Color ConSurf Grade
      No Conservation data available
      1
      2
      3
      4
      5
      6
      7
      8
      9

Index: hub id, click on each number to highlight the corresponding hub in the 3D visualization.

Hub: the hub being considered.

Avg Int. Strength: the average interaction strength of all the links of the corresponding hub.

Num Of Links: the number of links of the corresponding hub.

Community: the id of the community the link belong to, otherwise 0.

ConSurf: this column reports the ConSurf conservation grades of each hub.

Index Hub Avg Int. Strength Num Of Links Community ConSurf
1A:A:Q19 8.46254164
2A:A:L45 4.21254208
3A:A:S51 3.02509
4A:A:K53 4.294209
5A:A:I56 5.6925407
6A:A:F219 5.5145198
7A:A:H220 7.085437
8A:A:F222 11.058537
9A:A:E230 5.7975499
10A:A:K233 7.28599
11A:A:W234 5.006509
12A:A:F246 4.6125409
13A:A:F273 6.235679
14A:A:W277 9.832576
15A:A:W281 9.0825435
16A:A:L289 4.2775479
17A:A:F290 3.988509
18A:A:K293 7.2075409
19A:A:F315 6.442506
20A:A:Y318 7.1775406
21A:A:P321 6.6025405
22A:A:E330 10.02254113
23A:A:V334 4.8425404
24A:A:K338 6.571676115
25A:A:Y339 6.8875403
26A:A:F340 7.168507
27A:A:L346 4.095474
28A:A:S349 5.4025477
29A:A:C359 3.9225475
30A:A:Y360 6.5925408
31A:A:F376 5.78568
32A:A:C379 3.46254198
33A:A:R380 7.0425467
34A:A:Y391 7.8454124
35B:B:L7 2.9275408
36B:B:E12 5.394234
37B:B:T34 4.8375405
38B:B:I37 5.17502
39B:B:V40 6.824173
40B:B:H54 7.4785109
41B:B:K57 9.298539
42B:B:Y59 8.91438
43B:B:W63 7.638507
44B:B:V71 4.354258
45B:B:Q75 8.2075439
46B:B:D76 5.526509
47B:B:I80 7.41254108
48B:B:W82 9.097109
49B:B:D83 7.184168
50B:B:Y85 8.40254134
51B:B:K89 7.8756109
52B:B:L95 3.81408
53B:B:W99 10.42539
54B:B:Y105 4.106506
55B:B:Y111 2.285404
56B:B:Y124 5.235186
57B:B:E138 6.01254186
58B:B:H142 7.885149
59B:B:Y145 6.3275408
60B:B:L146 4.30754147
61B:B:F151 4.612509
62B:B:L152 3.48403
63B:B:Q156 6.0325405
64B:B:T159 4.8354149
65B:B:S161 7.39754149
66B:B:D163 7.6654149
67B:B:W169 8.654148
68B:B:F180 8.3725487
69B:B:H183 8.68489
70B:B:L190 4.745405
71B:B:V200 6.5325426
72B:B:S201 3.95589
73B:B:C204 3.566597
74B:B:K209 11.9486
75B:B:L210 6.095425
76B:B:W211 7.85833688
77B:B:D212 4.225429
78B:B:C218 6.3485
79B:B:F222 9.9175428
80B:B:H225 8.97714729
81B:B:D228 6.99599
82B:B:I229 4.835427
83B:B:F235 5.8354266
84B:B:F241 7.598526
85B:B:D247 6.424529
86B:B:T249 5.4775426
87B:B:R251 9.44667628
88B:B:F253 8.42833626
89B:B:R256 8.595279
90B:B:D258 10.1725427
91B:B:Y264 5.074505
92B:B:F278 5.5975407
93B:B:R283 8.344179
94B:B:L284 3.87405
95B:B:Y289 6.30167637
96B:B:D290 5.8725436
97B:B:W297 5.4975438
98B:B:H311 7.276549
99B:B:R314 9.125438
100B:B:L318 4.8675406
101B:B:V327 3.1825406
102B:B:T329 7.035448
103B:B:W332 9.69639
104B:B:D333 7.435449
105B:B:W339 7.54649
106G:G:V16 3.0375407
107G:G:L19 4.24409
108G:G:D48 6.02333609
109G:G:L51 3.8525176
110G:G:N59 6.455409
111G:G:F61 4.828577138
112L:L:H125 7.14333619
113L:L:D127 5.62833619
114L:L:F130 5.1075419
115L:L:Y134 5.13167618
116L:L:Y146 5.0375408
117R:R:G56 3.615455
118R:R:D59 4.088559
119R:R:W64 10.775659
120R:R:F81 5.6145286
121R:R:R116 11.04459
122R:R:W123 8.27833659
123R:R:Y149 9.442504
124R:R:Y150 6.136514
125R:R:Y157 5.895818
126R:R:Y161 4.76857717
127R:R:L168 3.926509
128R:R:L175 3.9275408
129R:R:F178 7.495446
130R:R:L181 6.34449
131R:R:R185 8.28254129
132R:R:F196 7.8175408
133R:R:R199 7.51667618
134R:R:V203 4.1125417
135R:R:K206 6.865406
136R:R:D207 5.3525417
137R:R:Y211 9.722514
138R:R:F233 6.22571716
139R:R:H234 6.435417
140R:R:Y235 4.51409
141R:R:N240 8.9275409
142R:R:Y241 7.242517
143R:R:W243 8.54667609
144R:R:F245 4.7875408
145R:R:I246 4.37408
146R:R:Y250 7.8954128
147R:R:T258 8.8525467
148R:R:F259 7.53429767
149R:R:Y265 7.2375404
150R:R:Y269 5.232507
151R:R:W274 7.102508
152R:R:P277 4.635409
153R:R:W284 7.5775418
154R:R:R288 9.034518
155R:R:W297 9.94833618
156R:R:D298 8.515406
157R:R:L305 6.185412
158R:R:W306 6.32167605
159R:R:I317 3.845417
160R:R:F324 6.0665229
161R:R:L331 3.1725409
162R:R:F362 7.0785229
163R:R:Y366 9.45833618
164R:R:F369 4.98516
165R:R:E385 9.0275418
166R:R:L386 6.148518
167R:R:N404 7.2025409
   

Color ConSurf Grade
      No Conservation data available
      1
      2
      3
      4
      5
      6
      7
      8
      9

Index: link id, click on each number to highlight the corresponding link in the 3D visualization.

Node1 Node2: the two nodes of the corresponding link.

Recurrence: the relative Recurrence in the pool of shortest paths.

Int. Strength: the interaction strength between the two nodes.

Hub1?, Hub2?: "Yes" if the corresponding node has more than 3 links, otherwise "No".

Community: the id of the community the link belong to, otherwise 0.

ConSurf1, ConSurf2: these columns report the ConSurf conservation grades of the two nodes involved in a link.

Index Node1 Node2 Recurrence Int. Strength Hub1? Hub2? Community ConSurf1 ConSurf2
1A:A:R380 R:R:F259 49.5626.41YesYes677
2A:A:Q384 A:A:R380 50.04465.84NoYes667
3A:A:Q384 R:R:K334 99.97259.49NoNo069
4A:A:D381 R:R:K334 1006.91NoNo089
5A:A:D381 A:A:Y360 95.7144.6NoYes088
6A:A:D378 A:A:Y360 98.01779.2NoYes078
7A:A:D378 A:A:I288 49.04168.4NoNo079
8A:A:F290 A:A:I288 49.01083.77YesNo099
9A:A:F290 A:A:V247 95.85315.24YesNo097
10A:A:S51 A:A:V247 95.78733.23YesNo097
11A:A:K53 A:A:S51 95.45734.59YesYes099
12A:A:D223 A:A:K53 94.93425.53NoYes2099
13A:A:D223 A:A:F208 94.99264.78NoNo095
14A:A:F208 A:A:G225 94.85924.52NoNo059
15A:A:G225 A:A:V224 94.79243.68NoNo099
16A:A:V224 A:A:W234 94.72563.68NoYes099
17A:A:F238 A:A:W234 41.53074.01NoYes099
18A:A:F238 B:B:W99 40.852912.03NoYes099
19R:R:F259 R:R:T258 49.56219.08YesYes677
20A:A:Q384 R:R:T258 49.90047.09NoYes667
21A:A:D378 A:A:H362 48.99358.82NoNo079
22A:A:F290 A:A:H362 48.97814.53YesNo099
23A:A:H357 A:A:W277 13.972423.27NoYes776
24A:A:G355 A:A:H357 14.283.18NoNo027
25A:A:G355 A:A:R389 14.88854.5NoNo024
26A:A:R389 A:A:Y358 15.04057.2NoNo044
27A:A:Y358 A:A:Y360 11.00358.94NoYes048
28A:A:W234 B:B:Y145 54.47424.82YesYes098
29B:B:M101 B:B:Y145 19.71755.99NoYes098
30A:A:C237 B:B:M101 19.41134.86NoNo089
31A:A:C237 B:B:Y59 19.25555.38NoYes388
32B:B:W332 B:B:Y59 36.13183.86YesYes398
33B:B:S316 B:B:W332 22.19284.94NoYes099
34B:B:C317 B:B:S316 21.88493.44NoNo079
35B:B:C317 B:B:M61 21.27063.24NoNo076
36B:B:M61 B:B:W63 20.65796.98NoYes067
37B:B:S84 B:B:W63 11.4314.94NoYes057
38B:B:D290 B:B:R314 28.58448.34YesYes368
39B:B:R314 B:B:W332 30.446614.99YesYes389
40B:B:K57 B:B:W332 17.028917.4YesYes399
41B:B:K57 B:B:Q75 17.35054.07YesYes399
42B:B:Q75 B:B:Y59 17.115718.04YesYes398
43B:B:Q75 B:B:W99 34.52377.67YesYes399
44A:A:L346 A:A:R342 10.14343.64YesNo744
45A:A:L346 A:A:S349 10.41893YesYes747
46A:A:S349 A:A:W277 10.88138.65YesYes776
47R:R:I246 R:R:W243 83.78163.52YesYes089
48R:R:I246 R:R:Y269 84.79777.25YesYes087
49R:R:Y265 R:R:Y269 96.26162.98YesYes047
50R:R:R263 R:R:Y265 97.005219.55NoYes044
51R:R:F260 R:R:R263 97.107411.76NoNo664
52R:R:F259 R:R:F260 97.37623.22YesNo676
53R:R:Y250 R:R:Y269 10.74893.97YesYes087
54A:A:Y391 R:R:Y250 10.10234.96YesYes1248
55B:B:G162 B:B:Y145 39.00654.35NoYes098
56B:B:G162 B:B:S161 38.91173.71NoYes099
57B:B:H142 B:B:S161 19.301712.55YesYes1499
58B:B:H142 B:B:T159 15.81125.48YesYes1499
59B:B:C149 B:B:T159 31.54583.38NoYes089
60B:B:C149 B:B:T102 31.33596.76NoNo088
61B:B:C148 B:B:T102 31.12593.38NoNo068
62B:B:C148 B:B:S189 14.76533.44NoNo067
63B:B:I232 B:B:S189 14.55034.64NoNo087
64B:B:L146 B:B:S161 18.98214.5YesYes1479
65B:B:L146 B:B:T159 15.79234.42YesYes1479
66B:B:C271 B:B:D290 21.17966.22NoYes356
67B:B:C271 B:B:Y289 19.62064.03NoYes357
68B:B:W297 B:B:Y289 15.8957.72YesYes387
69B:B:W297 B:B:Y264 14.98476.75YesYes085
70B:B:C148 B:B:L190 16.48296.35NoYes065
71R:R:S195 R:R:W243 71.74014.94NoYes099
72R:R:N240 R:R:S195 68.1637.45YesNo099
73R:R:N240 R:R:R199 65.00959.64YesYes098
74L:L:D127 R:R:R199 24.551711.91YesYes198
75R:R:R199 R:R:V237 23.94799.15YesNo186
76L:L:D127 R:R:F233 18.48064.78YesYes196
77R:R:F233 R:R:V237 18.3913.93YesNo166
78L:L:H125 R:R:H234 12.68815.97YesYes197
79R:R:F233 R:R:M230 26.24353.73YesNo066
80R:R:D298 R:R:M230 25.94126.93YesNo066
81L:L:T135 R:R:D298 23.0265.78NoYes096
82L:L:T135 R:R:M299 22.72133.01NoNo095
83L:L:R136 R:R:M299 22.10956.2NoNo1595
84L:L:Q140 L:L:R136 21.8073.5NoNo1579
85L:L:Q140 R:R:F84 20.887722.25NoNo1575
86L:L:K144 R:R:F84 20.586916.13NoNo085
87L:L:K144 R:R:F81 20.28173.72NoYes086
88R:R:C77 R:R:F81 18.75494.19NoYes096
89R:R:C77 R:R:P78 10.48371.88NoNo099
90R:R:P78 R:R:T62 10.17643.5NoNo095
91R:R:H234 R:R:W284 16.00525.29YesYes178
92R:R:R288 R:R:W284 11.798110YesYes188
Download PSN data

2D representation of the global metapath, ligand(s) interactions and
histograms of path distribution according to several parameters
(click on the image to enlarge it 🔍):

A 2D representation of the global communication in the network.

ConSurf Conservation Grade (See documentation): 

 n/a   1    2    3    4    5    6    7    8    9  

Number of shortest communication paths as a function of the average residue correlation.

Number of shortest communication paths as a function of the average interaction strength of their links.

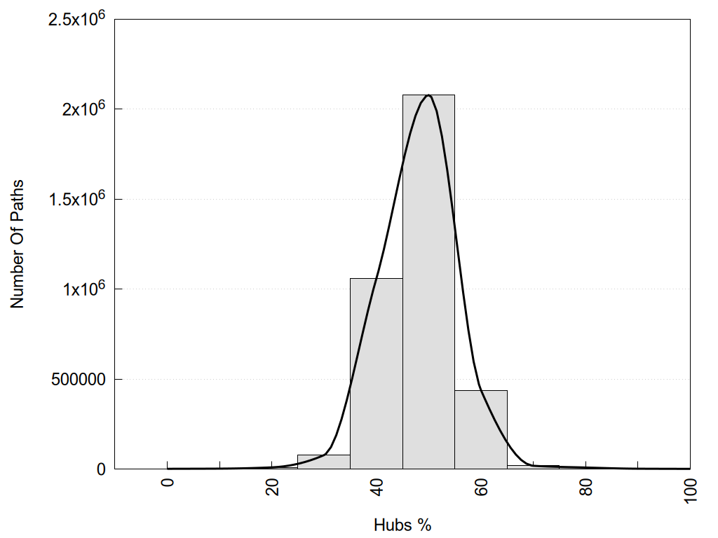
Number of shortest communication paths as a function of the % of hub nodes in each path.

Number of shortest communication paths as a function of the number of nodes in each path.

Number of shortest communication paths as a function of the % of correlated nodes in each path.


2D representation of the interactions of this orthosteric/allosteric ligand.


Links and nodes colored according to ConSurf Conservation Grade (See documentation): 

 n/a   1    2    3    4    5    6    7    8    9  

Node1 Node2 LinkStrength Comm IsNode1Hub? IsNode2Hub? Node1Cons Node2Cons Node1Shell Node2Shell
L:L:H125 R:R:F233 4.53 1 Yes Yes 9 6 0 1
L:L:H125 R:R:H234 5.97 1 Yes Yes 9 7 0 1
L:L:H125 R:R:V237 17.99 1 Yes No 9 6 0 1
L:L:H125 R:R:Y241 3.27 1 Yes Yes 9 7 0 1
L:L:S126 R:R:E385 7.19 1 No Yes 9 8 0 1
L:L:S126 R:R:L386 6.01 1 No Yes 9 8 0 1
L:L:D127 R:R:Y161 3.45 1 Yes Yes 9 7 0 1
L:L:D127 R:R:R199 11.91 1 Yes Yes 9 8 0 1
L:L:D127 R:R:F233 4.78 1 Yes Yes 9 6 0 1
L:L:D127 R:R:L386 5.43 1 Yes Yes 9 8 0 1
L:L:A128 R:R:W306 3.89 0 No Yes 8 5 0 1
L:L:V129 R:R:E374 5.7 0 No No 7 4 0 1
L:L:V129 R:R:R381 6.54 0 No No 7 7 0 1
L:L:V129 R:R:L382 5.96 0 No No 7 5 0 1
L:L:F130 R:R:Y150 6.19 1 Yes Yes 9 4 0 1
L:L:F130 R:R:V153 3.93 1 Yes No 9 6 0 1
L:L:F130 R:R:Y157 7.22 1 Yes Yes 9 8 0 1
L:L:T131 R:R:K206 9.01 0 No Yes 9 6 0 1
L:L:D132 R:R:M299 5.54 15 No No 9 5 0 1
L:L:N133 R:R:Y150 5.81 1 No Yes 8 4 0 1
L:L:N133 R:R:K378 6.99 1 No No 8 5 0 1
L:L:N133 R:R:L382 4.12 1 No No 8 5 0 1
L:L:Y134 R:R:D147 3.45 1 Yes No 8 1 0 1
L:L:Y134 R:R:Y150 3.97 1 Yes Yes 8 4 0 1
L:L:Y134 R:R:Y211 11.91 1 Yes Yes 8 4 0 1
L:L:T135 R:R:D298 5.78 0 No Yes 9 6 0 1
L:L:T135 R:R:M299 3.01 0 No No 9 5 0 1
L:L:R136 R:R:M299 6.2 15 No No 9 5 0 1
L:L:L137 R:R:D147 4.07 0 No No 5 1 0 1
L:L:R138 R:R:Y211 14.4 1 No Yes 8 4 0 1
L:L:K139 R:R:I83 5.82 0 No No 8 4 0 1
L:L:Q140 R:R:I83 12.35 15 No No 7 4 0 1
L:L:Q140 R:R:F84 22.25 15 No No 7 5 0 1
L:L:M141 R:R:D147 5.54 0 No No 8 1 0 1
L:L:K144 R:R:F81 3.72 0 No Yes 8 6 0 1
L:L:K144 R:R:F84 16.13 0 No No 8 5 0 1
L:L:L147 R:R:F81 3.65 28 No Yes 9 6 0 1
L:L:L147 R:R:F131 6.09 28 No No 9 4 0 1
L:L:I150 R:R:N60 4.25 0 No No 6 6 0 1
R:R:C25 R:R:K28 4.85 0 No No 4 3 2 1
R:R:F27 R:R:L80 3.65 0 No No 6 5 1 2
R:R:F131 R:R:I61 20.09 28 No No 4 4 1 2
R:R:C77 R:R:F81 4.19 0 No Yes 9 6 2 1
R:R:F131 R:R:F81 15 28 No Yes 4 6 1 1
R:R:F84 R:R:I83 5.02 15 No No 5 4 1 1
R:R:Y149 R:R:Y150 9.93 0 Yes Yes 4 4 2 1
R:R:V153 R:R:Y149 6.31 0 No Yes 6 4 1 2
R:R:L382 R:R:Y149 3.52 0 No Yes 5 4 1 2
R:R:K378 R:R:Y150 4.78 1 No Yes 5 4 1 1
R:R:K154 R:R:Y157 4.78 0 No Yes 5 8 2 1
R:R:K154 R:R:Y211 7.17 0 No Yes 5 4 2 1
R:R:Y157 R:R:Y161 3.97 1 Yes Yes 8 7 1 1
R:R:V203 R:R:Y157 5.05 1 Yes Yes 7 8 2 1
R:R:D207 R:R:Y157 5.75 1 Yes Yes 7 8 2 1
R:R:L386 R:R:Y157 14.07 1 Yes Yes 8 8 1 1
R:R:S390 R:R:Y157 3.82 1 No Yes 9 8 2 1
R:R:R199 R:R:Y161 5.14 1 Yes Yes 8 7 1 1
R:R:V203 R:R:Y161 3.79 1 Yes Yes 7 7 2 1
R:R:L386 R:R:Y161 3.52 1 Yes Yes 8 7 1 1
R:R:S390 R:R:Y161 11.45 1 No Yes 9 7 2 1
R:R:R199 R:R:V237 9.15 1 Yes No 8 6 1 1
R:R:N240 R:R:R199 9.64 0 Yes Yes 9 8 2 1
R:R:R199 R:R:Y241 6.17 1 Yes Yes 8 7 1 1
R:R:R199 R:R:Y366 3.09 1 Yes Yes 8 8 1 2
R:R:S202 R:R:V203 3.23 0 No Yes 6 7 2 2
R:R:F233 R:R:S202 6.61 1 Yes No 6 6 1 2
R:R:D207 R:R:V203 4.38 1 Yes Yes 7 7 2 2
R:R:D207 R:R:K206 5.53 1 Yes Yes 7 6 2 1
R:R:K206 R:R:L210 4.23 0 Yes No 6 7 1 2
R:R:F233 R:R:K206 8.69 1 Yes Yes 6 6 1 1
R:R:D207 R:R:Y211 5.75 1 Yes Yes 7 4 2 1
R:R:L210 R:R:Y211 9.38 0 No Yes 7 4 2 1
R:R:D298 R:R:L210 13.57 0 Yes No 6 7 1 2
R:R:F233 R:R:M230 3.73 1 Yes No 6 6 1 2
R:R:D298 R:R:M230 6.93 0 Yes No 6 6 1 2
R:R:F233 R:R:H234 11.31 1 Yes Yes 6 7 1 1
R:R:F233 R:R:V237 3.93 1 Yes No 6 6 1 1
R:R:H234 R:R:W284 5.29 1 Yes Yes 7 8 1 2
R:R:H234 R:R:W306 3.17 1 Yes Yes 7 5 1 1
R:R:V313 R:R:Y241 5.05 0 No Yes 7 7 2 1
R:R:I317 R:R:Y241 4.84 1 Yes Yes 7 7 2 1
R:R:Y241 R:R:Y366 16.88 1 Yes Yes 7 8 1 2
R:R:I309 R:R:W284 9.4 0 No Yes 7 8 2 2
R:R:C296 R:R:D298 7.78 0 No Yes 9 6 2 1
R:R:N300 R:R:W306 9.04 0 No Yes 6 5 2 1
R:R:I309 R:R:W306 5.87 0 No Yes 7 5 2 1
R:R:K310 R:R:W306 11.6 0 No Yes 6 5 2 1
R:R:E374 R:R:W306 4.36 0 No Yes 4 5 1 1
R:R:I317 R:R:Y366 6.04 1 Yes Yes 7 8 2 2
R:R:E385 R:R:Y366 4.49 1 Yes Yes 8 8 1 2
R:R:F369 R:R:R381 4.28 1 Yes No 6 7 2 1
R:R:E385 R:R:F369 3.5 1 Yes Yes 8 6 1 2
R:R:E385 R:R:R381 20.93 1 Yes No 8 7 1 1
L:L:L137 R:R:Q146 2.66 0 No No 5 1 0 1
L:L:V143 R:R:F27 2.62 0 No No 6 6 0 1
R:R:D145 R:R:Q146 2.61 0 No No 1 1 2 1
R:R:T158 R:R:Y157 2.5 0 No Yes 7 8 2 1
L:L:Y146 R:R:K28 2.39 0 Yes No 8 3 0 1
L:L:Y146 R:R:F27 2.06 0 Yes No 8 6 0 1
R:R:F204 R:R:Y161 2.06 0 No Yes 7 7 2 1
R:R:G387 R:R:L386 1.71 0 No Yes 5 8 2 1
R:R:F81 R:R:G135 1.51 28 Yes No 6 3 1 2
L:L:Y134 R:R:L151 1.17 1 Yes No 8 2 0 1

Location and physicochemical properties of the interaction partners of this ligand

Interactions of this ligand

Similarities between the interactions of this ligand and those of other networks

ShowSimilarityNetwork TypeNameLigandDescription
91.67Single8E3XPACAP278E3X-PAC1-PACAP27-Gs/β1/γ2
91.67Single9P92VIP9P92-PAC1-VIP-Gs/β1/γ2
88.00Single9P94PACAP279P94-PAC1-PACAP27-Gs/β1/γ2
84.62Consensusvip-pacap_onOrthosteric Ligandvpac_on pac_on
84.62Consensusvip-pacap_on_gpOrthosteric Ligandvpac_on_gp pac_on_gp
84.00Consensuspac_on_gpOrthosteric Ligandpac1_on_gp
80.77Single6VCBGLP-16VCB-GLP-1-GLP-1-LSN3160440-Gs/β1/γ2
80.00Single8E3YPACAP278E3Y-VPAC1-PACAP27-Gs/β1/γ2
80.00Consensuspac_onOrthosteric Ligandpac1_on
78.57Single6LPBPACAP276LPB-PAC1-PACAP27-Gs/β1/γ1
77.78Single6WZGSecretin6WZG-Secretin-Secretin-Gs/β1/γ2
77.78Single7KI1Taspoglutide7KI1-GLP-1-Taspoglutide-Gs/β1/γ2
77.78Single9BYOExendin-39BYO-GLP-1-Exendin-3-Gs/β1/γ2
75.00Single7DUQGLP-17DUQ-GLP-1-GLP-1-PubChem 156022738-Gs/β1/γ2
74.07Single7S1MExendin-4-D-Ala7S1M-GLP-1-Exendin-4-D-Ala-Gs/β1/γ2
73.08Single6X18GLP-16X18-GLP-1-GLP-1-Gs/β1/γ2
73.08Single8E3ZVIP8E3Z-VPAC1-VIP-Gs/β1/γ2
73.08Single9E2AGLP-19E2A-GLP-1-GLP-1-Gs/β1/γ2
73.08Consensusvpac_onOrthosteric Ligandvpac1_on vpac2_on
72.41Single8FLSAbaloparatide8FLS-PTH1-Abaloparatide-Gs/β1/γ2
70.37Single6P9YPACAP276P9Y-PAC1-PACAP27-Gs/β1/γ2
70.37Single7D3SSecretin7D3S-Secretin-Secretin-Gs/β1/γ2
70.37Single7RA3GIP7RA3-GIP-GIP-chim(NtGi1-Gs)/β1/γ2
70.37Single9J1Pg1:Ox9J1P-GLP-1-g1:Ox-chim(NtGi1-Gs)/β1/γ2
70.37Consensusvpac_on_gpOrthosteric Ligandvpac1_on_gp vpac2_on_gp
70.00Single7VVMPTH7VVM-PTH1-PTH-Gs/β1/γ2
69.23Single6M1IPACAP276M1I-PAC1-PACAP27-Gs/β1/γ2
69.23Single9EBOGLP-1 (ACPC18)9EBO-GLP-1-GLP-1 (ACPC18)-Gs/β1/γ2
68.00Single7VBITirzepatide (non-acylated)7VBI-GLP-1-Tirzepatide (non-acylated)-Gs/β1/γ2
67.86Single7DTYGIP7DTY-GIP-GIP-Gs/β1/γ2
67.86Single7VQXPACAP277VQX-VPAC1-PACAP27-Gs/β1/γ2
66.67Single7WBJPACAP277WBJ-VPAC1-PACAP27-Gs/β1/γ2
65.52Single7D68GLP-27D68-GLP-2-GLP-2-Gs/β1/γ2
65.38Single6VN7PACAP276VN7-VPAC1-PACAP27-Gs/β1/γ2
64.52Single6WPWZP37806WPW-Glucagon-ZP3780-Gs/β1/γ2
64.29Single7CZ5Somatoliberin7CZ5-GHRH-Somatoliberin-Gs/β1/γ2
64.29Single7KI0Semaglutide7KI0-GLP-1-Semaglutide-Gs/β1/γ2
64.29Single7RGPTirzepatide7RGP-GLP-1-Tirzepatide-chim(NtGi1-Gs)/β1/γ2
64.29Single8JISPeptide-158JIS-GLP-1-Peptide-15-chim(NtGi1-Gs)/β1/γ2
63.33Single7RBTTirzepatide7RBT-GIP-Tirzepatide-LSN3556672-chim(NtGi1-Gs)/β1/γ2
62.96Single7FIMTirzepatide7FIM-GLP-1-Tirzepatide-Gs/β1/γ2
62.96Single7V9MSomatoliberin7V9M-GHRH (SV1)-Somatoliberin-Gs/β1/γ2
62.96Single8YW4Retatrutide8YW4-GIP-Retatrutide-chim(NtGi1-Gs)/β1/γ2
62.50Single7Y36PTH7Y36-PTH1-PTH-Gs/β1/γ2
62.50Single8FLQPTH8FLQ-PTH1-PTH-Gs/β1/γ2
62.50Consensusglucagon_onOrthosteric Ligandglp_on gluc_on secretin_on gip_on
62.07Single7FIYTirzepatide7FIY-GIP-Tirzepatide-Gs/β1/γ2
62.07Single7VVKPTH7VVK-PTH1-PTH-Gs/β1/γ2
62.07Consensusglp_onOrthosteric Ligandglp1_on glp2_on
62.07Consensusglp_on_gpOrthosteric Ligandglp1_on_gp glp2_on_gp
61.29Single8FLULA-PTH Analog8FLU-PTH1-LA-PTH Analog-Gs/β1/γ2
60.71Single7LLYOxyntomodulin7LLY-GLP-1-Oxyntomodulin-Gs/β1/γ2
60.61Consensusglucagon_on_gpOrthosteric Ligandglp_on_gp gluc_on_gp secretin_on_gp gip_on_gp
60.00Single6NBHLA-PTH Analog6NBH-PTH1-LA-PTH Analog-Gs/β1/γ2
60.00Single7VVLPTH7VVL-PTH1-PTH-Gs/β1/γ2
60.00Single8HAFPTHrP(1-36)8HAF-PTH1-PTHrP(1-36)-chim(NtGi1-Gs)/β1/γ2
59.38Single9JR2PTH9JR2-PTH1-PTH-chim(NtGi1L-Gs-CtGq)/β1/γ2
58.62Single6NBFLA-PTH Analog6NBF-PTH1-LA-PTH Analog-Gs/β1/γ2
58.62Single7VABTirzepatide (non-acylated)7VAB-GIP-Tirzepatide (non-acylated)-chim(NtGi1-Gs)/β1/γ2
58.62Single8FLRPTHrP(1-36)8FLR-PTH1-PTHrP(1-36)-Gs/β1/γ2
57.14Single6WI9Secretin6WI9-Secretin-Secretin-Gs/β1/γ2
57.14Single7F16TIP397F16-PTH2-TIP39-Gs/β1/γ2
57.14Single7FINPeptide-20; GGL7FIN-GIP-Peptide-20; GGL-Gs/β1/γ2
57.14Single8HA0PTH8HA0-PTH1-PTH-chim(NtGi1-Gs)/β1/γ2
57.14Single8YW3Retatrutide8YW3-GLP-1-Retatrutide-Gs/β1/γ2
56.67Single8FU6ZP37808FU6-Glucagon-ZP3780-Gs/β1/γ2
56.00Single7LLLExendin-47LLL-GLP-1-Exendin-4-Gs/β1/γ2
55.26Consensusclass-b1_on_gpOrthosteric Ligandglucagon_on_gp vip-pacap_on_gp pth_on_gp crf_on_gp calcitonin_on_gp
54.84Single6LMLGlucagon6LML-Glucagon-Glucagon-Gi1/β1/γ1
54.84Single7VVJPTHrP(1-36)7VVJ-PTH1-PTHrP(1-36)-Gs/β1/γ2
54.55Single8JIRSAR4258998JIR-GLP-1-SAR425899-chim(NtGi1-Gs)/β1/γ2
54.05Consensuspth_on_gpOrthosteric Ligandpth1_on_gp pth2_on_gp
53.57Single9B5YLA-PTH Analog9B5Y-PTH1-LA-PTH Analog-chim(NtGi1-Gq)/β1/γ2
53.33Single6NBILA-PTH Analog6NBI-PTH1-LA-PTH Analog-Gs/β1/γ2
52.94Single9JR3PTH9JR3-PTH1-PTH-chim(NtGi1L-Gs-CtGq)/β1/γ2
52.94Consensusclass-a_class-b1_cons_on_gpOrthosteric Ligandclass-a_on_gp class-b1_on_gp
51.85Single8YWFRetatrutide8YWF-GLP-1-Retatrutide-chim(NtGi1-Gs)/β1/γ2
51.61Single6B3JExendin-P56B3J-GLP-1-Exendin-P5-Gs/β1/γ2
51.43Consensuspth_onOrthosteric Ligandpth1_on pth2_on
50.00Single5YQZNNC17025YQZ-Glucagon-NNC1702
50.00Single6LMKGlucagon6LMK-Glucagon-Glucagon-Gs/β1/γ2
50.00Single7V35Peptide-207V35-Glucagon-Peptide-20-Gs/β1/γ2
50.00Single7Y35Abaloparatide7Y35-PTH1-Abaloparatide-Gs/β1/γ2
50.00Single8F0KPramlintide Analogue San3858F0K-CT (AMY3)-Pramlintide Analogue San385-Gs/β1/γ2; RAMP3
50.00Single8FLTM-PTH(1-14)8FLT-PTH1-M-PTH(1-14)-Gs/β1/γ2
50.00Single8JIPMEDI03828JIP-GLP-1-MEDI0382-chim(NtGi1-Gs)/β1/γ2
50.00Single8YG4LA-PTH Analog8YG4-PTH1-LA-PTH Analog-chim(NtGi1-Gs)/β1/γ2
48.65Consensusclass-b1_onOrthosteric Ligandglucagon_on vip-pacap_on pth_on crf_on calcitonin_on
48.57Single8JIUSAR4258998JIU-Glucagon-SAR425899-Gs/β1/γ2
48.48Consensusclass-a_class-b1_cons_onOrthosteric Ligandclass-a_on class-b1_on
48.39Single6FJ3PTH6FJ3-PTH1-PTH
48.28Single6UUNAdrenomedullin6UUN-CT Like (AM1)-Adrenomedullin-Gs/β1/γ2; RAMP2
48.28Single8YFOAc-LA-PTH Analog8YFO-PTH1-Ac-LA-PTH Analog-chim(NtGi1-Gs)/β1/γ2
48.28Single9IVMGLP-1 (Truncated)9IVM-GLP-1-GLP-1 (Truncated)-LSN3318839-chim(NtGi1-Gs)/β2/γ2
48.28Single9LXRLA-PTH Analog9LXR-PTH1-LA-PTH Analog-Arrestin2
47.06Single7TZFAmylin7TZF-CT (AMY3)-Amylin-Gs/β1/γ2; RAMP3
47.06Single7VBHPeptide-207VBH-GLP-1-Peptide-20-Gs/β1/γ2
46.88Single5NX2GLP-1 (Truncated)5NX2-GLP-1-GLP-1 (Truncated)
46.88Single8HAOPTH8HAO-PTH1-PTH-chim(NtGi1-Gs)/β1/γ2
46.88Single9BUCCagrilintide9BUC-CT-Cagrilintide-Gs/β1/γ2
44.44Single7TYOCalcitonin7TYO-CT-Calcitonin-Gs/β1/γ2
44.44Single8JITMEDI03828JIT-Glucagon-MEDI0382-Gs/β1/γ2
43.75Single9BP3Cagrilintide9BP3-CT (AMY1)-Cagrilintide-Gs/β1/γ2; RAMP1
43.75Consensuscalcitonin_on_gpOrthosteric Ligandctlike_on_gp
43.75Consensuspac1_onOrthosteric Ligand8E3X-PAC1-PACAP27-Gs/β1/γ2 6M1H-PAC1-Maxadilan-Gs/β1/γ2
43.75Consensuspac1_on_gpOrthosteric Ligand8E3X-PAC1-PACAP27-Gs/β1/γ2 6M1H-PAC1-Maxadilan-Gs/β1/γ2
43.75Consensusvpac1_on_gpOrthosteric Ligand8E3Z-VPAC1-VIP-Gs/β1/γ2
43.24Single6E3YCalcitonin gene-related peptide-16E3Y-CT Like-Calcitonin gene-related peptide-1-Gs/β1/γ2; RAMP1
41.94Single6NIYCalcitonin-16NIY-CT-Calcitonin-1-Gs/β1/γ2
41.94Single7TYIAmylin7TYI-CT-Amylin-Gs/β1/γ2
41.94Single8YW5Retatrutide8YW5-Glucagon-Retatrutide-Gs/β1/γ2
41.94Single9BLCCagrilintide (non-acylated)9BLC-CT-Cagrilintide (non-acylated)-Gs/β1/γ2
41.67Consensuscrf_on_gpOrthosteric Ligandcrf2_on_gp crf1_on_gp
41.18Single9BQ3Cagrilintide9BQ3-CT (AMY2)-Cagrilintide-Gs/β1/γ2; RAMP2
41.18Consensusvpac2_onOrthosteric Ligand7VQX-VPAC1-PACAP27-Gs/β1/γ2
41.18Consensusvpac2_on_gpOrthosteric Ligand7VQX-VPAC1-PACAP27-Gs/β1/γ2
40.62Single7TYWCalcitonin-17TYW-CT (AMY1)-Calcitonin-1-Gs/β1/γ2; RAMP1
40.62Consensuscalcitonin_onOrthosteric Ligandctlike_on
40.62Consensusvpac1_onOrthosteric Ligand8E3Z-VPAC1-VIP-Gs/β1/γ2
40.54Single7TYYCalcitonin-17TYY-CT (AMY2)-Calcitonin-1-Gs/β1/γ2; RAMP2
40.00Single6WHCGlu16 analog of GCG6WHC-Glucagon-Glu16 analog of GCG-Gs/β1/γ2
40.00Single7TYXAmylin7TYX-CT (AMY2)-Amylin-Gs/β1/γ2; RAMP2
39.39Single9BLBCagrilintide (non-acylated)9BLB-CT-Cagrilintide (non-acylated)-Gs/β1/γ2
39.39Single9BLWCagrilintide (non-acylated)9BLW-CT (AMY1)-Cagrilintide (non-acylated)-Gs/β1/γ2; RAMP1
39.39Single9BUBCagrilintide9BUB-CT-Cagrilintide-Gs/β1/γ2
39.29Single6M1HMaxadilan6M1H-PAC1-Maxadilan-Gs/β1/γ2
39.29Single9C0KExendin-49C0K-GLP-1-Exendin-4-Gs/β1/γ2
38.89Single8F2APramlintide Analogue San3858F2A-CT (AMY3)-Pramlintide Analogue San385-Gs/β1/γ2; RAMP3
38.24Single6P9XCorticoliberin-16P9X-CRF1-Corticoliberin-1-Gs/β1/γ2
38.24Single6UVAAdrenomedullin-26UVA-CT Like (AM2)-Adrenomedullin-2-Gs/β1/γ2; RAMP3
38.24Single7TYFAmylin7TYF-CT (AMY1)-Amylin-Gs/β1/γ2; RAMP1
38.24Single7TYNCalcitonin-17TYN-CT-Calcitonin-1-Gs/β1/γ2
38.24Consensuscrf_onOrthosteric Ligandcrf2_on crf1_on
38.24Consensussecretin_on_gpOrthosteric Ligand7D3S-Secretin-Secretin-Gs/β1/γ2
37.84Consensusglp1_on_gpOrthosteric Ligand7S1M-GLP-1-Exendin-4-D-Ala-Gs/β1/γ2 7X8R-GLP-1-BOC5-Gs/β1/γ2 6X19-GLP-1-CHU-128-Gs/β1/γ2 6X1A-GLP-1-Danuglipron-Gs/β1/γ2 6X18-GLP-1-GLP-1-Gs/β1/γ2 8JIP-GLP-1-MEDI0382-chim(NtGi1-Gs)/β1/γ2 7C2E-GLP-1-PubChem 149050799-Gs/β1/γ2 7KI0-GLP-1-Semaglutide-Gs/β1/γ2 7KI1-GLP-1-Taspoglutide-Gs/β1/γ2 7X8S-GLP-1-WB4-24-Gs/β1/γ2 8JIS-GLP-1-Peptide-15-chim(NtGi1-Gs)/β1/γ2 7VBI-GLP-1-Tirzepatide (non-acylated)-Gs/β1/γ2
37.84Consensuspth1_on_gpOrthosteric Ligand6NBF-PTH1-LA-PTH Analog-Gs/β1/γ2 8HA0-PTH1-PTH-chim(NtGi1-Gs)/β1/γ2 8HAF-PTH1-PTHrP(1-36)-chim(NtGi1-Gs)/β1/γ2 7Y36-PTH1-PTH-Gs/β1/γ2 7Y35-PTH1-Abaloparatide-Gs/β1/γ2
37.50Single9BUDCagrilintide9BUD-CT-Cagrilintide-Gs/β1/γ2
37.50Consensusprotein_onOrthosteric Ligandchemokine_on chemerin_on
37.14Single5VAIGLP-15VAI-GLP-1-GLP-1-Gs/β1/γ2
37.14Single6UUSAdrenomedullin6UUS-CT Like (AM2)-Adrenomedullin-Gs/β1/γ2; RAMP3
37.14Single7TS0Urocortin7TS0-CRF2-Urocortin-chim(NtGi1L-Go)/β1/γ2
37.14Single7TYLAmylin7TYL-CT-Amylin-Gs/β1/γ2
37.14Consensuspth1_onOrthosteric Ligand6NBF-PTH1-LA-PTH Analog-Gs/β1/γ2 8HA0-PTH1-PTH-chim(NtGi1-Gs)/β1/γ2 8HAF-PTH1-PTHrP(1-36)-chim(NtGi1-Gs)/β1/γ2 7Y36-PTH1-PTH-Gs/β1/γ2 7Y35-PTH1-Abaloparatide-Gs/β1/γ2
36.59Single8F0JPramlintide Analogue San458F0J-CT-Pramlintide Analogue San45-Gs/β1/γ2
35.71Single8F2BPramlintide Analogue San458F2B-CT (AMY3)-Pramlintide Analogue San45-Gs/β1/γ2; RAMP3
35.48Single8JZZC5a-des-Arg8JZZ-C5a1-C5a-des-Arg-Go/β1/γ2
35.29Single9KFKRelaxin-39KFK-RXFP4-Relaxin-3-Gi2/β1/γ2
35.29Consensusgi_proteinOrthosteric Ligandgi_chemokine gi_chemerin
35.29Consensusprotein_on_gpOrthosteric Ligandchemokine_on_gp chemerin_on_gp
35.29Consensussecretin_onOrthosteric Ligand7D3S-Secretin-Secretin-Gs/β1/γ2
35.14Single9AUCCalcitonin gene-related peptide-19AUC-CT (AMY1)-Calcitonin gene-related peptide-1-Gs/β1/γ2; RAMP1
35.14Consensusglp1_onOrthosteric Ligand7S1M-GLP-1-Exendin-4-D-Ala-Gs/β1/γ2 7X8R-GLP-1-BOC5-Gs/β1/γ2 6X19-GLP-1-CHU-128-Gs/β1/γ2 6X1A-GLP-1-Danuglipron-Gs/β1/γ2 6X18-GLP-1-GLP-1-Gs/β1/γ2 8JIP-GLP-1-MEDI0382-chim(NtGi1-Gs)/β1/γ2 7C2E-GLP-1-PubChem 149050799-Gs/β1/γ2 7KI0-GLP-1-Semaglutide-Gs/β1/γ2 7KI1-GLP-1-Taspoglutide-Gs/β1/γ2 7X8S-GLP-1-WB4-24-Gs/β1/γ2 8JIS-GLP-1-Peptide-15-chim(NtGi1-Gs)/β1/γ2 7VBI-GLP-1-Tirzepatide (non-acylated)-Gs/β1/γ2
34.48Single7VVNPTH7VVN-PTH1-PTH-Gs/β1/γ2
34.38Consensusclass-b1_class-b2_cons_onOrthosteric Ligandclass-b1_on class-b2_on
34.38Consensusclass-b1_class-b2_cons_on_gpOrthosteric Ligandclass-b1_on_gp class-b2_on_gp
34.29Consensusglp2_onOrthosteric Ligand7D68-GLP-2-GLP-2-Gs/β1/γ2
34.29Consensusglp2_on_gpOrthosteric Ligand7D68-GLP-2-GLP-2-Gs/β1/γ2
33.33Single6PB1Urocortin6PB1-CRF2-Urocortin-chim(NtGi1-Gs)/β1/γ2
33.33Single7F6G(Sar1)-Angiotensin II7F6G-AT1-(Sar1)-Angiotensin II-Gq/β1/γ2
33.33Single7YJ4INSL57YJ4-RXFP4-INSL5-Gi2/β1/γ2
33.33Single9BTWCagrilintide9BTW-CT (AMY3)-Cagrilintide-Gs/β1/γ2; RAMP3
33.33Consensusangiotensin_on_gpOrthosteric Ligandat1_on_gp
33.33Consensusat1_on_gpOrthosteric Ligand7F6G-AT1-(Sar1)-Angiotensin II-Gq/β1/γ2
33.33Consensusgq_angiotensinOrthosteric Ligand7F6G-AT1-(Sar1)-Angiotensin II-Gq/β1/γ2
32.43Consensusgip_onOrthosteric Ligand7FIN-GIP-Peptide-20; GGL-Gs/β1/γ2 7FIY-GIP-Tirzepatide-Gs/β1/γ2 7DTY-GIP-GIP-Gs/β1/γ2
32.43Consensusgip_on_gpOrthosteric Ligand7FIN-GIP-Peptide-20; GGL-Gs/β1/γ2 7FIY-GIP-Tirzepatide-Gs/β1/γ2 7DTY-GIP-GIP-Gs/β1/γ2
32.35Single7TYHCalcitonin7TYH-CT (AMY2)-Calcitonin-Gs/β1/γ2; RAMP2
32.35Single8XQEApelin-138XQE-Apelin; Apelin-Apelin-13-Gi1/β1/γ2
32.35Single8XVHEndothelin-18XVH-ETB-Endothelin-1-chim(Gs-CtGq)/β1/γ2
32.35Consensussst5_on_gpOrthosteric Ligand8X8L-SST5-Cortistatin-14-chim(NtGi1-Gs-CtGi1)/β1/γ2 8X8N-SST5-Octreotide-chim(NtGi1-Gs-CtGi1)/β1/γ2
32.26Single4XT1CX3CL14XT1-US28-CX3CL1
32.26Single7RTBPeptide-197RTB-GLP-1-Peptide-19-Gs/β1/γ2
32.26Single7W0PElabela7W0P-Apelin-Elabela-Gi1/β1/γ2
32.26Single8JIQPeptide-158JIQ-Glucagon-Peptide-15-Gs/β1/γ2
32.26Single8XGMChemerin8XGM-CML2-Chemerin-Gi1/β1/γ2
32.26Single9UYJChemerin-99UYJ-CML2-Chemerin-9-Arrestin2
31.43Single4XT3CX3CL14XT3-US28-CX3CL1
31.43Single7YKDChemerin-97YKD-CML1-Chemerin-9-Gi1/β1/γ2
31.43Consensusgi_peptideOrthosteric Ligandgi_cck gi_apelin gi_compl-pept gi_endothelin gi_formylpeptide gi_galanin gi_ghrelin gi_npy gi_neurotensin gi_opioid gi_orexin gi_relaxin gi_somatostatin
31.25Single7RKMCX3CL17RKM-US28-CX3CL1-Gi1/β1/γ2
31.25Single7TRYUrocortin7TRY-CRF2-Urocortin-chim(NtGi1-G11)/β1/γ2
31.25Single7W0NElabela7W0N-Apelin; Apelin-Elabela-Gi1/β1/γ2
31.25Single8F7QBeta-Endorphin8F7Q-μ-β-Endorphin-Gi1/β1/γ2
31.25Single8Z7JJN241-98Z7J-Apelin-JN241-9-Gi1/β1/γ2
31.03Single6OS0Angiotensin II6OS0-AT1-Angiotensin II
31.03Single7W0NElabela7W0N-Apelin; Apelin-Elabela-Gi1/β1/γ2
30.95Consensuspth2_on_gpOrthosteric Ligand7F16-PTH2-TIP39-Gs/β1/γ2
30.56Single7YOONeuropeptide-Y7YOO-Y2-Neuropeptide-Y-Gi1/β1/γ2
30.56Consensusgq_peptideOrthosteric Ligandgq_cck gq_kisspeptin gq_bradykinin gq_bombesin gq_angiotensin
30.56Consensusnpy2_onOrthosteric Ligand7YOO-Y2-Neuropeptide-Y-Gi1/β1/γ2
30.56Consensusnpy2_on_gpOrthosteric Ligand7YOO-Y2-Neuropeptide-Y-Gi1/β1/γ2
30.56Consensuspeptide_onOrthosteric Ligandcck_on angiotensin_on apelin_on bombesin_on bradykinin_on compl-peptide_on endothelin_on formylpeptide_on galanin_on ghrelin_on kisspeptin_on melanocortin_on motilin_on neuromedin-u_on npy_on neurotensin_on opioid_on orexin_on relaxin_on somatostatin_on tachykinin_on trh_on vasop-oxy_on
30.56Consensuspeptide_on_gpOrthosteric Ligandcck_on_gp angiotensin_on_gp apelin_on_gp bombesin_on_gp bradykinin_on_gp compl-peptide_on_gp endothelin_on_gp formylpeptide_on_gp galanin_on_gp ghrelin_on_gp kisspeptin_on_gp melanocortin_on_gp motilin_on_gp neuromedin-u_on_gp npy_on_gp neurotensin_on_gp opioid_on_gp orexin_on_gp relaxin_on_gp somatostatin_on_gp tachykinin_on_gp trh_on_gp vasop-oxy_on_gp
30.30Single7TD0LPA7TD0-LPA1-LPA-Gi1/β1/γ2
30.30Single7XA3CCL27XA3-CCR2-CCL2-Gi1/β1/γ2
30.30Single9K27PrRP319K27-PrRP-PrRP31-chim(NtGi1-Gq)/β1/γ2
30.30Single9MEUCXCL129MEU-CXCR4-CXCL12
30.30Consensusangiotensin_onOrthosteric Ligandat1_on
30.30Consensusat1_onOrthosteric Ligand7F6G-AT1-(Sar1)-Angiotensin II-Gq/β1/γ2
30.30Consensusccr2_onOrthosteric Ligand7XA3-CCR2-CCL2-Gi1/β1/γ2
30.30Consensusccr2_on_gpOrthosteric Ligand7XA3-CCR2-CCL2-Gi1/β1/γ2
30.30Consensuspeptide_offonOrthosteric Ligandpeptide_off peptide_on
30.00Single7Y65C5a (C-terminal peptide)7Y65-C5a1-C5a (C-terminal peptide)-Gi1/β1/γ2
30.00Consensusclass-a_onOrthosteric Ligandsensory_on alicarboxylic_on amine_on lipid_on nucleotide_on peptide_on protein_on
30.00Consensuspth2_onOrthosteric Ligand7F16-PTH2-TIP39-Gs/β1/γ2
29.73Single8WWNMCH8WWN-MCH1-MCH-Gi1/β1/γ2
29.63Consensusalicarboxylic_on_gpOrthosteric Ligandsuccinate_on_gp hca_on_gp
29.63Consensusgi_alicarboxylicOrthosteric Ligandgi_hca gi_succinate
29.41Single7DW9AVP7DW9-V2-AVP-chim(NtGi1-Gs)/β1/γ2
29.41Single7YONPeptide-YY(3-36)7YON-Y2-Peptide-YY(3-36)-Gi1/β1/γ2
29.41Single8H4KGW95088H4K-FFA4-GW9508-chim(NtGi1-Gs-CtGq)/β1/γ2
29.41Single8WSTMCH8WST-MCH2-MCH-chim(NtGi1L-Gs-CtGq)/β1/γ2
29.41Consensuscxcr3_on_gpOrthosteric Ligand8HNK-CXCR3-CXCL11-Gi1/β1/γ2 8HNL-CXCR3-PS372424-Gi1/β1/γ2
29.41Consensusgi_class-aOrthosteric Ligandgi_peptide gi_sensory gi_alicarboxylic gi_amine gi_lipid gi_nucleotide gi_protein
29.41Consensusgs_vasop-oxyOrthosteric Ligand7DW9-V2-AVP-chim(NtGi1-Gs)/β1/γ2
29.41Consensuspeptide_offon_gpOrthosteric Ligandpeptide_on_gp peptide_off
29.41Consensusprotein_offonOrthosteric Ligandprotein_off protein_on
29.41Consensusprotein_offon_gpOrthosteric Ligandprotein_on_gp protein_off
29.41Consensusv2_onOrthosteric Ligand7DW9-V2-AVP-chim(NtGi1-Gs)/β1/γ2
29.41Consensusv2_on_gpOrthosteric Ligand7DW9-V2-AVP-chim(NtGi1-Gs)/β1/γ2
29.41Consensusvasop-oxy_onOrthosteric Ligandv2_on
29.41Consensusvasop-oxy_on_gpOrthosteric Ligandv2_on_gp
29.03Single7F8WGastrin-177F8W-CCKB-Gastrin-17-chim(NtGsL-Gq)/β1/γ2
29.03Single7X8SWB4-247X8S-GLP-1-WB4-24-Gs/β1/γ2
29.03Single7XY6BAY 60-65837XY6-A2B-BAY 60-6583-chim(NtGi1-Gs)/β1/γ2
29.03Single9M0RNeuropeptide-VF9M0R-NPFF1-Neuropeptide-VF-Gi1/β1/γ2
29.03Single9UMJEP549UMJ-C3aB-EP54-Go/β1/γ2
28.95Single6IGKEndothelin-36IGK-ETB-Endothelin-3
28.95Single6PB0Urocortin6PB0-CRF1-Urocortin-chim(NtGi1-Gs)/β1/γ2
28.95Consensusbb2_onOrthosteric Ligand7W40-BB2-Bombesin-chim(NtGi1L-Gq)/β1/γ2 7W3Z-BB2-Gastrin Releasing Peptide-chim(NtGi1L-Gq)/β1/γ2
28.95Consensusbb2_on_gpOrthosteric Ligand7W40-BB2-Bombesin-chim(NtGi1L-Gq)/β1/γ2 7W3Z-BB2-Gastrin Releasing Peptide-chim(NtGi1L-Gq)/β1/γ2
28.95Consensusbombesin_onOrthosteric Ligandbb2_on
28.95Consensusbombesin_on_gpOrthosteric Ligandbb2_on_gp
28.95Consensusccr5_on_gpOrthosteric Ligand7O7F-CCR5-6P4-CCL5-Gi1/β1/γ1 7F1Q-CCR5-CCL3-Gi1/β1/γ2
28.95Consensusgq_bombesinOrthosteric Ligand7W40-BB2-Bombesin-chim(NtGi1L-Gq)/β1/γ2 7W3Z-BB2-Gastrin Releasing Peptide-chim(NtGi1L-Gq)/β1/γ2
28.57Single7BB7AVP7BB7-V2-AVP-Gs/β1/γ2
28.57Single8J6JGSK2560738J6J-HCA2-GSK256073-Gi1/β1/γ2
28.57Single8WWKMCH8WWK-MCH1-MCH-Gi1/β1/γ2
28.57Single8WWMMCH8WWM-MCH1-MCH-Gi1/β1/γ2
28.57Single8ZPTPrRP208ZPT-PrRP-PrRP20-chim(NtGi1-Gs-CtGq)/β1/γ2
28.57Single9JFYNeuropeptide-SF9JFY-NPFF2-Neuropeptide-SF-Gi1/β1/γ2
28.57Consensuschemokine_offOrthosteric Ligandccr_off cxcr_off
28.57Consensuscml1_on_gpOrthosteric Ligand7YKD-CML1-Chemerin-9-Gi1/β1/γ2
28.57Consensusgi_chemokineOrthosteric Ligand6WWZ-CCR6-CCL20-Go/β1/γ2 8HNK-CXCR3-CXCL11-Gi1/β1/γ2 8K3Z-CXCR4-CXCL12-Gi1/β1/γ1 8IC0-CXCR1-CXCL8-Gi1/β1/γ2 6LFM-CXCR2-CXCL8-Gi1/β1/γ2 8KFX-CCR8-LMD-009-Gi1/β1/γ2 7F1Q-CCR5-CCL3-Gi1/β1/γ2 8HNL-CXCR3-PS372424-Gi1/β1/γ2 8KFY-CCR8-ZK-756326-Gi1/β1/γ2 7O7F-CCR5-6P4-CCL5-Gi1/β1/γ1 8U1U-CCR8-CCL1-Gi1/β1/γ2 7VLA-CCR1-CCL15(27-92)-Gi1/β1/γ2 7XA3-CCR2-CCL2-Gi1/β1/γ2
28.57Consensusgluc_on_gpOrthosteric Ligand6LMK-Glucagon-Glucagon-Gs/β1/γ2 8JIT-Glucagon-MEDI0382-Gs/β1/γ2 7V35-Glucagon-Peptide-20-Gs/β1/γ2
28.12Single6X19CHU-1286X19-GLP-1-CHU-128-Gs/β1/γ2
28.12Single9L3YChemerin9L3Y-CML2-Chemerin-Gi1/β1/γ2
28.12Consensuschemerin_on_gpOrthosteric Ligandcml1_on_gp
28.12Consensusclass-a_on_gpOrthosteric Ligandsensory_on_gp alicarboxylic_on_gp amine_on_gp lipid_on_gp nucleotide_on_gp peptide_on_gp protein_on_gp
28.12Consensuscml1_onOrthosteric Ligand7YKD-CML1-Chemerin-9-Gi1/β1/γ2
28.12Consensusgi_chemerinOrthosteric Ligand7YKD-CML1-Chemerin-9-Gi1/β1/γ2
28.12Consensusmop_offOrthosteric Ligand4DKL-μ-β-Funaltrexamine 8QOT-μ-Nanobody-E 7UL4-μ-Alvimopan
28.12Consensussst5_onOrthosteric Ligand8X8L-SST5-Cortistatin-14-chim(NtGi1-Gs-CtGi1)/β1/γ2 8X8N-SST5-Octreotide-chim(NtGi1-Gs-CtGi1)/β1/γ2
27.78Consensusccr_offOrthosteric Ligandccr2_off ccr5_off
27.78Consensusgi_compl-peptOrthosteric Ligand8HK5-C5a1-C5a-Gi1/β1/γ2 8IA8-C3aB-E7 peptide-Gi1/β1/γ2 7Y66-C5a1-BM213-Gi1/β1/γ2 7Y67-C5a1-C089 peptide-Gi1/β1/γ2 8HK2-C3aB-C3a-Gi1/β1/γ2 7Y64-C5a1-C5a-Gi1/β1/γ2
27.59Single7EW1Siponimod7EW1-S1P5-Siponimod-Gi1/β1/γ2
27.59Single7TUYGSK682753A7TUY-GPR183-GSK682753A
27.59Consensuss1p5_onOrthosteric Ligand7EW1-S1P5-Siponimod-Gi1/β1/γ2
27.59Consensuss1p5_on_gpOrthosteric Ligand7EW1-S1P5-Siponimod-Gi1/β1/γ2
27.27Single6DO1(Sar1,Ile8)-Angiotensin II6DO1-AT1-(Sar1,Ile8)-Angiotensin II
27.27Single7E14Orforglipron7E14-GLP-1-Orforglipron-PubChem 156022738-Gs/β1/γ2
27.27Single7XMSSomatostatin-147XMS-SST4-Somatostatin-14-Gi1/β1/γ2
27.27Single7XNACYN1548067XNA-SST2-CYN154806
27.27Single8SG1Chemerin-98SG1-CML1-Chemerin-9-Gi1/β1/γ2
27.27Single8WSSMCH8WSS-MCH1-MCH-Gi1/β1/γ1
27.27Single9ME1CXCL129ME1-CXCR4-CXCL12
27.27Consensuscompl-peptide_onOrthosteric Ligandc5a1_on c3a_on
27.27Consensusformylpeptide_on_gpOrthosteric Ligandfpr2-alx_on_gp fpr1-alx_on_gp
27.27Consensusgi_cckOrthosteric Ligand7EZH-CCKA-Cholecystokinin-8-Gi1/β1/γ2 7F8V-CCKB-Gastrin-17-Gi2/β1/γ2
27.27Consensusgq_class-aOrthosteric Ligandgq_peptide gq_amine gq_nucleotide
27.27Consensussst2_offOrthosteric Ligand7XNA-SST2-CYN154806
27.03Single7AD3Alpha-factor mating pheromone7AD3-STE2; STE2-α-factor mating pheromone-Gi1/STE4/γ2
27.03Single7EIBKallidin-des-Arg107EIB-BK1-Kallidin-des-Arg10-chim(NtGi1-Gs-CtGq)/β1/γ2
27.03Single8WWLMCH8WWL-MCH1-MCH-Gi1/β1/γ2
27.03Single8ZJGChemerin8ZJG-CML1-Chemerin-Gi1/β1/γ2
27.03Single9K26PrRP319K26-PrRP-PrRP31-Gi1/β1/γ2
26.92Single8IJANiacin8IJA-HCA2-Niacin-Gi1/β1/γ2
26.67Single6OS2TRV0266OS2-AT1-TRV026
26.67Single7W0LPubChem 1227019087W0L-Apelin; Apelin-PubChem 122701908-Gi1/β1/γ2
26.67Single7WCNAR2314537WCN-GPR119-AR231453-Gs/β1/γ2
26.67Single8IA8E7 peptide8IA8-C3aB-E7 peptide-Gi1/β1/γ2
26.67Single8J6DEP1418J6D-C3aB-EP141-Go/β1/γ2
26.67Single8X8NOctreotide8X8N-SST5-Octreotide-chim(NtGi1-Gs-CtGi1)/β1/γ2
26.67Single8XQSCholesterol8XQS-TAS2R14-Cholesterol-Flufenamic acid-Gi1/β1/γ1
26.67Consensuslpa1_offOrthosteric Ligand4Z36-LPA1-ONO-3080573 4Z35-LPA1-ONO-9910539 4Z34-LPA1-ONO-9780307
26.67Consensuslpa_offOrthosteric Ligandlpa1_off
26.67Consensuslpl_offOrthosteric Ligands1p_off lpa_off
26.47Single9U4WGonadoliberin-19U4W-GnRH1-Gonadoliberin-1-chim(NtGi1L-Gs-CtGq)/β1/γ2
26.47Single9UYIChemerin-99UYI-CML2-Chemerin-9-Arrestin2
26.47Consensusccr_onOrthosteric Ligandccr6_on ccr8_on ccr2_on ccr1_on ccr5_on
26.47Consensuscompl-peptide_on_gpOrthosteric Ligandc5a1_on_gp c3a_on_gp
26.47Consensusgs_class-aOrthosteric Ligandgs_peptide gs_nucleotide gs_amine
26.47Consensussomatostatin_onOrthosteric Ligandsst2_on sst4_on sst5_on
26.47Consensussomatostatin_on_gpOrthosteric Ligandsst2_on_gp sst4_on_gp sst5_on_gp
26.32Single7VGXNeuropeptide-Y7VGX-Y1-Neuropeptide-Y-Gi1/β1/γ2
26.32Consensusctlike_on_gpOrthosteric Ligand6E3Y-CT Like-Calcitonin gene-related peptide-1-Gs/β1/γ2; RAMP1
26.19Consensusgluc_onOrthosteric Ligand6LMK-Glucagon-Glucagon-Gs/β1/γ2 8JIT-Glucagon-MEDI0382-Gs/β1/γ2 7V35-Glucagon-Peptide-20-Gs/β1/γ2
25.93Single4ZUDOlmesartan4ZUD-AT1-Olmesartan
25.81Single7SK7CCX6627SK7-ACKR3-CXCL12-CCX662
25.81Single7X8RBOC57X8R-GLP-1-BOC5-Gs/β1/γ2
25.81Single8E0GBU728E0G-μ-BU72
25.81Single8IJDMK68928IJD-HCA2-MK6892-Gi1/β1/γ2
25.81Single8XGSKisspeptin-18XGS-Kiss1-Kisspeptin-1-chim(NtGi1-Gq)/β1/γ2
25.81Single9KUGEP679KUG-C5a1-EP67-Go/β1/γ2
25.81Single9M54Neuropeptide-VF9M54-NPFF2-Neuropeptide-VF-Gi1/β1/γ2
25.81Single9UYMChemerin-99UYM-CML2-Chemerin-9-chim(Arrestin3-CtArrestin2)
25.81Consensusc3a_on_gpOrthosteric Ligand8HK2-C3aB-C3a-Gi1/β1/γ2 8IA8-C3aB-E7 peptide-Gi1/β1/γ2
25.71Single8X8LCortistatin-148X8L-SST5-Cortistatin-14-chim(NtGi1-Gs-CtGi1)/β1/γ2
25.71Single9BKKCholecystokinin-89BKK-CCKA-Cholecystokinin-8-chim(NtGi1-Gs-CtGq)/β1/γ2
25.71Consensusgi_formylpeptideOrthosteric Ligand7WVY-FPR2-ALX-Amyloid-β42-Gi2/β1/γ2 7T6U-FPR2-ALX-CGEN-855A-Gi1/β1/γ2 7VFX-FPR1-ALX-fMIFL-Gi1/β1/γ2 7T6V-FPR2-ALX-fMLFII-Gi1/β1/γ2 7WVX-FPR2-ALX-Humanin-Gi2/β1/γ2 7T6S-FPR2-ALX-TC-FPR 43-Gi1/β1/γ2 6OMM-FPR2-ALX-WKYMVX-Gi1/β1/γ2
25.64Single5GLHEndothelin-15GLH-ETB-Endothelin-1
25.64Consensusgi_npyOrthosteric Ligand8K6M-Y1-Neuropeptide-Y-Gi2/β1/γ1 7X9C-Y4-Pancreatic Hormone-Gi1/β1/γ2 7YOO-Y2-Neuropeptide-Y-Gi1/β1/γ2
25.64Consensusnpy_onOrthosteric Ligandnpy1_on npy2_on npy4_on
25.64Consensusnpy_on_gpOrthosteric Ligandnpy1_on_gp npy2_on_gp npy4_on_gp
25.00Single4UG2CGS216804UG2-A2A-CGS21680
25.00Single7RKFCX3CL17RKF-US28-CX3CL1-GDP-chim(NtGi1-G11)/β1/γ2
25.00Single7RKNCX3CL17RKN-US28-CX3CL1-Gi1/β1/γ2
25.00Single7X9BNeuropeptide-Y7X9B-Y2-Neuropeptide-Y-Gi1/β1/γ2
25.00Single7XBXCX3CL17XBX-CX3CR1-CX3CL1-Gi1/β1/γ2
25.00Single7Y64C5a7Y64-C5a1-C5a-Gi1/β1/γ2
25.00Single8HCQEndothelin-18HCQ-ETA-Endothelin-1-chim(NtGi1-Gs-CtGq)/β1/γ2
25.00Single8HK5C5a8HK5-C5a1-C5a-Gi1/β1/γ2
25.00Single8I7VAcipimox8I7V-HCA2-Acipimox-Gi1/β1/γ2
25.00Single8J6PNiacin8J6P-HCA2-Niacin-PubChem 25101223-Gi1/β1/γ2
25.00Single8JHNMonomethyl fumarate8JHN-HCA2-Monomethyl fumarate-Go/β1/γ2
25.00Single8QJ2pN1628QJ2-MC4-pN162-Gs/β1/γ2
25.00Single8XGOTAK4488XGO-Kiss1-TAK448-chim(NtGi1-Gq)/β1/γ2
25.00Single8ZPSPrRP208ZPS-PrRP-PrRP20-chim(NtGi1-Gs-CtGi1)/β1/γ2
25.00Single8ZQEGPR15L(CT)8ZQE-GPR15-GPR15L(CT)-Gi1/β1/γ1
25.00Single8ZRTEndothelin-18ZRT-ETB-Endothelin-1
25.00Single9KFJPubChem 1383196749KFJ-RXFP3-PubChem 138319674-Gi2/β1/γ2
25.00Single9KUXCMPD6449KUX-Apelin; Apelin-CMPD644-Arrestin2
25.00Single9KX6C5a-des-Arg9KX6-C5a1-C5a-des-Arg-Go/β1/γ2
25.00Single9KZ2EP679KZ2-C3aB-EP67-Go/β1/γ2
25.00Consensusadenosine_on_gpOrthosteric Liganda1_on_gp a2_on_gp a3_on_gp
25.00Consensusccr_on_gpOrthosteric Ligandccr6_on_gp ccr8_on_gp ccr2_on_gp ccr1_on_gp ccr5_on_gp
25.00Consensuschemokine_on_gpOrthosteric Ligandccr_on_gp cxcr_on_gp
25.00Consensuscxcr3_onOrthosteric Ligand8HNK-CXCR3-CXCL11-Gi1/β1/γ2 8HNL-CXCR3-PS372424-Gi1/β1/γ2
25.00Consensuscxcr_offOrthosteric Ligandcxcr3_off cxcr4_off
25.00Consensuseta_onOrthosteric Ligand8HCQ-ETA-Endothelin-1-chim(NtGi1-Gs-CtGq)/β1/γ2
25.00Consensuseta_on_gpOrthosteric Ligand8HCQ-ETA-Endothelin-1-chim(NtGi1-Gs-CtGq)/β1/γ2
25.00Consensusgi_apelinOrthosteric Ligand8XZH-Apelin; Apelin-MM07-Gi1/β1/γ2 7W0M-Apelin-PubChem 122701908-Gi1/β1/γ2 8XZJ-Apelin; Apelin-WN353-Gi1/β1/γ2 8XZF-Apelin; Apelin-WN561-Gi1/β1/γ2 8XZG-Apelin; Apelin-Apelin-13-Gi1/β1/γ2
25.00Consensusgi_hcaOrthosteric Ligand8J6R-HCA2-MK6892-Gi1/β1/γ2 8JIM-HCA2-Monomethyl fumarate-Gi1/β1/γ2 8IHI-HCA2-Acifran-Gi1/β1/γ2 8IHH-HCA2-LUF6283-Gi1/β1/γ2 8I7V-HCA2-Acipimox-Gi1/β1/γ2 8I7W-HCA2-GSK256073-Gi1/β1/γ2
25.00Consensushca2_onOrthosteric Ligand8J6R-HCA2-MK6892-Gi1/β1/γ2 8JIM-HCA2-Monomethyl fumarate-Gi1/β1/γ2 8I7V-HCA2-Acipimox-Gi1/β1/γ2 8I7W-HCA2-GSK256073-Gi1/β1/γ2 8IHH-HCA2-LUF6283-Gi1/β1/γ2 8IHI-HCA2-Acifran-Gi1/β1/γ2
25.00Consensushca2_on_gpOrthosteric Ligand8J6R-HCA2-MK6892-Gi1/β1/γ2 8IHI-HCA2-Acifran-Gi1/β1/γ2 8IHH-HCA2-LUF6283-Gi1/β1/γ2 8I7V-HCA2-Acipimox-Gi1/β1/γ2 8JIM-HCA2-Monomethyl fumarate-Gi1/β1/γ2 8I7W-HCA2-GSK256073-Gi1/β1/γ2
25.00Consensushca_on_gpOrthosteric Ligandhca2_on_gp
25.00Consensusmc1_onOrthosteric Ligand7F4H-MC1-Afamelanotide-chim(NtGi1-Gs)/β1/γ2 7F4D-MC1-α-MSH-chim(NtGi1-Gs)/β1/γ2 7F4I-MC1-SHU9119-chim(NtGi1-Gs)/β1/γ2
25.00Consensusmc1_on_gpOrthosteric Ligand7F4H-MC1-Afamelanotide-chim(NtGi1-Gs)/β1/γ2 7F4D-MC1-α-MSH-chim(NtGi1-Gs)/β1/γ2 7F4I-MC1-SHU9119-chim(NtGi1-Gs)/β1/γ2
25.00Consensusopioid_onOrthosteric Ligandmop_on nop_on dop_on kop_on
25.00Consensuss1p_onOrthosteric Ligands1p1_on s1p3_on s1p5_on
25.00Consensuss1p_on_gpOrthosteric Ligands1p1_on_gp s1p3_on_gp s1p5_on_gp
24.39Single6LRYSarafotoxin-B6LRY-ETB-Sarafotoxin-B
24.39Consensusgs_peptideOrthosteric Ligandgs_cck gs_melanocortin gs_vasop-oxy
24.32Single5UIW5P7-CCL55UIW-CCR5-5P7-CCL5
24.32Single7F8VGastrin-177F8V-CCKB-Gastrin-17-Gi2/β1/γ2
24.32Consensusccr5_offOrthosteric Ligand5UIW-CCR5-5P7-CCL5
24.32Consensusccr5_onOrthosteric Ligand7O7F-CCR5-6P4-CCL5-Gi1/β1/γ1 7F1Q-CCR5-CCL3-Gi1/β1/γ2
24.32Consensusctlike_onOrthosteric Ligand6E3Y-CT Like-Calcitonin gene-related peptide-1-Gs/β1/γ2; RAMP1
24.32Consensusopioid_on_gpOrthosteric Ligandmop_on_gp nop_on_gp dop_on_gp kop_on_gp
24.24Single7QA8Antagonist Peptide7QA8-STE2; STE2-Antagonist Peptide
24.24Single7QA8Antagonist Peptide7QA8-STE2; STE2-Antagonist Peptide
24.24Single7T6UCGEN-855A7T6U-FPR2-ALX-CGEN-855A-Gi1/β1/γ2
24.24Single7WVWfMYFINILTL7WVW-FPR2-ALX-fMYFINILTL-Gi2/β1/γ2
24.24Single9BUECagrilintide9BUE-CT-Cagrilintide-Gs/β1/γ2
24.24Single9KWGC5a9KWG-C5a1-C5a-Go/β1/γ2
24.24Consensuschemokine_onOrthosteric Ligandccr_on cxcr_on
24.24Consensusgi_opioidOrthosteric Ligand8F7R-μ-Endomorphin-Gi1/β1/γ2 8EF5-μ-Fentanyl-Gi1/β1/γ2 7SCG-μ-FH210-Gi1/β1/γ2 7T2H-μ-Lofentanil-Gi1/β1/γ2 7T2G-μ-Mitragynine Pseudoindoxyl-Gi1/β1/γ2 8DZP-κ-momSalB-Gi1/β1/γ2 8EF6-μ-Morphine-Gi1/β1/γ2 8F7X-NOP-Nociceptin-Gi1/β1/γ2 8EFB-μ-Oliceridine-Gi1/β1/γ2 7U2L-μ-C5-guano-Gi1/β1/γ2 8EFO-μ-PZM21-Gi1/β1/γ2 8EFL-μ-SR17018-Gi1/β1/γ2 8F7Q-μ-β-Endorphin-Gi1/β1/γ2 7U2K-μ-C6-guano-Gi1/β1/γ2 8EFQ-μ-DAMGO-Gi1/β1/γ2 8F7S-δ-Deltorphin-Gi1/β1/γ2 8F7W-κ-Dynorphin-Gi1/β1/γ2
24.24Consensuslpl_onOrthosteric Ligands1p_on lpa_on
24.24Consensuslpl_on_gpOrthosteric Ligands1p_on_gp lpa_on_gp
24.24Consensussomatostatin_offOrthosteric Ligandsst2_off
24.14Single5C1MBU725C1M-μ-BU72
24.14Single7EO2FTY720-P7EO2-S1P1-FTY720-P-Gi1/β1/γ2
24.14Single7LD3Adenosine7LD3-A1-Adenosine-MIPS521-Gi2/β1/γ2
24.14Single7TD3S1P7TD3-S1P1-S1P-Gi1/β1/γ2
24.14Single7X1TTaltirelin7X1T-TRH-Taltirelin-chim(NtGi2L-Gs-CtGq)/β1/γ2
24.14Single7YU6ONO-07405567YU6-LPA1-ONO-0740556-Gi1/β1/γ2
24.14Single8HNLPS3724248HNL-CXCR3-PS372424-Gi1/β1/γ2
24.14Single8KFXLMD-0098KFX-CCR8-LMD-009-Gi1/β1/γ2
24.14Single8S4DCMF-0198S4D-Apelin-CMF-019
24.14Single8UUJFCH-22964138UUJ-HCA2-FCH-2296413-Gi1/β1/γ2
24.14Single8XYKVUF106618XYK-CXCR3-VUF10661-Go/β1/γ2
24.14Single8YICSAR2477998YIC-S1P1-SAR247799-Gi1/β1/γ2
24.14Single8ZRKGSK12922638ZRK-GPR119-GSK1292263-Gs/β1/γ2
24.14Single9B9ZMRI-18679B9Z-CB1-MRI-1867
24.14Single9CIBFCH-22964139CIB-HCA2-FCH-2296413
24.14Single9EAHOlmesartan9EAH-AT1-Olmesartan-Nanobody AT209
24.14Single9EHSLUF76029EHS-A3A-LUF7602
24.14Single9KO4CCL219KO4-CCR7-CCL21-Gi1/β1/γ2
24.14Single9KUVCMPD6449KUV-Apelin-CMPD644-Arrestin2
24.14Consensuscb2_onOrthosteric Ligand8GUR-CB2-CP55940-Gi1/β1/γ2 8GUS-CB2-HU-308-Gi1/β1/γ2 8GUT-CB2-LEI-102-Gi1/β1/γ2 6KPF-CB2-AM12033-Gi1/β1/γ2 6PT0-CB2-WIN 55212-2-Gi1/β1/γ2 8GUQ-CB2-Olorinab-Gi1/β1/γ2
24.14Consensuscb2_on_gpOrthosteric Ligand8GUR-CB2-CP55940-Gi1/β1/γ2 8GUS-CB2-HU-308-Gi1/β1/γ2 8GUT-CB2-LEI-102-Gi1/β1/γ2 6KPF-CB2-AM12033-Gi1/β1/γ2 6PT0-CB2-WIN 55212-2-Gi1/β1/γ2 8GUQ-CB2-Olorinab-Gi1/β1/γ2
24.00Single8GGEConstrained Epinephrine8GGE-β2-Constrained Epinephrine-GTP-Gs/β1/γ2
24.00Single8RQLFlufenamic acid8RQL-TAS2R14-Flufenamic acid-Flufenamic acid-chim(NtGi1-Gt3)/β1/γ2
23.81Single7X9ANeuropeptide-Y7X9A-Y1-Neuropeptide-Y-Gi1/β1/γ2
23.68Single7F4FAfamelanotide7F4F-MC1-Afamelanotide-chim(NtGi1-Gs)/β1/γ2
23.68Single7F53Alpha-MSH7F53-MC4-α-MSH-Gs/β1/γ2
23.68Single7QBCAlpha-factor mating pheromone7QBC-STE2; STE2-α-factor mating pheromone
23.68Single7WVYAmyloid-Beta427WVY-FPR2-ALX-Amyloid-β42-Gi2/β1/γ2
23.68Single7XATSomatostatin-147XAT-SST2-Somatostatin-14-Gi1/β1/γ2
23.68Single8XWPEndothelin-18XWP-ETB-Endothelin-1-Gi1/β1/γ2
23.68Single8ZH8QRFP268ZH8-QRFP-QRFP26-Gq/β1/γ1
23.53Single3QAKUK-4320973QAK-A2A-UK-432097
23.53Single7WJ5Somatostatin-147WJ5-SST2-Somatostatin-14-Gi1/β1/γ2
23.53Single9IQSMuscarinic toxin 39IQS-M4-Muscarinic toxin 3
23.53Single9IQVMuscarinic toxin 39IQV-Alpha1A-Muscarinic toxin 3
23.53Single9JFK(Pen5)-Urotensin II9JFK-UT-(Pen5)-Urotensin II-chim(NtGi2L-Gs-CtGq)/β1/γ2
23.53Consensuscckb_onOrthosteric Ligand8IA7-CCKB-Cholecystokinin-8-chim(NtGi1L-Gq)/β1/γ2 7XOW-CCKB-Sulfated Gastrin-(10-17)-chim(NtGi1-Gq)/β1/γ2 7F8V-CCKB-Gastrin-17-Gi2/β1/γ2
23.53Consensusccr8_on_gpOrthosteric Ligand8KFX-CCR8-LMD-009-Gi1/β1/γ2 8KFY-CCR8-ZK-756326-Gi1/β1/γ2 8U1U-CCR8-CCL1-Gi1/β1/γ2
23.53Consensussst4_onOrthosteric Ligand7XMS-SST4-Somatostatin-14-Gi1/β1/γ2 7XMT-SST4-J-2156-Gi1/β1/γ2
23.53Consensussst4_on_gpOrthosteric Ligand7XMS-SST4-Somatostatin-14-Gi1/β1/γ2 7XMT-SST4-J-2156-Gi1/β1/γ2
23.33Single4Z34ONO-97803074Z34-LPA1-ONO-9780307
23.33Single6GT3Imaradenant6GT3-A2A-Imaradenant-Na
23.33Single6N4BMDMB-Fubinaca6N4B-CB1-MDMB-Fubinaca-Gi1/β1/γ2
23.33Single7EW7SEW28717EW7-S1P1-SEW2871-Gi1/β1/γ2
23.33Single7JVPSKF839597JVP-D1-SKF83959-Gs/β1/γ2
23.33Single7T9NDPPC7T9N-TSH-M22 Fab-DPPC-Gs/β1/γ2
23.33Single7YU7ONO-07405567YU7-LPA1-ONO-0740556-Gi1/β1/γ2
23.33Single8ID6Oleic acid8ID6-FFA4-Oleic acid-Gi1/β1/γ2
23.33Single8IHBGSK2560738IHB-HCA2-GSK256073-Gi1/β1/γ2
23.33Single8IHHLUF62838IHH-HCA2-LUF6283-Gi1/β1/γ2
23.33Single8IRVRotigotine8IRV-D5-Rotigotine-chim(NtGi1-Gs)/β1/γ2
23.33Single8UGWCGS216808UGW-A2A-CGS21680
23.33Single8XZICMF-0198XZI-Apelin; Apelin-CMF-019-Gi1/β1/γ2
23.33Single9IZGLPA9IZG-LPA1-LPA-chim(NtGi1-Gs-CtGq)/β1/γ2
23.33Single9KUXCMPD6449KUX-Apelin; Apelin-CMPD644-Arrestin2
23.33Single9KVPSB2901579KVP-C3aB-SB290157-Go/β1/γ2
23.33Single9L16CCL219L16-CCR7-CCL21
23.33Consensusclass-a_offOrthosteric Ligandsensory_off alicarboxylic_off amine_off lipid_off nucleotide_off peptide_off protein_off
23.33Consensusd5_on_gpOrthosteric Ligand8IRV-D5-Rotigotine-chim(NtGi1-Gs)/β1/γ2
23.33Consensusgi_cannabinoidOrthosteric Ligand8GUR-CB2-CP55940-Gi1/β1/γ2 8GUS-CB2-HU-308-Gi1/β1/γ2 8GUT-CB2-LEI-102-Gi1/β1/γ2 8GUQ-CB2-Olorinab-Gi1/β1/γ2 6KPF-CB2-AM12033-Gi1/β1/γ2 6PT0-CB2-WIN 55212-2-Gi1/β1/γ2 6KPG-CB1-AM841-Gi1/β1/γ2
23.33Consensusprotein_offOrthosteric Ligandchemokine_off grh_off
23.08Single6IGLIRL16206IGL-ETB-IRL1620
23.08Single7QBCAlpha-factor mating pheromone7QBC-STE2; STE2-α-factor mating pheromone
23.08Single8H2GNiacin8H2G-HCA2-Niacin-Gi1/β1/γ2
23.08Single8IY6Endothelin-18IY6-ETB-Endothelin-1
23.08Single8JPNCis-Epoxysuccinic acid8JPN-Succinate-Cis-Epoxysuccinic acid-Gi1/β1/γ1
23.08Single8K5BNiacin8K5B-HCA2-Niacin
23.08Single8WP1Cis-Epoxysuccinic acid8WP1-Succinate-Cis-Epoxysuccinic acid-Gi1/β1/γ2
23.08Consensusbk2_onOrthosteric Ligand7F6H-BK2-Bradykinin-Gq/β1/γ2 7F6I-BK2-Kallidin-Gq/β1/γ2
23.08Consensusbk2_on_gpOrthosteric Ligand7F6H-BK2-Bradykinin-Gq/β1/γ2 7F6I-BK2-Kallidin-Gq/β1/γ2
23.08Consensusbradykinin_onOrthosteric Ligandbk2_on
23.08Consensusbradykinin_on_gpOrthosteric Ligandbk2_on_gp
23.08Consensusendothelin_onOrthosteric Ligandetb_on eta_on
23.08Consensusgq_bradykininOrthosteric Ligand7F6H-BK2-Bradykinin-Gq/β1/γ2 7F6I-BK2-Kallidin-Gq/β1/γ2
22.86Single5WF5UK-4320975WF5-A2A-UK-432097
22.86Single6LW5WKYMVm6LW5-FPR2-ALX-WKYMVm
22.86Single7O7F6P4-CCL57O7F-CCR5-6P4-CCL5-Gi1/β1/γ1
22.86Single7TD2LPA7TD2-LPA1-LPA-Gi1/β1/γ2
22.86Single8K6NNeuropeptide-Y8K6N-Y2-Neuropeptide-Y-Gi2/β1/γ1
22.86Single8XGUTAK4488XGU-Kiss1-TAK448-Gi1/β1/γ2
22.86Single8XIQL7967788XIQ-SST3-L796778-chim(NtGi1-Gs-CtGi1)/β1/γ2
22.86Single8XIRPasireotide8XIR-SST3-Pasireotide-chim(NtGi1-Gs-CtGi1)/β1/γ2
22.86Single8XZGApelin-138XZG-Apelin; Apelin-Apelin-13-Gi1/β1/γ2
22.86Single9M1ONeuropeptide-FF9M1O-NPFF2-Neuropeptide-FF-Gi1/β1/γ2
22.86Consensusc5a1_onOrthosteric Ligand8HK5-C5a1-C5a-Gi1/β1/γ2 7Y66-C5a1-BM213-Gi1/β1/γ2 7Y67-C5a1-C089 peptide-Gi1/β1/γ2 7Y64-C5a1-C5a-Gi1/β1/γ2
22.86Consensuscckb_on_gpOrthosteric Ligand8IA7-CCKB-Cholecystokinin-8-chim(NtGi1L-Gq)/β1/γ2 7XOW-CCKB-Sulfated Gastrin-(10-17)-chim(NtGi1-Gq)/β1/γ2 7F8V-CCKB-Gastrin-17-Gi2/β1/γ2
22.86Consensuscxcr4_on_gpOrthosteric Ligand8K3Z-CXCR4-CXCL12-Gi1/β1/γ1
22.86Consensusfpr2-alx_onOrthosteric Ligand7WVX-FPR2-ALX-Humanin-Gi2/β1/γ2 7T6U-FPR2-ALX-CGEN-855A-Gi1/β1/γ2 7T6V-FPR2-ALX-fMLFII-Gi1/β1/γ2 7WVY-FPR2-ALX-Amyloid-β42-Gi2/β1/γ2 7T6S-FPR2-ALX-TC-FPR 43-Gi1/β1/γ2 6OMM-FPR2-ALX-WKYMVX-Gi1/β1/γ2
22.86Consensusgi_somatostatinOrthosteric Ligand7WIC-SST2-Somatostatin-14-Gi1/β1/γ2 7XMS-SST4-Somatostatin-14-Gi1/β1/γ2 8X8L-SST5-Cortistatin-14-chim(NtGi1-Gs-CtGi1)/β1/γ2 7XMT-SST4-J-2156-Gi1/β1/γ2 7WIG-SST2-L-054264-Gi1/β1/γ2 8X8N-SST5-Octreotide-chim(NtGi1-Gs-CtGi1)/β1/γ2 7YAE-SST2-Octreotide-Gi1/β1/γ2 7YAC-SST2-Paltusotine-Gi1/β1/γ2
22.86Consensusgs_cckOrthosteric Ligand7MBX-CCKA-Cholecystokinin-8-Gs/β1/γ1
22.58Single4XEENeurotensin-(8-13)4XEE-NTS1-Neurotensin-(8-13)
22.58Single4XESNeurotensin-(8-13)4XES-NTS1-Neurotensin-(8-13)
22.58Single4Z36ONO-30805734Z36-LPA1-ONO-3080573
22.58Single5UNHPubChem 1264564065UNH-AT2-PubChem 126456406
22.58Single6A93Risperidone6A93-5-HT2A-Risperidone
22.58Single6XOXOrforglipron6XOX-GLP-1-Orforglipron-chim(NtGi1-Gs)/β1/γ2
22.58Single6YVRNeurotensin-(6-13)6YVR-NTS1-Neurotensin-(6-13)
22.58Single7BZ2Arformoterol7BZ2-β2-Arformoterol-Gs/β1/γ2
22.58Single7EO4Siponimod7EO4-S1P1-Siponimod-Gi1/β1/γ2
22.58Single7EVYSiponimod7EVY-S1P1-Siponimod-Gi1/β1/γ2
22.58Single7EW2FTY720-P7EW2-S1P3-FTY720-P-Gi1/β1/γ2
22.58Single7WCMMBX-29827WCM-GPR119-MBX-2982-Gs/β1/γ2
22.58Single7Y66BM2137Y66-C5a1-BM213-Gi1/β1/γ2
22.58Single8I9AEP548I9A-C3aB-EP54-chim(NtGi1-Gs-CtGq)/β1/γ2
22.58Single8JPCNeurotensin-(8-13)8JPC-NTS1-Neurotensin-(8-13)-SBI-553; GDP; Mg-Gq; GRK2
22.58Single8JZ7MK68928JZ7-HCA2-MK6892-Gi1/β1/γ2
22.58Single8VHFMBX-29828VHF-GPR119-MBX-2982-Gs/β1/γ2
22.58Single8XYIVUF106618XYI-CXCR3-VUF10661
22.58Single9GYOP3959GYO-GPBA-P395-chim(NtGi1-Gs)/β1/γ2
22.58Single9IZHLPA9IZH-LPA1-LPA-chim(NtGi2-G13)/β1/γ2
22.58Single9L3WChemerin9L3W-CML1-Chemerin-Gi1/β1/γ2
22.58Single9M8POleic monoethanolamide9M8P-GPR3 ; GPR3-Oleic monoethanolamide-AF64394
22.58Single9MQLIsoquinuclidine9MQL-κ-Isoquinuclidine
22.58Consensusc3a_onOrthosteric Ligand8HK2-C3aB-C3a-Gi1/β1/γ2 8IA8-C3aB-E7 peptide-Gi1/β1/γ2
22.58Consensuscannabinoid_onOrthosteric Ligandcb2_on cb1_on
22.58Consensuscannabinoid_on_gpOrthosteric Ligandcb2_on_gp cb1_on_gp
22.58Consensusccr8_onOrthosteric Ligand8KFX-CCR8-LMD-009-Gi1/β1/γ2 8KFY-CCR8-ZK-756326-Gi1/β1/γ2 8U1U-CCR8-CCL1-Gi1/β1/γ2
22.58Consensusgi_lipidOrthosteric Ligandgi_cannabinoid gi_ffa gi_leukotriene gi_lpa gi_s1p
22.58Consensuslipid_offonOrthosteric Ligandlipid_off lipid_on
22.58Consensuslipid_offon_gpOrthosteric Ligandlipid_on_gp lipid_off
22.58Consensuss1p1_onOrthosteric Ligand7VIE-S1P1-S1P-Gi1/β1/γ2 7VIF-S1P1-FTY720-P-Gi1/β1/γ2 7VIG-S1P1-CBP-307-Gi1/β1/γ2 7EVY-S1P1-Siponimod-Gi1/β1/γ2 7EVZ-S1P1-Cenerimod-Gi1/β1/γ2 7EW0-S1P1-Ozanimod-Gi1/β1/γ2 7EW7-S1P1-SEW2871-Gi1/β1/γ2
22.58Consensuss1p1_on_gpOrthosteric Ligand7VIE-S1P1-S1P-Gi1/β1/γ2 7VIF-S1P1-FTY720-P-Gi1/β1/γ2 7VIG-S1P1-CBP-307-Gi1/β1/γ2 7EVY-S1P1-Siponimod-Gi1/β1/γ2 7EVZ-S1P1-Cenerimod-Gi1/β1/γ2 7EW0-S1P1-Ozanimod-Gi1/β1/γ2 7EW7-S1P1-SEW2871-Gi1/β1/γ2
22.50Consensuscrf1_onOrthosteric Ligand6PB0-CRF1-Urocortin-chim(NtGi1-Gs)/β1/γ2 6P9X-CRF1-Corticoliberin-1-Gs/β1/γ2
22.22Single3V2WPubChem 518926453V2W-S1P1-PubChem 51892645
22.22Single4BWBNeurotensin-(8-12)4BWB-NTS1-Neurotensin-(8-12)
22.22Single5U09Taranabant5U09-CB1-Taranabant
22.22Single5WB2CX3CL1.355WB2-US28-CX3CL1.35
22.22Single6AKXA4R6AKX-CCR5-A4R
22.22Single6AKYMaraviroc6AKY-CCR5-Maraviroc
22.22Single6JODAngiotensin II6JOD-AT2-Angiotensin II
22.22Single7F4HAfamelanotide7F4H-MC1-Afamelanotide-chim(NtGi1-Gs)/β1/γ2
22.22Single7LD4Adenosine7LD4-A1-Adenosine-Gi2/β1/γ2
22.22Single7VVOPTH7VVO-PTH1-PTH-Gs/β1/γ2
22.22Single7W0OElabela7W0O-Apelin-Elabela-Gi1/β1/γ2
22.22Single7W40Bombesin7W40-BB2-Bombesin-chim(NtGi1L-Gq)/β1/γ2
22.22Single7WF7S1P7WF7-S1P1-S1P-Gi1/β1/γ2
22.22Single7WUIIP157WUI-ADGRG2-IP15-chim(NtGi1-Gs)/β1/γ2
22.22Single7XK8Neuromedin-U-257XK8-NMUR2-Neuromedin-U-25-Gi1/β1/γ2
22.22Single8GGCConstrained Epinephrine8GGC-β2-Constrained Epinephrine-GTP-Gs/β1/γ2
22.22Single8IHFMK68928IHF-HCA2-MK6892-Gi1/β1/γ2
22.22Single8JPPSuccinic acid8JPP-Succinate-Succinic acid-chim(Gs-CtGq)/β1/γ1
22.22Single8WOGSuccinic acid8WOG-Succinate-Succinic acid-Gi1/β1/γ2
22.22Single8XWQEndothelin-18XWQ-ETB-Endothelin-1-Gi1/β1/γ2
22.22Single8XZJWN3538XZJ-Apelin; Apelin-WN353-Gi1/β1/γ2
22.22Single8YKXMaleic acid8YKX-Succinate-Maleic acid-Gi1/β1/γ1
22.22Single8YYWAlpha-ketoglutarate8YYW-Oxoglutarate-α-ketoglutarate-α-ketoglutarate-chim(Gi1-CtGq)/β1/γ2
22.22Single8Z87CHBA8Z87-HCA1-CHBA-Gi1/β1/γ2
22.22Single8ZBISomatostatin-148ZBI-SST3-Somatostatin-14-Gi1/β1/γ2
22.22Consensusa1_onOrthosteric Ligand7LD4-A1-Adenosine-Gi2/β1/γ2
22.22Consensusa1_on_gpOrthosteric Ligand7LD4-A1-Adenosine-Gi2/β1/γ2
22.22Consensusangiotensin_offOrthosteric Ligandat1_off
22.22Consensusapelin_onOrthosteric Ligand8XZH-Apelin; Apelin-MM07-Gi1/β1/γ2 7W0M-Apelin-PubChem 122701908-Gi1/β1/γ2 8XZJ-Apelin; Apelin-WN353-Gi1/β1/γ2 8XZF-Apelin; Apelin-WN561-Gi1/β1/γ2 8XZG-Apelin; Apelin-Apelin-13-Gi1/β1/γ2
22.22Consensusapelin_on_gpOrthosteric Ligand8XZH-Apelin; Apelin-MM07-Gi1/β1/γ2 7W0M-Apelin-PubChem 122701908-Gi1/β1/γ2 8XZJ-Apelin; Apelin-WN353-Gi1/β1/γ2 8XZF-Apelin; Apelin-WN561-Gi1/β1/γ2 8XZG-Apelin; Apelin-Apelin-13-Gi1/β1/γ2
22.22Consensusc5a1_on_gpOrthosteric Ligand8HK5-C5a1-C5a-Gi1/β1/γ2 7Y66-C5a1-BM213-Gi1/β1/γ2 7Y67-C5a1-C089 peptide-Gi1/β1/γ2 7Y64-C5a1-C5a-Gi1/β1/γ2
22.22Consensusfpr2-alx_on_gpOrthosteric Ligand7WVX-FPR2-ALX-Humanin-Gi2/β1/γ2 7T6U-FPR2-ALX-CGEN-855A-Gi1/β1/γ2 7T6V-FPR2-ALX-fMLFII-Gi1/β1/γ2 7WVY-FPR2-ALX-Amyloid-β42-Gi2/β1/γ2 7T6S-FPR2-ALX-TC-FPR 43-Gi1/β1/γ2 6OMM-FPR2-ALX-WKYMVX-Gi1/β1/γ2
22.22Consensusgi_succinateOrthosteric Ligand8YKW-Succinate-Succinic acid-Gi1/β1/γ1 8YKX-Succinate-Maleic acid-Gi1/β1/γ1
22.22Consensuss1p1_offOrthosteric Ligand3V2W-S1P1-PubChem 51892645
22.22Consensussuccinate_onOrthosteric Ligand8YKW-Succinate-Succinic acid-Gi1/β1/γ1 8YKX-Succinate-Maleic acid-Gi1/β1/γ1
22.22Consensussuccinate_on_gpOrthosteric Ligand8YKW-Succinate-Succinic acid-Gi1/β1/γ1 8YKX-Succinate-Maleic acid-Gi1/β1/γ1
21.95Consensusendothelin_on_gpOrthosteric Ligandetb_on_gp eta_on_gp
21.95Consensusmelanocortin_onOrthosteric Ligandmc1_on mc4_on mc2_on mc3_on mc5_on
21.95Consensusmelanocortin_on_gpOrthosteric Ligandmc1_on_gp mc4_on_gp mc2_on_gp mc3_on_gp mc5_on_gp
21.88Single4BUONeurotensin-(8-13)4BUO-NTS1-Neurotensin-(8-13)
21.88Single4Z35ONO-99105394Z35-LPA1-ONO-9910539
21.88Single5UNGPubChem 157800525UNG-AT2-PubChem 15780052
21.88Single7EVZCenerimod7EVZ-S1P1-Cenerimod-Gi1/β1/γ2
21.88Single7EZCUK-4320977EZC-A2A-UK-432097
21.88Single7SK8CCX6627SK8-ACKR3-CXCL12-CCX662
21.88Single7XJISolabegron7XJI-β3-Solabegron-Gs/β1/γ2
21.88Single7XK2MK68927XK2-HCA2-MK6892-Gi1/β1/γ2
21.88Single7XZ6APD6687XZ6-GPR119-APD668-Gs/β1/γ2
21.88Single7Y27Somatostatin-147Y27-SST2-Somatostatin-14-chim(NtGi2L-Gs-CtGq)/β1/γ2
21.88Single7YU8ONO-07405567YU8-LPA1-ONO-0740556-Gi1/β1/γ2
21.88Single8FN0Neurotensin-(8-13)8FN0-NTS1-Neurotensin-(8-13)-SBI-553-chim(NtGi1-Go)/β1/γ2
21.88Single8IYSTUG-8918IYS-FFA4-TUG-891-GDP-chim(NtGi1L-Gq)/β1/γ2
21.88Single8K2XCXCL108K2X-CXCR3-CXCL10-Gi1/β1/γ2
21.88Single8ZWGJR14a8ZWG-C3aB-JR14a-Gi1/β1/γ2
21.88Single9EAILosartan9EAI-AT1-Losartan-Nanobody AT209
21.88Single9KT8Acifran9KT8-HCA2-Acifran-Gi1/β1/γ2
21.88Single9KWXC5a-des-Arg9KWX-C5a1-C5a-des-Arg-Go/β1/γ2
21.88Single9UYHChemerin-99UYH-CML2-Chemerin-9-Arrestin2
21.88Single9WP9S1P9WP9-S1P3-S1P-chim(NtGi2L-Gs-CtGq)/β1/γ2
21.88Consensuscb1_on_gpOrthosteric Ligand6KPG-CB1-AM841-Gi1/β1/γ2 8K8J-CB1-Fenofibrate-chim(Gs-CtGq)/β1/γ2
21.88Consensuscck_onOrthosteric Ligandccka_on cckb_on
21.88Consensuscck_on_gpOrthosteric Ligandccka_on_gp cckb_on_gp
21.88Consensuschemerin_onOrthosteric Ligandcml1_on
21.88Consensusd2_offOrthosteric Ligand6CM4-D2-Risperidone 6LUQ-D2-Haloperidol 7DFP-D2-Spiperone
21.88Consensusgal2_onOrthosteric Ligand7WQ4-GAL2-Galanin-chim(NtGi1-Gs-CtGq)/β1/γ2 7XJL-GAL2-Spexin-chim(NtGi2L-Gs-CtGq)/β1/γ2
21.88Consensusgal2_on_gpOrthosteric Ligand7WQ4-GAL2-Galanin-chim(NtGi1-Gs-CtGq)/β1/γ2 7XJL-GAL2-Spexin-chim(NtGi2L-Gs-CtGq)/β1/γ2
21.88Consensusgi_s1pOrthosteric Ligand7VIE-S1P1-S1P-Gi1/β1/γ2 7EW3-S1P3-S1P-Gi1/β1/γ2 7EVY-S1P1-Siponimod-Gi1/β1/γ2 7EW1-S1P5-Siponimod-Gi1/β1/γ2 7VIF-S1P1-FTY720-P-Gi1/β1/γ2 7VIG-S1P1-CBP-307-Gi1/β1/γ2 7EVZ-S1P1-Cenerimod-Gi1/β1/γ2 7EW4-S1P3-CYM-5541-Gi1/β1/γ2 7EW2-S1P3-FTY720-P-Gi1/β1/γ2 7EW0-S1P1-Ozanimod-Gi1/β1/γ2 7EW7-S1P1-SEW2871-Gi1/β1/γ2
21.88Consensuspeptide_offOrthosteric Ligandcck_off angiotensin_off bombesin_off endothelin_off ghrelin_off npy_off opioid_off orexin_off somatostatin_off tachykinin_off vasop-oxy_off neurotensin_off
21.62Single7F6HBradykinin7F6H-BK2-Bradykinin-Gq/β1/γ2
21.62Single7F6IKallidin7F6I-BK2-Kallidin-Gq/β1/γ2
21.62Single7QBIAlpha-factor mating pheromone7QBI-STE2; STE2-α-factor mating pheromone
21.62Single7VL9CCL15(26-92)7VL9-CCR1-CCL15(26-92)-Gi1/β1/γ2
21.62Single8IA2C5a8IA2-C5a1-C5a-Go/β1/γ2
21.62Single8XVIEndothelin-18XVI-ETA-Endothelin-1-chim(Gs-CtGq)/β1/γ2
21.43Single3V2YPubChem 518926453V2Y-S1P1-PubChem 51892645
21.43Single4MBSMaraviroc4MBS-CCR5-Maraviroc
21.43Single7BB6AVP7BB6-V2-AVP-Gs/β1/γ2
21.43Single7F61PF-036547467F61-H3-PF-03654746
21.43Single7T32ZM-2413857T32-A2A-ZM-241385
21.43Single7VUGJNJ-635330547VUG-GPR139-JNJ-63533054-Gi1/β1/γ2
21.43Single8GGSConstrained Epinephrine8GGS-β2-Constrained Epinephrine
21.43Single8GGTConstrained Epinephrine8GGT-β2-Constrained Epinephrine
21.43Single8GURCP559408GUR-CB2-CP55940-Gi1/β1/γ2
21.43Single8IY9Niacin8IY9-HCA2-Niacin-Go/β1/γ2
21.43Single8JIMMonomethyl fumarate8JIM-HCA2-Monomethyl fumarate-Gi1/β1/γ2
21.43Single8JLQFenoldopam8JLQ-TA1-Fenoldopam-Gs/β1/γ2
21.43Single8K5CAcipimox8K5C-HCA2-Acipimox
21.43Single8K9KDAMGO8K9K-μ-DAMGO-Gi3/β1/γ1
21.43Single8RWCStilSwitch28RWC-A2A-StilSwitch2-Na
21.43Single8RWDStilSwitch38RWD-A2A-StilSwitch3-Na
21.43Single8UO0Constrained Epinephrine8UO0-β2-Constrained Epinephrine-GTP-Gs/β1/γ2
21.43Single8W88SEP-3638568W88-TA1-SEP-363856-Gs/β1/γ2
21.43Single8YH2Adenosine8YH2-A3A-Adenosine-Gi1/β1/γ2
21.43Single8YKVPubChem 1375531688YKV-Succinate-PubChem 137553168-Gi1/β1/γ2
21.43Single9JH3CMF-0199JH3-Apelin; Apelin-CMF-019-Gi1/β1/γ2
21.43Single9JKQMETH9JKQ-TA1-METH-Gs/β1/γ2
21.43Single9K0KUTP9K0K-P2Y4-UTP-chim(NtGi1-Gs-CtGq)/β1/γ2
21.43Single9KUWCMPD6449KUW-Apelin; Apelin-CMPD644-Arrestin2 ; Arrestin2
21.43Single9LKBPL459LKB-OR5V1-PL45-chim(NtGi1-Gs)/β1
21.43Single9ODJMitragynine Pseudoindoxyl9ODJ-μ-Mitragynine Pseudoindoxyl-GTP; Mg-Gi1/β1/γ2
21.43Single9ODLMitragynine Pseudoindoxyl9ODL-μ-Mitragynine Pseudoindoxyl-GTP; Mg-Gi1/β1/γ2
21.43Consensusadenosine_onOrthosteric Liganda1_on a2_on a3_on
21.43Consensusat1_offOrthosteric Ligand4YAY-AT1-ZD-7155 4ZUD-AT1-Olmesartan
21.43Consensuscb1_offOrthosteric Ligand5U09-CB1-Taranabant 5TGZ-CB1-AM6538
21.43Consensuscrf1_on_gpOrthosteric Ligand6PB0-CRF1-Urocortin-chim(NtGi1-Gs)/β1/γ2 6P9X-CRF1-Corticoliberin-1-Gs/β1/γ2
21.43Consensusgi_adenosineOrthosteric Ligand7LD4-A1-Adenosine-Gi2/β1/γ2 8X17-A3A-Namodenoson-Gi1/β1/γ2 8X16-A3A-Piclidenoson-Gi1/β1/γ2
21.43Consensushca_onOrthosteric Ligandhca2_on
21.21Single3NY9PubChem 9131033NY9-β2-PubChem 913103
21.21Single7F2OBradykinin7F2O-BK2-Bradykinin-chim(NtGi1-Gs-CtGq)/β1/γ2
21.21Single7SK9CCX6627SK9-ACKR3-CCX662
21.21Single7Y1FDynorphin7Y1F-κ-Dynorphin-Gi1/β1/γ2
21.21Single8H4IDoconexent8H4I-FFA4-Doconexent-chim(NtGi1-Gs)/β1/γ2
21.21Single8IA7Cholecystokinin-88IA7-CCKB-Cholecystokinin-8-chim(NtGi1L-Gq)/β1/γ2
21.21Single8JBFSenktide8JBF-NK3-Senktide-chim(NtGi1-Gs-CtGq)/β1/γ2
21.21Single8X3LXWD8X3L-CB2-XWD-Gi1/β1/γ2
21.21Single8XQLCholesterol8XQL-TAS2R14-Cholesterol-Aristolochic acid A-Gt3/β1/γ1
21.21Single8XQOCholesterol8XQO-TAS2R14-Cholesterol-Aristolochic acid A-Gi1/β1/γ1
21.21Single8Y72Peptide8Y72-μ-Peptide-BMS-986122-Gi1/β1/γ2
21.21Single9EAJNanobody AT2099EAJ-AT1-Nanobody AT209
21.21Single9IPVJR14a9IPV-C3aB-JR14a-Gi1/β1/γ2
21.21Single9IPYJR14a9IPY-C3aB-JR14a
21.21Single9IZASCH9002719IZA-HCA2-SCH900271-Gi1/β1/γ2
21.21Single9KZ8EP679KZ8-C3aB-EP67-Go/β1/γ2
21.21Consensusdop_onOrthosteric Ligand8F7S-δ-Deltorphin-Gi1/β1/γ2
21.21Consensusformylpeptide_onOrthosteric Ligandfpr2-alx_on fpr1-alx_on
21.21Consensusgq_cckOrthosteric Ligand8IA7-CCKB-Cholecystokinin-8-chim(NtGi1L-Gq)/β1/γ2 7XOW-CCKB-Sulfated Gastrin-(10-17)-chim(NtGi1-Gq)/β1/γ2 7EZM-CCKA-Cholecystokinin-8-chim(NtGsL-Gq)/β1/γ2 7F8W-CCKB-Gastrin-17-chim(NtGsL-Gq)/β1/γ2
21.21Consensusox2_onOrthosteric Ligand7L1V-OX2-PubChem 155491009-chim(NtGi1-Gs-CtGq)/β1/γ2 7SQO-OX2-TAK-925-Gi1/β1/γ2 7L1U-OX2-Orexin-chim(NtGi1-Gs-CtGq)/β1/γ2
21.21Consensusox2_on_gpOrthosteric Ligand7L1V-OX2-PubChem 155491009-chim(NtGi1-Gs-CtGq)/β1/γ2 7SQO-OX2-TAK-925-Gi1/β1/γ2 7L1U-OX2-Orexin-chim(NtGi1-Gs-CtGq)/β1/γ2
21.05Single7QBIAlpha-factor mating pheromone7QBI-STE2; STE2-α-factor mating pheromone
21.05Single7SK4CXCL12_LRHQ7SK4-ACKR3-CXCL12_LRHQ
21.05Single7W3ZGastrin Releasing Peptide7W3Z-BB2-Gastrin Releasing Peptide-chim(NtGi1L-Gq)/β1/γ2
21.05Single8H0PNMB308H0P-BB1-NMB30-chim(NtGi1-Gs-CtGq)/β1/γ2
21.05Single8XQFApelin-138XQF-Apelin-Apelin-13-Gi1/β1/γ2
20.83Single7XKDDehydroepiandrosterone7XKD-ADGRG2-Dehydroepiandrosterone-Gs/β1/γ2
20.83Single7XKEDehydroepiandrosterone7XKE-ADGRG2-Dehydroepiandrosterone-chim(NtGi1-Gs)/β1/γ2
20.69Single4YAYZD-71554YAY-AT1-ZD-7155
20.69Single5UENDU1725UEN-A1-DU172
20.69Single5ZKPSR274175ZKP-PAF-SR27417
20.69Single6PS1Timolol6PS1-β2-Timolol
20.69Single6Z4VNeurotensin-(9-13)6Z4V-NTS1-Neurotensin-(9-13)
20.69Single7CRHSKF839597CRH-D1-SKF83959-Gs/β1/γ2
20.69Single7FIHOrg435537FIH-LH-hCG-Org43553-chim(NtGi1-Gs)/β1/γ2
20.69Single7LCIDanuglipron7LCI-GLP-1-Danuglipron-Gs/β1/γ2
20.69Single7LCKDanuglipron7LCK-GLP-1-Danuglipron
20.69Single7S15PubChem 1346112237S15-GLP-1-PubChem 134611223
20.69Single7T2GMitragynine Pseudoindoxyl7T2G-μ-Mitragynine Pseudoindoxyl-Gi1/β1/γ2
20.69Single7T6VfMLFII7T6V-FPR2-ALX-fMLFII-Gi1/β1/γ2
20.69Single7V3ZCP559407V3Z-CB1-CP55940
20.69Single7VIES1P7VIE-S1P1-S1P-Gi1/β1/γ2
20.69Single7YACPaltusotine7YAC-SST2-Paltusotine-Gi1/β1/γ2
20.69Single7YK7DC5910537YK7-RXFP4-DC591053-Gi2/β1/γ2
20.69Single7YU4ONO-07405567YU4-LPA1-ONO-0740556
20.69Single8GE9Constrained Epinephrine8GE9-β2-Constrained Epinephrine-Gs/β1/γ2
20.69Single8GEHConstrained Epinephrine8GEH-β2-Constrained Epinephrine-Gs/β1/γ2
20.69Single8JIINiacin8JII-HCA2-Niacin-PubChem 25101223-Gi1/β1/γ2
20.69Single8K5DGSK2560738K5D-HCA2-GSK256073
20.69Single8RWXStilSwitch38RWX-A2A-StilSwitch3-Na
20.69Single8UNVConstrained Epinephrine8UNV-β2-Constrained Epinephrine-GTP-Gs/β1/γ2
20.69Single8UNZConstrained Epinephrine8UNZ-β2-Constrained Epinephrine-GTP-Gs/β1/γ2
20.69Single8UO2Constrained Epinephrine8UO2-β2-Constrained Epinephrine-GTP-Gs/β1/γ2
20.69Single8W8ARO52563908W8A-TA1-RO5256390-chim(NtGi1L-Gs)/β1/γ2
20.69Single8X17Namodenoson8X17-A3A-Namodenoson-Gi1/β1/γ2
20.69Single8ZSSRO52633978ZSS-TA1-RO5263397-chim(NtGi1-Gs)/β1/γ2
20.69Single9CHXCarazolol9CHX-β2-Carazolol
20.69Single9IVGGLP-1 (Truncated)9IVG-GLP-1-GLP-1 (Truncated)-chim(NtGi1-Gs)/β1/γ2
20.69Single9IZCMK19039IZC-HCA2-MK1903-Gi1/β1/γ2
20.69Single9VMYTMU41429VMY-5-HT1A-TMU4142-Go/β1/γ2
20.69Consensusa3_onOrthosteric Liganda3a_on
20.69Consensusd5_onOrthosteric Ligand8IRV-D5-Rotigotine-chim(NtGi1-Gs)/β1/γ2
20.69Consensuslipid_offOrthosteric Ligandcannabinoid_off paf_off lpl_off prostanoid_off leukotriene_off
20.69Consensusnucleotide_offonOrthosteric Ligandnucleotide_off nucleotide_on
20.69Consensusnucleotide_offon_gpOrthosteric Ligandnucleotide_on_gp nucleotide_off
20.59Single5UNFPubChem 157800525UNF-AT2-PubChem 15780052
20.59Single7F4ISHU91197F4I-MC1-SHU9119-chim(NtGi1-Gs)/β1/γ2
20.59Single7L0RNeurotensin-(8-13)7L0R-NTS1-Neurotensin-(8-13)-Gi1/β1/γ1
20.59Single7TD4Siponimod7TD4-S1P1-Siponimod-Gi1/β1/γ2
20.59Single7W2ZGhrelin7W2Z-Ghrelin-Ghrelin-Go/β1/γ2
20.59Single7WICSomatostatin-147WIC-SST2-Somatostatin-14-Gi1/β1/γ2
20.59Single7XAUOctreotide7XAU-SST2-Octreotide-Gi1/β1/γ2
20.59Single7XMRSomatostatin-147XMR-SST2-Somatostatin-14-Gi1/β1/γ2
20.59Single8G59TUG-8918G59-FFA4-TUG-891-chim(Gi1-CtGq)/β1/γ2
20.59Single8J6RMK68928J6R-HCA2-MK6892-Gi1/β1/γ2
20.59Single8WDTphotoNECA8WDT-A2A-photoNECA
20.59Single8ZCJPasireotide8ZCJ-SST5-Pasireotide-Gi1/β1/γ1
20.59Single8ZSPLSD8ZSP-TA1-LSD-chim(NtGi1L-Gs)/β1/γ2
20.59Single9BKJCholecystokinin-89BKJ-CCKA-Cholecystokinin-8-chim(NtGi1-Gs-CtGq)/β1/γ2
20.59Single9BUYLM1899BUY-β2-LM189-Gi1/β1/γ2
20.59Single9UMRC5a-pep9UMR-C5a1-C5a-pep-Go/β1/γ2
20.59Consensuscxcr4_onOrthosteric Ligand8K3Z-CXCR4-CXCL12-Gi1/β1/γ1
20.59Consensusnk3_onOrthosteric Ligand8JBF-NK3-Senktide-chim(NtGi1-Gs-CtGq)/β1/γ2
20.59Consensusnk3_on_gpOrthosteric Ligand8JBF-NK3-Senktide-chim(NtGi1-Gs-CtGq)/β1/γ2
20.59Consensusp2y_onOrthosteric Ligandp2y1_on p2y10_on p2y12_on
20.51Single8FEG(DNCP)-Beta-Naloxamine8FEG-κ-(DNCP)-β-Naloxamine-Gi1/β1/γ2
20.00Single5N2RPSB365N2R-A2A-PSB36-Na
20.00Single5N2SPSB365N2S-A1-PSB36
20.00Single5NM2ZM-2413855NM2-A2A-ZM-241385-Na
20.00Single5OM4PubChem 1355666095OM4-A2A-PubChem 135566609-Na
20.00Single5XJM(Sar1,Ile8)-Angiotensin II5XJM-AT2-(Sar1,Ile8)-Angiotensin II
20.00Single6D26Fevipiprant6D26-DP2-Fevipiprant
20.00Single6KPCAM120336KPC-CB2-AM12033
20.00Single6ME62-Phenylmelatonin6ME6-MT2-2-Phenylmelatonin
20.00Single6ME72-Phenylmelatonin6ME7-MT2-2-Phenylmelatonin
20.00Single6ME82-Phenylmelatonin6ME8-MT2-2-Phenylmelatonin
20.00Single7C4SS1P7C4S-S1P3-S1P
20.00Single7C61Ergotamine7C61-5-HT1B-Ergotamine
20.00Single7CFNINT-7777CFN-GPBA-INT-777-Gs/β1/γ2
20.00Single7CKXA776367CKX-D1-A77636-Gs/β1/γ2
20.00Single7EZKCholecystokinin-87EZK-CCKA-Cholecystokinin-8-chim(NtGi1-Gs)/β1/γ2
20.00Single7F1QCCL37F1Q-CCR5-CCL3-Gi1/β1/γ2
20.00Single7SK5CXCL127SK5-ACKR3-CXCL12
20.00Single7XKAConstrained Epinephrine7XKA-β2-Constrained Epinephrine
20.00Single7YU3ONO-07405567YU3-LPA1-ONO-0740556-Gi1/β1/γ2
20.00Single8C9WEtrumadenant8C9W-A2A-Etrumadenant
20.00Single8DZQmomSalB8DZQ-κ-momSalB-Go/β1/γ2
20.00Single8F7SDeltorphin8F7S-δ-Deltorphin-Gi1/β1/γ2
20.00Single8F7WDynorphin8F7W-κ-Dynorphin-Gi1/β1/γ2
20.00Single8GDZConstrained Epinephrine8GDZ-β2-Constrained Epinephrine-Gs/β1/γ2
20.00Single8GEBConstrained Epinephrine8GEB-β2-Constrained Epinephrine-Gs/β1/γ2
20.00Single8GEGConstrained Epinephrine8GEG-β2-Constrained Epinephrine-Gs/β1/γ2
20.00Single8GGBConstrained Epinephrine8GGB-β2-Constrained Epinephrine-GTP-Gs/β1/γ2
20.00Single8I7WGSK2560738I7W-HCA2-GSK256073-Gi1/β1/γ2
20.00Single8IBVMotilin8IBV-Motilin-Motilin-chim(NtGi1-Gs-CtGq)/β1/γ2
20.00Single8IY5Endothelin-18IY5-ETB-Endothelin-1-Gi1/β1/γ2
20.00Single8J18(3R)-3-Hydroxydodecanoic acid8J18-GPR84-(3R)-3-Hydroxydodecanoic acid-Gi1/β1/γ2
20.00Single8JXSPF-61428JXS-D1-PF-6142
20.00Single8KH5Lysophosphatidylserine8KH5-GPR174-Lysophosphatidylserine-Gs/β1/γ2
20.00Single8QOTNanobody-E8QOT-μ-Nanobody-E
20.00Single8TF5Oleic acid8TF5-GPR6-Oleic acid
20.00Single8TH4Losartan8TH4-AT1-Losartan-AT118-L Nanobody
20.00Single8UNNConstrained Epinephrine8UNN-β2-Constrained Epinephrine-GTP-Gs/β1/γ2
20.00Single8UNPConstrained Epinephrine8UNP-β2-Constrained Epinephrine-GTP-Gs/β1/γ2
20.00Single8Y52BA18Y52-BB3-BA1-chim(NtGi1-Gs-CtGq)/β1/γ2
20.00Single8Z8ALactate8Z8A-HCA1-Lactate-Gi1/β1/γ2
20.00Single8ZYTNeurotensin-(8-13)8ZYT-NTS1-Neurotensin-(8-13)-SBI-553-Arrestin2
20.00Single9E82CXCL12 (fragment)9E82-ACKR3-CXCL12 (fragment)-Arrestin2
20.00Single9EE8Adenosine9EE8-A2A-Adenosine-Gs/β1/γ2
20.00Single9ERXD9-THC analog9ERX-CB1-D9-THC analog-Gi1/β1/γ2
20.00Single9I52A1IZU9I52-D1-A1IZU-Gs/β1/γ2
20.00Single9IYBPGD29IYB-DP2-PGD2-A1D5Q-Gi1/β1/γ2
20.00Single9JKSPubChem 442501769JKS-HCA3-PubChem 44250176-Gi1/β1/γ2
20.00Single9KFIRelaxin-39KFI-RXFP3-Relaxin-3-Gi2/β1/γ2
20.00Single9KPFSalicin9KPF-TAS2R16-Salicin-Gi1/β1/γ2
20.00Single9KUTJR14a9KUT-C3aB-JR14a-Go/β1/γ2
20.00Single9KV6TLQP219KV6-C3aB-TLQP21-Go/β1/γ2
20.00Single9L60Dynorphin9L60-κ-Dynorphin-MPAM-15-Gi1/β1/γ2
20.00Single9L74S1P d16:19L74-S1P3-S1P d16:1-chim(NtGi2L-Gs-CtGq)/β1/γ2
20.00Single9UMXEP549UMX-C5a1-EP54-Go/β1/γ2
20.00Consensusa1_offOrthosteric Ligand5UEN-A1-DU172 5N2S-A1-PSB36
20.00Consensusa3_on_gpOrthosteric Liganda3a_on_gp
20.00Consensusa3a_onOrthosteric Ligand8X17-A3A-Namodenoson-Gi1/β1/γ2 8X16-A3A-Piclidenoson-Gi1/β1/γ2
20.00Consensusa3a_on_gpOrthosteric Ligand8X17-A3A-Namodenoson-Gi1/β1/γ2 8X16-A3A-Piclidenoson-Gi1/β1/γ2
20.00Consensusadenosine_offOrthosteric Liganda1_off a2_off
20.00Consensusd1_onOrthosteric Ligand7F0T-D1-Dopamine-Gs/β1/γ2 7CKY-D1-PW0464-Gs/β1/γ2 8IRR-D1-Rotigotine-Gs/β1/γ2 7JV5-D1-SKF81297-Gs/β1/γ2 7JVP-D1-SKF83959-Gs/β1/γ2 7X2D-D1-Tavapadon-Gs/β1/γ2 7CKX-D1-A77636-Gs/β1/γ2 7JVQ-D1-Apomorphine-Gs/β1/γ2 7CKW-D1-Fenoldopam-Gs/β1/γ2
20.00Consensusd2_onOrthosteric Ligand7JVR-D2-Bromoergocryptine-Gi1/β1/γ2 8IRS-D2-Rotigotine-Gi1/β1/γ2
20.00Consensusdop_on_gpOrthosteric Ligand8F7S-δ-Deltorphin-Gi1/β1/γ2
20.00Consensusdp2_offOrthosteric Ligand6D26-DP2-Fevipiprant
20.00Consensusdp_offOrthosteric Liganddp2_off
20.00Consensusgi_ghrelinOrthosteric Ligand7NA7-Ghrelin-Ghrelin-Gi1/β1/γ2 7NA8-Ghrelin-Ibutamoren-Gi1/β1/γ2
20.00Consensusgs_amineOrthosteric Ligandgs_5ht gs_adrenergic gs_dopamine gs_histamine gs_trace-amine
20.00Consensusgs_melanocortinOrthosteric Ligand7F4H-MC1-Afamelanotide-chim(NtGi1-Gs)/β1/γ2 7F54-MC4-Afamelanotide-Gs/β1/γ2 7F4D-MC1-α-MSH-chim(NtGi1-Gs)/β1/γ2 8INR-MC5-α-MSH-Ca-chim(NtGi1-Gs)/β1/γ2 7F53-MC4-α-MSH-Gs/β1/γ2 7F55-MC4-Bremelanotide-Gs/β1/γ2 8GY7-MC2-Corticotropin-Ca-chim(NtGi1-Gs)/β1/γ2; MRAP1 8IOC-MC3-γ-MSH-Ca-chim(NtGi1-Gs)/β1/γ2 8IOD-MC5-PG-901-Ca-chim(NtGi1-Gs)/β1/γ2 7AUE-MC4-Setmelanotide-chim(NtGi1L-Gs)/β1/γ2 7F4I-MC1-SHU9119-chim(NtGi1-Gs)/β1/γ2 7F58-MC4-THIQ-Gs/β1/γ2
20.00Consensuslipid_onOrthosteric Ligandcannabinoid_on ffa_on lpl_on prostanoid_on leukotriene_on
20.00Consensuslipid_on_gpOrthosteric Ligandcannabinoid_on_gp ffa_on_gp lpl_on_gp prostanoid_on_gp leukotriene_on_gp
20.00Consensusmc2_onOrthosteric Ligand8GY7-MC2-Corticotropin-Ca-chim(NtGi1-Gs)/β1/γ2; MRAP1
20.00Consensusmc2_on_gpOrthosteric Ligand8GY7-MC2-Corticotropin-Ca-chim(NtGi1-Gs)/β1/γ2; MRAP1
20.00Consensusnucleotide_onOrthosteric Ligandadenosine_on p2y_on
20.00Consensuss1p3_on_gpOrthosteric Ligand7EW3-S1P3-S1P-Gi1/β1/γ2 7EW4-S1P3-CYM-5541-Gi1/β1/γ2 7EW2-S1P3-FTY720-P-Gi1/β1/γ2
20.00Consensuss1p_offOrthosteric Ligands1p1_off s1p5_off
20.00Consensusta1_onOrthosteric Ligand8W87-TA1-METH-chim(NtGi1L-Gs)/β1/γ2 8W89-TA1-2-Phenylethylamine-chim(NtGi1L-Gs)/β1/γ2 8JLP-TA1-Ralmitaront-Gs/β1/γ2 8W8A-TA1-RO5256390-chim(NtGi1L-Gs)/β1/γ2 8W88-TA1-SEP-363856-Gs/β1/γ2 8JLO-TA1-Ulotaront-Gs/β1/γ2 8JLR-TA1-A77636-chim(NtGi1-Gs)/β1/γ2 8JSO-TA1-AMPH-chim(NtGi1-Gs)/β1/γ2 8ZSP-TA1-LSD-chim(NtGi1L-Gs)/β1/γ2
20.00Consensustrace-amine_onOrthosteric Ligandta1_on
19.51Single8U1UCCL18U1U-CCR8-CCL1-Gi1/β1/γ2
19.51Consensusgi_endothelinOrthosteric Ligand8IY5-ETB-Endothelin-1-Gi1/β1/γ2 8HBD-ETB-IRL1620-Gi1/β1/γ2
19.44Single3OE0CVX153OE0-CXCR4-CVX15
19.44Single6MEOGp160; CD46MEO-CCR5-Gp160; CD4
19.44Single6PT2KGCHM076PT2-δ-KGCHM07
19.44Single7F4DAlpha-MSH7F4D-MC1-α-MSH-chim(NtGi1-Gs)/β1/γ2
19.44Single7MBXCholecystokinin-87MBX-CCKA-Cholecystokinin-8-Gs/β1/γ1
19.44Single7T6TfMLFII7T6T-FPR1-ALX-fMLFII-Gi1/β1/γ2
19.44Single8XZHMM078XZH-Apelin; Apelin-MM07-Gi1/β1/γ2
19.35Single2YDVNECA2YDV-A2A-NECA
19.35Single3P0GBI1671073P0G-β2-BI167107
19.35Single3SN6BI1671073SN6-β2-BI167107-Gs/β1/γ2
19.35Single3ZEVNeurotensin-(7-13)3ZEV-NTS1-Neurotensin-(7-13)
19.35Single4BV0Neurotensin-(7-13)4BV0-NTS1-Neurotensin-(7-13)
19.35Single4LDLHydroxybenzyl Isoproterenol4LDL-β2-Hydroxybenzyl Isoproterenol
19.35Single4UHRCGS216804UHR-A2A-CGS21680
19.35Single5A8E7-Methylcyanopindolol5A8E-β1-7-Methylcyanopindolol-Na
19.35Single5G53NECA5G53-A2A-NECA-Gs
19.35Single5XR8AM120335XR8-CB1-AM12033
19.35Single6NI3BI1671076NI3-β2-BI167107-Gs/β1/γ2
19.35Single6OS1TRV0266OS1-AT1-TRV026
19.35Single7CKYPW04647CKY-D1-PW0464-Gs/β1/γ2
19.35Single7EW3S1P7EW3-S1P3-S1P-Gi1/β1/γ2
19.35Single7F1TCCL37F1T-CCR5-CCL3
19.35Single7JV5SKF812977JV5-D1-SKF81297-Gs/β1/γ2
19.35Single7L0PNeurotensin-(8-13)7L0P-NTS1-Neurotensin-(8-13)-Gi1/β1/γ1
19.35Single7L0QNeurotensin-(8-13)7L0Q-NTS1-Neurotensin-(8-13)-Gi1/β1/γ1
19.35Single7PX4PSB-21137PX4-A2A-PSB-2113
19.35Single7T2HLofentanil7T2H-μ-Lofentanil-Gi1/β1/γ2
19.35Single7TD1LPA7TD1-LPA1-LPA-Gi1/β1/γ2
19.35Single7VIGCBP-3077VIG-S1P1-CBP-307-Gi1/β1/γ2
19.35Single7WV9CP559407WV9-CB1-CP55940-ZCZ011-Gi2/β1/γ2
19.35Single7WVXHumanin7WVX-FPR2-ALX-Humanin-Gi2/β1/γ2
19.35Single7XJLSpexin7XJL-GAL2-Spexin-chim(NtGi2L-Gs-CtGq)/β1/γ2
19.35Single7XOWSulfated Gastrin-(10-17)7XOW-CCKB-Sulfated Gastrin-(10-17)-chim(NtGi1-Gq)/β1/γ2
19.35Single7XTQR3997XTQ-GPBA-R399-Gs/β1/γ2
19.35Single7YU5ONO-07405567YU5-LPA1-ONO-0740556-Gi1/β1/γ2
19.35Single8DZPmomSalB8DZP-κ-momSalB-Gi1/β1/γ2
19.35Single8FN1Neurotensin-(8-13)8FN1-NTS1-Neurotensin-(8-13)-chim(NtGi1-Go)/β1/γ2
19.35Single8HPTC5a (C-terminal peptide)8HPT-C5a1-C5a (C-terminal peptide)-Go/β1/γ2
19.35Single8HQCC5a8HQC-C5a1-C5a-Go/β1/γ2
19.35Single8I2GPubChem 675302408I2G-FSH-FSH-PubChem 67530240-Gs/β1/γ2
19.35Single8I9LC3a8I9L-C3aB-C3a-Go/β1/γ2
19.35Single8ID39-Hydroxystearic acid8ID3-FFA4-9-Hydroxystearic acid-Gi1/β1/γ2
19.35Single8IYHMK68928IYH-HCA2-MK6892-Go/β1/γ2
19.35Single8JZPC5a8JZP-C5a1-C5a-Go/β1/γ2
19.35Single8T1VPubChem 1183102098T1V-GPR6-PubChem 118310209-Na
19.35Single8VVEnorBNI8VVE-κ-norBNI-Gi1/β1/γ2
19.35Single8VVFJDTic8VVF-κ-JDTic-Gi1/β1/γ2
19.35Single8WU1MDMB-Fubinaca8WU1-CB1-MDMB-Fubinaca-Arrestin2
19.35Single8X16Piclidenoson8X16-A3A-Piclidenoson-Gi1/β1/γ2
19.35Single8XIPPasireotide8XIP-SST1-Pasireotide-chim(NtGi1-Gs-CtGi1)/β1/γ2
19.35Single8YH6Namodenoson8YH6-A3A-Namodenoson-Gi1/β1/γ2
19.35Single8ZR5Firuglipel8ZR5-GPR119-Firuglipel-Gs/β1/γ2
19.35Single8ZWFJR14a8ZWF-C3aB-JR14a
19.35Single9ASTLymphotactin9AST-XCR1-Lymphotactin-Gi1/β1/γ2
19.35Single9B65MDMB-Fubinaca9B65-CB1-MDMB-Fubinaca-Gi1/β1/γ2
19.35Single9I54PubChem 1764520919I54-D1-PubChem 176452091-Gs/β1/γ2
19.35Single9IK9Lanreotide9IK9-SST1-Lanreotide-Gi1/β1/γ2
19.35Single9JMCDS-3801b9JMC-Motilin-DS-3801b-chim(Gs-CtGq)/β1/γ2
19.35Single9WSTDAMGO9WST-μ-DAMGO-chim(NtGi1-Gz)/β1/γ2
19.35Consensus5ht_offOrthosteric Ligand5ht2_off 5ht1_off
19.35Consensusd1_on_gpOrthosteric Ligand7F0T-D1-Dopamine-Gs/β1/γ2 7CKY-D1-PW0464-Gs/β1/γ2 8IRR-D1-Rotigotine-Gs/β1/γ2 7JV5-D1-SKF81297-Gs/β1/γ2 7JVP-D1-SKF83959-Gs/β1/γ2 7X2D-D1-Tavapadon-Gs/β1/γ2 7CKX-D1-A77636-Gs/β1/γ2 7JVQ-D1-Apomorphine-Gs/β1/γ2 7CKW-D1-Fenoldopam-Gs/β1/γ2
19.35Consensusgi_dopamineOrthosteric Ligand7JVR-D2-Bromoergocryptine-Gi1/β1/γ2 7CMV-D3-PD128907-Gi1/β1/γ2 7CMU-D3-Pramipexole-Gi1/β1/γ2 8IRS-D2-Rotigotine-Gi1/β1/γ2 8IRT-D3-Rotigotine-Gi1/β1/γ2
19.35Consensusgi_lpaOrthosteric Ligand7TD1-LPA1-LPA-Gi1/β1/γ2 7YU3-LPA1-ONO-0740556-Gi1/β1/γ2
19.35Consensusgi_relaxinOrthosteric Ligand7YK7-RXFP4-DC591053-Gi2/β1/γ2 7YJ4-RXFP4-INSL5-Gi2/β1/γ2 7YK6-RXFP4-PubChem 138319674-Gi2/β1/γ2
19.35Consensusgs_dopamineOrthosteric Ligand7F0T-D1-Dopamine-Gs/β1/γ2 7CKW-D1-Fenoldopam-Gs/β1/γ2 7CKY-D1-PW0464-Gs/β1/γ2 8IRV-D5-Rotigotine-chim(NtGi1-Gs)/β1/γ2 8IRR-D1-Rotigotine-Gs/β1/γ2 7JV5-D1-SKF81297-Gs/β1/γ2 7JVP-D1-SKF83959-Gs/β1/γ2 7X2D-D1-Tavapadon-Gs/β1/γ2 7CKX-D1-A77636-Gs/β1/γ2 7JVQ-D1-Apomorphine-Gs/β1/γ2
19.35Consensuslpa_onOrthosteric Ligandlpa1_on
19.35Consensuslpa_on_gpOrthosteric Ligandlpa1_on_gp
19.35Consensusneurotensin_onOrthosteric Ligandnts1_on
19.35Consensusnts1_onOrthosteric Ligand6OSA-NTS1-JMV449-Gi1/β1/γ2 7L0S-NTS1-Neurotensin-(8-13)-Gi1/β1/γ1
19.35Consensusrelaxin_onOrthosteric Ligandrxfp4_on
19.35Consensusrelaxin_on_gpOrthosteric Ligandrxfp4_on_gp
19.35Consensusta1_on_gpOrthosteric Ligand8W87-TA1-METH-chim(NtGi1L-Gs)/β1/γ2 8W89-TA1-2-Phenylethylamine-chim(NtGi1L-Gs)/β1/γ2 8JLP-TA1-Ralmitaront-Gs/β1/γ2 8W8A-TA1-RO5256390-chim(NtGi1L-Gs)/β1/γ2 8W88-TA1-SEP-363856-Gs/β1/γ2 8JLO-TA1-Ulotaront-Gs/β1/γ2 8JLR-TA1-A77636-chim(NtGi1-Gs)/β1/γ2 8JSO-TA1-AMPH-chim(NtGi1-Gs)/β1/γ2 8ZSP-TA1-LSD-chim(NtGi1L-Gs)/β1/γ2
19.35Consensustrace-amine_on_gpOrthosteric Ligandta1_on_gp
19.23Single8GGFConstrained Epinephrine8GGF-β2-Constrained Epinephrine-GTP-Gs/β1/γ2
19.23Single8GH1Constrained Epinephrine8GH1-β2-Constrained Epinephrine
19.23Single8J6QBeta-Hydroxybutyrate8J6Q-HCA2-β-Hydroxybutyrate-PubChem 25101223-Gi1/β1/γ2
19.23Single9IJRC179IJR-GPR52-C17-Arrestin2
19.23Single9KT93,5-DHBA9KT9-HCA1-3,5-DHBA-Gi1/β1/γ2
19.05Single7SK6CXCL12_LRHQ7SK6-ACKR3-CXCL12_LRHQ
19.05Consensusetb_on_gpOrthosteric Ligand8IY5-ETB-Endothelin-1-Gi1/β1/γ2 8HBD-ETB-IRL1620-Gi1/β1/γ2
18.92Single6METGp160; CD46MET-CCR5-Gp160; CD4
18.92Single7T10Somatostatin-147T10-SST2-Somatostatin-14-Gi3/β1/γ2
18.92Single8J6IMK68928J6I-HCA2-MK6892-Gi1/β1/γ2
18.92Consensuscrf2_onOrthosteric Ligand7TS0-CRF2-Urocortin-chim(NtGi1L-Go)/β1/γ2
18.92Consensusneuromedin-u_onOrthosteric Ligandnmur1_on nmur2_on
18.92Consensusp2y_on_gpOrthosteric Ligandp2y1_on_gp p2y10_on_gp p2y12_on_gp
18.75Single4GRVNeurotensin-(8-13)4GRV-NTS1-Neurotensin-(8-13)
18.75Single6C1RPMX536C1R-C5a1-PMX53-Avacopan; Na
18.75Single6MXTSalmeterol6MXT-β2-Salmeterol
18.75Single6OSAJMV4496OSA-NTS1-JMV449-Gi1/β1/γ2
18.75Single6VMSBromoergocryptine6VMS-D2-Bromoergocryptine-Gi1/β1/γ2
18.75Single7DFPSpiperone7DFP-D2-Spiperone
18.75Single7DH5Mirabegron7DH5-β3-Mirabegron-Gs/β1/γ2
18.75Single7JNIOlodanrigan7JNI-AT2-Olodanrigan
18.75Single7L0SNeurotensin-(8-13)7L0S-NTS1-Neurotensin-(8-13)-Gi1/β1/γ1
18.75Single7SUSPubChem 1227019087SUS-Apelin-PubChem 122701908
18.75Single7W0LPubChem 1227019087W0L-Apelin; Apelin-PubChem 122701908-Gi1/β1/γ2
18.75Single7XJKGalanin7XJK-GAL2-Galanin-chim(NtGi2L-Gs-CtGq)/β1/γ2
18.75Single7YITNalfurafine7YIT-κ-Nalfurafine
18.75Single8G056-OAU8G05-GPR84-6-OAU-Gi1/β1/γ2
18.75Single8HK2C3a8HK2-C3aB-C3a-Gi1/β1/γ2
18.75Single8IBUErythromycin-A8IBU-Motilin-Erythromycin-A-chim(NtGi1-Gs-CtGq)/β1/γ2
18.75Single8ID9Icosapent8ID9-FFA4-Icosapent-Gi1/β1/γ2
18.75Single8IYWGSK2560738IYW-HCA2-GSK256073-Go/β1/γ2
18.75Single8JJ8Arformoterol8JJ8-β2-Arformoterol
18.75Single8JJLOlodaterol8JJL-β2-Olodaterol
18.75Single8JPBNeurotensin-(8-13)8JPB-NTS1-Neurotensin-(8-13)-SBI-553; GDP; Mg-Gq; GRK2
18.75Single8JWY2-1188JWY-A2A-2-118
18.75Single8JWZEtrumadenant8JWZ-A2A-Etrumadenant-Na
18.75Single8U26Substance-P8U26-NK1-Substance-P-Gs/β1/γ2
18.75Single8W1VPubChem 1717162658W1V-β2-PubChem 171716265
18.75Single8XJNCloprosetnol8XJN-TXA2-Cloprosetnol-chim(NtGi1-Gs-CtGq)/β1/γ2
18.75Single8XQNCholesterol8XQN-TAS2R14-Cholesterol-Aristolochic acid A-Gi1/β1/γ1
18.75Single9DGIZ85267113509DGI-CB1-Z8526711350
18.75Single9EBIPiclidenoson9EBI-A3A-Piclidenoson-chim(NtGi1L-Gs-CtGi1)/β1/γ2
18.75Single9GL2Befiradol9GL2-5-HT1A-Befiradol-Gs/β1/γ2
18.75Single9KZKC3a (fragment)9KZK-C3aB-C3a (fragment)-Go/β1/γ2
18.75Single9M4QDoxazosin9M4Q-Alpha1A-Doxazosin
18.75Single9V6ONalfurafine9V6O-κ-Nalfurafine-Gi1/β1/γ2
18.75Single9VJ6F-155999VJ6-5-HT1A-F-15599-Gi3/β1/γ2
18.75Single9WSVDAMGO9WSV-μ-DAMGO-Arrestin2
18.75Single9WSWEndomorphin9WSW-μ-Endomorphin-chim(NtGi1-Gz)/β1/γ2
18.75Consensusbeta3_onOrthosteric Ligand7DH5-β3-Mirabegron-Gs/β1/γ2 7XJH-β3-Isoprenaline-Gs/β1/γ2 7XJI-β3-Solabegron-Gs/β1/γ2
18.75Consensusbeta3_on_gpOrthosteric Ligand7DH5-β3-Mirabegron-Gs/β1/γ2 7XJH-β3-Isoprenaline-Gs/β1/γ2 7XJI-β3-Solabegron-Gs/β1/γ2
18.75Consensuscannabinoid_offOrthosteric Ligandcb2_off cb1_off
18.75Consensuscb1_onOrthosteric Ligand6KPG-CB1-AM841-Gi1/β1/γ2 8K8J-CB1-Fenofibrate-chim(Gs-CtGq)/β1/γ2
18.75Consensuscxcr_onOrthosteric Ligandcxcr3_on cxcr4_on cxcr1_on cxcr2_on
18.75Consensusd2_on_gpOrthosteric Ligand7JVR-D2-Bromoergocryptine-Gi1/β1/γ2 8IRS-D2-Rotigotine-Gi1/β1/γ2
18.75Consensusgalanin_onOrthosteric Ligandgal2_on gal1_on
18.75Consensusgalanin_on_gpOrthosteric Ligandgal2_on_gp gal1_on_gp
18.75Consensusgi_neurotensinOrthosteric Ligand6OSA-NTS1-JMV449-Gi1/β1/γ2 7L0S-NTS1-Neurotensin-(8-13)-Gi1/β1/γ1
18.75Consensuskop_onOrthosteric Ligand8F7W-κ-Dynorphin-Gi1/β1/γ2 8DZS-κ-GR89,696-chim(NtGi2-Gz)/β1/γ2 8DZP-κ-momSalB-Gi1/β1/γ2
18.75Consensusleukotriene_offOrthosteric Ligandblt_off cyslt_off
18.75Consensusm4_onOrthosteric Ligand7TRS-M4-Acetylcholine-Gi1/β1/γ2 7V6A-M4-PubChem 9864275-Gi1/β1/γ2 8E9X-M4-2-Deoxycytidine-chim(NtGi1-Go)/β1/γ2 7TRK-M4-Iperoxo-Gi1/β1/γ2
18.75Consensusm4_on_gpOrthosteric Ligand7TRS-M4-Acetylcholine-Gi1/β1/γ2 7V6A-M4-PubChem 9864275-Gi1/β1/γ2 8E9X-M4-2-Deoxycytidine-chim(NtGi1-Go)/β1/γ2 7TRK-M4-Iperoxo-Gi1/β1/γ2
18.75Consensusmop_onOrthosteric Ligand8F7R-μ-Endomorphin-Gi1/β1/γ2 8EF5-μ-Fentanyl-Gi1/β1/γ2 7SCG-μ-FH210-Gi1/β1/γ2 7T2H-μ-Lofentanil-Gi1/β1/γ2 7T2G-μ-Mitragynine Pseudoindoxyl-Gi1/β1/γ2 8EF6-μ-Morphine-Gi1/β1/γ2 8EFB-μ-Oliceridine-Gi1/β1/γ2 7U2L-μ-C5-guano-Gi1/β1/γ2 8EFO-μ-PZM21-Gi1/β1/γ2 8EFL-μ-SR17018-Gi1/β1/γ2 8F7Q-μ-β-Endorphin-Gi1/β1/γ2 7U2K-μ-C6-guano-Gi1/β1/γ2 8EFQ-μ-DAMGO-Gi1/β1/γ2
18.75Consensusmop_on_gpOrthosteric Ligand8F7R-μ-Endomorphin-Gi1/β1/γ2 8EF5-μ-Fentanyl-Gi1/β1/γ2 7SCG-μ-FH210-Gi1/β1/γ2 7T2H-μ-Lofentanil-Gi1/β1/γ2 7T2G-μ-Mitragynine Pseudoindoxyl-Gi1/β1/γ2 8EF6-μ-Morphine-Gi1/β1/γ2 8EFB-μ-Oliceridine-Gi1/β1/γ2 7U2L-μ-C5-guano-Gi1/β1/γ2 8EFO-μ-PZM21-Gi1/β1/γ2 8EFL-μ-SR17018-Gi1/β1/γ2 8F7Q-μ-β-Endorphin-Gi1/β1/γ2 7U2K-μ-C6-guano-Gi1/β1/γ2 8EFQ-μ-DAMGO-Gi1/β1/γ2
18.75Consensusmotilin_on_gpOrthosteric Ligand8IBU-Motilin-Erythromycin-A-chim(NtGi1-Gs-CtGq)/β1/γ2
18.75Consensusneurotensin_on_gpOrthosteric Ligandnts1_on_gp
18.75Consensusnts1_on_gpOrthosteric Ligand6OSA-NTS1-JMV449-Gi1/β1/γ2 7L0S-NTS1-Neurotensin-(8-13)-Gi1/β1/γ1
18.75Consensusopioid_offOrthosteric Ligandmop_off nop_off dop_off kop_off
18.75Consensusorexin_onOrthosteric Ligandox2_on
18.75Consensuss1p3_onOrthosteric Ligand7EW3-S1P3-S1P-Gi1/β1/γ2 7EW4-S1P3-CYM-5541-Gi1/β1/γ2 7EW2-S1P3-FTY720-P-Gi1/β1/γ2
18.52Single3OE9IT1t3OE9-CXCR4-IT1t
18.52Single6LI0C176LI0-GPR52-C17
18.52Single7XKFDehydroepiandrosterone7XKF-ADGRG2-Dehydroepiandrosterone-Gs/β1/γ2
18.52Single7XT9Serotonin7XT9-5-HT4-Serotonin-Gs/β1/γ2
18.52Single8UO3Constrained Epinephrine8UO3-β2-Constrained Epinephrine-GTP; Mg-Gs/β1/γ2
18.52Single8YKWSuccinic acid8YKW-Succinate-Succinic acid-Gi1/β1/γ1
18.52Single8ZSVRO52633978ZSV-TA1-RO5263397-chim(NtGi1-Gs)/β1/γ2
18.52Single9B9YTaranabant9B9Y-CB1-Taranabant
18.52Single9IQTNiacin9IQT-HCA2-Niacin-Gi1/β1/γ2
18.52Single9KUWCMPD6449KUW-Apelin; Apelin-CMPD644-Arrestin2 ; Arrestin2
18.52Single9U9VMETH9U9V-β2-METH-Gs/β1/γ2
18.42Single7X9CPancreatic Hormone7X9C-Y4-Pancreatic Hormone-Gi1/β1/γ2
18.42Single7XV3Lysophosphatidylserine (WJS)7XV3-GPR174-Lysophosphatidylserine (WJS)-chim(NtGi1-Gs)/β1/γ2
18.42Single8HNKCXCL118HNK-CXCR3-CXCL11-Gi1/β1/γ2
18.42Consensusneuromedin-u_on_gpOrthosteric Ligandnmur1_on_gp nmur2_on_gp
18.18Single2YCZIodocyanopindolol2YCZ-β1-Iodocyanopindolol
18.18Single4BVNCyanopindolol4BVN-β1-Cyanopindolol-Na
18.18Single4NC3Ergotamine4NC3-5-HT2B-Ergotamine
18.18Single5TUDErgotamine5TUD-5-HT2B-Ergotamine
18.18Single5X93K-87945X93-ETB-K-8794
18.18Single6BQGErgotamine6BQG-5-HT2C-Ergotamine
18.18Single6DDFDAMGO6DDF-μ-DAMGO-Gi1/β1/γ2
18.18Single6KPGAM8416KPG-CB1-AM841-Gi1/β1/γ2
18.18Single6UP7Neurotensin-(8-13)6UP7-NTS1-Neurotensin-(8-13)-Arrestin2
18.18Single7EW0Ozanimod7EW0-S1P1-Ozanimod-Gi1/β1/γ2
18.18Single7EZHCholecystokinin-87EZH-CCKA-Cholecystokinin-8-Gi1/β1/γ2
18.18Single7EZMCholecystokinin-87EZM-CCKA-Cholecystokinin-8-chim(NtGsL-Gq)/β1/γ2
18.18Single7JVRBromoergocryptine7JVR-D2-Bromoergocryptine-Gi1/β1/γ2
18.18Single7MBYCholecystokinin-87MBY-CCKA-Cholecystokinin-8-chim(NtGi1L-Gs-CtGq)/β1/γ2
18.18Single7MTSADX551647MTS-mGlu2; mGlu2-Glutamate-ADX55164-Gi1/β1/γ2
18.18Single7U2KC6-guano7U2K-μ-C6-guano-Gi1/β1/γ2
18.18Single7VGY2-Iodomelatonin7VGY-MT1-2-Iodomelatonin-Gi1/β1/γ2
18.18Single7WVVfMLFII7WVV-FPR2-ALX-fMLFII-Gi2/β1/γ2
18.18Single7X1UTRH7X1U-TRH-TRH-chim(NtGi2L-Gs-CtGq)/β1/γ2
18.18Single7X2DTavapadon7X2D-D1-Tavapadon-Gs/β1/γ2
18.18Single8GAGZ85267113508GAG-CB1-Z8526711350-Gi1/β1/γ2
18.18Single8GUTLEI-1028GUT-CB2-LEI-102-Gi1/β1/γ2
18.18Single8HN1Toxin AdTx18HN1-Alpha1A-Toxin AdTx1
18.18Single8I95EP548I95-C3aB-EP54-Go/β1/γ2
18.18Single8ID8TUG-8918ID8-FFA4-TUG-891-Gi1/β1/γ2
18.18Single8J19LY2378J19-GPR84-LY237-Gi1/β1/γ2
18.18Single8JPFNeurotensin-(8-13)8JPF-NTS1-Neurotensin-(8-13)-SBI-553
18.18Single8K4OCXCL18K4O-KSHV-CXCL1-Gi1/β1/γ1
18.18Single8WRZAM8418WRZ-CB1-AM841-Arrestin2
18.18Single8XIOL7975918XIO-SST1-L797591-chim(NtGi1-Gs-CtGi1)/β1/γ2
18.18Single8XJOU466198XJO-TXA2-U46619-chim(NtGi1-Gs-CtGq)/β1/γ2
18.18Single8XVUCXCL28XVU-CXCR2-CXCL2
18.18Single8XXHCXCL28XXH-CXCR2-CXCL2-Go/β1/γ2
18.18Single9DYEBuspirone9DYE-5-HT1A-Buspirone-PtdIns4P-Go/β1/γ2
18.18Single9GE3Lysophosphatidylinositol9GE3-GPR55-Lysophosphatidylinositol-chim(NtGi1-G13)/β1/γ2
18.18Single9HYIDP819HYI-5-HT1A-DP81-Gi1/β1/γ2
18.18Single9IZFLPA9IZF-LPA1-LPA-Gi1/β1/γ2
18.18Single9KV8TLQP219KV8-C3aB-TLQP21-Go/β1/γ2
18.18Single9L79AR2314539L79-GPR119-AR231453-chim(NtGi1-Gs)/β1/γ2
18.18Single9M1HPGE29M1H-EP1-PGE2-chim(NtGi1-Gs-CtGq)/β1/γ2
18.18Consensusccka_onOrthosteric Ligand7EZH-CCKA-Cholecystokinin-8-Gi1/β1/γ2
18.18Consensusccka_on_gpOrthosteric Ligand7EZH-CCKA-Cholecystokinin-8-Gi1/β1/γ2
18.18Consensusendothelin_offOrthosteric Ligandetb_off
18.18Consensusetb_offOrthosteric Ligand5X93-ETB-K-8794 5XPR-ETB-Bosentan 6K1Q-ETB-IRL2500
18.18Consensuskop_on_gpOrthosteric Ligand8F7W-κ-Dynorphin-Gi1/β1/γ2 8DZS-κ-GR89,696-chim(NtGi2-Gz)/β1/γ2 8DZP-κ-momSalB-Gi1/β1/γ2
18.18Consensusnk2_onOrthosteric Ligand7XWO-NK2-Neurokinin-A-chim(NtGi1-Gs-CtGq)/β1/γ2
18.18Consensusnucleotide_on_gpOrthosteric Ligandadenosine_on_gp p2y_on_gp
18.18Consensusorexin_on_gpOrthosteric Ligandox2_on_gp
18.18Consensusprostanoid_offOrthosteric Ligandep_off dp_off
18.18Consensusprostanoid_onOrthosteric Ligandtp_on fp-alpha_on
18.18Consensusprostanoid_on_gpOrthosteric Ligandtp_on_gp fp-alpha_on_gp
18.18Consensustp_onOrthosteric Ligand8XJO-TXA2-U46619-chim(NtGi1-Gs-CtGq)/β1/γ2
18.18Consensustp_on_gpOrthosteric Ligand8XJO-TXA2-U46619-chim(NtGi1-Gs-CtGq)/β1/γ2
17.95Single7SK3CXCL127SK3-ACKR3-CXCL12
17.95Single8XVEBQ30208XVE-ETB-BQ3020-chim(Gs-CtGq)/β1/γ2
17.95Consensuscrf2_on_gpOrthosteric Ligand7TS0-CRF2-Urocortin-chim(NtGi1L-Go)/β1/γ2
17.95Consensusnpy4_onOrthosteric Ligand7X9C-Y4-Pancreatic Hormone-Gi1/β1/γ2
17.95Consensusnpy4_on_gpOrthosteric Ligand7X9C-Y4-Pancreatic Hormone-Gi1/β1/γ2
17.86Single3VGAZM-2413853VGA-A2A-ZM-241385-Antibody
17.86Single4MQTLY21196204MQT-M2-Iperoxo-LY2119620
17.86Single5K2DZM-2413855K2D-A2A-ZM-241385-Na
17.86Single5OLOTozadenant5OLO-A2A-Tozadenant-Na
17.86Single5ZKQABT-4915ZKQ-PAF-ABT-491
17.86Single6JZHZM-2413856JZH-A2A-ZM-241385-Na
17.86Single6OBAAlprenolol6OBA-β2-Alprenolol-GTPL11074
17.86Single6PS7ZM-2413856PS7-A2A-ZM-241385-Na
17.86Single7LCJDanuglipron7LCJ-GLP-1-Danuglipron
17.86Single7VIHCBP-3077VIH-S1P1-CBP-307-Gi1/β1/γ2
17.86Single7W0MPubChem 1227019087W0M-Apelin-PubChem 122701908-Gi1/β1/γ2
17.86Single7XJJGalanin7XJJ-GAL1-Galanin-Go/β1/γ2
17.86Single7XT8Serotonin7XT8-5-HT4-Serotonin-Gs/β1/γ2
17.86Single7YMHNorepinephrine7YMH-Alpha1A-Norepinephrine-chim(Gs-CtGq)
17.86Single8EFOPZM218EFO-μ-PZM21-Gi1/β1/γ2
17.86Single8GGAConstrained Epinephrine8GGA-β2-Constrained Epinephrine-GTP-Gs/β1/γ2
17.86Single8GGRConstrained Epinephrine8GGR-β2-Constrained Epinephrine
17.86Single8GGWConstrained Epinephrine8GGW-β2-Constrained Epinephrine
17.86Single8GGZConstrained Epinephrine8GGZ-β2-Constrained Epinephrine
17.86Single8GH0Constrained Epinephrine8GH0-β2-Constrained Epinephrine
17.86Single8GNGIstradefylline8GNG-A2A-Istradefylline
17.86Single8IJBAcipimox8IJB-HCA2-Acipimox-Gi1/β1/γ2
17.86Single8IW4Spermidine8IW4-TAA9-Spermidine-chim(NtGi1-Gs)/β1/γ2
17.86Single8IWESpermidine8IWE-TAA9-Spermidine
17.86Single8J6LNiacin8J6L-HCA2-Niacin-Gi1/β1/γ2
17.86Single8JSOAMPH8JSO-TA1-AMPH-chim(NtGi1-Gs)/β1/γ2
17.86Single8RVWStilSwitch38RVW-A2A-StilSwitch3-Na
17.86Single8RW0Istradefylline8RW0-A2A-Istradefylline-Na
17.86Single8U4PAMD31008U4P-CXCR4-AMD3100-Gi1/β1/γ2
17.86Single8WC4ZH86518WC4-TA1-ZH8651-chim(NtGi1-Gs)/β1/γ2
17.86Single8WCA2-Phenylethylamine8WCA-TA1-2-Phenylethylamine-chim(NtGi1-Gs)/β1/γ2
17.86Single9EBHAdenosine9EBH-A3A-Adenosine-Gi1/β1/γ2
17.86Single9EEAAdenosine9EEA-A2A-Adenosine-Gs/β1/γ2
17.86Single9J5VCpY9J5V-LPA1-CpY-Gi1/β1/γ2
17.86Single9JKXAcifran9JKX-HCA3-Acifran-Gi1/β1/γ2
17.86Single9LKDPL459LKD-OR5V1-PL45
17.86Single9VJEBuspirone9VJE-5-HT1A-Buspirone-Go/β1/γ2
17.86Single9W49U-50488H9W49-κ-U-50488H-Gi1/β1/γ2
17.86Consensusalpha2_offOrthosteric Ligandalpha2c_off
17.86Consensuspaf_offOrthosteric Ligand5ZKQ-PAF-ABT-491
17.65Single5VBLAMG3054 5VBL-Apelin-AMG3054
17.65Single5WF6UK-4320975WF6-A2A-UK-432097
17.65Single5ZTYAM102575ZTY-CB2-AM10257
17.65Single6C1QPMX536C1Q-C5a1-PMX53-NDT9513727
17.65Single6G79Donitriptan6G79-5-HT1B-Donitriptan-Go/β1/γ2
17.65Single6OMMWKYMVX6OMM-FPR2-ALX-WKYMVX-Gi1/β1/γ2
17.65Single6OS9JMV4496OS9-NTS1-JMV449-Gi1/β1/γ2
17.65Single6PT3DPI-2876PT3-δ-DPI-287
17.65Single7AUESetmelanotide7AUE-MC4-Setmelanotide-chim(NtGi1L-Gs)/β1/γ2
17.65Single7F9ZGHRP-67F9Z-Ghrelin-GHRP-6-chim(NtGi1-Gs-CtGq)/β1/γ2
17.65Single7T11Octreotide7T11-SST2-Octreotide-Gi3/β1/γ2
17.65Single7XN9L-0545227XN9-SST2-L-054522
17.65Single7YAEOctreotide7YAE-SST2-Octreotide-Gi1/β1/γ2
17.65Single8F7REndomorphin8F7R-μ-Endomorphin-Gi1/β1/γ2
17.65Single8GY7Corticotropin8GY7-MC2-Corticotropin-Ca-chim(NtGi1-Gs)/β1/γ2; MRAP1
17.65Single8IUMTafluprost acid8IUM-FP-alpha-Tafluprost acid-chim(NtGi1-Gs-CtGq)/β1/γ2
17.65Single8JLRA776368JLR-TA1-A77636-chim(NtGi1-Gs)/β1/γ2
17.65Single8X5YAstemizole8X5Y-H1-Astemizole
17.65Single8XZFWN5618XZF-Apelin; Apelin-WN561-Gi1/β1/γ2
17.65Single9CGKC5-Quino9CGK-δ-C5-Quino-Gi1/β1/γ2
17.65Single9MD1Buspirone9MD1-5-HT1A-Buspirone-PtdIns4P-Gz/β1/γ2
17.65Single9V2NMacimorelin9V2N-Ghrelin-Macimorelin-chim(NtGi1-Gs-CtGq)/β1/γ2
17.65Consensuscb2_offOrthosteric Ligand5ZTY-CB2-AM10257
17.65Consensuscxcr4_offOrthosteric Ligand4RWS-CXCR4-vMIP-II 3OE0-CXCR4-CVX15 3OE6-CXCR4-IT1t
17.65Consensuscxcr_on_gpOrthosteric Ligandcxcr3_on_gp cxcr4_on_gp cxcr1_on_gp cxcr2_on_gp
17.65Consensussst2_onOrthosteric Ligand7WIC-SST2-Somatostatin-14-Gi1/β1/γ2 7WIG-SST2-L-054264-Gi1/β1/γ2 7YAE-SST2-Octreotide-Gi1/β1/γ2 7YAC-SST2-Paltusotine-Gi1/β1/γ2
17.65Consensussst2_on_gpOrthosteric Ligand7WIC-SST2-Somatostatin-14-Gi1/β1/γ2 7WIG-SST2-L-054264-Gi1/β1/γ2 7YAE-SST2-Octreotide-Gi1/β1/γ2 7YAC-SST2-Paltusotine-Gi1/β1/γ2
17.50Consensusp2y10_on_gpOrthosteric Ligand8KGG-P2Y10-Lysophosphatidylserine (WJS)-chim(NtGi2-G13)/β1/γ2
17.24Single2YDOAdenosine2YDO-A2A-Adenosine
17.24Single4LDOEpinephrine4LDO-β2-Epinephrine
17.24Single5IU4ZM-2413855IU4-A2A-ZM-241385-Na
17.24Single5IU7Q274563465IU7-A2A-Q27456346-Na
17.24Single5IUBQ274563445IUB-A2A-Q27456344-Na
17.24Single5JTBZM-2413855JTB-A2A-ZM-241385
17.24Single5K2BZM-2413855K2B-A2A-ZM-241385-Na
17.24Single5K2CZM-2413855K2C-A2A-ZM-241385-Na
17.24Single5NLXZM-2413855NLX-A2A-ZM-241385-Na
17.24Single5NM4ZM-2413855NM4-A2A-ZM-241385-Na
17.24Single6ME32-Phenylmelatonin6ME3-MT1-2-Phenylmelatonin
17.24Single6PS0Carazolol6PS0-β2-Carazolol
17.24Single6PS4ICI118-5516PS4-β2-ICI118-551
17.24Single6PS5Propranolol6PS5-β2-Propranolol
17.24Single6PS82-Phenylmelatonin6PS8-MT1-2-Phenylmelatonin
17.24Single6PT0WIN 55212-26PT0-CB2-WIN 55212-2-Gi1/β1/γ2
17.24Single6U1NLY21196206U1N-M2-LY2119620-Arrestin2
17.24Single6ZDRHMS1413f126ZDR-A2A-HMS1413f12-Na
17.24Single6ZFZ77-LH-28-16ZFZ-M1-77-LH-28-1
17.24Single7AROLUF58337ARO-A2A-LUF5833-Na
17.24Single7C2EPubChem 1490507997C2E-GLP-1-PubChem 149050799-Gs/β1/γ2
17.24Single7DHISalbutamol7DHI-β2-Salbutamol-Gs/β1/γ2
17.24Single7SR8TAK-9257SR8-OX2-TAK-925-chim(NtGi1L-Gs-CtGq)/β1/γ2
17.24Single7T94LY21196207T94-M2-Acetylcholine-LY2119620-chim(NtGi1-Go)/β1/γ2
17.24Single7UL3Famotidine7UL3-H2-Famotidine
17.24Single7XOVSR1461317XOV-CCKA-SR146131-Gs/β1/γ2
17.24Single7YK6PubChem 1383196747YK6-RXFP4-PubChem 138319674-Gi2/β1/γ2
17.24Single8GE1Constrained Epinephrine8GE1-β2-Constrained Epinephrine-Gs/β1/γ2
17.24Single8GE4Constrained Epinephrine8GE4-β2-Constrained Epinephrine-Gs/β1/γ2
17.24Single8GE5Constrained Epinephrine8GE5-β2-Constrained Epinephrine-Gs/β1/γ1
17.24Single8GE6Constrained Epinephrine8GE6-β2-Constrained Epinephrine-Gs/β1/γ2
17.24Single8GE7Constrained Epinephrine8GE7-β2-Constrained Epinephrine-Gs/β1/γ2
17.24Single8GE8Constrained Epinephrine8GE8-β2-Constrained Epinephrine-Gs/β1/γ2
17.24Single8GEAConstrained Epinephrine8GEA-β2-Constrained Epinephrine-Gs/β1/γ2
17.24Single8GEFConstrained Epinephrine8GEF-β2-Constrained Epinephrine-Gs/β1/γ2
17.24Single8GG7Constrained Epinephrine8GG7-β2-Constrained Epinephrine-GTP-Gs/β1/γ2
17.24Single8GG8Constrained Epinephrine8GG8-β2-Constrained Epinephrine-GTP-Gs/β1/γ2
17.24Single8GGLConstrained Epinephrine8GGL-β2-Constrained Epinephrine
17.24Single8GGMConstrained Epinephrine8GGM-β2-Constrained Epinephrine
17.24Single8GGPConstrained Epinephrine8GGP-β2-Constrained Epinephrine
17.24Single8GGQConstrained Epinephrine8GGQ-β2-Constrained Epinephrine
17.24Single8GGVConstrained Epinephrine8GGV-β2-Constrained Epinephrine
17.24Single8GGXConstrained Epinephrine8GGX-β2-Constrained Epinephrine
17.24Single8GUQOlorinab8GUQ-CB2-Olorinab-Gi1/β1/γ2
17.24Single8HNMVUF112228HNM-CXCR3-VUF11222-Gi1/β1/γ2
17.24Single8IHKAcifran8IHK-HCA3-Acifran
17.24Single8JEIPubChem 117155568JEI-HCAR3-PubChem 11715556-Gi1/β1/γ2
17.24Single8JERAcipimox8JER-HCA2-Acipimox-Go/β1/γ2
17.24Single8JLKUlotaront8JLK-TA1-Ulotaront-chim(NtGi1-Gs)/β1/γ2
17.24Single8JLNT1AM8JLN-TA1-T1AM-Gs/β1/γ2
17.24Single8K2WAMG4878K2W-CXCR3-AMG487
17.24Single8RLNLUF58348RLN-A2A-LUF5834
17.24Single8RQQZM-2413858RQQ-A2A-ZM-241385-Na
17.24Single8RWIStilSwitch28RWI-A2A-StilSwitch2-Na
17.24Single8UHBRO52563908UHB-TA1-RO5256390-Gs/β1/γ2
17.24Single8UNLConstrained Epinephrine8UNL-β2-Constrained Epinephrine-GTP-Gs/β1/γ2
17.24Single8UNOConstrained Epinephrine8UNO-β2-Constrained Epinephrine-GTP-Gs/β1/γ2
17.24Single8UO1Constrained Epinephrine8UO1-β2-Constrained Epinephrine-GTP; Mg-Gs/β1/γ2
17.24Single8WC8ZH86518WC8-TA1-ZH8651-chim(NtGi1-Gs)/β1/γ2
17.24Single8Y45ADL58598Y45-δ-ADL5859-Gi2/β1/γ2
17.24Single8Y62C16:0 Ceramide8Y62-FPR2-ALX-C16:0 Ceramide-Gi1/β1/γ2
17.24Single8Y6YGLPG09748Y6Y-FFA2-GLPG0974
17.24Single8ZPMAMD0708ZPM-CXCR4-AMD070
17.24Single9AS5Mescaline9AS5-5-HT2A-Mescaline
17.24Single9AS6Mescaline9AS6-5-HT2A-Mescaline-chim(NtGi1-Gs-CtGq)/β1/γ2
17.24Single9BA0MRI-18919BA0-CB1-MRI-1891
17.24Single9JFUNE52-QQ579JFU-GPR4-NE52-QQ57
17.24Single9JKYAcifran9JKY-HCA2-Acifran-Gi1/β1/γ2
17.24Single9K0XATP9K0X-P2Y2-ATP-chim(NtGi1-Gs-CtGq)/β1/γ2
17.24Single9K20ATP9K20-P2Y2-ATP-chim(NtGi1-Go)/β1/γ2
17.24Single9KPDSalicin9KPD-TAS2R16-Salicin-chim(Gs-CtGt3)/β1/γ2
17.24Single9KXSEP679KXS-C5a1-EP67-Go/β1/γ2
17.24Single9L84Epinephrine9L84-β1-Epinephrine-Atazanavir-Gs/β1/γ2
17.24Single9L8LBI1671079L8L-β2-BI167107-Atazanavir-Gs/β1/γ2 ; Arrestin2
17.24Single9M2FNeuropeptide-FF9M2F-NPFF1-Neuropeptide-FF-Gi1/β1/γ2
17.24Single9P1TZM-2413859P1T-A2A-ZM-241385
17.24Single9VNFPindolol9VNF-5-HT1A-Pindolol-Go/β1/γ2
17.24Consensus5ht_on_gpOrthosteric Ligand5ht1_on_gp 5ht2_on_gp 5ht4_on_gp 5ht5_on_gp 5ht6_on_gp 5ht7_on_gp
17.24Consensusa2_offOrthosteric Liganda2a_off
17.24Consensusa2a_offOrthosteric Ligand3RFM-A2A-Caffeine 8C9W-A2A-Etrumadenant 3UZA-A2A-GTPL9236 8GNG-A2A-Istradefylline 8CU6-A2A-LJ-4517 7PX4-A2A-PSB-2113 7PYR-A2A-PSB-2115 8DU3-A2A-PubChem 105526064 8JWY-A2A-2-118 8PWN-A2A-Theophylline 5IU4-A2A-ZM-241385-Na 5OLZ-A2A-PubChem 135566609-Na 6GT3-A2A-Imaradenant-Na 5OLV-A2A-LUAA47070-Na 5N2R-A2A-PSB36-Na 5IU7-A2A-Q27456346-Na 5OLH-A2A-Vipadenant-Na 5OLO-A2A-Tozadenant-Na 6ZDR-A2A-HMS1413f12-Na 8GNE-A2A-KW-6356-Na 8JWZ-A2A-Etrumadenant-Na 5IU8-A2A-Q27456347-Na 5IUB-A2A-Q27456344-Na 6ZDV-A2A-PubChem 984073-Na 5IUA-A2A-Q27456348-Na 8A2P-A2A-LUAA47070-Na
17.24Consensuscxcr2_onOrthosteric Ligand6LFM-CXCR2-CXCL8-Gi1/β1/γ2
17.24Consensuscxcr3_offOrthosteric Ligand8K2W-CXCR3-AMG487
17.24Consensusgrh_offOrthosteric Ligandgnrh1_off
17.24Consensusnucleotide_offOrthosteric Ligandadenosine_off p2y_off
17.14Single4IARErgotamine4IAR-5-HT1B-Ergotamine
17.14Single4IB4Ergotamine4IB4-5-HT2B-Ergotamine
17.14Single7F8XNN90567F8X-CCKA-NN9056
17.14Single7NA7Ghrelin7NA7-Ghrelin-Ghrelin-Gi1/β1/γ2
17.14Single7WKDTRH7WKD-TRH-TRH-chim(NtGi1-Gs-CtGq)/β1/γ2
17.14Single8DCRDobutamine8DCR-β1-Dobutamine-Gs/β1/γ2
17.14Single8GHVAMG3158GHV-CB1-AMG315-Gi1/β1/γ2
17.14Single8K3ZCXCL128K3Z-CXCR4-CXCL12-Gi1/β1/γ1
17.14Single8PKMBefiradol8PKM-5-HT1A-Befiradol-Gi1/β1/γ1
17.14Single8U4OCXCL128U4O-CXCR4-CXCL12-Gi1/β1/γ2
17.14Single8WZ2Orexigenic Neuropeptide QRFP8WZ2-QRFP-Orexigenic Neuropeptide QRFP-chim(NtGi1L-Gs-CtGq)/β1/γ2
17.14Single9HB3Mambaquaretin-19HB3-V2-Mambaquaretin-1
17.14Single9UYLChemerin-99UYL-CML2-Chemerin-9-Arrestin2
17.14Consensusgi_nucleotideOrthosteric Ligandgi_adenosine gi_p2y
17.14Consensusmc4_onOrthosteric Ligand7AUE-MC4-Setmelanotide-chim(NtGi1L-Gs)/β1/γ2 7F58-MC4-THIQ-Gs/β1/γ2 7F54-MC4-Afamelanotide-Gs/β1/γ2 7F53-MC4-α-MSH-Gs/β1/γ2 7F55-MC4-Bremelanotide-Gs/β1/γ2
17.07Single8KGGLysophosphatidylserine (WJS)8KGG-P2Y10-Lysophosphatidylserine (WJS)-chim(NtGi2-G13)/β1/γ2
17.07Consensusetb_onOrthosteric Ligand8IY5-ETB-Endothelin-1-Gi1/β1/γ2 8HBD-ETB-IRL1620-Gi1/β1/γ2
16.67Single2Y04Salbutamol2Y04-β1-Salbutamol
16.67Single3EMLZM-2413853EML-A2A-ZM-241385
16.67Single3NY8ICI118-5513NY8-β2-ICI118-551
16.67Single3NYAAlprenolol3NYA-β2-Alprenolol
16.67Single3ZPQPubChem 5945903ZPQ-β1-PubChem 594590-Na
16.67Single4EA3PubChem 102965614EA3-NOP-PubChem 10296561
16.67Single4EIYZM-2413854EIY-A2A-ZM-241385-Na
16.67Single4GBRCarazolol4GBR-β2-Carazolol
16.67Single4QKXPubChem 762106284QKX-β2-PubChem 76210628
16.67Single5DHHSB-6121115DHH-NOP-SB-612111
16.67Single5IU8Q274563475IU8-A2A-Q27456347-Na
16.67Single5K2AZM-2413855K2A-A2A-ZM-241385-Na
16.67Single5NDDAZ8838; Na5NDD-PAR2-AZ8838; Na
16.67Single5OLGZM-2413855OLG-A2A-ZM-241385-Na
16.67Single5OLZPubChem 1355666095OLZ-A2A-PubChem 135566609-Na
16.67Single5OM1PubChem 1355666095OM1-A2A-PubChem 135566609-Na
16.67Single5T04Neurotensin-(8-13)5T04-NTS1-Neurotensin-(8-13)
16.67Single5VRAZM-2413855VRA-A2A-ZM-241385-Na
16.67Single6D27CAY104716D27-DP2-CAY10471
16.67Single6DRZMethysergide6DRZ-5-HT2B-Methysergide
16.67Single6GPSMK08126GPS-CCR2-MK0812
16.67Single6H7MSalbutamol6H7M-β1-Salbutamol
16.67Single6HLOAprepitant6HLO-NK1-Aprepitant
16.67Single6KPFAM120336KPF-CB2-AM12033-Gi1/β1/γ2
16.67Single6LPJZM-2413856LPJ-A2A-ZM-241385-Na
16.67Single6LPKZM-2413856LPK-A2A-ZM-241385-Na
16.67Single6PS2Alprenolol6PS2-β2-Alprenolol
16.67Single6S0LZM-2413856S0L-A2A-ZM-241385
16.67Single6X1ADanuglipron6X1A-GLP-1-Danuglipron-Gs/β1/γ2
16.67Single7BTSEpinephrine7BTS-β1-Epinephrine
16.67Single7BU6Norepinephrine7BU6-β1-Norepinephrine
16.67Single7C6A(Sar1,Ile8)-Angiotensin II7C6A-AT2-(Sar1,Ile8)-Angiotensin II
16.67Single7CFMP3957CFM-GPBA-P395-Gs/β1/γ2
16.67Single7DDZJNJ-310200287DDZ-Y2-JNJ-31020028
16.67Single7JVQApomorphine7JVQ-D1-Apomorphine-Gs/β1/γ2
16.67Single7LJCSKF812977LJC-D1-SKF81297-Mevidalen-Gs/β1/γ2
16.67Single7PYRPSB-21157PYR-A2A-PSB-2115
16.67Single7S0GIsoprenaline7S0G-β1-Isoprenaline-chim(Gi1-CtGs)/β1/γ2
16.67Single7SK8CXCL127SK8-ACKR3-CXCL12-CCX662
16.67Single7UL4Alvimopan7UL4-μ-Alvimopan
16.67Single7UM6Lisuride7UM6-5-HT5A-Lisuride-chim(NtGi1-Go)/β1/γ2
16.67Single7VGZRamelteon7VGZ-MT1-Ramelteon-Gi1/β1/γ2
16.67Single7VIFFTY720-P7VIF-S1P1-FTY720-P-Gi1/β1/γ2
16.67Single7WC7Lisuride7WC7-5-HT2A-Lisuride
16.67Single7XJHIsoprenaline7XJH-β3-Isoprenaline-Gs/β1/γ2
16.67Single8CICEtrumadenant8CIC-A2A-Etrumadenant-Na
16.67Single8CU6LJ-45178CU6-A2A-LJ-4517
16.67Single8CU7LJ-45178CU7-A2A-LJ-4517-Na
16.67Single8GE2Constrained Epinephrine8GE2-β2-Constrained Epinephrine-Gs/β1/γ1
16.67Single8GE3Constrained Epinephrine8GE3-β2-Constrained Epinephrine-Gs/β1/γ2
16.67Single8GECConstrained Epinephrine8GEC-β2-Constrained Epinephrine-Gs/β1/γ2
16.67Single8GEEConstrained Epinephrine8GEE-β2-Constrained Epinephrine-Gs/β1/γ2
16.67Single8GEJConstrained Epinephrine8GEJ-β2-Constrained Epinephrine-Gs/β1/γ2
16.67Single8GFVConstrained Epinephrine8GFV-β2-Constrained Epinephrine-GTP-Gs/β1/γ2
16.67Single8GFWConstrained Epinephrine8GFW-β2-Constrained Epinephrine-GTP-Gs/β1/γ2
16.67Single8GFXConstrained Epinephrine8GFX-β2-Constrained Epinephrine-GTP-Gs/β1/γ2
16.67Single8GFZConstrained Epinephrine8GFZ-β2-Constrained Epinephrine-GTP-Gs/β1/γ2
16.67Single8GG0Constrained Epinephrine8GG0-β2-Constrained Epinephrine-GTP-Gs/β1/γ2
16.67Single8GG1Constrained Epinephrine8GG1-β2-Constrained Epinephrine-GTP-Gs/β1/γ2
16.67Single8GG3Constrained Epinephrine8GG3-β2-Constrained Epinephrine-GTP-Gs/β1/γ2
16.67Single8GG4Constrained Epinephrine8GG4-β2-Constrained Epinephrine-GTP-Gs/β1/γ2
16.67Single8GG6Constrained Epinephrine8GG6-β2-Constrained Epinephrine-GTP-Gs/β1/γ2
16.67Single8GG9Constrained Epinephrine8GG9-β2-Constrained Epinephrine-GTP-Gs/β1/γ2
16.67Single8GGIConstrained Epinephrine8GGI-β2-Constrained Epinephrine
16.67Single8GGJConstrained Epinephrine8GGJ-β2-Constrained Epinephrine
16.67Single8GGKConstrained Epinephrine8GGK-β2-Constrained Epinephrine
16.67Single8GGNConstrained Epinephrine8GGN-β2-Constrained Epinephrine
16.67Single8GGOConstrained Epinephrine8GGO-β2-Constrained Epinephrine
16.67Single8GGUConstrained Epinephrine8GGU-β2-Constrained Epinephrine
16.67Single8IHJAcifran8IHJ-HCA3-Acifran-Gi1/β1/γ2
16.67Single8JJOAlprenolol8JJO-β2-Alprenolol
16.67Single8JXRLSD8JXR-D1-LSD
16.67Single8K6ONeuropeptide-Y8K6O-Y1-Neuropeptide-Y-Gi2/β1/γ1
16.67Single8KFYZK-7563268KFY-CCR8-ZK-756326-Gi1/β1/γ2
16.67Single8PJKST1718PJK-5-HT1A-ST171-Gi1/β1/γ1
16.67Single8RW7StilSwitch18RW7-A2A-StilSwitch1-Na
16.67Single8T1WCVN4248T1W-GPR6-CVN424
16.67Single8UH3Setiptiline8UH3-5-HT1E-Setiptiline-Gi1/β1/γ1
16.67Single8UNQConstrained Epinephrine8UNQ-β2-Constrained Epinephrine-GTP-Gs/β1/γ2
16.67Single8UNRConstrained Epinephrine8UNR-β2-Constrained Epinephrine-GTP-Gs/β1/γ2
16.67Single8UNUConstrained Epinephrine8UNU-β2-Constrained Epinephrine-GTP-Gs/β1/γ2
16.67Single8UNYConstrained Epinephrine8UNY-β2-Constrained Epinephrine-GTP-Gs/β1/γ2
16.67Single8VVGGB188VVG-κ-GB18-Gi1/β1/γ2
16.67Single8W87METH8W87-TA1-METH-chim(NtGi1L-Gs)/β1/γ2
16.67Single8X63Mepyramine8X63-H1-Mepyramine
16.67Single8XYDPlatelet Activating Factor8XYD-PAF-Platelet Activating Factor-Gi1/β1/γ2
16.67Single8ZJETAK4488ZJE-Kiss1-TAK448-chim(NtGi1-Gq)/β1/γ1
16.67Single8ZYYNeurotensin-(8-13)8ZYY-NTS1-Neurotensin-(8-13)-SBI-553-Arrestin2
16.67Single9AS1DMT9AS1-5-HT2A-DMT
16.67Single9BQJRO769BQJ-μ-RO76-Gi1/β1/γ2
16.67Single9D61JDTic9D61-κ-JDTic-Gi1/β1/γ2
16.67Single9DYFAsenapine9DYF-5-HT1A-Asenapine-PtdIns4P-Gi1/β1/γ2
16.67Single9H37PubChem 1756706469H37-A2A-PubChem 175670646-Na
16.67Single9IQRMuscarinic toxin 39IQR-α2a-Muscarinic toxin 3
16.67Single9KT7MK68929KT7-HCA2-MK6892-Gi1/β1/γ2
16.67Single9P1SZM-2413859P1S-A2A-ZM-241385
16.67Consensus5ht2b_offOrthosteric Ligand6DRZ-5-HT2B-Methysergide
16.67Consensus5ht5_onOrthosteric Ligand5ht5a_on
16.67Consensus5ht5a_onOrthosteric Ligand7X5H-5-HT5A-5-CT-Gi1/β1/γ2 7UM6-5-HT5A-Lisuride-chim(NtGi1-Go)/β1/γ2 7UM7-5-HT5A-Methylergometrine-chim(NtGi1-Go)/β1/γ2
16.67Consensusadrenergic_onOrthosteric Ligandalpha_on beta_on
16.67Consensusccr2_offOrthosteric Ligand6GPS-CCR2-MK0812
16.67Consensusdopamine_offOrthosteric Ligandd2_off d3_off
16.67Consensusdopamine_onOrthosteric Ligandd2_on d1_on d3_on d4_on d5_on
16.67Consensusdopamine_on_gpOrthosteric Ligandd2_on_gp d1_on_gp d3_on_gp d4_on_gp d5_on_gp
16.67Consensusghrelin_onOrthosteric Ligand7NA7-Ghrelin-Ghrelin-Gi1/β1/γ2 7F9Z-Ghrelin-GHRP-6-chim(NtGi1-Gs-CtGq)/β1/γ2 7NA8-Ghrelin-Ibutamoren-Gi1/β1/γ2
16.67Consensusghrelin_on_gpOrthosteric Ligand7NA7-Ghrelin-Ghrelin-Gi1/β1/γ2 7F9Z-Ghrelin-GHRP-6-chim(NtGi1-Gs-CtGq)/β1/γ2 7NA8-Ghrelin-Ibutamoren-Gi1/β1/γ2
16.67Consensusgs_trace-amineOrthosteric Ligand8W88-TA1-SEP-363856-Gs/β1/γ2 8JLJ-TA1-T1AM-chim(NtGi1-Gs)/β1/γ2 8JLO-TA1-Ulotaront-Gs/β1/γ2 8WC4-TA1-ZH8651-chim(NtGi1-Gs)/β1/γ2 8WC7-TA1-ZH8667-chim(NtGi1-Gs)/β1/γ2 8JLR-TA1-A77636-chim(NtGi1-Gs)/β1/γ2 8JSO-TA1-AMPH-chim(NtGi1-Gs)/β1/γ2 8W87-TA1-METH-chim(NtGi1L-Gs)/β1/γ2 8W89-TA1-2-Phenylethylamine-chim(NtGi1L-Gs)/β1/γ2 8JLP-TA1-Ralmitaront-Gs/β1/γ2 8W8A-TA1-RO5256390-chim(NtGi1L-Gs)/β1/γ2
16.67Consensushistamine_offOrthosteric Ligandh1_off
16.67Consensusmc4_on_gpOrthosteric Ligand7AUE-MC4-Setmelanotide-chim(NtGi1L-Gs)/β1/γ2 7F58-MC4-THIQ-Gs/β1/γ2 7F54-MC4-Afamelanotide-Gs/β1/γ2 7F53-MC4-α-MSH-Gs/β1/γ2 7F55-MC4-Bremelanotide-Gs/β1/γ2
16.67Consensusnpy2_offOrthosteric Ligand7DDZ-Y2-JNJ-31020028
16.67Consensustachykinin_on_gpOrthosteric Ligandnk1_on_gp nk2_on_gp nk3_on_gp
16.28Single8HBDIRL16208HBD-ETB-IRL1620-Gi1/β1/γ2
16.22Single6W25SHU91196W25-MC4-SHU9119-Ca
16.22Single7RYCOxytocin7RYC-OT-Oxytocin-chim(NtGi2L-Gs-CtGq)/β1/γ2
16.22Single7W55Neuromedin-U-257W55-NMUR2-Neuromedin-U-25-chim(NtGi1-Gs-CtGq)/β1/γ2
16.22Single7XOUCholecystokinin-87XOU-CCKA-Cholecystokinin-8-Gs/β1/γ2
16.22Single8WKZSBL-MC-318WKZ-MC4-SBL-MC-31
16.22Single9B54VIP369B54-CB1-VIP36-Gi1/β1/γ2
16.22Consensusnmur2_onOrthosteric Ligand7W55-NMUR2-Neuromedin-U-25-chim(NtGi1-Gs-CtGq)/β1/γ2
16.22Consensusnmur2_on_gpOrthosteric Ligand7W55-NMUR2-Neuromedin-U-25-chim(NtGi1-Gs-CtGq)/β1/γ2
16.13Single2RH1Carazolol2RH1-β2-Carazolol
16.13Single2Y03Isoprenaline2Y03-β1-Isoprenaline
16.13Single2YCWCarazolol2YCW-β1-Carazolol
16.13Single4JKVTaladegib4JKV-SMO-Taladegib
16.13Single4RWDDIPP-NH24RWD-δ-DIPP-NH2-Na
16.13Single5D6LCarazolol5D6L-β2-Carazolol
16.13Single5IUAQ274563485IUA-A2A-Q27456348-Na
16.13Single5JQHCarazolol5JQH-β2-Carazolol
16.13Single5T1ABMS-6815T1A-CCR2-BMS-681-PubChem 12093170
16.13Single5TVNLSD5TVN-5-HT2B-LSD
16.13Single5WIUNemonapride5WIU-D4-Nemonapride
16.13Single5WIVNemonapride5WIV-D4-Nemonapride-Na
16.13Single5X7DCarazolol5X7D-β2-Carazolol-PubChem 129318963
16.13Single5YHLPubChem 1351213525YHL-EP4-PubChem 135121352
16.13Single5YWYONO-AE3-2085YWY-EP4-ONO-AE3-208
16.13Single5ZK33-quinuclidinyl-benzilate5ZK3-M2-3-quinuclidinyl-benzilate
16.13Single6E67BI1671076E67-β2-BI167107-Gs(CT)
16.13Single6GDGNECA6GDG-A2A-NECA-Gs/β1/γ1
16.13Single6GPXMK08126GPX-CCR2-MK0812
16.13Single6KUWPubChem 572132346KUW-α2c-PubChem 57213234
16.13Single6LFMCXCL86LFM-CXCR2-CXCL8-Gi1/β1/γ2
16.13Single6LPLZM-2413856LPL-A2A-ZM-241385-Na
16.13Single6PS3Carvedilol6PS3-β2-Carvedilol
16.13Single6PS6Timolol6PS6-β2-Timolol
16.13Single6S0QZM-2413856S0Q-A2A-ZM-241385
16.13Single6WQAZM-2413856WQA-A2A-ZM-241385-Na
16.13Single7BVQCarazolol7BVQ-β1-Carazolol
16.13Single7EPFNAM5977EPF-mGlu2-NAM597
16.13Single7RM5ZM-2413857RM5-A2A-ZM-241385-Na
16.13Single7S0FIsoprenaline7S0F-β1-Isoprenaline-Gi1/β1/γ2
16.13Single7SBFPZM217SBF-μ-PZM21-Gi1/β1/γ2
16.13Single7TRKIperoxo7TRK-M4-Iperoxo-Gi1/β1/γ2
16.13Single7VUHJNJ-635330547VUH-GPR139-JNJ-63533054-chim(Gs-CtGq)/β1/γ2
16.13Single7VV4Cortistatin-147VV4-MRGPRX2-Cortistatin-14
16.13Single7WIGL-0542647WIG-SST2-L-054264-Gi1/β1/γ2
16.13Single7XK9Constrained Isoproterenol7XK9-β2-Constrained Isoproterenol-Na
16.13Single8DZRGR89,6968DZR-κ-GR89,696-chim(NtGi2-Gt3)/β1/γ2
16.13Single8E9ZIperoxo8E9Z-M3-Iperoxo-chim(NtGi2L-Gs-CtGq)/β1/γ2
16.13Single8EFBOliceridine8EFB-μ-Oliceridine-Gi1/β1/γ2
16.13Single8FYNZM-2413858FYN-A2A-ZM-241385-Na
16.13Single8GFYConstrained Epinephrine8GFY-β2-Constrained Epinephrine-GTP-Gs/β1/γ2
16.13Single8GG2Constrained Epinephrine8GG2-β2-Constrained Epinephrine-GTP-Gs/β1/γ2
16.13Single8GNEKW-63568GNE-A2A-KW-6356-Na
16.13Single8ID4Linoleic acid8ID4-FFA4-Linoleic acid-Gi1/β1/γ2
16.13Single8K8JFenofibrate8K8J-CB1-Fenofibrate-chim(Gs-CtGq)/β1/γ2
16.13Single8WGBVU01550418WGB-mGlu4; mGlu2-Glutamate-VU0155041-Gi3/β1/γ2
16.13Single8XQPCholesterol8XQP-TAS2R14-Cholesterol-Aristolochic acid A-Gt3/β1/γ1
16.13Single8YH0NECA8YH0-A3A-NECA-Gi1/β1/γ2
16.13Single8YNSSNAP-948478YNS-MCH1-SNAP-94847
16.13Single8ZMFPubChem 1719206738ZMF-5-HT2C-PubChem 171920673
16.13Single9DYDAsenapine9DYD-5-HT1A-Asenapine-PtdIns4P-Go/β1/γ2
16.13Single9EKHONO-30302979EKH-DP1-ONO-3030297
16.13Single9F33FOB02-04A9F33-D3-FOB02-04A-Go/β1/γ2
16.13Single9F34FOB02-04A9F34-D3-FOB02-04A-Go/β1/γ2
16.13Single9K07DSO-5a9K07-BB3-DSO-5a-chim(NtGi2L-Gs-CtGq)/β1/γ2
16.13Single9KT6Acifran9KT6-HCA3-Acifran-Gi1/β1/γ2
16.13Single9M8POleic monoethanolamide9M8P-GPR3 ; GPR3-Oleic monoethanolamide-AF64394
16.13Single9MQKIsoquinuclidine9MQK-κ-Isoquinuclidine
16.13Single9PXYNaloxone9PXY-μ-Naloxone-GDPβS-Gi1/β1/γ2
16.13Single9VJFBuspirone9VJF-5-HT1A-Buspirone-Gi3/β1/γ2
16.13Consensus5ht5_on_gpOrthosteric Ligand5ht5a_on_gp
16.13Consensus5ht5a_on_gpOrthosteric Ligand7X5H-5-HT5A-5-CT-Gi1/β1/γ2 7UM6-5-HT5A-Lisuride-chim(NtGi1-Go)/β1/γ2 7UM7-5-HT5A-Methylergometrine-chim(NtGi1-Go)/β1/γ2
16.13Consensusadrenergic_offOrthosteric Ligandalpha_off beta_off
16.13Consensusadrenergic_on_gpOrthosteric Ligandalpha_on_gp beta_on_gp
16.13Consensusalpha2c_offOrthosteric Ligand6KUW-α2c-PubChem 57213234
16.13Consensusalpha_offOrthosteric Ligandalpha1_off alpha2_off
16.13Consensusamine_offOrthosteric Ligand5ht_off adrenergic_off dopamine_off histamine_off muscarinic_off
16.13Consensusamine_offonOrthosteric Ligandamine_off amine_on
16.13Consensusamine_offon_gpOrthosteric Ligandamine_on_gp amine_off
16.13Consensusamine_onOrthosteric Ligand5ht_on adrenergic_on dopamine_on histamine_on muscarinic_on trace-amine_on
16.13Consensusbeta2_offOrthosteric Ligand2RH1-β2-Carazolol 6PS3-β2-Carvedilol 6PS5-β2-Propranolol 3D4S-β2-Timolol 3NY8-β2-ICI118-551 3NY9-β2-PubChem 913103 6PRZ-β2-Alprenolol
16.13Consensusbeta_offOrthosteric Ligandbeta1_off beta2_off
16.13Consensusblt1_offOrthosteric Ligand5X33-BLT1-BIIL260 7K15-BLT1-MKD046-Na
16.13Consensusblt_offOrthosteric Ligandblt1_off
16.13Consensuscxcr2_on_gpOrthosteric Ligand6LFM-CXCR2-CXCL8-Gi1/β1/γ2
16.13Consensusd4_onOrthosteric Ligand8IRU-D4-Rotigotine-chim(NtGi1-Gs-CtGi1)/β1/γ2
16.13Consensusep4_offOrthosteric Ligand5YWY-EP4-ONO-AE3-208 5YHL-EP4-PubChem 135121352
16.13Consensusep_offOrthosteric Ligandep4_off
16.13Consensusgi_adrenergicOrthosteric Ligand7EJ0-α2a-Norepinephrine-Go/β1/γ2 7EJK-α2a-Oxymetazoline-Go/β1/γ2 7W7E-α2a-PubChem 164946676-Go/β1/γ2 7W6P-α2a-N-pyridin-4-ylisoquinolin-4-amine-Go/β1/γ2 7EJ8-α2a-Brimonidine-Go/β1/γ2 6K42-α2b-Dexmedetomidine-Gi1/β1/γ2 7EJA-α2a-Dexmedetomidine-Go/β1/γ2 7S0F-β1-Isoprenaline-Gi1/β1/γ2
16.13Consensusgq_muscarinicOrthosteric Ligand6OIJ-M1-Iperoxo-chim(NtGi1L-G11)/β1/γ2
16.13Consensush1_offOrthosteric Ligand8X63-H1-Mepyramine 3RZE-H1-Cidoxepin 8X5Y-H1-Astemizole
16.13Consensuslpa1_onOrthosteric Ligand7TD1-LPA1-LPA-Gi1/β1/γ2 7YU3-LPA1-ONO-0740556-Gi1/β1/γ2
16.13Consensuslpa1_on_gpOrthosteric Ligand7TD1-LPA1-LPA-Gi1/β1/γ2 7YU3-LPA1-ONO-0740556-Gi1/β1/γ2
16.13Consensusm1_onOrthosteric Ligand6OIJ-M1-Iperoxo-chim(NtGi1L-G11)/β1/γ2
16.13Consensusrxfp4_onOrthosteric Ligand7YK7-RXFP4-DC591053-Gi2/β1/γ2 7YJ4-RXFP4-INSL5-Gi2/β1/γ2 7YK6-RXFP4-PubChem 138319674-Gi2/β1/γ2
16.13Consensusrxfp4_on_gpOrthosteric Ligand7YK7-RXFP4-DC591053-Gi2/β1/γ2 7YJ4-RXFP4-INSL5-Gi2/β1/γ2 7YK6-RXFP4-PubChem 138319674-Gi2/β1/γ2
16.13Consensuss1p5_offOrthosteric Ligand7YXA-S1P5-ONO-5430608
15.79Single7KH0AVP7KH0-V2-AVP-chim(NtGi1-Gs)/β1/γ2
15.79Consensustachykinin_onOrthosteric Ligandnk1_on nk2_on nk3_on
15.62Single3UON3-quinuclidinyl-benzilate3UON-M2-3-quinuclidinyl-benzilate
15.62Single4DJHJDTic4DJH-κ-JDTic
15.62Single4IAQDihydroergotamine4IAQ-5-HT1B-Dihydroergotamine
15.62Single5D5ACarazolol5D5A-β2-Carazolol
15.62Single5D5BCarazolol5D5B-β2-Carazolol
15.62Single5V54Methiothepin5V54-5-HT1B-Methiothepin
15.62Single5V56TC1145V56-SMO-TC114
15.62Single5V57TC1145V57-SMO-TC114
15.62Single5XRAAM115425XRA-CB1-AM11542
15.62Single5ZBHBMS-1938855ZBH-Y1-BMS-193885
15.62Single6DDEDAMGO6DDE-μ-DAMGO-Gi1/β1/γ2
15.62Single6H7JIsoprenaline6H7J-β1-Isoprenaline
15.62Single6J21Aprepitant6J21-NK1-Aprepitant
15.62Single6KO5PubChem 574000026KO5-Ghrelin-PubChem 57400002
15.62Single6N48BI1671076N48-β2-BI167107-PubChem 138454256
15.62Single6OIJIperoxo6OIJ-M1-Iperoxo-chim(NtGi1L-G11)/β1/γ2
15.62Single6TQ7SB-3348676TQ7-OX1-SB-334867
15.62Single6WGTLSD6WGT-5-HT2A-LSD
15.62Single7B6WCyclazosin7B6W-α1b-Cyclazosin
15.62Single7F58THIQ7F58-MC4-THIQ-Gs/β1/γ2
15.62Single7FEECP559407FEE-CB1-CP55940-ZCZ011
15.62Single7JJOIsoprenaline7JJO-β1-Isoprenaline-Gs/β1/γ2
15.62Single7M8W15r-Methyl-PGD27M8W-DP2-15r-Methyl-PGD2-Na
15.62Single7S8MCortistatin-147S8M-MRGPRX2-Cortistatin-14-Gi1/β1/γ2
15.62Single7TRQIperoxo7TRQ-M4-Iperoxo-VU0467154-Gi1/β1/γ2
15.62Single7U2LC5-guano7U2L-μ-C5-guano-Gi1/β1/γ2
15.62Single7W6PN-pyridin-4-ylisoquinolin-4-amine7W6P-α2a-N-pyridin-4-ylisoquinolin-4-amine-Go/β1/γ2
15.62Single7W7EPubChem 1649466767W7E-α2a-PubChem 164946676-Go/β1/γ2
15.62Single7XBDGalanin7XBD-GAL2-Galanin-chim(NtGi2L-Gs-CtGq)/β1/γ2
15.62Single7XWONeurokinin-A7XWO-NK2-Neurokinin-A-chim(NtGi1-Gs-CtGq)/β1/γ2
15.62Single7Y24Octreotide7Y24-SST2-Octreotide-Go/β1/γ2
15.62Single7Y67C089 peptide7Y67-C5a1-C089 peptide-Gi1/β1/γ2
15.62Single8DCSCyanopindolol8DCS-β1-Cyanopindolol-Gs/β1/γ2
15.62Single8EA0Iperoxo8EA0-M3-Iperoxo
15.62Single8EF5Fentanyl8EF5-μ-Fentanyl-Gi1/β1/γ2
15.62Single8FMZNeurotensin-(8-13)8FMZ-NTS1-Neurotensin-(8-13)-chim(NtGi2L-Gs-CtGq)/β1/γ2
15.62Single8GUSHU-3088GUS-CB2-HU-308-Gi1/β1/γ2
15.62Single8HDOBAY 60-65838HDO-A2B-BAY 60-6583-Gs/β1/γ2
15.62Single8IRRRotigotine8IRR-D1-Rotigotine-Gs/β1/γ2
15.62Single8IRURotigotine8IRU-D4-Rotigotine-chim(NtGi1-Gs-CtGi1)/β1/γ2
15.62Single8JLPRalmitaront8JLP-TA1-Ralmitaront-Gs/β1/γ2
15.62Single8JSRAnamorelin8JSR-Ghrelin-Anamorelin-chim(NtGi1-Gs-CtGq)/β1/γ2
15.62Single8JXVClozapine8JXV-H4-Clozapine-Gi1/β1/γ2
15.62Single8JXWVUF68848JXW-H4-VUF6884-Gi1/β1/γ2
15.62Single8WJXADP8WJX-P2Y1-ADP-chim(Gs-CtGq)/β1/γ2
15.62Single8XJMLatanoprost8XJM-FP-alpha-Latanoprost-chim(NtGi2-Gs-CtGq)/β1/γ2
15.62Single8Y73Peptide8Y73-μ-Peptide-MPAM-15-Gi1/β1/γ2
15.62Single8YNTSNAP-948478YNT-MCH1-SNAP-94847
15.62Single9BJKNaloxone9BJK-μ-Naloxone-PubChem 171642066
15.62Single9BS9LSD9BS9-D2-LSD
15.62Single9BSBLSD9BSB-D2-LSD-chim(NtGi1-Go)/β1/γ2
15.62Single9EGOZ85267113509EGO-CB1-Z8526711350-Gi1/β1/γ2
15.62Single9RHGC4079RHG-FZD7-C407
15.62Single9UY3Anamorelin9UY3-Ghrelin-Anamorelin-chim(NtGi1-Gs-CtGq)/β1/γ2
15.62Consensus5ht1_offOrthosteric Ligand5ht1b_off
15.62Consensus5ht1b_offOrthosteric Ligand5V54-5-HT1B-Methiothepin
15.62Consensusa2_onOrthosteric Liganda2b_on
15.62Consensusa2_on_gpOrthosteric Liganda2b_on_gp
15.62Consensusa2b_onOrthosteric Ligand8HDP-A2B-Adenosine-Gs/β1/γ2 7XY6-A2B-BAY 60-6583-chim(NtGi1-Gs)/β1/γ2 7XY7-A2B-NECA-chim(NtGi1-Gs)/β1/γ2 8HDO-A2B-BAY 60-6583-Gs/β1/γ2
15.62Consensusa2b_on_gpOrthosteric Ligand8HDP-A2B-Adenosine-Gs/β1/γ2 7XY6-A2B-BAY 60-6583-chim(NtGi1-Gs)/β1/γ2 7XY7-A2B-NECA-chim(NtGi1-Gs)/β1/γ2 8HDO-A2B-BAY 60-6583-Gs/β1/γ2
15.62Consensusamine_on_gpOrthosteric Ligand5ht_on_gp adrenergic_on_gp dopamine_on_gp histamine_on_gp muscarinic_on_gp trace-amine_on_gp
15.62Consensusbeta1_offOrthosteric Ligand2VT4-β1-Cyanopindolol 2YCW-β1-Carazolol 2YCZ-β1-Iodocyanopindolol 5A8E-β1-7-Methylcyanopindolol-Na 3ZPQ-β1-PubChem 594590-Na 3ZPR-β1-PubChem 598754-Na
15.62Consensusbeta2_onOrthosteric Ligand7DHI-β2-Salbutamol-Gs/β1/γ2 6NI3-β2-BI167107-Gs/β1/γ2
15.62Consensusbeta2_on_gpOrthosteric Ligand7DHI-β2-Salbutamol-Gs/β1/γ2 6NI3-β2-BI167107-Gs/β1/γ2
15.62Consensusd4_on_gpOrthosteric Ligand8IRU-D4-Rotigotine-chim(NtGi1-Gs-CtGi1)/β1/γ2
15.62Consensusgi_5htOrthosteric Ligand8FYT-5-HT1A-LSD-PtdIns4P-Gi1/β1/γ1 7UM7-5-HT5A-Methylergometrine-chim(NtGi1-Go)/β1/γ2 8UGY-5-HT1E-Mianserin-Gi1/β1/γ1 8W8B-5-HT1A-SEP-363856-Gi1/β1/γ2 7E2Y-5-HT1A-Serotonin-PtdIns4P-Gi1/β1/γ2 7E32-5-HT1D-Serotonin-Gi1/β1/γ2 7XTA-5-HT4-Serotonin-Gi1/β1/γ2 8UH3-5-HT1E-Setiptiline-Gi1/β1/γ1 8JSP-5-HT1A-Ulotaront-Gi1/β1/γ2 8FYL-5-HT1A-Vilazodone-PtdIns4P-Gi1/β1/γ1 8JT6-5-HT1A-(R)-IHCH-7179-PtdIns4P-Gi1/β1/γ2 8FYE-5-HT1A-4-F,5-MeO-PyrT-PtdIns4P-Gi1/β1/γ1 7X5H-5-HT5A-5-CT-Gi1/β1/γ2 8FY8-5-HT1A-5-MeO-DMT-PtdIns4P-Gi1/β1/γ1 7E2Z-5-HT1A-Aripiprazole-PtdIns4P-Gi1/β1/γ2 7E33-5-HT1E-BRL-54443-Gi1/β1/γ2 8FYX-5-HT1A-Buspirone-PtdIns4P-Gi1/β1/γ1 7EXD-5-HT1F-Lasmiditan-Gi1/β1/γ2 7UM6-5-HT5A-Lisuride-chim(NtGi1-Go)/β1/γ2
15.62Consensusgs_adenosineOrthosteric Ligand8HDP-A2B-Adenosine-Gs/β1/γ2 8HDO-A2B-BAY 60-6583-Gs/β1/γ2 7XY7-A2B-NECA-chim(NtGi1-Gs)/β1/γ2 7XY6-A2B-BAY 60-6583-chim(NtGi1-Gs)/β1/γ2
15.62Consensusgs_adrenergicOrthosteric Ligand7DHI-β2-Salbutamol-Gs/β1/γ2 7XJI-β3-Solabegron-Gs/β1/γ2 7JJO-β1-Isoprenaline-Gs/β1/γ2 6NI3-β2-BI167107-Gs/β1/γ2 8DCR-β1-Dobutamine-Gs/β1/γ2 7XJH-β3-Isoprenaline-Gs/β1/γ2 7DH5-β3-Mirabegron-Gs/β1/γ2
15.62Consensusgs_nucleotideOrthosteric Ligandgs_adenosine
15.62Consensuskop_offOrthosteric Ligand4DJH-κ-JDTic
15.62Consensusm1_on_gpOrthosteric Ligand6OIJ-M1-Iperoxo-chim(NtGi1L-G11)/β1/γ2
15.62Consensusmotilin_onOrthosteric Ligand8IBU-Motilin-Erythromycin-A-chim(NtGi1-Gs-CtGq)/β1/γ2
15.62Consensusnk2_on_gpOrthosteric Ligand7XWO-NK2-Neurokinin-A-chim(NtGi1-Gs-CtGq)/β1/γ2
15.62Consensusnpy1_offOrthosteric Ligand5ZBH-Y1-BMS-193885 5ZBQ-Y1-UR-MK-299
15.62Consensusnpy_offOrthosteric Ligandnpy1_off npy2_off
15.38Single7F9YGhrelin7F9Y-Ghrelin-Ghrelin-chim(NtGi1-Gs-CtGq)/β1/γ2
15.38Single7P02Substance-P7P02-NK1-Substance-P-chim(NtGi1-Gs)/β1/γ2
15.38Single8A2OTheophylline8A2O-A2A-Theophylline-Na
15.38Single8DPHLorcaserin8DPH-5-HT2C-Lorcaserin-chim(NtGi2L-Gs-CtGq)/β1/γ2
15.38Single8GEIConstrained Epinephrine8GEI-β2-Constrained Epinephrine-Gs/β1/γ2
15.38Single8HCXEndothelin-18HCX-ETB-Endothelin-1-chim(NtGi2L-Gs-CtGq)/β1/γ2
15.38Single9CHUNorepinephrine9CHU-β2-Norepinephrine
15.38Single9EE9Adenosine9EE9-A2A-Adenosine-Gs/β1/γ2
15.38Consensusp2y10_onOrthosteric Ligand8KGG-P2Y10-Lysophosphatidylserine (WJS)-chim(NtGi2-G13)/β1/γ2
15.15Single2YCXCyanopindolol2YCX-β1-Cyanopindolol
15.15Single3D4STimolol3D4S-β2-Timolol
15.15Single3VW7Vorapaxar; Na3VW7-PAR1-Vorapaxar; Na
15.15Single4AMIBucindolol4AMI-β1-Bucindolol
15.15Single4LDEBI1671074LDE-β2-BI167107
15.15Single4N4WSANT-14N4W-SMO-SANT-1
15.15Single4RWADIPP-NH24RWA-δ-DIPP-NH2
15.15Single5F8UCyanopindolol5F8U-β1-Cyanopindolol
15.15Single6CM4Risperidone6CM4-D2-Risperidone
15.15Single6DRYMethylergometrine6DRY-5-HT2B-Methylergometrine
15.15Single6H7NXamoterol6H7N-β1-Xamoterol
15.15Single6H7OCyanopindolol6H7O-β1-Cyanopindolol
15.15Single6IIURamatroban6IIU-TXA2-Ramatroban
15.15Single6KQICP559406KQI-CB1-CP55940-Org27569
15.15Single6ZG4HTL00099366ZG4-M1-HTL0009936
15.15Single7EPENAM5637EPE-mGlu2-NAM563
15.15Single7EXDLasmiditan7EXD-5-HT1F-Lasmiditan-Gi1/β1/γ2
15.15Single7K15MKD0467K15-BLT1-MKD046-Na
15.15Single7L1UOrexin7L1U-OX2-Orexin-chim(NtGi1-Gs-CtGq)/β1/γ2
15.15Single7L1VPubChem 1554910097L1V-OX2-PubChem 155491009-chim(NtGi1-Gs-CtGq)/β1/γ2
15.15Single7MTRADX551647MTR-mGlu2; mGlu2-Glutamate-ADX55164
15.15Single7T6BS1P7T6B-S1P2-S1P-chim(NtGi1L-G13)/β1/γ2
15.15Single7WQ4Galanin7WQ4-GAL2-Galanin-chim(NtGi1-Gs-CtGq)/β1/γ2
15.15Single7XW5ML1097XW5-TSH-TSH-ML109-Gs/β1/γ2
15.15Single7XW6ML1097XW6-TSH-M22 Fab-ML109-Gs/β1/γ2
15.15Single7XW9TRH7XW9-TRH-TRH-chim(NtGi1L-Gs-CtGq)/β1/γ2
15.15Single7XZ5Lysophosphatidylcholine7XZ5-GPR119-Lysophosphatidylcholine-Gs/β1/γ2
15.15Single7YMJTamsulosin7YMJ-Alpha1A-Tamsulosin
15.15Single8FYE4-F,5-MeO-PyrT8FYE-5-HT1A-4-F,5-MeO-PyrT-PtdIns4P-Gi1/β1/γ1
15.15Single8FYTLSD8FYT-5-HT1A-LSD-PtdIns4P-Gi1/β1/γ1
15.15Single8GCPPGE28GCP-EP4-PGE2-Gi1/β1/γ2
15.15Single8H0QGastrin Releasing Peptide8H0Q-BB2-Gastrin Releasing Peptide-chim(NtGi1-Gs-CtGq)/β1/γ2
15.15Single8IRSRotigotine8IRS-D2-Rotigotine-Gi1/β1/γ2
15.15Single8JJPChemerin-98JJP-CML2-Chemerin-9-Gi1/β1/γ2
15.15Single8T3QDoconexent8T3Q-FFA4-Doconexent-chim(NtGi2L-Gs-CtGq)/β1/γ2
15.15Single8XWMCXCL68XWM-CXCR2-CXCL6
15.15Single8XWSCXCL58XWS-CXCR2-CXCL5
15.15Single9ECJS-geranylgeranyl-L-glutathione9ECJ-P2Y8-S-geranylgeranyl-L-glutathione-G13/β1/γ2
15.15Single9EK0Iperoxo9EK0-M5-Iperoxo-chim(NtGi1-Gs-CtGq)/β1/γ2
15.15Single9GGGI-BOP9GGG-TXA2-I-BOP-chim(NtGi2L-Gs-CtGq)/β1/γ2
15.15Single9KVG5-MeO-DMT9KVG-5-HT1A-5-MeO-DMT-PtdIns4P-Gi1/β1/γ2
15.15Single9VIFNeuropeptide-VF9VIF-NPFF1-Neuropeptide-VF-Gi1/β1/γ2
15.15Single9YDQDADLE9YDQ-δ-DADLE-MIPS3614-chim(NtGi1L-Gs-CtGi1)/β1/γ2
15.15Consensus5ht1a_onOrthosteric Ligand8FYT-5-HT1A-LSD-PtdIns4P-Gi1/β1/γ1 7E2Y-5-HT1A-Serotonin-PtdIns4P-Gi1/β1/γ2 7E2Z-5-HT1A-Aripiprazole-PtdIns4P-Gi1/β1/γ2 8FYX-5-HT1A-Buspirone-PtdIns4P-Gi1/β1/γ1 8JSP-5-HT1A-Ulotaront-Gi1/β1/γ2 8JT6-5-HT1A-(R)-IHCH-7179-PtdIns4P-Gi1/β1/γ2 8FY8-5-HT1A-5-MeO-DMT-PtdIns4P-Gi1/β1/γ1 8FYE-5-HT1A-4-F,5-MeO-PyrT-PtdIns4P-Gi1/β1/γ1 8FYL-5-HT1A-Vilazodone-PtdIns4P-Gi1/β1/γ1
15.15Consensus5ht1a_on_gpOrthosteric Ligand8FYT-5-HT1A-LSD-PtdIns4P-Gi1/β1/γ1 8FYX-5-HT1A-Buspirone-PtdIns4P-Gi1/β1/γ1 8JSP-5-HT1A-Ulotaront-Gi1/β1/γ2 8JT6-5-HT1A-(R)-IHCH-7179-PtdIns4P-Gi1/β1/γ2 7E2Y-5-HT1A-Serotonin-PtdIns4P-Gi1/β1/γ2 7E2Z-5-HT1A-Aripiprazole-PtdIns4P-Gi1/β1/γ2 8FY8-5-HT1A-5-MeO-DMT-PtdIns4P-Gi1/β1/γ1 8FYE-5-HT1A-4-F,5-MeO-PyrT-PtdIns4P-Gi1/β1/γ1 8FYL-5-HT1A-Vilazodone-PtdIns4P-Gi1/β1/γ1
15.15Consensus5ht1f_onOrthosteric Ligand7EXD-5-HT1F-Lasmiditan-Gi1/β1/γ2
15.15Consensus5ht1f_on_gpOrthosteric Ligand7EXD-5-HT1F-Lasmiditan-Gi1/β1/γ2
15.15Consensusalpha1_offOrthosteric Ligandalpha1a_off
15.15Consensusalpha1a_offOrthosteric Ligand7YMJ-Alpha1A-Tamsulosin
15.15Consensusbeta_onOrthosteric Ligandbeta1_on beta2_on beta3_on
15.15Consensusbeta_on_gpOrthosteric Ligandbeta1_on_gp beta2_on_gp beta3_on_gp
15.15Consensusgi_muscarinicOrthosteric Ligand8E9X-M4-2-Deoxycytidine-chim(NtGi1-Go)/β1/γ2 7T8X-M2-Acetylcholine-chim(NtGi1-Go)/β1/γ2 7TRS-M4-Acetylcholine-Gi1/β1/γ2 7TRK-M4-Iperoxo-Gi1/β1/γ2 7V6A-M4-PubChem 9864275-Gi1/β1/γ2
15.15Consensustrh_onOrthosteric Ligand7XW9-TRH-TRH-chim(NtGi1L-Gs-CtGq)/β1/γ2
15.15Consensustrh_on_gpOrthosteric Ligand7XW9-TRH-TRH-chim(NtGi1L-Gs-CtGq)/β1/γ2
14.81Single3OE6IT1t3OE6-CXCR4-IT1t
14.81Single4XNWMRS25004XNW-P2Y1-MRS2500
14.81Single6PWCNeurotensin-(9-13)6PWC-NTS1-Neurotensin-(9-13)-Arrestin2
14.81Single7EJKOxymetazoline7EJK-α2a-Oxymetazoline-Go/β1/γ2
14.81Single7F23Dopamine7F23-D1-Dopamine-GDP-Gs/β1/γ2
14.81Single8JEFPubChem 113671668JEF-HCA3-PubChem 11367166-Gi1/β1/γ2
14.81Single8JRVGlucagon8JRV-Glucagon-Glucagon-Arrestin2
14.81Single8WC62-Phenylethylamine8WC6-TA1-2-Phenylethylamine-chim(NtGi1-Gs)/β1/γ2
14.81Single8WC9ZH86518WC9-TA1-ZH8651-chim(NtGi1-Gs-CtGq)/β1/γ2
14.81Single8YN9Histamine8YN9-H4-Histamine-Gi1/β1/γ2
14.81Single8YUUHistamine8YUU-H3-Histamine-Gi1/β1/γ1
14.81Single9IV15alpha-DHT9IV1-ADGRD1-5α-DHT-chim(NtGi1-Gs)/β1/γ2
14.81Single9LRCHistamine9LRC-H4-Histamine
14.81Single9LREHistamine9LRE-H4-Histamine-Gi1/β1/γ2
14.81Consensus5ht2_onOrthosteric Ligand5ht2b_on
14.81Consensus5ht2b_onOrthosteric Ligand7SRR-5-HT2B-LSD-chim(NtGi2L-Gs-CtGq)/β1/γ2
14.81Consensush3_onOrthosteric Ligand8YUU-H3-Histamine-Gi1/β1/γ1
14.81Consensush3_on_gpOrthosteric Ligand8YUU-H3-Histamine-Gi1/β1/γ1
14.81Consensusp2y1_offOrthosteric Ligand4XNW-P2Y1-MRS2500
14.71Single5CGDHTL142425CGD-mGlu5-HTL14242
14.71Single6BQHRitanserin6BQH-5-HT2C-Ritanserin
14.71Single6H7LDobutamine6H7L-β1-Dobutamine
14.71Single6IBLArformoterol6IBL-β1-Arformoterol
14.71Single6K1QIRL25006K1Q-ETB-IRL2500
14.71Single6TKOArformoterol6TKO-β1-Arformoterol-Arrestin2
14.71Single7D7MPGE27D7M-EP4-PGE2-Gs/β1/γ1
14.71Single7P00Substance-P7P00-NK1-Substance-P-chim(NtGi1-Gs-CtGq)/β1/γ2
14.71Single7UM4AS26747237UM4-5-HT5A-AS2674723
14.71Single8E9X2-Deoxycytidine8E9X-M4-2-Deoxycytidine-chim(NtGi1-Go)/β1/γ2
14.71Single8FX5Xanomeline8FX5-M4-Xanomeline-Xanomeline-Gi1/β1/γ2
14.71Single8IULLatanoprost8IUL-FP-alpha-Latanoprost-chim(NtGi1-Gs-CtGq)/β1/γ2
14.71Single8S2TIsoprenaline8S2T-β1-Isoprenaline-chim(NtGi1-Gs)/β1/γ2
14.71Single8XJKCloprosetnol8XJK-FP-alpha-Cloprosetnol-chim(NtGi1-Gs-CtGq)/β1/γ2
14.71Single8XVJMacitentan8XVJ-ETA-Macitentan
14.71Single8XWFCXCL38XWF-CXCR2-CXCL3
14.71Single8ZX4Lysophosphatidylinositol 8ZX4-GPR55-Lysophosphatidylinositol-chim(NtGi1-G13)/β1/γ2
14.71Single9AS02-bromo-LSD9AS0-5-HT2A-2-bromo-LSD-chim(NtGi1-Gs-CtGq)/β1/γ2
14.71Single9CGJC6-Quino9CGJ-δ-C6-Quino-Gi1/β1/γ2
14.71Single9YDPDADLE9YDP-δ-DADLE-chim(NtGi1L-Gs-CtGi1)/β1/γ2
14.71Consensus5ht2c_offOrthosteric Ligand6BQH-5-HT2C-Ritanserin
14.71Consensusbeta1_onOrthosteric Ligand8DCR-β1-Dobutamine-Gs/β1/γ2 7S0F-β1-Isoprenaline-Gi1/β1/γ2
14.71Consensusbeta1_on_gpOrthosteric Ligand8DCR-β1-Dobutamine-Gs/β1/γ2 7S0F-β1-Isoprenaline-Gi1/β1/γ2
14.71Consensusfp-alpha_onOrthosteric Ligand8IUK-FP-alpha-PGF2-α-chim(NtGi1-Gs-CtGq)/β1/γ2 8IUL-FP-alpha-Latanoprost-chim(NtGi1-Gs-CtGq)/β1/γ2 8IUM-FP-alpha-Tafluprost acid-chim(NtGi1-Gs-CtGq)/β1/γ2
14.71Consensusfp-alpha_on_gpOrthosteric Ligand8IUK-FP-alpha-PGF2-α-chim(NtGi1-Gs-CtGq)/β1/γ2 8IUL-FP-alpha-Latanoprost-chim(NtGi1-Gs-CtGq)/β1/γ2 8IUM-FP-alpha-Tafluprost acid-chim(NtGi1-Gs-CtGq)/β1/γ2
14.71Consensusnk1_onOrthosteric Ligand7P00-NK1-Substance-P-chim(NtGi1-Gs-CtGq)/β1/γ2
14.71Consensusnk1_on_gpOrthosteric Ligand7P00-NK1-Substance-P-chim(NtGi1-Gs-CtGq)/β1/γ2
14.63Single8W8WAlpha-MSH8W8W-MC3-α-MSH-Ca-Gs/β1/γ2
14.63Single8W8XBeta-MSH8W8X-MC3-β-MSH-Ca-Gs/β1/γ2
14.63Single9KDFRES-701-39KDF-ETB-RES-701-3
14.29Single4O9RCyclopamine4O9R-SMO-Cyclopamine
14.29Single7RMHSubstance-P7RMH-NK1-Substance-P-Gs/β1/γ2
14.29Single7S8LCortistatin-147S8L-MRGPRX2-Cortistatin-14-chim(NtGi2L-Gs-CtGq)/β1/γ2
14.29Single7SRQLSD7SRQ-5-HT2B-LSD
14.29Single7T96LY21196207T96-M2-Acetylcholine-LY2119620-Go/β1/γ2
14.29Single7TRPLY20332987TRP-M4-Iperoxo-LY2033298-Gi1/β1/γ2
14.29Single7V68Iperoxo7V68-M4-Iperoxo-LY2119620-Gi1/β1/γ2
14.29Single7VDHC48/807VDH-MRGPRX2-C48/80-Gi1/β1/γ2
14.29Single7XTASerotonin7XTA-5-HT4-Serotonin-Gi1/β1/γ2
14.29Single7YFCHistamine7YFC-H4-Histamine-chim(NtGi1-Gs-CtGq)/β1/γ2
14.29Single7YFDImetit7YFD-H4-Imetit-chim(NtGi1-Gs-CtGq)/β1/γ2
14.29Single7YS6Serotonin7YS6-5-HT6-Serotonin-chim(NtGi1-Gs)/β1/γ2
14.29Single8DPFLorcaserin8DPF-5-HT2C-Lorcaserin-chim(NtGi2L-Gs-CtGq)/β1/γ2
14.29Single8EF6Morphine8EF6-μ-Morphine-Gi1/β1/γ2
14.29Single8GDAL9026888GDA-EP4-L902688-Gs/β1/γ2
14.29Single8GGYConstrained Epinephrine8GGY-β2-Constrained Epinephrine
14.29Single8HN8Histamine8HN8-H4-Histamine-Gi1/β1/γ2
14.29Single8IHIAcifran8IHI-HCA2-Acifran-Gi1/β1/γ2
14.29Single8IQ4Carboprost8IQ4-FP-alpha-Carboprost-chim(NtGi1-Gs-CtGq)/β1/γ2
14.29Single8JILNiacin8JIL-HCA2-Niacin-Gi1/β1/γ2
14.29Single8JLOUlotaront8JLO-TA1-Ulotaront-Gs/β1/γ2
14.29Single8RWHStilSwitch28RWH-A2A-StilSwitch2-Na
14.29Single8U4RREGN7663-Fab8U4R-CXCR4-REGN7663-Fab
14.29Single8UO4Constrained Epinephrine8UO4-β2-Constrained Epinephrine-GTP; Mg-Gs/β1/γ2
14.29Single8W892-Phenylethylamine8W89-TA1-2-Phenylethylamine-chim(NtGi1L-Gs)/β1/γ2
14.29Single8XQJJN2418XQJ-Apelin; Apelin-JN241
14.29Single8XX6CXCL88XX6-CXCR2-CXCL8-Go/β1/γ2
14.29Single8YH3N-methyladenosine8YH3-A3A-N-methyladenosine-Gi1/β1/γ2
14.29Single8YKDDehydroepiandrosterone8YKD-ADGRG2-Dehydroepiandrosterone-chim(NtGi1-Gs)/β1/γ2
14.29Single8YN5Histamine8YN5-H3-Histamine-Gi1/β1/γ2
14.29Single8YN6Imetit8YN6-H3-Imetit-Gi1/β1/γ2
14.29Single8YN7Immethridine8YN7-H3-Immethridine-Go/β1/γ2
14.29Single8Z74JN241-98Z74-Apelin; Apelin-JN241-9
14.29Single8ZX5AM2518ZX5-GPR55-AM251-chim(NtGi1-G13)/β1/γ2
14.29Single9AS2DMT9AS2-5-HT2A-DMT-chim(NtGi1-Gs-CtGq)/β1/γ2
14.29Single9IJEEpinephrine9IJE-β3-Epinephrine-chim(NtGi1-Gs)/β1/γ2
14.29Single9JEDHistamine9JED-H4-Histamine-PO4-Gi1/β1/γ2
14.29Single9JEQHistamine9JEQ-H3-Histamine-Gi1/β1/γ2
14.29Single9L3ZLRH7-C29L3Z-CML1-LRH7-C2
14.29Single9L42Histamine9L42-H4-Histamine-Gi1/β1/γ2
14.29Single9LMPNE52-QQ579LMP-GPR4-NE52-QQ57
14.29Single9WSXEndomorphin9WSX-μ-Endomorphin-Arrestin2
14.29Consensus5ht4_onOrthosteric Ligand7XTA-5-HT4-Serotonin-Gi1/β1/γ2
14.29Consensus5ht4_on_gpOrthosteric Ligand7XTA-5-HT4-Serotonin-Gi1/β1/γ2
14.29Consensush4_onOrthosteric Ligand8HN8-H4-Histamine-Gi1/β1/γ2 8HOC-H4-Imetit-Gi1/β1/γ2 8JXV-H4-Clozapine-Gi1/β1/γ2 8JXW-H4-VUF6884-Gi1/β1/γ2 8JXX-H4-Clobenpropit-Gi1/β1/γ2
14.29Consensusnmur1_onOrthosteric Ligand7W53-NMUR1-Neuromedin-U-25-chim(NtGi1-Gs-CtGq)/β1/γ2
13.89Single4AMJCarvedilol4AMJ-β1-Carvedilol
13.89Single6WIVPubChem 52923113; PubChem 529246456WIV-GABAB1, GABAB2-PubChem 52923113; PubChem 52924645
13.89Single7F54Afamelanotide7F54-MC4-Afamelanotide-Gs/β1/γ2
13.89Single7W53Neuromedin-U-257W53-NMUR1-Neuromedin-U-25-chim(NtGi1-Gs-CtGq)/β1/γ2
13.89Single8F7XNociceptin8F7X-NOP-Nociceptin-Gi1/β1/γ2
13.89Single8FYLVilazodone8FYL-5-HT1A-Vilazodone-PtdIns4P-Gi1/β1/γ1
13.89Single8IZBLysophosphatidylserine (UBL)8IZB-GPR174-Lysophosphatidylserine (UBL)-Gs/β1/γ2
13.89Single8KIGSHU91198KIG-MC3-SHU9119-Ca
13.89Single8WKYPG-9348WKY-MC4-PG-934
13.89Single8XWNCXCL88XWN-CXCR2-CXCL8
13.89Single8ZBJSomatostatin-148ZBJ-SST5-Somatostatin-14-Gi1/β1/γ2
13.89Single9M4TSilodosin9M4T-Alpha1A-Silodosin
13.89Single9MEJGp1209MEJ-CXCR4-Gp120
13.89Consensusnmur1_on_gpOrthosteric Ligand7W53-NMUR1-Neuromedin-U-25-chim(NtGi1-Gs-CtGq)/β1/γ2
13.89Consensusnop_onOrthosteric Ligand8F7X-NOP-Nociceptin-Gi1/β1/γ2
13.89Consensusnop_on_gpOrthosteric Ligand8F7X-NOP-Nociceptin-Gi1/β1/γ2
13.79Single2X72All-trans-Retinal2X72-Rhodopsin-All-trans-Retinal-Gt(CT)
13.79Single3ODUIT1t3ODU-CXCR4-IT1t
13.79Single3PWHZM-2413853PWH-A2A-ZM-241385
13.79Single3VG9ZM-2413853VG9-A2A-ZM-241385-Antibody
13.79Single4QINSAG1.54QIN-SMO-SAG1.5
13.79Single5OLHVipadenant5OLH-A2A-Vipadenant-Na
13.79Single6B73MP11046B73-κ-MP1104
13.79Single6D9HAdenosine6D9H-A1-Adenosine-Gi2/β1/γ2
13.79Single6KUYPubChem 1457046436KUY-α2a-PubChem 145704643
13.79Single6LFOCXCL86LFO-CXCR2-CXCL8-Gi1/β1/γ2
13.79Single6ME2Ramelteon6ME2-MT1-Ramelteon
13.79Single6O3CSAG21k6O3C-SMO-SAG21k-Cholesterol
13.79Single6OYAAll-trans-Retinal6OYA-Rhodopsin-All-trans-Retinal-Gt/β1/γ1
13.79Single6RNKNF-56-EJ406RNK-Succinate-NF-56-EJ40
13.79Single6WWZCCL206WWZ-CCR6-CCL20-Go/β1/γ2
13.79Single7BR3Elagolix7BR3-GnRH1-Elagolix
13.79Single7DHRIsoprenaline7DHR-β2-Isoprenaline-Gs/β1/γ2
13.79Single7EJ0Norepinephrine7EJ0-α2a-Norepinephrine-Go/β1/γ2
13.79Single7F1ODopamine7F1O-D1-Dopamine-GDP; Mg-Gs/β1/γ2
13.79Single7F8ULintitript7F8U-CCKA-Lintitript
13.79Single7F8YDevazepide7F8Y-CCKA-Devazepide
13.79Single7S8PMS471347S8P-MRGPRX4-MS47134-chim(NtGi2L-Gs-CtGq)/β1/γ2
13.79Single7SRRLSD7SRR-5-HT2B-LSD-chim(NtGi2L-Gs-CtGq)/β1/γ2
13.79Single7T8XAcetylcholine7T8X-M2-Acetylcholine-chim(NtGi1-Go)/β1/γ2
13.79Single7T90Acetylcholine7T90-M2-Acetylcholine-chim(NtGi1-Go)/β1/γ2
13.79Single7T96Acetylcholine7T96-M2-Acetylcholine-LY2119620-Go/β1/γ2
13.79Single7TUZ7-alpha,25-dihydroxycholesterol7TUZ-GPR183-7-α,25-dihydroxycholesterol-Gi1/β1/γ2
13.79Single7VDLCortistatin-147VDL-MRGPRX2-Cortistatin-14-Gi1/β1/γ2
13.79Single7VUJJNJ-635330547VUJ-GPR139-JNJ-63533054-GDP-chim(Gs-CtGq)/β1/γ2
13.79Single7X2CFenoldopam7X2C-D1-Fenoldopam-Fenoldopam-Gs/β1/γ2
13.79Single7X5H5-CT7X5H-5-HT5A-5-CT-Gi1/β1/γ2
13.79Single7YM8Oxymetazoline7YM8-Alpha1A-Oxymetazoline-chim(Gs-CtGq)
13.79Single8DU3PubChem 1055260648DU3-A2A-PubChem 105526064
13.79Single8DWGML3828DWG-MRGPRX1-BAM8-22-ML382-chim(NtGi2L-Gs-CtGq)/β1/γ2
13.79Single8FYXBuspirone8FYX-5-HT1A-Buspirone-PtdIns4P-Gi1/β1/γ1
13.79Single8H8JLodoxamide8H8J-GPR35-Lodoxamide-Ca-chim(NtGi1L-G13)/β1/γ2
13.79Single8HDPAdenosine8HDP-A2B-Adenosine-Gs/β1/γ2
13.79Single8HMPC178HMP-GPR52-C17-Gs/β1/γ2
13.79Single8HOCImetit8HOC-H4-Imetit-Gi1/β1/γ2
13.79Single8RW4AzoSwitch28RW4-A2A-AzoSwitch2-Na
13.79Single8RWEStilSwitch48RWE-A2A-StilSwitch4-Na
13.79Single8UNSConstrained Epinephrine8UNS-β2-Constrained Epinephrine-GTP-Gs/β1/γ2
13.79Single8UNTConstrained Epinephrine8UNT-β2-Constrained Epinephrine-GTP-Gs/β1/γ2
13.79Single8UNXConstrained Epinephrine8UNX-β2-Constrained Epinephrine-GTP-Gs/β1/γ2
13.79Single8UTDMK19038UTD-HCA2-MK1903-Gi1/β1/γ2
13.79Single8WC3SEP-3638568WC3-TA1-SEP-363856-chim(NtGi1-Gs)/β1/γ2
13.79Single8XXVIndomethacin8XXV-DP2-Indomethacin-A1D5Q-Gi1/β1/γ2
13.79Single8Y0HVUF114188Y0H-CXCR3-VUF11418
13.79Single8Y0NVUF114188Y0N-CXCR3-VUF11418-Go/β1/γ2
13.79Single8YNAImmepip8YNA-H4-Immepip-Gi1/β1/γ2
13.79Single8YUVImmepip8YUV-H3-Immepip-Gi1/β1/γ2
13.79Single8YYWAlpha-ketoglutarate8YYW-Oxoglutarate-α-ketoglutarate-α-ketoglutarate-chim(Gi1-CtGq)/β1/γ2
13.79Single9FUPIstradefylline9FUP-A2A-Istradefylline-Na
13.79Single9K6LSalicin9K6L-TAS2R16-Salicin-Gi2/β1/γ2
13.79Single9KO2CCL199KO2-CCR7-CCL19-Gi1/β1
13.79Single9KO6CCL199KO6-CCR7-CCL19
13.79Single9KPESalicin9KPE-TAS2R16-Salicin-Gi1/β1/γ2
13.79Single9LL9DOI9LL9-5-HT2A-DOI-chim(NtGi1L-Gs-CtGq)/β1/γ2
13.79Single9M88Oleic monoethanolamide9M88-GPR3 ; GPR3-Oleic monoethanolamide-AF64394
13.79Single9MQJIsoquinuclidine9MQJ-μ-Isoquinuclidine
13.79Single9PXUNaloxone9PXU-μ-Naloxone-Na
13.79Single9VJ5Gepirone9VJ5-5-HT1A-Gepirone-Go/β1/γ2
13.79Consensus5ht1e_onOrthosteric Ligand7E33-5-HT1E-BRL-54443-Gi1/β1/γ2 8UGY-5-HT1E-Mianserin-Gi1/β1/γ1 8UH3-5-HT1E-Setiptiline-Gi1/β1/γ1
13.79Consensus5ht2_on_gpOrthosteric Ligand5ht2b_on_gp
13.79Consensus5ht2b_on_gpOrthosteric Ligand7SRR-5-HT2B-LSD-chim(NtGi2L-Gs-CtGq)/β1/γ2
13.79Consensus5ht_onOrthosteric Ligand5ht1_on 5ht2_on 5ht4_on 5ht5_on 5ht6_on 5ht7_on
13.79Consensusccr6_onOrthosteric Ligand6WWZ-CCR6-CCL20-Go/β1/γ2
13.79Consensusccr6_on_gpOrthosteric Ligand6WWZ-CCR6-CCL20-Go/β1/γ2
13.79Consensuscxcr1_onOrthosteric Ligand8IC0-CXCR1-CXCL8-Gi1/β1/γ2
13.79Consensusgnrh1_offOrthosteric Ligand7BR3-GnRH1-Elagolix
13.79Consensusgq_histamineOrthosteric Ligand7DFL-H1-Histamine-chim(NtGi1L-Gq)/β1/γ2
13.79Consensusgs_5htOrthosteric Ligand7XTC-5-HT7-5-CT-Gs/β1/γ2 7XTB-5-HT6-Serotonin-Gs/β1/γ2 8JLZ-5-HT6-ST1936-Gs/β1/γ2 7XT8-5-HT4-Serotonin-Gs/β1/γ2
13.79Consensush1_on_gpOrthosteric Ligand7DFL-H1-Histamine-chim(NtGi1L-Gq)/β1/γ2
13.79Consensushistamine_onOrthosteric Ligandh1_on h2_on h3_on h4_on
13.79Consensushistamine_on_gpOrthosteric Ligandh1_on_gp h2_on_gp h3_on_gp h4_on_gp
13.79Consensusm2_onOrthosteric Ligand7T8X-M2-Acetylcholine-chim(NtGi1-Go)/β1/γ2
13.79Consensusm2_on_gpOrthosteric Ligand7T8X-M2-Acetylcholine-chim(NtGi1-Go)/β1/γ2
13.79Consensusorexin_offOrthosteric Ligandox2_off ox1_off
13.79Consensusox2_offOrthosteric Ligand5WQC-OX2-EMPA 6TPN-OX2-HTL6641 7XRR-OX2-Lemborexant 6TPJ-OX2-Suvorexant
13.79Consensusrhodopsin_on_gpOrthosteric Ligand6OYA-Rhodopsin-All-trans-Retinal-Gt/β1/γ1
13.51Single7PIVAfamelanotide7PIV-MC4-Afamelanotide-Gs/β1/γ2
13.51Single7RMISubstance-P7RMI-NK1-Substance-P-chim(Gs-CtGq)/β1/γ2
13.51Single8JBHSubstance-P8JBH-NK3-Substance-P-chim(NtGi1-Gs-CtGq)/β1/γ2
13.51Single9EAINanobody AT2099EAI-AT1-Losartan-Nanobody AT209
13.51Single9IK8Pasireotide9IK8-SST1-Pasireotide-Gi1/β1/γ2
13.33Single3UZCPubChem 1355666093UZC-A2A-PubChem 135566609
13.33Single4DKLBeta-Funaltrexamine4DKL-μ-β-Funaltrexamine
13.33Single4MQTIperoxo4MQT-M2-Iperoxo-LY2119620
13.33Single4ZJCSB-6740424ZJC-OX1-SB-674042
13.33Single5UVIZM-2413855UVI-A2A-ZM-241385
13.33Single6A94Zotepine6A94-5-HT2A-Zotepine
13.33Single6AQFZM-2413856AQF-A2A-ZM-241385
13.33Single6K41Dexmedetomidine6K41-α2b-Dexmedetomidine-Go/β1/γ2
13.33Single6KUXRS799486KUX-α2a-RS79948
13.33Single6ME42-Iodomelatonin6ME4-MT1-2-Iodomelatonin
13.33Single6MH8ZM-2413856MH8-A2A-ZM-241385
13.33Single6TPGEMPA6TPG-OX2-EMPA
13.33Single6V9SGTPL114036V9S-OX1-GTPL11403
13.33Single6VI4JDTic6VI4-κ-JDTic
13.33Single6WH4Methiothepin6WH4-5-HT2A-Methiothepin
13.33Single6WJCAtropine6WJC-M1-Atropine-Muscarinic toxin 7
13.33Single6WJCMuscarinic toxin 76WJC-M1-Atropine-Muscarinic toxin 7
13.33Single6XBLSAG6XBL-SMO-SAG-Cholesterol-Gi1/β1/γ2
13.33Single6ZDVPubChem 9840736ZDV-A2A-PubChem 984073-Na
13.33Single6ZG9GSK10347026ZG9-M1-GSK1034702
13.33Single7CKWFenoldopam7CKW-D1-Fenoldopam-Gs/β1/γ2
13.33Single7CKZDopamine7CKZ-D1-Dopamine-Mevidalen-Gs/β1/γ2
13.33Single7CMUPramipexole7CMU-D3-Pramipexole-Gi1/β1/γ2
13.33Single7EJADexmedetomidine7EJA-α2a-Dexmedetomidine-Go/β1/γ2
13.33Single7F0TDopamine7F0T-D1-Dopamine-Gs/β1/γ2
13.33Single7F1ZDopamine7F1Z-D1-Dopamine-GDP-Gs/β1/γ2
13.33Single7M3GCa; Ca; Tryptophan; Evocalcet; Etelcalcetide; PO47M3G-CaS; CaS-Ca; Ca; Tryptophan; Evocalcet; Etelcalcetide; PO4
13.33Single7RANPubChem 1645758477RAN-5-HT2A-PubChem 164575847-chim(NtGi2L-Gs-CtGq)/β1/γ2
13.33Single7T94Acetylcholine7T94-M2-Acetylcholine-LY2119620-chim(NtGi1-Go)/β1/γ2
13.33Single7TRSAcetylcholine7TRS-M4-Acetylcholine-Gi1/β1/γ2
13.33Single7UM7Methylergometrine7UM7-5-HT5A-Methylergometrine-chim(NtGi1-Go)/β1/γ2
13.33Single7UTZDPPC7UTZ-TSH-TSH-DPPC-Gs/β1/γ2
13.33Single7WC9PubChem 1624213647WC9-5-HT2A-PubChem 162421364
13.33Single7XXH2MeSADP7XXH-P2Y1-2MeSADP-chim(NtGi1-G11)/β1/γ2
13.33Single7ZI0SAG7ZI0-SMO-SAG-Cholesterol
13.33Single8GEDConstrained Epinephrine8GED-β2-Constrained Epinephrine-Gs/β1/γ2
13.33Single8GG5Constrained Epinephrine8GG5-β2-Constrained Epinephrine-GTP-Gs/β1/γ2
13.33Single8H4LDoconexent8H4L-FFA4-Doconexent-chim(NtGi1-Gs-CtGq)/β1/γ2
13.33Single8JSPUlotaront8JSP-5-HT1A-Ulotaront-Gi1/β1/γ2
13.33Single8K9LDAMGO8K9L-μ-DAMGO-BMS-986122-Gi3/β1/γ1
13.33Single8PM2DMCHA8PM2-TA7-DMCHA-Gs/β1/γ2
13.33Single8THKA-616038THK-Alpha1A-A-61603-chim(NtGi2L-Gs-CtGq)/β1/γ2
13.33Single8THLEpinephrine8THL-Alpha1A-Epinephrine-chim(NtGi2L-Gs-CtGq)/β1/γ2
13.33Single8UNMConstrained Epinephrine8UNM-β2-Constrained Epinephrine-GTP-Gs/β1/γ2
13.33Single8UNWConstrained Epinephrine8UNW-β2-Constrained Epinephrine-GTP-Gs/β1/γ2
13.33Single8V6UPubChem 1713924568V6U-5-HT2A-PubChem 171392456-chim(NtGi2-Gs-CtGq)/β1/γ2
13.33Single8W8BSEP-3638568W8B-5-HT1A-SEP-363856-Gi1/β1/γ2
13.33Single8YRGFospropofol8YRG-MRGPRX4-Fospropofol-chim(NtGi1-Gs-CtGq)/β1/γ2
13.33Single8ZPNAMD31008ZPN-CXCR4-AMD3100
13.33Single9AS3LSD9AS3-5-HT2A-LSD
13.33Single9AS4LSD9AS4-5-HT2A-LSD-chim(NtGi1-Gs-CtGq)/β1/γ2
13.33Single9AS8Psilocin9AS8-5-HT2A-Psilocin-chim(NtGi2L-Gs-CtGq)/β1/γ2
13.33Single9CBLEpinephrine9CBL-α2a-Epinephrine-Gi1/β1/γ2
13.33Single9JMDAzithromycin9JMD-Motilin-Azithromycin-chim(Gs-CtGq)/β1/γ2
13.33Single9LL8Psilocin9LL8-5-HT2A-Psilocin-Gi1/β1/γ2
13.33Single9MQIIsoquinuclidine9MQI-μ-Isoquinuclidine
13.33Single9PXVNaloxone9PXV-μ-Naloxone-Gi1/β1/γ2
13.33Single9PXXNaloxone9PXX-μ-Naloxone-GDPβS-Gi1/β1/γ2
13.33Single9PY2Loperamide9PY2-μ-Loperamide-GDPβS-Gi1/β1/γ2
13.33Single9VJG8-OH-DPAT9VJG-5-HT1A-8-OH-DPAT-chim(NtGi2-Gz)/β1/γ2
13.33Single9W6W5-CT9W6W-5-HT5A-5-CT-Gi1/β1/γ2
13.33Consensus5ht2a_offOrthosteric Ligand6A94-5-HT2A-Zotepine 6A93-5-HT2A-Risperidone 7VOD-5-HT2A-Cariprazine 7WC8-5-HT2A-Lumateperone 8JT8-5-HT2A-(R)-IHCH-7179
13.33Consensusalpha1_onOrthosteric Ligandalpha1a_on
13.33Consensusalpha1_on_gpOrthosteric Ligandalpha1a_on_gp
13.33Consensusalpha1a_onOrthosteric Ligand7EJ0-α2a-Norepinephrine-Go/β1/γ2 7EJ8-α2a-Brimonidine-Go/β1/γ2 7EJA-α2a-Dexmedetomidine-Go/β1/γ2 7EJK-α2a-Oxymetazoline-Go/β1/γ2 7W6P-α2a-N-pyridin-4-ylisoquinolin-4-amine-Go/β1/γ2 7W7E-α2a-PubChem 164946676-Go/β1/γ2
13.33Consensusalpha1a_on_gpOrthosteric Ligand7EJ0-α2a-Norepinephrine-Go/β1/γ2 7EJ8-α2a-Brimonidine-Go/β1/γ2 7EJA-α2a-Dexmedetomidine-Go/β1/γ2 7EJK-α2a-Oxymetazoline-Go/β1/γ2 7W6P-α2a-N-pyridin-4-ylisoquinolin-4-amine-Go/β1/γ2 7W7E-α2a-PubChem 164946676-Go/β1/γ2
13.33Consensusd3_onOrthosteric Ligand7CMV-D3-PD128907-Gi1/β1/γ2 8IRT-D3-Rotigotine-Gi1/β1/γ2 7CMU-D3-Pramipexole-Gi1/β1/γ2
13.33Consensusd3_on_gpOrthosteric Ligand7CMV-D3-PD128907-Gi1/β1/γ2 8IRT-D3-Rotigotine-Gi1/β1/γ2 7CMU-D3-Pramipexole-Gi1/β1/γ2
13.33Consensusghrelin_offOrthosteric Ligand6KO5-Ghrelin-PubChem 57400002 7F83-Ghrelin-PF-05190457
13.33Consensusnop_offOrthosteric Ligand4EA3-NOP-PubChem 10296561 5DHG-NOP-C-35 5DHH-NOP-SB-612111
13.33Consensusp2y1_on_gpOrthosteric Ligand7XXH-P2Y1-2MeSADP-chim(NtGi1-G11)/β1/γ2
13.16Single8K6MNeuropeptide-Y8K6M-Y1-Neuropeptide-Y-Gi2/β1/γ1
13.16Single8W8YGamma-MSH8W8Y-MC3-γ-MSH-Ca-Gs/β1/γ2
13.16Consensusmc3_onOrthosteric Ligand8IOC-MC3-γ-MSH-Ca-chim(NtGi1-Gs)/β1/γ2
13.16Consensusmc3_on_gpOrthosteric Ligand8IOC-MC3-γ-MSH-Ca-chim(NtGi1-Gs)/β1/γ2
13.16Consensusnpy1_onOrthosteric Ligand8K6M-Y1-Neuropeptide-Y-Gi2/β1/γ1
13.16Consensusnpy1_on_gpOrthosteric Ligand8K6M-Y1-Neuropeptide-Y-Gi2/β1/γ1
12.90Single2VT4Cyanopindolol2VT4-β1-Cyanopindolol
12.90Single2Y01Dobutamine2Y01-β1-Dobutamine
12.90Single2Y02Carmoterol2Y02-β1-Carmoterol
12.90Single2YCYCyanopindolol2YCY-β1-Cyanopindolol
12.90Single3ZPRPubChem 5987543ZPR-β1-PubChem 598754-Na
12.90Single4DAJTiotropium4DAJ-M3-Tiotropium
12.90Single4EJ4Naltrindole4EJ4-δ-Naltrindole
12.90Single4J4QOctyl Beta-D-Glucopyranoside4J4Q-Rhodopsin-Octyl β-D-Glucopyranoside-Gt(CT)
12.90Single4MQSIperoxo4MQS-M2-Iperoxo
12.90Single4U14Tiotropium4U14-M3-Tiotropium
12.90Single4U16N-methyl-Scopolamine4U16-M3-N-methyl-Scopolamine
12.90Single4X1HNonyl-Beta-D-Glucopyranoside4X1H-Rhodopsin-Nonyl-β-D-Glucopyranoside-Gt(CT)
12.90Single5DHGC-355DHG-NOP-C-35
12.90Single5TGZAM65385TGZ-CB1-AM6538
12.90Single5UIGPubChem 1240811965UIG-A2A-PubChem 124081196
12.90Single5YC8N-methyl-Scopolamine5YC8-M2-N-methyl-Scopolamine
12.90Single5ZK8N-methyl-Scopolamine5ZK8-M2-N-methyl-Scopolamine
12.90Single5ZKCN-methyl-Scopolamine5ZKC-M2-N-methyl-Scopolamine
12.90Single6DRXLisuride6DRX-5-HT2B-Lisuride
12.90Single6K42Dexmedetomidine6K42-α2b-Dexmedetomidine-Gi1/β1/γ2
12.90Single6PRZAlprenolol6PRZ-β2-Alprenolol
12.90Single6TOTLemborexant6TOT-OX1-Lemborexant
12.90Single6XBM25(S)-Epoxycholesterol6XBM-SMO-25(S)-Epoxycholesterol-Gi1/β1/γ2
12.90Single6Z10PubChem 1545855546Z10-Succinate-PubChem 154585554
12.90Single7BU7BI1671077BU7-β1-BI167107
12.90Single7DB6Ramelteon7DB6-MT1-Ramelteon-Gi1/β1/γ2
12.90Single7E32Serotonin7E32-5-HT1D-Serotonin-Gi1/β1/γ2
12.90Single7JOZPubChem 752020227JOZ-D1-PubChem 75202022-Gs/β1/γ2
12.90Single7NA8Ibutamoren7NA8-Ghrelin-Ibutamoren-Gi1/β1/γ2
12.90Single7SCGFH2107SCG-μ-FH210-Gi1/β1/γ2
12.90Single7SQOTAK-9257SQO-OX2-TAK-925-Gi1/β1/γ2
12.90Single7TRPIperoxo7TRP-M4-Iperoxo-LY2033298-Gi1/β1/γ2
12.90Single7TRQVU04671547TRQ-M4-Iperoxo-VU0467154-Gi1/β1/γ2
12.90Single7UM55-CT7UM5-5-HT5A-5-CT-chim(NtGi1-Go)/β1/γ2
12.90Single7VKTLTB47VKT-BLT1-LTB4-Gi1/β1/γ2
12.90Single7WC8Lumateperone7WC8-5-HT2A-Lumateperone
12.90Single7WQ3Galanin7WQ3-GAL1-Galanin-Gi1/β1/γ2
12.90Single7X2CFenoldopam7X2C-D1-Fenoldopam-Fenoldopam-Gs/β1/γ2
12.90Single7XTC5-CT7XTC-5-HT7-5-CT-Gs/β1/γ2
12.90Single7YXAONO-54306087YXA-S1P5-ONO-5430608
12.90Single8DZSGR89,6968DZS-κ-GR89,696-chim(NtGi2-Gz)/β1/γ2
12.90Single8EFQDAMGO8EFQ-μ-DAMGO-Gi1/β1/γ2
12.90Single8FY85-MeO-DMT8FY8-5-HT1A-5-MeO-DMT-PtdIns4P-Gi1/β1/γ1
12.90Single8GCML-9026888GCM-EP4-L-902688-Gi1/β1/γ2
12.90Single8IC0CXCL88IC0-CXCR1-CXCL8-Gi1/β1/γ2
12.90Single8IRTRotigotine8IRT-D3-Rotigotine-Gi1/β1/γ2
12.90Single8JD0NAM5638JD0-mGlu2; mGlu3-Glutamate-NAM563
12.90Single8JLJT1AM8JLJ-TA1-T1AM-chim(NtGi1-Gs)/β1/γ2
12.90Single8JLZST19368JLZ-5-HT6-ST1936-Gs/β1/γ2
12.90Single8JT8(R)-IHCH-71798JT8-5-HT2A-(R)-IHCH-7179
12.90Single8KEXDCA-3P8KEX-MRGPRX4-DCA-3P
12.90Single8TH3AT118-H Nanobody8TH3-AT1-AT118-H Nanobody
12.90Single8UGYMianserin8UGY-5-HT1E-Mianserin-Gi1/β1/γ1
12.90Single8UWLLisuride8UWL-5-HT2A-Lisuride-chim(NtGi2-Gs-CtGq)/β1/γ2
12.90Single8WC7ZH86678WC7-TA1-ZH8667-chim(NtGi1-Gs)/β1/γ2
12.90Single8X64Desloratadine8X64-H1-Desloratadine
12.90Single8XJLPGF2-alpha8XJL-FP-alpha-PGF2-α-chim(NtGi2-Gs-CtGq)/β1/γ2
12.90Single8XVKAmbrisentan8XVK-ETA-Ambrisentan
12.90Single8Y71A1D6F8Y71-δ-A1D6F-BMS986187-Gi1/β1/γ2
12.90Single8YH5Riboprine8YH5-A3A-Riboprine-Gi1/β1/γ2
12.90Single8YN8Proxyfan8YN8-H3-Proxyfan-Go/β1/γ2
12.90Single9CBMDexmedetomidine9CBM-α2a-Dexmedetomidine-Gi1/β1/γ2
12.90Single9IMATalquetamab9IMA-GPRC5D; GPRC5D-Talquetamab
12.90Single9JEAAtropine9JEA-M1-Atropine
12.90Single9JGKBalovaptan9JGK-5-HT2B-Balovaptan
12.90Single9METGp120; CD49MET-CXCR4-Gp120; CD4
12.90Single9PLNPubChem 1682595949PLN-α2a-PubChem 168259594
12.90Single9PLOPubChem 1682595949PLO-α2a-PubChem 168259594-Go/β1/γ2
12.90Single9PQDPubChem 1764919279PQD-α2a-PubChem 176491927
12.90Single9PXWNaloxone9PXW-μ-Naloxone-GDPβS-Gi1/β1/γ2
12.90Consensus5ht1d_onOrthosteric Ligand7E32-5-HT1D-Serotonin-Gi1/β1/γ2
12.90Consensus5ht1d_on_gpOrthosteric Ligand7E32-5-HT1D-Serotonin-Gi1/β1/γ2
12.90Consensus5ht6_onOrthosteric Ligand7XTB-5-HT6-Serotonin-Gs/β1/γ2 8JLZ-5-HT6-ST1936-Gs/β1/γ2
12.90Consensus5ht6_on_gpOrthosteric Ligand7XTB-5-HT6-Serotonin-Gs/β1/γ2 8JLZ-5-HT6-ST1936-Gs/β1/γ2
12.90Consensus5ht7_onOrthosteric Ligand7XTC-5-HT7-5-CT-Gs/β1/γ2
12.90Consensus5ht7_on_gpOrthosteric Ligand7XTC-5-HT7-5-CT-Gs/β1/γ2
12.90Consensusalicarboxylic_offOrthosteric Ligandsuccinate_off
12.90Consensusalpha2_onOrthosteric Ligandalpha2b_on
12.90Consensusalpha2_on_gpOrthosteric Ligandalpha2b_on_gp
12.90Consensusalpha2b_onOrthosteric Ligand6K42-α2b-Dexmedetomidine-Gi1/β1/γ2
12.90Consensusalpha2b_on_gpOrthosteric Ligand6K42-α2b-Dexmedetomidine-Gi1/β1/γ2
12.90Consensusalpha_onOrthosteric Ligandalpha1_on alpha2_on
12.90Consensusblt1_onOrthosteric Ligand7VKT-BLT1-LTB4-Gi1/β1/γ2
12.90Consensusblt1_on_gpOrthosteric Ligand7VKT-BLT1-LTB4-Gi1/β1/γ2
12.90Consensusblt_onOrthosteric Ligandblt1_on
12.90Consensusblt_on_gpOrthosteric Ligandblt1_on_gp
12.90Consensuscck_offOrthosteric Ligandccka_off
12.90Consensusccka_offOrthosteric Ligand7F8Y-CCKA-Devazepide 7F8U-CCKA-Lintitript
12.90Consensuscxcr1_on_gpOrthosteric Ligand8IC0-CXCR1-CXCL8-Gi1/β1/γ2
12.90Consensusdop_offOrthosteric Ligand4EJ4-δ-Naltrindole
12.90Consensusgal1_onOrthosteric Ligand7WQ3-GAL1-Galanin-Gi1/β1/γ2
12.90Consensusgal1_on_gpOrthosteric Ligand7WQ3-GAL1-Galanin-Gi1/β1/γ2
12.90Consensusgi_galaninOrthosteric Ligand7WQ3-GAL1-Galanin-Gi1/β1/γ2
12.90Consensusgi_histamineOrthosteric Ligand8JXX-H4-Clobenpropit-Gi1/β1/γ2 8JXV-H4-Clozapine-Gi1/β1/γ2 8YUU-H3-Histamine-Gi1/β1/γ1 8HN8-H4-Histamine-Gi1/β1/γ2 8HOC-H4-Imetit-Gi1/β1/γ2 8JXW-H4-VUF6884-Gi1/β1/γ2
12.90Consensusgi_leukotrieneOrthosteric Ligand7VKT-BLT1-LTB4-Gi1/β1/γ2
12.90Consensusgi_orexinOrthosteric Ligand7SQO-OX2-TAK-925-Gi1/β1/γ2
12.90Consensusgq_amineOrthosteric Ligandgq_muscarinic gq_histamine
12.90Consensusleukotriene_onOrthosteric Ligandblt_on
12.90Consensusleukotriene_on_gpOrthosteric Ligandblt_on_gp
12.90Consensusmuscarinic_onOrthosteric Ligandm2_on m3_on m4_on m1_on
12.90Consensusmuscarinic_on_gpOrthosteric Ligandm2_on_gp m3_on_gp m4_on_gp m1_on_gp
12.90Consensussuccinate_offOrthosteric Ligand6RNK-Succinate-NF-56-EJ40 6Z10-Succinate-PubChem 154585554
12.82Single7AD3Alpha-factor mating pheromone7AD3-STE2; STE2-α-factor mating pheromone-Gi1/STE4/γ2
12.82Single7W57Neuromedin-S7W57-NMUR2-Neuromedin-S-chim(NtGi1-Gs-CtGq)/β1/γ2
12.82Single8IEDPubChem 1347468948IED-GPR156; GPR156-PubChem 134746894-Go/β1/γ2
12.50Single2Y00Dobutamine2Y00-β1-Dobutamine
12.50Single4ZJ8Suvorexant4ZJ8-OX1-Suvorexant
12.50Single5CGCHTL142425CGC-mGlu5-HTL14242
12.50Single5WQCEMPA5WQC-OX2-EMPA
12.50Single5XPRBosentan5XPR-ETB-Bosentan
12.50Single6LUQHaloperidol6LUQ-D2-Haloperidol
12.50Single6TO7Suvorexant6TO7-OX1-Suvorexant-Na
12.50Single6TP6Filorexant6TP6-OX1-Filorexant
12.50Single7E9GJNJ-404118137E9G-mGlu2; mGlu2-Eglumetad-JNJ-40411813-Gi1/β1/γ2
12.50Single7EUOfMLF7EUO-FPR1-ALX-fMLF-Gi1/β1/γ2
12.50Single7VFXfMIFL7VFX-FPR1-ALX-fMIFL-Gi1/β1/γ2
12.50Single7VOEAripiprazole7VOE-5-HT2A-Aripiprazole
12.50Single7VV0PAMP-127VV0-MRGPRX2-PAMP-12
12.50Single7W41PD1762527W41-BB2-PD176252
12.50Single7WC6LSD7WC6-5-HT2A-LSD
12.50Single7Y26Octreotide7Y26-SST2-Octreotide-chim(NtGi2L-Gs-CtGq)/β1/γ2
12.50Single8GD9Rivenprost8GD9-EP4-Rivenprost-Gs/β1/γ2
12.50Single8GDCPGE28GDC-EP3-PGE2-Gi1/β1/γ2
12.50Single8IODPG-9018IOD-MC5-PG-901-Ca-chim(NtGi1-Gs)/β1/γ2
12.50Single8TH4AT118-L Nanobody8TH4-AT1-Losartan-AT118-L Nanobody
12.50Single8X0BVU04244658X0B-mGlu5; mGlu5-Quisqualate-VU0424465
12.50Single8ZVZBW245C8ZVZ-DP1-BW245C-Gs/β1/γ2
12.50Single9ARYSerotonin9ARY-5-HT2A-Serotonin-chim(NtGi1-Gs-CtGq)/β1/γ2
12.50Single9ARZ2-bromo-LSD9ARZ-5-HT2A-2-bromo-LSD
12.50Single9AXFCa; Ca; Ca; Cyclomethyltryptophan; R-568; PO49AXF-CaS; CaS-Ca-Ca; Ca; Ca; Cyclomethyltryptophan; R-568; PO4-chim(NtGi1-Gs-CtGq)/β1/γ2
12.50Single9U81Tolvaptan9U81-V2-Tolvaptan
12.50Consensus5ht1_onOrthosteric Ligand5ht1a_on 5ht1d_on 5ht1e_on 5ht1f_on
12.50Consensus5ht1_on_gpOrthosteric Ligand5ht1a_on_gp 5ht1d_on_gp 5ht1e_on_gp 5ht1f_on_gp
12.50Consensus5ht1e_on_gpOrthosteric Ligand7E33-5-HT1E-BRL-54443-Gi1/β1/γ2 8UGY-5-HT1E-Mianserin-Gi1/β1/γ1 8UH3-5-HT1E-Setiptiline-Gi1/β1/γ1
12.50Consensus5ht2_offOrthosteric Ligand5ht2a_off 5ht2b_off 5ht2c_off
12.50Consensusadgrg2_onOrthosteric Ligand7WUI-ADGRG2-IP15-chim(NtGi1-Gs)/β1/γ2 7WUQ-ADGRG2-Gs/β1/γ2 7XKF-ADGRG2-Dehydroepiandrosterone-Gs/β1/γ2
12.50Consensusadgrg2_on_gpOrthosteric Ligand7WUI-ADGRG2-IP15-chim(NtGi1-Gs)/β1/γ2 7WUQ-ADGRG2-Gs/β1/γ2 7XKF-ADGRG2-Dehydroepiandrosterone-Gs/β1/γ2
12.50Consensusalpha_on_gpOrthosteric Ligandalpha1_on_gp alpha2_on_gp
12.50Consensusbb2_offOrthosteric Ligand7W41-BB2-PD176252
12.50Consensusbombesin_offOrthosteric Ligandbb2_off
12.50Consensusfpr1-alx_onOrthosteric Ligand7VFX-FPR1-ALX-fMIFL-Gi1/β1/γ2
12.50Consensusfpr1-alx_on_gpOrthosteric Ligand7VFX-FPR1-ALX-fMIFL-Gi1/β1/γ2
12.50Consensusm2_offOrthosteric Ligand5ZKC-M2-N-methyl-Scopolamine 5ZK3-M2-3-quinuclidinyl-benzilate 5ZKB-M2-AF-DX 384
12.50Consensusm3_onOrthosteric Ligand8E9Z-M3-Iperoxo-chim(NtGi2L-Gs-CtGq)/β1/γ2 8E9W-M3-2-Deoxycytidine-chim(NtGi2L-Gs-CtGq)/β1/γ2 8E9Y-M3-Clozapine-N-oxide-chim(NtGi2L-Gs-CtGq)/β1/γ2
12.50Consensusm3_on_gpOrthosteric Ligand8E9Z-M3-Iperoxo-chim(NtGi2L-Gs-CtGq)/β1/γ2 8E9W-M3-2-Deoxycytidine-chim(NtGi2L-Gs-CtGq)/β1/γ2 8E9Y-M3-Clozapine-N-oxide-chim(NtGi2L-Gs-CtGq)/β1/γ2
12.12Single3PDSFAUC503PDS-β2-FAUC50
12.12Single4U15Tiotropium4U15-M3-Tiotropium
12.12Single5ZHPPubChem 1348285895ZHP-M3-PubChem 134828589
12.12Single5ZKBAF-DX 3845ZKB-M2-AF-DX 384
12.12Single6J20Aprepitant6J20-NK1-Aprepitant
12.12Single6O3CCholesterol6O3C-SMO-SAG21k-Cholesterol
12.12Single6OL9Tiotropium6OL9-M5-Tiotropium
12.12Single6Z8NSRI-98296Z8N-NTS1-SRI-9829
12.12Single7E2ZAripiprazole7E2Z-5-HT1A-Aripiprazole-PtdIns4P-Gi1/β1/γ2
12.12Single7EW4CYM-55417EW4-S1P3-CYM-5541-Gi1/β1/γ2
12.12Single7SK7CXCL127SK7-ACKR3-CXCL12-CCX662
12.12Single7XY7NECA7XY7-A2B-NECA-chim(NtGi1-Gs)/β1/γ2
12.12Single8EFLSR170188EFL-μ-SR17018-Gi1/β1/γ2
12.12Single8IUKPGF2-alpha8IUK-FP-alpha-PGF2-α-chim(NtGi1-Gs-CtGq)/β1/γ2
12.12Single8JT6(R)-IHCH-71798JT6-5-HT1A-(R)-IHCH-7179-PtdIns4P-Gi1/β1/γ2
12.12Single8JXXClobenpropit8JXX-H4-Clobenpropit-Gi1/β1/γ2
12.12Single8X79MRE-2698X79-I2-MRE-269-Gs/β1/γ2
12.12Single8XX7CXCL58XX7-CXCR2-CXCL5-Go/β1/γ2
12.12Single9AS9RS130-1809AS9-5-HT2A-RS130-180
12.12Single9ASARS130-1809ASA-5-HT2A-RS130-180-chim(NtGi1-Gs-CtGq)/β1/γ2
12.12Single9E9SPGD29E9S-DP1-PGD2-Gs/β1/γ1
12.12Single9IJDCarazolol9IJD-β3-Carazolol-chim(NtGi1-Gs)/β1/γ2
12.12Single9JCLADP9JCL-P2Y1-ADP-chim(Gs-CtGq)/β1/γ2
12.12Single9MENGp120 (V3 loop)9MEN-CXCR4-Gp120 (V3 loop)
12.12Single9PY3Loperamide9PY3-μ-Loperamide-GDPβS-Gi1/β1/γ2
12.12Single9PY4Loperamide9PY4-μ-Loperamide-GDPβS-Gi1/β1/γ2
12.12Single9UCPIperoxo9UCP-M1-Iperoxo-G11(CT)
12.12Consensuscyslt1_offOrthosteric Ligand6RZ5-CysLT1-Zafirlukast-Na 6RZ4-CysLT1-Pranlukast-Na
12.12Consensusffa2_onOrthosteric Ligand8J22-FFA2-TUG-1375-Gi1/β1/γ2
12.12Consensush4_on_gpOrthosteric Ligand8HN8-H4-Histamine-Gi1/β1/γ2 8HOC-H4-Imetit-Gi1/β1/γ2 8JXV-H4-Clozapine-Gi1/β1/γ2 8JXW-H4-VUF6884-Gi1/β1/γ2 8JXX-H4-Clobenpropit-Gi1/β1/γ2
12.12Consensusm3_offOrthosteric Ligand4U15-M3-Tiotropium 4U16-M3-N-methyl-Scopolamine 5ZHP-M3-PubChem 134828589
12.12Consensusm5_offOrthosteric Ligand6OL9-M5-Tiotropium
12.12Consensusmuscarinic_offOrthosteric Ligandm2_off m3_off m4_off m5_off m1_off
12.00Single8WCCCyclohexylammonium Ion8WCC-TA1-Cyclohexylammonium Ion
11.76Single5CXVTiotropium5CXV-M1-Tiotropium
11.76Single5X33BIIL2605X33-BLT1-BIIL260
11.76Single6AK3PGE26AK3-EP3-PGE2
11.76Single7F55Bremelanotide7F55-MC4-Bremelanotide-Gs/β1/γ2
11.76Single7XMTJ-21567XMT-SST4-J-2156-Gi1/β1/γ2
11.76Single8DWCBAM8-228DWC-MRGPRX1-BAM8-22-chim(NtGi2L-Gs-CtGq)/β1/γ2
11.76Single8E9W2-Deoxycytidine8E9W-M3-2-Deoxycytidine-chim(NtGi2L-Gs-CtGq)/β1/γ2
11.76Single8IQ6Latanoprost8IQ6-FP-alpha-Latanoprost-chim(NtGi1-Gs-CtGq)/β1/γ2
11.76Single8JD3JNJ-404118138JD3-mGlu2; mGlu3-Glutamate-JNJ-40411813-Gi1/β1/γ2
11.76Single8XQJJN2418XQJ-Apelin; Apelin-JN241
11.76Single8XWACXCL18XWA-CXCR2-CXCL1
11.76Single8XX3CXCL38XX3-CXCR2-CXCL3-Go/β1/γ2
11.76Single9AU0BW245C9AU0-DP1-BW245C-Gs/β1/γ2
11.76Single9BJKPubChem 1716420669BJK-μ-Naloxone-PubChem 171642066
11.76Single9W32SSTR5 antagonist 19W32-SST5-SSTR5 antagonist 1
11.76Single9WXMGPR15L(CT)9WXM-GPR15-GPR15L(CT)-Gi3/β1/γ2
11.76Consensusffa2_on_gpOrthosteric Ligand8J22-FFA2-TUG-1375-Gi1/β1/γ2
11.76Consensusgi_amineOrthosteric Ligandgi_5ht gi_muscarinic gi_adrenergic gi_dopamine gi_histamine
11.76Consensusm1_offOrthosteric Ligand5CXV-M1-Tiotropium
11.76Consensusnk1_offOrthosteric Ligand6HLP-NK1-Netupitant 6HLO-NK1-Aprepitant 6HLL-NK1-CP99994 6E59-NK1-L-760735
11.54Single5MZJTheophylline5MZJ-A2A-Theophylline-Na
11.54Single7V68LY21196207V68-M4-Iperoxo-LY2119620-Gi1/β1/γ2
11.54Single8HQMNPGLY8HQM-GPR132-NPGLY-Gi1/β1/γ2
11.54Single8HVINOX-6-78HVI-GPR132-NOX-6-7-Gi1/β1/γ2
11.54Single8PWNTheophylline8PWN-A2A-Theophylline
11.54Single8X9S5alpha-DHT8X9S-ADGRD1-5α-DHT-chim(NtGi1-Gs)/β1/γ2
11.54Single9IV25alpha-DHT9IV2-ADGRD1-5α-DHT-chim(NtGi1-Gs)/β1/γ2
11.43Single4RWSvMIP-II4RWS-CXCR4-vMIP-II
11.43Single7PIUSetmelanotide7PIU-MC4-Setmelanotide-Gs/β1/γ2
11.43Single7QVMOxytocin7QVM-OT-Oxytocin-chim(NtGi1-Go-CtGq)/β1/γ2
11.43Single8E9YClozapine-N-oxide8E9Y-M3-Clozapine-N-oxide-chim(NtGi2L-Gs-CtGq)/β1/γ2
11.43Single8T3OTUG-8918T3O-FFA4-TUG-891-chim(NtGi2L-Gs-CtGq)/β1/γ2
11.43Single8XWVCXCL18XWV-CXCR2-CXCL1-Go/β1/γ2
11.43Single8ZPLHF511168ZPL-CXCR4-HF51116
11.43Single9GG5U466199GG5-TXA2-U46619-chim(NtGi2L-Gs-CtGq)/β1/γ2
11.43Single9VI9RFRP-39VI9-NPFF1-RFRP-3-Gi1/β1/γ2
11.43Single9YDRDADLE9YDR-δ-DADLE-MIPS3983-chim(NtGi1L-Gs-CtGi1)/β1/γ2
11.11Single3OE8IT1t3OE8-CXCR4-IT1t
11.11Single3RFMCaffeine3RFM-A2A-Caffeine
11.11Single6KNMJN241-96KNM-Apelin-JN241-9
11.11Single6TQ9SB-4081246TQ9-OX1-SB-408124
11.11Single6XBJCholesterol6XBJ-SMO-Cholesterol-Gi1/β1/γ2
11.11Single6XBM25(S)-Epoxycholesterol6XBM-SMO-25(S)-Epoxycholesterol-Gi1/β1/γ2
11.11Single7CX2PGE27CX2-EP2-PGE2-Gs/β1/γ2
11.11Single7RMGSubstance-P7RMG-NK1-Substance-P-chim(Gs-CtGq)/β1/γ2
11.11Single8IWM2-Phenylethylamine8IWM-TAA9-2-Phenylethylamine
11.11Single8J22TUG-13758J22-FFA2-TUG-1375-Gi1/β1/γ2
11.11Single8SAILysophosphatidylserine (S12)8SAI-GPR34-Lysophosphatidylserine (S12)-Gi1/β1/γ2
11.11Single8WC5Tetramethylammonium Ion8WC5-TA1-Tetramethylammonium Ion-chim(NtGi1-Gs)/β1/γ2
11.11Single8Z74JN241-98Z74-Apelin; Apelin-JN241-9
11.11Single9JF4PD1683689JF4-BB1-PD168368
11.11Single9JH6C20:0 Ceramide9JH6-CysLT2-C20:0 Ceramide-chim(NtGi1-Gs-CtGq)/β1/γ2
11.11Single9L0HJR14a9L0H-C3aB-JR14a-Go/β1/γ2
11.11Consensusgs_histamineOrthosteric Ligand8POK-H2-Histamine-Gs/β1/γ2
11.11Consensush2_onOrthosteric Ligand8POK-H2-Histamine-Gs/β1/γ2
11.11Consensuskiss1_onOrthosteric Ligand8ZJD-Kiss1-Kisspeptin-1-chim(NtGi1-Gq)/β1/γ1
11.11Consensuskisspeptin_onOrthosteric Ligandkiss1_on
11.11Consensusp2y_offOrthosteric Ligandp2y1_off
10.81Single7CX3Taprenepag7CX3-EP2-Taprenepag-Gs/β1/γ2
10.81Single7VLACCL15(27-92)7VLA-CCR1-CCL15(27-92)-Gi1/β1/γ2
10.81Single7W56Neuromedin-S7W56-NMUR1-Neuromedin-S-chim(NtGi1-Gs-CtGq)/β1/γ2
10.81Single8DWGBAM8-228DWG-MRGPRX1-BAM8-22-ML382-chim(NtGi2L-Gs-CtGq)/β1/γ2
10.81Single8IEBPubChem 1347468948IEB-GPR156; GPR156-PubChem 134746894
10.81Single8IEIPubChem 1347468948IEI-GPR156; GPR156-PubChem 134746894
10.81Single8IEPPubChem 1347468948IEP-GPR156; GPR156-PubChem 134746894
10.81Single8INRAlpha-MSH8INR-MC5-α-MSH-Ca-chim(NtGi1-Gs)/β1/γ2
10.81Single8XBHPubChem 1626566368XBH-GPR34-PubChem 162656636-Gi1/β1/γ2
10.81Single8ZJDKisspeptin-18ZJD-Kiss1-Kisspeptin-1-chim(NtGi1-Gq)/β1/γ1
10.81Single9J0IUDP-Glucuronic acid9J0I-P2Y14-UDP-Glucuronic acid-Gi1/β1/γ2
10.81Consensusccr1_onOrthosteric Ligand7VLA-CCR1-CCL15(27-92)-Gi1/β1/γ2
10.81Consensusccr1_on_gpOrthosteric Ligand7VLA-CCR1-CCL15(27-92)-Gi1/β1/γ2
10.81Consensusgq_kisspeptinOrthosteric Ligand8ZJD-Kiss1-Kisspeptin-1-chim(NtGi1-Gq)/β1/γ1
10.81Consensuskiss1_on_gpOrthosteric Ligand8ZJD-Kiss1-Kisspeptin-1-chim(NtGi1-Gq)/β1/γ1
10.81Consensuskisspeptin_on_gpOrthosteric Ligandkiss1_on_gp
10.71Single2J4Y11-cis-Retinal2J4Y-Rhodopsin-11-cis-Retinal
10.71Single5WKTOctyl-Beta-D-Glucopyranoside5WKT-Rhodopsin-Octyl-β-D-Glucopyranoside-Gt(CT)
10.71Single6FUFAll-trans-Retinal6FUF-Rhodopsin-All-trans-Retinal-Go
10.71Single6ME5Agomelatine6ME5-MT1-Agomelatine
10.71Single6OIKLY21196206OIK-M2-Iperoxo-LY2119620-chim(NtGi1-Go)/β1/γ2
10.71Single7D77Hydrocortisone7D77-ADGRG3-Hydrocortisone-Go/β1/γ2
10.71Single7DD7Ca; Ca; Tryptophan; Evocalcet7DD7-CaS; CaS-Ca-Ca; Ca; Tryptophan; Evocalcet
10.71Single8DPILorcaserin8DPI-5-HT2C-Lorcaserin-chim(NtGi2L-Gs-CtGq)/β1/γ2
10.71Single8F76Propanoic acid8F76-OR51E2-Propanoic acid-Gs/β1/γ2
10.71Single8ITFDMCHA8ITF-TAA9-DMCHA-chim(NtGi1-Gs)/β1/γ2
10.71Single8IW72-Phenylethylamine8IW7-TAA9-2-Phenylethylamine-chim(NtGi1-Gs)/β1/γ2
10.71Single8JXTHistamine8JXT-H4-Histamine-PO4-Gi1/β1/γ2
10.71Single8POKHistamine8POK-H2-Histamine-Gs/β1/γ2
10.71Single8X9UMetenolone8X9U-ADGRD1-Metenolone-chim(NtGi1-Gs)/β1/γ2
10.71Single8Y63C20:0 Ceramide8Y63-FPR2-ALX-C20:0 Ceramide-Gi1/β1/γ2
10.71Single9JG1Adriforant9JG1-H4-Adriforant
10.71Single9JHJC18:0 Ceramide9JHJ-FPR2-ALX-C18:0 Ceramide-Gi1/β1/γ2
10.71Single9JKT(2R)-2-hydroxy-3-phenylpropanoic acid9JKT-HCA3-(2R)-2-hydroxy-3-phenylpropanoic acid-Gi1/β1/γ2
10.71Consensush2_on_gpOrthosteric Ligand8POK-H2-Histamine-Gs/β1/γ2
10.53Single8IOCGamma-MSH8IOC-MC3-γ-MSH-Ca-chim(NtGi1-Gs)/β1/γ2
10.53Single9J0FNADH9J0F-P2Y14-NADH-Gi1/β1/γ2
10.53Consensusmc5_onOrthosteric Ligand8INR-MC5-α-MSH-Ca-chim(NtGi1-Gs)/β1/γ2 8IOD-MC5-PG-901-Ca-chim(NtGi1-Gs)/β1/γ2
10.34Single3PBLEticlopride3PBL-D3-Eticlopride
10.34Single5L7IVismodegib5L7I-SMO-Vismodegib
10.34Single6HLLCP999946HLL-NK1-CP99994
10.34Single7D76Beclomethasone7D76-ADGRG3-Beclomethasone-Go/β1/γ2
10.34Single7DD7Ca; Ca; Tryptophan; Evocalcet7DD7-CaS; CaS-Ca-Ca; Ca; Tryptophan; Evocalcet
10.34Single7DFLHistamine7DFL-H1-Histamine-chim(NtGi1L-Gq)/β1/γ2
10.34Single7UL2SR486927UL2-NTS1-SR48692-Na
10.34Single7VUIJNJ-635330547VUI-GPR139-JNJ-63533054-GTP-chim(Gs-CtGq)/β1/γ2
10.34Single7XP6Strychnine7XP6-TAS2R46-Strychnine-chim(Gs-CtGt3)/β1/γ2
10.34Single7XTBSerotonin7XTB-5-HT6-Serotonin-Gs/β1/γ2
10.34Single8YN2Histamine8YN2-H1-Histamine-chim(NtGi1L-Gs-CtGq)/β1/γ2
10.34Single8YN4Histamine8YN4-H2-Histamine-chim(NtGi1L-Gs-CtGq)/β1/γ2
10.34Single8ZYUNeurotensin-(8-13)8ZYU-NTS1-Neurotensin-(8-13)-SBI-553-Arrestin2
10.34Single9AS7Psilocin9AS7-5-HT2A-Psilocin
10.34Single9E7RGB889E7R-PAR2-GB88-chim(NtGi1L-Gs-CtGq)/β1/γ2
10.34Single9IXJHistamine9IXJ-H2-Histamine-Gs/β1/γ2
10.34Single9IZDCHBA9IZD-HCA1-CHBA-Gi1/β1/γ2
10.34Single9JLCAVE 09919JLC-MAS1-AVE 0991-Gi1/β1/γ2
10.34Single9M88Oleic monoethanolamide9M88-GPR3 ; GPR3-Oleic monoethanolamide-AF64394
10.34Consensusadgrg_onOrthosteric Ligandadgrg2_on adgrg4_on
10.34Consensusadgrg_on_gpOrthosteric Ligandadgrg2_on_gp adgrg4_on_gp
10.34Consensusd3_offOrthosteric Ligand3PBL-D3-Eticlopride
10.34Consensush1_onOrthosteric Ligand7DFL-H1-Histamine-chim(NtGi1L-Gq)/β1/γ2
10.34Consensusneurotensin_offOrthosteric Ligandnts1_off
10.34Consensusnts1_offOrthosteric Ligand7UL2-NTS1-SR48692-Na
10.00Single4S0VSuvorexant4S0V-OX2-Suvorexant
10.00Single5OLVLUAA470705OLV-A2A-LUAA47070-Na
10.00Single5WS3EMPA5WS3-OX2-EMPA
10.00Single6DS0LY2660976DS0-5-HT2B-LY266097
10.00Single6ME9Ramelteon6ME9-MT2-Ramelteon
10.00Single6NWEOctyl-Beta-D-Glucopyranoside6NWE-Rhodopsin-Octyl-β-D-Glucopyranoside-Gt(CT)
10.00Single6TODEMPA6TOD-OX1-EMPA-Na
10.00Single6TPJSuvorexant6TPJ-OX2-Suvorexant
10.00Single6WIVPubChem 52923113; PubChem 529246456WIV-GABAB1, GABAB2-PubChem 52923113; PubChem 52924645
10.00Single6ZA8RTI-3a6ZA8-NTS1-RTI-3a
10.00Single7M3FCa; Ca; Tryptophan; Cinacalcet7M3F-CaS; CaS-Ca; Ca; Tryptophan; Cinacalcet
10.00Single7SRSLSD7SRS-5-HT2B-LSD-Arrestin2
10.00Single7T6STC-FPR 437T6S-FPR2-ALX-TC-FPR 43-Gi1/β1/γ2
10.00Single7VV5C48/807VV5-MRGPRX2-C48/80-Gi1/β1/γ2
10.00Single7X2FDopamine7X2F-D1-Dopamine-Mevidalen-Gs/β1/γ2
10.00Single7XRRLemborexant7XRR-OX2-Lemborexant
10.00Single8IEDPubChem 1347468948IED-GPR156; GPR156-PubChem 134746894-Go/β1/γ2
10.00Single8TZQDopamine8TZQ-D2-Dopamine-Go/β1/γ2
10.00Single8U4SREGN7663-Fab8U4S-CXCR4-REGN7663-Fab
10.00Single8U4TREGN7663-Fab8U4T-CXCR4-REGN7663-Fab
10.00Single8XXXCXCL68XXX-CXCR2-CXCL6-Go/β1/γ2
10.00Single8YNFCXCL88YNF-ACKR1-CXCL8
10.00Single8YUTAmthamine8YUT-H2-Amthamine-Gs/β1/γ2
10.00Single9H2XPubChem 1756706449H2X-A2A-PubChem 175670644-Na
10.00Single9KVHCinobufotenine9KVH-5-HT1A-Cinobufotenine-PtdIns4P-Gi1/β1/γ2
10.00Single9LLBDOI-NBOMe9LLB-5-HT2A-DOI-NBOMe-chim(NtGi1L-Gs-CtGq)/β1/γ2
10.00Single9LRBHistamine9LRB-H1-Histamine-Gs/β1/γ2
10.00Single9PEEPF-07054894; OXM29PEE-CCR6-PF-07054894; OXM2
10.00Consensusmc5_on_gpOrthosteric Ligand8INR-MC5-α-MSH-Ca-chim(NtGi1-Gs)/β1/γ2 8IOD-MC5-PG-901-Ca-chim(NtGi1-Gs)/β1/γ2
10.00Consensusox1_offOrthosteric Ligand6TP6-OX1-Filorexant 6TP4-OX1-ACT-462206 6V9S-OX1-GTPL11403 6TOT-OX1-Lemborexant 6TP3-OX1-Nemorexant 6TQ6-OX1-PubChem 145714283 6TQ9-OX1-SB-408124 4ZJC-OX1-SB-674042 4ZJ8-OX1-Suvorexant 6TOD-OX1-EMPA-Na 6TOS-OX1-GSK1059865-Na 6TQ4-OX1-PubChem 16046844-Na
10.00Consensusp2y1_onOrthosteric Ligand7XXH-P2Y1-2MeSADP-chim(NtGi1-G11)/β1/γ2
10.00Consensussensory_offonOrthosteric Ligandsensory_off sensory_on
10.00Consensussensory_offon_gpOrthosteric Ligandsensory_on_gp sensory_on
9.68Single1F8811-cis-Retinal1F88-Rhodopsin-11-cis-Retinal
9.68Single3REYPubChem 56973REY-A2A-PubChem 5697
9.68Single3RZECidoxepin3RZE-H1-Cidoxepin
9.68Single4N6HNaltrindole4N6H-δ-Naltrindole-Na
9.68Single5TE3Octyl-Beta-D-Glucopyranoside5TE3-Rhodopsin-Octyl-β-D-Glucopyranoside
9.68Single6FK8PubChem 1324730356FK8-Rhodopsin-PubChem 132473035
9.68Single6IQLL7458706IQL-D4-L745870
9.68Single6TOSGSK10598656TOS-OX1-GSK1059865-Na
9.68Single6TP3Nemorexant6TP3-OX1-Nemorexant
9.68Single6TPNHTL66416TPN-OX2-HTL6641
9.68Single7CMVPD1289077CMV-D3-PD128907-Gi1/β1/γ2
9.68Single7E33BRL-544437E33-5-HT1E-BRL-54443-Gi1/β1/γ2
9.68Single7EJ8Brimonidine7EJ8-α2a-Brimonidine-Go/β1/γ2
9.68Single7F24Dopamine7F24-D1-Dopamine-GDP-Gs/β1/γ2
9.68Single7VV6C48/807VV6-MRGPRX2-C48/80
9.68Single7WVUfMLF7WVU-FPR1-ALX-fMLF-Gi1/β1/γ2
9.68Single8DPGPsilocin8DPG-5-HT2C-Psilocin-chim(NtGi2L-Gs-CtGq)/β1/γ2
9.68Single8HQN9-S-HODE8HQN-GPR132-9-S-HODE-Gi1/β1/γ2
9.68Single8K4SDCA-3P8K4S-MRGPRX4-DCA-3P-chim(NtGi1L-Gs-CtGq)/β1/γ2
9.68Single8U02Dopamine8U02-D2-Dopamine-Go/β1/γ2
9.68Single8WPGTryptophan; Cinacalcet; PO4; Ca8WPG-CaS; CaS-Tryptophan; Cinacalcet; PO4; Ca
9.68Single8X7ATreprostinil8X7A-I2-Treprostinil-Gs/β1/γ2
9.68Single8YN3Histamine8YN3-H2-Histamine-Gs/β1/γ2
9.68Single8ZBWQuin-C18ZBW-FPR2-ALX-Quin-C1-Gi2/β1/γ2
9.68Single8ZMGPimavanserin8ZMG-5-HT2A-Pimavanserin
9.68Single9ARXSerotonin9ARX-5-HT2A-Serotonin
9.68Single9ASBCa; Ca; Cyclomethyltryptophan; R-568; PO49ASB-CaS; CaS-Ca-Ca; Ca; Cyclomethyltryptophan; R-568; PO4-chim(NtGi1-Gs-CtGq)/β1/γ2
9.68Single9DQJEP-39459DQJ-MRGPRD-EP-3945-chim(NtGi1-Gs-CtGq)/β1/γ2
9.68Single9KVIBufotenin9KVI-5-HT1A-Bufotenin-PtdIns4P-Gi1/β1/γ2
9.68Single9LRDHistamine9LRD-H1-Histamine-Gi1/β1/γ2
9.68Single9W33S5A19W33-SST5-S5A1
9.68Consensusopsins_offOrthosteric Ligandrhodopsin_off
9.68Consensussensory_offOrthosteric Ligandopsins_off
9.38Single4QIMANTA XV4QIM-SMO-ANTA XV
9.38Single5DSGTiotropium5DSG-M4-Tiotropium
9.38Single6FK7PubChem 1324730346FK7-Rhodopsin-PubChem 132473034
9.38Single6FKCPubChem 1324730396FKC-Rhodopsin-PubChem 132473039
9.38Single6FKDPubChem 1373491836FKD-Rhodopsin-PubChem 137349183
9.38Single6IIVDaltroban6IIV-TXA2-Daltroban
9.38Single6ORVTT-OAD26ORV-GLP-1-TT-OAD2-Gs/β1/γ2
9.38Single6WHADB139486WHA-5-HT2A-DB13948-chim(NtGi2L-Gs-CtGq)/β1/γ2
9.38Single7F83PF-051904577F83-Ghrelin-PF-05190457
9.38Single7PP1Selatogrel7PP1-P2Y12-Selatogrel
9.38Single7VH0Ramelteon7VH0-MT2-Ramelteon-Gi1/β1/γ1
9.38Single8X9TAP5038X9T-ADGRD1-AP503-chim(NtGi1-Gs)/β1/γ2
9.38Single9AVGCa; Ca; Cyclomethyltryptophan; R-568; PO49AVG-CaS; CaS-Ca-Ca; Ca; Cyclomethyltryptophan; R-568; PO4-chim(NtGi1-Gs)/β1/γ2
9.38Single9EPP11,20-Ethanoretinal9EPP-Rhodopsin-11,20-Ethanoretinal-chim(Gi1-CtGq)/β1/γ2
9.38Single9IYAONO-97105319IYA-GPR55-ONO-9710531
9.38Single9JQZGrapiprant 9JQZ-EP4-Grapiprant
9.38Single9KFTfMLFC9KFT-FPR1-ALX-fMLFC-Gi1/β1/γ2
9.38Single9LLAAriadne9LLA-5-HT2A-Ariadne-chim(NtGi1L-Gs-CtGq)/β1/γ2
9.38Single9UAZAtropine9UAZ-M1-Atropine
9.38Consensusm4_offOrthosteric Ligand5DSG-M4-Tiotropium
9.09Single4PHUFasiglifam4PHU-FFA1-Fasiglifam
9.09Single4WW3All-trans-Retinal4WW3-Rhodopsin-All-trans-Retinal
9.09Single5ZBQUR-MK-2995ZBQ-Y1-UR-MK-299
9.09Single6M9TMisoprostol-FA6M9T-EP3-Misoprostol-FA
9.09Single6OIKIperoxo6OIK-M2-Iperoxo-LY2119620-chim(NtGi1-Go)/β1/γ2
9.09Single6RZ4Pranlukast6RZ4-CysLT1-Pranlukast-Na
9.09Single6XBKCholesterol6XBK-SMO-Cholesterol-Gi1/β1/γ2
9.09Single6Z4QSR142948A6Z4Q-NTS1-SR142948A
9.09Single7M3GCa; Ca; Tryptophan; Evocalcet; Etelcalcetide; PO47M3G-CaS; CaS-Ca; Ca; Tryptophan; Evocalcet; Etelcalcetide; PO4
9.09Single7SINNPS-21437SIN-CaS; CaS-NPS-2143
9.09Single7SINNPS-21437SIN-CaS; CaS-NPS-2143
9.09Single8SZGCa; Ca; Tryptophan; Cinacalcet; PO4; Spermine8SZG-CaS; CaS-Ca; Ca; Tryptophan; Cinacalcet; PO4; Spermine-chim(NtGi1-Gq)/β1/γ2
9.09Single8X0CVU04244658X0C-mGlu5; mGlu5-Quisqualate-VU0424465
9.09Single8X0CVU04244658X0C-mGlu5; mGlu5-Quisqualate-VU0424465
9.09Single8X0DVU04244658X0D-mGlu5; mGlu5-Quisqualate-VU0424465
9.09Single8X0DVU04244658X0D-mGlu5; mGlu5-Quisqualate-VU0424465
9.09Single9AVLCa; Ca; Cyclomethyltryptophan; R-568; PO49AVL-CaS; CaS-Ca-Ca; Ca; Cyclomethyltryptophan; R-568; PO4-Gi3/β2/γ2
9.09Single9AYFCa; Ca; Ca; Cyclomethyltryptophan; R-568; PO49AYF-CaS; CaS-Ca-Ca; Ca; Ca; Cyclomethyltryptophan; R-568; PO4-Gi1/β1/γ2
9.09Single9DQHEP-28259DQH-MRGPRD-EP-2825-chim(NtGi1-Gs-CtGq)/β1/γ2
9.09Single9EAHNanobody AT2099EAH-AT1-Olmesartan-Nanobody AT209
9.09Single9EE5ONO-25502899EE5-DP1-ONO-2550289
9.09Single9GE2ML1849GE2-GPR55-ML184-chim(NtGi1-G13)/β1/γ2
9.09Single9HAPTolvaptan9HAP-V2-Tolvaptan
9.09Single9HC04YI9HC0-mGlu5-4YI
9.09Consensuscyslt_offOrthosteric Ligandcyslt2_off cyslt1_off
8.82Single4OO9Mavoglurant4OO9-mGlu5-Mavoglurant
8.82Single5TZRMK86665TZR-FFA1-MK8666
8.82Single6E59L-7607356E59-NK1-L-760735
8.82Single6RZ5Zafirlukast6RZ5-CysLT1-Zafirlukast-Na
8.82Single7P2L4YI7P2L-mGlu5-4YI
8.82Single7R0CAVP7R0C-V2-AVP-Arrestin2
8.82Single7XAVLanreotide7XAV-SST2-Lanreotide-Gi1/β1/γ2
8.82Single8GDBPGE28GDB-EP4-PGE2-Gs/β1/γ2
8.82Single8JBGNeurokinin-B8JBG-NK3-Neurokinin-B-chim(NtGi1-Gs-CtGq)/β1/γ2
8.82Single8JD5JNJ-40411813; ADX881788JD5-mGlu2; mGlu4-Glutamate-JNJ-40411813; ADX88178-Gi1/β1/γ2
8.82Single8JD5JNJ-40411813; ADX881788JD5-mGlu2; mGlu4-Glutamate-JNJ-40411813; ADX88178-Gi1/β1/γ2
8.82Single8JGFBAM8-228JGF-MRGPRX1-BAM8-22-chim(NtGi1-Gs-CtGq)/β1/γ2
8.82Single8X0BVU04244658X0B-mGlu5; mGlu5-Quisqualate-VU0424465
8.82Single8X0FVU298X0F-mGlu5; mGlu5-Quisqualate-VU29
8.82Single8XBIPubChem 1626566368XBI-GPR34-PubChem 162656636
8.82Single8XQTCholesterol8XQT-TAS2R14-Cholesterol-Gi1/β1/γ1
8.82Single8XVLZibotentan8XVL-ETA-Zibotentan
8.82Single8ZW0PGD28ZW0-DP1-PGD2-Gs/β1/γ2
8.82Single9AYFCa; Ca; Ca; Cyclomethyltryptophan; R-568; PO49AYF-CaS; CaS-Ca-Ca; Ca; Ca; Cyclomethyltryptophan; R-568; PO4-Gi1/β1/γ2
8.82Single9ITELPA9ITE-LPA6-LPA-chim(NtGi2-G13)/β1/γ2
8.82Consensusffa_onOrthosteric Ligandffa2_on ffa3_on
8.82Consensusffa_on_gpOrthosteric Ligandffa2_on_gp ffa3_on_gp
8.82Consensusgi_ffaOrthosteric Ligand8J21-FFA3-Butyric acid-Gi1/β1/γ2 8J22-FFA2-TUG-1375-Gi1/β1/γ2
8.82Consensustachykinin_offOrthosteric Ligandnk1_off
8.57Single4OR2FITM4OR2-mGlu1; mGlu1-FITM
8.57Single4PXFOctyl-Beta-D-Glucopyranoside4PXF-Rhodopsin-Octyl-β-D-Glucopyranoside-Arrestin1 Finger Loop
8.57Single4PXZ2MeSADP4PXZ-P2Y12-2MeSADP
8.57Single4PY02MeSATP4PY0-P2Y12-2MeSATP
8.57Single5TZYMK8666; AP85TZY-FFA1-MK8666; AP8
8.57Single6XBLCholesterol6XBL-SMO-SAG-Cholesterol-Gi1/β1/γ2
8.57Single8WRBLysophosphatidylserine (UBL)8WRB-GPR34-Lysophosphatidylserine (UBL)-Gi1/β1/γ2
8.57Single8Y6WTUG-13758Y6W-FFA2-TUG-1375-4-CMTB-Gi1/β1/γ2
8.57Single9YDUUDP-Glucose9YDU-P2Y14-UDP-Glucose-Gi1/β1/γ2
8.33Single4OR2FITM4OR2-mGlu1; mGlu1-FITM
8.33Single7CX4Evatanepag7CX4-EP2-Evatanepag-Gs/β1/γ2
8.33Single8XBES3E-Lysophosphatidylserine 8XBE-GPR34-S3E-Lysophosphatidylserine-Gi1/β1/γ1
8.33Single9J0BUDP-Glucose9J0B-P2Y14-UDP-Glucose-Gi1/β1/γ2
8.11Single6RZ6ONO-25703666RZ6-CysLT2-ONO-2570366
8.11Single9ITBLPA9ITB-LPA6-LPA-chim(NtGi1-Gs-CtGq)/β1/γ2
8.00Single8SZGCa; Ca; Tryptophan; Cinacalcet; PO4; Spermine8SZG-CaS; CaS-Ca; Ca; Tryptophan; Cinacalcet; PO4; Spermine-chim(NtGi1-Gq)/β1/γ2
7.89Single8IEIPubChem 1347468948IEI-GPR156; GPR156-PubChem 134746894
7.89Single8IEPPubChem 1347468948IEP-GPR156; GPR156-PubChem 134746894
7.69Single5MZPCaffeine5MZP-A2A-Caffeine-Na
7.69Single8IEBPubChem 1347468948IEB-GPR156; GPR156-PubChem 134746894
7.69Single8WCBCyclohexylammonium Ion8WCB-TA1-Cyclohexylammonium Ion-chim(NtGi1-Gs-CtGq)/β1/γ2
7.41Single7WC4Serotonin7WC4-5-HT2A-Serotonin
7.41Single9JIDNiacin9JID-HCA3-Niacin-Gi1/β1/γ2
7.41Single9JKVPubChem 27366909JKV-HCA3-PubChem 2736690-Gi1/β1/γ2
7.14Single2HPYAll-trans-Retinal2HPY-Rhodopsin-All-trans-Retinal
7.14Single6OT025(S)-Epoxycholesterol6OT0-SMO-25(S)-Epoxycholesterol-Gi1/β1/γ2
7.14Single7DD5Ca; Ca; Tryptophan; NPS-21437DD5-CaS; CaS-Ca-Ca; Ca; Tryptophan; NPS-2143
7.14Single7MTBAll-trans-Retinal7MTB-Rhodopsin-All-trans-Retinal-GRK1
7.14Single8U4QREGN7663-Fab8U4Q-CXCR4-REGN7663-Fab-Gi1/β1/γ2
7.14Single8XOFLys058XOF-GPR30-Lys05-chim(NtGi1-Gs-CtGq)/β1/γ2
7.14Single9C2FCa; Ca; Tryptophan; '54149; PO49C2F-CaS; CaS-Ca-Ca; Ca; Tryptophan; '54149; PO4
7.14Single9M42A1L8O9M42-GPR139-A1L8O-chim(Gs-CtGq)/β1/γ2
7.14Consensusopsins_onOrthosteric Ligandrhodopsin_on opsin1lw_on
7.14Consensussensory_onOrthosteric Ligandopsins_on
6.90Single3C9M11-cis-Retinal3C9M-Rhodopsin-11-cis-Retinal
6.90Single3UZAGTPL92363UZA-A2A-GTPL9236
6.90Single6D32Cyclopamine6D32-SMO-Cyclopamine-Cyclopamine
6.90Single7MT8All-trans-Retinal7MT8-Rhodopsin-All-trans-Retinal-GRK1
6.90Single7MT9All-trans-Retinal7MT9-Rhodopsin-All-trans-Retinal-GRK1
6.90Single7MTAAll-trans-Retinal7MTA-Rhodopsin-All-trans-Retinal-GRK1
6.90Single7V6APubChem 98642757V6A-M4-PubChem 9864275-Gi1/β1/γ2
6.90Single7WC5Psilocin7WC5-5-HT2A-Psilocin
6.90Single8EITDoconexent8EIT-FFA1-Doconexent-chim(NtGi1L-Gs-CtGq)/β1/γ2
6.90Single8IU2All-trans-Retinal8IU2-Opsin1LW-All-trans-Retinal-Gi1/β1/γ2
6.90Single8J21Butyric acid8J21-FFA3-Butyric acid-Gi1/β1/γ2
6.90Single8J24Acetic acid8J24-FFA2-Acetic acid-Gi1/β1/γ2
6.90Single8J6QPubChem 251012238J6Q-HCA2-β-Hydroxybutyrate-PubChem 25101223-Gi1/β1/γ2
6.90Single8JPSCCL78JPS-ACKR1-CCL7
6.90Single9LL7DOI9LL7-5-HT2A-DOI-Gi1/β1/γ2
6.90Single9MBCAZ122160529MBC-mGlu8; mGlu8-DCPG-AZ12216052
6.90Consensusffa3_onOrthosteric Ligand8J21-FFA3-Butyric acid-Gi1/β1/γ2
6.90Consensusffa3_on_gpOrthosteric Ligand8J21-FFA3-Butyric acid-Gi1/β1/γ2
6.90Consensusgi_opsinsOrthosteric Ligand8IU2-Opsin1LW-All-trans-Retinal-Gi1/β1/γ2
6.90Consensusgi_sensoryOrthosteric Ligandgi_opsins
6.90Consensusopsin1lw_onOrthosteric Ligand8IU2-Opsin1LW-All-trans-Retinal-Gi1/β1/γ2
6.90Consensusopsin1lw_on_gpOrthosteric Ligand8IU2-Opsin1LW-All-trans-Retinal-Gi1/β1/γ2
6.90Consensusopsins_on_gpOrthosteric Ligandrhodopsin_on_gp opsin1lw_on_gp
6.90Consensusrhodopsin_onOrthosteric Ligand6OYA-Rhodopsin-All-trans-Retinal-Gt/β1/γ1
6.90Consensussensory_on_gpOrthosteric Ligandopsins_on_gp
6.67Single1L9H11-cis-Retinal1L9H-Rhodopsin-11-cis-Retinal
6.67Single1U1911-cis-Retinal1U19-Rhodopsin-11-cis-Retinal
6.67Single2G87All-trans-Retinal2G87-Rhodopsin-All-trans-Retinal
6.67Single2I3511-cis-Retinal2I35-Rhodopsin-11-cis-Retinal
6.67Single3AYMAll-trans-Retinal3AYM-Rhodopsin-All-trans-Retinal
6.67Single5TE520-Methanoretinal5TE5-Rhodopsin-20-Methanoretinal
6.67Single6FK6PubChem 1324730336FK6-Rhodopsin-PubChem 132473033
6.67Single6QNOAll-trans-Retinal6QNO-Rhodopsin-All-trans-Retinal-Gi1/β1/γ1
6.67Single6TQ4PubChem 160468446TQ4-OX1-PubChem 16046844-Na
6.67Single7DD5Ca; Ca; Tryptophan; NPS-21437DD5-CaS; CaS-Ca-Ca; Ca; Tryptophan; NPS-2143
6.67Single7E2YSerotonin7E2Y-5-HT1A-Serotonin-PtdIns4P-Gi1/β1/γ2
6.67Single8A2PLUAA470708A2P-A2A-LUAA47070-Na
6.67Single8FX5Xanomeline8FX5-M4-Xanomeline-Xanomeline-Gi1/β1/γ2
6.67Single8J6PPubChem 251012238J6P-HCA2-Niacin-PubChem 25101223-Gi1/β1/γ2
6.67Single8JHYPubChem 251012238JHY-HCA2-PubChem 25101223-Gi1/β1/γ2
6.67Single8JIIPubChem 251012238JII-HCA2-Niacin-PubChem 25101223-Gi1/β1/γ2
6.67Single8WPUTryptophan; Cinacalcet; PO4; Ca8WPU-CaS; CaS-Tryptophan; Cinacalcet; PO4; Ca-chim(NtGi2L-Gs-CtGq)/β1/γ2
6.67Single8X2KOleic monoethanolamide8X2K-GPR3-Oleic monoethanolamide-chim(NtGi1-Gs)/β1/γ2
6.67Single9C1PCa; Tryptophan; '6218; PO49C1P-CaS; CaS-Ca-Ca; Tryptophan; '6218; PO4
6.67Single9MBCAZ122160529MBC-mGlu8; mGlu8-DCPG-AZ12216052
6.67Consensusgq_nucleotideOrthosteric Ligandgq_p2y
6.67Consensusgq_p2yOrthosteric Ligand7XXH-P2Y1-2MeSADP-chim(NtGi1-G11)/β1/γ2
6.45Single1GZM11-cis-Retinal1GZM-Rhodopsin-11-cis-Retinal
6.45Single2PED9-cis-Retinal2PED-Rhodopsin-9-cis-Retinal
6.45Single2Z7311-cis-Retinal2Z73-Rhodopsin-11-cis-Retinal
6.45Single3AYN9-cis-Retinal3AYN-Rhodopsin-9-cis-Retinal
6.45Single3C9L11-cis-Retinal3C9L-Rhodopsin-11-cis-Retinal
6.45Single6FKBPubChem 1324730386FKB-Rhodopsin-PubChem 132473038
6.45Single7LJDDopamine7LJD-D1-Dopamine-Mevidalen-Gs/β1/γ1
6.45Single7M3ECa; Ca; Tryptophan; NPS-21437M3E-CaS; CaS-Ca; Ca; Tryptophan; NPS-2143
6.45Single7M3ECa; Ca; Tryptophan; NPS-21437M3E-CaS; CaS-Ca; Ca; Tryptophan; NPS-2143
6.45Single7M3FCa; Ca; Tryptophan; Cinacalcet7M3F-CaS; CaS-Ca; Ca; Tryptophan; Cinacalcet
6.45Single7SILCa; Ca; Ca; Cyclomethyltryptophan; R-568; PO47SIL-CaS; CaS-Ca-Ca; Ca; Ca; Cyclomethyltryptophan; R-568; PO4
6.45Single7SILCa; Ca; Ca; Cyclomethyltryptophan; R-568; PO47SIL-CaS; CaS-Ca-Ca; Ca; Ca; Cyclomethyltryptophan; R-568; PO4
6.45Single8A6CAll-trans-Retinal8A6C-Rhodopsin-All-trans-Retinal
6.45Single8A6DAll-trans-Retinal8A6D-Rhodopsin-All-trans-Retinal
6.45Single8A6EAll-trans-Retinal8A6E-Rhodopsin-All-trans-Retinal
6.45Single8DWHPubChem 1390305318DWH-MRGPRX1-PubChem 139030531-chim(NtGi2L-Gs-CtGq)/β1/γ2
6.45Single8J20Valeric acid8J20-FFA3-Valeric acid-AR420626-Gi1/β1/γ2
6.45Single8T3SButyric acid8T3S-FFA2-Butyric acid-chim(NtGi2L-Gs-CtGq)/β1/γ2
6.45Single8T3VDoconexent8T3V-FFA1-Doconexent-chim(NtGi2L-Gs-CtGq)/β1/γ2
6.45Single8U8FPalmitic Acid8U8F-GPR3-Palmitic Acid-Gs/β1/γ2
6.45Single8WPGTryptophan; Cinacalcet; PO4; Ca8WPG-CaS; CaS-Tryptophan; Cinacalcet; PO4; Ca
6.45Single9AVLCa; Ca; Cyclomethyltryptophan; R-568; PO49AVL-CaS; CaS-Ca-Ca; Ca; Cyclomethyltryptophan; R-568; PO4-Gi3/β2/γ2
6.45Single9C1PCa; Tryptophan; '6218; PO49C1P-CaS; CaS-Ca-Ca; Tryptophan; '6218; PO4
6.45Single9C2FCa; Ca; Tryptophan; '54149; PO49C2F-CaS; CaS-Ca-Ca; Ca; Tryptophan; '54149; PO4
6.45Consensusrhodopsin_offOrthosteric Ligand1U19-Rhodopsin-11-cis-Retinal 2PED-Rhodopsin-9-cis-Retinal 5TE5-Rhodopsin-20-Methanoretinal
6.25Single3OAX11-cis-Retinal3OAX-Rhodopsin-11-cis-Retinal
6.25Single6FFIMPEP6FFI-mGlu5-MPEP
6.25Single6FKAPubChem 1324730376FKA-Rhodopsin-PubChem 132473037
6.25Single6TPKRetosiban6TPK-OT-Retosiban
6.25Single7VODCariprazine7VOD-5-HT2A-Cariprazine
6.25Single7ZBC11-cis-Retinal7ZBC-Rhodopsin-11-cis-Retinal
6.25Single7ZBE11-cis-Retinal7ZBE-Rhodopsin-11-cis-Retinal
6.25Single8FCZ11-cis-Retinal8FCZ-Rhodopsin-11-cis-Retinal
6.25Single8K4NPubChem 1687197658K4N-GPR34-PubChem 168719765-Gi1/β1/γ2
6.25Single8WPUTryptophan; Cinacalcet; PO4; Ca8WPU-CaS; CaS-Tryptophan; Cinacalcet; PO4; Ca-chim(NtGi2L-Gs-CtGq)/β1/γ2
6.25Single8Y53MK50468Y53-BB3-MK5046-chim(NtGi1-Gs-CtGq)/β1/γ2
6.25Single9ASBCa; Ca; Cyclomethyltryptophan; R-568; PO49ASB-CaS; CaS-Ca-Ca; Ca; Cyclomethyltryptophan; R-568; PO4-chim(NtGi1-Gs-CtGq)/β1/γ2
6.25Single9AVGCa; Ca; Cyclomethyltryptophan; R-568; PO49AVG-CaS; CaS-Ca-Ca; Ca; Cyclomethyltryptophan; R-568; PO4-chim(NtGi1-Gs)/β1/γ2
6.25Single9AXFCa; Ca; Ca; Cyclomethyltryptophan; R-568; PO49AXF-CaS; CaS-Ca-Ca; Ca; Ca; Cyclomethyltryptophan; R-568; PO4-chim(NtGi1-Gs-CtGq)/β1/γ2
6.25Single9EPQ11,20-Ethanoretinal9EPQ-Rhodopsin-11,20-Ethanoretinal-chim(Gi1-CtGq)/β1/γ2
6.25Single9IXXLTD49IXX-CysLT2-LTD4-chim(NtGi1-Gs-CtGq)/β1/γ2
6.25Single9K1DButyric acid9K1D-FFA2-Butyric acid-Gi1/β1/γ2
6.25Consensusot_offOrthosteric Ligand6TPK-OT-Retosiban
6.25Consensusvasop-oxy_offOrthosteric Ligandot_off
6.06Single1HZX11-cis-Retinal1HZX-Rhodopsin-11-cis-Retinal
6.06Single6FFHFenobam6FFH-mGlu5-Fenobam
6.06Single7M3JNPS-2143; PO47M3J-CaS; CaS-NPS-2143; PO4
6.06Single8EJKTAK-8758EJK-FFA1-TAK-875-chim(NtGi1L-Gs-CtGq)/β1/γ2
6.06Single8XBGS3E-Lysophosphatidylserine 8XBG-GPR34-S3E-Lysophosphatidylserine
6.06Single8ZBEOctreotide8ZBE-SST5-Octreotide-Gi1/β1/γ1
6.06Single9JROPF-044189489JRO-EP2-PF-04418948
5.88Single4NTJAZD12834NTJ-P2Y12-AZD1283
5.88Single6HLPNetupitant6HLP-NK1-Netupitant
5.88Single6Z4SSR486926Z4S-NTS1-SR48692
5.88Single7M3JNPS-2143; PO47M3J-CaS; CaS-NPS-2143; PO4
5.88Single8EJCTAK-8758EJC-FFA1-TAK-875-chim(NtGi1L-Gs-CtGq)/β1/γ2
5.88Single8IZ4Lysophosphatidylserine (TJR)8IZ4-GPR34-Lysophosphatidylserine (TJR)-Gi1/β1/γ2
5.88Single8JGGBAM8-228JGG-MRGPRX1-BAM8-22-Gi1/β1/γ2
5.88Single8T6JCDPPB8T6J-mGlu5; mGlu5-CDPPB
5.88Single8T6JCDPPB8T6J-mGlu5; mGlu5-CDPPB
5.88Single9JRTTG6-1299JRT-EP2-TG6-129
5.71Single8TAOCDPPB8TAO-mGlu5; mGlu5-Quisqualate-CDPPB
5.71Single9YDVMRS29059YDV-P2Y14-MRS2905-Gi1/β1/γ2
5.71Consensusp2y12_onOrthosteric Ligand7XXI-P2Y12-2MeSADP-Gi2/β1/γ2
5.56Single6RZ7ONO-25703666RZ7-CysLT2-ONO-2570366
5.56Single7XXI2MeSADP7XXI-P2Y12-2MeSADP-Gi2/β1/γ2
5.56Single9CM3TUG-13759CM3-FFA2-TUG-1375-PubChem 118615810-chim(NtGi1L-Gs-CtGq)/β1/γ2
5.56Consensusgi_p2yOrthosteric Ligand7XXI-P2Y12-2MeSADP-Gi2/β1/γ2
5.56Consensusp2y12_on_gpOrthosteric Ligand7XXI-P2Y12-2MeSADP-Gi2/β1/γ2
5.41Single6RZ9ONO-27703726RZ9-CysLT2-ONO-2770372
5.41Consensuscyslt2_offOrthosteric Ligand6RZ7-CysLT2-ONO-2570366 6RZ8-CysLT2-ONO-2080365 6RZ9-CysLT2-ONO-2770372
5.26Single9CM7TUG-13759CM7-FFA2-TUG-1375-AZ-1729-Gi1/β1/γ2
5.26Single9NS9TUG-13759NS9-FFA2-TUG-1375-PubChem 118615810-Gi1/β1/γ2
5.13Single6RZ8ONO-20803656RZ8-CysLT2-ONO-2080365
4.17Single6D32Cyclopamine6D32-SMO-Cyclopamine-Cyclopamine
4.17Single6D35Cholesterol6D35-SMO-Cholesterol
4.17Single6N51Quisqualate6N51-mGlu5; mGlu5-Quisqualate
4.17Single6N51Quisqualate6N51-mGlu5; mGlu5-Quisqualate
4.17Single6UO8SKF975416UO8-GABAB1, GABAB2-SKF97541-GS39783
4.17Single6UO9SKF975416UO9-GABAB1, GABAB2-SKF97541
4.17Single6W2XPubChem 53110426W2X-GABAB1, GABAB2-PubChem 5311042
4.17Single6W2YPubChem 53110426W2Y-GABAB1; GABAB1-PubChem 5311042
4.17Single6W2YPubChem 53110426W2Y-GABAB1; GABAB1-PubChem 5311042
4.17Single7C7QBaclofen7C7Q-GABAB1, GABAB2-Baclofen-BHFF
4.17Single7C7SCGP546267C7S-GABAB1, GABAB2-CGP54626
4.17Single7CUMCGP546267CUM-GABAB1, GABAB2-CGP54626
4.17Single7DD5Ca7DD5-CaS; CaS-Ca-Ca; Ca; Tryptophan; NPS-2143
4.17Single7DD5Ca; Ca; Tryptophan; NPS-21437DD5-CaS; CaS-Ca-Ca; Ca; Tryptophan; NPS-2143
4.17Single7DD5Ca7DD5-CaS; CaS-Ca-Ca; Ca; Tryptophan; NPS-2143
4.17Single7DD5Ca; Ca; Tryptophan; NPS-21437DD5-CaS; CaS-Ca-Ca; Ca; Tryptophan; NPS-2143
4.17Single7DGEQuisqualate7DGE-mGlu1; mGlu1-Quisqualate
4.17Single7DTTCa7DTT-CaS; CaS-Ca-Ca
4.17Single7DTTCa7DTT-CaS; CaS-Ca-Ca
4.17Single7DTUTryptophan7DTU-CaS; CaS-Tryptophan
4.17Single7DTUTryptophan7DTU-CaS; CaS-Tryptophan
4.17Single7DTVCa7DTV-CaS; CaS-Ca-Ca; Tryptophan
4.17Single7DTVCa; Tryptophan7DTV-CaS; CaS-Ca-Ca; Tryptophan
4.17Single7DTVCa7DTV-CaS; CaS-Ca-Ca; Tryptophan
4.17Single7DTVCa; Tryptophan7DTV-CaS; CaS-Ca-Ca; Tryptophan
4.17Single7E6TCa; Ca; Cyclomethyltryptophan; PO47E6T-CaS; CaS-Ca-Ca; Ca; Cyclomethyltryptophan; PO4
4.17Single7E6TCa7E6T-CaS; CaS-Ca-Ca; Ca; Cyclomethyltryptophan; PO4
4.17Single7E6TCa; Ca; Cyclomethyltryptophan; PO47E6T-CaS; CaS-Ca-Ca; Ca; Cyclomethyltryptophan; PO4
4.17Single7E6TCa7E6T-CaS; CaS-Ca-Ca; Ca; Cyclomethyltryptophan; PO4
4.17Single7E9GEglumetad7E9G-mGlu2; mGlu2-Eglumetad-JNJ-40411813-Gi1/β1/γ2
4.17Single7E9GEglumetad7E9G-mGlu2; mGlu2-Eglumetad-JNJ-40411813-Gi1/β1/γ2
4.17Single7E9HPhosphoserine7E9H-mGlu4; mGlu4-Phosphoserine-Gi3/β1/γ2
4.17Single7E9HPhosphoserine7E9H-mGlu4; mGlu4-Phosphoserine-Gi3/β1/γ2
4.17Single7EB2Baclofen7EB2-GABAB2; GABAB1-Baclofen-rac-BHFF-Gi1/β1/γ2
4.17Single7EPBEglumetad7EPB-mGlu2; mGlu2-Eglumetad
4.17Single7EPBEglumetad7EPB-mGlu2; mGlu2-Eglumetad
4.17Single7FD8Quisqualate7FD8-mGlu5; mGlu5-Quisqualate
4.17Single7FD8Quisqualate7FD8-mGlu5; mGlu5-Quisqualate
4.17Single7FD9LY3414957FD9-mGlu5; mGlu5-LY341495
4.17Single7FD9LY3414957FD9-mGlu5; mGlu5-LY341495
4.17Single7FIHhCG7FIH-LH-hCG-Org43553-chim(NtGi1-Gs)/β1/γ2
4.17Single7FIIhCG7FII-LH-hCG-chim(NtGi1-Gs)/β1/γ2
4.17Single7M3ECa; Ca; Tryptophan; NPS-21437M3E-CaS; CaS-Ca; Ca; Tryptophan; NPS-2143
4.17Single7M3ECa; Ca; Tryptophan; NPS-21437M3E-CaS; CaS-Ca; Ca; Tryptophan; NPS-2143
4.17Single7M3FCa; Ca; Tryptophan; Cinacalcet7M3F-CaS; CaS-Ca; Ca; Tryptophan; Cinacalcet
4.17Single7M3FCa; Ca; Tryptophan; Cinacalcet7M3F-CaS; CaS-Ca; Ca; Tryptophan; Cinacalcet
4.17Single7M3GCa; Ca; Tryptophan; Evocalcet; Etelcalcetide; PO47M3G-CaS; CaS-Ca; Ca; Tryptophan; Evocalcet; Etelcalcetide; PO4
4.17Single7M3GCa; Ca; Tryptophan; Evocalcet; Etelcalcetide; PO47M3G-CaS; CaS-Ca; Ca; Tryptophan; Evocalcet; Etelcalcetide; PO4
4.17Single7M3GCa; Ca; Tryptophan; Evocalcet; Etelcalcetide; PO47M3G-CaS; CaS-Ca; Ca; Tryptophan; Evocalcet; Etelcalcetide; PO4
4.17Single7M3GCa; Ca; Tryptophan; Evocalcet; Etelcalcetide; PO47M3G-CaS; CaS-Ca; Ca; Tryptophan; Evocalcet; Etelcalcetide; PO4
4.17Single7MTQLY3414957MTQ-mGlu2; mGlu2-LY341495
4.17Single7MTQLY3414957MTQ-mGlu2; mGlu2-LY341495
4.17Single7MTRGlutamate7MTR-mGlu2; mGlu2-Glutamate-ADX55164
4.17Single7MTRGlutamate7MTR-mGlu2; mGlu2-Glutamate-ADX55164
4.17Single7MTSGlutamate7MTS-mGlu2; mGlu2-Glutamate-ADX55164-Gi1/β1/γ2
4.17Single7MTSGlutamate7MTS-mGlu2; mGlu2-Glutamate-ADX55164-Gi1/β1/γ2
4.17Single7SILCa7SIL-CaS; CaS-Ca-Ca; Ca; Ca; Cyclomethyltryptophan; R-568; PO4
4.17Single7SILCa; Ca; Ca; Cyclomethyltryptophan; R-568; PO47SIL-CaS; CaS-Ca-Ca; Ca; Ca; Cyclomethyltryptophan; R-568; PO4
4.17Single7SILCa7SIL-CaS; CaS-Ca-Ca; Ca; Ca; Cyclomethyltryptophan; R-568; PO4
4.17Single7SILCa; Ca; Ca; Cyclomethyltryptophan; R-568; PO47SIL-CaS; CaS-Ca-Ca; Ca; Ca; Cyclomethyltryptophan; R-568; PO4
4.17Single7SIMCa; Ca; Cyclomethyltryptophan; PO47SIM-CaS; CaS-Ca-Ca; Ca; Cyclomethyltryptophan; PO4
4.17Single7SIMCa7SIM-CaS; CaS-Ca-Ca; Ca; Cyclomethyltryptophan; PO4
4.17Single7SIMCa; Ca; Cyclomethyltryptophan; PO47SIM-CaS; CaS-Ca-Ca; Ca; Cyclomethyltryptophan; PO4
4.17Single7SIMCa7SIM-CaS; CaS-Ca-Ca; Ca; Cyclomethyltryptophan; PO4
4.17Single7T9NM22 Fab7T9N-TSH-M22 Fab-DPPC-Gs/β1/γ2
4.17Single7WI6LY3414957WI6-mGlu3; mGlu3-LY341495
4.17Single7WI6LY3414957WI6-mGlu3; mGlu3-LY341495
4.17Single7WI8LY3414957WI8-mGlu3; mGlu3-LY341495
4.17Single7WI8LY3414957WI8-mGlu3; mGlu3-LY341495
4.17Single7WIHLY27941937WIH-mGlu3; mGlu3-LY2794193
4.17Single7WIHLY27941937WIH-mGlu3; mGlu3-LY2794193
4.17Single7XW6M22 Fab7XW6-TSH-M22 Fab-ML109-Gs/β1/γ2
4.17Single7XW7K1-707XW7-TSH-K1-70
4.17Single8JCULY3414958JCU-mGlu2; mGlu3-LY341495
4.17Single8JCULY3414958JCU-mGlu2; mGlu3-LY341495
4.17Single8JCVLY3414958JCV-mGlu2; mGlu3-LY341495
4.17Single8JCVLY3414958JCV-mGlu2; mGlu3-LY341495
4.17Single8JCWLY3414958JCW-mGlu2; mGlu3-LY341495
4.17Single8JCWLY3414958JCW-mGlu2; mGlu3-LY341495
4.17Single8JCXLY3414958JCX-mGlu2; mGlu3-LY341495
4.17Single8JCXLY3414958JCX-mGlu2; mGlu3-LY341495
4.17Single8JCYLY3414958JCY-mGlu2; mGlu3-LY341495
4.17Single8JCYLY3414958JCY-mGlu2; mGlu3-LY341495
4.17Single8JCZLY3414958JCZ-mGlu2; mGlu3-LY341495
4.17Single8JCZLY3414958JCZ-mGlu2; mGlu3-LY341495
4.17Single8JD0Glutamate8JD0-mGlu2; mGlu3-Glutamate-NAM563
4.17Single8JD1Glutamate8JD1-mGlu2; mGlu3-Glutamate
4.17Single8JD1Glutamate8JD1-mGlu2; mGlu3-Glutamate
4.17Single8JD2Glutamate8JD2-mGlu2; mGlu3-Glutamate
4.17Single8JD2Glutamate8JD2-mGlu2; mGlu3-Glutamate
4.17Single8JD3Glutamate8JD3-mGlu2; mGlu3-Glutamate-JNJ-40411813-Gi1/β1/γ2
4.17Single8JD3Glutamate8JD3-mGlu2; mGlu3-Glutamate-JNJ-40411813-Gi1/β1/γ2
4.17Single8JD4Glutamate8JD4-mGlu2; mGlu4-Glutamate
4.17Single8JD4Glutamate8JD4-mGlu2; mGlu4-Glutamate
4.17Single8JD5Glutamate8JD5-mGlu2; mGlu4-Glutamate-JNJ-40411813; ADX88178-Gi1/β1/γ2
4.17Single8JD5Glutamate8JD5-mGlu2; mGlu4-Glutamate-JNJ-40411813; ADX88178-Gi1/β1/γ2
4.17Single8JD6Phosphoserine8JD6-mGlu4; mGlu4-Phosphoserine-VU0364770-Gi3/β1/γ2
4.17Single8JD6Phosphoserine8JD6-mGlu4; mGlu4-Phosphoserine-VU0364770-Gi3/β1/γ2
4.17Single8SZFCa; Ca; Tryptophan; Cinacalcet; PO4; Spermine8SZF-CaS; CaS-Ca; Ca; Tryptophan; Cinacalcet; PO4; Spermine
4.17Single8SZFCa; Ca; Tryptophan; Cinacalcet; PO4; Spermine8SZF-CaS; CaS-Ca; Ca; Tryptophan; Cinacalcet; PO4; Spermine
4.17Single8SZGCa; Ca; Tryptophan; Cinacalcet; PO4; Spermine8SZG-CaS; CaS-Ca; Ca; Tryptophan; Cinacalcet; PO4; Spermine-chim(NtGi1-Gq)/β1/γ2
4.17Single8T7HQuisqualate8T7H-mGlu5; mGlu5-Quisqualate
4.17Single8T7HQuisqualate8T7H-mGlu5; mGlu5-Quisqualate
4.17Single8T8MQuisqualate8T8M-mGlu5; mGlu5-Quisqualate
4.17Single8T8MQuisqualate8T8M-mGlu5; mGlu5-Quisqualate
4.17Single8TAOQuisqualate8TAO-mGlu5; mGlu5-Quisqualate-CDPPB
4.17Single8TAOQuisqualate8TAO-mGlu5; mGlu5-Quisqualate-CDPPB
4.17Single8TQBCa; LY3792688TQB-mGlu3; mGlu3-Ca; LY379268-Ca
4.17Single8TQBCa; LY3792688TQB-mGlu3; mGlu3-Ca; LY379268-Ca
4.17Single8TR0LY3414958TR0-mGlu3; mGlu3-LY341495
4.17Single8TR0LY3414958TR0-mGlu3; mGlu3-LY341495
4.17Single8TR2Ca; LY3792688TR2-mGlu3; mGlu3-Ca; LY379268-Ca
4.17Single8TR2Ca; LY3792688TR2-mGlu3; mGlu3-Ca; LY379268-Ca
4.17Single8TRCLY3414958TRC-mGlu3; mGlu3-LY341495
4.17Single8TRCLY3414958TRC-mGlu3; mGlu3-LY341495
4.17Single8TRDLY3414958TRD-mGlu3; mGlu3-LY341495
4.17Single8TRDLY3414958TRD-mGlu3; mGlu3-LY341495
4.17Single8WG9PubChem 1793948WG9-mGlu4; mGlu2-PubChem 179394
4.17Single8WGBGlutamate8WGB-mGlu4; mGlu2-Glutamate-VU0155041-Gi3/β1/γ2
4.17Single8WGBGlutamate8WGB-mGlu4; mGlu2-Glutamate-VU0155041-Gi3/β1/γ2
4.17Single8WGCLY3792688WGC-mGlu2; mGlu4-LY379268
4.17Single8WGDLY341495; CPPG8WGD-mGlu4; mGlu2-LY341495; CPPG
4.17Single8WGDLY341495; CPPG8WGD-mGlu4; mGlu2-LY341495; CPPG
4.17Single8WPGTryptophan; Cinacalcet; PO4; Ca8WPG-CaS; CaS-Tryptophan; Cinacalcet; PO4; Ca
4.17Single8WPGTryptophan; Cinacalcet; PO4; Ca8WPG-CaS; CaS-Tryptophan; Cinacalcet; PO4; Ca
4.17Single8WPUTryptophan; Cinacalcet; PO4; Ca8WPU-CaS; CaS-Tryptophan; Cinacalcet; PO4; Ca-chim(NtGi2L-Gs-CtGq)/β1/γ2
4.17Single8WPUTryptophan; Cinacalcet; PO4; Ca8WPU-CaS; CaS-Tryptophan; Cinacalcet; PO4; Ca-chim(NtGi2L-Gs-CtGq)/β1/γ2
4.17Single8WVXNorrin8WVX-LGR4-Norrin
4.17Single8WVYNorrin8WVY-LGR4-Norrin
4.17Single8X0BQuisqualate8X0B-mGlu5; mGlu5-Quisqualate-VU0424465
4.17Single8X0BQuisqualate8X0B-mGlu5; mGlu5-Quisqualate-VU0424465
4.17Single8X0CQuisqualate8X0C-mGlu5; mGlu5-Quisqualate-VU0424465
4.17Single8X0CQuisqualate8X0C-mGlu5; mGlu5-Quisqualate-VU0424465
4.17Single8X0DQuisqualate8X0D-mGlu5; mGlu5-Quisqualate-VU0424465
4.17Single8X0DQuisqualate8X0D-mGlu5; mGlu5-Quisqualate-VU0424465
4.17Single8X0EQuisqualate8X0E-mGlu5; mGlu5-Quisqualate
4.17Single8X0EQuisqualate8X0E-mGlu5; mGlu5-Quisqualate
4.17Single8X0FQuisqualate8X0F-mGlu5; mGlu5-Quisqualate-VU29
4.17Single8X0FQuisqualate8X0F-mGlu5; mGlu5-Quisqualate-VU29
4.17Single8X0GQuisqualate8X0G-mGlu5; mGlu5-Quisqualate
4.17Single8X0GQuisqualate8X0G-mGlu5; mGlu5-Quisqualate
4.17Single8X0HQuisqualate8X0H-mGlu5; mGlu5-Quisqualate
4.17Single8X0HQuisqualate8X0H-mGlu5; mGlu5-Quisqualate
4.17Single8XUMR-spondin-28XUM-LGR4-R-spondin-2
4.17Single9ASBCa9ASB-CaS; CaS-Ca-Ca; Ca; Cyclomethyltryptophan; R-568; PO4-chim(NtGi1-Gs-CtGq)/β1/γ2
4.17Single9ASBCa; Ca; Cyclomethyltryptophan; R-568; PO49ASB-CaS; CaS-Ca-Ca; Ca; Cyclomethyltryptophan; R-568; PO4-chim(NtGi1-Gs-CtGq)/β1/γ2
4.17Single9AVGCa9AVG-CaS; CaS-Ca-Ca; Ca; Cyclomethyltryptophan; R-568; PO4-chim(NtGi1-Gs)/β1/γ2
4.17Single9AVGCa; Ca; Cyclomethyltryptophan; R-568; PO49AVG-CaS; CaS-Ca-Ca; Ca; Cyclomethyltryptophan; R-568; PO4-chim(NtGi1-Gs)/β1/γ2
4.17Single9AVLCa9AVL-CaS; CaS-Ca-Ca; Ca; Cyclomethyltryptophan; R-568; PO4-Gi3/β2/γ2
4.17Single9AVLCa; Ca; Cyclomethyltryptophan; R-568; PO49AVL-CaS; CaS-Ca-Ca; Ca; Cyclomethyltryptophan; R-568; PO4-Gi3/β2/γ2
4.17Single9AVLCa9AVL-CaS; CaS-Ca-Ca; Ca; Cyclomethyltryptophan; R-568; PO4-Gi3/β2/γ2
4.17Single9AVLCa; Ca; Cyclomethyltryptophan; R-568; PO49AVL-CaS; CaS-Ca-Ca; Ca; Cyclomethyltryptophan; R-568; PO4-Gi3/β2/γ2
4.17Single9AXFCa9AXF-CaS; CaS-Ca-Ca; Ca; Ca; Cyclomethyltryptophan; R-568; PO4-chim(NtGi1-Gs-CtGq)/β1/γ2
4.17Single9AXFCa; Ca; Ca; Cyclomethyltryptophan; R-568; PO49AXF-CaS; CaS-Ca-Ca; Ca; Ca; Cyclomethyltryptophan; R-568; PO4-chim(NtGi1-Gs-CtGq)/β1/γ2
4.17Single9AXFCa9AXF-CaS; CaS-Ca-Ca; Ca; Ca; Cyclomethyltryptophan; R-568; PO4-chim(NtGi1-Gs-CtGq)/β1/γ2
4.17Single9AXFCa; Ca; Ca; Cyclomethyltryptophan; R-568; PO49AXF-CaS; CaS-Ca-Ca; Ca; Ca; Cyclomethyltryptophan; R-568; PO4-chim(NtGi1-Gs-CtGq)/β1/γ2
4.17Single9AYFCa9AYF-CaS; CaS-Ca-Ca; Ca; Ca; Cyclomethyltryptophan; R-568; PO4-Gi1/β1/γ2
4.17Single9AYFCa; Ca; Ca; Cyclomethyltryptophan; R-568; PO49AYF-CaS; CaS-Ca-Ca; Ca; Ca; Cyclomethyltryptophan; R-568; PO4-Gi1/β1/γ2
4.17Single9C1PCa9C1P-CaS; CaS-Ca-Ca; Tryptophan; '6218; PO4
4.17Single9C1PCa; Tryptophan; '6218; PO49C1P-CaS; CaS-Ca-Ca; Tryptophan; '6218; PO4
4.17Single9C1PCa9C1P-CaS; CaS-Ca-Ca; Tryptophan; '6218; PO4
4.17Single9C1PCa; Tryptophan; '6218; PO49C1P-CaS; CaS-Ca-Ca; Tryptophan; '6218; PO4
4.17Single9C2FCa9C2F-CaS; CaS-Ca-Ca; Ca; Tryptophan; '54149; PO4
4.17Single9C2FCa; Ca; Tryptophan; '54149; PO49C2F-CaS; CaS-Ca-Ca; Ca; Tryptophan; '54149; PO4
4.17Single9C2FCa9C2F-CaS; CaS-Ca-Ca; Ca; Tryptophan; '54149; PO4
4.17Single9C2FCa; Ca; Tryptophan; '54149; PO49C2F-CaS; CaS-Ca-Ca; Ca; Tryptophan; '54149; PO4
4.17Single9II2Glutamate9II2-mGlu3; mGlu3-Glutamate-Arrestin2; Arrestin2
4.17Single9II2Glutamate9II2-mGlu3; mGlu3-Glutamate-Arrestin2; Arrestin2
4.17Single9II3Glutamate9II3-mGlu3; mGlu3-Glutamate-Arrestin2
4.17Single9II3Glutamate9II3-mGlu3; mGlu3-Glutamate-Arrestin2
4.17Single9KB7R-spondin-29KB7-LGR4-R-spondin-2
4.17Single9KGKNB189KGK-LGR4-NB18
4.17Single9KHHNorrin9KHH-LGR4-Norrin
4.17Single9MBAGlutamate9MBA-mGlu8; mGlu8-Glutamate-Arrestin2 ; Arrestin2
4.17Single9MBAGlutamate9MBA-mGlu8; mGlu8-Glutamate-Arrestin2 ; Arrestin2
4.17Single9MBBLY3414959MBB-mGlu8; mGlu8-LY341495
4.17Single9MBBLY3414959MBB-mGlu8; mGlu8-LY341495
4.17Single9MBCDCPG9MBC-mGlu8; mGlu8-DCPG-AZ12216052
4.17Single9MBCDCPG9MBC-mGlu8; mGlu8-DCPG-AZ12216052
4.17Single9S37NB219S37-LGR4-NB21
4.17Single9S38NB219S38-LGR4-NB21
4.17Single9UTBSucralose9UTB-TAS1R2; TAS1R3-Sucralose
4.00Single7DD6Ca7DD6-CaS; CaS-Ca-Ca; Ca; Tryptophan
4.00Single7DD6Ca; Ca; Tryptophan7DD6-CaS; CaS-Ca-Ca; Ca; Tryptophan
4.00Single7DD6Ca7DD6-CaS; CaS-Ca-Ca; Ca; Tryptophan
4.00Single7DD6Ca; Ca; Tryptophan7DD6-CaS; CaS-Ca-Ca; Ca; Tryptophan
4.00Single7DD7Ca7DD7-CaS; CaS-Ca-Ca; Ca; Tryptophan; Evocalcet
4.00Single7DD7Ca; Ca; Tryptophan; Evocalcet7DD7-CaS; CaS-Ca-Ca; Ca; Tryptophan; Evocalcet
4.00Single7DD7Ca7DD7-CaS; CaS-Ca-Ca; Ca; Tryptophan; Evocalcet
4.00Single7DD7Ca; Ca; Tryptophan; Evocalcet7DD7-CaS; CaS-Ca-Ca; Ca; Tryptophan; Evocalcet
4.00Single8SZFCa; Ca; Tryptophan; Cinacalcet; PO4; Spermine8SZF-CaS; CaS-Ca; Ca; Tryptophan; Cinacalcet; PO4; Spermine
4.00Single8SZFCa; Ca; Tryptophan; Cinacalcet; PO4; Spermine8SZF-CaS; CaS-Ca; Ca; Tryptophan; Cinacalcet; PO4; Spermine
4.00Single9ASBCa9ASB-CaS; CaS-Ca-Ca; Ca; Cyclomethyltryptophan; R-568; PO4-chim(NtGi1-Gs-CtGq)/β1/γ2
4.00Single9ASBCa; Ca; Cyclomethyltryptophan; R-568; PO49ASB-CaS; CaS-Ca-Ca; Ca; Cyclomethyltryptophan; R-568; PO4-chim(NtGi1-Gs-CtGq)/β1/γ2
4.00Single9AVGCa9AVG-CaS; CaS-Ca-Ca; Ca; Cyclomethyltryptophan; R-568; PO4-chim(NtGi1-Gs)/β1/γ2
4.00Single9AVGCa; Ca; Cyclomethyltryptophan; R-568; PO49AVG-CaS; CaS-Ca-Ca; Ca; Cyclomethyltryptophan; R-568; PO4-chim(NtGi1-Gs)/β1/γ2
4.00Single9AYFCa9AYF-CaS; CaS-Ca-Ca; Ca; Ca; Cyclomethyltryptophan; R-568; PO4-Gi1/β1/γ2
4.00Single9AYFCa; Ca; Ca; Cyclomethyltryptophan; R-568; PO49AYF-CaS; CaS-Ca-Ca; Ca; Ca; Cyclomethyltryptophan; R-568; PO4-Gi1/β1/γ2
4.00Consensusclass-b2_onOrthosteric Ligandadgrg_on adgrf_on adgrl_on adgre_on adgrd_on
4.00Consensusclass-b2_on_gpOrthosteric Ligandadgrg_on_gp adgrf_on_gp adgrl_on_gp adgre_on_gp adgrd_on_gp
3.85Single7KNUCalcitonin gene-related peptide-17KNU-CT Like-Calcitonin gene-related peptide-1-RAMP1
3.85Single7T9MCS-17 Antibody7T9M-TSH-CS-17 Antibody
3.85Single8TLMAnti-murine CCR8 antibody8TLM-CCR8-Anti-murine CCR8 antibody
3.70Single6O3CCholesterol6O3C-SMO-SAG21k-Cholesterol
3.70Single7FIGhCG7FIG-LH-hCG-chim(NtGi1L-Gs)/β1/γ2
3.70Single7UTZTSH7UTZ-TSH-TSH-DPPC-Gs/β1/γ2
3.70Single7XW5TSH7XW5-TSH-TSH-ML109-Gs/β1/γ2
3.70Single7ZI0Cholesterol7ZI0-SMO-SAG-Cholesterol
3.57Single3PXOAll-trans-Retinal3PXO-Rhodopsin-All-trans-Retinal
3.57Single5DYSAll-trans-Retinal5DYS-Rhodopsin-All-trans-Retinal
3.57Single5L7DCholesterol5L7D-SMO-Cholesterol
3.57Single6VCBLSN31604406VCB-GLP-1-GLP-1-LSN3160440-Gs/β1/γ2
3.57Single7T9ITSH7T9I-TSH-TSH-Gs/β1/γ2
3.57Single8I2GFSH8I2G-FSH-FSH-PubChem 67530240-Gs/β1/γ2
3.45Single7VDMSubstance-P7VDM-MRGPRX2-Substance-P-Gi1/β1/γ2
3.45Single8Y02All-trans-Retinal8Y02-OPN1SW-All-trans-Retinal-Gi1/β1/γ2
3.45Single9IVMLSN33188399IVM-GLP-1-GLP-1 (Truncated)-LSN3318839-chim(NtGi1-Gs)/β2/γ2
3.33Single3PQRAll-trans-Retinal3PQR-Rhodopsin-All-trans-Retinal-Gt(CT)
3.33Single6FK9PubChem 1324730366FK9-Rhodopsin-PubChem 132473036
3.33Single8SZFCa; Ca; Tryptophan; Cinacalcet; PO4; Spermine8SZF-CaS; CaS-Ca; Ca; Tryptophan; Cinacalcet; PO4; Spermine
3.23Single6I9K9-cis-Retinal6I9K-Rhodopsin-9-cis-Retinal
3.23Single6PGSGeraniol6PGS-Rhodopsin-Geraniol-Gt(CT)
3.23Single6PH7Nerol6PH7-Rhodopsin-Nerol-Gt(CT)
3.23Single6TP4ACT-4622066TP4-OX1-ACT-462206
3.23Single7S8NR-Zinc-35737S8N-MRGPRX2-R-Zinc-3573-chim(NtGi2L-Gs-CtGq)/β1/γ2
3.23Single7S8OR-Zinc-35737S8O-MRGPRX2-R-Zinc-3573-Gi1/β1/γ2
3.23Single8SZFCa; Ca; Tryptophan; Cinacalcet; PO4; Spermine8SZF-CaS; CaS-Ca; Ca; Tryptophan; Cinacalcet; PO4; Spermine
3.23Single9EPRAll-trans-Retinal9EPR-Rhodopsin-All-trans-Retinal-Gi1/β1/γ2
3.23Single9MNIdC2_059MNI-CTLike-dC2_05-RAMP1
3.23Single9YDAAll-trans-Retinal9YDA-Opsin1MW-All-trans-Retinal-chim(NtGi1L-Gs-CtGt)/β1/γ2
3.12Single4K5YCP-3763954K5Y-CRF1-CP-376395
3.12Single4XNVBPTU4XNV-P2Y1-BPTU
3.12Single6C1QNDT95137276C1Q-C5a1-PMX53-NDT9513727
3.12Single6TQ6PubChem 1457142836TQ6-OX1-PubChem 145714283
3.03Single6PELCitronellol6PEL-Rhodopsin-Citronellol-Gt(CT)
3.03Single6ZINSR486926ZIN-NTS1-SR48692
3.03Single8IYXYL-3658IYX-GPR34-YL-365
3.03Single8JD6VU03647708JD6-mGlu4; mGlu4-Phosphoserine-VU0364770-Gi3/β1/γ2
3.03Single8Y01All-trans-Retinal8Y01-Opsin1MW-All-trans-Retinal-Gi1/β1/γ2
3.03Single9JQYTG6-1299JQY-EP4-TG6-129
3.03Single9U80Conivaptan9U80-V2-Conivaptan
2.94Single4Z9GCP-3763954Z9G-CRF1-CP-376395
2.94Single8GTIBMK-C2058GTI-CRF1-BMK-C205
2.86Single8GTGBMK-I1528GTG-CRF1-BMK-I152
2.78Single9CLWTUG-13759CLW-FFA2-TUG-1375-4-CMTB-chim(NtGi1L-Gs-CtGq)/β1/γ2
2.70Single8GTMBMK-C2038GTM-CRF1-BMK-C203
2.63Single9JH5C16:0 Ceramide9JH5-CysLT2-C16:0 Ceramide-chim(NtGi1-Gs-CtGq)/β1/γ2
2.50Single8XFSR-spondin-28XFS-LGR4-R-spondin-2-ZNRF3; ZNRF3
2.50Single8XFTR-spondin-28XFT-LGR4-R-spondin-2-ZNRF3
2.50Single8Y69R-spondin-28Y69-LGR4; LGR4-R-spondin-2-ZNRF3
2.44Single8XFPR-spondin-28XFP-LGR4-R-spondin-2-ZNRF3; ZNRF3
2.44Single9KB8R-spondin-29KB8-LGR4-R-spondin-2-ZNRF3; ZNRF3
2.44Single9KB9R-spondin-29KB9-LGR4; LGR4-R-spondin-2-ZNRF3; ZNRF3
2.38Single8WVUR-spondin-18WVU-LGR4-R-spondin-1-RNF43
2.38Single8Y69R-spondin-28Y69-LGR4; LGR4-R-spondin-2-ZNRF3
2.38Single9KB9R-spondin-29KB9-LGR4; LGR4-R-spondin-2-ZNRF3; ZNRF3

PDB Summary
PDB 9P93
Class B1
SubFamily Peptide
Type VIP and PACAP
SubType PAC1
Species Homo Sapiens
Ligand VIP
Other Ligand(s) -
Protein Partners Gs/Beta1/Gamma2
PDB Resolution 3.2
Date 2025-11-19
D.O.I. 10.1073/pnas.2521157122
Net Summary
Imin 2.98
Number of Linked Nodes 926
Number of Links 1092
Number of Hubs 167
Number of Links mediated by Hubs 614
Number of Communities 30
Number of Nodes involved in Communities 234
Number of Links involved in Communities 328
Path Summary
Number Of Nodes in MetaPath 93
Number Of Links MetaPath 92
Number of Shortest Paths 3692937
Length Of Smallest Path 3
Average Path Length 40.9121
Length of Longest Path 73
Minimum Path Strength 1.325
Average Path Strength 6.48437
Maximum Path Strength 20.195
Minimum Path Correlation 0.7
Average Path Correlation 0.994363
Maximum Path Correlation 1
Minimum % Of Corr. Nodes 1.69492
Average % Of Corr. Nodes 41.7715
Maximum % Of Corr. Nodes 100
Minimum Path Hubs % 0
Average Path Hubs % 47.9525
Maximum Path Hubs % 100
AnnotationTypeLinks
Gene OntologyMolecular Function• protein binding   • binding   • enzyme binding   • GTPase binding   • protein-containing complex binding   • pyrophosphatase activity   • GTPase activity   • ribonucleoside triphosphate phosphatase activity   • hydrolase activity, acting on acid anhydrides, in phosphorus-containing anhydrides   • hydrolase activity   • hydrolase activity, acting on acid anhydrides   • catalytic activity   • signaling receptor complex adaptor activity   • protein-macromolecule adaptor activity   • molecular adaptor activity   • signaling adaptor activity   • multicellular organismal process   • system process   • sensory perception of chemical stimulus   • sensory perception   • nervous system process   • sensory perception of taste   • developmental process   • sensory organ development   • eye development   • animal organ development   • retina development in camera-type eye   • visual system development   • multicellular organism development   • camera-type eye development
Gene OntologyBiological Process• multicellular organismal process   • system process   • sensory perception of chemical stimulus   • sensory perception   • nervous system process   • sensory perception of taste   • developmental process   • sensory organ development   • eye development   • animal organ development   • retina development in camera-type eye   • visual system development   • multicellular organism development   • camera-type eye development   • anatomical structure development   • sensory system development   • system development   • cell population proliferation   • cellular process   • cellular response to stimulus   • regulation of biological process   • regulation of cellular process   • response to stimulus   • signaling   • biological regulation   • signal transduction   • cell communication   • response to ketone   • response to prostaglandin   • response to lipid   • response to endogenous stimulus   • response to alcohol   • cellular response to prostaglandin stimulus   • response to oxygen-containing compound   • cellular response to oxygen-containing compound   • cellular response to endogenous stimulus   • cellular response to prostaglandin E stimulus   • cellular response to chemical stimulus   • cellular response to alcohol   • response to hormone   • response to chemical   • cellular response to lipid   • response to prostaglandin E   • cellular response to ketone   • cellular response to hormone stimulus   • small GTPase-mediated signal transduction   • Ras protein signal transduction   • intracellular signal transduction   • intracellular signaling cassette   • phospholipase C-activating G protein-coupled receptor signaling pathway   • G protein-coupled receptor signaling pathway   • cellular response to nitrogen compound   • response to dopamine   • cellular response to dopamine   • response to monoamine   • response to catecholamine   • adenylate cyclase-activating dopamine receptor signaling pathway   • cellular response to catecholamine stimulus   • G protein-coupled dopamine receptor signaling pathway   • response to nitrogen compound   • adenylate cyclase-activating G protein-coupled receptor signaling pathway   • cellular response to monoamine stimulus   • adenylate cyclase-modulating G protein-coupled receptor signaling pathway   • synaptic signaling   • cellular response to acetylcholine   • cell-cell signaling   • acetylcholine receptor signaling pathway   • postsynaptic signal transduction   • G protein-coupled acetylcholine receptor signaling pathway   • response to acetylcholine   • cellular anatomical structure   • membrane   • protein-containing complex   • extrinsic component of plasma membrane   • catalytic complex   • plasma membrane protein complex   • cytoplasmic side of membrane   • plasma membrane   • membrane protein complex   • heterotrimeric G-protein complex   • side of membrane   • cell periphery   • cytoplasmic side of plasma membrane   • GTPase complex
Gene OntologyCellular Component• cellular anatomical structure   • membrane   • protein-containing complex   • extrinsic component of plasma membrane   • catalytic complex   • plasma membrane protein complex   • cytoplasmic side of membrane   • plasma membrane   • membrane protein complex   • heterotrimeric G-protein complex   • side of membrane   • cell periphery   • cytoplasmic side of plasma membrane   • GTPase complex   • extrinsic component of membrane   • extrinsic component of cytoplasmic side of plasma membrane   • extracellular exosome   • membrane-bounded organelle   • extracellular vesicle   • extracellular organelle   • extracellular region   • organelle   • extracellular space   • vesicle   • extracellular membrane-bounded organelle   • non-motile cilium   • 9+0 non-motile cilium   • cilium   • neuron projection   • photoreceptor disc membrane   • photoreceptor outer segment   • plasma membrane bounded cell projection   • cell projection   • photoreceptor cell cilium   • organelle membrane   • intracellular anatomical structure   • cytoplasm   • cytosol   • vacuolar membrane   • lytic vacuole   • vacuole   • intracellular membrane-bounded organelle   • intracellular organelle   • lytic vacuole membrane   • bounding membrane of organelle   • lysosomal membrane   • lysosome   • synapse   • cell junction   • binding   • guanyl nucleotide binding   • GTP binding   • nucleotide binding   • guanyl ribonucleotide binding   • purine ribonucleotide binding   • purine ribonucleoside triphosphate binding   • nucleoside phosphate binding   • ion binding   • purine nucleotide binding   • anion binding   • heterocyclic compound binding   • carbohydrate derivative binding   • ribonucleotide binding   • small molecule binding   • D1 dopamine receptor binding   • protein binding   • signaling receptor binding   • G protein-coupled receptor binding   • dopamine receptor binding   • protein-containing complex binding   • G-protein beta/gamma-subunit complex binding   • pyrophosphatase activity   • GTPase activity   • G protein activity   • ribonucleoside triphosphate phosphatase activity   • molecular function regulator activity   • hydrolase activity, acting on acid anhydrides, in phosphorus-containing anhydrides   • hydrolase activity   • hydrolase activity, acting on acid anhydrides   • catalytic activity   • enzyme regulator activity   • cyclase regulator activity   • enzyme activator activity   • cyclase activator activity   • molecular function activator activity   • adenylate cyclase regulator activity   • adenylate cyclase activator activity   • cation binding   • metal ion binding   • developmental process   • multicellular organismal process   • epithelium development   • ectodermal placode morphogenesis   • epidermis development   • molting cycle process   • hair cycle   • animal organ development   • hair follicle placode formation   • tissue development   • ectodermal placode formation   • anatomical structure morphogenesis   • skin development   • skin epidermis development   • hair follicle development   • molting cycle   • anatomical structure development   • anatomical structure formation involved in morphogenesis   • ectodermal placode development   • hair cycle process   • cellular homeostasis   • chemical homeostasis   • homeostatic process   • glucose homeostasis   • carbohydrate homeostasis   • intracellular chemical homeostasis   • intracellular glucose homeostasis   • system process   • regulation of biological process   • nervous system process   • neuromuscular process   • regulation of system process   • biological regulation   • skeletal muscle contraction   • muscle contraction   • muscle system process   • regulation of muscle system process   • striated muscle contraction   • multicellular organismal movement   • musculoskeletal movement   • regulation of striated muscle contraction   • regulation of muscle contraction   • regulation of skeletal muscle contraction   • regulation of multicellular organismal process   • sensory perception of chemical stimulus   • sensory perception   • sensory perception of smell   • cellular response to stimulus   • cellular response to nitrogen compound   • response to stimulus   • response to endogenous stimulus   • response to peptide hormone   • cellular response to peptide hormone stimulus   • response to oxygen-containing compound   • response to nitrogen compound   • response to glucagon   • cellular response to oxygen-containing compound   • cellular response to glucagon stimulus   • cellular response to endogenous stimulus   • cellular response to chemical stimulus   • response to hormone   • response to chemical   • cellular process   • cellular response to hormone stimulus   • multicellular organism development   • skeletal system development   • bone development   • system development   • response to pH   • cellular response to pH   • response to abiotic stimulus   • cellular response to acidic pH   • response to acidic pH   • cellular response to abiotic stimulus   • cellular response to environmental stimulus   • regulation of body fluid levels   • wound healing   • homotypic cell-cell adhesion   • cell activation   • hemostasis   • platelet aggregation   • blood coagulation   • cell adhesion   • cell-cell adhesion   • response to stress   • coagulation   • regulation of biological quality   • response to wounding   • platelet activation   • response to fluid shear stress   • vascular endothelial cell response to laminar fluid shear stress   • response to laminar fluid shear stress   • cellular response to stress   • cellular response to laminar fluid shear stress   • vascular endothelial cell response to fluid shear stress   • cellular response to fluid shear stress   • cognition   • developmental growth   • growth   • response to ketone   • response to prostaglandin   • response to lipid   • response to alcohol   • cellular response to prostaglandin stimulus   • cellular response to prostaglandin E stimulus   • cellular response to alcohol   • cellular response to lipid   • response to prostaglandin E   • cellular response to ketone   • regulation of cellular process   • signaling   • adenylate cyclase-activating G protein-coupled receptor signaling pathway   • cell communication   • adenylate cyclase-modulating G protein-coupled receptor signaling pathway   • G protein-coupled receptor signaling pathway   • signal transduction   • positive regulation of biological process   • adaptive thermogenesis   • multicellular organismal-level homeostasis   • regulation of cold-induced thermogenesis   • cold-induced thermogenesis   • temperature homeostasis   • positive regulation of cold-induced thermogenesis   • positive regulation of multicellular organismal process   • positive regulation of cell communication   • regulation of localization   • establishment of protein localization   • nitrogen compound transport   • positive regulation of establishment of protein localization   • localization   • establishment of localization in cell   • positive regulation of insulin secretion involved in cellular response to glucose stimulus   • positive regulation of insulin secretion   • intracellular protein localization   • regulation of peptide hormone secretion   • regulation of hormone levels   • positive regulation of peptide hormone secretion   • establishment of protein localization to extracellular region   • protein secretion   • establishment of localization   • regulation of protein secretion   • regulation of secretion   • cellular response to carbohydrate stimulus   • response to glucose   • positive regulation of protein localization   • insulin secretion involved in cellular response to glucose stimulus   • cellular localization   • regulation of hormone secretion   • regulation of protein localization   • regulation of peptide secretion   • transport   • positive regulation of secretion by cell   • hormone secretion   • protein localization to extracellular region   • positive regulation of protein transport   • peptide secretion   • regulation of secretion by cell   • secretion by cell   • positive regulation of hormone secretion   • response to monosaccharide   • response to carbohydrate   • positive regulation of secretion   • signal release   • cellular response to hexose stimulus   • cellular response to monosaccharide stimulus   • positive regulation of cellular process   • positive regulation of peptide secretion   • regulation of signaling   • regulation of transport   • secretion   • regulation of peptide transport   • regulation of establishment of protein localization   • export from cell   • cell-cell signaling   • cellular response to glucose stimulus   • regulation of protein transport   • positive regulation of protein secretion   • peptide transport   • response to hexose   • positive regulation of transport   • regulation of cellular localization   • protein transport   • regulation of insulin secretion   • peptide hormone secretion   • macromolecule localization   • regulation of insulin secretion involved in cellular response to glucose stimulus   • hormone transport   • regulation of cell communication   • insulin secretion   • positive regulation of signaling   • adenylate cyclase-activating adrenergic receptor signaling pathway   • adrenergic receptor signaling pathway   • response to dopamine   • cellular response to dopamine   • response to monoamine   • response to catecholamine   • cellular response to catecholamine stimulus   • serotonin receptor signaling pathway   • cellular response to monoamine stimulus   • adenylate cyclase-activating serotonin receptor signaling pathway   • intracellular transport   • regulation of defense response   • regulation of response to external stimulus   • negative regulation of inflammatory response   • negative regulation of biological process   • inflammatory response to antigenic stimulus   • regulation of response to stress   • regulation of immune system process   • negative regulation of inflammatory response to antigenic stimulus   • defense response   • immune response   • negative regulation of response to stimulus   • negative regulation of immune response   • regulation of inflammatory response to antigenic stimulus   • response to external stimulus   • regulation of inflammatory response   • regulation of response to stimulus   • negative regulation of immune system process   • immune system process   • negative regulation of response to external stimulus   • negative regulation of defense response   • regulation of immune response   • inflammatory response   • positive regulation of adenylate cyclase activity   • positive regulation of molecular function   • regulation of molecular function   • positive regulation of cyclase activity   • activation of adenylate cyclase activity   • regulation of adenylate cyclase activity   • regulation of catalytic activity   • positive regulation of catalytic activity   • positive regulation of lyase activity   • adenylate cyclase-activating dopamine receptor signaling pathway   • G protein-coupled dopamine receptor signaling pathway   • cell surface receptor signaling pathway   • bile acid signaling pathway   • adenylate cyclase-activating G protein-coupled bile acid receptor signaling pathway   • renal system process   • multicellular organismal-level water homeostasis   • multicellular organismal-level chemical homeostasis   • renal water homeostasis   • Golgi apparatus subcompartment   • Golgi apparatus   • organelle subcompartment   • trans-Golgi network membrane   • endomembrane system   • trans-Golgi network   • small GTPase binding   • enzyme binding   • GTPase binding   • molecular transducer activity   • signaling receptor activity   • adenylate cyclase binding   • vasoactive intestinal polypeptide receptor activity   • G protein-coupled receptor activity   • transmembrane signaling receptor activity   • neuropeptide binding   • peptide binding   • peptide hormone binding   • hormone binding   • peptide receptor activity   • G protein-coupled peptide receptor activity   • pituitary adenylate cyclase-activating polypeptide receptor activity   • response to xenobiotic stimulus   • spermatogenesis   • sexual reproduction   • reproductive process   • multicellular organismal reproductive process   • developmental process involved in reproduction   • male gamete generation   • gamete generation   • cellular developmental process   • cell differentiation   • multicellular organismal response to stress   • response to ethanol   • intracellular signal transduction   • cAMP/PKA signal transduction   • intracellular signaling cassette   • regulation of calcium ion transport   • positive regulation of cation transmembrane transport   • positive regulation of calcium ion transport   • regulation of calcium ion transport into cytosol   • monoatomic ion transmembrane transport   • regulation of monoatomic ion transmembrane transport   • calcium ion transport   • metal ion transport   • monoatomic cation transmembrane transport   • regulation of calcium ion transmembrane transport   • positive regulation of monoatomic ion transport   • positive regulation of calcium ion transmembrane transport   • positive regulation of transmembrane transport   • monoatomic ion transport   • positive regulation of monoatomic ion transmembrane transport   • monoatomic cation transport   • regulation of metal ion transport   • calcium ion transmembrane import into cytosol   • regulation of monoatomic ion transport   • positive regulation of cytosolic calcium ion concentration   • transmembrane transport   • positive regulation of calcium ion transport into cytosol   • regulation of transmembrane transport   • regulation of monoatomic cation transmembrane transport   • calcium ion transmembrane transport   • calcium ion transport into cytosol   • positive regulation of signal transduction   • regulation of signal transduction   • positive regulation of cAMP/PKA signal transduction   • positive regulation of response to stimulus   • regulation of intracellular signal transduction   • positive regulation of intracellular signal transduction   • regulation of cAMP/PKA signal transduction   • small GTPase-mediated signal transduction   • regulation of small GTPase mediated signal transduction   • positive regulation of small GTPase mediated signal transduction   • development of primary sexual characteristics   • sex differentiation   • female sex differentiation   • development of primary female sexual characteristics   • regulation of inositol phosphate biosynthetic process   • alcohol metabolic process   • positive regulation of phosphate metabolic process   • inositol phosphate metabolic process   • regulation of primary metabolic process   • positive regulation of metabolic process   • regulation of small molecule metabolic process   • positive regulation of biosynthetic process   • phosphate-containing compound metabolic process   • polyol biosynthetic process   • small molecule metabolic process   • phosphorus metabolic process   • regulation of carbohydrate metabolic process   • regulation of biosynthetic process   • carbohydrate metabolic process   • polyol metabolic process   • positive regulation of phosphorus metabolic process   • regulation of alcohol biosynthetic process   • small molecule biosynthetic process   • carbohydrate biosynthetic process   • primary metabolic process   • positive regulation of inositol phosphate biosynthetic process   • biosynthetic process   • organophosphate metabolic process   • organophosphate biosynthetic process   • inositol phosphate biosynthetic process   • alcohol biosynthetic process   • metabolic process   • regulation of phosphorus metabolic process   • positive regulation of carbohydrate metabolic process   • regulation of carbohydrate biosynthetic process   • positive regulation of small molecule metabolic process   • regulation of metabolic process   • positive regulation of alcohol biosynthetic process   • response to estradiol   • negative regulation of response to reactive oxygen species   • response to reactive oxygen species   • response to oxidative stress   • regulation of response to reactive oxygen species   • regulation of response to oxidative stress   • negative regulation of response to oxidative stress   • cell surface   • membrane microdomain   • membrane raft   • plasma membrane raft   • plasma membrane region   • caveola   • receptor complex   • endosome   • intracellular vesicle   • cytoplasmic vesicle   • cell-cell junction   • apical junction complex   • bicellular tight junction   • tight junction   • anchoring junction   • vasoactive intestinal polypeptide receptor binding   • type 2 vasoactive intestinal polypeptide receptor binding   • neuropeptide receptor binding   • hormone activity   • signaling receptor regulator activity   • receptor ligand activity   • signaling receptor activator activity   • neuropeptide hormone activity   • neuropeptide activity   • peptide hormone receptor binding   • hormone receptor binding   • type 1 vasoactive intestinal polypeptide receptor binding   • body fluid secretion   • cell population proliferation   • positive regulation of cell population proliferation   • regulation of cell population proliferation   • prolactin secretion   • monoamine transport   • epinephrine secretion   • organic hydroxy compound transport   • organic cation transport   • catecholamine secretion   • catecholamine transport   • epinephrine transport   • catabolic process   • positive regulation of protein metabolic process   • macromolecule catabolic process   • positive regulation of macromolecule metabolic process   • protein metabolic process   • regulation of protein metabolic process   • regulation of macromolecule metabolic process   • protein catabolic process   • regulation of catabolic process   • positive regulation of protein catabolic process   • positive regulation of catabolic process   • macromolecule metabolic process   • regulation of protein catabolic process   • positive regulation of macromolecule biosynthetic process   • nucleobase-containing compound metabolic process   • post-transcriptional regulation of gene expression   • regulation of RNA metabolic process   • negative regulation of nucleobase-containing compound metabolic process   • regulation of nucleobase-containing compound metabolic process   • RNA catabolic process   • mRNA stabilization   • mRNA catabolic process   • negative regulation of metabolic process   • nucleobase-containing compound catabolic process   • regulation of gene expression   • negative regulation of gene expression   • negative regulation of macromolecule biosynthetic process   • nucleic acid catabolic process   • regulation of macromolecule biosynthetic process   • negative regulation of RNA metabolic process   • RNA metabolic process   • negative regulation of mRNA metabolic process   • regulation of mRNA catabolic process   • negative regulation of cellular process   • negative regulation of macromolecule metabolic process   • negative regulation of catabolic process   • negative regulation of mRNA catabolic process   • negative regulation of RNA catabolic process   • gene expression   • mRNA metabolic process   • macromolecule biosynthetic process   • nucleic acid metabolic process   • regulation of mRNA stability   • RNA stabilization   • negative regulation of biosynthetic process   • positive regulation of gene expression   • regulation of RNA stability   • regulation of mRNA metabolic process   • G-protein beta-subunit binding   • fibroblast proliferation
SCOP2Domain Identifier• FnI-like domain   • Transducin (heterotrimeric G protein), gamma chain
SCOP2Family Identifier• FnI-like domain   • Transducin (heterotrimeric G protein), gamma chain
Membrane Protein Annotations-• Orientations of Proteins in Membranes database (OPM)   • Protein Data Bank of Transmembrane Proteins (PDBTM)   • MemProtMD


Details about the values in these tables can be found in the corresponding documentation page .
PDBsumOpen PDBsum Page
ChainA
ProteinG Protein α Sub unit
UniProtP63092
Sequence
>9P93_Chain_A
QRNEEKAQR EANKKIEKQ LQKDKQVYR ATHRLLLLG AGESGKTIV 
KQMSGIFET KFQVDKVNF HMFDVGQRD ERRKWIQCF NDVTAIIFV 
VASSSNQTN RLQALLFSI WNNWLRSVI LFLNKQDLL AEKVLIEDY 
FPEFARYTT PEDATPEPG EDPRVTRAK YFIRDEFLR ISTASGDGR 
HYCYPHFTC DTENIRRVF NDCRDIIQR MHLRQYELL NAAKDKDT


Click on each residue to open a popup with some information about it.

ConSurf Conservation Grade (See documentation): 

 n/a   1    2    3    4    5    6    7    8    9  

ChainB
ProteinG Protein β Sub unit
UniProtP62873
Sequence
>9P93_Chain_B
ELDQLRQEA EQLKNQIRD ARKACADAT LSQITNNID PVGRIQMRT 
RRTLRGHLA KIYAMHWGT DSRLLVSAS QDGKLIIWD SYTTNKVHA 
IPLRSSWVM TCAYAPSGN YVACGGLDN ICSIYNLKT REGNVRVSR 
ELAGHTGYL SCCRFLDDN QIVTSSGDT TCALWDIET GQQTTTFTG 
HTGDVMSLS LAPDTRLFV SGACDASAK LWDVREGMC RQTFTGHES 
DINAICFFP NGNAFATGS DDATCRLFD LRADQELMT YSHDNIICG 
ITSVSFSKS GRLLLAGYD DFNCNVWDA LKADRAGVL AGHDNRVSC 
LGVTDDGMA VATGSWDSF LKIWN


Click on each residue to open a popup with some information about it.

ConSurf Conservation Grade (See documentation): 

 n/a   1    2    3    4    5    6    7    8    9  

ChainG
ProteinG Protein γ Sub unit
UniProtP59768
Sequence
>9P93_Chain_G
SIAQARKLV EQLKMEANI DRIKVSKAA ADLMAYCEA HAKEDPLLT 
PVPASENPF R


Click on each residue to open a popup with some information about it.

ConSurf Conservation Grade (See documentation): 

 n/a   1    2    3    4    5    6    7    8    9  

ChainL
ProteinVIP
UniProtP01282
Sequence
>9P93_Chain_L
HSDAVFTDN YTRLRKQMA VKKYLNSIL N


Click on each residue to open a popup with some information about it.

ConSurf Conservation Grade (See documentation): 

 n/a   1    2    3    4    5    6    7    8    9  

ChainR
ProteinReceptor
UniProtP41586
Sequence
>9P93_Chain_R
DCIFKKEQA MCLEKIQRA GCPGMWDNI TCWKPAHVG EMVLVSCPE 
LFRIFNPDQ DMGVVSRNC TEDGWSEPF PHYFDACGT GDQDYYYLS 
VKALYTVGY STSLVTLTT AMVILCRFR KLHCTRNFI HMNLFVSFM 
LRAISVFIK DWILYSTVE CKAVMVFFH YCVVSNYFW LFIEGLYLF 
TLLVETFFP ERRYFYWYT IIGWGTPTV CVTVWATLR LYFDDTGCW 
DMNDSTALW WVIKGPVVG SIMVNFVLF IGIIVILVQ KLQSPIYLR 
LARSTLLLI PLFGIHYTV FAFSPENVS KRERLVFEL GLGSFQGFV 
VAVLYCFLN GEVQAEIKR KWRSW


Click on each residue to open a popup with some information about it.

ConSurf Conservation Grade (See documentation): 

 n/a   1    2    3    4    5    6    7    8    9  




This receptor, from the same or other species and bound to the same or other ligands, is also present in the following networks:
Show PDB Class SubFamily Type SubType Species Orthosteric Ligand Other Ligand(s) Protein Partners Resolution Date DOI
6P9YB1PeptideVIP and PACAPPAC1Homo sapiensPACAP27-Gs/β1/γ23.012020-02-05doi.org/10.1016/j.molcel.2020.01.012
6P9Y (No Gprot) B1PeptideVIP and PACAPPAC1Homo sapiensPACAP27-3.012020-02-05doi.org/10.1016/j.molcel.2020.01.012
6LPBB1PeptideVIP and PACAPPAC1Homo sapiensPACAP27-Gs/β1/γ13.92020-03-11doi.org/10.1038/s41594-020-0386-8
6LPB (No Gprot) B1PeptideVIP and PACAPPAC1Homo sapiensPACAP27-3.92020-03-11doi.org/10.1038/s41594-020-0386-8
6M1HB1PeptideVIP and PACAPPAC1Homo sapiensMaxadilan-Gs/β1/γ23.62020-03-11doi.org/10.1038/s41422-020-0280-2
6M1H (No Gprot) B1PeptideVIP and PACAPPAC1Homo sapiensMaxadilan-3.62020-03-11doi.org/10.1038/s41422-020-0280-2
6M1IB1PeptideVIP and PACAPPAC1Homo sapiensPACAP27-Gs/β1/γ23.52020-03-11doi.org/10.1038/s41422-020-0280-2
6M1I (No Gprot) B1PeptideVIP and PACAPPAC1Homo sapiensPACAP27-3.52020-03-11doi.org/10.1038/s41422-020-0280-2
8E3XB1PeptideVIP and PACAPPAC1Homo sapiensPACAP27-Gs/β1/γ22.32022-11-23doi.org/10.1038/s41467-022-34629-3
8E3X (No Gprot) B1PeptideVIP and PACAPPAC1Homo sapiensPACAP27-2.32022-11-23doi.org/10.1038/s41467-022-34629-3
9P92B1PeptideVIP and PACAPPAC1Homo sapiensVIP-Gs/β1/γ23.82025-11-1910.1073/pnas.2521157122
9P92 (No Gprot) B1PeptideVIP and PACAPPAC1Homo sapiensVIP-3.82025-11-1910.1073/pnas.2521157122
9P93 (No Gprot) B1PeptideVIP and PACAPPAC1Homo sapiensVIP-3.22025-11-1910.1073/pnas.2521157122
9P94B1PeptideVIP and PACAPPAC1Homo sapiensPACAP27-Gs/β1/γ232025-11-1910.1073/pnas.2521157122
9P94 (No Gprot) B1PeptideVIP and PACAPPAC1Homo sapiensPACAP27-32025-11-1910.1073/pnas.2521157122




You can download a compressed (zip) file with structure(s), 3D outputs (as PyMol and VMD scripts) and numerical data files (as csv and plain text files).

Download 9P93.zip



You can click to copy the link of this page to easily come back here later

or use this QR code to link and share this page.



You can also  read or  download a guide explaining the meaning of all files and numerical data.