Color ConSurf Grade
      No Conservation data available
      1
      2
      3
      4
      5
      6
      7
      8
      9

Index: hub id, click on each number to highlight the corresponding hub in the 3D visualization.

Hub: the hub being considered.

Avg Int. Strength: the average interaction strength of all the links of the corresponding hub.

Num Of Links: the number of links of the corresponding hub.

Community: the id of the community the link belong to, otherwise 0.

ConSurf: this column reports the ConSurf conservation grades of each hub.

Index Hub Avg Int. Strength Num Of Links Community ConSurf
1A:A:V34 4.81754125
2A:A:L37 4.55519
3A:A:L39 4.195419
4A:A:F196 7.8645127
5A:A:K197 9.4125406
6A:A:F199 9.325415
7A:A:V201 4.72419
8A:A:Q204 7.49167619
9A:A:K210 6.70833619
10A:A:W211 7.93333619
11A:A:H213 6.4725418
12A:A:C214 4.275417
13A:A:F215 5.83167619
14A:A:I221 5.1418
15A:A:I222 5.0925407
16A:A:F223 5.02667619
17A:A:Y230 8.36375818
18A:A:M243 4.1625418
19A:A:M247 3.36416
20A:A:F250 6.978519
21A:A:I253 5.3418
22A:A:W258 8.134505
23A:A:F259 6.29419
24A:A:I265 4.774558
25A:A:L266 5.585419
26A:A:F274 6.51333619
27A:A:K277 7.39419
28A:A:I278 5.9825416
29A:A:L283 6.966517
30A:A:Y287 4.944517
31A:A:Y290 8.104517
32A:A:L310 4.9225404
33A:A:I319 5.948515
34A:A:Y320 6.31833657
35A:A:H322 13.4459
36A:A:F323 6.484514
37A:A:N331 8.868558
38A:A:F334 12.625453
39A:A:L348 3.0425469
40B:B:L14 4.55754218
41B:B:Q17 3.71254214
42B:B:T34 4.434105
43B:B:I43 6.694143
44B:B:L51 5.945419
45B:B:H54 7.02619
46B:B:Y59 8.55286718
47B:B:M61 3.5025416
48B:B:W63 8.138507
49B:B:D76 6.602519
50B:B:K78 4.288518
51B:B:L79 5.524527
52B:B:I80 5.07418
53B:B:I81 4.374527
54B:B:W82 5.365619
55B:B:Y85 10.572544
56B:B:N88 7.39407
57B:B:K89 7.275619
58B:B:H91 5.5825425
59B:B:I93 7.71407
60B:B:L95 4.81528
61B:B:W99 7.862519
62B:B:Y105 5.08571726
63B:B:N110 7.5275484
64B:B:Y111 6.7375484
65B:B:V112 3.602528
66B:B:C114 4.3075428
67B:B:L117 4.81833619
68B:B:N119 6.9775419
69B:B:I120 4.43254226
70B:B:Y124 5.61833626
71B:B:L139 9.7075419
72B:B:H142 9.388519
73B:B:Y145 6.37889918
74B:B:R150 7.3825426
75B:B:F151 5409
76B:B:L152 4.9225423
77B:B:Q156 6.7525405
78B:B:I157 4.818517
79B:B:V158 4.6625425
80B:B:T159 6.1275419
81B:B:S161 7.72419
82B:B:D163 8.2525419
83B:B:C166 4.646528
84B:B:L168 5.3225426
85B:B:W169 9.34286718
86B:B:T178 5.9424
87B:B:F180 9.492527
88B:B:H183 6.23143729
89B:B:D186 5.702519
90B:B:V187 4.47529
91B:B:M188 7.21418
92B:B:L190 4.26857725
93B:B:L192 3.682525
94B:B:F199 6.6175829
95B:B:V200 4.334536
96B:B:S201 3.97571729
97B:B:D205 5.7325429
98B:B:S207 4.47425
99B:B:K209 6.38333626
100B:B:L210 7.5325435
101B:B:W211 8.63333628
102B:B:C218 5.5875425
103B:B:Q220 8.245407
104B:B:H225 6.828509
105B:B:I232 4.235438
106B:B:F235 7.235436
107B:B:F241 4.848536
108B:B:D247 6.745159
109B:B:T249 8.27754156
110B:B:R251 9.3385158
111B:B:F253 6.965636
112B:B:D254 5.3675439
113B:B:I269 6.032514
114B:B:C271 5.044515
115B:B:R283 3.164109
116B:B:L284 4.5954145
117B:B:Y289 6.40714717
118B:B:D290 9.5416
119B:B:D291 10.385418
120B:B:V296 3.9925145
121B:B:W297 11.6767618
122B:B:L300 3.744106
123B:B:K301 5.645405
124B:B:R304 12.4175415
125B:B:H311 8.672519
126B:B:N313 6.92417
127B:B:R314 15.36418
128B:B:V315 4.03417
129B:B:L318 5.636516
130B:B:G319 3.3575415
131B:B:T321 8.8075447
132B:B:M325 6.8575445
133B:B:T329 4.86667618
134B:B:W332 15.905619
135B:B:D333 5.326519
136B:B:L336 3.57833617
137B:B:K337 7.35516
138B:B:W339 8.5175419
139B:B:N340 4.91449
140G:G:L37 5.366537
141G:G:D48 5.104509
142G:G:L50 4.6425409
143G:G:V54 10.24406
144G:G:F61 6.32375848
145L:L:?1 9.179231370
146R:R:V69 4.33407
147R:R:N77 6.41754169
148R:R:M81 2.99254257
149R:R:Y87 10.454505
150R:R:T88 3.4875406
151R:R:I96 3.67254115
152R:R:Y97 4.23754117
153R:R:L101 4.375409
154R:R:V108 4.4375407
155R:R:M112 8.08254247
156R:R:W124 6.8265178
157R:R:F126 4.144507
158R:R:Y139 5.4775405
159R:R:F143 5.1375406
160R:R:R156 6.715469
161R:R:Y157 7.09407
162R:R:V160 4.545468
163R:R:P163 3.4525408
164R:R:R170 8.58406
165R:R:N179 7.8754117
166R:R:W183 9.4785119
167R:R:I194 2.2575404
168R:R:T199 3.544174
169R:R:Q213 2.2325494
170R:R:C245 3.3775407
171R:R:Y246 6.54667668
172R:R:L253 3.18468
173R:R:L258 4.652505
174R:R:W287 4.742578
175R:R:H291 5.815478
176R:R:E297 6.274575
177R:R:Y312 6.5675404
178R:R:Y313 7.94234
179R:R:Y320 9.8425406
180R:R:N322 5.2725409
181R:R:N326 6.3054169
182R:R:P327 6.15754169
183R:R:Y330 4.338509
   

Color ConSurf Grade
      No Conservation data available
      1
      2
      3
      4
      5
      6
      7
      8
      9

Index: link id, click on each number to highlight the corresponding link in the 3D visualization.

Node1 Node2: the two nodes of the corresponding link.

Recurrence: the relative Recurrence in the pool of shortest paths.

Int. Strength: the interaction strength between the two nodes.

Hub1?, Hub2?: "Yes" if the corresponding node has more than 3 links, otherwise "No".

Community: the id of the community the link belong to, otherwise 0.

ConSurf1, ConSurf2: these columns report the ConSurf conservation grades of the two nodes involved in a link.

Index Node1 Node2 Recurrence Int. Strength Hub1? Hub2? Community ConSurf1 ConSurf2
1B:B:D333 B:B:N313 24.45156.73YesYes197
2B:B:D333 B:B:H311 23.28823.78YesYes199
3B:B:H311 B:B:T329 20.66698.21YesYes198
4B:B:L318 B:B:T329 19.02352.95YesYes168
5B:B:G319 B:B:L318 12.45823.42YesYes156
6A:A:F196 A:A:L194 88.18749.74YesNo1274
7A:A:F196 A:A:L36 89.60067.31YesNo077
8A:A:I222 A:A:L36 89.84892.85YesNo077
9A:A:I222 A:A:I265 92.6575.89YesYes078
10A:A:F267 A:A:I265 93.14955.02NoYes598
11A:A:F267 A:A:H322 46.62255.66NoYes599
12A:A:H322 A:A:T324 48.83765.48YesNo599
13A:A:D328 A:A:T324 98.95268.67NoNo099
14A:A:C325 A:A:D328 99.23943.11NoNo079
15A:A:C325 A:A:D272 99.334812.45NoNo079
16A:A:D272 A:A:L273 99.52532.71NoNo096
17A:A:K270 A:A:L273 99.62052.82NoNo096
18A:A:K270 A:A:S228 1007.65NoNo099
19A:A:F274 A:A:S228 50.85895.28YesNo199
20A:A:F274 A:A:Y230 49.27835.16YesYes198
21A:A:C286 A:A:Y230 98.60434.03NoYes168
22A:A:C286 A:A:M243 49.3713.24NoYes168
23A:A:M243 A:A:M247 49.12122.89YesYes186
24A:A:L310 A:A:M247 98.06294.24YesYes046
25A:A:F250 A:A:L310 95.65937.31YesYes094
26A:A:F223 A:A:F250 95.3425.36YesYes199
27A:A:F223 A:A:I221 33.20945.02YesYes198
28A:A:F259 A:A:I221 29.00935.02YesYes198
29A:A:F259 A:A:N256 28.76096.04YesNo098
30A:A:N256 A:A:W258 28.63553.39NoYes085
31A:A:W258 B:B:R314 27.78073YesYes058
32B:B:N313 B:B:R314 23.27894.82YesYes178
33A:A:F267 A:A:N331 46.77315.71NoYes598
34A:A:N331 A:A:T324 50.01925.85YesNo589
35A:A:K277 A:A:S228 49.23579.18YesNo199
36A:A:K277 A:A:Y230 49.19188.36YesYes198
37A:A:C286 A:A:Y287 49.22374.03NoYes167
38A:A:M247 A:A:Y287 49.02523.59YesYes167
39A:A:L39 A:A:R208 58.47524.86YesNo099
40A:A:R208 A:A:W211 58.297613NoYes099
41A:A:W211 B:B:Y145 57.44768.68YesYes198
42B:B:G162 B:B:Y145 32.42438.69NoYes198
43B:B:G162 B:B:S161 32.35283.71NoYes199
44B:B:L146 B:B:S161 15.76723NoYes079
45B:B:G115 B:B:L146 11.24843.42NoNo097
46B:B:C114 B:B:G115 10.94153.92YesNo089
47A:A:F336 A:A:L194 87.98514.87NoNo084
48A:A:K210 B:B:Y145 25.49463.58YesYes198
49A:A:K210 B:B:D246 24.53582.77YesNo199
50A:A:F336 A:A:T340 86.98687.78NoNo086
51A:A:T340 R:R:P163 86.7373.5NoYes068
52A:A:I344 R:R:P163 85.48653.39NoYes068
53A:A:I344 R:R:V160 85.23614.61NoYes068
54R:R:M249 R:R:V160 81.17077.61NoYes688
55R:R:I84 R:R:T88 12.30753.04NoYes076
56R:R:I84 R:R:M81 13.12732.92NoYes077
57R:R:F99 R:R:M81 16.40444.98NoYes2557
58R:R:F99 R:R:M90 18.04386.22NoNo057
59R:R:I96 R:R:M90 18.86294.37YesNo057
60R:R:I96 R:R:Y97 13.77636.04YesYes1157
61R:R:M152 R:R:Y97 15.79013.59NoYes087
62R:R:L101 R:R:N326 20.155.49YesYes099
63R:R:N322 R:R:N326 23.20322.72YesYes099
64R:R:N322 R:R:W287 24.53945.65YesYes098
65R:R:H291 R:R:W287 26.33843.17YesYes788
66R:R:F235 R:R:H291 60.06395.66NoYes088
67R:R:F235 R:R:V239 61.08866.55NoNo086
68R:R:I243 R:R:V239 61.34471.54NoNo056
69R:R:I243 R:R:V280 61.60171.54NoNo058
70R:R:V280 R:R:Y246 61.85962.52NoYes088
71R:R:M249 R:R:Y246 78.79273.59NoYes688
72R:R:L101 R:R:Y330 11.18293.52YesYes099
73R:R:I182 R:R:M151 11.10335.83NoNo076
74R:R:I178 R:R:M151 11.35334.37NoNo066
75R:R:I178 R:R:K174 11.85412.91NoNo065
76R:R:F169 R:R:K174 12.62363.72NoNo045
77R:R:F169 R:R:I158 12.89245.02NoNo045
78R:R:H162 R:R:I158 13.16263.98NoNo065
79R:R:H162 R:R:Y157 13.43468.71NoYes067
80R:R:C245 R:R:Y157 15.06666.72YesYes077
81R:R:C245 R:R:S153 16.42963.44YesNo079
82R:R:S153 R:R:Y246 16.69915.26NoYes698
83B:B:H142 B:B:S161 15.763315.34YesYes199
84B:B:I171 B:B:N155 12.55147.08NoNo063
85B:B:G224 B:B:T223 10.11185.46NoNo062
86B:B:G224 B:B:H225 10.23363.18NoYes069
87B:B:H225 B:B:R251 14.770815.8YesYes098
88B:B:D246 B:B:S227 24.40034.42NoNo096
89B:B:D247 B:B:S227 24.24774.42YesNo096
90B:B:D247 B:B:R251 23.31033.57YesYes1598
91L:L:?1 R:R:H291 30.13117.64YesYes708
92L:L:?1 R:R:Y139 12.204610.45YesYes005
93A:A:F223 A:A:L39 62.32664.87YesYes199
94B:B:I123 B:B:I171 16.26472.94NoNo066
Download PSN data

2D representation of the global metapath, ligand(s) interactions and
histograms of path distribution according to several parameters
(click on the image to enlarge it 🔍):

A 2D representation of the global communication in the network.

ConSurf Conservation Grade (See documentation): 

 n/a   1    2    3    4    5    6    7    8    9  

Number of shortest communication paths as a function of the average residue correlation.

Number of shortest communication paths as a function of the average interaction strength of their links.

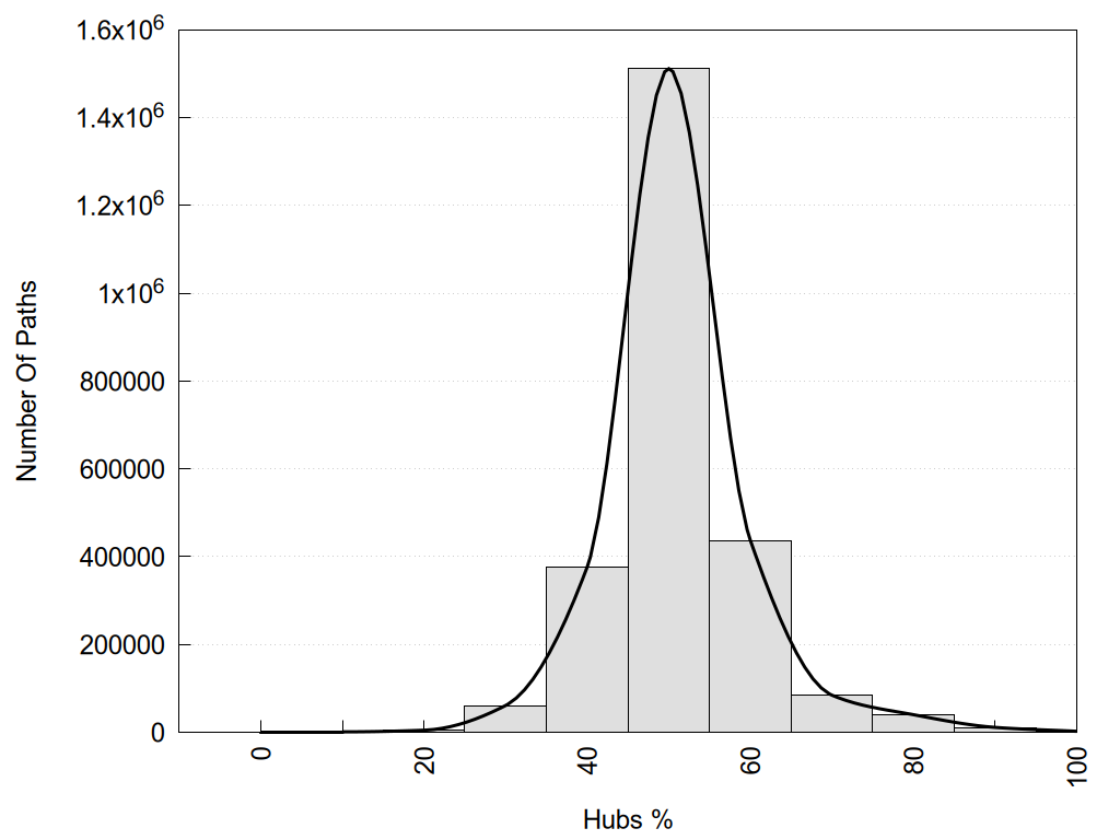
Number of shortest communication paths as a function of the % of hub nodes in each path.

Number of shortest communication paths as a function of the number of nodes in each path.

Number of shortest communication paths as a function of the % of correlated nodes in each path.


2D representation of the interactions of this orthosteric/allosteric ligand.


Links and nodes colored according to ConSurf Conservation Grade (See documentation): 

 n/a   1    2    3    4    5    6    7    8    9  

Node1 Node2 LinkStrength Comm IsNode1Hub? IsNode2Hub? Node1Cons Node2Cons Node1Shell Node2Shell
L:L:?1 R:R:D138 23.18 7 Yes No 0 6 0 1
L:L:?1 R:R:Y139 10.45 7 Yes Yes 0 5 0 1
L:L:?1 R:R:M142 10.5 7 Yes No 0 7 0 1
L:L:?1 R:R:S211 7.81 7 Yes No 0 4 0 1
L:L:?1 R:R:W287 3.38 7 Yes Yes 0 8 0 1
L:L:?1 R:R:I290 4.24 7 Yes No 0 6 0 1
L:L:?1 R:R:H291 7.64 7 Yes Yes 0 8 0 1
L:L:?1 R:R:I294 10.6 7 Yes No 0 5 0 1
L:L:?1 R:R:E297 7.87 7 Yes Yes 0 5 0 1
L:L:?1 R:R:H304 21.01 7 Yes No 0 1 0 1
L:L:?1 R:R:Y312 5.22 7 Yes Yes 0 4 0 1
L:L:?1 R:R:Y320 5.22 7 Yes Yes 0 6 0 1
R:R:T111 R:R:V108 3.17 0 No Yes 7 7 2 1
R:R:N141 R:R:V108 5.91 0 No Yes 8 7 2 1
R:R:S323 R:R:V108 6.46 0 No Yes 8 7 2 1
R:R:M112 R:R:Y320 19.16 24 Yes Yes 7 6 2 1
R:R:Q115 R:R:Y312 5.64 0 No Yes 7 4 2 1
R:R:Q115 R:R:Y320 10.15 0 No Yes 7 6 2 1
R:R:I135 R:R:Y139 3.63 0 No Yes 4 5 2 1
R:R:F143 R:R:Y139 5.16 0 Yes Yes 6 5 2 1
R:R:F143 R:R:M142 6.22 0 Yes No 6 7 2 1
R:R:M142 R:R:W287 3.49 7 No Yes 7 8 1 1
R:R:L212 R:R:S211 6.01 0 No No 4 4 2 1
R:R:I294 R:R:K227 7.27 7 No No 5 4 1 2
R:R:F231 R:R:H291 6.79 0 No Yes 5 8 2 1
R:R:F235 R:R:H291 5.66 0 No Yes 8 8 2 1
R:R:F283 R:R:W287 8.02 0 No Yes 9 8 2 1
R:R:H291 R:R:W287 3.17 7 Yes Yes 8 8 1 1
R:R:N322 R:R:W287 5.65 0 Yes Yes 9 8 2 1
R:R:C315 R:R:I290 4.91 0 No No 7 6 2 1
R:R:E297 R:R:F293 11.66 7 Yes No 5 5 1 2
R:R:E297 R:R:I294 4.1 7 Yes No 5 5 1 1
R:R:E297 R:R:T302 2.82 7 Yes No 5 1 1 2
R:R:E297 R:R:H304 4.92 7 Yes No 5 1 1 1
R:R:A308 R:R:H304 4.39 0 No No 3 1 2 1
R:R:Y312 R:R:Y313 6.95 0 Yes Yes 4 4 1 2
R:R:I316 R:R:Y312 8.46 0 No Yes 5 4 2 1
R:R:I316 R:R:Y320 4.84 0 No Yes 5 6 2 1
R:R:A193 R:R:Y139 2.67 0 No Yes 5 5 2 1
L:L:?1 R:R:V108 2.21 7 Yes Yes 0 7 0 1

Location and physicochemical properties of the interaction partners of this ligand

Interactions of this ligand

Similarities between the interactions of this ligand and those of other networks

ShowSimilarityNetwork TypeNameLigandDescription
64.71Single7EZCUK-4320977EZC-A2A-UK-432097
63.16Single3QAKUK-4320973QAK-A2A-UK-432097
61.11Single6PT3DPI-2876PT3-δ-DPI-287
61.11Single9CGKC5-Quino9CGK-δ-C5-Quino-Gi1/β1/γ2
60.00Single5WF5UK-4320975WF5-A2A-UK-432097
60.00Single8Y71A1D6F8Y71-δ-A1D6F-BMS986187-Gi1/β1/γ2
58.82Single4RWADIPP-NH24RWA-δ-DIPP-NH2
58.82Single8IRSRotigotine8IRS-D2-Rotigotine-Gi1/β1/γ2
58.82Single9V6ONalfurafine9V6O-κ-Nalfurafine-Gi1/β1/γ2
57.14Single9MQJIsoquinuclidine9MQJ-μ-Isoquinuclidine
56.25Single4RWDDIPP-NH24RWD-δ-DIPP-NH2-Na
56.25Single7C61Ergotamine7C61-5-HT1B-Ergotamine
56.25Single9PXYNaloxone9PXY-μ-Naloxone-GDPβS-Gi1/β1/γ2
55.56Single7WVVfMLFII7WVV-FPR2-ALX-fMLFII-Gi2/β1/γ2
55.56Single9CGJC6-Quino9CGJ-δ-C6-Quino-Gi1/β1/γ2
53.33Single4DKLBeta-Funaltrexamine4DKL-μ-β-Funaltrexamine
53.33Single4N6HNaltrindole4N6H-δ-Naltrindole-Na
53.33Single6K41Dexmedetomidine6K41-α2b-Dexmedetomidine-Go/β1/γ2
53.33Single7E33BRL-544437E33-5-HT1E-BRL-54443-Gi1/β1/γ2
53.33Single7WC9PubChem 1624213647WC9-5-HT2A-PubChem 162421364
53.33Single8THLEpinephrine8THL-Alpha1A-Epinephrine-chim(NtGi2L-Gs-CtGq)/β1/γ2
53.33Single8U02Dopamine8U02-D2-Dopamine-Go/β1/γ2
53.33Single8Y45ADL58598Y45-δ-ADL5859-Gi2/β1/γ2
53.33Single8YN3Histamine8YN3-H2-Histamine-Gs/β1/γ2
53.33Single9MQIIsoquinuclidine9MQI-μ-Isoquinuclidine
53.33Single9PXVNaloxone9PXV-μ-Naloxone-Gi1/β1/γ2
53.33Consensusalpha1_onOrthosteric Ligandalpha1a_on
53.33Consensusalpha1_on_gpOrthosteric Ligandalpha1a_on_gp
53.33Consensusalpha1a_onOrthosteric Ligand7EJ0-α2a-Norepinephrine-Go/β1/γ2 7EJ8-α2a-Brimonidine-Go/β1/γ2 7EJA-α2a-Dexmedetomidine-Go/β1/γ2 7EJK-α2a-Oxymetazoline-Go/β1/γ2 7W6P-α2a-N-pyridin-4-ylisoquinolin-4-amine-Go/β1/γ2 7W7E-α2a-PubChem 164946676-Go/β1/γ2
53.33Consensusalpha1a_on_gpOrthosteric Ligand7EJ0-α2a-Norepinephrine-Go/β1/γ2 7EJ8-α2a-Brimonidine-Go/β1/γ2 7EJA-α2a-Dexmedetomidine-Go/β1/γ2 7EJK-α2a-Oxymetazoline-Go/β1/γ2 7W6P-α2a-N-pyridin-4-ylisoquinolin-4-amine-Go/β1/γ2 7W7E-α2a-PubChem 164946676-Go/β1/γ2
52.94Single8DZPmomSalB8DZP-κ-momSalB-Gi1/β1/γ2
52.94Single8UGWCGS216808UGW-A2A-CGS21680
52.94Single9BJKNaloxone9BJK-μ-Naloxone-PubChem 171642066
52.94Consensusgi_dopamineOrthosteric Ligand7JVR-D2-Bromoergocryptine-Gi1/β1/γ2 7CMV-D3-PD128907-Gi1/β1/γ2 7CMU-D3-Pramipexole-Gi1/β1/γ2 8IRS-D2-Rotigotine-Gi1/β1/γ2 8IRT-D3-Rotigotine-Gi1/β1/γ2
52.63Single4UG2CGS216804UG2-A2A-CGS21680
52.63Single5WF6UK-4320975WF6-A2A-UK-432097
52.38Single6PT2KGCHM076PT2-δ-KGCHM07
50.00Single3NY8ICI118-5513NY8-β2-ICI118-551
50.00Single3NYAAlprenolol3NYA-β2-Alprenolol
50.00Single4AMIBucindolol4AMI-β1-Bucindolol
50.00Single4EJ4Naltrindole4EJ4-δ-Naltrindole
50.00Single4GBRCarazolol4GBR-β2-Carazolol
50.00Single4IARErgotamine4IAR-5-HT1B-Ergotamine
50.00Single6A93Risperidone6A93-5-HT2A-Risperidone
50.00Single6K42Dexmedetomidine6K42-α2b-Dexmedetomidine-Gi1/β1/γ2
50.00Single6MXTSalmeterol6MXT-β2-Salmeterol
50.00Single6PS1Timolol6PS1-β2-Timolol
50.00Single6VMSBromoergocryptine6VMS-D2-Bromoergocryptine-Gi1/β1/γ2
50.00Single7CRHSKF839597CRH-D1-SKF83959-Gs/β1/γ2
50.00Single7E32Serotonin7E32-5-HT1D-Serotonin-Gi1/β1/γ2
50.00Single7LJCSKF812977LJC-D1-SKF81297-Mevidalen-Gs/β1/γ2
50.00Single7W0LPubChem 1227019087W0L-Apelin; Apelin-PubChem 122701908-Gi1/β1/γ2
50.00Single7W0LPubChem 1227019087W0L-Apelin; Apelin-PubChem 122701908-Gi1/β1/γ2
50.00Single7WVWfMYFINILTL7WVW-FPR2-ALX-fMYFINILTL-Gi2/β1/γ2
50.00Single7YITNalfurafine7YIT-κ-Nalfurafine
50.00Single8EF6Morphine8EF6-μ-Morphine-Gi1/β1/γ2
50.00Single8G056-OAU8G05-GPR84-6-OAU-Gi1/β1/γ2
50.00Single8GEHConstrained Epinephrine8GEH-β2-Constrained Epinephrine-Gs/β1/γ2
50.00Single8JJOAlprenolol8JJO-β2-Alprenolol
50.00Single8JT8(R)-IHCH-71798JT8-5-HT2A-(R)-IHCH-7179
50.00Single8JXRLSD8JXR-D1-LSD
50.00Single8UNVConstrained Epinephrine8UNV-β2-Constrained Epinephrine-GTP-Gs/β1/γ2
50.00Single8UNZConstrained Epinephrine8UNZ-β2-Constrained Epinephrine-GTP-Gs/β1/γ2
50.00Single8UO2Constrained Epinephrine8UO2-β2-Constrained Epinephrine-GTP-Gs/β1/γ2
50.00Single8VVGGB188VVG-κ-GB18-Gi1/β1/γ2
50.00Single8W1VPubChem 1717162658W1V-β2-PubChem 171716265
50.00Single8W892-Phenylethylamine8W89-TA1-2-Phenylethylamine-chim(NtGi1L-Gs)/β1/γ2
50.00Single8WDTphotoNECA8WDT-A2A-photoNECA
50.00Single8X64Desloratadine8X64-H1-Desloratadine
50.00Single8XVKAmbrisentan8XVK-ETA-Ambrisentan
50.00Single8YN4Histamine8YN4-H2-Histamine-chim(NtGi1L-Gs-CtGq)/β1/γ2
50.00Single9CBMDexmedetomidine9CBM-α2a-Dexmedetomidine-Gi1/β1/γ2
50.00Single9IXJHistamine9IXJ-H2-Histamine-Gs/β1/γ2
50.00Single9MQLIsoquinuclidine9MQL-κ-Isoquinuclidine
50.00Single9PLNPubChem 1682595949PLN-α2a-PubChem 168259594
50.00Single9PLOPubChem 1682595949PLO-α2a-PubChem 168259594-Go/β1/γ2
50.00Single9PXWNaloxone9PXW-μ-Naloxone-GDPβS-Gi1/β1/γ2
50.00Single9VMYTMU41429VMY-5-HT1A-TMU4142-Go/β1/γ2
50.00Consensus5ht1d_onOrthosteric Ligand7E32-5-HT1D-Serotonin-Gi1/β1/γ2
50.00Consensus5ht1d_on_gpOrthosteric Ligand7E32-5-HT1D-Serotonin-Gi1/β1/γ2
50.00Consensusalpha2_onOrthosteric Ligandalpha2b_on
50.00Consensusalpha2_on_gpOrthosteric Ligandalpha2b_on_gp
50.00Consensusalpha2b_onOrthosteric Ligand6K42-α2b-Dexmedetomidine-Gi1/β1/γ2
50.00Consensusalpha2b_on_gpOrthosteric Ligand6K42-α2b-Dexmedetomidine-Gi1/β1/γ2
50.00Consensusalpha_onOrthosteric Ligandalpha1_on alpha2_on
50.00Consensusd2_on_gpOrthosteric Ligand7JVR-D2-Bromoergocryptine-Gi1/β1/γ2 8IRS-D2-Rotigotine-Gi1/β1/γ2
50.00Consensusdop_offOrthosteric Ligand4EJ4-δ-Naltrindole
50.00Consensusdopamine_offOrthosteric Ligandd2_off d3_off
50.00Consensusmop_offOrthosteric Ligand4DKL-μ-β-Funaltrexamine 8QOT-μ-Nanobody-E 7UL4-μ-Alvimopan
47.37Single5TUDErgotamine5TUD-5-HT2B-Ergotamine
47.37Single5X93K-87945X93-ETB-K-8794
47.37Single6BQGErgotamine6BQG-5-HT2C-Ergotamine
47.37Single8E0GBU728E0G-μ-BU72
47.37Consensusendothelin_offOrthosteric Ligandetb_off
47.37Consensusetb_offOrthosteric Ligand5X93-ETB-K-8794 5XPR-ETB-Bosentan 6K1Q-ETB-IRL2500
47.37Consensuskop_on_gpOrthosteric Ligand8F7W-κ-Dynorphin-Gi1/β1/γ2 8DZS-κ-GR89,696-chim(NtGi2-Gz)/β1/γ2 8DZP-κ-momSalB-Gi1/β1/γ2
47.37Consensuspeptide_offOrthosteric Ligandcck_off angiotensin_off bombesin_off endothelin_off ghrelin_off npy_off opioid_off orexin_off somatostatin_off tachykinin_off vasop-oxy_off neurotensin_off
47.06Single2RH1Carazolol2RH1-β2-Carazolol
47.06Single2YCWCarazolol2YCW-β1-Carazolol
47.06Single5C1MBU725C1M-μ-BU72
47.06Single5D6LCarazolol5D6L-β2-Carazolol
47.06Single5X7DCarazolol5X7D-β2-Carazolol-PubChem 129318963
47.06Single6PS6Timolol6PS6-β2-Timolol
47.06Single7VUHJNJ-635330547VUH-GPR139-JNJ-63533054-chim(Gs-CtGq)/β1/γ2
47.06Single7X1TTaltirelin7X1T-TRH-Taltirelin-chim(NtGi2L-Gs-CtGq)/β1/γ2
47.06Single7XKAConstrained Epinephrine7XKA-β2-Constrained Epinephrine
47.06Single8GDZConstrained Epinephrine8GDZ-β2-Constrained Epinephrine-Gs/β1/γ2
47.06Single8GEBConstrained Epinephrine8GEB-β2-Constrained Epinephrine-Gs/β1/γ2
47.06Single8GEGConstrained Epinephrine8GEG-β2-Constrained Epinephrine-Gs/β1/γ2
47.06Single8GGBConstrained Epinephrine8GGB-β2-Constrained Epinephrine-GTP-Gs/β1/γ2
47.06Single8QOTNanobody-E8QOT-μ-Nanobody-E
47.06Single8S4DCMF-0198S4D-Apelin-CMF-019
47.06Single8UNNConstrained Epinephrine8UNN-β2-Constrained Epinephrine-GTP-Gs/β1/γ2
47.06Single8UNPConstrained Epinephrine8UNP-β2-Constrained Epinephrine-GTP-Gs/β1/γ2
47.06Single9F34FOB02-04A9F34-D3-FOB02-04A-Go/β1/γ2
47.06Single9KUVCMPD6449KUV-Apelin-CMPD644-Arrestin2
47.06Single9MQKIsoquinuclidine9MQK-κ-Isoquinuclidine
47.06Consensus5ht1_onOrthosteric Ligand5ht1a_on 5ht1d_on 5ht1e_on 5ht1f_on
47.06Consensus5ht1_on_gpOrthosteric Ligand5ht1a_on_gp 5ht1d_on_gp 5ht1e_on_gp 5ht1f_on_gp
47.06Consensus5ht1e_on_gpOrthosteric Ligand7E33-5-HT1E-BRL-54443-Gi1/β1/γ2 8UGY-5-HT1E-Mianserin-Gi1/β1/γ1 8UH3-5-HT1E-Setiptiline-Gi1/β1/γ1
47.06Consensus5ht2_offOrthosteric Ligand5ht2a_off 5ht2b_off 5ht2c_off
47.06Consensusalpha_on_gpOrthosteric Ligandalpha1_on_gp alpha2_on_gp
47.06Consensusamine_offOrthosteric Ligand5ht_off adrenergic_off dopamine_off histamine_off muscarinic_off
47.06Consensusamine_offonOrthosteric Ligandamine_off amine_on
47.06Consensusamine_offon_gpOrthosteric Ligandamine_on_gp amine_off
47.06Consensusamine_onOrthosteric Ligand5ht_on adrenergic_on dopamine_on histamine_on muscarinic_on trace-amine_on
47.06Consensusbeta2_offOrthosteric Ligand2RH1-β2-Carazolol 6PS3-β2-Carvedilol 6PS5-β2-Propranolol 3D4S-β2-Timolol 3NY8-β2-ICI118-551 3NY9-β2-PubChem 913103 6PRZ-β2-Alprenolol
47.06Consensusbeta_offOrthosteric Ligandbeta1_off beta2_off
47.06Consensusd2_onOrthosteric Ligand7JVR-D2-Bromoergocryptine-Gi1/β1/γ2 8IRS-D2-Rotigotine-Gi1/β1/γ2
47.06Consensusgi_adrenergicOrthosteric Ligand7EJ0-α2a-Norepinephrine-Go/β1/γ2 7EJK-α2a-Oxymetazoline-Go/β1/γ2 7W7E-α2a-PubChem 164946676-Go/β1/γ2 7W6P-α2a-N-pyridin-4-ylisoquinolin-4-amine-Go/β1/γ2 7EJ8-α2a-Brimonidine-Go/β1/γ2 6K42-α2b-Dexmedetomidine-Gi1/β1/γ2 7EJA-α2a-Dexmedetomidine-Go/β1/γ2 7S0F-β1-Isoprenaline-Gi1/β1/γ2
46.67Single6KUYPubChem 1457046436KUY-α2a-PubChem 145704643
46.67Single7F8ULintitript7F8U-CCKA-Lintitript
46.67Single7W0MPubChem 1227019087W0M-Apelin-PubChem 122701908-Gi1/β1/γ2
46.67Single7YM8Oxymetazoline7YM8-Alpha1A-Oxymetazoline-chim(Gs-CtGq)
46.67Single8TZQDopamine8TZQ-D2-Dopamine-Go/β1/γ2
46.67Single8WC3SEP-3638568WC3-TA1-SEP-363856-chim(NtGi1-Gs)/β1/γ2
46.67Single9KVHCinobufotenine9KVH-5-HT1A-Cinobufotenine-PtdIns4P-Gi1/β1/γ2
46.67Single9LLBDOI-NBOMe9LLB-5-HT2A-DOI-NBOMe-chim(NtGi1L-Gs-CtGq)/β1/γ2
46.67Single9LRBHistamine9LRB-H1-Histamine-Gs/β1/γ2
46.67Single9PXUNaloxone9PXU-μ-Naloxone-Na
46.67Consensus5ht1e_onOrthosteric Ligand7E33-5-HT1E-BRL-54443-Gi1/β1/γ2 8UGY-5-HT1E-Mianserin-Gi1/β1/γ1 8UH3-5-HT1E-Setiptiline-Gi1/β1/γ1
46.67Consensusalpha2_offOrthosteric Ligandalpha2c_off
45.45Single7T6TfMLFII7T6T-FPR1-ALX-fMLFII-Gi1/β1/γ2
45.00Single3NY9PubChem 9131033NY9-β2-PubChem 913103
45.00Single6G79Donitriptan6G79-5-HT1B-Donitriptan-Go/β1/γ2
45.00Single7XN9L-0545227XN9-SST2-L-054522
45.00Single7YAEOctreotide7YAE-SST2-Octreotide-Gi1/β1/γ2
45.00Consensussst2_onOrthosteric Ligand7WIC-SST2-Somatostatin-14-Gi1/β1/γ2 7WIG-SST2-L-054264-Gi1/β1/γ2 7YAE-SST2-Octreotide-Gi1/β1/γ2 7YAC-SST2-Paltusotine-Gi1/β1/γ2
45.00Consensussst2_on_gpOrthosteric Ligand7WIC-SST2-Somatostatin-14-Gi1/β1/γ2 7WIG-SST2-L-054264-Gi1/β1/γ2 7YAE-SST2-Octreotide-Gi1/β1/γ2 7YAC-SST2-Paltusotine-Gi1/β1/γ2
44.44Single2YDVNECA2YDV-A2A-NECA
44.44Single4UHRCGS216804UHR-A2A-CGS21680
44.44Single5A8E7-Methylcyanopindolol5A8E-β1-7-Methylcyanopindolol-Na
44.44Single5D5ACarazolol5D5A-β2-Carazolol
44.44Single5D5BCarazolol5D5B-β2-Carazolol
44.44Single5G53NECA5G53-A2A-NECA-Gs
44.44Single6GT3Imaradenant6GT3-A2A-Imaradenant-Na
44.44Single6J21Aprepitant6J21-NK1-Aprepitant
44.44Single6TQ7SB-3348676TQ7-OX1-SB-334867
44.44Single7T2HLofentanil7T2H-μ-Lofentanil-Gi1/β1/γ2
44.44Single7U2LC5-guano7U2L-μ-C5-guano-Gi1/β1/γ2
44.44Single7W6PN-pyridin-4-ylisoquinolin-4-amine7W6P-α2a-N-pyridin-4-ylisoquinolin-4-amine-Go/β1/γ2
44.44Single7W7EPubChem 1649466767W7E-α2a-PubChem 164946676-Go/β1/γ2
44.44Single8ID39-Hydroxystearic acid8ID3-FFA4-9-Hydroxystearic acid-Gi1/β1/γ2
44.44Single8ID6Oleic acid8ID6-FFA4-Oleic acid-Gi1/β1/γ2
44.44Single8IRRRotigotine8IRR-D1-Rotigotine-Gs/β1/γ2
44.44Single8IRVRotigotine8IRV-D5-Rotigotine-chim(NtGi1-Gs)/β1/γ2
44.44Single8VVFJDTic8VVF-κ-JDTic-Gi1/β1/γ2
44.44Single8XZICMF-0198XZI-Apelin; Apelin-CMF-019-Gi1/β1/γ2
44.44Single8YH6Namodenoson8YH6-A3A-Namodenoson-Gi1/β1/γ2
44.44Single9AS9RS130-1809AS9-5-HT2A-RS130-180
44.44Single9ASARS130-1809ASA-5-HT2A-RS130-180-chim(NtGi1-Gs-CtGq)/β1/γ2
44.44Single9BS9LSD9BS9-D2-LSD
44.44Single9BSBLSD9BSB-D2-LSD-chim(NtGi1-Go)/β1/γ2
44.44Single9IK9Lanreotide9IK9-SST1-Lanreotide-Gi1/β1/γ2
44.44Single9PY3Loperamide9PY3-μ-Loperamide-GDPβS-Gi1/β1/γ2
44.44Single9PY4Loperamide9PY4-μ-Loperamide-GDPβS-Gi1/β1/γ2
44.44Consensusamine_on_gpOrthosteric Ligand5ht_on_gp adrenergic_on_gp dopamine_on_gp histamine_on_gp muscarinic_on_gp trace-amine_on_gp
44.44Consensusbeta1_offOrthosteric Ligand2VT4-β1-Cyanopindolol 2YCW-β1-Carazolol 2YCZ-β1-Iodocyanopindolol 5A8E-β1-7-Methylcyanopindolol-Na 3ZPQ-β1-PubChem 594590-Na 3ZPR-β1-PubChem 598754-Na
44.44Consensusd5_on_gpOrthosteric Ligand8IRV-D5-Rotigotine-chim(NtGi1-Gs)/β1/γ2
43.75Single3RZECidoxepin3RZE-H1-Cidoxepin
43.75Single3UZCPubChem 1355666093UZC-A2A-PubChem 135566609
43.75Single4LDOEpinephrine4LDO-β2-Epinephrine
43.75Single6PS0Carazolol6PS0-β2-Carazolol
43.75Single6PS4ICI118-5516PS4-β2-ICI118-551
43.75Single6TPNHTL66416TPN-OX2-HTL6641
43.75Single6WH4Methiothepin6WH4-5-HT2A-Methiothepin
43.75Single7CKZDopamine7CKZ-D1-Dopamine-Mevidalen-Gs/β1/γ2
43.75Single7CMUPramipexole7CMU-D3-Pramipexole-Gi1/β1/γ2
43.75Single7CMVPD1289077CMV-D3-PD128907-Gi1/β1/γ2
43.75Single7EJ8Brimonidine7EJ8-α2a-Brimonidine-Go/β1/γ2
43.75Single7EJADexmedetomidine7EJA-α2a-Dexmedetomidine-Go/β1/γ2
43.75Single7F0TDopamine7F0T-D1-Dopamine-Gs/β1/γ2
43.75Single7F24Dopamine7F24-D1-Dopamine-GDP-Gs/β1/γ2
43.75Single7RANPubChem 1645758477RAN-5-HT2A-PubChem 164575847-chim(NtGi2L-Gs-CtGq)/β1/γ2
43.75Single8GGQConstrained Epinephrine8GGQ-β2-Constrained Epinephrine
43.75Single8GGSConstrained Epinephrine8GGS-β2-Constrained Epinephrine
43.75Single8GGTConstrained Epinephrine8GGT-β2-Constrained Epinephrine
43.75Single8GGXConstrained Epinephrine8GGX-β2-Constrained Epinephrine
43.75Single8JLKUlotaront8JLK-TA1-Ulotaront-chim(NtGi1-Gs)/β1/γ2
43.75Single8JLNT1AM8JLN-TA1-T1AM-Gs/β1/γ2
43.75Single8THKA-616038THK-Alpha1A-A-61603-chim(NtGi2L-Gs-CtGq)/β1/γ2
43.75Single8UHBRO52563908UHB-TA1-RO5256390-Gs/β1/γ2
43.75Single8UO0Constrained Epinephrine8UO0-β2-Constrained Epinephrine-GTP-Gs/β1/γ2
43.75Single8W88SEP-3638568W88-TA1-SEP-363856-Gs/β1/γ2
43.75Single8W8BSEP-3638568W8B-5-HT1A-SEP-363856-Gi1/β1/γ2
43.75Single8WC8ZH86518WC8-TA1-ZH8651-chim(NtGi1-Gs)/β1/γ2
43.75Single8YH2Adenosine8YH2-A3A-Adenosine-Gi1/β1/γ2
43.75Single9AS3LSD9AS3-5-HT2A-LSD
43.75Single9AS4LSD9AS4-5-HT2A-LSD-chim(NtGi1-Gs-CtGq)/β1/γ2
43.75Single9AS5Mescaline9AS5-5-HT2A-Mescaline
43.75Single9AS6Mescaline9AS6-5-HT2A-Mescaline-chim(NtGi1-Gs-CtGq)/β1/γ2
43.75Single9EPQ11,20-Ethanoretinal9EPQ-Rhodopsin-11,20-Ethanoretinal-chim(Gi1-CtGq)/β1/γ2
43.75Single9KVIBufotenin9KVI-5-HT1A-Bufotenin-PtdIns4P-Gi1/β1/γ2
43.75Single9LRDHistamine9LRD-H1-Histamine-Gi1/β1/γ2
43.75Single9ODJMitragynine Pseudoindoxyl9ODJ-μ-Mitragynine Pseudoindoxyl-GTP; Mg-Gi1/β1/γ2
43.75Single9PXXNaloxone9PXX-μ-Naloxone-GDPβS-Gi1/β1/γ2
43.75Single9VJG8-OH-DPAT9VJG-5-HT1A-8-OH-DPAT-chim(NtGi2-Gz)/β1/γ2
43.75Single9VNFPindolol9VNF-5-HT1A-Pindolol-Go/β1/γ2
43.75Single9W6W5-CT9W6W-5-HT5A-5-CT-Gi1/β1/γ2
43.75Consensus5ht2a_offOrthosteric Ligand6A94-5-HT2A-Zotepine 6A93-5-HT2A-Risperidone 7VOD-5-HT2A-Cariprazine 7WC8-5-HT2A-Lumateperone 8JT8-5-HT2A-(R)-IHCH-7179
43.75Consensusd3_onOrthosteric Ligand7CMV-D3-PD128907-Gi1/β1/γ2 8IRT-D3-Rotigotine-Gi1/β1/γ2 7CMU-D3-Pramipexole-Gi1/β1/γ2
43.75Consensusd3_on_gpOrthosteric Ligand7CMV-D3-PD128907-Gi1/β1/γ2 8IRT-D3-Rotigotine-Gi1/β1/γ2 7CMU-D3-Pramipexole-Gi1/β1/γ2
43.48Single9BKKCholecystokinin-89BKK-CCKA-Cholecystokinin-8-chim(NtGi1-Gs-CtGq)/β1/γ2
42.86Single4AMJCarvedilol4AMJ-β1-Carvedilol
42.86Single4IB4Ergotamine4IB4-5-HT2B-Ergotamine
42.86Single7F8XNN90567F8X-CCKA-NN9056
42.86Single7V6APubChem 98642757V6A-M4-PubChem 9864275-Gi1/β1/γ2
42.86Single7W0PElabela7W0P-Apelin-Elabela-Gi1/β1/γ2
42.86Single7WICSomatostatin-147WIC-SST2-Somatostatin-14-Gi1/β1/γ2
42.86Single7WKDTRH7WKD-TRH-TRH-chim(NtGi1-Gs-CtGq)/β1/γ2
42.86Single8POKHistamine8POK-H2-Histamine-Gs/β1/γ2
42.86Single8WC62-Phenylethylamine8WC6-TA1-2-Phenylethylamine-chim(NtGi1-Gs)/β1/γ2
42.86Single8WC9ZH86518WC9-TA1-ZH8651-chim(NtGi1-Gs-CtGq)/β1/γ2
42.86Single8ZSPLSD8ZSP-TA1-LSD-chim(NtGi1L-Gs)/β1/γ2
42.86Single9BUYLM1899BUY-β2-LM189-Gi1/β1/γ2
42.86Single9L3YChemerin9L3Y-CML2-Chemerin-Gi1/β1/γ2
42.86Consensusclass-a_on_gpOrthosteric Ligandsensory_on_gp alicarboxylic_on_gp amine_on_gp lipid_on_gp nucleotide_on_gp peptide_on_gp protein_on_gp
42.86Consensusgi_opioidOrthosteric Ligand8F7R-μ-Endomorphin-Gi1/β1/γ2 8EF5-μ-Fentanyl-Gi1/β1/γ2 7SCG-μ-FH210-Gi1/β1/γ2 7T2H-μ-Lofentanil-Gi1/β1/γ2 7T2G-μ-Mitragynine Pseudoindoxyl-Gi1/β1/γ2 8DZP-κ-momSalB-Gi1/β1/γ2 8EF6-μ-Morphine-Gi1/β1/γ2 8F7X-NOP-Nociceptin-Gi1/β1/γ2 8EFB-μ-Oliceridine-Gi1/β1/γ2 7U2L-μ-C5-guano-Gi1/β1/γ2 8EFO-μ-PZM21-Gi1/β1/γ2 8EFL-μ-SR17018-Gi1/β1/γ2 8F7Q-μ-β-Endorphin-Gi1/β1/γ2 7U2K-μ-C6-guano-Gi1/β1/γ2 8EFQ-μ-DAMGO-Gi1/β1/γ2 8F7S-δ-Deltorphin-Gi1/β1/γ2 8F7W-κ-Dynorphin-Gi1/β1/γ2
42.86Consensush2_on_gpOrthosteric Ligand8POK-H2-Histamine-Gs/β1/γ2
42.11Single3D4STimolol3D4S-β2-Timolol
42.11Single6CM4Risperidone6CM4-D2-Risperidone
42.11Single6H7OCyanopindolol6H7O-β1-Cyanopindolol
42.11Single7DFPSpiperone7DFP-D2-Spiperone
42.11Single7EXDLasmiditan7EXD-5-HT1F-Lasmiditan-Gi1/β1/γ2
42.11Single7L1UOrexin7L1U-OX2-Orexin-chim(NtGi1-Gs-CtGq)/β1/γ2
42.11Single7SUSPubChem 1227019087SUS-Apelin-PubChem 122701908
42.11Single7XW9TRH7XW9-TRH-TRH-chim(NtGi1L-Gs-CtGq)/β1/γ2
42.11Single8E9W2-Deoxycytidine8E9W-M3-2-Deoxycytidine-chim(NtGi2L-Gs-CtGq)/β1/γ2
42.11Single8FYE4-F,5-MeO-PyrT8FYE-5-HT1A-4-F,5-MeO-PyrT-PtdIns4P-Gi1/β1/γ1
42.11Single8ID9Icosapent8ID9-FFA4-Icosapent-Gi1/β1/γ2
42.11Single8JJ8Arformoterol8JJ8-β2-Arformoterol
42.11Single8JJLOlodaterol8JJL-β2-Olodaterol
42.11Single9KVG5-MeO-DMT9KVG-5-HT1A-5-MeO-DMT-PtdIns4P-Gi1/β1/γ2
42.11Single9WSVDAMGO9WSV-μ-DAMGO-Arrestin2
42.11Consensus5ht1f_onOrthosteric Ligand7EXD-5-HT1F-Lasmiditan-Gi1/β1/γ2
42.11Consensus5ht1f_on_gpOrthosteric Ligand7EXD-5-HT1F-Lasmiditan-Gi1/β1/γ2
42.11Consensusgi_amineOrthosteric Ligandgi_5ht gi_muscarinic gi_adrenergic gi_dopamine gi_histamine
42.11Consensusgi_muscarinicOrthosteric Ligand8E9X-M4-2-Deoxycytidine-chim(NtGi1-Go)/β1/γ2 7T8X-M2-Acetylcholine-chim(NtGi1-Go)/β1/γ2 7TRS-M4-Acetylcholine-Gi1/β1/γ2 7TRK-M4-Iperoxo-Gi1/β1/γ2 7V6A-M4-PubChem 9864275-Gi1/β1/γ2
42.11Consensuskop_onOrthosteric Ligand8F7W-κ-Dynorphin-Gi1/β1/γ2 8DZS-κ-GR89,696-chim(NtGi2-Gz)/β1/γ2 8DZP-κ-momSalB-Gi1/β1/γ2
42.11Consensusm4_onOrthosteric Ligand7TRS-M4-Acetylcholine-Gi1/β1/γ2 7V6A-M4-PubChem 9864275-Gi1/β1/γ2 8E9X-M4-2-Deoxycytidine-chim(NtGi1-Go)/β1/γ2 7TRK-M4-Iperoxo-Gi1/β1/γ2
42.11Consensusm4_on_gpOrthosteric Ligand7TRS-M4-Acetylcholine-Gi1/β1/γ2 7V6A-M4-PubChem 9864275-Gi1/β1/γ2 8E9X-M4-2-Deoxycytidine-chim(NtGi1-Go)/β1/γ2 7TRK-M4-Iperoxo-Gi1/β1/γ2
42.11Consensusmop_onOrthosteric Ligand8F7R-μ-Endomorphin-Gi1/β1/γ2 8EF5-μ-Fentanyl-Gi1/β1/γ2 7SCG-μ-FH210-Gi1/β1/γ2 7T2H-μ-Lofentanil-Gi1/β1/γ2 7T2G-μ-Mitragynine Pseudoindoxyl-Gi1/β1/γ2 8EF6-μ-Morphine-Gi1/β1/γ2 8EFB-μ-Oliceridine-Gi1/β1/γ2 7U2L-μ-C5-guano-Gi1/β1/γ2 8EFO-μ-PZM21-Gi1/β1/γ2 8EFL-μ-SR17018-Gi1/β1/γ2 8F7Q-μ-β-Endorphin-Gi1/β1/γ2 7U2K-μ-C6-guano-Gi1/β1/γ2 8EFQ-μ-DAMGO-Gi1/β1/γ2
42.11Consensusmop_on_gpOrthosteric Ligand8F7R-μ-Endomorphin-Gi1/β1/γ2 8EF5-μ-Fentanyl-Gi1/β1/γ2 7SCG-μ-FH210-Gi1/β1/γ2 7T2H-μ-Lofentanil-Gi1/β1/γ2 7T2G-μ-Mitragynine Pseudoindoxyl-Gi1/β1/γ2 8EF6-μ-Morphine-Gi1/β1/γ2 8EFB-μ-Oliceridine-Gi1/β1/γ2 7U2L-μ-C5-guano-Gi1/β1/γ2 8EFO-μ-PZM21-Gi1/β1/γ2 8EFL-μ-SR17018-Gi1/β1/γ2 8F7Q-μ-β-Endorphin-Gi1/β1/γ2 7U2K-μ-C6-guano-Gi1/β1/γ2 8EFQ-μ-DAMGO-Gi1/β1/γ2
42.11Consensusnk1_offOrthosteric Ligand6HLP-NK1-Netupitant 6HLO-NK1-Aprepitant 6HLL-NK1-CP99994 6E59-NK1-L-760735
42.11Consensusopioid_offOrthosteric Ligandmop_off nop_off dop_off kop_off
42.11Consensustrh_onOrthosteric Ligand7XW9-TRH-TRH-chim(NtGi1L-Gs-CtGq)/β1/γ2
42.11Consensustrh_on_gpOrthosteric Ligand7XW9-TRH-TRH-chim(NtGi1L-Gs-CtGq)/β1/γ2
41.67Consensusopioid_onOrthosteric Ligandmop_on nop_on dop_on kop_on
41.18Single3ZPQPubChem 5945903ZPQ-β1-PubChem 594590-Na
41.18Single3ZPRPubChem 5987543ZPR-β1-PubChem 598754-Na
41.18Single4U16N-methyl-Scopolamine4U16-M3-N-methyl-Scopolamine
41.18Single5YC8N-methyl-Scopolamine5YC8-M2-N-methyl-Scopolamine
41.18Single5ZK8N-methyl-Scopolamine5ZK8-M2-N-methyl-Scopolamine
41.18Single5ZKCN-methyl-Scopolamine5ZKC-M2-N-methyl-Scopolamine
41.18Single6DRZMethysergide6DRZ-5-HT2B-Methysergide
41.18Single6PS2Alprenolol6PS2-β2-Alprenolol
41.18Single7BTSEpinephrine7BTS-β1-Epinephrine
41.18Single7BU6Norepinephrine7BU6-β1-Norepinephrine
41.18Single7JOZPubChem 752020227JOZ-D1-PubChem 75202022-Gs/β1/γ2
41.18Single7JVQApomorphine7JVQ-D1-Apomorphine-Gs/β1/γ2
41.18Single7S0GIsoprenaline7S0G-β1-Isoprenaline-chim(Gi1-CtGs)/β1/γ2
41.18Single7T2GMitragynine Pseudoindoxyl7T2G-μ-Mitragynine Pseudoindoxyl-Gi1/β1/γ2
41.18Single7UM55-CT7UM5-5-HT5A-5-CT-chim(NtGi1-Go)/β1/γ2
41.18Single7X2CFenoldopam7X2C-D1-Fenoldopam-Fenoldopam-Gs/β1/γ2
41.18Single7XTC5-CT7XTC-5-HT7-5-CT-Gs/β1/γ2
41.18Single8CU7LJ-45178CU7-A2A-LJ-4517-Na
41.18Single8DZSGR89,6968DZS-κ-GR89,696-chim(NtGi2-Gz)/β1/γ2
41.18Single8FY85-MeO-DMT8FY8-5-HT1A-5-MeO-DMT-PtdIns4P-Gi1/β1/γ1
41.18Single8GE2Constrained Epinephrine8GE2-β2-Constrained Epinephrine-Gs/β1/γ1
41.18Single8GE3Constrained Epinephrine8GE3-β2-Constrained Epinephrine-Gs/β1/γ2
41.18Single8GE9Constrained Epinephrine8GE9-β2-Constrained Epinephrine-Gs/β1/γ2
41.18Single8GECConstrained Epinephrine8GEC-β2-Constrained Epinephrine-Gs/β1/γ2
41.18Single8GEEConstrained Epinephrine8GEE-β2-Constrained Epinephrine-Gs/β1/γ2
41.18Single8GFVConstrained Epinephrine8GFV-β2-Constrained Epinephrine-GTP-Gs/β1/γ2
41.18Single8GFWConstrained Epinephrine8GFW-β2-Constrained Epinephrine-GTP-Gs/β1/γ2
41.18Single8GFXConstrained Epinephrine8GFX-β2-Constrained Epinephrine-GTP-Gs/β1/γ2
41.18Single8GFZConstrained Epinephrine8GFZ-β2-Constrained Epinephrine-GTP-Gs/β1/γ2
41.18Single8GG0Constrained Epinephrine8GG0-β2-Constrained Epinephrine-GTP-Gs/β1/γ2
41.18Single8GG1Constrained Epinephrine8GG1-β2-Constrained Epinephrine-GTP-Gs/β1/γ2
41.18Single8GG3Constrained Epinephrine8GG3-β2-Constrained Epinephrine-GTP-Gs/β1/γ2
41.18Single8GG4Constrained Epinephrine8GG4-β2-Constrained Epinephrine-GTP-Gs/β1/γ2
41.18Single8GG6Constrained Epinephrine8GG6-β2-Constrained Epinephrine-GTP-Gs/β1/γ2
41.18Single8GG9Constrained Epinephrine8GG9-β2-Constrained Epinephrine-GTP-Gs/β1/γ2
41.18Single8GGIConstrained Epinephrine8GGI-β2-Constrained Epinephrine
41.18Single8GGJConstrained Epinephrine8GGJ-β2-Constrained Epinephrine
41.18Single8GGKConstrained Epinephrine8GGK-β2-Constrained Epinephrine
41.18Single8GGNConstrained Epinephrine8GGN-β2-Constrained Epinephrine
41.18Single8GGOConstrained Epinephrine8GGO-β2-Constrained Epinephrine
41.18Single8GGUConstrained Epinephrine8GGU-β2-Constrained Epinephrine
41.18Single8IRTRotigotine8IRT-D3-Rotigotine-Gi1/β1/γ2
41.18Single8JD0NAM5638JD0-mGlu2; mGlu3-Glutamate-NAM563
41.18Single8JLJT1AM8JLJ-TA1-T1AM-chim(NtGi1-Gs)/β1/γ2
41.18Single8JLZST19368JLZ-5-HT6-ST1936-Gs/β1/γ2
41.18Single8UGYMianserin8UGY-5-HT1E-Mianserin-Gi1/β1/γ1
41.18Single8UH3Setiptiline8UH3-5-HT1E-Setiptiline-Gi1/β1/γ1
41.18Single8UNQConstrained Epinephrine8UNQ-β2-Constrained Epinephrine-GTP-Gs/β1/γ2
41.18Single8UNRConstrained Epinephrine8UNR-β2-Constrained Epinephrine-GTP-Gs/β1/γ2
41.18Single8UNUConstrained Epinephrine8UNU-β2-Constrained Epinephrine-GTP-Gs/β1/γ2
41.18Single8UNYConstrained Epinephrine8UNY-β2-Constrained Epinephrine-GTP-Gs/β1/γ2
41.18Single8W87METH8W87-TA1-METH-chim(NtGi1L-Gs)/β1/γ2
41.18Single8W8ARO52563908W8A-TA1-RO5256390-chim(NtGi1L-Gs)/β1/γ2
41.18Single8X17Namodenoson8X17-A3A-Namodenoson-Gi1/β1/γ2
41.18Single8X63Mepyramine8X63-H1-Mepyramine
41.18Single8ZSSRO52633978ZSS-TA1-RO5263397-chim(NtGi1-Gs)/β1/γ2
41.18Single9CHXCarazolol9CHX-β2-Carazolol
41.18Single9DYFAsenapine9DYF-5-HT1A-Asenapine-PtdIns4P-Gi1/β1/γ2
41.18Single9JEAAtropine9JEA-M1-Atropine
41.18Single9KUXCMPD6449KUX-Apelin; Apelin-CMPD644-Arrestin2
41.18Single9LLAAriadne9LLA-5-HT2A-Ariadne-chim(NtGi1L-Gs-CtGq)/β1/γ2
41.18Single9PQDPubChem 1764919279PQD-α2a-PubChem 176491927
41.18Consensus5ht2b_offOrthosteric Ligand6DRZ-5-HT2B-Methysergide
41.18Consensus5ht7_onOrthosteric Ligand7XTC-5-HT7-5-CT-Gs/β1/γ2
41.18Consensus5ht7_on_gpOrthosteric Ligand7XTC-5-HT7-5-CT-Gs/β1/γ2
41.18Consensusa3_onOrthosteric Liganda3a_on
41.18Consensusadenosine_on_gpOrthosteric Liganda1_on_gp a2_on_gp a3_on_gp
41.18Consensusadrenergic_onOrthosteric Ligandalpha_on beta_on
41.18Consensuscck_offOrthosteric Ligandccka_off
41.18Consensusccka_offOrthosteric Ligand7F8Y-CCKA-Devazepide 7F8U-CCKA-Lintitript
41.18Consensusd5_onOrthosteric Ligand8IRV-D5-Rotigotine-chim(NtGi1-Gs)/β1/γ2
41.18Consensusdopamine_onOrthosteric Ligandd2_on d1_on d3_on d4_on d5_on
41.18Consensusdopamine_on_gpOrthosteric Ligandd2_on_gp d1_on_gp d3_on_gp d4_on_gp d5_on_gp
41.18Consensusgq_amineOrthosteric Ligandgq_muscarinic gq_histamine
41.18Consensusgs_trace-amineOrthosteric Ligand8W88-TA1-SEP-363856-Gs/β1/γ2 8JLJ-TA1-T1AM-chim(NtGi1-Gs)/β1/γ2 8JLO-TA1-Ulotaront-Gs/β1/γ2 8WC4-TA1-ZH8651-chim(NtGi1-Gs)/β1/γ2 8WC7-TA1-ZH8667-chim(NtGi1-Gs)/β1/γ2 8JLR-TA1-A77636-chim(NtGi1-Gs)/β1/γ2 8JSO-TA1-AMPH-chim(NtGi1-Gs)/β1/γ2 8W87-TA1-METH-chim(NtGi1L-Gs)/β1/γ2 8W89-TA1-2-Phenylethylamine-chim(NtGi1L-Gs)/β1/γ2 8JLP-TA1-Ralmitaront-Gs/β1/γ2 8W8A-TA1-RO5256390-chim(NtGi1L-Gs)/β1/γ2
41.18Consensushistamine_offOrthosteric Ligandh1_off
40.91Single7EZKCholecystokinin-87EZK-CCKA-Cholecystokinin-8-chim(NtGi1-Gs)/β1/γ2
40.91Single7WJ5Somatostatin-147WJ5-SST2-Somatostatin-14-Gi1/β1/γ2
40.91Single9L60Dynorphin9L60-κ-Dynorphin-MPAM-15-Gi1/β1/γ2
40.91Single9UMXEP549UMX-C5a1-EP54-Go/β1/γ2
40.91Consensusgq_class-aOrthosteric Ligandgq_peptide gq_amine gq_nucleotide
40.00Single1U1911-cis-Retinal1U19-Rhodopsin-11-cis-Retinal
40.00Single2G87All-trans-Retinal2G87-Rhodopsin-All-trans-Retinal
40.00Single2I3511-cis-Retinal2I35-Rhodopsin-11-cis-Retinal
40.00Single2YCZIodocyanopindolol2YCZ-β1-Iodocyanopindolol
40.00Single3PBLEticlopride3PBL-D3-Eticlopride
40.00Single4BVNCyanopindolol4BVN-β1-Cyanopindolol-Na
40.00Single4NC3Ergotamine4NC3-5-HT2B-Ergotamine
40.00Single5TE520-Methanoretinal5TE5-Rhodopsin-20-Methanoretinal
40.00Single6BQHRitanserin6BQH-5-HT2C-Ritanserin
40.00Single6DDFDAMGO6DDF-μ-DAMGO-Gi1/β1/γ2
40.00Single6IBLArformoterol6IBL-β1-Arformoterol
40.00Single6TKOArformoterol6TKO-β1-Arformoterol-Arrestin2
40.00Single7DFLHistamine7DFL-H1-Histamine-chim(NtGi1L-Gq)/β1/γ2
40.00Single7E2YSerotonin7E2Y-5-HT1A-Serotonin-PtdIns4P-Gi1/β1/γ2
40.00Single7EZHCholecystokinin-87EZH-CCKA-Cholecystokinin-8-Gi1/β1/γ2
40.00Single7EZMCholecystokinin-87EZM-CCKA-Cholecystokinin-8-chim(NtGsL-Gq)/β1/γ2
40.00Single7JVRBromoergocryptine7JVR-D2-Bromoergocryptine-Gi1/β1/γ2
40.00Single7MBYCholecystokinin-87MBY-CCKA-Cholecystokinin-8-chim(NtGi1L-Gs-CtGq)/β1/γ2
40.00Single7U2KC6-guano7U2K-μ-C6-guano-Gi1/β1/γ2
40.00Single7XJISolabegron7XJI-β3-Solabegron-Gs/β1/γ2
40.00Single7XT9Serotonin7XT9-5-HT4-Serotonin-Gs/β1/γ2
40.00Single7XTASerotonin7XTA-5-HT4-Serotonin-Gi1/β1/γ2
40.00Single7XTBSerotonin7XTB-5-HT6-Serotonin-Gs/β1/γ2
40.00Single7Y27Somatostatin-147Y27-SST2-Somatostatin-14-chim(NtGi2L-Gs-CtGq)/β1/γ2
40.00Single7YS6Serotonin7YS6-5-HT6-Serotonin-chim(NtGi1-Gs)/β1/γ2
40.00Single8E9X2-Deoxycytidine8E9X-M4-2-Deoxycytidine-chim(NtGi1-Go)/β1/γ2
40.00Single8E9YClozapine-N-oxide8E9Y-M3-Clozapine-N-oxide-chim(NtGi2L-Gs-CtGq)/β1/γ2
40.00Single8FX5Xanomeline8FX5-M4-Xanomeline-Xanomeline-Gi1/β1/γ2
40.00Single8IYSTUG-8918IYS-FFA4-TUG-891-GDP-chim(NtGi1L-Gq)/β1/γ2
40.00Single8JLOUlotaront8JLO-TA1-Ulotaront-Gs/β1/γ2
40.00Single8S2TIsoprenaline8S2T-β1-Isoprenaline-chim(NtGi1-Gs)/β1/γ2
40.00Single8T3OTUG-8918T3O-FFA4-TUG-891-chim(NtGi2L-Gs-CtGq)/β1/γ2
40.00Single8XIOL7975918XIO-SST1-L797591-chim(NtGi1-Gs-CtGi1)/β1/γ2
40.00Single8ZSVRO52633978ZSV-TA1-RO5263397-chim(NtGi1-Gs)/β1/γ2
40.00Single9AS02-bromo-LSD9AS0-5-HT2A-2-bromo-LSD-chim(NtGi1-Gs-CtGq)/β1/γ2
40.00Single9AS2DMT9AS2-5-HT2A-DMT-chim(NtGi1-Gs-CtGq)/β1/γ2
40.00Single9KUGEP679KUG-C5a1-EP67-Go/β1/γ2
40.00Single9L42Histamine9L42-H4-Histamine-Gi1/β1/γ2
40.00Single9M54Neuropeptide-VF9M54-NPFF2-Neuropeptide-VF-Gi1/β1/γ2
40.00Single9U9VMETH9U9V-β2-METH-Gs/β1/γ2
40.00Consensus5ht2c_offOrthosteric Ligand6BQH-5-HT2C-Ritanserin
40.00Consensus5ht4_onOrthosteric Ligand7XTA-5-HT4-Serotonin-Gi1/β1/γ2
40.00Consensus5ht4_on_gpOrthosteric Ligand7XTA-5-HT4-Serotonin-Gi1/β1/γ2
40.00Consensuscck_onOrthosteric Ligandccka_on cckb_on
40.00Consensuscck_on_gpOrthosteric Ligandccka_on_gp cckb_on_gp
40.00Consensusccka_onOrthosteric Ligand7EZH-CCKA-Cholecystokinin-8-Gi1/β1/γ2
40.00Consensusccka_on_gpOrthosteric Ligand7EZH-CCKA-Cholecystokinin-8-Gi1/β1/γ2
40.00Consensusd2_offOrthosteric Ligand6CM4-D2-Risperidone 6LUQ-D2-Haloperidol 7DFP-D2-Spiperone
40.00Consensusd3_offOrthosteric Ligand3PBL-D3-Eticlopride
40.00Consensush1_onOrthosteric Ligand7DFL-H1-Histamine-chim(NtGi1L-Gq)/β1/γ2
40.00Consensusopioid_on_gpOrthosteric Ligandmop_on_gp nop_on_gp dop_on_gp kop_on_gp
39.13Single7XOUCholecystokinin-87XOU-CCKA-Cholecystokinin-8-Gs/β1/γ2
39.13Single9MEUCXCL129MEU-CXCR4-CXCL12
39.13Single9U4WGonadoliberin-19U4W-GnRH1-Gonadoliberin-1-chim(NtGi1L-Gs-CtGq)/β1/γ2
39.13Consensusgs_cckOrthosteric Ligand7MBX-CCKA-Cholecystokinin-8-Gs/β1/γ1
39.13Consensusgs_class-aOrthosteric Ligandgs_peptide gs_nucleotide gs_amine
38.89Single5JQHCarazolol5JQH-β2-Carazolol
38.89Single5N2RPSB365N2R-A2A-PSB36-Na
38.89Single5N2SPSB365N2S-A1-PSB36
38.89Single5NM2ZM-2413855NM2-A2A-ZM-241385-Na
38.89Single5OM4PubChem 1355666095OM4-A2A-PubChem 135566609-Na
38.89Single5XPRBosentan5XPR-ETB-Bosentan
38.89Single5ZBQUR-MK-2995ZBQ-Y1-UR-MK-299
38.89Single6GDGNECA6GDG-A2A-NECA-Gs/β1/γ1
38.89Single6HLPNetupitant6HLP-NK1-Netupitant
38.89Single6KUWPubChem 572132346KUW-α2c-PubChem 57213234
38.89Single6LUQHaloperidol6LUQ-D2-Haloperidol
38.89Single6ME72-Phenylmelatonin6ME7-MT2-2-Phenylmelatonin
38.89Single6PS3Carvedilol6PS3-β2-Carvedilol
38.89Single7BVQCarazolol7BVQ-β1-Carazolol
38.89Single7CKXA776367CKX-D1-A77636-Gs/β1/γ2
38.89Single7EUOfMLF7EUO-FPR1-ALX-fMLF-Gi1/β1/γ2
38.89Single7LD3Adenosine7LD3-A1-Adenosine-MIPS521-Gi2/β1/γ2
38.89Single7S0FIsoprenaline7S0F-β1-Isoprenaline-Gi1/β1/γ2
38.89Single7VOEAripiprazole7VOE-5-HT2A-Aripiprazole
38.89Single7WC6LSD7WC6-5-HT2A-LSD
38.89Single7WIGL-0542647WIG-SST2-L-054264-Gi1/β1/γ2
38.89Single7XK9Constrained Isoproterenol7XK9-β2-Constrained Isoproterenol-Na
38.89Single8C9WEtrumadenant8C9W-A2A-Etrumadenant
38.89Single8DZQmomSalB8DZQ-κ-momSalB-Go/β1/γ2
38.89Single8DZRGR89,6968DZR-κ-GR89,696-chim(NtGi2-Gt3)/β1/γ2
38.89Single8E9ZIperoxo8E9Z-M3-Iperoxo-chim(NtGi2L-Gs-CtGq)/β1/γ2
38.89Single8EFBOliceridine8EFB-μ-Oliceridine-Gi1/β1/γ2
38.89Single8GFYConstrained Epinephrine8GFY-β2-Constrained Epinephrine-GTP-Gs/β1/γ2
38.89Single8GG2Constrained Epinephrine8GG2-β2-Constrained Epinephrine-GTP-Gs/β1/γ2
38.89Single8GNEKW-63568GNE-A2A-KW-6356-Na
38.89Single8YH0NECA8YH0-A3A-NECA-Gi1/β1/γ2
38.89Single8ZMFPubChem 1719206738ZMF-5-HT2C-PubChem 171920673
38.89Single9DYDAsenapine9DYD-5-HT1A-Asenapine-PtdIns4P-Go/β1/γ2
38.89Single9EE8Adenosine9EE8-A2A-Adenosine-Gs/β1/γ2
38.89Single9K07DSO-5a9K07-BB3-DSO-5a-chim(NtGi2L-Gs-CtGq)/β1/γ2
38.89Consensus5ht5_on_gpOrthosteric Ligand5ht5a_on_gp
38.89Consensus5ht5a_on_gpOrthosteric Ligand7X5H-5-HT5A-5-CT-Gi1/β1/γ2 7UM6-5-HT5A-Lisuride-chim(NtGi1-Go)/β1/γ2 7UM7-5-HT5A-Methylergometrine-chim(NtGi1-Go)/β1/γ2
38.89Consensusa3_on_gpOrthosteric Liganda3a_on_gp
38.89Consensusa3a_onOrthosteric Ligand8X17-A3A-Namodenoson-Gi1/β1/γ2 8X16-A3A-Piclidenoson-Gi1/β1/γ2
38.89Consensusa3a_on_gpOrthosteric Ligand8X17-A3A-Namodenoson-Gi1/β1/γ2 8X16-A3A-Piclidenoson-Gi1/β1/γ2
38.89Consensusadenosine_offOrthosteric Liganda1_off a2_off
38.89Consensusadrenergic_offOrthosteric Ligandalpha_off beta_off
38.89Consensusadrenergic_on_gpOrthosteric Ligandalpha_on_gp beta_on_gp
38.89Consensusalpha2c_offOrthosteric Ligand6KUW-α2c-PubChem 57213234
38.89Consensusalpha_offOrthosteric Ligandalpha1_off alpha2_off
38.89Consensusd4_onOrthosteric Ligand8IRU-D4-Rotigotine-chim(NtGi1-Gs-CtGi1)/β1/γ2
38.89Consensusgs_amineOrthosteric Ligandgs_5ht gs_adrenergic gs_dopamine gs_histamine gs_trace-amine
38.89Consensush1_offOrthosteric Ligand8X63-H1-Mepyramine 3RZE-H1-Cidoxepin 8X5Y-H1-Astemizole
38.89Consensusm2_offOrthosteric Ligand5ZKC-M2-N-methyl-Scopolamine 5ZK3-M2-3-quinuclidinyl-benzilate 5ZKB-M2-AF-DX 384
38.89Consensusm3_onOrthosteric Ligand8E9Z-M3-Iperoxo-chim(NtGi2L-Gs-CtGq)/β1/γ2 8E9W-M3-2-Deoxycytidine-chim(NtGi2L-Gs-CtGq)/β1/γ2 8E9Y-M3-Clozapine-N-oxide-chim(NtGi2L-Gs-CtGq)/β1/γ2
38.89Consensusm3_on_gpOrthosteric Ligand8E9Z-M3-Iperoxo-chim(NtGi2L-Gs-CtGq)/β1/γ2 8E9W-M3-2-Deoxycytidine-chim(NtGi2L-Gs-CtGq)/β1/γ2 8E9Y-M3-Clozapine-N-oxide-chim(NtGi2L-Gs-CtGq)/β1/γ2
38.89Consensusta1_onOrthosteric Ligand8W87-TA1-METH-chim(NtGi1L-Gs)/β1/γ2 8W89-TA1-2-Phenylethylamine-chim(NtGi1L-Gs)/β1/γ2 8JLP-TA1-Ralmitaront-Gs/β1/γ2 8W8A-TA1-RO5256390-chim(NtGi1L-Gs)/β1/γ2 8W88-TA1-SEP-363856-Gs/β1/γ2 8JLO-TA1-Ulotaront-Gs/β1/γ2 8JLR-TA1-A77636-chim(NtGi1-Gs)/β1/γ2 8JSO-TA1-AMPH-chim(NtGi1-Gs)/β1/γ2 8ZSP-TA1-LSD-chim(NtGi1L-Gs)/β1/γ2
38.89Consensustrace-amine_onOrthosteric Ligandta1_on
38.46Single9K26PrRP319K26-PrRP-PrRP31-Gi1/β1/γ2
38.46Single9KDFRES-701-39KDF-ETB-RES-701-3
38.46Consensusgq_peptideOrthosteric Ligandgq_cck gq_kisspeptin gq_bradykinin gq_bombesin gq_angiotensin
38.10Single7F8WGastrin-177F8W-CCKB-Gastrin-17-chim(NtGsL-Gq)/β1/γ2
38.10Single7T11Octreotide7T11-SST2-Octreotide-Gi3/β1/γ2
38.10Single8IA7Cholecystokinin-88IA7-CCKB-Cholecystokinin-8-chim(NtGi1L-Gq)/β1/γ2
38.10Single8JLRA776368JLR-TA1-A77636-chim(NtGi1-Gs)/β1/γ2
38.10Single8X5YAstemizole8X5Y-H1-Astemizole
38.10Single8Y72Peptide8Y72-μ-Peptide-BMS-986122-Gi1/β1/γ2
38.10Single9M0RNeuropeptide-VF9M0R-NPFF1-Neuropeptide-VF-Gi1/β1/γ2
38.10Consensusformylpeptide_onOrthosteric Ligandfpr2-alx_on fpr1-alx_on
37.50Single2PED9-cis-Retinal2PED-Rhodopsin-9-cis-Retinal
37.50Single3VG9ZM-2413853VG9-A2A-ZM-241385-Antibody
37.50Single5OLOTozadenant5OLO-A2A-Tozadenant-Na
37.50Single6B73MP11046B73-κ-MP1104
37.50Single6NWEOctyl-Beta-D-Glucopyranoside6NWE-Rhodopsin-Octyl-β-D-Glucopyranoside-Gt(CT)
37.50Single7EJ0Norepinephrine7EJ0-α2a-Norepinephrine-Go/β1/γ2
37.50Single7F1ODopamine7F1O-D1-Dopamine-GDP; Mg-Gs/β1/γ2
37.50Single7LD4Adenosine7LD4-A1-Adenosine-Gi2/β1/γ2
37.50Single7LJDDopamine7LJD-D1-Dopamine-Mevidalen-Gs/β1/γ1
37.50Single7T6STC-FPR 437T6S-FPR2-ALX-TC-FPR 43-Gi1/β1/γ2
37.50Single7T8XAcetylcholine7T8X-M2-Acetylcholine-chim(NtGi1-Go)/β1/γ2
37.50Single7T90Acetylcholine7T90-M2-Acetylcholine-chim(NtGi1-Go)/β1/γ2
37.50Single7T96Acetylcholine7T96-M2-Acetylcholine-LY2119620-Go/β1/γ2
37.50Single7VUJJNJ-635330547VUJ-GPR139-JNJ-63533054-GDP-chim(Gs-CtGq)/β1/γ2
37.50Single7X2FDopamine7X2F-D1-Dopamine-Mevidalen-Gs/β1/γ2
37.50Single7X5H5-CT7X5H-5-HT5A-5-CT-Gi1/β1/γ2
37.50Single7XT8Serotonin7XT8-5-HT4-Serotonin-Gs/β1/γ2
37.50Single7YMHNorepinephrine7YMH-Alpha1A-Norepinephrine-chim(Gs-CtGq)
37.50Single8FYXBuspirone8FYX-5-HT1A-Buspirone-PtdIns4P-Gi1/β1/γ1
37.50Single8GGAConstrained Epinephrine8GGA-β2-Constrained Epinephrine-GTP-Gs/β1/γ2
37.50Single8GGCConstrained Epinephrine8GGC-β2-Constrained Epinephrine-GTP-Gs/β1/γ2
37.50Single8GGRConstrained Epinephrine8GGR-β2-Constrained Epinephrine
37.50Single8GGZConstrained Epinephrine8GGZ-β2-Constrained Epinephrine
37.50Single8GH0Constrained Epinephrine8GH0-β2-Constrained Epinephrine
37.50Single8H4KGW95088H4K-FFA4-GW9508-chim(NtGi1-Gs-CtGq)/β1/γ2
37.50Single8HOCImetit8HOC-H4-Imetit-Gi1/β1/γ2
37.50Single8UNXConstrained Epinephrine8UNX-β2-Constrained Epinephrine-GTP-Gs/β1/γ2
37.50Single8WC4ZH86518WC4-TA1-ZH8651-chim(NtGi1-Gs)/β1/γ2
37.50Single8WCA2-Phenylethylamine8WCA-TA1-2-Phenylethylamine-chim(NtGi1-Gs)/β1/γ2
37.50Single8YNAImmepip8YNA-H4-Immepip-Gi1/β1/γ2
37.50Single8YUTAmthamine8YUT-H2-Amthamine-Gs/β1/γ2
37.50Single9EBHAdenosine9EBH-A3A-Adenosine-Gi1/β1/γ2
37.50Single9EEAAdenosine9EEA-A2A-Adenosine-Gs/β1/γ2
37.50Single9LL9DOI9LL9-5-HT2A-DOI-chim(NtGi1L-Gs-CtGq)/β1/γ2
37.50Single9VJ5Gepirone9VJ5-5-HT1A-Gepirone-Go/β1/γ2
37.50Single9VJEBuspirone9VJE-5-HT1A-Buspirone-Go/β1/γ2
37.50Consensus5ht_onOrthosteric Ligand5ht1_on 5ht2_on 5ht4_on 5ht5_on 5ht6_on 5ht7_on
37.50Consensusa1_onOrthosteric Ligand7LD4-A1-Adenosine-Gi2/β1/γ2
37.50Consensusa1_on_gpOrthosteric Ligand7LD4-A1-Adenosine-Gi2/β1/γ2
37.50Consensusgi_class-aOrthosteric Ligandgi_peptide gi_sensory gi_alicarboxylic gi_amine gi_lipid gi_nucleotide gi_protein
37.50Consensusgq_histamineOrthosteric Ligand7DFL-H1-Histamine-chim(NtGi1L-Gq)/β1/γ2
37.50Consensusgs_5htOrthosteric Ligand7XTC-5-HT7-5-CT-Gs/β1/γ2 7XTB-5-HT6-Serotonin-Gs/β1/γ2 8JLZ-5-HT6-ST1936-Gs/β1/γ2 7XT8-5-HT4-Serotonin-Gs/β1/γ2
37.50Consensush1_on_gpOrthosteric Ligand7DFL-H1-Histamine-chim(NtGi1L-Gq)/β1/γ2
37.50Consensushistamine_onOrthosteric Ligandh1_on h2_on h3_on h4_on
37.50Consensushistamine_on_gpOrthosteric Ligandh1_on_gp h2_on_gp h3_on_gp h4_on_gp
37.50Consensusm2_onOrthosteric Ligand7T8X-M2-Acetylcholine-chim(NtGi1-Go)/β1/γ2
37.50Consensusm2_on_gpOrthosteric Ligand7T8X-M2-Acetylcholine-chim(NtGi1-Go)/β1/γ2
37.50Consensuspeptide_offon_gpOrthosteric Ligandpeptide_on_gp peptide_off
37.50Consensusrhodopsin_offOrthosteric Ligand1U19-Rhodopsin-11-cis-Retinal 2PED-Rhodopsin-9-cis-Retinal 5TE5-Rhodopsin-20-Methanoretinal
37.04Single6IGLIRL16206IGL-ETB-IRL1620
37.04Consensusetb_onOrthosteric Ligand8IY5-ETB-Endothelin-1-Gi1/β1/γ2 8HBD-ETB-IRL1620-Gi1/β1/γ2
36.84Single3P0GBI1671073P0G-β2-BI167107
36.84Single3SN6BI1671073SN6-β2-BI167107-Gs/β1/γ2
36.84Single4IAQDihydroergotamine4IAQ-5-HT1B-Dihydroergotamine
36.84Single4LDLHydroxybenzyl Isoproterenol4LDL-β2-Hydroxybenzyl Isoproterenol
36.84Single4U15Tiotropium4U15-M3-Tiotropium
36.84Single5V54Methiothepin5V54-5-HT1B-Methiothepin
36.84Single5ZKBAF-DX 3845ZKB-M2-AF-DX 384
36.84Single6DDEDAMGO6DDE-μ-DAMGO-Gi1/β1/γ2
36.84Single6E59L-7607356E59-NK1-L-760735
36.84Single6H7JIsoprenaline6H7J-β1-Isoprenaline
36.84Single6J20Aprepitant6J20-NK1-Aprepitant
36.84Single6N48BI1671076N48-β2-BI167107-PubChem 138454256
36.84Single6NI3BI1671076NI3-β2-BI167107-Gs/β1/γ2
36.84Single6OL9Tiotropium6OL9-M5-Tiotropium
36.84Single6WGTLSD6WGT-5-HT2A-LSD
36.84Single7JJOIsoprenaline7JJO-β1-Isoprenaline-Gs/β1/γ2
36.84Single7JV5SKF812977JV5-D1-SKF81297-Gs/β1/γ2
36.84Single7JVPSKF839597JVP-D1-SKF83959-Gs/β1/γ2
36.84Single7PX4PSB-21137PX4-A2A-PSB-2113
36.84Single7TRQIperoxo7TRQ-M4-Iperoxo-VU0467154-Gi1/β1/γ2
36.84Single7WVXHumanin7WVX-FPR2-ALX-Humanin-Gi2/β1/γ2
36.84Single7XAVLanreotide7XAV-SST2-Lanreotide-Gi1/β1/γ2
36.84Single7XY7NECA7XY7-A2B-NECA-chim(NtGi1-Gs)/β1/γ2
36.84Single8EA0Iperoxo8EA0-M3-Iperoxo
36.84Single8EFLSR170188EFL-μ-SR17018-Gi1/β1/γ2
36.84Single8IRURotigotine8IRU-D4-Rotigotine-chim(NtGi1-Gs-CtGi1)/β1/γ2
36.84Single8T1VPubChem 1183102098T1V-GPR6-PubChem 118310209-Na
36.84Single8X16Piclidenoson8X16-A3A-Piclidenoson-Gi1/β1/γ2
36.84Single8XIPPasireotide8XIP-SST1-Pasireotide-chim(NtGi1-Gs-CtGi1)/β1/γ2
36.84Single8XVLZibotentan8XVL-ETA-Zibotentan
36.84Single9IJDCarazolol9IJD-β3-Carazolol-chim(NtGi1-Gs)/β1/γ2
36.84Single9KUXCMPD6449KUX-Apelin; Apelin-CMPD644-Arrestin2
36.84Consensus5ht1_offOrthosteric Ligand5ht1b_off
36.84Consensus5ht1b_offOrthosteric Ligand5V54-5-HT1B-Methiothepin
36.84Consensus5ht_offOrthosteric Ligand5ht2_off 5ht1_off
36.84Consensusa2_onOrthosteric Liganda2b_on
36.84Consensusa2_on_gpOrthosteric Liganda2b_on_gp
36.84Consensusa2b_onOrthosteric Ligand8HDP-A2B-Adenosine-Gs/β1/γ2 7XY6-A2B-BAY 60-6583-chim(NtGi1-Gs)/β1/γ2 7XY7-A2B-NECA-chim(NtGi1-Gs)/β1/γ2 8HDO-A2B-BAY 60-6583-Gs/β1/γ2
36.84Consensusa2b_on_gpOrthosteric Ligand8HDP-A2B-Adenosine-Gs/β1/γ2 7XY6-A2B-BAY 60-6583-chim(NtGi1-Gs)/β1/γ2 7XY7-A2B-NECA-chim(NtGi1-Gs)/β1/γ2 8HDO-A2B-BAY 60-6583-Gs/β1/γ2
36.84Consensusbeta2_onOrthosteric Ligand7DHI-β2-Salbutamol-Gs/β1/γ2 6NI3-β2-BI167107-Gs/β1/γ2
36.84Consensusbeta2_on_gpOrthosteric Ligand7DHI-β2-Salbutamol-Gs/β1/γ2 6NI3-β2-BI167107-Gs/β1/γ2
36.84Consensusd1_on_gpOrthosteric Ligand7F0T-D1-Dopamine-Gs/β1/γ2 7CKY-D1-PW0464-Gs/β1/γ2 8IRR-D1-Rotigotine-Gs/β1/γ2 7JV5-D1-SKF81297-Gs/β1/γ2 7JVP-D1-SKF83959-Gs/β1/γ2 7X2D-D1-Tavapadon-Gs/β1/γ2 7CKX-D1-A77636-Gs/β1/γ2 7JVQ-D1-Apomorphine-Gs/β1/γ2 7CKW-D1-Fenoldopam-Gs/β1/γ2
36.84Consensusd4_on_gpOrthosteric Ligand8IRU-D4-Rotigotine-chim(NtGi1-Gs-CtGi1)/β1/γ2
36.84Consensusgi_5htOrthosteric Ligand8FYT-5-HT1A-LSD-PtdIns4P-Gi1/β1/γ1 7UM7-5-HT5A-Methylergometrine-chim(NtGi1-Go)/β1/γ2 8UGY-5-HT1E-Mianserin-Gi1/β1/γ1 8W8B-5-HT1A-SEP-363856-Gi1/β1/γ2 7E2Y-5-HT1A-Serotonin-PtdIns4P-Gi1/β1/γ2 7E32-5-HT1D-Serotonin-Gi1/β1/γ2 7XTA-5-HT4-Serotonin-Gi1/β1/γ2 8UH3-5-HT1E-Setiptiline-Gi1/β1/γ1 8JSP-5-HT1A-Ulotaront-Gi1/β1/γ2 8FYL-5-HT1A-Vilazodone-PtdIns4P-Gi1/β1/γ1 8JT6-5-HT1A-(R)-IHCH-7179-PtdIns4P-Gi1/β1/γ2 8FYE-5-HT1A-4-F,5-MeO-PyrT-PtdIns4P-Gi1/β1/γ1 7X5H-5-HT5A-5-CT-Gi1/β1/γ2 8FY8-5-HT1A-5-MeO-DMT-PtdIns4P-Gi1/β1/γ1 7E2Z-5-HT1A-Aripiprazole-PtdIns4P-Gi1/β1/γ2 7E33-5-HT1E-BRL-54443-Gi1/β1/γ2 8FYX-5-HT1A-Buspirone-PtdIns4P-Gi1/β1/γ1 7EXD-5-HT1F-Lasmiditan-Gi1/β1/γ2 7UM6-5-HT5A-Lisuride-chim(NtGi1-Go)/β1/γ2
36.84Consensusgs_adenosineOrthosteric Ligand8HDP-A2B-Adenosine-Gs/β1/γ2 8HDO-A2B-BAY 60-6583-Gs/β1/γ2 7XY7-A2B-NECA-chim(NtGi1-Gs)/β1/γ2 7XY6-A2B-BAY 60-6583-chim(NtGi1-Gs)/β1/γ2
36.84Consensusgs_dopamineOrthosteric Ligand7F0T-D1-Dopamine-Gs/β1/γ2 7CKW-D1-Fenoldopam-Gs/β1/γ2 7CKY-D1-PW0464-Gs/β1/γ2 8IRV-D5-Rotigotine-chim(NtGi1-Gs)/β1/γ2 8IRR-D1-Rotigotine-Gs/β1/γ2 7JV5-D1-SKF81297-Gs/β1/γ2 7JVP-D1-SKF83959-Gs/β1/γ2 7X2D-D1-Tavapadon-Gs/β1/γ2 7CKX-D1-A77636-Gs/β1/γ2 7JVQ-D1-Apomorphine-Gs/β1/γ2
36.84Consensusgs_nucleotideOrthosteric Ligandgs_adenosine
36.84Consensusm5_offOrthosteric Ligand6OL9-M5-Tiotropium
36.84Consensusmuscarinic_offOrthosteric Ligandm2_off m3_off m4_off m5_off m1_off
36.84Consensusnpy1_offOrthosteric Ligand5ZBH-Y1-BMS-193885 5ZBQ-Y1-UR-MK-299
36.84Consensusta1_on_gpOrthosteric Ligand8W87-TA1-METH-chim(NtGi1L-Gs)/β1/γ2 8W89-TA1-2-Phenylethylamine-chim(NtGi1L-Gs)/β1/γ2 8JLP-TA1-Ralmitaront-Gs/β1/γ2 8W8A-TA1-RO5256390-chim(NtGi1L-Gs)/β1/γ2 8W88-TA1-SEP-363856-Gs/β1/γ2 8JLO-TA1-Ulotaront-Gs/β1/γ2 8JLR-TA1-A77636-chim(NtGi1-Gs)/β1/γ2 8JSO-TA1-AMPH-chim(NtGi1-Gs)/β1/γ2 8ZSP-TA1-LSD-chim(NtGi1L-Gs)/β1/γ2
36.84Consensustachykinin_offOrthosteric Ligandnk1_off
36.84Consensustrace-amine_on_gpOrthosteric Ligandta1_on_gp
36.36Single8FYLVilazodone8FYL-5-HT1A-Vilazodone-PtdIns4P-Gi1/β1/γ1
36.36Single8ZBJSomatostatin-148ZBJ-SST5-Somatostatin-14-Gi1/β1/γ2
36.36Single8ZCJPasireotide8ZCJ-SST5-Pasireotide-Gi1/β1/γ1
36.36Single9BKJCholecystokinin-89BKJ-CCKA-Cholecystokinin-8-chim(NtGi1-Gs-CtGq)/β1/γ2
36.36Single9M4TSilodosin9M4T-Alpha1A-Silodosin
36.36Single9UMRC5a-pep9UMR-C5a1-C5a-pep-Go/β1/γ2
36.36Single9UYJChemerin-99UYJ-CML2-Chemerin-9-Arrestin2
36.36Consensusnop_onOrthosteric Ligand8F7X-NOP-Nociceptin-Gi1/β1/γ2
36.36Consensusnop_on_gpOrthosteric Ligand8F7X-NOP-Nociceptin-Gi1/β1/γ2
36.00Single8HCXEndothelin-18HCX-ETB-Endothelin-1-chim(NtGi2L-Gs-CtGq)/β1/γ2
36.00Single8WWKMCH8WWK-MCH1-MCH-Gi1/β1/γ2
36.00Consensuscml1_on_gpOrthosteric Ligand7YKD-CML1-Chemerin-9-Gi1/β1/γ2
36.00Consensussst5_on_gpOrthosteric Ligand8X8L-SST5-Cortistatin-14-chim(NtGi1-Gs-CtGi1)/β1/γ2 8X8N-SST5-Octreotide-chim(NtGi1-Gs-CtGi1)/β1/γ2
35.71Single6OY9All-trans-Retinal6OY9-Rhodopsin-All-trans-Retinal-Gt/β1/γ1
35.71Single8DPHLorcaserin8DPH-5-HT2C-Lorcaserin-chim(NtGi2L-Gs-CtGq)/β1/γ2
35.71Single8IWM2-Phenylethylamine8IWM-TAA9-2-Phenylethylamine
35.71Single8WC5Tetramethylammonium Ion8WC5-TA1-Tetramethylammonium Ion-chim(NtGi1-Gs)/β1/γ2
35.71Single9CHUNorepinephrine9CHU-β2-Norepinephrine
35.71Consensusbb2_onOrthosteric Ligand7W40-BB2-Bombesin-chim(NtGi1L-Gq)/β1/γ2 7W3Z-BB2-Gastrin Releasing Peptide-chim(NtGi1L-Gq)/β1/γ2
35.71Consensusbb2_on_gpOrthosteric Ligand7W40-BB2-Bombesin-chim(NtGi1L-Gq)/β1/γ2 7W3Z-BB2-Gastrin Releasing Peptide-chim(NtGi1L-Gq)/β1/γ2
35.71Consensusbombesin_onOrthosteric Ligandbb2_on
35.71Consensusbombesin_on_gpOrthosteric Ligandbb2_on_gp
35.71Consensusgi_endothelinOrthosteric Ligand8IY5-ETB-Endothelin-1-Gi1/β1/γ2 8HBD-ETB-IRL1620-Gi1/β1/γ2
35.71Consensusgq_bombesinOrthosteric Ligand7W40-BB2-Bombesin-chim(NtGi1L-Gq)/β1/γ2 7W3Z-BB2-Gastrin Releasing Peptide-chim(NtGi1L-Gq)/β1/γ2
35.71Consensusgs_histamineOrthosteric Ligand8POK-H2-Histamine-Gs/β1/γ2
35.71Consensush2_onOrthosteric Ligand8POK-H2-Histamine-Gs/β1/γ2
35.29Single2YDOAdenosine2YDO-A2A-Adenosine
35.29Single4MQTIperoxo4MQT-M2-Iperoxo-LY2119620
35.29Single5IU7Q274563465IU7-A2A-Q27456346-Na
35.29Single5JTBZM-2413855JTB-A2A-ZM-241385
35.29Single5K2BZM-2413855K2B-A2A-ZM-241385-Na
35.29Single5TE3Octyl-Beta-D-Glucopyranoside5TE3-Rhodopsin-Octyl-β-D-Glucopyranoside
35.29Single5UVIZM-2413855UVI-A2A-ZM-241385
35.29Single6A94Zotepine6A94-5-HT2A-Zotepine
35.29Single6IQLL7458706IQL-D4-L745870
35.29Single6KUXRS799486KUX-α2a-RS79948
35.29Single6PS5Propranolol6PS5-β2-Propranolol
35.29Single6TPGEMPA6TPG-OX2-EMPA
35.29Single6WJCAtropine6WJC-M1-Atropine-Muscarinic toxin 7
35.29Single6ZDRHMS1413f126ZDR-A2A-HMS1413f12-Na
35.29Single7BB6AVP7BB6-V2-AVP-Gs/β1/γ2
35.29Single7CKWFenoldopam7CKW-D1-Fenoldopam-Gs/β1/γ2
35.29Single7DHISalbutamol7DHI-β2-Salbutamol-Gs/β1/γ2
35.29Single7F1ZDopamine7F1Z-D1-Dopamine-GDP-Gs/β1/γ2
35.29Single7T32ZM-2413857T32-A2A-ZM-241385
35.29Single7T94Acetylcholine7T94-M2-Acetylcholine-LY2119620-chim(NtGi1-Go)/β1/γ2
35.29Single7TRSAcetylcholine7TRS-M4-Acetylcholine-Gi1/β1/γ2
35.29Single7UM7Methylergometrine7UM7-5-HT5A-Methylergometrine-chim(NtGi1-Go)/β1/γ2
35.29Single7VODCariprazine7VOD-5-HT2A-Cariprazine
35.29Single7WVUfMLF7WVU-FPR1-ALX-fMLF-Gi1/β1/γ2
35.29Single7XOVSR1461317XOV-CCKA-SR146131-Gs/β1/γ2
35.29Single8FCZ11-cis-Retinal8FCZ-Rhodopsin-11-cis-Retinal
35.29Single8GE1Constrained Epinephrine8GE1-β2-Constrained Epinephrine-Gs/β1/γ2
35.29Single8GE4Constrained Epinephrine8GE4-β2-Constrained Epinephrine-Gs/β1/γ2
35.29Single8GE5Constrained Epinephrine8GE5-β2-Constrained Epinephrine-Gs/β1/γ1
35.29Single8GE6Constrained Epinephrine8GE6-β2-Constrained Epinephrine-Gs/β1/γ2
35.29Single8GE7Constrained Epinephrine8GE7-β2-Constrained Epinephrine-Gs/β1/γ2
35.29Single8GE8Constrained Epinephrine8GE8-β2-Constrained Epinephrine-Gs/β1/γ2
35.29Single8GEAConstrained Epinephrine8GEA-β2-Constrained Epinephrine-Gs/β1/γ2
35.29Single8GEDConstrained Epinephrine8GED-β2-Constrained Epinephrine-Gs/β1/γ2
35.29Single8GEFConstrained Epinephrine8GEF-β2-Constrained Epinephrine-Gs/β1/γ2
35.29Single8GG5Constrained Epinephrine8GG5-β2-Constrained Epinephrine-GTP-Gs/β1/γ2
35.29Single8GG7Constrained Epinephrine8GG7-β2-Constrained Epinephrine-GTP-Gs/β1/γ2
35.29Single8GG8Constrained Epinephrine8GG8-β2-Constrained Epinephrine-GTP-Gs/β1/γ2
35.29Single8GGLConstrained Epinephrine8GGL-β2-Constrained Epinephrine
35.29Single8GGMConstrained Epinephrine8GGM-β2-Constrained Epinephrine
35.29Single8GGPConstrained Epinephrine8GGP-β2-Constrained Epinephrine
35.29Single8GGVConstrained Epinephrine8GGV-β2-Constrained Epinephrine
35.29Single8H4LDoconexent8H4L-FFA4-Doconexent-chim(NtGi1-Gs-CtGq)/β1/γ2
35.29Single8JSPUlotaront8JSP-5-HT1A-Ulotaront-Gi1/β1/γ2
35.29Single8K9KDAMGO8K9K-μ-DAMGO-Gi3/β1/γ1
35.29Single8PM2DMCHA8PM2-TA7-DMCHA-Gs/β1/γ2
35.29Single8RQQZM-2413858RQQ-A2A-ZM-241385-Na
35.29Single8UNLConstrained Epinephrine8UNL-β2-Constrained Epinephrine-GTP-Gs/β1/γ2
35.29Single8UNMConstrained Epinephrine8UNM-β2-Constrained Epinephrine-GTP-Gs/β1/γ2
35.29Single8UNOConstrained Epinephrine8UNO-β2-Constrained Epinephrine-GTP-Gs/β1/γ2
35.29Single8UNWConstrained Epinephrine8UNW-β2-Constrained Epinephrine-GTP-Gs/β1/γ2
35.29Single8UO1Constrained Epinephrine8UO1-β2-Constrained Epinephrine-GTP; Mg-Gs/β1/γ2
35.29Single8V6UPubChem 1713924568V6U-5-HT2A-PubChem 171392456-chim(NtGi2-Gs-CtGq)/β1/γ2
35.29Single8Y01All-trans-Retinal8Y01-Opsin1MW-All-trans-Retinal-Gi1/β1/γ2
35.29Single8Y53MK50468Y53-BB3-MK5046-chim(NtGi1-Gs-CtGq)/β1/γ2
35.29Single8ZMGPimavanserin8ZMG-5-HT2A-Pimavanserin
35.29Single9ARXSerotonin9ARX-5-HT2A-Serotonin
35.29Single9CBLEpinephrine9CBL-α2a-Epinephrine-Gi1/β1/γ2
35.29Single9JH3CMF-0199JH3-Apelin; Apelin-CMF-019-Gi1/β1/γ2
35.29Single9L84Epinephrine9L84-β1-Epinephrine-Atazanavir-Gs/β1/γ2
35.29Single9ODLMitragynine Pseudoindoxyl9ODL-μ-Mitragynine Pseudoindoxyl-GTP; Mg-Gi1/β1/γ2
35.29Single9P1TZM-2413859P1T-A2A-ZM-241385
35.29Consensus5ht_on_gpOrthosteric Ligand5ht1_on_gp 5ht2_on_gp 5ht4_on_gp 5ht5_on_gp 5ht6_on_gp 5ht7_on_gp
35.29Consensusa2_offOrthosteric Liganda2a_off
35.29Consensusa2a_offOrthosteric Ligand3RFM-A2A-Caffeine 8C9W-A2A-Etrumadenant 3UZA-A2A-GTPL9236 8GNG-A2A-Istradefylline 8CU6-A2A-LJ-4517 7PX4-A2A-PSB-2113 7PYR-A2A-PSB-2115 8DU3-A2A-PubChem 105526064 8JWY-A2A-2-118 8PWN-A2A-Theophylline 5IU4-A2A-ZM-241385-Na 5OLZ-A2A-PubChem 135566609-Na 6GT3-A2A-Imaradenant-Na 5OLV-A2A-LUAA47070-Na 5N2R-A2A-PSB36-Na 5IU7-A2A-Q27456346-Na 5OLH-A2A-Vipadenant-Na 5OLO-A2A-Tozadenant-Na 6ZDR-A2A-HMS1413f12-Na 8GNE-A2A-KW-6356-Na 8JWZ-A2A-Etrumadenant-Na 5IU8-A2A-Q27456347-Na 5IUB-A2A-Q27456344-Na 6ZDV-A2A-PubChem 984073-Na 5IUA-A2A-Q27456348-Na 8A2P-A2A-LUAA47070-Na
35.29Consensusadenosine_onOrthosteric Liganda1_on a2_on a3_on
35.29Consensusgi_adenosineOrthosteric Ligand7LD4-A1-Adenosine-Gi2/β1/γ2 8X17-A3A-Namodenoson-Gi1/β1/γ2 8X16-A3A-Piclidenoson-Gi1/β1/γ2
35.29Consensusgrh_offOrthosteric Ligandgnrh1_off
35.29Consensusnop_offOrthosteric Ligand4EA3-NOP-PubChem 10296561 5DHG-NOP-C-35 5DHH-NOP-SB-612111
35.29Consensusopsins_offOrthosteric Ligandrhodopsin_off
35.29Consensussensory_offOrthosteric Ligandopsins_off
35.00Single4LDEBI1671074LDE-β2-BI167107
35.00Single5CXVTiotropium5CXV-M1-Tiotropium
35.00Single5F8UCyanopindolol5F8U-β1-Cyanopindolol
35.00Single6DRYMethylergometrine6DRY-5-HT2B-Methylergometrine
35.00Single6H7NXamoterol6H7N-β1-Xamoterol
35.00Single7BZ2Arformoterol7BZ2-β2-Arformoterol-Gs/β1/γ2
35.00Single7WCNAR2314537WCN-GPR119-AR231453-Gs/β1/γ2
35.00Single7XMTJ-21567XMT-SST4-J-2156-Gi1/β1/γ2
35.00Single7Y66BM2137Y66-C5a1-BM213-Gi1/β1/γ2
35.00Single7YMJTamsulosin7YMJ-Alpha1A-Tamsulosin
35.00Single8FYTLSD8FYT-5-HT1A-LSD-PtdIns4P-Gi1/β1/γ1
35.00Single8I9AEP548I9A-C3aB-EP54-chim(NtGi1-Gs-CtGq)/β1/γ2
35.00Single8T3QDoconexent8T3Q-FFA4-Doconexent-chim(NtGi2L-Gs-CtGq)/β1/γ2
35.00Single9EBIPiclidenoson9EBI-A3A-Piclidenoson-chim(NtGi1L-Gs-CtGi1)/β1/γ2
35.00Single9EK0Iperoxo9EK0-M5-Iperoxo-chim(NtGi1-Gs-CtGq)/β1/γ2
35.00Single9YDQDADLE9YDQ-δ-DADLE-MIPS3614-chim(NtGi1L-Gs-CtGi1)/β1/γ2
35.00Consensusalpha1_offOrthosteric Ligandalpha1a_off
35.00Consensusalpha1a_offOrthosteric Ligand7YMJ-Alpha1A-Tamsulosin
35.00Consensusbeta_onOrthosteric Ligandbeta1_on beta2_on beta3_on
35.00Consensusbeta_on_gpOrthosteric Ligandbeta1_on_gp beta2_on_gp beta3_on_gp
35.00Consensusm1_offOrthosteric Ligand5CXV-M1-Tiotropium
34.78Single6HLOAprepitant6HLO-NK1-Aprepitant
34.78Single7XMSSomatostatin-147XMS-SST4-Somatostatin-14-Gi1/β1/γ2
34.78Single8JZZC5a-des-Arg8JZZ-C5a1-C5a-des-Arg-Go/β1/γ2
34.78Single8SG1Chemerin-98SG1-CML1-Chemerin-9-Gi1/β1/γ2
34.78Single8WSSMCH8WSS-MCH1-MCH-Gi1/β1/γ1
34.78Single9IK8Pasireotide9IK8-SST1-Pasireotide-Gi1/β1/γ2
34.78Single9ME1CXCL129ME1-CXCR4-CXCL12
34.78Consensusformylpeptide_on_gpOrthosteric Ligandfpr2-alx_on_gp fpr1-alx_on_gp
34.78Consensusgi_cckOrthosteric Ligand7EZH-CCKA-Cholecystokinin-8-Gi1/β1/γ2 7F8V-CCKB-Gastrin-17-Gi2/β1/γ2
34.78Consensussst4_onOrthosteric Ligand7XMS-SST4-Somatostatin-14-Gi1/β1/γ2 7XMT-SST4-J-2156-Gi1/β1/γ2
34.78Consensussst4_on_gpOrthosteric Ligand7XMS-SST4-Somatostatin-14-Gi1/β1/γ2 7XMT-SST4-J-2156-Gi1/β1/γ2
34.62Single7F8VGastrin-177F8V-CCKB-Gastrin-17-Gi2/β1/γ2
34.62Single7YKDChemerin-97YKD-CML1-Chemerin-9-Gi1/β1/γ2
34.62Single8H0PNMB308H0P-BB1-NMB30-chim(NtGi1-Gs-CtGq)/β1/γ2
34.62Consensusgi_peptideOrthosteric Ligandgi_cck gi_apelin gi_compl-pept gi_endothelin gi_formylpeptide gi_galanin gi_ghrelin gi_npy gi_neurotensin gi_opioid gi_orexin gi_relaxin gi_somatostatin
34.48Single8HBDIRL16208HBD-ETB-IRL1620-Gi1/β1/γ2
34.48Consensusetb_on_gpOrthosteric Ligand8IY5-ETB-Endothelin-1-Gi1/β1/γ2 8HBD-ETB-IRL1620-Gi1/β1/γ2
33.33Single1HZX11-cis-Retinal1HZX-Rhodopsin-11-cis-Retinal
33.33Single2J4Y11-cis-Retinal2J4Y-Rhodopsin-11-cis-Retinal
33.33Single2VT4Cyanopindolol2VT4-β1-Cyanopindolol
33.33Single2Y02Carmoterol2Y02-β1-Carmoterol
33.33Single2Y04Salbutamol2Y04-β1-Salbutamol
33.33Single2YCYCyanopindolol2YCY-β1-Cyanopindolol
33.33Single3C9M11-cis-Retinal3C9M-Rhodopsin-11-cis-Retinal
33.33Single3EMLZM-2413853EML-A2A-ZM-241385
33.33Single4DAJTiotropium4DAJ-M3-Tiotropium
33.33Single4EA3PubChem 102965614EA3-NOP-PubChem 10296561
33.33Single4EIYZM-2413854EIY-A2A-ZM-241385-Na
33.33Single4J4QOctyl Beta-D-Glucopyranoside4J4Q-Rhodopsin-Octyl β-D-Glucopyranoside-Gt(CT)
33.33Single4MQSIperoxo4MQS-M2-Iperoxo
33.33Single4U14Tiotropium4U14-M3-Tiotropium
33.33Single4X1HNonyl-Beta-D-Glucopyranoside4X1H-Rhodopsin-Nonyl-β-D-Glucopyranoside-Gt(CT)
33.33Single5DHGC-355DHG-NOP-C-35
33.33Single5DHHSB-6121115DHH-NOP-SB-612111
33.33Single5DSGTiotropium5DSG-M4-Tiotropium
33.33Single5IU8Q274563475IU8-A2A-Q27456347-Na
33.33Single5K2AZM-2413855K2A-A2A-ZM-241385-Na
33.33Single5OLGZM-2413855OLG-A2A-ZM-241385-Na
33.33Single5OLZPubChem 1355666095OLZ-A2A-PubChem 135566609-Na
33.33Single5OM1PubChem 1355666095OM1-A2A-PubChem 135566609-Na
33.33Single5VRAZM-2413855VRA-A2A-ZM-241385-Na
33.33Single6DRXLisuride6DRX-5-HT2B-Lisuride
33.33Single6H7LDobutamine6H7L-β1-Dobutamine
33.33Single6H7MSalbutamol6H7M-β1-Salbutamol
33.33Single6PRZAlprenolol6PRZ-β2-Alprenolol
33.33Single6S0LZM-2413856S0L-A2A-ZM-241385
33.33Single6WHADB139486WHA-5-HT2A-DB13948-chim(NtGi2L-Gs-CtGq)/β1/γ2
33.33Single6XBM25(S)-Epoxycholesterol6XBM-SMO-25(S)-Epoxycholesterol-Gi1/β1/γ2
33.33Single7D77Hydrocortisone7D77-ADGRG3-Hydrocortisone-Go/β1/γ2
33.33Single7EJKOxymetazoline7EJK-α2a-Oxymetazoline-Go/β1/γ2
33.33Single7F23Dopamine7F23-D1-Dopamine-GDP-Gs/β1/γ2
33.33Single7M3JNPS-2143; PO47M3J-CaS; CaS-NPS-2143; PO4
33.33Single7MBXCholecystokinin-87MBX-CCKA-Cholecystokinin-8-Gs/β1/γ1
33.33Single7PYRPSB-21157PYR-A2A-PSB-2115
33.33Single7SCGFH2107SCG-μ-FH210-Gi1/β1/γ2
33.33Single7SK7CCX6627SK7-ACKR3-CXCL12-CCX662
33.33Single7SK8CCX6627SK8-ACKR3-CXCL12-CCX662
33.33Single7TRPIperoxo7TRP-M4-Iperoxo-LY2033298-Gi1/β1/γ2
33.33Single7UM6Lisuride7UM6-5-HT5A-Lisuride-chim(NtGi1-Go)/β1/γ2
33.33Single7VIES1P7VIE-S1P1-S1P-Gi1/β1/γ2
33.33Single7WC5Psilocin7WC5-5-HT2A-Psilocin
33.33Single7WC7Lisuride7WC7-5-HT2A-Lisuride
33.33Single7WC8Lumateperone7WC8-5-HT2A-Lumateperone
33.33Single7WVYAmyloid-Beta427WVY-FPR2-ALX-Amyloid-β42-Gi2/β1/γ2
33.33Single7X1UTRH7X1U-TRH-TRH-chim(NtGi2L-Gs-CtGq)/β1/γ2
33.33Single7X2DTavapadon7X2D-D1-Tavapadon-Gs/β1/γ2
33.33Single7YACPaltusotine7YAC-SST2-Paltusotine-Gi1/β1/γ2
33.33Single8CICEtrumadenant8CIC-A2A-Etrumadenant-Na
33.33Single8CU6LJ-45178CU6-A2A-LJ-4517
33.33Single8DPILorcaserin8DPI-5-HT2C-Lorcaserin-chim(NtGi2L-Gs-CtGq)/β1/γ2
33.33Single8EFQDAMGO8EFQ-μ-DAMGO-Gi1/β1/γ2
33.33Single8FEG(DNCP)-Beta-Naloxamine8FEG-κ-(DNCP)-β-Naloxamine-Gi1/β1/γ2
33.33Single8GGFConstrained Epinephrine8GGF-β2-Constrained Epinephrine-GTP-Gs/β1/γ2
33.33Single8IW72-Phenylethylamine8IW7-TAA9-2-Phenylethylamine-chim(NtGi1-Gs)/β1/γ2
33.33Single8J19LY2378J19-GPR84-LY237-Gi1/β1/γ2
33.33Single8J24Acetic acid8J24-FFA2-Acetic acid-Gi1/β1/γ2
33.33Single8PJKST1718PJK-5-HT1A-ST171-Gi1/β1/γ1
33.33Single8T1WCVN4248T1W-GPR6-CVN424
33.33Single8UWLLisuride8UWL-5-HT2A-Lisuride-chim(NtGi2-Gs-CtGq)/β1/γ2
33.33Single8WC7ZH86678WC7-TA1-ZH8667-chim(NtGi1-Gs)/β1/γ2
33.33Single8WWLMCH8WWL-MCH1-MCH-Gi1/β1/γ2
33.33Single8XVJMacitentan8XVJ-ETA-Macitentan
33.33Single8YH5Riboprine8YH5-A3A-Riboprine-Gi1/β1/γ2
33.33Single8YN8Proxyfan8YN8-H3-Proxyfan-Go/β1/γ2
33.33Single8YN9Histamine8YN9-H4-Histamine-Gi1/β1/γ2
33.33Single8YUUHistamine8YUU-H3-Histamine-Gi1/β1/γ1
33.33Single9AS1DMT9AS1-5-HT2A-DMT
33.33Single9D61JDTic9D61-κ-JDTic-Gi1/β1/γ2
33.33Single9DYEBuspirone9DYE-5-HT1A-Buspirone-PtdIns4P-Go/β1/γ2
33.33Single9KFJPubChem 1383196749KFJ-RXFP3-PubChem 138319674-Gi2/β1/γ2
33.33Single9LRCHistamine9LRC-H4-Histamine
33.33Single9LREHistamine9LRE-H4-Histamine-Gi1/β1/γ2
33.33Single9P1SZM-2413859P1S-A2A-ZM-241385
33.33Single9UAZAtropine9UAZ-M1-Atropine
33.33Single9UYIChemerin-99UYI-CML2-Chemerin-9-Arrestin2
33.33Single9UYMChemerin-99UYM-CML2-Chemerin-9-chim(Arrestin3-CtArrestin2)
33.33Single9WP9S1P9WP9-S1P3-S1P-chim(NtGi2L-Gs-CtGq)/β1/γ2
33.33Single9YDPDADLE9YDP-δ-DADLE-chim(NtGi1L-Gs-CtGi1)/β1/γ2
33.33Single9YDRDADLE9YDR-δ-DADLE-MIPS3983-chim(NtGi1L-Gs-CtGi1)/β1/γ2
33.33Consensus5ht2_onOrthosteric Ligand5ht2b_on
33.33Consensus5ht2b_onOrthosteric Ligand7SRR-5-HT2B-LSD-chim(NtGi2L-Gs-CtGq)/β1/γ2
33.33Consensus5ht5_onOrthosteric Ligand5ht5a_on
33.33Consensus5ht5a_onOrthosteric Ligand7X5H-5-HT5A-5-CT-Gi1/β1/γ2 7UM6-5-HT5A-Lisuride-chim(NtGi1-Go)/β1/γ2 7UM7-5-HT5A-Methylergometrine-chim(NtGi1-Go)/β1/γ2
33.33Consensus5ht6_onOrthosteric Ligand7XTB-5-HT6-Serotonin-Gs/β1/γ2 8JLZ-5-HT6-ST1936-Gs/β1/γ2
33.33Consensus5ht6_on_gpOrthosteric Ligand7XTB-5-HT6-Serotonin-Gs/β1/γ2 8JLZ-5-HT6-ST1936-Gs/β1/γ2
33.33Consensusbeta1_onOrthosteric Ligand8DCR-β1-Dobutamine-Gs/β1/γ2 7S0F-β1-Isoprenaline-Gi1/β1/γ2
33.33Consensusbeta1_on_gpOrthosteric Ligand8DCR-β1-Dobutamine-Gs/β1/γ2 7S0F-β1-Isoprenaline-Gi1/β1/γ2
33.33Consensusclass-a_onOrthosteric Ligandsensory_on alicarboxylic_on amine_on lipid_on nucleotide_on peptide_on protein_on
33.33Consensusgi_histamineOrthosteric Ligand8JXX-H4-Clobenpropit-Gi1/β1/γ2 8JXV-H4-Clozapine-Gi1/β1/γ2 8YUU-H3-Histamine-Gi1/β1/γ1 8HN8-H4-Histamine-Gi1/β1/γ2 8HOC-H4-Imetit-Gi1/β1/γ2 8JXW-H4-VUF6884-Gi1/β1/γ2
33.33Consensusgi_somatostatinOrthosteric Ligand7WIC-SST2-Somatostatin-14-Gi1/β1/γ2 7XMS-SST4-Somatostatin-14-Gi1/β1/γ2 8X8L-SST5-Cortistatin-14-chim(NtGi1-Gs-CtGi1)/β1/γ2 7XMT-SST4-J-2156-Gi1/β1/γ2 7WIG-SST2-L-054264-Gi1/β1/γ2 8X8N-SST5-Octreotide-chim(NtGi1-Gs-CtGi1)/β1/γ2 7YAE-SST2-Octreotide-Gi1/β1/γ2 7YAC-SST2-Paltusotine-Gi1/β1/γ2
33.33Consensush3_onOrthosteric Ligand8YUU-H3-Histamine-Gi1/β1/γ1
33.33Consensush3_on_gpOrthosteric Ligand8YUU-H3-Histamine-Gi1/β1/γ1
33.33Consensusm4_offOrthosteric Ligand5DSG-M4-Tiotropium
33.33Consensusmuscarinic_onOrthosteric Ligandm2_on m3_on m4_on m1_on
33.33Consensusmuscarinic_on_gpOrthosteric Ligandm2_on_gp m3_on_gp m4_on_gp m1_on_gp
33.33Consensuspeptide_offonOrthosteric Ligandpeptide_off peptide_on
33.33Consensuspeptide_onOrthosteric Ligandcck_on angiotensin_on apelin_on bombesin_on bradykinin_on compl-peptide_on endothelin_on formylpeptide_on galanin_on ghrelin_on kisspeptin_on melanocortin_on motilin_on neuromedin-u_on npy_on neurotensin_on opioid_on orexin_on relaxin_on somatostatin_on tachykinin_on trh_on vasop-oxy_on
33.33Consensuspeptide_on_gpOrthosteric Ligandcck_on_gp angiotensin_on_gp apelin_on_gp bombesin_on_gp bradykinin_on_gp compl-peptide_on_gp endothelin_on_gp formylpeptide_on_gp galanin_on_gp ghrelin_on_gp kisspeptin_on_gp melanocortin_on_gp motilin_on_gp neuromedin-u_on_gp npy_on_gp neurotensin_on_gp opioid_on_gp orexin_on_gp relaxin_on_gp somatostatin_on_gp tachykinin_on_gp trh_on_gp vasop-oxy_on_gp
33.33Consensussomatostatin_onOrthosteric Ligandsst2_on sst4_on sst5_on
33.33Consensussomatostatin_on_gpOrthosteric Ligandsst2_on_gp sst4_on_gp sst5_on_gp
32.14Single8IY5Endothelin-18IY5-ETB-Endothelin-1-Gi1/β1/γ2
32.14Single8IY6Endothelin-18IY6-ETB-Endothelin-1
32.14Single8WWNMCH8WWN-MCH1-MCH-Gi1/β1/γ2
32.14Single8Y52BA18Y52-BB3-BA1-chim(NtGi1-Gs-CtGq)/β1/γ2
32.14Consensusendothelin_onOrthosteric Ligandetb_on eta_on
32.00Single7KH0AVP7KH0-V2-AVP-chim(NtGi1-Gs)/β1/γ2
32.00Single7T10Somatostatin-147T10-SST2-Somatostatin-14-Gi3/β1/γ2
32.00Single8X8LCortistatin-148X8L-SST5-Cortistatin-14-chim(NtGi1-Gs-CtGi1)/β1/γ2
32.00Single8ZBISomatostatin-148ZBI-SST3-Somatostatin-14-Gi1/β1/γ2
32.00Consensusfpr2-alx_on_gpOrthosteric Ligand7WVX-FPR2-ALX-Humanin-Gi2/β1/γ2 7T6U-FPR2-ALX-CGEN-855A-Gi1/β1/γ2 7T6V-FPR2-ALX-fMLFII-Gi1/β1/γ2 7WVY-FPR2-ALX-Amyloid-β42-Gi2/β1/γ2 7T6S-FPR2-ALX-TC-FPR 43-Gi1/β1/γ2 6OMM-FPR2-ALX-WKYMVX-Gi1/β1/γ2
31.82Single7F2OBradykinin7F2O-BK2-Bradykinin-chim(NtGi1-Gs-CtGq)/β1/γ2
31.82Single7SK9CCX6627SK9-ACKR3-CCX662
31.82Single7XY6BAY 60-65837XY6-A2B-BAY 60-6583-chim(NtGi1-Gs)/β1/γ2
31.82Single8QJ2pN1628QJ2-MC4-pN162-Gs/β1/γ2
31.82Single9UMJEP549UMJ-C3aB-EP54-Go/β1/γ2
31.82Consensusgq_cckOrthosteric Ligand8IA7-CCKB-Cholecystokinin-8-chim(NtGi1L-Gq)/β1/γ2 7XOW-CCKB-Sulfated Gastrin-(10-17)-chim(NtGi1-Gq)/β1/γ2 7EZM-CCKA-Cholecystokinin-8-chim(NtGsL-Gq)/β1/γ2 7F8W-CCKB-Gastrin-17-chim(NtGsL-Gq)/β1/γ2
31.58Single2Y03Isoprenaline2Y03-β1-Isoprenaline
31.58Single4WW3All-trans-Retinal4WW3-Rhodopsin-All-trans-Retinal
31.58Single5CGCHTL142425CGC-mGlu5-HTL14242
31.58Single5IUAQ274563485IUA-A2A-Q27456348-Na
31.58Single5TVNLSD5TVN-5-HT2B-LSD
31.58Single5WIUNemonapride5WIU-D4-Nemonapride
31.58Single5WIVNemonapride5WIV-D4-Nemonapride-Na
31.58Single5WQCEMPA5WQC-OX2-EMPA
31.58Single5ZK33-quinuclidinyl-benzilate5ZK3-M2-3-quinuclidinyl-benzilate
31.58Single6E67BI1671076E67-β2-BI167107-Gs(CT)
31.58Single6LPLZM-2413856LPL-A2A-ZM-241385-Na
31.58Single6OIKIperoxo6OIK-M2-Iperoxo-LY2119620-chim(NtGi1-Go)/β1/γ2
31.58Single6S0QZM-2413856S0Q-A2A-ZM-241385
31.58Single6WQAZM-2413856WQA-A2A-ZM-241385-Na
31.58Single7E9GJNJ-404118137E9G-mGlu2; mGlu2-Eglumetad-JNJ-40411813-Gi1/β1/γ2
31.58Single7M3JNPS-2143; PO47M3J-CaS; CaS-NPS-2143; PO4
31.58Single7RM5ZM-2413857RM5-A2A-ZM-241385-Na
31.58Single7SBFPZM217SBF-μ-PZM21-Gi1/β1/γ2
31.58Single7TRKIperoxo7TRK-M4-Iperoxo-Gi1/β1/γ2
31.58Single7VFXfMIFL7VFX-FPR1-ALX-fMIFL-Gi1/β1/γ2
31.58Single7Y26Octreotide7Y26-SST2-Octreotide-chim(NtGi2L-Gs-CtGq)/β1/γ2
31.58Single8FYNZM-2413858FYN-A2A-ZM-241385-Na
31.58Single8ID4Linoleic acid8ID4-FFA4-Linoleic acid-Gi1/β1/γ2
31.58Single8J18(3R)-3-Hydroxydodecanoic acid8J18-GPR84-(3R)-3-Hydroxydodecanoic acid-Gi1/β1/γ2
31.58Single8JXSPF-61428JXS-D1-PF-6142
31.58Single8ZPTPrRP208ZPT-PrRP-PrRP20-chim(NtGi1-Gs-CtGq)/β1/γ2
31.58Single8ZRKGSK12922638ZRK-GPR119-GSK1292263-Gs/β1/γ2
31.58Single9ARYSerotonin9ARY-5-HT2A-Serotonin-chim(NtGi1-Gs-CtGq)/β1/γ2
31.58Single9ARZ2-bromo-LSD9ARZ-5-HT2A-2-bromo-LSD
31.58Single9AXFCa; Ca; Ca; Cyclomethyltryptophan; R-568; PO49AXF-CaS; CaS-Ca-Ca; Ca; Ca; Cyclomethyltryptophan; R-568; PO4-chim(NtGi1-Gs-CtGq)/β1/γ2
31.58Single9F33FOB02-04A9F33-D3-FOB02-04A-Go/β1/γ2
31.58Single9I52A1IZU9I52-D1-A1IZU-Gs/β1/γ2
31.58Single9L74S1P d16:19L74-S1P3-S1P d16:1-chim(NtGi2L-Gs-CtGq)/β1/γ2
31.58Single9VJFBuspirone9VJF-5-HT1A-Buspirone-Gi3/β1/γ2
31.58Consensusa1_offOrthosteric Ligand5UEN-A1-DU172 5N2S-A1-PSB36
31.58Consensusd1_onOrthosteric Ligand7F0T-D1-Dopamine-Gs/β1/γ2 7CKY-D1-PW0464-Gs/β1/γ2 8IRR-D1-Rotigotine-Gs/β1/γ2 7JV5-D1-SKF81297-Gs/β1/γ2 7JVP-D1-SKF83959-Gs/β1/γ2 7X2D-D1-Tavapadon-Gs/β1/γ2 7CKX-D1-A77636-Gs/β1/γ2 7JVQ-D1-Apomorphine-Gs/β1/γ2 7CKW-D1-Fenoldopam-Gs/β1/γ2
31.58Consensusfpr1-alx_onOrthosteric Ligand7VFX-FPR1-ALX-fMIFL-Gi1/β1/γ2
31.58Consensusfpr1-alx_on_gpOrthosteric Ligand7VFX-FPR1-ALX-fMIFL-Gi1/β1/γ2
31.58Consensusgq_muscarinicOrthosteric Ligand6OIJ-M1-Iperoxo-chim(NtGi1L-G11)/β1/γ2
31.58Consensusm1_onOrthosteric Ligand6OIJ-M1-Iperoxo-chim(NtGi1L-G11)/β1/γ2
31.25Single1L9H11-cis-Retinal1L9H-Rhodopsin-11-cis-Retinal
31.25Single6I9K9-cis-Retinal6I9K-Rhodopsin-9-cis-Retinal
31.25Single7D76Beclomethasone7D76-ADGRG3-Beclomethasone-Go/β1/γ2
31.25Single7DD5Ca; Ca; Tryptophan; NPS-21437DD5-CaS; CaS-Ca-Ca; Ca; Tryptophan; NPS-2143
31.25Single7DD7Ca; Ca; Tryptophan; Evocalcet7DD7-CaS; CaS-Ca-Ca; Ca; Tryptophan; Evocalcet
31.25Single7SRQLSD7SRQ-5-HT2B-LSD
31.25Single7V68Iperoxo7V68-M4-Iperoxo-LY2119620-Gi1/β1/γ2
31.25Single7YFCHistamine7YFC-H4-Histamine-chim(NtGi1-Gs-CtGq)/β1/γ2
31.25Single7YFDImetit7YFD-H4-Imetit-chim(NtGi1-Gs-CtGq)/β1/γ2
31.25Single8DPFLorcaserin8DPF-5-HT2C-Lorcaserin-chim(NtGi2L-Gs-CtGq)/β1/γ2
31.25Single8GGYConstrained Epinephrine8GGY-β2-Constrained Epinephrine
31.25Single8HN8Histamine8HN8-H4-Histamine-Gi1/β1/γ2
31.25Single8UO3Constrained Epinephrine8UO3-β2-Constrained Epinephrine-GTP; Mg-Gs/β1/γ2
31.25Single8YH3N-methyladenosine8YH3-A3A-N-methyladenosine-Gi1/β1/γ2
31.25Single8YN2Histamine8YN2-H1-Histamine-chim(NtGi1L-Gs-CtGq)/β1/γ2
31.25Single8YN5Histamine8YN5-H3-Histamine-Gi1/β1/γ2
31.25Single8YN6Imetit8YN6-H3-Imetit-Gi1/β1/γ2
31.25Single8YN7Immethridine8YN7-H3-Immethridine-Go/β1/γ2
31.25Single9AS7Psilocin9AS7-5-HT2A-Psilocin
31.25Single9IJEEpinephrine9IJE-β3-Epinephrine-chim(NtGi1-Gs)/β1/γ2
31.25Single9JEDHistamine9JED-H4-Histamine-PO4-Gi1/β1/γ2
31.25Single9JEQHistamine9JEQ-H3-Histamine-Gi1/β1/γ2
31.25Single9KUWCMPD6449KUW-Apelin; Apelin-CMPD644-Arrestin2 ; Arrestin2
31.25Single9L3ZLRH7-C29L3Z-CML1-LRH7-C2
31.25Single9YDAAll-trans-Retinal9YDA-Opsin1MW-All-trans-Retinal-chim(NtGi1L-Gs-CtGt)/β1/γ2
31.25Consensush4_onOrthosteric Ligand8HN8-H4-Histamine-Gi1/β1/γ2 8HOC-H4-Imetit-Gi1/β1/γ2 8JXV-H4-Clozapine-Gi1/β1/γ2 8JXW-H4-VUF6884-Gi1/β1/γ2 8JXX-H4-Clobenpropit-Gi1/β1/γ2
31.03Single5GLHEndothelin-15GLH-ETB-Endothelin-1
30.77Single7X9CPancreatic Hormone7X9C-Y4-Pancreatic Hormone-Gi1/β1/γ2
30.77Single8HCQEndothelin-18HCQ-ETA-Endothelin-1-chim(NtGi1-Gs-CtGq)/β1/γ2
30.77Single8WWMMCH8WWM-MCH1-MCH-Gi1/β1/γ2
30.77Single8XGOTAK4488XGO-Kiss1-TAK448-chim(NtGi1-Gq)/β1/γ2
30.77Single8ZPSPrRP208ZPS-PrRP-PrRP20-chim(NtGi1-Gs-CtGi1)/β1/γ2
30.77Single8ZRTEndothelin-18ZRT-ETB-Endothelin-1
30.77Consensuseta_onOrthosteric Ligand8HCQ-ETA-Endothelin-1-chim(NtGi1-Gs-CtGq)/β1/γ2
30.77Consensuseta_on_gpOrthosteric Ligand8HCQ-ETA-Endothelin-1-chim(NtGi1-Gs-CtGq)/β1/γ2
30.43Single6WIVPubChem 52923113; PubChem 529246456WIV-GABAB1, GABAB2-PubChem 52923113; PubChem 52924645
30.43Single7XAUOctreotide7XAU-SST2-Octreotide-Gi1/β1/γ2
30.43Single7XMRSomatostatin-147XMR-SST2-Somatostatin-14-Gi1/β1/γ2
30.43Single8DCRDobutamine8DCR-β1-Dobutamine-Gs/β1/γ2
30.43Single8F7XNociceptin8F7X-NOP-Nociceptin-Gi1/β1/γ2
30.43Single8G59TUG-8918G59-FFA4-TUG-891-chim(Gi1-CtGq)/β1/γ2
30.43Single8K3ZCXCL128K3Z-CXCR4-CXCL12-Gi1/β1/γ1
30.43Single8PKMBefiradol8PKM-5-HT1A-Befiradol-Gi1/β1/γ1
30.43Single8XGMChemerin8XGM-CML2-Chemerin-Gi1/β1/γ2
30.43Consensuschemerin_on_gpOrthosteric Ligandcml1_on_gp
30.43Consensuscml1_onOrthosteric Ligand7YKD-CML1-Chemerin-9-Gi1/β1/γ2
30.43Consensusgi_chemerinOrthosteric Ligand7YKD-CML1-Chemerin-9-Gi1/β1/γ2
30.43Consensusgi_nucleotideOrthosteric Ligandgi_adenosine gi_p2y
30.43Consensussst5_onOrthosteric Ligand8X8L-SST5-Cortistatin-14-chim(NtGi1-Gs-CtGi1)/β1/γ2 8X8N-SST5-Octreotide-chim(NtGi1-Gs-CtGi1)/β1/γ2
30.00Single3UON3-quinuclidinyl-benzilate3UON-M2-3-quinuclidinyl-benzilate
30.00Single4DJHJDTic4DJH-κ-JDTic
30.00Single4Z34ONO-97803074Z34-LPA1-ONO-9780307
30.00Single6OIJIperoxo6OIJ-M1-Iperoxo-chim(NtGi1L-G11)/β1/γ2
30.00Single7B6WCyclazosin7B6W-α1b-Cyclazosin
30.00Single7CKYPW04647CKY-D1-PW0464-Gs/β1/γ2
30.00Single7E2ZAripiprazole7E2Z-5-HT1A-Aripiprazole-PtdIns4P-Gi1/β1/γ2
30.00Single7EW4CYM-55417EW4-S1P3-CYM-5541-Gi1/β1/γ2
30.00Single7EW7SEW28717EW7-S1P1-SEW2871-Gi1/β1/γ2
30.00Single7T9NDPPC7T9N-TSH-M22 Fab-DPPC-Gs/β1/γ2
30.00Single7Y24Octreotide7Y24-SST2-Octreotide-Go/β1/γ2
30.00Single8DCSCyanopindolol8DCS-β1-Cyanopindolol-Gs/β1/γ2
30.00Single8EF5Fentanyl8EF5-μ-Fentanyl-Gi1/β1/γ2
30.00Single8HDOBAY 60-65838HDO-A2B-BAY 60-6583-Gs/β1/γ2
30.00Single8JXVClozapine8JXV-H4-Clozapine-Gi1/β1/γ2
30.00Single8JXXClobenpropit8JXX-H4-Clobenpropit-Gi1/β1/γ2
30.00Single8Y73Peptide8Y73-μ-Peptide-MPAM-15-Gi1/β1/γ2
30.00Single8YNTSNAP-948478YNT-MCH1-SNAP-94847
30.00Single9I54PubChem 1764520919I54-D1-PubChem 176452091-Gs/β1/γ2
30.00Single9JMCDS-3801b9JMC-Motilin-DS-3801b-chim(Gs-CtGq)/β1/γ2
30.00Single9KVPSB2901579KVP-C3aB-SB290157-Go/β1/γ2
30.00Single9RHGC4079RHG-FZD7-C407
30.00Single9UCPIperoxo9UCP-M1-Iperoxo-G11(CT)
30.00Single9WSTDAMGO9WST-μ-DAMGO-chim(NtGi1-Gz)/β1/γ2
30.00Consensusclass-a_offOrthosteric Ligandsensory_off alicarboxylic_off amine_off lipid_off nucleotide_off peptide_off protein_off
30.00Consensusendothelin_on_gpOrthosteric Ligandetb_on_gp eta_on_gp
30.00Consensusgs_adrenergicOrthosteric Ligand7DHI-β2-Salbutamol-Gs/β1/γ2 7XJI-β3-Solabegron-Gs/β1/γ2 7JJO-β1-Isoprenaline-Gs/β1/γ2 6NI3-β2-BI167107-Gs/β1/γ2 8DCR-β1-Dobutamine-Gs/β1/γ2 7XJH-β3-Isoprenaline-Gs/β1/γ2 7DH5-β3-Mirabegron-Gs/β1/γ2
30.00Consensush4_on_gpOrthosteric Ligand8HN8-H4-Histamine-Gi1/β1/γ2 8HOC-H4-Imetit-Gi1/β1/γ2 8JXV-H4-Clozapine-Gi1/β1/γ2 8JXW-H4-VUF6884-Gi1/β1/γ2 8JXX-H4-Clobenpropit-Gi1/β1/γ2
30.00Consensuskop_offOrthosteric Ligand4DJH-κ-JDTic
30.00Consensusm1_on_gpOrthosteric Ligand6OIJ-M1-Iperoxo-chim(NtGi1L-G11)/β1/γ2
30.00Consensusm3_offOrthosteric Ligand4U15-M3-Tiotropium 4U16-M3-N-methyl-Scopolamine 5ZHP-M3-PubChem 134828589
30.00Consensusnpy_offOrthosteric Ligandnpy1_off npy2_off
29.63Single8XVEBQ30208XVE-ETB-BQ3020-chim(Gs-CtGq)/β1/γ2
29.63Single9KFKRelaxin-39KFK-RXFP4-Relaxin-3-Gi2/β1/γ2
29.63Consensusnpy4_onOrthosteric Ligand7X9C-Y4-Pancreatic Hormone-Gi1/β1/γ2
29.63Consensusnpy4_on_gpOrthosteric Ligand7X9C-Y4-Pancreatic Hormone-Gi1/β1/γ2
29.41Single1GZM11-cis-Retinal1GZM-Rhodopsin-11-cis-Retinal
29.41Single2X72All-trans-Retinal2X72-Rhodopsin-All-trans-Retinal-Gt(CT)
29.41Single2Z7311-cis-Retinal2Z73-Rhodopsin-11-cis-Retinal
29.41Single3AYN9-cis-Retinal3AYN-Rhodopsin-9-cis-Retinal
29.41Single3C9L11-cis-Retinal3C9L-Rhodopsin-11-cis-Retinal
29.41Single3VGAZM-2413853VGA-A2A-ZM-241385-Antibody
29.41Single5K2DZM-2413855K2D-A2A-ZM-241385-Na
29.41Single6AKXA4R6AKX-CCR5-A4R
29.41Single6D9HAdenosine6D9H-A1-Adenosine-Gi2/β1/γ2
29.41Single6DS0LY2660976DS0-5-HT2B-LY266097
29.41Single6JZHZM-2413856JZH-A2A-ZM-241385-Na
29.41Single6OBAAlprenolol6OBA-β2-Alprenolol-GTPL11074
29.41Single6OYAAll-trans-Retinal6OYA-Rhodopsin-All-trans-Retinal-Gt/β1/γ1
29.41Single6PS7ZM-2413856PS7-A2A-ZM-241385-Na
29.41Single6TODEMPA6TOD-OX1-EMPA-Na
29.41Single7BR3Elagolix7BR3-GnRH1-Elagolix
29.41Single7DHRIsoprenaline7DHR-β2-Isoprenaline-Gs/β1/γ2
29.41Single7F8YDevazepide7F8Y-CCKA-Devazepide
29.41Single7M3ECa; Ca; Tryptophan; NPS-21437M3E-CaS; CaS-Ca; Ca; Tryptophan; NPS-2143
29.41Single7M3ECa; Ca; Tryptophan; NPS-21437M3E-CaS; CaS-Ca; Ca; Tryptophan; NPS-2143
29.41Single7M3FCa; Ca; Tryptophan; Cinacalcet7M3F-CaS; CaS-Ca; Ca; Tryptophan; Cinacalcet
29.41Single7SRRLSD7SRR-5-HT2B-LSD-chim(NtGi2L-Gs-CtGq)/β1/γ2
29.41Single7SRSLSD7SRS-5-HT2B-LSD-Arrestin2
29.41Single8A6CAll-trans-Retinal8A6C-Rhodopsin-All-trans-Retinal
29.41Single8A6DAll-trans-Retinal8A6D-Rhodopsin-All-trans-Retinal
29.41Single8A6EAll-trans-Retinal8A6E-Rhodopsin-All-trans-Retinal
29.41Single8DU3PubChem 1055260648DU3-A2A-PubChem 105526064
29.41Single8EFOPZM218EFO-μ-PZM21-Gi1/β1/γ2
29.41Single8GGWConstrained Epinephrine8GGW-β2-Constrained Epinephrine
29.41Single8GNGIstradefylline8GNG-A2A-Istradefylline
29.41Single8HDPAdenosine8HDP-A2B-Adenosine-Gs/β1/γ2
29.41Single8IW4Spermidine8IW4-TAA9-Spermidine-chim(NtGi1-Gs)/β1/γ2
29.41Single8IWESpermidine8IWE-TAA9-Spermidine
29.41Single8JSOAMPH8JSO-TA1-AMPH-chim(NtGi1-Gs)/β1/γ2
29.41Single8UNSConstrained Epinephrine8UNS-β2-Constrained Epinephrine-GTP-Gs/β1/γ2
29.41Single8UNTConstrained Epinephrine8UNT-β2-Constrained Epinephrine-GTP-Gs/β1/γ2
29.41Single8XXVIndomethacin8XXV-DP2-Indomethacin-A1D5Q-Gi1/β1/γ2
29.41Single8Y0HVUF114188Y0H-CXCR3-VUF11418
29.41Single8Y0NVUF114188Y0N-CXCR3-VUF11418-Go/β1/γ2
29.41Single8YUVImmepip8YUV-H3-Immepip-Gi1/β1/γ2
29.41Single8YYWAlpha-ketoglutarate8YYW-Oxoglutarate-α-ketoglutarate-α-ketoglutarate-chim(Gi1-CtGq)/β1/γ2
29.41Single9C1PCa; Tryptophan; '6218; PO49C1P-CaS; CaS-Ca-Ca; Tryptophan; '6218; PO4
29.41Single9J5VCpY9J5V-LPA1-CpY-Gi1/β1/γ2
29.41Single9W49U-50488H9W49-κ-U-50488H-Gi1/β1/γ2
29.41Consensus5ht2_on_gpOrthosteric Ligand5ht2b_on_gp
29.41Consensus5ht2b_on_gpOrthosteric Ligand7SRR-5-HT2B-LSD-chim(NtGi2L-Gs-CtGq)/β1/γ2
29.41Consensusgnrh1_offOrthosteric Ligand7BR3-GnRH1-Elagolix
29.41Consensusrhodopsin_on_gpOrthosteric Ligand6OYA-Rhodopsin-All-trans-Retinal-Gt/β1/γ1
29.41Consensussensory_offonOrthosteric Ligandsensory_off sensory_on
29.41Consensussensory_offon_gpOrthosteric Ligandsensory_on_gp sensory_on
29.17Single5XJM(Sar1,Ile8)-Angiotensin II5XJM-AT2-(Sar1,Ile8)-Angiotensin II
29.17Single6DO1(Sar1,Ile8)-Angiotensin II6DO1-AT1-(Sar1,Ile8)-Angiotensin II
29.17Single9IQRMuscarinic toxin 39IQR-α2a-Muscarinic toxin 3
29.17Single9IQVMuscarinic toxin 39IQV-Alpha1A-Muscarinic toxin 3
29.17Single9KV6TLQP219KV6-C3aB-TLQP21-Go/β1/γ2
29.17Consensuscckb_onOrthosteric Ligand8IA7-CCKB-Cholecystokinin-8-chim(NtGi1L-Gq)/β1/γ2 7XOW-CCKB-Sulfated Gastrin-(10-17)-chim(NtGi1-Gq)/β1/γ2 7F8V-CCKB-Gastrin-17-Gi2/β1/γ2
29.17Consensusgi_ghrelinOrthosteric Ligand7NA7-Ghrelin-Ghrelin-Gi1/β1/γ2 7NA8-Ghrelin-Ibutamoren-Gi1/β1/γ2
29.17Consensuss1p3_on_gpOrthosteric Ligand7EW3-S1P3-S1P-Gi1/β1/γ2 7EW4-S1P3-CYM-5541-Gi1/β1/γ2 7EW2-S1P3-FTY720-P-Gi1/β1/γ2
29.03Single6LRYSarafotoxin-B6LRY-ETB-Sarafotoxin-B
29.03Consensusgs_peptideOrthosteric Ligandgs_cck gs_melanocortin gs_vasop-oxy
28.57Single2YCXCyanopindolol2YCX-β1-Cyanopindolol
28.57Single3PXOAll-trans-Retinal3PXO-Rhodopsin-All-trans-Retinal
28.57Single4PXFOctyl-Beta-D-Glucopyranoside4PXF-Rhodopsin-Octyl-β-D-Glucopyranoside-Arrestin1 Finger Loop
28.57Single4Z36ONO-30805734Z36-LPA1-ONO-3080573
28.57Single5DYSAll-trans-Retinal5DYS-Rhodopsin-All-trans-Retinal
28.57Single6XBLCholesterol6XBL-SMO-SAG-Cholesterol-Gi1/β1/γ2
28.57Single6ZG4HTL00099366ZG4-M1-HTL0009936
28.57Single7DH5Mirabegron7DH5-β3-Mirabegron-Gs/β1/γ2
28.57Single7EIBKallidin-des-Arg107EIB-BK1-Kallidin-des-Arg10-chim(NtGi1-Gs-CtGq)/β1/γ2
28.57Single7EPENAM5637EPE-mGlu2-NAM563
28.57Single7EVYSiponimod7EVY-S1P1-Siponimod-Gi1/β1/γ2
28.57Single7JNIOlodanrigan7JNI-AT2-Olodanrigan
28.57Single7K15MKD0467K15-BLT1-MKD046-Na
28.57Single7WC4Serotonin7WC4-5-HT2A-Serotonin
28.57Single7XATSomatostatin-147XAT-SST2-Somatostatin-14-Gi1/β1/γ2
28.57Single7YOONeuropeptide-Y7YOO-Y2-Neuropeptide-Y-Gi1/β1/γ2
28.57Single8IA8E7 peptide8IA8-C3aB-E7 peptide-Gi1/β1/γ2
28.57Single8J6DEP1418J6D-C3aB-EP141-Go/β1/γ2
28.57Single8JD3JNJ-404118138JD3-mGlu2; mGlu3-Glutamate-JNJ-40411813-Gi1/β1/γ2
28.57Single8JJPChemerin-98JJP-CML2-Chemerin-9-Gi1/β1/γ2
28.57Single8JWY2-1188JWY-A2A-2-118
28.57Single8JWZEtrumadenant8JWZ-A2A-Etrumadenant-Na
28.57Single8U26Substance-P8U26-NK1-Substance-P-Gs/β1/γ2
28.57Single8X8NOctreotide8X8N-SST5-Octreotide-chim(NtGi1-Gs-CtGi1)/β1/γ2
28.57Single8ZJGChemerin8ZJG-CML1-Chemerin-Gi1/β1/γ2
28.57Single9ECJS-geranylgeranyl-L-glutathione9ECJ-P2Y8-S-geranylgeranyl-L-glutathione-G13/β1/γ2
28.57Single9GL2Befiradol9GL2-5-HT1A-Befiradol-Gs/β1/γ2
28.57Single9L3WChemerin9L3W-CML1-Chemerin-Gi1/β1/γ2
28.57Single9M4QDoxazosin9M4Q-Alpha1A-Doxazosin
28.57Single9VJ6F-155999VJ6-5-HT1A-F-15599-Gi3/β1/γ2
28.57Single9W32SSTR5 antagonist 19W32-SST5-SSTR5 antagonist 1
28.57Single9WXMGPR15L(CT)9WXM-GPR15-GPR15L(CT)-Gi3/β1/γ2
28.57Consensus5ht1a_onOrthosteric Ligand8FYT-5-HT1A-LSD-PtdIns4P-Gi1/β1/γ1 7E2Y-5-HT1A-Serotonin-PtdIns4P-Gi1/β1/γ2 7E2Z-5-HT1A-Aripiprazole-PtdIns4P-Gi1/β1/γ2 8FYX-5-HT1A-Buspirone-PtdIns4P-Gi1/β1/γ1 8JSP-5-HT1A-Ulotaront-Gi1/β1/γ2 8JT6-5-HT1A-(R)-IHCH-7179-PtdIns4P-Gi1/β1/γ2 8FY8-5-HT1A-5-MeO-DMT-PtdIns4P-Gi1/β1/γ1 8FYE-5-HT1A-4-F,5-MeO-PyrT-PtdIns4P-Gi1/β1/γ1 8FYL-5-HT1A-Vilazodone-PtdIns4P-Gi1/β1/γ1
28.57Consensus5ht1a_on_gpOrthosteric Ligand8FYT-5-HT1A-LSD-PtdIns4P-Gi1/β1/γ1 8FYX-5-HT1A-Buspirone-PtdIns4P-Gi1/β1/γ1 8JSP-5-HT1A-Ulotaront-Gi1/β1/γ2 8JT6-5-HT1A-(R)-IHCH-7179-PtdIns4P-Gi1/β1/γ2 7E2Y-5-HT1A-Serotonin-PtdIns4P-Gi1/β1/γ2 7E2Z-5-HT1A-Aripiprazole-PtdIns4P-Gi1/β1/γ2 8FY8-5-HT1A-5-MeO-DMT-PtdIns4P-Gi1/β1/γ1 8FYE-5-HT1A-4-F,5-MeO-PyrT-PtdIns4P-Gi1/β1/γ1 8FYL-5-HT1A-Vilazodone-PtdIns4P-Gi1/β1/γ1
28.57Consensusbeta3_onOrthosteric Ligand7DH5-β3-Mirabegron-Gs/β1/γ2 7XJH-β3-Isoprenaline-Gs/β1/γ2 7XJI-β3-Solabegron-Gs/β1/γ2
28.57Consensusbeta3_on_gpOrthosteric Ligand7DH5-β3-Mirabegron-Gs/β1/γ2 7XJH-β3-Isoprenaline-Gs/β1/γ2 7XJI-β3-Solabegron-Gs/β1/γ2
28.57Consensusc3a_onOrthosteric Ligand8HK2-C3aB-C3a-Gi1/β1/γ2 8IA8-C3aB-E7 peptide-Gi1/β1/γ2
28.57Consensusccr8_onOrthosteric Ligand8KFX-CCR8-LMD-009-Gi1/β1/γ2 8KFY-CCR8-ZK-756326-Gi1/β1/γ2 8U1U-CCR8-CCL1-Gi1/β1/γ2
28.57Consensusleukotriene_offOrthosteric Ligandblt_off cyslt_off
28.57Consensuslpa1_offOrthosteric Ligand4Z36-LPA1-ONO-3080573 4Z35-LPA1-ONO-9910539 4Z34-LPA1-ONO-9780307
28.57Consensuslpa_offOrthosteric Ligandlpa1_off
28.57Consensuslpl_offOrthosteric Ligands1p_off lpa_off
28.57Consensusnpy2_onOrthosteric Ligand7YOO-Y2-Neuropeptide-Y-Gi1/β1/γ2
28.57Consensusnpy2_on_gpOrthosteric Ligand7YOO-Y2-Neuropeptide-Y-Gi1/β1/γ2
28.57Consensusorexin_onOrthosteric Ligandox2_on
28.57Consensuss1p1_onOrthosteric Ligand7VIE-S1P1-S1P-Gi1/β1/γ2 7VIF-S1P1-FTY720-P-Gi1/β1/γ2 7VIG-S1P1-CBP-307-Gi1/β1/γ2 7EVY-S1P1-Siponimod-Gi1/β1/γ2 7EVZ-S1P1-Cenerimod-Gi1/β1/γ2 7EW0-S1P1-Ozanimod-Gi1/β1/γ2 7EW7-S1P1-SEW2871-Gi1/β1/γ2
28.57Consensuss1p1_on_gpOrthosteric Ligand7VIE-S1P1-S1P-Gi1/β1/γ2 7VIF-S1P1-FTY720-P-Gi1/β1/γ2 7VIG-S1P1-CBP-307-Gi1/β1/γ2 7EVY-S1P1-Siponimod-Gi1/β1/γ2 7EVZ-S1P1-Cenerimod-Gi1/β1/γ2 7EW0-S1P1-Ozanimod-Gi1/β1/γ2 7EW7-S1P1-SEW2871-Gi1/β1/γ2
28.00Single6LW5WKYMVm6LW5-FPR2-ALX-WKYMVm
28.00Single8K6NNeuropeptide-Y8K6N-Y2-Neuropeptide-Y-Gi2/β1/γ1
28.00Single8XIQL7967788XIQ-SST3-L796778-chim(NtGi1-Gs-CtGi1)/β1/γ2
28.00Single8XIRPasireotide8XIR-SST3-Pasireotide-chim(NtGi1-Gs-CtGi1)/β1/γ2
28.00Single8XZHMM078XZH-Apelin; Apelin-MM07-Gi1/β1/γ2
28.00Single9B54VIP369B54-CB1-VIP36-Gi1/β1/γ2
28.00Single9K27PrRP319K27-PrRP-PrRP31-chim(NtGi1-Gq)/β1/γ2
28.00Single9M1ONeuropeptide-FF9M1O-NPFF2-Neuropeptide-FF-Gi1/β1/γ2
28.00Consensusangiotensin_onOrthosteric Ligandat1_on
28.00Consensusat1_onOrthosteric Ligand7F6G-AT1-(Sar1)-Angiotensin II-Gq/β1/γ2
28.00Consensuscckb_on_gpOrthosteric Ligand8IA7-CCKB-Cholecystokinin-8-chim(NtGi1L-Gq)/β1/γ2 7XOW-CCKB-Sulfated Gastrin-(10-17)-chim(NtGi1-Gq)/β1/γ2 7F8V-CCKB-Gastrin-17-Gi2/β1/γ2
28.00Consensuscxcr4_on_gpOrthosteric Ligand8K3Z-CXCR4-CXCL12-Gi1/β1/γ1
28.00Consensusfpr2-alx_onOrthosteric Ligand7WVX-FPR2-ALX-Humanin-Gi2/β1/γ2 7T6U-FPR2-ALX-CGEN-855A-Gi1/β1/γ2 7T6V-FPR2-ALX-fMLFII-Gi1/β1/γ2 7WVY-FPR2-ALX-Amyloid-β42-Gi2/β1/γ2 7T6S-FPR2-ALX-TC-FPR 43-Gi1/β1/γ2 6OMM-FPR2-ALX-WKYMVX-Gi1/β1/γ2
27.78Single1F8811-cis-Retinal1F88-Rhodopsin-11-cis-Retinal
27.78Single3OAX11-cis-Retinal3OAX-Rhodopsin-11-cis-Retinal
27.78Single4MBSMaraviroc4MBS-CCR5-Maraviroc
27.78Single4ZJCSB-6740424ZJC-OX1-SB-674042
27.78Single5IU4ZM-2413855IU4-A2A-ZM-241385-Na
27.78Single5IUBQ274563445IUB-A2A-Q27456344-Na
27.78Single5K2CZM-2413855K2C-A2A-ZM-241385-Na
27.78Single5NLXZM-2413855NLX-A2A-ZM-241385-Na
27.78Single5NM4ZM-2413855NM4-A2A-ZM-241385-Na
27.78Single6AQFZM-2413856AQF-A2A-ZM-241385
27.78Single6ME32-Phenylmelatonin6ME3-MT1-2-Phenylmelatonin
27.78Single6ME42-Iodomelatonin6ME4-MT1-2-Iodomelatonin
27.78Single6MH8ZM-2413856MH8-A2A-ZM-241385
27.78Single6TPKRetosiban6TPK-OT-Retosiban
27.78Single6VI4JDTic6VI4-κ-JDTic
27.78Single7F61PF-036547467F61-H3-PF-03654746
27.78Single7SR8TAK-9257SR8-OX2-TAK-925-chim(NtGi1L-Gs-CtGq)/β1/γ2
27.78Single7UL3Famotidine7UL3-H2-Famotidine
27.78Single7UTZDPPC7UTZ-TSH-TSH-DPPC-Gs/β1/γ2
27.78Single7VUGJNJ-635330547VUG-GPR139-JNJ-63533054-Gi1/β1/γ2
27.78Single7ZBC11-cis-Retinal7ZBC-Rhodopsin-11-cis-Retinal
27.78Single7ZBE11-cis-Retinal7ZBE-Rhodopsin-11-cis-Retinal
27.78Single8DPGPsilocin8DPG-5-HT2C-Psilocin-chim(NtGi2L-Gs-CtGq)/β1/γ2
27.78Single8HNMVUF112228HNM-CXCR3-VUF11222-Gi1/β1/γ2
27.78Single8JLQFenoldopam8JLQ-TA1-Fenoldopam-Gs/β1/γ2
27.78Single8K9LDAMGO8K9L-μ-DAMGO-BMS-986122-Gi3/β1/γ1
27.78Single8RLNLUF58348RLN-A2A-LUF5834
27.78Single8RWCStilSwitch28RWC-A2A-StilSwitch2-Na
27.78Single8RWDStilSwitch38RWD-A2A-StilSwitch3-Na
27.78Single8WPGTryptophan; Cinacalcet; PO4; Ca8WPG-CaS; CaS-Tryptophan; Cinacalcet; PO4; Ca
27.78Single8ZBWQuin-C18ZBW-FPR2-ALX-Quin-C1-Gi2/β1/γ2
27.78Single9AS8Psilocin9AS8-5-HT2A-Psilocin-chim(NtGi2L-Gs-CtGq)/β1/γ2
27.78Single9AXFCa; Ca; Ca; Cyclomethyltryptophan; R-568; PO49AXF-CaS; CaS-Ca-Ca; Ca; Ca; Cyclomethyltryptophan; R-568; PO4-chim(NtGi1-Gs-CtGq)/β1/γ2
27.78Single9JKQMETH9JKQ-TA1-METH-Gs/β1/γ2
27.78Single9K1DButyric acid9K1D-FFA2-Butyric acid-Gi1/β1/γ2
27.78Single9KUWCMPD6449KUW-Apelin; Apelin-CMPD644-Arrestin2 ; Arrestin2
27.78Single9L8LBI1671079L8L-β2-BI167107-Atazanavir-Gs/β1/γ2 ; Arrestin2
27.78Single9LL8Psilocin9LL8-5-HT2A-Psilocin-Gi1/β1/γ2
27.78Single9PY2Loperamide9PY2-μ-Loperamide-GDPβS-Gi1/β1/γ2
27.78Consensusot_offOrthosteric Ligand6TPK-OT-Retosiban
27.78Consensusvasop-oxy_offOrthosteric Ligandot_off
27.59Single7VGXNeuropeptide-Y7VGX-Y1-Neuropeptide-Y-Gi1/β1/γ2
27.59Consensusbk2_onOrthosteric Ligand7F6H-BK2-Bradykinin-Gq/β1/γ2 7F6I-BK2-Kallidin-Gq/β1/γ2
27.59Consensusbk2_on_gpOrthosteric Ligand7F6H-BK2-Bradykinin-Gq/β1/γ2 7F6I-BK2-Kallidin-Gq/β1/γ2
27.59Consensusbradykinin_onOrthosteric Ligandbk2_on
27.59Consensusbradykinin_on_gpOrthosteric Ligandbk2_on_gp
27.59Consensusgq_bradykininOrthosteric Ligand7F6H-BK2-Bradykinin-Gq/β1/γ2 7F6I-BK2-Kallidin-Gq/β1/γ2
27.27Single4Z35ONO-99105394Z35-LPA1-ONO-9910539
27.27Single5CGDHTL142425CGD-mGlu5-HTL14242
27.27Single6K1QIRL25006K1Q-ETB-IRL2500
27.27Single7EVZCenerimod7EVZ-S1P1-Cenerimod-Gi1/β1/γ2
27.27Single7EW0Ozanimod7EW0-S1P1-Ozanimod-Gi1/β1/γ2
27.27Single7MTSADX551647MTS-mGlu2; mGlu2-Glutamate-ADX55164-Gi1/β1/γ2
27.27Single7P00Substance-P7P00-NK1-Substance-P-chim(NtGi1-Gs-CtGq)/β1/γ2
27.27Single7UM4AS26747237UM4-5-HT5A-AS2674723
27.27Single7VGY2-Iodomelatonin7VGY-MT1-2-Iodomelatonin-Gi1/β1/γ2
27.27Single7Y65C5a (C-terminal peptide)7Y65-C5a1-C5a (C-terminal peptide)-Gi1/β1/γ2
27.27Single8I95EP548I95-C3aB-EP54-Go/β1/γ2
27.27Single8ID8TUG-8918ID8-FFA4-TUG-891-Gi1/β1/γ2
27.27Single8IULLatanoprost8IUL-FP-alpha-Latanoprost-chim(NtGi1-Gs-CtGq)/β1/γ2
27.27Single8XGSKisspeptin-18XGS-Kiss1-Kisspeptin-1-chim(NtGi1-Gq)/β1/γ2
27.27Single9HYIDP819HYI-5-HT1A-DP81-Gi1/β1/γ2
27.27Single9L79AR2314539L79-GPR119-AR231453-chim(NtGi1-Gs)/β1/γ2
27.27Single9VI9RFRP-39VI9-NPFF1-RFRP-3-Gi1/β1/γ2
27.27Consensusc3a_on_gpOrthosteric Ligand8HK2-C3aB-C3a-Gi1/β1/γ2 8IA8-C3aB-E7 peptide-Gi1/β1/γ2
27.27Consensuschemerin_onOrthosteric Ligandcml1_on
27.27Consensusgi_s1pOrthosteric Ligand7VIE-S1P1-S1P-Gi1/β1/γ2 7EW3-S1P3-S1P-Gi1/β1/γ2 7EVY-S1P1-Siponimod-Gi1/β1/γ2 7EW1-S1P5-Siponimod-Gi1/β1/γ2 7VIF-S1P1-FTY720-P-Gi1/β1/γ2 7VIG-S1P1-CBP-307-Gi1/β1/γ2 7EVZ-S1P1-Cenerimod-Gi1/β1/γ2 7EW4-S1P3-CYM-5541-Gi1/β1/γ2 7EW2-S1P3-FTY720-P-Gi1/β1/γ2 7EW0-S1P1-Ozanimod-Gi1/β1/γ2 7EW7-S1P1-SEW2871-Gi1/β1/γ2
27.27Consensusnk1_onOrthosteric Ligand7P00-NK1-Substance-P-chim(NtGi1-Gs-CtGq)/β1/γ2
27.27Consensusnk1_on_gpOrthosteric Ligand7P00-NK1-Substance-P-chim(NtGi1-Gs-CtGq)/β1/γ2
27.27Consensusnk2_onOrthosteric Ligand7XWO-NK2-Neurokinin-A-chim(NtGi1-Gs-CtGq)/β1/γ2
27.27Consensusnucleotide_on_gpOrthosteric Ligandadenosine_on_gp p2y_on_gp
27.27Consensusorexin_on_gpOrthosteric Ligandox2_on_gp
26.92Single6JODAngiotensin II6JOD-AT2-Angiotensin II
26.92Single6WIVPubChem 52923113; PubChem 529246456WIV-GABAB1, GABAB2-PubChem 52923113; PubChem 52924645
26.92Single7DW9AVP7DW9-V2-AVP-chim(NtGi1-Gs)/β1/γ2
26.92Single7F4HAfamelanotide7F4H-MC1-Afamelanotide-chim(NtGi1-Gs)/β1/γ2
26.92Single7F6G(Sar1)-Angiotensin II7F6G-AT1-(Sar1)-Angiotensin II-Gq/β1/γ2
26.92Single7W40Bombesin7W40-BB2-Bombesin-chim(NtGi1L-Gq)/β1/γ2
26.92Single7WUIIP157WUI-ADGRG2-IP15-chim(NtGi1-Gs)/β1/γ2
26.92Single8WSTMCH8WST-MCH2-MCH-chim(NtGi1L-Gs-CtGq)/β1/γ2
26.92Consensusangiotensin_on_gpOrthosteric Ligandat1_on_gp
26.92Consensusapelin_onOrthosteric Ligand8XZH-Apelin; Apelin-MM07-Gi1/β1/γ2 7W0M-Apelin-PubChem 122701908-Gi1/β1/γ2 8XZJ-Apelin; Apelin-WN353-Gi1/β1/γ2 8XZF-Apelin; Apelin-WN561-Gi1/β1/γ2 8XZG-Apelin; Apelin-Apelin-13-Gi1/β1/γ2
26.92Consensusapelin_on_gpOrthosteric Ligand8XZH-Apelin; Apelin-MM07-Gi1/β1/γ2 7W0M-Apelin-PubChem 122701908-Gi1/β1/γ2 8XZJ-Apelin; Apelin-WN353-Gi1/β1/γ2 8XZF-Apelin; Apelin-WN561-Gi1/β1/γ2 8XZG-Apelin; Apelin-Apelin-13-Gi1/β1/γ2
26.92Consensusat1_on_gpOrthosteric Ligand7F6G-AT1-(Sar1)-Angiotensin II-Gq/β1/γ2
26.92Consensusgi_formylpeptideOrthosteric Ligand7WVY-FPR2-ALX-Amyloid-β42-Gi2/β1/γ2 7T6U-FPR2-ALX-CGEN-855A-Gi1/β1/γ2 7VFX-FPR1-ALX-fMIFL-Gi1/β1/γ2 7T6V-FPR2-ALX-fMLFII-Gi1/β1/γ2 7WVX-FPR2-ALX-Humanin-Gi2/β1/γ2 7T6S-FPR2-ALX-TC-FPR 43-Gi1/β1/γ2 6OMM-FPR2-ALX-WKYMVX-Gi1/β1/γ2
26.92Consensusgq_angiotensinOrthosteric Ligand7F6G-AT1-(Sar1)-Angiotensin II-Gq/β1/γ2
26.92Consensusgs_vasop-oxyOrthosteric Ligand7DW9-V2-AVP-chim(NtGi1-Gs)/β1/γ2
26.92Consensusprotein_onOrthosteric Ligandchemokine_on chemerin_on
26.92Consensusv2_onOrthosteric Ligand7DW9-V2-AVP-chim(NtGi1-Gs)/β1/γ2
26.92Consensusv2_on_gpOrthosteric Ligand7DW9-V2-AVP-chim(NtGi1-Gs)/β1/γ2
26.92Consensusvasop-oxy_onOrthosteric Ligandv2_on
26.92Consensusvasop-oxy_on_gpOrthosteric Ligandv2_on_gp
26.67Single2HPYAll-trans-Retinal2HPY-Rhodopsin-All-trans-Retinal
26.67Single6IGKEndothelin-36IGK-ETB-Endothelin-3
26.67Single7DD5Ca; Ca; Tryptophan; NPS-21437DD5-CaS; CaS-Ca-Ca; Ca; Tryptophan; NPS-2143
26.67Single8GEIConstrained Epinephrine8GEI-β2-Constrained Epinephrine-Gs/β1/γ2
26.67Single8XOFLys058XOF-GPR30-Lys05-chim(NtGi1-Gs-CtGq)/β1/γ2
26.67Single8ZJETAK4488ZJE-Kiss1-TAK448-chim(NtGi1-Gq)/β1/γ1
26.67Single9EE9Adenosine9EE9-A2A-Adenosine-Gs/β1/γ2
26.67Consensusccr5_on_gpOrthosteric Ligand7O7F-CCR5-6P4-CCL5-Gi1/β1/γ1 7F1Q-CCR5-CCL3-Gi1/β1/γ2
26.67Consensusopsins_onOrthosteric Ligandrhodopsin_on opsin1lw_on
26.67Consensussensory_onOrthosteric Ligandopsins_on
26.32Single2Y01Dobutamine2Y01-β1-Dobutamine
26.32Single4QKXPubChem 762106284QKX-β2-PubChem 76210628
26.32Single5UIGPubChem 1240811965UIG-A2A-PubChem 124081196
26.32Single6LPJZM-2413856LPJ-A2A-ZM-241385-Na
26.32Single6LPKZM-2413856LPK-A2A-ZM-241385-Na
26.32Single6TOTLemborexant6TOT-OX1-Lemborexant
26.32Single7BU7BI1671077BU7-β1-BI167107
26.32Single7DB6Ramelteon7DB6-MT1-Ramelteon-Gi1/β1/γ2
26.32Single7NA8Ibutamoren7NA8-Ghrelin-Ibutamoren-Gi1/β1/γ2
26.32Single7SQOTAK-9257SQO-OX2-TAK-925-Gi1/β1/γ2
26.32Single7T6VfMLFII7T6V-FPR2-ALX-fMLFII-Gi1/β1/γ2
26.32Single7UL4Alvimopan7UL4-μ-Alvimopan
26.32Single7VGZRamelteon7VGZ-MT1-Ramelteon-Gi1/β1/γ2
26.32Single7VH0Ramelteon7VH0-MT2-Ramelteon-Gi1/β1/γ1
26.32Single7XJHIsoprenaline7XJH-β3-Isoprenaline-Gs/β1/γ2
26.32Single8KEXDCA-3P8KEX-MRGPRX4-DCA-3P
26.32Single8RW7StilSwitch18RW7-A2A-StilSwitch1-Na
26.32Single8XBGS3E-Lysophosphatidylserine 8XBG-GPR34-S3E-Lysophosphatidylserine
26.32Single9BQJRO769BQJ-μ-RO76-Gi1/β1/γ2
26.32Single9EPP11,20-Ethanoretinal9EPP-Rhodopsin-11,20-Ethanoretinal-chim(Gi1-CtGq)/β1/γ2
26.32Single9H37PubChem 1756706469H37-A2A-PubChem 175670646-Na
26.32Single9JGKBalovaptan9JGK-5-HT2B-Balovaptan
26.32Single9KFTfMLFC9KFT-FPR1-ALX-fMLFC-Gi1/β1/γ2
26.32Consensusgi_orexinOrthosteric Ligand7SQO-OX2-TAK-925-Gi1/β1/γ2
26.32Consensusnucleotide_offonOrthosteric Ligandnucleotide_off nucleotide_on
26.32Consensusnucleotide_offon_gpOrthosteric Ligandnucleotide_on_gp nucleotide_off
26.09Single5ZTYAM102575ZTY-CB2-AM10257
26.09Single6OMMWKYMVX6OMM-FPR2-ALX-WKYMVX-Gi1/β1/γ2
26.09Single6XBJCholesterol6XBJ-SMO-Cholesterol-Gi1/β1/γ2
26.09Single7RMHSubstance-P7RMH-NK1-Substance-P-Gs/β1/γ2
26.09Single7Y1FDynorphin7Y1F-κ-Dynorphin-Gi1/β1/γ2
26.09Single7YJ4INSL57YJ4-RXFP4-INSL5-Gi2/β1/γ2
26.09Single8H4IDoconexent8H4I-FFA4-Doconexent-chim(NtGi1-Gs)/β1/γ2
26.09Single8JBFSenktide8JBF-NK3-Senktide-chim(NtGi1-Gs-CtGq)/β1/γ2
26.09Single8XQJJN2418XQJ-Apelin; Apelin-JN241
26.09Single8Z74JN241-98Z74-Apelin; Apelin-JN241-9
26.09Single8Z74JN241-98Z74-Apelin; Apelin-JN241-9
26.09Single9KZ2EP679KZ2-C3aB-EP67-Go/β1/γ2
26.09Single9KZ8EP679KZ8-C3aB-EP67-Go/β1/γ2
26.09Single9MD1Buspirone9MD1-5-HT1A-Buspirone-PtdIns4P-Gz/β1/γ2
26.09Single9V2NMacimorelin9V2N-Ghrelin-Macimorelin-chim(NtGi1-Gs-CtGq)/β1/γ2
26.09Consensuscb2_offOrthosteric Ligand5ZTY-CB2-AM10257
26.09Consensuscxcr_on_gpOrthosteric Ligandcxcr3_on_gp cxcr4_on_gp cxcr1_on_gp cxcr2_on_gp
26.09Consensusdop_onOrthosteric Ligand8F7S-δ-Deltorphin-Gi1/β1/γ2
26.09Consensusox2_onOrthosteric Ligand7L1V-OX2-PubChem 155491009-chim(NtGi1-Gs-CtGq)/β1/γ2 7SQO-OX2-TAK-925-Gi1/β1/γ2 7L1U-OX2-Orexin-chim(NtGi1-Gs-CtGq)/β1/γ2
26.09Consensusox2_on_gpOrthosteric Ligand7L1V-OX2-PubChem 155491009-chim(NtGi1-Gs-CtGq)/β1/γ2 7SQO-OX2-TAK-925-Gi1/β1/γ2 7L1U-OX2-Orexin-chim(NtGi1-Gs-CtGq)/β1/γ2
26.09Consensuss1p_onOrthosteric Ligands1p1_on s1p3_on s1p5_on
26.09Consensuss1p_on_gpOrthosteric Ligands1p1_on_gp s1p3_on_gp s1p5_on_gp
25.93Single7F6HBradykinin7F6H-BK2-Bradykinin-Gq/β1/γ2
25.93Single7F6IKallidin7F6I-BK2-Kallidin-Gq/β1/γ2
25.93Single7QBIAlpha-factor mating pheromone7QBI-STE2; STE2-α-factor mating pheromone
25.93Single7X9BNeuropeptide-Y7X9B-Y2-Neuropeptide-Y-Gi1/β1/γ2
25.93Single7Y64C5a7Y64-C5a1-C5a-Gi1/β1/γ2
25.93Single8XQEApelin-138XQE-Apelin; Apelin-Apelin-13-Gi1/β1/γ2
25.93Single8XVIEndothelin-18XVI-ETA-Endothelin-1-chim(Gs-CtGq)/β1/γ2
25.93Consensusgi_apelinOrthosteric Ligand8XZH-Apelin; Apelin-MM07-Gi1/β1/γ2 7W0M-Apelin-PubChem 122701908-Gi1/β1/γ2 8XZJ-Apelin; Apelin-WN353-Gi1/β1/γ2 8XZF-Apelin; Apelin-WN561-Gi1/β1/γ2 8XZG-Apelin; Apelin-Apelin-13-Gi1/β1/γ2
25.93Consensusmc1_onOrthosteric Ligand7F4H-MC1-Afamelanotide-chim(NtGi1-Gs)/β1/γ2 7F4D-MC1-α-MSH-chim(NtGi1-Gs)/β1/γ2 7F4I-MC1-SHU9119-chim(NtGi1-Gs)/β1/γ2
25.93Consensusmc1_on_gpOrthosteric Ligand7F4H-MC1-Afamelanotide-chim(NtGi1-Gs)/β1/γ2 7F4D-MC1-α-MSH-chim(NtGi1-Gs)/β1/γ2 7F4I-MC1-SHU9119-chim(NtGi1-Gs)/β1/γ2
25.00Single2Y00Dobutamine2Y00-β1-Dobutamine
25.00Single2ZIY11-cis-Retinal2ZIY-Rhodopsin-11-cis-Retinal
25.00Single3PQRAll-trans-Retinal3PQR-Rhodopsin-All-trans-Retinal-Gt(CT)
25.00Single3UZAGTPL92363UZA-A2A-GTPL9236
25.00Single4NTJAZD12834NTJ-P2Y12-AZD1283
25.00Single4ZJ8Suvorexant4ZJ8-OX1-Suvorexant
25.00Single5WKTOctyl-Beta-D-Glucopyranoside5WKT-Rhodopsin-Octyl-β-D-Glucopyranoside-Gt(CT)
25.00Single6FUFAll-trans-Retinal6FUF-Rhodopsin-All-trans-Retinal-Go
25.00Single6ME62-Phenylmelatonin6ME6-MT2-2-Phenylmelatonin
25.00Single6ME82-Phenylmelatonin6ME8-MT2-2-Phenylmelatonin
25.00Single6TO7Suvorexant6TO7-OX1-Suvorexant-Na
25.00Single6TP6Filorexant6TP6-OX1-Filorexant
25.00Single6XBKCholesterol6XBK-SMO-Cholesterol-Gi1/β1/γ2
25.00Single7BB7AVP7BB7-V2-AVP-Gs/β1/γ2
25.00Single7CFNINT-7777CFN-GPBA-INT-777-Gs/β1/γ2
25.00Single7DD7Ca; Ca; Tryptophan; Evocalcet7DD7-CaS; CaS-Ca-Ca; Ca; Tryptophan; Evocalcet
25.00Single7EPFNAM5977EPF-mGlu2-NAM597
25.00Single7F54Afamelanotide7F54-MC4-Afamelanotide-Gs/β1/γ2
25.00Single7MT8All-trans-Retinal7MT8-Rhodopsin-All-trans-Retinal-GRK1
25.00Single7NA7Ghrelin7NA7-Ghrelin-Ghrelin-Gi1/β1/γ2
25.00Single7QA8Antagonist Peptide7QA8-STE2; STE2-Antagonist Peptide
25.00Single7QA8Antagonist Peptide7QA8-STE2; STE2-Antagonist Peptide
25.00Single7QBIAlpha-factor mating pheromone7QBI-STE2; STE2-α-factor mating pheromone
25.00Single7SINNPS-21437SIN-CaS; CaS-NPS-2143
25.00Single7SINNPS-21437SIN-CaS; CaS-NPS-2143
25.00Single7T6UCGEN-855A7T6U-FPR2-ALX-CGEN-855A-Gi1/β1/γ2
25.00Single7W3ZGastrin Releasing Peptide7W3Z-BB2-Gastrin Releasing Peptide-chim(NtGi1L-Gq)/β1/γ2
25.00Single7W41PD1762527W41-BB2-PD176252
25.00Single7W53Neuromedin-U-257W53-NMUR1-Neuromedin-U-25-chim(NtGi1-Gs-CtGq)/β1/γ2
25.00Single8GDCPGE28GDC-EP3-PGE2-Gi1/β1/γ2
25.00Single8GGEConstrained Epinephrine8GGE-β2-Constrained Epinephrine-GTP-Gs/β1/γ2
25.00Single8GH1Constrained Epinephrine8GH1-β2-Constrained Epinephrine
25.00Single8IEBPubChem 1347468948IEB-GPR156; GPR156-PubChem 134746894
25.00Single8ITFDMCHA8ITF-TAA9-DMCHA-chim(NtGi1-Gs)/β1/γ2
25.00Single8IU2All-trans-Retinal8IU2-Opsin1LW-All-trans-Retinal-Gi1/β1/γ2
25.00Single8J21Butyric acid8J21-FFA3-Butyric acid-Gi1/β1/γ2
25.00Single8JXTHistamine8JXT-H4-Histamine-PO4-Gi1/β1/γ2
25.00Single8KFXLMD-0098KFX-CCR8-LMD-009-Gi1/β1/γ2
25.00Single8SZFCa; Ca; Tryptophan; Cinacalcet; PO4; Spermine8SZF-CaS; CaS-Ca; Ca; Tryptophan; Cinacalcet; PO4; Spermine
25.00Single8SZGCa; Ca; Tryptophan; Cinacalcet; PO4; Spermine8SZG-CaS; CaS-Ca; Ca; Tryptophan; Cinacalcet; PO4; Spermine-chim(NtGi1-Gq)/β1/γ2
25.00Single8TF5Oleic acid8TF5-GPR6-Oleic acid
25.00Single8WKYPG-9348WKY-MC4-PG-934
25.00Single8WZ2Orexigenic Neuropeptide QRFP8WZ2-QRFP-Orexigenic Neuropeptide QRFP-chim(NtGi1L-Gs-CtGq)/β1/γ2
25.00Single8X0BVU04244658X0B-mGlu5; mGlu5-Quisqualate-VU0424465
25.00Single8X0DVU04244658X0D-mGlu5; mGlu5-Quisqualate-VU0424465
25.00Single8X0DVU04244658X0D-mGlu5; mGlu5-Quisqualate-VU0424465
25.00Single8XQFApelin-138XQF-Apelin-Apelin-13-Gi1/β1/γ2
25.00Single8YNSSNAP-948478YNS-MCH1-SNAP-94847
25.00Single8ZYTNeurotensin-(8-13)8ZYT-NTS1-Neurotensin-(8-13)-SBI-553-Arrestin2
25.00Single9AVLCa; Ca; Cyclomethyltryptophan; R-568; PO49AVL-CaS; CaS-Ca-Ca; Ca; Cyclomethyltryptophan; R-568; PO4-Gi3/β2/γ2
25.00Single9AYFCa; Ca; Ca; Cyclomethyltryptophan; R-568; PO49AYF-CaS; CaS-Ca-Ca; Ca; Ca; Cyclomethyltryptophan; R-568; PO4-Gi1/β1/γ2
25.00Single9EHSLUF76029EHS-A3A-LUF7602
25.00Single9HAPTolvaptan9HAP-V2-Tolvaptan
25.00Single9HB3Mambaquaretin-19HB3-V2-Mambaquaretin-1
25.00Single9IYBPGD29IYB-DP2-PGD2-A1D5Q-Gi1/β1/γ2
25.00Single9LL7DOI9LL7-5-HT2A-DOI-Gi1/β1/γ2
25.00Single9U81Tolvaptan9U81-V2-Tolvaptan
25.00Consensusbb2_offOrthosteric Ligand7W41-BB2-PD176252
25.00Consensusbombesin_offOrthosteric Ligandbb2_off
25.00Consensuscxcr4_onOrthosteric Ligand8K3Z-CXCR4-CXCL12-Gi1/β1/γ1
25.00Consensusffa3_onOrthosteric Ligand8J21-FFA3-Butyric acid-Gi1/β1/γ2
25.00Consensusffa3_on_gpOrthosteric Ligand8J21-FFA3-Butyric acid-Gi1/β1/γ2
25.00Consensusgi_compl-peptOrthosteric Ligand8HK5-C5a1-C5a-Gi1/β1/γ2 8IA8-C3aB-E7 peptide-Gi1/β1/γ2 7Y66-C5a1-BM213-Gi1/β1/γ2 7Y67-C5a1-C089 peptide-Gi1/β1/γ2 8HK2-C3aB-C3a-Gi1/β1/γ2 7Y64-C5a1-C5a-Gi1/β1/γ2
25.00Consensusgi_opsinsOrthosteric Ligand8IU2-Opsin1LW-All-trans-Retinal-Gi1/β1/γ2
25.00Consensusgi_proteinOrthosteric Ligandgi_chemokine gi_chemerin
25.00Consensusgi_sensoryOrthosteric Ligandgi_opsins
25.00Consensusnk3_onOrthosteric Ligand8JBF-NK3-Senktide-chim(NtGi1-Gs-CtGq)/β1/γ2
25.00Consensusnk3_on_gpOrthosteric Ligand8JBF-NK3-Senktide-chim(NtGi1-Gs-CtGq)/β1/γ2
25.00Consensusnmur1_on_gpOrthosteric Ligand7W53-NMUR1-Neuromedin-U-25-chim(NtGi1-Gs-CtGq)/β1/γ2
25.00Consensusnucleotide_onOrthosteric Ligandadenosine_on p2y_on
25.00Consensusopsin1lw_onOrthosteric Ligand8IU2-Opsin1LW-All-trans-Retinal-Gi1/β1/γ2
25.00Consensusopsin1lw_on_gpOrthosteric Ligand8IU2-Opsin1LW-All-trans-Retinal-Gi1/β1/γ2
25.00Consensusopsins_on_gpOrthosteric Ligandrhodopsin_on_gp opsin1lw_on_gp
25.00Consensusprotein_on_gpOrthosteric Ligandchemokine_on_gp chemerin_on_gp
25.00Consensusrhodopsin_onOrthosteric Ligand6OYA-Rhodopsin-All-trans-Retinal-Gt/β1/γ1
25.00Consensussensory_on_gpOrthosteric Ligandopsins_on_gp
24.14Single7F4FAfamelanotide7F4F-MC1-Afamelanotide-chim(NtGi1-Gs)/β1/γ2
24.14Single7F53Alpha-MSH7F53-MC4-α-MSH-Gs/β1/γ2
24.14Single7QBCAlpha-factor mating pheromone7QBC-STE2; STE2-α-factor mating pheromone
24.14Single8XWPEndothelin-18XWP-ETB-Endothelin-1-Gi1/β1/γ2
24.14Single8ZH8QRFP268ZH8-QRFP-QRFP26-Gq/β1/γ1
24.00Single7DDZJNJ-310200287DDZ-Y2-JNJ-31020028
24.00Single7W0NElabela7W0N-Apelin; Apelin-Elabela-Gi1/β1/γ2
24.00Single8F7SDeltorphin8F7S-δ-Deltorphin-Gi1/β1/γ2
24.00Single8F7WDynorphin8F7W-κ-Dynorphin-Gi1/β1/γ2
24.00Single8IBVMotilin8IBV-Motilin-Motilin-chim(NtGi1-Gs-CtGq)/β1/γ2
24.00Single8JBHSubstance-P8JBH-NK3-Substance-P-chim(NtGi1-Gs-CtGq)/β1/γ2
24.00Single8K6ONeuropeptide-Y8K6O-Y1-Neuropeptide-Y-Gi2/β1/γ1
24.00Single8Z7JJN241-98Z7J-Apelin-JN241-9-Gi1/β1/γ2
24.00Single9IQSMuscarinic toxin 39IQS-M4-Muscarinic toxin 3
24.00Single9JFK(Pen5)-Urotensin II9JFK-UT-(Pen5)-Urotensin II-chim(NtGi2L-Gs-CtGq)/β1/γ2
24.00Consensusccr8_on_gpOrthosteric Ligand8KFX-CCR8-LMD-009-Gi1/β1/γ2 8KFY-CCR8-ZK-756326-Gi1/β1/γ2 8U1U-CCR8-CCL1-Gi1/β1/γ2
24.00Consensuscompl-peptide_onOrthosteric Ligandc5a1_on c3a_on
24.00Consensusdop_on_gpOrthosteric Ligand8F7S-δ-Deltorphin-Gi1/β1/γ2
24.00Consensusghrelin_onOrthosteric Ligand7NA7-Ghrelin-Ghrelin-Gi1/β1/γ2 7F9Z-Ghrelin-GHRP-6-chim(NtGi1-Gs-CtGq)/β1/γ2 7NA8-Ghrelin-Ibutamoren-Gi1/β1/γ2
24.00Consensusghrelin_on_gpOrthosteric Ligand7NA7-Ghrelin-Ghrelin-Gi1/β1/γ2 7F9Z-Ghrelin-GHRP-6-chim(NtGi1-Gs-CtGq)/β1/γ2 7NA8-Ghrelin-Ibutamoren-Gi1/β1/γ2
24.00Consensusnpy2_offOrthosteric Ligand7DDZ-Y2-JNJ-31020028
24.00Consensustachykinin_on_gpOrthosteric Ligandnk1_on_gp nk2_on_gp nk3_on_gp
23.81Single3PDSFAUC503PDS-β2-FAUC50
23.81Single5ZBHBMS-1938855ZBH-Y1-BMS-193885
23.81Single5ZHPPubChem 1348285895ZHP-M3-PubChem 134828589
23.81Single6KO5PubChem 574000026KO5-Ghrelin-PubChem 57400002
23.81Single6O3CCholesterol6O3C-SMO-SAG21k-Cholesterol
23.81Single6RZ5Zafirlukast6RZ5-CysLT1-Zafirlukast-Na
23.81Single7EW1Siponimod7EW1-S1P5-Siponimod-Gi1/β1/γ2
23.81Single7F58THIQ7F58-MC4-THIQ-Gs/β1/γ2
23.81Single7M8W15r-Methyl-PGD27M8W-DP2-15r-Methyl-PGD2-Na
23.81Single7R0CAVP7R0C-V2-AVP-Arrestin2
23.81Single7WV9CP559407WV9-CB1-CP55940-ZCZ011-Gi2/β1/γ2
23.81Single7XOWSulfated Gastrin-(10-17)7XOW-CCKB-Sulfated Gastrin-(10-17)-chim(NtGi1-Gq)/β1/γ2
23.81Single7XTQR3997XTQ-GPBA-R399-Gs/β1/γ2
23.81Single7XWONeurokinin-A7XWO-NK2-Neurokinin-A-chim(NtGi1-Gs-CtGq)/β1/γ2
23.81Single8FN1Neurotensin-(8-13)8FN1-NTS1-Neurotensin-(8-13)-chim(NtGi1-Go)/β1/γ2
23.81Single8HPTC5a (C-terminal peptide)8HPT-C5a1-C5a (C-terminal peptide)-Go/β1/γ2
23.81Single8I2GPubChem 675302408I2G-FSH-FSH-PubChem 67530240-Gs/β1/γ2
23.81Single8I9LC3a8I9L-C3aB-C3a-Go/β1/γ2
23.81Single8JBGNeurokinin-B8JBG-NK3-Neurokinin-B-chim(NtGi1-Gs-CtGq)/β1/γ2
23.81Single8JD5JNJ-40411813; ADX881788JD5-mGlu2; mGlu4-Glutamate-JNJ-40411813; ADX88178-Gi1/β1/γ2
23.81Single8JLPRalmitaront8JLP-TA1-Ralmitaront-Gs/β1/γ2
23.81Single8JSRAnamorelin8JSR-Ghrelin-Anamorelin-chim(NtGi1-Gs-CtGq)/β1/γ2
23.81Single8JT6(R)-IHCH-71798JT6-5-HT1A-(R)-IHCH-7179-PtdIns4P-Gi1/β1/γ2
23.81Single8JXWVUF68848JXW-H4-VUF6884-Gi1/β1/γ2
23.81Single8WU1MDMB-Fubinaca8WU1-CB1-MDMB-Fubinaca-Arrestin2
23.81Single8X0BVU04244658X0B-mGlu5; mGlu5-Quisqualate-VU0424465
23.81Single8X0FVU298X0F-mGlu5; mGlu5-Quisqualate-VU29
23.81Single8XJMLatanoprost8XJM-FP-alpha-Latanoprost-chim(NtGi2-Gs-CtGq)/β1/γ2
23.81Single8ZWFJR14a8ZWF-C3aB-JR14a
23.81Single9AYFCa; Ca; Ca; Cyclomethyltryptophan; R-568; PO49AYF-CaS; CaS-Ca-Ca; Ca; Ca; Cyclomethyltryptophan; R-568; PO4-Gi1/β1/γ2
23.81Single9UY3Anamorelin9UY3-Ghrelin-Anamorelin-chim(NtGi1-Gs-CtGq)/β1/γ2
23.81Consensuscyslt1_offOrthosteric Ligand6RZ5-CysLT1-Zafirlukast-Na 6RZ4-CysLT1-Pranlukast-Na
23.81Consensusnk2_on_gpOrthosteric Ligand7XWO-NK2-Neurokinin-A-chim(NtGi1-Gs-CtGq)/β1/γ2
23.81Consensuss1p5_onOrthosteric Ligand7EW1-S1P5-Siponimod-Gi1/β1/γ2
23.81Consensuss1p5_on_gpOrthosteric Ligand7EW1-S1P5-Siponimod-Gi1/β1/γ2
23.53Single3AYMAll-trans-Retinal3AYM-Rhodopsin-All-trans-Retinal
23.53Single6HLLCP999946HLL-NK1-CP99994
23.53Single6QNOAll-trans-Retinal6QNO-Rhodopsin-All-trans-Retinal-Gi1/β1/γ1
23.53Single6TP4ACT-4622066TP4-OX1-ACT-462206
23.53Single7VUIJNJ-635330547VUI-GPR139-JNJ-63533054-GTP-chim(Gs-CtGq)/β1/γ2
23.53Single8A2PLUAA470708A2P-A2A-LUAA47070-Na
23.53Single8JILNiacin8JIL-HCA2-Niacin-Gi1/β1/γ2
23.53Single8UO4Constrained Epinephrine8UO4-β2-Constrained Epinephrine-GTP; Mg-Gs/β1/γ2
23.53Single9IQTNiacin9IQT-HCA2-Niacin-Gi1/β1/γ2
23.53Single9IZDCHBA9IZD-HCA1-CHBA-Gi1/β1/γ2
23.33Single7QBCAlpha-factor mating pheromone7QBC-STE2; STE2-α-factor mating pheromone
23.08Single6MEOGp160; CD46MEO-CCR5-Gp160; CD4
23.08Single6VN7PACAP276VN7-VPAC1-PACAP27-Gs/β1/γ2
23.08Single6W25SHU91196W25-MC4-SHU9119-Ca
23.08Single7F4DAlpha-MSH7F4D-MC1-α-MSH-chim(NtGi1-Gs)/β1/γ2
23.08Single7TD0LPA7TD0-LPA1-LPA-Gi1/β1/γ2
23.08Single7TD2LPA7TD2-LPA1-LPA-Gi1/β1/γ2
23.08Single8WKZSBL-MC-318WKZ-MC4-SBL-MC-31
23.08Single8XGUTAK4488XGU-Kiss1-TAK448-Gi1/β1/γ2
23.08Single8XZGApelin-138XZG-Apelin; Apelin-Apelin-13-Gi1/β1/γ2
23.08Consensusc5a1_onOrthosteric Ligand8HK5-C5a1-C5a-Gi1/β1/γ2 7Y66-C5a1-BM213-Gi1/β1/γ2 7Y67-C5a1-C089 peptide-Gi1/β1/γ2 7Y64-C5a1-C5a-Gi1/β1/γ2
23.08Consensuscompl-peptide_on_gpOrthosteric Ligandc5a1_on_gp c3a_on_gp
22.73Single3VW7Vorapaxar; Na3VW7-PAR1-Vorapaxar; Na
22.73Single4N4WSANT-14N4W-SMO-SANT-1
22.73Single5UNHPubChem 1264564065UNH-AT2-PubChem 126456406
22.73Single6OS0Angiotensin II6OS0-AT1-Angiotensin II
22.73Single6OSAJMV4496OSA-NTS1-JMV449-Gi1/β1/γ2
22.73Single7EW2FTY720-P7EW2-S1P3-FTY720-P-Gi1/β1/γ2
22.73Single7F55Bremelanotide7F55-MC4-Bremelanotide-Gs/β1/γ2
22.73Single7L1VPubChem 1554910097L1V-OX2-PubChem 155491009-chim(NtGi1-Gs-CtGq)/β1/γ2
22.73Single7MTRADX551647MTR-mGlu2; mGlu2-Glutamate-ADX55164
22.73Single7WCMMBX-29827WCM-GPR119-MBX-2982-Gs/β1/γ2
22.73Single7XW5ML1097XW5-TSH-TSH-ML109-Gs/β1/γ2
22.73Single7XW6ML1097XW6-TSH-M22 Fab-ML109-Gs/β1/γ2
22.73Single7XZ5Lysophosphatidylcholine7XZ5-GPR119-Lysophosphatidylcholine-Gs/β1/γ2
22.73Single8H0QGastrin Releasing Peptide8H0Q-BB2-Gastrin Releasing Peptide-chim(NtGi1-Gs-CtGq)/β1/γ2
22.73Single8HK2C3a8HK2-C3aB-C3a-Gi1/β1/γ2
22.73Single8JZ7MK68928JZ7-HCA2-MK6892-Gi1/β1/γ2
22.73Single8VHFMBX-29828VHF-GPR119-MBX-2982-Gs/β1/γ2
22.73Single9GGGI-BOP9GGG-TXA2-I-BOP-chim(NtGi2L-Gs-CtGq)/β1/γ2
22.73Single9GYOP3959GYO-GPBA-P395-chim(NtGi1-Gs)/β1/γ2
22.73Single9VIFNeuropeptide-VF9VIF-NPFF1-Neuropeptide-VF-Gi1/β1/γ2
22.73Single9WSWEndomorphin9WSW-μ-Endomorphin-chim(NtGi1-Gz)/β1/γ2
22.73Consensuscannabinoid_offOrthosteric Ligandcb2_off cb1_off
22.73Consensuscb1_onOrthosteric Ligand6KPG-CB1-AM841-Gi1/β1/γ2 8K8J-CB1-Fenofibrate-chim(Gs-CtGq)/β1/γ2
22.73Consensuscxcr_onOrthosteric Ligandcxcr3_on cxcr4_on cxcr1_on cxcr2_on
22.73Consensusgi_lipidOrthosteric Ligandgi_cannabinoid gi_ffa gi_leukotriene gi_lpa gi_s1p
22.73Consensusgi_neurotensinOrthosteric Ligand6OSA-NTS1-JMV449-Gi1/β1/γ2 7L0S-NTS1-Neurotensin-(8-13)-Gi1/β1/γ1
22.73Consensusneurotensin_on_gpOrthosteric Ligandnts1_on_gp
22.73Consensusnts1_on_gpOrthosteric Ligand6OSA-NTS1-JMV449-Gi1/β1/γ2 7L0S-NTS1-Neurotensin-(8-13)-Gi1/β1/γ1
22.73Consensuss1p3_onOrthosteric Ligand7EW3-S1P3-S1P-Gi1/β1/γ2 7EW4-S1P3-CYM-5541-Gi1/β1/γ2 7EW2-S1P3-FTY720-P-Gi1/β1/γ2
22.58Consensusgi_npyOrthosteric Ligand8K6M-Y1-Neuropeptide-Y-Gi2/β1/γ1 7X9C-Y4-Pancreatic Hormone-Gi1/β1/γ2 7YOO-Y2-Neuropeptide-Y-Gi1/β1/γ2
22.58Consensusnpy_onOrthosteric Ligandnpy1_on npy2_on npy4_on
22.58Consensusnpy_on_gpOrthosteric Ligandnpy1_on_gp npy2_on_gp npy4_on_gp
22.22Single3V2WPubChem 518926453V2W-S1P1-PubChem 51892645
22.22Single4MQTLY21196204MQT-M2-Iperoxo-LY2119620
22.22Single4S0VSuvorexant4S0V-OX2-Suvorexant
22.22Single5OLHVipadenant5OLH-A2A-Vipadenant-Na
22.22Single5OLVLUAA470705OLV-A2A-LUAA47070-Na
22.22Single5WB2CX3CL1.355WB2-US28-CX3CL1.35
22.22Single5WS3EMPA5WS3-OX2-EMPA
22.22Single6AKYMaraviroc6AKY-CCR5-Maraviroc
22.22Single6ME2Ramelteon6ME2-MT1-Ramelteon
22.22Single6METGp160; CD46MET-CCR5-Gp160; CD4
22.22Single6TPJSuvorexant6TPJ-OX2-Suvorexant
22.22Single6TQ6PubChem 1457142836TQ6-OX1-PubChem 145714283
22.22Single7W57Neuromedin-S7W57-NMUR2-Neuromedin-S-chim(NtGi1-Gs-CtGq)/β1/γ2
22.22Single7XK8Neuromedin-U-257XK8-NMUR2-Neuromedin-U-25-Gi1/β1/γ2
22.22Single7YONPeptide-YY(3-36)7YON-Y2-Peptide-YY(3-36)-Gi1/β1/γ2
22.22Single8DWGML3828DWG-MRGPRX1-BAM8-22-ML382-chim(NtGi2L-Gs-CtGq)/β1/γ2
22.22Single8H8JLodoxamide8H8J-GPR35-Lodoxamide-Ca-chim(NtGi1L-G13)/β1/γ2
22.22Single8IEDPubChem 1347468948IED-GPR156; GPR156-PubChem 134746894-Go/β1/γ2
22.22Single8IEDPubChem 1347468948IED-GPR156; GPR156-PubChem 134746894-Go/β1/γ2
22.22Single8IJBAcipimox8IJB-HCA2-Acipimox-Gi1/β1/γ2
22.22Single8J20Valeric acid8J20-FFA3-Valeric acid-AR420626-Gi1/β1/γ2
22.22Single8J6LNiacin8J6L-HCA2-Niacin-Gi1/β1/γ2
22.22Single8RVWStilSwitch38RVW-A2A-StilSwitch3-Na
22.22Single8RW0Istradefylline8RW0-A2A-Istradefylline-Na
22.22Single8RW4AzoSwitch28RW4-A2A-AzoSwitch2-Na
22.22Single8RWEStilSwitch48RWE-A2A-StilSwitch4-Na
22.22Single8T3SButyric acid8T3S-FFA2-Butyric acid-chim(NtGi2L-Gs-CtGq)/β1/γ2
22.22Single8UTDMK19038UTD-HCA2-MK1903-Gi1/β1/γ2
22.22Single8WPGTryptophan; Cinacalcet; PO4; Ca8WPG-CaS; CaS-Tryptophan; Cinacalcet; PO4; Ca
22.22Single8XWQEndothelin-18XWQ-ETB-Endothelin-1-Gi1/β1/γ2
22.22Single9AVLCa; Ca; Cyclomethyltryptophan; R-568; PO49AVL-CaS; CaS-Ca-Ca; Ca; Cyclomethyltryptophan; R-568; PO4-Gi3/β2/γ2
22.22Single9C2FCa; Ca; Tryptophan; '54149; PO49C2F-CaS; CaS-Ca-Ca; Ca; Tryptophan; '54149; PO4
22.22Single9FUPIstradefylline9FUP-A2A-Istradefylline-Na
22.22Single9H2XPubChem 1756706449H2X-A2A-PubChem 175670644-Na
22.22Single9JKXAcifran9JKX-HCA3-Acifran-Gi1/β1/γ2
22.22Single9K6LSalicin9K6L-TAS2R16-Salicin-Gi2/β1/γ2
22.22Single9KPESalicin9KPE-TAS2R16-Salicin-Gi1/β1/γ2
22.22Single9LKDPL459LKD-OR5V1-PL45
22.22Single9PEEPF-07054894; OXM29PEE-CCR6-PF-07054894; OXM2
22.22Consensusc5a1_on_gpOrthosteric Ligand8HK5-C5a1-C5a-Gi1/β1/γ2 7Y66-C5a1-BM213-Gi1/β1/γ2 7Y67-C5a1-C089 peptide-Gi1/β1/γ2 7Y64-C5a1-C5a-Gi1/β1/γ2
22.22Consensuscxcr3_on_gpOrthosteric Ligand8HNK-CXCR3-CXCL11-Gi1/β1/γ2 8HNL-CXCR3-PS372424-Gi1/β1/γ2
22.22Consensusneuromedin-u_onOrthosteric Ligandnmur1_on nmur2_on
22.22Consensusorexin_offOrthosteric Ligandox2_off ox1_off
22.22Consensusox1_offOrthosteric Ligand6TP6-OX1-Filorexant 6TP4-OX1-ACT-462206 6V9S-OX1-GTPL11403 6TOT-OX1-Lemborexant 6TP3-OX1-Nemorexant 6TQ6-OX1-PubChem 145714283 6TQ9-OX1-SB-408124 4ZJC-OX1-SB-674042 4ZJ8-OX1-Suvorexant 6TOD-OX1-EMPA-Na 6TOS-OX1-GSK1059865-Na 6TQ4-OX1-PubChem 16046844-Na
22.22Consensusox2_offOrthosteric Ligand5WQC-OX2-EMPA 6TPN-OX2-HTL6641 7XRR-OX2-Lemborexant 6TPJ-OX2-Suvorexant
22.22Consensuss1p1_offOrthosteric Ligand3V2W-S1P1-PubChem 51892645
22.22Consensustachykinin_onOrthosteric Ligandnk1_on nk2_on nk3_on
21.88Consensusmelanocortin_onOrthosteric Ligandmc1_on mc4_on mc2_on mc3_on mc5_on
21.88Consensusmelanocortin_on_gpOrthosteric Ligandmc1_on_gp mc4_on_gp mc2_on_gp mc3_on_gp mc5_on_gp
21.74Single5UNGPubChem 157800525UNG-AT2-PubChem 15780052
21.74Single6UP7Neurotensin-(8-13)6UP7-NTS1-Neurotensin-(8-13)-Arrestin2
21.74Single7QVMOxytocin7QVM-OT-Oxytocin-chim(NtGi1-Go-CtGq)/β1/γ2
21.74Single7XZ6APD6687XZ6-GPR119-APD668-Gs/β1/γ2
21.74Single8FN0Neurotensin-(8-13)8FN0-NTS1-Neurotensin-(8-13)-SBI-553-chim(NtGi1-Go)/β1/γ2
21.74Single8GUTLEI-1028GUT-CB2-LEI-102-Gi1/β1/γ2
21.74Single8K2XCXCL108K2X-CXCR3-CXCL10-Gi1/β1/γ2
21.74Single8K4OCXCL18K4O-KSHV-CXCL1-Gi1/β1/γ1
21.74Single8XBES3E-Lysophosphatidylserine 8XBE-GPR34-S3E-Lysophosphatidylserine-Gi1/β1/γ1
21.74Single8XJKCloprosetnol8XJK-FP-alpha-Cloprosetnol-chim(NtGi1-Gs-CtGq)/β1/γ2
21.74Single8ZWGJR14a8ZWG-C3aB-JR14a-Gi1/β1/γ2
21.74Single9GG5U466199GG5-TXA2-U46619-chim(NtGi2L-Gs-CtGq)/β1/γ2
21.74Single9IZFLPA9IZF-LPA1-LPA-Gi1/β1/γ2
21.74Single9UYHChemerin-99UYH-CML2-Chemerin-9-Arrestin2
21.74Consensuscb1_on_gpOrthosteric Ligand6KPG-CB1-AM841-Gi1/β1/γ2 8K8J-CB1-Fenofibrate-chim(Gs-CtGq)/β1/γ2
21.74Consensusprostanoid_offOrthosteric Ligandep_off dp_off
21.43Single4A4MAll-trans-Retinal4A4M-Rhodopsin-All-trans-Retinal-Gt(CT)
21.43Single5EN0All-trans-Retinal5EN0-Rhodopsin-All-trans-Retinal-Gt(CT)
21.43Single7F9YGhrelin7F9Y-Ghrelin-Ghrelin-chim(NtGi1-Gs-CtGq)/β1/γ2
21.43Single7P02Substance-P7P02-NK1-Substance-P-chim(NtGi1-Gs)/β1/γ2
21.43Single8E3YPACAP278E3Y-VPAC1-PACAP27-Gs/β1/γ2
21.43Single8E3ZVIP8E3Z-VPAC1-VIP-Gs/β1/γ2
21.43Single8HK5C5a8HK5-C5a1-C5a-Gi1/β1/γ2
21.43Single8IODPG-9018IOD-MC5-PG-901-Ca-chim(NtGi1-Gs)/β1/γ2
21.43Single8WCBCyclohexylammonium Ion8WCB-TA1-Cyclohexylammonium Ion-chim(NtGi1-Gs-CtGq)/β1/γ2
21.43Single8WCCCyclohexylammonium Ion8WCC-TA1-Cyclohexylammonium Ion
21.43Single9JFYNeuropeptide-SF9JFY-NPFF2-Neuropeptide-SF-Gi1/β1/γ2
21.43Consensuschemokine_on_gpOrthosteric Ligandccr_on_gp cxcr_on_gp
21.43Consensusneuromedin-u_on_gpOrthosteric Ligandnmur1_on_gp nmur2_on_gp
21.05Single3REYPubChem 56973REY-A2A-PubChem 5697
21.05Single6FFIMPEP6FFI-mGlu5-MPEP
21.05Single6PELCitronellol6PEL-Rhodopsin-Citronellol-Gt(CT)
21.05Single6PS82-Phenylmelatonin6PS8-MT1-2-Phenylmelatonin
21.05Single6TOSGSK10598656TOS-OX1-GSK1059865-Na
21.05Single6TP3Nemorexant6TP3-OX1-Nemorexant
21.05Single6U1NLY21196206U1N-M2-LY2119620-Arrestin2
21.05Single6V9SGTPL114036V9S-OX1-GTPL11403
21.05Single6ZDVPubChem 9840736ZDV-A2A-PubChem 984073-Na
21.05Single6ZFZ77-LH-28-16ZFZ-M1-77-LH-28-1
21.05Single6ZG9GSK10347026ZG9-M1-GSK1034702
21.05Single7AROLUF58337ARO-A2A-LUF5833-Na
21.05Single7T94LY21196207T94-M2-Acetylcholine-LY2119620-chim(NtGi1-Go)/β1/γ2
21.05Single8GURCP559408GUR-CB2-CP55940-Gi1/β1/γ2
21.05Single8IHKAcifran8IHK-HCA3-Acifran
21.05Single8IY9Niacin8IY9-HCA2-Niacin-Go/β1/γ2
21.05Single8JEIPubChem 117155568JEI-HCAR3-PubChem 11715556-Gi1/β1/γ2
21.05Single8JERAcipimox8JER-HCA2-Acipimox-Go/β1/γ2
21.05Single8JIMMonomethyl fumarate8JIM-HCA2-Monomethyl fumarate-Gi1/β1/γ2
21.05Single8K4NPubChem 1687197658K4N-GPR34-PubChem 168719765-Gi1/β1/γ2
21.05Single8K4SDCA-3P8K4S-MRGPRX4-DCA-3P-chim(NtGi1L-Gs-CtGq)/β1/γ2
21.05Single8RWIStilSwitch28RWI-A2A-StilSwitch2-Na
21.05Single8WPUTryptophan; Cinacalcet; PO4; Ca8WPU-CaS; CaS-Tryptophan; Cinacalcet; PO4; Ca-chim(NtGi2L-Gs-CtGq)/β1/γ2
21.05Single8Y62C16:0 Ceramide8Y62-FPR2-ALX-C16:0 Ceramide-Gi1/β1/γ2
21.05Single8ZPMAMD0708ZPM-CXCR4-AMD070
21.05Single8ZPNAMD31008ZPN-CXCR4-AMD3100
21.05Single9ASBCa; Ca; Cyclomethyltryptophan; R-568; PO49ASB-CaS; CaS-Ca-Ca; Ca; Cyclomethyltryptophan; R-568; PO4-chim(NtGi1-Gs-CtGq)/β1/γ2
21.05Single9ASBCa; Ca; Cyclomethyltryptophan; R-568; PO49ASB-CaS; CaS-Ca-Ca; Ca; Cyclomethyltryptophan; R-568; PO4-chim(NtGi1-Gs-CtGq)/β1/γ2
21.05Single9AVGCa; Ca; Cyclomethyltryptophan; R-568; PO49AVG-CaS; CaS-Ca-Ca; Ca; Cyclomethyltryptophan; R-568; PO4-chim(NtGi1-Gs)/β1/γ2
21.05Single9KPDSalicin9KPD-TAS2R16-Salicin-chim(Gs-CtGt3)/β1/γ2
21.05Single9LKBPL459LKB-OR5V1-PL45-chim(NtGi1-Gs)/β1
21.05Consensusghrelin_offOrthosteric Ligand6KO5-Ghrelin-PubChem 57400002 7F83-Ghrelin-PF-05190457
21.05Consensushca_onOrthosteric Ligandhca2_on
21.05Consensusnucleotide_offOrthosteric Ligandadenosine_off p2y_off
20.83Single5VBLAMG3054 5VBL-Apelin-AMG3054
20.83Single6OS9JMV4496OS9-NTS1-JMV449-Gi1/β1/γ2
20.83Single7F9ZGHRP-67F9Z-Ghrelin-GHRP-6-chim(NtGi1-Gs-CtGq)/β1/γ2
20.83Single7RKFCX3CL17RKF-US28-CX3CL1-GDP-chim(NtGi1-G11)/β1/γ2
20.83Single7RMGSubstance-P7RMG-NK1-Substance-P-chim(Gs-CtGq)/β1/γ2
20.83Single8F7REndomorphin8F7R-μ-Endomorphin-Gi1/β1/γ2
20.83Single8SAILysophosphatidylserine (S12)8SAI-GPR34-Lysophosphatidylserine (S12)-Gi1/β1/γ2
20.83Single8X3LXWD8X3L-CB2-XWD-Gi1/β1/γ2
20.83Single9IPVJR14a9IPV-C3aB-JR14a-Gi1/β1/γ2
20.83Single9JF4PD1683689JF4-BB1-PD168368
20.83Single9KX6C5a-des-Arg9KX6-C5a1-C5a-des-Arg-Go/β1/γ2
20.83Consensuskiss1_onOrthosteric Ligand8ZJD-Kiss1-Kisspeptin-1-chim(NtGi1-Gq)/β1/γ1
20.83Consensuskisspeptin_onOrthosteric Ligandkiss1_on
20.83Consensusnmur1_onOrthosteric Ligand7W53-NMUR1-Neuromedin-U-25-chim(NtGi1-Gs-CtGq)/β1/γ2
20.69Single6FJ3PTH6FJ3-PTH1-PTH
20.69Single7RGPTirzepatide7RGP-GLP-1-Tirzepatide-chim(NtGi1-Gs)/β1/γ2
20.69Single8E3XPACAP278E3X-PAC1-PACAP27-Gs/β1/γ2
20.69Single9P92VIP9P92-PAC1-VIP-Gs/β1/γ2
20.69Consensusccr5_onOrthosteric Ligand7O7F-CCR5-6P4-CCL5-Gi1/β1/γ1 7F1Q-CCR5-CCL3-Gi1/β1/γ2
20.69Consensuspac_on_gpOrthosteric Ligandpac1_on_gp
20.59Single7X9ANeuropeptide-Y7X9A-Y1-Neuropeptide-Y-Gi1/β1/γ2
20.00Single5TGZAM65385TGZ-CB1-AM6538
20.00Single5UENDU1725UEN-A1-DU172
20.00Single5UNFPubChem 157800525UNF-AT2-PubChem 15780052
20.00Single5ZKPSR274175ZKP-PAF-SR27417
20.00Single6D27CAY104716D27-DP2-CAY10471
20.00Single6FFHFenobam6FFH-mGlu5-Fenobam
20.00Single6FKCPubChem 1324730396FKC-Rhodopsin-PubChem 132473039
20.00Single6FKDPubChem 1373491836FKD-Rhodopsin-PubChem 137349183
20.00Single6VCBGLP-16VCB-GLP-1-GLP-1-LSN3160440-Gs/β1/γ2
20.00Single6Z4VNeurotensin-(9-13)6Z4V-NTS1-Neurotensin-(9-13)
20.00Single7AD3Alpha-factor mating pheromone7AD3-STE2; STE2-α-factor mating pheromone-Gi1/STE4/γ2
20.00Single7CFMP3957CFM-GPBA-P395-Gs/β1/γ2
20.00Single7F4ISHU91197F4I-MC1-SHU9119-chim(NtGi1-Gs)/β1/γ2
20.00Single7FIHOrg435537FIH-LH-hCG-Org43553-chim(NtGi1-Gs)/β1/γ2
20.00Single7L0RNeurotensin-(8-13)7L0R-NTS1-Neurotensin-(8-13)-Gi1/β1/γ1
20.00Single7PP1Selatogrel7PP1-P2Y12-Selatogrel
20.00Single7SK8CXCL127SK8-ACKR3-CXCL12-CCX662
20.00Single7V68LY21196207V68-M4-Iperoxo-LY2119620-Gi1/β1/γ2
20.00Single7VIFFTY720-P7VIF-S1P1-FTY720-P-Gi1/β1/γ2
20.00Single7VKTLTB47VKT-BLT1-LTB4-Gi1/β1/γ2
20.00Single7W2ZGhrelin7W2Z-Ghrelin-Ghrelin-Go/β1/γ2
20.00Single7WQ3Galanin7WQ3-GAL1-Galanin-Gi1/β1/γ2
20.00Single8GHVAMG3158GHV-CB1-AMG315-Gi1/β1/γ2
20.00Single8IEIPubChem 1347468948IEI-GPR156; GPR156-PubChem 134746894
20.00Single8IEPPubChem 1347468948IEP-GPR156; GPR156-PubChem 134746894
20.00Single8IHJAcifran8IHJ-HCA3-Acifran-Gi1/β1/γ2
20.00Single8J6PNiacin8J6P-HCA2-Niacin-PubChem 25101223-Gi1/β1/γ2
20.00Single8J6RMK68928J6R-HCA2-MK6892-Gi1/β1/γ2
20.00Single8JHNMonomethyl fumarate8JHN-HCA2-Monomethyl fumarate-Go/β1/γ2
20.00Single8JIINiacin8JII-HCA2-Niacin-PubChem 25101223-Gi1/β1/γ2
20.00Single8K5DGSK2560738K5D-HCA2-GSK256073
20.00Single8RWXStilSwitch38RWX-A2A-StilSwitch3-Na
20.00Single8X9TAP5038X9T-ADGRD1-AP503-chim(NtGi1-Gs)/β1/γ2
20.00Single8XBHPubChem 1626566368XBH-GPR34-PubChem 162656636-Gi1/β1/γ2
20.00Single8ZBEOctreotide8ZBE-SST5-Octreotide-Gi1/β1/γ1
20.00Single8ZJDKisspeptin-18ZJD-Kiss1-Kisspeptin-1-chim(NtGi1-Gq)/β1/γ1
20.00Single8ZQEGPR15L(CT)8ZQE-GPR15-GPR15L(CT)-Gi1/β1/γ1
20.00Single8ZYYNeurotensin-(8-13)8ZYY-NTS1-Neurotensin-(8-13)-SBI-553-Arrestin2
20.00Single9IV25alpha-DHT9IV2-ADGRD1-5α-DHT-chim(NtGi1-Gs)/β1/γ2
20.00Single9IZCMK19039IZC-HCA2-MK1903-Gi1/β1/γ2
20.00Single9JIDNiacin9JID-HCA3-Niacin-Gi1/β1/γ2
20.00Single9KWGC5a9KWG-C5a1-C5a-Go/β1/γ2
20.00Consensusalicarboxylic_on_gpOrthosteric Ligandsuccinate_on_gp hca_on_gp
20.00Consensusblt1_onOrthosteric Ligand7VKT-BLT1-LTB4-Gi1/β1/γ2
20.00Consensusblt1_on_gpOrthosteric Ligand7VKT-BLT1-LTB4-Gi1/β1/γ2
20.00Consensusblt_onOrthosteric Ligandblt1_on
20.00Consensusblt_on_gpOrthosteric Ligandblt1_on_gp
20.00Consensusgal1_onOrthosteric Ligand7WQ3-GAL1-Galanin-Gi1/β1/γ2
20.00Consensusgal1_on_gpOrthosteric Ligand7WQ3-GAL1-Galanin-Gi1/β1/γ2
20.00Consensusgi_alicarboxylicOrthosteric Ligandgi_hca gi_succinate
20.00Consensusgi_galaninOrthosteric Ligand7WQ3-GAL1-Galanin-Gi1/β1/γ2
20.00Consensusgi_hcaOrthosteric Ligand8J6R-HCA2-MK6892-Gi1/β1/γ2 8JIM-HCA2-Monomethyl fumarate-Gi1/β1/γ2 8IHI-HCA2-Acifran-Gi1/β1/γ2 8IHH-HCA2-LUF6283-Gi1/β1/γ2 8I7V-HCA2-Acipimox-Gi1/β1/γ2 8I7W-HCA2-GSK256073-Gi1/β1/γ2
20.00Consensusgi_leukotrieneOrthosteric Ligand7VKT-BLT1-LTB4-Gi1/β1/γ2
20.00Consensusgq_kisspeptinOrthosteric Ligand8ZJD-Kiss1-Kisspeptin-1-chim(NtGi1-Gq)/β1/γ1
20.00Consensushca2_onOrthosteric Ligand8J6R-HCA2-MK6892-Gi1/β1/γ2 8JIM-HCA2-Monomethyl fumarate-Gi1/β1/γ2 8I7V-HCA2-Acipimox-Gi1/β1/γ2 8I7W-HCA2-GSK256073-Gi1/β1/γ2 8IHH-HCA2-LUF6283-Gi1/β1/γ2 8IHI-HCA2-Acifran-Gi1/β1/γ2
20.00Consensushca2_on_gpOrthosteric Ligand8J6R-HCA2-MK6892-Gi1/β1/γ2 8IHI-HCA2-Acifran-Gi1/β1/γ2 8IHH-HCA2-LUF6283-Gi1/β1/γ2 8I7V-HCA2-Acipimox-Gi1/β1/γ2 8JIM-HCA2-Monomethyl fumarate-Gi1/β1/γ2 8I7W-HCA2-GSK256073-Gi1/β1/γ2
20.00Consensushca_on_gpOrthosteric Ligandhca2_on_gp
20.00Consensuskiss1_on_gpOrthosteric Ligand8ZJD-Kiss1-Kisspeptin-1-chim(NtGi1-Gq)/β1/γ1
20.00Consensuskisspeptin_on_gpOrthosteric Ligandkiss1_on_gp
20.00Consensusleukotriene_onOrthosteric Ligandblt_on
20.00Consensusleukotriene_on_gpOrthosteric Ligandblt_on_gp
20.00Consensuslipid_offOrthosteric Ligandcannabinoid_off paf_off lpl_off prostanoid_off leukotriene_off
20.00Consensuslpl_onOrthosteric Ligands1p_on lpa_on
20.00Consensuslpl_on_gpOrthosteric Ligands1p_on_gp lpa_on_gp
20.00Consensusmc4_onOrthosteric Ligand7AUE-MC4-Setmelanotide-chim(NtGi1L-Gs)/β1/γ2 7F58-MC4-THIQ-Gs/β1/γ2 7F54-MC4-Afamelanotide-Gs/β1/γ2 7F53-MC4-α-MSH-Gs/β1/γ2 7F55-MC4-Bremelanotide-Gs/β1/γ2
20.00Consensusp2y_onOrthosteric Ligandp2y1_on p2y10_on p2y12_on
20.00Consensussomatostatin_offOrthosteric Ligandsst2_off
19.44Consensusmc2_onOrthosteric Ligand8GY7-MC2-Corticotropin-Ca-chim(NtGi1-Gs)/β1/γ2; MRAP1
19.44Consensusmc2_on_gpOrthosteric Ligand8GY7-MC2-Corticotropin-Ca-chim(NtGi1-Gs)/β1/γ2; MRAP1
19.35Single7KI1Taspoglutide7KI1-GLP-1-Taspoglutide-Gs/β1/γ2
19.35Single8KGGLysophosphatidylserine (WJS)8KGG-P2Y10-Lysophosphatidylserine (WJS)-chim(NtGi2-G13)/β1/γ2
19.35Single9BYOExendin-39BYO-GLP-1-Exendin-3-Gs/β1/γ2
19.35Single9P93VIP9P93-PAC1-VIP-Gs/β1/γ2
19.35Consensusgs_melanocortinOrthosteric Ligand7F4H-MC1-Afamelanotide-chim(NtGi1-Gs)/β1/γ2 7F54-MC4-Afamelanotide-Gs/β1/γ2 7F4D-MC1-α-MSH-chim(NtGi1-Gs)/β1/γ2 8INR-MC5-α-MSH-Ca-chim(NtGi1-Gs)/β1/γ2 7F53-MC4-α-MSH-Gs/β1/γ2 7F55-MC4-Bremelanotide-Gs/β1/γ2 8GY7-MC2-Corticotropin-Ca-chim(NtGi1-Gs)/β1/γ2; MRAP1 8IOC-MC3-γ-MSH-Ca-chim(NtGi1-Gs)/β1/γ2 8IOD-MC5-PG-901-Ca-chim(NtGi1-Gs)/β1/γ2 7AUE-MC4-Setmelanotide-chim(NtGi1L-Gs)/β1/γ2 7F4I-MC1-SHU9119-chim(NtGi1-Gs)/β1/γ2 7F58-MC4-THIQ-Gs/β1/γ2
19.35Consensusvip-pacap_onOrthosteric Ligandvpac_on pac_on
19.35Consensusvip-pacap_on_gpOrthosteric Ligandvpac_on_gp pac_on_gp
19.23Single7C6A(Sar1,Ile8)-Angiotensin II7C6A-AT2-(Sar1,Ile8)-Angiotensin II
19.23Single7F1QCCL37F1Q-CCR5-CCL3-Gi1/β1/γ2
19.23Single7PIVAfamelanotide7PIV-MC4-Afamelanotide-Gs/β1/γ2
19.23Single7RKMCX3CL17RKM-US28-CX3CL1-Gi1/β1/γ2
19.23Single7RMISubstance-P7RMI-NK1-Substance-P-chim(Gs-CtGq)/β1/γ2
19.23Single7SK5CXCL127SK5-ACKR3-CXCL12
19.23Single7XNACYN1548067XNA-SST2-CYN154806
19.23Single8F7QBeta-Endorphin8F7Q-μ-β-Endorphin-Gi1/β1/γ2
19.23Single8IEBPubChem 1347468948IEB-GPR156; GPR156-PubChem 134746894
19.23Single8XYDPlatelet Activating Factor8XYD-PAF-Platelet Activating Factor-Gi1/β1/γ2
19.23Single9KFIRelaxin-39KFI-RXFP3-Relaxin-3-Gi2/β1/γ2
19.23Single9KT7MK68929KT7-HCA2-MK6892-Gi1/β1/γ2
19.23Consensusmc4_on_gpOrthosteric Ligand7AUE-MC4-Setmelanotide-chim(NtGi1L-Gs)/β1/γ2 7F58-MC4-THIQ-Gs/β1/γ2 7F54-MC4-Afamelanotide-Gs/β1/γ2 7F53-MC4-α-MSH-Gs/β1/γ2 7F55-MC4-Bremelanotide-Gs/β1/γ2
19.23Consensussst2_offOrthosteric Ligand7XNA-SST2-CYN154806
19.05Single6D26Fevipiprant6D26-DP2-Fevipiprant
19.05Single6LFMCXCL86LFM-CXCR2-CXCL8-Gi1/β1/γ2
19.05Single7C4SS1P7C4S-S1P3-S1P
19.05Single7EO2FTY720-P7EO2-S1P1-FTY720-P-Gi1/β1/γ2
19.05Single8HNLPS3724248HNL-CXCR3-PS372424-Gi1/β1/γ2
19.05Single8I7WGSK2560738I7W-HCA2-GSK256073-Gi1/β1/γ2
19.05Single8IZ4Lysophosphatidylserine (TJR)8IZ4-GPR34-Lysophosphatidylserine (TJR)-Gi1/β1/γ2
19.05Single8J6JGSK2560738J6J-HCA2-GSK256073-Gi1/β1/γ2
19.05Single8K8JFenofibrate8K8J-CB1-Fenofibrate-chim(Gs-CtGq)/β1/γ2
19.05Single8UUJFCH-22964138UUJ-HCA2-FCH-2296413-Gi1/β1/γ2
19.05Single8X0CVU04244658X0C-mGlu5; mGlu5-Quisqualate-VU0424465
19.05Single8X0CVU04244658X0C-mGlu5; mGlu5-Quisqualate-VU0424465
19.05Single8XYKVUF106618XYK-CXCR3-VUF10661-Go/β1/γ2
19.05Single8YICSAR2477998YIC-S1P1-SAR247799-Gi1/β1/γ2
19.05Single9CIBFCH-22964139CIB-HCA2-FCH-2296413
19.05Single9EKHONO-30302979EKH-DP1-ONO-3030297
19.05Single9HC04YI9HC0-mGlu5-4YI
19.05Single9KO4CCL219KO4-CCR7-CCL21-Gi1/β1/γ2
19.05Single9KPFSalicin9KPF-TAS2R16-Salicin-Gi1/β1/γ2
19.05Single9KUTJR14a9KUT-C3aB-JR14a-Go/β1/γ2
19.05Single9M8POleic monoethanolamide9M8P-GPR3 ; GPR3-Oleic monoethanolamide-AF64394
19.05Consensusblt1_offOrthosteric Ligand5X33-BLT1-BIIL260 7K15-BLT1-MKD046-Na
19.05Consensusblt_offOrthosteric Ligandblt1_off
19.05Consensuscb2_onOrthosteric Ligand8GUR-CB2-CP55940-Gi1/β1/γ2 8GUS-CB2-HU-308-Gi1/β1/γ2 8GUT-CB2-LEI-102-Gi1/β1/γ2 6KPF-CB2-AM12033-Gi1/β1/γ2 6PT0-CB2-WIN 55212-2-Gi1/β1/γ2 8GUQ-CB2-Olorinab-Gi1/β1/γ2
19.05Consensuscb2_on_gpOrthosteric Ligand8GUR-CB2-CP55940-Gi1/β1/γ2 8GUS-CB2-HU-308-Gi1/β1/γ2 8GUT-CB2-LEI-102-Gi1/β1/γ2 6KPF-CB2-AM12033-Gi1/β1/γ2 6PT0-CB2-WIN 55212-2-Gi1/β1/γ2 8GUQ-CB2-Olorinab-Gi1/β1/γ2
19.05Consensuscxcr2_on_gpOrthosteric Ligand6LFM-CXCR2-CXCL8-Gi1/β1/γ2
19.05Consensusdp2_offOrthosteric Ligand6D26-DP2-Fevipiprant
19.05Consensusdp_offOrthosteric Liganddp2_off
19.05Consensuss1p_offOrthosteric Ligands1p1_off s1p5_off
18.75Single3RFMCaffeine3RFM-A2A-Caffeine
18.75Single6OT025(S)-Epoxycholesterol6OT0-SMO-25(S)-Epoxycholesterol-Gi1/β1/γ2
18.75Single7DUQGLP-17DUQ-GLP-1-GLP-1-PubChem 156022738-Gs/β1/γ2
18.75Single7MTBAll-trans-Retinal7MTB-Rhodopsin-All-trans-Retinal-GRK1
18.75Single8A2OTheophylline8A2O-A2A-Theophylline-Na
18.75Single8U1UCCL18U1U-CCR8-CCL1-Gi1/β1/γ2
18.75Single8Z8ALactate8Z8A-HCA1-Lactate-Gi1/β1/γ2
18.75Single9L0HJR14a9L0H-C3aB-JR14a-Go/β1/γ2
18.75Single9M42A1L8O9M42-GPR139-A1L8O-chim(Gs-CtGq)/β1/γ2
18.52Single3OE0CVX153OE0-CXCR4-CVX15
18.52Single7RYCOxytocin7RYC-OT-Oxytocin-chim(NtGi2L-Gs-CtGq)/β1/γ2
18.52Single7W55Neuromedin-U-257W55-NMUR2-Neuromedin-U-25-chim(NtGi1-Gs-CtGq)/β1/γ2
18.52Single8K6MNeuropeptide-Y8K6M-Y1-Neuropeptide-Y-Gi2/β1/γ1
18.52Consensusmc3_onOrthosteric Ligand8IOC-MC3-γ-MSH-Ca-chim(NtGi1-Gs)/β1/γ2
18.52Consensusmc3_on_gpOrthosteric Ligand8IOC-MC3-γ-MSH-Ca-chim(NtGi1-Gs)/β1/γ2
18.52Consensusnmur2_onOrthosteric Ligand7W55-NMUR2-Neuromedin-U-25-chim(NtGi1-Gs-CtGq)/β1/γ2
18.52Consensusnmur2_on_gpOrthosteric Ligand7W55-NMUR2-Neuromedin-U-25-chim(NtGi1-Gs-CtGq)/β1/γ2
18.52Consensusnpy1_onOrthosteric Ligand8K6M-Y1-Neuropeptide-Y-Gi2/β1/γ1
18.52Consensusnpy1_on_gpOrthosteric Ligand8K6M-Y1-Neuropeptide-Y-Gi2/β1/γ1
18.18Single3ZEVNeurotensin-(7-13)3ZEV-NTS1-Neurotensin-(7-13)
18.18Single4BV0Neurotensin-(7-13)4BV0-NTS1-Neurotensin-(7-13)
18.18Single4OO9Mavoglurant4OO9-mGlu5-Mavoglurant
18.18Single5TZRMK86665TZR-FFA1-MK8666
18.18Single5XR8AM120335XR8-CB1-AM12033
18.18Single5XRAAM115425XRA-CB1-AM11542
18.18Single6N4BMDMB-Fubinaca6N4B-CB1-MDMB-Fubinaca-Gi1/β1/γ2
18.18Single6OS1TRV0266OS1-AT1-TRV026
18.18Single6Z8NSRI-98296Z8N-NTS1-SRI-9829
18.18Single7EW3S1P7EW3-S1P3-S1P-Gi1/β1/γ2
18.18Single7FEECP559407FEE-CB1-CP55940-ZCZ011
18.18Single7L0PNeurotensin-(8-13)7L0P-NTS1-Neurotensin-(8-13)-Gi1/β1/γ1
18.18Single7L0QNeurotensin-(8-13)7L0Q-NTS1-Neurotensin-(8-13)-Gi1/β1/γ1
18.18Single7P2L4YI7P2L-mGlu5-4YI
18.18Single7SK7CXCL127SK7-ACKR3-CXCL12-CCX662
18.18Single7TD1LPA7TD1-LPA1-LPA-Gi1/β1/γ2
18.18Single7TUYGSK682753A7TUY-GPR183-GSK682753A
18.18Single7VIGCBP-3077VIG-S1P1-CBP-307-Gi1/β1/γ2
18.18Single7XBDGalanin7XBD-GAL2-Galanin-chim(NtGi2L-Gs-CtGq)/β1/γ2
18.18Single7Y67C089 peptide7Y67-C5a1-C089 peptide-Gi1/β1/γ2
18.18Single8FLSAbaloparatide8FLS-PTH1-Abaloparatide-Gs/β1/γ2
18.18Single8FLULA-PTH Analog8FLU-PTH1-LA-PTH Analog-Gs/β1/γ2
18.18Single8FMZNeurotensin-(8-13)8FMZ-NTS1-Neurotensin-(8-13)-chim(NtGi2L-Gs-CtGq)/β1/γ2
18.18Single8HQCC5a8HQC-C5a1-C5a-Go/β1/γ2
18.18Single8IHBGSK2560738IHB-HCA2-GSK256073-Gi1/β1/γ2
18.18Single8IHHLUF62838IHH-HCA2-LUF6283-Gi1/β1/γ2
18.18Single8IYHMK68928IYH-HCA2-MK6892-Go/β1/γ2
18.18Single8JZPC5a8JZP-C5a1-C5a-Go/β1/γ2
18.18Single8TAOCDPPB8TAO-mGlu5; mGlu5-Quisqualate-CDPPB
18.18Single8XBIPubChem 1626566368XBI-GPR34-PubChem 162656636
18.18Single8XX7CXCL58XX7-CXCR2-CXCL5-Go/β1/γ2
18.18Single8ZR5Firuglipel8ZR5-GPR119-Firuglipel-Gs/β1/γ2
18.18Single9B65MDMB-Fubinaca9B65-CB1-MDMB-Fubinaca-Gi1/β1/γ2
18.18Single9L16CCL219L16-CCR7-CCL21
18.18Single9YDVMRS29059YDV-P2Y14-MRS2905-Gi1/β1/γ2
18.18Consensusffa_onOrthosteric Ligandffa2_on ffa3_on
18.18Consensusffa_on_gpOrthosteric Ligandffa2_on_gp ffa3_on_gp
18.18Consensusgi_cannabinoidOrthosteric Ligand8GUR-CB2-CP55940-Gi1/β1/γ2 8GUS-CB2-HU-308-Gi1/β1/γ2 8GUT-CB2-LEI-102-Gi1/β1/γ2 8GUQ-CB2-Olorinab-Gi1/β1/γ2 6KPF-CB2-AM12033-Gi1/β1/γ2 6PT0-CB2-WIN 55212-2-Gi1/β1/γ2 6KPG-CB1-AM841-Gi1/β1/γ2
18.18Consensusgi_ffaOrthosteric Ligand8J21-FFA3-Butyric acid-Gi1/β1/γ2 8J22-FFA2-TUG-1375-Gi1/β1/γ2
18.18Consensusmotilin_onOrthosteric Ligand8IBU-Motilin-Erythromycin-A-chim(NtGi1-Gs-CtGq)/β1/γ2
18.18Consensusneurotensin_onOrthosteric Ligandnts1_on
18.18Consensusnts1_onOrthosteric Ligand6OSA-NTS1-JMV449-Gi1/β1/γ2 7L0S-NTS1-Neurotensin-(8-13)-Gi1/β1/γ1
18.18Consensusp2y12_onOrthosteric Ligand7XXI-P2Y12-2MeSADP-Gi2/β1/γ2
18.18Consensusprotein_offOrthosteric Ligandchemokine_off grh_off
17.86Single7AD3Alpha-factor mating pheromone7AD3-STE2; STE2-α-factor mating pheromone-Gi1/STE4/γ2
17.86Single7FIMTirzepatide7FIM-GLP-1-Tirzepatide-Gs/β1/γ2
17.86Single8HA0PTH8HA0-PTH1-PTH-chim(NtGi1-Gs)/β1/γ2
17.86Single8IHFMK68928IHF-HCA2-MK6892-Gi1/β1/γ2
17.86Single8J6IMK68928J6I-HCA2-MK6892-Gi1/β1/γ2
17.86Single8XZJWN3538XZJ-Apelin; Apelin-WN353-Gi1/β1/γ2
17.86Consensusp2y_on_gpOrthosteric Ligandp2y1_on_gp p2y10_on_gp p2y12_on_gp
17.86Consensusprotein_offonOrthosteric Ligandprotein_off protein_on
17.86Consensusprotein_offon_gpOrthosteric Ligandprotein_on_gp protein_off
17.65Single4XNWMRS25004XNW-P2Y1-MRS2500
17.65Single6ME5Agomelatine6ME5-MT1-Agomelatine
17.65Single7MT9All-trans-Retinal7MT9-Rhodopsin-All-trans-Retinal-GRK1
17.65Single7MTAAll-trans-Retinal7MTA-Rhodopsin-All-trans-Retinal-GRK1
17.65Single7VVMPTH7VVM-PTH1-PTH-Gs/β1/γ2
17.65Single8EITDoconexent8EIT-FFA1-Doconexent-chim(NtGi1L-Gs-CtGq)/β1/γ2
17.65Single8J6QBeta-Hydroxybutyrate8J6Q-HCA2-β-Hydroxybutyrate-PubChem 25101223-Gi1/β1/γ2
17.65Single8JEFPubChem 113671668JEF-HCA3-PubChem 11367166-Gi1/β1/γ2
17.65Single8Y63C20:0 Ceramide8Y63-FPR2-ALX-C20:0 Ceramide-Gi1/β1/γ2
17.65Single9IV15alpha-DHT9IV1-ADGRD1-5α-DHT-chim(NtGi1-Gs)/β1/γ2
17.65Single9JG1Adriforant9JG1-H4-Adriforant
17.65Single9JKT(2R)-2-hydroxy-3-phenylpropanoic acid9JKT-HCA3-(2R)-2-hydroxy-3-phenylpropanoic acid-Gi1/β1/γ2
17.65Single9JR2PTH9JR2-PTH1-PTH-chim(NtGi1L-Gs-CtGq)/β1/γ2
17.65Consensusp2y1_offOrthosteric Ligand4XNW-P2Y1-MRS2500
17.39Single4GRVNeurotensin-(8-13)4GRV-NTS1-Neurotensin-(8-13)
17.39Single4OR2FITM4OR2-mGlu1; mGlu1-FITM
17.39Single4PXZ2MeSADP4PXZ-P2Y12-2MeSADP
17.39Single4XEENeurotensin-(8-13)4XEE-NTS1-Neurotensin-(8-13)
17.39Single4XESNeurotensin-(8-13)4XES-NTS1-Neurotensin-(8-13)
17.39Single5TZYMK8666; AP85TZY-FFA1-MK8666; AP8
17.39Single5X33BIIL2605X33-BLT1-BIIL260
17.39Single6KQICP559406KQI-CB1-CP55940-Org27569
17.39Single7EO4Siponimod7EO4-S1P1-Siponimod-Gi1/β1/γ2
17.39Single7L0SNeurotensin-(8-13)7L0S-NTS1-Neurotensin-(8-13)-Gi1/β1/γ1
17.39Single7W0NElabela7W0N-Apelin; Apelin-Elabela-Gi1/β1/γ2
17.39Single7XJKGalanin7XJK-GAL2-Galanin-chim(NtGi2L-Gs-CtGq)/β1/γ2
17.39Single7XXI2MeSADP7XXI-P2Y12-2MeSADP-Gi2/β1/γ2
17.39Single8IBUErythromycin-A8IBU-Motilin-Erythromycin-A-chim(NtGi1-Gs-CtGq)/β1/γ2
17.39Single8IQ6Latanoprost8IQ6-FP-alpha-Latanoprost-chim(NtGi1-Gs-CtGq)/β1/γ2
17.39Single8IYWGSK2560738IYW-HCA2-GSK256073-Go/β1/γ2
17.39Single8JPBNeurotensin-(8-13)8JPB-NTS1-Neurotensin-(8-13)-SBI-553; GDP; Mg-Gq; GRK2
17.39Single8JPCNeurotensin-(8-13)8JPC-NTS1-Neurotensin-(8-13)-SBI-553; GDP; Mg-Gq; GRK2
17.39Single8WRBLysophosphatidylserine (UBL)8WRB-GPR34-Lysophosphatidylserine (UBL)-Gi1/β1/γ2
17.39Single8XJNCloprosetnol8XJN-TXA2-Cloprosetnol-chim(NtGi1-Gs-CtGq)/β1/γ2
17.39Single8XQJJN2418XQJ-Apelin; Apelin-JN241
17.39Single8XWACXCL18XWA-CXCR2-CXCL1
17.39Single8XWMCXCL68XWM-CXCR2-CXCL6
17.39Single8XWSCXCL58XWS-CXCR2-CXCL5
17.39Single8XYIVUF106618XYI-CXCR3-VUF10661
17.39Single8Y6WTUG-13758Y6W-FFA2-TUG-1375-4-CMTB-Gi1/β1/γ2
17.39Single9CM3TUG-13759CM3-FFA2-TUG-1375-PubChem 118615810-chim(NtGi1L-Gs-CtGq)/β1/γ2
17.39Single9IZHLPA9IZH-LPA1-LPA-chim(NtGi2-G13)/β1/γ2
17.39Single9M8POleic monoethanolamide9M8P-GPR3 ; GPR3-Oleic monoethanolamide-AF64394
17.39Single9YDUUDP-Glucose9YDU-P2Y14-UDP-Glucose-Gi1/β1/γ2
17.39Consensuscannabinoid_onOrthosteric Ligandcb2_on cb1_on
17.39Consensuscannabinoid_on_gpOrthosteric Ligandcb2_on_gp cb1_on_gp
17.39Consensusgalanin_onOrthosteric Ligandgal2_on gal1_on
17.39Consensusgalanin_on_gpOrthosteric Ligandgal2_on_gp gal1_on_gp
17.39Consensusgi_p2yOrthosteric Ligand7XXI-P2Y12-2MeSADP-Gi2/β1/γ2
17.39Consensuslipid_offonOrthosteric Ligandlipid_off lipid_on
17.39Consensuslipid_offon_gpOrthosteric Ligandlipid_on_gp lipid_off
17.39Consensusmotilin_on_gpOrthosteric Ligand8IBU-Motilin-Erythromycin-A-chim(NtGi1-Gs-CtGq)/β1/γ2
17.39Consensusp2y12_on_gpOrthosteric Ligand7XXI-P2Y12-2MeSADP-Gi2/β1/γ2
17.24Single6X18GLP-16X18-GLP-1-GLP-1-Gs/β1/γ2
17.24Single8HNKCXCL118HNK-CXCR3-CXCL11-Gi1/β1/γ2
17.24Single8IA2C5a8IA2-C5a1-C5a-Go/β1/γ2
17.24Single8XVHEndothelin-18XVH-ETB-Endothelin-1-chim(Gs-CtGq)/β1/γ2
17.24Single9E2AGLP-19E2A-GLP-1-GLP-1-Gs/β1/γ2
17.24Consensuscxcr_offOrthosteric Ligandcxcr3_off cxcr4_off
17.24Consensusgi_chemokineOrthosteric Ligand6WWZ-CCR6-CCL20-Go/β1/γ2 8HNK-CXCR3-CXCL11-Gi1/β1/γ2 8K3Z-CXCR4-CXCL12-Gi1/β1/γ1 8IC0-CXCR1-CXCL8-Gi1/β1/γ2 6LFM-CXCR2-CXCL8-Gi1/β1/γ2 8KFX-CCR8-LMD-009-Gi1/β1/γ2 7F1Q-CCR5-CCL3-Gi1/β1/γ2 8HNL-CXCR3-PS372424-Gi1/β1/γ2 8KFY-CCR8-ZK-756326-Gi1/β1/γ2 7O7F-CCR5-6P4-CCL5-Gi1/β1/γ1 8U1U-CCR8-CCL1-Gi1/β1/γ2 7VLA-CCR1-CCL15(27-92)-Gi1/β1/γ2 7XA3-CCR2-CCL2-Gi1/β1/γ2
17.24Consensuspac_onOrthosteric Ligandpac1_on
17.14Single7Y36PTH7Y36-PTH1-PTH-Gs/β1/γ2
17.14Single8FLQPTH8FLQ-PTH1-PTH-Gs/β1/γ2
17.14Single9JR3PTH9JR3-PTH1-PTH-chim(NtGi1L-Gs-CtGq)/β1/γ2
17.14Consensusclass-a_class-b1_cons_on_gpOrthosteric Ligandclass-a_on_gp class-b1_on_gp
17.07Consensusclass-b1_on_gpOrthosteric Ligandglucagon_on_gp vip-pacap_on_gp pth_on_gp crf_on_gp calcitonin_on_gp
16.67Single4BUONeurotensin-(8-13)4BUO-NTS1-Neurotensin-(8-13)
16.67Single4OR2FITM4OR2-mGlu1; mGlu1-FITM
16.67Single5L7IVismodegib5L7I-SMO-Vismodegib
16.67Single5UIW5P7-CCL55UIW-CCR5-5P7-CCL5
16.67Single6NBFLA-PTH Analog6NBF-PTH1-LA-PTH Analog-Gs/β1/γ2
16.67Single6NBILA-PTH Analog6NBI-PTH1-LA-PTH Analog-Gs/β1/γ2
16.67Single6P9YPACAP276P9Y-PAC1-PACAP27-Gs/β1/γ2
16.67Single6PGSGeraniol6PGS-Rhodopsin-Geraniol-Gt(CT)
16.67Single6PH7Nerol6PH7-Rhodopsin-Nerol-Gt(CT)
16.67Single6TQ4PubChem 160468446TQ4-OX1-PubChem 16046844-Na
16.67Single7LLLExendin-47LLL-GLP-1-Exendin-4-Gs/β1/γ2
16.67Single7PIUSetmelanotide7PIU-MC4-Setmelanotide-Gs/β1/γ2
16.67Single7SK3CXCL127SK3-ACKR3-CXCL12
16.67Single7SK4CXCL12_LRHQ7SK4-ACKR3-CXCL12_LRHQ
16.67Single7T96LY21196207T96-M2-Acetylcholine-LY2119620-Go/β1/γ2
16.67Single7TRPLY20332987TRP-M4-Iperoxo-LY2033298-Gi1/β1/γ2
16.67Single7UL2SR486927UL2-NTS1-SR48692-Na
16.67Single7XK2MK68927XK2-HCA2-MK6892-Gi1/β1/γ2
16.67Single7YU8ONO-07405567YU8-LPA1-ONO-0740556-Gi1/β1/γ2
16.67Single8GY7Corticotropin8GY7-MC2-Corticotropin-Ca-chim(NtGi1-Gs)/β1/γ2; MRAP1
16.67Single8H2GNiacin8H2G-HCA2-Niacin-Gi1/β1/γ2
16.67Single8HN1Toxin AdTx18HN1-Alpha1A-Toxin AdTx1
16.67Single8IHIAcifran8IHI-HCA2-Acifran-Gi1/β1/γ2
16.67Single8IJDMK68928IJD-HCA2-MK6892-Gi1/β1/γ2
16.67Single8JPFNeurotensin-(8-13)8JPF-NTS1-Neurotensin-(8-13)-SBI-553
16.67Single8K5BNiacin8K5B-HCA2-Niacin
16.67Single8RWHStilSwitch28RWH-A2A-StilSwitch2-Na
16.67Single8SZFCa; Ca; Tryptophan; Cinacalcet; PO4; Spermine8SZF-CaS; CaS-Ca; Ca; Tryptophan; Cinacalcet; PO4; Spermine
16.67Single8WPUTryptophan; Cinacalcet; PO4; Ca8WPU-CaS; CaS-Tryptophan; Cinacalcet; PO4; Ca-chim(NtGi2L-Gs-CtGq)/β1/γ2
16.67Single8WRZAM8418WRZ-CB1-AM841-Arrestin2
16.67Single8XJOU466198XJO-TXA2-U46619-chim(NtGi1-Gs-CtGq)/β1/γ2
16.67Single8XVUCXCL28XVU-CXCR2-CXCL2
16.67Single8XWFCXCL38XWF-CXCR2-CXCL3
16.67Single8XWVCXCL18XWV-CXCR2-CXCL1-Go/β1/γ2
16.67Single8XXHCXCL28XXH-CXCR2-CXCL2-Go/β1/γ2
16.67Single8YKDDehydroepiandrosterone8YKD-ADGRG2-Dehydroepiandrosterone-chim(NtGi1-Gs)/β1/γ2
16.67Single8YKWSuccinic acid8YKW-Succinate-Succinic acid-Gi1/β1/γ1
16.67Single8ZX5AM2518ZX5-GPR55-AM251-chim(NtGi1-G13)/β1/γ2
16.67Single9C1PCa; Tryptophan; '6218; PO49C1P-CaS; CaS-Ca-Ca; Tryptophan; '6218; PO4
16.67Single9E7RGB889E7R-PAR2-GB88-chim(NtGi1L-Gs-CtGq)/β1/γ2
16.67Single9EAILosartan9EAI-AT1-Losartan-Nanobody AT209
16.67Single9EPRAll-trans-Retinal9EPR-Rhodopsin-All-trans-Retinal-Gi1/β1/γ2
16.67Single9GE3Lysophosphatidylinositol9GE3-GPR55-Lysophosphatidylinositol-chim(NtGi1-G13)/β1/γ2
16.67Single9J0BUDP-Glucose9J0B-P2Y14-UDP-Glucose-Gi1/β1/γ2
16.67Single9J1Pg1:Ox9J1P-GLP-1-g1:Ox-chim(NtGi1-Gs)/β1/γ2
16.67Single9KT8Acifran9KT8-HCA2-Acifran-Gi1/β1/γ2
16.67Consensusccr5_offOrthosteric Ligand5UIW-CCR5-5P7-CCL5
16.67Consensusccr_offOrthosteric Ligandccr2_off ccr5_off
16.67Consensusfp-alpha_onOrthosteric Ligand8IUK-FP-alpha-PGF2-α-chim(NtGi1-Gs-CtGq)/β1/γ2 8IUL-FP-alpha-Latanoprost-chim(NtGi1-Gs-CtGq)/β1/γ2 8IUM-FP-alpha-Tafluprost acid-chim(NtGi1-Gs-CtGq)/β1/γ2
16.67Consensusfp-alpha_on_gpOrthosteric Ligand8IUK-FP-alpha-PGF2-α-chim(NtGi1-Gs-CtGq)/β1/γ2 8IUL-FP-alpha-Latanoprost-chim(NtGi1-Gs-CtGq)/β1/γ2 8IUM-FP-alpha-Tafluprost acid-chim(NtGi1-Gs-CtGq)/β1/γ2
16.67Consensusneurotensin_offOrthosteric Ligandnts1_off
16.67Consensusnts1_offOrthosteric Ligand7UL2-NTS1-SR48692-Na
16.67Consensusprostanoid_onOrthosteric Ligandtp_on fp-alpha_on
16.67Consensusprostanoid_on_gpOrthosteric Ligandtp_on_gp fp-alpha_on_gp
16.67Consensuspth_onOrthosteric Ligandpth1_on pth2_on
16.67Consensustp_onOrthosteric Ligand8XJO-TXA2-U46619-chim(NtGi1-Gs-CtGq)/β1/γ2
16.67Consensustp_on_gpOrthosteric Ligand8XJO-TXA2-U46619-chim(NtGi1-Gs-CtGq)/β1/γ2
16.13Single6B3JExendin-P56B3J-GLP-1-Exendin-P5-Gs/β1/γ2
16.13Single7S1MExendin-4-D-Ala7S1M-GLP-1-Exendin-4-D-Ala-Gs/β1/γ2
16.13Single7TYFAmylin7TYF-CT (AMY1)-Amylin-Gs/β1/γ2; RAMP1
16.13Single8W8WAlpha-MSH8W8W-MC3-α-MSH-Ca-Gs/β1/γ2
16.13Single8W8XBeta-MSH8W8X-MC3-β-MSH-Ca-Gs/β1/γ2
16.13Single9BUCCagrilintide9BUC-CT-Cagrilintide-Gs/β1/γ2
16.13Single9P94PACAP279P94-PAC1-PACAP27-Gs/β1/γ2
16.13Consensuscrf_onOrthosteric Ligandcrf2_on crf1_on
16.13Consensusp2y10_on_gpOrthosteric Ligand8KGG-P2Y10-Lysophosphatidylserine (WJS)-chim(NtGi2-G13)/β1/γ2
16.00Single6C1QPMX536C1Q-C5a1-PMX53-NDT9513727
16.00Single6KNMJN241-96KNM-Apelin-JN241-9
16.00Single7RKNCX3CL17RKN-US28-CX3CL1-Gi1/β1/γ2
16.00Single7XBXCX3CL17XBX-CX3CR1-CX3CL1-Gi1/β1/γ2
16.00Single8IUMTafluprost acid8IUM-FP-alpha-Tafluprost acid-chim(NtGi1-Gs-CtGq)/β1/γ2
16.00Single8XX6CXCL88XX6-CXCR2-CXCL8-Go/β1/γ2
16.00Single8XZFWN5618XZF-Apelin; Apelin-WN561-Gi1/β1/γ2
16.00Single9CM7TUG-13759CM7-FFA2-TUG-1375-AZ-1729-Gi1/β1/γ2
16.00Single9IPYJR14a9IPY-C3aB-JR14a
16.00Single9NS9TUG-13759NS9-FFA2-TUG-1375-PubChem 118615810-Gi1/β1/γ2
16.00Single9WSXEndomorphin9WSX-μ-Endomorphin-Arrestin2
16.00Consensuscxcr3_onOrthosteric Ligand8HNK-CXCR3-CXCL11-Gi1/β1/γ2 8HNL-CXCR3-PS372424-Gi1/β1/γ2
15.79Single3PWHZM-2413853PWH-A2A-ZM-241385
15.79Single6LFOCXCL86LFO-CXCR2-CXCL8-Gi1/β1/γ2
15.79Single6ME9Ramelteon6ME9-MT2-Ramelteon
15.79Single6ZA8RTI-3a6ZA8-NTS1-RTI-3a
15.79Single7M3FCa; Ca; Tryptophan; Cinacalcet7M3F-CaS; CaS-Ca; Ca; Tryptophan; Cinacalcet
15.79Single7SILCa; Ca; Ca; Cyclomethyltryptophan; R-568; PO47SIL-CaS; CaS-Ca-Ca; Ca; Ca; Cyclomethyltryptophan; R-568; PO4
15.79Single7SILCa; Ca; Ca; Cyclomethyltryptophan; R-568; PO47SIL-CaS; CaS-Ca-Ca; Ca; Ca; Cyclomethyltryptophan; R-568; PO4
15.79Single7TUZ7-alpha,25-dihydroxycholesterol7TUZ-GPR183-7-α,25-dihydroxycholesterol-Gi1/β1/γ2
15.79Single7VDLCortistatin-147VDL-MRGPRX2-Cortistatin-14-Gi1/β1/γ2
15.79Single7VIHCBP-3077VIH-S1P1-CBP-307-Gi1/β1/γ2
15.79Single7W0OElabela7W0O-Apelin-Elabela-Gi1/β1/γ2
15.79Single7X2CFenoldopam7X2C-D1-Fenoldopam-Fenoldopam-Gs/β1/γ2
15.79Single7XJJGalanin7XJJ-GAL1-Galanin-Go/β1/γ2
15.79Single7XRRLemborexant7XRR-OX2-Lemborexant
15.79Single8IJANiacin8IJA-HCA2-Niacin-Gi1/β1/γ2
15.79Single8U4PAMD31008U4P-CXCR4-AMD3100-Gi1/β1/γ2
15.79Single8WOGSuccinic acid8WOG-Succinate-Succinic acid-Gi1/β1/γ2
15.79Single8YKXMaleic acid8YKX-Succinate-Maleic acid-Gi1/β1/γ1
15.79Single8Z87CHBA8Z87-HCA1-CHBA-Gi1/β1/γ2
15.79Single9KO2CCL199KO2-CCR7-CCL19-Gi1/β1
15.79Single9KO6CCL199KO6-CCR7-CCL19
15.79Single9M88Oleic monoethanolamide9M88-GPR3 ; GPR3-Oleic monoethanolamide-AF64394
15.79Consensusangiotensin_offOrthosteric Ligandat1_off
15.79Consensusclass-b1_onOrthosteric Ligandglucagon_on vip-pacap_on pth_on crf_on calcitonin_on
15.79Consensuscxcr1_onOrthosteric Ligand8IC0-CXCR1-CXCL8-Gi1/β1/γ2
15.79Consensusgi_succinateOrthosteric Ligand8YKW-Succinate-Succinic acid-Gi1/β1/γ1 8YKX-Succinate-Maleic acid-Gi1/β1/γ1
15.79Consensussuccinate_onOrthosteric Ligand8YKW-Succinate-Succinic acid-Gi1/β1/γ1 8YKX-Succinate-Maleic acid-Gi1/β1/γ1
15.79Consensussuccinate_on_gpOrthosteric Ligand8YKW-Succinate-Succinic acid-Gi1/β1/γ1 8YKX-Succinate-Maleic acid-Gi1/β1/γ1
15.62Single6NBHLA-PTH Analog6NBH-PTH1-LA-PTH Analog-Gs/β1/γ2
15.62Single6PB1Urocortin6PB1-CRF2-Urocortin-chim(NtGi1-Gs)/β1/γ2
15.62Single6WZGSecretin6WZG-Secretin-Secretin-Gs/β1/γ2
15.62Single7TS0Urocortin7TS0-CRF2-Urocortin-chim(NtGi1L-Go)/β1/γ2
15.62Single7TYLAmylin7TYL-CT-Amylin-Gs/β1/γ2
15.62Single7VVLPTH7VVL-PTH1-PTH-Gs/β1/γ2
15.62Single8F0KPramlintide Analogue San3858F0K-CT (AMY3)-Pramlintide Analogue San385-Gs/β1/γ2; RAMP3
15.62Single8FLTM-PTH(1-14)8FLT-PTH1-M-PTH(1-14)-Gs/β1/γ2
15.62Single8HAFPTHrP(1-36)8HAF-PTH1-PTHrP(1-36)-chim(NtGi1-Gs)/β1/γ2
15.38Single4XT1CX3CL14XT1-US28-CX3CL1
15.38Single7TD4Siponimod7TD4-S1P1-Siponimod-Gi1/β1/γ2
15.38Single7W56Neuromedin-S7W56-NMUR1-Neuromedin-S-chim(NtGi1-Gs-CtGq)/β1/γ2
15.38Single8IEIPubChem 1347468948IEI-GPR156; GPR156-PubChem 134746894
15.38Single8IEPPubChem 1347468948IEP-GPR156; GPR156-PubChem 134746894
15.38Single8IZBLysophosphatidylserine (UBL)8IZB-GPR174-Lysophosphatidylserine (UBL)-Gs/β1/γ2
15.38Single8U4OCXCL128U4O-CXCR4-CXCL12-Gi1/β1/γ2
15.38Single8XWNCXCL88XWN-CXCR2-CXCL8
15.38Single9J0IUDP-Glucuronic acid9J0I-P2Y14-UDP-Glucuronic acid-Gi1/β1/γ2
15.38Single9UYLChemerin-99UYL-CML2-Chemerin-9-Arrestin2
15.38Consensuschemokine_onOrthosteric Ligandccr_on cxcr_on
15.15Single6PB0Urocortin6PB0-CRF1-Urocortin-chim(NtGi1-Gs)/β1/γ2
15.15Consensusclass-a_class-b1_cons_onOrthosteric Ligandclass-a_on class-b1_on
15.00Single3V2YPubChem 518926453V2Y-S1P1-PubChem 51892645
15.00Single4ZUDOlmesartan4ZUD-AT1-Olmesartan
15.00Single6FK8PubChem 1324730356FK8-Rhodopsin-PubChem 132473035
15.00Single6FKAPubChem 1324730376FKA-Rhodopsin-PubChem 132473037
15.00Single6ZINSR486926ZIN-NTS1-SR48692
15.00Single7YK6PubChem 1383196747YK6-RXFP4-PubChem 138319674-Gi2/β1/γ2
15.00Single8HQN9-S-HODE8HQN-GPR132-9-S-HODE-Gi1/β1/γ2
15.00Single8K5CAcipimox8K5C-HCA2-Acipimox
15.00Single8Y6YGLPG09748Y6Y-FFA2-GLPG0974
15.00Single9DQJEP-39459DQJ-MRGPRD-EP-3945-chim(NtGi1-Gs-CtGq)/β1/γ2
15.00Single9IXXLTD49IXX-CysLT2-LTD4-chim(NtGi1-Gs-CtGq)/β1/γ2
15.00Single9JKYAcifran9JKY-HCA2-Acifran-Gi1/β1/γ2
15.00Single9JMDAzithromycin9JMD-Motilin-Azithromycin-chim(Gs-CtGq)/β1/γ2
15.00Single9K0XATP9K0X-P2Y2-ATP-chim(NtGi1-Gs-CtGq)/β1/γ2
15.00Single9K20ATP9K20-P2Y2-ATP-chim(NtGi1-Go)/β1/γ2
15.00Single9KXSEP679KXS-C5a1-EP67-Go/β1/γ2
15.00Single9M2FNeuropeptide-FF9M2F-NPFF1-Neuropeptide-FF-Gi1/β1/γ2
15.00Single9U80Conivaptan9U80-V2-Conivaptan
15.00Single9W33S5A19W33-SST5-S5A1
15.00Consensusat1_offOrthosteric Ligand4YAY-AT1-ZD-7155 4ZUD-AT1-Olmesartan
15.00Consensuscb1_offOrthosteric Ligand5U09-CB1-Taranabant 5TGZ-CB1-AM6538
15.00Consensuscxcr2_onOrthosteric Ligand6LFM-CXCR2-CXCL8-Gi1/β1/γ2
15.00Consensuspth_on_gpOrthosteric Ligandpth1_on_gp pth2_on_gp
14.81Single7VBITirzepatide (non-acylated)7VBI-GLP-1-Tirzepatide (non-acylated)-Gs/β1/γ2
14.81Single8IOCGamma-MSH8IOC-MC3-γ-MSH-Ca-chim(NtGi1-Gs)/β1/γ2
14.81Single8KH5Lysophosphatidylserine8KH5-GPR174-Lysophosphatidylserine-Gs/β1/γ2
14.81Single9E82CXCL12 (fragment)9E82-ACKR3-CXCL12 (fragment)-Arrestin2
14.81Single9EAINanobody AT2099EAI-AT1-Losartan-Nanobody AT209
14.81Single9J0FNADH9J0F-P2Y14-NADH-Gi1/β1/γ2
14.71Single6LPBPACAP276LPB-PAC1-PACAP27-Gs/β1/γ1
14.71Single7SK6CXCL12_LRHQ7SK6-ACKR3-CXCL12_LRHQ
14.71Single7TZFAmylin7TZF-CT (AMY3)-Amylin-Gs/β1/γ2; RAMP3
14.29Single4QIMANTA XV4QIM-SMO-ANTA XV
14.29Single4YAYZD-71554YAY-AT1-ZD-7155
14.29Single6FK7PubChem 1324730346FK7-Rhodopsin-PubChem 132473034
14.29Single6GPSMK08126GPS-CCR2-MK0812
14.29Single6IIVDaltroban6IIV-TXA2-Daltroban
14.29Single6Z10PubChem 1545855546Z10-Succinate-PubChem 154585554
14.29Single7F83PF-051904577F83-Ghrelin-PF-05190457
14.29Single7O7F6P4-CCL57O7F-CCR5-6P4-CCL5-Gi1/β1/γ1
14.29Single7TRQVU04671547TRQ-M4-Iperoxo-VU0467154-Gi1/β1/γ2
14.29Single7V3ZCP559407V3Z-CB1-CP55940
14.29Single7XA3CCL27XA3-CCR2-CCL2-Gi1/β1/γ2
14.29Single7YU4ONO-07405567YU4-LPA1-ONO-0740556
14.29Single8I7VAcipimox8I7V-HCA2-Acipimox-Gi1/β1/γ2
14.29Single8IC0CXCL88IC0-CXCR1-CXCL8-Gi1/β1/γ2
14.29Single8SZGCa; Ca; Tryptophan; Cinacalcet; PO4; Spermine8SZG-CaS; CaS-Ca; Ca; Tryptophan; Cinacalcet; PO4; Spermine-chim(NtGi1-Gq)/β1/γ2
14.29Single8W8YGamma-MSH8W8Y-MC3-γ-MSH-Ca-Gs/β1/γ2
14.29Single9AVGCa; Ca; Cyclomethyltryptophan; R-568; PO49AVG-CaS; CaS-Ca-Ca; Ca; Cyclomethyltryptophan; R-568; PO4-chim(NtGi1-Gs)/β1/γ2
14.29Single9B5YLA-PTH Analog9B5Y-PTH1-LA-PTH Analog-chim(NtGi1-Gq)/β1/γ2
14.29Single9LXRLA-PTH Analog9LXR-PTH1-LA-PTH Analog-Arrestin2
14.29Consensusccr2_offOrthosteric Ligand6GPS-CCR2-MK0812
14.29Consensusccr2_onOrthosteric Ligand7XA3-CCR2-CCL2-Gi1/β1/γ2
14.29Consensusccr2_on_gpOrthosteric Ligand7XA3-CCR2-CCL2-Gi1/β1/γ2
14.29Consensusccr_onOrthosteric Ligandccr6_on ccr8_on ccr2_on ccr1_on ccr5_on
14.29Consensuscrf_on_gpOrthosteric Ligandcrf2_on_gp crf1_on_gp
14.29Consensuscxcr1_on_gpOrthosteric Ligand8IC0-CXCR1-CXCL8-Gi1/β1/γ2
14.29Consensusglp1_on_gpOrthosteric Ligand7S1M-GLP-1-Exendin-4-D-Ala-Gs/β1/γ2 7X8R-GLP-1-BOC5-Gs/β1/γ2 6X19-GLP-1-CHU-128-Gs/β1/γ2 6X1A-GLP-1-Danuglipron-Gs/β1/γ2 6X18-GLP-1-GLP-1-Gs/β1/γ2 8JIP-GLP-1-MEDI0382-chim(NtGi1-Gs)/β1/γ2 7C2E-GLP-1-PubChem 149050799-Gs/β1/γ2 7KI0-GLP-1-Semaglutide-Gs/β1/γ2 7KI1-GLP-1-Taspoglutide-Gs/β1/γ2 7X8S-GLP-1-WB4-24-Gs/β1/γ2 8JIS-GLP-1-Peptide-15-chim(NtGi1-Gs)/β1/γ2 7VBI-GLP-1-Tirzepatide (non-acylated)-Gs/β1/γ2
13.89Consensusglucagon_onOrthosteric Ligandglp_on gluc_on secretin_on gip_on
13.79Single6M1IPACAP276M1I-PAC1-PACAP27-Gs/β1/γ2
13.79Single6WI9Secretin6WI9-Secretin-Secretin-Gs/β1/γ2
13.79Single7V9MSomatoliberin7V9M-GHRH (SV1)-Somatoliberin-Gs/β1/γ2
13.79Single9EBOGLP-1 (ACPC18)9EBO-GLP-1-GLP-1 (ACPC18)-Gs/β1/γ2
13.64Single4PHUFasiglifam4PHU-FFA1-Fasiglifam
13.64Single6GPXMK08126GPX-CCR2-MK0812
13.64Single6KPCAM120336KPC-CB2-AM12033
13.64Single6M9TMisoprostol-FA6M9T-EP3-Misoprostol-FA
13.64Single6RZ4Pranlukast6RZ4-CysLT1-Pranlukast-Na
13.64Single6Z4SSR486926Z4S-NTS1-SR48692
13.64Single7M3GCa; Ca; Tryptophan; Evocalcet; Etelcalcetide; PO47M3G-CaS; CaS-Ca; Ca; Tryptophan; Evocalcet; Etelcalcetide; PO4
13.64Single7TD3S1P7TD3-S1P1-S1P-Gi1/β1/γ2
13.64Single7VV0PAMP-127VV0-MRGPRX2-PAMP-12
13.64Single7VV4Cortistatin-147VV4-MRGPRX2-Cortistatin-14
13.64Single7YU3ONO-07405567YU3-LPA1-ONO-0740556-Gi1/β1/γ2
13.64Single7YU6ONO-07405567YU6-LPA1-ONO-0740556-Gi1/β1/γ2
13.64Single8EJCTAK-8758EJC-FFA1-TAK-875-chim(NtGi1L-Gs-CtGq)/β1/γ2
13.64Single8GD9Rivenprost8GD9-EP4-Rivenprost-Gs/β1/γ2
13.64Single8TH4Losartan8TH4-AT1-Losartan-AT118-L Nanobody
13.64Single8TH4AT118-L Nanobody8TH4-AT1-Losartan-AT118-L Nanobody
13.64Single8ZVZBW245C8ZVZ-DP1-BW245C-Gs/β1/γ2
13.64Single9B9ZMRI-18679B9Z-CB1-MRI-1867
13.64Single9DQHEP-28259DQH-MRGPRD-EP-2825-chim(NtGi1-Gs-CtGq)/β1/γ2
13.64Single9EAHOlmesartan9EAH-AT1-Olmesartan-Nanobody AT209
13.64Single9EE5ONO-25502899EE5-DP1-ONO-2550289
13.64Single9ERXD9-THC analog9ERX-CB1-D9-THC analog-Gi1/β1/γ2
13.64Single9GE2ML1849GE2-GPR55-ML184-chim(NtGi1-G13)/β1/γ2
13.64Single9KT6Acifran9KT6-HCA3-Acifran-Gi1/β1/γ2
13.64Consensuscyslt_offOrthosteric Ligandcyslt2_off cyslt1_off
13.64Consensuslipid_onOrthosteric Ligandcannabinoid_on ffa_on lpl_on prostanoid_on leukotriene_on
13.64Consensuslipid_on_gpOrthosteric Ligandcannabinoid_on_gp ffa_on_gp lpl_on_gp prostanoid_on_gp leukotriene_on_gp
13.64Consensuslpa1_onOrthosteric Ligand7TD1-LPA1-LPA-Gi1/β1/γ2 7YU3-LPA1-ONO-0740556-Gi1/β1/γ2
13.64Consensuslpa1_on_gpOrthosteric Ligand7TD1-LPA1-LPA-Gi1/β1/γ2 7YU3-LPA1-ONO-0740556-Gi1/β1/γ2
13.51Single6E3YCalcitonin gene-related peptide-16E3Y-CT Like-Calcitonin gene-related peptide-1-Gs/β1/γ2; RAMP1
13.51Consensusglucagon_on_gpOrthosteric Ligandglp_on_gp gluc_on_gp secretin_on_gp gip_on_gp
13.33Single5MZPCaffeine5MZP-A2A-Caffeine-Na
13.33Single7LLYOxyntomodulin7LLY-GLP-1-Oxyntomodulin-Gs/β1/γ2
13.33Single7VL9CCL15(26-92)7VL9-CCR1-CCL15(26-92)-Gi1/β1/γ2
13.33Single7WBJPACAP277WBJ-VPAC1-PACAP27-Gs/β1/γ2
13.33Single7XV3Lysophosphatidylserine (WJS)7XV3-GPR174-Lysophosphatidylserine (WJS)-chim(NtGi1-Gs)/β1/γ2
13.33Single7Y35Abaloparatide7Y35-PTH1-Abaloparatide-Gs/β1/γ2
13.33Single8GEJConstrained Epinephrine8GEJ-β2-Constrained Epinephrine-Gs/β1/γ2
13.33Single8YG4LA-PTH Analog8YG4-PTH1-LA-PTH Analog-chim(NtGi1-Gs)/β1/γ2
13.33Consensusccr_on_gpOrthosteric Ligandccr6_on_gp ccr8_on_gp ccr2_on_gp ccr1_on_gp ccr5_on_gp
13.33Consensuschemokine_offOrthosteric Ligandccr_off cxcr_off
13.33Consensusp2y10_onOrthosteric Ligand8KGG-P2Y10-Lysophosphatidylserine (WJS)-chim(NtGi2-G13)/β1/γ2
13.33Consensusvpac_onOrthosteric Ligandvpac1_on vpac2_on
13.04Single5V56TC1145V56-SMO-TC114
13.04Single7F1TCCL37F1T-CCR5-CCL3
13.04Single7S8MCortistatin-147S8M-MRGPRX2-Cortistatin-14-Gi1/β1/γ2
13.04Single7YU5ONO-07405567YU5-LPA1-ONO-0740556-Gi1/β1/γ2
13.04Single7YU7ONO-07405567YU7-LPA1-ONO-0740556-Gi1/β1/γ2
13.04Single8GUSHU-3088GUS-CB2-HU-308-Gi1/β1/γ2
13.04Single8IUKPGF2-alpha8IUK-FP-alpha-PGF2-α-chim(NtGi1-Gs-CtGq)/β1/γ2
13.04Single8JGFBAM8-228JGF-MRGPRX1-BAM8-22-chim(NtGi1-Gs-CtGq)/β1/γ2
13.04Single8X79MRE-2698X79-I2-MRE-269-Gs/β1/γ2
13.04Single9CLWTUG-13759CLW-FFA2-TUG-1375-4-CMTB-chim(NtGi1L-Gs-CtGq)/β1/γ2
13.04Single9E9SPGD29E9S-DP1-PGD2-Gs/β1/γ1
13.04Single9ITELPA9ITE-LPA6-LPA-chim(NtGi2-G13)/β1/γ2
13.04Single9IZGLPA9IZG-LPA1-LPA-chim(NtGi1-Gs-CtGq)/β1/γ2
13.04Single9JCLADP9JCL-P2Y1-ADP-chim(Gs-CtGq)/β1/γ2
13.04Consensusffa2_onOrthosteric Ligand8J22-FFA2-TUG-1375-Gi1/β1/γ2
13.04Consensusgi_lpaOrthosteric Ligand7TD1-LPA1-LPA-Gi1/β1/γ2 7YU3-LPA1-ONO-0740556-Gi1/β1/γ2
13.04Consensusgi_relaxinOrthosteric Ligand7YK7-RXFP4-DC591053-Gi2/β1/γ2 7YJ4-RXFP4-INSL5-Gi2/β1/γ2 7YK6-RXFP4-PubChem 138319674-Gi2/β1/γ2
13.04Consensuslpa_onOrthosteric Ligandlpa1_on
13.04Consensuslpa_on_gpOrthosteric Ligandlpa1_on_gp
13.04Consensusrelaxin_onOrthosteric Ligandrxfp4_on
13.04Consensusrelaxin_on_gpOrthosteric Ligandrxfp4_on_gp
12.90Single4XT3CX3CL14XT3-US28-CX3CL1
12.90Single7D3SSecretin7D3S-Secretin-Secretin-Gs/β1/γ2
12.90Single7KI0Semaglutide7KI0-GLP-1-Semaglutide-Gs/β1/γ2
12.90Single7RA3GIP7RA3-GIP-GIP-chim(NtGi1-Gs)/β1/γ2
12.90Single8FLRPTHrP(1-36)8FLR-PTH1-PTHrP(1-36)-Gs/β1/γ2
12.90Single8JISPeptide-158JIS-GLP-1-Peptide-15-chim(NtGi1-Gs)/β1/γ2
12.90Single9BLBCagrilintide (non-acylated)9BLB-CT-Cagrilintide (non-acylated)-Gs/β1/γ2
12.90Single9BLWCagrilintide (non-acylated)9BLW-CT (AMY1)-Cagrilintide (non-acylated)-Gs/β1/γ2; RAMP1
12.90Consensusctlike_onOrthosteric Ligand6E3Y-CT Like-Calcitonin gene-related peptide-1-Gs/β1/γ2; RAMP1
12.90Consensuspac1_onOrthosteric Ligand8E3X-PAC1-PACAP27-Gs/β1/γ2 6M1H-PAC1-Maxadilan-Gs/β1/γ2
12.90Consensuspac1_on_gpOrthosteric Ligand8E3X-PAC1-PACAP27-Gs/β1/γ2 6M1H-PAC1-Maxadilan-Gs/β1/γ2
12.90Consensusvpac1_on_gpOrthosteric Ligand8E3Z-VPAC1-VIP-Gs/β1/γ2
12.90Consensusvpac_on_gpOrthosteric Ligandvpac1_on_gp vpac2_on_gp
12.82Single7F16TIP397F16-PTH2-TIP39-Gs/β1/γ2
12.50Single4PY02MeSATP4PY0-P2Y12-2MeSATP
12.50Single5MZJTheophylline5MZJ-A2A-Theophylline-Na
12.50Single6AK3PGE26AK3-EP3-PGE2
12.50Single6C1RPMX536C1R-C5a1-PMX53-Avacopan; Na
12.50Single6IIURamatroban6IIU-TXA2-Ramatroban
12.50Single6OS2TRV0266OS2-AT1-TRV026
12.50Single6P9XCorticoliberin-16P9X-CRF1-Corticoliberin-1-Gs/β1/γ2
12.50Single6YVRNeurotensin-(6-13)6YVR-NTS1-Neurotensin-(6-13)
12.50Single7DTYGIP7DTY-GIP-GIP-Gs/β1/γ2
12.50Single7FIYTirzepatide7FIY-GIP-Tirzepatide-Gs/β1/γ2
12.50Single7TYNCalcitonin-17TYN-CT-Calcitonin-1-Gs/β1/γ2
12.50Single7VQXPACAP277VQX-VPAC1-PACAP27-Gs/β1/γ2
12.50Single7VVKPTH7VVK-PTH1-PTH-Gs/β1/γ2
12.50Single7WQ4Galanin7WQ4-GAL2-Galanin-chim(NtGi1-Gs-CtGq)/β1/γ2
12.50Single8F0JPramlintide Analogue San458F0J-CT-Pramlintide Analogue San45-Gs/β1/γ2
12.50Single8GCPPGE28GCP-EP4-PGE2-Gi1/β1/γ2
12.50Single8PWNTheophylline8PWN-A2A-Theophylline
12.50Single8XX3CXCL38XX3-CXCR2-CXCL3-Go/β1/γ2
12.50Single9AU0BW245C9AU0-DP1-BW245C-Gs/β1/γ2
12.50Single9DGIZ85267113509DGI-CB1-Z8526711350
12.50Single9JKVPubChem 27366909JKV-HCA3-PubChem 2736690-Gi1/β1/γ2
12.50Single9KZKC3a (fragment)9KZK-C3aB-C3a (fragment)-Go/β1/γ2
12.50Consensusffa2_on_gpOrthosteric Ligand8J22-FFA2-TUG-1375-Gi1/β1/γ2
12.50Consensusglp_onOrthosteric Ligandglp1_on glp2_on
12.50Consensusglp_on_gpOrthosteric Ligandglp1_on_gp glp2_on_gp
12.20Single8F2BPramlintide Analogue San458F2B-CT (AMY3)-Pramlintide Analogue San45-Gs/β1/γ2; RAMP3
12.12Single6LMLGlucagon6LML-Glucagon-Glucagon-Gi1/β1/γ1
12.12Single7VVJPTHrP(1-36)7VVJ-PTH1-PTHrP(1-36)-Gs/β1/γ2
12.12Consensusctlike_on_gpOrthosteric Ligand6E3Y-CT Like-Calcitonin gene-related peptide-1-Gs/β1/γ2; RAMP1
12.12Consensuspth1_onOrthosteric Ligand6NBF-PTH1-LA-PTH Analog-Gs/β1/γ2 8HA0-PTH1-PTH-chim(NtGi1-Gs)/β1/γ2 8HAF-PTH1-PTHrP(1-36)-chim(NtGi1-Gs)/β1/γ2 7Y36-PTH1-PTH-Gs/β1/γ2 7Y35-PTH1-Abaloparatide-Gs/β1/γ2
12.00Single6KPGAM8416KPG-CB1-AM841-Gi1/β1/γ2
12.00Single7VVNPTH7VVN-PTH1-PTH-Gs/β1/γ2
12.00Single8GAGZ85267113508GAG-CB1-Z8526711350-Gi1/β1/γ2
12.00Single8ZPLHF511168ZPL-CXCR4-HF51116
12.00Single8ZX4Lysophosphatidylinositol 8ZX4-GPR55-Lysophosphatidylinositol-chim(NtGi1-G13)/β1/γ2
12.00Single9C0KExendin-49C0K-GLP-1-Exendin-4-Gs/β1/γ2
12.00Single9JH5C16:0 Ceramide9JH5-CysLT2-C16:0 Ceramide-chim(NtGi1-Gs-CtGq)/β1/γ2
12.00Single9KV8TLQP219KV8-C3aB-TLQP21-Go/β1/γ2
12.00Single9M1HPGE29M1H-EP1-PGE2-chim(NtGi1-Gs-CtGq)/β1/γ2
12.00Consensusgal2_onOrthosteric Ligand7WQ4-GAL2-Galanin-chim(NtGi1-Gs-CtGq)/β1/γ2 7XJL-GAL2-Spexin-chim(NtGi2L-Gs-CtGq)/β1/γ2
12.00Consensusgal2_on_gpOrthosteric Ligand7WQ4-GAL2-Galanin-chim(NtGi1-Gs-CtGq)/β1/γ2 7XJL-GAL2-Spexin-chim(NtGi2L-Gs-CtGq)/β1/γ2
11.76Single6TQ9SB-4081246TQ9-OX1-SB-408124
11.76Single7TYXAmylin7TYX-CT (AMY2)-Amylin-Gs/β1/γ2; RAMP2
11.76Single8Y02All-trans-Retinal8Y02-OPN1SW-All-trans-Retinal-Gi1/β1/γ2
11.76Single9C2FCa; Ca; Tryptophan; '54149; PO49C2F-CaS; CaS-Ca-Ca; Ca; Tryptophan; '54149; PO4
11.76Consensuscrf1_onOrthosteric Ligand6PB0-CRF1-Urocortin-chim(NtGi1-Gs)/β1/γ2 6P9X-CRF1-Corticoliberin-1-Gs/β1/γ2
11.76Consensusp2y_offOrthosteric Ligandp2y1_off
11.54Single6RZ6ONO-25703666RZ6-CysLT2-ONO-2570366
11.54Single7AUESetmelanotide7AUE-MC4-Setmelanotide-chim(NtGi1L-Gs)/β1/γ2
11.54Single7S8LCortistatin-147S8L-MRGPRX2-Cortistatin-14-chim(NtGi2L-Gs-CtGq)/β1/γ2
11.54Single8GDAL9026888GDA-EP4-L902688-Gs/β1/γ2
11.54Single8IQ4Carboprost8IQ4-FP-alpha-Carboprost-chim(NtGi1-Gs-CtGq)/β1/γ2
11.54Single8J22TUG-13758J22-FFA2-TUG-1375-Gi1/β1/γ2
11.54Single9EAJNanobody AT2099EAJ-AT1-Nanobody AT209
11.54Single9ITBLPA9ITB-LPA6-LPA-chim(NtGi1-Gs-CtGq)/β1/γ2
11.54Single9IZASCH9002719IZA-HCA2-SCH900271-Gi1/β1/γ2
11.54Single9JH6C20:0 Ceramide9JH6-CysLT2-C20:0 Ceramide-chim(NtGi1-Gs-CtGq)/β1/γ2
11.54Consensuscxcr4_offOrthosteric Ligand4RWS-CXCR4-vMIP-II 3OE0-CXCR4-CVX15 3OE6-CXCR4-IT1t
11.43Single8F2APramlintide Analogue San3858F2A-CT (AMY3)-Pramlintide Analogue San385-Gs/β1/γ2; RAMP3
11.43Consensusglp1_onOrthosteric Ligand7S1M-GLP-1-Exendin-4-D-Ala-Gs/β1/γ2 7X8R-GLP-1-BOC5-Gs/β1/γ2 6X19-GLP-1-CHU-128-Gs/β1/γ2 6X1A-GLP-1-Danuglipron-Gs/β1/γ2 6X18-GLP-1-GLP-1-Gs/β1/γ2 8JIP-GLP-1-MEDI0382-chim(NtGi1-Gs)/β1/γ2 7C2E-GLP-1-PubChem 149050799-Gs/β1/γ2 7KI0-GLP-1-Semaglutide-Gs/β1/γ2 7KI1-GLP-1-Taspoglutide-Gs/β1/γ2 7X8S-GLP-1-WB4-24-Gs/β1/γ2 8JIS-GLP-1-Peptide-15-chim(NtGi1-Gs)/β1/γ2 7VBI-GLP-1-Tirzepatide (non-acylated)-Gs/β1/γ2
11.11Single3OE6IT1t3OE6-CXCR4-IT1t
11.11Single6FK9PubChem 1324730366FK9-Rhodopsin-PubChem 132473036
11.11Single6OIKLY21196206OIK-M2-Iperoxo-LY2119620-chim(NtGi1-Go)/β1/γ2
11.11Single6PWCNeurotensin-(9-13)6PWC-NTS1-Neurotensin-(9-13)-Arrestin2
11.11Single6WPWZP37806WPW-Glucagon-ZP3780-Gs/β1/γ2
11.11Single8DWGBAM8-228DWG-MRGPRX1-BAM8-22-ML382-chim(NtGi2L-Gs-CtGq)/β1/γ2
11.11Single8INRAlpha-MSH8INR-MC5-α-MSH-Ca-chim(NtGi1-Gs)/β1/γ2
11.11Single8JIRSAR4258998JIR-GLP-1-SAR425899-chim(NtGi1-Gs)/β1/γ2
11.11Single8JPSCCL78JPS-ACKR1-CCL7
11.11Single8KIGSHU91198KIG-MC3-SHU9119-Ca
11.11Single8RQLFlufenamic acid8RQL-TAS2R14-Flufenamic acid-Flufenamic acid-chim(NtGi1-Gt3)/β1/γ2
11.11Single8X9UMetenolone8X9U-ADGRD1-Metenolone-chim(NtGi1-Gs)/β1/γ2
11.11Single8YWFRetatrutide8YWF-GLP-1-Retatrutide-chim(NtGi1-Gs)/β1/γ2
11.11Single9JHJC18:0 Ceramide9JHJ-FPR2-ALX-C18:0 Ceramide-Gi1/β1/γ2
11.11Single9KT93,5-DHBA9KT9-HCA1-3,5-DHBA-Gi1/β1/γ2
11.11Single9MEJGp1209MEJ-CXCR4-Gp120
11.11Consensuscrf1_on_gpOrthosteric Ligand6PB0-CRF1-Urocortin-chim(NtGi1-Gs)/β1/γ2 6P9X-CRF1-Corticoliberin-1-Gs/β1/γ2
11.11Consensuspth1_on_gpOrthosteric Ligand6NBF-PTH1-LA-PTH Analog-Gs/β1/γ2 8HA0-PTH1-PTH-chim(NtGi1-Gs)/β1/γ2 8HAF-PTH1-PTHrP(1-36)-chim(NtGi1-Gs)/β1/γ2 7Y36-PTH1-PTH-Gs/β1/γ2 7Y35-PTH1-Abaloparatide-Gs/β1/γ2
10.81Single7TYYCalcitonin-17TYY-CT (AMY2)-Calcitonin-1-Gs/β1/γ2; RAMP2
10.81Consensuspth2_onOrthosteric Ligand7F16-PTH2-TIP39-Gs/β1/γ2
10.71Single7TRYUrocortin7TRY-CRF2-Urocortin-chim(NtGi1-G11)/β1/γ2
10.71Consensusmc5_onOrthosteric Ligand8INR-MC5-α-MSH-Ca-chim(NtGi1-Gs)/β1/γ2 8IOD-MC5-PG-901-Ca-chim(NtGi1-Gs)/β1/γ2
10.53Single3OE9IT1t3OE9-CXCR4-IT1t
10.53Single4O9RCyclopamine4O9R-SMO-Cyclopamine
10.53Single6FK6PubChem 1324730336FK6-Rhodopsin-PubChem 132473033
10.53Single7VDHC48/807VDH-MRGPRX2-C48/80-Gi1/β1/γ2
10.53Single7XKFDehydroepiandrosterone7XKF-ADGRG2-Dehydroepiandrosterone-Gs/β1/γ2
10.53Single7XP6Strychnine7XP6-TAS2R46-Strychnine-chim(Gs-CtGt3)/β1/γ2
10.53Single8JPNCis-Epoxysuccinic acid8JPN-Succinate-Cis-Epoxysuccinic acid-Gi1/β1/γ1
10.53Single8U4RREGN7663-Fab8U4R-CXCR4-REGN7663-Fab
10.53Single8WP1Cis-Epoxysuccinic acid8WP1-Succinate-Cis-Epoxysuccinic acid-Gi1/β1/γ2
10.53Single8X2KOleic monoethanolamide8X2K-GPR3-Oleic monoethanolamide-chim(NtGi1-Gs)/β1/γ2
10.53Single8ZYUNeurotensin-(8-13)8ZYU-NTS1-Neurotensin-(8-13)-SBI-553-Arrestin2
10.53Single9B9YTaranabant9B9Y-CB1-Taranabant
10.53Single9JLCAVE 09919JLC-MAS1-AVE 0991-Gi1/β1/γ2
10.53Single9M88Oleic monoethanolamide9M88-GPR3 ; GPR3-Oleic monoethanolamide-AF64394
10.53Consensusadgrg_onOrthosteric Ligandadgrg2_on adgrg4_on
10.53Consensusadgrg_on_gpOrthosteric Ligandadgrg2_on_gp adgrg4_on_gp
10.34Single6UUNAdrenomedullin6UUN-CT Like (AM1)-Adrenomedullin-Gs/β1/γ2; RAMP2
10.34Single8YFOAc-LA-PTH Analog8YFO-PTH1-Ac-LA-PTH Analog-chim(NtGi1-Gs)/β1/γ2
10.34Consensusclass-b1_class-b2_cons_onOrthosteric Ligandclass-b1_on class-b2_on
10.34Consensusclass-b1_class-b2_cons_on_gpOrthosteric Ligandclass-b1_on_gp class-b2_on_gp
10.00Single3ODUIT1t3ODU-CXCR4-IT1t
10.00Single4BWBNeurotensin-(8-12)4BWB-NTS1-Neurotensin-(8-12)
10.00Single4QINSAG1.54QIN-SMO-SAG1.5
10.00Single5U09Taranabant5U09-CB1-Taranabant
10.00Single5ZKQABT-4915ZKQ-PAF-ABT-491
10.00Single6FKBPubChem 1324730386FKB-Rhodopsin-PubChem 132473038
10.00Single6O3CSAG21k6O3C-SMO-SAG21k-Cholesterol
10.00Single6WWZCCL206WWZ-CCR6-CCL20-Go/β1/γ2
10.00Single7S8PMS471347S8P-MRGPRX4-MS47134-chim(NtGi2L-Gs-CtGq)/β1/γ2
10.00Single7TYIAmylin7TYI-CT-Amylin-Gs/β1/γ2
10.00Single7VV5C48/807VV5-MRGPRX2-C48/80-Gi1/β1/γ2
10.00Single7VVOPTH7VVO-PTH1-PTH-Gs/β1/γ2
10.00Single7WF7S1P7WF7-S1P1-S1P-Gi1/β1/γ2
10.00Single8JPPSuccinic acid8JPP-Succinate-Succinic acid-chim(Gs-CtGq)/β1/γ1
10.00Single8T3VDoconexent8T3V-FFA1-Doconexent-chim(NtGi2L-Gs-CtGq)/β1/γ2
10.00Single8XXXCXCL68XXX-CXCR2-CXCL6-Go/β1/γ2
10.00Single8YNFCXCL88YNF-ACKR1-CXCL8
10.00Single8YW3Retatrutide8YW3-GLP-1-Retatrutide-Gs/β1/γ2
10.00Single8YW4Retatrutide8YW4-GIP-Retatrutide-chim(NtGi1-Gs)/β1/γ2
10.00Single9BLCCagrilintide (non-acylated)9BLC-CT-Cagrilintide (non-acylated)-Gs/β1/γ2
10.00Single9BUDCagrilintide9BUD-CT-Cagrilintide-Gs/β1/γ2
10.00Consensusccr6_onOrthosteric Ligand6WWZ-CCR6-CCL20-Go/β1/γ2
10.00Consensusccr6_on_gpOrthosteric Ligand6WWZ-CCR6-CCL20-Go/β1/γ2
10.00Consensusmc5_on_gpOrthosteric Ligand8INR-MC5-α-MSH-Ca-chim(NtGi1-Gs)/β1/γ2 8IOD-MC5-PG-901-Ca-chim(NtGi1-Gs)/β1/γ2
10.00Consensuspaf_offOrthosteric Ligand5ZKQ-PAF-ABT-491
10.00Consensuspth2_on_gpOrthosteric Ligand7F16-PTH2-TIP39-Gs/β1/γ2
9.68Single5YQZNNC17025YQZ-Glucagon-NNC1702
9.68Consensuscalcitonin_onOrthosteric Ligandctlike_on
9.68Consensusvpac1_onOrthosteric Ligand8E3Z-VPAC1-VIP-Gs/β1/γ2
9.52Single6PT0WIN 55212-26PT0-CB2-WIN 55212-2-Gi1/β1/γ2
9.52Single6WJCMuscarinic toxin 76WJC-M1-Atropine-Muscarinic toxin 7
9.52Single6XBLSAG6XBL-SMO-SAG-Cholesterol-Gi1/β1/γ2
9.52Single7M3GCa; Ca; Tryptophan; Evocalcet; Etelcalcetide; PO47M3G-CaS; CaS-Ca; Ca; Tryptophan; Evocalcet; Etelcalcetide; PO4
9.52Single7VV6C48/807VV6-MRGPRX2-C48/80
9.52Single7ZI0SAG7ZI0-SMO-SAG-Cholesterol
9.52Single8GUQOlorinab8GUQ-CB2-Olorinab-Gi1/β1/γ2
9.52Single8K2WAMG4878K2W-CXCR3-AMG487
9.52Single8YKVPubChem 1375531688YKV-Succinate-PubChem 137553168-Gi1/β1/γ2
9.52Single8YRGFospropofol8YRG-MRGPRX4-Fospropofol-chim(NtGi1-Gs-CtGq)/β1/γ2
9.52Single9BA0MRI-18919BA0-CB1-MRI-1891
9.52Single9K0KUTP9K0K-P2Y4-UTP-chim(NtGi1-Gs-CtGq)/β1/γ2
9.52Consensuscxcr3_offOrthosteric Ligand8K2W-CXCR3-AMG487
9.38Single7CZ5Somatoliberin7CZ5-GHRH-Somatoliberin-Gs/β1/γ2
9.38Single7VABTirzepatide (non-acylated)7VAB-GIP-Tirzepatide (non-acylated)-chim(NtGi1-Gs)/β1/γ2
9.38Single9BP3Cagrilintide9BP3-CT (AMY1)-Cagrilintide-Gs/β1/γ2; RAMP1
9.38Consensuscalcitonin_on_gpOrthosteric Ligandctlike_on_gp
9.38Consensussecretin_onOrthosteric Ligand7D3S-Secretin-Secretin-Gs/β1/γ2
9.09Single5NDDAZ8838; Na5NDD-PAR2-AZ8838; Na
9.09Single5T04Neurotensin-(8-13)5T04-NTS1-Neurotensin-(8-13)
9.09Single6KPFAM120336KPF-CB2-AM12033-Gi1/β1/γ2
9.09Single7YK7DC5910537YK7-RXFP4-DC591053-Gi2/β1/γ2
9.09Single7YXAONO-54306087YXA-S1P5-ONO-5430608
9.09Single8EJKTAK-8758EJK-FFA1-TAK-875-chim(NtGi1L-Gs-CtGq)/β1/γ2
9.09Single8FU6ZP37808FU6-Glucagon-ZP3780-Gs/β1/γ2
9.09Single8GCML-9026888GCM-EP4-L-902688-Gi1/β1/γ2
9.09Single8HAOPTH8HAO-PTH1-PTH-chim(NtGi1-Gs)/β1/γ2
9.09Single8KFYZK-7563268KFY-CCR8-ZK-756326-Gi1/β1/γ2
9.09Single8TH3AT118-H Nanobody8TH3-AT1-AT118-H Nanobody
9.09Single8XJLPGF2-alpha8XJL-FP-alpha-PGF2-α-chim(NtGi2-Gs-CtGq)/β1/γ2
9.09Single9IMATalquetamab9IMA-GPRC5D; GPRC5D-Talquetamab
9.09Single9IYAONO-97105319IYA-GPR55-ONO-9710531
9.09Single9JQZGrapiprant 9JQZ-EP4-Grapiprant
9.09Single9METGp120; CD49MET-CXCR4-Gp120; CD4
9.09Consensusalicarboxylic_offOrthosteric Ligandsuccinate_off
9.09Consensusglp2_onOrthosteric Ligand7D68-GLP-2-GLP-2-Gs/β1/γ2
9.09Consensusglp2_on_gpOrthosteric Ligand7D68-GLP-2-GLP-2-Gs/β1/γ2
9.09Consensussecretin_on_gpOrthosteric Ligand7D3S-Secretin-Secretin-Gs/β1/γ2
9.09Consensussuccinate_offOrthosteric Ligand6RNK-Succinate-NF-56-EJ40 6Z10-Succinate-PubChem 154585554
8.82Single5VAIGLP-15VAI-GLP-1-GLP-1-Gs/β1/γ2
8.82Single6LMKGlucagon6LMK-Glucagon-Glucagon-Gs/β1/γ2
8.82Single6UUSAdrenomedullin6UUS-CT Like (AM2)-Adrenomedullin-Gs/β1/γ2; RAMP3
8.82Single7D68GLP-27D68-GLP-2-GLP-2-Gs/β1/γ2
8.82Single9BQ3Cagrilintide9BQ3-CT (AMY2)-Cagrilintide-Gs/β1/γ2; RAMP2
8.70Single4JKVTaladegib4JKV-SMO-Taladegib
8.70Single5T1ABMS-6815T1A-CCR2-BMS-681-PubChem 12093170
8.70Single5YHLPubChem 1351213525YHL-EP4-PubChem 135121352
8.70Single5YWYONO-AE3-2085YWY-EP4-ONO-AE3-208
8.70Single6Z4QSR142948A6Z4Q-NTS1-SR142948A
8.70Single8JGGBAM8-228JGG-MRGPRX1-BAM8-22-Gi1/β1/γ2
8.70Single8T6JCDPPB8T6J-mGlu5; mGlu5-CDPPB
8.70Single8T6JCDPPB8T6J-mGlu5; mGlu5-CDPPB
8.70Single8WGBVU01550418WGB-mGlu4; mGlu2-Glutamate-VU0155041-Gi3/β1/γ2
8.70Single8XQPCholesterol8XQP-TAS2R14-Cholesterol-Aristolochic acid A-Gt3/β1/γ1
8.70Single9EAHNanobody AT2099EAH-AT1-Olmesartan-Nanobody AT209
8.70Single9JKSPubChem 442501769JKS-HCA3-PubChem 44250176-Gi1/β1/γ2
8.70Consensusep4_offOrthosteric Ligand5YWY-EP4-ONO-AE3-208 5YHL-EP4-PubChem 135121352
8.70Consensusep_offOrthosteric Ligandep4_off
8.70Consensusrxfp4_onOrthosteric Ligand7YK7-RXFP4-DC591053-Gi2/β1/γ2 7YJ4-RXFP4-INSL5-Gi2/β1/γ2 7YK6-RXFP4-PubChem 138319674-Gi2/β1/γ2
8.70Consensusrxfp4_on_gpOrthosteric Ligand7YK7-RXFP4-DC591053-Gi2/β1/γ2 7YJ4-RXFP4-INSL5-Gi2/β1/γ2 7YK6-RXFP4-PubChem 138319674-Gi2/β1/γ2
8.70Consensuss1p5_offOrthosteric Ligand7YXA-S1P5-ONO-5430608
8.57Single7RBTTirzepatide7RBT-GIP-Tirzepatide-LSN3556672-chim(NtGi1-Gs)/β1/γ2
8.33Single5V57TC1145V57-SMO-TC114
8.33Single7VBHPeptide-207VBH-GLP-1-Peptide-20-Gs/β1/γ2
8.33Single7XJLSpexin7XJL-GAL2-Spexin-chim(NtGi2L-Gs-CtGq)/β1/γ2
8.33Single8GDBPGE28GDB-EP4-PGE2-Gs/β1/γ2
8.33Single8ZW0PGD28ZW0-DP1-PGD2-Gs/β1/γ2
8.33Single9ASTLymphotactin9AST-XCR1-Lymphotactin-Gi1/β1/γ2
8.33Single9AUCCalcitonin gene-related peptide-19AUC-CT (AMY1)-Calcitonin gene-related peptide-1-Gs/β1/γ2; RAMP1
8.33Single9EGOZ85267113509EGO-CB1-Z8526711350-Gi1/β1/γ2
8.33Single9MENGp120 (V3 loop)9MEN-CXCR4-Gp120 (V3 loop)
8.11Single7V35Peptide-207V35-Glucagon-Peptide-20-Gs/β1/γ2
8.11Single8JIPMEDI03828JIP-GLP-1-MEDI0382-chim(NtGi1-Gs)/β1/γ2
8.00Single6RZ7ONO-25703666RZ7-CysLT2-ONO-2570366
8.00Single7T6BS1P7T6B-S1P2-S1P-chim(NtGi1L-G13)/β1/γ2
8.00Single8DWCBAM8-228DWC-MRGPRX1-BAM8-22-chim(NtGi2L-Gs-CtGq)/β1/γ2
8.00Single8XQNCholesterol8XQN-TAS2R14-Cholesterol-Aristolochic acid A-Gi1/β1/γ1
8.00Single8XQSCholesterol8XQS-TAS2R14-Cholesterol-Flufenamic acid-Gi1/β1/γ1
8.00Single9BJKPubChem 1716420669BJK-μ-Naloxone-PubChem 171642066
7.89Single7TYOCalcitonin7TYO-CT-Calcitonin-Gs/β1/γ2
7.89Single8JIUSAR4258998JIU-Glucagon-SAR425899-Gs/β1/γ2
7.69Single4RWSvMIP-II4RWS-CXCR4-vMIP-II
7.69Single6M1HMaxadilan6M1H-PAC1-Maxadilan-Gs/β1/γ2
7.69Single6RZ9ONO-27703726RZ9-CysLT2-ONO-2770372
7.69Single7CX4Evatanepag7CX4-EP2-Evatanepag-Gs/β1/γ2
7.69Single7D7MPGE27D7M-EP4-PGE2-Gs/β1/γ1
7.69Single9KWXC5a-des-Arg9KWX-C5a1-C5a-des-Arg-Go/β1/γ2
7.69Consensuscyslt2_offOrthosteric Ligand6RZ7-CysLT2-ONO-2570366 6RZ8-CysLT2-ONO-2080365 6RZ9-CysLT2-ONO-2770372
7.41Single7CX2PGE27CX2-EP2-PGE2-Gs/β1/γ2
7.41Single8XQLCholesterol8XQL-TAS2R14-Cholesterol-Aristolochic acid A-Gt3/β1/γ1
7.41Single8XQOCholesterol8XQO-TAS2R14-Cholesterol-Aristolochic acid A-Gi1/β1/γ1
7.14Single6RZ8ONO-20803656RZ8-CysLT2-ONO-2080365
7.14Single7CX3Taprenepag7CX3-EP2-Taprenepag-Gs/β1/γ2
7.14Single7VLACCL15(27-92)7VLA-CCR1-CCL15(27-92)-Gi1/β1/γ2
7.14Consensusccr1_onOrthosteric Ligand7VLA-CCR1-CCL15(27-92)-Gi1/β1/γ2
7.14Consensusccr1_on_gpOrthosteric Ligand7VLA-CCR1-CCL15(27-92)-Gi1/β1/γ2
6.67Single9IVMGLP-1 (Truncated)9IVM-GLP-1-GLP-1 (Truncated)-LSN3318839-chim(NtGi1-Gs)/β2/γ2
6.45Single7FINPeptide-20; GGL7FIN-GIP-Peptide-20; GGL-Gs/β1/γ2
6.45Single8YW5Retatrutide8YW5-Glucagon-Retatrutide-Gs/β1/γ2
6.45Consensuscrf2_onOrthosteric Ligand7TS0-CRF2-Urocortin-chim(NtGi1L-Go)/β1/γ2
6.25Single7TYHCalcitonin7TYH-CT (AMY2)-Calcitonin-Gs/β1/γ2; RAMP2
6.25Single7TYWCalcitonin-17TYW-CT (AMY1)-Calcitonin-1-Gs/β1/γ2; RAMP1
6.25Single8JGBConorfamide-Tx28JGB-MRGPRX1-Conorfamide-Tx2-Gi1/β1/γ2
6.06Single9BUBCagrilintide9BUB-CT-Cagrilintide-Gs/β1/γ2
6.06Consensuscrf2_on_gpOrthosteric Ligand7TS0-CRF2-Urocortin-chim(NtGi1L-Go)/β1/γ2
5.88Single5NX2GLP-1 (Truncated)5NX2-GLP-1-GLP-1 (Truncated)
5.88Single6UVAAdrenomedullin-26UVA-CT Like (AM2)-Adrenomedullin-2-Gs/β1/γ2; RAMP3
5.88Single7XKDDehydroepiandrosterone7XKD-ADGRG2-Dehydroepiandrosterone-Gs/β1/γ2
5.88Single7XKEDehydroepiandrosterone7XKE-ADGRG2-Dehydroepiandrosterone-chim(NtGi1-Gs)/β1/γ2
5.88Single8X9S5alpha-DHT8X9S-ADGRD1-5α-DHT-chim(NtGi1-Gs)/β1/γ2
5.71Single9BTWCagrilintide9BTW-CT (AMY3)-Cagrilintide-Gs/β1/γ2; RAMP3
5.71Consensusvpac2_onOrthosteric Ligand7VQX-VPAC1-PACAP27-Gs/β1/γ2
5.71Consensusvpac2_on_gpOrthosteric Ligand7VQX-VPAC1-PACAP27-Gs/β1/γ2
5.56Single3OE8IT1t3OE8-CXCR4-IT1t
5.56Single7VDMSubstance-P7VDM-MRGPRX2-Substance-P-Gi1/β1/γ2
5.56Single7Y14Beta-Alanine7Y14-MRGPRD-β-Alanine
5.56Single8U4QREGN7663-Fab8U4Q-CXCR4-REGN7663-Fab-Gi1/β1/γ2
5.56Consensusgip_onOrthosteric Ligand7FIN-GIP-Peptide-20; GGL-Gs/β1/γ2 7FIY-GIP-Tirzepatide-Gs/β1/γ2 7DTY-GIP-GIP-Gs/β1/γ2
5.56Consensusgip_on_gpOrthosteric Ligand7FIN-GIP-Peptide-20; GGL-Gs/β1/γ2 7FIY-GIP-Tirzepatide-Gs/β1/γ2 7DTY-GIP-GIP-Gs/β1/γ2
5.26Single7Y12Beta-Alanine7Y12-MRGPRD-β-Alanine-Gi1/β1/γ2
5.26Single8F76Propanoic acid8F76-OR51E2-Propanoic acid-Gs/β1/γ2
5.26Single8JRVGlucagon8JRV-Glucagon-Glucagon-Arrestin2
5.26Single9IJRC179IJR-GPR52-C17-Arrestin2
5.13Single8JITMEDI03828JIT-Glucagon-MEDI0382-Gs/β1/γ2
5.00Single7S8NR-Zinc-35737S8N-MRGPRX2-R-Zinc-3573-chim(NtGi2L-Gs-CtGq)/β1/γ2
5.00Single7S8OR-Zinc-35737S8O-MRGPRX2-R-Zinc-3573-Gi1/β1/γ2
5.00Single8FX5Xanomeline8FX5-M4-Xanomeline-Xanomeline-Gi1/β1/γ2
5.00Single9LMPNE52-QQ579LMP-GPR4-NE52-QQ57
5.00Single9MBCAZ122160529MBC-mGlu8; mGlu8-DCPG-AZ12216052
5.00Consensusgluc_onOrthosteric Ligand6LMK-Glucagon-Glucagon-Gs/β1/γ2 8JIT-Glucagon-MEDI0382-Gs/β1/γ2 7V35-Glucagon-Peptide-20-Gs/β1/γ2
5.00Consensusgq_nucleotideOrthosteric Ligandgq_p2y
5.00Consensusgq_p2yOrthosteric Ligand7XXH-P2Y1-2MeSADP-chim(NtGi1-G11)/β1/γ2
4.88Consensusgluc_on_gpOrthosteric Ligand6LMK-Glucagon-Glucagon-Gs/β1/γ2 8JIT-Glucagon-MEDI0382-Gs/β1/γ2 7V35-Glucagon-Peptide-20-Gs/β1/γ2
4.76Single4K5YCP-3763954K5Y-CRF1-CP-376395
4.76Single6RNKNF-56-EJ406RNK-Succinate-NF-56-EJ40
4.76Single8HMPC178HMP-GPR52-C17-Gs/β1/γ2
4.76Single8U4SREGN7663-Fab8U4S-CXCR4-REGN7663-Fab
4.76Single8U4TREGN7663-Fab8U4T-CXCR4-REGN7663-Fab
4.76Single8U8FPalmitic Acid8U8F-GPR3-Palmitic Acid-Gs/β1/γ2
4.76Single8YYWAlpha-ketoglutarate8YYW-Oxoglutarate-α-ketoglutarate-α-ketoglutarate-chim(Gi1-CtGq)/β1/γ2
4.76Consensusp2y1_onOrthosteric Ligand7XXH-P2Y1-2MeSADP-chim(NtGi1-G11)/β1/γ2
4.55Single7C2EPubChem 1490507997C2E-GLP-1-PubChem 149050799-Gs/β1/γ2
4.55Single7XXH2MeSADP7XXH-P2Y1-2MeSADP-chim(NtGi1-G11)/β1/γ2
4.55Single8HJ5PubChem 1390305318HJ5-MRGPRX1-PubChem 139030531-chim(NtGi1-Gs-CtGq)/β1/γ2
4.55Single8IYXYL-3658IYX-GPR34-YL-365
4.55Single8JD6VU03647708JD6-mGlu4; mGlu4-Phosphoserine-VU0364770-Gi3/β1/γ2
4.55Single8X7ATreprostinil8X7A-I2-Treprostinil-Gs/β1/γ2
4.55Single9JFUNE52-QQ579JFU-GPR4-NE52-QQ57
4.55Single9JQYTG6-1299JQY-EP4-TG6-129
4.55Consensusp2y1_on_gpOrthosteric Ligand7XXH-P2Y1-2MeSADP-chim(NtGi1-G11)/β1/γ2
4.35Single4Z9GCP-3763954Z9G-CRF1-CP-376395
4.35Single6ORVTT-OAD26ORV-GLP-1-TT-OAD2-Gs/β1/γ2
4.35Single7LCIDanuglipron7LCI-GLP-1-Danuglipron-Gs/β1/γ2
4.35Single7LCKDanuglipron7LCK-GLP-1-Danuglipron
4.35Single7S15PubChem 1346112237S15-GLP-1-PubChem 134611223
4.35Single8GTIBMK-C2058GTI-CRF1-BMK-C205
4.35Single9JROPF-044189489JRO-EP2-PF-04418948
4.17Single8GTGBMK-I1528GTG-CRF1-BMK-I152
4.17Single9JRTTG6-1299JRT-EP2-TG6-129
4.17Consensusadgrg2_onOrthosteric Ligand7WUI-ADGRG2-IP15-chim(NtGi1-Gs)/β1/γ2 7WUQ-ADGRG2-Gs/β1/γ2 7XKF-ADGRG2-Dehydroepiandrosterone-Gs/β1/γ2
4.17Consensusadgrg2_on_gpOrthosteric Ligand7WUI-ADGRG2-IP15-chim(NtGi1-Gs)/β1/γ2 7WUQ-ADGRG2-Gs/β1/γ2 7XKF-ADGRG2-Dehydroepiandrosterone-Gs/β1/γ2
4.00Single8JD5JNJ-40411813; ADX881788JD5-mGlu2; mGlu4-Glutamate-JNJ-40411813; ADX88178-Gi1/β1/γ2
4.00Single8WJXADP8WJX-P2Y1-ADP-chim(Gs-CtGq)/β1/γ2
4.00Single8XQTCholesterol8XQT-TAS2R14-Cholesterol-Gi1/β1/γ1
3.85Single8GTMBMK-C2038GTM-CRF1-BMK-C203
3.70Single7X8RBOC57X8R-GLP-1-BOC5-Gs/β1/γ2
3.57Single7X8SWB4-247X8S-GLP-1-WB4-24-Gs/β1/γ2
3.45Single6X19CHU-1286X19-GLP-1-CHU-128-Gs/β1/γ2
3.45Single7RTBPeptide-197RTB-GLP-1-Peptide-19-Gs/β1/γ2
3.33Single6WHCGlu16 analog of GCG6WHC-Glucagon-Glu16 analog of GCG-Gs/β1/γ2
3.33Single7E14Orforglipron7E14-GLP-1-Orforglipron-PubChem 156022738-Gs/β1/γ2
3.12Single6NIYCalcitonin-16NIY-CT-Calcitonin-1-Gs/β1/γ2

PDB Summary
PDB 8VVE
Class A
SubFamily Peptide
Type Opioid
SubType KOP
Species Homo Sapiens
Ligand norBNI
Other Ligand(s) -
Protein Partners Gi1/Beta1/Gamma2
PDB Resolution 3.3
Date 2025-01-15
D.O.I. doi.org/10.1038/s41589-024-01812-0
Net Summary
Imin 2.71
Number of Linked Nodes 849
Number of Links 1065
Number of Hubs 183
Number of Links mediated by Hubs 655
Number of Communities 26
Number of Nodes involved in Communities 275
Number of Links involved in Communities 415
Path Summary
Number Of Nodes in MetaPath 95
Number Of Links MetaPath 94
Number of Shortest Paths 2530249
Length Of Smallest Path 3
Average Path Length 43.3833
Length of Longest Path 75
Minimum Path Strength 1.265
Average Path Strength 5.73093
Maximum Path Strength 31.74
Minimum Path Correlation 0.7
Average Path Correlation 0.987909
Maximum Path Correlation 1
Minimum % Of Corr. Nodes 2
Average % Of Corr. Nodes 32.7668
Maximum % Of Corr. Nodes 100
Minimum Path Hubs % 0
Average Path Hubs % 50.8479
Maximum Path Hubs % 100
AnnotationTypeLinks
Gene OntologyMolecular Function
Gene OntologyBiological Process• ovulation cycle   • rhythmic process   • estrous cycle   • reproductive process   • multicellular organismal reproductive process   • cellular response to stimulus   • regulation of biological process   • regulation of cellular process   • response to stimulus   • signaling   • biological regulation   • cell communication   • G protein-coupled opioid receptor signaling pathway   • G protein-coupled receptor signaling pathway   • cellular process   • signal transduction   • multicellular organismal process   • system process   • sensory perception   • nervous system process   • phospholipase C-activating G protein-coupled receptor signaling pathway   • trans-synaptic signaling   • synaptic signaling   • anterograde trans-synaptic signaling   • cell-cell signaling   • chemical synaptic transmission   • behavior   • learning   • learning or memory   • cognition   • conditioned place preference   • associative learning   • biological process involved in interspecies interaction between organisms   • defense response to virus   • defense response   • response to other organism   • response to stress   • response to external stimulus   • response to external biotic stimulus   • response to virus   • response to biotic stimulus   • response to acrylamide   • response to chemical   • response to oxygen-containing compound   • response to nitrogen compound   • neuropeptide signaling pathway   • locomotory behavior   • adult behavior   • behavioral response to cocaine   • response to cocaine   • response to alkaloid   • response to hormone   • response to endogenous stimulus   • response to estrogen   • immune response   • immune system process   • homeostatic process   • cellular response to glucose stimulus   • intracellular glucose homeostasis   • cellular response to oxygen-containing compound   • response to hexose   • cellular response to carbohydrate stimulus   • cellular response to chemical stimulus   • cellular homeostasis   • response to monosaccharide   • response to carbohydrate   • chemical homeostasis   • response to glucose   • glucose homeostasis   • carbohydrate homeostasis   • cellular response to hexose stimulus   • intracellular chemical homeostasis   • cellular response to monosaccharide stimulus   • maternal behavior   • parental behavior   • reproductive behavior   • regulation of localization   • negative regulation of luteinizing hormone secretion   • regulation of system process   • negative regulation of biological process   • negative regulation of transport   • localization   • negative regulation of secretion   • regulation of luteinizing hormone secretion   • luteinizing hormone secretion   • negative regulation of hormone secretion   • negative regulation of secretion by cell   • regulation of biological quality   • regulation of hormone levels   • establishment of localization   • regulation of secretion   • endocrine hormone secretion   • negative regulation of gonadotropin secretion   • negative regulation of multicellular organismal process   • regulation of endocrine process   • regulation of hormone secretion   • gonadotropin secretion   • transport   • negative regulation of signaling   • hormone secretion   • negative regulation of cell communication   • secretion by cell   • regulation of secretion by cell   • signal release   • negative regulation of cellular process   • regulation of multicellular organismal process   • regulation of signaling   • secretion   • regulation of transport   • regulation of gonadotropin secretion   • export from cell   • endocrine process   • hormone transport   • regulation of cell communication   • eating behavior   • feeding behavior   • sensory perception of temperature stimulus   • response to lipid   • cellular response to lipopolysaccharide   • cellular response to molecule of bacterial origin   • response to lipopolysaccharide   • cellular response to biotic stimulus   • response to bacterium   • cellular response to lipid   • response to molecule of bacterial origin   • adenylate cyclase-inhibiting G protein-coupled receptor signaling pathway   • adenylate cyclase-inhibiting opioid receptor signaling pathway   • adenylate cyclase-modulating G protein-coupled receptor signaling pathway   • monoamine transport   • nitrogen compound transport   • regulation of catecholamine secretion   • positive regulation of biological process   • organic hydroxy compound transport   • positive regulation of secretion by cell   • dopamine transport   • positive regulation of amine transport   • catecholamine transport   • positive regulation of secretion   • positive regulation of cellular process   • positive regulation of catecholamine secretion   • dopamine secretion   • positive regulation of dopamine secretion   • catecholamine secretion   • amine transport   • positive regulation of transport   • regulation of amine transport   • regulation of dopamine secretion   • regulation of body fluid levels   • secretion by tissue   • digestive system process   • regulation of digestive system process   • body fluid secretion   • digestion   • saliva secretion   • regulation of saliva secretion   • response to alcohol   • response to ethanol   • response to peptide hormone   • response to insulin   • positive regulation of cell communication   • positive regulation of signal transduction   • regulation of signal transduction   • p38MAPK cascade   • intracellular signal transduction   • positive regulation of response to stimulus   • regulation of intracellular signal transduction   • intracellular signaling cassette   • positive regulation of MAPK cascade   • positive regulation of intracellular signal transduction   • regulation of MAPK cascade   • positive regulation of p38MAPK cascade   • regulation of response to stimulus   • regulation of p38MAPK cascade   • MAPK cascade   • positive regulation of signaling   • regulation of eating behavior   • positive regulation of feeding behavior   • positive regulation of eating behavior   • regulation of behavior   • positive regulation of behavior   • positive regulation of multicellular organismal process   • regulation of feeding behavior   • sensory perception of pain   • response to nicotine   • positive regulation of cation transmembrane transport   • regulation of potassium ion transport   • monoatomic ion transmembrane transport   • potassium ion transmembrane transport   • regulation of monoatomic ion transmembrane transport   • metal ion transport   • monoatomic cation transmembrane transport   • positive regulation of monoatomic ion transport   • positive regulation of transmembrane transport   • monoatomic ion transport   • positive regulation of monoatomic ion transmembrane transport   • monoatomic cation transport   • regulation of metal ion transport   • regulation of monoatomic ion transport   • regulation of potassium ion transmembrane transport   • transmembrane transport   • positive regulation of potassium ion transport   • regulation of transmembrane transport   • positive regulation of potassium ion transmembrane transport   • regulation of monoatomic cation transmembrane transport   • potassium ion transport   • cell periphery   • postsynapse   • cellular anatomical structure   • postsynaptic membrane   • synapse   • cell junction   • membrane   • plasma membrane   • plasma membrane region   • synaptic membrane   • sarcolemma   • T-tubule   • somatodendritic compartment   • cell body
Gene OntologyCellular Component• cell periphery   • postsynapse   • cellular anatomical structure   • postsynaptic membrane   • synapse   • cell junction   • membrane   • plasma membrane   • plasma membrane region   • synaptic membrane   • sarcolemma   • T-tubule   • somatodendritic compartment   • cell body   • perikaryon   • neuronal cell body   • intracellular anatomical structure   • cytoplasm   • cytosol   • presynapse   • presynaptic membrane   • cell projection   • dendrite   • dendritic tree   • neuron projection   • plasma membrane bounded cell projection   • membrane-bounded organelle   • intracellular membrane-bounded organelle   • endomembrane system   • sarcoplasm   • intracellular organelle   • organelle   • endoplasmic reticulum   • sarcoplasmic reticulum   • intracellular vesicle   • transport vesicle membrane   • bounding membrane of organelle   • cytoplasmic vesicle   • vesicle membrane   • synaptic vesicle   • synaptic vesicle membrane   • vesicle   • transport vesicle   • exocytic vesicle membrane   • cytoplasmic vesicle membrane   • secretory vesicle   • organelle membrane   • exocytic vesicle   • mitochondrion   • nucleus   • membrane-enclosed lumen   • intracellular organelle lumen   • nucleoplasm   • organelle lumen   • nuclear lumen   • axon   • axon terminus   • distal axon   • neuron projection terminus   • protein binding   • binding   • enzyme binding   • GTPase binding   • protein-containing complex binding   • pyrophosphatase activity   • GTPase activity   • ribonucleoside triphosphate phosphatase activity   • hydrolase activity, acting on acid anhydrides, in phosphorus-containing anhydrides   • hydrolase activity   • hydrolase activity, acting on acid anhydrides   • catalytic activity   • signaling receptor complex adaptor activity   • protein-macromolecule adaptor activity   • molecular adaptor activity   • signaling adaptor activity   • multicellular organismal process   • system process   • sensory perception of chemical stimulus   • sensory perception   • nervous system process   • sensory perception of taste   • developmental process   • sensory organ development   • eye development   • animal organ development   • retina development in camera-type eye   • visual system development   • multicellular organism development   • camera-type eye development   • anatomical structure development   • sensory system development   • system development   • cell population proliferation   • cellular process   • cellular response to stimulus   • regulation of biological process   • regulation of cellular process   • response to stimulus   • signaling   • biological regulation   • signal transduction   • cell communication   • response to ketone   • response to prostaglandin   • response to lipid   • response to endogenous stimulus   • response to alcohol   • cellular response to prostaglandin stimulus   • response to oxygen-containing compound   • cellular response to oxygen-containing compound   • cellular response to endogenous stimulus   • cellular response to prostaglandin E stimulus   • cellular response to chemical stimulus   • cellular response to alcohol   • response to hormone   • response to chemical   • cellular response to lipid   • response to prostaglandin E   • cellular response to ketone   • cellular response to hormone stimulus   • small GTPase-mediated signal transduction   • Ras protein signal transduction   • intracellular signal transduction   • intracellular signaling cassette   • phospholipase C-activating G protein-coupled receptor signaling pathway   • G protein-coupled receptor signaling pathway   • cellular response to nitrogen compound   • response to dopamine   • cellular response to dopamine   • response to monoamine   • response to catecholamine   • adenylate cyclase-activating dopamine receptor signaling pathway   • cellular response to catecholamine stimulus   • G protein-coupled dopamine receptor signaling pathway   • response to nitrogen compound   • adenylate cyclase-activating G protein-coupled receptor signaling pathway   • cellular response to monoamine stimulus   • adenylate cyclase-modulating G protein-coupled receptor signaling pathway   • synaptic signaling   • cellular response to acetylcholine   • cell-cell signaling   • acetylcholine receptor signaling pathway   • postsynaptic signal transduction   • G protein-coupled acetylcholine receptor signaling pathway   • response to acetylcholine   • protein-containing complex   • extrinsic component of plasma membrane   • catalytic complex   • plasma membrane protein complex   • cytoplasmic side of membrane   • membrane protein complex   • heterotrimeric G-protein complex   • side of membrane   • cytoplasmic side of plasma membrane   • GTPase complex   • extrinsic component of membrane   • extrinsic component of cytoplasmic side of plasma membrane   • extracellular exosome   • extracellular vesicle   • extracellular organelle   • extracellular region   • extracellular space   • extracellular membrane-bounded organelle   • non-motile cilium   • 9+0 non-motile cilium   • cilium   • photoreceptor disc membrane   • photoreceptor outer segment   • photoreceptor cell cilium   • vacuolar membrane   • lytic vacuole   • vacuole   • lytic vacuole membrane   • lysosomal membrane   • lysosome   • G-protein beta-subunit binding   • fibroblast proliferation   • D2 dopamine receptor binding   • signaling receptor binding   • G protein-coupled receptor binding   • dopamine receptor binding   • enzyme regulator activity   • adenylate cyclase inhibitor activity   • cyclase regulator activity   • molecular function inhibitor activity   • cyclase inhibitor activity   • molecular function regulator activity   • enzyme inhibitor activity   • adenylate cyclase regulator activity   • guanyl nucleotide binding   • GTP binding   • nucleotide binding   • guanyl ribonucleotide binding   • purine ribonucleotide binding   • purine ribonucleoside triphosphate binding   • nucleoside phosphate binding   • ion binding   • purine nucleotide binding   • anion binding   • heterocyclic compound binding   • carbohydrate derivative binding   • ribonucleotide binding   • small molecule binding   • cation binding   • magnesium ion binding   • metal ion binding   • GDP binding   • G protein-coupled serotonin receptor binding   • G-protein beta/gamma-subunit complex binding   • G protein activity   • neuropeptide signaling pathway   • adenylate cyclase-inhibiting serotonin receptor signaling pathway   • G protein-coupled serotonin receptor signaling pathway   • adenylate cyclase-inhibiting G protein-coupled receptor signaling pathway   • response to peptide hormone   • cell division   • leukocyte migration   • immune system process   • mononuclear cell migration   • lymphocyte migration   • cell migration   • T cell migration   • cell motility   • regulation of steroid biosynthetic process   • regulation of cholesterol biosynthetic process   • regulation of cholesterol metabolic process   • steroid metabolic process   • regulation of lipid metabolic process   • sterol metabolic process   • positive regulation of biological process   • cholesterol metabolic process   • lipid biosynthetic process   • alcohol metabolic process   • regulation of primary metabolic process   • positive regulation of metabolic process   • regulation of small molecule metabolic process   • positive regulation of biosynthetic process   • positive regulation of lipid metabolic process   • small molecule metabolic process   • steroid biosynthetic process   • positive regulation of cellular process   • regulation of biosynthetic process   • secondary alcohol biosynthetic process   • regulation of alcohol biosynthetic process   • small molecule biosynthetic process   • regulation of steroid metabolic process   • cholesterol biosynthetic process   • positive regulation of cholesterol biosynthetic process   • primary metabolic process   • secondary alcohol metabolic process   • positive regulation of steroid biosynthetic process   • biosynthetic process   • sterol biosynthetic process   • positive regulation of lipid biosynthetic process   • regulation of sterol biosynthetic process   • alcohol biosynthetic process   • positive regulation of cholesterol metabolic process   • positive regulation of steroid metabolic process   • metabolic process   • regulation of lipid biosynthetic process   • positive regulation of small molecule metabolic process   • regulation of metabolic process   • positive regulation of alcohol biosynthetic process   • positive regulation of sterol biosynthetic process   • lipid metabolic process   • cell surface receptor signaling pathway   • response to cytokine   • response to chemokine   • cytokine-mediated signaling pathway   • cellular response to chemokine   • chemokine-mediated signaling pathway   • response to peptide   • cellular response to cytokine stimulus   • relaxation of smooth muscle   • regulation of system process   • regulation of muscle system process   • muscle system process   • relaxation of muscle   • positive regulation of relaxation of smooth muscle   • positive regulation of relaxation of muscle   • positive regulation of multicellular organismal process   • regulation of multicellular organismal process   • regulation of relaxation of smooth muscle   • regulation of relaxation of muscle   • negative regulation of protein transport   • regulation of localization   • establishment of protein localization   • nitrogen compound transport   • negative regulation of biological process   • negative regulation of transport   • localization   • negative regulation of secretion   • negative regulation of hormone secretion   • negative regulation of secretion by cell   • intracellular protein localization   • regulation of biological quality   • regulation of peptide hormone secretion   • negative regulation of peptide hormone secretion   • regulation of hormone levels   • establishment of protein localization to extracellular region   • negative regulation of establishment of protein localization   • protein secretion   • establishment of localization   • regulation of protein secretion   • regulation of secretion   • negative regulation of protein secretion   • regulation of hormone secretion   • regulation of protein localization   • regulation of peptide secretion   • transport   • negative regulation of signaling   • hormone secretion   • negative regulation of cell communication   • protein localization to extracellular region   • negative regulation of peptide secretion   • peptide secretion   • regulation of secretion by cell   • secretion by cell   • signal release   • negative regulation of cellular process   • negative regulation of protein localization   • regulation of signaling   • regulation of transport   • secretion   • regulation of peptide transport   • regulation of establishment of protein localization   • export from cell   • regulation of protein transport   • peptide transport   • negative regulation of insulin secretion   • protein transport   • regulation of insulin secretion   • peptide hormone secretion   • macromolecule localization   • hormone transport   • regulation of cell communication   • insulin secretion   • regulation of cytoskeleton organization   • regulation of cellular component organization   • microtubule cytoskeleton organization   • regulation of mitotic spindle organization   • mitotic cell cycle   • cellular component organization   • cell cycle   • cellular component organization or biogenesis   • regulation of cell cycle   • microtubule cytoskeleton organization involved in mitosis   • spindle organization   • cell cycle process   • regulation of cell cycle process   • regulation of microtubule-based process   • regulation of spindle organization   • regulation of organelle organization   • mitotic spindle organization   • organelle organization   • mitotic cell cycle process   • microtubule-based process   • cytoskeleton organization   • regulation of microtubule cytoskeleton organization   • positive regulation of protein localization to cell periphery   • protein localization to cell periphery   • positive regulation of protein localization to cell cortex   • regulation of protein localization to cell periphery   • regulation of protein localization to cell cortex   • positive regulation of protein localization   • protein localization to cell cortex   • cellular response to forskolin   • response to forskolin   • midbody   • intracellular membraneless organelle   • nucleolus   • membraneless organelle   • cell cortex   • centrosome   • microtubule organizing center   • cytoskeleton   • microtubule cytoskeleton   • centriolar satellite   • sperm principal piece   • 9+2 motile cilium   • sperm flagellum   • motile cilium   • Golgi apparatus   • ciliary basal body
SCOP2Domain Identifier• G protein-coupled receptor-like   • Transducin (heterotrimeric G protein), gamma chain   • Ras-like P-loop GTPases
SCOP2Family Identifier• G protein-coupled receptor-like   • Transducin (heterotrimeric G protein), gamma chain   • Ras-like P-loop GTPases
Membrane Protein Annotations-• Orientations of Proteins in Membranes database (OPM)   • Protein Data Bank of Transmembrane Proteins (PDBTM)   • MemProtMD


Details about the values in these tables can be found in the corresponding documentation page .
Code_L_
PDB ResiduesL:L:?1
Environment DetailsOpen EMBL-EBI Page
Code_L_
Name
Synonyms
Identifier
Formula
Molecular Weight
SMILES
PubChem
Formal Charge
Total Atoms
Total Chiral Atoms
Total Bonds
Total Aromatic Bonds

PDBsumOpen PDBsum Page
ChainA
ProteinG Protein α Sub unit
UniProtP63096
Sequence
>8VVE_Chain_A
LSAEDKAAV ERSKMIDRN LREDGEKAA REVKLLLLG AGESGKSTI 
VKQMKTTGI VETHFTFKD LHFKMFDVG GQRSERKKW IHCFEGVTA 
IIFCVALSD YDLVLAEDE EMNRMHESM KLFDSICNN KWFTDTSII 
LFLNKKDLF EEKIKKSPL TICYPEYAG SNTYEEAAA YIQCQFEDL 
NKRKDTKEI YTHFTCATD TKNVQFVFD AVTDVIIKN NLKDCGLF


Click on each residue to open a popup with some information about it.

ConSurf Conservation Grade (See documentation): 

 n/a   1    2    3    4    5    6    7    8    9  

ChainB
ProteinG Protein β Sub unit
UniProtP62873
Sequence
>8VVE_Chain_B
SELDQLRQE AEQLKNQIR DARKACADA TLSQITNNI DPVGRIQMR 
TRRTLRGHL AKIYAMHWG TDSRLLVSA SQDGKLIIW DSYTTNKVH 
AIPLRSSWV MTCAYAPSG NYVACGGLD NICSIYNLK TREGNVRVS 
RELAGHTGY LSCCRFLDD NQIVTSSGD TTCALWDIE TGQQTTTFT 
GHTGDVMSL SLAPDTRLF VSGACDASA KLWDVREGM CRQTFTGHE 
SDINAICFF PNGNAFATG SDDATCRLF DLRADQELM TYSHDNIIC 
GITSVSFSK SGRLLLAGY DDFNCNVWD ALKADRAGV LAGHDNRVS 
CLGVTDDGM AVATGSWDS FLKIWN


Click on each residue to open a popup with some information about it.

ConSurf Conservation Grade (See documentation): 

 n/a   1    2    3    4    5    6    7    8    9  

ChainG
ProteinG Protein γ Sub unit
UniProtP59768
Sequence
>8VVE_Chain_G
SIAQARKLV EQLKMEANI DRIKVSKAA ADLMAYCEA HAKEDPLLT 
PVPASENPF R


Click on each residue to open a popup with some information about it.

ConSurf Conservation Grade (See documentation): 

 n/a   1    2    3    4    5    6    7    8    9  

ChainR
ProteinReceptor
UniProtP41145
Sequence
>8VVE_Chain_R
AIPVIITAV YSVVFVVGL VGNSLVMFV IIRYTKMKT ATNIYIFNL 
ALADALVTT TMPFQSTVY LMNSWPFGD VLCKIVISI DYYNMFTSI 
FTLTMMSVD RYIAVCHPV KALDFRTPL KAKIINICI WLLSSSVGI 
SAIVLGGTK VREDVDVIE CSLQFPDDD YSWWDLFMK ICVFIFAFV 
IPVLIIIVC YTLMILRLK SVRLLSGSR EKDRNLRRI TRLVLVVVA 
VFVVCWTPI HIFILVEAL GSTSHSTAA LSSYYFCIA LGYTNSSLN 
PILYAFLDE NFKRCFR


Click on each residue to open a popup with some information about it.

ConSurf Conservation Grade (See documentation): 

 n/a   1    2    3    4    5    6    7    8    9  




This receptor, from the same or other species and bound to the same or other ligands, is also present in the following networks:
Show PDB Class SubFamily Type SubType Species Orthosteric Ligand Other Ligand(s) Protein Partners Resolution Date DOI
4DJHAPeptideOpioidκHomo sapiensJDTic--2.92012-03-21doi.org/10.1038/nature10939
6B73APeptideOpioidκHomo sapiensMP1104--3.12018-01-17doi.org/10.1016/j.cell.2017.12.011
6VI4APeptideOpioidκHomo sapiensJDTic--3.32020-03-18doi.org/10.1038/s41467-020-14889-7
8F7WAPeptideOpioidκHomo sapiensDynorphin-Gi1/β1/γ23.192022-12-14doi.org/10.1016/j.cell.2022.12.026
8F7W (No Gprot) APeptideOpioidκHomo sapiensDynorphin-3.192022-12-14doi.org/10.1016/j.cell.2022.12.026
7YITAPeptideOpioidκHomo sapiensNalfurafine--3.32023-04-12doi.org/10.1038/s41467-023-37041-7
8DZPAPeptideOpioidκHomo sapiensmomSalB-Gi1/β1/γ22.712023-05-03doi.org/10.1038/s41586-023-06030-7
8DZP (No Gprot) APeptideOpioidκHomo sapiensmomSalB-2.712023-05-03doi.org/10.1038/s41586-023-06030-7
8DZQAPeptideOpioidκHomo sapiensmomSalB-Go/β1/γ22.822023-05-03doi.org/10.1038/s41586-023-06030-7
8DZQ (No Gprot) APeptideOpioidκHomo sapiensmomSalB-2.822023-05-03doi.org/10.1038/s41586-023-06030-7
8DZRAPeptideOpioidκHomo sapiensGR89,696-chim(NtGi2-Gt3)/β1/γ22.612023-05-03doi.org/10.1038/s41586-023-06030-7
8DZR (No Gprot) APeptideOpioidκHomo sapiensGR89,696-2.612023-05-03doi.org/10.1038/s41586-023-06030-7
8DZSAPeptideOpioidκHomo sapiensGR89,696-chim(NtGi2-Gz)/β1/γ22.652023-05-03doi.org/10.1038/s41586-023-06030-7
8DZS (No Gprot) APeptideOpioidκHomo sapiensGR89,696-2.652023-05-03doi.org/10.1038/s41586-023-06030-7
7Y1FAPeptideOpioidκHomo sapiensDynorphin-Gi1/β1/γ23.32023-05-24doi.org/10.1093/procel/pwac033
7Y1F (No Gprot) APeptideOpioidκHomo sapiensDynorphin-3.32023-05-24doi.org/10.1093/procel/pwac033
9MQKAPeptideOpioidκHomo sapiensIsoquinuclidine--3.182025-02-12doi.org/10.1101/2025.01.09.632033
9MQLAPeptideOpioidκHomo sapiensIsoquinuclidine--2.962025-02-12doi.org/10.1101/2025.01.09.632033
8FEGAPeptideOpioidκHomo sapiens(DNCP)-β-Naloxamine-Gi1/β1/γ22.542023-12-06doi.org/10.1038/s41467-023-43718-w
8FEG (No Gprot) APeptideOpioidκHomo sapiens(DNCP)-β-Naloxamine-2.542023-12-06doi.org/10.1038/s41467-023-43718-w
8VVE (No Gprot) APeptideOpioidκHomo sapiensnorBNI-3.32025-01-15doi.org/10.1038/s41589-024-01812-0
8VVFAPeptideOpioidκHomo sapiensJDTic-Gi1/β1/γ232025-01-15doi.org/10.1038/s41589-024-01812-0
8VVF (No Gprot) APeptideOpioidκHomo sapiensJDTic-32025-01-15doi.org/10.1038/s41589-024-01812-0
8VVGAPeptideOpioidκHomo sapiensGB18-Gi1/β1/γ23.32025-01-15doi.org/10.1038/s41589-024-01812-0
8VVG (No Gprot) APeptideOpioidκHomo sapiensGB18-3.32025-01-15doi.org/10.1038/s41589-024-01812-0
9D61APeptideOpioidκHomo sapiensJDTic-Gi1/β1/γ23.582025-01-15doi.org/10.1038/s41589-024-01812-0
9D61 (No Gprot) APeptideOpioidκHomo sapiensJDTic-3.582025-01-15doi.org/10.1038/s41589-024-01812-0
9V6OAPeptideOpioidκHomo sapiensNalfurafine-Gi1/β1/γ22.762025-11-1910.1038/s41467-025-64882-1
9V6O (No Gprot) APeptideOpioidκHomo sapiensNalfurafine-2.762025-11-1910.1038/s41467-025-64882-1
9W49APeptideOpioidκHomo sapiensU-50488H-Gi1/β1/γ22.92025-11-1910.1038/s41467-025-64882-1
9W49 (No Gprot) APeptideOpioidκHomo sapiensU-50488H-2.92025-11-1910.1038/s41467-025-64882-1
9L60APeptideOpioidκHomo sapiensDynorphinMPAM-15Gi1/β1/γ22.92025-12-31To be published
9L60 (No Gprot) APeptideOpioidκHomo sapiensDynorphinMPAM-152.92025-12-31To be published




You can download a compressed (zip) file with structure(s), 3D outputs (as PyMol and VMD scripts) and numerical data files (as csv and plain text files).

Download 8VVE.zip



You can click to copy the link of this page to easily come back here later

or use this QR code to link and share this page.



You can also  read or  download a guide explaining the meaning of all files and numerical data.