Color ConSurf Grade
      No Conservation data available
      1
      2
      3
      4
      5
      6
      7
      8
      9

Index: hub id, click on each number to highlight the corresponding hub in the 3D visualization.

Hub: the hub being considered.

Avg Int. Strength: the average interaction strength of all the links of the corresponding hub.

Num Of Links: the number of links of the corresponding hub.

Community: the id of the community the link belong to, otherwise 0.

ConSurf: this column reports the ConSurf conservation grades of each hub.

Index Hub Avg Int. Strength Num Of Links Community ConSurf
1R:R:I13 4.5665123
2R:R:F21 5.22402
3R:R:R22 10.5125423
4R:R:L34 3.13408
5R:R:E37 5.225427
6R:R:F38 7.0525407
7R:R:N45 4.3975409
8R:R:I51 5.535467
9R:R:F52 4.31833667
10R:R:W59 6.4675466
11R:R:R63 4.1025407
12R:R:I64 4.5225407
13R:R:F65 4.8375407
14R:R:L66 4.156568
15R:R:F67 5.688566
16R:R:L69 4.34569
17R:R:D73 7.236569
18R:R:F74 5.535407
19R:R:I77 2.8425406
20R:R:L80 3.8775428
21R:R:L83 7.405426
22R:R:Y87 8.21833626
23R:R:W91 7.935824
24R:R:W93 7.91375829
25R:R:F95 8.866527
26R:R:C100 6.44429
27R:R:R101 4.5275406
28R:R:M103 4.05667625
29R:R:L104 4.188525
30R:R:F105 5.78566
31R:R:M106 3.376565
32R:R:L107 5.156526
33R:R:M109 5.78429765
34R:R:N110 7.625469
35R:R:R111 6.794528
36R:R:Q112 6.142507
37R:R:I115 6.01428
38R:R:F117 7.138568
39R:R:Y126 9.235697
40R:R:F127 7.35595
41R:R:R128 8.41667698
42R:R:V129 4.98408
43R:R:V130 6.596598
44R:R:H131 5.535497
45R:R:H133 7.736546
46R:R:H134 4.778594
47R:R:N137 3.8175494
48R:R:S148 4.33468
49R:R:L151 4.11507
50R:R:W152 5.086569
51R:R:T155 5.47467
52R:R:T159 4.37567
53R:R:M167 3.90167623
54R:R:L176 4.002524
55R:R:C177 7.7375429
56R:R:S179 7.41424
57R:R:F180 7.8675823
58R:R:H189 10.496525
59R:R:E190 10.065424
60R:R:F193 6.442526
61R:R:E196 6.875405
62R:R:F197 7.024508
63R:R:L201 3.208507
64R:R:R210 7.6175494
65R:R:L215 3.945448
66R:R:R218 5.952545
67R:R:M220 6.23333643
68R:R:H223 6.34444
69R:R:I226 5.19546
70R:R:F240 4.6725429
71R:R:F244 7.366528
72R:R:R251 9.212525
73R:R:Y269 3.588502
74R:R:F276 6.536524
75R:R:F277 5.63425
76R:R:T279 3.5125427
77R:R:L280 4.124525
78R:R:F282 3.3425427
79R:R:T283 6.3275428
80R:R:Y284 4.92727
81R:R:M288 3.538528
82R:R:D290 7.564569
83R:R:P291 3.6075469
84R:R:Y294 6.05889969
85R:R:Y295 4.19375867
86R:R:F296 4.556568
87R:R:F301 5.086569
88B:B:R22 7.3875476
89B:B:D27 5.3925408
90B:B:L30 3.985405
91B:B:T34 3.735455
92B:B:I37 3.57167652
93B:B:V40 5.7225453
94B:B:M45 4.676534
95B:B:R49 5.5575437
96B:B:L51 8.036539
97B:B:H54 7.96857739
98B:B:Y59 9.132518
99B:B:M61 4.3575436
100B:B:W63 6.45833637
101B:B:L70 6.0575435
102B:B:V71 5.0085108
103B:B:D76 5.616539
104B:B:K78 3.625408
105B:B:L79 6.264107
106B:B:I80 8.288538
107B:B:I81 4.1785107
108B:B:W82 9.19875839
109B:B:D83 7.75438
110B:B:S84 3.79635
111B:B:Y85 13.545434
112B:B:N88 5.574537
113B:B:K89 6.87143739
114B:B:H91 5.63254105
115B:B:I93 5.4054107
116B:B:L95 5.4285108
117B:B:W99 7.70429719
118B:B:Y105 4.99258106
119B:B:N110 7.225414
120B:B:Y111 7.048514
121B:B:V112 4.8454108
122B:B:L117 3.624519
123B:B:N119 5.3275409
124B:B:C121 4.135418
125B:B:I123 4.63333616
126B:B:Y124 4.946676106
127B:B:L126 3.81254105
128B:B:V133 5.68754104
129B:B:L139 6.28509
130B:B:H142 5.75819
131B:B:Y145 5.32667918
132B:B:L146 4.728517
133B:B:C148 3.5425486
134B:B:C149 4.2625418
135B:B:R150 7.3375486
136B:B:F151 5.84714719
137B:B:L152 4.1975483
138B:B:I157 4.95833617
139B:B:V158 4.6175485
140B:B:T159 5.62619
141B:B:S160 5.2486
142B:B:D163 9.2025419
143B:B:C166 4.585488
144B:B:L168 4.8875486
145B:B:W169 9.365618
146B:B:T173 4.394115
147B:B:Q176 6.234514
148B:B:F180 7.14833687
149B:B:H183 8.12333689
150B:B:D186 4.524519
151B:B:V187 5.024589
152B:B:L190 4.434585
153B:B:L192 3.566585
154B:B:F199 6.72789
155B:B:V200 6.9275476
156B:B:S201 5.2625489
157B:B:C204 5.122517
158B:B:D205 6.315489
159B:B:S207 3.896585
160B:B:K209 9.20333686
161B:B:L210 4.914575
162B:B:W211 9.964588
163B:B:C218 5.812585
164B:B:R219 6.3775475
165B:B:Q220 6.436577
166B:B:T221 7.4925487
167B:B:F222 9.115478
168B:B:H225 9.23779
169B:B:D228 6.902519
170B:B:I229 5.83477
171B:B:I232 5.8625478
172B:B:F234 4.47667675
173B:B:F235 5.70143756
174B:B:P236 6.3775457
175B:B:F241 6.51143776
176B:B:T243 5.075678
177B:B:D246 6.48419
178B:B:D247 7.278579
179B:B:T249 6.05576
180B:B:R251 8.105878
181B:B:F253 7.614576
182B:B:L255 3.5725476
183B:B:D258 8.218577
184B:B:Y264 6.55333655
185B:B:H266 5.0125454
186B:B:F278 5.995657
187B:B:R283 6.01286759
188B:B:L284 4.7225405
189B:B:L285 4.79456
190B:B:L286 3.72437
191B:B:Y289 6.85657
192B:B:N293 4.325455
193B:B:N295 7.798556
194B:B:W297 7.42458
195B:B:D298 8.262559
196B:B:K301 5.8575455
197B:B:R304 7.73555
198B:B:H311 8.81333639
199B:B:R314 12.96418
200B:B:L318 4.0925436
201B:B:M325 5.095435
202B:B:V327 3.9575406
203B:B:W332 12.72719
204B:B:D333 6.626539
205B:B:L336 4.70667637
206B:B:K337 9.116536
207B:B:I338 4.386535
208B:B:W339 7.3375839
209B:B:N340 6.804539
210A:A:I19 4.1875439
211A:A:L23 3.1875436
212A:A:V34 6.2545
213A:A:L37 4.954519
214A:A:L38 6.66448
215A:A:L39 3.65519
216A:A:I49 5.5625447
217A:A:I184 4.4775419
218A:A:E186 5.6475419
219A:A:F189 6.23409
220A:A:F191 8.1425445
221A:A:L194 6.735444
222A:A:F196 8.78547
223A:A:K197 7.5425416
224A:A:F199 7.794515
225A:A:D200 4.7075449
226A:A:V201 4.0075419
227A:A:Q204 5.1725419
228A:A:S206 4.3875418
229A:A:R208 4.1575419
230A:A:K210 5.58875819
231A:A:W211 4.71286719
232A:A:I212 4.4075418
233A:A:H213 7.4025418
234A:A:C214 3.6375417
235A:A:F215 4.96625819
236A:A:I221 4.094518
237A:A:I222 3.13547
238A:A:F223 5.776519
239A:A:V225 4.5475417
240A:A:L227 5.5417
241A:A:Y230 5.0675818
242A:A:F250 5.82714719
243A:A:I253 3.044518
244A:A:C254 4.6075415
245A:A:W258 9.888515
246A:A:F259 5.215619
247A:A:I265 2.892548
248A:A:L266 4.252519
249A:A:F267 5.20714749
250A:A:L268 4.71667618
251A:A:N269 4.5525449
252A:A:F274 4.9175819
253A:A:K277 3.715419
254A:A:L283 4.9675417
255A:A:Y287 5.085617
256A:A:Y290 5.955407
257A:A:Y296 7.942514
258A:A:Y302 8.095416
259A:A:I303 3.876517
260A:A:Q304 7.1425415
261A:A:F307 4.87857718
262A:A:N311 5.39418
263A:A:Y320 8.266547
264A:A:T321 6.12415
265A:A:H322 8.6775449
266A:A:F323 5.284514
267A:A:T324 5.636549
268A:A:F336 6.232548
269A:A:V339 4.875448
270A:A:V342 3.3375447
271A:A:I344 4.505446
272A:A:K345 5.5325445
273A:A:L353 4.088507
274A:A:F354 8.85429745
275G:G:K20 6.00754156
276G:G:R27 4.988578
277G:G:Y40 9.685456
278G:G:D48 5.84559
279G:G:P49 3.8725407
280G:G:L51 3.185656
281G:G:V54 4.3725436
282G:G:N59 6.475439
283G:G:P60 7.8825439
284G:G:F61 6.04143738
285L:L:?1 7.342731120
   

Color ConSurf Grade
      No Conservation data available
      1
      2
      3
      4
      5
      6
      7
      8
      9

Index: link id, click on each number to highlight the corresponding link in the 3D visualization.

Node1 Node2: the two nodes of the corresponding link.

Recurrence: the relative Recurrence in the pool of shortest paths.

Int. Strength: the interaction strength between the two nodes.

Hub1?, Hub2?: "Yes" if the corresponding node has more than 3 links, otherwise "No".

Community: the id of the community the link belong to, otherwise 0.

ConSurf1, ConSurf2: these columns report the ConSurf conservation grades of the two nodes involved in a link.

Index Node1 Node2 Recurrence Int. Strength Hub1? Hub2? Community ConSurf1 ConSurf2
1R:R:I77 R:R:L80 10.78362.85YesYes068
2R:R:I77 R:R:N45 13.55024.25YesYes069
3R:R:D73 R:R:S287 26.010810.31YesNo098
4R:R:L76 R:R:S287 25.73386.01NoNo078
5R:R:L107 R:R:L76 24.93964.15YesNo067
6L:L:?1 R:R:L107 13.764710.7YesYes206
7R:R:F244 R:R:T283 22.69885.19YesYes288
8R:R:F244 R:R:N286 30.525710.87YesNo089
9R:R:D290 R:R:N286 30.9368.08YesNo099
10R:R:D73 R:R:L69 17.22015.43YesYes699
11R:R:D290 R:R:Y294 48.15946.9YesYes699
12B:B:D333 B:B:N313 13.15754.04YesNo097
13B:B:N313 B:B:W332 13.44267.91NoYes079
14B:B:W332 B:B:Y59 23.46079.65YesYes198
15B:B:Q75 B:B:Y59 11.630614.65NoYes198
16B:B:Q75 B:B:W99 11.68668.76NoYes199
17A:A:F215 B:B:W99 14.76529.02YesYes199
18A:A:F215 A:A:L37 61.501710.96YesYes199
19A:A:L37 A:A:L39 77.61915.54YesYes199
20A:A:G40 A:A:L39 98.28871.71NoYes099
21A:A:G40 A:A:K46 1006.97NoNo099
22A:A:K46 A:A:L38 99.86158.46NoYes498
23A:A:L38 A:A:M198 31.60449.9YesNo087
24A:A:F189 A:A:M198 31.51253.73YesNo097
25A:A:F189 A:A:F196 31.054316.08YesYes097
26A:A:F196 A:A:V339 61.57635.24YesYes478
27A:A:I343 A:A:V339 92.35783.07NoYes078
28A:A:I343 A:A:N347 92.40624.25NoNo078
29A:A:N347 R:R:R128 90.117112.05NoYes988
30A:A:C351 R:R:R128 78.15135.57NoYes948
31A:A:C351 A:A:L353 78.05013.17NoYes047
32A:A:L353 R:R:R125 79.25668.5YesNo079
33R:R:R125 R:R:Y294 78.97848.23NoYes699
34A:A:C214 B:B:Y59 12.1135.38YesYes178
35A:A:C214 B:B:L117 31.69713.17YesYes179
36A:A:F215 B:B:L117 30.16152.44YesYes199
37A:A:H213 B:B:W332 11.96858.46YesYes189
38A:A:C214 A:A:H213 19.54182.95YesYes178
39A:A:I222 A:A:L38 68.3862.85YesYes478
40A:A:I222 A:A:L36 63.49774.28YesNo477
41A:A:F196 A:A:L36 31.24966.09YesNo477
42A:A:L36 A:A:V34 32.232.98NoYes475
43A:A:V339 A:A:V34 30.89248.02YesYes485
44R:R:K60 R:R:R63 11.42932.48NoYes077
45A:A:D350 R:R:K60 11.55148.3NoNo047
46R:R:L107 R:R:M103 10.73294.24YesYes265
47B:B:L210 B:B:R219 19.81782.43YesYes755
48B:B:D212 B:B:R219 19.995410.72NoYes095
49B:B:D212 B:B:R214 20.03045.96NoNo099
50B:B:R214 B:B:V213 20.44935.23NoNo094
51B:B:F199 B:B:V213 20.58892.62YesNo094
52B:B:F199 B:B:L190 21.85966.09YesYes895
53B:B:L190 B:B:S160 26.48896.01YesYes856
54B:B:S147 B:B:S160 36.20384.89NoYes096
55B:B:S147 B:B:Y145 36.3272.54NoYes098
56A:A:W211 B:B:Y145 48.57354.82YesYes198
57A:A:V201 A:A:W211 16.07957.36YesYes199
58A:A:L37 A:A:V201 16.15152.98YesYes199
59A:A:F215 A:A:W211 16.45084.01YesYes199
60A:A:R208 A:A:W211 17.76353YesYes199
61A:A:I253 A:A:R208 16.18992.51YesYes189
62A:A:I253 A:A:L39 16.37755.71YesYes189
63B:B:W297 B:B:Y264 18.256512.54YesYes585
64B:B:W297 B:B:Y289 18.57576.75YesYes587
65B:B:C271 B:B:Y289 21.57094.03NoYes057
66B:B:C271 B:B:D290 22.57286.22NoNo056
67B:B:D290 B:B:R314 22.972316.68NoYes068
68B:B:R314 B:B:W332 21.8325.99YesYes189
69B:B:M45 B:B:W339 10.05583.49YesYes349
70B:B:H311 B:B:W339 11.04263.17YesYes399
71B:B:D333 B:B:H311 12.16198.82YesYes399
72B:B:H62 B:B:Y105 10.79334.36NoYes066
73B:B:H62 B:B:R150 11.047120.31NoYes066
74B:B:H142 B:B:S161 10.540715.34YesNo199
75B:B:G162 B:B:S161 11.2093.71NoNo199
76B:B:G162 B:B:Y145 11.34027.24NoYes198
77A:A:F223 A:A:L39 11.0412.44YesYes199
78L:L:?1 R:R:W91 11.83455.87YesYes204
79R:R:L69 R:R:Y294 25.51683.52YesYes699
80R:R:D290 R:R:D73 17.160411.98YesYes699
81A:A:D350 R:R:R128 11.67385.96NoYes048
Download PSN data

2D representation of the global metapath, ligand(s) interactions and
histograms of path distribution according to several parameters
(click on the image to enlarge it 🔍):

A 2D representation of the global communication in the network.

ConSurf Conservation Grade (See documentation): 

 n/a   1    2    3    4    5    6    7    8    9  

Number of shortest communication paths as a function of the average residue correlation.

Number of shortest communication paths as a function of the average interaction strength of their links.

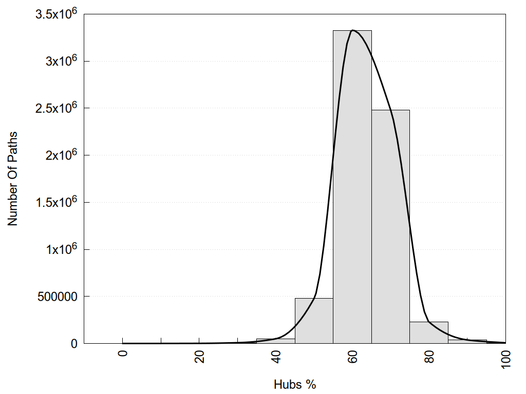
Number of shortest communication paths as a function of the % of hub nodes in each path.

Number of shortest communication paths as a function of the number of nodes in each path.

Number of shortest communication paths as a function of the % of correlated nodes in each path.


2D representation of the interactions of this orthosteric/allosteric ligand.


Links and nodes colored according to ConSurf Conservation Grade (See documentation): 

 n/a   1    2    3    4    5    6    7    8    9  

Node1 Node2 LinkStrength Comm IsNode1Hub? IsNode2Hub? Node1Cons Node2Cons Node1Shell Node2Shell
R:R:R22 R:R:W91 12 2 Yes Yes 3 4 2 1
R:R:I26 R:R:W91 3.52 0 No Yes 5 4 2 1
R:R:L30 R:R:L34 2.77 0 No Yes 5 8 2 2
R:R:L30 R:R:Y87 7.03 0 No Yes 5 6 2 1
R:R:L34 R:R:L80 4.15 0 Yes Yes 8 8 2 2
R:R:L34 R:R:L83 2.77 0 Yes Yes 8 6 2 1
R:R:E37 R:R:L80 2.65 2 Yes Yes 7 8 2 2
R:R:E37 R:R:Y284 3.37 2 Yes Yes 7 7 2 1
R:R:L107 R:R:L76 4.15 2 Yes No 6 7 1 2
R:R:C79 R:R:L107 3.17 0 No Yes 6 6 2 1
R:R:L80 R:R:Y284 5.86 2 Yes Yes 8 7 2 1
R:R:L83 R:R:Y87 14.07 2 Yes Yes 6 6 1 1
R:R:L83 R:R:M103 5.65 2 Yes Yes 6 5 1 2
L:L:?1 R:R:L83 7.13 2 Yes Yes 0 6 0 1
R:R:N86 R:R:Y87 3.49 2 No Yes 5 6 2 1
R:R:N86 R:R:W91 5.65 2 No Yes 5 4 2 1
R:R:W91 R:R:Y87 12.54 2 Yes Yes 4 6 1 1
R:R:F277 R:R:Y87 4.13 2 Yes Yes 5 6 1 1
L:L:?1 R:R:Y87 8.05 2 Yes Yes 0 6 0 1
R:R:L176 R:R:W91 5.69 2 Yes Yes 4 4 2 1
R:R:S178 R:R:W91 6.18 2 No Yes 4 4 1 1
R:R:F277 R:R:W91 12.03 2 Yes Yes 5 4 1 1
L:L:?1 R:R:W91 5.87 2 Yes Yes 0 4 0 1
R:R:C100 R:R:L104 3.17 2 Yes Yes 9 5 2 1
R:R:C100 R:R:M167 4.86 2 Yes Yes 9 3 2 2
R:R:C100 R:R:C177 7.28 2 Yes Yes 9 9 2 2
R:R:L104 R:R:M103 2.83 2 Yes Yes 5 5 1 2
R:R:L107 R:R:M103 4.24 2 Yes Yes 6 5 1 2
R:R:C177 R:R:M103 3.24 2 Yes Yes 9 5 2 2
R:R:L104 R:R:M167 4.24 2 Yes Yes 5 3 1 2
R:R:C177 R:R:L104 4.76 2 Yes Yes 9 5 2 1
L:L:?1 R:R:L104 5.94 2 Yes Yes 0 5 0 1
R:R:L107 R:R:Y284 3.52 2 Yes Yes 6 7 1 1
L:L:?1 R:R:L107 10.7 2 Yes Yes 0 6 0 1
R:R:E196 R:R:R111 6.98 0 Yes Yes 5 8 2 1
R:R:L280 R:R:R111 3.64 2 Yes Yes 5 8 2 1
R:R:R111 R:R:T283 7.76 2 Yes Yes 8 8 1 2
R:R:R111 R:R:Y284 4.12 2 Yes Yes 8 7 1 1
L:L:?1 R:R:R111 11.47 2 Yes Yes 0 8 0 1
R:R:L162 R:R:S179 3 2 No Yes 4 4 2 1
R:R:H189 R:R:L162 10.29 2 Yes No 5 4 2 2
R:R:L176 R:R:S178 3 2 Yes No 4 4 2 1
L:L:?1 R:R:S178 2.58 2 Yes No 0 4 0 1
R:R:F180 R:R:S179 5.28 2 Yes Yes 3 4 1 1
R:R:H189 R:R:S179 9.76 2 Yes Yes 5 4 2 1
L:L:?1 R:R:S179 11.6 2 Yes Yes 0 4 0 1
R:R:F180 R:R:H189 22.63 2 Yes Yes 3 5 1 2
R:R:E190 R:R:F180 7 2 Yes Yes 4 3 2 1
R:R:F180 R:R:F193 11.79 2 Yes Yes 3 6 1 2
R:R:F180 R:R:R251 3.21 2 Yes Yes 3 5 1 2
R:R:F180 R:R:F276 5.36 2 Yes Yes 3 4 1 2
R:R:F180 R:R:L280 2.44 2 Yes Yes 3 5 1 2
L:L:?1 R:R:F180 5.23 2 Yes Yes 0 3 0 1
R:R:E190 R:R:R251 16.28 2 Yes Yes 4 5 2 2
R:R:E196 R:R:F193 3.5 0 Yes Yes 5 6 2 2
R:R:F193 R:R:R251 6.41 2 Yes Yes 6 5 2 2
R:R:F276 R:R:R251 13.9 2 Yes Yes 4 5 2 2
R:R:F276 R:R:F277 3.22 2 Yes Yes 4 5 2 1
R:R:F276 R:R:L280 3.65 2 Yes Yes 4 5 2 2
L:L:?1 R:R:F277 3.14 2 Yes Yes 0 5 0 1
R:R:L280 R:R:T283 7.37 2 Yes Yes 5 8 2 2
R:R:L280 R:R:Y284 3.52 2 Yes Yes 5 7 2 1
R:R:T283 R:R:Y284 4.99 2 Yes Yes 8 7 2 1
L:L:?1 R:R:Y284 9.06 2 Yes Yes 0 7 0 1

Location and physicochemical properties of the interaction partners of this ligand

Interactions of this ligand

Similarities between the interactions of this ligand and those of other networks

ShowSimilarityNetwork TypeNameLigandDescription
91.67Single8UUJFCH-22964138UUJ-HCA2-FCH-2296413-Gi1/β1/γ2
91.67Single9CIBFCH-22964139CIB-HCA2-FCH-2296413
84.62Single8IHBGSK2560738IHB-HCA2-GSK256073-Gi1/β1/γ2
84.62Single8IHHLUF62838IHH-HCA2-LUF6283-Gi1/β1/γ2
83.33Single8I7VAcipimox8I7V-HCA2-Acipimox-Gi1/β1/γ2
83.33Single8J6PNiacin8J6P-HCA2-Niacin-Compound 9n-Gi1/β1/γ2
83.33Single8JHNMMF8JHN-HCA2-MMF-Go/β1/γ2
83.33Single8JIINiacin8JII-HCA2-Niacin-Compound 9n-Gi1/β1/γ2
83.33Consensusgi_hcaOrthosteric Ligand8J6R-HCA2-MK6892-Gi1/β1/γ2 8JIM-HCA2-MMF-Gi1/β1/γ2 8IHI-HCA2-Acifran-Gi1/β1/γ2 8IHH-HCA2-LUF6283-Gi1/β1/γ2 8I7V-HCA2-Acipimox-Gi1/β1/γ2 8I7W-HCA2-GSK256073-Gi1/β1/γ2
83.33Consensushca2_onOrthosteric Ligand8J6R-HCA2-MK6892-Gi1/β1/γ2 8JIM-HCA2-MMF-Gi1/β1/γ2 8I7V-HCA2-Acipimox-Gi1/β1/γ2 8I7W-HCA2-GSK256073-Gi1/β1/γ2 8IHH-HCA2-LUF6283-Gi1/β1/γ2 8IHI-HCA2-Acifran-Gi1/β1/γ2
83.33Consensushca2_on_gpOrthosteric Ligand8J6R-HCA2-MK6892-Gi1/β1/γ2 8IHI-HCA2-Acifran-Gi1/β1/γ2 8IHH-HCA2-LUF6283-Gi1/β1/γ2 8I7V-HCA2-Acipimox-Gi1/β1/γ2 8JIM-HCA2-MMF-Gi1/β1/γ2 8I7W-HCA2-GSK256073-Gi1/β1/γ2
83.33Consensushca_on_gpOrthosteric Ligandhca2_on_gp
81.82Single8IJBAcipimox8IJB-HCA2-Acipimox-Gi1/β1/γ2
81.82Single8UTDMK19038UTD-HCA2-MK1903-Gi1/β1/γ2
75.00Single8IY9Niacin8IY9-HCA2-Niacin-Go/β1/γ2
75.00Single8JEI3-nitro-4-(propylamino)benzoic acid8JEI-HCAR3-3-nitro-4-(propylamino)benzoic acid-Gi1/β1/γ2
75.00Single8JERAcipimox8JER-HCA2-Acipimox-Go/β1/γ2
75.00Single8JIMMMF8JIM-HCA2-MMF-Gi1/β1/γ2
75.00Single8K5CAcipimox8K5C-HCA2-Acipimox
75.00Consensushca_onOrthosteric Ligandhca2_on
72.73Single8JILNiacin8JIL-HCA2-Niacin-Gi1/β1/γ2
72.73Single9IQTNiacin9IQT-HCA2-Niacin-Gi1/β1/γ2
72.73Single9IZDCHBA9IZD-HCA1-CHBA-Gi1/β1/γ2
69.23Single8K5DGSK2560738K5D-HCA2-GSK256073
66.67Single8IJANiacin8IJA-HCA2-Niacin-Gi1/β1/γ2
66.67Single8IYWGSK2560738IYW-HCA2-GSK256073-Go/β1/γ2
66.67Single8J6LNiacin8J6L-HCA2-Niacin-Gi1/β1/γ2
64.29Single8I7WGSK2560738I7W-HCA2-GSK256073-Gi1/β1/γ2
64.29Single8J6JGSK2560738J6J-HCA2-GSK256073-Gi1/β1/γ2
58.82Single9IZASCH9002719IZA-HCA2-SCH900271-Gi1/β1/γ2
58.33Single8H2GNiacin8H2G-HCA2-Niacin-Gi1/β1/γ2
58.33Single8IHIAcifran8IHI-HCA2-Acifran-Gi1/β1/γ2
58.33Single8K5BNiacin8K5B-HCA2-Niacin
57.14Single8IHJAcifran8IHJ-HCA3-Acifran-Gi1/β1/γ2
57.14Consensusalicarboxylic_on_gpOrthosteric Ligandsuccinate_on_gp hca_on_gp
57.14Consensusgi_alicarboxylicOrthosteric Ligandgi_hca gi_succinate
52.94Consensusclass-a_onOrthosteric Ligandsensory_on alicarboxylic_on amine_on lipid_on nucleotide_on peptide_on protein_on
50.00Single8IHKAcifran8IHK-HCA3-Acifran
50.00Single8J6QBeta-Hydroxybutyrate8J6Q-HCA2-β-Hydroxybutyrate-Compound 9n-Gi1/β1/γ2
50.00Single8JEF(3S)-3-hydroxyoctanoic acid8JEF-HCA3-(3S)-3-hydroxyoctanoic acid-Gi1/β1/γ2
50.00Single8XIPPasireotide8XIP-SST1-Pasireotide-chim(NtGi1-Gs-CtGi1)/β1/γ2
47.62Single8IHFMK68928IHF-HCA2-MK6892-Gi1/β1/γ2
47.62Single8J6IMK68928J6I-HCA2-MK6892-Gi1/β1/γ2
47.62Consensusgi_class-aOrthosteric Ligandgi_peptide gi_sensory gi_alicarboxylic gi_amine gi_lipid gi_nucleotide gi_protein
47.37Single7W0PElabela7W0P-Apelin-Elabela-Gi1/β1/γ2
47.37Single8J6RMK68928J6R-HCA2-MK6892-Gi1/β1/γ2
47.37Consensusclass-a_on_gpOrthosteric Ligandsensory_on_gp alicarboxylic_on_gp amine_on_gp lipid_on_gp nucleotide_on_gp peptide_on_gp protein_on_gp
47.06Single7K15MKD0467K15-BLT1-MKD046-Na
47.06Single8IA8E7 peptide8IA8-C3aB-E7 peptide-Gi1/β1/γ2
46.67Single5NDDAZ8838; Na5NDD-PAR2-AZ8838; Na
46.15Single3OE9IT1t3OE9-CXCR4-IT1t
45.00Single6DO1Angiotensin-like peptide S1I86DO1-AT1-Angiotensin-like peptide S1I8
45.00Single7RKMFractalkine7RKM-US28-Fractalkine-Gi1/β1/γ2
45.00Single7W0NElabela7W0N-Apelin-Elabela-Gi1/β1/γ2
45.00Single7XMSSomatostatin-147XMS-SST4-Somatostatin-14-Gi1/β1/γ2
45.00Single7XNACYN1548067XNA-SST2-CYN154806
45.00Consensusgq_class-aOrthosteric Ligandgq_peptide gq_amine gq_nucleotide
45.00Consensussst2_offOrthosteric Ligand7XNA-SST2-CYN154806
45.00Consensussst4_onOrthosteric Ligand7XMS-SST4-Somatostatin-14-Gi1/β1/γ2 7XMT-SST4-J-2156-Gi1/β1/γ2
45.00Consensussst4_on_gpOrthosteric Ligand7XMS-SST4-Somatostatin-14-Gi1/β1/γ2 7XMT-SST4-J-2156-Gi1/β1/γ2
44.44Single7XK2MK68927XK2-HCA2-MK6892-Gi1/β1/γ2
44.44Single8IJDMK68928IJD-HCA2-MK6892-Gi1/β1/γ2
44.44Consensusprostanoid_offOrthosteric Ligandep_off dp_off
43.75Single8HNLPS3724248HNL-CXCR3-PS372424-Gi1/β1/γ2
43.75Consensusblt1_offOrthosteric Ligand5X33-BLT1-BIIL260 7K15-BLT1-MKD046-Na
43.75Consensusblt_offOrthosteric Ligandblt1_off
43.75Consensusrxfp4_onOrthosteric Ligand7YK7-RXFP4-DC591053-Gi2/β1/γ2 7YJ4-RXFP4-INSL5-Gi2/β1/γ2 7YK6-RXFP4-PubChem 138319674-Gi2/β1/γ2
43.75Consensusrxfp4_on_gpOrthosteric Ligand7YK7-RXFP4-DC591053-Gi2/β1/γ2 7YJ4-RXFP4-INSL5-Gi2/β1/γ2 7YK6-RXFP4-PubChem 138319674-Gi2/β1/γ2
42.86Single8JPPSuccinic acid8JPP-Succinate-Succinic acid-chim(Gs-CtGq)/β1/γ1
42.86Single8WOGSuccinic acid8WOG-Succinate-Succinic acid-Gi1/β1/γ2
42.86Single8YKXMaleic acid8YKX-Succinate-Maleic acid-Gi1/β1/γ1
42.86Consensusgi_succinateOrthosteric Ligand8YKW-Succinate-Succinic acid-Gi1/β1/γ1 8YKX-Succinate-Maleic acid-Gi1/β1/γ1
42.86Consensussuccinate_onOrthosteric Ligand8YKW-Succinate-Succinic acid-Gi1/β1/γ1 8YKX-Succinate-Maleic acid-Gi1/β1/γ1
42.86Consensussuccinate_on_gpOrthosteric Ligand8YKW-Succinate-Succinic acid-Gi1/β1/γ1 8YKX-Succinate-Maleic acid-Gi1/β1/γ1
42.11Single7F8WGastrin-177F8W-CCKB-Gastrin-17-chim(NtGsL-Gq)/β1/γ2
42.11Single9M0RNeuropeptide VF9M0R-NPFF1-Neuropeptide VF-Gi1/β1/γ2
41.67Consensusgq_peptideOrthosteric Ligandgq_cck gq_kisspeptin gq_bradykinin gq_bombesin gq_angiotensin
41.18Single8IYHMK68928IYH-HCA2-MK6892-Go/β1/γ2
41.18Single9ASTLymphotactin9AST-XCR1-Lymphotactin-Gi1/β1/γ2
41.18Consensusgi_relaxinOrthosteric Ligand7YK7-RXFP4-DC591053-Gi2/β1/γ2 7YJ4-RXFP4-INSL5-Gi2/β1/γ2 7YK6-RXFP4-PubChem 138319674-Gi2/β1/γ2
41.18Consensusrelaxin_onOrthosteric Ligandrxfp4_on
41.18Consensusrelaxin_on_gpOrthosteric Ligandrxfp4_on_gp
40.91Single8X8LCortistatin8X8L-SST5-Cortistatin-chim(NtGi1-Gs-CtGi1)/β1/γ2
40.00Single3V2YPubChem 518926453V2Y-S1P1-PubChem 51892645
40.00Single7F61PF-036547467F61-H3-PF-03654746
40.00Single7YK6PubChem 1383196747YK6-RXFP4-PubChem 138319674-Gi2/β1/γ2
40.00Single8K3ZCXCL128K3Z-CXCR4-CXCL12-Gi1/β1/γ1
40.00Single8WWNMCH8WWN-MCH1-MCH-Gi1/β1/γ2
40.00Single8ZBJSomatostatin-148ZBJ-SST5-Somatostatin-14-Gi1/β1/γ2
40.00Single9JFUNE52-QQ579JFU-GPR4-NE52-QQ57
40.00Consensuscxcr4_onOrthosteric Ligand8K3Z-CXCR4-CXCL12-Gi1/β1/γ1
40.00Consensussomatostatin_offOrthosteric Ligandsst2_off
40.00Consensussst5_onOrthosteric Ligand8X8L-SST5-Cortistatin-chim(NtGi1-Gs-CtGi1)/β1/γ2 8X8N-SST5-Octreotide-chim(NtGi1-Gs-CtGi1)/β1/γ2
39.13Single7Y64C5a anaphylatoxin7Y64-C5a1-C5a anaphylatoxin-Gi1/β1/γ2
39.13Single8HK5Complement C58HK5-C5a1-Complement C5-Gi1/β1/γ2
39.13Single8WWKMCH8WWK-MCH1-MCH-Gi1/β1/γ2
39.13Consensussst5_on_gpOrthosteric Ligand8X8L-SST5-Cortistatin-chim(NtGi1-Gs-CtGi1)/β1/γ2 8X8N-SST5-Octreotide-chim(NtGi1-Gs-CtGi1)/β1/γ2
38.89Single6C1RPMX536C1R-C5a1-PMX53-Avacopan; Na
38.89Single7XMTJ-21567XMT-SST4-J-2156-Gi1/β1/γ2
38.89Single8JJPChemerin8JJP-CML2-Chemerin-Gi1/β1/γ2
38.89Single8JZ7MK68928JZ7-HCA2-MK6892-Gi1/β1/γ2
38.89Single8XYIVUF106618XYI-CXCR3-VUF10661
38.89Single9GYOP3959GYO-GPBA-P395-chim(NtGi1-Gs)/β1/γ2
38.46Single3OE6IT1t3OE6-CXCR4-IT1t
38.10Single5XJM(Sar1,Ile8)-Angiotensin II5XJM-AT2-(Sar1,Ile8)-Angiotensin II
38.10Single8JZZC5a-desArg8JZZ-C5a1-C5a-desArg-Go/β1/γ2
38.10Consensuscompl-peptide_onOrthosteric Ligandc5a1_on c3a_on
37.50Single4XT3Fractalkine4XT3-US28-Fractalkine
37.50Single4YAYZD-71554YAY-AT1-ZD-7155
37.50Single6X1ADanuglipron6X1A-GLP-1-Danuglipron-Gs/β1/γ2
37.50Single7LCKDanuglipron7LCK-GLP-1-Danuglipron
37.50Single7UL4Alvimopan7UL4-μ-Alvimopan
37.50Single7YACPaltusotine7YAC-SST2-Paltusotine-Gi1/β1/γ2
37.50Single7YK7DC5910537YK7-RXFP4-DC591053-Gi2/β1/γ2
37.50Single8H0PNMB308H0P-BB1-NMB30-chim(NtGi1-Gs-CtGq)/β1/γ2
37.50Single9JGKBalovaptan9JGK-5-HT2B-Balovaptan
37.50Consensusgi_peptideOrthosteric Ligandgi_cck gi_apelin gi_compl-pept gi_endothelin gi_formylpeptide gi_galanin gi_ghrelin gi_npy gi_neurotensin gi_opioid gi_orexin gi_relaxin gi_somatostatin
37.50Consensuslipid_offOrthosteric Ligandcannabinoid_off paf_off lpl_off prostanoid_off leukotriene_off
36.84Single5UNGPubChem 157800525UNG-AT2-PubChem 15780052
36.84Single7Y65C5a peptide7Y65-C5a1-C5a peptide-Gi1/β1/γ2
36.84Single8XIOL7975918XIO-SST1-L797591-chim(NtGi1-Gs-CtGi1)/β1/γ2
36.84Consensusc3a_on_gpOrthosteric Ligand8HK2-C3aB-C3a anaphylatoxin-Gi1/β1/γ2 8IA8-C3aB-E7 peptide-Gi1/β1/γ2
36.84Consensusgal2_onOrthosteric Ligand7WQ4-GAL2-Galanin-chim(NtGi1-Gs-CtGq)/β1/γ2 7XJL-GAL2-Spexin-chim(NtGi2L-Gs-CtGq)/β1/γ2
36.84Consensusgal2_on_gpOrthosteric Ligand7WQ4-GAL2-Galanin-chim(NtGi1-Gs-CtGq)/β1/γ2 7XJL-GAL2-Spexin-chim(NtGi2L-Gs-CtGq)/β1/γ2
36.36Single6LW5WKYMVm6LW5-FPR2-ALX-WKYMVm
36.36Consensusangiotensin_onOrthosteric Ligandat1_on
36.36Consensusat1_onOrthosteric Ligand7F6G-AT1-SAR1-AngII-Gq/β1/γ2
36.36Consensuscompl-peptide_on_gpOrthosteric Ligandc5a1_on_gp c3a_on_gp
36.36Consensuscxcr4_on_gpOrthosteric Ligand8K3Z-CXCR4-CXCL12-Gi1/β1/γ1
36.00Single7EIBDes-Arg10-Kallidin7EIB-BK1-Des-Arg10-Kallidin-chim(NtGi1-Gs-CtGq)/β1/γ2
36.00Single7WVYAmyloid-Beta427WVY-FPR2-ALX-Amyloid-β42-Gi2/β1/γ2
36.00Single7XATSomatostatin-147XAT-SST2-Somatostatin-14-Gi1/β1/γ2
36.00Single8WWLMCH8WWL-MCH1-MCH-Gi1/β1/γ2
36.00Single8XWPEndothelin-18XWP-ETB-Endothelin-1-Gi1/β1/γ2
36.00Single8ZH8QRF-Amide8ZH8-QRFP-QRF-Amide-Gq/β1/γ1
36.00Consensuspeptide_onOrthosteric Ligandcck_on angiotensin_on apelin_on bombesin_on bradykinin_on compl-peptide_on endothelin_on formylpeptide_on galanin_on ghrelin_on kisspeptin_on melanocortin_on motilin_on neuromedin-u_on npy_on neurotensin_on opioid_on orexin_on relaxin_on somatostatin_on tachykinin_on trh_on vasop-oxy_on
36.00Consensuspeptide_on_gpOrthosteric Ligandcck_on_gp angiotensin_on_gp apelin_on_gp bombesin_on_gp bradykinin_on_gp compl-peptide_on_gp endothelin_on_gp formylpeptide_on_gp galanin_on_gp ghrelin_on_gp kisspeptin_on_gp melanocortin_on_gp motilin_on_gp neuromedin-u_on_gp npy_on_gp neurotensin_on_gp opioid_on_gp orexin_on_gp relaxin_on_gp somatostatin_on_gp tachykinin_on_gp trh_on_gp vasop-oxy_on_gp
35.71Single8FX5Xanomeline8FX5-M4-Xanomeline-Xanomeline-Gi1/β1/γ2
35.71Single8JPNCis-Epoxysuccinic acid8JPN-Succinate-Cis-Epoxysuccinic acid-Gi1/β1/γ1
35.71Single8WP1Cis-Epoxysuccinic acid8WP1-Succinate-Cis-Epoxysuccinic acid-Gi1/β1/γ2
35.71Single8YKWSuccinic acid8YKW-Succinate-Succinic acid-Gi1/β1/γ1
35.71Single8ZX5AM2518ZX5-GPR55-AM251-chim(NtGi1-G13)/β1/γ2
35.71Single9LMPNE52-QQ579LMP-GPR4-NE52-QQ57
35.71Consensusgq_nucleotideOrthosteric Ligandgq_p2y
35.71Consensusgq_p2yOrthosteric Ligand7XXH-P2Y1-2MeSADP-chim(NtGi1-G11)/β1/γ2
35.29Single5YHLPubChem 1351213525YHL-EP4-PubChem 135121352
35.29Single5YWYONO-AE3-2085YWY-EP4-ONO-AE3-208
35.29Single6D26Fevipiprant6D26-DP2-Fevipiprant
35.29Single6ME72-Phenylmelatonin6ME7-MT2-2-Phenylmelatonin
35.29Single7C61Ergotamine7C61-5-HT1B-Ergotamine
35.29Single7EO2FTY720-P7EO2-S1P1-FTY720-P-Gi1/β1/γ2
35.29Single7TD3S1P7TD3-S1P1-S1P-Gi1/β1/γ2
35.29Single8K8JFenofibrate8K8J-CB1-Fenofibrate-chim(Gs-CtGq)/β1/γ2
35.29Single8WGBVU01550418WGB-mGlu4; mGlu2-Glutammate-VU0155041-Gi3/β1/γ2
35.29Single8XYKVUF106618XYK-CXCR3-VUF10661-Go/β1/γ2
35.29Single8YICSAR2477998YIC-S1P1-SAR247799-Gi1/β1/γ2
35.29Single8ZPTPrRP208ZPT-PrRP-PrRP20-chim(NtGi1-Gs-CtGq)/β1/γ2
35.29Consensuscb2_onOrthosteric Ligand8GUR-CB2-CP55,940-Gi1/β1/γ2 8GUS-CB2-HU-308-Gi1/β1/γ2 8GUT-CB2-LEI-102-Gi1/β1/γ2 6KPF-CB2-PubChem 145915889-Gi1/β1/γ2 6PT0-CB2-WIN 55212-2-Gi1/β1/γ2 8GUQ-CB2-Olorinab-Gi1/β1/γ2
35.29Consensuscb2_on_gpOrthosteric Ligand8GUR-CB2-CP55,940-Gi1/β1/γ2 8GUS-CB2-HU-308-Gi1/β1/γ2 8GUT-CB2-LEI-102-Gi1/β1/γ2 6KPF-CB2-PubChem 145915889-Gi1/β1/γ2 6PT0-CB2-WIN 55212-2-Gi1/β1/γ2 8GUQ-CB2-Olorinab-Gi1/β1/γ2
35.29Consensusdp2_offOrthosteric Ligand6D26-DP2-Fevipiprant
35.29Consensusdp_offOrthosteric Liganddp2_off
35.29Consensusep4_offOrthosteric Ligand5YWY-EP4-ONO-AE3-208 5YHL-EP4-PubChem 135121352
35.29Consensusep_offOrthosteric Ligandep4_off
35.29Consensuslipid_onOrthosteric Ligandcannabinoid_on ffa_on lpl_on prostanoid_on leukotriene_on
35.29Consensuslipid_on_gpOrthosteric Ligandcannabinoid_on_gp ffa_on_gp lpl_on_gp prostanoid_on_gp leukotriene_on_gp
35.29Consensuss1p5_offOrthosteric Ligand7YXA-S1P5-ONO-5430608
35.29Consensuss1p_offOrthosteric Ligands1p1_off s1p5_off
35.00Single6C1QPMX536C1Q-C5a1-PMX53-NDT9513727
35.00Single7F2OBradykinin7F2O-BK2-Bradykinin-chim(NtGi1-Gs-CtGq)/β1/γ2
35.00Single7RKFFractalkine7RKF-US28-Fractalkine-GDP-chim(NtGi1-G11)/β1/γ2
35.00Single7SK9CCX6627SK9-ACKR3-CCX662
35.00Single7XBXCX3CL17XBX-CX3CR1-CX3CL1-Gi1/β1/γ2
35.00Single7XY6BAY 60-65837XY6-A2B-BAY 60-6583-chim(NtGi1-Gs)/β1/γ2
35.00Single8JLRA776368JLR-TA1-A77636-chim(NtGi1-Gs)/β1/γ2
35.00Single8XZFWN5618XZF-Apelin-WN561-Gi1/β1/γ2
35.00Single9EAJNanobody AT2099EAJ-AT1-Nanobody AT209
35.00Consensuscxcr3_onOrthosteric Ligand8HNK-CXCR3-CXCL11-Gi1/β1/γ2 8HNL-CXCR3-PS372424-Gi1/β1/γ2
34.78Single6JODAngiotensin II6JOD-AT2-Angiotensin II
34.78Single7F6GSAR1-AngII7F6G-AT1-SAR1-AngII-Gq/β1/γ2
34.78Single8XZJWN3538XZJ-Apelin-WN353-Gi1/β1/γ2
34.78Single8ZBISomatostatin-148ZBI-SST3-Somatostatin-14-Gi1/β1/γ2
34.78Consensusangiotensin_on_gpOrthosteric Ligandat1_on_gp
34.78Consensusat1_on_gpOrthosteric Ligand7F6G-AT1-SAR1-AngII-Gq/β1/γ2
34.78Consensusc5a1_on_gpOrthosteric Ligand8HK5-C5a1-Complement C5-Gi1/β1/γ2 7Y66-C5a1-BM213-Gi1/β1/γ2 7Y67-C5a1-C089 peptide-Gi1/β1/γ2 7Y64-C5a1-C5a anaphylatoxin-Gi1/β1/γ2
34.78Consensuscxcr3_on_gpOrthosteric Ligand8HNK-CXCR3-CXCL11-Gi1/β1/γ2 8HNL-CXCR3-PS372424-Gi1/β1/γ2
34.78Consensusgi_formylpeptideOrthosteric Ligand7WVY-FPR2-ALX-Amyloid-β42-Gi2/β1/γ2 7T6U-FPR2-ALX-CGEN-855A-Gi1/β1/γ2 7VFX-FPR1-ALX-fMLF-Gi1/β1/γ2 7T6V-FPR2-ALX-fMLFII-Gi1/β1/γ2 7WVX-FPR2-ALX-Humanin-Gi2/β1/γ2 7T6S-FPR2-ALX-PubChem 24776341-Gi1/β1/γ2 6OMM-FPR2-ALX-WKYMVX-Gi1/β1/γ2
34.78Consensusgq_angiotensinOrthosteric Ligand7F6G-AT1-SAR1-AngII-Gq/β1/γ2
34.78Consensuspeptide_offon_gpOrthosteric Ligandpeptide_on_gp peptide_off
34.62Consensusbk2_onOrthosteric Ligand7F6H-BK2-Bradykinin-Gq/β1/γ2 7F6I-BK2-Kallidin-Gq/β1/γ2
34.62Consensusbk2_on_gpOrthosteric Ligand7F6H-BK2-Bradykinin-Gq/β1/γ2 7F6I-BK2-Kallidin-Gq/β1/γ2
34.62Consensusbradykinin_onOrthosteric Ligandbk2_on
34.62Consensusbradykinin_on_gpOrthosteric Ligandbk2_on_gp
34.62Consensusgq_bradykininOrthosteric Ligand7F6H-BK2-Bradykinin-Gq/β1/γ2 7F6I-BK2-Kallidin-Gq/β1/γ2
33.33Single3ODUIT1t3ODU-CXCR4-IT1t
33.33Single3V2WPubChem 518926453V2W-S1P1-PubChem 51892645
33.33Single4XT1Fractalkine4XT1-US28-Fractalkine
33.33Single5UNFPubChem 157800525UNF-AT2-PubChem 15780052
33.33Single5ZKQABT-4915ZKQ-PAF-ABT-491
33.33Single6B73MP11046B73-κ-MP1104
33.33Single6D9HAdenosine6D9H-A1-Adenosine-Gi2/β1/γ2
33.33Single6N48BI1671076N48-β2-BI167107-PubChem 138454256
33.33Single7CKYPW04647CKY-D1-PW0464-Gs/β1/γ2
33.33Single7F6HBradykinin7F6H-BK2-Bradykinin-Gq/β1/γ2
33.33Single7F6IKallidin7F6I-BK2-Kallidin-Gq/β1/γ2
33.33Single7LCJDanuglipron7LCJ-GLP-1-Danuglipron
33.33Single7LD4Adenosine7LD4-A1-Adenosine-Gi2/β1/γ2
33.33Single7T6UCGEN-855A7T6U-FPR2-ALX-CGEN-855A-Gi1/β1/γ2
33.33Single7W0OElabela7W0O-Apelin-Elabela-Gi1/β1/γ2
33.33Single7WV9CP559407WV9-CB1-CP55940-ZCZ011-Gi2/β1/γ2
33.33Single7WVWfMYFINILTL7WVW-FPR2-ALX-fMYFINILTL-Gi2/β1/γ2
33.33Single7X2CFenoldopam7X2C-D1-Fenoldopam-Fenoldopam-Gs/β1/γ2
33.33Single7XBDGalanin7XBD-GAL2-Galanin-chim(NtGi2L-Gs-CtGq)/β1/γ2
33.33Single8DCRDobutamine8DCR-β1-Dobutamine-Gs/β1/γ2
33.33Single8EFOPZM218EFO-μ-PZM21-Gi1/β1/γ2
33.33Single8IA2C5a anaphylatoxin8IA2-C5a1-C5a anaphylatoxin-Go/β1/γ2
33.33Single8JT6(R)-IHCH-71798JT6-5-HT1A-(R)-IHCH-7179-Gi1/β1/γ2
33.33Single8U4OCXCL128U4O-CXCR4-CXCL12-Gi1/β1/γ2
33.33Single8WDTphotoNECA8WDT-A2A-photoNECA
33.33Single8WWMMCH8WWM-MCH1-MCH-Gi1/β1/γ2
33.33Single8XGOTAK4488XGO-Kiss1-TAK448-chim(NtGi1-Gq)/β1/γ2
33.33Single8XQEApelin-138XQE-Apelin-Apelin-13-Gi1/β1/γ2
33.33Single8XXVIndomethacin8XXV-DP2-Indomethacin-A1D5Q-Gi1/β1/γ2
33.33Single8Y0HVUF114188Y0H-CXCR3-VUF11418
33.33Single8Y0NVUF114188Y0N-CXCR3-VUF11418-Go/β1/γ2
33.33Single8YYWAlpha-ketoglutarate8YYW-Oxoglutarate-α-ketoglutarate-α-ketoglutarate-chim(Gi1-CtGq)/β1/γ2
33.33Single8ZPSPrRP208ZPS-PrRP-PrRP20-chim(NtGi1-Gs-CtGq)/β1/γ2
33.33Single8ZSPLSD8ZSP-TA1-LSD-chim(NtGi1L-Gs-CtGq)/β1/γ2
33.33Single9BUYLM1899BUY-β2-LM189-Gi1/β1/γ2
33.33Single9I54A1IZV9I54-D1-A1IZV-Gs/β1/γ2
33.33Single9L3YRetinoic acid receptor responder protein 29L3Y-CML2-Retinoic acid receptor responder protein 2-Gi1/β1/γ2
33.33Consensusa1_onOrthosteric Ligand7LD4-A1-Adenosine-Gi2/β1/γ2
33.33Consensusa1_on_gpOrthosteric Ligand7LD4-A1-Adenosine-Gi2/β1/γ2
33.33Consensusbb2_onOrthosteric Ligand7W40-BB2-Bombesin-chim(NtGi1L-Gq)/β1/γ2 7W3Z-BB2-Gastrin Releasing Peptide-chim(NtGi1L-Gq)/β1/γ2
33.33Consensusbb2_on_gpOrthosteric Ligand7W40-BB2-Bombesin-chim(NtGi1L-Gq)/β1/γ2 7W3Z-BB2-Gastrin Releasing Peptide-chim(NtGi1L-Gq)/β1/γ2
33.33Consensusbombesin_onOrthosteric Ligandbb2_on
33.33Consensusbombesin_on_gpOrthosteric Ligandbb2_on_gp
33.33Consensuschemokine_offOrthosteric Ligandccr_off cxcr_off
33.33Consensusclass-a_offOrthosteric Ligandsensory_off alicarboxylic_off amine_off lipid_off nucleotide_off peptide_off protein_off
33.33Consensuscxcr_offOrthosteric Ligandcxcr3_off cxcr4_off
33.33Consensusd1_on_gpOrthosteric Ligand7F0T-D1-Dopamine-Gs/β1/γ2 7CKY-D1-PW0464-Gs/β1/γ2 8IRR-D1-Rotigotine-Gs/β1/γ2 7JV5-D1-SKF81297-Gs/β1/γ2 7JVP-D1-SKF83959-Gs/β1/γ2 7X2D-D1-Tavapadon-Gs/β1/γ2 7CKX-D1-A77636-Gs/β1/γ2 7JVQ-D1-Apomorphine-Gs/β1/γ2 7CKW-D1-Fenoldopam-Gs/β1/γ2
33.33Consensusgi_cannabinoidOrthosteric Ligand8GUR-CB2-CP55,940-Gi1/β1/γ2 8GUS-CB2-HU-308-Gi1/β1/γ2 8GUT-CB2-LEI-102-Gi1/β1/γ2 8GUQ-CB2-Olorinab-Gi1/β1/γ2 6KPF-CB2-PubChem 145915889-Gi1/β1/γ2 6PT0-CB2-WIN 55212-2-Gi1/β1/γ2 6KPG-CB1-AM841-Gi1/β1/γ2
33.33Consensusgq_bombesinOrthosteric Ligand7W40-BB2-Bombesin-chim(NtGi1L-Gq)/β1/γ2 7W3Z-BB2-Gastrin Releasing Peptide-chim(NtGi1L-Gq)/β1/γ2
33.33Consensusgs_dopamineOrthosteric Ligand7F0T-D1-Dopamine-Gs/β1/γ2 7CKW-D1-Fenoldopam-Gs/β1/γ2 7CKY-D1-PW0464-Gs/β1/γ2 8IRV-D5-Rotigotine-chim(NtGi1-Gs)/β1/γ2 8IRR-D1-Rotigotine-Gs/β1/γ2 7JV5-D1-SKF81297-Gs/β1/γ2 7JVP-D1-SKF83959-Gs/β1/γ2 7X2D-D1-Tavapadon-Gs/β1/γ2 7CKX-D1-A77636-Gs/β1/γ2 7JVQ-D1-Apomorphine-Gs/β1/γ2
33.33Consensuslpl_onOrthosteric Ligands1p_on lpa_on
33.33Consensuslpl_on_gpOrthosteric Ligands1p_on_gp lpa_on_gp
33.33Consensusp2y1_onOrthosteric Ligand7XXH-P2Y1-2MeSADP-chim(NtGi1-G11)/β1/γ2
33.33Consensuspaf_offOrthosteric Ligand5ZKQ-PAF-ABT-491
33.33Consensuss1p1_offOrthosteric Ligand3V2W-S1P1-PubChem 51892645
32.00Single7F8VGastrin-177F8V-CCKB-Gastrin-17-Gi2/β1/γ2
32.00Single7YKDChemerin-97YKD-CML1-Chemerin-9-Gi1/β1/γ2
32.00Consensusccr_offOrthosteric Ligandccr2_off ccr5_off
32.00Consensusgi_compl-peptOrthosteric Ligand8HK5-C5a1-Complement C5-Gi1/β1/γ2 8IA8-C3aB-E7 peptide-Gi1/β1/γ2 7Y66-C5a1-BM213-Gi1/β1/γ2 7Y67-C5a1-C089 peptide-Gi1/β1/γ2 8HK2-C3aB-C3a anaphylatoxin-Gi1/β1/γ2 7Y64-C5a1-C5a anaphylatoxin-Gi1/β1/γ2
31.82Single3QAKUK-4320973QAK-A2A-UK-432097
31.82Single7C6A(Sar1,Ile8)-Angiotensin II7C6A-AT2-(Sar1,Ile8)-Angiotensin II
31.82Single7EZKCholecystokinin-87EZK-CCKA-Cholecystokinin-8-chim(NtGi1-Gs)/β1/γ2
31.82Single8SG1Chemerin-98SG1-CML1-Chemerin-9-Gi1/β1/γ2
31.82Single8WSSPro-MCH8WSS-MCH1-Pro-MCH-Gi1/β1/γ1
31.82Single9E82SDF-1-beta9E82-ACKR3-SDF-1-β-Arrestin2
31.82Single9IQVMuscarinic toxin 39IQV-Alpha1A-Muscarinic toxin 3
31.82Consensusformylpeptide_on_gpOrthosteric Ligandfpr2-alx_on_gp fpr1-alx_on_gp
31.82Consensusgi_cckOrthosteric Ligand7EZH-CCKA-Cholecystokinin-8-Gi1/β1/γ2 7F8V-CCKB-Gastrin-17-Gi2/β1/γ2
31.58Single4LDEBI1671074LDE-β2-BI167107
31.58Single5UNHPubChem 1264564065UNH-AT2-PubChem 126456406
31.58Single5X33BIIL2605X33-BLT1-BIIL260
31.58Single6A93Risperidone6A93-5-HT2A-Risperidone
31.58Single6OS0Angiotensinogen6OS0-AT1-Angiotensinogen
31.58Single6OS2TRV0266OS2-AT1-TRV026
31.58Single7BZ2Arformoterol7BZ2-β2-Arformoterol-Gs/β1/γ2
31.58Single7DFPSpiperone7DFP-D2-Spiperone
31.58Single7DH5Mirabegron7DH5-β3-Mirabegron-Gs/β1/γ2
31.58Single7EO4BAF3127EO4-S1P1-BAF312-Gi1/β1/γ2
31.58Single7EW2Fingolimod7EW2-S1P3-Fingolimod-Gi1/β1/γ2
31.58Single7W0NElabela7W0N-Apelin-Elabela-Gi1/β1/γ2
31.58Single7XJKGalanin7XJK-GAL2-Galanin-chim(NtGi2L-Gs-CtGq)/β1/γ2
31.58Single8J6DEP1418J6D-C3aB-EP141-Go/β1/γ2
31.58Single8JPCNeurotensin-(8-13)8JPC-NTS1-Neurotensin-(8-13)-SBI-553; GDP; Mg-Gq; GRK2
31.58Single8X8NOctreotide8X8N-SST5-Octreotide-chim(NtGi1-Gs-CtGi1)/β1/γ2
31.58Single9BJKNAM9BJK-μ-Naloxone-NAM
31.58Single9DGIZ85267113509DGI-CB1-Z8526711350
31.58Single9GL2Befiradol9GL2-5-HT1A-Befiradol-Gs/β1/γ2
31.58Consensusbeta3_onOrthosteric Ligand7DH5-β3-Mirabegron-Gs/β1/γ2 7XJH-β3-Isoproterenol-Gs/β1/γ2 7XJI-β3-Solabegron-Gs/β1/γ2
31.58Consensusbeta3_on_gpOrthosteric Ligand7DH5-β3-Mirabegron-Gs/β1/γ2 7XJH-β3-Isoproterenol-Gs/β1/γ2 7XJI-β3-Solabegron-Gs/β1/γ2
31.58Consensusc3a_onOrthosteric Ligand8HK2-C3aB-C3a anaphylatoxin-Gi1/β1/γ2 8IA8-C3aB-E7 peptide-Gi1/β1/γ2
31.58Consensuscannabinoid_onOrthosteric Ligandcb2_on cb1_on
31.58Consensuscannabinoid_on_gpOrthosteric Ligandcb2_on_gp cb1_on_gp
31.58Consensuscb1_onOrthosteric Ligand6KPG-CB1-AM841-Gi1/β1/γ2 8K8J-CB1-Fenofibrate-chim(Gs-CtGq)/β1/γ2
31.58Consensusgalanin_onOrthosteric Ligandgal2_on gal1_on
31.58Consensusgalanin_on_gpOrthosteric Ligandgal2_on_gp gal1_on_gp
31.58Consensusgi_lipidOrthosteric Ligandgi_cannabinoid gi_ffa gi_leukotriene gi_lpa gi_s1p
31.58Consensusleukotriene_offOrthosteric Ligandblt_off cyslt_off
31.58Consensuslipid_offonOrthosteric Ligandlipid_off lipid_on
31.58Consensuslipid_offon_gpOrthosteric Ligandlipid_on_gp lipid_off
31.58Consensuslpl_offOrthosteric Ligands1p_off lpa_off
31.58Consensusopioid_offOrthosteric Ligandmop_off nop_off dop_off kop_off
31.58Consensuss1p1_onOrthosteric Ligand7VIE-S1P1-S1P-Gi1/β1/γ2 7VIF-S1P1-S-FTY720-P-Gi1/β1/γ2 7VIG-S1P1-CBP-307-Gi1/β1/γ2 7EVY-S1P1-Siponimod-Gi1/β1/γ2 7EVZ-S1P1-Cenerimod-Gi1/β1/γ2 7EW0-S1P1-Ozanimod-Gi1/β1/γ2 7EW7-S1P1-SEW2871-Gi1/β1/γ2
31.58Consensuss1p1_on_gpOrthosteric Ligand7VIE-S1P1-S1P-Gi1/β1/γ2 7VIF-S1P1-S-FTY720-P-Gi1/β1/γ2 7VIG-S1P1-CBP-307-Gi1/β1/γ2 7EVY-S1P1-Siponimod-Gi1/β1/γ2 7EVZ-S1P1-Cenerimod-Gi1/β1/γ2 7EW0-S1P1-Ozanimod-Gi1/β1/γ2 7EW7-S1P1-SEW2871-Gi1/β1/γ2
31.25Single2YDOAdenosine2YDO-A2A-Adenosine
31.25Single4ZJCSB-6740424ZJC-OX1-SB-674042
31.25Single4ZUDOlmesartan4ZUD-AT1-Olmesartan
31.25Single6ME32-Phenylmelatonin6ME3-MT1-2-Phenylmelatonin
31.25Single6TPGEMPA6TPG-OX2-EMPA
31.25Single6U1NLY21196206U1N-M2-LY2119620-Arrestin2
31.25Single6V9SGTPL114036V9S-OX1-GTPL11403
31.25Single6ZG9GSK10347026ZG9-M1-GSK1034702
31.25Single7C2EPubChem 1490507997C2E-GLP-1-PubChem 149050799-Gs/β1/γ2
31.25Single7XXH2MeSADP7XXH-P2Y1-2MeSADP-chim(NtGi1-G11)/β1/γ2
31.25Single8GUQOlorinab8GUQ-CB2-Olorinab-Gi1/β1/γ2
31.25Single8GURCP55,9408GUR-CB2-CP55,940-Gi1/β1/γ2
31.25Single8HNMVUF112228HNM-CXCR3-VUF11222-Gi1/β1/γ2
31.25Single8JLQFenoldopam8JLQ-TA1-Fenoldopam-Gs/β1/γ2
31.25Single8K9KDamgo8K9K-μ-Damgo-Gi3/β1/γ1
31.25Single8RWIStilSwitch28RWI-A2A-StilSwitch2-Na
31.25Single8UHBRO52563908UHB-TA1-RO5256390-Gs/β1/γ2
31.25Single8W88SEP-3638568W88-TA1-SEP-363856-Gs/β1/γ2
31.25Single8YKVPubChem 1375531688YKV-Succinate-PubChem 137553168-Gi1/β1/γ2
31.25Single8ZPMAMD0708ZPM-CXCR4-AMD070
31.25Single9K0KUTP9K0K-P2Y4-UTP-chim(NtGi1-Gs-CtGq)/β1/γ2
31.25Single9K0XATP9K0X-P2Y2-ATP-chim(NtGi1-Gs-CtGq)/β1/γ2
31.25Single9K20ATP9K20-P2Y2-ATP-chim(NtGi1-Go)/β1/γ2
31.25Consensusat1_offOrthosteric Ligand4YAY-AT1-ZD-7155 4ZUD-AT1-Olmesartan
31.25Consensusnop_offOrthosteric Ligand4EA3-NOP-PubChem 10296561 5DHG-NOP-C-35 5DHH-NOP-SB-612111
31.25Consensusp2y1_on_gpOrthosteric Ligand7XXH-P2Y1-2MeSADP-chim(NtGi1-G11)/β1/γ2
31.03Consensusgs_peptideOrthosteric Ligandgs_cck gs_melanocortin gs_vasop-oxy
30.77Single8GEIConstrained Epinephrine8GEI-β2-Constrained Epinephrine-Gs/β1/γ2
30.43Single5WF5UK-4320975WF5-A2A-UK-432097
30.43Single7T6TfMLFII7T6T-FPR1-ALX-fMLFII-Gi1/β1/γ2
30.43Single7TD0LPA7TD0-LPA1-LPA-Gi1/β1/γ2
30.43Single7XA3CCL27XA3-CCR2-CCL2-Gi1/β1/γ2
30.43Single8XIQL7967788XIQ-SST3-L796778-chim(NtGi1-Gs-CtGi1)/β1/γ2
30.43Single8XIRPasireotide8XIR-SST3-Pasireotide-chim(NtGi1-Gs-CtGi1)/β1/γ2
30.43Single8XZHMM078XZH-Apelin-MM07-Gi1/β1/γ2
30.43Single9U4WGonadoliberin-19U4W-GnRH1-Gonadoliberin-1-chim(NtGi1L-Gs-CtGq)/β1/γ2
30.43Consensusc5a1_onOrthosteric Ligand8HK5-C5a1-Complement C5-Gi1/β1/γ2 7Y66-C5a1-BM213-Gi1/β1/γ2 7Y67-C5a1-C089 peptide-Gi1/β1/γ2 7Y64-C5a1-C5a anaphylatoxin-Gi1/β1/γ2
30.43Consensusccr2_onOrthosteric Ligand7XA3-CCR2-CCL2-Gi1/β1/γ2
30.43Consensusccr2_on_gpOrthosteric Ligand7XA3-CCR2-CCL2-Gi1/β1/γ2
30.43Consensusccr_onOrthosteric Ligandccr6_on ccr8_on ccr2_on ccr1_on ccr5_on
30.43Consensusfpr2-alx_onOrthosteric Ligand7WVX-FPR2-ALX-Humanin-Gi2/β1/γ2 7T6U-FPR2-ALX-CGEN-855A-Gi1/β1/γ2 7T6V-FPR2-ALX-fMLFII-Gi1/β1/γ2 7WVY-FPR2-ALX-Amyloid-β42-Gi2/β1/γ2 7T6S-FPR2-ALX-PubChem 24776341-Gi1/β1/γ2 6OMM-FPR2-ALX-WKYMVX-Gi1/β1/γ2
30.43Consensusgi_somatostatinOrthosteric Ligand7WIC-SST2-Somatostatin-14-Gi1/β1/γ2 7XMS-SST4-Somatostatin-14-Gi1/β1/γ2 8X8L-SST5-Cortistatin-chim(NtGi1-Gs-CtGi1)/β1/γ2 7XMT-SST4-J-2156-Gi1/β1/γ2 7WIG-SST2-L-054,264-Gi1/β1/γ2 8X8N-SST5-Octreotide-chim(NtGi1-Gs-CtGi1)/β1/γ2 7YAE-SST2-Octreotide-Gi1/β1/γ2 7YAC-SST2-Paltusotine-Gi1/β1/γ2
30.43Consensusgs_cckOrthosteric Ligand7MBX-CCKA-Cholecystokinin-8-Gs/β1/γ1
30.43Consensusgs_class-aOrthosteric Ligandgs_peptide gs_nucleotide gs_amine
30.43Consensuspeptide_offonOrthosteric Ligandpeptide_off peptide_on
30.43Consensussomatostatin_onOrthosteric Ligandsst2_on sst4_on sst5_on
30.43Consensussomatostatin_on_gpOrthosteric Ligandsst2_on_gp sst4_on_gp sst5_on_gp
30.00Single5TUDErgotamine5TUD-5-HT2B-Ergotamine
30.00Single6IBLArformoterol6IBL-β1-Arformoterol
30.00Single6TKOArformoterol6TKO-β1-Arformoterol-Arrestin2
30.00Single7D7MDinoprostone7D7M-EP4-Dinoprostone-Gs/β1/γ1
30.00Single7EZCUKA7EZC-A2A-UKA
30.00Single7EZHCholecystokinin-87EZH-CCKA-Cholecystokinin-8-Gi1/β1/γ2
30.00Single7EZMCholecystokinin-87EZM-CCKA-Cholecystokinin-8-chim(NtGsL-Gq)/β1/γ2
30.00Single7LLLExendin-47LLL-GLP-1-Exendin-4-Gs/β1/γ2
30.00Single7SK7CCX6627SK7-ACKR3-CXCL12-CCX662
30.00Single7X8RBOC57X8R-GLP-1-BOC5-Gs/β1/γ2
30.00Single7XJISolabegron7XJI-β3-Solabegron-Gs/β1/γ2
30.00Single7XZ6APD6687XZ6-GPR119-APD668-Gs/β1/γ2
30.00Single8GAGPubChem 1708384908GAG-CB1-PubChem 170838490-Gi1/β1/γ2
30.00Single8I95EP548I95-C3aB-EP54-Go/β1/γ2
30.00Single8IULLatanoprost8IUL-FP-alpha-Latanoprost-chim(NtGi1-Gs-CtGq)/β1/γ2
30.00Single8WRZPubChem 1023367048WRZ-CB1-PubChem 102336704-Arrestin2
30.00Single8XGSMetastin8XGS-Kiss1-Metastin-chim(NtGi1-Gq)/β1/γ2
30.00Single9AS02-bromo-LSD9AS0-5-HT2A-2-bromo-LSD-chim(NtGi1-Gs-CtGq)/β1/γ2
30.00Single9GG5U466199GG5-TXA2-U46619-chim(NtGi2L-Gs-CtGq)/β1/γ2
30.00Single9M54Neuropeptide VF9M54-NPFF2-Neuropeptide VF-Gi1/β1/γ2
30.00Consensuscb1_on_gpOrthosteric Ligand6KPG-CB1-AM841-Gi1/β1/γ2 8K8J-CB1-Fenofibrate-chim(Gs-CtGq)/β1/γ2
30.00Consensuscck_onOrthosteric Ligandccka_on cckb_on
30.00Consensuscck_on_gpOrthosteric Ligandccka_on_gp cckb_on_gp
30.00Consensusccka_onOrthosteric Ligand7EZH-CCKA-Cholecystokinin-8-Gi1/β1/γ2
30.00Consensusccka_on_gpOrthosteric Ligand7EZH-CCKA-Cholecystokinin-8-Gi1/β1/γ2
30.00Consensuschemerin_onOrthosteric Ligandcml1_on
30.00Consensusgi_s1pOrthosteric Ligand7VIE-S1P1-S1P-Gi1/β1/γ2 7EW3-S1P3-S1P-Gi1/β1/γ2 7EVY-S1P1-Siponimod-Gi1/β1/γ2 7EW1-S1P5-Siponimod-Gi1/β1/γ2 7VIF-S1P1-S-FTY720-P-Gi1/β1/γ2 7VIG-S1P1-CBP-307-Gi1/β1/γ2 7EVZ-S1P1-Cenerimod-Gi1/β1/γ2 7EW4-S1P3-CYM5541-Gi1/β1/γ2 7EW2-S1P3-Fingolimod-Gi1/β1/γ2 7EW0-S1P1-Ozanimod-Gi1/β1/γ2 7EW7-S1P1-SEW2871-Gi1/β1/γ2
30.00Consensusnucleotide_on_gpOrthosteric Ligandadenosine_on_gp p2y_on_gp
29.63Single6IGLIRL16206IGL-ETB-IRL1620
29.41Single2Y04Salbutamol2Y04-β1-Salbutamol
29.41Single4EA3PubChem 102965614EA3-NOP-PubChem 10296561
29.41Single4J4QOctyl Beta-D-Glucopyranoside4J4Q-Rhodopsin-Octyl β-D-Glucopyranoside-Gt(CT)
29.41Single5DHGC-355DHG-NOP-C-35
29.41Single5OLZPubChem 1355666095OLZ-A2A-PubChem 135566609-Na
29.41Single5OM1PubChem 1355666095OM1-A2A-PubChem 135566609-Na
29.41Single6DRZMethysergide6DRZ-5-HT2B-Methysergide
29.41Single6GPSMK08126GPS-CCR2-MK0812
29.41Single6ORVTT-OAD26ORV-GLP-1-TT-OAD2-Gs/β1/γ2
29.41Single6TOTLemborexant6TOT-OX1-Lemborexant
29.41Single6XBM5LWE6XBM-SMO-5LWE-Gi1/β1/γ2
29.41Single6Z10PubChem 1545855546Z10-Succinate-PubChem 154585554
29.41Single7CFMP3957CFM-GPBA-P395-Gs/β1/γ2
29.41Single7JOZVFP7JOZ-D1-VFP-Gs/β1/γ2
29.41Single7LCIDanuglipron7LCI-GLP-1-Danuglipron-Gs/β1/γ2
29.41Single7S15PubChem 1346112237S15-GLP-1-PubChem 134611223
29.41Single7T2GMitragynine Pseudoindoxyl7T2G-μ-Mitragynine Pseudoindoxyl-Gi1/β1/γ2
29.41Single7T6VfMLFII7T6V-FPR2-ALX-fMLFII-Gi1/β1/γ2
29.41Single7TRQVU04671547TRQ-M4-Iperoxo-VU0467154-Gi1/β1/γ2
29.41Single7V3ZCP559407V3Z-CB1-CP55940
29.41Single7VIES1P7VIE-S1P1-S1P-Gi1/β1/γ2
29.41Single7VKTLTB47VKT-BLT1-LTB4-Gi1/β1/γ2
29.41Single7WQ3Galanin7WQ3-GAL1-Galanin-Gi1/β1/γ2
29.41Single7YXAONO-54306087YXA-S1P5-ONO-5430608
29.41Single8PJKST1718PJK-5-HT1A-ST171-Gi1/β1/γ1
29.41Single8RW7StilSwitch18RW7-A2A-StilSwitch1-Na
29.41Single8RWXStilSwitch38RWX-A2A-StilSwitch3-Na
29.41Single8T1WCVN4248T1W-GPR6-CVN424
29.41Single8UGYMianserin8UGY-5-HT1E-Mianserin-Gi1/β1/γ1
29.41Single8W8ARO52563908W8A-TA1-RO5256390-chim(NtGi1L-Gs)/β1/γ2
29.41Single8X17Namodenoson8X17-A3A-Namodenoson-Gi1/β1/γ2
29.41Single8ZSSRO52633978ZSS-TA1-RO5263397-chim(NtGi1-Gs)/β1/γ2
29.41Single9D61JDTic9D61-κ-JDTic-Gi1/β1/γ2
29.41Single9KFJPubChem 1383196749KFJ-RXFP3-PubChem 138319674-Gi2/β1/γ2
29.41Consensus5ht2b_offOrthosteric Ligand6DRZ-5-HT2B-Methysergide
29.41Consensusadenosine_on_gpOrthosteric Liganda1_on_gp a2_on_gp a3_on_gp
29.41Consensusalicarboxylic_offOrthosteric Ligandsuccinate_off
29.41Consensusblt1_onOrthosteric Ligand7VKT-BLT1-LTB4-Gi1/β1/γ2
29.41Consensusblt1_on_gpOrthosteric Ligand7VKT-BLT1-LTB4-Gi1/β1/γ2
29.41Consensusblt_onOrthosteric Ligandblt1_on
29.41Consensusblt_on_gpOrthosteric Ligandblt1_on_gp
29.41Consensusccr2_offOrthosteric Ligand6GPS-CCR2-MK0812
29.41Consensusgal1_onOrthosteric Ligand7WQ3-GAL1-Galanin-Gi1/β1/γ2
29.41Consensusgal1_on_gpOrthosteric Ligand7WQ3-GAL1-Galanin-Gi1/β1/γ2
29.41Consensusgi_galaninOrthosteric Ligand7WQ3-GAL1-Galanin-Gi1/β1/γ2
29.41Consensusgi_leukotrieneOrthosteric Ligand7VKT-BLT1-LTB4-Gi1/β1/γ2
29.41Consensusleukotriene_onOrthosteric Ligandblt_on
29.41Consensusleukotriene_on_gpOrthosteric Ligandblt_on_gp
29.41Consensussuccinate_offOrthosteric Ligand6RNK-Succinate-NF-56-EJ40 6Z10-Succinate-PubChem 154585554
29.17Single6M1IPACAP6M1I-PAC1-PACAP-Gs/β1/γ2
29.17Single7FIMTirzepatide7FIM-GLP-1-Tirzepatide-Gs/β1/γ2
29.17Single7V9MSomatoliberin7V9M-GHRH (SV1)-Somatoliberin-Gs/β1/γ2
29.17Single7W40Bombesin7W40-BB2-Bombesin-chim(NtGi1L-Gq)/β1/γ2
29.17Single8WSTPro-MCH8WST-MCH2-Pro-MCH-chim(NtGi1L-Gs-CtGq)/β1/γ2
29.17Single8XWQEndothelin-18XWQ-ETB-Endothelin-1-Gi1/β1/γ2
29.17Single9BKKCholecystokinin-89BKK-CCKA-Cholecystokinin-8-chim(NtGi1-Gs-CtGq)/β1/γ2
29.17Consensusapelin_onOrthosteric Ligand8XZH-Apelin-MM07-Gi1/β1/γ2 7W0M-Apelin-PubChem 122701908-Gi1/β1/γ2 8XZJ-Apelin-WN353-Gi1/β1/γ2 8XZF-Apelin-WN561-Gi1/β1/γ2 8XZG-Apelin-Apelin-13-Gi1/β1/γ2
29.17Consensusapelin_on_gpOrthosteric Ligand8XZH-Apelin-MM07-Gi1/β1/γ2 7W0M-Apelin-PubChem 122701908-Gi1/β1/γ2 8XZJ-Apelin-WN353-Gi1/β1/γ2 8XZF-Apelin-WN561-Gi1/β1/γ2 8XZG-Apelin-Apelin-13-Gi1/β1/γ2
29.17Consensusfpr2-alx_on_gpOrthosteric Ligand7WVX-FPR2-ALX-Humanin-Gi2/β1/γ2 7T6U-FPR2-ALX-CGEN-855A-Gi1/β1/γ2 7T6V-FPR2-ALX-fMLFII-Gi1/β1/γ2 7WVY-FPR2-ALX-Amyloid-β42-Gi2/β1/γ2 7T6S-FPR2-ALX-PubChem 24776341-Gi1/β1/γ2 6OMM-FPR2-ALX-WKYMVX-Gi1/β1/γ2
29.17Consensusprotein_offonOrthosteric Ligandprotein_off protein_on
29.17Consensusprotein_offon_gpOrthosteric Ligandprotein_on_gp protein_off
29.17Consensusprotein_onOrthosteric Ligandchemokine_on chemerin_on
28.57Single4UG2CGS216804UG2-A2A-CGS21680
28.57Single5GLHEndothelin-15GLH-ETB-Endothelin-1
28.57Single5WF6UK-4320975WF6-A2A-UK-432097
28.57Single5ZTYAM102575ZTY-CB2-AM10257
28.57Single6IGKEndothelin-36IGK-ETB-Endothelin-3
28.57Single6OIKLY21196206OIK-M2-Iperoxo-LY2119620-chim(NtGi1-Go)/β1/γ2
28.57Single6OMMWKYMVX6OMM-FPR2-ALX-WKYMVX-Gi1/β1/γ2
28.57Single7F23Dopamine7F23-D1-Dopamine-GDP-Gs/β1/γ2
28.57Single7T11Octreotide7T11-SST2-Octreotide-Gi3/β1/γ2
28.57Single7YAEOctreotide7YAE-SST2-Octreotide-Gi1/β1/γ2
28.57Single7YJ4INSL57YJ4-RXFP4-INSL5-Gi2/β1/γ2
28.57Single8IA7Cholecystokinin-88IA7-CCKB-Cholecystokinin-8-chim(NtGi1L-Gq)/β1/γ2
28.57Single8RQLFlufenamic acid8RQL-TAS2R14-Flufenamic acid-Flufenamic acid-chim(NtGi1-Gt3)/β1/γ2
28.57Single8WC62-Phenylethylamine8WC6-TA1-2-Phenylethylamine-chim(NtGi1-Gs)/β1/γ2
28.57Single8X3LXWD8X3L-CB2-XWD-Gi1/β1/γ2
28.57Single8Y72Peptide8Y72-μ-Peptide-BMS-986122-Gi1/β1/γ2
28.57Single9IV15alpha-DHT9IV1-ADGRD1-5α-DHT-chim(NtGi1-Gs)/β1/γ2
28.57Consensuscb2_offOrthosteric Ligand5ZTY-CB2-AM10257
28.57Consensuscxcr4_offOrthosteric Ligand4RWS-CXCR4-vMIP-II 3OE0-CXCR4-CVX15 3OE6-CXCR4-IT1t
28.57Consensuscxcr_on_gpOrthosteric Ligandcxcr3_on_gp cxcr4_on_gp cxcr1_on_gp cxcr2_on_gp
28.57Consensusformylpeptide_onOrthosteric Ligandfpr2-alx_on fpr1-alx_on
28.57Consensusgq_cckOrthosteric Ligand8IA7-CCKB-Cholecystokinin-8-chim(NtGi1L-Gq)/β1/γ2 7XOW-CCKB-Gastrin-chim(NtGi1-Gq)/β1/γ2 7EZM-CCKA-Cholecystokinin-8-chim(NtGsL-Gq)/β1/γ2 7F8W-CCKB-Gastrin-17-chim(NtGsL-Gq)/β1/γ2
28.57Consensuss1p_onOrthosteric Ligands1p1_on s1p3_on s1p5_on
28.57Consensuss1p_on_gpOrthosteric Ligands1p1_on_gp s1p3_on_gp s1p5_on_gp
28.57Consensussst2_onOrthosteric Ligand7WIC-SST2-Somatostatin-14-Gi1/β1/γ2 7WIG-SST2-L-054,264-Gi1/β1/γ2 7YAE-SST2-Octreotide-Gi1/β1/γ2 7YAC-SST2-Paltusotine-Gi1/β1/γ2
28.57Consensussst2_on_gpOrthosteric Ligand7WIC-SST2-Somatostatin-14-Gi1/β1/γ2 7WIG-SST2-L-054,264-Gi1/β1/γ2 7YAE-SST2-Octreotide-Gi1/β1/γ2 7YAC-SST2-Paltusotine-Gi1/β1/γ2
28.00Single8E3ZVIP8E3Z-VPAC1-VIP-Gs/β1/γ2
28.00Single8HNKCXCL118HNK-CXCR3-CXCL11-Gi1/β1/γ2
28.00Single8XVHEndothelin-18XVH-ETB-Endothelin-1-chim(Gs-CtGq)/β1/γ2
28.00Single8XVIEndothelin-18XVI-ETA-Endothelin-1-chim(Gs-CtGq)/β1/γ2
28.00Single8ZRTET-18ZRT-ETB-ET-1
28.00Consensusccr_on_gpOrthosteric Ligandccr6_on_gp ccr8_on_gp ccr2_on_gp ccr1_on_gp ccr5_on_gp
28.00Consensuschemokine_on_gpOrthosteric Ligandccr_on_gp cxcr_on_gp
28.00Consensuscml1_on_gpOrthosteric Ligand7YKD-CML1-Chemerin-9-Gi1/β1/γ2
28.00Consensusgi_apelinOrthosteric Ligand8XZH-Apelin-MM07-Gi1/β1/γ2 7W0M-Apelin-PubChem 122701908-Gi1/β1/γ2 8XZJ-Apelin-WN353-Gi1/β1/γ2 8XZF-Apelin-WN561-Gi1/β1/γ2 8XZG-Apelin-Apelin-13-Gi1/β1/γ2
28.00Consensusgi_chemokineOrthosteric Ligand6WWZ-CCR6-CCL20-Go/β1/γ2 8HNK-CXCR3-CXCL11-Gi1/β1/γ2 8K3Z-CXCR4-CXCL12-Gi1/β1/γ1 8IC0-CXCR1-Interleukin-8-Gi1/β1/γ2 6LFM-CXCR2-Interleukin-8-Gi1/β1/γ2 8KFX-CCR8-LMD-009-Gi1/β1/γ2 7F1Q-CCR5-MIP-1a-Gi1/β1/γ2 8HNL-CXCR3-PS372424-Gi1/β1/γ2 8KFY-CCR8-ZK-756326-Gi1/β1/γ2 7O7F-CCR5-6P4-CCL5-Gi1/β1/γ1 8U1U-CCR8-CCL1-Gi1/β1/γ2 7VLA-CCR1-CCL15(27-92)-Gi1/β1/γ2 7XA3-CCR2-CCL2-Gi1/β1/γ2
27.78Single2Y03Isoprenaline2Y03-β1-Isoprenaline
27.78Single4ZJ8Suvorexant4ZJ8-OX1-Suvorexant
27.78Single5OM4PubChem 1355666095OM4-A2A-PubChem 135566609-Na
27.78Single5T1ABMS-6815T1A-CCR2-BMS-681-PubChem 12093170
27.78Single5WIUNemonapride5WIU-D4-Nemonapride
27.78Single5WIVNemonapride5WIV-D4-Nemonapride-Na
27.78Single5WQCEMPA5WQC-OX2-EMPA
27.78Single6GPXMK08126GPX-CCR2-MK0812
27.78Single6M9TMisoprostol-FA6M9T-EP3-Misoprostol-FA
27.78Single6ME62-Phenylmelatonin6ME6-MT2-2-Phenylmelatonin
27.78Single6TO7Suvorexant6TO7-OX1-Suvorexant-Na
27.78Single6TP6Filorexant6TP6-OX1-Filorexant
27.78Single7BB7AVP7BB7-V2-AVP-Gs/β1/γ2
27.78Single7C4SS1P7C4S-S1P3-S1P
27.78Single7CKXA776367CKX-D1-A77636-Gs/β1/γ2
27.78Single7LD3Adenosine7LD3-A1-Adenosine-MIPS521-Gi2/β1/γ2
27.78Single7SBFPZM217SBF-μ-PZM21-Gi1/β1/γ2
27.78Single7X1TTaltirelin7X1T-TRH-Taltirelin-chim(NtGi2L-Gs-CtGq)/β1/γ2
27.78Single7YU6ONO-07405567YU6-LPA1-ONO-0740556-Gi1/β1/γ2
27.78Single8DZQmomSalB8DZQ-κ-momSalB-Go/β1/γ2
27.78Single8DZRGR89,6968DZR-κ-GR89,696-chim(NtGi2-Gt3)/β1/γ2
27.78Single8EFBOliceridine8EFB-μ-Oliceridine-Gi1/β1/γ2
27.78Single8GD9Rivenprost8GD9-EP4-Rivenprost-Gs/β1/γ2
27.78Single8GDCPGE28GDC-EP3-PGE2-Gi1/β1/γ2
27.78Single8JXSPF-61428JXS-D1-PF-6142
27.78Single8TF5Oleic acid8TF5-GPR6-Oleic acid
27.78Single9EAHOlmesartan9EAH-AT1-Olmesartan-Nanobody AT209
27.78Single9EAHNanobody AT2099EAH-AT1-Olmesartan-Nanobody AT209
27.78Single9EE8Adenosine9EE8-A2A-Adenosine-Gs/β1/γ2
27.78Single9EHSLUF76029EHS-A3A-LUF7602
27.78Single9F33FOB02-04A9F33-D3-FOB02-04A-Go/β1/γ2
27.78Single9I52A1IZU9I52-D1-A1IZU-Gs/β1/γ2
27.78Single9IYBProstaglandin9IYB-DP2-Prostaglandin-A1D5Q-Gi1/β1/γ2
27.78Consensusd1_onOrthosteric Ligand7F0T-D1-Dopamine-Gs/β1/γ2 7CKY-D1-PW0464-Gs/β1/γ2 8IRR-D1-Rotigotine-Gs/β1/γ2 7JV5-D1-SKF81297-Gs/β1/γ2 7JVP-D1-SKF83959-Gs/β1/γ2 7X2D-D1-Tavapadon-Gs/β1/γ2 7CKX-D1-A77636-Gs/β1/γ2 7JVQ-D1-Apomorphine-Gs/β1/γ2 7CKW-D1-Fenoldopam-Gs/β1/γ2
27.78Consensusd2_onOrthosteric Ligand7JVR-D2-Bromoergocryptine-Gi1/β1/γ2 8IRS-D2-Rotigotine-Gi1/β1/γ2
27.78Consensusd4_onOrthosteric Ligand8IRU-D4-Rotigotine-chim(NtGi1-Gs-CtGi1)/β1/γ2
27.78Consensusgs_amineOrthosteric Ligandgs_5ht gs_adrenergic gs_dopamine gs_histamine gs_trace-amine
27.78Consensusta1_onOrthosteric Ligand8W87-TA1-METH-chim(NtGi1L-Gs)/β1/γ2 8W89-TA1-PEA-chim(NtGi1L-Gs)/β1/γ2 8JLP-TA1-Ralmitaront-Gs/β1/γ2 8W8A-TA1-RO5256390-chim(NtGi1L-Gs)/β1/γ2 8W88-TA1-SEP-363856-Gs/β1/γ2 8JLO-TA1-Ulotaront-Gs/β1/γ2 8JLR-TA1-A77636-chim(NtGi1-Gs)/β1/γ2 8JSO-TA1-AMPH-chim(NtGi1-Gs)/β1/γ2 8ZSP-TA1-LSD-chim(NtGi1L-Gs-CtGq)/β1/γ2
27.78Consensustrace-amine_onOrthosteric Ligandta1_on
27.27Single4IARErgotamine4IAR-5-HT1B-Ergotamine
27.27Single6X19CHU-1286X19-GLP-1-CHU-128-Gs/β1/γ2
27.27Single7F8XNN90567F8X-CCKA-NN9056
27.27Single7L0RNeurotensin7L0R-NTS1-Neurotensin-Gi1/β1/γ1
27.27Single7QA8Peptide7QA8-STE2-Peptide
27.27Single7QA8Peptide7QA8-STE2-Peptide
27.27Single7WICSomatostatin-147WIC-SST2-Somatostatin-14-Gi1/β1/γ2
27.27Single7WKDTRH7WKD-TRH-TRH-chim(NtGi1-Gs-CtGq)/β1/γ2
27.27Single7XMRSomatostatin-147XMR-SST2-Somatostatin-14-Gi1/β1/γ2
27.27Single8GHVAMG3158GHV-CB1-AMG315-Gi1/β1/γ2
27.27Single8PKMBefiradol8PKM-5-HT1A-Befiradol-Gi1/β1/γ1
27.27Single8WZ2Orexigenic Neuropeptide QRFP8WZ2-QRFP-Orexigenic Neuropeptide QRFP-chim(NtGi1L-Gs-CtGq)/β1/γ2
27.27Single9HB3Mambaquaretin-19HB3-V2-Mambaquaretin-1
27.27Consensuschemerin_on_gpOrthosteric Ligandcml1_on_gp
27.27Consensuscml1_onOrthosteric Ligand7YKD-CML1-Chemerin-9-Gi1/β1/γ2
27.27Consensusgi_chemerinOrthosteric Ligand7YKD-CML1-Chemerin-9-Gi1/β1/γ2
27.27Consensusgi_opioidOrthosteric Ligand8F7R-μ-Endomorphin-Gi1/β1/γ2 8EF5-μ-Fentanyl-Gi1/β1/γ2 7SCG-μ-FH210-Gi1/β1/γ2 7T2H-μ-Lofentanil-Gi1/β1/γ2 7T2G-μ-Mitragynine Pseudoindoxyl-Gi1/β1/γ2 8DZP-κ-momSalB-Gi1/β1/γ2 8EF6-μ-Morphine-Gi1/β1/γ2 8F7X-NOP-Nociceptin-Gi1/β1/γ2 8EFB-μ-Oliceridine-Gi1/β1/γ2 7U2L-μ-PubChem 163201242-Gi1/β1/γ2 8EFO-μ-PZM21-Gi1/β1/γ2 8EFL-μ-SR17018-Gi1/β1/γ2 8F7Q-μ-β-Endorphin-Gi1/β1/γ2 7U2K-μ-C6-guano-Gi1/β1/γ2 8EFQ-μ-Damgo-Gi1/β1/γ2 8F7S-δ-Deltorphin-Gi1/β1/γ2 8F7W-κ-Dynorphin-Gi1/β1/γ2
27.27Consensusmop_offOrthosteric Ligand4DKL-μ-β-Funaltrexamine 8QOT-μ-Nanobody-E 7UL4-μ-Alvimopan
27.27Consensusp2y_onOrthosteric Ligandp2y1_on p2y10_on p2y12_on
26.92Single5UIW5P7-CCL55UIW-CCR5-5P7-CCL5
26.92Single6FJ3PTH6FJ3-PTH1-PTH
26.92Single7RGPTirzepatide7RGP-GLP-1-Tirzepatide-chim(NtGi1-Gs)/β1/γ2
26.92Single7W3ZGastrin Releasing Peptide7W3Z-BB2-Gastrin Releasing Peptide-chim(NtGi1L-Gq)/β1/γ2
26.92Single8XQFApelin-138XQF-Apelin-Apelin-13-Gi1/β1/γ2
26.92Single8XVEBQ30208XVE-ETB-BQ3020-chim(Gs-CtGq)/β1/γ2
26.92Single9KFKRelaxin-39KFK-RXFP4-Relaxin-3-Gi2/β1/γ2
26.92Consensusccr5_offOrthosteric Ligand5UIW-CCR5-5P7-CCL5
26.92Consensusccr5_onOrthosteric Ligand7O7F-CCR5-6P4-CCL5-Gi1/β1/γ1 7F1Q-CCR5-MIP-1a-Gi1/β1/γ2
26.92Consensusgi_proteinOrthosteric Ligandgi_chemokine gi_chemerin
26.92Consensuspac1_onOrthosteric Ligand8E3X-PAC1-PACAP27-Gs/β1/γ2 6M1H-PAC1-Maxadilan-Gs/β1/γ2
26.92Consensuspac1_on_gpOrthosteric Ligand8E3X-PAC1-PACAP27-Gs/β1/γ2 6M1H-PAC1-Maxadilan-Gs/β1/γ2
26.92Consensusprotein_on_gpOrthosteric Ligandchemokine_on_gp chemerin_on_gp
26.92Consensussecretin_onOrthosteric Ligand7D3S-Secretin-Secretin-Gs/β1/γ2
26.67Single6LRYSarafotoxin-B6LRY-ETB-Sarafotoxin-B
26.67Single7T96LY21196207T96-M2-Acetylcholine-LY2119620-Go/β1/γ2
26.67Single7XT9Serotonin7XT9-5-HT4-Serotonin-Gs/β1/γ2
26.67Single8JLOUlotaront8JLO-TA1-Ulotaront-Gs/β1/γ2
26.67Single8W89PEA8W89-TA1-PEA-chim(NtGi1L-Gs)/β1/γ2
26.32Single2YDVNECA2YDV-A2A-NECA
26.32Single4DJHJDTic4DJH-κ-JDTic
26.32Single4LDLHydroxybenzylisoproterenol4LDL-β2-Hydroxybenzylisoproterenol
26.32Single4UHRCGS216804UHR-A2A-CGS21680
26.32Single5A8E7-Methylcyanopindolol5A8E-β1-7-Methylcyanopindolol-Na
26.32Single5G53NECA5G53-A2A-NECA-Gs
26.32Single5XR8AM8415XR8-CB1-AM841
26.32Single6GT3Imaradenant6GT3-A2A-Imaradenant-Na
26.32Single6H7JIsoprenaline6H7J-β1-Isoprenaline
26.32Single6J21Aprepitant6J21-NK1-Aprepitant
26.32Single6KO5PubChem 574000026KO5-Ghrelin-PubChem 57400002
26.32Single6N4BMDMB-Fubinaca6N4B-CB1-MDMB-Fubinaca-Gi1/β1/γ2
26.32Single6OS1TRV0266OS1-AT1-TRV026
26.32Single6TQ7SB-3348676TQ7-OX1-SB-334867
26.32Single7B6WCyclazosin7B6W-α1b-Cyclazosin
26.32Single7EW3S1P7EW3-S1P3-S1P-Gi1/β1/γ2
26.32Single7EW7SEW28717EW7-S1P1-SEW2871-Gi1/β1/γ2
26.32Single7JJOIsoprenaline7JJO-β1-Isoprenaline-Gs/β1/γ2
26.32Single7JV5SKF812977JV5-D1-SKF81297-Gs/β1/γ2
26.32Single7JVPSKF839597JVP-D1-SKF83959-Gs/β1/γ2
26.32Single7M8W15r-Methyl-Prostaglandin D27M8W-DP2-15r-Methyl-Prostaglandin D2-Na
26.32Single7T2HLofentanil7T2H-μ-Lofentanil-Gi1/β1/γ2
26.32Single7TUYGSK682753A7TUY-GPR183-GSK682753A
26.32Single7U2LPubChem 1632012427U2L-μ-PubChem 163201242-Gi1/β1/γ2
26.32Single7VIGCBP-3077VIG-S1P1-CBP-307-Gi1/β1/γ2
26.32Single7XJLSpexin7XJL-GAL2-Spexin-chim(NtGi2L-Gs-CtGq)/β1/γ2
26.32Single7XTQR3997XTQ-GPBA-R399-Gs/β1/γ2
26.32Single7Y67C089 peptide7Y67-C5a1-C089 peptide-Gi1/β1/γ2
26.32Single7YU7ONO-07405567YU7-LPA1-ONO-0740556-Gi1/β1/γ2
26.32Single8DZPmomSalB8DZP-κ-momSalB-Gi1/β1/γ2
26.32Single8E0GBU728E0G-μ-BU72
26.32Single8EF5Fentanyl8EF5-μ-Fentanyl-Gi1/β1/γ2
26.32Single8EFLSR170188EFL-μ-SR17018-Gi1/β1/γ2
26.32Single8FN1Neurotensin/Neuromedin-N8FN1-NTS1-Neurotensin/Neuromedin-N-chim(NtGi1-Go)/β1/γ2
26.32Single8HQCC5a anaphylatoxin8HQC-C5a1-C5a anaphylatoxin-Go/β1/γ2
26.32Single8I9LC3a anaphylatoxin8I9L-C3aB-C3a anaphylatoxin-Go/β1/γ2
26.32Single8IRRRotigotine8IRR-D1-Rotigotine-Gs/β1/γ2
26.32Single8IRURotigotine8IRU-D4-Rotigotine-chim(NtGi1-Gs-CtGi1)/β1/γ2
26.32Single8IRVRotigotine8IRV-D5-Rotigotine-chim(NtGi1-Gs)/β1/γ2
26.32Single8T1VPubChem 1183102098T1V-GPR6-PubChem 118310209-Na
26.32Single8UGWPubChem 30865998UGW-A2A-PubChem 3086599
26.32Single8VVFJDTic8VVF-κ-JDTic-Gi1/β1/γ2
26.32Single8WJXADP8WJX-P2Y1-ADP-chim(Gs-CtGq)/β1/γ2
26.32Single9B65KCA9B65-CB1-KCA-Gi1/β1/γ2
26.32Single9EGOYVF9EGO-CB1-YVF-Gi1/β1/γ2
26.32Single9IK9SST analogue9IK9-SST1-SST analogue-Gi1/β1/γ2
26.32Single9IZGNKP9IZG-LPA1-NKP-chim(NtGi1-Gs-CtGq)/β1/γ2
26.32Single9UY3Anamorelin9UY3-Ghrelin-Anamorelin-chim(NtGi1-Gs-CtGq)/β1/γ2
26.32Consensusa2_onOrthosteric Liganda2b_on
26.32Consensusa2_on_gpOrthosteric Liganda2b_on_gp
26.32Consensusa2b_onOrthosteric Ligand8HDP-A2B-Adenosine-Gs/β1/γ2 7XY6-A2B-BAY 60-6583-chim(NtGi1-Gs)/β1/γ2 7XY7-A2B-NECA-chim(NtGi1-Gs)/β1/γ2 8HDO-A2B-BAY 60-6583-Gs/β1/γ2
26.32Consensusa2b_on_gpOrthosteric Ligand8HDP-A2B-Adenosine-Gs/β1/γ2 7XY6-A2B-BAY 60-6583-chim(NtGi1-Gs)/β1/γ2 7XY7-A2B-NECA-chim(NtGi1-Gs)/β1/γ2 8HDO-A2B-BAY 60-6583-Gs/β1/γ2
26.32Consensusd4_on_gpOrthosteric Ligand8IRU-D4-Rotigotine-chim(NtGi1-Gs-CtGi1)/β1/γ2
26.32Consensusd5_on_gpOrthosteric Ligand8IRV-D5-Rotigotine-chim(NtGi1-Gs)/β1/γ2
26.32Consensusgi_dopamineOrthosteric Ligand7JVR-D2-Bromoergocryptine-Gi1/β1/γ2 7CMV-D3-PD128907-Gi1/β1/γ2 7CMU-D3-Pramipexole-Gi1/β1/γ2 8IRS-D2-Rotigotine-Gi1/β1/γ2 8IRT-D3-Rotigotine-Gi1/β1/γ2
26.32Consensusgs_adenosineOrthosteric Ligand8HDP-A2B-Adenosine-Gs/β1/γ2 8HDO-A2B-BAY 60-6583-Gs/β1/γ2 7XY7-A2B-NECA-chim(NtGi1-Gs)/β1/γ2 7XY6-A2B-BAY 60-6583-chim(NtGi1-Gs)/β1/γ2
26.32Consensusgs_adrenergicOrthosteric Ligand7DHI-β2-Salbutamol-Gs/β1/γ2 7XJI-β3-Solabegron-Gs/β1/γ2 7JJO-β1-Isoprenaline-Gs/β1/γ2 6NI3-β2-BI167107-Gs/β1/γ2 8DCR-β1-Dobutamine-Gs/β1/γ2 7XJH-β3-Isoproterenol-Gs/β1/γ2 7DH5-β3-Mirabegron-Gs/β1/γ2
26.32Consensusgs_nucleotideOrthosteric Ligandgs_adenosine
26.32Consensuskop_offOrthosteric Ligand4DJH-κ-JDTic
26.32Consensusmotilin_onOrthosteric Ligand8IBU-Motilin-Erythromycin-A-chim(NtGi1-Gs-CtGq)/β1/γ2
26.32Consensusprotein_offOrthosteric Ligandchemokine_off grh_off
26.32Consensusta1_on_gpOrthosteric Ligand8W87-TA1-METH-chim(NtGi1L-Gs)/β1/γ2 8W89-TA1-PEA-chim(NtGi1L-Gs)/β1/γ2 8JLP-TA1-Ralmitaront-Gs/β1/γ2 8W8A-TA1-RO5256390-chim(NtGi1L-Gs)/β1/γ2 8W88-TA1-SEP-363856-Gs/β1/γ2 8JLO-TA1-Ulotaront-Gs/β1/γ2 8JLR-TA1-A77636-chim(NtGi1-Gs)/β1/γ2 8JSO-TA1-AMPH-chim(NtGi1-Gs)/β1/γ2 8ZSP-TA1-LSD-chim(NtGi1L-Gs-CtGq)/β1/γ2
26.32Consensustrace-amine_on_gpOrthosteric Ligandta1_on_gp
26.09Single7E14Orforglipron7E14-GLP-1-Orforglipron-PubChem 156022738-Gs/β1/γ2
26.09Single7F1QMIP-1a7F1Q-CCR5-MIP-1a-Gi1/β1/γ2
26.09Single7WJ5Somatostatin-147WJ5-SST2-Somatostatin-14-Gi1/β1/γ2
26.09Single8F7SDeltorphin8F7S-δ-Deltorphin-Gi1/β1/γ2
26.09Single8F7WDynorphin8F7W-κ-Dynorphin-Gi1/β1/γ2
26.09Single8Z7JAgonistic antibody8Z7J-Apelin-Agonistic antibody-Gi1/β1/γ2
26.09Single9IK8SST analogue9IK8-SST1-SST analogue-Gi1/β1/γ2
26.09Single9KFIRelaxin-39KFI-RXFP3-Relaxin-3-Gi2/β1/γ2
26.09Consensusdop_on_gpOrthosteric Ligand8F7S-δ-Deltorphin-Gi1/β1/γ2
26.09Consensusgi_ghrelinOrthosteric Ligand7NA7-Ghrelin-Ghrelin-27-Gi1/β1/γ2 7NA8-Ghrelin-PubChem 178024-Gi1/β1/γ2
26.09Consensuss1p3_on_gpOrthosteric Ligand7EW3-S1P3-S1P-Gi1/β1/γ2 7EW4-S1P3-CYM5541-Gi1/β1/γ2 7EW2-S1P3-Fingolimod-Gi1/β1/γ2
25.93Single7F4FAfamelanotide7F4F-MC1-Afamelanotide-chim(NtGi1-Gs)/β1/γ2
25.93Single7TYFAmylin7TYF-CT (AMY1)-Amylin-Gs/β1/γ2; RAMP1
25.93Single7YOONeuropeptide-Y7YOO-Y2-Neuropeptide-Y-Gi1/β1/γ2
25.93Single9BUCCagrilintide9BUC-CT-Cagrilintide-Gs/β1/γ2
25.93Consensusglp_onOrthosteric Ligandglp1_on glp2_on
25.93Consensusglp_on_gpOrthosteric Ligandglp1_on_gp glp2_on_gp
25.93Consensusnpy2_onOrthosteric Ligand7YOO-Y2-Neuropeptide-Y-Gi1/β1/γ2
25.93Consensusnpy2_on_gpOrthosteric Ligand7YOO-Y2-Neuropeptide-Y-Gi1/β1/γ2
25.93Consensussecretin_on_gpOrthosteric Ligand7D3S-Secretin-Secretin-Gs/β1/γ2
25.00Single2X72All-trans-Retinal2X72-Rhodopsin-All-trans-Retinal-Gt(CT)
25.00Single3OE0CVX153OE0-CXCR4-CVX15
25.00Single3PWHZM-2413853PWH-A2A-ZM-241385
25.00Single4AMIBucindolol4AMI-β1-Bucindolol
25.00Single4N4WSANT-14N4W-SMO-SANT-1
25.00Single4RWADIPP-NH24RWA-δ-DIPP-NH2
25.00Single4S0VSuvorexant4S0V-OX2-Suvorexant
25.00Single4XEENeurotensin4XEE-NTS1-Neurotensin
25.00Single4XESNeurotensin4XES-NTS1-Neurotensin
25.00Single4Z36ONO-30805734Z36-LPA1-ONO-3080573
25.00Single5VAIGLP-15VAI-GLP-1-GLP-1-Gs/β1/γ2
25.00Single5WS3EMPA5WS3-OX2-EMPA
25.00Single6DRYMethylergonovine6DRY-5-HT2B-Methylergonovine
25.00Single6H7NS-Xamoterol6H7N-β1-S-Xamoterol
25.00Single6LFOInterleukin-86LFO-CXCR2-Interleukin-8-Gi1/β1/γ2
25.00Single6MXTSalmeterol6MXT-β2-Salmeterol
25.00Single6NBHLong-Acting PTH Analog6NBH-PTH1-Long-Acting PTH Analog-Gs/β1/γ2
25.00Single6OSAJMV4496OSA-NTS1-JMV449-Gi1/β1/γ2
25.00Single6OYAAll-trans-Retinal6OYA-Rhodopsin-All-trans-Retinal-Gt/β1/γ1
25.00Single6RNKNF-56-EJ406RNK-Succinate-NF-56-EJ40
25.00Single6TODEMPA6TOD-OX1-EMPA-Na
25.00Single6TPJSuvorexant6TPJ-OX2-Suvorexant
25.00Single6VMSBromoergocryptine6VMS-D2-Bromoergocryptine-Gi1/β1/γ2
25.00Single6XOXOrforglipron6XOX-GLP-1-Orforglipron-chim(NtGi1-Gs)/β1/γ2
25.00Single6YVRNTS8-136YVR-NTS1-NTS8-13
25.00Single6ZG4HTL00099366ZG4-M1-HTL0009936
25.00Single7D68GLP-27D68-GLP-2-GLP-2-Gs/β1/γ2
25.00Single7DHRIsoprenaline7DHR-β2-Isoprenaline-Gs/β1/γ2
25.00Single7EXDLasmiditan7EXD-5-HT1F-Lasmiditan-Gi1/β1/γ2
25.00Single7F4DAlpha-MSH7F4D-MC1-α-MSH-chim(NtGi1-Gs)/β1/γ2
25.00Single7F55Bremelanotide7F55-MC4-Bremelanotide-Gs/β1/γ2
25.00Single7JNIOlodanrigan7JNI-AT2-Olodanrigan
25.00Single7KI1Taspoglutide7KI1-GLP-1-Taspoglutide-Gs/β1/γ2
25.00Single7MBXCholecystokinin-87MBX-CCKA-Cholecystokinin-8-Gs/β1/γ1
25.00Single7O7F6P4-CCL57O7F-CCR5-6P4-CCL5-Gi1/β1/γ1
25.00Single7TD2LPA7TD2-LPA1-LPA-Gi1/β1/γ2
25.00Single7VDLCortistatin-147VDL-MRGPRX2-Cortistatin-14-Gi1/β1/γ2
25.00Single7VIHCBP-3077VIH-S1P1-CBP-307-Gi1/β1/γ2
25.00Single7WCNAR2314537WCN-GPR119-AR231453-Gs/β1/γ2
25.00Single7WF7S1P7WF7-S1P1-S1P-Gi1/β1/γ2
25.00Single7WQ4Galanin7WQ4-GAL2-Galanin-chim(NtGi1-Gs-CtGq)/β1/γ2
25.00Single7XJJGalanin7XJJ-GAL1-Galanin-Go/β1/γ2
25.00Single7XT8Serotonin7XT8-5-HT4-Serotonin-Gs/β1/γ2
25.00Single7XW9TRH7XW9-TRH-TRH-chim(NtGi1L-Gs-CtGq)/β1/γ2
25.00Single7XZ5Lysophosphatidylcholine7XZ5-GPR119-Lysophosphatidylcholine-Gs/β1/γ2
25.00Single7Y66BM2137Y66-C5a1-BM213-Gi1/β1/γ2
25.00Single7YITNalfurafine7YIT-κ-Nalfurafine
25.00Single7YMHNorepinephrine7YMH-Alpha1A-Norepinephrine-chim(Gs-CtGq)
25.00Single7YMJTamsulosin7YMJ-Alpha1A-Tamsulosin
25.00Single8F0KPramlintide Analogue San3858F0K-CT (AMY3)-Pramlintide Analogue San385-Gs/β1/γ2; RAMP3
25.00Single8FYTLSD8FYT-5-HT1A-LSD-Gi1/β1/γ1
25.00Single8G056-OAU8G05-GPR84-6-OAU-Gi1/β1/γ2
25.00Single8GCPPGE28GCP-EP4-PGE2-Gi1/β1/γ2
25.00Single8GEJConstrained Epinephrine8GEJ-β2-Constrained Epinephrine-Gs/β1/γ2
25.00Single8GGAConstrained Epinephrine8GGA-β2-Constrained Epinephrine-GTP-Gs/β1/γ2
25.00Single8GGCConstrained Epinephrine8GGC-β2-Constrained Epinephrine-GTP-Gs/β1/γ2
25.00Single8GGRConstrained Epinephrine8GGR-β2-Constrained Epinephrine
25.00Single8GGWConstrained Epinephrine8GGW-β2-Constrained Epinephrine
25.00Single8GGZConstrained Epinephrine8GGZ-β2-Constrained Epinephrine
25.00Single8GH0Constrained Epinephrine8GH0-β2-Constrained Epinephrine
25.00Single8GNGIstradefylline8GNG-A2A-Istradefylline
25.00Single8H0QGastrin Releasing Peptide8H0Q-BB2-Gastrin Releasing Peptide-chim(NtGi1-Gs-CtGq)/β1/γ2
25.00Single8H8JLodoxamide8H8J-GPR35-Lodoxamide-Ca-chim(NtGi1L-G13)/β1/γ2
25.00Single8HDPAdenosine8HDP-A2B-Adenosine-Gs/β1/γ2
25.00Single8HK2C3a anaphylatoxin8HK2-C3aB-C3a anaphylatoxin-Gi1/β1/γ2
25.00Single8IBUErythromycin-A8IBU-Motilin-Erythromycin-A-chim(NtGi1-Gs-CtGq)/β1/γ2
25.00Single8ID9Eicosapentaenoic acid8ID9-FFA4-Eicosapentaenoic acid-Gi1/β1/γ2
25.00Single8IW4Spermidine8IW4-TA9-Spermidine-chim(NtGi1-Gs)/β1/γ2
25.00Single8IWESpermidine8IWE-TA9-Spermidine
25.00Single8JJ8Formoterol8JJ8-β2-Formoterol
25.00Single8JJLOlodaterol8JJL-β2-Olodaterol
25.00Single8JWY2-1188JWY-A2A-2-118
25.00Single8JWZAB9288JWZ-A2A-AB928-Na
25.00Single8K6NPro-neuropeptide-Y8K6N-Y2-Pro-neuropeptide-Y-Gi2/β1/γ1
25.00Single8RW0Istradefylline8RW0-A2A-Istradefylline-Na
25.00Single8UNXConstrained Epinephrine8UNX-β2-Constrained Epinephrine-GTP-Gs/β1/γ2
25.00Single8WC4ZH86518WC4-TA1-ZH8651-chim(NtGi1-Gs)/β1/γ2
25.00Single8WCA2-Phenylethylamine8WCA-TA1-2-Phenylethylamine-chim(NtGi1-Gs)/β1/γ2
25.00Single8XGUTAK4488XGU-Kiss1-TAK448-Gi1/β1/γ2
25.00Single8XZGApelin-138XZG-Apelin-Apelin-13-Gi1/β1/γ2
25.00Single8YYWAlpha-ketoglutarate8YYW-Oxoglutarate-α-ketoglutarate-α-ketoglutarate-chim(Gi1-CtGq)/β1/γ2
25.00Single9AU0BW245C9AU0-DP1-BW245C-Gs/β1/γ2
25.00Single9B54A1AIW9B54-CB1-A1AIW-Gi1/β1/γ2
25.00Single9BYOExendin-39BYO-GLP-1-Exendin-3-Gs/β1/γ2
25.00Single9EBIPiclidenoson9EBI-A3A-Piclidenoson-chim(NtGi1L-Gs-CtGi1)/β1/γ2
25.00Single9GGGI-BOP9GGG-TXA2-I-BOP-chim(NtGi2L-Gs-CtGq)/β1/γ2
25.00Single9IVMGLP-1 (Truncated)9IVM-GLP-1-GLP-1 (Truncated)-LSN3318839-chim(NtGi1-Gs)/β2/γ2
25.00Single9K27PrRP319K27-PrRP-PrRP31-chim(NtGi1-Gq)/β1/γ2
25.00Single9KPESA09KPE-TAS2R16-SA0-Gi1/β1/γ2
25.00Single9L3WRetinoic acid receptor responder protein 29L3W-CML1-Retinoic acid receptor responder protein 2-Gi1/β1/γ2
25.00Single9M4QDoxazosin9M4Q-Alpha1A-Doxazosin
25.00Consensus5ht1a_onOrthosteric Ligand8FYT-5-HT1A-LSD-Gi1/β1/γ1 7E2Y-5-HT1A-Serotonin-Gi1/β1/γ2 7E2Z-5-HT1A-Aripiprazole-Gi1/β1/γ2 8FYX-5-HT1A-Buspirone-Gi1/β1/γ1 8JSP-5-HT1A-Ulotaront-Gi1/β1/γ2 8JT6-5-HT1A-(R)-IHCH-7179-Gi1/β1/γ2 8FY8-5-HT1A-5-MeO-DMT-Gi1/β1/γ1 8FYE-5-HT1A-4-F,5-MeO-PyrT-Gi1/β1/γ1 8FYL-5-HT1A-Vilazodone-Gi1/β1/γ1
25.00Consensus5ht1a_on_gpOrthosteric Ligand8FYT-5-HT1A-LSD-Gi1/β1/γ1 8FYX-5-HT1A-Buspirone-Gi1/β1/γ1 8JSP-5-HT1A-Ulotaront-Gi1/β1/γ2 8JT6-5-HT1A-(R)-IHCH-7179-Gi1/β1/γ2 7E2Y-5-HT1A-Serotonin-Gi1/β1/γ2 7E2Z-5-HT1A-Aripiprazole-Gi1/β1/γ2 8FY8-5-HT1A-5-MeO-DMT-Gi1/β1/γ1 8FYE-5-HT1A-4-F,5-MeO-PyrT-Gi1/β1/γ1 8FYL-5-HT1A-Vilazodone-Gi1/β1/γ1
25.00Consensus5ht1e_onOrthosteric Ligand7E33-5-HT1E-BRL-54443-Gi1/β1/γ2 8UGY-5-HT1E-Mianserin-Gi1/β1/γ1 8UH3-5-HT1E-Setiptiline-Gi1/β1/γ1
25.00Consensus5ht1f_onOrthosteric Ligand7EXD-5-HT1F-Lasmiditan-Gi1/β1/γ2
25.00Consensus5ht1f_on_gpOrthosteric Ligand7EXD-5-HT1F-Lasmiditan-Gi1/β1/γ2
25.00Consensusalpha1_offOrthosteric Ligandalpha1a_off
25.00Consensusalpha1a_offOrthosteric Ligand7YMJ-Alpha1A-Tamsulosin
25.00Consensusalpha2_offOrthosteric Ligandalpha2c_off
25.00Consensusangiotensin_offOrthosteric Ligandat1_off
25.00Consensusbeta_onOrthosteric Ligandbeta1_on beta2_on beta3_on
25.00Consensusbeta_on_gpOrthosteric Ligandbeta1_on_gp beta2_on_gp beta3_on_gp
25.00Consensuscannabinoid_offOrthosteric Ligandcb2_off cb1_off
25.00Consensuscxcr_onOrthosteric Ligandcxcr3_on cxcr4_on cxcr1_on cxcr2_on
25.00Consensusd2_on_gpOrthosteric Ligand7JVR-D2-Bromoergocryptine-Gi1/β1/γ2 8IRS-D2-Rotigotine-Gi1/β1/γ2
25.00Consensusgi_neurotensinOrthosteric Ligand6OSA-NTS1-JMV449-Gi1/β1/γ2 7L0S-NTS1-Neurotensin-Gi1/β1/γ1
25.00Consensuskop_onOrthosteric Ligand8F7W-κ-Dynorphin-Gi1/β1/γ2 8DZS-κ-GR89,696-chim(NtGi2-Gz)/β1/γ2 8DZP-κ-momSalB-Gi1/β1/γ2
25.00Consensuslpa1_offOrthosteric Ligand4Z36-LPA1-ONO-3080573 4Z35-LPA1-ONO-9910539 4Z34-LPA1-ONO-9780307
25.00Consensuslpa_offOrthosteric Ligandlpa1_off
25.00Consensusmop_onOrthosteric Ligand8F7R-μ-Endomorphin-Gi1/β1/γ2 8EF5-μ-Fentanyl-Gi1/β1/γ2 7SCG-μ-FH210-Gi1/β1/γ2 7T2H-μ-Lofentanil-Gi1/β1/γ2 7T2G-μ-Mitragynine Pseudoindoxyl-Gi1/β1/γ2 8EF6-μ-Morphine-Gi1/β1/γ2 8EFB-μ-Oliceridine-Gi1/β1/γ2 7U2L-μ-PubChem 163201242-Gi1/β1/γ2 8EFO-μ-PZM21-Gi1/β1/γ2 8EFL-μ-SR17018-Gi1/β1/γ2 8F7Q-μ-β-Endorphin-Gi1/β1/γ2 7U2K-μ-C6-guano-Gi1/β1/γ2 8EFQ-μ-Damgo-Gi1/β1/γ2
25.00Consensusmop_on_gpOrthosteric Ligand8F7R-μ-Endomorphin-Gi1/β1/γ2 8EF5-μ-Fentanyl-Gi1/β1/γ2 7SCG-μ-FH210-Gi1/β1/γ2 7T2H-μ-Lofentanil-Gi1/β1/γ2 7T2G-μ-Mitragynine Pseudoindoxyl-Gi1/β1/γ2 8EF6-μ-Morphine-Gi1/β1/γ2 8EFB-μ-Oliceridine-Gi1/β1/γ2 7U2L-μ-PubChem 163201242-Gi1/β1/γ2 8EFO-μ-PZM21-Gi1/β1/γ2 8EFL-μ-SR17018-Gi1/β1/γ2 8F7Q-μ-β-Endorphin-Gi1/β1/γ2 7U2K-μ-C6-guano-Gi1/β1/γ2 8EFQ-μ-Damgo-Gi1/β1/γ2
25.00Consensusmotilin_on_gpOrthosteric Ligand8IBU-Motilin-Erythromycin-A-chim(NtGi1-Gs-CtGq)/β1/γ2
25.00Consensusneurotensin_on_gpOrthosteric Ligandnts1_on_gp
25.00Consensusnts1_on_gpOrthosteric Ligand6OSA-NTS1-JMV449-Gi1/β1/γ2 7L0S-NTS1-Neurotensin-Gi1/β1/γ1
25.00Consensusorexin_offOrthosteric Ligandox2_off ox1_off
25.00Consensusox1_offOrthosteric Ligand6TP6-OX1-Filorexant 6TP4-OX1-ACT-462206 6V9S-OX1-GTPL11403 6TOT-OX1-Lemborexant 6TP3-OX1-Nemorexant 6TQ6-OX1-PubChem 145714283 6TQ9-OX1-SB-408124 4ZJC-OX1-SB-674042 4ZJ8-OX1-Suvorexant 6TOD-OX1-EMPA-Na 6TOS-OX1-GSK1059865-Na 6TQ4-OX1-PubChem 16046844-Na
25.00Consensusox2_offOrthosteric Ligand5WQC-OX2-EMPA 6TPN-OX2-HTL6641 7XRR-OX2-Lemborexant 6TPJ-OX2-Suvorexant
25.00Consensusrhodopsin_on_gpOrthosteric Ligand6OYA-Rhodopsin-All-trans-Retinal-Gt/β1/γ1
25.00Consensuss1p3_onOrthosteric Ligand7EW3-S1P3-S1P-Gi1/β1/γ2 7EW4-S1P3-CYM5541-Gi1/β1/γ2 7EW2-S1P3-Fingolimod-Gi1/β1/γ2
25.00Consensustrh_onOrthosteric Ligand7XW9-TRH-TRH-chim(NtGi1L-Gs-CtGq)/β1/γ2
25.00Consensustrh_on_gpOrthosteric Ligand7XW9-TRH-TRH-chim(NtGi1L-Gs-CtGq)/β1/γ2
24.14Single7DUQGLP-17DUQ-GLP-1-GLP-1-PubChem 156022738-Gs/β1/γ2
24.14Consensusccr5_on_gpOrthosteric Ligand7O7F-CCR5-6P4-CCL5-Gi1/β1/γ1 7F1Q-CCR5-MIP-1a-Gi1/β1/γ2
24.14Consensusclass-a_class-b1_cons_onOrthosteric Ligandclass-a_on class-b1_on
24.14Consensusgi_npyOrthosteric Ligand8K6M-Y1-Neuropeptide-Y-Gi2/β1/γ1 7X9C-Y4-Pancreatic Hormone-Gi1/β1/γ2 7YOO-Y2-Neuropeptide-Y-Gi1/β1/γ2
24.14Consensusnpy_onOrthosteric Ligandnpy1_on npy2_on npy4_on
24.14Consensusnpy_on_gpOrthosteric Ligandnpy1_on_gp npy2_on_gp npy4_on_gp
24.00Single5WB2CX3CL1.355WB2-US28-CX3CL1.35
24.00Single7DW9AVP7DW9-V2-AVP-chim(NtGi1-Gs)/β1/γ2
24.00Single7F4HAfamelanotide7F4H-MC1-Afamelanotide-chim(NtGi1-Gs)/β1/γ2
24.00Single7KH0AVP7KH0-V2-AVP-chim(NtGi1-Gs)/β1/γ2
24.00Single7T10Somatostatin-147T10-SST2-Somatostatin-14-Gi3/β1/γ2
24.00Single8IEDA1LYA8IED-GPR156-A1LYA-Go/β1/γ2
24.00Single8YW3Retatrutide8YW3-GLP-1-Retatrutide-Gs/β1/γ2
24.00Single8YW5Retatrutide8YW5-Glucagon-Retatrutide-Gs/β1/γ2
24.00Single9BLCCagrilintide backbone (non-acylated)9BLC-CT-Cagrilintide backbone (non-acylated)-Gs/β1/γ2
24.00Consensusgs_vasop-oxyOrthosteric Ligand7DW9-V2-AVP-chim(NtGi1-Gs)/β1/γ2
24.00Consensusp2y_on_gpOrthosteric Ligandp2y1_on_gp p2y10_on_gp p2y12_on_gp
24.00Consensusv2_onOrthosteric Ligand7DW9-V2-AVP-chim(NtGi1-Gs)/β1/γ2
24.00Consensusv2_on_gpOrthosteric Ligand7DW9-V2-AVP-chim(NtGi1-Gs)/β1/γ2
24.00Consensusvasop-oxy_onOrthosteric Ligandv2_on
24.00Consensusvasop-oxy_on_gpOrthosteric Ligandv2_on_gp
23.81Single2YCZIodocyanopindolol2YCZ-β1-Iodocyanopindolol
23.81Single4BUONeurotensin4BUO-NTS1-Neurotensin
23.81Single4BVNCyanopindolol4BVN-β1-Cyanopindolol-Na
23.81Single4NC3Ergotamine4NC3-5-HT2B-Ergotamine
23.81Single4RWSvMIP-II4RWS-CXCR4-vMIP-II
23.81Single4Z35ONO-99105394Z35-LPA1-ONO-9910539
23.81Single5X93K-87945X93-ETB-K-8794
23.81Single6BQGErgotamine6BQG-5-HT2C-Ergotamine
23.81Single6BQHRitanserin6BQH-5-HT2C-Ritanserin
23.81Single6H7LDobutamine6H7L-β1-Dobutamine
23.81Single7EW0Ozanimod7EW0-S1P1-Ozanimod-Gi1/β1/γ2
23.81Single7JVRBromoergocryptine7JVR-D2-Bromoergocryptine-Gi1/β1/γ2
23.81Single7PIUSetmelanotide7PIU-MC4-Setmelanotide-Gs/β1/γ2
23.81Single7SK8CCX6627SK8-ACKR3-CXCL12-CCX662
23.81Single7U2KC6-guano7U2K-μ-C6-guano-Gi1/β1/γ2
23.81Single7WVVfMLFII7WVV-FPR2-ALX-fMLFII-Gi2/β1/γ2
23.81Single7X1UTRH7X1U-TRH-TRH-chim(NtGi2L-Gs-CtGq)/β1/γ2
23.81Single7X2DTavapadon7X2D-D1-Tavapadon-Gs/β1/γ2
23.81Single7YU8ONO-07405567YU8-LPA1-ONO-0740556-Gi1/β1/γ2
23.81Single8FN0Neurotensin/Neuromedin-N8FN0-NTS1-Neurotensin/Neuromedin-N-SBI-553-chim(NtGi1-Go)/β1/γ2
23.81Single8GUTLEI-1028GUT-CB2-LEI-102-Gi1/β1/γ2
23.81Single8HN1Toxin AdTx18HN1-Alpha1A-Toxin AdTx1
23.81Single8J19LY2378J19-GPR84-LY237-Gi1/β1/γ2
23.81Single8K2XCXCL108K2X-CXCR3-CXCL10-Gi1/β1/γ2
23.81Single8S2TIsoprenaline8S2T-β1-Isoprenaline-chim(NtGi1-Gs)/β1/γ2
23.81Single8ZPLHF511168ZPL-CXCR4-HF51116
23.81Single9DYEBuspirone9DYE-5-HT1A-Buspirone-Go/β1/γ2
23.81Single9EAILosartan9EAI-AT1-Losartan-Nanobody AT209
23.81Single9M1HProstaglandin E29M1H-EP1-Prostaglandin E2-chim(NtGi1-Gs-CtGq)/β1/γ2
23.81Consensus5ht2c_offOrthosteric Ligand6BQH-5-HT2C-Ritanserin
23.81Consensusbeta1_onOrthosteric Ligand8DCR-β1-Dobutamine-Gs/β1/γ2 7S0F-β1-Isoprenaline-Gi1/β1/γ2
23.81Consensusbeta1_on_gpOrthosteric Ligand8DCR-β1-Dobutamine-Gs/β1/γ2 7S0F-β1-Isoprenaline-Gi1/β1/γ2
23.81Consensusd2_offOrthosteric Ligand6CM4-D2-Risperidone 6LUQ-D2-Haloperidol 7DFP-D2-Spiperone
23.81Consensusendothelin_offOrthosteric Ligandetb_off
23.81Consensusetb_offOrthosteric Ligand5X93-ETB-K-8794 5XPR-ETB-Bosentan 6K1Q-ETB-IRL2500
23.81Consensusfp-alpha_onOrthosteric Ligand8IUK-FP-alpha-PGF2-α-chim(NtGi1-Gs-CtGq)/β1/γ2 8IUL-FP-alpha-Latanoprost-chim(NtGi1-Gs-CtGq)/β1/γ2 8IUM-FP-alpha-Tafluprost acid-chim(NtGi1-Gs-CtGq)/β1/γ2
23.81Consensusfp-alpha_on_gpOrthosteric Ligand8IUK-FP-alpha-PGF2-α-chim(NtGi1-Gs-CtGq)/β1/γ2 8IUL-FP-alpha-Latanoprost-chim(NtGi1-Gs-CtGq)/β1/γ2 8IUM-FP-alpha-Tafluprost acid-chim(NtGi1-Gs-CtGq)/β1/γ2
23.81Consensuskop_on_gpOrthosteric Ligand8F7W-κ-Dynorphin-Gi1/β1/γ2 8DZS-κ-GR89,696-chim(NtGi2-Gz)/β1/γ2 8DZP-κ-momSalB-Gi1/β1/γ2
23.53Single4LDOL-Epinephrine4LDO-β2-L-Epinephrine
23.53Single6IQLL7458706IQL-D4-L745870
23.53Single6KUXRS-799486KUX-α2a-RS-79948
23.53Single6ME42-Iodomelatonin6ME4-MT1-2-Iodomelatonin
23.53Single6PS0S-Carazolol6PS0-β2-S-Carazolol
23.53Single6PS4ICI118-5516PS4-β2-ICI118-551
23.53Single6PS82-Phenylmelatonin6PS8-MT1-2-Phenylmelatonin
23.53Single6PT0WIN 55212-26PT0-CB2-WIN 55212-2-Gi1/β1/γ2
23.53Single6TOSGSK10598656TOS-OX1-GSK1059865-Na
23.53Single6TP3Nemorexant6TP3-OX1-Nemorexant
23.53Single6WH4Methiothepin6WH4-5-HT2A-Methiothepin
23.53Single6WJCMuscarinic toxin 76WJC-M1-Atropine-Muscarinic toxin 7
23.53Single6ZFZ77-LH-28-16ZFZ-M1-77-LH-28-1
23.53Single7AROLUF58337ARO-A2A-LUF5833-Na
23.53Single7BB6AVP7BB6-V2-AVP-Gs/β1/γ2
23.53Single7CKZDopamine7CKZ-D1-Dopamine-Mevidalen-Gs/β1/γ2
23.53Single7DHISalbutamol7DHI-β2-Salbutamol-Gs/β1/γ2
23.53Single7F0TDopamine7F0T-D1-Dopamine-Gs/β1/γ2
23.53Single7F16TIP397F16-PTH2-TIP39-Gs/β1/γ2
23.53Single7F1ZDopamine7F1Z-D1-Dopamine-GDP-Gs/β1/γ2
23.53Single7SR8TAK-9257SR8-OX2-TAK-925-chim(NtGi1L-Gs-CtGq)/β1/γ2
23.53Single7T94LY21196207T94-M2-Acetylcholine-LY2119620-chim(NtGi1-Go)/β1/γ2
23.53Single7UL3Famotidine7UL3-H2-Famotidine
23.53Single7VUGJNJ-635330547VUG-GPR139-JNJ-63533054-Gi1/β1/γ2
23.53Single8GE1Constrained Epinephrine8GE1-β2-Constrained Epinephrine-Gs/β1/γ2
23.53Single8GE4Constrained Epinephrine8GE4-β2-Constrained Epinephrine-Gs/β1/γ2
23.53Single8GE6Constrained Epinephrine8GE6-β2-Constrained Epinephrine-Gs/β1/γ2
23.53Single8GE7Constrained Epinephrine8GE7-β2-Constrained Epinephrine-Gs/β1/γ2
23.53Single8GE8Constrained Epinephrine8GE8-β2-Constrained Epinephrine-Gs/β1/γ2
23.53Single8GEAConstrained Epinephrine8GEA-β2-Constrained Epinephrine-Gs/β1/γ2
23.53Single8GEDConstrained Epinephrine8GED-β2-Constrained Epinephrine-Gs/β1/γ2
23.53Single8GEFConstrained Epinephrine8GEF-β2-Constrained Epinephrine-Gs/β1/γ2
23.53Single8GG8Constrained Epinephrine8GG8-β2-Constrained Epinephrine-GTP-Gs/β1/γ2
23.53Single8GGQConstrained Epinephrine8GGQ-β2-Constrained Epinephrine
23.53Single8GGSConstrained Epinephrine8GGS-β2-Constrained Epinephrine
23.53Single8GGTConstrained Epinephrine8GGT-β2-Constrained Epinephrine
23.53Single8GGVConstrained Epinephrine8GGV-β2-Constrained Epinephrine
23.53Single8GGXConstrained Epinephrine8GGX-β2-Constrained Epinephrine
23.53Single8JLKUlotaront8JLK-TA1-Ulotaront-chim(NtGi1-Gs)/β1/γ2
23.53Single8JLNT1AM8JLN-TA1-T1AM-Gs/β1/γ2
23.53Single8K2WAMG4878K2W-CXCR3-AMG487
23.53Single8K9LDamgo8K9L-μ-Damgo-BMS-986122-Gi3/β1/γ1
23.53Single8RLNLUF58348RLN-A2A-LUF5834
23.53Single8UNMConstrained Epinephrine8UNM-β2-Constrained Epinephrine-GTP-Gs/β1/γ2
23.53Single8UNWConstrained Epinephrine8UNW-β2-Constrained Epinephrine-GTP-Gs/β1/γ2
23.53Single8UO0Constrained Epinephrine8UO0-β2-Constrained Epinephrine-GTP-Gs/β1/γ2
23.53Single8W8BSEP-3638568W8B-5-HT1A-SEP-363856-Gi1/β1/γ2
23.53Single8WC8ZH86518WC8-TA1-ZH8651-chim(NtGi1-Gs)/β1/γ2
23.53Single8YH2Adenosine8YH2-A3A-Adenosine-Gi1/β1/γ2
23.53Single9AS3LSD9AS3-5-HT2A-LSD
23.53Single9AS4LSD9AS4-5-HT2A-LSD-chim(NtGi1-Gs-CtGq)/β1/γ2
23.53Single9AS5Mescaline9AS5-5-HT2A-Mescaline
23.53Single9AS6Mescaline9AS6-5-HT2A-Mescaline-chim(NtGi1-Gs-CtGq)/β1/γ2
23.53Single9EPQ11,20-Ethanoretinal9EPQ-Rhodopsin-11,20-Ethanoretinal-chim(Gi1-CtGq)/β1/γ2
23.53Single9JKQMETH9JKQ-TA1-METH-Gs/β1/γ2
23.53Single9JMDAzithromycin9JMD-Motilin-Azithromycin-chim(Gs-CtGq)/β1/γ2
23.53Single9M2FNeuropeptide FF9M2F-NPFF1-Neuropeptide FF-Gi1/β1/γ2
23.53Single9MQIIsoquinuclidine9MQI-μ-Isoquinuclidine
23.53Consensusadenosine_onOrthosteric Liganda1_on a2_on a3_on
23.53Consensuscxcr3_offOrthosteric Ligand8K2W-CXCR3-AMG487
23.53Consensusgi_adenosineOrthosteric Ligand7LD4-A1-Adenosine-Gi2/β1/γ2 8X17-A3A-Namodenoson-Gi1/β1/γ2 8X16-A3A-Piclidenoson-Gi1/β1/γ2
23.33Single7TZFAmylin7TZF-CT (AMY3)-Amylin-Gs/β1/γ2; RAMP3
23.33Single8HBDIRL16208HBD-ETB-IRL1620-Gi1/β1/γ2
23.08Single6X18GLP-16X18-GLP-1-GLP-1-Gs/β1/γ2
23.08Single7QBIAlpha-factor mating pheromone7QBI-STE2-α-factor mating pheromone
23.08Single7VL9CCL15(26-92)7VL9-CCR1-CCL15(26-92)-Gi1/β1/γ2
23.08Single7WBJPACAP277WBJ-VPAC1-PACAP27-Gs/β1/γ2
23.08Single8E3YPACAP278E3Y-VPAC1-PACAP27-Gs/β1/γ2
23.08Single8HQMNPGLY8HQM-GPR132-NPGLY-Gi1/β1/γ2
23.08Single8HVINOX-6-78HVI-GPR132-NOX-6-7-Gi1/β1/γ2
23.08Consensusmc1_onOrthosteric Ligand7F4H-MC1-Afamelanotide-chim(NtGi1-Gs)/β1/γ2 7F4D-MC1-α-MSH-chim(NtGi1-Gs)/β1/γ2 7F4I-MC1-SHU9119-chim(NtGi1-Gs)/β1/γ2
23.08Consensusmc1_on_gpOrthosteric Ligand7F4H-MC1-Afamelanotide-chim(NtGi1-Gs)/β1/γ2 7F4D-MC1-α-MSH-chim(NtGi1-Gs)/β1/γ2 7F4I-MC1-SHU9119-chim(NtGi1-Gs)/β1/γ2
23.08Consensusopioid_onOrthosteric Ligandmop_on nop_on dop_on kop_on
23.08Consensuspac_onOrthosteric Ligandpac1_on
23.08Consensusvpac1_onOrthosteric Ligand8E3Z-VPAC1-VIP-Gs/β1/γ2
22.73Single3NY9ICI118-5513NY9-β2-ICI118-551
22.73Single5VBLApelin mimetic peptide agonist5VBL-Apelin-Apelin mimetic peptide agonist
22.73Single6XBJCholesterol6XBJ-SMO-Cholesterol-Gi1/β1/γ2
22.73Single7F9ZGHRP-67F9Z-Ghrelin-GHRP-6-chim(NtGi1-Gs-CtGq)/β1/γ2
22.73Single7RKNFractalkine7RKN-US28-Fractalkine-Gi1/β1/γ2
22.73Single7S8LCortistatin-147S8L-MRGPRX2-Cortistatin-14-chim(NtGi2L-Gs-CtGq)/β1/γ2
22.73Single7XN9L-054,5227XN9-SST2-L-054,522
22.73Single7Y1FDynorphin7Y1F-κ-Dynorphin-Gi1/β1/γ2
22.73Single8F7REndomorphin8F7R-μ-Endomorphin-Gi1/β1/γ2
22.73Single8GDAL9026888GDA-EP4-L902688-Gs/β1/γ2
22.73Single8IQ4Carboprost8IQ4-FP-alpha-Carboprost-chim(NtGi1-Gs-CtGq)/β1/γ2
22.73Single8IUMTafluprost acid8IUM-FP-alpha-Tafluprost acid-chim(NtGi1-Gs-CtGq)/β1/γ2
22.73Single8JBFSenktide8JBF-NK3-Senktide-chim(NtGi1-Gs-CtGq)/β1/γ2
22.73Single8X5YAstemizole8X5Y-H1-Astemizole
22.73Single8XQLCholesterol8XQL-TAS2R14-Cholesterol-Aristolochic acid A-Gt3/β1/γ1
22.73Single9IPVJR14a9IPV-C3aB-JR14a-Gi1/β1/γ2
22.73Single9IPYJR14a9IPY-C3aB-JR14a
22.73Single9JF4PD1683689JF4-BB1-PD168368
22.73Single9MD1Buspirone9MD1-5-HT1A-Buspirone-Gz/β1/γ2
22.73Consensusdop_onOrthosteric Ligand8F7S-δ-Deltorphin-Gi1/β1/γ2
22.73Consensusox2_onOrthosteric Ligand7L1V-OX2-PubChem 155491009-chim(NtGi1-Gs-CtGq)/β1/γ2 7SQO-OX2-TAK-925-Gi1/β1/γ2 7L1U-OX2-Orexin-chim(NtGi1-Gs-CtGq)/β1/γ2
22.73Consensusox2_on_gpOrthosteric Ligand7L1V-OX2-PubChem 155491009-chim(NtGi1-Gs-CtGq)/β1/γ2 7SQO-OX2-TAK-925-Gi1/β1/γ2 7L1U-OX2-Orexin-chim(NtGi1-Gs-CtGq)/β1/γ2
22.58Consensusglp1_on_gpOrthosteric Ligand7S1M-GLP-1-Ex4-D-Ala-Gs/β1/γ2 7X8R-GLP-1-BOC5-Gs/β1/γ2 6X19-GLP-1-CHU-128-Gs/β1/γ2 6X1A-GLP-1-Danuglipron-Gs/β1/γ2 6X18-GLP-1-GLP-1-Gs/β1/γ2 8JIP-GLP-1-MEDI0382-chim(NtGi1-Gs)/β1/γ2 7C2E-GLP-1-PubChem 149050799-Gs/β1/γ2 7KI0-GLP-1-Semaglutide-Gs/β1/γ2 7KI1-GLP-1-Taspoglutide-Gs/β1/γ2 7X8S-GLP-1-WB4-24-Gs/β1/γ2 8JIS-GLP-1-Peptide-15-chim(NtGi1-Gs)/β1/γ2 7VBI-GLP-1-Non-Acylated Tirzepatide-Gs/β1/γ2
22.22Single2Y01Dobutamine2Y01-β1-Dobutamine
22.22Single3NY8ICI118-5513NY8-β2-ICI118-551
22.22Single3NYAS-Alprenolol3NYA-β2-S-Alprenolol
22.22Single4GBRS-Carazolol4GBR-β2-S-Carazolol
22.22Single4QKX35V4QKX-β2-35V
22.22Single4X1HNonyl-Beta-D-Glucopyranoside4X1H-Rhodopsin-Nonyl-β-D-Glucopyranoside-Gt(CT)
22.22Single5DHHSB-6121115DHH-NOP-SB-612111
22.22Single5T04Neurotensin5T04-NTS1-Neurotensin
22.22Single5TGZAM65385TGZ-CB1-AM6538
22.22Single5UENDU1725UEN-A1-DU172
22.22Single5ZKPForopafant (SR27417)5ZKP-PAF-Foropafant (SR27417)
22.22Single6D27CAY104716D27-DP2-CAY10471
22.22Single6DRXLisuride6DRX-5-HT2B-Lisuride
22.22Single6H7MSalbutamol6H7M-β1-Salbutamol
22.22Single6KPFPubChem 1459158896KPF-CB2-PubChem 145915889-Gi1/β1/γ2
22.22Single6NBFLong-Acting PTH Analog6NBF-PTH1-Long-Acting PTH Analog-Gs/β1/γ2
22.22Single6P9YPACAP6P9Y-PAC1-PACAP-Gs/β1/γ2
22.22Single6PS1Timolol6PS1-β2-Timolol
22.22Single6Z4VNTS8-136Z4V-NTS1-NTS8-13
22.22Single7BTSL-Epinephrine7BTS-β1-L-Epinephrine
22.22Single7BU6L-Norepinephrine7BU6-β1-L-Norepinephrine
22.22Single7BU7BI1671077BU7-β1-BI167107
22.22Single7CRHSKF839597CRH-D1-SKF83959-Gs/β1/γ2
22.22Single7E32Serotonin7E32-5-HT1D-Serotonin-Gi1/β1/γ2
22.22Single7JVQApomorphine7JVQ-D1-Apomorphine-Gs/β1/γ2
22.22Single7KI0Semaglutide7KI0-GLP-1-Semaglutide-Gs/β1/γ2
22.22Single7LJCSKF-812977LJC-D1-SKF-81297-Mevidalen-Gs/β1/γ2
22.22Single7NA8PubChem 1780247NA8-Ghrelin-PubChem 178024-Gi1/β1/γ2
22.22Single7QBIAlpha-factor mating pheromone7QBI-STE2-α-factor mating pheromone
22.22Single7S0GIsoprenaline7S0G-β1-Isoprenaline-chim(Gi1-CtGs)/β1/γ2
22.22Single7SCGFH2107SCG-μ-FH210-Gi1/β1/γ2
22.22Single7SK3CXCL127SK3-ACKR3-CXCL12
22.22Single7SK4CXCL12_LRHQ7SK4-ACKR3-CXCL12_LRHQ
22.22Single7UM55-CT7UM5-5-HT5A-5-CT-chim(NtGi1-Go)/β1/γ2
22.22Single7VGZRemalteon7VGZ-MT1-Remalteon-Gi1/β1/γ2
22.22Single7VIFS-FTY720-P7VIF-S1P1-S-FTY720-P-Gi1/β1/γ2
22.22Single7WC8Lumateperone7WC8-5-HT2A-Lumateperone
22.22Single7X2CFenoldopam7X2C-D1-Fenoldopam-Fenoldopam-Gs/β1/γ2
22.22Single7XJHIsoproterenol7XJH-β3-Isoproterenol-Gs/β1/γ2
22.22Single7YU4ONO-07405567YU4-LPA1-ONO-0740556
22.22Single8CU7LJ-45178CU7-A2A-LJ-4517-Na
22.22Single8DZSGR89,6968DZS-κ-GR89,696-chim(NtGi2-Gz)/β1/γ2
22.22Single8E3XPACAP278E3X-PAC1-PACAP27-Gs/β1/γ2
22.22Single8FY85-MeO-DMT8FY8-5-HT1A-5-MeO-DMT-Gi1/β1/γ1
22.22Single8GCML9026888GCM-EP4-L902688-Gi1/β1/γ2
22.22Single8GE3Constrained Epinephrine8GE3-β2-Constrained Epinephrine-Gs/β1/γ2
22.22Single8GE9Constrained Epinephrine8GE9-β2-Constrained Epinephrine-Gs/β1/γ2
22.22Single8GECConstrained Epinephrine8GEC-β2-Constrained Epinephrine-Gs/β1/γ2
22.22Single8GEEConstrained Epinephrine8GEE-β2-Constrained Epinephrine-Gs/β1/γ2
22.22Single8GEHConstrained Epinephrine8GEH-β2-Constrained Epinephrine-Gs/β1/γ2
22.22Single8GFVConstrained Epinephrine8GFV-β2-Constrained Epinephrine-GTP-Gs/β1/γ2
22.22Single8GFWConstrained Epinephrine8GFW-β2-Constrained Epinephrine-GTP-Gs/β1/γ2
22.22Single8GFXConstrained Epinephrine8GFX-β2-Constrained Epinephrine-GTP-Gs/β1/γ2
22.22Single8GFZConstrained Epinephrine8GFZ-β2-Constrained Epinephrine-GTP-Gs/β1/γ2
22.22Single8GG0Constrained Epinephrine8GG0-β2-Constrained Epinephrine-GTP-Gs/β1/γ2
22.22Single8GG1Constrained Epinephrine8GG1-β2-Constrained Epinephrine-GTP-Gs/β1/γ2
22.22Single8GG3Constrained Epinephrine8GG3-β2-Constrained Epinephrine-GTP-Gs/β1/γ2
22.22Single8GG4Constrained Epinephrine8GG4-β2-Constrained Epinephrine-GTP-Gs/β1/γ2
22.22Single8GG6Constrained Epinephrine8GG6-β2-Constrained Epinephrine-GTP-Gs/β1/γ2
22.22Single8GG9Constrained Epinephrine8GG9-β2-Constrained Epinephrine-GTP-Gs/β1/γ2
22.22Single8GGIConstrained Epinephrine8GGI-β2-Constrained Epinephrine
22.22Single8GGJConstrained Epinephrine8GGJ-β2-Constrained Epinephrine
22.22Single8GGKConstrained Epinephrine8GGK-β2-Constrained Epinephrine
22.22Single8GGNConstrained Epinephrine8GGN-β2-Constrained Epinephrine
22.22Single8GGOConstrained Epinephrine8GGO-β2-Constrained Epinephrine
22.22Single8GGUConstrained Epinephrine8GGU-β2-Constrained Epinephrine
22.22Single8JISPeptide-158JIS-GLP-1-Peptide-15-chim(NtGi1-Gs)/β1/γ2
22.22Single8JJOAlprenolol8JJO-β2-Alprenolol
22.22Single8JLZST19368JLZ-5-HT6-ST1936-Gs/β1/γ2
22.22Single8UH3Setiptiline8UH3-5-HT1E-Setiptiline-Gi1/β1/γ1
22.22Single8UNQConstrained Epinephrine8UNQ-β2-Constrained Epinephrine-GTP-Gs/β1/γ2
22.22Single8UNRConstrained Epinephrine8UNR-β2-Constrained Epinephrine-GTP-Gs/β1/γ2
22.22Single8UNUConstrained Epinephrine8UNU-β2-Constrained Epinephrine-GTP-Gs/β1/γ2
22.22Single8UNVConstrained Epinephrine8UNV-β2-Constrained Epinephrine-GTP-Gs/β1/γ2
22.22Single8UNYConstrained Epinephrine8UNY-β2-Constrained Epinephrine-GTP-Gs/β1/γ2
22.22Single8UNZConstrained Epinephrine8UNZ-β2-Constrained Epinephrine-GTP-Gs/β1/γ2
22.22Single8UO2Constrained Epinephrine8UO2-β2-Constrained Epinephrine-GTP-Gs/β1/γ2
22.22Single8W87METH8W87-TA1-METH-chim(NtGi1L-Gs)/β1/γ2
22.22Single8XJLPGF2-alpha8XJL-FP-alpha-PGF2-α-chim(NtGi2-Gs-CtGq)/β1/γ2
22.22Single8ZBEOctreotide8ZBE-SST5-Octreotide-Gi1/β1/γ1
22.22Single8ZQEGPR15L(C11)8ZQE-GPR15-GPR15L(C11)-Gi1/β1/γ1
22.22Single8ZYYNeurotensin peptide 8-138ZYY-NTS1-Neurotensin peptide 8-13-SBI-553-Arrestin2
22.22Single9BLWCagrilintide backbone (non-acylated)9BLW-CT (AMY1)-Cagrilintide backbone (non-acylated)-Gs/β1/γ2; RAMP1
22.22Single9BP3Cagrilintide9BP3-CT (AMY1)-Cagrilintide-Gs/β1/γ2; RAMP1
22.22Single9BQJRO769BQJ-μ-RO76-Gi1/β1/γ2
22.22Single9CHXS-Carazolol9CHX-β2-S-Carazolol
22.22Single9EPP11,20-Ethanoretinal9EPP-Rhodopsin-11,20-Ethanoretinal-chim(Gi1-CtGq)/β1/γ2
22.22Consensus5ht1d_onOrthosteric Ligand7E32-5-HT1D-Serotonin-Gi1/β1/γ2
22.22Consensus5ht1d_on_gpOrthosteric Ligand7E32-5-HT1D-Serotonin-Gi1/β1/γ2
22.22Consensusa3_onOrthosteric Liganda3a_on
22.22Consensusadrenergic_onOrthosteric Ligandalpha_on beta_on
22.22Consensuscrf2_on_gpOrthosteric Ligand7TS0-CRF2-Urocortin-chim(NtGi1L-Go)/β1/γ2
22.22Consensusd5_onOrthosteric Ligand8IRV-D5-Rotigotine-chim(NtGi1-Gs)/β1/γ2
22.22Consensusdopamine_offOrthosteric Ligandd2_off d3_off
22.22Consensusdopamine_onOrthosteric Ligandd2_on d1_on d3_on d4_on d5_on
22.22Consensusdopamine_on_gpOrthosteric Ligandd2_on_gp d1_on_gp d3_on_gp d4_on_gp d5_on_gp
22.22Consensusgs_trace-amineOrthosteric Ligand8W88-TA1-SEP-363856-Gs/β1/γ2 8JLJ-TA1-T1AM-chim(NtGi1-Gs)/β1/γ2 8JLO-TA1-Ulotaront-Gs/β1/γ2 8WC4-TA1-ZH8651-chim(NtGi1-Gs)/β1/γ2 8WC7-TA1-ZH8667-chim(NtGi1-Gs)/β1/γ2 8JLR-TA1-A77636-chim(NtGi1-Gs)/β1/γ2 8JSO-TA1-AMPH-chim(NtGi1-Gs)/β1/γ2 8W87-TA1-METH-chim(NtGi1L-Gs)/β1/γ2 8W89-TA1-PEA-chim(NtGi1L-Gs)/β1/γ2 8JLP-TA1-Ralmitaront-Gs/β1/γ2 8W8A-TA1-RO5256390-chim(NtGi1L-Gs)/β1/γ2
22.22Consensusnpy4_onOrthosteric Ligand7X9C-Y4-Pancreatic Hormone-Gi1/β1/γ2
22.22Consensusnpy4_on_gpOrthosteric Ligand7X9C-Y4-Pancreatic Hormone-Gi1/β1/γ2
22.22Consensusopioid_on_gpOrthosteric Ligandmop_on_gp nop_on_gp dop_on_gp kop_on_gp
22.22Consensuspac_on_gpOrthosteric Ligandpac1_on_gp
22.22Consensusvpac1_on_gpOrthosteric Ligand8E3Z-VPAC1-VIP-Gs/β1/γ2
21.88Consensusclass-a_class-b1_cons_on_gpOrthosteric Ligandclass-a_on_gp class-b1_on_gp
21.88Consensuspth2_onOrthosteric Ligand7F16-PTH2-TIP39-Gs/β1/γ2
21.74Single4AMJS-Carvedilol4AMJ-β1-S-Carvedilol
21.74Single4IB4Ergotamine4IB4-5-HT2B-Ergotamine
21.74Single7F4ISHU91197F4I-MC1-SHU9119-chim(NtGi1-Gs)/β1/γ2
21.74Single7F54Afamelanotide7F54-MC4-Afamelanotide-Gs/β1/γ2
21.74Single7TD4Siponimod7TD4-S1P1-Siponimod-Gi1/β1/γ2
21.74Single7XAUOctreotide7XAU-SST2-Octreotide-Gi1/β1/γ2
21.74Single8FYLVilazodone8FYL-5-HT1A-Vilazodone-Gi1/β1/γ1
21.74Single8IEBA1LYA8IEB-GPR156-A1LYA
21.74Single8IEIA1LYA8IEI-GPR156-A1LYA
21.74Single8IEIA1LYA8IEI-GPR156-A1LYA
21.74Single8IEPA1LYA8IEP-GPR156-A1LYA
21.74Single8IEPA1LYA8IEP-GPR156-A1LYA
21.74Single8INRAlpha-MSH8INR-MC5-α-MSH-Ca-chim(NtGi1-Gs)/β1/γ2
21.74Single8XGMChemerin8XGM-CML2-Chemerin-Gi1/β1/γ2
21.74Single9BKJCholecystokinin-89BKJ-CCKA-Cholecystokinin-8-chim(NtGi1-Gs-CtGq)/β1/γ2
21.74Single9M4TSilodosin9M4T-Alpha1A-Silodosin
21.74Consensuschemokine_onOrthosteric Ligandccr_on cxcr_on
21.74Consensusgi_nucleotideOrthosteric Ligandgi_adenosine gi_p2y
21.74Consensusmc4_onOrthosteric Ligand7AUE-MC4-Setmelanotide-chim(NtGi1L-Gs)/β1/γ2 7F58-MC4-THIQ-Gs/β1/γ2 7F54-MC4-Afamelanotide-Gs/β1/γ2 7F53-MC4-α-MSH-Gs/β1/γ2 7F55-MC4-Bremelanotide-Gs/β1/γ2
21.74Consensusnk3_onOrthosteric Ligand8JBF-NK3-Senktide-chim(NtGi1-Gs-CtGq)/β1/γ2
21.74Consensusnk3_on_gpOrthosteric Ligand8JBF-NK3-Senktide-chim(NtGi1-Gs-CtGq)/β1/γ2
21.74Consensusnop_onOrthosteric Ligand8F7X-NOP-Nociceptin-Gi1/β1/γ2
21.74Consensusnop_on_gpOrthosteric Ligand8F7X-NOP-Nociceptin-Gi1/β1/γ2
21.43Single3OE8IT1t3OE8-CXCR4-IT1t
21.43Single6B3JExendin-P56B3J-GLP-1-Exendin-P5-Gs/β1/γ2
21.43Single6OT025(S)-Epoxycholesterol6OT0-SMO-25(S)-Epoxycholesterol-Gi1/β1/γ2
21.43Single6VCBGLP-16VCB-GLP-1-GLP-1-LSN3160440-Gs/β1/γ2
21.43Single7F53Alpha-MSH7F53-MC4-α-MSH-Gs/β1/γ2
21.43Single7MTBAll-trans-Retinal7MTB-Rhodopsin-All-trans-Retinal-GRK1
21.43Single7QBCAlpha-factor mating pheromone7QBC-STE2-α-factor mating pheromone
21.43Single8DPHLorcaserin8DPH-5-HT2C-Lorcaserin-chim(NtGi2L-Gs-CtGq)/β1/γ2
21.43Single8FEG(DNCP)-Beta-Naloxamine8FEG-κ-(DNCP)-β-Naloxamine-Gi1/β1/γ2
21.43Single8HAOPTH8HAO-PTH1-PTH-chim(NtGi1-Gs)/β1/γ2
21.43Single8IWM2-Phenylethylamine8IWM-TA9-2-Phenylethylamine
21.43Single8WC5Tetramethylammonium Ion8WC5-TA1-Tetramethylammonium Ion-chim(NtGi1-Gs)/β1/γ2
21.43Single8ZJGChemerin8ZJG-CML1-Chemerin-Gi1/β1/γ2
21.43Single9EE9Adenosine9EE9-A2A-Adenosine-Gs/β1/γ2
21.43Single9K26PrRP319K26-PrRP-PrRP31-Gi1/β1/γ2
21.43Single9KDFRES-701-39KDF-ETB-RES-701-3
21.43Consensusglp2_onOrthosteric Ligand7D68-GLP-2-GLP-2-Gs/β1/γ2
21.43Consensusglp2_on_gpOrthosteric Ligand7D68-GLP-2-GLP-2-Gs/β1/γ2
21.43Consensusopsins_onOrthosteric Ligandrhodopsin_on opsin1lw_on
21.43Consensussensory_onOrthosteric Ligandopsins_on
21.21Consensusglucagon_on_gpOrthosteric Ligandglp_on_gp gluc_on_gp secretin_on_gp gip_on_gp
21.21Consensuspth_onOrthosteric Ligandpth1_on pth2_on
21.05Single2RH1S-Carazolol2RH1-β2-S-Carazolol
21.05Single2Y00Dobutamine2Y00-β1-Dobutamine
21.05Single2YCWS-Carazolol2YCW-β1-S-Carazolol
21.05Single4RWDDIPP-NH24RWD-δ-DIPP-NH2-Na
21.05Single4WW3All-trans-Retinal4WW3-Rhodopsin-All-trans-Retinal
21.05Single5C1MBU725C1M-μ-BU72
21.05Single5D6LS-Carazolol5D6L-β2-S-Carazolol
21.05Single5JQHS-Carazolol5JQH-β2-S-Carazolol
21.05Single5N2RPSB-365N2R-A2A-PSB-36-Na
21.05Single5X7DS-Carazolol5X7D-β2-S-Carazolol-Cmpd-15
21.05Single6E67BI1671076E67-β2-BI167107-Gs(CT)
21.05Single6GDGNECA6GDG-A2A-NECA-Gs/β1/γ1
21.05Single6KPCPubChem 1459158896KPC-CB2-PubChem 145915889
21.05Single6KUWPubChem 572132346KUW-α2c-PubChem 57213234
21.05Single6LUQHaloperidol6LUQ-D2-Haloperidol
21.05Single6ME82-Phenylmelatonin6ME8-MT2-2-Phenylmelatonin
21.05Single6PS3S-Carvedilol6PS3-β2-S-Carvedilol
21.05Single6PS6Timolol6PS6-β2-Timolol
21.05Single6XBKCholesterol6XBK-SMO-Cholesterol-Gi1/β1/γ2
21.05Single7BVQS-Carazolol7BVQ-β1-S-Carazolol
21.05Single7CFNINT-7777CFN-GPBA-INT-777-Gs/β1/γ2
21.05Single7S0FIsoprenaline7S0F-β1-Isoprenaline-Gi1/β1/γ2
21.05Single7SINNPS-21437SIN-CaS-NPS-2143
21.05Single7SINNPS-21437SIN-CaS-NPS-2143
21.05Single7VFXfMLF7VFX-FPR1-ALX-fMLF-Gi1/β1/γ2
21.05Single7VV4Cortistatin-147VV4-MRGPRX2-Cortistatin-14
21.05Single7W41PD1762527W41-BB2-PD176252
21.05Single7WIGL-054,2647WIG-SST2-L-054,264-Gi1/β1/γ2
21.05Single7XK9Constrained Isoproterenol7XK9-β2-Constrained Isoproterenol-Na
21.05Single7XKAConstrained Epinephrine7XKA-β2-Constrained Epinephrine
21.05Single7Y26Octreotide7Y26-SST2-Octreotide-chim(NtGi2L-Gs-CtGq)/β1/γ2
21.05Single7YU3ONO-07405567YU3-LPA1-ONO-0740556-Gi1/β1/γ2
21.05Single8C9WEtrumadenant8C9W-A2A-Etrumadenant
21.05Single8GDZConstrained Epinephrine8GDZ-β2-Constrained Epinephrine-Gs/β1/γ2
21.05Single8GEBConstrained Epinephrine8GEB-β2-Constrained Epinephrine-Gs/β1/γ2
21.05Single8GEGConstrained Epinephrine8GEG-β2-Constrained Epinephrine-Gs/β1/γ2
21.05Single8GFYConstrained Epinephrine8GFY-β2-Constrained Epinephrine-GTP-Gs/β1/γ2
21.05Single8GG2Constrained Epinephrine8GG2-β2-Constrained Epinephrine-GTP-Gs/β1/γ2
21.05Single8GGBConstrained Epinephrine8GGB-β2-Constrained Epinephrine-GTP-Gs/β1/γ2
21.05Single8S4DCMF-0198S4D-Apelin-CMF-019
21.05Single8TH4Losartan8TH4-AT1-Losartan-AT118-L Nanobody
21.05Single8UNNConstrained Epinephrine8UNN-β2-Constrained Epinephrine-GTP-Gs/β1/γ2
21.05Single8UNPConstrained Epinephrine8UNP-β2-Constrained Epinephrine-GTP-Gs/β1/γ2
21.05Single8YNSSNAP-948478YNS-MCH1-SNAP-94847
21.05Single8ZMFA1L108ZMF-5-HT2C-A1L10
21.05Single8ZRKGSK-12922638ZRK-GPR119-GSK-1292263-Gs/β1/γ2
21.05Single8ZVZBW245C8ZVZ-DP1-BW245C-Gs/β1/γ2
21.05Single8ZYTNeurotensin peptide 8-138ZYT-NTS1-Neurotensin peptide 8-13-SBI-553-Arrestin2
21.05Single9ARZ2-bromo-LSD9ARZ-5-HT2A-2-bromo-LSD
21.05Single9AVLCa; Ca; Cyclomethyltryptophan; 9IG; PO49AVL-CaS-Ca-Ca; Ca; Cyclomethyltryptophan; 9IG; PO4-Gi3/β2/γ2
21.05Single9AXFCa; Ca; Ca; Cyclomethyltryptophan; 9IG; PO49AXF-CaS-Ca-Ca; Ca; Ca; Cyclomethyltryptophan; 9IG; PO4-chim(NtGi1-Gs-CtGq)/β1/γ2
21.05Single9DYDAsenapine9DYD-5-HT1A-Asenapine-Go/β1/γ2
21.05Single9DYFAsenapine9DYF-5-HT1A-Asenapine-Gi1/β1/γ2
21.05Single9ERXD9-THC analog9ERX-CB1-D9-THC analog-Gi1/β1/γ2
21.05Single9MQKIsoquinuclidine9MQK-κ-Isoquinuclidine
21.05Consensus5ht1_onOrthosteric Ligand5ht1a_on 5ht1d_on 5ht1e_on 5ht1f_on
21.05Consensus5ht1_on_gpOrthosteric Ligand5ht1a_on_gp 5ht1d_on_gp 5ht1e_on_gp 5ht1f_on_gp
21.05Consensus5ht1e_on_gpOrthosteric Ligand7E33-5-HT1E-BRL-54443-Gi1/β1/γ2 8UGY-5-HT1E-Mianserin-Gi1/β1/γ1 8UH3-5-HT1E-Setiptiline-Gi1/β1/γ1
21.05Consensus5ht2_offOrthosteric Ligand5ht2a_off 5ht2b_off 5ht2c_off
21.05Consensus5ht5_on_gpOrthosteric Ligand5ht5a_on_gp
21.05Consensus5ht5a_on_gpOrthosteric Ligand7X5H-5-HT5A-5-CT-Gi1/β1/γ2 7UM6-5-HT5A-Lisuride-chim(NtGi1-Go)/β1/γ2 7UM7-5-HT5A-Methylergometrine-chim(NtGi1-Go)/β1/γ2
21.05Consensusa1_offOrthosteric Ligand5UEN-A1-DU172 5N2S-A1-PSB36
21.05Consensusa3_on_gpOrthosteric Liganda3a_on_gp
21.05Consensusa3a_onOrthosteric Ligand8X17-A3A-Namodenoson-Gi1/β1/γ2 8X16-A3A-Piclidenoson-Gi1/β1/γ2
21.05Consensusa3a_on_gpOrthosteric Ligand8X17-A3A-Namodenoson-Gi1/β1/γ2 8X16-A3A-Piclidenoson-Gi1/β1/γ2
21.05Consensusadenosine_offOrthosteric Liganda1_off a2_off
21.05Consensusadrenergic_offOrthosteric Ligandalpha_off beta_off
21.05Consensusadrenergic_on_gpOrthosteric Ligandalpha_on_gp beta_on_gp
21.05Consensusalpha2c_offOrthosteric Ligand6KUW-α2c-PubChem 57213234
21.05Consensusalpha_offOrthosteric Ligandalpha1_off alpha2_off
21.05Consensusamine_offOrthosteric Ligand5ht_off adrenergic_off dopamine_off histamine_off muscarinic_off
21.05Consensusamine_offonOrthosteric Ligandamine_off amine_on
21.05Consensusamine_offon_gpOrthosteric Ligandamine_on_gp amine_off
21.05Consensusamine_onOrthosteric Ligand5ht_on adrenergic_on dopamine_on histamine_on muscarinic_on trace-amine_on
21.05Consensusbb2_offOrthosteric Ligand7W41-BB2-PD176252
21.05Consensusbeta2_offOrthosteric Ligand2RH1-β2-S-Carazolol 6PS3-β2-S-Carvedilol 6PS5-β2-S-Propranolol 3D4S-β2-Timolol 3NY8-β2-ICI118-551 3NY9-β2-ICI118-551 6PRZ-β2-S-Alprenolol
21.05Consensusbeta_offOrthosteric Ligandbeta1_off beta2_off
21.05Consensusbombesin_offOrthosteric Ligandbb2_off
21.05Consensusfpr1-alx_onOrthosteric Ligand7VFX-FPR1-ALX-fMLF-Gi1/β1/γ2
21.05Consensusfpr1-alx_on_gpOrthosteric Ligand7VFX-FPR1-ALX-fMLF-Gi1/β1/γ2
21.05Consensusgi_adrenergicOrthosteric Ligand7EJ0-α2a-L-Norepinephrine-Go/β1/γ2 7EJK-α2a-Oxymetazoline-Go/β1/γ2 7W7E-α2a-PubChem 164946676-Go/β1/γ2 7W6P-α2a-N-pyridin-4-ylisoquinolin-4-amine-Go/β1/γ2 7EJ8-α2a-Brimonidine-Go/β1/γ2 6K42-α2b-Dexmedetomidine-Gi1/β1/γ2 7EJA-α2a-Dexmedetomidine-Go/β1/γ2 7S0F-β1-Isoprenaline-Gi1/β1/γ2
20.83Single7PIVSetmelanotide7PIV-MC4-Setmelanotide-Gs/β1/γ2
20.83Single7SK5CXCL127SK5-ACKR3-CXCL12
20.83Single7VBINon-Acylated Tirzepatide7VBI-GLP-1-Non-Acylated Tirzepatide-Gs/β1/γ2
20.83Single8IEBA1LYA8IEB-GPR156-A1LYA
20.83Single8XYDPlatelet Activating Factor8XYD-PAF-Platelet Activating Factor-Gi1/β1/γ2
20.83Single9EAINanobody AT2099EAI-AT1-Losartan-Nanobody AT209
20.83Single9IQSMuscarinic toxin 39IQS-M4-Muscarinic toxin 3
20.83Single9J0FNADH9J0F-P2Y14-NADH-Gi1/β1/γ2
20.83Consensuscckb_onOrthosteric Ligand8IA7-CCKB-Cholecystokinin-8-chim(NtGi1L-Gq)/β1/γ2 7XOW-CCKB-Gastrin-chim(NtGi1-Gq)/β1/γ2 7F8V-CCKB-Gastrin-17-Gi2/β1/γ2
20.83Consensusghrelin_onOrthosteric Ligand7NA7-Ghrelin-Ghrelin-27-Gi1/β1/γ2 7F9Z-Ghrelin-GHRP-6-chim(NtGi1-Gs-CtGq)/β1/γ2 7NA8-Ghrelin-PubChem 178024-Gi1/β1/γ2
20.83Consensusghrelin_on_gpOrthosteric Ligand7NA7-Ghrelin-Ghrelin-27-Gi1/β1/γ2 7F9Z-Ghrelin-GHRP-6-chim(NtGi1-Gs-CtGq)/β1/γ2 7NA8-Ghrelin-PubChem 178024-Gi1/β1/γ2
20.83Consensusmc4_on_gpOrthosteric Ligand7AUE-MC4-Setmelanotide-chim(NtGi1L-Gs)/β1/γ2 7F58-MC4-THIQ-Gs/β1/γ2 7F54-MC4-Afamelanotide-Gs/β1/γ2 7F53-MC4-α-MSH-Gs/β1/γ2 7F55-MC4-Bremelanotide-Gs/β1/γ2
20.83Consensusmc5_onOrthosteric Ligand8INR-MC5-α-MSH-Ca-chim(NtGi1-Gs)/β1/γ2 8IOD-MC5-PG-901-Ca-chim(NtGi1-Gs)/β1/γ2
20.69Single6PB1Urocortin6PB1-CRF2-Urocortin-chim(NtGi1-Gs)/β1/γ2
20.69Single6WZGSecretin6WZG-Secretin-Secretin-Gs/β1/γ2
20.69Single7QBCAlpha-factor mating pheromone7QBC-STE2-α-factor mating pheromone
20.69Single7VGXNeuropeptide-Y7VGX-Y1-Neuropeptide-Y-Gi1/β1/γ2
20.69Single8IY6Endothelin-18IY6-ETB-Endothelin-1
20.69Single8Y52BA18Y52-BB3-BA1-chim(NtGi1-Gs-CtGq)/β1/γ2
20.69Consensusendothelin_onOrthosteric Ligandetb_on eta_on
20.69Consensusetb_onOrthosteric Ligand8IY5-ETB-Endothelin-1-Gi1/β1/γ2 8HBD-ETB-IRL1620-Gi1/β1/γ2
20.69Consensusgs_melanocortinOrthosteric Ligand7F4H-MC1-Afamelanotide-chim(NtGi1-Gs)/β1/γ2 7F54-MC4-Afamelanotide-Gs/β1/γ2 7F4D-MC1-α-MSH-chim(NtGi1-Gs)/β1/γ2 8INR-MC5-α-MSH-Ca-chim(NtGi1-Gs)/β1/γ2 7F53-MC4-α-MSH-Gs/β1/γ2 7F55-MC4-Bremelanotide-Gs/β1/γ2 8GY7-MC2-Corticotropin-Ca-chim(NtGi1-Gs)/β1/γ2; MRAP1 8IOC-MC3-γ-MSH-Ca-chim(NtGi1-Gs)/β1/γ2 8IOD-MC5-PG-901-Ca-chim(NtGi1-Gs)/β1/γ2 7AUE-MC4-Setmelanotide-chim(NtGi1L-Gs)/β1/γ2 7F4I-MC1-SHU9119-chim(NtGi1-Gs)/β1/γ2 7F58-MC4-THIQ-Gs/β1/γ2
20.69Consensusvip-pacap_onOrthosteric Ligandvpac_on pac_on
20.69Consensusvip-pacap_on_gpOrthosteric Ligandvpac_on_gp pac_on_gp
20.69Consensusvpac2_onOrthosteric Ligand7VQX-VPAC1-PACAP27-Gs/β1/γ2
20.69Consensusvpac2_on_gpOrthosteric Ligand7VQX-VPAC1-PACAP27-Gs/β1/γ2
20.00Single2J4Y11-cis-Retinal2J4Y-Rhodopsin-11-cis-Retinal
20.00Single3P0GBI1671073P0G-β2-BI167107
20.00Single3SN6BI1671073SN6-β2-BI167107-Gs/β1/γ2
20.00Single3ZEVNeurotensin3ZEV-NTS1-Neurotensin
20.00Single4BV0Neurotensin4BV0-NTS1-Neurotensin
20.00Single4IAQDihydroergotamine4IAQ-5-HT1B-Dihydroergotamine
20.00Single4Z34ONO-97803074Z34-LPA1-ONO-9780307
20.00Single5D5AS-Carazolol5D5A-β2-S-Carazolol
20.00Single5D5BS-Carazolol5D5B-β2-S-Carazolol
20.00Single5V54Methiothepin5V54-5-HT1B-Methiothepin
20.00Single5WKTOctyl-Beta-D-Glucopyranoside5WKT-Rhodopsin-Octyl-β-D-Glucopyranoside-Gt(CT)
20.00Single5XRAAM115425XRA-CB1-AM11542
20.00Single6FUFAll-trans-Retinal6FUF-Rhodopsin-All-trans-Retinal-Go
20.00Single6J20Aprepitant6J20-NK1-Aprepitant
20.00Single6ME5Agomelatine6ME5-MT1-Agomelatine
20.00Single6MEOEnvelope Glycoprotein Gp160; T-Cell Surface Glycoprotein Cd46MEO-CCR5-Envelope Glycoprotein Gp160; T-Cell Surface Glycoprotein Cd4
20.00Single6O3CCholesterol6O3C-SMO-SAG21k-Cholesterol
20.00Single6UUNAdrenomedullin6UUN-CT Like (AM1)-Adrenomedullin-Gs/β1/γ2; RAMP2
20.00Single6VN7PACAP6VN7-VPAC1-PACAP-Gs/β1/γ2
20.00Single6WGTLSD6WGT-5-HT2A-LSD
20.00Single7E2ZAripiprazole7E2Z-5-HT1A-Aripiprazole-Gi1/β1/γ2
20.00Single7EJKOxymetazoline7EJK-α2a-Oxymetazoline-Go/β1/γ2
20.00Single7EW1Siponimod7EW1-S1P5-Siponimod-Gi1/β1/γ2
20.00Single7F1TMIP-1a7F1T-CCR5-MIP-1a
20.00Single7F58THIQ7F58-MC4-THIQ-Gs/β1/γ2
20.00Single7FEECP559407FEE-CB1-CP55940-ZCZ011
20.00Single7L0PNeurotensin7L0P-NTS1-Neurotensin-Gi1/β1/γ1
20.00Single7L0QNeurotensin7L0Q-NTS1-Neurotensin-Gi1/β1/γ1
20.00Single7MT8All-trans-Retinal7MT8-Rhodopsin-All-trans-Retinal-GRK1
20.00Single7MT9All-trans-Retinal7MT9-Rhodopsin-All-trans-Retinal-GRK1
20.00Single7MTAAll-trans-Retinal7MTA-Rhodopsin-All-trans-Retinal-GRK1
20.00Single7PX4PSB-21137PX4-A2A-PSB-2113
20.00Single7S8MCortistatin-147S8M-MRGPRX2-Cortistatin-14-Gi1/β1/γ2
20.00Single7T9NDPPC7T9N-TSH-M22 Fab-DPPC-Gs/β1/γ2
20.00Single7TD1LPA7TD1-LPA1-LPA-Gi1/β1/γ2
20.00Single7W6PN-pyridin-4-ylisoquinolin-4-amine7W6P-α2a-N-pyridin-4-ylisoquinolin-4-amine-Go/β1/γ2
20.00Single7W7EPubChem 1649466767W7E-α2a-PubChem 164946676-Go/β1/γ2
20.00Single7WC5Psilocin7WC5-5-HT2A-Psilocin
20.00Single7XOUCholecystokinin-87XOU-CCKA-Cholecystokinin-8-Gs/β1/γ2
20.00Single7Y24Octreotide7Y24-SST2-Octreotide-Go/β1/γ2
20.00Single7YU5ONO-07405567YU5-LPA1-ONO-0740556-Gi1/β1/γ2
20.00Single8DCSCyanopindolol8DCS-β1-Cyanopindolol-Gs/β1/γ2
20.00Single8GGEConstrained Epinephrine8GGE-β2-Constrained Epinephrine-GTP-Gs/β1/γ2
20.00Single8GH1Constrained Epinephrine8GH1-β2-Constrained Epinephrine
20.00Single8GUSHU-3088GUS-CB2-HU-308-Gi1/β1/γ2
20.00Single8I2GCompound 7163408I2G-FSH-Glycoprotein hormones α chain-Compound 716340-Gs/β1/γ2
20.00Single8IU2Retinal8IU2-Opsin1LW-Retinal-Gi1/β1/γ2
20.00Single8IUKPGF2-alpha8IUK-FP-alpha-PGF2-α-chim(NtGi1-Gs-CtGq)/β1/γ2
20.00Single8IW72-Phenylethylamine8IW7-TA9-2-Phenylethylamine-chim(NtGi1-Gs)/β1/γ2
20.00Single8JSRAnamorelin8JSR-Ghrelin-Anamorelin-chim(NtGi1-Gs-CtGq)/β1/γ2
20.00Single8JXVClozapine8JXV-H4-Clozapine-Gi1/β1/γ2
20.00Single8JXWVUF68848JXW-H4-VUF6884-Gi1/β1/γ2
20.00Single8VVEnorBNI8VVE-κ-norBNI-Gi1/β1/γ2
20.00Single8WC9ZH86518WC9-TA1-ZH8651-chim(NtGi1-Gs-CtGq)/β1/γ2
20.00Single8WKZSBL-MC-318WKZ-MC4-SBL-MC-31
20.00Single8WU1PubChem 1190256658WU1-CB1-PubChem 119025665-Arrestin2
20.00Single8X16Piclidenoson8X16-A3A-Piclidenoson-Gi1/β1/γ2
20.00Single8X79MRE-2698X79-I2-MRE-269-Gs/β1/γ2
20.00Single8XJMLatanoprost8XJM-FP-alpha-Latanoprost-chim(NtGi2-Gs-CtGq)/β1/γ2
20.00Single8Y63C20:0 Ceramide8Y63-FPR2-ALX-C20:0 Ceramide-Gi1/β1/γ2
20.00Single8Y73Peptide8Y73-μ-Peptide-MPAM-15-Gi1/β1/γ2
20.00Single8YH6Namodenoson8YH6-A3A-Namodenoson-Gi1/β1/γ2
20.00Single8YN9Histamine8YN9-H4-Histamine-Gi1/β1/γ2
20.00Single8YNTSNAP-948478YNT-MCH1-SNAP-94847
20.00Single8YUUHistamine8YUU-H3-Histamine-Gi1/β1/γ1
20.00Single8ZW0PGD28ZW0-DP1-PGD2-Gs/β1/γ2
20.00Single8ZWFJR14a8ZWF-C3aB-JR14a
20.00Single9AYFCa; Ca; Ca; Cyclomethyltryptophan; 9IG; PO49AYF-CaS-Ca-Ca; Ca; Ca; Cyclomethyltryptophan; 9IG; PO4-Gi1/β1/γ2
20.00Single9IJDCarazolol9IJD-β3-Carazolol-chim(NtGi1-Gs)/β1/γ2
20.00Single9JHJC18:0 Ceramide9JHJ-FPR2-ALX-C18:0 Ceramide-Gi1/β1/γ2
20.00Single9JMCDS-3801b9JMC-Motilin-DS-3801b-chim(Gs-CtGq)/β1/γ2
20.00Single9LRCHistamine9LRC-H4-Histamine
20.00Single9LREHistamine9LRE-H4-Histamine-Gi1/β1/γ2
20.00Consensus5ht1_offOrthosteric Ligand5ht1b_off
20.00Consensus5ht1b_offOrthosteric Ligand5V54-5-HT1B-Methiothepin
20.00Consensus5ht_offOrthosteric Ligand5ht2_off 5ht1_off
20.00Consensusamine_on_gpOrthosteric Ligand5ht_on_gp adrenergic_on_gp dopamine_on_gp histamine_on_gp muscarinic_on_gp trace-amine_on_gp
20.00Consensusbeta1_offOrthosteric Ligand2VT4-β1-Cyanopindolol 2YCW-β1-S-Carazolol 2YCZ-β1-Iodocyanopindolol 5A8E-β1-7-Methylcyanopindolol-Na 3ZPQ-β1-4-(piperazin-1- yl)-1H-indole-Na 3ZPR-β1-4-methyl-2-(piperazin-1-yl)-Na
20.00Consensusbeta2_onOrthosteric Ligand7DHI-β2-Salbutamol-Gs/β1/γ2 6NI3-β2-BI167107-Gs/β1/γ2
20.00Consensusbeta2_on_gpOrthosteric Ligand7DHI-β2-Salbutamol-Gs/β1/γ2 6NI3-β2-BI167107-Gs/β1/γ2
20.00Consensuscckb_on_gpOrthosteric Ligand8IA7-CCKB-Cholecystokinin-8-chim(NtGi1L-Gq)/β1/γ2 7XOW-CCKB-Gastrin-chim(NtGi1-Gq)/β1/γ2 7F8V-CCKB-Gastrin-17-Gi2/β1/γ2
20.00Consensusclass-b1_class-b2_cons_onOrthosteric Ligandclass-b1_on class-b2_on
20.00Consensusclass-b1_class-b2_cons_on_gpOrthosteric Ligandclass-b1_on_gp class-b2_on_gp
20.00Consensuscrf1_onOrthosteric Ligand6PB0-CRF1-Urocortin-chim(NtGi1-Gs)/β1/γ2 6P9X-CRF1-Corticoliberin-Gs/β1/γ2
20.00Consensusgi_5htOrthosteric Ligand8FYT-5-HT1A-LSD-Gi1/β1/γ1 7UM7-5-HT5A-Methylergometrine-chim(NtGi1-Go)/β1/γ2 8UGY-5-HT1E-Mianserin-Gi1/β1/γ1 8W8B-5-HT1A-SEP-363856-Gi1/β1/γ2 7E2Y-5-HT1A-Serotonin-Gi1/β1/γ2 7E32-5-HT1D-Serotonin-Gi1/β1/γ2 7XTA-5-HT4-Serotonin-Gi1/β1/γ2 8UH3-5-HT1E-Setiptiline-Gi1/β1/γ1 8JSP-5-HT1A-Ulotaront-Gi1/β1/γ2 8FYL-5-HT1A-Vilazodone-Gi1/β1/γ1 8JT6-5-HT1A-(R)-IHCH-7179-Gi1/β1/γ2 8FYE-5-HT1A-4-F,5-MeO-PyrT-Gi1/β1/γ1 7X5H-5-HT5A-5-CT-Gi1/β1/γ2 8FY8-5-HT1A-5-MeO-DMT-Gi1/β1/γ1 7E2Z-5-HT1A-Aripiprazole-Gi1/β1/γ2 7E33-5-HT1E-BRL-54443-Gi1/β1/γ2 8FYX-5-HT1A-Buspirone-Gi1/β1/γ1 7EXD-5-HT1F-Lasmiditan-Gi1/β1/γ2 7UM6-5-HT5A-Lisuride-chim(NtGi1-Go)/β1/γ2
20.00Consensusgi_endothelinOrthosteric Ligand8IY5-ETB-Endothelin-1-Gi1/β1/γ2 8HBD-ETB-IRL1620-Gi1/β1/γ2
20.00Consensusgi_lpaOrthosteric Ligand7TD1-LPA1-LPA-Gi1/β1/γ2 7YU3-LPA1-ONO-0740556-Gi1/β1/γ2
20.00Consensusgi_opsinsOrthosteric Ligand8IU2-Opsin1LW-Retinal-Gi1/β1/γ2
20.00Consensusgi_sensoryOrthosteric Ligandgi_opsins
20.00Consensusgip_onOrthosteric Ligand7FIN-GIP-Peptide-20; GGL-Gs/β1/γ2 7FIY-GIP-Tirzepatide-Gs/β1/γ2 7DTY-GIP-GIP-Gs/β1/γ2
20.00Consensusgip_on_gpOrthosteric Ligand7FIN-GIP-Peptide-20; GGL-Gs/β1/γ2 7FIY-GIP-Tirzepatide-Gs/β1/γ2 7DTY-GIP-GIP-Gs/β1/γ2
20.00Consensush3_onOrthosteric Ligand8YUU-H3-Histamine-Gi1/β1/γ1
20.00Consensush3_on_gpOrthosteric Ligand8YUU-H3-Histamine-Gi1/β1/γ1
20.00Consensuslpa_onOrthosteric Ligandlpa1_on
20.00Consensuslpa_on_gpOrthosteric Ligandlpa1_on_gp
20.00Consensusneurotensin_onOrthosteric Ligandnts1_on
20.00Consensusnts1_onOrthosteric Ligand6OSA-NTS1-JMV449-Gi1/β1/γ2 7L0S-NTS1-Neurotensin-Gi1/β1/γ1
20.00Consensusopsin1lw_onOrthosteric Ligand8IU2-Opsin1LW-Retinal-Gi1/β1/γ2
20.00Consensusopsin1lw_on_gpOrthosteric Ligand8IU2-Opsin1LW-Retinal-Gi1/β1/γ2
20.00Consensusopsins_on_gpOrthosteric Ligandrhodopsin_on_gp opsin1lw_on_gp
20.00Consensuspth2_on_gpOrthosteric Ligand7F16-PTH2-TIP39-Gs/β1/γ2
20.00Consensusrhodopsin_onOrthosteric Ligand6OYA-Rhodopsin-All-trans-Retinal-Gt/β1/γ1
20.00Consensuss1p5_onOrthosteric Ligand7EW1-S1P5-Siponimod-Gi1/β1/γ2
20.00Consensuss1p5_on_gpOrthosteric Ligand7EW1-S1P5-Siponimod-Gi1/β1/γ2
20.00Consensussensory_on_gpOrthosteric Ligandopsins_on_gp
19.44Single8F0JPramlintide Analogue San458F0J-CT-Pramlintide Analogue San45-Gs/β1/γ2
19.35Single6LPBPACAP6LPB-PAC1-PACAP-Gs/β1/γ1
19.35Single7SK6CXCL12_LRHQ7SK6-ACKR3-CXCL12_LRHQ
19.35Single8FLULong-Acting PTH8FLU-PTH1-Long-Acting PTH-Gs/β1/γ2
19.35Consensusendothelin_on_gpOrthosteric Ligandetb_on_gp eta_on_gp
19.35Consensusetb_on_gpOrthosteric Ligand8IY5-ETB-Endothelin-1-Gi1/β1/γ2 8HBD-ETB-IRL1620-Gi1/β1/γ2
19.35Consensusglp1_onOrthosteric Ligand7S1M-GLP-1-Ex4-D-Ala-Gs/β1/γ2 7X8R-GLP-1-BOC5-Gs/β1/γ2 6X19-GLP-1-CHU-128-Gs/β1/γ2 6X1A-GLP-1-Danuglipron-Gs/β1/γ2 6X18-GLP-1-GLP-1-Gs/β1/γ2 8JIP-GLP-1-MEDI0382-chim(NtGi1-Gs)/β1/γ2 7C2E-GLP-1-PubChem 149050799-Gs/β1/γ2 7KI0-GLP-1-Semaglutide-Gs/β1/γ2 7KI1-GLP-1-Taspoglutide-Gs/β1/γ2 7X8S-GLP-1-WB4-24-Gs/β1/γ2 8JIS-GLP-1-Peptide-15-chim(NtGi1-Gs)/β1/γ2 7VBI-GLP-1-Non-Acylated Tirzepatide-Gs/β1/γ2
19.35Consensusmelanocortin_onOrthosteric Ligandmc1_on mc4_on mc2_on mc3_on mc5_on
19.35Consensusmelanocortin_on_gpOrthosteric Ligandmc1_on_gp mc4_on_gp mc2_on_gp mc3_on_gp mc5_on_gp
19.23Single6METEnvelope Glycoprotein Gp160; T-Cell Surface Glycoprotein Cd46MET-CCR5-Envelope Glycoprotein Gp160; T-Cell Surface Glycoprotein Cd4
19.23Single6WI9Secretin6WI9-Secretin-Secretin-Gs/β1/γ2
19.23Single6WIVPubChem 52923113; PubChem 529246456WIV-GABAB1, GABAB2-PubChem 52923113; PubChem 52924645
19.23Single7FINPeptide-20; GGL7FIN-GIP-Peptide-20; GGL-Gs/β1/γ2
19.23Single7XK8Neuromedin-U-257XK8-NMUR2-Neuromedin-U-25-Gi1/β1/γ2
19.23Single7YONPeptide-YY(3-36)7YON-Y2-Peptide-YY(3-36)-Gi1/β1/γ2
19.23Single8H4KGW95088H4K-FFA4-GW9508-chim(NtGi1-Gs-CtGq)/β1/γ2
19.23Single8IEDA1LYA8IED-GPR156-A1LYA-Go/β1/γ2
19.23Single8YW4Retatrutide8YW4-GIP-Retatrutide-chim(NtGi1-Gs)/β1/γ2
19.23Single9BUDCagrilintide9BUD-CT-Cagrilintide-Gs/β1/γ2
19.23Single9EBOGLP-1 (ACPC18)9EBO-GLP-1-GLP-1 (ACPC18)-Gs/β1/γ2
19.23Consensuscrf2_onOrthosteric Ligand7TS0-CRF2-Urocortin-chim(NtGi1L-Go)/β1/γ2
19.23Consensusmc5_on_gpOrthosteric Ligand8INR-MC5-α-MSH-Ca-chim(NtGi1-Gs)/β1/γ2 8IOD-MC5-PG-901-Ca-chim(NtGi1-Gs)/β1/γ2
19.05Single2YCXCyanopindolol2YCX-β1-Cyanopindolol
19.05Single3D4STimolol3D4S-β2-Timolol
19.05Single4GRVNeurotensin-(8-13)4GRV-NTS1-Neurotensin-(8-13)
19.05Single5F8UCyanopindolol5F8U-β1-Cyanopindolol
19.05Single6AK3Dinoprostone IPGE26AK3-EP3-Dinoprostone IPGE2
19.05Single6CM4Risperidone6CM4-D2-Risperidone
19.05Single6H7OCyanopindolol6H7O-β1-Cyanopindolol
19.05Single6KPGAM8416KPG-CB1-AM841-Gi1/β1/γ2
19.05Single6KQICP559406KQI-CB1-CP55940-Org27569
19.05Single6XBLCholesterol6XBL-SMO-SAG-Cholesterol-Gi1/β1/γ2
19.05Single7EVYSiponimod7EVY-S1P1-Siponimod-Gi1/β1/γ2
19.05Single7L1UOrexin7L1U-OX2-Orexin-chim(NtGi1-Gs-CtGq)/β1/γ2
19.05Single7L1VPubChem 1554910097L1V-OX2-PubChem 155491009-chim(NtGi1-Gs-CtGq)/β1/γ2
19.05Single7MTRADX551647MTR-mGlu2; mGlu2-Glutamate-ADX55164
19.05Single7SUSPubChem 1227019087SUS-Apelin-PubChem 122701908
19.05Single7T6BS1P7T6B-S1P2-S1P-chim(NtGi1L-G13)/β1/γ2
19.05Single7W0LPubChem 1227019087W0L-Apelin-PubChem 122701908-Gi1/β1/γ2
19.05Single7W0LPubChem 1227019087W0L-Apelin-PubChem 122701908-Gi1/β1/γ2
19.05Single8FYE4-F,5-MeO-PyrT8FYE-5-HT1A-4-F,5-MeO-PyrT-Gi1/β1/γ1
19.05Single8I9AEP548I9A-C3aB-EP54-chim(NtGi1-Gs-CtGq)/β1/γ2
19.05Single8IRSRotigotine8IRS-D2-Rotigotine-Gi1/β1/γ2
19.05Single8JPBNeurotensin-(8-13)8JPB-NTS1-Neurotensin-(8-13)-SBI-553; GDP; Mg-Gq; GRK2
19.05Single8U26Protachykinin-18U26-NK1-Protachykinin-1-Gs/β1/γ2
19.05Single8W1VPubChem 1717162658W1V-β2-PubChem 171716265
19.05Single8XJNCloprosetnol8XJN-TXA2-Cloprosetnol-chim(NtGi1-Gs-CtGq)/β1/γ2
19.05Single8XQNCholesterol8XQN-TAS2R14-Cholesterol-Aristolochic acid A-Gi1/β1/γ1
19.05Single8XQSCholesterol8XQS-TAS2R14-Cholesterol-Flufenamic acid-Gi1/β1/γ1
19.05Single9IZHLPA9IZH-LPA1-LPA-chim(NtGi2-G13)/β1/γ2
19.05Single9MQLIsoquinuclidine9MQL-κ-Isoquinuclidine
19.05Consensusccr8_onOrthosteric Ligand8KFX-CCR8-LMD-009-Gi1/β1/γ2 8KFY-CCR8-ZK-756326-Gi1/β1/γ2 8U1U-CCR8-CCL1-Gi1/β1/γ2
19.05Consensusgi_muscarinicOrthosteric Ligand8E9X-M4-2-Deoxycytidine-chim(NtGi1-Go)/β1/γ2 7T8X-M2-Acetylcholine-chim(NtGi1-Go)/β1/γ2 7TRS-M4-Acetylcholine-Gi1/β1/γ2 7TRK-M4-Iperoxo-Gi1/β1/γ2 7V6A-M4-PubChem 9864275-Gi1/β1/γ2
19.05Consensusnk1_offOrthosteric Ligand6HLP-NK1-Netupitant 6HLO-NK1-Aprepitant 6HLL-NK1-CP99994 6E59-NK1-L-760735
19.05Consensusorexin_onOrthosteric Ligandox2_on
18.92Single8F2BPramlintide Analogue San458F2B-CT (AMY3)-Pramlintide Analogue San45-Gs/β1/γ2; RAMP3
18.92Consensuspth_on_gpOrthosteric Ligandpth1_on_gp pth2_on_gp
18.75Single3PBLEticlopride3PBL-D3-Eticlopride
18.75Single4O9RCyclopamine4O9R-SMO-Cyclopamine
18.75Single5L7IVismodegib5L7I-SMO-Vismodegib
18.75Single5TE520-Methanoretinal5TE5-Rhodopsin-20-Methanoretinal
18.75Single6TQ4PubChem 160468446TQ4-OX1-PubChem 16046844-Na
18.75Single6WPWGlucagon derivative ZP37806WPW-Glucagon-Glucagon derivative ZP3780-Gs/β1/γ2
18.75Single7DFLHistamine7DFL-H1-Histamine-chim(NtGi1L-Gq)/β1/γ2
18.75Single7E2YSerotonin7E2Y-5-HT1A-Serotonin-Gi1/β1/γ2
18.75Single7TRPLY20332987TRP-M4-Iperoxo-LY2033298-Gi1/β1/γ2
18.75Single7XP6Strychnine7XP6-TAS2R46-Strychnine-chim(Gs-CtGt3)/β1/γ2
18.75Single7XTASerotonin7XTA-5-HT4-Serotonin-Gi1/β1/γ2
18.75Single7YFDImetit7YFD-H4-Imetit-chim(NtGi1-Gs-CtGq)/β1/γ2
18.75Single7YS6Serotonin7YS6-5-HT6-Serotonin-chim(NtGi1-Gs)/β1/γ2
18.75Single8GGYConstrained Epinephrine8GGY-β2-Constrained Epinephrine
18.75Single8HN8Histamine8HN8-H4-Histamine-Gi1/β1/γ2
18.75Single8UO3Constrained Epinephrine8UO3-β2-Constrained Epinephrine-GTP; Mg-Gs/β1/γ2
18.75Single8UO4Constrained Epinephrine8UO4-β2-Constrained Epinephrine-GTP; Mg-Gs/β1/γ2
18.75Single8YH3N-methyladenosine8YH3-A3A-N-methyladenosine-Gi1/β1/γ2
18.75Single8YN4Histamine8YN4-H2-Histamine-chim(NtGi1L-Gs-CtGq)/β1/γ2
18.75Single8YN5Histamine8YN5-H3-Histamine-Gi1/β1/γ2
18.75Single8YN6Imetit8YN6-H3-Imetit-Gi1/β1/γ2
18.75Single8YN7Immethridine8YN7-H3-Immethridine-Go/β1/γ2
18.75Single8ZSVRO52633978ZSV-TA1-RO5263397-chim(NtGi1-Gs)/β1/γ2
18.75Single9AS2DMT9AS2-5-HT2A-DMT-chim(NtGi1-Gs-CtGq)/β1/γ2
18.75Single9IXJHistamine9IXJ-H2-Histamine-Gs/β1/γ2
18.75Consensus5ht4_onOrthosteric Ligand7XTA-5-HT4-Serotonin-Gi1/β1/γ2
18.75Consensus5ht4_on_gpOrthosteric Ligand7XTA-5-HT4-Serotonin-Gi1/β1/γ2
18.75Consensuscrf1_on_gpOrthosteric Ligand6PB0-CRF1-Urocortin-chim(NtGi1-Gs)/β1/γ2 6P9X-CRF1-Corticoliberin-Gs/β1/γ2
18.75Consensuscrf_on_gpOrthosteric Ligandcrf2_on_gp crf1_on_gp
18.75Consensusd3_offOrthosteric Ligand3PBL-D3-Eticlopride
18.75Consensush1_onOrthosteric Ligand7DFL-H1-Histamine-chim(NtGi1L-Gq)/β1/γ2
18.75Consensush4_onOrthosteric Ligand8HN8-H4-Histamine-Gi1/β1/γ2 8HOC-H4-Imetit-Gi1/β1/γ2 8JXV-H4-Clozapine-Gi1/β1/γ2 8JXW-H4-VUF6884-Gi1/β1/γ2 8JXX-H4-Clobenpropit-Gi1/β1/γ2
18.52Single7F9YGhrelin-287F9Y-Ghrelin-Ghrelin-28-chim(NtGi1-Gs-CtGq)/β1/γ2
18.52Single7LLYOxyntomodulin7LLY-GLP-1-Oxyntomodulin-Gs/β1/γ2
18.52Single7X9BNeuropeptide-Y7X9B-Y2-Neuropeptide-Y-Gi1/β1/γ2
18.52Single7X9CPancreatic Hormone7X9C-Y4-Pancreatic Hormone-Gi1/β1/γ2
18.52Single8HCQEndothelin-18HCQ-ETA-Endothelin-1-chim(NtGi1-Gs-CtGq)/β1/γ2
18.52Single8HCXEndothelin-18HCX-ETB-Endothelin-1-chim(NtGi2L-Gs-CtGq)/β1/γ2
18.52Single8IODPG-9018IOD-MC5-PG-901-Ca-chim(NtGi1-Gs)/β1/γ2
18.52Single9JFYhNPSF9JFY-NPFF2-hNPSF-Gi1/β1/γ2
18.52Consensuscalcitonin_onOrthosteric Ligandctlike_on
18.52Consensuseta_onOrthosteric Ligand8HCQ-ETA-Endothelin-1-chim(NtGi1-Gs-CtGq)/β1/γ2
18.52Consensuseta_on_gpOrthosteric Ligand8HCQ-ETA-Endothelin-1-chim(NtGi1-Gs-CtGq)/β1/γ2
18.52Consensusvpac_onOrthosteric Ligandvpac1_on vpac2_on
18.18Single6DDFDamgo6DDF-μ-Damgo-Gi1/β1/γ2
18.18Single6K1QIRL25006K1Q-ETB-IRL2500
18.18Single6UP7Neurotensin6UP7-NTS1-Neurotensin-Arrestin2
18.18Single7CX4Evatanepag7CX4-EP2-Evatanepag-Gs/β1/γ2
18.18Single7EVZCenerimod7EVZ-S1P1-Cenerimod-Gi1/β1/γ2
18.18Single7MBYCholecystokinin-87MBY-CCKA-Cholecystokinin-8-chim(NtGi1L-Gs-CtGq)/β1/γ2
18.18Single7MTSADX551647MTS-mGlu2; mGlu2-Glutamate-ADX55164-Gi1/β1/γ2
18.18Single7P00Substance-P7P00-NK1-Substance-P-chim(NtGi1-Gs-CtGq)/β1/γ2
18.18Single7QVMOxytocin7QVM-OT-Oxytocin-chim(NtGi1-Go-CtGq)/β1/γ2
18.18Single7TYYCalcitonin-17TYY-CT (AMY2)-Calcitonin-1-Gs/β1/γ2; RAMP2
18.18Single7UM4AS26747237UM4-5-HT5A-AS2674723
18.18Single7VGY2-Iodomelatonin7VGY-MT1-2-Iodomelatonin-Gi1/β1/γ2
18.18Single7X9ANeuropeptide-Y7X9A-Y1-Neuropeptide-Y-Gi1/β1/γ2
18.18Single7Y36Teriparatide7Y36-PTH1-Teriparatide-Gs/β1/γ2
18.18Single8E9X2-Deoxycytidine8E9X-M4-2-Deoxycytidine-chim(NtGi1-Go)/β1/γ2
18.18Single8FLQPTH8FLQ-PTH1-PTH-Gs/β1/γ2
18.18Single8FX5Xanomeline8FX5-M4-Xanomeline-Xanomeline-Gi1/β1/γ2
18.18Single8JPFNeurotensin8JPF-NTS1-Neurotensin-SBI-553
18.18Single8K4OCXCL18K4O-KSHV-CXCL1-Gi1/β1/γ1
18.18Single8XJKCloprosetnol8XJK-FP-alpha-Cloprosetnol-chim(NtGi1-Gs-CtGq)/β1/γ2
18.18Single8XJOU466198XJO-TXA2-U46619-chim(NtGi1-Gs-CtGq)/β1/γ2
18.18Single8ZWGJR14a8ZWG-C3aB-JR14a-Gi1/β1/γ2
18.18Single9C0KExendin-49C0K-GLP-1-Exendin-4-Gs/β1/γ2
18.18Single9IZFNKP9IZF-LPA1-NKP-Gi1/β1/γ2
18.18Single9JR3PTH9JR3-PTH1-PTH-chim(NtGi1L-Gs-CtGq)/β1/γ2
18.18Consensusglucagon_onOrthosteric Ligandglp_on gluc_on secretin_on gip_on
18.18Consensusnk1_onOrthosteric Ligand7P00-NK1-Substance-P-chim(NtGi1-Gs-CtGq)/β1/γ2
18.18Consensusnk1_on_gpOrthosteric Ligand7P00-NK1-Substance-P-chim(NtGi1-Gs-CtGq)/β1/γ2
18.18Consensusorexin_on_gpOrthosteric Ligandox2_on_gp
18.18Consensuspeptide_offOrthosteric Ligandcck_off angiotensin_off bombesin_off endothelin_off ghrelin_off npy_off opioid_off orexin_off somatostatin_off tachykinin_off vasop-oxy_off neurotensin_off
18.18Consensusprostanoid_onOrthosteric Ligandtp_on fp-alpha_on
18.18Consensusprostanoid_on_gpOrthosteric Ligandtp_on_gp fp-alpha_on_gp
18.18Consensustp_onOrthosteric Ligand8XJO-TXA2-U46619-chim(NtGi1-Gs-CtGq)/β1/γ2
18.18Consensustp_on_gpOrthosteric Ligand8XJO-TXA2-U46619-chim(NtGi1-Gs-CtGq)/β1/γ2
17.86Single6NBILong-Acting PTH Analog6NBI-PTH1-Long-Acting PTH Analog-Gs/β1/γ2
17.86Single7CZ5Somatoliberin7CZ5-GHRH-Somatoliberin-Gs/β1/γ2
17.86Single7D3SSecretin7D3S-Secretin-Secretin-Gs/β1/γ2
17.86Single7RA3GIP7RA3-GIP-GIP-chim(NtGi1-Gs)/β1/γ2
17.86Single7VABNon-Acylated Tirzepatide7VAB-GIP-Non-Acylated Tirzepatide-chim(NtGi1-Gs)/β1/γ2
17.86Single9J1Pg1:Ox9J1P-GLP-1-g1:Ox-chim(NtGi1-Gs)/β1/γ2
17.86Consensuscalcitonin_on_gpOrthosteric Ligandctlike_on_gp
17.86Consensusctlike_onOrthosteric Ligand6E3Y-CT Like-Calcitonin gene-related peptide-1-Gs/β1/γ2; RAMP1
17.86Consensusvpac_on_gpOrthosteric Ligandvpac1_on_gp vpac2_on_gp
17.65Single2Z7311-cis-Retinal2Z73-Rhodopsin-11-cis-Retinal
17.65Single3AYN9-cis-Retinal3AYN-Rhodopsin-9-cis-Retinal
17.65Single3VG9ZM-2413853VG9-A2A-ZM-241385-Antibody
17.65Single4BWBNeurotensin4BWB-NTS1-Neurotensin
17.65Single4MQTLY21196204MQT-M2-Iperoxo-LY2119620
17.65Single4QINSAG1.54QIN-SMO-SAG1.5
17.65Single5OLVLUAA410635OLV-A2A-LUAA41063-Na
17.65Single6AKXA4R6AKX-CCR5-A4R
17.65Single6AKYMaraviroc6AKY-CCR5-Maraviroc
17.65Single6DS0Ly2660976DS0-5-HT2B-Ly266097
17.65Single6KUYPubChem 1457046436KUY-α2a-PubChem 145704643
17.65Single6ME2Ramelteon6ME2-MT1-Ramelteon
17.65Single6ME9Ramelteon6ME9-MT2-Ramelteon
17.65Single6NWEOctyl-Beta-D-Glucopyranoside6NWE-Rhodopsin-Octyl-β-D-Glucopyranoside-Gt(CT)
17.65Single6O3CSAG21k6O3C-SMO-SAG21k-Cholesterol
17.65Single6OBAS-Alprenolol6OBA-β2-S-Alprenolol-GTPL11074
17.65Single6ZA8RTI-3a6ZA8-NTS1-RTI-3a
17.65Single7EJ0L-Norepinephrine7EJ0-α2a-L-Norepinephrine-Go/β1/γ2
17.65Single7F1ODopamine7F1O-D1-Dopamine-GDP; Mg-Gs/β1/γ2
17.65Single7F8YDevazepide7F8Y-CCKA-Devazepide
17.65Single7LJDDopamine7LJD-D1-Dopamine-Mevidalen-Gs/β1/γ1
17.65Single7S8PMS471347S8P-MRGPRX4-MS47134-chim(NtGi2L-Gs-CtGq)/β1/γ2
17.65Single7T8XAcetylcholine7T8X-M2-Acetylcholine-chim(NtGi1-Go)/β1/γ2
17.65Single7T90Acetylcholine7T90-M2-Acetylcholine-chim(NtGi1-Go)/β1/γ2
17.65Single7T96Acetylcholine7T96-M2-Acetylcholine-LY2119620-Go/β1/γ2
17.65Single7VUJJNJ-635330547VUJ-GPR139-JNJ-63533054-GDP-chim(Gs-CtGq)/β1/γ2
17.65Single7X5H5-CT7X5H-5-HT5A-5-CT-Gi1/β1/γ2
17.65Single7XRRLemborexant7XRR-OX2-Lemborexant
17.65Single7YM8Oxymetazoline7YM8-Alpha1A-Oxymetazoline-chim(Gs-CtGq)
17.65Single8DWHPubChem 1390305318DWH-MRGPRX1-PubChem 139030531-chim(NtGi2L-Gs-CtGq)/β1/γ2
17.65Single8FYXBuspirone8FYX-5-HT1A-Buspirone-Gi1/β1/γ1
17.65Single8HMPC178HMP-GPR52-C17-Gs/β1/γ2
17.65Single8HOCImetit8HOC-H4-Imetit-Gi1/β1/γ2
17.65Single8JSOAMPH8JSO-TA1-AMPH-chim(NtGi1-Gs)/β1/γ2
17.65Single8RW4AzoSwitch28RW4-A2A-AzoSwitch2-Na
17.65Single8RWEStilSwitch48RWE-A2A-StilSwitch4-Na
17.65Single8TZQL-Dopamine8TZQ-D2-L-Dopamine-Go/β1/γ2
17.65Single8UNSConstrained Epinephrine8UNS-β2-Constrained Epinephrine-GTP-Gs/β1/γ2
17.65Single8UNTConstrained Epinephrine8UNT-β2-Constrained Epinephrine-GTP-Gs/β1/γ2
17.65Single8WC3SEP-3638568WC3-TA1-SEP-363856-chim(NtGi1-Gs)/β1/γ2
17.65Single8YNAImmepip8YNA-H4-Immepip-Gi1/β1/γ2
17.65Single8YUVImmepip8YUV-H3-Immepip-Gi1/β1/γ2
17.65Single9EBHAdenosine9EBH-A3A-Adenosine-Gi1/β1/γ2
17.65Single9EEAAdenosine9EEA-A2A-Adenosine-Gs/β1/γ2
17.65Single9FUPIstradefylline9FUP-A2A-Istradefylline-Na
17.65Single9J5VCpY9J5V-LPA1-CpY-Gi1/β1/γ2
17.65Single9K6LSA09K6L-TAS2R16-SA0-Gi2/β1/γ2
17.65Single9MQJIsoquinuclidine9MQJ-μ-Isoquinuclidine
17.65Consensus5ht_onOrthosteric Ligand5ht1_on 5ht2_on 5ht4_on 5ht5_on 5ht6_on 5ht7_on
17.65Consensuscxcr1_onOrthosteric Ligand8IC0-CXCR1-Interleukin-8-Gi1/β1/γ2
17.65Consensusgq_histamineOrthosteric Ligand7DFL-H1-Histamine-chim(NtGi1L-Gq)/β1/γ2
17.65Consensusgs_5htOrthosteric Ligand7XTC-5-HT7-5-CT-Gs/β1/γ2 7XTB-5-HT6-Serotonin-Gs/β1/γ2 8JLZ-5-HT6-ST1936-Gs/β1/γ2 7XT8-5-HT4-Serotonin-Gs/β1/γ2
17.65Consensush1_on_gpOrthosteric Ligand7DFL-H1-Histamine-chim(NtGi1L-Gq)/β1/γ2
17.65Consensushistamine_onOrthosteric Ligandh1_on h2_on h3_on h4_on
17.65Consensushistamine_on_gpOrthosteric Ligandh1_on_gp h2_on_gp h3_on_gp h4_on_gp
17.65Consensusm2_onOrthosteric Ligand7T8X-M2-Acetylcholine-chim(NtGi1-Go)/β1/γ2
17.65Consensusm2_on_gpOrthosteric Ligand7T8X-M2-Acetylcholine-chim(NtGi1-Go)/β1/γ2
17.65Consensussensory_offonOrthosteric Ligandsensory_off sensory_on
17.65Consensussensory_offon_gpOrthosteric Ligandsensory_on_gp sensory_on
17.39Single6G79Donitriptan6G79-5-HT1B-Donitriptan-Go/β1/γ2
17.39Single6OS9JMV4496OS9-NTS1-JMV449-Gi1/β1/γ2
17.39Single7AUESetmelanotide7AUE-MC4-Setmelanotide-chim(NtGi1L-Gs)/β1/γ2
17.39Single7CX2PGE27CX2-EP2-PGE2-Gs/β1/γ2
17.39Single7RMGSubstance-P7RMG-NK1-Substance-P-chim(Gs-CtGq)/β1/γ2
17.39Single7RMHSubstance-P7RMH-NK1-Substance-P-Gs/β1/γ2
17.39Single7X8SWB4-247X8S-GLP-1-WB4-24-Gs/β1/γ2
17.39Single8QJ2pN1628QJ2-MC4-pN162-Gs
17.39Single8XQOCholesterol8XQO-TAS2R14-Cholesterol-Aristolochic acid A-Gi1/β1/γ1
17.39Single8XX6CXCL88XX6-CXCR2-CXCL8-Go/β1/γ2
17.39Single8Z74Agonistic antibody8Z74-Apelin-Agonistic antibody
17.39Single9V2NMacimorelin9V2N-Ghrelin-Macimorelin-chim(NtGi1-Gs-CtGq)/β1/γ2
17.39Consensusnmur1_onOrthosteric Ligand7W53-NMUR1-Neuromedin-U-25-chim(NtGi1-Gs-CtGq)/β1/γ2
17.24Single5NX2GLP-1 (Truncated)5NX2-GLP-1-GLP-1 (Truncated)
17.24Single6P9XCorticoliberin6P9X-CRF1-Corticoliberin-Gs/β1/γ2
17.24Single6UVAAdrenomedullin-26UVA-CT Like (AM2)-Adrenomedullin-2-Gs/β1/γ2; RAMP3
17.24Single7AD3Alpha-factor mating pheromone7AD3-STE2-α-factor mating pheromone-Gi1/STE4/γ2
17.24Single7DTYGIP7DTY-GIP-GIP-Gs/β1/γ2
17.24Single7FIYTirzepatide7FIY-GIP-Tirzepatide-Gs/β1/γ2
17.24Single7S1MEx4-D-Ala7S1M-GLP-1-Ex4-D-Ala-Gs/β1/γ2
17.24Single7VQXPACAP277VQX-VPAC1-PACAP27-Gs/β1/γ2
17.24Single8FU6Glucagon derivative ZP37808FU6-Glucagon-Glucagon derivative ZP3780-Gs/β1/γ2
17.24Single8W8WAlpha-MSH8W8W-MC3-α-MSH-Ca-Gs/β1/γ2
17.24Single8W8XBeta-MSH8W8X-MC3-β-MSH-Ca-Gs/β1/γ2
17.24Consensusp2y10_on_gpOrthosteric Ligand8KGG-P2Y10-LPS-chim(NtGi2-G13)/β1/γ2
17.14Consensusmc2_onOrthosteric Ligand8GY7-MC2-Corticotropin-Ca-chim(NtGi1-Gs)/β1/γ2; MRAP1
17.14Consensusmc2_on_gpOrthosteric Ligand8GY7-MC2-Corticotropin-Ca-chim(NtGi1-Gs)/β1/γ2; MRAP1
16.67Single1F8811-cis-Retinal1F88-Rhodopsin-11-cis-Retinal
16.67Single3REYXAC3REY-A2A-XAC
16.67Single3UZC4-(3-amino-5-phenyl-1,2,4-triazin-6-yl)-2-chlorophenol3UZC-A2A-4-(3-amino-5-phenyl-1,2,4-triazin-6-yl)-2-chlorophenol
16.67Single4DKLBeta-Funaltrexamine4DKL-μ-β-Funaltrexamine
16.67Single4MBSMaraviroc4MBS-CCR5-Maraviroc
16.67Single4N6HNaltrindole4N6H-δ-Naltrindole-Na
16.67Single5IU4ZM-2413855IU4-A2A-ZM-241385-Na
16.67Single5IUBQ274563445IUB-A2A-Q27456344-Na
16.67Single5K2CZM-2413855K2C-A2A-ZM-241385-Na
16.67Single5NM4ZM-2413855NM4-A2A-ZM-241385-Na
16.67Single5TE3Octyl-Beta-D-Glucopyranoside5TE3-Rhodopsin-Octyl-β-D-Glucopyranoside
16.67Single6A94Zotepine6A94-5-HT2A-Zotepine
16.67Single6AQFZM-2413856AQF-A2A-ZM-241385
16.67Single6K41Dexmedetomidine6K41-α2b-Dexmedetomidine-Go/β1/γ2
16.67Single6LMLGlucagon6LML-Glucagon-Glucagon-Gi1/β1/γ1
16.67Single6MH8ZM-2413856MH8-A2A-ZM-241385
16.67Single6PS5S-Propranolol6PS5-β2-S-Propranolol
16.67Single6TPKRetosiban6TPK-OT-Retosiban
16.67Single6TPNHTL66416TPN-OX2-HTL6641
16.67Single6UUSAdrenomedullin6UUS-CT Like (AM2)-Adrenomedullin-Gs/β1/γ2; RAMP3
16.67Single6VI4JDTic6VI4-κ-JDTic
16.67Single6WIVPubChem 52923113; PubChem 529246456WIV-GABAB1, GABAB2-PubChem 52923113; PubChem 52924645
16.67Single6XBLSAG6XBL-SMO-SAG-Cholesterol-Gi1/β1/γ2
16.67Single6ZDVChromone 5d6ZDV-A2A-Chromone 5d-Na
16.67Single7CKWFenoldopam7CKW-D1-Fenoldopam-Gs/β1/γ2
16.67Single7CMUPramipexole7CMU-D3-Pramipexole-Gi1/β1/γ2
16.67Single7CMVPD1289077CMV-D3-PD128907-Gi1/β1/γ2
16.67Single7CX3Taprenepag7CX3-EP2-Taprenepag-Gs/β1/γ2
16.67Single7E33BRL-544437E33-5-HT1E-BRL-54443-Gi1/β1/γ2
16.67Single7EJADexmedetomidine7EJA-α2a-Dexmedetomidine-Go/β1/γ2
16.67Single7F24Dopamine7F24-D1-Dopamine-GDP-Gs/β1/γ2
16.67Single7NA7Ghrelin-277NA7-Ghrelin-Ghrelin-27-Gi1/β1/γ2
16.67Single7RANPubChem 1645758477RAN-5-HT2A-PubChem 164575847-chim(NtGi2L-Gs-CtGq)/β1/γ2
16.67Single7T32ZM-2413857T32-A2A-ZM-241385
16.67Single7T94Acetylcholine7T94-M2-Acetylcholine-LY2119620-chim(NtGi1-Go)/β1/γ2
16.67Single7TRSAcetylcholine7TRS-M4-Acetylcholine-Gi1/β1/γ2
16.67Single7TS0Urocortin7TS0-CRF2-Urocortin-chim(NtGi1L-Go)/β1/γ2
16.67Single7UM7Methylergometrine7UM7-5-HT5A-Methylergometrine-chim(NtGi1-Go)/β1/γ2
16.67Single7VLACCL15(27-92)7VLA-CCR1-CCL15(27-92)-Gi1/β1/γ2
16.67Single7VODCariprazine7VOD-5-HT2A-Cariprazine
16.67Single7W2ZGhrelin7W2Z-Ghrelin-Ghrelin-Go/β1/γ2
16.67Single7W53Neuromedin-U-257W53-NMUR1-Neuromedin-U-25-chim(NtGi1-Gs-CtGq)/β1/γ2
16.67Single7W56Neuromedin-S7W56-NMUR1-Neuromedin-S-chim(NtGi1-Gs-CtGq)/β1/γ2
16.67Single7WC9PubChem 1624213647WC9-5-HT2A-PubChem 162421364
16.67Single7XOVSR1461317XOV-CCKA-SR146131-Gs/β1/γ2
16.67Single7ZI0SAG7ZI0-SMO-SAG-Cholesterol
16.67Single8DPGPsilocin8DPG-5-HT2C-Psilocin-chim(NtGi2L-Gs-CtGq)/β1/γ2
16.67Single8F7XNociceptin8F7X-NOP-Nociceptin-Gi1/β1/γ2
16.67Single8FLTM-PTH(1-14)8FLT-PTH1-M-PTH(1-14)-Gs/β1/γ2
16.67Single8G59TUG-8918G59-FFA4-TUG-891-chim(Gi1-CtGq)/β1/γ2
16.67Single8GG5Constrained Epinephrine8GG5-β2-Constrained Epinephrine-GTP-Gs/β1/γ2
16.67Single8GG7Constrained Epinephrine8GG7-β2-Constrained Epinephrine-GTP-Gs/β1/γ2
16.67Single8GGLConstrained Epinephrine8GGL-β2-Constrained Epinephrine
16.67Single8GGMConstrained Epinephrine8GGM-β2-Constrained Epinephrine
16.67Single8GGPConstrained Epinephrine8GGP-β2-Constrained Epinephrine
16.67Single8HAFPTHrP(1-36)8HAF-PTH1-PTHrP(1-36)-chim(NtGi1-Gs)/β1/γ2
16.67Single8IY5Endothelin-18IY5-ETB-Endothelin-1-Gi1/β1/γ2
16.67Single8JIQPeptide-158JIQ-Glucagon-Peptide-15-Gs/β1/γ2
16.67Single8JSPUlotaront8JSP-5-HT1A-Ulotaront-Gi1/β1/γ2
16.67Single8KGGLPS8KGG-P2Y10-LPS-chim(NtGi2-G13)/β1/γ2
16.67Single8KIGSHU91198KIG-MC3-SHU9119-Ca
16.67Single8PM2DMCH8PM2-TA7-DMCH-Gs/β1/γ2
16.67Single8RWCStilSwitch28RWC-A2A-StilSwitch2-Na
16.67Single8RWDStilSwitch38RWD-A2A-StilSwitch3-Na
16.67Single8THKA616038THK-Alpha1A-A61603-chim(NtGi2L-Gs-CtGq)/β1/γ2
16.67Single8THLEpinephrine8THL-Alpha1A-Epinephrine-chim(NtGi2L-Gs-CtGq)/β1/γ2
16.67Single8U02L-Dopamine8U02-D2-L-Dopamine-Go/β1/γ2
16.67Single8UNLConstrained Epinephrine8UNL-β2-Constrained Epinephrine-GTP-Gs/β1/γ2
16.67Single8UNOConstrained Epinephrine8UNO-β2-Constrained Epinephrine-GTP-Gs/β1/γ2
16.67Single8UO1Constrained Epinephrine8UO1-β2-Constrained Epinephrine-GTP; Mg-Gs/β1/γ2
16.67Single8V6UPubChem 1713924568V6U-5-HT2A-PubChem 171392456-chim(NtGi2-Gs-CtGq)/β1/γ2
16.67Single8WKYPG-9348WKY-MC4-PG-934
16.67Single8XWNCXCL88XWN-CXCR2-CXCL8
16.67Single8Y45ADL58598Y45-δ-ADL5859-Gi2/β1/γ2
16.67Single8Y62C16:0 Ceramide8Y62-FPR2-ALX-C16:0 Ceramide-Gi1/β1/γ2
16.67Single8Y6YGLPG09748Y6Y-FFA2-GLPG0974
16.67Single8YN3Histamine8YN3-H2-Histamine-Gs/β1/γ2
16.67Single8YRGFospropofol8YRG-MRGPRX4-Fospropofol-chim(NtGi1-Gs-CtGq)/β1/γ2
16.67Single8YWFRetatrutide8YWF-GLP-1-Retatrutide-chim(NtGi1-Gs)/β1/γ2
16.67Single8ZPNAMD31008ZPN-CXCR4-AMD3100
16.67Single9ASBCa; Ca; Cyclomethyltryptophan; 9IG; PO49ASB-CaS-Ca-Ca; Ca; Cyclomethyltryptophan; 9IG; PO4-chim(NtGi1-Gs-CtGq)/β1/γ2
16.67Single9AXFCa; Ca; Ca; Cyclomethyltryptophan; 9IG; PO49AXF-CaS-Ca-Ca; Ca; Ca; Cyclomethyltryptophan; 9IG; PO4-chim(NtGi1-Gs-CtGq)/β1/γ2
16.67Single9BA0A1AKN9BA0-CB1-A1AKN
16.67Single9BUECagrilintide9BUE-CT-Cagrilintide-Gs/β1/γ2
16.67Single9CBLEpinephrine9CBL-α2a-Epinephrine-Gi1/β1/γ2
16.67Single9JH3CMF-0199JH3-Apelin-CMF-019-Gi1/β1/γ2
16.67Single9KPDSA09KPD-TAS2R16-SA0-chim(Gs-CtGt3)/β1/γ2
16.67Single9LRDHistamine9LRD-H1-Histamine-Gi1/β1/γ2
16.67Consensus5ht2a_offOrthosteric Ligand6A94-5-HT2A-Zotepine 6A93-5-HT2A-Risperidone 7VOD-5-HT2A-Cariprazine 7WC8-5-HT2A-Lumateperone 8JT8-5-HT2A-(R)-IHCH-7179
16.67Consensus5ht_on_gpOrthosteric Ligand5ht1_on_gp 5ht2_on_gp 5ht4_on_gp 5ht5_on_gp 5ht6_on_gp 5ht7_on_gp
16.67Consensusalpha1_onOrthosteric Ligandalpha1a_on
16.67Consensusalpha1_on_gpOrthosteric Ligandalpha1a_on_gp
16.67Consensusalpha1a_onOrthosteric Ligand7EJ0-α2a-L-Norepinephrine-Go/β1/γ2 7EJ8-α2a-Brimonidine-Go/β1/γ2 7EJA-α2a-Dexmedetomidine-Go/β1/γ2 7EJK-α2a-Oxymetazoline-Go/β1/γ2 7W6P-α2a-N-pyridin-4-ylisoquinolin-4-amine-Go/β1/γ2 7W7E-α2a-PubChem 164946676-Go/β1/γ2
16.67Consensusalpha1a_on_gpOrthosteric Ligand7EJ0-α2a-L-Norepinephrine-Go/β1/γ2 7EJ8-α2a-Brimonidine-Go/β1/γ2 7EJA-α2a-Dexmedetomidine-Go/β1/γ2 7EJK-α2a-Oxymetazoline-Go/β1/γ2 7W6P-α2a-N-pyridin-4-ylisoquinolin-4-amine-Go/β1/γ2 7W7E-α2a-PubChem 164946676-Go/β1/γ2
16.67Consensusccr1_onOrthosteric Ligand7VLA-CCR1-CCL15(27-92)-Gi1/β1/γ2
16.67Consensusccr1_on_gpOrthosteric Ligand7VLA-CCR1-CCL15(27-92)-Gi1/β1/γ2
16.67Consensusclass-b1_onOrthosteric Ligandglucagon_on vip-pacap_on pth_on crf_on calcitonin_on
16.67Consensusctlike_on_gpOrthosteric Ligand6E3Y-CT Like-Calcitonin gene-related peptide-1-Gs/β1/γ2; RAMP1
16.67Consensusd3_onOrthosteric Ligand7CMV-D3-PD128907-Gi1/β1/γ2 8IRT-D3-Rotigotine-Gi1/β1/γ2 7CMU-D3-Pramipexole-Gi1/β1/γ2
16.67Consensusd3_on_gpOrthosteric Ligand7CMV-D3-PD128907-Gi1/β1/γ2 8IRT-D3-Rotigotine-Gi1/β1/γ2 7CMU-D3-Pramipexole-Gi1/β1/γ2
16.67Consensusghrelin_offOrthosteric Ligand6KO5-Ghrelin-PubChem 57400002 7F83-Ghrelin-PF-05190457
16.67Consensusnmur1_on_gpOrthosteric Ligand7W53-NMUR1-Neuromedin-U-25-chim(NtGi1-Gs-CtGq)/β1/γ2
16.67Consensusopsins_offOrthosteric Ligandrhodopsin_off
16.67Consensusot_offOrthosteric Ligand6TPK-OT-Retosiban
16.67Consensuspth1_onOrthosteric Ligand6NBF-PTH1-Long-Acting PTH Analog-Gs/β1/γ2 8HA0-PTH1-PTH-chim(NtGi1-Gs)/β1/γ2 8HAF-PTH1-PTHrP(1-36)-chim(NtGi1-Gs)/β1/γ2 7Y36-PTH1-Teriparatide-Gs/β1/γ2 7Y35-PTH1-Abaloparatide-Gs/β1/γ2
16.67Consensussensory_offOrthosteric Ligandopsins_off
16.67Consensusvasop-oxy_offOrthosteric Ligandot_off
16.13Single6PB0Urocortin6PB0-CRF1-Urocortin-chim(NtGi1-Gs)/β1/γ2
16.13Single7RBTTirzepatide7RBT-GIP-Tirzepatide-LSN3556672-chim(NtGi1-Gs)/β1/γ2
16.13Single7TYXAmylin7TYX-CT (AMY2)-Amylin-Gs/β1/γ2; RAMP2
16.13Single8U1UCCL18U1U-CCR8-CCL1-Gi1/β1/γ2
16.00Single6HLOAprepitant6HLO-NK1-Aprepitant
16.00Single6WHCGlu16 analog of GCG6WHC-Glucagon-Glu16 analog of GCG-Gs/β1/γ2
16.00Single7DDZJNJ-310200287DDZ-Y2-JNJ-31020028
16.00Single7TRYUrocortin7TRY-CRF2-Urocortin-chim(NtGi1-G11)/β1/γ2
16.00Single8F7QBeta-Endorphin8F7Q-μ-β-Endorphin-Gi1/β1/γ2
16.00Single8IBVMotilin8IBV-Motilin-Motilin-chim(NtGi1-Gs-CtGq)/β1/γ2
16.00Single8JBHSubstance-P8JBH-NK3-Substance-P-chim(NtGi1-Gs-CtGq)/β1/γ2
16.00Single8K6OPro-neuropeptide-Y8K6O-Y1-Pro-neuropeptide-Y-Gi2/β1/γ1
16.00Single8KH5Lysophosphatidylserine8KH5-GPR174-Lysophosphatidylserine-Gs/β1/γ2
16.00Single9IQRMuscarinic toxin 39IQR-α2a-Muscarinic toxin 3
16.00Consensusccr8_on_gpOrthosteric Ligand8KFX-CCR8-LMD-009-Gi1/β1/γ2 8KFY-CCR8-ZK-756326-Gi1/β1/γ2 8U1U-CCR8-CCL1-Gi1/β1/γ2
16.00Consensusnpy2_offOrthosteric Ligand7DDZ-Y2-JNJ-31020028
16.00Consensustachykinin_on_gpOrthosteric Ligandnk1_on_gp nk2_on_gp nk3_on_gp
15.79Single2VT4Cyanopindolol2VT4-β1-Cyanopindolol
15.79Single2Y02Carmoterol2Y02-β1-Carmoterol
15.79Single2YCYCyanopindolol2YCY-β1-Cyanopindolol
15.79Single3ZPQ4-(piperazin-1- yl)-1H-indole3ZPQ-β1-4-(piperazin-1- yl)-1H-indole-Na
15.79Single3ZPR4-methyl-2-(piperazin-1-yl)3ZPR-β1-4-methyl-2-(piperazin-1-yl)-Na
15.79Single4EIYZM-2413854EIY-A2A-ZM-241385-Na
15.79Single4EJ4Naltrindole4EJ4-δ-Naltrindole
15.79Single4QIMANTA XV4QIM-SMO-ANTA XV
15.79Single4U16N-Methyl-Scopolamine4U16-M3-N-Methyl-Scopolamine
15.79Single5IU8Q274563475IU8-A2A-Q27456347-Na
15.79Single5OLGZM-2413855OLG-A2A-ZM-241385-Na
15.79Single5UIGCmpd-15UIG-A2A-Cmpd-1
15.79Single5YC8N-Methyl-Scopolamine5YC8-M2-N-Methyl-Scopolamine
15.79Single5ZK8N-Methyl-Scopolamine5ZK8-M2-N-Methyl-Scopolamine
15.79Single5ZKCN-Methyl-Scopolamine5ZKC-M2-N-Methyl-Scopolamine
15.79Single6IIVDaltroban6IIV-TXA2-Daltroban
15.79Single6K42Dexmedetomidine6K42-α2b-Dexmedetomidine-Gi1/β1/γ2
15.79Single6LPJZM-2413856LPJ-A2A-ZM-241385-Na
15.79Single6LPKZM-2413856LPK-A2A-ZM-241385-Na
15.79Single6PRZS-Alprenolol6PRZ-β2-S-Alprenolol
15.79Single6PS2S-Alprenolol6PS2-β2-S-Alprenolol
15.79Single6WHADB139486WHA-5-HT2A-DB13948-chim(NtGi2L-Gs-CtGq)/β1/γ2
15.79Single7DB6Ramelteon7DB6-MT1-Ramelteon-Gi1/β1/γ2
15.79Single7F83PF-051904577F83-Ghrelin-PF-05190457
15.79Single7FIHOrg435537FIH-LH-hCG-Org43553-chim(NtGi1-Gs)/β1/γ2
15.79Single7M3JNPS-2143; PO47M3J-CaS-NPS-2143; PO4
15.79Single7PYRPSB-21157PYR-A2A-PSB-2115
15.79Single7SQOTAK-9257SQO-OX2-TAK-925-Gi1/β1/γ2
15.79Single7UM6Lisuride7UM6-5-HT5A-Lisuride-chim(NtGi1-Go)/β1/γ2
15.79Single7VH0Ramelteon7VH0-MT2-Ramelteon-Gi1/β1/γ1
15.79Single7WC7Lisuride7WC7-5-HT2A-Lisuride
15.79Single7XTC5-CT7XTC-5-HT7-5-CT-Gs/β1/γ2
15.79Single8CICEtrumadenant8CIC-A2A-Etrumadenant-Na
15.79Single8CU6LJ-45178CU6-A2A-LJ-4517
15.79Single8EFQDamgo8EFQ-μ-Damgo-Gi1/β1/γ2
15.79Single8EJKTAK-8758EJK-FFA1-TAK-875-chim(NtGi1L-Gs-CtGq)/β1/γ2
15.79Single8IC0Interleukin-88IC0-CXCR1-Interleukin-8-Gi1/β1/γ2
15.79Single8IRTRotigotine8IRT-D3-Rotigotine-Gi1/β1/γ2
15.79Single8JLJT1AM8JLJ-TA1-T1AM-chim(NtGi1-Gs)/β1/γ2
15.79Single8JT8(R)-IHCH-71798JT8-5-HT2A-(R)-IHCH-7179
15.79Single8JXRLSD8JXR-D1-LSD
15.79Single8UWLLisuride8UWL-5-HT2A-Lisuride-chim(NtGi2-Gs-CtGq)/β1/γ2
15.79Single8VVGGB188VVG-κ-GB18-Gi1/β1/γ2
15.79Single8WC7ZH86678WC7-TA1-ZH8667-chim(NtGi1-Gs)/β1/γ2
15.79Single8X64Desloratadine8X64-H1-Desloratadine
15.79Single8XVKAmbrisentan8XVK-ETA-Ambrisentan
15.79Single8YH5Riboprine8YH5-A3A-Riboprine-Gi1/β1/γ2
15.79Single8YN8Proxyfan8YN8-H3-Proxyfan-Go/β1/γ2
15.79Single9AS1DMT9AS1-5-HT2A-DMT
15.79Single9AVGCa; Ca; Cyclomethyltryptophan; 9IG; PO49AVG-CaS-Ca-Ca; Ca; Cyclomethyltryptophan; 9IG; PO4-chim(NtGi1-Gs)/β1/γ2
15.79Single9CBMDexmedetomidine9CBM-α2a-Dexmedetomidine-Gi1/β1/γ2
15.79Single9H37A1IR09H37-A2A-A1IR0-Na
15.79Single9IMATalquetamab9IMA-GPRC5D-Talquetamab
15.79Single9IVGGLP-1 (Truncated)9IVG-GLP-1-GLP-1 (Truncated)-chim(NtGi1-Gs)/β1/γ2
15.79Single9IYAONO-97105319IYA-GPR55-ONO-9710531
15.79Single9JEAAtropine9JEA-M1-Atropine
15.79Single9PLNN-(5-methylnaphthalen-1-yl)pyridin-4-amine9PLN-α2a-N-(5-methylnaphthalen-1-yl)pyridin-4-amine
15.79Single9PLON-(5-methylnaphthalen-1-yl)pyridin-4-amine9PLO-α2a-N-(5-methylnaphthalen-1-yl)pyridin-4-amine-Go/β1/γ2
15.79Single9PQD(6m)-1-methyl-6-(1,2,5,6-tetrahydropyridin-3-yl)-1h-indole9PQD-α2a-(6m)-1-methyl-6-(1,2,5,6-tetrahydropyridin-3-yl)-1h-indole
15.79Consensus5ht5_onOrthosteric Ligand5ht5a_on
15.79Consensus5ht5a_onOrthosteric Ligand7X5H-5-HT5A-5-CT-Gi1/β1/γ2 7UM6-5-HT5A-Lisuride-chim(NtGi1-Go)/β1/γ2 7UM7-5-HT5A-Methylergometrine-chim(NtGi1-Go)/β1/γ2
15.79Consensus5ht6_onOrthosteric Ligand7XTB-5-HT6-Serotonin-Gs/β1/γ2 8JLZ-5-HT6-ST1936-Gs/β1/γ2
15.79Consensus5ht6_on_gpOrthosteric Ligand7XTB-5-HT6-Serotonin-Gs/β1/γ2 8JLZ-5-HT6-ST1936-Gs/β1/γ2
15.79Consensus5ht7_onOrthosteric Ligand7XTC-5-HT7-5-CT-Gs/β1/γ2
15.79Consensus5ht7_on_gpOrthosteric Ligand7XTC-5-HT7-5-CT-Gs/β1/γ2
15.79Consensusalpha2_onOrthosteric Ligandalpha2b_on
15.79Consensusalpha2_on_gpOrthosteric Ligandalpha2b_on_gp
15.79Consensusalpha2b_onOrthosteric Ligand6K42-α2b-Dexmedetomidine-Gi1/β1/γ2
15.79Consensusalpha2b_on_gpOrthosteric Ligand6K42-α2b-Dexmedetomidine-Gi1/β1/γ2
15.79Consensusalpha_onOrthosteric Ligandalpha1_on alpha2_on
15.79Consensuscck_offOrthosteric Ligandccka_off
15.79Consensusccka_offOrthosteric Ligand7F8Y-CCKA-Devazepide 7F8U-CCKA-Lintitript
15.79Consensuscxcr1_on_gpOrthosteric Ligand8IC0-CXCR1-Interleukin-8-Gi1/β1/γ2
15.79Consensusdop_offOrthosteric Ligand4EJ4-δ-Naltrindole
15.79Consensusgi_histamineOrthosteric Ligand8JXX-H4-Clobenpropit-Gi1/β1/γ2 8JXV-H4-Clozapine-Gi1/β1/γ2 8YUU-H3-Histamine-Gi1/β1/γ1 8HN8-H4-Histamine-Gi1/β1/γ2 8HOC-H4-Imetit-Gi1/β1/γ2 8JXW-H4-VUF6884-Gi1/β1/γ2
15.79Consensusgi_orexinOrthosteric Ligand7SQO-OX2-TAK-925-Gi1/β1/γ2
15.79Consensusgq_amineOrthosteric Ligandgq_muscarinic gq_histamine
15.79Consensusmuscarinic_onOrthosteric Ligandm2_on m3_on m4_on m1_on
15.79Consensusmuscarinic_on_gpOrthosteric Ligandm2_on_gp m3_on_gp m4_on_gp m1_on_gp
15.62Single7VBHPeptide-207VBH-GLP-1-Peptide-20-Gs/β1/γ2
15.62Single8FLSAbaloparatide8FLS-PTH1-Abaloparatide-Gs/β1/γ2
15.62Single9AUCCalcitonin gene-related peptide-19AUC-CT (AMY1)-Calcitonin gene-related peptide-1-Gs/β1/γ2; RAMP1
15.38Single6PT2KGCHM076PT2-δ-KGCHM07
15.38Single6W25SHU91196W25-MC4-SHU9119-Ca
15.38Single7RYCOxytocin7RYC-OT-Oxytocin-chim(NtGi2L-Gs-CtGq)/β1/γ2
15.38Single7W55Neuromedin-U-257W55-NMUR2-Neuromedin-U-25-chim(NtGi1-Gs-CtGq)/β1/γ2
15.38Single8K6MNeuropeptide-Y8K6M-Y1-Neuropeptide-Y-Gi2/β1/γ1
15.38Single8W8YGamma-MSH8W8Y-MC3-γ-MSH-Ca-Gs/β1/γ2
15.38Single8WCBCyclohexylammonium Ion8WCB-TA1-Cyclohexylammonium Ion-chim(NtGi1-Gs-CtGq)/β1/γ2
15.38Single8WCCCyclohexylammonium Ion8WCC-TA1-Cyclohexylammonium Ion
15.38Single9B5YLong-Acting PTH9B5Y-PTH1-Long-Acting PTH-chim(NtGi1-Gq)/β1/γ2
15.38Single9M1OMorphine-Modulating Neuropeptide B9M1O-NPFF2-Morphine-Modulating Neuropeptide B-Gi1/β1/γ2
15.38Consensusnmur2_onOrthosteric Ligand7W55-NMUR2-Neuromedin-U-25-chim(NtGi1-Gs-CtGq)/β1/γ2
15.38Consensusnmur2_on_gpOrthosteric Ligand7W55-NMUR2-Neuromedin-U-25-chim(NtGi1-Gs-CtGq)/β1/γ2
15.38Consensusnpy1_onOrthosteric Ligand8K6M-Y1-Neuropeptide-Y-Gi2/β1/γ1
15.38Consensusnpy1_on_gpOrthosteric Ligand8K6M-Y1-Neuropeptide-Y-Gi2/β1/γ1
15.15Single7V35Peptide-207V35-Glucagon-Peptide-20-Gs/β1/γ2
15.15Single7VVMPTH7VVM-PTH1-PTH-Gs/β1/γ2
15.15Single8JIPMEDI03828JIP-GLP-1-MEDI0382-chim(NtGi1-Gs)/β1/γ2
15.15Single8JIRSAR4258998JIR-GLP-1-SAR425899-chim(NtGi1-Gs)/β1/γ2
15.15Single9JR2PTH9JR2-PTH1-PTH-chim(NtGi1L-Gs-CtGq)/β1/γ2
15.15Consensuspth1_on_gpOrthosteric Ligand6NBF-PTH1-Long-Acting PTH Analog-Gs/β1/γ2 8HA0-PTH1-PTH-chim(NtGi1-Gs)/β1/γ2 8HAF-PTH1-PTHrP(1-36)-chim(NtGi1-Gs)/β1/γ2 7Y36-PTH1-Teriparatide-Gs/β1/γ2 7Y35-PTH1-Abaloparatide-Gs/β1/γ2
15.00Single4JKVTaladegib4JKV-SMO-Taladegib
15.00Single5CGCHTL142425CGC-mGlu5-HTL14242
15.00Single5IUAQ274563485IUA-A2A-Q27456348-Na
15.00Single5N2SPSB365N2S-A1-PSB36
15.00Single5NM2ZM-2413855NM2-A2A-ZM-241385-Na
15.00Single5TVNLSD5TVN-5-HT2B-LSD
15.00Single5ZK33-quinuclidinyl-benzilate5ZK3-M2-3-quinuclidinyl-benzilate
15.00Single6LPLZM-2413856LPL-A2A-ZM-241385-Na
15.00Single6S0QZM-2413856S0Q-A2A-ZM-241385
15.00Single6WQAZM-2413856WQA-A2A-ZM-241385-Na
15.00Single7EPFNAM5977EPF-mGlu2; mGlu2-NAM597
15.00Single7M3JNPS-2143; PO47M3J-CaS-NPS-2143; PO4
15.00Single7RM5ZM-2413857RM5-A2A-ZM-241385-Na
15.00Single7VOEAripiprazole7VOE-5-HT2A-Aripiprazole
15.00Single7VUHJNJ-635330547VUH-GPR139-JNJ-63533054-chim(Gs-CtGq)/β1/γ2
15.00Single7VV0PAMP-127VV0-MRGPRX2-PAMP-12
15.00Single7WC6LSD7WC6-5-HT2A-LSD
15.00Single8E9ZIperoxo8E9Z-M3-Iperoxo-chim(NtGi2L-Gs-CtGq)/β1/γ2
15.00Single8EJCTAK-8758EJC-FFA1-TAK-875-chim(NtGi1L-Gs-CtGq)/β1/γ2
15.00Single8FYNZM-2413858FYN-A2A-ZM-241385-Na
15.00Single8ID4Linoleic acid8ID4-FFA4-Linoleic acid-Gi1/β1/γ2
15.00Single8J18(3R)-3-Hydroxydodecanoic acid8J18-GPR84-(3R)-3-Hydroxydodecanoic acid-Gi1/β1/γ2
15.00Single8QOTNanobody-E8QOT-μ-Nanobody-E
15.00Single8TH4AT118-L Nanobody8TH4-AT1-Losartan-AT118-L Nanobody
15.00Single8YH0NECA8YH0-A3A-NECA-Gi1/β1/γ2
15.00Single9ARYSerotonin9ARY-5-HT2A-Serotonin-chim(NtGi1-Gs-CtGq)/β1/γ2
15.00Single9AYFCa; Ca; Ca; Cyclomethyltryptophan; 9IG; PO49AYF-CaS-Ca-Ca; Ca; Ca; Cyclomethyltryptophan; 9IG; PO4-Gi1/β1/γ2
15.00Single9B9ZA1AKO9B9Z-CB1-A1AKO
15.00Single9F34FOB02-04A9F34-D3-FOB02-04A-Go/β1/γ2
15.00Single9GE2ML1849GE2-GPR55-ML184-chim(NtGi1-G13)/β1/γ2
15.00Single9HAPTolvaptan9HAP-V2-Tolvaptan
15.00Single9K07DSO-5a9K07-BB3-DSO-5a-chim(NtGi2L-Gs-CtGq)/β1/γ2
15.00Single9KPFSA09KPF-TAS2R16-SA0-Gi1/β1/γ2
15.00Consensusadgrg2_onOrthosteric Ligand7WUI-ADGRG2-IP15-chim(NtGi1-Gs)/β1/γ2 7WUQ-ADGRG2-Gs/β1/γ2 7XKF-ADGRG2-β-Hydroxyandrosterone-Gs/β1/γ2
15.00Consensusadgrg2_on_gpOrthosteric Ligand7WUI-ADGRG2-IP15-chim(NtGi1-Gs)/β1/γ2 7WUQ-ADGRG2-Gs/β1/γ2 7XKF-ADGRG2-β-Hydroxyandrosterone-Gs/β1/γ2
15.00Consensusalpha_on_gpOrthosteric Ligandalpha1_on_gp alpha2_on_gp
15.00Consensusclass-b1_on_gpOrthosteric Ligandglucagon_on_gp vip-pacap_on_gp pth_on_gp crf_on_gp calcitonin_on_gp
15.00Consensusgq_muscarinicOrthosteric Ligand6OIJ-M1-Iperoxo-chim(NtGi1L-G11)/β1/γ2
15.00Consensuslpa1_onOrthosteric Ligand7TD1-LPA1-LPA-Gi1/β1/γ2 7YU3-LPA1-ONO-0740556-Gi1/β1/γ2
15.00Consensuslpa1_on_gpOrthosteric Ligand7TD1-LPA1-LPA-Gi1/β1/γ2 7YU3-LPA1-ONO-0740556-Gi1/β1/γ2
15.00Consensusm1_onOrthosteric Ligand6OIJ-M1-Iperoxo-chim(NtGi1L-G11)/β1/γ2
15.00Consensusm2_offOrthosteric Ligand5ZKC-M2-N-Methyl-Scopolamine 5ZK3-M2-3-quinuclidinyl-benzilate 5ZKB-M2-AF-DX 384
15.00Consensusm3_onOrthosteric Ligand8E9Z-M3-Iperoxo-chim(NtGi2L-Gs-CtGq)/β1/γ2 8E9W-M3-2-Deoxycytidine-chim(NtGi2L-Gs-CtGq)/β1/γ2 8E9Y-M3-Clozapine-N-oxide-chim(NtGi2L-Gs-CtGq)/β1/γ2
15.00Consensusm3_on_gpOrthosteric Ligand8E9Z-M3-Iperoxo-chim(NtGi2L-Gs-CtGq)/β1/γ2 8E9W-M3-2-Deoxycytidine-chim(NtGi2L-Gs-CtGq)/β1/γ2 8E9Y-M3-Clozapine-N-oxide-chim(NtGi2L-Gs-CtGq)/β1/γ2
15.00Consensusnucleotide_onOrthosteric Ligandadenosine_on p2y_on
14.81Single7AD3Alpha-factor mating pheromone7AD3-STE2-α-factor mating pheromone-Gi1/STE4/γ2
14.81Single7TYIAmylin7TYI-CT-Amylin-Gs/β1/γ2
14.81Single7WUIIP157WUI-ADGRG2-IP15-chim(NtGi1-Gs)/β1/γ2
14.81Consensusneuromedin-u_onOrthosteric Ligandnmur1_on nmur2_on
14.81Consensustachykinin_onOrthosteric Ligandnk1_on nk2_on nk3_on
14.63Single8GY7Corticotropin8GY7-MC2-Corticotropin-Ca-chim(NtGi1-Gs)/β1/γ2; MRAP1
14.29Single3PDSHydroxybenzylisoproterenol3PDS-β2-Hydroxybenzylisoproterenol
14.29Single3PXOAll-trans-Retinal3PXO-Rhodopsin-All-trans-Retinal
14.29Single3UON3-quinuclidinyl-benzilate3UON-M2-3-quinuclidinyl-benzilate
14.29Single4OO9Mavoglurant4OO9-mGlu5-Mavoglurant
14.29Single4U15Tiotropium4U15-M3-Tiotropium
14.29Single5DYSAll-trans-Retinal5DYS-Rhodopsin-All-trans-Retinal
14.29Single5MZJTheophylline5MZJ-A2A-Theophylline-Na
14.29Single5TZRMK86665TZR-FFA1-MK8666
14.29Single5V56TC1145V56-SMO-TC114
14.29Single5V57TC1145V57-SMO-TC114
14.29Single5YQZGlucagon analogue5YQZ-Glucagon-Glucagon analogue
14.29Single5ZKBAF-DX 3845ZKB-M2-AF-DX 384
14.29Single6DDEDamgo6DDE-μ-Damgo-Gi1/β1/γ2
14.29Single6E3YCalcitonin gene-related peptide-16E3Y-CT Like-Calcitonin gene-related peptide-1-Gs/β1/γ2; RAMP1
14.29Single6E59L-7607356E59-NK1-L-760735
14.29Single6NI3BI1671076NI3-β2-BI167107-Gs/β1/γ2
14.29Single6OIJIperoxo6OIJ-M1-Iperoxo-chim(NtGi1L-G11)/β1/γ2
14.29Single6OL9Tiotropium6OL9-M5-Tiotropium
14.29Single6Z8NSRI-98296Z8N-NTS1-SRI-9829
14.29Single7P02Protachykinin-17P02-NK1-Protachykinin-1-chim(NtGi1-Gs)/β1/γ2
14.29Single7TRQIperoxo7TRQ-M4-Iperoxo-VU0467154-Gi1/β1/γ2
14.29Single7TYWCalcitonin-17TYW-CT (AMY1)-Calcitonin-1-Gs/β1/γ2; RAMP1
14.29Single7WC4Serotonin7WC4-5-HT2A-Serotonin
14.29Single7WVXHumanin7WVX-FPR2-ALX-Humanin-Gi2/β1/γ2
14.29Single7XAVLanreotide7XAV-SST2-Lanreotide-Gi1/β1/γ2
14.29Single7XOWGastrin7XOW-CCKB-Gastrin-chim(NtGi1-Gq)/β1/γ2
14.29Single7XV3Lysophosphatidylserine7XV3-GPR174-Lysophosphatidylserine-chim(NtGi1-Gs)/β1/γ2
14.29Single7XY7NECA7XY7-A2B-NECA-chim(NtGi1-Gs)/β1/γ2
14.29Single8EA0Iperoxo8EA0-M3-Iperoxo
14.29Single8FMZNeurotensin/Neuromedin-N8FMZ-NTS1-Neurotensin/Neuromedin-N-chim(NtGi2L-Gs-CtGq)/β1/γ2
14.29Single8GDBPGE28GDB-EP4-PGE2-Gs/β1/γ2
14.29Single8HDOBAY 60-65838HDO-A2B-BAY 60-6583-Gs/β1/γ2
14.29Single8HPTC5a anaphylatoxin C-terminal peptide8HPT-C5a1-C5a anaphylatoxin C-terminal peptide-Go/β1/γ2
14.29Single8ID39-Hydroxystearic acid8ID3-FFA4-9-Hydroxystearic acid-Gi1/β1/γ2
14.29Single8ID6Oleic acid8ID6-FFA4-Oleic acid-Gi1/β1/γ2
14.29Single8JBGNeurokinin-B8JBG-NK3-Neurokinin-B-chim(NtGi1-Gs-CtGq)/β1/γ2
14.29Single8JLPRalmitaront8JLP-TA1-Ralmitaront-Gs/β1/γ2
14.29Single8JXXClobenpropit8JXX-H4-Clobenpropit-Gi1/β1/γ2
14.29Single8JZPC5A anaphylatoxin8JZP-C5a1-C5A anaphylatoxin-Go/β1/γ2
14.29Single8PWNTheophylline8PWN-A2A-Theophylline
14.29Single8XVLZibotentan8XVL-ETA-Zibotentan
14.29Single8XZICMF-0198XZI-Apelin-CMF-019-Gi1/β1/γ2
14.29Single8ZR5Firuglipel8ZR5-GPR119-Firuglipel-Gs/β1/γ2
14.29Single9AS9RS130-1809AS9-5-HT2A-RS130-180
14.29Single9ASARS130-1809ASA-5-HT2A-RS130-180-chim(NtGi1-Gs-CtGq)/β1/γ2
14.29Single9BJKNaloxone9BJK-μ-Naloxone-NAM
14.29Single9IV25alpha-DHT9IV2-ADGRD1-5α-DHT-chim(NtGi1-Gs)/β1/γ2
14.29Consensusgluc_onOrthosteric Ligand6LMK-Glucagon-Glucagon-Gs/β1/γ2 8JIT-Glucagon-MEDI0382-Gs/β1/γ2 7V35-Glucagon-Peptide-20-Gs/β1/γ2
14.29Consensush4_on_gpOrthosteric Ligand8HN8-H4-Histamine-Gi1/β1/γ2 8HOC-H4-Imetit-Gi1/β1/γ2 8JXV-H4-Clozapine-Gi1/β1/γ2 8JXW-H4-VUF6884-Gi1/β1/γ2 8JXX-H4-Clobenpropit-Gi1/β1/γ2
14.29Consensusm1_on_gpOrthosteric Ligand6OIJ-M1-Iperoxo-chim(NtGi1L-G11)/β1/γ2
14.29Consensusm5_offOrthosteric Ligand6OL9-M5-Tiotropium
14.29Consensusmuscarinic_offOrthosteric Ligandm2_off m3_off m4_off m5_off m1_off
14.29Consensusneuromedin-u_on_gpOrthosteric Ligandnmur1_on_gp nmur2_on_gp
14.29Consensusnpy1_offOrthosteric Ligand5ZBH-Y1-BMS-193885 5ZBQ-Y1-UR-MK-299
14.29Consensusnpy_offOrthosteric Ligandnpy1_off npy2_off
14.29Consensusp2y10_onOrthosteric Ligand8KGG-P2Y10-LPS-chim(NtGi2-G13)/β1/γ2
14.29Consensustachykinin_offOrthosteric Ligandnk1_off
13.89Consensusgluc_on_gpOrthosteric Ligand6LMK-Glucagon-Glucagon-Gs/β1/γ2 8JIT-Glucagon-MEDI0382-Gs/β1/γ2 7V35-Glucagon-Peptide-20-Gs/β1/γ2
13.79Single9BLBCagrilintide backbone (non-acylated)9BLB-CT-Cagrilintide backbone (non-acylated)-Gs/β1/γ2
13.79Single9BUBCagrilintide9BUB-CT-Cagrilintide-Gs/β1/γ2
13.64Single5CXVTiotropium5CXV-M1-Tiotropium
13.64Single5TZYMK8666; AP85TZY-FFA1-MK8666; AP8
13.64Single6IIURamatroban6IIU-TXA2-Ramatroban
13.64Single7L0SNeurotensin7L0S-NTS1-Neurotensin-Gi1/β1/γ1
13.64Single7WCMMBX-29827WCM-GPR119-MBX-2982-Gs/β1/γ2
13.64Single7XW5ML1097XW5-TSH-TSH-ML109-Gs/β1/γ2
13.64Single7XW6ML1097XW6-TSH-M22 Fab-ML109-Gs/β1/γ2
13.64Single8E9W2-Deoxycytidine8E9W-M3-2-Deoxycytidine-chim(NtGi2L-Gs-CtGq)/β1/γ2
13.64Single8IQ6Latanoprost8IQ6-FP-alpha-Latanoprost-chim(NtGi1-Gs-CtGq)/β1/γ2
13.64Single8T3QDocosa-4,7,10,13,16,19-Hexaenoic acid8T3Q-FFA4-Docosa-4,7,10,13,16,19-Hexaenoic acid-chim(NtGi2L-Gs-CtGq)/β1/γ2
13.64Single8VHFMBX-29828VHF-GPR119-MBX-2982-Gs/β1/γ2
13.64Single8XQJJN2418XQJ-Apelin-JN241
13.64Single8XX3CXCL38XX3-CXCR2-CXCL3-Go/β1/γ2
13.64Consensusgi_amineOrthosteric Ligandgi_5ht gi_muscarinic gi_adrenergic gi_dopamine gi_histamine
13.64Consensusm1_offOrthosteric Ligand5CXV-M1-Tiotropium
13.64Consensusm4_onOrthosteric Ligand7TRS-M4-Acetylcholine-Gi1/β1/γ2 7V6A-M4-PubChem 9864275-Gi1/β1/γ2 8E9X-M4-2-Deoxycytidine-chim(NtGi1-Go)/β1/γ2 7TRK-M4-Iperoxo-Gi1/β1/γ2
13.64Consensusm4_on_gpOrthosteric Ligand7TRS-M4-Acetylcholine-Gi1/β1/γ2 7V6A-M4-PubChem 9864275-Gi1/β1/γ2 8E9X-M4-2-Deoxycytidine-chim(NtGi1-Go)/β1/γ2 7TRK-M4-Iperoxo-Gi1/β1/γ2
13.33Single2HPYAll-trans-Retinal2HPY-Rhodopsin-All-trans-Retinal
13.33Single6TQ9SB-4081246TQ9-OX1-SB-408124
13.33Single6XBM5LWE6XBM-SMO-5LWE-Gi1/β1/γ2
13.33Single7TYNCalcitonin-17TYN-CT-Calcitonin-1-Gs/β1/γ2
13.33Single7VVKPTH7VVK-PTH1-PTH-Gs/β1/γ2
13.33Single8A2OTheophylline8A2O-A2A-Theophylline-Na
13.33Single8U4QREGN7663-Fab8U4Q-CXCR4-REGN7663-Fab-Gi1/β1/γ2
13.33Single9C2FCa; Ca; Tryptophan; '54149; PO49C2F-CaS-Ca-Ca; Ca; Tryptophan; '54149; PO4
13.33Single9CHUNoradrenaline9CHU-β2-Noradrenaline
13.33Consensuscrf_onOrthosteric Ligandcrf2_on crf1_on
13.33Consensusgs_histamineOrthosteric Ligand8POK-H2-Histamine-Gs/β1/γ2
13.33Consensush2_onOrthosteric Ligand8POK-H2-Histamine-Gs/β1/γ2
13.04Single5CGDHTL142425CGD-mGlu5-HTL14242
13.04Single7VVNPTH7VVN-PTH1-PTH-Gs/β1/γ2
13.04Single8E9YClozapine-N-oxide8E9Y-M3-Clozapine-N-oxide-chim(NtGi2L-Gs-CtGq)/β1/γ2
13.04Single8T3OTUG-8918T3O-FFA4-TUG-891-chim(NtGi2L-Gs-CtGq)/β1/γ2
13.04Single8XBES3E-LysoPS8XBE-GPR34-S3E-LysoPS-Gi1/β1/γ1
13.04Single8XVJMacitentan8XVJ-ETA-Macitentan
13.04Single8XWFCXCL38XWF-CXCR2-CXCL3
13.04Single9CGJC6-Quino9CGJ-δ-C6-Quino-Gi1/β1/γ2
13.04Consensusnk2_onOrthosteric Ligand7XWO-NK2-Neurokinin-A-chim(NtGi1-Gs-CtGq)/β1/γ2
12.90Single6LMKGlucagon6LMK-Glucagon-Glucagon-Gs/β1/γ2
12.90Single7TYLAmylin7TYL-CT-Amylin-Gs/β1/γ2
12.90Single7VVJPTHrP(1-36)7VVJ-PTH1-PTHrP(1-36)-Gs/β1/γ2
12.90Single9BQ3Cagrilintide9BQ3-CT (AMY2)-Cagrilintide-Gs/β1/γ2; RAMP2
12.90Single9BTWCagrilintide9BTW-CT (AMY3)-Cagrilintide-Gs/β1/γ2; RAMP3
12.50Single2ZIY11-cis-Retinal2ZIY-Rhodopsin-11-cis-Retinal
12.50Single3C9M11-cis-Retinal3C9M-Rhodopsin-11-cis-Retinal
12.50Single3PQRAll-trans-Retinal3PQR-Rhodopsin-All-trans-Retinal-Gt(CT)
12.50Single3UZAGTPL92363UZA-A2A-GTPL9236
12.50Single6D32Cyclopamine6D32-SMO-Cyclopamine-Cyclopamine
12.50Single6KNMJN241-96KNM-Apelin-JN241-9
12.50Single6PT3DPI-2876PT3-δ-DPI-287
12.50Single6PWCNeurotensin6PWC-NTS1-Neurotensin-Arrestin2
12.50Single7D77Hydrocortisone7D77-ADGRG3-Hydrocortisone-Go/β1/γ2
12.50Single7DD7Ca; Ca; Tryptophan; Evocalcet7DD7-CaS-Ca-Ca; Ca; Tryptophan; Evocalcet
12.50Single8DPILorcaserin8DPI-5-HT2C-Lorcaserin-chim(NtGi2L-Gs-CtGq)/β1/γ2
12.50Single8F76Propanoic acid8F76-OR51E2-Propanoic acid-Gs/β1/γ2
12.50Single8GGFConstrained Epinephrine8GGF-β2-Constrained Epinephrine-GTP-Gs/β1/γ2
12.50Single8H4IDoconexent8H4I-FFA4-Doconexent-chim(NtGi1-Gs)/β1/γ2
12.50Single8ITFDMCHA8ITF-TA9-DMCHA-chim(NtGi1-Gs)/β1/γ2
12.50Single8JRVGlucagon8JRV-Glucagon-Glucagon-Arrestin2
12.50Single8JXTHistamine8JXT-H4-Histamine-PO4-Gi1/β1/γ2
12.50Single8POKHistamine8POK-H2-Histamine-Gs/β1/γ2
12.50Single8SZFCa; Ca; Tryptophan; Cinacalcet; PO4; Spermine8SZF-CaS-Ca; Ca; Tryptophan; Cinacalcet; PO4; Spermine
12.50Single8X9UMetenolone8X9U-ADGRD1-Metenolone-chim(NtGi1-Gs)/β1/γ2
12.50Single8XQJJN2418XQJ-Apelin-JN241
12.50Single8Z74Agonistic antibody8Z74-Apelin-Agonistic antibody
12.50Single8ZJETAK-4488ZJE-Kiss1-TAK-448-chim(NtGi1-Gq)/β1/γ1
12.50Single9CGKC5-Quino9CGK-δ-C5-Quino-Gi1/β1/γ2
12.50Consensus5ht2_onOrthosteric Ligand5ht2b_on
12.50Consensus5ht2b_onOrthosteric Ligand7SRR-5-HT2B-LSD-chim(NtGi2L-Gs-CtGq)/β1/γ2
12.50Consensush2_on_gpOrthosteric Ligand8POK-H2-Histamine-Gs/β1/γ2
12.50Consensuskiss1_onOrthosteric Ligand8ZJD-Kiss1-Kisspeptin-10-chim(NtGi1-Gq)/β1/γ1
12.50Consensuskisspeptin_onOrthosteric Ligandkiss1_on
12.12Single8F2APramlintide Analogue San3858F2A-CT (AMY3)-Pramlintide Analogue San385-Gs/β1/γ2; RAMP3
12.00Single7RTBPeptide-197RTB-GLP-1-Peptide-19-Gs/β1/γ2
12.00Single8IZBLysophosphatidylserine8IZB-GPR174-Lysophosphatidylserine-Gs/β1/γ2
12.00Single8XBHS3E-LysoPS8XBH-GPR34-S3E-LysoPS-Gi1/β1/γ2
12.00Single8ZCJPasireotide8ZCJ-SST5-Pasireotide-Gi1/β1/γ1
12.00Single8ZJDKisspeptin-108ZJD-Kiss1-Kisspeptin-10-chim(NtGi1-Gq)/β1/γ1
12.00Single9J0IUDP-Glucuronic acid9J0I-P2Y14-UDP-Glucuronic acid-Gi1/β1/γ2
12.00Consensusgq_kisspeptinOrthosteric Ligand8ZJD-Kiss1-Kisspeptin-10-chim(NtGi1-Gq)/β1/γ1
12.00Consensuskiss1_on_gpOrthosteric Ligand8ZJD-Kiss1-Kisspeptin-10-chim(NtGi1-Gq)/β1/γ1
12.00Consensuskisspeptin_on_gpOrthosteric Ligandkiss1_on_gp
11.76Single1L9H11-cis-Retinal1L9H-Rhodopsin-11-cis-Retinal
11.76Single1U1911-cis-Retinal1U19-Rhodopsin-11-cis-Retinal
11.76Single2G87All-trans-Retinal2G87-Rhodopsin-All-trans-Retinal
11.76Single2I3511-cis-Retinal2I35-Rhodopsin-11-cis-Retinal
11.76Single3AYMAll-trans-Retinal3AYM-Rhodopsin-All-trans-Retinal
11.76Single6HLLCP999946HLL-NK1-CP99994
11.76Single6I9K9-cis-Retinal6I9K-Rhodopsin-9-cis-Retinal
11.76Single6LI0C176LI0-GPR52-C17
11.76Single6QNOAll-trans-Retinal6QNO-Rhodopsin-All-trans-Retinal-Gi1/β1/γ1
11.76Single6TP4ACT-4622066TP4-OX1-ACT-462206
11.76Single7D76Beclomethasone7D76-ADGRG3-Beclomethasone-Go/β1/γ2
11.76Single7DD5Ca; Ca; Tryptophan; NPS-21437DD5-CaS-Ca-Ca; Ca; Tryptophan; NPS-2143
11.76Single7DD7Ca; Ca; Tryptophan; Evocalcet7DD7-CaS-Ca-Ca; Ca; Tryptophan; Evocalcet
11.76Single7SRQLSD7SRQ-5-HT2B-LSD
11.76Single7V68Iperoxo7V68-M4-Iperoxo-LY2119620-Gi1/β1/γ2
11.76Single7XKFBeta-Hydroxyandrosterone7XKF-ADGRG2-β-Hydroxyandrosterone-Gs/β1/γ2
11.76Single7XTBSerotonin7XTB-5-HT6-Serotonin-Gs/β1/γ2
11.76Single7YFCHistamine7YFC-H4-Histamine-chim(NtGi1-Gs-CtGq)/β1/γ2
11.76Single8A2PLUAA470708A2P-A2A-LUAA47070-Na
11.76Single8DPFLorcaserin8DPF-5-HT2C-Lorcaserin-chim(NtGi2L-Gs-CtGq)/β1/γ2
11.76Single8EF6Morphine8EF6-μ-Morphine-Gi1/β1/γ2
11.76Single8HSCFab0468HSC-GPR20-Fab046-Gi1/β1/γ2
11.76Single8RWHStilSwitch28RWH-A2A-StilSwitch2-Na
11.76Single8SZFCa; Ca; Tryptophan; Cinacalcet; PO4; Spermine8SZF-CaS-Ca; Ca; Tryptophan; Cinacalcet; PO4; Spermine
11.76Single8U4RREGN7663-Fab8U4R-CXCR4-REGN7663-Fab
11.76Single8WPUTryptophan; Cinacalcet; PO4; Ca8WPU-CaS-Tryptophan; Cinacalcet; PO4; Ca-chim(NtGi2L-Gs-CtGq)/β1/γ2
11.76Single8X2KOleic monoethanolamide8X2K-GPR3-Oleic monoethanolamide-chim(NtGi1-Gs)/β1/γ2
11.76Single8YN2Histamine8YN2-H1-Histamine-chim(NtGi1L-Gs-CtGq)/β1/γ2
11.76Single8ZYUNeurotensin peptide 8-138ZYU-NTS1-Neurotensin peptide 8-13-SBI-553-Arrestin2
11.76Single9AS7Psilocin9AS7-5-HT2A-Psilocin
11.76Single9B9Y7DY9B9Y-CB1-7DY
11.76Single9C1PCa; Tryptophan; '6218; PO49C1P-CaS-Ca-Ca; Tryptophan; '6218; PO4
11.76Single9E7RGB889E7R-PAR2-GB88-chim(NtGi1L-Gs-CtGq)/β1/γ2
11.76Single9IJEEpinephrine9IJE-β3-Epinephrine-chim(NtGi1-Gs)/β1/γ2
11.76Single9L3ZLRH7-C29L3Z-CML1-LRH7-C2
11.76Consensusadgrg_onOrthosteric Ligandadgrg2_on adgrg4_on
11.76Consensusadgrg_on_gpOrthosteric Ligandadgrg2_on_gp adgrg4_on_gp
11.54Single7RMISubstance-P7RMI-NK1-Substance-P-chim(Gs-CtGq)/β1/γ2
11.54Single8IOCGamma-MSH8IOC-MC3-γ-MSH-Ca-chim(NtGi1-Gs)/β1/γ2
11.43Single7TYOCalcitonin7TYO-CT-Calcitonin-Gs/β1/γ2
11.43Single8JITMEDI03828JIT-Glucagon-MEDI0382-Gs/β1/γ2
11.43Single8JIUSAR4258998JIU-Glucagon-SAR425899-Gs/β1/γ2
11.11Single1GZM11-cis-Retinal1GZM-Rhodopsin-11-cis-Retinal
11.11Single2PED9-cis-Retinal2PED-Rhodopsin-9-cis-Retinal
11.11Single3C9L11-cis-Retinal3C9L-Rhodopsin-11-cis-Retinal
11.11Single3VGAZM-2413853VGA-A2A-ZM-241385-Antibody
11.11Single5K2DZM-2413855K2D-A2A-ZM-241385-Na
11.11Single5OLHVipadenant5OLH-A2A-Vipadenant-Na
11.11Single5OLOTozadenant5OLO-A2A-Tozadenant-Na
11.11Single5U09Taranabant5U09-CB1-Taranabant
11.11Single6JZHZM-2413856JZH-A2A-ZM-241385-Na
11.11Single6PS7ZM-2413856PS7-A2A-ZM-241385-Na
11.11Single6TQ6PubChem 1457142836TQ6-OX1-PubChem 145714283
11.11Single7BR3Elagolix7BR3-GnRH1-Elagolix
11.11Single7M3ECa; Ca; Tryptophan; NPS-21437M3E-CaS-Ca; Ca; Tryptophan; NPS-2143
11.11Single7M3ECa; Ca; Tryptophan; NPS-21437M3E-CaS-Ca; Ca; Tryptophan; NPS-2143
11.11Single7M3FCa; Ca; Tryptophan; Cinacalcet; PO47M3F-CaS-Ca; Ca; Tryptophan; Cinacalcet; PO4
11.11Single7M3FCa; Ca; Tryptophan; Cinacalcet; PO47M3F-CaS-Ca; Ca; Tryptophan; Cinacalcet; PO4
11.11Single7SILCa; Ca; Ca; Cyclomethyltryptophan; 9IG; PO47SIL-CaS-Ca-Ca; Ca; Ca; Cyclomethyltryptophan; 9IG; PO4
11.11Single7SILCa; Ca; Ca; Cyclomethyltryptophan; 9IG; PO47SIL-CaS-Ca-Ca; Ca; Ca; Cyclomethyltryptophan; 9IG; PO4
11.11Single7SRRLSD7SRR-5-HT2B-LSD-chim(NtGi2L-Gs-CtGq)/β1/γ2
11.11Single7SRSLSD7SRS-5-HT2B-LSD-Arrestin2
11.11Single7W0MPubChem 1227019087W0M-Apelin-PubChem 122701908-Gi1/β1/γ2
11.11Single7X2FDopamine7X2F-D1-Dopamine-Mevidalen-Gs/β1/γ2
11.11Single8A6CAll-trans-Retinal8A6C-Rhodopsin-All-trans-Retinal
11.11Single8A6DAll-trans-Retinal8A6D-Rhodopsin-All-trans-Retinal
11.11Single8A6EAll-trans-Retinal8A6E-Rhodopsin-All-trans-Retinal
11.11Single8DU3PubChem 1055260648DU3-A2A-PubChem 105526064
11.11Single8DWGML3828DWG-MRGPRX1-Proenkephalin-A-ML382-chim(NtGi2L-Gs-CtGq)/β1/γ2
11.11Single8RVWStilSwitch38RVW-A2A-StilSwitch3-Na
11.11Single8U4PAMD31008U4P-CXCR4-AMD3100-Gi1/β1/γ2
11.11Single8U4SREGN7663-Fab8U4S-CXCR4-REGN7663-Fab
11.11Single8U4TREGN7663-Fab8U4T-CXCR4-REGN7663-Fab
11.11Single8WPGTryptophan; Cinacalcet; PO4; Ca8WPG-CaS-Tryptophan; Cinacalcet; PO4; Ca
11.11Single8XXXCXCL68XXX-CXCR2-CXCL6-Go/β1/γ2
11.11Single8YUTAmthamine8YUT-H2-Amthamine-Gs/β1/γ2
11.11Single9AVLCa; Ca; Cyclomethyltryptophan; 9IG; PO49AVL-CaS-Ca-Ca; Ca; Cyclomethyltryptophan; 9IG; PO4-Gi3/β2/γ2
11.11Single9C1PCa; Tryptophan; '6218; PO49C1P-CaS-Ca-Ca; Tryptophan; '6218; PO4
11.11Single9C2FCa; Ca; Tryptophan; '54149; PO49C2F-CaS-Ca-Ca; Ca; Tryptophan; '54149; PO4
11.11Single9H2XA1IR19H2X-A2A-A1IR1-Na
11.11Single9LRBHistamine9LRB-H1-Histamine-Gs/β1/γ2
11.11Consensus5ht2_on_gpOrthosteric Ligand5ht2b_on_gp
11.11Consensus5ht2b_on_gpOrthosteric Ligand7SRR-5-HT2B-LSD-chim(NtGi2L-Gs-CtGq)/β1/γ2
11.11Consensusgnrh1_offOrthosteric Ligand7BR3-GnRH1-Elagolix
11.11Consensusmc3_onOrthosteric Ligand8IOC-MC3-γ-MSH-Ca-chim(NtGi1-Gs)/β1/γ2
11.11Consensusmc3_on_gpOrthosteric Ligand8IOC-MC3-γ-MSH-Ca-chim(NtGi1-Gs)/β1/γ2
11.11Consensusrhodopsin_offOrthosteric Ligand1U19-Rhodopsin-11-cis-Retinal 2PED-Rhodopsin-9-cis-Retinal 5TE5-Rhodopsin-20-Methanoretinal
10.71Single6NIYAdrenomedullin6NIY-CT-Adrenomedullin-Gs/β1/γ2
10.71Single7W57Neuromedin-S7W57-NMUR2-Neuromedin-S-chim(NtGi1-Gs-CtGq)/β1/γ2
10.71Single8HA0PTH8HA0-PTH1-PTH-chim(NtGi1-Gs)/β1/γ2
10.53Single3OAX11-cis-Retinal3OAX-Rhodopsin-11-cis-Retinal
10.53Single3RZECidoxepin3RZE-H1-Cidoxepin
10.53Single4MQTIperoxo4MQT-M2-Iperoxo-LY2119620
10.53Single5IU7Q274563465IU7-A2A-Q27456346-Na
10.53Single5JTBZM-2413855JTB-A2A-ZM-241385
10.53Single5K2BZM-2413855K2B-A2A-ZM-241385-Na
10.53Single5NLXZM-2413855NLX-A2A-ZM-241385-Na
10.53Single5UVIZM-2413855UVI-A2A-ZM-241385
10.53Single6FFIMMPEP6FFI-mGlu5-MMPEP
10.53Single6WJCAtropine6WJC-M1-Atropine-Muscarinic toxin 7
10.53Single6ZDRHMS1413f126ZDR-A2A-HMS1413f12-Na
10.53Single7EJ8Brimonidine7EJ8-α2a-Brimonidine-Go/β1/γ2
10.53Single7M3GCa; Ca; Tryptophan; Evocalcet; Etelcalcetide; PO47M3G-CaS-Ca; Ca; Tryptophan; Evocalcet; Etelcalcetide; PO4
10.53Single7UTZDPPC7UTZ-TSH-TR1402-DPPC-Gs/β1/γ2
10.53Single7WVUfMLF7WVU-FPR1-ALX-fMLF-Gi1/β1/γ2
10.53Single7ZBC11-cis-Retinal7ZBC-Rhodopsin-11-cis-Retinal
10.53Single7ZBE11-cis-Retinal7ZBE-Rhodopsin-11-cis-Retinal
10.53Single8FCZ11-cis-Retinal8FCZ-Rhodopsin-11-cis-Retinal
10.53Single8H4LDoconexent8H4L-FFA4-Doconexent-chim(NtGi1-Gs-CtGq)/β1/γ2
10.53Single8K4NVF08K4N-GPR34-VF0-Gi1/β1/γ2
10.53Single8RQQZM-2413858RQQ-A2A-ZM-241385-Na
10.53Single8WPGTryptophan; Cinacalcet; PO4; Ca8WPG-CaS-Tryptophan; Cinacalcet; PO4; Ca
10.53Single8WPUTryptophan; Cinacalcet; PO4; Ca8WPU-CaS-Tryptophan; Cinacalcet; PO4; Ca-chim(NtGi2L-Gs-CtGq)/β1/γ2
10.53Single8X7ATreprostinil8X7A-I2-Treprostinil-Gs/β1/γ2
10.53Single8Y01Retinal8Y01-Opsin1MW-Retinal-Gi1/β1/γ2
10.53Single8Y53MK50468Y53-BB3-MK5046-chim(NtGi1-Gs-CtGq)/β1/γ2
10.53Single8ZMGPimavanserin8ZMG-5-HT2A-Pimavanserin
10.53Single9ARXSerotonin9ARX-5-HT2A-Serotonin
10.53Single9ASBCa; Ca; Cyclomethyltryptophan; 9IG; PO49ASB-CaS-Ca-Ca; Ca; Cyclomethyltryptophan; 9IG; PO4-chim(NtGi1-Gs-CtGq)/β1/γ2
10.53Single9AVGCa; Ca; Cyclomethyltryptophan; 9IG; PO49AVG-CaS-Ca-Ca; Ca; Cyclomethyltryptophan; 9IG; PO4-chim(NtGi1-Gs)/β1/γ2
10.53Consensusa2_offOrthosteric Liganda2a_off
10.53Consensusa2a_offOrthosteric Ligand3RFM-A2A-Caffeine 8C9W-A2A-Etrumadenant 3UZA-A2A-GTPL9236 8GNG-A2A-Istradefylline 8CU6-A2A-LJ-4517 7PX4-A2A-PSB-2113 7PYR-A2A-PSB-2115 8DU3-A2A-PubChem 105526064 8JWY-A2A-2-118 8PWN-A2A-Theophylline 5IU4-A2A-ZM-241385-Na 5OLZ-A2A-PubChem 135566609-Na 6GT3-A2A-Imaradenant-Na 5OLV-A2A-LUAA41063-Na 5N2R-A2A-PSB-36-Na 5IU7-A2A-Q27456346-Na 5OLH-A2A-Vipadenant-Na 5OLO-A2A-Tozadenant-Na 6ZDR-A2A-HMS1413f12-Na 8GNE-A2A-KW-6356-Na 8JWZ-A2A-AB928-Na 5IU8-A2A-Q27456347-Na 5IUB-A2A-Q27456344-Na 6ZDV-A2A-Chromone 5d-Na 5IUA-A2A-Q27456348-Na 8A2P-A2A-LUAA47070-Na
10.53Consensuscb1_offOrthosteric Ligand5U09-CB1-Taranabant 5TGZ-CB1-AM6538
10.53Consensuscxcr2_onOrthosteric Ligand6LFM-CXCR2-Interleukin-8-Gi1/β1/γ2
10.53Consensusgrh_offOrthosteric Ligandgnrh1_off
10.53Consensusnucleotide_offOrthosteric Ligandadenosine_off p2y_off
10.34Single7TYHCalcitonin-17TYH-CT (AMY2)-Calcitonin-1-Gs/β1/γ2; RAMP2
10.34Single7Y35Abaloparatide7Y35-PTH1-Abaloparatide-Gs/β1/γ2
10.00Single1HZX11-cis-Retinal1HZX-Rhodopsin-11-cis-Retinal
10.00Single3EMLZM-2413853EML-A2A-ZM-241385
10.00Single4DAJTiotropium4DAJ-M3-Tiotropium
10.00Single4MQSIperoxo4MQS-M2-Iperoxo
10.00Single4U14Tiotropium4U14-M3-Tiotropium
10.00Single5DSGTiotropium5DSG-M4-Tiotropium
10.00Single5K2AZM-2413855K2A-A2A-ZM-241385-Na
10.00Single5VRAZM-2413855VRA-A2A-ZM-241385-Na
10.00Single6FFHFenobam6FFH-mGlu5-Fenobam
10.00Single6S0LZM-2413856S0L-A2A-ZM-241385
10.00Single7SK8CXCL127SK8-ACKR3-CXCL12-CCX662
10.00Single7TRPIperoxo7TRP-M4-Iperoxo-LY2033298-Gi1/β1/γ2
10.00Single8JD0NAM5638JD0-mGlu2; mGlu3-Glutamate-NAM563
10.00Single8KEXDCA-3P8KEX-MRGPRX4-DCA-3P
10.00Single8KFYZK-7563268KFY-CCR8-ZK-756326-Gi1/β1/γ2
10.00Single8TH3AT118-H Nanobody8TH3-AT1-AT118-H Nanobody
10.00Single8X63Mepyramine8X63-H1-Mepyramine
10.00Single8X9TAP5038X9T-ADGRD1-AP503-chim(NtGi1-Gs)/β1/γ2
10.00Consensushistamine_offOrthosteric Ligandh1_off
10.00Consensusm4_offOrthosteric Ligand5DSG-M4-Tiotropium
10.00Consensusnucleotide_offonOrthosteric Ligandnucleotide_off nucleotide_on
10.00Consensusnucleotide_offon_gpOrthosteric Ligandnucleotide_on_gp nucleotide_off
9.52Single4PHUFasiglifam4PHU-FFA1-Fasiglifam
9.52Single5XPRBosentan5XPR-ETB-Bosentan
9.52Single6HLPNetupitant6HLP-NK1-Netupitant
9.52Single6LFMInterleukin-86LFM-CXCR2-Interleukin-8-Gi1/β1/γ2
9.52Single6OIKIperoxo6OIK-M2-Iperoxo-LY2119620-chim(NtGi1-Go)/β1/γ2
9.52Single6Z4QSR142948A6Z4Q-NTS1-SR142948A
9.52Single7E9GJNJ-404118137E9G-mGlu2; mGlu2-Eglumetad-JNJ-40411813-Gi1/β1/γ2
9.52Single7EUOfMLF7EUO-FPR1-ALX-fMLF-Gi1/β1/γ2
9.52Single7TRKIperoxo7TRK-M4-Iperoxo-Gi1/β1/γ2
9.52Single8GNEKW-63568GNE-A2A-KW-6356-Na
9.52Single8IZ4Lysophosphatidylserine8IZ4-GPR34-Lysophosphatidylserine-Gi1/β1/γ2
9.52Single8KFXLMD-0098KFX-CCR8-LMD-009-Gi1/β1/γ2
9.52Single8SZGCa; Ca; Tryptophan; Cinacalcet; PO4; Spermine8SZG-CaS-Ca; Ca; Tryptophan; Cinacalcet; PO4; Spermine-chim(NtGi1-Gq)/β1/γ2
9.52Single8T6JCDPPB8T6J-mGlu5; mGlu5-CDPPB
9.52Single8T6JCDPPB8T6J-mGlu5; mGlu5-CDPPB
9.52Single8X0BVU04244658X0B-mGlu5; mGlu5-Quisqualate-VU0424465
9.52Single8X0CVU04244658X0C-mGlu5; mGlu5-Quisqualate-VU0424465
9.52Single8X0CVU04244658X0C-mGlu5; mGlu5-Quisqualate-VU0424465
9.52Single8X0DVU04244658X0D-mGlu5; mGlu5-Quisqualate-VU0424465
9.52Single8X0DVU04244658X0D-mGlu5; mGlu5-Quisqualate-VU0424465
9.52Single8XQPCholesterol8XQP-TAS2R14-Cholesterol-Aristolochic acid A-Gt3/β1/γ1
9.52Single9HC04YI9HC0-mGlu5-4YI
9.52Consensuscxcr2_on_gpOrthosteric Ligand6LFM-CXCR2-Interleukin-8-Gi1/β1/γ2
9.52Consensush1_offOrthosteric Ligand8X63-H1-Mepyramine 3RZE-H1-Cidoxepin 8X5Y-H1-Astemizole
9.38Single7VVLPTH7VVL-PTH1-PTH-Gs/β1/γ2
9.09Single5ZBHBMS-1938855ZBH-Y1-BMS-193885
9.09Single5ZHPPubChem 1348285895ZHP-M3-PubChem 134828589
9.09Single7EW4CYM55417EW4-S1P3-CYM5541-Gi1/β1/γ2
9.09Single7P2L4YI7P2L-mGlu5-4YI
9.09Single7R0CAVP7R0C-V2-AVP-Arrestin2
9.09Single7SK7CXCL127SK7-ACKR3-CXCL12-CCX662
9.09Single7XWONeurokinin-A7XWO-NK2-Neurokinin-A-chim(NtGi1-Gs-CtGq)/β1/γ2
9.09Single8JD5JNJ-40411813; ADX881788JD5-mGlu2; mGlu4-Glutamate-JNJ-40411813; ADX88178-Gi1/β1/γ2
9.09Single8TAOCDPPB8TAO-mGlu5; mGlu5-Quisqualate-CDPPB
9.09Single8X0BVU04244658X0B-mGlu5; mGlu5-Quisqualate-VU0424465
9.09Single8X0FVU04244658X0F-mGlu5; mGlu5-Quisqualate-VU0424465
9.09Single8XBIS3E-LysoPS8XBI-GPR34-S3E-LysoPS
9.09Single8XQTCholesterol8XQT-TAS2R14-Cholesterol-Gi1/β1/γ1
9.09Single8XX7CXCL58XX7-CXCR2-CXCL5-Go/β1/γ2
9.09Consensusffa2_onOrthosteric Ligand8J22-FFA2-TUG-1375-Gi1/β1/γ2
9.09Consensusm3_offOrthosteric Ligand4U15-M3-Tiotropium 4U16-M3-N-Methyl-Scopolamine 5ZHP-M3-PubChem 134828589
9.09Consensusnk2_on_gpOrthosteric Ligand7XWO-NK2-Neurokinin-A-chim(NtGi1-Gs-CtGq)/β1/γ2
8.70Single3VW7Vorapaxar; Na3VW7-PAR1-Vorapaxar; Na
8.70Single4OR2FITM4OR2-mGlu1; mGlu1-FITM
8.70Single4PXZ2MeSADP4PXZ-P2Y12-2MeSADP
8.70Single4PY02MeSATP4PY0-P2Y12-2MeSATP
8.70Single7EPENAM5637EPE-mGlu2; mGlu2-NAM563
8.70Single8DWCProenkephalin-A8DWC-MRGPRX1-Proenkephalin-A-chim(NtGi2L-Gs-CtGq)/β1/γ2
8.70Single8JD3JNJ-404118138JD3-mGlu2; mGlu3-Glutamate-JNJ-40411813-Gi1/β1/γ2
8.70Single8WRBLysophosphatidylserine8WRB-GPR34-Lysophosphatidylserine-Gi1/β1/γ2
8.70Single8XWACXCL18XWA-CXCR2-CXCL1
8.70Single8XWMCXCL68XWM-CXCR2-CXCL6
8.70Single8XWSCXCL58XWS-CXCR2-CXCL5
8.70Single8Y6WTUG-13758Y6W-FFA2-TUG-1375-4-CMTB-Gi1/β1/γ2
8.70Consensusffa2_on_gpOrthosteric Ligand8J22-FFA2-TUG-1375-Gi1/β1/γ2
8.33Single4OR2FITM4OR2-mGlu1; mGlu1-FITM
8.33Single6M1HMaxadilan6M1H-PAC1-Maxadilan-Gs/β1/γ2
8.33Single8ID8TUG-8918ID8-FFA4-TUG-891-Gi1/β1/γ2
8.33Single8IYSTUG-8918IYS-FFA4-TUG-891-GDP-chim(NtGi1L-Gq)/β1/γ2
8.33Single8XVUCXCL28XVU-CXCR2-CXCL2
8.33Single8XWVCXCL18XWV-CXCR2-CXCL1-Go/β1/γ2
8.33Single8XXHCXCL28XXH-CXCR2-CXCL2-Go/β1/γ2
8.33Single8ZX4Lysophosphatidylinositol 8ZX4-GPR55-Lysophosphatidylinositol-chim(NtGi1-G13)/β1/γ2
8.33Single9GE3Lysophosphatidylinositol9GE3-GPR55-Lysophosphatidylinositol-chim(NtGi1-G13)/β1/γ2
8.33Consensusclass-b2_onOrthosteric Ligandadgrg_on adgrf_on adgrl_on adgre_on adgrd_on
8.33Consensusclass-b2_on_gpOrthosteric Ligandadgrg_on_gp adgrf_on_gp adgrl_on_gp adgre_on_gp adgrd_on_gp
8.00Single8J22TUG-13758J22-FFA2-TUG-1375-Gi1/β1/γ2
8.00Single9NS9TUG-13759NS9-FFA2-TUG-1375-Compound 187-Gi1/β1/γ2
7.69Single6RZ8ONO-20803656RZ8-CysLT2-ONO-2080365
7.69Single8DWGProenkephalin-A8DWG-MRGPRX1-Proenkephalin-A-ML382-chim(NtGi2L-Gs-CtGq)/β1/γ2
7.69Single8TLMAnti-murine CCR8 antibody8TLM-CCR8-Anti-murine CCR8 antibody
7.14Single4A4MAll-trans-Retinal4A4M-Rhodopsin-All-trans-Retinal-Gt(CT)
7.14Single5EN0All-trans-Retinal5EN0-Rhodopsin-All-trans-Retinal-Gt(CT)
7.14Single5MZPCaffeine5MZP-A2A-Caffeine-Na
6.67Single7V68LY21196207V68-M4-Iperoxo-LY2119620-Gi1/β1/γ2
6.67Single7XKDBeta-Hydroxyandrosterone7XKD-ADGRG2-β-Hydroxyandrosterone-Gs/β1/γ2
6.67Single7XKEBeta-Hydroxyandrosterone7XKE-ADGRG2-β-Hydroxyandrosterone-chim(NtGi1-Gs)/β1/γ2
6.67Single8HS2Fab0468HS2-GPR20-Fab046
6.67Single8X9S5alpha-DHT8X9S-ADGRD1-5α-DHT-chim(NtGi1-Gs)/β1/γ2
6.45Single8FLRPTHrP(1-36)8FLR-PTH1-PTHrP(1-36)-Gs/β1/γ2
6.25Single3RFMCaffeine3RFM-A2A-Caffeine
6.25Single6OY9All-trans-Retinal6OY9-Rhodopsin-All-trans-Retinal-Gt/β1/γ1
6.25Single7DD5Ca; Ca; Tryptophan; NPS-21437DD5-CaS-Ca-Ca; Ca; Tryptophan; NPS-2143
6.25Single7VDMSubstance-P7VDM-MRGPRX2-Substance-P-Gi1/β1/γ2
6.25Single8XOFLys058XOF-GPR30-Lys05-chim(NtGi1-Gs-CtGq)/β1/γ2
6.25Single8Y02Retinal8Y02-OPN1SW-Retinal-Gi1/β1/γ2
6.25Single9IVMLSN33188399IVM-GLP-1-GLP-1 (Truncated)-LSN3318839-chim(NtGi1-Gs)/β2/γ2
6.25Consensusp2y_offOrthosteric Ligandp2y1_off
5.88Single4XNWMRS25004XNW-P2Y1-MRS2500
5.88Single6FK9PubChem 1324730366FK9-Rhodopsin-PubChem 132473036
5.88Single7V6APubChem 98642757V6A-M4-PubChem 9864275-Gi1/β1/γ2
5.88Single8J24Acetic acid8J24-FFA2-Acetic acid-Gi1/β1/γ2
5.88Single8J6QCompound 9n8J6Q-HCA2-β-Hydroxybutyrate-Compound 9n-Gi1/β1/γ2
5.88Consensusp2y1_offOrthosteric Ligand4XNW-P2Y1-MRS2500
5.56Single6FK6PubChem 1324730336FK6-Rhodopsin-PubChem 132473033
5.56Single6PGSGeraniol6PGS-Rhodopsin-Geraniol-Gt(CT)
5.56Single6PH7Nerol6PH7-Rhodopsin-Nerol-Gt(CT)
5.56Single7S8NR-Zinc-35737S8N-MRGPRX2-R-Zinc-3573-chim(NtGi2L-Gs-CtGq)/β1/γ2
5.56Single7S8OR-Zinc-35737S8O-MRGPRX2-R-Zinc-3573-Gi1/β1/γ2
5.56Single7VDHC48/807VDH-MRGPRX2-C48/80-Gi1/β1/γ2
5.56Single7VUIJNJ-635330547VUI-GPR139-JNJ-63533054-GTP-chim(Gs-CtGq)/β1/γ2
5.56Single8J6PCompound 9n8J6P-HCA2-Niacin-Compound 9n-Gi1/β1/γ2
5.56Single8JHYCompound 9n8JHY-HCA2-Compound 9n-Gi1/β1/γ2
5.56Single8JIICompound 9n8JII-HCA2-Niacin-Compound 9n-Gi1/β1/γ2
5.56Single8YKDDehydroepiandrosterone8YKD-ADGRG2-Dehydroepiandrosterone-chim(NtGi1-Gs)/β1/γ2
5.56Single9EPRRetinal9EPR-Rhodopsin-Retinal-Gi1/β1/γ2
5.26Single6FKBPubChem 1324730386FKB-Rhodopsin-PubChem 132473038
5.26Single6WWZCCL206WWZ-CCR6-CCL20-Go/β1/γ2
5.26Single7F8ULintitript7F8U-CCKA-Lintitript
5.26Single7T6SPubChem 247763417T6S-FPR2-ALX-PubChem 24776341-Gi1/β1/γ2
5.26Single7TUZ7-alpha,25-dihydroxycholesterol7TUZ-GPR183-7-α,25-dihydroxycholesterol-Gi1/β1/γ2
5.26Single7VV5C48/807VV5-MRGPRX2-C48/80-Gi1/β1/γ2
5.26Single7VVOPTH7VVO-PTH1-PTH-Gs/β1/γ2
5.26Single8T3VDocosa-4,7,10,13,16,19-Hexaenoic acid8T3V-FFA1-Docosa-4,7,10,13,16,19-Hexaenoic acid-chim(NtGi2L-Gs-CtGq)/β1/γ2
5.26Single8U8FPalmitic Acid8U8F-GPR3-Palmitic Acid-Gs/β1/γ2
5.26Consensusccr6_onOrthosteric Ligand6WWZ-CCR6-CCL20-Go/β1/γ2
5.26Consensusccr6_on_gpOrthosteric Ligand6WWZ-CCR6-CCL20-Go/β1/γ2
5.00Single6FK8PubChem 1324730356FK8-Rhodopsin-PubChem 132473035
5.00Single6FKAPubChem 1324730376FKA-Rhodopsin-PubChem 132473037
5.00Single6PELCitronellol6PEL-Rhodopsin-Citronellol-Gt(CT)
5.00Single6ZINSR486926ZIN-NTS1-SR48692
5.00Single7VV6C48/807VV6-MRGPRX2-C48/80
5.00Single8HJ5PubChem 1390305318HJ5-MRGPRX1-PubChem 139030531-chim(NtGi1-Gs-CtGq)/β1/γ2
5.00Single8HQN9-S-HODE8HQN-GPR132-9-S-HODE-Gi1/β1/γ2
5.00Single8K4SDCA-3P8K4S-MRGPRX4-DCA-3P-chim(NtGi1L-Gs-CtGq)/β1/γ2
5.00Single9DQJEP-39459DQJ-MRGPRD-EP-3945-chim(NtGi1-Gs-CtGq)/β1/γ2
5.00Single9K1DButanoic acid9K1D-FFA2-Butanoic acid-Gi1/β1/γ2
4.76Single6FK7PubChem 1324730346FK7-Rhodopsin-PubChem 132473034
4.76Single6FKCPubChem 1324730396FKC-Rhodopsin-PubChem 132473039
4.76Single6FKDPubChem 1373491836FKD-Rhodopsin-PubChem 137349183
4.76Single8XBGS3E-LysoPS8XBG-GPR34-S3E-LysoPS
4.55Single5ZBQUR-MK-2995ZBQ-Y1-UR-MK-299
4.55Single6RZ4Pranlukast6RZ4-CysLT1-Pranlukast-Na
4.55Single6Z4SSR486926Z4S-NTS1-SR48692
4.55Single7M3GCa; Ca; Tryptophan; Evocalcet; Etelcalcetide; PO47M3G-CaS-Ca; Ca; Tryptophan; Evocalcet; Etelcalcetide; PO4
4.55Single8JGGBAM8-228JGG-MRGPRX1-BAM8-22-Gi1/β1/γ2
4.55Single9DQHEP-28259DQH-MRGPRD-EP-2825-chim(NtGi1-Gs-CtGq)/β1/γ2
4.55Consensuscyslt_offOrthosteric Ligandcyslt2_off cyslt1_off
4.35Single6RZ5Zafirlukast6RZ5-CysLT1-Zafirlukast-Na
4.35Single8JGFBAM8-228JGF-MRGPRX1-BAM8-22-chim(NtGi1-Gs-CtGq)/β1/γ2
4.35Single9CLWTUG-13759CLW-FFA2-TUG-1375-4-CMTB-chim(NtGi1L-Gs-CtGq)/β1/γ2
4.35Single9ITELPA9ITE-LPA6-LPA-chim(NtGi2-G13)/β1/γ2
4.35Consensuscyslt1_offOrthosteric Ligand6RZ5-CysLT1-Zafirlukast-Na 6RZ4-CysLT1-Pranlukast-Na
4.35Consensusffa_onOrthosteric Ligandffa2_on ffa3_on
4.35Consensusffa_on_gpOrthosteric Ligandffa2_on_gp ffa3_on_gp
4.35Consensusgi_ffaOrthosteric Ligand8J21-FFA3-Butyric acid-Gi1/β1/γ2 8J22-FFA2-TUG-1375-Gi1/β1/γ2
4.35Consensusp2y12_onOrthosteric Ligand7XXI-P2Y12-2MeSADP-Gi2/β1/γ2
4.17Single6RZ7ONO-25703666RZ7-CysLT2-ONO-2570366
4.17Single7XXI2MeSADP7XXI-P2Y12-2MeSADP-Gi2/β1/γ2
4.17Single9CM3TUG-13759CM3-FFA2-TUG-1375-Compound 187-chim(NtGi1L-Gs-CtGq)/β1/γ2
4.17Consensusgi_p2yOrthosteric Ligand7XXI-P2Y12-2MeSADP-Gi2/β1/γ2
4.17Consensusp2y12_on_gpOrthosteric Ligand7XXI-P2Y12-2MeSADP-Gi2/β1/γ2
4.00Single6RZ9ONO-27703726RZ9-CysLT2-ONO-2770372
4.00Consensuscyslt2_offOrthosteric Ligand6RZ7-CysLT2-ONO-2570366 6RZ8-CysLT2-ONO-2080365 6RZ9-CysLT2-ONO-2770372
3.85Single6RZ6ONO-25703666RZ6-CysLT2-ONO-2570366
3.85Single8SAI1-Oleoyl-2-Hydroxy-Sn-Glycero-3-Phospho-L-Serine8SAI-GPR34-1-Oleoyl-2-Hydroxy-Sn-Glycero-3-Phospho-L-Serine-Gi1/β1/γ2
3.85Single9CM7TUG-13759CM7-FFA2-TUG-1375-AZ-1729-Gi1/β1/γ2
3.85Single9ITBLPA9ITB-LPA6-LPA-chim(NtGi1-Gs-CtGq)/β1/γ2
3.85Single9JH6C20:0 Ceramide9JH6-CysLT2-C20:0 Ceramide-chim(NtGi1-Gs-CtGq)/β1/γ2

PDB Summary
PDB 9IZC
Class A
SubFamily Alicarboxylic acid
Type Hydroxycarboxylic acid
SubType HCA2
Species Homo Sapiens
Ligand MK1903
Other Ligand(s) -
Protein Partners Gi1/Beta1/Gamma2
PDB Resolution 2.68
Date 2025-04-02
D.O.I. To be published
Net Summary
Imin 2.43
Number of Linked Nodes 871
Number of Links 1272
Number of Hubs 285
Number of Links mediated by Hubs 968
Number of Communities 18
Number of Nodes involved in Communities 402
Number of Links involved in Communities 695
Path Summary
Number Of Nodes in MetaPath 82
Number Of Links MetaPath 81
Number of Shortest Paths 6615793
Length Of Smallest Path 3
Average Path Length 31.8758
Length of Longest Path 58
Minimum Path Strength 1.38
Average Path Strength 6.12489
Maximum Path Strength 25.76
Minimum Path Correlation 0.7
Average Path Correlation 0.994687
Maximum Path Correlation 1
Minimum % Of Corr. Nodes 2.85714
Average % Of Corr. Nodes 34.1644
Maximum % Of Corr. Nodes 100
Minimum Path Hubs % 0
Average Path Hubs % 63.6536
Maximum Path Hubs % 100
AnnotationTypeLinks
Gene OntologyMolecular Function
Gene OntologyBiological Process• myeloid cell apoptotic process   • multicellular organismal process   • homeostatic process   • leukocyte apoptotic process   • cell death   • neutrophil homeostasis   • neutrophil apoptotic process   • multicellular organismal-level homeostasis   • leukocyte homeostasis   • immune system process   • inflammatory cell apoptotic process   • cellular process   • homeostasis of number of cells   • apoptotic process   • myeloid cell homeostasis   • programmed cell death   • cellular response to stimulus   • regulation of biological process   • regulation of cellular process   • response to stimulus   • signaling   • biological regulation   • G protein-coupled receptor signaling pathway   • signal transduction   • cell communication   • positive regulation of cell communication   • regulation of localization   • establishment of protein localization   • system process   • nitrogen compound transport   • regulation of adiponectin secretion   • positive regulation of establishment of protein localization   • positive regulation of adiponectin secretion   • localization   • adiponectin secretion   • intracellular protein localization   • regulation of biological quality   • regulation of hormone levels   • establishment of protein localization to extracellular region   • protein secretion   • establishment of localization   • regulation of protein secretion   • regulation of secretion   • endocrine hormone secretion   • positive regulation of protein localization   • positive regulation of multicellular organismal process   • regulation of hormone secretion   • regulation of protein localization   • transport   • positive regulation of biological process   • positive regulation of secretion by cell   • hormone secretion   • protein localization to extracellular region   • positive regulation of protein transport   • secretion by cell   • regulation of secretion by cell   • positive regulation of hormone secretion   • positive regulation of secretion   • signal release   • regulation of multicellular organismal process   • positive regulation of cellular process   • regulation of signaling   • secretion   • regulation of transport   • regulation of establishment of protein localization   • export from cell   • cell-cell signaling   • regulation of protein transport   • positive regulation of protein secretion   • endocrine process   • positive regulation of transport   • protein transport   • macromolecule localization   • hormone transport   • regulation of cell communication   • positive regulation of signaling   • regulation of programmed cell death   • regulation of neutrophil apoptotic process   • positive regulation of myeloid cell apoptotic process   • positive regulation of neutrophil apoptotic process   • regulation of immune system process   • positive regulation of leukocyte apoptotic process   • positive regulation of immune system process   • regulation of leukocyte apoptotic process   • positive regulation of programmed cell death   • regulation of apoptotic process   • positive regulation of apoptotic process   • regulation of myeloid cell apoptotic process   • negative regulation of catabolic process   • lipid catabolic process   • catabolic process   • regulation of lipid metabolic process   • negative regulation of metabolic process   • negative regulation of biological process   • primary metabolic process   • regulation of catabolic process   • regulation of lipid catabolic process   • regulation of primary metabolic process   • negative regulation of cellular process   • metabolic process   • regulation of metabolic process   • negative regulation of lipid metabolic process   • negative regulation of lipid catabolic process   • lipid metabolic process   • cellular anatomical structure   • cell junction   • cell periphery   • plasma membrane   • membrane   • protein binding   • binding   • enzyme binding   • GTPase binding   • protein-containing complex binding   • pyrophosphatase activity   • GTPase activity   • ribonucleoside triphosphate phosphatase activity   • hydrolase activity, acting on acid anhydrides, in phosphorus-containing anhydrides   • hydrolase activity   • hydrolase activity, acting on acid anhydrides   • catalytic activity   • signaling receptor complex adaptor activity   • protein-macromolecule adaptor activity   • molecular adaptor activity   • signaling adaptor activity   • sensory perception of chemical stimulus   • sensory perception   • nervous system process   • sensory perception of taste   • developmental process   • sensory organ development   • eye development   • animal organ development   • retina development in camera-type eye   • visual system development   • multicellular organism development   • camera-type eye development   • anatomical structure development   • sensory system development   • system development   • cell population proliferation   • response to ketone   • response to prostaglandin   • response to lipid   • response to endogenous stimulus   • response to alcohol   • cellular response to prostaglandin stimulus   • response to oxygen-containing compound   • cellular response to oxygen-containing compound   • cellular response to endogenous stimulus   • cellular response to prostaglandin E stimulus   • cellular response to chemical stimulus   • cellular response to alcohol   • response to hormone   • response to chemical   • cellular response to lipid   • response to prostaglandin E   • cellular response to ketone   • cellular response to hormone stimulus   • small GTPase-mediated signal transduction   • Ras protein signal transduction   • intracellular signal transduction   • intracellular signaling cassette   • phospholipase C-activating G protein-coupled receptor signaling pathway   • cellular response to nitrogen compound   • response to dopamine   • cellular response to dopamine   • response to monoamine   • response to catecholamine   • adenylate cyclase-activating dopamine receptor signaling pathway   • cellular response to catecholamine stimulus   • G protein-coupled dopamine receptor signaling pathway   • response to nitrogen compound   • adenylate cyclase-activating G protein-coupled receptor signaling pathway   • cellular response to monoamine stimulus   • adenylate cyclase-modulating G protein-coupled receptor signaling pathway   • synaptic signaling   • cellular response to acetylcholine   • acetylcholine receptor signaling pathway   • postsynaptic signal transduction   • G protein-coupled acetylcholine receptor signaling pathway   • response to acetylcholine   • protein-containing complex   • extrinsic component of plasma membrane   • catalytic complex   • plasma membrane protein complex   • cytoplasmic side of membrane   • membrane protein complex   • heterotrimeric G-protein complex   • side of membrane   • cytoplasmic side of plasma membrane   • GTPase complex   • extrinsic component of membrane   • extrinsic component of cytoplasmic side of plasma membrane   • extracellular exosome   • membrane-bounded organelle   • extracellular vesicle   • extracellular organelle   • extracellular region   • organelle   • extracellular space   • vesicle   • extracellular membrane-bounded organelle   • non-motile cilium   • 9+0 non-motile cilium   • cilium   • neuron projection   • photoreceptor disc membrane   • photoreceptor outer segment   • plasma membrane bounded cell projection   • cell projection   • photoreceptor cell cilium   • organelle membrane   • intracellular anatomical structure   • cytoplasm   • cytosol   • vacuolar membrane   • lytic vacuole   • vacuole   • intracellular membrane-bounded organelle   • intracellular organelle   • lytic vacuole membrane   • bounding membrane of organelle   • lysosomal membrane   • lysosome   • synapse   • G-protein beta-subunit binding   • fibroblast proliferation   • D2 dopamine receptor binding   • signaling receptor binding   • G protein-coupled receptor binding   • dopamine receptor binding   • enzyme regulator activity   • adenylate cyclase inhibitor activity   • cyclase regulator activity   • molecular function inhibitor activity   • cyclase inhibitor activity   • molecular function regulator activity   • enzyme inhibitor activity   • adenylate cyclase regulator activity   • guanyl nucleotide binding   • GTP binding   • nucleotide binding   • guanyl ribonucleotide binding   • purine ribonucleotide binding   • purine ribonucleoside triphosphate binding   • nucleoside phosphate binding   • ion binding   • purine nucleotide binding   • anion binding   • heterocyclic compound binding   • carbohydrate derivative binding   • ribonucleotide binding   • small molecule binding   • cation binding   • magnesium ion binding   • metal ion binding   • GDP binding   • G protein-coupled serotonin receptor binding   • G-protein beta/gamma-subunit complex binding   • G protein activity   • adenylate cyclase-inhibiting serotonin receptor signaling pathway   • G protein-coupled serotonin receptor signaling pathway   • adenylate cyclase-inhibiting G protein-coupled receptor signaling pathway   • response to peptide hormone   • cell division   • leukocyte migration   • mononuclear cell migration   • lymphocyte migration   • cell migration   • T cell migration   • cell motility   • regulation of steroid biosynthetic process   • regulation of cholesterol biosynthetic process   • regulation of cholesterol metabolic process   • steroid metabolic process   • sterol metabolic process   • cholesterol metabolic process   • lipid biosynthetic process   • alcohol metabolic process   • positive regulation of metabolic process   • regulation of small molecule metabolic process   • positive regulation of biosynthetic process   • positive regulation of lipid metabolic process   • small molecule metabolic process   • steroid biosynthetic process   • regulation of biosynthetic process   • secondary alcohol biosynthetic process   • regulation of alcohol biosynthetic process   • small molecule biosynthetic process   • regulation of steroid metabolic process   • cholesterol biosynthetic process   • positive regulation of cholesterol biosynthetic process   • secondary alcohol metabolic process   • positive regulation of steroid biosynthetic process   • biosynthetic process   • sterol biosynthetic process   • positive regulation of lipid biosynthetic process   • regulation of sterol biosynthetic process   • alcohol biosynthetic process   • positive regulation of cholesterol metabolic process   • positive regulation of steroid metabolic process   • regulation of lipid biosynthetic process   • positive regulation of small molecule metabolic process   • positive regulation of alcohol biosynthetic process   • positive regulation of sterol biosynthetic process   • negative regulation of protein transport   • negative regulation of transport   • negative regulation of secretion   • negative regulation of hormone secretion   • negative regulation of secretion by cell   • regulation of peptide hormone secretion   • negative regulation of peptide hormone secretion   • negative regulation of establishment of protein localization   • negative regulation of protein secretion   • regulation of peptide secretion   • negative regulation of signaling   • negative regulation of cell communication   • negative regulation of peptide secretion   • peptide secretion   • amide transport   • negative regulation of protein localization   • regulation of peptide transport   • peptide transport   • negative regulation of insulin secretion   • regulation of insulin secretion   • peptide hormone secretion   • insulin secretion   • regulation of cytoskeleton organization   • regulation of cellular component organization   • microtubule cytoskeleton organization   • regulation of mitotic spindle organization   • mitotic cell cycle   • cellular component organization   • cell cycle   • cellular component organization or biogenesis   • regulation of cell cycle   • microtubule cytoskeleton organization involved in mitosis   • spindle organization   • cell cycle process   • regulation of cell cycle process   • regulation of microtubule-based process   • regulation of spindle organization   • regulation of organelle organization   • mitotic spindle organization   • organelle organization   • mitotic cell cycle process   • microtubule-based process   • cytoskeleton organization   • regulation of microtubule cytoskeleton organization   • positive regulation of protein localization to cell periphery   • protein localization to cell periphery   • positive regulation of protein localization to cell cortex   • regulation of protein localization to cell periphery   • regulation of protein localization to cell cortex   • protein localization to cell cortex   • cellular response to forskolin   • response to forskolin   • midbody   • nucleus   • membrane-enclosed lumen   • intracellular membraneless organelle   • nucleolus   • intracellular organelle lumen   • organelle lumen   • membraneless organelle   • nuclear lumen   • cell cortex   • centrosome   • microtubule organizing center   • cytoskeleton   • microtubule cytoskeleton   • centriolar satellite   • nucleoplasm   • Golgi apparatus   • endomembrane system   • ciliary basal body
Gene OntologyCellular Component
SCOP2Domain Identifier• Transducin (heterotrimeric G protein), gamma chain   • Ras-like P-loop GTPases
SCOP2Family Identifier• Transducin (heterotrimeric G protein), gamma chain   • Ras-like P-loop GTPases
Membrane Protein Annotations-• Orientations of Proteins in Membranes database (OPM)   • Protein Data Bank of Transmembrane Proteins (PDBTM)   • MemProtMD


Details about the values in these tables can be found in the corresponding documentation page .
CodeXOT
PDB ResiduesL:L:?1
Environment DetailsOpen EMBL-EBI Page
CodeXOT
Name(4aR,5aR)-4,4a,5,5a-tetrahydro-1H-cyclopropa[4,5]cyclopenta[1,2-c]pyrazole-3-carboxylic acid
SynonymsMK 1903
Identifier
FormulaC8 H8 N2 O2
Molecular Weight164.161
SMILES
PubChem49763030
Formal Charge0
Total Atoms20
Total Chiral Atoms2
Total Bonds22
Total Aromatic Bonds5

PDBsumOpen PDBsum Page
ChainR
ProteinReceptor
UniProtQ8TDS4
Sequence
>9IZC_Chain_R
DHFLEIDKK NCCVFRDDF IVKVLPPVL GLEFIFGLL GNGLALWIF 
CFHLKSWKS SRIFLFNLA VADFLLIIC LPFLMDNYV RRWDWKFGD 
IPCRLMLFM LAMNRQGSI IFLTVVAVD RYFRVVHPH HALNKISNR 
TAAIISCLL WGITIGLTV HLLKKKMPI QNGGANLCS SFSICHTFQ 
WHEAMFLLE FFLPLGIIL FCSARIIWS LRQRQMDRH AKIKRAITF 
IMVVAIVFV ICFLPSVVV RIRIFWLLH TSGTQNCEV YRSVDLAFF 
ITLSFTYMN SMLDPVVYY FSSPSF


Click on each residue to open a popup with some information about it.

ConSurf Conservation Grade (See documentation): 

 n/a   1    2    3    4    5    6    7    8    9  

ChainB
ProteinG Protein β Sub unit
UniProtP62873
Sequence
>9IZC_Chain_B
LDQLRQEAE QLKNQIRDA RKACADATL SQITNNIDP VGRIQMRTR 
RTLRGHLAK IYAMHWGTD SRLLVSASQ DGKLIIWDS YTTNKVHAI 
PLRSSWVMT CAYAPSGNY VACGGLDNI CSIYNLKTR EGNVRVSRE 
LAGHTGYLS CCRFLDDNQ IVTSSGDTT CALWDIETG QQTTTFTGH 
TGDVMSLSL APDTRLFVS GACDASAKL WDVREGMCR QTFTGHESD 
INAICFFPN GNAFATGSD DATCRLFDL RADQELMTY SHDNIICGI 
TSVSFSKSG RLLLAGYDD FNCNVWDAL KADRAGVLA GHDNRVSCL 
GVTDDGMAV ATGSWDSFL KIWN


Click on each residue to open a popup with some information about it.

ConSurf Conservation Grade (See documentation): 

 n/a   1    2    3    4    5    6    7    8    9  

ChainA
ProteinG Protein α Sub unit
UniProtP63096
Sequence
>9IZC_Chain_A
TLSAEDKAA VERSKMIDR NLREDGEKA AREVKLLLL GAGESGKST 
IVKQMTGIV ETHFTFKDL HFKMFDVGQ RSERKKWIH CFEGVTAII 
FCVALSDYD LVNRMHESM KLFDSICNN KWFTDTSII LFLNKKDLF 
EEKIKKSPL TICYPEYAG SNTYEEAAA YIQCQFEDL NKRKDTKEI 
YTHFTCTDT KNVQFVFDA VTDVIIKNN LKDCGLFAS


Click on each residue to open a popup with some information about it.

ConSurf Conservation Grade (See documentation): 

 n/a   1    2    3    4    5    6    7    8    9  

ChainG
ProteinG Protein γ Sub unit
UniProtP59768
Sequence
>9IZC_Chain_G
SIAQARKLV EQLKMEANI DRIKVSKAA ADLMAYCEA HAKEDPLLT 
PVPASENPF RE


Click on each residue to open a popup with some information about it.

ConSurf Conservation Grade (See documentation): 

 n/a   1    2    3    4    5    6    7    8    9  




This receptor, from the same or other species and bound to the same or other ligands, is also present in the following networks:
Show PDB Class SubFamily Type SubType Species Orthosteric Ligand Other Ligand(s) Protein Partners Resolution Date DOI
8JHYAAlicarboxylic acidHydroxycarboxylic AcidHCA2Homo sapiens-Compound 9nGi1/β1/γ22.872023-09-06doi.org/10.1016/j.molcel.2023.07.030
8JHY (No Gprot) AAlicarboxylic acidHydroxycarboxylic AcidHCA2Homo sapiens-Compound 9n2.872023-09-06doi.org/10.1016/j.molcel.2023.07.030
8JIIAAlicarboxylic acidHydroxycarboxylic AcidHCA2Homo sapiensNiacinCompound 9nGi1/β1/γ23.172023-09-06doi.org/10.1016/j.molcel.2023.07.030
8JII (No Gprot) AAlicarboxylic acidHydroxycarboxylic AcidHCA2Homo sapiensNiacinCompound 9n3.172023-09-06doi.org/10.1016/j.molcel.2023.07.030
8J6PAAlicarboxylic acidHydroxycarboxylic AcidHCA2Homo sapiensNiacinCompound 9nGi1/β1/γ22.552023-12-06doi.org/10.1038/s41467-023-43537-z
8J6P (No Gprot) AAlicarboxylic acidHydroxycarboxylic AcidHCA2Homo sapiensNiacinCompound 9n2.552023-12-06doi.org/10.1038/s41467-023-43537-z
8J6QAAlicarboxylic acidHydroxycarboxylic AcidHCA2Homo sapiensβ-HydroxybutyrateCompound 9nGi1/β1/γ22.62023-12-06doi.org/10.1038/s41467-023-43537-z
8J6Q (No Gprot) AAlicarboxylic acidHydroxycarboxylic AcidHCA2Homo sapiensβ-HydroxybutyrateCompound 9n2.62023-12-06doi.org/10.1038/s41467-023-43537-z
8UTDAAlicarboxylic acidHydroxycarboxylic AcidHCA2Homo sapiensMK1903-Gi1/β1/γ23.242025-02-26doi.org/10.1016/j.cell.2024.11.001
8UTD (No Gprot) AAlicarboxylic acidHydroxycarboxylic AcidHCA2Homo sapiensMK1903-3.242025-02-26doi.org/10.1016/j.cell.2024.11.001
8UUJAAlicarboxylic acidHydroxycarboxylic AcidHCA2Mus musculusFCH-2296413-Gi1/β1/γ22.622025-02-26doi.org/10.1016/j.cell.2024.11.001
8UUJ (No Gprot) AAlicarboxylic acidHydroxycarboxylic AcidHCA2Mus musculusFCH-2296413-2.622025-02-26doi.org/10.1016/j.cell.2024.11.001
8J6JAAlicarboxylic acidHydroxycarboxylic AcidHCA2Homo sapiensGSK256073-Gi1/β1/γ22.82024-01-10doi.org/10.1016/j.celrep.2023.113406
8J6J (No Gprot) AAlicarboxylic acidHydroxycarboxylic AcidHCA2Homo sapiensGSK256073-2.82024-01-10doi.org/10.1016/j.celrep.2023.113406
8J6IAAlicarboxylic acidHydroxycarboxylic AcidHCA2Homo sapiensMK6892-Gi1/β1/γ22.922024-04-03doi.org/10.1016/j.celrep.2023.113406
8J6I (No Gprot) AAlicarboxylic acidHydroxycarboxylic AcidHCA2Homo sapiensMK6892-2.922024-04-03doi.org/10.1016/j.celrep.2023.113406
8J6LAAlicarboxylic acidHydroxycarboxylic AcidHCA2Homo sapiensNiacin-Gi1/β1/γ23.052024-04-03doi.org/10.1016/j.celrep.2023.113406
8J6L (No Gprot) AAlicarboxylic acidHydroxycarboxylic AcidHCA2Homo sapiensNiacin-3.052024-04-03doi.org/10.1016/j.celrep.2023.113406
8JILAAlicarboxylic acidHydroxycarboxylic AcidHCA2Homo sapiensNiacin-Gi1/β1/γ23.52023-09-06doi.org/10.1016/j.molcel.2023.07.030
8JIL (No Gprot) AAlicarboxylic acidHydroxycarboxylic AcidHCA2Homo sapiensNiacin-3.52023-09-06doi.org/10.1016/j.molcel.2023.07.030
8JIMAAlicarboxylic acidHydroxycarboxylic AcidHCA2Homo sapiensMMF-Gi1/β1/γ22.982023-09-06doi.org/10.1016/j.molcel.2023.07.030
8JIM (No Gprot) AAlicarboxylic acidHydroxycarboxylic AcidHCA2Homo sapiensMMF-2.982023-09-06doi.org/10.1016/j.molcel.2023.07.030
8JZ7AAlicarboxylic acidHydroxycarboxylic AcidHCA2Homo sapiensMK6892-Gi1/β1/γ22.62023-10-04doi.org/10.1038/s41392-023-01625-y
8JZ7 (No Gprot) AAlicarboxylic acidHydroxycarboxylic AcidHCA2Homo sapiensMK6892-2.62023-10-04doi.org/10.1038/s41392-023-01625-y
8IJ3AAlicarboxylic acidHydroxycarboxylic AcidHCA2Homo sapiens--Gi1/β1/γ23.282024-01-03doi.org/10.1038/s41421-023-00610-7
8IJ3 (No Gprot) AAlicarboxylic acidHydroxycarboxylic AcidHCA2Homo sapiens--3.282024-01-03doi.org/10.1038/s41421-023-00610-7
8IJAAAlicarboxylic acidHydroxycarboxylic AcidHCA2Homo sapiensNiacin-Gi1/β1/γ22.692024-01-03doi.org/10.1038/s41421-023-00610-7
8IJA (No Gprot) AAlicarboxylic acidHydroxycarboxylic AcidHCA2Homo sapiensNiacin-2.692024-01-03doi.org/10.1038/s41421-023-00610-7
8IJBAAlicarboxylic acidHydroxycarboxylic AcidHCA2Homo sapiensAcipimox-Gi1/β1/γ23.232024-01-03doi.org/10.1038/s41421-023-00610-7
8IJB (No Gprot) AAlicarboxylic acidHydroxycarboxylic AcidHCA2Homo sapiensAcipimox-3.232024-01-03doi.org/10.1038/s41421-023-00610-7
8IJDAAlicarboxylic acidHydroxycarboxylic AcidHCA2Homo sapiensMK6892-Gi1/β1/γ23.252024-01-03doi.org/10.1038/s41421-023-00610-7
8IJD (No Gprot) AAlicarboxylic acidHydroxycarboxylic AcidHCA2Homo sapiensMK6892-3.252024-01-03doi.org/10.1038/s41421-023-00610-7
7XK2AAlicarboxylic acidHydroxycarboxylic AcidHCA2Homo sapiensMK6892-Gi1/β1/γ23.12023-02-22doi.org/10.1038/s41467-023-37177-6
7XK2 (No Gprot) AAlicarboxylic acidHydroxycarboxylic AcidHCA2Homo sapiensMK6892-3.12023-02-22doi.org/10.1038/s41467-023-37177-6
7ZL9AAlicarboxylic acidHydroxycarboxylic AcidHCA2Homo sapiens---2.72023-04-12doi.org/10.1038/s41467-023-37177-6
7ZLYAAlicarboxylic acidHydroxycarboxylic AcidHCA2Homo sapiens---2.72023-04-12doi.org/10.1038/s41467-023-37177-6
8IHFAAlicarboxylic acidHydroxycarboxylic AcidHCA2Homo sapiensMK6892-Gi1/β1/γ22.972023-08-30doi.org/10.1038/s41467-023-41650-7
8IHF (No Gprot) AAlicarboxylic acidHydroxycarboxylic AcidHCA2Homo sapiensMK6892-2.972023-08-30doi.org/10.1038/s41467-023-41650-7
8IHHAAlicarboxylic acidHydroxycarboxylic AcidHCA2Homo sapiensLUF6283-Gi1/β1/γ23.062023-08-30doi.org/10.1038/s41467-023-41650-7
8IHH (No Gprot) AAlicarboxylic acidHydroxycarboxylic AcidHCA2Homo sapiensLUF6283-3.062023-08-30doi.org/10.1038/s41467-023-41650-7
8IHIAAlicarboxylic acidHydroxycarboxylic AcidHCA2Homo sapiensAcifran-Gi1/β1/γ23.112023-08-30doi.org/10.1038/s41467-023-41650-7
8IHI (No Gprot) AAlicarboxylic acidHydroxycarboxylic AcidHCA2Homo sapiensAcifran-3.112023-08-30doi.org/10.1038/s41467-023-41650-7
8IHBAAlicarboxylic acidHydroxycarboxylic AcidHCA2Homo sapiensGSK256073-Gi1/β1/γ22.852023-09-13doi.org/10.1038/s41467-023-41650-7
8IHB (No Gprot) AAlicarboxylic acidHydroxycarboxylic AcidHCA2Homo sapiensGSK256073-2.852023-09-13doi.org/10.1038/s41467-023-41650-7
8K5BAAlicarboxylic acidHydroxycarboxylic AcidHCA2Homo sapiensNiacin--3.432023-11-22doi.org/10.1038/s41467-023-42764-8
8K5CAAlicarboxylic acidHydroxycarboxylic AcidHCA2Homo sapiensAcipimox--3.132023-11-22doi.org/10.1038/s41467-023-42764-8
8K5DAAlicarboxylic acidHydroxycarboxylic AcidHCA2Homo sapiensGSK256073--3.742023-11-22doi.org/10.1038/s41467-023-42764-8
8I7VAAlicarboxylic acidHydroxycarboxylic AcidHCA2Homo sapiensAcipimox-Gi1/β1/γ22.772024-02-07doi.org/10.1038/s41467-023-42764-8
8I7V (No Gprot) AAlicarboxylic acidHydroxycarboxylic AcidHCA2Homo sapiensAcipimox-2.772024-02-07doi.org/10.1038/s41467-023-42764-8
8I7WAAlicarboxylic acidHydroxycarboxylic AcidHCA2Homo sapiensGSK256073-Gi1/β1/γ23.392024-02-07doi.org/10.1038/s41467-023-42764-8
8I7W (No Gprot) AAlicarboxylic acidHydroxycarboxylic AcidHCA2Homo sapiensGSK256073-3.392024-02-07doi.org/10.1038/s41467-023-42764-8
8J6RAAlicarboxylic acidHydroxycarboxylic AcidHCA2Homo sapiensMK6892-Gi1/β1/γ22.762023-12-06doi.org/10.1038/s41467-023-43537-z
8J6R (No Gprot) AAlicarboxylic acidHydroxycarboxylic AcidHCA2Homo sapiensMK6892-2.762023-12-06doi.org/10.1038/s41467-023-43537-z
8IY9AAlicarboxylic acidHydroxycarboxylic AcidHCA2Homo sapiensNiacin-Go/β1/γ23.372024-03-06doi.org/10.1038/s41467-024-46239-2
8IY9 (No Gprot) AAlicarboxylic acidHydroxycarboxylic AcidHCA2Homo sapiensNiacin-3.372024-03-06doi.org/10.1038/s41467-024-46239-2
8IYHAAlicarboxylic acidHydroxycarboxylic AcidHCA2Homo sapiensMK6892-Go/β1/γ23.32024-03-06doi.org/10.1038/s41467-024-46239-2
8IYH (No Gprot) AAlicarboxylic acidHydroxycarboxylic AcidHCA2Homo sapiensMK6892-3.32024-03-06doi.org/10.1038/s41467-024-46239-2
8IYWAAlicarboxylic acidHydroxycarboxylic AcidHCA2Homo sapiensGSK256073-Go/β1/γ23.452024-03-06doi.org/10.1038/s41467-024-46239-2
8IYW (No Gprot) AAlicarboxylic acidHydroxycarboxylic AcidHCA2Homo sapiensGSK256073-3.452024-03-06doi.org/10.1038/s41467-024-46239-2
8JERAAlicarboxylic acidHydroxycarboxylic AcidHCA2Homo sapiensAcipimox-Go/β1/γ23.452024-03-06doi.org/10.1038/s41467-024-46239-2
8JER (No Gprot) AAlicarboxylic acidHydroxycarboxylic AcidHCA2Homo sapiensAcipimox-3.452024-03-06doi.org/10.1038/s41467-024-46239-2
8JHNAAlicarboxylic acidHydroxycarboxylic AcidHCA2Homo sapiensMMF-Go/β1/γ23.752024-03-06doi.org/10.1038/s41467-024-46239-2
8JHN (No Gprot) AAlicarboxylic acidHydroxycarboxylic AcidHCA2Homo sapiensMMF-3.752024-03-06doi.org/10.1038/s41467-024-46239-2
9CIBAAlicarboxylic acidHydroxycarboxylic acidHCA2Mus musculusFCH-2296413--2.622025-05-14doi.org/10.1016/j.cell.2024.11.001
9IQTAAlicarboxylic acidHydroxycarboxylic acidHCA2Homo sapiensNiacin-Gi1/β1/γ22.92024-10-02doi.org/10.1016/j.jmb.2024.168795
9IQT (No Gprot) AAlicarboxylic acidHydroxycarboxylic acidHCA2Homo sapiensNiacin-2.92024-10-02doi.org/10.1016/j.jmb.2024.168795
8H2GAAlicarboxylic acidHydroxycarboxylic AcidHCA2Homo sapiensNiacin-Gi1/β1/γ23.012023-10-11doi.org/10.1038/s41467-023-42764-8
8H2G (No Gprot) AAlicarboxylic acidHydroxycarboxylic AcidHCA2Homo sapiensNiacin-3.012023-10-11doi.org/10.1038/s41467-023-42764-8
9IZAAAlicarboxylic acidHydroxycarboxylic acidHCA2Homo sapiensSCH900271-Gi1/β1/γ23.062025-04-02To be published
9IZA (No Gprot) AAlicarboxylic acidHydroxycarboxylic acidHCA2Homo sapiensSCH900271-3.062025-04-02To be published
9IZC (No Gprot) AAlicarboxylic acidHydroxycarboxylic acidHCA2Homo sapiensMK1903-2.682025-04-02To be published




You can download a compressed (zip) file with structure(s), 3D outputs (as PyMol and VMD scripts) and numerical data files (as csv and plain text files).

Download 9IZC.zip



You can click to copy the link of this page to easily come back here later

or use this QR code to link and share this page.



You can also  read or  download a guide explaining the meaning of all files and numerical data.