Color ConSurf Grade
      No Conservation data available
      1
      2
      3
      4
      5
      6
      7
      8
      9

Index: hub id, click on each number to highlight the corresponding hub in the 3D visualization.

Hub: the hub being considered.

Avg Int. Strength: the average interaction strength of all the links of the corresponding hub.

Num Of Links: the number of links of the corresponding hub.

Community: the id of the community the link belong to, otherwise 0.

ConSurf: this column reports the ConSurf conservation grades of each hub.

Index Hub Avg Int. Strength Num Of Links Community ConSurf
1A:A:I19 3.51254119
2A:A:V34 4.49254105
3A:A:L36 2.425407
4A:A:L39 4.135409
5A:A:K46 3.754549
6A:A:Y61 5.46237
7A:A:E65 8.0875408
8A:A:Y69 6.125405
9A:A:I85 2.8375454
10A:A:M88 6.96557
11A:A:F95 9.55754
12A:A:R100 13.8614755
13A:A:E116 4.6254193
14A:A:L130 4.1775457
15A:A:W131 7.136558
16A:A:D133 7.602558
17A:A:V136 4.596556
18A:A:F140 3.4425455
19A:A:L148 4.5325407
20A:A:Y154 6.93754139
21A:A:Y155 5.148507
22A:A:L159 1.84254255
23A:A:R161 9.7945138
24A:A:Y167 6.534138
25A:A:D173 7.94754139
26A:A:I184 3.8975439
27A:A:F191 7.034105
28A:A:L194 4.90754104
29A:A:F196 7.1965107
30A:A:F199 6.06833635
31A:A:D200 3.062549
32A:A:Q204 5.6975439
33A:A:K210 5.468539
34A:A:W211 4.64739
35A:A:F215 3.98714739
36A:A:I222 2.7875447
37A:A:F223 4.132519
38A:A:V225 3.5175407
39A:A:L227 3.5775417
40A:A:Y230 5.01518
41A:A:D231 5.265419
42A:A:D237 10.824278
43A:A:F250 4.54619
44A:A:W258 7.926575
45A:A:F259 3.75479
46A:A:I265 3.1175448
47A:A:L266 3.388519
48A:A:F267 4.396549
49A:A:L268 4.032518
50A:A:F274 3.99719
51A:A:I278 4.3475416
52A:A:L283 4.61417
53A:A:C286 6.06254156
54A:A:Y287 6.7465157
55A:A:Y290 7.644507
56A:A:Y296 5.79404
57A:A:I303 2.6975417
58A:A:F307 4.84518
59A:A:D315 6.21754303
60A:A:Y320 6.0965317
61A:A:T321 7.86415
62A:A:F323 4.6475414
63A:A:T324 5.7075449
64A:A:D328 6.7975449
65A:A:N331 8.1475448
66A:A:F336 5.8125108
67A:A:V339 3.35254108
68A:A:L353 2.9725407
69A:A:F354 5.0965325
70B:B:R22 5.6426
71B:B:I33 3.16403
72B:B:V40 4.2525163
73B:B:H54 8.6385119
74B:B:Y59 7.455478
75B:B:M61 3.89496
76B:B:W63 5.86333697
77B:B:V71 3.26408
78B:B:S74 5.81254119
79B:B:W82 10.50754119
80B:B:Y85 9.32494
81B:B:N88 3.6975407
82B:B:K89 4.046119
83B:B:I93 4.77254177
84B:B:R96 9.814236
85B:B:W99 6.37333639
86B:B:Y105 3.215717176
87B:B:N110 4.764224
88B:B:Y111 4.9654224
89B:B:L117 3.354539
90B:B:N119 3.935409
91B:B:I123 2.9375406
92B:B:Y124 4.353336176
93B:B:L126 3.3285175
94B:B:T128 3.2954193
95B:B:V133 5.0354174
96B:B:R134 5.84254193
97B:B:R137 2.965405
98B:B:H142 6.12689
99B:B:Y145 4.45778938
100B:B:L146 4.455487
101B:B:F151 3.52833689
102B:B:D154 5.374226
103B:B:D163 7.39489
104B:B:W169 7.645688
105B:B:F180 7.184567
106B:B:H183 7.00167669
107B:B:V187 3.9125469
108B:B:L190 4.0375465
109B:B:F199 5.928569
110B:B:S201 4.52469
111B:B:C204 3.26407
112B:B:D205 5.6325469
113B:B:K209 9.9625466
114B:B:L210 3.14405
115B:B:W211 8.73568
116B:B:F222 6.28528
117B:B:H225 8.065629
118B:B:D228 10.2225439
119B:B:I232 5.0975428
120B:B:F234 4.045405
121B:B:F235 5.0956206
122B:B:P236 5.30754207
123B:B:F241 5.92667626
124B:B:T243 5.39428
125B:B:D247 5.4675429
126B:B:T249 5.1225426
127B:B:R251 6.55528
128B:B:F253 6.328526
129B:B:D258 7.86427
130B:B:Q259 3.1575406
131B:B:L261 3.8325405
132B:B:Y264 3.66833605
133B:B:H266 3.9875404
134B:B:C271 4.6625405
135B:B:F278 3.326207
136B:B:R283 6.6525169
137B:B:Y289 6.198336187
138B:B:D298 7.88254169
139B:B:V307 3.334183
140B:B:H311 7.815149
141B:B:L318 4.8975406
142B:B:W332 8.11143779
143B:B:K337 5.6965146
144B:B:W339 8.495149
145G:G:V16 2.316507
146G:G:L19 3.145409
147G:G:R27 5.8025428
148G:G:D48 5.796509
149G:G:F61 3.58143798
150L:L:?1 8.10310210
151O:O:?1 6.0461040
152R:R:Y75 7.39407
153R:R:V89 3.1375409
154R:R:I105 3.334506
155R:R:Y106 4.232507
156R:R:D114 6.975359
157R:R:L121 5.515407
158R:R:W133 8.692867128
159R:R:F135 7.7945127
160R:R:Y149 5.8265374
161R:R:N150 3.5845378
162R:R:M151 3.0675407
163R:R:Y166 6.5425408
164R:R:R179 6.784506
165R:R:W192 8.0625379
166R:R:T208 5.48254125
167R:R:I215 5.4254124
168R:R:F221 4.15405
169R:R:Y252 6.6175409
170R:R:L259 2.855408
171R:R:K271 5.02254304
172R:R:F289 2.96409
173R:R:W293 4.658508
174R:R:H297 3.995218
175R:R:Y299 5.38754394
176R:R:H319 9.38254344
177R:R:N332 7.49254359
   

Color ConSurf Grade
      No Conservation data available
      1
      2
      3
      4
      5
      6
      7
      8
      9

Index: link id, click on each number to highlight the corresponding link in the 3D visualization.

Node1 Node2: the two nodes of the corresponding link.

Recurrence: the relative Recurrence in the pool of shortest paths.

Int. Strength: the interaction strength between the two nodes.

Hub1?, Hub2?: "Yes" if the corresponding node has more than 3 links, otherwise "No".

Community: the id of the community the link belong to, otherwise 0.

ConSurf1, ConSurf2: these columns report the ConSurf conservation grades of the two nodes involved in a link.

Index Node1 Node2 Recurrence Int. Strength Hub1? Hub2? Community ConSurf1 ConSurf2
1B:B:V112 B:B:Y105 13.79263.79NoYes1786
2B:B:V112 B:B:Y124 14.51553.79NoYes1786
3B:B:S122 B:B:Y124 53.48993.82NoYes086
4B:B:E138 B:B:S122 53.58115.75NoNo068
5A:A:V179 B:B:E138 53.67295.7NoNo066
6A:A:V179 B:B:I120 53.94874.61NoNo066
7A:A:T181 B:B:I120 54.02047.6NoNo2696
8A:A:T181 B:B:N119 54.31972.92NoYes099
9A:A:Q204 B:B:N119 54.70042.64YesYes099
10A:A:Q204 A:A:W211 54.38039.86YesYes399
11A:A:F215 A:A:W211 61.34164.01YesYes399
12A:A:F215 A:A:L37 70.32456.09YesNo099
13A:A:L37 A:A:L39 70.48255.54NoYes099
14A:A:F223 A:A:L39 1002.44YesYes099
15A:A:F223 A:A:V225 41.67912.62YesYes097
16A:A:L268 A:A:V225 24.79232.98YesYes087
17A:A:L227 A:A:L268 33.23654.15YesYes178
18A:A:F274 A:A:L227 33.22174.87YesYes197
19A:A:F274 A:A:Y230 41.59616.19YesYes198
20A:A:K277 A:A:Y230 40.94283.58NoYes198
21A:A:K277 A:A:S228 40.92583.06NoNo099
22A:A:K270 A:A:S228 40.77746.12NoNo099
23A:A:K270 O:O:?1 40.65949.82NoYes090
24A:A:K46 O:O:?1 94.99166.8YesYes490
25A:A:K46 A:A:L38 90.17474.23YesNo498
26A:A:I222 A:A:L38 90.03682.85YesNo478
27A:A:I222 A:A:L36 65.51562.85YesYes077
28A:A:F196 A:A:L36 64.21952.44YesYes077
29A:A:F223 A:A:L266 41.70962.44YesYes199
30A:A:L266 A:A:L268 24.76952.77YesYes198
31A:A:F307 A:A:V225 16.93435.24YesYes087
32A:A:F307 A:A:I303 50.17062.51YesYes187
33A:A:F274 A:A:I303 50.01542.51YesYes197
34A:A:F223 A:A:F250 17.317810.72YesYes199
35A:A:F250 A:A:F307 17.05975.36YesYes198
36A:A:F307 A:A:L266 16.91884.87YesYes189
37A:A:F274 A:A:Y296 40.8244.13YesYes094
38A:A:K271 A:A:Y296 56.99037.17NoYes054
39A:A:C325 A:A:K271 56.88914.85NoNo075
40A:A:C325 A:A:D272 56.78813.11NoNo079
41A:A:D272 O:O:?1 56.69425.09NoYes090
42A:A:F323 A:A:L268 16.34087.31YesYes148
43A:A:A300 A:A:F323 16.39324.16NoYes054
44A:A:A300 A:A:Y296 16.374NoYes054
45A:A:F196 A:A:L194 60.51258.53YesYes1074
46B:B:G306 B:B:V296 14.38071.84NoNo045
47B:B:G306 B:B:V307 14.56451.84NoYes043
48B:B:C271 B:B:D290 27.99437.78YesNo056
49B:B:D290 B:B:R314 28.09411.91NoNo768
50B:B:R314 B:B:W332 28.323715.99NoYes789
51A:A:W258 B:B:W332 28.30142.81YesYes759
52A:A:N256 A:A:W258 28.77035.65NoYes785
53A:A:F259 A:A:N256 28.96974.83YesNo798
54A:A:F259 A:A:I221 29.19873.77YesNo798
55B:B:C271 B:B:Y289 20.82562.69YesYes057
56A:A:F336 A:A:L194 60.02733.65YesYes1084
57B:B:V135 B:B:Y124 42.47227.57NoYes046
58A:A:Y69 B:B:V135 41.66992.52YesNo054
59A:A:Y69 B:B:R96 40.312711.32YesYes056
60A:A:R161 A:A:Y167 25.1224.12YesYes1388
61A:A:R161 A:A:Y154 12.76885.14YesYes1389
62A:A:R176 A:A:Y154 25.634112.35NoYes1369
63A:A:R176 A:A:S151 25.83815.27NoNo068
64A:A:S151 A:A:Y155 26.03855.09NoYes087
65A:A:T177 A:A:Y155 39.40433.75NoYes067
66A:A:T177 B:B:R96 39.60082.59NoYes066
67A:A:D173 A:A:Y167 12.56456.9YesYes1398
68A:A:D173 A:A:Y154 12.76865.75YesYes1399
69A:A:D158 A:A:R161 12.765322.63NoYes058
70A:A:D158 A:A:I162 12.86722.8NoNo057
71A:A:I162 A:A:V73 12.96923.07NoNo078
72A:A:V73 A:A:Y155 13.07122.52NoYes087
73A:A:Y167 A:A:Y74 35.51773.97YesNo084
74A:A:M119 A:A:Y74 34.89787.18NoNo034
75A:A:I78 A:A:M119 34.58784.37NoNo043
76A:A:A111 A:A:I78 34.27781.62NoNo024
77A:A:A111 A:A:L107 33.65761.58NoNo024
78A:A:L107 A:A:V126 32.4171.49NoNo045
79A:A:L130 A:A:V126 32.10681.49YesNo075
80A:A:I84 A:A:Y146 11.22967.25NoNo076
81A:A:F95 A:A:L130 10.91063.65YesYes547
82A:A:L130 A:A:R100 12.47067.29YesYes575
83A:A:I222 A:A:I265 22.62.94YesYes478
84A:A:E318 A:A:Y320 21.22054.49NoYes047
85A:A:F334 A:A:Y320 11.21943.09NoYes037
86A:A:F334 A:A:I265 11.27322.51NoYes038
87A:A:A338 A:A:Y320 11.09568.01NoYes067
88A:A:A338 A:A:I265 11.27333.25NoYes068
89A:A:E318 R:R:M264 14.51915.41NoNo045
90A:A:F336 A:A:T340 58.95267.78YesNo086
91A:A:I344 A:A:T340 58.76983.04NoNo066
92A:A:I344 R:R:R258 58.40482.51NoNo065
93A:A:K345 R:R:M264 13.78892.88NoNo055
94A:A:F354 A:A:K345 13.04954.96YesNo3255
95A:A:F354 A:A:L348 10.63413.65YesNo059
96R:R:F289 R:R:L158 15.83432.44YesNo098
97R:R:F289 R:R:I248 57.01923.77YesNo098
98R:R:I248 R:R:S162 57.20443.1NoNo089
99R:R:C251 R:R:S162 56.76893.44NoNo079
100R:R:C251 R:R:Y166 57.13216.72NoYes078
101R:R:C170 R:R:Y166 57.85888.06NoYes078
102R:R:C170 R:R:R258 58.04062.79NoNo075
103B:B:W297 B:B:Y289 14.05032.89NoYes1887
104B:B:W297 B:B:Y264 13.94844.82NoYes085
105B:B:L252 B:B:Y264 10.60143.52NoYes075
106B:B:L252 B:B:L261 10.49682.77NoYes075
107B:B:G162 B:B:Y145 10.76434.35NoYes098
108B:B:G162 B:B:S161 10.5663.71NoNo099
109R:R:F289 R:R:W293 40.473.01YesYes098
110R:R:M151 R:R:W293 17.58283.49YesYes078
111L:L:?1 R:R:M151 16.63663.53YesYes007
112R:R:H297 R:R:W293 20.06834.23YesYes088
113L:L:?1 R:R:H297 16.64894.02YesYes2108
114L:L:?1 R:R:Q124 14.94738.32YesNo006
115R:R:N127 R:R:Q124 14.56466.6NoNo066
116R:R:N127 R:R:W133 14.18187.91NoYes068
117A:A:I221 A:A:L39 29.38244.28NoYes089
Download PSN data

2D representation of the global metapath, ligand(s) interactions and
histograms of path distribution according to several parameters
(click on the image to enlarge it 🔍):

A 2D representation of the global communication in the network.

ConSurf Conservation Grade (See documentation): 

 n/a   1    2    3    4    5    6    7    8    9  

Number of shortest communication paths as a function of the average residue correlation.

Number of shortest communication paths as a function of the average interaction strength of their links.

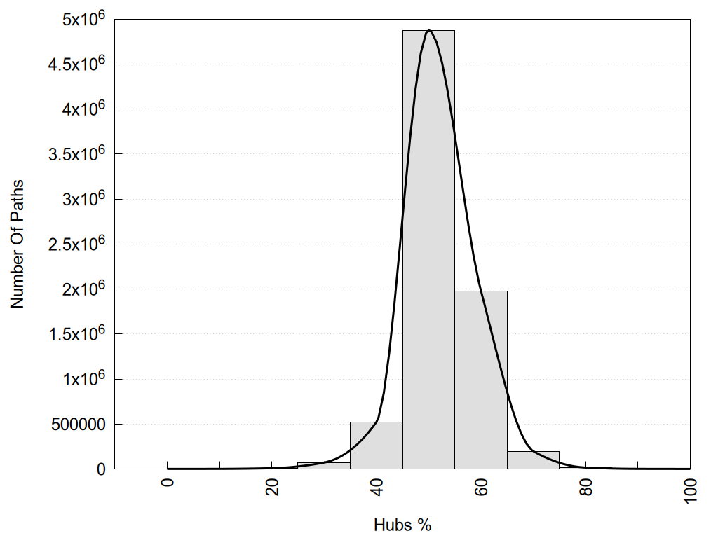
Number of shortest communication paths as a function of the % of hub nodes in each path.

Number of shortest communication paths as a function of the number of nodes in each path.

Number of shortest communication paths as a function of the % of correlated nodes in each path.


2D representation of the interactions of this orthosteric/allosteric ligand.


Links and nodes colored according to ConSurf Conservation Grade (See documentation): 

 n/a   1    2    3    4    5    6    7    8    9  

Node1 Node2 LinkStrength Comm IsNode1Hub? IsNode2Hub? Node1Cons Node2Cons Node1Shell Node2Shell
L:L:?1 R:R:Y75 8.06 21 Yes Yes 0 7 0 1
L:L:?1 R:R:Q124 8.32 21 Yes No 0 6 0 1
L:L:?1 R:R:D147 16.96 21 Yes No 0 6 0 1
L:L:?1 R:R:Y148 12.45 21 Yes No 0 4 0 1
L:L:?1 R:R:M151 3.53 21 Yes Yes 0 7 0 1
L:L:?1 R:R:I296 6.24 21 Yes No 0 6 0 1
L:L:?1 R:R:H297 4.02 21 Yes Yes 0 8 0 1
L:L:?1 R:R:I322 7.14 21 Yes No 0 5 0 1
L:L:?1 R:R:Y326 12.45 21 Yes No 0 7 0 1
R:R:S125 R:R:Y75 5.09 0 No Yes 6 7 2 1
R:R:H319 R:R:Y75 15.24 34 Yes Yes 4 7 2 1
R:R:L121 R:R:Y326 8.21 0 Yes No 7 7 2 1
R:R:N127 R:R:Q124 6.6 0 No No 6 6 2 1
R:R:D147 R:R:Y326 5.75 21 No No 6 7 1 1
R:R:V202 R:R:Y148 2.52 0 No No 5 4 2 1
R:R:F152 R:R:M151 3.73 0 No Yes 7 7 2 1
R:R:M151 R:R:W293 3.49 0 Yes Yes 7 8 1 2
R:R:K233 R:R:V300 4.55 0 No No 4 5 2 1
R:R:F237 R:R:H297 3.39 0 No Yes 5 8 2 1
R:R:F241 R:R:H297 5.66 0 No Yes 8 8 2 1
R:R:H297 R:R:W293 4.23 21 Yes Yes 8 8 1 2
R:R:H297 R:R:I296 2.65 21 Yes No 8 6 1 1
R:R:I322 R:R:W318 9.4 0 No No 5 5 1 2
R:R:L232 R:R:Y148 2.34 0 No No 5 4 2 1
L:L:?1 R:R:V300 1.86 21 Yes No 0 5 0 1
R:R:M151 R:R:V236 1.52 0 Yes No 7 5 1 2
R:R:L74 R:R:Y75 1.17 0 No Yes 5 7 2 1

Location and physicochemical properties of the interaction partners of this ligand

Interactions of this ligand

Similarities between the interactions of this ligand and those of other networks

ShowSimilarityNetwork TypeNameLigandDescription
90.91Single7T2GMitragynine Pseudoindoxyl7T2G-μ-Mitragynine Pseudoindoxyl-Gi1/β1/γ2
81.82Single9ODLMitragynine Pseudoindoxyl9ODL-μ-Mitragynine Pseudoindoxyl-GTP; Mg-Gi1/β1/γ2
72.73Single6AKXA4R6AKX-CCR5-A4R
72.73Single9MQJIsoquinuclidine9MQJ-μ-Isoquinuclidine
72.73Single9VJEBuspirone9VJE-5-HT1A-Buspirone-Go/β1/γ2
72.73Consensusalpha2_offOrthosteric Ligandalpha2c_off
71.43Single9MQLIsoquinuclidine9MQL-κ-Isoquinuclidine
70.00Single8WC9ZH86518WC9-TA1-ZH8651-chim(NtGi1-Gs-CtGq)/β1/γ2
69.23Single5C1MBU725C1M-μ-BU72
69.23Single8DZRGR89,6968DZR-κ-GR89,696-chim(NtGi2-Gt3)/β1/γ2
69.23Single9MQKIsoquinuclidine9MQK-κ-Isoquinuclidine
69.23Consensusd4_onOrthosteric Ligand8IRU-D4-Rotigotine-chim(NtGi1-Gs-CtGi1)/β1/γ2
66.67Single4LDOEpinephrine4LDO-β2-Epinephrine
66.67Single4MBSMaraviroc4MBS-CCR5-Maraviroc
66.67Single6K41Dexmedetomidine6K41-α2b-Dexmedetomidine-Go/β1/γ2
66.67Single6PS0Carazolol6PS0-β2-Carazolol
66.67Single6PS4ICI118-5516PS4-β2-ICI118-551
66.67Single6TPGEMPA6TPG-OX2-EMPA
66.67Single7CMUPramipexole7CMU-D3-Pramipexole-Gi1/β1/γ2
66.67Single7RANPubChem 1645758477RAN-5-HT2A-PubChem 164575847-chim(NtGi2L-Gs-CtGq)/β1/γ2
66.67Single8GGQConstrained Epinephrine8GGQ-β2-Constrained Epinephrine
66.67Single8GGXConstrained Epinephrine8GGX-β2-Constrained Epinephrine
66.67Single8THLEpinephrine8THL-Alpha1A-Epinephrine-chim(NtGi2L-Gs-CtGq)/β1/γ2
66.67Single9AS5Mescaline9AS5-5-HT2A-Mescaline
66.67Single9AS6Mescaline9AS6-5-HT2A-Mescaline-chim(NtGi1-Gs-CtGq)/β1/γ2
66.67Single9MQIIsoquinuclidine9MQI-μ-Isoquinuclidine
66.67Consensusalpha1_onOrthosteric Ligandalpha1a_on
66.67Consensusalpha1_on_gpOrthosteric Ligandalpha1a_on_gp
66.67Consensusalpha1a_onOrthosteric Ligand7EJ0-α2a-Norepinephrine-Go/β1/γ2 7EJ8-α2a-Brimonidine-Go/β1/γ2 7EJA-α2a-Dexmedetomidine-Go/β1/γ2 7EJK-α2a-Oxymetazoline-Go/β1/γ2 7W6P-α2a-N-pyridin-4-ylisoquinolin-4-amine-Go/β1/γ2 7W7E-α2a-PubChem 164946676-Go/β1/γ2
66.67Consensusalpha1a_on_gpOrthosteric Ligand7EJ0-α2a-Norepinephrine-Go/β1/γ2 7EJ8-α2a-Brimonidine-Go/β1/γ2 7EJA-α2a-Dexmedetomidine-Go/β1/γ2 7EJK-α2a-Oxymetazoline-Go/β1/γ2 7W6P-α2a-N-pyridin-4-ylisoquinolin-4-amine-Go/β1/γ2 7W7E-α2a-PubChem 164946676-Go/β1/γ2
66.67Consensusd3_onOrthosteric Ligand7CMV-D3-PD128907-Gi1/β1/γ2 8IRT-D3-Rotigotine-Gi1/β1/γ2 7CMU-D3-Pramipexole-Gi1/β1/γ2
66.67Consensusd3_on_gpOrthosteric Ligand7CMV-D3-PD128907-Gi1/β1/γ2 8IRT-D3-Rotigotine-Gi1/β1/γ2 7CMU-D3-Pramipexole-Gi1/β1/γ2
64.29Single6TQ7SB-3348676TQ7-OX1-SB-334867
64.29Single7U2LC5-guano7U2L-μ-C5-guano-Gi1/β1/γ2
64.29Single8DZPmomSalB8DZP-κ-momSalB-Gi1/β1/γ2
64.29Single8IRURotigotine8IRU-D4-Rotigotine-chim(NtGi1-Gs-CtGi1)/β1/γ2
64.29Single8IRVRotigotine8IRV-D5-Rotigotine-chim(NtGi1-Gs)/β1/γ2
64.29Single8VVFJDTic8VVF-κ-JDTic-Gi1/β1/γ2
64.29Consensusd4_on_gpOrthosteric Ligand8IRU-D4-Rotigotine-chim(NtGi1-Gs-CtGi1)/β1/γ2
64.29Consensusd5_on_gpOrthosteric Ligand8IRV-D5-Rotigotine-chim(NtGi1-Gs)/β1/γ2
63.64Single8YN4Histamine8YN4-H2-Histamine-chim(NtGi1L-Gs-CtGq)/β1/γ2
63.64Single9IXJHistamine9IXJ-H2-Histamine-Gs/β1/γ2
63.64Single9U9VMETH9U9V-β2-METH-Gs/β1/γ2
61.54Single3NY8ICI118-5513NY8-β2-ICI118-551
61.54Single3NYAAlprenolol3NYA-β2-Alprenolol
61.54Single4EA3PubChem 102965614EA3-NOP-PubChem 10296561
61.54Single4GBRCarazolol4GBR-β2-Carazolol
61.54Single5DHHSB-6121115DHH-NOP-SB-612111
61.54Single6K42Dexmedetomidine6K42-α2b-Dexmedetomidine-Gi1/β1/γ2
61.54Single6PS1Timolol6PS1-β2-Timolol
61.54Single7BTSEpinephrine7BTS-β1-Epinephrine
61.54Single7BU6Norepinephrine7BU6-β1-Norepinephrine
61.54Single7CRHSKF839597CRH-D1-SKF83959-Gs/β1/γ2
61.54Single7JVQApomorphine7JVQ-D1-Apomorphine-Gs/β1/γ2
61.54Single7S0GIsoprenaline7S0G-β1-Isoprenaline-chim(Gi1-CtGs)/β1/γ2
61.54Single8GE2Constrained Epinephrine8GE2-β2-Constrained Epinephrine-Gs/β1/γ1
61.54Single8GE3Constrained Epinephrine8GE3-β2-Constrained Epinephrine-Gs/β1/γ2
61.54Single8GECConstrained Epinephrine8GEC-β2-Constrained Epinephrine-Gs/β1/γ2
61.54Single8GEEConstrained Epinephrine8GEE-β2-Constrained Epinephrine-Gs/β1/γ2
61.54Single8GEHConstrained Epinephrine8GEH-β2-Constrained Epinephrine-Gs/β1/γ2
61.54Single8GFVConstrained Epinephrine8GFV-β2-Constrained Epinephrine-GTP-Gs/β1/γ2
61.54Single8GFWConstrained Epinephrine8GFW-β2-Constrained Epinephrine-GTP-Gs/β1/γ2
61.54Single8GFXConstrained Epinephrine8GFX-β2-Constrained Epinephrine-GTP-Gs/β1/γ2
61.54Single8GFZConstrained Epinephrine8GFZ-β2-Constrained Epinephrine-GTP-Gs/β1/γ2
61.54Single8GG0Constrained Epinephrine8GG0-β2-Constrained Epinephrine-GTP-Gs/β1/γ2
61.54Single8GG1Constrained Epinephrine8GG1-β2-Constrained Epinephrine-GTP-Gs/β1/γ2
61.54Single8GG3Constrained Epinephrine8GG3-β2-Constrained Epinephrine-GTP-Gs/β1/γ2
61.54Single8GG4Constrained Epinephrine8GG4-β2-Constrained Epinephrine-GTP-Gs/β1/γ2
61.54Single8GG6Constrained Epinephrine8GG6-β2-Constrained Epinephrine-GTP-Gs/β1/γ2
61.54Single8GG9Constrained Epinephrine8GG9-β2-Constrained Epinephrine-GTP-Gs/β1/γ2
61.54Single8GGIConstrained Epinephrine8GGI-β2-Constrained Epinephrine
61.54Single8GGJConstrained Epinephrine8GGJ-β2-Constrained Epinephrine
61.54Single8GGKConstrained Epinephrine8GGK-β2-Constrained Epinephrine
61.54Single8GGNConstrained Epinephrine8GGN-β2-Constrained Epinephrine
61.54Single8GGOConstrained Epinephrine8GGO-β2-Constrained Epinephrine
61.54Single8GGUConstrained Epinephrine8GGU-β2-Constrained Epinephrine
61.54Single8IRTRotigotine8IRT-D3-Rotigotine-Gi1/β1/γ2
61.54Single8JJOAlprenolol8JJO-β2-Alprenolol
61.54Single8UNQConstrained Epinephrine8UNQ-β2-Constrained Epinephrine-GTP-Gs/β1/γ2
61.54Single8UNVConstrained Epinephrine8UNV-β2-Constrained Epinephrine-GTP-Gs/β1/γ2
61.54Single8UNYConstrained Epinephrine8UNY-β2-Constrained Epinephrine-GTP-Gs/β1/γ2
61.54Single8UNZConstrained Epinephrine8UNZ-β2-Constrained Epinephrine-GTP-Gs/β1/γ2
61.54Single8UO2Constrained Epinephrine8UO2-β2-Constrained Epinephrine-GTP-Gs/β1/γ2
61.54Single8XVKAmbrisentan8XVK-ETA-Ambrisentan
61.54Single8Y71A1D6F8Y71-δ-A1D6F-BMS986187-Gi1/β1/γ2
61.54Single9CBMDexmedetomidine9CBM-α2a-Dexmedetomidine-Gi1/β1/γ2
61.54Single9D61JDTic9D61-κ-JDTic-Gi1/β1/γ2
61.54Single9PLNPubChem 1682595949PLN-α2a-PubChem 168259594
61.54Single9PLOPubChem 1682595949PLO-α2a-PubChem 168259594-Go/β1/γ2
61.54Single9PQDPubChem 1764919279PQD-α2a-PubChem 176491927
61.54Consensusadrenergic_onOrthosteric Ligandalpha_on beta_on
61.54Consensusalpha2_onOrthosteric Ligandalpha2b_on
61.54Consensusalpha2_on_gpOrthosteric Ligandalpha2b_on_gp
61.54Consensusalpha2b_onOrthosteric Ligand6K42-α2b-Dexmedetomidine-Gi1/β1/γ2
61.54Consensusalpha2b_on_gpOrthosteric Ligand6K42-α2b-Dexmedetomidine-Gi1/β1/γ2
61.54Consensusalpha_onOrthosteric Ligandalpha1_on alpha2_on
61.54Consensusdopamine_offOrthosteric Ligandd2_off d3_off
61.54Consensusdopamine_onOrthosteric Ligandd2_on d1_on d3_on d4_on d5_on
61.54Consensusdopamine_on_gpOrthosteric Ligandd2_on_gp d1_on_gp d3_on_gp d4_on_gp d5_on_gp
60.00Single7YITNalfurafine7YIT-κ-Nalfurafine
60.00Single7YMJTamsulosin7YMJ-Alpha1A-Tamsulosin
60.00Single8DPHLorcaserin8DPH-5-HT2C-Lorcaserin-chim(NtGi2L-Gs-CtGq)/β1/γ2
60.00Single9CHUNorepinephrine9CHU-β2-Norepinephrine
60.00Single9V6ONalfurafine9V6O-κ-Nalfurafine-Gi1/β1/γ2
60.00Consensusalpha1_offOrthosteric Ligandalpha1a_off
60.00Consensusalpha1a_offOrthosteric Ligand7YMJ-Alpha1A-Tamsulosin
60.00Consensusmop_onOrthosteric Ligand8F7R-μ-Endomorphin-Gi1/β1/γ2 8EF5-μ-Fentanyl-Gi1/β1/γ2 7SCG-μ-FH210-Gi1/β1/γ2 7T2H-μ-Lofentanil-Gi1/β1/γ2 7T2G-μ-Mitragynine Pseudoindoxyl-Gi1/β1/γ2 8EF6-μ-Morphine-Gi1/β1/γ2 8EFB-μ-Oliceridine-Gi1/β1/γ2 7U2L-μ-C5-guano-Gi1/β1/γ2 8EFO-μ-PZM21-Gi1/β1/γ2 8EFL-μ-SR17018-Gi1/β1/γ2 8F7Q-μ-β-Endorphin-Gi1/β1/γ2 7U2K-μ-C6-guano-Gi1/β1/γ2 8EFQ-μ-DAMGO-Gi1/β1/γ2
60.00Consensusmop_on_gpOrthosteric Ligand8F7R-μ-Endomorphin-Gi1/β1/γ2 8EF5-μ-Fentanyl-Gi1/β1/γ2 7SCG-μ-FH210-Gi1/β1/γ2 7T2H-μ-Lofentanil-Gi1/β1/γ2 7T2G-μ-Mitragynine Pseudoindoxyl-Gi1/β1/γ2 8EF6-μ-Morphine-Gi1/β1/γ2 8EFB-μ-Oliceridine-Gi1/β1/γ2 7U2L-μ-C5-guano-Gi1/β1/γ2 8EFO-μ-PZM21-Gi1/β1/γ2 8EFL-μ-SR17018-Gi1/β1/γ2 8F7Q-μ-β-Endorphin-Gi1/β1/γ2 7U2K-μ-C6-guano-Gi1/β1/γ2 8EFQ-μ-DAMGO-Gi1/β1/γ2
60.00Consensusopioid_offOrthosteric Ligandmop_off nop_off dop_off kop_off
58.33Single6AKYMaraviroc6AKY-CCR5-Maraviroc
58.33Single6KUYPubChem 1457046436KUY-α2a-PubChem 145704643
58.33Single7EJ0Norepinephrine7EJ0-α2a-Norepinephrine-Go/β1/γ2
58.33Single7LD4Adenosine7LD4-A1-Adenosine-Gi2/β1/γ2
58.33Single7YM8Oxymetazoline7YM8-Alpha1A-Oxymetazoline-chim(Gs-CtGq)
58.33Single7YMHNorepinephrine7YMH-Alpha1A-Norepinephrine-chim(Gs-CtGq)
58.33Single8EFOPZM218EFO-μ-PZM21-Gi1/β1/γ2
58.33Single8FYXBuspirone8FYX-5-HT1A-Buspirone-PtdIns4P-Gi1/β1/γ1
58.33Single8GGAConstrained Epinephrine8GGA-β2-Constrained Epinephrine-GTP-Gs/β1/γ2
58.33Single8GGRConstrained Epinephrine8GGR-β2-Constrained Epinephrine
58.33Single8GGZConstrained Epinephrine8GGZ-β2-Constrained Epinephrine
58.33Single8GH0Constrained Epinephrine8GH0-β2-Constrained Epinephrine
58.33Single8TZQDopamine8TZQ-D2-Dopamine-Go/β1/γ2
58.33Single8UNXConstrained Epinephrine8UNX-β2-Constrained Epinephrine-GTP-Gs/β1/γ2
58.33Single8WC3SEP-3638568WC3-TA1-SEP-363856-chim(NtGi1-Gs)/β1/γ2
58.33Single8WC4ZH86518WC4-TA1-ZH8651-chim(NtGi1-Gs)/β1/γ2
58.33Single8WCA2-Phenylethylamine8WCA-TA1-2-Phenylethylamine-chim(NtGi1-Gs)/β1/γ2
58.33Single9VJ5Gepirone9VJ5-5-HT1A-Gepirone-Go/β1/γ2
58.33Consensus5ht1e_onOrthosteric Ligand7E33-5-HT1E-BRL-54443-Gi1/β1/γ2 8UGY-5-HT1E-Mianserin-Gi1/β1/γ1 8UH3-5-HT1E-Setiptiline-Gi1/β1/γ1
58.33Consensusa1_onOrthosteric Ligand7LD4-A1-Adenosine-Gi2/β1/γ2
58.33Consensusa1_on_gpOrthosteric Ligand7LD4-A1-Adenosine-Gi2/β1/γ2
58.33Consensusgq_histamineOrthosteric Ligand7DFL-H1-Histamine-chim(NtGi1L-Gq)/β1/γ2
58.33Consensush1_on_gpOrthosteric Ligand7DFL-H1-Histamine-chim(NtGi1L-Gq)/β1/γ2
58.33Consensushistamine_onOrthosteric Ligandh1_on h2_on h3_on h4_on
58.33Consensushistamine_on_gpOrthosteric Ligandh1_on_gp h2_on_gp h3_on_gp h4_on_gp
57.14Single2RH1Carazolol2RH1-β2-Carazolol
57.14Single2YCWCarazolol2YCW-β1-Carazolol
57.14Single5D6LCarazolol5D6L-β2-Carazolol
57.14Single5JQHCarazolol5JQH-β2-Carazolol
57.14Single5WQCEMPA5WQC-OX2-EMPA
57.14Single5X7DCarazolol5X7D-β2-Carazolol-PubChem 129318963
57.14Single6KUWPubChem 572132346KUW-α2c-PubChem 57213234
57.14Single6PS3Carvedilol6PS3-β2-Carvedilol
57.14Single6PS6Timolol6PS6-β2-Timolol
57.14Single7BVQCarazolol7BVQ-β1-Carazolol
57.14Single7C61Ergotamine7C61-5-HT1B-Ergotamine
57.14Single7S0FIsoprenaline7S0F-β1-Isoprenaline-Gi1/β1/γ2
57.14Single7SBFPZM217SBF-μ-PZM21-Gi1/β1/γ2
57.14Single7WC6LSD7WC6-5-HT2A-LSD
57.14Single7X1TTaltirelin7X1T-TRH-Taltirelin-chim(NtGi2L-Gs-CtGq)/β1/γ2
57.14Single7XK9Constrained Isoproterenol7XK9-β2-Constrained Isoproterenol-Na
57.14Single7XKAConstrained Epinephrine7XKA-β2-Constrained Epinephrine
57.14Single8DZQmomSalB8DZQ-κ-momSalB-Go/β1/γ2
57.14Single8EFBOliceridine8EFB-μ-Oliceridine-Gi1/β1/γ2
57.14Single8GDZConstrained Epinephrine8GDZ-β2-Constrained Epinephrine-Gs/β1/γ2
57.14Single8GEBConstrained Epinephrine8GEB-β2-Constrained Epinephrine-Gs/β1/γ2
57.14Single8GEGConstrained Epinephrine8GEG-β2-Constrained Epinephrine-Gs/β1/γ2
57.14Single8GFYConstrained Epinephrine8GFY-β2-Constrained Epinephrine-GTP-Gs/β1/γ2
57.14Single8GG2Constrained Epinephrine8GG2-β2-Constrained Epinephrine-GTP-Gs/β1/γ2
57.14Single8GGBConstrained Epinephrine8GGB-β2-Constrained Epinephrine-GTP-Gs/β1/γ2
57.14Single8UNNConstrained Epinephrine8UNN-β2-Constrained Epinephrine-GTP-Gs/β1/γ2
57.14Single8UNPConstrained Epinephrine8UNP-β2-Constrained Epinephrine-GTP-Gs/β1/γ2
57.14Single9I52A1IZU9I52-D1-A1IZU-Gs/β1/γ2
57.14Single9L74S1P d16:19L74-S1P3-S1P d16:1-chim(NtGi2L-Gs-CtGq)/β1/γ2
57.14Single9PXYNaloxone9PXY-μ-Naloxone-GDPβS-Gi1/β1/γ2
57.14Single9VJFBuspirone9VJF-5-HT1A-Buspirone-Gi3/β1/γ2
57.14Consensus5ht5_on_gpOrthosteric Ligand5ht5a_on_gp
57.14Consensus5ht5a_on_gpOrthosteric Ligand7X5H-5-HT5A-5-CT-Gi1/β1/γ2 7UM6-5-HT5A-Lisuride-chim(NtGi1-Go)/β1/γ2 7UM7-5-HT5A-Methylergometrine-chim(NtGi1-Go)/β1/γ2
57.14Consensusadrenergic_offOrthosteric Ligandalpha_off beta_off
57.14Consensusadrenergic_on_gpOrthosteric Ligandalpha_on_gp beta_on_gp
57.14Consensusalpha2c_offOrthosteric Ligand6KUW-α2c-PubChem 57213234
57.14Consensusalpha_offOrthosteric Ligandalpha1_off alpha2_off
57.14Consensusalpha_on_gpOrthosteric Ligandalpha1_on_gp alpha2_on_gp
57.14Consensusamine_offOrthosteric Ligand5ht_off adrenergic_off dopamine_off histamine_off muscarinic_off
57.14Consensusamine_offonOrthosteric Ligandamine_off amine_on
57.14Consensusamine_offon_gpOrthosteric Ligandamine_on_gp amine_off
57.14Consensusamine_onOrthosteric Ligand5ht_on adrenergic_on dopamine_on histamine_on muscarinic_on trace-amine_on
57.14Consensusbeta2_offOrthosteric Ligand2RH1-β2-Carazolol 6PS3-β2-Carvedilol 6PS5-β2-Propranolol 3D4S-β2-Timolol 3NY8-β2-ICI118-551 3NY9-β2-PubChem 913103 6PRZ-β2-Alprenolol
57.14Consensusbeta_offOrthosteric Ligandbeta1_off beta2_off
57.14Consensusgi_adrenergicOrthosteric Ligand7EJ0-α2a-Norepinephrine-Go/β1/γ2 7EJK-α2a-Oxymetazoline-Go/β1/γ2 7W7E-α2a-PubChem 164946676-Go/β1/γ2 7W6P-α2a-N-pyridin-4-ylisoquinolin-4-amine-Go/β1/γ2 7EJ8-α2a-Brimonidine-Go/β1/γ2 6K42-α2b-Dexmedetomidine-Gi1/β1/γ2 7EJA-α2a-Dexmedetomidine-Go/β1/γ2 7S0F-β1-Isoprenaline-Gi1/β1/γ2
57.14Consensusgs_amineOrthosteric Ligandgs_5ht gs_adrenergic gs_dopamine gs_histamine gs_trace-amine
56.25Single5X93K-87945X93-ETB-K-8794
56.25Single7SK7CCX6627SK7-ACKR3-CXCL12-CCX662
56.25Single7SK8CCX6627SK8-ACKR3-CXCL12-CCX662
56.25Single8E0GBU728E0G-μ-BU72
56.25Consensusendothelin_offOrthosteric Ligandetb_off
56.25Consensusetb_offOrthosteric Ligand5X93-ETB-K-8794 5XPR-ETB-Bosentan 6K1Q-ETB-IRL2500
54.55Single7EJKOxymetazoline7EJK-α2a-Oxymetazoline-Go/β1/γ2
54.55Single8WC62-Phenylethylamine8WC6-TA1-2-Phenylethylamine-chim(NtGi1-Gs)/β1/γ2
54.55Single8YN9Histamine8YN9-H4-Histamine-Gi1/β1/γ2
54.55Single8YUUHistamine8YUU-H3-Histamine-Gi1/β1/γ1
54.55Single9LRCHistamine9LRC-H4-Histamine
54.55Single9LREHistamine9LRE-H4-Histamine-Gi1/β1/γ2
54.55Consensus5ht2_onOrthosteric Ligand5ht2b_on
54.55Consensus5ht2b_onOrthosteric Ligand7SRR-5-HT2B-LSD-chim(NtGi2L-Gs-CtGq)/β1/γ2
54.55Consensush3_onOrthosteric Ligand8YUU-H3-Histamine-Gi1/β1/γ1
54.55Consensush3_on_gpOrthosteric Ligand8YUU-H3-Histamine-Gi1/β1/γ1
53.85Single4ZJCSB-6740424ZJC-OX1-SB-674042
53.85Single6IQLL7458706IQL-D4-L745870
53.85Single6PS5Propranolol6PS5-β2-Propranolol
53.85Single7CKZDopamine7CKZ-D1-Dopamine-Mevidalen-Gs/β1/γ2
53.85Single7DHISalbutamol7DHI-β2-Salbutamol-Gs/β1/γ2
53.85Single7E33BRL-544437E33-5-HT1E-BRL-54443-Gi1/β1/γ2
53.85Single7EJ8Brimonidine7EJ8-α2a-Brimonidine-Go/β1/γ2
53.85Single7EJADexmedetomidine7EJA-α2a-Dexmedetomidine-Go/β1/γ2
53.85Single7F0TDopamine7F0T-D1-Dopamine-Gs/β1/γ2
53.85Single7F24Dopamine7F24-D1-Dopamine-GDP-Gs/β1/γ2
53.85Single7SR8TAK-9257SR8-OX2-TAK-925-chim(NtGi1L-Gs-CtGq)/β1/γ2
53.85Single7UM7Methylergometrine7UM7-5-HT5A-Methylergometrine-chim(NtGi1-Go)/β1/γ2
53.85Single8GE1Constrained Epinephrine8GE1-β2-Constrained Epinephrine-Gs/β1/γ2
53.85Single8GE4Constrained Epinephrine8GE4-β2-Constrained Epinephrine-Gs/β1/γ2
53.85Single8GE5Constrained Epinephrine8GE5-β2-Constrained Epinephrine-Gs/β1/γ1
53.85Single8GE6Constrained Epinephrine8GE6-β2-Constrained Epinephrine-Gs/β1/γ2
53.85Single8GE7Constrained Epinephrine8GE7-β2-Constrained Epinephrine-Gs/β1/γ2
53.85Single8GE8Constrained Epinephrine8GE8-β2-Constrained Epinephrine-Gs/β1/γ2
53.85Single8GEDConstrained Epinephrine8GED-β2-Constrained Epinephrine-Gs/β1/γ2
53.85Single8GEFConstrained Epinephrine8GEF-β2-Constrained Epinephrine-Gs/β1/γ2
53.85Single8GG5Constrained Epinephrine8GG5-β2-Constrained Epinephrine-GTP-Gs/β1/γ2
53.85Single8GG7Constrained Epinephrine8GG7-β2-Constrained Epinephrine-GTP-Gs/β1/γ2
53.85Single8GGLConstrained Epinephrine8GGL-β2-Constrained Epinephrine
53.85Single8GGMConstrained Epinephrine8GGM-β2-Constrained Epinephrine
53.85Single8GGPConstrained Epinephrine8GGP-β2-Constrained Epinephrine
53.85Single8GGSConstrained Epinephrine8GGS-β2-Constrained Epinephrine
53.85Single8GGTConstrained Epinephrine8GGT-β2-Constrained Epinephrine
53.85Single8GGVConstrained Epinephrine8GGV-β2-Constrained Epinephrine
53.85Single8HNMVUF112228HNM-CXCR3-VUF11222-Gi1/β1/γ2
53.85Single8JLKUlotaront8JLK-TA1-Ulotaront-chim(NtGi1-Gs)/β1/γ2
53.85Single8JLNT1AM8JLN-TA1-T1AM-Gs/β1/γ2
53.85Single8THKA-616038THK-Alpha1A-A-61603-chim(NtGi2L-Gs-CtGq)/β1/γ2
53.85Single8U02Dopamine8U02-D2-Dopamine-Go/β1/γ2
53.85Single8UNLConstrained Epinephrine8UNL-β2-Constrained Epinephrine-GTP-Gs/β1/γ2
53.85Single8UNMConstrained Epinephrine8UNM-β2-Constrained Epinephrine-GTP-Gs/β1/γ2
53.85Single8UNOConstrained Epinephrine8UNO-β2-Constrained Epinephrine-GTP-Gs/β1/γ2
53.85Single8UNWConstrained Epinephrine8UNW-β2-Constrained Epinephrine-GTP-Gs/β1/γ2
53.85Single8UO0Constrained Epinephrine8UO0-β2-Constrained Epinephrine-GTP-Gs/β1/γ2
53.85Single8W88SEP-3638568W88-TA1-SEP-363856-Gs/β1/γ2
53.85Single8WC8ZH86518WC8-TA1-ZH8651-chim(NtGi1-Gs)/β1/γ2
53.85Single8Y45ADL58598Y45-δ-ADL5859-Gi2/β1/γ2
53.85Single8YH2Adenosine8YH2-A3A-Adenosine-Gi1/β1/γ2
53.85Single8YN3Histamine8YN3-H2-Histamine-Gs/β1/γ2
53.85Single9AS3LSD9AS3-5-HT2A-LSD
53.85Single9AS4LSD9AS4-5-HT2A-LSD-chim(NtGi1-Gs-CtGq)/β1/γ2
53.85Single9CBLEpinephrine9CBL-α2a-Epinephrine-Gi1/β1/γ2
53.85Single9JH3CMF-0199JH3-Apelin; Apelin-CMF-019-Gi1/β1/γ2
53.85Single9L84Epinephrine9L84-β1-Epinephrine-Atazanavir-Gs/β1/γ2
53.85Single9PXVNaloxone9PXV-μ-Naloxone-Gi1/β1/γ2
53.85Single9PXXNaloxone9PXX-μ-Naloxone-GDPβS-Gi1/β1/γ2
53.85Single9VNFPindolol9VNF-5-HT1A-Pindolol-Go/β1/γ2
53.85Single9W6W5-CT9W6W-5-HT5A-5-CT-Gi1/β1/γ2
53.85Consensus5ht_on_gpOrthosteric Ligand5ht1_on_gp 5ht2_on_gp 5ht4_on_gp 5ht5_on_gp 5ht6_on_gp 5ht7_on_gp
53.85Consensusnop_offOrthosteric Ligand4EA3-NOP-PubChem 10296561 5DHG-NOP-C-35 5DHH-NOP-SB-612111
53.33Single2YDVNECA2YDV-A2A-NECA
53.33Single4UHRCGS216804UHR-A2A-CGS21680
53.33Single5A8E7-Methylcyanopindolol5A8E-β1-7-Methylcyanopindolol-Na
53.33Single5D5ACarazolol5D5A-β2-Carazolol
53.33Single5D5BCarazolol5D5B-β2-Carazolol
53.33Single5G53NECA5G53-A2A-NECA-Gs
53.33Single6GT3Imaradenant6GT3-A2A-Imaradenant-Na
53.33Single6H7JIsoprenaline6H7J-β1-Isoprenaline
53.33Single6N48BI1671076N48-β2-BI167107-PubChem 138454256
53.33Single7JJOIsoprenaline7JJO-β1-Isoprenaline-Gs/β1/γ2
53.33Single7T2HLofentanil7T2H-μ-Lofentanil-Gi1/β1/γ2
53.33Single7W6PN-pyridin-4-ylisoquinolin-4-amine7W6P-α2a-N-pyridin-4-ylisoquinolin-4-amine-Go/β1/γ2
53.33Single7W7EPubChem 1649466767W7E-α2a-PubChem 164946676-Go/β1/γ2
53.33Single8EFLSR170188EFL-μ-SR17018-Gi1/β1/γ2
53.33Single8IRRRotigotine8IRR-D1-Rotigotine-Gs/β1/γ2
53.33Single8T1VPubChem 1183102098T1V-GPR6-PubChem 118310209-Na
53.33Single9BJKNaloxone9BJK-μ-Naloxone-PubChem 171642066
53.33Single9BS9LSD9BS9-D2-LSD
53.33Single9BSBLSD9BSB-D2-LSD-chim(NtGi1-Go)/β1/γ2
53.33Single9IJDCarazolol9IJD-β3-Carazolol-chim(NtGi1-Gs)/β1/γ2
53.33Single9PY3Loperamide9PY3-μ-Loperamide-GDPβS-Gi1/β1/γ2
53.33Single9PY4Loperamide9PY4-μ-Loperamide-GDPβS-Gi1/β1/γ2
53.33Consensusamine_on_gpOrthosteric Ligand5ht_on_gp adrenergic_on_gp dopamine_on_gp histamine_on_gp muscarinic_on_gp trace-amine_on_gp
53.33Consensusbeta1_offOrthosteric Ligand2VT4-β1-Cyanopindolol 2YCW-β1-Carazolol 2YCZ-β1-Iodocyanopindolol 5A8E-β1-7-Methylcyanopindolol-Na 3ZPQ-β1-PubChem 594590-Na 3ZPR-β1-PubChem 598754-Na
53.33Consensusbeta2_onOrthosteric Ligand7DHI-β2-Salbutamol-Gs/β1/γ2 6NI3-β2-BI167107-Gs/β1/γ2
53.33Consensusbeta2_on_gpOrthosteric Ligand7DHI-β2-Salbutamol-Gs/β1/γ2 6NI3-β2-BI167107-Gs/β1/γ2
53.33Consensusd1_on_gpOrthosteric Ligand7F0T-D1-Dopamine-Gs/β1/γ2 7CKY-D1-PW0464-Gs/β1/γ2 8IRR-D1-Rotigotine-Gs/β1/γ2 7JV5-D1-SKF81297-Gs/β1/γ2 7JVP-D1-SKF83959-Gs/β1/γ2 7X2D-D1-Tavapadon-Gs/β1/γ2 7CKX-D1-A77636-Gs/β1/γ2 7JVQ-D1-Apomorphine-Gs/β1/γ2 7CKW-D1-Fenoldopam-Gs/β1/γ2
53.33Consensusgi_5htOrthosteric Ligand8FYT-5-HT1A-LSD-PtdIns4P-Gi1/β1/γ1 7UM7-5-HT5A-Methylergometrine-chim(NtGi1-Go)/β1/γ2 8UGY-5-HT1E-Mianserin-Gi1/β1/γ1 8W8B-5-HT1A-SEP-363856-Gi1/β1/γ2 7E2Y-5-HT1A-Serotonin-PtdIns4P-Gi1/β1/γ2 7E32-5-HT1D-Serotonin-Gi1/β1/γ2 7XTA-5-HT4-Serotonin-Gi1/β1/γ2 8UH3-5-HT1E-Setiptiline-Gi1/β1/γ1 8JSP-5-HT1A-Ulotaront-Gi1/β1/γ2 8FYL-5-HT1A-Vilazodone-PtdIns4P-Gi1/β1/γ1 8JT6-5-HT1A-(R)-IHCH-7179-PtdIns4P-Gi1/β1/γ2 8FYE-5-HT1A-4-F,5-MeO-PyrT-PtdIns4P-Gi1/β1/γ1 7X5H-5-HT5A-5-CT-Gi1/β1/γ2 8FY8-5-HT1A-5-MeO-DMT-PtdIns4P-Gi1/β1/γ1 7E2Z-5-HT1A-Aripiprazole-PtdIns4P-Gi1/β1/γ2 7E33-5-HT1E-BRL-54443-Gi1/β1/γ2 8FYX-5-HT1A-Buspirone-PtdIns4P-Gi1/β1/γ1 7EXD-5-HT1F-Lasmiditan-Gi1/β1/γ2 7UM6-5-HT5A-Lisuride-chim(NtGi1-Go)/β1/γ2
53.33Consensusgi_dopamineOrthosteric Ligand7JVR-D2-Bromoergocryptine-Gi1/β1/γ2 7CMV-D3-PD128907-Gi1/β1/γ2 7CMU-D3-Pramipexole-Gi1/β1/γ2 8IRS-D2-Rotigotine-Gi1/β1/γ2 8IRT-D3-Rotigotine-Gi1/β1/γ2
53.33Consensusgs_dopamineOrthosteric Ligand7F0T-D1-Dopamine-Gs/β1/γ2 7CKW-D1-Fenoldopam-Gs/β1/γ2 7CKY-D1-PW0464-Gs/β1/γ2 8IRV-D5-Rotigotine-chim(NtGi1-Gs)/β1/γ2 8IRR-D1-Rotigotine-Gs/β1/γ2 7JV5-D1-SKF81297-Gs/β1/γ2 7JVP-D1-SKF83959-Gs/β1/γ2 7X2D-D1-Tavapadon-Gs/β1/γ2 7CKX-D1-A77636-Gs/β1/γ2 7JVQ-D1-Apomorphine-Gs/β1/γ2
52.94Single7SK9CCX6627SK9-ACKR3-CCX662
52.94Single8X5YAstemizole8X5Y-H1-Astemizole
50.00Single2VT4Cyanopindolol2VT4-β1-Cyanopindolol
50.00Single2Y04Salbutamol2Y04-β1-Salbutamol
50.00Single2YCYCyanopindolol2YCY-β1-Cyanopindolol
50.00Single3D4STimolol3D4S-β2-Timolol
50.00Single3PBLEticlopride3PBL-D3-Eticlopride
50.00Single3ZPQPubChem 5945903ZPQ-β1-PubChem 594590-Na
50.00Single3ZPRPubChem 5987543ZPR-β1-PubChem 598754-Na
50.00Single4AMIBucindolol4AMI-β1-Bucindolol
50.00Single4EJ4Naltrindole4EJ4-δ-Naltrindole
50.00Single4LDEBI1671074LDE-β2-BI167107
50.00Single4RWADIPP-NH24RWA-δ-DIPP-NH2
50.00Single4U16N-methyl-Scopolamine4U16-M3-N-methyl-Scopolamine
50.00Single5DHGC-355DHG-NOP-C-35
50.00Single5OLZPubChem 1355666095OLZ-A2A-PubChem 135566609-Na
50.00Single5OM1PubChem 1355666095OM1-A2A-PubChem 135566609-Na
50.00Single5YC8N-methyl-Scopolamine5YC8-M2-N-methyl-Scopolamine
50.00Single5ZK8N-methyl-Scopolamine5ZK8-M2-N-methyl-Scopolamine
50.00Single5ZKCN-methyl-Scopolamine5ZKC-M2-N-methyl-Scopolamine
50.00Single6A93Risperidone6A93-5-HT2A-Risperidone
50.00Single6DRZMethysergide6DRZ-5-HT2B-Methysergide
50.00Single6H7MSalbutamol6H7M-β1-Salbutamol
50.00Single6H7OCyanopindolol6H7O-β1-Cyanopindolol
50.00Single6PRZAlprenolol6PRZ-β2-Alprenolol
50.00Single6PS2Alprenolol6PS2-β2-Alprenolol
50.00Single6TOTLemborexant6TOT-OX1-Lemborexant
50.00Single6VMSBromoergocryptine6VMS-D2-Bromoergocryptine-Gi1/β1/γ2
50.00Single7DFLHistamine7DFL-H1-Histamine-chim(NtGi1L-Gq)/β1/γ2
50.00Single7DFPSpiperone7DFP-D2-Spiperone
50.00Single7E2YSerotonin7E2Y-5-HT1A-Serotonin-PtdIns4P-Gi1/β1/γ2
50.00Single7E32Serotonin7E32-5-HT1D-Serotonin-Gi1/β1/γ2
50.00Single7JNIOlodanrigan7JNI-AT2-Olodanrigan
50.00Single7LJCSKF812977LJC-D1-SKF81297-Mevidalen-Gs/β1/γ2
50.00Single7SCGFH2107SCG-μ-FH210-Gi1/β1/γ2
50.00Single7SRQLSD7SRQ-5-HT2B-LSD
50.00Single7UL4Alvimopan7UL4-μ-Alvimopan
50.00Single7UM55-CT7UM5-5-HT5A-5-CT-chim(NtGi1-Go)/β1/γ2
50.00Single7UM6Lisuride7UM6-5-HT5A-Lisuride-chim(NtGi1-Go)/β1/γ2
50.00Single7VIES1P7VIE-S1P1-S1P-Gi1/β1/γ2
50.00Single7W0LPubChem 1227019087W0L-Apelin; Apelin-PubChem 122701908-Gi1/β1/γ2
50.00Single7X2CFenoldopam7X2C-D1-Fenoldopam-Fenoldopam-Gs/β1/γ2
50.00Single7XT9Serotonin7XT9-5-HT4-Serotonin-Gs/β1/γ2
50.00Single7XTASerotonin7XTA-5-HT4-Serotonin-Gi1/β1/γ2
50.00Single7XTBSerotonin7XTB-5-HT6-Serotonin-Gs/β1/γ2
50.00Single7YS6Serotonin7YS6-5-HT6-Serotonin-chim(NtGi1-Gs)/β1/γ2
50.00Single8DCRDobutamine8DCR-β1-Dobutamine-Gs/β1/γ2
50.00Single8DPFLorcaserin8DPF-5-HT2C-Lorcaserin-chim(NtGi2L-Gs-CtGq)/β1/γ2
50.00Single8DZSGR89,6968DZS-κ-GR89,696-chim(NtGi2-Gz)/β1/γ2
50.00Single8E9W2-Deoxycytidine8E9W-M3-2-Deoxycytidine-chim(NtGi2L-Gs-CtGq)/β1/γ2
50.00Single8EF6Morphine8EF6-μ-Morphine-Gi1/β1/γ2
50.00Single8FYE4-F,5-MeO-PyrT8FYE-5-HT1A-4-F,5-MeO-PyrT-PtdIns4P-Gi1/β1/γ1
50.00Single8GE9Constrained Epinephrine8GE9-β2-Constrained Epinephrine-Gs/β1/γ2
50.00Single8GGYConstrained Epinephrine8GGY-β2-Constrained Epinephrine
50.00Single8IRSRotigotine8IRS-D2-Rotigotine-Gi1/β1/γ2
50.00Single8JD0NAM5638JD0-mGlu2; mGlu3-Glutamate-NAM563
50.00Single8JJ8Arformoterol8JJ8-β2-Arformoterol
50.00Single8JLJT1AM8JLJ-TA1-T1AM-chim(NtGi1-Gs)/β1/γ2
50.00Single8JLOUlotaront8JLO-TA1-Ulotaront-Gs/β1/γ2
50.00Single8JLZST19368JLZ-5-HT6-ST1936-Gs/β1/γ2
50.00Single8JXRLSD8JXR-D1-LSD
50.00Single8PJKST1718PJK-5-HT1A-ST171-Gi1/β1/γ1
50.00Single8T1WCVN4248T1W-GPR6-CVN424
50.00Single8UGYMianserin8UGY-5-HT1E-Mianserin-Gi1/β1/γ1
50.00Single8UH3Setiptiline8UH3-5-HT1E-Setiptiline-Gi1/β1/γ1
50.00Single8UNRConstrained Epinephrine8UNR-β2-Constrained Epinephrine-GTP-Gs/β1/γ2
50.00Single8UNUConstrained Epinephrine8UNU-β2-Constrained Epinephrine-GTP-Gs/β1/γ2
50.00Single8VVGGB188VVG-κ-GB18-Gi1/β1/γ2
50.00Single8W87METH8W87-TA1-METH-chim(NtGi1L-Gs)/β1/γ2
50.00Single8W892-Phenylethylamine8W89-TA1-2-Phenylethylamine-chim(NtGi1L-Gs)/β1/γ2
50.00Single8W8ARO52563908W8A-TA1-RO5256390-chim(NtGi1L-Gs)/β1/γ2
50.00Single8WC7ZH86678WC7-TA1-ZH8667-chim(NtGi1-Gs)/β1/γ2
50.00Single8X63Mepyramine8X63-H1-Mepyramine
50.00Single8X64Desloratadine8X64-H1-Desloratadine
50.00Single8YKWSuccinic acid8YKW-Succinate-Succinic acid-Gi1/β1/γ1
50.00Single8YN5Histamine8YN5-H3-Histamine-Gi1/β1/γ2
50.00Single8YN6Imetit8YN6-H3-Imetit-Gi1/β1/γ2
50.00Single8YN7Immethridine8YN7-H3-Immethridine-Go/β1/γ2
50.00Single8YN8Proxyfan8YN8-H3-Proxyfan-Go/β1/γ2
50.00Single8ZSSRO52633978ZSS-TA1-RO5263397-chim(NtGi1-Gs)/β1/γ2
50.00Single8ZSVRO52633978ZSV-TA1-RO5263397-chim(NtGi1-Gs)/β1/γ2
50.00Single9CHXCarazolol9CHX-β2-Carazolol
50.00Single9GL2Befiradol9GL2-5-HT1A-Befiradol-Gs/β1/γ2
50.00Single9IJEEpinephrine9IJE-β3-Epinephrine-chim(NtGi1-Gs)/β1/γ2
50.00Single9JEAAtropine9JEA-M1-Atropine
50.00Single9JEDHistamine9JED-H4-Histamine-PO4-Gi1/β1/γ2
50.00Single9JEQHistamine9JEQ-H3-Histamine-Gi1/β1/γ2
50.00Single9KVG5-MeO-DMT9KVG-5-HT1A-5-MeO-DMT-PtdIns4P-Gi1/β1/γ2
50.00Single9L42Histamine9L42-H4-Histamine-Gi1/β1/γ2
50.00Single9PXWNaloxone9PXW-μ-Naloxone-GDPβS-Gi1/β1/γ2
50.00Single9VJ6F-155999VJ6-5-HT1A-F-15599-Gi3/β1/γ2
50.00Single9VMYTMU41429VMY-5-HT1A-TMU4142-Go/β1/γ2
50.00Single9WSVDAMGO9WSV-μ-DAMGO-Arrestin2
50.00Single9YDQDADLE9YDQ-δ-DADLE-MIPS3614-chim(NtGi1L-Gs-CtGi1)/β1/γ2
50.00Consensus5ht1d_onOrthosteric Ligand7E32-5-HT1D-Serotonin-Gi1/β1/γ2
50.00Consensus5ht1d_on_gpOrthosteric Ligand7E32-5-HT1D-Serotonin-Gi1/β1/γ2
50.00Consensus5ht2b_offOrthosteric Ligand6DRZ-5-HT2B-Methysergide
50.00Consensus5ht4_onOrthosteric Ligand7XTA-5-HT4-Serotonin-Gi1/β1/γ2
50.00Consensus5ht4_on_gpOrthosteric Ligand7XTA-5-HT4-Serotonin-Gi1/β1/γ2
50.00Consensus5ht5_onOrthosteric Ligand5ht5a_on
50.00Consensus5ht5a_onOrthosteric Ligand7X5H-5-HT5A-5-CT-Gi1/β1/γ2 7UM6-5-HT5A-Lisuride-chim(NtGi1-Go)/β1/γ2 7UM7-5-HT5A-Methylergometrine-chim(NtGi1-Go)/β1/γ2
50.00Consensusadenosine_on_gpOrthosteric Liganda1_on_gp a2_on_gp a3_on_gp
50.00Consensusalicarboxylic_on_gpOrthosteric Ligandsuccinate_on_gp hca_on_gp
50.00Consensusbeta_onOrthosteric Ligandbeta1_on beta2_on beta3_on
50.00Consensusbeta_on_gpOrthosteric Ligandbeta1_on_gp beta2_on_gp beta3_on_gp
50.00Consensusd2_on_gpOrthosteric Ligand7JVR-D2-Bromoergocryptine-Gi1/β1/γ2 8IRS-D2-Rotigotine-Gi1/β1/γ2
50.00Consensusd3_offOrthosteric Ligand3PBL-D3-Eticlopride
50.00Consensusd5_onOrthosteric Ligand8IRV-D5-Rotigotine-chim(NtGi1-Gs)/β1/γ2
50.00Consensusdop_offOrthosteric Ligand4EJ4-δ-Naltrindole
50.00Consensusgi_alicarboxylicOrthosteric Ligandgi_hca gi_succinate
50.00Consensusgi_amineOrthosteric Ligandgi_5ht gi_muscarinic gi_adrenergic gi_dopamine gi_histamine
50.00Consensusgi_opioidOrthosteric Ligand8F7R-μ-Endomorphin-Gi1/β1/γ2 8EF5-μ-Fentanyl-Gi1/β1/γ2 7SCG-μ-FH210-Gi1/β1/γ2 7T2H-μ-Lofentanil-Gi1/β1/γ2 7T2G-μ-Mitragynine Pseudoindoxyl-Gi1/β1/γ2 8DZP-κ-momSalB-Gi1/β1/γ2 8EF6-μ-Morphine-Gi1/β1/γ2 8F7X-NOP-Nociceptin-Gi1/β1/γ2 8EFB-μ-Oliceridine-Gi1/β1/γ2 7U2L-μ-C5-guano-Gi1/β1/γ2 8EFO-μ-PZM21-Gi1/β1/γ2 8EFL-μ-SR17018-Gi1/β1/γ2 8F7Q-μ-β-Endorphin-Gi1/β1/γ2 7U2K-μ-C6-guano-Gi1/β1/γ2 8EFQ-μ-DAMGO-Gi1/β1/γ2 8F7S-δ-Deltorphin-Gi1/β1/γ2 8F7W-κ-Dynorphin-Gi1/β1/γ2
50.00Consensusgq_amineOrthosteric Ligandgq_muscarinic gq_histamine
50.00Consensusgs_trace-amineOrthosteric Ligand8W88-TA1-SEP-363856-Gs/β1/γ2 8JLJ-TA1-T1AM-chim(NtGi1-Gs)/β1/γ2 8JLO-TA1-Ulotaront-Gs/β1/γ2 8WC4-TA1-ZH8651-chim(NtGi1-Gs)/β1/γ2 8WC7-TA1-ZH8667-chim(NtGi1-Gs)/β1/γ2 8JLR-TA1-A77636-chim(NtGi1-Gs)/β1/γ2 8JSO-TA1-AMPH-chim(NtGi1-Gs)/β1/γ2 8W87-TA1-METH-chim(NtGi1L-Gs)/β1/γ2 8W89-TA1-2-Phenylethylamine-chim(NtGi1L-Gs)/β1/γ2 8JLP-TA1-Ralmitaront-Gs/β1/γ2 8W8A-TA1-RO5256390-chim(NtGi1L-Gs)/β1/γ2
50.00Consensush1_onOrthosteric Ligand7DFL-H1-Histamine-chim(NtGi1L-Gq)/β1/γ2
50.00Consensushistamine_offOrthosteric Ligandh1_off
50.00Consensuskop_onOrthosteric Ligand8F7W-κ-Dynorphin-Gi1/β1/γ2 8DZS-κ-GR89,696-chim(NtGi2-Gz)/β1/γ2 8DZP-κ-momSalB-Gi1/β1/γ2
50.00Consensusmop_offOrthosteric Ligand4DKL-μ-β-Funaltrexamine 8QOT-μ-Nanobody-E 7UL4-μ-Alvimopan
47.06Single2YCZIodocyanopindolol2YCZ-β1-Iodocyanopindolol
47.06Single4BVNCyanopindolol4BVN-β1-Cyanopindolol-Na
47.06Single5TUDErgotamine5TUD-5-HT2B-Ergotamine
47.06Single5UNGPubChem 157800525UNG-AT2-PubChem 15780052
47.06Single6DDFDAMGO6DDF-μ-DAMGO-Gi1/β1/γ2
47.06Single6H7LDobutamine6H7L-β1-Dobutamine
47.06Single6IBLArformoterol6IBL-β1-Arformoterol
47.06Single6TKOArformoterol6TKO-β1-Arformoterol-Arrestin2
47.06Single7U2KC6-guano7U2K-μ-C6-guano-Gi1/β1/γ2
47.06Single7X2DTavapadon7X2D-D1-Tavapadon-Gs/β1/γ2
47.06Single8E9X2-Deoxycytidine8E9X-M4-2-Deoxycytidine-chim(NtGi1-Go)/β1/γ2
47.06Single8E9YClozapine-N-oxide8E9Y-M3-Clozapine-N-oxide-chim(NtGi2L-Gs-CtGq)/β1/γ2
47.06Single8FX5Xanomeline8FX5-M4-Xanomeline-Xanomeline-Gi1/β1/γ2
47.06Single8S2TIsoprenaline8S2T-β1-Isoprenaline-chim(NtGi1-Gs)/β1/γ2
47.06Single8XIOL7975918XIO-SST1-L797591-chim(NtGi1-Gs-CtGi1)/β1/γ2
47.06Single9CGJC6-Quino9CGJ-δ-C6-Quino-Gi1/β1/γ2
47.06Single9DYEBuspirone9DYE-5-HT1A-Buspirone-PtdIns4P-Go/β1/γ2
47.06Single9HYIDP819HYI-5-HT1A-DP81-Gi1/β1/γ2
47.06Single9M54Neuropeptide-VF9M54-NPFF2-Neuropeptide-VF-Gi1/β1/γ2
47.06Single9WP9S1P9WP9-S1P3-S1P-chim(NtGi2L-Gs-CtGq)/β1/γ2
47.06Single9YDPDADLE9YDP-δ-DADLE-chim(NtGi1L-Gs-CtGi1)/β1/γ2
47.06Consensusbeta1_onOrthosteric Ligand8DCR-β1-Dobutamine-Gs/β1/γ2 7S0F-β1-Isoprenaline-Gi1/β1/γ2
47.06Consensusbeta1_on_gpOrthosteric Ligand8DCR-β1-Dobutamine-Gs/β1/γ2 7S0F-β1-Isoprenaline-Gi1/β1/γ2
47.06Consensusd2_offOrthosteric Ligand6CM4-D2-Risperidone 6LUQ-D2-Haloperidol 7DFP-D2-Spiperone
47.06Consensuskop_on_gpOrthosteric Ligand8F7W-κ-Dynorphin-Gi1/β1/γ2 8DZS-κ-GR89,696-chim(NtGi2-Gz)/β1/γ2 8DZP-κ-momSalB-Gi1/β1/γ2
46.67Single2Y03Isoprenaline2Y03-β1-Isoprenaline
46.67Single4RWDDIPP-NH24RWD-δ-DIPP-NH2-Na
46.67Single4ZJ8Suvorexant4ZJ8-OX1-Suvorexant
46.67Single5OM4PubChem 1355666095OM4-A2A-PubChem 135566609-Na
46.67Single5TVNLSD5TVN-5-HT2B-LSD
46.67Single5WIUNemonapride5WIU-D4-Nemonapride
46.67Single5WIVNemonapride5WIV-D4-Nemonapride-Na
46.67Single6E67BI1671076E67-β2-BI167107-Gs(CT)
46.67Single6ME72-Phenylmelatonin6ME7-MT2-2-Phenylmelatonin
46.67Single6TO7Suvorexant6TO7-OX1-Suvorexant-Na
46.67Single6TP6Filorexant6TP6-OX1-Filorexant
46.67Single7LD3Adenosine7LD3-A1-Adenosine-MIPS521-Gi2/β1/γ2
46.67Single8C9WEtrumadenant8C9W-A2A-Etrumadenant
46.67Single8E9ZIperoxo8E9Z-M3-Iperoxo-chim(NtGi2L-Gs-CtGq)/β1/γ2
46.67Single8HNLPS3724248HNL-CXCR3-PS372424-Gi1/β1/γ2
46.67Single8KFXLMD-0098KFX-CCR8-LMD-009-Gi1/β1/γ2
46.67Single8S4DCMF-0198S4D-Apelin-CMF-019
46.67Single8XYKVUF106618XYK-CXCR3-VUF10661-Go/β1/γ2
46.67Single8YNSSNAP-948478YNS-MCH1-SNAP-94847
46.67Single9ARZ2-bromo-LSD9ARZ-5-HT2A-2-bromo-LSD
46.67Single9EE8Adenosine9EE8-A2A-Adenosine-Gs/β1/γ2
46.67Single9F33FOB02-04A9F33-D3-FOB02-04A-Go/β1/γ2
46.67Single9F34FOB02-04A9F34-D3-FOB02-04A-Go/β1/γ2
46.67Single9K07DSO-5a9K07-BB3-DSO-5a-chim(NtGi2L-Gs-CtGq)/β1/γ2
46.67Single9KUVCMPD6449KUV-Apelin-CMPD644-Arrestin2
46.67Consensus5ht1_onOrthosteric Ligand5ht1a_on 5ht1d_on 5ht1e_on 5ht1f_on
46.67Consensus5ht1_on_gpOrthosteric Ligand5ht1a_on_gp 5ht1d_on_gp 5ht1e_on_gp 5ht1f_on_gp
46.67Consensus5ht1e_on_gpOrthosteric Ligand7E33-5-HT1E-BRL-54443-Gi1/β1/γ2 8UGY-5-HT1E-Mianserin-Gi1/β1/γ1 8UH3-5-HT1E-Setiptiline-Gi1/β1/γ1
46.67Consensus5ht2_offOrthosteric Ligand5ht2a_off 5ht2b_off 5ht2c_off
46.67Consensusd1_onOrthosteric Ligand7F0T-D1-Dopamine-Gs/β1/γ2 7CKY-D1-PW0464-Gs/β1/γ2 8IRR-D1-Rotigotine-Gs/β1/γ2 7JV5-D1-SKF81297-Gs/β1/γ2 7JVP-D1-SKF83959-Gs/β1/γ2 7X2D-D1-Tavapadon-Gs/β1/γ2 7CKX-D1-A77636-Gs/β1/γ2 7JVQ-D1-Apomorphine-Gs/β1/γ2 7CKW-D1-Fenoldopam-Gs/β1/γ2
46.67Consensusd2_onOrthosteric Ligand7JVR-D2-Bromoergocryptine-Gi1/β1/γ2 8IRS-D2-Rotigotine-Gi1/β1/γ2
46.67Consensush1_offOrthosteric Ligand8X63-H1-Mepyramine 3RZE-H1-Cidoxepin 8X5Y-H1-Astemizole
46.67Consensusm2_offOrthosteric Ligand5ZKC-M2-N-methyl-Scopolamine 5ZK3-M2-3-quinuclidinyl-benzilate 5ZKB-M2-AF-DX 384
46.67Consensusm3_onOrthosteric Ligand8E9Z-M3-Iperoxo-chim(NtGi2L-Gs-CtGq)/β1/γ2 8E9W-M3-2-Deoxycytidine-chim(NtGi2L-Gs-CtGq)/β1/γ2 8E9Y-M3-Clozapine-N-oxide-chim(NtGi2L-Gs-CtGq)/β1/γ2
46.67Consensusm3_on_gpOrthosteric Ligand8E9Z-M3-Iperoxo-chim(NtGi2L-Gs-CtGq)/β1/γ2 8E9W-M3-2-Deoxycytidine-chim(NtGi2L-Gs-CtGq)/β1/γ2 8E9Y-M3-Clozapine-N-oxide-chim(NtGi2L-Gs-CtGq)/β1/γ2
46.67Consensusta1_onOrthosteric Ligand8W87-TA1-METH-chim(NtGi1L-Gs)/β1/γ2 8W89-TA1-2-Phenylethylamine-chim(NtGi1L-Gs)/β1/γ2 8JLP-TA1-Ralmitaront-Gs/β1/γ2 8W8A-TA1-RO5256390-chim(NtGi1L-Gs)/β1/γ2 8W88-TA1-SEP-363856-Gs/β1/γ2 8JLO-TA1-Ulotaront-Gs/β1/γ2 8JLR-TA1-A77636-chim(NtGi1-Gs)/β1/γ2 8JSO-TA1-AMPH-chim(NtGi1-Gs)/β1/γ2 8ZSP-TA1-LSD-chim(NtGi1L-Gs)/β1/γ2
46.67Consensustrace-amine_onOrthosteric Ligandta1_on
46.15Single4S0VSuvorexant4S0V-OX2-Suvorexant
46.15Single5WS3EMPA5WS3-OX2-EMPA
46.15Single6B73MP11046B73-κ-MP1104
46.15Single6OBAAlprenolol6OBA-β2-Alprenolol-GTPL11074
46.15Single6TODEMPA6TOD-OX1-EMPA-Na
46.15Single6TPJSuvorexant6TPJ-OX2-Suvorexant
46.15Single7DHRIsoprenaline7DHR-β2-Isoprenaline-Gs/β1/γ2
46.15Single7F1ODopamine7F1O-D1-Dopamine-GDP; Mg-Gs/β1/γ2
46.15Single7LJDDopamine7LJD-D1-Dopamine-Mevidalen-Gs/β1/γ1
46.15Single7SRRLSD7SRR-5-HT2B-LSD-chim(NtGi2L-Gs-CtGq)/β1/γ2
46.15Single7SRSLSD7SRS-5-HT2B-LSD-Arrestin2
46.15Single7T8XAcetylcholine7T8X-M2-Acetylcholine-chim(NtGi1-Go)/β1/γ2
46.15Single7T90Acetylcholine7T90-M2-Acetylcholine-chim(NtGi1-Go)/β1/γ2
46.15Single7T96Acetylcholine7T96-M2-Acetylcholine-LY2119620-Go/β1/γ2
46.15Single7VUJJNJ-635330547VUJ-GPR139-JNJ-63533054-GDP-chim(Gs-CtGq)/β1/γ2
46.15Single7X2FDopamine7X2F-D1-Dopamine-Mevidalen-Gs/β1/γ2
46.15Single7X5H5-CT7X5H-5-HT5A-5-CT-Gi1/β1/γ2
46.15Single7XT8Serotonin7XT8-5-HT4-Serotonin-Gs/β1/γ2
46.15Single8GGCConstrained Epinephrine8GGC-β2-Constrained Epinephrine-GTP-Gs/β1/γ2
46.15Single8GGWConstrained Epinephrine8GGW-β2-Constrained Epinephrine
46.15Single8HDPAdenosine8HDP-A2B-Adenosine-Gs/β1/γ2
46.15Single8HOCImetit8HOC-H4-Imetit-Gi1/β1/γ2
46.15Single8IW4Spermidine8IW4-TAA9-Spermidine-chim(NtGi1-Gs)/β1/γ2
46.15Single8IWESpermidine8IWE-TAA9-Spermidine
46.15Single8JSOAMPH8JSO-TA1-AMPH-chim(NtGi1-Gs)/β1/γ2
46.15Single8UNSConstrained Epinephrine8UNS-β2-Constrained Epinephrine-GTP-Gs/β1/γ2
46.15Single8UNTConstrained Epinephrine8UNT-β2-Constrained Epinephrine-GTP-Gs/β1/γ2
46.15Single8WOGSuccinic acid8WOG-Succinate-Succinic acid-Gi1/β1/γ2
46.15Single8Y0HVUF114188Y0H-CXCR3-VUF11418
46.15Single8Y0NVUF114188Y0N-CXCR3-VUF11418-Go/β1/γ2
46.15Single8YKXMaleic acid8YKX-Succinate-Maleic acid-Gi1/β1/γ1
46.15Single8YNAImmepip8YNA-H4-Immepip-Gi1/β1/γ2
46.15Single8YUTAmthamine8YUT-H2-Amthamine-Gs/β1/γ2
46.15Single8YUVImmepip8YUV-H3-Immepip-Gi1/β1/γ2
46.15Single9EBHAdenosine9EBH-A3A-Adenosine-Gi1/β1/γ2
46.15Single9K6LSalicin9K6L-TAS2R16-Salicin-Gi2/β1/γ2
46.15Single9KPESalicin9KPE-TAS2R16-Salicin-Gi1/β1/γ2
46.15Single9KVHCinobufotenine9KVH-5-HT1A-Cinobufotenine-PtdIns4P-Gi1/β1/γ2
46.15Single9LL9DOI9LL9-5-HT2A-DOI-chim(NtGi1L-Gs-CtGq)/β1/γ2
46.15Single9LLBDOI-NBOMe9LLB-5-HT2A-DOI-NBOMe-chim(NtGi1L-Gs-CtGq)/β1/γ2
46.15Single9LRBHistamine9LRB-H1-Histamine-Gs/β1/γ2
46.15Single9PXUNaloxone9PXU-μ-Naloxone-Na
46.15Single9W49U-50488H9W49-κ-U-50488H-Gi1/β1/γ2
46.15Consensus5ht2_on_gpOrthosteric Ligand5ht2b_on_gp
46.15Consensus5ht2b_on_gpOrthosteric Ligand7SRR-5-HT2B-LSD-chim(NtGi2L-Gs-CtGq)/β1/γ2
46.15Consensus5ht_onOrthosteric Ligand5ht1_on 5ht2_on 5ht4_on 5ht5_on 5ht6_on 5ht7_on
46.15Consensusangiotensin_offOrthosteric Ligandat1_off
46.15Consensusgi_succinateOrthosteric Ligand8YKW-Succinate-Succinic acid-Gi1/β1/γ1 8YKX-Succinate-Maleic acid-Gi1/β1/γ1
46.15Consensusgs_5htOrthosteric Ligand7XTC-5-HT7-5-CT-Gs/β1/γ2 7XTB-5-HT6-Serotonin-Gs/β1/γ2 8JLZ-5-HT6-ST1936-Gs/β1/γ2 7XT8-5-HT4-Serotonin-Gs/β1/γ2
46.15Consensusm2_onOrthosteric Ligand7T8X-M2-Acetylcholine-chim(NtGi1-Go)/β1/γ2
46.15Consensusm2_on_gpOrthosteric Ligand7T8X-M2-Acetylcholine-chim(NtGi1-Go)/β1/γ2
46.15Consensusorexin_offOrthosteric Ligandox2_off ox1_off
46.15Consensusox1_offOrthosteric Ligand6TP6-OX1-Filorexant 6TP4-OX1-ACT-462206 6V9S-OX1-GTPL11403 6TOT-OX1-Lemborexant 6TP3-OX1-Nemorexant 6TQ6-OX1-PubChem 145714283 6TQ9-OX1-SB-408124 4ZJC-OX1-SB-674042 4ZJ8-OX1-Suvorexant 6TOD-OX1-EMPA-Na 6TOS-OX1-GSK1059865-Na 6TQ4-OX1-PubChem 16046844-Na
46.15Consensusox2_offOrthosteric Ligand5WQC-OX2-EMPA 6TPN-OX2-HTL6641 7XRR-OX2-Lemborexant 6TPJ-OX2-Suvorexant
46.15Consensussuccinate_onOrthosteric Ligand8YKW-Succinate-Succinic acid-Gi1/β1/γ1 8YKX-Succinate-Maleic acid-Gi1/β1/γ1
46.15Consensussuccinate_on_gpOrthosteric Ligand8YKW-Succinate-Succinic acid-Gi1/β1/γ1 8YKX-Succinate-Maleic acid-Gi1/β1/γ1
45.45Single8GEIConstrained Epinephrine8GEI-β2-Constrained Epinephrine-Gs/β1/γ2
45.45Single8IWM2-Phenylethylamine8IWM-TAA9-2-Phenylethylamine
45.45Single8WC5Tetramethylammonium Ion8WC5-TA1-Tetramethylammonium Ion-chim(NtGi1-Gs)/β1/γ2
45.45Single8Z8ALactate8Z8A-HCA1-Lactate-Gi1/β1/γ2
45.45Consensusgs_histamineOrthosteric Ligand8POK-H2-Histamine-Gs/β1/γ2
45.45Consensush2_onOrthosteric Ligand8POK-H2-Histamine-Gs/β1/γ2
45.00Single6PT2KGCHM076PT2-δ-KGCHM07
44.44Single3NY9PubChem 9131033NY9-β2-PubChem 913103
44.44Single4UG2CGS216804UG2-A2A-CGS21680
44.44Single6PT3DPI-2876PT3-δ-DPI-287
44.44Single8Y72Peptide8Y72-μ-Peptide-BMS-986122-Gi1/β1/γ2
44.44Single9CGKC5-Quino9CGK-δ-C5-Quino-Gi1/β1/γ2
44.44Single9M0RNeuropeptide-VF9M0R-NPFF1-Neuropeptide-VF-Gi1/β1/γ2
44.44Single9MD1Buspirone9MD1-5-HT1A-Buspirone-PtdIns4P-Gz/β1/γ2
43.75Single3P0GBI1671073P0G-β2-BI167107
43.75Single3SN6BI1671073SN6-β2-BI167107-Gs/β1/γ2
43.75Single4DJHJDTic4DJH-κ-JDTic
43.75Single4LDLHydroxybenzyl Isoproterenol4LDL-β2-Hydroxybenzyl Isoproterenol
43.75Single4U15Tiotropium4U15-M3-Tiotropium
43.75Single5ZKBAF-DX 3845ZKB-M2-AF-DX 384
43.75Single6DDEDAMGO6DDE-μ-DAMGO-Gi1/β1/γ2
43.75Single6J21Aprepitant6J21-NK1-Aprepitant
43.75Single6KO5PubChem 574000026KO5-Ghrelin-PubChem 57400002
43.75Single6NI3BI1671076NI3-β2-BI167107-Gs/β1/γ2
43.75Single6OL9Tiotropium6OL9-M5-Tiotropium
43.75Single6WGTLSD6WGT-5-HT2A-LSD
43.75Single7CKYPW04647CKY-D1-PW0464-Gs/β1/γ2
43.75Single7E2ZAripiprazole7E2Z-5-HT1A-Aripiprazole-PtdIns4P-Gi1/β1/γ2
43.75Single7EW7SEW28717EW7-S1P1-SEW2871-Gi1/β1/γ2
43.75Single7JVPSKF839597JVP-D1-SKF83959-Gs/β1/γ2
43.75Single7TRQIperoxo7TRQ-M4-Iperoxo-VU0467154-Gi1/β1/γ2
43.75Single7TUYGSK682753A7TUY-GPR183-GSK682753A
43.75Single8DCSCyanopindolol8DCS-β1-Cyanopindolol-Gs/β1/γ2
43.75Single8EA0Iperoxo8EA0-M3-Iperoxo
43.75Single8EF5Fentanyl8EF5-μ-Fentanyl-Gi1/β1/γ2
43.75Single8JXVClozapine8JXV-H4-Clozapine-Gi1/β1/γ2
43.75Single8VVEnorBNI8VVE-κ-norBNI-Gi1/β1/γ2
43.75Single8XVLZibotentan8XVL-ETA-Zibotentan
43.75Single8XZICMF-0198XZI-Apelin; Apelin-CMF-019-Gi1/β1/γ2
43.75Single9I54PubChem 1764520919I54-D1-PubChem 176452091-Gs/β1/γ2
43.75Single9IK9Lanreotide9IK9-SST1-Lanreotide-Gi1/β1/γ2
43.75Single9KUXCMPD6449KUX-Apelin; Apelin-CMPD644-Arrestin2
43.75Single9KVPSB2901579KVP-C3aB-SB290157-Go/β1/γ2
43.75Consensus5ht_offOrthosteric Ligand5ht2_off 5ht1_off
43.75Consensusclass-a_offOrthosteric Ligandsensory_off alicarboxylic_off amine_off lipid_off nucleotide_off peptide_off protein_off
43.75Consensusgs_adrenergicOrthosteric Ligand7DHI-β2-Salbutamol-Gs/β1/γ2 7XJI-β3-Solabegron-Gs/β1/γ2 7JJO-β1-Isoprenaline-Gs/β1/γ2 6NI3-β2-BI167107-Gs/β1/γ2 8DCR-β1-Dobutamine-Gs/β1/γ2 7XJH-β3-Isoprenaline-Gs/β1/γ2 7DH5-β3-Mirabegron-Gs/β1/γ2
43.75Consensuskop_offOrthosteric Ligand4DJH-κ-JDTic
43.75Consensusm5_offOrthosteric Ligand6OL9-M5-Tiotropium
43.75Consensusmuscarinic_offOrthosteric Ligandm2_off m3_off m4_off m5_off m1_off
43.75Consensusta1_on_gpOrthosteric Ligand8W87-TA1-METH-chim(NtGi1L-Gs)/β1/γ2 8W89-TA1-2-Phenylethylamine-chim(NtGi1L-Gs)/β1/γ2 8JLP-TA1-Ralmitaront-Gs/β1/γ2 8W8A-TA1-RO5256390-chim(NtGi1L-Gs)/β1/γ2 8W88-TA1-SEP-363856-Gs/β1/γ2 8JLO-TA1-Ulotaront-Gs/β1/γ2 8JLR-TA1-A77636-chim(NtGi1-Gs)/β1/γ2 8JSO-TA1-AMPH-chim(NtGi1-Gs)/β1/γ2 8ZSP-TA1-LSD-chim(NtGi1L-Gs)/β1/γ2
43.75Consensustrace-amine_on_gpOrthosteric Ligandta1_on_gp
42.86Single2YDOAdenosine2YDO-A2A-Adenosine
42.86Single3RZECidoxepin3RZE-H1-Cidoxepin
42.86Single3UZCPubChem 1355666093UZC-A2A-PubChem 135566609
42.86Single4DKLBeta-Funaltrexamine4DKL-μ-β-Funaltrexamine
42.86Single4MQTIperoxo4MQT-M2-Iperoxo-LY2119620
42.86Single4N6HNaltrindole4N6H-δ-Naltrindole-Na
42.86Single4ZUDOlmesartan4ZUD-AT1-Olmesartan
42.86Single6KUXRS799486KUX-α2a-RS79948
42.86Single6TOSGSK10598656TOS-OX1-GSK1059865-Na
42.86Single6TP3Nemorexant6TP3-OX1-Nemorexant
42.86Single6TPNHTL66416TPN-OX2-HTL6641
42.86Single6V9SGTPL114036V9S-OX1-GTPL11403
42.86Single6VI4JDTic6VI4-κ-JDTic
42.86Single6WH4Methiothepin6WH4-5-HT2A-Methiothepin
42.86Single6WJCAtropine6WJC-M1-Atropine-Muscarinic toxin 7
42.86Single6ZFZ77-LH-28-16ZFZ-M1-77-LH-28-1
42.86Single7CKWFenoldopam7CKW-D1-Fenoldopam-Gs/β1/γ2
42.86Single7CMVPD1289077CMV-D3-PD128907-Gi1/β1/γ2
42.86Single7F1ZDopamine7F1Z-D1-Dopamine-GDP-Gs/β1/γ2
42.86Single7F61PF-036547467F61-H3-PF-03654746
42.86Single7T94Acetylcholine7T94-M2-Acetylcholine-LY2119620-chim(NtGi1-Go)/β1/γ2
42.86Single7TRSAcetylcholine7TRS-M4-Acetylcholine-Gi1/β1/γ2
42.86Single7VUGJNJ-635330547VUG-GPR139-JNJ-63533054-Gi1/β1/γ2
42.86Single7WC9PubChem 1624213647WC9-5-HT2A-PubChem 162421364
42.86Single8GEAConstrained Epinephrine8GEA-β2-Constrained Epinephrine-Gs/β1/γ2
42.86Single8GG8Constrained Epinephrine8GG8-β2-Constrained Epinephrine-GTP-Gs/β1/γ2
42.86Single8JLQFenoldopam8JLQ-TA1-Fenoldopam-Gs/β1/γ2
42.86Single8K9KDAMGO8K9K-μ-DAMGO-Gi3/β1/γ1
42.86Single8PM2DMCHA8PM2-TA7-DMCHA-Gs/β1/γ2
42.86Single8UHBRO52563908UHB-TA1-RO5256390-Gs/β1/γ2
42.86Single8UO1Constrained Epinephrine8UO1-β2-Constrained Epinephrine-GTP; Mg-Gs/β1/γ2
42.86Single8V6UPubChem 1713924568V6U-5-HT2A-PubChem 171392456-chim(NtGi2-Gs-CtGq)/β1/γ2
42.86Single8W8BSEP-3638568W8B-5-HT1A-SEP-363856-Gi1/β1/γ2
42.86Single9ARXSerotonin9ARX-5-HT2A-Serotonin
42.86Single9AS8Psilocin9AS8-5-HT2A-Psilocin-chim(NtGi2L-Gs-CtGq)/β1/γ2
42.86Single9JKQMETH9JKQ-TA1-METH-Gs/β1/γ2
42.86Single9KVIBufotenin9KVI-5-HT1A-Bufotenin-PtdIns4P-Gi1/β1/γ2
42.86Single9LRDHistamine9LRD-H1-Histamine-Gi1/β1/γ2
42.86Single9VJG8-OH-DPAT9VJG-5-HT1A-8-OH-DPAT-chim(NtGi2-Gz)/β1/γ2
42.86Consensus5ht2a_offOrthosteric Ligand6A94-5-HT2A-Zotepine 6A93-5-HT2A-Risperidone 7VOD-5-HT2A-Cariprazine 7WC8-5-HT2A-Lumateperone 8JT8-5-HT2A-(R)-IHCH-7179
42.86Consensusadenosine_onOrthosteric Liganda1_on a2_on a3_on
42.86Consensusat1_offOrthosteric Ligand4YAY-AT1-ZD-7155 4ZUD-AT1-Olmesartan
42.86Consensusgi_adenosineOrthosteric Ligand7LD4-A1-Adenosine-Gi2/β1/γ2 8X17-A3A-Namodenoson-Gi1/β1/γ2 8X16-A3A-Piclidenoson-Gi1/β1/γ2
42.11Single4AMJCarvedilol4AMJ-β1-Carvedilol
42.11Single4IARErgotamine4IAR-5-HT1B-Ergotamine
42.11Single5UNFPubChem 157800525UNF-AT2-PubChem 15780052
42.11Single7W0PElabela7W0P-Apelin-Elabela-Gi1/β1/γ2
42.11Single8FYLVilazodone8FYL-5-HT1A-Vilazodone-PtdIns4P-Gi1/β1/γ1
42.11Single8PKMBefiradol8PKM-5-HT1A-Befiradol-Gi1/β1/γ1
42.11Single8WDTphotoNECA8WDT-A2A-photoNECA
42.11Single9M4TSilodosin9M4T-Alpha1A-Silodosin
42.11Consensusclass-a_on_gpOrthosteric Ligandsensory_on_gp alicarboxylic_on_gp amine_on_gp lipid_on_gp nucleotide_on_gp peptide_on_gp protein_on_gp
41.67Single3UZAGTPL92363UZA-A2A-GTPL9236
41.67Single7DD7Ca; Ca; Tryptophan; Evocalcet7DD7-CaS; CaS-Ca-Ca; Ca; Tryptophan; Evocalcet
41.67Single7F23Dopamine7F23-D1-Dopamine-GDP-Gs/β1/γ2
41.67Single8DPILorcaserin8DPI-5-HT2C-Lorcaserin-chim(NtGi2L-Gs-CtGq)/β1/γ2
41.67Single8GGFConstrained Epinephrine8GGF-β2-Constrained Epinephrine-GTP-Gs/β1/γ2
41.67Single8GH1Constrained Epinephrine8GH1-β2-Constrained Epinephrine
41.67Single8ITFDMCHA8ITF-TAA9-DMCHA-chim(NtGi1-Gs)/β1/γ2
41.67Single8IW72-Phenylethylamine8IW7-TAA9-2-Phenylethylamine-chim(NtGi1-Gs)/β1/γ2
41.67Single8JXTHistamine8JXT-H4-Histamine-PO4-Gi1/β1/γ2
41.67Single8POKHistamine8POK-H2-Histamine-Gs/β1/γ2
41.67Consensush2_on_gpOrthosteric Ligand8POK-H2-Histamine-Gs/β1/γ2
41.18Single2YCXCyanopindolol2YCX-β1-Cyanopindolol
41.18Single5CXVTiotropium5CXV-M1-Tiotropium
41.18Single5F8UCyanopindolol5F8U-β1-Cyanopindolol
41.18Single6CM4Risperidone6CM4-D2-Risperidone
41.18Single6DRYMethylergometrine6DRY-5-HT2B-Methylergometrine
41.18Single6H7NXamoterol6H7N-β1-Xamoterol
41.18Single6MXTSalmeterol6MXT-β2-Salmeterol
41.18Single6ZG4HTL00099366ZG4-M1-HTL0009936
41.18Single7EW2FTY720-P7EW2-S1P3-FTY720-P-Gi1/β1/γ2
41.18Single7EXDLasmiditan7EXD-5-HT1F-Lasmiditan-Gi1/β1/γ2
41.18Single7L1VPubChem 1554910097L1V-OX2-PubChem 155491009-chim(NtGi1-Gs-CtGq)/β1/γ2
41.18Single7SUSPubChem 1227019087SUS-Apelin-PubChem 122701908
41.18Single7W0LPubChem 1227019087W0L-Apelin; Apelin-PubChem 122701908-Gi1/β1/γ2
41.18Single7XMTJ-21567XMT-SST4-J-2156-Gi1/β1/γ2
41.18Single8FYTLSD8FYT-5-HT1A-LSD-PtdIns4P-Gi1/β1/γ1
41.18Single8G056-OAU8G05-GPR84-6-OAU-Gi1/β1/γ2
41.18Single8JJLOlodaterol8JJL-β2-Olodaterol
41.18Single8JWZEtrumadenant8JWZ-A2A-Etrumadenant-Na
41.18Single8W1VPubChem 1717162658W1V-β2-PubChem 171716265
41.18Single8XYIVUF106618XYI-CXCR3-VUF10661
41.18Single9EBIPiclidenoson9EBI-A3A-Piclidenoson-chim(NtGi1L-Gs-CtGi1)/β1/γ2
41.18Single9EK0Iperoxo9EK0-M5-Iperoxo-chim(NtGi1-Gs-CtGq)/β1/γ2
41.18Single9WSWEndomorphin9WSW-μ-Endomorphin-chim(NtGi1-Gz)/β1/γ2
41.18Consensus5ht1a_onOrthosteric Ligand8FYT-5-HT1A-LSD-PtdIns4P-Gi1/β1/γ1 7E2Y-5-HT1A-Serotonin-PtdIns4P-Gi1/β1/γ2 7E2Z-5-HT1A-Aripiprazole-PtdIns4P-Gi1/β1/γ2 8FYX-5-HT1A-Buspirone-PtdIns4P-Gi1/β1/γ1 8JSP-5-HT1A-Ulotaront-Gi1/β1/γ2 8JT6-5-HT1A-(R)-IHCH-7179-PtdIns4P-Gi1/β1/γ2 8FY8-5-HT1A-5-MeO-DMT-PtdIns4P-Gi1/β1/γ1 8FYE-5-HT1A-4-F,5-MeO-PyrT-PtdIns4P-Gi1/β1/γ1 8FYL-5-HT1A-Vilazodone-PtdIns4P-Gi1/β1/γ1
41.18Consensus5ht1a_on_gpOrthosteric Ligand8FYT-5-HT1A-LSD-PtdIns4P-Gi1/β1/γ1 8FYX-5-HT1A-Buspirone-PtdIns4P-Gi1/β1/γ1 8JSP-5-HT1A-Ulotaront-Gi1/β1/γ2 8JT6-5-HT1A-(R)-IHCH-7179-PtdIns4P-Gi1/β1/γ2 7E2Y-5-HT1A-Serotonin-PtdIns4P-Gi1/β1/γ2 7E2Z-5-HT1A-Aripiprazole-PtdIns4P-Gi1/β1/γ2 8FY8-5-HT1A-5-MeO-DMT-PtdIns4P-Gi1/β1/γ1 8FYE-5-HT1A-4-F,5-MeO-PyrT-PtdIns4P-Gi1/β1/γ1 8FYL-5-HT1A-Vilazodone-PtdIns4P-Gi1/β1/γ1
41.18Consensus5ht1f_onOrthosteric Ligand7EXD-5-HT1F-Lasmiditan-Gi1/β1/γ2
41.18Consensus5ht1f_on_gpOrthosteric Ligand7EXD-5-HT1F-Lasmiditan-Gi1/β1/γ2
41.18Consensusbeta3_onOrthosteric Ligand7DH5-β3-Mirabegron-Gs/β1/γ2 7XJH-β3-Isoprenaline-Gs/β1/γ2 7XJI-β3-Solabegron-Gs/β1/γ2
41.18Consensusbeta3_on_gpOrthosteric Ligand7DH5-β3-Mirabegron-Gs/β1/γ2 7XJH-β3-Isoprenaline-Gs/β1/γ2 7XJI-β3-Solabegron-Gs/β1/γ2
41.18Consensusm1_offOrthosteric Ligand5CXV-M1-Tiotropium
41.18Consensusnk1_offOrthosteric Ligand6HLP-NK1-Netupitant 6HLO-NK1-Aprepitant 6HLL-NK1-CP99994 6E59-NK1-L-760735
41.18Consensusorexin_onOrthosteric Ligandox2_on
41.18Consensuss1p1_onOrthosteric Ligand7VIE-S1P1-S1P-Gi1/β1/γ2 7VIF-S1P1-FTY720-P-Gi1/β1/γ2 7VIG-S1P1-CBP-307-Gi1/β1/γ2 7EVY-S1P1-Siponimod-Gi1/β1/γ2 7EVZ-S1P1-Cenerimod-Gi1/β1/γ2 7EW0-S1P1-Ozanimod-Gi1/β1/γ2 7EW7-S1P1-SEW2871-Gi1/β1/γ2
41.18Consensuss1p1_on_gpOrthosteric Ligand7VIE-S1P1-S1P-Gi1/β1/γ2 7VIF-S1P1-FTY720-P-Gi1/β1/γ2 7VIG-S1P1-CBP-307-Gi1/β1/γ2 7EVY-S1P1-Siponimod-Gi1/β1/γ2 7EVZ-S1P1-Cenerimod-Gi1/β1/γ2 7EW0-S1P1-Ozanimod-Gi1/β1/γ2 7EW7-S1P1-SEW2871-Gi1/β1/γ2
41.18Consensuss1p3_onOrthosteric Ligand7EW3-S1P3-S1P-Gi1/β1/γ2 7EW4-S1P3-CYM-5541-Gi1/β1/γ2 7EW2-S1P3-FTY720-P-Gi1/β1/γ2
40.91Consensusopioid_onOrthosteric Ligandmop_on nop_on dop_on kop_on
40.00Single2Y01Dobutamine2Y01-β1-Dobutamine
40.00Single2Y02Carmoterol2Y02-β1-Carmoterol
40.00Single3QAKUK-4320973QAK-A2A-UK-432097
40.00Single4DAJTiotropium4DAJ-M3-Tiotropium
40.00Single4MQSIperoxo4MQS-M2-Iperoxo
40.00Single4QKXPubChem 762106284QKX-β2-PubChem 76210628
40.00Single4U14Tiotropium4U14-M3-Tiotropium
40.00Single4YAYZD-71554YAY-AT1-ZD-7155
40.00Single5DSGTiotropium5DSG-M4-Tiotropium
40.00Single6DRXLisuride6DRX-5-HT2B-Lisuride
40.00Single6WHADB139486WHA-5-HT2A-DB13948-chim(NtGi2L-Gs-CtGq)/β1/γ2
40.00Single6Z10PubChem 1545855546Z10-Succinate-PubChem 154585554
40.00Single7BU7BI1671077BU7-β1-BI167107
40.00Single7JOZPubChem 752020227JOZ-D1-PubChem 75202022-Gs/β1/γ2
40.00Single7M3JNPS-2143; PO47M3J-CaS; CaS-NPS-2143; PO4
40.00Single7SQOTAK-9257SQO-OX2-TAK-925-Gi1/β1/γ2
40.00Single7TRPIperoxo7TRP-M4-Iperoxo-LY2033298-Gi1/β1/γ2
40.00Single7WC7Lisuride7WC7-5-HT2A-Lisuride
40.00Single7XJHIsoprenaline7XJH-β3-Isoprenaline-Gs/β1/γ2
40.00Single7XTC5-CT7XTC-5-HT7-5-CT-Gs/β1/γ2
40.00Single7YACPaltusotine7YAC-SST2-Paltusotine-Gi1/β1/γ2
40.00Single8CICEtrumadenant8CIC-A2A-Etrumadenant-Na
40.00Single8CU7LJ-45178CU7-A2A-LJ-4517-Na
40.00Single8EFQDAMGO8EFQ-μ-DAMGO-Gi1/β1/γ2
40.00Single8FY85-MeO-DMT8FY8-5-HT1A-5-MeO-DMT-PtdIns4P-Gi1/β1/γ1
40.00Single8UWLLisuride8UWL-5-HT2A-Lisuride-chim(NtGi2-Gs-CtGq)/β1/γ2
40.00Single8X17Namodenoson8X17-A3A-Namodenoson-Gi1/β1/γ2
40.00Single9AS1DMT9AS1-5-HT2A-DMT
40.00Single9BQJRO769BQJ-μ-RO76-Gi1/β1/γ2
40.00Single9DYFAsenapine9DYF-5-HT1A-Asenapine-PtdIns4P-Gi1/β1/γ2
40.00Single9KFJPubChem 1383196749KFJ-RXFP3-PubChem 138319674-Gi2/β1/γ2
40.00Single9KUXCMPD6449KUX-Apelin; Apelin-CMPD644-Arrestin2
40.00Single9LLAAriadne9LLA-5-HT2A-Ariadne-chim(NtGi1L-Gs-CtGq)/β1/γ2
40.00Single9UAZAtropine9UAZ-M1-Atropine
40.00Consensus5ht6_onOrthosteric Ligand7XTB-5-HT6-Serotonin-Gs/β1/γ2 8JLZ-5-HT6-ST1936-Gs/β1/γ2
40.00Consensus5ht6_on_gpOrthosteric Ligand7XTB-5-HT6-Serotonin-Gs/β1/γ2 8JLZ-5-HT6-ST1936-Gs/β1/γ2
40.00Consensus5ht7_onOrthosteric Ligand7XTC-5-HT7-5-CT-Gs/β1/γ2
40.00Consensus5ht7_on_gpOrthosteric Ligand7XTC-5-HT7-5-CT-Gs/β1/γ2
40.00Consensusa3_onOrthosteric Liganda3a_on
40.00Consensusgi_histamineOrthosteric Ligand8JXX-H4-Clobenpropit-Gi1/β1/γ2 8JXV-H4-Clozapine-Gi1/β1/γ2 8YUU-H3-Histamine-Gi1/β1/γ1 8HN8-H4-Histamine-Gi1/β1/γ2 8HOC-H4-Imetit-Gi1/β1/γ2 8JXW-H4-VUF6884-Gi1/β1/γ2
40.00Consensusgi_orexinOrthosteric Ligand7SQO-OX2-TAK-925-Gi1/β1/γ2
40.00Consensusm4_offOrthosteric Ligand5DSG-M4-Tiotropium
40.00Consensusmuscarinic_onOrthosteric Ligandm2_on m3_on m4_on m1_on
40.00Consensusmuscarinic_on_gpOrthosteric Ligandm2_on_gp m3_on_gp m4_on_gp m1_on_gp
40.00Consensuss1p3_on_gpOrthosteric Ligand7EW3-S1P3-S1P-Gi1/β1/γ2 7EW4-S1P3-CYM-5541-Gi1/β1/γ2 7EW2-S1P3-FTY720-P-Gi1/β1/γ2
39.13Consensusopioid_on_gpOrthosteric Ligandmop_on_gp nop_on_gp dop_on_gp kop_on_gp
38.89Single6BQGErgotamine6BQG-5-HT2C-Ergotamine
38.89Single6BQHRitanserin6BQH-5-HT2C-Ritanserin
38.89Single7EZCUK-4320977EZC-A2A-UK-432097
38.89Single7JVRBromoergocryptine7JVR-D2-Bromoergocryptine-Gi1/β1/γ2
38.89Single7MTSADX551647MTS-mGlu2; mGlu2-Glutamate-ADX55164-Gi1/β1/γ2
38.89Single7UM4AS26747237UM4-5-HT5A-AS2674723
38.89Single7X1UTRH7X1U-TRH-TRH-chim(NtGi2L-Gs-CtGq)/β1/γ2
38.89Single7XJISolabegron7XJI-β3-Solabegron-Gs/β1/γ2
38.89Single8J19LY2378J19-GPR84-LY237-Gi1/β1/γ2
38.89Single8XGSKisspeptin-18XGS-Kiss1-Kisspeptin-1-chim(NtGi1-Gq)/β1/γ2
38.89Single8ZWGJR14a8ZWG-C3aB-JR14a-Gi1/β1/γ2
38.89Single9AS02-bromo-LSD9AS0-5-HT2A-2-bromo-LSD-chim(NtGi1-Gs-CtGq)/β1/γ2
38.89Single9KUGEP679KUG-C5a1-EP67-Go/β1/γ2
38.89Single9YDRDADLE9YDR-δ-DADLE-MIPS3983-chim(NtGi1L-Gs-CtGi1)/β1/γ2
38.89Consensus5ht2c_offOrthosteric Ligand6BQH-5-HT2C-Ritanserin
38.89Consensusclass-a_onOrthosteric Ligandsensory_on alicarboxylic_on amine_on lipid_on nucleotide_on peptide_on protein_on
38.89Consensusgi_s1pOrthosteric Ligand7VIE-S1P1-S1P-Gi1/β1/γ2 7EW3-S1P3-S1P-Gi1/β1/γ2 7EVY-S1P1-Siponimod-Gi1/β1/γ2 7EW1-S1P5-Siponimod-Gi1/β1/γ2 7VIF-S1P1-FTY720-P-Gi1/β1/γ2 7VIG-S1P1-CBP-307-Gi1/β1/γ2 7EVZ-S1P1-Cenerimod-Gi1/β1/γ2 7EW4-S1P3-CYM-5541-Gi1/β1/γ2 7EW2-S1P3-FTY720-P-Gi1/β1/γ2 7EW0-S1P1-Ozanimod-Gi1/β1/γ2 7EW7-S1P1-SEW2871-Gi1/β1/γ2
38.89Consensusorexin_on_gpOrthosteric Ligandox2_on_gp
38.89Consensuspeptide_offOrthosteric Ligandcck_off angiotensin_off bombesin_off endothelin_off ghrelin_off npy_off opioid_off orexin_off somatostatin_off tachykinin_off vasop-oxy_off neurotensin_off
38.46Single1U1911-cis-Retinal1U19-Rhodopsin-11-cis-Retinal
38.46Single2G87All-trans-Retinal2G87-Rhodopsin-All-trans-Retinal
38.46Single2I3511-cis-Retinal2I35-Rhodopsin-11-cis-Retinal
38.46Single7DD5Ca; Ca; Tryptophan; NPS-21437DD5-CaS; CaS-Ca-Ca; Ca; Tryptophan; NPS-2143
38.46Single7DD7Ca; Ca; Tryptophan; Evocalcet7DD7-CaS; CaS-Ca-Ca; Ca; Tryptophan; Evocalcet
38.46Single7YFCHistamine7YFC-H4-Histamine-chim(NtGi1-Gs-CtGq)/β1/γ2
38.46Single7YFDImetit7YFD-H4-Imetit-chim(NtGi1-Gs-CtGq)/β1/γ2
38.46Single8H2GNiacin8H2G-HCA2-Niacin-Gi1/β1/γ2
38.46Single8HN8Histamine8HN8-H4-Histamine-Gi1/β1/γ2
38.46Single8JPNCis-Epoxysuccinic acid8JPN-Succinate-Cis-Epoxysuccinic acid-Gi1/β1/γ1
38.46Single8K5BNiacin8K5B-HCA2-Niacin
38.46Single8UO3Constrained Epinephrine8UO3-β2-Constrained Epinephrine-GTP; Mg-Gs/β1/γ2
38.46Single8WP1Cis-Epoxysuccinic acid8WP1-Succinate-Cis-Epoxysuccinic acid-Gi1/β1/γ2
38.46Single8YH3N-methyladenosine8YH3-A3A-N-methyladenosine-Gi1/β1/γ2
38.46Single8YN2Histamine8YN2-H1-Histamine-chim(NtGi1L-Gs-CtGq)/β1/γ2
38.46Single9AS2DMT9AS2-5-HT2A-DMT-chim(NtGi1-Gs-CtGq)/β1/γ2
38.46Single9AS7Psilocin9AS7-5-HT2A-Psilocin
38.46Single9KUWCMPD6449KUW-Apelin; Apelin-CMPD644-Arrestin2 ; Arrestin2
38.46Consensush4_onOrthosteric Ligand8HN8-H4-Histamine-Gi1/β1/γ2 8HOC-H4-Imetit-Gi1/β1/γ2 8JXV-H4-Clozapine-Gi1/β1/γ2 8JXW-H4-VUF6884-Gi1/β1/γ2 8JXX-H4-Clobenpropit-Gi1/β1/γ2
38.10Single5WF5UK-4320975WF5-A2A-UK-432097
38.10Single8XIQL7967788XIQ-SST3-L796778-chim(NtGi1-Gs-CtGi1)/β1/γ2
38.10Single9B54VIP369B54-CB1-VIP36-Gi1/β1/γ2
38.10Consensusgs_class-aOrthosteric Ligandgs_peptide gs_nucleotide gs_amine
37.50Single2Y00Dobutamine2Y00-β1-Dobutamine
37.50Single5XPRBosentan5XPR-ETB-Bosentan
37.50Single5ZK33-quinuclidinyl-benzilate5ZK3-M2-3-quinuclidinyl-benzilate
37.50Single6GDGNECA6GDG-A2A-NECA-Gs/β1/γ1
37.50Single6HLPNetupitant6HLP-NK1-Netupitant
37.50Single6ME82-Phenylmelatonin6ME8-MT2-2-Phenylmelatonin
37.50Single6OIKIperoxo6OIK-M2-Iperoxo-LY2119620-chim(NtGi1-Go)/β1/γ2
37.50Single7CFNINT-7777CFN-GPBA-INT-777-Gs/β1/γ2
37.50Single7CKXA776367CKX-D1-A77636-Gs/β1/γ2
37.50Single7EO2FTY720-P7EO2-S1P1-FTY720-P-Gi1/β1/γ2
37.50Single7M3JNPS-2143; PO47M3J-CaS; CaS-NPS-2143; PO4
37.50Single7TRKIperoxo7TRK-M4-Iperoxo-Gi1/β1/γ2
37.50Single7VOEAripiprazole7VOE-5-HT2A-Aripiprazole
37.50Single7VUHJNJ-635330547VUH-GPR139-JNJ-63533054-chim(Gs-CtGq)/β1/γ2
37.50Single7WIGL-0542647WIG-SST2-L-054264-Gi1/β1/γ2
37.50Single8J18(3R)-3-Hydroxydodecanoic acid8J18-GPR84-(3R)-3-Hydroxydodecanoic acid-Gi1/β1/γ2
37.50Single8J6JGSK2560738J6J-HCA2-GSK256073-Gi1/β1/γ2
37.50Single8JXSPF-61428JXS-D1-PF-6142
37.50Single8TF5Oleic acid8TF5-GPR6-Oleic acid
37.50Single8TH4Losartan8TH4-AT1-Losartan-AT118-L Nanobody
37.50Single8YH0NECA8YH0-A3A-NECA-Gi1/β1/γ2
37.50Single8YICSAR2477998YIC-S1P1-SAR247799-Gi1/β1/γ2
37.50Single8ZMFPubChem 1719206738ZMF-5-HT2C-PubChem 171920673
37.50Single9ARYSerotonin9ARY-5-HT2A-Serotonin-chim(NtGi1-Gs-CtGq)/β1/γ2
37.50Single9AXFCa; Ca; Ca; Cyclomethyltryptophan; R-568; PO49AXF-CaS; CaS-Ca-Ca; Ca; Ca; Cyclomethyltryptophan; R-568; PO4-chim(NtGi1-Gs-CtGq)/β1/γ2
37.50Single9DYDAsenapine9DYD-5-HT1A-Asenapine-PtdIns4P-Go/β1/γ2
37.50Single9EAHOlmesartan9EAH-AT1-Olmesartan-Nanobody AT209
37.50Single9HAPTolvaptan9HAP-V2-Tolvaptan
37.50Single9KUTJR14a9KUT-C3aB-JR14a-Go/β1/γ2
37.50Single9U81Tolvaptan9U81-V2-Tolvaptan
37.50Consensusa3_on_gpOrthosteric Liganda3a_on_gp
37.50Consensusa3a_onOrthosteric Ligand8X17-A3A-Namodenoson-Gi1/β1/γ2 8X16-A3A-Piclidenoson-Gi1/β1/γ2
37.50Consensusa3a_on_gpOrthosteric Ligand8X17-A3A-Namodenoson-Gi1/β1/γ2 8X16-A3A-Piclidenoson-Gi1/β1/γ2
37.50Consensusgq_muscarinicOrthosteric Ligand6OIJ-M1-Iperoxo-chim(NtGi1L-G11)/β1/γ2
37.50Consensusm1_onOrthosteric Ligand6OIJ-M1-Iperoxo-chim(NtGi1L-G11)/β1/γ2
36.84Single5ZTYAM102575ZTY-CB2-AM10257
36.84Single7XY6BAY 60-65837XY6-A2B-BAY 60-6583-chim(NtGi1-Gs)/β1/γ2
36.84Single8F7REndomorphin8F7R-μ-Endomorphin-Gi1/β1/γ2
36.84Single8JLRA776368JLR-TA1-A77636-chim(NtGi1-Gs)/β1/γ2
36.84Single9IPVJR14a9IPV-C3aB-JR14a-Gi1/β1/γ2
36.84Consensuscb2_offOrthosteric Ligand5ZTY-CB2-AM10257
36.84Consensuscxcr3_onOrthosteric Ligand8HNK-CXCR3-CXCL11-Gi1/β1/γ2 8HNL-CXCR3-PS372424-Gi1/β1/γ2
36.84Consensusox2_onOrthosteric Ligand7L1V-OX2-PubChem 155491009-chim(NtGi1-Gs-CtGq)/β1/γ2 7SQO-OX2-TAK-925-Gi1/β1/γ2 7L1U-OX2-Orexin-chim(NtGi1-Gs-CtGq)/β1/γ2
36.84Consensusox2_on_gpOrthosteric Ligand7L1V-OX2-PubChem 155491009-chim(NtGi1-Gs-CtGq)/β1/γ2 7SQO-OX2-TAK-925-Gi1/β1/γ2 7L1U-OX2-Orexin-chim(NtGi1-Gs-CtGq)/β1/γ2
36.84Consensuss1p_onOrthosteric Ligands1p1_on s1p3_on s1p5_on
36.84Consensuss1p_on_gpOrthosteric Ligands1p1_on_gp s1p3_on_gp s1p5_on_gp
36.36Single9BKKCholecystokinin-89BKK-CCKA-Cholecystokinin-8-chim(NtGi1-Gs-CtGq)/β1/γ2
36.36Consensuscxcr3_on_gpOrthosteric Ligand8HNK-CXCR3-CXCL11-Gi1/β1/γ2 8HNL-CXCR3-PS372424-Gi1/β1/γ2
36.36Consensusgi_class-aOrthosteric Ligandgi_peptide gi_sensory gi_alicarboxylic gi_amine gi_lipid gi_nucleotide gi_protein
35.71Single2PED9-cis-Retinal2PED-Rhodopsin-9-cis-Retinal
35.71Single3V2WPubChem 518926453V2W-S1P1-PubChem 51892645
35.71Single3VGAZM-2413853VGA-A2A-ZM-241385-Antibody
35.71Single5OLVLUAA470705OLV-A2A-LUAA47070-Na
35.71Single6D9HAdenosine6D9H-A1-Adenosine-Gi2/β1/γ2
35.71Single6DS0LY2660976DS0-5-HT2B-LY266097
35.71Single7F8ULintitript7F8U-CCKA-Lintitript
35.71Single7M3ECa; Ca; Tryptophan; NPS-21437M3E-CaS; CaS-Ca; Ca; Tryptophan; NPS-2143
35.71Single7M3ECa; Ca; Tryptophan; NPS-21437M3E-CaS; CaS-Ca; Ca; Tryptophan; NPS-2143
35.71Single7M3FCa; Ca; Tryptophan; Cinacalcet7M3F-CaS; CaS-Ca; Ca; Tryptophan; Cinacalcet
35.71Single7VIHCBP-3077VIH-S1P1-CBP-307-Gi1/β1/γ2
35.71Single7W0MPubChem 1227019087W0M-Apelin-PubChem 122701908-Gi1/β1/γ2
35.71Single7XRRLemborexant7XRR-OX2-Lemborexant
35.71Single8DWGML3828DWG-MRGPRX1-BAM8-22-ML382-chim(NtGi2L-Gs-CtGq)/β1/γ2
35.71Single8IJANiacin8IJA-HCA2-Niacin-Gi1/β1/γ2
35.71Single8J6LNiacin8J6L-HCA2-Niacin-Gi1/β1/γ2
35.71Single8JPPSuccinic acid8JPP-Succinate-Succinic acid-chim(Gs-CtGq)/β1/γ1
35.71Single8YYWAlpha-ketoglutarate8YYW-Oxoglutarate-α-ketoglutarate-α-ketoglutarate-chim(Gi1-CtGq)/β1/γ2
35.71Single8Z87CHBA8Z87-HCA1-CHBA-Gi1/β1/γ2
35.71Single9EEAAdenosine9EEA-A2A-Adenosine-Gs/β1/γ2
35.71Single9JKXAcifran9JKX-HCA3-Acifran-Gi1/β1/γ2
35.71Consensusrhodopsin_offOrthosteric Ligand1U19-Rhodopsin-11-cis-Retinal 2PED-Rhodopsin-9-cis-Retinal 5TE5-Rhodopsin-20-Methanoretinal
35.71Consensuss1p1_offOrthosteric Ligand3V2W-S1P1-PubChem 51892645
35.29Single3PDSFAUC503PDS-β2-FAUC50
35.29Single3UON3-quinuclidinyl-benzilate3UON-M2-3-quinuclidinyl-benzilate
35.29Single5V54Methiothepin5V54-5-HT1B-Methiothepin
35.29Single6E59L-7607356E59-NK1-L-760735
35.29Single6J20Aprepitant6J20-NK1-Aprepitant
35.29Single6OIJIperoxo6OIJ-M1-Iperoxo-chim(NtGi1L-G11)/β1/γ2
35.29Single7B6WCyclazosin7B6W-α1b-Cyclazosin
35.29Single7EW1Siponimod7EW1-S1P5-Siponimod-Gi1/β1/γ2
35.29Single7EW3S1P7EW3-S1P3-S1P-Gi1/β1/γ2
35.29Single7JV5SKF812977JV5-D1-SKF81297-Gs/β1/γ2
35.29Single7XTQR3997XTQ-GPBA-R399-Gs/β1/γ2
35.29Single7XY7NECA7XY7-A2B-NECA-chim(NtGi1-Gs)/β1/γ2
35.29Single8HPTC5a (C-terminal peptide)8HPT-C5a1-C5a (C-terminal peptide)-Go/β1/γ2
35.29Single8JLPRalmitaront8JLP-TA1-Ralmitaront-Gs/β1/γ2
35.29Single8JT6(R)-IHCH-71798JT6-5-HT1A-(R)-IHCH-7179-PtdIns4P-Gi1/β1/γ2
35.29Single8JXWVUF68848JXW-H4-VUF6884-Gi1/β1/γ2
35.29Single8JXXClobenpropit8JXX-H4-Clobenpropit-Gi1/β1/γ2
35.29Single8UGWCGS216808UGW-A2A-CGS21680
35.29Single8XJMLatanoprost8XJM-FP-alpha-Latanoprost-chim(NtGi2-Gs-CtGq)/β1/γ2
35.29Single8Y73Peptide8Y73-μ-Peptide-MPAM-15-Gi1/β1/γ2
35.29Single8YH6Namodenoson8YH6-A3A-Namodenoson-Gi1/β1/γ2
35.29Single8YNTSNAP-948478YNT-MCH1-SNAP-94847
35.29Single8ZWFJR14a8ZWF-C3aB-JR14a
35.29Single9AS9RS130-1809AS9-5-HT2A-RS130-180
35.29Single9ASARS130-1809ASA-5-HT2A-RS130-180-chim(NtGi1-Gs-CtGq)/β1/γ2
35.29Single9B65MDMB-Fubinaca9B65-CB1-MDMB-Fubinaca-Gi1/β1/γ2
35.29Single9JMCDS-3801b9JMC-Motilin-DS-3801b-chim(Gs-CtGq)/β1/γ2
35.29Single9UCPIperoxo9UCP-M1-Iperoxo-G11(CT)
35.29Single9WSTDAMGO9WST-μ-DAMGO-chim(NtGi1-Gz)/β1/γ2
35.29Consensus5ht1_offOrthosteric Ligand5ht1b_off
35.29Consensus5ht1b_offOrthosteric Ligand5V54-5-HT1B-Methiothepin
35.29Consensusa2_onOrthosteric Liganda2b_on
35.29Consensusa2_on_gpOrthosteric Liganda2b_on_gp
35.29Consensusa2b_onOrthosteric Ligand8HDP-A2B-Adenosine-Gs/β1/γ2 7XY6-A2B-BAY 60-6583-chim(NtGi1-Gs)/β1/γ2 7XY7-A2B-NECA-chim(NtGi1-Gs)/β1/γ2 8HDO-A2B-BAY 60-6583-Gs/β1/γ2
35.29Consensusa2b_on_gpOrthosteric Ligand8HDP-A2B-Adenosine-Gs/β1/γ2 7XY6-A2B-BAY 60-6583-chim(NtGi1-Gs)/β1/γ2 7XY7-A2B-NECA-chim(NtGi1-Gs)/β1/γ2 8HDO-A2B-BAY 60-6583-Gs/β1/γ2
35.29Consensusgs_adenosineOrthosteric Ligand8HDP-A2B-Adenosine-Gs/β1/γ2 8HDO-A2B-BAY 60-6583-Gs/β1/γ2 7XY7-A2B-NECA-chim(NtGi1-Gs)/β1/γ2 7XY6-A2B-BAY 60-6583-chim(NtGi1-Gs)/β1/γ2
35.29Consensusgs_nucleotideOrthosteric Ligandgs_adenosine
35.29Consensush4_on_gpOrthosteric Ligand8HN8-H4-Histamine-Gi1/β1/γ2 8HOC-H4-Imetit-Gi1/β1/γ2 8JXV-H4-Clozapine-Gi1/β1/γ2 8JXW-H4-VUF6884-Gi1/β1/γ2 8JXX-H4-Clobenpropit-Gi1/β1/γ2
35.29Consensusm1_on_gpOrthosteric Ligand6OIJ-M1-Iperoxo-chim(NtGi1L-G11)/β1/γ2
35.29Consensusm3_offOrthosteric Ligand4U15-M3-Tiotropium 4U16-M3-N-methyl-Scopolamine 5ZHP-M3-PubChem 134828589
35.29Consensusnpy_offOrthosteric Ligandnpy1_off npy2_off
35.29Consensuss1p5_onOrthosteric Ligand7EW1-S1P5-Siponimod-Gi1/β1/γ2
35.29Consensuss1p5_on_gpOrthosteric Ligand7EW1-S1P5-Siponimod-Gi1/β1/γ2
35.29Consensustachykinin_offOrthosteric Ligandnk1_off
35.00Single4IB4Ergotamine4IB4-5-HT2B-Ergotamine
35.00Single7F4ISHU91197F4I-MC1-SHU9119-chim(NtGi1-Gs)/β1/γ2
35.00Single7WKDTRH7WKD-TRH-TRH-chim(NtGi1-Gs-CtGq)/β1/γ2
35.00Single7WVWfMYFINILTL7WVW-FPR2-ALX-fMYFINILTL-Gi2/β1/γ2
35.00Single8ZSPLSD8ZSP-TA1-LSD-chim(NtGi1L-Gs)/β1/γ2
35.00Single9BUYLM1899BUY-β2-LM189-Gi1/β1/γ2
35.00Consensuscxcr4_onOrthosteric Ligand8K3Z-CXCR4-CXCL12-Gi1/β1/γ1
34.78Single8XGOTAK4488XGO-Kiss1-TAK448-chim(NtGi1-Gq)/β1/γ2
34.78Consensusmc1_onOrthosteric Ligand7F4H-MC1-Afamelanotide-chim(NtGi1-Gs)/β1/γ2 7F4D-MC1-α-MSH-chim(NtGi1-Gs)/β1/γ2 7F4I-MC1-SHU9119-chim(NtGi1-Gs)/β1/γ2
34.78Consensusmc1_on_gpOrthosteric Ligand7F4H-MC1-Afamelanotide-chim(NtGi1-Gs)/β1/γ2 7F4D-MC1-α-MSH-chim(NtGi1-Gs)/β1/γ2 7F4I-MC1-SHU9119-chim(NtGi1-Gs)/β1/γ2
34.62Consensusbb2_onOrthosteric Ligand7W40-BB2-Bombesin-chim(NtGi1L-Gq)/β1/γ2 7W3Z-BB2-Gastrin Releasing Peptide-chim(NtGi1L-Gq)/β1/γ2
34.62Consensusbb2_on_gpOrthosteric Ligand7W40-BB2-Bombesin-chim(NtGi1L-Gq)/β1/γ2 7W3Z-BB2-Gastrin Releasing Peptide-chim(NtGi1L-Gq)/β1/γ2
34.62Consensusbombesin_onOrthosteric Ligandbb2_on
34.62Consensusbombesin_on_gpOrthosteric Ligandbb2_on_gp
34.62Consensusgq_bombesinOrthosteric Ligand7W40-BB2-Bombesin-chim(NtGi1L-Gq)/β1/γ2 7W3Z-BB2-Gastrin Releasing Peptide-chim(NtGi1L-Gq)/β1/γ2
33.33Single3V2YPubChem 518926453V2Y-S1P1-PubChem 51892645
33.33Single5UNHPubChem 1264564065UNH-AT2-PubChem 126456406
33.33Single6A94Zotepine6A94-5-HT2A-Zotepine
33.33Single6HLOAprepitant6HLO-NK1-Aprepitant
33.33Single6ME32-Phenylmelatonin6ME3-MT1-2-Phenylmelatonin
33.33Single6OY9All-trans-Retinal6OY9-Rhodopsin-All-trans-Retinal-Gt/β1/γ1
33.33Single6PS82-Phenylmelatonin6PS8-MT1-2-Phenylmelatonin
33.33Single6ZDVPubChem 9840736ZDV-A2A-PubChem 984073-Na
33.33Single6ZG9GSK10347026ZG9-M1-GSK1034702
33.33Single7BZ2Arformoterol7BZ2-β2-Arformoterol-Gs/β1/γ2
33.33Single7DD5Ca; Ca; Tryptophan; NPS-21437DD5-CaS; CaS-Ca-Ca; Ca; Tryptophan; NPS-2143
33.33Single7DDZJNJ-310200287DDZ-Y2-JNJ-31020028
33.33Single7DH5Mirabegron7DH5-β3-Mirabegron-Gs/β1/γ2
33.33Single7EO4Siponimod7EO4-S1P1-Siponimod-Gi1/β1/γ2
33.33Single7EPENAM5637EPE-mGlu2-NAM563
33.33Single7EVYSiponimod7EVY-S1P1-Siponimod-Gi1/β1/γ2
33.33Single7MTRADX551647MTR-mGlu2; mGlu2-Glutamate-ADX55164
33.33Single7UL3Famotidine7UL3-H2-Famotidine
33.33Single7WCNAR2314537WCN-GPR119-AR231453-Gs/β1/γ2
33.33Single7XW9TRH7XW9-TRH-TRH-chim(NtGi1L-Gs-CtGq)/β1/γ2
33.33Single8DPGPsilocin8DPG-5-HT2C-Psilocin-chim(NtGi2L-Gs-CtGq)/β1/γ2
33.33Single8FCZ11-cis-Retinal8FCZ-Rhodopsin-11-cis-Retinal
33.33Single8IA8E7 peptide8IA8-C3aB-E7 peptide-Gi1/β1/γ2
33.33Single8IHKAcifran8IHK-HCA3-Acifran
33.33Single8IY9Niacin8IY9-HCA2-Niacin-Go/β1/γ2
33.33Single8JIMMonomethyl fumarate8JIM-HCA2-Monomethyl fumarate-Gi1/β1/γ2
33.33Single8JSPUlotaront8JSP-5-HT1A-Ulotaront-Gi1/β1/γ2
33.33Single8JWY2-1188JWY-A2A-2-118
33.33Single8JZ7MK68928JZ7-HCA2-MK6892-Gi1/β1/γ2
33.33Single8K5CAcipimox8K5C-HCA2-Acipimox
33.33Single8RLNLUF58348RLN-A2A-LUF5834
33.33Single8WPGTryptophan; Cinacalcet; PO4; Ca8WPG-CaS; CaS-Tryptophan; Cinacalcet; PO4; Ca
33.33Single8Y01All-trans-Retinal8Y01-Opsin1MW-All-trans-Retinal-Gi1/β1/γ2
33.33Single8Y53MK50468Y53-BB3-MK5046-chim(NtGi1-Gs-CtGq)/β1/γ2
33.33Single8YKVPubChem 1375531688YKV-Succinate-PubChem 137553168-Gi1/β1/γ2
33.33Single8ZMGPimavanserin8ZMG-5-HT2A-Pimavanserin
33.33Single8ZPMAMD0708ZPM-CXCR4-AMD070
33.33Single9AXFCa; Ca; Ca; Cyclomethyltryptophan; R-568; PO49AXF-CaS; CaS-Ca-Ca; Ca; Ca; Cyclomethyltryptophan; R-568; PO4-chim(NtGi1-Gs-CtGq)/β1/γ2
33.33Single9EE9Adenosine9EE9-A2A-Adenosine-Gs/β1/γ2
33.33Single9EPQ11,20-Ethanoretinal9EPQ-Rhodopsin-11,20-Ethanoretinal-chim(Gi1-CtGq)/β1/γ2
33.33Single9GYOP3959GYO-GPBA-P395-chim(NtGi1-Gs)/β1/γ2
33.33Single9KPDSalicin9KPD-TAS2R16-Salicin-chim(Gs-CtGt3)/β1/γ2
33.33Single9KUWCMPD6449KUW-Apelin; Apelin-CMPD644-Arrestin2 ; Arrestin2
33.33Single9L0HJR14a9L0H-C3aB-JR14a-Go/β1/γ2
33.33Single9L8LBI1671079L8L-β2-BI167107-Atazanavir-Gs/β1/γ2 ; Arrestin2
33.33Single9LL8Psilocin9LL8-5-HT2A-Psilocin-Gi1/β1/γ2
33.33Single9M4QDoxazosin9M4Q-Alpha1A-Doxazosin
33.33Single9M8POleic monoethanolamide9M8P-GPR3 ; GPR3-Oleic monoethanolamide-AF64394
33.33Single9ME1CXCL129ME1-CXCR4-CXCL12
33.33Single9PY2Loperamide9PY2-μ-Loperamide-GDPβS-Gi1/β1/γ2
33.33Single9W32SSTR5 antagonist 19W32-SST5-SSTR5 antagonist 1
33.33Consensusccr8_onOrthosteric Ligand8KFX-CCR8-LMD-009-Gi1/β1/γ2 8KFY-CCR8-ZK-756326-Gi1/β1/γ2 8U1U-CCR8-CCL1-Gi1/β1/γ2
33.33Consensusccr8_on_gpOrthosteric Ligand8KFX-CCR8-LMD-009-Gi1/β1/γ2 8KFY-CCR8-ZK-756326-Gi1/β1/γ2 8U1U-CCR8-CCL1-Gi1/β1/γ2
33.33Consensusghrelin_offOrthosteric Ligand6KO5-Ghrelin-PubChem 57400002 7F83-Ghrelin-PF-05190457
33.33Consensusgi_lipidOrthosteric Ligandgi_cannabinoid gi_ffa gi_leukotriene gi_lpa gi_s1p
33.33Consensusgi_muscarinicOrthosteric Ligand8E9X-M4-2-Deoxycytidine-chim(NtGi1-Go)/β1/γ2 7T8X-M2-Acetylcholine-chim(NtGi1-Go)/β1/γ2 7TRS-M4-Acetylcholine-Gi1/β1/γ2 7TRK-M4-Iperoxo-Gi1/β1/γ2 7V6A-M4-PubChem 9864275-Gi1/β1/γ2
33.33Consensushca_onOrthosteric Ligandhca2_on
33.33Consensusleukotriene_offOrthosteric Ligandblt_off cyslt_off
33.33Consensuslpl_offOrthosteric Ligands1p_off lpa_off
33.33Consensusnpy2_offOrthosteric Ligand7DDZ-Y2-JNJ-31020028
33.33Consensusopsins_offOrthosteric Ligandrhodopsin_off
33.33Consensussensory_offOrthosteric Ligandopsins_off
33.33Consensustrh_onOrthosteric Ligand7XW9-TRH-TRH-chim(NtGi1L-Gs-CtGq)/β1/γ2
33.33Consensustrh_on_gpOrthosteric Ligand7XW9-TRH-TRH-chim(NtGi1L-Gs-CtGq)/β1/γ2
32.00Single7F4FAfamelanotide7F4F-MC1-Afamelanotide-chim(NtGi1-Gs)/β1/γ2
32.00Single8FEG(DNCP)-Beta-Naloxamine8FEG-κ-(DNCP)-β-Naloxamine-Gi1/β1/γ2
32.00Single8ZH8QRFP268ZH8-QRFP-QRFP26-Gq/β1/γ1
32.00Single9K26PrRP319K26-PrRP-PrRP31-Gi1/β1/γ2
32.00Consensusgq_peptideOrthosteric Ligandgq_cck gq_kisspeptin gq_bradykinin gq_bombesin gq_angiotensin
31.82Single6W25SHU91196W25-MC4-SHU9119-Ca
31.82Single7T6TfMLFII7T6T-FPR1-ALX-fMLFII-Gi1/β1/γ2
31.82Single7TD0LPA7TD0-LPA1-LPA-Gi1/β1/γ2
31.82Single8XGUTAK4488XGU-Kiss1-TAK448-Gi1/β1/γ2
31.82Single9MEUCXCL129MEU-CXCR4-CXCL12
31.82Single9U4WGonadoliberin-19U4W-GnRH1-Gonadoliberin-1-chim(NtGi1L-Gs-CtGq)/β1/γ2
31.82Consensuscxcr4_on_gpOrthosteric Ligand8K3Z-CXCR4-CXCL12-Gi1/β1/γ1
31.82Consensusgi_somatostatinOrthosteric Ligand7WIC-SST2-Somatostatin-14-Gi1/β1/γ2 7XMS-SST4-Somatostatin-14-Gi1/β1/γ2 8X8L-SST5-Cortistatin-14-chim(NtGi1-Gs-CtGi1)/β1/γ2 7XMT-SST4-J-2156-Gi1/β1/γ2 7WIG-SST2-L-054264-Gi1/β1/γ2 8X8N-SST5-Octreotide-chim(NtGi1-Gs-CtGi1)/β1/γ2 7YAE-SST2-Octreotide-Gi1/β1/γ2 7YAC-SST2-Paltusotine-Gi1/β1/γ2
31.82Consensuspeptide_offonOrthosteric Ligandpeptide_off peptide_on
31.82Consensussomatostatin_onOrthosteric Ligandsst2_on sst4_on sst5_on
31.82Consensussomatostatin_on_gpOrthosteric Ligandsst2_on_gp sst4_on_gp sst5_on_gp
31.58Single4NC3Ergotamine4NC3-5-HT2B-Ergotamine
31.58Single7EVZCenerimod7EVZ-S1P1-Cenerimod-Gi1/β1/γ2
31.58Single7EW0Ozanimod7EW0-S1P1-Ozanimod-Gi1/β1/γ2
31.58Single7VGY2-Iodomelatonin7VGY-MT1-2-Iodomelatonin-Gi1/β1/γ2
31.58Single7XK2MK68927XK2-HCA2-MK6892-Gi1/β1/γ2
31.58Single7XZ6APD6687XZ6-GPR119-APD668-Gs/β1/γ2
31.58Single8IJDMK68928IJD-HCA2-MK6892-Gi1/β1/γ2
31.58Single8IULLatanoprost8IUL-FP-alpha-Latanoprost-chim(NtGi1-Gs-CtGq)/β1/γ2
31.58Single8K2XCXCL108K2X-CXCR3-CXCL10-Gi1/β1/γ2
31.58Single8XJKCloprosetnol8XJK-FP-alpha-Cloprosetnol-chim(NtGi1-Gs-CtGq)/β1/γ2
31.58Single8XVJMacitentan8XVJ-ETA-Macitentan
31.58Single9EAILosartan9EAI-AT1-Losartan-Nanobody AT209
31.58Consensuscb1_on_gpOrthosteric Ligand6KPG-CB1-AM841-Gi1/β1/γ2 8K8J-CB1-Fenofibrate-chim(Gs-CtGq)/β1/γ2
31.58Consensusfp-alpha_onOrthosteric Ligand8IUK-FP-alpha-PGF2-α-chim(NtGi1-Gs-CtGq)/β1/γ2 8IUL-FP-alpha-Latanoprost-chim(NtGi1-Gs-CtGq)/β1/γ2 8IUM-FP-alpha-Tafluprost acid-chim(NtGi1-Gs-CtGq)/β1/γ2
31.58Consensusfp-alpha_on_gpOrthosteric Ligand8IUK-FP-alpha-PGF2-α-chim(NtGi1-Gs-CtGq)/β1/γ2 8IUL-FP-alpha-Latanoprost-chim(NtGi1-Gs-CtGq)/β1/γ2 8IUM-FP-alpha-Tafluprost acid-chim(NtGi1-Gs-CtGq)/β1/γ2
31.58Consensusnucleotide_on_gpOrthosteric Ligandadenosine_on_gp p2y_on_gp
31.58Consensusprostanoid_offOrthosteric Ligandep_off dp_off
31.25Single1HZX11-cis-Retinal1HZX-Rhodopsin-11-cis-Retinal
31.25Single4J4QOctyl Beta-D-Glucopyranoside4J4Q-Rhodopsin-Octyl β-D-Glucopyranoside-Gt(CT)
31.25Single4X1HNonyl-Beta-D-Glucopyranoside4X1H-Rhodopsin-Nonyl-β-D-Glucopyranoside-Gt(CT)
31.25Single5UIGPubChem 1240811965UIG-A2A-PubChem 124081196
31.25Single5ZKPSR274175ZKP-PAF-SR27417
31.25Single6GPSMK08126GPS-CCR2-MK0812
31.25Single6XBM25(S)-Epoxycholesterol6XBM-SMO-25(S)-Epoxycholesterol-Gi1/β1/γ2
31.25Single7T6VfMLFII7T6V-FPR2-ALX-fMLFII-Gi1/β1/γ2
31.25Single7VGZRamelteon7VGZ-MT1-Ramelteon-Gi1/β1/γ2
31.25Single7VIFFTY720-P7VIF-S1P1-FTY720-P-Gi1/β1/γ2
31.25Single7VKTLTB47VKT-BLT1-LTB4-Gi1/β1/γ2
31.25Single7WC8Lumateperone7WC8-5-HT2A-Lumateperone
31.25Single8CU6LJ-45178CU6-A2A-LJ-4517
31.25Single8I7VAcipimox8I7V-HCA2-Acipimox-Gi1/β1/γ2
31.25Single8IHJAcifran8IHJ-HCA3-Acifran-Gi1/β1/γ2
31.25Single8J6PNiacin8J6P-HCA2-Niacin-PubChem 25101223-Gi1/β1/γ2
31.25Single8JHNMonomethyl fumarate8JHN-HCA2-Monomethyl fumarate-Go/β1/γ2
31.25Single8JIINiacin8JII-HCA2-Niacin-PubChem 25101223-Gi1/β1/γ2
31.25Single8JT8(R)-IHCH-71798JT8-5-HT2A-(R)-IHCH-7179
31.25Single8K5DGSK2560738K5D-HCA2-GSK256073
31.25Single8KFYZK-7563268KFY-CCR8-ZK-756326-Gi1/β1/γ2
31.25Single8YH5Riboprine8YH5-A3A-Riboprine-Gi1/β1/γ2
31.25Single8ZQEGPR15L(CT)8ZQE-GPR15-GPR15L(CT)-Gi1/β1/γ1
31.25Single9H37PubChem 1756706469H37-A2A-PubChem 175670646-Na
31.25Single9JGKBalovaptan9JGK-5-HT2B-Balovaptan
31.25Consensusalicarboxylic_offOrthosteric Ligandsuccinate_off
31.25Consensusblt1_onOrthosteric Ligand7VKT-BLT1-LTB4-Gi1/β1/γ2
31.25Consensusblt1_on_gpOrthosteric Ligand7VKT-BLT1-LTB4-Gi1/β1/γ2
31.25Consensusblt_onOrthosteric Ligandblt1_on
31.25Consensusblt_on_gpOrthosteric Ligandblt1_on_gp
31.25Consensuscck_offOrthosteric Ligandccka_off
31.25Consensusccka_offOrthosteric Ligand7F8Y-CCKA-Devazepide 7F8U-CCKA-Lintitript
31.25Consensusccr2_offOrthosteric Ligand6GPS-CCR2-MK0812
31.25Consensusgi_hcaOrthosteric Ligand8J6R-HCA2-MK6892-Gi1/β1/γ2 8JIM-HCA2-Monomethyl fumarate-Gi1/β1/γ2 8IHI-HCA2-Acifran-Gi1/β1/γ2 8IHH-HCA2-LUF6283-Gi1/β1/γ2 8I7V-HCA2-Acipimox-Gi1/β1/γ2 8I7W-HCA2-GSK256073-Gi1/β1/γ2
31.25Consensusgi_leukotrieneOrthosteric Ligand7VKT-BLT1-LTB4-Gi1/β1/γ2
31.25Consensushca2_onOrthosteric Ligand8J6R-HCA2-MK6892-Gi1/β1/γ2 8JIM-HCA2-Monomethyl fumarate-Gi1/β1/γ2 8I7V-HCA2-Acipimox-Gi1/β1/γ2 8I7W-HCA2-GSK256073-Gi1/β1/γ2 8IHH-HCA2-LUF6283-Gi1/β1/γ2 8IHI-HCA2-Acifran-Gi1/β1/γ2
31.25Consensushca2_on_gpOrthosteric Ligand8J6R-HCA2-MK6892-Gi1/β1/γ2 8IHI-HCA2-Acifran-Gi1/β1/γ2 8IHH-HCA2-LUF6283-Gi1/β1/γ2 8I7V-HCA2-Acipimox-Gi1/β1/γ2 8JIM-HCA2-Monomethyl fumarate-Gi1/β1/γ2 8I7W-HCA2-GSK256073-Gi1/β1/γ2
31.25Consensushca_on_gpOrthosteric Ligandhca2_on_gp
31.25Consensusleukotriene_onOrthosteric Ligandblt_on
31.25Consensusleukotriene_on_gpOrthosteric Ligandblt_on_gp
31.25Consensuslipid_offOrthosteric Ligandcannabinoid_off paf_off lpl_off prostanoid_off leukotriene_off
31.25Consensussuccinate_offOrthosteric Ligand6RNK-Succinate-NF-56-EJ40 6Z10-Succinate-PubChem 154585554
30.77Single2J4Y11-cis-Retinal2J4Y-Rhodopsin-11-cis-Retinal
30.77Single3C9M11-cis-Retinal3C9M-Rhodopsin-11-cis-Retinal
30.77Single6FUFAll-trans-Retinal6FUF-Rhodopsin-All-trans-Retinal-Go
30.77Single7WC5Psilocin7WC5-5-HT2A-Psilocin
30.77Single8GGEConstrained Epinephrine8GGE-β2-Constrained Epinephrine-GTP-Gs/β1/γ2
30.77Single8J6QBeta-Hydroxybutyrate8J6Q-HCA2-β-Hydroxybutyrate-PubChem 25101223-Gi1/β1/γ2
30.77Single9JG1Adriforant9JG1-H4-Adriforant
30.77Single9JKT(2R)-2-hydroxy-3-phenylpropanoic acid9JKT-HCA3-(2R)-2-hydroxy-3-phenylpropanoic acid-Gi1/β1/γ2
30.77Single9KT93,5-DHBA9KT9-HCA1-3,5-DHBA-Gi1/β1/γ2
30.77Single9LL7DOI9LL7-5-HT2A-DOI-Gi1/β1/γ2
30.43Single7DW9AVP7DW9-V2-AVP-chim(NtGi1-Gs)/β1/γ2
30.43Single7F4HAfamelanotide7F4H-MC1-Afamelanotide-chim(NtGi1-Gs)/β1/γ2
30.43Single7F6G(Sar1)-Angiotensin II7F6G-AT1-(Sar1)-Angiotensin II-Gq/β1/γ2
30.43Single7KH0AVP7KH0-V2-AVP-chim(NtGi1-Gs)/β1/γ2
30.43Single7W40Bombesin7W40-BB2-Bombesin-chim(NtGi1L-Gq)/β1/γ2
30.43Single7WUIIP157WUI-ADGRG2-IP15-chim(NtGi1-Gs)/β1/γ2
30.43Single8ZBISomatostatin-148ZBI-SST3-Somatostatin-14-Gi1/β1/γ2
30.43Consensusangiotensin_on_gpOrthosteric Ligandat1_on_gp
30.43Consensusat1_on_gpOrthosteric Ligand7F6G-AT1-(Sar1)-Angiotensin II-Gq/β1/γ2
30.43Consensusgq_angiotensinOrthosteric Ligand7F6G-AT1-(Sar1)-Angiotensin II-Gq/β1/γ2
30.43Consensusgs_vasop-oxyOrthosteric Ligand7DW9-V2-AVP-chim(NtGi1-Gs)/β1/γ2
30.43Consensuspeptide_offon_gpOrthosteric Ligandpeptide_on_gp peptide_off
30.43Consensusv2_onOrthosteric Ligand7DW9-V2-AVP-chim(NtGi1-Gs)/β1/γ2
30.43Consensusv2_on_gpOrthosteric Ligand7DW9-V2-AVP-chim(NtGi1-Gs)/β1/γ2
30.43Consensusvasop-oxy_onOrthosteric Ligandv2_on
30.43Consensusvasop-oxy_on_gpOrthosteric Ligandv2_on_gp
30.00Single5WF6UK-4320975WF6-A2A-UK-432097
30.00Single6G79Donitriptan6G79-5-HT1B-Donitriptan-Go/β1/γ2
30.00Single7F2OBradykinin7F2O-BK2-Bradykinin-chim(NtGi1-Gs-CtGq)/β1/γ2
30.00Single7F8WGastrin-177F8W-CCKB-Gastrin-17-chim(NtGsL-Gq)/β1/γ2
30.00Single7RKFCX3CL17RKF-US28-CX3CL1-GDP-chim(NtGi1-G11)/β1/γ2
30.00Single7XN9L-0545227XN9-SST2-L-054522
30.00Single7YJ4INSL57YJ4-RXFP4-INSL5-Gi2/β1/γ2
30.00Single8IA7Cholecystokinin-88IA7-CCKB-Cholecystokinin-8-chim(NtGi1L-Gq)/β1/γ2
30.00Single8IUMTafluprost acid8IUM-FP-alpha-Tafluprost acid-chim(NtGi1-Gs-CtGq)/β1/γ2
30.00Single8QJ2pN1628QJ2-MC4-pN162-Gs/β1/γ2
30.00Single8X3LXWD8X3L-CB2-XWD-Gi1/β1/γ2
30.00Single9IPYJR14a9IPY-C3aB-JR14a
30.00Single9KZ2EP679KZ2-C3aB-EP67-Go/β1/γ2
30.00Single9KZ8EP679KZ8-C3aB-EP67-Go/β1/γ2
30.00Single9V2NMacimorelin9V2N-Ghrelin-Macimorelin-chim(NtGi1-Gs-CtGq)/β1/γ2
30.00Single9WSXEndomorphin9WSX-μ-Endomorphin-Arrestin2
30.00Consensusdop_onOrthosteric Ligand8F7S-δ-Deltorphin-Gi1/β1/γ2
30.00Consensussst2_onOrthosteric Ligand7WIC-SST2-Somatostatin-14-Gi1/β1/γ2 7WIG-SST2-L-054264-Gi1/β1/γ2 7YAE-SST2-Octreotide-Gi1/β1/γ2 7YAC-SST2-Paltusotine-Gi1/β1/γ2
30.00Consensussst2_on_gpOrthosteric Ligand7WIC-SST2-Somatostatin-14-Gi1/β1/γ2 7WIG-SST2-L-054264-Gi1/β1/γ2 7YAE-SST2-Octreotide-Gi1/β1/γ2 7YAC-SST2-Paltusotine-Gi1/β1/γ2
29.41Single5CGCHTL142425CGC-mGlu5-HTL14242
29.41Single5NM2ZM-2413855NM2-A2A-ZM-241385-Na
29.41Single5T1ABMS-6815T1A-CCR2-BMS-681-PubChem 12093170
29.41Single5YHLPubChem 1351213525YHL-EP4-PubChem 135121352
29.41Single5YWYONO-AE3-2085YWY-EP4-ONO-AE3-208
29.41Single6D26Fevipiprant6D26-DP2-Fevipiprant
29.41Single6GPXMK08126GPX-CCR2-MK0812
29.41Single6LUQHaloperidol6LUQ-D2-Haloperidol
29.41Single6ME62-Phenylmelatonin6ME6-MT2-2-Phenylmelatonin
29.41Single7C4SS1P7C4S-S1P3-S1P
29.41Single7EPFNAM5977EPF-mGlu2-NAM597
29.41Single7SINNPS-21437SIN-CaS; CaS-NPS-2143
29.41Single7SINNPS-21437SIN-CaS; CaS-NPS-2143
29.41Single7TD3S1P7TD3-S1P1-S1P-Gi1/β1/γ2
29.41Single7W41PD1762527W41-BB2-PD176252
29.41Single8I7WGSK2560738I7W-HCA2-GSK256073-Gi1/β1/γ2
29.41Single8K8JFenofibrate8K8J-CB1-Fenofibrate-chim(Gs-CtGq)/β1/γ2
29.41Single8SZGCa; Ca; Tryptophan; Cinacalcet; PO4; Spermine8SZG-CaS; CaS-Ca; Ca; Tryptophan; Cinacalcet; PO4; Spermine-chim(NtGi1-Gq)/β1/γ2
29.41Single8UUJFCH-22964138UUJ-HCA2-FCH-2296413-Gi1/β1/γ2
29.41Single8X0DVU04244658X0D-mGlu5; mGlu5-Quisqualate-VU0424465
29.41Single8X0DVU04244658X0D-mGlu5; mGlu5-Quisqualate-VU0424465
29.41Single8ZPTPrRP208ZPT-PrRP-PrRP20-chim(NtGi1-Gs-CtGq)/β1/γ2
29.41Single8ZRKGSK12922638ZRK-GPR119-GSK1292263-Gs/β1/γ2
29.41Single9AVLCa; Ca; Cyclomethyltryptophan; R-568; PO49AVL-CaS; CaS-Ca-Ca; Ca; Cyclomethyltryptophan; R-568; PO4-Gi3/β2/γ2
29.41Single9AYFCa; Ca; Ca; Cyclomethyltryptophan; R-568; PO49AYF-CaS; CaS-Ca-Ca; Ca; Ca; Cyclomethyltryptophan; R-568; PO4-Gi1/β1/γ2
29.41Single9CIBFCH-22964139CIB-HCA2-FCH-2296413
29.41Single9EHSLUF76029EHS-A3A-LUF7602
29.41Single9JKSPubChem 442501769JKS-HCA3-PubChem 44250176-Gi1/β1/γ2
29.41Single9KPFSalicin9KPF-TAS2R16-Salicin-Gi1/β1/γ2
29.41Single9KT6Acifran9KT6-HCA3-Acifran-Gi1/β1/γ2
29.41Single9M8POleic monoethanolamide9M8P-GPR3 ; GPR3-Oleic monoethanolamide-AF64394
29.41Consensusadenosine_offOrthosteric Liganda1_off a2_off
29.41Consensusbb2_offOrthosteric Ligand7W41-BB2-PD176252
29.41Consensusbombesin_offOrthosteric Ligandbb2_off
29.41Consensuscb2_onOrthosteric Ligand8GUR-CB2-CP55940-Gi1/β1/γ2 8GUS-CB2-HU-308-Gi1/β1/γ2 8GUT-CB2-LEI-102-Gi1/β1/γ2 6KPF-CB2-AM12033-Gi1/β1/γ2 6PT0-CB2-WIN 55212-2-Gi1/β1/γ2 8GUQ-CB2-Olorinab-Gi1/β1/γ2
29.41Consensuscb2_on_gpOrthosteric Ligand8GUR-CB2-CP55940-Gi1/β1/γ2 8GUS-CB2-HU-308-Gi1/β1/γ2 8GUT-CB2-LEI-102-Gi1/β1/γ2 6KPF-CB2-AM12033-Gi1/β1/γ2 6PT0-CB2-WIN 55212-2-Gi1/β1/γ2 8GUQ-CB2-Olorinab-Gi1/β1/γ2
29.41Consensusdp2_offOrthosteric Ligand6D26-DP2-Fevipiprant
29.41Consensusdp_offOrthosteric Liganddp2_off
29.41Consensusep4_offOrthosteric Ligand5YWY-EP4-ONO-AE3-208 5YHL-EP4-PubChem 135121352
29.41Consensusep_offOrthosteric Ligandep4_off
29.41Consensusnucleotide_onOrthosteric Ligandadenosine_on p2y_on
29.41Consensuss1p_offOrthosteric Ligands1p1_off s1p5_off
29.17Single7QBIAlpha-factor mating pheromone7QBI-STE2; STE2-α-factor mating pheromone
29.17Single8XQEApelin-138XQE-Apelin; Apelin-Apelin-13-Gi1/β1/γ2
29.17Single8ZPSPrRP208ZPS-PrRP-PrRP20-chim(NtGi1-Gs-CtGi1)/β1/γ2
29.17Consensussst5_on_gpOrthosteric Ligand8X8L-SST5-Cortistatin-14-chim(NtGi1-Gs-CtGi1)/β1/γ2 8X8N-SST5-Octreotide-chim(NtGi1-Gs-CtGi1)/β1/γ2
28.57Single1L9H11-cis-Retinal1L9H-Rhodopsin-11-cis-Retinal
28.57Single5TE520-Methanoretinal5TE5-Rhodopsin-20-Methanoretinal
28.57Single6HLLCP999946HLL-NK1-CP99994
28.57Single6QNOAll-trans-Retinal6QNO-Rhodopsin-All-trans-Retinal-Gi1/β1/γ1
28.57Single6TP4ACT-4622066TP4-OX1-ACT-462206
28.57Single7F8XNN90567F8X-CCKA-NN9056
28.57Single7QA8Antagonist Peptide7QA8-STE2; STE2-Antagonist Peptide
28.57Single7QA8Antagonist Peptide7QA8-STE2; STE2-Antagonist Peptide
28.57Single7V68Iperoxo7V68-M4-Iperoxo-LY2119620-Gi1/β1/γ2
28.57Single7VUIJNJ-635330547VUI-GPR139-JNJ-63533054-GTP-chim(Gs-CtGq)/β1/γ2
28.57Single7XAUOctreotide7XAU-SST2-Octreotide-Gi1/β1/γ2
28.57Single7XP6Strychnine7XP6-TAS2R46-Strychnine-chim(Gs-CtGt3)/β1/γ2
28.57Single8A2PLUAA470708A2P-A2A-LUAA47070-Na
28.57Single8F7XNociceptin8F7X-NOP-Nociceptin-Gi1/β1/γ2
28.57Single8G59TUG-8918G59-FFA4-TUG-891-chim(Gi1-CtGq)/β1/γ2
28.57Single8GHVAMG3158GHV-CB1-AMG315-Gi1/β1/γ2
28.57Single8IHIAcifran8IHI-HCA2-Acifran-Gi1/β1/γ2
28.57Single8JILNiacin8JIL-HCA2-Niacin-Gi1/β1/γ2
28.57Single8K3ZCXCL128K3Z-CXCR4-CXCL12-Gi1/β1/γ1
28.57Single8UO4Constrained Epinephrine8UO4-β2-Constrained Epinephrine-GTP; Mg-Gs/β1/γ2
28.57Single8WKYPG-9348WKY-MC4-PG-934
28.57Single8ZBJSomatostatin-148ZBJ-SST5-Somatostatin-14-Gi1/β1/γ2
28.57Single9BKJCholecystokinin-89BKJ-CCKA-Cholecystokinin-8-chim(NtGi1-Gs-CtGq)/β1/γ2
28.57Single9IQTNiacin9IQT-HCA2-Niacin-Gi1/β1/γ2
28.57Single9IZDCHBA9IZD-HCA1-CHBA-Gi1/β1/γ2
28.57Single9L3ZLRH7-C29L3Z-CML1-LRH7-C2
28.57Single9UYJChemerin-99UYJ-CML2-Chemerin-9-Arrestin2
28.57Consensusgi_nucleotideOrthosteric Ligandgi_adenosine gi_p2y
28.57Consensuslpl_onOrthosteric Ligands1p_on lpa_on
28.57Consensuslpl_on_gpOrthosteric Ligands1p_on_gp lpa_on_gp
28.57Consensusmc4_onOrthosteric Ligand7AUE-MC4-Setmelanotide-chim(NtGi1L-Gs)/β1/γ2 7F58-MC4-THIQ-Gs/β1/γ2 7F54-MC4-Afamelanotide-Gs/β1/γ2 7F53-MC4-α-MSH-Gs/β1/γ2 7F55-MC4-Bremelanotide-Gs/β1/γ2
28.57Consensusnop_onOrthosteric Ligand8F7X-NOP-Nociceptin-Gi1/β1/γ2
28.57Consensusnop_on_gpOrthosteric Ligand8F7X-NOP-Nociceptin-Gi1/β1/γ2
28.57Consensussst5_onOrthosteric Ligand8X8L-SST5-Cortistatin-14-chim(NtGi1-Gs-CtGi1)/β1/γ2 8X8N-SST5-Octreotide-chim(NtGi1-Gs-CtGi1)/β1/γ2
28.00Single7F8VGastrin-177F8V-CCKB-Gastrin-17-Gi2/β1/γ2
28.00Single7QBIAlpha-factor mating pheromone7QBI-STE2; STE2-α-factor mating pheromone
28.00Single7YKDChemerin-97YKD-CML1-Chemerin-9-Gi1/β1/γ2
28.00Single8XVEBQ30208XVE-ETB-BQ3020-chim(Gs-CtGq)/β1/γ2
28.00Consensusgi_peptideOrthosteric Ligandgi_cck gi_apelin gi_compl-pept gi_endothelin gi_formylpeptide gi_galanin gi_ghrelin gi_npy gi_neurotensin gi_opioid gi_orexin gi_relaxin gi_somatostatin
27.78Single4IAQDihydroergotamine4IAQ-5-HT1B-Dihydroergotamine
27.78Single4Z34ONO-97803074Z34-LPA1-ONO-9780307
27.78Single5ZHPPubChem 1348285895ZHP-M3-PubChem 134828589
27.78Single6N4BMDMB-Fubinaca6N4B-CB1-MDMB-Fubinaca-Gi1/β1/γ2
27.78Single6O3CCholesterol6O3C-SMO-SAG21k-Cholesterol
27.78Single7EW4CYM-55417EW4-S1P3-CYM-5541-Gi1/β1/γ2
27.78Single7F58THIQ7F58-MC4-THIQ-Gs/β1/γ2
27.78Single7R0CAVP7R0C-V2-AVP-Arrestin2
27.78Single7VIGCBP-3077VIG-S1P1-CBP-307-Gi1/β1/γ2
27.78Single7WV9CP559407WV9-CB1-CP55940-ZCZ011-Gi2/β1/γ2
27.78Single7XAVLanreotide7XAV-SST2-Lanreotide-Gi1/β1/γ2
27.78Single8HDOBAY 60-65838HDO-A2B-BAY 60-6583-Gs/β1/γ2
27.78Single8I9LC3a8I9L-C3aB-C3a-Go/β1/γ2
27.78Single8ID39-Hydroxystearic acid8ID3-FFA4-9-Hydroxystearic acid-Gi1/β1/γ2
27.78Single8ID6Oleic acid8ID6-FFA4-Oleic acid-Gi1/β1/γ2
27.78Single8IHBGSK2560738IHB-HCA2-GSK256073-Gi1/β1/γ2
27.78Single8IHHLUF62838IHH-HCA2-LUF6283-Gi1/β1/γ2
27.78Single8IUKPGF2-alpha8IUK-FP-alpha-PGF2-α-chim(NtGi1-Gs-CtGq)/β1/γ2
27.78Single8IYHMK68928IYH-HCA2-MK6892-Go/β1/γ2
27.78Single8JSRAnamorelin8JSR-Ghrelin-Anamorelin-chim(NtGi1-Gs-CtGq)/β1/γ2
27.78Single8WU1MDMB-Fubinaca8WU1-CB1-MDMB-Fubinaca-Arrestin2
27.78Single8X0BVU04244658X0B-mGlu5; mGlu5-Quisqualate-VU0424465
27.78Single8X0FVU298X0F-mGlu5; mGlu5-Quisqualate-VU29
27.78Single8X16Piclidenoson8X16-A3A-Piclidenoson-Gi1/β1/γ2
27.78Single8XIPPasireotide8XIP-SST1-Pasireotide-chim(NtGi1-Gs-CtGi1)/β1/γ2
27.78Single9AYFCa; Ca; Ca; Cyclomethyltryptophan; R-568; PO49AYF-CaS; CaS-Ca-Ca; Ca; Ca; Cyclomethyltryptophan; R-568; PO4-Gi1/β1/γ2
27.78Single9RHGC4079RHG-FZD7-C407
27.78Consensusgi_cannabinoidOrthosteric Ligand8GUR-CB2-CP55940-Gi1/β1/γ2 8GUS-CB2-HU-308-Gi1/β1/γ2 8GUT-CB2-LEI-102-Gi1/β1/γ2 8GUQ-CB2-Olorinab-Gi1/β1/γ2 6KPF-CB2-AM12033-Gi1/β1/γ2 6PT0-CB2-WIN 55212-2-Gi1/β1/γ2 6KPG-CB1-AM841-Gi1/β1/γ2
27.78Consensusprotein_offOrthosteric Ligandchemokine_off grh_off
27.59Consensusgs_peptideOrthosteric Ligandgs_cck gs_melanocortin gs_vasop-oxy
27.27Single5MZPCaffeine5MZP-A2A-Caffeine-Na
27.27Single5XJM(Sar1,Ile8)-Angiotensin II5XJM-AT2-(Sar1,Ile8)-Angiotensin II
27.27Single6DO1(Sar1,Ile8)-Angiotensin II6DO1-AT1-(Sar1,Ile8)-Angiotensin II
27.27Single7EZKCholecystokinin-87EZK-CCKA-Cholecystokinin-8-chim(NtGi1-Gs)/β1/γ2
27.27Single7RKMCX3CL17RKM-US28-CX3CL1-Gi1/β1/γ2
27.27Single7W0NElabela7W0N-Apelin; Apelin-Elabela-Gi1/β1/γ2
27.27Single7XMSSomatostatin-147XMS-SST4-Somatostatin-14-Gi1/β1/γ2
27.27Single8F7SDeltorphin8F7S-δ-Deltorphin-Gi1/β1/γ2
27.27Single8F7WDynorphin8F7W-κ-Dynorphin-Gi1/β1/γ2
27.27Single8GEJConstrained Epinephrine8GEJ-β2-Constrained Epinephrine-Gs/β1/γ2
27.27Single8JZZC5a-des-Arg8JZZ-C5a1-C5a-des-Arg-Go/β1/γ2
27.27Single8SG1Chemerin-98SG1-CML1-Chemerin-9-Gi1/β1/γ2
27.27Single8WCBCyclohexylammonium Ion8WCB-TA1-Cyclohexylammonium Ion-chim(NtGi1-Gs-CtGq)/β1/γ2
27.27Single8WCCCyclohexylammonium Ion8WCC-TA1-Cyclohexylammonium Ion
27.27Single9IK8Pasireotide9IK8-SST1-Pasireotide-Gi1/β1/γ2
27.27Single9IQVMuscarinic toxin 39IQV-Alpha1A-Muscarinic toxin 3
27.27Single9L60Dynorphin9L60-κ-Dynorphin-MPAM-15-Gi1/β1/γ2
27.27Single9UMXEP549UMX-C5a1-EP54-Go/β1/γ2
27.27Consensusdop_on_gpOrthosteric Ligand8F7S-δ-Deltorphin-Gi1/β1/γ2
27.27Consensusghrelin_onOrthosteric Ligand7NA7-Ghrelin-Ghrelin-Gi1/β1/γ2 7F9Z-Ghrelin-GHRP-6-chim(NtGi1-Gs-CtGq)/β1/γ2 7NA8-Ghrelin-Ibutamoren-Gi1/β1/γ2
27.27Consensusghrelin_on_gpOrthosteric Ligand7NA7-Ghrelin-Ghrelin-Gi1/β1/γ2 7F9Z-Ghrelin-GHRP-6-chim(NtGi1-Gs-CtGq)/β1/γ2 7NA8-Ghrelin-Ibutamoren-Gi1/β1/γ2
27.27Consensusgi_cckOrthosteric Ligand7EZH-CCKA-Cholecystokinin-8-Gi1/β1/γ2 7F8V-CCKB-Gastrin-17-Gi2/β1/γ2
27.27Consensusgq_class-aOrthosteric Ligandgq_peptide gq_amine gq_nucleotide
27.27Consensusmc4_on_gpOrthosteric Ligand7AUE-MC4-Setmelanotide-chim(NtGi1L-Gs)/β1/γ2 7F58-MC4-THIQ-Gs/β1/γ2 7F54-MC4-Afamelanotide-Gs/β1/γ2 7F53-MC4-α-MSH-Gs/β1/γ2 7F55-MC4-Bremelanotide-Gs/β1/γ2
27.27Consensussst4_onOrthosteric Ligand7XMS-SST4-Somatostatin-14-Gi1/β1/γ2 7XMT-SST4-J-2156-Gi1/β1/γ2
27.27Consensussst4_on_gpOrthosteric Ligand7XMS-SST4-Somatostatin-14-Gi1/β1/γ2 7XMT-SST4-J-2156-Gi1/β1/γ2
26.92Single7EIBKallidin-des-Arg107EIB-BK1-Kallidin-des-Arg10-chim(NtGi1-Gs-CtGq)/β1/γ2
26.92Single7F53Alpha-MSH7F53-MC4-α-MSH-Gs/β1/γ2
26.92Single7QBCAlpha-factor mating pheromone7QBC-STE2; STE2-α-factor mating pheromone
26.92Single9KDFRES-701-39KDF-ETB-RES-701-3
26.92Consensuspeptide_onOrthosteric Ligandcck_on angiotensin_on apelin_on bombesin_on bradykinin_on compl-peptide_on endothelin_on formylpeptide_on galanin_on ghrelin_on kisspeptin_on melanocortin_on motilin_on neuromedin-u_on npy_on neurotensin_on opioid_on orexin_on relaxin_on somatostatin_on tachykinin_on trh_on vasop-oxy_on
26.92Consensuspeptide_on_gpOrthosteric Ligandcck_on_gp angiotensin_on_gp apelin_on_gp bombesin_on_gp bradykinin_on_gp compl-peptide_on_gp endothelin_on_gp formylpeptide_on_gp galanin_on_gp ghrelin_on_gp kisspeptin_on_gp melanocortin_on_gp motilin_on_gp neuromedin-u_on_gp npy_on_gp neurotensin_on_gp opioid_on_gp orexin_on_gp relaxin_on_gp somatostatin_on_gp tachykinin_on_gp trh_on_gp vasop-oxy_on_gp
26.67Single1GZM11-cis-Retinal1GZM-Rhodopsin-11-cis-Retinal
26.67Single2X72All-trans-Retinal2X72-Rhodopsin-All-trans-Retinal-Gt(CT)
26.67Single3C9L11-cis-Retinal3C9L-Rhodopsin-11-cis-Retinal
26.67Single5K2DZM-2413855K2D-A2A-ZM-241385-Na
26.67Single5OLHVipadenant5OLH-A2A-Vipadenant-Na
26.67Single5OLOTozadenant5OLO-A2A-Tozadenant-Na
26.67Single5ZKQABT-4915ZKQ-PAF-ABT-491
26.67Single6JZHZM-2413856JZH-A2A-ZM-241385-Na
26.67Single6ME2Ramelteon6ME2-MT1-Ramelteon
26.67Single6NWEOctyl-Beta-D-Glucopyranoside6NWE-Rhodopsin-Octyl-β-D-Glucopyranoside-Gt(CT)
26.67Single6PS7ZM-2413856PS7-A2A-ZM-241385-Na
26.67Single6RNKNF-56-EJ406RNK-Succinate-NF-56-EJ40
26.67Single7BR3Elagolix7BR3-GnRH1-Elagolix
26.67Single7T6STC-FPR 437T6S-FPR2-ALX-TC-FPR 43-Gi1/β1/γ2
26.67Single7WF7S1P7WF7-S1P1-S1P-Gi1/β1/γ2
26.67Single8A6CAll-trans-Retinal8A6C-Rhodopsin-All-trans-Retinal
26.67Single8A6DAll-trans-Retinal8A6D-Rhodopsin-All-trans-Retinal
26.67Single8A6EAll-trans-Retinal8A6E-Rhodopsin-All-trans-Retinal
26.67Single8DU3PubChem 1055260648DU3-A2A-PubChem 105526064
26.67Single8GNGIstradefylline8GNG-A2A-Istradefylline
26.67Single8IJBAcipimox8IJB-HCA2-Acipimox-Gi1/β1/γ2
26.67Single8RW0Istradefylline8RW0-A2A-Istradefylline-Na
26.67Single8U4PAMD31008U4P-CXCR4-AMD3100-Gi1/β1/γ2
26.67Single8UTDMK19038UTD-HCA2-MK1903-Gi1/β1/γ2
26.67Single8WPGTryptophan; Cinacalcet; PO4; Ca8WPG-CaS; CaS-Tryptophan; Cinacalcet; PO4; Ca
26.67Single8XXVIndomethacin8XXV-DP2-Indomethacin-A1D5Q-Gi1/β1/γ2
26.67Single9AVLCa; Ca; Cyclomethyltryptophan; R-568; PO49AVL-CaS; CaS-Ca-Ca; Ca; Cyclomethyltryptophan; R-568; PO4-Gi3/β2/γ2
26.67Single9C1PCa; Tryptophan; '6218; PO49C1P-CaS; CaS-Ca-Ca; Tryptophan; '6218; PO4
26.67Single9C2FCa; Ca; Tryptophan; '54149; PO49C2F-CaS; CaS-Ca-Ca; Ca; Tryptophan; '54149; PO4
26.67Single9H2XPubChem 1756706449H2X-A2A-PubChem 175670644-Na
26.67Single9J5VCpY9J5V-LPA1-CpY-Gi1/β1/γ2
26.67Single9LKDPL459LKD-OR5V1-PL45
26.67Single9M88Oleic monoethanolamide9M88-GPR3 ; GPR3-Oleic monoethanolamide-AF64394
26.67Single9PEEPF-07054894; OXM29PEE-CCR6-PF-07054894; OXM2
26.67Consensusgnrh1_offOrthosteric Ligand7BR3-GnRH1-Elagolix
26.67Consensuspaf_offOrthosteric Ligand5ZKQ-PAF-ABT-491
26.67Consensussensory_offonOrthosteric Ligandsensory_off sensory_on
26.67Consensussensory_offon_gpOrthosteric Ligandsensory_on_gp sensory_on
26.32Single4N4WSANT-14N4W-SMO-SANT-1
26.32Single4PXFOctyl-Beta-D-Glucopyranoside4PXF-Rhodopsin-Octyl-β-D-Glucopyranoside-Arrestin1 Finger Loop
26.32Single4Z36ONO-30805734Z36-LPA1-ONO-3080573
26.32Single6XBLCholesterol6XBL-SMO-SAG-Cholesterol-Gi1/β1/γ2
26.32Single7F55Bremelanotide7F55-MC4-Bremelanotide-Gs/β1/γ2
26.32Single7K15MKD0467K15-BLT1-MKD046-Na
26.32Single7W0NElabela7W0N-Apelin; Apelin-Elabela-Gi1/β1/γ2
26.32Single7Y66BM2137Y66-C5a1-BM213-Gi1/β1/γ2
26.32Single8GCPPGE28GCP-EP4-PGE2-Gi1/β1/γ2
26.32Single8I9AEP548I9A-C3aB-EP54-chim(NtGi1-Gs-CtGq)/β1/γ2
26.32Single8IQ6Latanoprost8IQ6-FP-alpha-Latanoprost-chim(NtGi1-Gs-CtGq)/β1/γ2
26.32Single8IYWGSK2560738IYW-HCA2-GSK256073-Go/β1/γ2
26.32Single8J6DEP1418J6D-C3aB-EP141-Go/β1/γ2
26.32Single8JD3JNJ-404118138JD3-mGlu2; mGlu3-Glutamate-JNJ-40411813-Gi1/β1/γ2
26.32Single8T3QDoconexent8T3Q-FFA4-Doconexent-chim(NtGi2L-Gs-CtGq)/β1/γ2
26.32Single8VHFMBX-29828VHF-GPR119-MBX-2982-Gs/β1/γ2
26.32Single8X8NOctreotide8X8N-SST5-Octreotide-chim(NtGi1-Gs-CtGi1)/β1/γ2
26.32Single8XJNCloprosetnol8XJN-TXA2-Cloprosetnol-chim(NtGi1-Gs-CtGq)/β1/γ2
26.32Single9BJKPubChem 1716420669BJK-μ-Naloxone-PubChem 171642066
26.32Single9DGIZ85267113509DGI-CB1-Z8526711350
26.32Single9GGGI-BOP9GGG-TXA2-I-BOP-chim(NtGi2L-Gs-CtGq)/β1/γ2
26.32Single9IZHLPA9IZH-LPA1-LPA-chim(NtGi2-G13)/β1/γ2
26.32Single9WXMGPR15L(CT)9WXM-GPR15-GPR15L(CT)-Gi3/β1/γ2
26.32Consensusc3a_onOrthosteric Ligand8HK2-C3aB-C3a-Gi1/β1/γ2 8IA8-C3aB-E7 peptide-Gi1/β1/γ2
26.32Consensuscannabinoid_offOrthosteric Ligandcb2_off cb1_off
26.32Consensuscannabinoid_onOrthosteric Ligandcb2_on cb1_on
26.32Consensuscannabinoid_on_gpOrthosteric Ligandcb2_on_gp cb1_on_gp
26.32Consensuscb1_onOrthosteric Ligand6KPG-CB1-AM841-Gi1/β1/γ2 8K8J-CB1-Fenofibrate-chim(Gs-CtGq)/β1/γ2
26.32Consensuslipid_offonOrthosteric Ligandlipid_off lipid_on
26.32Consensuslipid_offon_gpOrthosteric Ligandlipid_on_gp lipid_off
26.32Consensuslpa1_offOrthosteric Ligand4Z36-LPA1-ONO-3080573 4Z35-LPA1-ONO-9910539 4Z34-LPA1-ONO-9780307
26.32Consensuslpa_offOrthosteric Ligandlpa1_off
26.32Consensusm4_onOrthosteric Ligand7TRS-M4-Acetylcholine-Gi1/β1/γ2 7V6A-M4-PubChem 9864275-Gi1/β1/γ2 8E9X-M4-2-Deoxycytidine-chim(NtGi1-Go)/β1/γ2 7TRK-M4-Iperoxo-Gi1/β1/γ2
26.32Consensusm4_on_gpOrthosteric Ligand7TRS-M4-Acetylcholine-Gi1/β1/γ2 7V6A-M4-PubChem 9864275-Gi1/β1/γ2 8E9X-M4-2-Deoxycytidine-chim(NtGi1-Go)/β1/γ2 7TRK-M4-Iperoxo-Gi1/β1/γ2
26.09Single7F4DAlpha-MSH7F4D-MC1-α-MSH-chim(NtGi1-Gs)/β1/γ2
26.09Single7TD2LPA7TD2-LPA1-LPA-Gi1/β1/γ2
26.09Single7XOUCholecystokinin-87XOU-CCKA-Cholecystokinin-8-Gs/β1/γ2
26.09Single8WKZSBL-MC-318WKZ-MC4-SBL-MC-31
26.09Single8XIRPasireotide8XIR-SST3-Pasireotide-chim(NtGi1-Gs-CtGi1)/β1/γ2
26.09Single8XZGApelin-138XZG-Apelin; Apelin-Apelin-13-Gi1/β1/γ2
26.09Single9M1ONeuropeptide-FF9M1O-NPFF2-Neuropeptide-FF-Gi1/β1/γ2
26.09Single9UYIChemerin-99UYI-CML2-Chemerin-9-Arrestin2
26.09Consensusangiotensin_onOrthosteric Ligandat1_on
26.09Consensusat1_onOrthosteric Ligand7F6G-AT1-(Sar1)-Angiotensin II-Gq/β1/γ2
26.09Consensusc5a1_onOrthosteric Ligand8HK5-C5a1-C5a-Gi1/β1/γ2 7Y66-C5a1-BM213-Gi1/β1/γ2 7Y67-C5a1-C089 peptide-Gi1/β1/γ2 7Y64-C5a1-C5a-Gi1/β1/γ2
26.09Consensusgs_cckOrthosteric Ligand7MBX-CCKA-Cholecystokinin-8-Gs/β1/γ1
25.93Single6IGLIRL16206IGL-ETB-IRL1620
25.93Single7QBCAlpha-factor mating pheromone7QBC-STE2; STE2-α-factor mating pheromone
25.93Single8WWNMCH8WWN-MCH1-MCH-Gi1/β1/γ2
25.93Consensusbk2_onOrthosteric Ligand7F6H-BK2-Bradykinin-Gq/β1/γ2 7F6I-BK2-Kallidin-Gq/β1/γ2
25.93Consensusbk2_on_gpOrthosteric Ligand7F6H-BK2-Bradykinin-Gq/β1/γ2 7F6I-BK2-Kallidin-Gq/β1/γ2
25.93Consensusbradykinin_onOrthosteric Ligandbk2_on
25.93Consensusbradykinin_on_gpOrthosteric Ligandbk2_on_gp
25.93Consensusgq_bradykininOrthosteric Ligand7F6H-BK2-Bradykinin-Gq/β1/γ2 7F6I-BK2-Kallidin-Gq/β1/γ2
25.00Single1F8811-cis-Retinal1F88-Rhodopsin-11-cis-Retinal
25.00Single3OAX11-cis-Retinal3OAX-Rhodopsin-11-cis-Retinal
25.00Single3PXOAll-trans-Retinal3PXO-Rhodopsin-All-trans-Retinal
25.00Single3REYPubChem 56973REY-A2A-PubChem 5697
25.00Single4Z35ONO-99105394Z35-LPA1-ONO-9910539
25.00Single5CGDHTL142425CGD-mGlu5-HTL14242
25.00Single5DYSAll-trans-Retinal5DYS-Rhodopsin-All-trans-Retinal
25.00Single5IU4ZM-2413855IU4-A2A-ZM-241385-Na
25.00Single5IU7Q274563465IU7-A2A-Q27456346-Na
25.00Single5IUBQ274563445IUB-A2A-Q27456344-Na
25.00Single5JTBZM-2413855JTB-A2A-ZM-241385
25.00Single5K2BZM-2413855K2B-A2A-ZM-241385-Na
25.00Single5K2CZM-2413855K2C-A2A-ZM-241385-Na
25.00Single5MZJTheophylline5MZJ-A2A-Theophylline-Na
25.00Single5NLXZM-2413855NLX-A2A-ZM-241385-Na
25.00Single5NM4ZM-2413855NM4-A2A-ZM-241385-Na
25.00Single5TE3Octyl-Beta-D-Glucopyranoside5TE3-Rhodopsin-Octyl-β-D-Glucopyranoside
25.00Single5WB2CX3CL1.355WB2-US28-CX3CL1.35
25.00Single6AQFZM-2413856AQF-A2A-ZM-241385
25.00Single6K1QIRL25006K1Q-ETB-IRL2500
25.00Single6ME42-Iodomelatonin6ME4-MT1-2-Iodomelatonin
25.00Single6TPKRetosiban6TPK-OT-Retosiban
25.00Single6ZDRHMS1413f126ZDR-A2A-HMS1413f12-Na
25.00Single7AD3Alpha-factor mating pheromone7AD3-STE2; STE2-α-factor mating pheromone-Gi1/STE4/γ2
25.00Single7AROLUF58337ARO-A2A-LUF5833-Na
25.00Single7BB6AVP7BB6-V2-AVP-Gs/β1/γ2
25.00Single7D7MPGE27D7M-EP4-PGE2-Gs/β1/γ1
25.00Single7FIMTirzepatide7FIM-GLP-1-Tirzepatide-Gs/β1/γ2
25.00Single7LLLExendin-47LLL-GLP-1-Exendin-4-Gs/β1/γ2
25.00Single7MBYCholecystokinin-87MBY-CCKA-Cholecystokinin-8-chim(NtGi1L-Gs-CtGq)/β1/γ2
25.00Single7T32ZM-2413857T32-A2A-ZM-241385
25.00Single7V9MSomatoliberin7V9M-GHRH (SV1)-Somatoliberin-Gs/β1/γ2
25.00Single7VODCariprazine7VOD-5-HT2A-Cariprazine
25.00Single7WC4Serotonin7WC4-5-HT2A-Serotonin
25.00Single7WVVfMLFII7WVV-FPR2-ALX-fMLFII-Gi2/β1/γ2
25.00Single7XOVSR1461317XOV-CCKA-SR146131-Gs/β1/γ2
25.00Single7Y65C5a (C-terminal peptide)7Y65-C5a1-C5a (C-terminal peptide)-Gi1/β1/γ2
25.00Single7YK6PubChem 1383196747YK6-RXFP4-PubChem 138319674-Gi2/β1/γ2
25.00Single7YU8ONO-07405567YU8-LPA1-ONO-0740556-Gi1/β1/γ2
25.00Single7ZBC11-cis-Retinal7ZBC-Rhodopsin-11-cis-Retinal
25.00Single7ZBE11-cis-Retinal7ZBE-Rhodopsin-11-cis-Retinal
25.00Single8GAGZ85267113508GAG-CB1-Z8526711350-Gi1/β1/γ2
25.00Single8GUQOlorinab8GUQ-CB2-Olorinab-Gi1/β1/γ2
25.00Single8GURCP559408GUR-CB2-CP55940-Gi1/β1/γ2
25.00Single8GUTLEI-1028GUT-CB2-LEI-102-Gi1/β1/γ2
25.00Single8H4KGW95088H4K-FFA4-GW9508-chim(NtGi1-Gs-CtGq)/β1/γ2
25.00Single8I95EP548I95-C3aB-EP54-Go/β1/γ2
25.00Single8ID8TUG-8918ID8-FFA4-TUG-891-Gi1/β1/γ2
25.00Single8IHFMK68928IHF-HCA2-MK6892-Gi1/β1/γ2
25.00Single8IYSTUG-8918IYS-FFA4-TUG-891-GDP-chim(NtGi1L-Gq)/β1/γ2
25.00Single8J6IMK68928J6I-HCA2-MK6892-Gi1/β1/γ2
25.00Single8JEIPubChem 117155568JEI-HCAR3-PubChem 11715556-Gi1/β1/γ2
25.00Single8JERAcipimox8JER-HCA2-Acipimox-Go/β1/γ2
25.00Single8K2WAMG4878K2W-CXCR3-AMG487
25.00Single8K9LDAMGO8K9L-μ-DAMGO-BMS-986122-Gi3/β1/γ1
25.00Single8PWNTheophylline8PWN-A2A-Theophylline
25.00Single8RQQZM-2413858RQQ-A2A-ZM-241385-Na
25.00Single8RWCStilSwitch28RWC-A2A-StilSwitch2-Na
25.00Single8RWDStilSwitch38RWD-A2A-StilSwitch3-Na
25.00Single8RWIStilSwitch28RWI-A2A-StilSwitch2-Na
25.00Single8T3OTUG-8918T3O-FFA4-TUG-891-chim(NtGi2L-Gs-CtGq)/β1/γ2
25.00Single8WPUTryptophan; Cinacalcet; PO4; Ca8WPU-CaS; CaS-Tryptophan; Cinacalcet; PO4; Ca-chim(NtGi2L-Gs-CtGq)/β1/γ2
25.00Single8WRZAM8418WRZ-CB1-AM841-Arrestin2
25.00Single8XJOU466198XJO-TXA2-U46619-chim(NtGi1-Gs-CtGq)/β1/γ2
25.00Single8XWQEndothelin-18XWQ-ETB-Endothelin-1-Gi1/β1/γ2
25.00Single8Y6YGLPG09748Y6Y-FFA2-GLPG0974
25.00Single8ZBWQuin-C18ZBW-FPR2-ALX-Quin-C1-Gi2/β1/γ2
25.00Single8ZPNAMD31008ZPN-CXCR4-AMD3100
25.00Single9ASBCa; Ca; Cyclomethyltryptophan; R-568; PO49ASB-CaS; CaS-Ca-Ca; Ca; Cyclomethyltryptophan; R-568; PO4-chim(NtGi1-Gs-CtGq)/β1/γ2
25.00Single9ASBCa; Ca; Cyclomethyltryptophan; R-568; PO49ASB-CaS; CaS-Ca-Ca; Ca; Cyclomethyltryptophan; R-568; PO4-chim(NtGi1-Gs-CtGq)/β1/γ2
25.00Single9AVGCa; Ca; Cyclomethyltryptophan; R-568; PO49AVG-CaS; CaS-Ca-Ca; Ca; Cyclomethyltryptophan; R-568; PO4-chim(NtGi1-Gs)/β1/γ2
25.00Single9IZFLPA9IZF-LPA1-LPA-Gi1/β1/γ2
25.00Single9JIDNiacin9JID-HCA3-Niacin-Gi1/β1/γ2
25.00Single9JKVPubChem 27366909JKV-HCA3-PubChem 2736690-Gi1/β1/γ2
25.00Single9JKYAcifran9JKY-HCA2-Acifran-Gi1/β1/γ2
25.00Single9JMDAzithromycin9JMD-Motilin-Azithromycin-chim(Gs-CtGq)/β1/γ2
25.00Single9KT8Acifran9KT8-HCA2-Acifran-Gi1/β1/γ2
25.00Single9L79AR2314539L79-GPR119-AR231453-chim(NtGi1-Gs)/β1/γ2
25.00Single9LKBPL459LKB-OR5V1-PL45-chim(NtGi1-Gs)/β1
25.00Single9M1HPGE29M1H-EP1-PGE2-chim(NtGi1-Gs-CtGq)/β1/γ2
25.00Single9M2FNeuropeptide-FF9M2F-NPFF1-Neuropeptide-FF-Gi1/β1/γ2
25.00Single9P1TZM-2413859P1T-A2A-ZM-241385
25.00Single9W33S5A19W33-SST5-S5A1
25.00Consensusa2_offOrthosteric Liganda2a_off
25.00Consensusa2a_offOrthosteric Ligand3RFM-A2A-Caffeine 8C9W-A2A-Etrumadenant 3UZA-A2A-GTPL9236 8GNG-A2A-Istradefylline 8CU6-A2A-LJ-4517 7PX4-A2A-PSB-2113 7PYR-A2A-PSB-2115 8DU3-A2A-PubChem 105526064 8JWY-A2A-2-118 8PWN-A2A-Theophylline 5IU4-A2A-ZM-241385-Na 5OLZ-A2A-PubChem 135566609-Na 6GT3-A2A-Imaradenant-Na 5OLV-A2A-LUAA47070-Na 5N2R-A2A-PSB36-Na 5IU7-A2A-Q27456346-Na 5OLH-A2A-Vipadenant-Na 5OLO-A2A-Tozadenant-Na 6ZDR-A2A-HMS1413f12-Na 8GNE-A2A-KW-6356-Na 8JWZ-A2A-Etrumadenant-Na 5IU8-A2A-Q27456347-Na 5IUB-A2A-Q27456344-Na 6ZDV-A2A-PubChem 984073-Na 5IUA-A2A-Q27456348-Na 8A2P-A2A-LUAA47070-Na
25.00Consensusapelin_onOrthosteric Ligand8XZH-Apelin; Apelin-MM07-Gi1/β1/γ2 7W0M-Apelin-PubChem 122701908-Gi1/β1/γ2 8XZJ-Apelin; Apelin-WN353-Gi1/β1/γ2 8XZF-Apelin; Apelin-WN561-Gi1/β1/γ2 8XZG-Apelin; Apelin-Apelin-13-Gi1/β1/γ2
25.00Consensusapelin_on_gpOrthosteric Ligand8XZH-Apelin; Apelin-MM07-Gi1/β1/γ2 7W0M-Apelin-PubChem 122701908-Gi1/β1/γ2 8XZJ-Apelin; Apelin-WN353-Gi1/β1/γ2 8XZF-Apelin; Apelin-WN561-Gi1/β1/γ2 8XZG-Apelin; Apelin-Apelin-13-Gi1/β1/γ2
25.00Consensusc3a_on_gpOrthosteric Ligand8HK2-C3aB-C3a-Gi1/β1/γ2 8IA8-C3aB-E7 peptide-Gi1/β1/γ2
25.00Consensusc5a1_on_gpOrthosteric Ligand8HK5-C5a1-C5a-Gi1/β1/γ2 7Y66-C5a1-BM213-Gi1/β1/γ2 7Y67-C5a1-C089 peptide-Gi1/β1/γ2 7Y64-C5a1-C5a-Gi1/β1/γ2
25.00Consensuscb1_offOrthosteric Ligand5U09-CB1-Taranabant 5TGZ-CB1-AM6538
25.00Consensuscck_onOrthosteric Ligandccka_on cckb_on
25.00Consensuscck_on_gpOrthosteric Ligandccka_on_gp cckb_on_gp
25.00Consensuscxcr3_offOrthosteric Ligand8K2W-CXCR3-AMG487
25.00Consensusgi_endothelinOrthosteric Ligand8IY5-ETB-Endothelin-1-Gi1/β1/γ2 8HBD-ETB-IRL1620-Gi1/β1/γ2
25.00Consensusgrh_offOrthosteric Ligandgnrh1_off
25.00Consensusot_offOrthosteric Ligand6TPK-OT-Retosiban
25.00Consensusprostanoid_onOrthosteric Ligandtp_on fp-alpha_on
25.00Consensusprostanoid_on_gpOrthosteric Ligandtp_on_gp fp-alpha_on_gp
25.00Consensusprotein_onOrthosteric Ligandchemokine_on chemerin_on
25.00Consensustp_onOrthosteric Ligand8XJO-TXA2-U46619-chim(NtGi1-Gs-CtGq)/β1/γ2
25.00Consensustp_on_gpOrthosteric Ligand8XJO-TXA2-U46619-chim(NtGi1-Gs-CtGq)/β1/γ2
25.00Consensusvasop-oxy_offOrthosteric Ligandot_off
24.14Consensusetb_on_gpOrthosteric Ligand8IY5-ETB-Endothelin-1-Gi1/β1/γ2 8HBD-ETB-IRL1620-Gi1/β1/γ2
24.14Consensusmelanocortin_onOrthosteric Ligandmc1_on mc4_on mc2_on mc3_on mc5_on
24.14Consensusmelanocortin_on_gpOrthosteric Ligandmc1_on_gp mc4_on_gp mc2_on_gp mc3_on_gp mc5_on_gp
24.00Single7F6HBradykinin7F6H-BK2-Bradykinin-Gq/β1/γ2
24.00Single7F6IKallidin7F6I-BK2-Kallidin-Gq/β1/γ2
24.00Single7WBJPACAP277WBJ-VPAC1-PACAP27-Gs/β1/γ2
24.00Single7X9CPancreatic Hormone7X9C-Y4-Pancreatic Hormone-Gi1/β1/γ2
24.00Single7Y64C5a7Y64-C5a1-C5a-Gi1/β1/γ2
24.00Single8E3YPACAP278E3Y-VPAC1-PACAP27-Gs/β1/γ2
24.00Single8E3ZVIP8E3Z-VPAC1-VIP-Gs/β1/γ2
24.00Single8IODPG-9018IOD-MC5-PG-901-Ca-chim(NtGi1-Gs)/β1/γ2
24.00Single8WWKMCH8WWK-MCH1-MCH-Gi1/β1/γ2
24.00Single8XVHEndothelin-18XVH-ETB-Endothelin-1-chim(Gs-CtGq)/β1/γ2
24.00Single8ZRTEndothelin-18ZRT-ETB-Endothelin-1
24.00Single9JFYNeuropeptide-SF9JFY-NPFF2-Neuropeptide-SF-Gi1/β1/γ2
24.00Consensuscml1_on_gpOrthosteric Ligand7YKD-CML1-Chemerin-9-Gi1/β1/γ2
24.00Consensusgi_apelinOrthosteric Ligand8XZH-Apelin; Apelin-MM07-Gi1/β1/γ2 7W0M-Apelin-PubChem 122701908-Gi1/β1/γ2 8XZJ-Apelin; Apelin-WN353-Gi1/β1/γ2 8XZF-Apelin; Apelin-WN561-Gi1/β1/γ2 8XZG-Apelin; Apelin-Apelin-13-Gi1/β1/γ2
24.00Consensusvpac1_onOrthosteric Ligand8E3Z-VPAC1-VIP-Gs/β1/γ2
23.81Single5VBLAMG3054 5VBL-Apelin-AMG3054
23.81Single6XBJCholesterol6XBJ-SMO-Cholesterol-Gi1/β1/γ2
23.81Single7RKNCX3CL17RKN-US28-CX3CL1-Gi1/β1/γ2
23.81Single7T11Octreotide7T11-SST2-Octreotide-Gi3/β1/γ2
23.81Single7Y1FDynorphin7Y1F-κ-Dynorphin-Gi1/β1/γ2
23.81Single7YAEOctreotide7YAE-SST2-Octreotide-Gi1/β1/γ2
23.81Single8GDAL9026888GDA-EP4-L902688-Gs/β1/γ2
23.81Single8IQ4Carboprost8IQ4-FP-alpha-Carboprost-chim(NtGi1-Gs-CtGq)/β1/γ2
23.81Single8XZFWN5618XZF-Apelin; Apelin-WN561-Gi1/β1/γ2
23.81Single9IZASCH9002719IZA-HCA2-SCH900271-Gi1/β1/γ2
23.81Single9UMJEP549UMJ-C3aB-EP54-Go/β1/γ2
23.81Consensuscxcr_on_gpOrthosteric Ligandcxcr3_on_gp cxcr4_on_gp cxcr1_on_gp cxcr2_on_gp
23.53Single3EMLZM-2413853EML-A2A-ZM-241385
23.53Single4EIYZM-2413854EIY-A2A-ZM-241385-Na
23.53Single5IU8Q274563475IU8-A2A-Q27456347-Na
23.53Single5K2AZM-2413855K2A-A2A-ZM-241385-Na
23.53Single5NDDAZ8838; Na5NDD-PAR2-AZ8838; Na
23.53Single5OLGZM-2413855OLG-A2A-ZM-241385-Na
23.53Single5TGZAM65385TGZ-CB1-AM6538
23.53Single5UENDU1725UEN-A1-DU172
23.53Single5VRAZM-2413855VRA-A2A-ZM-241385-Na
23.53Single6KPFAM120336KPF-CB2-AM12033-Gi1/β1/γ2
23.53Single6LPJZM-2413856LPJ-A2A-ZM-241385-Na
23.53Single6LPKZM-2413856LPK-A2A-ZM-241385-Na
23.53Single6S0LZM-2413856S0L-A2A-ZM-241385
23.53Single7CFMP3957CFM-GPBA-P395-Gs/β1/γ2
23.53Single7DB6Ramelteon7DB6-MT1-Ramelteon-Gi1/β1/γ2
23.53Single7NA8Ibutamoren7NA8-Ghrelin-Ibutamoren-Gi1/β1/γ2
23.53Single7PYRPSB-21157PYR-A2A-PSB-2115
23.53Single7V3ZCP559407V3Z-CB1-CP55940
23.53Single7VH0Ramelteon7VH0-MT2-Ramelteon-Gi1/β1/γ1
23.53Single7YXAONO-54306087YXA-S1P5-ONO-5430608
23.53Single8GCML-9026888GCM-EP4-L-902688-Gi1/β1/γ2
23.53Single8KEXDCA-3P8KEX-MRGPRX4-DCA-3P
23.53Single8RW7StilSwitch18RW7-A2A-StilSwitch1-Na
23.53Single8RWXStilSwitch38RWX-A2A-StilSwitch3-Na
23.53Single8XJLPGF2-alpha8XJL-FP-alpha-PGF2-α-chim(NtGi2-Gs-CtGq)/β1/γ2
23.53Single9EPP11,20-Ethanoretinal9EPP-Rhodopsin-11,20-Ethanoretinal-chim(Gi1-CtGq)/β1/γ2
23.53Single9IZCMK19039IZC-HCA2-MK1903-Gi1/β1/γ2
23.53Single9KFTfMLFC9KFT-FPR1-ALX-fMLFC-Gi1/β1/γ2
23.53Single9P1SZM-2413859P1S-A2A-ZM-241385
23.53Consensusnucleotide_offonOrthosteric Ligandnucleotide_off nucleotide_on
23.53Consensusnucleotide_offon_gpOrthosteric Ligandnucleotide_on_gp nucleotide_off
23.08Single2HPYAll-trans-Retinal2HPY-Rhodopsin-All-trans-Retinal
23.08Single3OE8IT1t3OE8-CXCR4-IT1t
23.08Single3RFMCaffeine3RFM-A2A-Caffeine
23.08Single6OT025(S)-Epoxycholesterol6OT0-SMO-25(S)-Epoxycholesterol-Gi1/β1/γ2
23.08Single6P9YPACAP276P9Y-PAC1-PACAP27-Gs/β1/γ2
23.08Single6TQ9SB-4081246TQ9-OX1-SB-408124
23.08Single7MTBAll-trans-Retinal7MTB-Rhodopsin-All-trans-Retinal-GRK1
23.08Single7RGPTirzepatide7RGP-GLP-1-Tirzepatide-chim(NtGi1-Gs)/β1/γ2
23.08Single8A2OTheophylline8A2O-A2A-Theophylline-Na
23.08Single8E3XPACAP278E3X-PAC1-PACAP27-Gs/β1/γ2
23.08Single8H0PNMB308H0P-BB1-NMB30-chim(NtGi1-Gs-CtGq)/β1/γ2
23.08Single8XOFLys058XOF-GPR30-Lys05-chim(NtGi1-Gs-CtGq)/β1/γ2
23.08Single8XQFApelin-138XQF-Apelin-Apelin-13-Gi1/β1/γ2
23.08Single8Y02All-trans-Retinal8Y02-OPN1SW-All-trans-Retinal-Gi1/β1/γ2
23.08Single9C2FCa; Ca; Tryptophan; '54149; PO49C2F-CaS; CaS-Ca-Ca; Ca; Tryptophan; '54149; PO4
23.08Single9KFKRelaxin-39KFK-RXFP4-Relaxin-3-Gi2/β1/γ2
23.08Single9M42A1L8O9M42-GPR139-A1L8O-chim(Gs-CtGq)/β1/γ2
23.08Single9P92VIP9P92-PAC1-VIP-Gs/β1/γ2
23.08Consensusgi_compl-peptOrthosteric Ligand8HK5-C5a1-C5a-Gi1/β1/γ2 8IA8-C3aB-E7 peptide-Gi1/β1/γ2 7Y66-C5a1-BM213-Gi1/β1/γ2 7Y67-C5a1-C089 peptide-Gi1/β1/γ2 8HK2-C3aB-C3a-Gi1/β1/γ2 7Y64-C5a1-C5a-Gi1/β1/γ2
23.08Consensusgi_proteinOrthosteric Ligandgi_chemokine gi_chemerin
23.08Consensusnpy4_onOrthosteric Ligand7X9C-Y4-Pancreatic Hormone-Gi1/β1/γ2
23.08Consensusnpy4_on_gpOrthosteric Ligand7X9C-Y4-Pancreatic Hormone-Gi1/β1/γ2
23.08Consensusopsins_onOrthosteric Ligandrhodopsin_on opsin1lw_on
23.08Consensuspac_on_gpOrthosteric Ligandpac1_on_gp
23.08Consensusprotein_on_gpOrthosteric Ligandchemokine_on_gp chemerin_on_gp
23.08Consensussensory_onOrthosteric Ligandopsins_on
23.08Consensusvpac1_on_gpOrthosteric Ligand8E3Z-VPAC1-VIP-Gs/β1/γ2
22.73Single4XT1CX3CL14XT1-US28-CX3CL1
22.73Single6WIVPubChem 52923113; PubChem 529246456WIV-GABAB1, GABAB2-PubChem 52923113; PubChem 52924645
22.73Single7TD4Siponimod7TD4-S1P1-Siponimod-Gi1/β1/γ2
22.73Single7W53Neuromedin-U-257W53-NMUR1-Neuromedin-U-25-chim(NtGi1-Gs-CtGq)/β1/γ2
22.73Single7W56Neuromedin-S7W56-NMUR1-Neuromedin-S-chim(NtGi1-Gs-CtGq)/β1/γ2
22.73Single8IEBPubChem 1347468948IEB-GPR156; GPR156-PubChem 134746894
22.73Single8J6RMK68928J6R-HCA2-MK6892-Gi1/β1/γ2
22.73Single8KIGSHU91198KIG-MC3-SHU9119-Ca
22.73Single8U4OCXCL128U4O-CXCR4-CXCL12-Gi1/β1/γ2
22.73Single8WZ2Orexigenic Neuropeptide QRFP8WZ2-QRFP-Orexigenic Neuropeptide QRFP-chim(NtGi1L-Gs-CtGq)/β1/γ2
22.73Single8XGMChemerin8XGM-CML2-Chemerin-Gi1/β1/γ2
22.73Single9KWGC5a9KWG-C5a1-C5a-Go/β1/γ2
22.73Single9UMRC5a-pep9UMR-C5a1-C5a-pep-Go/β1/γ2
22.73Consensuschemerin_on_gpOrthosteric Ligandcml1_on_gp
22.73Consensuscml1_onOrthosteric Ligand7YKD-CML1-Chemerin-9-Gi1/β1/γ2
22.73Consensusgi_chemerinOrthosteric Ligand7YKD-CML1-Chemerin-9-Gi1/β1/γ2
22.73Consensusnmur1_on_gpOrthosteric Ligand7W53-NMUR1-Neuromedin-U-25-chim(NtGi1-Gs-CtGq)/β1/γ2
22.58Consensusclass-a_class-b1_cons_on_gpOrthosteric Ligandclass-a_on_gp class-b1_on_gp
22.22Single4WW3All-trans-Retinal4WW3-Rhodopsin-All-trans-Retinal
22.22Single5IUAQ274563485IUA-A2A-Q27456348-Na
22.22Single5N2RPSB365N2R-A2A-PSB36-Na
22.22Single5N2SPSB365N2S-A1-PSB36
22.22Single5ZBQUR-MK-2995ZBQ-Y1-UR-MK-299
22.22Single6B3JExendin-P56B3J-GLP-1-Exendin-P5-Gs/β1/γ2
22.22Single6KPCAM120336KPC-CB2-AM12033
22.22Single6LPLZM-2413856LPL-A2A-ZM-241385-Na
22.22Single6S0QZM-2413856S0Q-A2A-ZM-241385
22.22Single6VCBGLP-16VCB-GLP-1-GLP-1-LSN3160440-Gs/β1/γ2
22.22Single6WQAZM-2413856WQA-A2A-ZM-241385-Na
22.22Single6XBKCholesterol6XBK-SMO-Cholesterol-Gi1/β1/γ2
22.22Single7AD3Alpha-factor mating pheromone7AD3-STE2; STE2-α-factor mating pheromone-Gi1/STE4/γ2
22.22Single7BB7AVP7BB7-V2-AVP-Gs/β1/γ2
22.22Single7E9GJNJ-404118137E9G-mGlu2; mGlu2-Eglumetad-JNJ-40411813-Gi1/β1/γ2
22.22Single7EUOfMLF7EUO-FPR1-ALX-fMLF-Gi1/β1/γ2
22.22Single7RM5ZM-2413857RM5-A2A-ZM-241385-Na
22.22Single7WVYAmyloid-Beta427WVY-FPR2-ALX-Amyloid-β42-Gi2/β1/γ2
22.22Single7XATSomatostatin-147XAT-SST2-Somatostatin-14-Gi1/β1/γ2
22.22Single7YOONeuropeptide-Y7YOO-Y2-Neuropeptide-Y-Gi1/β1/γ2
22.22Single7YU6ONO-07405567YU6-LPA1-ONO-0740556-Gi1/β1/γ2
22.22Single8FYNZM-2413858FYN-A2A-ZM-241385-Na
22.22Single8GD9Rivenprost8GD9-EP4-Rivenprost-Gs/β1/γ2
22.22Single8GDCPGE28GDC-EP3-PGE2-Gi1/β1/γ2
22.22Single8GNEKW-63568GNE-A2A-KW-6356-Na
22.22Single8ID4Linoleic acid8ID4-FFA4-Linoleic acid-Gi1/β1/γ2
22.22Single8QOTNanobody-E8QOT-μ-Nanobody-E
22.22Single8W8WAlpha-MSH8W8W-MC3-α-MSH-Ca-Gs/β1/γ2
22.22Single8WGBVU01550418WGB-mGlu4; mGlu2-Glutamate-VU0155041-Gi3/β1/γ2
22.22Single8WWLMCH8WWL-MCH1-MCH-Gi1/β1/γ2
22.22Single8X0BVU04244658X0B-mGlu5; mGlu5-Quisqualate-VU0424465
22.22Single8X0CVU04244658X0C-mGlu5; mGlu5-Quisqualate-VU0424465
22.22Single8X0CVU04244658X0C-mGlu5; mGlu5-Quisqualate-VU0424465
22.22Single8XWPEndothelin-18XWP-ETB-Endothelin-1-Gi1/β1/γ2
22.22Single8ZVZBW245C8ZVZ-DP1-BW245C-Gs/β1/γ2
22.22Single9B9ZMRI-18679B9Z-CB1-MRI-1867
22.22Single9BUCCagrilintide9BUC-CT-Cagrilintide-Gs/β1/γ2
22.22Single9EE5ONO-25502899EE5-DP1-ONO-2550289
22.22Single9EKHONO-30302979EKH-DP1-ONO-3030297
22.22Single9HC04YI9HC0-mGlu5-4YI
22.22Single9IYBPGD29IYB-DP2-PGD2-A1D5Q-Gi1/β1/γ2
22.22Consensusa1_offOrthosteric Ligand5UEN-A1-DU172 5N2S-A1-PSB36
22.22Consensusblt1_offOrthosteric Ligand5X33-BLT1-BIIL260 7K15-BLT1-MKD046-Na
22.22Consensusblt_offOrthosteric Ligandblt1_off
22.22Consensusglp_onOrthosteric Ligandglp1_on glp2_on
22.22Consensusglp_on_gpOrthosteric Ligandglp1_on_gp glp2_on_gp
22.22Consensuslipid_onOrthosteric Ligandcannabinoid_on ffa_on lpl_on prostanoid_on leukotriene_on
22.22Consensuslipid_on_gpOrthosteric Ligandcannabinoid_on_gp ffa_on_gp lpl_on_gp prostanoid_on_gp leukotriene_on_gp
22.22Consensusnpy2_onOrthosteric Ligand7YOO-Y2-Neuropeptide-Y-Gi1/β1/γ2
22.22Consensusnpy2_on_gpOrthosteric Ligand7YOO-Y2-Neuropeptide-Y-Gi1/β1/γ2
22.22Consensuss1p5_offOrthosteric Ligand7YXA-S1P5-ONO-5430608
21.74Single7PIVAfamelanotide7PIV-MC4-Afamelanotide-Gs/β1/γ2
21.74Single7VBITirzepatide (non-acylated)7VBI-GLP-1-Tirzepatide (non-acylated)-Gs/β1/γ2
21.74Single7WJ5Somatostatin-147WJ5-SST2-Somatostatin-14-Gi1/β1/γ2
21.74Single8F7QBeta-Endorphin8F7Q-μ-β-Endorphin-Gi1/β1/γ2
21.74Single8KH5Lysophosphatidylserine8KH5-GPR174-Lysophosphatidylserine-Gs/β1/γ2
21.74Single8Z7JJN241-98Z7J-Apelin-JN241-9-Gi1/β1/γ2
21.74Single9JFK(Pen5)-Urotensin II9JFK-UT-(Pen5)-Urotensin II-chim(NtGi2L-Gs-CtGq)/β1/γ2
21.74Single9KFIRelaxin-39KFI-RXFP3-Relaxin-3-Gi2/β1/γ2
21.74Single9KT7MK68929KT7-HCA2-MK6892-Gi1/β1/γ2
21.74Single9KV6TLQP219KV6-C3aB-TLQP21-Go/β1/γ2
21.74Consensuscckb_onOrthosteric Ligand8IA7-CCKB-Cholecystokinin-8-chim(NtGi1L-Gq)/β1/γ2 7XOW-CCKB-Sulfated Gastrin-(10-17)-chim(NtGi1-Gq)/β1/γ2 7F8V-CCKB-Gastrin-17-Gi2/β1/γ2
21.74Consensuscompl-peptide_onOrthosteric Ligandc5a1_on c3a_on
21.74Consensusgi_ghrelinOrthosteric Ligand7NA7-Ghrelin-Ghrelin-Gi1/β1/γ2 7NA8-Ghrelin-Ibutamoren-Gi1/β1/γ2
21.43Single3OE6IT1t3OE6-CXCR4-IT1t
21.43Single3PQRAll-trans-Retinal3PQR-Rhodopsin-All-trans-Retinal-Gt(CT)
21.43Single6WZGSecretin6WZG-Secretin-Secretin-Gs/β1/γ2
21.43Single7D68GLP-27D68-GLP-2-GLP-2-Gs/β1/γ2
21.43Single7KI1Taspoglutide7KI1-GLP-1-Taspoglutide-Gs/β1/γ2
21.43Single7MT8All-trans-Retinal7MT8-Rhodopsin-All-trans-Retinal-GRK1
21.43Single7VGXNeuropeptide-Y7VGX-Y1-Neuropeptide-Y-Gi1/β1/γ2
21.43Single8F0KPramlintide Analogue San3858F0K-CT (AMY3)-Pramlintide Analogue San385-Gs/β1/γ2; RAMP3
21.43Single8IU2All-trans-Retinal8IU2-Opsin1LW-All-trans-Retinal-Gi1/β1/γ2
21.43Single8IY5Endothelin-18IY5-ETB-Endothelin-1-Gi1/β1/γ2
21.43Single8J21Butyric acid8J21-FFA3-Butyric acid-Gi1/β1/γ2
21.43Single8J24Acetic acid8J24-FFA2-Acetic acid-Gi1/β1/γ2
21.43Single8JEFPubChem 113671668JEF-HCA3-PubChem 11367166-Gi1/β1/γ2
21.43Single8KGGLysophosphatidylserine (WJS)8KGG-P2Y10-Lysophosphatidylserine (WJS)-chim(NtGi2-G13)/β1/γ2
21.43Single8SZFCa; Ca; Tryptophan; Cinacalcet; PO4; Spermine8SZF-CaS; CaS-Ca; Ca; Tryptophan; Cinacalcet; PO4; Spermine
21.43Single8Y52BA18Y52-BB3-BA1-chim(NtGi1-Gs-CtGq)/β1/γ2
21.43Single9BYOExendin-39BYO-GLP-1-Exendin-3-Gs/β1/γ2
21.43Single9P93VIP9P93-PAC1-VIP-Gs/β1/γ2
21.43Consensusendothelin_onOrthosteric Ligandetb_on eta_on
21.43Consensusetb_onOrthosteric Ligand8IY5-ETB-Endothelin-1-Gi1/β1/γ2 8HBD-ETB-IRL1620-Gi1/β1/γ2
21.43Consensusffa3_onOrthosteric Ligand8J21-FFA3-Butyric acid-Gi1/β1/γ2
21.43Consensusffa3_on_gpOrthosteric Ligand8J21-FFA3-Butyric acid-Gi1/β1/γ2
21.43Consensusgi_opsinsOrthosteric Ligand8IU2-Opsin1LW-All-trans-Retinal-Gi1/β1/γ2
21.43Consensusgi_sensoryOrthosteric Ligandgi_opsins
21.43Consensusgs_melanocortinOrthosteric Ligand7F4H-MC1-Afamelanotide-chim(NtGi1-Gs)/β1/γ2 7F54-MC4-Afamelanotide-Gs/β1/γ2 7F4D-MC1-α-MSH-chim(NtGi1-Gs)/β1/γ2 8INR-MC5-α-MSH-Ca-chim(NtGi1-Gs)/β1/γ2 7F53-MC4-α-MSH-Gs/β1/γ2 7F55-MC4-Bremelanotide-Gs/β1/γ2 8GY7-MC2-Corticotropin-Ca-chim(NtGi1-Gs)/β1/γ2; MRAP1 8IOC-MC3-γ-MSH-Ca-chim(NtGi1-Gs)/β1/γ2 8IOD-MC5-PG-901-Ca-chim(NtGi1-Gs)/β1/γ2 7AUE-MC4-Setmelanotide-chim(NtGi1L-Gs)/β1/γ2 7F4I-MC1-SHU9119-chim(NtGi1-Gs)/β1/γ2 7F58-MC4-THIQ-Gs/β1/γ2
21.43Consensusopsin1lw_onOrthosteric Ligand8IU2-Opsin1LW-All-trans-Retinal-Gi1/β1/γ2
21.43Consensusopsin1lw_on_gpOrthosteric Ligand8IU2-Opsin1LW-All-trans-Retinal-Gi1/β1/γ2
21.43Consensusopsins_on_gpOrthosteric Ligandrhodopsin_on_gp opsin1lw_on_gp
21.43Consensusrhodopsin_onOrthosteric Ligand6OYA-Rhodopsin-All-trans-Retinal-Gt/β1/γ1
21.43Consensussensory_on_gpOrthosteric Ligandopsins_on_gp
21.43Consensusvip-pacap_onOrthosteric Ligandvpac_on pac_on
21.43Consensusvip-pacap_on_gpOrthosteric Ligandvpac_on_gp pac_on_gp
21.21Consensusmc2_onOrthosteric Ligand8GY7-MC2-Corticotropin-Ca-chim(NtGi1-Gs)/β1/γ2; MRAP1
21.21Consensusmc2_on_gpOrthosteric Ligand8GY7-MC2-Corticotropin-Ca-chim(NtGi1-Gs)/β1/γ2; MRAP1
21.05Single4OO9Mavoglurant4OO9-mGlu5-Mavoglurant
21.05Single5XR8AM120335XR8-CB1-AM12033
21.05Single5XRAAM115425XRA-CB1-AM11542
21.05Single7FEECP559407FEE-CB1-CP55940-ZCZ011
21.05Single7M8W15r-Methyl-PGD27M8W-DP2-15r-Methyl-PGD2-Na
21.05Single7P2L4YI7P2L-mGlu5-4YI
21.05Single7PX4PSB-21137PX4-A2A-PSB-2113
21.05Single7TD1LPA7TD1-LPA1-LPA-Gi1/β1/γ2
21.05Single7WVXHumanin7WVX-FPR2-ALX-Humanin-Gi2/β1/γ2
21.05Single7Y24Octreotide7Y24-SST2-Octreotide-Go/β1/γ2
21.05Single7Y67C089 peptide7Y67-C5a1-C089 peptide-Gi1/β1/γ2
21.05Single7YU7ONO-07405567YU7-LPA1-ONO-0740556-Gi1/β1/γ2
21.05Single8GDBPGE28GDB-EP4-PGE2-Gs/β1/γ2
21.05Single8HQCC5a8HQC-C5a1-C5a-Go/β1/γ2
21.05Single8JD5JNJ-40411813; ADX881788JD5-mGlu2; mGlu4-Glutamate-JNJ-40411813; ADX88178-Gi1/β1/γ2
21.05Single8JZPC5a8JZP-C5a1-C5a-Go/β1/γ2
21.05Single8X79MRE-2698X79-I2-MRE-269-Gs/β1/γ2
21.05Single8ZR5Firuglipel8ZR5-GPR119-Firuglipel-Gs/β1/γ2
21.05Single9E9SPGD29E9S-DP1-PGD2-Gs/β1/γ1
21.05Single9EGOZ85267113509EGO-CB1-Z8526711350-Gi1/β1/γ2
21.05Single9IZGLPA9IZG-LPA1-LPA-chim(NtGi1-Gs-CtGq)/β1/γ2
21.05Single9UY3Anamorelin9UY3-Ghrelin-Anamorelin-chim(NtGi1-Gs-CtGq)/β1/γ2
21.05Consensuscyslt1_offOrthosteric Ligand6RZ5-CysLT1-Zafirlukast-Na 6RZ4-CysLT1-Pranlukast-Na
21.05Consensusnpy1_offOrthosteric Ligand5ZBH-Y1-BMS-193885 5ZBQ-Y1-UR-MK-299
20.83Single6MEOGp160; CD46MEO-CCR5-Gp160; CD4
20.83Single6UUNAdrenomedullin6UUN-CT Like (AM1)-Adrenomedullin-Gs/β1/γ2; RAMP2
20.83Single6VN7PACAP276VN7-VPAC1-PACAP27-Gs/β1/γ2
20.83Single7MBXCholecystokinin-87MBX-CCKA-Cholecystokinin-8-Gs/β1/γ1
20.83Single7O7F6P4-CCL57O7F-CCR5-6P4-CCL5-Gi1/β1/γ1
20.83Single7RYCOxytocin7RYC-OT-Oxytocin-chim(NtGi2L-Gs-CtGq)/β1/γ2
20.83Single8XZHMM078XZH-Apelin; Apelin-MM07-Gi1/β1/γ2
20.83Single9K27PrRP319K27-PrRP-PrRP31-chim(NtGi1-Gq)/β1/γ2
20.83Consensuscckb_on_gpOrthosteric Ligand8IA7-CCKB-Cholecystokinin-8-chim(NtGi1L-Gq)/β1/γ2 7XOW-CCKB-Sulfated Gastrin-(10-17)-chim(NtGi1-Gq)/β1/γ2 7F8V-CCKB-Gastrin-17-Gi2/β1/γ2
20.83Consensuscompl-peptide_on_gpOrthosteric Ligandc5a1_on_gp c3a_on_gp
20.69Single5GLHEndothelin-15GLH-ETB-Endothelin-1
20.69Single6IGKEndothelin-36IGK-ETB-Endothelin-3
20.69Single7DUQGLP-17DUQ-GLP-1-GLP-1-PubChem 156022738-Gs/β1/γ2
20.69Single8ZJETAK4488ZJE-Kiss1-TAK448-chim(NtGi1-Gq)/β1/γ1
20.69Consensusccr5_on_gpOrthosteric Ligand7O7F-CCR5-6P4-CCL5-Gi1/β1/γ1 7F1Q-CCR5-CCL3-Gi1/β1/γ2
20.59Consensusclass-b1_onOrthosteric Ligandglucagon_on vip-pacap_on pth_on crf_on calcitonin_on
20.00Single3AYMAll-trans-Retinal3AYM-Rhodopsin-All-trans-Retinal
20.00Single3OE9IT1t3OE9-CXCR4-IT1t
20.00Single4OR2FITM4OR2-mGlu1; mGlu1-FITM
20.00Single5X33BIIL2605X33-BLT1-BIIL260
20.00Single6AK3PGE26AK3-EP3-PGE2
20.00Single6I9K9-cis-Retinal6I9K-Rhodopsin-9-cis-Retinal
20.00Single6IIURamatroban6IIU-TXA2-Ramatroban
20.00Single6JODAngiotensin II6JOD-AT2-Angiotensin II
20.00Single6KQICP559406KQI-CB1-CP55940-Org27569
20.00Single6LPBPACAP276LPB-PAC1-PACAP27-Gs/β1/γ1
20.00Single6M1IPACAP276M1I-PAC1-PACAP27-Gs/β1/γ2
20.00Single6METGp160; CD46MET-CCR5-Gp160; CD4
20.00Single6OS0Angiotensin II6OS0-AT1-Angiotensin II
20.00Single6PGSGeraniol6PGS-Rhodopsin-Geraniol-Gt(CT)
20.00Single6TQ4PubChem 160468446TQ4-OX1-PubChem 16046844-Na
20.00Single6WI9Secretin6WI9-Secretin-Secretin-Gs/β1/γ2
20.00Single6WIVPubChem 52923113; PubChem 529246456WIV-GABAB1, GABAB2-PubChem 52923113; PubChem 52924645
20.00Single7L1UOrexin7L1U-OX2-Orexin-chim(NtGi1-Gs-CtGq)/β1/γ2
20.00Single7W57Neuromedin-S7W57-NMUR2-Neuromedin-S-chim(NtGi1-Gs-CtGq)/β1/γ2
20.00Single7WCMMBX-29827WCM-GPR119-MBX-2982-Gs/β1/γ2
20.00Single7XK8Neuromedin-U-257XK8-NMUR2-Neuromedin-U-25-Gi1/β1/γ2
20.00Single7YONPeptide-YY(3-36)7YON-Y2-Peptide-YY(3-36)-Gi1/β1/γ2
20.00Single8HBDIRL16208HBD-ETB-IRL1620-Gi1/β1/γ2
20.00Single8HK2C3a8HK2-C3aB-C3a-Gi1/β1/γ2
20.00Single8ID9Icosapent8ID9-FFA4-Icosapent-Gi1/β1/γ2
20.00Single8IEDPubChem 1347468948IED-GPR156; GPR156-PubChem 134746894-Go/β1/γ2
20.00Single8JJPChemerin-98JJP-CML2-Chemerin-9-Gi1/β1/γ2
20.00Single8RWHStilSwitch28RWH-A2A-StilSwitch2-Na
20.00Single8WPUTryptophan; Cinacalcet; PO4; Ca8WPU-CaS; CaS-Tryptophan; Cinacalcet; PO4; Ca-chim(NtGi2L-Gs-CtGq)/β1/γ2
20.00Single8WSTMCH8WST-MCH2-MCH-chim(NtGi1L-Gs-CtGq)/β1/γ2
20.00Single8X8LCortistatin-148X8L-SST5-Cortistatin-14-chim(NtGi1-Gs-CtGi1)/β1/γ2
20.00Single8YW3Retatrutide8YW3-GLP-1-Retatrutide-Gs/β1/γ2
20.00Single8YW4Retatrutide8YW4-GIP-Retatrutide-chim(NtGi1-Gs)/β1/γ2
20.00Single8ZX5AM2518ZX5-GPR55-AM251-chim(NtGi1-G13)/β1/γ2
20.00Single9AU0BW245C9AU0-DP1-BW245C-Gs/β1/γ2
20.00Single9B9YTaranabant9B9Y-CB1-Taranabant
20.00Single9C1PCa; Tryptophan; '6218; PO49C1P-CaS; CaS-Ca-Ca; Tryptophan; '6218; PO4
20.00Single9EBOGLP-1 (ACPC18)9EBO-GLP-1-GLP-1 (ACPC18)-Gs/β1/γ2
20.00Single9EPRAll-trans-Retinal9EPR-Rhodopsin-All-trans-Retinal-Gi1/β1/γ2
20.00Single9KZKC3a (fragment)9KZK-C3aB-C3a (fragment)-Go/β1/γ2
20.00Single9L3WChemerin9L3W-CML1-Chemerin-Gi1/β1/γ2
20.00Single9LMPNE52-QQ579LMP-GPR4-NE52-QQ57
20.00Single9M88Oleic monoethanolamide9M88-GPR3 ; GPR3-Oleic monoethanolamide-AF64394
20.00Single9VIFNeuropeptide-VF9VIF-NPFF1-Neuropeptide-VF-Gi1/β1/γ2
20.00Single9YDAAll-trans-Retinal9YDA-Opsin1MW-All-trans-Retinal-chim(NtGi1L-Gs-CtGt)/β1/γ2
20.00Consensuscxcr_onOrthosteric Ligandcxcr3_on cxcr4_on cxcr1_on cxcr2_on
20.00Consensusendothelin_on_gpOrthosteric Ligandetb_on_gp eta_on_gp
20.00Consensusfpr2-alx_on_gpOrthosteric Ligand7WVX-FPR2-ALX-Humanin-Gi2/β1/γ2 7T6U-FPR2-ALX-CGEN-855A-Gi1/β1/γ2 7T6V-FPR2-ALX-fMLFII-Gi1/β1/γ2 7WVY-FPR2-ALX-Amyloid-β42-Gi2/β1/γ2 7T6S-FPR2-ALX-TC-FPR 43-Gi1/β1/γ2 6OMM-FPR2-ALX-WKYMVX-Gi1/β1/γ2
19.35Single6LRYSarafotoxin-B6LRY-ETB-Sarafotoxin-B
19.35Consensusglp1_on_gpOrthosteric Ligand7S1M-GLP-1-Exendin-4-D-Ala-Gs/β1/γ2 7X8R-GLP-1-BOC5-Gs/β1/γ2 6X19-GLP-1-CHU-128-Gs/β1/γ2 6X1A-GLP-1-Danuglipron-Gs/β1/γ2 6X18-GLP-1-GLP-1-Gs/β1/γ2 8JIP-GLP-1-MEDI0382-chim(NtGi1-Gs)/β1/γ2 7C2E-GLP-1-PubChem 149050799-Gs/β1/γ2 7KI0-GLP-1-Semaglutide-Gs/β1/γ2 7KI1-GLP-1-Taspoglutide-Gs/β1/γ2 7X8S-GLP-1-WB4-24-Gs/β1/γ2 8JIS-GLP-1-Peptide-15-chim(NtGi1-Gs)/β1/γ2 7VBI-GLP-1-Tirzepatide (non-acylated)-Gs/β1/γ2
19.23Single6X18GLP-16X18-GLP-1-GLP-1-Gs/β1/γ2
19.23Single7LLYOxyntomodulin7LLY-GLP-1-Oxyntomodulin-Gs/β1/γ2
19.23Single7VL9CCL15(26-92)7VL9-CCR1-CCL15(26-92)-Gi1/β1/γ2
19.23Single7X9BNeuropeptide-Y7X9B-Y2-Neuropeptide-Y-Gi1/β1/γ2
19.23Single7XV3Lysophosphatidylserine (WJS)7XV3-GPR174-Lysophosphatidylserine (WJS)-chim(NtGi1-Gs)/β1/γ2
19.23Single8HCQEndothelin-18HCQ-ETA-Endothelin-1-chim(NtGi1-Gs-CtGq)/β1/γ2
19.23Single8HCXEndothelin-18HCX-ETB-Endothelin-1-chim(NtGi2L-Gs-CtGq)/β1/γ2
19.23Single8HK5C5a8HK5-C5a1-C5a-Gi1/β1/γ2
19.23Single8HNKCXCL118HNK-CXCR3-CXCL11-Gi1/β1/γ2
19.23Single8IA2C5a8IA2-C5a1-C5a-Go/β1/γ2
19.23Single8WWMMCH8WWM-MCH1-MCH-Gi1/β1/γ2
19.23Single9E2AGLP-19E2A-GLP-1-GLP-1-Gs/β1/γ2
19.23Consensuschemokine_offOrthosteric Ligandccr_off cxcr_off
19.23Consensuscxcr_offOrthosteric Ligandcxcr3_off cxcr4_off
19.23Consensuseta_onOrthosteric Ligand8HCQ-ETA-Endothelin-1-chim(NtGi1-Gs-CtGq)/β1/γ2
19.23Consensuseta_on_gpOrthosteric Ligand8HCQ-ETA-Endothelin-1-chim(NtGi1-Gs-CtGq)/β1/γ2
19.23Consensusgi_chemokineOrthosteric Ligand6WWZ-CCR6-CCL20-Go/β1/γ2 8HNK-CXCR3-CXCL11-Gi1/β1/γ2 8K3Z-CXCR4-CXCL12-Gi1/β1/γ1 8IC0-CXCR1-CXCL8-Gi1/β1/γ2 6LFM-CXCR2-CXCL8-Gi1/β1/γ2 8KFX-CCR8-LMD-009-Gi1/β1/γ2 7F1Q-CCR5-CCL3-Gi1/β1/γ2 8HNL-CXCR3-PS372424-Gi1/β1/γ2 8KFY-CCR8-ZK-756326-Gi1/β1/γ2 7O7F-CCR5-6P4-CCL5-Gi1/β1/γ1 8U1U-CCR8-CCL1-Gi1/β1/γ2 7VLA-CCR1-CCL15(27-92)-Gi1/β1/γ2 7XA3-CCR2-CCL2-Gi1/β1/γ2
19.23Consensuspac_onOrthosteric Ligandpac1_on
19.23Consensusvpac_onOrthosteric Ligandvpac1_on vpac2_on
19.05Single4OR2FITM4OR2-mGlu1; mGlu1-FITM
19.05Single6KPGAM8416KPG-CB1-AM841-Gi1/β1/γ2
19.05Single7EZHCholecystokinin-87EZH-CCKA-Cholecystokinin-8-Gi1/β1/γ2
19.05Single7EZMCholecystokinin-87EZM-CCKA-Cholecystokinin-8-chim(NtGsL-Gq)/β1/γ2
19.05Single7PIUSetmelanotide7PIU-MC4-Setmelanotide-Gs/β1/γ2
19.05Single7QVMOxytocin7QVM-OT-Oxytocin-chim(NtGi1-Go-CtGq)/β1/γ2
19.05Single7VVNPTH7VVN-PTH1-PTH-Gs/β1/γ2
19.05Single9GG5U466199GG5-TXA2-U46619-chim(NtGi2L-Gs-CtGq)/β1/γ2
19.05Single9KV8TLQP219KV8-C3aB-TLQP21-Go/β1/γ2
19.05Single9UYMChemerin-99UYM-CML2-Chemerin-9-chim(Arrestin3-CtArrestin2)
19.05Consensusccka_onOrthosteric Ligand7EZH-CCKA-Cholecystokinin-8-Gi1/β1/γ2
19.05Consensusccka_on_gpOrthosteric Ligand7EZH-CCKA-Cholecystokinin-8-Gi1/β1/γ2
19.05Consensuschemerin_onOrthosteric Ligandcml1_on
19.05Consensusnk2_onOrthosteric Ligand7XWO-NK2-Neurokinin-A-chim(NtGi1-Gs-CtGq)/β1/γ2
18.75Single2Z7311-cis-Retinal2Z73-Rhodopsin-11-cis-Retinal
18.75Single3AYN9-cis-Retinal3AYN-Rhodopsin-9-cis-Retinal
18.75Single3ODUIT1t3ODU-CXCR4-IT1t
18.75Single3PWHZM-2413853PWH-A2A-ZM-241385
18.75Single3VG9ZM-2413853VG9-A2A-ZM-241385-Antibody
18.75Single5U09Taranabant5U09-CB1-Taranabant
18.75Single6OYAAll-trans-Retinal6OYA-Rhodopsin-All-trans-Retinal-Gt/β1/γ1
18.75Single6TQ6PubChem 1457142836TQ6-OX1-PubChem 145714283
18.75Single7F8YDevazepide7F8Y-CCKA-Devazepide
18.75Single7SILCa; Ca; Ca; Cyclomethyltryptophan; R-568; PO47SIL-CaS; CaS-Ca-Ca; Ca; Ca; Cyclomethyltryptophan; R-568; PO4
18.75Single7SILCa; Ca; Ca; Cyclomethyltryptophan; R-568; PO47SIL-CaS; CaS-Ca-Ca; Ca; Ca; Cyclomethyltryptophan; R-568; PO4
18.75Single7TUZ7-alpha,25-dihydroxycholesterol7TUZ-GPR183-7-α,25-dihydroxycholesterol-Gi1/β1/γ2
18.75Single7W0OElabela7W0O-Apelin-Elabela-Gi1/β1/γ2
18.75Single8HMPC178HMP-GPR52-C17-Gs/β1/γ2
18.75Single8J20Valeric acid8J20-FFA3-Valeric acid-AR420626-Gi1/β1/γ2
18.75Single8RVWStilSwitch38RVW-A2A-StilSwitch3-Na
18.75Single8RW4AzoSwitch28RW4-A2A-AzoSwitch2-Na
18.75Single8RWEStilSwitch48RWE-A2A-StilSwitch4-Na
18.75Single8T3SButyric acid8T3S-FFA2-Butyric acid-chim(NtGi2L-Gs-CtGq)/β1/γ2
18.75Single9FUPIstradefylline9FUP-A2A-Istradefylline-Na
18.75Consensusglucagon_onOrthosteric Ligandglp_on gluc_on secretin_on gip_on
18.75Consensusrhodopsin_on_gpOrthosteric Ligand6OYA-Rhodopsin-All-trans-Retinal-Gt/β1/γ1
18.52Single4XT3CX3CL14XT3-US28-CX3CL1
18.52Single7CZ5Somatoliberin7CZ5-GHRH-Somatoliberin-Gs/β1/γ2
18.52Single7D3SSecretin7D3S-Secretin-Secretin-Gs/β1/γ2
18.52Single7KI0Semaglutide7KI0-GLP-1-Semaglutide-Gs/β1/γ2
18.52Single7RA3GIP7RA3-GIP-GIP-chim(NtGi1-Gs)/β1/γ2
18.52Single7VABTirzepatide (non-acylated)7VAB-GIP-Tirzepatide (non-acylated)-chim(NtGi1-Gs)/β1/γ2
18.52Single7W3ZGastrin Releasing Peptide7W3Z-BB2-Gastrin Releasing Peptide-chim(NtGi1L-Gq)/β1/γ2
18.52Single8JISPeptide-158JIS-GLP-1-Peptide-15-chim(NtGi1-Gs)/β1/γ2
18.52Single9BLWCagrilintide (non-acylated)9BLW-CT (AMY1)-Cagrilintide (non-acylated)-Gs/β1/γ2; RAMP1
18.52Single9J1Pg1:Ox9J1P-GLP-1-g1:Ox-chim(NtGi1-Gs)/β1/γ2
18.52Consensuspac1_onOrthosteric Ligand8E3X-PAC1-PACAP27-Gs/β1/γ2 6M1H-PAC1-Maxadilan-Gs/β1/γ2
18.52Consensuspac1_on_gpOrthosteric Ligand8E3X-PAC1-PACAP27-Gs/β1/γ2 6M1H-PAC1-Maxadilan-Gs/β1/γ2
18.52Consensussecretin_onOrthosteric Ligand7D3S-Secretin-Secretin-Gs/β1/γ2
18.52Consensusvpac_on_gpOrthosteric Ligandvpac1_on_gp vpac2_on_gp
18.42Consensusclass-b1_on_gpOrthosteric Ligandglucagon_on_gp vip-pacap_on_gp pth_on_gp crf_on_gp calcitonin_on_gp
18.18Single6C1QPMX536C1Q-C5a1-PMX53-NDT9513727
18.18Single7AUESetmelanotide7AUE-MC4-Setmelanotide-chim(NtGi1L-Gs)/β1/γ2
18.18Single7F9ZGHRP-67F9Z-Ghrelin-GHRP-6-chim(NtGi1-Gs-CtGq)/β1/γ2
18.18Single7XBXCX3CL17XBX-CX3CR1-CX3CL1-Gi1/β1/γ2
18.18Single8H4IDoconexent8H4I-FFA4-Doconexent-chim(NtGi1-Gs)/β1/γ2
18.18Single9JF4PD1683689JF4-BB1-PD168368
18.18Consensusglucagon_on_gpOrthosteric Ligandglp_on_gp gluc_on_gp secretin_on_gp gip_on_gp
18.18Consensusgq_cckOrthosteric Ligand8IA7-CCKB-Cholecystokinin-8-chim(NtGi1L-Gq)/β1/γ2 7XOW-CCKB-Sulfated Gastrin-(10-17)-chim(NtGi1-Gq)/β1/γ2 7EZM-CCKA-Cholecystokinin-8-chim(NtGsL-Gq)/β1/γ2 7F8W-CCKB-Gastrin-17-chim(NtGsL-Gq)/β1/γ2
18.18Consensuskiss1_onOrthosteric Ligand8ZJD-Kiss1-Kisspeptin-1-chim(NtGi1-Gq)/β1/γ1
18.18Consensuskisspeptin_onOrthosteric Ligandkiss1_on
18.18Consensusnmur1_onOrthosteric Ligand7W53-NMUR1-Neuromedin-U-25-chim(NtGi1-Gs-CtGq)/β1/γ2
17.95Single8GY7Corticotropin8GY7-MC2-Corticotropin-Ca-chim(NtGi1-Gs)/β1/γ2; MRAP1
17.86Single6P9XCorticoliberin-16P9X-CRF1-Corticoliberin-1-Gs/β1/γ2
17.86Single7DTYGIP7DTY-GIP-GIP-Gs/β1/γ2
17.86Single7FIYTirzepatide7FIY-GIP-Tirzepatide-Gs/β1/γ2
17.86Single7S1MExendin-4-D-Ala7S1M-GLP-1-Exendin-4-D-Ala-Gs/β1/γ2
17.86Single7TYFAmylin7TYF-CT (AMY1)-Amylin-Gs/β1/γ2; RAMP1
17.86Single7VQXPACAP277VQX-VPAC1-PACAP27-Gs/β1/γ2
17.86Single8ZJGChemerin8ZJG-CML1-Chemerin-Gi1/β1/γ2
17.86Single9P94PACAP279P94-PAC1-PACAP27-Gs/β1/γ2
17.86Consensusp2y10_on_gpOrthosteric Ligand8KGG-P2Y10-Lysophosphatidylserine (WJS)-chim(NtGi2-G13)/β1/γ2
17.86Consensussecretin_on_gpOrthosteric Ligand7D3S-Secretin-Secretin-Gs/β1/γ2
17.65Single5UVIZM-2413855UVI-A2A-ZM-241385
17.65Single6FFIMPEP6FFI-mGlu5-MPEP
17.65Single6MH8ZM-2413856MH8-A2A-ZM-241385
17.65Single6PELCitronellol6PEL-Rhodopsin-Citronellol-Gt(CT)
17.65Single6PT0WIN 55212-26PT0-CB2-WIN 55212-2-Gi1/β1/γ2
17.65Single7WVUfMLF7WVU-FPR1-ALX-fMLF-Gi1/β1/γ2
17.65Single8H4LDoconexent8H4L-FFA4-Doconexent-chim(NtGi1-Gs-CtGq)/β1/γ2
17.65Single8X7ATreprostinil8X7A-I2-Treprostinil-Gs/β1/γ2
17.65Single8Y62C16:0 Ceramide8Y62-FPR2-ALX-C16:0 Ceramide-Gi1/β1/γ2
17.65Single9BA0MRI-18919BA0-CB1-MRI-1891
17.65Single9DQJEP-39459DQJ-MRGPRD-EP-3945-chim(NtGi1-Gs-CtGq)/β1/γ2
17.65Single9JFUNE52-QQ579JFU-GPR4-NE52-QQ57
17.65Single9K1DButyric acid9K1D-FFA2-Butyric acid-Gi1/β1/γ2
17.65Single9KXSEP679KXS-C5a1-EP67-Go/β1/γ2
17.65Consensusnucleotide_offOrthosteric Ligandadenosine_off p2y_off
17.39Single7F54Afamelanotide7F54-MC4-Afamelanotide-Gs/β1/γ2
17.39Single7NA7Ghrelin7NA7-Ghrelin-Ghrelin-Gi1/β1/γ2
17.39Single7T6UCGEN-855A7T6U-FPR2-ALX-CGEN-855A-Gi1/β1/γ2
17.39Single7WICSomatostatin-147WIC-SST2-Somatostatin-14-Gi1/β1/γ2
17.39Single7XMRSomatostatin-147XMR-SST2-Somatostatin-14-Gi1/β1/γ2
17.39Single8IZBLysophosphatidylserine (UBL)8IZB-GPR174-Lysophosphatidylserine (UBL)-Gs/β1/γ2
17.39Single8YWFRetatrutide8YWF-GLP-1-Retatrutide-chim(NtGi1-Gs)/β1/γ2
17.39Single8ZCJPasireotide8ZCJ-SST5-Pasireotide-Gi1/β1/γ1
17.39Single8ZJDKisspeptin-18ZJD-Kiss1-Kisspeptin-1-chim(NtGi1-Gq)/β1/γ1
17.39Single9HB3Mambaquaretin-19HB3-V2-Mambaquaretin-1
17.39Single9L3YChemerin9L3Y-CML2-Chemerin-Gi1/β1/γ2
17.39Consensusgq_kisspeptinOrthosteric Ligand8ZJD-Kiss1-Kisspeptin-1-chim(NtGi1-Gq)/β1/γ1
17.39Consensuskiss1_on_gpOrthosteric Ligand8ZJD-Kiss1-Kisspeptin-1-chim(NtGi1-Gq)/β1/γ1
17.39Consensuskisspeptin_on_gpOrthosteric Ligandkiss1_on_gp
17.39Consensusp2y_onOrthosteric Ligandp2y1_on p2y10_on p2y12_on
17.24Single6LMLGlucagon6LML-Glucagon-Glucagon-Gi1/β1/γ1
17.24Single6PB1Urocortin6PB1-CRF2-Urocortin-chim(NtGi1-Gs)/β1/γ2
17.24Single7TS0Urocortin7TS0-CRF2-Urocortin-chim(NtGi1L-Go)/β1/γ2
17.24Single8IY6Endothelin-18IY6-ETB-Endothelin-1
16.67Single4A4MAll-trans-Retinal4A4M-Rhodopsin-All-trans-Retinal-Gt(CT)
16.67Single5EN0All-trans-Retinal5EN0-Rhodopsin-All-trans-Retinal-Gt(CT)
16.67Single6D27CAY104716D27-DP2-CAY10471
16.67Single6FFHFenobam6FFH-mGlu5-Fenobam
16.67Single6IIVDaltroban6IIV-TXA2-Daltroban
16.67Single7C6A(Sar1,Ile8)-Angiotensin II7C6A-AT2-(Sar1,Ile8)-Angiotensin II
16.67Single7F83PF-051904577F83-Ghrelin-PF-05190457
16.67Single7PP1Selatogrel7PP1-P2Y12-Selatogrel
16.67Single7YK7DC5910537YK7-RXFP4-DC591053-Gi2/β1/γ2
16.67Single7YU4ONO-07405567YU4-LPA1-ONO-0740556
16.67Single8U1UCCL18U1U-CCR8-CCL1-Gi1/β1/γ2
16.67Single8WSSMCH8WSS-MCH1-MCH-Gi1/β1/γ1
16.67Single8XYDPlatelet Activating Factor8XYD-PAF-Platelet Activating Factor-Gi1/β1/γ2
16.67Single9AVGCa; Ca; Cyclomethyltryptophan; R-568; PO49AVG-CaS; CaS-Ca-Ca; Ca; Cyclomethyltryptophan; R-568; PO4-chim(NtGi1-Gs)/β1/γ2
16.67Single9E82CXCL12 (fragment)9E82-ACKR3-CXCL12 (fragment)-Arrestin2
16.67Single9IQRMuscarinic toxin 39IQR-α2a-Muscarinic toxin 3
16.67Single9IQSMuscarinic toxin 39IQS-M4-Muscarinic toxin 3
16.67Single9JQZGrapiprant 9JQZ-EP4-Grapiprant
16.67Consensusclass-a_class-b1_cons_onOrthosteric Ligandclass-a_on class-b1_on
16.67Consensusformylpeptide_on_gpOrthosteric Ligandfpr2-alx_on_gp fpr1-alx_on_gp
16.67Consensusgi_npyOrthosteric Ligand8K6M-Y1-Neuropeptide-Y-Gi2/β1/γ1 7X9C-Y4-Pancreatic Hormone-Gi1/β1/γ2 7YOO-Y2-Neuropeptide-Y-Gi1/β1/γ2
16.67Consensusmc5_onOrthosteric Ligand8INR-MC5-α-MSH-Ca-chim(NtGi1-Gs)/β1/γ2 8IOD-MC5-PG-901-Ca-chim(NtGi1-Gs)/β1/γ2
16.67Consensusnpy_onOrthosteric Ligandnpy1_on npy2_on npy4_on
16.67Consensusnpy_on_gpOrthosteric Ligandnpy1_on_gp npy2_on_gp npy4_on_gp
16.13Single7TZFAmylin7TZF-CT (AMY3)-Amylin-Gs/β1/γ2; RAMP3
16.13Single8FLSAbaloparatide8FLS-PTH1-Abaloparatide-Gs/β1/γ2
16.13Single8FLULA-PTH Analog8FLU-PTH1-LA-PTH Analog-Gs/β1/γ2
16.13Consensusglp1_onOrthosteric Ligand7S1M-GLP-1-Exendin-4-D-Ala-Gs/β1/γ2 7X8R-GLP-1-BOC5-Gs/β1/γ2 6X19-GLP-1-CHU-128-Gs/β1/γ2 6X1A-GLP-1-Danuglipron-Gs/β1/γ2 6X18-GLP-1-GLP-1-Gs/β1/γ2 8JIP-GLP-1-MEDI0382-chim(NtGi1-Gs)/β1/γ2 7C2E-GLP-1-PubChem 149050799-Gs/β1/γ2 7KI0-GLP-1-Semaglutide-Gs/β1/γ2 7KI1-GLP-1-Taspoglutide-Gs/β1/γ2 7X8S-GLP-1-WB4-24-Gs/β1/γ2 8JIS-GLP-1-Peptide-15-chim(NtGi1-Gs)/β1/γ2 7VBI-GLP-1-Tirzepatide (non-acylated)-Gs/β1/γ2
16.00Single7XA3CCL27XA3-CCR2-CCL2-Gi1/β1/γ2
16.00Single8K6NNeuropeptide-Y8K6N-Y2-Neuropeptide-Y-Gi2/β1/γ1
16.00Single8W8YGamma-MSH8W8Y-MC3-γ-MSH-Ca-Gs/β1/γ2
16.00Consensusccr2_onOrthosteric Ligand7XA3-CCR2-CCL2-Gi1/β1/γ2
16.00Consensusccr2_on_gpOrthosteric Ligand7XA3-CCR2-CCL2-Gi1/β1/γ2
16.00Consensusfpr2-alx_onOrthosteric Ligand7WVX-FPR2-ALX-Humanin-Gi2/β1/γ2 7T6U-FPR2-ALX-CGEN-855A-Gi1/β1/γ2 7T6V-FPR2-ALX-fMLFII-Gi1/β1/γ2 7WVY-FPR2-ALX-Amyloid-β42-Gi2/β1/γ2 7T6S-FPR2-ALX-TC-FPR 43-Gi1/β1/γ2 6OMM-FPR2-ALX-WKYMVX-Gi1/β1/γ2
16.00Consensusmc3_onOrthosteric Ligand8IOC-MC3-γ-MSH-Ca-chim(NtGi1-Gs)/β1/γ2
16.00Consensusmc3_on_gpOrthosteric Ligand8IOC-MC3-γ-MSH-Ca-chim(NtGi1-Gs)/β1/γ2
15.79Single4NTJAZD12834NTJ-P2Y12-AZD1283
15.79Single6M9TMisoprostol-FA6M9T-EP3-Misoprostol-FA
15.79Single6RZ4Pranlukast6RZ4-CysLT1-Pranlukast-Na
15.79Single7M3GCa; Ca; Tryptophan; Evocalcet; Etelcalcetide; PO47M3G-CaS; CaS-Ca; Ca; Tryptophan; Evocalcet; Etelcalcetide; PO4
15.79Single7VFXfMIFL7VFX-FPR1-ALX-fMIFL-Gi1/β1/γ2
15.79Single7VV4Cortistatin-147VV4-MRGPRX2-Cortistatin-14
15.79Single7Y26Octreotide7Y26-SST2-Octreotide-chim(NtGi2L-Gs-CtGq)/β1/γ2
15.79Single7YU3ONO-07405567YU3-LPA1-ONO-0740556-Gi1/β1/γ2
15.79Single9DQHEP-28259DQH-MRGPRD-EP-2825-chim(NtGi1-Gs-CtGq)/β1/γ2
15.79Single9ERXD9-THC analog9ERX-CB1-D9-THC analog-Gi1/β1/γ2
15.79Single9GE2ML1849GE2-GPR55-ML184-chim(NtGi1-G13)/β1/γ2
15.79Consensusfpr1-alx_onOrthosteric Ligand7VFX-FPR1-ALX-fMIFL-Gi1/β1/γ2
15.79Consensusfpr1-alx_on_gpOrthosteric Ligand7VFX-FPR1-ALX-fMIFL-Gi1/β1/γ2
15.79Consensuslpa1_onOrthosteric Ligand7TD1-LPA1-LPA-Gi1/β1/γ2 7YU3-LPA1-ONO-0740556-Gi1/β1/γ2
15.79Consensuslpa1_on_gpOrthosteric Ligand7TD1-LPA1-LPA-Gi1/β1/γ2 7YU3-LPA1-ONO-0740556-Gi1/β1/γ2
15.79Consensusrxfp4_onOrthosteric Ligand7YK7-RXFP4-DC591053-Gi2/β1/γ2 7YJ4-RXFP4-INSL5-Gi2/β1/γ2 7YK6-RXFP4-PubChem 138319674-Gi2/β1/γ2
15.79Consensusrxfp4_on_gpOrthosteric Ligand7YK7-RXFP4-DC591053-Gi2/β1/γ2 7YJ4-RXFP4-INSL5-Gi2/β1/γ2 7YK6-RXFP4-PubChem 138319674-Gi2/β1/γ2
15.62Single6WPWZP37806WPW-Glucagon-ZP3780-Gs/β1/γ2
15.62Single7VVMPTH7VVM-PTH1-PTH-Gs/β1/γ2
15.62Single8JIPMEDI03828JIP-GLP-1-MEDI0382-chim(NtGi1-Gs)/β1/γ2
15.62Single8JIRSAR4258998JIR-GLP-1-SAR425899-chim(NtGi1-Gs)/β1/γ2
15.62Single9JR2PTH9JR2-PTH1-PTH-chim(NtGi1L-Gs-CtGq)/β1/γ2
15.62Consensuscrf_on_gpOrthosteric Ligandcrf2_on_gp crf1_on_gp
15.62Consensuspth1_on_gpOrthosteric Ligand6NBF-PTH1-LA-PTH Analog-Gs/β1/γ2 8HA0-PTH1-PTH-chim(NtGi1-Gs)/β1/γ2 8HAF-PTH1-PTHrP(1-36)-chim(NtGi1-Gs)/β1/γ2 7Y36-PTH1-PTH-Gs/β1/γ2 7Y35-PTH1-Abaloparatide-Gs/β1/γ2
15.38Single7FINPeptide-20; GGL7FIN-GIP-Peptide-20; GGL-Gs/β1/γ2
15.38Single7T10Somatostatin-147T10-SST2-Somatostatin-14-Gi3/β1/γ2
15.38Single7TYIAmylin7TYI-CT-Amylin-Gs/β1/γ2
15.38Single8IEDPubChem 1347468948IED-GPR156; GPR156-PubChem 134746894-Go/β1/γ2
15.38Single8XZJWN3538XZJ-Apelin; Apelin-WN353-Gi1/β1/γ2
15.38Single8YW5Retatrutide8YW5-Glucagon-Retatrutide-Gs/β1/γ2
15.38Single9BLCCagrilintide (non-acylated)9BLC-CT-Cagrilintide (non-acylated)-Gs/β1/γ2
15.38Single9IV25alpha-DHT9IV2-ADGRD1-5α-DHT-chim(NtGi1-Gs)/β1/γ2
15.38Consensusgi_formylpeptideOrthosteric Ligand7WVY-FPR2-ALX-Amyloid-β42-Gi2/β1/γ2 7T6U-FPR2-ALX-CGEN-855A-Gi1/β1/γ2 7VFX-FPR1-ALX-fMIFL-Gi1/β1/γ2 7T6V-FPR2-ALX-fMLFII-Gi1/β1/γ2 7WVX-FPR2-ALX-Humanin-Gi2/β1/γ2 7T6S-FPR2-ALX-TC-FPR 43-Gi1/β1/γ2 6OMM-FPR2-ALX-WKYMVX-Gi1/β1/γ2
15.38Consensusmc5_on_gpOrthosteric Ligand8INR-MC5-α-MSH-Ca-chim(NtGi1-Gs)/β1/γ2 8IOD-MC5-PG-901-Ca-chim(NtGi1-Gs)/β1/γ2
15.38Consensusneuromedin-u_onOrthosteric Ligandnmur1_on nmur2_on
15.38Consensusp2y_on_gpOrthosteric Ligandp2y1_on_gp p2y10_on_gp p2y12_on_gp
15.38Consensusprotein_offonOrthosteric Ligandprotein_off protein_on
15.38Consensusprotein_offon_gpOrthosteric Ligandprotein_on_gp protein_off
15.15Single7X9ANeuropeptide-Y7X9A-Y1-Neuropeptide-Y-Gi1/β1/γ2
15.15Single7Y36PTH7Y36-PTH1-PTH-Gs/β1/γ2
15.15Single8FLQPTH8FLQ-PTH1-PTH-Gs/β1/γ2
15.15Single9JR3PTH9JR3-PTH1-PTH-chim(NtGi1L-Gs-CtGq)/β1/γ2
15.00Single5ZBHBMS-1938855ZBH-Y1-BMS-193885
15.00Single6RZ5Zafirlukast6RZ5-CysLT1-Zafirlukast-Na
15.00Single7S8MCortistatin-147S8M-MRGPRX2-Cortistatin-14-Gi1/β1/γ2
15.00Single7T9NDPPC7T9N-TSH-M22 Fab-DPPC-Gs/β1/γ2
15.00Single7XOWSulfated Gastrin-(10-17)7XOW-CCKB-Sulfated Gastrin-(10-17)-chim(NtGi1-Gq)/β1/γ2
15.00Single7XWONeurokinin-A7XWO-NK2-Neurokinin-A-chim(NtGi1-Gs-CtGq)/β1/γ2
15.00Single7YU5ONO-07405567YU5-LPA1-ONO-0740556-Gi1/β1/γ2
15.00Single8GUSHU-3088GUS-CB2-HU-308-Gi1/β1/γ2
15.00Single8I2GPubChem 675302408I2G-FSH-FSH-PubChem 67530240-Gs/β1/γ2
15.00Single8TAOCDPPB8TAO-mGlu5; mGlu5-Quisqualate-CDPPB
15.00Single8ZW0PGD28ZW0-DP1-PGD2-Gs/β1/γ2
15.00Single9ASTLymphotactin9AST-XCR1-Lymphotactin-Gi1/β1/γ2
15.00Consensusffa_onOrthosteric Ligandffa2_on ffa3_on
15.00Consensusffa_on_gpOrthosteric Ligandffa2_on_gp ffa3_on_gp
15.00Consensusgi_ffaOrthosteric Ligand8J21-FFA3-Butyric acid-Gi1/β1/γ2 8J22-FFA2-TUG-1375-Gi1/β1/γ2
15.00Consensusgi_lpaOrthosteric Ligand7TD1-LPA1-LPA-Gi1/β1/γ2 7YU3-LPA1-ONO-0740556-Gi1/β1/γ2
15.00Consensusgi_relaxinOrthosteric Ligand7YK7-RXFP4-DC591053-Gi2/β1/γ2 7YJ4-RXFP4-INSL5-Gi2/β1/γ2 7YK6-RXFP4-PubChem 138319674-Gi2/β1/γ2
15.00Consensuslpa_onOrthosteric Ligandlpa1_on
15.00Consensuslpa_on_gpOrthosteric Ligandlpa1_on_gp
15.00Consensusmotilin_onOrthosteric Ligand8IBU-Motilin-Erythromycin-A-chim(NtGi1-Gs-CtGq)/β1/γ2
15.00Consensusnk2_on_gpOrthosteric Ligand7XWO-NK2-Neurokinin-A-chim(NtGi1-Gs-CtGq)/β1/γ2
15.00Consensusrelaxin_onOrthosteric Ligandrxfp4_on
15.00Consensusrelaxin_on_gpOrthosteric Ligandrxfp4_on_gp
14.81Single7F9YGhrelin7F9Y-Ghrelin-Ghrelin-chim(NtGi1-Gs-CtGq)/β1/γ2
14.81Single8XVIEndothelin-18XVI-ETA-Endothelin-1-chim(Gs-CtGq)/β1/γ2
14.81Consensuschemokine_on_gpOrthosteric Ligandccr_on_gp cxcr_on_gp
14.81Consensusneuromedin-u_on_gpOrthosteric Ligandnmur1_on_gp nmur2_on_gp
14.81Consensusp2y10_onOrthosteric Ligand8KGG-P2Y10-Lysophosphatidylserine (WJS)-chim(NtGi2-G13)/β1/γ2
14.71Consensuspth_onOrthosteric Ligandpth1_on pth2_on
14.29Single5UIW5P7-CCL55UIW-CCR5-5P7-CCL5
14.29Single6C1RPMX536C1R-C5a1-PMX53-Avacopan; Na
14.29Single6FJ3PTH6FJ3-PTH1-PTH
14.29Single7T6BS1P7T6B-S1P2-S1P-chim(NtGi1L-G13)/β1/γ2
14.29Single7XZ5Lysophosphatidylcholine7XZ5-GPR119-Lysophosphatidylcholine-Gs/β1/γ2
14.29Single8H0QGastrin Releasing Peptide8H0Q-BB2-Gastrin Releasing Peptide-chim(NtGi1-Gs-CtGq)/β1/γ2
14.29Single8IBUErythromycin-A8IBU-Motilin-Erythromycin-A-chim(NtGi1-Gs-CtGq)/β1/γ2
14.29Single8U26Substance-P8U26-NK1-Substance-P-Gs/β1/γ2
14.29Single8XQSCholesterol8XQS-TAS2R14-Cholesterol-Flufenamic acid-Gi1/β1/γ1
14.29Single9BP3Cagrilintide9BP3-CT (AMY1)-Cagrilintide-Gs/β1/γ2; RAMP1
14.29Single9YDUUDP-Glucose9YDU-P2Y14-UDP-Glucose-Gi1/β1/γ2
14.29Consensusccr5_offOrthosteric Ligand5UIW-CCR5-5P7-CCL5
14.29Consensusccr_offOrthosteric Ligandccr2_off ccr5_off
14.29Consensusmotilin_on_gpOrthosteric Ligand8IBU-Motilin-Erythromycin-A-chim(NtGi1-Gs-CtGq)/β1/γ2
13.89Single7F16TIP397F16-PTH2-TIP39-Gs/β1/γ2
13.89Consensuspth2_on_gpOrthosteric Ligand7F16-PTH2-TIP39-Gs/β1/γ2
13.79Single5NX2GLP-1 (Truncated)5NX2-GLP-1-GLP-1 (Truncated)
13.79Single8FU6ZP37808FU6-Glucagon-ZP3780-Gs/β1/γ2
13.79Single8W8XBeta-MSH8W8X-MC3-β-MSH-Ca-Gs/β1/γ2
13.79Consensuscrf_onOrthosteric Ligandcrf2_on crf1_on
13.64Single7CX4Evatanepag7CX4-EP2-Evatanepag-Gs/β1/γ2
13.64Single7P00Substance-P7P00-NK1-Substance-P-chim(NtGi1-Gs-CtGq)/β1/γ2
13.64Single7X8RBOC57X8R-GLP-1-BOC5-Gs/β1/γ2
13.64Single7Y27Somatostatin-147Y27-SST2-Somatostatin-14-chim(NtGi2L-Gs-CtGq)/β1/γ2
13.64Single8ZX4Lysophosphatidylinositol 8ZX4-GPR55-Lysophosphatidylinositol-chim(NtGi1-G13)/β1/γ2
13.64Single9C0KExendin-49C0K-GLP-1-Exendin-4-Gs/β1/γ2
13.64Single9GE3Lysophosphatidylinositol9GE3-GPR55-Lysophosphatidylinositol-chim(NtGi1-G13)/β1/γ2
13.64Single9UYHChemerin-99UYH-CML2-Chemerin-9-Arrestin2
13.64Single9VI9RFRP-39VI9-NPFF1-RFRP-3-Gi1/β1/γ2
13.64Consensusnk1_onOrthosteric Ligand7P00-NK1-Substance-P-chim(NtGi1-Gs-CtGq)/β1/γ2
13.64Consensusnk1_on_gpOrthosteric Ligand7P00-NK1-Substance-P-chim(NtGi1-Gs-CtGq)/β1/γ2
13.51Single8F0JPramlintide Analogue San458F0J-CT-Pramlintide Analogue San45-Gs/β1/γ2
13.33Single2ZIY11-cis-Retinal2ZIY-Rhodopsin-11-cis-Retinal
13.33Single5VAIGLP-15VAI-GLP-1-GLP-1-Gs/β1/γ2
13.33Single5WKTOctyl-Beta-D-Glucopyranoside5WKT-Rhodopsin-Octyl-β-D-Glucopyranoside-Gt(CT)
13.33Single6FK9PubChem 1324730366FK9-Rhodopsin-PubChem 132473036
13.33Single6ME5Agomelatine6ME5-MT1-Agomelatine
13.33Single6NBHLA-PTH Analog6NBH-PTH1-LA-PTH Analog-Gs/β1/γ2
13.33Single6UUSAdrenomedullin6UUS-CT Like (AM2)-Adrenomedullin-Gs/β1/γ2; RAMP3
13.33Single7MT9All-trans-Retinal7MT9-Rhodopsin-All-trans-Retinal-GRK1
13.33Single7MTAAll-trans-Retinal7MTA-Rhodopsin-All-trans-Retinal-GRK1
13.33Single7TYLAmylin7TYL-CT-Amylin-Gs/β1/γ2
13.33Single7V6APubChem 98642757V6A-M4-PubChem 9864275-Gi1/β1/γ2
13.33Single7VVJPTHrP(1-36)7VVJ-PTH1-PTHrP(1-36)-Gs/β1/γ2
13.33Single7VVLPTH7VVL-PTH1-PTH-Gs/β1/γ2
13.33Single8EITDoconexent8EIT-FFA1-Doconexent-chim(NtGi1L-Gs-CtGq)/β1/γ2
13.33Single8HAFPTHrP(1-36)8HAF-PTH1-PTHrP(1-36)-chim(NtGi1-Gs)/β1/γ2
13.33Single8RQLFlufenamic acid8RQL-TAS2R14-Flufenamic acid-Flufenamic acid-chim(NtGi1-Gt3)/β1/γ2
13.33Single8Y63C20:0 Ceramide8Y63-FPR2-ALX-C20:0 Ceramide-Gi1/β1/γ2
13.33Single9IJRC179IJR-GPR52-C17-Arrestin2
13.33Single9IV15alpha-DHT9IV1-ADGRD1-5α-DHT-chim(NtGi1-Gs)/β1/γ2
13.33Consensuspth1_onOrthosteric Ligand6NBF-PTH1-LA-PTH Analog-Gs/β1/γ2 8HA0-PTH1-PTH-chim(NtGi1-Gs)/β1/γ2 8HAF-PTH1-PTHrP(1-36)-chim(NtGi1-Gs)/β1/γ2 7Y36-PTH1-PTH-Gs/β1/γ2 7Y35-PTH1-Abaloparatide-Gs/β1/γ2
13.33Consensusvpac2_onOrthosteric Ligand7VQX-VPAC1-PACAP27-Gs/β1/γ2
13.33Consensusvpac2_on_gpOrthosteric Ligand7VQX-VPAC1-PACAP27-Gs/β1/γ2
13.16Single8F2BPramlintide Analogue San458F2B-CT (AMY3)-Pramlintide Analogue San45-Gs/β1/γ2; RAMP3
13.16Consensuspth_on_gpOrthosteric Ligandpth1_on_gp pth2_on_gp
13.04Single7CX2PGE27CX2-EP2-PGE2-Gs/β1/γ2
13.04Single7RMGSubstance-P7RMG-NK1-Substance-P-chim(Gs-CtGq)/β1/γ2
13.04Single7RMHSubstance-P7RMH-NK1-Substance-P-Gs/β1/γ2
13.04Single7S8LCortistatin-147S8L-MRGPRX2-Cortistatin-14-chim(NtGi2L-Gs-CtGq)/β1/γ2
13.04Single8JBFSenktide8JBF-NK3-Senktide-chim(NtGi1-Gs-CtGq)/β1/γ2
13.04Single8Z74JN241-98Z74-Apelin; Apelin-JN241-9
13.04Single8Z74JN241-98Z74-Apelin; Apelin-JN241-9
13.04Single9EAJNanobody AT2099EAJ-AT1-Nanobody AT209
13.04Single9JH6C20:0 Ceramide9JH6-CysLT2-C20:0 Ceramide-chim(NtGi1-Gs-CtGq)/β1/γ2
13.04Single9KX6C5a-des-Arg9KX6-C5a1-C5a-des-Arg-Go/β1/γ2
13.04Consensuscxcr4_offOrthosteric Ligand4RWS-CXCR4-vMIP-II 3OE0-CXCR4-CVX15 3OE6-CXCR4-IT1t
13.04Consensusformylpeptide_onOrthosteric Ligandfpr2-alx_on fpr1-alx_on
12.90Single6PB0Urocortin6PB0-CRF1-Urocortin-chim(NtGi1-Gs)/β1/γ2
12.90Single7RBTTirzepatide7RBT-GIP-Tirzepatide-LSN3556672-chim(NtGi1-Gs)/β1/γ2
12.90Single7TYXAmylin7TYX-CT (AMY2)-Amylin-Gs/β1/γ2; RAMP2
12.90Consensuscrf1_onOrthosteric Ligand6PB0-CRF1-Urocortin-chim(NtGi1-Gs)/β1/γ2 6P9X-CRF1-Corticoliberin-1-Gs/β1/γ2
12.90Consensusgip_onOrthosteric Ligand7FIN-GIP-Peptide-20; GGL-Gs/β1/γ2 7FIY-GIP-Tirzepatide-Gs/β1/γ2 7DTY-GIP-GIP-Gs/β1/γ2
12.90Consensusgip_on_gpOrthosteric Ligand7FIN-GIP-Peptide-20; GGL-Gs/β1/γ2 7FIY-GIP-Tirzepatide-Gs/β1/γ2 7DTY-GIP-GIP-Gs/β1/γ2
12.50Single5L7IVismodegib5L7I-SMO-Vismodegib
12.50Single6FK6PubChem 1324730336FK6-Rhodopsin-PubChem 132473033
12.50Single6LI0C176LI0-GPR52-C17
12.50Single6PH7Nerol6PH7-Rhodopsin-Nerol-Gt(CT)
12.50Single6X19CHU-1286X19-GLP-1-CHU-128-Gs/β1/γ2
12.50Single7CX3Taprenepag7CX3-EP2-Taprenepag-Gs/β1/γ2
12.50Single7D76Beclomethasone7D76-ADGRG3-Beclomethasone-Go/β1/γ2
12.50Single7RTBPeptide-197RTB-GLP-1-Peptide-19-Gs/β1/γ2
12.50Single7T96LY21196207T96-M2-Acetylcholine-LY2119620-Go/β1/γ2
12.50Single7TRPLY20332987TRP-M4-Iperoxo-LY2033298-Gi1/β1/γ2
12.50Single7VBHPeptide-207VBH-GLP-1-Peptide-20-Gs/β1/γ2
12.50Single7W2ZGhrelin7W2Z-Ghrelin-Ghrelin-Go/β1/γ2
12.50Single7XKFDehydroepiandrosterone7XKF-ADGRG2-Dehydroepiandrosterone-Gs/β1/γ2
12.50Single8F2APramlintide Analogue San3858F2A-CT (AMY3)-Pramlintide Analogue San385-Gs/β1/γ2; RAMP3
12.50Single8IEIPubChem 1347468948IEI-GPR156; GPR156-PubChem 134746894
12.50Single8IEIPubChem 1347468948IEI-GPR156; GPR156-PubChem 134746894
12.50Single8IEPPubChem 1347468948IEP-GPR156; GPR156-PubChem 134746894
12.50Single8IEPPubChem 1347468948IEP-GPR156; GPR156-PubChem 134746894
12.50Single8SZFCa; Ca; Tryptophan; Cinacalcet; PO4; Spermine8SZF-CaS; CaS-Ca; Ca; Tryptophan; Cinacalcet; PO4; Spermine
12.50Single8U4RREGN7663-Fab8U4R-CXCR4-REGN7663-Fab
12.50Single8XBHPubChem 1626566368XBH-GPR34-PubChem 162656636-Gi1/β1/γ2
12.50Single8YKDDehydroepiandrosterone8YKD-ADGRG2-Dehydroepiandrosterone-chim(NtGi1-Gs)/β1/γ2
12.50Single9AUCCalcitonin gene-related peptide-19AUC-CT (AMY1)-Calcitonin gene-related peptide-1-Gs/β1/γ2; RAMP1
12.50Single9J0IUDP-Glucuronic acid9J0I-P2Y14-UDP-Glucuronic acid-Gi1/β1/γ2
12.50Single9JLCAVE 09919JLC-MAS1-AVE 0991-Gi1/β1/γ2
12.50Single9MEJGp1209MEJ-CXCR4-Gp120
12.50Single9UYLChemerin-99UYL-CML2-Chemerin-9-Arrestin2
12.50Consensusadgrg_onOrthosteric Ligandadgrg2_on adgrg4_on
12.50Consensusadgrg_on_gpOrthosteric Ligandadgrg2_on_gp adgrg4_on_gp
12.50Consensuschemokine_onOrthosteric Ligandccr_on cxcr_on
12.50Consensusnk3_onOrthosteric Ligand8JBF-NK3-Senktide-chim(NtGi1-Gs-CtGq)/β1/γ2
12.50Consensusnk3_on_gpOrthosteric Ligand8JBF-NK3-Senktide-chim(NtGi1-Gs-CtGq)/β1/γ2
12.12Single7V35Peptide-207V35-Glucagon-Peptide-20-Gs/β1/γ2
12.12Consensuscrf1_on_gpOrthosteric Ligand6PB0-CRF1-Urocortin-chim(NtGi1-Gs)/β1/γ2 6P9X-CRF1-Corticoliberin-1-Gs/β1/γ2
12.00Single6WHCGlu16 analog of GCG6WHC-Glucagon-Glu16 analog of GCG-Gs/β1/γ2
12.00Single7E14Orforglipron7E14-GLP-1-Orforglipron-PubChem 156022738-Gs/β1/γ2
12.00Single7RMISubstance-P7RMI-NK1-Substance-P-chim(Gs-CtGq)/β1/γ2
12.00Single7SK5CXCL127SK5-ACKR3-CXCL12
12.00Single8IBVMotilin8IBV-Motilin-Motilin-chim(NtGi1-Gs-CtGq)/β1/γ2
12.00Single8IEBPubChem 1347468948IEB-GPR156; GPR156-PubChem 134746894
12.00Single8IOCGamma-MSH8IOC-MC3-γ-MSH-Ca-chim(NtGi1-Gs)/β1/γ2
12.00Single8JBHSubstance-P8JBH-NK3-Substance-P-chim(NtGi1-Gs-CtGq)/β1/γ2
12.00Single8K6ONeuropeptide-Y8K6O-Y1-Neuropeptide-Y-Gi2/β1/γ1
12.00Single9EAINanobody AT2099EAI-AT1-Losartan-Nanobody AT209
12.00Single9J0FNADH9J0F-P2Y14-NADH-Gi1/β1/γ2
12.00Consensustachykinin_on_gpOrthosteric Ligandnk1_on_gp nk2_on_gp nk3_on_gp
11.76Single4MQTLY21196204MQT-M2-Iperoxo-LY2119620
11.76Single6FKBPubChem 1324730386FKB-Rhodopsin-PubChem 132473038
11.76Single6ME9Ramelteon6ME9-MT2-Ramelteon
11.76Single7M3FCa; Ca; Tryptophan; Cinacalcet7M3F-CaS; CaS-Ca; Ca; Tryptophan; Cinacalcet
11.76Single7S8PMS471347S8P-MRGPRX4-MS47134-chim(NtGi2L-Gs-CtGq)/β1/γ2
11.76Single7TYYCalcitonin-17TYY-CT (AMY2)-Calcitonin-1-Gs/β1/γ2; RAMP2
11.76Single7VDLCortistatin-147VDL-MRGPRX2-Cortistatin-14-Gi1/β1/γ2
11.76Single7VVOPTH7VVO-PTH1-PTH-Gs/β1/γ2
11.76Single7X2CFenoldopam7X2C-D1-Fenoldopam-Fenoldopam-Gs/β1/γ2
11.76Single8H8JLodoxamide8H8J-GPR35-Lodoxamide-Ca-chim(NtGi1L-G13)/β1/γ2
11.76Single8JIUSAR4258998JIU-Glucagon-SAR425899-Gs/β1/γ2
11.76Consensuspth2_onOrthosteric Ligand7F16-PTH2-TIP39-Gs/β1/γ2
11.54Single3OE0CVX153OE0-CXCR4-CVX15
11.54Single6LW5WKYMVm6LW5-FPR2-ALX-WKYMVm
11.54Single7W55Neuromedin-U-257W55-NMUR2-Neuromedin-U-25-chim(NtGi1-Gs-CtGq)/β1/γ2
11.54Single8K6MNeuropeptide-Y8K6M-Y1-Neuropeptide-Y-Gi2/β1/γ1
11.54Single9B5YLA-PTH Analog9B5Y-PTH1-LA-PTH Analog-chim(NtGi1-Gq)/β1/γ2
11.54Single9IVMGLP-1 (Truncated)9IVM-GLP-1-GLP-1 (Truncated)-LSN3318839-chim(NtGi1-Gs)/β2/γ2
11.54Single9LXRLA-PTH Analog9LXR-PTH1-LA-PTH Analog-Arrestin2
11.54Consensusccr_onOrthosteric Ligandccr6_on ccr8_on ccr2_on ccr1_on ccr5_on
11.54Consensusclass-b1_class-b2_cons_onOrthosteric Ligandclass-b1_on class-b2_on
11.54Consensusclass-b1_class-b2_cons_on_gpOrthosteric Ligandclass-b1_on_gp class-b2_on_gp
11.54Consensusnmur2_onOrthosteric Ligand7W55-NMUR2-Neuromedin-U-25-chim(NtGi1-Gs-CtGq)/β1/γ2
11.54Consensusnmur2_on_gpOrthosteric Ligand7W55-NMUR2-Neuromedin-U-25-chim(NtGi1-Gs-CtGq)/β1/γ2
11.54Consensusnpy1_onOrthosteric Ligand8K6M-Y1-Neuropeptide-Y-Gi2/β1/γ1
11.54Consensusnpy1_on_gpOrthosteric Ligand8K6M-Y1-Neuropeptide-Y-Gi2/β1/γ1
11.43Single6E3YCalcitonin gene-related peptide-16E3Y-CT Like-Calcitonin gene-related peptide-1-Gs/β1/γ2; RAMP1
11.11Single6FK8PubChem 1324730356FK8-Rhodopsin-PubChem 132473035
11.11Single6FKAPubChem 1324730376FKA-Rhodopsin-PubChem 132473037
11.11Single6WJCMuscarinic toxin 76WJC-M1-Atropine-Muscarinic toxin 7
11.11Single7M3GCa; Ca; Tryptophan; Evocalcet; Etelcalcetide; PO47M3G-CaS; CaS-Ca; Ca; Tryptophan; Evocalcet; Etelcalcetide; PO4
11.11Single7T94LY21196207T94-M2-Acetylcholine-LY2119620-chim(NtGi1-Go)/β1/γ2
11.11Single7UTZDPPC7UTZ-TSH-TSH-DPPC-Gs/β1/γ2
11.11Single8HA0PTH8HA0-PTH1-PTH-chim(NtGi1-Gs)/β1/γ2
11.11Single8HQN9-S-HODE8HQN-GPR132-9-S-HODE-Gi1/β1/γ2
11.11Single8K4NPubChem 1687197658K4N-GPR34-PubChem 168719765-Gi1/β1/γ2
11.11Single8K4SDCA-3P8K4S-MRGPRX4-DCA-3P-chim(NtGi1L-Gs-CtGq)/β1/γ2
11.11Single9BUDCagrilintide9BUD-CT-Cagrilintide-Gs/β1/γ2
11.11Single9IXXLTD49IXX-CysLT2-LTD4-chim(NtGi1-Gs-CtGq)/β1/γ2
11.11Single9JQYTG6-1299JQY-EP4-TG6-129
11.11Single9U80Conivaptan9U80-V2-Conivaptan
11.11Consensuscrf2_onOrthosteric Ligand7TS0-CRF2-Urocortin-chim(NtGi1L-Go)/β1/γ2
11.11Consensustachykinin_onOrthosteric Ligandnk1_on nk2_on nk3_on
10.71Single5YQZNNC17025YQZ-Glucagon-NNC1702
10.71Single7P02Substance-P7P02-NK1-Substance-P-chim(NtGi1-Gs)/β1/γ2
10.71Consensuscalcitonin_onOrthosteric Ligandctlike_on
10.71Consensusccr_on_gpOrthosteric Ligandccr6_on_gp ccr8_on_gp ccr2_on_gp ccr1_on_gp ccr5_on_gp
10.53Single4QIMANTA XV4QIM-SMO-ANTA XV
10.53Single6FK7PubChem 1324730346FK7-Rhodopsin-PubChem 132473034
10.53Single6FKCPubChem 1324730396FKC-Rhodopsin-PubChem 132473039
10.53Single6FKDPubChem 1373491836FKD-Rhodopsin-PubChem 137349183
10.53Single6ORVTT-OAD26ORV-GLP-1-TT-OAD2-Gs/β1/γ2
10.53Single7TRQVU04671547TRQ-M4-Iperoxo-VU0467154-Gi1/β1/γ2
10.53Single8X9TAP5038X9T-ADGRD1-AP503-chim(NtGi1-Gs)/β1/γ2
10.53Single8XBGS3E-Lysophosphatidylserine 8XBG-GPR34-S3E-Lysophosphatidylserine
10.53Single8ZBEOctreotide8ZBE-SST5-Octreotide-Gi1/β1/γ1
10.53Single9IVGGLP-1 (Truncated)9IVG-GLP-1-GLP-1 (Truncated)-chim(NtGi1-Gs)/β1/γ2
10.53Single9IYAONO-97105319IYA-GPR55-ONO-9710531
10.53Single9JROPF-044189489JRO-EP2-PF-04418948
10.34Single6NBFLA-PTH Analog6NBF-PTH1-LA-PTH Analog-Gs/β1/γ2
10.34Single6NBILA-PTH Analog6NBI-PTH1-LA-PTH Analog-Gs/β1/γ2
10.34Single7SK3CXCL127SK3-ACKR3-CXCL12
10.34Single7SK4CXCL12_LRHQ7SK4-ACKR3-CXCL12_LRHQ
10.34Single9BLBCagrilintide (non-acylated)9BLB-CT-Cagrilintide (non-acylated)-Gs/β1/γ2
10.34Consensuscalcitonin_on_gpOrthosteric Ligandctlike_on_gp
10.34Consensusccr5_onOrthosteric Ligand7O7F-CCR5-6P4-CCL5-Gi1/β1/γ1 7F1Q-CCR5-CCL3-Gi1/β1/γ2
10.34Consensuscrf2_on_gpOrthosteric Ligand7TS0-CRF2-Urocortin-chim(NtGi1L-Go)/β1/γ2
10.00Single4PHUFasiglifam4PHU-FFA1-Fasiglifam
10.00Single6LFMCXCL86LFM-CXCR2-CXCL8-Gi1/β1/γ2
10.00Single6UVAAdrenomedullin-26UVA-CT Like (AM2)-Adrenomedullin-2-Gs/β1/γ2; RAMP3
10.00Single7TYNCalcitonin-17TYN-CT-Calcitonin-1-Gs/β1/γ2
10.00Single7VV0PAMP-127VV0-MRGPRX2-PAMP-12
10.00Single7VVKPTH7VVK-PTH1-PTH-Gs/β1/γ2
10.00Single8EJCTAK-8758EJC-FFA1-TAK-875-chim(NtGi1L-Gs-CtGq)/β1/γ2
10.00Single8HAOPTH8HAO-PTH1-PTH-chim(NtGi1-Gs)/β1/γ2
10.00Single8IZ4Lysophosphatidylserine (TJR)8IZ4-GPR34-Lysophosphatidylserine (TJR)-Gi1/β1/γ2
10.00Single8T6JCDPPB8T6J-mGlu5; mGlu5-CDPPB
10.00Single8T6JCDPPB8T6J-mGlu5; mGlu5-CDPPB
10.00Single9JRTTG6-1299JRT-EP2-TG6-129
10.00Single9KO4CCL219KO4-CCR7-CCL21-Gi1/β1/γ2
10.00Consensuscxcr2_on_gpOrthosteric Ligand6LFM-CXCR2-CXCL8-Gi1/β1/γ2
10.00Consensuscyslt_offOrthosteric Ligandcyslt2_off cyslt1_off
10.00Consensusglp2_onOrthosteric Ligand7D68-GLP-2-GLP-2-Gs/β1/γ2
10.00Consensusglp2_on_gpOrthosteric Ligand7D68-GLP-2-GLP-2-Gs/β1/γ2
9.68Single6LMKGlucagon6LMK-Glucagon-Glucagon-Gs/β1/γ2
9.68Single8FLTM-PTH(1-14)8FLT-PTH1-M-PTH(1-14)-Gs/β1/γ2
9.68Single9BQ3Cagrilintide9BQ3-CT (AMY2)-Cagrilintide-Gs/β1/γ2; RAMP2
9.52Single5TZRMK86665TZR-FFA1-MK8666
9.52Single5V56TC1145V56-SMO-TC114
9.52Single6OS1TRV0266OS1-AT1-TRV026
9.52Single8JBGNeurokinin-B8JBG-NK3-Neurokinin-B-chim(NtGi1-Gs-CtGq)/β1/γ2
9.52Single8JD5JNJ-40411813; ADX881788JD5-mGlu2; mGlu4-Glutamate-JNJ-40411813; ADX88178-Gi1/β1/γ2
9.52Single8XBIPubChem 1626566368XBI-GPR34-PubChem 162656636
9.52Single9CLWTUG-13759CLW-FFA2-TUG-1375-4-CMTB-chim(NtGi1L-Gs-CtGq)/β1/γ2
9.52Single9L16CCL219L16-CCR7-CCL21
9.52Single9YDVMRS29059YDV-P2Y14-MRS2905-Gi1/β1/γ2
9.52Consensusffa2_onOrthosteric Ligand8J22-FFA2-TUG-1375-Gi1/β1/γ2
9.52Consensusp2y12_onOrthosteric Ligand7XXI-P2Y12-2MeSADP-Gi2/β1/γ2
9.09Single3VW7Vorapaxar; Na3VW7-PAR1-Vorapaxar; Na
9.09Single4PXZ2MeSADP4PXZ-P2Y12-2MeSADP
9.09Single5TZYMK8666; AP85TZY-FFA1-MK8666; AP8
9.09Single6OS2TRV0266OS2-AT1-TRV026
9.09Single6RZ7ONO-25703666RZ7-CysLT2-ONO-2570366
9.09Single6XOXOrforglipron6XOX-GLP-1-Orforglipron-chim(NtGi1-Gs)/β1/γ2
9.09Single7SK6CXCL12_LRHQ7SK6-ACKR3-CXCL12_LRHQ
9.09Single7XW5ML1097XW5-TSH-TSH-ML109-Gs/β1/γ2
9.09Single7XW6ML1097XW6-TSH-M22 Fab-ML109-Gs/β1/γ2
9.09Single7XXI2MeSADP7XXI-P2Y12-2MeSADP-Gi2/β1/γ2
9.09Single8WRBLysophosphatidylserine (UBL)8WRB-GPR34-Lysophosphatidylserine (UBL)-Gi1/β1/γ2
9.09Single8XQNCholesterol8XQN-TAS2R14-Cholesterol-Aristolochic acid A-Gi1/β1/γ1
9.09Single8Y6WTUG-13758Y6W-FFA2-TUG-1375-4-CMTB-Gi1/β1/γ2
9.09Single9CM3TUG-13759CM3-FFA2-TUG-1375-PubChem 118615810-chim(NtGi1L-Gs-CtGq)/β1/γ2
9.09Single9ECJS-geranylgeranyl-L-glutathione9ECJ-P2Y8-S-geranylgeranyl-L-glutathione-G13/β1/γ2
9.09Consensusffa2_on_gpOrthosteric Ligand8J22-FFA2-TUG-1375-Gi1/β1/γ2
9.09Consensusgi_p2yOrthosteric Ligand7XXI-P2Y12-2MeSADP-Gi2/β1/γ2
9.09Consensusp2y12_on_gpOrthosteric Ligand7XXI-P2Y12-2MeSADP-Gi2/β1/γ2
8.70Single4RWSvMIP-II4RWS-CXCR4-vMIP-II
8.70Single6M1HMaxadilan6M1H-PAC1-Maxadilan-Gs/β1/γ2
8.70Single6RZ9ONO-27703726RZ9-CysLT2-ONO-2770372
8.70Single8HN1Toxin AdTx18HN1-Alpha1A-Toxin AdTx1
8.70Single8K4OCXCL18K4O-KSHV-CXCL1-Gi1/β1/γ1
8.70Single8XBES3E-Lysophosphatidylserine 8XBE-GPR34-S3E-Lysophosphatidylserine-Gi1/β1/γ1
8.70Single8ZPLHF511168ZPL-CXCR4-HF51116
8.70Single9J0BUDP-Glucose9J0B-P2Y14-UDP-Glucose-Gi1/β1/γ2
8.70Single9KWXC5a-des-Arg9KWX-C5a1-C5a-des-Arg-Go/β1/γ2
8.70Consensuscyslt2_offOrthosteric Ligand6RZ7-CysLT2-ONO-2570366 6RZ8-CysLT2-ONO-2080365 6RZ9-CysLT2-ONO-2770372
8.57Single8JITMEDI03828JIT-Glucagon-MEDI0382-Gs/β1/γ2
8.33Single6OMMWKYMVX6OMM-FPR2-ALX-WKYMVX-Gi1/β1/γ2
8.33Single6RZ6ONO-25703666RZ6-CysLT2-ONO-2570366
8.33Single7X8SWB4-247X8S-GLP-1-WB4-24-Gs/β1/γ2
8.33Single8J22TUG-13758J22-FFA2-TUG-1375-Gi1/β1/γ2
8.33Single8SAILysophosphatidylserine (S12)8SAI-GPR34-Lysophosphatidylserine (S12)-Gi1/β1/γ2
8.33Single8XQJJN2418XQJ-Apelin; Apelin-JN241
8.33Single8XQLCholesterol8XQL-TAS2R14-Cholesterol-Aristolochic acid A-Gt3/β1/γ1
8.33Single8XQOCholesterol8XQO-TAS2R14-Cholesterol-Aristolochic acid A-Gi1/β1/γ1
8.33Single9CM7TUG-13759CM7-FFA2-TUG-1375-AZ-1729-Gi1/β1/γ2
8.33Single9NS9TUG-13759NS9-FFA2-TUG-1375-PubChem 118615810-Gi1/β1/γ2
8.33Consensusgluc_onOrthosteric Ligand6LMK-Glucagon-Glucagon-Gs/β1/γ2 8JIT-Glucagon-MEDI0382-Gs/β1/γ2 7V35-Glucagon-Peptide-20-Gs/β1/γ2
8.11Consensusgluc_on_gpOrthosteric Ligand6LMK-Glucagon-Glucagon-Gs/β1/γ2 8JIT-Glucagon-MEDI0382-Gs/β1/γ2 7V35-Glucagon-Peptide-20-Gs/β1/γ2
8.00Single6RZ8ONO-20803656RZ8-CysLT2-ONO-2080365
8.00Single8INRAlpha-MSH8INR-MC5-α-MSH-Ca-chim(NtGi1-Gs)/β1/γ2
8.00Single8JIQPeptide-158JIQ-Glucagon-Peptide-15-Gs/β1/γ2
8.00Consensussomatostatin_offOrthosteric Ligandsst2_off
7.69Single7F1QCCL37F1Q-CCR5-CCL3-Gi1/β1/γ2
7.69Single7XNACYN1548067XNA-SST2-CYN154806
7.69Single8JGBConorfamide-Tx28JGB-MRGPRX1-Conorfamide-Tx2-Gi1/β1/γ2
7.69Consensussst2_offOrthosteric Ligand7XNA-SST2-CYN154806
7.41Single8YFOAc-LA-PTH Analog8YFO-PTH1-Ac-LA-PTH Analog-chim(NtGi1-Gs)/β1/γ2
7.14Single6NIYCalcitonin-16NIY-CT-Calcitonin-1-Gs/β1/γ2
7.14Single7V68LY21196207V68-M4-Iperoxo-LY2119620-Gi1/β1/γ2
7.14Single7XKDDehydroepiandrosterone7XKD-ADGRG2-Dehydroepiandrosterone-Gs/β1/γ2
7.14Single7XKEDehydroepiandrosterone7XKE-ADGRG2-Dehydroepiandrosterone-chim(NtGi1-Gs)/β1/γ2
7.14Single8X9S5alpha-DHT8X9S-ADGRD1-5α-DHT-chim(NtGi1-Gs)/β1/γ2
6.90Single7TYWCalcitonin-17TYW-CT (AMY1)-Calcitonin-1-Gs/β1/γ2; RAMP1
6.90Single7Y35Abaloparatide7Y35-PTH1-Abaloparatide-Gs/β1/γ2
6.90Single8YG4LA-PTH Analog8YG4-PTH1-LA-PTH Analog-chim(NtGi1-Gs)/β1/γ2
6.67Single7VDMSubstance-P7VDM-MRGPRX2-Substance-P-Gi1/β1/γ2
6.67Single7Y14Beta-Alanine7Y14-MRGPRD-β-Alanine
6.67Single8FLRPTHrP(1-36)8FLR-PTH1-PTHrP(1-36)-Gs/β1/γ2
6.67Single9BUBCagrilintide9BUB-CT-Cagrilintide-Gs/β1/γ2
6.67Consensusctlike_onOrthosteric Ligand6E3Y-CT Like-Calcitonin gene-related peptide-1-Gs/β1/γ2; RAMP1
6.25Single6OIKLY21196206OIK-M2-Iperoxo-LY2119620-chim(NtGi1-Go)/β1/γ2
6.25Single7D77Hydrocortisone7D77-ADGRG3-Hydrocortisone-Go/β1/γ2
6.25Single7Y12Beta-Alanine7Y12-MRGPRD-β-Alanine-Gi1/β1/γ2
6.25Single8F76Propanoic acid8F76-OR51E2-Propanoic acid-Gs/β1/γ2
6.25Single8X9UMetenolone8X9U-ADGRD1-Metenolone-chim(NtGi1-Gs)/β1/γ2
6.25Single9BTWCagrilintide9BTW-CT (AMY3)-Cagrilintide-Gs/β1/γ2; RAMP3
6.25Single9JHJC18:0 Ceramide9JHJ-FPR2-ALX-C18:0 Ceramide-Gi1/β1/γ2
6.25Consensusctlike_on_gpOrthosteric Ligand6E3Y-CT Like-Calcitonin gene-related peptide-1-Gs/β1/γ2; RAMP1
5.88Single7S8NR-Zinc-35737S8N-MRGPRX2-R-Zinc-3573-chim(NtGi2L-Gs-CtGq)/β1/γ2
5.88Single7S8OR-Zinc-35737S8O-MRGPRX2-R-Zinc-3573-Gi1/β1/γ2
5.88Single7VDHC48/807VDH-MRGPRX2-C48/80-Gi1/β1/γ2
5.88Single8FX5Xanomeline8FX5-M4-Xanomeline-Xanomeline-Gi1/β1/γ2
5.88Single8X2KOleic monoethanolamide8X2K-GPR3-Oleic monoethanolamide-chim(NtGi1-Gs)/β1/γ2
5.56Single6LFOCXCL86LFO-CXCR2-CXCL8-Gi1/β1/γ2
5.56Single6ZA8RTI-3a6ZA8-NTS1-RTI-3a
5.56Single7LCJDanuglipron7LCJ-GLP-1-Danuglipron
5.56Single7TYOCalcitonin7TYO-CT-Calcitonin-Gs/β1/γ2
5.56Single7VV5C48/807VV5-MRGPRX2-C48/80-Gi1/β1/γ2
5.56Single7XJJGalanin7XJJ-GAL1-Galanin-Go/β1/γ2
5.56Single8DWHPubChem 1390305318DWH-MRGPRX1-PubChem 139030531-chim(NtGi2L-Gs-CtGq)/β1/γ2
5.56Single8T3VDoconexent8T3V-FFA1-Doconexent-chim(NtGi2L-Gs-CtGq)/β1/γ2
5.56Single8U8FPalmitic Acid8U8F-GPR3-Palmitic Acid-Gs/β1/γ2
5.56Single9KO2CCL199KO2-CCR7-CCL19-Gi1/β1
5.56Single9KO6CCL199KO6-CCR7-CCL19
5.56Consensuscxcr1_onOrthosteric Ligand8IC0-CXCR1-CXCL8-Gi1/β1/γ2
5.26Single6U1NLY21196206U1N-M2-LY2119620-Arrestin2
5.26Single6ZINSR486926ZIN-NTS1-SR48692
5.26Single7VV6C48/807VV6-MRGPRX2-C48/80
5.26Single7XXH2MeSADP7XXH-P2Y1-2MeSADP-chim(NtGi1-G11)/β1/γ2
5.26Single8HJ5PubChem 1390305318HJ5-MRGPRX1-PubChem 139030531-chim(NtGi1-Gs-CtGq)/β1/γ2
5.26Single8IYXYL-3658IYX-GPR34-YL-365
5.26Single8JD6VU03647708JD6-mGlu4; mGlu4-Phosphoserine-VU0364770-Gi3/β1/γ2
5.26Single8YRGFospropofol8YRG-MRGPRX4-Fospropofol-chim(NtGi1-Gs-CtGq)/β1/γ2
5.26Single9K0KUTP9K0K-P2Y4-UTP-chim(NtGi1-Gs-CtGq)/β1/γ2
5.26Single9K0XATP9K0X-P2Y2-ATP-chim(NtGi1-Gs-CtGq)/β1/γ2
5.26Single9K20ATP9K20-P2Y2-ATP-chim(NtGi1-Go)/β1/γ2
5.26Consensuscxcr2_onOrthosteric Ligand6LFM-CXCR2-CXCL8-Gi1/β1/γ2
5.26Consensusp2y1_on_gpOrthosteric Ligand7XXH-P2Y1-2MeSADP-chim(NtGi1-G11)/β1/γ2
5.00Single6X1ADanuglipron6X1A-GLP-1-Danuglipron-Gs/β1/γ2
5.00Single6Z4VNeurotensin-(9-13)6Z4V-NTS1-Neurotensin-(9-13)
5.00Single7FIHOrg435537FIH-LH-hCG-Org43553-chim(NtGi1-Gs)/β1/γ2
5.00Single7LCIDanuglipron7LCI-GLP-1-Danuglipron-Gs/β1/γ2
5.00Single7LCKDanuglipron7LCK-GLP-1-Danuglipron
5.00Single7S15PubChem 1346112237S15-GLP-1-PubChem 134611223
5.00Single7WQ3Galanin7WQ3-GAL1-Galanin-Gi1/β1/γ2
5.00Single8EJKTAK-8758EJK-FFA1-TAK-875-chim(NtGi1L-Gs-CtGq)/β1/γ2
5.00Single8IC0CXCL88IC0-CXCR1-CXCL8-Gi1/β1/γ2
5.00Single8ZYYNeurotensin-(8-13)8ZYY-NTS1-Neurotensin-(8-13)-SBI-553-Arrestin2
5.00Single9METGp120; CD49MET-CXCR4-Gp120; CD4
5.00Consensuscxcr1_on_gpOrthosteric Ligand8IC0-CXCR1-CXCL8-Gi1/β1/γ2
5.00Consensusgal1_onOrthosteric Ligand7WQ3-GAL1-Galanin-Gi1/β1/γ2
5.00Consensusgal1_on_gpOrthosteric Ligand7WQ3-GAL1-Galanin-Gi1/β1/γ2
5.00Consensusgi_galaninOrthosteric Ligand7WQ3-GAL1-Galanin-Gi1/β1/γ2
4.76Single4JKVTaladegib4JKV-SMO-Taladegib
4.76Single6Z4SSR486926Z4S-NTS1-SR48692
4.76Single8JGGBAM8-228JGG-MRGPRX1-BAM8-22-Gi1/β1/γ2
4.76Single8XQPCholesterol8XQP-TAS2R14-Cholesterol-Aristolochic acid A-Gt3/β1/γ1
4.76Single8ZYTNeurotensin-(8-13)8ZYT-NTS1-Neurotensin-(8-13)-SBI-553-Arrestin2
4.76Consensusadgrg2_onOrthosteric Ligand7WUI-ADGRG2-IP15-chim(NtGi1-Gs)/β1/γ2 7WUQ-ADGRG2-Gs/β1/γ2 7XKF-ADGRG2-Dehydroepiandrosterone-Gs/β1/γ2
4.76Consensusadgrg2_on_gpOrthosteric Ligand7WUI-ADGRG2-IP15-chim(NtGi1-Gs)/β1/γ2 7WUQ-ADGRG2-Gs/β1/γ2 7XKF-ADGRG2-Dehydroepiandrosterone-Gs/β1/γ2
4.55Single3ZEVNeurotensin-(7-13)3ZEV-NTS1-Neurotensin-(7-13)
4.55Single4BV0Neurotensin-(7-13)4BV0-NTS1-Neurotensin-(7-13)
4.55Single5V57TC1145V57-SMO-TC114
4.55Single6Z8NSRI-98296Z8N-NTS1-SRI-9829
4.55Single7F1TCCL37F1T-CCR5-CCL3
4.55Single7L0PNeurotensin-(8-13)7L0P-NTS1-Neurotensin-(8-13)-Gi1/β1/γ1
4.55Single7L0QNeurotensin-(8-13)7L0Q-NTS1-Neurotensin-(8-13)-Gi1/β1/γ1
4.55Single7XBDGalanin7XBD-GAL2-Galanin-chim(NtGi2L-Gs-CtGq)/β1/γ2
4.55Single8FMZNeurotensin-(8-13)8FMZ-NTS1-Neurotensin-(8-13)-chim(NtGi2L-Gs-CtGq)/β1/γ2
4.55Single8FN1Neurotensin-(8-13)8FN1-NTS1-Neurotensin-(8-13)-chim(NtGi1-Go)/β1/γ2
4.55Single8JGFBAM8-228JGF-MRGPRX1-BAM8-22-chim(NtGi1-Gs-CtGq)/β1/γ2
4.55Single8WJXADP8WJX-P2Y1-ADP-chim(Gs-CtGq)/β1/γ2
4.55Single8XQTCholesterol8XQT-TAS2R14-Cholesterol-Gi1/β1/γ1
4.55Single9ITELPA9ITE-LPA6-LPA-chim(NtGi2-G13)/β1/γ2
4.55Single9JCLADP9JCL-P2Y1-ADP-chim(Gs-CtGq)/β1/γ2
4.55Single9MENGp120 (V3 loop)9MEN-CXCR4-Gp120 (V3 loop)
4.55Consensusneurotensin_onOrthosteric Ligandnts1_on
4.55Consensusnts1_onOrthosteric Ligand6OSA-NTS1-JMV449-Gi1/β1/γ2 7L0S-NTS1-Neurotensin-(8-13)-Gi1/β1/γ1
4.35Single4GRVNeurotensin-(8-13)4GRV-NTS1-Neurotensin-(8-13)
4.35Single4PY02MeSATP4PY0-P2Y12-2MeSATP
4.35Single4XEENeurotensin-(8-13)4XEE-NTS1-Neurotensin-(8-13)
4.35Single4XESNeurotensin-(8-13)4XES-NTS1-Neurotensin-(8-13)
4.35Single6OSAJMV4496OSA-NTS1-JMV449-Gi1/β1/γ2
4.35Single7L0SNeurotensin-(8-13)7L0S-NTS1-Neurotensin-(8-13)-Gi1/β1/γ1
4.35Single7WQ4Galanin7WQ4-GAL2-Galanin-chim(NtGi1-Gs-CtGq)/β1/γ2
4.35Single7XJKGalanin7XJK-GAL2-Galanin-chim(NtGi2L-Gs-CtGq)/β1/γ2
4.35Single8JPBNeurotensin-(8-13)8JPB-NTS1-Neurotensin-(8-13)-SBI-553; GDP; Mg-Gq; GRK2
4.35Single8XQJJN2418XQJ-Apelin; Apelin-JN241
4.35Consensusgalanin_onOrthosteric Ligandgal2_on gal1_on
4.35Consensusgalanin_on_gpOrthosteric Ligandgal2_on_gp gal1_on_gp
4.35Consensusgi_neurotensinOrthosteric Ligand6OSA-NTS1-JMV449-Gi1/β1/γ2 7L0S-NTS1-Neurotensin-(8-13)-Gi1/β1/γ1
4.35Consensusneurotensin_on_gpOrthosteric Ligandnts1_on_gp
4.35Consensusnts1_on_gpOrthosteric Ligand6OSA-NTS1-JMV449-Gi1/β1/γ2 7L0S-NTS1-Neurotensin-(8-13)-Gi1/β1/γ1
4.17Single4BUONeurotensin-(8-13)4BUO-NTS1-Neurotensin-(8-13)
4.17Single6UP7Neurotensin-(8-13)6UP7-NTS1-Neurotensin-(8-13)-Arrestin2
4.17Single8FN0Neurotensin-(8-13)8FN0-NTS1-Neurotensin-(8-13)-SBI-553-chim(NtGi1-Go)/β1/γ2
4.17Single8JPFNeurotensin-(8-13)8JPF-NTS1-Neurotensin-(8-13)-SBI-553
4.17Single8XVUCXCL28XVU-CXCR2-CXCL2
4.17Single8XXHCXCL28XXH-CXCR2-CXCL2-Go/β1/γ2
4.17Single9JH5C16:0 Ceramide9JH5-CysLT2-C16:0 Ceramide-chim(NtGi1-Gs-CtGq)/β1/γ2
4.17Consensusgal2_onOrthosteric Ligand7WQ4-GAL2-Galanin-chim(NtGi1-Gs-CtGq)/β1/γ2 7XJL-GAL2-Spexin-chim(NtGi2L-Gs-CtGq)/β1/γ2
4.17Consensusgal2_on_gpOrthosteric Ligand7WQ4-GAL2-Galanin-chim(NtGi1-Gs-CtGq)/β1/γ2 7XJL-GAL2-Spexin-chim(NtGi2L-Gs-CtGq)/β1/γ2
4.00Single6KNMJN241-96KNM-Apelin-JN241-9
4.00Single6OS9JMV4496OS9-NTS1-JMV449-Gi1/β1/γ2
4.00Single8XX6CXCL88XX6-CXCR2-CXCL8-Go/β1/γ2
4.00Single9ITBLPA9ITB-LPA6-LPA-chim(NtGi1-Gs-CtGq)/β1/γ2
3.85Single7L0RNeurotensin-(8-13)7L0R-NTS1-Neurotensin-(8-13)-Gi1/β1/γ1
3.85Single8DWGBAM8-228DWG-MRGPRX1-BAM8-22-ML382-chim(NtGi2L-Gs-CtGq)/β1/γ2
3.85Single8XWNCXCL88XWN-CXCR2-CXCL8
3.85Single9BUECagrilintide9BUE-CT-Cagrilintide-Gs/β1/γ2
3.70Single7TRYUrocortin7TRY-CRF2-Urocortin-chim(NtGi1-G11)/β1/γ2
3.33Single7TYHCalcitonin7TYH-CT (AMY2)-Calcitonin-Gs/β1/γ2; RAMP2

PDB Summary
PDB 9ODJ
Class A
SubFamily Peptide
Type Opioid
SubType MOP
Species Mus Musculus
Ligand Mitragynine Pseudoindoxyl
Other Ligand(s) GTP; Mg
Protein Partners Gi1/Beta1/Gamma2
PDB Resolution 3
Date 2026-01-07
D.O.I. 10.1038/s41586-025-10056-4
Net Summary
Imin 2.44
Number of Linked Nodes 952
Number of Links 1145
Number of Hubs 177
Number of Links mediated by Hubs 667
Number of Communities 39
Number of Nodes involved in Communities 260
Number of Links involved in Communities 357
Path Summary
Number Of Nodes in MetaPath 118
Number Of Links MetaPath 117
Number of Shortest Paths 7675730
Length Of Smallest Path 3
Average Path Length 46.8059
Length of Longest Path 82
Minimum Path Strength 1.195
Average Path Strength 4.80485
Maximum Path Strength 22.975
Minimum Path Correlation 0.72
Average Path Correlation 0.996027
Maximum Path Correlation 1
Minimum % Of Corr. Nodes 2.22222
Average % Of Corr. Nodes 34.097
Maximum % Of Corr. Nodes 100
Minimum Path Hubs % 0
Average Path Hubs % 53.8242
Maximum Path Hubs % 100
AnnotationTypeLinks
Gene OntologyMolecular Function• protein binding   • binding   • enzyme binding   • GTPase binding   • protein-containing complex binding   • pyrophosphatase activity   • GTPase activity   • ribonucleoside triphosphate phosphatase activity   • hydrolase activity, acting on acid anhydrides, in phosphorus-containing anhydrides   • hydrolase activity   • hydrolase activity, acting on acid anhydrides   • catalytic activity   • signaling receptor complex adaptor activity   • protein-macromolecule adaptor activity   • molecular adaptor activity   • signaling adaptor activity   • multicellular organismal process   • system process   • sensory perception of chemical stimulus   • sensory perception   • nervous system process   • sensory perception of taste   • developmental process   • sensory organ development   • eye development   • animal organ development   • retina development in camera-type eye   • visual system development   • multicellular organism development   • camera-type eye development
Gene OntologyBiological Process• multicellular organismal process   • system process   • sensory perception of chemical stimulus   • sensory perception   • nervous system process   • sensory perception of taste   • developmental process   • sensory organ development   • eye development   • animal organ development   • retina development in camera-type eye   • visual system development   • multicellular organism development   • camera-type eye development   • anatomical structure development   • sensory system development   • system development   • cell population proliferation   • cellular process   • cellular response to stimulus   • regulation of biological process   • regulation of cellular process   • response to stimulus   • signaling   • biological regulation   • signal transduction   • cell communication   • response to ketone   • response to prostaglandin   • response to lipid   • response to endogenous stimulus   • response to alcohol   • cellular response to prostaglandin stimulus   • response to oxygen-containing compound   • cellular response to oxygen-containing compound   • cellular response to endogenous stimulus   • cellular response to prostaglandin E stimulus   • cellular response to chemical stimulus   • cellular response to alcohol   • response to hormone   • response to chemical   • cellular response to lipid   • response to prostaglandin E   • cellular response to ketone   • cellular response to hormone stimulus   • small GTPase-mediated signal transduction   • Ras protein signal transduction   • intracellular signal transduction   • intracellular signaling cassette   • phospholipase C-activating G protein-coupled receptor signaling pathway   • G protein-coupled receptor signaling pathway   • cellular response to nitrogen compound   • response to dopamine   • cellular response to dopamine   • response to monoamine   • response to catecholamine   • adenylate cyclase-activating dopamine receptor signaling pathway   • cellular response to catecholamine stimulus   • G protein-coupled dopamine receptor signaling pathway   • response to nitrogen compound   • adenylate cyclase-activating G protein-coupled receptor signaling pathway   • cellular response to monoamine stimulus   • adenylate cyclase-modulating G protein-coupled receptor signaling pathway   • synaptic signaling   • cellular response to acetylcholine   • cell-cell signaling   • acetylcholine receptor signaling pathway   • postsynaptic signal transduction   • G protein-coupled acetylcholine receptor signaling pathway   • response to acetylcholine   • cellular anatomical structure   • membrane   • protein-containing complex   • extrinsic component of plasma membrane   • catalytic complex   • plasma membrane protein complex   • cytoplasmic side of membrane   • plasma membrane   • membrane protein complex   • heterotrimeric G-protein complex   • side of membrane   • cell periphery   • cytoplasmic side of plasma membrane   • GTPase complex
Gene OntologyCellular Component• cellular anatomical structure   • membrane   • protein-containing complex   • extrinsic component of plasma membrane   • catalytic complex   • plasma membrane protein complex   • cytoplasmic side of membrane   • plasma membrane   • membrane protein complex   • heterotrimeric G-protein complex   • side of membrane   • cell periphery   • cytoplasmic side of plasma membrane   • GTPase complex   • extrinsic component of membrane   • extrinsic component of cytoplasmic side of plasma membrane   • extracellular exosome   • membrane-bounded organelle   • extracellular vesicle   • extracellular organelle   • extracellular region   • organelle   • extracellular space   • vesicle   • extracellular membrane-bounded organelle   • non-motile cilium   • 9+0 non-motile cilium   • cilium   • neuron projection   • photoreceptor disc membrane   • photoreceptor outer segment   • plasma membrane bounded cell projection   • cell projection   • photoreceptor cell cilium   • organelle membrane   • intracellular anatomical structure   • cytoplasm   • cytosol   • vacuolar membrane   • lytic vacuole   • vacuole   • intracellular membrane-bounded organelle   • intracellular organelle   • lytic vacuole membrane   • bounding membrane of organelle   • lysosomal membrane   • lysosome   • synapse   • cell junction   • binding   • neuropeptide binding   • peptide binding   • protein binding   • G-protein alpha-subunit binding   • peptide receptor activity   • molecular transducer activity   • beta-endorphin receptor activity   • G protein-coupled opioid receptor activity   • G protein-coupled receptor activity   • transmembrane signaling receptor activity   • signaling receptor activity   • G protein-coupled peptide receptor activity   • melanocortin receptor activity   • neuropeptide receptor activity   • morphine receptor activity   • protein domain specific binding   • calcium channel activity   • monoatomic cation transmembrane transporter activity   • voltage-gated calcium channel activity   • gated channel activity   • monoatomic ion channel activity   • voltage-gated channel activity   • voltage-gated monoatomic ion channel activity   • voltage-gated monoatomic cation channel activity   • monoatomic cation channel activity   • passive transmembrane transporter activity   • calcium ion transmembrane transporter activity   • channel activity   • monoatomic ion transmembrane transporter activity   • transporter activity   • metal ion transmembrane transporter activity   • transmembrane transporter activity   • G-protein beta-subunit binding   • trans-synaptic signaling   • regulation of biological process   • regulation of signaling   • regulation of cellular process   • modulation of chemical synaptic transmission   • signaling   • biological regulation   • cell-cell signaling   • presynaptic modulation of chemical synaptic transmission   • chemical synaptic transmission   • cell communication   • synaptic signaling   • regulation of trans-synaptic signaling   • anterograde trans-synaptic signaling   • regulation of cell communication   • cellular process   • cellular response to stimulus   • response to stimulus   • G protein-coupled opioid receptor signaling pathway   • G protein-coupled receptor signaling pathway   • signal transduction   • multi-multicellular organism process   • multicellular organismal process   • sperm ejaculation   • reproductive process   • multicellular organismal reproductive process   • mating behavior   • behavior   • reproductive behavior   • insemination   • multi-organism reproductive process   • copulation   • system process   • nervous system process   • transmission of nerve impulse   • phospholipase C-activating G protein-coupled receptor signaling pathway   • regulation of biological quality   • negative regulation of cytosolic calcium ion concentration   • negative regulation of signaling   • negative regulation of biological process   • regulation of signal transduction   • negative regulation of G protein-coupled receptor signaling pathway   • negative regulation of cell communication   • negative regulation of cellular process   • regulation of G protein-coupled receptor signaling pathway   • negative regulation of response to stimulus   • adenylate cyclase-activating G protein-coupled receptor signaling pathway   • negative regulation of signal transduction   • negative regulation of adenylate cyclase-activating G protein-coupled receptor signaling pathway   • regulation of response to stimulus   • adenylate cyclase-modulating G protein-coupled receptor signaling pathway   • regulation of adenylate cyclase-activating G protein-coupled receptor signaling pathway   • positive regulation of nervous system development   • regulation of developmental process   • cellular developmental process   • positive regulation of biological process   • cell development   • regulation of cell differentiation   • regulation of neurogenesis   • regulation of cell development   • regulation of nervous system development   • positive regulation of developmental process   • multicellular organism development   • neurogenesis   • positive regulation of cell differentiation   • cell differentiation   • anatomical structure development   • positive regulation of neurogenesis   • regulation of multicellular organismal process   • positive regulation of cellular process   • system development   • developmental process   • regulation of multicellular organismal development   • positive regulation of cell development   • nervous system development   • positive regulation of multicellular organismal process   • cellular response to nitrogen compound   • response to dopamine   • cellular response to dopamine   • response to monoamine   • response to catecholamine   • adenylate cyclase-activating dopamine receptor signaling pathway   • cellular response to catecholamine stimulus   • G protein-coupled dopamine receptor signaling pathway   • response to oxygen-containing compound   • response to nitrogen compound   • cellular response to oxygen-containing compound   • cellular response to chemical stimulus   • cellular response to monoamine stimulus   • response to chemical   • neuropeptide signaling pathway   • monosaccharide metabolic process   • gluconeogenesis   • regulation of primary metabolic process   • positive regulation of metabolic process   • regulation of small molecule metabolic process   • positive regulation of biosynthetic process   • small molecule metabolic process   • regulation of carbohydrate metabolic process   • regulation of glucose metabolic process   • positive regulation of gluconeogenesis   • regulation of biosynthetic process   • carbohydrate metabolic process   • small molecule biosynthetic process   • carbohydrate biosynthetic process   • hexose metabolic process   • primary metabolic process   • monosaccharide biosynthetic process   • hexose biosynthetic process   • positive regulation of glucose metabolic process   • biosynthetic process   • regulation of gluconeogenesis   • metabolic process   • positive regulation of carbohydrate metabolic process   • regulation of carbohydrate biosynthetic process   • positive regulation of small molecule metabolic process   • regulation of metabolic process   • glucose metabolic process   • locomotory behavior   • cellular response to acetylcholine   • acetylcholine receptor signaling pathway   • postsynaptic signal transduction   • adenylate cyclase-inhibiting G protein-coupled receptor signaling pathway   • G protein-coupled acetylcholine receptor signaling pathway   • response to acetylcholine   • adenylate cyclase-inhibiting G protein-coupled acetylcholine receptor signaling pathway   • positive regulation of cell communication   • positive regulation of signal transduction   • intracellular signal transduction   • positive regulation of response to stimulus   • positive regulation of ERK1 and ERK2 cascade   • regulation of intracellular signal transduction   • intracellular signaling cassette   • positive regulation of MAPK cascade   • positive regulation of intracellular signal transduction   • regulation of MAPK cascade   • MAPK cascade   • ERK1 and ERK2 cascade   • regulation of ERK1 and ERK2 cascade   • positive regulation of signaling   • regulation of localization   • transport   • regulation of signaling receptor activity   • regulation of transmembrane transporter activity   • localization   • regulation of NMDA receptor activity   • regulation of transport   • establishment of localization   • transmembrane transport   • regulation of molecular function   • regulation of transmembrane transport   • regulation of neurotransmitter receptor activity   • negative regulation of luteinizing hormone secretion   • regulation of system process   • negative regulation of transport   • negative regulation of secretion   • regulation of luteinizing hormone secretion   • luteinizing hormone secretion   • negative regulation of hormone secretion   • negative regulation of secretion by cell   • regulation of hormone levels   • regulation of secretion   • endocrine hormone secretion   • negative regulation of gonadotropin secretion   • negative regulation of multicellular organismal process   • regulation of endocrine process   • regulation of hormone secretion   • gonadotropin secretion   • hormone secretion   • secretion by cell   • regulation of secretion by cell   • signal release   • secretion   • regulation of gonadotropin secretion   • export from cell   • endocrine process   • hormone transport   • eating behavior   • feeding behavior   • regulation of cellular response to stress   • cellular response to stress   • regulation of response to stress   • response to stress   • adenylate cyclase-inhibiting opioid receptor signaling pathway   • regulation of nitric oxide biosynthetic process   • negative regulation of metabolic process   • reactive nitrogen species metabolic process   • nitric oxide metabolic process   • nitric oxide biosynthetic process   • negative regulation of nitric oxide biosynthetic process   • negative regulation of biosynthetic process   • regulation of nitric oxide metabolic process   • response to nutrient levels   • regulation of response to nutrient levels   • positive regulation of appetite   • regulation of response to food   • response to food   • positive regulation of response to food   • regulation of appetite   • positive regulation of response to nutrient levels   • adult behavior   • response to alcohol   • behavioral response to ethanol   • response to ethanol   • regulation of postsynaptic membrane potential   • chemical synaptic transmission, postsynaptic   • cell surface receptor signaling pathway   • excitatory postsynaptic potential   • regulation of membrane potential   • biological process involved in intraspecies interaction between organisms   • social behavior   • sensory perception   • sensory perception of pain   • negative regulation of protein transport   • establishment of protein localization   • regulation of protein localization   • negative regulation of Wnt protein secretion   • protein localization to extracellular region   • intracellular protein localization   • regulation of Wnt protein secretion   • negative regulation of protein localization   • establishment of protein localization to extracellular region   • regulation of establishment of protein localization   • negative regulation of establishment of protein localization   • regulation of protein transport   • Wnt protein secretion   • protein secretion   • regulation of protein secretion   • negative regulation of protein secretion   • protein transport   • macromolecule localization   • postsynapse   • postsynaptic membrane   • plasma membrane region   • synaptic membrane   • sarcolemma   • T-tubule   • somatodendritic compartment   • cell body   • perikaryon   • neuronal cell body   • presynapse   • presynaptic membrane   • dendrite   • dendritic tree   • endomembrane system   • sarcoplasm   • endoplasmic reticulum   • sarcoplasmic reticulum   • axon   • mitochondrion   • anchoring junction   • focal adhesion   • cell-substrate junction   • GABA-ergic synapse   • neuron projection cytoplasm   • dendrite cytoplasm   • cell leading edge   • leading edge membrane   • neuron projection membrane   • dendrite membrane   • cell projection membrane   • endosome   • intracellular vesicle   • cytoplasmic vesicle   • neuron spine   • dendritic spine   • spine apparatus   • D2 dopamine receptor binding   • signaling receptor binding   • G protein-coupled receptor binding   • dopamine receptor binding   • enzyme regulator activity   • adenylate cyclase inhibitor activity   • cyclase regulator activity   • molecular function inhibitor activity   • cyclase inhibitor activity   • molecular function regulator activity   • enzyme inhibitor activity   • adenylate cyclase regulator activity   • guanyl nucleotide binding   • GTP binding   • nucleotide binding   • guanyl ribonucleotide binding   • purine ribonucleotide binding   • purine ribonucleoside triphosphate binding   • nucleoside phosphate binding   • ion binding   • purine nucleotide binding   • anion binding   • heterocyclic compound binding   • carbohydrate derivative binding   • ribonucleotide binding   • small molecule binding   • cation binding   • magnesium ion binding   • metal ion binding   • GDP binding   • G protein-coupled serotonin receptor binding   • protein-containing complex binding   • G-protein beta/gamma-subunit complex binding   • pyrophosphatase activity   • GTPase activity   • G protein activity   • ribonucleoside triphosphate phosphatase activity   • hydrolase activity, acting on acid anhydrides, in phosphorus-containing anhydrides   • hydrolase activity   • hydrolase activity, acting on acid anhydrides   • catalytic activity   • adenylate cyclase-inhibiting serotonin receptor signaling pathway   • G protein-coupled serotonin receptor signaling pathway   • response to hormone   • response to endogenous stimulus   • response to peptide hormone   • cell division   • leukocyte migration   • immune system process   • mononuclear cell migration   • lymphocyte migration   • cell migration   • T cell migration   • cell motility   • regulation of steroid biosynthetic process   • regulation of cholesterol biosynthetic process   • regulation of cholesterol metabolic process   • steroid metabolic process   • regulation of lipid metabolic process   • sterol metabolic process   • cholesterol metabolic process   • lipid biosynthetic process   • alcohol metabolic process   • positive regulation of lipid metabolic process   • steroid biosynthetic process   • secondary alcohol biosynthetic process   • regulation of alcohol biosynthetic process   • regulation of steroid metabolic process   • cholesterol biosynthetic process   • positive regulation of cholesterol biosynthetic process   • secondary alcohol metabolic process   • positive regulation of steroid biosynthetic process   • sterol biosynthetic process   • positive regulation of lipid biosynthetic process   • regulation of sterol biosynthetic process   • alcohol biosynthetic process   • positive regulation of cholesterol metabolic process   • positive regulation of steroid metabolic process   • regulation of lipid biosynthetic process   • positive regulation of alcohol biosynthetic process   • positive regulation of sterol biosynthetic process   • lipid metabolic process   • response to cytokine   • response to chemokine   • cytokine-mediated signaling pathway   • cellular response to chemokine   • chemokine-mediated signaling pathway   • response to peptide   • cellular response to cytokine stimulus   • relaxation of smooth muscle   • regulation of muscle system process   • muscle system process   • relaxation of muscle   • positive regulation of relaxation of smooth muscle   • positive regulation of relaxation of muscle   • regulation of relaxation of smooth muscle   • regulation of relaxation of muscle   • nitrogen compound transport   • regulation of peptide hormone secretion   • negative regulation of peptide hormone secretion   • regulation of peptide secretion   • negative regulation of peptide secretion   • peptide secretion   • regulation of peptide transport   • peptide transport   • negative regulation of insulin secretion   • regulation of insulin secretion   • peptide hormone secretion   • insulin secretion   • regulation of cytoskeleton organization   • regulation of cellular component organization   • microtubule cytoskeleton organization   • regulation of mitotic spindle organization   • mitotic cell cycle   • cellular component organization   • cell cycle   • cellular component organization or biogenesis   • regulation of cell cycle   • microtubule cytoskeleton organization involved in mitosis   • spindle organization   • cell cycle process   • regulation of cell cycle process   • regulation of microtubule-based process   • regulation of spindle organization   • regulation of organelle organization   • mitotic spindle organization   • organelle organization   • mitotic cell cycle process   • microtubule-based process   • cytoskeleton organization   • regulation of microtubule cytoskeleton organization   • positive regulation of protein localization to cell periphery   • protein localization to cell periphery   • positive regulation of protein localization to cell cortex   • regulation of protein localization to cell periphery   • regulation of protein localization to cell cortex   • positive regulation of protein localization   • protein localization to cell cortex   • response to ketone   • response to prostaglandin   • response to lipid   • response to prostaglandin E   • cellular response to forskolin   • cellular response to alcohol   • response to forskolin   • cellular response to lipid   • cellular response to ketone   • midbody   • nucleus   • membrane-enclosed lumen   • intracellular membraneless organelle   • nucleolus   • intracellular organelle lumen   • organelle lumen   • membraneless organelle   • nuclear lumen   • cell cortex   • centrosome   • microtubule organizing center   • cytoskeleton   • microtubule cytoskeleton   • centriolar satellite   • sperm principal piece   • 9+2 motile cilium   • sperm flagellum   • motile cilium   • nucleoplasm   • Golgi apparatus   • ciliary basal body   • fibroblast proliferation   • cell population proliferation   • cellular response to prostaglandin stimulus   • cellular response to endogenous stimulus   • cellular response to prostaglandin E stimulus   • cellular response to hormone stimulus
SCOP2Domain Identifier• G protein-coupled receptor-like   • Ras-like P-loop GTPases   • Galpha insert domain-like   • Transducin (heterotrimeric G protein), gamma chain
SCOP2Family Identifier• G protein-coupled receptor-like   • Ras-like P-loop GTPases   • Galpha insert domain-like   • Transducin (heterotrimeric G protein), gamma chain
Membrane Protein Annotations-• Orientations of Proteins in Membranes database (OPM)   • Protein Data Bank of Transmembrane Proteins (PDBTM)   • MemProtMD


Details about the values in these tables can be found in the corresponding documentation page .
CodeMG
PDB ResiduesI:I:?1
Environment DetailsOpen EMBL-EBI Page
CodeMG
NameMAGNESIUM ION
Synonyms
Identifier
FormulaMg
Molecular Weight24.305
SMILES
PubChem
Formal Charge2
Total Atoms1
Total Chiral Atoms0
Total Bonds0
Total Aromatic Bonds0

CodeEIG
PDB ResiduesL:L:?1
Environment DetailsOpen EMBL-EBI Page
CodeEIG
NameMitragynine pseudoindoxyl
Synonymsmethyl (2E)-4-[(2S,2'S)-1'-butyl-4-methoxy-3-oxo-1,3-dihydrospiro[indole-2,3'-pyrrolidin]-2'-yl]-2-(methoxymethylidene)butanoate
Identifier
FormulaC23 H30 N2 O5
Molecular Weight414.495
SMILES
PubChem44301701
Formal Charge0
Total Atoms60
Total Chiral Atoms4
Total Bonds63
Total Aromatic Bonds6

CodeGTP
PDB ResiduesO:O:?1
Environment DetailsOpen EMBL-EBI Page
CodeGTP
NameGuanosine-5'-Triphosphate
SynonymsGuanosine-5'-Triphosphate
Identifier
FormulaC10 H16 N5 O14 P3
Molecular Weight523.18
SMILES
PubChem5280317
Formal Charge0
Total Atoms48
Total Chiral Atoms4
Total Bonds50
Total Aromatic Bonds5

PDBsumOpen PDBsum Page
ChainA
ProteinG Protein α Sub unit
UniProtP63096
Sequence
>9ODJ_Chain_A
LSAEDKAAV ERSKMIDRN LREDGEKAA REVKLLLLG AGESGKSTI 
VKQMKIIHE AGYSEEECK QYKAVVYSN TIQSIIAII RAMGRLKID 
FGDSARADD ARQLFVLAG AAEEGFMTA ELAGVIKRL WKDSGVQAC 
FNRSREYQL NDSAAYYLN DLDRIAQPN YIPTQQDVL RTRVKTTGI 
VETHFTFKD LHFKMFDVG GQRSERKKW IHCFEGVTA IIFCVALSD 
YDLVLAEDE EMNRMHESM KLFDSICNN KWFTDTSII LFLNKKDLF 
EEKIKKSPL TICYPEYAG SNTYEEAAA YIQCQFEDL NKRKDTKEI 
YTHFTCATD TKNVQFVFD AVTDVIIKN NLKDCGLF


Click on each residue to open a popup with some information about it.

ConSurf Conservation Grade (See documentation): 

 n/a   1    2    3    4    5    6    7    8    9  

ChainB
ProteinG Protein β Sub unit
UniProtP62873
Sequence
>9ODJ_Chain_B
DQLRQEAEQ LKNQIRDAR KACADATLS QITNNIDPV GRIQMRTRR 
TLRGHLAKI YAMHWGTDS RLLVSASQD GKLIIWDSY TTNKVHAIP 
LRSSWVMTC AYAPSGNYV ACGGLDNIC SIYNLKTRE GNVRVSREL 
AGHTGYLSC CRFLDDNQI VTSSGDTTC ALWDIETGQ QTTTFTGHT 
GDVMSLSLA PDTRLFVSG ACDASAKLW DVREGMCRQ TFTGHESDI 
NAICFFPNG NAFATGSDD ATCRLFDLR ADQELMTYS HDNIICGIT 
SVSFSKSGR LLLAGYDDF NCNVWDALK ADRAGVLAG HDNRVSCLG 
VTDDGMAVA TGSWDSFLK IWN


Click on each residue to open a popup with some information about it.

ConSurf Conservation Grade (See documentation): 

 n/a   1    2    3    4    5    6    7    8    9  

ChainG
ProteinG Protein γ Sub unit
UniProtP59768
Sequence
>9ODJ_Chain_G
IAQARKLVE QLKMEANID RIKVSKAAA DLMAYCEAH AKEDPLLTP 
VPASENPF


Click on each residue to open a popup with some information about it.

ConSurf Conservation Grade (See documentation): 

 n/a   1    2    3    4    5    6    7    8    9  

ChainR
ProteinReceptor
UniProtP42866
Sequence
>9ODJ_Chain_R
TAITIMALY SIVCVVGLF GNFLVMYVI VRYTKMKTA TNIYIFNLA 
LADALATST LPFQSVNYL MGTWPFGNI LCKIVISID YYNMFTSIF 
TLCTMSVDR YIAVCHPVK ALDFRTPRN AKIVNVCNW ILSSAIGLP 
VMFMATTKY RQGSIDCTL TFSHPTWYW ENLLKICVF IFAFIMPVL 
IITVCYGLM ILRLKSVRM LSGSKEKDR NLRRITRMV LVVVAVFIV 
CWTPIHIYV IIKALITIP ETTFQTVSW HFCIALGYT NSCLNPVLY 
AFLDENFKR


Click on each residue to open a popup with some information about it.

ConSurf Conservation Grade (See documentation): 

 n/a   1    2    3    4    5    6    7    8    9  




This receptor, from the same or other species and bound to the same or other ligands, is also present in the following networks:
Show PDB Class SubFamily Type SubType Species Orthosteric Ligand Other Ligand(s) Protein Partners Resolution Date DOI
4DKLAPeptideOpioidμMus musculusβ-Funaltrexamine--2.82012-03-21doi.org/10.1038/nature10954
5C1MAPeptideOpioidμMus musculusBU72--2.072015-08-05doi.org/10.1038/nature14886
6DDEAPeptideOpioidμMus musculusDAMGO-Gi1/β1/γ23.52018-06-13doi.org/10.1038/s41586-018-0219-7
6DDE (No Gprot) APeptideOpioidμMus musculusDAMGO-3.52018-06-13doi.org/10.1038/s41586-018-0219-7
6DDFAPeptideOpioidμMus musculusDAMGO-Gi1/β1/γ23.52018-06-13doi.org/10.1038/s41586-018-0219-7
6DDF (No Gprot) APeptideOpioidμMus musculusDAMGO-3.52018-06-13doi.org/10.1038/s41586-018-0219-7
7SBFAPeptideOpioidμMus musculusPZM21-Gi1/β1/γ22.92022-04-20doi.org/10.1002/anie.202200269
7SBF (No Gprot) APeptideOpioidμMus musculusPZM21-2.92022-04-20doi.org/10.1002/anie.202200269
7SCGAPeptideOpioidμMus musculusFH210-Gi1/β1/γ232022-04-20doi.org/10.1002/anie.202200269
7SCG (No Gprot) APeptideOpioidμMus musculusFH210-32022-04-20doi.org/10.1002/anie.202200269
7U2LAPeptideOpioidμMus musculusC5-guano-Gi1/β1/γ23.22022-05-04doi.org/10.1038/s41586-022-05588-y
7U2L (No Gprot) APeptideOpioidμMus musculusC5-guano-3.22022-05-04doi.org/10.1038/s41586-022-05588-y
7UL4APeptideOpioidμMus musculusAlvimopan--2.82022-06-29doi.org/10.1038/s41594-022-00859-8
8EF5APeptideOpioidμHomo sapiensFentanyl-Gi1/β1/γ23.32022-11-09doi.org/10.1016/j.cell.2022.09.041
8EF5 (No Gprot) APeptideOpioidμHomo sapiensFentanyl-3.32022-11-09doi.org/10.1016/j.cell.2022.09.041
8EF6APeptideOpioidμHomo sapiensMorphine-Gi1/β1/γ23.22022-11-09doi.org/10.1016/j.cell.2022.09.041
8EF6 (No Gprot) APeptideOpioidμHomo sapiensMorphine-3.22022-11-09doi.org/10.1016/j.cell.2022.09.041
8EFBAPeptideOpioidμHomo sapiensOliceridine-Gi1/β1/γ23.22022-11-09doi.org/10.1016/j.cell.2022.09.041
8EFB (No Gprot) APeptideOpioidμHomo sapiensOliceridine-3.22022-11-09doi.org/10.1016/j.cell.2022.09.041
8EFLAPeptideOpioidμHomo sapiensSR17018-Gi1/β1/γ23.22022-11-09doi.org/10.1016/j.cell.2022.09.041
8EFL (No Gprot) APeptideOpioidμHomo sapiensSR17018-3.22022-11-09doi.org/10.1016/j.cell.2022.09.041
8EFOAPeptideOpioidμHomo sapiensPZM21-Gi1/β1/γ22.82022-11-09doi.org/10.1016/j.cell.2022.09.041
8EFO (No Gprot) APeptideOpioidμHomo sapiensPZM21-2.82022-11-09doi.org/10.1016/j.cell.2022.09.041
8EFQAPeptideOpioidμHomo sapiensDAMGO-Gi1/β1/γ23.32022-11-09doi.org/10.1016/j.cell.2022.09.041
8EFQ (No Gprot) APeptideOpioidμHomo sapiensDAMGO-3.32022-11-09doi.org/10.1016/j.cell.2022.09.041
7T2GAPeptideOpioidμMus musculusMitragynine Pseudoindoxyl-Gi1/β1/γ22.52022-12-07doi.org/10.1038/s41589-022-01208-y
7T2G (No Gprot) APeptideOpioidμMus musculusMitragynine Pseudoindoxyl-2.52022-12-07doi.org/10.1038/s41589-022-01208-y
7T2HAPeptideOpioidμMus musculusLofentanil-Gi1/β1/γ22.52022-12-07doi.org/10.1038/s41589-022-01208-y
7T2H (No Gprot) APeptideOpioidμMus musculusLofentanil-2.52022-12-07doi.org/10.1038/s41589-022-01208-y
7U2KAPeptideOpioidμMus musculusC6-guano-Gi1/β1/γ23.32022-12-07doi.org/10.1038/s41586-022-05588-y
7U2K (No Gprot) APeptideOpioidμMus musculusC6-guano-3.32022-12-07doi.org/10.1038/s41586-022-05588-y
8F7QAPeptideOpioidμHomo sapiensβ-Endorphin-Gi1/β1/γ23.222022-12-14doi.org/10.1016/j.cell.2022.12.026
8F7Q (No Gprot) APeptideOpioidμHomo sapiensβ-Endorphin-3.222022-12-14doi.org/10.1016/j.cell.2022.12.026
8F7RAPeptideOpioidμHomo sapiensEndomorphin-Gi1/β1/γ23.282022-12-14doi.org/10.1016/j.cell.2022.12.026
8F7R (No Gprot) APeptideOpioidμHomo sapiensEndomorphin-3.282022-12-14doi.org/10.1016/j.cell.2022.12.026
8K9KAPeptideOpioidμHomo sapiensDAMGO-Gi3/β1/γ12.982024-05-29doi.org/10.1038/s41467-024-47792-6
8K9K (No Gprot) APeptideOpioidμHomo sapiensDAMGO-2.982024-05-29doi.org/10.1038/s41467-024-47792-6
8K9LAPeptideOpioidμHomo sapiensDAMGOBMS-986122Gi3/β1/γ13.052024-05-29doi.org/10.1038/s41467-024-47792-6
8K9L (No Gprot) APeptideOpioidμHomo sapiensDAMGOBMS-9861223.052024-05-29doi.org/10.1038/s41467-024-47792-6
9BJKAPeptideOpioidμMus musculusNaloxonePubChem 171642066-3.262024-07-17doi.org/10.1038/s41586-024-07587-7
9BQJAPeptideOpioidμMus musculusRO76-Gi1/β1/γ23.32024-09-11doi.org/10.1021/acscentsci.4c00525
9BQJ (No Gprot) APeptideOpioidμMus musculusRO76-3.32024-09-11doi.org/10.1021/acscentsci.4c00525
9MQHAPeptideOpioidμHomo sapiens---3.92025-02-12doi.org/10.1101/2025.01.09.632033
9MQIAPeptideOpioidμHomo sapiensIsoquinuclidine--3.32025-02-12doi.org/10.1101/2025.01.09.632033
9MQJAPeptideOpioidμHomo sapiensIsoquinuclidine--3.232025-02-12doi.org/10.1101/2025.01.09.632033
9WSTAPeptideOpioidμHomo sapiensDAMGO-chim(NtGi1-Gz)/β1/γ22.82025-11-2610.1038/s41422-025-01191-8
9WST (No Gprot) APeptideOpioidμHomo sapiensDAMGO-2.82025-11-2610.1038/s41422-025-01191-8
9WSVAPeptideOpioidμHomo sapiensDAMGO-Arrestin22.82025-11-2610.1038/s41422-025-01191-8
9WSV (No Gprot) APeptideOpioidμHomo sapiensDAMGO-2.82025-11-2610.1038/s41422-025-01191-8
9WSWAPeptideOpioidμHomo sapiensEndomorphin-chim(NtGi1-Gz)/β1/γ22.82025-11-2610.1038/s41422-025-01191-8
9WSW (No Gprot) APeptideOpioidμHomo sapiensEndomorphin-2.82025-11-2610.1038/s41422-025-01191-8
9WSXAPeptideOpioidμHomo sapiensEndomorphin-Arrestin22.82025-11-2610.1038/s41422-025-01191-8
9WSX (No Gprot) APeptideOpioidμHomo sapiensEndomorphin-2.82025-11-2610.1038/s41422-025-01191-8
8E0GAPeptideOpioidμMus musculusBU72--2.12023-10-18doi.org/10.1186/s12915-023-01689-w
8QOTAPeptideOpioidμMus musculusNanobody-E--3.22023-12-27doi.org/10.1101/2023.12.06.570395
8Y72APeptideOpioidμHomo sapiensPeptideBMS-986122Gi1/β1/γ22.652025-08-06To be published
8Y72 (No Gprot) APeptideOpioidμHomo sapiensPeptideBMS-9861222.652025-08-06To be published
8Y73APeptideOpioidμHomo sapiensPeptideMPAM-15Gi1/β1/γ22.842025-08-06To be published
8Y73 (No Gprot) APeptideOpioidμHomo sapiensPeptideMPAM-152.842025-08-06To be published
9PXUAPeptideOpioidμHomo sapiensNaloxoneNa-3.42025-11-1210.1038/s41586-025-09677-6
9PXVAPeptideOpioidμHomo sapiensNaloxone-Gi1/β1/γ23.022025-11-1210.1038/s41586-025-09677-6
9PXV (No Gprot) APeptideOpioidμHomo sapiensNaloxone-3.022025-11-1210.1038/s41586-025-09677-6
9PXWAPeptideOpioidμHomo sapiensNaloxoneGDPβSGi1/β1/γ23.82025-11-1210.1038/s41586-025-09677-6
9PXW (No Gprot) APeptideOpioidμHomo sapiensNaloxoneGDPβS3.82025-11-1210.1038/s41586-025-09677-6
9PXXAPeptideOpioidμHomo sapiensNaloxoneGDPβSGi1/β1/γ23.12025-11-1210.1038/s41586-025-09677-6
9PXX (No Gprot) APeptideOpioidμHomo sapiensNaloxoneGDPβS3.12025-11-1210.1038/s41586-025-09677-6
9PXYAPeptideOpioidμHomo sapiensNaloxoneGDPβSGi1/β1/γ232025-11-1210.1038/s41586-025-09677-6
9PXY (No Gprot) APeptideOpioidμHomo sapiensNaloxoneGDPβS32025-11-1210.1038/s41586-025-09677-6
9PY2APeptideOpioidμHomo sapiensLoperamideGDPβSGi1/β1/γ23.162025-11-1210.1038/s41586-025-09677-6
9PY2 (No Gprot) APeptideOpioidμHomo sapiensLoperamideGDPβS3.162025-11-1210.1038/s41586-025-09677-6
9PY3APeptideOpioidμHomo sapiensLoperamideGDPβSGi1/β1/γ23.22025-11-12To be published
9PY3 (No Gprot) APeptideOpioidμHomo sapiensLoperamideGDPβS3.22025-11-12To be published
9PY4APeptideOpioidμHomo sapiensLoperamideGDPβSGi1/β1/γ22.782025-11-1210.1038/s41586-025-09677-6
9PY4 (No Gprot) APeptideOpioidμHomo sapiensLoperamideGDPβS2.782025-11-1210.1038/s41586-025-09677-6
9ODJ (No Gprot) APeptideOpioidμMus musculusMitragynine PseudoindoxylGTP; Mg32026-01-0710.1038/s41586-025-10056-4
9ODKAPeptideOpioidμMus musculus-GTP; MgGi1/β1/γ23.92026-01-0710.1038/s41586-025-10056-4
9ODK (No Gprot) APeptideOpioidμMus musculus-GTP; Mg3.92026-01-0710.1038/s41586-025-10056-4
9ODLAPeptideOpioidμMus musculusMitragynine PseudoindoxylGTP; MgGi1/β1/γ23.62026-01-0710.1038/s41586-025-10056-4
9ODL (No Gprot) APeptideOpioidμMus musculusMitragynine PseudoindoxylGTP; Mg3.62026-01-0710.1038/s41586-025-10056-4




You can download a compressed (zip) file with structure(s), 3D outputs (as PyMol and VMD scripts) and numerical data files (as csv and plain text files).

Download 9ODJ.zip



You can click to copy the link of this page to easily come back here later

or use this QR code to link and share this page.



You can also  read or  download a guide explaining the meaning of all files and numerical data.