Color ConSurf Grade
      No Conservation data available
      1
      2
      3
      4
      5
      6
      7
      8
      9

Index: hub id, click on each number to highlight the corresponding hub in the 3D visualization.

Hub: the hub being considered.

Avg Int. Strength: the average interaction strength of all the links of the corresponding hub.

Num Of Links: the number of links of the corresponding hub.

Community: the id of the community the link belong to, otherwise 0.

ConSurf: this column reports the ConSurf conservation grades of each hub.

Index Hub Avg Int. Strength Num Of Links Community ConSurf
1A:A:R32 3.5825404
2A:A:L37 6.495419
3A:A:L38 4.96254228
4A:A:S44 3.76489
5A:A:E186 5.9175419
6A:A:F191 6.7225125
7A:A:L194 3.9254124
8A:A:F196 7.266127
9A:A:K197 9.6125406
10A:A:F199 9.5475415
11A:A:Q204 5.23667619
12A:A:K210 5.2225819
13A:A:W211 5.454519
14A:A:F215 7.075619
15A:A:I221 5.01418
16A:A:I222 4.714227
17A:A:D229 5.9428
18A:A:Y230 5.82728
19A:A:R242 8.2825429
20A:A:M243 4.205428
21A:A:H244 3.6525424
22A:A:M247 5.125406
23A:A:F250 5.15509
24A:A:C254 4.3165235
25A:A:W258 7.784515
26A:A:F259 9.0925419
27A:A:I265 5408
28A:A:L268 5.1385158
29A:A:F274 4.85429
30A:A:K277 6.0275429
31A:A:C286 3.87833626
32A:A:Y287 6.67333627
33A:A:I303 4.1475407
34A:A:Y320 8.2745177
35A:A:T321 10.05254155
36A:A:H322 11.4125489
37A:A:F323 5.5175404
38A:A:F336 6.5485128
39A:A:I344 3.2825476
40B:B:R22 4.62754276
41B:B:L30 4.7225405
42B:B:H54 10.162559
43B:B:Y59 6.3525418
44B:B:W63 7.2325407
45B:B:V71 4.08754118
46B:B:D76 6.382559
47B:B:I80 7.498558
48B:B:I81 4.356676117
49B:B:W82 10.6483659
50B:B:N88 5.2485217
51B:B:K89 6.22143759
52B:B:H91 5.89754115
53B:B:I93 4.604507
54B:B:L95 4.8765188
55B:B:W99 8.03222919
56B:B:Y105 4.96758116
57B:B:Y111 7.3065194
58B:B:L117 4.0875419
59B:B:I123 4.09754196
60B:B:Y124 5.0125186
61B:B:L126 3.82754115
62B:B:E130 5.41503
63B:B:H142 7.356519
64B:B:Y145 6.14444918
65B:B:F151 5.095609
66B:B:I157 5.315407
67B:B:T159 5.72419
68B:B:D163 8.3975419
69B:B:C166 4.235448
70B:B:W169 10.075618
71B:B:D170 6.4754209
72B:B:F180 8.518547
73B:B:H183 7.95833649
74B:B:D186 5.5425419
75B:B:V187 4.994549
76B:B:F199 7.126549
77B:B:V200 6.666536
78B:B:S201 4.6075449
79B:B:C204 3.864517
80B:B:D205 7449
81B:B:K209 10.6175446
82B:B:L210 5.3225405
83B:B:W211 8.65333648
84B:B:D212 6.2054169
85B:B:Q220 8.6525407
86B:B:H225 9.08286739
87B:B:D228 8.08519
88B:B:I232 5.0975438
89B:B:F234 4.794535
90B:B:F235 8.096146
91B:B:P236 7.4354147
92B:B:F241 9.324536
93B:B:T243 5.934538
94B:B:D246 9.2025419
95B:B:D247 9.29439
96B:B:R251 9.215638
97B:B:F253 8.01636
98B:B:M262 5.8375404
99B:B:Y264 5.59167605
100B:B:I269 4.1625414
101B:B:F278 6.115147
102B:B:L284 6.1675405
103B:B:L285 5.5125406
104B:B:Y289 7.03143717
105B:B:D290 8.9416
106B:B:K301 6.93405
107B:B:R304 6.6415
108B:B:H311 9.625109
109B:B:R314 13.03418
110B:B:L318 4.1575406
111B:B:M325 7.465405
112B:B:T329 4.81254108
113B:B:W332 10.3929719
114B:B:D333 9.65754109
115B:B:L336 4.222557
116B:B:K337 8.5854106
117B:B:W339 10.1485109
118G:G:R27 7.275278
119G:G:Y40 10.10254146
120G:G:D48 8.5375409
121G:G:L51 7.08406
122G:G:N59 5.5265139
123G:G:F61 5.132867138
124L:L:?1 7.085631690
125R:R:Y56 7.234507
126R:R:V59 3.1275407
127R:R:I86 3.345406
128R:R:Y87 6.8485317
129R:R:L91 4.6475409
130R:R:D95 5.75299
131R:R:L102 10.3575407
132R:R:Y109 8.46404
133R:R:W114 7.37714768
134R:R:F116 10.63467
135R:R:D128 6.3325495
136R:R:Y130 5.21254325
137R:R:Y147 6.774578
138R:R:R160 6.5965246
139R:R:T189 3.9375464
140R:R:F202 4.192506
141R:R:F218 6.0575495
142R:R:L237 3.355405
143R:R:R239 4.26475
144R:R:L240 4.614258
145R:R:L245 5.1425473
146R:R:W274 8.68498
147R:R:H278 6.0925497
148R:R:F280 3.8875405
149R:R:D293 6.2175403
150R:R:N310 7.0725499
151R:R:Y318 8.4065309
   

Color ConSurf Grade
      No Conservation data available
      1
      2
      3
      4
      5
      6
      7
      8
      9

Index: link id, click on each number to highlight the corresponding link in the 3D visualization.

Node1 Node2: the two nodes of the corresponding link.

Recurrence: the relative Recurrence in the pool of shortest paths.

Int. Strength: the interaction strength between the two nodes.

Hub1?, Hub2?: "Yes" if the corresponding node has more than 3 links, otherwise "No".

Community: the id of the community the link belong to, otherwise 0.

ConSurf1, ConSurf2: these columns report the ConSurf conservation grades of the two nodes involved in a link.

Index Node1 Node2 Recurrence Int. Strength Hub1? Hub2? Community ConSurf1 ConSurf2
1B:B:A328 B:B:W63 17.85423.89NoYes057
2B:B:A328 B:B:M61 18.04263.22NoNo056
3B:B:C317 B:B:M61 18.23123.24NoNo076
4B:B:C317 B:B:S316 18.42343.44NoNo079
5B:B:S316 B:B:W332 18.61624.94NoYes099
6B:B:W332 B:B:Y59 57.96394.82YesYes198
7B:B:Q75 B:B:Y59 59.304910.15NoYes198
8B:B:Q75 B:B:W99 59.475314.24NoYes199
9A:A:F215 B:B:W99 59.583311.02YesYes199
10A:A:F215 A:A:W211 61.79053.01YesYes199
11A:A:R208 A:A:W211 96.57797NoYes099
12A:A:L249 A:A:R208 96.90843.64NoNo099
13A:A:F223 A:A:L249 98.92354.87NoNo099
14A:A:F223 A:A:F250 99.25536.43NoYes099
15A:A:F250 A:A:L266 14.71343.65YesNo099
16A:A:L266 A:A:L268 14.65744.15NoYes1598
17A:A:L227 A:A:L268 14.91548.3NoYes078
18A:A:I303 A:A:L227 14.60832.85YesNo077
19A:A:I303 A:A:M243 43.01715.83YesYes078
20A:A:D229 A:A:M243 1004.16YesYes288
21A:A:A226 A:A:D229 99.1773.09NoYes088
22A:A:A226 A:A:S44 99.1953.42NoYes089
23A:A:C224 A:A:S44 97.54463.44NoYes879
24A:A:C224 A:A:I49 97.64993.27NoNo077
25A:A:I49 A:A:L38 97.17195.71NoYes078
26A:A:I222 A:A:L38 96.28372.85YesYes2278
27A:A:I222 A:A:L36 94.69385.71YesNo077
28A:A:F196 A:A:L36 94.52473.65YesNo077
29A:A:F191 A:A:F196 46.57633.22YesYes1257
30A:A:F191 A:A:F336 46.03895.36YesYes1258
31A:A:F336 A:A:T340 91.63547.78YesNo086
32A:A:T340 R:R:P153 91.3561.75NoNo068
33A:A:I343 R:R:P153 82.5233.39NoNo078
34A:A:F250 A:A:F307 42.89936.43YesNo098
35A:A:F307 A:A:M247 42.92286.22NoYes086
36A:A:M247 A:A:Y287 57.37794.79YesYes067
37A:A:I303 A:A:Y287 28.44733.63YesYes077
38A:A:F250 A:A:L310 42.87993.65YesNo094
39A:A:L310 A:A:M247 43.39214.24NoYes046
40A:A:H244 A:A:M247 28.97635.25YesYes046
41A:A:C286 A:A:H244 28.84972.95YesYes264
42A:A:C286 A:A:M243 56.79663.24YesYes268
43A:A:C286 A:A:Y287 28.93085.38YesYes267
44A:A:F196 A:A:L194 46.42776.09YesYes1274
45A:A:F336 A:A:L194 46.13283.65YesYes1284
46B:B:C148 B:B:T102 15.91093.38NoNo068
47B:B:C149 B:B:T102 16.10055.07NoNo088
48B:B:C149 B:B:I157 16.29093.27NoYes087
49B:B:I157 B:B:W169 26.76663.52YesYes078
50B:B:H142 B:B:W169 27.30944.23YesYes198
51B:B:H142 B:B:S161 28.459313.95YesNo199
52B:B:G162 B:B:S161 29.84963.71NoNo199
53B:B:R314 B:B:W332 39.598423.99YesYes189
54A:A:I343 A:A:N347 80.83334.25NoNo078
55A:A:N347 R:R:R160 80.25944.82NoYes2486
56R:R:D145 R:R:Y87 73.33284.6NoYes087
57R:R:D145 R:R:R160 73.616914.29NoYes086
58B:B:D290 B:B:R314 39.251820.25YesYes168
59B:B:C271 B:B:D290 38.88176.22NoYes156
60B:B:C271 B:B:Y289 37.90524.03NoYes157
61B:B:I273 B:B:Y289 17.56999.67NoYes067
62B:B:G244 B:B:I273 17.53385.29NoNo056
63B:B:G244 B:B:T243 17.33541.82NoYes058
64B:B:F253 B:B:T243 10.28617.78YesYes368
65B:B:W297 B:B:Y289 18.26196.75NoYes187
66B:B:W297 B:B:Y264 18.0826.75NoYes085
67B:B:M262 B:B:Y264 11.33938.38YesYes045
68R:R:N169 R:R:Y87 60.045611.63NoYes077
69R:R:N169 R:R:N90 57.745912.26NoNo079
70R:R:N90 R:R:T138 54.86654.39NoNo098
71R:R:L91 R:R:T138 54.57857.37YesNo098
72R:R:L91 R:R:S135 43.38013YesNo099
73L:L:?1 R:R:S135 42.80144.49YesNo009
74L:L:?1 R:R:D128 12.566911.17YesYes905
75R:R:D128 R:R:Q105 11.67555.22YesNo055
76R:R:K108 R:R:Q105 11.377612.2NoNo045
77R:R:K108 R:R:W114 11.10846.96NoYes048
78A:A:W211 B:B:Y145 33.43526.75YesYes198
79B:B:G162 B:B:Y145 30.00157.24NoYes198
80B:B:L30 B:B:M262 10.35157.07YesYes054
Download PSN data

2D representation of the global metapath, ligand(s) interactions and
histograms of path distribution according to several parameters
(click on the image to enlarge it 🔍):

A 2D representation of the global communication in the network.

ConSurf Conservation Grade (See documentation): 

 n/a   1    2    3    4    5    6    7    8    9  

Number of shortest communication paths as a function of the average residue correlation.

Number of shortest communication paths as a function of the average interaction strength of their links.

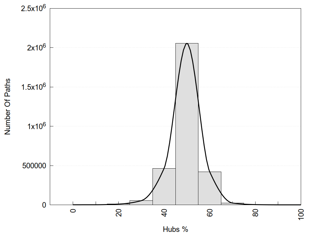
Number of shortest communication paths as a function of the % of hub nodes in each path.

Number of shortest communication paths as a function of the number of nodes in each path.

Number of shortest communication paths as a function of the % of correlated nodes in each path.


2D representation of the interactions of this orthosteric/allosteric ligand.


Links and nodes colored according to ConSurf Conservation Grade (See documentation): 

 n/a   1    2    3    4    5    6    7    8    9  

Node1 Node2 LinkStrength Comm IsNode1Hub? IsNode2Hub? Node1Cons Node2Cons Node1Shell Node2Shell
L:L:?1 R:R:A98 4.72 9 Yes No 0 6 0 1
L:L:?1 R:R:D128 11.17 9 Yes Yes 0 5 0 1
L:L:?1 R:R:Y129 10.53 9 Yes No 0 5 0 1
L:L:?1 R:R:M132 5.29 9 Yes No 0 8 0 1
L:L:?1 R:R:S135 4.49 9 Yes No 0 9 0 1
L:L:?1 R:R:W274 11.08 9 Yes Yes 0 8 0 1
L:L:?1 R:R:I277 6.41 9 Yes No 0 5 0 1
L:L:?1 R:R:H278 7.7 9 Yes Yes 0 7 0 1
L:L:?1 R:R:V281 16.72 9 Yes No 0 6 0 1
L:L:?1 R:R:W284 6.82 9 Yes No 0 4 0 1
L:L:?1 R:R:L300 3.11 9 Yes No 0 5 0 1
L:L:?1 R:R:I304 7.48 9 Yes No 0 5 0 1
L:L:?1 R:R:Y308 7.02 9 Yes No 0 7 0 1
L:L:?1 R:R:N310 4.11 9 Yes Yes 0 9 0 1
L:L:?1 R:R:S311 4.49 9 Yes No 0 9 0 1
R:R:L102 R:R:Y56 11.72 0 Yes Yes 7 7 2 2
R:R:I304 R:R:Y56 4.84 0 No Yes 5 7 1 2
R:R:D95 R:R:L91 4.07 29 Yes Yes 9 9 2 2
R:R:L91 R:R:S135 3 0 Yes No 9 9 2 1
R:R:A94 R:R:S135 3.42 0 No No 8 9 2 1
R:R:D95 R:R:S311 11.78 29 Yes No 9 9 2 1
R:R:D95 R:R:N314 5.39 29 Yes No 9 9 2 2
R:R:A98 R:R:N131 6.25 0 No No 6 8 1 2
R:R:S311 R:R:T99 3.2 0 No No 9 6 1 2
R:R:D128 R:R:T101 4.34 9 Yes No 5 7 1 2
R:R:L102 R:R:Y308 23.45 0 Yes No 7 7 2 1
R:R:D128 R:R:Q105 5.22 9 Yes No 5 5 1 2
R:R:D128 R:R:Y308 4.6 9 Yes No 5 7 1 1
R:R:I183 R:R:Y129 14.51 0 No No 4 5 2 1
R:R:M132 R:R:W274 6.98 9 No Yes 8 8 1 1
R:R:F218 R:R:F222 7.5 9 Yes No 5 8 2 2
R:R:F218 R:R:H278 9.05 9 Yes Yes 5 7 2 1
R:R:F222 R:R:H278 3.39 9 No Yes 8 7 2 1
R:R:C273 R:R:N310 6.3 0 No Yes 8 9 2 1
R:R:H278 R:R:W274 4.23 9 Yes Yes 7 8 1 1
R:R:N310 R:R:W274 12.43 9 Yes Yes 9 8 1 1
R:R:F280 R:R:W284 3.01 0 Yes No 5 4 2 1
R:R:F280 R:R:L300 8.53 0 Yes No 5 5 2 1
R:R:R291 R:R:W284 15.99 0 No No 1 4 2 1
R:R:N310 R:R:N314 5.45 9 Yes No 9 9 1 2
L:L:?1 R:R:V217 2.23 9 Yes No 0 5 0 1
R:R:G307 R:R:I277 1.76 0 No No 7 5 2 1
R:R:C303 R:R:I277 1.64 0 No No 6 5 2 1
R:R:T213 R:R:V217 1.59 0 No No 6 5 2 1

Location and physicochemical properties of the interaction partners of this ligand

Interactions of this ligand

Similarities between the interactions of this ligand and those of other networks

ShowSimilarityNetwork TypeNameLigandDescription
82.35Single9CGJC6-Quino9CGJ-δ-C6-Quino-Gi1/β1/γ2
77.78Single6PT3DPI-2876PT3-δ-DPI-287
64.71Single9PXYNaloxone9PXY-μ-Naloxone-GDPβS-Gi1/β1/γ2
62.50Single8THLEpinephrine8THL-Alpha1A-Epinephrine-chim(NtGi2L-Gs-CtGq)/β1/γ2
62.50Single9PXVNaloxone9PXV-μ-Naloxone-Gi1/β1/γ2
62.50Consensusalpha1_onOrthosteric Ligandalpha1a_on
62.50Consensusalpha1_on_gpOrthosteric Ligandalpha1a_on_gp
62.50Consensusalpha1a_onOrthosteric Ligand7EJ0-α2a-Norepinephrine-Go/β1/γ2 7EJ8-α2a-Brimonidine-Go/β1/γ2 7EJA-α2a-Dexmedetomidine-Go/β1/γ2 7EJK-α2a-Oxymetazoline-Go/β1/γ2 7W6P-α2a-N-pyridin-4-ylisoquinolin-4-amine-Go/β1/γ2 7W7E-α2a-PubChem 164946676-Go/β1/γ2
62.50Consensusalpha1a_on_gpOrthosteric Ligand7EJ0-α2a-Norepinephrine-Go/β1/γ2 7EJ8-α2a-Brimonidine-Go/β1/γ2 7EJA-α2a-Dexmedetomidine-Go/β1/γ2 7EJK-α2a-Oxymetazoline-Go/β1/γ2 7W6P-α2a-N-pyridin-4-ylisoquinolin-4-amine-Go/β1/γ2 7W7E-α2a-PubChem 164946676-Go/β1/γ2
61.11Single8VVEnorBNI8VVE-κ-norBNI-Gi1/β1/γ2
61.11Single9BJKNaloxone9BJK-μ-Naloxone-PubChem 171642066
58.82Single3NY8ICI118-5513NY8-β2-ICI118-551
58.82Single4EJ4Naltrindole4EJ4-δ-Naltrindole
58.82Single4GBRCarazolol4GBR-β2-Carazolol
58.82Single7CRHSKF839597CRH-D1-SKF83959-Gs/β1/γ2
58.82Single8JXRLSD8JXR-D1-LSD
58.82Single8UNVConstrained Epinephrine8UNV-β2-Constrained Epinephrine-GTP-Gs/β1/γ2
58.82Single8UNZConstrained Epinephrine8UNZ-β2-Constrained Epinephrine-GTP-Gs/β1/γ2
58.82Single8UO2Constrained Epinephrine8UO2-β2-Constrained Epinephrine-GTP-Gs/β1/γ2
58.82Single8XVKAmbrisentan8XVK-ETA-Ambrisentan
58.82Single8Y71A1D6F8Y71-δ-A1D6F-BMS986187-Gi1/β1/γ2
58.82Single9CBMDexmedetomidine9CBM-α2a-Dexmedetomidine-Gi1/β1/γ2
58.82Single9PLNPubChem 1682595949PLN-α2a-PubChem 168259594
58.82Single9PLOPubChem 1682595949PLO-α2a-PubChem 168259594-Go/β1/γ2
58.82Single9PXWNaloxone9PXW-μ-Naloxone-GDPβS-Gi1/β1/γ2
58.82Single9VMYTMU41429VMY-5-HT1A-TMU4142-Go/β1/γ2
58.82Consensusalpha_onOrthosteric Ligandalpha1_on alpha2_on
58.82Consensusdop_offOrthosteric Ligand4EJ4-δ-Naltrindole
58.82Consensusdopamine_offOrthosteric Ligandd2_off d3_off
57.89Single4RWADIPP-NH24RWA-δ-DIPP-NH2
57.89Single7YITNalfurafine7YIT-κ-Nalfurafine
57.89Single8IRSRotigotine8IRS-D2-Rotigotine-Gi1/β1/γ2
57.89Single9MQLIsoquinuclidine9MQL-κ-Isoquinuclidine
57.89Single9V6ONalfurafine9V6O-κ-Nalfurafine-Gi1/β1/γ2
56.25Single9MQJIsoquinuclidine9MQJ-μ-Isoquinuclidine
55.56Single2RH1Carazolol2RH1-β2-Carazolol
55.56Single2YCWCarazolol2YCW-β1-Carazolol
55.56Single4RWDDIPP-NH24RWD-δ-DIPP-NH2-Na
55.56Single5C1MBU725C1M-μ-BU72
55.56Single5CGCHTL142425CGC-mGlu5-HTL14242
55.56Single5D6LCarazolol5D6L-β2-Carazolol
55.56Single5X7DCarazolol5X7D-β2-Carazolol-PubChem 129318963
55.56Single7XKAConstrained Epinephrine7XKA-β2-Constrained Epinephrine
55.56Single8GDZConstrained Epinephrine8GDZ-β2-Constrained Epinephrine-Gs/β1/γ2
55.56Single8GEBConstrained Epinephrine8GEB-β2-Constrained Epinephrine-Gs/β1/γ2
55.56Single8GEGConstrained Epinephrine8GEG-β2-Constrained Epinephrine-Gs/β1/γ2
55.56Single8GGBConstrained Epinephrine8GGB-β2-Constrained Epinephrine-GTP-Gs/β1/γ2
55.56Single8UNNConstrained Epinephrine8UNN-β2-Constrained Epinephrine-GTP-Gs/β1/γ2
55.56Single8UNPConstrained Epinephrine8UNP-β2-Constrained Epinephrine-GTP-Gs/β1/γ2
55.56Single9MQKIsoquinuclidine9MQK-κ-Isoquinuclidine
55.56Consensusalpha_on_gpOrthosteric Ligandalpha1_on_gp alpha2_on_gp
55.56Consensusamine_offOrthosteric Ligand5ht_off adrenergic_off dopamine_off histamine_off muscarinic_off
55.56Consensusamine_offonOrthosteric Ligandamine_off amine_on
55.56Consensusamine_offon_gpOrthosteric Ligandamine_on_gp amine_off
55.56Consensusamine_onOrthosteric Ligand5ht_on adrenergic_on dopamine_on histamine_on muscarinic_on trace-amine_on
55.56Consensusbeta2_offOrthosteric Ligand2RH1-β2-Carazolol 6PS3-β2-Carvedilol 6PS5-β2-Propranolol 3D4S-β2-Timolol 3NY8-β2-ICI118-551 3NY9-β2-PubChem 913103 6PRZ-β2-Alprenolol
55.56Consensusbeta_offOrthosteric Ligandbeta1_off beta2_off
55.56Consensusgi_adrenergicOrthosteric Ligand7EJ0-α2a-Norepinephrine-Go/β1/γ2 7EJK-α2a-Oxymetazoline-Go/β1/γ2 7W7E-α2a-PubChem 164946676-Go/β1/γ2 7W6P-α2a-N-pyridin-4-ylisoquinolin-4-amine-Go/β1/γ2 7EJ8-α2a-Brimonidine-Go/β1/γ2 6K42-α2b-Dexmedetomidine-Gi1/β1/γ2 7EJA-α2a-Dexmedetomidine-Go/β1/γ2 7S0F-β1-Isoprenaline-Gi1/β1/γ2
55.00Single5X93K-87945X93-ETB-K-8794
55.00Single7U2KC6-guano7U2K-μ-C6-guano-Gi1/β1/γ2
55.00Single8XVJMacitentan8XVJ-ETA-Macitentan
55.00Consensusendothelin_offOrthosteric Ligandetb_off
55.00Consensusetb_offOrthosteric Ligand5X93-ETB-K-8794 5XPR-ETB-Bosentan 6K1Q-ETB-IRL2500
55.00Consensuskop_on_gpOrthosteric Ligand8F7W-κ-Dynorphin-Gi1/β1/γ2 8DZS-κ-GR89,696-chim(NtGi2-Gz)/β1/γ2 8DZP-κ-momSalB-Gi1/β1/γ2
52.94Single4DKLBeta-Funaltrexamine4DKL-μ-β-Funaltrexamine
52.94Single4LDOEpinephrine4LDO-β2-Epinephrine
52.94Single4N6HNaltrindole4N6H-δ-Naltrindole-Na
52.94Single6K41Dexmedetomidine6K41-α2b-Dexmedetomidine-Go/β1/γ2
52.94Single6PS0Carazolol6PS0-β2-Carazolol
52.94Single6PS4ICI118-5516PS4-β2-ICI118-551
52.94Single7CMUPramipexole7CMU-D3-Pramipexole-Gi1/β1/γ2
52.94Single7E33BRL-544437E33-5-HT1E-BRL-54443-Gi1/β1/γ2
52.94Single7EJ8Brimonidine7EJ8-α2a-Brimonidine-Go/β1/γ2
52.94Single7EJADexmedetomidine7EJA-α2a-Dexmedetomidine-Go/β1/γ2
52.94Single7RANPubChem 1645758477RAN-5-HT2A-PubChem 164575847-chim(NtGi2L-Gs-CtGq)/β1/γ2
52.94Single8GGQConstrained Epinephrine8GGQ-β2-Constrained Epinephrine
52.94Single8GGSConstrained Epinephrine8GGS-β2-Constrained Epinephrine
52.94Single8GGTConstrained Epinephrine8GGT-β2-Constrained Epinephrine
52.94Single8GGXConstrained Epinephrine8GGX-β2-Constrained Epinephrine
52.94Single8THKA-616038THK-Alpha1A-A-61603-chim(NtGi2L-Gs-CtGq)/β1/γ2
52.94Single8U02Dopamine8U02-D2-Dopamine-Go/β1/γ2
52.94Single8UO0Constrained Epinephrine8UO0-β2-Constrained Epinephrine-GTP-Gs/β1/γ2
52.94Single8WC8ZH86518WC8-TA1-ZH8651-chim(NtGi1-Gs)/β1/γ2
52.94Single8Y45ADL58598Y45-δ-ADL5859-Gi2/β1/γ2
52.94Single8YN3Histamine8YN3-H2-Histamine-Gs/β1/γ2
52.94Single9MQIIsoquinuclidine9MQI-μ-Isoquinuclidine
52.94Single9PXXNaloxone9PXX-μ-Naloxone-GDPβS-Gi1/β1/γ2
52.94Single9VNFPindolol9VNF-5-HT1A-Pindolol-Go/β1/γ2
52.94Consensusd3_onOrthosteric Ligand7CMV-D3-PD128907-Gi1/β1/γ2 8IRT-D3-Rotigotine-Gi1/β1/γ2 7CMU-D3-Pramipexole-Gi1/β1/γ2
52.94Consensusd3_on_gpOrthosteric Ligand7CMV-D3-PD128907-Gi1/β1/γ2 8IRT-D3-Rotigotine-Gi1/β1/γ2 7CMU-D3-Pramipexole-Gi1/β1/γ2
52.63Single2YDVNECA2YDV-A2A-NECA
52.63Single4UHRCGS216804UHR-A2A-CGS21680
52.63Single5A8E7-Methylcyanopindolol5A8E-β1-7-Methylcyanopindolol-Na
52.63Single5D5ACarazolol5D5A-β2-Carazolol
52.63Single5D5BCarazolol5D5B-β2-Carazolol
52.63Single5G53NECA5G53-A2A-NECA-Gs
52.63Single7U2LC5-guano7U2L-μ-C5-guano-Gi1/β1/γ2
52.63Single7W6PN-pyridin-4-ylisoquinolin-4-amine7W6P-α2a-N-pyridin-4-ylisoquinolin-4-amine-Go/β1/γ2
52.63Single7W7EPubChem 1649466767W7E-α2a-PubChem 164946676-Go/β1/γ2
52.63Single8DZPmomSalB8DZP-κ-momSalB-Gi1/β1/γ2
52.63Single8IRRRotigotine8IRR-D1-Rotigotine-Gs/β1/γ2
52.63Single8IRVRotigotine8IRV-D5-Rotigotine-chim(NtGi1-Gs)/β1/γ2
52.63Single9BS9LSD9BS9-D2-LSD
52.63Single9BSBLSD9BSB-D2-LSD-chim(NtGi1-Go)/β1/γ2
52.63Consensusamine_on_gpOrthosteric Ligand5ht_on_gp adrenergic_on_gp dopamine_on_gp histamine_on_gp muscarinic_on_gp trace-amine_on_gp
52.63Consensusbeta1_offOrthosteric Ligand2VT4-β1-Cyanopindolol 2YCW-β1-Carazolol 2YCZ-β1-Iodocyanopindolol 5A8E-β1-7-Methylcyanopindolol-Na 3ZPQ-β1-PubChem 594590-Na 3ZPR-β1-PubChem 598754-Na
52.63Consensusd5_on_gpOrthosteric Ligand8IRV-D5-Rotigotine-chim(NtGi1-Gs)/β1/γ2
52.63Consensusgi_dopamineOrthosteric Ligand7JVR-D2-Bromoergocryptine-Gi1/β1/γ2 7CMV-D3-PD128907-Gi1/β1/γ2 7CMU-D3-Pramipexole-Gi1/β1/γ2 8IRS-D2-Rotigotine-Gi1/β1/γ2 8IRT-D3-Rotigotine-Gi1/β1/γ2
52.38Single3NY9PubChem 9131033NY9-β2-PubChem 913103
52.38Single4UG2CGS216804UG2-A2A-CGS21680
52.17Single6PT2KGCHM076PT2-δ-KGCHM07
50.00Single3D4STimolol3D4S-β2-Timolol
50.00Single3NYAAlprenolol3NYA-β2-Alprenolol
50.00Single3ZPQPubChem 5945903ZPQ-β1-PubChem 594590-Na
50.00Single3ZPRPubChem 5987543ZPR-β1-PubChem 598754-Na
50.00Single4AMIBucindolol4AMI-β1-Bucindolol
50.00Single4IARErgotamine4IAR-5-HT1B-Ergotamine
50.00Single6H7OCyanopindolol6H7O-β1-Cyanopindolol
50.00Single6K42Dexmedetomidine6K42-α2b-Dexmedetomidine-Gi1/β1/γ2
50.00Single6MXTSalmeterol6MXT-β2-Salmeterol
50.00Single6PS1Timolol6PS1-β2-Timolol
50.00Single6PS2Alprenolol6PS2-β2-Alprenolol
50.00Single7BTSEpinephrine7BTS-β1-Epinephrine
50.00Single7BU6Norepinephrine7BU6-β1-Norepinephrine
50.00Single7E32Serotonin7E32-5-HT1D-Serotonin-Gi1/β1/γ2
50.00Single7JVQApomorphine7JVQ-D1-Apomorphine-Gs/β1/γ2
50.00Single7LJCSKF812977LJC-D1-SKF81297-Mevidalen-Gs/β1/γ2
50.00Single7S0GIsoprenaline7S0G-β1-Isoprenaline-chim(Gi1-CtGs)/β1/γ2
50.00Single7W0LPubChem 1227019087W0L-Apelin; Apelin-PubChem 122701908-Gi1/β1/γ2
50.00Single7W0LPubChem 1227019087W0L-Apelin; Apelin-PubChem 122701908-Gi1/β1/γ2
50.00Single8EF6Morphine8EF6-μ-Morphine-Gi1/β1/γ2
50.00Single8FYE4-F,5-MeO-PyrT8FYE-5-HT1A-4-F,5-MeO-PyrT-PtdIns4P-Gi1/β1/γ1
50.00Single8GE2Constrained Epinephrine8GE2-β2-Constrained Epinephrine-Gs/β1/γ1
50.00Single8GE3Constrained Epinephrine8GE3-β2-Constrained Epinephrine-Gs/β1/γ2
50.00Single8GE9Constrained Epinephrine8GE9-β2-Constrained Epinephrine-Gs/β1/γ2
50.00Single8GECConstrained Epinephrine8GEC-β2-Constrained Epinephrine-Gs/β1/γ2
50.00Single8GEEConstrained Epinephrine8GEE-β2-Constrained Epinephrine-Gs/β1/γ2
50.00Single8GEHConstrained Epinephrine8GEH-β2-Constrained Epinephrine-Gs/β1/γ2
50.00Single8GFVConstrained Epinephrine8GFV-β2-Constrained Epinephrine-GTP-Gs/β1/γ2
50.00Single8GFWConstrained Epinephrine8GFW-β2-Constrained Epinephrine-GTP-Gs/β1/γ2
50.00Single8GFXConstrained Epinephrine8GFX-β2-Constrained Epinephrine-GTP-Gs/β1/γ2
50.00Single8GFZConstrained Epinephrine8GFZ-β2-Constrained Epinephrine-GTP-Gs/β1/γ2
50.00Single8GG0Constrained Epinephrine8GG0-β2-Constrained Epinephrine-GTP-Gs/β1/γ2
50.00Single8GG1Constrained Epinephrine8GG1-β2-Constrained Epinephrine-GTP-Gs/β1/γ2
50.00Single8GG3Constrained Epinephrine8GG3-β2-Constrained Epinephrine-GTP-Gs/β1/γ2
50.00Single8GG4Constrained Epinephrine8GG4-β2-Constrained Epinephrine-GTP-Gs/β1/γ2
50.00Single8GG6Constrained Epinephrine8GG6-β2-Constrained Epinephrine-GTP-Gs/β1/γ2
50.00Single8GG9Constrained Epinephrine8GG9-β2-Constrained Epinephrine-GTP-Gs/β1/γ2
50.00Single8GGIConstrained Epinephrine8GGI-β2-Constrained Epinephrine
50.00Single8GGJConstrained Epinephrine8GGJ-β2-Constrained Epinephrine
50.00Single8GGKConstrained Epinephrine8GGK-β2-Constrained Epinephrine
50.00Single8GGNConstrained Epinephrine8GGN-β2-Constrained Epinephrine
50.00Single8GGOConstrained Epinephrine8GGO-β2-Constrained Epinephrine
50.00Single8GGUConstrained Epinephrine8GGU-β2-Constrained Epinephrine
50.00Single8IRTRotigotine8IRT-D3-Rotigotine-Gi1/β1/γ2
50.00Single8JJ8Arformoterol8JJ8-β2-Arformoterol
50.00Single8JJOAlprenolol8JJO-β2-Alprenolol
50.00Single8JLJT1AM8JLJ-TA1-T1AM-chim(NtGi1-Gs)/β1/γ2
50.00Single8UNQConstrained Epinephrine8UNQ-β2-Constrained Epinephrine-GTP-Gs/β1/γ2
50.00Single8UNRConstrained Epinephrine8UNR-β2-Constrained Epinephrine-GTP-Gs/β1/γ2
50.00Single8UNUConstrained Epinephrine8UNU-β2-Constrained Epinephrine-GTP-Gs/β1/γ2
50.00Single8UNYConstrained Epinephrine8UNY-β2-Constrained Epinephrine-GTP-Gs/β1/γ2
50.00Single8VVGGB188VVG-κ-GB18-Gi1/β1/γ2
50.00Single8W87METH8W87-TA1-METH-chim(NtGi1L-Gs)/β1/γ2
50.00Single8WDTphotoNECA8WDT-A2A-photoNECA
50.00Single8X64Desloratadine8X64-H1-Desloratadine
50.00Single8YN4Histamine8YN4-H2-Histamine-chim(NtGi1L-Gs-CtGq)/β1/γ2
50.00Single8ZSSRO52633978ZSS-TA1-RO5263397-chim(NtGi1-Gs)/β1/γ2
50.00Single9CHXCarazolol9CHX-β2-Carazolol
50.00Single9IXJHistamine9IXJ-H2-Histamine-Gs/β1/γ2
50.00Single9KVG5-MeO-DMT9KVG-5-HT1A-5-MeO-DMT-PtdIns4P-Gi1/β1/γ2
50.00Single9PQDPubChem 1764919279PQD-α2a-PubChem 176491927
50.00Consensus5ht1d_onOrthosteric Ligand7E32-5-HT1D-Serotonin-Gi1/β1/γ2
50.00Consensus5ht1d_on_gpOrthosteric Ligand7E32-5-HT1D-Serotonin-Gi1/β1/γ2
50.00Consensusadrenergic_onOrthosteric Ligandalpha_on beta_on
50.00Consensusalpha2_onOrthosteric Ligandalpha2b_on
50.00Consensusalpha2_on_gpOrthosteric Ligandalpha2b_on_gp
50.00Consensusalpha2b_onOrthosteric Ligand6K42-α2b-Dexmedetomidine-Gi1/β1/γ2
50.00Consensusalpha2b_on_gpOrthosteric Ligand6K42-α2b-Dexmedetomidine-Gi1/β1/γ2
50.00Consensusd2_on_gpOrthosteric Ligand7JVR-D2-Bromoergocryptine-Gi1/β1/γ2 8IRS-D2-Rotigotine-Gi1/β1/γ2
50.00Consensusd5_onOrthosteric Ligand8IRV-D5-Rotigotine-chim(NtGi1-Gs)/β1/γ2
50.00Consensusdopamine_onOrthosteric Ligandd2_on d1_on d3_on d4_on d5_on
50.00Consensusdopamine_on_gpOrthosteric Ligandd2_on_gp d1_on_gp d3_on_gp d4_on_gp d5_on_gp
50.00Consensusgi_amineOrthosteric Ligandgi_5ht gi_muscarinic gi_adrenergic gi_dopamine gi_histamine
50.00Consensusgi_opioidOrthosteric Ligand8F7R-μ-Endomorphin-Gi1/β1/γ2 8EF5-μ-Fentanyl-Gi1/β1/γ2 7SCG-μ-FH210-Gi1/β1/γ2 7T2H-μ-Lofentanil-Gi1/β1/γ2 7T2G-μ-Mitragynine Pseudoindoxyl-Gi1/β1/γ2 8DZP-κ-momSalB-Gi1/β1/γ2 8EF6-μ-Morphine-Gi1/β1/γ2 8F7X-NOP-Nociceptin-Gi1/β1/γ2 8EFB-μ-Oliceridine-Gi1/β1/γ2 7U2L-μ-C5-guano-Gi1/β1/γ2 8EFO-μ-PZM21-Gi1/β1/γ2 8EFL-μ-SR17018-Gi1/β1/γ2 8F7Q-μ-β-Endorphin-Gi1/β1/γ2 7U2K-μ-C6-guano-Gi1/β1/γ2 8EFQ-μ-DAMGO-Gi1/β1/γ2 8F7S-δ-Deltorphin-Gi1/β1/γ2 8F7W-κ-Dynorphin-Gi1/β1/γ2
50.00Consensusgs_trace-amineOrthosteric Ligand8W88-TA1-SEP-363856-Gs/β1/γ2 8JLJ-TA1-T1AM-chim(NtGi1-Gs)/β1/γ2 8JLO-TA1-Ulotaront-Gs/β1/γ2 8WC4-TA1-ZH8651-chim(NtGi1-Gs)/β1/γ2 8WC7-TA1-ZH8667-chim(NtGi1-Gs)/β1/γ2 8JLR-TA1-A77636-chim(NtGi1-Gs)/β1/γ2 8JSO-TA1-AMPH-chim(NtGi1-Gs)/β1/γ2 8W87-TA1-METH-chim(NtGi1L-Gs)/β1/γ2 8W89-TA1-2-Phenylethylamine-chim(NtGi1L-Gs)/β1/γ2 8JLP-TA1-Ralmitaront-Gs/β1/γ2 8W8A-TA1-RO5256390-chim(NtGi1L-Gs)/β1/γ2
50.00Consensuskop_onOrthosteric Ligand8F7W-κ-Dynorphin-Gi1/β1/γ2 8DZS-κ-GR89,696-chim(NtGi2-Gz)/β1/γ2 8DZP-κ-momSalB-Gi1/β1/γ2
50.00Consensusmop_offOrthosteric Ligand4DKL-μ-β-Funaltrexamine 8QOT-μ-Nanobody-E 7UL4-μ-Alvimopan
50.00Consensusmop_onOrthosteric Ligand8F7R-μ-Endomorphin-Gi1/β1/γ2 8EF5-μ-Fentanyl-Gi1/β1/γ2 7SCG-μ-FH210-Gi1/β1/γ2 7T2H-μ-Lofentanil-Gi1/β1/γ2 7T2G-μ-Mitragynine Pseudoindoxyl-Gi1/β1/γ2 8EF6-μ-Morphine-Gi1/β1/γ2 8EFB-μ-Oliceridine-Gi1/β1/γ2 7U2L-μ-C5-guano-Gi1/β1/γ2 8EFO-μ-PZM21-Gi1/β1/γ2 8EFL-μ-SR17018-Gi1/β1/γ2 8F7Q-μ-β-Endorphin-Gi1/β1/γ2 7U2K-μ-C6-guano-Gi1/β1/γ2 8EFQ-μ-DAMGO-Gi1/β1/γ2
50.00Consensusmop_on_gpOrthosteric Ligand8F7R-μ-Endomorphin-Gi1/β1/γ2 8EF5-μ-Fentanyl-Gi1/β1/γ2 7SCG-μ-FH210-Gi1/β1/γ2 7T2H-μ-Lofentanil-Gi1/β1/γ2 7T2G-μ-Mitragynine Pseudoindoxyl-Gi1/β1/γ2 8EF6-μ-Morphine-Gi1/β1/γ2 8EFB-μ-Oliceridine-Gi1/β1/γ2 7U2L-μ-C5-guano-Gi1/β1/γ2 8EFO-μ-PZM21-Gi1/β1/γ2 8EFL-μ-SR17018-Gi1/β1/γ2 8F7Q-μ-β-Endorphin-Gi1/β1/γ2 7U2K-μ-C6-guano-Gi1/β1/γ2 8EFQ-μ-DAMGO-Gi1/β1/γ2
50.00Consensusopioid_offOrthosteric Ligandmop_off nop_off dop_off kop_off
47.83Single3QAKUK-4320973QAK-A2A-UK-432097
47.62Single2YCZIodocyanopindolol2YCZ-β1-Iodocyanopindolol
47.62Single4BVNCyanopindolol4BVN-β1-Cyanopindolol-Na
47.62Single5CGDHTL142425CGD-mGlu5-HTL14242
47.62Single6BQGErgotamine6BQG-5-HT2C-Ergotamine
47.62Single6DDFDAMGO6DDF-μ-DAMGO-Gi1/β1/γ2
47.62Single7EZCUK-4320977EZC-A2A-UK-432097
47.62Single7XJISolabegron7XJI-β3-Solabegron-Gs/β1/γ2
47.62Single8E0GBU728E0G-μ-BU72
47.62Single8E9X2-Deoxycytidine8E9X-M4-2-Deoxycytidine-chim(NtGi1-Go)/β1/γ2
47.62Single8E9YClozapine-N-oxide8E9Y-M3-Clozapine-N-oxide-chim(NtGi2L-Gs-CtGq)/β1/γ2
47.62Single8FX5Xanomeline8FX5-M4-Xanomeline-Xanomeline-Gi1/β1/γ2
47.62Single8IYSTUG-8918IYS-FFA4-TUG-891-GDP-chim(NtGi1L-Gq)/β1/γ2
47.62Single8S2TIsoprenaline8S2T-β1-Isoprenaline-chim(NtGi1-Gs)/β1/γ2
47.37Single5JQHCarazolol5JQH-β2-Carazolol
47.37Single5XPRBosentan5XPR-ETB-Bosentan
47.37Single6KUWPubChem 572132346KUW-α2c-PubChem 57213234
47.37Single6PS3Carvedilol6PS3-β2-Carvedilol
47.37Single6PS6Timolol6PS6-β2-Timolol
47.37Single7BVQCarazolol7BVQ-β1-Carazolol
47.37Single7C61Ergotamine7C61-5-HT1B-Ergotamine
47.37Single7S0FIsoprenaline7S0F-β1-Isoprenaline-Gi1/β1/γ2
47.37Single7VUHJNJ-635330547VUH-GPR139-JNJ-63533054-chim(Gs-CtGq)/β1/γ2
47.37Single7WC6LSD7WC6-5-HT2A-LSD
47.37Single7X1TTaltirelin7X1T-TRH-Taltirelin-chim(NtGi2L-Gs-CtGq)/β1/γ2
47.37Single7XK9Constrained Isoproterenol7XK9-β2-Constrained Isoproterenol-Na
47.37Single8DZQmomSalB8DZQ-κ-momSalB-Go/β1/γ2
47.37Single8DZRGR89,6968DZR-κ-GR89,696-chim(NtGi2-Gt3)/β1/γ2
47.37Single8GFYConstrained Epinephrine8GFY-β2-Constrained Epinephrine-GTP-Gs/β1/γ2
47.37Single8GG2Constrained Epinephrine8GG2-β2-Constrained Epinephrine-GTP-Gs/β1/γ2
47.37Single8S4DCMF-0198S4D-Apelin-CMF-019
47.37Single8X0DVU04244658X0D-mGlu5; mGlu5-Quisqualate-VU0424465
47.37Single9F34FOB02-04A9F34-D3-FOB02-04A-Go/β1/γ2
47.37Single9K07DSO-5a9K07-BB3-DSO-5a-chim(NtGi2L-Gs-CtGq)/β1/γ2
47.37Single9KUVCMPD6449KUV-Apelin-CMPD644-Arrestin2
47.37Consensus5ht1_onOrthosteric Ligand5ht1a_on 5ht1d_on 5ht1e_on 5ht1f_on
47.37Consensus5ht1_on_gpOrthosteric Ligand5ht1a_on_gp 5ht1d_on_gp 5ht1e_on_gp 5ht1f_on_gp
47.37Consensus5ht1e_on_gpOrthosteric Ligand7E33-5-HT1E-BRL-54443-Gi1/β1/γ2 8UGY-5-HT1E-Mianserin-Gi1/β1/γ1 8UH3-5-HT1E-Setiptiline-Gi1/β1/γ1
47.37Consensus5ht2_offOrthosteric Ligand5ht2a_off 5ht2b_off 5ht2c_off
47.37Consensus5ht5_on_gpOrthosteric Ligand5ht5a_on_gp
47.37Consensus5ht5a_on_gpOrthosteric Ligand7X5H-5-HT5A-5-CT-Gi1/β1/γ2 7UM6-5-HT5A-Lisuride-chim(NtGi1-Go)/β1/γ2 7UM7-5-HT5A-Methylergometrine-chim(NtGi1-Go)/β1/γ2
47.37Consensusadrenergic_offOrthosteric Ligandalpha_off beta_off
47.37Consensusadrenergic_on_gpOrthosteric Ligandalpha_on_gp beta_on_gp
47.37Consensusalpha2c_offOrthosteric Ligand6KUW-α2c-PubChem 57213234
47.37Consensusalpha_offOrthosteric Ligandalpha1_off alpha2_off
47.37Consensusd2_onOrthosteric Ligand7JVR-D2-Bromoergocryptine-Gi1/β1/γ2 8IRS-D2-Rotigotine-Gi1/β1/γ2
47.37Consensusd4_onOrthosteric Ligand8IRU-D4-Rotigotine-chim(NtGi1-Gs-CtGi1)/β1/γ2
47.37Consensusgs_amineOrthosteric Ligandgs_5ht gs_adrenergic gs_dopamine gs_histamine gs_trace-amine
47.37Consensush1_offOrthosteric Ligand8X63-H1-Mepyramine 3RZE-H1-Cidoxepin 8X5Y-H1-Astemizole
47.37Consensusta1_onOrthosteric Ligand8W87-TA1-METH-chim(NtGi1L-Gs)/β1/γ2 8W89-TA1-2-Phenylethylamine-chim(NtGi1L-Gs)/β1/γ2 8JLP-TA1-Ralmitaront-Gs/β1/γ2 8W8A-TA1-RO5256390-chim(NtGi1L-Gs)/β1/γ2 8W88-TA1-SEP-363856-Gs/β1/γ2 8JLO-TA1-Ulotaront-Gs/β1/γ2 8JLR-TA1-A77636-chim(NtGi1-Gs)/β1/γ2 8JSO-TA1-AMPH-chim(NtGi1-Gs)/β1/γ2 8ZSP-TA1-LSD-chim(NtGi1L-Gs)/β1/γ2
47.37Consensustrace-amine_onOrthosteric Ligandta1_on
47.06Single6KUYPubChem 1457046436KUY-α2a-PubChem 145704643
47.06Single7YM8Oxymetazoline7YM8-Alpha1A-Oxymetazoline-chim(Gs-CtGq)
47.06Single7YMHNorepinephrine7YMH-Alpha1A-Norepinephrine-chim(Gs-CtGq)
47.06Single8GGAConstrained Epinephrine8GGA-β2-Constrained Epinephrine-GTP-Gs/β1/γ2
47.06Single8GGCConstrained Epinephrine8GGC-β2-Constrained Epinephrine-GTP-Gs/β1/γ2
47.06Single8GGRConstrained Epinephrine8GGR-β2-Constrained Epinephrine
47.06Single8GGZConstrained Epinephrine8GGZ-β2-Constrained Epinephrine
47.06Single8GH0Constrained Epinephrine8GH0-β2-Constrained Epinephrine
47.06Single8TZQDopamine8TZQ-D2-Dopamine-Go/β1/γ2
47.06Single8UNXConstrained Epinephrine8UNX-β2-Constrained Epinephrine-GTP-Gs/β1/γ2
47.06Single8WC3SEP-3638568WC3-TA1-SEP-363856-chim(NtGi1-Gs)/β1/γ2
47.06Single8WC4ZH86518WC4-TA1-ZH8651-chim(NtGi1-Gs)/β1/γ2
47.06Single8WCA2-Phenylethylamine8WCA-TA1-2-Phenylethylamine-chim(NtGi1-Gs)/β1/γ2
47.06Single9KVHCinobufotenine9KVH-5-HT1A-Cinobufotenine-PtdIns4P-Gi1/β1/γ2
47.06Single9LLBDOI-NBOMe9LLB-5-HT2A-DOI-NBOMe-chim(NtGi1L-Gs-CtGq)/β1/γ2
47.06Single9PXUNaloxone9PXU-μ-Naloxone-Na
47.06Consensus5ht1e_onOrthosteric Ligand7E33-5-HT1E-BRL-54443-Gi1/β1/γ2 8UGY-5-HT1E-Mianserin-Gi1/β1/γ1 8UH3-5-HT1E-Setiptiline-Gi1/β1/γ1
47.06Consensusalpha2_offOrthosteric Ligandalpha2c_off
45.83Single5WF5UK-4320975WF5-A2A-UK-432097
45.45Single5WF6UK-4320975WF6-A2A-UK-432097
45.45Single6G79Donitriptan6G79-5-HT1B-Donitriptan-Go/β1/γ2
45.45Single8X5YAstemizole8X5Y-H1-Astemizole
45.00Single3P0GBI1671073P0G-β2-BI167107
45.00Single3SN6BI1671073SN6-β2-BI167107-Gs/β1/γ2
45.00Single4LDLHydroxybenzyl Isoproterenol4LDL-β2-Hydroxybenzyl Isoproterenol
45.00Single4U15Tiotropium4U15-M3-Tiotropium
45.00Single5ZKBAF-DX 3845ZKB-M2-AF-DX 384
45.00Single6DDEDAMGO6DDE-μ-DAMGO-Gi1/β1/γ2
45.00Single6GT3Imaradenant6GT3-A2A-Imaradenant-Na
45.00Single6H7JIsoprenaline6H7J-β1-Isoprenaline
45.00Single6J21Aprepitant6J21-NK1-Aprepitant
45.00Single6N48BI1671076N48-β2-BI167107-PubChem 138454256
45.00Single6NI3BI1671076NI3-β2-BI167107-Gs/β1/γ2
45.00Single6OL9Tiotropium6OL9-M5-Tiotropium
45.00Single6TQ7SB-3348676TQ7-OX1-SB-334867
45.00Single7JJOIsoprenaline7JJO-β1-Isoprenaline-Gs/β1/γ2
45.00Single7JVPSKF839597JVP-D1-SKF83959-Gs/β1/γ2
45.00Single7T2HLofentanil7T2H-μ-Lofentanil-Gi1/β1/γ2
45.00Single7XY7NECA7XY7-A2B-NECA-chim(NtGi1-Gs)/β1/γ2
45.00Single8ID39-Hydroxystearic acid8ID3-FFA4-9-Hydroxystearic acid-Gi1/β1/γ2
45.00Single8ID6Oleic acid8ID6-FFA4-Oleic acid-Gi1/β1/γ2
45.00Single8IRURotigotine8IRU-D4-Rotigotine-chim(NtGi1-Gs-CtGi1)/β1/γ2
45.00Single8T1VPubChem 1183102098T1V-GPR6-PubChem 118310209-Na
45.00Single8UGWCGS216808UGW-A2A-CGS21680
45.00Single8VVFJDTic8VVF-κ-JDTic-Gi1/β1/γ2
45.00Single8XVLZibotentan8XVL-ETA-Zibotentan
45.00Single8XZICMF-0198XZI-Apelin; Apelin-CMF-019-Gi1/β1/γ2
45.00Single8YH6Namodenoson8YH6-A3A-Namodenoson-Gi1/β1/γ2
45.00Single9AS9RS130-1809AS9-5-HT2A-RS130-180
45.00Single9ASARS130-1809ASA-5-HT2A-RS130-180-chim(NtGi1-Gs-CtGq)/β1/γ2
45.00Single9IJDCarazolol9IJD-β3-Carazolol-chim(NtGi1-Gs)/β1/γ2
45.00Single9PY3Loperamide9PY3-μ-Loperamide-GDPβS-Gi1/β1/γ2
45.00Single9PY4Loperamide9PY4-μ-Loperamide-GDPβS-Gi1/β1/γ2
45.00Consensus5ht_offOrthosteric Ligand5ht2_off 5ht1_off
45.00Consensusa2_onOrthosteric Liganda2b_on
45.00Consensusa2_on_gpOrthosteric Liganda2b_on_gp
45.00Consensusa2b_onOrthosteric Ligand8HDP-A2B-Adenosine-Gs/β1/γ2 7XY6-A2B-BAY 60-6583-chim(NtGi1-Gs)/β1/γ2 7XY7-A2B-NECA-chim(NtGi1-Gs)/β1/γ2 8HDO-A2B-BAY 60-6583-Gs/β1/γ2
45.00Consensusa2b_on_gpOrthosteric Ligand8HDP-A2B-Adenosine-Gs/β1/γ2 7XY6-A2B-BAY 60-6583-chim(NtGi1-Gs)/β1/γ2 7XY7-A2B-NECA-chim(NtGi1-Gs)/β1/γ2 8HDO-A2B-BAY 60-6583-Gs/β1/γ2
45.00Consensusbeta2_onOrthosteric Ligand7DHI-β2-Salbutamol-Gs/β1/γ2 6NI3-β2-BI167107-Gs/β1/γ2
45.00Consensusbeta2_on_gpOrthosteric Ligand7DHI-β2-Salbutamol-Gs/β1/γ2 6NI3-β2-BI167107-Gs/β1/γ2
45.00Consensusd1_on_gpOrthosteric Ligand7F0T-D1-Dopamine-Gs/β1/γ2 7CKY-D1-PW0464-Gs/β1/γ2 8IRR-D1-Rotigotine-Gs/β1/γ2 7JV5-D1-SKF81297-Gs/β1/γ2 7JVP-D1-SKF83959-Gs/β1/γ2 7X2D-D1-Tavapadon-Gs/β1/γ2 7CKX-D1-A77636-Gs/β1/γ2 7JVQ-D1-Apomorphine-Gs/β1/γ2 7CKW-D1-Fenoldopam-Gs/β1/γ2
45.00Consensusd4_on_gpOrthosteric Ligand8IRU-D4-Rotigotine-chim(NtGi1-Gs-CtGi1)/β1/γ2
45.00Consensusgi_5htOrthosteric Ligand8FYT-5-HT1A-LSD-PtdIns4P-Gi1/β1/γ1 7UM7-5-HT5A-Methylergometrine-chim(NtGi1-Go)/β1/γ2 8UGY-5-HT1E-Mianserin-Gi1/β1/γ1 8W8B-5-HT1A-SEP-363856-Gi1/β1/γ2 7E2Y-5-HT1A-Serotonin-PtdIns4P-Gi1/β1/γ2 7E32-5-HT1D-Serotonin-Gi1/β1/γ2 7XTA-5-HT4-Serotonin-Gi1/β1/γ2 8UH3-5-HT1E-Setiptiline-Gi1/β1/γ1 8JSP-5-HT1A-Ulotaront-Gi1/β1/γ2 8FYL-5-HT1A-Vilazodone-PtdIns4P-Gi1/β1/γ1 8JT6-5-HT1A-(R)-IHCH-7179-PtdIns4P-Gi1/β1/γ2 8FYE-5-HT1A-4-F,5-MeO-PyrT-PtdIns4P-Gi1/β1/γ1 7X5H-5-HT5A-5-CT-Gi1/β1/γ2 8FY8-5-HT1A-5-MeO-DMT-PtdIns4P-Gi1/β1/γ1 7E2Z-5-HT1A-Aripiprazole-PtdIns4P-Gi1/β1/γ2 7E33-5-HT1E-BRL-54443-Gi1/β1/γ2 8FYX-5-HT1A-Buspirone-PtdIns4P-Gi1/β1/γ1 7EXD-5-HT1F-Lasmiditan-Gi1/β1/γ2 7UM6-5-HT5A-Lisuride-chim(NtGi1-Go)/β1/γ2
45.00Consensusgs_adenosineOrthosteric Ligand8HDP-A2B-Adenosine-Gs/β1/γ2 8HDO-A2B-BAY 60-6583-Gs/β1/γ2 7XY7-A2B-NECA-chim(NtGi1-Gs)/β1/γ2 7XY6-A2B-BAY 60-6583-chim(NtGi1-Gs)/β1/γ2
45.00Consensusgs_dopamineOrthosteric Ligand7F0T-D1-Dopamine-Gs/β1/γ2 7CKW-D1-Fenoldopam-Gs/β1/γ2 7CKY-D1-PW0464-Gs/β1/γ2 8IRV-D5-Rotigotine-chim(NtGi1-Gs)/β1/γ2 8IRR-D1-Rotigotine-Gs/β1/γ2 7JV5-D1-SKF81297-Gs/β1/γ2 7JVP-D1-SKF83959-Gs/β1/γ2 7X2D-D1-Tavapadon-Gs/β1/γ2 7CKX-D1-A77636-Gs/β1/γ2 7JVQ-D1-Apomorphine-Gs/β1/γ2
45.00Consensusgs_nucleotideOrthosteric Ligandgs_adenosine
45.00Consensusm5_offOrthosteric Ligand6OL9-M5-Tiotropium
45.00Consensusmuscarinic_offOrthosteric Ligandm2_off m3_off m4_off m5_off m1_off
45.00Consensusta1_on_gpOrthosteric Ligand8W87-TA1-METH-chim(NtGi1L-Gs)/β1/γ2 8W89-TA1-2-Phenylethylamine-chim(NtGi1L-Gs)/β1/γ2 8JLP-TA1-Ralmitaront-Gs/β1/γ2 8W8A-TA1-RO5256390-chim(NtGi1L-Gs)/β1/γ2 8W88-TA1-SEP-363856-Gs/β1/γ2 8JLO-TA1-Ulotaront-Gs/β1/γ2 8JLR-TA1-A77636-chim(NtGi1-Gs)/β1/γ2 8JSO-TA1-AMPH-chim(NtGi1-Gs)/β1/γ2 8ZSP-TA1-LSD-chim(NtGi1L-Gs)/β1/γ2
45.00Consensustrace-amine_on_gpOrthosteric Ligandta1_on_gp
44.44Single3UZCPubChem 1355666093UZC-A2A-PubChem 135566609
44.44Single6PS5Propranolol6PS5-β2-Propranolol
44.44Single6TPGEMPA6TPG-OX2-EMPA
44.44Single6TPNHTL66416TPN-OX2-HTL6641
44.44Single7CKZDopamine7CKZ-D1-Dopamine-Mevidalen-Gs/β1/γ2
44.44Single7CMVPD1289077CMV-D3-PD128907-Gi1/β1/γ2
44.44Single7DHISalbutamol7DHI-β2-Salbutamol-Gs/β1/γ2
44.44Single7F0TDopamine7F0T-D1-Dopamine-Gs/β1/γ2
44.44Single7F24Dopamine7F24-D1-Dopamine-GDP-Gs/β1/γ2
44.44Single7UM7Methylergometrine7UM7-5-HT5A-Methylergometrine-chim(NtGi1-Go)/β1/γ2
44.44Single7WC9PubChem 1624213647WC9-5-HT2A-PubChem 162421364
44.44Single8GE1Constrained Epinephrine8GE1-β2-Constrained Epinephrine-Gs/β1/γ2
44.44Single8GE4Constrained Epinephrine8GE4-β2-Constrained Epinephrine-Gs/β1/γ2
44.44Single8GE5Constrained Epinephrine8GE5-β2-Constrained Epinephrine-Gs/β1/γ1
44.44Single8GE6Constrained Epinephrine8GE6-β2-Constrained Epinephrine-Gs/β1/γ2
44.44Single8GE7Constrained Epinephrine8GE7-β2-Constrained Epinephrine-Gs/β1/γ2
44.44Single8GE8Constrained Epinephrine8GE8-β2-Constrained Epinephrine-Gs/β1/γ2
44.44Single8GEAConstrained Epinephrine8GEA-β2-Constrained Epinephrine-Gs/β1/γ2
44.44Single8GEDConstrained Epinephrine8GED-β2-Constrained Epinephrine-Gs/β1/γ2
44.44Single8GEFConstrained Epinephrine8GEF-β2-Constrained Epinephrine-Gs/β1/γ2
44.44Single8GG5Constrained Epinephrine8GG5-β2-Constrained Epinephrine-GTP-Gs/β1/γ2
44.44Single8GG7Constrained Epinephrine8GG7-β2-Constrained Epinephrine-GTP-Gs/β1/γ2
44.44Single8GG8Constrained Epinephrine8GG8-β2-Constrained Epinephrine-GTP-Gs/β1/γ2
44.44Single8GGLConstrained Epinephrine8GGL-β2-Constrained Epinephrine
44.44Single8GGMConstrained Epinephrine8GGM-β2-Constrained Epinephrine
44.44Single8GGPConstrained Epinephrine8GGP-β2-Constrained Epinephrine
44.44Single8GGVConstrained Epinephrine8GGV-β2-Constrained Epinephrine
44.44Single8JLKUlotaront8JLK-TA1-Ulotaront-chim(NtGi1-Gs)/β1/γ2
44.44Single8JLNT1AM8JLN-TA1-T1AM-Gs/β1/γ2
44.44Single8UNLConstrained Epinephrine8UNL-β2-Constrained Epinephrine-GTP-Gs/β1/γ2
44.44Single8UNMConstrained Epinephrine8UNM-β2-Constrained Epinephrine-GTP-Gs/β1/γ2
44.44Single8UNOConstrained Epinephrine8UNO-β2-Constrained Epinephrine-GTP-Gs/β1/γ2
44.44Single8UNWConstrained Epinephrine8UNW-β2-Constrained Epinephrine-GTP-Gs/β1/γ2
44.44Single8UO1Constrained Epinephrine8UO1-β2-Constrained Epinephrine-GTP; Mg-Gs/β1/γ2
44.44Single8W88SEP-3638568W88-TA1-SEP-363856-Gs/β1/γ2
44.44Single8YH2Adenosine8YH2-A3A-Adenosine-Gi1/β1/γ2
44.44Single9AS5Mescaline9AS5-5-HT2A-Mescaline
44.44Single9AS6Mescaline9AS6-5-HT2A-Mescaline-chim(NtGi1-Gs-CtGq)/β1/γ2
44.44Single9CBLEpinephrine9CBL-α2a-Epinephrine-Gi1/β1/γ2
44.44Single9KVIBufotenin9KVI-5-HT1A-Bufotenin-PtdIns4P-Gi1/β1/γ2
44.44Single9L84Epinephrine9L84-β1-Epinephrine-Atazanavir-Gs/β1/γ2
44.44Single9ODJMitragynine Pseudoindoxyl9ODJ-μ-Mitragynine Pseudoindoxyl-GTP; Mg-Gi1/β1/γ2
44.44Single9VJG8-OH-DPAT9VJG-5-HT1A-8-OH-DPAT-chim(NtGi2-Gz)/β1/γ2
44.44Single9W6W5-CT9W6W-5-HT5A-5-CT-Gi1/β1/γ2
44.44Consensus5ht_on_gpOrthosteric Ligand5ht1_on_gp 5ht2_on_gp 5ht4_on_gp 5ht5_on_gp 5ht6_on_gp 5ht7_on_gp
44.00Single8H4KGW95088H4K-FFA4-GW9508-chim(NtGi1-Gs-CtGq)/β1/γ2
43.75Single7EJKOxymetazoline7EJK-α2a-Oxymetazoline-Go/β1/γ2
43.75Single8POKHistamine8POK-H2-Histamine-Gs/β1/γ2
43.75Single8WC9ZH86518WC9-TA1-ZH8651-chim(NtGi1-Gs-CtGq)/β1/γ2
43.75Consensush2_on_gpOrthosteric Ligand8POK-H2-Histamine-Gs/β1/γ2
43.48Single4AMJCarvedilol4AMJ-β1-Carvedilol
43.48Single4IB4Ergotamine4IB4-5-HT2B-Ergotamine
43.48Single8FYLVilazodone8FYL-5-HT1A-Vilazodone-PtdIns4P-Gi1/β1/γ1
43.48Single8ZSPLSD8ZSP-TA1-LSD-chim(NtGi1L-Gs)/β1/γ2
43.48Single9BUYLM1899BUY-β2-LM189-Gi1/β1/γ2
43.48Consensusclass-a_on_gpOrthosteric Ligandsensory_on_gp alicarboxylic_on_gp amine_on_gp lipid_on_gp nucleotide_on_gp peptide_on_gp protein_on_gp
42.86Single4LDEBI1671074LDE-β2-BI167107
42.86Single5CXVTiotropium5CXV-M1-Tiotropium
42.86Single5F8UCyanopindolol5F8U-β1-Cyanopindolol
42.86Single6A93Risperidone6A93-5-HT2A-Risperidone
42.86Single6CM4Risperidone6CM4-D2-Risperidone
42.86Single6H7NXamoterol6H7N-β1-Xamoterol
42.86Single6VMSBromoergocryptine6VMS-D2-Bromoergocryptine-Gi1/β1/γ2
42.86Single7EXDLasmiditan7EXD-5-HT1F-Lasmiditan-Gi1/β1/γ2
42.86Single7SUSPubChem 1227019087SUS-Apelin-PubChem 122701908
42.86Single7YMJTamsulosin7YMJ-Alpha1A-Tamsulosin
42.86Single8E9W2-Deoxycytidine8E9W-M3-2-Deoxycytidine-chim(NtGi2L-Gs-CtGq)/β1/γ2
42.86Single8FYTLSD8FYT-5-HT1A-LSD-PtdIns4P-Gi1/β1/γ1
42.86Single8G056-OAU8G05-GPR84-6-OAU-Gi1/β1/γ2
42.86Single8ID9Icosapent8ID9-FFA4-Icosapent-Gi1/β1/γ2
42.86Single8JJLOlodaterol8JJL-β2-Olodaterol
42.86Single8W1VPubChem 1717162658W1V-β2-PubChem 171716265
42.86Single9WSVDAMGO9WSV-μ-DAMGO-Arrestin2
42.86Single9YDQDADLE9YDQ-δ-DADLE-MIPS3614-chim(NtGi1L-Gs-CtGi1)/β1/γ2
42.86Consensus5ht1f_onOrthosteric Ligand7EXD-5-HT1F-Lasmiditan-Gi1/β1/γ2
42.86Consensus5ht1f_on_gpOrthosteric Ligand7EXD-5-HT1F-Lasmiditan-Gi1/β1/γ2
42.86Consensusalpha1_offOrthosteric Ligandalpha1a_off
42.86Consensusalpha1a_offOrthosteric Ligand7YMJ-Alpha1A-Tamsulosin
42.86Consensusbeta_onOrthosteric Ligandbeta1_on beta2_on beta3_on
42.86Consensusbeta_on_gpOrthosteric Ligandbeta1_on_gp beta2_on_gp beta3_on_gp
42.86Consensusm1_offOrthosteric Ligand5CXV-M1-Tiotropium
42.86Consensusnk1_offOrthosteric Ligand6HLP-NK1-Netupitant 6HLO-NK1-Aprepitant 6HLL-NK1-CP99994 6E59-NK1-L-760735
42.31Consensusopioid_onOrthosteric Ligandmop_on nop_on dop_on kop_on
42.11Single2VT4Cyanopindolol2VT4-β1-Cyanopindolol
42.11Single2Y04Salbutamol2Y04-β1-Salbutamol
42.11Single2YCYCyanopindolol2YCY-β1-Cyanopindolol
42.11Single4U16N-methyl-Scopolamine4U16-M3-N-methyl-Scopolamine
42.11Single5YC8N-methyl-Scopolamine5YC8-M2-N-methyl-Scopolamine
42.11Single5ZK8N-methyl-Scopolamine5ZK8-M2-N-methyl-Scopolamine
42.11Single5ZKCN-methyl-Scopolamine5ZKC-M2-N-methyl-Scopolamine
42.11Single6H7MSalbutamol6H7M-β1-Salbutamol
42.11Single6PRZAlprenolol6PRZ-β2-Alprenolol
42.11Single7T2GMitragynine Pseudoindoxyl7T2G-μ-Mitragynine Pseudoindoxyl-Gi1/β1/γ2
42.11Single7UM55-CT7UM5-5-HT5A-5-CT-chim(NtGi1-Go)/β1/γ2
42.11Single7UM6Lisuride7UM6-5-HT5A-Lisuride-chim(NtGi1-Go)/β1/γ2
42.11Single7WC7Lisuride7WC7-5-HT2A-Lisuride
42.11Single7X2CFenoldopam7X2C-D1-Fenoldopam-Fenoldopam-Gs/β1/γ2
42.11Single7XTC5-CT7XTC-5-HT7-5-CT-Gs/β1/γ2
42.11Single8CU7LJ-45178CU7-A2A-LJ-4517-Na
42.11Single8DZSGR89,6968DZS-κ-GR89,696-chim(NtGi2-Gz)/β1/γ2
42.11Single8FY85-MeO-DMT8FY8-5-HT1A-5-MeO-DMT-PtdIns4P-Gi1/β1/γ1
42.11Single8JD0NAM5638JD0-mGlu2; mGlu3-Glutamate-NAM563
42.11Single8JLZST19368JLZ-5-HT6-ST1936-Gs/β1/γ2
42.11Single8PJKST1718PJK-5-HT1A-ST171-Gi1/β1/γ1
42.11Single8T1WCVN4248T1W-GPR6-CVN424
42.11Single8UGYMianserin8UGY-5-HT1E-Mianserin-Gi1/β1/γ1
42.11Single8UH3Setiptiline8UH3-5-HT1E-Setiptiline-Gi1/β1/γ1
42.11Single8W8ARO52563908W8A-TA1-RO5256390-chim(NtGi1L-Gs)/β1/γ2
42.11Single8WC7ZH86678WC7-TA1-ZH8667-chim(NtGi1-Gs)/β1/γ2
42.11Single8X63Mepyramine8X63-H1-Mepyramine
42.11Single9DYFAsenapine9DYF-5-HT1A-Asenapine-PtdIns4P-Gi1/β1/γ2
42.11Single9JEAAtropine9JEA-M1-Atropine
42.11Single9KFJPubChem 1383196749KFJ-RXFP3-PubChem 138319674-Gi2/β1/γ2
42.11Single9KUXCMPD6449KUX-Apelin; Apelin-CMPD644-Arrestin2
42.11Single9LLAAriadne9LLA-5-HT2A-Ariadne-chim(NtGi1L-Gs-CtGq)/β1/γ2
42.11Single9UAZAtropine9UAZ-M1-Atropine
42.11Consensus5ht5_onOrthosteric Ligand5ht5a_on
42.11Consensus5ht5a_onOrthosteric Ligand7X5H-5-HT5A-5-CT-Gi1/β1/γ2 7UM6-5-HT5A-Lisuride-chim(NtGi1-Go)/β1/γ2 7UM7-5-HT5A-Methylergometrine-chim(NtGi1-Go)/β1/γ2
42.11Consensus5ht7_onOrthosteric Ligand7XTC-5-HT7-5-CT-Gs/β1/γ2
42.11Consensus5ht7_on_gpOrthosteric Ligand7XTC-5-HT7-5-CT-Gs/β1/γ2
42.11Consensusa3_onOrthosteric Liganda3a_on
42.11Consensusadenosine_on_gpOrthosteric Liganda1_on_gp a2_on_gp a3_on_gp
42.11Consensusgq_amineOrthosteric Ligandgq_muscarinic gq_histamine
42.11Consensushistamine_offOrthosteric Ligandh1_off
41.67Single6HLOAprepitant6HLO-NK1-Aprepitant
41.18Single3PBLEticlopride3PBL-D3-Eticlopride
41.18Single7E2YSerotonin7E2Y-5-HT1A-Serotonin-PtdIns4P-Gi1/β1/γ2
41.18Single7XTASerotonin7XTA-5-HT4-Serotonin-Gi1/β1/γ2
41.18Single7XTBSerotonin7XTB-5-HT6-Serotonin-Gs/β1/γ2
41.18Single8GGYConstrained Epinephrine8GGY-β2-Constrained Epinephrine
41.18Single8JLOUlotaront8JLO-TA1-Ulotaront-Gs/β1/γ2
41.18Single8UO3Constrained Epinephrine8UO3-β2-Constrained Epinephrine-GTP; Mg-Gs/β1/γ2
41.18Single8W892-Phenylethylamine8W89-TA1-2-Phenylethylamine-chim(NtGi1L-Gs)/β1/γ2
41.18Single8ZSVRO52633978ZSV-TA1-RO5263397-chim(NtGi1-Gs)/β1/γ2
41.18Single9IJEEpinephrine9IJE-β3-Epinephrine-chim(NtGi1-Gs)/β1/γ2
41.18Single9L42Histamine9L42-H4-Histamine-Gi1/β1/γ2
41.18Single9U9VMETH9U9V-β2-METH-Gs/β1/γ2
41.18Consensus5ht4_onOrthosteric Ligand7XTA-5-HT4-Serotonin-Gi1/β1/γ2
41.18Consensus5ht4_on_gpOrthosteric Ligand7XTA-5-HT4-Serotonin-Gi1/β1/γ2
41.18Consensusd3_offOrthosteric Ligand3PBL-D3-Eticlopride
40.91Single5TUDErgotamine5TUD-5-HT2B-Ergotamine
40.91Single6BQHRitanserin6BQH-5-HT2C-Ritanserin
40.91Single6H7LDobutamine6H7L-β1-Dobutamine
40.91Single6IBLArformoterol6IBL-β1-Arformoterol
40.91Single6K1QIRL25006K1Q-ETB-IRL2500
40.91Single6TKOArformoterol6TKO-β1-Arformoterol-Arrestin2
40.91Single7JVRBromoergocryptine7JVR-D2-Bromoergocryptine-Gi1/β1/γ2
40.91Single7SK8CCX6627SK8-ACKR3-CXCL12-CCX662
40.91Single7WVVfMLFII7WVV-FPR2-ALX-fMLFII-Gi2/β1/γ2
40.91Single7X2DTavapadon7X2D-D1-Tavapadon-Gs/β1/γ2
40.91Single8T3OTUG-8918T3O-FFA4-TUG-891-chim(NtGi2L-Gs-CtGq)/β1/γ2
40.91Single9YDPDADLE9YDP-δ-DADLE-chim(NtGi1L-Gs-CtGi1)/β1/γ2
40.91Single9YDRDADLE9YDR-δ-DADLE-MIPS3983-chim(NtGi1L-Gs-CtGi1)/β1/γ2
40.91Consensus5ht2c_offOrthosteric Ligand6BQH-5-HT2C-Ritanserin
40.91Consensusbeta1_onOrthosteric Ligand8DCR-β1-Dobutamine-Gs/β1/γ2 7S0F-β1-Isoprenaline-Gi1/β1/γ2
40.91Consensusbeta1_on_gpOrthosteric Ligand8DCR-β1-Dobutamine-Gs/β1/γ2 7S0F-β1-Isoprenaline-Gi1/β1/γ2
40.91Consensusd2_offOrthosteric Ligand6CM4-D2-Risperidone 6LUQ-D2-Haloperidol 7DFP-D2-Spiperone
40.91Consensuspeptide_offOrthosteric Ligandcck_off angiotensin_off bombesin_off endothelin_off ghrelin_off npy_off opioid_off orexin_off somatostatin_off tachykinin_off vasop-oxy_off neurotensin_off
40.74Consensusopioid_on_gpOrthosteric Ligandmop_on_gp nop_on_gp dop_on_gp kop_on_gp
40.00Single2Y03Isoprenaline2Y03-β1-Isoprenaline
40.00Single5OM4PubChem 1355666095OM4-A2A-PubChem 135566609-Na
40.00Single5TVNLSD5TVN-5-HT2B-LSD
40.00Single5WQCEMPA5WQC-OX2-EMPA
40.00Single6E67BI1671076E67-β2-BI167107-Gs(CT)
40.00Single6GDGNECA6GDG-A2A-NECA-Gs/β1/γ1
40.00Single6HLPNetupitant6HLP-NK1-Netupitant
40.00Single7CKXA776367CKX-D1-A77636-Gs/β1/γ2
40.00Single7EUOfMLF7EUO-FPR1-ALX-fMLF-Gi1/β1/γ2
40.00Single7LD3Adenosine7LD3-A1-Adenosine-MIPS521-Gi2/β1/γ2
40.00Single7M3JNPS-2143; PO47M3J-CaS; CaS-NPS-2143; PO4
40.00Single7SBFPZM217SBF-μ-PZM21-Gi1/β1/γ2
40.00Single7WIGL-0542647WIG-SST2-L-054264-Gi1/β1/γ2
40.00Single8C9WEtrumadenant8C9W-A2A-Etrumadenant
40.00Single8E9ZIperoxo8E9Z-M3-Iperoxo-chim(NtGi2L-Gs-CtGq)/β1/γ2
40.00Single8EFBOliceridine8EFB-μ-Oliceridine-Gi1/β1/γ2
40.00Single8X0BVU04244658X0B-mGlu5; mGlu5-Quisqualate-VU0424465
40.00Single8X0CVU04244658X0C-mGlu5; mGlu5-Quisqualate-VU0424465
40.00Single8X0CVU04244658X0C-mGlu5; mGlu5-Quisqualate-VU0424465
40.00Single8X0DVU04244658X0D-mGlu5; mGlu5-Quisqualate-VU0424465
40.00Single8YH0NECA8YH0-A3A-NECA-Gi1/β1/γ2
40.00Single8ZMFPubChem 1719206738ZMF-5-HT2C-PubChem 171920673
40.00Single9B54VIP369B54-CB1-VIP36-Gi1/β1/γ2
40.00Single9DYDAsenapine9DYD-5-HT1A-Asenapine-PtdIns4P-Go/β1/γ2
40.00Single9EE8Adenosine9EE8-A2A-Adenosine-Gs/β1/γ2
40.00Single9F33FOB02-04A9F33-D3-FOB02-04A-Go/β1/γ2
40.00Single9HC04YI9HC0-mGlu5-4YI
40.00Single9I52A1IZU9I52-D1-A1IZU-Gs/β1/γ2
40.00Single9VJFBuspirone9VJF-5-HT1A-Buspirone-Gi3/β1/γ2
40.00Consensusa3_on_gpOrthosteric Liganda3a_on_gp
40.00Consensusa3a_onOrthosteric Ligand8X17-A3A-Namodenoson-Gi1/β1/γ2 8X16-A3A-Piclidenoson-Gi1/β1/γ2
40.00Consensusa3a_on_gpOrthosteric Ligand8X17-A3A-Namodenoson-Gi1/β1/γ2 8X16-A3A-Piclidenoson-Gi1/β1/γ2
40.00Consensusd1_onOrthosteric Ligand7F0T-D1-Dopamine-Gs/β1/γ2 7CKY-D1-PW0464-Gs/β1/γ2 8IRR-D1-Rotigotine-Gs/β1/γ2 7JV5-D1-SKF81297-Gs/β1/γ2 7JVP-D1-SKF83959-Gs/β1/γ2 7X2D-D1-Tavapadon-Gs/β1/γ2 7CKX-D1-A77636-Gs/β1/γ2 7JVQ-D1-Apomorphine-Gs/β1/γ2 7CKW-D1-Fenoldopam-Gs/β1/γ2
40.00Consensusm2_offOrthosteric Ligand5ZKC-M2-N-methyl-Scopolamine 5ZK3-M2-3-quinuclidinyl-benzilate 5ZKB-M2-AF-DX 384
40.00Consensusm3_onOrthosteric Ligand8E9Z-M3-Iperoxo-chim(NtGi2L-Gs-CtGq)/β1/γ2 8E9W-M3-2-Deoxycytidine-chim(NtGi2L-Gs-CtGq)/β1/γ2 8E9Y-M3-Clozapine-N-oxide-chim(NtGi2L-Gs-CtGq)/β1/γ2
40.00Consensusm3_on_gpOrthosteric Ligand8E9Z-M3-Iperoxo-chim(NtGi2L-Gs-CtGq)/β1/γ2 8E9W-M3-2-Deoxycytidine-chim(NtGi2L-Gs-CtGq)/β1/γ2 8E9Y-M3-Clozapine-N-oxide-chim(NtGi2L-Gs-CtGq)/β1/γ2
39.29Single9KDFRES-701-39KDF-ETB-RES-701-3
39.13Single7SK9CCX6627SK9-ACKR3-CCX662
39.13Single7XN9L-0545227XN9-SST2-L-054522
39.13Single7XY6BAY 60-65837XY6-A2B-BAY 60-6583-chim(NtGi1-Gs)/β1/γ2
39.13Single8JLRA776368JLR-TA1-A77636-chim(NtGi1-Gs)/β1/γ2
39.13Single8Y72Peptide8Y72-μ-Peptide-BMS-986122-Gi1/β1/γ2
38.89Single2PED9-cis-Retinal2PED-Rhodopsin-9-cis-Retinal
38.89Single6AKXA4R6AKX-CCR5-A4R
38.89Single6B73MP11046B73-κ-MP1104
38.89Single6OBAAlprenolol6OBA-β2-Alprenolol-GTPL11074
38.89Single6TODEMPA6TOD-OX1-EMPA-Na
38.89Single7DHRIsoprenaline7DHR-β2-Isoprenaline-Gs/β1/γ2
38.89Single7EJ0Norepinephrine7EJ0-α2a-Norepinephrine-Go/β1/γ2
38.89Single7F1ODopamine7F1O-D1-Dopamine-GDP; Mg-Gs/β1/γ2
38.89Single7F8ULintitript7F8U-CCKA-Lintitript
38.89Single7LD4Adenosine7LD4-A1-Adenosine-Gi2/β1/γ2
38.89Single7LJDDopamine7LJD-D1-Dopamine-Mevidalen-Gs/β1/γ1
38.89Single7SRSLSD7SRS-5-HT2B-LSD-Arrestin2
38.89Single7T6STC-FPR 437T6S-FPR2-ALX-TC-FPR 43-Gi1/β1/γ2
38.89Single7T8XAcetylcholine7T8X-M2-Acetylcholine-chim(NtGi1-Go)/β1/γ2
38.89Single7T90Acetylcholine7T90-M2-Acetylcholine-chim(NtGi1-Go)/β1/γ2
38.89Single7T96Acetylcholine7T96-M2-Acetylcholine-LY2119620-Go/β1/γ2
38.89Single7VUJJNJ-635330547VUJ-GPR139-JNJ-63533054-GDP-chim(Gs-CtGq)/β1/γ2
38.89Single7W0MPubChem 1227019087W0M-Apelin-PubChem 122701908-Gi1/β1/γ2
38.89Single7X2FDopamine7X2F-D1-Dopamine-Mevidalen-Gs/β1/γ2
38.89Single7X5H5-CT7X5H-5-HT5A-5-CT-Gi1/β1/γ2
38.89Single8EFOPZM218EFO-μ-PZM21-Gi1/β1/γ2
38.89Single8FYXBuspirone8FYX-5-HT1A-Buspirone-PtdIns4P-Gi1/β1/γ1
38.89Single8GGWConstrained Epinephrine8GGW-β2-Constrained Epinephrine
38.89Single8HOCImetit8HOC-H4-Imetit-Gi1/β1/γ2
38.89Single8JSOAMPH8JSO-TA1-AMPH-chim(NtGi1-Gs)/β1/γ2
38.89Single8UNSConstrained Epinephrine8UNS-β2-Constrained Epinephrine-GTP-Gs/β1/γ2
38.89Single8UNTConstrained Epinephrine8UNT-β2-Constrained Epinephrine-GTP-Gs/β1/γ2
38.89Single8YNAImmepip8YNA-H4-Immepip-Gi1/β1/γ2
38.89Single8YUTAmthamine8YUT-H2-Amthamine-Gs/β1/γ2
38.89Single9EBHAdenosine9EBH-A3A-Adenosine-Gi1/β1/γ2
38.89Single9EEAAdenosine9EEA-A2A-Adenosine-Gs/β1/γ2
38.89Single9J5VCpY9J5V-LPA1-CpY-Gi1/β1/γ2
38.89Single9LRBHistamine9LRB-H1-Histamine-Gs/β1/γ2
38.89Single9VJ5Gepirone9VJ5-5-HT1A-Gepirone-Go/β1/γ2
38.89Single9VJEBuspirone9VJE-5-HT1A-Buspirone-Go/β1/γ2
38.89Consensus5ht_onOrthosteric Ligand5ht1_on 5ht2_on 5ht4_on 5ht5_on 5ht6_on 5ht7_on
38.89Consensusa1_onOrthosteric Ligand7LD4-A1-Adenosine-Gi2/β1/γ2
38.89Consensusa1_on_gpOrthosteric Ligand7LD4-A1-Adenosine-Gi2/β1/γ2
38.89Consensusgq_histamineOrthosteric Ligand7DFL-H1-Histamine-chim(NtGi1L-Gq)/β1/γ2
38.89Consensusgs_5htOrthosteric Ligand7XTC-5-HT7-5-CT-Gs/β1/γ2 7XTB-5-HT6-Serotonin-Gs/β1/γ2 8JLZ-5-HT6-ST1936-Gs/β1/γ2 7XT8-5-HT4-Serotonin-Gs/β1/γ2
38.89Consensush1_on_gpOrthosteric Ligand7DFL-H1-Histamine-chim(NtGi1L-Gq)/β1/γ2
38.89Consensushistamine_onOrthosteric Ligandh1_on h2_on h3_on h4_on
38.89Consensushistamine_on_gpOrthosteric Ligandh1_on_gp h2_on_gp h3_on_gp h4_on_gp
38.89Consensusm2_onOrthosteric Ligand7T8X-M2-Acetylcholine-chim(NtGi1-Go)/β1/γ2
38.89Consensusm2_on_gpOrthosteric Ligand7T8X-M2-Acetylcholine-chim(NtGi1-Go)/β1/γ2
38.46Single6WIVPubChem 52923113; PubChem 529246456WIV-GABAB1, GABAB2-PubChem 52923113; PubChem 52924645
38.46Single9BKKCholecystokinin-89BKK-CCKA-Cholecystokinin-8-chim(NtGi1-Gs-CtGq)/β1/γ2
38.46Consensusgi_class-aOrthosteric Ligandgi_peptide gi_sensory gi_alicarboxylic gi_amine gi_lipid gi_nucleotide gi_protein
38.10Single4DJHJDTic4DJH-κ-JDTic
38.10Single4IAQDihydroergotamine4IAQ-5-HT1B-Dihydroergotamine
38.10Single5V54Methiothepin5V54-5-HT1B-Methiothepin
38.10Single6WGTLSD6WGT-5-HT2A-LSD
38.10Single7E2ZAripiprazole7E2Z-5-HT1A-Aripiprazole-PtdIns4P-Gi1/β1/γ2
38.10Single7JV5SKF812977JV5-D1-SKF81297-Gs/β1/γ2
38.10Single7P2L4YI7P2L-mGlu5-4YI
38.10Single7TRQIperoxo7TRQ-M4-Iperoxo-VU0467154-Gi1/β1/γ2
38.10Single7XAVLanreotide7XAV-SST2-Lanreotide-Gi1/β1/γ2
38.10Single8DCSCyanopindolol8DCS-β1-Cyanopindolol-Gs/β1/γ2
38.10Single8EA0Iperoxo8EA0-M3-Iperoxo
38.10Single8EF5Fentanyl8EF5-μ-Fentanyl-Gi1/β1/γ2
38.10Single8HDOBAY 60-65838HDO-A2B-BAY 60-6583-Gs/β1/γ2
38.10Single8JXVClozapine8JXV-H4-Clozapine-Gi1/β1/γ2
38.10Single8JXXClobenpropit8JXX-H4-Clobenpropit-Gi1/β1/γ2
38.10Single8X0BVU04244658X0B-mGlu5; mGlu5-Quisqualate-VU0424465
38.10Single8X0FVU298X0F-mGlu5; mGlu5-Quisqualate-VU29
38.10Single8X16Piclidenoson8X16-A3A-Piclidenoson-Gi1/β1/γ2
38.10Single9KUXCMPD6449KUX-Apelin; Apelin-CMPD644-Arrestin2
38.10Single9KVPSB2901579KVP-C3aB-SB290157-Go/β1/γ2
38.10Consensus5ht1_offOrthosteric Ligand5ht1b_off
38.10Consensus5ht1b_offOrthosteric Ligand5V54-5-HT1B-Methiothepin
38.10Consensusgs_adrenergicOrthosteric Ligand7DHI-β2-Salbutamol-Gs/β1/γ2 7XJI-β3-Solabegron-Gs/β1/γ2 7JJO-β1-Isoprenaline-Gs/β1/γ2 6NI3-β2-BI167107-Gs/β1/γ2 8DCR-β1-Dobutamine-Gs/β1/γ2 7XJH-β3-Isoprenaline-Gs/β1/γ2 7DH5-β3-Mirabegron-Gs/β1/γ2
38.10Consensush4_on_gpOrthosteric Ligand8HN8-H4-Histamine-Gi1/β1/γ2 8HOC-H4-Imetit-Gi1/β1/γ2 8JXV-H4-Clozapine-Gi1/β1/γ2 8JXW-H4-VUF6884-Gi1/β1/γ2 8JXX-H4-Clobenpropit-Gi1/β1/γ2
38.10Consensuskop_offOrthosteric Ligand4DJH-κ-JDTic
38.10Consensusm3_offOrthosteric Ligand4U15-M3-Tiotropium 4U16-M3-N-methyl-Scopolamine 5ZHP-M3-PubChem 134828589
38.10Consensustachykinin_offOrthosteric Ligandnk1_off
37.50Single6OY9All-trans-Retinal6OY9-Rhodopsin-All-trans-Retinal-Gt/β1/γ1
37.50Single6WIVPubChem 52923113; PubChem 529246456WIV-GABAB1, GABAB2-PubChem 52923113; PubChem 52924645
37.50Single7W0PElabela7W0P-Apelin-Elabela-Gi1/β1/γ2
37.50Single7WKDTRH7WKD-TRH-TRH-chim(NtGi1-Gs-CtGq)/β1/γ2
37.50Single7WVWfMYFINILTL7WVW-FPR2-ALX-fMYFINILTL-Gi2/β1/γ2
37.50Single8DCRDobutamine8DCR-β1-Dobutamine-Gs/β1/γ2
37.50Single8DPHLorcaserin8DPH-5-HT2C-Lorcaserin-chim(NtGi2L-Gs-CtGq)/β1/γ2
37.50Single8G59TUG-8918G59-FFA4-TUG-891-chim(Gi1-CtGq)/β1/γ2
37.50Single8IWM2-Phenylethylamine8IWM-TAA9-2-Phenylethylamine
37.50Single8PKMBefiradol8PKM-5-HT1A-Befiradol-Gi1/β1/γ1
37.50Single8WC5Tetramethylammonium Ion8WC5-TA1-Tetramethylammonium Ion-chim(NtGi1-Gs)/β1/γ2
37.50Single9CHUNorepinephrine9CHU-β2-Norepinephrine
37.50Single9M4TSilodosin9M4T-Alpha1A-Silodosin
37.50Consensusgs_histamineOrthosteric Ligand8POK-H2-Histamine-Gs/β1/γ2
37.50Consensush2_onOrthosteric Ligand8POK-H2-Histamine-Gs/β1/γ2
37.04Consensuscml1_on_gpOrthosteric Ligand7YKD-CML1-Chemerin-9-Gi1/β1/γ2
36.84Single2YDOAdenosine2YDO-A2A-Adenosine
36.84Single3RZECidoxepin3RZE-H1-Cidoxepin
36.84Single4MBSMaraviroc4MBS-CCR5-Maraviroc
36.84Single4MQTIperoxo4MQT-M2-Iperoxo-LY2119620
36.84Single4ZJCSB-6740424ZJC-OX1-SB-674042
36.84Single6A94Zotepine6A94-5-HT2A-Zotepine
36.84Single6FFIMPEP6FFI-mGlu5-MPEP
36.84Single6KUXRS799486KUX-α2a-RS79948
36.84Single6VI4JDTic6VI4-κ-JDTic
36.84Single6WH4Methiothepin6WH4-5-HT2A-Methiothepin
36.84Single6WJCAtropine6WJC-M1-Atropine-Muscarinic toxin 7
36.84Single7CKWFenoldopam7CKW-D1-Fenoldopam-Gs/β1/γ2
36.84Single7F1ZDopamine7F1Z-D1-Dopamine-GDP-Gs/β1/γ2
36.84Single7SR8TAK-9257SR8-OX2-TAK-925-chim(NtGi1L-Gs-CtGq)/β1/γ2
36.84Single7T94Acetylcholine7T94-M2-Acetylcholine-LY2119620-chim(NtGi1-Go)/β1/γ2
36.84Single7TRSAcetylcholine7TRS-M4-Acetylcholine-Gi1/β1/γ2
36.84Single8FCZ11-cis-Retinal8FCZ-Rhodopsin-11-cis-Retinal
36.84Single8H4LDoconexent8H4L-FFA4-Doconexent-chim(NtGi1-Gs-CtGq)/β1/γ2
36.84Single8JSPUlotaront8JSP-5-HT1A-Ulotaront-Gi1/β1/γ2
36.84Single8K9KDAMGO8K9K-μ-DAMGO-Gi3/β1/γ1
36.84Single8PM2DMCHA8PM2-TA7-DMCHA-Gs/β1/γ2
36.84Single8UHBRO52563908UHB-TA1-RO5256390-Gs/β1/γ2
36.84Single8V6UPubChem 1713924568V6U-5-HT2A-PubChem 171392456-chim(NtGi2-Gs-CtGq)/β1/γ2
36.84Single8W8BSEP-3638568W8B-5-HT1A-SEP-363856-Gi1/β1/γ2
36.84Single8Y01All-trans-Retinal8Y01-Opsin1MW-All-trans-Retinal-Gi1/β1/γ2
36.84Single8Y53MK50468Y53-BB3-MK5046-chim(NtGi1-Gs-CtGq)/β1/γ2
36.84Single8ZMGPimavanserin8ZMG-5-HT2A-Pimavanserin
36.84Single9ARXSerotonin9ARX-5-HT2A-Serotonin
36.84Single9AS3LSD9AS3-5-HT2A-LSD
36.84Single9AS4LSD9AS4-5-HT2A-LSD-chim(NtGi1-Gs-CtGq)/β1/γ2
36.84Single9EPQ11,20-Ethanoretinal9EPQ-Rhodopsin-11,20-Ethanoretinal-chim(Gi1-CtGq)/β1/γ2
36.84Single9JH3CMF-0199JH3-Apelin; Apelin-CMF-019-Gi1/β1/γ2
36.84Single9L8LBI1671079L8L-β2-BI167107-Atazanavir-Gs/β1/γ2 ; Arrestin2
36.84Single9LRDHistamine9LRD-H1-Histamine-Gi1/β1/γ2
36.84Single9ODLMitragynine Pseudoindoxyl9ODL-μ-Mitragynine Pseudoindoxyl-GTP; Mg-Gi1/β1/γ2
36.84Consensus5ht2a_offOrthosteric Ligand6A94-5-HT2A-Zotepine 6A93-5-HT2A-Risperidone 7VOD-5-HT2A-Cariprazine 7WC8-5-HT2A-Lumateperone 8JT8-5-HT2A-(R)-IHCH-7179
36.84Consensusadenosine_onOrthosteric Liganda1_on a2_on a3_on
36.84Consensusgi_adenosineOrthosteric Ligand7LD4-A1-Adenosine-Gi2/β1/γ2 8X17-A3A-Namodenoson-Gi1/β1/γ2 8X16-A3A-Piclidenoson-Gi1/β1/γ2
36.36Single2YCXCyanopindolol2YCX-β1-Cyanopindolol
36.36Single4Z36ONO-30805734Z36-LPA1-ONO-3080573
36.36Single5X33BIIL2605X33-BLT1-BIIL260
36.36Single6DRYMethylergometrine6DRY-5-HT2B-Methylergometrine
36.36Single6XBLCholesterol6XBL-SMO-SAG-Cholesterol-Gi1/β1/γ2
36.36Single7BZ2Arformoterol7BZ2-β2-Arformoterol-Gs/β1/γ2
36.36Single7DFPSpiperone7DFP-D2-Spiperone
36.36Single7EPENAM5637EPE-mGlu2-NAM563
36.36Single7JNIOlodanrigan7JNI-AT2-Olodanrigan
36.36Single7XW9TRH7XW9-TRH-TRH-chim(NtGi1L-Gs-CtGq)/β1/γ2
36.36Single8I9AEP548I9A-C3aB-EP54-chim(NtGi1-Gs-CtGq)/β1/γ2
36.36Single8T3QDoconexent8T3Q-FFA4-Doconexent-chim(NtGi2L-Gs-CtGq)/β1/γ2
36.36Single9EBIPiclidenoson9EBI-A3A-Piclidenoson-chim(NtGi1L-Gs-CtGi1)/β1/γ2
36.36Single9EK0Iperoxo9EK0-M5-Iperoxo-chim(NtGi1-Gs-CtGq)/β1/γ2
36.36Single9M4QDoxazosin9M4Q-Alpha1A-Doxazosin
36.36Consensus5ht1a_onOrthosteric Ligand8FYT-5-HT1A-LSD-PtdIns4P-Gi1/β1/γ1 7E2Y-5-HT1A-Serotonin-PtdIns4P-Gi1/β1/γ2 7E2Z-5-HT1A-Aripiprazole-PtdIns4P-Gi1/β1/γ2 8FYX-5-HT1A-Buspirone-PtdIns4P-Gi1/β1/γ1 8JSP-5-HT1A-Ulotaront-Gi1/β1/γ2 8JT6-5-HT1A-(R)-IHCH-7179-PtdIns4P-Gi1/β1/γ2 8FY8-5-HT1A-5-MeO-DMT-PtdIns4P-Gi1/β1/γ1 8FYE-5-HT1A-4-F,5-MeO-PyrT-PtdIns4P-Gi1/β1/γ1 8FYL-5-HT1A-Vilazodone-PtdIns4P-Gi1/β1/γ1
36.36Consensus5ht1a_on_gpOrthosteric Ligand8FYT-5-HT1A-LSD-PtdIns4P-Gi1/β1/γ1 8FYX-5-HT1A-Buspirone-PtdIns4P-Gi1/β1/γ1 8JSP-5-HT1A-Ulotaront-Gi1/β1/γ2 8JT6-5-HT1A-(R)-IHCH-7179-PtdIns4P-Gi1/β1/γ2 7E2Y-5-HT1A-Serotonin-PtdIns4P-Gi1/β1/γ2 7E2Z-5-HT1A-Aripiprazole-PtdIns4P-Gi1/β1/γ2 8FY8-5-HT1A-5-MeO-DMT-PtdIns4P-Gi1/β1/γ1 8FYE-5-HT1A-4-F,5-MeO-PyrT-PtdIns4P-Gi1/β1/γ1 8FYL-5-HT1A-Vilazodone-PtdIns4P-Gi1/β1/γ1
36.36Consensusbeta3_onOrthosteric Ligand7DH5-β3-Mirabegron-Gs/β1/γ2 7XJH-β3-Isoprenaline-Gs/β1/γ2 7XJI-β3-Solabegron-Gs/β1/γ2
36.36Consensusbeta3_on_gpOrthosteric Ligand7DH5-β3-Mirabegron-Gs/β1/γ2 7XJH-β3-Isoprenaline-Gs/β1/γ2 7XJI-β3-Solabegron-Gs/β1/γ2
36.36Consensusgi_muscarinicOrthosteric Ligand8E9X-M4-2-Deoxycytidine-chim(NtGi1-Go)/β1/γ2 7T8X-M2-Acetylcholine-chim(NtGi1-Go)/β1/γ2 7TRS-M4-Acetylcholine-Gi1/β1/γ2 7TRK-M4-Iperoxo-Gi1/β1/γ2 7V6A-M4-PubChem 9864275-Gi1/β1/γ2
36.36Consensuslpa1_offOrthosteric Ligand4Z36-LPA1-ONO-3080573 4Z35-LPA1-ONO-9910539 4Z34-LPA1-ONO-9780307
36.36Consensuslpa_offOrthosteric Ligandlpa1_off
36.36Consensustrh_onOrthosteric Ligand7XW9-TRH-TRH-chim(NtGi1L-Gs-CtGq)/β1/γ2
36.36Consensustrh_on_gpOrthosteric Ligand7XW9-TRH-TRH-chim(NtGi1L-Gs-CtGq)/β1/γ2
36.00Single7WJ5Somatostatin-147WJ5-SST2-Somatostatin-14-Gi1/β1/γ2
36.00Single8SG1Chemerin-98SG1-CML1-Chemerin-9-Gi1/β1/γ2
36.00Consensuss1p3_on_gpOrthosteric Ligand7EW3-S1P3-S1P-Gi1/β1/γ2 7EW4-S1P3-CYM-5541-Gi1/β1/γ2 7EW2-S1P3-FTY720-P-Gi1/β1/γ2
35.71Single7YKDChemerin-97YKD-CML1-Chemerin-9-Gi1/β1/γ2
35.29Single8GGEConstrained Epinephrine8GGE-β2-Constrained Epinephrine-GTP-Gs/β1/γ2
35.29Single8GGFConstrained Epinephrine8GGF-β2-Constrained Epinephrine-GTP-Gs/β1/γ2
35.29Single8GH1Constrained Epinephrine8GH1-β2-Constrained Epinephrine
35.29Single8IW72-Phenylethylamine8IW7-TAA9-2-Phenylethylamine-chim(NtGi1-Gs)/β1/γ2
35.29Single8WC62-Phenylethylamine8WC6-TA1-2-Phenylethylamine-chim(NtGi1-Gs)/β1/γ2
35.29Single8YN9Histamine8YN9-H4-Histamine-Gi1/β1/γ2
35.29Single8YUUHistamine8YUU-H3-Histamine-Gi1/β1/γ1
35.29Single9LRCHistamine9LRC-H4-Histamine
35.29Single9LREHistamine9LRE-H4-Histamine-Gi1/β1/γ2
35.29Consensus5ht2_onOrthosteric Ligand5ht2b_on
35.29Consensus5ht2b_onOrthosteric Ligand7SRR-5-HT2B-LSD-chim(NtGi2L-Gs-CtGq)/β1/γ2
35.29Consensush3_onOrthosteric Ligand8YUU-H3-Histamine-Gi1/β1/γ1
35.29Consensush3_on_gpOrthosteric Ligand8YUU-H3-Histamine-Gi1/β1/γ1
35.00Single1HZX11-cis-Retinal1HZX-Rhodopsin-11-cis-Retinal
35.00Single2Y01Dobutamine2Y01-β1-Dobutamine
35.00Single2Y02Carmoterol2Y02-β1-Carmoterol
35.00Single4DAJTiotropium4DAJ-M3-Tiotropium
35.00Single4EA3PubChem 102965614EA3-NOP-PubChem 10296561
35.00Single4MQSIperoxo4MQS-M2-Iperoxo
35.00Single4QKXPubChem 762106284QKX-β2-PubChem 76210628
35.00Single4U14Tiotropium4U14-M3-Tiotropium
35.00Single4X1HNonyl-Beta-D-Glucopyranoside4X1H-Rhodopsin-Nonyl-β-D-Glucopyranoside-Gt(CT)
35.00Single5DHHSB-6121115DHH-NOP-SB-612111
35.00Single5DSGTiotropium5DSG-M4-Tiotropium
35.00Single5OLZPubChem 1355666095OLZ-A2A-PubChem 135566609-Na
35.00Single5OM1PubChem 1355666095OM1-A2A-PubChem 135566609-Na
35.00Single6DRZMethysergide6DRZ-5-HT2B-Methysergide
35.00Single6FFHFenobam6FFH-mGlu5-Fenobam
35.00Single6TOTLemborexant6TOT-OX1-Lemborexant
35.00Single6WHADB139486WHA-5-HT2A-DB13948-chim(NtGi2L-Gs-CtGq)/β1/γ2
35.00Single7BU7BI1671077BU7-β1-BI167107
35.00Single7JOZPubChem 752020227JOZ-D1-PubChem 75202022-Gs/β1/γ2
35.00Single7M3JNPS-2143; PO47M3J-CaS; CaS-NPS-2143; PO4
35.00Single7SCGFH2107SCG-μ-FH210-Gi1/β1/γ2
35.00Single7SQOTAK-9257SQO-OX2-TAK-925-Gi1/β1/γ2
35.00Single7TRPIperoxo7TRP-M4-Iperoxo-LY2033298-Gi1/β1/γ2
35.00Single7UL4Alvimopan7UL4-μ-Alvimopan
35.00Single7VIES1P7VIE-S1P1-S1P-Gi1/β1/γ2
35.00Single7XJHIsoprenaline7XJH-β3-Isoprenaline-Gs/β1/γ2
35.00Single7YACPaltusotine7YAC-SST2-Paltusotine-Gi1/β1/γ2
35.00Single8CICEtrumadenant8CIC-A2A-Etrumadenant-Na
35.00Single8CU6LJ-45178CU6-A2A-LJ-4517
35.00Single8EFQDAMGO8EFQ-μ-DAMGO-Gi1/β1/γ2
35.00Single8JT8(R)-IHCH-71798JT8-5-HT2A-(R)-IHCH-7179
35.00Single8X17Namodenoson8X17-A3A-Namodenoson-Gi1/β1/γ2
35.00Single8YH5Riboprine8YH5-A3A-Riboprine-Gi1/β1/γ2
35.00Single8YN8Proxyfan8YN8-H3-Proxyfan-Go/β1/γ2
35.00Single9AS1DMT9AS1-5-HT2A-DMT
35.00Single9D61JDTic9D61-κ-JDTic-Gi1/β1/γ2
35.00Consensus5ht2b_offOrthosteric Ligand6DRZ-5-HT2B-Methysergide
35.00Consensus5ht6_onOrthosteric Ligand7XTB-5-HT6-Serotonin-Gs/β1/γ2 8JLZ-5-HT6-ST1936-Gs/β1/γ2
35.00Consensus5ht6_on_gpOrthosteric Ligand7XTB-5-HT6-Serotonin-Gs/β1/γ2 8JLZ-5-HT6-ST1936-Gs/β1/γ2
35.00Consensusgi_histamineOrthosteric Ligand8JXX-H4-Clobenpropit-Gi1/β1/γ2 8JXV-H4-Clozapine-Gi1/β1/γ2 8YUU-H3-Histamine-Gi1/β1/γ1 8HN8-H4-Histamine-Gi1/β1/γ2 8HOC-H4-Imetit-Gi1/β1/γ2 8JXW-H4-VUF6884-Gi1/β1/γ2
35.00Consensusgi_orexinOrthosteric Ligand7SQO-OX2-TAK-925-Gi1/β1/γ2
35.00Consensusm4_offOrthosteric Ligand5DSG-M4-Tiotropium
35.00Consensusmuscarinic_onOrthosteric Ligandm2_on m3_on m4_on m1_on
35.00Consensusmuscarinic_on_gpOrthosteric Ligandm2_on_gp m3_on_gp m4_on_gp m1_on_gp
34.78Single4NC3Ergotamine4NC3-5-HT2B-Ergotamine
34.78Single4Z35ONO-99105394Z35-LPA1-ONO-9910539
34.78Single7EVZCenerimod7EVZ-S1P1-Cenerimod-Gi1/β1/γ2
34.78Single7EW0Ozanimod7EW0-S1P1-Ozanimod-Gi1/β1/γ2
34.78Single7MTSADX551647MTS-mGlu2; mGlu2-Glutamate-ADX55164-Gi1/β1/γ2
34.78Single7SK7CCX6627SK7-ACKR3-CXCL12-CCX662
34.78Single7UM4AS26747237UM4-5-HT5A-AS2674723
34.78Single7VGY2-Iodomelatonin7VGY-MT1-2-Iodomelatonin-Gi1/β1/γ2
34.78Single7X1UTRH7X1U-TRH-TRH-chim(NtGi2L-Gs-CtGq)/β1/γ2
34.78Single8ID8TUG-8918ID8-FFA4-TUG-891-Gi1/β1/γ2
34.78Single8J19LY2378J19-GPR84-LY237-Gi1/β1/γ2
34.78Single8XIOL7975918XIO-SST1-L797591-chim(NtGi1-Gs-CtGi1)/β1/γ2
34.78Single9AS02-bromo-LSD9AS0-5-HT2A-2-bromo-LSD-chim(NtGi1-Gs-CtGq)/β1/γ2
34.78Single9DYEBuspirone9DYE-5-HT1A-Buspirone-PtdIns4P-Go/β1/γ2
34.78Single9HYIDP819HYI-5-HT1A-DP81-Gi1/β1/γ2
34.78Single9M54Neuropeptide-VF9M54-NPFF2-Neuropeptide-VF-Gi1/β1/γ2
34.78Single9WP9S1P9WP9-S1P3-S1P-chim(NtGi2L-Gs-CtGq)/β1/γ2
34.78Consensusclass-a_onOrthosteric Ligandsensory_on alicarboxylic_on amine_on lipid_on nucleotide_on peptide_on protein_on
34.78Consensusgi_s1pOrthosteric Ligand7VIE-S1P1-S1P-Gi1/β1/γ2 7EW3-S1P3-S1P-Gi1/β1/γ2 7EVY-S1P1-Siponimod-Gi1/β1/γ2 7EW1-S1P5-Siponimod-Gi1/β1/γ2 7VIF-S1P1-FTY720-P-Gi1/β1/γ2 7VIG-S1P1-CBP-307-Gi1/β1/γ2 7EVZ-S1P1-Cenerimod-Gi1/β1/γ2 7EW4-S1P3-CYM-5541-Gi1/β1/γ2 7EW2-S1P3-FTY720-P-Gi1/β1/γ2 7EW0-S1P1-Ozanimod-Gi1/β1/γ2 7EW7-S1P1-SEW2871-Gi1/β1/γ2
34.62Single7T6TfMLFII7T6T-FPR1-ALX-fMLFII-Gi1/β1/γ2
34.62Single9MEUCXCL129MEU-CXCR4-CXCL12
34.62Single9U4WGonadoliberin-19U4W-GnRH1-Gonadoliberin-1-chim(NtGi1L-Gs-CtGq)/β1/γ2
34.62Consensusgs_class-aOrthosteric Ligandgs_peptide gs_nucleotide gs_amine
34.62Consensuspeptide_offonOrthosteric Ligandpeptide_off peptide_on
34.48Single8FEG(DNCP)-Beta-Naloxamine8FEG-κ-(DNCP)-β-Naloxamine-Gi1/β1/γ2
34.48Single9K26PrRP319K26-PrRP-PrRP31-Gi1/β1/γ2
34.48Consensusgq_peptideOrthosteric Ligandgq_cck gq_kisspeptin gq_bradykinin gq_bombesin gq_angiotensin
33.33Single1U1911-cis-Retinal1U19-Rhodopsin-11-cis-Retinal
33.33Single2G87All-trans-Retinal2G87-Rhodopsin-All-trans-Retinal
33.33Single2I3511-cis-Retinal2I35-Rhodopsin-11-cis-Retinal
33.33Single2Y00Dobutamine2Y00-β1-Dobutamine
33.33Single4ZJ8Suvorexant4ZJ8-OX1-Suvorexant
33.33Single5N2RPSB365N2R-A2A-PSB36-Na
33.33Single5N2SPSB365N2S-A1-PSB36
33.33Single5NM2ZM-2413855NM2-A2A-ZM-241385-Na
33.33Single5WIUNemonapride5WIU-D4-Nemonapride
33.33Single5WIVNemonapride5WIV-D4-Nemonapride-Na
33.33Single5ZK33-quinuclidinyl-benzilate5ZK3-M2-3-quinuclidinyl-benzilate
33.33Single5ZTYAM102575ZTY-CB2-AM10257
33.33Single6IGLIRL16206IGL-ETB-IRL1620
33.33Single6LUQHaloperidol6LUQ-D2-Haloperidol
33.33Single6ME72-Phenylmelatonin6ME7-MT2-2-Phenylmelatonin
33.33Single6ME82-Phenylmelatonin6ME8-MT2-2-Phenylmelatonin
33.33Single6OIKIperoxo6OIK-M2-Iperoxo-LY2119620-chim(NtGi1-Go)/β1/γ2
33.33Single6TO7Suvorexant6TO7-OX1-Suvorexant-Na
33.33Single6TP6Filorexant6TP6-OX1-Filorexant
33.33Single6XBJCholesterol6XBJ-SMO-Cholesterol-Gi1/β1/γ2
33.33Single7CFNINT-7777CFN-GPBA-INT-777-Gs/β1/γ2
33.33Single7DD5Ca; Ca; Tryptophan; NPS-21437DD5-CaS; CaS-Ca-Ca; Ca; Tryptophan; NPS-2143
33.33Single7DD7Ca; Ca; Tryptophan; Evocalcet7DD7-CaS; CaS-Ca-Ca; Ca; Tryptophan; Evocalcet
33.33Single7DFLHistamine7DFL-H1-Histamine-chim(NtGi1L-Gq)/β1/γ2
33.33Single7EPFNAM5977EPF-mGlu2-NAM597
33.33Single7SRQLSD7SRQ-5-HT2B-LSD
33.33Single7TRKIperoxo7TRK-M4-Iperoxo-Gi1/β1/γ2
33.33Single7VOEAripiprazole7VOE-5-HT2A-Aripiprazole
33.33Single7XT9Serotonin7XT9-5-HT4-Serotonin-Gs/β1/γ2
33.33Single7YFCHistamine7YFC-H4-Histamine-chim(NtGi1-Gs-CtGq)/β1/γ2
33.33Single7YFDImetit7YFD-H4-Imetit-chim(NtGi1-Gs-CtGq)/β1/γ2
33.33Single7YS6Serotonin7YS6-5-HT6-Serotonin-chim(NtGi1-Gs)/β1/γ2
33.33Single8DPFLorcaserin8DPF-5-HT2C-Lorcaserin-chim(NtGi2L-Gs-CtGq)/β1/γ2
33.33Single8GNEKW-63568GNE-A2A-KW-6356-Na
33.33Single8HN8Histamine8HN8-H4-Histamine-Gi1/β1/γ2
33.33Single8IA7Cholecystokinin-88IA7-CCKB-Cholecystokinin-8-chim(NtGi1L-Gq)/β1/γ2
33.33Single8ID4Linoleic acid8ID4-FFA4-Linoleic acid-Gi1/β1/γ2
33.33Single8J18(3R)-3-Hydroxydodecanoic acid8J18-GPR84-(3R)-3-Hydroxydodecanoic acid-Gi1/β1/γ2
33.33Single8JXSPF-61428JXS-D1-PF-6142
33.33Single8QOTNanobody-E8QOT-μ-Nanobody-E
33.33Single8SZGCa; Ca; Tryptophan; Cinacalcet; PO4; Spermine8SZG-CaS; CaS-Ca; Ca; Tryptophan; Cinacalcet; PO4; Spermine-chim(NtGi1-Gq)/β1/γ2
33.33Single8TF5Oleic acid8TF5-GPR6-Oleic acid
33.33Single8Y52BA18Y52-BB3-BA1-chim(NtGi1-Gs-CtGq)/β1/γ2
33.33Single8YH3N-methyladenosine8YH3-A3A-N-methyladenosine-Gi1/β1/γ2
33.33Single8YN5Histamine8YN5-H3-Histamine-Gi1/β1/γ2
33.33Single8YN6Imetit8YN6-H3-Imetit-Gi1/β1/γ2
33.33Single8YN7Immethridine8YN7-H3-Immethridine-Go/β1/γ2
33.33Single8ZRKGSK12922638ZRK-GPR119-GSK1292263-Gs/β1/γ2
33.33Single9ARYSerotonin9ARY-5-HT2A-Serotonin-chim(NtGi1-Gs-CtGq)/β1/γ2
33.33Single9ARZ2-bromo-LSD9ARZ-5-HT2A-2-bromo-LSD
33.33Single9AS2DMT9AS2-5-HT2A-DMT-chim(NtGi1-Gs-CtGq)/β1/γ2
33.33Single9AVLCa; Ca; Cyclomethyltryptophan; R-568; PO49AVL-CaS; CaS-Ca-Ca; Ca; Cyclomethyltryptophan; R-568; PO4-Gi3/β2/γ2
33.33Single9AXFCa; Ca; Ca; Cyclomethyltryptophan; R-568; PO49AXF-CaS; CaS-Ca-Ca; Ca; Ca; Cyclomethyltryptophan; R-568; PO4-chim(NtGi1-Gs-CtGq)/β1/γ2
33.33Single9AYFCa; Ca; Ca; Cyclomethyltryptophan; R-568; PO49AYF-CaS; CaS-Ca-Ca; Ca; Ca; Cyclomethyltryptophan; R-568; PO4-Gi1/β1/γ2
33.33Single9HAPTolvaptan9HAP-V2-Tolvaptan
33.33Single9JEDHistamine9JED-H4-Histamine-PO4-Gi1/β1/γ2
33.33Single9JEQHistamine9JEQ-H3-Histamine-Gi1/β1/γ2
33.33Single9KUWCMPD6449KUW-Apelin; Apelin-CMPD644-Arrestin2 ; Arrestin2
33.33Single9KZ8EP679KZ8-C3aB-EP67-Go/β1/γ2
33.33Single9L3ZLRH7-C29L3Z-CML1-LRH7-C2
33.33Single9L74S1P d16:19L74-S1P3-S1P d16:1-chim(NtGi2L-Gs-CtGq)/β1/γ2
33.33Single9M0RNeuropeptide-VF9M0R-NPFF1-Neuropeptide-VF-Gi1/β1/γ2
33.33Single9U81Tolvaptan9U81-V2-Tolvaptan
33.33Single9YDAAll-trans-Retinal9YDA-Opsin1MW-All-trans-Retinal-chim(NtGi1L-Gs-CtGt)/β1/γ2
33.33Consensusa1_offOrthosteric Ligand5UEN-A1-DU172 5N2S-A1-PSB36
33.33Consensusadenosine_offOrthosteric Liganda1_off a2_off
33.33Consensuscb2_offOrthosteric Ligand5ZTY-CB2-AM10257
33.33Consensusdop_onOrthosteric Ligand8F7S-δ-Deltorphin-Gi1/β1/γ2
33.33Consensusgq_muscarinicOrthosteric Ligand6OIJ-M1-Iperoxo-chim(NtGi1L-G11)/β1/γ2
33.33Consensush1_onOrthosteric Ligand7DFL-H1-Histamine-chim(NtGi1L-Gq)/β1/γ2
33.33Consensush4_onOrthosteric Ligand8HN8-H4-Histamine-Gi1/β1/γ2 8HOC-H4-Imetit-Gi1/β1/γ2 8JXV-H4-Clozapine-Gi1/β1/γ2 8JXW-H4-VUF6884-Gi1/β1/γ2 8JXX-H4-Clobenpropit-Gi1/β1/γ2
33.33Consensusm1_onOrthosteric Ligand6OIJ-M1-Iperoxo-chim(NtGi1L-G11)/β1/γ2
33.33Consensuspeptide_offon_gpOrthosteric Ligandpeptide_on_gp peptide_off
33.33Consensuss1p_onOrthosteric Ligands1p1_on s1p3_on s1p5_on
33.33Consensuss1p_on_gpOrthosteric Ligands1p1_on_gp s1p3_on_gp s1p5_on_gp
33.33Consensussst2_onOrthosteric Ligand7WIC-SST2-Somatostatin-14-Gi1/β1/γ2 7WIG-SST2-L-054264-Gi1/β1/γ2 7YAE-SST2-Octreotide-Gi1/β1/γ2 7YAC-SST2-Paltusotine-Gi1/β1/γ2
33.33Consensussst2_on_gpOrthosteric Ligand7WIC-SST2-Somatostatin-14-Gi1/β1/γ2 7WIG-SST2-L-054264-Gi1/β1/γ2 7YAE-SST2-Octreotide-Gi1/β1/γ2 7YAC-SST2-Paltusotine-Gi1/β1/γ2
32.26Consensusbb2_onOrthosteric Ligand7W40-BB2-Bombesin-chim(NtGi1L-Gq)/β1/γ2 7W3Z-BB2-Gastrin Releasing Peptide-chim(NtGi1L-Gq)/β1/γ2
32.26Consensusbb2_on_gpOrthosteric Ligand7W40-BB2-Bombesin-chim(NtGi1L-Gq)/β1/γ2 7W3Z-BB2-Gastrin Releasing Peptide-chim(NtGi1L-Gq)/β1/γ2
32.26Consensusbombesin_onOrthosteric Ligandbb2_on
32.26Consensusbombesin_on_gpOrthosteric Ligandbb2_on_gp
32.26Consensusgi_endothelinOrthosteric Ligand8IY5-ETB-Endothelin-1-Gi1/β1/γ2 8HBD-ETB-IRL1620-Gi1/β1/γ2
32.26Consensusgq_bombesinOrthosteric Ligand7W40-BB2-Bombesin-chim(NtGi1L-Gq)/β1/γ2 7W3Z-BB2-Gastrin Releasing Peptide-chim(NtGi1L-Gq)/β1/γ2
32.14Single8HCXEndothelin-18HCX-ETB-Endothelin-1-chim(NtGi2L-Gs-CtGq)/β1/γ2
32.14Single8XGOTAK4488XGO-Kiss1-TAK448-chim(NtGi1-Gq)/β1/γ2
32.14Single8ZPSPrRP208ZPS-PrRP-PrRP20-chim(NtGi1-Gs-CtGi1)/β1/γ2
32.14Single8ZRTEndothelin-18ZRT-ETB-Endothelin-1
32.14Consensussst5_on_gpOrthosteric Ligand8X8L-SST5-Cortistatin-14-chim(NtGi1-Gs-CtGi1)/β1/γ2 8X8N-SST5-Octreotide-chim(NtGi1-Gs-CtGi1)/β1/γ2
32.00Single7F8XNN90567F8X-CCKA-NN9056
32.00Single7WICSomatostatin-147WIC-SST2-Somatostatin-14-Gi1/β1/γ2
32.00Single7XAUOctreotide7XAU-SST2-Octreotide-Gi1/β1/γ2
32.00Single9UYJChemerin-99UYJ-CML2-Chemerin-9-Arrestin2
32.00Consensuschemerin_on_gpOrthosteric Ligandcml1_on_gp
32.00Consensuscml1_onOrthosteric Ligand7YKD-CML1-Chemerin-9-Gi1/β1/γ2
32.00Consensusgi_chemerinOrthosteric Ligand7YKD-CML1-Chemerin-9-Gi1/β1/γ2
32.00Consensusgi_nucleotideOrthosteric Ligandgi_adenosine gi_p2y
31.82Single3PDSFAUC503PDS-β2-FAUC50
31.82Single3UON3-quinuclidinyl-benzilate3UON-M2-3-quinuclidinyl-benzilate
31.82Single4OO9Mavoglurant4OO9-mGlu5-Mavoglurant
31.82Single4Z34ONO-97803074Z34-LPA1-ONO-9780307
31.82Single5ZHPPubChem 1348285895ZHP-M3-PubChem 134828589
31.82Single6E59L-7607356E59-NK1-L-760735
31.82Single6J20Aprepitant6J20-NK1-Aprepitant
31.82Single6OIJIperoxo6OIJ-M1-Iperoxo-chim(NtGi1L-G11)/β1/γ2
31.82Single7CKYPW04647CKY-D1-PW0464-Gs/β1/γ2
31.82Single7EW1Siponimod7EW1-S1P5-Siponimod-Gi1/β1/γ2
31.82Single7EW4CYM-55417EW4-S1P3-CYM-5541-Gi1/β1/γ2
31.82Single7EW7SEW28717EW7-S1P1-SEW2871-Gi1/β1/γ2
31.82Single7WVXHumanin7WVX-FPR2-ALX-Humanin-Gi2/β1/γ2
31.82Single7XTQR3997XTQ-GPBA-R399-Gs/β1/γ2
31.82Single7Y24Octreotide7Y24-SST2-Octreotide-Go/β1/γ2
31.82Single8EFLSR170188EFL-μ-SR17018-Gi1/β1/γ2
31.82Single8HPTC5a (C-terminal peptide)8HPT-C5a1-C5a (C-terminal peptide)-Go/β1/γ2
31.82Single8JLPRalmitaront8JLP-TA1-Ralmitaront-Gs/β1/γ2
31.82Single8JT6(R)-IHCH-71798JT6-5-HT1A-(R)-IHCH-7179-PtdIns4P-Gi1/β1/γ2
31.82Single8JXWVUF68848JXW-H4-VUF6884-Gi1/β1/γ2
31.82Single8WU1MDMB-Fubinaca8WU1-CB1-MDMB-Fubinaca-Arrestin2
31.82Single8XJMLatanoprost8XJM-FP-alpha-Latanoprost-chim(NtGi2-Gs-CtGq)/β1/γ2
31.82Single8Y73Peptide8Y73-μ-Peptide-MPAM-15-Gi1/β1/γ2
31.82Single9AYFCa; Ca; Ca; Cyclomethyltryptophan; R-568; PO49AYF-CaS; CaS-Ca-Ca; Ca; Ca; Cyclomethyltryptophan; R-568; PO4-Gi1/β1/γ2
31.82Single9I54PubChem 1764520919I54-D1-PubChem 176452091-Gs/β1/γ2
31.82Single9IK9Lanreotide9IK9-SST1-Lanreotide-Gi1/β1/γ2
31.82Single9JMCDS-3801b9JMC-Motilin-DS-3801b-chim(Gs-CtGq)/β1/γ2
31.82Single9RHGC4079RHG-FZD7-C407
31.82Single9UCPIperoxo9UCP-M1-Iperoxo-G11(CT)
31.82Single9WSTDAMGO9WST-μ-DAMGO-chim(NtGi1-Gz)/β1/γ2
31.82Consensusclass-a_offOrthosteric Ligandsensory_off alicarboxylic_off amine_off lipid_off nucleotide_off peptide_off protein_off
31.82Consensuscyslt1_offOrthosteric Ligand6RZ5-CysLT1-Zafirlukast-Na 6RZ4-CysLT1-Pranlukast-Na
31.82Consensusm1_on_gpOrthosteric Ligand6OIJ-M1-Iperoxo-chim(NtGi1L-G11)/β1/γ2
31.82Consensusnpy_offOrthosteric Ligandnpy1_off npy2_off
31.82Consensuss1p5_onOrthosteric Ligand7EW1-S1P5-Siponimod-Gi1/β1/γ2
31.82Consensuss1p5_on_gpOrthosteric Ligand7EW1-S1P5-Siponimod-Gi1/β1/γ2
31.58Single1GZM11-cis-Retinal1GZM-Rhodopsin-11-cis-Retinal
31.58Single3C9L11-cis-Retinal3C9L-Rhodopsin-11-cis-Retinal
31.58Single3VGAZM-2413853VGA-A2A-ZM-241385-Antibody
31.58Single5OLOTozadenant5OLO-A2A-Tozadenant-Na
31.58Single5WS3EMPA5WS3-OX2-EMPA
31.58Single6AKYMaraviroc6AKY-CCR5-Maraviroc
31.58Single6NWEOctyl-Beta-D-Glucopyranoside6NWE-Rhodopsin-Octyl-β-D-Glucopyranoside-Gt(CT)
31.58Single6OYAAll-trans-Retinal6OYA-Rhodopsin-All-trans-Retinal-Gt/β1/γ1
31.58Single7M3ECa; Ca; Tryptophan; NPS-21437M3E-CaS; CaS-Ca; Ca; Tryptophan; NPS-2143
31.58Single7M3ECa; Ca; Tryptophan; NPS-21437M3E-CaS; CaS-Ca; Ca; Tryptophan; NPS-2143
31.58Single7M3FCa; Ca; Tryptophan; Cinacalcet7M3F-CaS; CaS-Ca; Ca; Tryptophan; Cinacalcet
31.58Single7SRRLSD7SRR-5-HT2B-LSD-chim(NtGi2L-Gs-CtGq)/β1/γ2
31.58Single7XT8Serotonin7XT8-5-HT4-Serotonin-Gs/β1/γ2
31.58Single8DU3PubChem 1055260648DU3-A2A-PubChem 105526064
31.58Single8HDPAdenosine8HDP-A2B-Adenosine-Gs/β1/γ2
31.58Single8IW4Spermidine8IW4-TAA9-Spermidine-chim(NtGi1-Gs)/β1/γ2
31.58Single8IWESpermidine8IWE-TAA9-Spermidine
31.58Single8WPGTryptophan; Cinacalcet; PO4; Ca8WPG-CaS; CaS-Tryptophan; Cinacalcet; PO4; Ca
31.58Single8Y0HVUF114188Y0H-CXCR3-VUF11418
31.58Single8Y0NVUF114188Y0N-CXCR3-VUF11418-Go/β1/γ2
31.58Single8YUVImmepip8YUV-H3-Immepip-Gi1/β1/γ2
31.58Single8YYWAlpha-ketoglutarate8YYW-Oxoglutarate-α-ketoglutarate-α-ketoglutarate-chim(Gi1-CtGq)/β1/γ2
31.58Single9LL9DOI9LL9-5-HT2A-DOI-chim(NtGi1L-Gs-CtGq)/β1/γ2
31.58Single9W49U-50488H9W49-κ-U-50488H-Gi1/β1/γ2
31.58Consensus5ht2_on_gpOrthosteric Ligand5ht2b_on_gp
31.58Consensus5ht2b_on_gpOrthosteric Ligand7SRR-5-HT2B-LSD-chim(NtGi2L-Gs-CtGq)/β1/γ2
31.58Consensusorexin_offOrthosteric Ligandox2_off ox1_off
31.58Consensusox1_offOrthosteric Ligand6TP6-OX1-Filorexant 6TP4-OX1-ACT-462206 6V9S-OX1-GTPL11403 6TOT-OX1-Lemborexant 6TP3-OX1-Nemorexant 6TQ6-OX1-PubChem 145714283 6TQ9-OX1-SB-408124 4ZJC-OX1-SB-674042 4ZJ8-OX1-Suvorexant 6TOD-OX1-EMPA-Na 6TOS-OX1-GSK1059865-Na 6TQ4-OX1-PubChem 16046844-Na
31.58Consensusox2_offOrthosteric Ligand5WQC-OX2-EMPA 6TPN-OX2-HTL6641 7XRR-OX2-Lemborexant 6TPJ-OX2-Suvorexant
31.58Consensusrhodopsin_offOrthosteric Ligand1U19-Rhodopsin-11-cis-Retinal 2PED-Rhodopsin-9-cis-Retinal 5TE5-Rhodopsin-20-Methanoretinal
31.58Consensusrhodopsin_on_gpOrthosteric Ligand6OYA-Rhodopsin-All-trans-Retinal-Gt/β1/γ1
31.58Consensussensory_offonOrthosteric Ligandsensory_off sensory_on
31.58Consensussensory_offon_gpOrthosteric Ligandsensory_on_gp sensory_on
31.25Single3PXOAll-trans-Retinal3PXO-Rhodopsin-All-trans-Retinal
31.25Single5DYSAll-trans-Retinal5DYS-Rhodopsin-All-trans-Retinal
31.25Consensusetb_on_gpOrthosteric Ligand8IY5-ETB-Endothelin-1-Gi1/β1/γ2 8HBD-ETB-IRL1620-Gi1/β1/γ2
31.03Single7F8VGastrin-177F8V-CCKB-Gastrin-17-Gi2/β1/γ2
31.03Single8XVEBQ30208XVE-ETB-BQ3020-chim(Gs-CtGq)/β1/γ2
31.03Consensusgi_peptideOrthosteric Ligandgi_cck gi_apelin gi_compl-pept gi_endothelin gi_formylpeptide gi_galanin gi_ghrelin gi_npy gi_neurotensin gi_opioid gi_orexin gi_relaxin gi_somatostatin
30.77Single5XJM(Sar1,Ile8)-Angiotensin II5XJM-AT2-(Sar1,Ile8)-Angiotensin II
30.77Single6DO1(Sar1,Ile8)-Angiotensin II6DO1-AT1-(Sar1,Ile8)-Angiotensin II
30.77Single7DDZJNJ-310200287DDZ-Y2-JNJ-31020028
30.77Single7XMSSomatostatin-147XMS-SST4-Somatostatin-14-Gi1/β1/γ2
30.77Single8F7SDeltorphin8F7S-δ-Deltorphin-Gi1/β1/γ2
30.77Single8F7WDynorphin8F7W-κ-Dynorphin-Gi1/β1/γ2
30.77Single9L60Dynorphin9L60-κ-Dynorphin-MPAM-15-Gi1/β1/γ2
30.77Single9ME1CXCL129ME1-CXCR4-CXCL12
30.77Consensusdop_on_gpOrthosteric Ligand8F7S-δ-Deltorphin-Gi1/β1/γ2
30.77Consensusgq_class-aOrthosteric Ligandgq_peptide gq_amine gq_nucleotide
30.77Consensusnpy2_offOrthosteric Ligand7DDZ-Y2-JNJ-31020028
30.43Single4OR2FITM4OR2-mGlu1; mGlu1-FITM
30.43Single4PXFOctyl-Beta-D-Glucopyranoside4PXF-Rhodopsin-Octyl-β-D-Glucopyranoside-Arrestin1 Finger Loop
30.43Single5UNHPubChem 1264564065UNH-AT2-PubChem 126456406
30.43Single6ZG4HTL00099366ZG4-M1-HTL0009936
30.43Single7DH5Mirabegron7DH5-β3-Mirabegron-Gs/β1/γ2
30.43Single7EVYSiponimod7EVY-S1P1-Siponimod-Gi1/β1/γ2
30.43Single7L1UOrexin7L1U-OX2-Orexin-chim(NtGi1-Gs-CtGq)/β1/γ2
30.43Single7L1VPubChem 1554910097L1V-OX2-PubChem 155491009-chim(NtGi1-Gs-CtGq)/β1/γ2
30.43Single7MTRADX551647MTR-mGlu2; mGlu2-Glutamate-ADX55164
30.43Single7WCNAR2314537WCN-GPR119-AR231453-Gs/β1/γ2
30.43Single7XMTJ-21567XMT-SST4-J-2156-Gi1/β1/γ2
30.43Single8JD3JNJ-404118138JD3-mGlu2; mGlu3-Glutamate-JNJ-40411813-Gi1/β1/γ2
30.43Single8JWY2-1188JWY-A2A-2-118
30.43Single8JWZEtrumadenant8JWZ-A2A-Etrumadenant-Na
30.43Single9GL2Befiradol9GL2-5-HT1A-Befiradol-Gs/β1/γ2
30.43Single9L3WChemerin9L3W-CML1-Chemerin-Gi1/β1/γ2
30.43Single9VJ6F-155999VJ6-5-HT1A-F-15599-Gi3/β1/γ2
30.43Single9WSWEndomorphin9WSW-μ-Endomorphin-chim(NtGi1-Gz)/β1/γ2
30.43Consensuscannabinoid_offOrthosteric Ligandcb2_off cb1_off
30.43Consensusgi_lipidOrthosteric Ligandgi_cannabinoid gi_ffa gi_leukotriene gi_lpa gi_s1p
30.43Consensusleukotriene_offOrthosteric Ligandblt_off cyslt_off
30.43Consensuslpl_offOrthosteric Ligands1p_off lpa_off
30.43Consensusm4_onOrthosteric Ligand7TRS-M4-Acetylcholine-Gi1/β1/γ2 7V6A-M4-PubChem 9864275-Gi1/β1/γ2 8E9X-M4-2-Deoxycytidine-chim(NtGi1-Go)/β1/γ2 7TRK-M4-Iperoxo-Gi1/β1/γ2
30.43Consensusm4_on_gpOrthosteric Ligand7TRS-M4-Acetylcholine-Gi1/β1/γ2 7V6A-M4-PubChem 9864275-Gi1/β1/γ2 8E9X-M4-2-Deoxycytidine-chim(NtGi1-Go)/β1/γ2 7TRK-M4-Iperoxo-Gi1/β1/γ2
30.43Consensusorexin_onOrthosteric Ligandox2_on
30.43Consensuss1p1_onOrthosteric Ligand7VIE-S1P1-S1P-Gi1/β1/γ2 7VIF-S1P1-FTY720-P-Gi1/β1/γ2 7VIG-S1P1-CBP-307-Gi1/β1/γ2 7EVY-S1P1-Siponimod-Gi1/β1/γ2 7EVZ-S1P1-Cenerimod-Gi1/β1/γ2 7EW0-S1P1-Ozanimod-Gi1/β1/γ2 7EW7-S1P1-SEW2871-Gi1/β1/γ2
30.43Consensuss1p1_on_gpOrthosteric Ligand7VIE-S1P1-S1P-Gi1/β1/γ2 7VIF-S1P1-FTY720-P-Gi1/β1/γ2 7VIG-S1P1-CBP-307-Gi1/β1/γ2 7EVY-S1P1-Siponimod-Gi1/β1/γ2 7EVZ-S1P1-Cenerimod-Gi1/β1/γ2 7EW0-S1P1-Ozanimod-Gi1/β1/γ2 7EW7-S1P1-SEW2871-Gi1/β1/γ2
30.00Single1F8811-cis-Retinal1F88-Rhodopsin-11-cis-Retinal
30.00Single3OAX11-cis-Retinal3OAX-Rhodopsin-11-cis-Retinal
30.00Single5IU7Q274563465IU7-A2A-Q27456346-Na
30.00Single5JTBZM-2413855JTB-A2A-ZM-241385
30.00Single5K2BZM-2413855K2B-A2A-ZM-241385-Na
30.00Single5TE3Octyl-Beta-D-Glucopyranoside5TE3-Rhodopsin-Octyl-β-D-Glucopyranoside
30.00Single6AQFZM-2413856AQF-A2A-ZM-241385
30.00Single6IQLL7458706IQL-D4-L745870
30.00Single6ME32-Phenylmelatonin6ME3-MT1-2-Phenylmelatonin
30.00Single6PS82-Phenylmelatonin6PS8-MT1-2-Phenylmelatonin
30.00Single6TOSGSK10598656TOS-OX1-GSK1059865-Na
30.00Single6ZDRHMS1413f126ZDR-A2A-HMS1413f12-Na
30.00Single7T32ZM-2413857T32-A2A-ZM-241385
30.00Single7UL3Famotidine7UL3-H2-Famotidine
30.00Single7VUGJNJ-635330547VUG-GPR139-JNJ-63533054-Gi1/β1/γ2
30.00Single7WVUfMLF7WVU-FPR1-ALX-fMLF-Gi1/β1/γ2
30.00Single7ZBC11-cis-Retinal7ZBC-Rhodopsin-11-cis-Retinal
30.00Single7ZBE11-cis-Retinal7ZBE-Rhodopsin-11-cis-Retinal
30.00Single8DPGPsilocin8DPG-5-HT2C-Psilocin-chim(NtGi2L-Gs-CtGq)/β1/γ2
30.00Single8GURCP559408GUR-CB2-CP55940-Gi1/β1/γ2
30.00Single8HNMVUF112228HNM-CXCR3-VUF11222-Gi1/β1/γ2
30.00Single8JLQFenoldopam8JLQ-TA1-Fenoldopam-Gs/β1/γ2
30.00Single8RLNLUF58348RLN-A2A-LUF5834
30.00Single8RQQZM-2413858RQQ-A2A-ZM-241385-Na
30.00Single8WPGTryptophan; Cinacalcet; PO4; Ca8WPG-CaS; CaS-Tryptophan; Cinacalcet; PO4; Ca
30.00Single8WPUTryptophan; Cinacalcet; PO4; Ca8WPU-CaS; CaS-Tryptophan; Cinacalcet; PO4; Ca-chim(NtGi2L-Gs-CtGq)/β1/γ2
30.00Single8ZBWQuin-C18ZBW-FPR2-ALX-Quin-C1-Gi2/β1/γ2
30.00Single8ZJGChemerin8ZJG-CML1-Chemerin-Gi1/β1/γ2
30.00Single9AS8Psilocin9AS8-5-HT2A-Psilocin-chim(NtGi2L-Gs-CtGq)/β1/γ2
30.00Single9ASBCa; Ca; Cyclomethyltryptophan; R-568; PO49ASB-CaS; CaS-Ca-Ca; Ca; Cyclomethyltryptophan; R-568; PO4-chim(NtGi1-Gs-CtGq)/β1/γ2
30.00Single9AVGCa; Ca; Cyclomethyltryptophan; R-568; PO49AVG-CaS; CaS-Ca-Ca; Ca; Cyclomethyltryptophan; R-568; PO4-chim(NtGi1-Gs)/β1/γ2
30.00Single9AXFCa; Ca; Ca; Cyclomethyltryptophan; R-568; PO49AXF-CaS; CaS-Ca-Ca; Ca; Ca; Cyclomethyltryptophan; R-568; PO4-chim(NtGi1-Gs-CtGq)/β1/γ2
30.00Single9JKQMETH9JKQ-TA1-METH-Gs/β1/γ2
30.00Single9KUWCMPD6449KUW-Apelin; Apelin-CMPD644-Arrestin2 ; Arrestin2
30.00Single9LL8Psilocin9LL8-5-HT2A-Psilocin-Gi1/β1/γ2
30.00Single9P1TZM-2413859P1T-A2A-ZM-241385
30.00Single9PY2Loperamide9PY2-μ-Loperamide-GDPβS-Gi1/β1/γ2
30.00Consensusa2_offOrthosteric Liganda2a_off
30.00Consensusa2a_offOrthosteric Ligand3RFM-A2A-Caffeine 8C9W-A2A-Etrumadenant 3UZA-A2A-GTPL9236 8GNG-A2A-Istradefylline 8CU6-A2A-LJ-4517 7PX4-A2A-PSB-2113 7PYR-A2A-PSB-2115 8DU3-A2A-PubChem 105526064 8JWY-A2A-2-118 8PWN-A2A-Theophylline 5IU4-A2A-ZM-241385-Na 5OLZ-A2A-PubChem 135566609-Na 6GT3-A2A-Imaradenant-Na 5OLV-A2A-LUAA47070-Na 5N2R-A2A-PSB36-Na 5IU7-A2A-Q27456346-Na 5OLH-A2A-Vipadenant-Na 5OLO-A2A-Tozadenant-Na 6ZDR-A2A-HMS1413f12-Na 8GNE-A2A-KW-6356-Na 8JWZ-A2A-Etrumadenant-Na 5IU8-A2A-Q27456347-Na 5IUB-A2A-Q27456344-Na 6ZDV-A2A-PubChem 984073-Na 5IUA-A2A-Q27456348-Na 8A2P-A2A-LUAA47070-Na
30.00Consensusnop_offOrthosteric Ligand4EA3-NOP-PubChem 10296561 5DHG-NOP-C-35 5DHH-NOP-SB-612111
30.00Consensusopsins_offOrthosteric Ligandrhodopsin_off
30.00Consensuspeptide_onOrthosteric Ligandcck_on angiotensin_on apelin_on bombesin_on bradykinin_on compl-peptide_on endothelin_on formylpeptide_on galanin_on ghrelin_on kisspeptin_on melanocortin_on motilin_on neuromedin-u_on npy_on neurotensin_on opioid_on orexin_on relaxin_on somatostatin_on tachykinin_on trh_on vasop-oxy_on
30.00Consensuspeptide_on_gpOrthosteric Ligandcck_on_gp angiotensin_on_gp apelin_on_gp bombesin_on_gp bradykinin_on_gp compl-peptide_on_gp endothelin_on_gp formylpeptide_on_gp galanin_on_gp ghrelin_on_gp kisspeptin_on_gp melanocortin_on_gp motilin_on_gp neuromedin-u_on_gp npy_on_gp neurotensin_on_gp opioid_on_gp orexin_on_gp relaxin_on_gp somatostatin_on_gp tachykinin_on_gp trh_on_gp vasop-oxy_on_gp
30.00Consensussensory_offOrthosteric Ligandopsins_off
29.63Single7TD0LPA7TD0-LPA1-LPA-Gi1/β1/γ2
29.63Single7TD2LPA7TD2-LPA1-LPA-Gi1/β1/γ2
29.63Single7XOUCholecystokinin-87XOU-CCKA-Cholecystokinin-8-Gs/β1/γ2
29.63Single8XIQL7967788XIQ-SST3-L796778-chim(NtGi1-Gs-CtGi1)/β1/γ2
29.63Consensusangiotensin_onOrthosteric Ligandat1_on
29.63Consensusat1_onOrthosteric Ligand7F6G-AT1-(Sar1)-Angiotensin II-Gq/β1/γ2
29.63Consensusgi_somatostatinOrthosteric Ligand7WIC-SST2-Somatostatin-14-Gi1/β1/γ2 7XMS-SST4-Somatostatin-14-Gi1/β1/γ2 8X8L-SST5-Cortistatin-14-chim(NtGi1-Gs-CtGi1)/β1/γ2 7XMT-SST4-J-2156-Gi1/β1/γ2 7WIG-SST2-L-054264-Gi1/β1/γ2 8X8N-SST5-Octreotide-chim(NtGi1-Gs-CtGi1)/β1/γ2 7YAE-SST2-Octreotide-Gi1/β1/γ2 7YAC-SST2-Paltusotine-Gi1/β1/γ2
29.63Consensussomatostatin_onOrthosteric Ligandsst2_on sst4_on sst5_on
29.63Consensussomatostatin_on_gpOrthosteric Ligandsst2_on_gp sst4_on_gp sst5_on_gp
29.41Single7DD5Ca; Ca; Tryptophan; NPS-21437DD5-CaS; CaS-Ca-Ca; Ca; Tryptophan; NPS-2143
29.41Single8GEIConstrained Epinephrine8GEI-β2-Constrained Epinephrine-Gs/β1/γ2
29.41Single8XOFLys058XOF-GPR30-Lys05-chim(NtGi1-Gs-CtGq)/β1/γ2
29.41Single9EE9Adenosine9EE9-A2A-Adenosine-Gs/β1/γ2
29.41Consensusopsins_onOrthosteric Ligandrhodopsin_on opsin1lw_on
29.41Consensussensory_onOrthosteric Ligandopsins_on
29.17Single4OR2FITM4OR2-mGlu1; mGlu1-FITM
29.17Single5UNGPubChem 157800525UNG-AT2-PubChem 15780052
29.17Single7Y27Somatostatin-147Y27-SST2-Somatostatin-14-chim(NtGi2L-Gs-CtGq)/β1/γ2
29.17Single8GUTLEI-1028GUT-CB2-LEI-102-Gi1/β1/γ2
29.17Single8I95EP548I95-C3aB-EP54-Go/β1/γ2
29.17Single8XJKCloprosetnol8XJK-FP-alpha-Cloprosetnol-chim(NtGi1-Gs-CtGq)/β1/γ2
29.17Single8ZWGJR14a8ZWG-C3aB-JR14a-Gi1/β1/γ2
29.17Single9IZFLPA9IZF-LPA1-LPA-Gi1/β1/γ2
29.17Single9KUGEP679KUG-C5a1-EP67-Go/β1/γ2
29.17Consensuscb1_on_gpOrthosteric Ligand6KPG-CB1-AM841-Gi1/β1/γ2 8K8J-CB1-Fenofibrate-chim(Gs-CtGq)/β1/γ2
29.17Consensuscck_onOrthosteric Ligandccka_on cckb_on
29.17Consensuscck_on_gpOrthosteric Ligandccka_on_gp cckb_on_gp
29.17Consensusnucleotide_on_gpOrthosteric Ligandadenosine_on_gp p2y_on_gp
29.17Consensusorexin_on_gpOrthosteric Ligandox2_on_gp
29.03Single8IY5Endothelin-18IY5-ETB-Endothelin-1-Gi1/β1/γ2
29.03Consensusbk2_onOrthosteric Ligand7F6H-BK2-Bradykinin-Gq/β1/γ2 7F6I-BK2-Kallidin-Gq/β1/γ2
29.03Consensusbk2_on_gpOrthosteric Ligand7F6H-BK2-Bradykinin-Gq/β1/γ2 7F6I-BK2-Kallidin-Gq/β1/γ2
29.03Consensusbradykinin_onOrthosteric Ligandbk2_on
29.03Consensusbradykinin_on_gpOrthosteric Ligandbk2_on_gp
29.03Consensusendothelin_onOrthosteric Ligandetb_on eta_on
29.03Consensusetb_onOrthosteric Ligand8IY5-ETB-Endothelin-1-Gi1/β1/γ2 8HBD-ETB-IRL1620-Gi1/β1/γ2
29.03Consensusgq_bradykininOrthosteric Ligand7F6H-BK2-Bradykinin-Gq/β1/γ2 7F6I-BK2-Kallidin-Gq/β1/γ2
28.57Single3EMLZM-2413853EML-A2A-ZM-241385
28.57Single4EIYZM-2413854EIY-A2A-ZM-241385-Na
28.57Single4J4QOctyl Beta-D-Glucopyranoside4J4Q-Rhodopsin-Octyl β-D-Glucopyranoside-Gt(CT)
28.57Single5DHGC-355DHG-NOP-C-35
28.57Single5IU8Q274563475IU8-A2A-Q27456347-Na
28.57Single5K2AZM-2413855K2A-A2A-ZM-241385-Na
28.57Single5OLGZM-2413855OLG-A2A-ZM-241385-Na
28.57Single5UIGPubChem 1240811965UIG-A2A-PubChem 124081196
28.57Single5VRAZM-2413855VRA-A2A-ZM-241385-Na
28.57Single6DRXLisuride6DRX-5-HT2B-Lisuride
28.57Single6JODAngiotensin II6JOD-AT2-Angiotensin II
28.57Single6S0LZM-2413856S0L-A2A-ZM-241385
28.57Single6XBM25(S)-Epoxycholesterol6XBM-SMO-25(S)-Epoxycholesterol-Gi1/β1/γ2
28.57Single7DB6Ramelteon7DB6-MT1-Ramelteon-Gi1/β1/γ2
28.57Single7F6G(Sar1)-Angiotensin II7F6G-AT1-(Sar1)-Angiotensin II-Gq/β1/γ2
28.57Single7KH0AVP7KH0-V2-AVP-chim(NtGi1-Gs)/β1/γ2
28.57Single7PYRPSB-21157PYR-A2A-PSB-2115
28.57Single7T10Somatostatin-147T10-SST2-Somatostatin-14-Gi3/β1/γ2
28.57Single7T6VfMLFII7T6V-FPR2-ALX-fMLFII-Gi1/β1/γ2
28.57Single7VGZRamelteon7VGZ-MT1-Ramelteon-Gi1/β1/γ2
28.57Single7VKTLTB47VKT-BLT1-LTB4-Gi1/β1/γ2
28.57Single7WC8Lumateperone7WC8-5-HT2A-Lumateperone
28.57Single8UWLLisuride8UWL-5-HT2A-Lisuride-chim(NtGi2-Gs-CtGq)/β1/γ2
28.57Single8X8LCortistatin-148X8L-SST5-Cortistatin-14-chim(NtGi1-Gs-CtGi1)/β1/γ2
28.57Single8XWQEndothelin-18XWQ-ETB-Endothelin-1-Gi1/β1/γ2
28.57Single8ZBISomatostatin-148ZBI-SST3-Somatostatin-14-Gi1/β1/γ2
28.57Single9BQJRO769BQJ-μ-RO76-Gi1/β1/γ2
28.57Single9EPP11,20-Ethanoretinal9EPP-Rhodopsin-11,20-Ethanoretinal-chim(Gi1-CtGq)/β1/γ2
28.57Single9H37PubChem 1756706469H37-A2A-PubChem 175670646-Na
28.57Single9P1SZM-2413859P1S-A2A-ZM-241385
28.57Consensusangiotensin_on_gpOrthosteric Ligandat1_on_gp
28.57Consensusat1_on_gpOrthosteric Ligand7F6G-AT1-(Sar1)-Angiotensin II-Gq/β1/γ2
28.57Consensusblt1_onOrthosteric Ligand7VKT-BLT1-LTB4-Gi1/β1/γ2
28.57Consensusblt1_on_gpOrthosteric Ligand7VKT-BLT1-LTB4-Gi1/β1/γ2
28.57Consensusblt_onOrthosteric Ligandblt1_on
28.57Consensusblt_on_gpOrthosteric Ligandblt1_on_gp
28.57Consensuscck_offOrthosteric Ligandccka_off
28.57Consensusccka_offOrthosteric Ligand7F8Y-CCKA-Devazepide 7F8U-CCKA-Lintitript
28.57Consensusgi_leukotrieneOrthosteric Ligand7VKT-BLT1-LTB4-Gi1/β1/γ2
28.57Consensusgq_angiotensinOrthosteric Ligand7F6G-AT1-(Sar1)-Angiotensin II-Gq/β1/γ2
28.57Consensusleukotriene_onOrthosteric Ligandblt_on
28.57Consensusleukotriene_on_gpOrthosteric Ligandblt_on_gp
28.57Consensusnucleotide_offonOrthosteric Ligandnucleotide_off nucleotide_on
28.57Consensusnucleotide_offon_gpOrthosteric Ligandnucleotide_on_gp nucleotide_off
28.57Consensusprotein_onOrthosteric Ligandchemokine_on chemerin_on
28.12Single5GLHEndothelin-15GLH-ETB-Endothelin-1
28.12Single8ZJETAK4488ZJE-Kiss1-TAK448-chim(NtGi1-Gq)/β1/γ1
28.00Single7F2OBradykinin7F2O-BK2-Bradykinin-chim(NtGi1-Gs-CtGq)/β1/γ2
28.00Single7F8WGastrin-177F8W-CCKB-Gastrin-17-chim(NtGsL-Gq)/β1/γ2
28.00Single7T11Octreotide7T11-SST2-Octreotide-Gi3/β1/γ2
28.00Single7YAEOctreotide7YAE-SST2-Octreotide-Gi1/β1/γ2
28.00Single7YJ4INSL57YJ4-RXFP4-INSL5-Gi2/β1/γ2
28.00Single8F7REndomorphin8F7R-μ-Endomorphin-Gi1/β1/γ2
28.00Single8H4IDoconexent8H4I-FFA4-Doconexent-chim(NtGi1-Gs)/β1/γ2
28.00Single8QJ2pN1628QJ2-MC4-pN162-Gs/β1/γ2
28.00Single8X3LXWD8X3L-CB2-XWD-Gi1/β1/γ2
28.00Single9IPVJR14a9IPV-C3aB-JR14a-Gi1/β1/γ2
28.00Single9KZ2EP679KZ2-C3aB-EP67-Go/β1/γ2
28.00Single9MD1Buspirone9MD1-5-HT1A-Buspirone-PtdIns4P-Gz/β1/γ2
28.00Single9V2NMacimorelin9V2N-Ghrelin-Macimorelin-chim(NtGi1-Gs-CtGq)/β1/γ2
28.00Consensuscxcr_on_gpOrthosteric Ligandcxcr3_on_gp cxcr4_on_gp cxcr1_on_gp cxcr2_on_gp
28.00Consensusformylpeptide_onOrthosteric Ligandfpr2-alx_on fpr1-alx_on
28.00Consensusox2_onOrthosteric Ligand7L1V-OX2-PubChem 155491009-chim(NtGi1-Gs-CtGq)/β1/γ2 7SQO-OX2-TAK-925-Gi1/β1/γ2 7L1U-OX2-Orexin-chim(NtGi1-Gs-CtGq)/β1/γ2
28.00Consensusox2_on_gpOrthosteric Ligand7L1V-OX2-PubChem 155491009-chim(NtGi1-Gs-CtGq)/β1/γ2 7SQO-OX2-TAK-925-Gi1/β1/γ2 7L1U-OX2-Orexin-chim(NtGi1-Gs-CtGq)/β1/γ2
27.78Single2J4Y11-cis-Retinal2J4Y-Rhodopsin-11-cis-Retinal
27.78Single3C9M11-cis-Retinal3C9M-Rhodopsin-11-cis-Retinal
27.78Single3PQRAll-trans-Retinal3PQR-Rhodopsin-All-trans-Retinal-Gt(CT)
27.78Single3UZAGTPL92363UZA-A2A-GTPL9236
27.78Single6FUFAll-trans-Retinal6FUF-Rhodopsin-All-trans-Retinal-Go
27.78Single7DD7Ca; Ca; Tryptophan; Evocalcet7DD7-CaS; CaS-Ca-Ca; Ca; Tryptophan; Evocalcet
27.78Single7F23Dopamine7F23-D1-Dopamine-GDP-Gs/β1/γ2
27.78Single7MT8All-trans-Retinal7MT8-Rhodopsin-All-trans-Retinal-GRK1
27.78Single8DPILorcaserin8DPI-5-HT2C-Lorcaserin-chim(NtGi2L-Gs-CtGq)/β1/γ2
27.78Single8ITFDMCHA8ITF-TAA9-DMCHA-chim(NtGi1-Gs)/β1/γ2
27.78Single8J21Butyric acid8J21-FFA3-Butyric acid-Gi1/β1/γ2
27.78Single8J24Acetic acid8J24-FFA2-Acetic acid-Gi1/β1/γ2
27.78Single8JXTHistamine8JXT-H4-Histamine-PO4-Gi1/β1/γ2
27.78Single9LL7DOI9LL7-5-HT2A-DOI-Gi1/β1/γ2
27.78Consensusffa3_onOrthosteric Ligand8J21-FFA3-Butyric acid-Gi1/β1/γ2
27.78Consensusffa3_on_gpOrthosteric Ligand8J21-FFA3-Butyric acid-Gi1/β1/γ2
27.78Consensusopsins_on_gpOrthosteric Ligandrhodopsin_on_gp opsin1lw_on_gp
27.78Consensusrhodopsin_onOrthosteric Ligand6OYA-Rhodopsin-All-trans-Retinal-Gt/β1/γ1
27.78Consensussensory_on_gpOrthosteric Ligandopsins_on_gp
27.59Single7F6HBradykinin7F6H-BK2-Bradykinin-Gq/β1/γ2
27.59Single7X9CPancreatic Hormone7X9C-Y4-Pancreatic Hormone-Gi1/β1/γ2
27.59Single8HCQEndothelin-18HCQ-ETA-Endothelin-1-chim(NtGi1-Gs-CtGq)/β1/γ2
27.59Single8IODPG-9018IOD-MC5-PG-901-Ca-chim(NtGi1-Gs)/β1/γ2
27.59Single8WWKMCH8WWK-MCH1-MCH-Gi1/β1/γ2
27.59Single8XQEApelin-138XQE-Apelin; Apelin-Apelin-13-Gi1/β1/γ2
27.59Consensuseta_onOrthosteric Ligand8HCQ-ETA-Endothelin-1-chim(NtGi1-Gs-CtGq)/β1/γ2
27.59Consensuseta_on_gpOrthosteric Ligand8HCQ-ETA-Endothelin-1-chim(NtGi1-Gs-CtGq)/β1/γ2
27.27Single4NTJAZD12834NTJ-P2Y12-AZD1283
27.27Single5IUAQ274563485IUA-A2A-Q27456348-Na
27.27Single5ZBQUR-MK-2995ZBQ-Y1-UR-MK-299
27.27Single6LPLZM-2413856LPL-A2A-ZM-241385-Na
27.27Single6ME62-Phenylmelatonin6ME6-MT2-2-Phenylmelatonin
27.27Single6S0QZM-2413856S0Q-A2A-ZM-241385
27.27Single6WQAZM-2413856WQA-A2A-ZM-241385-Na
27.27Single7E9GJNJ-404118137E9G-mGlu2; mGlu2-Eglumetad-JNJ-40411813-Gi1/β1/γ2
27.27Single7RM5ZM-2413857RM5-A2A-ZM-241385-Na
27.27Single7SINNPS-21437SIN-CaS; CaS-NPS-2143
27.27Single7SINNPS-21437SIN-CaS; CaS-NPS-2143
27.27Single7VFXfMIFL7VFX-FPR1-ALX-fMIFL-Gi1/β1/γ2
27.27Single7W41PD1762527W41-BB2-PD176252
27.27Single8FYNZM-2413858FYN-A2A-ZM-241385-Na
27.27Single8HBDIRL16208HBD-ETB-IRL1620-Gi1/β1/γ2
27.27Single8HNLPS3724248HNL-CXCR3-PS372424-Gi1/β1/γ2
27.27Single8KFXLMD-0098KFX-CCR8-LMD-009-Gi1/β1/γ2
27.27Single8XYKVUF106618XYK-CXCR3-VUF10661-Go/β1/γ2
27.27Single8YNSSNAP-948478YNS-MCH1-SNAP-94847
27.27Single9EHSLUF76029EHS-A3A-LUF7602
27.27Single9EKHONO-30302979EKH-DP1-ONO-3030297
27.27Single9M8POleic monoethanolamide9M8P-GPR3 ; GPR3-Oleic monoethanolamide-AF64394
27.27Consensusbb2_offOrthosteric Ligand7W41-BB2-PD176252
27.27Consensusbombesin_offOrthosteric Ligandbb2_off
27.27Consensuscb2_onOrthosteric Ligand8GUR-CB2-CP55940-Gi1/β1/γ2 8GUS-CB2-HU-308-Gi1/β1/γ2 8GUT-CB2-LEI-102-Gi1/β1/γ2 6KPF-CB2-AM12033-Gi1/β1/γ2 6PT0-CB2-WIN 55212-2-Gi1/β1/γ2 8GUQ-CB2-Olorinab-Gi1/β1/γ2
27.27Consensuscb2_on_gpOrthosteric Ligand8GUR-CB2-CP55940-Gi1/β1/γ2 8GUS-CB2-HU-308-Gi1/β1/γ2 8GUT-CB2-LEI-102-Gi1/β1/γ2 6KPF-CB2-AM12033-Gi1/β1/γ2 6PT0-CB2-WIN 55212-2-Gi1/β1/γ2 8GUQ-CB2-Olorinab-Gi1/β1/γ2
27.27Consensusendothelin_on_gpOrthosteric Ligandetb_on_gp eta_on_gp
27.27Consensusfpr1-alx_onOrthosteric Ligand7VFX-FPR1-ALX-fMIFL-Gi1/β1/γ2
27.27Consensusfpr1-alx_on_gpOrthosteric Ligand7VFX-FPR1-ALX-fMIFL-Gi1/β1/γ2
27.27Consensusnucleotide_onOrthosteric Ligandadenosine_on p2y_on
26.92Single5UNFPubChem 157800525UNF-AT2-PubChem 15780052
26.92Single7F4ISHU91197F4I-MC1-SHU9119-chim(NtGi1-Gs)/β1/γ2
26.92Single7T6UCGEN-855A7T6U-FPR2-ALX-CGEN-855A-Gi1/β1/γ2
26.92Single8F7XNociceptin8F7X-NOP-Nociceptin-Gi1/β1/γ2
26.92Single8GHVAMG3158GHV-CB1-AMG315-Gi1/β1/γ2
26.92Single8K3ZCXCL128K3Z-CXCR4-CXCL12-Gi1/β1/γ1
26.92Single8WKYPG-9348WKY-MC4-PG-934
26.92Single8XGMChemerin8XGM-CML2-Chemerin-Gi1/β1/γ2
26.92Single8ZBJSomatostatin-148ZBJ-SST5-Somatostatin-14-Gi1/β1/γ2
26.92Single8ZCJPasireotide8ZCJ-SST5-Pasireotide-Gi1/β1/γ1
26.92Single9BKJCholecystokinin-89BKJ-CCKA-Cholecystokinin-8-chim(NtGi1-Gs-CtGq)/β1/γ2
26.92Single9L3YChemerin9L3Y-CML2-Chemerin-Gi1/β1/γ2
26.92Single9UMRC5a-pep9UMR-C5a1-C5a-pep-Go/β1/γ2
26.92Consensuslpl_onOrthosteric Ligands1p_on lpa_on
26.92Consensuslpl_on_gpOrthosteric Ligands1p_on_gp lpa_on_gp
26.92Consensusnop_onOrthosteric Ligand8F7X-NOP-Nociceptin-Gi1/β1/γ2
26.92Consensusnop_on_gpOrthosteric Ligand8F7X-NOP-Nociceptin-Gi1/β1/γ2
26.67Single8H0PNMB308H0P-BB1-NMB30-chim(NtGi1-Gs-CtGq)/β1/γ2
26.67Single9KFKRelaxin-39KFK-RXFP4-Relaxin-3-Gi2/β1/γ2
26.67Consensusgi_proteinOrthosteric Ligandgi_chemokine gi_chemerin
26.67Consensusnpy4_onOrthosteric Ligand7X9C-Y4-Pancreatic Hormone-Gi1/β1/γ2
26.67Consensusnpy4_on_gpOrthosteric Ligand7X9C-Y4-Pancreatic Hormone-Gi1/β1/γ2
26.67Consensusprotein_on_gpOrthosteric Ligandchemokine_on_gp chemerin_on_gp
26.47Single6LRYSarafotoxin-B6LRY-ETB-Sarafotoxin-B
26.47Consensusgs_peptideOrthosteric Ligandgs_cck gs_melanocortin gs_vasop-oxy
26.32Single1L9H11-cis-Retinal1L9H-Rhodopsin-11-cis-Retinal
26.32Single5TE520-Methanoretinal5TE5-Rhodopsin-20-Methanoretinal
26.32Single6HLLCP999946HLL-NK1-CP99994
26.32Single6I9K9-cis-Retinal6I9K-Rhodopsin-9-cis-Retinal
26.32Single6QNOAll-trans-Retinal6QNO-Rhodopsin-All-trans-Retinal-Gi1/β1/γ1
26.32Single6TP4ACT-4622066TP4-OX1-ACT-462206
26.32Single7V68Iperoxo7V68-M4-Iperoxo-LY2119620-Gi1/β1/γ2
26.32Single7VUIJNJ-635330547VUI-GPR139-JNJ-63533054-GTP-chim(Gs-CtGq)/β1/γ2
26.32Single8UO4Constrained Epinephrine8UO4-β2-Constrained Epinephrine-GTP; Mg-Gs/β1/γ2
26.32Single8YN2Histamine8YN2-H1-Histamine-chim(NtGi1L-Gs-CtGq)/β1/γ2
26.32Single9AS7Psilocin9AS7-5-HT2A-Psilocin
26.32Single9EPRAll-trans-Retinal9EPR-Rhodopsin-All-trans-Retinal-Gi1/β1/γ2
26.09Single5XR8AM120335XR8-CB1-AM12033
26.09Single5XRAAM115425XRA-CB1-AM11542
26.09Single6KO5PubChem 574000026KO5-Ghrelin-PubChem 57400002
26.09Single6O3CCholesterol6O3C-SMO-SAG21k-Cholesterol
26.09Single6RZ5Zafirlukast6RZ5-CysLT1-Zafirlukast-Na
26.09Single7B6WCyclazosin7B6W-α1b-Cyclazosin
26.09Single7F58THIQ7F58-MC4-THIQ-Gs/β1/γ2
26.09Single7FEECP559407FEE-CB1-CP55940-ZCZ011
26.09Single7PX4PSB-21137PX4-A2A-PSB-2113
26.09Single7TD1LPA7TD1-LPA1-LPA-Gi1/β1/γ2
26.09Single7WV9CP559407WV9-CB1-CP55940-ZCZ011-Gi2/β1/γ2
26.09Single8JSRAnamorelin8JSR-Ghrelin-Anamorelin-chim(NtGi1-Gs-CtGq)/β1/γ2
26.09Single8TAOCDPPB8TAO-mGlu5; mGlu5-Quisqualate-CDPPB
26.09Single8X79MRE-2698X79-I2-MRE-269-Gs/β1/γ2
26.09Single8YNTSNAP-948478YNT-MCH1-SNAP-94847
26.09Single8ZWFJR14a8ZWF-C3aB-JR14a
26.09Single9B65MDMB-Fubinaca9B65-CB1-MDMB-Fubinaca-Gi1/β1/γ2
26.09Consensusgi_cannabinoidOrthosteric Ligand8GUR-CB2-CP55940-Gi1/β1/γ2 8GUS-CB2-HU-308-Gi1/β1/γ2 8GUT-CB2-LEI-102-Gi1/β1/γ2 8GUQ-CB2-Olorinab-Gi1/β1/γ2 6KPF-CB2-AM12033-Gi1/β1/γ2 6PT0-CB2-WIN 55212-2-Gi1/β1/γ2 6KPG-CB1-AM841-Gi1/β1/γ2
26.09Consensusnpy1_offOrthosteric Ligand5ZBH-Y1-BMS-193885 5ZBQ-Y1-UR-MK-299
25.93Single7EZKCholecystokinin-87EZK-CCKA-Cholecystokinin-8-chim(NtGi1-Gs)/β1/γ2
25.93Single8F7QBeta-Endorphin8F7Q-μ-β-Endorphin-Gi1/β1/γ2
25.93Single8JZZC5a-des-Arg8JZZ-C5a1-C5a-des-Arg-Go/β1/γ2
25.93Single8WSSMCH8WSS-MCH1-MCH-Gi1/β1/γ1
25.93Single9IK8Pasireotide9IK8-SST1-Pasireotide-Gi1/β1/γ2
25.93Single9UMXEP549UMX-C5a1-EP54-Go/β1/γ2
25.93Consensuscckb_onOrthosteric Ligand8IA7-CCKB-Cholecystokinin-8-chim(NtGi1L-Gq)/β1/γ2 7XOW-CCKB-Sulfated Gastrin-(10-17)-chim(NtGi1-Gq)/β1/γ2 7F8V-CCKB-Gastrin-17-Gi2/β1/γ2
25.93Consensusformylpeptide_on_gpOrthosteric Ligandfpr2-alx_on_gp fpr1-alx_on_gp
25.93Consensusghrelin_onOrthosteric Ligand7NA7-Ghrelin-Ghrelin-Gi1/β1/γ2 7F9Z-Ghrelin-GHRP-6-chim(NtGi1-Gs-CtGq)/β1/γ2 7NA8-Ghrelin-Ibutamoren-Gi1/β1/γ2
25.93Consensusghrelin_on_gpOrthosteric Ligand7NA7-Ghrelin-Ghrelin-Gi1/β1/γ2 7F9Z-Ghrelin-GHRP-6-chim(NtGi1-Gs-CtGq)/β1/γ2 7NA8-Ghrelin-Ibutamoren-Gi1/β1/γ2
25.93Consensusgi_cckOrthosteric Ligand7EZH-CCKA-Cholecystokinin-8-Gi1/β1/γ2 7F8V-CCKB-Gastrin-17-Gi2/β1/γ2
25.93Consensusgi_ghrelinOrthosteric Ligand7NA7-Ghrelin-Ghrelin-Gi1/β1/γ2 7NA8-Ghrelin-Ibutamoren-Gi1/β1/γ2
25.93Consensussst4_onOrthosteric Ligand7XMS-SST4-Somatostatin-14-Gi1/β1/γ2 7XMT-SST4-J-2156-Gi1/β1/γ2
25.93Consensussst4_on_gpOrthosteric Ligand7XMS-SST4-Somatostatin-14-Gi1/β1/γ2 7XMT-SST4-J-2156-Gi1/β1/γ2
25.81Single7EIBKallidin-des-Arg107EIB-BK1-Kallidin-des-Arg10-chim(NtGi1-Gs-CtGq)/β1/γ2
25.81Single7F4FAfamelanotide7F4F-MC1-Afamelanotide-chim(NtGi1-Gs)/β1/γ2
25.81Single7F53Alpha-MSH7F53-MC4-α-MSH-Gs/β1/γ2
25.81Single7WVYAmyloid-Beta427WVY-FPR2-ALX-Amyloid-β42-Gi2/β1/γ2
25.81Single7XATSomatostatin-147XAT-SST2-Somatostatin-14-Gi1/β1/γ2
25.81Single8WWLMCH8WWL-MCH1-MCH-Gi1/β1/γ2
25.81Single8XWPEndothelin-18XWP-ETB-Endothelin-1-Gi1/β1/γ2
25.81Single8ZH8QRFP268ZH8-QRFP-QRFP26-Gq/β1/γ1
25.00Single2X72All-trans-Retinal2X72-Rhodopsin-All-trans-Retinal-Gt(CT)
25.00Single3V2WPubChem 518926453V2W-S1P1-PubChem 51892645
25.00Single3VG9ZM-2413853VG9-A2A-ZM-241385-Antibody
25.00Single4A4MAll-trans-Retinal4A4M-Rhodopsin-All-trans-Retinal-Gt(CT)
25.00Single4N4WSANT-14N4W-SMO-SANT-1
25.00Single4S0VSuvorexant4S0V-OX2-Suvorexant
25.00Single5EN0All-trans-Retinal5EN0-Rhodopsin-All-trans-Retinal-Gt(CT)
25.00Single5K2DZM-2413855K2D-A2A-ZM-241385-Na
25.00Single5OLHVipadenant5OLH-A2A-Vipadenant-Na
25.00Single6D9HAdenosine6D9H-A1-Adenosine-Gi2/β1/γ2
25.00Single6DS0LY2660976DS0-5-HT2B-LY266097
25.00Single6JZHZM-2413856JZH-A2A-ZM-241385-Na
25.00Single6KQICP559406KQI-CB1-CP55940-Org27569
25.00Single6ME2Ramelteon6ME2-MT1-Ramelteon
25.00Single6OS0Angiotensin II6OS0-AT1-Angiotensin II
25.00Single6PS7ZM-2413856PS7-A2A-ZM-241385-Na
25.00Single6TPJSuvorexant6TPJ-OX2-Suvorexant
25.00Single6TQ6PubChem 1457142836TQ6-OX1-PubChem 145714283
25.00Single6W25SHU91196W25-MC4-SHU9119-Ca
25.00Single7BR3Elagolix7BR3-GnRH1-Elagolix
25.00Single7EO4Siponimod7EO4-S1P1-Siponimod-Gi1/β1/γ2
25.00Single7EW2FTY720-P7EW2-S1P3-FTY720-P-Gi1/β1/γ2
25.00Single7K15MKD0467K15-BLT1-MKD046-Na
25.00Single7MBXCholecystokinin-87MBX-CCKA-Cholecystokinin-8-Gs/β1/γ1
25.00Single7TUZ7-alpha,25-dihydroxycholesterol7TUZ-GPR183-7-α,25-dihydroxycholesterol-Gi1/β1/γ2
25.00Single7WCMMBX-29827WCM-GPR119-MBX-2982-Gs/β1/γ2
25.00Single7XRRLemborexant7XRR-OX2-Lemborexant
25.00Single8A6CAll-trans-Retinal8A6C-Rhodopsin-All-trans-Retinal
25.00Single8A6DAll-trans-Retinal8A6D-Rhodopsin-All-trans-Retinal
25.00Single8A6EAll-trans-Retinal8A6E-Rhodopsin-All-trans-Retinal
25.00Single8DWGML3828DWG-MRGPRX1-BAM8-22-ML382-chim(NtGi2L-Gs-CtGq)/β1/γ2
25.00Single8GNGIstradefylline8GNG-A2A-Istradefylline
25.00Single8IA8E7 peptide8IA8-C3aB-E7 peptide-Gi1/β1/γ2
25.00Single8IQ6Latanoprost8IQ6-FP-alpha-Latanoprost-chim(NtGi1-Gs-CtGq)/β1/γ2
25.00Single8IY6Endothelin-18IY6-ETB-Endothelin-1
25.00Single8J20Valeric acid8J20-FFA3-Valeric acid-AR420626-Gi1/β1/γ2
25.00Single8J6DEP1418J6D-C3aB-EP141-Go/β1/γ2
25.00Single8JZ7MK68928JZ7-HCA2-MK6892-Gi1/β1/γ2
25.00Single8RW0Istradefylline8RW0-A2A-Istradefylline-Na
25.00Single8T3SButyric acid8T3S-FFA2-Butyric acid-chim(NtGi2L-Gs-CtGq)/β1/γ2
25.00Single8VHFMBX-29828VHF-GPR119-MBX-2982-Gs/β1/γ2
25.00Single8WKZSBL-MC-318WKZ-MC4-SBL-MC-31
25.00Single8WWNMCH8WWN-MCH1-MCH-Gi1/β1/γ2
25.00Single8XGUTAK4488XGU-Kiss1-TAK448-Gi1/β1/γ2
25.00Single8XIRPasireotide8XIR-SST3-Pasireotide-chim(NtGi1-Gs-CtGi1)/β1/γ2
25.00Single8XJNCloprosetnol8XJN-TXA2-Cloprosetnol-chim(NtGi1-Gs-CtGq)/β1/γ2
25.00Single8XYIVUF106618XYI-CXCR3-VUF10661
25.00Single9AVLCa; Ca; Cyclomethyltryptophan; R-568; PO49AVL-CaS; CaS-Ca-Ca; Ca; Cyclomethyltryptophan; R-568; PO4-Gi3/β2/γ2
25.00Single9C1PCa; Tryptophan; '6218; PO49C1P-CaS; CaS-Ca-Ca; Tryptophan; '6218; PO4
25.00Single9C2FCa; Ca; Tryptophan; '54149; PO49C2F-CaS; CaS-Ca-Ca; Ca; Tryptophan; '54149; PO4
25.00Single9GGGI-BOP9GGG-TXA2-I-BOP-chim(NtGi2L-Gs-CtGq)/β1/γ2
25.00Single9GYOP3959GYO-GPBA-P395-chim(NtGi1-Gs)/β1/γ2
25.00Single9H2XPubChem 1756706449H2X-A2A-PubChem 175670644-Na
25.00Single9IZHLPA9IZH-LPA1-LPA-chim(NtGi2-G13)/β1/γ2
25.00Single9K27PrRP319K27-PrRP-PrRP31-chim(NtGi1-Gq)/β1/γ2
25.00Single9K6LSalicin9K6L-TAS2R16-Salicin-Gi2/β1/γ2
25.00Single9KPESalicin9KPE-TAS2R16-Salicin-Gi1/β1/γ2
25.00Single9M1ONeuropeptide-FF9M1O-NPFF2-Neuropeptide-FF-Gi1/β1/γ2
25.00Single9M88Oleic monoethanolamide9M88-GPR3 ; GPR3-Oleic monoethanolamide-AF64394
25.00Single9M8POleic monoethanolamide9M8P-GPR3 ; GPR3-Oleic monoethanolamide-AF64394
25.00Single9UYIChemerin-99UYI-CML2-Chemerin-9-Arrestin2
25.00Single9VIFNeuropeptide-VF9VIF-NPFF1-Neuropeptide-VF-Gi1/β1/γ2
25.00Consensuscannabinoid_onOrthosteric Ligandcb2_on cb1_on
25.00Consensuscannabinoid_on_gpOrthosteric Ligandcb2_on_gp cb1_on_gp
25.00Consensuscb1_onOrthosteric Ligand6KPG-CB1-AM841-Gi1/β1/γ2 8K8J-CB1-Fenofibrate-chim(Gs-CtGq)/β1/γ2
25.00Consensuscckb_on_gpOrthosteric Ligand8IA7-CCKB-Cholecystokinin-8-chim(NtGi1L-Gq)/β1/γ2 7XOW-CCKB-Sulfated Gastrin-(10-17)-chim(NtGi1-Gq)/β1/γ2 7F8V-CCKB-Gastrin-17-Gi2/β1/γ2
25.00Consensusccr8_onOrthosteric Ligand8KFX-CCR8-LMD-009-Gi1/β1/γ2 8KFY-CCR8-ZK-756326-Gi1/β1/γ2 8U1U-CCR8-CCL1-Gi1/β1/γ2
25.00Consensuscxcr4_on_gpOrthosteric Ligand8K3Z-CXCR4-CXCL12-Gi1/β1/γ1
25.00Consensusgnrh1_offOrthosteric Ligand7BR3-GnRH1-Elagolix
25.00Consensusgs_cckOrthosteric Ligand7MBX-CCKA-Cholecystokinin-8-Gs/β1/γ1
25.00Consensuslipid_offonOrthosteric Ligandlipid_off lipid_on
25.00Consensuslipid_offon_gpOrthosteric Ligandlipid_on_gp lipid_off
25.00Consensuss1p1_offOrthosteric Ligand3V2W-S1P1-PubChem 51892645
25.00Consensuss1p3_onOrthosteric Ligand7EW3-S1P3-S1P-Gi1/β1/γ2 7EW4-S1P3-CYM-5541-Gi1/β1/γ2 7EW2-S1P3-FTY720-P-Gi1/β1/γ2
24.24Single6IGKEndothelin-36IGK-ETB-Endothelin-3
24.14Single5WB2CX3CL1.355WB2-US28-CX3CL1.35
24.14Single7DW9AVP7DW9-V2-AVP-chim(NtGi1-Gs)/β1/γ2
24.14Single7W40Bombesin7W40-BB2-Bombesin-chim(NtGi1L-Gq)/β1/γ2
24.14Single7WUIIP157WUI-ADGRG2-IP15-chim(NtGi1-Gs)/β1/γ2
24.14Single8IEDPubChem 1347468948IED-GPR156; GPR156-PubChem 134746894-Go/β1/γ2
24.14Single8WSTMCH8WST-MCH2-MCH-chim(NtGi1L-Gs-CtGq)/β1/γ2
24.14Consensusapelin_onOrthosteric Ligand8XZH-Apelin; Apelin-MM07-Gi1/β1/γ2 7W0M-Apelin-PubChem 122701908-Gi1/β1/γ2 8XZJ-Apelin; Apelin-WN353-Gi1/β1/γ2 8XZF-Apelin; Apelin-WN561-Gi1/β1/γ2 8XZG-Apelin; Apelin-Apelin-13-Gi1/β1/γ2
24.14Consensusapelin_on_gpOrthosteric Ligand8XZH-Apelin; Apelin-MM07-Gi1/β1/γ2 7W0M-Apelin-PubChem 122701908-Gi1/β1/γ2 8XZJ-Apelin; Apelin-WN353-Gi1/β1/γ2 8XZF-Apelin; Apelin-WN561-Gi1/β1/γ2 8XZG-Apelin; Apelin-Apelin-13-Gi1/β1/γ2
24.14Consensuscxcr3_on_gpOrthosteric Ligand8HNK-CXCR3-CXCL11-Gi1/β1/γ2 8HNL-CXCR3-PS372424-Gi1/β1/γ2
24.14Consensusfpr2-alx_on_gpOrthosteric Ligand7WVX-FPR2-ALX-Humanin-Gi2/β1/γ2 7T6U-FPR2-ALX-CGEN-855A-Gi1/β1/γ2 7T6V-FPR2-ALX-fMLFII-Gi1/β1/γ2 7WVY-FPR2-ALX-Amyloid-β42-Gi2/β1/γ2 7T6S-FPR2-ALX-TC-FPR 43-Gi1/β1/γ2 6OMM-FPR2-ALX-WKYMVX-Gi1/β1/γ2
24.14Consensusgs_vasop-oxyOrthosteric Ligand7DW9-V2-AVP-chim(NtGi1-Gs)/β1/γ2
24.14Consensusv2_onOrthosteric Ligand7DW9-V2-AVP-chim(NtGi1-Gs)/β1/γ2
24.14Consensusv2_on_gpOrthosteric Ligand7DW9-V2-AVP-chim(NtGi1-Gs)/β1/γ2
24.14Consensusvasop-oxy_onOrthosteric Ligandv2_on
24.14Consensusvasop-oxy_on_gpOrthosteric Ligandv2_on_gp
24.00Single7EZHCholecystokinin-87EZH-CCKA-Cholecystokinin-8-Gi1/β1/γ2
24.00Single7EZMCholecystokinin-87EZM-CCKA-Cholecystokinin-8-chim(NtGsL-Gq)/β1/γ2
24.00Single7MBYCholecystokinin-87MBY-CCKA-Cholecystokinin-8-chim(NtGi1L-Gs-CtGq)/β1/γ2
24.00Single7XK2MK68927XK2-HCA2-MK6892-Gi1/β1/γ2
24.00Single7XZ6APD6687XZ6-GPR119-APD668-Gs/β1/γ2
24.00Single7YU8ONO-07405567YU8-LPA1-ONO-0740556-Gi1/β1/γ2
24.00Single8IJDMK68928IJD-HCA2-MK6892-Gi1/β1/γ2
24.00Single8IULLatanoprost8IUL-FP-alpha-Latanoprost-chim(NtGi1-Gs-CtGq)/β1/γ2
24.00Single8K2XCXCL108K2X-CXCR3-CXCL10-Gi1/β1/γ2
24.00Single8WRZAM8418WRZ-CB1-AM841-Arrestin2
24.00Single8XGSKisspeptin-18XGS-Kiss1-Kisspeptin-1-chim(NtGi1-Gq)/β1/γ2
24.00Single8XJOU466198XJO-TXA2-U46619-chim(NtGi1-Gs-CtGq)/β1/γ2
24.00Single9EAILosartan9EAI-AT1-Losartan-Nanobody AT209
24.00Single9GE3Lysophosphatidylinositol9GE3-GPR55-Lysophosphatidylinositol-chim(NtGi1-G13)/β1/γ2
24.00Single9L79AR2314539L79-GPR119-AR231453-chim(NtGi1-Gs)/β1/γ2
24.00Single9UYMChemerin-99UYM-CML2-Chemerin-9-chim(Arrestin3-CtArrestin2)
24.00Single9VI9RFRP-39VI9-NPFF1-RFRP-3-Gi1/β1/γ2
24.00Consensusccka_onOrthosteric Ligand7EZH-CCKA-Cholecystokinin-8-Gi1/β1/γ2
24.00Consensusccka_on_gpOrthosteric Ligand7EZH-CCKA-Cholecystokinin-8-Gi1/β1/γ2
24.00Consensuschemerin_onOrthosteric Ligandcml1_on
24.00Consensusfp-alpha_onOrthosteric Ligand8IUK-FP-alpha-PGF2-α-chim(NtGi1-Gs-CtGq)/β1/γ2 8IUL-FP-alpha-Latanoprost-chim(NtGi1-Gs-CtGq)/β1/γ2 8IUM-FP-alpha-Tafluprost acid-chim(NtGi1-Gs-CtGq)/β1/γ2
24.00Consensusfp-alpha_on_gpOrthosteric Ligand8IUK-FP-alpha-PGF2-α-chim(NtGi1-Gs-CtGq)/β1/γ2 8IUL-FP-alpha-Latanoprost-chim(NtGi1-Gs-CtGq)/β1/γ2 8IUM-FP-alpha-Tafluprost acid-chim(NtGi1-Gs-CtGq)/β1/γ2
24.00Consensusprostanoid_onOrthosteric Ligandtp_on fp-alpha_on
24.00Consensusprostanoid_on_gpOrthosteric Ligandtp_on_gp fp-alpha_on_gp
24.00Consensustp_onOrthosteric Ligand8XJO-TXA2-U46619-chim(NtGi1-Gs-CtGq)/β1/γ2
24.00Consensustp_on_gpOrthosteric Ligand8XJO-TXA2-U46619-chim(NtGi1-Gs-CtGq)/β1/γ2
23.81Single3REYPubChem 56973REY-A2A-PubChem 5697
23.81Single5IU4ZM-2413855IU4-A2A-ZM-241385-Na
23.81Single5IUBQ274563445IUB-A2A-Q27456344-Na
23.81Single5K2CZM-2413855K2C-A2A-ZM-241385-Na
23.81Single5NLXZM-2413855NLX-A2A-ZM-241385-Na
23.81Single5NM4ZM-2413855NM4-A2A-ZM-241385-Na
23.81Single5UVIZM-2413855UVI-A2A-ZM-241385
23.81Single6ME42-Iodomelatonin6ME4-MT1-2-Iodomelatonin
23.81Single6MH8ZM-2413856MH8-A2A-ZM-241385
23.81Single6PELCitronellol6PEL-Rhodopsin-Citronellol-Gt(CT)
23.81Single6TP3Nemorexant6TP3-OX1-Nemorexant
23.81Single6TPKRetosiban6TPK-OT-Retosiban
23.81Single6V9SGTPL114036V9S-OX1-GTPL11403
23.81Single6ZFZ77-LH-28-16ZFZ-M1-77-LH-28-1
23.81Single6ZG9GSK10347026ZG9-M1-GSK1034702
23.81Single7AROLUF58337ARO-A2A-LUF5833-Na
23.81Single7BB6AVP7BB6-V2-AVP-Gs/β1/γ2
23.81Single7F61PF-036547467F61-H3-PF-03654746
23.81Single7VODCariprazine7VOD-5-HT2A-Cariprazine
23.81Single7XOVSR1461317XOV-CCKA-SR146131-Gs/β1/γ2
23.81Single8K9LDAMGO8K9L-μ-DAMGO-BMS-986122-Gi3/β1/γ1
23.81Single8RWCStilSwitch28RWC-A2A-StilSwitch2-Na
23.81Single8RWDStilSwitch38RWD-A2A-StilSwitch3-Na
23.81Single8RWIStilSwitch28RWI-A2A-StilSwitch2-Na
23.81Single8Y62C16:0 Ceramide8Y62-FPR2-ALX-C16:0 Ceramide-Gi1/β1/γ2
23.81Single8ZPNAMD31008ZPN-CXCR4-AMD3100
23.81Single9ASBCa; Ca; Cyclomethyltryptophan; R-568; PO49ASB-CaS; CaS-Ca-Ca; Ca; Cyclomethyltryptophan; R-568; PO4-chim(NtGi1-Gs-CtGq)/β1/γ2
23.81Single9K1DButyric acid9K1D-FFA2-Butyric acid-Gi1/β1/γ2
23.81Consensusghrelin_offOrthosteric Ligand6KO5-Ghrelin-PubChem 57400002 7F83-Ghrelin-PF-05190457
23.81Consensusgrh_offOrthosteric Ligandgnrh1_off
23.81Consensusnucleotide_offOrthosteric Ligandadenosine_off p2y_off
23.81Consensusot_offOrthosteric Ligand6TPK-OT-Retosiban
23.81Consensusvasop-oxy_offOrthosteric Ligandot_off
23.53Consensusmelanocortin_onOrthosteric Ligandmc1_on mc4_on mc2_on mc3_on mc5_on
23.53Consensusmelanocortin_on_gpOrthosteric Ligandmc1_on_gp mc4_on_gp mc2_on_gp mc3_on_gp mc5_on_gp
23.33Single7F6IKallidin7F6I-BK2-Kallidin-Gq/β1/γ2
23.33Single7QBIAlpha-factor mating pheromone7QBI-STE2; STE2-α-factor mating pheromone
23.33Single7X9BNeuropeptide-Y7X9B-Y2-Neuropeptide-Y-Gi1/β1/γ2
23.33Single7Y64C5a7Y64-C5a1-C5a-Gi1/β1/γ2
23.33Single8WWMMCH8WWM-MCH1-MCH-Gi1/β1/γ2
23.33Single9JFYNeuropeptide-SF9JFY-NPFF2-Neuropeptide-SF-Gi1/β1/γ2
23.33Consensusgi_apelinOrthosteric Ligand8XZH-Apelin; Apelin-MM07-Gi1/β1/γ2 7W0M-Apelin-PubChem 122701908-Gi1/β1/γ2 8XZJ-Apelin; Apelin-WN353-Gi1/β1/γ2 8XZF-Apelin; Apelin-WN561-Gi1/β1/γ2 8XZG-Apelin; Apelin-Apelin-13-Gi1/β1/γ2
23.33Consensusmc1_onOrthosteric Ligand7F4H-MC1-Afamelanotide-chim(NtGi1-Gs)/β1/γ2 7F4D-MC1-α-MSH-chim(NtGi1-Gs)/β1/γ2 7F4I-MC1-SHU9119-chim(NtGi1-Gs)/β1/γ2
23.33Consensusmc1_on_gpOrthosteric Ligand7F4H-MC1-Afamelanotide-chim(NtGi1-Gs)/β1/γ2 7F4D-MC1-α-MSH-chim(NtGi1-Gs)/β1/γ2 7F4I-MC1-SHU9119-chim(NtGi1-Gs)/β1/γ2
23.08Single5VBLAMG3054 5VBL-Apelin-AMG3054
23.08Single7Y1FDynorphin7Y1F-κ-Dynorphin-Gi1/β1/γ2
23.08Single8IUMTafluprost acid8IUM-FP-alpha-Tafluprost acid-chim(NtGi1-Gs-CtGq)/β1/γ2
23.08Single9IPYJR14a9IPY-C3aB-JR14a
23.08Single9UMJEP549UMJ-C3aB-EP54-Go/β1/γ2
23.08Single9WSXEndomorphin9WSX-μ-Endomorphin-Arrestin2
23.08Consensuscxcr3_onOrthosteric Ligand8HNK-CXCR3-CXCL11-Gi1/β1/γ2 8HNL-CXCR3-PS372424-Gi1/β1/γ2
23.08Consensusgq_cckOrthosteric Ligand8IA7-CCKB-Cholecystokinin-8-chim(NtGi1L-Gq)/β1/γ2 7XOW-CCKB-Sulfated Gastrin-(10-17)-chim(NtGi1-Gq)/β1/γ2 7EZM-CCKA-Cholecystokinin-8-chim(NtGsL-Gq)/β1/γ2 7F8W-CCKB-Gastrin-17-chim(NtGsL-Gq)/β1/γ2
22.73Single5TGZAM65385TGZ-CB1-AM6538
22.73Single5UENDU1725UEN-A1-DU172
22.73Single5ZKPSR274175ZKP-PAF-SR27417
22.73Single6FKCPubChem 1324730396FKC-Rhodopsin-PubChem 132473039
22.73Single6FKDPubChem 1373491836FKD-Rhodopsin-PubChem 137349183
22.73Single6IIVDaltroban6IIV-TXA2-Daltroban
22.73Single6LPJZM-2413856LPJ-A2A-ZM-241385-Na
22.73Single6LPKZM-2413856LPK-A2A-ZM-241385-Na
22.73Single7CFMP3957CFM-GPBA-P395-Gs/β1/γ2
22.73Single7NA8Ibutamoren7NA8-Ghrelin-Ibutamoren-Gi1/β1/γ2
22.73Single7PP1Selatogrel7PP1-P2Y12-Selatogrel
22.73Single7V3ZCP559407V3Z-CB1-CP55940
22.73Single7VH0Ramelteon7VH0-MT2-Ramelteon-Gi1/β1/γ1
22.73Single7VIFFTY720-P7VIF-S1P1-FTY720-P-Gi1/β1/γ2
22.73Single7YU4ONO-07405567YU4-LPA1-ONO-0740556
22.73Single8RW7StilSwitch18RW7-A2A-StilSwitch1-Na
22.73Single8RWXStilSwitch38RWX-A2A-StilSwitch3-Na
22.73Single8XBGS3E-Lysophosphatidylserine 8XBG-GPR34-S3E-Lysophosphatidylserine
22.73Single9AVGCa; Ca; Cyclomethyltryptophan; R-568; PO49AVG-CaS; CaS-Ca-Ca; Ca; Cyclomethyltryptophan; R-568; PO4-chim(NtGi1-Gs)/β1/γ2
22.73Single9KFTfMLFC9KFT-FPR1-ALX-fMLFC-Gi1/β1/γ2
22.73Consensusalicarboxylic_on_gpOrthosteric Ligandsuccinate_on_gp hca_on_gp
22.73Consensusgi_alicarboxylicOrthosteric Ligandgi_hca gi_succinate
22.58Single7QBIAlpha-factor mating pheromone7QBI-STE2; STE2-α-factor mating pheromone
22.58Single7RGPTirzepatide7RGP-GLP-1-Tirzepatide-chim(NtGi1-Gs)/β1/γ2
22.58Single7W3ZGastrin Releasing Peptide7W3Z-BB2-Gastrin Releasing Peptide-chim(NtGi1L-Gq)/β1/γ2
22.58Single8XQFApelin-138XQF-Apelin-Apelin-13-Gi1/β1/γ2
22.22Single2HPYAll-trans-Retinal2HPY-Rhodopsin-All-trans-Retinal
22.22Single3RFMCaffeine3RFM-A2A-Caffeine
22.22Single7F54Afamelanotide7F54-MC4-Afamelanotide-Gs/β1/γ2
22.22Single7MTBAll-trans-Retinal7MTB-Rhodopsin-All-trans-Retinal-GRK1
22.22Single7NA7Ghrelin7NA7-Ghrelin-Ghrelin-Gi1/β1/γ2
22.22Single7QA8Antagonist Peptide7QA8-STE2; STE2-Antagonist Peptide
22.22Single7QA8Antagonist Peptide7QA8-STE2; STE2-Antagonist Peptide
22.22Single7TD4Siponimod7TD4-S1P1-Siponimod-Gi1/β1/γ2
22.22Single7W53Neuromedin-U-257W53-NMUR1-Neuromedin-U-25-chim(NtGi1-Gs-CtGq)/β1/γ2
22.22Single7XMRSomatostatin-147XMR-SST2-Somatostatin-14-Gi1/β1/γ2
22.22Single8A2OTheophylline8A2O-A2A-Theophylline-Na
22.22Single8IEBPubChem 1347468948IEB-GPR156; GPR156-PubChem 134746894
22.22Single8IEIPubChem 1347468948IEI-GPR156; GPR156-PubChem 134746894
22.22Single8IEPPubChem 1347468948IEP-GPR156; GPR156-PubChem 134746894
22.22Single8J6RMK68928J6R-HCA2-MK6892-Gi1/β1/γ2
22.22Single8XBHPubChem 1626566368XBH-GPR34-PubChem 162656636-Gi1/β1/γ2
22.22Single8Z8ALactate8Z8A-HCA1-Lactate-Gi1/β1/γ2
22.22Single9HB3Mambaquaretin-19HB3-V2-Mambaquaretin-1
22.22Single9L0HJR14a9L0H-C3aB-JR14a-Go/β1/γ2
22.22Consensuscxcr4_onOrthosteric Ligand8K3Z-CXCR4-CXCL12-Gi1/β1/γ1
22.22Consensusmc4_onOrthosteric Ligand7AUE-MC4-Setmelanotide-chim(NtGi1L-Gs)/β1/γ2 7F58-MC4-THIQ-Gs/β1/γ2 7F54-MC4-Afamelanotide-Gs/β1/γ2 7F53-MC4-α-MSH-Gs/β1/γ2 7F55-MC4-Bremelanotide-Gs/β1/γ2
22.22Consensusnmur1_on_gpOrthosteric Ligand7W53-NMUR1-Neuromedin-U-25-chim(NtGi1-Gs-CtGq)/β1/γ2
22.22Consensussst5_onOrthosteric Ligand8X8L-SST5-Cortistatin-14-chim(NtGi1-Gs-CtGi1)/β1/γ2 8X8N-SST5-Octreotide-chim(NtGi1-Gs-CtGi1)/β1/γ2
21.88Single7QBCAlpha-factor mating pheromone7QBC-STE2; STE2-α-factor mating pheromone
21.88Single7YOONeuropeptide-Y7YOO-Y2-Neuropeptide-Y-Gi1/β1/γ2
21.88Consensusnpy2_onOrthosteric Ligand7YOO-Y2-Neuropeptide-Y-Gi1/β1/γ2
21.88Consensusnpy2_on_gpOrthosteric Ligand7YOO-Y2-Neuropeptide-Y-Gi1/β1/γ2
21.74Single4WW3All-trans-Retinal4WW3-Rhodopsin-All-trans-Retinal
21.74Single6KPCAM120336KPC-CB2-AM12033
21.74Single6RZ4Pranlukast6RZ4-CysLT1-Pranlukast-Na
21.74Single6XBKCholesterol6XBK-SMO-Cholesterol-Gi1/β1/γ2
21.74Single7C4SS1P7C4S-S1P3-S1P
21.74Single7EO2FTY720-P7EO2-S1P1-FTY720-P-Gi1/β1/γ2
21.74Single7Y26Octreotide7Y26-SST2-Octreotide-chim(NtGi2L-Gs-CtGq)/β1/γ2
21.74Single7YU3ONO-07405567YU3-LPA1-ONO-0740556-Gi1/β1/γ2
21.74Single7YU6ONO-07405567YU6-LPA1-ONO-0740556-Gi1/β1/γ2
21.74Single8GD9Rivenprost8GD9-EP4-Rivenprost-Gs/β1/γ2
21.74Single8J6JGSK2560738J6J-HCA2-GSK256073-Gi1/β1/γ2
21.74Single8K8JFenofibrate8K8J-CB1-Fenofibrate-chim(Gs-CtGq)/β1/γ2
21.74Single8TH4Losartan8TH4-AT1-Losartan-AT118-L Nanobody
21.74Single8YICSAR2477998YIC-S1P1-SAR247799-Gi1/β1/γ2
21.74Single8ZPTPrRP208ZPT-PrRP-PrRP20-chim(NtGi1-Gs-CtGq)/β1/γ2
21.74Single9EAHOlmesartan9EAH-AT1-Olmesartan-Nanobody AT209
21.74Single9EE5ONO-25502899EE5-DP1-ONO-2550289
21.74Single9ERXD9-THC analog9ERX-CB1-D9-THC analog-Gi1/β1/γ2
21.74Single9KUTJR14a9KUT-C3aB-JR14a-Go/β1/γ2
21.74Consensusblt1_offOrthosteric Ligand5X33-BLT1-BIIL260 7K15-BLT1-MKD046-Na
21.74Consensusblt_offOrthosteric Ligandblt1_off
21.74Consensuslipid_onOrthosteric Ligandcannabinoid_on ffa_on lpl_on prostanoid_on leukotriene_on
21.74Consensuslipid_on_gpOrthosteric Ligandcannabinoid_on_gp ffa_on_gp lpl_on_gp prostanoid_on_gp leukotriene_on_gp
21.74Consensuslpa1_onOrthosteric Ligand7TD1-LPA1-LPA-Gi1/β1/γ2 7YU3-LPA1-ONO-0740556-Gi1/β1/γ2
21.74Consensuslpa1_on_gpOrthosteric Ligand7TD1-LPA1-LPA-Gi1/β1/γ2 7YU3-LPA1-ONO-0740556-Gi1/β1/γ2
21.74Consensuss1p_offOrthosteric Ligands1p1_off s1p5_off
21.43Single7C6A(Sar1,Ile8)-Angiotensin II7C6A-AT2-(Sar1,Ile8)-Angiotensin II
21.43Single7PIVAfamelanotide7PIV-MC4-Afamelanotide-Gs/β1/γ2
21.43Single7W0NElabela7W0N-Apelin; Apelin-Elabela-Gi1/β1/γ2
21.43Single8IEBPubChem 1347468948IEB-GPR156; GPR156-PubChem 134746894
21.43Single8XYDPlatelet Activating Factor8XYD-PAF-Platelet Activating Factor-Gi1/β1/γ2
21.43Single8Z7JJN241-98Z7J-Apelin-JN241-9-Gi1/β1/γ2
21.43Single9IQRMuscarinic toxin 39IQR-α2a-Muscarinic toxin 3
21.43Single9IQVMuscarinic toxin 39IQV-Alpha1A-Muscarinic toxin 3
21.43Single9JFK(Pen5)-Urotensin II9JFK-UT-(Pen5)-Urotensin II-chim(NtGi2L-Gs-CtGq)/β1/γ2
21.43Single9KFIRelaxin-39KFI-RXFP3-Relaxin-3-Gi2/β1/γ2
21.43Single9KT7MK68929KT7-HCA2-MK6892-Gi1/β1/γ2
21.43Single9KV6TLQP219KV6-C3aB-TLQP21-Go/β1/γ2
21.43Consensusccr8_on_gpOrthosteric Ligand8KFX-CCR8-LMD-009-Gi1/β1/γ2 8KFY-CCR8-ZK-756326-Gi1/β1/γ2 8U1U-CCR8-CCL1-Gi1/β1/γ2
21.43Consensusmc4_on_gpOrthosteric Ligand7AUE-MC4-Setmelanotide-chim(NtGi1L-Gs)/β1/γ2 7F58-MC4-THIQ-Gs/β1/γ2 7F54-MC4-Afamelanotide-Gs/β1/γ2 7F53-MC4-α-MSH-Gs/β1/γ2 7F55-MC4-Bremelanotide-Gs/β1/γ2
21.21Single7QBCAlpha-factor mating pheromone7QBC-STE2; STE2-α-factor mating pheromone
21.21Single7TS0Urocortin7TS0-CRF2-Urocortin-chim(NtGi1L-Go)/β1/γ2
21.21Single7VGXNeuropeptide-Y7VGX-Y1-Neuropeptide-Y-Gi1/β1/γ2
21.21Single8KGGLysophosphatidylserine (WJS)8KGG-P2Y10-Lysophosphatidylserine (WJS)-chim(NtGi2-G13)/β1/γ2
21.21Consensusgs_melanocortinOrthosteric Ligand7F4H-MC1-Afamelanotide-chim(NtGi1-Gs)/β1/γ2 7F54-MC4-Afamelanotide-Gs/β1/γ2 7F4D-MC1-α-MSH-chim(NtGi1-Gs)/β1/γ2 8INR-MC5-α-MSH-Ca-chim(NtGi1-Gs)/β1/γ2 7F53-MC4-α-MSH-Gs/β1/γ2 7F55-MC4-Bremelanotide-Gs/β1/γ2 8GY7-MC2-Corticotropin-Ca-chim(NtGi1-Gs)/β1/γ2; MRAP1 8IOC-MC3-γ-MSH-Ca-chim(NtGi1-Gs)/β1/γ2 8IOD-MC5-PG-901-Ca-chim(NtGi1-Gs)/β1/γ2 7AUE-MC4-Setmelanotide-chim(NtGi1L-Gs)/β1/γ2 7F4I-MC1-SHU9119-chim(NtGi1-Gs)/β1/γ2 7F58-MC4-THIQ-Gs/β1/γ2
21.05Single5WKTOctyl-Beta-D-Glucopyranoside5WKT-Rhodopsin-Octyl-β-D-Glucopyranoside-Gt(CT)
21.05Single7MT9All-trans-Retinal7MT9-Rhodopsin-All-trans-Retinal-GRK1
21.05Single7MTAAll-trans-Retinal7MTA-Rhodopsin-All-trans-Retinal-GRK1
21.05Single7V6APubChem 98642757V6A-M4-PubChem 9864275-Gi1/β1/γ2
21.05Single7WC5Psilocin7WC5-5-HT2A-Psilocin
21.05Single8EITDoconexent8EIT-FFA1-Doconexent-chim(NtGi1L-Gs-CtGq)/β1/γ2
21.05Single8IU2All-trans-Retinal8IU2-Opsin1LW-All-trans-Retinal-Gi1/β1/γ2
21.05Single8J6QBeta-Hydroxybutyrate8J6Q-HCA2-β-Hydroxybutyrate-PubChem 25101223-Gi1/β1/γ2
21.05Single8SZFCa; Ca; Tryptophan; Cinacalcet; PO4; Spermine8SZF-CaS; CaS-Ca; Ca; Tryptophan; Cinacalcet; PO4; Spermine
21.05Single9JG1Adriforant9JG1-H4-Adriforant
21.05Consensusgi_opsinsOrthosteric Ligand8IU2-Opsin1LW-All-trans-Retinal-Gi1/β1/γ2
21.05Consensusgi_sensoryOrthosteric Ligandgi_opsins
21.05Consensusmc2_onOrthosteric Ligand8GY7-MC2-Corticotropin-Ca-chim(NtGi1-Gs)/β1/γ2; MRAP1
21.05Consensusmc2_on_gpOrthosteric Ligand8GY7-MC2-Corticotropin-Ca-chim(NtGi1-Gs)/β1/γ2; MRAP1
21.05Consensusopsin1lw_onOrthosteric Ligand8IU2-Opsin1LW-All-trans-Retinal-Gi1/β1/γ2
21.05Consensusopsin1lw_on_gpOrthosteric Ligand8IU2-Opsin1LW-All-trans-Retinal-Gi1/β1/γ2
20.83Single6N4BMDMB-Fubinaca6N4B-CB1-MDMB-Fubinaca-Gi1/β1/γ2
20.83Single7EW3S1P7EW3-S1P3-S1P-Gi1/β1/γ2
20.83Single7M8W15r-Methyl-PGD27M8W-DP2-15r-Methyl-PGD2-Na
20.83Single7R0CAVP7R0C-V2-AVP-Arrestin2
20.83Single7TUYGSK682753A7TUY-GPR183-GSK682753A
20.83Single7VIGCBP-3077VIG-S1P1-CBP-307-Gi1/β1/γ2
20.83Single7XOWSulfated Gastrin-(10-17)7XOW-CCKB-Sulfated Gastrin-(10-17)-chim(NtGi1-Gq)/β1/γ2
20.83Single7YU5ONO-07405567YU5-LPA1-ONO-0740556-Gi1/β1/γ2
20.83Single7YU7ONO-07405567YU7-LPA1-ONO-0740556-Gi1/β1/γ2
20.83Single8GUSHU-3088GUS-CB2-HU-308-Gi1/β1/γ2
20.83Single8HQCC5a8HQC-C5a1-C5a-Go/β1/γ2
20.83Single8I9LC3a8I9L-C3aB-C3a-Go/β1/γ2
20.83Single8IUKPGF2-alpha8IUK-FP-alpha-PGF2-α-chim(NtGi1-Gs-CtGq)/β1/γ2
20.83Single8IYHMK68928IYH-HCA2-MK6892-Go/β1/γ2
20.83Single8JD5JNJ-40411813; ADX881788JD5-mGlu2; mGlu4-Glutamate-JNJ-40411813; ADX88178-Gi1/β1/γ2
20.83Single8XBIPubChem 1626566368XBI-GPR34-PubChem 162656636
20.83Single8XIPPasireotide8XIP-SST1-Pasireotide-chim(NtGi1-Gs-CtGi1)/β1/γ2
20.83Single8ZR5Firuglipel8ZR5-GPR119-Firuglipel-Gs/β1/γ2
20.83Single9IZGLPA9IZG-LPA1-LPA-chim(NtGi1-Gs-CtGq)/β1/γ2
20.83Single9UY3Anamorelin9UY3-Ghrelin-Anamorelin-chim(NtGi1-Gs-CtGq)/β1/γ2
20.83Single9YDVMRS29059YDV-P2Y14-MRS2905-Gi1/β1/γ2
20.83Consensusffa_onOrthosteric Ligandffa2_on ffa3_on
20.83Consensusffa_on_gpOrthosteric Ligandffa2_on_gp ffa3_on_gp
20.83Consensusgi_ffaOrthosteric Ligand8J21-FFA3-Butyric acid-Gi1/β1/γ2 8J22-FFA2-TUG-1375-Gi1/β1/γ2
20.83Consensusgi_lpaOrthosteric Ligand7TD1-LPA1-LPA-Gi1/β1/γ2 7YU3-LPA1-ONO-0740556-Gi1/β1/γ2
20.83Consensuslpa_onOrthosteric Ligandlpa1_on
20.83Consensuslpa_on_gpOrthosteric Ligandlpa1_on_gp
20.83Consensusprotein_offOrthosteric Ligandchemokine_off grh_off
20.69Single6LW5WKYMVm6LW5-FPR2-ALX-WKYMVm
20.69Single6MEOGp160; CD46MEO-CCR5-Gp160; CD4
20.69Single6VN7PACAP276VN7-VPAC1-PACAP27-Gs/β1/γ2
20.69Single7RYCOxytocin7RYC-OT-Oxytocin-chim(NtGi2L-Gs-CtGq)/β1/γ2
20.69Single8K6NNeuropeptide-Y8K6N-Y2-Neuropeptide-Y-Gi2/β1/γ1
20.69Single8W8YGamma-MSH8W8Y-MC3-γ-MSH-Ca-Gs/β1/γ2
20.69Single8XZGApelin-138XZG-Apelin; Apelin-Apelin-13-Gi1/β1/γ2
20.69Single8XZHMM078XZH-Apelin; Apelin-MM07-Gi1/β1/γ2
20.69Consensusc5a1_onOrthosteric Ligand8HK5-C5a1-C5a-Gi1/β1/γ2 7Y66-C5a1-BM213-Gi1/β1/γ2 7Y67-C5a1-C089 peptide-Gi1/β1/γ2 7Y64-C5a1-C5a-Gi1/β1/γ2
20.69Consensusfpr2-alx_onOrthosteric Ligand7WVX-FPR2-ALX-Humanin-Gi2/β1/γ2 7T6U-FPR2-ALX-CGEN-855A-Gi1/β1/γ2 7T6V-FPR2-ALX-fMLFII-Gi1/β1/γ2 7WVY-FPR2-ALX-Amyloid-β42-Gi2/β1/γ2 7T6S-FPR2-ALX-TC-FPR 43-Gi1/β1/γ2 6OMM-FPR2-ALX-WKYMVX-Gi1/β1/γ2
20.59Single6PB0Urocortin6PB0-CRF1-Urocortin-chim(NtGi1-Gs)/β1/γ2
20.59Consensusccr5_on_gpOrthosteric Ligand7O7F-CCR5-6P4-CCL5-Gi1/β1/γ1 7F1Q-CCR5-CCL3-Gi1/β1/γ2
20.59Consensuscrf1_onOrthosteric Ligand6PB0-CRF1-Urocortin-chim(NtGi1-Gs)/β1/γ2 6P9X-CRF1-Corticoliberin-1-Gs/β1/γ2
20.59Consensusgi_npyOrthosteric Ligand8K6M-Y1-Neuropeptide-Y-Gi2/β1/γ1 7X9C-Y4-Pancreatic Hormone-Gi1/β1/γ2 7YOO-Y2-Neuropeptide-Y-Gi1/β1/γ2
20.59Consensusnpy_onOrthosteric Ligandnpy1_on npy2_on npy4_on
20.59Consensusnpy_on_gpOrthosteric Ligandnpy1_on_gp npy2_on_gp npy4_on_gp
20.00Single3AYMAll-trans-Retinal3AYM-Rhodopsin-All-trans-Retinal
20.00Single4PXZ2MeSADP4PXZ-P2Y12-2MeSADP
20.00Single6AK3PGE26AK3-EP3-PGE2
20.00Single6IIURamatroban6IIU-TXA2-Ramatroban
20.00Single6LPBPACAP276LPB-PAC1-PACAP27-Gs/β1/γ1
20.00Single6METGp160; CD46MET-CCR5-Gp160; CD4
20.00Single6PGSGeraniol6PGS-Rhodopsin-Geraniol-Gt(CT)
20.00Single6PH7Nerol6PH7-Rhodopsin-Nerol-Gt(CT)
20.00Single6TQ4PubChem 160468446TQ4-OX1-PubChem 16046844-Na
20.00Single6WI9Secretin6WI9-Secretin-Secretin-Gs/β1/γ2
20.00Single7F4HAfamelanotide7F4H-MC1-Afamelanotide-chim(NtGi1-Gs)/β1/γ2
20.00Single7F55Bremelanotide7F55-MC4-Bremelanotide-Gs/β1/γ2
20.00Single7FIMTirzepatide7FIM-GLP-1-Tirzepatide-Gs/β1/γ2
20.00Single7W57Neuromedin-S7W57-NMUR2-Neuromedin-S-chim(NtGi1-Gs-CtGq)/β1/γ2
20.00Single7XK8Neuromedin-U-257XK8-NMUR2-Neuromedin-U-25-Gi1/β1/γ2
20.00Single7XZ5Lysophosphatidylcholine7XZ5-GPR119-Lysophosphatidylcholine-Gs/β1/γ2
20.00Single7Y66BM2137Y66-C5a1-BM213-Gi1/β1/γ2
20.00Single7YONPeptide-YY(3-36)7YON-Y2-Peptide-YY(3-36)-Gi1/β1/γ2
20.00Single8A2PLUAA470708A2P-A2A-LUAA47070-Na
20.00Single8GCPPGE28GCP-EP4-PGE2-Gi1/β1/γ2
20.00Single8H2GNiacin8H2G-HCA2-Niacin-Gi1/β1/γ2
20.00Single8IEDPubChem 1347468948IED-GPR156; GPR156-PubChem 134746894-Go/β1/γ2
20.00Single8IHFMK68928IHF-HCA2-MK6892-Gi1/β1/γ2
20.00Single8J6IMK68928J6I-HCA2-MK6892-Gi1/β1/γ2
20.00Single8JJPChemerin-98JJP-CML2-Chemerin-9-Gi1/β1/γ2
20.00Single8K5BNiacin8K5B-HCA2-Niacin
20.00Single8RWHStilSwitch28RWH-A2A-StilSwitch2-Na
20.00Single8WPUTryptophan; Cinacalcet; PO4; Ca8WPU-CaS; CaS-Tryptophan; Cinacalcet; PO4; Ca-chim(NtGi2L-Gs-CtGq)/β1/γ2
20.00Single8X8NOctreotide8X8N-SST5-Octreotide-chim(NtGi1-Gs-CtGi1)/β1/γ2
20.00Single8YKWSuccinic acid8YKW-Succinate-Succinic acid-Gi1/β1/γ1
20.00Single9C1PCa; Tryptophan; '6218; PO49C1P-CaS; CaS-Ca-Ca; Tryptophan; '6218; PO4
20.00Single9DGIZ85267113509DGI-CB1-Z8526711350
20.00Single9ECJS-geranylgeranyl-L-glutathione9ECJ-P2Y8-S-geranylgeranyl-L-glutathione-G13/β1/γ2
20.00Single9KZKC3a (fragment)9KZK-C3aB-C3a (fragment)-Go/β1/γ2
20.00Single9M88Oleic monoethanolamide9M88-GPR3 ; GPR3-Oleic monoethanolamide-AF64394
20.00Single9W32SSTR5 antagonist 19W32-SST5-SSTR5 antagonist 1
20.00Single9WXMGPR15L(CT)9WXM-GPR15-GPR15L(CT)-Gi3/β1/γ2
20.00Single9YDUUDP-Glucose9YDU-P2Y14-UDP-Glucose-Gi1/β1/γ2
20.00Consensusc3a_onOrthosteric Ligand8HK2-C3aB-C3a-Gi1/β1/γ2 8IA8-C3aB-E7 peptide-Gi1/β1/γ2
20.00Consensusc5a1_on_gpOrthosteric Ligand8HK5-C5a1-C5a-Gi1/β1/γ2 7Y66-C5a1-BM213-Gi1/β1/γ2 7Y67-C5a1-C089 peptide-Gi1/β1/γ2 7Y64-C5a1-C5a-Gi1/β1/γ2
20.00Consensuscxcr_onOrthosteric Ligandcxcr3_on cxcr4_on cxcr1_on cxcr2_on
20.00Consensusgi_formylpeptideOrthosteric Ligand7WVY-FPR2-ALX-Amyloid-β42-Gi2/β1/γ2 7T6U-FPR2-ALX-CGEN-855A-Gi1/β1/γ2 7VFX-FPR1-ALX-fMIFL-Gi1/β1/γ2 7T6V-FPR2-ALX-fMLFII-Gi1/β1/γ2 7WVX-FPR2-ALX-Humanin-Gi2/β1/γ2 7T6S-FPR2-ALX-TC-FPR 43-Gi1/β1/γ2 6OMM-FPR2-ALX-WKYMVX-Gi1/β1/γ2
20.00Consensusprotein_offonOrthosteric Ligandprotein_off protein_on
20.00Consensusprotein_offon_gpOrthosteric Ligandprotein_on_gp protein_off
19.44Consensuscrf1_on_gpOrthosteric Ligand6PB0-CRF1-Urocortin-chim(NtGi1-Gs)/β1/γ2 6P9X-CRF1-Corticoliberin-1-Gs/β1/γ2
19.44Consensuscrf_on_gpOrthosteric Ligandcrf2_on_gp crf1_on_gp
19.35Single7F9YGhrelin7F9Y-Ghrelin-Ghrelin-chim(NtGi1-Gs-CtGq)/β1/γ2
19.35Single8E3YPACAP278E3Y-VPAC1-PACAP27-Gs/β1/γ2
19.35Single8E3ZVIP8E3Z-VPAC1-VIP-Gs/β1/γ2
19.35Single8XVHEndothelin-18XVH-ETB-Endothelin-1-chim(Gs-CtGq)/β1/γ2
19.23Single6KPGAM8416KPG-CB1-AM841-Gi1/β1/γ2
19.23Single7LLLExendin-47LLL-GLP-1-Exendin-4-Gs/β1/γ2
19.23Single7QVMOxytocin7QVM-OT-Oxytocin-chim(NtGi1-Go-CtGq)/β1/γ2
19.23Single7Y65C5a (C-terminal peptide)7Y65-C5a1-C5a (C-terminal peptide)-Gi1/β1/γ2
19.23Single8GAGZ85267113508GAG-CB1-Z8526711350-Gi1/β1/γ2
19.23Single8XBES3E-Lysophosphatidylserine 8XBE-GPR34-S3E-Lysophosphatidylserine-Gi1/β1/γ1
19.23Single8ZX4Lysophosphatidylinositol 8ZX4-GPR55-Lysophosphatidylinositol-chim(NtGi1-G13)/β1/γ2
19.23Single9GG5U466199GG5-TXA2-U46619-chim(NtGi2L-Gs-CtGq)/β1/γ2
19.23Single9J0BUDP-Glucose9J0B-P2Y14-UDP-Glucose-Gi1/β1/γ2
19.23Single9KV8TLQP219KV8-C3aB-TLQP21-Go/β1/γ2
19.23Single9M1HPGE29M1H-EP1-PGE2-chim(NtGi1-Gs-CtGq)/β1/γ2
19.23Single9UYHChemerin-99UYH-CML2-Chemerin-9-Arrestin2
19.23Consensusc3a_on_gpOrthosteric Ligand8HK2-C3aB-C3a-Gi1/β1/γ2 8IA8-C3aB-E7 peptide-Gi1/β1/γ2
19.23Consensusnk2_onOrthosteric Ligand7XWO-NK2-Neurokinin-A-chim(NtGi1-Gs-CtGq)/β1/γ2
19.23Consensusprostanoid_offOrthosteric Ligandep_off dp_off
19.05Single2Z7311-cis-Retinal2Z73-Rhodopsin-11-cis-Retinal
19.05Single3AYN9-cis-Retinal3AYN-Rhodopsin-9-cis-Retinal
19.05Single3PWHZM-2413853PWH-A2A-ZM-241385
19.05Single5OLVLUAA470705OLV-A2A-LUAA47070-Na
19.05Single7F8YDevazepide7F8Y-CCKA-Devazepide
19.05Single7M3FCa; Ca; Tryptophan; Cinacalcet7M3F-CaS; CaS-Ca; Ca; Tryptophan; Cinacalcet
19.05Single7SILCa; Ca; Ca; Cyclomethyltryptophan; R-568; PO47SIL-CaS; CaS-Ca-Ca; Ca; Ca; Cyclomethyltryptophan; R-568; PO4
19.05Single7SILCa; Ca; Ca; Cyclomethyltryptophan; R-568; PO47SIL-CaS; CaS-Ca-Ca; Ca; Ca; Cyclomethyltryptophan; R-568; PO4
19.05Single7VIHCBP-3077VIH-S1P1-CBP-307-Gi1/β1/γ2
19.05Single8H8JLodoxamide8H8J-GPR35-Lodoxamide-Ca-chim(NtGi1L-G13)/β1/γ2
19.05Single8IJANiacin8IJA-HCA2-Niacin-Gi1/β1/γ2
19.05Single8J6LNiacin8J6L-HCA2-Niacin-Gi1/β1/γ2
19.05Single8RVWStilSwitch38RVW-A2A-StilSwitch3-Na
19.05Single8RW4AzoSwitch28RW4-A2A-AzoSwitch2-Na
19.05Single8RWEStilSwitch48RWE-A2A-StilSwitch4-Na
19.05Single8U4PAMD31008U4P-CXCR4-AMD3100-Gi1/β1/γ2
19.05Single8WOGSuccinic acid8WOG-Succinate-Succinic acid-Gi1/β1/γ2
19.05Single8XXVIndomethacin8XXV-DP2-Indomethacin-A1D5Q-Gi1/β1/γ2
19.05Single8YKXMaleic acid8YKX-Succinate-Maleic acid-Gi1/β1/γ1
19.05Single8Z87CHBA8Z87-HCA1-CHBA-Gi1/β1/γ2
19.05Single9FUPIstradefylline9FUP-A2A-Istradefylline-Na
19.05Single9JKXAcifran9JKX-HCA3-Acifran-Gi1/β1/γ2
19.05Single9LKDPL459LKD-OR5V1-PL45
19.05Single9PEEPF-07054894; OXM29PEE-CCR6-PF-07054894; OXM2
19.05Consensusangiotensin_offOrthosteric Ligandat1_off
19.05Consensusgi_succinateOrthosteric Ligand8YKW-Succinate-Succinic acid-Gi1/β1/γ1 8YKX-Succinate-Maleic acid-Gi1/β1/γ1
19.05Consensussuccinate_onOrthosteric Ligand8YKW-Succinate-Succinic acid-Gi1/β1/γ1 8YKX-Succinate-Maleic acid-Gi1/β1/γ1
19.05Consensussuccinate_on_gpOrthosteric Ligand8YKW-Succinate-Succinic acid-Gi1/β1/γ1 8YKX-Succinate-Maleic acid-Gi1/β1/γ1
18.92Single7X9ANeuropeptide-Y7X9A-Y1-Neuropeptide-Y-Gi1/β1/γ2
18.92Consensusclass-a_class-b1_cons_on_gpOrthosteric Ligandclass-a_on_gp class-b1_on_gp
18.75Single8E3XPACAP278E3X-PAC1-PACAP27-Gs/β1/γ2
18.75Single9P92VIP9P92-PAC1-VIP-Gs/β1/γ2
18.75Consensusgi_compl-peptOrthosteric Ligand8HK5-C5a1-C5a-Gi1/β1/γ2 8IA8-C3aB-E7 peptide-Gi1/β1/γ2 7Y66-C5a1-BM213-Gi1/β1/γ2 7Y67-C5a1-C089 peptide-Gi1/β1/γ2 8HK2-C3aB-C3a-Gi1/β1/γ2 7Y64-C5a1-C5a-Gi1/β1/γ2
18.75Consensuspac_on_gpOrthosteric Ligandpac1_on_gp
18.52Single6OMMWKYMVX6OMM-FPR2-ALX-WKYMVX-Gi1/β1/γ2
18.52Single7CX2PGE27CX2-EP2-PGE2-Gs/β1/γ2
18.52Single7F9ZGHRP-67F9Z-Ghrelin-GHRP-6-chim(NtGi1-Gs-CtGq)/β1/γ2
18.52Single7RKFCX3CL17RKF-US28-CX3CL1-GDP-chim(NtGi1-G11)/β1/γ2
18.52Single8GDAL9026888GDA-EP4-L902688-Gs/β1/γ2
18.52Single8IQ4Carboprost8IQ4-FP-alpha-Carboprost-chim(NtGi1-Gs-CtGq)/β1/γ2
18.52Single8SAILysophosphatidylserine (S12)8SAI-GPR34-Lysophosphatidylserine (S12)-Gi1/β1/γ2
18.52Single8XZFWN5618XZF-Apelin; Apelin-WN561-Gi1/β1/γ2
18.52Single8Z74JN241-98Z74-Apelin; Apelin-JN241-9
18.52Single8Z74JN241-98Z74-Apelin; Apelin-JN241-9
18.52Single9JF4PD1683689JF4-BB1-PD168368
18.52Single9JH6C20:0 Ceramide9JH6-CysLT2-C20:0 Ceramide-chim(NtGi1-Gs-CtGq)/β1/γ2
18.52Single9KX6C5a-des-Arg9KX6-C5a1-C5a-des-Arg-Go/β1/γ2
18.52Consensuskiss1_onOrthosteric Ligand8ZJD-Kiss1-Kisspeptin-1-chim(NtGi1-Gq)/β1/γ1
18.52Consensuskisspeptin_onOrthosteric Ligandkiss1_on
18.52Consensusnmur1_onOrthosteric Ligand7W53-NMUR1-Neuromedin-U-25-chim(NtGi1-Gs-CtGq)/β1/γ2
18.42Consensuspth_onOrthosteric Ligandpth1_on pth2_on
18.18Single3V2YPubChem 518926453V2Y-S1P1-PubChem 51892645
18.18Single4ZUDOlmesartan4ZUD-AT1-Olmesartan
18.18Single6B3JExendin-P56B3J-GLP-1-Exendin-P5-Gs/β1/γ2
18.18Single6FK8PubChem 1324730356FK8-Rhodopsin-PubChem 132473035
18.18Single6FKAPubChem 1324730376FKA-Rhodopsin-PubChem 132473037
18.18Single6PT0WIN 55212-26PT0-CB2-WIN 55212-2-Gi1/β1/γ2
18.18Single6VCBGLP-16VCB-GLP-1-GLP-1-LSN3160440-Gs/β1/γ2
18.18Single6ZDVPubChem 9840736ZDV-A2A-PubChem 984073-Na
18.18Single7AD3Alpha-factor mating pheromone7AD3-STE2; STE2-α-factor mating pheromone-Gi1/STE4/γ2
18.18Single7YK6PubChem 1383196747YK6-RXFP4-PubChem 138319674-Gi2/β1/γ2
18.18Single8GUQOlorinab8GUQ-CB2-Olorinab-Gi1/β1/γ2
18.18Single8GY7Corticotropin8GY7-MC2-Corticotropin-Ca-chim(NtGi1-Gs)/β1/γ2; MRAP1
18.18Single8HQN9-S-HODE8HQN-GPR132-9-S-HODE-Gi1/β1/γ2
18.18Single8IHKAcifran8IHK-HCA3-Acifran
18.18Single8IY9Niacin8IY9-HCA2-Niacin-Go/β1/γ2
18.18Single8JERAcipimox8JER-HCA2-Acipimox-Go/β1/γ2
18.18Single8JIMMonomethyl fumarate8JIM-HCA2-Monomethyl fumarate-Gi1/β1/γ2
18.18Single8K4NPubChem 1687197658K4N-GPR34-PubChem 168719765-Gi1/β1/γ2
18.18Single8K4SDCA-3P8K4S-MRGPRX4-DCA-3P-chim(NtGi1L-Gs-CtGq)/β1/γ2
18.18Single8K5CAcipimox8K5C-HCA2-Acipimox
18.18Single8W8WAlpha-MSH8W8W-MC3-α-MSH-Ca-Gs/β1/γ2
18.18Single8W8XBeta-MSH8W8X-MC3-β-MSH-Ca-Gs/β1/γ2
18.18Single8Y6YGLPG09748Y6Y-FFA2-GLPG0974
18.18Single8ZPMAMD0708ZPM-CXCR4-AMD070
18.18Single9BUCCagrilintide9BUC-CT-Cagrilintide-Gs/β1/γ2
18.18Single9JMDAzithromycin9JMD-Motilin-Azithromycin-chim(Gs-CtGq)/β1/γ2
18.18Single9KPDSalicin9KPD-TAS2R16-Salicin-chim(Gs-CtGt3)/β1/γ2
18.18Single9LKBPL459LKB-OR5V1-PL45-chim(NtGi1-Gs)/β1
18.18Single9M2FNeuropeptide-FF9M2F-NPFF1-Neuropeptide-FF-Gi1/β1/γ2
18.18Single9U80Conivaptan9U80-V2-Conivaptan
18.18Consensusat1_offOrthosteric Ligand4YAY-AT1-ZD-7155 4ZUD-AT1-Olmesartan
18.18Consensuscb1_offOrthosteric Ligand5U09-CB1-Taranabant 5TGZ-CB1-AM6538
18.18Consensuscrf_onOrthosteric Ligandcrf2_on crf1_on
18.18Consensushca_onOrthosteric Ligandhca2_on
18.18Consensusp2y10_on_gpOrthosteric Ligand8KGG-P2Y10-Lysophosphatidylserine (WJS)-chim(NtGi2-G13)/β1/γ2
17.86Single7W2ZGhrelin7W2Z-Ghrelin-Ghrelin-Go/β1/γ2
17.86Single7W56Neuromedin-S7W56-NMUR1-Neuromedin-S-chim(NtGi1-Gs-CtGq)/β1/γ2
17.86Single8IEIPubChem 1347468948IEI-GPR156; GPR156-PubChem 134746894
17.86Single8IEPPubChem 1347468948IEP-GPR156; GPR156-PubChem 134746894
17.86Single8IZBLysophosphatidylserine (UBL)8IZB-GPR174-Lysophosphatidylserine (UBL)-Gs/β1/γ2
17.86Single8WZ2Orexigenic Neuropeptide QRFP8WZ2-QRFP-Orexigenic Neuropeptide QRFP-chim(NtGi1L-Gs-CtGq)/β1/γ2
17.86Single8ZJDKisspeptin-18ZJD-Kiss1-Kisspeptin-1-chim(NtGi1-Gq)/β1/γ1
17.86Single9J0IUDP-Glucuronic acid9J0I-P2Y14-UDP-Glucuronic acid-Gi1/β1/γ2
17.86Single9KWGC5a9KWG-C5a1-C5a-Go/β1/γ2
17.86Consensusgq_kisspeptinOrthosteric Ligand8ZJD-Kiss1-Kisspeptin-1-chim(NtGi1-Gq)/β1/γ1
17.86Consensuskiss1_on_gpOrthosteric Ligand8ZJD-Kiss1-Kisspeptin-1-chim(NtGi1-Gq)/β1/γ1
17.86Consensuskisspeptin_on_gpOrthosteric Ligandkiss1_on_gp
17.86Consensusp2y_onOrthosteric Ligandp2y1_on p2y10_on p2y12_on
17.65Single5MZPCaffeine5MZP-A2A-Caffeine-Na
17.65Single6WZGSecretin6WZG-Secretin-Secretin-Gs/β1/γ2
17.65Single7KI1Taspoglutide7KI1-GLP-1-Taspoglutide-Gs/β1/γ2
17.65Single8GEJConstrained Epinephrine8GEJ-β2-Constrained Epinephrine-Gs/β1/γ2
17.65Single8WCBCyclohexylammonium Ion8WCB-TA1-Cyclohexylammonium Ion-chim(NtGi1-Gs-CtGq)/β1/γ2
17.65Single8WCCCyclohexylammonium Ion8WCC-TA1-Cyclohexylammonium Ion
17.65Single9BYOExendin-39BYO-GLP-1-Exendin-3-Gs/β1/γ2
17.65Single9P93VIP9P93-PAC1-VIP-Gs/β1/γ2
17.65Consensuspth1_onOrthosteric Ligand6NBF-PTH1-LA-PTH Analog-Gs/β1/γ2 8HA0-PTH1-PTH-chim(NtGi1-Gs)/β1/γ2 8HAF-PTH1-PTHrP(1-36)-chim(NtGi1-Gs)/β1/γ2 7Y36-PTH1-PTH-Gs/β1/γ2 7Y35-PTH1-Abaloparatide-Gs/β1/γ2
17.65Consensusvip-pacap_onOrthosteric Ligandvpac_on pac_on
17.65Consensusvip-pacap_on_gpOrthosteric Ligandvpac_on_gp pac_on_gp
17.50Single7F16TIP397F16-PTH2-TIP39-Gs/β1/γ2
17.39Single4YAYZD-71554YAY-AT1-ZD-7155
17.39Single6D27CAY104716D27-DP2-CAY10471
17.39Single6FK7PubChem 1324730346FK7-Rhodopsin-PubChem 132473034
17.39Single6GPSMK08126GPS-CCR2-MK0812
17.39Single6KPFAM120336KPF-CB2-AM12033-Gi1/β1/γ2
17.39Single6Z10PubChem 1545855546Z10-Succinate-PubChem 154585554
17.39Single7YK7DC5910537YK7-RXFP4-DC591053-Gi2/β1/γ2
17.39Single8I7VAcipimox8I7V-HCA2-Acipimox-Gi1/β1/γ2
17.39Single8IHJAcifran8IHJ-HCA3-Acifran-Gi1/β1/γ2
17.39Single8J6PNiacin8J6P-HCA2-Niacin-PubChem 25101223-Gi1/β1/γ2
17.39Single8JHNMonomethyl fumarate8JHN-HCA2-Monomethyl fumarate-Go/β1/γ2
17.39Single8JIINiacin8JII-HCA2-Niacin-PubChem 25101223-Gi1/β1/γ2
17.39Single8K5DGSK2560738K5D-HCA2-GSK256073
17.39Single8KEXDCA-3P8KEX-MRGPRX4-DCA-3P
17.39Single8X9TAP5038X9T-ADGRD1-AP503-chim(NtGi1-Gs)/β1/γ2
17.39Single8XJLPGF2-alpha8XJL-FP-alpha-PGF2-α-chim(NtGi2-Gs-CtGq)/β1/γ2
17.39Single8ZBEOctreotide8ZBE-SST5-Octreotide-Gi1/β1/γ1
17.39Single8ZQEGPR15L(CT)8ZQE-GPR15-GPR15L(CT)-Gi1/β1/γ1
17.39Single9JGKBalovaptan9JGK-5-HT2B-Balovaptan
17.39Consensusccr2_offOrthosteric Ligand6GPS-CCR2-MK0812
17.39Consensusgi_hcaOrthosteric Ligand8J6R-HCA2-MK6892-Gi1/β1/γ2 8JIM-HCA2-Monomethyl fumarate-Gi1/β1/γ2 8IHI-HCA2-Acifran-Gi1/β1/γ2 8IHH-HCA2-LUF6283-Gi1/β1/γ2 8I7V-HCA2-Acipimox-Gi1/β1/γ2 8I7W-HCA2-GSK256073-Gi1/β1/γ2
17.39Consensushca2_onOrthosteric Ligand8J6R-HCA2-MK6892-Gi1/β1/γ2 8JIM-HCA2-Monomethyl fumarate-Gi1/β1/γ2 8I7V-HCA2-Acipimox-Gi1/β1/γ2 8I7W-HCA2-GSK256073-Gi1/β1/γ2 8IHH-HCA2-LUF6283-Gi1/β1/γ2 8IHI-HCA2-Acifran-Gi1/β1/γ2
17.39Consensushca2_on_gpOrthosteric Ligand8J6R-HCA2-MK6892-Gi1/β1/γ2 8IHI-HCA2-Acifran-Gi1/β1/γ2 8IHH-HCA2-LUF6283-Gi1/β1/γ2 8I7V-HCA2-Acipimox-Gi1/β1/γ2 8JIM-HCA2-Monomethyl fumarate-Gi1/β1/γ2 8I7W-HCA2-GSK256073-Gi1/β1/γ2
17.39Consensushca_on_gpOrthosteric Ligandhca2_on_gp
17.39Consensuslipid_offOrthosteric Ligandcannabinoid_off paf_off lpl_off prostanoid_off leukotriene_off
17.24Single7RKMCX3CL17RKM-US28-CX3CL1-Gi1/β1/γ2
17.24Single8IBVMotilin8IBV-Motilin-Motilin-chim(NtGi1-Gs-CtGq)/β1/γ2
17.24Single8KH5Lysophosphatidylserine8KH5-GPR174-Lysophosphatidylserine-Gs/β1/γ2
17.24Single9E82CXCL12 (fragment)9E82-ACKR3-CXCL12 (fragment)-Arrestin2
17.24Single9EAINanobody AT2099EAI-AT1-Losartan-Nanobody AT209
17.24Single9IQSMuscarinic toxin 39IQS-M4-Muscarinic toxin 3
17.24Single9J0FNADH9J0F-P2Y14-NADH-Gi1/β1/γ2
17.24Consensuscompl-peptide_onOrthosteric Ligandc5a1_on c3a_on
17.24Consensusmc5_onOrthosteric Ligand8INR-MC5-α-MSH-Ca-chim(NtGi1-Gs)/β1/γ2 8IOD-MC5-PG-901-Ca-chim(NtGi1-Gs)/β1/γ2
17.14Single7DUQGLP-17DUQ-GLP-1-GLP-1-PubChem 156022738-Gs/β1/γ2
17.14Single8U1UCCL18U1U-CCR8-CCL1-Gi1/β1/γ2
17.14Consensusclass-a_class-b1_cons_onOrthosteric Ligandclass-a_on class-b1_on
16.67Single3OE0CVX153OE0-CXCR4-CVX15
16.67Single5MZJTheophylline5MZJ-A2A-Theophylline-Na
16.67Single6D26Fevipiprant6D26-DP2-Fevipiprant
16.67Single6GPXMK08126GPX-CCR2-MK0812
16.67Single6M9TMisoprostol-FA6M9T-EP3-Misoprostol-FA
16.67Single7BB7AVP7BB7-V2-AVP-Gs/β1/γ2
16.67Single7F4DAlpha-MSH7F4D-MC1-α-MSH-chim(NtGi1-Gs)/β1/γ2
16.67Single7TD3S1P7TD3-S1P1-S1P-Gi1/β1/γ2
16.67Single7WC4Serotonin7WC4-5-HT2A-Serotonin
16.67Single8FLSAbaloparatide8FLS-PTH1-Abaloparatide-Gs/β1/γ2
16.67Single8FLULA-PTH Analog8FLU-PTH1-LA-PTH Analog-Gs/β1/γ2
16.67Single8GDCPGE28GDC-EP3-PGE2-Gi1/β1/γ2
16.67Single8I7WGSK2560738I7W-HCA2-GSK256073-Gi1/β1/γ2
16.67Single8IZ4Lysophosphatidylserine (TJR)8IZ4-GPR34-Lysophosphatidylserine (TJR)-Gi1/β1/γ2
16.67Single8K6MNeuropeptide-Y8K6M-Y1-Neuropeptide-Y-Gi2/β1/γ1
16.67Single8PWNTheophylline8PWN-A2A-Theophylline
16.67Single8T6JCDPPB8T6J-mGlu5; mGlu5-CDPPB
16.67Single8T6JCDPPB8T6J-mGlu5; mGlu5-CDPPB
16.67Single8UUJFCH-22964138UUJ-HCA2-FCH-2296413-Gi1/β1/γ2
16.67Single9B9ZMRI-18679B9Z-CB1-MRI-1867
16.67Single9CIBFCH-22964139CIB-HCA2-FCH-2296413
16.67Single9GE2ML1849GE2-GPR55-ML184-chim(NtGi1-G13)/β1/γ2
16.67Single9IV25alpha-DHT9IV2-ADGRD1-5α-DHT-chim(NtGi1-Gs)/β1/γ2
16.67Single9IYBPGD29IYB-DP2-PGD2-A1D5Q-Gi1/β1/γ2
16.67Single9JIDNiacin9JID-HCA3-Niacin-Gi1/β1/γ2
16.67Single9KPFSalicin9KPF-TAS2R16-Salicin-Gi1/β1/γ2
16.67Single9KT6Acifran9KT6-HCA3-Acifran-Gi1/β1/γ2
16.67Consensuscompl-peptide_on_gpOrthosteric Ligandc5a1_on_gp c3a_on_gp
16.67Consensuscyslt_offOrthosteric Ligandcyslt2_off cyslt1_off
16.67Consensusdp2_offOrthosteric Ligand6D26-DP2-Fevipiprant
16.67Consensusdp_offOrthosteric Liganddp2_off
16.67Consensusmc3_onOrthosteric Ligand8IOC-MC3-γ-MSH-Ca-chim(NtGi1-Gs)/β1/γ2
16.67Consensusmc3_on_gpOrthosteric Ligand8IOC-MC3-γ-MSH-Ca-chim(NtGi1-Gs)/β1/γ2
16.67Consensusnpy1_onOrthosteric Ligand8K6M-Y1-Neuropeptide-Y-Gi2/β1/γ1
16.67Consensusnpy1_on_gpOrthosteric Ligand8K6M-Y1-Neuropeptide-Y-Gi2/β1/γ1
16.67Consensuspth_on_gpOrthosteric Ligandpth1_on_gp pth2_on_gp
16.22Single7VVMPTH7VVM-PTH1-PTH-Gs/β1/γ2
16.22Single9JR2PTH9JR2-PTH1-PTH-chim(NtGi1L-Gs-CtGq)/β1/γ2
16.22Consensuspth1_on_gpOrthosteric Ligand6NBF-PTH1-LA-PTH Analog-Gs/β1/γ2 8HA0-PTH1-PTH-chim(NtGi1-Gs)/β1/γ2 8HAF-PTH1-PTHrP(1-36)-chim(NtGi1-Gs)/β1/γ2 7Y36-PTH1-PTH-Gs/β1/γ2 7Y35-PTH1-Abaloparatide-Gs/β1/γ2
16.13Single6M1IPACAP276M1I-PAC1-PACAP27-Gs/β1/γ2
16.13Single7AD3Alpha-factor mating pheromone7AD3-STE2; STE2-α-factor mating pheromone-Gi1/STE4/γ2
16.13Single7V9MSomatoliberin7V9M-GHRH (SV1)-Somatoliberin-Gs/β1/γ2
16.13Single8HA0PTH8HA0-PTH1-PTH-chim(NtGi1-Gs)/β1/γ2
16.13Single8XZJWN3538XZJ-Apelin; Apelin-WN353-Gi1/β1/γ2
16.13Consensusmc5_on_gpOrthosteric Ligand8INR-MC5-α-MSH-Ca-chim(NtGi1-Gs)/β1/γ2 8IOD-MC5-PG-901-Ca-chim(NtGi1-Gs)/β1/γ2
16.13Consensusneuromedin-u_onOrthosteric Ligandnmur1_on nmur2_on
16.13Consensusp2y_on_gpOrthosteric Ligandp2y1_on_gp p2y10_on_gp p2y12_on_gp
16.00Single5ZBHBMS-1938855ZBH-Y1-BMS-193885
16.00Single7T9NDPPC7T9N-TSH-M22 Fab-DPPC-Gs/β1/γ2
16.00Single7XWONeurokinin-A7XWO-NK2-Neurokinin-A-chim(NtGi1-Gs-CtGq)/β1/γ2
16.00Single7Y67C089 peptide7Y67-C5a1-C089 peptide-Gi1/β1/γ2
16.00Single8GDBPGE28GDB-EP4-PGE2-Gs/β1/γ2
16.00Single8I2GPubChem 675302408I2G-FSH-FSH-PubChem 67530240-Gs/β1/γ2
16.00Single8IHBGSK2560738IHB-HCA2-GSK256073-Gi1/β1/γ2
16.00Single8IHHLUF62838IHH-HCA2-LUF6283-Gi1/β1/γ2
16.00Single8JZPC5a8JZP-C5a1-C5a-Go/β1/γ2
16.00Single8ZW0PGD28ZW0-DP1-PGD2-Gs/β1/γ2
16.00Single9EGOZ85267113509EGO-CB1-Z8526711350-Gi1/β1/γ2
16.00Single9ITELPA9ITE-LPA6-LPA-chim(NtGi2-G13)/β1/γ2
16.00Consensusmotilin_onOrthosteric Ligand8IBU-Motilin-Erythromycin-A-chim(NtGi1-Gs-CtGq)/β1/γ2
16.00Consensusnk2_on_gpOrthosteric Ligand7XWO-NK2-Neurokinin-A-chim(NtGi1-Gs-CtGq)/β1/γ2
16.00Consensusp2y12_onOrthosteric Ligand7XXI-P2Y12-2MeSADP-Gi2/β1/γ2
15.91Consensusclass-b1_on_gpOrthosteric Ligandglucagon_on_gp vip-pacap_on_gp pth_on_gp crf_on_gp calcitonin_on_gp
15.79Single6OT025(S)-Epoxycholesterol6OT0-SMO-25(S)-Epoxycholesterol-Gi1/β1/γ2
15.79Single6TQ9SB-4081246TQ9-OX1-SB-408124
15.79Single7Y36PTH7Y36-PTH1-PTH-Gs/β1/γ2
15.79Single8FLQPTH8FLQ-PTH1-PTH-Gs/β1/γ2
15.79Single8Y02All-trans-Retinal8Y02-OPN1SW-All-trans-Retinal-Gi1/β1/γ2
15.79Single9C2FCa; Ca; Tryptophan; '54149; PO49C2F-CaS; CaS-Ca-Ca; Ca; Tryptophan; '54149; PO4
15.79Single9JR3PTH9JR3-PTH1-PTH-chim(NtGi1L-Gs-CtGq)/β1/γ2
15.79Single9M42A1L8O9M42-GPR139-A1L8O-chim(Gs-CtGq)/β1/γ2
15.79Consensusglucagon_onOrthosteric Ligandglp_on gluc_on secretin_on gip_on
15.62Single6X18GLP-16X18-GLP-1-GLP-1-Gs/β1/γ2
15.62Single7P02Substance-P7P02-NK1-Substance-P-chim(NtGi1-Gs)/β1/γ2
15.62Single7WBJPACAP277WBJ-VPAC1-PACAP27-Gs/β1/γ2
15.62Single7XV3Lysophosphatidylserine (WJS)7XV3-GPR174-Lysophosphatidylserine (WJS)-chim(NtGi1-Gs)/β1/γ2
15.62Single8HK5C5a8HK5-C5a1-C5a-Gi1/β1/γ2
15.62Single8HNKCXCL118HNK-CXCR3-CXCL11-Gi1/β1/γ2
15.62Single8IA2C5a8IA2-C5a1-C5a-Go/β1/γ2
15.62Single8XVIEndothelin-18XVI-ETA-Endothelin-1-chim(Gs-CtGq)/β1/γ2
15.62Single9E2AGLP-19E2A-GLP-1-GLP-1-Gs/β1/γ2
15.62Consensuschemokine_on_gpOrthosteric Ligandccr_on_gp cxcr_on_gp
15.62Consensuscxcr_offOrthosteric Ligandcxcr3_off cxcr4_off
15.62Consensusneuromedin-u_on_gpOrthosteric Ligandnmur1_on_gp nmur2_on_gp
15.62Consensusp2y10_onOrthosteric Ligand8KGG-P2Y10-Lysophosphatidylserine (WJS)-chim(NtGi2-G13)/β1/γ2
15.62Consensuspac_onOrthosteric Ligandpac1_on
15.62Consensusvpac_onOrthosteric Ligandvpac1_on vpac2_on
15.38Single3VW7Vorapaxar; Na3VW7-PAR1-Vorapaxar; Na
15.38Single4PY02MeSATP4PY0-P2Y12-2MeSATP
15.38Single5TZYMK8666; AP85TZY-FFA1-MK8666; AP8
15.38Single7W0NElabela7W0N-Apelin; Apelin-Elabela-Gi1/β1/γ2
15.38Single7XW5ML1097XW5-TSH-TSH-ML109-Gs/β1/γ2
15.38Single7XW6ML1097XW6-TSH-M22 Fab-ML109-Gs/β1/γ2
15.38Single7XXI2MeSADP7XXI-P2Y12-2MeSADP-Gi2/β1/γ2
15.38Single8H0QGastrin Releasing Peptide8H0Q-BB2-Gastrin Releasing Peptide-chim(NtGi1-Gs-CtGq)/β1/γ2
15.38Single8HK2C3a8HK2-C3aB-C3a-Gi1/β1/γ2
15.38Single8IBUErythromycin-A8IBU-Motilin-Erythromycin-A-chim(NtGi1-Gs-CtGq)/β1/γ2
15.38Single8IYWGSK2560738IYW-HCA2-GSK256073-Go/β1/γ2
15.38Single8U26Substance-P8U26-NK1-Substance-P-Gs/β1/γ2
15.38Single8WRBLysophosphatidylserine (UBL)8WRB-GPR34-Lysophosphatidylserine (UBL)-Gi1/β1/γ2
15.38Single8Y6WTUG-13758Y6W-FFA2-TUG-1375-4-CMTB-Gi1/β1/γ2
15.38Single9AU0BW245C9AU0-DP1-BW245C-Gs/β1/γ2
15.38Single9CM3TUG-13759CM3-FFA2-TUG-1375-PubChem 118615810-chim(NtGi1L-Gs-CtGq)/β1/γ2
15.38Consensusffa2_on_gpOrthosteric Ligand8J22-FFA2-TUG-1375-Gi1/β1/γ2
15.38Consensusgi_p2yOrthosteric Ligand7XXI-P2Y12-2MeSADP-Gi2/β1/γ2
15.38Consensusglucagon_on_gpOrthosteric Ligandglp_on_gp gluc_on_gp secretin_on_gp gip_on_gp
15.38Consensusmotilin_on_gpOrthosteric Ligand8IBU-Motilin-Erythromycin-A-chim(NtGi1-Gs-CtGq)/β1/γ2
15.38Consensusp2y12_on_gpOrthosteric Ligand7XXI-P2Y12-2MeSADP-Gi2/β1/γ2
15.15Single6FJ3PTH6FJ3-PTH1-PTH
15.15Single6NBFLA-PTH Analog6NBF-PTH1-LA-PTH Analog-Gs/β1/γ2
15.15Single6P9YPACAP276P9Y-PAC1-PACAP27-Gs/β1/γ2
15.15Single7D3SSecretin7D3S-Secretin-Secretin-Gs/β1/γ2
15.15Single7RA3GIP7RA3-GIP-GIP-chim(NtGi1-Gs)/β1/γ2
15.15Single7SK4CXCL12_LRHQ7SK4-ACKR3-CXCL12_LRHQ
15.15Single7VABTirzepatide (non-acylated)7VAB-GIP-Tirzepatide (non-acylated)-chim(NtGi1-Gs)/β1/γ2
15.15Single9BLWCagrilintide (non-acylated)9BLW-CT (AMY1)-Cagrilintide (non-acylated)-Gs/β1/γ2; RAMP1
15.15Single9J1Pg1:Ox9J1P-GLP-1-g1:Ox-chim(NtGi1-Gs)/β1/γ2
15.15Consensusvpac_on_gpOrthosteric Ligandvpac1_on_gp vpac2_on_gp
15.00Single2ZIY11-cis-Retinal2ZIY-Rhodopsin-11-cis-Retinal
15.00Single6FK9PubChem 1324730366FK9-Rhodopsin-PubChem 132473036
15.00Single6ME5Agomelatine6ME5-MT1-Agomelatine
15.00Single7D77Hydrocortisone7D77-ADGRG3-Hydrocortisone-Go/β1/γ2
15.00Single8Y63C20:0 Ceramide8Y63-FPR2-ALX-C20:0 Ceramide-Gi1/β1/γ2
15.00Single9IV15alpha-DHT9IV1-ADGRD1-5α-DHT-chim(NtGi1-Gs)/β1/γ2
15.00Single9JKT(2R)-2-hydroxy-3-phenylpropanoic acid9JKT-HCA3-(2R)-2-hydroxy-3-phenylpropanoic acid-Gi1/β1/γ2
15.00Single9KT93,5-DHBA9KT9-HCA1-3,5-DHBA-Gi1/β1/γ2
14.81Single7CX4Evatanepag7CX4-EP2-Evatanepag-Gs/β1/γ2
14.81Single7D7MPGE27D7M-EP4-PGE2-Gs/β1/γ1
14.81Single7P00Substance-P7P00-NK1-Substance-P-chim(NtGi1-Gs-CtGq)/β1/γ2
14.81Single7PIUSetmelanotide7PIU-MC4-Setmelanotide-Gs/β1/γ2
14.81Single8K4OCXCL18K4O-KSHV-CXCL1-Gi1/β1/γ1
14.81Single9C0KExendin-49C0K-GLP-1-Exendin-4-Gs/β1/γ2
14.81Single9KT8Acifran9KT8-HCA2-Acifran-Gi1/β1/γ2
14.81Consensusnk1_onOrthosteric Ligand7P00-NK1-Substance-P-chim(NtGi1-Gs-CtGq)/β1/γ2
14.81Consensusnk1_on_gpOrthosteric Ligand7P00-NK1-Substance-P-chim(NtGi1-Gs-CtGq)/β1/γ2
14.71Single6P9XCorticoliberin-16P9X-CRF1-Corticoliberin-1-Gs/β1/γ2
14.71Single7DTYGIP7DTY-GIP-GIP-Gs/β1/γ2
14.71Single7FIYTirzepatide7FIY-GIP-Tirzepatide-Gs/β1/γ2
14.71Single7S1MExendin-4-D-Ala7S1M-GLP-1-Exendin-4-D-Ala-Gs/β1/γ2
14.71Single7TYFAmylin7TYF-CT (AMY1)-Amylin-Gs/β1/γ2; RAMP1
14.71Single7VQXPACAP277VQX-VPAC1-PACAP27-Gs/β1/γ2
14.71Single9P94PACAP279P94-PAC1-PACAP27-Gs/β1/γ2
14.71Consensusglp_onOrthosteric Ligandglp1_on glp2_on
14.71Consensusglp_on_gpOrthosteric Ligandglp1_on_gp glp2_on_gp
14.63Consensusclass-b1_onOrthosteric Ligandglucagon_on vip-pacap_on pth_on crf_on calcitonin_on
14.63Consensuspth2_on_gpOrthosteric Ligand7F16-PTH2-TIP39-Gs/β1/γ2
14.29Single5L7IVismodegib5L7I-SMO-Vismodegib
14.29Single5VAIGLP-15VAI-GLP-1-GLP-1-Gs/β1/γ2
14.29Single6C1QPMX536C1Q-C5a1-PMX53-NDT9513727
14.29Single6FK6PubChem 1324730336FK6-Rhodopsin-PubChem 132473033
14.29Single6LMLGlucagon6LML-Glucagon-Glucagon-Gi1/β1/γ1
14.29Single6NBHLA-PTH Analog6NBH-PTH1-LA-PTH Analog-Gs/β1/γ2
14.29Single6PB1Urocortin6PB1-CRF2-Urocortin-chim(NtGi1-Gs)/β1/γ2
14.29Single6RZ6ONO-25703666RZ6-CysLT2-ONO-2570366
14.29Single7AUESetmelanotide7AUE-MC4-Setmelanotide-chim(NtGi1L-Gs)/β1/γ2
14.29Single7D76Beclomethasone7D76-ADGRG3-Beclomethasone-Go/β1/γ2
14.29Single7RKNCX3CL17RKN-US28-CX3CL1-Gi1/β1/γ2
14.29Single7RMGSubstance-P7RMG-NK1-Substance-P-chim(Gs-CtGq)/β1/γ2
14.29Single7RMHSubstance-P7RMH-NK1-Substance-P-Gs/β1/γ2
14.29Single7T96LY21196207T96-M2-Acetylcholine-LY2119620-Go/β1/γ2
14.29Single7TRPLY20332987TRP-M4-Iperoxo-LY2033298-Gi1/β1/γ2
14.29Single7TYLAmylin7TYL-CT-Amylin-Gs/β1/γ2
14.29Single7VVLPTH7VVL-PTH1-PTH-Gs/β1/γ2
14.29Single7XBXCX3CL17XBX-CX3CR1-CX3CL1-Gi1/β1/γ2
14.29Single7XP6Strychnine7XP6-TAS2R46-Strychnine-chim(Gs-CtGt3)/β1/γ2
14.29Single8F0KPramlintide Analogue San3858F0K-CT (AMY3)-Pramlintide Analogue San385-Gs/β1/γ2; RAMP3
14.29Single8FLTM-PTH(1-14)8FLT-PTH1-M-PTH(1-14)-Gs/β1/γ2
14.29Single8HAFPTHrP(1-36)8HAF-PTH1-PTHrP(1-36)-chim(NtGi1-Gs)/β1/γ2
14.29Single8IHIAcifran8IHI-HCA2-Acifran-Gi1/β1/γ2
14.29Single8J22TUG-13758J22-FFA2-TUG-1375-Gi1/β1/γ2
14.29Single8JBFSenktide8JBF-NK3-Senktide-chim(NtGi1-Gs-CtGq)/β1/γ2
14.29Single8JILNiacin8JIL-HCA2-Niacin-Gi1/β1/γ2
14.29Single8JPNCis-Epoxysuccinic acid8JPN-Succinate-Cis-Epoxysuccinic acid-Gi1/β1/γ1
14.29Single8SZFCa; Ca; Tryptophan; Cinacalcet; PO4; Spermine8SZF-CaS; CaS-Ca; Ca; Tryptophan; Cinacalcet; PO4; Spermine
14.29Single8WP1Cis-Epoxysuccinic acid8WP1-Succinate-Cis-Epoxysuccinic acid-Gi1/β1/γ2
14.29Single8X2KOleic monoethanolamide8X2K-GPR3-Oleic monoethanolamide-chim(NtGi1-Gs)/β1/γ2
14.29Single8XQJJN2418XQJ-Apelin; Apelin-JN241
14.29Single8YKDDehydroepiandrosterone8YKD-ADGRG2-Dehydroepiandrosterone-chim(NtGi1-Gs)/β1/γ2
14.29Single8ZX5AM2518ZX5-GPR55-AM251-chim(NtGi1-G13)/β1/γ2
14.29Single9B9YTaranabant9B9Y-CB1-Taranabant
14.29Single9CM7TUG-13759CM7-FFA2-TUG-1375-AZ-1729-Gi1/β1/γ2
14.29Single9IQTNiacin9IQT-HCA2-Niacin-Gi1/β1/γ2
14.29Single9ITBLPA9ITB-LPA6-LPA-chim(NtGi1-Gs-CtGq)/β1/γ2
14.29Single9IZASCH9002719IZA-HCA2-SCH900271-Gi1/β1/γ2
14.29Single9IZDCHBA9IZD-HCA1-CHBA-Gi1/β1/γ2
14.29Single9JLCAVE 09919JLC-MAS1-AVE 0991-Gi1/β1/γ2
14.29Single9NS9TUG-13759NS9-FFA2-TUG-1375-PubChem 118615810-Gi1/β1/γ2
13.79Single4XT1CX3CL14XT1-US28-CX3CL1
13.79Single7CX3Taprenepag7CX3-EP2-Taprenepag-Gs/β1/γ2
13.79Single8KIGSHU91198KIG-MC3-SHU9119-Ca
13.79Single8U4OCXCL128U4O-CXCR4-CXCL12-Gi1/β1/γ2
13.79Single8YWFRetatrutide8YWF-GLP-1-Retatrutide-chim(NtGi1-Gs)/β1/γ2
13.79Single9MEJGp1209MEJ-CXCR4-Gp120
13.79Consensusnk3_onOrthosteric Ligand8JBF-NK3-Senktide-chim(NtGi1-Gs-CtGq)/β1/γ2
13.79Consensusnk3_on_gpOrthosteric Ligand8JBF-NK3-Senktide-chim(NtGi1-Gs-CtGq)/β1/γ2
13.64Single4MQTLY21196204MQT-M2-Iperoxo-LY2119620
13.64Single5U09Taranabant5U09-CB1-Taranabant
13.64Single6FKBPubChem 1324730386FKB-Rhodopsin-PubChem 132473038
13.64Single6ME9Ramelteon6ME9-MT2-Ramelteon
13.64Single6ZA8RTI-3a6ZA8-NTS1-RTI-3a
13.64Single7VDLCortistatin-147VDL-MRGPRX2-Cortistatin-14-Gi1/β1/γ2
13.64Single7W0OElabela7W0O-Apelin-Elabela-Gi1/β1/γ2
13.64Single7WF7S1P7WF7-S1P1-S1P-Gi1/β1/γ2
13.64Single8IJBAcipimox8IJB-HCA2-Acipimox-Gi1/β1/γ2
13.64Single8JPPSuccinic acid8JPP-Succinate-Succinic acid-chim(Gs-CtGq)/β1/γ1
13.64Single8UTDMK19038UTD-HCA2-MK1903-Gi1/β1/γ2
13.64Consensuscxcr1_onOrthosteric Ligand8IC0-CXCR1-CXCL8-Gi1/β1/γ2
13.51Single7SK6CXCL12_LRHQ7SK6-ACKR3-CXCL12_LRHQ
13.51Single7TZFAmylin7TZF-CT (AMY3)-Amylin-Gs/β1/γ2; RAMP3
13.33Single7RMISubstance-P7RMI-NK1-Substance-P-chim(Gs-CtGq)/β1/γ2
13.33Single7SK5CXCL127SK5-ACKR3-CXCL12
13.33Single7VBITirzepatide (non-acylated)7VBI-GLP-1-Tirzepatide (non-acylated)-Gs/β1/γ2
13.33Single8IOCGamma-MSH8IOC-MC3-γ-MSH-Ca-chim(NtGi1-Gs)/β1/γ2
13.33Single8JBHSubstance-P8JBH-NK3-Substance-P-chim(NtGi1-Gs-CtGq)/β1/γ2
13.33Single8K6ONeuropeptide-Y8K6O-Y1-Neuropeptide-Y-Gi2/β1/γ1
13.33Consensustachykinin_on_gpOrthosteric Ligandnk1_on_gp nk2_on_gp nk3_on_gp
13.16Single6WPWZP37806WPW-Glucagon-ZP3780-Gs/β1/γ2
13.16Consensusglp1_on_gpOrthosteric Ligand7S1M-GLP-1-Exendin-4-D-Ala-Gs/β1/γ2 7X8R-GLP-1-BOC5-Gs/β1/γ2 6X19-GLP-1-CHU-128-Gs/β1/γ2 6X1A-GLP-1-Danuglipron-Gs/β1/γ2 6X18-GLP-1-GLP-1-Gs/β1/γ2 8JIP-GLP-1-MEDI0382-chim(NtGi1-Gs)/β1/γ2 7C2E-GLP-1-PubChem 149050799-Gs/β1/γ2 7KI0-GLP-1-Semaglutide-Gs/β1/γ2 7KI1-GLP-1-Taspoglutide-Gs/β1/γ2 7X8S-GLP-1-WB4-24-Gs/β1/γ2 8JIS-GLP-1-Peptide-15-chim(NtGi1-Gs)/β1/γ2 7VBI-GLP-1-Tirzepatide (non-acylated)-Gs/β1/γ2
13.04Single6ZINSR486926ZIN-NTS1-SR48692
13.04Single7T94LY21196207T94-M2-Acetylcholine-LY2119620-chim(NtGi1-Go)/β1/γ2
13.04Single7UTZDPPC7UTZ-TSH-TSH-DPPC-Gs/β1/γ2
13.04Single8JEIPubChem 117155568JEI-HCAR3-PubChem 11715556-Gi1/β1/γ2
13.04Single8K2WAMG4878K2W-CXCR3-AMG487
13.04Single8X7ATreprostinil8X7A-I2-Treprostinil-Gs/β1/γ2
13.04Single8YKVPubChem 1375531688YKV-Succinate-PubChem 137553168-Gi1/β1/γ2
13.04Single9BA0MRI-18919BA0-CB1-MRI-1891
13.04Single9DQJEP-39459DQJ-MRGPRD-EP-3945-chim(NtGi1-Gs-CtGq)/β1/γ2
13.04Single9IXXLTD49IXX-CysLT2-LTD4-chim(NtGi1-Gs-CtGq)/β1/γ2
13.04Single9JKYAcifran9JKY-HCA2-Acifran-Gi1/β1/γ2
13.04Single9KXSEP679KXS-C5a1-EP67-Go/β1/γ2
13.04Single9W33S5A19W33-SST5-S5A1
13.04Consensuscxcr3_offOrthosteric Ligand8K2W-CXCR3-AMG487
12.90Single6UUNAdrenomedullin6UUN-CT Like (AM1)-Adrenomedullin-Gs/β1/γ2; RAMP2
12.90Single7O7F6P4-CCL57O7F-CCR5-6P4-CCL5-Gi1/β1/γ1
12.90Single7W55Neuromedin-U-257W55-NMUR2-Neuromedin-U-25-chim(NtGi1-Gs-CtGq)/β1/γ2
12.90Single9B5YLA-PTH Analog9B5Y-PTH1-LA-PTH Analog-chim(NtGi1-Gq)/β1/γ2
12.90Single9LXRLA-PTH Analog9LXR-PTH1-LA-PTH Analog-Arrestin2
12.90Consensusclass-b1_class-b2_cons_onOrthosteric Ligandclass-b1_on class-b2_on
12.90Consensusclass-b1_class-b2_cons_on_gpOrthosteric Ligandclass-b1_on_gp class-b2_on_gp
12.90Consensusnmur2_onOrthosteric Ligand7W55-NMUR2-Neuromedin-U-25-chim(NtGi1-Gs-CtGq)/β1/γ2
12.90Consensusnmur2_on_gpOrthosteric Ligand7W55-NMUR2-Neuromedin-U-25-chim(NtGi1-Gs-CtGq)/β1/γ2
12.82Consensuspth2_onOrthosteric Ligand7F16-PTH2-TIP39-Gs/β1/γ2
12.50Single4QIMANTA XV4QIM-SMO-ANTA XV
12.50Single6E3YCalcitonin gene-related peptide-16E3Y-CT Like-Calcitonin gene-related peptide-1-Gs/β1/γ2; RAMP1
12.50Single6Z4VNeurotensin-(9-13)6Z4V-NTS1-Neurotensin-(9-13)
12.50Single7F83PF-051904577F83-Ghrelin-PF-05190457
12.50Single7TRQVU04671547TRQ-M4-Iperoxo-VU0467154-Gi1/β1/γ2
12.50Single7TYIAmylin7TYI-CT-Amylin-Gs/β1/γ2
12.50Single7YXAONO-54306087YXA-S1P5-ONO-5430608
12.50Single8GCML-9026888GCM-EP4-L-902688-Gi1/β1/γ2
12.50Single8IC0CXCL88IC0-CXCR1-CXCL8-Gi1/β1/γ2
12.50Single8KFYZK-7563268KFY-CCR8-ZK-756326-Gi1/β1/γ2
12.50Single8YW4Retatrutide8YW4-GIP-Retatrutide-chim(NtGi1-Gs)/β1/γ2
12.50Single8ZYYNeurotensin-(8-13)8ZYY-NTS1-Neurotensin-(8-13)-SBI-553-Arrestin2
12.50Single9BLCCagrilintide (non-acylated)9BLC-CT-Cagrilintide (non-acylated)-Gs/β1/γ2
12.50Single9BUDCagrilintide9BUD-CT-Cagrilintide-Gs/β1/γ2
12.50Single9EBOGLP-1 (ACPC18)9EBO-GLP-1-GLP-1 (ACPC18)-Gs/β1/γ2
12.50Single9IYAONO-97105319IYA-GPR55-ONO-9710531
12.50Single9IZCMK19039IZC-HCA2-MK1903-Gi1/β1/γ2
12.50Single9JQZGrapiprant 9JQZ-EP4-Grapiprant
12.50Consensusalicarboxylic_offOrthosteric Ligandsuccinate_off
12.50Consensuscrf2_onOrthosteric Ligand7TS0-CRF2-Urocortin-chim(NtGi1L-Go)/β1/γ2
12.50Consensuscxcr1_on_gpOrthosteric Ligand8IC0-CXCR1-CXCL8-Gi1/β1/γ2
12.50Consensussuccinate_offOrthosteric Ligand6RNK-Succinate-NF-56-EJ40 6Z10-Succinate-PubChem 154585554
12.50Consensustachykinin_onOrthosteric Ligandnk1_on nk2_on nk3_on
12.12Single7LLYOxyntomodulin7LLY-GLP-1-Oxyntomodulin-Gs/β1/γ2
12.12Single7VL9CCL15(26-92)7VL9-CCR1-CCL15(26-92)-Gi1/β1/γ2
12.12Single7Y35Abaloparatide7Y35-PTH1-Abaloparatide-Gs/β1/γ2
12.12Single8YG4LA-PTH Analog8YG4-PTH1-LA-PTH Analog-chim(NtGi1-Gs)/β1/γ2
12.12Consensuschemokine_offOrthosteric Ligandccr_off cxcr_off
12.12Consensusgi_chemokineOrthosteric Ligand6WWZ-CCR6-CCL20-Go/β1/γ2 8HNK-CXCR3-CXCL11-Gi1/β1/γ2 8K3Z-CXCR4-CXCL12-Gi1/β1/γ1 8IC0-CXCR1-CXCL8-Gi1/β1/γ2 6LFM-CXCR2-CXCL8-Gi1/β1/γ2 8KFX-CCR8-LMD-009-Gi1/β1/γ2 7F1Q-CCR5-CCL3-Gi1/β1/γ2 8HNL-CXCR3-PS372424-Gi1/β1/γ2 8KFY-CCR8-ZK-756326-Gi1/β1/γ2 7O7F-CCR5-6P4-CCL5-Gi1/β1/γ1 8U1U-CCR8-CCL1-Gi1/β1/γ2 7VLA-CCR1-CCL15(27-92)-Gi1/β1/γ2 7XA3-CCR2-CCL2-Gi1/β1/γ2
12.12Consensusvpac1_onOrthosteric Ligand8E3Z-VPAC1-VIP-Gs/β1/γ2
12.00Single4PHUFasiglifam4PHU-FFA1-Fasiglifam
12.00Single5T1ABMS-6815T1A-CCR2-BMS-681-PubChem 12093170
12.00Single5YHLPubChem 1351213525YHL-EP4-PubChem 135121352
12.00Single5YWYONO-AE3-2085YWY-EP4-ONO-AE3-208
12.00Single6LFMCXCL86LFM-CXCR2-CXCL8-Gi1/β1/γ2
12.00Single6Z4SSR486926Z4S-NTS1-SR48692
12.00Single7M3GCa; Ca; Tryptophan; Evocalcet; Etelcalcetide; PO47M3G-CaS; CaS-Ca; Ca; Tryptophan; Evocalcet; Etelcalcetide; PO4
12.00Single7VV4Cortistatin-147VV4-MRGPRX2-Cortistatin-14
12.00Single8WGBVU01550418WGB-mGlu4; mGlu2-Glutamate-VU0155041-Gi3/β1/γ2
12.00Single8ZVZBW245C8ZVZ-DP1-BW245C-Gs/β1/γ2
12.00Single8ZYTNeurotensin-(8-13)8ZYT-NTS1-Neurotensin-(8-13)-SBI-553-Arrestin2
12.00Single9DQHEP-28259DQH-MRGPRD-EP-2825-chim(NtGi1-Gs-CtGq)/β1/γ2
12.00Single9JKSPubChem 442501769JKS-HCA3-PubChem 44250176-Gi1/β1/γ2
12.00Consensuscxcr2_on_gpOrthosteric Ligand6LFM-CXCR2-CXCL8-Gi1/β1/γ2
12.00Consensusep4_offOrthosteric Ligand5YWY-EP4-ONO-AE3-208 5YHL-EP4-PubChem 135121352
12.00Consensusep_offOrthosteric Ligandep4_off
12.00Consensusrxfp4_onOrthosteric Ligand7YK7-RXFP4-DC591053-Gi2/β1/γ2 7YJ4-RXFP4-INSL5-Gi2/β1/γ2 7YK6-RXFP4-PubChem 138319674-Gi2/β1/γ2
12.00Consensusrxfp4_on_gpOrthosteric Ligand7YK7-RXFP4-DC591053-Gi2/β1/γ2 7YJ4-RXFP4-INSL5-Gi2/β1/γ2 7YK6-RXFP4-PubChem 138319674-Gi2/β1/γ2
12.00Consensuss1p5_offOrthosteric Ligand7YXA-S1P5-ONO-5430608
11.76Single4XT3CX3CL14XT3-US28-CX3CL1
11.76Single5UIW5P7-CCL55UIW-CCR5-5P7-CCL5
11.76Single6NBILA-PTH Analog6NBI-PTH1-LA-PTH Analog-Gs/β1/γ2
11.76Single7KI0Semaglutide7KI0-GLP-1-Semaglutide-Gs/β1/γ2
11.76Single7SK3CXCL127SK3-ACKR3-CXCL12
11.76Single8FLRPTHrP(1-36)8FLR-PTH1-PTHrP(1-36)-Gs/β1/γ2
11.76Single8JISPeptide-158JIS-GLP-1-Peptide-15-chim(NtGi1-Gs)/β1/γ2
11.76Single9BLBCagrilintide (non-acylated)9BLB-CT-Cagrilintide (non-acylated)-Gs/β1/γ2
11.76Single9BP3Cagrilintide9BP3-CT (AMY1)-Cagrilintide-Gs/β1/γ2; RAMP1
11.76Consensusccr5_offOrthosteric Ligand5UIW-CCR5-5P7-CCL5
11.76Consensusccr5_onOrthosteric Ligand7O7F-CCR5-6P4-CCL5-Gi1/β1/γ1 7F1Q-CCR5-CCL3-Gi1/β1/γ2
11.76Consensusccr_offOrthosteric Ligandccr2_off ccr5_off
11.76Consensuscrf2_on_gpOrthosteric Ligand7TS0-CRF2-Urocortin-chim(NtGi1L-Go)/β1/γ2
11.76Consensusctlike_onOrthosteric Ligand6E3Y-CT Like-Calcitonin gene-related peptide-1-Gs/β1/γ2; RAMP1
11.76Consensuspac1_onOrthosteric Ligand8E3X-PAC1-PACAP27-Gs/β1/γ2 6M1H-PAC1-Maxadilan-Gs/β1/γ2
11.76Consensuspac1_on_gpOrthosteric Ligand8E3X-PAC1-PACAP27-Gs/β1/γ2 6M1H-PAC1-Maxadilan-Gs/β1/γ2
11.76Consensussecretin_onOrthosteric Ligand7D3S-Secretin-Secretin-Gs/β1/γ2
11.76Consensusvpac1_on_gpOrthosteric Ligand8E3Z-VPAC1-VIP-Gs/β1/γ2
11.63Single8F0JPramlintide Analogue San458F0J-CT-Pramlintide Analogue San45-Gs/β1/γ2
11.54Single3ZEVNeurotensin-(7-13)3ZEV-NTS1-Neurotensin-(7-13)
11.54Single4BV0Neurotensin-(7-13)4BV0-NTS1-Neurotensin-(7-13)
11.54Single5TZRMK86665TZR-FFA1-MK8666
11.54Single6OS1TRV0266OS1-AT1-TRV026
11.54Single6Z8NSRI-98296Z8N-NTS1-SRI-9829
11.54Single7L0PNeurotensin-(8-13)7L0P-NTS1-Neurotensin-(8-13)-Gi1/β1/γ1
11.54Single7L0QNeurotensin-(8-13)7L0Q-NTS1-Neurotensin-(8-13)-Gi1/β1/γ1
11.54Single7S8MCortistatin-147S8M-MRGPRX2-Cortistatin-14-Gi1/β1/γ2
11.54Single8FMZNeurotensin-(8-13)8FMZ-NTS1-Neurotensin-(8-13)-chim(NtGi2L-Gs-CtGq)/β1/γ2
11.54Single8FN1Neurotensin-(8-13)8FN1-NTS1-Neurotensin-(8-13)-chim(NtGi1-Go)/β1/γ2
11.54Single8JBGNeurokinin-B8JBG-NK3-Neurokinin-B-chim(NtGi1-Gs-CtGq)/β1/γ2
11.54Single9CLWTUG-13759CLW-FFA2-TUG-1375-4-CMTB-chim(NtGi1L-Gs-CtGq)/β1/γ2
11.54Single9E9SPGD29E9S-DP1-PGD2-Gs/β1/γ1
11.54Single9MENGp120 (V3 loop)9MEN-CXCR4-Gp120 (V3 loop)
11.54Consensusffa2_onOrthosteric Ligand8J22-FFA2-TUG-1375-Gi1/β1/γ2
11.54Consensusgi_relaxinOrthosteric Ligand7YK7-RXFP4-DC591053-Gi2/β1/γ2 7YJ4-RXFP4-INSL5-Gi2/β1/γ2 7YK6-RXFP4-PubChem 138319674-Gi2/β1/γ2
11.54Consensusneurotensin_onOrthosteric Ligandnts1_on
11.54Consensusnts1_onOrthosteric Ligand6OSA-NTS1-JMV449-Gi1/β1/γ2 7L0S-NTS1-Neurotensin-(8-13)-Gi1/β1/γ1
11.54Consensusrelaxin_onOrthosteric Ligandrxfp4_on
11.54Consensusrelaxin_on_gpOrthosteric Ligandrxfp4_on_gp
11.43Single7TYNCalcitonin-17TYN-CT-Calcitonin-1-Gs/β1/γ2
11.43Single7VVKPTH7VVK-PTH1-PTH-Gs/β1/γ2
11.43Single8FU6ZP37808FU6-Glucagon-ZP3780-Gs/β1/γ2
11.43Consensussecretin_on_gpOrthosteric Ligand7D3S-Secretin-Secretin-Gs/β1/γ2
11.36Single8F2BPramlintide Analogue San458F2B-CT (AMY3)-Pramlintide Analogue San45-Gs/β1/γ2; RAMP3
11.11Single4GRVNeurotensin-(8-13)4GRV-NTS1-Neurotensin-(8-13)
11.11Single4XEENeurotensin-(8-13)4XEE-NTS1-Neurotensin-(8-13)
11.11Single4XESNeurotensin-(8-13)4XES-NTS1-Neurotensin-(8-13)
11.11Single6C1RPMX536C1R-C5a1-PMX53-Avacopan; Na
11.11Single6OS2TRV0266OS2-AT1-TRV026
11.11Single6OSAJMV4496OSA-NTS1-JMV449-Gi1/β1/γ2
11.11Single6RZ7ONO-25703666RZ7-CysLT2-ONO-2570366
11.11Single6UUSAdrenomedullin6UUS-CT Like (AM2)-Adrenomedullin-Gs/β1/γ2; RAMP3
11.11Single7D68GLP-27D68-GLP-2-GLP-2-Gs/β1/γ2
11.11Single7L0SNeurotensin-(8-13)7L0S-NTS1-Neurotensin-(8-13)-Gi1/β1/γ1
11.11Single7T6BS1P7T6B-S1P2-S1P-chim(NtGi1L-G13)/β1/γ2
11.11Single7VVJPTHrP(1-36)7VVJ-PTH1-PTHrP(1-36)-Gs/β1/γ2
11.11Single8GTMBMK-C2038GTM-CRF1-BMK-C203
11.11Single8JPBNeurotensin-(8-13)8JPB-NTS1-Neurotensin-(8-13)-SBI-553; GDP; Mg-Gq; GRK2
11.11Single8XQJJN2418XQJ-Apelin; Apelin-JN241
11.11Single8XQSCholesterol8XQS-TAS2R14-Cholesterol-Flufenamic acid-Gi1/β1/γ1
11.11Single9BJKPubChem 1716420669BJK-μ-Naloxone-PubChem 171642066
11.11Consensusctlike_on_gpOrthosteric Ligand6E3Y-CT Like-Calcitonin gene-related peptide-1-Gs/β1/γ2; RAMP1
11.11Consensusgi_neurotensinOrthosteric Ligand6OSA-NTS1-JMV449-Gi1/β1/γ2 7L0S-NTS1-Neurotensin-(8-13)-Gi1/β1/γ1
11.11Consensusneurotensin_on_gpOrthosteric Ligandnts1_on_gp
11.11Consensusnts1_on_gpOrthosteric Ligand6OSA-NTS1-JMV449-Gi1/β1/γ2 7L0S-NTS1-Neurotensin-(8-13)-Gi1/β1/γ1
10.81Single7RBTTirzepatide7RBT-GIP-Tirzepatide-LSN3556672-chim(NtGi1-Gs)/β1/γ2
10.81Single7TYXAmylin7TYX-CT (AMY2)-Amylin-Gs/β1/γ2; RAMP2
10.81Consensusgip_onOrthosteric Ligand7FIN-GIP-Peptide-20; GGL-Gs/β1/γ2 7FIY-GIP-Tirzepatide-Gs/β1/γ2 7DTY-GIP-GIP-Gs/β1/γ2
10.81Consensusgip_on_gpOrthosteric Ligand7FIN-GIP-Peptide-20; GGL-Gs/β1/γ2 7FIY-GIP-Tirzepatide-Gs/β1/γ2 7DTY-GIP-GIP-Gs/β1/γ2
10.71Single4BUONeurotensin-(8-13)4BUO-NTS1-Neurotensin-(8-13)
10.71Single6RZ9ONO-27703726RZ9-CysLT2-ONO-2770372
10.71Single6UP7Neurotensin-(8-13)6UP7-NTS1-Neurotensin-(8-13)-Arrestin2
10.71Single7VVNPTH7VVN-PTH1-PTH-Gs/β1/γ2
10.71Single8FN0Neurotensin-(8-13)8FN0-NTS1-Neurotensin-(8-13)-SBI-553-chim(NtGi1-Go)/β1/γ2
10.71Single8HN1Toxin AdTx18HN1-Alpha1A-Toxin AdTx1
10.71Single8JPFNeurotensin-(8-13)8JPF-NTS1-Neurotensin-(8-13)-SBI-553
10.71Single8XVUCXCL28XVU-CXCR2-CXCL2
10.71Single8XXHCXCL28XXH-CXCR2-CXCL2-Go/β1/γ2
10.71Single8ZPLHF511168ZPL-CXCR4-HF51116
10.71Single9JH5C16:0 Ceramide9JH5-CysLT2-C16:0 Ceramide-chim(NtGi1-Gs-CtGq)/β1/γ2
10.71Consensuscyslt2_offOrthosteric Ligand6RZ7-CysLT2-ONO-2570366 6RZ8-CysLT2-ONO-2080365 6RZ9-CysLT2-ONO-2770372
10.53Single7V68LY21196207V68-M4-Iperoxo-LY2119620-Gi1/β1/γ2
10.53Single7XKEDehydroepiandrosterone7XKE-ADGRG2-Dehydroepiandrosterone-chim(NtGi1-Gs)/β1/γ2
10.53Single8F2APramlintide Analogue San3858F2A-CT (AMY3)-Pramlintide Analogue San385-Gs/β1/γ2; RAMP3
10.53Single9AUCCalcitonin gene-related peptide-19AUC-CT (AMY1)-Calcitonin gene-related peptide-1-Gs/β1/γ2; RAMP1
10.53Single9JKVPubChem 27366909JKV-HCA3-PubChem 2736690-Gi1/β1/γ2
10.53Consensusglp1_onOrthosteric Ligand7S1M-GLP-1-Exendin-4-D-Ala-Gs/β1/γ2 7X8R-GLP-1-BOC5-Gs/β1/γ2 6X19-GLP-1-CHU-128-Gs/β1/γ2 6X1A-GLP-1-Danuglipron-Gs/β1/γ2 6X18-GLP-1-GLP-1-Gs/β1/γ2 8JIP-GLP-1-MEDI0382-chim(NtGi1-Gs)/β1/γ2 7C2E-GLP-1-PubChem 149050799-Gs/β1/γ2 7KI0-GLP-1-Semaglutide-Gs/β1/γ2 7KI1-GLP-1-Taspoglutide-Gs/β1/γ2 7X8S-GLP-1-WB4-24-Gs/β1/γ2 8JIS-GLP-1-Peptide-15-chim(NtGi1-Gs)/β1/γ2 7VBI-GLP-1-Tirzepatide (non-acylated)-Gs/β1/γ2
10.34Single6KNMJN241-96KNM-Apelin-JN241-9
10.34Single6OS9JMV4496OS9-NTS1-JMV449-Gi1/β1/γ2
10.34Single7S8LCortistatin-147S8L-MRGPRX2-Cortistatin-14-chim(NtGi2L-Gs-CtGq)/β1/γ2
10.34Single8XX6CXCL88XX6-CXCR2-CXCL8-Go/β1/γ2
10.34Single9EAJNanobody AT2099EAJ-AT1-Nanobody AT209
10.34Consensuscxcr4_offOrthosteric Ligand4RWS-CXCR4-vMIP-II 3OE0-CXCR4-CVX15 3OE6-CXCR4-IT1t
10.26Single7V35Peptide-207V35-Glucagon-Peptide-20-Gs/β1/γ2
10.26Single8JIPMEDI03828JIP-GLP-1-MEDI0382-chim(NtGi1-Gs)/β1/γ2
10.26Single8JIRSAR4258998JIR-GLP-1-SAR425899-chim(NtGi1-Gs)/β1/γ2
10.00Single3OE8IT1t3OE8-CXCR4-IT1t
10.00Single6RZ8ONO-20803656RZ8-CysLT2-ONO-2080365
10.00Single7L0RNeurotensin-(8-13)7L0R-NTS1-Neurotensin-(8-13)-Gi1/β1/γ1
10.00Single7TYYCalcitonin-17TYY-CT (AMY2)-Calcitonin-1-Gs/β1/γ2; RAMP2
10.00Single8INRAlpha-MSH8INR-MC5-α-MSH-Ca-chim(NtGi1-Gs)/β1/γ2
10.00Single8JIUSAR4258998JIU-Glucagon-SAR425899-Gs/β1/γ2
10.00Single8XWNCXCL88XWN-CXCR2-CXCL8
10.00Consensuschemokine_onOrthosteric Ligandccr_on cxcr_on
10.00Consensusp2y_offOrthosteric Ligandp2y1_off
10.00Consensussomatostatin_offOrthosteric Ligandsst2_off
9.76Consensusgluc_onOrthosteric Ligand6LMK-Glucagon-Glucagon-Gs/β1/γ2 8JIT-Glucagon-MEDI0382-Gs/β1/γ2 7V35-Glucagon-Peptide-20-Gs/β1/γ2
9.68Single7F1QCCL37F1Q-CCR5-CCL3-Gi1/β1/γ2
9.68Single7TRYUrocortin7TRY-CRF2-Urocortin-chim(NtGi1-G11)/β1/γ2
9.68Single7XNACYN1548067XNA-SST2-CYN154806
9.68Consensussst2_offOrthosteric Ligand7XNA-SST2-CYN154806
9.52Single3OE6IT1t3OE6-CXCR4-IT1t
9.52Single4XNWMRS25004XNW-P2Y1-MRS2500
9.52Single8JEFPubChem 113671668JEF-HCA3-PubChem 11367166-Gi1/β1/γ2
9.52Single8RQLFlufenamic acid8RQL-TAS2R14-Flufenamic acid-Flufenamic acid-chim(NtGi1-Gt3)/β1/γ2
9.52Single8X9UMetenolone8X9U-ADGRD1-Metenolone-chim(NtGi1-Gs)/β1/γ2
9.52Single9JHJC18:0 Ceramide9JHJ-FPR2-ALX-C18:0 Ceramide-Gi1/β1/γ2
9.52Consensusgluc_on_gpOrthosteric Ligand6LMK-Glucagon-Glucagon-Gs/β1/γ2 8JIT-Glucagon-MEDI0382-Gs/β1/γ2 7V35-Glucagon-Peptide-20-Gs/β1/γ2
9.52Consensusp2y1_offOrthosteric Ligand4XNW-P2Y1-MRS2500
9.38Single7XA3CCL27XA3-CCR2-CCL2-Gi1/β1/γ2
9.38Single8YFOAc-LA-PTH Analog8YFO-PTH1-Ac-LA-PTH Analog-chim(NtGi1-Gs)/β1/γ2
9.38Consensusccr2_onOrthosteric Ligand7XA3-CCR2-CCL2-Gi1/β1/γ2
9.38Consensusccr2_on_gpOrthosteric Ligand7XA3-CCR2-CCL2-Gi1/β1/γ2
9.38Consensusccr_onOrthosteric Ligandccr6_on ccr8_on ccr2_on ccr1_on ccr5_on
9.09Single3OE9IT1t3OE9-CXCR4-IT1t
9.09Single7FINPeptide-20; GGL7FIN-GIP-Peptide-20; GGL-Gs/β1/γ2
9.09Single7UL2SR486927UL2-NTS1-SR48692-Na
9.09Single7XKFDehydroepiandrosterone7XKF-ADGRG2-Dehydroepiandrosterone-Gs/β1/γ2
9.09Single8U4RREGN7663-Fab8U4R-CXCR4-REGN7663-Fab
9.09Single8YW3Retatrutide8YW3-GLP-1-Retatrutide-Gs/β1/γ2
9.09Single8YW5Retatrutide8YW5-Glucagon-Retatrutide-Gs/β1/γ2
9.09Consensusneurotensin_offOrthosteric Ligandnts1_off
9.09Consensusnts1_offOrthosteric Ligand7UL2-NTS1-SR48692-Na
8.82Single5YQZNNC17025YQZ-Glucagon-NNC1702
8.82Single7TYWCalcitonin-17TYW-CT (AMY1)-Calcitonin-1-Gs/β1/γ2; RAMP1
8.82Consensuscalcitonin_onOrthosteric Ligandctlike_on
8.82Consensusccr_on_gpOrthosteric Ligandccr6_on_gp ccr8_on_gp ccr2_on_gp ccr1_on_gp ccr5_on_gp
8.70Single3ODUIT1t3ODU-CXCR4-IT1t
8.70Single5ZKQABT-4915ZKQ-PAF-ABT-491
8.70Single6LFOCXCL86LFO-CXCR2-CXCL8-Gi1/β1/γ2
8.70Single6RNKNF-56-EJ406RNK-Succinate-NF-56-EJ40
8.70Single7S8PMS471347S8P-MRGPRX4-MS47134-chim(NtGi2L-Gs-CtGq)/β1/γ2
8.70Single7VVOPTH7VVO-PTH1-PTH-Gs/β1/γ2
8.70Single7X2CFenoldopam7X2C-D1-Fenoldopam-Fenoldopam-Gs/β1/γ2
8.70Single8HMPC178HMP-GPR52-C17-Gs/β1/γ2
8.70Single8T3VDoconexent8T3V-FFA1-Doconexent-chim(NtGi2L-Gs-CtGq)/β1/γ2
8.70Single8U8FPalmitic Acid8U8F-GPR3-Palmitic Acid-Gs/β1/γ2
8.70Single9KO2CCL199KO2-CCR7-CCL19-Gi1/β1
8.70Single9KO6CCL199KO6-CCR7-CCL19
8.70Consensuspaf_offOrthosteric Ligand5ZKQ-PAF-ABT-491
8.57Single7CZ5Somatoliberin7CZ5-GHRH-Somatoliberin-Gs/β1/γ2
8.57Single9BUBCagrilintide9BUB-CT-Cagrilintide-Gs/β1/γ2
8.57Consensuscalcitonin_on_gpOrthosteric Ligandctlike_on_gp
8.33Single5NX2GLP-1 (Truncated)5NX2-GLP-1-GLP-1 (Truncated)
8.33Single6U1NLY21196206U1N-M2-LY2119620-Arrestin2
8.33Single6UVAAdrenomedullin-26UVA-CT Like (AM2)-Adrenomedullin-2-Gs/β1/γ2; RAMP3
8.33Single6WJCMuscarinic toxin 76WJC-M1-Atropine-Muscarinic toxin 7
8.33Single7M3GCa; Ca; Tryptophan; Evocalcet; Etelcalcetide; PO47M3G-CaS; CaS-Ca; Ca; Tryptophan; Evocalcet; Etelcalcetide; PO4
8.33Single8HAOPTH8HAO-PTH1-PTH-chim(NtGi1-Gs)/β1/γ2
8.33Single9K0KUTP9K0K-P2Y4-UTP-chim(NtGi1-Gs-CtGq)/β1/γ2
8.33Single9K0XATP9K0X-P2Y2-ATP-chim(NtGi1-Gs-CtGq)/β1/γ2
8.33Single9K20ATP9K20-P2Y2-ATP-chim(NtGi1-Go)/β1/γ2
8.33Consensuscxcr2_onOrthosteric Ligand6LFM-CXCR2-CXCL8-Gi1/β1/γ2
8.33Consensusglp2_onOrthosteric Ligand7D68-GLP-2-GLP-2-Gs/β1/γ2
8.33Consensusglp2_on_gpOrthosteric Ligand7D68-GLP-2-GLP-2-Gs/β1/γ2
8.11Single6LMKGlucagon6LMK-Glucagon-Glucagon-Gs/β1/γ2
8.11Single9BQ3Cagrilintide9BQ3-CT (AMY2)-Cagrilintide-Gs/β1/γ2; RAMP2
8.11Single9BTWCagrilintide9BTW-CT (AMY3)-Cagrilintide-Gs/β1/γ2; RAMP3
8.11Consensusvpac2_onOrthosteric Ligand7VQX-VPAC1-PACAP27-Gs/β1/γ2
8.11Consensusvpac2_on_gpOrthosteric Ligand7VQX-VPAC1-PACAP27-Gs/β1/γ2
8.00Single5NDDAZ8838; Na5NDD-PAR2-AZ8838; Na
8.00Single7FIHOrg435537FIH-LH-hCG-Org43553-chim(NtGi1-Gs)/β1/γ2
8.00Single7SK8CXCL127SK8-ACKR3-CXCL12-CCX662
8.00Single7WQ3Galanin7WQ3-GAL1-Galanin-Gi1/β1/γ2
8.00Single8EJKTAK-8758EJK-FFA1-TAK-875-chim(NtGi1L-Gs-CtGq)/β1/γ2
8.00Single9JROPF-044189489JRO-EP2-PF-04418948
8.00Consensusgal1_onOrthosteric Ligand7WQ3-GAL1-Galanin-Gi1/β1/γ2
8.00Consensusgal1_on_gpOrthosteric Ligand7WQ3-GAL1-Galanin-Gi1/β1/γ2
8.00Consensusgi_galaninOrthosteric Ligand7WQ3-GAL1-Galanin-Gi1/β1/γ2
7.69Single6Z4QSR142948A6Z4Q-NTS1-SR142948A
7.69Single7VBHPeptide-207VBH-GLP-1-Peptide-20-Gs/β1/γ2
7.69Single7VV0PAMP-127VV0-MRGPRX2-PAMP-12
7.69Single8EJCTAK-8758EJC-FFA1-TAK-875-chim(NtGi1L-Gs-CtGq)/β1/γ2
7.69Single8JGGBAM8-228JGG-MRGPRX1-BAM8-22-Gi1/β1/γ2
7.69Single8TH4AT118-L Nanobody8TH4-AT1-Losartan-AT118-L Nanobody
7.69Single8XQPCholesterol8XQP-TAS2R14-Cholesterol-Aristolochic acid A-Gt3/β1/γ1
7.69Single9JRTTG6-1299JRT-EP2-TG6-129
7.69Single9KO4CCL219KO4-CCR7-CCL21-Gi1/β1/γ2
7.41Single5V56TC1145V56-SMO-TC114
7.41Single7F1TCCL37F1T-CCR5-CCL3
7.41Single7SK7CXCL127SK7-ACKR3-CXCL12-CCX662
7.41Single7XBDGalanin7XBD-GAL2-Galanin-chim(NtGi2L-Gs-CtGq)/β1/γ2
7.41Single8JGFBAM8-228JGF-MRGPRX1-BAM8-22-chim(NtGi1-Gs-CtGq)/β1/γ2
7.41Single8WJXADP8WJX-P2Y1-ADP-chim(Gs-CtGq)/β1/γ2
7.41Single8XX7CXCL58XX7-CXCR2-CXCL5-Go/β1/γ2
7.41Single9ASTLymphotactin9AST-XCR1-Lymphotactin-Gi1/β1/γ2
7.41Single9JCLADP9JCL-P2Y1-ADP-chim(Gs-CtGq)/β1/γ2
7.41Single9L16CCL219L16-CCR7-CCL21
7.32Single7TYOCalcitonin7TYO-CT-Calcitonin-Gs/β1/γ2
7.32Single8JITMEDI03828JIT-Glucagon-MEDI0382-Gs/β1/γ2
7.14Single6YVRNeurotensin-(6-13)6YVR-NTS1-Neurotensin-(6-13)
7.14Single7XJKGalanin7XJK-GAL2-Galanin-chim(NtGi2L-Gs-CtGq)/β1/γ2
7.14Single8JPCNeurotensin-(8-13)8JPC-NTS1-Neurotensin-(8-13)-SBI-553; GDP; Mg-Gq; GRK2
7.14Single8XQNCholesterol8XQN-TAS2R14-Cholesterol-Aristolochic acid A-Gi1/β1/γ1
7.14Single8XWACXCL18XWA-CXCR2-CXCL1
7.14Single8XWMCXCL68XWM-CXCR2-CXCL6
7.14Single8XWSCXCL58XWS-CXCR2-CXCL5
7.14Single8XX3CXCL38XX3-CXCR2-CXCL3-Go/β1/γ2
7.14Consensusgalanin_onOrthosteric Ligandgal2_on gal1_on
7.14Consensusgalanin_on_gpOrthosteric Ligandgal2_on_gp gal1_on_gp
6.90Single4RWSvMIP-II4RWS-CXCR4-vMIP-II
6.90Single6M1HMaxadilan6M1H-PAC1-Maxadilan-Gs/β1/γ2
6.90Single7X8RBOC57X8R-GLP-1-BOC5-Gs/β1/γ2
6.90Single8XWFCXCL38XWF-CXCR2-CXCL3
6.90Single8XWVCXCL18XWV-CXCR2-CXCL1-Go/β1/γ2
6.90Single9KWXC5a-des-Arg9KWX-C5a1-C5a-des-Arg-Go/β1/γ2
6.67Single7X8SWB4-247X8S-GLP-1-WB4-24-Gs/β1/γ2
6.67Single8XQLCholesterol8XQL-TAS2R14-Cholesterol-Aristolochic acid A-Gt3/β1/γ1
6.67Single8XQOCholesterol8XQO-TAS2R14-Cholesterol-Aristolochic acid A-Gi1/β1/γ1
6.45Single7RTBPeptide-197RTB-GLP-1-Peptide-19-Gs/β1/γ2
6.45Single8DWGBAM8-228DWG-MRGPRX1-BAM8-22-ML382-chim(NtGi2L-Gs-CtGq)/β1/γ2
6.45Single9UYLChemerin-99UYL-CML2-Chemerin-9-Arrestin2
6.25Single6WHCGlu16 analog of GCG6WHC-Glucagon-Glu16 analog of GCG-Gs/β1/γ2
6.06Single9IVMGLP-1 (Truncated)9IVM-GLP-1-GLP-1 (Truncated)-LSN3318839-chim(NtGi1-Gs)/β2/γ2
5.71Single7TYHCalcitonin7TYH-CT (AMY2)-Calcitonin-Gs/β1/γ2; RAMP2
5.56Single8SZGCa; Ca; Tryptophan; Cinacalcet; PO4; Spermine8SZG-CaS; CaS-Ca; Ca; Tryptophan; Cinacalcet; PO4; Spermine-chim(NtGi1-Gq)/β1/γ2
5.26Single8JGBConorfamide-Tx28JGB-MRGPRX1-Conorfamide-Tx2-Gi1/β1/γ2
5.00Single7XKDDehydroepiandrosterone7XKD-ADGRG2-Dehydroepiandrosterone-Gs/β1/γ2
4.76Single7VDMSubstance-P7VDM-MRGPRX2-Substance-P-Gi1/β1/γ2
4.76Single7Y14Beta-Alanine7Y14-MRGPRD-β-Alanine
4.55Single6OIKLY21196206OIK-M2-Iperoxo-LY2119620-chim(NtGi1-Go)/β1/γ2
4.55Single6PWCNeurotensin-(9-13)6PWC-NTS1-Neurotensin-(9-13)-Arrestin2
4.55Single7Y12Beta-Alanine7Y12-MRGPRD-β-Alanine-Gi1/β1/γ2
4.55Single8F76Propanoic acid8F76-OR51E2-Propanoic acid-Gs/β1/γ2
4.55Single8JPSCCL78JPS-ACKR1-CCL7
4.55Single8JRVGlucagon8JRV-Glucagon-Glucagon-Arrestin2
4.55Single8XQPAristolochic acid A8XQP-TAS2R14-Cholesterol-Aristolochic acid A-Gt3/β1/γ1
4.55Single9IJRC179IJR-GPR52-C17-Arrestin2
4.35Single4O9RCyclopamine4O9R-SMO-Cyclopamine
4.35Single6LI0C176LI0-GPR52-C17
4.35Single7S8NR-Zinc-35737S8N-MRGPRX2-R-Zinc-3573-chim(NtGi2L-Gs-CtGq)/β1/γ2
4.35Single7S8OR-Zinc-35737S8O-MRGPRX2-R-Zinc-3573-Gi1/β1/γ2
4.35Single7VDHC48/807VDH-MRGPRX2-C48/80-Gi1/β1/γ2
4.35Single8ZYUNeurotensin-(8-13)8ZYU-NTS1-Neurotensin-(8-13)-SBI-553-Arrestin2
4.35Single9E7RGB889E7R-PAR2-GB88-chim(NtGi1L-Gs-CtGq)/β1/γ2
4.35Single9LMPNE52-QQ579LMP-GPR4-NE52-QQ57
4.35Single9MBCAZ122160529MBC-mGlu8; mGlu8-DCPG-AZ12216052
4.35Consensusadgrg_onOrthosteric Ligandadgrg2_on adgrg4_on
4.35Consensusadgrg_on_gpOrthosteric Ligandadgrg2_on_gp adgrg4_on_gp
4.17Single4BWBNeurotensin-(8-12)4BWB-NTS1-Neurotensin-(8-12)
4.17Single4K5YCP-3763954K5Y-CRF1-CP-376395
4.17Single4QINSAG1.54QIN-SMO-SAG1.5
4.17Single6O3CSAG21k6O3C-SMO-SAG21k-Cholesterol
4.17Single6WWZCCL206WWZ-CCR6-CCL20-Go/β1/γ2
4.17Single7VV5C48/807VV5-MRGPRX2-C48/80-Gi1/β1/γ2
4.17Single7XJJGalanin7XJJ-GAL1-Galanin-Go/β1/γ2
4.17Single8YNFCXCL88YNF-ACKR1-CXCL8
4.17Consensusccr6_onOrthosteric Ligand6WWZ-CCR6-CCL20-Go/β1/γ2
4.17Consensusccr6_on_gpOrthosteric Ligand6WWZ-CCR6-CCL20-Go/β1/γ2
4.00Single6XBLSAG6XBL-SMO-SAG-Cholesterol-Gi1/β1/γ2
4.00Single7C2EPubChem 1490507997C2E-GLP-1-PubChem 149050799-Gs/β1/γ2
4.00Single7VV6C48/807VV6-MRGPRX2-C48/80
4.00Single7XXH2MeSADP7XXH-P2Y1-2MeSADP-chim(NtGi1-G11)/β1/γ2
4.00Single7ZI0SAG7ZI0-SMO-SAG-Cholesterol
4.00Single8HJ5PubChem 1390305318HJ5-MRGPRX1-PubChem 139030531-chim(NtGi1-Gs-CtGq)/β1/γ2
4.00Single8IYXYL-3658IYX-GPR34-YL-365
4.00Single8JD6VU03647708JD6-mGlu4; mGlu4-Phosphoserine-VU0364770-Gi3/β1/γ2
4.00Single8YRGFospropofol8YRG-MRGPRX4-Fospropofol-chim(NtGi1-Gs-CtGq)/β1/γ2
4.00Single9JFUNE52-QQ579JFU-GPR4-NE52-QQ57
4.00Single9JQYTG6-1299JQY-EP4-TG6-129
4.00Consensusp2y1_on_gpOrthosteric Ligand7XXH-P2Y1-2MeSADP-chim(NtGi1-G11)/β1/γ2
3.85Single4Z9GCP-3763954Z9G-CRF1-CP-376395
3.85Single5T04Neurotensin-(8-13)5T04-NTS1-Neurotensin-(8-13)
3.85Single7LCIDanuglipron7LCI-GLP-1-Danuglipron-Gs/β1/γ2
3.85Single7LCKDanuglipron7LCK-GLP-1-Danuglipron
3.85Single7RBTLSN35566727RBT-GIP-Tirzepatide-LSN3556672-chim(NtGi1-Gs)/β1/γ2
3.85Single7S15PubChem 1346112237S15-GLP-1-PubChem 134611223
3.85Single8GTIBMK-C2058GTI-CRF1-BMK-C205
3.85Single8TH3AT118-H Nanobody8TH3-AT1-AT118-H Nanobody
3.85Single9IMATalquetamab9IMA-GPRC5D; GPRC5D-Talquetamab
3.85Single9METGp120; CD49MET-CXCR4-Gp120; CD4
3.70Single4JKVTaladegib4JKV-SMO-Taladegib
3.70Single8GTGBMK-I1528GTG-CRF1-BMK-I152
3.70Single9EAHNanobody AT2099EAH-AT1-Olmesartan-Nanobody AT209
3.70Consensusadgrg2_onOrthosteric Ligand7WUI-ADGRG2-IP15-chim(NtGi1-Gs)/β1/γ2 7WUQ-ADGRG2-Gs/β1/γ2 7XKF-ADGRG2-Dehydroepiandrosterone-Gs/β1/γ2
3.70Consensusadgrg2_on_gpOrthosteric Ligand7WUI-ADGRG2-IP15-chim(NtGi1-Gs)/β1/γ2 7WUQ-ADGRG2-Gs/β1/γ2 7XKF-ADGRG2-Dehydroepiandrosterone-Gs/β1/γ2
3.57Single5V57TC1145V57-SMO-TC114
3.57Single7XJLSpexin7XJL-GAL2-Spexin-chim(NtGi2L-Gs-CtGq)/β1/γ2
3.57Single8JD5JNJ-40411813; ADX881788JD5-mGlu2; mGlu4-Glutamate-JNJ-40411813; ADX88178-Gi1/β1/γ2
3.57Single8XQTCholesterol8XQT-TAS2R14-Cholesterol-Gi1/β1/γ1
3.45Single7WQ4Galanin7WQ4-GAL2-Galanin-chim(NtGi1-Gs-CtGq)/β1/γ2
3.45Single8DWCBAM8-228DWC-MRGPRX1-BAM8-22-chim(NtGi2L-Gs-CtGq)/β1/γ2
3.33Consensusgal2_onOrthosteric Ligand7WQ4-GAL2-Galanin-chim(NtGi1-Gs-CtGq)/β1/γ2 7XJL-GAL2-Spexin-chim(NtGi2L-Gs-CtGq)/β1/γ2
3.33Consensusgal2_on_gpOrthosteric Ligand7WQ4-GAL2-Galanin-chim(NtGi1-Gs-CtGq)/β1/γ2 7XJL-GAL2-Spexin-chim(NtGi2L-Gs-CtGq)/β1/γ2
3.12Single6X19CHU-1286X19-GLP-1-CHU-128-Gs/β1/γ2
3.12Single7VLACCL15(27-92)7VLA-CCR1-CCL15(27-92)-Gi1/β1/γ2
3.12Single8JIQPeptide-158JIQ-Glucagon-Peptide-15-Gs/β1/γ2
3.12Single9BUECagrilintide9BUE-CT-Cagrilintide-Gs/β1/γ2
3.12Consensusccr1_onOrthosteric Ligand7VLA-CCR1-CCL15(27-92)-Gi1/β1/γ2
3.12Consensusccr1_on_gpOrthosteric Ligand7VLA-CCR1-CCL15(27-92)-Gi1/β1/γ2
3.03Single7E14Orforglipron7E14-GLP-1-Orforglipron-PubChem 156022738-Gs/β1/γ2
2.86Single6NIYCalcitonin-16NIY-CT-Calcitonin-1-Gs/β1/γ2

PDB Summary
PDB 9CGK
Class A
SubFamily Peptide
Type Opioid
SubType DOP
Species Homo Sapiens
Ligand C5-Quino
Other Ligand(s) -
Protein Partners Gi1/Beta1/Gamma2
PDB Resolution 2.62
Date 2025-04-02
D.O.I. doi.org/10.1038/s41467-025-57734-5
Net Summary
Imin 2.85
Number of Linked Nodes 827
Number of Links 1025
Number of Hubs 151
Number of Links mediated by Hubs 589
Number of Communities 34
Number of Nodes involved in Communities 256
Number of Links involved in Communities 360
Path Summary
Number Of Nodes in MetaPath 81
Number Of Links MetaPath 80
Number of Shortest Paths 3033754
Length Of Smallest Path 3
Average Path Length 43.4792
Length of Longest Path 73
Minimum Path Strength 1.275
Average Path Strength 5.82563
Maximum Path Strength 23.02
Minimum Path Correlation 0.7
Average Path Correlation 0.989514
Maximum Path Correlation 1
Minimum % Of Corr. Nodes 2.17391
Average % Of Corr. Nodes 31.3526
Maximum % Of Corr. Nodes 100
Minimum Path Hubs % 0
Average Path Hubs % 49.4568
Maximum Path Hubs % 100
AnnotationTypeLinks
Gene OntologyMolecular Function
Gene OntologyBiological Process• cellular response to stimulus   • regulation of biological process   • regulation of cellular process   • response to stimulus   • signaling   • biological regulation   • cell communication   • G protein-coupled receptor signaling pathway   • cellular process   • signal transduction   • neuropeptide signaling pathway   • adult locomotory behavior   • behavior   • multicellular organismal process   • adult behavior   • locomotory behavior   • regulation of calcium ion transport   • regulation of localization   • transport   • regulation of transport   • regulation of monoatomic ion transport   • establishment of localization   • metal ion transport   • calcium ion transport   • localization   • monoatomic ion transport   • regulation of metal ion transport   • monoatomic cation transport   • immune response   • immune system process   • regulation of mitochondrial membrane potential   • regulation of biological quality   • regulation of membrane potential   • response to decreased oxygen levels   • cellular response to oxygen levels   • cellular response to hypoxia   • cellular response to decreased oxygen levels   • cellular response to chemical stimulus   • cellular response to stress   • response to hypoxia   • response to stress   • response to chemical   • response to oxygen levels   • response to abiotic stimulus   • G protein-coupled opioid receptor signaling pathway   • eating behavior   • feeding behavior   • regulation of cellular component organization   • negative regulation of cellular component organization   • protein-containing complex organization   • negative regulation of biological process   • regulation of cellular component biogenesis   • negative regulation of protein-containing complex assembly   • cellular component organization   • cellular component biogenesis   • regulation of protein-containing complex assembly   • cellular component assembly   • protein-containing complex assembly   • negative regulation of cellular process   • cellular component organization or biogenesis   • response to alcohol   • response to oxygen-containing compound   • response to ethanol   • cellular response to endogenous stimulus   • cellular response to growth factor stimulus   • response to endogenous stimulus   • response to growth factor   • phospholipase C-activating G protein-coupled receptor signaling pathway   • cellular response to toxic substance   • response to toxic substance   • adenylate cyclase-inhibiting G protein-coupled receptor signaling pathway   • adenylate cyclase-modulating G protein-coupled receptor signaling pathway   • regulation of biosynthetic process   • negative regulation of metabolic process   • regulation of macromolecule metabolic process   • gene expression   • macromolecule biosynthetic process   • regulation of gene expression   • negative regulation of gene expression   • biosynthetic process   • negative regulation of biosynthetic process   • negative regulation of macromolecule biosynthetic process   • regulation of macromolecule biosynthetic process   • metabolic process   • macromolecule metabolic process   • regulation of metabolic process   • negative regulation of macromolecule metabolic process   • response to nicotine   • G protein-coupled receptor signaling pathway, coupled to cyclic nucleotide second messenger   • postsynaptic specialization membrane   • postsynaptic specialization   • synapse   • membrane   • plasma membrane   • postsynaptic density membrane   • synaptic membrane   • cell periphery   • postsynaptic density   • postsynapse   • cellular anatomical structure   • neuron to neuron synapse   • organelle   • cell junction
Gene OntologyCellular Component• postsynaptic specialization membrane   • postsynaptic specialization   • synapse   • membrane   • plasma membrane   • postsynaptic density membrane   • synaptic membrane   • cell periphery   • postsynaptic density   • postsynapse   • cellular anatomical structure   • neuron to neuron synapse   • organelle   • cell junction   • postsynaptic membrane   • asymmetric synapse   • plasma membrane region   • membrane-bounded organelle   • intracellular anatomical structure   • dense core granule   • intracellular vesicle   • intracellular membrane-bounded organelle   • endomembrane system   • intracellular organelle   • cytoplasmic vesicle   • secretory granule   • secretory vesicle   • cytoplasm   • vesicle   • neuronal dense core vesicle   • presynapse   • presynaptic membrane   • cell projection   • neuron projection   • plasma membrane bounded cell projection   • cell leading edge   • leading edge membrane   • somatodendritic compartment   • neuron projection membrane   • dendrite membrane   • dendrite   • dendritic tree   • cell projection membrane   • transport vesicle membrane   • bounding membrane of organelle   • vesicle membrane   • synaptic vesicle   • synaptic vesicle membrane   • transport vesicle   • exocytic vesicle membrane   • cytoplasmic vesicle membrane   • organelle membrane   • exocytic vesicle   • axon   • axon terminus   • distal axon   • neuron projection terminus   • neuron spine   • dendritic spine   • spine apparatus   • protein binding   • binding   • G-protein beta-subunit binding   • fibroblast proliferation   • cell population proliferation   • cellular process   • cellular response to nitrogen compound   • cellular response to stimulus   • response to dopamine   • regulation of cellular process   • response to stimulus   • signaling   • cellular response to dopamine   • response to monoamine   • cell communication   • response to catecholamine   • adenylate cyclase-activating dopamine receptor signaling pathway   • cellular response to catecholamine stimulus   • signal transduction   • regulation of biological process   • G protein-coupled dopamine receptor signaling pathway   • biological regulation   • response to oxygen-containing compound   • response to nitrogen compound   • adenylate cyclase-activating G protein-coupled receptor signaling pathway   • cellular response to oxygen-containing compound   • cellular response to chemical stimulus   • cellular response to monoamine stimulus   • response to chemical   • adenylate cyclase-modulating G protein-coupled receptor signaling pathway   • G protein-coupled receptor signaling pathway   • response to ketone   • response to prostaglandin   • response to lipid   • response to endogenous stimulus   • response to alcohol   • cellular response to prostaglandin stimulus   • cellular response to endogenous stimulus   • cellular response to prostaglandin E stimulus   • cellular response to alcohol   • response to hormone   • cellular response to lipid   • response to prostaglandin E   • cellular response to ketone   • cellular response to hormone stimulus   • protein-containing complex   • extrinsic component of plasma membrane   • catalytic complex   • plasma membrane protein complex   • cytoplasmic side of membrane   • membrane protein complex   • heterotrimeric G-protein complex   • side of membrane   • cytoplasmic side of plasma membrane   • GTPase complex   • extrinsic component of membrane   • extrinsic component of cytoplasmic side of plasma membrane   • extracellular exosome   • extracellular vesicle   • extracellular organelle   • extracellular region   • extracellular space   • extracellular membrane-bounded organelle   • enzyme binding   • GTPase binding   • protein-containing complex binding   • pyrophosphatase activity   • GTPase activity   • ribonucleoside triphosphate phosphatase activity   • hydrolase activity, acting on acid anhydrides, in phosphorus-containing anhydrides   • hydrolase activity   • hydrolase activity, acting on acid anhydrides   • catalytic activity   • signaling receptor complex adaptor activity   • protein-macromolecule adaptor activity   • molecular adaptor activity   • signaling adaptor activity   • multicellular organismal process   • system process   • sensory perception of chemical stimulus   • sensory perception   • nervous system process   • sensory perception of taste   • developmental process   • sensory organ development   • eye development   • animal organ development   • retina development in camera-type eye   • visual system development   • multicellular organism development   • camera-type eye development   • anatomical structure development   • sensory system development   • system development   • small GTPase-mediated signal transduction   • Ras protein signal transduction   • intracellular signal transduction   • intracellular signaling cassette   • phospholipase C-activating G protein-coupled receptor signaling pathway   • synaptic signaling   • cellular response to acetylcholine   • cell-cell signaling   • acetylcholine receptor signaling pathway   • postsynaptic signal transduction   • G protein-coupled acetylcholine receptor signaling pathway   • response to acetylcholine   • non-motile cilium   • 9+0 non-motile cilium   • cilium   • photoreceptor disc membrane   • photoreceptor outer segment   • photoreceptor cell cilium   • cytosol   • vacuolar membrane   • lytic vacuole   • vacuole   • lytic vacuole membrane   • lysosomal membrane   • lysosome   • D2 dopamine receptor binding   • signaling receptor binding   • G protein-coupled receptor binding   • dopamine receptor binding   • enzyme regulator activity   • adenylate cyclase inhibitor activity   • cyclase regulator activity   • molecular function inhibitor activity   • cyclase inhibitor activity   • molecular function regulator activity   • enzyme inhibitor activity   • adenylate cyclase regulator activity   • guanyl nucleotide binding   • GTP binding   • nucleotide binding   • guanyl ribonucleotide binding   • purine ribonucleotide binding   • purine ribonucleoside triphosphate binding   • nucleoside phosphate binding   • ion binding   • purine nucleotide binding   • anion binding   • heterocyclic compound binding   • carbohydrate derivative binding   • ribonucleotide binding   • small molecule binding   • cation binding   • magnesium ion binding   • metal ion binding   • GDP binding   • G protein-coupled serotonin receptor binding   • G-protein beta/gamma-subunit complex binding   • G protein activity   • neuropeptide signaling pathway   • adenylate cyclase-inhibiting serotonin receptor signaling pathway   • G protein-coupled serotonin receptor signaling pathway   • adenylate cyclase-inhibiting G protein-coupled receptor signaling pathway   • response to peptide hormone   • cell division   • leukocyte migration   • immune system process   • mononuclear cell migration   • lymphocyte migration   • cell migration   • T cell migration   • cell motility   • regulation of steroid biosynthetic process   • regulation of cholesterol biosynthetic process   • regulation of cholesterol metabolic process   • steroid metabolic process   • regulation of lipid metabolic process   • sterol metabolic process   • positive regulation of biological process   • cholesterol metabolic process   • lipid biosynthetic process   • alcohol metabolic process   • regulation of primary metabolic process   • positive regulation of metabolic process   • regulation of small molecule metabolic process   • positive regulation of biosynthetic process   • positive regulation of lipid metabolic process   • small molecule metabolic process   • steroid biosynthetic process   • positive regulation of cellular process   • regulation of biosynthetic process   • secondary alcohol biosynthetic process   • regulation of alcohol biosynthetic process   • small molecule biosynthetic process   • regulation of steroid metabolic process   • cholesterol biosynthetic process   • positive regulation of cholesterol biosynthetic process   • primary metabolic process   • secondary alcohol metabolic process   • positive regulation of steroid biosynthetic process   • biosynthetic process   • sterol biosynthetic process   • positive regulation of lipid biosynthetic process   • regulation of sterol biosynthetic process   • alcohol biosynthetic process   • positive regulation of cholesterol metabolic process   • positive regulation of steroid metabolic process   • metabolic process   • regulation of lipid biosynthetic process   • positive regulation of small molecule metabolic process   • regulation of metabolic process   • positive regulation of alcohol biosynthetic process   • positive regulation of sterol biosynthetic process   • lipid metabolic process   • cell surface receptor signaling pathway   • response to cytokine   • response to chemokine   • cytokine-mediated signaling pathway   • cellular response to chemokine   • chemokine-mediated signaling pathway   • response to peptide   • cellular response to cytokine stimulus   • relaxation of smooth muscle   • regulation of system process   • regulation of muscle system process   • muscle system process   • relaxation of muscle   • positive regulation of relaxation of smooth muscle   • positive regulation of relaxation of muscle   • positive regulation of multicellular organismal process   • regulation of multicellular organismal process   • regulation of relaxation of smooth muscle   • regulation of relaxation of muscle   • negative regulation of protein transport   • regulation of localization   • establishment of protein localization   • nitrogen compound transport   • negative regulation of biological process   • negative regulation of transport   • localization   • negative regulation of secretion   • negative regulation of hormone secretion   • negative regulation of secretion by cell   • intracellular protein localization   • regulation of biological quality   • regulation of peptide hormone secretion   • negative regulation of peptide hormone secretion   • regulation of hormone levels   • establishment of protein localization to extracellular region   • negative regulation of establishment of protein localization   • protein secretion   • establishment of localization   • regulation of protein secretion   • regulation of secretion   • negative regulation of protein secretion   • regulation of hormone secretion   • regulation of protein localization   • regulation of peptide secretion   • transport   • negative regulation of signaling   • hormone secretion   • negative regulation of cell communication   • protein localization to extracellular region   • negative regulation of peptide secretion   • peptide secretion   • regulation of secretion by cell   • secretion by cell   • signal release   • negative regulation of cellular process   • negative regulation of protein localization   • regulation of signaling   • regulation of transport   • secretion   • regulation of peptide transport   • regulation of establishment of protein localization   • export from cell   • regulation of protein transport   • peptide transport   • negative regulation of insulin secretion   • protein transport   • regulation of insulin secretion   • peptide hormone secretion   • macromolecule localization   • hormone transport   • regulation of cell communication   • insulin secretion   • regulation of cytoskeleton organization   • regulation of cellular component organization   • microtubule cytoskeleton organization   • regulation of mitotic spindle organization   • mitotic cell cycle   • cellular component organization   • cell cycle   • cellular component organization or biogenesis   • regulation of cell cycle   • microtubule cytoskeleton organization involved in mitosis   • spindle organization   • cell cycle process   • regulation of cell cycle process   • regulation of microtubule-based process   • regulation of spindle organization   • regulation of organelle organization   • mitotic spindle organization   • organelle organization   • mitotic cell cycle process   • microtubule-based process   • cytoskeleton organization   • regulation of microtubule cytoskeleton organization   • positive regulation of protein localization to cell periphery   • protein localization to cell periphery   • positive regulation of protein localization to cell cortex   • regulation of protein localization to cell periphery   • regulation of protein localization to cell cortex   • positive regulation of protein localization   • protein localization to cell cortex   • cellular response to forskolin   • response to forskolin   • midbody   • nucleus   • membrane-enclosed lumen   • intracellular membraneless organelle   • nucleolus   • intracellular organelle lumen   • organelle lumen   • membraneless organelle   • nuclear lumen   • cell cortex   • centrosome   • microtubule organizing center   • cytoskeleton   • microtubule cytoskeleton   • centriolar satellite   • sperm principal piece   • 9+2 motile cilium   • sperm flagellum   • motile cilium   • nucleoplasm   • Golgi apparatus   • ciliary basal body
SCOP2Domain Identifier• G protein-coupled receptor-like   • Transducin (heterotrimeric G protein), gamma chain   • Ras-like P-loop GTPases
SCOP2Family Identifier• G protein-coupled receptor-like   • Transducin (heterotrimeric G protein), gamma chain   • Ras-like P-loop GTPases
Membrane Protein Annotations-• Orientations of Proteins in Membranes database (OPM)   • Protein Data Bank of Transmembrane Proteins (PDBTM)   • MemProtMD


Details about the values in these tables can be found in the corresponding documentation page .
Code_L_
PDB ResiduesL:L:?1
Environment DetailsOpen EMBL-EBI Page
Code_L_
Name
Synonyms
Identifier
Formula
Molecular Weight
SMILES
PubChem
Formal Charge
Total Atoms
Total Chiral Atoms
Total Bonds
Total Aromatic Bonds

PDBsumOpen PDBsum Page
ChainA
ProteinG Protein α Sub unit
UniProtP63096
Sequence
>9CGK_Chain_A
LSAEDKAAV ERSKMIDRN LREDGEKAA REVKLLLLG AGESGKTIV 
KTGIVETHF TFKDLHFKM FDVGQRSER KKWIHCFEG VTAIIFCVA 
LSDYDLVLM NRMHSMKLF DSICNNKWF TDTSIILFL NKKDLFEEK 
IKKSPLTIC YPEYAGSNT YEEAAAYIQ CQFEDLNKR KDTKEIYTH 
FTCTDTKNV QFVFDAVTD VIIKNNLKD CGLFNAAS


Click on each residue to open a popup with some information about it.

ConSurf Conservation Grade (See documentation): 

 n/a   1    2    3    4    5    6    7    8    9  

ChainB
ProteinG Protein β Sub unit
UniProtP62873
Sequence
>9CGK_Chain_B
ELDQLRQEA EQLKNQIRD ARKACADAT LSQITNNID PVGRIQMRT 
RRTLRGHLA KIYAMHWGT DSRLLVSAS QDGKLIIWD SYTTNKVHA 
IPLRSSWVM TCAYAPSGN YVACGGLDN ICSIYNLKT REGNVRVSR 
ELAGHTGYL SCCRFLDDN QIVTSSGDT TCALWDIET GQQTTTFTG 
HTGDVMSLS LAPDTRLFV SGACDASAK LWDVREGMC RQTFTGHES 
DINAICFFP NGNAFATGS DDATCRLFD LRADQELMT YSHDNIICG 
ITSVSFSKS GRLLLAGYD DFNCNVWDA LKADRAGVL AGHDNRVSC 
LGVTDDGMA VATGSWDSF LKIWN


Click on each residue to open a popup with some information about it.

ConSurf Conservation Grade (See documentation): 

 n/a   1    2    3    4    5    6    7    8    9  

ChainG
ProteinG Protein γ Sub unit
UniProtP59768
Sequence
>9CGK_Chain_G
SIAQARKLV EQLKMEANI DRIKVSKAA ADLMAYCEA HAKEDPLLT 
PVPASENPF R


Click on each residue to open a popup with some information about it.

ConSurf Conservation Grade (See documentation): 

 n/a   1    2    3    4    5    6    7    8    9  

ChainR
ProteinReceptor
UniProtP41143
Sequence
>9CGK_Chain_R
SLALAIAIT ALYSAVCAV GLLGNVLVM FGIVRYTKM KTATNIYIF 
NLALADALA TSTLPFQSA KYLMETWPF GELLCKAVL SIDYYNMFT 
SIFTLTMMS VDRYIAVCH PVKALDFRT PAKAKLINI CIWVLASGV 
GVPIMVMAV TRPRDGAVV CMLQFPSPS WYWDTVTKI CVFLFAFVV 
PILIITVCY GLMLLRLRS VRLLSGSKE KDRSLRRIT RMVLVVVGA 
FVVCWAPIH IFVIVWTLV DIDRRDPLV VAALHLCIA LGYANSSLN 
PVLYAFLDE NFKRCF


Click on each residue to open a popup with some information about it.

ConSurf Conservation Grade (See documentation): 

 n/a   1    2    3    4    5    6    7    8    9  




This receptor, from the same or other species and bound to the same or other ligands, is also present in the following networks:
Show PDB Class SubFamily Type SubType Species Orthosteric Ligand Other Ligand(s) Protein Partners Resolution Date DOI
4EJ4APeptideOpioidδMus musculusNaltrindole--3.42012-05-16doi.org/10.1038/nature11111
4N6HAPeptideOpioidδHomo sapiensNaltrindoleNa-1.82013-12-25doi.org/10.1038/nature12944
4RWAAPeptideOpioidδHomo sapiensDIPP-NH2--3.282015-01-14doi.org/10.1038/nsmb.2965
4RWDAPeptideOpioidδHomo sapiensDIPP-NH2Na-2.72015-01-14doi.org/10.1038/nsmb.2965
6PT2APeptideOpioidδHomo sapiensKGCHM07--2.82019-12-11doi.org/10.1126/sciadv.aax9115
6PT3APeptideOpioidδHomo sapiensDPI-287--3.32019-12-11doi.org/10.1126/sciadv.aax9115
8F7SAPeptideOpioidδHomo sapiensDeltorphin-Gi1/β1/γ232022-12-14doi.org/10.1016/j.cell.2022.12.026
8F7S (No Gprot) APeptideOpioidδHomo sapiensDeltorphin-32022-12-14doi.org/10.1016/j.cell.2022.12.026
8Y45APeptideOpioidδHomo sapiensADL5859-Gi2/β1/γ23.452024-11-27doi.org/10.1038/s41467-024-52601-1
8Y45 (No Gprot) APeptideOpioidδHomo sapiensADL5859-3.452024-11-27doi.org/10.1038/s41467-024-52601-1
9CGJAPeptideOpioidδHomo sapiensC6-Quino-Gi1/β1/γ22.82025-04-02doi.org/10.1038/s41467-025-57734-5
9CGJ (No Gprot) APeptideOpioidδHomo sapiensC6-Quino-2.82025-04-02doi.org/10.1038/s41467-025-57734-5
9CGK (No Gprot) APeptideOpioidδHomo sapiensC5-Quino-2.622025-04-02doi.org/10.1038/s41467-025-57734-5
9YDPAPeptideOpioidδHomo sapiensDADLE-chim(NtGi1L-Gs-CtGi1)/β1/γ21.952025-12-1010.1101/2025.10.16.682975
9YDP (No Gprot) APeptideOpioidδHomo sapiensDADLE-1.952025-12-1010.1101/2025.10.16.682975
9YDQAPeptideOpioidδHomo sapiensDADLEMIPS3614chim(NtGi1L-Gs-CtGi1)/β1/γ21.942025-12-1010.1101/2025.10.16.682975
9YDQ (No Gprot) APeptideOpioidδHomo sapiensDADLEMIPS36141.942025-12-1010.1101/2025.10.16.682975
9YDRAPeptideOpioidδHomo sapiensDADLEMIPS3983chim(NtGi1L-Gs-CtGi1)/β1/γ22.142025-12-1010.1101/2025.10.16.682975
9YDR (No Gprot) APeptideOpioidδHomo sapiensDADLEMIPS39832.142025-12-1010.1101/2025.10.16.682975
8Y71APeptideOpioidδHomo sapiensA1D6FBMS986187Gi1/β1/γ22.972026-01-07To be published
8Y71 (No Gprot) APeptideOpioidδHomo sapiensA1D6FBMS9861872.972026-01-07To be published




You can download a compressed (zip) file with structure(s), 3D outputs (as PyMol and VMD scripts) and numerical data files (as csv and plain text files).

Download 9CGK.zip



You can click to copy the link of this page to easily come back here later

or use this QR code to link and share this page.



You can also  read or  download a guide explaining the meaning of all files and numerical data.