Color ConSurf Grade
      No Conservation data available
      1
      2
      3
      4
      5
      6
      7
      8
      9

Index: hub id, click on each number to highlight the corresponding hub in the 3D visualization.

Hub: the hub being considered.

Avg Int. Strength: the average interaction strength of all the links of the corresponding hub.

Num Of Links: the number of links of the corresponding hub.

Community: the id of the community the link belong to, otherwise 0.

ConSurf: this column reports the ConSurf conservation grades of each hub.

Index Hub Avg Int. Strength Num Of Links Community ConSurf
1A:A:L30 3.1925495
2A:A:L45 5.49568
3A:A:K53 5.858569
4A:A:F56 9.0425467
5A:A:I207 4.234519
6A:A:F219 7.096508
7A:A:F222 10.09517
8A:A:K233 6.55833619
9A:A:F238 10.5925419
10A:A:I244 5.48448
11A:A:I245 4.356567
12A:A:F246 5.042549
13A:A:Y253 8.63167648
14A:A:F273 5.63749
15A:A:I276 4.68448
16A:A:W277 8.38143746
17A:A:W281 9.002515
18A:A:L282 5.97449
19A:A:I285 3.7125447
20A:A:I288 5.07509
21A:A:L289 4.354549
22A:A:F290 8.05167669
23A:A:L291 4.2875448
24A:A:K300 7.785449
25A:A:F315 9.23406
26A:A:Y318 5.4325406
27A:A:F340 10.275407
28A:A:I341 3.6275448
29A:A:C359 4.11445
30A:A:Y360 8.083336118
31A:A:F363 11.9925445
32A:A:T364 8.1775469
33A:A:C365 5.065408
34A:A:N371 11.1225469
35A:A:R373 3.79754145
36A:A:R374 6.2025404
37A:A:I375 4.515469
38A:A:F376 5.271676148
39A:A:D381 7.8854118
40A:A:N387 4.67408
41A:A:L388 3.786528
42A:A:Y391 8.091676124
43A:A:L393 5.214528
44A:A:V394 3.6625408
45B:B:M45 3.7325404
46B:B:H54 9.458599
47B:B:M61 4.334506
48B:B:W63 8.105407
49B:B:L70 6.1475495
50B:B:V71 5.03578
51B:B:S72 5.915499
52B:B:S74 5.0975499
53B:B:L79 5.01577
54B:B:I80 9.6575498
55B:B:I81 4.658577
56B:B:W82 9.87857799
57B:B:K89 8.7599
58B:B:H91 5.62475
59B:B:I93 4.912577
60B:B:L95 5.9525478
61B:B:W99 8.70333619
62B:B:M101 4.785419
63B:B:Y105 5.95876
64B:B:Y111 6.8465134
65B:B:V112 4.152578
66B:B:L117 4.316519
67B:B:C121 3.7375418
68B:B:I123 4.9865136
69B:B:Y124 5.01857776
70B:B:T128 6.7654133
71B:B:V133 4.9975474
72B:B:H142 7.30667619
73B:B:Y145 7.094518
74B:B:L146 4.945417
75B:B:F151 5.482509
76B:B:L152 3.9325433
77B:B:V158 4.9475435
78B:B:T159 4.772519
79B:B:S161 7.3925419
80B:B:D163 8.012519
81B:B:C166 3.81438
82B:B:L168 3.71333636
83B:B:W169 10.914518
84B:B:I171 3.9275406
85B:B:Q176 7.555414
86B:B:F180 7.37167637
87B:B:H183 5.20571739
88B:B:V187 4.6625439
89B:B:M188 4.214518
90B:B:L192 4.455435
91B:B:F199 9.4875439
92B:B:V200 7.1875436
93B:B:S201 4.058539
94B:B:D205 6.125439
95B:B:K209 6.228536
96B:B:L210 9.2625405
97B:B:W211 8.24167638
98B:B:F222 9.28167638
99B:B:H225 10.19639
100B:B:I229 5.4575437
101B:B:I232 4.73833638
102B:B:F234 6.4025405
103B:B:F235 5.938336106
104B:B:F241 7.665636
105B:B:T243 5.816538
106B:B:D247 8.006539
107B:B:R251 10.2538
108B:B:F253 9.535436
109B:B:Y264 6.458505
110B:B:C271 4.5475415
111B:B:F278 6.1545107
112B:B:Y289 6.89143717
113B:B:D290 7.64416
114B:B:D291 6.7325418
115B:B:N293 7.0375415
116B:B:C294 4.7175485
117B:B:N295 5.57416
118B:B:W297 8.0375418
119B:B:H311 9.8675489
120B:B:R314 14.1575418
121B:B:V315 3.87587
122B:B:T329 4.546588
123B:B:W332 10.2386719
124B:B:F335 6.606584
125B:B:L336 4.26833697
126B:B:K337 7.208586
127B:B:W339 9.02667689
128L:L:?1 8.977271150
129R:R:T74 4.06404
130R:R:F77 3.90254184
131R:R:L78 3.815405
132R:R:Y82 6.27833627
133R:R:F100 7.55333626
134R:R:K105 11.405486
135R:R:H108 9.20254127
136R:R:Y113 7.384507
137R:R:M114 7.175428
138R:R:L117 4.508529
139R:R:D121 6.144529
140R:R:W127 7.088507
141R:R:F128 7.7428
142R:R:K131 5.005407
143R:R:Y134 9.852555
144R:R:H135 7.252555
145R:R:N139 8.25333655
146R:R:W141 6.08833659
147R:R:C148 4.7325459
148R:R:I152 5.53754195
149R:R:F155 6.63406
150R:R:Y156 7.815405
151R:R:Y160 8.128527
152R:R:C161 5.54754157
153R:R:I163 5.885427
154R:R:L164 4.435406
155R:R:F165 7.65157
156R:R:M166 6.685628
157R:R:T167 4.5575427
158R:R:S170 5.65409
159R:R:R173 8.18429
160R:R:I177 3.225428
161R:R:W199 6.774159
162R:R:L209 6.674194
163R:R:Q214 4.605404
164R:R:I218 3.416504
165R:R:L221 2.58403
166R:R:H227 6.335405
167R:R:D228 6.096554
168R:R:L230 6.035455
169R:R:L234 6.258555
170R:R:Y242 8.9825405
171R:R:F243 6.265656
172R:R:L246 6.765425
173R:R:V250 4.53425
174R:R:F251 6.5628
175R:R:Y262 6.16714729
176R:R:M265 4.256528
177R:R:M274 5.9925404
178R:R:R282 7.1475406
179R:R:I289 5.76428
180R:R:L293 2.685408
181R:R:Y296 5.96167629
182R:R:F300 7.094529
183R:R:H310 8.728554
184R:R:Y311 6.872555
185R:R:Y323 9.374554
186R:R:Y326 7.178504
187R:R:L330 5.02667625
188R:R:S333 4.4425428
189R:R:N336 8.2875429
190R:R:D340 7.8025429
191R:R:P341 6.9025409
192R:R:Y344 5.84125829
193R:R:Y345 5.245827
194R:R:F346 3.4025407
195R:R:F351 8.5275428
   

Color ConSurf Grade
      No Conservation data available
      1
      2
      3
      4
      5
      6
      7
      8
      9

Index: link id, click on each number to highlight the corresponding link in the 3D visualization.

Node1 Node2: the two nodes of the corresponding link.

Recurrence: the relative Recurrence in the pool of shortest paths.

Int. Strength: the interaction strength between the two nodes.

Hub1?, Hub2?: "Yes" if the corresponding node has more than 3 links, otherwise "No".

Community: the id of the community the link belong to, otherwise 0.

ConSurf1, ConSurf2: these columns report the ConSurf conservation grades of the two nodes involved in a link.

Index Node1 Node2 Recurrence Int. Strength Hub1? Hub2? Community ConSurf1 ConSurf2
1B:B:S147 B:B:S160 23.08734.89NoNo096
2B:B:M188 B:B:S147 23.2363.07YesNo089
3A:A:K233 B:B:M188 11.11985.76YesYes198
4A:A:K233 A:A:Q236 10.40878.14YesNo098
5A:A:Q236 A:A:W281 10.26358.76NoYes085
6A:A:W281 B:B:W332 10.10836.56YesYes159
7B:B:S316 B:B:W332 24.85264.94NoYes099
8B:B:C317 B:B:S316 24.7013.44NoNo079
9B:B:C317 B:B:M61 24.54946.48NoYes076
10B:B:M188 B:B:Y145 33.16374.79YesYes188
11B:B:L117 B:B:Y145 44.74443.52YesYes198
12A:A:V224 B:B:L117 86.79472.98NoYes199
13A:A:V224 A:A:W234 87.492619.61NoNo099
14A:A:R232 A:A:W234 89.041110NoNo089
15A:A:D272 A:A:R232 44.581610.72NoNo488
16A:A:D272 A:A:F246 44.63515.97NoYes489
17A:A:F246 A:A:L289 90.00534.87YesYes499
18A:A:L289 A:A:L291 93.10392.77YesYes498
19A:A:F363 A:A:L291 91.13438.53YesYes458
20A:A:F363 A:A:Q294 91.88875.86YesNo456
21A:A:C365 A:A:Q294 92.12076.1YesNo086
22A:A:C365 A:A:D368 92.20074.67YesNo089
23A:A:I276 A:A:R232 44.5825.01YesNo488
24A:A:F246 A:A:I276 45.4893.77YesYes498
25A:A:D368 A:A:R374 89.37833.57NoYes094
26A:A:C237 B:B:M101 42.89223.24NoYes189
27A:A:C237 B:B:Y59 42.44426.72NoNo188
28A:A:W281 B:B:D290 18.13636.7YesYes156
29A:A:H362 A:A:R374 88.100915.8NoYes094
30A:A:D378 A:A:H362 88.12158.82NoNo079
31A:A:D378 A:A:Y360 93.858711.49NoYes078
32A:A:D381 A:A:Y360 99.71666.9YesYes1188
33A:A:D381 R:R:S278 99.72428.83YesNo1184
34R:R:R282 R:R:S278 99.80686.59YesNo064
35R:R:M274 R:R:R282 99.930613.65YesYes046
36A:A:L384 R:R:M274 1002.83NoYes064
37A:A:L384 A:A:L388 23.95542.77NoYes268
38A:A:L388 A:A:L393 23.69782.77YesYes288
39A:A:L393 R:R:R173 46.863113.36YesYes289
40R:R:R173 R:R:Y344 70.09836.17YesYes299
41A:A:L384 R:R:I177 76.06172.85NoYes268
42A:A:L393 R:R:I177 23.54562.85YesYes288
43R:R:I177 R:R:M265 52.52712.92YesYes288
44R:R:M265 R:R:R173 23.37194.96YesYes289
45R:R:M265 R:R:Y262 29.00984.79YesYes289
46R:R:Y262 R:R:Y344 23.52882.98YesYes299
47R:R:Y344 R:R:Y345 10.94113.97YesYes297
48B:B:G319 B:B:M61 10.0273.49NoYes056
49B:B:G162 B:B:S161 11.7913.71NoYes199
50B:B:G162 B:B:Y145 11.93717.24NoYes198
51B:B:S160 B:B:V187 14.50426.46NoYes069
52B:B:C271 B:B:D290 25.79436.22YesYes156
53B:B:C271 B:B:Y289 23.08074.03YesYes157
54B:B:W297 B:B:Y289 19.918411.58YesYes187
55B:B:W297 B:B:Y264 17.66565.79YesYes085
56B:B:L285 B:B:Y264 14.50435.86NoYes065
57B:B:F278 B:B:L285 13.599610.96YesNo076
58R:R:M166 R:R:Y344 68.17729.58YesYes289
59R:R:F300 R:R:M166 59.88543.73YesYes298
60R:R:F300 R:R:S333 52.63835.28YesYes298
61R:R:L330 R:R:S333 52.0643YesYes258
62R:R:L330 R:R:Y326 27.473411.72YesYes054
63R:R:Y323 R:R:Y326 17.28832.98YesYes044
64R:R:I163 R:R:Y296 10.32784.84YesYes279
65R:R:I163 R:R:Y160 16.50153.63YesYes277
66R:R:L246 R:R:Y160 13.040816.41YesYes257
67R:R:L246 R:R:Y242 11.7044.69YesYes055
68R:R:F155 R:R:L330 10.696.09YesYes065
69R:R:L330 R:R:Y82 14.10263.52YesYes257
70R:R:H135 R:R:Y134 10.612810.89YesYes555
71R:R:W141 R:R:Y134 11.77517.72YesYes595
72B:B:L117 B:B:M101 42.86052.83YesYes199
73B:B:W332 B:B:Y59 42.31013.86YesNo198
Download PSN data

2D representation of the global metapath, ligand(s) interactions and
histograms of path distribution according to several parameters
(click on the image to enlarge it 🔍):

A 2D representation of the global communication in the network.

ConSurf Conservation Grade (See documentation): 

 n/a   1    2    3    4    5    6    7    8    9  

Number of shortest communication paths as a function of the average residue correlation.

Number of shortest communication paths as a function of the average interaction strength of their links.

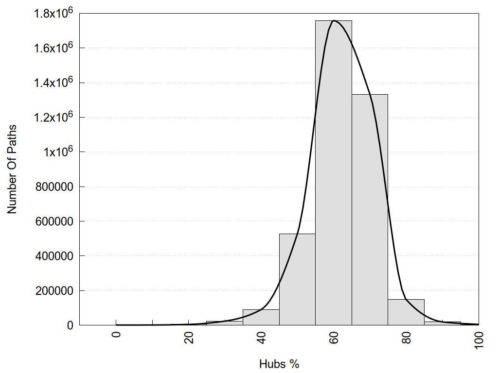
Number of shortest communication paths as a function of the % of hub nodes in each path.

Number of shortest communication paths as a function of the number of nodes in each path.

Number of shortest communication paths as a function of the % of correlated nodes in each path.


2D representation of the interactions of this orthosteric/allosteric ligand.


Links and nodes colored according to ConSurf Conservation Grade (See documentation): 

 n/a   1    2    3    4    5    6    7    8    9  

Node1 Node2 LinkStrength Comm IsNode1Hub? IsNode2Hub? Node1Cons Node2Cons Node1Shell Node2Shell
L:L:?1 R:R:V61 3.48 5 Yes No 0 6 0 1
L:L:?1 R:R:S65 5.26 5 Yes No 0 5 0 1
L:L:?1 R:R:V68 4.35 5 Yes No 0 4 0 1
L:L:?1 R:R:H227 5.25 5 Yes Yes 0 5 0 1
L:L:?1 R:R:V229 7.83 5 Yes No 0 4 0 1
L:L:?1 R:R:E232 4.64 5 Yes No 0 1 0 1
L:L:?1 R:R:L235 17.78 5 Yes No 0 4 0 1
L:L:?1 R:R:H310 7.51 5 Yes Yes 0 4 0 1
L:L:?1 R:R:Y311 4.79 5 Yes Yes 0 5 0 1
L:L:?1 R:R:S320 16.65 5 Yes No 0 2 0 1
L:L:?1 R:R:Y323 21.21 5 Yes Yes 0 4 0 1
R:R:S65 R:R:V61 3.23 5 No No 5 6 1 1
R:R:I218 R:R:V61 4.61 0 Yes No 4 6 2 1
R:R:D62 R:R:S65 2.94 0 No No 7 5 2 1
R:R:F64 R:R:V68 7.87 0 No No 2 4 2 1
R:R:H227 R:R:I152 9.28 0 Yes Yes 5 5 1 2
R:R:H227 R:R:Q214 7.42 0 Yes Yes 5 4 1 2
R:R:L230 R:R:Q214 3.99 5 Yes Yes 5 4 2 2
R:R:I218 R:R:V229 4.61 0 Yes No 4 4 2 1
R:R:D228 R:R:T225 7.23 5 Yes No 4 4 2 2
R:R:T225 R:R:V229 9.52 0 No No 4 4 2 1
R:R:F243 R:R:H227 3.39 5 Yes Yes 6 5 2 1
R:R:D228 R:R:Y323 3.45 5 Yes Yes 4 4 2 1
R:R:L230 R:R:L235 8.3 5 Yes No 5 4 2 1
R:R:F243 R:R:M239 3.73 5 Yes No 6 4 2 2
R:R:M239 R:R:Y311 4.79 5 No Yes 4 5 2 1
R:R:F243 R:R:L307 3.65 5 Yes No 6 5 2 2
R:R:F243 R:R:Y311 9.28 5 Yes Yes 6 5 2 1
R:R:L307 R:R:Y311 3.52 5 No Yes 5 5 2 1
R:R:L307 R:R:Y326 12.89 5 No Yes 5 4 2 2
R:R:H310 R:R:Y311 11.98 5 Yes Yes 4 5 1 1
R:R:H310 R:R:I314 6.63 5 Yes No 4 2 1 2
R:R:H310 R:R:V322 5.54 5 Yes No 4 4 1 2
R:R:H310 R:R:Y323 11.98 5 Yes Yes 4 4 1 1
R:R:I314 R:R:S320 3.1 0 No No 2 2 2 1
R:R:Y323 R:R:Y326 2.98 5 Yes Yes 4 4 1 2
R:R:I327 R:R:Y323 7.25 0 No Yes 4 4 2 1
R:R:E232 R:R:Q233 2.55 0 No No 1 1 1 2
R:R:A324 R:R:V68 1.7 0 No No 1 4 2 1

Location and physicochemical properties of the interaction partners of this ligand

Interactions of this ligand

Similarities between the interactions of this ligand and those of other networks

ShowSimilarityNetwork TypeNameLigandDescription
50.00Single4XNWMRS25004XNW-P2Y1-MRS2500
50.00Single7SK7CXCL127SK7-ACKR3-CXCL12-CCX662
50.00Single7UTZDPPC7UTZ-TSH-TR1402-DPPC-Gs/β1/γ2
50.00Consensusp2y1_offOrthosteric Ligand4XNW-P2Y1-MRS2500
46.15Single7SK8CXCL127SK8-ACKR3-CXCL12-CCX662
43.75Single8XVUCXCL28XVU-CXCR2-CXCL2
43.75Single8XWFCXCL38XWF-CXCR2-CXCL3
43.75Single8XWVCXCL18XWV-CXCR2-CXCL1-Go/β1/γ2
43.75Single8XXHCXCL28XXH-CXCR2-CXCL2-Go/β1/γ2
42.86Single8ZYTNeurotensin peptide 8-138ZYT-NTS1-Neurotensin peptide 8-13-SBI-553-Arrestin2
41.67Single4MQTLY21196204MQT-M2-Iperoxo-LY2119620
41.67Single6WWZCCL206WWZ-CCR6-CCL20-Go/β1/γ2
41.67Single8XXXCXCL68XXX-CXCR2-CXCL6-Go/β1/γ2
41.67Consensusccr6_onOrthosteric Ligand6WWZ-CCR6-CCL20-Go/β1/γ2
41.67Consensusccr6_on_gpOrthosteric Ligand6WWZ-CCR6-CCL20-Go/β1/γ2
41.18Single8XQJJN2418XQJ-Apelin-JN241
41.18Single8XX6CXCL88XX6-CXCR2-CXCL8-Go/β1/γ2
40.00Single8XX7CXCL58XX7-CXCR2-CXCL5-Go/β1/γ2
40.00Consensusp2y_offOrthosteric Ligandp2y1_off
38.89Single8XWNCXCL88XWN-CXCR2-CXCL8
38.46Single6U1NLY21196206U1N-M2-LY2119620-Arrestin2
38.46Single7T94LY21196207T94-M2-Acetylcholine-LY2119620-chim(NtGi1-Go)/β1/γ2
38.46Single9K0XATP9K0X-P2Y2-ATP-chim(NtGi1-Gs-CtGq)/β1/γ2
38.46Single9K20ATP9K20-P2Y2-ATP-chim(NtGi1-Go)/β1/γ2
38.46Consensuscxcr2_onOrthosteric Ligand6LFM-CXCR2-Interleukin-8-Gi1/β1/γ2
37.50Single6OSAJMV4496OSA-NTS1-JMV449-Gi1/β1/γ2
37.50Single7XW5ML1097XW5-TSH-TSH-ML109-Gs/β1/γ2
37.50Single8JPCNeurotensin-(8-13)8JPC-NTS1-Neurotensin-(8-13)-SBI-553; GDP; Mg-Gq; GRK2
37.50Single8XQJJN2418XQJ-Apelin-JN241
37.50Single8XWACXCL18XWA-CXCR2-CXCL1
37.50Single8XWMCXCL68XWM-CXCR2-CXCL6
37.50Single8XWSCXCL58XWS-CXCR2-CXCL5
37.50Single8XX3CXCL38XX3-CXCR2-CXCL3-Go/β1/γ2
37.50Consensusgi_neurotensinOrthosteric Ligand6OSA-NTS1-JMV449-Gi1/β1/γ2 7L0S-NTS1-Neurotensin-Gi1/β1/γ1
37.50Consensusneurotensin_on_gpOrthosteric Ligandnts1_on_gp
37.50Consensusnts1_on_gpOrthosteric Ligand6OSA-NTS1-JMV449-Gi1/β1/γ2 7L0S-NTS1-Neurotensin-Gi1/β1/γ1
36.36Single7V6APubChem 98642757V6A-M4-PubChem 9864275-Gi1/β1/γ2
35.71Single7FIHOrg435537FIH-LH-hCG-Org43553-chim(NtGi1-Gs)/β1/γ2
35.71Single7WQ3Galanin7WQ3-GAL1-Galanin-Gi1/β1/γ2
35.71Consensusgal1_onOrthosteric Ligand7WQ3-GAL1-Galanin-Gi1/β1/γ2
35.71Consensusgal1_on_gpOrthosteric Ligand7WQ3-GAL1-Galanin-Gi1/β1/γ2
35.71Consensusgi_galaninOrthosteric Ligand7WQ3-GAL1-Galanin-Gi1/β1/γ2
35.29Single6UP7Neurotensin6UP7-NTS1-Neurotensin-Arrestin2
35.29Single8K4OCXCL18K4O-KSHV-CXCL1-Gi1/β1/γ1
33.33Single4O9RCyclopamine4O9R-SMO-Cyclopamine
33.33Single6KNMJN241-96KNM-Apelin-JN241-9
33.33Single6LFMInterleukin-86LFM-CXCR2-Interleukin-8-Gi1/β1/γ2
33.33Single6OS9JMV4496OS9-NTS1-JMV449-Gi1/β1/γ2
33.33Single7TRPLY20332987TRP-M4-Iperoxo-LY2033298-Gi1/β1/γ2
33.33Single7VDHC48/807VDH-MRGPRX2-C48/80-Gi1/β1/γ2
33.33Single8ZPTPrRP208ZPT-PrRP-PrRP20-chim(NtGi1-Gs-CtGq)/β1/γ2
33.33Consensuscxcr2_on_gpOrthosteric Ligand6LFM-CXCR2-Interleukin-8-Gi1/β1/γ2
31.82Single7X9BNeuropeptide-Y7X9B-Y2-Neuropeptide-Y-Gi1/β1/γ2
31.82Single8HCQEndothelin-18HCQ-ETA-Endothelin-1-chim(NtGi1-Gs-CtGq)/β1/γ2
31.82Consensuschemokine_on_gpOrthosteric Ligandccr_on_gp cxcr_on_gp
31.82Consensuseta_onOrthosteric Ligand8HCQ-ETA-Endothelin-1-chim(NtGi1-Gs-CtGq)/β1/γ2
31.82Consensuseta_on_gpOrthosteric Ligand8HCQ-ETA-Endothelin-1-chim(NtGi1-Gs-CtGq)/β1/γ2
31.58Single7L0RNeurotensin7L0R-NTS1-Neurotensin-Gi1/β1/γ1
31.58Single7XMRSomatostatin-147XMR-SST2-Somatostatin-14-Gi1/β1/γ2
31.58Consensuschemokine_onOrthosteric Ligandccr_on cxcr_on
31.25Single3ZEVNeurotensin3ZEV-NTS1-Neurotensin
31.25Single6OS1TRV0266OS1-AT1-TRV026
31.25Single7F1TMIP-1a7F1T-CCR5-MIP-1a
31.25Single7L0PNeurotensin7L0P-NTS1-Neurotensin-Gi1/β1/γ1
31.25Single7L0QNeurotensin7L0Q-NTS1-Neurotensin-Gi1/β1/γ1
31.25Single7T9NDPPC7T9N-TSH-M22 Fab-DPPC-Gs/β1/γ2
31.25Single7XBDGalanin7XBD-GAL2-Galanin-chim(NtGi2L-Gs-CtGq)/β1/γ2
31.25Single8FMZNeurotensin/Neuromedin-N8FMZ-NTS1-Neurotensin/Neuromedin-N-chim(NtGi2L-Gs-CtGq)/β1/γ2
31.25Single8FN1Neurotensin/Neuromedin-N8FN1-NTS1-Neurotensin/Neuromedin-N-chim(NtGi1-Go)/β1/γ2
31.25Single8I2GCompound 7163408I2G-FSH-Glycoprotein hormones α chain-Compound 716340-Gs/β1/γ2
31.25Consensusmotilin_onOrthosteric Ligand8IBU-Motilin-Erythromycin-A-chim(NtGi1-Gs-CtGq)/β1/γ2
31.25Consensusneurotensin_onOrthosteric Ligandnts1_on
31.25Consensusnts1_onOrthosteric Ligand6OSA-NTS1-JMV449-Gi1/β1/γ2 7L0S-NTS1-Neurotensin-Gi1/β1/γ1
30.77Single4BWBNeurotensin4BWB-NTS1-Neurotensin
30.77Single4QINSAG1.54QIN-SMO-SAG1.5
30.77Single6LFOInterleukin-86LFO-CXCR2-Interleukin-8-Gi1/β1/γ2
30.77Single6O3CSAG21k6O3C-SMO-SAG21k-Cholesterol
30.77Single7VV5C48/807VV5-MRGPRX2-C48/80-Gi1/β1/γ2
30.77Single7XJJGalanin7XJJ-GAL1-Galanin-Go/β1/γ2
30.77Single8YYWAlpha-ketoglutarate8YYW-Oxoglutarate-α-ketoglutarate-α-ketoglutarate-chim(Gi1-CtGq)/β1/γ2
30.77Consensuscxcr1_onOrthosteric Ligand8IC0-CXCR1-Interleukin-8-Gi1/β1/γ2
30.77Consensusp2y1_onOrthosteric Ligand7XXH-P2Y1-2MeSADP-chim(NtGi1-G11)/β1/γ2
30.43Consensusccr5_onOrthosteric Ligand7O7F-CCR5-6P4-CCL5-Gi1/β1/γ1 7F1Q-CCR5-MIP-1a-Gi1/β1/γ2
30.00Single7C6A(Sar1,Ile8)-Angiotensin II7C6A-AT2-(Sar1,Ile8)-Angiotensin II
30.00Single7F1QMIP-1a7F1Q-CCR5-MIP-1a-Gi1/β1/γ2
30.00Single7V68LY21196207V68-M4-Iperoxo-LY2119620-Gi1/β1/γ2
30.00Single7XMSSomatostatin-147XMS-SST4-Somatostatin-14-Gi1/β1/γ2
30.00Single8IBVMotilin8IBV-Motilin-Motilin-chim(NtGi1-Gs-CtGq)/β1/γ2
30.00Single8K6OPro-neuropeptide-Y8K6O-Y1-Pro-neuropeptide-Y-Gi2/β1/γ1
30.00Single8WSSPro-MCH8WSS-MCH1-Pro-MCH-Gi1/β1/γ1
29.41Single3VW7Vorapaxar; Na3VW7-PAR1-Vorapaxar; Na
29.41Single4GRVNeurotensin-(8-13)4GRV-NTS1-Neurotensin-(8-13)
29.41Single4XEENeurotensin4XEE-NTS1-Neurotensin
29.41Single4XESNeurotensin4XES-NTS1-Neurotensin
29.41Single6OS0Angiotensinogen6OS0-AT1-Angiotensinogen
29.41Single6OS2TRV0266OS2-AT1-TRV026
29.41Single6YVRNTS8-136YVR-NTS1-NTS8-13
29.41Single7L0SNeurotensin7L0S-NTS1-Neurotensin-Gi1/β1/γ1
29.41Single7L1UOrexin7L1U-OX2-Orexin-chim(NtGi1-Gs-CtGq)/β1/γ2
29.41Single7XJKGalanin7XJK-GAL2-Galanin-chim(NtGi2L-Gs-CtGq)/β1/γ2
29.41Single7XW6ML1097XW6-TSH-M22 Fab-ML109-Gs/β1/γ2
29.41Single8IBUErythromycin-A8IBU-Motilin-Erythromycin-A-chim(NtGi1-Gs-CtGq)/β1/γ2
29.41Single8U26Protachykinin-18U26-NK1-Protachykinin-1-Gs/β1/γ2
29.41Consensusgalanin_onOrthosteric Ligandgal2_on gal1_on
29.41Consensusgalanin_on_gpOrthosteric Ligandgal2_on_gp gal1_on_gp
29.41Consensusmotilin_on_gpOrthosteric Ligand8IBU-Motilin-Erythromycin-A-chim(NtGi1-Gs-CtGq)/β1/γ2
29.17Single7YOONeuropeptide-Y7YOO-Y2-Neuropeptide-Y-Gi1/β1/γ2
29.17Consensusnpy2_onOrthosteric Ligand7YOO-Y2-Neuropeptide-Y-Gi1/β1/γ2
29.17Consensusnpy2_on_gpOrthosteric Ligand7YOO-Y2-Neuropeptide-Y-Gi1/β1/γ2
28.57Single6XBLSAG6XBL-SMO-SAG-Cholesterol-Gi1/β1/γ2
28.57Single7VV6C48/807VV6-MRGPRX2-C48/80
28.57Single7XXH2MeSADP7XXH-P2Y1-2MeSADP-chim(NtGi1-G11)/β1/γ2
28.57Single7ZI0SAG7ZI0-SMO-SAG-Cholesterol
28.57Single8K6NPro-neuropeptide-Y8K6N-Y2-Pro-neuropeptide-Y-Gi2/β1/γ1
28.57Single9K0KUTP9K0K-P2Y4-UTP-chim(NtGi1-Gs-CtGq)/β1/γ2
28.57Single9K27PrRP319K27-PrRP-PrRP31-chim(NtGi1-Gq)/β1/γ2
28.57Single9U4WGonadoliberin-19U4W-GnRH1-Gonadoliberin-1-chim(NtGi1L-Gs-CtGq)/β1/γ2
28.57Consensusccr_onOrthosteric Ligandccr6_on ccr8_on ccr2_on ccr1_on ccr5_on
28.57Consensusnucleotide_offOrthosteric Ligandadenosine_off p2y_off
28.57Consensusp2y1_on_gpOrthosteric Ligand7XXH-P2Y1-2MeSADP-chim(NtGi1-G11)/β1/γ2
27.78Single4BUONeurotensin4BUO-NTS1-Neurotensin
27.78Single4RWSvMIP-II4RWS-CXCR4-vMIP-II
27.78Single8FN0Neurotensin/Neuromedin-N8FN0-NTS1-Neurotensin/Neuromedin-N-SBI-553-chim(NtGi1-Go)/β1/γ2
27.78Single8JPFNeurotensin8JPF-NTS1-Neurotensin-SBI-553
27.27Single7T10Somatostatin-147T10-SST2-Somatostatin-14-Gi3/β1/γ2
27.27Single8U4QREGN7663-Fab8U4Q-CXCR4-REGN7663-Fab-Gi1/β1/γ2
27.27Single8XZJWN3538XZJ-Apelin-WN353-Gi1/β1/γ2
27.27Consensusprotein_offonOrthosteric Ligandprotein_off protein_on
27.27Consensusprotein_offon_gpOrthosteric Ligandprotein_on_gp protein_off
26.92Consensusccr5_on_gpOrthosteric Ligand7O7F-CCR5-6P4-CCL5-Gi1/β1/γ1 7F1Q-CCR5-MIP-1a-Gi1/β1/γ2
26.92Consensusgi_npyOrthosteric Ligand8K6M-Y1-Neuropeptide-Y-Gi2/β1/γ1 7X9C-Y4-Pancreatic Hormone-Gi1/β1/γ2 7YOO-Y2-Neuropeptide-Y-Gi1/β1/γ2
26.92Consensusnpy_onOrthosteric Ligandnpy1_on npy2_on npy4_on
26.92Consensusnpy_on_gpOrthosteric Ligandnpy1_on_gp npy2_on_gp npy4_on_gp
26.67Single4QIMANTA XV4QIM-SMO-ANTA XV
26.67Single5T04Neurotensin5T04-NTS1-Neurotensin
26.67Single6XBM5LWE6XBM-SMO-5LWE-Gi1/β1/γ2
26.67Single6Z4VNTS8-136Z4V-NTS1-NTS8-13
26.67Single7TRQVU04671547TRQ-M4-Iperoxo-VU0467154-Gi1/β1/γ2
26.67Single8IC0Interleukin-88IC0-CXCR1-Interleukin-8-Gi1/β1/γ2
26.67Consensuscxcr1_on_gpOrthosteric Ligand8IC0-CXCR1-Interleukin-8-Gi1/β1/γ2
26.67Consensusnucleotide_offonOrthosteric Ligandnucleotide_off nucleotide_on
26.67Consensusnucleotide_offon_gpOrthosteric Ligandnucleotide_on_gp nucleotide_off
26.32Single7RMHSubstance-P7RMH-NK1-Substance-P-Gs/β1/γ2
26.32Single7Y1FDynorphin7Y1F-κ-Dynorphin-Gi1/β1/γ2
26.32Single7YAEOctreotide7YAE-SST2-Octreotide-Gi1/β1/γ2
26.32Single8Z74Agonistic antibody8Z74-Apelin-Agonistic antibody
26.32Single8Z74Agonistic antibody8Z74-Apelin-Agonistic antibody
26.32Consensuscxcr4_offOrthosteric Ligand4RWS-CXCR4-vMIP-II 3OE0-CXCR4-CVX15 3OE6-CXCR4-IT1t
26.32Consensusformylpeptide_onOrthosteric Ligandfpr2-alx_on fpr1-alx_on
26.09Single7X9CPancreatic Hormone7X9C-Y4-Pancreatic Hormone-Gi1/β1/γ2
26.09Single8XVIEndothelin-18XVI-ETA-Endothelin-1-chim(Gs-CtGq)/β1/γ2
26.09Consensusccr_on_gpOrthosteric Ligandccr6_on_gp ccr8_on_gp ccr2_on_gp ccr1_on_gp ccr5_on_gp
26.09Consensusgi_chemokineOrthosteric Ligand6WWZ-CCR6-CCL20-Go/β1/γ2 8HNK-CXCR3-CXCL11-Gi1/β1/γ2 8K3Z-CXCR4-CXCL12-Gi1/β1/γ1 8IC0-CXCR1-Interleukin-8-Gi1/β1/γ2 6LFM-CXCR2-Interleukin-8-Gi1/β1/γ2 8KFX-CCR8-LMD-009-Gi1/β1/γ2 7F1Q-CCR5-MIP-1a-Gi1/β1/γ2 8HNL-CXCR3-PS372424-Gi1/β1/γ2 8KFY-CCR8-ZK-756326-Gi1/β1/γ2 7O7F-CCR5-6P4-CCL5-Gi1/β1/γ1 8U1U-CCR8-CCL1-Gi1/β1/γ2 7VLA-CCR1-CCL15(27-92)-Gi1/β1/γ2 7XA3-CCR2-CCL2-Gi1/β1/γ2
25.93Single7SK6CXCL12_LRHQ7SK6-ACKR3-CXCL12_LRHQ
25.00Single4JKVTaladegib4JKV-SMO-Taladegib
25.00Single5UIW5P7-CCL55UIW-CCR5-5P7-CCL5
25.00Single6OIKLY21196206OIK-M2-Iperoxo-LY2119620-chim(NtGi1-Go)/β1/γ2
25.00Single6PWCNeurotensin6PWC-NTS1-Neurotensin-Arrestin2
25.00Single6XBKCholesterol6XBK-SMO-Cholesterol-Gi1/β1/γ2
25.00Single7SK3CXCL127SK3-ACKR3-CXCL12
25.00Single7SK4CXCL12_LRHQ7SK4-ACKR3-CXCL12_LRHQ
25.00Single7VLACCL15(27-92)7VLA-CCR1-CCL15(27-92)-Gi1/β1/γ2
25.00Single7WICSomatostatin-147WIC-SST2-Somatostatin-14-Gi1/β1/γ2
25.00Single7Y26Octreotide7Y26-SST2-Octreotide-chim(NtGi2L-Gs-CtGq)/β1/γ2
25.00Single8JEF(3S)-3-hydroxyoctanoic acid8JEF-HCA3-(3S)-3-hydroxyoctanoic acid-Gi1/β1/γ2
25.00Single8JPSCCL78JPS-ACKR1-CCL7
25.00Single8TH4AT118-L Nanobody8TH4-AT1-Losartan-AT118-L Nanobody
25.00Single8XGMChemerin8XGM-CML2-Chemerin-Gi1/β1/γ2
25.00Single8ZCJPasireotide8ZCJ-SST5-Pasireotide-Gi1/β1/γ1
25.00Single9EAHNanobody AT2099EAH-AT1-Olmesartan-Nanobody AT209
25.00Single9L3YRetinoic acid receptor responder protein 29L3Y-CML2-Retinoic acid receptor responder protein 2-Gi1/β1/γ2
25.00Consensusccr1_onOrthosteric Ligand7VLA-CCR1-CCL15(27-92)-Gi1/β1/γ2
25.00Consensusccr1_on_gpOrthosteric Ligand7VLA-CCR1-CCL15(27-92)-Gi1/β1/γ2
25.00Consensusccr5_offOrthosteric Ligand5UIW-CCR5-5P7-CCL5
25.00Consensusccr_offOrthosteric Ligandccr2_off ccr5_off
25.00Consensusgi_peptideOrthosteric Ligandgi_cck gi_apelin gi_compl-pept gi_endothelin gi_formylpeptide gi_galanin gi_ghrelin gi_npy gi_neurotensin gi_opioid gi_orexin gi_relaxin gi_somatostatin
25.00Consensusnop_onOrthosteric Ligand8F7X-NOP-Nociceptin-Gi1/β1/γ2
25.00Consensusnop_on_gpOrthosteric Ligand8F7X-NOP-Nociceptin-Gi1/β1/γ2
25.00Consensusnpy4_onOrthosteric Ligand7X9C-Y4-Pancreatic Hormone-Gi1/β1/γ2
25.00Consensusnpy4_on_gpOrthosteric Ligand7X9C-Y4-Pancreatic Hormone-Gi1/β1/γ2
25.00Consensusp2y_onOrthosteric Ligandp2y1_on p2y10_on p2y12_on
24.14Single7X9ANeuropeptide-Y7X9A-Y1-Neuropeptide-Y-Gi1/β1/γ2
24.00Single9K26PrRP319K26-PrRP-PrRP31-Gi1/β1/γ2
24.00Consensusgq_peptideOrthosteric Ligandgq_cck gq_kisspeptin gq_bradykinin gq_bombesin gq_angiotensin
24.00Consensuspeptide_onOrthosteric Ligandcck_on angiotensin_on apelin_on bombesin_on bradykinin_on compl-peptide_on endothelin_on formylpeptide_on galanin_on ghrelin_on kisspeptin_on melanocortin_on motilin_on neuromedin-u_on npy_on neurotensin_on opioid_on orexin_on relaxin_on somatostatin_on tachykinin_on trh_on vasop-oxy_on
24.00Consensuspeptide_on_gpOrthosteric Ligandcck_on_gp angiotensin_on_gp apelin_on_gp bombesin_on_gp bradykinin_on_gp compl-peptide_on_gp endothelin_on_gp formylpeptide_on_gp galanin_on_gp ghrelin_on_gp kisspeptin_on_gp melanocortin_on_gp motilin_on_gp neuromedin-u_on_gp npy_on_gp neurotensin_on_gp opioid_on_gp orexin_on_gp relaxin_on_gp somatostatin_on_gp tachykinin_on_gp trh_on_gp vasop-oxy_on_gp
23.81Single5XJM(Sar1,Ile8)-Angiotensin II5XJM-AT2-(Sar1,Ile8)-Angiotensin II
23.81Single6DO1Angiotensin-like peptide S1I86DO1-AT1-Angiotensin-like peptide S1I8
23.81Single7SK5CXCL127SK5-ACKR3-CXCL12
23.81Single8JZZC5a-desArg8JZZ-C5a1-C5a-desArg-Go/β1/γ2
23.81Single8Z7JAgonistic antibody8Z7J-Apelin-Agonistic antibody-Gi1/β1/γ2
23.81Single9IQRMuscarinic toxin 39IQR-α2a-Muscarinic toxin 3
23.81Single9IQSMuscarinic toxin 39IQS-M4-Muscarinic toxin 3
23.81Consensuscompl-peptide_onOrthosteric Ligandc5a1_on c3a_on
23.81Consensusformylpeptide_on_gpOrthosteric Ligandfpr2-alx_on_gp fpr1-alx_on_gp
23.81Consensusgi_cckOrthosteric Ligand7EZH-CCKA-Cholecystokinin-8-Gi1/β1/γ2 7F8V-CCKB-Gastrin-17-Gi2/β1/γ2
23.81Consensustachykinin_on_gpOrthosteric Ligandnk1_on_gp nk2_on_gp nk3_on_gp
23.53Single4BV0Neurotensin4BV0-NTS1-Neurotensin
23.53Single5V56TC1145V56-SMO-TC114
23.53Single5V57TC1145V57-SMO-TC114
23.53Single6Z8NSRI-98296Z8N-NTS1-SRI-9829
23.53Single7R0CAVP7R0C-V2-AVP-Arrestin2
23.53Single7Y24Octreotide7Y24-SST2-Octreotide-Go/β1/γ2
23.53Single8JBGNeurokinin-B8JBG-NK3-Neurokinin-B-chim(NtGi1-Gs-CtGq)/β1/γ2
23.53Single8WJXADP8WJX-P2Y1-ADP-chim(Gs-CtGq)/β1/γ2
23.08Single5L7IVismodegib5L7I-SMO-Vismodegib
23.08Single7T96LY21196207T96-M2-Acetylcholine-LY2119620-Go/β1/γ2
23.08Single8FX5Xanomeline8FX5-M4-Xanomeline-Xanomeline-Gi1/β1/γ2
23.08Single8IY5Endothelin-18IY5-ETB-Endothelin-1-Gi1/β1/γ2
23.08Single8IY6Endothelin-18IY6-ETB-Endothelin-1
23.08Single8U4RREGN7663-Fab8U4R-CXCR4-REGN7663-Fab
23.08Single8ZX5AM2518ZX5-GPR55-AM251-chim(NtGi1-G13)/β1/γ2
23.08Single8ZYUNeurotensin peptide 8-138ZYU-NTS1-Neurotensin peptide 8-13-SBI-553-Arrestin2
23.08Consensusendothelin_onOrthosteric Ligandetb_on eta_on
23.08Consensusgq_nucleotideOrthosteric Ligandgq_p2y
23.08Consensusgq_p2yOrthosteric Ligand7XXH-P2Y1-2MeSADP-chim(NtGi1-G11)/β1/γ2
22.73Single3OE0CVX153OE0-CXCR4-CVX15
22.73Single6MEOEnvelope Glycoprotein Gp160; T-Cell Surface Glycoprotein Cd46MEO-CCR5-Envelope Glycoprotein Gp160; T-Cell Surface Glycoprotein Cd4
22.73Single7O7F6P4-CCL57O7F-CCR5-6P4-CCL5-Gi1/β1/γ1
22.73Single7W55Neuromedin-U-257W55-NMUR2-Neuromedin-U-25-chim(NtGi1-Gs-CtGq)/β1/γ2
22.73Single7XA3CCL27XA3-CCR2-CCL2-Gi1/β1/γ2
22.73Single8K6MNeuropeptide-Y8K6M-Y1-Neuropeptide-Y-Gi2/β1/γ1
22.73Consensusangiotensin_onOrthosteric Ligandat1_on
22.73Consensusat1_onOrthosteric Ligand7F6G-AT1-SAR1-AngII-Gq/β1/γ2
22.73Consensusccr2_onOrthosteric Ligand7XA3-CCR2-CCL2-Gi1/β1/γ2
22.73Consensusccr2_on_gpOrthosteric Ligand7XA3-CCR2-CCL2-Gi1/β1/γ2
22.73Consensuscompl-peptide_on_gpOrthosteric Ligandc5a1_on_gp c3a_on_gp
22.73Consensusnmur2_onOrthosteric Ligand7W55-NMUR2-Neuromedin-U-25-chim(NtGi1-Gs-CtGq)/β1/γ2
22.73Consensusnmur2_on_gpOrthosteric Ligand7W55-NMUR2-Neuromedin-U-25-chim(NtGi1-Gs-CtGq)/β1/γ2
22.73Consensusnpy1_onOrthosteric Ligand8K6M-Y1-Neuropeptide-Y-Gi2/β1/γ1
22.73Consensusnpy1_on_gpOrthosteric Ligand8K6M-Y1-Neuropeptide-Y-Gi2/β1/γ1
22.22Single5GLHEndothelin-15GLH-ETB-Endothelin-1
22.22Single7WQ4Galanin7WQ4-GAL2-Galanin-chim(NtGi1-Gs-CtGq)/β1/γ2
22.22Single7Y66BM2137Y66-C5a1-BM213-Gi1/β1/γ2
22.22Single8H0QGastrin Releasing Peptide8H0Q-BB2-Gastrin Releasing Peptide-chim(NtGi1-Gs-CtGq)/β1/γ2
22.22Single8HK2C3a anaphylatoxin8HK2-C3aB-C3a anaphylatoxin-Gi1/β1/γ2
22.22Single8J6DEP1418J6D-C3aB-EP141-Go/β1/γ2
22.22Single8JJPChemerin8JJP-CML2-Chemerin-Gi1/β1/γ2
22.22Single8JPBNeurotensin-(8-13)8JPB-NTS1-Neurotensin-(8-13)-SBI-553; GDP; Mg-Gq; GRK2
22.22Single8SZGCa; Ca; Tryptophan; Cinacalcet; PO4; Spermine8SZG-CaS-Ca; Ca; Tryptophan; Cinacalcet; PO4; Spermine-chim(NtGi1-Gq)/β1/γ2
22.22Single8U1UCCL18U1U-CCR8-CCL1-Gi1/β1/γ2
22.22Single8W1VPubChem 1717162658W1V-β2-PubChem 171716265
22.22Single8X8NOctreotide8X8N-SST5-Octreotide-chim(NtGi1-Gs-CtGi1)/β1/γ2
22.22Single9L3WRetinoic acid receptor responder protein 29L3W-CML1-Retinoic acid receptor responder protein 2-Gi1/β1/γ2
22.22Consensusc3a_onOrthosteric Ligand8HK2-C3aB-C3a anaphylatoxin-Gi1/β1/γ2 8IA8-C3aB-E7 peptide-Gi1/β1/γ2
22.22Consensusccr8_onOrthosteric Ligand8KFX-CCR8-LMD-009-Gi1/β1/γ2 8KFY-CCR8-ZK-756326-Gi1/β1/γ2 8U1U-CCR8-CCL1-Gi1/β1/γ2
22.22Consensuscxcr_onOrthosteric Ligandcxcr3_on cxcr4_on cxcr1_on cxcr2_on
21.74Single5WB2CX3CL1.355WB2-US28-CX3CL1.35
21.74Single6JODAngiotensin II6JOD-AT2-Angiotensin II
21.74Single6METEnvelope Glycoprotein Gp160; T-Cell Surface Glycoprotein Cd46MET-CCR5-Envelope Glycoprotein Gp160; T-Cell Surface Glycoprotein Cd4
21.74Single7F6GSAR1-AngII7F6G-AT1-SAR1-AngII-Gq/β1/γ2
21.74Single7KH0AVP7KH0-V2-AVP-chim(NtGi1-Gs)/β1/γ2
21.74Single7YONPeptide-YY(3-36)7YON-Y2-Peptide-YY(3-36)-Gi1/β1/γ2
21.74Consensusangiotensin_on_gpOrthosteric Ligandat1_on_gp
21.74Consensusat1_on_gpOrthosteric Ligand7F6G-AT1-SAR1-AngII-Gq/β1/γ2
21.74Consensusgq_angiotensinOrthosteric Ligand7F6G-AT1-SAR1-AngII-Gq/β1/γ2
21.74Consensusneuromedin-u_onOrthosteric Ligandnmur1_on nmur2_on
21.74Consensusp2y_on_gpOrthosteric Ligandp2y1_on_gp p2y10_on_gp p2y12_on_gp
21.74Consensuspeptide_offon_gpOrthosteric Ligandpeptide_on_gp peptide_off
21.74Consensusprotein_onOrthosteric Ligandchemokine_on chemerin_on
21.74Consensustachykinin_onOrthosteric Ligandnk1_on nk2_on nk3_on
21.43Single5OLOTozadenant5OLO-A2A-Tozadenant-Na
21.43Single7W0OElabela7W0O-Apelin-Elabela-Gi1/β1/γ2
21.43Single7X2CFenoldopam7X2C-D1-Fenoldopam-Fenoldopam-Gs/β1/γ2
21.43Single8GNGIstradefylline8GNG-A2A-Istradefylline
21.43Single8H8JLodoxamide8H8J-GPR35-Lodoxamide-Ca-chim(NtGi1L-G13)/β1/γ2
21.43Single8RVWStilSwitch38RVW-A2A-StilSwitch3-Na
21.43Single8RW4AzoSwitch28RW4-A2A-AzoSwitch2-Na
21.43Single8RWEStilSwitch48RWE-A2A-StilSwitch4-Na
21.43Single8U4SREGN7663-Fab8U4S-CXCR4-REGN7663-Fab
21.43Single8U4TREGN7663-Fab8U4T-CXCR4-REGN7663-Fab
21.43Single9FUPIstradefylline9FUP-A2A-Istradefylline-Na
21.43Consensusendothelin_on_gpOrthosteric Ligandetb_on_gp eta_on_gp
21.05Single7EZCUKA7EZC-A2A-UKA
21.05Single7EZHCholecystokinin-87EZH-CCKA-Cholecystokinin-8-Gi1/β1/γ2
21.05Single7EZMCholecystokinin-87EZM-CCKA-Cholecystokinin-8-chim(NtGsL-Gq)/β1/γ2
21.05Single7P00Substance-P7P00-NK1-Substance-P-chim(NtGi1-Gs-CtGq)/β1/γ2
21.05Single8HN1Toxin AdTx18HN1-Alpha1A-Toxin AdTx1
21.05Single8ZPLHF511168ZPL-CXCR4-HF51116
21.05Single9GE3Lysophosphatidylinositol9GE3-GPR55-Lysophosphatidylinositol-chim(NtGi1-G13)/β1/γ2
21.05Consensusc3a_on_gpOrthosteric Ligand8HK2-C3aB-C3a anaphylatoxin-Gi1/β1/γ2 8IA8-C3aB-E7 peptide-Gi1/β1/γ2
21.05Consensuscck_onOrthosteric Ligandccka_on cckb_on
21.05Consensuscck_on_gpOrthosteric Ligandccka_on_gp cckb_on_gp
21.05Consensusccka_onOrthosteric Ligand7EZH-CCKA-Cholecystokinin-8-Gi1/β1/γ2
21.05Consensusccka_on_gpOrthosteric Ligand7EZH-CCKA-Cholecystokinin-8-Gi1/β1/γ2
21.05Consensuschemerin_onOrthosteric Ligandcml1_on
21.05Consensusgal2_onOrthosteric Ligand7WQ4-GAL2-Galanin-chim(NtGi1-Gs-CtGq)/β1/γ2 7XJL-GAL2-Spexin-chim(NtGi2L-Gs-CtGq)/β1/γ2
21.05Consensusgal2_on_gpOrthosteric Ligand7WQ4-GAL2-Galanin-chim(NtGi1-Gs-CtGq)/β1/γ2 7XJL-GAL2-Spexin-chim(NtGi2L-Gs-CtGq)/β1/γ2
21.05Consensusnk1_onOrthosteric Ligand7P00-NK1-Substance-P-chim(NtGi1-Gs-CtGq)/β1/γ2
21.05Consensusnk1_on_gpOrthosteric Ligand7P00-NK1-Substance-P-chim(NtGi1-Gs-CtGq)/β1/γ2
20.83Single7F6HBradykinin7F6H-BK2-Bradykinin-Gq/β1/γ2
20.83Single7F6IKallidin7F6I-BK2-Kallidin-Gq/β1/γ2
20.83Single7F9YGhrelin-287F9Y-Ghrelin-Ghrelin-28-chim(NtGi1-Gs-CtGq)/β1/γ2
20.83Single7P02Protachykinin-17P02-NK1-Protachykinin-1-chim(NtGi1-Gs)/β1/γ2
20.83Single7VL9CCL15(26-92)7VL9-CCR1-CCL15(26-92)-Gi1/β1/γ2
20.83Single7Y64C5a anaphylatoxin7Y64-C5a1-C5a anaphylatoxin-Gi1/β1/γ2
20.83Single8HCXEndothelin-18HCX-ETB-Endothelin-1-chim(NtGi2L-Gs-CtGq)/β1/γ2
20.83Single8HNKCXCL118HNK-CXCR3-CXCL11-Gi1/β1/γ2
20.83Single8ZPSPrRP208ZPS-PrRP-PrRP20-chim(NtGi1-Gs-CtGq)/β1/γ2
20.83Consensuschemokine_offOrthosteric Ligandccr_off cxcr_off
20.83Consensuscxcr_offOrthosteric Ligandcxcr3_off cxcr4_off
20.83Consensusgi_apelinOrthosteric Ligand8XZH-Apelin-MM07-Gi1/β1/γ2 7W0M-Apelin-PubChem 122701908-Gi1/β1/γ2 8XZJ-Apelin-WN353-Gi1/β1/γ2 8XZF-Apelin-WN561-Gi1/β1/γ2 8XZG-Apelin-Apelin-13-Gi1/β1/γ2
20.83Consensusneuromedin-u_on_gpOrthosteric Ligandnmur1_on_gp nmur2_on_gp
20.69Single6LRYSarafotoxin-B6LRY-ETB-Sarafotoxin-B
20.00Single5K2BZM-2413855K2B-A2A-ZM-241385-Na
20.00Single5NLXZM-2413855NLX-A2A-ZM-241385-Na
20.00Single5UVIZM-2413855UVI-A2A-ZM-241385
20.00Single5WF6UK-4320975WF6-A2A-UK-432097
20.00Single6MH8ZM-2413856MH8-A2A-ZM-241385
20.00Single6WJCMuscarinic toxin 76WJC-M1-Atropine-Muscarinic toxin 7
20.00Single7F2OBradykinin7F2O-BK2-Bradykinin-chim(NtGi1-Gs-CtGq)/β1/γ2
20.00Single7F8VGastrin-177F8V-CCKB-Gastrin-17-Gi2/β1/γ2
20.00Single7F8WGastrin-177F8W-CCKB-Gastrin-17-chim(NtGsL-Gq)/β1/γ2
20.00Single7RKNFractalkine7RKN-US28-Fractalkine-Gi1/β1/γ2
20.00Single7RMGSubstance-P7RMG-NK1-Substance-P-chim(Gs-CtGq)/β1/γ2
20.00Single7XBXCX3CL17XBX-CX3CR1-CX3CL1-Gi1/β1/γ2
20.00Single7XOVSR1461317XOV-CCKA-SR146131-Gs/β1/γ2
20.00Single8JBFSenktide8JBF-NK3-Senktide-chim(NtGi1-Gs-CtGq)/β1/γ2
20.00Single8K4NVF08K4N-GPR34-VF0-Gi1/β1/γ2
20.00Single8QJ2pN1628QJ2-MC4-pN162-Gs
20.00Single8RWCStilSwitch28RWC-A2A-StilSwitch2-Na
20.00Single8RWDStilSwitch38RWD-A2A-StilSwitch3-Na
20.00Single8XQFApelin-138XQF-Apelin-Apelin-13-Gi1/β1/γ2
20.00Single9EAJNanobody AT2099EAJ-AT1-Nanobody AT209
20.00Single9JMDAzithromycin9JMD-Motilin-Azithromycin-chim(Gs-CtGq)/β1/γ2
20.00Consensuscxcr_on_gpOrthosteric Ligandcxcr3_on_gp cxcr4_on_gp cxcr1_on_gp cxcr2_on_gp
20.00Consensusgi_compl-peptOrthosteric Ligand8HK5-C5a1-Complement C5-Gi1/β1/γ2 8IA8-C3aB-E7 peptide-Gi1/β1/γ2 7Y66-C5a1-BM213-Gi1/β1/γ2 7Y67-C5a1-C089 peptide-Gi1/β1/γ2 8HK2-C3aB-C3a anaphylatoxin-Gi1/β1/γ2 7Y64-C5a1-C5a anaphylatoxin-Gi1/β1/γ2
20.00Consensusgi_proteinOrthosteric Ligandgi_chemokine gi_chemerin
20.00Consensusgq_cckOrthosteric Ligand8IA7-CCKB-Cholecystokinin-8-chim(NtGi1L-Gq)/β1/γ2 7XOW-CCKB-Gastrin-chim(NtGi1-Gq)/β1/γ2 7EZM-CCKA-Cholecystokinin-8-chim(NtGsL-Gq)/β1/γ2 7F8W-CCKB-Gastrin-17-chim(NtGsL-Gq)/β1/γ2
20.00Consensusgrh_offOrthosteric Ligandgnrh1_off
20.00Consensusnmur1_onOrthosteric Ligand7W53-NMUR1-Neuromedin-U-25-chim(NtGi1-Gs-CtGq)/β1/γ2
20.00Consensusprotein_on_gpOrthosteric Ligandchemokine_on_gp chemerin_on_gp
20.00Consensussst2_onOrthosteric Ligand7WIC-SST2-Somatostatin-14-Gi1/β1/γ2 7WIG-SST2-L-054,264-Gi1/β1/γ2 7YAE-SST2-Octreotide-Gi1/β1/γ2 7YAC-SST2-Paltusotine-Gi1/β1/γ2
20.00Consensussst2_on_gpOrthosteric Ligand7WIC-SST2-Somatostatin-14-Gi1/β1/γ2 7WIG-SST2-L-054,264-Gi1/β1/γ2 7YAE-SST2-Octreotide-Gi1/β1/γ2 7YAC-SST2-Paltusotine-Gi1/β1/γ2
19.23Single7XATSomatostatin-147XAT-SST2-Somatostatin-14-Gi1/β1/γ2
19.23Single8ZJGChemerin8ZJG-CML1-Chemerin-Gi1/β1/γ2
19.05Single7F8XNN90567F8X-CCKA-NN9056
19.05Single7NA7Ghrelin-277NA7-Ghrelin-Ghrelin-27-Gi1/β1/γ2
19.05Single7W0PElabela7W0P-Apelin-Elabela-Gi1/β1/γ2
19.05Single7W2ZGhrelin7W2Z-Ghrelin-Ghrelin-Go/β1/γ2
19.05Single7W53Neuromedin-U-257W53-NMUR1-Neuromedin-U-25-chim(NtGi1-Gs-CtGq)/β1/γ2
19.05Single7XAUOctreotide7XAU-SST2-Octreotide-Gi1/β1/γ2
19.05Single8F7XNociceptin8F7X-NOP-Nociceptin-Gi1/β1/γ2
19.05Single8K3ZCXCL128K3Z-CXCR4-CXCL12-Gi1/β1/γ1
19.05Single8ZBJSomatostatin-148ZBJ-SST5-Somatostatin-14-Gi1/β1/γ2
19.05Single9BKJCholecystokinin-89BKJ-CCKA-Cholecystokinin-8-chim(NtGi1-Gs-CtGq)/β1/γ2
19.05Single9BUYLM1899BUY-β2-LM189-Gi1/β1/γ2
19.05Consensuschemerin_on_gpOrthosteric Ligandcml1_on_gp
19.05Consensusclass-a_on_gpOrthosteric Ligandsensory_on_gp alicarboxylic_on_gp amine_on_gp lipid_on_gp nucleotide_on_gp peptide_on_gp protein_on_gp
19.05Consensuscml1_onOrthosteric Ligand7YKD-CML1-Chemerin-9-Gi1/β1/γ2
19.05Consensuscxcr4_onOrthosteric Ligand8K3Z-CXCR4-CXCL12-Gi1/β1/γ1
19.05Consensusgi_chemerinOrthosteric Ligand7YKD-CML1-Chemerin-9-Gi1/β1/γ2
19.05Consensusnk3_onOrthosteric Ligand8JBF-NK3-Senktide-chim(NtGi1-Gs-CtGq)/β1/γ2
19.05Consensusnk3_on_gpOrthosteric Ligand8JBF-NK3-Senktide-chim(NtGi1-Gs-CtGq)/β1/γ2
19.05Consensusnmur1_on_gpOrthosteric Ligand7W53-NMUR1-Neuromedin-U-25-chim(NtGi1-Gs-CtGq)/β1/γ2
19.05Consensussst5_onOrthosteric Ligand8X8L-SST5-Cortistatin-chim(NtGi1-Gs-CtGi1)/β1/γ2 8X8N-SST5-Octreotide-chim(NtGi1-Gs-CtGi1)/β1/γ2
18.75Single3EMLZM-2413853EML-A2A-ZM-241385
18.75Single5K2AZM-2413855K2A-A2A-ZM-241385-Na
18.75Single5VRAZM-2413855VRA-A2A-ZM-241385-Na
18.75Single6D27CAY104716D27-DP2-CAY10471
18.75Single6LPJZM-2413856LPJ-A2A-ZM-241385-Na
18.75Single6LPKZM-2413856LPK-A2A-ZM-241385-Na
18.75Single6S0LZM-2413856S0L-A2A-ZM-241385
18.75Single8RW7StilSwitch18RW7-A2A-StilSwitch1-Na
18.75Single8TH3AT118-H Nanobody8TH3-AT1-AT118-H Nanobody
18.75Single8ZBEOctreotide8ZBE-SST5-Octreotide-Gi1/β1/γ1
18.75Single9IMATalquetamab9IMA-GPRC5D-Talquetamab
18.75Consensuslipid_offOrthosteric Ligandcannabinoid_off paf_off lpl_off prostanoid_off leukotriene_off
18.52Single6IGLIRL16206IGL-ETB-IRL1620
18.52Single7VGXNeuropeptide-Y7VGX-Y1-Neuropeptide-Y-Gi1/β1/γ2
18.52Consensusbk2_onOrthosteric Ligand7F6H-BK2-Bradykinin-Gq/β1/γ2 7F6I-BK2-Kallidin-Gq/β1/γ2
18.52Consensusbk2_on_gpOrthosteric Ligand7F6H-BK2-Bradykinin-Gq/β1/γ2 7F6I-BK2-Kallidin-Gq/β1/γ2
18.52Consensusbradykinin_onOrthosteric Ligandbk2_on
18.52Consensusbradykinin_on_gpOrthosteric Ligandbk2_on_gp
18.52Consensusetb_onOrthosteric Ligand8IY5-ETB-Endothelin-1-Gi1/β1/γ2 8HBD-ETB-IRL1620-Gi1/β1/γ2
18.52Consensusgq_bradykininOrthosteric Ligand7F6H-BK2-Bradykinin-Gq/β1/γ2 7F6I-BK2-Kallidin-Gq/β1/γ2
18.18Single3QAKUK-4320973QAK-A2A-UK-432097
18.18Single7EZKCholecystokinin-87EZK-CCKA-Cholecystokinin-8-chim(NtGi1-Gs)/β1/γ2
18.18Single7RKMFractalkine7RKM-US28-Fractalkine-Gi1/β1/γ2
18.18Single7RMISubstance-P7RMI-NK1-Substance-P-chim(Gs-CtGq)/β1/γ2
18.18Single7W0NElabela7W0N-Apelin-Elabela-Gi1/β1/γ2
18.18Single7WJ5Somatostatin-147WJ5-SST2-Somatostatin-14-Gi1/β1/γ2
18.18Single7XNACYN1548067XNA-SST2-CYN154806
18.18Single8F7WDynorphin8F7W-κ-Dynorphin-Gi1/β1/γ2
18.18Single8HQMNPGLY8HQM-GPR132-NPGLY-Gi1/β1/γ2
18.18Single8HVINOX-6-78HVI-GPR132-NOX-6-7-Gi1/β1/γ2
18.18Single8JBHSubstance-P8JBH-NK3-Substance-P-chim(NtGi1-Gs-CtGq)/β1/γ2
18.18Single8X9S5alpha-DHT8X9S-ADGRD1-5α-DHT-chim(NtGi1-Gs)/β1/γ2
18.18Single9IK8SST analogue9IK8-SST1-SST analogue-Gi1/β1/γ2
18.18Single9IQVMuscarinic toxin 39IQV-Alpha1A-Muscarinic toxin 3
18.18Single9IV25alpha-DHT9IV2-ADGRD1-5α-DHT-chim(NtGi1-Gs)/β1/γ2
18.18Consensuscckb_onOrthosteric Ligand8IA7-CCKB-Cholecystokinin-8-chim(NtGi1L-Gq)/β1/γ2 7XOW-CCKB-Gastrin-chim(NtGi1-Gq)/β1/γ2 7F8V-CCKB-Gastrin-17-Gi2/β1/γ2
18.18Consensusccr8_on_gpOrthosteric Ligand8KFX-CCR8-LMD-009-Gi1/β1/γ2 8KFY-CCR8-ZK-756326-Gi1/β1/γ2 8U1U-CCR8-CCL1-Gi1/β1/γ2
18.18Consensusgi_ghrelinOrthosteric Ligand7NA7-Ghrelin-Ghrelin-27-Gi1/β1/γ2 7NA8-Ghrelin-PubChem 178024-Gi1/β1/γ2
18.18Consensusgq_class-aOrthosteric Ligandgq_peptide gq_amine gq_nucleotide
18.18Consensussst2_offOrthosteric Ligand7XNA-SST2-CYN154806
18.18Consensussst4_onOrthosteric Ligand7XMS-SST4-Somatostatin-14-Gi1/β1/γ2 7XMT-SST4-J-2156-Gi1/β1/γ2
18.18Consensussst4_on_gpOrthosteric Ligand7XMS-SST4-Somatostatin-14-Gi1/β1/γ2 7XMT-SST4-J-2156-Gi1/β1/γ2
17.86Single6IGKEndothelin-36IGK-ETB-Endothelin-3
17.86Consensusgi_endothelinOrthosteric Ligand8IY5-ETB-Endothelin-1-Gi1/β1/γ2 8HBD-ETB-IRL1620-Gi1/β1/γ2
17.65Single5IUAQ274563485IUA-A2A-Q27456348-Na
17.65Single5N2RPSB-365N2R-A2A-PSB-36-Na
17.65Single5N2SPSB365N2S-A1-PSB36
17.65Single5ZBQUR-MK-2995ZBQ-Y1-UR-MK-299
17.65Single6D26Fevipiprant6D26-DP2-Fevipiprant
17.65Single6LPLZM-2413856LPL-A2A-ZM-241385-Na
17.65Single6RZ4Pranlukast6RZ4-CysLT1-Pranlukast-Na
17.65Single6S0QZM-2413856S0Q-A2A-ZM-241385
17.65Single6WQAZM-2413856WQA-A2A-ZM-241385-Na
17.65Single7BB7AVP7BB7-V2-AVP-Gs/β1/γ2
17.65Single7RM5ZM-2413857RM5-A2A-ZM-241385-Na
17.65Single7VV0PAMP-127VV0-MRGPRX2-PAMP-12
17.65Single8FYNZM-2413858FYN-A2A-ZM-241385-Na
17.65Single8GNEKW-63568GNE-A2A-KW-6356-Na
17.65Single8IZ4Lysophosphatidylserine8IZ4-GPR34-Lysophosphatidylserine-Gi1/β1/γ2
17.65Single8QOTNanobody-E8QOT-μ-Nanobody-E
17.65Consensusdp2_offOrthosteric Ligand6D26-DP2-Fevipiprant
17.65Consensusdp_offOrthosteric Liganddp2_off
17.39Single5WF5UK-4320975WF5-A2A-UK-432097
17.39Single6LW5WKYMVm6LW5-FPR2-ALX-WKYMVm
17.39Single7MBXCholecystokinin-87MBX-CCKA-Cholecystokinin-8-Gs/β1/γ1
17.39Single7RYCOxytocin7RYC-OT-Oxytocin-chim(NtGi2L-Gs-CtGq)/β1/γ2
17.39Single7XOUCholecystokinin-87XOU-CCKA-Cholecystokinin-8-Gs/β1/γ2
17.39Single8XIRPasireotide8XIR-SST3-Pasireotide-chim(NtGi1-Gs-CtGi1)/β1/γ2
17.39Single8XZHMM078XZH-Apelin-MM07-Gi1/β1/γ2
17.39Consensusc5a1_onOrthosteric Ligand8HK5-C5a1-Complement C5-Gi1/β1/γ2 7Y66-C5a1-BM213-Gi1/β1/γ2 7Y67-C5a1-C089 peptide-Gi1/β1/γ2 7Y64-C5a1-C5a anaphylatoxin-Gi1/β1/γ2
17.39Consensuscckb_on_gpOrthosteric Ligand8IA7-CCKB-Cholecystokinin-8-chim(NtGi1L-Gq)/β1/γ2 7XOW-CCKB-Gastrin-chim(NtGi1-Gq)/β1/γ2 7F8V-CCKB-Gastrin-17-Gi2/β1/γ2
17.39Consensuscxcr4_on_gpOrthosteric Ligand8K3Z-CXCR4-CXCL12-Gi1/β1/γ1
17.39Consensusgi_somatostatinOrthosteric Ligand7WIC-SST2-Somatostatin-14-Gi1/β1/γ2 7XMS-SST4-Somatostatin-14-Gi1/β1/γ2 8X8L-SST5-Cortistatin-chim(NtGi1-Gs-CtGi1)/β1/γ2 7XMT-SST4-J-2156-Gi1/β1/γ2 7WIG-SST2-L-054,264-Gi1/β1/γ2 8X8N-SST5-Octreotide-chim(NtGi1-Gs-CtGi1)/β1/γ2 7YAE-SST2-Octreotide-Gi1/β1/γ2 7YAC-SST2-Paltusotine-Gi1/β1/γ2
17.39Consensusgs_cckOrthosteric Ligand7MBX-CCKA-Cholecystokinin-8-Gs/β1/γ1
17.39Consensuspeptide_offonOrthosteric Ligandpeptide_off peptide_on
17.39Consensussomatostatin_onOrthosteric Ligandsst2_on sst4_on sst5_on
17.39Consensussomatostatin_on_gpOrthosteric Ligandsst2_on_gp sst4_on_gp sst5_on_gp
17.24Single8HBDIRL16208HBD-ETB-IRL1620-Gi1/β1/γ2
17.24Consensusetb_on_gpOrthosteric Ligand8IY5-ETB-Endothelin-1-Gi1/β1/γ2 8HBD-ETB-IRL1620-Gi1/β1/γ2
16.67Single4IAQDihydroergotamine4IAQ-5-HT1B-Dihydroergotamine
16.67Single6OT025(S)-Epoxycholesterol6OT0-SMO-25(S)-Epoxycholesterol-Gi1/β1/γ2
16.67Single6XBM5LWE6XBM-SMO-5LWE-Gi1/β1/γ2
16.67Single7PX4PSB-21137PX4-A2A-PSB-2113
16.67Single7VDMSubstance-P7VDM-MRGPRX2-Substance-P-Gi1/β1/γ2
16.67Single7W57Neuromedin-S7W57-NMUR2-Neuromedin-S-chim(NtGi1-Gs-CtGq)/β1/γ2
16.67Single7XJLSpexin7XJL-GAL2-Spexin-chim(NtGi2L-Gs-CtGq)/β1/γ2
16.67Single7XK8Neuromedin-U-257XK8-NMUR2-Neuromedin-U-25-Gi1/β1/γ2
16.67Single7XOWGastrin7XOW-CCKB-Gastrin-chim(NtGi1-Gq)/β1/γ2
16.67Single7XWONeurokinin-A7XWO-NK2-Neurokinin-A-chim(NtGi1-Gs-CtGq)/β1/γ2
16.67Single7Y67C089 peptide7Y67-C5a1-C089 peptide-Gi1/β1/γ2
16.67Single8HQCC5a anaphylatoxin8HQC-C5a1-C5a anaphylatoxin-Go/β1/γ2
16.67Single8ID39-Hydroxystearic acid8ID3-FFA4-9-Hydroxystearic acid-Gi1/β1/γ2
16.67Single8ID6Oleic acid8ID6-FFA4-Oleic acid-Gi1/β1/γ2
16.67Single8JZPC5A anaphylatoxin8JZP-C5a1-C5A anaphylatoxin-Go/β1/γ2
16.67Single8UGWPubChem 30865998UGW-A2A-PubChem 3086599
16.67Single8VVEnorBNI8VVE-κ-norBNI-Gi1/β1/γ2
16.67Single8X8LCortistatin8X8L-SST5-Cortistatin-chim(NtGi1-Gs-CtGi1)/β1/γ2
16.67Single8ZBISomatostatin-148ZBI-SST3-Somatostatin-14-Gi1/β1/γ2
16.67Single9ASTLymphotactin9AST-XCR1-Lymphotactin-Gi1/β1/γ2
16.67Single9BKKCholecystokinin-89BKK-CCKA-Cholecystokinin-8-chim(NtGi1-Gs-CtGq)/β1/γ2
16.67Single9ITELPA9ITE-LPA6-LPA-chim(NtGi2-G13)/β1/γ2
16.67Consensusapelin_onOrthosteric Ligand8XZH-Apelin-MM07-Gi1/β1/γ2 7W0M-Apelin-PubChem 122701908-Gi1/β1/γ2 8XZJ-Apelin-WN353-Gi1/β1/γ2 8XZF-Apelin-WN561-Gi1/β1/γ2 8XZG-Apelin-Apelin-13-Gi1/β1/γ2
16.67Consensusapelin_on_gpOrthosteric Ligand8XZH-Apelin-MM07-Gi1/β1/γ2 7W0M-Apelin-PubChem 122701908-Gi1/β1/γ2 8XZJ-Apelin-WN353-Gi1/β1/γ2 8XZF-Apelin-WN561-Gi1/β1/γ2 8XZG-Apelin-Apelin-13-Gi1/β1/γ2
16.67Consensusc5a1_on_gpOrthosteric Ligand8HK5-C5a1-Complement C5-Gi1/β1/γ2 7Y66-C5a1-BM213-Gi1/β1/γ2 7Y67-C5a1-C089 peptide-Gi1/β1/γ2 7Y64-C5a1-C5a anaphylatoxin-Gi1/β1/γ2
16.67Consensusgi_class-aOrthosteric Ligandgi_peptide gi_sensory gi_alicarboxylic gi_amine gi_lipid gi_nucleotide gi_protein
16.67Consensusgi_formylpeptideOrthosteric Ligand7WVY-FPR2-ALX-Amyloid-β42-Gi2/β1/γ2 7T6U-FPR2-ALX-CGEN-855A-Gi1/β1/γ2 7VFX-FPR1-ALX-fMLF-Gi1/β1/γ2 7T6V-FPR2-ALX-fMLFII-Gi1/β1/γ2 7WVX-FPR2-ALX-Humanin-Gi2/β1/γ2 7T6S-FPR2-ALX-PubChem 24776341-Gi1/β1/γ2 6OMM-FPR2-ALX-WKYMVX-Gi1/β1/γ2
16.67Consensusgi_relaxinOrthosteric Ligand7YK7-RXFP4-DC591053-Gi2/β1/γ2 7YJ4-RXFP4-INSL5-Gi2/β1/γ2 7YK6-RXFP4-PubChem 138319674-Gi2/β1/γ2
16.67Consensusnk2_on_gpOrthosteric Ligand7XWO-NK2-Neurokinin-A-chim(NtGi1-Gs-CtGq)/β1/γ2
16.67Consensusnpy1_offOrthosteric Ligand5ZBH-Y1-BMS-193885 5ZBQ-Y1-UR-MK-299
16.67Consensusrelaxin_onOrthosteric Ligandrxfp4_on
16.67Consensusrelaxin_on_gpOrthosteric Ligandrxfp4_on_gp
16.00Single8HK5Complement C58HK5-C5a1-Complement C5-Gi1/β1/γ2
16.00Single8IA2C5a anaphylatoxin8IA2-C5a1-C5a anaphylatoxin-Go/β1/γ2
16.00Single8WWMMCH8WWM-MCH1-MCH-Gi1/β1/γ2
16.00Single8XQEApelin-138XQE-Apelin-Apelin-13-Gi1/β1/γ2
16.00Single8ZRTET-18ZRT-ETB-ET-1
16.00Single9JFYhNPSF9JFY-NPFF2-hNPSF-Gi1/β1/γ2
16.00Consensuscml1_on_gpOrthosteric Ligand7YKD-CML1-Chemerin-9-Gi1/β1/γ2
16.00Consensusopioid_onOrthosteric Ligandmop_on nop_on dop_on kop_on
16.00Consensuspac_onOrthosteric Ligandpac1_on
16.00Consensussst5_on_gpOrthosteric Ligand8X8L-SST5-Cortistatin-chim(NtGi1-Gs-CtGi1)/β1/γ2 8X8N-SST5-Octreotide-chim(NtGi1-Gs-CtGi1)/β1/γ2
15.79Single6C1RPMX536C1R-C5a1-PMX53-Avacopan; Na
15.79Single6RZ7ONO-25703666RZ7-CysLT2-ONO-2570366
15.79Single7DH5Mirabegron7DH5-β3-Mirabegron-Gs/β1/γ2
15.79Single7W0NElabela7W0N-Apelin-Elabela-Gi1/β1/γ2
15.79Single8DWCProenkephalin-A8DWC-MRGPRX1-Proenkephalin-A-chim(NtGi2L-Gs-CtGq)/β1/γ2
15.79Single8I9AEP548I9A-C3aB-EP54-chim(NtGi1-Gs-CtGq)/β1/γ2
15.79Single8ID9Eicosapentaenoic acid8ID9-FFA4-Eicosapentaenoic acid-Gi1/β1/γ2
15.79Consensusm4_onOrthosteric Ligand7TRS-M4-Acetylcholine-Gi1/β1/γ2 7V6A-M4-PubChem 9864275-Gi1/β1/γ2 8E9X-M4-2-Deoxycytidine-chim(NtGi1-Go)/β1/γ2 7TRK-M4-Iperoxo-Gi1/β1/γ2
15.79Consensusm4_on_gpOrthosteric Ligand7TRS-M4-Acetylcholine-Gi1/β1/γ2 7V6A-M4-PubChem 9864275-Gi1/β1/γ2 8E9X-M4-2-Deoxycytidine-chim(NtGi1-Go)/β1/γ2 7TRK-M4-Iperoxo-Gi1/β1/γ2
15.38Single3OE6IT1t3OE6-CXCR4-IT1t
15.38Single4XT3Fractalkine4XT3-US28-Fractalkine
15.38Single5WKTOctyl-Beta-D-Glucopyranoside5WKT-Rhodopsin-Octyl-β-D-Glucopyranoside-Gt(CT)
15.38Single6D32Cyclopamine6D32-SMO-Cyclopamine-Cyclopamine
15.38Single6FJ3PTH6FJ3-PTH1-PTH
15.38Single6ME5Agomelatine6ME5-MT1-Agomelatine
15.38Single7D77Hydrocortisone7D77-ADGRG3-Hydrocortisone-Go/β1/γ2
15.38Single7W3ZGastrin Releasing Peptide7W3Z-BB2-Gastrin Releasing Peptide-chim(NtGi1L-Gq)/β1/γ2
15.38Single7YKDChemerin-97YKD-CML1-Chemerin-9-Gi1/β1/γ2
15.38Single8F76Propanoic acid8F76-OR51E2-Propanoic acid-Gs/β1/γ2
15.38Single8H0PNMB308H0P-BB1-NMB30-chim(NtGi1-Gs-CtGq)/β1/γ2
15.38Single8J6QCompound 9n8J6Q-HCA2-β-Hydroxybutyrate-Compound 9n-Gi1/β1/γ2
15.38Single8XVEBQ30208XVE-ETB-BQ3020-chim(Gs-CtGq)/β1/γ2
15.38Single8Y63C20:0 Ceramide8Y63-FPR2-ALX-C20:0 Ceramide-Gi1/β1/γ2
15.38Single9IV15alpha-DHT9IV1-ADGRD1-5α-DHT-chim(NtGi1-Gs)/β1/γ2
15.38Single9JHJC18:0 Ceramide9JHJ-FPR2-ALX-C18:0 Ceramide-Gi1/β1/γ2
15.38Single9KFKRelaxin-39KFK-RXFP4-Relaxin-3-Gi2/β1/γ2
15.38Consensusctlike_onOrthosteric Ligand6E3Y-CT Like-Calcitonin gene-related peptide-1-Gs/β1/γ2; RAMP1
15.38Consensusopioid_on_gpOrthosteric Ligandmop_on_gp nop_on_gp dop_on_gp kop_on_gp
15.38Consensuspac_on_gpOrthosteric Ligandpac1_on_gp
15.15Consensusmc2_onOrthosteric Ligand8GY7-MC2-Corticotropin-Ca-chim(NtGi1-Gs)/β1/γ2; MRAP1
15.15Consensusmc2_on_gpOrthosteric Ligand8GY7-MC2-Corticotropin-Ca-chim(NtGi1-Gs)/β1/γ2; MRAP1
15.00Single4NC3Ergotamine4NC3-5-HT2B-Ergotamine
15.00Single5TUDErgotamine5TUD-5-HT2B-Ergotamine
15.00Single6BQGErgotamine6BQG-5-HT2C-Ergotamine
15.00Single6M1HMaxadilan6M1H-PAC1-Maxadilan-Gs/β1/γ2
15.00Single6RZ9ONO-27703726RZ9-CysLT2-ONO-2770372
15.00Single7MBYCholecystokinin-87MBY-CCKA-Cholecystokinin-8-chim(NtGi1L-Gs-CtGq)/β1/γ2
15.00Single7WVVfMLFII7WVV-FPR2-ALX-fMLFII-Gi2/β1/γ2
15.00Single7X8RBOC57X8R-GLP-1-BOC5-Gs/β1/γ2
15.00Single7Y65C5a peptide7Y65-C5a1-C5a peptide-Gi1/β1/γ2
15.00Single8IYSTUG-8918IYS-FFA4-TUG-891-GDP-chim(NtGi1L-Gq)/β1/γ2
15.00Single8XBES3E-LysoPS8XBE-GPR34-S3E-LysoPS-Gi1/β1/γ1
15.00Single8ZX4Lysophosphatidylinositol 8ZX4-GPR55-Lysophosphatidylinositol-chim(NtGi1-G13)/β1/γ2
15.00Single9JH5C16:0 Ceramide9JH5-CysLT2-C16:0 Ceramide-chim(NtGi1-Gs-CtGq)/β1/γ2
15.00Consensusclass-a_onOrthosteric Ligandsensory_on alicarboxylic_on amine_on lipid_on nucleotide_on peptide_on protein_on
15.00Consensuscyslt2_offOrthosteric Ligand6RZ7-CysLT2-ONO-2570366 6RZ8-CysLT2-ONO-2080365 6RZ9-CysLT2-ONO-2770372
15.00Consensusnk2_onOrthosteric Ligand7XWO-NK2-Neurokinin-A-chim(NtGi1-Gs-CtGq)/β1/γ2
15.00Consensusprostanoid_offOrthosteric Ligandep_off dp_off
14.81Single7EIBDes-Arg10-Kallidin7EIB-BK1-Des-Arg10-Kallidin-chim(NtGi1-Gs-CtGq)/β1/γ2
14.81Single7WVYAmyloid-Beta427WVY-FPR2-ALX-Amyloid-β42-Gi2/β1/γ2
14.81Single8FEG(DNCP)-Beta-Naloxamine8FEG-κ-(DNCP)-β-Naloxamine-Gi1/β1/γ2
14.81Single8WWLMCH8WWL-MCH1-MCH-Gi1/β1/γ2
14.81Single8XWPEndothelin-18XWP-ETB-Endothelin-1-Gi1/β1/γ2
14.81Single9KDFRES-701-39KDF-ETB-RES-701-3
14.29Single3OE9IT1t3OE9-CXCR4-IT1t
14.29Single5VBLApelin mimetic peptide agonist5VBL-Apelin-Apelin mimetic peptide agonist
14.29Single6C1QPMX536C1Q-C5a1-PMX53-NDT9513727
14.29Single6G79Donitriptan6G79-5-HT1B-Donitriptan-Go/β1/γ2
14.29Single6LI0C176LI0-GPR52-C17
14.29Single6OMMWKYMVX6OMM-FPR2-ALX-WKYMVX-Gi1/β1/γ2
14.29Single6RZ6ONO-25703666RZ6-CysLT2-ONO-2570366
14.29Single7D76Beclomethasone7D76-ADGRG3-Beclomethasone-Go/β1/γ2
14.29Single7F9ZGHRP-67F9Z-Ghrelin-GHRP-6-chim(NtGi1-Gs-CtGq)/β1/γ2
14.29Single7RKFFractalkine7RKF-US28-Fractalkine-GDP-chim(NtGi1-G11)/β1/γ2
14.29Single7S8OR-Zinc-35737S8O-MRGPRX2-R-Zinc-3573-Gi1/β1/γ2
14.29Single7T11Octreotide7T11-SST2-Octreotide-Gi3/β1/γ2
14.29Single7UL2SR486927UL2-NTS1-SR48692-Na
14.29Single7VUIJNJ-635330547VUI-GPR139-JNJ-63533054-GTP-chim(Gs-CtGq)/β1/γ2
14.29Single7X8SWB4-247X8S-GLP-1-WB4-24-Gs/β1/γ2
14.29Single7XN9L-054,5227XN9-SST2-L-054,522
14.29Single7YJ4INSL57YJ4-RXFP4-INSL5-Gi2/β1/γ2
14.29Single8H4IDoconexent8H4I-FFA4-Doconexent-chim(NtGi1-Gs)/β1/γ2
14.29Single8IA7Cholecystokinin-88IA7-CCKB-Cholecystokinin-8-chim(NtGi1L-Gq)/β1/γ2
14.29Single8J6PCompound 9n8J6P-HCA2-Niacin-Compound 9n-Gi1/β1/γ2
14.29Single8JHYCompound 9n8JHY-HCA2-Compound 9n-Gi1/β1/γ2
14.29Single8JIICompound 9n8JII-HCA2-Niacin-Compound 9n-Gi1/β1/γ2
14.29Single8JILNiacin8JIL-HCA2-Niacin-Gi1/β1/γ2
14.29Single8RWHStilSwitch28RWH-A2A-StilSwitch2-Na
14.29Single8SAI1-Oleoyl-2-Hydroxy-Sn-Glycero-3-Phospho-L-Serine8SAI-GPR34-1-Oleoyl-2-Hydroxy-Sn-Glycero-3-Phospho-L-Serine-Gi1/β1/γ2
14.29Single8WWNMCH8WWN-MCH1-MCH-Gi1/β1/γ2
14.29Single8Y52BA18Y52-BB3-BA1-chim(NtGi1-Gs-CtGq)/β1/γ2
14.29Single9B9Y7DY9B9Y-CB1-7DY
14.29Single9IQTNiacin9IQT-HCA2-Niacin-Gi1/β1/γ2
14.29Single9ITBLPA9ITB-LPA6-LPA-chim(NtGi1-Gs-CtGq)/β1/γ2
14.29Single9LMPNE52-QQ579LMP-GPR4-NE52-QQ57
14.29Consensusadgrg_onOrthosteric Ligandadgrg2_on adgrg4_on
14.29Consensusadgrg_on_gpOrthosteric Ligandadgrg2_on_gp adgrg4_on_gp
14.29Consensusctlike_on_gpOrthosteric Ligand6E3Y-CT Like-Calcitonin gene-related peptide-1-Gs/β1/γ2; RAMP1
14.29Consensusgs_melanocortinOrthosteric Ligand7F4H-MC1-Afamelanotide-chim(NtGi1-Gs)/β1/γ2 7F54-MC4-Afamelanotide-Gs/β1/γ2 7F4D-MC1-α-MSH-chim(NtGi1-Gs)/β1/γ2 8INR-MC5-α-MSH-Ca-chim(NtGi1-Gs)/β1/γ2 7F53-MC4-α-MSH-Gs/β1/γ2 7F55-MC4-Bremelanotide-Gs/β1/γ2 8GY7-MC2-Corticotropin-Ca-chim(NtGi1-Gs)/β1/γ2; MRAP1 8IOC-MC3-γ-MSH-Ca-chim(NtGi1-Gs)/β1/γ2 8IOD-MC5-PG-901-Ca-chim(NtGi1-Gs)/β1/γ2 7AUE-MC4-Setmelanotide-chim(NtGi1L-Gs)/β1/γ2 7F4I-MC1-SHU9119-chim(NtGi1-Gs)/β1/γ2 7F58-MC4-THIQ-Gs/β1/γ2
14.29Consensuskiss1_onOrthosteric Ligand8ZJD-Kiss1-Kisspeptin-10-chim(NtGi1-Gq)/β1/γ1
14.29Consensuskisspeptin_onOrthosteric Ligandkiss1_on
14.29Consensusneurotensin_offOrthosteric Ligandnts1_off
14.29Consensusnts1_offOrthosteric Ligand7UL2-NTS1-SR48692-Na
14.29Consensusox2_onOrthosteric Ligand7L1V-OX2-PubChem 155491009-chim(NtGi1-Gs-CtGq)/β1/γ2 7SQO-OX2-TAK-925-Gi1/β1/γ2 7L1U-OX2-Orexin-chim(NtGi1-Gs-CtGq)/β1/γ2
14.29Consensusox2_on_gpOrthosteric Ligand7L1V-OX2-PubChem 155491009-chim(NtGi1-Gs-CtGq)/β1/γ2 7SQO-OX2-TAK-925-Gi1/β1/γ2 7L1U-OX2-Orexin-chim(NtGi1-Gs-CtGq)/β1/γ2
13.79Single8ZJETAK-4488ZJE-Kiss1-TAK-448-chim(NtGi1-Gq)/β1/γ1
13.64Single4IARErgotamine4IAR-5-HT1B-Ergotamine
13.64Single4IB4Ergotamine4IB4-5-HT2B-Ergotamine
13.64Single4XT1Fractalkine4XT1-US28-Fractalkine
13.64Single6RZ8ONO-20803656RZ8-CysLT2-ONO-2080365
13.64Single7F54Afamelanotide7F54-MC4-Afamelanotide-Gs/β1/γ2
13.64Single7WKDTRH7WKD-TRH-TRH-chim(NtGi1-Gs-CtGq)/β1/γ2
13.64Single7WVWfMYFINILTL7WVW-FPR2-ALX-fMYFINILTL-Gi2/β1/γ2
13.64Single8DWGProenkephalin-A8DWG-MRGPRX1-Proenkephalin-A-ML382-chim(NtGi2L-Gs-CtGq)/β1/γ2
13.64Single8G59TUG-8918G59-FFA4-TUG-891-chim(Gi1-CtGq)/β1/γ2
13.64Single8U4OCXCL128U4O-CXCR4-CXCL12-Gi1/β1/γ2
13.64Single8WDTphotoNECA8WDT-A2A-photoNECA
13.64Single8WZ2Orexigenic Neuropeptide QRFP8WZ2-QRFP-Orexigenic Neuropeptide QRFP-chim(NtGi1L-Gs-CtGq)/β1/γ2
13.64Single8XBHS3E-LysoPS8XBH-GPR34-S3E-LysoPS-Gi1/β1/γ2
13.64Single8ZJDKisspeptin-108ZJD-Kiss1-Kisspeptin-10-chim(NtGi1-Gq)/β1/γ1
13.64Single9HB3Mambaquaretin-19HB3-V2-Mambaquaretin-1
13.64Single9J0IUDP-Glucuronic acid9J0I-P2Y14-UDP-Glucuronic acid-Gi1/β1/γ2
13.64Consensusgq_kisspeptinOrthosteric Ligand8ZJD-Kiss1-Kisspeptin-10-chim(NtGi1-Gq)/β1/γ1
13.64Consensuskiss1_on_gpOrthosteric Ligand8ZJD-Kiss1-Kisspeptin-10-chim(NtGi1-Gq)/β1/γ1
13.64Consensuskisspeptin_on_gpOrthosteric Ligandkiss1_on_gp
13.64Consensussomatostatin_offOrthosteric Ligandsst2_off
13.33Single2X72All-trans-Retinal2X72-Rhodopsin-All-trans-Retinal-Gt(CT)
13.33Single3ODUIT1t3ODU-CXCR4-IT1t
13.33Single3VG9ZM-2413853VG9-A2A-ZM-241385-Antibody
13.33Single5K2DZM-2413855K2D-A2A-ZM-241385-Na
13.33Single5U09Taranabant5U09-CB1-Taranabant
13.33Single5ZKQABT-4915ZKQ-PAF-ABT-491
13.33Single6JZHZM-2413856JZH-A2A-ZM-241385-Na
13.33Single6ME9Ramelteon6ME9-MT2-Ramelteon
13.33Single6NWEOctyl-Beta-D-Glucopyranoside6NWE-Rhodopsin-Octyl-β-D-Glucopyranoside-Gt(CT)
13.33Single6PS7ZM-2413856PS7-A2A-ZM-241385-Na
13.33Single6ZA8RTI-3a6ZA8-NTS1-RTI-3a
13.33Single7BR3Elagolix7BR3-GnRH1-Elagolix
13.33Single7F8ULintitript7F8U-CCKA-Lintitript
13.33Single7F8YDevazepide7F8Y-CCKA-Devazepide
13.33Single7LCJDanuglipron7LCJ-GLP-1-Danuglipron
13.33Single7VDLCortistatin-147VDL-MRGPRX2-Cortistatin-14-Gi1/β1/γ2
13.33Single7VUJJNJ-635330547VUJ-GPR139-JNJ-63533054-GDP-chim(Gs-CtGq)/β1/γ2
13.33Single7W0MPubChem 1227019087W0M-Apelin-PubChem 122701908-Gi1/β1/γ2
13.33Single7WF7S1P7WF7-S1P1-S1P-Gi1/β1/γ2
13.33Single8DWHPubChem 1390305318DWH-MRGPRX1-PubChem 139030531-chim(NtGi2L-Gs-CtGq)/β1/γ2
13.33Single8HMPC178HMP-GPR52-C17-Gs/β1/γ2
13.33Single8IJBAcipimox8IJB-HCA2-Acipimox-Gi1/β1/γ2
13.33Single8J6LNiacin8J6L-HCA2-Niacin-Gi1/β1/γ2
13.33Single8RW0Istradefylline8RW0-A2A-Istradefylline-Na
13.33Single8U4PAMD31008U4P-CXCR4-AMD3100-Gi1/β1/γ2
13.33Consensusgnrh1_offOrthosteric Ligand7BR3-GnRH1-Elagolix
13.33Consensusmelanocortin_onOrthosteric Ligandmc1_on mc4_on mc2_on mc3_on mc5_on
13.33Consensusmelanocortin_on_gpOrthosteric Ligandmc1_on_gp mc4_on_gp mc2_on_gp mc3_on_gp mc5_on_gp
13.33Consensuspaf_offOrthosteric Ligand5ZKQ-PAF-ABT-491
13.04Single7VBINon-Acylated Tirzepatide7VBI-GLP-1-Non-Acylated Tirzepatide-Gs/β1/γ2
13.04Single8F7QBeta-Endorphin8F7Q-μ-β-Endorphin-Gi1/β1/γ2
13.04Single8IEBA1LYA8IEB-GPR156-A1LYA
13.04Single8IOCGamma-MSH8IOC-MC3-γ-MSH-Ca-chim(NtGi1-Gs)/β1/γ2
13.04Single8SG1Chemerin-98SG1-CML1-Chemerin-9-Gi1/β1/γ2
13.04Single8XYDPlatelet Activating Factor8XYD-PAF-Platelet Activating Factor-Gi1/β1/γ2
13.04Single9E82SDF-1-beta9E82-ACKR3-SDF-1-β-Arrestin2
13.04Single9EAINanobody AT2099EAI-AT1-Losartan-Nanobody AT209
13.04Single9J0FNADH9J0F-P2Y14-NADH-Gi1/β1/γ2
13.04Single9KFIRelaxin-39KFI-RXFP3-Relaxin-3-Gi2/β1/γ2
12.90Consensusgs_peptideOrthosteric Ligandgs_cck gs_melanocortin gs_vasop-oxy
12.82Single8GY7Corticotropin8GY7-MC2-Corticotropin-Ca-chim(NtGi1-Gs)/β1/γ2; MRAP1
12.50Single5IU4ZM-2413855IU4-A2A-ZM-241385-Na
12.50Single5IU7Q274563465IU7-A2A-Q27456346-Na
12.50Single5IUBQ274563445IUB-A2A-Q27456344-Na
12.50Single5JTBZM-2413855JTB-A2A-ZM-241385
12.50Single5K2CZM-2413855K2C-A2A-ZM-241385-Na
12.50Single5NM4ZM-2413855NM4-A2A-ZM-241385-Na
12.50Single5TE3Octyl-Beta-D-Glucopyranoside5TE3-Rhodopsin-Octyl-β-D-Glucopyranoside
12.50Single6D32Cyclopamine6D32-SMO-Cyclopamine-Cyclopamine
12.50Single6D35Cholesterol6D35-SMO-Cholesterol
12.50Single6ME32-Phenylmelatonin6ME3-MT1-2-Phenylmelatonin
12.50Single6ME42-Iodomelatonin6ME4-MT1-2-Iodomelatonin
12.50Single6N51Quisqualate6N51-mGlu5; mGlu5-Quisqualate
12.50Single6N51Quisqualate6N51-mGlu5; mGlu5-Quisqualate
12.50Single6UO8SKF975416UO8-GABAB1, GABAB2-SKF97541-GS39783
12.50Single6UO9SKF975416UO9-GABAB1, GABAB2-SKF97541
12.50Single6W2XPubChem 53110426W2X-GABAB1, GABAB2-PubChem 5311042
12.50Single6W2YPubChem 53110426W2Y-GABAB1; GABAB1-PubChem 5311042
12.50Single6W2YPubChem 53110426W2Y-GABAB1; GABAB1-PubChem 5311042
12.50Single6ZDRHMS1413f126ZDR-A2A-HMS1413f12-Na
12.50Single6ZINSR486926ZIN-NTS1-SR48692
12.50Single7AROLUF58337ARO-A2A-LUF5833-Na
12.50Single7BB6AVP7BB6-V2-AVP-Gs/β1/γ2
12.50Single7C2EPubChem 1490507997C2E-GLP-1-PubChem 149050799-Gs/β1/γ2
12.50Single7C7QBaclofen7C7Q-GABAB1, GABAB2-Baclofen-BHFF
12.50Single7C7SCGP546267C7S-GABAB1, GABAB2-CGP54626
12.50Single7CUMCGP546267CUM-GABAB1, GABAB2-CGP54626
12.50Single7DD5Ca7DD5-CaS-Ca-Ca; Ca; Tryptophan; NPS-2143
12.50Single7DD5Ca; Ca; Tryptophan; NPS-21437DD5-CaS-Ca-Ca; Ca; Tryptophan; NPS-2143
12.50Single7DD5Ca7DD5-CaS-Ca-Ca; Ca; Tryptophan; NPS-2143
12.50Single7DD5Ca; Ca; Tryptophan; NPS-21437DD5-CaS-Ca-Ca; Ca; Tryptophan; NPS-2143
12.50Single7DGEQuisqualate7DGE-mGlu1; mGlu1-Quisqualate
12.50Single7DTTCa7DTT-CaS-Ca-Ca
12.50Single7DTTCa7DTT-CaS-Ca-Ca
12.50Single7DTUTryptophan7DTU-CaS-Tryptophan
12.50Single7DTUTryptophan7DTU-CaS-Tryptophan
12.50Single7DTVCa7DTV-CaS-Ca-Ca; Tryptophan
12.50Single7DTVCa; Tryptophan7DTV-CaS-Ca-Ca; Tryptophan
12.50Single7DTVCa7DTV-CaS-Ca-Ca; Tryptophan
12.50Single7DTVCa; Tryptophan7DTV-CaS-Ca-Ca; Tryptophan
12.50Single7E6TCa7E6T-CaS-Ca-Ca; Ca; Cyclomethyltryptophan; PO4
12.50Single7E6TCa; Ca; Cyclomethyltryptophan; PO47E6T-CaS-Ca-Ca; Ca; Cyclomethyltryptophan; PO4
12.50Single7E6TCa7E6T-CaS-Ca-Ca; Ca; Cyclomethyltryptophan; PO4
12.50Single7E6TCa; Ca; Cyclomethyltryptophan; PO47E6T-CaS-Ca-Ca; Ca; Cyclomethyltryptophan; PO4
12.50Single7E9GEglumetad7E9G-mGlu2; mGlu2-Eglumetad-JNJ-40411813-Gi1/β1/γ2
12.50Single7E9GEglumetad7E9G-mGlu2; mGlu2-Eglumetad-JNJ-40411813-Gi1/β1/γ2
12.50Single7E9HPhosphoserine7E9H-mGlu4; mGlu4-Phosphoserine-Gi3/β1/γ2
12.50Single7E9HPhosphoserine7E9H-mGlu4; mGlu4-Phosphoserine-Gi3/β1/γ2
12.50Single7EB2Baclofen7EB2-GABAB2; GABAB1-Baclofen-rac-BHFF-Gi1/β1/γ2
12.50Single7EPBEglumetad7EPB-mGlu2; mGlu2-Eglumetad
12.50Single7EPBEglumetad7EPB-mGlu2; mGlu2-Eglumetad
12.50Single7F61PF-036547467F61-H3-PF-03654746
12.50Single7FD8Quisqualate7FD8-mGlu5; mGlu5-Quisqualate
12.50Single7FD8Quisqualate7FD8-mGlu5; mGlu5-Quisqualate
12.50Single7FD9LY3414957FD9-mGlu5; mGlu5-LY341495
12.50Single7FD9LY3414957FD9-mGlu5; mGlu5-LY341495
12.50Single7FIHhCG7FIH-LH-hCG-Org43553-chim(NtGi1-Gs)/β1/γ2
12.50Single7FIIhCG7FII-LH-hCG-chim(NtGi1-Gs)/β1/γ2
12.50Single7M3ECa; Ca; Tryptophan; NPS-21437M3E-CaS-Ca; Ca; Tryptophan; NPS-2143
12.50Single7M3ECa; Ca; Tryptophan; NPS-21437M3E-CaS-Ca; Ca; Tryptophan; NPS-2143
12.50Single7M3FCa; Ca; Tryptophan; Cinacalcet; PO47M3F-CaS-Ca; Ca; Tryptophan; Cinacalcet; PO4
12.50Single7M3FCa; Ca; Tryptophan; Cinacalcet; PO47M3F-CaS-Ca; Ca; Tryptophan; Cinacalcet; PO4
12.50Single7M3GCa; Ca; Tryptophan; Evocalcet; Etelcalcetide; PO47M3G-CaS-Ca; Ca; Tryptophan; Evocalcet; Etelcalcetide; PO4
12.50Single7M3GCa; Ca; Tryptophan; Evocalcet; Etelcalcetide; PO47M3G-CaS-Ca; Ca; Tryptophan; Evocalcet; Etelcalcetide; PO4
12.50Single7M3GCa; Ca; Tryptophan; Evocalcet; Etelcalcetide; PO47M3G-CaS-Ca; Ca; Tryptophan; Evocalcet; Etelcalcetide; PO4
12.50Single7M3GCa; Ca; Tryptophan; Evocalcet; Etelcalcetide; PO47M3G-CaS-Ca; Ca; Tryptophan; Evocalcet; Etelcalcetide; PO4
12.50Single7MTQLY3414957MTQ-mGlu2; mGlu2-LY341495
12.50Single7MTQLY3414957MTQ-mGlu2; mGlu2-LY341495
12.50Single7MTRGlutamate7MTR-mGlu2; mGlu2-Glutamate-ADX55164
12.50Single7MTRGlutamate7MTR-mGlu2; mGlu2-Glutamate-ADX55164
12.50Single7MTSGlutamate7MTS-mGlu2; mGlu2-Glutamate-ADX55164-Gi1/β1/γ2
12.50Single7MTSGlutamate7MTS-mGlu2; mGlu2-Glutamate-ADX55164-Gi1/β1/γ2
12.50Single7SILCa7SIL-CaS-Ca-Ca; Ca; Ca; Cyclomethyltryptophan; 9IG; PO4
12.50Single7SILCa; Ca; Ca; Cyclomethyltryptophan; 9IG; PO47SIL-CaS-Ca-Ca; Ca; Ca; Cyclomethyltryptophan; 9IG; PO4
12.50Single7SILCa7SIL-CaS-Ca-Ca; Ca; Ca; Cyclomethyltryptophan; 9IG; PO4
12.50Single7SILCa; Ca; Ca; Cyclomethyltryptophan; 9IG; PO47SIL-CaS-Ca-Ca; Ca; Ca; Cyclomethyltryptophan; 9IG; PO4
12.50Single7SIMCa7SIM-CaS-Ca-Ca; Ca; Cyclomethyltryptophan; PO4
12.50Single7SIMCa; Ca; Cyclomethyltryptophan; PO47SIM-CaS-Ca-Ca; Ca; Cyclomethyltryptophan; PO4
12.50Single7SIMCa7SIM-CaS-Ca-Ca; Ca; Cyclomethyltryptophan; PO4
12.50Single7SIMCa; Ca; Cyclomethyltryptophan; PO47SIM-CaS-Ca-Ca; Ca; Cyclomethyltryptophan; PO4
12.50Single7T32ZM-2413857T32-A2A-ZM-241385
12.50Single7T6TfMLFII7T6T-FPR1-ALX-fMLFII-Gi1/β1/γ2
12.50Single7T9NM22 Fab7T9N-TSH-M22 Fab-DPPC-Gs/β1/γ2
12.50Single7WI6LY3414957WI6-mGlu3; mGlu3-LY341495
12.50Single7WI6LY3414957WI6-mGlu3; mGlu3-LY341495
12.50Single7WI8LY3414957WI8-mGlu3; mGlu3-LY341495
12.50Single7WI8LY3414957WI8-mGlu3; mGlu3-LY341495
12.50Single7WIHLY27941937WIH-mGlu3; mGlu3-LY2794193
12.50Single7WIHLY27941937WIH-mGlu3; mGlu3-LY2794193
12.50Single7WVUfMLF7WVU-FPR1-ALX-fMLF-Gi1/β1/γ2
12.50Single7XW6M22 Fab7XW6-TSH-M22 Fab-ML109-Gs/β1/γ2
12.50Single7XW7K1-707XW7-TSH-K1-70
12.50Single7YK6PubChem 1383196747YK6-RXFP4-PubChem 138319674-Gi2/β1/γ2
12.50Single8H4LDoconexent8H4L-FFA4-Doconexent-chim(NtGi1-Gs-CtGq)/β1/γ2
12.50Single8HQN9-S-HODE8HQN-GPR132-9-S-HODE-Gi1/β1/γ2
12.50Single8IHKAcifran8IHK-HCA3-Acifran
12.50Single8IY9Niacin8IY9-HCA2-Niacin-Go/β1/γ2
12.50Single8JCULY3414958JCU-mGlu2; mGlu3-LY341495
12.50Single8JCULY3414958JCU-mGlu2; mGlu3-LY341495
12.50Single8JCVLY3414958JCV-mGlu2; mGlu3-LY341495
12.50Single8JCVLY3414958JCV-mGlu2; mGlu3-LY341495
12.50Single8JCWLY3414958JCW-mGlu2; mGlu3-LY341495
12.50Single8JCWLY3414958JCW-mGlu2; mGlu3-LY341495
12.50Single8JCXLY3414958JCX-mGlu2; mGlu3-LY341495
12.50Single8JCXLY3414958JCX-mGlu2; mGlu3-LY341495
12.50Single8JCYLY3414958JCY-mGlu2; mGlu3-LY341495
12.50Single8JCYLY3414958JCY-mGlu2; mGlu3-LY341495
12.50Single8JCZLY3414958JCZ-mGlu2; mGlu3-LY341495
12.50Single8JCZLY3414958JCZ-mGlu2; mGlu3-LY341495
12.50Single8JD0Glutamate8JD0-mGlu2; mGlu3-Glutamate-NAM563
12.50Single8JD1Glutamate8JD1-mGlu2; mGlu3-Glutamate
12.50Single8JD1Glutamate8JD1-mGlu2; mGlu3-Glutamate
12.50Single8JD2Glutamate8JD2-mGlu2; mGlu3-Glutamate
12.50Single8JD2Glutamate8JD2-mGlu2; mGlu3-Glutamate
12.50Single8JD3Glutamate8JD3-mGlu2; mGlu3-Glutamate-JNJ-40411813-Gi1/β1/γ2
12.50Single8JD3Glutamate8JD3-mGlu2; mGlu3-Glutamate-JNJ-40411813-Gi1/β1/γ2
12.50Single8JD4Glutamate8JD4-mGlu2; mGlu4-Glutamate
12.50Single8JD4Glutamate8JD4-mGlu2; mGlu4-Glutamate
12.50Single8JD5Glutamate8JD5-mGlu2; mGlu4-Glutamate-JNJ-40411813; ADX88178-Gi1/β1/γ2
12.50Single8JD5Glutamate8JD5-mGlu2; mGlu4-Glutamate-JNJ-40411813; ADX88178-Gi1/β1/γ2
12.50Single8JD6Phosphoserine8JD6-mGlu4; mGlu4-Phosphoserine-VU0364770-Gi3/β1/γ2
12.50Single8JD6Phosphoserine8JD6-mGlu4; mGlu4-Phosphoserine-VU0364770-Gi3/β1/γ2
12.50Single8JEI3-nitro-4-(propylamino)benzoic acid8JEI-HCAR3-3-nitro-4-(propylamino)benzoic acid-Gi1/β1/γ2
12.50Single8JERAcipimox8JER-HCA2-Acipimox-Go/β1/γ2
12.50Single8JIMMMF8JIM-HCA2-MMF-Gi1/β1/γ2
12.50Single8RQQZM-2413858RQQ-A2A-ZM-241385-Na
12.50Single8RWIStilSwitch28RWI-A2A-StilSwitch2-Na
12.50Single8SZFCa; Ca; Tryptophan; Cinacalcet; PO4; Spermine8SZF-CaS-Ca; Ca; Tryptophan; Cinacalcet; PO4; Spermine
12.50Single8SZFCa; Ca; Tryptophan; Cinacalcet; PO4; Spermine8SZF-CaS-Ca; Ca; Tryptophan; Cinacalcet; PO4; Spermine
12.50Single8SZGCa; Ca; Tryptophan; Cinacalcet; PO4; Spermine8SZG-CaS-Ca; Ca; Tryptophan; Cinacalcet; PO4; Spermine-chim(NtGi1-Gq)/β1/γ2
12.50Single8T7HQuisqualate8T7H-mGlu5; mGlu5-Quisqualate
12.50Single8T7HQuisqualate8T7H-mGlu5; mGlu5-Quisqualate
12.50Single8T8MQuisqualate8T8M-mGlu5; mGlu5-Quisqualate
12.50Single8T8MQuisqualate8T8M-mGlu5; mGlu5-Quisqualate
12.50Single8TAOQuisqualate8TAO-mGlu5; mGlu5-Quisqualate-CDPPB
12.50Single8TAOQuisqualate8TAO-mGlu5; mGlu5-Quisqualate-CDPPB
12.50Single8TQBCa; PAM VU60233268TQB-mGlu3; mGlu3-Ca; PAM VU6023326-Ca
12.50Single8TQBCa; PAM VU60233268TQB-mGlu3; mGlu3-Ca; PAM VU6023326-Ca
12.50Single8TR0LY3414958TR0-mGlu3; mGlu3-LY341495
12.50Single8TR0LY3414958TR0-mGlu3; mGlu3-LY341495
12.50Single8TR2Ca; LY3792688TR2-mGlu3; mGlu3-Ca; LY379268-Ca
12.50Single8TR2Ca; LY3792688TR2-mGlu3; mGlu3-Ca; LY379268-Ca
12.50Single8TRCLY3414958TRC-mGlu3; mGlu3-LY341495
12.50Single8TRCLY3414958TRC-mGlu3; mGlu3-LY341495
12.50Single8TRDLY3414958TRD-mGlu3; mGlu3-LY341495
12.50Single8TRDLY3414958TRD-mGlu3; mGlu3-LY341495
12.50Single8WG9(2S)-2-amino-4-phosphonobutanoic acid8WG9-mGlu4; mGlu2-(2S)-2-amino-4-phosphonobutanoic acid
12.50Single8WGBGlutammate8WGB-mGlu4; mGlu2-Glutammate-VU0155041-Gi3/β1/γ2
12.50Single8WGBGlutammate8WGB-mGlu4; mGlu2-Glutammate-VU0155041-Gi3/β1/γ2
12.50Single8WGCLY3792688WGC-mGlu4; mGlu2-LY379268
12.50Single8WGDWAG; WA68WGD-mGlu4; mGlu2-WAG; WA6
12.50Single8WGDWAG; WA68WGD-mGlu4; mGlu2-WAG; WA6
12.50Single8WPGTryptophan; Cinacalcet; PO4; Ca8WPG-CaS-Tryptophan; Cinacalcet; PO4; Ca
12.50Single8WPGTryptophan; Cinacalcet; PO4; Ca8WPG-CaS-Tryptophan; Cinacalcet; PO4; Ca
12.50Single8WPUTryptophan; Cinacalcet; PO4; Ca8WPU-CaS-Tryptophan; Cinacalcet; PO4; Ca-chim(NtGi2L-Gs-CtGq)/β1/γ2
12.50Single8WPUTryptophan; Cinacalcet; PO4; Ca8WPU-CaS-Tryptophan; Cinacalcet; PO4; Ca-chim(NtGi2L-Gs-CtGq)/β1/γ2
12.50Single8WVXNorrin8WVX-LGR4-Norrin
12.50Single8WVYNorrin8WVY-LGR4-Norrin
12.50Single8X0BQuisqualate8X0B-mGlu5; mGlu5-Quisqualate-VU0424465
12.50Single8X0BQuisqualate8X0B-mGlu5; mGlu5-Quisqualate-VU0424465
12.50Single8X0CQuisqualate8X0C-mGlu5; mGlu5-Quisqualate-VU0424465
12.50Single8X0CQuisqualate8X0C-mGlu5; mGlu5-Quisqualate-VU0424465
12.50Single8X0DQuisqualate8X0D-mGlu5; mGlu5-Quisqualate-VU0424465
12.50Single8X0DQuisqualate8X0D-mGlu5; mGlu5-Quisqualate-VU0424465
12.50Single8X0EQuisqualate8X0E-mGlu5; mGlu5-Quisqualate
12.50Single8X0EQuisqualate8X0E-mGlu5; mGlu5-Quisqualate
12.50Single8X0FQuisqualate8X0F-mGlu5; mGlu5-Quisqualate-VU0424465
12.50Single8X0FQuisqualate8X0F-mGlu5; mGlu5-Quisqualate-VU0424465
12.50Single8X0GQuisqualate8X0G-mGlu5; mGlu5-Quisqualate
12.50Single8X0GQuisqualate8X0G-mGlu5; mGlu5-Quisqualate
12.50Single8X0HQuisqualate8X0H-mGlu5; mGlu5-Quisqualate
12.50Single8X0HQuisqualate8X0H-mGlu5; mGlu5-Quisqualate
12.50Single8XGUTAK4488XGU-Kiss1-TAK448-Gi1/β1/γ2
12.50Single8XUMR-spondin-28XUM-LGR4-R-spondin-2
12.50Single8XZGApelin-138XZG-Apelin-Apelin-13-Gi1/β1/γ2
12.50Single8ZPMAMD0708ZPM-CXCR4-AMD070
12.50Single8ZPNAMD31008ZPN-CXCR4-AMD3100
12.50Single9ASBCa9ASB-CaS-Ca-Ca; Ca; Cyclomethyltryptophan; 9IG; PO4-chim(NtGi1-Gs-CtGq)/β1/γ2
12.50Single9ASBCa; Ca; Cyclomethyltryptophan; 9IG; PO49ASB-CaS-Ca-Ca; Ca; Cyclomethyltryptophan; 9IG; PO4-chim(NtGi1-Gs-CtGq)/β1/γ2
12.50Single9AVGCa9AVG-CaS-Ca-Ca; Ca; Cyclomethyltryptophan; 9IG; PO4-chim(NtGi1-Gs)/β1/γ2
12.50Single9AVGCa; Ca; Cyclomethyltryptophan; 9IG; PO49AVG-CaS-Ca-Ca; Ca; Cyclomethyltryptophan; 9IG; PO4-chim(NtGi1-Gs)/β1/γ2
12.50Single9AVLCa9AVL-CaS-Ca-Ca; Ca; Cyclomethyltryptophan; 9IG; PO4-Gi3/β2/γ2
12.50Single9AVLCa; Ca; Cyclomethyltryptophan; 9IG; PO49AVL-CaS-Ca-Ca; Ca; Cyclomethyltryptophan; 9IG; PO4-Gi3/β2/γ2
12.50Single9AVLCa9AVL-CaS-Ca-Ca; Ca; Cyclomethyltryptophan; 9IG; PO4-Gi3/β2/γ2
12.50Single9AVLCa; Ca; Cyclomethyltryptophan; 9IG; PO49AVL-CaS-Ca-Ca; Ca; Cyclomethyltryptophan; 9IG; PO4-Gi3/β2/γ2
12.50Single9AXFCa9AXF-CaS-Ca-Ca; Ca; Ca; Cyclomethyltryptophan; 9IG; PO4-chim(NtGi1-Gs-CtGq)/β1/γ2
12.50Single9AXFCa; Ca; Ca; Cyclomethyltryptophan; 9IG; PO49AXF-CaS-Ca-Ca; Ca; Ca; Cyclomethyltryptophan; 9IG; PO4-chim(NtGi1-Gs-CtGq)/β1/γ2
12.50Single9AXFCa9AXF-CaS-Ca-Ca; Ca; Ca; Cyclomethyltryptophan; 9IG; PO4-chim(NtGi1-Gs-CtGq)/β1/γ2
12.50Single9AXFCa; Ca; Ca; Cyclomethyltryptophan; 9IG; PO49AXF-CaS-Ca-Ca; Ca; Ca; Cyclomethyltryptophan; 9IG; PO4-chim(NtGi1-Gs-CtGq)/β1/γ2
12.50Single9AYFCa9AYF-CaS-Ca-Ca; Ca; Ca; Cyclomethyltryptophan; 9IG; PO4-Gi1/β1/γ2
12.50Single9AYFCa; Ca; Ca; Cyclomethyltryptophan; 9IG; PO49AYF-CaS-Ca-Ca; Ca; Ca; Cyclomethyltryptophan; 9IG; PO4-Gi1/β1/γ2
12.50Single9BA0A1AKN9BA0-CB1-A1AKN
12.50Single9C1PCa9C1P-CaS-Ca-Ca; Tryptophan; '6218; PO4
12.50Single9C1PCa; Tryptophan; '6218; PO49C1P-CaS-Ca-Ca; Tryptophan; '6218; PO4
12.50Single9C1PCa9C1P-CaS-Ca-Ca; Tryptophan; '6218; PO4
12.50Single9C1PCa; Tryptophan; '6218; PO49C1P-CaS-Ca-Ca; Tryptophan; '6218; PO4
12.50Single9C2FCa9C2F-CaS-Ca-Ca; Ca; Tryptophan; '54149; PO4
12.50Single9C2FCa; Ca; Tryptophan; '54149; PO49C2F-CaS-Ca-Ca; Ca; Tryptophan; '54149; PO4
12.50Single9C2FCa9C2F-CaS-Ca-Ca; Ca; Tryptophan; '54149; PO4
12.50Single9C2FCa; Ca; Tryptophan; '54149; PO49C2F-CaS-Ca-Ca; Ca; Tryptophan; '54149; PO4
12.50Single9DQJEP-39459DQJ-MRGPRD-EP-3945-chim(NtGi1-Gs-CtGq)/β1/γ2
12.50Single9EPQ11,20-Ethanoretinal9EPQ-Rhodopsin-11,20-Ethanoretinal-chim(Gi1-CtGq)/β1/γ2
12.50Single9II2Glutamate9II2-mGlu3; mGlu3-Glutamate-Arrestin2
12.50Single9II2Glutamate9II2-mGlu3; mGlu3-Glutamate-Arrestin2
12.50Single9II3Glutamate9II3-mGlu3; mGlu3-Glutamate-Arrestin2
12.50Single9II3Glutamate9II3-mGlu3; mGlu3-Glutamate-Arrestin2
12.50Single9IVMGLP-1 (Truncated)9IVM-GLP-1-GLP-1 (Truncated)-LSN3318839-chim(NtGi1-Gs)/β2/γ2
12.50Single9JFUNE52-QQ579JFU-GPR4-NE52-QQ57
12.50Single9JH3CMF-0199JH3-Apelin-CMF-019-Gi1/β1/γ2
12.50Single9KHHNorrin9KHH-LGR4-Norrin
12.50Single9M1OMorphine-Modulating Neuropeptide B9M1O-NPFF2-Morphine-Modulating Neuropeptide B-Gi1/β1/γ2
12.50Single9M2FNeuropeptide FF9M2F-NPFF1-Neuropeptide FF-Gi1/β1/γ2
12.50Single9S37NB219S37-LGR4-NB21
12.50Single9UTBSucralose9UTB-TAS1R2; TAS1R3-Sucralose
12.50Consensusa2_offOrthosteric Liganda2a_off
12.50Consensusa2a_offOrthosteric Ligand3RFM-A2A-Caffeine 8C9W-A2A-Etrumadenant 3UZA-A2A-GTPL9236 8GNG-A2A-Istradefylline 8CU6-A2A-LJ-4517 7PX4-A2A-PSB-2113 7PYR-A2A-PSB-2115 8DU3-A2A-PubChem 105526064 8JWY-A2A-2-118 8PWN-A2A-Theophylline 5IU4-A2A-ZM-241385-Na 5OLZ-A2A-PubChem 135566609-Na 6GT3-A2A-Imaradenant-Na 5OLV-A2A-LUAA41063-Na 5N2R-A2A-PSB-36-Na 5IU7-A2A-Q27456346-Na 5OLH-A2A-Vipadenant-Na 5OLO-A2A-Tozadenant-Na 6ZDR-A2A-HMS1413f12-Na 8GNE-A2A-KW-6356-Na 8JWZ-A2A-AB928-Na 5IU8-A2A-Q27456347-Na 5IUB-A2A-Q27456344-Na 6ZDV-A2A-Chromone 5d-Na 5IUA-A2A-Q27456348-Na 8A2P-A2A-LUAA47070-Na
12.50Consensuscb1_offOrthosteric Ligand5U09-CB1-Taranabant 5TGZ-CB1-AM6538
12.50Consensusfpr2-alx_onOrthosteric Ligand7WVX-FPR2-ALX-Humanin-Gi2/β1/γ2 7T6U-FPR2-ALX-CGEN-855A-Gi1/β1/γ2 7T6V-FPR2-ALX-fMLFII-Gi1/β1/γ2 7WVY-FPR2-ALX-Amyloid-β42-Gi2/β1/γ2 7T6S-FPR2-ALX-PubChem 24776341-Gi1/β1/γ2 6OMM-FPR2-ALX-WKYMVX-Gi1/β1/γ2
12.50Consensusgs_class-aOrthosteric Ligandgs_peptide gs_nucleotide gs_amine
12.50Consensushca_onOrthosteric Ligandhca2_on
12.50Consensusmc3_onOrthosteric Ligand8IOC-MC3-γ-MSH-Ca-chim(NtGi1-Gs)/β1/γ2
12.50Consensusmc3_on_gpOrthosteric Ligand8IOC-MC3-γ-MSH-Ca-chim(NtGi1-Gs)/β1/γ2
12.00Single7DW9AVP7DW9-V2-AVP-chim(NtGi1-Gs)/β1/γ2
12.00Single7W40Bombesin7W40-BB2-Bombesin-chim(NtGi1L-Gq)/β1/γ2
12.00Single8H4KGW95088H4K-FFA4-GW9508-chim(NtGi1-Gs-CtGq)/β1/γ2
12.00Single8HA0PTH8HA0-PTH1-PTH-chim(NtGi1-Gs)/β1/γ2
12.00Single8IEDA1LYA8IED-GPR156-A1LYA-Go/β1/γ2
12.00Single8WSTPro-MCH8WST-MCH2-Pro-MCH-chim(NtGi1L-Gs-CtGq)/β1/γ2
12.00Single8XWQEndothelin-18XWQ-ETB-Endothelin-1-Gi1/β1/γ2
12.00Single8YW3Retatrutide8YW3-GLP-1-Retatrutide-Gs/β1/γ2
12.00Single9EBOGLP-1 (ACPC18)9EBO-GLP-1-GLP-1 (ACPC18)-Gs/β1/γ2
12.00Consensuscxcr3_on_gpOrthosteric Ligand8HNK-CXCR3-CXCL11-Gi1/β1/γ2 8HNL-CXCR3-PS372424-Gi1/β1/γ2
12.00Consensusfpr2-alx_on_gpOrthosteric Ligand7WVX-FPR2-ALX-Humanin-Gi2/β1/γ2 7T6U-FPR2-ALX-CGEN-855A-Gi1/β1/γ2 7T6V-FPR2-ALX-fMLFII-Gi1/β1/γ2 7WVY-FPR2-ALX-Amyloid-β42-Gi2/β1/γ2 7T6S-FPR2-ALX-PubChem 24776341-Gi1/β1/γ2 6OMM-FPR2-ALX-WKYMVX-Gi1/β1/γ2
12.00Consensusgs_vasop-oxyOrthosteric Ligand7DW9-V2-AVP-chim(NtGi1-Gs)/β1/γ2
12.00Consensusv2_onOrthosteric Ligand7DW9-V2-AVP-chim(NtGi1-Gs)/β1/γ2
12.00Consensusv2_on_gpOrthosteric Ligand7DW9-V2-AVP-chim(NtGi1-Gs)/β1/γ2
12.00Consensusvasop-oxy_onOrthosteric Ligandv2_on
12.00Consensusvasop-oxy_on_gpOrthosteric Ligandv2_on_gp
11.76Single4EIYZM-2413854EIY-A2A-ZM-241385-Na
11.76Single4J4QOctyl Beta-D-Glucopyranoside4J4Q-Rhodopsin-Octyl β-D-Glucopyranoside-Gt(CT)
11.76Single5IU8Q274563475IU8-A2A-Q27456347-Na
11.76Single5OLGZM-2413855OLG-A2A-ZM-241385-Na
11.76Single5TGZAM65385TGZ-CB1-AM6538
11.76Single6FKCPubChem 1324730396FKC-Rhodopsin-PubChem 132473039
11.76Single6X1ADanuglipron6X1A-GLP-1-Danuglipron-Gs/β1/γ2
11.76Single7CFMP3957CFM-GPBA-P395-Gs/β1/γ2
11.76Single7JOZVFP7JOZ-D1-VFP-Gs/β1/γ2
11.76Single7LCIDanuglipron7LCI-GLP-1-Danuglipron-Gs/β1/γ2
11.76Single7LCKDanuglipron7LCK-GLP-1-Danuglipron
11.76Single7NA8PubChem 1780247NA8-Ghrelin-PubChem 178024-Gi1/β1/γ2
11.76Single7PYRPSB-21157PYR-A2A-PSB-2115
11.76Single7S15PubChem 1346112237S15-GLP-1-PubChem 134611223
11.76Single7VGZRemalteon7VGZ-MT1-Remalteon-Gi1/β1/γ2
11.76Single7YU4ONO-07405567YU4-LPA1-ONO-0740556
11.76Single8EJKTAK-8758EJK-FFA1-TAK-875-chim(NtGi1L-Gs-CtGq)/β1/γ2
11.76Single8IHJAcifran8IHJ-HCA3-Acifran-Gi1/β1/γ2
11.76Single8J6PNiacin8J6P-HCA2-Niacin-Compound 9n-Gi1/β1/γ2
11.76Single8JHNMMF8JHN-HCA2-MMF-Go/β1/γ2
11.76Single8JIINiacin8JII-HCA2-Niacin-Compound 9n-Gi1/β1/γ2
11.76Single8RWXStilSwitch38RWX-A2A-StilSwitch3-Na
11.76Single8X17Namodenoson8X17-A3A-Namodenoson-Gi1/β1/γ2
11.76Single8XBGS3E-LysoPS8XBG-GPR34-S3E-LysoPS
11.76Single8ZYYNeurotensin peptide 8-138ZYY-NTS1-Neurotensin peptide 8-13-SBI-553-Arrestin2
11.76Single9IZCMK19039IZC-HCA2-MK1903-Gi1/β1/γ2
11.76Consensusa3_onOrthosteric Liganda3a_on
11.76Consensuscck_offOrthosteric Ligandccka_off
11.76Consensusccka_offOrthosteric Ligand7F8Y-CCKA-Devazepide 7F8U-CCKA-Lintitript
11.76Consensusgi_hcaOrthosteric Ligand8J6R-HCA2-MK6892-Gi1/β1/γ2 8JIM-HCA2-MMF-Gi1/β1/γ2 8IHI-HCA2-Acifran-Gi1/β1/γ2 8IHH-HCA2-LUF6283-Gi1/β1/γ2 8I7V-HCA2-Acipimox-Gi1/β1/γ2 8I7W-HCA2-GSK256073-Gi1/β1/γ2
11.76Consensushca2_onOrthosteric Ligand8J6R-HCA2-MK6892-Gi1/β1/γ2 8JIM-HCA2-MMF-Gi1/β1/γ2 8I7V-HCA2-Acipimox-Gi1/β1/γ2 8I7W-HCA2-GSK256073-Gi1/β1/γ2 8IHH-HCA2-LUF6283-Gi1/β1/γ2 8IHI-HCA2-Acifran-Gi1/β1/γ2
11.76Consensushca2_on_gpOrthosteric Ligand8J6R-HCA2-MK6892-Gi1/β1/γ2 8IHI-HCA2-Acifran-Gi1/β1/γ2 8IHH-HCA2-LUF6283-Gi1/β1/γ2 8I7V-HCA2-Acipimox-Gi1/β1/γ2 8JIM-HCA2-MMF-Gi1/β1/γ2 8I7W-HCA2-GSK256073-Gi1/β1/γ2
11.76Consensushca_on_gpOrthosteric Ligandhca2_on_gp
11.54Single5YQZGlucagon analogue5YQZ-Glucagon-Glucagon analogue
11.54Single6X18GLP-16X18-GLP-1-GLP-1-Gs/β1/γ2
11.54Single7LLYOxyntomodulin7LLY-GLP-1-Oxyntomodulin-Gs/β1/γ2
11.54Single7TYHCalcitonin-17TYH-CT (AMY2)-Calcitonin-1-Gs/β1/γ2; RAMP2
11.54Single7Y35Abaloparatide7Y35-PTH1-Abaloparatide-Gs/β1/γ2
11.54Single8E3YPACAP278E3Y-VPAC1-PACAP27-Gs/β1/γ2
11.54Single8E3ZVIP8E3Z-VPAC1-VIP-Gs/β1/γ2
11.54Single8WWKMCH8WWK-MCH1-MCH-Gi1/β1/γ2
11.54Single8XGOTAK4488XGO-Kiss1-TAK448-chim(NtGi1-Gq)/β1/γ2
11.54Single8XVHEndothelin-18XVH-ETB-Endothelin-1-chim(Gs-CtGq)/β1/γ2
11.54Consensuscalcitonin_onOrthosteric Ligandctlike_on
11.11Single4RWDDIPP-NH24RWD-δ-DIPP-NH2-Na
11.11Single5NM2ZM-2413855NM2-A2A-ZM-241385-Na
11.11Single6ME62-Phenylmelatonin6ME6-MT2-2-Phenylmelatonin
11.11Single6ME72-Phenylmelatonin6ME7-MT2-2-Phenylmelatonin
11.11Single6NBFLong-Acting PTH Analog6NBF-PTH1-Long-Acting PTH Analog-Gs/β1/γ2
11.11Single6NBILong-Acting PTH Analog6NBI-PTH1-Long-Acting PTH Analog-Gs/β1/γ2
11.11Single6Z4SSR486926Z4S-NTS1-SR48692
11.11Single7CFNINT-7777CFN-GPBA-INT-777-Gs/β1/γ2
11.11Single7DD6Ca7DD6-CaS-Ca-Ca; Ca; Tryptophan
11.11Single7DD6Ca; Ca; Tryptophan7DD6-CaS-Ca-Ca; Ca; Tryptophan
11.11Single7DD6Ca7DD6-CaS-Ca-Ca; Ca; Tryptophan
11.11Single7DD6Ca; Ca; Tryptophan7DD6-CaS-Ca-Ca; Ca; Tryptophan
11.11Single7DD7Ca7DD7-CaS-Ca-Ca; Ca; Tryptophan; Evocalcet
11.11Single7DD7Ca; Ca; Tryptophan; Evocalcet7DD7-CaS-Ca-Ca; Ca; Tryptophan; Evocalcet
11.11Single7DD7Ca7DD7-CaS-Ca-Ca; Ca; Tryptophan; Evocalcet
11.11Single7DD7Ca; Ca; Tryptophan; Evocalcet7DD7-CaS-Ca-Ca; Ca; Tryptophan; Evocalcet
11.11Single7EO2FTY720-P7EO2-S1P1-FTY720-P-Gi1/β1/γ2
11.11Single7KI0Semaglutide7KI0-GLP-1-Semaglutide-Gs/β1/γ2
11.11Single7RGPTirzepatide7RGP-GLP-1-Tirzepatide-chim(NtGi1-Gs)/β1/γ2
11.11Single7TD3S1P7TD3-S1P1-S1P-Gi1/β1/γ2
11.11Single7VFXfMLF7VFX-FPR1-ALX-fMLF-Gi1/β1/γ2
11.11Single7VUHJNJ-635330547VUH-GPR139-JNJ-63533054-chim(Gs-CtGq)/β1/γ2
11.11Single7X1TTaltirelin7X1T-TRH-Taltirelin-chim(NtGi2L-Gs-CtGq)/β1/γ2
11.11Single7YU3ONO-07405567YU3-LPA1-ONO-0740556-Gi1/β1/γ2
11.11Single7YU6ONO-07405567YU6-LPA1-ONO-0740556-Gi1/β1/γ2
11.11Single8E3XPACAP278E3X-PAC1-PACAP27-Gs/β1/γ2
11.11Single8EJCTAK-8758EJC-FFA1-TAK-875-chim(NtGi1L-Gs-CtGq)/β1/γ2
11.11Single8FLRPTHrP(1-36)8FLR-PTH1-PTHrP(1-36)-Gs/β1/γ2
11.11Single8GDCPGE28GDC-EP3-PGE2-Gi1/β1/γ2
11.11Single8ID4Linoleic acid8ID4-FFA4-Linoleic acid-Gi1/β1/γ2
11.11Single8JISPeptide-158JIS-GLP-1-Peptide-15-chim(NtGi1-Gs)/β1/γ2
11.11Single8S4DCMF-0198S4D-Apelin-CMF-019
11.11Single8SZFCa; Ca; Tryptophan; Cinacalcet; PO4; Spermine8SZF-CaS-Ca; Ca; Tryptophan; Cinacalcet; PO4; Spermine
11.11Single8SZFCa; Ca; Tryptophan; Cinacalcet; PO4; Spermine8SZF-CaS-Ca; Ca; Tryptophan; Cinacalcet; PO4; Spermine
11.11Single8UUJFCH-22964138UUJ-HCA2-FCH-2296413-Gi1/β1/γ2
11.11Single8YICSAR2477998YIC-S1P1-SAR247799-Gi1/β1/γ2
11.11Single9ASBCa9ASB-CaS-Ca-Ca; Ca; Cyclomethyltryptophan; 9IG; PO4-chim(NtGi1-Gs-CtGq)/β1/γ2
11.11Single9ASBCa; Ca; Cyclomethyltryptophan; 9IG; PO49ASB-CaS-Ca-Ca; Ca; Cyclomethyltryptophan; 9IG; PO4-chim(NtGi1-Gs-CtGq)/β1/γ2
11.11Single9AVGCa9AVG-CaS-Ca-Ca; Ca; Cyclomethyltryptophan; 9IG; PO4-chim(NtGi1-Gs)/β1/γ2
11.11Single9AVGCa; Ca; Cyclomethyltryptophan; 9IG; PO49AVG-CaS-Ca-Ca; Ca; Cyclomethyltryptophan; 9IG; PO4-chim(NtGi1-Gs)/β1/γ2
11.11Single9AYFCa9AYF-CaS-Ca-Ca; Ca; Ca; Cyclomethyltryptophan; 9IG; PO4-Gi1/β1/γ2
11.11Single9AYFCa; Ca; Ca; Cyclomethyltryptophan; 9IG; PO49AYF-CaS-Ca-Ca; Ca; Ca; Cyclomethyltryptophan; 9IG; PO4-Gi1/β1/γ2
11.11Single9B9ZA1AKO9B9Z-CB1-A1AKO
11.11Single9BLBCagrilintide backbone (non-acylated)9BLB-CT-Cagrilintide backbone (non-acylated)-Gs/β1/γ2
11.11Single9CIBFCH-22964139CIB-HCA2-FCH-2296413
11.11Single9DQHEP-28259DQH-MRGPRD-EP-2825-chim(NtGi1-Gs-CtGq)/β1/γ2
11.11Single9ERXD9-THC analog9ERX-CB1-D9-THC analog-Gi1/β1/γ2
11.11Single9GE2ML1849GE2-GPR55-ML184-chim(NtGi1-G13)/β1/γ2
11.11Single9IYBProstaglandin9IYB-DP2-Prostaglandin-A1D5Q-Gi1/β1/γ2
11.11Single9J1Pg1:Ox9J1P-GLP-1-g1:Ox-chim(NtGi1-Gs)/β1/γ2
11.11Consensusa1_offOrthosteric Ligand5UEN-A1-DU172 5N2S-A1-PSB36
11.11Consensusa3_on_gpOrthosteric Liganda3a_on_gp
11.11Consensusa3a_onOrthosteric Ligand8X17-A3A-Namodenoson-Gi1/β1/γ2 8X16-A3A-Piclidenoson-Gi1/β1/γ2
11.11Consensusa3a_on_gpOrthosteric Ligand8X17-A3A-Namodenoson-Gi1/β1/γ2 8X16-A3A-Piclidenoson-Gi1/β1/γ2
11.11Consensusadenosine_offOrthosteric Liganda1_off a2_off
11.11Consensusadgrg2_onOrthosteric Ligand7WUI-ADGRG2-IP15-chim(NtGi1-Gs)/β1/γ2 7WUQ-ADGRG2-Gs/β1/γ2 7XKF-ADGRG2-β-Hydroxyandrosterone-Gs/β1/γ2
11.11Consensusadgrg2_on_gpOrthosteric Ligand7WUI-ADGRG2-IP15-chim(NtGi1-Gs)/β1/γ2 7WUQ-ADGRG2-Gs/β1/γ2 7XKF-ADGRG2-β-Hydroxyandrosterone-Gs/β1/γ2
11.11Consensuscalcitonin_on_gpOrthosteric Ligandctlike_on_gp
11.11Consensusclass-b2_onOrthosteric Ligandadgrg_on adgrf_on adgrl_on adgre_on adgrd_on
11.11Consensusclass-b2_on_gpOrthosteric Ligandadgrg_on_gp adgrf_on_gp adgrl_on_gp adgre_on_gp adgrd_on_gp
11.11Consensuscyslt_offOrthosteric Ligandcyslt2_off cyslt1_off
11.11Consensusfpr1-alx_onOrthosteric Ligand7VFX-FPR1-ALX-fMLF-Gi1/β1/γ2
11.11Consensusfpr1-alx_on_gpOrthosteric Ligand7VFX-FPR1-ALX-fMLF-Gi1/β1/γ2
11.11Consensuspac1_onOrthosteric Ligand8E3X-PAC1-PACAP27-Gs/β1/γ2 6M1H-PAC1-Maxadilan-Gs/β1/γ2
11.11Consensuspac1_on_gpOrthosteric Ligand8E3X-PAC1-PACAP27-Gs/β1/γ2 6M1H-PAC1-Maxadilan-Gs/β1/γ2
11.11Consensusrxfp4_onOrthosteric Ligand7YK7-RXFP4-DC591053-Gi2/β1/γ2 7YJ4-RXFP4-INSL5-Gi2/β1/γ2 7YK6-RXFP4-PubChem 138319674-Gi2/β1/γ2
11.11Consensusrxfp4_on_gpOrthosteric Ligand7YK7-RXFP4-DC591053-Gi2/β1/γ2 7YJ4-RXFP4-INSL5-Gi2/β1/γ2 7YK6-RXFP4-PubChem 138319674-Gi2/β1/γ2
11.11Consensuss1p5_offOrthosteric Ligand7YXA-S1P5-ONO-5430608
11.11Consensuss1p_offOrthosteric Ligands1p1_off s1p5_off
11.11Consensusvpac1_on_gpOrthosteric Ligand8E3Z-VPAC1-VIP-Gs/β1/γ2
10.71Single6VCBGLP-16VCB-GLP-1-GLP-1-LSN3160440-Gs/β1/γ2
10.71Single7F53Alpha-MSH7F53-MC4-α-MSH-Gs/β1/γ2
10.71Single7S1MEx4-D-Ala7S1M-GLP-1-Ex4-D-Ala-Gs/β1/γ2
10.71Single7TYFAmylin7TYF-CT (AMY1)-Amylin-Gs/β1/γ2; RAMP1
10.71Single7TYNCalcitonin-17TYN-CT-Calcitonin-1-Gs/β1/γ2
10.71Single7VVKPTH7VVK-PTH1-PTH-Gs/β1/γ2
10.71Single8HAOPTH8HAO-PTH1-PTH-chim(NtGi1-Gs)/β1/γ2
10.71Single8W8XBeta-MSH8W8X-MC3-β-MSH-Ca-Gs/β1/γ2
10.71Single8ZH8QRF-Amide8ZH8-QRFP-QRF-Amide-Gq/β1/γ1
10.71Consensusp2y10_on_gpOrthosteric Ligand8KGG-P2Y10-LPS-chim(NtGi2-G13)/β1/γ2
10.53Single4Z34ONO-97803074Z34-LPA1-ONO-9780307
10.53Single5TZRMK86665TZR-FFA1-MK8666
10.53Single5ZBHBMS-1938855ZBH-Y1-BMS-193885
10.53Single6O3CCholesterol6O3C-SMO-SAG21k-Cholesterol
10.53Single6RZ5Zafirlukast6RZ5-CysLT1-Zafirlukast-Na
10.53Single7B6WCyclazosin7B6W-α1b-Cyclazosin
10.53Single7F58THIQ7F58-MC4-THIQ-Gs/β1/γ2
10.53Single7VIGCBP-3077VIG-S1P1-CBP-307-Gi1/β1/γ2
10.53Single7WVXHumanin7WVX-FPR2-ALX-Humanin-Gi2/β1/γ2
10.53Single7XAVLanreotide7XAV-SST2-Lanreotide-Gi1/β1/γ2
10.53Single7XTQR3997XTQ-GPBA-R399-Gs/β1/γ2
10.53Single7YU5ONO-07405567YU5-LPA1-ONO-0740556-Gi1/β1/γ2
10.53Single7YU7ONO-07405567YU7-LPA1-ONO-0740556-Gi1/β1/γ2
10.53Single8HPTC5a anaphylatoxin C-terminal peptide8HPT-C5a1-C5a anaphylatoxin C-terminal peptide-Go/β1/γ2
10.53Single8I9LC3a anaphylatoxin8I9L-C3aB-C3a anaphylatoxin-Go/β1/γ2
10.53Single8IHBGSK2560738IHB-HCA2-GSK256073-Gi1/β1/γ2
10.53Single8IHHLUF62838IHH-HCA2-LUF6283-Gi1/β1/γ2
10.53Single8JGFBAM8-228JGF-MRGPRX1-BAM8-22-chim(NtGi1-Gs-CtGq)/β1/γ2
10.53Single8X16Piclidenoson8X16-A3A-Piclidenoson-Gi1/β1/γ2
10.53Single8XBIS3E-LysoPS8XBI-GPR34-S3E-LysoPS
10.53Single8XIPPasireotide8XIP-SST1-Pasireotide-chim(NtGi1-Gs-CtGi1)/β1/γ2
10.53Single8XZICMF-0198XZI-Apelin-CMF-019-Gi1/β1/γ2
10.53Single8YH6Namodenoson8YH6-A3A-Namodenoson-Gi1/β1/γ2
10.53Single9CLWTUG-13759CLW-FFA2-TUG-1375-4-CMTB-chim(NtGi1L-Gs-CtGq)/β1/γ2
10.53Single9IK9SST analogue9IK9-SST1-SST analogue-Gi1/β1/γ2
10.53Single9IZGNKP9IZG-LPA1-NKP-chim(NtGi1-Gs-CtGq)/β1/γ2
10.53Single9UY3Anamorelin9UY3-Ghrelin-Anamorelin-chim(NtGi1-Gs-CtGq)/β1/γ2
10.53Consensusclass-a_offOrthosteric Ligandsensory_off alicarboxylic_off amine_off lipid_off nucleotide_off peptide_off protein_off
10.53Consensuscyslt1_offOrthosteric Ligand6RZ5-CysLT1-Zafirlukast-Na 6RZ4-CysLT1-Pranlukast-Na
10.53Consensusffa2_onOrthosteric Ligand8J22-FFA2-TUG-1375-Gi1/β1/γ2
10.53Consensusgi_lpaOrthosteric Ligand7TD1-LPA1-LPA-Gi1/β1/γ2 7YU3-LPA1-ONO-0740556-Gi1/β1/γ2
10.53Consensuslpa_onOrthosteric Ligandlpa1_on
10.53Consensuslpa_on_gpOrthosteric Ligandlpa1_on_gp
10.53Consensusnpy_offOrthosteric Ligandnpy1_off npy2_off
10.53Consensusprotein_offOrthosteric Ligandchemokine_off grh_off
10.34Single5VAIGLP-15VAI-GLP-1-GLP-1-Gs/β1/γ2
10.34Single6NBHLong-Acting PTH Analog6NBH-PTH1-Long-Acting PTH Analog-Gs/β1/γ2
10.34Single7KI1Taspoglutide7KI1-GLP-1-Taspoglutide-Gs/β1/γ2
10.34Single7TYLAmylin7TYL-CT-Amylin-Gs/β1/γ2
10.34Single7VVJPTHrP(1-36)7VVJ-PTH1-PTHrP(1-36)-Gs/β1/γ2
10.34Single7VVLPTH7VVL-PTH1-PTH-Gs/β1/γ2
10.34Single8F0KPramlintide Analogue San3858F0K-CT (AMY3)-Pramlintide Analogue San385-Gs/β1/γ2; RAMP3
10.34Single8HAFPTHrP(1-36)8HAF-PTH1-PTHrP(1-36)-chim(NtGi1-Gs)/β1/γ2
10.34Single8KGGLPS8KGG-P2Y10-LPS-chim(NtGi2-G13)/β1/γ2
10.34Single9BQ3Cagrilintide9BQ3-CT (AMY2)-Cagrilintide-Gs/β1/γ2; RAMP2
10.34Single9BYOExendin-39BYO-GLP-1-Exendin-3-Gs/β1/γ2
10.34Consensuspth1_onOrthosteric Ligand6NBF-PTH1-Long-Acting PTH Analog-Gs/β1/γ2 8HA0-PTH1-PTH-chim(NtGi1-Gs)/β1/γ2 8HAF-PTH1-PTHrP(1-36)-chim(NtGi1-Gs)/β1/γ2 7Y36-PTH1-Teriparatide-Gs/β1/γ2 7Y35-PTH1-Abaloparatide-Gs/β1/γ2
10.34Consensusvip-pacap_onOrthosteric Ligandvpac_on pac_on
10.34Consensusvip-pacap_on_gpOrthosteric Ligandvpac_on_gp pac_on_gp
10.00Single4N4WSANT-14N4W-SMO-SANT-1
10.00Single4PXZ2MeSADP4PXZ-P2Y12-2MeSADP
10.00Single4PY02MeSATP4PY0-P2Y12-2MeSATP
10.00Single4RWADIPP-NH24RWA-δ-DIPP-NH2
10.00Single5TZYMK8666; AP85TZY-FFA1-MK8666; AP8
10.00Single6DRYMethylergonovine6DRY-5-HT2B-Methylergonovine
10.00Single6KPGAM8416KPG-CB1-AM841-Gi1/β1/γ2
10.00Single6MXTSalmeterol6MXT-β2-Salmeterol
10.00Single6XBLCholesterol6XBL-SMO-SAG-Cholesterol-Gi1/β1/γ2
10.00Single7BZ2Arformoterol7BZ2-β2-Arformoterol-Gs/β1/γ2
10.00Single7DUQGLP-17DUQ-GLP-1-GLP-1-PubChem 156022738-Gs/β1/γ2
10.00Single7EVYSiponimod7EVY-S1P1-Siponimod-Gi1/β1/γ2
10.00Single7EW2Fingolimod7EW2-S1P3-Fingolimod-Gi1/β1/γ2
10.00Single7EXDLasmiditan7EXD-5-HT1F-Lasmiditan-Gi1/β1/γ2
10.00Single7KNUCalcitonin gene-related peptide-17KNU-CT Like-Calcitonin gene-related peptide-1-RAMP1
10.00Single7SUSPubChem 1227019087SUS-Apelin-PubChem 122701908
10.00Single7T9MCS-17 Antibody7T9M-TSH-CS-17 Antibody
10.00Single7TYXAmylin7TYX-CT (AMY2)-Amylin-Gs/β1/γ2; RAMP2
10.00Single7W0LPubChem 1227019087W0L-Apelin-PubChem 122701908-Gi1/β1/γ2
10.00Single7XW9TRH7XW9-TRH-TRH-chim(NtGi1L-Gs-CtGq)/β1/γ2
10.00Single8G056-OAU8G05-GPR84-6-OAU-Gi1/β1/γ2
10.00Single8IA8E7 peptide8IA8-C3aB-E7 peptide-Gi1/β1/γ2
10.00Single8IYWGSK2560738IYW-HCA2-GSK256073-Go/β1/γ2
10.00Single8JZ7MK68928JZ7-HCA2-MK6892-Gi1/β1/γ2
10.00Single8T3QDocosa-4,7,10,13,16,19-Hexaenoic acid8T3Q-FFA4-Docosa-4,7,10,13,16,19-Hexaenoic acid-chim(NtGi2L-Gs-CtGq)/β1/γ2
10.00Single8TLMAnti-murine CCR8 antibody8TLM-CCR8-Anti-murine CCR8 antibody
10.00Single8WRBLysophosphatidylserine8WRB-GPR34-Lysophosphatidylserine-Gi1/β1/γ2
10.00Single8Y6WTUG-13758Y6W-FFA2-TUG-1375-4-CMTB-Gi1/β1/γ2
10.00Single9GGGI-BOP9GGG-TXA2-I-BOP-chim(NtGi2L-Gs-CtGq)/β1/γ2
10.00Single9IZHLPA9IZH-LPA1-LPA-chim(NtGi2-G13)/β1/γ2
10.00Consensus5ht1f_onOrthosteric Ligand7EXD-5-HT1F-Lasmiditan-Gi1/β1/γ2
10.00Consensus5ht1f_on_gpOrthosteric Ligand7EXD-5-HT1F-Lasmiditan-Gi1/β1/γ2
10.00Consensusbb2_onOrthosteric Ligand7W40-BB2-Bombesin-chim(NtGi1L-Gq)/β1/γ2 7W3Z-BB2-Gastrin Releasing Peptide-chim(NtGi1L-Gq)/β1/γ2
10.00Consensusbb2_on_gpOrthosteric Ligand7W40-BB2-Bombesin-chim(NtGi1L-Gq)/β1/γ2 7W3Z-BB2-Gastrin Releasing Peptide-chim(NtGi1L-Gq)/β1/γ2
10.00Consensusbeta3_onOrthosteric Ligand7DH5-β3-Mirabegron-Gs/β1/γ2 7XJH-β3-Isoproterenol-Gs/β1/γ2 7XJI-β3-Solabegron-Gs/β1/γ2
10.00Consensusbeta3_on_gpOrthosteric Ligand7DH5-β3-Mirabegron-Gs/β1/γ2 7XJH-β3-Isoproterenol-Gs/β1/γ2 7XJI-β3-Solabegron-Gs/β1/γ2
10.00Consensusbombesin_onOrthosteric Ligandbb2_on
10.00Consensusbombesin_on_gpOrthosteric Ligandbb2_on_gp
10.00Consensuscannabinoid_offOrthosteric Ligandcb2_off cb1_off
10.00Consensusclass-a_class-b1_cons_onOrthosteric Ligandclass-a_on class-b1_on
10.00Consensusffa2_on_gpOrthosteric Ligand8J22-FFA2-TUG-1375-Gi1/β1/γ2
10.00Consensusgi_lipidOrthosteric Ligandgi_cannabinoid gi_ffa gi_leukotriene gi_lpa gi_s1p
10.00Consensusgi_muscarinicOrthosteric Ligand8E9X-M4-2-Deoxycytidine-chim(NtGi1-Go)/β1/γ2 7T8X-M2-Acetylcholine-chim(NtGi1-Go)/β1/γ2 7TRS-M4-Acetylcholine-Gi1/β1/γ2 7TRK-M4-Iperoxo-Gi1/β1/γ2 7V6A-M4-PubChem 9864275-Gi1/β1/γ2
10.00Consensusgq_bombesinOrthosteric Ligand7W40-BB2-Bombesin-chim(NtGi1L-Gq)/β1/γ2 7W3Z-BB2-Gastrin Releasing Peptide-chim(NtGi1L-Gq)/β1/γ2
10.00Consensuskop_onOrthosteric Ligand8F7W-κ-Dynorphin-Gi1/β1/γ2 8DZS-κ-GR89,696-chim(NtGi2-Gz)/β1/γ2 8DZP-κ-momSalB-Gi1/β1/γ2
10.00Consensuslipid_offonOrthosteric Ligandlipid_off lipid_on
10.00Consensuslipid_offon_gpOrthosteric Ligandlipid_on_gp lipid_off
10.00Consensuslpa1_offOrthosteric Ligand4Z36-LPA1-ONO-3080573 4Z35-LPA1-ONO-9910539 4Z34-LPA1-ONO-9780307
10.00Consensuslpa_offOrthosteric Ligandlpa1_off
10.00Consensuslpl_offOrthosteric Ligands1p_off lpa_off
10.00Consensusorexin_onOrthosteric Ligandox2_on
10.00Consensuss1p1_onOrthosteric Ligand7VIE-S1P1-S1P-Gi1/β1/γ2 7VIF-S1P1-S-FTY720-P-Gi1/β1/γ2 7VIG-S1P1-CBP-307-Gi1/β1/γ2 7EVY-S1P1-Siponimod-Gi1/β1/γ2 7EVZ-S1P1-Cenerimod-Gi1/β1/γ2 7EW0-S1P1-Ozanimod-Gi1/β1/γ2 7EW7-S1P1-SEW2871-Gi1/β1/γ2
10.00Consensuss1p1_on_gpOrthosteric Ligand7VIE-S1P1-S1P-Gi1/β1/γ2 7VIF-S1P1-S-FTY720-P-Gi1/β1/γ2 7VIG-S1P1-CBP-307-Gi1/β1/γ2 7EVY-S1P1-Siponimod-Gi1/β1/γ2 7EVZ-S1P1-Cenerimod-Gi1/β1/γ2 7EW0-S1P1-Ozanimod-Gi1/β1/γ2 7EW7-S1P1-SEW2871-Gi1/β1/γ2
10.00Consensustrh_onOrthosteric Ligand7XW9-TRH-TRH-chim(NtGi1L-Gs-CtGq)/β1/γ2
10.00Consensustrh_on_gpOrthosteric Ligand7XW9-TRH-TRH-chim(NtGi1L-Gs-CtGq)/β1/γ2
9.68Single7TZFAmylin7TZF-CT (AMY3)-Amylin-Gs/β1/γ2; RAMP3
9.68Single7VBHPeptide-207VBH-GLP-1-Peptide-20-Gs/β1/γ2
9.68Single8F2APramlintide Analogue San3858F2A-CT (AMY3)-Pramlintide Analogue San385-Gs/β1/γ2; RAMP3
9.68Single8FLSAbaloparatide8FLS-PTH1-Abaloparatide-Gs/β1/γ2
9.68Single8FLULong-Acting PTH8FLU-PTH1-Long-Acting PTH-Gs/β1/γ2
9.68Consensusglp1_onOrthosteric Ligand7S1M-GLP-1-Ex4-D-Ala-Gs/β1/γ2 7X8R-GLP-1-BOC5-Gs/β1/γ2 6X19-GLP-1-CHU-128-Gs/β1/γ2 6X1A-GLP-1-Danuglipron-Gs/β1/γ2 6X18-GLP-1-GLP-1-Gs/β1/γ2 8JIP-GLP-1-MEDI0382-chim(NtGi1-Gs)/β1/γ2 7C2E-GLP-1-PubChem 149050799-Gs/β1/γ2 7KI0-GLP-1-Semaglutide-Gs/β1/γ2 7KI1-GLP-1-Taspoglutide-Gs/β1/γ2 7X8S-GLP-1-WB4-24-Gs/β1/γ2 8JIS-GLP-1-Peptide-15-chim(NtGi1-Gs)/β1/γ2 7VBI-GLP-1-Non-Acylated Tirzepatide-Gs/β1/γ2
9.52Single4Z35ONO-99105394Z35-LPA1-ONO-9910539
9.52Single6IBLArformoterol6IBL-β1-Arformoterol
9.52Single6TKOArformoterol6TKO-β1-Arformoterol-Arrestin2
9.52Single7EVZCenerimod7EVZ-S1P1-Cenerimod-Gi1/β1/γ2
9.52Single7EW0Ozanimod7EW0-S1P1-Ozanimod-Gi1/β1/γ2
9.52Single7LLLExendin-47LLL-GLP-1-Exendin-4-Gs/β1/γ2
9.52Single7QVMOxytocin7QVM-OT-Oxytocin-chim(NtGi1-Go-CtGq)/β1/γ2
9.52Single7VVNPTH7VVN-PTH1-PTH-Gs/β1/γ2
9.52Single7X1UTRH7X1U-TRH-TRH-chim(NtGi2L-Gs-CtGq)/β1/γ2
9.52Single7XJISolabegron7XJI-β3-Solabegron-Gs/β1/γ2
9.52Single7YU8ONO-07405567YU8-LPA1-ONO-0740556-Gi1/β1/γ2
9.52Single8I95EP548I95-C3aB-EP54-Go/β1/γ2
9.52Single8ID8TUG-8918ID8-FFA4-TUG-891-Gi1/β1/γ2
9.52Single8IULLatanoprost8IUL-FP-alpha-Latanoprost-chim(NtGi1-Gs-CtGq)/β1/γ2
9.52Single8J19LY2378J19-GPR84-LY237-Gi1/β1/γ2
9.52Single8XGSMetastin8XGS-Kiss1-Metastin-chim(NtGi1-Gq)/β1/γ2
9.52Single9GG5U466199GG5-TXA2-U46619-chim(NtGi2L-Gs-CtGq)/β1/γ2
9.52Single9M54Neuropeptide VF9M54-NPFF2-Neuropeptide VF-Gi1/β1/γ2
9.52Consensusgi_s1pOrthosteric Ligand7VIE-S1P1-S1P-Gi1/β1/γ2 7EW3-S1P3-S1P-Gi1/β1/γ2 7EVY-S1P1-Siponimod-Gi1/β1/γ2 7EW1-S1P5-Siponimod-Gi1/β1/γ2 7VIF-S1P1-S-FTY720-P-Gi1/β1/γ2 7VIG-S1P1-CBP-307-Gi1/β1/γ2 7EVZ-S1P1-Cenerimod-Gi1/β1/γ2 7EW4-S1P3-CYM5541-Gi1/β1/γ2 7EW2-S1P3-Fingolimod-Gi1/β1/γ2 7EW0-S1P1-Ozanimod-Gi1/β1/γ2 7EW7-S1P1-SEW2871-Gi1/β1/γ2
9.52Consensuskop_on_gpOrthosteric Ligand8F7W-κ-Dynorphin-Gi1/β1/γ2 8DZS-κ-GR89,696-chim(NtGi2-Gz)/β1/γ2 8DZP-κ-momSalB-Gi1/β1/γ2
9.52Consensusorexin_on_gpOrthosteric Ligandox2_on_gp
9.52Consensuspeptide_offOrthosteric Ligandcck_off angiotensin_off bombesin_off endothelin_off ghrelin_off npy_off opioid_off orexin_off somatostatin_off tachykinin_off vasop-oxy_off neurotensin_off
9.38Single7VVMPTH7VVM-PTH1-PTH-Gs/β1/γ2
9.38Single8JIRSAR4258998JIR-GLP-1-SAR425899-chim(NtGi1-Gs)/β1/γ2
9.38Single9JR2PTH9JR2-PTH1-PTH-chim(NtGi1L-Gs-CtGq)/β1/γ2
9.38Consensusglp1_on_gpOrthosteric Ligand7S1M-GLP-1-Ex4-D-Ala-Gs/β1/γ2 7X8R-GLP-1-BOC5-Gs/β1/γ2 6X19-GLP-1-CHU-128-Gs/β1/γ2 6X1A-GLP-1-Danuglipron-Gs/β1/γ2 6X18-GLP-1-GLP-1-Gs/β1/γ2 8JIP-GLP-1-MEDI0382-chim(NtGi1-Gs)/β1/γ2 7C2E-GLP-1-PubChem 149050799-Gs/β1/γ2 7KI0-GLP-1-Semaglutide-Gs/β1/γ2 7KI1-GLP-1-Taspoglutide-Gs/β1/γ2 7X8S-GLP-1-WB4-24-Gs/β1/γ2 8JIS-GLP-1-Peptide-15-chim(NtGi1-Gs)/β1/γ2 7VBI-GLP-1-Non-Acylated Tirzepatide-Gs/β1/γ2
9.38Consensuspth1_on_gpOrthosteric Ligand6NBF-PTH1-Long-Acting PTH Analog-Gs/β1/γ2 8HA0-PTH1-PTH-chim(NtGi1-Gs)/β1/γ2 8HAF-PTH1-PTHrP(1-36)-chim(NtGi1-Gs)/β1/γ2 7Y36-PTH1-Teriparatide-Gs/β1/γ2 7Y35-PTH1-Abaloparatide-Gs/β1/γ2
9.09Single4UG2CGS216804UG2-A2A-CGS21680
9.09Single6O3CCholesterol6O3C-SMO-SAG21k-Cholesterol
9.09Single6XBJCholesterol6XBJ-SMO-Cholesterol-Gi1/β1/γ2
9.09Single7AUESetmelanotide7AUE-MC4-Setmelanotide-chim(NtGi1L-Gs)/β1/γ2
9.09Single7FIGhCG7FIG-LH-hCG-chim(NtGi1L-Gs)/β1/γ2
9.09Single7TYOCalcitonin7TYO-CT-Calcitonin-Gs/β1/γ2
9.09Single7TYYCalcitonin-17TYY-CT (AMY2)-Calcitonin-1-Gs/β1/γ2; RAMP2
9.09Single7UTZTR14027UTZ-TSH-TR1402-DPPC-Gs/β1/γ2
9.09Single7XW5TSH7XW5-TSH-TSH-ML109-Gs/β1/γ2
9.09Single7Y36Teriparatide7Y36-PTH1-Teriparatide-Gs/β1/γ2
9.09Single7ZI0Cholesterol7ZI0-SMO-SAG-Cholesterol
9.09Single8FLQPTH8FLQ-PTH1-PTH-Gs/β1/γ2
9.09Single8J22TUG-13758J22-FFA2-TUG-1375-Gi1/β1/γ2
9.09Single8JGBConorfamide-Tx28JGB-MRGPRX1-Conorfamide-Tx2-Gi1/β1/γ2
9.09Single8JLRA776368JLR-TA1-A77636-chim(NtGi1-Gs)/β1/γ2
9.09Single8WCBCyclohexylammonium Ion8WCB-TA1-Cyclohexylammonium Ion-chim(NtGi1-Gs-CtGq)/β1/γ2
9.09Single8WCCCyclohexylammonium Ion8WCC-TA1-Cyclohexylammonium Ion
9.09Single8XZFWN5618XZF-Apelin-WN561-Gi1/β1/γ2
9.09Single9CM7TUG-13759CM7-FFA2-TUG-1375-AZ-1729-Gi1/β1/γ2
9.09Single9JR3PTH9JR3-PTH1-PTH-chim(NtGi1L-Gs-CtGq)/β1/γ2
9.09Single9M0RNeuropeptide VF9M0R-NPFF1-Neuropeptide VF-Gi1/β1/γ2
9.09Single9NS9TUG-13759NS9-FFA2-TUG-1375-Compound 187-Gi1/β1/γ2
9.09Consensusclass-a_class-b1_cons_on_gpOrthosteric Ligandclass-a_on_gp class-b1_on_gp
9.09Consensuscxcr3_onOrthosteric Ligand8HNK-CXCR3-CXCL11-Gi1/β1/γ2 8HNL-CXCR3-PS372424-Gi1/β1/γ2
9.09Consensusdop_onOrthosteric Ligand8F7S-δ-Deltorphin-Gi1/β1/γ2
9.09Consensuss1p_onOrthosteric Ligands1p1_on s1p3_on s1p5_on
9.09Consensuss1p_on_gpOrthosteric Ligands1p1_on_gp s1p3_on_gp s1p5_on_gp
8.82Single6E3YCalcitonin gene-related peptide-16E3Y-CT Like-Calcitonin gene-related peptide-1-Gs/β1/γ2; RAMP1
8.82Consensuspth_onOrthosteric Ligandpth1_on pth2_on
8.70Single6WIVPubChem 52923113; PubChem 529246456WIV-GABAB1, GABAB2-PubChem 52923113; PubChem 52924645
8.70Single7QA8Peptide7QA8-STE2-Peptide
8.70Single7QA8Peptide7QA8-STE2-Peptide
8.70Single7RTBPeptide-197RTB-GLP-1-Peptide-19-Gs/β1/γ2
8.70Single7T6UCGEN-855A7T6U-FPR2-ALX-CGEN-855A-Gi1/β1/γ2
8.70Single7TD4Siponimod7TD4-S1P1-Siponimod-Gi1/β1/γ2
8.70Single7W56Neuromedin-S7W56-NMUR1-Neuromedin-S-chim(NtGi1-Gs-CtGq)/β1/γ2
8.70Single8GHVAMG3158GHV-CB1-AMG315-Gi1/β1/γ2
8.70Single8IEBA1LYA8IEB-GPR156-A1LYA
8.70Single8IEIA1LYA8IEI-GPR156-A1LYA
8.70Single8IEIA1LYA8IEI-GPR156-A1LYA
8.70Single8IEPA1LYA8IEP-GPR156-A1LYA
8.70Single8IEPA1LYA8IEP-GPR156-A1LYA
8.70Single8J6RMK68928J6R-HCA2-MK6892-Gi1/β1/γ2
8.70Single8JIQPeptide-158JIQ-Glucagon-Peptide-15-Gs/β1/γ2
8.70Single8YWFRetatrutide8YWF-GLP-1-Retatrutide-chim(NtGi1-Gs)/β1/γ2
8.70Single8ZSPLSD8ZSP-TA1-LSD-chim(NtGi1L-Gs-CtGq)/β1/γ2
8.70Single9BUECagrilintide9BUE-CT-Cagrilintide-Gs/β1/γ2
8.70Consensusgi_nucleotideOrthosteric Ligandgi_adenosine gi_p2y
8.70Consensusgi_opioidOrthosteric Ligand8F7R-μ-Endomorphin-Gi1/β1/γ2 8EF5-μ-Fentanyl-Gi1/β1/γ2 7SCG-μ-FH210-Gi1/β1/γ2 7T2H-μ-Lofentanil-Gi1/β1/γ2 7T2G-μ-Mitragynine Pseudoindoxyl-Gi1/β1/γ2 8DZP-κ-momSalB-Gi1/β1/γ2 8EF6-μ-Morphine-Gi1/β1/γ2 8F7X-NOP-Nociceptin-Gi1/β1/γ2 8EFB-μ-Oliceridine-Gi1/β1/γ2 7U2L-μ-PubChem 163201242-Gi1/β1/γ2 8EFO-μ-PZM21-Gi1/β1/γ2 8EFL-μ-SR17018-Gi1/β1/γ2 8F7Q-μ-β-Endorphin-Gi1/β1/γ2 7U2K-μ-C6-guano-Gi1/β1/γ2 8EFQ-μ-Damgo-Gi1/β1/γ2 8F7S-δ-Deltorphin-Gi1/β1/γ2 8F7W-κ-Dynorphin-Gi1/β1/γ2
8.70Consensuslpl_onOrthosteric Ligands1p_on lpa_on
8.70Consensuslpl_on_gpOrthosteric Ligands1p_on_gp lpa_on_gp
8.70Consensusmc4_onOrthosteric Ligand7AUE-MC4-Setmelanotide-chim(NtGi1L-Gs)/β1/γ2 7F58-MC4-THIQ-Gs/β1/γ2 7F54-MC4-Afamelanotide-Gs/β1/γ2 7F53-MC4-α-MSH-Gs/β1/γ2 7F55-MC4-Bremelanotide-Gs/β1/γ2
8.70Consensusmop_offOrthosteric Ligand4DKL-μ-β-Funaltrexamine 8QOT-μ-Nanobody-E 7UL4-μ-Alvimopan
8.33Single5L7DCholesterol5L7D-SMO-Cholesterol
8.33Single5MZJTheophylline5MZJ-A2A-Theophylline-Na
8.33Single6WHCGlu16 analog of GCG6WHC-Glucagon-Glu16 analog of GCG-Gs/β1/γ2
8.33Single7PIVSetmelanotide7PIV-MC4-Setmelanotide-Gs/β1/γ2
8.33Single7T9ITSH7T9I-TSH-TSH-Gs/β1/γ2
8.33Single7TRYUrocortin7TRY-CRF2-Urocortin-chim(NtGi1-G11)/β1/γ2
8.33Single7WC4Serotonin7WC4-5-HT2A-Serotonin
8.33Single7XKDBeta-Hydroxyandrosterone7XKD-ADGRG2-β-Hydroxyandrosterone-Gs/β1/γ2
8.33Single7XKEBeta-Hydroxyandrosterone7XKE-ADGRG2-β-Hydroxyandrosterone-chim(NtGi1-Gs)/β1/γ2
8.33Single8F7SDeltorphin8F7S-δ-Deltorphin-Gi1/β1/γ2
8.33Single8HS2Fab0468HS2-GPR20-Fab046
8.33Single8I2GGlycoprotein hormones alpha chain8I2G-FSH-Glycoprotein hormones α chain-Compound 716340-Gs/β1/γ2
8.33Single8PWNTheophylline8PWN-A2A-Theophylline
8.33Consensusclass-b1_onOrthosteric Ligandglucagon_on vip-pacap_on pth_on crf_on calcitonin_on
8.33Consensusdop_on_gpOrthosteric Ligand8F7S-δ-Deltorphin-Gi1/β1/γ2
8.33Consensusghrelin_onOrthosteric Ligand7NA7-Ghrelin-Ghrelin-27-Gi1/β1/γ2 7F9Z-Ghrelin-GHRP-6-chim(NtGi1-Gs-CtGq)/β1/γ2 7NA8-Ghrelin-PubChem 178024-Gi1/β1/γ2
8.33Consensusghrelin_on_gpOrthosteric Ligand7NA7-Ghrelin-Ghrelin-27-Gi1/β1/γ2 7F9Z-Ghrelin-GHRP-6-chim(NtGi1-Gs-CtGq)/β1/γ2 7NA8-Ghrelin-PubChem 178024-Gi1/β1/γ2
8.33Consensusmc4_on_gpOrthosteric Ligand7AUE-MC4-Setmelanotide-chim(NtGi1L-Gs)/β1/γ2 7F58-MC4-THIQ-Gs/β1/γ2 7F54-MC4-Afamelanotide-Gs/β1/γ2 7F53-MC4-α-MSH-Gs/β1/γ2 7F55-MC4-Bremelanotide-Gs/β1/γ2
8.33Consensuss1p3_on_gpOrthosteric Ligand7EW3-S1P3-S1P-Gi1/β1/γ2 7EW4-S1P3-CYM5541-Gi1/β1/γ2 7EW2-S1P3-Fingolimod-Gi1/β1/γ2
8.11Single8F0JPramlintide Analogue San458F0J-CT-Pramlintide Analogue San45-Gs/β1/γ2
8.00Single6PT2KGCHM076PT2-δ-KGCHM07
8.00Single6UUNAdrenomedullin6UUN-CT Like (AM1)-Adrenomedullin-Gs/β1/γ2; RAMP2
8.00Single6VN7PACAP6VN7-VPAC1-PACAP-Gs/β1/γ2
8.00Single7F4DAlpha-MSH7F4D-MC1-α-MSH-chim(NtGi1-Gs)/β1/γ2
8.00Single7TD0LPA7TD0-LPA1-LPA-Gi1/β1/γ2
8.00Single7TD2LPA7TD2-LPA1-LPA-Gi1/β1/γ2
8.00Single8W8YGamma-MSH8W8Y-MC3-γ-MSH-Ca-Gs/β1/γ2
8.00Single8WKZSBL-MC-318WKZ-MC4-SBL-MC-31
8.00Single9B5YLong-Acting PTH9B5Y-PTH1-Long-Acting PTH-chim(NtGi1-Gq)/β1/γ2
8.00Consensusclass-b1_class-b2_cons_onOrthosteric Ligandclass-b1_on class-b2_on
8.00Consensusclass-b1_class-b2_cons_on_gpOrthosteric Ligandclass-b1_on_gp class-b2_on_gp
7.89Single8F2BPramlintide Analogue San458F2B-CT (AMY3)-Pramlintide Analogue San45-Gs/β1/γ2; RAMP3
7.89Consensuspth_on_gpOrthosteric Ligandpth1_on_gp pth2_on_gp
7.69Single6M1IPACAP6M1I-PAC1-PACAP-Gs/β1/γ2
7.69Single6NIYAdrenomedullin6NIY-CT-Adrenomedullin-Gs/β1/γ2
7.69Single6WI9Secretin6WI9-Secretin-Secretin-Gs/β1/γ2
7.69Single7F4HAfamelanotide7F4H-MC1-Afamelanotide-chim(NtGi1-Gs)/β1/γ2
7.69Single7FIMTirzepatide7FIM-GLP-1-Tirzepatide-Gs/β1/γ2
7.69Single7FINPeptide-20; GGL7FIN-GIP-Peptide-20; GGL-Gs/β1/γ2
7.69Single7TYIAmylin7TYI-CT-Amylin-Gs/β1/γ2
7.69Single7WUIIP157WUI-ADGRG2-IP15-chim(NtGi1-Gs)/β1/γ2
7.69Single7Y14Beta-Alanine7Y14-MRGPRD-β-Alanine
7.69Single8A2OTheophylline8A2O-A2A-Theophylline-Na
7.69Single8IEDA1LYA8IED-GPR156-A1LYA-Go/β1/γ2
7.69Single8IHFMK68928IHF-HCA2-MK6892-Gi1/β1/γ2
7.69Single8J6IMK68928J6I-HCA2-MK6892-Gi1/β1/γ2
7.69Single8XOFLys058XOF-GPR30-Lys05-chim(NtGi1-Gs-CtGq)/β1/γ2
7.69Single8YW4Retatrutide8YW4-GIP-Retatrutide-chim(NtGi1-Gs)/β1/γ2
7.69Single8YW5Retatrutide8YW5-Glucagon-Retatrutide-Gs/β1/γ2
7.69Single9BLCCagrilintide backbone (non-acylated)9BLC-CT-Cagrilintide backbone (non-acylated)-Gs/β1/γ2
7.69Single9BUDCagrilintide9BUD-CT-Cagrilintide-Gs/β1/γ2
7.69Consensuscrf2_onOrthosteric Ligand7TS0-CRF2-Urocortin-chim(NtGi1L-Go)/β1/γ2
7.50Consensusclass-b1_on_gpOrthosteric Ligandglucagon_on_gp vip-pacap_on_gp pth_on_gp crf_on_gp calcitonin_on_gp
7.41Single7QBIAlpha-factor mating pheromone7QBI-STE2-α-factor mating pheromone
7.41Single7TYWCalcitonin-17TYW-CT (AMY1)-Calcitonin-1-Gs/β1/γ2; RAMP1
7.41Single7WBJPACAP277WBJ-VPAC1-PACAP27-Gs/β1/γ2
7.41Consensusmc1_onOrthosteric Ligand7F4H-MC1-Afamelanotide-chim(NtGi1-Gs)/β1/γ2 7F4D-MC1-α-MSH-chim(NtGi1-Gs)/β1/γ2 7F4I-MC1-SHU9119-chim(NtGi1-Gs)/β1/γ2
7.41Consensusmc1_on_gpOrthosteric Ligand7F4H-MC1-Afamelanotide-chim(NtGi1-Gs)/β1/γ2 7F4D-MC1-α-MSH-chim(NtGi1-Gs)/β1/γ2 7F4I-MC1-SHU9119-chim(NtGi1-Gs)/β1/γ2
7.41Consensusp2y10_onOrthosteric Ligand8KGG-P2Y10-LPS-chim(NtGi2-G13)/β1/γ2
7.41Consensusvpac1_onOrthosteric Ligand8E3Z-VPAC1-VIP-Gs/β1/γ2
7.41Consensusvpac_onOrthosteric Ligandvpac1_on vpac2_on
7.14Single2J4Y11-cis-Retinal2J4Y-Rhodopsin-11-cis-Retinal
7.14Single2ZIY11-cis-Retinal2ZIY-Rhodopsin-11-cis-Retinal
7.14Single6FK9PubChem 1324730366FK9-Rhodopsin-PubChem 132473036
7.14Single6P9YPACAP6P9Y-PAC1-PACAP-Gs/β1/γ2
7.14Single7CZ5Somatoliberin7CZ5-GHRH-Somatoliberin-Gs/β1/γ2
7.14Single7F23Dopamine7F23-D1-Dopamine-GDP-Gs/β1/γ2
7.14Single7MT8All-trans-Retinal7MT8-Rhodopsin-All-trans-Retinal-GRK1
7.14Single7MT9All-trans-Retinal7MT9-Rhodopsin-All-trans-Retinal-GRK1
7.14Single7MTAAll-trans-Retinal7MTA-Rhodopsin-All-trans-Retinal-GRK1
7.14Single7QBIAlpha-factor mating pheromone7QBI-STE2-α-factor mating pheromone
7.14Single7RA3GIP7RA3-GIP-GIP-chim(NtGi1-Gs)/β1/γ2
7.14Single7VABNon-Acylated Tirzepatide7VAB-GIP-Non-Acylated Tirzepatide-chim(NtGi1-Gs)/β1/γ2
7.14Single7WC5Psilocin7WC5-5-HT2A-Psilocin
7.14Single7Y12Beta-Alanine7Y12-MRGPRD-β-Alanine-Gi1/β1/γ2
7.14Single8J24Acetic acid8J24-FFA2-Acetic acid-Gi1/β1/γ2
7.14Single8J6QBeta-Hydroxybutyrate8J6Q-HCA2-β-Hydroxybutyrate-Compound 9n-Gi1/β1/γ2
7.14Single8JRVGlucagon8JRV-Glucagon-Glucagon-Arrestin2
7.14Single8RQLFlufenamic acid8RQL-TAS2R14-Flufenamic acid-Flufenamic acid-chim(NtGi1-Gt3)/β1/γ2
7.14Single8WC62-Phenylethylamine8WC6-TA1-2-Phenylethylamine-chim(NtGi1-Gs)/β1/γ2
7.14Single8X9UMetenolone8X9U-ADGRD1-Metenolone-chim(NtGi1-Gs)/β1/γ2
7.14Single9BLWCagrilintide backbone (non-acylated)9BLW-CT (AMY1)-Cagrilintide backbone (non-acylated)-Gs/β1/γ2; RAMP1
7.14Single9BP3Cagrilintide9BP3-CT (AMY1)-Cagrilintide-Gs/β1/γ2; RAMP1
7.14Single9BUBCagrilintide9BUB-CT-Cagrilintide-Gs/β1/γ2
7.14Consensuscrf2_on_gpOrthosteric Ligand7TS0-CRF2-Urocortin-chim(NtGi1L-Go)/β1/γ2
7.14Consensusvpac_on_gpOrthosteric Ligandvpac1_on_gp vpac2_on_gp
6.90Single5NX2GLP-1 (Truncated)5NX2-GLP-1-GLP-1 (Truncated)
6.90Single6B3JExendin-P56B3J-GLP-1-Exendin-P5-Gs/β1/γ2
6.90Single6UVAAdrenomedullin-26UVA-CT Like (AM2)-Adrenomedullin-2-Gs/β1/γ2; RAMP3
6.90Single7AD3Alpha-factor mating pheromone7AD3-STE2-α-factor mating pheromone-Gi1/STE4/γ2
6.90Single7DTYGIP7DTY-GIP-GIP-Gs/β1/γ2
6.90Single7F4FAfamelanotide7F4F-MC1-Afamelanotide-chim(NtGi1-Gs)/β1/γ2
6.90Single7FIYTirzepatide7FIY-GIP-Tirzepatide-Gs/β1/γ2
6.90Single7QBCAlpha-factor mating pheromone7QBC-STE2-α-factor mating pheromone
6.90Single7VQXPACAP277VQX-VPAC1-PACAP27-Gs/β1/γ2
6.90Single8FU6Glucagon derivative ZP37808FU6-Glucagon-Glucagon derivative ZP3780-Gs/β1/γ2
6.90Single9BUCCagrilintide9BUC-CT-Cagrilintide-Gs/β1/γ2
6.90Consensuscrf_onOrthosteric Ligandcrf2_on crf1_on
6.90Consensusglp2_onOrthosteric Ligand7D68-GLP-2-GLP-2-Gs/β1/γ2
6.90Consensusglp2_on_gpOrthosteric Ligand7D68-GLP-2-GLP-2-Gs/β1/γ2
6.90Consensusglp_onOrthosteric Ligandglp1_on glp2_on
6.90Consensusglp_on_gpOrthosteric Ligandglp1_on_gp glp2_on_gp
6.67Single5TE520-Methanoretinal5TE5-Rhodopsin-20-Methanoretinal
6.67Single6FK6PubChem 1324730336FK6-Rhodopsin-PubChem 132473033
6.67Single6I9K9-cis-Retinal6I9K-Rhodopsin-9-cis-Retinal
6.67Single6LMKGlucagon6LMK-Glucagon-Glucagon-Gs/β1/γ2
6.67Single6LMLGlucagon6LML-Glucagon-Glucagon-Gi1/β1/γ1
6.67Single6PGSGeraniol6PGS-Rhodopsin-Geraniol-Gt(CT)
6.67Single6PH7Nerol6PH7-Rhodopsin-Nerol-Gt(CT)
6.67Single6QNOAll-trans-Retinal6QNO-Rhodopsin-All-trans-Retinal-Gi1/β1/γ1
6.67Single6UUSAdrenomedullin6UUS-CT Like (AM2)-Adrenomedullin-Gs/β1/γ2; RAMP3
6.67Single6WZGSecretin6WZG-Secretin-Secretin-Gs/β1/γ2
6.67Single7D68GLP-27D68-GLP-2-GLP-2-Gs/β1/γ2
6.67Single7QBCAlpha-factor mating pheromone7QBC-STE2-α-factor mating pheromone
6.67Single7S8NR-Zinc-35737S8N-MRGPRX2-R-Zinc-3573-chim(NtGi2L-Gs-CtGq)/β1/γ2
6.67Single7TS0Urocortin7TS0-CRF2-Urocortin-chim(NtGi1L-Go)/β1/γ2
6.67Single7XKFBeta-Hydroxyandrosterone7XKF-ADGRG2-β-Hydroxyandrosterone-Gs/β1/γ2
6.67Single7XP6Strychnine7XP6-TAS2R46-Strychnine-chim(Gs-CtGt3)/β1/γ2
6.67Single7XT9Serotonin7XT9-5-HT4-Serotonin-Gs/β1/γ2
6.67Single7XTASerotonin7XTA-5-HT4-Serotonin-Gi1/β1/γ2
6.67Single8A2PLUAA470708A2P-A2A-LUAA47070-Na
6.67Single8FLTM-PTH(1-14)8FLT-PTH1-M-PTH(1-14)-Gs/β1/γ2
6.67Single8H2GNiacin8H2G-HCA2-Niacin-Gi1/β1/γ2
6.67Single8HSCFab0468HSC-GPR20-Fab046-Gi1/β1/γ2
6.67Single8IHIAcifran8IHI-HCA2-Acifran-Gi1/β1/γ2
6.67Single8JLOUlotaront8JLO-TA1-Ulotaront-Gs/β1/γ2
6.67Single8K5BNiacin8K5B-HCA2-Niacin
6.67Single8W89PEA8W89-TA1-PEA-chim(NtGi1L-Gs)/β1/γ2
6.67Single8ZSVRO52633978ZSV-TA1-RO5263397-chim(NtGi1-Gs)/β1/γ2
6.67Single9BTWCagrilintide9BTW-CT (AMY3)-Cagrilintide-Gs/β1/γ2; RAMP3
6.67Single9IZDCHBA9IZD-HCA1-CHBA-Gi1/β1/γ2
6.67Single9L3ZLRH7-C29L3Z-CML1-LRH7-C2
6.67Consensus5ht4_onOrthosteric Ligand7XTA-5-HT4-Serotonin-Gi1/β1/γ2
6.67Consensus5ht4_on_gpOrthosteric Ligand7XTA-5-HT4-Serotonin-Gi1/β1/γ2
6.67Consensusvpac2_onOrthosteric Ligand7VQX-VPAC1-PACAP27-Gs/β1/γ2
6.67Consensusvpac2_on_gpOrthosteric Ligand7VQX-VPAC1-PACAP27-Gs/β1/γ2
6.45Single7RBTTirzepatide7RBT-GIP-Tirzepatide-LSN3556672-chim(NtGi1-Gs)/β1/γ2
6.45Consensuscrf1_onOrthosteric Ligand6PB0-CRF1-Urocortin-chim(NtGi1-Gs)/β1/γ2 6P9X-CRF1-Corticoliberin-Gs/β1/γ2
6.45Consensusgip_onOrthosteric Ligand7FIN-GIP-Peptide-20; GGL-Gs/β1/γ2 7FIY-GIP-Tirzepatide-Gs/β1/γ2 7DTY-GIP-GIP-Gs/β1/γ2
6.45Consensusgip_on_gpOrthosteric Ligand7FIN-GIP-Peptide-20; GGL-Gs/β1/γ2 7FIY-GIP-Tirzepatide-Gs/β1/γ2 7DTY-GIP-GIP-Gs/β1/γ2
6.25Single2Z7311-cis-Retinal2Z73-Rhodopsin-11-cis-Retinal
6.25Single3AYN9-cis-Retinal3AYN-Rhodopsin-9-cis-Retinal
6.25Single3PWHZM-2413853PWH-A2A-ZM-241385
6.25Single3V2WPubChem 518926453V2W-S1P1-PubChem 51892645
6.25Single3VGAZM-2413853VGA-A2A-ZM-241385-Antibody
6.25Single5OLVLUAA410635OLV-A2A-LUAA41063-Na
6.25Single6D9HAdenosine6D9H-A1-Adenosine-Gi2/β1/γ2
6.25Single6DS0Ly2660976DS0-5-HT2B-Ly266097
6.25Single6FKBPubChem 1324730386FKB-Rhodopsin-PubChem 132473038
6.25Single6LPBPACAP6LPB-PAC1-PACAP-Gs/β1/γ1
6.25Single6ME2Ramelteon6ME2-MT1-Ramelteon
6.25Single6OYAAll-trans-Retinal6OYA-Rhodopsin-All-trans-Retinal-Gt/β1/γ1
6.25Single7F1ODopamine7F1O-D1-Dopamine-GDP; Mg-Gs/β1/γ2
6.25Single7LD4Adenosine7LD4-A1-Adenosine-Gi2/β1/γ2
6.25Single7TUZ7-alpha,25-dihydroxycholesterol7TUZ-GPR183-7-α,25-dihydroxycholesterol-Gi1/β1/γ2
6.25Single7VIHCBP-3077VIH-S1P1-CBP-307-Gi1/β1/γ2
6.25Single7XT8Serotonin7XT8-5-HT4-Serotonin-Gs/β1/γ2
6.25Single8DU3PubChem 1055260648DU3-A2A-PubChem 105526064
6.25Single8HDPAdenosine8HDP-A2B-Adenosine-Gs/β1/γ2
6.25Single8IJANiacin8IJA-HCA2-Niacin-Gi1/β1/γ2
6.25Single8JPPSuccinic acid8JPP-Succinate-Succinic acid-chim(Gs-CtGq)/β1/γ1
6.25Single8JSOAMPH8JSO-TA1-AMPH-chim(NtGi1-Gs)/β1/γ2
6.25Single8U8FPalmitic Acid8U8F-GPR3-Palmitic Acid-Gs/β1/γ2
6.25Single8UTDMK19038UTD-HCA2-MK1903-Gi1/β1/γ2
6.25Single8WC4ZH86518WC4-TA1-ZH8651-chim(NtGi1-Gs)/β1/γ2
6.25Single8WCA2-Phenylethylamine8WCA-TA1-2-Phenylethylamine-chim(NtGi1-Gs)/β1/γ2
6.25Single8XXVIndomethacin8XXV-DP2-Indomethacin-A1D5Q-Gi1/β1/γ2
6.25Single8YYWAlpha-ketoglutarate8YYW-Oxoglutarate-α-ketoglutarate-α-ketoglutarate-chim(Gi1-CtGq)/β1/γ2
6.25Single9AUCCalcitonin gene-related peptide-19AUC-CT (AMY1)-Calcitonin gene-related peptide-1-Gs/β1/γ2; RAMP1
6.25Single9H2XA1IR19H2X-A2A-A1IR1-Na
6.25Single9J5VCpY9J5V-LPA1-CpY-Gi1/β1/γ2
6.25Consensusa1_onOrthosteric Ligand7LD4-A1-Adenosine-Gi2/β1/γ2
6.25Consensusa1_on_gpOrthosteric Ligand7LD4-A1-Adenosine-Gi2/β1/γ2
6.25Consensusrhodopsin_on_gpOrthosteric Ligand6OYA-Rhodopsin-All-trans-Retinal-Gt/β1/γ1
6.25Consensuss1p1_offOrthosteric Ligand3V2W-S1P1-PubChem 51892645
6.06Single6WPWGlucagon derivative ZP37806WPW-Glucagon-Glucagon derivative ZP3780-Gs/β1/γ2
6.06Single7V35Peptide-207V35-Glucagon-Peptide-20-Gs/β1/γ2
6.06Single8JIPMEDI03828JIP-GLP-1-MEDI0382-chim(NtGi1-Gs)/β1/γ2
6.06Consensuscrf1_on_gpOrthosteric Ligand6PB0-CRF1-Urocortin-chim(NtGi1-Gs)/β1/γ2 6P9X-CRF1-Corticoliberin-Gs/β1/γ2
6.06Consensuscrf_on_gpOrthosteric Ligandcrf2_on_gp crf1_on_gp
5.88Single1F8811-cis-Retinal1F88-Rhodopsin-11-cis-Retinal
5.88Single2YDOAdenosine2YDO-A2A-Adenosine
5.88Single3REYXAC3REY-A2A-XAC
5.88Single3V2YPubChem 518926453V2Y-S1P1-PubChem 51892645
5.88Single4N6HNaltrindole4N6H-δ-Naltrindole-Na
5.88Single6AQFZM-2413856AQF-A2A-ZM-241385
5.88Single6FK8PubChem 1324730356FK8-Rhodopsin-PubChem 132473035
5.88Single6FKAPubChem 1324730376FKA-Rhodopsin-PubChem 132473037
5.88Single6KUXRS-799486KUX-α2a-RS-79948
5.88Single6PELCitronellol6PEL-Rhodopsin-Citronellol-Gt(CT)
5.88Single6PS82-Phenylmelatonin6PS8-MT1-2-Phenylmelatonin
5.88Single6PT0WIN 55212-26PT0-CB2-WIN 55212-2-Gi1/β1/γ2
5.88Single6ZDVChromone 5d6ZDV-A2A-Chromone 5d-Na
5.88Single7CKWFenoldopam7CKW-D1-Fenoldopam-Gs/β1/γ2
5.88Single7CKZDopamine7CKZ-D1-Dopamine-Mevidalen-Gs/β1/γ2
5.88Single7F0TDopamine7F0T-D1-Dopamine-Gs/β1/γ2
5.88Single7F1ZDopamine7F1Z-D1-Dopamine-GDP-Gs/β1/γ2
5.88Single7UL3Famotidine7UL3-H2-Famotidine
5.88Single7VODCariprazine7VOD-5-HT2A-Cariprazine
5.88Single7VUGJNJ-635330547VUG-GPR139-JNJ-63533054-Gi1/β1/γ2
5.88Single7WC9PubChem 1624213647WC9-5-HT2A-PubChem 162421364
5.88Single8GUQOlorinab8GUQ-CB2-Olorinab-Gi1/β1/γ2
5.88Single8GURCP55,9408GUR-CB2-CP55,940-Gi1/β1/γ2
5.88Single8HJ5PubChem 1390305318HJ5-MRGPRX1-PubChem 139030531-chim(NtGi1-Gs-CtGq)/β1/γ2
5.88Single8JITMEDI03828JIT-Glucagon-MEDI0382-Gs/β1/γ2
5.88Single8JIUSAR4258998JIU-Glucagon-SAR425899-Gs/β1/γ2
5.88Single8JLKUlotaront8JLK-TA1-Ulotaront-chim(NtGi1-Gs)/β1/γ2
5.88Single8JLQFenoldopam8JLQ-TA1-Fenoldopam-Gs/β1/γ2
5.88Single8K4SDCA-3P8K4S-MRGPRX4-DCA-3P-chim(NtGi1L-Gs-CtGq)/β1/γ2
5.88Single8K5CAcipimox8K5C-HCA2-Acipimox
5.88Single8K9KDamgo8K9K-μ-Damgo-Gi3/β1/γ1
5.88Single8K9LDamgo8K9L-μ-Damgo-BMS-986122-Gi3/β1/γ1
5.88Single8UHBRO52563908UHB-TA1-RO5256390-Gs/β1/γ2
5.88Single8V6UPubChem 1713924568V6U-5-HT2A-PubChem 171392456-chim(NtGi2-Gs-CtGq)/β1/γ2
5.88Single8W88SEP-3638568W88-TA1-SEP-363856-Gs/β1/γ2
5.88Single8WC8ZH86518WC8-TA1-ZH8651-chim(NtGi1-Gs)/β1/γ2
5.88Single8X7ATreprostinil8X7A-I2-Treprostinil-Gs/β1/γ2
5.88Single8Y45ADL58598Y45-δ-ADL5859-Gi2/β1/γ2
5.88Single8Y62C16:0 Ceramide8Y62-FPR2-ALX-C16:0 Ceramide-Gi1/β1/γ2
5.88Single8Y6YGLPG09748Y6Y-FFA2-GLPG0974
5.88Single8YRGFospropofol8YRG-MRGPRX4-Fospropofol-chim(NtGi1-Gs-CtGq)/β1/γ2
5.88Single9IXXLTD49IXX-CysLT2-LTD4-chim(NtGi1-Gs-CtGq)/β1/γ2
5.88Single9JKQMETH9JKQ-TA1-METH-Gs/β1/γ2
5.88Single9K1DButanoic acid9K1D-FFA2-Butanoic acid-Gi1/β1/γ2
5.88Single9KPDSA09KPD-TAS2R16-SA0-chim(Gs-CtGt3)/β1/γ2
5.88Consensus5ht2a_offOrthosteric Ligand6A94-5-HT2A-Zotepine 6A93-5-HT2A-Risperidone 7VOD-5-HT2A-Cariprazine 7WC8-5-HT2A-Lumateperone 8JT8-5-HT2A-(R)-IHCH-7179
5.88Consensusadenosine_onOrthosteric Liganda1_on a2_on a3_on
5.88Consensusgi_adenosineOrthosteric Ligand7LD4-A1-Adenosine-Gi2/β1/γ2 8X17-A3A-Namodenoson-Gi1/β1/γ2 8X16-A3A-Piclidenoson-Gi1/β1/γ2
5.88Consensusglucagon_onOrthosteric Ligandglp_on gluc_on secretin_on gip_on
5.88Consensusopsins_offOrthosteric Ligandrhodopsin_off
5.88Consensuspth2_onOrthosteric Ligand7F16-PTH2-TIP39-Gs/β1/γ2
5.88Consensussensory_offOrthosteric Ligandopsins_off
5.71Consensusgluc_onOrthosteric Ligand6LMK-Glucagon-Glucagon-Gs/β1/γ2 8JIT-Glucagon-MEDI0382-Gs/β1/γ2 7V35-Glucagon-Peptide-20-Gs/β1/γ2
5.71Consensusglucagon_on_gpOrthosteric Ligandglp_on_gp gluc_on_gp secretin_on_gp gip_on_gp
5.56Single2Y02Carmoterol2Y02-β1-Carmoterol
5.56Single4EJ4Naltrindole4EJ4-δ-Naltrindole
5.56Single4X1HNonyl-Beta-D-Glucopyranoside4X1H-Rhodopsin-Nonyl-β-D-Glucopyranoside-Gt(CT)
5.56Single5NDDAZ8838; Na5NDD-PAR2-AZ8838; Na
5.56Single5OLZPubChem 1355666095OLZ-A2A-PubChem 135566609-Na
5.56Single5OM1PubChem 1355666095OM1-A2A-PubChem 135566609-Na
5.56Single5UENDU1725UEN-A1-DU172
5.56Single5ZKPForopafant (SR27417)5ZKP-PAF-Foropafant (SR27417)
5.56Single6DRXLisuride6DRX-5-HT2B-Lisuride
5.56Single6DRZMethysergide6DRZ-5-HT2B-Methysergide
5.56Single6FK7PubChem 1324730346FK7-Rhodopsin-PubChem 132473034
5.56Single6FKDPubChem 1373491836FKD-Rhodopsin-PubChem 137349183
5.56Single6IIVDaltroban6IIV-TXA2-Daltroban
5.56Single6KPFPubChem 1459158896KPF-CB2-PubChem 145915889-Gi1/β1/γ2
5.56Single6ORVTT-OAD26ORV-GLP-1-TT-OAD2-Gs/β1/γ2
5.56Single7CRHSKF839597CRH-D1-SKF83959-Gs/β1/γ2
5.56Single7DB6Ramelteon7DB6-MT1-Ramelteon-Gi1/β1/γ2
5.56Single7JVQApomorphine7JVQ-D1-Apomorphine-Gs/β1/γ2
5.56Single7LJCSKF-812977LJC-D1-SKF-81297-Mevidalen-Gs/β1/γ2
5.56Single7PP1Selatogrel7PP1-P2Y12-Selatogrel
5.56Single7V3ZCP559407V3Z-CB1-CP55940
5.56Single7VH0Ramelteon7VH0-MT2-Ramelteon-Gi1/β1/γ1
5.56Single7VIES1P7VIE-S1P1-S1P-Gi1/β1/γ2
5.56Single7VIFS-FTY720-P7VIF-S1P1-S-FTY720-P-Gi1/β1/γ2
5.56Single7WC8Lumateperone7WC8-5-HT2A-Lumateperone
5.56Single7X2CFenoldopam7X2C-D1-Fenoldopam-Fenoldopam-Gs/β1/γ2
5.56Single7YACPaltusotine7YAC-SST2-Paltusotine-Gi1/β1/γ2
5.56Single7YK7DC5910537YK7-RXFP4-DC591053-Gi2/β1/γ2
5.56Single7YXAONO-54306087YXA-S1P5-ONO-5430608
5.56Single8CU6LJ-45178CU6-A2A-LJ-4517
5.56Single8CU7LJ-45178CU7-A2A-LJ-4517-Na
5.56Single8EFQDamgo8EFQ-μ-Damgo-Gi1/β1/γ2
5.56Single8GCML9026888GCM-EP4-L902688-Gi1/β1/γ2
5.56Single8I7VAcipimox8I7V-HCA2-Acipimox-Gi1/β1/γ2
5.56Single8JLZST19368JLZ-5-HT6-ST1936-Gs/β1/γ2
5.56Single8JT8(R)-IHCH-71798JT8-5-HT2A-(R)-IHCH-7179
5.56Single8K5DGSK2560738K5D-HCA2-GSK256073
5.56Single8KEXDCA-3P8KEX-MRGPRX4-DCA-3P
5.56Single8T1WCVN4248T1W-GPR6-CVN424
5.56Single8UWLLisuride8UWL-5-HT2A-Lisuride-chim(NtGi2-Gs-CtGq)/β1/γ2
5.56Single8W87METH8W87-TA1-METH-chim(NtGi1L-Gs)/β1/γ2
5.56Single8W8ARO52563908W8A-TA1-RO5256390-chim(NtGi1L-Gs)/β1/γ2
5.56Single8X9TAP5038X9T-ADGRD1-AP503-chim(NtGi1-Gs)/β1/γ2
5.56Single8XJLPGF2-alpha8XJL-FP-alpha-PGF2-α-chim(NtGi2-Gs-CtGq)/β1/γ2
5.56Single8YH5Riboprine8YH5-A3A-Riboprine-Gi1/β1/γ2
5.56Single8ZQEGPR15L(C11)8ZQE-GPR15-GPR15L(C11)-Gi1/β1/γ1
5.56Single8ZSSRO52633978ZSS-TA1-RO5263397-chim(NtGi1-Gs)/β1/γ2
5.56Single9CHXS-Carazolol9CHX-β2-S-Carazolol
5.56Single9EPP11,20-Ethanoretinal9EPP-Rhodopsin-11,20-Ethanoretinal-chim(Gi1-CtGq)/β1/γ2
5.56Single9H37A1IR09H37-A2A-A1IR0-Na
5.56Single9IVGGLP-1 (Truncated)9IVG-GLP-1-GLP-1 (Truncated)-chim(NtGi1-Gs)/β1/γ2
5.56Single9IYAONO-97105319IYA-GPR55-ONO-9710531
5.56Single9JGKBalovaptan9JGK-5-HT2B-Balovaptan
5.56Consensus5ht2b_offOrthosteric Ligand6DRZ-5-HT2B-Methysergide
5.56Consensus5ht6_onOrthosteric Ligand7XTB-5-HT6-Serotonin-Gs/β1/γ2 8JLZ-5-HT6-ST1936-Gs/β1/γ2
5.56Consensus5ht6_on_gpOrthosteric Ligand7XTB-5-HT6-Serotonin-Gs/β1/γ2 8JLZ-5-HT6-ST1936-Gs/β1/γ2
5.56Consensusadenosine_on_gpOrthosteric Liganda1_on_gp a2_on_gp a3_on_gp
5.56Consensusalicarboxylic_on_gpOrthosteric Ligandsuccinate_on_gp hca_on_gp
5.56Consensusdop_offOrthosteric Ligand4EJ4-δ-Naltrindole
5.56Consensusgi_alicarboxylicOrthosteric Ligandgi_hca gi_succinate
5.56Consensusgluc_on_gpOrthosteric Ligand6LMK-Glucagon-Glucagon-Gs/β1/γ2 8JIT-Glucagon-MEDI0382-Gs/β1/γ2 7V35-Glucagon-Peptide-20-Gs/β1/γ2
5.56Consensusgs_trace-amineOrthosteric Ligand8W88-TA1-SEP-363856-Gs/β1/γ2 8JLJ-TA1-T1AM-chim(NtGi1-Gs)/β1/γ2 8JLO-TA1-Ulotaront-Gs/β1/γ2 8WC4-TA1-ZH8651-chim(NtGi1-Gs)/β1/γ2 8WC7-TA1-ZH8667-chim(NtGi1-Gs)/β1/γ2 8JLR-TA1-A77636-chim(NtGi1-Gs)/β1/γ2 8JSO-TA1-AMPH-chim(NtGi1-Gs)/β1/γ2 8W87-TA1-METH-chim(NtGi1L-Gs)/β1/γ2 8W89-TA1-PEA-chim(NtGi1L-Gs)/β1/γ2 8JLP-TA1-Ralmitaront-Gs/β1/γ2 8W8A-TA1-RO5256390-chim(NtGi1L-Gs)/β1/γ2
5.41Single7F16TIP397F16-PTH2-TIP39-Gs/β1/γ2
5.41Consensuspth2_on_gpOrthosteric Ligand7F16-PTH2-TIP39-Gs/β1/γ2
5.26Single4NTJAZD12834NTJ-P2Y12-AZD1283
5.26Single4PHUFasiglifam4PHU-FFA1-Fasiglifam
5.26Single4WW3All-trans-Retinal4WW3-Rhodopsin-All-trans-Retinal
5.26Single5C1MBU725C1M-μ-BU72
5.26Single5OM4PubChem 1355666095OM4-A2A-PubChem 135566609-Na
5.26Single5YHLPubChem 1351213525YHL-EP4-PubChem 135121352
5.26Single5YWYONO-AE3-2085YWY-EP4-ONO-AE3-208
5.26Single5ZK33-quinuclidinyl-benzilate5ZK3-M2-3-quinuclidinyl-benzilate
5.26Single6GDGNECA6GDG-A2A-NECA-Gs/β1/γ1
5.26Single6HLPNetupitant6HLP-NK1-Netupitant
5.26Single6KPCPubChem 1459158896KPC-CB2-PubChem 145915889
5.26Single6M9TMisoprostol-FA6M9T-EP3-Misoprostol-FA
5.26Single6ME82-Phenylmelatonin6ME8-MT2-2-Phenylmelatonin
5.26Single6Z4QSR142948A6Z4Q-NTS1-SR142948A
5.26Single7C4SS1P7C4S-S1P3-S1P
5.26Single7C61Ergotamine7C61-5-HT1B-Ergotamine
5.26Single7CKXA776367CKX-D1-A77636-Gs/β1/γ2
5.26Single7E9GJNJ-404118137E9G-mGlu2; mGlu2-Eglumetad-JNJ-40411813-Gi1/β1/γ2
5.26Single7EPFNAM5977EPF-mGlu2; mGlu2-NAM597
5.26Single7EUOfMLF7EUO-FPR1-ALX-fMLF-Gi1/β1/γ2
5.26Single7LD3Adenosine7LD3-A1-Adenosine-MIPS521-Gi2/β1/γ2
5.26Single7VOEAripiprazole7VOE-5-HT2A-Aripiprazole
5.26Single7VV4Cortistatin-147VV4-MRGPRX2-Cortistatin-14
5.26Single7W41PD1762527W41-BB2-PD176252
5.26Single7WIGL-054,2647WIG-SST2-L-054,264-Gi1/β1/γ2
5.26Single8GD9Rivenprost8GD9-EP4-Rivenprost-Gs/β1/γ2
5.26Single8I7WGSK2560738I7W-HCA2-GSK256073-Gi1/β1/γ2
5.26Single8J18(3R)-3-Hydroxydodecanoic acid8J18-GPR84-(3R)-3-Hydroxydodecanoic acid-Gi1/β1/γ2
5.26Single8J6JGSK2560738J6J-HCA2-GSK256073-Gi1/β1/γ2
5.26Single8JGGBAM8-228JGG-MRGPRX1-BAM8-22-Gi1/β1/γ2
5.26Single8JXSPF-61428JXS-D1-PF-6142
5.26Single8K8JFenofibrate8K8J-CB1-Fenofibrate-chim(Gs-CtGq)/β1/γ2
5.26Single8TF5Oleic acid8TF5-GPR6-Oleic acid
5.26Single8WGBVU01550418WGB-mGlu4; mGlu2-Glutammate-VU0155041-Gi3/β1/γ2
5.26Single8ZVZBW245C8ZVZ-DP1-BW245C-Gs/β1/γ2
5.26Single9EE8Adenosine9EE8-A2A-Adenosine-Gs/β1/γ2
5.26Single9EHSLUF76029EHS-A3A-LUF7602
5.26Single9F34FOB02-04A9F34-D3-FOB02-04A-Go/β1/γ2
5.26Single9I52A1IZU9I52-D1-A1IZU-Gs/β1/γ2
5.26Single9KPFSA09KPF-TAS2R16-SA0-Gi1/β1/γ2
5.26Consensus5ht2_offOrthosteric Ligand5ht2a_off 5ht2b_off 5ht2c_off
5.26Consensusbb2_offOrthosteric Ligand7W41-BB2-PD176252
5.26Consensusbombesin_offOrthosteric Ligandbb2_off
5.26Consensuscb2_onOrthosteric Ligand8GUR-CB2-CP55,940-Gi1/β1/γ2 8GUS-CB2-HU-308-Gi1/β1/γ2 8GUT-CB2-LEI-102-Gi1/β1/γ2 6KPF-CB2-PubChem 145915889-Gi1/β1/γ2 6PT0-CB2-WIN 55212-2-Gi1/β1/γ2 8GUQ-CB2-Olorinab-Gi1/β1/γ2
5.26Consensuscb2_on_gpOrthosteric Ligand8GUR-CB2-CP55,940-Gi1/β1/γ2 8GUS-CB2-HU-308-Gi1/β1/γ2 8GUT-CB2-LEI-102-Gi1/β1/γ2 6KPF-CB2-PubChem 145915889-Gi1/β1/γ2 6PT0-CB2-WIN 55212-2-Gi1/β1/γ2 8GUQ-CB2-Olorinab-Gi1/β1/γ2
5.26Consensusd1_onOrthosteric Ligand7F0T-D1-Dopamine-Gs/β1/γ2 7CKY-D1-PW0464-Gs/β1/γ2 8IRR-D1-Rotigotine-Gs/β1/γ2 7JV5-D1-SKF81297-Gs/β1/γ2 7JVP-D1-SKF83959-Gs/β1/γ2 7X2D-D1-Tavapadon-Gs/β1/γ2 7CKX-D1-A77636-Gs/β1/γ2 7JVQ-D1-Apomorphine-Gs/β1/γ2 7CKW-D1-Fenoldopam-Gs/β1/γ2
5.26Consensusd2_onOrthosteric Ligand7JVR-D2-Bromoergocryptine-Gi1/β1/γ2 8IRS-D2-Rotigotine-Gi1/β1/γ2
5.26Consensusep4_offOrthosteric Ligand5YWY-EP4-ONO-AE3-208 5YHL-EP4-PubChem 135121352
5.26Consensusep_offOrthosteric Ligandep4_off
5.26Consensusgs_amineOrthosteric Ligandgs_5ht gs_adrenergic gs_dopamine gs_histamine gs_trace-amine
5.26Consensuslipid_onOrthosteric Ligandcannabinoid_on ffa_on lpl_on prostanoid_on leukotriene_on
5.26Consensuslipid_on_gpOrthosteric Ligandcannabinoid_on_gp ffa_on_gp lpl_on_gp prostanoid_on_gp leukotriene_on_gp
5.26Consensuslpa1_onOrthosteric Ligand7TD1-LPA1-LPA-Gi1/β1/γ2 7YU3-LPA1-ONO-0740556-Gi1/β1/γ2
5.26Consensuslpa1_on_gpOrthosteric Ligand7TD1-LPA1-LPA-Gi1/β1/γ2 7YU3-LPA1-ONO-0740556-Gi1/β1/γ2
5.26Consensusnucleotide_onOrthosteric Ligandadenosine_on p2y_on
5.26Consensusta1_onOrthosteric Ligand8W87-TA1-METH-chim(NtGi1L-Gs)/β1/γ2 8W89-TA1-PEA-chim(NtGi1L-Gs)/β1/γ2 8JLP-TA1-Ralmitaront-Gs/β1/γ2 8W8A-TA1-RO5256390-chim(NtGi1L-Gs)/β1/γ2 8W88-TA1-SEP-363856-Gs/β1/γ2 8JLO-TA1-Ulotaront-Gs/β1/γ2 8JLR-TA1-A77636-chim(NtGi1-Gs)/β1/γ2 8JSO-TA1-AMPH-chim(NtGi1-Gs)/β1/γ2 8ZSP-TA1-LSD-chim(NtGi1L-Gs-CtGq)/β1/γ2
5.26Consensustrace-amine_onOrthosteric Ligandta1_on
5.00Single2YDVNECA2YDV-A2A-NECA
5.00Single3UON3-quinuclidinyl-benzilate3UON-M2-3-quinuclidinyl-benzilate
5.00Single4UHRCGS216804UHR-A2A-CGS21680
5.00Single5A8E7-Methylcyanopindolol5A8E-β1-7-Methylcyanopindolol-Na
5.00Single5G53NECA5G53-A2A-NECA-Gs
5.00Single5XR8AM8415XR8-CB1-AM841
5.00Single5XRAAM115425XRA-CB1-AM11542
5.00Single5ZHPPubChem 1348285895ZHP-M3-PubChem 134828589
5.00Single6DDEDamgo6DDE-μ-Damgo-Gi1/β1/γ2
5.00Single6GT3Imaradenant6GT3-A2A-Imaradenant-Na
5.00Single6J21Aprepitant6J21-NK1-Aprepitant
5.00Single6N4BMDMB-Fubinaca6N4B-CB1-MDMB-Fubinaca-Gi1/β1/γ2
5.00Single6WGTLSD6WGT-5-HT2A-LSD
5.00Single7CKYPW04647CKY-D1-PW0464-Gs/β1/γ2
5.00Single7E2ZAripiprazole7E2Z-5-HT1A-Aripiprazole-Gi1/β1/γ2
5.00Single7EW1Siponimod7EW1-S1P5-Siponimod-Gi1/β1/γ2
5.00Single7EW3S1P7EW3-S1P3-S1P-Gi1/β1/γ2
5.00Single7EW7SEW28717EW7-S1P1-SEW2871-Gi1/β1/γ2
5.00Single7FEECP559407FEE-CB1-CP55940-ZCZ011
5.00Single7JV5SKF812977JV5-D1-SKF81297-Gs/β1/γ2
5.00Single7JVPSKF839597JVP-D1-SKF83959-Gs/β1/γ2
5.00Single7M8W15r-Methyl-Prostaglandin D27M8W-DP2-15r-Methyl-Prostaglandin D2-Na
5.00Single7S8MCortistatin-147S8M-MRGPRX2-Cortistatin-14-Gi1/β1/γ2
5.00Single7TD1LPA7TD1-LPA1-LPA-Gi1/β1/γ2
5.00Single7TUYGSK682753A7TUY-GPR183-GSK682753A
5.00Single7WV9CP559407WV9-CB1-CP55940-ZCZ011-Gi2/β1/γ2
5.00Single8DCSCyanopindolol8DCS-β1-Cyanopindolol-Gs/β1/γ2
5.00Single8E0GBU728E0G-μ-BU72
5.00Single8GUSHU-3088GUS-CB2-HU-308-Gi1/β1/γ2
5.00Single8IYHMK68928IYH-HCA2-MK6892-Go/β1/γ2
5.00Single8JLPRalmitaront8JLP-TA1-Ralmitaront-Gs/β1/γ2
5.00Single8JSRAnamorelin8JSR-Ghrelin-Anamorelin-chim(NtGi1-Gs-CtGq)/β1/γ2
5.00Single8JXVClozapine8JXV-H4-Clozapine-Gi1/β1/γ2
5.00Single8JXWVUF68848JXW-H4-VUF6884-Gi1/β1/γ2
5.00Single8T1VPubChem 1183102098T1V-GPR6-PubChem 118310209-Na
5.00Single8WU1PubChem 1190256658WU1-CB1-PubChem 119025665-Arrestin2
5.00Single8X79MRE-2698X79-I2-MRE-269-Gs/β1/γ2
5.00Single8XJMLatanoprost8XJM-FP-alpha-Latanoprost-chim(NtGi2-Gs-CtGq)/β1/γ2
5.00Single8Y73Peptide8Y73-μ-Peptide-MPAM-15-Gi1/β1/γ2
5.00Single8ZW0PGD28ZW0-DP1-PGD2-Gs/β1/γ2
5.00Single9B65KCA9B65-CB1-KCA-Gi1/β1/γ2
5.00Single9EGOYVF9EGO-CB1-YVF-Gi1/β1/γ2
5.00Single9I54A1IZV9I54-D1-A1IZV-Gs/β1/γ2
5.00Single9JMCDS-3801b9JMC-Motilin-DS-3801b-chim(Gs-CtGq)/β1/γ2
5.00Consensusa2_onOrthosteric Liganda2b_on
5.00Consensusa2_on_gpOrthosteric Liganda2b_on_gp
5.00Consensusa2b_onOrthosteric Ligand8HDP-A2B-Adenosine-Gs/β1/γ2 7XY6-A2B-BAY 60-6583-chim(NtGi1-Gs)/β1/γ2 7XY7-A2B-NECA-chim(NtGi1-Gs)/β1/γ2 8HDO-A2B-BAY 60-6583-Gs/β1/γ2
5.00Consensusa2b_on_gpOrthosteric Ligand8HDP-A2B-Adenosine-Gs/β1/γ2 7XY6-A2B-BAY 60-6583-chim(NtGi1-Gs)/β1/γ2 7XY7-A2B-NECA-chim(NtGi1-Gs)/β1/γ2 8HDO-A2B-BAY 60-6583-Gs/β1/γ2
5.00Consensusd1_on_gpOrthosteric Ligand7F0T-D1-Dopamine-Gs/β1/γ2 7CKY-D1-PW0464-Gs/β1/γ2 8IRR-D1-Rotigotine-Gs/β1/γ2 7JV5-D1-SKF81297-Gs/β1/γ2 7JVP-D1-SKF83959-Gs/β1/γ2 7X2D-D1-Tavapadon-Gs/β1/γ2 7CKX-D1-A77636-Gs/β1/γ2 7JVQ-D1-Apomorphine-Gs/β1/γ2 7CKW-D1-Fenoldopam-Gs/β1/γ2
5.00Consensusffa_onOrthosteric Ligandffa2_on ffa3_on
5.00Consensusffa_on_gpOrthosteric Ligandffa2_on_gp ffa3_on_gp
5.00Consensusgi_cannabinoidOrthosteric Ligand8GUR-CB2-CP55,940-Gi1/β1/γ2 8GUS-CB2-HU-308-Gi1/β1/γ2 8GUT-CB2-LEI-102-Gi1/β1/γ2 8GUQ-CB2-Olorinab-Gi1/β1/γ2 6KPF-CB2-PubChem 145915889-Gi1/β1/γ2 6PT0-CB2-WIN 55212-2-Gi1/β1/γ2 6KPG-CB1-AM841-Gi1/β1/γ2
5.00Consensusgi_dopamineOrthosteric Ligand7JVR-D2-Bromoergocryptine-Gi1/β1/γ2 7CMV-D3-PD128907-Gi1/β1/γ2 7CMU-D3-Pramipexole-Gi1/β1/γ2 8IRS-D2-Rotigotine-Gi1/β1/γ2 8IRT-D3-Rotigotine-Gi1/β1/γ2
5.00Consensusgi_ffaOrthosteric Ligand8J21-FFA3-Butyric acid-Gi1/β1/γ2 8J22-FFA2-TUG-1375-Gi1/β1/γ2
5.00Consensusgs_adenosineOrthosteric Ligand8HDP-A2B-Adenosine-Gs/β1/γ2 8HDO-A2B-BAY 60-6583-Gs/β1/γ2 7XY7-A2B-NECA-chim(NtGi1-Gs)/β1/γ2 7XY6-A2B-BAY 60-6583-chim(NtGi1-Gs)/β1/γ2
5.00Consensusgs_adrenergicOrthosteric Ligand7DHI-β2-Salbutamol-Gs/β1/γ2 7XJI-β3-Solabegron-Gs/β1/γ2 7JJO-β1-Isoprenaline-Gs/β1/γ2 6NI3-β2-BI167107-Gs/β1/γ2 8DCR-β1-Dobutamine-Gs/β1/γ2 7XJH-β3-Isoproterenol-Gs/β1/γ2 7DH5-β3-Mirabegron-Gs/β1/γ2
5.00Consensusgs_dopamineOrthosteric Ligand7F0T-D1-Dopamine-Gs/β1/γ2 7CKW-D1-Fenoldopam-Gs/β1/γ2 7CKY-D1-PW0464-Gs/β1/γ2 8IRV-D5-Rotigotine-chim(NtGi1-Gs)/β1/γ2 8IRR-D1-Rotigotine-Gs/β1/γ2 7JV5-D1-SKF81297-Gs/β1/γ2 7JVP-D1-SKF83959-Gs/β1/γ2 7X2D-D1-Tavapadon-Gs/β1/γ2 7CKX-D1-A77636-Gs/β1/γ2 7JVQ-D1-Apomorphine-Gs/β1/γ2
5.00Consensusgs_nucleotideOrthosteric Ligandgs_adenosine
5.00Consensusp2y12_onOrthosteric Ligand7XXI-P2Y12-2MeSADP-Gi2/β1/γ2
5.00Consensuss1p5_onOrthosteric Ligand7EW1-S1P5-Siponimod-Gi1/β1/γ2
5.00Consensuss1p5_on_gpOrthosteric Ligand7EW1-S1P5-Siponimod-Gi1/β1/γ2
5.00Consensusta1_on_gpOrthosteric Ligand8W87-TA1-METH-chim(NtGi1L-Gs)/β1/γ2 8W89-TA1-PEA-chim(NtGi1L-Gs)/β1/γ2 8JLP-TA1-Ralmitaront-Gs/β1/γ2 8W8A-TA1-RO5256390-chim(NtGi1L-Gs)/β1/γ2 8W88-TA1-SEP-363856-Gs/β1/γ2 8JLO-TA1-Ulotaront-Gs/β1/γ2 8JLR-TA1-A77636-chim(NtGi1-Gs)/β1/γ2 8JSO-TA1-AMPH-chim(NtGi1-Gs)/β1/γ2 8ZSP-TA1-LSD-chim(NtGi1L-Gs-CtGq)/β1/γ2
5.00Consensustrace-amine_on_gpOrthosteric Ligandta1_on_gp
4.76Single2YCXCyanopindolol2YCX-β1-Cyanopindolol
4.76Single4AMIBucindolol4AMI-β1-Bucindolol
4.76Single4Z36ONO-30805734Z36-LPA1-ONO-3080573
4.76Single6A93Risperidone6A93-5-HT2A-Risperidone
4.76Single6AK3Dinoprostone IPGE26AK3-EP3-Dinoprostone IPGE2
4.76Single6IIURamatroban6IIU-TXA2-Ramatroban
4.76Single6KQICP559406KQI-CB1-CP55940-Org27569
4.76Single6VMSBromoergocryptine6VMS-D2-Bromoergocryptine-Gi1/β1/γ2
4.76Single6XOXOrforglipron6XOX-GLP-1-Orforglipron-chim(NtGi1-Gs)/β1/γ2
4.76Single7DFPSpiperone7DFP-D2-Spiperone
4.76Single7EO4BAF3127EO4-S1P1-BAF312-Gi1/β1/γ2
4.76Single7F55Bremelanotide7F55-MC4-Bremelanotide-Gs/β1/γ2
4.76Single7K15MKD0467K15-BLT1-MKD046-Na
4.76Single7L1VPubChem 1554910097L1V-OX2-PubChem 155491009-chim(NtGi1-Gs-CtGq)/β1/γ2
4.76Single7MTRADX551647MTR-mGlu2; mGlu2-Glutamate-ADX55164
4.76Single7T6BS1P7T6B-S1P2-S1P-chim(NtGi1L-G13)/β1/γ2
4.76Single7W0LPubChem 1227019087W0L-Apelin-PubChem 122701908-Gi1/β1/γ2
4.76Single7WCNAR2314537WCN-GPR119-AR231453-Gs/β1/γ2
4.76Single7XMTJ-21567XMT-SST4-J-2156-Gi1/β1/γ2
4.76Single7XXI2MeSADP7XXI-P2Y12-2MeSADP-Gi2/β1/γ2
4.76Single7XZ5Lysophosphatidylcholine7XZ5-GPR119-Lysophosphatidylcholine-Gs/β1/γ2
4.76Single8GCPPGE28GCP-EP4-PGE2-Gi1/β1/γ2
4.76Single8IQ6Latanoprost8IQ6-FP-alpha-Latanoprost-chim(NtGi1-Gs-CtGq)/β1/γ2
4.76Single8IRSRotigotine8IRS-D2-Rotigotine-Gi1/β1/γ2
4.76Single8JJLOlodaterol8JJL-β2-Olodaterol
4.76Single8JWY2-1188JWY-A2A-2-118
4.76Single8XJNCloprosetnol8XJN-TXA2-Cloprosetnol-chim(NtGi1-Gs-CtGq)/β1/γ2
4.76Single8XQNCholesterol8XQN-TAS2R14-Cholesterol-Aristolochic acid A-Gi1/β1/γ1
4.76Single8XQSCholesterol8XQS-TAS2R14-Cholesterol-Flufenamic acid-Gi1/β1/γ1
4.76Single9AU0BW245C9AU0-DP1-BW245C-Gs/β1/γ2
4.76Single9CM3TUG-13759CM3-FFA2-TUG-1375-Compound 187-chim(NtGi1L-Gs-CtGq)/β1/γ2
4.76Single9DGIZ85267113509DGI-CB1-Z8526711350
4.76Single9EBIPiclidenoson9EBI-A3A-Piclidenoson-chim(NtGi1L-Gs-CtGi1)/β1/γ2
4.76Single9GYOP3959GYO-GPBA-P395-chim(NtGi1-Gs)/β1/γ2
4.76Consensus5ht1a_onOrthosteric Ligand8FYT-5-HT1A-LSD-Gi1/β1/γ1 7E2Y-5-HT1A-Serotonin-Gi1/β1/γ2 7E2Z-5-HT1A-Aripiprazole-Gi1/β1/γ2 8FYX-5-HT1A-Buspirone-Gi1/β1/γ1 8JSP-5-HT1A-Ulotaront-Gi1/β1/γ2 8JT6-5-HT1A-(R)-IHCH-7179-Gi1/β1/γ2 8FY8-5-HT1A-5-MeO-DMT-Gi1/β1/γ1 8FYE-5-HT1A-4-F,5-MeO-PyrT-Gi1/β1/γ1 8FYL-5-HT1A-Vilazodone-Gi1/β1/γ1
4.76Consensus5ht1a_on_gpOrthosteric Ligand8FYT-5-HT1A-LSD-Gi1/β1/γ1 8FYX-5-HT1A-Buspirone-Gi1/β1/γ1 8JSP-5-HT1A-Ulotaront-Gi1/β1/γ2 8JT6-5-HT1A-(R)-IHCH-7179-Gi1/β1/γ2 7E2Y-5-HT1A-Serotonin-Gi1/β1/γ2 7E2Z-5-HT1A-Aripiprazole-Gi1/β1/γ2 8FY8-5-HT1A-5-MeO-DMT-Gi1/β1/γ1 8FYE-5-HT1A-4-F,5-MeO-PyrT-Gi1/β1/γ1 8FYL-5-HT1A-Vilazodone-Gi1/β1/γ1
4.76Consensusbeta_onOrthosteric Ligandbeta1_on beta2_on beta3_on
4.76Consensusbeta_on_gpOrthosteric Ligandbeta1_on_gp beta2_on_gp beta3_on_gp
4.76Consensuscannabinoid_onOrthosteric Ligandcb2_on cb1_on
4.76Consensuscannabinoid_on_gpOrthosteric Ligandcb2_on_gp cb1_on_gp
4.76Consensuscb1_onOrthosteric Ligand6KPG-CB1-AM841-Gi1/β1/γ2 8K8J-CB1-Fenofibrate-chim(Gs-CtGq)/β1/γ2
4.76Consensusd2_on_gpOrthosteric Ligand7JVR-D2-Bromoergocryptine-Gi1/β1/γ2 8IRS-D2-Rotigotine-Gi1/β1/γ2
4.76Consensusgi_p2yOrthosteric Ligand7XXI-P2Y12-2MeSADP-Gi2/β1/γ2
4.76Consensusleukotriene_offOrthosteric Ligandblt_off cyslt_off
4.76Consensusmop_onOrthosteric Ligand8F7R-μ-Endomorphin-Gi1/β1/γ2 8EF5-μ-Fentanyl-Gi1/β1/γ2 7SCG-μ-FH210-Gi1/β1/γ2 7T2H-μ-Lofentanil-Gi1/β1/γ2 7T2G-μ-Mitragynine Pseudoindoxyl-Gi1/β1/γ2 8EF6-μ-Morphine-Gi1/β1/γ2 8EFB-μ-Oliceridine-Gi1/β1/γ2 7U2L-μ-PubChem 163201242-Gi1/β1/γ2 8EFO-μ-PZM21-Gi1/β1/γ2 8EFL-μ-SR17018-Gi1/β1/γ2 8F7Q-μ-β-Endorphin-Gi1/β1/γ2 7U2K-μ-C6-guano-Gi1/β1/γ2 8EFQ-μ-Damgo-Gi1/β1/γ2
4.76Consensusmop_on_gpOrthosteric Ligand8F7R-μ-Endomorphin-Gi1/β1/γ2 8EF5-μ-Fentanyl-Gi1/β1/γ2 7SCG-μ-FH210-Gi1/β1/γ2 7T2H-μ-Lofentanil-Gi1/β1/γ2 7T2G-μ-Mitragynine Pseudoindoxyl-Gi1/β1/γ2 8EF6-μ-Morphine-Gi1/β1/γ2 8EFB-μ-Oliceridine-Gi1/β1/γ2 7U2L-μ-PubChem 163201242-Gi1/β1/γ2 8EFO-μ-PZM21-Gi1/β1/γ2 8EFL-μ-SR17018-Gi1/β1/γ2 8F7Q-μ-β-Endorphin-Gi1/β1/γ2 7U2K-μ-C6-guano-Gi1/β1/γ2 8EFQ-μ-Damgo-Gi1/β1/γ2
4.76Consensusopioid_offOrthosteric Ligandmop_off nop_off dop_off kop_off
4.76Consensusp2y12_on_gpOrthosteric Ligand7XXI-P2Y12-2MeSADP-Gi2/β1/γ2
4.76Consensuss1p3_onOrthosteric Ligand7EW3-S1P3-S1P-Gi1/β1/γ2 7EW4-S1P3-CYM5541-Gi1/β1/γ2 7EW2-S1P3-Fingolimod-Gi1/β1/γ2
4.55Single2YCZIodocyanopindolol2YCZ-β1-Iodocyanopindolol
4.55Single4BVNCyanopindolol4BVN-β1-Cyanopindolol-Na
4.55Single6BQHRitanserin6BQH-5-HT2C-Ritanserin
4.55Single6DDFDamgo6DDF-μ-Damgo-Gi1/β1/γ2
4.55Single7CX4Evatanepag7CX4-EP2-Evatanepag-Gs/β1/γ2
4.55Single7D7MDinoprostone7D7M-EP4-Dinoprostone-Gs/β1/γ1
4.55Single7JVRBromoergocryptine7JVR-D2-Bromoergocryptine-Gi1/β1/γ2
4.55Single7MTSADX551647MTS-mGlu2; mGlu2-Glutamate-ADX55164-Gi1/β1/γ2
4.55Single7PIUSetmelanotide7PIU-MC4-Setmelanotide-Gs/β1/γ2
4.55Single7VGY2-Iodomelatonin7VGY-MT1-2-Iodomelatonin-Gi1/β1/γ2
4.55Single7X2DTavapadon7X2D-D1-Tavapadon-Gs/β1/γ2
4.55Single7XK2MK68927XK2-HCA2-MK6892-Gi1/β1/γ2
4.55Single8E9X2-Deoxycytidine8E9X-M4-2-Deoxycytidine-chim(NtGi1-Go)/β1/γ2
4.55Single8FX5Xanomeline8FX5-M4-Xanomeline-Xanomeline-Gi1/β1/γ2
4.55Single8GAGPubChem 1708384908GAG-CB1-PubChem 170838490-Gi1/β1/γ2
4.55Single8GUTLEI-1028GUT-CB2-LEI-102-Gi1/β1/γ2
4.55Single8IJDMK68928IJD-HCA2-MK6892-Gi1/β1/γ2
4.55Single8K2XCXCL108K2X-CXCR3-CXCL10-Gi1/β1/γ2
4.55Single8T3OTUG-8918T3O-FFA4-TUG-891-chim(NtGi2L-Gs-CtGq)/β1/γ2
4.55Single8WRZPubChem 1023367048WRZ-CB1-PubChem 102336704-Arrestin2
4.55Single8XIOL7975918XIO-SST1-L797591-chim(NtGi1-Gs-CtGi1)/β1/γ2
4.55Single8XJKCloprosetnol8XJK-FP-alpha-Cloprosetnol-chim(NtGi1-Gs-CtGq)/β1/γ2
4.55Single8XJOU466198XJO-TXA2-U46619-chim(NtGi1-Gs-CtGq)/β1/γ2
4.55Single9AS02-bromo-LSD9AS0-5-HT2A-2-bromo-LSD-chim(NtGi1-Gs-CtGq)/β1/γ2
4.55Single9C0KExendin-49C0K-GLP-1-Exendin-4-Gs/β1/γ2
4.55Single9CGJC6-Quino9CGJ-δ-C6-Quino-Gi1/β1/γ2
4.55Single9IZFNKP9IZF-LPA1-NKP-Gi1/β1/γ2
4.55Single9M1HProstaglandin E29M1H-EP1-Prostaglandin E2-chim(NtGi1-Gs-CtGq)/β1/γ2
4.55Consensus5ht2c_offOrthosteric Ligand6BQH-5-HT2C-Ritanserin
4.55Consensuscb1_on_gpOrthosteric Ligand6KPG-CB1-AM841-Gi1/β1/γ2 8K8J-CB1-Fenofibrate-chim(Gs-CtGq)/β1/γ2
4.55Consensusfp-alpha_onOrthosteric Ligand8IUK-FP-alpha-PGF2-α-chim(NtGi1-Gs-CtGq)/β1/γ2 8IUL-FP-alpha-Latanoprost-chim(NtGi1-Gs-CtGq)/β1/γ2 8IUM-FP-alpha-Tafluprost acid-chim(NtGi1-Gs-CtGq)/β1/γ2
4.55Consensusfp-alpha_on_gpOrthosteric Ligand8IUK-FP-alpha-PGF2-α-chim(NtGi1-Gs-CtGq)/β1/γ2 8IUL-FP-alpha-Latanoprost-chim(NtGi1-Gs-CtGq)/β1/γ2 8IUM-FP-alpha-Tafluprost acid-chim(NtGi1-Gs-CtGq)/β1/γ2
4.55Consensusnucleotide_on_gpOrthosteric Ligandadenosine_on_gp p2y_on_gp
4.55Consensusprostanoid_onOrthosteric Ligandtp_on fp-alpha_on
4.55Consensusprostanoid_on_gpOrthosteric Ligandtp_on_gp fp-alpha_on_gp
4.55Consensustp_onOrthosteric Ligand8XJO-TXA2-U46619-chim(NtGi1-Gs-CtGq)/β1/γ2
4.55Consensustp_on_gpOrthosteric Ligand8XJO-TXA2-U46619-chim(NtGi1-Gs-CtGq)/β1/γ2
4.35Single3NY9ICI118-5513NY9-β2-ICI118-551
4.35Single5ZTYAM102575ZTY-CB2-AM10257
4.35Single6PT3DPI-2876PT3-δ-DPI-287
4.35Single7CX2PGE27CX2-EP2-PGE2-Gs/β1/γ2
4.35Single7S8LCortistatin-147S8L-MRGPRX2-Cortistatin-14-chim(NtGi2L-Gs-CtGq)/β1/γ2
4.35Single7XY6BAY 60-65837XY6-A2B-BAY 60-6583-chim(NtGi1-Gs)/β1/γ2
4.35Single8GDAL9026888GDA-EP4-L902688-Gs/β1/γ2
4.35Single8IQ4Carboprost8IQ4-FP-alpha-Carboprost-chim(NtGi1-Gs-CtGq)/β1/γ2
4.35Single8IUMTafluprost acid8IUM-FP-alpha-Tafluprost acid-chim(NtGi1-Gs-CtGq)/β1/γ2
4.35Single8X3LXWD8X3L-CB2-XWD-Gi1/β1/γ2
4.35Single8XQLCholesterol8XQL-TAS2R14-Cholesterol-Aristolochic acid A-Gt3/β1/γ1
4.35Single8XQOCholesterol8XQO-TAS2R14-Cholesterol-Aristolochic acid A-Gi1/β1/γ1
4.35Single8Y72Peptide8Y72-μ-Peptide-BMS-986122-Gi1/β1/γ2
4.35Single9CGKC5-Quino9CGK-δ-C5-Quino-Gi1/β1/γ2
4.35Single9IZASCH9002719IZA-HCA2-SCH900271-Gi1/β1/γ2
4.35Single9JF4PD1683689JF4-BB1-PD168368
4.35Single9V2NMacimorelin9V2N-Ghrelin-Macimorelin-chim(NtGi1-Gs-CtGq)/β1/γ2
4.35Consensuscb2_offOrthosteric Ligand5ZTY-CB2-AM10257
4.17Single4AMJS-Carvedilol4AMJ-β1-S-Carvedilol
4.17Single6X19CHU-1286X19-GLP-1-CHU-128-Gs/β1/γ2
4.17Single7CX3Taprenepag7CX3-EP2-Taprenepag-Gs/β1/γ2
4.17Single7F4ISHU91197F4I-MC1-SHU9119-chim(NtGi1-Gs)/β1/γ2
4.17Single8INRAlpha-MSH8INR-MC5-α-MSH-Ca-chim(NtGi1-Gs)/β1/γ2
4.17Single8IZBLysophosphatidylserine8IZB-GPR174-Lysophosphatidylserine-Gs/β1/γ2
4.17Single8WKYPG-9348WKY-MC4-PG-934
4.17Single8XFTR-spondin-28XFT-LGR4-R-spondin-2-ZNRF3
4.17Single8Y69R-spondin-28Y69-LGR4-R-spondin-2-ZNRF3
4.00Single6HLOAprepitant6HLO-NK1-Aprepitant
4.00Single7E14Orforglipron7E14-GLP-1-Orforglipron-PubChem 156022738-Gs/β1/γ2
4.00Single8KH5Lysophosphatidylserine8KH5-GPR174-Lysophosphatidylserine-Gs/β1/γ2
3.85Single6W25SHU91196W25-MC4-SHU9119-Ca
3.85Single8WVUR-spondin-18WVU-LGR4-R-spondin-1-RNF43
3.85Single8XIQL7967788XIQ-SST3-L796778-chim(NtGi1-Gs-CtGi1)/β1/γ2
3.85Single8Y69R-spondin-28Y69-LGR4-R-spondin-2-ZNRF3
3.85Single9B54A1AIW9B54-CB1-A1AIW-Gi1/β1/γ2
3.70Single6WIVPubChem 52923113; PubChem 529246456WIV-GABAB1, GABAB2-PubChem 52923113; PubChem 52924645
3.70Single7AD3Alpha-factor mating pheromone7AD3-STE2-α-factor mating pheromone-Gi1/STE4/γ2
3.70Single7V9MSomatoliberin7V9M-GHRH (SV1)-Somatoliberin-Gs/β1/γ2
3.70Single8XFPR-spondin-28XFP-LGR4-R-spondin-2-ZNRF3
3.57Single7XV3Lysophosphatidylserine7XV3-GPR174-Lysophosphatidylserine-chim(NtGi1-Gs)/β1/γ2
3.57Single8IODPG-9018IOD-MC5-PG-901-Ca-chim(NtGi1-Gs)/β1/γ2
3.45Single7D3SSecretin7D3S-Secretin-Secretin-Gs/β1/γ2
3.45Consensussecretin_onOrthosteric Ligand7D3S-Secretin-Secretin-Gs/β1/γ2
3.33Single6P9XCorticoliberin6P9X-CRF1-Corticoliberin-Gs/β1/γ2
3.33Single8W8WAlpha-MSH8W8W-MC3-α-MSH-Ca-Gs/β1/γ2
3.33Single8XFSR-spondin-28XFS-LGR4-R-spondin-2-ZNRF3
3.33Consensussecretin_on_gpOrthosteric Ligand7D3S-Secretin-Secretin-Gs/β1/γ2
3.23Single6PB1Urocortin6PB1-CRF2-Urocortin-chim(NtGi1-Gs)/β1/γ2
3.12Single6PB0Urocortin6PB0-CRF1-Urocortin-chim(NtGi1-Gs)/β1/γ2

PDB Summary
PDB 9E7R
Class A
SubFamily Peptide
Type Proteinase Activated
SubType PAR2
Species Homo Sapiens
Ligand GB88
Other Ligand(s) -
Protein Partners chim(NtGi1L-Gs-CtGq)/Beta1/Gamma2
PDB Resolution 3.18
Date 2025-05-07
D.O.I. doi.org/10.1038/s41467-025-59138-x
Net Summary
Imin 2.77
Number of Linked Nodes 786
Number of Links 1040
Number of Hubs 195
Number of Links mediated by Hubs 674
Number of Communities 19
Number of Nodes involved in Communities 263
Number of Links involved in Communities 412
Path Summary
Number Of Nodes in MetaPath 74
Number Of Links MetaPath 73
Number of Shortest Paths 3906215
Length Of Smallest Path 3
Average Path Length 37.2306
Length of Longest Path 59
Minimum Path Strength 1.14
Average Path Strength 6.59142
Maximum Path Strength 21.985
Minimum Path Correlation 0.7
Average Path Correlation 0.988167
Maximum Path Correlation 1
Minimum % Of Corr. Nodes 1.96078
Average % Of Corr. Nodes 30.3264
Maximum % Of Corr. Nodes 100
Minimum Path Hubs % 0
Average Path Hubs % 61.8712
Maximum Path Hubs % 100
AnnotationTypeLinks
Gene OntologyMolecular Function
Gene OntologyBiological Process• fibroblast proliferation   • cell population proliferation   • cellular process   • cellular response to nitrogen compound   • cellular response to stimulus   • response to dopamine   • regulation of cellular process   • response to stimulus   • signaling   • cellular response to dopamine   • response to monoamine   • cell communication   • response to catecholamine   • adenylate cyclase-activating dopamine receptor signaling pathway   • cellular response to catecholamine stimulus   • signal transduction   • regulation of biological process   • G protein-coupled dopamine receptor signaling pathway   • biological regulation   • response to oxygen-containing compound   • response to nitrogen compound   • adenylate cyclase-activating G protein-coupled receptor signaling pathway   • cellular response to oxygen-containing compound   • cellular response to chemical stimulus   • cellular response to monoamine stimulus   • response to chemical   • adenylate cyclase-modulating G protein-coupled receptor signaling pathway   • G protein-coupled receptor signaling pathway   • response to ketone   • response to prostaglandin   • response to lipid   • response to endogenous stimulus   • response to alcohol   • cellular response to prostaglandin stimulus   • cellular response to endogenous stimulus   • cellular response to prostaglandin E stimulus   • cellular response to alcohol   • response to hormone   • cellular response to lipid   • response to prostaglandin E   • cellular response to ketone   • cellular response to hormone stimulus   • cellular anatomical structure   • membrane   • protein-containing complex   • extrinsic component of plasma membrane   • catalytic complex   • plasma membrane protein complex   • cytoplasmic side of membrane   • plasma membrane   • membrane protein complex   • heterotrimeric G-protein complex   • side of membrane   • cell periphery   • cytoplasmic side of plasma membrane   • GTPase complex
Gene OntologyCellular Component• cellular anatomical structure   • membrane   • protein-containing complex   • extrinsic component of plasma membrane   • catalytic complex   • plasma membrane protein complex   • cytoplasmic side of membrane   • plasma membrane   • membrane protein complex   • heterotrimeric G-protein complex   • side of membrane   • cell periphery   • cytoplasmic side of plasma membrane   • GTPase complex   • extrinsic component of membrane   • extrinsic component of cytoplasmic side of plasma membrane   • extracellular exosome   • membrane-bounded organelle   • extracellular vesicle   • extracellular organelle   • extracellular region   • organelle   • extracellular space   • vesicle   • extracellular membrane-bounded organelle   • synapse   • cell junction   • protein binding   • binding   • G-protein alpha-subunit binding   • molecular transducer activity   • signaling receptor activity   • signaling receptor binding   • G protein-coupled receptor activity   • transmembrane signaling receptor activity   • enzyme binding   • protease binding   • peptide receptor activity   • thrombin-activated receptor activity   • proteinase-activated receptor activity   • G protein-coupled peptide receptor activity   • G-protein beta-subunit binding   • multicellular organismal process   • regulation of body fluid levels   • wound healing   • response to stimulus   • hemostasis   • biological regulation   • blood coagulation   • response to stress   • coagulation   • regulation of biological quality   • response to wounding   • developmental process   • myeloid leukocyte differentiation   • cellular developmental process   • hemopoiesis   • cell development   • mononuclear cell differentiation   • myeloid cell differentiation   • cell differentiation   • anatomical structure development   • dendritic cell differentiation   • cellular process   • mature conventional dendritic cell differentiation   • leukocyte differentiation   • regulation of biological process   • regulation of cellular process   • reactive oxygen species metabolic process   • positive regulation of biological process   • regulation of superoxide metabolic process   • positive regulation of reactive oxygen species metabolic process   • superoxide metabolic process   • positive regulation of metabolic process   • superoxide anion generation   • metabolic process   • positive regulation of superoxide anion generation   • regulation of superoxide anion generation   • regulation of metabolic process   • regulation of reactive oxygen species metabolic process   • positive regulation of cellular process   • cellular response to stimulus   • regulation of signaling   • signaling   • regulation of JNK cascade   • regulation of signal transduction   • regulation of MAPK cascade   • intracellular signal transduction   • cell communication   • regulation of intracellular signal transduction   • regulation of response to stimulus   • JNK cascade   • intracellular signaling cassette   • MAPK cascade   • regulation of cell communication   • signal transduction   • regulation of cellular component organization   • positive regulation of cellular component organization   • cell projection organization   • plasma membrane bounded cell projection assembly   • cellular component biogenesis   • cellular component organization   • pseudopodium assembly   • cellular component assembly   • positive regulation of cell projection organization   • cellular component organization or biogenesis   • plasma membrane bounded cell projection organization   • positive regulation of cellular component biogenesis   • regulation of cell projection organization   • regulation of cell projection assembly   • regulation of cellular component biogenesis   • regulation of plasma membrane bounded cell projection assembly   • positive regulation of pseudopodium assembly   • regulation of pseudopodium assembly   • cell projection assembly   • regulation of plasma membrane bounded cell projection organization   • positive regulation of plasma membrane bounded cell projection assembly   • pseudopodium organization   • chemotaxis   • positive regulation of locomotion   • regulation of response to external stimulus   • response to external stimulus   • regulation of chemotaxis   • positive regulation of chemotaxis   • positive regulation of response to stimulus   • positive regulation of response to external stimulus   • taxis   • response to chemical   • regulation of locomotion   • locomotion   • biological process involved in interspecies interaction between organisms   • immune response   • response to other organism   • defense response   • defense response to symbiont   • response to biotic stimulus   • immune system process   • defense response to other organism   • innate immune response   • response to external biotic stimulus   • positive regulation of cell communication   • positive regulation of response to biotic stimulus   • positive regulation of signal transduction   • pattern recognition receptor signaling pathway   • immune response-activating signaling pathway   • positive regulation of toll-like receptor 3 signaling pathway   • positive regulation of immune response   • regulation of immune system process   • positive regulation of immune system process   • innate immune response-activating signaling pathway   • positive regulation of pattern recognition receptor signaling pathway   • regulation of innate immune response   • positive regulation of intracellular signal transduction   • regulation of pattern recognition receptor signaling pathway   • positive regulation of defense response   • regulation of immune response   • activation of innate immune response   • activation of immune response   • regulation of defense response   • cytoplasmic pattern recognition receptor signaling pathway   • regulation of response to biotic stimulus   • intracellular receptor signaling pathway   • regulation of cytoplasmic pattern recognition receptor signaling pathway   • endolysosomal toll-like receptor signaling pathway   • immune response-regulating signaling pathway   • regulation of response to stress   • regulation of toll-like receptor 3 signaling pathway   • positive regulation of innate immune response   • toll-like receptor 3 signaling pathway   • positive regulation of signaling   • regulation of biosynthetic process   • chemokine (C-X-C motif) ligand 2 production   • regulation of macromolecule metabolic process   • gene expression   • macromolecule biosynthetic process   • regulation of chemokine production   • regulation of gene expression   • regulation of chemokine (C-X-C motif) ligand 2 production   • biosynthetic process   • regulation of cytokine production   • cytokine production   • chemokine production   • regulation of macromolecule biosynthetic process   • regulation of multicellular organismal process   • macromolecule metabolic process   • negative regulation of biological process   • negative regulation of chemokine production   • negative regulation of cellular process   • negative regulation of macromolecule metabolic process   • negative regulation of metabolic process   • negative regulation of cytokine production   • negative regulation of gene expression   • negative regulation of biosynthetic process   • negative regulation of macromolecule biosynthetic process   • negative regulation of multicellular organismal process   • interleukin-1 production   • regulation of interleukin-1 beta production   • positive regulation of macromolecule biosynthetic process   • positive regulation of interleukin-1 beta production   • positive regulation of biosynthetic process   • positive regulation of interleukin-1 production   • positive regulation of macromolecule metabolic process   • regulation of interleukin-1 production   • interleukin-1 beta production   • positive regulation of gene expression   • positive regulation of multicellular organismal process   • positive regulation of cytokine production   • positive regulation of interleukin-8 production   • interleukin-8 production   • regulation of interleukin-8 production   • positive regulation of JNK cascade   • positive regulation of MAPK cascade   • positive regulation of chemokine production   • system process   • renal system process   • regulation of renal system process   • regulation of blood pressure   • regulation of system process   • regulation of glomerular filtration   • positive regulation of glomerular filtration   • regulation of systemic arterial blood pressure   • circulatory system process   • renal system process involved in regulation of blood volume   • renal system process involved in regulation of systemic arterial blood pressure   • glomerular filtration   • blood circulation   • renal filtration   • negative regulation of signaling   • negative regulation of cytoplasmic pattern recognition receptor signaling pathway   • negative regulation of intracellular signal transduction   • negative regulation of cell communication   • negative regulation of toll-like receptor 3 signaling pathway   • negative regulation of response to stimulus   • negative regulation of signal transduction   • negative regulation of immune system process   • interleukin-10 production   • regulation of interleukin-10 production   • positive regulation of interleukin-10 production   • regulation of systemic arterial blood pressure by renin-angiotensin   • regulation of localization   • regulation of systemic arterial blood pressure by hormone   • establishment of protein localization   • nitrogen compound transport   • positive regulation of establishment of protein localization   • localization   • renal response to blood flow involved in circulatory renin-angiotensin regulation of systemic arterial blood pressure   • intracellular protein localization   • establishment of protein localization to extracellular region   • regulation of systemic arterial blood pressure by circulatory renin-angiotensin   • protein secretion   • establishment of localization   • positive regulation of renin secretion into blood stream   • regulation of protein secretion   • regulation of secretion   • positive regulation of protein localization   • regulation of endocrine process   • renin secretion into blood stream   • regulation of systemic arterial blood pressure mediated by a chemical signal   • regulation of protein localization   • transport   • positive regulation of secretion by cell   • protein localization to extracellular region   • positive regulation of protein transport   • regulation of secretion by cell   • secretion by cell   • regulation of renin secretion into blood stream   • positive regulation of secretion   • signal release   • regulation of transport   • secretion   • regulation of establishment of protein localization   • export from cell   • cell-cell signaling   • regulation of protein transport   • positive regulation of protein secretion   • endocrine process   • positive regulation of transport   • protein transport   • macromolecule localization   • cell activation   • lymphocyte activation   • cell activation involved in immune response   • leukocyte activation   • immune effector process   • T cell activation involved in immune response   • T cell activation   • leukocyte activation involved in immune response   • lymphocyte activation involved in immune response   • regulation of immune effector process   • regulation of myeloid leukocyte mediated immunity   • regulated exocytosis   • positive regulation of leukocyte mediated immunity   • leukocyte degranulation   • myeloid leukocyte mediated immunity   • vesicle-mediated transport   • myeloid leukocyte activation   • positive regulation of leukocyte degranulation   • positive regulation of regulated secretory pathway   • establishment of localization in cell   • leukocyte mediated immunity   • regulation of leukocyte mediated immunity   • exocytosis   • positive regulation of myeloid leukocyte mediated immunity   • eosinophil mediated immunity   • cellular localization   • eosinophil activation   • positive regulation of exocytosis   • regulation of regulated secretory pathway   • regulation of eosinophil degranulation   • positive regulation of eosinophil degranulation   • eosinophil degranulation   • positive regulation of immune effector process   • eosinophil activation involved in immune response   • regulation of leukocyte degranulation   • regulation of vesicle-mediated transport   • myeloid cell activation involved in immune response   • regulation of exocytosis   • granulocyte activation   • defense response to virus   • response to virus   • positive regulation of DNA-templated transcription   • RNA metabolic process   • regulation of primary metabolic process   • nucleobase-containing compound metabolic process   • RNA biosynthetic process   • nucleic acid biosynthetic process   • DNA-templated transcription   • regulation of RNA metabolic process   • transcription by RNA polymerase II   • regulation of nucleobase-containing compound metabolic process   • regulation of RNA biosynthetic process   • regulation of transcription by RNA polymerase II   • primary metabolic process   • positive regulation of transcription by RNA polymerase II   • nucleobase-containing compound biosynthetic process   • nucleic acid metabolic process   • positive regulation of RNA metabolic process   • positive regulation of RNA biosynthetic process   • regulation of DNA-templated transcription   • regulation of cell motility   • positive regulation of cell migration   • positive regulation of cell motility   • regulation of cell migration   • cell migration   • cell motility   • cell chemotaxis   • regulation of leukocyte chemotaxis   • regulation of leukocyte migration   • positive regulation of leukocyte chemotaxis   • positive regulation of leukocyte migration   • leukocyte migration   • cellular response to chemical stimulus   • leukocyte chemotaxis   • cell population proliferation   • leukocyte proliferation   • positive regulation of cytosolic calcium ion concentration   • positive regulation of canonical NF-kappaB signal transduction   • canonical NF-kappaB signal transduction   • regulation of canonical NF-kappaB signal transduction   • immune response-regulating cell surface receptor signaling pathway   • cell surface toll-like receptor signaling pathway   • immune response-activating cell surface receptor signaling pathway   • regulation of toll-like receptor 4 signaling pathway   • positive regulation of toll-like receptor 4 signaling pathway   • innate immune response activating cell surface receptor signaling pathway   • cell surface pattern recognition receptor signaling pathway   • cell surface receptor signaling pathway   • toll-like receptor 4 signaling pathway   • positive regulation of ERK1 and ERK2 cascade   • ERK1 and ERK2 cascade   • regulation of ERK1 and ERK2 cascade   • import into cell   • positive regulation of membrane invagination   • positive regulation of endocytosis   • regulation of phagocytosis, engulfment   • membrane invagination   • phagocytosis   • plasma membrane invagination   • regulation of endocytosis   • membrane organization   • regulation of phagocytosis   • phagocytosis, engulfment   • positive regulation of phagocytosis   • positive regulation of phagocytosis, engulfment   • regulation of membrane invagination   • endocytosis   • positive regulation of organelle organization   • regulation of cytoskeleton organization   • regulation of actin filament-based process   • regulation of cellular component size   • protein-containing complex disassembly   • positive regulation of actin filament depolymerization   • regulation of protein-containing complex disassembly   • actin filament depolymerization   • regulation of actin filament depolymerization   • actin filament-based process   • positive regulation of protein-containing complex disassembly   • cellular component disassembly   • actin polymerization or depolymerization   • regulation of actin filament organization   • actin cytoskeleton organization   • protein-containing complex organization   • regulation of protein depolymerization   • positive regulation of protein depolymerization   • positive regulation of cytoskeleton organization   • actin filament organization   • regulation of actin polymerization or depolymerization   • positive regulation of supramolecular fiber organization   • regulation of organelle organization   • organelle organization   • regulation of actin filament length   • regulation of actin cytoskeleton organization   • regulation of supramolecular fiber organization   • supramolecular fiber organization   • protein depolymerization   • cytoskeleton organization   • regulation of anatomical structure size   • interleukin-6 production   • positive regulation of interleukin-6 production   • regulation of interleukin-6 production   • neutrophil-mediated killing of symbiont cell   • regulation of killing of cells of another organism   • disruption of cell in another organism   • regulation of programmed cell death   • positive regulation of neutrophil mediated cytotoxicity   • positive regulation of leukocyte mediated cytotoxicity   • response to bacterium   • positive regulation of neutrophil mediated killing of symbiont cell   • regulation of neutrophil mediated killing of gram-negative bacterium   • biological process involved in interaction with symbiont   • killing of cells of another organism   • positive regulation of programmed cell death   • leukocyte mediated cytotoxicity   • cell death   • positive regulation of neutrophil mediated killing of bacterium   • regulation of cell killing   • positive regulation of cell killing   • disruption of anatomical structure in another organism   • positive regulation of killing of cells of another organism   • positive regulation of neutrophil mediated killing of gram-negative bacterium   • defense response to Gram-negative bacterium   • biological process involved in symbiotic interaction   • regulation of neutrophil mediated killing of bacterium   • defense response to bacterium   • positive regulation of defense response to bacterium   • neutrophil mediated immunity   • modulation of process of another organism   • regulation of biological process involved in symbiotic interaction   • regulation of defense response to bacterium   • neutrophil-mediated killing of bacterium   • neutrophil mediated cytotoxicity   • regulation of neutrophil mediated cytotoxicity   • regulation of leukocyte mediated cytotoxicity   • regulation of neutrophil mediated killing of symbiont cell   • killing by host of symbiont cells   • neutrophil-mediated killing of gram-negative bacterium   • programmed cell death   • cell killing   • positive regulation of molecular function   • regulation of molecular function   • positive regulation of hydrolase activity   • regulation of catalytic activity   • regulation of hydrolase activity   • positive regulation of catalytic activity   • regulation of GTPase activity   • positive regulation of GTPase activity   • neutrophil activation   • regulation of toll-like receptor 2 signaling pathway   • positive regulation of toll-like receptor 2 signaling pathway   • toll-like receptor 2 signaling pathway   • small GTPase-mediated signal transduction   • regulation of small GTPase mediated signal transduction   • Rho protein signal transduction   • regulation of Rho protein signal transduction   • positive regulation of Rho protein signal transduction   • positive regulation of small GTPase mediated signal transduction   • regulation of phosphatidylinositol 3-kinase/protein kinase B signal transduction   • positive regulation of phosphatidylinositol 3-kinase/protein kinase B signal transduction   • phosphatidylinositol 3-kinase/protein kinase B signal transduction   • negative regulation of protein transport   • negative regulation of transport   • negative regulation of secretion   • negative regulation of hormone secretion   • negative regulation of secretion by cell   • regulation of peptide hormone secretion   • negative regulation of peptide hormone secretion   • regulation of hormone levels   • negative regulation of establishment of protein localization   • negative regulation of protein secretion   • regulation of hormone secretion   • regulation of peptide secretion   • hormone secretion   • negative regulation of peptide secretion   • peptide secretion   • amide transport   • negative regulation of protein localization   • regulation of peptide transport   • peptide transport   • negative regulation of insulin secretion   • regulation of insulin secretion   • peptide hormone secretion   • hormone transport   • insulin secretion   • negative regulation of JNK cascade   • negative regulation of MAPK cascade   • regulation of tube diameter   • regulation of tube size   • vascular process in circulatory system   • blood vessel diameter maintenance   • vasodilation   • positive chemotaxis   • positive regulation of positive chemotaxis   • regulation of positive chemotaxis   • epithelium development   • endothelial cell differentiation   • endothelium development   • tissue development   • epithelial cell differentiation   • endothelial cell development   • epithelial cell development   • establishment of endothelial barrier   • cell junction maintenance   • cell junction organization   • cellular component maintenance   • cell-cell junction maintenance   • cell-cell junction organization   • inflammatory response   • G protein-coupled receptor signaling pathway   • regulation of blood coagulation   • regulation of coagulation   • regulation of response to wounding   • regulation of wound healing   • regulation of hemostasis   • cytokine production involved in immune response   • production of molecular mediator of immune response   • regulation of cytokine production involved in immune response   • positive regulation of cytokine production involved in immune response   • positive regulation of production of molecular mediator of immune response   • regulation of production of molecular mediator of immune response   • response to cytokine   • cytokine-mediated signaling pathway   • cellular response to tumor necrosis factor   • tumor necrosis factor-mediated signaling pathway   • cellular response to cytokine stimulus   • regulation of tumor necrosis factor-mediated signaling pathway   • regulation of cytokine-mediated signaling pathway   • negative regulation of tumor necrosis factor-mediated signaling pathway   • response to peptide   • regulation of response to cytokine stimulus   • negative regulation of response to cytokine stimulus   • negative regulation of cytokine-mediated signaling pathway   • response to tumor necrosis factor   • regulation of type II interferon production   • type II interferon production   • positive regulation of type II interferon production   • cell projection   • pseudopodium   • plasma membrane bounded cell projection   • intracellular organelle   • intracellular anatomical structure   • Golgi apparatus   • cytoplasm   • intracellular membrane-bounded organelle   • endomembrane system   • early endosome   • endosome   • intracellular vesicle   • cytoplasmic vesicle   • GTPase binding   • protein-containing complex binding   • pyrophosphatase activity   • GTPase activity   • ribonucleoside triphosphate phosphatase activity   • hydrolase activity, acting on acid anhydrides, in phosphorus-containing anhydrides   • hydrolase activity   • hydrolase activity, acting on acid anhydrides   • catalytic activity   • signaling receptor complex adaptor activity   • protein-macromolecule adaptor activity   • molecular adaptor activity   • signaling adaptor activity   • sensory perception of chemical stimulus   • sensory perception   • nervous system process   • sensory perception of taste   • sensory organ development   • eye development   • animal organ development   • retina development in camera-type eye   • visual system development   • multicellular organism development   • camera-type eye development   • sensory system development   • system development   • response to ketone   • response to prostaglandin   • response to lipid   • response to endogenous stimulus   • response to alcohol   • cellular response to prostaglandin stimulus   • response to oxygen-containing compound   • cellular response to oxygen-containing compound   • cellular response to endogenous stimulus   • cellular response to prostaglandin E stimulus   • cellular response to alcohol   • response to hormone   • cellular response to lipid   • response to prostaglandin E   • cellular response to ketone   • cellular response to hormone stimulus   • Ras protein signal transduction   • phospholipase C-activating G protein-coupled receptor signaling pathway   • cellular response to nitrogen compound   • response to dopamine   • cellular response to dopamine   • response to monoamine   • response to catecholamine   • adenylate cyclase-activating dopamine receptor signaling pathway   • cellular response to catecholamine stimulus   • G protein-coupled dopamine receptor signaling pathway   • response to nitrogen compound   • adenylate cyclase-activating G protein-coupled receptor signaling pathway   • cellular response to monoamine stimulus   • adenylate cyclase-modulating G protein-coupled receptor signaling pathway   • synaptic signaling   • cellular response to acetylcholine   • acetylcholine receptor signaling pathway   • postsynaptic signal transduction   • G protein-coupled acetylcholine receptor signaling pathway   • response to acetylcholine   • non-motile cilium   • 9+0 non-motile cilium   • cilium   • neuron projection   • photoreceptor disc membrane   • photoreceptor outer segment   • photoreceptor cell cilium   • organelle membrane   • cytosol   • vacuolar membrane   • lytic vacuole   • vacuole   • lytic vacuole membrane   • bounding membrane of organelle   • lysosomal membrane   • lysosome
SCOP2Domain Identifier• G protein-coupled receptor-like
SCOP2Family Identifier• G protein-coupled receptor-like
Membrane Protein Annotations-• Orientations of Proteins in Membranes database (OPM)   • Protein Data Bank of Transmembrane Proteins (PDBTM)   • MemProtMD


Details about the values in these tables can be found in the corresponding documentation page .
Code_L_
PDB ResiduesL:L:?1
Environment DetailsOpen EMBL-EBI Page
Code_L_
Name
Synonyms
Identifier
Formula
Molecular Weight
SMILES
PubChem
Formal Charge
Total Atoms
Total Chiral Atoms
Total Bonds
Total Aromatic Bonds

PDBsumOpen PDBsum Page
ChainA
ProteinG Protein α Sub unit
UniProtP63092
Sequence
>9E7R_Chain_A
EKAEKILDR LLLLGGESG KSTGIEFKV NFHMFDVGG RKWIQCFND 
VTAIIFVVS SYNRLQEAL NFKSIWNNR WLRTISVIL FLNKQDLLA 
EKVLAGKSK IEDYFPEFA RYTTPEGED PRVTRAKYF IREFISTAS 
GDGRHCYPH FTCAVDTEN RRFNDCDII MLRYLSADA VRSMDRNRE 
GEKARELKT FITIYPDLQ DDDKVDIAI KLQNENV


Click on each residue to open a popup with some information about it.

ConSurf Conservation Grade (See documentation): 

 n/a   1    2    3    4    5    6    7    8    9  

ChainB
ProteinG Protein β Sub unit
UniProtP62873
Sequence
>9E7R_Chain_B
GRIQMRTRR TLRGHLAKI YAMHWGTDS RLLVSASQD GKLIIWDSY 
TTNKVHAIP LRSSWVMTC AYAPSGNYV ACGGLDNIC SIYNLKTRE 
GNVRVSREL AGHTGYLSC CRFLDDNQI VTSSGDTTC ALWDIETGQ 
QTTTFTGHT GDVMSLSLA PDTRLFVSG ACDASAKLW DVREGMCRQ 
TFTGHESDI NAICFFPNG NAFATGSDD ATCRLFDLR ADQELMTYS 
HDNIICGIT SVSFSKSGR LLLAGYDDF NCNVWDALK ADRAGVLAG 
HDNRVSCLG VTDDGMAVA TGSWDSFLK IWN


Click on each residue to open a popup with some information about it.

ConSurf Conservation Grade (See documentation): 

 n/a   1    2    3    4    5    6    7    8    9  

ChainG
ProteinG Protein γ Sub unit
UniProtP59768
Sequence
>9E7R_Chain_G
VSKAAADLM AYCEAHAKE D


Click on each residue to open a popup with some information about it.

ConSurf Conservation Grade (See documentation): 

 n/a   1    2    3    4    5    6    7    8    9  

ChainR
ProteinReceptor
UniProtP55085
Sequence
>9E7R_Chain_R
VDEFSASVL TGKLTTVFL PIVYTIVFV VGLPSNGMA LWVFLFRTK 
KKHPAVIYM ANLALADLL SVIWFPLKI AYHIHGNNW IYGEALCNV 
LIGFFYGNM YCSILFMTC LSVQRYWVI VNPMGHSRK KANIAIGIS 
LAIWLLILL VTIPLYVVK QTIFIPALN ITTCHDVLP EQLLVGDMF 
NYFLSLAIG VFLFPAFLT ASAYVLMIR MLRSSAMDE NSEKKRKRA 
IKLIVTVLA MYLICFTPS NLLLVVHYF LIKSQGQSH VYALYIVAL 
CLSTLNSCI DPFVYYFVS HDFRDHAK


Click on each residue to open a popup with some information about it.

ConSurf Conservation Grade (See documentation): 

 n/a   1    2    3    4    5    6    7    8    9  




This receptor, from the same or other species and bound to the same or other ligands, is also present in the following networks:
Show PDB Class SubFamily Type SubType Species Orthosteric Ligand Other Ligand(s) Protein Partners Resolution Date DOI
5NDDAPeptideProteinase ActivatedPAR2Homo sapiens-AZ8838; Na-2.82017-05-03doi.org/10.1038/nature22309
5NDZAPeptideProteinase ActivatedPAR2Homo sapiens-AZ3451; Na-3.62017-05-03doi.org/10.1038/nature22309
5NJ6APeptideProteinase ActivatedPAR2Homo sapiens---42017-05-03doi.org/10.1038/nature22309
9D0AAPeptideProteinase ActivatedPAR2Homo sapiens--chim(NtGi1L-Gs-CtGq)/β1/γ23.12025-05-07doi.org/10.1038/s41467-025-59138-x
9D0A (No Gprot) APeptideProteinase ActivatedPAR2Homo sapiens--3.12025-05-07doi.org/10.1038/s41467-025-59138-x
9E7RAPeptideProteinase ActivatedPAR2Homo sapiensGB88-chim(NtGi1L-Gs-CtGq)/β1/γ23.182025-05-07doi.org/10.1038/s41467-025-59138-x
9E7R (No Gprot) APeptideProteinase ActivatedPAR2Homo sapiensGB88-3.182025-05-07doi.org/10.1038/s41467-025-59138-x
8ZMDAPeptideProteinase ActivatedPAR2Homo sapiens--chim(NtGi1L-Gs-CtGq)/β1/γ23.252025-05-28To be published
8ZMD (No Gprot) APeptideProteinase ActivatedPAR2Homo sapiens--3.252025-05-28To be published
8ZMEAPeptideProteinase ActivatedPAR2Homo sapiens--chim(NtGi1-G13)/β1/γ23.22025-05-28To be published
8ZME (No Gprot) APeptideProteinase ActivatedPAR2Homo sapiens--3.22025-05-28To be published




You can download a compressed (zip) file with structure(s), 3D outputs (as PyMol and VMD scripts) and numerical data files (as csv and plain text files).

Download 9E7R.zip



You can click to copy the link of this page to easily come back here later

or use this QR code to link and share this page.



You can also  read or  download a guide explaining the meaning of all files and numerical data.