Color ConSurf Grade
      No Conservation data available
      1
      2
      3
      4
      5
      6
      7
      8
      9

Index: hub id, click on each number to highlight the corresponding hub in the 3D visualization.

Hub: the hub being considered.

Avg Int. Strength: the average interaction strength of all the links of the corresponding hub.

Num Of Links: the number of links of the corresponding hub.

Community: the id of the community the link belong to, otherwise 0.

ConSurf: this column reports the ConSurf conservation grades of each hub.

Index Hub Avg Int. Strength Num Of Links Community ConSurf
1A:A:Q19 8.324214
2A:A:E21 2.86402
3A:A:Y37 6.9765234
4A:A:H41 6.5025406
5A:A:L45 5.064588
6A:A:K53 5.3075489
7A:A:F208 2.9875485
8A:A:F212 5.255479
9A:A:V214 5.698576
10A:A:F219 6.052578
11A:A:F222 11.2475417
12A:A:Q227 5.115419
13A:A:R228 8.05419
14A:A:K233 5.47667619
15A:A:W234 8.085419
16A:A:C237 3.41833618
17A:A:F238 9.9375419
18A:A:I245 2.844587
19A:A:F246 4.036676149
20A:A:F273 4.151437149
21A:A:W277 10.434146
22A:A:W281 11.282515
23A:A:I288 4.94489
24A:A:F290 6.185489
25A:A:N292 5.8154259
26A:A:V301 2.78407
27A:A:F312 4.5365268
28A:A:E314 2.724266
29A:A:F315 10.88406
30A:A:P321 4.3685115
31A:A:E330 10.034113
32A:A:D331 5.3025404
33A:A:V334 6.0075404
34A:A:K338 6.5985115
35A:A:Y339 6.1085113
36A:A:F340 7.5845267
37A:A:R342 6.0545114
38A:A:F345 6.966508
39A:A:R356 5.69402
40A:A:Y358 5.3954274
41A:A:Y360 7.7125408
42A:A:F363 7.065115
43A:A:T364 5.76409
44A:A:R373 6.205475
45A:A:F376 7.625678
46A:A:I383 3.4875478
47A:A:R385 7.76254275
48A:A:H387 7.1725478
49A:A:L393 3.8275408
50B:B:L4 3.0525404
51B:B:L7 3.82408
52B:B:L14 4.5575408
53B:B:T34 4.4854155
54B:B:I37 4.8625152
55B:B:V40 4.45153
56B:B:H54 7.028577139
57B:B:K57 7.67419
58B:B:W63 5.86833607
59B:B:Q75 6.0725419
60B:B:D76 6.895239
61B:B:I80 7.7054138
62B:B:W82 8.721437139
63B:B:D83 9.00754218
64B:B:Y85 10.53254124
65B:B:T86 6.4654216
66B:B:N88 9.09754217
67B:B:K89 5.286676139
68B:B:I93 5.815497
69B:B:L95 4.366598
70B:B:W99 7.79571719
71B:B:M101 5.588519
72B:B:Y105 3.92714796
73B:B:N110 6.555414
74B:B:Y111 6.7075414
75B:B:L117 3.635419
76B:B:I123 3.2125416
77B:B:Y124 3.92714796
78B:B:L126 3.8125495
79B:B:T128 3.584283
80B:B:E130 4.58254283
81B:B:V133 5.7925494
82B:B:H142 7.144519
83B:B:Y145 6.65833618
84B:B:L146 3.49407
85B:B:F151 4.315619
86B:B:L152 3.20754293
87B:B:I157 5.6675417
88B:B:V158 3.545405
89B:B:D163 8.49419
90B:B:W169 8.23618
91B:B:F180 8.2625107
92B:B:H183 7.393336109
93B:B:D186 4.894519
94B:B:V187 3.91254109
95B:B:F199 7.0945109
96B:B:C204 5.9125417
97B:B:D205 6.9145109
98B:B:K209 8.915106
99B:B:W211 8.1445108
100B:B:Q220 5.654557
101B:B:H225 7.73667659
102B:B:D228 9.22419
103B:B:I232 4.7775458
104B:B:F235 7.92857746
105B:B:P236 9.23447
106B:B:N237 8.415445
107B:B:F241 6.72714756
108B:B:T243 5.022558
109B:B:D247 5.988559
110B:B:R251 8.01667658
111B:B:F253 6.9225456
112B:B:D254 4.865409
113B:B:D258 7.2075457
114B:B:M262 6.955444
115B:B:Y264 6.55667645
116B:B:H266 6.505444
117B:B:I269 3.896544
118B:B:I273 5.68406
119B:B:F278 5.352547
120B:B:R283 8.254159
121B:B:L284 4.698505
122B:B:L285 5.4425446
123B:B:Y289 6.455847
124B:B:N293 5.928545
125B:B:N295 10.0225446
126B:B:L300 6.56254156
127B:B:K301 4.655405
128B:B:R304 6.254545
129B:B:V307 3.5275443
130B:B:H311 9.024169
131B:B:R314 12.68518
132B:B:L318 3.5425306
133B:B:W332 13.754519
134B:B:D333 7.7654169
135B:B:L336 4.65137
136B:B:K337 7.37254166
137B:B:W339 7.6465169
138E:E:Y61 6.54754228
139E:E:W69 6.5325466
140E:E:Y72 8.8569
141E:E:M76 7.002569
142E:E:R97 8.335467
143E:E:L100 3.4354318
144E:E:F111 5.0125408
145E:E:N113 5.8825229
146E:E:H124 6.87469
147E:E:H127 7.95668
148E:E:F128 5.712569
149E:E:P141 7.2725409
150G:G:V16 3.005407
151G:G:I25 4452
152G:G:R27 5.574558
153G:G:Y40 9.28446
154G:G:D48 4.948509
155G:G:L51 2.4725406
156G:G:N59 5.4945129
157G:G:P60 5.9854129
158G:G:F61 5.237128
159L:L:?0 11.7245330
160L:L:C2 4.6025420
161L:L:T6 6.3725420
162L:L:R11 3.7075420
163L:L:F15 7400
164L:L:T36 4.5975430
165L:L:?38 6.2530
166R:R:Q52 9.1325466
167R:R:K54 5.02754174
168R:R:Y56 9.8375403
169R:R:L62 3.24173
170R:R:R74 9.6775404
171R:R:W76 9.532568
172R:R:D77 5.888539
173R:R:W79 13.9775436
174R:R:L80 6.225635
175R:R:W82 9.62167639
176R:R:Y98 7.39833634
177R:R:F99 9.274535
178R:R:D101 5.394534
179R:R:F102 6.33875834
180R:R:K110 12.4675438
181R:R:W118 7.61667639
182R:R:H121 7.86754354
183R:R:N124 6.35754355
184R:R:W128 8.0825405
185R:R:S129 5.466537
186R:R:Y131 7.46667935
187R:R:F137 7.2454371
188R:R:Y149 6.35405
189R:R:H156 7.28254387
190R:R:S166 4.22754199
191R:R:F170 4.684198
192R:R:F173 6.056507
193R:R:H184 8.085409
194R:R:K185 2.7754196
195R:R:M187 4.145428
196R:R:Y191 6.38333628
197R:R:I198 6.4375407
198R:R:H201 4.51506
199R:R:H223 6.5554205
200R:R:N233 8.0925429
201R:R:Y234 8.03667627
202R:R:F235 4.575425
203R:R:W236 7.73571729
204R:R:M237 4.744529
205R:R:L238 4.6785248
206R:R:E240 6.11409
207R:R:I242 3.84754247
208R:R:Y243 4.7925408
209R:R:V249 3.2975406
210R:R:V252 3.8425477
211R:R:F253 7.68476
212R:R:L259 3.8925405
213R:R:W261 5.1425402
214R:R:Y262 4.6525407
215R:R:F269 5.6975423
216R:R:P270 4.12333629
217R:R:H277 7.3625407
218R:R:R281 12.194207
219R:R:D287 7.014203
220R:R:W290 8.488577209
221R:R:E294 4.9525403
222R:R:L297 3.804504
223R:R:H302 4.114526
224R:R:P304 3.495409
225R:R:Q355 9.656528
226R:R:F356 7.07857727
227R:R:F359 5.5325426
228R:R:R362 6.40167624
229R:R:Y372 7.71427
230R:R:Y374 3.274186
231R:R:M376 4.60167627
232R:R:H377 7.4065187
233R:R:I380 5.035426
234R:R:H381 5.134509
235R:R:C392 3.9354199
236R:R:F393 3.60254198
   

Color ConSurf Grade
      No Conservation data available
      1
      2
      3
      4
      5
      6
      7
      8
      9

Index: link id, click on each number to highlight the corresponding link in the 3D visualization.

Node1 Node2: the two nodes of the corresponding link.

Recurrence: the relative Recurrence in the pool of shortest paths.

Int. Strength: the interaction strength between the two nodes.

Hub1?, Hub2?: "Yes" if the corresponding node has more than 3 links, otherwise "No".

Community: the id of the community the link belong to, otherwise 0.

ConSurf1, ConSurf2: these columns report the ConSurf conservation grades of the two nodes involved in a link.

Index Node1 Node2 Recurrence Int. Strength Hub1? Hub2? Community ConSurf1 ConSurf2
1A:A:C237 B:B:M101 11.33484.86YesYes189
2B:B:M101 B:B:Y145 21.6677.18YesYes198
3A:A:D378 A:A:Y360 13.293111.49NoYes078
4B:B:D83 B:B:L69 14.1974.07YesNo085
5B:B:L69 B:B:Y105 27.69693.52NoYes056
6B:B:H62 B:B:Y105 19.59744.36NoYes066
7B:B:H62 B:B:R150 19.341819.18NoNo066
8B:B:C148 B:B:R150 12.15666.96NoNo066
9B:B:H142 B:B:S161 15.3212.55YesNo199
10B:B:G162 B:B:S161 15.92613.71NoNo199
11B:B:K57 B:B:Q75 23.95986.78YesYes199
12B:B:K57 B:B:W332 24.018812.76YesYes199
13B:B:R314 B:B:W332 24.244632.99YesYes189
14A:A:W281 B:B:R314 10.12511YesYes158
15B:B:Q75 B:B:Y59 10.19157.89YesNo198
16A:A:F273 A:A:F345 12.59317.5YesYes098
17A:A:F273 A:A:W277 17.90074.01YesYes1496
18A:A:K280 A:A:W281 19.382323.21NoYes055
19A:A:K280 A:A:R283 19.20433.71NoNo053
20A:A:R283 A:A:R356 19.04186.4NoYes032
21A:A:H357 A:A:R356 18.46915.64NoYes072
22A:A:D381 A:A:R385 10.00615.48NoYes085
23A:A:L394 A:A:R385 16.9112.43NoYes085
24A:A:L388 A:A:L394 16.95695.54NoNo088
25B:B:D83 B:B:R68 17.47914.29YesNo085
26B:B:R68 B:B:Y85 31.484323.66NoYes054
27B:B:Y85 G:G:P60 33.98839.74YesYes1249
28B:B:M325 G:G:P60 38.61823.35NoYes059
29B:B:M325 G:G:P49 41.73883.35NoNo057
30G:G:D48 G:G:P49 41.89084.83YesNo097
31B:B:S279 G:G:D48 24.80695.89NoYes099
32B:B:L284 B:B:S279 24.86876.01YesNo059
33B:B:L284 B:B:V296 52.11315.96YesNo055
34B:B:L286 B:B:V296 66.64722.98NoNo075
35B:B:L286 B:B:L318 66.60932.77NoYes3076
36B:B:L318 B:B:T329 99.10152.95YesNo068
37B:B:H311 B:B:T329 99.00196.85YesNo098
38B:B:D333 B:B:H311 99.51518.82YesYes1699
39B:B:D312 B:B:D333 99.6922.66NoYes059
40B:B:D312 R:R:S175 99.74142.94NoNo058
41R:R:L176 R:R:S175 99.75863NoNo098
42R:R:F173 R:R:L176 99.7763.65YesNo079
43R:R:F173 R:R:I169 99.9832.51YesNo078
44R:R:C392 R:R:I169 1003.27YesNo098
45R:R:C392 R:R:F170 49.77242.79YesYes1998
46R:R:F170 R:R:H184 49.68465.66YesYes089
47A:A:L393 R:R:L348 17.19364.15YesNo089
48G:G:D48 G:G:L51 24.87014.07YesYes096
49B:B:L284 G:G:L51 25.11732.77YesYes056
50B:B:S281 G:G:D48 13.7674.42NoYes099
51B:B:S281 G:G:H44 13.59412.79NoNo096
52G:G:H44 G:G:Y40 12.908515.24NoYes066
53B:B:L252 B:B:L261 12.29244.15NoNo075
54B:B:L261 G:G:V30 11.64812.98NoNo058
55B:B:Q259 G:G:V30 11.46995.73NoNo068
56B:B:Q259 B:B:R22 11.11383.5NoNo066
57B:B:L252 B:B:Y264 11.48264.69NoYes075
58B:B:G306 B:B:V296 15.82183.68NoNo045
59B:B:G306 B:B:R42 15.72114.5NoNo042
60B:B:R42 B:B:V307 15.52792.62NoYes023
61B:B:D66 B:B:R68 13.8954.76NoNo085
62B:B:D66 B:B:L69 13.767812.21NoNo085
63B:B:C148 B:B:L190 14.79786.35NoNo065
64B:B:W297 B:B:Y289 12.6475.79NoYes487
65B:B:L318 B:B:S275 44.41636.01YesNo068
66B:B:S275 B:B:T274 44.35723.2NoNo088
67B:B:R314 B:B:T274 34.2553.88YesNo188
68R:R:C392 R:R:S166 50.54386.89YesYes1999
69R:R:F188 R:R:S166 25.12282.64NoYes089
70R:R:F188 R:R:L163 25.09066.09NoNo088
71R:R:I192 R:R:L163 50.17064.28NoNo078
72R:R:I160 R:R:I192 50.0644.42NoNo057
73R:R:I160 R:R:S195 49.96186.19NoNo057
74R:R:H156 R:R:S195 27.78769.76YesNo3877
75R:R:H156 R:R:I198 26.753810.61YesYes077
76R:R:I198 R:R:L202 52.74242.85YesNo077
77R:R:L202 R:R:Y149 52.50167.03NoYes075
78L:L:L16 R:R:Y149 73.60283.52NoYes005
79L:L:L16 R:R:A145 71.85983.15NoNo004
80L:L:F15 R:R:A145 71.51672.77YesNo004
81L:L:F15 L:L:S19 70.51477.93YesNo000
82L:L:H18 L:L:S19 68.79816.97NoNo000
83L:L:H18 R:R:D97 68.45577.56NoNo002
84R:R:D97 R:R:K47 68.11432.77NoNo024
85R:R:K47 R:R:Y98 67.09353.58NoYes044
86R:R:M48 R:R:Y98 55.082413.17NoYes064
87E:E:R97 R:R:M48 53.66658.69YesNo076
88R:R:A388 R:R:S166 25.5943.42NoYes089
89R:R:A388 R:R:L163 25.19433.15NoNo088
90R:R:E240 R:R:H184 53.814511.08YesYes099
91R:R:E240 R:R:M187 59.35355.41YesYes098
92R:R:M187 R:R:Y191 19.33494.79YesYes288
93R:R:N233 R:R:Y191 19.145113.96YesYes298
94R:R:N194 R:R:N233 36.80534.09NoYes089
95R:R:I198 R:R:N194 36.67475.66YesNo078
96R:R:M187 R:R:M237 38.10042.89YesYes289
97R:R:M237 R:R:N233 17.4297.01YesYes299
98R:R:I199 R:R:S195 22.11253.1NoNo3877
99R:R:I199 R:R:V203 22.06581.54NoNo073
100R:R:I153 R:R:V203 21.92731.54NoNo073
101R:R:I153 R:R:Y149 21.873710.88NoYes075
102E:E:R97 R:R:M49 18.13328.69YesNo674
103E:E:Y93 R:R:M49 17.77223.59NoNo694
104E:E:H124 E:E:Y93 34.82058.71YesNo699
105E:E:F128 E:E:H124 30.49656.79YesYes699
106E:E:F128 E:E:I89 11.62487.54YesNo098
107E:E:R97 R:R:Q52 27.198411.68YesYes676
108E:E:Y93 R:R:Q52 17.77267.89NoYes696
109E:E:F128 E:E:H127 15.25493.39YesYes698
110R:R:M237 R:R:Y234 19.30023.59YesYes297
111R:R:H226 R:R:I198 10.66156.63NoYes067
112B:B:G162 B:B:Y145 15.94777.24NoYes198
113B:B:D290 B:B:T274 10.04624.34NoNo168
114A:A:H357 A:A:W277 18.329226.45NoYes076
115A:A:L388 A:A:L393 16.56112.77NoYes088
116B:B:M101 B:B:Y59 10.13139.58YesNo198
117B:B:W297 B:B:Y264 11.492212.54NoYes485
118A:A:C237 B:B:Q75 10.62893.05YesYes189
Download PSN data

2D representation of the global metapath, ligand(s) interactions and
histograms of path distribution according to several parameters
(click on the image to enlarge it 🔍):

A 2D representation of the global communication in the network.

ConSurf Conservation Grade (See documentation): 

 n/a   1    2    3    4    5    6    7    8    9  

Number of shortest communication paths as a function of the average residue correlation.

Number of shortest communication paths as a function of the average interaction strength of their links.

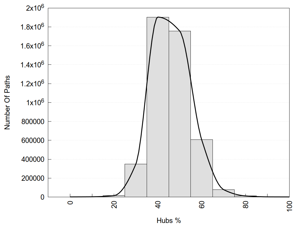
Number of shortest communication paths as a function of the % of hub nodes in each path.

Number of shortest communication paths as a function of the number of nodes in each path.

Number of shortest communication paths as a function of the % of correlated nodes in each path.


2D representation of the interactions of this orthosteric/allosteric ligand.


Links and nodes colored according to ConSurf Conservation Grade (See documentation): 

 n/a   1    2    3    4    5    6    7    8    9  

Node1 Node2 LinkStrength Comm IsNode1Hub? IsNode2Hub? Node1Cons Node2Cons Node1Shell Node2Shell
E:E:G110 L:L:N35 5.09 0 No No 5 0 1 0
E:E:D140 R:R:H296 6.3 0 No No 9 2 2 1
L:L:?0 R:R:H296 3.46 33 Yes No 0 2 0 1
L:L:?0 R:R:Y299 9.45 33 Yes No 0 7 0 1
L:L:?0 R:R:W361 3.06 33 Yes No 0 4 0 1
L:L:K1 R:R:F94 7.44 0 No No 0 3 0 1
L:L:K1 R:R:E294 8.1 0 No Yes 0 3 0 1
L:L:C2 R:R:V293 3.42 2 Yes No 0 6 0 1
L:L:C2 R:R:L298 4.76 2 Yes No 0 6 0 1
L:L:C2 R:R:H302 2.95 2 Yes Yes 0 6 0 1
L:L:N3 R:R:W361 19.21 2 No No 0 4 0 1
L:L:N3 R:R:R362 3.62 2 No Yes 0 4 0 1
L:L:T4 R:R:M306 4.52 0 No No 0 4 0 1
L:L:A5 R:R:M376 3.22 0 No Yes 0 7 0 1
L:L:T6 R:R:Y234 8.74 2 Yes Yes 0 7 0 1
L:L:T6 R:R:H302 6.85 2 Yes Yes 0 6 0 1
L:L:T6 R:R:F356 5.19 2 Yes Yes 0 7 0 1
L:L:C7 R:R:H302 2.95 2 No Yes 0 6 0 1
L:L:A8 R:R:H377 4.39 0 No Yes 0 7 0 1
L:L:Q10 R:R:H201 4.95 0 No Yes 0 6 0 1
L:L:R11 R:R:R362 4.26 2 Yes Yes 0 4 0 1
L:L:L12 R:R:L148 5.54 18 No No 0 5 0 1
L:L:L12 R:R:H377 6.43 18 No Yes 0 7 0 1
L:L:E14 R:R:V293 5.7 0 No No 0 6 0 1
L:L:F15 R:R:K141 13.65 0 Yes No 0 3 0 1
L:L:F15 R:R:L142 3.65 0 Yes No 0 2 0 1
L:L:F15 R:R:A145 2.77 0 Yes No 0 4 0 1
L:L:L16 R:R:A145 3.15 0 No No 0 4 0 1
L:L:L16 R:R:Y149 3.52 0 No Yes 0 5 0 1
L:L:H18 R:R:D97 7.56 0 No No 0 2 0 1
L:L:S20 R:R:Y146 5.09 34 No No 0 2 0 1
L:L:F23 R:R:Y146 7.22 34 No No 0 2 0 1
L:L:T30 R:R:F99 16.86 3 No Yes 0 5 0 1
L:L:T30 R:R:D101 10.12 3 No Yes 0 4 0 1
L:L:T30 R:R:F102 3.89 3 No Yes 0 4 0 1
L:L:V32 R:R:F102 2.62 3 No Yes 0 4 0 1
L:L:V32 R:R:Y131 5.05 3 No Yes 0 5 0 1
L:L:V32 R:R:N135 4.43 3 No No 0 3 0 1
L:L:S34 R:R:H121 8.37 35 No Yes 0 4 0 1
L:L:S34 R:R:N124 10.43 35 No Yes 0 5 0 1
L:L:P37 R:R:W79 25.67 3 No Yes 0 6 0 1
L:L:?38 R:R:W128 5.64 3 Yes Yes 0 5 0 1
L:L:?38 R:R:S129 3.72 3 Yes Yes 0 7 0 1
L:L:?38 R:R:Y131 5.8 3 Yes Yes 0 5 0 1
L:L:?101 R:R:H296 12.48 33 No No 0 2 0 1
R:R:D97 R:R:K47 2.77 0 No No 2 4 1 2
R:R:K47 R:R:Y98 3.58 0 No Yes 4 4 2 2
R:R:D77 R:R:L80 2.71 3 Yes Yes 9 5 2 2
R:R:D77 R:R:W82 11.17 3 Yes Yes 9 9 2 2
R:R:D77 R:R:K110 2.77 3 Yes Yes 9 8 2 2
R:R:D77 R:R:S129 5.89 3 Yes Yes 9 7 2 1
R:R:D77 R:R:Y131 6.9 3 Yes Yes 9 5 2 1
R:R:W79 R:R:Y98 4.82 3 Yes Yes 6 4 1 2
R:R:F99 R:R:W79 9.02 3 Yes Yes 5 6 1 1
R:R:W79 R:R:Y131 16.4 3 Yes Yes 6 5 1 1
R:R:L80 R:R:W82 3.42 3 Yes Yes 5 9 2 2
R:R:L80 R:R:P96 6.57 3 Yes No 5 9 2 2
R:R:L80 R:R:V108 2.98 3 Yes No 5 7 2 2
R:R:L80 R:R:Y131 7.03 3 Yes Yes 5 5 2 1
R:R:K110 R:R:W82 29.01 3 Yes Yes 8 9 2 2
R:R:S129 R:R:W82 3.71 3 Yes Yes 7 9 1 2
R:R:F94 R:R:K107 3.72 0 No No 3 3 1 2
R:R:P96 R:R:Y98 15.3 0 No Yes 9 4 2 2
R:R:F102 R:R:P96 5.78 3 Yes No 4 9 1 2
R:R:F99 R:R:Y98 6.19 3 Yes Yes 5 4 1 2
R:R:D101 R:R:F99 3.58 3 Yes Yes 4 5 1 1
R:R:F102 R:R:F99 10.72 3 Yes Yes 4 5 1 1
R:R:D101 R:R:F102 3.58 3 Yes Yes 4 4 1 1
R:R:D101 R:R:N135 8.08 3 Yes No 4 3 1 1
R:R:F102 R:R:Y131 3.09 3 Yes Yes 4 5 1 1
R:R:C134 R:R:F102 12.57 3 No Yes 9 4 2 1
R:R:F102 R:R:N135 8.46 3 Yes No 4 3 1 1
R:R:E294 R:R:P104 3.14 0 Yes No 3 3 1 2
R:R:V108 R:R:Y131 13.88 3 No Yes 7 5 2 1
R:R:K110 R:R:S129 7.65 3 Yes Yes 8 7 2 1
R:R:F119 R:R:P122 2.89 0 No No 4 5 2 2
R:R:F119 R:R:W128 6.01 0 No Yes 4 5 2 1
R:R:H121 R:R:P122 7.63 35 Yes No 4 5 1 2
R:R:H121 R:R:N124 3.83 35 Yes Yes 4 5 1 1
R:R:H121 R:R:W128 11.64 35 Yes Yes 4 5 1 1
R:R:E123 R:R:N124 3.94 0 No Yes 4 5 2 1
R:R:N124 R:R:R126 7.23 35 Yes No 5 4 1 2
R:R:N130 R:R:W128 9.04 0 No Yes 8 5 2 1
R:R:S129 R:R:Y131 6.36 3 Yes Yes 7 5 1 1
R:R:C134 R:R:Y131 2.69 3 No Yes 9 5 2 1
R:R:P139 R:R:T138 3.5 0 No No 3 2 2 1
R:R:L142 R:R:Y146 7.03 0 No No 2 2 1 1
R:R:H377 R:R:L148 14.14 18 Yes No 7 5 1 1
R:R:Y149 R:R:Y150 3.97 0 Yes No 5 4 1 2
R:R:I153 R:R:Y149 10.88 0 No Yes 7 5 2 1
R:R:L202 R:R:Y149 7.03 0 No Yes 7 5 2 1
R:R:A152 R:R:H381 7.32 0 No Yes 7 9 2 1
R:R:H156 R:R:H381 4.78 38 Yes Yes 7 9 2 1
R:R:H201 R:R:V205 9.69 0 Yes No 6 7 1 2
R:R:H201 R:R:V206 2.77 0 Yes No 6 3 1 1
R:R:H201 R:R:L222 2.57 0 Yes No 6 6 1 2
R:R:H201 R:R:L291 2.57 0 Yes No 6 6 1 2
R:R:P207 R:R:V206 7.07 0 No No 3 3 2 1
R:R:M230 R:R:Y234 3.59 0 No Yes 6 7 2 1
R:R:H302 R:R:M230 5.25 2 Yes No 6 6 1 2
R:R:M237 R:R:Y234 3.59 2 Yes Yes 9 7 2 1
R:R:V305 R:R:Y234 16.4 2 No Yes 7 7 2 1
R:R:L309 R:R:Y234 3.52 2 No Yes 7 7 2 1
R:R:F356 R:R:Y234 12.38 2 Yes Yes 7 7 1 1
R:R:H277 R:R:L298 3.86 0 Yes No 7 6 2 1
R:R:E294 R:R:S292 2.87 0 Yes No 3 4 1 2
R:R:E294 R:R:V293 5.7 0 Yes No 3 6 1 1
R:R:H302 R:R:L298 2.57 2 Yes No 6 6 1 1
R:R:L309 R:R:V305 2.98 2 No No 7 7 2 2
R:R:F356 R:R:L309 3.65 2 Yes No 7 7 1 2
R:R:F356 R:R:G353 3.01 2 Yes No 7 9 1 2
R:R:F356 R:R:Q355 14.05 2 Yes Yes 7 8 1 2
R:R:M376 R:R:Q355 2.72 2 Yes Yes 7 8 1 2
R:R:I380 R:R:Q355 4.12 2 Yes Yes 6 8 2 2
R:R:F356 R:R:M376 3.73 2 Yes Yes 7 7 1 1
R:R:F356 R:R:I380 7.54 2 Yes Yes 7 6 1 2
R:R:F359 R:R:Y372 5.16 2 Yes Yes 6 7 2 2
R:R:F359 R:R:M376 3.73 2 Yes Yes 6 7 2 1
R:R:P363 R:R:R362 2.88 2 No Yes 7 4 2 1
R:R:G369 R:R:R362 6 0 No Yes 4 4 2 1
R:R:R362 R:R:Y372 6.17 2 Yes Yes 4 7 1 2
R:R:D373 R:R:R362 15.48 0 No Yes 5 4 2 1
R:R:P363 R:R:Y372 11.13 2 No Yes 7 7 2 2
R:R:M376 R:R:Y372 8.38 2 Yes Yes 7 7 1 2
R:R:D373 R:R:H377 2.52 0 No Yes 5 7 2 1
R:R:I380 R:R:M376 5.83 2 Yes Yes 6 7 2 1
R:R:H377 R:R:H381 9.55 18 Yes Yes 7 9 1 1
R:R:H381 R:R:I380 2.65 0 Yes Yes 9 6 1 2
L:L:A13 R:R:V206 1.7 0 No No 0 3 0 1
R:R:D101 R:R:P100 1.61 3 Yes No 4 4 1 2
L:L:S19 R:R:T138 1.6 0 No No 0 2 0 1
E:E:G110 R:R:R126 1.5 0 No No 5 4 1 2
L:L:T9 R:R:H381 1.37 0 No Yes 0 9 0 1
R:R:L148 R:R:Y374 1.17 18 No Yes 5 6 1 2

Location and physicochemical properties of the interaction partners of this ligand

Interactions of this ligand

Similarities between the interactions of this ligand and those of other networks

ShowSimilarityNetwork TypeNameLigandDescription
79.31Single7TYYCalcitonin-17TYY-CT (AMY2)-Calcitonin-1-Gs/β1/γ2; RAMP2
76.92Single9BP3Cagrilintide9BP3-CT (AMY1)-Cagrilintide-Gs/β1/γ2; RAMP1
76.92Single9BUBCagrilintide9BUB-CT-Cagrilintide-Gs/β1/γ2
72.41Single7TZFAmylin7TZF-CT (AMY3)-Amylin-Gs/β1/γ2; RAMP3
67.86Single7TYNCalcitonin-17TYN-CT-Calcitonin-1-Gs/β1/γ2
67.74Single7TYOCalcitonin7TYO-CT-Calcitonin-Gs/β1/γ2
64.29Single9BLBCagrilintide (non-acylated)9BLB-CT-Cagrilintide (non-acylated)-Gs/β1/γ2
64.29Single9BLWCagrilintide (non-acylated)9BLW-CT (AMY1)-Cagrilintide (non-acylated)-Gs/β1/γ2; RAMP1
62.07Single7TYFAmylin7TYF-CT (AMY1)-Amylin-Gs/β1/γ2; RAMP1
62.07Single9BUCCagrilintide9BUC-CT-Cagrilintide-Gs/β1/γ2
61.29Single8F2APramlintide Analogue San3858F2A-CT (AMY3)-Pramlintide Analogue San385-Gs/β1/γ2; RAMP3
60.71Single7TYWCalcitonin-17TYW-CT (AMY1)-Calcitonin-1-Gs/β1/γ2; RAMP1
60.00Single7TYLAmylin7TYL-CT-Amylin-Gs/β1/γ2
60.00Single8F0KPramlintide Analogue San3858F0K-CT (AMY3)-Pramlintide Analogue San385-Gs/β1/γ2; RAMP3
60.00Single9BTWCagrilintide9BTW-CT (AMY3)-Cagrilintide-Gs/β1/γ2; RAMP3
58.06Single7TYXAmylin7TYX-CT (AMY2)-Amylin-Gs/β1/γ2; RAMP2
57.14Single9BLCCagrilintide (non-acylated)9BLC-CT-Cagrilintide (non-acylated)-Gs/β1/γ2
57.14Single9BUDCagrilintide9BUD-CT-Cagrilintide-Gs/β1/γ2
55.17Single7TYHCalcitonin7TYH-CT (AMY2)-Calcitonin-Gs/β1/γ2; RAMP2
54.05Single8F2BPramlintide Analogue San458F2B-CT (AMY3)-Pramlintide Analogue San45-Gs/β1/γ2; RAMP3
53.33Consensuscalcitonin_on_gpOrthosteric Ligandctlike_on_gp
51.72Single6NIYCalcitonin-16NIY-CT-Calcitonin-1-Gs/β1/γ2
51.72Single7TYIAmylin7TYI-CT-Amylin-Gs/β1/γ2
51.35Single8F0JPramlintide Analogue San458F0J-CT-Pramlintide Analogue San45-Gs/β1/γ2
50.00Consensuscalcitonin_onOrthosteric Ligandctlike_on
47.22Single6E3YCalcitonin gene-related peptide-16E3Y-CT Like-Calcitonin gene-related peptide-1-Gs/β1/γ2; RAMP1
47.06Single9AUCCalcitonin gene-related peptide-19AUC-CT (AMY1)-Calcitonin gene-related peptide-1-Gs/β1/γ2; RAMP1
42.42Single6UVAAdrenomedullin-26UVA-CT Like (AM2)-Adrenomedullin-2-Gs/β1/γ2; RAMP3
41.94Single8YW4Retatrutide8YW4-GIP-Retatrutide-chim(NtGi1-Gs)/β1/γ2
41.38Single9BUECagrilintide9BUE-CT-Cagrilintide-Gs/β1/γ2
41.18Single6UUSAdrenomedullin6UUS-CT Like (AM2)-Adrenomedullin-Gs/β1/γ2; RAMP3
41.18Single9P93VIP9P93-PAC1-VIP-Gs/β1/γ2
41.03Consensusclass-b1_onOrthosteric Ligandglucagon_on vip-pacap_on pth_on crf_on calcitonin_on
40.62Single9E2AGLP-19E2A-GLP-1-GLP-1-Gs/β1/γ2
40.00Single7RBTTirzepatide7RBT-GIP-Tirzepatide-LSN3556672-chim(NtGi1-Gs)/β1/γ2
39.39Single7CZ5Somatoliberin7CZ5-GHRH-Somatoliberin-Gs/β1/γ2
39.39Single7D3SSecretin7D3S-Secretin-Secretin-Gs/β1/γ2
39.39Single7RA3GIP7RA3-GIP-GIP-chim(NtGi1-Gs)/β1/γ2
39.39Single7VABTirzepatide (non-acylated)7VAB-GIP-Tirzepatide (non-acylated)-chim(NtGi1-Gs)/β1/γ2
39.39Single9P92VIP9P92-PAC1-VIP-Gs/β1/γ2
39.39Consensusvpac_on_gpOrthosteric Ligandvpac1_on_gp vpac2_on_gp
38.89Single6LPBPACAP276LPB-PAC1-PACAP27-Gs/β1/γ1
38.89Single8FLULA-PTH Analog8FLU-PTH1-LA-PTH Analog-Gs/β1/γ2
38.71Single6UUNAdrenomedullin6UUN-CT Like (AM1)-Adrenomedullin-Gs/β1/γ2; RAMP2
38.71Single8YFOAc-LA-PTH Analog8YFO-PTH1-Ac-LA-PTH Analog-chim(NtGi1-Gs)/β1/γ2
38.24Single7DTYGIP7DTY-GIP-GIP-Gs/β1/γ2
38.24Single7FIYTirzepatide7FIY-GIP-Tirzepatide-Gs/β1/γ2
38.24Single7VVKPTH7VVK-PTH1-PTH-Gs/β1/γ2
38.24Single8HAOPTH8HAO-PTH1-PTH-chim(NtGi1-Gs)/β1/γ2
38.24Single9P94PACAP279P94-PAC1-PACAP27-Gs/β1/γ2
37.84Single7VVMPTH7VVM-PTH1-PTH-Gs/β1/γ2
37.84Single9JR2PTH9JR2-PTH1-PTH-chim(NtGi1L-Gs-CtGq)/β1/γ2
37.84Consensuscrf_on_gpOrthosteric Ligandcrf2_on_gp crf1_on_gp
37.50Single7F16TIP397F16-PTH2-TIP39-Gs/β1/γ2
37.50Single7FINPeptide-20; GGL7FIN-GIP-Peptide-20; GGL-Gs/β1/γ2
37.50Single8YW3Retatrutide8YW3-GLP-1-Retatrutide-Gs/β1/γ2
37.21Consensusclass-b1_on_gpOrthosteric Ligandglucagon_on_gp vip-pacap_on_gp pth_on_gp crf_on_gp calcitonin_on_gp
37.14Single6NBHLA-PTH Analog6NBH-PTH1-LA-PTH Analog-Gs/β1/γ2
37.14Single6WZGSecretin6WZG-Secretin-Secretin-Gs/β1/γ2
37.14Single7D68GLP-27D68-GLP-2-GLP-2-Gs/β1/γ2
37.14Single7VVLPTH7VVL-PTH1-PTH-Gs/β1/γ2
37.14Single8HAFPTHrP(1-36)8HAF-PTH1-PTHrP(1-36)-chim(NtGi1-Gs)/β1/γ2
37.14Consensusvip-pacap_onOrthosteric Ligandvpac_on pac_on
37.14Consensusvip-pacap_on_gpOrthosteric Ligandvpac_on_gp pac_on_gp
36.84Single9JR3PTH9JR3-PTH1-PTH-chim(NtGi1L-Gs-CtGq)/β1/γ2
36.84Consensusclass-a_class-b1_cons_on_gpOrthosteric Ligandclass-a_on_gp class-b1_on_gp
36.84Consensusglucagon_onOrthosteric Ligandglp_on gluc_on secretin_on gip_on
36.67Single7RTBPeptide-197RTB-GLP-1-Peptide-19-Gs/β1/γ2
36.67Single8JIQPeptide-158JIQ-Glucagon-Peptide-15-Gs/β1/γ2
36.36Single5YQZNNC17025YQZ-Glucagon-NNC1702
36.36Single7WBJPACAP277WBJ-VPAC1-PACAP27-Gs/β1/γ2
36.36Single8E3YPACAP278E3Y-VPAC1-PACAP27-Gs/β1/γ2
36.36Single8E3ZVIP8E3Z-VPAC1-VIP-Gs/β1/γ2
36.36Single8YG4LA-PTH Analog8YG4-PTH1-LA-PTH Analog-chim(NtGi1-Gs)/β1/γ2
36.36Consensuspac_onOrthosteric Ligandpac1_on
36.36Consensusvpac_onOrthosteric Ligandvpac1_on vpac2_on
36.11Single6PB0Urocortin6PB0-CRF1-Urocortin-chim(NtGi1-Gs)/β1/γ2
36.11Consensusclass-a_class-b1_cons_onOrthosteric Ligandclass-a_on class-b1_on
35.90Consensusglucagon_on_gpOrthosteric Ligandglp_on_gp gluc_on_gp secretin_on_gp gip_on_gp
35.29Single8E3XPACAP278E3X-PAC1-PACAP27-Gs/β1/γ2
35.29Single8FLRPTHrP(1-36)8FLR-PTH1-PTHrP(1-36)-Gs/β1/γ2
35.29Consensuspac_on_gpOrthosteric Ligandpac1_on_gp
35.14Single8FLSAbaloparatide8FLS-PTH1-Abaloparatide-Gs/β1/γ2
34.48Single7VVNPTH7VVN-PTH1-PTH-Gs/β1/γ2
34.38Single9B5YLA-PTH Analog9B5Y-PTH1-LA-PTH Analog-chim(NtGi1-Gq)/β1/γ2
34.29Single6P9XCorticoliberin-16P9X-CRF1-Corticoliberin-1-Gs/β1/γ2
34.29Single7S1MExendin-4-D-Ala7S1M-GLP-1-Exendin-4-D-Ala-Gs/β1/γ2
34.29Single7VQXPACAP277VQX-VPAC1-PACAP27-Gs/β1/γ2
34.29Single8FU6ZP37808FU6-Glucagon-ZP3780-Gs/β1/γ2
34.29Consensuscrf_onOrthosteric Ligandcrf2_on crf1_on
34.29Consensusglp_onOrthosteric Ligandglp1_on glp2_on
34.29Consensusglp_on_gpOrthosteric Ligandglp1_on_gp glp2_on_gp
34.21Single6WPWZP37806WPW-Glucagon-ZP3780-Gs/β1/γ2
33.33Single6LMKGlucagon6LMK-Glucagon-Glucagon-Gs/β1/γ2
33.33Single6LMLGlucagon6LML-Glucagon-Glucagon-Gi1/β1/γ1
33.33Single6M1IPACAP276M1I-PAC1-PACAP27-Gs/β1/γ2
33.33Single6PB1Urocortin6PB1-CRF2-Urocortin-chim(NtGi1-Gs)/β1/γ2
33.33Single6WI9Secretin6WI9-Secretin-Secretin-Gs/β1/γ2
33.33Single7KI1Taspoglutide7KI1-GLP-1-Taspoglutide-Gs/β1/γ2
33.33Single7V9MSomatoliberin7V9M-GHRH (SV1)-Somatoliberin-Gs/β1/γ2
33.33Single7VVJPTHrP(1-36)7VVJ-PTH1-PTHrP(1-36)-Gs/β1/γ2
33.33Single7Y36PTH7Y36-PTH1-PTH-Gs/β1/γ2
33.33Single8FLQPTH8FLQ-PTH1-PTH-Gs/β1/γ2
33.33Single8HA0PTH8HA0-PTH1-PTH-chim(NtGi1-Gs)/β1/γ2
33.33Single9BYOExendin-39BYO-GLP-1-Exendin-3-Gs/β1/γ2
33.33Single9EBOGLP-1 (ACPC18)9EBO-GLP-1-GLP-1 (ACPC18)-Gs/β1/γ2
33.33Consensuspth1_onOrthosteric Ligand6NBF-PTH1-LA-PTH Analog-Gs/β1/γ2 8HA0-PTH1-PTH-chim(NtGi1-Gs)/β1/γ2 8HAF-PTH1-PTHrP(1-36)-chim(NtGi1-Gs)/β1/γ2 7Y36-PTH1-PTH-Gs/β1/γ2 7Y35-PTH1-Abaloparatide-Gs/β1/γ2
33.33Consensusvpac2_onOrthosteric Ligand7VQX-VPAC1-PACAP27-Gs/β1/γ2
33.33Consensusvpac2_on_gpOrthosteric Ligand7VQX-VPAC1-PACAP27-Gs/β1/γ2
32.56Consensuspth_on_gpOrthosteric Ligandpth1_on_gp pth2_on_gp
32.50Consensuspth_onOrthosteric Ligandpth1_on pth2_on
32.35Single6X18GLP-16X18-GLP-1-GLP-1-Gs/β1/γ2
32.35Single7LLYOxyntomodulin7LLY-GLP-1-Oxyntomodulin-Gs/β1/γ2
31.43Single6FJ3PTH6FJ3-PTH1-PTH
31.43Single6P9YPACAP276P9Y-PAC1-PACAP27-Gs/β1/γ2
31.43Single7KI0Semaglutide7KI0-GLP-1-Semaglutide-Gs/β1/γ2
31.43Single8JISPeptide-158JIS-GLP-1-Peptide-15-chim(NtGi1-Gs)/β1/γ2
31.43Single9J1Pg1:Ox9J1P-GLP-1-g1:Ox-chim(NtGi1-Gs)/β1/γ2
31.43Consensuspac1_onOrthosteric Ligand8E3X-PAC1-PACAP27-Gs/β1/γ2 6M1H-PAC1-Maxadilan-Gs/β1/γ2
31.43Consensuspac1_on_gpOrthosteric Ligand8E3X-PAC1-PACAP27-Gs/β1/γ2 6M1H-PAC1-Maxadilan-Gs/β1/γ2
31.43Consensusvpac1_on_gpOrthosteric Ligand8E3Z-VPAC1-VIP-Gs/β1/γ2
31.25Single6WHCGlu16 analog of GCG6WHC-Glucagon-Glu16 analog of GCG-Gs/β1/γ2
31.25Single7TRYUrocortin7TRY-CRF2-Urocortin-chim(NtGi1-G11)/β1/γ2
31.25Single7VBITirzepatide (non-acylated)7VBI-GLP-1-Tirzepatide (non-acylated)-Gs/β1/γ2
30.95Consensuspth2_on_gpOrthosteric Ligand7F16-PTH2-TIP39-Gs/β1/γ2
30.77Single7V35Peptide-207V35-Glucagon-Peptide-20-Gs/β1/γ2
30.77Single8JIRSAR4258998JIR-GLP-1-SAR425899-chim(NtGi1-Gs)/β1/γ2
30.77Consensuspth1_on_gpOrthosteric Ligand6NBF-PTH1-LA-PTH Analog-Gs/β1/γ2 8HA0-PTH1-PTH-chim(NtGi1-Gs)/β1/γ2 8HAF-PTH1-PTHrP(1-36)-chim(NtGi1-Gs)/β1/γ2 7Y36-PTH1-PTH-Gs/β1/γ2 7Y35-PTH1-Abaloparatide-Gs/β1/γ2
30.56Single6VCBGLP-16VCB-GLP-1-GLP-1-LSN3160440-Gs/β1/γ2
30.30Single6VN7PACAP276VN7-VPAC1-PACAP27-Gs/β1/γ2
30.30Single9IVMGLP-1 (Truncated)9IVM-GLP-1-GLP-1 (Truncated)-LSN3318839-chim(NtGi1-Gs)/β2/γ2
30.30Single9LXRLA-PTH Analog9LXR-PTH1-LA-PTH Analog-Arrestin2
30.30Consensusclass-b1_class-b2_cons_onOrthosteric Ligandclass-b1_on class-b2_on
30.30Consensusclass-b1_class-b2_cons_on_gpOrthosteric Ligandclass-b1_on_gp class-b2_on_gp
30.00Single6M1HMaxadilan6M1H-PAC1-Maxadilan-Gs/β1/γ2
30.00Consensuspth2_onOrthosteric Ligand7F16-PTH2-TIP39-Gs/β1/γ2
29.73Single7TS0Urocortin7TS0-CRF2-Urocortin-chim(NtGi1L-Go)/β1/γ2
29.73Single8FLTM-PTH(1-14)8FLT-PTH1-M-PTH(1-14)-Gs/β1/γ2
29.73Consensusctlike_on_gpOrthosteric Ligand6E3Y-CT Like-Calcitonin gene-related peptide-1-Gs/β1/γ2; RAMP1
29.41Single8YW5Retatrutide8YW5-Glucagon-Retatrutide-Gs/β1/γ2
28.95Single7DUQGLP-17DUQ-GLP-1-GLP-1-PubChem 156022738-Gs/β1/γ2
28.57Single7Y35Abaloparatide7Y35-PTH1-Abaloparatide-Gs/β1/γ2
28.57Consensusvpac1_onOrthosteric Ligand8E3Z-VPAC1-VIP-Gs/β1/γ2
28.21Single7VBHPeptide-207VBH-GLP-1-Peptide-20-Gs/β1/γ2
27.78Single6NBFLA-PTH Analog6NBF-PTH1-LA-PTH Analog-Gs/β1/γ2
27.78Single6NBILA-PTH Analog6NBI-PTH1-LA-PTH Analog-Gs/β1/γ2
27.78Consensusctlike_onOrthosteric Ligand6E3Y-CT Like-Calcitonin gene-related peptide-1-Gs/β1/γ2; RAMP1
27.50Single8JIPMEDI03828JIP-GLP-1-MEDI0382-chim(NtGi1-Gs)/β1/γ2
27.03Single5NX2GLP-1 (Truncated)5NX2-GLP-1-GLP-1 (Truncated)
27.03Consensussecretin_on_gpOrthosteric Ligand7D3S-Secretin-Secretin-Gs/β1/γ2
26.83Single8JITMEDI03828JIT-Glucagon-MEDI0382-Gs/β1/γ2
26.83Single8JIUSAR4258998JIU-Glucagon-SAR425899-Gs/β1/γ2
26.32Single5VAIGLP-15VAI-GLP-1-GLP-1-Gs/β1/γ2
25.81Single7LLLExendin-47LLL-GLP-1-Exendin-4-Gs/β1/γ2
25.81Single9C0KExendin-49C0K-GLP-1-Exendin-4-Gs/β1/γ2
25.71Single7WUIIP157WUI-ADGRG2-IP15-chim(NtGi1-Gs)/β1/γ2
25.71Consensuscrf2_onOrthosteric Ligand7TS0-CRF2-Urocortin-chim(NtGi1L-Go)/β1/γ2
25.64Consensusgip_onOrthosteric Ligand7FIN-GIP-Peptide-20; GGL-Gs/β1/γ2 7FIY-GIP-Tirzepatide-Gs/β1/γ2 7DTY-GIP-GIP-Gs/β1/γ2
25.64Consensusgip_on_gpOrthosteric Ligand7FIN-GIP-Peptide-20; GGL-Gs/β1/γ2 7FIY-GIP-Tirzepatide-Gs/β1/γ2 7DTY-GIP-GIP-Gs/β1/γ2
25.00Consensusglp1_onOrthosteric Ligand7S1M-GLP-1-Exendin-4-D-Ala-Gs/β1/γ2 7X8R-GLP-1-BOC5-Gs/β1/γ2 6X19-GLP-1-CHU-128-Gs/β1/γ2 6X1A-GLP-1-Danuglipron-Gs/β1/γ2 6X18-GLP-1-GLP-1-Gs/β1/γ2 8JIP-GLP-1-MEDI0382-chim(NtGi1-Gs)/β1/γ2 7C2E-GLP-1-PubChem 149050799-Gs/β1/γ2 7KI0-GLP-1-Semaglutide-Gs/β1/γ2 7KI1-GLP-1-Taspoglutide-Gs/β1/γ2 7X8S-GLP-1-WB4-24-Gs/β1/γ2 8JIS-GLP-1-Peptide-15-chim(NtGi1-Gs)/β1/γ2 7VBI-GLP-1-Tirzepatide (non-acylated)-Gs/β1/γ2
24.39Consensusglp1_on_gpOrthosteric Ligand7S1M-GLP-1-Exendin-4-D-Ala-Gs/β1/γ2 7X8R-GLP-1-BOC5-Gs/β1/γ2 6X19-GLP-1-CHU-128-Gs/β1/γ2 6X1A-GLP-1-Danuglipron-Gs/β1/γ2 6X18-GLP-1-GLP-1-Gs/β1/γ2 8JIP-GLP-1-MEDI0382-chim(NtGi1-Gs)/β1/γ2 7C2E-GLP-1-PubChem 149050799-Gs/β1/γ2 7KI0-GLP-1-Semaglutide-Gs/β1/γ2 7KI1-GLP-1-Taspoglutide-Gs/β1/γ2 7X8S-GLP-1-WB4-24-Gs/β1/γ2 8JIS-GLP-1-Peptide-15-chim(NtGi1-Gs)/β1/γ2 7VBI-GLP-1-Tirzepatide (non-acylated)-Gs/β1/γ2
24.32Single7RGPTirzepatide7RGP-GLP-1-Tirzepatide-chim(NtGi1-Gs)/β1/γ2
24.32Single9KFKRelaxin-39KFK-RXFP4-Relaxin-3-Gi2/β1/γ2
24.32Consensuscrf2_on_gpOrthosteric Ligand7TS0-CRF2-Urocortin-chim(NtGi1L-Go)/β1/γ2
24.32Consensussecretin_onOrthosteric Ligand7D3S-Secretin-Secretin-Gs/β1/γ2
24.24Single8YWFRetatrutide8YWF-GLP-1-Retatrutide-chim(NtGi1-Gs)/β1/γ2
23.68Single6B3JExendin-P56B3J-GLP-1-Exendin-P5-Gs/β1/γ2
23.68Consensusglp2_onOrthosteric Ligand7D68-GLP-2-GLP-2-Gs/β1/γ2
23.68Consensusglp2_on_gpOrthosteric Ligand7D68-GLP-2-GLP-2-Gs/β1/γ2
23.33Consensusprotein_offOrthosteric Ligandchemokine_off grh_off
23.08Single7XKFDehydroepiandrosterone7XKF-ADGRG2-Dehydroepiandrosterone-Gs/β1/γ2
22.73Consensusgluc_on_gpOrthosteric Ligand6LMK-Glucagon-Glucagon-Gs/β1/γ2 8JIT-Glucagon-MEDI0382-Gs/β1/γ2 7V35-Glucagon-Peptide-20-Gs/β1/γ2
22.50Consensuscrf1_onOrthosteric Ligand6PB0-CRF1-Urocortin-chim(NtGi1-Gs)/β1/γ2 6P9X-CRF1-Corticoliberin-1-Gs/β1/γ2
22.22Single7FIMTirzepatide7FIM-GLP-1-Tirzepatide-Gs/β1/γ2
21.43Consensuscrf1_on_gpOrthosteric Ligand6PB0-CRF1-Urocortin-chim(NtGi1-Gs)/β1/γ2 6P9X-CRF1-Corticoliberin-1-Gs/β1/γ2
21.21Single7X8SWB4-247X8S-GLP-1-WB4-24-Gs/β1/γ2
21.05Consensusccr_offOrthosteric Ligandccr2_off ccr5_off
20.69Single8T1WCVN4248T1W-GPR6-CVN424
20.69Single9IVGGLP-1 (Truncated)9IVG-GLP-1-GLP-1 (Truncated)-chim(NtGi1-Gs)/β1/γ2
20.59Single6X19CHU-1286X19-GLP-1-CHU-128-Gs/β1/γ2
20.45Consensusgluc_onOrthosteric Ligand6LMK-Glucagon-Glucagon-Gs/β1/γ2 8JIT-Glucagon-MEDI0382-Gs/β1/γ2 7V35-Glucagon-Peptide-20-Gs/β1/γ2
20.00Single7E14Orforglipron7E14-GLP-1-Orforglipron-PubChem 156022738-Gs/β1/γ2
20.00Single8F7QBeta-Endorphin8F7Q-μ-β-Endorphin-Gi1/β1/γ2
20.00Single8JZZC5a-des-Arg8JZZ-C5a1-C5a-des-Arg-Go/β1/γ2
20.00Single8Z7JJN241-98Z7J-Apelin-JN241-9-Gi1/β1/γ2
20.00Consensusendothelin_onOrthosteric Ligandetb_on eta_on
20.00Consensuss1p_offOrthosteric Ligands1p1_off s1p5_off
19.51Single5GLHEndothelin-15GLH-ETB-Endothelin-1
19.51Single6IGKEndothelin-36IGK-ETB-Endothelin-3
19.35Single8T1VPubChem 1183102098T1V-GPR6-PubChem 118310209-Na
19.35Consensusclass-a_offOrthosteric Ligandsensory_off alicarboxylic_off amine_off lipid_off nucleotide_off peptide_off protein_off
19.35Consensusgi_relaxinOrthosteric Ligand7YK7-RXFP4-DC591053-Gi2/β1/γ2 7YJ4-RXFP4-INSL5-Gi2/β1/γ2 7YK6-RXFP4-PubChem 138319674-Gi2/β1/γ2
19.35Consensusrelaxin_onOrthosteric Ligandrxfp4_on
19.35Consensusrelaxin_on_gpOrthosteric Ligandrxfp4_on_gp
19.05Consensusendothelin_on_gpOrthosteric Ligandetb_on_gp eta_on_gp
18.92Single5WB2CX3CL1.355WB2-US28-CX3CL1.35
18.92Consensusgi_class-aOrthosteric Ligandgi_peptide gi_sensory gi_alicarboxylic gi_amine gi_lipid gi_nucleotide gi_protein
18.92Consensusneuromedin-u_onOrthosteric Ligandnmur1_on nmur2_on
18.75Single6XOXOrforglipron6XOX-GLP-1-Orforglipron-chim(NtGi1-Gs)/β1/γ2
18.75Single7MTRADX551647MTR-mGlu2; mGlu2-Glutamate-ADX55164
18.75Single7WCMMBX-29827WCM-GPR119-MBX-2982-Gs/β1/γ2
18.75Single7WCNAR2314537WCN-GPR119-AR231453-Gs/β1/γ2
18.75Single8VHFMBX-29828VHF-GPR119-MBX-2982-Gs/β1/γ2
18.75Single8XQSCholesterol8XQS-TAS2R14-Cholesterol-Flufenamic acid-Gi1/β1/γ1
18.75Consensuslpa1_offOrthosteric Ligand4Z36-LPA1-ONO-3080573 4Z35-LPA1-ONO-9910539 4Z34-LPA1-ONO-9780307
18.75Consensuslpa_offOrthosteric Ligandlpa1_off
18.75Consensuslpl_offOrthosteric Ligands1p_off lpa_off
18.60Single6LRYSarafotoxin-B6LRY-ETB-Sarafotoxin-B
18.42Single8HCQEndothelin-18HCQ-ETA-Endothelin-1-chim(NtGi1-Gs-CtGq)/β1/γ2
18.42Single8XQEApelin-138XQE-Apelin; Apelin-Apelin-13-Gi1/β1/γ2
18.42Single8ZRTEndothelin-18ZRT-ETB-Endothelin-1
18.42Consensuschemokine_offOrthosteric Ligandccr_off cxcr_off
18.42Consensuseta_onOrthosteric Ligand8HCQ-ETA-Endothelin-1-chim(NtGi1-Gs-CtGq)/β1/γ2
18.42Consensuseta_on_gpOrthosteric Ligand8HCQ-ETA-Endothelin-1-chim(NtGi1-Gs-CtGq)/β1/γ2
18.42Consensusgi_apelinOrthosteric Ligand8XZH-Apelin; Apelin-MM07-Gi1/β1/γ2 7W0M-Apelin-PubChem 122701908-Gi1/β1/γ2 8XZJ-Apelin; Apelin-WN353-Gi1/β1/γ2 8XZF-Apelin; Apelin-WN561-Gi1/β1/γ2 8XZG-Apelin; Apelin-Apelin-13-Gi1/β1/γ2
18.42Consensusneuromedin-u_on_gpOrthosteric Ligandnmur1_on_gp nmur2_on_gp
18.18Single7SK7CCX6627SK7-ACKR3-CXCL12-CCX662
18.18Single7X8RBOC57X8R-GLP-1-BOC5-Gs/β1/γ2
18.18Single7XZ6APD6687XZ6-GPR119-APD668-Gs/β1/γ2
18.18Single9UYHChemerin-99UYH-CML2-Chemerin-9-Arrestin2
17.95Single4XT3CX3CL14XT3-US28-CX3CL1
17.95Single7W3ZGastrin Releasing Peptide7W3Z-BB2-Gastrin Releasing Peptide-chim(NtGi1L-Gq)/β1/γ2
17.95Consensusgi_peptideOrthosteric Ligandgi_cck gi_apelin gi_compl-pept gi_endothelin gi_formylpeptide gi_galanin gi_ghrelin gi_npy gi_neurotensin gi_opioid gi_orexin gi_relaxin gi_somatostatin
17.86Single7VVOPTH7VVO-PTH1-PTH-Gs/β1/γ2
17.86Single8HMPC178HMP-GPR52-C17-Gs/β1/γ2
17.86Single8IJANiacin8IJA-HCA2-Niacin-Gi1/β1/γ2
17.65Single5VBLAMG3054 5VBL-Apelin-AMG3054
17.65Single7F8WGastrin-177F8W-CCKB-Gastrin-17-chim(NtGsL-Gq)/β1/γ2
17.65Single7RKNCX3CL17RKN-US28-CX3CL1-Gi1/β1/γ2
17.65Single7YJ4INSL57YJ4-RXFP4-INSL5-Gi2/β1/γ2
17.65Single8XQLCholesterol8XQL-TAS2R14-Cholesterol-Aristolochic acid A-Gt3/β1/γ1
17.65Single8XQOCholesterol8XQO-TAS2R14-Cholesterol-Aristolochic acid A-Gi1/β1/γ1
17.65Single8XZFWN5618XZF-Apelin; Apelin-WN561-Gi1/β1/γ2
17.65Consensuss1p_onOrthosteric Ligands1p1_on s1p3_on s1p5_on
17.65Consensuss1p_on_gpOrthosteric Ligands1p1_on_gp s1p3_on_gp s1p5_on_gp
17.50Single7QBCAlpha-factor mating pheromone7QBC-STE2; STE2-α-factor mating pheromone
17.50Single7WVYAmyloid-Beta427WVY-FPR2-ALX-Amyloid-β42-Gi2/β1/γ2
17.50Consensusgq_peptideOrthosteric Ligandgq_cck gq_kisspeptin gq_bradykinin gq_bombesin gq_angiotensin
17.50Consensuspeptide_onOrthosteric Ligandcck_on angiotensin_on apelin_on bombesin_on bradykinin_on compl-peptide_on endothelin_on formylpeptide_on galanin_on ghrelin_on kisspeptin_on melanocortin_on motilin_on neuromedin-u_on npy_on neurotensin_on opioid_on orexin_on relaxin_on somatostatin_on tachykinin_on trh_on vasop-oxy_on
17.50Consensuspeptide_on_gpOrthosteric Ligandcck_on_gp angiotensin_on_gp apelin_on_gp bombesin_on_gp bradykinin_on_gp compl-peptide_on_gp endothelin_on_gp formylpeptide_on_gp galanin_on_gp ghrelin_on_gp kisspeptin_on_gp melanocortin_on_gp motilin_on_gp neuromedin-u_on_gp npy_on_gp neurotensin_on_gp opioid_on_gp orexin_on_gp relaxin_on_gp somatostatin_on_gp tachykinin_on_gp trh_on_gp vasop-oxy_on_gp
17.24Single7YK6PubChem 1383196747YK6-RXFP4-PubChem 138319674-Gi2/β1/γ2
17.24Single9K0KUTP9K0K-P2Y4-UTP-chim(NtGi1-Gs-CtGq)/β1/γ2
17.14Single4XT1CX3CL14XT1-US28-CX3CL1
17.14Single6WIVPubChem 52923113; PubChem 529246456WIV-GABAB1, GABAB2-PubChem 52923113; PubChem 52924645
17.14Single7TD4Siponimod7TD4-S1P1-Siponimod-Gi1/β1/γ2
17.14Single7W0PElabela7W0P-Apelin-Elabela-Gi1/β1/γ2
17.14Consensuschemokine_onOrthosteric Ligandccr_on cxcr_on
17.14Consensuscxcr4_onOrthosteric Ligand8K3Z-CXCR4-CXCL12-Gi1/β1/γ1
17.14Consensusgi_opioidOrthosteric Ligand8F7R-μ-Endomorphin-Gi1/β1/γ2 8EF5-μ-Fentanyl-Gi1/β1/γ2 7SCG-μ-FH210-Gi1/β1/γ2 7T2H-μ-Lofentanil-Gi1/β1/γ2 7T2G-μ-Mitragynine Pseudoindoxyl-Gi1/β1/γ2 8DZP-κ-momSalB-Gi1/β1/γ2 8EF6-μ-Morphine-Gi1/β1/γ2 8F7X-NOP-Nociceptin-Gi1/β1/γ2 8EFB-μ-Oliceridine-Gi1/β1/γ2 7U2L-μ-C5-guano-Gi1/β1/γ2 8EFO-μ-PZM21-Gi1/β1/γ2 8EFL-μ-SR17018-Gi1/β1/γ2 8F7Q-μ-β-Endorphin-Gi1/β1/γ2 7U2K-μ-C6-guano-Gi1/β1/γ2 8EFQ-μ-DAMGO-Gi1/β1/γ2 8F7S-δ-Deltorphin-Gi1/β1/γ2 8F7W-κ-Dynorphin-Gi1/β1/γ2
17.14Consensusmop_offOrthosteric Ligand4DKL-μ-β-Funaltrexamine 8QOT-μ-Nanobody-E 7UL4-μ-Alvimopan
17.14Consensussst5_onOrthosteric Ligand8X8L-SST5-Cortistatin-14-chim(NtGi1-Gs-CtGi1)/β1/γ2 8X8N-SST5-Octreotide-chim(NtGi1-Gs-CtGi1)/β1/γ2
17.07Single7QBCAlpha-factor mating pheromone7QBC-STE2; STE2-α-factor mating pheromone
17.07Single8IY6Endothelin-18IY6-ETB-Endothelin-1
17.07Single8WWNMCH8WWN-MCH1-MCH-Gi1/β1/γ2
16.67Single5OLZPubChem 1355666095OLZ-A2A-PubChem 135566609-Na
16.67Single5OM1PubChem 1355666095OM1-A2A-PubChem 135566609-Na
16.67Single5TGZAM65385TGZ-CB1-AM6538
16.67Single6DO1(Sar1,Ile8)-Angiotensin II6DO1-AT1-(Sar1,Ile8)-Angiotensin II
16.67Single7C6A(Sar1,Ile8)-Angiotensin II7C6A-AT2-(Sar1,Ile8)-Angiotensin II
16.67Single7RKMCX3CL17RKM-US28-CX3CL1-Gi1/β1/γ2
16.67Single7W0NElabela7W0N-Apelin; Apelin-Elabela-Gi1/β1/γ2
16.67Single7XMSSomatostatin-147XMS-SST4-Somatostatin-14-Gi1/β1/γ2
16.67Single7YK7DC5910537YK7-RXFP4-DC591053-Gi2/β1/γ2
16.67Single8I7VAcipimox8I7V-HCA2-Acipimox-Gi1/β1/γ2
16.67Single8J6PNiacin8J6P-HCA2-Niacin-PubChem 25101223-Gi1/β1/γ2
16.67Single8JHNMonomethyl fumarate8JHN-HCA2-Monomethyl fumarate-Go/β1/γ2
16.67Single9IQVMuscarinic toxin 39IQV-Alpha1A-Muscarinic toxin 3
16.67Single9KFJPubChem 1383196749KFJ-RXFP3-PubChem 138319674-Gi2/β1/γ2
16.67Consensusbb2_onOrthosteric Ligand7W40-BB2-Bombesin-chim(NtGi1L-Gq)/β1/γ2 7W3Z-BB2-Gastrin Releasing Peptide-chim(NtGi1L-Gq)/β1/γ2
16.67Consensusbb2_on_gpOrthosteric Ligand7W40-BB2-Bombesin-chim(NtGi1L-Gq)/β1/γ2 7W3Z-BB2-Gastrin Releasing Peptide-chim(NtGi1L-Gq)/β1/γ2
16.67Consensusbombesin_onOrthosteric Ligandbb2_on
16.67Consensusbombesin_on_gpOrthosteric Ligandbb2_on_gp
16.67Consensusccr5_on_gpOrthosteric Ligand7O7F-CCR5-6P4-CCL5-Gi1/β1/γ1 7F1Q-CCR5-CCL3-Gi1/β1/γ2
16.67Consensuscompl-peptide_onOrthosteric Ligandc5a1_on c3a_on
16.67Consensusformylpeptide_on_gpOrthosteric Ligandfpr2-alx_on_gp fpr1-alx_on_gp
16.67Consensusgi_endothelinOrthosteric Ligand8IY5-ETB-Endothelin-1-Gi1/β1/γ2 8HBD-ETB-IRL1620-Gi1/β1/γ2
16.67Consensusgi_hcaOrthosteric Ligand8J6R-HCA2-MK6892-Gi1/β1/γ2 8JIM-HCA2-Monomethyl fumarate-Gi1/β1/γ2 8IHI-HCA2-Acifran-Gi1/β1/γ2 8IHH-HCA2-LUF6283-Gi1/β1/γ2 8I7V-HCA2-Acipimox-Gi1/β1/γ2 8I7W-HCA2-GSK256073-Gi1/β1/γ2
16.67Consensusgq_bombesinOrthosteric Ligand7W40-BB2-Bombesin-chim(NtGi1L-Gq)/β1/γ2 7W3Z-BB2-Gastrin Releasing Peptide-chim(NtGi1L-Gq)/β1/γ2
16.67Consensusgq_class-aOrthosteric Ligandgq_peptide gq_amine gq_nucleotide
16.67Consensushca2_onOrthosteric Ligand8J6R-HCA2-MK6892-Gi1/β1/γ2 8JIM-HCA2-Monomethyl fumarate-Gi1/β1/γ2 8I7V-HCA2-Acipimox-Gi1/β1/γ2 8I7W-HCA2-GSK256073-Gi1/β1/γ2 8IHH-HCA2-LUF6283-Gi1/β1/γ2 8IHI-HCA2-Acifran-Gi1/β1/γ2
16.67Consensushca2_on_gpOrthosteric Ligand8J6R-HCA2-MK6892-Gi1/β1/γ2 8IHI-HCA2-Acifran-Gi1/β1/γ2 8IHH-HCA2-LUF6283-Gi1/β1/γ2 8I7V-HCA2-Acipimox-Gi1/β1/γ2 8JIM-HCA2-Monomethyl fumarate-Gi1/β1/γ2 8I7W-HCA2-GSK256073-Gi1/β1/γ2
16.67Consensushca_on_gpOrthosteric Ligandhca2_on_gp
16.28Consensusetb_on_gpOrthosteric Ligand8IY5-ETB-Endothelin-1-Gi1/β1/γ2 8HBD-ETB-IRL1620-Gi1/β1/γ2
16.22Single6LW5WKYMVm6LW5-FPR2-ALX-WKYMVm
16.22Single7O7F6P4-CCL57O7F-CCR5-6P4-CCL5-Gi1/β1/γ1
16.22Single7TD0LPA7TD0-LPA1-LPA-Gi1/β1/γ2
16.22Single7TD2LPA7TD2-LPA1-LPA-Gi1/β1/γ2
16.22Single7XA3CCL27XA3-CCR2-CCL2-Gi1/β1/γ2
16.22Single9U4WGonadoliberin-19U4W-GnRH1-Gonadoliberin-1-chim(NtGi1L-Gs-CtGq)/β1/γ2
16.22Consensusccr2_onOrthosteric Ligand7XA3-CCR2-CCL2-Gi1/β1/γ2
16.22Consensusccr2_on_gpOrthosteric Ligand7XA3-CCR2-CCL2-Gi1/β1/γ2
16.22Consensusccr_onOrthosteric Ligandccr6_on ccr8_on ccr2_on ccr1_on ccr5_on
16.22Consensuscompl-peptide_on_gpOrthosteric Ligandc5a1_on_gp c3a_on_gp
16.22Consensuscxcr4_on_gpOrthosteric Ligand8K3Z-CXCR4-CXCL12-Gi1/β1/γ1
16.22Consensuspeptide_offonOrthosteric Ligandpeptide_off peptide_on
16.13Single4JKVTaladegib4JKV-SMO-Taladegib
16.13Single5OM4PubChem 1355666095OM4-A2A-PubChem 135566609-Na
16.13Single7YU6ONO-07405567YU6-LPA1-ONO-0740556-Gi1/β1/γ2
16.13Single8J6JGSK2560738J6J-HCA2-GSK256073-Gi1/β1/γ2
16.13Single8UUJFCH-22964138UUJ-HCA2-FCH-2296413-Gi1/β1/γ2
16.13Single8X0BVU04244658X0B-mGlu5; mGlu5-Quisqualate-VU0424465
16.13Single8X0CVU04244658X0C-mGlu5; mGlu5-Quisqualate-VU0424465
16.13Single8X0CVU04244658X0C-mGlu5; mGlu5-Quisqualate-VU0424465
16.13Single8X0DVU04244658X0D-mGlu5; mGlu5-Quisqualate-VU0424465
16.13Single8X0DVU04244658X0D-mGlu5; mGlu5-Quisqualate-VU0424465
16.13Single8ZPTPrRP208ZPT-PrRP-PrRP20-chim(NtGi1-Gs-CtGq)/β1/γ2
16.13Single9CIBFCH-22964139CIB-HCA2-FCH-2296413
16.13Single9HC04YI9HC0-mGlu5-4YI
16.13Single9KPFSalicin9KPF-TAS2R16-Salicin-Gi1/β1/γ2
16.13Consensusrxfp4_onOrthosteric Ligand7YK7-RXFP4-DC591053-Gi2/β1/γ2 7YJ4-RXFP4-INSL5-Gi2/β1/γ2 7YK6-RXFP4-PubChem 138319674-Gi2/β1/γ2
16.13Consensusrxfp4_on_gpOrthosteric Ligand7YK7-RXFP4-DC591053-Gi2/β1/γ2 7YJ4-RXFP4-INSL5-Gi2/β1/γ2 7YK6-RXFP4-PubChem 138319674-Gi2/β1/γ2
16.13Consensuss1p5_offOrthosteric Ligand7YXA-S1P5-ONO-5430608
16.00Single7XKEDehydroepiandrosterone7XKE-ADGRG2-Dehydroepiandrosterone-chim(NtGi1-Gs)/β1/γ2
15.79Single7DW9AVP7DW9-V2-AVP-chim(NtGi1-Gs)/β1/γ2
15.79Consensusapelin_onOrthosteric Ligand8XZH-Apelin; Apelin-MM07-Gi1/β1/γ2 7W0M-Apelin-PubChem 122701908-Gi1/β1/γ2 8XZJ-Apelin; Apelin-WN353-Gi1/β1/γ2 8XZF-Apelin; Apelin-WN561-Gi1/β1/γ2 8XZG-Apelin; Apelin-Apelin-13-Gi1/β1/γ2
15.79Consensusapelin_on_gpOrthosteric Ligand8XZH-Apelin; Apelin-MM07-Gi1/β1/γ2 7W0M-Apelin-PubChem 122701908-Gi1/β1/γ2 8XZJ-Apelin; Apelin-WN353-Gi1/β1/γ2 8XZF-Apelin; Apelin-WN561-Gi1/β1/γ2 8XZG-Apelin; Apelin-Apelin-13-Gi1/β1/γ2
15.79Consensuscxcr3_on_gpOrthosteric Ligand8HNK-CXCR3-CXCL11-Gi1/β1/γ2 8HNL-CXCR3-PS372424-Gi1/β1/γ2
15.79Consensusgi_formylpeptideOrthosteric Ligand7WVY-FPR2-ALX-Amyloid-β42-Gi2/β1/γ2 7T6U-FPR2-ALX-CGEN-855A-Gi1/β1/γ2 7VFX-FPR1-ALX-fMIFL-Gi1/β1/γ2 7T6V-FPR2-ALX-fMLFII-Gi1/β1/γ2 7WVX-FPR2-ALX-Humanin-Gi2/β1/γ2 7T6S-FPR2-ALX-TC-FPR 43-Gi1/β1/γ2 6OMM-FPR2-ALX-WKYMVX-Gi1/β1/γ2
15.79Consensusgs_vasop-oxyOrthosteric Ligand7DW9-V2-AVP-chim(NtGi1-Gs)/β1/γ2
15.79Consensuspeptide_offon_gpOrthosteric Ligandpeptide_on_gp peptide_off
15.79Consensusprotein_offonOrthosteric Ligandprotein_off protein_on
15.79Consensusprotein_offon_gpOrthosteric Ligandprotein_on_gp protein_off
15.79Consensusprotein_onOrthosteric Ligandchemokine_on chemerin_on
15.79Consensusv2_onOrthosteric Ligand7DW9-V2-AVP-chim(NtGi1-Gs)/β1/γ2
15.79Consensusv2_on_gpOrthosteric Ligand7DW9-V2-AVP-chim(NtGi1-Gs)/β1/γ2
15.79Consensusvasop-oxy_onOrthosteric Ligandv2_on
15.79Consensusvasop-oxy_on_gpOrthosteric Ligandv2_on_gp
15.62Single4Z34ONO-97803074Z34-LPA1-ONO-9780307
15.62Single5V56TC1145V56-SMO-TC114
15.62Single5V57TC1145V57-SMO-TC114
15.62Single6GT3Imaradenant6GT3-A2A-Imaradenant-Na
15.62Single7EW7SEW28717EW7-S1P1-SEW2871-Gi1/β1/γ2
15.62Single7P2L4YI7P2L-mGlu5-4YI
15.62Single7PX4PSB-21137PX4-A2A-PSB-2113
15.62Single7VIGCBP-3077VIG-S1P1-CBP-307-Gi1/β1/γ2
15.62Single7XTQR3997XTQ-GPBA-R399-Gs/β1/γ2
15.62Single7YU7ONO-07405567YU7-LPA1-ONO-0740556-Gi1/β1/γ2
15.62Single8HQCC5a8HQC-C5a1-C5a-Go/β1/γ2
15.62Single8IHBGSK2560738IHB-HCA2-GSK256073-Gi1/β1/γ2
15.62Single8IHHLUF62838IHH-HCA2-LUF6283-Gi1/β1/γ2
15.62Single8UGWCGS216808UGW-A2A-CGS21680
15.62Single8X0BVU04244658X0B-mGlu5; mGlu5-Quisqualate-VU0424465
15.62Single8X0FVU298X0F-mGlu5; mGlu5-Quisqualate-VU29
15.62Single8XQTCholesterol8XQT-TAS2R14-Cholesterol-Gi1/β1/γ1
15.62Single8ZR5Firuglipel8ZR5-GPR119-Firuglipel-Gs/β1/γ2
15.62Single9ASTLymphotactin9AST-XCR1-Lymphotactin-Gi1/β1/γ2
15.62Single9IZGLPA9IZG-LPA1-LPA-chim(NtGi1-Gs-CtGq)/β1/γ2
15.62Consensus5ht_offOrthosteric Ligand5ht2_off 5ht1_off
15.38Single7F6HBradykinin7F6H-BK2-Bradykinin-Gq/β1/γ2
15.38Single7F6IKallidin7F6I-BK2-Kallidin-Gq/β1/γ2
15.38Single7QBIAlpha-factor mating pheromone7QBI-STE2; STE2-α-factor mating pheromone
15.38Single7VL9CCL15(26-92)7VL9-CCR1-CCL15(26-92)-Gi1/β1/γ2
15.38Single8WWKMCH8WWK-MCH1-MCH-Gi1/β1/γ2
15.38Single8WWMMCH8WWM-MCH1-MCH-Gi1/β1/γ2
15.38Single8XVHEndothelin-18XVH-ETB-Endothelin-1-chim(Gs-CtGq)/β1/γ2
15.38Consensusccr_on_gpOrthosteric Ligandccr6_on_gp ccr8_on_gp ccr2_on_gp ccr1_on_gp ccr5_on_gp
15.38Consensuschemokine_on_gpOrthosteric Ligandccr_on_gp cxcr_on_gp
15.38Consensuscxcr_offOrthosteric Ligandcxcr3_off cxcr4_off
15.38Consensusgi_chemokineOrthosteric Ligand6WWZ-CCR6-CCL20-Go/β1/γ2 8HNK-CXCR3-CXCL11-Gi1/β1/γ2 8K3Z-CXCR4-CXCL12-Gi1/β1/γ1 8IC0-CXCR1-CXCL8-Gi1/β1/γ2 6LFM-CXCR2-CXCL8-Gi1/β1/γ2 8KFX-CCR8-LMD-009-Gi1/β1/γ2 7F1Q-CCR5-CCL3-Gi1/β1/γ2 8HNL-CXCR3-PS372424-Gi1/β1/γ2 8KFY-CCR8-ZK-756326-Gi1/β1/γ2 7O7F-CCR5-6P4-CCL5-Gi1/β1/γ1 8U1U-CCR8-CCL1-Gi1/β1/γ2 7VLA-CCR1-CCL15(27-92)-Gi1/β1/γ2 7XA3-CCR2-CCL2-Gi1/β1/γ2
15.38Consensusopioid_onOrthosteric Ligandmop_on nop_on dop_on kop_on
15.38Consensussst5_on_gpOrthosteric Ligand8X8L-SST5-Cortistatin-14-chim(NtGi1-Gs-CtGi1)/β1/γ2 8X8N-SST5-Octreotide-chim(NtGi1-Gs-CtGi1)/β1/γ2
15.15Single4N4WSANT-14N4W-SMO-SANT-1
15.15Single4Z36ONO-30805734Z36-LPA1-ONO-3080573
15.15Single6A93Risperidone6A93-5-HT2A-Risperidone
15.15Single6OS0Angiotensin II6OS0-AT1-Angiotensin II
15.15Single6OS2TRV0266OS2-AT1-TRV026
15.15Single7DFPSpiperone7DFP-D2-Spiperone
15.15Single7EVYSiponimod7EVY-S1P1-Siponimod-Gi1/β1/γ2
15.15Single7T6BS1P7T6B-S1P2-S1P-chim(NtGi1L-G13)/β1/γ2
15.15Single7W0NElabela7W0N-Apelin; Apelin-Elabela-Gi1/β1/γ2
15.15Single8IBUErythromycin-A8IBU-Motilin-Erythromycin-A-chim(NtGi1-Gs-CtGq)/β1/γ2
15.15Single8J6DEP1418J6D-C3aB-EP141-Go/β1/γ2
15.15Single8XQNCholesterol8XQN-TAS2R14-Cholesterol-Aristolochic acid A-Gi1/β1/γ1
15.15Single9IZHLPA9IZH-LPA1-LPA-chim(NtGi2-G13)/β1/γ2
15.15Single9M8POleic monoethanolamide9M8P-GPR3 ; GPR3-Oleic monoethanolamide-AF64394
15.15Consensusleukotriene_offOrthosteric Ligandblt_off cyslt_off
15.15Consensusmop_onOrthosteric Ligand8F7R-μ-Endomorphin-Gi1/β1/γ2 8EF5-μ-Fentanyl-Gi1/β1/γ2 7SCG-μ-FH210-Gi1/β1/γ2 7T2H-μ-Lofentanil-Gi1/β1/γ2 7T2G-μ-Mitragynine Pseudoindoxyl-Gi1/β1/γ2 8EF6-μ-Morphine-Gi1/β1/γ2 8EFB-μ-Oliceridine-Gi1/β1/γ2 7U2L-μ-C5-guano-Gi1/β1/γ2 8EFO-μ-PZM21-Gi1/β1/γ2 8EFL-μ-SR17018-Gi1/β1/γ2 8F7Q-μ-β-Endorphin-Gi1/β1/γ2 7U2K-μ-C6-guano-Gi1/β1/γ2 8EFQ-μ-DAMGO-Gi1/β1/γ2
15.15Consensusmop_on_gpOrthosteric Ligand8F7R-μ-Endomorphin-Gi1/β1/γ2 8EF5-μ-Fentanyl-Gi1/β1/γ2 7SCG-μ-FH210-Gi1/β1/γ2 7T2H-μ-Lofentanil-Gi1/β1/γ2 7T2G-μ-Mitragynine Pseudoindoxyl-Gi1/β1/γ2 8EF6-μ-Morphine-Gi1/β1/γ2 8EFB-μ-Oliceridine-Gi1/β1/γ2 7U2L-μ-C5-guano-Gi1/β1/γ2 8EFO-μ-PZM21-Gi1/β1/γ2 8EFL-μ-SR17018-Gi1/β1/γ2 8F7Q-μ-β-Endorphin-Gi1/β1/γ2 7U2K-μ-C6-guano-Gi1/β1/γ2 8EFQ-μ-DAMGO-Gi1/β1/γ2
15.15Consensusmotilin_on_gpOrthosteric Ligand8IBU-Motilin-Erythromycin-A-chim(NtGi1-Gs-CtGq)/β1/γ2
15.15Consensusopioid_offOrthosteric Ligandmop_off nop_off dop_off kop_off
15.15Consensuss1p1_onOrthosteric Ligand7VIE-S1P1-S1P-Gi1/β1/γ2 7VIF-S1P1-FTY720-P-Gi1/β1/γ2 7VIG-S1P1-CBP-307-Gi1/β1/γ2 7EVY-S1P1-Siponimod-Gi1/β1/γ2 7EVZ-S1P1-Cenerimod-Gi1/β1/γ2 7EW0-S1P1-Ozanimod-Gi1/β1/γ2 7EW7-S1P1-SEW2871-Gi1/β1/γ2
15.15Consensuss1p1_on_gpOrthosteric Ligand7VIE-S1P1-S1P-Gi1/β1/γ2 7VIF-S1P1-FTY720-P-Gi1/β1/γ2 7VIG-S1P1-CBP-307-Gi1/β1/γ2 7EVY-S1P1-Siponimod-Gi1/β1/γ2 7EVZ-S1P1-Cenerimod-Gi1/β1/γ2 7EW0-S1P1-Ozanimod-Gi1/β1/γ2 7EW7-S1P1-SEW2871-Gi1/β1/γ2
15.00Single5UIW5P7-CCL55UIW-CCR5-5P7-CCL5
15.00Single7F8VGastrin-177F8V-CCKB-Gastrin-17-Gi2/β1/γ2
15.00Single7QBIAlpha-factor mating pheromone7QBI-STE2; STE2-α-factor mating pheromone
15.00Single7SK4CXCL12_LRHQ7SK4-ACKR3-CXCL12_LRHQ
15.00Consensusccr5_offOrthosteric Ligand5UIW-CCR5-5P7-CCL5
15.00Consensusccr5_onOrthosteric Ligand7O7F-CCR5-6P4-CCL5-Gi1/β1/γ1 7F1Q-CCR5-CCL3-Gi1/β1/γ2
15.00Consensusgi_compl-peptOrthosteric Ligand8HK5-C5a1-C5a-Gi1/β1/γ2 8IA8-C3aB-E7 peptide-Gi1/β1/γ2 7Y66-C5a1-BM213-Gi1/β1/γ2 7Y67-C5a1-C089 peptide-Gi1/β1/γ2 8HK2-C3aB-C3a-Gi1/β1/γ2 7Y64-C5a1-C5a-Gi1/β1/γ2
15.00Consensusgi_proteinOrthosteric Ligandgi_chemokine gi_chemerin
15.00Consensusopioid_on_gpOrthosteric Ligandmop_on_gp nop_on_gp dop_on_gp kop_on_gp
15.00Consensusprotein_on_gpOrthosteric Ligandchemokine_on_gp chemerin_on_gp
14.81Single8JEFPubChem 113671668JEF-HCA3-PubChem 11367166-Gi1/β1/γ2
14.81Single8JRVGlucagon8JRV-Glucagon-Glucagon-Arrestin2
14.81Single8RQLFlufenamic acid8RQL-TAS2R14-Flufenamic acid-Flufenamic acid-chim(NtGi1-Gt3)/β1/γ2
14.81Single9IJRC179IJR-GPR52-C17-Arrestin2
14.81Single9KT93,5-DHBA9KT9-HCA1-3,5-DHBA-Gi1/β1/γ2
14.71Single4BVNCyanopindolol4BVN-β1-Cyanopindolol-Na
14.71Single4Z35ONO-99105394Z35-LPA1-ONO-9910539
14.71Single5CGDHTL142425CGD-mGlu5-HTL14242
14.71Single6BQHRitanserin6BQH-5-HT2C-Ritanserin
14.71Single7EVZCenerimod7EVZ-S1P1-Cenerimod-Gi1/β1/γ2
14.71Single7EZCUK-4320977EZC-A2A-UK-432097
14.71Single7MTSADX551647MTS-mGlu2; mGlu2-Glutamate-ADX55164-Gi1/β1/γ2
14.71Single7SK8CCX6627SK8-ACKR3-CXCL12-CCX662
14.71Single7Y65C5a (C-terminal peptide)7Y65-C5a1-C5a (C-terminal peptide)-Gi1/β1/γ2
14.71Single7YU8ONO-07405567YU8-LPA1-ONO-0740556-Gi1/β1/γ2
14.71Single8E0GBU728E0G-μ-BU72
14.71Single8IJDMK68928IJD-HCA2-MK6892-Gi1/β1/γ2
14.71Single8J19LY2378J19-GPR84-LY237-Gi1/β1/γ2
14.71Single8XGSKisspeptin-18XGS-Kiss1-Kisspeptin-1-chim(NtGi1-Gq)/β1/γ2
14.71Single8XVUCXCL28XVU-CXCR2-CXCL2
14.71Single8XXHCXCL28XXH-CXCR2-CXCL2-Go/β1/γ2
14.71Single9KT8Acifran9KT8-HCA2-Acifran-Gi1/β1/γ2
14.71Single9KUGEP679KUG-C5a1-EP67-Go/β1/γ2
14.71Single9KWXC5a-des-Arg9KWX-C5a1-C5a-des-Arg-Go/β1/γ2
14.71Single9L79AR2314539L79-GPR119-AR231453-chim(NtGi1-Gs)/β1/γ2
14.71Single9WP9S1P9WP9-S1P3-S1P-chim(NtGi2L-Gs-CtGq)/β1/γ2
14.71Consensus5ht2c_offOrthosteric Ligand6BQH-5-HT2C-Ritanserin
14.71Consensusc3a_on_gpOrthosteric Ligand8HK2-C3aB-C3a-Gi1/β1/γ2 8IA8-C3aB-E7 peptide-Gi1/β1/γ2
14.71Consensusclass-a_onOrthosteric Ligandsensory_on alicarboxylic_on amine_on lipid_on nucleotide_on peptide_on protein_on
14.71Consensusgi_s1pOrthosteric Ligand7VIE-S1P1-S1P-Gi1/β1/γ2 7EW3-S1P3-S1P-Gi1/β1/γ2 7EVY-S1P1-Siponimod-Gi1/β1/γ2 7EW1-S1P5-Siponimod-Gi1/β1/γ2 7VIF-S1P1-FTY720-P-Gi1/β1/γ2 7VIG-S1P1-CBP-307-Gi1/β1/γ2 7EVZ-S1P1-Cenerimod-Gi1/β1/γ2 7EW4-S1P3-CYM-5541-Gi1/β1/γ2 7EW2-S1P3-FTY720-P-Gi1/β1/γ2 7EW0-S1P1-Ozanimod-Gi1/β1/γ2 7EW7-S1P1-SEW2871-Gi1/β1/γ2
14.63Single7AD3Alpha-factor mating pheromone7AD3-STE2; STE2-α-factor mating pheromone-Gi1/STE4/γ2
14.63Single7EIBKallidin-des-Arg107EIB-BK1-Kallidin-des-Arg10-chim(NtGi1-Gs-CtGq)/β1/γ2
14.63Single8WWLMCH8WWL-MCH1-MCH-Gi1/β1/γ2
14.63Single8ZH8QRFP268ZH8-QRFP-QRFP26-Gq/β1/γ1
14.29Single3NY9PubChem 9131033NY9-β2-PubChem 913103
14.29Single4O9RCyclopamine4O9R-SMO-Cyclopamine
14.29Single4UG2CGS216804UG2-A2A-CGS21680
14.29Single5L7IVismodegib5L7I-SMO-Vismodegib
14.29Single5WF6UK-4320975WF6-A2A-UK-432097
14.29Single6IGLIRL16206IGL-ETB-IRL1620
14.29Single6LI0C176LI0-GPR52-C17
14.29Single6XBJCholesterol6XBJ-SMO-Cholesterol-Gi1/β1/γ2
14.29Single7DD5Ca; Ca; Tryptophan; NPS-21437DD5-CaS; CaS-Ca-Ca; Ca; Tryptophan; NPS-2143
14.29Single7F2OBradykinin7F2O-BK2-Bradykinin-chim(NtGi1-Gs-CtGq)/β1/γ2
14.29Single7SK9CCX6627SK9-ACKR3-CCX662
14.29Single7XBXCX3CL17XBX-CX3CR1-CX3CL1-Gi1/β1/γ2
14.29Single7XY6BAY 60-65837XY6-A2B-BAY 60-6583-chim(NtGi1-Gs)/β1/γ2
14.29Single8H2GNiacin8H2G-HCA2-Niacin-Gi1/β1/γ2
14.29Single8IY5Endothelin-18IY5-ETB-Endothelin-1-Gi1/β1/γ2
14.29Single8J6PPubChem 251012238J6P-HCA2-Niacin-PubChem 25101223-Gi1/β1/γ2
14.29Single8JHYPubChem 251012238JHY-HCA2-PubChem 25101223-Gi1/β1/γ2
14.29Single8JIIPubChem 251012238JII-HCA2-Niacin-PubChem 25101223-Gi1/β1/γ2
14.29Single8K5BNiacin8K5B-HCA2-Niacin
14.29Single8QJ2pN1628QJ2-MC4-pN162-Gs/β1/γ2
14.29Single8U4RREGN7663-Fab8U4R-CXCR4-REGN7663-Fab
14.29Single8X5YAstemizole8X5Y-H1-Astemizole
14.29Single9B9YTaranabant9B9Y-CB1-Taranabant
14.29Single9EPRAll-trans-Retinal9EPR-Rhodopsin-All-trans-Retinal-Gi1/β1/γ2
14.29Single9IZASCH9002719IZA-HCA2-SCH900271-Gi1/β1/γ2
14.29Single9KX6C5a-des-Arg9KX6-C5a1-C5a-des-Arg-Go/β1/γ2
14.29Consensusbk2_onOrthosteric Ligand7F6H-BK2-Bradykinin-Gq/β1/γ2 7F6I-BK2-Kallidin-Gq/β1/γ2
14.29Consensusbk2_on_gpOrthosteric Ligand7F6H-BK2-Bradykinin-Gq/β1/γ2 7F6I-BK2-Kallidin-Gq/β1/γ2
14.29Consensusbradykinin_onOrthosteric Ligandbk2_on
14.29Consensusbradykinin_on_gpOrthosteric Ligandbk2_on_gp
14.29Consensuscxcr3_onOrthosteric Ligand8HNK-CXCR3-CXCL11-Gi1/β1/γ2 8HNL-CXCR3-PS372424-Gi1/β1/γ2
14.29Consensuscxcr_on_gpOrthosteric Ligandcxcr3_on_gp cxcr4_on_gp cxcr1_on_gp cxcr2_on_gp
14.29Consensusetb_onOrthosteric Ligand8IY5-ETB-Endothelin-1-Gi1/β1/γ2 8HBD-ETB-IRL1620-Gi1/β1/γ2
14.29Consensusgq_bradykininOrthosteric Ligand7F6H-BK2-Bradykinin-Gq/β1/γ2 7F6I-BK2-Kallidin-Gq/β1/γ2
14.29Consensusnmur1_onOrthosteric Ligand7W53-NMUR1-Neuromedin-U-25-chim(NtGi1-Gs-CtGq)/β1/γ2
13.89Single7QA8Antagonist Peptide7QA8-STE2; STE2-Antagonist Peptide
13.89Single7QA8Antagonist Peptide7QA8-STE2; STE2-Antagonist Peptide
13.89Single7T6UCGEN-855A7T6U-FPR2-ALX-CGEN-855A-Gi1/β1/γ2
13.89Single7W53Neuromedin-U-257W53-NMUR1-Neuromedin-U-25-chim(NtGi1-Gs-CtGq)/β1/γ2
13.89Single7WVWfMYFINILTL7WVW-FPR2-ALX-fMYFINILTL-Gi2/β1/γ2
13.89Single7XAUOctreotide7XAU-SST2-Octreotide-Gi1/β1/γ2
13.89Single8K3ZCXCL128K3Z-CXCR4-CXCL12-Gi1/β1/γ1
13.89Single8U4OCXCL128U4O-CXCR4-CXCL12-Gi1/β1/γ2
13.89Single8XGMChemerin8XGM-CML2-Chemerin-Gi1/β1/γ2
13.89Single9KWGC5a9KWG-C5a1-C5a-Go/β1/γ2
13.89Single9L3YChemerin9L3Y-CML2-Chemerin-Gi1/β1/γ2
13.89Single9MEJGp1209MEJ-CXCR4-Gp120
13.89Single9UYJChemerin-99UYJ-CML2-Chemerin-9-Arrestin2
13.89Consensusclass-a_on_gpOrthosteric Ligandsensory_on_gp alicarboxylic_on_gp amine_on_gp lipid_on_gp nucleotide_on_gp peptide_on_gp protein_on_gp
13.89Consensuslpl_onOrthosteric Ligands1p_on lpa_on
13.89Consensuslpl_on_gpOrthosteric Ligands1p_on_gp lpa_on_gp
13.89Consensusnmur1_on_gpOrthosteric Ligand7W53-NMUR1-Neuromedin-U-25-chim(NtGi1-Gs-CtGq)/β1/γ2
13.79Single3V2WPubChem 518926453V2W-S1P1-PubChem 51892645
13.79Single4BWBNeurotensin-(8-12)4BWB-NTS1-Neurotensin-(8-12)
13.79Single4MQTLY21196204MQT-M2-Iperoxo-LY2119620
13.79Single4QINSAG1.54QIN-SMO-SAG1.5
13.79Single6O3CSAG21k6O3C-SMO-SAG21k-Cholesterol
13.79Single7WF7S1P7WF7-S1P1-S1P-Gi1/β1/γ2
13.79Single8J6LNiacin8J6L-HCA2-Niacin-Gi1/β1/γ2
13.79Single8JPPSuccinic acid8JPP-Succinate-Succinic acid-chim(Gs-CtGq)/β1/γ1
13.79Single8U4SREGN7663-Fab8U4S-CXCR4-REGN7663-Fab
13.79Single8U4TREGN7663-Fab8U4T-CXCR4-REGN7663-Fab
13.79Single8Y0HVUF114188Y0H-CXCR3-VUF11418
13.79Single8Y0NVUF114188Y0N-CXCR3-VUF11418-Go/β1/γ2
13.79Single8Z87CHBA8Z87-HCA1-CHBA-Gi1/β1/γ2
13.79Single9JKXAcifran9JKX-HCA3-Acifran-Gi1/β1/γ2
13.79Single9W49U-50488H9W49-κ-U-50488H-Gi1/β1/γ2
13.79Consensuss1p1_offOrthosteric Ligand3V2W-S1P1-PubChem 51892645
13.64Single7SK6CXCL12_LRHQ7SK6-ACKR3-CXCL12_LRHQ
13.64Single8HBDIRL16208HBD-ETB-IRL1620-Gi1/β1/γ2
13.51Single3QAKUK-4320973QAK-A2A-UK-432097
13.51Single5XJM(Sar1,Ile8)-Angiotensin II5XJM-AT2-(Sar1,Ile8)-Angiotensin II
13.51Single6HLOAprepitant6HLO-NK1-Aprepitant
13.51Single7F1QCCL37F1Q-CCR5-CCL3-Gi1/β1/γ2
13.51Single8IBVMotilin8IBV-Motilin-Motilin-chim(NtGi1-Gs-CtGq)/β1/γ2
13.51Single9IQSMuscarinic toxin 39IQS-M4-Muscarinic toxin 3
13.51Single9JFK(Pen5)-Urotensin II9JFK-UT-(Pen5)-Urotensin II-chim(NtGi2L-Gs-CtGq)/β1/γ2
13.51Single9KFIRelaxin-39KFI-RXFP3-Relaxin-3-Gi2/β1/γ2
13.51Single9KV6TLQP219KV6-C3aB-TLQP21-Go/β1/γ2
13.51Single9ME1CXCL129ME1-CXCR4-CXCL12
13.51Consensusgi_cckOrthosteric Ligand7EZH-CCKA-Cholecystokinin-8-Gi1/β1/γ2 7F8V-CCKB-Gastrin-17-Gi2/β1/γ2
13.51Consensuss1p3_on_gpOrthosteric Ligand7EW3-S1P3-S1P-Gi1/β1/γ2 7EW4-S1P3-CYM-5541-Gi1/β1/γ2 7EW2-S1P3-FTY720-P-Gi1/β1/γ2
13.51Consensussst4_onOrthosteric Ligand7XMS-SST4-Somatostatin-14-Gi1/β1/γ2 7XMT-SST4-J-2156-Gi1/β1/γ2
13.51Consensussst4_on_gpOrthosteric Ligand7XMS-SST4-Somatostatin-14-Gi1/β1/γ2 7XMT-SST4-J-2156-Gi1/β1/γ2
13.33Single2YDOAdenosine2YDO-A2A-Adenosine
13.33Single4ZUDOlmesartan4ZUD-AT1-Olmesartan
13.33Single5IU7Q274563465IU7-A2A-Q27456346-Na
13.33Single5JTBZM-2413855JTB-A2A-ZM-241385
13.33Single5K2BZM-2413855K2B-A2A-ZM-241385-Na
13.33Single6FKAPubChem 1324730376FKA-Rhodopsin-PubChem 132473037
13.33Single6XBLSAG6XBL-SMO-SAG-Cholesterol-Gi1/β1/γ2
13.33Single6ZDRHMS1413f126ZDR-A2A-HMS1413f12-Na
13.33Single6ZG9GSK10347026ZG9-M1-GSK1034702
13.33Single7BB6AVP7BB6-V2-AVP-Gs/β1/γ2
13.33Single7T32ZM-2413857T32-A2A-ZM-241385
13.33Single7T94LY21196207T94-M2-Acetylcholine-LY2119620-chim(NtGi1-Go)/β1/γ2
13.33Single7ZI0SAG7ZI0-SMO-SAG-Cholesterol
13.33Single8HNMVUF112228HNM-CXCR3-VUF11222-Gi1/β1/γ2
13.33Single8IHKAcifran8IHK-HCA3-Acifran
13.33Single8IY9Niacin8IY9-HCA2-Niacin-Go/β1/γ2
13.33Single8JIMMonomethyl fumarate8JIM-HCA2-Monomethyl fumarate-Gi1/β1/γ2
13.33Single8JLKUlotaront8JLK-TA1-Ulotaront-chim(NtGi1-Gs)/β1/γ2
13.33Single8K2WAMG4878K2W-CXCR3-AMG487
13.33Single8K5CAcipimox8K5C-HCA2-Acipimox
13.33Single8PM2DMCHA8PM2-TA7-DMCHA-Gs/β1/γ2
13.33Single8RQQZM-2413858RQQ-A2A-ZM-241385-Na
13.33Single8W88SEP-3638568W88-TA1-SEP-363856-Gs/β1/γ2
13.33Single8WC8ZH86518WC8-TA1-ZH8651-chim(NtGi1-Gs)/β1/γ2
13.33Single9AXFCa; Ca; Ca; Cyclomethyltryptophan; R-568; PO49AXF-CaS; CaS-Ca-Ca; Ca; Ca; Cyclomethyltryptophan; R-568; PO4-chim(NtGi1-Gs-CtGq)/β1/γ2
13.33Single9BA0MRI-18919BA0-CB1-MRI-1891
13.33Single9JFUNE52-QQ579JFU-GPR4-NE52-QQ57
13.33Single9K0XATP9K0X-P2Y2-ATP-chim(NtGi1-Gs-CtGq)/β1/γ2
13.33Single9K20ATP9K20-P2Y2-ATP-chim(NtGi1-Go)/β1/γ2
13.33Single9KPDSalicin9KPD-TAS2R16-Salicin-chim(Gs-CtGt3)/β1/γ2
13.33Single9P1TZM-2413859P1T-A2A-ZM-241385
13.33Consensusa2_offOrthosteric Liganda2a_off
13.33Consensusa2a_offOrthosteric Ligand3RFM-A2A-Caffeine 8C9W-A2A-Etrumadenant 3UZA-A2A-GTPL9236 8GNG-A2A-Istradefylline 8CU6-A2A-LJ-4517 7PX4-A2A-PSB-2113 7PYR-A2A-PSB-2115 8DU3-A2A-PubChem 105526064 8JWY-A2A-2-118 8PWN-A2A-Theophylline 5IU4-A2A-ZM-241385-Na 5OLZ-A2A-PubChem 135566609-Na 6GT3-A2A-Imaradenant-Na 5OLV-A2A-LUAA47070-Na 5N2R-A2A-PSB36-Na 5IU7-A2A-Q27456346-Na 5OLH-A2A-Vipadenant-Na 5OLO-A2A-Tozadenant-Na 6ZDR-A2A-HMS1413f12-Na 8GNE-A2A-KW-6356-Na 8JWZ-A2A-Etrumadenant-Na 5IU8-A2A-Q27456347-Na 5IUB-A2A-Q27456344-Na 6ZDV-A2A-PubChem 984073-Na 5IUA-A2A-Q27456348-Na 8A2P-A2A-LUAA47070-Na
13.33Consensuscxcr2_onOrthosteric Ligand6LFM-CXCR2-CXCL8-Gi1/β1/γ2
13.33Consensuscxcr3_offOrthosteric Ligand8K2W-CXCR3-AMG487
13.33Consensusghrelin_offOrthosteric Ligand6KO5-Ghrelin-PubChem 57400002 7F83-Ghrelin-PF-05190457
13.33Consensusgrh_offOrthosteric Ligandgnrh1_off
13.33Consensushca_onOrthosteric Ligandhca2_on
13.16Single5WF5UK-4320975WF5-A2A-UK-432097
13.16Single6MEOGp160; CD46MEO-CCR5-Gp160; CD4
13.16Single6PT2KGCHM076PT2-δ-KGCHM07
13.16Single7RYCOxytocin7RYC-OT-Oxytocin-chim(NtGi2L-Gs-CtGq)/β1/γ2
13.16Single7T6TfMLFII7T6T-FPR1-ALX-fMLFII-Gi1/β1/γ2
13.16Single7W55Neuromedin-U-257W55-NMUR2-Neuromedin-U-25-chim(NtGi1-Gs-CtGq)/β1/γ2
13.16Single8XGUTAK4488XGU-Kiss1-TAK448-Gi1/β1/γ2
13.16Single9K27PrRP319K27-PrRP-PrRP31-chim(NtGi1-Gq)/β1/γ2
13.16Single9MEUCXCL129MEU-CXCR4-CXCL12
13.16Single9UYIChemerin-99UYI-CML2-Chemerin-9-Arrestin2
13.16Consensusangiotensin_onOrthosteric Ligandat1_on
13.16Consensusat1_onOrthosteric Ligand7F6G-AT1-(Sar1)-Angiotensin II-Gq/β1/γ2
13.16Consensusc5a1_onOrthosteric Ligand8HK5-C5a1-C5a-Gi1/β1/γ2 7Y66-C5a1-BM213-Gi1/β1/γ2 7Y67-C5a1-C089 peptide-Gi1/β1/γ2 7Y64-C5a1-C5a-Gi1/β1/γ2
13.16Consensusfpr2-alx_onOrthosteric Ligand7WVX-FPR2-ALX-Humanin-Gi2/β1/γ2 7T6U-FPR2-ALX-CGEN-855A-Gi1/β1/γ2 7T6V-FPR2-ALX-fMLFII-Gi1/β1/γ2 7WVY-FPR2-ALX-Amyloid-β42-Gi2/β1/γ2 7T6S-FPR2-ALX-TC-FPR 43-Gi1/β1/γ2 6OMM-FPR2-ALX-WKYMVX-Gi1/β1/γ2
13.16Consensusgi_somatostatinOrthosteric Ligand7WIC-SST2-Somatostatin-14-Gi1/β1/γ2 7XMS-SST4-Somatostatin-14-Gi1/β1/γ2 8X8L-SST5-Cortistatin-14-chim(NtGi1-Gs-CtGi1)/β1/γ2 7XMT-SST4-J-2156-Gi1/β1/γ2 7WIG-SST2-L-054264-Gi1/β1/γ2 8X8N-SST5-Octreotide-chim(NtGi1-Gs-CtGi1)/β1/γ2 7YAE-SST2-Octreotide-Gi1/β1/γ2 7YAC-SST2-Paltusotine-Gi1/β1/γ2
13.16Consensusnmur2_onOrthosteric Ligand7W55-NMUR2-Neuromedin-U-25-chim(NtGi1-Gs-CtGq)/β1/γ2
13.16Consensusnmur2_on_gpOrthosteric Ligand7W55-NMUR2-Neuromedin-U-25-chim(NtGi1-Gs-CtGq)/β1/γ2
13.16Consensussomatostatin_onOrthosteric Ligandsst2_on sst4_on sst5_on
13.16Consensussomatostatin_on_gpOrthosteric Ligandsst2_on_gp sst4_on_gp sst5_on_gp
12.90Single3EMLZM-2413853EML-A2A-ZM-241385
12.90Single4EIYZM-2413854EIY-A2A-ZM-241385-Na
12.90Single4U16N-methyl-Scopolamine4U16-M3-N-methyl-Scopolamine
12.90Single5DSGTiotropium5DSG-M4-Tiotropium
12.90Single5IU8Q274563475IU8-A2A-Q27456347-Na
12.90Single5K2AZM-2413855K2A-A2A-ZM-241385-Na
12.90Single5OLGZM-2413855OLG-A2A-ZM-241385-Na
12.90Single5T04Neurotensin-(8-13)5T04-NTS1-Neurotensin-(8-13)
12.90Single5VRAZM-2413855VRA-A2A-ZM-241385-Na
12.90Single6FKDPubChem 1373491836FKD-Rhodopsin-PubChem 137349183
12.90Single6GPSMK08126GPS-CCR2-MK0812
12.90Single6IIVDaltroban6IIV-TXA2-Daltroban
12.90Single6S0LZM-2413856S0L-A2A-ZM-241385
12.90Single6XBM25(S)-Epoxycholesterol6XBM-SMO-25(S)-Epoxycholesterol-Gi1/β1/γ2
12.90Single6Z4VNeurotensin-(9-13)6Z4V-NTS1-Neurotensin-(9-13)
12.90Single7M3JNPS-2143; PO47M3J-CaS; CaS-NPS-2143; PO4
12.90Single7PYRPSB-21157PYR-A2A-PSB-2115
12.90Single7S15PubChem 1346112237S15-GLP-1-PubChem 134611223
12.90Single7VIES1P7VIE-S1P1-S1P-Gi1/β1/γ2
12.90Single7VIFFTY720-P7VIF-S1P1-FTY720-P-Gi1/β1/γ2
12.90Single7VKTLTB47VKT-BLT1-LTB4-Gi1/β1/γ2
12.90Single7YU4ONO-07405567YU4-LPA1-ONO-0740556
12.90Single7YXAONO-54306087YXA-S1P5-ONO-5430608
12.90Single8CU7LJ-45178CU7-A2A-LJ-4517-Na
12.90Single8IHJAcifran8IHJ-HCA3-Acifran-Gi1/β1/γ2
12.90Single8JIINiacin8JII-HCA2-Niacin-PubChem 25101223-Gi1/β1/γ2
12.90Single8K5DGSK2560738K5D-HCA2-GSK256073
12.90Single8W87METH8W87-TA1-METH-chim(NtGi1L-Gs)/β1/γ2
12.90Single8W8ARO52563908W8A-TA1-RO5256390-chim(NtGi1L-Gs)/β1/γ2
12.90Single8ZSSRO52633978ZSS-TA1-RO5263397-chim(NtGi1-Gs)/β1/γ2
12.90Single9H37PubChem 1756706469H37-A2A-PubChem 175670646-Na
12.90Single9IZCMK19039IZC-HCA2-MK1903-Gi1/β1/γ2
12.90Single9METGp120; CD49MET-CXCR4-Gp120; CD4
12.90Single9P1SZM-2413859P1S-A2A-ZM-241385
12.90Consensusalicarboxylic_on_gpOrthosteric Ligandsuccinate_on_gp hca_on_gp
12.90Consensusblt1_onOrthosteric Ligand7VKT-BLT1-LTB4-Gi1/β1/γ2
12.90Consensusblt1_on_gpOrthosteric Ligand7VKT-BLT1-LTB4-Gi1/β1/γ2
12.90Consensusblt_onOrthosteric Ligandblt1_on
12.90Consensusblt_on_gpOrthosteric Ligandblt1_on_gp
12.90Consensusccr2_offOrthosteric Ligand6GPS-CCR2-MK0812
12.90Consensusgi_alicarboxylicOrthosteric Ligandgi_hca gi_succinate
12.90Consensusgi_leukotrieneOrthosteric Ligand7VKT-BLT1-LTB4-Gi1/β1/γ2
12.90Consensusgs_trace-amineOrthosteric Ligand8W88-TA1-SEP-363856-Gs/β1/γ2 8JLJ-TA1-T1AM-chim(NtGi1-Gs)/β1/γ2 8JLO-TA1-Ulotaront-Gs/β1/γ2 8WC4-TA1-ZH8651-chim(NtGi1-Gs)/β1/γ2 8WC7-TA1-ZH8667-chim(NtGi1-Gs)/β1/γ2 8JLR-TA1-A77636-chim(NtGi1-Gs)/β1/γ2 8JSO-TA1-AMPH-chim(NtGi1-Gs)/β1/γ2 8W87-TA1-METH-chim(NtGi1L-Gs)/β1/γ2 8W89-TA1-2-Phenylethylamine-chim(NtGi1L-Gs)/β1/γ2 8JLP-TA1-Ralmitaront-Gs/β1/γ2 8W8A-TA1-RO5256390-chim(NtGi1L-Gs)/β1/γ2
12.90Consensusleukotriene_onOrthosteric Ligandblt_on
12.90Consensusleukotriene_on_gpOrthosteric Ligandblt_on_gp
12.90Consensuslipid_offOrthosteric Ligandcannabinoid_off paf_off lpl_off prostanoid_off leukotriene_off
12.90Consensusm4_offOrthosteric Ligand5DSG-M4-Tiotropium
12.82Single6JODAngiotensin II6JOD-AT2-Angiotensin II
12.82Single6METGp160; CD46MET-CCR5-Gp160; CD4
12.82Single6WIVPubChem 52923113; PubChem 529246456WIV-GABAB1, GABAB2-PubChem 52923113; PubChem 52924645
12.82Single7AD3Alpha-factor mating pheromone7AD3-STE2; STE2-α-factor mating pheromone-Gi1/STE4/γ2
12.82Single7F6G(Sar1)-Angiotensin II7F6G-AT1-(Sar1)-Angiotensin II-Gq/β1/γ2
12.82Single7T10Somatostatin-147T10-SST2-Somatostatin-14-Gi3/β1/γ2
12.82Single7W57Neuromedin-S7W57-NMUR2-Neuromedin-S-chim(NtGi1-Gs-CtGq)/β1/γ2
12.82Single7YONPeptide-YY(3-36)7YON-Y2-Peptide-YY(3-36)-Gi1/β1/γ2
12.82Single8H4KGW95088H4K-FFA4-GW9508-chim(NtGi1-Gs-CtGq)/β1/γ2
12.82Single8IHFMK68928IHF-HCA2-MK6892-Gi1/β1/γ2
12.82Single8WSTMCH8WST-MCH2-MCH-chim(NtGi1L-Gs-CtGq)/β1/γ2
12.82Single8X8LCortistatin-148X8L-SST5-Cortistatin-14-chim(NtGi1-Gs-CtGi1)/β1/γ2
12.82Single8XZJWN3538XZJ-Apelin; Apelin-WN353-Gi1/β1/γ2
12.82Single8ZBISomatostatin-148ZBI-SST3-Somatostatin-14-Gi1/β1/γ2
12.82Single9BKKCholecystokinin-89BKK-CCKA-Cholecystokinin-8-chim(NtGi1-Gs-CtGq)/β1/γ2
12.82Consensusangiotensin_on_gpOrthosteric Ligandat1_on_gp
12.82Consensusat1_on_gpOrthosteric Ligand7F6G-AT1-(Sar1)-Angiotensin II-Gq/β1/γ2
12.82Consensusc5a1_on_gpOrthosteric Ligand8HK5-C5a1-C5a-Gi1/β1/γ2 7Y66-C5a1-BM213-Gi1/β1/γ2 7Y67-C5a1-C089 peptide-Gi1/β1/γ2 7Y64-C5a1-C5a-Gi1/β1/γ2
12.82Consensusfpr2-alx_on_gpOrthosteric Ligand7WVX-FPR2-ALX-Humanin-Gi2/β1/γ2 7T6U-FPR2-ALX-CGEN-855A-Gi1/β1/γ2 7T6V-FPR2-ALX-fMLFII-Gi1/β1/γ2 7WVY-FPR2-ALX-Amyloid-β42-Gi2/β1/γ2 7T6S-FPR2-ALX-TC-FPR 43-Gi1/β1/γ2 6OMM-FPR2-ALX-WKYMVX-Gi1/β1/γ2
12.82Consensusgq_angiotensinOrthosteric Ligand7F6G-AT1-(Sar1)-Angiotensin II-Gq/β1/γ2
12.50Single5C1MBU725C1M-μ-BU72
12.50Single5CGCHTL142425CGC-mGlu5-HTL14242
12.50Single5IUAQ274563485IUA-A2A-Q27456348-Na
12.50Single5N2RPSB365N2R-A2A-PSB36-Na
12.50Single5N2SPSB365N2S-A1-PSB36
12.50Single5NM2ZM-2413855NM2-A2A-ZM-241385-Na
12.50Single5T1ABMS-6815T1A-CCR2-BMS-681-PubChem 12093170
12.50Single5YHLPubChem 1351213525YHL-EP4-PubChem 135121352
12.50Single5YWYONO-AE3-2085YWY-EP4-ONO-AE3-208
12.50Single5ZK33-quinuclidinyl-benzilate5ZK3-M2-3-quinuclidinyl-benzilate
12.50Single6GDGNECA6GDG-A2A-NECA-Gs/β1/γ1
12.50Single6GPXMK08126GPX-CCR2-MK0812
12.50Single6LFMCXCL86LFM-CXCR2-CXCL8-Gi1/β1/γ2
12.50Single6LPLZM-2413856LPL-A2A-ZM-241385-Na
12.50Single6PS6Timolol6PS6-β2-Timolol
12.50Single6S0QZM-2413856S0Q-A2A-ZM-241385
12.50Single6WQAZM-2413856WQA-A2A-ZM-241385-Na
12.50Single6XBKCholesterol6XBK-SMO-Cholesterol-Gi1/β1/γ2
12.50Single7C4SS1P7C4S-S1P3-S1P
12.50Single7EO2FTY720-P7EO2-S1P1-FTY720-P-Gi1/β1/γ2
12.50Single7EPFNAM5977EPF-mGlu2-NAM597
12.50Single7M3JNPS-2143; PO47M3J-CaS; CaS-NPS-2143; PO4
12.50Single7RM5ZM-2413857RM5-A2A-ZM-241385-Na
12.50Single7SINNPS-21437SIN-CaS; CaS-NPS-2143
12.50Single7SINNPS-21437SIN-CaS; CaS-NPS-2143
12.50Single7TD3S1P7TD3-S1P1-S1P-Gi1/β1/γ2
12.50Single7VUHJNJ-635330547VUH-GPR139-JNJ-63533054-chim(Gs-CtGq)/β1/γ2
12.50Single7X9BNeuropeptide-Y7X9B-Y2-Neuropeptide-Y-Gi1/β1/γ2
12.50Single7Y64C5a7Y64-C5a1-C5a-Gi1/β1/γ2
12.50Single7YU3ONO-07405567YU3-LPA1-ONO-0740556-Gi1/β1/γ2
12.50Single8E9ZIperoxo8E9Z-M3-Iperoxo-chim(NtGi2L-Gs-CtGq)/β1/γ2
12.50Single8EFBOliceridine8EFB-μ-Oliceridine-Gi1/β1/γ2
12.50Single8FYNZM-2413858FYN-A2A-ZM-241385-Na
12.50Single8GNEKW-63568GNE-A2A-KW-6356-Na
12.50Single8HCXEndothelin-18HCX-ETB-Endothelin-1-chim(NtGi2L-Gs-CtGq)/β1/γ2
12.50Single8HK5C5a8HK5-C5a1-C5a-Gi1/β1/γ2
12.50Single8HNKCXCL118HNK-CXCR3-CXCL11-Gi1/β1/γ2
12.50Single8HNLPS3724248HNL-CXCR3-PS372424-Gi1/β1/γ2
12.50Single8I7WGSK2560738I7W-HCA2-GSK256073-Gi1/β1/γ2
12.50Single8IA2C5a8IA2-C5a1-C5a-Go/β1/γ2
12.50Single8J18(3R)-3-Hydroxydodecanoic acid8J18-GPR84-(3R)-3-Hydroxydodecanoic acid-Gi1/β1/γ2
12.50Single8S4DCMF-0198S4D-Apelin-CMF-019
12.50Single8T6JCDPPB8T6J-mGlu5; mGlu5-CDPPB
12.50Single8T6JCDPPB8T6J-mGlu5; mGlu5-CDPPB
12.50Single8TF5Oleic acid8TF5-GPR6-Oleic acid
12.50Single8XGOTAK4488XGO-Kiss1-TAK448-chim(NtGi1-Gq)/β1/γ2
12.50Single8XQPCholesterol8XQP-TAS2R14-Cholesterol-Aristolochic acid A-Gt3/β1/γ1
12.50Single8XYKVUF106618XYK-CXCR3-VUF10661-Go/β1/γ2
12.50Single8YICSAR2477998YIC-S1P1-SAR247799-Gi1/β1/γ2
12.50Single8YNSSNAP-948478YNS-MCH1-SNAP-94847
12.50Single8ZRKGSK12922638ZRK-GPR119-GSK1292263-Gs/β1/γ2
12.50Single8ZYTNeurotensin-(8-13)8ZYT-NTS1-Neurotensin-(8-13)-SBI-553-Arrestin2
12.50Single9AVLCa; Ca; Cyclomethyltryptophan; R-568; PO49AVL-CaS; CaS-Ca-Ca; Ca; Cyclomethyltryptophan; R-568; PO4-Gi3/β2/γ2
12.50Single9AXFCa; Ca; Ca; Cyclomethyltryptophan; R-568; PO49AXF-CaS; CaS-Ca-Ca; Ca; Ca; Cyclomethyltryptophan; R-568; PO4-chim(NtGi1-Gs-CtGq)/β1/γ2
12.50Single9AYFCa; Ca; Ca; Cyclomethyltryptophan; R-568; PO49AYF-CaS; CaS-Ca-Ca; Ca; Ca; Cyclomethyltryptophan; R-568; PO4-Gi1/β1/γ2
12.50Single9B9ZMRI-18679B9Z-CB1-MRI-1867
12.50Single9EAHOlmesartan9EAH-AT1-Olmesartan-Nanobody AT209
12.50Single9EE8Adenosine9EE8-A2A-Adenosine-Gs/β1/γ2
12.50Single9JFYNeuropeptide-SF9JFY-NPFF2-Neuropeptide-SF-Gi1/β1/γ2
12.50Single9JKSPubChem 442501769JKS-HCA3-PubChem 44250176-Gi1/β1/γ2
12.50Single9KO4CCL219KO4-CCR7-CCL21-Gi1/β1/γ2
12.50Single9KT6Acifran9KT6-HCA3-Acifran-Gi1/β1/γ2
12.50Single9M8POleic monoethanolamide9M8P-GPR3 ; GPR3-Oleic monoethanolamide-AF64394
12.50Single9MQKIsoquinuclidine9MQK-κ-Isoquinuclidine
12.50Consensusa1_offOrthosteric Ligand5UEN-A1-DU172 5N2S-A1-PSB36
12.50Consensusadenosine_offOrthosteric Liganda1_off a2_off
12.50Consensusblt1_offOrthosteric Ligand5X33-BLT1-BIIL260 7K15-BLT1-MKD046-Na
12.50Consensusblt_offOrthosteric Ligandblt1_off
12.50Consensuscxcr2_on_gpOrthosteric Ligand6LFM-CXCR2-CXCL8-Gi1/β1/γ2
12.50Consensusep4_offOrthosteric Ligand5YWY-EP4-ONO-AE3-208 5YHL-EP4-PubChem 135121352
12.50Consensusep_offOrthosteric Ligandep4_off
12.50Consensusgq_muscarinicOrthosteric Ligand6OIJ-M1-Iperoxo-chim(NtGi1L-G11)/β1/γ2
12.50Consensusm1_onOrthosteric Ligand6OIJ-M1-Iperoxo-chim(NtGi1L-G11)/β1/γ2
12.50Consensusm2_offOrthosteric Ligand5ZKC-M2-N-methyl-Scopolamine 5ZK3-M2-3-quinuclidinyl-benzilate 5ZKB-M2-AF-DX 384
12.50Consensusmc1_onOrthosteric Ligand7F4H-MC1-Afamelanotide-chim(NtGi1-Gs)/β1/γ2 7F4D-MC1-α-MSH-chim(NtGi1-Gs)/β1/γ2 7F4I-MC1-SHU9119-chim(NtGi1-Gs)/β1/γ2
12.50Consensusmc1_on_gpOrthosteric Ligand7F4H-MC1-Afamelanotide-chim(NtGi1-Gs)/β1/γ2 7F4D-MC1-α-MSH-chim(NtGi1-Gs)/β1/γ2 7F4I-MC1-SHU9119-chim(NtGi1-Gs)/β1/γ2
12.50Consensusmc2_onOrthosteric Ligand8GY7-MC2-Corticotropin-Ca-chim(NtGi1-Gs)/β1/γ2; MRAP1
12.50Consensusmc2_on_gpOrthosteric Ligand8GY7-MC2-Corticotropin-Ca-chim(NtGi1-Gs)/β1/γ2; MRAP1
12.50Consensusta1_onOrthosteric Ligand8W87-TA1-METH-chim(NtGi1L-Gs)/β1/γ2 8W89-TA1-2-Phenylethylamine-chim(NtGi1L-Gs)/β1/γ2 8JLP-TA1-Ralmitaront-Gs/β1/γ2 8W8A-TA1-RO5256390-chim(NtGi1L-Gs)/β1/γ2 8W88-TA1-SEP-363856-Gs/β1/γ2 8JLO-TA1-Ulotaront-Gs/β1/γ2 8JLR-TA1-A77636-chim(NtGi1-Gs)/β1/γ2 8JSO-TA1-AMPH-chim(NtGi1-Gs)/β1/γ2 8ZSP-TA1-LSD-chim(NtGi1L-Gs)/β1/γ2
12.50Consensustrace-amine_onOrthosteric Ligandta1_on
12.20Single7SK3CXCL127SK3-ACKR3-CXCL12
12.20Single7YKDChemerin-97YKD-CML1-Chemerin-9-Gi1/β1/γ2
12.20Single8XQFApelin-138XQF-Apelin-Apelin-13-Gi1/β1/γ2
12.12Single2YDVNECA2YDV-A2A-NECA
12.12Single3UON3-quinuclidinyl-benzilate3UON-M2-3-quinuclidinyl-benzilate
12.12Single3ZEVNeurotensin-(7-13)3ZEV-NTS1-Neurotensin-(7-13)
12.12Single4BV0Neurotensin-(7-13)4BV0-NTS1-Neurotensin-(7-13)
12.12Single4DJHJDTic4DJH-κ-JDTic
12.12Single4UHRCGS216804UHR-A2A-CGS21680
12.12Single5A8E7-Methylcyanopindolol5A8E-β1-7-Methylcyanopindolol-Na
12.12Single5G53NECA5G53-A2A-NECA-Gs
12.12Single5V54Methiothepin5V54-5-HT1B-Methiothepin
12.12Single6O3CCholesterol6O3C-SMO-SAG21k-Cholesterol
12.12Single6OIJIperoxo6OIJ-M1-Iperoxo-chim(NtGi1L-G11)/β1/γ2
12.12Single6OS1TRV0266OS1-AT1-TRV026
12.12Single6TQ7SB-3348676TQ7-OX1-SB-334867
12.12Single7EW1Siponimod7EW1-S1P5-Siponimod-Gi1/β1/γ2
12.12Single7FEECP559407FEE-CB1-CP55940-ZCZ011
12.12Single7L0PNeurotensin-(8-13)7L0P-NTS1-Neurotensin-(8-13)-Gi1/β1/γ1
12.12Single7L0QNeurotensin-(8-13)7L0Q-NTS1-Neurotensin-(8-13)-Gi1/β1/γ1
12.12Single7T2HLofentanil7T2H-μ-Lofentanil-Gi1/β1/γ2
12.12Single7TRQIperoxo7TRQ-M4-Iperoxo-VU0467154-Gi1/β1/γ2
12.12Single7TUYGSK682753A7TUY-GPR183-GSK682753A
12.12Single7U2LC5-guano7U2L-μ-C5-guano-Gi1/β1/γ2
12.12Single7WVXHumanin7WVX-FPR2-ALX-Humanin-Gi2/β1/γ2
12.12Single7Y67C089 peptide7Y67-C5a1-C089 peptide-Gi1/β1/γ2
12.12Single7YU5ONO-07405567YU5-LPA1-ONO-0740556-Gi1/β1/γ2
12.12Single8DZPmomSalB8DZP-κ-momSalB-Gi1/β1/γ2
12.12Single8EA0Iperoxo8EA0-M3-Iperoxo
12.12Single8EF5Fentanyl8EF5-μ-Fentanyl-Gi1/β1/γ2
12.12Single8I9LC3a8I9L-C3aB-C3a-Go/β1/γ2
12.12Single8IRURotigotine8IRU-D4-Rotigotine-chim(NtGi1-Gs-CtGi1)/β1/γ2
12.12Single8JXXClobenpropit8JXX-H4-Clobenpropit-Gi1/β1/γ2
12.12Single8TAOCDPPB8TAO-mGlu5; mGlu5-Quisqualate-CDPPB
12.12Single8WJXADP8WJX-P2Y1-ADP-chim(Gs-CtGq)/β1/γ2
12.12Single8X16Piclidenoson8X16-A3A-Piclidenoson-Gi1/β1/γ2
12.12Single8XJMLatanoprost8XJM-FP-alpha-Latanoprost-chim(NtGi2-Gs-CtGq)/β1/γ2
12.12Single8XZICMF-0198XZI-Apelin; Apelin-CMF-019-Gi1/β1/γ2
12.12Single8YH6Namodenoson8YH6-A3A-Namodenoson-Gi1/β1/γ2
12.12Single9AYFCa; Ca; Ca; Cyclomethyltryptophan; R-568; PO49AYF-CaS; CaS-Ca-Ca; Ca; Ca; Cyclomethyltryptophan; R-568; PO4-Gi1/β1/γ2
12.12Single9IK9Lanreotide9IK9-SST1-Lanreotide-Gi1/β1/γ2
12.12Single9JCLADP9JCL-P2Y1-ADP-chim(Gs-CtGq)/β1/γ2
12.12Single9L16CCL219L16-CCR7-CCL21
12.12Single9MENGp120 (V3 loop)9MEN-CXCR4-Gp120 (V3 loop)
12.12Single9UCPIperoxo9UCP-M1-Iperoxo-G11(CT)
12.12Consensus5ht1_offOrthosteric Ligand5ht1b_off
12.12Consensus5ht1b_offOrthosteric Ligand5V54-5-HT1B-Methiothepin
12.12Consensusa2_onOrthosteric Liganda2b_on
12.12Consensusa2_on_gpOrthosteric Liganda2b_on_gp
12.12Consensusa2b_onOrthosteric Ligand8HDP-A2B-Adenosine-Gs/β1/γ2 7XY6-A2B-BAY 60-6583-chim(NtGi1-Gs)/β1/γ2 7XY7-A2B-NECA-chim(NtGi1-Gs)/β1/γ2 8HDO-A2B-BAY 60-6583-Gs/β1/γ2
12.12Consensusa2b_on_gpOrthosteric Ligand8HDP-A2B-Adenosine-Gs/β1/γ2 7XY6-A2B-BAY 60-6583-chim(NtGi1-Gs)/β1/γ2 7XY7-A2B-NECA-chim(NtGi1-Gs)/β1/γ2 8HDO-A2B-BAY 60-6583-Gs/β1/γ2
12.12Consensusd4_on_gpOrthosteric Ligand8IRU-D4-Rotigotine-chim(NtGi1-Gs-CtGi1)/β1/γ2
12.12Consensusgi_lpaOrthosteric Ligand7TD1-LPA1-LPA-Gi1/β1/γ2 7YU3-LPA1-ONO-0740556-Gi1/β1/γ2
12.12Consensusgs_adenosineOrthosteric Ligand8HDP-A2B-Adenosine-Gs/β1/γ2 8HDO-A2B-BAY 60-6583-Gs/β1/γ2 7XY7-A2B-NECA-chim(NtGi1-Gs)/β1/γ2 7XY6-A2B-BAY 60-6583-chim(NtGi1-Gs)/β1/γ2
12.12Consensusgs_nucleotideOrthosteric Ligandgs_adenosine
12.12Consensush4_on_gpOrthosteric Ligand8HN8-H4-Histamine-Gi1/β1/γ2 8HOC-H4-Imetit-Gi1/β1/γ2 8JXV-H4-Clozapine-Gi1/β1/γ2 8JXW-H4-VUF6884-Gi1/β1/γ2 8JXX-H4-Clobenpropit-Gi1/β1/γ2
12.12Consensuskop_offOrthosteric Ligand4DJH-κ-JDTic
12.12Consensuslpa_onOrthosteric Ligandlpa1_on
12.12Consensuslpa_on_gpOrthosteric Ligandlpa1_on_gp
12.12Consensusm1_on_gpOrthosteric Ligand6OIJ-M1-Iperoxo-chim(NtGi1L-G11)/β1/γ2
12.12Consensusmotilin_onOrthosteric Ligand8IBU-Motilin-Erythromycin-A-chim(NtGi1-Gs-CtGq)/β1/γ2
12.12Consensusmuscarinic_offOrthosteric Ligandm2_off m3_off m4_off m5_off m1_off
12.12Consensusneurotensin_onOrthosteric Ligandnts1_on
12.12Consensusnts1_onOrthosteric Ligand6OSA-NTS1-JMV449-Gi1/β1/γ2 7L0S-NTS1-Neurotensin-(8-13)-Gi1/β1/γ1
12.12Consensuss1p5_onOrthosteric Ligand7EW1-S1P5-Siponimod-Gi1/β1/γ2
12.12Consensuss1p5_on_gpOrthosteric Ligand7EW1-S1P5-Siponimod-Gi1/β1/γ2
12.12Consensusta1_on_gpOrthosteric Ligand8W87-TA1-METH-chim(NtGi1L-Gs)/β1/γ2 8W89-TA1-2-Phenylethylamine-chim(NtGi1L-Gs)/β1/γ2 8JLP-TA1-Ralmitaront-Gs/β1/γ2 8W8A-TA1-RO5256390-chim(NtGi1L-Gs)/β1/γ2 8W88-TA1-SEP-363856-Gs/β1/γ2 8JLO-TA1-Ulotaront-Gs/β1/γ2 8JLR-TA1-A77636-chim(NtGi1-Gs)/β1/γ2 8JSO-TA1-AMPH-chim(NtGi1-Gs)/β1/γ2 8ZSP-TA1-LSD-chim(NtGi1L-Gs)/β1/γ2
12.12Consensustrace-amine_on_gpOrthosteric Ligandta1_on_gp
11.90Single7F4FAfamelanotide7F4F-MC1-Afamelanotide-chim(NtGi1-Gs)/β1/γ2
11.90Single7XATSomatostatin-147XAT-SST2-Somatostatin-14-Gi1/β1/γ2
11.90Single7YOONeuropeptide-Y7YOO-Y2-Neuropeptide-Y-Gi1/β1/γ2
11.90Single8FEG(DNCP)-Beta-Naloxamine8FEG-κ-(DNCP)-β-Naloxamine-Gi1/β1/γ2
11.90Single8XWPEndothelin-18XWP-ETB-Endothelin-1-Gi1/β1/γ2
11.90Single8ZJGChemerin8ZJG-CML1-Chemerin-Gi1/β1/γ2
11.90Single9K26PrRP319K26-PrRP-PrRP31-Gi1/β1/γ2
11.90Consensusnpy2_onOrthosteric Ligand7YOO-Y2-Neuropeptide-Y-Gi1/β1/γ2
11.90Consensusnpy2_on_gpOrthosteric Ligand7YOO-Y2-Neuropeptide-Y-Gi1/β1/γ2
11.76Single4GRVNeurotensin-(8-13)4GRV-NTS1-Neurotensin-(8-13)
11.76Single4XEENeurotensin-(8-13)4XEE-NTS1-Neurotensin-(8-13)
11.76Single4XESNeurotensin-(8-13)4XES-NTS1-Neurotensin-(8-13)
11.76Single5CXVTiotropium5CXV-M1-Tiotropium
11.76Single5UNHPubChem 1264564065UNH-AT2-PubChem 126456406
11.76Single5X33BIIL2605X33-BLT1-BIIL260
11.76Single6AK3PGE26AK3-EP3-PGE2
11.76Single6C1RPMX536C1R-C5a1-PMX53-Avacopan; Na
11.76Single6IIURamatroban6IIU-TXA2-Ramatroban
11.76Single6KQICP559406KQI-CB1-CP55940-Org27569
11.76Single6OSAJMV4496OSA-NTS1-JMV449-Gi1/β1/γ2
11.76Single6XBLCholesterol6XBL-SMO-SAG-Cholesterol-Gi1/β1/γ2
11.76Single6YVRNeurotensin-(6-13)6YVR-NTS1-Neurotensin-(6-13)
11.76Single6ZG4HTL00099366ZG4-M1-HTL0009936
11.76Single7EO4Siponimod7EO4-S1P1-Siponimod-Gi1/β1/γ2
11.76Single7EPENAM5637EPE-mGlu2-NAM563
11.76Single7EW2FTY720-P7EW2-S1P3-FTY720-P-Gi1/β1/γ2
11.76Single7JNIOlodanrigan7JNI-AT2-Olodanrigan
11.76Single7K15MKD0467K15-BLT1-MKD046-Na
11.76Single7W0LPubChem 1227019087W0L-Apelin; Apelin-PubChem 122701908-Gi1/β1/γ2
11.76Single7W0LPubChem 1227019087W0L-Apelin; Apelin-PubChem 122701908-Gi1/β1/γ2
11.76Single7XJKGalanin7XJK-GAL2-Galanin-chim(NtGi2L-Gs-CtGq)/β1/γ2
11.76Single7XW5ML1097XW5-TSH-TSH-ML109-Gs/β1/γ2
11.76Single7XZ5Lysophosphatidylcholine7XZ5-GPR119-Lysophosphatidylcholine-Gs/β1/γ2
11.76Single7Y66BM2137Y66-C5a1-BM213-Gi1/β1/γ2
11.76Single7YITNalfurafine7YIT-κ-Nalfurafine
11.76Single8E9W2-Deoxycytidine8E9W-M3-2-Deoxycytidine-chim(NtGi2L-Gs-CtGq)/β1/γ2
11.76Single8FYE4-F,5-MeO-PyrT8FYE-5-HT1A-4-F,5-MeO-PyrT-PtdIns4P-Gi1/β1/γ1
11.76Single8G056-OAU8G05-GPR84-6-OAU-Gi1/β1/γ2
11.76Single8HK2C3a8HK2-C3aB-C3a-Gi1/β1/γ2
11.76Single8IA8E7 peptide8IA8-C3aB-E7 peptide-Gi1/β1/γ2
11.76Single8IQ6Latanoprost8IQ6-FP-alpha-Latanoprost-chim(NtGi1-Gs-CtGq)/β1/γ2
11.76Single8IYWGSK2560738IYW-HCA2-GSK256073-Go/β1/γ2
11.76Single8JD3JNJ-404118138JD3-mGlu2; mGlu3-Glutamate-JNJ-40411813-Gi1/β1/γ2
11.76Single8JPBNeurotensin-(8-13)8JPB-NTS1-Neurotensin-(8-13)-SBI-553; GDP; Mg-Gq; GRK2
11.76Single8JPCNeurotensin-(8-13)8JPC-NTS1-Neurotensin-(8-13)-SBI-553; GDP; Mg-Gq; GRK2
11.76Single8JWY2-1188JWY-A2A-2-118
11.76Single8JWZEtrumadenant8JWZ-A2A-Etrumadenant-Na
11.76Single8JZ7MK68928JZ7-HCA2-MK6892-Gi1/β1/γ2
11.76Single8X8NOctreotide8X8N-SST5-Octreotide-chim(NtGi1-Gs-CtGi1)/β1/γ2
11.76Single8XJNCloprosetnol8XJN-TXA2-Cloprosetnol-chim(NtGi1-Gs-CtGq)/β1/γ2
11.76Single8XWMCXCL68XWM-CXCR2-CXCL6
11.76Single8XYIVUF106618XYI-CXCR3-VUF10661
11.76Single9EBIPiclidenoson9EBI-A3A-Piclidenoson-chim(NtGi1L-Gs-CtGi1)/β1/γ2
11.76Single9EK0Iperoxo9EK0-M5-Iperoxo-chim(NtGi1-Gs-CtGq)/β1/γ2
11.76Single9GGGI-BOP9GGG-TXA2-I-BOP-chim(NtGi2L-Gs-CtGq)/β1/γ2
11.76Single9KVG5-MeO-DMT9KVG-5-HT1A-5-MeO-DMT-PtdIns4P-Gi1/β1/γ2
11.76Single9MQLIsoquinuclidine9MQL-κ-Isoquinuclidine
11.76Single9V6ONalfurafine9V6O-κ-Nalfurafine-Gi1/β1/γ2
11.76Consensusc3a_onOrthosteric Ligand8HK2-C3aB-C3a-Gi1/β1/γ2 8IA8-C3aB-E7 peptide-Gi1/β1/γ2
11.76Consensuscannabinoid_offOrthosteric Ligandcb2_off cb1_off
11.76Consensusccr8_onOrthosteric Ligand8KFX-CCR8-LMD-009-Gi1/β1/γ2 8KFY-CCR8-ZK-756326-Gi1/β1/γ2 8U1U-CCR8-CCL1-Gi1/β1/γ2
11.76Consensuscxcr_onOrthosteric Ligandcxcr3_on cxcr4_on cxcr1_on cxcr2_on
11.76Consensusgi_lipidOrthosteric Ligandgi_cannabinoid gi_ffa gi_leukotriene gi_lpa gi_s1p
11.76Consensusgi_neurotensinOrthosteric Ligand6OSA-NTS1-JMV449-Gi1/β1/γ2 7L0S-NTS1-Neurotensin-(8-13)-Gi1/β1/γ1
11.76Consensuslipid_offonOrthosteric Ligandlipid_off lipid_on
11.76Consensuslipid_offon_gpOrthosteric Ligandlipid_on_gp lipid_off
11.76Consensusm1_offOrthosteric Ligand5CXV-M1-Tiotropium
11.76Consensusneurotensin_on_gpOrthosteric Ligandnts1_on_gp
11.76Consensusnts1_on_gpOrthosteric Ligand6OSA-NTS1-JMV449-Gi1/β1/γ2 7L0S-NTS1-Neurotensin-(8-13)-Gi1/β1/γ1
11.63Consensusgs_melanocortinOrthosteric Ligand7F4H-MC1-Afamelanotide-chim(NtGi1-Gs)/β1/γ2 7F54-MC4-Afamelanotide-Gs/β1/γ2 7F4D-MC1-α-MSH-chim(NtGi1-Gs)/β1/γ2 8INR-MC5-α-MSH-Ca-chim(NtGi1-Gs)/β1/γ2 7F53-MC4-α-MSH-Gs/β1/γ2 7F55-MC4-Bremelanotide-Gs/β1/γ2 8GY7-MC2-Corticotropin-Ca-chim(NtGi1-Gs)/β1/γ2; MRAP1 8IOC-MC3-γ-MSH-Ca-chim(NtGi1-Gs)/β1/γ2 8IOD-MC5-PG-901-Ca-chim(NtGi1-Gs)/β1/γ2 7AUE-MC4-Setmelanotide-chim(NtGi1L-Gs)/β1/γ2 7F4I-MC1-SHU9119-chim(NtGi1-Gs)/β1/γ2 7F58-MC4-THIQ-Gs/β1/γ2
11.54Single7XKDDehydroepiandrosterone7XKD-ADGRG2-Dehydroepiandrosterone-Gs/β1/γ2
11.43Single2YCZIodocyanopindolol2YCZ-β1-Iodocyanopindolol
11.43Single4BUONeurotensin-(8-13)4BUO-NTS1-Neurotensin-(8-13)
11.43Single4RWSvMIP-II4RWS-CXCR4-vMIP-II
11.43Single5X93K-87945X93-ETB-K-8794
11.43Single6KPGAM8416KPG-CB1-AM841-Gi1/β1/γ2
11.43Single6UP7Neurotensin-(8-13)6UP7-NTS1-Neurotensin-(8-13)-Arrestin2
11.43Single7D7MPGE27D7M-EP4-PGE2-Gs/β1/γ1
11.43Single7EW0Ozanimod7EW0-S1P1-Ozanimod-Gi1/β1/γ2
11.43Single7U2KC6-guano7U2K-μ-C6-guano-Gi1/β1/γ2
11.43Single7X2DTavapadon7X2D-D1-Tavapadon-Gs/β1/γ2
11.43Single7XJISolabegron7XJI-β3-Solabegron-Gs/β1/γ2
11.43Single7XK2MK68927XK2-HCA2-MK6892-Gi1/β1/γ2
11.43Single8E9X2-Deoxycytidine8E9X-M4-2-Deoxycytidine-chim(NtGi1-Go)/β1/γ2
11.43Single8FN0Neurotensin-(8-13)8FN0-NTS1-Neurotensin-(8-13)-SBI-553-chim(NtGi1-Go)/β1/γ2
11.43Single8FX5Xanomeline8FX5-M4-Xanomeline-Xanomeline-Gi1/β1/γ2
11.43Single8GUTLEI-1028GUT-CB2-LEI-102-Gi1/β1/γ2
11.43Single8IULLatanoprost8IUL-FP-alpha-Latanoprost-chim(NtGi1-Gs-CtGq)/β1/γ2
11.43Single8IYSTUG-8918IYS-FFA4-TUG-891-GDP-chim(NtGi1L-Gq)/β1/γ2
11.43Single8JPFNeurotensin-(8-13)8JPF-NTS1-Neurotensin-(8-13)-SBI-553
11.43Single8K2XCXCL108K2X-CXCR3-CXCL10-Gi1/β1/γ2
11.43Single8K4OCXCL18K4O-KSHV-CXCL1-Gi1/β1/γ1
11.43Single8XIOL7975918XIO-SST1-L797591-chim(NtGi1-Gs-CtGi1)/β1/γ2
11.43Single8XJKCloprosetnol8XJK-FP-alpha-Cloprosetnol-chim(NtGi1-Gs-CtGq)/β1/γ2
11.43Single8XJOU466198XJO-TXA2-U46619-chim(NtGi1-Gs-CtGq)/β1/γ2
11.43Single8XWFCXCL38XWF-CXCR2-CXCL3
11.43Single9AS02-bromo-LSD9AS0-5-HT2A-2-bromo-LSD-chim(NtGi1-Gs-CtGq)/β1/γ2
11.43Single9DYEBuspirone9DYE-5-HT1A-Buspirone-PtdIns4P-Go/β1/γ2
11.43Single9KV8TLQP219KV8-C3aB-TLQP21-Go/β1/γ2
11.43Single9M54Neuropeptide-VF9M54-NPFF2-Neuropeptide-VF-Gi1/β1/γ2
11.43Single9UYMChemerin-99UYM-CML2-Chemerin-9-chim(Arrestin3-CtArrestin2)
11.43Consensusd2_offOrthosteric Ligand6CM4-D2-Risperidone 6LUQ-D2-Haloperidol 7DFP-D2-Spiperone
11.43Consensusendothelin_offOrthosteric Ligandetb_off
11.43Consensusetb_offOrthosteric Ligand5X93-ETB-K-8794 5XPR-ETB-Bosentan 6K1Q-ETB-IRL2500
11.43Consensusgal2_onOrthosteric Ligand7WQ4-GAL2-Galanin-chim(NtGi1-Gs-CtGq)/β1/γ2 7XJL-GAL2-Spexin-chim(NtGi2L-Gs-CtGq)/β1/γ2
11.43Consensusgal2_on_gpOrthosteric Ligand7WQ4-GAL2-Galanin-chim(NtGi1-Gs-CtGq)/β1/γ2 7XJL-GAL2-Spexin-chim(NtGi2L-Gs-CtGq)/β1/γ2
11.43Consensuskop_on_gpOrthosteric Ligand8F7W-κ-Dynorphin-Gi1/β1/γ2 8DZS-κ-GR89,696-chim(NtGi2-Gz)/β1/γ2 8DZP-κ-momSalB-Gi1/β1/γ2
11.43Consensuspeptide_offOrthosteric Ligandcck_off angiotensin_off bombesin_off endothelin_off ghrelin_off npy_off opioid_off orexin_off somatostatin_off tachykinin_off vasop-oxy_off neurotensin_off
11.43Consensusprostanoid_offOrthosteric Ligandep_off dp_off
11.43Consensusprostanoid_onOrthosteric Ligandtp_on fp-alpha_on
11.43Consensusprostanoid_on_gpOrthosteric Ligandtp_on_gp fp-alpha_on_gp
11.43Consensustp_onOrthosteric Ligand8XJO-TXA2-U46619-chim(NtGi1-Gs-CtGq)/β1/γ2
11.43Consensustp_on_gpOrthosteric Ligand8XJO-TXA2-U46619-chim(NtGi1-Gs-CtGq)/β1/γ2
11.36Single8U1UCCL18U1U-CCR8-CCL1-Gi1/β1/γ2
11.36Consensusgi_npyOrthosteric Ligand8K6M-Y1-Neuropeptide-Y-Gi2/β1/γ1 7X9C-Y4-Pancreatic Hormone-Gi1/β1/γ2 7YOO-Y2-Neuropeptide-Y-Gi1/β1/γ2
11.36Consensusnpy_onOrthosteric Ligandnpy1_on npy2_on npy4_on
11.36Consensusnpy_on_gpOrthosteric Ligandnpy1_on_gp npy2_on_gp npy4_on_gp
11.11Single5ZTYAM102575ZTY-CB2-AM10257
11.11Single6C1QPMX536C1Q-C5a1-PMX53-NDT9513727
11.11Single6OS9JMV4496OS9-NTS1-JMV449-Gi1/β1/γ2
11.11Single6OT025(S)-Epoxycholesterol6OT0-SMO-25(S)-Epoxycholesterol-Gi1/β1/γ2
11.11Single6XBM25(S)-Epoxycholesterol6XBM-SMO-25(S)-Epoxycholesterol-Gi1/β1/γ2
11.11Single7DD5Ca; Ca; Tryptophan; NPS-21437DD5-CaS; CaS-Ca-Ca; Ca; Tryptophan; NPS-2143
11.11Single7RKFCX3CL17RKF-US28-CX3CL1-GDP-chim(NtGi1-G11)/β1/γ2
11.11Single7Y1FDynorphin7Y1F-κ-Dynorphin-Gi1/β1/γ2
11.11Single8GY7Corticotropin8GY7-MC2-Corticotropin-Ca-chim(NtGi1-Gs)/β1/γ2; MRAP1
11.11Single8IA7Cholecystokinin-88IA7-CCKB-Cholecystokinin-8-chim(NtGi1L-Gq)/β1/γ2
11.11Single8IUMTafluprost acid8IUM-FP-alpha-Tafluprost acid-chim(NtGi1-Gs-CtGq)/β1/γ2
11.11Single8JLRA776368JLR-TA1-A77636-chim(NtGi1-Gs)/β1/γ2
11.11Single8WC5Tetramethylammonium Ion8WC5-TA1-Tetramethylammonium Ion-chim(NtGi1-Gs)/β1/γ2
11.11Single8XQJJN2418XQJ-Apelin; Apelin-JN241
11.11Single8XX6CXCL88XX6-CXCR2-CXCL8-Go/β1/γ2
11.11Single8Y02All-trans-Retinal8Y02-OPN1SW-All-trans-Retinal-Gi1/β1/γ2
11.11Single8Z8ALactate8Z8A-HCA1-Lactate-Gi1/β1/γ2
11.11Single9EAJNanobody AT2099EAJ-AT1-Nanobody AT209
11.11Single9KZ2EP679KZ2-C3aB-EP67-Go/β1/γ2
11.11Single9KZ8EP679KZ8-C3aB-EP67-Go/β1/γ2
11.11Single9M0RNeuropeptide-VF9M0R-NPFF1-Neuropeptide-VF-Gi1/β1/γ2
11.11Single9UMJEP549UMJ-C3aB-EP54-Go/β1/γ2
11.11Consensuscb2_offOrthosteric Ligand5ZTY-CB2-AM10257
11.11Consensuscxcr4_offOrthosteric Ligand4RWS-CXCR4-vMIP-II 3OE0-CXCR4-CVX15 3OE6-CXCR4-IT1t
11.11Consensusformylpeptide_onOrthosteric Ligandfpr2-alx_on fpr1-alx_on
11.11Consensusmelanocortin_onOrthosteric Ligandmc1_on mc4_on mc2_on mc3_on mc5_on
11.11Consensusmelanocortin_on_gpOrthosteric Ligandmc1_on_gp mc4_on_gp mc2_on_gp mc3_on_gp mc5_on_gp
11.11Consensusox2_onOrthosteric Ligand7L1V-OX2-PubChem 155491009-chim(NtGi1-Gs-CtGq)/β1/γ2 7SQO-OX2-TAK-925-Gi1/β1/γ2 7L1U-OX2-Orexin-chim(NtGi1-Gs-CtGq)/β1/γ2
11.11Consensusox2_on_gpOrthosteric Ligand7L1V-OX2-PubChem 155491009-chim(NtGi1-Gs-CtGq)/β1/γ2 7SQO-OX2-TAK-925-Gi1/β1/γ2 7L1U-OX2-Orexin-chim(NtGi1-Gs-CtGq)/β1/γ2
10.81Single5UNFPubChem 157800525UNF-AT2-PubChem 15780052
10.81Single7F8XNN90567F8X-CCKA-NN9056
10.81Single7L0RNeurotensin-(8-13)7L0R-NTS1-Neurotensin-(8-13)-Gi1/β1/γ1
10.81Single7NA7Ghrelin7NA7-Ghrelin-Ghrelin-Gi1/β1/γ2
10.81Single7W2ZGhrelin7W2Z-Ghrelin-Ghrelin-Go/β1/γ2
10.81Single7XMRSomatostatin-147XMR-SST2-Somatostatin-14-Gi1/β1/γ2
10.81Single8J6RMK68928J6R-HCA2-MK6892-Gi1/β1/γ2
10.81Single8PKMBefiradol8PKM-5-HT1A-Befiradol-Gi1/β1/γ1
10.81Single8WDTphotoNECA8WDT-A2A-photoNECA
10.81Single8XWNCXCL88XWN-CXCR2-CXCL8
10.81Single8ZSPLSD8ZSP-TA1-LSD-chim(NtGi1L-Gs)/β1/γ2
10.81Single9BKJCholecystokinin-89BKJ-CCKA-Cholecystokinin-8-chim(NtGi1-Gs-CtGq)/β1/γ2
10.81Single9UYLChemerin-99UYL-CML2-Chemerin-9-Arrestin2
10.81Consensusp2y_onOrthosteric Ligandp2y1_on p2y10_on p2y12_on
10.71Single2J4Y11-cis-Retinal2J4Y-Rhodopsin-11-cis-Retinal
10.71Single3OE6IT1t3OE6-CXCR4-IT1t
10.71Single4XNWMRS25004XNW-P2Y1-MRS2500
10.71Single7MT8All-trans-Retinal7MT8-Rhodopsin-All-trans-Retinal-GRK1
10.71Single7MT9All-trans-Retinal7MT9-Rhodopsin-All-trans-Retinal-GRK1
10.71Single7MTAAll-trans-Retinal7MTA-Rhodopsin-All-trans-Retinal-GRK1
10.71Single8J6QBeta-Hydroxybutyrate8J6Q-HCA2-β-Hydroxybutyrate-PubChem 25101223-Gi1/β1/γ2
10.71Single8J6QPubChem 251012238J6Q-HCA2-β-Hydroxybutyrate-PubChem 25101223-Gi1/β1/γ2
10.71Consensusp2y1_offOrthosteric Ligand4XNW-P2Y1-MRS2500
10.64Single7X9ANeuropeptide-Y7X9A-Y1-Neuropeptide-Y-Gi1/β1/γ2
10.53Single7SK5CXCL127SK5-ACKR3-CXCL12
10.53Single7WJ5Somatostatin-147WJ5-SST2-Somatostatin-14-Gi1/β1/γ2
10.53Single7XNACYN1548067XNA-SST2-CYN154806
10.53Single8SG1Chemerin-98SG1-CML1-Chemerin-9-Gi1/β1/γ2
10.53Single8WSSMCH8WSS-MCH1-MCH-Gi1/β1/γ1
10.53Single8XYDPlatelet Activating Factor8XYD-PAF-Platelet Activating Factor-Gi1/β1/γ2
10.53Single9E82CXCL12 (fragment)9E82-ACKR3-CXCL12 (fragment)-Arrestin2
10.53Single9IQRMuscarinic toxin 39IQR-α2a-Muscarinic toxin 3
10.53Single9UMXEP549UMX-C5a1-EP54-Go/β1/γ2
10.53Consensuscckb_onOrthosteric Ligand8IA7-CCKB-Cholecystokinin-8-chim(NtGi1L-Gq)/β1/γ2 7XOW-CCKB-Sulfated Gastrin-(10-17)-chim(NtGi1-Gq)/β1/γ2 7F8V-CCKB-Gastrin-17-Gi2/β1/γ2
10.53Consensusccr8_on_gpOrthosteric Ligand8KFX-CCR8-LMD-009-Gi1/β1/γ2 8KFY-CCR8-ZK-756326-Gi1/β1/γ2 8U1U-CCR8-CCL1-Gi1/β1/γ2
10.53Consensusgi_ghrelinOrthosteric Ligand7NA7-Ghrelin-Ghrelin-Gi1/β1/γ2 7NA8-Ghrelin-Ibutamoren-Gi1/β1/γ2
10.53Consensussst2_offOrthosteric Ligand7XNA-SST2-CYN154806
10.34Single3AYMAll-trans-Retinal3AYM-Rhodopsin-All-trans-Retinal
10.34Single3OE9IT1t3OE9-CXCR4-IT1t
10.34Single6FK6PubChem 1324730336FK6-Rhodopsin-PubChem 132473033
10.34Single6QNOAll-trans-Retinal6QNO-Rhodopsin-All-trans-Retinal-Gi1/β1/γ1
10.34Single7D76Beclomethasone7D76-ADGRG3-Beclomethasone-Go/β1/γ2
10.34Single7DD7Ca; Ca; Tryptophan; Evocalcet7DD7-CaS; CaS-Ca-Ca; Ca; Tryptophan; Evocalcet
10.34Single7T96LY21196207T96-M2-Acetylcholine-LY2119620-Go/β1/γ2
10.34Single7TRPLY20332987TRP-M4-Iperoxo-LY2033298-Gi1/β1/γ2
10.34Single7VDHC48/807VDH-MRGPRX2-C48/80-Gi1/β1/γ2
10.34Single7XP6Strychnine7XP6-TAS2R46-Strychnine-chim(Gs-CtGt3)/β1/γ2
10.34Single7YFDImetit7YFD-H4-Imetit-chim(NtGi1-Gs-CtGq)/β1/γ2
10.34Single8HN8Histamine8HN8-H4-Histamine-Gi1/β1/γ2
10.34Single8IHIAcifran8IHI-HCA2-Acifran-Gi1/β1/γ2
10.34Single8JILNiacin8JIL-HCA2-Niacin-Gi1/β1/γ2
10.34Single8W892-Phenylethylamine8W89-TA1-2-Phenylethylamine-chim(NtGi1L-Gs)/β1/γ2
10.34Single8WPUTryptophan; Cinacalcet; PO4; Ca8WPU-CaS; CaS-Tryptophan; Cinacalcet; PO4; Ca-chim(NtGi2L-Gs-CtGq)/β1/γ2
10.34Single8YKDDehydroepiandrosterone8YKD-ADGRG2-Dehydroepiandrosterone-chim(NtGi1-Gs)/β1/γ2
10.34Single8YKWSuccinic acid8YKW-Succinate-Succinic acid-Gi1/β1/γ1
10.34Single8ZSVRO52633978ZSV-TA1-RO5263397-chim(NtGi1-Gs)/β1/γ2
10.34Single8ZX5AM2518ZX5-GPR55-AM251-chim(NtGi1-G13)/β1/γ2
10.34Single9C1PCa; Tryptophan; '6218; PO49C1P-CaS; CaS-Ca-Ca; Tryptophan; '6218; PO4
10.34Single9E7RGB889E7R-PAR2-GB88-chim(NtGi1L-Gs-CtGq)/β1/γ2
10.34Single9IQTNiacin9IQT-HCA2-Niacin-Gi1/β1/γ2
10.34Single9L42Histamine9L42-H4-Histamine-Gi1/β1/γ2
10.34Single9LMPNE52-QQ579LMP-GPR4-NE52-QQ57
10.34Single9YDAAll-trans-Retinal9YDA-Opsin1MW-All-trans-Retinal-chim(NtGi1L-Gs-CtGt)/β1/γ2
10.34Consensush4_onOrthosteric Ligand8HN8-H4-Histamine-Gi1/β1/γ2 8HOC-H4-Imetit-Gi1/β1/γ2 8JXV-H4-Clozapine-Gi1/β1/γ2 8JXW-H4-VUF6884-Gi1/β1/γ2 8JXX-H4-Clobenpropit-Gi1/β1/γ2
10.26Single7XOUCholecystokinin-87XOU-CCKA-Cholecystokinin-8-Gs/β1/γ2
10.26Single8K6NNeuropeptide-Y8K6N-Y2-Neuropeptide-Y-Gi2/β1/γ1
10.26Single8XIQL7967788XIQ-SST3-L796778-chim(NtGi1-Gs-CtGi1)/β1/γ2
10.26Single8XIRPasireotide8XIR-SST3-Pasireotide-chim(NtGi1-Gs-CtGi1)/β1/γ2
10.26Single8XZGApelin-138XZG-Apelin; Apelin-Apelin-13-Gi1/β1/γ2
10.26Single8XZHMM078XZH-Apelin; Apelin-MM07-Gi1/β1/γ2
10.26Single9B54VIP369B54-CB1-VIP36-Gi1/β1/γ2
10.26Consensuscckb_on_gpOrthosteric Ligand8IA7-CCKB-Cholecystokinin-8-chim(NtGi1L-Gq)/β1/γ2 7XOW-CCKB-Sulfated Gastrin-(10-17)-chim(NtGi1-Gq)/β1/γ2 7F8V-CCKB-Gastrin-17-Gi2/β1/γ2
10.26Consensusgs_class-aOrthosteric Ligandgs_peptide gs_nucleotide gs_amine
10.00Single2Z7311-cis-Retinal2Z73-Rhodopsin-11-cis-Retinal
10.00Single3AYN9-cis-Retinal3AYN-Rhodopsin-9-cis-Retinal
10.00Single3ODUIT1t3ODU-CXCR4-IT1t
10.00Single3VG9ZM-2413853VG9-A2A-ZM-241385-Antibody
10.00Single4S0VSuvorexant4S0V-OX2-Suvorexant
10.00Single5K2DZM-2413855K2D-A2A-ZM-241385-Na
10.00Single5OLOTozadenant5OLO-A2A-Tozadenant-Na
10.00Single5U09Taranabant5U09-CB1-Taranabant
10.00Single5WS3EMPA5WS3-OX2-EMPA
10.00Single5ZKQABT-4915ZKQ-PAF-ABT-491
10.00Single6B73MP11046B73-κ-MP1104
10.00Single6JZHZM-2413856JZH-A2A-ZM-241385-Na
10.00Single6KUYPubChem 1457046436KUY-α2a-PubChem 145704643
10.00Single6LFOCXCL86LFO-CXCR2-CXCL8-Gi1/β1/γ2
10.00Single6OYAAll-trans-Retinal6OYA-Rhodopsin-All-trans-Retinal-Gt/β1/γ1
10.00Single6PS7ZM-2413856PS7-A2A-ZM-241385-Na
10.00Single6TPJSuvorexant6TPJ-OX2-Suvorexant
10.00Single6WWZCCL206WWZ-CCR6-CCL20-Go/β1/γ2
10.00Single7BR3Elagolix7BR3-GnRH1-Elagolix
10.00Single7EJ0Norepinephrine7EJ0-α2a-Norepinephrine-Go/β1/γ2
10.00Single7F4HAfamelanotide7F4H-MC1-Afamelanotide-chim(NtGi1-Gs)/β1/γ2
10.00Single7KH0AVP7KH0-V2-AVP-chim(NtGi1-Gs)/β1/γ2
10.00Single7LCJDanuglipron7LCJ-GLP-1-Danuglipron
10.00Single7LD4Adenosine7LD4-A1-Adenosine-Gi2/β1/γ2
10.00Single7M3ECa; Ca; Tryptophan; NPS-21437M3E-CaS; CaS-Ca; Ca; Tryptophan; NPS-2143
10.00Single7M3ECa; Ca; Tryptophan; NPS-21437M3E-CaS; CaS-Ca; Ca; Tryptophan; NPS-2143
10.00Single7M3FCa; Ca; Tryptophan; Cinacalcet7M3F-CaS; CaS-Ca; Ca; Tryptophan; Cinacalcet
10.00Single7SILCa; Ca; Ca; Cyclomethyltryptophan; R-568; PO47SIL-CaS; CaS-Ca-Ca; Ca; Ca; Cyclomethyltryptophan; R-568; PO4
10.00Single7SILCa; Ca; Ca; Cyclomethyltryptophan; R-568; PO47SIL-CaS; CaS-Ca-Ca; Ca; Ca; Cyclomethyltryptophan; R-568; PO4
10.00Single7T8XAcetylcholine7T8X-M2-Acetylcholine-chim(NtGi1-Go)/β1/γ2
10.00Single7T90Acetylcholine7T90-M2-Acetylcholine-chim(NtGi1-Go)/β1/γ2
10.00Single7T96Acetylcholine7T96-M2-Acetylcholine-LY2119620-Go/β1/γ2
10.00Single7VIHCBP-3077VIH-S1P1-CBP-307-Gi1/β1/γ2
10.00Single7VUJJNJ-635330547VUJ-GPR139-JNJ-63533054-GDP-chim(Gs-CtGq)/β1/γ2
10.00Single7VV5C48/807VV5-MRGPRX2-C48/80-Gi1/β1/γ2
10.00Single7W0OElabela7W0O-Apelin-Elabela-Gi1/β1/γ2
10.00Single7W40Bombesin7W40-BB2-Bombesin-chim(NtGi1L-Gq)/β1/γ2
10.00Single7XJJGalanin7XJJ-GAL1-Galanin-Go/β1/γ2
10.00Single7XK8Neuromedin-U-257XK8-NMUR2-Neuromedin-U-25-Gi1/β1/γ2
10.00Single7YM8Oxymetazoline7YM8-Alpha1A-Oxymetazoline-chim(Gs-CtGq)
10.00Single8DU3PubChem 1055260648DU3-A2A-PubChem 105526064
10.00Single8DWGML3828DWG-MRGPRX1-BAM8-22-ML382-chim(NtGi2L-Gs-CtGq)/β1/γ2
10.00Single8EFOPZM218EFO-μ-PZM21-Gi1/β1/γ2
10.00Single8HDPAdenosine8HDP-A2B-Adenosine-Gs/β1/γ2
10.00Single8HOCImetit8HOC-H4-Imetit-Gi1/β1/γ2
10.00Single8IJBAcipimox8IJB-HCA2-Acipimox-Gi1/β1/γ2
10.00Single8J6IMK68928J6I-HCA2-MK6892-Gi1/β1/γ2
10.00Single8RVWStilSwitch38RVW-A2A-StilSwitch3-Na
10.00Single8UTDMK19038UTD-HCA2-MK1903-Gi1/β1/γ2
10.00Single8WC3SEP-3638568WC3-TA1-SEP-363856-chim(NtGi1-Gs)/β1/γ2
10.00Single8WC4ZH86518WC4-TA1-ZH8651-chim(NtGi1-Gs)/β1/γ2
10.00Single8WCA2-Phenylethylamine8WCA-TA1-2-Phenylethylamine-chim(NtGi1-Gs)/β1/γ2
10.00Single8WOGSuccinic acid8WOG-Succinate-Succinic acid-Gi1/β1/γ2
10.00Single8WPGTryptophan; Cinacalcet; PO4; Ca8WPG-CaS; CaS-Tryptophan; Cinacalcet; PO4; Ca
10.00Single8XWQEndothelin-18XWQ-ETB-Endothelin-1-Gi1/β1/γ2
10.00Single8XXXCXCL68XXX-CXCR2-CXCL6-Go/β1/γ2
10.00Single8YKXMaleic acid8YKX-Succinate-Maleic acid-Gi1/β1/γ1
10.00Single8YNAImmepip8YNA-H4-Immepip-Gi1/β1/γ2
10.00Single8YYWAlpha-ketoglutarate8YYW-Oxoglutarate-α-ketoglutarate-α-ketoglutarate-chim(Gi1-CtGq)/β1/γ2
10.00Single9AVLCa; Ca; Cyclomethyltryptophan; R-568; PO49AVL-CaS; CaS-Ca-Ca; Ca; Cyclomethyltryptophan; R-568; PO4-Gi3/β2/γ2
10.00Single9C2FCa; Ca; Tryptophan; '54149; PO49C2F-CaS; CaS-Ca-Ca; Ca; Tryptophan; '54149; PO4
10.00Single9H2XPubChem 1756706449H2X-A2A-PubChem 175670644-Na
10.00Single9J5VCpY9J5V-LPA1-CpY-Gi1/β1/γ2
10.00Single9K6LSalicin9K6L-TAS2R16-Salicin-Gi2/β1/γ2
10.00Single9KPESalicin9KPE-TAS2R16-Salicin-Gi1/β1/γ2
10.00Single9MQJIsoquinuclidine9MQJ-μ-Isoquinuclidine
10.00Single9PXUNaloxone9PXU-μ-Naloxone-Na
10.00Single9VJEBuspirone9VJE-5-HT1A-Buspirone-Go/β1/γ2
10.00Consensusa1_onOrthosteric Ligand7LD4-A1-Adenosine-Gi2/β1/γ2
10.00Consensusa1_on_gpOrthosteric Ligand7LD4-A1-Adenosine-Gi2/β1/γ2
10.00Consensusangiotensin_offOrthosteric Ligandat1_off
10.00Consensusccr6_onOrthosteric Ligand6WWZ-CCR6-CCL20-Go/β1/γ2
10.00Consensusccr6_on_gpOrthosteric Ligand6WWZ-CCR6-CCL20-Go/β1/γ2
10.00Consensuscxcr1_onOrthosteric Ligand8IC0-CXCR1-CXCL8-Gi1/β1/γ2
10.00Consensusgi_succinateOrthosteric Ligand8YKW-Succinate-Succinic acid-Gi1/β1/γ1 8YKX-Succinate-Maleic acid-Gi1/β1/γ1
10.00Consensusgnrh1_offOrthosteric Ligand7BR3-GnRH1-Elagolix
10.00Consensusm2_onOrthosteric Ligand7T8X-M2-Acetylcholine-chim(NtGi1-Go)/β1/γ2
10.00Consensusm2_on_gpOrthosteric Ligand7T8X-M2-Acetylcholine-chim(NtGi1-Go)/β1/γ2
10.00Consensusox1_offOrthosteric Ligand6TP6-OX1-Filorexant 6TP4-OX1-ACT-462206 6V9S-OX1-GTPL11403 6TOT-OX1-Lemborexant 6TP3-OX1-Nemorexant 6TQ6-OX1-PubChem 145714283 6TQ9-OX1-SB-408124 4ZJC-OX1-SB-674042 4ZJ8-OX1-Suvorexant 6TOD-OX1-EMPA-Na 6TOS-OX1-GSK1059865-Na 6TQ4-OX1-PubChem 16046844-Na
10.00Consensusp2y_on_gpOrthosteric Ligandp2y1_on_gp p2y10_on_gp p2y12_on_gp
10.00Consensuspaf_offOrthosteric Ligand5ZKQ-PAF-ABT-491
10.00Consensusrhodopsin_on_gpOrthosteric Ligand6OYA-Rhodopsin-All-trans-Retinal-Gt/β1/γ1
10.00Consensussuccinate_onOrthosteric Ligand8YKW-Succinate-Succinic acid-Gi1/β1/γ1 8YKX-Succinate-Maleic acid-Gi1/β1/γ1
10.00Consensussuccinate_on_gpOrthosteric Ligand8YKW-Succinate-Succinic acid-Gi1/β1/γ1 8YKX-Succinate-Maleic acid-Gi1/β1/γ1
9.76Single7X9CPancreatic Hormone7X9C-Y4-Pancreatic Hormone-Gi1/β1/γ2
9.76Single8XVIEndothelin-18XVI-ETA-Endothelin-1-chim(Gs-CtGq)/β1/γ2
9.76Single8ZPSPrRP208ZPS-PrRP-PrRP20-chim(NtGi1-Gs-CtGi1)/β1/γ2
9.76Consensuscml1_on_gpOrthosteric Ligand7YKD-CML1-Chemerin-9-Gi1/β1/γ2
9.68Single1F8811-cis-Retinal1F88-Rhodopsin-11-cis-Retinal
9.68Single3UZCPubChem 1355666093UZC-A2A-PubChem 135566609
9.68Single3V2YPubChem 518926453V2Y-S1P1-PubChem 51892645
9.68Single4ZJCSB-6740424ZJC-OX1-SB-674042
9.68Single5IU4ZM-2413855IU4-A2A-ZM-241385-Na
9.68Single5IUBQ274563445IUB-A2A-Q27456344-Na
9.68Single5K2CZM-2413855K2C-A2A-ZM-241385-Na
9.68Single5NLXZM-2413855NLX-A2A-ZM-241385-Na
9.68Single5NM4ZM-2413855NM4-A2A-ZM-241385-Na
9.68Single5UVIZM-2413855UVI-A2A-ZM-241385
9.68Single6AQFZM-2413856AQF-A2A-ZM-241385
9.68Single6FFIMPEP6FFI-mGlu5-MPEP
9.68Single6K41Dexmedetomidine6K41-α2b-Dexmedetomidine-Go/β1/γ2
9.68Single6ME32-Phenylmelatonin6ME3-MT1-2-Phenylmelatonin
9.68Single6MH8ZM-2413856MH8-A2A-ZM-241385
9.68Single6PELCitronellol6PEL-Rhodopsin-Citronellol-Gt(CT)
9.68Single6PS82-Phenylmelatonin6PS8-MT1-2-Phenylmelatonin
9.68Single6PT0WIN 55212-26PT0-CB2-WIN 55212-2-Gi1/β1/γ2
9.68Single6TOSGSK10598656TOS-OX1-GSK1059865-Na
9.68Single6TP3Nemorexant6TP3-OX1-Nemorexant
9.68Single6TPGEMPA6TPG-OX2-EMPA
9.68Single6U1NLY21196206U1N-M2-LY2119620-Arrestin2
9.68Single6V9SGTPL114036V9S-OX1-GTPL11403
9.68Single6WJCMuscarinic toxin 76WJC-M1-Atropine-Muscarinic toxin 7
9.68Single6ZDVPubChem 9840736ZDV-A2A-PubChem 984073-Na
9.68Single6ZFZ77-LH-28-16ZFZ-M1-77-LH-28-1
9.68Single7EJ8Brimonidine7EJ8-α2a-Brimonidine-Go/β1/γ2
9.68Single7EJADexmedetomidine7EJA-α2a-Dexmedetomidine-Go/β1/γ2
9.68Single7F61PF-036547467F61-H3-PF-03654746
9.68Single7T94Acetylcholine7T94-M2-Acetylcholine-LY2119620-chim(NtGi1-Go)/β1/γ2
9.68Single7TRSAcetylcholine7TRS-M4-Acetylcholine-Gi1/β1/γ2
9.68Single7UTZDPPC7UTZ-TSH-TSH-DPPC-Gs/β1/γ2
9.68Single7VUGJNJ-635330547VUG-GPR139-JNJ-63533054-Gi1/β1/γ2
9.68Single7VV6C48/807VV6-MRGPRX2-C48/80
9.68Single7XOVSR1461317XOV-CCKA-SR146131-Gs/β1/γ2
9.68Single7XXH2MeSADP7XXH-P2Y1-2MeSADP-chim(NtGi1-G11)/β1/γ2
9.68Single8GUQOlorinab8GUQ-CB2-Olorinab-Gi1/β1/γ2
9.68Single8JEIPubChem 117155568JEI-HCAR3-PubChem 11715556-Gi1/β1/γ2
9.68Single8JERAcipimox8JER-HCA2-Acipimox-Go/β1/γ2
9.68Single8JLNT1AM8JLN-TA1-T1AM-Gs/β1/γ2
9.68Single8RLNLUF58348RLN-A2A-LUF5834
9.68Single8RWCStilSwitch28RWC-A2A-StilSwitch2-Na
9.68Single8RWDStilSwitch38RWD-A2A-StilSwitch3-Na
9.68Single8THKA-616038THK-Alpha1A-A-61603-chim(NtGi2L-Gs-CtGq)/β1/γ2
9.68Single8THLEpinephrine8THL-Alpha1A-Epinephrine-chim(NtGi2L-Gs-CtGq)/β1/γ2
9.68Single8UHBRO52563908UHB-TA1-RO5256390-Gs/β1/γ2
9.68Single8WPGTryptophan; Cinacalcet; PO4; Ca8WPG-CaS; CaS-Tryptophan; Cinacalcet; PO4; Ca
9.68Single8WPUTryptophan; Cinacalcet; PO4; Ca8WPU-CaS; CaS-Tryptophan; Cinacalcet; PO4; Ca-chim(NtGi2L-Gs-CtGq)/β1/γ2
9.68Single8X7ATreprostinil8X7A-I2-Treprostinil-Gs/β1/γ2
9.68Single8Y01All-trans-Retinal8Y01-Opsin1MW-All-trans-Retinal-Gi1/β1/γ2
9.68Single8Y6YGLPG09748Y6Y-FFA2-GLPG0974
9.68Single8ZBWQuin-C18ZBW-FPR2-ALX-Quin-C1-Gi2/β1/γ2
9.68Single8ZPMAMD0708ZPM-CXCR4-AMD070
9.68Single8ZPNAMD31008ZPN-CXCR4-AMD3100
9.68Single9ASBCa; Ca; Cyclomethyltryptophan; R-568; PO49ASB-CaS; CaS-Ca-Ca; Ca; Cyclomethyltryptophan; R-568; PO4-chim(NtGi1-Gs-CtGq)/β1/γ2
9.68Single9ASBCa; Ca; Cyclomethyltryptophan; R-568; PO49ASB-CaS; CaS-Ca-Ca; Ca; Cyclomethyltryptophan; R-568; PO4-chim(NtGi1-Gs-CtGq)/β1/γ2
9.68Single9AVGCa; Ca; Cyclomethyltryptophan; R-568; PO49AVG-CaS; CaS-Ca-Ca; Ca; Cyclomethyltryptophan; R-568; PO4-chim(NtGi1-Gs)/β1/γ2
9.68Single9DQJEP-39459DQJ-MRGPRD-EP-3945-chim(NtGi1-Gs-CtGq)/β1/γ2
9.68Single9EPQ11,20-Ethanoretinal9EPQ-Rhodopsin-11,20-Ethanoretinal-chim(Gi1-CtGq)/β1/γ2
9.68Single9JH3CMF-0199JH3-Apelin; Apelin-CMF-019-Gi1/β1/γ2
9.68Single9JKYAcifran9JKY-HCA2-Acifran-Gi1/β1/γ2
9.68Single9JMDAzithromycin9JMD-Motilin-Azithromycin-chim(Gs-CtGq)/β1/γ2
9.68Single9KXSEP679KXS-C5a1-EP67-Go/β1/γ2
9.68Single9LKBPL459LKB-OR5V1-PL45-chim(NtGi1-Gs)/β1
9.68Single9M2FNeuropeptide-FF9M2F-NPFF1-Neuropeptide-FF-Gi1/β1/γ2
9.68Single9MQIIsoquinuclidine9MQI-μ-Isoquinuclidine
9.68Single9ODJMitragynine Pseudoindoxyl9ODJ-μ-Mitragynine Pseudoindoxyl-GTP; Mg-Gi1/β1/γ2
9.68Single9PXVNaloxone9PXV-μ-Naloxone-Gi1/β1/γ2
9.68Single9PY2Loperamide9PY2-μ-Loperamide-GDPβS-Gi1/β1/γ2
9.68Single9VNFPindolol9VNF-5-HT1A-Pindolol-Go/β1/γ2
9.68Consensusadenosine_onOrthosteric Liganda1_on a2_on a3_on
9.68Consensusalpha1_onOrthosteric Ligandalpha1a_on
9.68Consensusalpha1_on_gpOrthosteric Ligandalpha1a_on_gp
9.68Consensusalpha1a_onOrthosteric Ligand7EJ0-α2a-Norepinephrine-Go/β1/γ2 7EJ8-α2a-Brimonidine-Go/β1/γ2 7EJA-α2a-Dexmedetomidine-Go/β1/γ2 7EJK-α2a-Oxymetazoline-Go/β1/γ2 7W6P-α2a-N-pyridin-4-ylisoquinolin-4-amine-Go/β1/γ2 7W7E-α2a-PubChem 164946676-Go/β1/γ2
9.68Consensusalpha1a_on_gpOrthosteric Ligand7EJ0-α2a-Norepinephrine-Go/β1/γ2 7EJ8-α2a-Brimonidine-Go/β1/γ2 7EJA-α2a-Dexmedetomidine-Go/β1/γ2 7EJK-α2a-Oxymetazoline-Go/β1/γ2 7W6P-α2a-N-pyridin-4-ylisoquinolin-4-amine-Go/β1/γ2 7W7E-α2a-PubChem 164946676-Go/β1/γ2
9.68Consensusat1_offOrthosteric Ligand4YAY-AT1-ZD-7155 4ZUD-AT1-Olmesartan
9.68Consensuscb1_offOrthosteric Ligand5U09-CB1-Taranabant 5TGZ-CB1-AM6538
9.68Consensusgi_adenosineOrthosteric Ligand7LD4-A1-Adenosine-Gi2/β1/γ2 8X17-A3A-Namodenoson-Gi1/β1/γ2 8X16-A3A-Piclidenoson-Gi1/β1/γ2
9.68Consensusnucleotide_offOrthosteric Ligandadenosine_off p2y_off
9.68Consensusopsins_offOrthosteric Ligandrhodopsin_off
9.68Consensusp2y1_on_gpOrthosteric Ligand7XXH-P2Y1-2MeSADP-chim(NtGi1-G11)/β1/γ2
9.68Consensussensory_offOrthosteric Ligandopsins_off
9.52Single8H0PNMB308H0P-BB1-NMB30-chim(NtGi1-Gs-CtGq)/β1/γ2
9.52Single8XVEBQ30208XVE-ETB-BQ3020-chim(Gs-CtGq)/β1/γ2
9.52Consensusnpy4_onOrthosteric Ligand7X9C-Y4-Pancreatic Hormone-Gi1/β1/γ2
9.52Consensusnpy4_on_gpOrthosteric Ligand7X9C-Y4-Pancreatic Hormone-Gi1/β1/γ2
9.38Single3NY8ICI118-5513NY8-β2-ICI118-551
9.38Single3NYAAlprenolol3NYA-β2-Alprenolol
9.38Single3ZPRPubChem 5987543ZPR-β1-PubChem 598754-Na
9.38Single4DAJTiotropium4DAJ-M3-Tiotropium
9.38Single4EA3PubChem 102965614EA3-NOP-PubChem 10296561
9.38Single4EJ4Naltrindole4EJ4-δ-Naltrindole
9.38Single4GBRCarazolol4GBR-β2-Carazolol
9.38Single4QIMANTA XV4QIM-SMO-ANTA XV
9.38Single4X1HNonyl-Beta-D-Glucopyranoside4X1H-Rhodopsin-Nonyl-β-D-Glucopyranoside-Gt(CT)
9.38Single4YAYZD-71554YAY-AT1-ZD-7155
9.38Single5DHHSB-6121115DHH-NOP-SB-612111
9.38Single5UENDU1725UEN-A1-DU172
9.38Single5YC8N-methyl-Scopolamine5YC8-M2-N-methyl-Scopolamine
9.38Single5ZK8N-methyl-Scopolamine5ZK8-M2-N-methyl-Scopolamine
9.38Single5ZKCN-methyl-Scopolamine5ZKC-M2-N-methyl-Scopolamine
9.38Single6FFHFenobam6FFH-mGlu5-Fenobam
9.38Single6FK7PubChem 1324730346FK7-Rhodopsin-PubChem 132473034
9.38Single6FKCPubChem 1324730396FKC-Rhodopsin-PubChem 132473039
9.38Single6K42Dexmedetomidine6K42-α2b-Dexmedetomidine-Gi1/β1/γ2
9.38Single6KPFAM120336KPF-CB2-AM12033-Gi1/β1/γ2
9.38Single6LPJZM-2413856LPJ-A2A-ZM-241385-Na
9.38Single6LPKZM-2413856LPK-A2A-ZM-241385-Na
9.38Single6ORVTT-OAD26ORV-GLP-1-TT-OAD2-Gs/β1/γ2
9.38Single6TOTLemborexant6TOT-OX1-Lemborexant
9.38Single6WHADB139486WHA-5-HT2A-DB13948-chim(NtGi2L-Gs-CtGq)/β1/γ2
9.38Single6X1ADanuglipron6X1A-GLP-1-Danuglipron-Gs/β1/γ2
9.38Single6Z10PubChem 1545855546Z10-Succinate-PubChem 154585554
9.38Single7CFMP3957CFM-GPBA-P395-Gs/β1/γ2
9.38Single7CRHSKF839597CRH-D1-SKF83959-Gs/β1/γ2
9.38Single7F83PF-051904577F83-Ghrelin-PF-05190457
9.38Single7FIHOrg435537FIH-LH-hCG-Org43553-chim(NtGi1-Gs)/β1/γ2
9.38Single7JVQApomorphine7JVQ-D1-Apomorphine-Gs/β1/γ2
9.38Single7LCIDanuglipron7LCI-GLP-1-Danuglipron-Gs/β1/γ2
9.38Single7LCKDanuglipron7LCK-GLP-1-Danuglipron
9.38Single7SK8CXCL127SK8-ACKR3-CXCL12-CCX662
9.38Single7T2GMitragynine Pseudoindoxyl7T2G-μ-Mitragynine Pseudoindoxyl-Gi1/β1/γ2
9.38Single7TRQVU04671547TRQ-M4-Iperoxo-VU0467154-Gi1/β1/γ2
9.38Single7UL4Alvimopan7UL4-μ-Alvimopan
9.38Single7V3ZCP559407V3Z-CB1-CP55940
9.38Single7WC8Lumateperone7WC8-5-HT2A-Lumateperone
9.38Single7WQ3Galanin7WQ3-GAL1-Galanin-Gi1/β1/γ2
9.38Single7YACPaltusotine7YAC-SST2-Paltusotine-Gi1/β1/γ2
9.38Single8CICEtrumadenant8CIC-A2A-Etrumadenant-Na
9.38Single8CU6LJ-45178CU6-A2A-LJ-4517
9.38Single8DZSGR89,6968DZS-κ-GR89,696-chim(NtGi2-Gz)/β1/γ2
9.38Single8GCML-9026888GCM-EP4-L-902688-Gi1/β1/γ2
9.38Single8IC0CXCL88IC0-CXCR1-CXCL8-Gi1/β1/γ2
9.38Single8JJOAlprenolol8JJO-β2-Alprenolol
9.38Single8JLJT1AM8JLJ-TA1-T1AM-chim(NtGi1-Gs)/β1/γ2
9.38Single8JLZST19368JLZ-5-HT6-ST1936-Gs/β1/γ2
9.38Single8JXRLSD8JXR-D1-LSD
9.38Single8RWXStilSwitch38RWX-A2A-StilSwitch3-Na
9.38Single8TH3AT118-H Nanobody8TH3-AT1-AT118-H Nanobody
9.38Single8X17Namodenoson8X17-A3A-Namodenoson-Gi1/β1/γ2
9.38Single8X63Mepyramine8X63-H1-Mepyramine
9.38Single8X64Desloratadine8X64-H1-Desloratadine
9.38Single8X9TAP5038X9T-ADGRD1-AP503-chim(NtGi1-Gs)/β1/γ2
9.38Single8XJLPGF2-alpha8XJL-FP-alpha-PGF2-α-chim(NtGi2-Gs-CtGq)/β1/γ2
9.38Single8XVKAmbrisentan8XVK-ETA-Ambrisentan
9.38Single8Y71A1D6F8Y71-δ-A1D6F-BMS986187-Gi1/β1/γ2
9.38Single8YN8Proxyfan8YN8-H3-Proxyfan-Go/β1/γ2
9.38Single9AS1DMT9AS1-5-HT2A-DMT
9.38Single9AVGCa; Ca; Cyclomethyltryptophan; R-568; PO49AVG-CaS; CaS-Ca-Ca; Ca; Cyclomethyltryptophan; R-568; PO4-chim(NtGi1-Gs)/β1/γ2
9.38Single9BQJRO769BQJ-μ-RO76-Gi1/β1/γ2
9.38Single9CBMDexmedetomidine9CBM-α2a-Dexmedetomidine-Gi1/β1/γ2
9.38Single9CHXCarazolol9CHX-β2-Carazolol
9.38Single9D61JDTic9D61-κ-JDTic-Gi1/β1/γ2
9.38Single9DYFAsenapine9DYF-5-HT1A-Asenapine-PtdIns4P-Gi1/β1/γ2
9.38Single9EPP11,20-Ethanoretinal9EPP-Rhodopsin-11,20-Ethanoretinal-chim(Gi1-CtGq)/β1/γ2
9.38Single9IMATalquetamab9IMA-GPRC5D; GPRC5D-Talquetamab
9.38Single9JEAAtropine9JEA-M1-Atropine
9.38Single9JQZGrapiprant 9JQZ-EP4-Grapiprant
9.38Single9KUXCMPD6449KUX-Apelin; Apelin-CMPD644-Arrestin2
9.38Single9PLNPubChem 1682595949PLN-α2a-PubChem 168259594
9.38Single9PLOPubChem 1682595949PLO-α2a-PubChem 168259594-Go/β1/γ2
9.38Single9PXWNaloxone9PXW-μ-Naloxone-GDPβS-Gi1/β1/γ2
9.38Single9UAZAtropine9UAZ-M1-Atropine
9.38Single9VMYTMU41429VMY-5-HT1A-TMU4142-Go/β1/γ2
9.38Consensusa3_onOrthosteric Liganda3a_on
9.38Consensusadenosine_on_gpOrthosteric Liganda1_on_gp a2_on_gp a3_on_gp
9.38Consensusalicarboxylic_offOrthosteric Ligandsuccinate_off
9.38Consensusalpha2_onOrthosteric Ligandalpha2b_on
9.38Consensusalpha2_on_gpOrthosteric Ligandalpha2b_on_gp
9.38Consensusalpha2b_onOrthosteric Ligand6K42-α2b-Dexmedetomidine-Gi1/β1/γ2
9.38Consensusalpha2b_on_gpOrthosteric Ligand6K42-α2b-Dexmedetomidine-Gi1/β1/γ2
9.38Consensusalpha_onOrthosteric Ligandalpha1_on alpha2_on
9.38Consensuscxcr1_on_gpOrthosteric Ligand8IC0-CXCR1-CXCL8-Gi1/β1/γ2
9.38Consensusdop_offOrthosteric Ligand4EJ4-δ-Naltrindole
9.38Consensusdopamine_offOrthosteric Ligandd2_off d3_off
9.38Consensusgal1_onOrthosteric Ligand7WQ3-GAL1-Galanin-Gi1/β1/γ2
9.38Consensusgal1_on_gpOrthosteric Ligand7WQ3-GAL1-Galanin-Gi1/β1/γ2
9.38Consensusgi_galaninOrthosteric Ligand7WQ3-GAL1-Galanin-Gi1/β1/γ2
9.38Consensusgi_histamineOrthosteric Ligand8JXX-H4-Clobenpropit-Gi1/β1/γ2 8JXV-H4-Clozapine-Gi1/β1/γ2 8YUU-H3-Histamine-Gi1/β1/γ1 8HN8-H4-Histamine-Gi1/β1/γ2 8HOC-H4-Imetit-Gi1/β1/γ2 8JXW-H4-VUF6884-Gi1/β1/γ2
9.38Consensusgq_amineOrthosteric Ligandgq_muscarinic gq_histamine
9.38Consensushistamine_offOrthosteric Ligandh1_off
9.38Consensusmuscarinic_onOrthosteric Ligandm2_on m3_on m4_on m1_on
9.38Consensusmuscarinic_on_gpOrthosteric Ligandm2_on_gp m3_on_gp m4_on_gp m1_on_gp
9.38Consensusnucleotide_offonOrthosteric Ligandnucleotide_off nucleotide_on
9.38Consensusnucleotide_offon_gpOrthosteric Ligandnucleotide_on_gp nucleotide_off
9.38Consensussuccinate_offOrthosteric Ligand6RNK-Succinate-NF-56-EJ40 6Z10-Succinate-PubChem 154585554
9.30Single7F53Alpha-MSH7F53-MC4-α-MSH-Gs/β1/γ2
9.09Single2RH1Carazolol2RH1-β2-Carazolol
9.09Single2YCWCarazolol2YCW-β1-Carazolol
9.09Single4WW3All-trans-Retinal4WW3-Rhodopsin-All-trans-Retinal
9.09Single4ZJ8Suvorexant4ZJ8-OX1-Suvorexant
9.09Single5D6LCarazolol5D6L-β2-Carazolol
9.09Single5JQHCarazolol5JQH-β2-Carazolol
9.09Single5WQCEMPA5WQC-OX2-EMPA
9.09Single5X7DCarazolol5X7D-β2-Carazolol-PubChem 129318963
9.09Single6D26Fevipiprant6D26-DP2-Fevipiprant
9.09Single6KPCAM120336KPC-CB2-AM12033
9.09Single6ME72-Phenylmelatonin6ME7-MT2-2-Phenylmelatonin
9.09Single6OIKIperoxo6OIK-M2-Iperoxo-LY2119620-chim(NtGi1-Go)/β1/γ2
9.09Single6RZ4Pranlukast6RZ4-CysLT1-Pranlukast-Na
9.09Single6TO7Suvorexant6TO7-OX1-Suvorexant-Na
9.09Single6TP6Filorexant6TP6-OX1-Filorexant
9.09Single7BB7AVP7BB7-V2-AVP-Gs/β1/γ2
9.09Single7CFNINT-7777CFN-GPBA-INT-777-Gs/β1/γ2
9.09Single7E9GJNJ-404118137E9G-mGlu2; mGlu2-Eglumetad-JNJ-40411813-Gi1/β1/γ2
9.09Single7LD3Adenosine7LD3-A1-Adenosine-MIPS521-Gi2/β1/γ2
9.09Single7SBFPZM217SBF-μ-PZM21-Gi1/β1/γ2
9.09Single7TRKIperoxo7TRK-M4-Iperoxo-Gi1/β1/γ2
9.09Single7VGXNeuropeptide-Y7VGX-Y1-Neuropeptide-Y-Gi1/β1/γ2
9.09Single7W41PD1762527W41-BB2-PD176252
9.09Single7X1TTaltirelin7X1T-TRH-Taltirelin-chim(NtGi2L-Gs-CtGq)/β1/γ2
9.09Single8C9WEtrumadenant8C9W-A2A-Etrumadenant
9.09Single8DZQmomSalB8DZQ-κ-momSalB-Go/β1/γ2
9.09Single8DZRGR89,6968DZR-κ-GR89,696-chim(NtGi2-Gt3)/β1/γ2
9.09Single8GD9Rivenprost8GD9-EP4-Rivenprost-Gs/β1/γ2
9.09Single8GDCPGE28GDC-EP3-PGE2-Gi1/β1/γ2
9.09Single8KFXLMD-0098KFX-CCR8-LMD-009-Gi1/β1/γ2
9.09Single8QOTNanobody-E8QOT-μ-Nanobody-E
9.09Single8SZGCa; Ca; Tryptophan; Cinacalcet; PO4; Spermine8SZG-CaS; CaS-Ca; Ca; Tryptophan; Cinacalcet; PO4; Spermine-chim(NtGi1-Gq)/β1/γ2
9.09Single8TH4Losartan8TH4-AT1-Losartan-AT118-L Nanobody
9.09Single8TH4AT118-L Nanobody8TH4-AT1-Losartan-AT118-L Nanobody
9.09Single8WGBVU01550418WGB-mGlu4; mGlu2-Glutamate-VU0155041-Gi3/β1/γ2
9.09Single8Y52BA18Y52-BB3-BA1-chim(NtGi1-Gs-CtGq)/β1/γ2
9.09Single8YH0NECA8YH0-A3A-NECA-Gi1/β1/γ2
9.09Single8ZMFPubChem 1719206738ZMF-5-HT2C-PubChem 171920673
9.09Single9ARZ2-bromo-LSD9ARZ-5-HT2A-2-bromo-LSD
9.09Single9DQHEP-28259DQH-MRGPRD-EP-2825-chim(NtGi1-Gs-CtGq)/β1/γ2
9.09Single9DYDAsenapine9DYD-5-HT1A-Asenapine-PtdIns4P-Go/β1/γ2
9.09Single9EHSLUF76029EHS-A3A-LUF7602
9.09Single9ERXD9-THC analog9ERX-CB1-D9-THC analog-Gi1/β1/γ2
9.09Single9F33FOB02-04A9F33-D3-FOB02-04A-Go/β1/γ2
9.09Single9F34FOB02-04A9F34-D3-FOB02-04A-Go/β1/γ2
9.09Single9I52A1IZU9I52-D1-A1IZU-Gs/β1/γ2
9.09Single9KUVCMPD6449KUV-Apelin-CMPD644-Arrestin2
9.09Single9L74S1P d16:19L74-S1P3-S1P d16:1-chim(NtGi2L-Gs-CtGq)/β1/γ2
9.09Single9PXYNaloxone9PXY-μ-Naloxone-GDPβS-Gi1/β1/γ2
9.09Single9VJFBuspirone9VJF-5-HT1A-Buspirone-Gi3/β1/γ2
9.09Consensus5ht2_offOrthosteric Ligand5ht2a_off 5ht2b_off 5ht2c_off
9.09Consensusa3_on_gpOrthosteric Liganda3a_on_gp
9.09Consensusa3a_onOrthosteric Ligand8X17-A3A-Namodenoson-Gi1/β1/γ2 8X16-A3A-Piclidenoson-Gi1/β1/γ2
9.09Consensusa3a_on_gpOrthosteric Ligand8X17-A3A-Namodenoson-Gi1/β1/γ2 8X16-A3A-Piclidenoson-Gi1/β1/γ2
9.09Consensusadgrg2_onOrthosteric Ligand7WUI-ADGRG2-IP15-chim(NtGi1-Gs)/β1/γ2 7WUQ-ADGRG2-Gs/β1/γ2 7XKF-ADGRG2-Dehydroepiandrosterone-Gs/β1/γ2
9.09Consensusadgrg2_on_gpOrthosteric Ligand7WUI-ADGRG2-IP15-chim(NtGi1-Gs)/β1/γ2 7WUQ-ADGRG2-Gs/β1/γ2 7XKF-ADGRG2-Dehydroepiandrosterone-Gs/β1/γ2
9.09Consensusalpha_on_gpOrthosteric Ligandalpha1_on_gp alpha2_on_gp
9.09Consensusamine_offOrthosteric Ligand5ht_off adrenergic_off dopamine_off histamine_off muscarinic_off
9.09Consensusamine_offonOrthosteric Ligandamine_off amine_on
9.09Consensusamine_offon_gpOrthosteric Ligandamine_on_gp amine_off
9.09Consensusamine_onOrthosteric Ligand5ht_on adrenergic_on dopamine_on histamine_on muscarinic_on trace-amine_on
9.09Consensusbb2_offOrthosteric Ligand7W41-BB2-PD176252
9.09Consensusbeta2_offOrthosteric Ligand2RH1-β2-Carazolol 6PS3-β2-Carvedilol 6PS5-β2-Propranolol 3D4S-β2-Timolol 3NY8-β2-ICI118-551 3NY9-β2-PubChem 913103 6PRZ-β2-Alprenolol
9.09Consensusbeta_offOrthosteric Ligandbeta1_off beta2_off
9.09Consensusbombesin_offOrthosteric Ligandbb2_off
9.09Consensuscb2_onOrthosteric Ligand8GUR-CB2-CP55940-Gi1/β1/γ2 8GUS-CB2-HU-308-Gi1/β1/γ2 8GUT-CB2-LEI-102-Gi1/β1/γ2 6KPF-CB2-AM12033-Gi1/β1/γ2 6PT0-CB2-WIN 55212-2-Gi1/β1/γ2 8GUQ-CB2-Olorinab-Gi1/β1/γ2
9.09Consensuscb2_on_gpOrthosteric Ligand8GUR-CB2-CP55940-Gi1/β1/γ2 8GUS-CB2-HU-308-Gi1/β1/γ2 8GUT-CB2-LEI-102-Gi1/β1/γ2 6KPF-CB2-AM12033-Gi1/β1/γ2 6PT0-CB2-WIN 55212-2-Gi1/β1/γ2 8GUQ-CB2-Olorinab-Gi1/β1/γ2
9.09Consensusd4_onOrthosteric Ligand8IRU-D4-Rotigotine-chim(NtGi1-Gs-CtGi1)/β1/γ2
9.09Consensusdp2_offOrthosteric Ligand6D26-DP2-Fevipiprant
9.09Consensusdp_offOrthosteric Liganddp2_off
9.09Consensusgi_adrenergicOrthosteric Ligand7EJ0-α2a-Norepinephrine-Go/β1/γ2 7EJK-α2a-Oxymetazoline-Go/β1/γ2 7W7E-α2a-PubChem 164946676-Go/β1/γ2 7W6P-α2a-N-pyridin-4-ylisoquinolin-4-amine-Go/β1/γ2 7EJ8-α2a-Brimonidine-Go/β1/γ2 6K42-α2b-Dexmedetomidine-Gi1/β1/γ2 7EJA-α2a-Dexmedetomidine-Go/β1/γ2 7S0F-β1-Isoprenaline-Gi1/β1/γ2
9.09Consensusgs_amineOrthosteric Ligandgs_5ht gs_adrenergic gs_dopamine gs_histamine gs_trace-amine
9.09Consensush1_offOrthosteric Ligand8X63-H1-Mepyramine 3RZE-H1-Cidoxepin 8X5Y-H1-Astemizole
9.09Consensuslipid_onOrthosteric Ligandcannabinoid_on ffa_on lpl_on prostanoid_on leukotriene_on
9.09Consensuslipid_on_gpOrthosteric Ligandcannabinoid_on_gp ffa_on_gp lpl_on_gp prostanoid_on_gp leukotriene_on_gp
9.09Consensuslpa1_onOrthosteric Ligand7TD1-LPA1-LPA-Gi1/β1/γ2 7YU3-LPA1-ONO-0740556-Gi1/β1/γ2
9.09Consensuslpa1_on_gpOrthosteric Ligand7TD1-LPA1-LPA-Gi1/β1/γ2 7YU3-LPA1-ONO-0740556-Gi1/β1/γ2
9.09Consensusm3_onOrthosteric Ligand8E9Z-M3-Iperoxo-chim(NtGi2L-Gs-CtGq)/β1/γ2 8E9W-M3-2-Deoxycytidine-chim(NtGi2L-Gs-CtGq)/β1/γ2 8E9Y-M3-Clozapine-N-oxide-chim(NtGi2L-Gs-CtGq)/β1/γ2
9.09Consensusm3_on_gpOrthosteric Ligand8E9Z-M3-Iperoxo-chim(NtGi2L-Gs-CtGq)/β1/γ2 8E9W-M3-2-Deoxycytidine-chim(NtGi2L-Gs-CtGq)/β1/γ2 8E9Y-M3-Clozapine-N-oxide-chim(NtGi2L-Gs-CtGq)/β1/γ2
8.82Single4OO9Mavoglurant4OO9-mGlu5-Mavoglurant
8.82Single4U15Tiotropium4U15-M3-Tiotropium
8.82Single5D5ACarazolol5D5A-β2-Carazolol
8.82Single5D5BCarazolol5D5B-β2-Carazolol
8.82Single5ZHPPubChem 1348285895ZHP-M3-PubChem 134828589
8.82Single5ZKBAF-DX 3845ZKB-M2-AF-DX 384
8.82Single6J21Aprepitant6J21-NK1-Aprepitant
8.82Single6KO5PubChem 574000026KO5-Ghrelin-PubChem 57400002
8.82Single6N4BMDMB-Fubinaca6N4B-CB1-MDMB-Fubinaca-Gi1/β1/γ2
8.82Single6OL9Tiotropium6OL9-M5-Tiotropium
8.82Single7CKYPW04647CKY-D1-PW0464-Gs/β1/γ2
8.82Single7EW3S1P7EW3-S1P3-S1P-Gi1/β1/γ2
8.82Single7EW4CYM-55417EW4-S1P3-CYM-5541-Gi1/β1/γ2
8.82Single7F1TCCL37F1T-CCR5-CCL3
8.82Single7F58THIQ7F58-MC4-THIQ-Gs/β1/γ2
8.82Single7R0CAVP7R0C-V2-AVP-Arrestin2
8.82Single7SK7CXCL127SK7-ACKR3-CXCL12-CCX662
8.82Single7T9NDPPC7T9N-TSH-M22 Fab-DPPC-Gs/β1/γ2
8.82Single7TD1LPA7TD1-LPA1-LPA-Gi1/β1/γ2
8.82Single7W6PN-pyridin-4-ylisoquinolin-4-amine7W6P-α2a-N-pyridin-4-ylisoquinolin-4-amine-Go/β1/γ2
8.82Single7W7EPubChem 1649466767W7E-α2a-PubChem 164946676-Go/β1/γ2
8.82Single7XBDGalanin7XBD-GAL2-Galanin-chim(NtGi2L-Gs-CtGq)/β1/γ2
8.82Single7XJLSpexin7XJL-GAL2-Spexin-chim(NtGi2L-Gs-CtGq)/β1/γ2
8.82Single7XOWSulfated Gastrin-(10-17)7XOW-CCKB-Sulfated Gastrin-(10-17)-chim(NtGi1-Gq)/β1/γ2
8.82Single7XY7NECA7XY7-A2B-NECA-chim(NtGi1-Gs)/β1/γ2
8.82Single8DCSCyanopindolol8DCS-β1-Cyanopindolol-Gs/β1/γ2
8.82Single8FMZNeurotensin-(8-13)8FMZ-NTS1-Neurotensin-(8-13)-chim(NtGi2L-Gs-CtGq)/β1/γ2
8.82Single8FN1Neurotensin-(8-13)8FN1-NTS1-Neurotensin-(8-13)-chim(NtGi1-Go)/β1/γ2
8.82Single8HPTC5a (C-terminal peptide)8HPT-C5a1-C5a (C-terminal peptide)-Go/β1/γ2
8.82Single8I2GPubChem 675302408I2G-FSH-FSH-PubChem 67530240-Gs/β1/γ2
8.82Single8ID39-Hydroxystearic acid8ID3-FFA4-9-Hydroxystearic acid-Gi1/β1/γ2
8.82Single8IRRRotigotine8IRR-D1-Rotigotine-Gs/β1/γ2
8.82Single8IRVRotigotine8IRV-D5-Rotigotine-chim(NtGi1-Gs)/β1/γ2
8.82Single8IYHMK68928IYH-HCA2-MK6892-Go/β1/γ2
8.82Single8JD5JNJ-40411813; ADX881788JD5-mGlu2; mGlu4-Glutamate-JNJ-40411813; ADX88178-Gi1/β1/γ2
8.82Single8JD5JNJ-40411813; ADX881788JD5-mGlu2; mGlu4-Glutamate-JNJ-40411813; ADX88178-Gi1/β1/γ2
8.82Single8JXVClozapine8JXV-H4-Clozapine-Gi1/β1/γ2
8.82Single8JXWVUF68848JXW-H4-VUF6884-Gi1/β1/γ2
8.82Single8JZPC5a8JZP-C5a1-C5a-Go/β1/γ2
8.82Single8VVEnorBNI8VVE-κ-norBNI-Gi1/β1/γ2
8.82Single8VVFJDTic8VVF-κ-JDTic-Gi1/β1/γ2
8.82Single8X79MRE-2698X79-I2-MRE-269-Gs/β1/γ2
8.82Single8XIPPasireotide8XIP-SST1-Pasireotide-chim(NtGi1-Gs-CtGi1)/β1/γ2
8.82Single8XVLZibotentan8XVL-ETA-Zibotentan
8.82Single8XX7CXCL58XX7-CXCR2-CXCL5-Go/β1/γ2
8.82Single8YNTSNAP-948478YNT-MCH1-SNAP-94847
8.82Single8ZW0PGD28ZW0-DP1-PGD2-Gs/β1/γ2
8.82Single9AS9RS130-1809AS9-5-HT2A-RS130-180
8.82Single9ASARS130-1809ASA-5-HT2A-RS130-180-chim(NtGi1-Gs-CtGq)/β1/γ2
8.82Single9B65MDMB-Fubinaca9B65-CB1-MDMB-Fubinaca-Gi1/β1/γ2
8.82Single9BJKNaloxone9BJK-μ-Naloxone-PubChem 171642066
8.82Single9BS9LSD9BS9-D2-LSD
8.82Single9BSBLSD9BSB-D2-LSD-chim(NtGi1-Go)/β1/γ2
8.82Single9EGOZ85267113509EGO-CB1-Z8526711350-Gi1/β1/γ2
8.82Single9KUXCMPD6449KUX-Apelin; Apelin-CMPD644-Arrestin2
8.82Single9PY3Loperamide9PY3-μ-Loperamide-GDPβS-Gi1/β1/γ2
8.82Single9PY4Loperamide9PY4-μ-Loperamide-GDPβS-Gi1/β1/γ2
8.82Single9RHGC4079RHG-FZD7-C407
8.82Consensusamine_on_gpOrthosteric Ligand5ht_on_gp adrenergic_on_gp dopamine_on_gp histamine_on_gp muscarinic_on_gp trace-amine_on_gp
8.82Consensusbeta1_offOrthosteric Ligand2VT4-β1-Cyanopindolol 2YCW-β1-Carazolol 2YCZ-β1-Iodocyanopindolol 5A8E-β1-7-Methylcyanopindolol-Na 3ZPQ-β1-PubChem 594590-Na 3ZPR-β1-PubChem 598754-Na
8.82Consensusd1_on_gpOrthosteric Ligand7F0T-D1-Dopamine-Gs/β1/γ2 7CKY-D1-PW0464-Gs/β1/γ2 8IRR-D1-Rotigotine-Gs/β1/γ2 7JV5-D1-SKF81297-Gs/β1/γ2 7JVP-D1-SKF83959-Gs/β1/γ2 7X2D-D1-Tavapadon-Gs/β1/γ2 7CKX-D1-A77636-Gs/β1/γ2 7JVQ-D1-Apomorphine-Gs/β1/γ2 7CKW-D1-Fenoldopam-Gs/β1/γ2
8.82Consensusd5_on_gpOrthosteric Ligand8IRV-D5-Rotigotine-chim(NtGi1-Gs)/β1/γ2
8.82Consensusgi_cannabinoidOrthosteric Ligand8GUR-CB2-CP55940-Gi1/β1/γ2 8GUS-CB2-HU-308-Gi1/β1/γ2 8GUT-CB2-LEI-102-Gi1/β1/γ2 8GUQ-CB2-Olorinab-Gi1/β1/γ2 6KPF-CB2-AM12033-Gi1/β1/γ2 6PT0-CB2-WIN 55212-2-Gi1/β1/γ2 6KPG-CB1-AM841-Gi1/β1/γ2
8.82Consensusgs_dopamineOrthosteric Ligand7F0T-D1-Dopamine-Gs/β1/γ2 7CKW-D1-Fenoldopam-Gs/β1/γ2 7CKY-D1-PW0464-Gs/β1/γ2 8IRV-D5-Rotigotine-chim(NtGi1-Gs)/β1/γ2 8IRR-D1-Rotigotine-Gs/β1/γ2 7JV5-D1-SKF81297-Gs/β1/γ2 7JVP-D1-SKF83959-Gs/β1/γ2 7X2D-D1-Tavapadon-Gs/β1/γ2 7CKX-D1-A77636-Gs/β1/γ2 7JVQ-D1-Apomorphine-Gs/β1/γ2
8.82Consensusm3_offOrthosteric Ligand4U15-M3-Tiotropium 4U16-M3-N-methyl-Scopolamine 5ZHP-M3-PubChem 134828589
8.82Consensusm5_offOrthosteric Ligand6OL9-M5-Tiotropium
8.57Single2YCXCyanopindolol2YCX-β1-Cyanopindolol
8.57Single3D4STimolol3D4S-β2-Timolol
8.57Single4AMIBucindolol4AMI-β1-Bucindolol
8.57Single4OR2FITM4OR2-mGlu1; mGlu1-FITM
8.57Single6CM4Risperidone6CM4-D2-Risperidone
8.57Single6H7NXamoterol6H7N-β1-Xamoterol
8.57Single6H7OCyanopindolol6H7O-β1-Cyanopindolol
8.57Single7BZ2Arformoterol7BZ2-β2-Arformoterol-Gs/β1/γ2
8.57Single7EXDLasmiditan7EXD-5-HT1F-Lasmiditan-Gi1/β1/γ2
8.57Single7L0SNeurotensin-(8-13)7L0S-NTS1-Neurotensin-(8-13)-Gi1/β1/γ1
8.57Single7SUSPubChem 1227019087SUS-Apelin-PubChem 122701908
8.57Single7WQ4Galanin7WQ4-GAL2-Galanin-chim(NtGi1-Gs-CtGq)/β1/γ2
8.57Single7YMJTamsulosin7YMJ-Alpha1A-Tamsulosin
8.57Single8FYTLSD8FYT-5-HT1A-LSD-PtdIns4P-Gi1/β1/γ1
8.57Single8GCPPGE28GCP-EP4-PGE2-Gi1/β1/γ2
8.57Single8I9AEP548I9A-C3aB-EP54-chim(NtGi1-Gs-CtGq)/β1/γ2
8.57Single8IRSRotigotine8IRS-D2-Rotigotine-Gi1/β1/γ2
8.57Single8JJPChemerin-98JJP-CML2-Chemerin-9-Gi1/β1/γ2
8.57Single8U26Substance-P8U26-NK1-Substance-P-Gs/β1/γ2
8.57Single8XQJJN2418XQJ-Apelin; Apelin-JN241
8.57Single8XWACXCL18XWA-CXCR2-CXCL1
8.57Single8XWSCXCL58XWS-CXCR2-CXCL5
8.57Single8XX3CXCL38XX3-CXCR2-CXCL3-Go/β1/γ2
8.57Single9BJKPubChem 1716420669BJK-μ-Naloxone-PubChem 171642066
8.57Single9DGIZ85267113509DGI-CB1-Z8526711350
8.57Single9ECJS-geranylgeranyl-L-glutathione9ECJ-P2Y8-S-geranylgeranyl-L-glutathione-G13/β1/γ2
8.57Single9GL2Befiradol9GL2-5-HT1A-Befiradol-Gs/β1/γ2
8.57Single9GYOP3959GYO-GPBA-P395-chim(NtGi1-Gs)/β1/γ2
8.57Single9KZKC3a (fragment)9KZK-C3aB-C3a (fragment)-Go/β1/γ2
8.57Single9L3WChemerin9L3W-CML1-Chemerin-Gi1/β1/γ2
8.57Single9VJ6F-155999VJ6-5-HT1A-F-15599-Gi3/β1/γ2
8.57Consensus5ht1f_onOrthosteric Ligand7EXD-5-HT1F-Lasmiditan-Gi1/β1/γ2
8.57Consensus5ht1f_on_gpOrthosteric Ligand7EXD-5-HT1F-Lasmiditan-Gi1/β1/γ2
8.57Consensusalpha1_offOrthosteric Ligandalpha1a_off
8.57Consensusalpha1a_offOrthosteric Ligand7YMJ-Alpha1A-Tamsulosin
8.57Consensusbeta3_onOrthosteric Ligand7DH5-β3-Mirabegron-Gs/β1/γ2 7XJH-β3-Isoprenaline-Gs/β1/γ2 7XJI-β3-Solabegron-Gs/β1/γ2
8.57Consensusbeta3_on_gpOrthosteric Ligand7DH5-β3-Mirabegron-Gs/β1/γ2 7XJH-β3-Isoprenaline-Gs/β1/γ2 7XJI-β3-Solabegron-Gs/β1/γ2
8.57Consensuscannabinoid_onOrthosteric Ligandcb2_on cb1_on
8.57Consensuscannabinoid_on_gpOrthosteric Ligandcb2_on_gp cb1_on_gp
8.57Consensusgalanin_onOrthosteric Ligandgal2_on gal1_on
8.57Consensusgalanin_on_gpOrthosteric Ligandgal2_on_gp gal1_on_gp
8.57Consensusgi_amineOrthosteric Ligandgi_5ht gi_muscarinic gi_adrenergic gi_dopamine gi_histamine
8.57Consensusgi_muscarinicOrthosteric Ligand8E9X-M4-2-Deoxycytidine-chim(NtGi1-Go)/β1/γ2 7T8X-M2-Acetylcholine-chim(NtGi1-Go)/β1/γ2 7TRS-M4-Acetylcholine-Gi1/β1/γ2 7TRK-M4-Iperoxo-Gi1/β1/γ2 7V6A-M4-PubChem 9864275-Gi1/β1/γ2
8.57Consensuskop_onOrthosteric Ligand8F7W-κ-Dynorphin-Gi1/β1/γ2 8DZS-κ-GR89,696-chim(NtGi2-Gz)/β1/γ2 8DZP-κ-momSalB-Gi1/β1/γ2
8.57Consensusm4_onOrthosteric Ligand7TRS-M4-Acetylcholine-Gi1/β1/γ2 7V6A-M4-PubChem 9864275-Gi1/β1/γ2 8E9X-M4-2-Deoxycytidine-chim(NtGi1-Go)/β1/γ2 7TRK-M4-Iperoxo-Gi1/β1/γ2
8.57Consensusm4_on_gpOrthosteric Ligand7TRS-M4-Acetylcholine-Gi1/β1/γ2 7V6A-M4-PubChem 9864275-Gi1/β1/γ2 8E9X-M4-2-Deoxycytidine-chim(NtGi1-Go)/β1/γ2 7TRK-M4-Iperoxo-Gi1/β1/γ2
8.57Consensusorexin_onOrthosteric Ligandox2_on
8.57Consensuss1p3_onOrthosteric Ligand7EW3-S1P3-S1P-Gi1/β1/γ2 7EW4-S1P3-CYM-5541-Gi1/β1/γ2 7EW2-S1P3-FTY720-P-Gi1/β1/γ2
8.51Consensusgs_peptideOrthosteric Ligandgs_cck gs_melanocortin gs_vasop-oxy
8.33Single4OR2FITM4OR2-mGlu1; mGlu1-FITM
8.33Single5UNGPubChem 157800525UNG-AT2-PubChem 15780052
8.33Single7P00Substance-P7P00-NK1-Substance-P-chim(NtGi1-Gs-CtGq)/β1/γ2
8.33Single7VGY2-Iodomelatonin7VGY-MT1-2-Iodomelatonin-Gi1/β1/γ2
8.33Single7X1UTRH7X1U-TRH-TRH-chim(NtGi2L-Gs-CtGq)/β1/γ2
8.33Single7Y27Somatostatin-147Y27-SST2-Somatostatin-14-chim(NtGi2L-Gs-CtGq)/β1/γ2
8.33Single8E9YClozapine-N-oxide8E9Y-M3-Clozapine-N-oxide-chim(NtGi2L-Gs-CtGq)/β1/γ2
8.33Single8GAGZ85267113508GAG-CB1-Z8526711350-Gi1/β1/γ2
8.33Single8HN1Toxin AdTx18HN1-Alpha1A-Toxin AdTx1
8.33Single8ID8TUG-8918ID8-FFA4-TUG-891-Gi1/β1/γ2
8.33Single8S2TIsoprenaline8S2T-β1-Isoprenaline-chim(NtGi1-Gs)/β1/γ2
8.33Single8WRZAM8418WRZ-CB1-AM841-Arrestin2
8.33Single8XVJMacitentan8XVJ-ETA-Macitentan
8.33Single8XWVCXCL18XWV-CXCR2-CXCL1-Go/β1/γ2
8.33Single8ZPLHF511168ZPL-CXCR4-HF51116
8.33Single8ZX4Lysophosphatidylinositol 8ZX4-GPR55-Lysophosphatidylinositol-chim(NtGi1-G13)/β1/γ2
8.33Single9CGJC6-Quino9CGJ-δ-C6-Quino-Gi1/β1/γ2
8.33Single9EAILosartan9EAI-AT1-Losartan-Nanobody AT209
8.33Single9GE3Lysophosphatidylinositol9GE3-GPR55-Lysophosphatidylinositol-chim(NtGi1-G13)/β1/γ2
8.33Single9GG5U466199GG5-TXA2-U46619-chim(NtGi2L-Gs-CtGq)/β1/γ2
8.33Single9HYIDP819HYI-5-HT1A-DP81-Gi1/β1/γ2
8.33Single9IZFLPA9IZF-LPA1-LPA-Gi1/β1/γ2
8.33Single9M1HPGE29M1H-EP1-PGE2-chim(NtGi1-Gs-CtGq)/β1/γ2
8.33Single9YDRDADLE9YDR-δ-DADLE-MIPS3983-chim(NtGi1L-Gs-CtGi1)/β1/γ2
8.33Consensuscb1_on_gpOrthosteric Ligand6KPG-CB1-AM841-Gi1/β1/γ2 8K8J-CB1-Fenofibrate-chim(Gs-CtGq)/β1/γ2
8.33Consensuscck_onOrthosteric Ligandccka_on cckb_on
8.33Consensuscck_on_gpOrthosteric Ligandccka_on_gp cckb_on_gp
8.33Consensusfp-alpha_onOrthosteric Ligand8IUK-FP-alpha-PGF2-α-chim(NtGi1-Gs-CtGq)/β1/γ2 8IUL-FP-alpha-Latanoprost-chim(NtGi1-Gs-CtGq)/β1/γ2 8IUM-FP-alpha-Tafluprost acid-chim(NtGi1-Gs-CtGq)/β1/γ2
8.33Consensusfp-alpha_on_gpOrthosteric Ligand8IUK-FP-alpha-PGF2-α-chim(NtGi1-Gs-CtGq)/β1/γ2 8IUL-FP-alpha-Latanoprost-chim(NtGi1-Gs-CtGq)/β1/γ2 8IUM-FP-alpha-Tafluprost acid-chim(NtGi1-Gs-CtGq)/β1/γ2
8.33Consensusnk1_onOrthosteric Ligand7P00-NK1-Substance-P-chim(NtGi1-Gs-CtGq)/β1/γ2
8.33Consensusnk1_on_gpOrthosteric Ligand7P00-NK1-Substance-P-chim(NtGi1-Gs-CtGq)/β1/γ2
8.33Consensusnucleotide_on_gpOrthosteric Ligandadenosine_on_gp p2y_on_gp
8.33Consensusorexin_on_gpOrthosteric Ligandox2_on_gp
8.11Single6KNMJN241-96KNM-Apelin-JN241-9
8.11Single6OMMWKYMVX6OMM-FPR2-ALX-WKYMVX-Gi1/β1/γ2
8.11Single6PT3DPI-2876PT3-δ-DPI-287
8.11Single7AUESetmelanotide7AUE-MC4-Setmelanotide-chim(NtGi1L-Gs)/β1/γ2
8.11Single7CX2PGE27CX2-EP2-PGE2-Gs/β1/γ2
8.11Single7F9ZGHRP-67F9Z-Ghrelin-GHRP-6-chim(NtGi1-Gs-CtGq)/β1/γ2
8.11Single7RMHSubstance-P7RMH-NK1-Substance-P-Gs/β1/γ2
8.11Single7T11Octreotide7T11-SST2-Octreotide-Gi3/β1/γ2
8.11Single7XN9L-0545227XN9-SST2-L-054522
8.11Single7YAEOctreotide7YAE-SST2-Octreotide-Gi1/β1/γ2
8.11Single8GDAL9026888GDA-EP4-L902688-Gs/β1/γ2
8.11Single8H4IDoconexent8H4I-FFA4-Doconexent-chim(NtGi1-Gs)/β1/γ2
8.11Single8IQ4Carboprost8IQ4-FP-alpha-Carboprost-chim(NtGi1-Gs-CtGq)/β1/γ2
8.11Single8JBFSenktide8JBF-NK3-Senktide-chim(NtGi1-Gs-CtGq)/β1/γ2
8.11Single8X3LXWD8X3L-CB2-XWD-Gi1/β1/γ2
8.11Single9CGKC5-Quino9CGK-δ-C5-Quino-Gi1/β1/γ2
8.11Single9IPYJR14a9IPY-C3aB-JR14a
8.11Single9MD1Buspirone9MD1-5-HT1A-Buspirone-PtdIns4P-Gz/β1/γ2
8.11Consensusdop_onOrthosteric Ligand8F7S-δ-Deltorphin-Gi1/β1/γ2
8.11Consensusgq_cckOrthosteric Ligand8IA7-CCKB-Cholecystokinin-8-chim(NtGi1L-Gq)/β1/γ2 7XOW-CCKB-Sulfated Gastrin-(10-17)-chim(NtGi1-Gq)/β1/γ2 7EZM-CCKA-Cholecystokinin-8-chim(NtGsL-Gq)/β1/γ2 7F8W-CCKB-Gastrin-17-chim(NtGsL-Gq)/β1/γ2
8.11Consensussst2_onOrthosteric Ligand7WIC-SST2-Somatostatin-14-Gi1/β1/γ2 7WIG-SST2-L-054264-Gi1/β1/γ2 7YAE-SST2-Octreotide-Gi1/β1/γ2 7YAC-SST2-Paltusotine-Gi1/β1/γ2
8.11Consensussst2_on_gpOrthosteric Ligand7WIC-SST2-Somatostatin-14-Gi1/β1/γ2 7WIG-SST2-L-054264-Gi1/β1/γ2 7YAE-SST2-Octreotide-Gi1/β1/γ2 7YAC-SST2-Paltusotine-Gi1/β1/γ2
7.89Single4AMJCarvedilol4AMJ-β1-Carvedilol
7.89Single7F4ISHU91197F4I-MC1-SHU9119-chim(NtGi1-Gs)/β1/γ2
7.89Single7F54Afamelanotide7F54-MC4-Afamelanotide-Gs/β1/γ2
7.89Single7VLACCL15(27-92)7VLA-CCR1-CCL15(27-92)-Gi1/β1/γ2
7.89Single7W56Neuromedin-S7W56-NMUR1-Neuromedin-S-chim(NtGi1-Gs-CtGq)/β1/γ2
7.89Single7WICSomatostatin-147WIC-SST2-Somatostatin-14-Gi1/β1/γ2
7.89Single8DCRDobutamine8DCR-β1-Dobutamine-Gs/β1/γ2
7.89Single8F7XNociceptin8F7X-NOP-Nociceptin-Gi1/β1/γ2
7.89Single8FYLVilazodone8FYL-5-HT1A-Vilazodone-PtdIns4P-Gi1/β1/γ1
7.89Single8G59TUG-8918G59-FFA4-TUG-891-chim(Gi1-CtGq)/β1/γ2
7.89Single8GHVAMG3158GHV-CB1-AMG315-Gi1/β1/γ2
7.89Single8ZBJSomatostatin-148ZBJ-SST5-Somatostatin-14-Gi1/β1/γ2
7.89Single9BUYLM1899BUY-β2-LM189-Gi1/β1/γ2
7.89Single9HB3Mambaquaretin-19HB3-V2-Mambaquaretin-1
7.89Single9M4TSilodosin9M4T-Alpha1A-Silodosin
7.89Single9UMRC5a-pep9UMR-C5a1-C5a-pep-Go/β1/γ2
7.89Consensusccr1_onOrthosteric Ligand7VLA-CCR1-CCL15(27-92)-Gi1/β1/γ2
7.89Consensusccr1_on_gpOrthosteric Ligand7VLA-CCR1-CCL15(27-92)-Gi1/β1/γ2
7.89Consensuschemerin_on_gpOrthosteric Ligandcml1_on_gp
7.89Consensuscml1_onOrthosteric Ligand7YKD-CML1-Chemerin-9-Gi1/β1/γ2
7.89Consensusgi_chemerinOrthosteric Ligand7YKD-CML1-Chemerin-9-Gi1/β1/γ2
7.89Consensusgi_nucleotideOrthosteric Ligandgi_adenosine gi_p2y
7.89Consensusmc4_onOrthosteric Ligand7AUE-MC4-Setmelanotide-chim(NtGi1L-Gs)/β1/γ2 7F58-MC4-THIQ-Gs/β1/γ2 7F54-MC4-Afamelanotide-Gs/β1/γ2 7F53-MC4-α-MSH-Gs/β1/γ2 7F55-MC4-Bremelanotide-Gs/β1/γ2
7.89Consensusnk3_onOrthosteric Ligand8JBF-NK3-Senktide-chim(NtGi1-Gs-CtGq)/β1/γ2
7.89Consensusnk3_on_gpOrthosteric Ligand8JBF-NK3-Senktide-chim(NtGi1-Gs-CtGq)/β1/γ2
7.89Consensusnop_onOrthosteric Ligand8F7X-NOP-Nociceptin-Gi1/β1/γ2
7.89Consensusnop_on_gpOrthosteric Ligand8F7X-NOP-Nociceptin-Gi1/β1/γ2
7.89Consensussomatostatin_offOrthosteric Ligandsst2_off
7.69Single4A4MAll-trans-Retinal4A4M-Rhodopsin-All-trans-Retinal-Gt(CT)
7.69Single5EN0All-trans-Retinal5EN0-Rhodopsin-All-trans-Retinal-Gt(CT)
7.69Single7DDZJNJ-310200287DDZ-Y2-JNJ-31020028
7.69Single7EZKCholecystokinin-87EZK-CCKA-Cholecystokinin-8-chim(NtGi1-Gs)/β1/γ2
7.69Single8F7SDeltorphin8F7S-δ-Deltorphin-Gi1/β1/γ2
7.69Single8F7WDynorphin8F7W-κ-Dynorphin-Gi1/β1/γ2
7.69Single8K6ONeuropeptide-Y8K6O-Y1-Neuropeptide-Y-Gi2/β1/γ1
7.69Single8KH5Lysophosphatidylserine8KH5-GPR174-Lysophosphatidylserine-Gs/β1/γ2
7.69Single9EAINanobody AT2099EAI-AT1-Losartan-Nanobody AT209
7.69Single9IK8Pasireotide9IK8-SST1-Pasireotide-Gi1/β1/γ2
7.69Single9KT7MK68929KT7-HCA2-MK6892-Gi1/β1/γ2
7.69Single9L60Dynorphin9L60-κ-Dynorphin-MPAM-15-Gi1/β1/γ2
7.69Consensusdop_on_gpOrthosteric Ligand8F7S-δ-Deltorphin-Gi1/β1/γ2
7.69Consensusghrelin_onOrthosteric Ligand7NA7-Ghrelin-Ghrelin-Gi1/β1/γ2 7F9Z-Ghrelin-GHRP-6-chim(NtGi1-Gs-CtGq)/β1/γ2 7NA8-Ghrelin-Ibutamoren-Gi1/β1/γ2
7.69Consensusghrelin_on_gpOrthosteric Ligand7NA7-Ghrelin-Ghrelin-Gi1/β1/γ2 7F9Z-Ghrelin-GHRP-6-chim(NtGi1-Gs-CtGq)/β1/γ2 7NA8-Ghrelin-Ibutamoren-Gi1/β1/γ2
7.69Consensusmc4_on_gpOrthosteric Ligand7AUE-MC4-Setmelanotide-chim(NtGi1L-Gs)/β1/γ2 7F58-MC4-THIQ-Gs/β1/γ2 7F54-MC4-Afamelanotide-Gs/β1/γ2 7F53-MC4-α-MSH-Gs/β1/γ2 7F55-MC4-Bremelanotide-Gs/β1/γ2
7.69Consensusnpy2_offOrthosteric Ligand7DDZ-Y2-JNJ-31020028
7.69Consensustachykinin_on_gpOrthosteric Ligandnk1_on_gp nk2_on_gp nk3_on_gp
7.50Single3OE0CVX153OE0-CXCR4-CVX15
7.50Single7F4DAlpha-MSH7F4D-MC1-α-MSH-chim(NtGi1-Gs)/β1/γ2
7.50Single7MBXCholecystokinin-87MBX-CCKA-Cholecystokinin-8-Gs/β1/γ1
7.50Single8WKZSBL-MC-318WKZ-MC4-SBL-MC-31
7.50Single9M1ONeuropeptide-FF9M1O-NPFF2-Neuropeptide-FF-Gi1/β1/γ2
7.50Consensusgs_cckOrthosteric Ligand7MBX-CCKA-Cholecystokinin-8-Gs/β1/γ1
7.41Single3PXOAll-trans-Retinal3PXO-Rhodopsin-All-trans-Retinal
7.41Single5DYSAll-trans-Retinal5DYS-Rhodopsin-All-trans-Retinal
7.41Single5MZJTheophylline5MZJ-A2A-Theophylline-Na
7.41Single6VCBLSN31604406VCB-GLP-1-GLP-1-LSN3160440-Gs/β1/γ2
7.41Single7V68LY21196207V68-M4-Iperoxo-LY2119620-Gi1/β1/γ2
7.41Single8HQMNPGLY8HQM-GPR132-NPGLY-Gi1/β1/γ2
7.41Single8HVINOX-6-78HVI-GPR132-NOX-6-7-Gi1/β1/γ2
7.41Single8PWNTheophylline8PWN-A2A-Theophylline
7.41Single8X9S5alpha-DHT8X9S-ADGRD1-5α-DHT-chim(NtGi1-Gs)/β1/γ2
7.41Single9JKVPubChem 27366909JKV-HCA3-PubChem 2736690-Gi1/β1/γ2
7.32Consensustachykinin_onOrthosteric Ligandnk1_on nk2_on nk3_on
7.14Single2HPYAll-trans-Retinal2HPY-Rhodopsin-All-trans-Retinal
7.14Single3OE8IT1t3OE8-CXCR4-IT1t
7.14Single6OY9All-trans-Retinal6OY9-Rhodopsin-All-trans-Retinal-Gt/β1/γ1
7.14Single7F9YGhrelin7F9Y-Ghrelin-Ghrelin-chim(NtGi1-Gs-CtGq)/β1/γ2
7.14Single7P02Substance-P7P02-NK1-Substance-P-chim(NtGi1-Gs)/β1/γ2
7.14Single7XV3Lysophosphatidylserine (WJS)7XV3-GPR174-Lysophosphatidylserine (WJS)-chim(NtGi1-Gs)/β1/γ2
7.14Single8A2OTheophylline8A2O-A2A-Theophylline-Na
7.14Single8DPHLorcaserin8DPH-5-HT2C-Lorcaserin-chim(NtGi2L-Gs-CtGq)/β1/γ2
7.14Single8GEIConstrained Epinephrine8GEI-β2-Constrained Epinephrine-Gs/β1/γ2
7.14Single8U4QREGN7663-Fab8U4Q-CXCR4-REGN7663-Fab-Gi1/β1/γ2
7.14Single8XOFLys058XOF-GPR30-Lys05-chim(NtGi1-Gs-CtGq)/β1/γ2
7.14Single9C2FCa; Ca; Tryptophan; '54149; PO49C2F-CaS; CaS-Ca-Ca; Ca; Tryptophan; '54149; PO4
7.14Single9EE9Adenosine9EE9-A2A-Adenosine-Gs/β1/γ2
7.14Single9IVMLSN33188399IVM-GLP-1-GLP-1 (Truncated)-LSN3318839-chim(NtGi1-Gs)/β2/γ2
7.14Single9L0HJR14a9L0H-C3aB-JR14a-Go/β1/γ2
7.14Consensusopsins_onOrthosteric Ligandrhodopsin_on opsin1lw_on
7.14Consensusp2y10_onOrthosteric Ligand8KGG-P2Y10-Lysophosphatidylserine (WJS)-chim(NtGi2-G13)/β1/γ2
7.14Consensusp2y_offOrthosteric Ligandp2y1_off
7.14Consensussensory_onOrthosteric Ligandopsins_on
6.90Single2ZIY11-cis-Retinal2ZIY-Rhodopsin-11-cis-Retinal
6.90Single3C9M11-cis-Retinal3C9M-Rhodopsin-11-cis-Retinal
6.90Single3PQRAll-trans-Retinal3PQR-Rhodopsin-All-trans-Retinal-Gt(CT)
6.90Single3UZAGTPL92363UZA-A2A-GTPL9236
6.90Single5WKTOctyl-Beta-D-Glucopyranoside5WKT-Rhodopsin-Octyl-β-D-Glucopyranoside-Gt(CT)
6.90Single6D32Cyclopamine6D32-SMO-Cyclopamine-Cyclopamine
6.90Single6FK9PubChem 1324730366FK9-Rhodopsin-PubChem 132473036
6.90Single6OIKLY21196206OIK-M2-Iperoxo-LY2119620-chim(NtGi1-Go)/β1/γ2
6.90Single6PWCNeurotensin-(9-13)6PWC-NTS1-Neurotensin-(9-13)-Arrestin2
6.90Single7D77Hydrocortisone7D77-ADGRG3-Hydrocortisone-Go/β1/γ2
6.90Single7DD7Ca; Ca; Tryptophan; Evocalcet7DD7-CaS; CaS-Ca-Ca; Ca; Tryptophan; Evocalcet
6.90Single7EJKOxymetazoline7EJK-α2a-Oxymetazoline-Go/β1/γ2
6.90Single7F23Dopamine7F23-D1-Dopamine-GDP-Gs/β1/γ2
6.90Single8F76Propanoic acid8F76-OR51E2-Propanoic acid-Gs/β1/γ2
6.90Single8GGFConstrained Epinephrine8GGF-β2-Constrained Epinephrine-GTP-Gs/β1/γ2
6.90Single8ITFDMCHA8ITF-TAA9-DMCHA-chim(NtGi1-Gs)/β1/γ2
6.90Single8IU2All-trans-Retinal8IU2-Opsin1LW-All-trans-Retinal-Gi1/β1/γ2
6.90Single8JPSCCL78JPS-ACKR1-CCL7
6.90Single8JXTHistamine8JXT-H4-Histamine-PO4-Gi1/β1/γ2
6.90Single8SZFCa; Ca; Tryptophan; Cinacalcet; PO4; Spermine8SZF-CaS; CaS-Ca; Ca; Tryptophan; Cinacalcet; PO4; Spermine
6.90Single8WC62-Phenylethylamine8WC6-TA1-2-Phenylethylamine-chim(NtGi1-Gs)/β1/γ2
6.90Single8WC9ZH86518WC9-TA1-ZH8651-chim(NtGi1-Gs-CtGq)/β1/γ2
6.90Single8YN9Histamine8YN9-H4-Histamine-Gi1/β1/γ2
6.90Single8YUUHistamine8YUU-H3-Histamine-Gi1/β1/γ1
6.90Single9JG1Adriforant9JG1-H4-Adriforant
6.90Single9JHJC18:0 Ceramide9JHJ-FPR2-ALX-C18:0 Ceramide-Gi1/β1/γ2
6.90Single9JKT(2R)-2-hydroxy-3-phenylpropanoic acid9JKT-HCA3-(2R)-2-hydroxy-3-phenylpropanoic acid-Gi1/β1/γ2
6.90Single9LRCHistamine9LRC-H4-Histamine
6.90Single9LREHistamine9LRE-H4-Histamine-Gi1/β1/γ2
6.90Single9MBCAZ122160529MBC-mGlu8; mGlu8-DCPG-AZ12216052
6.90Consensusgi_opsinsOrthosteric Ligand8IU2-Opsin1LW-All-trans-Retinal-Gi1/β1/γ2
6.90Consensusgi_sensoryOrthosteric Ligandgi_opsins
6.90Consensush3_onOrthosteric Ligand8YUU-H3-Histamine-Gi1/β1/γ1
6.90Consensush3_on_gpOrthosteric Ligand8YUU-H3-Histamine-Gi1/β1/γ1
6.90Consensusopsin1lw_onOrthosteric Ligand8IU2-Opsin1LW-All-trans-Retinal-Gi1/β1/γ2
6.90Consensusopsin1lw_on_gpOrthosteric Ligand8IU2-Opsin1LW-All-trans-Retinal-Gi1/β1/γ2
6.90Consensusopsins_on_gpOrthosteric Ligandrhodopsin_on_gp opsin1lw_on_gp
6.90Consensusrhodopsin_onOrthosteric Ligand6OYA-Rhodopsin-All-trans-Retinal-Gt/β1/γ1
6.90Consensussensory_on_gpOrthosteric Ligandopsins_on_gp
6.82Single8W8WAlpha-MSH8W8W-MC3-α-MSH-Ca-Gs/β1/γ2
6.82Single8W8XBeta-MSH8W8X-MC3-β-MSH-Ca-Gs/β1/γ2
6.82Single9KDFRES-701-39KDF-ETB-RES-701-3
6.82Consensusp2y10_on_gpOrthosteric Ligand8KGG-P2Y10-Lysophosphatidylserine (WJS)-chim(NtGi2-G13)/β1/γ2
6.67Single1L9H11-cis-Retinal1L9H-Rhodopsin-11-cis-Retinal
6.67Single1U1911-cis-Retinal1U19-Rhodopsin-11-cis-Retinal
6.67Single2G87All-trans-Retinal2G87-Rhodopsin-All-trans-Retinal
6.67Single2I3511-cis-Retinal2I35-Rhodopsin-11-cis-Retinal
6.67Single5TE520-Methanoretinal5TE5-Rhodopsin-20-Methanoretinal
6.67Single6I9K9-cis-Retinal6I9K-Rhodopsin-9-cis-Retinal
6.67Single6PGSGeraniol6PGS-Rhodopsin-Geraniol-Gt(CT)
6.67Single6PH7Nerol6PH7-Rhodopsin-Nerol-Gt(CT)
6.67Single7V68Iperoxo7V68-M4-Iperoxo-LY2119620-Gi1/β1/γ2
6.67Single7VUIJNJ-635330547VUI-GPR139-JNJ-63533054-GTP-chim(Gs-CtGq)/β1/γ2
6.67Single7YFCHistamine7YFC-H4-Histamine-chim(NtGi1-Gs-CtGq)/β1/γ2
6.67Single8DPFLorcaserin8DPF-5-HT2C-Lorcaserin-chim(NtGi2L-Gs-CtGq)/β1/γ2
6.67Single8FX5Xanomeline8FX5-M4-Xanomeline-Xanomeline-Gi1/β1/γ2
6.67Single8GGYConstrained Epinephrine8GGY-β2-Constrained Epinephrine
6.67Single8JLOUlotaront8JLO-TA1-Ulotaront-Gs/β1/γ2
6.67Single8JPNCis-Epoxysuccinic acid8JPN-Succinate-Cis-Epoxysuccinic acid-Gi1/β1/γ1
6.67Single8KGGLysophosphatidylserine (WJS)8KGG-P2Y10-Lysophosphatidylserine (WJS)-chim(NtGi2-G13)/β1/γ2
6.67Single8RWHStilSwitch28RWH-A2A-StilSwitch2-Na
6.67Single8SZFCa; Ca; Tryptophan; Cinacalcet; PO4; Spermine8SZF-CaS; CaS-Ca; Ca; Tryptophan; Cinacalcet; PO4; Spermine
6.67Single8UO3Constrained Epinephrine8UO3-β2-Constrained Epinephrine-GTP; Mg-Gs/β1/γ2
6.67Single8WP1Cis-Epoxysuccinic acid8WP1-Succinate-Cis-Epoxysuccinic acid-Gi1/β1/γ2
6.67Single8X2KOleic monoethanolamide8X2K-GPR3-Oleic monoethanolamide-chim(NtGi1-Gs)/β1/γ2
6.67Single8YH3N-methyladenosine8YH3-A3A-N-methyladenosine-Gi1/β1/γ2
6.67Single8YN5Histamine8YN5-H3-Histamine-Gi1/β1/γ2
6.67Single8YN6Imetit8YN6-H3-Imetit-Gi1/β1/γ2
6.67Single8YN7Immethridine8YN7-H3-Immethridine-Go/β1/γ2
6.67Single8ZYUNeurotensin-(8-13)8ZYU-NTS1-Neurotensin-(8-13)-SBI-553-Arrestin2
6.67Single9IZDCHBA9IZD-HCA1-CHBA-Gi1/β1/γ2
6.67Single9JEDHistamine9JED-H4-Histamine-PO4-Gi1/β1/γ2
6.67Single9JEQHistamine9JEQ-H3-Histamine-Gi1/β1/γ2
6.67Single9JLCAVE 09919JLC-MAS1-AVE 0991-Gi1/β1/γ2
6.67Single9KUWCMPD6449KUW-Apelin; Apelin-CMPD644-Arrestin2 ; Arrestin2
6.67Single9L3ZLRH7-C29L3Z-CML1-LRH7-C2
6.67Single9M88Oleic monoethanolamide9M88-GPR3 ; GPR3-Oleic monoethanolamide-AF64394
6.67Single9MBCAZ122160529MBC-mGlu8; mGlu8-DCPG-AZ12216052
6.67Single9MNIdC2_059MNI-CTLike-dC2_05-RAMP1
6.67Single9U9VMETH9U9V-β2-METH-Gs/β1/γ2
6.67Consensusadgrg_onOrthosteric Ligandadgrg2_on adgrg4_on
6.67Consensusadgrg_on_gpOrthosteric Ligandadgrg2_on_gp adgrg4_on_gp
6.52Single8ZJETAK4488ZJE-Kiss1-TAK448-chim(NtGi1-Gq)/β1/γ1
6.45Single1GZM11-cis-Retinal1GZM-Rhodopsin-11-cis-Retinal
6.45Single2PED9-cis-Retinal2PED-Rhodopsin-9-cis-Retinal
6.45Single2X72All-trans-Retinal2X72-Rhodopsin-All-trans-Retinal-Gt(CT)
6.45Single3C9L11-cis-Retinal3C9L-Rhodopsin-11-cis-Retinal
6.45Single3PWHZM-2413853PWH-A2A-ZM-241385
6.45Single3VGAZM-2413853VGA-A2A-ZM-241385-Antibody
6.45Single4K5YCP-3763954K5Y-CRF1-CP-376395
6.45Single5OLHVipadenant5OLH-A2A-Vipadenant-Na
6.45Single5OLVLUAA470705OLV-A2A-LUAA47070-Na
6.45Single6AKXA4R6AKX-CCR5-A4R
6.45Single6AKYMaraviroc6AKY-CCR5-Maraviroc
6.45Single6D9HAdenosine6D9H-A1-Adenosine-Gi2/β1/γ2
6.45Single6FKBPubChem 1324730386FKB-Rhodopsin-PubChem 132473038
6.45Single6NWEOctyl-Beta-D-Glucopyranoside6NWE-Rhodopsin-Octyl-β-D-Glucopyranoside-Gt(CT)
6.45Single6RNKNF-56-EJ406RNK-Succinate-NF-56-EJ40
6.45Single6TODEMPA6TOD-OX1-EMPA-Na
6.45Single7DHRIsoprenaline7DHR-β2-Isoprenaline-Gs/β1/γ2
6.45Single7F8ULintitript7F8U-CCKA-Lintitript
6.45Single7F8YDevazepide7F8Y-CCKA-Devazepide
6.45Single7M3FCa; Ca; Tryptophan; Cinacalcet7M3F-CaS; CaS-Ca; Ca; Tryptophan; Cinacalcet
6.45Single7TUZ7-alpha,25-dihydroxycholesterol7TUZ-GPR183-7-α,25-dihydroxycholesterol-Gi1/β1/γ2
6.45Single7VDLCortistatin-147VDL-MRGPRX2-Cortistatin-14-Gi1/β1/γ2
6.45Single7X2CFenoldopam7X2C-D1-Fenoldopam-Fenoldopam-Gs/β1/γ2
6.45Single7XRRLemborexant7XRR-OX2-Lemborexant
6.45Single7YMHNorepinephrine7YMH-Alpha1A-Norepinephrine-chim(Gs-CtGq)
6.45Single8A6CAll-trans-Retinal8A6C-Rhodopsin-All-trans-Retinal
6.45Single8A6DAll-trans-Retinal8A6D-Rhodopsin-All-trans-Retinal
6.45Single8A6EAll-trans-Retinal8A6E-Rhodopsin-All-trans-Retinal
6.45Single8DWHPubChem 1390305318DWH-MRGPRX1-PubChem 139030531-chim(NtGi2L-Gs-CtGq)/β1/γ2
6.45Single8FYXBuspirone8FYX-5-HT1A-Buspirone-PtdIns4P-Gi1/β1/γ1
6.45Single8GGAConstrained Epinephrine8GGA-β2-Constrained Epinephrine-GTP-Gs/β1/γ2
6.45Single8GGCConstrained Epinephrine8GGC-β2-Constrained Epinephrine-GTP-Gs/β1/γ2
6.45Single8GGRConstrained Epinephrine8GGR-β2-Constrained Epinephrine
6.45Single8GGWConstrained Epinephrine8GGW-β2-Constrained Epinephrine
6.45Single8GGZConstrained Epinephrine8GGZ-β2-Constrained Epinephrine
6.45Single8GH0Constrained Epinephrine8GH0-β2-Constrained Epinephrine
6.45Single8GNGIstradefylline8GNG-A2A-Istradefylline
6.45Single8H8JLodoxamide8H8J-GPR35-Lodoxamide-Ca-chim(NtGi1L-G13)/β1/γ2
6.45Single8IW4Spermidine8IW4-TAA9-Spermidine-chim(NtGi1-Gs)/β1/γ2
6.45Single8IWESpermidine8IWE-TAA9-Spermidine
6.45Single8JSOAMPH8JSO-TA1-AMPH-chim(NtGi1-Gs)/β1/γ2
6.45Single8RW0Istradefylline8RW0-A2A-Istradefylline-Na
6.45Single8RW4AzoSwitch28RW4-A2A-AzoSwitch2-Na
6.45Single8RWEStilSwitch48RWE-A2A-StilSwitch4-Na
6.45Single8U4PAMD31008U4P-CXCR4-AMD3100-Gi1/β1/γ2
6.45Single8U8FPalmitic Acid8U8F-GPR3-Palmitic Acid-Gs/β1/γ2
6.45Single8UNXConstrained Epinephrine8UNX-β2-Constrained Epinephrine-GTP-Gs/β1/γ2
6.45Single8XXVIndomethacin8XXV-DP2-Indomethacin-A1D5Q-Gi1/β1/γ2
6.45Single8YNFCXCL88YNF-ACKR1-CXCL8
6.45Single8YUVImmepip8YUV-H3-Immepip-Gi1/β1/γ2
6.45Single8YYWAlpha-ketoglutarate8YYW-Oxoglutarate-α-ketoglutarate-α-ketoglutarate-chim(Gi1-CtGq)/β1/γ2
6.45Single9C1PCa; Tryptophan; '6218; PO49C1P-CaS; CaS-Ca-Ca; Tryptophan; '6218; PO4
6.45Single9EBHAdenosine9EBH-A3A-Adenosine-Gi1/β1/γ2
6.45Single9EEAAdenosine9EEA-A2A-Adenosine-Gs/β1/γ2
6.45Single9FUPIstradefylline9FUP-A2A-Istradefylline-Na
6.45Single9KO2CCL199KO2-CCR7-CCL19-Gi1/β1
6.45Single9KO6CCL199KO6-CCR7-CCL19
6.45Single9KVHCinobufotenine9KVH-5-HT1A-Cinobufotenine-PtdIns4P-Gi1/β1/γ2
6.45Single9LKDPL459LKD-OR5V1-PL45
6.45Single9M88Oleic monoethanolamide9M88-GPR3 ; GPR3-Oleic monoethanolamide-AF64394
6.45Single9VJ5Gepirone9VJ5-5-HT1A-Gepirone-Go/β1/γ2
6.45Consensusalpha2_offOrthosteric Ligandalpha2c_off
6.45Consensusgq_histamineOrthosteric Ligand7DFL-H1-Histamine-chim(NtGi1L-Gq)/β1/γ2
6.45Consensush1_on_gpOrthosteric Ligand7DFL-H1-Histamine-chim(NtGi1L-Gq)/β1/γ2
6.45Consensushistamine_onOrthosteric Ligandh1_on h2_on h3_on h4_on
6.45Consensushistamine_on_gpOrthosteric Ligandh1_on_gp h2_on_gp h3_on_gp h4_on_gp
6.45Consensusorexin_offOrthosteric Ligandox2_off ox1_off
6.45Consensusox2_offOrthosteric Ligand5WQC-OX2-EMPA 6TPN-OX2-HTL6641 7XRR-OX2-Lemborexant 6TPJ-OX2-Suvorexant
6.45Consensusp2y1_onOrthosteric Ligand7XXH-P2Y1-2MeSADP-chim(NtGi1-G11)/β1/γ2
6.45Consensusrhodopsin_offOrthosteric Ligand1U19-Rhodopsin-11-cis-Retinal 2PED-Rhodopsin-9-cis-Retinal 5TE5-Rhodopsin-20-Methanoretinal
6.45Consensussensory_offonOrthosteric Ligandsensory_off sensory_on
6.45Consensussensory_offon_gpOrthosteric Ligandsensory_on_gp sensory_on
6.25Single3OAX11-cis-Retinal3OAX-Rhodopsin-11-cis-Retinal
6.25Single4DKLBeta-Funaltrexamine4DKL-μ-β-Funaltrexamine
6.25Single4LDOEpinephrine4LDO-β2-Epinephrine
6.25Single4MBSMaraviroc4MBS-CCR5-Maraviroc
6.25Single4MQTIperoxo4MQT-M2-Iperoxo-LY2119620
6.25Single4N6HNaltrindole4N6H-δ-Naltrindole-Na
6.25Single5TE3Octyl-Beta-D-Glucopyranoside5TE3-Rhodopsin-Octyl-β-D-Glucopyranoside
6.25Single6FK8PubChem 1324730356FK8-Rhodopsin-PubChem 132473035
6.25Single6IQLL7458706IQL-D4-L745870
6.25Single6KUXRS799486KUX-α2a-RS79948
6.25Single6PS0Carazolol6PS0-β2-Carazolol
6.25Single6PS4ICI118-5516PS4-β2-ICI118-551
6.25Single6VI4JDTic6VI4-κ-JDTic
6.25Single6WH4Methiothepin6WH4-5-HT2A-Methiothepin
6.25Single6WJCAtropine6WJC-M1-Atropine-Muscarinic toxin 7
6.25Single7AROLUF58337ARO-A2A-LUF5833-Na
6.25Single7C2EPubChem 1490507997C2E-GLP-1-PubChem 149050799-Gs/β1/γ2
6.25Single7CKWFenoldopam7CKW-D1-Fenoldopam-Gs/β1/γ2
6.25Single7CKZDopamine7CKZ-D1-Dopamine-Mevidalen-Gs/β1/γ2
6.25Single7CMUPramipexole7CMU-D3-Pramipexole-Gi1/β1/γ2
6.25Single7CMVPD1289077CMV-D3-PD128907-Gi1/β1/γ2
6.25Single7DHISalbutamol7DHI-β2-Salbutamol-Gs/β1/γ2
6.25Single7E33BRL-544437E33-5-HT1E-BRL-54443-Gi1/β1/γ2
6.25Single7F0TDopamine7F0T-D1-Dopamine-Gs/β1/γ2
6.25Single7F1ZDopamine7F1Z-D1-Dopamine-GDP-Gs/β1/γ2
6.25Single7RANPubChem 1645758477RAN-5-HT2A-PubChem 164575847-chim(NtGi2L-Gs-CtGq)/β1/γ2
6.25Single7SR8TAK-9257SR8-OX2-TAK-925-chim(NtGi1L-Gs-CtGq)/β1/γ2
6.25Single7UM7Methylergometrine7UM7-5-HT5A-Methylergometrine-chim(NtGi1-Go)/β1/γ2
6.25Single7WC9PubChem 1624213647WC9-5-HT2A-PubChem 162421364
6.25Single7WVUfMLF7WVU-FPR1-ALX-fMLF-Gi1/β1/γ2
6.25Single7ZBC11-cis-Retinal7ZBC-Rhodopsin-11-cis-Retinal
6.25Single7ZBE11-cis-Retinal7ZBE-Rhodopsin-11-cis-Retinal
6.25Single8DPGPsilocin8DPG-5-HT2C-Psilocin-chim(NtGi2L-Gs-CtGq)/β1/γ2
6.25Single8FCZ11-cis-Retinal8FCZ-Rhodopsin-11-cis-Retinal
6.25Single8GE1Constrained Epinephrine8GE1-β2-Constrained Epinephrine-Gs/β1/γ2
6.25Single8GE4Constrained Epinephrine8GE4-β2-Constrained Epinephrine-Gs/β1/γ2
6.25Single8GE5Constrained Epinephrine8GE5-β2-Constrained Epinephrine-Gs/β1/γ1
6.25Single8GE6Constrained Epinephrine8GE6-β2-Constrained Epinephrine-Gs/β1/γ2
6.25Single8GE7Constrained Epinephrine8GE7-β2-Constrained Epinephrine-Gs/β1/γ2
6.25Single8GE8Constrained Epinephrine8GE8-β2-Constrained Epinephrine-Gs/β1/γ2
6.25Single8GEAConstrained Epinephrine8GEA-β2-Constrained Epinephrine-Gs/β1/γ2
6.25Single8GEDConstrained Epinephrine8GED-β2-Constrained Epinephrine-Gs/β1/γ2
6.25Single8GEFConstrained Epinephrine8GEF-β2-Constrained Epinephrine-Gs/β1/γ2
6.25Single8GG5Constrained Epinephrine8GG5-β2-Constrained Epinephrine-GTP-Gs/β1/γ2
6.25Single8GG8Constrained Epinephrine8GG8-β2-Constrained Epinephrine-GTP-Gs/β1/γ2
6.25Single8GGQConstrained Epinephrine8GGQ-β2-Constrained Epinephrine
6.25Single8GGSConstrained Epinephrine8GGS-β2-Constrained Epinephrine
6.25Single8GGTConstrained Epinephrine8GGT-β2-Constrained Epinephrine
6.25Single8GGVConstrained Epinephrine8GGV-β2-Constrained Epinephrine
6.25Single8GGXConstrained Epinephrine8GGX-β2-Constrained Epinephrine
6.25Single8GURCP559408GUR-CB2-CP55940-Gi1/β1/γ2
6.25Single8H4LDoconexent8H4L-FFA4-Doconexent-chim(NtGi1-Gs-CtGq)/β1/γ2
6.25Single8JD6VU03647708JD6-mGlu4; mGlu4-Phosphoserine-VU0364770-Gi3/β1/γ2
6.25Single8JLQFenoldopam8JLQ-TA1-Fenoldopam-Gs/β1/γ2
6.25Single8K9KDAMGO8K9K-μ-DAMGO-Gi3/β1/γ1
6.25Single8RWIStilSwitch28RWI-A2A-StilSwitch2-Na
6.25Single8U02Dopamine8U02-D2-Dopamine-Go/β1/γ2
6.25Single8UNMConstrained Epinephrine8UNM-β2-Constrained Epinephrine-GTP-Gs/β1/γ2
6.25Single8UNWConstrained Epinephrine8UNW-β2-Constrained Epinephrine-GTP-Gs/β1/γ2
6.25Single8UO0Constrained Epinephrine8UO0-β2-Constrained Epinephrine-GTP-Gs/β1/γ2
6.25Single8W8BSEP-3638568W8B-5-HT1A-SEP-363856-Gi1/β1/γ2
6.25Single8Y45ADL58598Y45-δ-ADL5859-Gi2/β1/γ2
6.25Single8Y62C16:0 Ceramide8Y62-FPR2-ALX-C16:0 Ceramide-Gi1/β1/γ2
6.25Single8YH2Adenosine8YH2-A3A-Adenosine-Gi1/β1/γ2
6.25Single8YKVPubChem 1375531688YKV-Succinate-PubChem 137553168-Gi1/β1/γ2
6.25Single8YN3Histamine8YN3-H2-Histamine-Gs/β1/γ2
6.25Single8YRGFospropofol8YRG-MRGPRX4-Fospropofol-chim(NtGi1-Gs-CtGq)/β1/γ2
6.25Single9AS5Mescaline9AS5-5-HT2A-Mescaline
6.25Single9AS6Mescaline9AS6-5-HT2A-Mescaline-chim(NtGi1-Gs-CtGq)/β1/γ2
6.25Single9AS8Psilocin9AS8-5-HT2A-Psilocin-chim(NtGi2L-Gs-CtGq)/β1/γ2
6.25Single9CBLEpinephrine9CBL-α2a-Epinephrine-Gi1/β1/γ2
6.25Single9JKQMETH9JKQ-TA1-METH-Gs/β1/γ2
6.25Single9KUWCMPD6449KUW-Apelin; Apelin-CMPD644-Arrestin2 ; Arrestin2
6.25Single9KVIBufotenin9KVI-5-HT1A-Bufotenin-PtdIns4P-Gi1/β1/γ2
6.25Single9LRDHistamine9LRD-H1-Histamine-Gi1/β1/γ2
6.25Single9ODLMitragynine Pseudoindoxyl9ODL-μ-Mitragynine Pseudoindoxyl-GTP; Mg-Gi1/β1/γ2
6.25Single9PXXNaloxone9PXX-μ-Naloxone-GDPβS-Gi1/β1/γ2
6.25Single9VJG8-OH-DPAT9VJG-5-HT1A-8-OH-DPAT-chim(NtGi2-Gz)/β1/γ2
6.25Single9W33S5A19W33-SST5-S5A1
6.25Consensus5ht2a_offOrthosteric Ligand6A94-5-HT2A-Zotepine 6A93-5-HT2A-Risperidone 7VOD-5-HT2A-Cariprazine 7WC8-5-HT2A-Lumateperone 8JT8-5-HT2A-(R)-IHCH-7179
6.25Consensusd3_onOrthosteric Ligand7CMV-D3-PD128907-Gi1/β1/γ2 8IRT-D3-Rotigotine-Gi1/β1/γ2 7CMU-D3-Pramipexole-Gi1/β1/γ2
6.25Consensusd3_on_gpOrthosteric Ligand7CMV-D3-PD128907-Gi1/β1/γ2 8IRT-D3-Rotigotine-Gi1/β1/γ2 7CMU-D3-Pramipexole-Gi1/β1/γ2
6.25Consensusnop_offOrthosteric Ligand4EA3-NOP-PubChem 10296561 5DHG-NOP-C-35 5DHH-NOP-SB-612111
6.06Single1HZX11-cis-Retinal1HZX-Rhodopsin-11-cis-Retinal
6.06Single2VT4Cyanopindolol2VT4-β1-Cyanopindolol
6.06Single2Y01Dobutamine2Y01-β1-Dobutamine
6.06Single2Y04Salbutamol2Y04-β1-Salbutamol
6.06Single2YCYCyanopindolol2YCY-β1-Cyanopindolol
6.06Single3ZPQPubChem 5945903ZPQ-β1-PubChem 594590-Na
6.06Single4J4QOctyl Beta-D-Glucopyranoside4J4Q-Rhodopsin-Octyl β-D-Glucopyranoside-Gt(CT)
6.06Single4MQSIperoxo4MQS-M2-Iperoxo
6.06Single4QKXPubChem 762106284QKX-β2-PubChem 76210628
6.06Single4U14Tiotropium4U14-M3-Tiotropium
6.06Single4Z9GCP-3763954Z9G-CRF1-CP-376395
6.06Single5DHGC-355DHG-NOP-C-35
6.06Single5NDDAZ8838; Na5NDD-PAR2-AZ8838; Na
6.06Single5ZKPSR274175ZKP-PAF-SR27417
6.06Single6D27CAY104716D27-DP2-CAY10471
6.06Single6DRZMethysergide6DRZ-5-HT2B-Methysergide
6.06Single6H7MSalbutamol6H7M-β1-Salbutamol
6.06Single6PRZAlprenolol6PRZ-β2-Alprenolol
6.06Single6PS1Timolol6PS1-β2-Timolol
6.06Single6PS2Alprenolol6PS2-β2-Alprenolol
6.06Single7BTSEpinephrine7BTS-β1-Epinephrine
6.06Single7BU6Norepinephrine7BU6-β1-Norepinephrine
6.06Single7BU7BI1671077BU7-β1-BI167107
6.06Single7DB6Ramelteon7DB6-MT1-Ramelteon-Gi1/β1/γ2
6.06Single7E32Serotonin7E32-5-HT1D-Serotonin-Gi1/β1/γ2
6.06Single7LJCSKF812977LJC-D1-SKF81297-Mevidalen-Gs/β1/γ2
6.06Single7S0GIsoprenaline7S0G-β1-Isoprenaline-chim(Gi1-CtGs)/β1/γ2
6.06Single7SCGFH2107SCG-μ-FH210-Gi1/β1/γ2
6.06Single7TRPIperoxo7TRP-M4-Iperoxo-LY2033298-Gi1/β1/γ2
6.06Single7UM55-CT7UM5-5-HT5A-5-CT-chim(NtGi1-Go)/β1/γ2
6.06Single7VGZRamelteon7VGZ-MT1-Ramelteon-Gi1/β1/γ2
6.06Single7WC7Lisuride7WC7-5-HT2A-Lisuride
6.06Single7X2CFenoldopam7X2C-D1-Fenoldopam-Fenoldopam-Gs/β1/γ2
6.06Single8EFQDAMGO8EFQ-μ-DAMGO-Gi1/β1/γ2
6.06Single8FY85-MeO-DMT8FY8-5-HT1A-5-MeO-DMT-PtdIns4P-Gi1/β1/γ1
6.06Single8GE2Constrained Epinephrine8GE2-β2-Constrained Epinephrine-Gs/β1/γ1
6.06Single8GE3Constrained Epinephrine8GE3-β2-Constrained Epinephrine-Gs/β1/γ2
6.06Single8GE9Constrained Epinephrine8GE9-β2-Constrained Epinephrine-Gs/β1/γ2
6.06Single8GECConstrained Epinephrine8GEC-β2-Constrained Epinephrine-Gs/β1/γ2
6.06Single8GEEConstrained Epinephrine8GEE-β2-Constrained Epinephrine-Gs/β1/γ2
6.06Single8GEHConstrained Epinephrine8GEH-β2-Constrained Epinephrine-Gs/β1/γ2
6.06Single8GFVConstrained Epinephrine8GFV-β2-Constrained Epinephrine-GTP-Gs/β1/γ2
6.06Single8GFWConstrained Epinephrine8GFW-β2-Constrained Epinephrine-GTP-Gs/β1/γ2
6.06Single8GFXConstrained Epinephrine8GFX-β2-Constrained Epinephrine-GTP-Gs/β1/γ2
6.06Single8GFZConstrained Epinephrine8GFZ-β2-Constrained Epinephrine-GTP-Gs/β1/γ2
6.06Single8GG0Constrained Epinephrine8GG0-β2-Constrained Epinephrine-GTP-Gs/β1/γ2
6.06Single8GG1Constrained Epinephrine8GG1-β2-Constrained Epinephrine-GTP-Gs/β1/γ2
6.06Single8GG3Constrained Epinephrine8GG3-β2-Constrained Epinephrine-GTP-Gs/β1/γ2
6.06Single8GG4Constrained Epinephrine8GG4-β2-Constrained Epinephrine-GTP-Gs/β1/γ2
6.06Single8GG6Constrained Epinephrine8GG6-β2-Constrained Epinephrine-GTP-Gs/β1/γ2
6.06Single8GG9Constrained Epinephrine8GG9-β2-Constrained Epinephrine-GTP-Gs/β1/γ2
6.06Single8GGIConstrained Epinephrine8GGI-β2-Constrained Epinephrine
6.06Single8GGJConstrained Epinephrine8GGJ-β2-Constrained Epinephrine
6.06Single8GGKConstrained Epinephrine8GGK-β2-Constrained Epinephrine
6.06Single8GGNConstrained Epinephrine8GGN-β2-Constrained Epinephrine
6.06Single8GGOConstrained Epinephrine8GGO-β2-Constrained Epinephrine
6.06Single8GGUConstrained Epinephrine8GGU-β2-Constrained Epinephrine
6.06Single8GTIBMK-C2058GTI-CRF1-BMK-C205
6.06Single8IRTRotigotine8IRT-D3-Rotigotine-Gi1/β1/γ2
6.06Single8JD0NAM5638JD0-mGlu2; mGlu3-Glutamate-NAM563
6.06Single8JT8(R)-IHCH-71798JT8-5-HT2A-(R)-IHCH-7179
6.06Single8KEXDCA-3P8KEX-MRGPRX4-DCA-3P
6.06Single8KFYZK-7563268KFY-CCR8-ZK-756326-Gi1/β1/γ2
6.06Single8PJKST1718PJK-5-HT1A-ST171-Gi1/β1/γ1
6.06Single8RW7StilSwitch18RW7-A2A-StilSwitch1-Na
6.06Single8UH3Setiptiline8UH3-5-HT1E-Setiptiline-Gi1/β1/γ1
6.06Single8UNQConstrained Epinephrine8UNQ-β2-Constrained Epinephrine-GTP-Gs/β1/γ2
6.06Single8UNRConstrained Epinephrine8UNR-β2-Constrained Epinephrine-GTP-Gs/β1/γ2
6.06Single8UNUConstrained Epinephrine8UNU-β2-Constrained Epinephrine-GTP-Gs/β1/γ2
6.06Single8UNVConstrained Epinephrine8UNV-β2-Constrained Epinephrine-GTP-Gs/β1/γ2
6.06Single8UNYConstrained Epinephrine8UNY-β2-Constrained Epinephrine-GTP-Gs/β1/γ2
6.06Single8UNZConstrained Epinephrine8UNZ-β2-Constrained Epinephrine-GTP-Gs/β1/γ2
6.06Single8UO2Constrained Epinephrine8UO2-β2-Constrained Epinephrine-GTP-Gs/β1/γ2
6.06Single8UWLLisuride8UWL-5-HT2A-Lisuride-chim(NtGi2-Gs-CtGq)/β1/γ2
6.06Single8VVGGB188VVG-κ-GB18-Gi1/β1/γ2
6.06Single8WC7ZH86678WC7-TA1-ZH8667-chim(NtGi1-Gs)/β1/γ2
6.06Single8YH5Riboprine8YH5-A3A-Riboprine-Gi1/β1/γ2
6.06Single8ZQEGPR15L(CT)8ZQE-GPR15-GPR15L(CT)-Gi1/β1/γ1
6.06Single8ZYYNeurotensin-(8-13)8ZYY-NTS1-Neurotensin-(8-13)-SBI-553-Arrestin2
6.06Single9JGKBalovaptan9JGK-5-HT2B-Balovaptan
6.06Single9JROPF-044189489JRO-EP2-PF-04418948
6.06Single9KFTfMLFC9KFT-FPR1-ALX-fMLFC-Gi1/β1/γ2
6.06Single9PQDPubChem 1764919279PQD-α2a-PubChem 176491927
6.06Consensus5ht1d_onOrthosteric Ligand7E32-5-HT1D-Serotonin-Gi1/β1/γ2
6.06Consensus5ht1d_on_gpOrthosteric Ligand7E32-5-HT1D-Serotonin-Gi1/β1/γ2
6.06Consensus5ht2b_offOrthosteric Ligand6DRZ-5-HT2B-Methysergide
6.06Consensus5ht6_onOrthosteric Ligand7XTB-5-HT6-Serotonin-Gs/β1/γ2 8JLZ-5-HT6-ST1936-Gs/β1/γ2
6.06Consensus5ht6_on_gpOrthosteric Ligand7XTB-5-HT6-Serotonin-Gs/β1/γ2 8JLZ-5-HT6-ST1936-Gs/β1/γ2
6.06Consensusadrenergic_onOrthosteric Ligandalpha_on beta_on
6.06Consensuscck_offOrthosteric Ligandccka_off
6.06Consensusccka_offOrthosteric Ligand7F8Y-CCKA-Devazepide 7F8U-CCKA-Lintitript
6.06Consensusd5_onOrthosteric Ligand8IRV-D5-Rotigotine-chim(NtGi1-Gs)/β1/γ2
6.06Consensusdopamine_onOrthosteric Ligandd2_on d1_on d3_on d4_on d5_on
6.06Consensusdopamine_on_gpOrthosteric Ligandd2_on_gp d1_on_gp d3_on_gp d4_on_gp d5_on_gp
5.88Single2Y00Dobutamine2Y00-β1-Dobutamine
5.88Single2Y03Isoprenaline2Y03-β1-Isoprenaline
5.88Single5TVNLSD5TVN-5-HT2B-LSD
5.88Single5WIUNemonapride5WIU-D4-Nemonapride
5.88Single5WIVNemonapride5WIV-D4-Nemonapride-Na
5.88Single5XPRBosentan5XPR-ETB-Bosentan
5.88Single6HLPNetupitant6HLP-NK1-Netupitant
5.88Single6KUWPubChem 572132346KUW-α2c-PubChem 57213234
5.88Single6LUQHaloperidol6LUQ-D2-Haloperidol
5.88Single6M9TMisoprostol-FA6M9T-EP3-Misoprostol-FA
5.88Single6ME62-Phenylmelatonin6ME6-MT2-2-Phenylmelatonin
5.88Single6ME82-Phenylmelatonin6ME8-MT2-2-Phenylmelatonin
5.88Single6PS3Carvedilol6PS3-β2-Carvedilol
5.88Single7BVQCarazolol7BVQ-β1-Carazolol
5.88Single7C61Ergotamine7C61-5-HT1B-Ergotamine
5.88Single7M3GCa; Ca; Tryptophan; Evocalcet; Etelcalcetide; PO47M3G-CaS; CaS-Ca; Ca; Tryptophan; Evocalcet; Etelcalcetide; PO4
5.88Single7S0FIsoprenaline7S0F-β1-Isoprenaline-Gi1/β1/γ2
5.88Single7VOEAripiprazole7VOE-5-HT2A-Aripiprazole
5.88Single7VV0PAMP-127VV0-MRGPRX2-PAMP-12
5.88Single7VV4Cortistatin-147VV4-MRGPRX2-Cortistatin-14
5.88Single7WC6LSD7WC6-5-HT2A-LSD
5.88Single7WIGL-0542647WIG-SST2-L-054264-Gi1/β1/γ2
5.88Single7XK9Constrained Isoproterenol7XK9-β2-Constrained Isoproterenol-Na
5.88Single7XKAConstrained Epinephrine7XKA-β2-Constrained Epinephrine
5.88Single8GDZConstrained Epinephrine8GDZ-β2-Constrained Epinephrine-Gs/β1/γ2
5.88Single8GEBConstrained Epinephrine8GEB-β2-Constrained Epinephrine-Gs/β1/γ2
5.88Single8GEGConstrained Epinephrine8GEG-β2-Constrained Epinephrine-Gs/β1/γ2
5.88Single8GFYConstrained Epinephrine8GFY-β2-Constrained Epinephrine-GTP-Gs/β1/γ2
5.88Single8GG2Constrained Epinephrine8GG2-β2-Constrained Epinephrine-GTP-Gs/β1/γ2
5.88Single8GGBConstrained Epinephrine8GGB-β2-Constrained Epinephrine-GTP-Gs/β1/γ2
5.88Single8GTGBMK-I1528GTG-CRF1-BMK-I152
5.88Single8IZ4Lysophosphatidylserine (TJR)8IZ4-GPR34-Lysophosphatidylserine (TJR)-Gi1/β1/γ2
5.88Single8JXSPF-61428JXS-D1-PF-6142
5.88Single8K8JFenofibrate8K8J-CB1-Fenofibrate-chim(Gs-CtGq)/β1/γ2
5.88Single8UNNConstrained Epinephrine8UNN-β2-Constrained Epinephrine-GTP-Gs/β1/γ2
5.88Single8UNPConstrained Epinephrine8UNP-β2-Constrained Epinephrine-GTP-Gs/β1/γ2
5.88Single8ZVZBW245C8ZVZ-DP1-BW245C-Gs/β1/γ2
5.88Single9EAHNanobody AT2099EAH-AT1-Olmesartan-Nanobody AT209
5.88Single9EKHONO-30302979EKH-DP1-ONO-3030297
5.88Single9GE2ML1849GE2-GPR55-ML184-chim(NtGi1-G13)/β1/γ2
5.88Single9HAPTolvaptan9HAP-V2-Tolvaptan
5.88Single9IYBPGD29IYB-DP2-PGD2-A1D5Q-Gi1/β1/γ2
5.88Single9JRTTG6-1299JRT-EP2-TG6-129
5.88Single9K07DSO-5a9K07-BB3-DSO-5a-chim(NtGi2L-Gs-CtGq)/β1/γ2
5.88Single9KUTJR14a9KUT-C3aB-JR14a-Go/β1/γ2
5.88Consensus5ht1_onOrthosteric Ligand5ht1a_on 5ht1d_on 5ht1e_on 5ht1f_on
5.88Consensus5ht1_on_gpOrthosteric Ligand5ht1a_on_gp 5ht1d_on_gp 5ht1e_on_gp 5ht1f_on_gp
5.88Consensus5ht1e_on_gpOrthosteric Ligand7E33-5-HT1E-BRL-54443-Gi1/β1/γ2 8UGY-5-HT1E-Mianserin-Gi1/β1/γ1 8UH3-5-HT1E-Setiptiline-Gi1/β1/γ1
5.88Consensus5ht5_on_gpOrthosteric Ligand5ht5a_on_gp
5.88Consensus5ht5a_on_gpOrthosteric Ligand7X5H-5-HT5A-5-CT-Gi1/β1/γ2 7UM6-5-HT5A-Lisuride-chim(NtGi1-Go)/β1/γ2 7UM7-5-HT5A-Methylergometrine-chim(NtGi1-Go)/β1/γ2
5.88Consensusadrenergic_offOrthosteric Ligandalpha_off beta_off
5.88Consensusadrenergic_on_gpOrthosteric Ligandalpha_on_gp beta_on_gp
5.88Consensusalpha2c_offOrthosteric Ligand6KUW-α2c-PubChem 57213234
5.88Consensusalpha_offOrthosteric Ligandalpha1_off alpha2_off
5.88Consensusd1_onOrthosteric Ligand7F0T-D1-Dopamine-Gs/β1/γ2 7CKY-D1-PW0464-Gs/β1/γ2 8IRR-D1-Rotigotine-Gs/β1/γ2 7JV5-D1-SKF81297-Gs/β1/γ2 7JVP-D1-SKF83959-Gs/β1/γ2 7X2D-D1-Tavapadon-Gs/β1/γ2 7CKX-D1-A77636-Gs/β1/γ2 7JVQ-D1-Apomorphine-Gs/β1/γ2 7CKW-D1-Fenoldopam-Gs/β1/γ2
5.88Consensusd2_onOrthosteric Ligand7JVR-D2-Bromoergocryptine-Gi1/β1/γ2 8IRS-D2-Rotigotine-Gi1/β1/γ2
5.88Consensusnucleotide_onOrthosteric Ligandadenosine_on p2y_on
5.71Single4LDLHydroxybenzyl Isoproterenol4LDL-β2-Hydroxybenzyl Isoproterenol
5.71Single5XR8AM120335XR8-CB1-AM12033
5.71Single5XRAAM115425XRA-CB1-AM11542
5.71Single6DDEDAMGO6DDE-μ-DAMGO-Gi1/β1/γ2
5.71Single6H7JIsoprenaline6H7J-β1-Isoprenaline
5.71Single6N48BI1671076N48-β2-BI167107-PubChem 138454256
5.71Single6NI3BI1671076NI3-β2-BI167107-Gs/β1/γ2
5.71Single6WGTLSD6WGT-5-HT2A-LSD
5.71Single6Z8NSRI-98296Z8N-NTS1-SRI-9829
5.71Single7E2ZAripiprazole7E2Z-5-HT1A-Aripiprazole-PtdIns4P-Gi1/β1/γ2
5.71Single7JJOIsoprenaline7JJO-β1-Isoprenaline-Gs/β1/γ2
5.71Single7JV5SKF812977JV5-D1-SKF81297-Gs/β1/γ2
5.71Single7JVPSKF839597JVP-D1-SKF83959-Gs/β1/γ2
5.71Single7S8MCortistatin-147S8M-MRGPRX2-Cortistatin-14-Gi1/β1/γ2
5.71Single7WV9CP559407WV9-CB1-CP55940-ZCZ011-Gi2/β1/γ2
5.71Single7XAVLanreotide7XAV-SST2-Lanreotide-Gi1/β1/γ2
5.71Single7XWONeurokinin-A7XWO-NK2-Neurokinin-A-chim(NtGi1-Gs-CtGq)/β1/γ2
5.71Single8EFLSR170188EFL-μ-SR17018-Gi1/β1/γ2
5.71Single8GDBPGE28GDB-EP4-PGE2-Gs/β1/γ2
5.71Single8GUSHU-3088GUS-CB2-HU-308-Gi1/β1/γ2
5.71Single8HDOBAY 60-65838HDO-A2B-BAY 60-6583-Gs/β1/γ2
5.71Single8ID6Oleic acid8ID6-FFA4-Oleic acid-Gi1/β1/γ2
5.71Single8IUKPGF2-alpha8IUK-FP-alpha-PGF2-α-chim(NtGi1-Gs-CtGq)/β1/γ2
5.71Single8JBGNeurokinin-B8JBG-NK3-Neurokinin-B-chim(NtGi1-Gs-CtGq)/β1/γ2
5.71Single8JLPRalmitaront8JLP-TA1-Ralmitaront-Gs/β1/γ2
5.71Single8JSRAnamorelin8JSR-Ghrelin-Anamorelin-chim(NtGi1-Gs-CtGq)/β1/γ2
5.71Single8JT6(R)-IHCH-71798JT6-5-HT1A-(R)-IHCH-7179-PtdIns4P-Gi1/β1/γ2
5.71Single8WU1MDMB-Fubinaca8WU1-CB1-MDMB-Fubinaca-Arrestin2
5.71Single8Y73Peptide8Y73-μ-Peptide-MPAM-15-Gi1/β1/γ2
5.71Single8ZWFJR14a8ZWF-C3aB-JR14a
5.71Single9E9SPGD29E9S-DP1-PGD2-Gs/β1/γ1
5.71Single9I54PubChem 1764520919I54-D1-PubChem 176452091-Gs/β1/γ2
5.71Single9IJDCarazolol9IJD-β3-Carazolol-chim(NtGi1-Gs)/β1/γ2
5.71Single9JMCDS-3801b9JMC-Motilin-DS-3801b-chim(Gs-CtGq)/β1/γ2
5.71Single9KVPSB2901579KVP-C3aB-SB290157-Go/β1/γ2
5.71Single9WSTDAMGO9WST-μ-DAMGO-chim(NtGi1-Gz)/β1/γ2
5.71Consensusbeta2_onOrthosteric Ligand7DHI-β2-Salbutamol-Gs/β1/γ2 6NI3-β2-BI167107-Gs/β1/γ2
5.71Consensusbeta2_on_gpOrthosteric Ligand7DHI-β2-Salbutamol-Gs/β1/γ2 6NI3-β2-BI167107-Gs/β1/γ2
5.71Consensuscyslt1_offOrthosteric Ligand6RZ5-CysLT1-Zafirlukast-Na 6RZ4-CysLT1-Pranlukast-Na
5.71Consensusgi_5htOrthosteric Ligand8FYT-5-HT1A-LSD-PtdIns4P-Gi1/β1/γ1 7UM7-5-HT5A-Methylergometrine-chim(NtGi1-Go)/β1/γ2 8UGY-5-HT1E-Mianserin-Gi1/β1/γ1 8W8B-5-HT1A-SEP-363856-Gi1/β1/γ2 7E2Y-5-HT1A-Serotonin-PtdIns4P-Gi1/β1/γ2 7E32-5-HT1D-Serotonin-Gi1/β1/γ2 7XTA-5-HT4-Serotonin-Gi1/β1/γ2 8UH3-5-HT1E-Setiptiline-Gi1/β1/γ1 8JSP-5-HT1A-Ulotaront-Gi1/β1/γ2 8FYL-5-HT1A-Vilazodone-PtdIns4P-Gi1/β1/γ1 8JT6-5-HT1A-(R)-IHCH-7179-PtdIns4P-Gi1/β1/γ2 8FYE-5-HT1A-4-F,5-MeO-PyrT-PtdIns4P-Gi1/β1/γ1 7X5H-5-HT5A-5-CT-Gi1/β1/γ2 8FY8-5-HT1A-5-MeO-DMT-PtdIns4P-Gi1/β1/γ1 7E2Z-5-HT1A-Aripiprazole-PtdIns4P-Gi1/β1/γ2 7E33-5-HT1E-BRL-54443-Gi1/β1/γ2 8FYX-5-HT1A-Buspirone-PtdIns4P-Gi1/β1/γ1 7EXD-5-HT1F-Lasmiditan-Gi1/β1/γ2 7UM6-5-HT5A-Lisuride-chim(NtGi1-Go)/β1/γ2
5.71Consensusgi_dopamineOrthosteric Ligand7JVR-D2-Bromoergocryptine-Gi1/β1/γ2 7CMV-D3-PD128907-Gi1/β1/γ2 7CMU-D3-Pramipexole-Gi1/β1/γ2 8IRS-D2-Rotigotine-Gi1/β1/γ2 8IRT-D3-Rotigotine-Gi1/β1/γ2
5.71Consensusgs_adrenergicOrthosteric Ligand7DHI-β2-Salbutamol-Gs/β1/γ2 7XJI-β3-Solabegron-Gs/β1/γ2 7JJO-β1-Isoprenaline-Gs/β1/γ2 6NI3-β2-BI167107-Gs/β1/γ2 8DCR-β1-Dobutamine-Gs/β1/γ2 7XJH-β3-Isoprenaline-Gs/β1/γ2 7DH5-β3-Mirabegron-Gs/β1/γ2
5.71Consensusnk2_on_gpOrthosteric Ligand7XWO-NK2-Neurokinin-A-chim(NtGi1-Gs-CtGq)/β1/γ2
5.71Consensusnpy_offOrthosteric Ligandnpy1_off npy2_off
5.71Consensustachykinin_offOrthosteric Ligandnk1_off
5.56Single4LDEBI1671074LDE-β2-BI167107
5.56Single4PXFOctyl-Beta-D-Glucopyranoside4PXF-Rhodopsin-Octyl-β-D-Glucopyranoside-Arrestin1 Finger Loop
5.56Single4RWADIPP-NH24RWA-δ-DIPP-NH2
5.56Single5F8UCyanopindolol5F8U-β1-Cyanopindolol
5.56Single6DRYMethylergometrine6DRY-5-HT2B-Methylergometrine
5.56Single6RZ7ONO-25703666RZ7-CysLT2-ONO-2570366
5.56Single6VMSBromoergocryptine6VMS-D2-Bromoergocryptine-Gi1/β1/γ2
5.56Single7DH5Mirabegron7DH5-β3-Mirabegron-Gs/β1/γ2
5.56Single7L1UOrexin7L1U-OX2-Orexin-chim(NtGi1-Gs-CtGq)/β1/γ2
5.56Single7L1VPubChem 1554910097L1V-OX2-PubChem 155491009-chim(NtGi1-Gs-CtGq)/β1/γ2
5.56Single7XMTJ-21567XMT-SST4-J-2156-Gi1/β1/γ2
5.56Single7XW6ML1097XW6-TSH-M22 Fab-ML109-Gs/β1/γ2
5.56Single8DWCBAM8-228DWC-MRGPRX1-BAM8-22-chim(NtGi2L-Gs-CtGq)/β1/γ2
5.56Single8GTMBMK-C2038GTM-CRF1-BMK-C203
5.56Single8H0QGastrin Releasing Peptide8H0Q-BB2-Gastrin Releasing Peptide-chim(NtGi1-Gs-CtGq)/β1/γ2
5.56Single8ID9Icosapent8ID9-FFA4-Icosapent-Gi1/β1/γ2
5.56Single8JJ8Arformoterol8JJ8-β2-Arformoterol
5.56Single8T3QDoconexent8T3Q-FFA4-Doconexent-chim(NtGi2L-Gs-CtGq)/β1/γ2
5.56Single8W1VPubChem 1717162658W1V-β2-PubChem 171716265
5.56Single8WRBLysophosphatidylserine (UBL)8WRB-GPR34-Lysophosphatidylserine (UBL)-Gi1/β1/γ2
5.56Single9AU0BW245C9AU0-DP1-BW245C-Gs/β1/γ2
5.56Single9WSVDAMGO9WSV-μ-DAMGO-Arrestin2
5.56Single9WSWEndomorphin9WSW-μ-Endomorphin-chim(NtGi1-Gz)/β1/γ2
5.56Single9WXMGPR15L(CT)9WXM-GPR15-GPR15L(CT)-Gi3/β1/γ2
5.56Single9YDQDADLE9YDQ-δ-DADLE-MIPS3614-chim(NtGi1L-Gs-CtGi1)/β1/γ2
5.56Consensus5ht1a_onOrthosteric Ligand8FYT-5-HT1A-LSD-PtdIns4P-Gi1/β1/γ1 7E2Y-5-HT1A-Serotonin-PtdIns4P-Gi1/β1/γ2 7E2Z-5-HT1A-Aripiprazole-PtdIns4P-Gi1/β1/γ2 8FYX-5-HT1A-Buspirone-PtdIns4P-Gi1/β1/γ1 8JSP-5-HT1A-Ulotaront-Gi1/β1/γ2 8JT6-5-HT1A-(R)-IHCH-7179-PtdIns4P-Gi1/β1/γ2 8FY8-5-HT1A-5-MeO-DMT-PtdIns4P-Gi1/β1/γ1 8FYE-5-HT1A-4-F,5-MeO-PyrT-PtdIns4P-Gi1/β1/γ1 8FYL-5-HT1A-Vilazodone-PtdIns4P-Gi1/β1/γ1
5.56Consensus5ht1a_on_gpOrthosteric Ligand8FYT-5-HT1A-LSD-PtdIns4P-Gi1/β1/γ1 8FYX-5-HT1A-Buspirone-PtdIns4P-Gi1/β1/γ1 8JSP-5-HT1A-Ulotaront-Gi1/β1/γ2 8JT6-5-HT1A-(R)-IHCH-7179-PtdIns4P-Gi1/β1/γ2 7E2Y-5-HT1A-Serotonin-PtdIns4P-Gi1/β1/γ2 7E2Z-5-HT1A-Aripiprazole-PtdIns4P-Gi1/β1/γ2 8FY8-5-HT1A-5-MeO-DMT-PtdIns4P-Gi1/β1/γ1 8FYE-5-HT1A-4-F,5-MeO-PyrT-PtdIns4P-Gi1/β1/γ1 8FYL-5-HT1A-Vilazodone-PtdIns4P-Gi1/β1/γ1
5.56Consensusbeta_onOrthosteric Ligandbeta1_on beta2_on beta3_on
5.56Consensusbeta_on_gpOrthosteric Ligandbeta1_on_gp beta2_on_gp beta3_on_gp
5.56Consensuscb1_onOrthosteric Ligand6KPG-CB1-AM841-Gi1/β1/γ2 8K8J-CB1-Fenofibrate-chim(Gs-CtGq)/β1/γ2
5.56Consensusd2_on_gpOrthosteric Ligand7JVR-D2-Bromoergocryptine-Gi1/β1/γ2 8IRS-D2-Rotigotine-Gi1/β1/γ2
5.56Consensusnk1_offOrthosteric Ligand6HLP-NK1-Netupitant 6HLO-NK1-Aprepitant 6HLL-NK1-CP99994 6E59-NK1-L-760735
5.41Single5TUDErgotamine5TUD-5-HT2B-Ergotamine
5.41Single6DDFDAMGO6DDF-μ-DAMGO-Gi1/β1/γ2
5.41Single6H7LDobutamine6H7L-β1-Dobutamine
5.41Single6IBLArformoterol6IBL-β1-Arformoterol
5.41Single6K1QIRL25006K1Q-ETB-IRL2500
5.41Single6RZ9ONO-27703726RZ9-CysLT2-ONO-2770372
5.41Single6TKOArformoterol6TKO-β1-Arformoterol-Arrestin2
5.41Single7CX4Evatanepag7CX4-EP2-Evatanepag-Gs/β1/γ2
5.41Single7EZHCholecystokinin-87EZH-CCKA-Cholecystokinin-8-Gi1/β1/γ2
5.41Single7EZMCholecystokinin-87EZM-CCKA-Cholecystokinin-8-chim(NtGsL-Gq)/β1/γ2
5.41Single7JVRBromoergocryptine7JVR-D2-Bromoergocryptine-Gi1/β1/γ2
5.41Single7MBYCholecystokinin-87MBY-CCKA-Cholecystokinin-8-chim(NtGi1L-Gs-CtGq)/β1/γ2
5.41Single7QVMOxytocin7QVM-OT-Oxytocin-chim(NtGi1-Go-CtGq)/β1/γ2
5.41Single7UM4AS26747237UM4-5-HT5A-AS2674723
5.41Single7WVVfMLFII7WVV-FPR2-ALX-fMLFII-Gi2/β1/γ2
5.41Single8I95EP548I95-C3aB-EP54-Go/β1/γ2
5.41Single8ZWGJR14a8ZWG-C3aB-JR14a-Gi1/β1/γ2
5.41Single9YDPDADLE9YDP-δ-DADLE-chim(NtGi1L-Gs-CtGi1)/β1/γ2
5.41Consensusbeta1_onOrthosteric Ligand8DCR-β1-Dobutamine-Gs/β1/γ2 7S0F-β1-Isoprenaline-Gi1/β1/γ2
5.41Consensusbeta1_on_gpOrthosteric Ligand8DCR-β1-Dobutamine-Gs/β1/γ2 7S0F-β1-Isoprenaline-Gi1/β1/γ2
5.41Consensusccka_onOrthosteric Ligand7EZH-CCKA-Cholecystokinin-8-Gi1/β1/γ2
5.41Consensusccka_on_gpOrthosteric Ligand7EZH-CCKA-Cholecystokinin-8-Gi1/β1/γ2
5.41Consensuschemerin_onOrthosteric Ligandcml1_on
5.41Consensuscyslt2_offOrthosteric Ligand6RZ7-CysLT2-ONO-2570366 6RZ8-CysLT2-ONO-2080365 6RZ9-CysLT2-ONO-2770372
5.41Consensusnk2_onOrthosteric Ligand7XWO-NK2-Neurokinin-A-chim(NtGi1-Gs-CtGq)/β1/γ2
5.26Single6G79Donitriptan6G79-5-HT1B-Donitriptan-Go/β1/γ2
5.26Single6RZ6ONO-25703666RZ6-CysLT2-ONO-2570366
5.26Single7RMGSubstance-P7RMG-NK1-Substance-P-chim(Gs-CtGq)/β1/γ2
5.26Single7S8LCortistatin-147S8L-MRGPRX2-Cortistatin-14-chim(NtGi2L-Gs-CtGq)/β1/γ2
5.26Single8F7REndomorphin8F7R-μ-Endomorphin-Gi1/β1/γ2
5.26Single8SAILysophosphatidylserine (S12)8SAI-GPR34-Lysophosphatidylserine (S12)-Gi1/β1/γ2
5.26Single8Y72Peptide8Y72-μ-Peptide-BMS-986122-Gi1/β1/γ2
5.26Single8Z74JN241-98Z74-Apelin; Apelin-JN241-9
5.26Single9IPVJR14a9IPV-C3aB-JR14a-Gi1/β1/γ2
5.26Single9ITBLPA9ITB-LPA6-LPA-chim(NtGi1-Gs-CtGq)/β1/γ2
5.26Single9JF4PD1683689JF4-BB1-PD168368
5.26Single9JH6C20:0 Ceramide9JH6-CysLT2-C20:0 Ceramide-chim(NtGi1-Gs-CtGq)/β1/γ2
5.26Single9V2NMacimorelin9V2N-Ghrelin-Macimorelin-chim(NtGi1-Gs-CtGq)/β1/γ2
5.26Single9WSXEndomorphin9WSX-μ-Endomorphin-Arrestin2
5.26Consensuskiss1_onOrthosteric Ligand8ZJD-Kiss1-Kisspeptin-1-chim(NtGi1-Gq)/β1/γ1
5.26Consensuskisspeptin_onOrthosteric Ligandkiss1_on
5.13Single4IARErgotamine4IAR-5-HT1B-Ergotamine
5.13Single7CX3Taprenepag7CX3-EP2-Taprenepag-Gs/β1/γ2
5.13Single7WKDTRH7WKD-TRH-TRH-chim(NtGi1-Gs-CtGq)/β1/γ2
5.13Single8DWGBAM8-228DWG-MRGPRX1-BAM8-22-ML382-chim(NtGi2L-Gs-CtGq)/β1/γ2
5.13Single8IEBPubChem 1347468948IEB-GPR156; GPR156-PubChem 134746894
5.13Single8IEIPubChem 1347468948IEI-GPR156; GPR156-PubChem 134746894
5.13Single8IEIPubChem 1347468948IEI-GPR156; GPR156-PubChem 134746894
5.13Single8IEPPubChem 1347468948IEP-GPR156; GPR156-PubChem 134746894
5.13Single8IEPPubChem 1347468948IEP-GPR156; GPR156-PubChem 134746894
5.13Single8INRAlpha-MSH8INR-MC5-α-MSH-Ca-chim(NtGi1-Gs)/β1/γ2
5.13Single8IZBLysophosphatidylserine (UBL)8IZB-GPR174-Lysophosphatidylserine (UBL)-Gs/β1/γ2
5.13Single8KIGSHU91198KIG-MC3-SHU9119-Ca
5.13Single8WKYPG-9348WKY-MC4-PG-934
5.13Single8WZ2Orexigenic Neuropeptide QRFP8WZ2-QRFP-Orexigenic Neuropeptide QRFP-chim(NtGi1L-Gs-CtGq)/β1/γ2
5.13Single8XBHPubChem 1626566368XBH-GPR34-PubChem 162656636-Gi1/β1/γ2
5.13Single8ZCJPasireotide8ZCJ-SST5-Pasireotide-Gi1/β1/γ1
5.13Single8ZJDKisspeptin-18ZJD-Kiss1-Kisspeptin-1-chim(NtGi1-Gq)/β1/γ1
5.13Single9J0IUDP-Glucuronic acid9J0I-P2Y14-UDP-Glucuronic acid-Gi1/β1/γ2
5.13Consensusgq_kisspeptinOrthosteric Ligand8ZJD-Kiss1-Kisspeptin-1-chim(NtGi1-Gq)/β1/γ1
5.13Consensuskiss1_on_gpOrthosteric Ligand8ZJD-Kiss1-Kisspeptin-1-chim(NtGi1-Gq)/β1/γ1
5.13Consensuskisspeptin_on_gpOrthosteric Ligandkiss1_on_gp
5.00Single7PIVAfamelanotide7PIV-MC4-Afamelanotide-Gs/β1/γ2
5.00Single7RMISubstance-P7RMI-NK1-Substance-P-chim(Gs-CtGq)/β1/γ2
5.00Single8IEBPubChem 1347468948IEB-GPR156; GPR156-PubChem 134746894
5.00Single8JBHSubstance-P8JBH-NK3-Substance-P-chim(NtGi1-Gs-CtGq)/β1/γ2
5.00Single9J0FNADH9J0F-P2Y14-NADH-Gi1/β1/γ2
5.00Consensusmc5_onOrthosteric Ligand8INR-MC5-α-MSH-Ca-chim(NtGi1-Gs)/β1/γ2 8IOD-MC5-PG-901-Ca-chim(NtGi1-Gs)/β1/γ2
4.88Single6W25SHU91196W25-MC4-SHU9119-Ca
4.88Single8K6MNeuropeptide-Y8K6M-Y1-Neuropeptide-Y-Gi2/β1/γ1
4.88Single8W8YGamma-MSH8W8Y-MC3-γ-MSH-Ca-Gs/β1/γ2
4.88Consensusnpy1_onOrthosteric Ligand8K6M-Y1-Neuropeptide-Y-Gi2/β1/γ1
4.88Consensusnpy1_on_gpOrthosteric Ligand8K6M-Y1-Neuropeptide-Y-Gi2/β1/γ1
4.76Single8IEDPubChem 1347468948IED-GPR156; GPR156-PubChem 134746894-Go/β1/γ2
4.76Single8IEDPubChem 1347468948IED-GPR156; GPR156-PubChem 134746894-Go/β1/γ2
4.76Consensusmc5_on_gpOrthosteric Ligand8INR-MC5-α-MSH-Ca-chim(NtGi1-Gs)/β1/γ2 8IOD-MC5-PG-901-Ca-chim(NtGi1-Gs)/β1/γ2
4.65Single8IODPG-9018IOD-MC5-PG-901-Ca-chim(NtGi1-Gs)/β1/γ2
4.17Single6D32Cyclopamine6D32-SMO-Cyclopamine-Cyclopamine
4.17Single6D35Cholesterol6D35-SMO-Cholesterol
4.17Single6N51Quisqualate6N51-mGlu5; mGlu5-Quisqualate
4.17Single6N51Quisqualate6N51-mGlu5; mGlu5-Quisqualate
4.17Single6UO8SKF975416UO8-GABAB1, GABAB2-SKF97541-GS39783
4.17Single6UO9SKF975416UO9-GABAB1, GABAB2-SKF97541
4.17Single6W2XPubChem 53110426W2X-GABAB1, GABAB2-PubChem 5311042
4.17Single6W2YPubChem 53110426W2Y-GABAB1; GABAB1-PubChem 5311042
4.17Single6W2YPubChem 53110426W2Y-GABAB1; GABAB1-PubChem 5311042
4.17Single7C7QBaclofen7C7Q-GABAB1, GABAB2-Baclofen-BHFF
4.17Single7C7SCGP546267C7S-GABAB1, GABAB2-CGP54626
4.17Single7CUMCGP546267CUM-GABAB1, GABAB2-CGP54626
4.17Single7DD5Ca7DD5-CaS; CaS-Ca-Ca; Ca; Tryptophan; NPS-2143
4.17Single7DD5Ca; Ca; Tryptophan; NPS-21437DD5-CaS; CaS-Ca-Ca; Ca; Tryptophan; NPS-2143
4.17Single7DD5Ca7DD5-CaS; CaS-Ca-Ca; Ca; Tryptophan; NPS-2143
4.17Single7DD5Ca; Ca; Tryptophan; NPS-21437DD5-CaS; CaS-Ca-Ca; Ca; Tryptophan; NPS-2143
4.17Single7DGEQuisqualate7DGE-mGlu1; mGlu1-Quisqualate
4.17Single7DTTCa7DTT-CaS; CaS-Ca-Ca
4.17Single7DTTCa7DTT-CaS; CaS-Ca-Ca
4.17Single7DTUTryptophan7DTU-CaS; CaS-Tryptophan
4.17Single7DTUTryptophan7DTU-CaS; CaS-Tryptophan
4.17Single7DTVCa7DTV-CaS; CaS-Ca-Ca; Tryptophan
4.17Single7DTVCa; Tryptophan7DTV-CaS; CaS-Ca-Ca; Tryptophan
4.17Single7DTVCa7DTV-CaS; CaS-Ca-Ca; Tryptophan
4.17Single7DTVCa; Tryptophan7DTV-CaS; CaS-Ca-Ca; Tryptophan
4.17Single7E6TCa; Ca; Cyclomethyltryptophan; PO47E6T-CaS; CaS-Ca-Ca; Ca; Cyclomethyltryptophan; PO4
4.17Single7E6TCa7E6T-CaS; CaS-Ca-Ca; Ca; Cyclomethyltryptophan; PO4
4.17Single7E6TCa; Ca; Cyclomethyltryptophan; PO47E6T-CaS; CaS-Ca-Ca; Ca; Cyclomethyltryptophan; PO4
4.17Single7E6TCa7E6T-CaS; CaS-Ca-Ca; Ca; Cyclomethyltryptophan; PO4
4.17Single7E9GEglumetad7E9G-mGlu2; mGlu2-Eglumetad-JNJ-40411813-Gi1/β1/γ2
4.17Single7E9GEglumetad7E9G-mGlu2; mGlu2-Eglumetad-JNJ-40411813-Gi1/β1/γ2
4.17Single7E9HPhosphoserine7E9H-mGlu4; mGlu4-Phosphoserine-Gi3/β1/γ2
4.17Single7E9HPhosphoserine7E9H-mGlu4; mGlu4-Phosphoserine-Gi3/β1/γ2
4.17Single7EB2Baclofen7EB2-GABAB2; GABAB1-Baclofen-rac-BHFF-Gi1/β1/γ2
4.17Single7EPBEglumetad7EPB-mGlu2; mGlu2-Eglumetad
4.17Single7EPBEglumetad7EPB-mGlu2; mGlu2-Eglumetad
4.17Single7FD8Quisqualate7FD8-mGlu5; mGlu5-Quisqualate
4.17Single7FD8Quisqualate7FD8-mGlu5; mGlu5-Quisqualate
4.17Single7FD9LY3414957FD9-mGlu5; mGlu5-LY341495
4.17Single7FD9LY3414957FD9-mGlu5; mGlu5-LY341495
4.17Single7FIHhCG7FIH-LH-hCG-Org43553-chim(NtGi1-Gs)/β1/γ2
4.17Single7FIIhCG7FII-LH-hCG-chim(NtGi1-Gs)/β1/γ2
4.17Single7M3ECa; Ca; Tryptophan; NPS-21437M3E-CaS; CaS-Ca; Ca; Tryptophan; NPS-2143
4.17Single7M3ECa; Ca; Tryptophan; NPS-21437M3E-CaS; CaS-Ca; Ca; Tryptophan; NPS-2143
4.17Single7M3FCa; Ca; Tryptophan; Cinacalcet7M3F-CaS; CaS-Ca; Ca; Tryptophan; Cinacalcet
4.17Single7M3FCa; Ca; Tryptophan; Cinacalcet7M3F-CaS; CaS-Ca; Ca; Tryptophan; Cinacalcet
4.17Single7M3GCa; Ca; Tryptophan; Evocalcet; Etelcalcetide; PO47M3G-CaS; CaS-Ca; Ca; Tryptophan; Evocalcet; Etelcalcetide; PO4
4.17Single7M3GCa; Ca; Tryptophan; Evocalcet; Etelcalcetide; PO47M3G-CaS; CaS-Ca; Ca; Tryptophan; Evocalcet; Etelcalcetide; PO4
4.17Single7M3GCa; Ca; Tryptophan; Evocalcet; Etelcalcetide; PO47M3G-CaS; CaS-Ca; Ca; Tryptophan; Evocalcet; Etelcalcetide; PO4
4.17Single7M3GCa; Ca; Tryptophan; Evocalcet; Etelcalcetide; PO47M3G-CaS; CaS-Ca; Ca; Tryptophan; Evocalcet; Etelcalcetide; PO4
4.17Single7MTQLY3414957MTQ-mGlu2; mGlu2-LY341495
4.17Single7MTQLY3414957MTQ-mGlu2; mGlu2-LY341495
4.17Single7MTRGlutamate7MTR-mGlu2; mGlu2-Glutamate-ADX55164
4.17Single7MTRGlutamate7MTR-mGlu2; mGlu2-Glutamate-ADX55164
4.17Single7MTSGlutamate7MTS-mGlu2; mGlu2-Glutamate-ADX55164-Gi1/β1/γ2
4.17Single7MTSGlutamate7MTS-mGlu2; mGlu2-Glutamate-ADX55164-Gi1/β1/γ2
4.17Single7SILCa7SIL-CaS; CaS-Ca-Ca; Ca; Ca; Cyclomethyltryptophan; R-568; PO4
4.17Single7SILCa; Ca; Ca; Cyclomethyltryptophan; R-568; PO47SIL-CaS; CaS-Ca-Ca; Ca; Ca; Cyclomethyltryptophan; R-568; PO4
4.17Single7SILCa7SIL-CaS; CaS-Ca-Ca; Ca; Ca; Cyclomethyltryptophan; R-568; PO4
4.17Single7SILCa; Ca; Ca; Cyclomethyltryptophan; R-568; PO47SIL-CaS; CaS-Ca-Ca; Ca; Ca; Cyclomethyltryptophan; R-568; PO4
4.17Single7SIMCa; Ca; Cyclomethyltryptophan; PO47SIM-CaS; CaS-Ca-Ca; Ca; Cyclomethyltryptophan; PO4
4.17Single7SIMCa7SIM-CaS; CaS-Ca-Ca; Ca; Cyclomethyltryptophan; PO4
4.17Single7SIMCa; Ca; Cyclomethyltryptophan; PO47SIM-CaS; CaS-Ca-Ca; Ca; Cyclomethyltryptophan; PO4
4.17Single7SIMCa7SIM-CaS; CaS-Ca-Ca; Ca; Cyclomethyltryptophan; PO4
4.17Single7T9NM22 Fab7T9N-TSH-M22 Fab-DPPC-Gs/β1/γ2
4.17Single7WI6LY3414957WI6-mGlu3; mGlu3-LY341495
4.17Single7WI6LY3414957WI6-mGlu3; mGlu3-LY341495
4.17Single7WI8LY3414957WI8-mGlu3; mGlu3-LY341495
4.17Single7WI8LY3414957WI8-mGlu3; mGlu3-LY341495
4.17Single7WIHLY27941937WIH-mGlu3; mGlu3-LY2794193
4.17Single7WIHLY27941937WIH-mGlu3; mGlu3-LY2794193
4.17Single7XW6M22 Fab7XW6-TSH-M22 Fab-ML109-Gs/β1/γ2
4.17Single7XW7K1-707XW7-TSH-K1-70
4.17Single8JCULY3414958JCU-mGlu2; mGlu3-LY341495
4.17Single8JCULY3414958JCU-mGlu2; mGlu3-LY341495
4.17Single8JCVLY3414958JCV-mGlu2; mGlu3-LY341495
4.17Single8JCVLY3414958JCV-mGlu2; mGlu3-LY341495
4.17Single8JCWLY3414958JCW-mGlu2; mGlu3-LY341495
4.17Single8JCWLY3414958JCW-mGlu2; mGlu3-LY341495
4.17Single8JCXLY3414958JCX-mGlu2; mGlu3-LY341495
4.17Single8JCXLY3414958JCX-mGlu2; mGlu3-LY341495
4.17Single8JCYLY3414958JCY-mGlu2; mGlu3-LY341495
4.17Single8JCYLY3414958JCY-mGlu2; mGlu3-LY341495
4.17Single8JCZLY3414958JCZ-mGlu2; mGlu3-LY341495
4.17Single8JCZLY3414958JCZ-mGlu2; mGlu3-LY341495
4.17Single8JD0Glutamate8JD0-mGlu2; mGlu3-Glutamate-NAM563
4.17Single8JD1Glutamate8JD1-mGlu2; mGlu3-Glutamate
4.17Single8JD1Glutamate8JD1-mGlu2; mGlu3-Glutamate
4.17Single8JD2Glutamate8JD2-mGlu2; mGlu3-Glutamate
4.17Single8JD2Glutamate8JD2-mGlu2; mGlu3-Glutamate
4.17Single8JD3Glutamate8JD3-mGlu2; mGlu3-Glutamate-JNJ-40411813-Gi1/β1/γ2
4.17Single8JD3Glutamate8JD3-mGlu2; mGlu3-Glutamate-JNJ-40411813-Gi1/β1/γ2
4.17Single8JD4Glutamate8JD4-mGlu2; mGlu4-Glutamate
4.17Single8JD4Glutamate8JD4-mGlu2; mGlu4-Glutamate
4.17Single8JD5Glutamate8JD5-mGlu2; mGlu4-Glutamate-JNJ-40411813; ADX88178-Gi1/β1/γ2
4.17Single8JD5Glutamate8JD5-mGlu2; mGlu4-Glutamate-JNJ-40411813; ADX88178-Gi1/β1/γ2
4.17Single8JD6Phosphoserine8JD6-mGlu4; mGlu4-Phosphoserine-VU0364770-Gi3/β1/γ2
4.17Single8JD6Phosphoserine8JD6-mGlu4; mGlu4-Phosphoserine-VU0364770-Gi3/β1/γ2
4.17Single8SZFCa; Ca; Tryptophan; Cinacalcet; PO4; Spermine8SZF-CaS; CaS-Ca; Ca; Tryptophan; Cinacalcet; PO4; Spermine
4.17Single8SZFCa; Ca; Tryptophan; Cinacalcet; PO4; Spermine8SZF-CaS; CaS-Ca; Ca; Tryptophan; Cinacalcet; PO4; Spermine
4.17Single8SZGCa; Ca; Tryptophan; Cinacalcet; PO4; Spermine8SZG-CaS; CaS-Ca; Ca; Tryptophan; Cinacalcet; PO4; Spermine-chim(NtGi1-Gq)/β1/γ2
4.17Single8T7HQuisqualate8T7H-mGlu5; mGlu5-Quisqualate
4.17Single8T7HQuisqualate8T7H-mGlu5; mGlu5-Quisqualate
4.17Single8T8MQuisqualate8T8M-mGlu5; mGlu5-Quisqualate
4.17Single8T8MQuisqualate8T8M-mGlu5; mGlu5-Quisqualate
4.17Single8TAOQuisqualate8TAO-mGlu5; mGlu5-Quisqualate-CDPPB
4.17Single8TAOQuisqualate8TAO-mGlu5; mGlu5-Quisqualate-CDPPB
4.17Single8TQBCa; LY3792688TQB-mGlu3; mGlu3-Ca; LY379268-Ca
4.17Single8TQBCa; LY3792688TQB-mGlu3; mGlu3-Ca; LY379268-Ca
4.17Single8TR0LY3414958TR0-mGlu3; mGlu3-LY341495
4.17Single8TR0LY3414958TR0-mGlu3; mGlu3-LY341495
4.17Single8TR2Ca; LY3792688TR2-mGlu3; mGlu3-Ca; LY379268-Ca
4.17Single8TR2Ca; LY3792688TR2-mGlu3; mGlu3-Ca; LY379268-Ca
4.17Single8TRCLY3414958TRC-mGlu3; mGlu3-LY341495
4.17Single8TRCLY3414958TRC-mGlu3; mGlu3-LY341495
4.17Single8TRDLY3414958TRD-mGlu3; mGlu3-LY341495
4.17Single8TRDLY3414958TRD-mGlu3; mGlu3-LY341495
4.17Single8WG9PubChem 1793948WG9-mGlu4; mGlu2-PubChem 179394
4.17Single8WGBGlutamate8WGB-mGlu4; mGlu2-Glutamate-VU0155041-Gi3/β1/γ2
4.17Single8WGBGlutamate8WGB-mGlu4; mGlu2-Glutamate-VU0155041-Gi3/β1/γ2
4.17Single8WGCLY3792688WGC-mGlu2; mGlu4-LY379268
4.17Single8WGDLY341495; CPPG8WGD-mGlu4; mGlu2-LY341495; CPPG
4.17Single8WGDLY341495; CPPG8WGD-mGlu4; mGlu2-LY341495; CPPG
4.17Single8WPGTryptophan; Cinacalcet; PO4; Ca8WPG-CaS; CaS-Tryptophan; Cinacalcet; PO4; Ca
4.17Single8WPGTryptophan; Cinacalcet; PO4; Ca8WPG-CaS; CaS-Tryptophan; Cinacalcet; PO4; Ca
4.17Single8WPUTryptophan; Cinacalcet; PO4; Ca8WPU-CaS; CaS-Tryptophan; Cinacalcet; PO4; Ca-chim(NtGi2L-Gs-CtGq)/β1/γ2
4.17Single8WPUTryptophan; Cinacalcet; PO4; Ca8WPU-CaS; CaS-Tryptophan; Cinacalcet; PO4; Ca-chim(NtGi2L-Gs-CtGq)/β1/γ2
4.17Single8WVXNorrin8WVX-LGR4-Norrin
4.17Single8WVYNorrin8WVY-LGR4-Norrin
4.17Single8X0BQuisqualate8X0B-mGlu5; mGlu5-Quisqualate-VU0424465
4.17Single8X0BQuisqualate8X0B-mGlu5; mGlu5-Quisqualate-VU0424465
4.17Single8X0CQuisqualate8X0C-mGlu5; mGlu5-Quisqualate-VU0424465
4.17Single8X0CQuisqualate8X0C-mGlu5; mGlu5-Quisqualate-VU0424465
4.17Single8X0DQuisqualate8X0D-mGlu5; mGlu5-Quisqualate-VU0424465
4.17Single8X0DQuisqualate8X0D-mGlu5; mGlu5-Quisqualate-VU0424465
4.17Single8X0EQuisqualate8X0E-mGlu5; mGlu5-Quisqualate
4.17Single8X0EQuisqualate8X0E-mGlu5; mGlu5-Quisqualate
4.17Single8X0FQuisqualate8X0F-mGlu5; mGlu5-Quisqualate-VU29
4.17Single8X0FQuisqualate8X0F-mGlu5; mGlu5-Quisqualate-VU29
4.17Single8X0GQuisqualate8X0G-mGlu5; mGlu5-Quisqualate
4.17Single8X0GQuisqualate8X0G-mGlu5; mGlu5-Quisqualate
4.17Single8X0HQuisqualate8X0H-mGlu5; mGlu5-Quisqualate
4.17Single8X0HQuisqualate8X0H-mGlu5; mGlu5-Quisqualate
4.17Single8XUMR-spondin-28XUM-LGR4-R-spondin-2
4.17Single9ASBCa9ASB-CaS; CaS-Ca-Ca; Ca; Cyclomethyltryptophan; R-568; PO4-chim(NtGi1-Gs-CtGq)/β1/γ2
4.17Single9ASBCa; Ca; Cyclomethyltryptophan; R-568; PO49ASB-CaS; CaS-Ca-Ca; Ca; Cyclomethyltryptophan; R-568; PO4-chim(NtGi1-Gs-CtGq)/β1/γ2
4.17Single9AVGCa9AVG-CaS; CaS-Ca-Ca; Ca; Cyclomethyltryptophan; R-568; PO4-chim(NtGi1-Gs)/β1/γ2
4.17Single9AVGCa; Ca; Cyclomethyltryptophan; R-568; PO49AVG-CaS; CaS-Ca-Ca; Ca; Cyclomethyltryptophan; R-568; PO4-chim(NtGi1-Gs)/β1/γ2
4.17Single9AVLCa9AVL-CaS; CaS-Ca-Ca; Ca; Cyclomethyltryptophan; R-568; PO4-Gi3/β2/γ2
4.17Single9AVLCa; Ca; Cyclomethyltryptophan; R-568; PO49AVL-CaS; CaS-Ca-Ca; Ca; Cyclomethyltryptophan; R-568; PO4-Gi3/β2/γ2
4.17Single9AVLCa9AVL-CaS; CaS-Ca-Ca; Ca; Cyclomethyltryptophan; R-568; PO4-Gi3/β2/γ2
4.17Single9AVLCa; Ca; Cyclomethyltryptophan; R-568; PO49AVL-CaS; CaS-Ca-Ca; Ca; Cyclomethyltryptophan; R-568; PO4-Gi3/β2/γ2
4.17Single9AXFCa9AXF-CaS; CaS-Ca-Ca; Ca; Ca; Cyclomethyltryptophan; R-568; PO4-chim(NtGi1-Gs-CtGq)/β1/γ2
4.17Single9AXFCa; Ca; Ca; Cyclomethyltryptophan; R-568; PO49AXF-CaS; CaS-Ca-Ca; Ca; Ca; Cyclomethyltryptophan; R-568; PO4-chim(NtGi1-Gs-CtGq)/β1/γ2
4.17Single9AXFCa9AXF-CaS; CaS-Ca-Ca; Ca; Ca; Cyclomethyltryptophan; R-568; PO4-chim(NtGi1-Gs-CtGq)/β1/γ2
4.17Single9AXFCa; Ca; Ca; Cyclomethyltryptophan; R-568; PO49AXF-CaS; CaS-Ca-Ca; Ca; Ca; Cyclomethyltryptophan; R-568; PO4-chim(NtGi1-Gs-CtGq)/β1/γ2
4.17Single9AYFCa9AYF-CaS; CaS-Ca-Ca; Ca; Ca; Cyclomethyltryptophan; R-568; PO4-Gi1/β1/γ2
4.17Single9AYFCa; Ca; Ca; Cyclomethyltryptophan; R-568; PO49AYF-CaS; CaS-Ca-Ca; Ca; Ca; Cyclomethyltryptophan; R-568; PO4-Gi1/β1/γ2
4.17Single9C1PCa9C1P-CaS; CaS-Ca-Ca; Tryptophan; '6218; PO4
4.17Single9C1PCa; Tryptophan; '6218; PO49C1P-CaS; CaS-Ca-Ca; Tryptophan; '6218; PO4
4.17Single9C1PCa9C1P-CaS; CaS-Ca-Ca; Tryptophan; '6218; PO4
4.17Single9C1PCa; Tryptophan; '6218; PO49C1P-CaS; CaS-Ca-Ca; Tryptophan; '6218; PO4
4.17Single9C2FCa9C2F-CaS; CaS-Ca-Ca; Ca; Tryptophan; '54149; PO4
4.17Single9C2FCa; Ca; Tryptophan; '54149; PO49C2F-CaS; CaS-Ca-Ca; Ca; Tryptophan; '54149; PO4
4.17Single9C2FCa9C2F-CaS; CaS-Ca-Ca; Ca; Tryptophan; '54149; PO4
4.17Single9C2FCa; Ca; Tryptophan; '54149; PO49C2F-CaS; CaS-Ca-Ca; Ca; Tryptophan; '54149; PO4
4.17Single9II2Glutamate9II2-mGlu3; mGlu3-Glutamate-Arrestin2; Arrestin2
4.17Single9II2Glutamate9II2-mGlu3; mGlu3-Glutamate-Arrestin2; Arrestin2
4.17Single9II3Glutamate9II3-mGlu3; mGlu3-Glutamate-Arrestin2
4.17Single9II3Glutamate9II3-mGlu3; mGlu3-Glutamate-Arrestin2
4.17Single9KB7R-spondin-29KB7-LGR4-R-spondin-2
4.17Single9KGKNB189KGK-LGR4-NB18
4.17Single9KHHNorrin9KHH-LGR4-Norrin
4.17Single9MBAGlutamate9MBA-mGlu8; mGlu8-Glutamate-Arrestin2 ; Arrestin2
4.17Single9MBAGlutamate9MBA-mGlu8; mGlu8-Glutamate-Arrestin2 ; Arrestin2
4.17Single9MBBLY3414959MBB-mGlu8; mGlu8-LY341495
4.17Single9MBBLY3414959MBB-mGlu8; mGlu8-LY341495
4.17Single9MBCDCPG9MBC-mGlu8; mGlu8-DCPG-AZ12216052
4.17Single9MBCDCPG9MBC-mGlu8; mGlu8-DCPG-AZ12216052
4.17Single9S37NB219S37-LGR4-NB21
4.17Single9S38NB219S38-LGR4-NB21
4.17Single9UTBSucralose9UTB-TAS1R2; TAS1R3-Sucralose
4.00Single7DD6Ca7DD6-CaS; CaS-Ca-Ca; Ca; Tryptophan
4.00Single7DD6Ca; Ca; Tryptophan7DD6-CaS; CaS-Ca-Ca; Ca; Tryptophan
4.00Single7DD6Ca7DD6-CaS; CaS-Ca-Ca; Ca; Tryptophan
4.00Single7DD6Ca; Ca; Tryptophan7DD6-CaS; CaS-Ca-Ca; Ca; Tryptophan
4.00Single7DD7Ca7DD7-CaS; CaS-Ca-Ca; Ca; Tryptophan; Evocalcet
4.00Single7DD7Ca; Ca; Tryptophan; Evocalcet7DD7-CaS; CaS-Ca-Ca; Ca; Tryptophan; Evocalcet
4.00Single7DD7Ca7DD7-CaS; CaS-Ca-Ca; Ca; Tryptophan; Evocalcet
4.00Single7DD7Ca; Ca; Tryptophan; Evocalcet7DD7-CaS; CaS-Ca-Ca; Ca; Tryptophan; Evocalcet
4.00Single8SZFCa; Ca; Tryptophan; Cinacalcet; PO4; Spermine8SZF-CaS; CaS-Ca; Ca; Tryptophan; Cinacalcet; PO4; Spermine
4.00Single8SZFCa; Ca; Tryptophan; Cinacalcet; PO4; Spermine8SZF-CaS; CaS-Ca; Ca; Tryptophan; Cinacalcet; PO4; Spermine
4.00Single9ASBCa9ASB-CaS; CaS-Ca-Ca; Ca; Cyclomethyltryptophan; R-568; PO4-chim(NtGi1-Gs-CtGq)/β1/γ2
4.00Single9ASBCa; Ca; Cyclomethyltryptophan; R-568; PO49ASB-CaS; CaS-Ca-Ca; Ca; Cyclomethyltryptophan; R-568; PO4-chim(NtGi1-Gs-CtGq)/β1/γ2
4.00Single9AVGCa9AVG-CaS; CaS-Ca-Ca; Ca; Cyclomethyltryptophan; R-568; PO4-chim(NtGi1-Gs)/β1/γ2
4.00Single9AVGCa; Ca; Cyclomethyltryptophan; R-568; PO49AVG-CaS; CaS-Ca-Ca; Ca; Cyclomethyltryptophan; R-568; PO4-chim(NtGi1-Gs)/β1/γ2
4.00Single9AYFCa9AYF-CaS; CaS-Ca-Ca; Ca; Ca; Cyclomethyltryptophan; R-568; PO4-Gi1/β1/γ2
4.00Single9AYFCa; Ca; Ca; Cyclomethyltryptophan; R-568; PO49AYF-CaS; CaS-Ca-Ca; Ca; Ca; Cyclomethyltryptophan; R-568; PO4-Gi1/β1/γ2
4.00Consensusclass-b2_onOrthosteric Ligandadgrg_on adgrf_on adgrl_on adgre_on adgrd_on
4.00Consensusclass-b2_on_gpOrthosteric Ligandadgrg_on_gp adgrf_on_gp adgrl_on_gp adgre_on_gp adgrd_on_gp
3.85Single7KNUCalcitonin gene-related peptide-17KNU-CT Like-Calcitonin gene-related peptide-1-RAMP1
3.85Single7T9MCS-17 Antibody7T9M-TSH-CS-17 Antibody
3.85Single8SZGCa; Ca; Tryptophan; Cinacalcet; PO4; Spermine8SZG-CaS; CaS-Ca; Ca; Tryptophan; Cinacalcet; PO4; Spermine-chim(NtGi1-Gq)/β1/γ2
3.85Single8TLMAnti-murine CCR8 antibody8TLM-CCR8-Anti-murine CCR8 antibody
3.70Single5MZPCaffeine5MZP-A2A-Caffeine-Na
3.70Single6O3CCholesterol6O3C-SMO-SAG21k-Cholesterol
3.70Single7FIGhCG7FIG-LH-hCG-chim(NtGi1L-Gs)/β1/γ2
3.70Single7UTZTSH7UTZ-TSH-TSH-DPPC-Gs/β1/γ2
3.70Single7XW5TSH7XW5-TSH-TSH-ML109-Gs/β1/γ2
3.70Single7ZI0Cholesterol7ZI0-SMO-SAG-Cholesterol
3.70Single8GEJConstrained Epinephrine8GEJ-β2-Constrained Epinephrine-Gs/β1/γ2
3.70Single8WCBCyclohexylammonium Ion8WCB-TA1-Cyclohexylammonium Ion-chim(NtGi1-Gs-CtGq)/β1/γ2
3.70Single8WCCCyclohexylammonium Ion8WCC-TA1-Cyclohexylammonium Ion
3.57Single5L7DCholesterol5L7D-SMO-Cholesterol
3.57Single7T9ITSH7T9I-TSH-TSH-Gs/β1/γ2
3.57Single8I2GFSH8I2G-FSH-FSH-PubChem 67530240-Gs/β1/γ2
3.57Single9IV25alpha-DHT9IV2-ADGRD1-5α-DHT-chim(NtGi1-Gs)/β1/γ2
3.57Single9JIDNiacin9JID-HCA3-Niacin-Gi1/β1/γ2
3.45Single3RFMCaffeine3RFM-A2A-Caffeine
3.45Single6TQ9SB-4081246TQ9-OX1-SB-408124
3.45Single7MTBAll-trans-Retinal7MTB-Rhodopsin-All-trans-Retinal-GRK1
3.45Single7VDMSubstance-P7VDM-MRGPRX2-Substance-P-Gi1/β1/γ2
3.45Single8IWM2-Phenylethylamine8IWM-TAA9-2-Phenylethylamine
3.45Single9CHUNorepinephrine9CHU-β2-Norepinephrine
3.45Single9M42A1L8O9M42-GPR139-A1L8O-chim(Gs-CtGq)/β1/γ2
3.33Single6FUFAll-trans-Retinal6FUF-Rhodopsin-All-trans-Retinal-Go
3.33Single6ME5Agomelatine6ME5-MT1-Agomelatine
3.33Single7V6APubChem 98642757V6A-M4-PubChem 9864275-Gi1/β1/γ2
3.33Single8DPILorcaserin8DPI-5-HT2C-Lorcaserin-chim(NtGi2L-Gs-CtGq)/β1/γ2
3.33Single8GGEConstrained Epinephrine8GGE-β2-Constrained Epinephrine-GTP-Gs/β1/γ2
3.33Single8GH1Constrained Epinephrine8GH1-β2-Constrained Epinephrine
3.33Single8IW72-Phenylethylamine8IW7-TAA9-2-Phenylethylamine-chim(NtGi1-Gs)/β1/γ2
3.33Single8POKHistamine8POK-H2-Histamine-Gs/β1/γ2
3.33Single8X9UMetenolone8X9U-ADGRD1-Metenolone-chim(NtGi1-Gs)/β1/γ2
3.33Single8Y63C20:0 Ceramide8Y63-FPR2-ALX-C20:0 Ceramide-Gi1/β1/γ2
3.33Single9IV15alpha-DHT9IV1-ADGRD1-5α-DHT-chim(NtGi1-Gs)/β1/γ2
3.33Consensus5ht2_onOrthosteric Ligand5ht2b_on
3.33Consensus5ht2b_onOrthosteric Ligand7SRR-5-HT2B-LSD-chim(NtGi2L-Gs-CtGq)/β1/γ2
3.33Consensush2_on_gpOrthosteric Ligand8POK-H2-Histamine-Gs/β1/γ2
3.23Single3PBLEticlopride3PBL-D3-Eticlopride
3.23Single7DFLHistamine7DFL-H1-Histamine-chim(NtGi1L-Gq)/β1/γ2
3.23Single7E2YSerotonin7E2Y-5-HT1A-Serotonin-PtdIns4P-Gi1/β1/γ2
3.23Single7S8NR-Zinc-35737S8N-MRGPRX2-R-Zinc-3573-chim(NtGi2L-Gs-CtGq)/β1/γ2
3.23Single7S8OR-Zinc-35737S8O-MRGPRX2-R-Zinc-3573-Gi1/β1/γ2
3.23Single7SRQLSD7SRQ-5-HT2B-LSD
3.23Single7UL2SR486927UL2-NTS1-SR48692-Na
3.23Single7XT9Serotonin7XT9-5-HT4-Serotonin-Gs/β1/γ2
3.23Single7XTASerotonin7XTA-5-HT4-Serotonin-Gi1/β1/γ2
3.23Single8A2PLUAA470708A2P-A2A-LUAA47070-Na
3.23Single8YN4Histamine8YN4-H2-Histamine-chim(NtGi1L-Gs-CtGq)/β1/γ2
3.23Single9AS2DMT9AS2-5-HT2A-DMT-chim(NtGi1-Gs-CtGq)/β1/γ2
3.23Single9AS7Psilocin9AS7-5-HT2A-Psilocin
3.23Single9IJEEpinephrine9IJE-β3-Epinephrine-chim(NtGi1-Gs)/β1/γ2
3.23Single9IXJHistamine9IXJ-H2-Histamine-Gs/β1/γ2
3.23Consensus5ht4_onOrthosteric Ligand7XTA-5-HT4-Serotonin-Gi1/β1/γ2
3.23Consensus5ht4_on_gpOrthosteric Ligand7XTA-5-HT4-Serotonin-Gi1/β1/γ2
3.23Consensusd3_offOrthosteric Ligand3PBL-D3-Eticlopride
3.23Consensusgq_nucleotideOrthosteric Ligandgq_p2y
3.23Consensusgq_p2yOrthosteric Ligand7XXH-P2Y1-2MeSADP-chim(NtGi1-G11)/β1/γ2
3.23Consensush1_onOrthosteric Ligand7DFL-H1-Histamine-chim(NtGi1L-Gq)/β1/γ2
3.23Consensusneurotensin_offOrthosteric Ligandnts1_off
3.23Consensusnts1_offOrthosteric Ligand7UL2-NTS1-SR48692-Na
3.12Single6C1QNDT95137276C1Q-C5a1-PMX53-NDT9513727
3.12Single6DS0LY2660976DS0-5-HT2B-LY266097
3.12Single6ME2Ramelteon6ME2-MT1-Ramelteon
3.12Single6ME9Ramelteon6ME9-MT2-Ramelteon
3.12Single6OBAAlprenolol6OBA-β2-Alprenolol-GTPL11074
3.12Single6TQ6PubChem 1457142836TQ6-OX1-PubChem 145714283
3.12Single6ZA8RTI-3a6ZA8-NTS1-RTI-3a
3.12Single7F1ODopamine7F1O-D1-Dopamine-GDP; Mg-Gs/β1/γ2
3.12Single7LJDDopamine7LJD-D1-Dopamine-Mevidalen-Gs/β1/γ1
3.12Single7S8PMS471347S8P-MRGPRX4-MS47134-chim(NtGi2L-Gs-CtGq)/β1/γ2
3.12Single7SRRLSD7SRR-5-HT2B-LSD-chim(NtGi2L-Gs-CtGq)/β1/γ2
3.12Single7SRSLSD7SRS-5-HT2B-LSD-Arrestin2
3.12Single7T6STC-FPR 437T6S-FPR2-ALX-TC-FPR 43-Gi1/β1/γ2
3.12Single7W0MPubChem 1227019087W0M-Apelin-PubChem 122701908-Gi1/β1/γ2
3.12Single7XT8Serotonin7XT8-5-HT4-Serotonin-Gs/β1/γ2
3.12Single8TZQDopamine8TZQ-D2-Dopamine-Go/β1/γ2
3.12Single8UNSConstrained Epinephrine8UNS-β2-Constrained Epinephrine-GTP-Gs/β1/γ2
3.12Single8UNTConstrained Epinephrine8UNT-β2-Constrained Epinephrine-GTP-Gs/β1/γ2
3.12Single9LLBDOI-NBOMe9LLB-5-HT2A-DOI-NBOMe-chim(NtGi1L-Gs-CtGq)/β1/γ2
3.12Single9LRBHistamine9LRB-H1-Histamine-Gs/β1/γ2
3.12Single9PEEPF-07054894; OXM29PEE-CCR6-PF-07054894; OXM2
3.12Consensus5ht1e_onOrthosteric Ligand7E33-5-HT1E-BRL-54443-Gi1/β1/γ2 8UGY-5-HT1E-Mianserin-Gi1/β1/γ1 8UH3-5-HT1E-Setiptiline-Gi1/β1/γ1
3.12Consensus5ht2_on_gpOrthosteric Ligand5ht2b_on_gp
3.12Consensus5ht2b_on_gpOrthosteric Ligand7SRR-5-HT2B-LSD-chim(NtGi2L-Gs-CtGq)/β1/γ2
3.03Single3REYPubChem 56973REY-A2A-PubChem 5697
3.03Single3RZECidoxepin3RZE-H1-Cidoxepin
3.03Single6A94Zotepine6A94-5-HT2A-Zotepine
3.03Single6ME42-Iodomelatonin6ME4-MT1-2-Iodomelatonin
3.03Single6PS5Propranolol6PS5-β2-Propranolol
3.03Single6TPKRetosiban6TPK-OT-Retosiban
3.03Single6TPNHTL66416TPN-OX2-HTL6641
3.03Single7F24Dopamine7F24-D1-Dopamine-GDP-Gs/β1/γ2
3.03Single7M3GCa; Ca; Tryptophan; Evocalcet; Etelcalcetide; PO47M3G-CaS; CaS-Ca; Ca; Tryptophan; Evocalcet; Etelcalcetide; PO4
3.03Single7UL3Famotidine7UL3-H2-Famotidine
3.03Single7VODCariprazine7VOD-5-HT2A-Cariprazine
3.03Single8GG7Constrained Epinephrine8GG7-β2-Constrained Epinephrine-GTP-Gs/β1/γ2
3.03Single8GGLConstrained Epinephrine8GGL-β2-Constrained Epinephrine
3.03Single8GGMConstrained Epinephrine8GGM-β2-Constrained Epinephrine
3.03Single8GGPConstrained Epinephrine8GGP-β2-Constrained Epinephrine
3.03Single8HQN9-S-HODE8HQN-GPR132-9-S-HODE-Gi1/β1/γ2
3.03Single8JSPUlotaront8JSP-5-HT1A-Ulotaront-Gi1/β1/γ2
3.03Single8K4NPubChem 1687197658K4N-GPR34-PubChem 168719765-Gi1/β1/γ2
3.03Single8K4SDCA-3P8K4S-MRGPRX4-DCA-3P-chim(NtGi1L-Gs-CtGq)/β1/γ2
3.03Single8K9LDAMGO8K9L-μ-DAMGO-BMS-986122-Gi3/β1/γ1
3.03Single8UNLConstrained Epinephrine8UNL-β2-Constrained Epinephrine-GTP-Gs/β1/γ2
3.03Single8UNOConstrained Epinephrine8UNO-β2-Constrained Epinephrine-GTP-Gs/β1/γ2
3.03Single8UO1Constrained Epinephrine8UO1-β2-Constrained Epinephrine-GTP; Mg-Gs/β1/γ2
3.03Single8V6UPubChem 1713924568V6U-5-HT2A-PubChem 171392456-chim(NtGi2-Gs-CtGq)/β1/γ2
3.03Single8Y53MK50468Y53-BB3-MK5046-chim(NtGi1-Gs-CtGq)/β1/γ2
3.03Single8ZMGPimavanserin8ZMG-5-HT2A-Pimavanserin
3.03Single9ARXSerotonin9ARX-5-HT2A-Serotonin
3.03Single9AS3LSD9AS3-5-HT2A-LSD
3.03Single9AS4LSD9AS4-5-HT2A-LSD-chim(NtGi1-Gs-CtGq)/β1/γ2
3.03Single9JQYTG6-1299JQY-EP4-TG6-129
3.03Single9L84Epinephrine9L84-β1-Epinephrine-Atazanavir-Gs/β1/γ2
3.03Single9L8LBI1671079L8L-β2-BI167107-Atazanavir-Gs/β1/γ2 ; Arrestin2
3.03Single9LL8Psilocin9LL8-5-HT2A-Psilocin-Gi1/β1/γ2
3.03Single9W6W5-CT9W6W-5-HT5A-5-CT-Gi1/β1/γ2
3.03Consensus5ht_on_gpOrthosteric Ligand5ht1_on_gp 5ht2_on_gp 5ht4_on_gp 5ht5_on_gp 5ht6_on_gp 5ht7_on_gp
3.03Consensusot_offOrthosteric Ligand6TPK-OT-Retosiban
3.03Consensusvasop-oxy_offOrthosteric Ligandot_off
2.94Single2Y02Carmoterol2Y02-β1-Carmoterol
2.94Single5UIGPubChem 1240811965UIG-A2A-PubChem 124081196
2.94Single6DRXLisuride6DRX-5-HT2B-Lisuride
2.94Single7JOZPubChem 752020227JOZ-D1-PubChem 75202022-Gs/β1/γ2
2.94Single7NA8Ibutamoren7NA8-Ghrelin-Ibutamoren-Gi1/β1/γ2
2.94Single7SQOTAK-9257SQO-OX2-TAK-925-Gi1/β1/γ2
2.94Single7T6VfMLFII7T6V-FPR2-ALX-fMLFII-Gi1/β1/γ2
2.94Single7UM6Lisuride7UM6-5-HT5A-Lisuride-chim(NtGi1-Go)/β1/γ2
2.94Single7VH0Ramelteon7VH0-MT2-Ramelteon-Gi1/β1/γ1
2.94Single7XJHIsoprenaline7XJH-β3-Isoprenaline-Gs/β1/γ2
2.94Single7XTC5-CT7XTC-5-HT7-5-CT-Gs/β1/γ2
2.94Single8EJKTAK-8758EJK-FFA1-TAK-875-chim(NtGi1L-Gs-CtGq)/β1/γ2
2.94Single8UGYMianserin8UGY-5-HT1E-Mianserin-Gi1/β1/γ1
2.94Single8ZBEOctreotide8ZBE-SST5-Octreotide-Gi1/β1/γ1
2.94Single9IYAONO-97105319IYA-GPR55-ONO-9710531
2.94Single9LLAAriadne9LLA-5-HT2A-Ariadne-chim(NtGi1L-Gs-CtGq)/β1/γ2
2.94Consensus5ht5_onOrthosteric Ligand5ht5a_on
2.94Consensus5ht5a_onOrthosteric Ligand7X5H-5-HT5A-5-CT-Gi1/β1/γ2 7UM6-5-HT5A-Lisuride-chim(NtGi1-Go)/β1/γ2 7UM7-5-HT5A-Methylergometrine-chim(NtGi1-Go)/β1/γ2
2.94Consensus5ht7_onOrthosteric Ligand7XTC-5-HT7-5-CT-Gs/β1/γ2
2.94Consensus5ht7_on_gpOrthosteric Ligand7XTC-5-HT7-5-CT-Gs/β1/γ2
2.94Consensusgi_orexinOrthosteric Ligand7SQO-OX2-TAK-925-Gi1/β1/γ2
2.86Single4PHUFasiglifam4PHU-FFA1-Fasiglifam
2.86Single4RWDDIPP-NH24RWD-δ-DIPP-NH2-Na
2.86Single5ZBQUR-MK-2995ZBQ-Y1-UR-MK-299
2.86Single6E67BI1671076E67-β2-BI167107-Gs(CT)
2.86Single7CKXA776367CKX-D1-A77636-Gs/β1/γ2
2.86Single7EUOfMLF7EUO-FPR1-ALX-fMLF-Gi1/β1/γ2
2.86Single7Y26Octreotide7Y26-SST2-Octreotide-chim(NtGi2L-Gs-CtGq)/β1/γ2
2.86Single8EJCTAK-8758EJC-FFA1-TAK-875-chim(NtGi1L-Gs-CtGq)/β1/γ2
2.86Single8ID4Linoleic acid8ID4-FFA4-Linoleic acid-Gi1/β1/γ2
2.86Single9ARYSerotonin9ARY-5-HT2A-Serotonin-chim(NtGi1-Gs-CtGq)/β1/γ2
2.86Single9EE5ONO-25502899EE5-DP1-ONO-2550289
2.86Single9U81Tolvaptan9U81-V2-Tolvaptan
2.86Consensuscyslt_offOrthosteric Ligandcyslt2_off cyslt1_off
2.78Single3P0GBI1671073P0G-β2-BI167107
2.78Single3PDSFAUC503PDS-β2-FAUC50
2.78Single3SN6BI1671073SN6-β2-BI167107-Gs/β1/γ2
2.78Single4IAQDihydroergotamine4IAQ-5-HT1B-Dihydroergotamine
2.78Single5TZRMK86665TZR-FFA1-MK8666
2.78Single5ZBHBMS-1938855ZBH-Y1-BMS-193885
2.78Single6E59L-7607356E59-NK1-L-760735
2.78Single6J20Aprepitant6J20-NK1-Aprepitant
2.78Single6RZ5Zafirlukast6RZ5-CysLT1-Zafirlukast-Na
2.78Single7B6WCyclazosin7B6W-α1b-Cyclazosin
2.78Single7M8W15r-Methyl-PGD27M8W-DP2-15r-Methyl-PGD2-Na
2.78Single7Y24Octreotide7Y24-SST2-Octreotide-Go/β1/γ2
2.78Single8JGFBAM8-228JGF-MRGPRX1-BAM8-22-chim(NtGi1-Gs-CtGq)/β1/γ2
2.78Single8XBIPubChem 1626566368XBI-GPR34-PubChem 162656636
2.78Single9ITELPA9ITE-LPA6-LPA-chim(NtGi2-G13)/β1/γ2
2.78Single9UY3Anamorelin9UY3-Ghrelin-Anamorelin-chim(NtGi1-Gs-CtGq)/β1/γ2
2.78Consensusffa2_onOrthosteric Ligand8J22-FFA2-TUG-1375-Gi1/β1/γ2
2.78Consensusffa_onOrthosteric Ligandffa2_on ffa3_on
2.78Consensusffa_on_gpOrthosteric Ligandffa2_on_gp ffa3_on_gp
2.78Consensusgi_ffaOrthosteric Ligand8J21-FFA3-Butyric acid-Gi1/β1/γ2 8J22-FFA2-TUG-1375-Gi1/β1/γ2
2.78Consensusnpy1_offOrthosteric Ligand5ZBH-Y1-BMS-193885 5ZBQ-Y1-UR-MK-299
2.70Single3VW7Vorapaxar; Na3VW7-PAR1-Vorapaxar; Na
2.70Single4PXZ2MeSADP4PXZ-P2Y12-2MeSADP
2.70Single4PY02MeSATP4PY0-P2Y12-2MeSATP
2.70Single5TZYMK8666; AP85TZY-FFA1-MK8666; AP8
2.70Single6MXTSalmeterol6MXT-β2-Salmeterol
2.70Single7F55Bremelanotide7F55-MC4-Bremelanotide-Gs/β1/γ2
2.70Single7XW9TRH7XW9-TRH-TRH-chim(NtGi1L-Gs-CtGq)/β1/γ2
2.70Single8JJLOlodaterol8JJL-β2-Olodaterol
2.70Single8Y6WTUG-13758Y6W-FFA2-TUG-1375-4-CMTB-Gi1/β1/γ2
2.70Single9M4QDoxazosin9M4Q-Alpha1A-Doxazosin
2.70Single9VIFNeuropeptide-VF9VIF-NPFF1-Neuropeptide-VF-Gi1/β1/γ2
2.70Single9W32SSTR5 antagonist 19W32-SST5-SSTR5 antagonist 1
2.70Single9YDUUDP-Glucose9YDU-P2Y14-UDP-Glucose-Gi1/β1/γ2
2.70Consensusffa2_on_gpOrthosteric Ligand8J22-FFA2-TUG-1375-Gi1/β1/γ2
2.70Consensustrh_onOrthosteric Ligand7XW9-TRH-TRH-chim(NtGi1L-Gs-CtGq)/β1/γ2
2.70Consensustrh_on_gpOrthosteric Ligand7XW9-TRH-TRH-chim(NtGi1L-Gs-CtGq)/β1/γ2
2.63Single4NC3Ergotamine4NC3-5-HT2B-Ergotamine
2.63Single6BQGErgotamine6BQG-5-HT2C-Ergotamine
2.63Single7PIUSetmelanotide7PIU-MC4-Setmelanotide-Gs/β1/γ2
2.63Single8T3OTUG-8918T3O-FFA4-TUG-891-chim(NtGi2L-Gs-CtGq)/β1/γ2
2.63Single8XBES3E-Lysophosphatidylserine 8XBE-GPR34-S3E-Lysophosphatidylserine-Gi1/β1/γ1
2.63Single9J0BUDP-Glucose9J0B-P2Y14-UDP-Glucose-Gi1/β1/γ2
2.63Single9JH5C16:0 Ceramide9JH5-CysLT2-C16:0 Ceramide-chim(NtGi1-Gs-CtGq)/β1/γ2
2.56Single8J22TUG-13758J22-FFA2-TUG-1375-Gi1/β1/γ2
2.56Single8Z74JN241-98Z74-Apelin; Apelin-JN241-9
2.50Single4IB4Ergotamine4IB4-5-HT2B-Ergotamine
2.50Single6RZ8ONO-20803656RZ8-CysLT2-ONO-2080365
2.50Single8XFSR-spondin-28XFS-LGR4-R-spondin-2-ZNRF3; ZNRF3
2.50Single8XFTR-spondin-28XFT-LGR4-R-spondin-2-ZNRF3
2.50Single8Y69R-spondin-28Y69-LGR4; LGR4-R-spondin-2-ZNRF3
2.44Single8IOCGamma-MSH8IOC-MC3-γ-MSH-Ca-chim(NtGi1-Gs)/β1/γ2
2.44Single8XFPR-spondin-28XFP-LGR4-R-spondin-2-ZNRF3; ZNRF3
2.44Single9KB8R-spondin-29KB8-LGR4-R-spondin-2-ZNRF3; ZNRF3
2.44Single9KB9R-spondin-29KB9-LGR4; LGR4-R-spondin-2-ZNRF3; ZNRF3
2.38Single8WVUR-spondin-18WVU-LGR4-R-spondin-1-RNF43
2.38Single8Y69R-spondin-28Y69-LGR4; LGR4-R-spondin-2-ZNRF3
2.38Single9KB9R-spondin-29KB9-LGR4; LGR4-R-spondin-2-ZNRF3; ZNRF3
2.38Consensusmc3_onOrthosteric Ligand8IOC-MC3-γ-MSH-Ca-chim(NtGi1-Gs)/β1/γ2
2.38Consensusmc3_on_gpOrthosteric Ligand8IOC-MC3-γ-MSH-Ca-chim(NtGi1-Gs)/β1/γ2

PDB Summary
PDB 9BQ3
Class B1
SubFamily Peptide
Type Calcitonin
SubType CT (AMY2)
Species Homo Sapiens
Ligand Cagrilintide
Other Ligand(s) -
Protein Partners Gs/Beta1/Gamma2; RAMP2
PDB Resolution 2.8
Date 2025-04-23
D.O.I. doi.org/10.1038/s41467-025-58680-y
Net Summary
Imin 2.51
Number of Linked Nodes 1080
Number of Links 1360
Number of Hubs 236
Number of Links mediated by Hubs 856
Number of Communities 38
Number of Nodes involved in Communities 350
Number of Links involved in Communities 516
Path Summary
Number Of Nodes in MetaPath 119
Number Of Links MetaPath 118
Number of Shortest Paths 4727881
Length Of Smallest Path 3
Average Path Length 38.9651
Length of Longest Path 67
Minimum Path Strength 1.235
Average Path Strength 5.93836
Maximum Path Strength 24.785
Minimum Path Correlation 0.7
Average Path Correlation 0.995865
Maximum Path Correlation 1
Minimum % Of Corr. Nodes 2
Average % Of Corr. Nodes 44.9792
Maximum % Of Corr. Nodes 100
Minimum Path Hubs % 0
Average Path Hubs % 45.8426
Maximum Path Hubs % 100
AnnotationTypeLinks
Gene OntologyMolecular Function• binding   • guanyl nucleotide binding   • GTP binding   • nucleotide binding   • guanyl ribonucleotide binding   • purine ribonucleotide binding   • purine ribonucleoside triphosphate binding   • nucleoside phosphate binding   • ion binding   • purine nucleotide binding   • anion binding   • heterocyclic compound binding   • carbohydrate derivative binding   • ribonucleotide binding   • small molecule binding   • D1 dopamine receptor binding   • protein binding   • signaling receptor binding   • G protein-coupled receptor binding   • dopamine receptor binding   • protein-containing complex binding   • G-protein beta/gamma-subunit complex binding   • pyrophosphatase activity   • GTPase activity   • G protein activity   • ribonucleoside triphosphate phosphatase activity   • molecular function regulator activity   • hydrolase activity, acting on acid anhydrides, in phosphorus-containing anhydrides   • hydrolase activity   • hydrolase activity, acting on acid anhydrides   • catalytic activity   • enzyme regulator activity   • cyclase regulator activity   • enzyme activator activity   • cyclase activator activity   • molecular function activator activity   • adenylate cyclase regulator activity   • adenylate cyclase activator activity   • cation binding   • metal ion binding   • developmental process   • multicellular organismal process   • epithelium development   • ectodermal placode morphogenesis   • epidermis development   • molting cycle process   • hair cycle   • animal organ development   • hair follicle placode formation   • tissue development   • ectodermal placode formation   • anatomical structure morphogenesis   • skin development   • skin epidermis development   • hair follicle development
Gene OntologyBiological Process• developmental process   • multicellular organismal process   • epithelium development   • ectodermal placode morphogenesis   • epidermis development   • molting cycle process   • hair cycle   • animal organ development   • hair follicle placode formation   • tissue development   • ectodermal placode formation   • anatomical structure morphogenesis   • skin development   • skin epidermis development   • hair follicle development   • molting cycle   • anatomical structure development   • anatomical structure formation involved in morphogenesis   • ectodermal placode development   • hair cycle process   • cellular homeostasis   • chemical homeostasis   • homeostatic process   • glucose homeostasis   • carbohydrate homeostasis   • intracellular chemical homeostasis   • intracellular glucose homeostasis   • system process   • regulation of biological process   • nervous system process   • neuromuscular process   • regulation of system process   • biological regulation   • skeletal muscle contraction   • muscle contraction   • muscle system process   • regulation of muscle system process   • striated muscle contraction   • multicellular organismal movement   • musculoskeletal movement   • regulation of striated muscle contraction   • regulation of muscle contraction   • regulation of skeletal muscle contraction   • regulation of multicellular organismal process   • sensory perception of chemical stimulus   • sensory perception   • sensory perception of smell   • cellular response to stimulus   • cellular response to nitrogen compound   • response to stimulus   • response to endogenous stimulus   • response to peptide hormone   • cellular response to peptide hormone stimulus   • response to oxygen-containing compound   • response to nitrogen compound   • response to glucagon   • cellular response to oxygen-containing compound   • cellular response to glucagon stimulus   • cellular response to endogenous stimulus   • cellular response to chemical stimulus   • response to hormone   • response to chemical   • cellular process   • cellular response to hormone stimulus   • multicellular organism development   • skeletal system development   • bone development   • system development   • response to pH   • cellular response to pH   • response to abiotic stimulus   • cellular response to acidic pH   • response to acidic pH   • cellular response to abiotic stimulus   • cellular response to environmental stimulus   • regulation of body fluid levels   • wound healing   • homotypic cell-cell adhesion   • cell activation   • hemostasis   • platelet aggregation   • blood coagulation   • cell adhesion   • cell-cell adhesion   • response to stress   • coagulation   • regulation of biological quality   • response to wounding   • platelet activation   • response to fluid shear stress   • vascular endothelial cell response to laminar fluid shear stress   • response to laminar fluid shear stress   • cellular response to stress   • cellular response to laminar fluid shear stress   • vascular endothelial cell response to fluid shear stress   • cellular response to fluid shear stress   • cognition   • developmental growth   • growth   • response to ketone   • response to prostaglandin   • response to lipid   • response to alcohol   • cellular response to prostaglandin stimulus   • cellular response to prostaglandin E stimulus   • cellular response to alcohol   • cellular response to lipid   • response to prostaglandin E   • cellular response to ketone   • regulation of cellular process   • signaling   • adenylate cyclase-activating G protein-coupled receptor signaling pathway   • cell communication   • adenylate cyclase-modulating G protein-coupled receptor signaling pathway   • G protein-coupled receptor signaling pathway   • signal transduction   • positive regulation of biological process   • adaptive thermogenesis   • multicellular organismal-level homeostasis   • regulation of cold-induced thermogenesis   • cold-induced thermogenesis   • temperature homeostasis   • positive regulation of cold-induced thermogenesis   • positive regulation of multicellular organismal process   • positive regulation of cell communication   • regulation of localization   • establishment of protein localization   • nitrogen compound transport   • positive regulation of establishment of protein localization   • localization   • establishment of localization in cell   • positive regulation of insulin secretion involved in cellular response to glucose stimulus   • positive regulation of insulin secretion   • intracellular protein localization   • regulation of peptide hormone secretion   • regulation of hormone levels   • positive regulation of peptide hormone secretion   • establishment of protein localization to extracellular region   • protein secretion   • establishment of localization   • regulation of protein secretion   • regulation of secretion   • cellular response to carbohydrate stimulus   • response to glucose   • positive regulation of protein localization   • insulin secretion involved in cellular response to glucose stimulus   • cellular localization   • regulation of hormone secretion   • regulation of protein localization   • regulation of peptide secretion   • transport   • positive regulation of secretion by cell   • hormone secretion   • protein localization to extracellular region   • positive regulation of protein transport   • peptide secretion   • regulation of secretion by cell   • secretion by cell   • positive regulation of hormone secretion   • response to monosaccharide   • response to carbohydrate   • positive regulation of secretion   • signal release   • cellular response to hexose stimulus   • cellular response to monosaccharide stimulus   • positive regulation of cellular process   • positive regulation of peptide secretion   • regulation of signaling   • regulation of transport   • secretion   • regulation of peptide transport   • regulation of establishment of protein localization   • export from cell   • cell-cell signaling   • cellular response to glucose stimulus   • regulation of protein transport   • positive regulation of protein secretion   • peptide transport   • response to hexose   • positive regulation of transport   • regulation of cellular localization   • protein transport   • regulation of insulin secretion   • peptide hormone secretion   • macromolecule localization   • regulation of insulin secretion involved in cellular response to glucose stimulus   • hormone transport   • regulation of cell communication   • insulin secretion   • positive regulation of signaling   • adenylate cyclase-activating adrenergic receptor signaling pathway   • adrenergic receptor signaling pathway   • response to dopamine   • cellular response to dopamine   • response to monoamine   • response to catecholamine   • cellular response to catecholamine stimulus   • serotonin receptor signaling pathway   • cellular response to monoamine stimulus   • adenylate cyclase-activating serotonin receptor signaling pathway   • intracellular transport   • regulation of defense response   • regulation of response to external stimulus   • negative regulation of inflammatory response   • negative regulation of biological process   • inflammatory response to antigenic stimulus   • regulation of response to stress   • regulation of immune system process   • negative regulation of inflammatory response to antigenic stimulus   • defense response   • immune response   • negative regulation of response to stimulus   • negative regulation of immune response   • regulation of inflammatory response to antigenic stimulus   • response to external stimulus   • regulation of inflammatory response   • regulation of response to stimulus   • negative regulation of immune system process   • immune system process   • negative regulation of response to external stimulus   • negative regulation of defense response   • regulation of immune response   • inflammatory response   • positive regulation of adenylate cyclase activity   • positive regulation of molecular function   • regulation of molecular function   • positive regulation of cyclase activity   • activation of adenylate cyclase activity   • regulation of adenylate cyclase activity   • regulation of catalytic activity   • positive regulation of catalytic activity   • positive regulation of lyase activity   • adenylate cyclase-activating dopamine receptor signaling pathway   • G protein-coupled dopamine receptor signaling pathway   • cell surface receptor signaling pathway   • bile acid signaling pathway   • adenylate cyclase-activating G protein-coupled bile acid receptor signaling pathway   • renal system process   • multicellular organismal-level water homeostasis   • multicellular organismal-level chemical homeostasis   • renal water homeostasis   • cellular anatomical structure   • membrane   • protein-containing complex   • extrinsic component of plasma membrane   • catalytic complex   • plasma membrane protein complex   • cytoplasmic side of membrane   • plasma membrane   • membrane protein complex   • heterotrimeric G-protein complex   • side of membrane   • cell periphery   • cytoplasmic side of plasma membrane   • GTPase complex
Gene OntologyCellular Component• cellular anatomical structure   • membrane   • protein-containing complex   • extrinsic component of plasma membrane   • catalytic complex   • plasma membrane protein complex   • cytoplasmic side of membrane   • plasma membrane   • membrane protein complex   • heterotrimeric G-protein complex   • side of membrane   • cell periphery   • cytoplasmic side of plasma membrane   • GTPase complex   • extrinsic component of membrane   • extrinsic component of cytoplasmic side of plasma membrane   • extracellular exosome   • membrane-bounded organelle   • extracellular vesicle   • extracellular organelle   • extracellular region   • organelle   • extracellular space   • vesicle   • extracellular membrane-bounded organelle   • intracellular anatomical structure   • cytoplasm   • cytosol   • Golgi apparatus subcompartment   • Golgi apparatus   • organelle subcompartment   • trans-Golgi network membrane   • intracellular membrane-bounded organelle   • endomembrane system   • intracellular organelle   • trans-Golgi network   • organelle membrane   • protein binding   • binding   • G-protein beta-subunit binding   • fibroblast proliferation   • cell population proliferation   • cellular process   • cellular response to nitrogen compound   • cellular response to stimulus   • response to dopamine   • regulation of cellular process   • response to stimulus   • signaling   • cellular response to dopamine   • response to monoamine   • cell communication   • response to catecholamine   • adenylate cyclase-activating dopamine receptor signaling pathway   • cellular response to catecholamine stimulus   • signal transduction   • regulation of biological process   • G protein-coupled dopamine receptor signaling pathway   • biological regulation   • response to oxygen-containing compound   • response to nitrogen compound   • adenylate cyclase-activating G protein-coupled receptor signaling pathway   • cellular response to oxygen-containing compound   • cellular response to chemical stimulus   • cellular response to monoamine stimulus   • response to chemical   • adenylate cyclase-modulating G protein-coupled receptor signaling pathway   • G protein-coupled receptor signaling pathway   • response to ketone   • response to prostaglandin   • response to lipid   • response to endogenous stimulus   • response to alcohol   • cellular response to prostaglandin stimulus   • cellular response to endogenous stimulus   • cellular response to prostaglandin E stimulus   • cellular response to alcohol   • response to hormone   • cellular response to lipid   • response to prostaglandin E   • cellular response to ketone   • cellular response to hormone stimulus   • synapse   • cell junction   • enzyme binding   • GTPase binding   • protein-containing complex binding   • pyrophosphatase activity   • GTPase activity   • ribonucleoside triphosphate phosphatase activity   • hydrolase activity, acting on acid anhydrides, in phosphorus-containing anhydrides   • hydrolase activity   • hydrolase activity, acting on acid anhydrides   • catalytic activity   • signaling receptor complex adaptor activity   • protein-macromolecule adaptor activity   • molecular adaptor activity   • signaling adaptor activity   • multicellular organismal process   • system process   • sensory perception of chemical stimulus   • sensory perception   • nervous system process   • sensory perception of taste   • developmental process   • sensory organ development   • eye development   • animal organ development   • retina development in camera-type eye   • visual system development   • multicellular organism development   • camera-type eye development   • anatomical structure development   • sensory system development   • system development   • small GTPase-mediated signal transduction   • Ras protein signal transduction   • intracellular signal transduction   • intracellular signaling cassette   • phospholipase C-activating G protein-coupled receptor signaling pathway   • synaptic signaling   • cellular response to acetylcholine   • cell-cell signaling   • acetylcholine receptor signaling pathway   • postsynaptic signal transduction   • G protein-coupled acetylcholine receptor signaling pathway   • response to acetylcholine   • non-motile cilium   • 9+0 non-motile cilium   • cilium   • neuron projection   • photoreceptor disc membrane   • photoreceptor outer segment   • plasma membrane bounded cell projection   • cell projection   • photoreceptor cell cilium   • vacuolar membrane   • lytic vacuole   • vacuole   • lytic vacuole membrane   • bounding membrane of organelle   • lysosomal membrane   • lysosome   • amyloid-beta binding   • peptide binding   • calcitonin family receptor activity   • peptide receptor activity   • molecular transducer activity   • G protein-coupled receptor activity   • G protein-coupled peptide receptor activity   • signaling receptor activity   • transmembrane signaling receptor activity   • calcitonin receptor activity   • amylin receptor activity   • calcitonin gene-related peptide receptor activity   • calcitonin binding   • calcitonin family binding   • peptide hormone binding   • hormone binding   • positive regulation of cytosolic calcium ion concentration   • regulation of biological quality   • positive regulation of cell communication   • positive regulation of signal transduction   • positive regulation of biological process   • regulation of signal transduction   • positive regulation of response to stimulus   • regulation of intracellular signal transduction   • regulation of calcium-mediated signaling   • positive regulation of calcium-mediated signaling   • positive regulation of cellular process   • regulation of signaling   • positive regulation of intracellular signal transduction   • regulation of response to stimulus   • calcium-mediated signaling   • regulation of cell communication   • positive regulation of signaling   • catabolic process   • negative regulation of biological process   • RNA metabolic process   • macromolecule catabolic process   • regulation of primary metabolic process   • nucleobase-containing compound metabolic process   • post-transcriptional regulation of gene expression   • regulation of RNA metabolic process   • regulation of mRNA catabolic process   • negative regulation of cellular process   • regulation of nucleobase-containing compound metabolic process   • RNA catabolic process   • negative regulation of macromolecule metabolic process   • regulation of biosynthetic process   • mRNA catabolic process   • negative regulation of metabolic process   • primary metabolic process   • regulation of macromolecule metabolic process   • regulation of catabolic process   • gene expression   • mRNA metabolic process   • macromolecule biosynthetic process   • nucleic acid metabolic process   • nucleobase-containing compound catabolic process   • regulation of mRNA stability   • regulation of gene expression   • negative regulation of gene expression   • biosynthetic process   • negative regulation of biosynthetic process   • negative regulation of macromolecule biosynthetic process   • regulation of RNA stability   • nucleic acid catabolic process   • metabolic process   • regulation of macromolecule biosynthetic process   • macromolecule metabolic process   • regulation of mRNA metabolic process   • regulation of metabolic process   • positive regulation of ERK1 and ERK2 cascade   • positive regulation of MAPK cascade   • regulation of MAPK cascade   • MAPK cascade   • ERK1 and ERK2 cascade   • regulation of ERK1 and ERK2 cascade   • positive regulation of macromolecule biosynthetic process   • positive regulation of metabolic process   • positive regulation of gene expression   • positive regulation of biosynthetic process   • positive regulation of macromolecule metabolic process   • amylin receptor 1 signaling pathway   • amylin receptor signaling pathway   • calcitonin family receptor signaling pathway   • regulation of phosphatidylinositol 3-kinase/protein kinase B signal transduction   • positive regulation of phosphatidylinositol 3-kinase/protein kinase B signal transduction   • phosphatidylinositol 3-kinase/protein kinase B signal transduction   • response to corticosteroid   • response to steroid hormone   • response to glucocorticoid   • response to amyloid-beta   • cell surface receptor signaling pathway   • calcitonin gene-related peptide receptor signaling pathway   • ossification   • amylin receptor 2 signaling pathway   • myeloid leukocyte differentiation   • cellular developmental process   • hemopoiesis   • cell development   • myeloid cell differentiation   • cell differentiation   • osteoclast differentiation   • leukocyte differentiation   • positive regulation of cAMP/PKA signal transduction   • cAMP/PKA signal transduction   • regulation of cAMP/PKA signal transduction   • regulation of multicellular organismal process   • negative regulation of multicellular organismal process   • regulation of ossification   • negative regulation of ossification   • amylin receptor 3 signaling pathway   • amylin receptor complex   • amylin receptor complex 3   • receptor complex   • plasma membrane signaling receptor complex   • G protein-coupled receptor complex   • calcitonin family receptor complex   • amylin receptor complex 2   • amylin receptor complex 1   • axon   • acrosomal vesicle   • intracellular vesicle   • cytoplasmic vesicle   • secretory granule   • secretory vesicle   • signaling receptor binding   • molecular function activator activity   • molecular function regulator activity   • signaling receptor regulator activity   • receptor ligand activity   • signaling receptor activator activity   • hormone activity   • lipid binding   • identical protein binding   • apoptotic process   • cell death   • programmed cell death   • positive regulation of programmed cell death   • regulation of apoptotic process   • regulation of programmed cell death   • positive regulation of apoptotic process   • behavior   • eating behavior   • feeding behavior   • regulation of cellular component organization   • negative regulation of cellular component organization   • protein-containing complex organization   • regulation of cellular component biogenesis   • negative regulation of protein-containing complex assembly   • cellular component organization   • cellular component biogenesis   • regulation of protein-containing complex assembly   • cellular component assembly   • protein-containing complex assembly   • cellular component organization or biogenesis   • regulation of leukocyte differentiation   • regulation of developmental process   • regulation of cell differentiation   • regulation of cell development   • regulation of osteoclast differentiation   • regulation of immune system process   • negative regulation of cell differentiation   • negative regulation of hemopoiesis   • regulation of multicellular organismal development   • negative regulation of leukocyte differentiation   • regulation of myeloid cell differentiation   • negative regulation of developmental process   • regulation of myeloid leukocyte differentiation   • negative regulation of myeloid cell differentiation   • negative regulation of osteoclast differentiation   • negative regulation of myeloid leukocyte differentiation   • negative regulation of cell development   • negative regulation of immune system process   • immune system process   • regulation of hemopoiesis   • negative regulation of tissue remodeling   • homeostatic process   • negative regulation of bone remodeling   • regulation of bone remodeling   • tissue homeostasis   • regulation of tissue remodeling   • regulation of bone resorption   • bone resorption   • negative regulation of bone resorption   • multicellular organismal-level homeostasis   • tissue remodeling   • bone remodeling   • anatomical structure homeostasis   • sensory perception of pain   • negative regulation of amyloid fibril formation   • regulation of amyloid fibril formation   • amyloid fibril formation   • negative regulation of supramolecular fiber organization   • protein metabolic process   • negative regulation of protein metabolic process   • regulation of protein metabolic process   • regulation of supramolecular fiber organization   • supramolecular fiber organization   • somatodendritic compartment   • cell body   • neuronal cell body   • coreceptor activity   • adrenomedullin binding   • adrenomedullin receptor activity   • heart development   • circulatory system development   • circulatory system process   • regulation of blood pressure   • blood circulation   • localization   • import into cell   • receptor internalization   • transport   • receptor-mediated endocytosis   • endocytosis   • establishment of localization   • vesicle-mediated transport   • blood vessel morphogenesis   • tube development   • angiogenesis   • vasculature development   • anatomical structure morphogenesis   • tube morphogenesis   • anatomical structure formation involved in morphogenesis   • blood vessel development   • regulation of vasculogenesis   • vasculogenesis   • positive regulation of developmental process   • positive regulation of cell differentiation   • positive regulation of vasculogenesis   • establishment of protein localization   • protein transport   • macromolecule localization   • intracellular protein localization   • smooth muscle cell differentiation   • muscle cell differentiation   • muscle structure development   • vascular associated smooth muscle cell differentiation   • muscle cell development   • vascular associated smooth muscle cell development   • protein localization to cell periphery   • cellular localization   • protein localization to plasma membrane   • localization within membrane   • protein localization to membrane   • sprouting angiogenesis   • negative regulation of vascular permeability   • regulation of vascular permeability   • vascular process in circulatory system   • bicellular tight junction assembly   • tight junction organization   • apical junction assembly   • cell junction organization   • cell junction assembly   • tight junction assembly   • cell-cell junction assembly   • cell-cell junction organization   • intracellular transport   • establishment of localization in cell   • intracellular protein transport   • regulation of G protein-coupled receptor signaling pathway   • adrenomedullin receptor signaling pathway   • regulation of vasculature development   • regulation of anatomical structure morphogenesis   • positive regulation of angiogenesis   • positive regulation of vasculature development   • regulation of angiogenesis   • positive regulation of multicellular organismal process   • extracellular matrix organization   • basement membrane assembly   • extracellular matrix assembly   • basement membrane organization   • extracellular structure organization   • external encapsulating structure organization   • monoatomic ion transport   • monoatomic cation transport   • calcium ion transport   • metal ion transport   • negative regulation of endothelial cell apoptotic process   • negative regulation of programmed cell death   • negative regulation of apoptotic process   • endothelial cell apoptotic process   • regulation of endothelial cell apoptotic process   • adherens junction organization   • adherens junction assembly   • cellular response to growth factor stimulus   • cellular response to vascular endothelial growth factor stimulus   • response to growth factor   • clathrin-coated pit   • cell surface   • G protein-coupled receptor dimeric complex   • adrenomedullin receptor complex
SCOP2Domain Identifier• Transducin (heterotrimeric G protein), gamma chain   • G protein-coupled receptor-like   • RAMP1-like
SCOP2Family Identifier• Transducin (heterotrimeric G protein), gamma chain   • G protein-coupled receptor-like   • RAMP1-like
Membrane Protein Annotations-• Orientations of Proteins in Membranes database (OPM)   • Protein Data Bank of Transmembrane Proteins (PDBTM)   • MemProtMD


Details about the values in these tables can be found in the corresponding documentation page .
CodeGGL
PDB ResiduesL:L:?0
Environment DetailsOpen EMBL-EBI Page
CodeGGL
NameGlutamic acid
SynonymsGlutamic acid
Identifier
FormulaC5 H9 N O4
Molecular Weight147.129
SMILES
PubChem33032
Formal Charge0
Total Atoms19
Total Chiral Atoms1
Total Bonds18
Total Aromatic Bonds0

CodeNH2
PDB ResiduesL:L:?38
Environment DetailsOpen EMBL-EBI Page
CodeNH2
NameAMINO GROUP
Synonyms
Identifier
FormulaH2 N
Molecular Weight16.023
SMILES
PubChem123329
Formal Charge0
Total Atoms3
Total Chiral Atoms0
Total Bonds2
Total Aromatic Bonds0

Code_L_
PDB ResiduesL:L:?101
Environment DetailsOpen EMBL-EBI Page
Code_L_
Name
Synonyms
Identifier
Formula
Molecular Weight
SMILES
PubChem
Formal Charge
Total Atoms
Total Chiral Atoms
Total Bonds
Total Aromatic Bonds

PDBsumOpen PDBsum Page
ChainA
ProteinG Protein α Sub unit
UniProtP63092
Sequence
>9BQ3_Chain_A
DQRNEEKAQ REANKKIEK QLQKDKQVY RATHRLLLL GAGESGKTI 
VKQMTSGIF ETKFQVDKV NFHMFDVGQ RDERRKWIQ CFNDVTAII 
FVVASSSTN RLQALLFSI WNNWLRSVI LFLNKQDLL AEKVLAGKS 
KIEDYFPEF ARYTTPEDA TPEPGEDPR VTRAKYFIR DEFLRISTA 
SGDGRHYCY PHFTCVDTE NIRRVFNDC RDIIQRMHL RQYELLNAA 
KDKDTS


Click on each residue to open a popup with some information about it.

ConSurf Conservation Grade (See documentation): 

 n/a   1    2    3    4    5    6    7    8    9  

ChainB
ProteinG Protein β Sub unit
UniProtP62873
Sequence
>9BQ3_Chain_B
SELDQLRQE AEQLKNQIR DARKACADA TLSQITNNI DPVGRIQMR 
TRRTLRGHL AKIYAMHWG TDSRLLVSA SQDGKLIIW DSYTTNKVH 
AIPLRSSWV MTCAYAPSG NYVACGGLD NICSIYNLK TREGNVRVS 
RELAGHTGY LSCCRFLDD NQIVTSSGD TTCALWDIE TGQQTTTFT 
GHTGDVMSL SLAPDTRLF VSGACDASA KLWDVREGM CRQTFTGHE 
SDINAICFF PNGNAFATG SDDATCRLF DLRADQELM TYSHDNIIC 
GITSVSFSK SGRLLLAGY DDFNCNVWD ALKADRAGV LAGHDNRVS 
CLGVTDDGM AVATGSWDS FLKIWN


Click on each residue to open a popup with some information about it.

ConSurf Conservation Grade (See documentation): 

 n/a   1    2    3    4    5    6    7    8    9  

ChainE
ProteinRAMP2
UniProtO60895
Sequence
>9BQ3_Chain_E
NYETAVQFC WNHYKDQMD PIEKDWCDW AMISRPYST LRDCLEHFA 
ELFDLGFPN PLAERIIFE THQIHFANC SLVQPTFSD PPEDVLLAM 
IIAPICLIP FLITLVVWR SKD


Click on each residue to open a popup with some information about it.

ConSurf Conservation Grade (See documentation): 

 n/a   1    2    3    4    5    6    7    8    9  

ChainG
ProteinG Protein γ Sub unit
UniProtP59768
Sequence
>9BQ3_Chain_G
SIAQARKLV EQLKMEANI DRIKVSKAA ADLMAYCEA HAKEDPLLT 
PVPASENPF R


Click on each residue to open a popup with some information about it.

ConSurf Conservation Grade (See documentation): 

 n/a   1    2    3    4    5    6    7    8    9  

ChainL
ProteinCagrilintide
UniProtP10997
Sequence
>9BQ3_Chain_L


Click on each residue to open a popup with some information about it.

ConSurf Conservation Grade (See documentation): 

 n/a   1    2    3    4    5    6    7    8    9  

ChainR
ProteinReceptor
UniProtP30988
Sequence
>9BQ3_Chain_R
FLYVVGRKK MMDAQYKCY DRMQQLPAY PYCNRTWDG WLCWDDTPA 
GVLSYQFCP DYFPDFDPS EKVTKYCDV WFKHPENNR TWSNYTMCN 
AFTPEKLKN AYVLYYLAI VGHSLSIFT LVISLGIFV FFRSLGCQR 
VTLHKNMFL TYILNSMII IIHLVEVVP NGELVRRDP VSCKILHFF 
HQYMMACNY FWMLCEGIY LHTLIVVAV FTEKQRLRW YYLLGWGFP 
LVPTTIHAI TRAVYFNDN CWLSVETHL LYIIHGPVM AALVVNFFF 
LLNIVRVLV TKMRETHEA ESHMYLKAV KATMILVPL LGIQFVVFP 
WRPSNKMLG KIYDYVMHS LIHFQGFFV ATIYCFCNN EVQTTVKRQ 
W


Click on each residue to open a popup with some information about it.

ConSurf Conservation Grade (See documentation): 

 n/a   1    2    3    4    5    6    7    8    9  




This receptor, from the same or other species and bound to the same or other ligands, is also present in the following networks:
Show PDB Class SubFamily Type SubType Species Orthosteric Ligand Other Ligand(s) Protein Partners Resolution Date DOI
7TYHB1PeptideCalcitoninCT (AMY2)Homo sapiensCalcitonin-Gs/β1/γ2; RAMP23.32022-03-23doi.org/10.1126/science.abm9609
7TYH (No Gprot) B1PeptideCalcitoninCT (AMY2)Homo sapiensCalcitonin-3.32022-03-23doi.org/10.1126/science.abm9609
7TYYB1PeptideCalcitoninCT (AMY2)Homo sapiensCalcitonin-1-Gs/β1/γ2; RAMP232022-03-23doi.org/10.1126/science.abm9609
7TYY (No Gprot) B1PeptideCalcitoninCT (AMY2)Homo sapiensCalcitonin-1-32022-03-23doi.org/10.1126/science.abm9609
7TYXB1PeptideCalcitoninCT (AMY2)Homo sapiensAmylin-Gs/β1/γ2; RAMP22.552022-03-30doi.org/10.1126/science.abm9609
7TYX (No Gprot) B1PeptideCalcitoninCT (AMY2)Homo sapiensAmylin-2.552022-03-30doi.org/10.1126/science.abm9609
9BQ3 (No Gprot) B1PeptideCalcitoninCT (AMY2)Homo sapiensCagrilintide-2.82025-04-23doi.org/10.1038/s41467-025-58680-y




You can download a compressed (zip) file with structure(s), 3D outputs (as PyMol and VMD scripts) and numerical data files (as csv and plain text files).

Download 9BQ3.zip



You can click to copy the link of this page to easily come back here later

or use this QR code to link and share this page.



You can also  read or  download a guide explaining the meaning of all files and numerical data.