Color ConSurf Grade
      No Conservation data available
      1
      2
      3
      4
      5
      6
      7
      8
      9

Index: hub id, click on each number to highlight the corresponding hub in the 3D visualization.

Hub: the hub being considered.

Avg Int. Strength: the average interaction strength of all the links of the corresponding hub.

Num Of Links: the number of links of the corresponding hub.

Community: the id of the community the link belong to, otherwise 0.

ConSurf: this column reports the ConSurf conservation grades of each hub.

Index Hub Avg Int. Strength Num Of Links Community ConSurf
1A:A:K34 3.695404
2A:A:H41 3.396516
3A:A:L45 3.84754178
4A:A:K53 3.7425179
5A:A:G206 3.0475448
6A:A:V214 5.5675416
7A:A:V217 3.9675415
8A:A:F219 6.60571718
9A:A:K233 5.36649
10A:A:W234 5.794549
11A:A:F238 4.39286749
12A:A:I245 2.9275407
13A:A:V248 3.79427
14A:A:Y253 7.765428
15A:A:Q267 4.22424
16A:A:F273 4.996529
17A:A:W277 6.64833626
18A:A:W281 6.1585
19A:A:I288 3.89409
20A:A:F290 4.45149
21A:A:L291 3.18428
22A:A:Q294 6.56426
23A:A:I308 7.105427
24A:A:F312 3.94667628
25A:A:F315 10.168526
26A:A:Y318 4.848526
27A:A:P321 3.765425
28A:A:V334 2.36404
29A:A:K338 7.3275425
30A:A:Y339 4.762523
31A:A:F340 8.91527
32A:A:R342 5.15857724
33A:A:F345 6.03333628
34A:A:Y360 6.098518
35A:A:P361 4.5025425
36A:A:F363 5.804525
37A:A:T364 5.90254149
38A:A:D368 4.85254149
39A:A:N371 5.04754149
40A:A:R374 5.655144
41A:A:F376 5.46167618
42A:A:R380 4.408517
43A:A:R385 7.076515
44A:A:H387 4.472518
45A:A:L388 5.914518
46A:A:Y391 5.686514
47A:A:E392 6.195416
48A:A:L394 4.55418
49B:B:L14 2.7285198
50B:B:D27 6.13408
51B:B:V40 4.6154153
52B:B:H54 6.072559
53B:B:K57 10.64489
54B:B:W63 5.471676107
55B:B:S72 5.1975459
56B:B:Q75 9.8975489
57B:B:D76 8.08409
58B:B:K78 6.2875408
59B:B:I80 6.35458
60B:B:I81 4.23407
61B:B:W82 8.24857759
62B:B:D83 7.54458
63B:B:Y85 11.20254104
64B:B:T86 6.85456
65B:B:K89 6.10167659
66B:B:I93 4.822507
67B:B:L95 3.6154218
68B:B:W99 6.72549
69B:B:Y105 3.253336206
70B:B:N110 4.21404
71B:B:Y111 4.292504
72B:B:Y124 4.4625216
73B:B:H142 7.58167699
74B:B:Y145 4.11333948
75B:B:F151 4.69409
76B:B:L152 3.6565223
77B:B:T159 5.965499
78B:B:D163 5.682599
79B:B:L168 3.664226
80B:B:W169 8.28857798
81B:B:F180 6.752577
82B:B:H183 5.54779
83B:B:D186 5.0325449
84B:B:V187 4.47579
85B:B:F199 7.7925479
86B:B:V200 3.36466
87B:B:K209 8.7325476
88B:B:L210 3.1275405
89B:B:W211 8.02167678
90B:B:Q220 5.07407
91B:B:H225 8.045869
92B:B:D228 7.058549
93B:B:I232 4.715468
94B:B:F235 5.991676136
95B:B:P236 6.39254137
96B:B:F241 5.88766
97B:B:T243 4.12668
98B:B:D246 4.845449
99B:B:D247 10.6425469
100B:B:T249 5.74566
101B:B:R251 8.19167668
102B:B:F253 6.94333666
103B:B:D254 4.2675409
104B:B:Q259 2.7125406
105B:B:Y264 4.45505
106B:B:I269 3.274114
107B:B:F278 4.466676137
108B:B:R283 6.895159
109B:B:Y289 5.316676117
110B:B:D290 5.866586
111B:B:N295 5.144116
112B:B:W297 4.32754118
113B:B:K301 6.4025405
114B:B:H311 7.5285129
115B:B:R314 8.932588
116B:B:L318 3.251437256
117B:B:W332 8.76714789
118B:B:D333 8.1645129
119B:B:F335 5.2525404
120B:B:L336 3.51667657
121B:B:K337 5.8185126
122B:B:W339 9.6245129
123G:G:E22 5.125409
124G:G:D48 4.9509
125G:G:L51 3.6145156
126G:G:N59 7.045409
127G:G:F61 4.4265108
128L:L:?1 9.517691330
129R:R:F7 7.2525405
130R:R:L11 5.805436
131R:R:N22 6.285419
132R:R:F43 7.3925408
133R:R:N46 6.83419
134R:R:L47 5.4675419
135R:R:D51 7.828519
136R:R:I58 3.6225437
137R:R:D64 4.905404
138R:R:P69 4.8625405
139R:R:Q74 3.336507
140R:R:M82 3.926535
141R:R:Y104 9.6025408
142R:R:I107 4.725418
143R:R:F111 5.02857717
144R:R:I126 5.4375417
145R:R:L129 3.625416
146R:R:W130 3.28571719
147R:R:P140 9.2775435
148R:R:L141 3.92167636
149R:R:F146 6.648532
150R:R:F157 7.42333634
151R:R:F158 6.895633
152R:R:F161 6.935634
153R:R:F165 9.16436
154R:R:V166 3.08436
155R:R:F174 3.76286738
156R:R:F181 9.96418
157R:R:F184 6.602506
158R:R:Y185 10.63619
159R:R:H195 6.106518
160R:R:I231 3.2775417
161R:R:W238 6.86714738
162R:R:T239 2.655404
163R:R:F241 6.50167636
164R:R:E261 10.4975434
165R:R:R262 12.04433
166R:R:W265 7.615633
167R:R:N275 6.2025419
168R:R:I278 3.482518
169R:R:Y279 4.24719
170R:R:Y281 6.32254295
171R:R:K284 2.9975405
172R:R:Q289 6.95277
173R:R:L290 2.81405
   

Color ConSurf Grade
      No Conservation data available
      1
      2
      3
      4
      5
      6
      7
      8
      9

Index: link id, click on each number to highlight the corresponding link in the 3D visualization.

Node1 Node2: the two nodes of the corresponding link.

Recurrence: the relative Recurrence in the pool of shortest paths.

Int. Strength: the interaction strength between the two nodes.

Hub1?, Hub2?: "Yes" if the corresponding node has more than 3 links, otherwise "No".

Community: the id of the community the link belong to, otherwise 0.

ConSurf1, ConSurf2: these columns report the ConSurf conservation grades of the two nodes involved in a link.

Index Node1 Node2 Recurrence Int. Strength Hub1? Hub2? Community ConSurf1 ConSurf2
1A:A:S51 A:A:V247 1003.23NoNo097
2A:A:G52 A:A:S51 99.55293.71NoNo099
3A:A:G52 A:A:K293 99.47821.74NoNo099
4A:A:K293 A:A:L296 99.17888.46NoNo096
5A:A:L296 A:A:S251 99.02886.01NoNo069
6A:A:S250 A:A:S251 98.95371.63NoNo069
7A:A:Q294 A:A:S250 98.77645.78YesNo266
8A:A:F363 A:A:Q294 97.19487.03YesYes256
9A:A:F363 A:A:L291 92.94384.87YesYes258
10A:A:L291 A:A:V248 91.0712.98YesYes287
11A:A:F246 A:A:V248 92.01553.93NoYes297
12A:A:F246 A:A:L272 91.83054.87NoNo298
13A:A:L272 A:A:R231 91.77452.43NoNo089
14A:A:R231 A:A:W234 91.69629NoYes099
15A:A:F238 A:A:W234 28.45124.01YesYes499
16A:A:F238 A:A:V241 22.0232.62YesNo499
17A:A:D240 A:A:V241 21.98742.92NoNo069
18A:A:D240 B:B:Q75 21.879110.44NoYes069
19A:A:F290 A:A:I288 49.88223.77YesYes099
20A:A:F290 A:A:V247 95.87973.93YesNo097
21A:A:Q227 B:B:Y145 12.90852.25NoYes498
22A:A:W234 B:B:Y145 64.43473.86YesYes498
23B:B:S147 B:B:Y145 21.69972.54NoYes098
24B:B:S147 B:B:S160 21.57483.26NoNo096
25A:A:Q227 B:B:N119 12.0876.6NoNo499
26B:B:D228 B:B:D246 17.25743.99YesYes499
27B:B:D246 B:B:G272 34.23181.68YesNo094
28B:B:D290 B:B:G272 34.01391.68YesNo064
29A:A:K233 B:B:Y145 34.91773.58YesYes498
30B:B:D246 B:B:N230 17.18210.77YesNo099
31A:A:R385 A:A:Y360 46.37239.26YesYes158
32A:A:D378 A:A:Y360 92.2669.2NoYes078
33A:A:D378 A:A:I288 46.04035.6NoYes079
34A:A:D378 A:A:H362 46.240210.08NoNo079
35A:A:F290 A:A:H362 45.99656.79YesNo099
36A:A:D381 A:A:Y360 45.86773.45NoYes088
37A:A:D381 R:R:H195 45.83523.78NoYes088
38A:A:R385 R:R:H195 46.04767.9YesYes158
39A:A:L388 R:R:I107 47.98657.14YesYes188
40A:A:L388 R:R:H195 90.91143.86YesYes188
41A:A:L388 A:A:L393 42.84364.15YesNo088
42A:A:L393 A:A:Y391 42.47382.34NoYes084
43A:A:Y391 R:R:I107 42.42454.84YesYes148
44A:A:Y391 R:R:R103 85.378410.29YesNo149
45R:R:R103 R:R:Y279 84.93786.17NoYes199
46B:B:L300 B:B:R283 21.00177.29NoYes069
47B:B:L300 B:B:T34 20.53994.42NoNo065
48B:B:L30 B:B:T34 19.61567.37NoNo055
49B:B:L261 B:B:L30 11.21172.77NoNo055
50B:B:I43 B:B:L284 22.56494.28NoNo035
51B:B:I43 B:B:V40 22.33973.07NoYes033
52B:B:G144 B:B:N119 11.96425.09NoNo089
53B:B:D163 B:B:G144 11.82913.35YesNo098
54B:B:D163 B:B:H142 10.73957.56YesYes999
55B:B:H183 B:B:V187 12.34684.15YesYes799
56B:B:S275 B:B:T274 31.3334.8NoNo088
57B:B:L284 B:B:V296 24.99874.47NoNo055
58B:B:L286 B:B:V296 25.66314.47NoNo075
59B:B:L286 B:B:L318 25.87312.77NoYes2576
60R:R:L47 R:R:Y279 30.03362.34YesYes199
61R:R:L47 R:R:T95 23.31885.9YesNo198
62R:R:L129 R:R:T95 20.58354.42YesNo168
63R:R:L129 R:R:L94 18.26582.77YesNo065
64L:L:?1 R:R:L94 18.04174.61YesNo005
65R:R:V96 R:R:Y279 45.10533.79NoYes099
66R:R:F234 R:R:V96 44.21663.93NoNo099
67R:R:F174 R:R:F234 44.1234.29YesNo089
68R:R:F174 R:R:V93 18.11512.62YesNo387
69L:L:?1 R:R:V93 17.88984.97YesNo307
70R:R:F174 R:R:W238 23.31976.01YesYes388
71L:L:?1 R:R:W238 18.037118.35YesYes308
72L:L:?1 R:R:F7 17.07922.71YesYes005
73L:L:?1 R:R:F157 21.204310.15YesYes304
74R:R:F7 R:R:Q65 13.670414.05YesNo054
75R:R:F157 R:R:F161 12.998811.79YesYes344
76R:R:D64 R:R:Q65 12.30352.61YesNo044
77B:B:L318 B:B:S275 31.10283YesNo068
78B:B:S160 B:B:V187 14.00136.46NoYes769
79A:A:K233 B:B:D228 17.51818.3YesYes499
80A:A:K233 B:B:N230 17.28554.2YesNo099
81B:B:H183 B:B:K209 10.607611.79YesYes796
82B:B:R283 B:B:V40 20.14296.54YesYes1593
83B:B:D290 B:B:T274 31.29335.78YesNo868
Download PSN data

2D representation of the global metapath, ligand(s) interactions and
histograms of path distribution according to several parameters
(click on the image to enlarge it 🔍):

A 2D representation of the global communication in the network.

ConSurf Conservation Grade (See documentation): 

 n/a   1    2    3    4    5    6    7    8    9  

Number of shortest communication paths as a function of the average residue correlation.

Number of shortest communication paths as a function of the average interaction strength of their links.

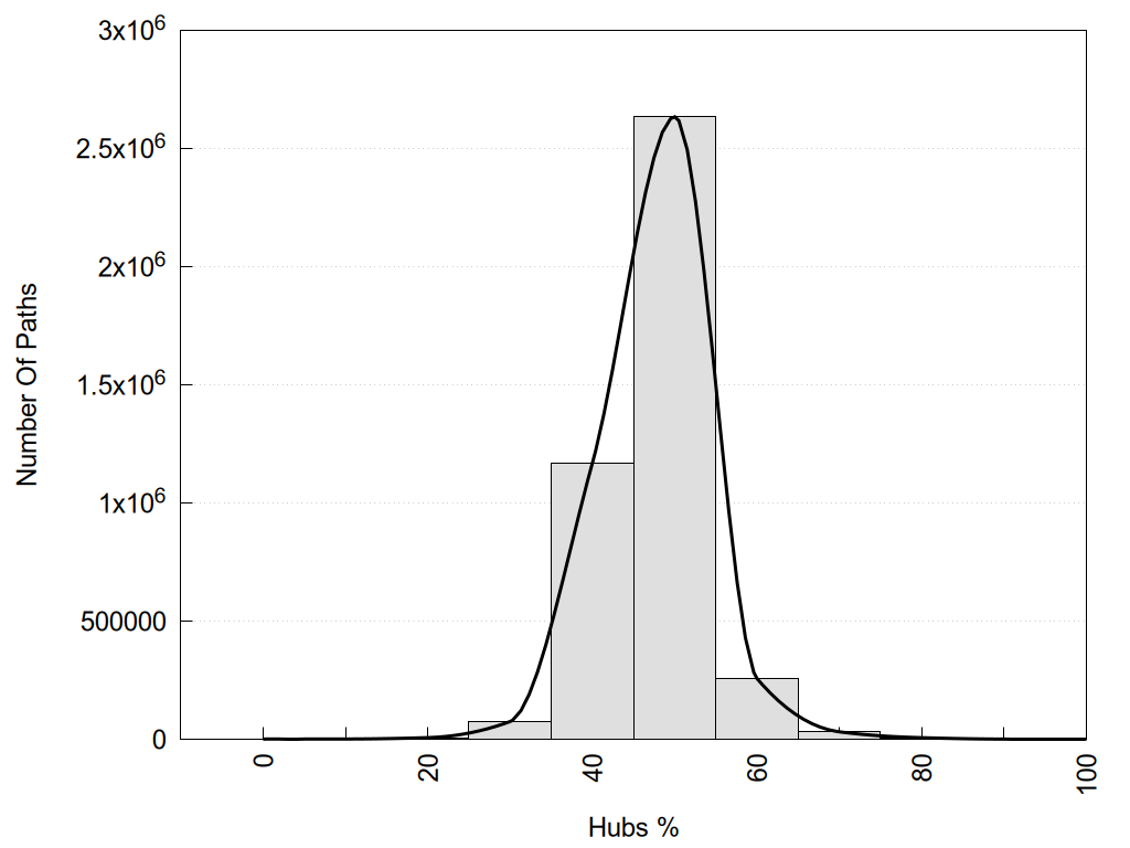
Number of shortest communication paths as a function of the % of hub nodes in each path.

Number of shortest communication paths as a function of the number of nodes in each path.

Number of shortest communication paths as a function of the % of correlated nodes in each path.


2D representation of the interactions of this orthosteric/allosteric ligand.


Links and nodes colored according to ConSurf Conservation Grade (See documentation): 

 n/a   1    2    3    4    5    6    7    8    9  

Node1 Node2 LinkStrength Comm IsNode1Hub? IsNode2Hub? Node1Cons Node2Cons Node1Shell Node2Shell
L:L:?1 R:R:F7 2.71 3 Yes Yes 0 5 0 1
L:L:?1 R:R:T86 2.46 3 Yes No 0 5 0 1
L:L:?1 R:R:A89 3.5 3 Yes No 0 6 0 1
L:L:?1 R:R:A90 3.5 3 Yes No 0 7 0 1
L:L:?1 R:R:V93 4.97 3 Yes No 0 7 0 1
L:L:?1 R:R:L94 4.61 3 Yes No 0 5 0 1
L:L:?1 R:R:F157 10.15 3 Yes Yes 0 4 0 1
L:L:?1 R:R:L169 9.23 3 Yes No 0 6 0 1
L:L:?1 R:R:W238 18.35 3 Yes Yes 0 8 0 1
L:L:?1 R:R:F241 8.12 3 Yes Yes 0 6 0 1
L:L:?1 R:R:R262 32.4 3 Yes Yes 0 3 0 1
L:L:?1 R:R:W265 22.78 3 Yes Yes 0 3 0 1
R:R:F7 R:R:I10 2.51 0 Yes No 5 4 1 2
R:R:F7 R:R:L11 9.74 0 Yes Yes 5 6 1 2
R:R:F7 R:R:Q65 14.05 0 Yes No 5 4 1 2
R:R:I58 R:R:L11 4.28 3 Yes Yes 7 6 2 2
R:R:L11 R:R:W265 2.28 3 Yes Yes 6 3 2 1
R:R:I58 R:R:W265 2.35 3 Yes Yes 7 3 2 1
R:R:I58 R:R:V269 4.61 3 Yes No 7 6 2 2
R:R:G137 R:R:T86 3.64 0 No No 7 5 2 1
R:R:F157 R:R:T86 2.59 3 Yes No 4 5 1 1
R:R:F174 R:R:V93 2.62 3 Yes No 8 7 2 1
R:R:V93 R:R:W238 2.45 3 No Yes 7 8 1 1
R:R:L129 R:R:L94 2.77 1 Yes No 6 5 2 1
R:R:R262 R:R:S156 2.64 3 Yes No 3 4 1 2
R:R:F157 R:R:F158 11.79 3 Yes Yes 4 3 1 2
R:R:F157 R:R:F161 11.79 3 Yes Yes 4 4 1 2
R:R:F157 R:R:F165 4.29 3 Yes Yes 4 6 1 2
R:R:F157 R:R:V166 3.93 3 Yes Yes 4 6 1 2
R:R:F158 R:R:V166 3.93 3 Yes Yes 3 6 2 2
R:R:F158 R:R:F241 4.29 3 Yes Yes 3 6 2 1
R:R:E261 R:R:F158 10.49 3 Yes Yes 4 3 2 2
R:R:F161 R:R:F165 4.29 3 Yes Yes 4 6 2 2
R:R:F241 R:R:V166 2.62 3 Yes Yes 6 6 1 2
R:R:F174 R:R:S237 3.96 3 Yes No 8 7 2 2
R:R:F174 R:R:W238 6.01 3 Yes Yes 8 8 2 1
R:R:F174 R:R:L242 3.65 3 Yes No 8 6 2 2
R:R:S237 R:R:W238 3.71 3 No Yes 7 8 2 1
R:R:F241 R:R:W238 4.01 3 Yes Yes 6 8 1 1
R:R:L242 R:R:W238 2.28 3 No Yes 6 8 2 1
R:R:G268 R:R:W238 11.26 0 No Yes 7 8 2 1
R:R:E261 R:R:F241 16.32 3 Yes Yes 4 6 2 1
R:R:F241 R:R:L264 3.65 3 Yes No 6 4 1 2
R:R:E261 R:R:L264 5.3 3 Yes No 4 4 2 2
R:R:R262 R:R:Y263 4.12 3 Yes No 3 4 1 2
R:R:R262 R:R:W265 9 3 Yes Yes 3 3 1 1
R:R:L266 R:R:W265 6.83 0 No Yes 5 3 2 1
R:R:V269 R:R:W265 2.45 3 No Yes 6 3 2 1
L:L:?1 R:R:G173 0.95 3 Yes No 0 6 0 1

Location and physicochemical properties of the interaction partners of this ligand

Interactions of this ligand

Similarities between the interactions of this ligand and those of other networks

ShowSimilarityNetwork TypeNameLigandDescription
68.75Single7WCMMBX-29827WCM-GPR119-MBX-2982-Gs/β1/γ2
68.75Single7XZ5Lysophosphatidylcholine7XZ5-GPR119-Lysophosphatidylcholine-Gs/β1/γ2
64.71Single9L79AR2314539L79-GPR119-AR231453-chim(NtGi1-Gs)/β1/γ2
58.82Single8VHFMBX-29828VHF-GPR119-MBX-2982-Gs/β1/γ2
56.25Single8ZRKGSK12922638ZRK-GPR119-GSK1292263-Gs/β1/γ2
55.56Single6BQHRitanserin6BQH-5-HT2C-Ritanserin
55.56Consensus5ht2c_offOrthosteric Ligand6BQH-5-HT2C-Ritanserin
52.94Consensus5ht_offOrthosteric Ligand5ht2_off 5ht1_off
50.00Single7V68Iperoxo7V68-M4-Iperoxo-LY2119620-Gi1/β1/γ2
50.00Single7WCNAR2314537WCN-GPR119-AR231453-Gs/β1/γ2
50.00Single9AS1DMT9AS1-5-HT2A-DMT
47.37Single7XZ6APD6687XZ6-GPR119-APD668-Gs/β1/γ2
47.06Single8YH0NECA8YH0-A3A-NECA-Gi1/β1/γ2
47.06Consensusgq_muscarinicOrthosteric Ligand6OIJ-M1-Iperoxo-chim(NtGi1L-G11)/β1/γ2
47.06Consensusm1_onOrthosteric Ligand6OIJ-M1-Iperoxo-chim(NtGi1L-G11)/β1/γ2
44.44Single5V54Methiothepin5V54-5-HT1B-Methiothepin
44.44Single6OIJIperoxo6OIJ-M1-Iperoxo-chim(NtGi1L-G11)/β1/γ2
44.44Single7EW4CYM-55417EW4-S1P3-CYM-5541-Gi1/β1/γ2
44.44Single7EW7SEW28717EW7-S1P1-SEW2871-Gi1/β1/γ2
44.44Single9UCPIperoxo9UCP-M1-Iperoxo-G11(CT)
44.44Consensus5ht1_offOrthosteric Ligand5ht1b_off
44.44Consensus5ht1b_offOrthosteric Ligand5V54-5-HT1B-Methiothepin
44.44Consensusm1_on_gpOrthosteric Ligand6OIJ-M1-Iperoxo-chim(NtGi1L-G11)/β1/γ2
43.75Single8PM2DMCHA8PM2-TA7-DMCHA-Gs/β1/γ2
43.75Single8RLNLUF58348RLN-A2A-LUF5834
42.11Single7EVYSiponimod7EVY-S1P1-Siponimod-Gi1/β1/γ2
42.11Single8FYE4-F,5-MeO-PyrT8FYE-5-HT1A-4-F,5-MeO-PyrT-PtdIns4P-Gi1/β1/γ1
42.11Single8JWY2-1188JWY-A2A-2-118
42.11Single8JWZEtrumadenant8JWZ-A2A-Etrumadenant-Na
42.11Single9EK0Iperoxo9EK0-M5-Iperoxo-chim(NtGi1-Gs-CtGq)/β1/γ2
41.18Single4X1HNonyl-Beta-D-Glucopyranoside4X1H-Rhodopsin-Nonyl-β-D-Glucopyranoside-Gt(CT)
41.18Single7DB6Ramelteon7DB6-MT1-Ramelteon-Gi1/β1/γ2
41.18Single7WC8Lumateperone7WC8-5-HT2A-Lumateperone
41.18Single8UH3Setiptiline8UH3-5-HT1E-Setiptiline-Gi1/β1/γ1
41.18Single9DYFAsenapine9DYF-5-HT1A-Asenapine-PtdIns4P-Gi1/β1/γ2
40.00Single3AYMAll-trans-Retinal3AYM-Rhodopsin-All-trans-Retinal
40.00Single7EVZCenerimod7EVZ-S1P1-Cenerimod-Gi1/β1/γ2
40.00Single7EW0Ozanimod7EW0-S1P1-Ozanimod-Gi1/β1/γ2
40.00Single9AS02-bromo-LSD9AS0-5-HT2A-2-bromo-LSD-chim(NtGi1-Gs-CtGq)/β1/γ2
40.00Single9M88Oleic monoethanolamide9M88-GPR3 ; GPR3-Oleic monoethanolamide-AF64394
38.89Single4WW3All-trans-Retinal4WW3-Rhodopsin-All-trans-Retinal
38.89Single6OIKIperoxo6OIK-M2-Iperoxo-LY2119620-chim(NtGi1-Go)/β1/γ2
38.89Single6PS6Timolol6PS6-β2-Timolol
38.89Single7TRKIperoxo7TRK-M4-Iperoxo-Gi1/β1/γ2
38.89Single8C9WEtrumadenant8C9W-A2A-Etrumadenant
38.89Single8E9ZIperoxo8E9Z-M3-Iperoxo-chim(NtGi2L-Gs-CtGq)/β1/γ2
38.89Single9AXFCa; Ca; Ca; Cyclomethyltryptophan; R-568; PO49AXF-CaS; CaS-Ca-Ca; Ca; Ca; Cyclomethyltryptophan; R-568; PO4-chim(NtGi1-Gs-CtGq)/β1/γ2
38.89Single9DYDAsenapine9DYD-5-HT1A-Asenapine-PtdIns4P-Go/β1/γ2
38.89Single9M8POleic monoethanolamide9M8P-GPR3 ; GPR3-Oleic monoethanolamide-AF64394
38.89Consensus5ht2_offOrthosteric Ligand5ht2a_off 5ht2b_off 5ht2c_off
38.10Consensuss1p_onOrthosteric Ligands1p1_on s1p3_on s1p5_on
38.10Consensuss1p_on_gpOrthosteric Ligands1p1_on_gp s1p3_on_gp s1p5_on_gp
37.50Single2Z7311-cis-Retinal2Z73-Rhodopsin-11-cis-Retinal
37.50Single3AYN9-cis-Retinal3AYN-Rhodopsin-9-cis-Retinal
37.50Single7EJ0Norepinephrine7EJ0-α2a-Norepinephrine-Go/β1/γ2
37.50Single9M88Oleic monoethanolamide9M88-GPR3 ; GPR3-Oleic monoethanolamide-AF64394
37.50Consensussensory_offonOrthosteric Ligandsensory_off sensory_on
37.50Consensussensory_offon_gpOrthosteric Ligandsensory_on_gp sensory_on
36.84Single3UON3-quinuclidinyl-benzilate3UON-M2-3-quinuclidinyl-benzilate
36.84Single5ZHPPubChem 1348285895ZHP-M3-PubChem 134828589
36.84Single7EW1Siponimod7EW1-S1P5-Siponimod-Gi1/β1/γ2
36.84Single7TRQIperoxo7TRQ-M4-Iperoxo-VU0467154-Gi1/β1/γ2
36.84Single7W6PN-pyridin-4-ylisoquinolin-4-amine7W6P-α2a-N-pyridin-4-ylisoquinolin-4-amine-Go/β1/γ2
36.84Single7W7EPubChem 1649466767W7E-α2a-PubChem 164946676-Go/β1/γ2
36.84Single8EA0Iperoxo8EA0-M3-Iperoxo
36.84Single8IRRRotigotine8IRR-D1-Rotigotine-Gs/β1/γ2
36.84Single8JXXClobenpropit8JXX-H4-Clobenpropit-Gi1/β1/γ2
36.84Consensusamine_on_gpOrthosteric Ligand5ht_on_gp adrenergic_on_gp dopamine_on_gp histamine_on_gp muscarinic_on_gp trace-amine_on_gp
36.84Consensush4_on_gpOrthosteric Ligand8HN8-H4-Histamine-Gi1/β1/γ2 8HOC-H4-Imetit-Gi1/β1/γ2 8JXV-H4-Clozapine-Gi1/β1/γ2 8JXW-H4-VUF6884-Gi1/β1/γ2 8JXX-H4-Clobenpropit-Gi1/β1/γ2
36.84Consensusm3_offOrthosteric Ligand4U15-M3-Tiotropium 4U16-M3-N-methyl-Scopolamine 5ZHP-M3-PubChem 134828589
36.84Consensuss1p5_onOrthosteric Ligand7EW1-S1P5-Siponimod-Gi1/β1/γ2
36.84Consensuss1p5_on_gpOrthosteric Ligand7EW1-S1P5-Siponimod-Gi1/β1/γ2
36.84Consensusta1_on_gpOrthosteric Ligand8W87-TA1-METH-chim(NtGi1L-Gs)/β1/γ2 8W89-TA1-2-Phenylethylamine-chim(NtGi1L-Gs)/β1/γ2 8JLP-TA1-Ralmitaront-Gs/β1/γ2 8W8A-TA1-RO5256390-chim(NtGi1L-Gs)/β1/γ2 8W88-TA1-SEP-363856-Gs/β1/γ2 8JLO-TA1-Ulotaront-Gs/β1/γ2 8JLR-TA1-A77636-chim(NtGi1-Gs)/β1/γ2 8JSO-TA1-AMPH-chim(NtGi1-Gs)/β1/γ2 8ZSP-TA1-LSD-chim(NtGi1L-Gs)/β1/γ2
36.84Consensustrace-amine_on_gpOrthosteric Ligandta1_on_gp
35.29Single4MQTIperoxo4MQT-M2-Iperoxo-LY2119620
35.29Single6FKAPubChem 1324730376FKA-Rhodopsin-PubChem 132473037
35.29Single6WJCAtropine6WJC-M1-Atropine-Muscarinic toxin 7
35.29Single7M3GCa; Ca; Tryptophan; Evocalcet; Etelcalcetide; PO47M3G-CaS; CaS-Ca; Ca; Tryptophan; Evocalcet; Etelcalcetide; PO4
35.29Single7T32ZM-2413857T32-A2A-ZM-241385
35.29Single7UL3Famotidine7UL3-H2-Famotidine
35.29Single8JLNT1AM8JLN-TA1-T1AM-Gs/β1/γ2
35.29Single8JSPUlotaront8JSP-5-HT1A-Ulotaront-Gi1/β1/γ2
35.29Single8W88SEP-3638568W88-TA1-SEP-363856-Gs/β1/γ2
35.29Single8W8BSEP-3638568W8B-5-HT1A-SEP-363856-Gi1/β1/γ2
35.29Single9AS8Psilocin9AS8-5-HT2A-Psilocin-chim(NtGi2L-Gs-CtGq)/β1/γ2
35.29Single9ASBCa; Ca; Cyclomethyltryptophan; R-568; PO49ASB-CaS; CaS-Ca-Ca; Ca; Cyclomethyltryptophan; R-568; PO4-chim(NtGi1-Gs-CtGq)/β1/γ2
35.29Single9JKQMETH9JKQ-TA1-METH-Gs/β1/γ2
35.29Single9VJG8-OH-DPAT9VJG-5-HT1A-8-OH-DPAT-chim(NtGi2-Gz)/β1/γ2
35.29Single9VNFPindolol9VNF-5-HT1A-Pindolol-Go/β1/γ2
35.29Consensus5ht2a_offOrthosteric Ligand6A94-5-HT2A-Zotepine 6A93-5-HT2A-Risperidone 7VOD-5-HT2A-Cariprazine 7WC8-5-HT2A-Lumateperone 8JT8-5-HT2A-(R)-IHCH-7179
35.00Single3D4STimolol3D4S-β2-Timolol
35.00Single4N4WSANT-14N4W-SMO-SANT-1
35.00Single5CXVTiotropium5CXV-M1-Tiotropium
35.00Single6A93Risperidone6A93-5-HT2A-Risperidone
35.00Single6CM4Risperidone6CM4-D2-Risperidone
35.00Single6H7NXamoterol6H7N-β1-Xamoterol
35.00Single7DFPSpiperone7DFP-D2-Spiperone
35.00Single7T6BS1P7T6B-S1P2-S1P-chim(NtGi1L-G13)/β1/γ2
35.00Single8E9W2-Deoxycytidine8E9W-M3-2-Deoxycytidine-chim(NtGi2L-Gs-CtGq)/β1/γ2
35.00Single8FYTLSD8FYT-5-HT1A-LSD-PtdIns4P-Gi1/β1/γ1
35.00Single8JD3JNJ-404118138JD3-mGlu2; mGlu3-Glutamate-JNJ-40411813-Gi1/β1/γ2
35.00Single9EBIPiclidenoson9EBI-A3A-Piclidenoson-chim(NtGi1L-Gs-CtGi1)/β1/γ2
35.00Single9KVG5-MeO-DMT9KVG-5-HT1A-5-MeO-DMT-PtdIns4P-Gi1/β1/γ2
35.00Single9M8POleic monoethanolamide9M8P-GPR3 ; GPR3-Oleic monoethanolamide-AF64394
35.00Consensusm1_offOrthosteric Ligand5CXV-M1-Tiotropium
35.00Consensuss1p1_onOrthosteric Ligand7VIE-S1P1-S1P-Gi1/β1/γ2 7VIF-S1P1-FTY720-P-Gi1/β1/γ2 7VIG-S1P1-CBP-307-Gi1/β1/γ2 7EVY-S1P1-Siponimod-Gi1/β1/γ2 7EVZ-S1P1-Cenerimod-Gi1/β1/γ2 7EW0-S1P1-Ozanimod-Gi1/β1/γ2 7EW7-S1P1-SEW2871-Gi1/β1/γ2
35.00Consensuss1p1_on_gpOrthosteric Ligand7VIE-S1P1-S1P-Gi1/β1/γ2 7VIF-S1P1-FTY720-P-Gi1/β1/γ2 7VIG-S1P1-CBP-307-Gi1/β1/γ2 7EVY-S1P1-Siponimod-Gi1/β1/γ2 7EVZ-S1P1-Cenerimod-Gi1/β1/γ2 7EW0-S1P1-Ozanimod-Gi1/β1/γ2 7EW7-S1P1-SEW2871-Gi1/β1/γ2
33.33Single3NY8ICI118-5513NY8-β2-ICI118-551
33.33Single3NYAAlprenolol3NYA-β2-Alprenolol
33.33Single3ZPQPubChem 5945903ZPQ-β1-PubChem 594590-Na
33.33Single4BVNCyanopindolol4BVN-β1-Cyanopindolol-Na
33.33Single4DAJTiotropium4DAJ-M3-Tiotropium
33.33Single4GBRCarazolol4GBR-β2-Carazolol
33.33Single4MQSIperoxo4MQS-M2-Iperoxo
33.33Single4NC3Ergotamine4NC3-5-HT2B-Ergotamine
33.33Single4U14Tiotropium4U14-M3-Tiotropium
33.33Single4U16N-methyl-Scopolamine4U16-M3-N-methyl-Scopolamine
33.33Single5DSGTiotropium5DSG-M4-Tiotropium
33.33Single5WF5UK-4320975WF5-A2A-UK-432097
33.33Single6BQGErgotamine6BQG-5-HT2C-Ergotamine
33.33Single6DRZMethysergide6DRZ-5-HT2B-Methysergide
33.33Single6K42Dexmedetomidine6K42-α2b-Dexmedetomidine-Gi1/β1/γ2
33.33Single6PS2Alprenolol6PS2-β2-Alprenolol
33.33Single7EZCUK-4320977EZC-A2A-UK-432097
33.33Single7MTSADX551647MTS-mGlu2; mGlu2-Glutamate-ADX55164-Gi1/β1/γ2
33.33Single7SK7CCX6627SK7-ACKR3-CXCL12-CCX662
33.33Single7TRPIperoxo7TRP-M4-Iperoxo-LY2033298-Gi1/β1/γ2
33.33Single7UM4AS26747237UM4-5-HT5A-AS2674723
33.33Single7UM55-CT7UM5-5-HT5A-5-CT-chim(NtGi1-Go)/β1/γ2
33.33Single7UM6Lisuride7UM6-5-HT5A-Lisuride-chim(NtGi1-Go)/β1/γ2
33.33Single7VGY2-Iodomelatonin7VGY-MT1-2-Iodomelatonin-Gi1/β1/γ2
33.33Single7VGZRamelteon7VGZ-MT1-Ramelteon-Gi1/β1/γ2
33.33Single7VIFFTY720-P7VIF-S1P1-FTY720-P-Gi1/β1/γ2
33.33Single7VKTLTB47VKT-BLT1-LTB4-Gi1/β1/γ2
33.33Single7WC7Lisuride7WC7-5-HT2A-Lisuride
33.33Single7XJISolabegron7XJI-β3-Solabegron-Gs/β1/γ2
33.33Single8CICEtrumadenant8CIC-A2A-Etrumadenant-Na
33.33Single8FY85-MeO-DMT8FY8-5-HT1A-5-MeO-DMT-PtdIns4P-Gi1/β1/γ1
33.33Single8GGFConstrained Epinephrine8GGF-β2-Constrained Epinephrine-GTP-Gs/β1/γ2
33.33Single8JD0NAM5638JD0-mGlu2; mGlu3-Glutamate-NAM563
33.33Single8JJOAlprenolol8JJO-β2-Alprenolol
33.33Single8S2TIsoprenaline8S2T-β1-Isoprenaline-chim(NtGi1-Gs)/β1/γ2
33.33Single8UWLLisuride8UWL-5-HT2A-Lisuride-chim(NtGi2-Gs-CtGq)/β1/γ2
33.33Single8VVGGB188VVG-κ-GB18-Gi1/β1/γ2
33.33Single8W8ARO52563908W8A-TA1-RO5256390-chim(NtGi1L-Gs)/β1/γ2
33.33Single8X63Mepyramine8X63-H1-Mepyramine
33.33Single8ZSSRO52633978ZSS-TA1-RO5263397-chim(NtGi1-Gs)/β1/γ2
33.33Single9CHXCarazolol9CHX-β2-Carazolol
33.33Single9DYEBuspirone9DYE-5-HT1A-Buspirone-PtdIns4P-Go/β1/γ2
33.33Single9JEAAtropine9JEA-M1-Atropine
33.33Single9VMYTMU41429VMY-5-HT1A-TMU4142-Go/β1/γ2
33.33Consensus5ht2b_offOrthosteric Ligand6DRZ-5-HT2B-Methysergide
33.33Consensus5ht5_onOrthosteric Ligand5ht5a_on
33.33Consensus5ht5a_onOrthosteric Ligand7X5H-5-HT5A-5-CT-Gi1/β1/γ2 7UM6-5-HT5A-Lisuride-chim(NtGi1-Go)/β1/γ2 7UM7-5-HT5A-Methylergometrine-chim(NtGi1-Go)/β1/γ2
33.33Consensusalpha2_onOrthosteric Ligandalpha2b_on
33.33Consensusalpha2_on_gpOrthosteric Ligandalpha2b_on_gp
33.33Consensusalpha2b_onOrthosteric Ligand6K42-α2b-Dexmedetomidine-Gi1/β1/γ2
33.33Consensusalpha2b_on_gpOrthosteric Ligand6K42-α2b-Dexmedetomidine-Gi1/β1/γ2
33.33Consensusblt1_onOrthosteric Ligand7VKT-BLT1-LTB4-Gi1/β1/γ2
33.33Consensusblt1_on_gpOrthosteric Ligand7VKT-BLT1-LTB4-Gi1/β1/γ2
33.33Consensusblt_onOrthosteric Ligandblt1_on
33.33Consensusblt_on_gpOrthosteric Ligandblt1_on_gp
33.33Consensusd2_offOrthosteric Ligand6CM4-D2-Risperidone 6LUQ-D2-Haloperidol 7DFP-D2-Spiperone
33.33Consensusdopamine_offOrthosteric Ligandd2_off d3_off
33.33Consensusfpr2-alx_onOrthosteric Ligand7WVX-FPR2-ALX-Humanin-Gi2/β1/γ2 7T6U-FPR2-ALX-CGEN-855A-Gi1/β1/γ2 7T6V-FPR2-ALX-fMLFII-Gi1/β1/γ2 7WVY-FPR2-ALX-Amyloid-β42-Gi2/β1/γ2 7T6S-FPR2-ALX-TC-FPR 43-Gi1/β1/γ2 6OMM-FPR2-ALX-WKYMVX-Gi1/β1/γ2
33.33Consensusgi_histamineOrthosteric Ligand8JXX-H4-Clobenpropit-Gi1/β1/γ2 8JXV-H4-Clozapine-Gi1/β1/γ2 8YUU-H3-Histamine-Gi1/β1/γ1 8HN8-H4-Histamine-Gi1/β1/γ2 8HOC-H4-Imetit-Gi1/β1/γ2 8JXW-H4-VUF6884-Gi1/β1/γ2
33.33Consensusgi_leukotrieneOrthosteric Ligand7VKT-BLT1-LTB4-Gi1/β1/γ2
33.33Consensusgi_s1pOrthosteric Ligand7VIE-S1P1-S1P-Gi1/β1/γ2 7EW3-S1P3-S1P-Gi1/β1/γ2 7EVY-S1P1-Siponimod-Gi1/β1/γ2 7EW1-S1P5-Siponimod-Gi1/β1/γ2 7VIF-S1P1-FTY720-P-Gi1/β1/γ2 7VIG-S1P1-CBP-307-Gi1/β1/γ2 7EVZ-S1P1-Cenerimod-Gi1/β1/γ2 7EW4-S1P3-CYM-5541-Gi1/β1/γ2 7EW2-S1P3-FTY720-P-Gi1/β1/γ2 7EW0-S1P1-Ozanimod-Gi1/β1/γ2 7EW7-S1P1-SEW2871-Gi1/β1/γ2
33.33Consensusgq_amineOrthosteric Ligandgq_muscarinic gq_histamine
33.33Consensushistamine_offOrthosteric Ligandh1_off
33.33Consensusleukotriene_onOrthosteric Ligandblt_on
33.33Consensusleukotriene_on_gpOrthosteric Ligandblt_on_gp
33.33Consensusm4_offOrthosteric Ligand5DSG-M4-Tiotropium
33.33Consensusmuscarinic_onOrthosteric Ligandm2_on m3_on m4_on m1_on
33.33Consensusmuscarinic_on_gpOrthosteric Ligandm2_on_gp m3_on_gp m4_on_gp m1_on_gp
32.00Consensusfpr2-alx_on_gpOrthosteric Ligand7WVX-FPR2-ALX-Humanin-Gi2/β1/γ2 7T6U-FPR2-ALX-CGEN-855A-Gi1/β1/γ2 7T6V-FPR2-ALX-fMLFII-Gi1/β1/γ2 7WVY-FPR2-ALX-Amyloid-β42-Gi2/β1/γ2 7T6S-FPR2-ALX-TC-FPR 43-Gi1/β1/γ2 6OMM-FPR2-ALX-WKYMVX-Gi1/β1/γ2
32.00Consensusgi_formylpeptideOrthosteric Ligand7WVY-FPR2-ALX-Amyloid-β42-Gi2/β1/γ2 7T6U-FPR2-ALX-CGEN-855A-Gi1/β1/γ2 7VFX-FPR1-ALX-fMIFL-Gi1/β1/γ2 7T6V-FPR2-ALX-fMLFII-Gi1/β1/γ2 7WVX-FPR2-ALX-Humanin-Gi2/β1/γ2 7T6S-FPR2-ALX-TC-FPR 43-Gi1/β1/γ2 6OMM-FPR2-ALX-WKYMVX-Gi1/β1/γ2
31.82Single3NY9PubChem 9131033NY9-β2-PubChem 913103
31.82Single6XBJCholesterol6XBJ-SMO-Cholesterol-Gi1/β1/γ2
31.82Single7SK9CCX6627SK9-ACKR3-CCX662
31.82Single7XY6BAY 60-65837XY6-A2B-BAY 60-6583-chim(NtGi1-Gs)/β1/γ2
31.82Single8JLRA776368JLR-TA1-A77636-chim(NtGi1-Gs)/β1/γ2
31.82Single8X5YAstemizole8X5Y-H1-Astemizole
31.58Single2RH1Carazolol2RH1-β2-Carazolol
31.58Single2YCWCarazolol2YCW-β1-Carazolol
31.58Single5D6LCarazolol5D6L-β2-Carazolol
31.58Single5JQHCarazolol5JQH-β2-Carazolol
31.58Single5NM2ZM-2413855NM2-A2A-ZM-241385-Na
31.58Single5TVNLSD5TVN-5-HT2B-LSD
31.58Single5X7DCarazolol5X7D-β2-Carazolol-PubChem 129318963
31.58Single5ZK33-quinuclidinyl-benzilate5ZK3-M2-3-quinuclidinyl-benzilate
31.58Single6E67BI1671076E67-β2-BI167107-Gs(CT)
31.58Single6ME62-Phenylmelatonin6ME6-MT2-2-Phenylmelatonin
31.58Single6ME82-Phenylmelatonin6ME8-MT2-2-Phenylmelatonin
31.58Single7C61Ergotamine7C61-5-HT1B-Ergotamine
31.58Single7EPFNAM5977EPF-mGlu2-NAM597
31.58Single7M3GCa; Ca; Tryptophan; Evocalcet; Etelcalcetide; PO47M3G-CaS; CaS-Ca; Ca; Tryptophan; Evocalcet; Etelcalcetide; PO4
31.58Single7VOEAripiprazole7VOE-5-HT2A-Aripiprazole
31.58Single8GFYConstrained Epinephrine8GFY-β2-Constrained Epinephrine-GTP-Gs/β1/γ2
31.58Single8GG2Constrained Epinephrine8GG2-β2-Constrained Epinephrine-GTP-Gs/β1/γ2
31.58Single8HNLPS3724248HNL-CXCR3-PS372424-Gi1/β1/γ2
31.58Single8J18(3R)-3-Hydroxydodecanoic acid8J18-GPR84-(3R)-3-Hydroxydodecanoic acid-Gi1/β1/γ2
31.58Single8SZGCa; Ca; Tryptophan; Cinacalcet; PO4; Spermine8SZG-CaS; CaS-Ca; Ca; Tryptophan; Cinacalcet; PO4; Spermine-chim(NtGi1-Gq)/β1/γ2
31.58Single8TF5Oleic acid8TF5-GPR6-Oleic acid
31.58Single8X0CVU04244658X0C-mGlu5; mGlu5-Quisqualate-VU0424465
31.58Single8X0DVU04244658X0D-mGlu5; mGlu5-Quisqualate-VU0424465
31.58Single8X0DVU04244658X0D-mGlu5; mGlu5-Quisqualate-VU0424465
31.58Single8ZMFPubChem 1719206738ZMF-5-HT2C-PubChem 171920673
31.58Single9ARYSerotonin9ARY-5-HT2A-Serotonin-chim(NtGi1-Gs-CtGq)/β1/γ2
31.58Single9ARZ2-bromo-LSD9ARZ-5-HT2A-2-bromo-LSD
31.58Single9AVLCa; Ca; Cyclomethyltryptophan; R-568; PO49AVL-CaS; CaS-Ca-Ca; Ca; Cyclomethyltryptophan; R-568; PO4-Gi3/β2/γ2
31.58Single9EE8Adenosine9EE8-A2A-Adenosine-Gs/β1/γ2
31.58Single9EHSLUF76029EHS-A3A-LUF7602
31.58Single9K07DSO-5a9K07-BB3-DSO-5a-chim(NtGi2L-Gs-CtGq)/β1/γ2
31.58Consensus5ht1_onOrthosteric Ligand5ht1a_on 5ht1d_on 5ht1e_on 5ht1f_on
31.58Consensus5ht1_on_gpOrthosteric Ligand5ht1a_on_gp 5ht1d_on_gp 5ht1e_on_gp 5ht1f_on_gp
31.58Consensus5ht1e_on_gpOrthosteric Ligand7E33-5-HT1E-BRL-54443-Gi1/β1/γ2 8UGY-5-HT1E-Mianserin-Gi1/β1/γ1 8UH3-5-HT1E-Setiptiline-Gi1/β1/γ1
31.58Consensus5ht5_on_gpOrthosteric Ligand5ht5a_on_gp
31.58Consensus5ht5a_on_gpOrthosteric Ligand7X5H-5-HT5A-5-CT-Gi1/β1/γ2 7UM6-5-HT5A-Lisuride-chim(NtGi1-Go)/β1/γ2 7UM7-5-HT5A-Methylergometrine-chim(NtGi1-Go)/β1/γ2
31.58Consensusa1_offOrthosteric Ligand5UEN-A1-DU172 5N2S-A1-PSB36
31.58Consensusa3_on_gpOrthosteric Liganda3a_on_gp
31.58Consensusa3a_onOrthosteric Ligand8X17-A3A-Namodenoson-Gi1/β1/γ2 8X16-A3A-Piclidenoson-Gi1/β1/γ2
31.58Consensusa3a_on_gpOrthosteric Ligand8X17-A3A-Namodenoson-Gi1/β1/γ2 8X16-A3A-Piclidenoson-Gi1/β1/γ2
31.58Consensusalpha_on_gpOrthosteric Ligandalpha1_on_gp alpha2_on_gp
31.58Consensusamine_offOrthosteric Ligand5ht_off adrenergic_off dopamine_off histamine_off muscarinic_off
31.58Consensusamine_offonOrthosteric Ligandamine_off amine_on
31.58Consensusamine_offon_gpOrthosteric Ligandamine_on_gp amine_off
31.58Consensusamine_onOrthosteric Ligand5ht_on adrenergic_on dopamine_on histamine_on muscarinic_on trace-amine_on
31.58Consensusbeta2_offOrthosteric Ligand2RH1-β2-Carazolol 6PS3-β2-Carvedilol 6PS5-β2-Propranolol 3D4S-β2-Timolol 3NY8-β2-ICI118-551 3NY9-β2-PubChem 913103 6PRZ-β2-Alprenolol
31.58Consensusbeta_offOrthosteric Ligandbeta1_off beta2_off
31.58Consensusgi_adrenergicOrthosteric Ligand7EJ0-α2a-Norepinephrine-Go/β1/γ2 7EJK-α2a-Oxymetazoline-Go/β1/γ2 7W7E-α2a-PubChem 164946676-Go/β1/γ2 7W6P-α2a-N-pyridin-4-ylisoquinolin-4-amine-Go/β1/γ2 7EJ8-α2a-Brimonidine-Go/β1/γ2 6K42-α2b-Dexmedetomidine-Gi1/β1/γ2 7EJA-α2a-Dexmedetomidine-Go/β1/γ2 7S0F-β1-Isoprenaline-Gi1/β1/γ2
31.58Consensush1_offOrthosteric Ligand8X63-H1-Mepyramine 3RZE-H1-Cidoxepin 8X5Y-H1-Astemizole
31.58Consensusm2_offOrthosteric Ligand5ZKC-M2-N-methyl-Scopolamine 5ZK3-M2-3-quinuclidinyl-benzilate 5ZKB-M2-AF-DX 384
31.58Consensusm3_onOrthosteric Ligand8E9Z-M3-Iperoxo-chim(NtGi2L-Gs-CtGq)/β1/γ2 8E9W-M3-2-Deoxycytidine-chim(NtGi2L-Gs-CtGq)/β1/γ2 8E9Y-M3-Clozapine-N-oxide-chim(NtGi2L-Gs-CtGq)/β1/γ2
31.58Consensusm3_on_gpOrthosteric Ligand8E9Z-M3-Iperoxo-chim(NtGi2L-Gs-CtGq)/β1/γ2 8E9W-M3-2-Deoxycytidine-chim(NtGi2L-Gs-CtGq)/β1/γ2 8E9Y-M3-Clozapine-N-oxide-chim(NtGi2L-Gs-CtGq)/β1/γ2
31.58Consensusnucleotide_onOrthosteric Ligandadenosine_on p2y_on
31.58Consensusta1_onOrthosteric Ligand8W87-TA1-METH-chim(NtGi1L-Gs)/β1/γ2 8W89-TA1-2-Phenylethylamine-chim(NtGi1L-Gs)/β1/γ2 8JLP-TA1-Ralmitaront-Gs/β1/γ2 8W8A-TA1-RO5256390-chim(NtGi1L-Gs)/β1/γ2 8W88-TA1-SEP-363856-Gs/β1/γ2 8JLO-TA1-Ulotaront-Gs/β1/γ2 8JLR-TA1-A77636-chim(NtGi1-Gs)/β1/γ2 8JSO-TA1-AMPH-chim(NtGi1-Gs)/β1/γ2 8ZSP-TA1-LSD-chim(NtGi1L-Gs)/β1/γ2
31.58Consensustrace-amine_onOrthosteric Ligandta1_on
31.25Single1L9H11-cis-Retinal1L9H-Rhodopsin-11-cis-Retinal
31.25Single1U1911-cis-Retinal1U19-Rhodopsin-11-cis-Retinal
31.25Single2G87All-trans-Retinal2G87-Rhodopsin-All-trans-Retinal
31.25Single2I3511-cis-Retinal2I35-Rhodopsin-11-cis-Retinal
31.25Single6FK6PubChem 1324730336FK6-Rhodopsin-PubChem 132473033
31.25Single7SRQLSD7SRQ-5-HT2B-LSD
31.25Single7YFCHistamine7YFC-H4-Histamine-chim(NtGi1-Gs-CtGq)/β1/γ2
31.25Single8DPFLorcaserin8DPF-5-HT2C-Lorcaserin-chim(NtGi2L-Gs-CtGq)/β1/γ2
31.25Single8GGYConstrained Epinephrine8GGY-β2-Constrained Epinephrine
31.25Single8UO3Constrained Epinephrine8UO3-β2-Constrained Epinephrine-GTP; Mg-Gs/β1/γ2
31.25Single8ZSVRO52633978ZSV-TA1-RO5263397-chim(NtGi1-Gs)/β1/γ2
31.25Single9AS2DMT9AS2-5-HT2A-DMT-chim(NtGi1-Gs-CtGq)/β1/γ2
31.25Single9EPRAll-trans-Retinal9EPR-Rhodopsin-All-trans-Retinal-Gi1/β1/γ2
31.25Single9L42Histamine9L42-H4-Histamine-Gi1/β1/γ2
31.25Single9U9VMETH9U9V-β2-METH-Gs/β1/γ2
30.43Single4IARErgotamine4IAR-5-HT1B-Ergotamine
30.43Single4IB4Ergotamine4IB4-5-HT2B-Ergotamine
30.43Single7TD4Siponimod7TD4-S1P1-Siponimod-Gi1/β1/γ2
30.43Single8FYLVilazodone8FYL-5-HT1A-Vilazodone-PtdIns4P-Gi1/β1/γ1
30.43Single8WDTphotoNECA8WDT-A2A-photoNECA
30.43Single8ZSPLSD8ZSP-TA1-LSD-chim(NtGi1L-Gs)/β1/γ2
30.00Single2YDVNECA2YDV-A2A-NECA
30.00Single3P0GBI1671073P0G-β2-BI167107
30.00Single4IAQDihydroergotamine4IAQ-5-HT1B-Dihydroergotamine
30.00Single4LDLHydroxybenzyl Isoproterenol4LDL-β2-Hydroxybenzyl Isoproterenol
30.00Single4U15Tiotropium4U15-M3-Tiotropium
30.00Single4UHRCGS216804UHR-A2A-CGS21680
30.00Single5A8E7-Methylcyanopindolol5A8E-β1-7-Methylcyanopindolol-Na
30.00Single5D5ACarazolol5D5A-β2-Carazolol
30.00Single5D5BCarazolol5D5B-β2-Carazolol
30.00Single5G53NECA5G53-A2A-NECA-Gs
30.00Single5ZKBAF-DX 3845ZKB-M2-AF-DX 384
30.00Single6N48BI1671076N48-β2-BI167107-PubChem 138454256
30.00Single6NI3BI1671076NI3-β2-BI167107-Gs/β1/γ2
30.00Single6OL9Tiotropium6OL9-M5-Tiotropium
30.00Single6WGTLSD6WGT-5-HT2A-LSD
30.00Single7TUYGSK682753A7TUY-GPR183-GSK682753A
30.00Single7VIGCBP-3077VIG-S1P1-CBP-307-Gi1/β1/γ2
30.00Single7XY7NECA7XY7-A2B-NECA-chim(NtGi1-Gs)/β1/γ2
30.00Single8JLPRalmitaront8JLP-TA1-Ralmitaront-Gs/β1/γ2
30.00Single8T1VPubChem 1183102098T1V-GPR6-PubChem 118310209-Na
30.00Single8TAOCDPPB8TAO-mGlu5; mGlu5-Quisqualate-CDPPB
30.00Single8UGWCGS216808UGW-A2A-CGS21680
30.00Single8X0FVU298X0F-mGlu5; mGlu5-Quisqualate-VU29
30.00Single8X16Piclidenoson8X16-A3A-Piclidenoson-Gi1/β1/γ2
30.00Single8YH6Namodenoson8YH6-A3A-Namodenoson-Gi1/β1/γ2
30.00Single9AS9RS130-1809AS9-5-HT2A-RS130-180
30.00Single9ASARS130-1809ASA-5-HT2A-RS130-180-chim(NtGi1-Gs-CtGq)/β1/γ2
30.00Single9AYFCa; Ca; Ca; Cyclomethyltryptophan; R-568; PO49AYF-CaS; CaS-Ca-Ca; Ca; Ca; Cyclomethyltryptophan; R-568; PO4-Gi1/β1/γ2
30.00Single9BS9LSD9BS9-D2-LSD
30.00Single9BSBLSD9BSB-D2-LSD-chim(NtGi1-Go)/β1/γ2
30.00Single9KVPSB2901579KVP-C3aB-SB290157-Go/β1/γ2
30.00Consensusbeta1_offOrthosteric Ligand2VT4-β1-Cyanopindolol 2YCW-β1-Carazolol 2YCZ-β1-Iodocyanopindolol 5A8E-β1-7-Methylcyanopindolol-Na 3ZPQ-β1-PubChem 594590-Na 3ZPR-β1-PubChem 598754-Na
30.00Consensusgi_5htOrthosteric Ligand8FYT-5-HT1A-LSD-PtdIns4P-Gi1/β1/γ1 7UM7-5-HT5A-Methylergometrine-chim(NtGi1-Go)/β1/γ2 8UGY-5-HT1E-Mianserin-Gi1/β1/γ1 8W8B-5-HT1A-SEP-363856-Gi1/β1/γ2 7E2Y-5-HT1A-Serotonin-PtdIns4P-Gi1/β1/γ2 7E32-5-HT1D-Serotonin-Gi1/β1/γ2 7XTA-5-HT4-Serotonin-Gi1/β1/γ2 8UH3-5-HT1E-Setiptiline-Gi1/β1/γ1 8JSP-5-HT1A-Ulotaront-Gi1/β1/γ2 8FYL-5-HT1A-Vilazodone-PtdIns4P-Gi1/β1/γ1 8JT6-5-HT1A-(R)-IHCH-7179-PtdIns4P-Gi1/β1/γ2 8FYE-5-HT1A-4-F,5-MeO-PyrT-PtdIns4P-Gi1/β1/γ1 7X5H-5-HT5A-5-CT-Gi1/β1/γ2 8FY8-5-HT1A-5-MeO-DMT-PtdIns4P-Gi1/β1/γ1 7E2Z-5-HT1A-Aripiprazole-PtdIns4P-Gi1/β1/γ2 7E33-5-HT1E-BRL-54443-Gi1/β1/γ2 8FYX-5-HT1A-Buspirone-PtdIns4P-Gi1/β1/γ1 7EXD-5-HT1F-Lasmiditan-Gi1/β1/γ2 7UM6-5-HT5A-Lisuride-chim(NtGi1-Go)/β1/γ2
30.00Consensusgs_adrenergicOrthosteric Ligand7DHI-β2-Salbutamol-Gs/β1/γ2 7XJI-β3-Solabegron-Gs/β1/γ2 7JJO-β1-Isoprenaline-Gs/β1/γ2 6NI3-β2-BI167107-Gs/β1/γ2 8DCR-β1-Dobutamine-Gs/β1/γ2 7XJH-β3-Isoprenaline-Gs/β1/γ2 7DH5-β3-Mirabegron-Gs/β1/γ2
30.00Consensusm5_offOrthosteric Ligand6OL9-M5-Tiotropium
30.00Consensusmuscarinic_offOrthosteric Ligandm2_off m3_off m4_off m5_off m1_off
29.41Single1GZM11-cis-Retinal1GZM-Rhodopsin-11-cis-Retinal
29.41Single2PED9-cis-Retinal2PED-Rhodopsin-9-cis-Retinal
29.41Single3C9L11-cis-Retinal3C9L-Rhodopsin-11-cis-Retinal
29.41Single3V2WPubChem 518926453V2W-S1P1-PubChem 51892645
29.41Single5OLHVipadenant5OLH-A2A-Vipadenant-Na
29.41Single6KUYPubChem 1457046436KUY-α2a-PubChem 145704643
29.41Single6OBAAlprenolol6OBA-β2-Alprenolol-GTPL11074
29.41Single7LD4Adenosine7LD4-A1-Adenosine-Gi2/β1/γ2
29.41Single7M3FCa; Ca; Tryptophan; Cinacalcet7M3F-CaS; CaS-Ca; Ca; Tryptophan; Cinacalcet
29.41Single7T6STC-FPR 437T6S-FPR2-ALX-TC-FPR 43-Gi1/β1/γ2
29.41Single7T8XAcetylcholine7T8X-M2-Acetylcholine-chim(NtGi1-Go)/β1/γ2
29.41Single7T90Acetylcholine7T90-M2-Acetylcholine-chim(NtGi1-Go)/β1/γ2
29.41Single7T96Acetylcholine7T96-M2-Acetylcholine-LY2119620-Go/β1/γ2
29.41Single7VIHCBP-3077VIH-S1P1-CBP-307-Gi1/β1/γ2
29.41Single7YM8Oxymetazoline7YM8-Alpha1A-Oxymetazoline-chim(Gs-CtGq)
29.41Single7YMHNorepinephrine7YMH-Alpha1A-Norepinephrine-chim(Gs-CtGq)
29.41Single8A6CAll-trans-Retinal8A6C-Rhodopsin-All-trans-Retinal
29.41Single8A6DAll-trans-Retinal8A6D-Rhodopsin-All-trans-Retinal
29.41Single8A6EAll-trans-Retinal8A6E-Rhodopsin-All-trans-Retinal
29.41Single8GGAConstrained Epinephrine8GGA-β2-Constrained Epinephrine-GTP-Gs/β1/γ2
29.41Single8GGCConstrained Epinephrine8GGC-β2-Constrained Epinephrine-GTP-Gs/β1/γ2
29.41Single8GGRConstrained Epinephrine8GGR-β2-Constrained Epinephrine
29.41Single8GGWConstrained Epinephrine8GGW-β2-Constrained Epinephrine
29.41Single8GGZConstrained Epinephrine8GGZ-β2-Constrained Epinephrine
29.41Single8GH0Constrained Epinephrine8GH0-β2-Constrained Epinephrine
29.41Single8HOCImetit8HOC-H4-Imetit-Gi1/β1/γ2
29.41Single8IW4Spermidine8IW4-TAA9-Spermidine-chim(NtGi1-Gs)/β1/γ2
29.41Single8IWESpermidine8IWE-TAA9-Spermidine
29.41Single8JSOAMPH8JSO-TA1-AMPH-chim(NtGi1-Gs)/β1/γ2
29.41Single8U8FPalmitic Acid8U8F-GPR3-Palmitic Acid-Gs/β1/γ2
29.41Single8WC3SEP-3638568WC3-TA1-SEP-363856-chim(NtGi1-Gs)/β1/γ2
29.41Single8YNAImmepip8YNA-H4-Immepip-Gi1/β1/γ2
29.41Single9C1PCa; Tryptophan; '6218; PO49C1P-CaS; CaS-Ca-Ca; Tryptophan; '6218; PO4
29.41Single9C2FCa; Ca; Tryptophan; '54149; PO49C2F-CaS; CaS-Ca-Ca; Ca; Tryptophan; '54149; PO4
29.41Single9EBHAdenosine9EBH-A3A-Adenosine-Gi1/β1/γ2
29.41Single9EEAAdenosine9EEA-A2A-Adenosine-Gs/β1/γ2
29.41Single9LL9DOI9LL9-5-HT2A-DOI-chim(NtGi1L-Gs-CtGq)/β1/γ2
29.41Single9MQJIsoquinuclidine9MQJ-μ-Isoquinuclidine
29.41Single9PXUNaloxone9PXU-μ-Naloxone-Na
29.41Consensusa1_onOrthosteric Ligand7LD4-A1-Adenosine-Gi2/β1/γ2
29.41Consensusa1_on_gpOrthosteric Ligand7LD4-A1-Adenosine-Gi2/β1/γ2
29.41Consensusalpha2_offOrthosteric Ligandalpha2c_off
29.41Consensusgq_histamineOrthosteric Ligand7DFL-H1-Histamine-chim(NtGi1L-Gq)/β1/γ2
29.41Consensush1_on_gpOrthosteric Ligand7DFL-H1-Histamine-chim(NtGi1L-Gq)/β1/γ2
29.41Consensusm2_onOrthosteric Ligand7T8X-M2-Acetylcholine-chim(NtGi1-Go)/β1/γ2
29.41Consensusm2_on_gpOrthosteric Ligand7T8X-M2-Acetylcholine-chim(NtGi1-Go)/β1/γ2
29.41Consensusrhodopsin_offOrthosteric Ligand1U19-Rhodopsin-11-cis-Retinal 2PED-Rhodopsin-9-cis-Retinal 5TE5-Rhodopsin-20-Methanoretinal
29.41Consensuss1p1_offOrthosteric Ligand3V2W-S1P1-PubChem 51892645
29.17Single3QAKUK-4320973QAK-A2A-UK-432097
29.17Consensusformylpeptide_on_gpOrthosteric Ligandfpr2-alx_on_gp fpr1-alx_on_gp
29.17Consensuss1p3_on_gpOrthosteric Ligand7EW3-S1P3-S1P-Gi1/β1/γ2 7EW4-S1P3-CYM-5541-Gi1/β1/γ2 7EW2-S1P3-FTY720-P-Gi1/β1/γ2
28.57Single4AMIBucindolol4AMI-β1-Bucindolol
28.57Single4LDEBI1671074LDE-β2-BI167107
28.57Single4OR2FITM4OR2-mGlu1; mGlu1-FITM
28.57Single4Z36ONO-30805734Z36-LPA1-ONO-3080573
28.57Single5F8UCyanopindolol5F8U-β1-Cyanopindolol
28.57Single5UNHPubChem 1264564065UNH-AT2-PubChem 126456406
28.57Single6DRYMethylergometrine6DRY-5-HT2B-Methylergometrine
28.57Single6H7OCyanopindolol6H7O-β1-Cyanopindolol
28.57Single6MXTSalmeterol6MXT-β2-Salmeterol
28.57Single6VMSBromoergocryptine6VMS-D2-Bromoergocryptine-Gi1/β1/γ2
28.57Single6ZG4HTL00099366ZG4-M1-HTL0009936
28.57Single7DH5Mirabegron7DH5-β3-Mirabegron-Gs/β1/γ2
28.57Single7EO4Siponimod7EO4-S1P1-Siponimod-Gi1/β1/γ2
28.57Single7EPENAM5637EPE-mGlu2-NAM563
28.57Single7EXDLasmiditan7EXD-5-HT1F-Lasmiditan-Gi1/β1/γ2
28.57Single7JNIOlodanrigan7JNI-AT2-Olodanrigan
28.57Single7MTRADX551647MTR-mGlu2; mGlu2-Glutamate-ADX55164
28.57Single8IRSRotigotine8IRS-D2-Rotigotine-Gi1/β1/γ2
28.57Single8JJ8Arformoterol8JJ8-β2-Arformoterol
28.57Single8JJLOlodaterol8JJL-β2-Olodaterol
28.57Single9M4QDoxazosin9M4Q-Alpha1A-Doxazosin
28.57Single9VJ6F-155999VJ6-5-HT1A-F-15599-Gi3/β1/γ2
28.57Consensus5ht1a_onOrthosteric Ligand8FYT-5-HT1A-LSD-PtdIns4P-Gi1/β1/γ1 7E2Y-5-HT1A-Serotonin-PtdIns4P-Gi1/β1/γ2 7E2Z-5-HT1A-Aripiprazole-PtdIns4P-Gi1/β1/γ2 8FYX-5-HT1A-Buspirone-PtdIns4P-Gi1/β1/γ1 8JSP-5-HT1A-Ulotaront-Gi1/β1/γ2 8JT6-5-HT1A-(R)-IHCH-7179-PtdIns4P-Gi1/β1/γ2 8FY8-5-HT1A-5-MeO-DMT-PtdIns4P-Gi1/β1/γ1 8FYE-5-HT1A-4-F,5-MeO-PyrT-PtdIns4P-Gi1/β1/γ1 8FYL-5-HT1A-Vilazodone-PtdIns4P-Gi1/β1/γ1
28.57Consensus5ht1a_on_gpOrthosteric Ligand8FYT-5-HT1A-LSD-PtdIns4P-Gi1/β1/γ1 8FYX-5-HT1A-Buspirone-PtdIns4P-Gi1/β1/γ1 8JSP-5-HT1A-Ulotaront-Gi1/β1/γ2 8JT6-5-HT1A-(R)-IHCH-7179-PtdIns4P-Gi1/β1/γ2 7E2Y-5-HT1A-Serotonin-PtdIns4P-Gi1/β1/γ2 7E2Z-5-HT1A-Aripiprazole-PtdIns4P-Gi1/β1/γ2 8FY8-5-HT1A-5-MeO-DMT-PtdIns4P-Gi1/β1/γ1 8FYE-5-HT1A-4-F,5-MeO-PyrT-PtdIns4P-Gi1/β1/γ1 8FYL-5-HT1A-Vilazodone-PtdIns4P-Gi1/β1/γ1
28.57Consensus5ht1f_onOrthosteric Ligand7EXD-5-HT1F-Lasmiditan-Gi1/β1/γ2
28.57Consensus5ht1f_on_gpOrthosteric Ligand7EXD-5-HT1F-Lasmiditan-Gi1/β1/γ2
28.57Consensusbeta3_onOrthosteric Ligand7DH5-β3-Mirabegron-Gs/β1/γ2 7XJH-β3-Isoprenaline-Gs/β1/γ2 7XJI-β3-Solabegron-Gs/β1/γ2
28.57Consensusbeta3_on_gpOrthosteric Ligand7DH5-β3-Mirabegron-Gs/β1/γ2 7XJH-β3-Isoprenaline-Gs/β1/γ2 7XJI-β3-Solabegron-Gs/β1/γ2
28.57Consensusbeta_onOrthosteric Ligandbeta1_on beta2_on beta3_on
28.57Consensusbeta_on_gpOrthosteric Ligandbeta1_on_gp beta2_on_gp beta3_on_gp
28.57Consensusd2_on_gpOrthosteric Ligand7JVR-D2-Bromoergocryptine-Gi1/β1/γ2 8IRS-D2-Rotigotine-Gi1/β1/γ2
28.57Consensusgi_amineOrthosteric Ligandgi_5ht gi_muscarinic gi_adrenergic gi_dopamine gi_histamine
28.57Consensusgi_muscarinicOrthosteric Ligand8E9X-M4-2-Deoxycytidine-chim(NtGi1-Go)/β1/γ2 7T8X-M2-Acetylcholine-chim(NtGi1-Go)/β1/γ2 7TRS-M4-Acetylcholine-Gi1/β1/γ2 7TRK-M4-Iperoxo-Gi1/β1/γ2 7V6A-M4-PubChem 9864275-Gi1/β1/γ2
28.57Consensuslpa1_offOrthosteric Ligand4Z36-LPA1-ONO-3080573 4Z35-LPA1-ONO-9910539 4Z34-LPA1-ONO-9780307
28.57Consensuslpa_offOrthosteric Ligandlpa1_off
28.57Consensusm4_onOrthosteric Ligand7TRS-M4-Acetylcholine-Gi1/β1/γ2 7V6A-M4-PubChem 9864275-Gi1/β1/γ2 8E9X-M4-2-Deoxycytidine-chim(NtGi1-Go)/β1/γ2 7TRK-M4-Iperoxo-Gi1/β1/γ2
28.57Consensusm4_on_gpOrthosteric Ligand7TRS-M4-Acetylcholine-Gi1/β1/γ2 7V6A-M4-PubChem 9864275-Gi1/β1/γ2 8E9X-M4-2-Deoxycytidine-chim(NtGi1-Go)/β1/γ2 7TRK-M4-Iperoxo-Gi1/β1/γ2
28.00Single7T6TfMLFII7T6T-FPR1-ALX-fMLFII-Gi1/β1/γ2
28.00Consensusangiotensin_onOrthosteric Ligandat1_on
28.00Consensusat1_onOrthosteric Ligand7F6G-AT1-(Sar1)-Angiotensin II-Gq/β1/γ2
27.78Single1F8811-cis-Retinal1F88-Rhodopsin-11-cis-Retinal
27.78Single2YDOAdenosine2YDO-A2A-Adenosine
27.78Single3OAX11-cis-Retinal3OAX-Rhodopsin-11-cis-Retinal
27.78Single3RZECidoxepin3RZE-H1-Cidoxepin
27.78Single4LDOEpinephrine4LDO-β2-Epinephrine
27.78Single5TE3Octyl-Beta-D-Glucopyranoside5TE3-Rhodopsin-Octyl-β-D-Glucopyranoside
27.78Single6A94Zotepine6A94-5-HT2A-Zotepine
27.78Single6AQFZM-2413856AQF-A2A-ZM-241385
27.78Single6K41Dexmedetomidine6K41-α2b-Dexmedetomidine-Go/β1/γ2
27.78Single6ME32-Phenylmelatonin6ME3-MT1-2-Phenylmelatonin
27.78Single6PELCitronellol6PEL-Rhodopsin-Citronellol-Gt(CT)
27.78Single6PS0Carazolol6PS0-β2-Carazolol
27.78Single6PS4ICI118-5516PS4-β2-ICI118-551
27.78Single6PS5Propranolol6PS5-β2-Propranolol
27.78Single6PS82-Phenylmelatonin6PS8-MT1-2-Phenylmelatonin
27.78Single6WH4Methiothepin6WH4-5-HT2A-Methiothepin
27.78Single7DHISalbutamol7DHI-β2-Salbutamol-Gs/β1/γ2
27.78Single7EJADexmedetomidine7EJA-α2a-Dexmedetomidine-Go/β1/γ2
27.78Single7F61PF-036547467F61-H3-PF-03654746
27.78Single7T94Acetylcholine7T94-M2-Acetylcholine-LY2119620-chim(NtGi1-Go)/β1/γ2
27.78Single7TRSAcetylcholine7TRS-M4-Acetylcholine-Gi1/β1/γ2
27.78Single7UM7Methylergometrine7UM7-5-HT5A-Methylergometrine-chim(NtGi1-Go)/β1/γ2
27.78Single7WC9PubChem 1624213647WC9-5-HT2A-PubChem 162421364
27.78Single7WVUfMLF7WVU-FPR1-ALX-fMLF-Gi1/β1/γ2
27.78Single7ZBC11-cis-Retinal7ZBC-Rhodopsin-11-cis-Retinal
27.78Single7ZBE11-cis-Retinal7ZBE-Rhodopsin-11-cis-Retinal
27.78Single8DPGPsilocin8DPG-5-HT2C-Psilocin-chim(NtGi2L-Gs-CtGq)/β1/γ2
27.78Single8FCZ11-cis-Retinal8FCZ-Rhodopsin-11-cis-Retinal
27.78Single8GE1Constrained Epinephrine8GE1-β2-Constrained Epinephrine-Gs/β1/γ2
27.78Single8GE4Constrained Epinephrine8GE4-β2-Constrained Epinephrine-Gs/β1/γ2
27.78Single8GE5Constrained Epinephrine8GE5-β2-Constrained Epinephrine-Gs/β1/γ1
27.78Single8GE6Constrained Epinephrine8GE6-β2-Constrained Epinephrine-Gs/β1/γ2
27.78Single8GE7Constrained Epinephrine8GE7-β2-Constrained Epinephrine-Gs/β1/γ2
27.78Single8GE8Constrained Epinephrine8GE8-β2-Constrained Epinephrine-Gs/β1/γ2
27.78Single8GEFConstrained Epinephrine8GEF-β2-Constrained Epinephrine-Gs/β1/γ2
27.78Single8GG5Constrained Epinephrine8GG5-β2-Constrained Epinephrine-GTP-Gs/β1/γ2
27.78Single8GG7Constrained Epinephrine8GG7-β2-Constrained Epinephrine-GTP-Gs/β1/γ2
27.78Single8GGLConstrained Epinephrine8GGL-β2-Constrained Epinephrine
27.78Single8GGMConstrained Epinephrine8GGM-β2-Constrained Epinephrine
27.78Single8GGPConstrained Epinephrine8GGP-β2-Constrained Epinephrine
27.78Single8GGQConstrained Epinephrine8GGQ-β2-Constrained Epinephrine
27.78Single8GGSConstrained Epinephrine8GGS-β2-Constrained Epinephrine
27.78Single8GGTConstrained Epinephrine8GGT-β2-Constrained Epinephrine
27.78Single8GGVConstrained Epinephrine8GGV-β2-Constrained Epinephrine
27.78Single8GGXConstrained Epinephrine8GGX-β2-Constrained Epinephrine
27.78Single8JLKUlotaront8JLK-TA1-Ulotaront-chim(NtGi1-Gs)/β1/γ2
27.78Single8JLQFenoldopam8JLQ-TA1-Fenoldopam-Gs/β1/γ2
27.78Single8THKA-616038THK-Alpha1A-A-61603-chim(NtGi2L-Gs-CtGq)/β1/γ2
27.78Single8THLEpinephrine8THL-Alpha1A-Epinephrine-chim(NtGi2L-Gs-CtGq)/β1/γ2
27.78Single8UHBRO52563908UHB-TA1-RO5256390-Gs/β1/γ2
27.78Single8UNLConstrained Epinephrine8UNL-β2-Constrained Epinephrine-GTP-Gs/β1/γ2
27.78Single8UNOConstrained Epinephrine8UNO-β2-Constrained Epinephrine-GTP-Gs/β1/γ2
27.78Single8UO0Constrained Epinephrine8UO0-β2-Constrained Epinephrine-GTP-Gs/β1/γ2
27.78Single8V6UPubChem 1713924568V6U-5-HT2A-PubChem 171392456-chim(NtGi2-Gs-CtGq)/β1/γ2
27.78Single8WC8ZH86518WC8-TA1-ZH8651-chim(NtGi1-Gs)/β1/γ2
27.78Single8WPGTryptophan; Cinacalcet; PO4; Ca8WPG-CaS; CaS-Tryptophan; Cinacalcet; PO4; Ca
27.78Single8YH2Adenosine8YH2-A3A-Adenosine-Gi1/β1/γ2
27.78Single8YN3Histamine8YN3-H2-Histamine-Gs/β1/γ2
27.78Single9AS5Mescaline9AS5-5-HT2A-Mescaline
27.78Single9AS6Mescaline9AS6-5-HT2A-Mescaline-chim(NtGi1-Gs-CtGq)/β1/γ2
27.78Single9AXFCa; Ca; Ca; Cyclomethyltryptophan; R-568; PO49AXF-CaS; CaS-Ca-Ca; Ca; Ca; Cyclomethyltryptophan; R-568; PO4-chim(NtGi1-Gs-CtGq)/β1/γ2
27.78Single9CBLEpinephrine9CBL-α2a-Epinephrine-Gi1/β1/γ2
27.78Single9KVIBufotenin9KVI-5-HT1A-Bufotenin-PtdIns4P-Gi1/β1/γ2
27.78Single9L84Epinephrine9L84-β1-Epinephrine-Atazanavir-Gs/β1/γ2
27.78Single9L8LBI1671079L8L-β2-BI167107-Atazanavir-Gs/β1/γ2 ; Arrestin2
27.78Single9LL8Psilocin9LL8-5-HT2A-Psilocin-Gi1/β1/γ2
27.78Single9LRDHistamine9LRD-H1-Histamine-Gi1/β1/γ2
27.78Single9MQIIsoquinuclidine9MQI-μ-Isoquinuclidine
27.78Single9ODLMitragynine Pseudoindoxyl9ODL-μ-Mitragynine Pseudoindoxyl-GTP; Mg-Gi1/β1/γ2
27.78Single9PXVNaloxone9PXV-μ-Naloxone-Gi1/β1/γ2
27.78Single9W6W5-CT9W6W-5-HT5A-5-CT-Gi1/β1/γ2
27.78Consensus5ht_on_gpOrthosteric Ligand5ht1_on_gp 5ht2_on_gp 5ht4_on_gp 5ht5_on_gp 5ht6_on_gp 5ht7_on_gp
27.78Consensusadenosine_onOrthosteric Liganda1_on a2_on a3_on
27.78Consensusalpha1_onOrthosteric Ligandalpha1a_on
27.78Consensusalpha1_on_gpOrthosteric Ligandalpha1a_on_gp
27.78Consensusalpha1a_onOrthosteric Ligand7EJ0-α2a-Norepinephrine-Go/β1/γ2 7EJ8-α2a-Brimonidine-Go/β1/γ2 7EJA-α2a-Dexmedetomidine-Go/β1/γ2 7EJK-α2a-Oxymetazoline-Go/β1/γ2 7W6P-α2a-N-pyridin-4-ylisoquinolin-4-amine-Go/β1/γ2 7W7E-α2a-PubChem 164946676-Go/β1/γ2
27.78Consensusalpha1a_on_gpOrthosteric Ligand7EJ0-α2a-Norepinephrine-Go/β1/γ2 7EJ8-α2a-Brimonidine-Go/β1/γ2 7EJA-α2a-Dexmedetomidine-Go/β1/γ2 7EJK-α2a-Oxymetazoline-Go/β1/γ2 7W6P-α2a-N-pyridin-4-ylisoquinolin-4-amine-Go/β1/γ2 7W7E-α2a-PubChem 164946676-Go/β1/γ2
27.78Consensusgi_adenosineOrthosteric Ligand7LD4-A1-Adenosine-Gi2/β1/γ2 8X17-A3A-Namodenoson-Gi1/β1/γ2 8X16-A3A-Piclidenoson-Gi1/β1/γ2
27.78Consensusopsins_offOrthosteric Ligandrhodopsin_off
27.78Consensussensory_offOrthosteric Ligandopsins_off
27.59Single7TYLAmylin7TYL-CT-Amylin-Gs/β1/γ2
27.27Single2YCZIodocyanopindolol2YCZ-β1-Iodocyanopindolol
27.27Single4OR2FITM4OR2-mGlu1; mGlu1-FITM
27.27Single5CGDHTL142425CGD-mGlu5-HTL14242
27.27Single5TUDErgotamine5TUD-5-HT2B-Ergotamine
27.27Single6H7LDobutamine6H7L-β1-Dobutamine
27.27Single6IBLArformoterol6IBL-β1-Arformoterol
27.27Single6TKOArformoterol6TKO-β1-Arformoterol-Arrestin2
27.27Single7JVRBromoergocryptine7JVR-D2-Bromoergocryptine-Gi1/β1/γ2
27.27Single7SK8CCX6627SK8-ACKR3-CXCL12-CCX662
27.27Single7WVVfMLFII7WVV-FPR2-ALX-fMLFII-Gi2/β1/γ2
27.27Single7XK2MK68927XK2-HCA2-MK6892-Gi1/β1/γ2
27.27Single8E9X2-Deoxycytidine8E9X-M4-2-Deoxycytidine-chim(NtGi1-Go)/β1/γ2
27.27Single8E9YClozapine-N-oxide8E9Y-M3-Clozapine-N-oxide-chim(NtGi2L-Gs-CtGq)/β1/γ2
27.27Single8FX5Xanomeline8FX5-M4-Xanomeline-Xanomeline-Gi1/β1/γ2
27.27Single8J19LY2378J19-GPR84-LY237-Gi1/β1/γ2
27.27Single8XIOL7975918XIO-SST1-L797591-chim(NtGi1-Gs-CtGi1)/β1/γ2
27.27Single9HYIDP819HYI-5-HT1A-DP81-Gi1/β1/γ2
27.27Single9WP9S1P9WP9-S1P3-S1P-chim(NtGi2L-Gs-CtGq)/β1/γ2
27.27Consensusbeta1_onOrthosteric Ligand8DCR-β1-Dobutamine-Gs/β1/γ2 7S0F-β1-Isoprenaline-Gi1/β1/γ2
27.27Consensusbeta1_on_gpOrthosteric Ligand8DCR-β1-Dobutamine-Gs/β1/γ2 7S0F-β1-Isoprenaline-Gi1/β1/γ2
27.27Consensusnucleotide_on_gpOrthosteric Ligandadenosine_on_gp p2y_on_gp
26.92Single6JODAngiotensin II6JOD-AT2-Angiotensin II
26.92Single7DW9AVP7DW9-V2-AVP-chim(NtGi1-Gs)/β1/γ2
26.92Single7F6G(Sar1)-Angiotensin II7F6G-AT1-(Sar1)-Angiotensin II-Gq/β1/γ2
26.92Single7WUIIP157WUI-ADGRG2-IP15-chim(NtGi1-Gs)/β1/γ2
26.92Single9BUDCagrilintide9BUD-CT-Cagrilintide-Gs/β1/γ2
26.92Consensusangiotensin_on_gpOrthosteric Ligandat1_on_gp
26.92Consensusat1_on_gpOrthosteric Ligand7F6G-AT1-(Sar1)-Angiotensin II-Gq/β1/γ2
26.92Consensusgq_angiotensinOrthosteric Ligand7F6G-AT1-(Sar1)-Angiotensin II-Gq/β1/γ2
26.92Consensusgs_vasop-oxyOrthosteric Ligand7DW9-V2-AVP-chim(NtGi1-Gs)/β1/γ2
26.92Consensusv2_onOrthosteric Ligand7DW9-V2-AVP-chim(NtGi1-Gs)/β1/γ2
26.92Consensusv2_on_gpOrthosteric Ligand7DW9-V2-AVP-chim(NtGi1-Gs)/β1/γ2
26.92Consensusvasop-oxy_onOrthosteric Ligandv2_on
26.92Consensusvasop-oxy_on_gpOrthosteric Ligandv2_on_gp
26.67Single2HPYAll-trans-Retinal2HPY-Rhodopsin-All-trans-Retinal
26.67Single7DD5Ca; Ca; Tryptophan; NPS-21437DD5-CaS; CaS-Ca-Ca; Ca; Tryptophan; NPS-2143
26.67Single7TYXAmylin7TYX-CT (AMY2)-Amylin-Gs/β1/γ2; RAMP2
26.67Single8DPHLorcaserin8DPH-5-HT2C-Lorcaserin-chim(NtGi2L-Gs-CtGq)/β1/γ2
26.67Single8GEIConstrained Epinephrine8GEI-β2-Constrained Epinephrine-Gs/β1/γ2
26.67Single8WC5Tetramethylammonium Ion8WC5-TA1-Tetramethylammonium Ion-chim(NtGi1-Gs)/β1/γ2
26.67Single8Y02All-trans-Retinal8Y02-OPN1SW-All-trans-Retinal-Gi1/β1/γ2
26.67Single9CHUNorepinephrine9CHU-β2-Norepinephrine
26.67Single9EE9Adenosine9EE9-A2A-Adenosine-Gs/β1/γ2
26.32Single1HZX11-cis-Retinal1HZX-Rhodopsin-11-cis-Retinal
26.32Single2Y01Dobutamine2Y01-β1-Dobutamine
26.32Single2Y04Salbutamol2Y04-β1-Salbutamol
26.32Single3ZPRPubChem 5987543ZPR-β1-PubChem 598754-Na
26.32Single4EIYZM-2413854EIY-A2A-ZM-241385-Na
26.32Single4EJ4Naltrindole4EJ4-δ-Naltrindole
26.32Single4QKXPubChem 762106284QKX-β2-PubChem 76210628
26.32Single5IU8Q274563475IU8-A2A-Q27456347-Na
26.32Single5OLGZM-2413855OLG-A2A-ZM-241385-Na
26.32Single5UENDU1725UEN-A1-DU172
26.32Single5UIGPubChem 1240811965UIG-A2A-PubChem 124081196
26.32Single5YC8N-methyl-Scopolamine5YC8-M2-N-methyl-Scopolamine
26.32Single5ZK8N-methyl-Scopolamine5ZK8-M2-N-methyl-Scopolamine
26.32Single5ZKCN-methyl-Scopolamine5ZKC-M2-N-methyl-Scopolamine
26.32Single6DRXLisuride6DRX-5-HT2B-Lisuride
26.32Single6FK7PubChem 1324730346FK7-Rhodopsin-PubChem 132473034
26.32Single6FKCPubChem 1324730396FKC-Rhodopsin-PubChem 132473039
26.32Single6FKDPubChem 1373491836FKD-Rhodopsin-PubChem 137349183
26.32Single6H7MSalbutamol6H7M-β1-Salbutamol
26.32Single6PS1Timolol6PS1-β2-Timolol
26.32Single6WHADB139486WHA-5-HT2A-DB13948-chim(NtGi2L-Gs-CtGq)/β1/γ2
26.32Single7BTSEpinephrine7BTS-β1-Epinephrine
26.32Single7BU6Norepinephrine7BU6-β1-Norepinephrine
26.32Single7BU7BI1671077BU7-β1-BI167107
26.32Single7E32Serotonin7E32-5-HT1D-Serotonin-Gi1/β1/γ2
26.32Single7PYRPSB-21157PYR-A2A-PSB-2115
26.32Single7S0GIsoprenaline7S0G-β1-Isoprenaline-chim(Gi1-CtGs)/β1/γ2
26.32Single7T2GMitragynine Pseudoindoxyl7T2G-μ-Mitragynine Pseudoindoxyl-Gi1/β1/γ2
26.32Single7T6VfMLFII7T6V-FPR2-ALX-fMLFII-Gi1/β1/γ2
26.32Single7VH0Ramelteon7VH0-MT2-Ramelteon-Gi1/β1/γ1
26.32Single7VIES1P7VIE-S1P1-S1P-Gi1/β1/γ2
26.32Single7XJHIsoprenaline7XJH-β3-Isoprenaline-Gs/β1/γ2
26.32Single7XTC5-CT7XTC-5-HT7-5-CT-Gs/β1/γ2
26.32Single8GE2Constrained Epinephrine8GE2-β2-Constrained Epinephrine-Gs/β1/γ1
26.32Single8GE3Constrained Epinephrine8GE3-β2-Constrained Epinephrine-Gs/β1/γ2
26.32Single8GE9Constrained Epinephrine8GE9-β2-Constrained Epinephrine-Gs/β1/γ2
26.32Single8GECConstrained Epinephrine8GEC-β2-Constrained Epinephrine-Gs/β1/γ2
26.32Single8GEEConstrained Epinephrine8GEE-β2-Constrained Epinephrine-Gs/β1/γ2
26.32Single8GEHConstrained Epinephrine8GEH-β2-Constrained Epinephrine-Gs/β1/γ2
26.32Single8GFVConstrained Epinephrine8GFV-β2-Constrained Epinephrine-GTP-Gs/β1/γ2
26.32Single8GFWConstrained Epinephrine8GFW-β2-Constrained Epinephrine-GTP-Gs/β1/γ2
26.32Single8GFXConstrained Epinephrine8GFX-β2-Constrained Epinephrine-GTP-Gs/β1/γ2
26.32Single8GFZConstrained Epinephrine8GFZ-β2-Constrained Epinephrine-GTP-Gs/β1/γ2
26.32Single8GG0Constrained Epinephrine8GG0-β2-Constrained Epinephrine-GTP-Gs/β1/γ2
26.32Single8GG1Constrained Epinephrine8GG1-β2-Constrained Epinephrine-GTP-Gs/β1/γ2
26.32Single8GG3Constrained Epinephrine8GG3-β2-Constrained Epinephrine-GTP-Gs/β1/γ2
26.32Single8GG4Constrained Epinephrine8GG4-β2-Constrained Epinephrine-GTP-Gs/β1/γ2
26.32Single8GG6Constrained Epinephrine8GG6-β2-Constrained Epinephrine-GTP-Gs/β1/γ2
26.32Single8GG9Constrained Epinephrine8GG9-β2-Constrained Epinephrine-GTP-Gs/β1/γ2
26.32Single8GGIConstrained Epinephrine8GGI-β2-Constrained Epinephrine
26.32Single8GGJConstrained Epinephrine8GGJ-β2-Constrained Epinephrine
26.32Single8GGKConstrained Epinephrine8GGK-β2-Constrained Epinephrine
26.32Single8GGNConstrained Epinephrine8GGN-β2-Constrained Epinephrine
26.32Single8GGOConstrained Epinephrine8GGO-β2-Constrained Epinephrine
26.32Single8GGUConstrained Epinephrine8GGU-β2-Constrained Epinephrine
26.32Single8JLJT1AM8JLJ-TA1-T1AM-chim(NtGi1-Gs)/β1/γ2
26.32Single8JT8(R)-IHCH-71798JT8-5-HT2A-(R)-IHCH-7179
26.32Single8JXRLSD8JXR-D1-LSD
26.32Single8PJKST1718PJK-5-HT1A-ST171-Gi1/β1/γ1
26.32Single8RWXStilSwitch38RWX-A2A-StilSwitch3-Na
26.32Single8T1WCVN4248T1W-GPR6-CVN424
26.32Single8UGYMianserin8UGY-5-HT1E-Mianserin-Gi1/β1/γ1
26.32Single8UNQConstrained Epinephrine8UNQ-β2-Constrained Epinephrine-GTP-Gs/β1/γ2
26.32Single8UNVConstrained Epinephrine8UNV-β2-Constrained Epinephrine-GTP-Gs/β1/γ2
26.32Single8UNYConstrained Epinephrine8UNY-β2-Constrained Epinephrine-GTP-Gs/β1/γ2
26.32Single8UNZConstrained Epinephrine8UNZ-β2-Constrained Epinephrine-GTP-Gs/β1/γ2
26.32Single8UO2Constrained Epinephrine8UO2-β2-Constrained Epinephrine-GTP-Gs/β1/γ2
26.32Single8W87METH8W87-TA1-METH-chim(NtGi1L-Gs)/β1/γ2
26.32Single8WC7ZH86678WC7-TA1-ZH8667-chim(NtGi1-Gs)/β1/γ2
26.32Single8X17Namodenoson8X17-A3A-Namodenoson-Gi1/β1/γ2
26.32Single8X64Desloratadine8X64-H1-Desloratadine
26.32Single8XVKAmbrisentan8XVK-ETA-Ambrisentan
26.32Single8Y71A1D6F8Y71-δ-A1D6F-BMS986187-Gi1/β1/γ2
26.32Single8YN8Proxyfan8YN8-H3-Proxyfan-Go/β1/γ2
26.32Single9AVGCa; Ca; Cyclomethyltryptophan; R-568; PO49AVG-CaS; CaS-Ca-Ca; Ca; Cyclomethyltryptophan; R-568; PO4-chim(NtGi1-Gs)/β1/γ2
26.32Single9CBMDexmedetomidine9CBM-α2a-Dexmedetomidine-Gi1/β1/γ2
26.32Single9LLAAriadne9LLA-5-HT2A-Ariadne-chim(NtGi1L-Gs-CtGq)/β1/γ2
26.32Single9PLNPubChem 1682595949PLN-α2a-PubChem 168259594
26.32Single9PLOPubChem 1682595949PLO-α2a-PubChem 168259594-Go/β1/γ2
26.32Single9PQDPubChem 1764919279PQD-α2a-PubChem 176491927
26.32Single9UAZAtropine9UAZ-M1-Atropine
26.32Consensus5ht1d_onOrthosteric Ligand7E32-5-HT1D-Serotonin-Gi1/β1/γ2
26.32Consensus5ht1d_on_gpOrthosteric Ligand7E32-5-HT1D-Serotonin-Gi1/β1/γ2
26.32Consensus5ht7_onOrthosteric Ligand7XTC-5-HT7-5-CT-Gs/β1/γ2
26.32Consensus5ht7_on_gpOrthosteric Ligand7XTC-5-HT7-5-CT-Gs/β1/γ2
26.32Consensusa3_onOrthosteric Liganda3a_on
26.32Consensusadenosine_on_gpOrthosteric Liganda1_on_gp a2_on_gp a3_on_gp
26.32Consensusadrenergic_onOrthosteric Ligandalpha_on beta_on
26.32Consensusalpha_onOrthosteric Ligandalpha1_on alpha2_on
26.32Consensusd5_onOrthosteric Ligand8IRV-D5-Rotigotine-chim(NtGi1-Gs)/β1/γ2
26.32Consensusdop_offOrthosteric Ligand4EJ4-δ-Naltrindole
26.32Consensusdopamine_onOrthosteric Ligandd2_on d1_on d3_on d4_on d5_on
26.32Consensusdopamine_on_gpOrthosteric Ligandd2_on_gp d1_on_gp d3_on_gp d4_on_gp d5_on_gp
26.32Consensusgs_trace-amineOrthosteric Ligand8W88-TA1-SEP-363856-Gs/β1/γ2 8JLJ-TA1-T1AM-chim(NtGi1-Gs)/β1/γ2 8JLO-TA1-Ulotaront-Gs/β1/γ2 8WC4-TA1-ZH8651-chim(NtGi1-Gs)/β1/γ2 8WC7-TA1-ZH8667-chim(NtGi1-Gs)/β1/γ2 8JLR-TA1-A77636-chim(NtGi1-Gs)/β1/γ2 8JSO-TA1-AMPH-chim(NtGi1-Gs)/β1/γ2 8W87-TA1-METH-chim(NtGi1L-Gs)/β1/γ2 8W89-TA1-2-Phenylethylamine-chim(NtGi1L-Gs)/β1/γ2 8JLP-TA1-Ralmitaront-Gs/β1/γ2 8W8A-TA1-RO5256390-chim(NtGi1L-Gs)/β1/γ2
26.09Single4UG2CGS216804UG2-A2A-CGS21680
26.09Single5WF6UK-4320975WF6-A2A-UK-432097
26.09Single6G79Donitriptan6G79-5-HT1B-Donitriptan-Go/β1/γ2
26.09Single6OMMWKYMVX6OMM-FPR2-ALX-WKYMVX-Gi1/β1/γ2
26.09Single9MD1Buspirone9MD1-5-HT1A-Buspirone-PtdIns4P-Gz/β1/γ2
26.09Single9UMJEP549UMJ-C3aB-EP54-Go/β1/γ2
26.09Consensusformylpeptide_onOrthosteric Ligandfpr2-alx_on fpr1-alx_on
25.93Single7Y35Abaloparatide7Y35-PTH1-Abaloparatide-Gs/β1/γ2
25.93Single8ZPSPrRP208ZPS-PrRP-PrRP20-chim(NtGi1-Gs-CtGi1)/β1/γ2
25.93Single9E2AGLP-19E2A-GLP-1-GLP-1-Gs/β1/γ2
25.81Single8FLSAbaloparatide8FLS-PTH1-Abaloparatide-Gs/β1/γ2
25.81Single8FLULA-PTH Analog8FLU-PTH1-LA-PTH Analog-Gs/β1/γ2
25.00Single2Y00Dobutamine2Y00-β1-Dobutamine
25.00Single2Y03Isoprenaline2Y03-β1-Isoprenaline
25.00Single3C9M11-cis-Retinal3C9M-Rhodopsin-11-cis-Retinal
25.00Single3PQRAll-trans-Retinal3PQR-Rhodopsin-All-trans-Retinal-Gt(CT)
25.00Single4AMJCarvedilol4AMJ-β1-Carvedilol
25.00Single5CGCHTL142425CGC-mGlu5-HTL14242
25.00Single5IUAQ274563485IUA-A2A-Q27456348-Na
25.00Single5N2RPSB365N2R-A2A-PSB36-Na
25.00Single5UNFPubChem 157800525UNF-AT2-PubChem 15780052
25.00Single5WKTOctyl-Beta-D-Glucopyranoside5WKT-Rhodopsin-Octyl-β-D-Glucopyranoside-Gt(CT)
25.00Single6D26Fevipiprant6D26-DP2-Fevipiprant
25.00Single6FK9PubChem 1324730366FK9-Rhodopsin-PubChem 132473036
25.00Single6FUFAll-trans-Retinal6FUF-Rhodopsin-All-trans-Retinal-Go
25.00Single6GDGNECA6GDG-A2A-NECA-Gs/β1/γ1
25.00Single6KUWPubChem 572132346KUW-α2c-PubChem 57213234
25.00Single6LPLZM-2413856LPL-A2A-ZM-241385-Na
25.00Single6LUQHaloperidol6LUQ-D2-Haloperidol
25.00Single6ME72-Phenylmelatonin6ME7-MT2-2-Phenylmelatonin
25.00Single6NBFLA-PTH Analog6NBF-PTH1-LA-PTH Analog-Gs/β1/γ2
25.00Single6P9YPACAP276P9Y-PAC1-PACAP27-Gs/β1/γ2
25.00Single6PS3Carvedilol6PS3-β2-Carvedilol
25.00Single6S0QZM-2413856S0Q-A2A-ZM-241385
25.00Single6WQAZM-2413856WQA-A2A-ZM-241385-Na
25.00Single7BVQCarazolol7BVQ-β1-Carazolol
25.00Single7CFNINT-7777CFN-GPBA-INT-777-Gs/β1/γ2
25.00Single7E9GJNJ-404118137E9G-mGlu2; mGlu2-Eglumetad-JNJ-40411813-Gi1/β1/γ2
25.00Single7EJKOxymetazoline7EJK-α2a-Oxymetazoline-Go/β1/γ2
25.00Single7EO2FTY720-P7EO2-S1P1-FTY720-P-Gi1/β1/γ2
25.00Single7EUOfMLF7EUO-FPR1-ALX-fMLF-Gi1/β1/γ2
25.00Single7F23Dopamine7F23-D1-Dopamine-GDP-Gs/β1/γ2
25.00Single7LD3Adenosine7LD3-A1-Adenosine-MIPS521-Gi2/β1/γ2
25.00Single7MT9All-trans-Retinal7MT9-Rhodopsin-All-trans-Retinal-GRK1
25.00Single7MTAAll-trans-Retinal7MTA-Rhodopsin-All-trans-Retinal-GRK1
25.00Single7RM5ZM-2413857RM5-A2A-ZM-241385-Na
25.00Single7S0FIsoprenaline7S0F-β1-Isoprenaline-Gi1/β1/γ2
25.00Single7SINNPS-21437SIN-CaS; CaS-NPS-2143
25.00Single7SINNPS-21437SIN-CaS; CaS-NPS-2143
25.00Single7VFXfMIFL7VFX-FPR1-ALX-fMIFL-Gi1/β1/γ2
25.00Single7VUHJNJ-635330547VUH-GPR139-JNJ-63533054-chim(Gs-CtGq)/β1/γ2
25.00Single7VVMPTH7VVM-PTH1-PTH-Gs/β1/γ2
25.00Single7W0PElabela7W0P-Apelin-Elabela-Gi1/β1/γ2
25.00Single7WVWfMYFINILTL7WVW-FPR2-ALX-fMYFINILTL-Gi2/β1/γ2
25.00Single7X1TTaltirelin7X1T-TRH-Taltirelin-chim(NtGi2L-Gs-CtGq)/β1/γ2
25.00Single7XK9Constrained Isoproterenol7XK9-β2-Constrained Isoproterenol-Na
25.00Single7XKAConstrained Epinephrine7XKA-β2-Constrained Epinephrine
25.00Single8DCRDobutamine8DCR-β1-Dobutamine-Gs/β1/γ2
25.00Single8DPILorcaserin8DPI-5-HT2C-Lorcaserin-chim(NtGi2L-Gs-CtGq)/β1/γ2
25.00Single8EFBOliceridine8EFB-μ-Oliceridine-Gi1/β1/γ2
25.00Single8FYNZM-2413858FYN-A2A-ZM-241385-Na
25.00Single8GDZConstrained Epinephrine8GDZ-β2-Constrained Epinephrine-Gs/β1/γ2
25.00Single8GEBConstrained Epinephrine8GEB-β2-Constrained Epinephrine-Gs/β1/γ2
25.00Single8GEGConstrained Epinephrine8GEG-β2-Constrained Epinephrine-Gs/β1/γ2
25.00Single8GGBConstrained Epinephrine8GGB-β2-Constrained Epinephrine-GTP-Gs/β1/γ2
25.00Single8GGEConstrained Epinephrine8GGE-β2-Constrained Epinephrine-GTP-Gs/β1/γ2
25.00Single8GH1Constrained Epinephrine8GH1-β2-Constrained Epinephrine
25.00Single8ITFDMCHA8ITF-TAA9-DMCHA-chim(NtGi1-Gs)/β1/γ2
25.00Single8IU2All-trans-Retinal8IU2-Opsin1LW-All-trans-Retinal-Gi1/β1/γ2
25.00Single8PKMBefiradol8PKM-5-HT1A-Befiradol-Gi1/β1/γ1
25.00Single8POKHistamine8POK-H2-Histamine-Gs/β1/γ2
25.00Single8UNNConstrained Epinephrine8UNN-β2-Constrained Epinephrine-GTP-Gs/β1/γ2
25.00Single8UNPConstrained Epinephrine8UNP-β2-Constrained Epinephrine-GTP-Gs/β1/γ2
25.00Single8WC9ZH86518WC9-TA1-ZH8651-chim(NtGi1-Gs-CtGq)/β1/γ2
25.00Single8X0BVU04244658X0B-mGlu5; mGlu5-Quisqualate-VU0424465
25.00Single8X0CVU04244658X0C-mGlu5; mGlu5-Quisqualate-VU0424465
25.00Single8XYKVUF106618XYK-CXCR3-VUF10661-Go/β1/γ2
25.00Single8Y63C20:0 Ceramide8Y63-FPR2-ALX-C20:0 Ceramide-Gi1/β1/γ2
25.00Single8YICSAR2477998YIC-S1P1-SAR247799-Gi1/β1/γ2
25.00Single8YN9Histamine8YN9-H4-Histamine-Gi1/β1/γ2
25.00Single8YUUHistamine8YUU-H3-Histamine-Gi1/β1/γ1
25.00Single9AYFCa; Ca; Ca; Cyclomethyltryptophan; R-568; PO49AYF-CaS; CaS-Ca-Ca; Ca; Ca; Cyclomethyltryptophan; R-568; PO4-Gi1/β1/γ2
25.00Single9BUYLM1899BUY-β2-LM189-Gi1/β1/γ2
25.00Single9F34FOB02-04A9F34-D3-FOB02-04A-Go/β1/γ2
25.00Single9HC04YI9HC0-mGlu5-4YI
25.00Single9LRCHistamine9LRC-H4-Histamine
25.00Single9LREHistamine9LRE-H4-Histamine-Gi1/β1/γ2
25.00Single9M4TSilodosin9M4T-Alpha1A-Silodosin
25.00Single9MQKIsoquinuclidine9MQK-κ-Isoquinuclidine
25.00Single9PXYNaloxone9PXY-μ-Naloxone-GDPβS-Gi1/β1/γ2
25.00Consensus5ht2_onOrthosteric Ligand5ht2b_on
25.00Consensus5ht2b_onOrthosteric Ligand7SRR-5-HT2B-LSD-chim(NtGi2L-Gs-CtGq)/β1/γ2
25.00Consensusadenosine_offOrthosteric Liganda1_off a2_off
25.00Consensusadrenergic_offOrthosteric Ligandalpha_off beta_off
25.00Consensusadrenergic_on_gpOrthosteric Ligandalpha_on_gp beta_on_gp
25.00Consensusalpha2c_offOrthosteric Ligand6KUW-α2c-PubChem 57213234
25.00Consensusalpha_offOrthosteric Ligandalpha1_off alpha2_off
25.00Consensusd1_onOrthosteric Ligand7F0T-D1-Dopamine-Gs/β1/γ2 7CKY-D1-PW0464-Gs/β1/γ2 8IRR-D1-Rotigotine-Gs/β1/γ2 7JV5-D1-SKF81297-Gs/β1/γ2 7JVP-D1-SKF83959-Gs/β1/γ2 7X2D-D1-Tavapadon-Gs/β1/γ2 7CKX-D1-A77636-Gs/β1/γ2 7JVQ-D1-Apomorphine-Gs/β1/γ2 7CKW-D1-Fenoldopam-Gs/β1/γ2
25.00Consensusd2_onOrthosteric Ligand7JVR-D2-Bromoergocryptine-Gi1/β1/γ2 8IRS-D2-Rotigotine-Gi1/β1/γ2
25.00Consensusdp2_offOrthosteric Ligand6D26-DP2-Fevipiprant
25.00Consensusdp_offOrthosteric Liganddp2_off
25.00Consensusfpr1-alx_onOrthosteric Ligand7VFX-FPR1-ALX-fMIFL-Gi1/β1/γ2
25.00Consensusfpr1-alx_on_gpOrthosteric Ligand7VFX-FPR1-ALX-fMIFL-Gi1/β1/γ2
25.00Consensusgi_nucleotideOrthosteric Ligandgi_adenosine gi_p2y
25.00Consensusgi_opsinsOrthosteric Ligand8IU2-Opsin1LW-All-trans-Retinal-Gi1/β1/γ2
25.00Consensusgi_sensoryOrthosteric Ligandgi_opsins
25.00Consensusgs_amineOrthosteric Ligandgs_5ht gs_adrenergic gs_dopamine gs_histamine gs_trace-amine
25.00Consensush2_on_gpOrthosteric Ligand8POK-H2-Histamine-Gs/β1/γ2
25.00Consensush3_onOrthosteric Ligand8YUU-H3-Histamine-Gi1/β1/γ1
25.00Consensush3_on_gpOrthosteric Ligand8YUU-H3-Histamine-Gi1/β1/γ1
25.00Consensuslpl_onOrthosteric Ligands1p_on lpa_on
25.00Consensuslpl_on_gpOrthosteric Ligands1p_on_gp lpa_on_gp
25.00Consensusmop_offOrthosteric Ligand4DKL-μ-β-Funaltrexamine 8QOT-μ-Nanobody-E 7UL4-μ-Alvimopan
25.00Consensusopsin1lw_onOrthosteric Ligand8IU2-Opsin1LW-All-trans-Retinal-Gi1/β1/γ2
25.00Consensusopsin1lw_on_gpOrthosteric Ligand8IU2-Opsin1LW-All-trans-Retinal-Gi1/β1/γ2
25.00Consensusopsins_on_gpOrthosteric Ligandrhodopsin_on_gp opsin1lw_on_gp
25.00Consensusrhodopsin_onOrthosteric Ligand6OYA-Rhodopsin-All-trans-Retinal-Gt/β1/γ1
25.00Consensussensory_on_gpOrthosteric Ligandopsins_on_gp
24.24Single7Y36PTH7Y36-PTH1-PTH-Gs/β1/γ2
24.14Single6P9XCorticoliberin-16P9X-CRF1-Corticoliberin-1-Gs/β1/γ2
24.14Single7S1MExendin-4-D-Ala7S1M-GLP-1-Exendin-4-D-Ala-Gs/β1/γ2
24.14Single7TYFAmylin7TYF-CT (AMY1)-Amylin-Gs/β1/γ2; RAMP1
24.14Single7TYNCalcitonin-17TYN-CT-Calcitonin-1-Gs/β1/γ2
24.14Single7WVYAmyloid-Beta427WVY-FPR2-ALX-Amyloid-β42-Gi2/β1/γ2
24.14Single9BUCCagrilintide9BUC-CT-Cagrilintide-Gs/β1/γ2
24.00Single6HLOAprepitant6HLO-NK1-Aprepitant
24.00Single7DDZJNJ-310200287DDZ-Y2-JNJ-31020028
24.00Single9KT7MK68929KT7-HCA2-MK6892-Gi1/β1/γ2
24.00Consensusgq_class-aOrthosteric Ligandgq_peptide gq_amine gq_nucleotide
24.00Consensusnpy2_offOrthosteric Ligand7DDZ-Y2-JNJ-31020028
23.81Single3PDSFAUC503PDS-β2-FAUC50
23.81Single3SN6BI1671073SN6-β2-BI167107-Gs/β1/γ2
23.81Single4OO9Mavoglurant4OO9-mGlu5-Mavoglurant
23.81Single6GT3Imaradenant6GT3-A2A-Imaradenant-Na
23.81Single6H7JIsoprenaline6H7J-β1-Isoprenaline
23.81Single6J20Aprepitant6J20-NK1-Aprepitant
23.81Single6J21Aprepitant6J21-NK1-Aprepitant
23.81Single6O3CCholesterol6O3C-SMO-SAG21k-Cholesterol
23.81Single6TQ7SB-3348676TQ7-OX1-SB-334867
23.81Single7B6WCyclazosin7B6W-α1b-Cyclazosin
23.81Single7CKYPW04647CKY-D1-PW0464-Gs/β1/γ2
23.81Single7JJOIsoprenaline7JJO-β1-Isoprenaline-Gs/β1/γ2
23.81Single7JV5SKF812977JV5-D1-SKF81297-Gs/β1/γ2
23.81Single7JVPSKF839597JVP-D1-SKF83959-Gs/β1/γ2
23.81Single7M8W15r-Methyl-PGD27M8W-DP2-15r-Methyl-PGD2-Na
23.81Single7P2L4YI7P2L-mGlu5-4YI
23.81Single7PX4PSB-21137PX4-A2A-PSB-2113
23.81Single7T2HLofentanil7T2H-μ-Lofentanil-Gi1/β1/γ2
23.81Single7U2LC5-guano7U2L-μ-C5-guano-Gi1/β1/γ2
23.81Single7WVXHumanin7WVX-FPR2-ALX-Humanin-Gi2/β1/γ2
23.81Single8DZPmomSalB8DZP-κ-momSalB-Gi1/β1/γ2
23.81Single8EF5Fentanyl8EF5-μ-Fentanyl-Gi1/β1/γ2
23.81Single8HDOBAY 60-65838HDO-A2B-BAY 60-6583-Gs/β1/γ2
23.81Single8ID39-Hydroxystearic acid8ID3-FFA4-9-Hydroxystearic acid-Gi1/β1/γ2
23.81Single8IRURotigotine8IRU-D4-Rotigotine-chim(NtGi1-Gs-CtGi1)/β1/γ2
23.81Single8IRVRotigotine8IRV-D5-Rotigotine-chim(NtGi1-Gs)/β1/γ2
23.81Single8JD5JNJ-40411813; ADX881788JD5-mGlu2; mGlu4-Glutamate-JNJ-40411813; ADX88178-Gi1/β1/γ2
23.81Single8JXVClozapine8JXV-H4-Clozapine-Gi1/β1/γ2
23.81Single8JXWVUF68848JXW-H4-VUF6884-Gi1/β1/γ2
23.81Single8X0BVU04244658X0B-mGlu5; mGlu5-Quisqualate-VU0424465
23.81Single8ZWFJR14a8ZWF-C3aB-JR14a
23.81Single9BJKNaloxone9BJK-μ-Naloxone-PubChem 171642066
23.81Single9IJDCarazolol9IJD-β3-Carazolol-chim(NtGi1-Gs)/β1/γ2
23.81Single9PY4Loperamide9PY4-μ-Loperamide-GDPβS-Gi1/β1/γ2
23.81Consensusa2_onOrthosteric Liganda2b_on
23.81Consensusa2_on_gpOrthosteric Liganda2b_on_gp
23.81Consensusa2b_onOrthosteric Ligand8HDP-A2B-Adenosine-Gs/β1/γ2 7XY6-A2B-BAY 60-6583-chim(NtGi1-Gs)/β1/γ2 7XY7-A2B-NECA-chim(NtGi1-Gs)/β1/γ2 8HDO-A2B-BAY 60-6583-Gs/β1/γ2
23.81Consensusa2b_on_gpOrthosteric Ligand8HDP-A2B-Adenosine-Gs/β1/γ2 7XY6-A2B-BAY 60-6583-chim(NtGi1-Gs)/β1/γ2 7XY7-A2B-NECA-chim(NtGi1-Gs)/β1/γ2 8HDO-A2B-BAY 60-6583-Gs/β1/γ2
23.81Consensusbeta2_onOrthosteric Ligand7DHI-β2-Salbutamol-Gs/β1/γ2 6NI3-β2-BI167107-Gs/β1/γ2
23.81Consensusbeta2_on_gpOrthosteric Ligand7DHI-β2-Salbutamol-Gs/β1/γ2 6NI3-β2-BI167107-Gs/β1/γ2
23.81Consensusclass-a_offOrthosteric Ligandsensory_off alicarboxylic_off amine_off lipid_off nucleotide_off peptide_off protein_off
23.81Consensusd1_on_gpOrthosteric Ligand7F0T-D1-Dopamine-Gs/β1/γ2 7CKY-D1-PW0464-Gs/β1/γ2 8IRR-D1-Rotigotine-Gs/β1/γ2 7JV5-D1-SKF81297-Gs/β1/γ2 7JVP-D1-SKF83959-Gs/β1/γ2 7X2D-D1-Tavapadon-Gs/β1/γ2 7CKX-D1-A77636-Gs/β1/γ2 7JVQ-D1-Apomorphine-Gs/β1/γ2 7CKW-D1-Fenoldopam-Gs/β1/γ2
23.81Consensusd4_on_gpOrthosteric Ligand8IRU-D4-Rotigotine-chim(NtGi1-Gs-CtGi1)/β1/γ2
23.81Consensusd5_on_gpOrthosteric Ligand8IRV-D5-Rotigotine-chim(NtGi1-Gs)/β1/γ2
23.81Consensusgi_dopamineOrthosteric Ligand7JVR-D2-Bromoergocryptine-Gi1/β1/γ2 7CMV-D3-PD128907-Gi1/β1/γ2 7CMU-D3-Pramipexole-Gi1/β1/γ2 8IRS-D2-Rotigotine-Gi1/β1/γ2 8IRT-D3-Rotigotine-Gi1/β1/γ2
23.81Consensusgs_adenosineOrthosteric Ligand8HDP-A2B-Adenosine-Gs/β1/γ2 8HDO-A2B-BAY 60-6583-Gs/β1/γ2 7XY7-A2B-NECA-chim(NtGi1-Gs)/β1/γ2 7XY6-A2B-BAY 60-6583-chim(NtGi1-Gs)/β1/γ2
23.81Consensusgs_dopamineOrthosteric Ligand7F0T-D1-Dopamine-Gs/β1/γ2 7CKW-D1-Fenoldopam-Gs/β1/γ2 7CKY-D1-PW0464-Gs/β1/γ2 8IRV-D5-Rotigotine-chim(NtGi1-Gs)/β1/γ2 8IRR-D1-Rotigotine-Gs/β1/γ2 7JV5-D1-SKF81297-Gs/β1/γ2 7JVP-D1-SKF83959-Gs/β1/γ2 7X2D-D1-Tavapadon-Gs/β1/γ2 7CKX-D1-A77636-Gs/β1/γ2 7JVQ-D1-Apomorphine-Gs/β1/γ2
23.81Consensusgs_nucleotideOrthosteric Ligandgs_adenosine
23.53Single5TE520-Methanoretinal5TE5-Rhodopsin-20-Methanoretinal
23.53Single6PGSGeraniol6PGS-Rhodopsin-Geraniol-Gt(CT)
23.53Single6PH7Nerol6PH7-Rhodopsin-Nerol-Gt(CT)
23.53Single7DD5Ca; Ca; Tryptophan; NPS-21437DD5-CaS; CaS-Ca-Ca; Ca; Tryptophan; NPS-2143
23.53Single7DD7Ca; Ca; Tryptophan; Evocalcet7DD7-CaS; CaS-Ca-Ca; Ca; Tryptophan; Evocalcet
23.53Single7DFLHistamine7DFL-H1-Histamine-chim(NtGi1L-Gq)/β1/γ2
23.53Single7XT9Serotonin7XT9-5-HT4-Serotonin-Gs/β1/γ2
23.53Single7YFDImetit7YFD-H4-Imetit-chim(NtGi1-Gs-CtGq)/β1/γ2
23.53Single7YS6Serotonin7YS6-5-HT6-Serotonin-chim(NtGi1-Gs)/β1/γ2
23.53Single8HN8Histamine8HN8-H4-Histamine-Gi1/β1/γ2
23.53Single8UO4Constrained Epinephrine8UO4-β2-Constrained Epinephrine-GTP; Mg-Gs/β1/γ2
23.53Single8W892-Phenylethylamine8W89-TA1-2-Phenylethylamine-chim(NtGi1L-Gs)/β1/γ2
23.53Single8WPUTryptophan; Cinacalcet; PO4; Ca8WPU-CaS; CaS-Tryptophan; Cinacalcet; PO4; Ca-chim(NtGi2L-Gs-CtGq)/β1/γ2
23.53Single8X2KOleic monoethanolamide8X2K-GPR3-Oleic monoethanolamide-chim(NtGi1-Gs)/β1/γ2
23.53Single8YN2Histamine8YN2-H1-Histamine-chim(NtGi1L-Gs-CtGq)/β1/γ2
23.53Single8YN5Histamine8YN5-H3-Histamine-Gi1/β1/γ2
23.53Single8YN6Imetit8YN6-H3-Imetit-Gi1/β1/γ2
23.53Single8YN7Immethridine8YN7-H3-Immethridine-Go/β1/γ2
23.53Single9AS7Psilocin9AS7-5-HT2A-Psilocin
23.53Single9C1PCa; Tryptophan; '6218; PO49C1P-CaS; CaS-Ca-Ca; Tryptophan; '6218; PO4
23.53Single9IJEEpinephrine9IJE-β3-Epinephrine-chim(NtGi1-Gs)/β1/γ2
23.53Single9JEDHistamine9JED-H4-Histamine-PO4-Gi1/β1/γ2
23.53Single9JEQHistamine9JEQ-H3-Histamine-Gi1/β1/γ2
23.53Single9YDAAll-trans-Retinal9YDA-Opsin1MW-All-trans-Retinal-chim(NtGi1L-Gs-CtGt)/β1/γ2
23.53Consensush1_onOrthosteric Ligand7DFL-H1-Histamine-chim(NtGi1L-Gq)/β1/γ2
23.53Consensush4_onOrthosteric Ligand8HN8-H4-Histamine-Gi1/β1/γ2 8HOC-H4-Imetit-Gi1/β1/γ2 8JXV-H4-Clozapine-Gi1/β1/γ2 8JXW-H4-VUF6884-Gi1/β1/γ2 8JXX-H4-Clobenpropit-Gi1/β1/γ2
23.33Single5VAIGLP-15VAI-GLP-1-GLP-1-Gs/β1/γ2
23.33Single6LMLGlucagon6LML-Glucagon-Glucagon-Gi1/β1/γ1
23.33Single6UUSAdrenomedullin6UUS-CT Like (AM2)-Adrenomedullin-Gs/β1/γ2; RAMP3
23.33Single7KI1Taspoglutide7KI1-GLP-1-Taspoglutide-Gs/β1/γ2
23.33Single8HAFPTHrP(1-36)8HAF-PTH1-PTHrP(1-36)-chim(NtGi1-Gs)/β1/γ2
23.33Single9BTWCagrilintide9BTW-CT (AMY3)-Cagrilintide-Gs/β1/γ2; RAMP3
23.33Single9BYOExendin-39BYO-GLP-1-Exendin-3-Gs/β1/γ2
23.08Single6LW5WKYMVm6LW5-FPR2-ALX-WKYMVm
23.08Single6UUNAdrenomedullin6UUN-CT Like (AM1)-Adrenomedullin-Gs/β1/γ2; RAMP2
23.08Single7TD2LPA7TD2-LPA1-LPA-Gi1/β1/γ2
23.08Single8XIQL7967788XIQ-SST3-L796778-chim(NtGi1-Gs-CtGi1)/β1/γ2
23.08Single9MEUCXCL129MEU-CXCR4-CXCL12
22.73Single4PXFOctyl-Beta-D-Glucopyranoside4PXF-Rhodopsin-Octyl-β-D-Glucopyranoside-Arrestin1 Finger Loop
22.73Single6OS0Angiotensin II6OS0-AT1-Angiotensin II
22.73Single6XBLCholesterol6XBL-SMO-SAG-Cholesterol-Gi1/β1/γ2
22.73Single7K15MKD0467K15-BLT1-MKD046-Na
22.73Single7W0LPubChem 1227019087W0L-Apelin; Apelin-PubChem 122701908-Gi1/β1/γ2
22.73Single7YITNalfurafine7YIT-κ-Nalfurafine
22.73Single8G056-OAU8G05-GPR84-6-OAU-Gi1/β1/γ2
22.73Single8JZ7MK68928JZ7-HCA2-MK6892-Gi1/β1/γ2
22.73Single8T3QDoconexent8T3Q-FFA4-Doconexent-chim(NtGi2L-Gs-CtGq)/β1/γ2
22.73Single8XYIVUF106618XYI-CXCR3-VUF10661
22.73Single9GL2Befiradol9GL2-5-HT1A-Befiradol-Gs/β1/γ2
22.73Single9GYOP3959GYO-GPBA-P395-chim(NtGi1-Gs)/β1/γ2
22.73Single9KZKC3a (fragment)9KZK-C3aB-C3a (fragment)-Go/β1/γ2
22.73Single9MQLIsoquinuclidine9MQL-κ-Isoquinuclidine
22.73Single9V6ONalfurafine9V6O-κ-Nalfurafine-Gi1/β1/γ2
22.73Single9WSWEndomorphin9WSW-μ-Endomorphin-chim(NtGi1-Gz)/β1/γ2
22.73Consensuscannabinoid_offOrthosteric Ligandcb2_off cb1_off
22.73Consensusgi_lipidOrthosteric Ligandgi_cannabinoid gi_ffa gi_leukotriene gi_lpa gi_s1p
22.73Consensusleukotriene_offOrthosteric Ligandblt_off cyslt_off
22.73Consensuslpl_offOrthosteric Ligands1p_off lpa_off
22.73Consensusmop_onOrthosteric Ligand8F7R-μ-Endomorphin-Gi1/β1/γ2 8EF5-μ-Fentanyl-Gi1/β1/γ2 7SCG-μ-FH210-Gi1/β1/γ2 7T2H-μ-Lofentanil-Gi1/β1/γ2 7T2G-μ-Mitragynine Pseudoindoxyl-Gi1/β1/γ2 8EF6-μ-Morphine-Gi1/β1/γ2 8EFB-μ-Oliceridine-Gi1/β1/γ2 7U2L-μ-C5-guano-Gi1/β1/γ2 8EFO-μ-PZM21-Gi1/β1/γ2 8EFL-μ-SR17018-Gi1/β1/γ2 8F7Q-μ-β-Endorphin-Gi1/β1/γ2 7U2K-μ-C6-guano-Gi1/β1/γ2 8EFQ-μ-DAMGO-Gi1/β1/γ2
22.73Consensusmop_on_gpOrthosteric Ligand8F7R-μ-Endomorphin-Gi1/β1/γ2 8EF5-μ-Fentanyl-Gi1/β1/γ2 7SCG-μ-FH210-Gi1/β1/γ2 7T2H-μ-Lofentanil-Gi1/β1/γ2 7T2G-μ-Mitragynine Pseudoindoxyl-Gi1/β1/γ2 8EF6-μ-Morphine-Gi1/β1/γ2 8EFB-μ-Oliceridine-Gi1/β1/γ2 7U2L-μ-C5-guano-Gi1/β1/γ2 8EFO-μ-PZM21-Gi1/β1/γ2 8EFL-μ-SR17018-Gi1/β1/γ2 8F7Q-μ-β-Endorphin-Gi1/β1/γ2 7U2K-μ-C6-guano-Gi1/β1/γ2 8EFQ-μ-DAMGO-Gi1/β1/γ2
22.73Consensusnk1_offOrthosteric Ligand6HLP-NK1-Netupitant 6HLO-NK1-Aprepitant 6HLL-NK1-CP99994 6E59-NK1-L-760735
22.73Consensusopioid_offOrthosteric Ligandmop_off nop_off dop_off kop_off
22.73Consensuss1p3_onOrthosteric Ligand7EW3-S1P3-S1P-Gi1/β1/γ2 7EW4-S1P3-CYM-5541-Gi1/β1/γ2 7EW2-S1P3-FTY720-P-Gi1/β1/γ2
22.58Single6PB0Urocortin6PB0-CRF1-Urocortin-chim(NtGi1-Gs)/β1/γ2
22.22Single2X72All-trans-Retinal2X72-Rhodopsin-All-trans-Retinal-Gt(CT)
22.22Single3PWHZM-2413853PWH-A2A-ZM-241385
22.22Single3VG9ZM-2413853VG9-A2A-ZM-241385-Antibody
22.22Single3VGAZM-2413853VGA-A2A-ZM-241385-Antibody
22.22Single6AKXA4R6AKX-CCR5-A4R
22.22Single6AKYMaraviroc6AKY-CCR5-Maraviroc
22.22Single6DS0LY2660976DS0-5-HT2B-LY266097
22.22Single6FKBPubChem 1324730386FKB-Rhodopsin-PubChem 132473038
22.22Single6ME2Ramelteon6ME2-MT1-Ramelteon
22.22Single6ME9Ramelteon6ME9-MT2-Ramelteon
22.22Single6NWEOctyl-Beta-D-Glucopyranoside6NWE-Rhodopsin-Octyl-β-D-Glucopyranoside-Gt(CT)
22.22Single6OYAAll-trans-Retinal6OYA-Rhodopsin-All-trans-Retinal-Gt/β1/γ1
22.22Single6WI9Secretin6WI9-Secretin-Secretin-Gs/β1/γ2
22.22Single7F1ODopamine7F1O-D1-Dopamine-GDP; Mg-Gs/β1/γ2
22.22Single7M3ECa; Ca; Tryptophan; NPS-21437M3E-CaS; CaS-Ca; Ca; Tryptophan; NPS-2143
22.22Single7M3ECa; Ca; Tryptophan; NPS-21437M3E-CaS; CaS-Ca; Ca; Tryptophan; NPS-2143
22.22Single7M3FCa; Ca; Tryptophan; Cinacalcet7M3F-CaS; CaS-Ca; Ca; Tryptophan; Cinacalcet
22.22Single7SILCa; Ca; Ca; Cyclomethyltryptophan; R-568; PO47SIL-CaS; CaS-Ca-Ca; Ca; Ca; Cyclomethyltryptophan; R-568; PO4
22.22Single7SILCa; Ca; Ca; Cyclomethyltryptophan; R-568; PO47SIL-CaS; CaS-Ca-Ca; Ca; Ca; Cyclomethyltryptophan; R-568; PO4
22.22Single7SRRLSD7SRR-5-HT2B-LSD-chim(NtGi2L-Gs-CtGq)/β1/γ2
22.22Single7TUZ7-alpha,25-dihydroxycholesterol7TUZ-GPR183-7-α,25-dihydroxycholesterol-Gi1/β1/γ2
22.22Single7V9MSomatoliberin7V9M-GHRH (SV1)-Somatoliberin-Gs/β1/γ2
22.22Single7VUJJNJ-635330547VUJ-GPR139-JNJ-63533054-GDP-chim(Gs-CtGq)/β1/γ2
22.22Single7VVOPTH7VVO-PTH1-PTH-Gs/β1/γ2
22.22Single7X2FDopamine7X2F-D1-Dopamine-Mevidalen-Gs/β1/γ2
22.22Single7X5H5-CT7X5H-5-HT5A-5-CT-Gi1/β1/γ2
22.22Single7XT8Serotonin7XT8-5-HT4-Serotonin-Gs/β1/γ2
22.22Single8DU3PubChem 1055260648DU3-A2A-PubChem 105526064
22.22Single8FYXBuspirone8FYX-5-HT1A-Buspirone-PtdIns4P-Gi1/β1/γ1
22.22Single8H4KGW95088H4K-FFA4-GW9508-chim(NtGi1-Gs-CtGq)/β1/γ2
22.22Single8HDPAdenosine8HDP-A2B-Adenosine-Gs/β1/γ2
22.22Single8IEDPubChem 1347468948IED-GPR156; GPR156-PubChem 134746894-Go/β1/γ2
22.22Single8IHFMK68928IHF-HCA2-MK6892-Gi1/β1/γ2
22.22Single8IJANiacin8IJA-HCA2-Niacin-Gi1/β1/γ2
22.22Single8J6IMK68928J6I-HCA2-MK6892-Gi1/β1/γ2
22.22Single8RW0Istradefylline8RW0-A2A-Istradefylline-Na
22.22Single8UNSConstrained Epinephrine8UNS-β2-Constrained Epinephrine-GTP-Gs/β1/γ2
22.22Single8UNTConstrained Epinephrine8UNT-β2-Constrained Epinephrine-GTP-Gs/β1/γ2
22.22Single8UNXConstrained Epinephrine8UNX-β2-Constrained Epinephrine-GTP-Gs/β1/γ2
22.22Single8WC4ZH86518WC4-TA1-ZH8651-chim(NtGi1-Gs)/β1/γ2
22.22Single8WCA2-Phenylethylamine8WCA-TA1-2-Phenylethylamine-chim(NtGi1-Gs)/β1/γ2
22.22Single8WPGTryptophan; Cinacalcet; PO4; Ca8WPG-CaS; CaS-Tryptophan; Cinacalcet; PO4; Ca
22.22Single8Y0HVUF114188Y0H-CXCR3-VUF11418
22.22Single8Y0NVUF114188Y0N-CXCR3-VUF11418-Go/β1/γ2
22.22Single8YUTAmthamine8YUT-H2-Amthamine-Gs/β1/γ2
22.22Single8YUVImmepip8YUV-H3-Immepip-Gi1/β1/γ2
22.22Single8YYWAlpha-ketoglutarate8YYW-Oxoglutarate-α-ketoglutarate-α-ketoglutarate-chim(Gi1-CtGq)/β1/γ2
22.22Single8Z87CHBA8Z87-HCA1-CHBA-Gi1/β1/γ2
22.22Single9AVLCa; Ca; Cyclomethyltryptophan; R-568; PO49AVL-CaS; CaS-Ca-Ca; Ca; Cyclomethyltryptophan; R-568; PO4-Gi3/β2/γ2
22.22Single9H2XPubChem 1756706449H2X-A2A-PubChem 175670644-Na
22.22Single9KVHCinobufotenine9KVH-5-HT1A-Cinobufotenine-PtdIns4P-Gi1/β1/γ2
22.22Single9LLBDOI-NBOMe9LLB-5-HT2A-DOI-NBOMe-chim(NtGi1L-Gs-CtGq)/β1/γ2
22.22Single9LRBHistamine9LRB-H1-Histamine-Gs/β1/γ2
22.22Single9PEEPF-07054894; OXM29PEE-CCR6-PF-07054894; OXM2
22.22Single9VJ5Gepirone9VJ5-5-HT1A-Gepirone-Go/β1/γ2
22.22Single9VJEBuspirone9VJE-5-HT1A-Buspirone-Go/β1/γ2
22.22Single9W49U-50488H9W49-κ-U-50488H-Gi1/β1/γ2
22.22Consensus5ht1e_onOrthosteric Ligand7E33-5-HT1E-BRL-54443-Gi1/β1/γ2 8UGY-5-HT1E-Mianserin-Gi1/β1/γ1 8UH3-5-HT1E-Setiptiline-Gi1/β1/γ1
22.22Consensus5ht2_on_gpOrthosteric Ligand5ht2b_on_gp
22.22Consensus5ht2b_on_gpOrthosteric Ligand7SRR-5-HT2B-LSD-chim(NtGi2L-Gs-CtGq)/β1/γ2
22.22Consensus5ht_onOrthosteric Ligand5ht1_on 5ht2_on 5ht4_on 5ht5_on 5ht6_on 5ht7_on
22.22Consensusgs_5htOrthosteric Ligand7XTC-5-HT7-5-CT-Gs/β1/γ2 7XTB-5-HT6-Serotonin-Gs/β1/γ2 8JLZ-5-HT6-ST1936-Gs/β1/γ2 7XT8-5-HT4-Serotonin-Gs/β1/γ2
22.22Consensushistamine_onOrthosteric Ligandh1_on h2_on h3_on h4_on
22.22Consensushistamine_on_gpOrthosteric Ligandh1_on_gp h2_on_gp h3_on_gp h4_on_gp
22.22Consensusrhodopsin_on_gpOrthosteric Ligand6OYA-Rhodopsin-All-trans-Retinal-Gt/β1/γ1
21.88Single6LPBPACAP276LPB-PAC1-PACAP27-Gs/β1/γ1
21.88Single7TZFAmylin7TZF-CT (AMY3)-Amylin-Gs/β1/γ2; RAMP3
21.74Single4Z35ONO-99105394Z35-LPA1-ONO-9910539
21.74Single5UNGPubChem 157800525UNG-AT2-PubChem 15780052
21.74Single5X93K-87945X93-ETB-K-8794
21.74Single7U2KC6-guano7U2K-μ-C6-guano-Gi1/β1/γ2
21.74Single7X2DTavapadon7X2D-D1-Tavapadon-Gs/β1/γ2
21.74Single8IJDMK68928IJD-HCA2-MK6892-Gi1/β1/γ2
21.74Single8IULLatanoprost8IUL-FP-alpha-Latanoprost-chim(NtGi1-Gs-CtGq)/β1/γ2
21.74Single8ZX4Lysophosphatidylinositol 8ZX4-GPR55-Lysophosphatidylinositol-chim(NtGi1-G13)/β1/γ2
21.74Single9C0KExendin-49C0K-GLP-1-Exendin-4-Gs/β1/γ2
21.74Single9CGJC6-Quino9CGJ-δ-C6-Quino-Gi1/β1/γ2
21.74Single9IZFLPA9IZF-LPA1-LPA-Gi1/β1/γ2
21.74Single9YDRDADLE9YDR-δ-DADLE-MIPS3983-chim(NtGi1L-Gs-CtGi1)/β1/γ2
21.74Consensusclass-a_onOrthosteric Ligandsensory_on alicarboxylic_on amine_on lipid_on nucleotide_on peptide_on protein_on
21.74Consensusendothelin_offOrthosteric Ligandetb_off
21.74Consensusetb_offOrthosteric Ligand5X93-ETB-K-8794 5XPR-ETB-Bosentan 6K1Q-ETB-IRL2500
21.74Consensuspeptide_offOrthosteric Ligandcck_off angiotensin_off bombesin_off endothelin_off ghrelin_off npy_off opioid_off orexin_off somatostatin_off tachykinin_off vasop-oxy_off neurotensin_off
21.74Consensusprostanoid_offOrthosteric Ligandep_off dp_off
21.62Single8F0JPramlintide Analogue San458F0J-CT-Pramlintide Analogue San45-Gs/β1/γ2
21.43Single5MZPCaffeine5MZP-A2A-Caffeine-Na
21.43Single7LLYOxyntomodulin7LLY-GLP-1-Oxyntomodulin-Gs/β1/γ2
21.43Single7TYHCalcitonin7TYH-CT (AMY2)-Calcitonin-Gs/β1/γ2; RAMP2
21.43Single7TYWCalcitonin-17TYW-CT (AMY1)-Calcitonin-1-Gs/β1/γ2; RAMP1
21.43Single7WBJPACAP277WBJ-VPAC1-PACAP27-Gs/β1/γ2
21.43Single7XV3Lysophosphatidylserine (WJS)7XV3-GPR174-Lysophosphatidylserine (WJS)-chim(NtGi1-Gs)/β1/γ2
21.43Single8GEJConstrained Epinephrine8GEJ-β2-Constrained Epinephrine-Gs/β1/γ2
21.43Consensusvpac1_onOrthosteric Ligand8E3Z-VPAC1-VIP-Gs/β1/γ2
21.21Single6WPWZP37806WPW-Glucagon-ZP3780-Gs/β1/γ2
21.21Consensusglp1_on_gpOrthosteric Ligand7S1M-GLP-1-Exendin-4-D-Ala-Gs/β1/γ2 7X8R-GLP-1-BOC5-Gs/β1/γ2 6X19-GLP-1-CHU-128-Gs/β1/γ2 6X1A-GLP-1-Danuglipron-Gs/β1/γ2 6X18-GLP-1-GLP-1-Gs/β1/γ2 8JIP-GLP-1-MEDI0382-chim(NtGi1-Gs)/β1/γ2 7C2E-GLP-1-PubChem 149050799-Gs/β1/γ2 7KI0-GLP-1-Semaglutide-Gs/β1/γ2 7KI1-GLP-1-Taspoglutide-Gs/β1/γ2 7X8S-GLP-1-WB4-24-Gs/β1/γ2 8JIS-GLP-1-Peptide-15-chim(NtGi1-Gs)/β1/γ2 7VBI-GLP-1-Tirzepatide (non-acylated)-Gs/β1/γ2
21.05Single3REYPubChem 56973REY-A2A-PubChem 5697
21.05Single3UZCPubChem 1355666093UZC-A2A-PubChem 135566609
21.05Single3V2YPubChem 518926453V2Y-S1P1-PubChem 51892645
21.05Single4DKLBeta-Funaltrexamine4DKL-μ-β-Funaltrexamine
21.05Single4MBSMaraviroc4MBS-CCR5-Maraviroc
21.05Single4N6HNaltrindole4N6H-δ-Naltrindole-Na
21.05Single5IU4ZM-2413855IU4-A2A-ZM-241385-Na
21.05Single5IU7Q274563465IU7-A2A-Q27456346-Na
21.05Single5IUBQ274563445IUB-A2A-Q27456344-Na
21.05Single5JTBZM-2413855JTB-A2A-ZM-241385
21.05Single5K2BZM-2413855K2B-A2A-ZM-241385-Na
21.05Single5K2CZM-2413855K2C-A2A-ZM-241385-Na
21.05Single5NM4ZM-2413855NM4-A2A-ZM-241385-Na
21.05Single6FFIMPEP6FFI-mGlu5-MPEP
21.05Single6FK8PubChem 1324730356FK8-Rhodopsin-PubChem 132473035
21.05Single6KUXRS799486KUX-α2a-RS79948
21.05Single6MH8ZM-2413856MH8-A2A-ZM-241385
21.05Single6TPNHTL66416TPN-OX2-HTL6641
21.05Single6ZDRHMS1413f126ZDR-A2A-HMS1413f12-Na
21.05Single6ZDVPubChem 9840736ZDV-A2A-PubChem 984073-Na
21.05Single7AROLUF58337ARO-A2A-LUF5833-Na
21.05Single7BB6AVP7BB6-V2-AVP-Gs/β1/γ2
21.05Single7CKWFenoldopam7CKW-D1-Fenoldopam-Gs/β1/γ2
21.05Single7CMUPramipexole7CMU-D3-Pramipexole-Gi1/β1/γ2
21.05Single7CMVPD1289077CMV-D3-PD128907-Gi1/β1/γ2
21.05Single7E33BRL-544437E33-5-HT1E-BRL-54443-Gi1/β1/γ2
21.05Single7EJ8Brimonidine7EJ8-α2a-Brimonidine-Go/β1/γ2
21.05Single7F0TDopamine7F0T-D1-Dopamine-Gs/β1/γ2
21.05Single7F1ZDopamine7F1Z-D1-Dopamine-GDP-Gs/β1/γ2
21.05Single7F24Dopamine7F24-D1-Dopamine-GDP-Gs/β1/γ2
21.05Single7RANPubChem 1645758477RAN-5-HT2A-PubChem 164575847-chim(NtGi2L-Gs-CtGq)/β1/γ2
21.05Single7SR8TAK-9257SR8-OX2-TAK-925-chim(NtGi1L-Gs-CtGq)/β1/γ2
21.05Single7VODCariprazine7VOD-5-HT2A-Cariprazine
21.05Single7VUGJNJ-635330547VUG-GPR139-JNJ-63533054-Gi1/β1/γ2
21.05Single8F2BPramlintide Analogue San458F2B-CT (AMY3)-Pramlintide Analogue San45-Gs/β1/γ2; RAMP3
21.05Single8GEAConstrained Epinephrine8GEA-β2-Constrained Epinephrine-Gs/β1/γ2
21.05Single8GEDConstrained Epinephrine8GED-β2-Constrained Epinephrine-Gs/β1/γ2
21.05Single8GG8Constrained Epinephrine8GG8-β2-Constrained Epinephrine-GTP-Gs/β1/γ2
21.05Single8HNMVUF112228HNM-CXCR3-VUF11222-Gi1/β1/γ2
21.05Single8IY9Niacin8IY9-HCA2-Niacin-Go/β1/γ2
21.05Single8JERAcipimox8JER-HCA2-Acipimox-Go/β1/γ2
21.05Single8K5CAcipimox8K5C-HCA2-Acipimox
21.05Single8RQQZM-2413858RQQ-A2A-ZM-241385-Na
21.05Single8RWIStilSwitch28RWI-A2A-StilSwitch2-Na
21.05Single8U02Dopamine8U02-D2-Dopamine-Go/β1/γ2
21.05Single8UNMConstrained Epinephrine8UNM-β2-Constrained Epinephrine-GTP-Gs/β1/γ2
21.05Single8UNWConstrained Epinephrine8UNW-β2-Constrained Epinephrine-GTP-Gs/β1/γ2
21.05Single8UO1Constrained Epinephrine8UO1-β2-Constrained Epinephrine-GTP; Mg-Gs/β1/γ2
21.05Single8WPUTryptophan; Cinacalcet; PO4; Ca8WPU-CaS; CaS-Tryptophan; Cinacalcet; PO4; Ca-chim(NtGi2L-Gs-CtGq)/β1/γ2
21.05Single8Y01All-trans-Retinal8Y01-Opsin1MW-All-trans-Retinal-Gi1/β1/γ2
21.05Single8Y45ADL58598Y45-δ-ADL5859-Gi2/β1/γ2
21.05Single8Y62C16:0 Ceramide8Y62-FPR2-ALX-C16:0 Ceramide-Gi1/β1/γ2
21.05Single8ZBWQuin-C18ZBW-FPR2-ALX-Quin-C1-Gi2/β1/γ2
21.05Single8ZMGPimavanserin8ZMG-5-HT2A-Pimavanserin
21.05Single9ARXSerotonin9ARX-5-HT2A-Serotonin
21.05Single9AS3LSD9AS3-5-HT2A-LSD
21.05Single9AS4LSD9AS4-5-HT2A-LSD-chim(NtGi1-Gs-CtGq)/β1/γ2
21.05Single9ASBCa; Ca; Cyclomethyltryptophan; R-568; PO49ASB-CaS; CaS-Ca-Ca; Ca; Cyclomethyltryptophan; R-568; PO4-chim(NtGi1-Gs-CtGq)/β1/γ2
21.05Single9AVGCa; Ca; Cyclomethyltryptophan; R-568; PO49AVG-CaS; CaS-Ca-Ca; Ca; Cyclomethyltryptophan; R-568; PO4-chim(NtGi1-Gs)/β1/γ2
21.05Single9BA0MRI-18919BA0-CB1-MRI-1891
21.05Single9KUWCMPD6449KUW-Apelin; Apelin-CMPD644-Arrestin2 ; Arrestin2
21.05Single9ODJMitragynine Pseudoindoxyl9ODJ-μ-Mitragynine Pseudoindoxyl-GTP; Mg-Gi1/β1/γ2
21.05Single9P1TZM-2413859P1T-A2A-ZM-241385
21.05Single9PY2Loperamide9PY2-μ-Loperamide-GDPβS-Gi1/β1/γ2
21.05Consensusa2_offOrthosteric Liganda2a_off
21.05Consensusa2a_offOrthosteric Ligand3RFM-A2A-Caffeine 8C9W-A2A-Etrumadenant 3UZA-A2A-GTPL9236 8GNG-A2A-Istradefylline 8CU6-A2A-LJ-4517 7PX4-A2A-PSB-2113 7PYR-A2A-PSB-2115 8DU3-A2A-PubChem 105526064 8JWY-A2A-2-118 8PWN-A2A-Theophylline 5IU4-A2A-ZM-241385-Na 5OLZ-A2A-PubChem 135566609-Na 6GT3-A2A-Imaradenant-Na 5OLV-A2A-LUAA47070-Na 5N2R-A2A-PSB36-Na 5IU7-A2A-Q27456346-Na 5OLH-A2A-Vipadenant-Na 5OLO-A2A-Tozadenant-Na 6ZDR-A2A-HMS1413f12-Na 8GNE-A2A-KW-6356-Na 8JWZ-A2A-Etrumadenant-Na 5IU8-A2A-Q27456347-Na 5IUB-A2A-Q27456344-Na 6ZDV-A2A-PubChem 984073-Na 5IUA-A2A-Q27456348-Na 8A2P-A2A-LUAA47070-Na
21.05Consensusd3_onOrthosteric Ligand7CMV-D3-PD128907-Gi1/β1/γ2 8IRT-D3-Rotigotine-Gi1/β1/γ2 7CMU-D3-Pramipexole-Gi1/β1/γ2
21.05Consensusd3_on_gpOrthosteric Ligand7CMV-D3-PD128907-Gi1/β1/γ2 8IRT-D3-Rotigotine-Gi1/β1/γ2 7CMU-D3-Pramipexole-Gi1/β1/γ2
20.83Single5ZTYAM102575ZTY-CB2-AM10257
20.83Single6PT3DPI-2876PT3-δ-DPI-287
20.83Single8F7REndomorphin8F7R-μ-Endomorphin-Gi1/β1/γ2
20.83Single8Y72Peptide8Y72-μ-Peptide-BMS-986122-Gi1/β1/γ2
20.83Single9CGKC5-Quino9CGK-δ-C5-Quino-Gi1/β1/γ2
20.83Single9IPVJR14a9IPV-C3aB-JR14a-Gi1/β1/γ2
20.83Single9IPYJR14a9IPY-C3aB-JR14a
20.83Single9JH6C20:0 Ceramide9JH6-CysLT2-C20:0 Ceramide-chim(NtGi1-Gs-CtGq)/β1/γ2
20.83Single9KZ2EP679KZ2-C3aB-EP67-Go/β1/γ2
20.83Consensuscb2_offOrthosteric Ligand5ZTY-CB2-AM10257
20.69Single7CZ5Somatoliberin7CZ5-GHRH-Somatoliberin-Gs/β1/γ2
20.69Single7D3SSecretin7D3S-Secretin-Secretin-Gs/β1/γ2
20.69Single7KI0Semaglutide7KI0-GLP-1-Semaglutide-Gs/β1/γ2
20.69Single7RA3GIP7RA3-GIP-GIP-chim(NtGi1-Gs)/β1/γ2
20.69Single7VABTirzepatide (non-acylated)7VAB-GIP-Tirzepatide (non-acylated)-chim(NtGi1-Gs)/β1/γ2
20.69Single8E3XPACAP278E3X-PAC1-PACAP27-Gs/β1/γ2
20.69Single8FLRPTHrP(1-36)8FLR-PTH1-PTHrP(1-36)-Gs/β1/γ2
20.69Single9BLBCagrilintide (non-acylated)9BLB-CT-Cagrilintide (non-acylated)-Gs/β1/γ2
20.69Single9BLWCagrilintide (non-acylated)9BLW-CT (AMY1)-Cagrilintide (non-acylated)-Gs/β1/γ2; RAMP1
20.69Single9BP3Cagrilintide9BP3-CT (AMY1)-Cagrilintide-Gs/β1/γ2; RAMP1
20.69Single9BUBCagrilintide9BUB-CT-Cagrilintide-Gs/β1/γ2
20.69Single9J1Pg1:Ox9J1P-GLP-1-g1:Ox-chim(NtGi1-Gs)/β1/γ2
20.69Single9P92VIP9P92-PAC1-VIP-Gs/β1/γ2
20.69Consensuspac1_onOrthosteric Ligand8E3X-PAC1-PACAP27-Gs/β1/γ2 6M1H-PAC1-Maxadilan-Gs/β1/γ2
20.69Consensuspac1_on_gpOrthosteric Ligand8E3X-PAC1-PACAP27-Gs/β1/γ2 6M1H-PAC1-Maxadilan-Gs/β1/γ2
20.69Consensuspac_on_gpOrthosteric Ligandpac1_on_gp
20.69Consensusvpac1_on_gpOrthosteric Ligand8E3Z-VPAC1-VIP-Gs/β1/γ2
20.59Single7TYOCalcitonin7TYO-CT-Calcitonin-Gs/β1/γ2
20.59Single8FLQPTH8FLQ-PTH1-PTH-Gs/β1/γ2
20.00Single2VT4Cyanopindolol2VT4-β1-Cyanopindolol
20.00Single2Y02Carmoterol2Y02-β1-Carmoterol
20.00Single2YCYCyanopindolol2YCY-β1-Cyanopindolol
20.00Single3EMLZM-2413853EML-A2A-ZM-241385
20.00Single4J4QOctyl Beta-D-Glucopyranoside4J4Q-Rhodopsin-Octyl β-D-Glucopyranoside-Gt(CT)
20.00Single5K2AZM-2413855K2A-A2A-ZM-241385-Na
20.00Single5MZJTheophylline5MZJ-A2A-Theophylline-Na
20.00Single5OLZPubChem 1355666095OLZ-A2A-PubChem 135566609-Na
20.00Single5OM1PubChem 1355666095OM1-A2A-PubChem 135566609-Na
20.00Single5VRAZM-2413855VRA-A2A-ZM-241385-Na
20.00Single6B3JExendin-P56B3J-GLP-1-Exendin-P5-Gs/β1/γ2
20.00Single6D27CAY104716D27-DP2-CAY10471
20.00Single6FFHFenobam6FFH-mGlu5-Fenobam
20.00Single6GPSMK08126GPS-CCR2-MK0812
20.00Single6LPJZM-2413856LPJ-A2A-ZM-241385-Na
20.00Single6LPKZM-2413856LPK-A2A-ZM-241385-Na
20.00Single6PRZAlprenolol6PRZ-β2-Alprenolol
20.00Single6S0LZM-2413856S0L-A2A-ZM-241385
20.00Single6UVAAdrenomedullin-26UVA-CT Like (AM2)-Adrenomedullin-2-Gs/β1/γ2; RAMP3
20.00Single6VCBGLP-16VCB-GLP-1-GLP-1-LSN3160440-Gs/β1/γ2
20.00Single6WIVPubChem 52923113; PubChem 529246456WIV-GABAB1, GABAB2-PubChem 52923113; PubChem 52924645
20.00Single6XBM25(S)-Epoxycholesterol6XBM-SMO-25(S)-Epoxycholesterol-Gi1/β1/γ2
20.00Single7CRHSKF839597CRH-D1-SKF83959-Gs/β1/γ2
20.00Single7EIBKallidin-des-Arg107EIB-BK1-Kallidin-des-Arg10-chim(NtGi1-Gs-CtGq)/β1/γ2
20.00Single7FIYTirzepatide7FIY-GIP-Tirzepatide-Gs/β1/γ2
20.00Single7JVQApomorphine7JVQ-D1-Apomorphine-Gs/β1/γ2
20.00Single7M3JNPS-2143; PO47M3J-CaS; CaS-NPS-2143; PO4
20.00Single7NA7Ghrelin7NA7-Ghrelin-Ghrelin-Gi1/β1/γ2
20.00Single7SQOTAK-9257SQO-OX2-TAK-925-Gi1/β1/γ2
20.00Single7T6UCGEN-855A7T6U-FPR2-ALX-CGEN-855A-Gi1/β1/γ2
20.00Single7UL4Alvimopan7UL4-μ-Alvimopan
20.00Single7WKDTRH7WKD-TRH-TRH-chim(NtGi1-Gs-CtGq)/β1/γ2
20.00Single7YACPaltusotine7YAC-SST2-Paltusotine-Gi1/β1/γ2
20.00Single8CU6LJ-45178CU6-A2A-LJ-4517
20.00Single8CU7LJ-45178CU7-A2A-LJ-4517-Na
20.00Single8G59TUG-8918G59-FFA4-TUG-891-chim(Gi1-CtGq)/β1/γ2
20.00Single8GHVAMG3158GHV-CB1-AMG315-Gi1/β1/γ2
20.00Single8I7VAcipimox8I7V-HCA2-Acipimox-Gi1/β1/γ2
20.00Single8IEBPubChem 1347468948IEB-GPR156; GPR156-PubChem 134746894
20.00Single8IRTRotigotine8IRT-D3-Rotigotine-Gi1/β1/γ2
20.00Single8J6RMK68928J6R-HCA2-MK6892-Gi1/β1/γ2
20.00Single8JHNMonomethyl fumarate8JHN-HCA2-Monomethyl fumarate-Go/β1/γ2
20.00Single8JIINiacin8JII-HCA2-Niacin-PubChem 25101223-Gi1/β1/γ2
20.00Single8JLZST19368JLZ-5-HT6-ST1936-Gs/β1/γ2
20.00Single8PWNTheophylline8PWN-A2A-Theophylline
20.00Single8RW7StilSwitch18RW7-A2A-StilSwitch1-Na
20.00Single8UNRConstrained Epinephrine8UNR-β2-Constrained Epinephrine-GTP-Gs/β1/γ2
20.00Single8UNUConstrained Epinephrine8UNU-β2-Constrained Epinephrine-GTP-Gs/β1/γ2
20.00Single8YWFRetatrutide8YWF-GLP-1-Retatrutide-chim(NtGi1-Gs)/β1/γ2
20.00Single8ZQEGPR15L(CT)8ZQE-GPR15-GPR15L(CT)-Gi1/β1/γ1
20.00Single9BQJRO769BQJ-μ-RO76-Gi1/β1/γ2
20.00Single9EPP11,20-Ethanoretinal9EPP-Rhodopsin-11,20-Ethanoretinal-chim(Gi1-CtGq)/β1/γ2
20.00Single9H37PubChem 1756706469H37-A2A-PubChem 175670646-Na
20.00Single9JGKBalovaptan9JGK-5-HT2B-Balovaptan
20.00Single9KDFRES-701-39KDF-ETB-RES-701-3
20.00Single9KFJPubChem 1383196749KFJ-RXFP3-PubChem 138319674-Gi2/β1/γ2
20.00Single9KFTfMLFC9KFT-FPR1-ALX-fMLFC-Gi1/β1/γ2
20.00Single9KUXCMPD6449KUX-Apelin; Apelin-CMPD644-Arrestin2
20.00Single9P1SZM-2413859P1S-A2A-ZM-241385
20.00Single9PXWNaloxone9PXW-μ-Naloxone-GDPβS-Gi1/β1/γ2
20.00Single9UYJChemerin-99UYJ-CML2-Chemerin-9-Arrestin2
20.00Consensus5ht6_onOrthosteric Ligand7XTB-5-HT6-Serotonin-Gs/β1/γ2 8JLZ-5-HT6-ST1936-Gs/β1/γ2
20.00Consensus5ht6_on_gpOrthosteric Ligand7XTB-5-HT6-Serotonin-Gs/β1/γ2 8JLZ-5-HT6-ST1936-Gs/β1/γ2
20.00Consensusalicarboxylic_on_gpOrthosteric Ligandsuccinate_on_gp hca_on_gp
20.00Consensusccr2_offOrthosteric Ligand6GPS-CCR2-MK0812
20.00Consensuschemerin_on_gpOrthosteric Ligandcml1_on_gp
20.00Consensusclass-a_on_gpOrthosteric Ligandsensory_on_gp alicarboxylic_on_gp amine_on_gp lipid_on_gp nucleotide_on_gp peptide_on_gp protein_on_gp
20.00Consensuscml1_onOrthosteric Ligand7YKD-CML1-Chemerin-9-Gi1/β1/γ2
20.00Consensusgi_alicarboxylicOrthosteric Ligandgi_hca gi_succinate
20.00Consensusgi_chemerinOrthosteric Ligand7YKD-CML1-Chemerin-9-Gi1/β1/γ2
20.00Consensusgi_opioidOrthosteric Ligand8F7R-μ-Endomorphin-Gi1/β1/γ2 8EF5-μ-Fentanyl-Gi1/β1/γ2 7SCG-μ-FH210-Gi1/β1/γ2 7T2H-μ-Lofentanil-Gi1/β1/γ2 7T2G-μ-Mitragynine Pseudoindoxyl-Gi1/β1/γ2 8DZP-κ-momSalB-Gi1/β1/γ2 8EF6-μ-Morphine-Gi1/β1/γ2 8F7X-NOP-Nociceptin-Gi1/β1/γ2 8EFB-μ-Oliceridine-Gi1/β1/γ2 7U2L-μ-C5-guano-Gi1/β1/γ2 8EFO-μ-PZM21-Gi1/β1/γ2 8EFL-μ-SR17018-Gi1/β1/γ2 8F7Q-μ-β-Endorphin-Gi1/β1/γ2 7U2K-μ-C6-guano-Gi1/β1/γ2 8EFQ-μ-DAMGO-Gi1/β1/γ2 8F7S-δ-Deltorphin-Gi1/β1/γ2 8F7W-κ-Dynorphin-Gi1/β1/γ2
20.00Consensusgi_orexinOrthosteric Ligand7SQO-OX2-TAK-925-Gi1/β1/γ2
20.00Consensusnucleotide_offonOrthosteric Ligandnucleotide_off nucleotide_on
20.00Consensusnucleotide_offon_gpOrthosteric Ligandnucleotide_on_gp nucleotide_off
19.35Single6IGLIRL16206IGL-ETB-IRL1620
19.35Single6LMKGlucagon6LMK-Glucagon-Glucagon-Gs/β1/γ2
19.35Single6PB1Urocortin6PB1-CRF2-Urocortin-chim(NtGi1-Gs)/β1/γ2
19.35Single7TS0Urocortin7TS0-CRF2-Urocortin-chim(NtGi1L-Go)/β1/γ2
19.35Single7VVJPTHrP(1-36)7VVJ-PTH1-PTHrP(1-36)-Gs/β1/γ2
19.35Single8F0KPramlintide Analogue San3858F0K-CT (AMY3)-Pramlintide Analogue San385-Gs/β1/γ2; RAMP3
19.35Single9P93VIP9P93-PAC1-VIP-Gs/β1/γ2
19.35Consensusvip-pacap_onOrthosteric Ligandvpac_on pac_on
19.35Consensusvip-pacap_on_gpOrthosteric Ligandvpac_on_gp pac_on_gp
19.23Single6DO1(Sar1,Ile8)-Angiotensin II6DO1-AT1-(Sar1,Ile8)-Angiotensin II
19.23Single7VBITirzepatide (non-acylated)7VBI-GLP-1-Tirzepatide (non-acylated)-Gs/β1/γ2
19.23Single7W0NElabela7W0N-Apelin; Apelin-Elabela-Gi1/β1/γ2
19.23Single8F7SDeltorphin8F7S-δ-Deltorphin-Gi1/β1/γ2
19.23Single8KH5Lysophosphatidylserine8KH5-GPR174-Lysophosphatidylserine-Gs/β1/γ2
19.23Single9E82CXCL12 (fragment)9E82-ACKR3-CXCL12 (fragment)-Arrestin2
19.23Single9IQSMuscarinic toxin 39IQS-M4-Muscarinic toxin 3
19.23Single9ME1CXCL129ME1-CXCR4-CXCL12
19.23Consensusdop_on_gpOrthosteric Ligand8F7S-δ-Deltorphin-Gi1/β1/γ2
19.05Single4RWDDIPP-NH24RWD-δ-DIPP-NH2-Na
19.05Single5C1MBU725C1M-μ-BU72
19.05Single5N2SPSB365N2S-A1-PSB36
19.05Single5OM4PubChem 1355666095OM4-A2A-PubChem 135566609-Na
19.05Single5WIUNemonapride5WIU-D4-Nemonapride
19.05Single5WIVNemonapride5WIV-D4-Nemonapride-Na
19.05Single5XPRBosentan5XPR-ETB-Bosentan
19.05Single6GPXMK08126GPX-CCR2-MK0812
19.05Single6XBKCholesterol6XBK-SMO-Cholesterol-Gi1/β1/γ2
19.05Single7BB7AVP7BB7-V2-AVP-Gs/β1/γ2
19.05Single7C4SS1P7C4S-S1P3-S1P
19.05Single7CKXA776367CKX-D1-A77636-Gs/β1/γ2
19.05Single7M3JNPS-2143; PO47M3J-CaS; CaS-NPS-2143; PO4
19.05Single7TD3S1P7TD3-S1P1-S1P-Gi1/β1/γ2
19.05Single7W41PD1762527W41-BB2-PD176252
19.05Single7WC6LSD7WC6-5-HT2A-LSD
19.05Single8DZQmomSalB8DZQ-κ-momSalB-Go/β1/γ2
19.05Single8DZRGR89,6968DZR-κ-GR89,696-chim(NtGi2-Gt3)/β1/γ2
19.05Single8GNEKW-63568GNE-A2A-KW-6356-Na
19.05Single8J6JGSK2560738J6J-HCA2-GSK256073-Gi1/β1/γ2
19.05Single8UUJFCH-22964138UUJ-HCA2-FCH-2296413-Gi1/β1/γ2
19.05Single8ZPTPrRP208ZPT-PrRP-PrRP20-chim(NtGi1-Gs-CtGq)/β1/γ2
19.05Single9B9ZMRI-18679B9Z-CB1-MRI-1867
19.05Single9CIBFCH-22964139CIB-HCA2-FCH-2296413
19.05Single9F33FOB02-04A9F33-D3-FOB02-04A-Go/β1/γ2
19.05Single9I52A1IZU9I52-D1-A1IZU-Gs/β1/γ2
19.05Single9KUVCMPD6449KUV-Apelin-CMPD644-Arrestin2
19.05Single9L74S1P d16:19L74-S1P3-S1P d16:1-chim(NtGi2L-Gs-CtGq)/β1/γ2
19.05Single9U81Tolvaptan9U81-V2-Tolvaptan
19.05Single9VJFBuspirone9VJF-5-HT1A-Buspirone-Gi3/β1/γ2
19.05Consensusbb2_offOrthosteric Ligand7W41-BB2-PD176252
19.05Consensusblt1_offOrthosteric Ligand5X33-BLT1-BIIL260 7K15-BLT1-MKD046-Na
19.05Consensusblt_offOrthosteric Ligandblt1_off
19.05Consensusbombesin_offOrthosteric Ligandbb2_off
19.05Consensusd4_onOrthosteric Ligand8IRU-D4-Rotigotine-chim(NtGi1-Gs-CtGi1)/β1/γ2
19.05Consensuslipid_onOrthosteric Ligandcannabinoid_on ffa_on lpl_on prostanoid_on leukotriene_on
19.05Consensuslipid_on_gpOrthosteric Ligandcannabinoid_on_gp ffa_on_gp lpl_on_gp prostanoid_on_gp leukotriene_on_gp
19.05Consensuss1p_offOrthosteric Ligands1p1_off s1p5_off
18.92Single7F16TIP397F16-PTH2-TIP39-Gs/β1/γ2
18.92Consensuspth2_on_gpOrthosteric Ligand7F16-PTH2-TIP39-Gs/β1/γ2
18.75Single3RFMCaffeine3RFM-A2A-Caffeine
18.75Single5GLHEndothelin-15GLH-ETB-Endothelin-1
18.75Single6IGKEndothelin-36IGK-ETB-Endothelin-3
18.75Single7DUQGLP-17DUQ-GLP-1-GLP-1-PubChem 156022738-Gs/β1/γ2
18.75Single7MTBAll-trans-Retinal7MTB-Rhodopsin-All-trans-Retinal-GRK1
18.75Single8A2OTheophylline8A2O-A2A-Theophylline-Na
18.75Single8IWM2-Phenylethylamine8IWM-TAA9-2-Phenylethylamine
18.75Single8XOFLys058XOF-GPR30-Lys05-chim(NtGi1-Gs-CtGq)/β1/γ2
18.75Single8Z8ALactate8Z8A-HCA1-Lactate-Gi1/β1/γ2
18.75Single9C2FCa; Ca; Tryptophan; '54149; PO49C2F-CaS; CaS-Ca-Ca; Ca; Tryptophan; '54149; PO4
18.75Single9L0HJR14a9L0H-C3aB-JR14a-Go/β1/γ2
18.75Consensusbb2_onOrthosteric Ligand7W40-BB2-Bombesin-chim(NtGi1L-Gq)/β1/γ2 7W3Z-BB2-Gastrin Releasing Peptide-chim(NtGi1L-Gq)/β1/γ2
18.75Consensusbb2_on_gpOrthosteric Ligand7W40-BB2-Bombesin-chim(NtGi1L-Gq)/β1/γ2 7W3Z-BB2-Gastrin Releasing Peptide-chim(NtGi1L-Gq)/β1/γ2
18.75Consensusbombesin_onOrthosteric Ligandbb2_on
18.75Consensusbombesin_on_gpOrthosteric Ligandbb2_on_gp
18.75Consensusgq_bombesinOrthosteric Ligand7W40-BB2-Bombesin-chim(NtGi1L-Gq)/β1/γ2 7W3Z-BB2-Gastrin Releasing Peptide-chim(NtGi1L-Gq)/β1/γ2
18.75Consensusgs_histamineOrthosteric Ligand8POK-H2-Histamine-Gs/β1/γ2
18.75Consensush2_onOrthosteric Ligand8POK-H2-Histamine-Gs/β1/γ2
18.75Consensusopsins_onOrthosteric Ligandrhodopsin_on opsin1lw_on
18.75Consensussensory_onOrthosteric Ligandopsins_on
18.52Single6PT2KGCHM076PT2-δ-KGCHM07
18.52Single6VN7PACAP276VN7-VPAC1-PACAP27-Gs/β1/γ2
18.52Single7TD0LPA7TD0-LPA1-LPA-Gi1/β1/γ2
18.52Single9B54VIP369B54-CB1-VIP36-Gi1/β1/γ2
18.52Single9LXRLA-PTH Analog9LXR-PTH1-LA-PTH Analog-Arrestin2
18.52Single9U4WGonadoliberin-19U4W-GnRH1-Gonadoliberin-1-chim(NtGi1L-Gs-CtGq)/β1/γ2
18.52Consensusgs_class-aOrthosteric Ligandgs_peptide gs_nucleotide gs_amine
18.52Consensuspeptide_offonOrthosteric Ligandpeptide_off peptide_on
18.18Single4DJHJDTic4DJH-κ-JDTic
18.18Single4Z34ONO-97803074Z34-LPA1-ONO-9780307
18.18Single6DDEDAMGO6DDE-μ-DAMGO-Gi1/β1/γ2
18.18Single6E59L-7607356E59-NK1-L-760735
18.18Single6KO5PubChem 574000026KO5-Ghrelin-PubChem 57400002
18.18Single7E2ZAripiprazole7E2Z-5-HT1A-Aripiprazole-PtdIns4P-Gi1/β1/γ2
18.18Single7TD1LPA7TD1-LPA1-LPA-Gi1/β1/γ2
18.18Single7XAVLanreotide7XAV-SST2-Lanreotide-Gi1/β1/γ2
18.18Single7XTQR3997XTQ-GPBA-R399-Gs/β1/γ2
18.18Single8DCSCyanopindolol8DCS-β1-Cyanopindolol-Gs/β1/γ2
18.18Single8F2APramlintide Analogue San3858F2A-CT (AMY3)-Pramlintide Analogue San385-Gs/β1/γ2; RAMP3
18.18Single8I2GPubChem 675302408I2G-FSH-FSH-PubChem 67530240-Gs/β1/γ2
18.18Single8IHBGSK2560738IHB-HCA2-GSK256073-Gi1/β1/γ2
18.18Single8IHHLUF62838IHH-HCA2-LUF6283-Gi1/β1/γ2
18.18Single8IYHMK68928IYH-HCA2-MK6892-Go/β1/γ2
18.18Single8JT6(R)-IHCH-71798JT6-5-HT1A-(R)-IHCH-7179-PtdIns4P-Gi1/β1/γ2
18.18Single8VVEnorBNI8VVE-κ-norBNI-Gi1/β1/γ2
18.18Single8VVFJDTic8VVF-κ-JDTic-Gi1/β1/γ2
18.18Single8WU1MDMB-Fubinaca8WU1-CB1-MDMB-Fubinaca-Arrestin2
18.18Single8XJMLatanoprost8XJM-FP-alpha-Latanoprost-chim(NtGi2-Gs-CtGq)/β1/γ2
18.18Single8XVLZibotentan8XVL-ETA-Zibotentan
18.18Single8XZICMF-0198XZI-Apelin; Apelin-CMF-019-Gi1/β1/γ2
18.18Single9AUCCalcitonin gene-related peptide-19AUC-CT (AMY1)-Calcitonin gene-related peptide-1-Gs/β1/γ2; RAMP1
18.18Single9I54PubChem 1764520919I54-D1-PubChem 176452091-Gs/β1/γ2
18.18Single9JMCDS-3801b9JMC-Motilin-DS-3801b-chim(Gs-CtGq)/β1/γ2
18.18Single9KUXCMPD6449KUX-Apelin; Apelin-CMPD644-Arrestin2
18.18Single9PY3Loperamide9PY3-μ-Loperamide-GDPβS-Gi1/β1/γ2
18.18Single9WSTDAMGO9WST-μ-DAMGO-chim(NtGi1-Gz)/β1/γ2
18.18Consensuscyslt1_offOrthosteric Ligand6RZ5-CysLT1-Zafirlukast-Na 6RZ4-CysLT1-Pranlukast-Na
18.18Consensusglp1_onOrthosteric Ligand7S1M-GLP-1-Exendin-4-D-Ala-Gs/β1/γ2 7X8R-GLP-1-BOC5-Gs/β1/γ2 6X19-GLP-1-CHU-128-Gs/β1/γ2 6X1A-GLP-1-Danuglipron-Gs/β1/γ2 6X18-GLP-1-GLP-1-Gs/β1/γ2 8JIP-GLP-1-MEDI0382-chim(NtGi1-Gs)/β1/γ2 7C2E-GLP-1-PubChem 149050799-Gs/β1/γ2 7KI0-GLP-1-Semaglutide-Gs/β1/γ2 7KI1-GLP-1-Taspoglutide-Gs/β1/γ2 7X8S-GLP-1-WB4-24-Gs/β1/γ2 8JIS-GLP-1-Peptide-15-chim(NtGi1-Gs)/β1/γ2 7VBI-GLP-1-Tirzepatide (non-acylated)-Gs/β1/γ2
18.18Consensuskop_offOrthosteric Ligand4DJH-κ-JDTic
18.18Consensusprotein_offOrthosteric Ligandchemokine_off grh_off
18.18Consensustachykinin_offOrthosteric Ligandnk1_off
17.95Consensuspth_on_gpOrthosteric Ligandpth1_on_gp pth2_on_gp
17.86Single7KH0AVP7KH0-V2-AVP-chim(NtGi1-Gs)/β1/γ2
17.86Single7TYIAmylin7TYI-CT-Amylin-Gs/β1/γ2
17.86Single7W40Bombesin7W40-BB2-Bombesin-chim(NtGi1L-Gq)/β1/γ2
17.86Single8HA0PTH8HA0-PTH1-PTH-chim(NtGi1-Gs)/β1/γ2
17.86Single8X8LCortistatin-148X8L-SST5-Cortistatin-14-chim(NtGi1-Gs-CtGi1)/β1/γ2
17.86Single8XWQEndothelin-18XWQ-ETB-Endothelin-1-Gi1/β1/γ2
17.86Single8YW3Retatrutide8YW3-GLP-1-Retatrutide-Gs/β1/γ2
17.86Single8YW4Retatrutide8YW4-GIP-Retatrutide-chim(NtGi1-Gs)/β1/γ2
17.86Single9BLCCagrilintide (non-acylated)9BLC-CT-Cagrilintide (non-acylated)-Gs/β1/γ2
17.86Single9EBOGLP-1 (ACPC18)9EBO-GLP-1-GLP-1 (ACPC18)-Gs/β1/γ2
17.86Consensuscxcr3_on_gpOrthosteric Ligand8HNK-CXCR3-CXCL11-Gi1/β1/γ2 8HNL-CXCR3-PS372424-Gi1/β1/γ2
17.86Consensusgi_class-aOrthosteric Ligandgi_peptide gi_sensory gi_alicarboxylic gi_amine gi_lipid gi_nucleotide gi_protein
17.86Consensuspeptide_offon_gpOrthosteric Ligandpeptide_on_gp peptide_off
17.86Consensusprotein_onOrthosteric Ligandchemokine_on chemerin_on
17.65Single2J4Y11-cis-Retinal2J4Y-Rhodopsin-11-cis-Retinal
17.65Single2ZIY11-cis-Retinal2ZIY-Rhodopsin-11-cis-Retinal
17.65Single3UZAGTPL92363UZA-A2A-GTPL9236
17.65Single6LRYSarafotoxin-B6LRY-ETB-Sarafotoxin-B
17.65Single6ME5Agomelatine6ME5-MT1-Agomelatine
17.65Single7DD7Ca; Ca; Tryptophan; Evocalcet7DD7-CaS; CaS-Ca-Ca; Ca; Tryptophan; Evocalcet
17.65Single7MT8All-trans-Retinal7MT8-Rhodopsin-All-trans-Retinal-GRK1
17.65Single7WC5Psilocin7WC5-5-HT2A-Psilocin
17.65Single8EITDoconexent8EIT-FFA1-Doconexent-chim(NtGi1L-Gs-CtGq)/β1/γ2
17.65Single8F76Propanoic acid8F76-OR51E2-Propanoic acid-Gs/β1/γ2
17.65Single8IW72-Phenylethylamine8IW7-TAA9-2-Phenylethylamine-chim(NtGi1-Gs)/β1/γ2
17.65Single8J6QBeta-Hydroxybutyrate8J6Q-HCA2-β-Hydroxybutyrate-PubChem 25101223-Gi1/β1/γ2
17.65Single8JXTHistamine8JXT-H4-Histamine-PO4-Gi1/β1/γ2
17.65Single8SZFCa; Ca; Tryptophan; Cinacalcet; PO4; Spermine8SZF-CaS; CaS-Ca; Ca; Tryptophan; Cinacalcet; PO4; Spermine
17.65Single8WC62-Phenylethylamine8WC6-TA1-2-Phenylethylamine-chim(NtGi1-Gs)/β1/γ2
17.65Single9IV15alpha-DHT9IV1-ADGRD1-5α-DHT-chim(NtGi1-Gs)/β1/γ2
17.65Single9JR2PTH9JR2-PTH1-PTH-chim(NtGi1L-Gs-CtGq)/β1/γ2
17.65Single9LL7DOI9LL7-5-HT2A-DOI-Gi1/β1/γ2
17.65Consensuscrf_on_gpOrthosteric Ligandcrf2_on_gp crf1_on_gp
17.65Consensusgs_peptideOrthosteric Ligandgs_cck gs_melanocortin gs_vasop-oxy
17.39Single2YCXCyanopindolol2YCX-β1-Cyanopindolol
17.39Single4RWADIPP-NH24RWA-δ-DIPP-NH2
17.39Single7BZ2Arformoterol7BZ2-β2-Arformoterol-Gs/β1/γ2
17.39Single7EW2FTY720-P7EW2-S1P3-FTY720-P-Gi1/β1/γ2
17.39Single7L1VPubChem 1554910097L1V-OX2-PubChem 155491009-chim(NtGi1-Gs-CtGq)/β1/γ2
17.39Single7W0LPubChem 1227019087W0L-Apelin; Apelin-PubChem 122701908-Gi1/β1/γ2
17.39Single7W0NElabela7W0N-Apelin; Apelin-Elabela-Gi1/β1/γ2
17.39Single7XMTJ-21567XMT-SST4-J-2156-Gi1/β1/γ2
17.39Single7XW9TRH7XW9-TRH-TRH-chim(NtGi1L-Gs-CtGq)/β1/γ2
17.39Single7YMJTamsulosin7YMJ-Alpha1A-Tamsulosin
17.39Single8HK2C3a8HK2-C3aB-C3a-Gi1/β1/γ2
17.39Single8I9AEP548I9A-C3aB-EP54-chim(NtGi1-Gs-CtGq)/β1/γ2
17.39Single8IA8E7 peptide8IA8-C3aB-E7 peptide-Gi1/β1/γ2
17.39Single8ID9Icosapent8ID9-FFA4-Icosapent-Gi1/β1/γ2
17.39Single8IYWGSK2560738IYW-HCA2-GSK256073-Go/β1/γ2
17.39Single8J6DEP1418J6D-C3aB-EP141-Go/β1/γ2
17.39Single8W1VPubChem 1717162658W1V-β2-PubChem 171716265
17.39Single9L3WChemerin9L3W-CML1-Chemerin-Gi1/β1/γ2
17.39Single9WSVDAMGO9WSV-μ-DAMGO-Arrestin2
17.39Single9YDQDADLE9YDQ-δ-DADLE-MIPS3614-chim(NtGi1L-Gs-CtGi1)/β1/γ2
17.39Consensusalpha1_offOrthosteric Ligandalpha1a_off
17.39Consensusalpha1a_offOrthosteric Ligand7YMJ-Alpha1A-Tamsulosin
17.39Consensusorexin_onOrthosteric Ligandox2_on
17.39Consensustrh_onOrthosteric Ligand7XW9-TRH-TRH-chim(NtGi1L-Gs-CtGq)/β1/γ2
17.39Consensustrh_on_gpOrthosteric Ligand7XW9-TRH-TRH-chim(NtGi1L-Gs-CtGq)/β1/γ2
17.24Single6X18GLP-16X18-GLP-1-GLP-1-Gs/β1/γ2
17.24Single7F6HBradykinin7F6H-BK2-Bradykinin-Gq/β1/γ2
17.24Single7F6IKallidin7F6I-BK2-Kallidin-Gq/β1/γ2
17.24Single7Y64C5a7Y64-C5a1-C5a-Gi1/β1/γ2
17.24Single8E3YPACAP278E3Y-VPAC1-PACAP27-Gs/β1/γ2
17.24Single8E3ZVIP8E3Z-VPAC1-VIP-Gs/β1/γ2
17.24Single8XGOTAK4488XGO-Kiss1-TAK448-chim(NtGi1-Gq)/β1/γ2
17.24Single8XQEApelin-138XQE-Apelin; Apelin-Apelin-13-Gi1/β1/γ2
17.24Single8XVHEndothelin-18XVH-ETB-Endothelin-1-chim(Gs-CtGq)/β1/γ2
17.24Single8ZRTEndothelin-18ZRT-ETB-Endothelin-1
17.24Consensuscml1_on_gpOrthosteric Ligand7YKD-CML1-Chemerin-9-Gi1/β1/γ2
17.24Consensusp2y10_onOrthosteric Ligand8KGG-P2Y10-Lysophosphatidylserine (WJS)-chim(NtGi2-G13)/β1/γ2
17.24Consensuspac_onOrthosteric Ligandpac1_on
17.24Consensusvpac_onOrthosteric Ligandvpac1_on vpac2_on
17.14Single9JR3PTH9JR3-PTH1-PTH-chim(NtGi1L-Gs-CtGq)/β1/γ2
17.14Consensusclass-a_class-b1_cons_on_gpOrthosteric Ligandclass-a_on_gp class-b1_on_gp
17.14Consensuspth2_onOrthosteric Ligand7F16-PTH2-TIP39-Gs/β1/γ2
16.67Single3PBLEticlopride3PBL-D3-Eticlopride
16.67Single4XT3CX3CL14XT3-US28-CX3CL1
16.67Single6DDFDAMGO6DDF-μ-DAMGO-Gi1/β1/γ2
16.67Single6E3YCalcitonin gene-related peptide-16E3Y-CT Like-Calcitonin gene-related peptide-1-Gs/β1/γ2; RAMP1
16.67Single6HLLCP999946HLL-NK1-CP99994
16.67Single6I9K9-cis-Retinal6I9K-Rhodopsin-9-cis-Retinal
16.67Single6QNOAll-trans-Retinal6QNO-Rhodopsin-All-trans-Retinal-Gi1/β1/γ1
16.67Single7LLLExendin-47LLL-GLP-1-Exendin-4-Gs/β1/γ2
16.67Single7RGPTirzepatide7RGP-GLP-1-Tirzepatide-chim(NtGi1-Gs)/β1/γ2
16.67Single7VUIJNJ-635330547VUI-GPR139-JNJ-63533054-GTP-chim(Gs-CtGq)/β1/γ2
16.67Single7VVNPTH7VVN-PTH1-PTH-Gs/β1/γ2
16.67Single7X1UTRH7X1U-TRH-TRH-chim(NtGi2L-Gs-CtGq)/β1/γ2
16.67Single7XTASerotonin7XTA-5-HT4-Serotonin-Gi1/β1/γ2
16.67Single7XTBSerotonin7XTB-5-HT6-Serotonin-Gs/β1/γ2
16.67Single7Y65C5a (C-terminal peptide)7Y65-C5a1-C5a (C-terminal peptide)-Gi1/β1/γ2
16.67Single7YKDChemerin-97YKD-CML1-Chemerin-9-Gi1/β1/γ2
16.67Single7YU8ONO-07405567YU8-LPA1-ONO-0740556-Gi1/β1/γ2
16.67Single8A2PLUAA470708A2P-A2A-LUAA47070-Na
16.67Single8E0GBU728E0G-μ-BU72
16.67Single8EF6Morphine8EF6-μ-Morphine-Gi1/β1/γ2
16.67Single8GUTLEI-1028GUT-CB2-LEI-102-Gi1/β1/γ2
16.67Single8H2GNiacin8H2G-HCA2-Niacin-Gi1/β1/γ2
16.67Single8I95EP548I95-C3aB-EP54-Go/β1/γ2
16.67Single8ID8TUG-8918ID8-FFA4-TUG-891-Gi1/β1/γ2
16.67Single8IYSTUG-8918IYS-FFA4-TUG-891-GDP-chim(NtGi1L-Gq)/β1/γ2
16.67Single8JISPeptide-158JIS-GLP-1-Peptide-15-chim(NtGi1-Gs)/β1/γ2
16.67Single8JLOUlotaront8JLO-TA1-Ulotaront-Gs/β1/γ2
16.67Single8JPNCis-Epoxysuccinic acid8JPN-Succinate-Cis-Epoxysuccinic acid-Gi1/β1/γ1
16.67Single8K2XCXCL108K2X-CXCR3-CXCL10-Gi1/β1/γ2
16.67Single8K5BNiacin8K5B-HCA2-Niacin
16.67Single8RWHStilSwitch28RWH-A2A-StilSwitch2-Na
16.67Single8SZFCa; Ca; Tryptophan; Cinacalcet; PO4; Spermine8SZF-CaS; CaS-Ca; Ca; Tryptophan; Cinacalcet; PO4; Spermine
16.67Single8T3OTUG-8918T3O-FFA4-TUG-891-chim(NtGi2L-Gs-CtGq)/β1/γ2
16.67Single8WP1Cis-Epoxysuccinic acid8WP1-Succinate-Cis-Epoxysuccinic acid-Gi1/β1/γ2
16.67Single8XJKCloprosetnol8XJK-FP-alpha-Cloprosetnol-chim(NtGi1-Gs-CtGq)/β1/γ2
16.67Single8XVEBQ30208XVE-ETB-BQ3020-chim(Gs-CtGq)/β1/γ2
16.67Single8XVJMacitentan8XVJ-ETA-Macitentan
16.67Single8YH3N-methyladenosine8YH3-A3A-N-methyladenosine-Gi1/β1/γ2
16.67Single8YN4Histamine8YN4-H2-Histamine-chim(NtGi1L-Gs-CtGq)/β1/γ2
16.67Single8ZWGJR14a8ZWG-C3aB-JR14a-Gi1/β1/γ2
16.67Single9B9YTaranabant9B9Y-CB1-Taranabant
16.67Single9GE3Lysophosphatidylinositol9GE3-GPR55-Lysophosphatidylinositol-chim(NtGi1-G13)/β1/γ2
16.67Single9IXJHistamine9IXJ-H2-Histamine-Gs/β1/γ2
16.67Single9KT8Acifran9KT8-HCA2-Acifran-Gi1/β1/γ2
16.67Single9KUGEP679KUG-C5a1-EP67-Go/β1/γ2
16.67Single9KUWCMPD6449KUW-Apelin; Apelin-CMPD644-Arrestin2 ; Arrestin2
16.67Single9YDPDADLE9YDP-δ-DADLE-chim(NtGi1L-Gs-CtGi1)/β1/γ2
16.67Consensus5ht4_onOrthosteric Ligand7XTA-5-HT4-Serotonin-Gi1/β1/γ2
16.67Consensus5ht4_on_gpOrthosteric Ligand7XTA-5-HT4-Serotonin-Gi1/β1/γ2
16.67Consensuschemerin_onOrthosteric Ligandcml1_on
16.67Consensusd3_offOrthosteric Ligand3PBL-D3-Eticlopride
16.67Consensusfp-alpha_onOrthosteric Ligand8IUK-FP-alpha-PGF2-α-chim(NtGi1-Gs-CtGq)/β1/γ2 8IUL-FP-alpha-Latanoprost-chim(NtGi1-Gs-CtGq)/β1/γ2 8IUM-FP-alpha-Tafluprost acid-chim(NtGi1-Gs-CtGq)/β1/γ2
16.67Consensusfp-alpha_on_gpOrthosteric Ligand8IUK-FP-alpha-PGF2-α-chim(NtGi1-Gs-CtGq)/β1/γ2 8IUL-FP-alpha-Latanoprost-chim(NtGi1-Gs-CtGq)/β1/γ2 8IUM-FP-alpha-Tafluprost acid-chim(NtGi1-Gs-CtGq)/β1/γ2
16.67Consensusgi_compl-peptOrthosteric Ligand8HK5-C5a1-C5a-Gi1/β1/γ2 8IA8-C3aB-E7 peptide-Gi1/β1/γ2 7Y66-C5a1-BM213-Gi1/β1/γ2 7Y67-C5a1-C089 peptide-Gi1/β1/γ2 8HK2-C3aB-C3a-Gi1/β1/γ2 7Y64-C5a1-C5a-Gi1/β1/γ2
16.67Consensusgi_peptideOrthosteric Ligandgi_cck gi_apelin gi_compl-pept gi_endothelin gi_formylpeptide gi_galanin gi_ghrelin gi_npy gi_neurotensin gi_opioid gi_orexin gi_relaxin gi_somatostatin
16.67Consensusgi_proteinOrthosteric Ligandgi_chemokine gi_chemerin
16.67Consensuskop_on_gpOrthosteric Ligand8F7W-κ-Dynorphin-Gi1/β1/γ2 8DZS-κ-GR89,696-chim(NtGi2-Gz)/β1/γ2 8DZP-κ-momSalB-Gi1/β1/γ2
16.67Consensusnk2_onOrthosteric Ligand7XWO-NK2-Neurokinin-A-chim(NtGi1-Gs-CtGq)/β1/γ2
16.67Consensusorexin_on_gpOrthosteric Ligandox2_on_gp
16.67Consensusprotein_on_gpOrthosteric Ligandchemokine_on_gp chemerin_on_gp
16.67Consensuspth_onOrthosteric Ligandpth1_on pth2_on
16.67Consensussecretin_onOrthosteric Ligand7D3S-Secretin-Secretin-Gs/β1/γ2
16.67Consensusvpac_on_gpOrthosteric Ligandvpac1_on_gp vpac2_on_gp
16.13Single7DTYGIP7DTY-GIP-GIP-Gs/β1/γ2
16.13Single7F4FAfamelanotide7F4F-MC1-Afamelanotide-chim(NtGi1-Gs)/β1/γ2
16.13Single7VQXPACAP277VQX-VPAC1-PACAP27-Gs/β1/γ2
16.13Single7VVKPTH7VVK-PTH1-PTH-Gs/β1/γ2
16.13Single7XATSomatostatin-147XAT-SST2-Somatostatin-14-Gi1/β1/γ2
16.13Single8FU6ZP37808FU6-Glucagon-ZP3780-Gs/β1/γ2
16.13Single8XWPEndothelin-18XWP-ETB-Endothelin-1-Gi1/β1/γ2
16.13Single8ZH8QRFP268ZH8-QRFP-QRFP26-Gq/β1/γ1
16.13Single9K26PrRP319K26-PrRP-PrRP31-Gi1/β1/γ2
16.13Single9P94PACAP279P94-PAC1-PACAP27-Gs/β1/γ2
16.13Consensuscrf_onOrthosteric Ligandcrf2_on crf1_on
16.13Consensusglp_onOrthosteric Ligandglp1_on glp2_on
16.13Consensusglp_on_gpOrthosteric Ligandglp1_on_gp glp2_on_gp
16.13Consensusgq_peptideOrthosteric Ligandgq_cck gq_kisspeptin gq_bradykinin gq_bombesin gq_angiotensin
16.13Consensusp2y10_on_gpOrthosteric Ligand8KGG-P2Y10-Lysophosphatidylserine (WJS)-chim(NtGi2-G13)/β1/γ2
16.13Consensuspeptide_onOrthosteric Ligandcck_on angiotensin_on apelin_on bombesin_on bradykinin_on compl-peptide_on endothelin_on formylpeptide_on galanin_on ghrelin_on kisspeptin_on melanocortin_on motilin_on neuromedin-u_on npy_on neurotensin_on opioid_on orexin_on relaxin_on somatostatin_on tachykinin_on trh_on vasop-oxy_on
16.13Consensuspeptide_on_gpOrthosteric Ligandcck_on_gp angiotensin_on_gp apelin_on_gp bombesin_on_gp bradykinin_on_gp compl-peptide_on_gp endothelin_on_gp formylpeptide_on_gp galanin_on_gp ghrelin_on_gp kisspeptin_on_gp melanocortin_on_gp motilin_on_gp neuromedin-u_on_gp npy_on_gp neurotensin_on_gp opioid_on_gp orexin_on_gp relaxin_on_gp somatostatin_on_gp tachykinin_on_gp trh_on_gp vasop-oxy_on_gp
16.13Consensussecretin_on_gpOrthosteric Ligand7D3S-Secretin-Secretin-Gs/β1/γ2
16.00Single7F2OBradykinin7F2O-BK2-Bradykinin-chim(NtGi1-Gs-CtGq)/β1/γ2
16.00Single7F8WGastrin-177F8W-CCKB-Gastrin-17-chim(NtGsL-Gq)/β1/γ2
16.00Single7RKFCX3CL17RKF-US28-CX3CL1-GDP-chim(NtGi1-G11)/β1/γ2
16.00Single7XN9L-0545227XN9-SST2-L-054522
16.00Single8H4IDoconexent8H4I-FFA4-Doconexent-chim(NtGi1-Gs)/β1/γ2
16.00Single8IA7Cholecystokinin-88IA7-CCKB-Cholecystokinin-8-chim(NtGi1L-Gq)/β1/γ2
16.00Single8IUMTafluprost acid8IUM-FP-alpha-Tafluprost acid-chim(NtGi1-Gs-CtGq)/β1/γ2
16.00Single8XZFWN5618XZF-Apelin; Apelin-WN561-Gi1/β1/γ2
16.00Single9IZASCH9002719IZA-HCA2-SCH900271-Gi1/β1/γ2
16.00Single9KX6C5a-des-Arg9KX6-C5a1-C5a-des-Arg-Go/β1/γ2
16.00Single9KZ8EP679KZ8-C3aB-EP67-Go/β1/γ2
16.00Single9M0RNeuropeptide-VF9M0R-NPFF1-Neuropeptide-VF-Gi1/β1/γ2
16.00Single9V2NMacimorelin9V2N-Ghrelin-Macimorelin-chim(NtGi1-Gs-CtGq)/β1/γ2
16.00Single9WSXEndomorphin9WSX-μ-Endomorphin-Arrestin2
16.00Consensuscxcr3_onOrthosteric Ligand8HNK-CXCR3-CXCL11-Gi1/β1/γ2 8HNL-CXCR3-PS372424-Gi1/β1/γ2
16.00Consensusdop_onOrthosteric Ligand8F7S-δ-Deltorphin-Gi1/β1/γ2
16.00Consensusox2_onOrthosteric Ligand7L1V-OX2-PubChem 155491009-chim(NtGi1-Gs-CtGq)/β1/γ2 7SQO-OX2-TAK-925-Gi1/β1/γ2 7L1U-OX2-Orexin-chim(NtGi1-Gs-CtGq)/β1/γ2
16.00Consensusox2_on_gpOrthosteric Ligand7L1V-OX2-PubChem 155491009-chim(NtGi1-Gs-CtGq)/β1/γ2 7SQO-OX2-TAK-925-Gi1/β1/γ2 7L1U-OX2-Orexin-chim(NtGi1-Gs-CtGq)/β1/γ2
15.79Single5K2DZM-2413855K2D-A2A-ZM-241385-Na
15.79Single5OLOTozadenant5OLO-A2A-Tozadenant-Na
15.79Single5OLVLUAA470705OLV-A2A-LUAA47070-Na
15.79Single6B73MP11046B73-κ-MP1104
15.79Single6D9HAdenosine6D9H-A1-Adenosine-Gi2/β1/γ2
15.79Single6JZHZM-2413856JZH-A2A-ZM-241385-Na
15.79Single6PS7ZM-2413856PS7-A2A-ZM-241385-Na
15.79Single6TODEMPA6TOD-OX1-EMPA-Na
15.79Single7DHRIsoprenaline7DHR-β2-Isoprenaline-Gs/β1/γ2
15.79Single7LJDDopamine7LJD-D1-Dopamine-Mevidalen-Gs/β1/γ1
15.79Single7SRSLSD7SRS-5-HT2B-LSD-Arrestin2
15.79Single8EFOPZM218EFO-μ-PZM21-Gi1/β1/γ2
15.79Single8GNGIstradefylline8GNG-A2A-Istradefylline
15.79Single8H8JLodoxamide8H8J-GPR35-Lodoxamide-Ca-chim(NtGi1L-G13)/β1/γ2
15.79Single8IJBAcipimox8IJB-HCA2-Acipimox-Gi1/β1/γ2
15.79Single8J20Valeric acid8J20-FFA3-Valeric acid-AR420626-Gi1/β1/γ2
15.79Single8J6LNiacin8J6L-HCA2-Niacin-Gi1/β1/γ2
15.79Single8JPPSuccinic acid8JPP-Succinate-Succinic acid-chim(Gs-CtGq)/β1/γ1
15.79Single8RVWStilSwitch38RVW-A2A-StilSwitch3-Na
15.79Single8RW4AzoSwitch28RW4-A2A-AzoSwitch2-Na
15.79Single8RWEStilSwitch48RWE-A2A-StilSwitch4-Na
15.79Single8TZQDopamine8TZQ-D2-Dopamine-Go/β1/γ2
15.79Single8WOGSuccinic acid8WOG-Succinate-Succinic acid-Gi1/β1/γ2
15.79Single8YKXMaleic acid8YKX-Succinate-Maleic acid-Gi1/β1/γ1
15.79Single9FUPIstradefylline9FUP-A2A-Istradefylline-Na
15.79Single9J5VCpY9J5V-LPA1-CpY-Gi1/β1/γ2
15.79Consensusangiotensin_offOrthosteric Ligandat1_off
15.79Consensusgi_succinateOrthosteric Ligand8YKW-Succinate-Succinic acid-Gi1/β1/γ1 8YKX-Succinate-Maleic acid-Gi1/β1/γ1
15.79Consensusorexin_offOrthosteric Ligandox2_off ox1_off
15.79Consensusox2_offOrthosteric Ligand5WQC-OX2-EMPA 6TPN-OX2-HTL6641 7XRR-OX2-Lemborexant 6TPJ-OX2-Suvorexant
15.79Consensussuccinate_onOrthosteric Ligand8YKW-Succinate-Succinic acid-Gi1/β1/γ1 8YKX-Succinate-Maleic acid-Gi1/β1/γ1
15.79Consensussuccinate_on_gpOrthosteric Ligand8YKW-Succinate-Succinic acid-Gi1/β1/γ1 8YKX-Succinate-Maleic acid-Gi1/β1/γ1
15.62Single6NBHLA-PTH Analog6NBH-PTH1-LA-PTH Analog-Gs/β1/γ2
15.62Single6WZGSecretin6WZG-Secretin-Secretin-Gs/β1/γ2
15.62Single7D68GLP-27D68-GLP-2-GLP-2-Gs/β1/γ2
15.62Single7VVLPTH7VVL-PTH1-PTH-Gs/β1/γ2
15.62Single8KGGLysophosphatidylserine (WJS)8KGG-P2Y10-Lysophosphatidylserine (WJS)-chim(NtGi2-G13)/β1/γ2
15.62Single8Y52BA18Y52-BB3-BA1-chim(NtGi1-Gs-CtGq)/β1/γ2
15.62Single9BQ3Cagrilintide9BQ3-CT (AMY2)-Cagrilintide-Gs/β1/γ2; RAMP2
15.62Consensusbk2_onOrthosteric Ligand7F6H-BK2-Bradykinin-Gq/β1/γ2 7F6I-BK2-Kallidin-Gq/β1/γ2
15.62Consensusbk2_on_gpOrthosteric Ligand7F6H-BK2-Bradykinin-Gq/β1/γ2 7F6I-BK2-Kallidin-Gq/β1/γ2
15.62Consensusbradykinin_onOrthosteric Ligandbk2_on
15.62Consensusbradykinin_on_gpOrthosteric Ligandbk2_on_gp
15.62Consensusctlike_on_gpOrthosteric Ligand6E3Y-CT Like-Calcitonin gene-related peptide-1-Gs/β1/γ2; RAMP1
15.62Consensusendothelin_onOrthosteric Ligandetb_on eta_on
15.62Consensusgq_bradykininOrthosteric Ligand7F6H-BK2-Bradykinin-Gq/β1/γ2 7F6I-BK2-Kallidin-Gq/β1/γ2
15.38Single7F4ISHU91197F4I-MC1-SHU9119-chim(NtGi1-Gs)/β1/γ2
15.38Single7RTBPeptide-197RTB-GLP-1-Peptide-19-Gs/β1/γ2
15.38Single7XAUOctreotide7XAU-SST2-Octreotide-Gi1/β1/γ2
15.38Single8JIQPeptide-158JIQ-Glucagon-Peptide-15-Gs/β1/γ2
15.38Single8WZ2Orexigenic Neuropeptide QRFP8WZ2-QRFP-Orexigenic Neuropeptide QRFP-chim(NtGi1L-Gs-CtGq)/β1/γ2
15.38Single8ZBJSomatostatin-148ZBJ-SST5-Somatostatin-14-Gi1/β1/γ2
15.38Single9KWGC5a9KWG-C5a1-C5a-Go/β1/γ2
15.38Consensuscxcr4_onOrthosteric Ligand8K3Z-CXCR4-CXCL12-Gi1/β1/γ1
15.38Consensusp2y_onOrthosteric Ligandp2y1_on p2y10_on p2y12_on
15.15Single7RBTTirzepatide7RBT-GIP-Tirzepatide-LSN3556672-chim(NtGi1-Gs)/β1/γ2
15.15Consensusccr5_on_gpOrthosteric Ligand7O7F-CCR5-6P4-CCL5-Gi1/β1/γ1 7F1Q-CCR5-CCL3-Gi1/β1/γ2
15.15Consensusclass-a_class-b1_cons_onOrthosteric Ligandclass-a_on class-b1_on
15.15Consensuscrf1_onOrthosteric Ligand6PB0-CRF1-Urocortin-chim(NtGi1-Gs)/β1/γ2 6P9X-CRF1-Corticoliberin-1-Gs/β1/γ2
15.15Consensusgi_endothelinOrthosteric Ligand8IY5-ETB-Endothelin-1-Gi1/β1/γ2 8HBD-ETB-IRL1620-Gi1/β1/γ2
15.00Single4ZJCSB-6740424ZJC-OX1-SB-674042
15.00Single4ZUDOlmesartan4ZUD-AT1-Olmesartan
15.00Single5NLXZM-2413855NLX-A2A-ZM-241385-Na
15.00Single5UVIZM-2413855UVI-A2A-ZM-241385
15.00Single6ME42-Iodomelatonin6ME4-MT1-2-Iodomelatonin
15.00Single6TPGEMPA6TPG-OX2-EMPA
15.00Single6TPKRetosiban6TPK-OT-Retosiban
15.00Single6V9SGTPL114036V9S-OX1-GTPL11403
15.00Single6VI4JDTic6VI4-κ-JDTic
15.00Single6ZFZ77-LH-28-16ZFZ-M1-77-LH-28-1
15.00Single6ZG9GSK10347026ZG9-M1-GSK1034702
15.00Single7CKZDopamine7CKZ-D1-Dopamine-Mevidalen-Gs/β1/γ2
15.00Single8GUQOlorinab8GUQ-CB2-Olorinab-Gi1/β1/γ2
15.00Single8GURCP559408GUR-CB2-CP55940-Gi1/β1/γ2
15.00Single8HQN9-S-HODE8HQN-GPR132-9-S-HODE-Gi1/β1/γ2
15.00Single8IYXYL-3658IYX-GPR34-YL-365
15.00Single8JIMMonomethyl fumarate8JIM-HCA2-Monomethyl fumarate-Gi1/β1/γ2
15.00Single8K2WAMG4878K2W-CXCR3-AMG487
15.00Single8K9KDAMGO8K9K-μ-DAMGO-Gi3/β1/γ1
15.00Single8RWCStilSwitch28RWC-A2A-StilSwitch2-Na
15.00Single8RWDStilSwitch38RWD-A2A-StilSwitch3-Na
15.00Single8Y53MK50468Y53-BB3-MK5046-chim(NtGi1-Gs-CtGq)/β1/γ2
15.00Single8YKVPubChem 1375531688YKV-Succinate-PubChem 137553168-Gi1/β1/γ2
15.00Single9JH3CMF-0199JH3-Apelin; Apelin-CMF-019-Gi1/β1/γ2
15.00Single9JKYAcifran9JKY-HCA2-Acifran-Gi1/β1/γ2
15.00Single9JMDAzithromycin9JMD-Motilin-Azithromycin-chim(Gs-CtGq)/β1/γ2
15.00Single9K0KUTP9K0K-P2Y4-UTP-chim(NtGi1-Gs-CtGq)/β1/γ2
15.00Single9K0XATP9K0X-P2Y2-ATP-chim(NtGi1-Gs-CtGq)/β1/γ2
15.00Single9K20ATP9K20-P2Y2-ATP-chim(NtGi1-Go)/β1/γ2
15.00Single9KPDSalicin9KPD-TAS2R16-Salicin-chim(Gs-CtGt3)/β1/γ2
15.00Single9PXXNaloxone9PXX-μ-Naloxone-GDPβS-Gi1/β1/γ2
15.00Consensusat1_offOrthosteric Ligand4YAY-AT1-ZD-7155 4ZUD-AT1-Olmesartan
15.00Consensuscxcr3_offOrthosteric Ligand8K2W-CXCR3-AMG487
15.00Consensusghrelin_offOrthosteric Ligand6KO5-Ghrelin-PubChem 57400002 7F83-Ghrelin-PF-05190457
15.00Consensushca_onOrthosteric Ligandhca2_on
15.00Consensusnucleotide_offOrthosteric Ligandadenosine_off p2y_off
15.00Consensusot_offOrthosteric Ligand6TPK-OT-Retosiban
15.00Consensusvasop-oxy_offOrthosteric Ligandot_off
14.81Single5XJM(Sar1,Ile8)-Angiotensin II5XJM-AT2-(Sar1,Ile8)-Angiotensin II
14.81Single6WHCGlu16 analog of GCG6WHC-Glucagon-Glu16 analog of GCG-Gs/β1/γ2
14.81Single7RKMCX3CL17RKM-US28-CX3CL1-Gi1/β1/γ2
14.81Single8F7WDynorphin8F7W-κ-Dynorphin-Gi1/β1/γ2
14.81Single8JZZC5a-des-Arg8JZZ-C5a1-C5a-des-Arg-Go/β1/γ2
14.81Single8SG1Chemerin-98SG1-CML1-Chemerin-9-Gi1/β1/γ2
14.81Single9EAINanobody AT2099EAI-AT1-Losartan-Nanobody AT209
14.81Consensuscckb_onOrthosteric Ligand8IA7-CCKB-Cholecystokinin-8-chim(NtGi1L-Gq)/β1/γ2 7XOW-CCKB-Sulfated Gastrin-(10-17)-chim(NtGi1-Gq)/β1/γ2 7F8V-CCKB-Gastrin-17-Gi2/β1/γ2
14.81Consensuscompl-peptide_onOrthosteric Ligandc5a1_on c3a_on
14.81Consensusgi_cckOrthosteric Ligand7EZH-CCKA-Cholecystokinin-8-Gi1/β1/γ2 7F8V-CCKB-Gastrin-17-Gi2/β1/γ2
14.81Consensusgi_ghrelinOrthosteric Ligand7NA7-Ghrelin-Ghrelin-Gi1/β1/γ2 7NA8-Ghrelin-Ibutamoren-Gi1/β1/γ2
14.81Consensussst4_onOrthosteric Ligand7XMS-SST4-Somatostatin-14-Gi1/β1/γ2 7XMT-SST4-J-2156-Gi1/β1/γ2
14.81Consensussst4_on_gpOrthosteric Ligand7XMS-SST4-Somatostatin-14-Gi1/β1/γ2 7XMT-SST4-J-2156-Gi1/β1/γ2
14.71Consensusendothelin_on_gpOrthosteric Ligandetb_on_gp eta_on_gp
14.71Consensusetb_on_gpOrthosteric Ligand8IY5-ETB-Endothelin-1-Gi1/β1/γ2 8HBD-ETB-IRL1620-Gi1/β1/γ2
14.29Single3OE0CVX153OE0-CXCR4-CVX15
14.29Single4EA3PubChem 102965614EA3-NOP-PubChem 10296561
14.29Single4YAYZD-71554YAY-AT1-ZD-7155
14.29Single5DHHSB-6121115DHH-NOP-SB-612111
14.29Single5NDDAZ8838; Na5NDD-PAR2-AZ8838; Na
14.29Single5TGZAM65385TGZ-CB1-AM6538
14.29Single5ZKPSR274175ZKP-PAF-SR27417
14.29Single6TOTLemborexant6TOT-OX1-Lemborexant
14.29Single7CFMP3957CFM-GPBA-P395-Gs/β1/γ2
14.29Single7JOZPubChem 752020227JOZ-D1-PubChem 75202022-Gs/β1/γ2
14.29Single7LJCSKF812977LJC-D1-SKF81297-Mevidalen-Gs/β1/γ2
14.29Single7SCGFH2107SCG-μ-FH210-Gi1/β1/γ2
14.29Single7V35Peptide-207V35-Glucagon-Peptide-20-Gs/β1/γ2
14.29Single7X2CFenoldopam7X2C-D1-Fenoldopam-Fenoldopam-Gs/β1/γ2
14.29Single7XOUCholecystokinin-87XOU-CCKA-Cholecystokinin-8-Gs/β1/γ2
14.29Single7YU4ONO-07405567YU4-LPA1-ONO-0740556
14.29Single8DZSGR89,6968DZS-κ-GR89,696-chim(NtGi2-Gz)/β1/γ2
14.29Single8EFQDAMGO8EFQ-μ-DAMGO-Gi1/β1/γ2
14.29Single8IHJAcifran8IHJ-HCA3-Acifran-Gi1/β1/γ2
14.29Single8J6PNiacin8J6P-HCA2-Niacin-PubChem 25101223-Gi1/β1/γ2
14.29Single8JIPMEDI03828JIP-GLP-1-MEDI0382-chim(NtGi1-Gs)/β1/γ2
14.29Single8JIRSAR4258998JIR-GLP-1-SAR425899-chim(NtGi1-Gs)/β1/γ2
14.29Single8K5DGSK2560738K5D-HCA2-GSK256073
14.29Single8KEXDCA-3P8KEX-MRGPRX4-DCA-3P
14.29Single8WKZSBL-MC-318WKZ-MC4-SBL-MC-31
14.29Single8X9TAP5038X9T-ADGRD1-AP503-chim(NtGi1-Gs)/β1/γ2
14.29Single8XGUTAK4488XGU-Kiss1-TAK448-Gi1/β1/γ2
14.29Single8XIRPasireotide8XIR-SST3-Pasireotide-chim(NtGi1-Gs-CtGi1)/β1/γ2
14.29Single8YH5Riboprine8YH5-A3A-Riboprine-Gi1/β1/γ2
14.29Single8ZBEOctreotide8ZBE-SST5-Octreotide-Gi1/β1/γ1
14.29Single9B5YLA-PTH Analog9B5Y-PTH1-LA-PTH Analog-chim(NtGi1-Gq)/β1/γ2
14.29Single9D61JDTic9D61-κ-JDTic-Gi1/β1/γ2
14.29Single9IYAONO-97105319IYA-GPR55-ONO-9710531
14.29Single9IZCMK19039IZC-HCA2-MK1903-Gi1/β1/γ2
14.29Single9K27PrRP319K27-PrRP-PrRP31-chim(NtGi1-Gq)/β1/γ2
14.29Single9UYIChemerin-99UYI-CML2-Chemerin-9-Arrestin2
14.29Consensusc5a1_onOrthosteric Ligand8HK5-C5a1-C5a-Gi1/β1/γ2 7Y66-C5a1-BM213-Gi1/β1/γ2 7Y67-C5a1-C089 peptide-Gi1/β1/γ2 7Y64-C5a1-C5a-Gi1/β1/γ2
14.29Consensuscckb_on_gpOrthosteric Ligand8IA7-CCKB-Cholecystokinin-8-chim(NtGi1L-Gq)/β1/γ2 7XOW-CCKB-Sulfated Gastrin-(10-17)-chim(NtGi1-Gq)/β1/γ2 7F8V-CCKB-Gastrin-17-Gi2/β1/γ2
14.29Consensusclass-b1_class-b2_cons_onOrthosteric Ligandclass-b1_on class-b2_on
14.29Consensusclass-b1_class-b2_cons_on_gpOrthosteric Ligandclass-b1_on_gp class-b2_on_gp
14.29Consensuscompl-peptide_on_gpOrthosteric Ligandc5a1_on_gp c3a_on_gp
14.29Consensuscrf1_on_gpOrthosteric Ligand6PB0-CRF1-Urocortin-chim(NtGi1-Gs)/β1/γ2 6P9X-CRF1-Corticoliberin-1-Gs/β1/γ2
14.29Consensuscxcr4_on_gpOrthosteric Ligand8K3Z-CXCR4-CXCL12-Gi1/β1/γ1
14.29Consensusgi_hcaOrthosteric Ligand8J6R-HCA2-MK6892-Gi1/β1/γ2 8JIM-HCA2-Monomethyl fumarate-Gi1/β1/γ2 8IHI-HCA2-Acifran-Gi1/β1/γ2 8IHH-HCA2-LUF6283-Gi1/β1/γ2 8I7V-HCA2-Acipimox-Gi1/β1/γ2 8I7W-HCA2-GSK256073-Gi1/β1/γ2
14.29Consensusgi_somatostatinOrthosteric Ligand7WIC-SST2-Somatostatin-14-Gi1/β1/γ2 7XMS-SST4-Somatostatin-14-Gi1/β1/γ2 8X8L-SST5-Cortistatin-14-chim(NtGi1-Gs-CtGi1)/β1/γ2 7XMT-SST4-J-2156-Gi1/β1/γ2 7WIG-SST2-L-054264-Gi1/β1/γ2 8X8N-SST5-Octreotide-chim(NtGi1-Gs-CtGi1)/β1/γ2 7YAE-SST2-Octreotide-Gi1/β1/γ2 7YAC-SST2-Paltusotine-Gi1/β1/γ2
14.29Consensushca2_onOrthosteric Ligand8J6R-HCA2-MK6892-Gi1/β1/γ2 8JIM-HCA2-Monomethyl fumarate-Gi1/β1/γ2 8I7V-HCA2-Acipimox-Gi1/β1/γ2 8I7W-HCA2-GSK256073-Gi1/β1/γ2 8IHH-HCA2-LUF6283-Gi1/β1/γ2 8IHI-HCA2-Acifran-Gi1/β1/γ2
14.29Consensushca2_on_gpOrthosteric Ligand8J6R-HCA2-MK6892-Gi1/β1/γ2 8IHI-HCA2-Acifran-Gi1/β1/γ2 8IHH-HCA2-LUF6283-Gi1/β1/γ2 8I7V-HCA2-Acipimox-Gi1/β1/γ2 8JIM-HCA2-Monomethyl fumarate-Gi1/β1/γ2 8I7W-HCA2-GSK256073-Gi1/β1/γ2
14.29Consensushca_on_gpOrthosteric Ligandhca2_on_gp
14.29Consensuspth1_on_gpOrthosteric Ligand6NBF-PTH1-LA-PTH Analog-Gs/β1/γ2 8HA0-PTH1-PTH-chim(NtGi1-Gs)/β1/γ2 8HAF-PTH1-PTHrP(1-36)-chim(NtGi1-Gs)/β1/γ2 7Y36-PTH1-PTH-Gs/β1/γ2 7Y35-PTH1-Abaloparatide-Gs/β1/γ2
14.29Consensussomatostatin_onOrthosteric Ligandsst2_on sst4_on sst5_on
14.29Consensussomatostatin_on_gpOrthosteric Ligandsst2_on_gp sst4_on_gp sst5_on_gp
13.89Single7TYYCalcitonin-17TYY-CT (AMY2)-Calcitonin-1-Gs/β1/γ2; RAMP2
13.89Consensusglucagon_onOrthosteric Ligandglp_on gluc_on secretin_on gip_on
13.79Single5WB2CX3CL1.355WB2-US28-CX3CL1.35
13.79Single6M1IPACAP276M1I-PAC1-PACAP27-Gs/β1/γ2
13.79Single6NIYCalcitonin-16NIY-CT-Calcitonin-1-Gs/β1/γ2
13.79Single6WIVPubChem 52923113; PubChem 529246456WIV-GABAB1, GABAB2-PubChem 52923113; PubChem 52924645
13.79Single7FIMTirzepatide7FIM-GLP-1-Tirzepatide-Gs/β1/γ2
13.79Single8IEDPubChem 1347468948IED-GPR156; GPR156-PubChem 134746894-Go/β1/γ2
13.79Single8ZBISomatostatin-148ZBI-SST3-Somatostatin-14-Gi1/β1/γ2
13.79Single9BKKCholecystokinin-89BKK-CCKA-Cholecystokinin-8-chim(NtGi1-Gs-CtGq)/β1/γ2
13.79Consensusapelin_onOrthosteric Ligand8XZH-Apelin; Apelin-MM07-Gi1/β1/γ2 7W0M-Apelin-PubChem 122701908-Gi1/β1/γ2 8XZJ-Apelin; Apelin-WN353-Gi1/β1/γ2 8XZF-Apelin; Apelin-WN561-Gi1/β1/γ2 8XZG-Apelin; Apelin-Apelin-13-Gi1/β1/γ2
13.79Consensusapelin_on_gpOrthosteric Ligand8XZH-Apelin; Apelin-MM07-Gi1/β1/γ2 7W0M-Apelin-PubChem 122701908-Gi1/β1/γ2 8XZJ-Apelin; Apelin-WN353-Gi1/β1/γ2 8XZF-Apelin; Apelin-WN561-Gi1/β1/γ2 8XZG-Apelin; Apelin-Apelin-13-Gi1/β1/γ2
13.79Consensusc5a1_on_gpOrthosteric Ligand8HK5-C5a1-C5a-Gi1/β1/γ2 7Y66-C5a1-BM213-Gi1/β1/γ2 7Y67-C5a1-C089 peptide-Gi1/β1/γ2 7Y64-C5a1-C5a-Gi1/β1/γ2
13.79Consensuscrf2_onOrthosteric Ligand7TS0-CRF2-Urocortin-chim(NtGi1L-Go)/β1/γ2
13.79Consensusp2y_on_gpOrthosteric Ligandp2y1_on_gp p2y10_on_gp p2y12_on_gp
13.79Consensusprotein_offonOrthosteric Ligandprotein_off protein_on
13.79Consensusprotein_offon_gpOrthosteric Ligandprotein_on_gp protein_off
13.64Single4JKVTaladegib4JKV-SMO-Taladegib
13.64Single4NTJAZD12834NTJ-P2Y12-AZD1283
13.64Single4PHUFasiglifam4PHU-FFA1-Fasiglifam
13.64Single4ZJ8Suvorexant4ZJ8-OX1-Suvorexant
13.64Single5T1ABMS-6815T1A-CCR2-BMS-681-PubChem 12093170
13.64Single5WQCEMPA5WQC-OX2-EMPA
13.64Single6HLPNetupitant6HLP-NK1-Netupitant
13.64Single6RZ4Pranlukast6RZ4-CysLT1-Pranlukast-Na
13.64Single6TO7Suvorexant6TO7-OX1-Suvorexant-Na
13.64Single6TP6Filorexant6TP6-OX1-Filorexant
13.64Single7SBFPZM217SBF-μ-PZM21-Gi1/β1/γ2
13.64Single7WIGL-0542647WIG-SST2-L-054264-Gi1/β1/γ2
13.64Single7Y26Octreotide7Y26-SST2-Octreotide-chim(NtGi2L-Gs-CtGq)/β1/γ2
13.64Single7YU3ONO-07405567YU3-LPA1-ONO-0740556-Gi1/β1/γ2
13.64Single7YU6ONO-07405567YU6-LPA1-ONO-0740556-Gi1/β1/γ2
13.64Single8EJCTAK-8758EJC-FFA1-TAK-875-chim(NtGi1L-Gs-CtGq)/β1/γ2
13.64Single8GD9Rivenprost8GD9-EP4-Rivenprost-Gs/β1/γ2
13.64Single8I7WGSK2560738I7W-HCA2-GSK256073-Gi1/β1/γ2
13.64Single8ID4Linoleic acid8ID4-FFA4-Linoleic acid-Gi1/β1/γ2
13.64Single8JXSPF-61428JXS-D1-PF-6142
13.64Single8KFXLMD-0098KFX-CCR8-LMD-009-Gi1/β1/γ2
13.64Single8QOTNanobody-E8QOT-μ-Nanobody-E
13.64Single8S4DCMF-0198S4D-Apelin-CMF-019
13.64Single8T6JCDPPB8T6J-mGlu5; mGlu5-CDPPB
13.64Single8T6JCDPPB8T6J-mGlu5; mGlu5-CDPPB
13.64Single8TH4Losartan8TH4-AT1-Losartan-AT118-L Nanobody
13.64Single8WGBVU01550418WGB-mGlu4; mGlu2-Glutamate-VU0155041-Gi3/β1/γ2
13.64Single8YNSSNAP-948478YNS-MCH1-SNAP-94847
13.64Single9EAHOlmesartan9EAH-AT1-Olmesartan-Nanobody AT209
13.64Single9GE2ML1849GE2-GPR55-ML184-chim(NtGi1-G13)/β1/γ2
13.64Single9HAPTolvaptan9HAP-V2-Tolvaptan
13.64Single9IYBPGD29IYB-DP2-PGD2-A1D5Q-Gi1/β1/γ2
13.64Single9JKSPubChem 442501769JKS-HCA3-PubChem 44250176-Gi1/β1/γ2
13.64Single9KPFSalicin9KPF-TAS2R16-Salicin-Gi1/β1/γ2
13.64Single9KT6Acifran9KT6-HCA3-Acifran-Gi1/β1/γ2
13.64Single9KUTJR14a9KUT-C3aB-JR14a-Go/β1/γ2
13.64Consensuscb2_onOrthosteric Ligand8GUR-CB2-CP55940-Gi1/β1/γ2 8GUS-CB2-HU-308-Gi1/β1/γ2 8GUT-CB2-LEI-102-Gi1/β1/γ2 6KPF-CB2-AM12033-Gi1/β1/γ2 6PT0-CB2-WIN 55212-2-Gi1/β1/γ2 8GUQ-CB2-Olorinab-Gi1/β1/γ2
13.64Consensuscb2_on_gpOrthosteric Ligand8GUR-CB2-CP55940-Gi1/β1/γ2 8GUS-CB2-HU-308-Gi1/β1/γ2 8GUT-CB2-LEI-102-Gi1/β1/γ2 6KPF-CB2-AM12033-Gi1/β1/γ2 6PT0-CB2-WIN 55212-2-Gi1/β1/γ2 8GUQ-CB2-Olorinab-Gi1/β1/γ2
13.64Consensuslpa1_onOrthosteric Ligand7TD1-LPA1-LPA-Gi1/β1/γ2 7YU3-LPA1-ONO-0740556-Gi1/β1/γ2
13.64Consensuslpa1_on_gpOrthosteric Ligand7TD1-LPA1-LPA-Gi1/β1/γ2 7YU3-LPA1-ONO-0740556-Gi1/β1/γ2
13.51Consensusglucagon_on_gpOrthosteric Ligandglp_on_gp gluc_on_gp secretin_on_gp gip_on_gp
13.33Single4A4MAll-trans-Retinal4A4M-Rhodopsin-All-trans-Retinal-Gt(CT)
13.33Single5EN0All-trans-Retinal5EN0-Rhodopsin-All-trans-Retinal-Gt(CT)
13.33Single8HCXEndothelin-18HCX-ETB-Endothelin-1-chim(NtGi2L-Gs-CtGq)/β1/γ2
13.33Single8HK5C5a8HK5-C5a1-C5a-Gi1/β1/γ2
13.33Single8WCCCyclohexylammonium Ion8WCC-TA1-Cyclohexylammonium Ion
13.33Single8WWKMCH8WWK-MCH1-MCH-Gi1/β1/γ2
13.33Single8WWMMCH8WWM-MCH1-MCH-Gi1/β1/γ2
13.33Single8YG4LA-PTH Analog8YG4-PTH1-LA-PTH Analog-chim(NtGi1-Gs)/β1/γ2
13.33Consensuscalcitonin_onOrthosteric Ligandctlike_on
13.33Consensuschemokine_offOrthosteric Ligandccr_off cxcr_off
13.33Consensuschemokine_on_gpOrthosteric Ligandccr_on_gp cxcr_on_gp
13.33Consensuscxcr_offOrthosteric Ligandcxcr3_off cxcr4_off
13.33Consensusgi_apelinOrthosteric Ligand8XZH-Apelin; Apelin-MM07-Gi1/β1/γ2 7W0M-Apelin-PubChem 122701908-Gi1/β1/γ2 8XZJ-Apelin; Apelin-WN353-Gi1/β1/γ2 8XZF-Apelin; Apelin-WN561-Gi1/β1/γ2 8XZG-Apelin; Apelin-Apelin-13-Gi1/β1/γ2
13.33Consensusgi_chemokineOrthosteric Ligand6WWZ-CCR6-CCL20-Go/β1/γ2 8HNK-CXCR3-CXCL11-Gi1/β1/γ2 8K3Z-CXCR4-CXCL12-Gi1/β1/γ1 8IC0-CXCR1-CXCL8-Gi1/β1/γ2 6LFM-CXCR2-CXCL8-Gi1/β1/γ2 8KFX-CCR8-LMD-009-Gi1/β1/γ2 7F1Q-CCR5-CCL3-Gi1/β1/γ2 8HNL-CXCR3-PS372424-Gi1/β1/γ2 8KFY-CCR8-ZK-756326-Gi1/β1/γ2 7O7F-CCR5-6P4-CCL5-Gi1/β1/γ1 8U1U-CCR8-CCL1-Gi1/β1/γ2 7VLA-CCR1-CCL15(27-92)-Gi1/β1/γ2 7XA3-CCR2-CCL2-Gi1/β1/γ2
13.33Consensusmc1_onOrthosteric Ligand7F4H-MC1-Afamelanotide-chim(NtGi1-Gs)/β1/γ2 7F4D-MC1-α-MSH-chim(NtGi1-Gs)/β1/γ2 7F4I-MC1-SHU9119-chim(NtGi1-Gs)/β1/γ2
13.33Consensusmc1_on_gpOrthosteric Ligand7F4H-MC1-Afamelanotide-chim(NtGi1-Gs)/β1/γ2 7F4D-MC1-α-MSH-chim(NtGi1-Gs)/β1/γ2 7F4I-MC1-SHU9119-chim(NtGi1-Gs)/β1/γ2
13.33Consensusopioid_onOrthosteric Ligandmop_on nop_on dop_on kop_on
13.33Consensussst5_on_gpOrthosteric Ligand8X8L-SST5-Cortistatin-14-chim(NtGi1-Gs-CtGi1)/β1/γ2 8X8N-SST5-Octreotide-chim(NtGi1-Gs-CtGi1)/β1/γ2
13.04Single5TZRMK86665TZR-FFA1-MK8666
13.04Single5V56TC1145V56-SMO-TC114
13.04Single5V57TC1145V57-SMO-TC114
13.04Single5XR8AM120335XR8-CB1-AM12033
13.04Single5ZBHBMS-1938855ZBH-Y1-BMS-193885
13.04Single6N4BMDMB-Fubinaca6N4B-CB1-MDMB-Fubinaca-Gi1/β1/γ2
13.04Single6RZ5Zafirlukast6RZ5-CysLT1-Zafirlukast-Na
13.04Single7EW3S1P7EW3-S1P3-S1P-Gi1/β1/γ2
13.04Single7F1TCCL37F1T-CCR5-CCL3
13.04Single7F58THIQ7F58-MC4-THIQ-Gs/β1/γ2
13.04Single7FEECP559407FEE-CB1-CP55940-ZCZ011
13.04Single7T9NDPPC7T9N-TSH-M22 Fab-DPPC-Gs/β1/γ2
13.04Single7XOWSulfated Gastrin-(10-17)7XOW-CCKB-Sulfated Gastrin-(10-17)-chim(NtGi1-Gq)/β1/γ2
13.04Single7Y24Octreotide7Y24-SST2-Octreotide-Go/β1/γ2
13.04Single7YU5ONO-07405567YU5-LPA1-ONO-0740556-Gi1/β1/γ2
13.04Single7YU7ONO-07405567YU7-LPA1-ONO-0740556-Gi1/β1/γ2
13.04Single8EFLSR170188EFL-μ-SR17018-Gi1/β1/γ2
13.04Single8HPTC5a (C-terminal peptide)8HPT-C5a1-C5a (C-terminal peptide)-Go/β1/γ2
13.04Single8HQCC5a8HQC-C5a1-C5a-Go/β1/γ2
13.04Single8I9LC3a8I9L-C3aB-C3a-Go/β1/γ2
13.04Single8ID6Oleic acid8ID6-FFA4-Oleic acid-Gi1/β1/γ2
13.04Single8IUKPGF2-alpha8IUK-FP-alpha-PGF2-α-chim(NtGi1-Gs-CtGq)/β1/γ2
13.04Single8JZPC5a8JZP-C5a1-C5a-Go/β1/γ2
13.04Single8XIPPasireotide8XIP-SST1-Pasireotide-chim(NtGi1-Gs-CtGi1)/β1/γ2
13.04Single8Y73Peptide8Y73-μ-Peptide-MPAM-15-Gi1/β1/γ2
13.04Single8YNTSNAP-948478YNT-MCH1-SNAP-94847
13.04Single9B65MDMB-Fubinaca9B65-CB1-MDMB-Fubinaca-Gi1/β1/γ2
13.04Single9IK9Lanreotide9IK9-SST1-Lanreotide-Gi1/β1/γ2
13.04Single9IZGLPA9IZG-LPA1-LPA-chim(NtGi1-Gs-CtGq)/β1/γ2
13.04Single9RHGC4079RHG-FZD7-C407
13.04Consensusffa2_onOrthosteric Ligand8J22-FFA2-TUG-1375-Gi1/β1/γ2
13.04Consensusgi_cannabinoidOrthosteric Ligand8GUR-CB2-CP55940-Gi1/β1/γ2 8GUS-CB2-HU-308-Gi1/β1/γ2 8GUT-CB2-LEI-102-Gi1/β1/γ2 8GUQ-CB2-Olorinab-Gi1/β1/γ2 6KPF-CB2-AM12033-Gi1/β1/γ2 6PT0-CB2-WIN 55212-2-Gi1/β1/γ2 6KPG-CB1-AM841-Gi1/β1/γ2
13.04Consensusgi_lpaOrthosteric Ligand7TD1-LPA1-LPA-Gi1/β1/γ2 7YU3-LPA1-ONO-0740556-Gi1/β1/γ2
13.04Consensuslpa_onOrthosteric Ligandlpa1_on
13.04Consensuslpa_on_gpOrthosteric Ligandlpa1_on_gp
12.90Single6FJ3PTH6FJ3-PTH1-PTH
12.90Single6NBILA-PTH Analog6NBI-PTH1-LA-PTH Analog-Gs/β1/γ2
12.90Single7F8VGastrin-177F8V-CCKB-Gastrin-17-Gi2/β1/γ2
12.90Single7W3ZGastrin Releasing Peptide7W3Z-BB2-Gastrin Releasing Peptide-chim(NtGi1L-Gq)/β1/γ2
12.90Single9KFKRelaxin-39KFK-RXFP4-Relaxin-3-Gi2/β1/γ2
12.90Consensuscalcitonin_on_gpOrthosteric Ligandctlike_on_gp
12.90Consensusccr_offOrthosteric Ligandccr2_off ccr5_off
12.90Consensuscrf2_on_gpOrthosteric Ligand7TS0-CRF2-Urocortin-chim(NtGi1L-Go)/β1/γ2
12.90Consensusctlike_onOrthosteric Ligand6E3Y-CT Like-Calcitonin gene-related peptide-1-Gs/β1/γ2; RAMP1
12.90Consensusopioid_on_gpOrthosteric Ligandmop_on_gp nop_on_gp dop_on_gp kop_on_gp
12.82Consensusclass-b1_onOrthosteric Ligandglucagon_on vip-pacap_on pth_on crf_on calcitonin_on
12.50Single3PXOAll-trans-Retinal3PXO-Rhodopsin-All-trans-Retinal
12.50Single5DYSAll-trans-Retinal5DYS-Rhodopsin-All-trans-Retinal
12.50Single5TZYMK8666; AP85TZY-FFA1-MK8666; AP8
12.50Single5X33BIIL2605X33-BLT1-BIIL260
12.50Single6AK3PGE26AK3-EP3-PGE2
12.50Single6C1RPMX536C1R-C5a1-PMX53-Avacopan; Na
12.50Single6KQICP559406KQI-CB1-CP55940-Org27569
12.50Single6OS2TRV0266OS2-AT1-TRV026
12.50Single7AD3Alpha-factor mating pheromone7AD3-STE2; STE2-α-factor mating pheromone-Gi1/STE4/γ2
12.50Single7F53Alpha-MSH7F53-MC4-α-MSH-Gs/β1/γ2
12.50Single7SUSPubChem 1227019087SUS-Apelin-PubChem 122701908
12.50Single7WC4Serotonin7WC4-5-HT2A-Serotonin
12.50Single7XKEDehydroepiandrosterone7XKE-ADGRG2-Dehydroepiandrosterone-chim(NtGi1-Gs)/β1/γ2
12.50Single7XW5ML1097XW5-TSH-TSH-ML109-Gs/β1/γ2
12.50Single7YOONeuropeptide-Y7YOO-Y2-Neuropeptide-Y-Gi1/β1/γ2
12.50Single8FEG(DNCP)-Beta-Naloxamine8FEG-κ-(DNCP)-β-Naloxamine-Gi1/β1/γ2
12.50Single8GCPPGE28GCP-EP4-PGE2-Gi1/β1/γ2
12.50Single8H0QGastrin Releasing Peptide8H0Q-BB2-Gastrin Releasing Peptide-chim(NtGi1-Gs-CtGq)/β1/γ2
12.50Single8HAOPTH8HAO-PTH1-PTH-chim(NtGi1-Gs)/β1/γ2
12.50Single8IQ6Latanoprost8IQ6-FP-alpha-Latanoprost-chim(NtGi1-Gs-CtGq)/β1/γ2
12.50Single8JJPChemerin-98JJP-CML2-Chemerin-9-Gi1/β1/γ2
12.50Single8WWLMCH8WWL-MCH1-MCH-Gi1/β1/γ2
12.50Single8X8NOctreotide8X8N-SST5-Octreotide-chim(NtGi1-Gs-CtGi1)/β1/γ2
12.50Single8XJNCloprosetnol8XJN-TXA2-Cloprosetnol-chim(NtGi1-Gs-CtGq)/β1/γ2
12.50Single8ZJGChemerin8ZJG-CML1-Chemerin-Gi1/β1/γ2
12.50Single9DGIZ85267113509DGI-CB1-Z8526711350
12.50Single9GGGI-BOP9GGG-TXA2-I-BOP-chim(NtGi2L-Gs-CtGq)/β1/γ2
12.50Single9IV25alpha-DHT9IV2-ADGRD1-5α-DHT-chim(NtGi1-Gs)/β1/γ2
12.50Single9IZHLPA9IZH-LPA1-LPA-chim(NtGi2-G13)/β1/γ2
12.50Single9WXMGPR15L(CT)9WXM-GPR15-GPR15L(CT)-Gi3/β1/γ2
12.50Consensusc3a_onOrthosteric Ligand8HK2-C3aB-C3a-Gi1/β1/γ2 8IA8-C3aB-E7 peptide-Gi1/β1/γ2
12.50Consensuscannabinoid_onOrthosteric Ligandcb2_on cb1_on
12.50Consensuscannabinoid_on_gpOrthosteric Ligandcb2_on_gp cb1_on_gp
12.50Consensusccr8_onOrthosteric Ligand8KFX-CCR8-LMD-009-Gi1/β1/γ2 8KFY-CCR8-ZK-756326-Gi1/β1/γ2 8U1U-CCR8-CCL1-Gi1/β1/γ2
12.50Consensuscxcr_onOrthosteric Ligandcxcr3_on cxcr4_on cxcr1_on cxcr2_on
12.50Consensusffa2_on_gpOrthosteric Ligand8J22-FFA2-TUG-1375-Gi1/β1/γ2
12.50Consensusglp2_onOrthosteric Ligand7D68-GLP-2-GLP-2-Gs/β1/γ2
12.50Consensusglp2_on_gpOrthosteric Ligand7D68-GLP-2-GLP-2-Gs/β1/γ2
12.50Consensuskop_onOrthosteric Ligand8F7W-κ-Dynorphin-Gi1/β1/γ2 8DZS-κ-GR89,696-chim(NtGi2-Gz)/β1/γ2 8DZP-κ-momSalB-Gi1/β1/γ2
12.50Consensuslipid_offonOrthosteric Ligandlipid_off lipid_on
12.50Consensuslipid_offon_gpOrthosteric Ligandlipid_on_gp lipid_off
12.50Consensusnpy2_onOrthosteric Ligand7YOO-Y2-Neuropeptide-Y-Gi1/β1/γ2
12.50Consensusnpy2_on_gpOrthosteric Ligand7YOO-Y2-Neuropeptide-Y-Gi1/β1/γ2
12.12Single7VGXNeuropeptide-Y7VGX-Y1-Neuropeptide-Y-Gi1/β1/γ2
12.12Single8FLTM-PTH(1-14)8FLT-PTH1-M-PTH(1-14)-Gs/β1/γ2
12.12Single8IY5Endothelin-18IY5-ETB-Endothelin-1-Gi1/β1/γ2
12.12Single8IY6Endothelin-18IY6-ETB-Endothelin-1
12.12Single8WWNMCH8WWN-MCH1-MCH-Gi1/β1/γ2
12.12Consensusetb_onOrthosteric Ligand8IY5-ETB-Endothelin-1-Gi1/β1/γ2 8HBD-ETB-IRL1620-Gi1/β1/γ2
12.12Consensuspth1_onOrthosteric Ligand6NBF-PTH1-LA-PTH Analog-Gs/β1/γ2 8HA0-PTH1-PTH-chim(NtGi1-Gs)/β1/γ2 8HAF-PTH1-PTHrP(1-36)-chim(NtGi1-Gs)/β1/γ2 7Y36-PTH1-PTH-Gs/β1/γ2 7Y35-PTH1-Abaloparatide-Gs/β1/γ2
12.12Consensusvpac2_onOrthosteric Ligand7VQX-VPAC1-PACAP27-Gs/β1/γ2
12.12Consensusvpac2_on_gpOrthosteric Ligand7VQX-VPAC1-PACAP27-Gs/β1/γ2
12.00Single6K1QIRL25006K1Q-ETB-IRL2500
12.00Single6KPGAM8416KPG-CB1-AM841-Gi1/β1/γ2
12.00Single7D7MPGE27D7M-EP4-PGE2-Gs/β1/γ1
12.00Single7MBYCholecystokinin-87MBY-CCKA-Cholecystokinin-8-chim(NtGi1L-Gs-CtGq)/β1/γ2
12.00Single7QVMOxytocin7QVM-OT-Oxytocin-chim(NtGi1-Go-CtGq)/β1/γ2
12.00Single7X8RBOC57X8R-GLP-1-BOC5-Gs/β1/γ2
12.00Single8GAGZ85267113508GAG-CB1-Z8526711350-Gi1/β1/γ2
12.00Single8WRZAM8418WRZ-CB1-AM841-Arrestin2
12.00Single8XGSKisspeptin-18XGS-Kiss1-Kisspeptin-1-chim(NtGi1-Gq)/β1/γ2
12.00Single8XJOU466198XJO-TXA2-U46619-chim(NtGi1-Gs-CtGq)/β1/γ2
12.00Single9EAILosartan9EAI-AT1-Losartan-Nanobody AT209
12.00Single9GG5U466199GG5-TXA2-U46619-chim(NtGi2L-Gs-CtGq)/β1/γ2
12.00Single9KV8TLQP219KV8-C3aB-TLQP21-Go/β1/γ2
12.00Single9KWXC5a-des-Arg9KWX-C5a1-C5a-des-Arg-Go/β1/γ2
12.00Single9M1HPGE29M1H-EP1-PGE2-chim(NtGi1-Gs-CtGq)/β1/γ2
12.00Single9M54Neuropeptide-VF9M54-NPFF2-Neuropeptide-VF-Gi1/β1/γ2
12.00Consensusc3a_on_gpOrthosteric Ligand8HK2-C3aB-C3a-Gi1/β1/γ2 8IA8-C3aB-E7 peptide-Gi1/β1/γ2
12.00Consensuscb1_on_gpOrthosteric Ligand6KPG-CB1-AM841-Gi1/β1/γ2 8K8J-CB1-Fenofibrate-chim(Gs-CtGq)/β1/γ2
12.00Consensuscck_onOrthosteric Ligandccka_on cckb_on
12.00Consensuscck_on_gpOrthosteric Ligandccka_on_gp cckb_on_gp
12.00Consensusprostanoid_onOrthosteric Ligandtp_on fp-alpha_on
12.00Consensusprostanoid_on_gpOrthosteric Ligandtp_on_gp fp-alpha_on_gp
12.00Consensustp_onOrthosteric Ligand8XJO-TXA2-U46619-chim(NtGi1-Gs-CtGq)/β1/γ2
12.00Consensustp_on_gpOrthosteric Ligand8XJO-TXA2-U46619-chim(NtGi1-Gs-CtGq)/β1/γ2
11.76Single6OY9All-trans-Retinal6OY9-Rhodopsin-All-trans-Retinal-Gt/β1/γ1
11.76Single8ZJETAK4488ZJE-Kiss1-TAK448-chim(NtGi1-Gq)/β1/γ1
11.76Single9M42A1L8O9M42-GPR139-A1L8O-chim(Gs-CtGq)/β1/γ2
11.76Consensusgip_onOrthosteric Ligand7FIN-GIP-Peptide-20; GGL-Gs/β1/γ2 7FIY-GIP-Tirzepatide-Gs/β1/γ2 7DTY-GIP-GIP-Gs/β1/γ2
11.76Consensusgip_on_gpOrthosteric Ligand7FIN-GIP-Peptide-20; GGL-Gs/β1/γ2 7FIY-GIP-Tirzepatide-Gs/β1/γ2 7DTY-GIP-GIP-Gs/β1/γ2
11.63Consensusclass-b1_on_gpOrthosteric Ligandglucagon_on_gp vip-pacap_on_gp pth_on_gp crf_on_gp calcitonin_on_gp
11.54Single6C1QPMX536C1Q-C5a1-PMX53-NDT9513727
11.54Single7F9ZGHRP-67F9Z-Ghrelin-GHRP-6-chim(NtGi1-Gs-CtGq)/β1/γ2
11.54Single7T11Octreotide7T11-SST2-Octreotide-Gi3/β1/γ2
11.54Single7X8SWB4-247X8S-GLP-1-WB4-24-Gs/β1/γ2
11.54Single7Y1FDynorphin7Y1F-κ-Dynorphin-Gi1/β1/γ2
11.54Single7YAEOctreotide7YAE-SST2-Octreotide-Gi1/β1/γ2
11.54Single7YJ4INSL57YJ4-RXFP4-INSL5-Gi2/β1/γ2
11.54Single8GDAL9026888GDA-EP4-L902688-Gs/β1/γ2
11.54Single8IQ4Carboprost8IQ4-FP-alpha-Carboprost-chim(NtGi1-Gs-CtGq)/β1/γ2
11.54Single8J22TUG-13758J22-FFA2-TUG-1375-Gi1/β1/γ2
11.54Single8JBFSenktide8JBF-NK3-Senktide-chim(NtGi1-Gs-CtGq)/β1/γ2
11.54Single8QJ2pN1628QJ2-MC4-pN162-Gs/β1/γ2
11.54Single8X3LXWD8X3L-CB2-XWD-Gi1/β1/γ2
11.54Single8Z74JN241-98Z74-Apelin; Apelin-JN241-9
11.54Single8Z74JN241-98Z74-Apelin; Apelin-JN241-9
11.54Single9EAJNanobody AT2099EAJ-AT1-Nanobody AT209
11.54Single9JF4PD1683689JF4-BB1-PD168368
11.54Consensuscxcr_on_gpOrthosteric Ligandcxcr3_on_gp cxcr4_on_gp cxcr1_on_gp cxcr2_on_gp
11.54Consensusgq_cckOrthosteric Ligand8IA7-CCKB-Cholecystokinin-8-chim(NtGi1L-Gq)/β1/γ2 7XOW-CCKB-Sulfated Gastrin-(10-17)-chim(NtGi1-Gq)/β1/γ2 7EZM-CCKA-Cholecystokinin-8-chim(NtGsL-Gq)/β1/γ2 7F8W-CCKB-Gastrin-17-chim(NtGsL-Gq)/β1/γ2
11.54Consensuskiss1_onOrthosteric Ligand8ZJD-Kiss1-Kisspeptin-1-chim(NtGi1-Gq)/β1/γ1
11.54Consensuskisspeptin_onOrthosteric Ligandkiss1_on
11.54Consensussst2_onOrthosteric Ligand7WIC-SST2-Somatostatin-14-Gi1/β1/γ2 7WIG-SST2-L-054264-Gi1/β1/γ2 7YAE-SST2-Octreotide-Gi1/β1/γ2 7YAC-SST2-Paltusotine-Gi1/β1/γ2
11.54Consensussst2_on_gpOrthosteric Ligand7WIC-SST2-Somatostatin-14-Gi1/β1/γ2 7WIG-SST2-L-054264-Gi1/β1/γ2 7YAE-SST2-Octreotide-Gi1/β1/γ2 7YAC-SST2-Paltusotine-Gi1/β1/γ2
11.43Single8HBDIRL16208HBD-ETB-IRL1620-Gi1/β1/γ2
11.43Consensusmelanocortin_onOrthosteric Ligandmc1_on mc4_on mc2_on mc3_on mc5_on
11.43Consensusmelanocortin_on_gpOrthosteric Ligandmc1_on_gp mc4_on_gp mc2_on_gp mc3_on_gp mc5_on_gp
11.11Single4XT1CX3CL14XT1-US28-CX3CL1
11.11Single6RZ8ONO-20803656RZ8-CysLT2-ONO-2080365
11.11Single7F8XNN90567F8X-CCKA-NN9056
11.11Single7QA8Antagonist Peptide7QA8-STE2; STE2-Antagonist Peptide
11.11Single7QA8Antagonist Peptide7QA8-STE2; STE2-Antagonist Peptide
11.11Single7WICSomatostatin-147WIC-SST2-Somatostatin-14-Gi1/β1/γ2
11.11Single8F7XNociceptin8F7X-NOP-Nociceptin-Gi1/β1/γ2
11.11Single8IEIPubChem 1347468948IEI-GPR156; GPR156-PubChem 134746894
11.11Single8IEIPubChem 1347468948IEI-GPR156; GPR156-PubChem 134746894
11.11Single8IEPPubChem 1347468948IEP-GPR156; GPR156-PubChem 134746894
11.11Single8IEPPubChem 1347468948IEP-GPR156; GPR156-PubChem 134746894
11.11Single8IZBLysophosphatidylserine (UBL)8IZB-GPR174-Lysophosphatidylserine (UBL)-Gs/β1/γ2
11.11Single8J21Butyric acid8J21-FFA3-Butyric acid-Gi1/β1/γ2
11.11Single8J24Acetic acid8J24-FFA2-Acetic acid-Gi1/β1/γ2
11.11Single8K3ZCXCL128K3Z-CXCR4-CXCL12-Gi1/β1/γ1
11.11Single8U4OCXCL128U4O-CXCR4-CXCL12-Gi1/β1/γ2
11.11Single8WKYPG-9348WKY-MC4-PG-934
11.11Single8X9UMetenolone8X9U-ADGRD1-Metenolone-chim(NtGi1-Gs)/β1/γ2
11.11Single8XGMChemerin8XGM-CML2-Chemerin-Gi1/β1/γ2
11.11Single8ZCJPasireotide8ZCJ-SST5-Pasireotide-Gi1/β1/γ1
11.11Single8ZJDKisspeptin-18ZJD-Kiss1-Kisspeptin-1-chim(NtGi1-Gq)/β1/γ1
11.11Single9BUECagrilintide9BUE-CT-Cagrilintide-Gs/β1/γ2
11.11Single9HB3Mambaquaretin-19HB3-V2-Mambaquaretin-1
11.11Single9IJRC179IJR-GPR52-C17-Arrestin2
11.11Single9JG1Adriforant9JG1-H4-Adriforant
11.11Single9JHJC18:0 Ceramide9JHJ-FPR2-ALX-C18:0 Ceramide-Gi1/β1/γ2
11.11Single9KT93,5-DHBA9KT9-HCA1-3,5-DHBA-Gi1/β1/γ2
11.11Single9L3YChemerin9L3Y-CML2-Chemerin-Gi1/β1/γ2
11.11Single9MEJGp1209MEJ-CXCR4-Gp120
11.11Single9UMRC5a-pep9UMR-C5a1-C5a-pep-Go/β1/γ2
11.11Consensusffa3_onOrthosteric Ligand8J21-FFA3-Butyric acid-Gi1/β1/γ2
11.11Consensusffa3_on_gpOrthosteric Ligand8J21-FFA3-Butyric acid-Gi1/β1/γ2
11.11Consensusgq_kisspeptinOrthosteric Ligand8ZJD-Kiss1-Kisspeptin-1-chim(NtGi1-Gq)/β1/γ1
11.11Consensuskiss1_on_gpOrthosteric Ligand8ZJD-Kiss1-Kisspeptin-1-chim(NtGi1-Gq)/β1/γ1
11.11Consensuskisspeptin_on_gpOrthosteric Ligandkiss1_on_gp
11.11Consensusmc4_onOrthosteric Ligand7AUE-MC4-Setmelanotide-chim(NtGi1L-Gs)/β1/γ2 7F58-MC4-THIQ-Gs/β1/γ2 7F54-MC4-Afamelanotide-Gs/β1/γ2 7F53-MC4-α-MSH-Gs/β1/γ2 7F55-MC4-Bremelanotide-Gs/β1/γ2
11.11Consensusnk3_onOrthosteric Ligand8JBF-NK3-Senktide-chim(NtGi1-Gs-CtGq)/β1/γ2
11.11Consensusnk3_on_gpOrthosteric Ligand8JBF-NK3-Senktide-chim(NtGi1-Gs-CtGq)/β1/γ2
11.11Consensusnop_onOrthosteric Ligand8F7X-NOP-Nociceptin-Gi1/β1/γ2
11.11Consensusnop_on_gpOrthosteric Ligand8F7X-NOP-Nociceptin-Gi1/β1/γ2
11.11Consensussomatostatin_offOrthosteric Ligandsst2_off
11.11Consensussst5_onOrthosteric Ligand8X8L-SST5-Cortistatin-14-chim(NtGi1-Gs-CtGi1)/β1/γ2 8X8N-SST5-Octreotide-chim(NtGi1-Gs-CtGi1)/β1/γ2
10.81Single8JITMEDI03828JIT-Glucagon-MEDI0382-Gs/β1/γ2
10.81Single8JIUSAR4258998JIU-Glucagon-SAR425899-Gs/β1/γ2
10.71Single7C6A(Sar1,Ile8)-Angiotensin II7C6A-AT2-(Sar1,Ile8)-Angiotensin II
10.71Single7EZKCholecystokinin-87EZK-CCKA-Cholecystokinin-8-chim(NtGi1-Gs)/β1/γ2
10.71Single7F1QCCL37F1Q-CCR5-CCL3-Gi1/β1/γ2
10.71Single7SK5CXCL127SK5-ACKR3-CXCL12
10.71Single7TRYUrocortin7TRY-CRF2-Urocortin-chim(NtGi1-G11)/β1/γ2
10.71Single7WJ5Somatostatin-147WJ5-SST2-Somatostatin-14-Gi1/β1/γ2
10.71Single7XMSSomatostatin-147XMS-SST4-Somatostatin-14-Gi1/β1/γ2
10.71Single7XNACYN1548067XNA-SST2-CYN154806
10.71Single8F7QBeta-Endorphin8F7Q-μ-β-Endorphin-Gi1/β1/γ2
10.71Single8IEBPubChem 1347468948IEB-GPR156; GPR156-PubChem 134746894
10.71Single8WSSMCH8WSS-MCH1-MCH-Gi1/β1/γ1
10.71Single8XYDPlatelet Activating Factor8XYD-PAF-Platelet Activating Factor-Gi1/β1/γ2
10.71Single8Z7JJN241-98Z7J-Apelin-JN241-9-Gi1/β1/γ2
10.71Single9IK8Pasireotide9IK8-SST1-Pasireotide-Gi1/β1/γ2
10.71Single9IQRMuscarinic toxin 39IQR-α2a-Muscarinic toxin 3
10.71Single9IQVMuscarinic toxin 39IQV-Alpha1A-Muscarinic toxin 3
10.71Single9JFK(Pen5)-Urotensin II9JFK-UT-(Pen5)-Urotensin II-chim(NtGi2L-Gs-CtGq)/β1/γ2
10.71Single9KV6TLQP219KV6-C3aB-TLQP21-Go/β1/γ2
10.71Single9L60Dynorphin9L60-κ-Dynorphin-MPAM-15-Gi1/β1/γ2
10.71Single9UMXEP549UMX-C5a1-EP54-Go/β1/γ2
10.71Consensusccr8_on_gpOrthosteric Ligand8KFX-CCR8-LMD-009-Gi1/β1/γ2 8KFY-CCR8-ZK-756326-Gi1/β1/γ2 8U1U-CCR8-CCL1-Gi1/β1/γ2
10.71Consensusghrelin_onOrthosteric Ligand7NA7-Ghrelin-Ghrelin-Gi1/β1/γ2 7F9Z-Ghrelin-GHRP-6-chim(NtGi1-Gs-CtGq)/β1/γ2 7NA8-Ghrelin-Ibutamoren-Gi1/β1/γ2
10.71Consensusghrelin_on_gpOrthosteric Ligand7NA7-Ghrelin-Ghrelin-Gi1/β1/γ2 7F9Z-Ghrelin-GHRP-6-chim(NtGi1-Gs-CtGq)/β1/γ2 7NA8-Ghrelin-Ibutamoren-Gi1/β1/γ2
10.71Consensusmc4_on_gpOrthosteric Ligand7AUE-MC4-Setmelanotide-chim(NtGi1L-Gs)/β1/γ2 7F58-MC4-THIQ-Gs/β1/γ2 7F54-MC4-Afamelanotide-Gs/β1/γ2 7F53-MC4-α-MSH-Gs/β1/γ2 7F55-MC4-Bremelanotide-Gs/β1/γ2
10.71Consensusmc5_onOrthosteric Ligand8INR-MC5-α-MSH-Ca-chim(NtGi1-Gs)/β1/γ2 8IOD-MC5-PG-901-Ca-chim(NtGi1-Gs)/β1/γ2
10.71Consensussst2_offOrthosteric Ligand7XNA-SST2-CYN154806
10.53Single3OE9IT1t3OE9-CXCR4-IT1t
10.53Single5L7IVismodegib5L7I-SMO-Vismodegib
10.53Single6LI0C176LI0-GPR52-C17
10.53Single6TQ4PubChem 160468446TQ4-OX1-PubChem 16046844-Na
10.53Single7D76Beclomethasone7D76-ADGRG3-Beclomethasone-Go/β1/γ2
10.53Single7E2YSerotonin7E2Y-5-HT1A-Serotonin-PtdIns4P-Gi1/β1/γ2
10.53Single7T96LY21196207T96-M2-Acetylcholine-LY2119620-Go/β1/γ2
10.53Single7XKFDehydroepiandrosterone7XKF-ADGRG2-Dehydroepiandrosterone-Gs/β1/γ2
10.53Single7XP6Strychnine7XP6-TAS2R46-Strychnine-chim(Gs-CtGt3)/β1/γ2
10.53Single8IHIAcifran8IHI-HCA2-Acifran-Gi1/β1/γ2
10.53Single8JILNiacin8JIL-HCA2-Niacin-Gi1/β1/γ2
10.53Single8U4RREGN7663-Fab8U4R-CXCR4-REGN7663-Fab
10.53Single8YKWSuccinic acid8YKW-Succinate-Succinic acid-Gi1/β1/γ1
10.53Single8ZX5AM2518ZX5-GPR55-AM251-chim(NtGi1-G13)/β1/γ2
10.53Single9IQTNiacin9IQT-HCA2-Niacin-Gi1/β1/γ2
10.53Single9IZDCHBA9IZD-HCA1-CHBA-Gi1/β1/γ2
10.53Single9JLCAVE 09919JLC-MAS1-AVE 0991-Gi1/β1/γ2
10.53Single9LMPNE52-QQ579LMP-GPR4-NE52-QQ57
10.53Consensusgluc_onOrthosteric Ligand6LMK-Glucagon-Glucagon-Gs/β1/γ2 8JIT-Glucagon-MEDI0382-Gs/β1/γ2 7V35-Glucagon-Peptide-20-Gs/β1/γ2
10.34Single6MEOGp160; CD46MEO-CCR5-Gp160; CD4
10.34Single6W25SHU91196W25-MC4-SHU9119-Ca
10.34Single7MBXCholecystokinin-87MBX-CCKA-Cholecystokinin-8-Gs/β1/γ1
10.34Single7O7F6P4-CCL57O7F-CCR5-6P4-CCL5-Gi1/β1/γ1
10.34Single7RYCOxytocin7RYC-OT-Oxytocin-chim(NtGi2L-Gs-CtGq)/β1/γ2
10.34Single7XA3CCL27XA3-CCR2-CCL2-Gi1/β1/γ2
10.34Single8XZGApelin-138XZG-Apelin; Apelin-Apelin-13-Gi1/β1/γ2
10.34Single8XZHMM078XZH-Apelin; Apelin-MM07-Gi1/β1/γ2
10.34Single8YFOAc-LA-PTH Analog8YFO-PTH1-Ac-LA-PTH Analog-chim(NtGi1-Gs)/β1/γ2
10.34Single9IVMGLP-1 (Truncated)9IVM-GLP-1-GLP-1 (Truncated)-LSN3318839-chim(NtGi1-Gs)/β2/γ2
10.34Single9M1ONeuropeptide-FF9M1O-NPFF2-Neuropeptide-FF-Gi1/β1/γ2
10.34Consensusccr2_onOrthosteric Ligand7XA3-CCR2-CCL2-Gi1/β1/γ2
10.34Consensusccr2_on_gpOrthosteric Ligand7XA3-CCR2-CCL2-Gi1/β1/γ2
10.34Consensusccr_onOrthosteric Ligandccr6_on ccr8_on ccr2_on ccr1_on ccr5_on
10.34Consensusgs_cckOrthosteric Ligand7MBX-CCKA-Cholecystokinin-8-Gs/β1/γ1
10.26Consensusgluc_on_gpOrthosteric Ligand6LMK-Glucagon-Glucagon-Gs/β1/γ2 8JIT-Glucagon-MEDI0382-Gs/β1/γ2 7V35-Glucagon-Peptide-20-Gs/β1/γ2
10.26Consensusmc2_onOrthosteric Ligand8GY7-MC2-Corticotropin-Ca-chim(NtGi1-Gs)/β1/γ2; MRAP1
10.26Consensusmc2_on_gpOrthosteric Ligand8GY7-MC2-Corticotropin-Ca-chim(NtGi1-Gs)/β1/γ2; MRAP1
10.00Single4K5YCP-3763954K5Y-CRF1-CP-376395
10.00Single4S0VSuvorexant4S0V-OX2-Suvorexant
10.00Single5WS3EMPA5WS3-OX2-EMPA
10.00Single6C1QNDT95137276C1Q-C5a1-PMX53-NDT9513727
10.00Single6METGp160; CD46MET-CCR5-Gp160; CD4
10.00Single6TPJSuvorexant6TPJ-OX2-Suvorexant
10.00Single6TQ6PubChem 1457142836TQ6-OX1-PubChem 145714283
10.00Single7BR3Elagolix7BR3-GnRH1-Elagolix
10.00Single7F4HAfamelanotide7F4H-MC1-Afamelanotide-chim(NtGi1-Gs)/β1/γ2
10.00Single7F8ULintitript7F8U-CCKA-Lintitript
10.00Single7FINPeptide-20; GGL7FIN-GIP-Peptide-20; GGL-Gs/β1/γ2
10.00Single7W0MPubChem 1227019087W0M-Apelin-PubChem 122701908-Gi1/β1/γ2
10.00Single7W0OElabela7W0O-Apelin-Elabela-Gi1/β1/γ2
10.00Single7WF7S1P7WF7-S1P1-S1P-Gi1/β1/γ2
10.00Single7XK8Neuromedin-U-257XK8-NMUR2-Neuromedin-U-25-Gi1/β1/γ2
10.00Single7XRRLemborexant7XRR-OX2-Lemborexant
10.00Single7YONPeptide-YY(3-36)7YON-Y2-Peptide-YY(3-36)-Gi1/β1/γ2
10.00Single8DWGML3828DWG-MRGPRX1-BAM8-22-ML382-chim(NtGi2L-Gs-CtGq)/β1/γ2
10.00Single8HMPC178HMP-GPR52-C17-Gs/β1/γ2
10.00Single8T3SButyric acid8T3S-FFA2-Butyric acid-chim(NtGi2L-Gs-CtGq)/β1/γ2
10.00Single8UTDMK19038UTD-HCA2-MK1903-Gi1/β1/γ2
10.00Single8WSTMCH8WST-MCH2-MCH-chim(NtGi1L-Gs-CtGq)/β1/γ2
10.00Single8XXVIndomethacin8XXV-DP2-Indomethacin-A1D5Q-Gi1/β1/γ2
10.00Single8XZJWN3538XZJ-Apelin; Apelin-WN353-Gi1/β1/γ2
10.00Single8YW5Retatrutide8YW5-Glucagon-Retatrutide-Gs/β1/γ2
10.00Single9JKXAcifran9JKX-HCA3-Acifran-Gi1/β1/γ2
10.00Single9K6LSalicin9K6L-TAS2R16-Salicin-Gi2/β1/γ2
10.00Single9KPESalicin9KPE-TAS2R16-Salicin-Gi1/β1/γ2
10.00Single9LKDPL459LKD-OR5V1-PL45
10.00Consensuscxcr1_onOrthosteric Ligand8IC0-CXCR1-CXCL8-Gi1/β1/γ2
10.00Consensusgnrh1_offOrthosteric Ligand7BR3-GnRH1-Elagolix
10.00Consensusmc5_on_gpOrthosteric Ligand8INR-MC5-α-MSH-Ca-chim(NtGi1-Gs)/β1/γ2 8IOD-MC5-PG-901-Ca-chim(NtGi1-Gs)/β1/γ2
10.00Consensusox1_offOrthosteric Ligand6TP6-OX1-Filorexant 6TP4-OX1-ACT-462206 6V9S-OX1-GTPL11403 6TOT-OX1-Lemborexant 6TP3-OX1-Nemorexant 6TQ6-OX1-PubChem 145714283 6TQ9-OX1-SB-408124 4ZJC-OX1-SB-674042 4ZJ8-OX1-Suvorexant 6TOD-OX1-EMPA-Na 6TOS-OX1-GSK1059865-Na 6TQ4-OX1-PubChem 16046844-Na
9.68Single5YQZNNC17025YQZ-Glucagon-NNC1702
9.68Single7F9YGhrelin7F9Y-Ghrelin-Ghrelin-chim(NtGi1-Gs-CtGq)/β1/γ2
9.68Single7QBIAlpha-factor mating pheromone7QBI-STE2; STE2-α-factor mating pheromone
9.68Single8HCQEndothelin-18HCQ-ETA-Endothelin-1-chim(NtGi1-Gs-CtGq)/β1/γ2
9.68Single8HNKCXCL118HNK-CXCR3-CXCL11-Gi1/β1/γ2
9.68Single8IA2C5a8IA2-C5a1-C5a-Go/β1/γ2
9.68Single8IODPG-9018IOD-MC5-PG-901-Ca-chim(NtGi1-Gs)/β1/γ2
9.68Single8XVIEndothelin-18XVI-ETA-Endothelin-1-chim(Gs-CtGq)/β1/γ2
9.68Single9JFYNeuropeptide-SF9JFY-NPFF2-Neuropeptide-SF-Gi1/β1/γ2
9.68Consensusccr_on_gpOrthosteric Ligandccr6_on_gp ccr8_on_gp ccr2_on_gp ccr1_on_gp ccr5_on_gp
9.68Consensuseta_onOrthosteric Ligand8HCQ-ETA-Endothelin-1-chim(NtGi1-Gs-CtGq)/β1/γ2
9.68Consensuseta_on_gpOrthosteric Ligand8HCQ-ETA-Endothelin-1-chim(NtGi1-Gs-CtGq)/β1/γ2
9.52Single6IQLL7458706IQL-D4-L745870
9.52Single6PT0WIN 55212-26PT0-CB2-WIN 55212-2-Gi1/β1/γ2
9.52Single6TOSGSK10598656TOS-OX1-GSK1059865-Na
9.52Single6TP3Nemorexant6TP3-OX1-Nemorexant
9.52Single6U1NLY21196206U1N-M2-LY2119620-Arrestin2
9.52Single6WJCMuscarinic toxin 76WJC-M1-Atropine-Muscarinic toxin 7
9.52Single7C2EPubChem 1490507997C2E-GLP-1-PubChem 149050799-Gs/β1/γ2
9.52Single7T94LY21196207T94-M2-Acetylcholine-LY2119620-chim(NtGi1-Go)/β1/γ2
9.52Single7XXH2MeSADP7XXH-P2Y1-2MeSADP-chim(NtGi1-G11)/β1/γ2
9.52Single7YK6PubChem 1383196747YK6-RXFP4-PubChem 138319674-Gi2/β1/γ2
9.52Single8H4LDoconexent8H4L-FFA4-Doconexent-chim(NtGi1-Gs-CtGq)/β1/γ2
9.52Single8IHKAcifran8IHK-HCA3-Acifran
9.52Single8JEIPubChem 117155568JEI-HCAR3-PubChem 11715556-Gi1/β1/γ2
9.52Single8K4SDCA-3P8K4S-MRGPRX4-DCA-3P-chim(NtGi1L-Gs-CtGq)/β1/γ2
9.52Single8K9LDAMGO8K9L-μ-DAMGO-BMS-986122-Gi3/β1/γ1
9.52Single8Y6YGLPG09748Y6Y-FFA2-GLPG0974
9.52Single8ZPMAMD0708ZPM-CXCR4-AMD070
9.52Single9EPQ11,20-Ethanoretinal9EPQ-Rhodopsin-11,20-Ethanoretinal-chim(Gi1-CtGq)/β1/γ2
9.52Single9IXXLTD49IXX-CysLT2-LTD4-chim(NtGi1-Gs-CtGq)/β1/γ2
9.52Single9JFUNE52-QQ579JFU-GPR4-NE52-QQ57
9.52Single9K1DButyric acid9K1D-FFA2-Butyric acid-Gi1/β1/γ2
9.52Single9LKBPL459LKB-OR5V1-PL45-chim(NtGi1-Gs)/β1
9.52Single9M2FNeuropeptide-FF9M2F-NPFF1-Neuropeptide-FF-Gi1/β1/γ2
9.52Consensuscb1_offOrthosteric Ligand5U09-CB1-Taranabant 5TGZ-CB1-AM6538
9.52Consensusgrh_offOrthosteric Ligandgnrh1_off
9.52Consensusnop_offOrthosteric Ligand4EA3-NOP-PubChem 10296561 5DHG-NOP-C-35 5DHH-NOP-SB-612111
9.52Consensusp2y1_on_gpOrthosteric Ligand7XXH-P2Y1-2MeSADP-chim(NtGi1-G11)/β1/γ2
9.38Single5UIW5P7-CCL55UIW-CCR5-5P7-CCL5
9.38Single7QBIAlpha-factor mating pheromone7QBI-STE2; STE2-α-factor mating pheromone
9.38Single7SK4CXCL12_LRHQ7SK4-ACKR3-CXCL12_LRHQ
9.38Single8H0PNMB308H0P-BB1-NMB30-chim(NtGi1-Gs-CtGq)/β1/γ2
9.38Single8XQFApelin-138XQF-Apelin-Apelin-13-Gi1/β1/γ2
9.38Consensusccr5_offOrthosteric Ligand5UIW-CCR5-5P7-CCL5
9.09Single4QIMANTA XV4QIM-SMO-ANTA XV
9.09Single4Z9GCP-3763954Z9G-CRF1-CP-376395
9.09Single5DHGC-355DHG-NOP-C-35
9.09Single5NX2GLP-1 (Truncated)5NX2-GLP-1-GLP-1 (Truncated)
9.09Single6IIVDaltroban6IIV-TXA2-Daltroban
9.09Single6KPFAM120336KPF-CB2-AM12033-Gi1/β1/γ2
9.09Single6X1ADanuglipron6X1A-GLP-1-Danuglipron-Gs/β1/γ2
9.09Single6Z10PubChem 1545855546Z10-Succinate-PubChem 154585554
9.09Single7F83PF-051904577F83-Ghrelin-PF-05190457
9.09Single7LCKDanuglipron7LCK-GLP-1-Danuglipron
9.09Single7PP1Selatogrel7PP1-P2Y12-Selatogrel
9.09Single7QBCAlpha-factor mating pheromone7QBC-STE2; STE2-α-factor mating pheromone
9.09Single7TRQVU04671547TRQ-M4-Iperoxo-VU0467154-Gi1/β1/γ2
9.09Single7V3ZCP559407V3Z-CB1-CP55940
9.09Single7YK7DC5910537YK7-RXFP4-DC591053-Gi2/β1/γ2
9.09Single7YXAONO-54306087YXA-S1P5-ONO-5430608
9.09Single8EJKTAK-8758EJK-FFA1-TAK-875-chim(NtGi1L-Gs-CtGq)/β1/γ2
9.09Single8GTIBMK-C2058GTI-CRF1-BMK-C205
9.09Single8IC0CXCL88IC0-CXCR1-CXCL8-Gi1/β1/γ2
9.09Single8KFYZK-7563268KFY-CCR8-ZK-756326-Gi1/β1/γ2
9.09Single8W8WAlpha-MSH8W8W-MC3-α-MSH-Ca-Gs/β1/γ2
9.09Single8XJLPGF2-alpha8XJL-FP-alpha-PGF2-α-chim(NtGi2-Gs-CtGq)/β1/γ2
9.09Consensuscxcr1_on_gpOrthosteric Ligand8IC0-CXCR1-CXCL8-Gi1/β1/γ2
9.09Consensuslipid_offOrthosteric Ligandcannabinoid_off paf_off lpl_off prostanoid_off leukotriene_off
8.89Single8GY7Corticotropin8GY7-MC2-Corticotropin-Ca-chim(NtGi1-Gs)/β1/γ2; MRAP1
8.82Single7QBCAlpha-factor mating pheromone7QBC-STE2; STE2-α-factor mating pheromone
8.82Consensusgs_melanocortinOrthosteric Ligand7F4H-MC1-Afamelanotide-chim(NtGi1-Gs)/β1/γ2 7F54-MC4-Afamelanotide-Gs/β1/γ2 7F4D-MC1-α-MSH-chim(NtGi1-Gs)/β1/γ2 8INR-MC5-α-MSH-Ca-chim(NtGi1-Gs)/β1/γ2 7F53-MC4-α-MSH-Gs/β1/γ2 7F55-MC4-Bremelanotide-Gs/β1/γ2 8GY7-MC2-Corticotropin-Ca-chim(NtGi1-Gs)/β1/γ2; MRAP1 8IOC-MC3-γ-MSH-Ca-chim(NtGi1-Gs)/β1/γ2 8IOD-MC5-PG-901-Ca-chim(NtGi1-Gs)/β1/γ2 7AUE-MC4-Setmelanotide-chim(NtGi1L-Gs)/β1/γ2 7F4I-MC1-SHU9119-chim(NtGi1-Gs)/β1/γ2 7F58-MC4-THIQ-Gs/β1/γ2
8.70Single5YHLPubChem 1351213525YHL-EP4-PubChem 135121352
8.70Single5YWYONO-AE3-2085YWY-EP4-ONO-AE3-208
8.70Single6KPCAM120336KPC-CB2-AM12033
8.70Single6LFMCXCL86LFM-CXCR2-CXCL8-Gi1/β1/γ2
8.70Single6M9TMisoprostol-FA6M9T-EP3-Misoprostol-FA
8.70Single8GDCPGE28GDC-EP3-PGE2-Gi1/β1/γ2
8.70Single8GTGBMK-I1528GTG-CRF1-BMK-I152
8.70Single8K8JFenofibrate8K8J-CB1-Fenofibrate-chim(Gs-CtGq)/β1/γ2
8.70Single8XQPCholesterol8XQP-TAS2R14-Cholesterol-Aristolochic acid A-Gt3/β1/γ1
8.70Single9EAHNanobody AT2099EAH-AT1-Olmesartan-Nanobody AT209
8.70Single9ERXD9-THC analog9ERX-CB1-D9-THC analog-Gi1/β1/γ2
8.70Consensuscxcr2_on_gpOrthosteric Ligand6LFM-CXCR2-CXCL8-Gi1/β1/γ2
8.70Consensuscyslt_offOrthosteric Ligandcyslt2_off cyslt1_off
8.70Consensusep4_offOrthosteric Ligand5YWY-EP4-ONO-AE3-208 5YHL-EP4-PubChem 135121352
8.70Consensusep_offOrthosteric Ligandep4_off
8.70Consensusrxfp4_onOrthosteric Ligand7YK7-RXFP4-DC591053-Gi2/β1/γ2 7YJ4-RXFP4-INSL5-Gi2/β1/γ2 7YK6-RXFP4-PubChem 138319674-Gi2/β1/γ2
8.70Consensusrxfp4_on_gpOrthosteric Ligand7YK7-RXFP4-DC591053-Gi2/β1/γ2 7YJ4-RXFP4-INSL5-Gi2/β1/γ2 7YK6-RXFP4-PubChem 138319674-Gi2/β1/γ2
8.70Consensuss1p5_offOrthosteric Ligand7YXA-S1P5-ONO-5430608
8.57Single8U1UCCL18U1U-CCR8-CCL1-Gi1/β1/γ2
8.57Consensusgi_npyOrthosteric Ligand8K6M-Y1-Neuropeptide-Y-Gi2/β1/γ1 7X9C-Y4-Pancreatic Hormone-Gi1/β1/γ2 7YOO-Y2-Neuropeptide-Y-Gi1/β1/γ2
8.57Consensusnpy_onOrthosteric Ligandnpy1_on npy2_on npy4_on
8.57Consensusnpy_on_gpOrthosteric Ligandnpy1_on_gp npy2_on_gp npy4_on_gp
8.33Single5XRAAM115425XRA-CB1-AM11542
8.33Single6OS1TRV0266OS1-AT1-TRV026
8.33Single7R0CAVP7R0C-V2-AVP-Arrestin2
8.33Single7SK6CXCL12_LRHQ7SK6-ACKR3-CXCL12_LRHQ
8.33Single7VBHPeptide-207VBH-GLP-1-Peptide-20-Gs/β1/γ2
8.33Single7WV9CP559407WV9-CB1-CP55940-ZCZ011-Gi2/β1/γ2
8.33Single7XWONeurokinin-A7XWO-NK2-Neurokinin-A-chim(NtGi1-Gs-CtGq)/β1/γ2
8.33Single7Y67C089 peptide7Y67-C5a1-C089 peptide-Gi1/β1/γ2
8.33Single8GDBPGE28GDB-EP4-PGE2-Gs/β1/γ2
8.33Single8GUSHU-3088GUS-CB2-HU-308-Gi1/β1/γ2
8.33Single8JSRAnamorelin8JSR-Ghrelin-Anamorelin-chim(NtGi1-Gs-CtGq)/β1/γ2
8.33Single8WJXADP8WJX-P2Y1-ADP-chim(Gs-CtGq)/β1/γ2
8.33Single8X79MRE-2698X79-I2-MRE-269-Gs/β1/γ2
8.33Single8ZW0PGD28ZW0-DP1-PGD2-Gs/β1/γ2
8.33Single9ASTLymphotactin9AST-XCR1-Lymphotactin-Gi1/β1/γ2
8.33Single9CLWTUG-13759CLW-FFA2-TUG-1375-4-CMTB-chim(NtGi1L-Gs-CtGq)/β1/γ2
8.33Single9E9SPGD29E9S-DP1-PGD2-Gs/β1/γ1
8.33Single9EGOZ85267113509EGO-CB1-Z8526711350-Gi1/β1/γ2
8.33Single9ITELPA9ITE-LPA6-LPA-chim(NtGi2-G13)/β1/γ2
8.33Single9MENGp120 (V3 loop)9MEN-CXCR4-Gp120 (V3 loop)
8.33Single9UY3Anamorelin9UY3-Ghrelin-Anamorelin-chim(NtGi1-Gs-CtGq)/β1/γ2
8.33Consensusffa_onOrthosteric Ligandffa2_on ffa3_on
8.33Consensusffa_on_gpOrthosteric Ligandffa2_on_gp ffa3_on_gp
8.33Consensusgi_ffaOrthosteric Ligand8J21-FFA3-Butyric acid-Gi1/β1/γ2 8J22-FFA2-TUG-1375-Gi1/β1/γ2
8.33Consensusgi_relaxinOrthosteric Ligand7YK7-RXFP4-DC591053-Gi2/β1/γ2 7YJ4-RXFP4-INSL5-Gi2/β1/γ2 7YK6-RXFP4-PubChem 138319674-Gi2/β1/γ2
8.33Consensusnk2_on_gpOrthosteric Ligand7XWO-NK2-Neurokinin-A-chim(NtGi1-Gs-CtGq)/β1/γ2
8.33Consensusnpy1_offOrthosteric Ligand5ZBH-Y1-BMS-193885 5ZBQ-Y1-UR-MK-299
8.33Consensusnpy_offOrthosteric Ligandnpy1_off npy2_off
8.33Consensusp2y12_onOrthosteric Ligand7XXI-P2Y12-2MeSADP-Gi2/β1/γ2
8.33Consensusrelaxin_onOrthosteric Ligandrxfp4_on
8.33Consensusrelaxin_on_gpOrthosteric Ligandrxfp4_on_gp
8.00Single6IIURamatroban6IIU-TXA2-Ramatroban
8.00Single6RZ7ONO-25703666RZ7-CysLT2-ONO-2570366
8.00Single7F55Bremelanotide7F55-MC4-Bremelanotide-Gs/β1/γ2
8.00Single7L1UOrexin7L1U-OX2-Orexin-chim(NtGi1-Gs-CtGq)/β1/γ2
8.00Single7XW6ML1097XW6-TSH-M22 Fab-ML109-Gs/β1/γ2
8.00Single7XXI2MeSADP7XXI-P2Y12-2MeSADP-Gi2/β1/γ2
8.00Single7Y66BM2137Y66-C5a1-BM213-Gi1/β1/γ2
8.00Single8GTMBMK-C2038GTM-CRF1-BMK-C203
8.00Single8U26Substance-P8U26-NK1-Substance-P-Gs/β1/γ2
8.00Single8XQNCholesterol8XQN-TAS2R14-Cholesterol-Aristolochic acid A-Gi1/β1/γ1
8.00Single8XQSCholesterol8XQS-TAS2R14-Cholesterol-Flufenamic acid-Gi1/β1/γ1
8.00Single8Y6WTUG-13758Y6W-FFA2-TUG-1375-4-CMTB-Gi1/β1/γ2
8.00Single9AU0BW245C9AU0-DP1-BW245C-Gs/β1/γ2
8.00Single9BJKPubChem 1716420669BJK-μ-Naloxone-PubChem 171642066
8.00Single9CM3TUG-13759CM3-FFA2-TUG-1375-PubChem 118615810-chim(NtGi1L-Gs-CtGq)/β1/γ2
8.00Single9ECJS-geranylgeranyl-L-glutathione9ECJ-P2Y8-S-geranylgeranyl-L-glutathione-G13/β1/γ2
8.00Single9VIFNeuropeptide-VF9VIF-NPFF1-Neuropeptide-VF-Gi1/β1/γ2
8.00Consensuscb1_onOrthosteric Ligand6KPG-CB1-AM841-Gi1/β1/γ2 8K8J-CB1-Fenofibrate-chim(Gs-CtGq)/β1/γ2
8.00Consensusgi_p2yOrthosteric Ligand7XXI-P2Y12-2MeSADP-Gi2/β1/γ2
8.00Consensusp2y12_on_gpOrthosteric Ligand7XXI-P2Y12-2MeSADP-Gi2/β1/γ2
7.89Single7X9ANeuropeptide-Y7X9A-Y1-Neuropeptide-Y-Gi1/β1/γ2
7.69Single4RWSvMIP-II4RWS-CXCR4-vMIP-II
7.69Single6M1HMaxadilan6M1H-PAC1-Maxadilan-Gs/β1/γ2
7.69Single6RZ9ONO-27703726RZ9-CysLT2-ONO-2770372
7.69Single7EZHCholecystokinin-87EZH-CCKA-Cholecystokinin-8-Gi1/β1/γ2
7.69Single7EZMCholecystokinin-87EZM-CCKA-Cholecystokinin-8-chim(NtGsL-Gq)/β1/γ2
7.69Single7P00Substance-P7P00-NK1-Substance-P-chim(NtGi1-Gs-CtGq)/β1/γ2
7.69Single7PIUSetmelanotide7PIU-MC4-Setmelanotide-Gs/β1/γ2
7.69Single7Y27Somatostatin-147Y27-SST2-Somatostatin-14-chim(NtGi2L-Gs-CtGq)/β1/γ2
7.69Single8HN1Toxin AdTx18HN1-Alpha1A-Toxin AdTx1
7.69Single8K4OCXCL18K4O-KSHV-CXCL1-Gi1/β1/γ1
7.69Single8XBES3E-Lysophosphatidylserine 8XBE-GPR34-S3E-Lysophosphatidylserine-Gi1/β1/γ1
7.69Single8ZPLHF511168ZPL-CXCR4-HF51116
7.69Single9J0BUDP-Glucose9J0B-P2Y14-UDP-Glucose-Gi1/β1/γ2
7.69Single9JH5C16:0 Ceramide9JH5-CysLT2-C16:0 Ceramide-chim(NtGi1-Gs-CtGq)/β1/γ2
7.69Single9UYHChemerin-99UYH-CML2-Chemerin-9-Arrestin2
7.69Single9VI9RFRP-39VI9-NPFF1-RFRP-3-Gi1/β1/γ2
7.69Consensusccka_onOrthosteric Ligand7EZH-CCKA-Cholecystokinin-8-Gi1/β1/γ2
7.69Consensusccka_on_gpOrthosteric Ligand7EZH-CCKA-Cholecystokinin-8-Gi1/β1/γ2
7.69Consensuscyslt2_offOrthosteric Ligand6RZ7-CysLT2-ONO-2570366 6RZ8-CysLT2-ONO-2080365 6RZ9-CysLT2-ONO-2770372
7.69Consensusnk1_onOrthosteric Ligand7P00-NK1-Substance-P-chim(NtGi1-Gs-CtGq)/β1/γ2
7.69Consensusnk1_on_gpOrthosteric Ligand7P00-NK1-Substance-P-chim(NtGi1-Gs-CtGq)/β1/γ2
7.41Single5VBLAMG3054 5VBL-Apelin-AMG3054
7.41Single6RZ6ONO-25703666RZ6-CysLT2-ONO-2570366
7.41Single7CX2PGE27CX2-EP2-PGE2-Gs/β1/γ2
7.41Single7RKNCX3CL17RKN-US28-CX3CL1-Gi1/β1/γ2
7.41Single7RMGSubstance-P7RMG-NK1-Substance-P-chim(Gs-CtGq)/β1/γ2
7.41Single7RMHSubstance-P7RMH-NK1-Substance-P-Gs/β1/γ2
7.41Single7XBXCX3CL17XBX-CX3CR1-CX3CL1-Gi1/β1/γ2
7.41Single8SAILysophosphatidylserine (S12)8SAI-GPR34-Lysophosphatidylserine (S12)-Gi1/β1/γ2
7.41Single8XQLCholesterol8XQL-TAS2R14-Cholesterol-Aristolochic acid A-Gt3/β1/γ1
7.41Single8XQOCholesterol8XQO-TAS2R14-Cholesterol-Aristolochic acid A-Gi1/β1/γ1
7.41Single8XX6CXCL88XX6-CXCR2-CXCL8-Go/β1/γ2
7.41Single9CM7TUG-13759CM7-FFA2-TUG-1375-AZ-1729-Gi1/β1/γ2
7.41Single9ITBLPA9ITB-LPA6-LPA-chim(NtGi1-Gs-CtGq)/β1/γ2
7.41Single9NS9TUG-13759NS9-FFA2-TUG-1375-PubChem 118615810-Gi1/β1/γ2
7.41Consensuscxcr4_offOrthosteric Ligand4RWS-CXCR4-vMIP-II 3OE0-CXCR4-CVX15 3OE6-CXCR4-IT1t
7.14Single6X19CHU-1286X19-GLP-1-CHU-128-Gs/β1/γ2
7.14Single7F54Afamelanotide7F54-MC4-Afamelanotide-Gs/β1/γ2
7.14Single7W53Neuromedin-U-257W53-NMUR1-Neuromedin-U-25-chim(NtGi1-Gs-CtGq)/β1/γ2
7.14Single7W56Neuromedin-S7W56-NMUR1-Neuromedin-S-chim(NtGi1-Gs-CtGq)/β1/γ2
7.14Single8KIGSHU91198KIG-MC3-SHU9119-Ca
7.14Single8XBHPubChem 1626566368XBH-GPR34-PubChem 162656636-Gi1/β1/γ2
7.14Single8XWNCXCL88XWN-CXCR2-CXCL8
7.14Single9BKJCholecystokinin-89BKJ-CCKA-Cholecystokinin-8-chim(NtGi1-Gs-CtGq)/β1/γ2
7.14Single9UYLChemerin-99UYL-CML2-Chemerin-9-Arrestin2
7.14Consensuschemokine_onOrthosteric Ligandccr_on cxcr_on
7.14Consensusnmur1_on_gpOrthosteric Ligand7W53-NMUR1-Neuromedin-U-25-chim(NtGi1-Gs-CtGq)/β1/γ2
6.90Single7E14Orforglipron7E14-GLP-1-Orforglipron-PubChem 156022738-Gs/β1/γ2
6.90Single7PIVAfamelanotide7PIV-MC4-Afamelanotide-Gs/β1/γ2
6.90Single7RMISubstance-P7RMI-NK1-Substance-P-chim(Gs-CtGq)/β1/γ2
6.90Single8IBVMotilin8IBV-Motilin-Motilin-chim(NtGi1-Gs-CtGq)/β1/γ2
6.90Single8JBHSubstance-P8JBH-NK3-Substance-P-chim(NtGi1-Gs-CtGq)/β1/γ2
6.90Single9J0FNADH9J0F-P2Y14-NADH-Gi1/β1/γ2
6.90Single9KFIRelaxin-39KFI-RXFP3-Relaxin-3-Gi2/β1/γ2
6.90Consensustachykinin_on_gpOrthosteric Ligandnk1_on_gp nk2_on_gp nk3_on_gp
6.67Single7F4DAlpha-MSH7F4D-MC1-α-MSH-chim(NtGi1-Gs)/β1/γ2
6.67Single8W8YGamma-MSH8W8Y-MC3-γ-MSH-Ca-Gs/β1/γ2
6.67Consensusmc3_onOrthosteric Ligand8IOC-MC3-γ-MSH-Ca-chim(NtGi1-Gs)/β1/γ2
6.67Consensusmc3_on_gpOrthosteric Ligand8IOC-MC3-γ-MSH-Ca-chim(NtGi1-Gs)/β1/γ2
6.45Single7AD3Alpha-factor mating pheromone7AD3-STE2; STE2-α-factor mating pheromone-Gi1/STE4/γ2
6.45Single7T10Somatostatin-147T10-SST2-Somatostatin-14-Gi3/β1/γ2
6.45Single7W57Neuromedin-S7W57-NMUR2-Neuromedin-S-chim(NtGi1-Gs-CtGq)/β1/γ2
6.45Consensustachykinin_onOrthosteric Ligandnk1_on nk2_on nk3_on
6.25Single7P02Substance-P7P02-NK1-Substance-P-chim(NtGi1-Gs)/β1/γ2
6.25Single7X9BNeuropeptide-Y7X9B-Y2-Neuropeptide-Y-Gi1/β1/γ2
6.25Single7X9CPancreatic Hormone7X9C-Y4-Pancreatic Hormone-Gi1/β1/γ2
6.25Single8WCBCyclohexylammonium Ion8WCB-TA1-Cyclohexylammonium Ion-chim(NtGi1-Gs-CtGq)/β1/γ2
6.06Single7SK3CXCL127SK3-ACKR3-CXCL12
6.06Consensusccr5_onOrthosteric Ligand7O7F-CCR5-6P4-CCL5-Gi1/β1/γ1 7F1Q-CCR5-CCL3-Gi1/β1/γ2
6.06Consensusnpy4_onOrthosteric Ligand7X9C-Y4-Pancreatic Hormone-Gi1/β1/γ2
6.06Consensusnpy4_on_gpOrthosteric Ligand7X9C-Y4-Pancreatic Hormone-Gi1/β1/γ2
5.88Single5XSZGlyceryl-mono-oleate5XSZ-LPA6-Glyceryl-mono-oleate
5.88Single7V68LY21196207V68-M4-Iperoxo-LY2119620-Gi1/β1/γ2
5.88Single7XKDDehydroepiandrosterone7XKD-ADGRG2-Dehydroepiandrosterone-Gs/β1/γ2
5.88Single8HQMNPGLY8HQM-GPR132-NPGLY-Gi1/β1/γ2
5.88Single8HVINOX-6-78HVI-GPR132-NOX-6-7-Gi1/β1/γ2
5.88Single8W8XBeta-MSH8W8X-MC3-β-MSH-Ca-Gs/β1/γ2
5.88Single9JIDNiacin9JID-HCA3-Niacin-Gi1/β1/γ2
5.56Single3OE8IT1t3OE8-CXCR4-IT1t
5.56Single6OT025(S)-Epoxycholesterol6OT0-SMO-25(S)-Epoxycholesterol-Gi1/β1/γ2
5.56Single6TQ9SB-4081246TQ9-OX1-SB-408124
5.26Single3OE6IT1t3OE6-CXCR4-IT1t
5.26Single6D32Cyclopamine6D32-SMO-Cyclopamine-Cyclopamine
5.26Single6OBAGTPL110746OBA-β2-Alprenolol-GTPL11074
5.26Single6PWCNeurotensin-(9-13)6PWC-NTS1-Neurotensin-(9-13)-Arrestin2
5.26Single7D77Hydrocortisone7D77-ADGRG3-Hydrocortisone-Go/β1/γ2
5.26Single7V6APubChem 98642757V6A-M4-PubChem 9864275-Gi1/β1/γ2
5.26Single8JEFPubChem 113671668JEF-HCA3-PubChem 11367166-Gi1/β1/γ2
5.26Single9JKT(2R)-2-hydroxy-3-phenylpropanoic acid9JKT-HCA3-(2R)-2-hydroxy-3-phenylpropanoic acid-Gi1/β1/γ2
5.26Single9MBCAZ122160529MBC-mGlu8; mGlu8-DCPG-AZ12216052
5.00Single4O9RCyclopamine4O9R-SMO-Cyclopamine
5.00Single6TP4ACT-4622066TP4-OX1-ACT-462206
5.00Single7CKZMevidalen7CKZ-D1-Dopamine-Mevidalen-Gs/β1/γ2
5.00Single7TRPLY20332987TRP-M4-Iperoxo-LY2033298-Gi1/β1/γ2
5.00Single8FX5Xanomeline8FX5-M4-Xanomeline-Xanomeline-Gi1/β1/γ2
5.00Single8HNNSCH5467388HNN-CXCR3-SCH546738
5.00Single8K9LBMS-9861228K9L-μ-DAMGO-BMS-986122-Gi3/β1/γ1
5.00Single8YKDDehydroepiandrosterone8YKD-ADGRG2-Dehydroepiandrosterone-chim(NtGi1-Gs)/β1/γ2
5.00Single9JCPLPC9JCP-GPR4-LPC-chim(NtGi1-Gs-CtGq)/β1/γ2
5.00Single9L3ZLRH7-C29L3Z-CML1-LRH7-C2
5.00Single9MBCAZ122160529MBC-mGlu8; mGlu8-DCPG-AZ12216052
5.00Consensusgq_nucleotideOrthosteric Ligandgq_p2y
5.00Consensusgq_p2yOrthosteric Ligand7XXH-P2Y1-2MeSADP-chim(NtGi1-G11)/β1/γ2
4.76Single3ODUIT1t3ODU-CXCR4-IT1t
4.76Single4MQTLY21196204MQT-M2-Iperoxo-LY2119620
4.76Single4QINSAG1.54QIN-SMO-SAG1.5
4.76Single5U09Taranabant5U09-CB1-Taranabant
4.76Single5ZKQABT-4915ZKQ-PAF-ABT-491
4.76Single6O3CSAG21k6O3C-SMO-SAG21k-Cholesterol
4.76Single6RNKNF-56-EJ406RNK-Succinate-NF-56-EJ40
4.76Single7LCJDanuglipron7LCJ-GLP-1-Danuglipron
4.76Single7X2CFenoldopam7X2C-D1-Fenoldopam-Fenoldopam-Gs/β1/γ2
4.76Single8T3VDoconexent8T3V-FFA1-Doconexent-chim(NtGi2L-Gs-CtGq)/β1/γ2
4.76Single8U4PAMD31008U4P-CXCR4-AMD3100-Gi1/β1/γ2
4.76Single8Y72BMS-9861228Y72-μ-Peptide-BMS-986122-Gi1/β1/γ2
4.76Single8YYWAlpha-ketoglutarate8YYW-Oxoglutarate-α-ketoglutarate-α-ketoglutarate-chim(Gi1-CtGq)/β1/γ2
4.76Single9JCQLPC9JCQ-GPR4-LPC-chim(NtGi1-Gs)/β1/γ2
4.76Single9KO2CCL199KO2-CCR7-CCL19-Gi1/β1
4.76Single9KO6CCL199KO6-CCR7-CCL19
4.76Consensusp2y1_onOrthosteric Ligand7XXH-P2Y1-2MeSADP-chim(NtGi1-G11)/β1/γ2
4.76Consensuspaf_offOrthosteric Ligand5ZKQ-PAF-ABT-491
4.55Single5O9HNDT95137275O9H-C5a1-NDT9513727
4.55Single6XBLSAG6XBL-SMO-SAG-Cholesterol-Gi1/β1/γ2
4.55Single7UTZDPPC7UTZ-TSH-TSH-DPPC-Gs/β1/γ2
4.55Single7XOVSR1461317XOV-CCKA-SR146131-Gs/β1/γ2
4.55Single7ZI0SAG7ZI0-SMO-SAG-Cholesterol
4.55Single8K4NPubChem 1687197658K4N-GPR34-PubChem 168719765-Gi1/β1/γ2
4.55Single8X7ATreprostinil8X7A-I2-Treprostinil-Gs/β1/γ2
4.55Single8ZPNAMD31008ZPN-CXCR4-AMD3100
4.55Single9DQJEP-39459DQJ-MRGPRD-EP-3945-chim(NtGi1-Gs-CtGq)/β1/γ2
4.55Single9KXSEP679KXS-C5a1-EP67-Go/β1/γ2
4.55Single9U80Conivaptan9U80-V2-Conivaptan
4.55Single9W33S5A19W33-SST5-S5A1
4.55Consensuscxcr2_onOrthosteric Ligand6LFM-CXCR2-CXCL8-Gi1/β1/γ2
4.35Single6C1RAvacopan; Na6C1R-C5a1-PMX53-Avacopan; Na
4.35Single7FIHOrg435537FIH-LH-hCG-Org43553-chim(NtGi1-Gs)/β1/γ2
4.35Single7LCIDanuglipron7LCI-GLP-1-Danuglipron-Gs/β1/γ2
4.35Single7NA8Ibutamoren7NA8-Ghrelin-Ibutamoren-Gi1/β1/γ2
4.35Single7S15PubChem 1346112237S15-GLP-1-PubChem 134611223
4.35Single8GCML-9026888GCM-EP4-L-902688-Gi1/β1/γ2
4.35Single8TH3AT118-H Nanobody8TH3-AT1-AT118-H Nanobody
4.35Single8XBGS3E-Lysophosphatidylserine 8XBG-GPR34-S3E-Lysophosphatidylserine
4.35Single8ZYYNeurotensin-(8-13)8ZYY-NTS1-Neurotensin-(8-13)-SBI-553-Arrestin2
4.35Single9IMATalquetamab9IMA-GPRC5D; GPRC5D-Talquetamab
4.35Single9JQZGrapiprant 9JQZ-EP4-Grapiprant
4.35Single9METGp120; CD49MET-CXCR4-Gp120; CD4
4.35Consensusalicarboxylic_offOrthosteric Ligandsuccinate_off
4.35Consensuscck_offOrthosteric Ligandccka_off
4.35Consensusccka_offOrthosteric Ligand7F8Y-CCKA-Devazepide 7F8U-CCKA-Lintitript
4.35Consensussuccinate_offOrthosteric Ligand6RNK-Succinate-NF-56-EJ40 6Z10-Succinate-PubChem 154585554
4.17Single5ZBQUR-MK-2995ZBQ-Y1-UR-MK-299
4.17Single6Z4QSR142948A6Z4Q-NTS1-SR142948A
4.17Single8IZ4Lysophosphatidylserine (TJR)8IZ4-GPR34-Lysophosphatidylserine (TJR)-Gi1/β1/γ2
4.17Single8TH4AT118-L Nanobody8TH4-AT1-Losartan-AT118-L Nanobody
4.17Single8YYXLeukotriene E48YYX-Oxoglutarate-Leukotriene E4-chim(Gi1-CtGq)/β1/γ2
4.17Single8ZVZBW245C8ZVZ-DP1-BW245C-Gs/β1/γ2
4.17Single8ZYTNeurotensin-(8-13)8ZYT-NTS1-Neurotensin-(8-13)-SBI-553-Arrestin2
4.17Single9CM7AZ-17299CM7-FFA2-TUG-1375-AZ-1729-Gi1/β1/γ2
4.17Single9DQHEP-28259DQH-MRGPRD-EP-2825-chim(NtGi1-Gs-CtGq)/β1/γ2
4.17Single9EE5ONO-25502899EE5-DP1-ONO-2550289
4.17Single9EKHONO-30302979EKH-DP1-ONO-3030297
4.17Single9KO4CCL219KO4-CCR7-CCL21-Gi1/β1/γ2
4.17Consensusadgrg2_onOrthosteric Ligand7WUI-ADGRG2-IP15-chim(NtGi1-Gs)/β1/γ2 7WUQ-ADGRG2-Gs/β1/γ2 7XKF-ADGRG2-Dehydroepiandrosterone-Gs/β1/γ2
4.17Consensusadgrg2_on_gpOrthosteric Ligand7WUI-ADGRG2-IP15-chim(NtGi1-Gs)/β1/γ2 7WUQ-ADGRG2-Gs/β1/γ2 7XKF-ADGRG2-Dehydroepiandrosterone-Gs/β1/γ2
4.00Single7XBDGalanin7XBD-GAL2-Galanin-chim(NtGi2L-Gs-CtGq)/β1/γ2
4.00Single7XJLSpexin7XJL-GAL2-Spexin-chim(NtGi2L-Gs-CtGq)/β1/γ2
4.00Single8FN1Neurotensin-(8-13)8FN1-NTS1-Neurotensin-(8-13)-chim(NtGi1-Go)/β1/γ2
4.00Single8JBGNeurokinin-B8JBG-NK3-Neurokinin-B-chim(NtGi1-Gs-CtGq)/β1/γ2
4.00Single8JD5JNJ-40411813; ADX881788JD5-mGlu2; mGlu4-Glutamate-JNJ-40411813; ADX88178-Gi1/β1/γ2
4.00Single8XBIPubChem 1626566368XBI-GPR34-PubChem 162656636
4.00Single8XQTCholesterol8XQT-TAS2R14-Cholesterol-Gi1/β1/γ1
4.00Single8XXVA1D5Q8XXV-DP2-Indomethacin-A1D5Q-Gi1/β1/γ2
4.00Single9JCLADP9JCL-P2Y1-ADP-chim(Gs-CtGq)/β1/γ2
4.00Single9L16CCL219L16-CCR7-CCL21
4.00Single9YDVMRS29059YDV-P2Y14-MRS2905-Gi1/β1/γ2
4.00Consensusmotilin_onOrthosteric Ligand8IBU-Motilin-Erythromycin-A-chim(NtGi1-Gs-CtGq)/β1/γ2
3.85Single3VW7Vorapaxar; Na3VW7-PAR1-Vorapaxar; Na
3.85Single4PXZ2MeSADP4PXZ-P2Y12-2MeSADP
3.85Single4PY02MeSATP4PY0-P2Y12-2MeSATP
3.85Single4XEENeurotensin-(8-13)4XEE-NTS1-Neurotensin-(8-13)
3.85Single4XESNeurotensin-(8-13)4XES-NTS1-Neurotensin-(8-13)
3.85Single6XOXOrforglipron6XOX-GLP-1-Orforglipron-chim(NtGi1-Gs)/β1/γ2
3.85Single6YVRNeurotensin-(6-13)6YVR-NTS1-Neurotensin-(6-13)
3.85Single7L0SNeurotensin-(8-13)7L0S-NTS1-Neurotensin-(8-13)-Gi1/β1/γ1
3.85Single8IBUErythromycin-A8IBU-Motilin-Erythromycin-A-chim(NtGi1-Gs-CtGq)/β1/γ2
3.85Single8JPCNeurotensin-(8-13)8JPC-NTS1-Neurotensin-(8-13)-SBI-553; GDP; Mg-Gq; GRK2
3.85Single8WRBLysophosphatidylserine (UBL)8WRB-GPR34-Lysophosphatidylserine (UBL)-Gi1/β1/γ2
3.85Single8XX3CXCL38XX3-CXCR2-CXCL3-Go/β1/γ2
3.85Single9W32SSTR5 antagonist 19W32-SST5-SSTR5 antagonist 1
3.85Single9YDUUDP-Glucose9YDU-P2Y14-UDP-Glucose-Gi1/β1/γ2
3.85Consensusgalanin_onOrthosteric Ligandgal2_on gal1_on
3.85Consensusgalanin_on_gpOrthosteric Ligandgal2_on_gp gal1_on_gp
3.85Consensusmotilin_on_gpOrthosteric Ligand8IBU-Motilin-Erythromycin-A-chim(NtGi1-Gs-CtGq)/β1/γ2
3.70Single4BUONeurotensin-(8-13)4BUO-NTS1-Neurotensin-(8-13)
3.70Single7CX4Evatanepag7CX4-EP2-Evatanepag-Gs/β1/γ2
3.70Single8FN0Neurotensin-(8-13)8FN0-NTS1-Neurotensin-(8-13)-SBI-553-chim(NtGi1-Go)/β1/γ2
3.70Single8XVUCXCL28XVU-CXCR2-CXCL2
3.70Single8XWFCXCL38XWF-CXCR2-CXCL3
3.70Single8XXHCXCL28XXH-CXCR2-CXCL2-Go/β1/γ2
3.70Single9UYMChemerin-99UYM-CML2-Chemerin-9-chim(Arrestin3-CtArrestin2)
3.70Consensusgal2_onOrthosteric Ligand7WQ4-GAL2-Galanin-chim(NtGi1-Gs-CtGq)/β1/γ2 7XJL-GAL2-Spexin-chim(NtGi2L-Gs-CtGq)/β1/γ2
3.70Consensusgal2_on_gpOrthosteric Ligand7WQ4-GAL2-Galanin-chim(NtGi1-Gs-CtGq)/β1/γ2 7XJL-GAL2-Spexin-chim(NtGi2L-Gs-CtGq)/β1/γ2
3.57Single5TZYMK8666; AP85TZY-FFA1-MK8666; AP8
3.57Single6KNMJN241-96KNM-Apelin-JN241-9
3.57Single7AUESetmelanotide7AUE-MC4-Setmelanotide-chim(NtGi1L-Gs)/β1/γ2
3.57Single8XQJJN2418XQJ-Apelin; Apelin-JN241
3.57Consensusnmur1_onOrthosteric Ligand7W53-NMUR1-Neuromedin-U-25-chim(NtGi1-Gs-CtGq)/β1/γ2
3.45Single7CX3Taprenepag7CX3-EP2-Taprenepag-Gs/β1/γ2
3.45Single7L0RNeurotensin-(8-13)7L0R-NTS1-Neurotensin-(8-13)-Gi1/β1/γ1
3.45Single7VLACCL15(27-92)7VLA-CCR1-CCL15(27-92)-Gi1/β1/γ2
3.45Single7W2ZGhrelin7W2Z-Ghrelin-Ghrelin-Go/β1/γ2
3.45Single7XMRSomatostatin-147XMR-SST2-Somatostatin-14-Gi1/β1/γ2
3.45Single8INRAlpha-MSH8INR-MC5-α-MSH-Ca-chim(NtGi1-Gs)/β1/γ2
3.45Single9J0IUDP-Glucuronic acid9J0I-P2Y14-UDP-Glucuronic acid-Gi1/β1/γ2
3.45Consensusccr1_onOrthosteric Ligand7VLA-CCR1-CCL15(27-92)-Gi1/β1/γ2
3.45Consensusccr1_on_gpOrthosteric Ligand7VLA-CCR1-CCL15(27-92)-Gi1/β1/γ2
3.33Single5KW2PubChem 1330539535KW2-FFA1-PubChem 133053953
3.33Single8IOCGamma-MSH8IOC-MC3-γ-MSH-Ca-chim(NtGi1-Gs)/β1/γ2
3.33Single8K6ONeuropeptide-Y8K6O-Y1-Neuropeptide-Y-Gi2/β1/γ1
3.23Single7W55Neuromedin-U-257W55-NMUR2-Neuromedin-U-25-chim(NtGi1-Gs-CtGq)/β1/γ2
3.23Single8K6NNeuropeptide-Y8K6N-Y2-Neuropeptide-Y-Gi2/β1/γ1
3.23Consensusnmur2_onOrthosteric Ligand7W55-NMUR2-Neuromedin-U-25-chim(NtGi1-Gs-CtGq)/β1/γ2
3.23Consensusnmur2_on_gpOrthosteric Ligand7W55-NMUR2-Neuromedin-U-25-chim(NtGi1-Gs-CtGq)/β1/γ2
3.12Consensusneuromedin-u_onOrthosteric Ligandnmur1_on nmur2_on
3.03Single7VL9CCL15(26-92)7VL9-CCR1-CCL15(26-92)-Gi1/β1/γ2
3.03Consensusneuromedin-u_on_gpOrthosteric Ligandnmur1_on_gp nmur2_on_gp

PDB Summary
PDB 8ZR5
Class A
SubFamily Lipid
Type GPR119
SubType GPR119
Species Homo Sapiens
Ligand Firuglipel
Other Ligand(s) -
Protein Partners Gs/Beta1/Gamma2
PDB Resolution 3.31
Date 2024-06-19
D.O.I. To be published
Net Summary
Imin 2.25
Number of Linked Nodes 840
Number of Links 1061
Number of Hubs 173
Number of Links mediated by Hubs 662
Number of Communities 29
Number of Nodes involved in Communities 271
Number of Links involved in Communities 398
Path Summary
Number Of Nodes in MetaPath 84
Number Of Links MetaPath 83
Number of Shortest Paths 4181279
Length Of Smallest Path 3
Average Path Length 40.5236
Length of Longest Path 65
Minimum Path Strength 1.19
Average Path Strength 5.34193
Maximum Path Strength 28.565
Minimum Path Correlation 0.7
Average Path Correlation 0.990674
Maximum Path Correlation 1
Minimum % Of Corr. Nodes 2.22222
Average % Of Corr. Nodes 30.6343
Maximum % Of Corr. Nodes 100
Minimum Path Hubs % 0
Average Path Hubs % 47.6996
Maximum Path Hubs % 100
AnnotationTypeLinks
Gene OntologyMolecular Function
Gene OntologyBiological Process• cellular response to stimulus   • regulation of biological process   • regulation of cellular process   • response to stimulus   • signaling   • biological regulation   • adenylate cyclase-activating G protein-coupled receptor signaling pathway   • cell communication   • adenylate cyclase-modulating G protein-coupled receptor signaling pathway   • G protein-coupled receptor signaling pathway   • cellular process   • signal transduction   • establishment of protein localization   • nitrogen compound transport   • transport   • hormone secretion   • protein localization to extracellular region   • localization   • peptide secretion   • secretion by cell   • signal release   • regulation of biological quality   • intracellular protein localization   • secretion   • regulation of hormone levels   • establishment of protein localization to extracellular region   • cell-cell signaling   • export from cell   • protein secretion   • establishment of localization   • peptide transport   • protein transport   • peptide hormone secretion   • macromolecule localization   • hormone transport   • insulin secretion   • protein-containing complex   • receptor complex   • cell periphery   • cellular anatomical structure   • plasma membrane   • membrane   • intracellular anatomical structure   • cytoplasm   • protein binding   • binding   • G-protein beta-subunit binding   • fibroblast proliferation   • cell population proliferation   • cellular response to nitrogen compound   • response to dopamine   • cellular response to dopamine   • response to monoamine   • response to catecholamine   • adenylate cyclase-activating dopamine receptor signaling pathway   • cellular response to catecholamine stimulus   • G protein-coupled dopamine receptor signaling pathway   • response to oxygen-containing compound   • response to nitrogen compound   • cellular response to oxygen-containing compound   • cellular response to chemical stimulus   • cellular response to monoamine stimulus   • response to chemical   • response to ketone   • response to prostaglandin   • response to lipid   • response to endogenous stimulus   • response to alcohol   • cellular response to prostaglandin stimulus   • cellular response to endogenous stimulus   • cellular response to prostaglandin E stimulus   • cellular response to alcohol   • response to hormone   • cellular response to lipid   • response to prostaglandin E   • cellular response to ketone   • cellular response to hormone stimulus   • extrinsic component of plasma membrane   • catalytic complex   • plasma membrane protein complex   • cytoplasmic side of membrane   • membrane protein complex   • heterotrimeric G-protein complex   • side of membrane   • cytoplasmic side of plasma membrane   • GTPase complex   • extrinsic component of membrane   • extrinsic component of cytoplasmic side of plasma membrane   • extracellular exosome   • membrane-bounded organelle   • extracellular vesicle   • extracellular organelle   • extracellular region   • organelle   • extracellular space   • vesicle   • extracellular membrane-bounded organelle   • synapse   • cell junction   • enzyme binding   • GTPase binding   • protein-containing complex binding   • pyrophosphatase activity   • GTPase activity   • ribonucleoside triphosphate phosphatase activity   • hydrolase activity, acting on acid anhydrides, in phosphorus-containing anhydrides   • hydrolase activity   • hydrolase activity, acting on acid anhydrides   • catalytic activity   • signaling receptor complex adaptor activity   • protein-macromolecule adaptor activity   • molecular adaptor activity   • signaling adaptor activity   • multicellular organismal process   • system process   • sensory perception of chemical stimulus   • sensory perception   • nervous system process   • sensory perception of taste   • developmental process   • sensory organ development   • eye development   • animal organ development   • retina development in camera-type eye   • visual system development   • multicellular organism development   • camera-type eye development   • anatomical structure development   • sensory system development   • system development   • small GTPase-mediated signal transduction   • Ras protein signal transduction   • intracellular signal transduction   • intracellular signaling cassette   • phospholipase C-activating G protein-coupled receptor signaling pathway   • synaptic signaling   • cellular response to acetylcholine   • acetylcholine receptor signaling pathway   • postsynaptic signal transduction   • G protein-coupled acetylcholine receptor signaling pathway   • response to acetylcholine   • non-motile cilium   • 9+0 non-motile cilium   • cilium   • neuron projection   • photoreceptor disc membrane   • photoreceptor outer segment   • plasma membrane bounded cell projection   • cell projection   • photoreceptor cell cilium   • organelle membrane   • cytosol   • vacuolar membrane   • lytic vacuole   • vacuole   • intracellular membrane-bounded organelle   • intracellular organelle   • lytic vacuole membrane   • bounding membrane of organelle   • lysosomal membrane   • lysosome   • guanyl nucleotide binding   • GTP binding   • nucleotide binding   • guanyl ribonucleotide binding   • purine ribonucleotide binding   • purine ribonucleoside triphosphate binding   • nucleoside phosphate binding   • ion binding   • purine nucleotide binding   • anion binding   • heterocyclic compound binding   • carbohydrate derivative binding   • ribonucleotide binding   • small molecule binding   • D1 dopamine receptor binding   • signaling receptor binding   • G protein-coupled receptor binding   • dopamine receptor binding   • G-protein beta/gamma-subunit complex binding   • G protein activity   • molecular function regulator activity   • enzyme regulator activity   • cyclase regulator activity   • enzyme activator activity   • cyclase activator activity   • molecular function activator activity   • adenylate cyclase regulator activity   • adenylate cyclase activator activity   • cation binding   • metal ion binding   • epithelium development   • ectodermal placode morphogenesis   • epidermis development   • molting cycle process   • hair cycle   • hair follicle placode formation   • tissue development   • ectodermal placode formation   • anatomical structure morphogenesis   • skin development   • skin epidermis development   • hair follicle development   • molting cycle   • anatomical structure formation involved in morphogenesis   • ectodermal placode development   • hair cycle process   • cellular homeostasis   • chemical homeostasis   • homeostatic process   • glucose homeostasis   • carbohydrate homeostasis   • intracellular chemical homeostasis   • intracellular glucose homeostasis   • neuromuscular process   • regulation of system process   • skeletal muscle contraction   • muscle contraction   • muscle system process   • regulation of muscle system process   • striated muscle contraction   • multicellular organismal movement   • musculoskeletal movement   • regulation of striated muscle contraction   • regulation of muscle contraction   • regulation of skeletal muscle contraction   • regulation of multicellular organismal process   • sensory perception of smell   • response to peptide hormone   • cellular response to peptide hormone stimulus   • response to glucagon   • cellular response to glucagon stimulus   • skeletal system development   • bone development   • response to pH   • cellular response to pH   • response to abiotic stimulus   • cellular response to acidic pH   • response to acidic pH   • cellular response to abiotic stimulus   • cellular response to environmental stimulus   • regulation of body fluid levels   • wound healing   • homotypic cell-cell adhesion   • cell activation   • hemostasis   • platelet aggregation   • blood coagulation   • cell adhesion   • cell-cell adhesion   • response to stress   • coagulation   • response to wounding   • platelet activation   • response to fluid shear stress   • vascular endothelial cell response to laminar fluid shear stress   • response to laminar fluid shear stress   • cellular response to stress   • cellular response to laminar fluid shear stress   • vascular endothelial cell response to fluid shear stress   • cellular response to fluid shear stress   • cognition   • developmental growth   • growth   • positive regulation of biological process   • adaptive thermogenesis   • multicellular organismal-level homeostasis   • regulation of cold-induced thermogenesis   • cold-induced thermogenesis   • temperature homeostasis   • positive regulation of cold-induced thermogenesis   • positive regulation of multicellular organismal process   • positive regulation of cell communication   • regulation of localization   • positive regulation of establishment of protein localization   • establishment of localization in cell   • positive regulation of insulin secretion involved in cellular response to glucose stimulus   • positive regulation of insulin secretion   • regulation of peptide hormone secretion   • positive regulation of peptide hormone secretion   • regulation of protein secretion   • regulation of secretion   • cellular response to carbohydrate stimulus   • response to glucose   • positive regulation of protein localization   • insulin secretion involved in cellular response to glucose stimulus   • cellular localization   • regulation of hormone secretion   • regulation of protein localization   • regulation of peptide secretion   • positive regulation of secretion by cell   • positive regulation of protein transport   • regulation of secretion by cell   • positive regulation of hormone secretion   • response to monosaccharide   • response to carbohydrate   • positive regulation of secretion   • cellular response to hexose stimulus   • cellular response to monosaccharide stimulus   • positive regulation of cellular process   • positive regulation of peptide secretion   • regulation of signaling   • regulation of transport   • regulation of peptide transport   • regulation of establishment of protein localization   • cellular response to glucose stimulus   • regulation of protein transport   • positive regulation of protein secretion   • response to hexose   • positive regulation of transport   • regulation of cellular localization   • regulation of insulin secretion   • regulation of insulin secretion involved in cellular response to glucose stimulus   • regulation of cell communication   • positive regulation of signaling   • adenylate cyclase-activating adrenergic receptor signaling pathway   • adrenergic receptor signaling pathway   • serotonin receptor signaling pathway   • adenylate cyclase-activating serotonin receptor signaling pathway   • intracellular transport   • regulation of defense response   • regulation of response to external stimulus   • negative regulation of inflammatory response   • negative regulation of biological process   • inflammatory response to antigenic stimulus   • regulation of response to stress   • regulation of immune system process   • negative regulation of inflammatory response to antigenic stimulus   • defense response   • immune response   • negative regulation of response to stimulus   • negative regulation of immune response   • regulation of inflammatory response to antigenic stimulus   • response to external stimulus   • regulation of inflammatory response   • regulation of response to stimulus   • negative regulation of immune system process   • immune system process   • negative regulation of response to external stimulus   • negative regulation of defense response   • regulation of immune response   • inflammatory response   • positive regulation of adenylate cyclase activity   • positive regulation of molecular function   • regulation of molecular function   • positive regulation of cyclase activity   • activation of adenylate cyclase activity   • regulation of adenylate cyclase activity   • regulation of catalytic activity   • positive regulation of catalytic activity   • positive regulation of lyase activity   • cell surface receptor signaling pathway   • bile acid signaling pathway   • adenylate cyclase-activating G protein-coupled bile acid receptor signaling pathway   • renal system process   • multicellular organismal-level water homeostasis   • multicellular organismal-level chemical homeostasis   • renal water homeostasis   • Golgi apparatus subcompartment   • Golgi apparatus   • organelle subcompartment   • trans-Golgi network membrane   • endomembrane system   • trans-Golgi network
Gene OntologyCellular Component
SCOP2Domain Identifier• Transducin (heterotrimeric G protein), gamma chain
SCOP2Family Identifier• Transducin (heterotrimeric G protein), gamma chain
Membrane Protein Annotations-• Orientations of Proteins in Membranes database (OPM)   • Protein Data Bank of Transmembrane Proteins (PDBTM)   • MemProtMD


Details about the values in these tables can be found in the corresponding documentation page .
Code_L_
PDB ResiduesL:L:?1
Environment DetailsOpen EMBL-EBI Page
Code_L_
Name
Synonyms
Identifier
Formula
Molecular Weight
SMILES
PubChem
Formal Charge
Total Atoms
Total Chiral Atoms
Total Bonds
Total Aromatic Bonds

PDBsumOpen PDBsum Page
ChainA
ProteinG Protein α Sub unit
UniProtP63092
Sequence
>8ZR5_Chain_A
TEDQRNEEK AQREANKKI EKQLQKDKQ VYRATHRLL LLGAGESGK 
TIVKQMRIT SGIFETKFQ VDKVNFHMF DVGQRDERR KWIQCFNDV 
TAIIFVVAS SSYNTNRLQ ALLFSIWNN WLRSVILFL NKQDLLAEK 
VLAGKSKIE DYFPEFARY TTPEDATPE PGEDPRVTR AKYFIRDEF 
LRISTASGD GRHYCYPHF TCAVDTENI RRVFNDCRD IIQRMHLRQ 
YELLNAAKD KDT


Click on each residue to open a popup with some information about it.

ConSurf Conservation Grade (See documentation): 

 n/a   1    2    3    4    5    6    7    8    9  

ChainB
ProteinG Protein β Sub unit
UniProtP62873
Sequence
>8ZR5_Chain_B
ELDQLRQEA EQLKNQIRD ARKACADAT LSQITNNID PVGRIQMRT 
RRTLRGHLA KIYAMHWGT DSRLLVSAS QDGKLIIWD SYTTNKVHA 
IPLRSSWVM TCAYAPSGN YVACGGLDN ICSIYNLKT REGNVRVSR 
ELAGHTGYL SCCRFLDDN QIVTSSGDT TCALWDIET GQQTTTFTG 
HTGDVMSLS LAPDTRLFV SGACDASAK LWDVREGMC RQTFTGHES 
DINAICFFP NGNAFATGS DDATCRLFD LRADQELMT YSHDNIICG 
ITSVSFSKS GRLLLAGYD DFNCNVWDA LKADRAGVL AGHDNRVSC 
LGVTDDGMA VATGSWDSF LKIWN


Click on each residue to open a popup with some information about it.

ConSurf Conservation Grade (See documentation): 

 n/a   1    2    3    4    5    6    7    8    9  

ChainG
ProteinG Protein γ Sub unit
UniProtP59768
Sequence
>8ZR5_Chain_G
TASIAQARK LVEQLKMEA NIDRIKVSK AAADLMAYC EAHAKEDPL 
LTPVPASEN PFR


Click on each residue to open a popup with some information about it.

ConSurf Conservation Grade (See documentation): 

 n/a   1    2    3    4    5    6    7    8    9  

ChainR
ProteinReceptor
UniProtQ8TDV5
Sequence
>8ZR5_Chain_R
SFGVILAVL ASLIIATNT LVAVAVLLL IHKNDGVSL CFTLNLAVA 
DTLIGVAIS GLLTDQLSS PSRPTQKTL CSLRMAFVT SSAAASVLT 
VMLITFDRY LAIKQPFRY LKIMSGFVA GACIAGLWL VSYLIGFLP 
LGIPMFQQT AYKGQCSFF AVFHPHFVL TLSCVGFFP AMLLFVFFY 
CDMLKIASM HSQQIRKME HAGAMAGDF KALRTVSVL IGSFALSWT 
PFLITGIVQ VACQECHLY LVLERYLWL LGVGNSLLN PLIYAYWQK 
EVRLQLYHM ALGVK


Click on each residue to open a popup with some information about it.

ConSurf Conservation Grade (See documentation): 

 n/a   1    2    3    4    5    6    7    8    9  




This receptor, from the same or other species and bound to the same or other ligands, is also present in the following networks:
Show PDB Class SubFamily Type SubType Species Orthosteric Ligand Other Ligand(s) Protein Partners Resolution Date DOI
7XZ5ALipidGPR119GPR119Homo sapiensLysophosphatidylcholine-Gs/β1/γ23.12022-08-24doi.org/10.1038/s41594-022-00816-5
7XZ5 (No Gprot) ALipidGPR119GPR119Homo sapiensLysophosphatidylcholine-3.12022-08-24doi.org/10.1038/s41594-022-00816-5
7XZ6ALipidGPR119GPR119Homo sapiensAPD668-Gs/β1/γ22.82022-08-24doi.org/10.1038/s41594-022-00816-5
7XZ6 (No Gprot) ALipidGPR119GPR119Homo sapiensAPD668-2.82022-08-24doi.org/10.1038/s41594-022-00816-5
7WCMALipidGPR119GPR119Homo sapiensMBX-2982-Gs/β1/γ22.332022-12-21doi.org/10.1038/s41467-022-34696-6
7WCM (No Gprot) ALipidGPR119GPR119Homo sapiensMBX-2982-2.332022-12-21doi.org/10.1038/s41467-022-34696-6
7WCNALipidGPR119GPR119Homo sapiensAR231453-Gs/β1/γ22.872022-12-21doi.org/10.1038/s41467-022-34696-6
7WCN (No Gprot) ALipidGPR119GPR119Homo sapiensAR231453-2.872022-12-21doi.org/10.1038/s41467-022-34696-6
8ZR5ALipidGPR119GPR119Homo sapiensFiruglipel-Gs/β1/γ23.312024-06-19To be published
8ZR5 (No Gprot) ALipidGPR119GPR119Homo sapiensFiruglipel-3.312024-06-19To be published
8ZRKALipidGPR119GPR119Homo sapiensGSK1292263-Gs/β1/γ22.822024-06-19To be published
8ZRK (No Gprot) ALipidGPR119GPR119Homo sapiensGSK1292263-2.822024-06-19To be published
8VHFALipidGPR119GPR119Homo sapiensMBX-2982-Gs/β1/γ23.512024-10-30doi.org/10.1016/j.str.2024.10.004
8VHF (No Gprot) ALipidGPR119GPR119Homo sapiensMBX-2982-3.512024-10-30doi.org/10.1016/j.str.2024.10.004
9L79ALipidGPR119GPR119Homo sapiensAR231453-chim(NtGi1-Gs)/β1/γ22.982025-12-31To be published
9L79 (No Gprot) ALipidGPR119GPR119Homo sapiensAR231453-2.982025-12-31To be published
9L80ALipidGPR119GPR119Homo sapiens-Atazanavirchim(NtGi1-Gs)/β1/γ23.332025-12-31To be published
9L80 (No Gprot) ALipidGPR119GPR119Homo sapiens-Atazanavir3.332025-12-31To be published




You can download a compressed (zip) file with structure(s), 3D outputs (as PyMol and VMD scripts) and numerical data files (as csv and plain text files).

Download 8ZR5.zip



You can click to copy the link of this page to easily come back here later

or use this QR code to link and share this page.



You can also  read or  download a guide explaining the meaning of all files and numerical data.