epinephrine9L84-β1-Epinephrine-Atazanavir-Gs/β1/γ2
14.29Single9L8LBI1671079L8L-β2-BI167107-Atazanavir-Gs/β1/γ2 ; Arrestin2
14.29Single9M2FNeuropeptide-FF9M2F-NPFF1-Neuropeptide-FF-Gi1/β1/γ2
14.29Single9ME1CXCL129ME1-CXCR4-CXCL12
14.29Single9P1TZM-2413859P1T-A2A-ZM-241385
14.29Single9PXXNaloxone9PXX-μ-Naloxone-GDPβS-Gi1/β1/γ2
14.29Single9W6W5-CT9W6W-5-HT5A-5-CT-Gi1/β1/γ2
14.29Consensus5ht_on_gpOrthosteric Ligand5ht1_on_gp 5ht2_on_gp 5ht4_on_gp 5ht5_on_gp 5ht6_on_gp 5ht7_on_gp
14.29Consensusa2_offOrthosteric Liganda2a_off
14.29Consensusa2a_offOrthosteric Ligand3RFM-A2A-Caffeine 8C9W-A2A-Etrumadenant 3UZA-A2A-GTPL9236 8GNG-A2A-Istradefylline 8CU6-A2A-LJ-4517 7PX4-A2A-PSB-2113 7PYR-A2A-PSB-2115 8DU3-A2A-PubChem 105526064 8JWY-A2A-2-118 8PWN-A2A-Theophylline 5IU4-A2A-ZM-241385-Na 5OLZ-A2A-PubChem 135566609-Na 6GT3-A2A-Imaradenant-Na 5OLV-A2A-LUAA47070-Na 5N2R-A2A-PSB36-Na 5IU7-A2A-Q27456346-Na 5OLH-A2A-Vipadenant-Na 5OLO-A2A-Tozadenant-Na 6ZDR-A2A-HMS1413f12-Na 8GNE-A2A-KW-6356-Na 8JWZ-A2A-Etrumadenant-Na 5IU8-A2A-Q27456347-Na 5IUB-A2A-Q27456344-Na 6ZDV-A2A-PubChem 984073-Na 5IUA-A2A-Q27456348-Na 8A2P-A2A-LUAA47070-Na
14.29Consensuscckb_onOrthosteric Ligand8IA7-CCKB-Cholecystokinin-8-chim(NtGi1L-Gq)/β1/γ2 7XOW-CCKB-Sulfated Gastrin-(10-17)-chim(NtGi1-Gq)/β1/γ2 7F8V-CCKB-Gastrin-17-Gi2/β1/γ2
14.29Consensusccr8_on_gpOrthosteric Ligand8KFX-CCR8-LMD-009-Gi1/β1/γ2 8KFY-CCR8-ZK-756326-Gi1/β1/γ2 8U1U-CCR8-CCL1-Gi1/β1/γ2
14.29Consensusghrelin_offOrthosteric Ligand6KO5-Ghrelin-PubChem 57400002 7F83-Ghrelin-PF-05190457
14.29Consensusgi_cckOrthosteric Ligand7EZH-CCKA-Cholecystokinin-8-Gi1/β1/γ2 7F8V-CCKB-Gastrin-17-Gi2/β1/γ2
14.29Consensusglp1_onOrthosteric Ligand7S1M-GLP-1-Exendin-4-D-Ala-Gs/β1/γ2 7X8R-GLP-1-BOC5-Gs/β1/γ2 6X19-GLP-1-CHU-128-Gs/β1/γ2 6X1A-GLP-1-Danuglipron-Gs/β1/γ2 6X18-GLP-1-GLP-1-Gs/β1/γ2 8JIP-GLP-1-MEDI0382-chim(NtGi1-Gs)/β1/γ2 7C2E-GLP-1-PubChem 149050799-Gs/β1/γ2 7KI0-GLP-1-Semaglutide-Gs/β1/γ2 7KI1-GLP-1-Taspoglutide-Gs/β1/γ2 7X8S-GLP-1-WB4-24-Gs/β1/γ2 8JIS-GLP-1-Peptide-15-chim(NtGi1-Gs)/β1/γ2 7VBI-GLP-1-Tirzepatide (non-acylated)-Gs/β1/γ2
14.29Consensusmc4_on_gpOrthosteric Ligand7AUE-MC4-Setmelanotide-chim(NtGi1L-Gs)/β1/γ2 7F58-MC4-THIQ-Gs/β1/γ2 7F54-MC4-Afamelanotide-Gs/β1/γ2 7F53-MC4-α-MSH-Gs/β1/γ2 7F55-MC4-Bremelanotide-Gs/β1/γ2
14.29Consensusmelanocortin_onOrthosteric Ligandmc1_on mc4_on mc2_on mc3_on mc5_on
14.29Consensusmelanocortin_on_gpOrthosteric Ligandmc1_on_gp mc4_on_gp mc2_on_gp mc3_on_gp mc5_on_gp
14.29Consensusnop_offOrthosteric Ligand4EA3-NOP-PubChem 10296561 5DHG-NOP-C-35 5DHH-NOP-SB-612111
14.29Consensusot_offOrthosteric Ligand6TPK-OT-Retosiban
14.29Consensussst4_onOrthosteric Ligand7XMS-SST4-Somatostatin-14-Gi1/β1/γ2 7XMT-SST4-J-2156-Gi1/β1/γ2
14.29Consensussst4_on_gpOrthosteric Ligand7XMS-SST4-Somatostatin-14-Gi1/β1/γ2 7XMT-SST4-J-2156-Gi1/β1/γ2
14.29Consensusvasop-oxy_offOrthosteric Ligandot_off
13.89Consensusgs_peptideOrthosteric Ligandgs_cck gs_melanocortin gs_vasop-oxy
13.89Consensuspth1_on_gpOrthosteric Ligand6NBF-PTH1-LA-PTH Analog-Gs/β1/γ2 8HA0-PTH1-PTH-chim(NtGi1-Gs)/β1/γ2 8HAF-PTH1-PTHrP(1-36)-chim(NtGi1-Gs)/β1/γ2 7Y36-PTH1-PTH-Gs/β1/γ2 7Y35-PTH1-Abaloparatide-Gs/β1/γ2
13.79Single6LW5WKYMVm6LW5-FPR2-ALX-WKYMVm
13.79Single7T6TfMLFII7T6T-FPR1-ALX-fMLFII-Gi1/β1/γ2
13.79Single7TD0LPA7TD0-LPA1-LPA-Gi1/β1/γ2
13.79Single7TD2LPA7TD2-LPA1-LPA-Gi1/β1/γ2
13.79Single7XA3CCL27XA3-CCR2-CCL2-Gi1/β1/γ2
13.79Single7XOUCholecystokinin-87XOU-CCKA-Cholecystokinin-8-Gs/β1/γ2
13.79Single8XIRPasireotide8XIR-SST3-Pasireotide-chim(NtGi1-Gs-CtGi1)/β1/γ2
13.79Single8XZGApelin-138XZG-Apelin; Apelin-Apelin-13-Gi1/β1/γ2
13.79Single9B5YLA-PTH Analog9B5Y-PTH1-LA-PTH Analog-chim(NtGi1-Gq)/β1/γ2
13.79Single9IVMGLP-1 (Truncated)9IVM-GLP-1-GLP-1 (Truncated)-LSN3318839-chim(NtGi1-Gs)/β2/γ2
13.79Single9K27PrRP319K27-PrRP-PrRP31-chim(NtGi1-Gq)/β1/γ2
13.79Single9M1ONeuropeptide-FF9M1O-NPFF2-Neuropeptide-FF-Gi1/β1/γ2
13.79Single9MEUCXCL129MEU-CXCR4-CXCL12
13.79Single9U4WGonadoliberin-19U4W-GnRH1-Gonadoliberin-1-chim(NtGi1L-Gs-CtGq)/β1/γ2
13.79Single9UYIChemerin-99UYI-CML2-Chemerin-9-Arrestin2
13.79Consensusangiotensin_onOrthosteric Ligandat1_on
13.79Consensusat1_onOrthosteric Ligand7F6G-AT1-(Sar1)-Angiotensin II-Gq/β1/γ2
13.79Consensuscckb_on_gpOrthosteric Ligand8IA7-CCKB-Cholecystokinin-8-chim(NtGi1L-Gq)/β1/γ2 7XOW-CCKB-Sulfated Gastrin-(10-17)-chim(NtGi1-Gq)/β1/γ2 7F8V-CCKB-Gastrin-17-Gi2/β1/γ2
13.79Consensusccr2_onOrthosteric Ligand7XA3-CCR2-CCL2-Gi1/β1/γ2
13.79Consensusccr2_on_gpOrthosteric Ligand7XA3-CCR2-CCL2-Gi1/β1/γ2
13.79Consensusgs_class-aOrthosteric Ligandgs_peptide gs_nucleotide gs_amine
13.79Consensuspeptide_offonOrthosteric Ligandpeptide_off peptide_on
13.64Single1HZX11-cis-Retinal1HZX-Rhodopsin-11-cis-Retinal
13.64Single2VT4Cyanopindolol2VT4-β1-Cyanopindolol
13.64Single2YCYCyanopindolol2YCY-β1-Cyanopindolol
13.64Single3EMLZM-2413853EML-A2A-ZM-241385
13.64Single4EIYZM-2413854EIY-A2A-ZM-241385-Na
13.64Single4J4QOctyl Beta-D-Glucopyranoside4J4Q-Rhodopsin-Octyl β-D-Glucopyranoside-Gt(CT)
13.64Single4QIMANTA XV4QIM-SMO-ANTA XV
13.64Single5DHGC-355DHG-NOP-C-35
13.64Single5IU8Q274563475IU8-A2A-Q27456347-Na
13.64Single5K2AZM-2413855K2A-A2A-ZM-241385-Na
13.64Single5NDDAZ8838; Na5NDD-PAR2-AZ8838; Na
13.64Single5OLGZM-2413855OLG-A2A-ZM-241385-Na
13.64Single5UENDU1725UEN-A1-DU172
13.64Single5VRAZM-2413855VRA-A2A-ZM-241385-Na
13.64Single5ZKPSR274175ZKP-PAF-SR27417
13.64Single6DRXLisuride6DRX-5-HT2B-Lisuride
13.64Single6GPSMK08126GPS-CCR2-MK0812
13.64Single6PRZAlprenolol6PRZ-β2-Alprenolol
13.64Single6S0LZM-2413856S0L-A2A-ZM-241385
13.64Single7BU7BI1671077BU7-β1-BI167107
13.64Single7CFMP3957CFM-GPBA-P395-Gs/β1/γ2
13.64Single7DB6Ramelteon7DB6-MT1-Ramelteon-Gi1/β1/γ2
13.64Single7JOZPubChem 752020227JOZ-D1-PubChem 75202022-Gs/β1/γ2
13.64Single7PYRPSB-21157PYR-A2A-PSB-2115
13.64Single7SCGFH2107SCG-μ-FH210-Gi1/β1/γ2
13.64Single7SQOTAK-9257SQO-OX2-TAK-925-Gi1/β1/γ2
13.64Single7UM55-CT7UM5-5-HT5A-5-CT-chim(NtGi1-Go)/β1/γ2
13.64Single7UM6Lisuride7UM6-5-HT5A-Lisuride-chim(NtGi1-Go)/β1/γ2
13.64Single7VGZRamelteon7VGZ-MT1-Ramelteon-Gi1/β1/γ2
13.64Single7VIFFTY720-P7VIF-S1P1-FTY720-P-Gi1/β1/γ2
13.64Single7XJHIsoprenaline7XJH-β3-Isoprenaline-Gs/β1/γ2
13.64Single7XTC5-CT7XTC-5-HT7-5-CT-Gs/β1/γ2
13.64Single7YK7DC5910537YK7-RXFP4-DC591053-Gi2/β1/γ2
13.64Single8CICEtrumadenant8CIC-A2A-Etrumadenant-Na
13.64Single8GY7Corticotropin8GY7-MC2-Corticotropin-Ca-chim(NtGi1-Gs)/β1/γ2; MRAP1
13.64Single8JT8(R)-IHCH-71798JT8-5-HT2A-(R)-IHCH-7179
13.64Single8KFYZK-7563268KFY-CCR8-ZK-756326-Gi1/β1/γ2
13.64Single8RW7StilSwitch18RW7-A2A-StilSwitch1-Na
13.64Single8RWXStilSwitch38RWX-A2A-StilSwitch3-Na
13.64Single8UGYMianserin8UGY-5-HT1E-Mianserin-Gi1/β1/γ1
13.64Single8UWLLisuride8UWL-5-HT2A-Lisuride-chim(NtGi2-Gs-CtGq)/β1/γ2
13.64Single8YH5Riboprine8YH5-A3A-Riboprine-Gi1/β1/γ2
13.64Single8ZQEGPR15L(CT)8ZQE-GPR15-GPR15L(CT)-Gi1/β1/γ1
13.64Single9AVGCa; Ca; Cyclomethyltryptophan; R-568; PO49AVG-CaS; CaS-Ca-Ca; Ca; Cyclomethyltryptophan; R-568; PO4-chim(NtGi1-Gs)/β1/γ2
13.64Single9H37PubChem 1756706469H37-A2A-PubChem 175670646-Na
13.64Single9IVGGLP-1 (Truncated)9IVG-GLP-1-GLP-1 (Truncated)-chim(NtGi1-Gs)/β1/γ2
13.64Single9JGKBalovaptan9JGK-5-HT2B-Balovaptan
13.64Single9KUXCMPD6449KUX-Apelin; Apelin-CMPD644-Arrestin2
13.64Single9LLAAriadne9LLA-5-HT2A-Ariadne-chim(NtGi1L-Gs-CtGq)/β1/γ2
13.64Single9P1SZM-2413859P1S-A2A-ZM-241385
13.64Consensus5ht5_onOrthosteric Ligand5ht5a_on
13.64Consensus5ht5a_onOrthosteric Ligand7X5H-5-HT5A-5-CT-Gi1/β1/γ2 7UM6-5-HT5A-Lisuride-chim(NtGi1-Go)/β1/γ2 7UM7-5-HT5A-Methylergometrine-chim(NtGi1-Go)/β1/γ2
13.64Consensus5ht6_onOrthosteric Ligand7XTB-5-HT6-Serotonin-Gs/β1/γ2 8JLZ-5-HT6-ST1936-Gs/β1/γ2
13.64Consensus5ht6_on_gpOrthosteric Ligand7XTB-5-HT6-Serotonin-Gs/β1/γ2 8JLZ-5-HT6-ST1936-Gs/β1/γ2
13.64Consensus5ht7_onOrthosteric Ligand7XTC-5-HT7-5-CT-Gs/β1/γ2
13.64Consensus5ht7_on_gpOrthosteric Ligand7XTC-5-HT7-5-CT-Gs/β1/γ2
13.64Consensusccr2_offOrthosteric Ligand6GPS-CCR2-MK0812
13.64Consensusgi_orexinOrthosteric Ligand7SQO-OX2-TAK-925-Gi1/β1/γ2
13.33Single6JODAngiotensin II6JOD-AT2-Angiotensin II
13.33Single6NIYCalcitonin-16NIY-CT-Calcitonin-1-Gs/β1/γ2
13.33Single7KH0AVP7KH0-V2-AVP-chim(NtGi1-Gs)/β1/γ2
13.33Single7T10Somatostatin-147T10-SST2-Somatostatin-14-Gi3/β1/γ2
13.33Single7W40Bombesin7W40-BB2-Bombesin-chim(NtGi1L-Gq)/β1/γ2
13.33Single8XWQEndothelin-18XWQ-ETB-Endothelin-1-Gi1/β1/γ2
13.33Consensusapelin_onOrthosteric Ligand8XZH-Apelin; Apelin-MM07-Gi1/β1/γ2 7W0M-Apelin-PubChem 122701908-Gi1/β1/γ2 8XZJ-Apelin; Apelin-WN353-Gi1/β1/γ2 8XZF-Apelin; Apelin-WN561-Gi1/β1/γ2 8XZG-Apelin; Apelin-Apelin-13-Gi1/β1/γ2
13.33Consensusapelin_on_gpOrthosteric Ligand8XZH-Apelin; Apelin-MM07-Gi1/β1/γ2 7W0M-Apelin-PubChem 122701908-Gi1/β1/γ2 8XZJ-Apelin; Apelin-WN353-Gi1/β1/γ2 8XZF-Apelin; Apelin-WN561-Gi1/β1/γ2 8XZG-Apelin; Apelin-Apelin-13-Gi1/β1/γ2
13.33Consensuscrf2_onOrthosteric Ligand7TS0-CRF2-Urocortin-chim(NtGi1L-Go)/β1/γ2
13.33Consensuspeptide_offon_gpOrthosteric Ligandpeptide_on_gp peptide_off
13.33Consensusprotein_onOrthosteric Ligandchemokine_on chemerin_on
13.04Single4RWDDIPP-NH24RWD-δ-DIPP-NH2-Na
13.04Single5IUAQ274563485IUA-A2A-Q27456348-Na
13.04Single5NM2ZM-2413855NM2-A2A-ZM-241385-Na
13.04Single5TVNLSD5TVN-5-HT2B-LSD
13.04Single5WIUNemonapride5WIU-D4-Nemonapride
13.04Single5WIVNemonapride5WIV-D4-Nemonapride-Na
13.04Single5XPRBosentan5XPR-ETB-Bosentan
13.04Single6D26Fevipiprant6D26-DP2-Fevipiprant
13.04Single6E67BI1671076E67-β2-BI167107-Gs(CT)
13.04Single6LPLZM-2413856LPL-A2A-ZM-241385-Na
13.04Single6S0QZM-2413856S0Q-A2A-ZM-241385
13.04Single6WQAZM-2413856WQA-A2A-ZM-241385-Na
13.04Single7CFNINT-7777CFN-GPBA-INT-777-Gs/β1/γ2
13.04Single7CKXA776367CKX-D1-A77636-Gs/β1/γ2
13.04Single7E9GJNJ-404118137E9G-mGlu2; mGlu2-Eglumetad-JNJ-40411813-Gi1/β1/γ2
13.04Single7EUOfMLF7EUO-FPR1-ALX-fMLF-Gi1/β1/γ2
13.04Single7RM5ZM-2413857RM5-A2A-ZM-241385-Na
13.04Single8FYNZM-2413858FYN-A2A-ZM-241385-Na
13.04Single8GNEKW-63568GNE-A2A-KW-6356-Na
13.04Single8JXSPF-61428JXS-D1-PF-6142
13.04Single8KFXLMD-0098KFX-CCR8-LMD-009-Gi1/β1/γ2
13.04Single8QOTNanobody-E8QOT-μ-Nanobody-E
13.04Single8SZGCa; Ca; Tryptophan; Cinacalcet; PO4; Spermine8SZG-CaS; CaS-Ca; Ca; Tryptophan; Cinacalcet; PO4; Spermine-chim(NtGi1-Gq)/β1/γ2
13.04Single8T6JCDPPB8T6J-mGlu5; mGlu5-CDPPB
13.04Single8T6JCDPPB8T6J-mGlu5; mGlu5-CDPPB
13.04Single8WGBVU01550418WGB-mGlu4; mGlu2-Glutamate-VU0155041-Gi3/β1/γ2
13.04Single8ZPTPrRP208ZPT-PrRP-PrRP20-chim(NtGi1-Gs-CtGq)/β1/γ2
13.04Single9EHSLUF76029EHS-A3A-LUF7602
13.04Single9HAPTolvaptan9HAP-V2-Tolvaptan
13.04Single9KUTJR14a9KUT-C3aB-JR14a-Go/β1/γ2
13.04Single9U81Tolvaptan9U81-V2-Tolvaptan
13.04Consensusadgrg2_onOrthosteric Ligand7WUI-ADGRG2-IP15-chim(NtGi1-Gs)/β1/γ2 7WUQ-ADGRG2-Gs/β1/γ2 7XKF-ADGRG2-Dehydroepiandrosterone-Gs/β1/γ2
13.04Consensusadgrg2_on_gpOrthosteric Ligand7WUI-ADGRG2-IP15-chim(NtGi1-Gs)/β1/γ2 7WUQ-ADGRG2-Gs/β1/γ2 7XKF-ADGRG2-Dehydroepiandrosterone-Gs/β1/γ2
13.04Consensusdp2_offOrthosteric Ligand6D26-DP2-Fevipiprant
13.04Consensusdp_offOrthosteric Liganddp2_off
13.04Consensusnucleotide_onOrthosteric Ligandadenosine_on p2y_on
13.04Consensusrxfp4_onOrthosteric Ligand7YK7-RXFP4-DC591053-Gi2/β1/γ2 7YJ4-RXFP4-INSL5-Gi2/β1/γ2 7YK6-RXFP4-PubChem 138319674-Gi2/β1/γ2
13.04Consensusrxfp4_on_gpOrthosteric Ligand7YK7-RXFP4-DC591053-Gi2/β1/γ2 7YJ4-RXFP4-INSL5-Gi2/β1/γ2 7YK6-RXFP4-PubChem 138319674-Gi2/β1/γ2
12.90Single7TYHCalcitonin7TYH-CT (AMY2)-Calcitonin-Gs/β1/γ2; RAMP2
12.90Single7X9CPancreatic Hormone7X9C-Y4-Pancreatic Hormone-Gi1/β1/γ2
12.90Single7Y35Abaloparatide7Y35-PTH1-Abaloparatide-Gs/β1/γ2
12.90Single8HCQEndothelin-18HCQ-ETA-Endothelin-1-chim(NtGi1-Gs-CtGq)/β1/γ2
12.90Single8HCXEndothelin-18HCX-ETB-Endothelin-1-chim(NtGi2L-Gs-CtGq)/β1/γ2
12.90Single8HNKCXCL118HNK-CXCR3-CXCL11-Gi1/β1/γ2
12.90Single8XVHEndothelin-18XVH-ETB-Endothelin-1-chim(Gs-CtGq)/β1/γ2
12.90Single8ZPSPrRP208ZPS-PrRP-PrRP20-chim(NtGi1-Gs-CtGi1)/β1/γ2
12.90Single9JFYNeuropeptide-SF9JFY-NPFF2-Neuropeptide-SF-Gi1/β1/γ2
12.90Consensuseta_onOrthosteric Ligand8HCQ-ETA-Endothelin-1-chim(NtGi1-Gs-CtGq)/β1/γ2
12.90Consensuseta_on_gpOrthosteric Ligand8HCQ-ETA-Endothelin-1-chim(NtGi1-Gs-CtGq)/β1/γ2
12.90Consensusgi_apelinOrthosteric Ligand8XZH-Apelin; Apelin-MM07-Gi1/β1/γ2 7W0M-Apelin-PubChem 122701908-Gi1/β1/γ2 8XZJ-Apelin; Apelin-WN353-Gi1/β1/γ2 8XZF-Apelin; Apelin-WN561-Gi1/β1/γ2 8XZG-Apelin; Apelin-Apelin-13-Gi1/β1/γ2
12.90Consensusgi_chemokineOrthosteric Ligand6WWZ-CCR6-CCL20-Go/β1/γ2 8HNK-CXCR3-CXCL11-Gi1/β1/γ2 8K3Z-CXCR4-CXCL12-Gi1/β1/γ1 8IC0-CXCR1-CXCL8-Gi1/β1/γ2 6LFM-CXCR2-CXCL8-Gi1/β1/γ2 8KFX-CCR8-LMD-009-Gi1/β1/γ2 7F1Q-CCR5-CCL3-Gi1/β1/γ2 8HNL-CXCR3-PS372424-Gi1/β1/γ2 8KFY-CCR8-ZK-756326-Gi1/β1/γ2 7O7F-CCR5-6P4-CCL5-Gi1/β1/γ1 8U1U-CCR8-CCL1-Gi1/β1/γ2 7VLA-CCR1-CCL15(27-92)-Gi1/β1/γ2 7XA3-CCR2-CCL2-Gi1/β1/γ2
12.50Single3P0GBI1671073P0G-β2-BI167107
12.50Single3PDSFAUC503PDS-β2-FAUC50
12.50Single3SN6BI1671073SN6-β2-BI167107-Gs/β1/γ2
12.50Single4A4MAll-trans-Retinal4A4M-Rhodopsin-All-trans-Retinal-Gt(CT)
12.50Single4XT3CX3CL14XT3-US28-CX3CL1
12.50Single5EN0All-trans-Retinal5EN0-Rhodopsin-All-trans-Retinal-Gt(CT)
12.50Single6E59L-7607356E59-NK1-L-760735
12.50Single6J20Aprepitant6J20-NK1-Aprepitant
12.50Single6KO5PubChem 574000026KO5-Ghrelin-PubChem 57400002
12.50Single6NI3BI1671076NI3-β2-BI167107-Gs/β1/γ2
12.50Single6WGTLSD6WGT-5-HT2A-LSD
12.50Single7B6WCyclazosin7B6W-α1b-Cyclazosin
12.50Single7CKYPW04647CKY-D1-PW0464-Gs/β1/γ2
12.50Single7EW1Siponimod7EW1-S1P5-Siponimod-Gi1/β1/γ2
12.50Single7EW3S1P7EW3-S1P3-S1P-Gi1/β1/γ2
12.50Single7EW4CYM-55417EW4-S1P3-CYM-5541-Gi1/β1/γ2
12.50Single7JV5SKF812977JV5-D1-SKF81297-Gs/β1/γ2
12.50Single7PX4PSB-21137PX4-A2A-PSB-2113
12.50Single7W3ZGastrin Releasing Peptide7W3Z-BB2-Gastrin Releasing Peptide-chim(NtGi1L-Gq)/β1/γ2
12.50Single7WVXHumanin7WVX-FPR2-ALX-Humanin-Gi2/β1/γ2
12.50Single7XAVLanreotide7XAV-SST2-Lanreotide-Gi1/β1/γ2
12.50Single7XOWSulfated Gastrin-(10-17)7XOW-CCKB-Sulfated Gastrin-(10-17)-chim(NtGi1-Gq)/β1/γ2
12.50Single7Y24Octreotide7Y24-SST2-Octreotide-Go/β1/γ2
12.50Single8EFLSR170188EFL-μ-SR17018-Gi1/β1/γ2
12.50Single8H0PNMB308H0P-BB1-NMB30-chim(NtGi1-Gs-CtGq)/β1/γ2
12.50Single8HDOBAY 60-65838HDO-A2B-BAY 60-6583-Gs/β1/γ2
12.50Single8HPTC5a (C-terminal peptide)8HPT-C5a1-C5a (C-terminal peptide)-Go/β1/γ2
12.50Single8I9LC3a8I9L-C3aB-C3a-Go/β1/γ2
12.50Single8ID39-Hydroxystearic acid8ID3-FFA4-9-Hydroxystearic acid-Gi1/β1/γ2
12.50Single8ID6Oleic acid8ID6-FFA4-Oleic acid-Gi1/β1/γ2
12.50Single8JD5JNJ-40411813; ADX881788JD5-mGlu2; mGlu4-Glutamate-JNJ-40411813; ADX88178-Gi1/β1/γ2
12.50Single8WCBCyclohexylammonium Ion8WCB-TA1-Cyclohexylammonium Ion-chim(NtGi1-Gs-CtGq)/β1/γ2
12.50Single8WCCCyclohexylammonium Ion8WCC-TA1-Cyclohexylammonium Ion
12.50Single8XIPPasireotide8XIP-SST1-Pasireotide-chim(NtGi1-Gs-CtGi1)/β1/γ2
12.50Single8XVEBQ30208XVE-ETB-BQ3020-chim(Gs-CtGq)/β1/γ2
12.50Single8ZR5Firuglipel8ZR5-GPR119-Firuglipel-Gs/β1/γ2
12.50Single9ASTLymphotactin9AST-XCR1-Lymphotactin-Gi1/β1/γ2
12.50Single9BLBCagrilintide (non-acylated)9BLB-CT-Cagrilintide (non-acylated)-Gs/β1/γ2
12.50Single9BUBCagrilintide9BUB-CT-Cagrilintide-Gs/β1/γ2
12.50Single9I54PubChem 1764520919I54-D1-PubChem 176452091-Gs/β1/γ2
12.50Single9KVPSB2901579KVP-C3aB-SB290157-Go/β1/γ2
12.50Single9WSTDAMGO9WST-μ-DAMGO-chim(NtGi1-Gz)/β1/γ2
12.50Consensusccr_offOrthosteric Ligandccr2_off ccr5_off
12.50Consensuscrf2_on_gpOrthosteric Ligand7TS0-CRF2-Urocortin-chim(NtGi1L-Go)/β1/γ2
12.50Consensusgi_peptideOrthosteric Ligandgi_cck gi_apelin gi_compl-pept gi_endothelin gi_formylpeptide gi_galanin gi_ghrelin gi_npy gi_neurotensin gi_opioid gi_orexin gi_relaxin gi_somatostatin
12.50Consensusgi_proteinOrthosteric Ligandgi_chemokine gi_chemerin
12.50Consensusgi_relaxinOrthosteric Ligand7YK7-RXFP4-DC591053-Gi2/β1/γ2 7YJ4-RXFP4-INSL5-Gi2/β1/γ2 7YK6-RXFP4-PubChem 138319674-Gi2/β1/γ2
12.50Consensusnpy4_onOrthosteric Ligand7X9C-Y4-Pancreatic Hormone-Gi1/β1/γ2
12.50Consensusnpy4_on_gpOrthosteric Ligand7X9C-Y4-Pancreatic Hormone-Gi1/β1/γ2
12.50Consensusnpy_offOrthosteric Ligandnpy1_off npy2_off
12.50Consensusprotein_on_gpOrthosteric Ligandchemokine_on_gp chemerin_on_gp
12.50Consensusrelaxin_onOrthosteric Ligandrxfp4_on
12.50Consensusrelaxin_on_gpOrthosteric Ligandrxfp4_on_gp
12.50Consensuss1p5_onOrthosteric Ligand7EW1-S1P5-Siponimod-Gi1/β1/γ2
12.50Consensuss1p5_on_gpOrthosteric Ligand7EW1-S1P5-Siponimod-Gi1/β1/γ2
12.50Consensustachykinin_offOrthosteric Ligandnk1_off
12.12Single7WVYAmyloid-Beta427WVY-FPR2-ALX-Amyloid-β42-Gi2/β1/γ2
12.12Single7YOONeuropeptide-Y7YOO-Y2-Neuropeptide-Y-Gi1/β1/γ2
12.12Single8HAOPTH8HAO-PTH1-PTH-chim(NtGi1-Gs)/β1/γ2
12.12Single8W8WAlpha-MSH8W8W-MC3-α-MSH-Ca-Gs/β1/γ2
12.12Single8XWPEndothelin-18XWP-ETB-Endothelin-1-Gi1/β1/γ2
12.12Single9K26PrRP319K26-PrRP-PrRP31-Gi1/β1/γ2
12.12Consensusnpy2_onOrthosteric Ligand7YOO-Y2-Neuropeptide-Y-Gi1/β1/γ2
12.12Consensusnpy2_on_gpOrthosteric Ligand7YOO-Y2-Neuropeptide-Y-Gi1/β1/γ2
12.12Consensuspeptide_onOrthosteric Ligandcck_on angiotensin_on apelin_on bombesin_on bradykinin_on compl-peptide_on endothelin_on formylpeptide_on galanin_on ghrelin_on kisspeptin_on melanocortin_on motilin_on neuromedin-u_on npy_on neurotensin_on opioid_on orexin_on relaxin_on somatostatin_on tachykinin_on trh_on vasop-oxy_on
12.12Consensuspeptide_on_gpOrthosteric Ligandcck_on_gp angiotensin_on_gp apelin_on_gp bombesin_on_gp bradykinin_on_gp compl-peptide_on_gp endothelin_on_gp formylpeptide_on_gp galanin_on_gp ghrelin_on_gp kisspeptin_on_gp melanocortin_on_gp motilin_on_gp neuromedin-u_on_gp npy_on_gp neurotensin_on_gp opioid_on_gp orexin_on_gp relaxin_on_gp somatostatin_on_gp tachykinin_on_gp trh_on_gp vasop-oxy_on_gp
12.00Single4OR2FITM4OR2-mGlu1; mGlu1-FITM
12.00Single6MXTSalmeterol6MXT-β2-Salmeterol
12.00Single6OS0Angiotensin II6OS0-AT1-Angiotensin II
12.00Single7L1UOrexin7L1U-OX2-Orexin-chim(NtGi1-Gs-CtGq)/β1/γ2
12.00Single7L1VPubChem 1554910097L1V-OX2-PubChem 155491009-chim(NtGi1-Gs-CtGq)/β1/γ2
12.00Single7SUSPubChem 1227019087SUS-Apelin-PubChem 122701908
12.00Single7T6BS1P7T6B-S1P2-S1P-chim(NtGi1L-G13)/β1/γ2
12.00Single7W0NElabela7W0N-Apelin; Apelin-Elabela-Gi1/β1/γ2
12.00Single7WCMMBX-29827WCM-GPR119-MBX-2982-Gs/β1/γ2
12.00Single7XMTJ-21567XMT-SST4-J-2156-Gi1/β1/γ2
12.00Single7XW9TRH7XW9-TRH-TRH-chim(NtGi1L-Gs-CtGq)/β1/γ2
12.00Single7XZ5Lysophosphatidylcholine7XZ5-GPR119-Lysophosphatidylcholine-Gs/β1/γ2
12.00Single8I9AEP548I9A-C3aB-EP54-chim(NtGi1-Gs-CtGq)/β1/γ2
12.00Single8JD3JNJ-404118138JD3-mGlu2; mGlu3-Glutamate-JNJ-40411813-Gi1/β1/γ2
12.00Single8JJLOlodaterol8JJL-β2-Olodaterol
12.00Single8JJPChemerin-98JJP-CML2-Chemerin-9-Gi1/β1/γ2
12.00Single8JWZEtrumadenant8JWZ-A2A-Etrumadenant-Na
12.00Single8T3QDoconexent8T3Q-FFA4-Doconexent-chim(NtGi2L-Gs-CtGq)/β1/γ2
12.00Single8VHFMBX-29828VHF-GPR119-MBX-2982-Gs/β1/γ2
12.00Single8XQSCholesterol8XQS-TAS2R14-Cholesterol-Flufenamic acid-Gi1/β1/γ1
12.00Single9GYOP3959GYO-GPBA-P395-chim(NtGi1-Gs)/β1/γ2
12.00Single9L3WChemerin9L3W-CML1-Chemerin-Gi1/β1/γ2
12.00Single9M4QDoxazosin9M4Q-Alpha1A-Doxazosin
12.00Single9WSVDAMGO9WSV-μ-DAMGO-Arrestin2
12.00Single9WSWEndomorphin9WSW-μ-Endomorphin-chim(NtGi1-Gz)/β1/γ2
12.00Single9YDQDADLE9YDQ-δ-DADLE-MIPS3614-chim(NtGi1L-Gs-CtGi1)/β1/γ2
12.00Consensusc3a_onOrthosteric Ligand8HK2-C3aB-C3a-Gi1/β1/γ2 8IA8-C3aB-E7 peptide-Gi1/β1/γ2
12.00Consensusccr8_onOrthosteric Ligand8KFX-CCR8-LMD-009-Gi1/β1/γ2 8KFY-CCR8-ZK-756326-Gi1/β1/γ2 8U1U-CCR8-CCL1-Gi1/β1/γ2
12.00Consensuscxcr_onOrthosteric Ligandcxcr3_on cxcr4_on cxcr1_on cxcr2_on
12.00Consensusgi_lipidOrthosteric Ligandgi_cannabinoid gi_ffa gi_leukotriene gi_lpa gi_s1p
12.00Consensusorexin_onOrthosteric Ligandox2_on
12.00Consensuss1p3_onOrthosteric Ligand7EW3-S1P3-S1P-Gi1/β1/γ2 7EW4-S1P3-CYM-5541-Gi1/β1/γ2 7EW2-S1P3-FTY720-P-Gi1/β1/γ2
12.00Consensustrh_onOrthosteric Ligand7XW9-TRH-TRH-chim(NtGi1L-Gs-CtGq)/β1/γ2
12.00Consensustrh_on_gpOrthosteric Ligand7XW9-TRH-TRH-chim(NtGi1L-Gs-CtGq)/β1/γ2
11.76Single5MZJTheophylline5MZJ-A2A-Theophylline-Na
11.76Single5VAIGLP-15VAI-GLP-1-GLP-1-Gs/β1/γ2
11.76Single7VGXNeuropeptide-Y7VGX-Y1-Neuropeptide-Y-Gi1/β1/γ2
11.76Single7XKDDehydroepiandrosterone7XKD-ADGRG2-Dehydroepiandrosterone-Gs/β1/γ2
11.76Single7XKEDehydroepiandrosterone7XKE-ADGRG2-Dehydroepiandrosterone-chim(NtGi1-Gs)/β1/γ2
11.76Single8PWNTheophylline8PWN-A2A-Theophylline
11.76Single9BQ3Cagrilintide9BQ3-CT (AMY2)-Cagrilintide-Gs/β1/γ2; RAMP2
11.76Single9JKVPubChem 27366909JKV-HCA3-PubChem 2736690-Gi1/β1/γ2
11.76Consensusendothelin_onOrthosteric Ligandetb_on eta_on
11.76Consensuspth1_onOrthosteric Ligand6NBF-PTH1-LA-PTH Analog-Gs/β1/γ2 8HA0-PTH1-PTH-chim(NtGi1-Gs)/β1/γ2 8HAF-PTH1-PTHrP(1-36)-chim(NtGi1-Gs)/β1/γ2 7Y36-PTH1-PTH-Gs/β1/γ2 7Y35-PTH1-Abaloparatide-Gs/β1/γ2
11.54Single4NC3Ergotamine4NC3-5-HT2B-Ergotamine
11.54Single4OR2FITM4OR2-mGlu1; mGlu1-FITM
11.54Single6BQGErgotamine6BQG-5-HT2C-Ergotamine
11.54Single6DDFDAMGO6DDF-μ-DAMGO-Gi1/β1/γ2
11.54Single6M1HMaxadilan6M1H-PAC1-Maxadilan-Gs/β1/γ2
11.54Single7EZHCholecystokinin-87EZH-CCKA-Cholecystokinin-8-Gi1/β1/γ2
11.54Single7EZMCholecystokinin-87EZM-CCKA-Cholecystokinin-8-chim(NtGsL-Gq)/β1/γ2
11.54Single7P00Substance-P7P00-NK1-Substance-P-chim(NtGi1-Gs-CtGq)/β1/γ2
11.54Single7PIUSetmelanotide7PIU-MC4-Setmelanotide-Gs/β1/γ2
11.54Single7UM4AS26747237UM4-5-HT5A-AS2674723
11.54Single7WVVfMLFII7WVV-FPR2-ALX-fMLFII-Gi2/β1/γ2
11.54Single7X1UTRH7X1U-TRH-TRH-chim(NtGi2L-Gs-CtGq)/β1/γ2
11.54Single7X8RBOC57X8R-GLP-1-BOC5-Gs/β1/γ2
11.54Single7Y65C5a (C-terminal peptide)7Y65-C5a1-C5a (C-terminal peptide)-Gi1/β1/γ2
11.54Single8HN1Toxin AdTx18HN1-Alpha1A-Toxin AdTx1
11.54Single8ID8TUG-8918ID8-FFA4-TUG-891-Gi1/β1/γ2
11.54Single8K4OCXCL18K4O-KSHV-CXCL1-Gi1/β1/γ1
11.54Single8ZWGJR14a8ZWG-C3aB-JR14a-Gi1/β1/γ2
11.54Single9KV8TLQP219KV8-C3aB-TLQP21-Go/β1/γ2
11.54Single9UYHChemerin-99UYH-CML2-Chemerin-9-Arrestin2
11.54Single9UYMChemerin-99UYM-CML2-Chemerin-9-chim(Arrestin3-CtArrestin2)
11.54Single9YDPDADLE9YDP-δ-DADLE-chim(NtGi1L-Gs-CtGi1)/β1/γ2
11.54Single9YDRDADLE9YDR-δ-DADLE-MIPS3983-chim(NtGi1L-Gs-CtGi1)/β1/γ2
11.54Consensusc3a_on_gpOrthosteric Ligand8HK2-C3aB-C3a-Gi1/β1/γ2 8IA8-C3aB-E7 peptide-Gi1/β1/γ2
11.54Consensusccka_onOrthosteric Ligand7EZH-CCKA-Cholecystokinin-8-Gi1/β1/γ2
11.54Consensusccka_on_gpOrthosteric Ligand7EZH-CCKA-Cholecystokinin-8-Gi1/β1/γ2
11.54Consensuschemerin_onOrthosteric Ligandcml1_on
11.54Consensusnk1_onOrthosteric Ligand7P00-NK1-Substance-P-chim(NtGi1-Gs-CtGq)/β1/γ2
11.54Consensusnk1_on_gpOrthosteric Ligand7P00-NK1-Substance-P-chim(NtGi1-Gs-CtGq)/β1/γ2
11.54Consensusorexin_on_gpOrthosteric Ligandox2_on_gp
11.43Single5GLHEndothelin-15GLH-ETB-Endothelin-1
11.43Single6IGKEndothelin-36IGK-ETB-Endothelin-3
11.43Single7TYXAmylin7TYX-CT (AMY2)-Amylin-Gs/β1/γ2; RAMP2
11.43Single8ZJETAK4488ZJE-Kiss1-TAK448-chim(NtGi1-Gq)/β1/γ1
11.43Consensuscrf1_onOrthosteric Ligand6PB0-CRF1-Urocortin-chim(NtGi1-Gs)/β1/γ2 6P9X-CRF1-Corticoliberin-1-Gs/β1/γ2
11.43Consensusgi_endothelinOrthosteric Ligand8IY5-ETB-Endothelin-1-Gi1/β1/γ2 8HBD-ETB-IRL1620-Gi1/β1/γ2
11.43Consensusgi_npyOrthosteric Ligand8K6M-Y1-Neuropeptide-Y-Gi2/β1/γ1 7X9C-Y4-Pancreatic Hormone-Gi1/β1/γ2 7YOO-Y2-Neuropeptide-Y-Gi1/β1/γ2
11.43Consensusnpy_onOrthosteric Ligandnpy1_on npy2_on npy4_on
11.43Consensusnpy_on_gpOrthosteric Ligandnpy1_on_gp npy2_on_gp npy4_on_gp
11.11Single3OE8IT1t3OE8-CXCR4-IT1t
11.11Single5VBLAMG3054 5VBL-Apelin-AMG3054
11.11Single6OY9All-trans-Retinal6OY9-Rhodopsin-All-trans-Retinal-Gt/β1/γ1
11.11Single7MTBAll-trans-Retinal7MTB-Rhodopsin-All-trans-Retinal-GRK1
11.11Single7RMGSubstance-P7RMG-NK1-Substance-P-chim(Gs-CtGq)/β1/γ2
11.11Single7RMHSubstance-P7RMH-NK1-Substance-P-Gs/β1/γ2
11.11Single7X8SWB4-247X8S-GLP-1-WB4-24-Gs/β1/γ2
11.11Single7XBXCX3CL17XBX-CX3CR1-CX3CL1-Gi1/β1/γ2
11.11Single7Y1FDynorphin7Y1F-κ-Dynorphin-Gi1/β1/γ2
11.11Single8A2OTheophylline8A2O-A2A-Theophylline-Na
11.11Single8F7REndomorphin8F7R-μ-Endomorphin-Gi1/β1/γ2
11.11Single8QJ2pN1628QJ2-MC4-pN162-Gs/β1/γ2
11.11Single8XQOCholesterol8XQO-TAS2R14-Cholesterol-Aristolochic acid A-Gi1/β1/γ1
11.11Single8Y02All-trans-Retinal8Y02-OPN1SW-All-trans-Retinal-Gi1/β1/γ2
11.11Single8Y72Peptide8Y72-μ-Peptide-BMS-986122-Gi1/β1/γ2
11.11Single9C2FCa; Ca; Tryptophan; '54149; PO49C2F-CaS; CaS-Ca-Ca; Ca; Tryptophan; '54149; PO4
11.11Single9EAJNanobody AT2099EAJ-AT1-Nanobody AT209
11.11Single9IPVJR14a9IPV-C3aB-JR14a-Gi1/β1/γ2
11.11Single9IPYJR14a9IPY-C3aB-JR14a
11.11Single9KX6C5a-des-Arg9KX6-C5a1-C5a-des-Arg-Go/β1/γ2
11.11Single9KZ2EP679KZ2-C3aB-EP67-Go/β1/γ2
11.11Single9KZ8EP679KZ8-C3aB-EP67-Go/β1/γ2
11.11Single9WSXEndomorphin9WSX-μ-Endomorphin-Arrestin2
11.11Consensuscxcr4_offOrthosteric Ligand4RWS-CXCR4-vMIP-II 3OE0-CXCR4-CVX15 3OE6-CXCR4-IT1t
11.11Consensusdop_onOrthosteric Ligand8F7S-δ-Deltorphin-Gi1/β1/γ2
11.11Consensusendothelin_on_gpOrthosteric Ligandetb_on_gp eta_on_gp
11.11Consensusetb_on_gpOrthosteric Ligand8IY5-ETB-Endothelin-1-Gi1/β1/γ2 8HBD-ETB-IRL1620-Gi1/β1/γ2
11.11Consensusformylpeptide_onOrthosteric Ligandfpr2-alx_on fpr1-alx_on
11.11Consensusgs_histamineOrthosteric Ligand8POK-H2-Histamine-Gs/β1/γ2
11.11Consensush2_onOrthosteric Ligand8POK-H2-Histamine-Gs/β1/γ2
11.11Consensusnmur1_onOrthosteric Ligand7W53-NMUR1-Neuromedin-U-25-chim(NtGi1-Gs-CtGq)/β1/γ2
11.11Consensussst2_onOrthosteric Ligand7WIC-SST2-Somatostatin-14-Gi1/β1/γ2 7WIG-SST2-L-054264-Gi1/β1/γ2 7YAE-SST2-Octreotide-Gi1/β1/γ2 7YAC-SST2-Paltusotine-Gi1/β1/γ2
11.11Consensussst2_on_gpOrthosteric Ligand7WIC-SST2-Somatostatin-14-Gi1/β1/γ2 7WIG-SST2-L-054264-Gi1/β1/γ2 7YAE-SST2-Octreotide-Gi1/β1/γ2 7YAC-SST2-Paltusotine-Gi1/β1/γ2
10.81Single6LRYSarafotoxin-B6LRY-ETB-Sarafotoxin-B
10.81Consensuscrf1_on_gpOrthosteric Ligand6PB0-CRF1-Urocortin-chim(NtGi1-Gs)/β1/γ2 6P9X-CRF1-Corticoliberin-1-Gs/β1/γ2
10.71Single4IB4Ergotamine4IB4-5-HT2B-Ergotamine
10.71Single7W53Neuromedin-U-257W53-NMUR1-Neuromedin-U-25-chim(NtGi1-Gs-CtGq)/β1/γ2
10.71Single7W56Neuromedin-S7W56-NMUR1-Neuromedin-S-chim(NtGi1-Gs-CtGq)/β1/γ2
10.71Single8G59TUG-8918G59-FFA4-TUG-891-chim(Gi1-CtGq)/β1/γ2
10.71Single8IEBPubChem 1347468948IEB-GPR156; GPR156-PubChem 134746894
10.71Single8IEIPubChem 1347468948IEI-GPR156; GPR156-PubChem 134746894
10.71Single8IEIPubChem 1347468948IEI-GPR156; GPR156-PubChem 134746894
10.71Single8IEPPubChem 1347468948IEP-GPR156; GPR156-PubChem 134746894
10.71Single8IEPPubChem 1347468948IEP-GPR156; GPR156-PubChem 134746894
10.71Single8WZ2Orexigenic Neuropeptide QRFP8WZ2-QRFP-Orexigenic Neuropeptide QRFP-chim(NtGi1L-Gs-CtGq)/β1/γ2
10.71Single8XGMChemerin8XGM-CML2-Chemerin-Gi1/β1/γ2
10.71Single8ZBJSomatostatin-148ZBJ-SST5-Somatostatin-14-Gi1/β1/γ2
10.71Single8ZCJPasireotide8ZCJ-SST5-Pasireotide-Gi1/β1/γ1
10.71Single9BKJCholecystokinin-89BKJ-CCKA-Cholecystokinin-8-chim(NtGi1-Gs-CtGq)/β1/γ2
10.71Single9BUECagrilintide9BUE-CT-Cagrilintide-Gs/β1/γ2
10.71Single9KWGC5a9KWG-C5a1-C5a-Go/β1/γ2
10.71Single9L3YChemerin9L3Y-CML2-Chemerin-Gi1/β1/γ2
10.71Consensuschemokine_onOrthosteric Ligandccr_on cxcr_on
10.71Consensuslpl_onOrthosteric Ligands1p_on lpa_on
10.71Consensuslpl_on_gpOrthosteric Ligands1p_on_gp lpa_on_gp
10.71Consensusmc4_onOrthosteric Ligand7AUE-MC4-Setmelanotide-chim(NtGi1L-Gs)/β1/γ2 7F58-MC4-THIQ-Gs/β1/γ2 7F54-MC4-Afamelanotide-Gs/β1/γ2 7F53-MC4-α-MSH-Gs/β1/γ2 7F55-MC4-Bremelanotide-Gs/β1/γ2
10.71Consensusnmur1_on_gpOrthosteric Ligand7W53-NMUR1-Neuromedin-U-25-chim(NtGi1-Gs-CtGq)/β1/γ2
10.53Single2ZIY11-cis-Retinal2ZIY-Rhodopsin-11-cis-Retinal
10.53Single3UZAGTPL92363UZA-A2A-GTPL9236
10.53Single5WKTOctyl-Beta-D-Glucopyranoside5WKT-Rhodopsin-Octyl-β-D-Glucopyranoside-Gt(CT)
10.53Single6FUFAll-trans-Retinal6FUF-Rhodopsin-All-trans-Retinal-Go
10.53Single7DD7Ca; Ca; Tryptophan; Evocalcet7DD7-CaS; CaS-Ca-Ca; Ca; Tryptophan; Evocalcet
10.53Single7TYOCalcitonin7TYO-CT-Calcitonin-Gs/β1/γ2
10.53Single7X9ANeuropeptide-Y7X9A-Y1-Neuropeptide-Y-Gi1/β1/γ2
10.53Single8DPILorcaserin8DPI-5-HT2C-Lorcaserin-chim(NtGi2L-Gs-CtGq)/β1/γ2
10.53Single8RQLFlufenamic acid8RQL-TAS2R14-Flufenamic acid-Flufenamic acid-chim(NtGi1-Gt3)/β1/γ2
10.53Single8SZFCa; Ca; Tryptophan; Cinacalcet; PO4; Spermine8SZF-CaS; CaS-Ca; Ca; Tryptophan; Cinacalcet; PO4; Spermine
10.53Single9LL7DOI9LL7-5-HT2A-DOI-Gi1/β1/γ2
10.34Single7C6A(Sar1,Ile8)-Angiotensin II7C6A-AT2-(Sar1,Ile8)-Angiotensin II
10.34Single7DDZJNJ-310200287DDZ-Y2-JNJ-31020028
10.34Single7EZKCholecystokinin-87EZK-CCKA-Cholecystokinin-8-chim(NtGi1-Gs)/β1/γ2
10.34Single7PIVAfamelanotide7PIV-MC4-Afamelanotide-Gs/β1/γ2
10.34Single7RMISubstance-P7RMI-NK1-Substance-P-chim(Gs-CtGq)/β1/γ2
10.34Single7TRYUrocortin7TRY-CRF2-Urocortin-chim(NtGi1-G11)/β1/γ2
10.34Single7XNACYN1548067XNA-SST2-CYN154806
10.34Single8F7SDeltorphin8F7S-δ-Deltorphin-Gi1/β1/γ2
10.34Single8IEBPubChem 1347468948IEB-GPR156; GPR156-PubChem 134746894
10.34Single8IOCGamma-MSH8IOC-MC3-γ-MSH-Ca-chim(NtGi1-Gs)/β1/γ2
10.34Single8JBHSubstance-P8JBH-NK3-Substance-P-chim(NtGi1-Gs-CtGq)/β1/γ2
10.34Single8XYDPlatelet Activating Factor8XYD-PAF-Platelet Activating Factor-Gi1/β1/γ2
10.34Single9E82CXCL12 (fragment)9E82-ACKR3-CXCL12 (fragment)-Arrestin2
10.34Single9IK8Pasireotide9IK8-SST1-Pasireotide-Gi1/β1/γ2
10.34Single9IQRMuscarinic toxin 39IQR-α2a-Muscarinic toxin 3
10.34Single9KV6TLQP219KV6-C3aB-TLQP21-Go/β1/γ2
10.34Single9L60Dynorphin9L60-κ-Dynorphin-MPAM-15-Gi1/β1/γ2
10.34Single9UMXEP549UMX-C5a1-EP54-Go/β1/γ2
10.34Consensuscompl-peptide_onOrthosteric Ligandc5a1_on c3a_on
10.34Consensusdop_on_gpOrthosteric Ligand8F7S-δ-Deltorphin-Gi1/β1/γ2
10.34Consensusformylpeptide_on_gpOrthosteric Ligandfpr2-alx_on_gp fpr1-alx_on_gp
10.34Consensusgi_ghrelinOrthosteric Ligand7NA7-Ghrelin-Ghrelin-Gi1/β1/γ2 7NA8-Ghrelin-Ibutamoren-Gi1/β1/γ2
10.34Consensusnpy2_offOrthosteric Ligand7DDZ-Y2-JNJ-31020028
10.34Consensussst2_offOrthosteric Ligand7XNA-SST2-CYN154806
10.00Single3AYMAll-trans-Retinal3AYM-Rhodopsin-All-trans-Retinal
10.00Single3OE0CVX153OE0-CXCR4-CVX15
10.00Single3PBLEticlopride3PBL-D3-Eticlopride
10.00Single6I9K9-cis-Retinal6I9K-Rhodopsin-9-cis-Retinal
10.00Single6MEOGp160; CD46MEO-CCR5-Gp160; CD4
10.00Single6PH7Nerol6PH7-Rhodopsin-Nerol-Gt(CT)
10.00Single6QNOAll-trans-Retinal6QNO-Rhodopsin-All-trans-Retinal-Gi1/β1/γ1
10.00Single7O7F6P4-CCL57O7F-CCR5-6P4-CCL5-Gi1/β1/γ1
10.00Single7T96LY21196207T96-M2-Acetylcholine-LY2119620-Go/β1/γ2
10.00Single7TRPLY20332987TRP-M4-Iperoxo-LY2033298-Gi1/β1/γ2
10.00Single7XTBSerotonin7XTB-5-HT6-Serotonin-Gs/β1/γ2
10.00Single7YS6Serotonin7YS6-5-HT6-Serotonin-chim(NtGi1-Gs)/β1/γ2
10.00Single8EF6Morphine8EF6-μ-Morphine-Gi1/β1/γ2
10.00Single8RWHStilSwitch28RWH-A2A-StilSwitch2-Na
10.00Single8SZFCa; Ca; Tryptophan; Cinacalcet; PO4; Spermine8SZF-CaS; CaS-Ca; Ca; Tryptophan; Cinacalcet; PO4; Spermine
10.00Single8U4RREGN7663-Fab8U4R-CXCR4-REGN7663-Fab
10.00Single8UO4Constrained Epinephrine8UO4-β2-Constrained Epinephrine-GTP; Mg-Gs/β1/γ2
10.00Single8X2KOleic monoethanolamide8X2K-GPR3-Oleic monoethanolamide-chim(NtGi1-Gs)/β1/γ2
10.00Single8YN2Histamine8YN2-H1-Histamine-chim(NtGi1L-Gs-CtGq)/β1/γ2
10.00Single9AS7Psilocin9AS7-5-HT2A-Psilocin
10.00Single9JLCAVE 09919JLC-MAS1-AVE 0991-Gi1/β1/γ2
10.00Single9KUWCMPD6449KUW-Apelin; Apelin-CMPD644-Arrestin2 ; Arrestin2
10.00Single9L3ZLRH7-C29L3Z-CML1-LRH7-C2
10.00Single9M88Oleic monoethanolamide9M88-GPR3 ; GPR3-Oleic monoethanolamide-AF64394
10.00Single9YDAAll-trans-Retinal9YDA-Opsin1MW-All-trans-Retinal-chim(NtGi1L-Gs-CtGt)/β1/γ2
10.00Consensusc5a1_onOrthosteric Ligand8HK5-C5a1-C5a-Gi1/β1/γ2 7Y66-C5a1-BM213-Gi1/β1/γ2 7Y67-C5a1-C089 peptide-Gi1/β1/γ2 7Y64-C5a1-C5a-Gi1/β1/γ2
10.00Consensusccr_onOrthosteric Ligandccr6_on ccr8_on ccr2_on ccr1_on ccr5_on
10.00Consensuscompl-peptide_on_gpOrthosteric Ligandc5a1_on_gp c3a_on_gp
10.00Consensusd3_offOrthosteric Ligand3PBL-D3-Eticlopride
10.00Consensusgs_cckOrthosteric Ligand7MBX-CCKA-Cholecystokinin-8-Gs/β1/γ1
10.00Consensusmc3_onOrthosteric Ligand8IOC-MC3-γ-MSH-Ca-chim(NtGi1-Gs)/β1/γ2
10.00Consensusmc3_on_gpOrthosteric Ligand8IOC-MC3-γ-MSH-Ca-chim(NtGi1-Gs)/β1/γ2
9.76Consensuspth2_on_gpOrthosteric Ligand7F16-PTH2-TIP39-Gs/β1/γ2
9.68Single6METGp160; CD46MET-CCR5-Gp160; CD4
9.68Single7DW9AVP7DW9-V2-AVP-chim(NtGi1-Gs)/β1/γ2
9.68Single7W57Neuromedin-S7W57-NMUR2-Neuromedin-S-chim(NtGi1-Gs-CtGq)/β1/γ2
9.68Single7XK8Neuromedin-U-257XK8-NMUR2-Neuromedin-U-25-Gi1/β1/γ2
9.68Single7YONPeptide-YY(3-36)7YON-Y2-Peptide-YY(3-36)-Gi1/β1/γ2
9.68Single8IEDPubChem 1347468948IED-GPR156; GPR156-PubChem 134746894-Go/β1/γ2
9.68Single8IEDPubChem 1347468948IED-GPR156; GPR156-PubChem 134746894-Go/β1/γ2
9.68Single8XZJWN3538XZJ-Apelin; Apelin-WN353-Gi1/β1/γ2
9.68Consensusc5a1_on_gpOrthosteric Ligand8HK5-C5a1-C5a-Gi1/β1/γ2 7Y66-C5a1-BM213-Gi1/β1/γ2 7Y67-C5a1-C089 peptide-Gi1/β1/γ2 7Y64-C5a1-C5a-Gi1/β1/γ2
9.68Consensusgi_formylpeptideOrthosteric Ligand7WVY-FPR2-ALX-Amyloid-β42-Gi2/β1/γ2 7T6U-FPR2-ALX-CGEN-855A-Gi1/β1/γ2 7VFX-FPR1-ALX-fMIFL-Gi1/β1/γ2 7T6V-FPR2-ALX-fMLFII-Gi1/β1/γ2 7WVX-FPR2-ALX-Humanin-Gi2/β1/γ2 7T6S-FPR2-ALX-TC-FPR 43-Gi1/β1/γ2 6OMM-FPR2-ALX-WKYMVX-Gi1/β1/γ2
9.68Consensusgs_vasop-oxyOrthosteric Ligand7DW9-V2-AVP-chim(NtGi1-Gs)/β1/γ2
9.68Consensusneuromedin-u_onOrthosteric Ligandnmur1_on nmur2_on
9.68Consensusprotein_offonOrthosteric Ligandprotein_off protein_on
9.68Consensusprotein_offon_gpOrthosteric Ligandprotein_on_gp protein_off
9.68Consensustachykinin_onOrthosteric Ligandnk1_on nk2_on nk3_on
9.68Consensusv2_onOrthosteric Ligand7DW9-V2-AVP-chim(NtGi1-Gs)/β1/γ2
9.68Consensusv2_on_gpOrthosteric Ligand7DW9-V2-AVP-chim(NtGi1-Gs)/β1/γ2
9.68Consensusvasop-oxy_onOrthosteric Ligandv2_on
9.68Consensusvasop-oxy_on_gpOrthosteric Ligandv2_on_gp
9.52Single2X72All-trans-Retinal2X72-Rhodopsin-All-trans-Retinal-Gt(CT)
9.52Single2Z7311-cis-Retinal2Z73-Rhodopsin-11-cis-Retinal
9.52Single3AYN9-cis-Retinal3AYN-Rhodopsin-9-cis-Retinal
9.52Single3PWHZM-2413853PWH-A2A-ZM-241385
9.52Single3VG9ZM-2413853VG9-A2A-ZM-241385-Antibody
9.52Single3VGAZM-2413853VGA-A2A-ZM-241385-Antibody
9.52Single4MQTLY21196204MQT-M2-Iperoxo-LY2119620
9.52Single5K2DZM-2413855K2D-A2A-ZM-241385-Na
9.52Single5OLOTozadenant5OLO-A2A-Tozadenant-Na
9.52Single6DS0LY2660976DS0-5-HT2B-LY266097
9.52Single6JZHZM-2413856JZH-A2A-ZM-241385-Na
9.52Single6ME2Ramelteon6ME2-MT1-Ramelteon
9.52Single6NWEOctyl-Beta-D-Glucopyranoside6NWE-Rhodopsin-Octyl-β-D-Glucopyranoside-Gt(CT)
9.52Single6PS7ZM-2413856PS7-A2A-ZM-241385-Na
9.52Single6TQ6PubChem 1457142836TQ6-OX1-PubChem 145714283
9.52Single7F8ULintitript7F8U-CCKA-Lintitript
9.52Single7M3FCa; Ca; Tryptophan; Cinacalcet7M3F-CaS; CaS-Ca; Ca; Tryptophan; Cinacalcet
9.52Single7T6STC-FPR 437T6S-FPR2-ALX-TC-FPR 43-Gi1/β1/γ2
9.52Single7TUZ7-alpha,25-dihydroxycholesterol7TUZ-GPR183-7-α,25-dihydroxycholesterol-Gi1/β1/γ2
9.52Single7VDLCortistatin-147VDL-MRGPRX2-Cortistatin-14-Gi1/β1/γ2
9.52Single7VIHCBP-3077VIH-S1P1-CBP-307-Gi1/β1/γ2
9.52Single7W0OElabela7W0O-Apelin-Elabela-Gi1/β1/γ2
9.52Single7X2CFenoldopam7X2C-D1-Fenoldopam-Fenoldopam-Gs/β1/γ2
9.52Single7X2FDopamine7X2F-D1-Dopamine-Mevidalen-Gs/β1/γ2
9.52Single7X5H5-CT7X5H-5-HT5A-5-CT-Gi1/β1/γ2
9.52Single7XRRLemborexant7XRR-OX2-Lemborexant
9.52Single8RVWStilSwitch38RVW-A2A-StilSwitch3-Na
9.52Single8RW4AzoSwitch28RW4-A2A-AzoSwitch2-Na
9.52Single8RWEStilSwitch48RWE-A2A-StilSwitch4-Na
9.52Single8XXVIndomethacin8XXV-DP2-Indomethacin-A1D5Q-Gi1/β1/γ2
9.52Single8YUTAmthamine8YUT-H2-Amthamine-Gs/β1/γ2
9.52Single9C1PCa; Tryptophan; '6218; PO49C1P-CaS; CaS-Ca-Ca; Tryptophan; '6218; PO4
9.52Single9FUPIstradefylline9FUP-A2A-Istradefylline-Na
9.52Single9KO2CCL199KO2-CCR7-CCL19-Gi1/β1
9.52Single9KO6CCL199KO6-CCR7-CCL19
9.52Single9LKDPL459LKD-OR5V1-PL45
9.52Single9LL9DOI9LL9-5-HT2A-DOI-chim(NtGi1L-Gs-CtGq)/β1/γ2
9.52Single9PEEPF-07054894; OXM29PEE-CCR6-PF-07054894; OXM2
9.52Consensus5ht_onOrthosteric Ligand5ht1_on 5ht2_on 5ht4_on 5ht5_on 5ht6_on 5ht7_on
9.52Consensuscxcr1_onOrthosteric Ligand8IC0-CXCR1-CXCL8-Gi1/β1/γ2
9.52Consensusgs_5htOrthosteric Ligand7XTC-5-HT7-5-CT-Gs/β1/γ2 7XTB-5-HT6-Serotonin-Gs/β1/γ2 8JLZ-5-HT6-ST1936-Gs/β1/γ2 7XT8-5-HT4-Serotonin-Gs/β1/γ2
9.38Single7F9YGhrelin7F9Y-Ghrelin-Ghrelin-chim(NtGi1-Gs-CtGq)/β1/γ2
9.38Single7P02Substance-P7P02-NK1-Substance-P-chim(NtGi1-Gs)/β1/γ2
9.38Single7X9BNeuropeptide-Y7X9B-Y2-Neuropeptide-Y-Gi1/β1/γ2
9.38Single7Y64C5a7Y64-C5a1-C5a-Gi1/β1/γ2
9.38Single8IA2C5a8IA2-C5a1-C5a-Go/β1/γ2
9.38Single8IODPG-9018IOD-MC5-PG-901-Ca-chim(NtGi1-Gs)/β1/γ2
9.38Consensusccr_on_gpOrthosteric Ligandccr6_on_gp ccr8_on_gp ccr2_on_gp ccr1_on_gp ccr5_on_gp
9.38Consensuschemokine_on_gpOrthosteric Ligandccr_on_gp cxcr_on_gp
9.38Consensusneuromedin-u_on_gpOrthosteric Ligandnmur1_on_gp nmur2_on_gp
9.09Single5IU4ZM-2413855IU4-A2A-ZM-241385-Na
9.09Single5IUBQ274563445IUB-A2A-Q27456344-Na
9.09Single5K2CZM-2413855K2C-A2A-ZM-241385-Na
9.09Single5NLXZM-2413855NLX-A2A-ZM-241385-Na
9.09Single5NM4ZM-2413855NM4-A2A-ZM-241385-Na
9.09Single5TE3Octyl-Beta-D-Glucopyranoside5TE3-Rhodopsin-Octyl-β-D-Glucopyranoside
9.09Single5UIW5P7-CCL55UIW-CCR5-5P7-CCL5
9.09Single5UVIZM-2413855UVI-A2A-ZM-241385
9.09Single6FKAPubChem 1324730376FKA-Rhodopsin-PubChem 132473037
9.09Single6IQLL7458706IQL-D4-L745870
9.09Single6ME42-Iodomelatonin6ME4-MT1-2-Iodomelatonin
9.09Single6PELCitronellol6PEL-Rhodopsin-Citronellol-Gt(CT)
9.09Single6WJCMuscarinic toxin 76WJC-M1-Atropine-Muscarinic toxin 7
9.09Single7SK3CXCL127SK3-ACKR3-CXCL12
9.09Single7SK4CXCL12_LRHQ7SK4-ACKR3-CXCL12_LRHQ
9.09Single7T94LY21196207T94-M2-Acetylcholine-LY2119620-chim(NtGi1-Go)/β1/γ2
9.09Single7WVUfMLF7WVU-FPR1-ALX-fMLF-Gi1/β1/γ2
9.09Single7XOVSR1461317XOV-CCKA-SR146131-Gs/β1/γ2
9.09Single7XXH2MeSADP7XXH-P2Y1-2MeSADP-chim(NtGi1-G11)/β1/γ2
9.09Single8XQFApelin-138XQF-Apelin-Apelin-13-Gi1/β1/γ2
9.09Single8Y62C16:0 Ceramide8Y62-FPR2-ALX-C16:0 Ceramide-Gi1/β1/γ2
9.09Single9ARXSerotonin9ARX-5-HT2A-Serotonin
9.09Single9JMDAzithromycin9JMD-Motilin-Azithromycin-chim(Gs-CtGq)/β1/γ2
9.09Single9K0KUTP9K0K-P2Y4-UTP-chim(NtGi1-Gs-CtGq)/β1/γ2
9.09Single9K0XATP9K0X-P2Y2-ATP-chim(NtGi1-Gs-CtGq)/β1/γ2
9.09Single9K20ATP9K20-P2Y2-ATP-chim(NtGi1-Go)/β1/γ2
9.09Single9KUWCMPD6449KUW-Apelin; Apelin-CMPD644-Arrestin2 ; Arrestin2
9.09Single9KXSEP679KXS-C5a1-EP67-Go/β1/γ2
9.09Single9LKBPL459LKB-OR5V1-PL45-chim(NtGi1-Gs)/β1
9.09Single9LL8Psilocin9LL8-5-HT2A-Psilocin-Gi1/β1/γ2
9.09Single9W33S5A19W33-SST5-S5A1
9.09Consensusccr5_offOrthosteric Ligand5UIW-CCR5-5P7-CCL5
9.09Consensusctlike_onOrthosteric Ligand6E3Y-CT Like-Calcitonin gene-related peptide-1-Gs/β1/γ2; RAMP1
9.09Consensuscxcr2_onOrthosteric Ligand6LFM-CXCR2-CXCL8-Gi1/β1/γ2
9.09Consensusgi_compl-peptOrthosteric Ligand8HK5-C5a1-C5a-Gi1/β1/γ2 8IA8-C3aB-E7 peptide-Gi1/β1/γ2 7Y66-C5a1-BM213-Gi1/β1/γ2 7Y67-C5a1-C089 peptide-Gi1/β1/γ2 8HK2-C3aB-C3a-Gi1/β1/γ2 7Y64-C5a1-C5a-Gi1/β1/γ2
9.09Consensusnucleotide_offOrthosteric Ligandadenosine_off p2y_off
9.09Consensusp2y1_on_gpOrthosteric Ligand7XXH-P2Y1-2MeSADP-chim(NtGi1-G11)/β1/γ2
8.82Consensusp2y10_on_gpOrthosteric Ligand8KGG-P2Y10-Lysophosphatidylserine (WJS)-chim(NtGi2-G13)/β1/γ2
8.70Single2Y02Carmoterol2Y02-β1-Carmoterol
8.70Single6D27CAY104716D27-DP2-CAY10471
8.70Single6FKDPubChem 1373491836FKD-Rhodopsin-PubChem 137349183
8.70Single6LPJZM-2413856LPJ-A2A-ZM-241385-Na
8.70Single6LPKZM-2413856LPK-A2A-ZM-241385-Na
8.70Single6ORVTT-OAD26ORV-GLP-1-TT-OAD2-Gs/β1/γ2
8.70Single7F83PF-051904577F83-Ghrelin-PF-05190457
8.70Single7T6VfMLFII7T6V-FPR2-ALX-fMLFII-Gi1/β1/γ2
8.70Single7TRQVU04671547TRQ-M4-Iperoxo-VU0467154-Gi1/β1/γ2
8.70Single7YU4ONO-07405567YU4-LPA1-ONO-0740556
8.70Single8EFQDAMGO8EFQ-μ-DAMGO-Gi1/β1/γ2
8.70Single8IC0CXCL88IC0-CXCR1-CXCL8-Gi1/β1/γ2
8.70Single8ZBEOctreotide8ZBE-SST5-Octreotide-Gi1/β1/γ1
8.70Consensuscxcr1_on_gpOrthosteric Ligand8IC0-CXCR1-CXCL8-Gi1/β1/γ2
8.70Consensusnucleotide_offonOrthosteric Ligandnucleotide_off nucleotide_on
8.70Consensusnucleotide_offon_gpOrthosteric Ligandnucleotide_on_gp nucleotide_off
8.57Single8IY5Endothelin-18IY5-ETB-Endothelin-1-Gi1/β1/γ2
8.57Single8IY6Endothelin-18IY6-ETB-Endothelin-1
8.57Single8KGGLysophosphatidylserine (WJS)8KGG-P2Y10-Lysophosphatidylserine (WJS)-chim(NtGi2-G13)/β1/γ2
8.57Consensusctlike_on_gpOrthosteric Ligand6E3Y-CT Like-Calcitonin gene-related peptide-1-Gs/β1/γ2; RAMP1
8.57Consensusetb_onOrthosteric Ligand8IY5-ETB-Endothelin-1-Gi1/β1/γ2 8HBD-ETB-IRL1620-Gi1/β1/γ2
8.33Single6LFMCXCL86LFM-CXCR2-CXCL8-Gi1/β1/γ2
8.33Single6RZ4Pranlukast6RZ4-CysLT1-Pranlukast-Na
8.33Single7BB7AVP7BB7-V2-AVP-Gs/β1/γ2
8.33Single7VV0PAMP-127VV0-MRGPRX2-PAMP-12
8.33Single7VV4Cortistatin-147VV4-MRGPRX2-Cortistatin-14
8.33Single7Y26Octreotide7Y26-SST2-Octreotide-chim(NtGi2L-Gs-CtGq)/β1/γ2
8.33Single7YU3ONO-07405567YU3-LPA1-ONO-0740556-Gi1/β1/γ2
8.33Single7YU6ONO-07405567YU6-LPA1-ONO-0740556-Gi1/β1/γ2
8.33Single8U1UCCL18U1U-CCR8-CCL1-Gi1/β1/γ2
8.33Single8XQPCholesterol8XQP-TAS2R14-Cholesterol-Aristolochic acid A-Gt3/β1/γ1
8.33Single9ARYSerotonin9ARY-5-HT2A-Serotonin-chim(NtGi1-Gs-CtGq)/β1/γ2
8.33Single9GE2ML1849GE2-GPR55-ML184-chim(NtGi1-G13)/β1/γ2
8.33Single9IYBPGD29IYB-DP2-PGD2-A1D5Q-Gi1/β1/γ2
8.33Single9KO4CCL219KO4-CCR7-CCL21-Gi1/β1/γ2
8.33Consensusccr5_on_gpOrthosteric Ligand7O7F-CCR5-6P4-CCL5-Gi1/β1/γ1 7F1Q-CCR5-CCL3-Gi1/β1/γ2
8.33Consensuscxcr2_on_gpOrthosteric Ligand6LFM-CXCR2-CXCL8-Gi1/β1/γ2
8.11Single8HBDIRL16208HBD-ETB-IRL1620-Gi1/β1/γ2
8.00Single4IAQDihydroergotamine4IAQ-5-HT1B-Dihydroergotamine
8.00Single6DDEDAMGO6DDE-μ-DAMGO-Gi1/β1/γ2
8.00Single7F58THIQ7F58-MC4-THIQ-Gs/β1/γ2
8.00Single7M8W15r-Methyl-PGD27M8W-DP2-15r-Methyl-PGD2-Na
8.00Single7R0CAVP7R0C-V2-AVP-Arrestin2
8.00Single7S8MCortistatin-147S8M-MRGPRX2-Cortistatin-14-Gi1/β1/γ2
8.00Single7T9NDPPC7T9N-TSH-M22 Fab-DPPC-Gs/β1/γ2
8.00Single7TD1LPA7TD1-LPA1-LPA-Gi1/β1/γ2
8.00Single7Y67C089 peptide7Y67-C5a1-C089 peptide-Gi1/β1/γ2
8.00Single7YU5ONO-07405567YU5-LPA1-ONO-0740556-Gi1/β1/γ2
8.00Single7YU7ONO-07405567YU7-LPA1-ONO-0740556-Gi1/β1/γ2
8.00Single8HQCC5a8HQC-C5a1-C5a-Go/β1/γ2
8.00Single8I2GPubChem 675302408I2G-FSH-FSH-PubChem 67530240-Gs/β1/γ2
8.00Single8JSRAnamorelin8JSR-Ghrelin-Anamorelin-chim(NtGi1-Gs-CtGq)/β1/γ2
8.00Single8WJXADP8WJX-P2Y1-ADP-chim(Gs-CtGq)/β1/γ2
8.00Single8Y73Peptide8Y73-μ-Peptide-MPAM-15-Gi1/β1/γ2
8.00Single8ZWFJR14a8ZWF-C3aB-JR14a
8.00Single9IZGLPA9IZG-LPA1-LPA-chim(NtGi1-Gs-CtGq)/β1/γ2
8.00Single9JCLADP9JCL-P2Y1-ADP-chim(Gs-CtGq)/β1/γ2
8.00Single9JMCDS-3801b9JMC-Motilin-DS-3801b-chim(Gs-CtGq)/β1/γ2
8.00Single9L16CCL219L16-CCR7-CCL21
8.00Single9MENGp120 (V3 loop)9MEN-CXCR4-Gp120 (V3 loop)
8.00Consensuscyslt1_offOrthosteric Ligand6RZ5-CysLT1-Zafirlukast-Na 6RZ4-CysLT1-Pranlukast-Na
8.00Consensusgi_lpaOrthosteric Ligand7TD1-LPA1-LPA-Gi1/β1/γ2 7YU3-LPA1-ONO-0740556-Gi1/β1/γ2
8.00Consensuslpa_onOrthosteric Ligandlpa1_on
8.00Consensuslpa_on_gpOrthosteric Ligandlpa1_on_gp
8.00Consensusmotilin_onOrthosteric Ligand8IBU-Motilin-Erythromycin-A-chim(NtGi1-Gs-CtGq)/β1/γ2
8.00Consensusnpy1_offOrthosteric Ligand5ZBH-Y1-BMS-193885 5ZBQ-Y1-UR-MK-299
7.69Single6C1RPMX536C1R-C5a1-PMX53-Avacopan; Na
7.69Single6OS2TRV0266OS2-AT1-TRV026
7.69Single6XOXOrforglipron6XOX-GLP-1-Orforglipron-chim(NtGi1-Gs)/β1/γ2
7.69Single7F55Bremelanotide7F55-MC4-Bremelanotide-Gs/β1/γ2
7.69Single7Y66BM2137Y66-C5a1-BM213-Gi1/β1/γ2
7.69Single8H0QGastrin Releasing Peptide8H0Q-BB2-Gastrin Releasing Peptide-chim(NtGi1-Gs-CtGq)/β1/γ2
7.69Single8HK2C3a8HK2-C3aB-C3a-Gi1/β1/γ2
7.69Single8IBUErythromycin-A8IBU-Motilin-Erythromycin-A-chim(NtGi1-Gs-CtGq)/β1/γ2
7.69Single8XQNCholesterol8XQN-TAS2R14-Cholesterol-Aristolochic acid A-Gi1/β1/γ1
7.69Single9IZHLPA9IZH-LPA1-LPA-chim(NtGi2-G13)/β1/γ2
7.69Single9KZKC3a (fragment)9KZK-C3aB-C3a (fragment)-Go/β1/γ2
7.69Single9VIFNeuropeptide-VF9VIF-NPFF1-Neuropeptide-VF-Gi1/β1/γ2
7.69Single9W32SSTR5 antagonist 19W32-SST5-SSTR5 antagonist 1
7.69Consensusmotilin_on_gpOrthosteric Ligand8IBU-Motilin-Erythromycin-A-chim(NtGi1-Gs-CtGq)/β1/γ2
7.69Consensuspth2_onOrthosteric Ligand7F16-PTH2-TIP39-Gs/β1/γ2
7.41Single4RWSvMIP-II4RWS-CXCR4-vMIP-II
7.41Single7QVMOxytocin7QVM-OT-Oxytocin-chim(NtGi1-Go-CtGq)/β1/γ2
7.41Single7YU8ONO-07405567YU8-LPA1-ONO-0740556-Gi1/β1/γ2
7.41Single8T3OTUG-8918T3O-FFA4-TUG-891-chim(NtGi2L-Gs-CtGq)/β1/γ2
7.41Single8XVUCXCL28XVU-CXCR2-CXCL2
7.41Single8XXHCXCL28XXH-CXCR2-CXCL2-Go/β1/γ2
7.41Single8ZPLHF511168ZPL-CXCR4-HF51116
7.41Single8ZX4Lysophosphatidylinositol 8ZX4-GPR55-Lysophosphatidylinositol-chim(NtGi1-G13)/β1/γ2
7.41Single9GE3Lysophosphatidylinositol9GE3-GPR55-Lysophosphatidylinositol-chim(NtGi1-G13)/β1/γ2
7.41Single9IZFLPA9IZF-LPA1-LPA-Gi1/β1/γ2
7.41Single9KWXC5a-des-Arg9KWX-C5a1-C5a-des-Arg-Go/β1/γ2
7.41Consensusnk2_onOrthosteric Ligand7XWO-NK2-Neurokinin-A-chim(NtGi1-Gs-CtGq)/β1/γ2
7.14Single6C1QPMX536C1Q-C5a1-PMX53-NDT9513727
7.14Single6OMMWKYMVX6OMM-FPR2-ALX-WKYMVX-Gi1/β1/γ2
7.14Single7S8LCortistatin-147S8L-MRGPRX2-Cortistatin-14-chim(NtGi2L-Gs-CtGq)/β1/γ2
7.14Single8H4IDoconexent8H4I-FFA4-Doconexent-chim(NtGi1-Gs)/β1/γ2
7.14Single8JBFSenktide8JBF-NK3-Senktide-chim(NtGi1-Gs-CtGq)/β1/γ2
7.14Single8W8SAA-148W8S-GPR101-AA-14
7.14Single8XQLCholesterol8XQL-TAS2R14-Cholesterol-Aristolochic acid A-Gt3/β1/γ1
7.14Single8XX6CXCL88XX6-CXCR2-CXCL8-Go/β1/γ2
7.14Single9V2NMacimorelin9V2N-Ghrelin-Macimorelin-chim(NtGi1-Gs-CtGq)/β1/γ2
7.14Consensuskiss1_onOrthosteric Ligand8ZJD-Kiss1-Kisspeptin-1-chim(NtGi1-Gq)/β1/γ1
7.14Consensuskisspeptin_onOrthosteric Ligandkiss1_on
6.90Single7NA7Ghrelin7NA7-Ghrelin-Ghrelin-Gi1/β1/γ2
6.90Single7W2ZGhrelin7W2Z-Ghrelin-Ghrelin-Go/β1/γ2
6.90Single8F7XNociceptin8F7X-NOP-Nociceptin-Gi1/β1/γ2
6.90Single8INRAlpha-MSH8INR-MC5-α-MSH-Ca-chim(NtGi1-Gs)/β1/γ2
6.90Single8WKYPG-9348WKY-MC4-PG-934
6.90Single8XBHPubChem 1626566368XBH-GPR34-PubChem 162656636-Gi1/β1/γ2
6.90Single8XWNCXCL88XWN-CXCR2-CXCL8
6.90Single8ZJDKisspeptin-18ZJD-Kiss1-Kisspeptin-1-chim(NtGi1-Gq)/β1/γ1
6.90Single9HB3Mambaquaretin-19HB3-V2-Mambaquaretin-1
6.90Single9MEJGp1209MEJ-CXCR4-Gp120
6.90Single9UMRC5a-pep9UMR-C5a1-C5a-pep-Go/β1/γ2
6.90Single9UYLChemerin-99UYL-CML2-Chemerin-9-Arrestin2
6.90Consensusgq_kisspeptinOrthosteric Ligand8ZJD-Kiss1-Kisspeptin-1-chim(NtGi1-Gq)/β1/γ1
6.90Consensuskiss1_on_gpOrthosteric Ligand8ZJD-Kiss1-Kisspeptin-1-chim(NtGi1-Gq)/β1/γ1
6.90Consensuskisspeptin_on_gpOrthosteric Ligandkiss1_on_gp
6.90Consensusnk3_onOrthosteric Ligand8JBF-NK3-Senktide-chim(NtGi1-Gs-CtGq)/β1/γ2
6.90Consensusnk3_on_gpOrthosteric Ligand8JBF-NK3-Senktide-chim(NtGi1-Gs-CtGq)/β1/γ2
6.90Consensusnop_onOrthosteric Ligand8F7X-NOP-Nociceptin-Gi1/β1/γ2
6.90Consensusnop_on_gpOrthosteric Ligand8F7X-NOP-Nociceptin-Gi1/β1/γ2
6.90Consensusp2y_onOrthosteric Ligandp2y1_on p2y10_on p2y12_on
6.90Consensussomatostatin_offOrthosteric Ligandsst2_off
6.67Single7SK5CXCL127SK5-ACKR3-CXCL12
6.67Single8IBVMotilin8IBV-Motilin-Motilin-chim(NtGi1-Gs-CtGq)/β1/γ2
6.67Single8K6ONeuropeptide-Y8K6O-Y1-Neuropeptide-Y-Gi2/β1/γ1
6.67Single8KH5Lysophosphatidylserine8KH5-GPR174-Lysophosphatidylserine-Gs/β1/γ2
6.67Single8W8RAA-148W8R-GPR101-AA-14-chim(NtGi1-Gs)/β1/γ2
6.67Single9EAINanobody AT2099EAI-AT1-Losartan-Nanobody AT209
6.67Single9IQSMuscarinic toxin 39IQS-M4-Muscarinic toxin 3
6.67Consensusclass-b2_onOrthosteric Ligandadgrg_on adgrf_on adgrl_on adgre_on adgrd_on
6.67Consensusclass-b2_on_gpOrthosteric Ligandadgrg_on_gp adgrf_on_gp adgrl_on_gp adgre_on_gp adgrd_on_gp
6.67Consensusghrelin_onOrthosteric Ligand7NA7-Ghrelin-Ghrelin-Gi1/β1/γ2 7F9Z-Ghrelin-GHRP-6-chim(NtGi1-Gs-CtGq)/β1/γ2 7NA8-Ghrelin-Ibutamoren-Gi1/β1/γ2
6.67Consensusghrelin_on_gpOrthosteric Ligand7NA7-Ghrelin-Ghrelin-Gi1/β1/γ2 7F9Z-Ghrelin-GHRP-6-chim(NtGi1-Gs-CtGq)/β1/γ2 7NA8-Ghrelin-Ibutamoren-Gi1/β1/γ2
6.67Consensusmc5_onOrthosteric Ligand8INR-MC5-α-MSH-Ca-chim(NtGi1-Gs)/β1/γ2 8IOD-MC5-PG-901-Ca-chim(NtGi1-Gs)/β1/γ2
6.67Consensustachykinin_on_gpOrthosteric Ligandnk1_on_gp nk2_on_gp nk3_on_gp
6.45Single7MBXCholecystokinin-87MBX-CCKA-Cholecystokinin-8-Gs/β1/γ1
6.45Single7RYCOxytocin7RYC-OT-Oxytocin-chim(NtGi2L-Gs-CtGq)/β1/γ2
6.45Single7W55Neuromedin-U-257W55-NMUR2-Neuromedin-U-25-chim(NtGi1-Gs-CtGq)/β1/γ2
6.45Single8K6MNeuropeptide-Y8K6M-Y1-Neuropeptide-Y-Gi2/β1/γ1
6.45Single8K6NNeuropeptide-Y8K6N-Y2-Neuropeptide-Y-Gi2/β1/γ1
6.45Single8WKZSBL-MC-318WKZ-MC4-SBL-MC-31
6.45Single8XZHMM078XZH-Apelin; Apelin-MM07-Gi1/β1/γ2
6.45Consensusfpr2-alx_onOrthosteric Ligand7WVX-FPR2-ALX-Humanin-Gi2/β1/γ2 7T6U-FPR2-ALX-CGEN-855A-Gi1/β1/γ2 7T6V-FPR2-ALX-fMLFII-Gi1/β1/γ2 7WVY-FPR2-ALX-Amyloid-β42-Gi2/β1/γ2 7T6S-FPR2-ALX-TC-FPR 43-Gi1/β1/γ2 6OMM-FPR2-ALX-WKYMVX-Gi1/β1/γ2
6.45Consensusnmur2_onOrthosteric Ligand7W55-NMUR2-Neuromedin-U-25-chim(NtGi1-Gs-CtGq)/β1/γ2
6.45Consensusnmur2_on_gpOrthosteric Ligand7W55-NMUR2-Neuromedin-U-25-chim(NtGi1-Gs-CtGq)/β1/γ2
6.45Consensusnpy1_onOrthosteric Ligand8K6M-Y1-Neuropeptide-Y-Gi2/β1/γ1
6.45Consensusnpy1_on_gpOrthosteric Ligand8K6M-Y1-Neuropeptide-Y-Gi2/β1/γ1
6.25Single8TLMAnti-murine CCR8 antibody8TLM-CCR8-Anti-murine CCR8 antibody
6.25Consensusfpr2-alx_on_gpOrthosteric Ligand7WVX-FPR2-ALX-Humanin-Gi2/β1/γ2 7T6U-FPR2-ALX-CGEN-855A-Gi1/β1/γ2 7T6V-FPR2-ALX-fMLFII-Gi1/β1/γ2 7WVY-FPR2-ALX-Amyloid-β42-Gi2/β1/γ2 7T6S-FPR2-ALX-TC-FPR 43-Gi1/β1/γ2 6OMM-FPR2-ALX-WKYMVX-Gi1/β1/γ2
6.25Consensusmc5_on_gpOrthosteric Ligand8INR-MC5-α-MSH-Ca-chim(NtGi1-Gs)/β1/γ2 8IOD-MC5-PG-901-Ca-chim(NtGi1-Gs)/β1/γ2
6.25Consensusp2y_on_gpOrthosteric Ligandp2y1_on_gp p2y10_on_gp p2y12_on_gp
6.06Single8HK5C5a8HK5-C5a1-C5a-Gi1/β1/γ2
6.06Single8XVIEndothelin-18XVI-ETA-Endothelin-1-chim(Gs-CtGq)/β1/γ2
6.06Consensusp2y10_onOrthosteric Ligand8KGG-P2Y10-Lysophosphatidylserine (WJS)-chim(NtGi2-G13)/β1/γ2
5.88Single5MZPCaffeine5MZP-A2A-Caffeine-Na
5.88Consensusccr5_onOrthosteric Ligand7O7F-CCR5-6P4-CCL5-Gi1/β1/γ1 7F1Q-CCR5-CCL3-Gi1/β1/γ2
5.56Single6VCBLSN31604406VCB-GLP-1-GLP-1-LSN3160440-Gs/β1/γ2
5.56Single7V68LY21196207V68-M4-Iperoxo-LY2119620-Gi1/β1/γ2
5.56Single7WC4Serotonin7WC4-5-HT2A-Serotonin
5.56Single8HQMNPGLY8HQM-GPR132-NPGLY-Gi1/β1/γ2
5.56Single8HVINOX-6-78HVI-GPR132-NOX-6-7-Gi1/β1/γ2
5.56Single8X9S5alpha-DHT8X9S-ADGRD1-5α-DHT-chim(NtGi1-Gs)/β1/γ2
5.56Single9IV25alpha-DHT9IV2-ADGRD1-5α-DHT-chim(NtGi1-Gs)/β1/γ2
5.26Single3RFMCaffeine3RFM-A2A-Caffeine
5.26Single6TQ9SB-4081246TQ9-OX1-SB-408124
5.26Single6XBM25(S)-Epoxycholesterol6XBM-SMO-25(S)-Epoxycholesterol-Gi1/β1/γ2
5.26Single7SK6CXCL12_LRHQ7SK6-ACKR3-CXCL12_LRHQ
5.26Single7VDMSubstance-P7VDM-MRGPRX2-Substance-P-Gi1/β1/γ2
5.26Single8U4QREGN7663-Fab8U4Q-CXCR4-REGN7663-Fab-Gi1/β1/γ2
5.26Single9IVMLSN33188399IVM-GLP-1-GLP-1 (Truncated)-LSN3318839-chim(NtGi1-Gs)/β2/γ2
5.26Single9L0HJR14a9L0H-C3aB-JR14a-Go/β1/γ2
5.26Single9M42A1L8O9M42-GPR139-A1L8O-chim(Gs-CtGq)/β1/γ2
5.26Consensusp2y_offOrthosteric Ligandp2y1_off
5.00Single4XNWMRS25004XNW-P2Y1-MRS2500
5.00Single6D32Cyclopamine6D32-SMO-Cyclopamine-Cyclopamine
5.00Single6FK9PubChem 1324730366FK9-Rhodopsin-PubChem 132473036
5.00Single6ME5Agomelatine6ME5-MT1-Agomelatine
5.00Single6OIKLY21196206OIK-M2-Iperoxo-LY2119620-chim(NtGi1-Go)/β1/γ2
5.00Single6PWCNeurotensin-(9-13)6PWC-NTS1-Neurotensin-(9-13)-Arrestin2
5.00Single7WC5Psilocin7WC5-5-HT2A-Psilocin
5.00Single8F76Propanoic acid8F76-OR51E2-Propanoic acid-Gs/β1/γ2
5.00Single8J6QPubChem 251012238J6Q-HCA2-β-Hydroxybutyrate-PubChem 25101223-Gi1/β1/γ2
5.00Single8X9UMetenolone8X9U-ADGRD1-Metenolone-chim(NtGi1-Gs)/β1/γ2
5.00Single8Y63C20:0 Ceramide8Y63-FPR2-ALX-C20:0 Ceramide-Gi1/β1/γ2
5.00Single9JHJC18:0 Ceramide9JHJ-FPR2-ALX-C18:0 Ceramide-Gi1/β1/γ2
5.00Consensusp2y1_offOrthosteric Ligand4XNW-P2Y1-MRS2500
4.76Single4O9RCyclopamine4O9R-SMO-Cyclopamine
4.76Single6FK6PubChem 1324730336FK6-Rhodopsin-PubChem 132473033
4.76Single6HLLCP999946HLL-NK1-CP99994
4.76Single6PGSGeraniol6PGS-Rhodopsin-Geraniol-Gt(CT)
4.76Single6TP4ACT-4622066TP4-OX1-ACT-462206
4.76Single6TQ4PubChem 160468446TQ4-OX1-PubChem 16046844-Na
4.76Single7S8NR-Zinc-35737S8N-MRGPRX2-R-Zinc-3573-chim(NtGi2L-Gs-CtGq)/β1/γ2
4.76Single7S8OR-Zinc-35737S8O-MRGPRX2-R-Zinc-3573-Gi1/β1/γ2
4.76Single7VDHC48/807VDH-MRGPRX2-C48/80-Gi1/β1/γ2
4.76Single8A2PLUAA470708A2P-A2A-LUAA47070-Na
4.76Single8FX5Xanomeline8FX5-M4-Xanomeline-Xanomeline-Gi1/β1/γ2
4.76Single8J6PPubChem 251012238J6P-HCA2-Niacin-PubChem 25101223-Gi1/β1/γ2
4.76Single8JHYPubChem 251012238JHY-HCA2-PubChem 25101223-Gi1/β1/γ2
4.76Single8JIIPubChem 251012238JII-HCA2-Niacin-PubChem 25101223-Gi1/β1/γ2
4.76Single8ZYUNeurotensin-(8-13)8ZYU-NTS1-Neurotensin-(8-13)-SBI-553-Arrestin2
4.76Single9E7RGB889E7R-PAR2-GB88-chim(NtGi1L-Gs-CtGq)/β1/γ2
4.76Consensusgq_nucleotideOrthosteric Ligandgq_p2y
4.76Consensusgq_p2yOrthosteric Ligand7XXH-P2Y1-2MeSADP-chim(NtGi1-G11)/β1/γ2
4.55Single4BWBNeurotensin-(8-12)4BWB-NTS1-Neurotensin-(8-12)
4.55Single4K5YCP-3763954K5Y-CRF1-CP-376395
4.55Single4QINSAG1.54QIN-SMO-SAG1.5
4.55Single4XNVBPTU4XNV-P2Y1-BPTU
4.55Single5OLHVipadenant5OLH-A2A-Vipadenant-Na
4.55Single5OLVLUAA470705OLV-A2A-LUAA47070-Na
4.55Single6FKBPubChem 1324730386FKB-Rhodopsin-PubChem 132473038
4.55Single6LFOCXCL86LFO-CXCR2-CXCL8-Gi1/β1/γ2
4.55Single6ME9Ramelteon6ME9-MT2-Ramelteon
4.55Single6O3CSAG21k6O3C-SMO-SAG21k-Cholesterol
4.55Single6WWZCCL206WWZ-CCR6-CCL20-Go/β1/γ2
4.55Single7BR3Elagolix7BR3-GnRH1-Elagolix
4.55Single7F8YDevazepide7F8Y-CCKA-Devazepide
4.55Single7S8PMS471347S8P-MRGPRX4-MS47134-chim(NtGi2L-Gs-CtGq)/β1/γ2
4.55Single7VV5C48/807VV5-MRGPRX2-C48/80-Gi1/β1/γ2
4.55Single7W0MPubChem 1227019087W0M-Apelin-PubChem 122701908-Gi1/β1/γ2
4.55Single7XJJGalanin7XJJ-GAL1-Galanin-Go/β1/γ2
4.55Single8DWHPubChem 1390305318DWH-MRGPRX1-PubChem 139030531-chim(NtGi2L-Gs-CtGq)/β1/γ2
4.55Single8H8JLodoxamide8H8J-GPR35-Lodoxamide-Ca-chim(NtGi1L-G13)/β1/γ2
4.55Single8U4SREGN7663-Fab8U4S-CXCR4-REGN7663-Fab
4.55Single8U4TREGN7663-Fab8U4T-CXCR4-REGN7663-Fab
4.55Single8U8FPalmitic Acid8U8F-GPR3-Palmitic Acid-Gs/β1/γ2
4.55Single8XXXCXCL68XXX-CXCR2-CXCL6-Go/β1/γ2
4.55Single8YNFCXCL88YNF-ACKR1-CXCL8
4.55Single8YYWAlpha-ketoglutarate8YYW-Oxoglutarate-α-ketoglutarate-α-ketoglutarate-chim(Gi1-CtGq)/β1/γ2
4.55Consensusccr6_onOrthosteric Ligand6WWZ-CCR6-CCL20-Go/β1/γ2
4.55Consensusccr6_on_gpOrthosteric Ligand6WWZ-CCR6-CCL20-Go/β1/γ2
4.55Consensusgnrh1_offOrthosteric Ligand7BR3-GnRH1-Elagolix
4.55Consensusp2y1_onOrthosteric Ligand7XXH-P2Y1-2MeSADP-chim(NtGi1-G11)/β1/γ2
4.35Single3REYPubChem 56973REY-A2A-PubChem 5697
4.35Single6FK8PubChem 1324730356FK8-Rhodopsin-PubChem 132473035
4.35Single6U1NLY21196206U1N-M2-LY2119620-Arrestin2
4.35Single6XBLSAG6XBL-SMO-SAG-Cholesterol-Gi1/β1/γ2
4.35Single6ZDVPubChem 9840736ZDV-A2A-PubChem 984073-Na
4.35Single7M3GCa; Ca; Tryptophan; Evocalcet; Etelcalcetide; PO47M3G-CaS; CaS-Ca; Ca; Tryptophan; Evocalcet; Etelcalcetide; PO4
4.35Single7UTZDPPC7UTZ-TSH-TSH-DPPC-Gs/β1/γ2
4.35Single7VV6C48/807VV6-MRGPRX2-C48/80
4.35Single7ZI0SAG7ZI0-SMO-SAG-Cholesterol
4.35Single8HQN9-S-HODE8HQN-GPR132-9-S-HODE-Gi1/β1/γ2
4.35Single8K4NPubChem 1687197658K4N-GPR34-PubChem 168719765-Gi1/β1/γ2
4.35Single8K9LDAMGO8K9L-μ-DAMGO-BMS-986122-Gi3/β1/γ1
4.35Single9DQJEP-39459DQJ-MRGPRD-EP-3945-chim(NtGi1-Gs-CtGq)/β1/γ2
4.35Consensusgrh_offOrthosteric Ligandgnrh1_off
4.17Single4Z9GCP-3763954Z9G-CRF1-CP-376395
4.17Single5T04Neurotensin-(8-13)5T04-NTS1-Neurotensin-(8-13)
4.17Single5UIGPubChem 1240811965UIG-A2A-PubChem 124081196
4.17Single6FK7PubChem 1324730346FK7-Rhodopsin-PubChem 132473034
4.17Single6FKCPubChem 1324730396FKC-Rhodopsin-PubChem 132473039
4.17Single6Z4VNeurotensin-(9-13)6Z4V-NTS1-Neurotensin-(9-13)
4.17Single7FIHOrg435537FIH-LH-hCG-Org43553-chim(NtGi1-Gs)/β1/γ2
4.17Single7NA8Ibutamoren7NA8-Ghrelin-Ibutamoren-Gi1/β1/γ2
4.17Single7SK8CXCL127SK8-ACKR3-CXCL12-CCX662
4.17Single7VH0Ramelteon7VH0-MT2-Ramelteon-Gi1/β1/γ1
4.17Single7WQ3Galanin7WQ3-GAL1-Galanin-Gi1/β1/γ2
4.17Single8EJKTAK-8758EJK-FFA1-TAK-875-chim(NtGi1L-Gs-CtGq)/β1/γ2
4.17Single8GTIBMK-C2058GTI-CRF1-BMK-C205
4.17Single8TH3AT118-H Nanobody8TH3-AT1-AT118-H Nanobody
4.17Single9IMATalquetamab9IMA-GPRC5D; GPRC5D-Talquetamab
4.17Single9IYAONO-97105319IYA-GPR55-ONO-9710531
4.17Single9METGp120; CD49MET-CXCR4-Gp120; CD4
4.17Consensuscck_offOrthosteric Ligandccka_off
4.17Consensusccka_offOrthosteric Ligand7F8Y-CCKA-Devazepide 7F8U-CCKA-Lintitript
4.17Consensusgal1_onOrthosteric Ligand7WQ3-GAL1-Galanin-Gi1/β1/γ2
4.17Consensusgal1_on_gpOrthosteric Ligand7WQ3-GAL1-Galanin-Gi1/β1/γ2
4.17Consensusgi_galaninOrthosteric Ligand7WQ3-GAL1-Galanin-Gi1/β1/γ2
4.00Single4PHUFasiglifam4PHU-FFA1-Fasiglifam
4.00Single5ZBQUR-MK-2995ZBQ-Y1-UR-MK-299
4.00Single7M3GCa; Ca; Tryptophan; Evocalcet; Etelcalcetide; PO47M3G-CaS; CaS-Ca; Ca; Tryptophan; Evocalcet; Etelcalcetide; PO4
4.00Single7VFXfMIFL7VFX-FPR1-ALX-fMIFL-Gi1/β1/γ2
4.00Single8EJCTAK-8758EJC-FFA1-TAK-875-chim(NtGi1L-Gs-CtGq)/β1/γ2
4.00Single8GTGBMK-I1528GTG-CRF1-BMK-I152
4.00Single8ID4Linoleic acid8ID4-FFA4-Linoleic acid-Gi1/β1/γ2
4.00Single8IZ4Lysophosphatidylserine (TJR)8IZ4-GPR34-Lysophosphatidylserine (TJR)-Gi1/β1/γ2
4.00Single8TH4AT118-L Nanobody8TH4-AT1-Losartan-AT118-L Nanobody
4.00Single8ZYTNeurotensin-(8-13)8ZYT-NTS1-Neurotensin-(8-13)-SBI-553-Arrestin2
4.00Single9DQHEP-28259DQH-MRGPRD-EP-2825-chim(NtGi1-Gs-CtGq)/β1/γ2
4.00Single9EAHNanobody AT2099EAH-AT1-Olmesartan-Nanobody AT209
4.00Consensuscyslt_offOrthosteric Ligandcyslt2_off cyslt1_off
4.00Consensusfpr1-alx_onOrthosteric Ligand7VFX-FPR1-ALX-fMIFL-Gi1/β1/γ2
4.00Consensusfpr1-alx_on_gpOrthosteric Ligand7VFX-FPR1-ALX-fMIFL-Gi1/β1/γ2
4.00Consensuslpa1_onOrthosteric Ligand7TD1-LPA1-LPA-Gi1/β1/γ2 7YU3-LPA1-ONO-0740556-Gi1/β1/γ2
4.00Consensuslpa1_on_gpOrthosteric Ligand7TD1-LPA1-LPA-Gi1/β1/γ2 7YU3-LPA1-ONO-0740556-Gi1/β1/γ2
3.85Single3ZEVNeurotensin-(7-13)3ZEV-NTS1-Neurotensin-(7-13)
3.85Single4BV0Neurotensin-(7-13)4BV0-NTS1-Neurotensin-(7-13)
3.85Single5TZRMK86665TZR-FFA1-MK8666
3.85Single5ZBHBMS-1938855ZBH-Y1-BMS-193885
3.85Single6OS1TRV0266OS1-AT1-TRV026
3.85Single6RZ5Zafirlukast6RZ5-CysLT1-Zafirlukast-Na
3.85Single6Z8NSRI-98296Z8N-NTS1-SRI-9829
3.85Single7F1TCCL37F1T-CCR5-CCL3
3.85Single7L0PNeurotensin-(8-13)7L0P-NTS1-Neurotensin-(8-13)-Gi1/β1/γ1
3.85Single7L0QNeurotensin-(8-13)7L0Q-NTS1-Neurotensin-(8-13)-Gi1/β1/γ1
3.85Single7SK7CXCL127SK7-ACKR3-CXCL12-CCX662
3.85Single7XBDGalanin7XBD-GAL2-Galanin-chim(NtGi2L-Gs-CtGq)/β1/γ2
3.85Single7XJLSpexin7XJL-GAL2-Spexin-chim(NtGi2L-Gs-CtGq)/β1/γ2
3.85Single7XWONeurokinin-A7XWO-NK2-Neurokinin-A-chim(NtGi1-Gs-CtGq)/β1/γ2
3.85Single8FMZNeurotensin-(8-13)8FMZ-NTS1-Neurotensin-(8-13)-chim(NtGi2L-Gs-CtGq)/β1/γ2
3.85Single8FN1Neurotensin-(8-13)8FN1-NTS1-Neurotensin-(8-13)-chim(NtGi1-Go)/β1/γ2
3.85Single8JBGNeurokinin-B8JBG-NK3-Neurokinin-B-chim(NtGi1-Gs-CtGq)/β1/γ2
3.85Single8JD5JNJ-40411813; ADX881788JD5-mGlu2; mGlu4-Glutamate-JNJ-40411813; ADX88178-Gi1/β1/γ2
3.85Single8JZPC5a8JZP-C5a1-C5a-Go/β1/γ2
3.85Single8XBIPubChem 1626566368XBI-GPR34-PubChem 162656636
3.85Single8XQTCholesterol8XQT-TAS2R14-Cholesterol-Gi1/β1/γ1
3.85Single8XX7CXCL58XX7-CXCR2-CXCL5-Go/β1/γ2
3.85Single9ITELPA9ITE-LPA6-LPA-chim(NtGi2-G13)/β1/γ2
3.85Single9UY3Anamorelin9UY3-Ghrelin-Anamorelin-chim(NtGi1-Gs-CtGq)/β1/γ2
3.85Consensusffa2_onOrthosteric Ligand8J22-FFA2-TUG-1375-Gi1/β1/γ2
3.85Consensusffa_onOrthosteric Ligandffa2_on ffa3_on
3.85Consensusffa_on_gpOrthosteric Ligandffa2_on_gp ffa3_on_gp
3.85Consensusgi_ffaOrthosteric Ligand8J21-FFA3-Butyric acid-Gi1/β1/γ2 8J22-FFA2-TUG-1375-Gi1/β1/γ2
3.85Consensusneurotensin_onOrthosteric Ligandnts1_on
3.85Consensusnk2_on_gpOrthosteric Ligand7XWO-NK2-Neurokinin-A-chim(NtGi1-Gs-CtGq)/β1/γ2
3.85Consensusnts1_onOrthosteric Ligand6OSA-NTS1-JMV449-Gi1/β1/γ2 7L0S-NTS1-Neurotensin-(8-13)-Gi1/β1/γ1
3.70Single3VW7Vorapaxar; Na3VW7-PAR1-Vorapaxar; Na
3.70Single4GRVNeurotensin-(8-13)4GRV-NTS1-Neurotensin-(8-13)
3.70Single4PXZ2MeSADP4PXZ-P2Y12-2MeSADP
3.70Single4PY02MeSATP4PY0-P2Y12-2MeSATP
3.70Single4XEENeurotensin-(8-13)4XEE-NTS1-Neurotensin-(8-13)
3.70Single4XESNeurotensin-(8-13)4XES-NTS1-Neurotensin-(8-13)
3.70Single5TZYMK8666; AP85TZY-FFA1-MK8666; AP8
3.70Single6OSAJMV4496OSA-NTS1-JMV449-Gi1/β1/γ2
3.70Single6RZ7ONO-25703666RZ7-CysLT2-ONO-2570366
3.70Single6YVRNeurotensin-(6-13)6YVR-NTS1-Neurotensin-(6-13)
3.70Single7L0SNeurotensin-(8-13)7L0S-NTS1-Neurotensin-(8-13)-Gi1/β1/γ1
3.70Single7WQ4Galanin7WQ4-GAL2-Galanin-chim(NtGi1-Gs-CtGq)/β1/γ2
3.70Single7XJKGalanin7XJK-GAL2-Galanin-chim(NtGi2L-Gs-CtGq)/β1/γ2
3.70Single7XW5ML1097XW5-TSH-TSH-ML109-Gs/β1/γ2
3.70Single7XW6ML1097XW6-TSH-M22 Fab-ML109-Gs/β1/γ2
3.70Single8DWCBAM8-228DWC-MRGPRX1-BAM8-22-chim(NtGi2L-Gs-CtGq)/β1/γ2
3.70Single8GTMBMK-C2038GTM-CRF1-BMK-C203
3.70Single8JPBNeurotensin-(8-13)8JPB-NTS1-Neurotensin-(8-13)-SBI-553; GDP; Mg-Gq; GRK2
3.70Single8JPCNeurotensin-(8-13)8JPC-NTS1-Neurotensin-(8-13)-SBI-553; GDP; Mg-Gq; GRK2
3.70Single8U26Substance-P8U26-NK1-Substance-P-Gs/β1/γ2
3.70Single8WRBLysophosphatidylserine (UBL)8WRB-GPR34-Lysophosphatidylserine (UBL)-Gi1/β1/γ2
3.70Single8XQJJN2418XQJ-Apelin; Apelin-JN241
3.70Single8XWACXCL18XWA-CXCR2-CXCL1
3.70Single8XWMCXCL68XWM-CXCR2-CXCL6
3.70Single8XWSCXCL58XWS-CXCR2-CXCL5
3.70Single8XX3CXCL38XX3-CXCR2-CXCL3-Go/β1/γ2
3.70Single8Y6WTUG-13758Y6W-FFA2-TUG-1375-4-CMTB-Gi1/β1/γ2
3.70Single9ECJS-geranylgeranyl-L-glutathione9ECJ-P2Y8-S-geranylgeranyl-L-glutathione-G13/β1/γ2
3.70Consensusffa2_on_gpOrthosteric Ligand8J22-FFA2-TUG-1375-Gi1/β1/γ2
3.70Consensusgalanin_onOrthosteric Ligandgal2_on gal1_on
3.70Consensusgalanin_on_gpOrthosteric Ligandgal2_on_gp gal1_on_gp
3.70Consensusgi_neurotensinOrthosteric Ligand6OSA-NTS1-JMV449-Gi1/β1/γ2 7L0S-NTS1-Neurotensin-(8-13)-Gi1/β1/γ1
3.70Consensusneurotensin_on_gpOrthosteric Ligandnts1_on_gp
3.70Consensusnts1_on_gpOrthosteric Ligand6OSA-NTS1-JMV449-Gi1/β1/γ2 7L0S-NTS1-Neurotensin-(8-13)-Gi1/β1/γ1
3.57Single4BUONeurotensin-(8-13)4BUO-NTS1-Neurotensin-(8-13)
3.57Single6RZ9ONO-27703726RZ9-CysLT2-ONO-2770372
3.57Single6UP7Neurotensin-(8-13)6UP7-NTS1-Neurotensin-(8-13)-Arrestin2
3.57Single7MBYCholecystokinin-87MBY-CCKA-Cholecystokinin-8-chim(NtGi1L-Gs-CtGq)/β1/γ2
3.57Single8FN0Neurotensin-(8-13)8FN0-NTS1-Neurotensin-(8-13)-SBI-553-chim(NtGi1-Go)/β1/γ2
3.57Single8JPFNeurotensin-(8-13)8JPF-NTS1-Neurotensin-(8-13)-SBI-553
3.57Single8XBES3E-Lysophosphatidylserine 8XBE-GPR34-S3E-Lysophosphatidylserine-Gi1/β1/γ1
3.57Single8XWFCXCL38XWF-CXCR2-CXCL3
3.57Single8XWVCXCL18XWV-CXCR2-CXCL1-Go/β1/γ2
3.57Single9J0BUDP-Glucose9J0B-P2Y14-UDP-Glucose-Gi1/β1/γ2
3.57Single9VI9RFRP-39VI9-NPFF1-RFRP-3-Gi1/β1/γ2
3.57Consensuscyslt2_offOrthosteric Ligand6RZ7-CysLT2-ONO-2570366 6RZ8-CysLT2-ONO-2080365 6RZ9-CysLT2-ONO-2770372
3.57Consensusgal2_onOrthosteric Ligand7WQ4-GAL2-Galanin-chim(NtGi1-Gs-CtGq)/β1/γ2 7XJL-GAL2-Spexin-chim(NtGi2L-Gs-CtGq)/β1/γ2
3.57Consensusgal2_on_gpOrthosteric Ligand7WQ4-GAL2-Galanin-chim(NtGi1-Gs-CtGq)/β1/γ2 7XJL-GAL2-Spexin-chim(NtGi2L-Gs-CtGq)/β1/γ2
3.45Single6KNMJN241-96KNM-Apelin-JN241-9
3.45Single6OS9JMV4496OS9-NTS1-JMV449-Gi1/β1/γ2
3.45Single6RZ6ONO-25703666RZ6-CysLT2-ONO-2570366
3.45Single7F9ZGHRP-67F9Z-Ghrelin-GHRP-6-chim(NtGi1-Gs-CtGq)/β1/γ2
3.45Single8J22TUG-13758J22-FFA2-TUG-1375-Gi1/β1/γ2
3.45Single8SAILysophosphatidylserine (S12)8SAI-GPR34-Lysophosphatidylserine (S12)-Gi1/β1/γ2
3.45Single8XQJJN2418XQJ-Apelin; Apelin-JN241
3.45Single8Z74JN241-98Z74-Apelin; Apelin-JN241-9
3.45Single8Z74JN241-98Z74-Apelin; Apelin-JN241-9
3.45Single9ITBLPA9ITB-LPA6-LPA-chim(NtGi1-Gs-CtGq)/β1/γ2
3.45Single9JH6C20:0 Ceramide9JH6-CysLT2-C20:0 Ceramide-chim(NtGi1-Gs-CtGq)/β1/γ2
3.33Single6RZ8ONO-20803656RZ8-CysLT2-ONO-2080365
3.33Single7F54Afamelanotide7F54-MC4-Afamelanotide-Gs/β1/γ2
3.33Single7L0RNeurotensin-(8-13)7L0R-NTS1-Neurotensin-(8-13)-Gi1/β1/γ1
3.33Single7VLACCL15(27-92)7VLA-CCR1-CCL15(27-92)-Gi1/β1/γ2
3.33Single8DWGBAM8-228DWG-MRGPRX1-BAM8-22-ML382-chim(NtGi2L-Gs-CtGq)/β1/γ2
3.33Single8IZBLysophosphatidylserine (UBL)8IZB-GPR174-Lysophosphatidylserine (UBL)-Gs/β1/γ2
3.33Single9J0IUDP-Glucuronic acid9J0I-P2Y14-UDP-Glucuronic acid-Gi1/β1/γ2
3.33Consensusccr1_onOrthosteric Ligand7VLA-CCR1-CCL15(27-92)-Gi1/β1/γ2
3.33Consensusccr1_on_gpOrthosteric Ligand7VLA-CCR1-CCL15(27-92)-Gi1/β1/γ2
3.23Single7F1QCCL37F1Q-CCR5-CCL3-Gi1/β1/γ2
3.23Single9J0FNADH9J0F-P2Y14-NADH-Gi1/β1/γ2
2.94Single7XV3Lysophosphatidylserine (WJS)7XV3-GPR174-Lysophosphatidylserine (WJS)-chim(NtGi1-Gs)/β1/γ2

PDB Summary
PDB 8XJN
Class A
SubFamily Lipid
Type Prostanoid
SubType TXA2
Species Homo Sapiens
Ligand Cloprosetnol
Other Ligand(s) -
Protein Partners chim(NtGi1-Gs-CtGq)/Beta1/Gamma2
PDB Resolution 3.06
Date 2024-02-28
D.O.I. doi.org/10.1016/j.celrep.2024.113893
Net Summary
Imin 2.88
Number of Linked Nodes 868
Number of Links 1079
Number of Hubs 190
Number of Links mediated by Hubs 677
Number of Communities 20
Number of Nodes involved in Communities 244
Number of Links involved in Communities 372
Path Summary
Number Of Nodes in MetaPath 102
Number Of Links MetaPath 101
Number of Shortest Paths 5882804
Length Of Smallest Path 3
Average Path Length 34.5742
Length of Longest Path 64
Minimum Path Strength 1.38
Average Path Strength 7.01298
Maximum Path Strength 23.02
Minimum Path Correlation 0.7
Average Path Correlation 0.994276
Maximum Path Correlation 1
Minimum % Of Corr. Nodes 2.43902
Average % Of Corr. Nodes 37.4157
Maximum % Of Corr. Nodes 100
Minimum Path Hubs % 0
Average Path Hubs % 54.9317
Maximum Path Hubs % 100
AnnotationTypeLinks
Gene OntologyMolecular Function
Gene OntologyBiological Process• response to stimulus   • response to chemical   • response to xenobiotic stimulus   • positive regulation of cytosolic calcium ion concentration   • biological regulation   • regulation of biological quality   • regulation of tube diameter   • multicellular organismal process   • regulation of biological process   • system process   • regulation of tube size   • regulation of system process   • positive regulation of biological process   • positive regulation of vasoconstriction   • circulatory system process   • regulation of blood circulation   • vascular process in circulatory system   • regulation of vasoconstriction   • positive regulation of multicellular organismal process   • regulation of multicellular organismal process   • blood vessel diameter maintenance   • vasoconstriction   • blood circulation   • regulation of anatomical structure size   • response to ketone   • response to lipid   • response to oxygen-containing compound   • response to testosterone   • regulation of blood pressure   • positive regulation of blood pressure   • smooth muscle contraction   • muscle contraction   • muscle system process   • cellular response to stimulus   • biological process involved in interspecies interaction between organisms   • response to other organism   • cellular response to lipopolysaccharide   • response to external stimulus   • cellular response to molecule of bacterial origin   • response to lipopolysaccharide   • cellular response to oxygen-containing compound   • response to biotic stimulus   • cellular response to biotic stimulus   • cellular response to chemical stimulus   • response to bacterium   • cellular response to lipid   • cellular process   • response to external biotic stimulus   • response to molecule of bacterial origin   • response to alcohol   • response to ethanol   • regulation of cellular process   • signaling   • adenylate cyclase-activating G protein-coupled receptor signaling pathway   • cell communication   • adenylate cyclase-modulating G protein-coupled receptor signaling pathway   • G protein-coupled receptor signaling pathway   • signal transduction   • regulation of developmental process   • angiogenesis   • regulation of vasculature development   • positive regulation of developmental process   • multicellular organism development   • tube morphogenesis   • anatomical structure development   • regulation of anatomical structure morphogenesis   • blood vessel development   • system development   • developmental process   • regulation of multicellular organismal development   • blood vessel morphogenesis   • tube development   • positive regulation of angiogenesis   • vasculature development   • circulatory system development   • anatomical structure morphogenesis   • positive regulation of vasculature development   • regulation of angiogenesis   • anatomical structure formation involved in morphogenesis   • negative regulation of locomotion   • regulation of cell motility   • cell migration involved in sprouting angiogenesis   • regulation of blood vessel endothelial cell migration   • endothelial cell migration   • negative regulation of biological process   • negative regulation of endothelial cell migration   • negative regulation of blood vessel endothelial cell migration   • regulation of cell migration   • negative regulation of cellular process   • regulation of endothelial cell migration   • blood vessel endothelial cell migration   • cell migration   • cell motility   • locomotion   • negative regulation of cell migration   • regulation of cell migration involved in sprouting angiogenesis   • sprouting angiogenesis   • regulation of locomotion   • negative regulation of cell motility   • negative regulation of cell migration involved in sprouting angiogenesis   • positive regulation of smooth muscle contraction   • regulation of muscle system process   • regulation of muscle contraction   • regulation of smooth muscle contraction   • positive regulation of muscle contraction   • regulation of body fluid levels   • positive regulation of coagulation   • regulation of response to external stimulus   • positive regulation of blood coagulation   • regulation of response to wounding   • regulation of coagulation   • positive regulation of response to stimulus   • response to stress   • regulation of response to stress   • coagulation   • positive regulation of hemostasis   • response to wounding   • regulation of hemostasis   • positive regulation of response to wounding   • wound healing   • regulation of blood coagulation   • hemostasis   • blood coagulation   • positive regulation of wound healing   • regulation of response to stimulus   • regulation of wound healing   • defense response   • inflammatory response   • response to nutrient levels   • response to nutrient   • membrane-bounded organelle   • intracellular anatomical structure   • nucleus   • membrane-enclosed lumen   • intracellular membraneless organelle   • intracellular membrane-bounded organelle   • intracellular organelle lumen   • nuclear speck   • ribonucleoprotein granule   • intracellular organelle   • nuclear body   • cellular anatomical structure   • nucleoplasm   • organelle lumen
Gene OntologyCellular Component• membrane-bounded organelle   • intracellular anatomical structure   • nucleus   • membrane-enclosed lumen   • intracellular membraneless organelle   • intracellular membrane-bounded organelle   • intracellular organelle lumen   • nuclear speck   • ribonucleoprotein granule   • intracellular organelle   • nuclear body   • cellular anatomical structure   • nucleoplasm   • organelle lumen   • organelle   • membraneless organelle   • supramolecular complex   • nuclear ribonucleoprotein granule   • nuclear lumen   • cell periphery   • plasma membrane   • membrane   • acrosomal vesicle   • intracellular vesicle   • endomembrane system   • cytoplasmic vesicle   • secretory granule   • secretory vesicle   • cytoplasm   • vesicle   • protein binding   • binding   • G-protein beta-subunit binding   • fibroblast proliferation   • cell population proliferation   • cellular process   • cellular response to nitrogen compound   • cellular response to stimulus   • response to dopamine   • regulation of cellular process   • response to stimulus   • signaling   • cellular response to dopamine   • response to monoamine   • cell communication   • response to catecholamine   • adenylate cyclase-activating dopamine receptor signaling pathway   • cellular response to catecholamine stimulus   • signal transduction   • regulation of biological process   • G protein-coupled dopamine receptor signaling pathway   • biological regulation   • response to oxygen-containing compound   • response to nitrogen compound   • adenylate cyclase-activating G protein-coupled receptor signaling pathway   • cellular response to oxygen-containing compound   • cellular response to chemical stimulus   • cellular response to monoamine stimulus   • response to chemical   • adenylate cyclase-modulating G protein-coupled receptor signaling pathway   • G protein-coupled receptor signaling pathway   • response to ketone   • response to prostaglandin   • response to lipid   • response to endogenous stimulus   • response to alcohol   • cellular response to prostaglandin stimulus   • cellular response to endogenous stimulus   • cellular response to prostaglandin E stimulus   • cellular response to alcohol   • response to hormone   • cellular response to lipid   • response to prostaglandin E   • cellular response to ketone   • cellular response to hormone stimulus   • protein-containing complex   • extrinsic component of plasma membrane   • catalytic complex   • plasma membrane protein complex   • cytoplasmic side of membrane   • membrane protein complex   • heterotrimeric G-protein complex   • side of membrane   • cytoplasmic side of plasma membrane   • GTPase complex   • extrinsic component of membrane   • extrinsic component of cytoplasmic side of plasma membrane   • extracellular exosome   • extracellular vesicle   • extracellular organelle   • extracellular region   • extracellular space   • extracellular membrane-bounded organelle   • synapse   • cell junction   • enzyme binding   • GTPase binding   • protein-containing complex binding   • pyrophosphatase activity   • GTPase activity   • ribonucleoside triphosphate phosphatase activity   • hydrolase activity, acting on acid anhydrides, in phosphorus-containing anhydrides   • hydrolase activity   • hydrolase activity, acting on acid anhydrides   • catalytic activity   • signaling receptor complex adaptor activity   • protein-macromolecule adaptor activity   • molecular adaptor activity   • signaling adaptor activity   • multicellular organismal process   • system process   • sensory perception of chemical stimulus   • sensory perception   • nervous system process   • sensory perception of taste   • developmental process   • sensory organ development   • eye development   • animal organ development   • retina development in camera-type eye   • visual system development   • multicellular organism development   • camera-type eye development   • anatomical structure development   • sensory system development   • system development   • small GTPase-mediated signal transduction   • Ras protein signal transduction   • intracellular signal transduction   • intracellular signaling cassette   • phospholipase C-activating G protein-coupled receptor signaling pathway   • synaptic signaling   • cellular response to acetylcholine   • cell-cell signaling   • acetylcholine receptor signaling pathway   • postsynaptic signal transduction   • G protein-coupled acetylcholine receptor signaling pathway   • response to acetylcholine   • non-motile cilium   • 9+0 non-motile cilium   • cilium   • neuron projection   • photoreceptor disc membrane   • photoreceptor outer segment   • plasma membrane bounded cell projection   • cell projection   • photoreceptor cell cilium   • organelle membrane   • cytosol   • vacuolar membrane   • lytic vacuole   • vacuole   • lytic vacuole membrane   • bounding membrane of organelle   • lysosomal membrane   • lysosome
SCOP2Domain Identifier• G protein-coupled receptor-like   • Transducin (heterotrimeric G protein), gamma chain
SCOP2Family Identifier• G protein-coupled receptor-like   • Transducin (heterotrimeric G protein), gamma chain
Membrane Protein Annotations-• Orientations of Proteins in Membranes database (OPM)   • Protein Data Bank of Transmembrane Proteins (PDBTM)   • MemProtMD


Details about the values in these tables can be found in the corresponding documentation page .
Code_L_
PDB ResiduesL:L:?1
Environment DetailsOpen EMBL-EBI Page
Code_L_
Name
Synonyms
Identifier
Formula
Molecular Weight
SMILES
PubChem
Formal Charge
Total Atoms
Total Chiral Atoms
Total Bonds
Total Aromatic Bonds

PDBsumOpen PDBsum Page
ChainA
ProteinG Protein α Sub unit
UniProtP63092
Sequence
>8XJN_Chain_A
EKAEKIEKQ LQKDKQVYR TRLLLLGAS GKSTIVKQM RGIFETKFQ 
VDKVNFHMF DVGRRKWIQ CFNDVTAII FVVSSYNRL QEALNFKSI 
WNNRWLRTI SVILFLNKQ DLLAEKVLA GKSKIEDYF PEFARYTTP 
EDATPEPGE DPRVTRAKY FIREFISTA SGDGRHCYP HFTCVDTEN 
RRFNDCDII MLRYLLSAD AVRSMRLDN DDDKVDISA IKLQNENV


Click on each residue to open a popup with some information about it.

ConSurf Conservation Grade (See documentation): 

 n/a   1    2    3    4    5    6    7    8    9  

ChainB
ProteinG Protein β Sub unit
UniProtP62873
Sequence
>8XJN_Chain_B
SELDQLRQE AEQLKNQIR DARKACADA TLSQITNNI DPVGRIQMR 
TRRTLRGHL AKIYAMHWG TDSRLLVSA SQDGKLIIW DSYTTNKVH 
AIPLRSSWV MTCAYAPSG NYVACGGLD NICSIYNLK TREGNVRVS 
RELAGHTGY LSCCRFLDD NQIVTSSGD TTCALWDIE TGQQTTTFT 
GHTGDVMSL SLAPDTRLF VSGACDASA KLWDVREGM CRQTFTGHE 
SDINAICFF PNGNAFATG SDDATCRLF DLRADQELM TYSHDNIIC 
GITSVSFSK SGRLLLAGY DDFNCNVWD ALKADRAGV LAGHDNRVS 
CLGVTDDGM AVATGSWDS FLKIWN


Click on each residue to open a popup with some information about it.

ConSurf Conservation Grade (See documentation): 

 n/a   1    2    3    4    5    6    7    8    9  

ChainG
ProteinG Protein γ Sub unit
UniProtP59768
Sequence
>8XJN_Chain_G
TASIAQARK LVEQLKMEA NIDRIKVSK AAADLMAYC EAHAKEDPL 
LTPVPASEN PFR


Click on each residue to open a popup with some information about it.

ConSurf Conservation Grade (See documentation): 

 n/a   1    2    3    4    5    6    7    8    9  

ChainR
ProteinReceptor
UniProtP21731
Sequence
>8XJN_Chain_R
CFRPTNITL EERRLIASP WFAASFCVV GLASNLLAL SVLAGARQG 
GSHTRSSFL TFLCGLVLT DFLGLLVTG TIVVSQHAA LFEWHAVDP 
GCRLCRFMG VVMIFFGLS PLLLGAAMA SERYLGITR PFSRPAVAS 
QRRAWATVG LVWAAALAL GLLPLLGVG RYTVQYPGS WCFLTLGAE 
SGDVAFGLL FSMLGGLSV GLSFLLNTV SVATLCHVY HGQEAAQQR 
PRDSEVEMM AQLLGIMVV ASVCWLPLL VFIAQTVLR NPPAMSPAG 
QLSRTTEKE LLIYLRVAT WNQILDPWV YILFRRAVL RRLQ


Click on each residue to open a popup with some information about it.

ConSurf Conservation Grade (See documentation): 

 n/a   1    2    3    4    5    6    7    8    9  




This receptor, from the same or other species and bound to the same or other ligands, is also present in the following networks:
Show PDB Class SubFamily Type SubType Species Orthosteric Ligand Other Ligand(s) Protein Partners Resolution Date DOI
6IIUALipidProstanoidTXA2Homo sapiensRamatroban--2.52018-12-19doi.org/10.1038/s41589-018-0170-9
6IIVALipidProstanoidTXA2Homo sapiensDaltroban--32018-12-19doi.org/10.1038/s41589-018-0170-9
8XJNALipidProstanoidTXA2Homo sapiensCloprosetnol-chim(NtGi1-Gs-CtGq)/β1/γ23.062024-02-28doi.org/10.1016/j.celrep.2024.113893
8XJN (No Gprot) ALipidProstanoidTXA2Homo sapiensCloprosetnol-3.062024-02-28doi.org/10.1016/j.celrep.2024.113893
8XJOALipidProstanoidTXA2Homo sapiensU46619-chim(NtGi1-Gs-CtGq)/β1/γ23.112024-02-28doi.org/10.1016/j.celrep.2024.113893
8XJO (No Gprot) ALipidProstanoidTXA2Homo sapiensU46619-3.112024-02-28doi.org/10.1016/j.celrep.2024.113893
9GG5ALipidProstanoidTXA2Homo sapiensU46619-chim(NtGi2L-Gs-CtGq)/β1/γ23.262025-08-27To be published
9GG5 (No Gprot) ALipidProstanoidTXA2Homo sapiensU46619-3.262025-08-27To be published
9GGGALipidProstanoidTXA2Homo sapiensI-BOP-chim(NtGi2L-Gs-CtGq)/β1/γ23.252025-08-27To be published
9GGG (No Gprot) ALipidProstanoidTXA2Homo sapiensI-BOP-3.252025-08-27To be published




You can download a compressed (zip) file with structure(s), 3D outputs (as PyMol and VMD scripts) and numerical data files (as csv and plain text files).

Download 8XJN.zip



You can click to copy the link of this page to easily come back here later

or use this QR code to link and share this page.



You can also  read or  download a guide explaining the meaning of all files and numerical data.