Color ConSurf Grade
      No Conservation data available
      1
      2
      3
      4
      5
      6
      7
      8
      9

Index: hub id, click on each number to highlight the corresponding hub in the 3D visualization.

Hub: the hub being considered.

Avg Int. Strength: the average interaction strength of all the links of the corresponding hub.

Num Of Links: the number of links of the corresponding hub.

Community: the id of the community the link belong to, otherwise 0.

ConSurf: this column reports the ConSurf conservation grades of each hub.

Index Hub Avg Int. Strength Num Of Links Community ConSurf
1A:A:Y37 9.7525444
2A:A:H41 4.97406
3A:A:K53 6.965409
4A:A:F219 6.101676208
5A:A:F222 13.155417
6A:A:E230 6.8225419
7A:A:K233 6.56333619
8A:A:W234 7.3425409
9A:A:F238 10.71419
10A:A:F246 4.398509
11A:A:F273 5.2025259
12A:A:W277 9.393336256
13A:A:W281 11.1783615
14A:A:I288 6.34409
15A:A:L289 5.29409
16A:A:F290 5.7245169
17A:A:N292 5.84409
18A:A:I308 4.69754117
19A:A:F312 6.11754118
20A:A:F315 11.43254116
21A:A:Y318 7.2585116
22A:A:P321 4.605405
23A:A:E330 7.985103
24A:A:V334 4.1925404
25A:A:K338 10.3045105
26A:A:Y339 7.1345103
27A:A:F340 10.4725117
28A:A:R342 5.8865104
29A:A:E344 6.985115
30A:A:F345 8.6775408
31A:A:R356 8.0525402
32A:A:F363 9.5145105
33A:A:T364 6.85254169
34A:A:N371 8.515169
35A:A:R373 6.52754205
36A:A:R374 6.456164
37A:A:F376 8.3645208
38A:A:R385 7.7954135
39B:B:N16 4.0625401
40B:B:I37 4.91754142
41B:B:V40 5.175143
42B:B:H54 8.992549
43B:B:K57 10.18519
44B:B:Y59 9.024518
45B:B:W63 7.196507
46B:B:Q75 11.625419
47B:B:D76 5.8675449
48B:B:I80 8.655448
49B:B:I81 4.708597
50B:B:W82 9.55714749
51B:B:D83 10.09448
52B:B:Y85 11.45754174
53B:B:T86 8.1075446
54B:B:N88 11.4675447
55B:B:K89 6.09649
56B:B:L95 4.642598
57B:B:W99 8.80833619
58B:B:M101 5.742519
59B:B:Y105 4.18125896
60B:B:N110 6.534184
61B:B:Y111 6.5925184
62B:B:N119 6.7775419
63B:B:I123 3.25254186
64B:B:Y124 4.6496
65B:B:H142 8.16519
66B:B:Y145 6.41143718
67B:B:C148 4.3375406
68B:B:F151 5.508509
69B:B:I157 5.6275407
70B:B:T159 5.272519
71B:B:D163 8.012519
72B:B:W169 10.6633618
73B:B:F180 7.916587
74B:B:H183 8.14689
75B:B:D186 6.9025419
76B:B:V187 4.3375489
77B:B:S201 4.915489
78B:B:C204 5.614517
79B:B:D205 7.015489
80B:B:K209 11.9486
81B:B:W211 8.52333688
82B:B:Q220 6.7225467
83B:B:F222 7.568568
84B:B:H225 9.08428769
85B:B:D228 9.0425419
86B:B:I232 4.705468
87B:B:F235 7.55216
88B:B:P236 6.0154217
89B:B:N237 8.4354215
90B:B:F241 7.584566
91B:B:D247 9.228569
92B:B:R251 9.54768
93B:B:F253 6.68833666
94B:B:D254 5.048509
95B:B:R256 8.79409
96B:B:D258 9.188567
97B:B:Q259 4.442506
98B:B:E260 7.995466
99B:B:Y264 7.094505
100B:B:I269 3.93514
101B:B:C271 3.83415
102B:B:F278 6.31254217
103B:B:R283 8.355149
104B:B:L284 5.0354145
105B:B:Y289 7.73857717
106B:B:N295 9.34416
107B:B:V296 3.58405
108B:B:L300 6.934146
109B:B:K301 6.44405
110B:B:R304 6.57415
111B:B:H311 9.3565199
112B:B:R314 13.534518
113B:B:M325 5.775405
114B:B:W332 8.29286719
115B:B:D333 8.83254199
116B:B:K337 7.684196
117B:B:W339 8.8456199
118E:E:Y32 8.836525
119E:E:R37 12.2971723
120E:E:W59 6.7275407
121E:E:Y66 6.242529
122E:E:W74 7.61254236
123E:E:M76 10.365424
124E:E:W84 5.56407
125E:E:V89 6.16428
126E:E:F92 10.542525
127E:E:F93 8.11833629
128E:E:H97 7.146529
129E:E:Y100 10.5883628
130E:E:F101 6.29429
131E:E:D113 6.1275459
132E:E:P114 5.38833659
133G:G:I9 4.652502
134G:G:I25 5.285462
135G:G:Y40 8.774216
136G:G:D48 7.745289
137G:G:L51 7.0075406
138G:G:P60 5.9254179
139G:G:F61 4.397147178
140L:L:T6 5.412570
141L:L:F15 8.55400
142L:L:P37 7.0025400
143R:R:Q52 8.4175426
144R:R:Y56 8.425623
145R:R:M59 4.5425
146R:R:Y65 144313
147R:R:W76 10.2125428
148R:R:D77 7.9425439
149R:R:W79 10.298536
150R:R:L80 10.0725435
151R:R:W82 8.58714739
152R:R:T85 5.68437
153R:R:Y98 7.35833634
154R:R:F99 10.8525435
155R:R:D101 5.82404
156R:R:F102 7.378534
157R:R:D103 6.0554123
158R:R:E106 5.1845124
159R:R:K110 13.595438
160R:R:C112 4.98439
161R:R:W118 11.526539
162R:R:N124 5.91754225
163R:R:W128 8.534125
164R:R:S129 6.41537
165R:R:N130 11.62754128
166R:R:Y131 10.198535
167R:R:F137 7.2454121
168R:R:Y149 6.97254345
169R:R:I153 4.264347
170R:R:H156 10.43407
171R:R:L163 3.9025408
172R:R:F170 5.262508
173R:R:F173 5.136247
174R:R:R180 6.525409
175R:R:M187 6.7575478
176R:R:F188 4.835408
177R:R:T190 6.3625479
178R:R:Y191 7.15714778
179R:R:H201 4.395406
180R:R:P216 5.534374
181R:R:H226 4.1425406
182R:R:Y234 8.276577
183R:R:F235 5.92754155
184R:R:W236 8.34143779
185R:R:M237 5.6479
186R:R:L238 5.495408
187R:R:I242 4.936507
188R:R:Y243 8.075308
189R:R:F253 7.665406
190R:R:Q257 5.65254305
191R:R:L259 6.41405
192R:R:W261 9.74754292
193R:R:Y262 4.7285307
194R:R:L265 4.5054157
195R:R:W267 8.125479
196R:R:F269 5.621676153
197R:R:P270 4.5085159
198R:R:H277 7.9675457
199R:R:R281 8.325657
200R:R:F285 8.00167656
201R:R:D287 6.15453
202R:R:W290 9.01667659
203R:R:T295 9.15454
204R:R:L297 6.1525454
205R:R:Y299 3.5975407
206R:R:H302 6.0025476
207R:R:P304 4.09754159
208R:R:I354 6.415406
209R:R:Q355 6.4925478
210R:R:F356 6.06857777
211R:R:Y372 7.56254387
212R:R:H377 7.29754327
213R:R:H381 8.6175409
214R:R:Q383 7.3275479
215R:R:F385 7.91405
216R:R:F393 3.95254368
217R:R:T401 4.3054247
   

Color ConSurf Grade
      No Conservation data available
      1
      2
      3
      4
      5
      6
      7
      8
      9

Index: link id, click on each number to highlight the corresponding link in the 3D visualization.

Node1 Node2: the two nodes of the corresponding link.

Recurrence: the relative Recurrence in the pool of shortest paths.

Int. Strength: the interaction strength between the two nodes.

Hub1?, Hub2?: "Yes" if the corresponding node has more than 3 links, otherwise "No".

Community: the id of the community the link belong to, otherwise 0.

ConSurf1, ConSurf2: these columns report the ConSurf conservation grades of the two nodes involved in a link.

Index Node1 Node2 Recurrence Int. Strength Hub1? Hub2? Community ConSurf1 ConSurf2
1A:A:F238 B:B:W99 26.121312.03YesYes199
2A:A:F238 A:A:L44 36.917321.92YesNo099
3A:A:L44 A:A:L46 37.05154.15NoNo098
4A:A:F246 A:A:L46 37.10064.87YesNo098
5A:A:F246 A:A:L289 77.05913.65YesYes099
6A:A:L289 A:A:L291 92.82846.92YesNo098
7A:A:F363 A:A:L291 93.27253.65YesNo058
8A:A:F363 A:A:Q294 96.196410.54YesNo1056
9A:A:C365 A:A:Q294 99.29693.05NoNo086
10A:A:C365 A:A:D295 99.3984.67NoNo089
11A:A:D295 A:A:L296 99.44855.43NoNo096
12A:A:K293 A:A:L296 99.549211.28NoNo096
13A:A:K293 A:A:N292 99.59955.6NoYes099
14A:A:N292 A:A:T364 1004.39YesYes099
15A:A:F290 A:A:T364 66.71067.78YesYes1699
16A:A:F290 A:A:I288 33.67675.02YesYes099
17A:A:D378 A:A:I288 33.597111.2NoYes079
18A:A:D378 A:A:Y360 99.987716.09NoNo078
19A:A:D381 A:A:Y360 99.776310.34NoNo088
20A:A:D381 R:R:K326 98.14488.3NoNo1389
21A:A:Q384 R:R:K326 98.498410.85NoNo1369
22A:A:Q384 R:R:V252 96.0748.6NoNo1367
23A:A:I383 R:R:V252 96.02753.07NoNo087
24A:A:H387 A:A:I383 95.7345.3NoNo088
25A:A:H387 R:R:L247 95.58777.71NoNo088
26R:R:L247 R:R:Y243 95.514511.72NoYes088
27A:A:F290 A:A:H362 33.22277.92YesNo1699
28A:A:D378 A:A:H362 66.461710.08NoNo079
29A:A:R374 A:A:T364 33.21036.47YesYes1649
30A:A:H362 A:A:R374 33.276610.16NoYes1694
31B:B:M61 B:B:W63 38.16725.82NoYes067
32B:B:C317 B:B:M61 38.50644.86NoNo076
33B:B:C317 B:B:S316 39.18533.44NoNo079
34B:B:S316 B:B:W332 39.52934.94NoYes099
35B:B:W332 B:B:Y59 32.1844.82YesYes198
36B:B:M101 B:B:Y59 21.96885.99YesYes198
37B:B:M101 B:B:Y145 12.14898.38YesYes198
38A:A:W234 B:B:Y145 24.65673.86YesYes098
39B:B:H142 B:B:S161 10.840913.95YesNo199
40B:B:G162 B:B:S161 11.52823.71NoNo199
41A:A:R231 A:A:W234 24.859411NoYes099
42A:A:L272 A:A:R231 24.92718.5NoNo089
43A:A:F246 A:A:L272 25.06756.09YesNo098
44B:B:K57 B:B:W332 10.404913.92YesYes199
45B:B:K57 B:B:Q75 10.63414.92YesYes199
46B:B:Q75 B:B:Y59 10.466918.04YesYes198
47B:B:Q75 B:B:W99 21.24284.38YesYes199
48A:A:F246 A:A:F273 15.23983.22YesYes099
49A:A:F273 A:A:F345 15.36768.57YesYes098
50A:A:F345 A:A:L289 16.3097.31YesYes089
51A:A:K280 A:A:W281 27.250517.4NoYes055
52A:A:K280 A:A:R283 27.40364.95NoNo053
53A:A:R283 A:A:R356 27.55717.46NoYes032
54A:A:H357 A:A:R356 28.01824.51NoYes072
55A:A:H357 A:A:W277 28.18135.97NoYes076
56A:A:W281 B:B:D290 27.03098.93YesNo156
57R:R:L183 R:R:Y243 88.11437.03NoYes088
58R:R:E240 R:R:L183 84.09463.98NoNo098
59R:R:E240 R:R:M187 80.44935.41NoYes098
60R:R:M187 R:R:Y191 11.55838.38YesYes788
61B:B:C271 B:B:D290 28.51143.11YesNo156
62B:B:C271 B:B:Y289 27.37854.03YesYes157
63B:B:W297 B:B:Y289 24.55745.79NoYes187
64B:B:W297 B:B:Y264 24.3947.72NoYes085
65B:B:L285 B:B:Y264 23.09824.69NoYes065
66B:B:F278 B:B:L285 22.722710.96YesNo076
67B:B:F235 B:B:F278 21.2018.57YesYes2167
68B:B:F235 G:G:L37 18.7433.65YesNo067
69B:B:D254 G:G:L37 18.36554.07YesNo097
70B:B:A257 B:B:D254 16.86374.63NoYes079
71B:B:A257 B:B:Q259 16.67443.03NoYes076
72B:B:Q259 B:B:R22 14.39835.84YesNo066
73B:B:M325 G:G:P49 27.00138.39YesNo057
74G:G:D48 G:G:P49 26.6483.22YesNo097
75G:G:D48 G:G:L51 24.880713.57YesYes096
76B:B:L284 G:G:L51 16.01046.92YesYes056
77B:B:L284 B:B:V296 14.60594.47YesYes055
78B:B:L286 B:B:V296 12.84424.47NoYes075
79B:B:C294 B:B:L286 10.70833.17NoNo057
80B:B:C294 B:B:L308 10.35217.94NoNo057
81B:B:T321 B:B:W63 29.17710.92NoYes077
82B:B:D323 B:B:M325 28.13988.32NoYes075
83R:R:M187 R:R:M237 70.13177.22YesYes789
84R:R:M237 R:R:Y234 69.58213.59YesYes797
85L:L:T6 R:R:Y234 67.88718.74YesYes707
86L:L:T4 L:L:T6 63.80684.71NoYes700
87L:L:T4 R:R:Y299 64.02953.75NoYes007
88L:L:?0 R:R:Y299 59.13193.15NoYes007
89L:L:?0 L:L:K1 59.02565.05NoNo000
90L:L:K1 R:R:E294 58.899810.8NoNo003
91R:R:E294 R:R:P104 58.80374.72NoNo033
92R:R:D103 R:R:P104 57.70884.83YesNo033
93R:R:D103 R:R:E106 57.25356.5YesYes1234
94R:R:E106 R:R:M133 56.84174.06YesNo1245
95H:H:?502 R:R:M133 56.78175.07NoNo1205
96H:H:?502 R:R:W128 55.88986.13NoYes1205
97R:R:H121 R:R:W128 55.277914.81NoYes045
98L:L:S34 R:R:H121 55.07658.37NoNo004
99L:L:S34 R:R:N124 54.86217.45NoYes2205
100R:R:N124 R:R:R126 54.66034.82YesNo2254
101L:L:P37 R:R:R126 54.5722.88YesNo004
102L:L:?38 L:L:P37 49.51434.06NoYes000
103L:L:?38 R:R:D77 16.05310.08NoYes309
104R:R:D77 R:R:W82 16.064810.05YesYes399
105R:R:S91 R:R:W82 31.72513.71NoYes059
106R:R:S91 R:R:T85 31.49726.4NoYes057
107R:R:P86 R:R:T85 46.80443.5NoYes027
108R:R:P86 R:R:Y65 46.1188.34NoYes023
109R:R:D84 R:R:Y65 44.04425.75NoYes3143
110R:R:D84 R:R:R74 43.71420.25NoNo044
111R:R:M59 R:R:R74 41.99538.69YesNo054
112R:R:C55 R:R:M59 40.96033.24NoYes295
113R:R:C55 R:R:W76 40.619410.45NoYes298
114R:R:Q52 R:R:W76 10.764314.24YesYes268
115E:E:F93 E:E:R37 11.14455.34YesYes293
116L:L:?38 R:R:S129 33.35827.43NoYes307
117R:R:S129 R:R:W82 16.06393.71YesYes379
118R:R:K110 R:R:S129 17.44426.12YesYes387
119R:R:K110 R:R:W118 17.115523.21YesYes389
120R:R:T85 R:R:W118 15.62736.06YesYes379
121R:R:W76 R:R:Y56 24.31327.72YesYes283
122E:E:H97 R:R:Y56 13.22166.53YesYes293
123B:B:L117 B:B:M101 10.73114.24NoYes199
124A:A:F273 A:A:W277 29.47544.01YesYes2596
125A:A:F238 B:B:L117 10.70663.65YesNo199
126B:B:D323 B:B:T321 28.4715.78NoNo2777
127B:B:G162 B:B:Y145 11.60277.24NoYes198
Download PSN data

2D representation of the global metapath, ligand(s) interactions and
histograms of path distribution according to several parameters
(click on the image to enlarge it 🔍):

A 2D representation of the global communication in the network.

ConSurf Conservation Grade (See documentation): 

 n/a   1    2    3    4    5    6    7    8    9  

Number of shortest communication paths as a function of the average residue correlation.

Number of shortest communication paths as a function of the average interaction strength of their links.

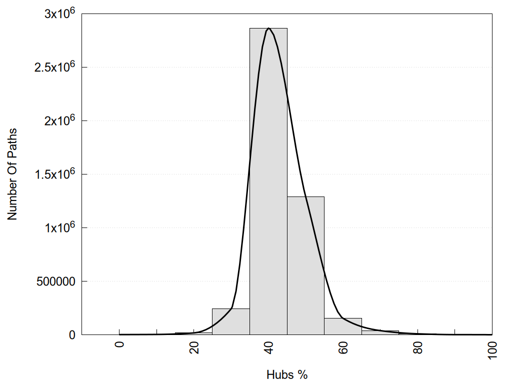
Number of shortest communication paths as a function of the % of hub nodes in each path.

Number of shortest communication paths as a function of the number of nodes in each path.

Number of shortest communication paths as a function of the % of correlated nodes in each path.


2D representation of the interactions of this orthosteric/allosteric ligand.


Links and nodes colored according to ConSurf Conservation Grade (See documentation): 

 n/a   1    2    3    4    5    6    7    8    9  

Node1 Node2 LinkStrength Comm IsNode1Hub? IsNode2Hub? Node1Cons Node2Cons Node1Shell Node2Shell
E:E:F83 R:R:N124 4.83 22 No Yes 5 5 2 1
E:E:F83 R:R:R126 20.31 22 No No 5 4 2 1
E:E:D113 R:R:H296 5.04 5 Yes No 9 2 2 1
E:E:I123 R:R:Y299 3.63 0 No Yes 9 7 2 1
L:L:?0 R:R:Y299 3.15 0 No Yes 0 7 0 1
L:L:K1 R:R:E294 10.8 0 No No 0 3 0 1
L:L:K1 R:R:H296 5.24 0 No No 0 2 0 1
L:L:C2 R:R:L298 4.76 7 No No 0 6 0 1
L:L:C2 R:R:H302 4.42 7 No Yes 0 6 0 1
L:L:N3 R:R:W361 15.82 0 No No 0 4 0 1
L:L:T4 R:R:Y299 3.75 7 No Yes 0 7 0 1
L:L:T4 R:R:H302 5.48 7 No Yes 0 6 0 1
L:L:A5 R:R:F356 5.55 0 No Yes 0 7 0 1
L:L:T6 R:R:Y234 8.74 7 Yes Yes 0 7 0 1
L:L:T6 R:R:H302 8.21 7 Yes Yes 0 6 0 1
L:L:T6 R:R:F356 3.89 7 Yes Yes 0 7 0 1
L:L:C7 R:R:H302 5.9 7 No Yes 0 6 0 1
L:L:T9 R:R:H381 6.85 0 No Yes 0 9 0 1
L:L:Q10 R:R:H226 3.71 0 No Yes 0 6 0 1
L:L:L12 R:R:L148 4.15 32 No No 0 5 0 1
L:L:L12 R:R:H377 7.71 32 No Yes 0 7 0 1
L:L:E14 R:R:L291 3.98 33 No No 0 6 0 1
L:L:E14 R:R:V293 5.7 33 No No 0 6 0 1
L:L:F15 R:R:K141 19.85 0 Yes No 0 3 0 1
L:L:F15 R:R:L142 3.65 0 Yes No 0 2 0 1
L:L:L16 R:R:A145 3.15 0 No No 0 4 0 1
L:L:L16 R:R:Y149 3.52 0 No Yes 0 5 0 1
L:L:R17 R:R:V212 5.23 33 No No 0 3 0 1
L:L:R17 R:R:L291 8.5 33 No No 0 6 0 1
L:L:H18 R:R:P104 3.05 0 No No 0 3 0 1
L:L:S20 R:R:Y146 5.09 35 No No 0 2 0 1
L:L:F23 R:R:Y146 7.22 35 No No 0 2 0 1
L:L:F23 R:R:P207 5.78 35 No No 0 3 0 1
L:L:P29 R:R:N135 4.89 0 No No 0 3 0 1
L:L:T30 R:R:F99 14.27 0 No Yes 0 5 0 1
L:L:T30 R:R:D101 8.67 0 No Yes 0 4 0 1
L:L:S34 R:R:H121 8.37 22 No No 0 4 0 1
L:L:S34 R:R:E123 8.62 22 No No 0 4 0 1
L:L:S34 R:R:N124 7.45 22 No Yes 0 5 0 1
L:L:P37 R:R:W79 17.57 0 Yes Yes 0 6 0 1
L:L:?38 R:R:D77 10.08 3 No Yes 0 9 0 1
L:L:?38 R:R:S129 7.43 3 No Yes 0 7 0 1
L:L:?101 R:R:W361 7.37 0 No No 0 4 0 1
R:R:M48 R:R:W79 4.65 3 No Yes 6 6 2 1
R:R:M48 R:R:Y98 10.78 3 No Yes 6 4 2 2
R:R:D77 R:R:W82 10.05 3 Yes Yes 9 9 1 2
R:R:D77 R:R:S129 5.89 3 Yes Yes 9 7 1 1
R:R:D77 R:R:Y131 5.75 3 Yes Yes 9 5 1 2
R:R:W79 R:R:Y98 4.82 3 Yes Yes 6 4 1 2
R:R:F99 R:R:W79 9.02 3 Yes Yes 5 6 1 1
R:R:W79 R:R:Y131 15.43 3 Yes Yes 6 5 1 2
R:R:K110 R:R:W82 22.05 3 Yes Yes 8 9 2 2
R:R:S129 R:R:W82 3.71 3 Yes Yes 7 9 1 2
R:R:C95 R:R:F102 5.59 3 No Yes 9 4 2 1
R:R:C134 R:R:C95 7.28 3 No No 9 9 2 2
R:R:F99 R:R:Y98 6.19 3 Yes Yes 5 4 1 2
R:R:F102 R:R:F99 13.93 3 Yes Yes 4 5 1 1
R:R:D101 R:R:F102 3.58 0 Yes Yes 4 4 1 1
R:R:D101 R:R:N135 9.42 0 Yes No 4 3 1 1
R:R:C134 R:R:F102 11.17 3 No Yes 9 4 2 1
R:R:D103 R:R:P104 4.83 12 Yes No 3 3 2 1
R:R:D103 R:R:K141 5.53 12 Yes No 3 3 2 1
R:R:E294 R:R:P104 4.72 0 No No 3 3 1 1
R:R:K110 R:R:S129 6.12 3 Yes Yes 8 7 2 1
R:R:H121 R:R:P122 6.1 0 No No 4 5 1 2
R:R:H121 R:R:W128 14.81 0 No Yes 4 5 1 2
R:R:E123 R:R:N124 6.57 22 No Yes 4 5 1 1
R:R:N124 R:R:R126 4.82 22 Yes No 5 4 1 1
R:R:S129 R:R:Y131 8.9 3 Yes Yes 7 5 1 2
R:R:L142 R:R:Y146 14.07 0 No No 2 2 1 1
R:R:L148 R:R:Y374 3.52 32 No No 5 6 1 2
R:R:H377 R:R:L148 9 32 Yes No 7 5 1 1
R:R:I153 R:R:Y149 9.67 34 Yes Yes 7 5 2 1
R:R:L202 R:R:Y149 11.72 34 No Yes 7 5 2 1
R:R:A152 R:R:H381 7.32 0 No Yes 7 9 2 1
R:R:I153 R:R:L202 4.28 34 Yes No 7 7 2 2
R:R:H156 R:R:I198 17.23 0 Yes No 7 7 2 2
R:R:H156 R:R:H381 10.75 0 Yes Yes 7 9 2 1
R:R:H226 R:R:I197 5.3 0 Yes No 6 5 1 2
R:R:H226 R:R:I198 3.98 0 Yes No 6 7 1 2
R:R:H201 R:R:V205 8.3 0 Yes No 6 7 1 2
R:R:H201 R:R:H226 3.58 0 Yes Yes 6 6 1 1
R:R:P207 R:R:V206 5.3 0 No No 3 3 1 2
R:R:M230 R:R:Y234 3.59 0 No Yes 6 7 2 1
R:R:M237 R:R:Y234 3.59 7 Yes Yes 9 7 2 1
R:R:V305 R:R:Y234 15.14 0 No Yes 7 7 2 1
R:R:F356 R:R:Y234 10.32 7 Yes Yes 7 7 1 1
R:R:M237 R:R:Q383 6.8 7 Yes Yes 9 9 2 2
R:R:H277 R:R:L298 5.14 5 Yes No 7 6 2 1
R:R:C289 R:R:L291 4.76 0 No No 9 6 2 1
R:R:W361 R:R:Y299 3.86 0 No Yes 4 7 1 1
R:R:F356 R:R:L309 3.65 7 Yes No 7 7 1 2
R:R:F356 R:R:Q355 9.37 7 Yes Yes 7 8 1 2
R:R:Q355 R:R:Q383 7.68 7 Yes Yes 8 9 2 2
R:R:F356 R:R:I380 5.02 7 Yes No 7 6 1 2
R:R:F356 R:R:Q383 4.68 7 Yes Yes 7 9 1 2
R:R:H377 R:R:H381 9.55 32 Yes Yes 7 9 1 1
R:R:Y149 R:R:Y150 2.98 34 Yes No 5 4 1 2
R:R:L298 R:R:V293 2.98 0 No No 6 6 1 1
L:L:A8 R:R:H377 2.93 0 No Yes 0 7 0 1
L:L:A13 R:R:H201 2.93 0 No Yes 0 6 0 1
R:R:N135 R:R:T138 2.92 0 No No 3 2 1 2
L:L:P37 R:R:R126 2.88 0 Yes No 0 4 0 1
L:L:F15 R:R:A145 2.77 0 Yes No 0 4 0 1
R:R:H201 R:R:V206 2.77 0 Yes No 6 3 1 2
L:L:V32 R:R:F102 2.62 0 No Yes 0 4 0 1
R:R:G209 R:R:V212 1.84 0 No No 3 3 1 1
L:L:N22 R:R:G209 1.7 0 No No 0 3 0 1
R:R:M306 R:R:P360 1.68 0 No No 4 5 1 2
R:R:D101 R:R:P100 1.61 0 Yes No 4 4 1 2
L:L:T6 R:R:M306 1.51 7 Yes No 0 4 0 1

Location and physicochemical properties of the interaction partners of this ligand

Interactions of this ligand

Similarities between the interactions of this ligand and those of other networks

ShowSimilarityNetwork TypeNameLigandDescription
77.78Single7TZFAmylin7TZF-CT (AMY3)-Amylin-Gs/β1/γ2; RAMP3
76.92Single9BQ3Cagrilintide9BQ3-CT (AMY2)-Cagrilintide-Gs/β1/γ2; RAMP2
76.00Single9BLWCagrilintide (non-acylated)9BLW-CT (AMY1)-Cagrilintide (non-acylated)-Gs/β1/γ2; RAMP1
76.00Single9BUBCagrilintide9BUB-CT-Cagrilintide-Gs/β1/γ2
73.08Single7TYFAmylin7TYF-CT (AMY1)-Amylin-Gs/β1/γ2; RAMP1
73.08Single7TYNCalcitonin-17TYN-CT-Calcitonin-1-Gs/β1/γ2
73.08Single9BUCCagrilintide9BUC-CT-Cagrilintide-Gs/β1/γ2
72.41Single7TYYCalcitonin-17TYY-CT (AMY2)-Calcitonin-1-Gs/β1/γ2; RAMP2
72.00Single7TYWCalcitonin-17TYW-CT (AMY1)-Calcitonin-1-Gs/β1/γ2; RAMP1
69.23Single9BLBCagrilintide (non-acylated)9BLB-CT-Cagrilintide (non-acylated)-Gs/β1/γ2
68.00Single9BLCCagrilintide (non-acylated)9BLC-CT-Cagrilintide (non-acylated)-Gs/β1/γ2
64.29Single8F0KPramlintide Analogue San3858F0K-CT (AMY3)-Pramlintide Analogue San385-Gs/β1/γ2; RAMP3
64.29Single9BTWCagrilintide9BTW-CT (AMY3)-Cagrilintide-Gs/β1/γ2; RAMP3
62.07Single7TYXAmylin7TYX-CT (AMY2)-Amylin-Gs/β1/γ2; RAMP2
61.76Single8F2BPramlintide Analogue San458F2B-CT (AMY3)-Pramlintide Analogue San45-Gs/β1/γ2; RAMP3
61.54Single9BUDCagrilintide9BUD-CT-Cagrilintide-Gs/β1/γ2
61.29Single7TYOCalcitonin7TYO-CT-Calcitonin-Gs/β1/γ2
60.00Single8F2APramlintide Analogue San3858F2A-CT (AMY3)-Pramlintide Analogue San385-Gs/β1/γ2; RAMP3
60.00Single9AUCCalcitonin gene-related peptide-19AUC-CT (AMY1)-Calcitonin gene-related peptide-1-Gs/β1/γ2; RAMP1
59.26Single7TYHCalcitonin7TYH-CT (AMY2)-Calcitonin-Gs/β1/γ2; RAMP2
58.62Single7TYLAmylin7TYL-CT-Amylin-Gs/β1/γ2
57.14Consensuscalcitonin_on_gpOrthosteric Ligandctlike_on_gp
55.56Single7TYIAmylin7TYI-CT-Amylin-Gs/β1/γ2
54.29Single8F0JPramlintide Analogue San458F0J-CT-Pramlintide Analogue San45-Gs/β1/γ2
53.57Consensuscalcitonin_onOrthosteric Ligandctlike_on
51.85Single6UUNAdrenomedullin6UUN-CT Like (AM1)-Adrenomedullin-Gs/β1/γ2; RAMP2
50.00Single6NIYCalcitonin-16NIY-CT-Calcitonin-1-Gs/β1/γ2
50.00Single6UVAAdrenomedullin-26UVA-CT Like (AM2)-Adrenomedullin-2-Gs/β1/γ2; RAMP3
48.39Single6UUSAdrenomedullin6UUS-CT Like (AM2)-Adrenomedullin-Gs/β1/γ2; RAMP3
45.71Single6E3YCalcitonin gene-related peptide-16E3Y-CT Like-Calcitonin gene-related peptide-1-Gs/β1/γ2; RAMP1
45.45Single6LPBPACAP276LPB-PAC1-PACAP27-Gs/β1/γ1
45.16Single7FIYTirzepatide7FIY-GIP-Tirzepatide-Gs/β1/γ2
44.44Single9BUECagrilintide9BUE-CT-Cagrilintide-Gs/β1/γ2
43.75Single9P93VIP9P93-PAC1-VIP-Gs/β1/γ2
43.33Single9E2AGLP-19E2A-GLP-1-GLP-1-Gs/β1/γ2
41.94Single7RA3GIP7RA3-GIP-GIP-chim(NtGi1-Gs)/β1/γ2
41.94Single9P92VIP9P92-PAC1-VIP-Gs/β1/γ2
41.38Single8YFOAc-LA-PTH Analog8YFO-PTH1-Ac-LA-PTH Analog-chim(NtGi1-Gs)/β1/γ2
41.18Single8FLULA-PTH Analog8FLU-PTH1-LA-PTH Analog-Gs/β1/γ2
40.62Single6P9XCorticoliberin-16P9X-CRF1-Corticoliberin-1-Gs/β1/γ2
40.62Single7DTYGIP7DTY-GIP-GIP-Gs/β1/γ2
40.62Single9P94PACAP279P94-PAC1-PACAP27-Gs/β1/γ2
40.00Single6M1IPACAP276M1I-PAC1-PACAP27-Gs/β1/γ2
40.00Single7V9MSomatoliberin7V9M-GHRH (SV1)-Somatoliberin-Gs/β1/γ2
40.00Single7VVMPTH7VVM-PTH1-PTH-Gs/β1/γ2
40.00Single8YW4Retatrutide8YW4-GIP-Retatrutide-chim(NtGi1-Gs)/β1/γ2
40.00Consensuscrf_on_gpOrthosteric Ligandcrf2_on_gp crf1_on_gp
39.47Single7F16TIP397F16-PTH2-TIP39-Gs/β1/γ2
39.47Consensusclass-b1_onOrthosteric Ligandglucagon_on vip-pacap_on pth_on crf_on calcitonin_on
39.39Single6WZGSecretin6WZG-Secretin-Secretin-Gs/β1/γ2
39.39Single7D68GLP-27D68-GLP-2-GLP-2-Gs/β1/γ2
39.29Single7RTBPeptide-197RTB-GLP-1-Peptide-19-Gs/β1/γ2
38.89Consensusglucagon_onOrthosteric Ligandglp_on gluc_on secretin_on gip_on
38.71Single7WBJPACAP277WBJ-VPAC1-PACAP27-Gs/β1/γ2
38.71Single8E3YPACAP278E3Y-VPAC1-PACAP27-Gs/β1/γ2
38.71Single8YG4LA-PTH Analog8YG4-PTH1-LA-PTH Analog-chim(NtGi1-Gs)/β1/γ2
38.71Consensuspac_onOrthosteric Ligandpac1_on
38.24Single6PB0Urocortin6PB0-CRF1-Urocortin-chim(NtGi1-Gs)/β1/γ2
38.24Single7RBTTirzepatide7RBT-GIP-Tirzepatide-LSN3556672-chim(NtGi1-Gs)/β1/γ2
37.93Single7TRYUrocortin7TRY-CRF2-Urocortin-chim(NtGi1-G11)/β1/γ2
37.84Consensusglucagon_on_gpOrthosteric Ligandglp_on_gp gluc_on_gp secretin_on_gp gip_on_gp
37.50Single6P9YPACAP276P9Y-PAC1-PACAP27-Gs/β1/γ2
37.50Single7D3SSecretin7D3S-Secretin-Secretin-Gs/β1/γ2
37.50Single7VABTirzepatide (non-acylated)7VAB-GIP-Tirzepatide (non-acylated)-chim(NtGi1-Gs)/β1/γ2
37.50Single8E3XPACAP278E3X-PAC1-PACAP27-Gs/β1/γ2
37.50Consensuspac_on_gpOrthosteric Ligandpac1_on_gp
37.50Consensusvpac_on_gpOrthosteric Ligandvpac1_on_gp vpac2_on_gp
37.14Single8FLSAbaloparatide8FLS-PTH1-Abaloparatide-Gs/β1/γ2
37.04Single7LLLExendin-47LLL-GLP-1-Exendin-4-Gs/β1/γ2
36.36Single6VCBGLP-16VCB-GLP-1-GLP-1-LSN3160440-Gs/β1/γ2
36.36Single7VVKPTH7VVK-PTH1-PTH-Gs/β1/γ2
36.36Single8HAOPTH8HAO-PTH1-PTH-chim(NtGi1-Gs)/β1/γ2
36.36Consensuscrf_onOrthosteric Ligandcrf2_on crf1_on
36.36Consensusglp_onOrthosteric Ligandglp1_on glp2_on
36.36Consensusglp_on_gpOrthosteric Ligandglp1_on_gp glp2_on_gp
36.11Single6WPWZP37806WPW-Glucagon-ZP3780-Gs/β1/γ2
36.11Single9JR2PTH9JR2-PTH1-PTH-chim(NtGi1L-Gs-CtGq)/β1/γ2
35.71Consensusclass-b1_on_gpOrthosteric Ligandglucagon_on_gp vip-pacap_on_gp pth_on_gp crf_on_gp calcitonin_on_gp
35.48Single6WI9Secretin6WI9-Secretin-Secretin-Gs/β1/γ2
35.48Single7FINPeptide-20; GGL7FIN-GIP-Peptide-20; GGL-Gs/β1/γ2
35.48Single8YW3Retatrutide8YW3-GLP-1-Retatrutide-Gs/β1/γ2
35.29Single5VAIGLP-15VAI-GLP-1-GLP-1-Gs/β1/γ2
35.29Single6LMLGlucagon6LML-Glucagon-Glucagon-Gi1/β1/γ1
35.29Single6NBHLA-PTH Analog6NBH-PTH1-LA-PTH Analog-Gs/β1/γ2
35.29Single6PB1Urocortin6PB1-CRF2-Urocortin-chim(NtGi1-Gs)/β1/γ2
35.29Single7KI1Taspoglutide7KI1-GLP-1-Taspoglutide-Gs/β1/γ2
35.29Single7TS0Urocortin7TS0-CRF2-Urocortin-chim(NtGi1L-Go)/β1/γ2
35.29Single7VVLPTH7VVL-PTH1-PTH-Gs/β1/γ2
35.29Single8HAFPTHrP(1-36)8HAF-PTH1-PTHrP(1-36)-chim(NtGi1-Gs)/β1/γ2
35.29Single9BYOExendin-39BYO-GLP-1-Exendin-3-Gs/β1/γ2
35.29Consensusvip-pacap_onOrthosteric Ligandvpac_on pac_on
35.29Consensusvip-pacap_on_gpOrthosteric Ligandvpac_on_gp pac_on_gp
35.29Consensusvpac2_onOrthosteric Ligand7VQX-VPAC1-PACAP27-Gs/β1/γ2
35.29Consensusvpac2_on_gpOrthosteric Ligand7VQX-VPAC1-PACAP27-Gs/β1/γ2
35.14Single7Y36PTH7Y36-PTH1-PTH-Gs/β1/γ2
35.14Single8FLQPTH8FLQ-PTH1-PTH-Gs/β1/γ2
35.14Consensusclass-a_class-b1_cons_on_gpOrthosteric Ligandclass-a_on_gp class-b1_on_gp
34.48Single8JIQPeptide-158JIQ-Glucagon-Peptide-15-Gs/β1/γ2
34.38Single8E3ZVIP8E3Z-VPAC1-VIP-Gs/β1/γ2
34.38Consensusvpac1_onOrthosteric Ligand8E3Z-VPAC1-VIP-Gs/β1/γ2
34.38Consensusvpac_onOrthosteric Ligandvpac1_on vpac2_on
34.29Consensusclass-a_class-b1_cons_onOrthosteric Ligandclass-a_on class-b1_on
33.33Single6FJ3PTH6FJ3-PTH1-PTH
33.33Single6WHCGlu16 analog of GCG6WHC-Glucagon-Glu16 analog of GCG-Gs/β1/γ2
33.33Single7CZ5Somatoliberin7CZ5-GHRH-Somatoliberin-Gs/β1/γ2
33.33Single8FLRPTHrP(1-36)8FLR-PTH1-PTHrP(1-36)-Gs/β1/γ2
33.33Consensusvpac1_on_gpOrthosteric Ligand8E3Z-VPAC1-VIP-Gs/β1/γ2
32.50Consensuspth2_on_gpOrthosteric Ligand7F16-PTH2-TIP39-Gs/β1/γ2
32.35Single7S1MExendin-4-D-Ala7S1M-GLP-1-Exendin-4-D-Ala-Gs/β1/γ2
32.35Single7VQXPACAP277VQX-VPAC1-PACAP27-Gs/β1/γ2
32.35Single8FU6ZP37808FU6-Glucagon-ZP3780-Gs/β1/γ2
32.35Consensussecretin_on_gpOrthosteric Ligand7D3S-Secretin-Secretin-Gs/β1/γ2
32.26Single9IVMGLP-1 (Truncated)9IVM-GLP-1-GLP-1 (Truncated)-LSN3318839-chim(NtGi1-Gs)/β2/γ2
32.26Single9LXRLA-PTH Analog9LXR-PTH1-LA-PTH Analog-Arrestin2
32.26Consensusclass-b1_class-b2_cons_onOrthosteric Ligandclass-b1_on class-b2_on
32.26Consensusclass-b1_class-b2_cons_on_gpOrthosteric Ligandclass-b1_on_gp class-b2_on_gp
32.14Single6M1HMaxadilan6M1H-PAC1-Maxadilan-Gs/β1/γ2
32.14Single7VVNPTH7VVN-PTH1-PTH-Gs/β1/γ2
32.14Single9C0KExendin-49C0K-GLP-1-Exendin-4-Gs/β1/γ2
31.58Single9JR3PTH9JR3-PTH1-PTH-chim(NtGi1L-Gs-CtGq)/β1/γ2
31.58Consensuspth2_onOrthosteric Ligand7F16-PTH2-TIP39-Gs/β1/γ2
31.43Single6LMKGlucagon6LMK-Glucagon-Glucagon-Gs/β1/γ2
31.43Single8FLTM-PTH(1-14)8FLT-PTH1-M-PTH(1-14)-Gs/β1/γ2
31.43Consensusctlike_on_gpOrthosteric Ligand6E3Y-CT Like-Calcitonin gene-related peptide-1-Gs/β1/γ2; RAMP1
31.43Consensuspth1_onOrthosteric Ligand6NBF-PTH1-LA-PTH Analog-Gs/β1/γ2 8HA0-PTH1-PTH-chim(NtGi1-Gs)/β1/γ2 8HAF-PTH1-PTHrP(1-36)-chim(NtGi1-Gs)/β1/γ2 7Y36-PTH1-PTH-Gs/β1/γ2 7Y35-PTH1-Abaloparatide-Gs/β1/γ2
31.25Single8HA0PTH8HA0-PTH1-PTH-chim(NtGi1-Gs)/β1/γ2
31.25Single8YW5Retatrutide8YW5-Glucagon-Retatrutide-Gs/β1/γ2
31.25Single9EBOGLP-1 (ACPC18)9EBO-GLP-1-GLP-1 (ACPC18)-Gs/β1/γ2
30.95Consensuspth_on_gpOrthosteric Ligandpth1_on_gp pth2_on_gp
30.77Consensuspth_onOrthosteric Ligandpth1_on pth2_on
30.56Single7DUQGLP-17DUQ-GLP-1-GLP-1-PubChem 156022738-Gs/β1/γ2
30.56Consensusgip_onOrthosteric Ligand7FIN-GIP-Peptide-20; GGL-Gs/β1/γ2 7FIY-GIP-Tirzepatide-Gs/β1/γ2 7DTY-GIP-GIP-Gs/β1/γ2
30.56Consensusgip_on_gpOrthosteric Ligand7FIN-GIP-Peptide-20; GGL-Gs/β1/γ2 7FIY-GIP-Tirzepatide-Gs/β1/γ2 7DTY-GIP-GIP-Gs/β1/γ2
30.30Single5YQZNNC17025YQZ-Glucagon-NNC1702
30.30Single6X18GLP-16X18-GLP-1-GLP-1-Gs/β1/γ2
30.30Single7LLYOxyntomodulin7LLY-GLP-1-Oxyntomodulin-Gs/β1/γ2
30.00Single6X19CHU-1286X19-GLP-1-CHU-128-Gs/β1/γ2
29.73Single7VBHPeptide-207VBH-GLP-1-Peptide-20-Gs/β1/γ2
29.63Consensusclass-a_offOrthosteric Ligandsensory_off alicarboxylic_off amine_off lipid_off nucleotide_off peptide_off protein_off
29.63Consensusprotein_offOrthosteric Ligandchemokine_off grh_off
29.41Single6NBFLA-PTH Analog6NBF-PTH1-LA-PTH Analog-Gs/β1/γ2
29.41Single7KI0Semaglutide7KI0-GLP-1-Semaglutide-Gs/β1/γ2
29.41Single7RGPTirzepatide7RGP-GLP-1-Tirzepatide-chim(NtGi1-Gs)/β1/γ2
29.41Single8JISPeptide-158JIS-GLP-1-Peptide-15-chim(NtGi1-Gs)/β1/γ2
29.41Single9J1Pg1:Ox9J1P-GLP-1-g1:Ox-chim(NtGi1-Gs)/β1/γ2
29.41Consensusctlike_onOrthosteric Ligand6E3Y-CT Like-Calcitonin gene-related peptide-1-Gs/β1/γ2; RAMP1
29.41Consensuspac1_onOrthosteric Ligand8E3X-PAC1-PACAP27-Gs/β1/γ2 6M1H-PAC1-Maxadilan-Gs/β1/γ2
29.41Consensuspac1_on_gpOrthosteric Ligand8E3X-PAC1-PACAP27-Gs/β1/γ2 6M1H-PAC1-Maxadilan-Gs/β1/γ2
29.41Consensussecretin_onOrthosteric Ligand7D3S-Secretin-Secretin-Gs/β1/γ2
29.17Single8IJANiacin8IJA-HCA2-Niacin-Gi1/β1/γ2
29.03Single7E14Orforglipron7E14-GLP-1-Orforglipron-PubChem 156022738-Gs/β1/γ2
29.03Single7VBITirzepatide (non-acylated)7VBI-GLP-1-Tirzepatide (non-acylated)-Gs/β1/γ2
28.95Single7V35Peptide-207V35-Glucagon-Peptide-20-Gs/β1/γ2
28.95Single8JIPMEDI03828JIP-GLP-1-MEDI0382-chim(NtGi1-Gs)/β1/γ2
28.95Single8JIRSAR4258998JIR-GLP-1-SAR425899-chim(NtGi1-Gs)/β1/γ2
28.95Consensuspth1_on_gpOrthosteric Ligand6NBF-PTH1-LA-PTH Analog-Gs/β1/γ2 8HA0-PTH1-PTH-chim(NtGi1-Gs)/β1/γ2 8HAF-PTH1-PTHrP(1-36)-chim(NtGi1-Gs)/β1/γ2 7Y36-PTH1-PTH-Gs/β1/γ2 7Y35-PTH1-Abaloparatide-Gs/β1/γ2
28.57Single6B3JExendin-P56B3J-GLP-1-Exendin-P5-Gs/β1/γ2
28.57Single7WCNAR2314537WCN-GPR119-AR231453-Gs/β1/γ2
28.57Single8VHFMBX-29828VHF-GPR119-MBX-2982-Gs/β1/γ2
28.57Consensusglp2_onOrthosteric Ligand7D68-GLP-2-GLP-2-Gs/β1/γ2
28.57Consensusglp2_on_gpOrthosteric Ligand7D68-GLP-2-GLP-2-Gs/β1/γ2
28.21Single8JIUSAR4258998JIU-Glucagon-SAR425899-Gs/β1/γ2
28.12Single6VN7PACAP276VN7-VPAC1-PACAP27-Gs/β1/γ2
27.78Single7VVJPTHrP(1-36)7VVJ-PTH1-PTHrP(1-36)-Gs/β1/γ2
27.59Single7X8RBOC57X8R-GLP-1-BOC5-Gs/β1/γ2
27.59Single7XZ6APD6687XZ6-GPR119-APD668-Gs/β1/γ2
27.27Single7FIMTirzepatide7FIM-GLP-1-Tirzepatide-Gs/β1/γ2
26.92Single5OLZPubChem 1355666095OLZ-A2A-PubChem 135566609-Na
26.92Single5OM1PubChem 1355666095OM1-A2A-PubChem 135566609-Na
26.92Single8I7VAcipimox8I7V-HCA2-Acipimox-Gi1/β1/γ2
26.92Single8J6PNiacin8J6P-HCA2-Niacin-PubChem 25101223-Gi1/β1/γ2
26.92Single8JHNMonomethyl fumarate8JHN-HCA2-Monomethyl fumarate-Go/β1/γ2
26.92Single8T1WCVN4248T1W-GPR6-CVN424
26.92Consensusgi_hcaOrthosteric Ligand8J6R-HCA2-MK6892-Gi1/β1/γ2 8JIM-HCA2-Monomethyl fumarate-Gi1/β1/γ2 8IHI-HCA2-Acifran-Gi1/β1/γ2 8IHH-HCA2-LUF6283-Gi1/β1/γ2 8I7V-HCA2-Acipimox-Gi1/β1/γ2 8I7W-HCA2-GSK256073-Gi1/β1/γ2
26.92Consensushca2_onOrthosteric Ligand8J6R-HCA2-MK6892-Gi1/β1/γ2 8JIM-HCA2-Monomethyl fumarate-Gi1/β1/γ2 8I7V-HCA2-Acipimox-Gi1/β1/γ2 8I7W-HCA2-GSK256073-Gi1/β1/γ2 8IHH-HCA2-LUF6283-Gi1/β1/γ2 8IHI-HCA2-Acifran-Gi1/β1/γ2
26.92Consensushca2_on_gpOrthosteric Ligand8J6R-HCA2-MK6892-Gi1/β1/γ2 8IHI-HCA2-Acifran-Gi1/β1/γ2 8IHH-HCA2-LUF6283-Gi1/β1/γ2 8I7V-HCA2-Acipimox-Gi1/β1/γ2 8JIM-HCA2-Monomethyl fumarate-Gi1/β1/γ2 8I7W-HCA2-GSK256073-Gi1/β1/γ2
26.92Consensushca_on_gpOrthosteric Ligandhca2_on_gp
26.67Single7X8SWB4-247X8S-GLP-1-WB4-24-Gs/β1/γ2
26.67Single8XZFWN5618XZF-Apelin; Apelin-WN561-Gi1/β1/γ2
26.47Single7Y35Abaloparatide7Y35-PTH1-Abaloparatide-Gs/β1/γ2
26.47Single8XQEApelin-138XQE-Apelin; Apelin-Apelin-13-Gi1/β1/γ2
26.47Consensuschemokine_offOrthosteric Ligandccr_off cxcr_off
26.47Consensusgi_apelinOrthosteric Ligand8XZH-Apelin; Apelin-MM07-Gi1/β1/γ2 7W0M-Apelin-PubChem 122701908-Gi1/β1/γ2 8XZJ-Apelin; Apelin-WN353-Gi1/β1/γ2 8XZF-Apelin; Apelin-WN561-Gi1/β1/γ2 8XZG-Apelin; Apelin-Apelin-13-Gi1/β1/γ2
26.32Consensusglp1_onOrthosteric Ligand7S1M-GLP-1-Exendin-4-D-Ala-Gs/β1/γ2 7X8R-GLP-1-BOC5-Gs/β1/γ2 6X19-GLP-1-CHU-128-Gs/β1/γ2 6X1A-GLP-1-Danuglipron-Gs/β1/γ2 6X18-GLP-1-GLP-1-Gs/β1/γ2 8JIP-GLP-1-MEDI0382-chim(NtGi1-Gs)/β1/γ2 7C2E-GLP-1-PubChem 149050799-Gs/β1/γ2 7KI0-GLP-1-Semaglutide-Gs/β1/γ2 7KI1-GLP-1-Taspoglutide-Gs/β1/γ2 7X8S-GLP-1-WB4-24-Gs/β1/γ2 8JIS-GLP-1-Peptide-15-chim(NtGi1-Gs)/β1/γ2 7VBI-GLP-1-Tirzepatide (non-acylated)-Gs/β1/γ2
26.09Single9KT93,5-DHBA9KT9-HCA1-3,5-DHBA-Gi1/β1/γ2
25.93Single5OM4PubChem 1355666095OM4-A2A-PubChem 135566609-Na
25.93Single8J6JGSK2560738J6J-HCA2-GSK256073-Gi1/β1/γ2
25.93Single8UUJFCH-22964138UUJ-HCA2-FCH-2296413-Gi1/β1/γ2
25.93Single9CIBFCH-22964139CIB-HCA2-FCH-2296413
25.93Consensuss1p_offOrthosteric Ligands1p1_off s1p5_off
25.81Single7W0PElabela7W0P-Apelin-Elabela-Gi1/β1/γ2
25.81Single8YWFRetatrutide8YWF-GLP-1-Retatrutide-chim(NtGi1-Gs)/β1/γ2
25.71Single6NBILA-PTH Analog6NBI-PTH1-LA-PTH Analog-Gs/β1/γ2
25.71Single9KFKRelaxin-39KFK-RXFP4-Relaxin-3-Gi2/β1/γ2
25.71Consensusccr_offOrthosteric Ligandccr2_off ccr5_off
25.64Consensusglp1_on_gpOrthosteric Ligand7S1M-GLP-1-Exendin-4-D-Ala-Gs/β1/γ2 7X8R-GLP-1-BOC5-Gs/β1/γ2 6X19-GLP-1-CHU-128-Gs/β1/γ2 6X1A-GLP-1-Danuglipron-Gs/β1/γ2 6X18-GLP-1-GLP-1-Gs/β1/γ2 8JIP-GLP-1-MEDI0382-chim(NtGi1-Gs)/β1/γ2 7C2E-GLP-1-PubChem 149050799-Gs/β1/γ2 7KI0-GLP-1-Semaglutide-Gs/β1/γ2 7KI1-GLP-1-Taspoglutide-Gs/β1/γ2 7X8S-GLP-1-WB4-24-Gs/β1/γ2 8JIS-GLP-1-Peptide-15-chim(NtGi1-Gs)/β1/γ2 7VBI-GLP-1-Tirzepatide (non-acylated)-Gs/β1/γ2
25.00Single5NX2GLP-1 (Truncated)5NX2-GLP-1-GLP-1 (Truncated)
25.00Single6DO1(Sar1,Ile8)-Angiotensin II6DO1-AT1-(Sar1,Ile8)-Angiotensin II
25.00Single6GT3Imaradenant6GT3-A2A-Imaradenant-Na
25.00Single7RKMCX3CL17RKM-US28-CX3CL1-Gi1/β1/γ2
25.00Single7W0NElabela7W0N-Apelin; Apelin-Elabela-Gi1/β1/γ2
25.00Single8H2GNiacin8H2G-HCA2-Niacin-Gi1/β1/γ2
25.00Single8IHBGSK2560738IHB-HCA2-GSK256073-Gi1/β1/γ2
25.00Single8IHHLUF62838IHH-HCA2-LUF6283-Gi1/β1/γ2
25.00Single8JITMEDI03828JIT-Glucagon-MEDI0382-Gs/β1/γ2
25.00Single8JZZC5a-des-Arg8JZZ-C5a1-C5a-des-Arg-Go/β1/γ2
25.00Single8K5BNiacin8K5B-HCA2-Niacin
25.00Single8T1VPubChem 1183102098T1V-GPR6-PubChem 118310209-Na
25.00Single8Z7JJN241-98Z7J-Apelin-JN241-9-Gi1/β1/γ2
25.00Consensus5ht_offOrthosteric Ligand5ht2_off 5ht1_off
24.39Consensusgluc_onOrthosteric Ligand6LMK-Glucagon-Glucagon-Gs/β1/γ2 8JIT-Glucagon-MEDI0382-Gs/β1/γ2 7V35-Glucagon-Peptide-20-Gs/β1/γ2
24.24Single9B5YLA-PTH Analog9B5Y-PTH1-LA-PTH Analog-chim(NtGi1-Gq)/β1/γ2
24.14Single6XOXOrforglipron6XOX-GLP-1-Orforglipron-chim(NtGi1-Gs)/β1/γ2
24.14Single7MTRADX551647MTR-mGlu2; mGlu2-Glutamate-ADX55164
24.14Single7WCMMBX-29827WCM-GPR119-MBX-2982-Gs/β1/γ2
24.14Consensuslpa1_offOrthosteric Ligand4Z36-LPA1-ONO-3080573 4Z35-LPA1-ONO-9910539 4Z34-LPA1-ONO-9780307
24.14Consensuslpa_offOrthosteric Ligandlpa1_off
24.14Consensuslpl_offOrthosteric Ligands1p_off lpa_off
24.00Single8Z87CHBA8Z87-HCA1-CHBA-Gi1/β1/γ2
23.81Consensusgluc_on_gpOrthosteric Ligand6LMK-Glucagon-Glucagon-Gs/β1/γ2 8JIT-Glucagon-MEDI0382-Gs/β1/γ2 7V35-Glucagon-Peptide-20-Gs/β1/γ2
23.68Consensuscrf1_onOrthosteric Ligand6PB0-CRF1-Urocortin-chim(NtGi1-Gs)/β1/γ2 6P9X-CRF1-Corticoliberin-1-Gs/β1/γ2
23.53Single5WB2CX3CL1.355WB2-US28-CX3CL1.35
23.53Single7WUIIP157WUI-ADGRG2-IP15-chim(NtGi1-Gs)/β1/γ2
23.53Consensusapelin_onOrthosteric Ligand8XZH-Apelin; Apelin-MM07-Gi1/β1/γ2 7W0M-Apelin-PubChem 122701908-Gi1/β1/γ2 8XZJ-Apelin; Apelin-WN353-Gi1/β1/γ2 8XZF-Apelin; Apelin-WN561-Gi1/β1/γ2 8XZG-Apelin; Apelin-Apelin-13-Gi1/β1/γ2
23.53Consensusapelin_on_gpOrthosteric Ligand8XZH-Apelin; Apelin-MM07-Gi1/β1/γ2 7W0M-Apelin-PubChem 122701908-Gi1/β1/γ2 8XZJ-Apelin; Apelin-WN353-Gi1/β1/γ2 8XZF-Apelin; Apelin-WN561-Gi1/β1/γ2 8XZG-Apelin; Apelin-Apelin-13-Gi1/β1/γ2
23.53Consensuscrf2_onOrthosteric Ligand7TS0-CRF2-Urocortin-chim(NtGi1L-Go)/β1/γ2
23.53Consensusgi_class-aOrthosteric Ligandgi_peptide gi_sensory gi_alicarboxylic gi_amine gi_lipid gi_nucleotide gi_protein
23.53Consensusprotein_offonOrthosteric Ligandprotein_off protein_on
23.53Consensusprotein_offon_gpOrthosteric Ligandprotein_on_gp protein_off
23.53Consensusprotein_onOrthosteric Ligandchemokine_on chemerin_on
23.33Single4BVNCyanopindolol4BVN-β1-Cyanopindolol-Na
23.33Single7SK7CCX6627SK7-ACKR3-CXCL12-CCX662
23.33Single8IJDMK68928IJD-HCA2-MK6892-Gi1/β1/γ2
23.33Single9KT8Acifran9KT8-HCA2-Acifran-Gi1/β1/γ2
23.33Single9L79AR2314539L79-GPR119-AR231453-chim(NtGi1-Gs)/β1/γ2
23.33Consensusclass-a_onOrthosteric Ligandsensory_on alicarboxylic_on amine_on lipid_on nucleotide_on peptide_on protein_on
23.08Single2YDOAdenosine2YDO-A2A-Adenosine
23.08Single4ZUDOlmesartan4ZUD-AT1-Olmesartan
23.08Single8IY9Niacin8IY9-HCA2-Niacin-Go/β1/γ2
23.08Single8JIMMonomethyl fumarate8JIM-HCA2-Monomethyl fumarate-Gi1/β1/γ2
23.08Single8K5CAcipimox8K5C-HCA2-Acipimox
23.08Single8W88SEP-3638568W88-TA1-SEP-363856-Gs/β1/γ2
23.08Consensushca_onOrthosteric Ligandhca2_on
22.86Consensuscxcr_offOrthosteric Ligandcxcr3_off cxcr4_off
22.58Single3NY9PubChem 9131033NY9-β2-PubChem 913103
22.58Single7F8WGastrin-177F8W-CCKB-Gastrin-17-chim(NtGsL-Gq)/β1/γ2
22.58Single7XY6BAY 60-65837XY6-A2B-BAY 60-6583-chim(NtGi1-Gs)/β1/γ2
22.58Single9IZASCH9002719IZA-HCA2-SCH900271-Gi1/β1/γ2
22.58Consensuscxcr3_onOrthosteric Ligand8HNK-CXCR3-CXCL11-Gi1/β1/γ2 8HNL-CXCR3-PS372424-Gi1/β1/γ2
22.58Consensuss1p_onOrthosteric Ligands1p1_on s1p3_on s1p5_on
22.58Consensuss1p_on_gpOrthosteric Ligands1p1_on_gp s1p3_on_gp s1p5_on_gp
22.50Consensuscrf1_on_gpOrthosteric Ligand6PB0-CRF1-Urocortin-chim(NtGi1-Gs)/β1/γ2 6P9X-CRF1-Corticoliberin-1-Gs/β1/γ2
22.22Single4XT3CX3CL14XT3-US28-CX3CL1
22.22Single5TGZAM65385TGZ-CB1-AM6538
22.22Single7YK7DC5910537YK7-RXFP4-DC591053-Gi2/β1/γ2
22.22Single8CU7LJ-45178CU7-A2A-LJ-4517-Na
22.22Single8JIINiacin8JII-HCA2-Niacin-PubChem 25101223-Gi1/β1/γ2
22.22Single8K5DGSK2560738K5D-HCA2-GSK256073
22.22Single8W8ARO52563908W8A-TA1-RO5256390-chim(NtGi1L-Gs)/β1/γ2
22.22Single8ZSSRO52633978ZSS-TA1-RO5263397-chim(NtGi1-Gs)/β1/γ2
22.22Single9IVGGLP-1 (Truncated)9IVG-GLP-1-GLP-1 (Truncated)-chim(NtGi1-Gs)/β1/γ2
22.22Single9IZCMK19039IZC-HCA2-MK1903-Gi1/β1/γ2
22.22Single9KFJPubChem 1383196749KFJ-RXFP3-PubChem 138319674-Gi2/β1/γ2
22.22Consensusalicarboxylic_on_gpOrthosteric Ligandsuccinate_on_gp hca_on_gp
22.22Consensuscrf2_on_gpOrthosteric Ligand7TS0-CRF2-Urocortin-chim(NtGi1L-Go)/β1/γ2
22.22Consensusgi_alicarboxylicOrthosteric Ligandgi_hca gi_succinate
22.22Consensusgi_proteinOrthosteric Ligandgi_chemokine gi_chemerin
22.22Consensusprotein_on_gpOrthosteric Ligandchemokine_on_gp chemerin_on_gp
21.88Single4XT1CX3CL14XT1-US28-CX3CL1
21.88Single9KWGC5a9KWG-C5a1-C5a-Go/β1/γ2
21.88Consensusclass-a_on_gpOrthosteric Ligandsensory_on_gp alicarboxylic_on_gp amine_on_gp lipid_on_gp nucleotide_on_gp peptide_on_gp protein_on_gp
21.88Consensuscxcr4_onOrthosteric Ligand8K3Z-CXCR4-CXCL12-Gi1/β1/γ1
21.88Consensusgi_opioidOrthosteric Ligand8F7R-μ-Endomorphin-Gi1/β1/γ2 8EF5-μ-Fentanyl-Gi1/β1/γ2 7SCG-μ-FH210-Gi1/β1/γ2 7T2H-μ-Lofentanil-Gi1/β1/γ2 7T2G-μ-Mitragynine Pseudoindoxyl-Gi1/β1/γ2 8DZP-κ-momSalB-Gi1/β1/γ2 8EF6-μ-Morphine-Gi1/β1/γ2 8F7X-NOP-Nociceptin-Gi1/β1/γ2 8EFB-μ-Oliceridine-Gi1/β1/γ2 7U2L-μ-C5-guano-Gi1/β1/γ2 8EFO-μ-PZM21-Gi1/β1/γ2 8EFL-μ-SR17018-Gi1/β1/γ2 8F7Q-μ-β-Endorphin-Gi1/β1/γ2 7U2K-μ-C6-guano-Gi1/β1/γ2 8EFQ-μ-DAMGO-Gi1/β1/γ2 8F7S-δ-Deltorphin-Gi1/β1/γ2 8F7W-κ-Dynorphin-Gi1/β1/γ2
21.88Consensusmop_offOrthosteric Ligand4DKL-μ-β-Funaltrexamine 8QOT-μ-Nanobody-E 7UL4-μ-Alvimopan
21.74Single8Z8ALactate8Z8A-HCA1-Lactate-Gi1/β1/γ2
21.62Single7EIBKallidin-des-Arg107EIB-BK1-Kallidin-des-Arg10-chim(NtGi1-Gs-CtGq)/β1/γ2
21.62Single7WVYAmyloid-Beta427WVY-FPR2-ALX-Amyloid-β42-Gi2/β1/γ2
21.62Single8ZH8QRFP268ZH8-QRFP-QRFP26-Gq/β1/γ1
21.62Consensusgq_peptideOrthosteric Ligandgq_cck gq_kisspeptin gq_bradykinin gq_bombesin gq_angiotensin
21.43Single6PS6Timolol6PS6-β2-Timolol
21.43Single7SINNPS-21437SIN-CaS; CaS-NPS-2143
21.43Single7SINNPS-21437SIN-CaS; CaS-NPS-2143
21.43Single8HNLPS3724248HNL-CXCR3-PS372424-Gi1/β1/γ2
21.43Single8I7WGSK2560738I7W-HCA2-GSK256073-Gi1/β1/γ2
21.43Single8XYKVUF106618XYK-CXCR3-VUF10661-Go/β1/γ2
21.43Single8ZPTPrRP208ZPT-PrRP-PrRP20-chim(NtGi1-Gs-CtGq)/β1/γ2
21.43Single8ZRKGSK12922638ZRK-GPR119-GSK1292263-Gs/β1/γ2
21.43Single9AVLCa; Ca; Cyclomethyltryptophan; R-568; PO49AVL-CaS; CaS-Ca-Ca; Ca; Cyclomethyltryptophan; R-568; PO4-Gi3/β2/γ2
21.43Single9AXFCa; Ca; Ca; Cyclomethyltryptophan; R-568; PO49AXF-CaS; CaS-Ca-Ca; Ca; Ca; Cyclomethyltryptophan; R-568; PO4-chim(NtGi1-Gs-CtGq)/β1/γ2
21.43Single9EAHOlmesartan9EAH-AT1-Olmesartan-Nanobody AT209
21.43Single9EE8Adenosine9EE8-A2A-Adenosine-Gs/β1/γ2
21.43Single9JKSPubChem 442501769JKS-HCA3-PubChem 44250176-Gi1/β1/γ2
21.43Consensusa1_offOrthosteric Ligand5UEN-A1-DU172 5N2S-A1-PSB36
21.43Consensusblt1_offOrthosteric Ligand5X33-BLT1-BIIL260 7K15-BLT1-MKD046-Na
21.43Consensusblt_offOrthosteric Ligandblt1_off
21.43Consensusrxfp4_onOrthosteric Ligand7YK7-RXFP4-DC591053-Gi2/β1/γ2 7YJ4-RXFP4-INSL5-Gi2/β1/γ2 7YK6-RXFP4-PubChem 138319674-Gi2/β1/γ2
21.43Consensusrxfp4_on_gpOrthosteric Ligand7YK7-RXFP4-DC591053-Gi2/β1/γ2 7YJ4-RXFP4-INSL5-Gi2/β1/γ2 7YK6-RXFP4-PubChem 138319674-Gi2/β1/γ2
21.43Consensuss1p5_offOrthosteric Ligand7YXA-S1P5-ONO-5430608
21.43Consensusta1_onOrthosteric Ligand8W87-TA1-METH-chim(NtGi1L-Gs)/β1/γ2 8W89-TA1-2-Phenylethylamine-chim(NtGi1L-Gs)/β1/γ2 8JLP-TA1-Ralmitaront-Gs/β1/γ2 8W8A-TA1-RO5256390-chim(NtGi1L-Gs)/β1/γ2 8W88-TA1-SEP-363856-Gs/β1/γ2 8JLO-TA1-Ulotaront-Gs/β1/γ2 8JLR-TA1-A77636-chim(NtGi1-Gs)/β1/γ2 8JSO-TA1-AMPH-chim(NtGi1-Gs)/β1/γ2 8ZSP-TA1-LSD-chim(NtGi1L-Gs)/β1/γ2
21.43Consensustrace-amine_onOrthosteric Ligandta1_on
21.21Single6HLOAprepitant6HLO-NK1-Aprepitant
21.21Single7XMSSomatostatin-147XMS-SST4-Somatostatin-14-Gi1/β1/γ2
21.21Single8F7QBeta-Endorphin8F7Q-μ-β-Endorphin-Gi1/β1/γ2
21.21Single9JFK(Pen5)-Urotensin II9JFK-UT-(Pen5)-Urotensin II-chim(NtGi2L-Gs-CtGq)/β1/γ2
21.21Consensuscompl-peptide_onOrthosteric Ligandc5a1_on c3a_on
21.21Consensusgq_class-aOrthosteric Ligandgq_peptide gq_amine gq_nucleotide
21.05Single8WWNMCH8WWN-MCH1-MCH-Gi1/β1/γ2
21.05Consensusbk2_onOrthosteric Ligand7F6H-BK2-Bradykinin-Gq/β1/γ2 7F6I-BK2-Kallidin-Gq/β1/γ2
21.05Consensusbk2_on_gpOrthosteric Ligand7F6H-BK2-Bradykinin-Gq/β1/γ2 7F6I-BK2-Kallidin-Gq/β1/γ2
21.05Consensusbradykinin_onOrthosteric Ligandbk2_on
21.05Consensusbradykinin_on_gpOrthosteric Ligandbk2_on_gp
21.05Consensusgq_bradykininOrthosteric Ligand7F6H-BK2-Bradykinin-Gq/β1/γ2 7F6I-BK2-Kallidin-Gq/β1/γ2
20.83Single8J6QBeta-Hydroxybutyrate8J6Q-HCA2-β-Hydroxybutyrate-PubChem 25101223-Gi1/β1/γ2
20.83Single8JEFPubChem 113671668JEF-HCA3-PubChem 11367166-Gi1/β1/γ2
20.69Single2YDVNECA2YDV-A2A-NECA
20.69Single4UHRCGS216804UHR-A2A-CGS21680
20.69Single4Z34ONO-97803074Z34-LPA1-ONO-9780307
20.69Single5A8E7-Methylcyanopindolol5A8E-β1-7-Methylcyanopindolol-Na
20.69Single5G53NECA5G53-A2A-NECA-Gs
20.69Single5V54Methiothepin5V54-5-HT1B-Methiothepin
20.69Single7EW7SEW28717EW7-S1P1-SEW2871-Gi1/β1/γ2
20.69Single7TUYGSK682753A7TUY-GPR183-GSK682753A
20.69Single8ZR5Firuglipel8ZR5-GPR119-Firuglipel-Gs/β1/γ2
20.69Single9ASTLymphotactin9AST-XCR1-Lymphotactin-Gi1/β1/γ2
20.69Single9AYFCa; Ca; Ca; Cyclomethyltryptophan; R-568; PO49AYF-CaS; CaS-Ca-Ca; Ca; Ca; Cyclomethyltryptophan; R-568; PO4-Gi1/β1/γ2
20.69Consensus5ht1_offOrthosteric Ligand5ht1b_off
20.69Consensus5ht1b_offOrthosteric Ligand5V54-5-HT1B-Methiothepin
20.69Consensusgi_relaxinOrthosteric Ligand7YK7-RXFP4-DC591053-Gi2/β1/γ2 7YJ4-RXFP4-INSL5-Gi2/β1/γ2 7YK6-RXFP4-PubChem 138319674-Gi2/β1/γ2
20.69Consensusrelaxin_onOrthosteric Ligandrxfp4_on
20.69Consensusrelaxin_on_gpOrthosteric Ligandrxfp4_on_gp
20.69Consensusta1_on_gpOrthosteric Ligand8W87-TA1-METH-chim(NtGi1L-Gs)/β1/γ2 8W89-TA1-2-Phenylethylamine-chim(NtGi1L-Gs)/β1/γ2 8JLP-TA1-Ralmitaront-Gs/β1/γ2 8W8A-TA1-RO5256390-chim(NtGi1L-Gs)/β1/γ2 8W88-TA1-SEP-363856-Gs/β1/γ2 8JLO-TA1-Ulotaront-Gs/β1/γ2 8JLR-TA1-A77636-chim(NtGi1-Gs)/β1/γ2 8JSO-TA1-AMPH-chim(NtGi1-Gs)/β1/γ2 8ZSP-TA1-LSD-chim(NtGi1L-Gs)/β1/γ2
20.69Consensustrace-amine_on_gpOrthosteric Ligandta1_on_gp
20.59Single7O7F6P4-CCL57O7F-CCR5-6P4-CCL5-Gi1/β1/γ1
20.59Single7XA3CCL27XA3-CCR2-CCL2-Gi1/β1/γ2
20.59Consensusangiotensin_onOrthosteric Ligandat1_on
20.59Consensusat1_onOrthosteric Ligand7F6G-AT1-(Sar1)-Angiotensin II-Gq/β1/γ2
20.59Consensusccr2_onOrthosteric Ligand7XA3-CCR2-CCL2-Gi1/β1/γ2
20.59Consensusccr2_on_gpOrthosteric Ligand7XA3-CCR2-CCL2-Gi1/β1/γ2
20.59Consensusccr_onOrthosteric Ligandccr6_on ccr8_on ccr2_on ccr1_on ccr5_on
20.59Consensuscompl-peptide_on_gpOrthosteric Ligandc5a1_on_gp c3a_on_gp
20.59Consensuscxcr4_on_gpOrthosteric Ligand8K3Z-CXCR4-CXCL12-Gi1/β1/γ1
20.51Single5GLHEndothelin-15GLH-ETB-Endothelin-1
20.51Single6IGKEndothelin-36IGK-ETB-Endothelin-3
20.51Consensusbb2_onOrthosteric Ligand7W40-BB2-Bombesin-chim(NtGi1L-Gq)/β1/γ2 7W3Z-BB2-Gastrin Releasing Peptide-chim(NtGi1L-Gq)/β1/γ2
20.51Consensusbb2_on_gpOrthosteric Ligand7W40-BB2-Bombesin-chim(NtGi1L-Gq)/β1/γ2 7W3Z-BB2-Gastrin Releasing Peptide-chim(NtGi1L-Gq)/β1/γ2
20.51Consensusbombesin_onOrthosteric Ligandbb2_on
20.51Consensusbombesin_on_gpOrthosteric Ligandbb2_on_gp
20.51Consensusccr5_on_gpOrthosteric Ligand7O7F-CCR5-6P4-CCL5-Gi1/β1/γ1 7F1Q-CCR5-CCL3-Gi1/β1/γ2
20.51Consensusgq_bombesinOrthosteric Ligand7W40-BB2-Bombesin-chim(NtGi1L-Gq)/β1/γ2 7W3Z-BB2-Gastrin Releasing Peptide-chim(NtGi1L-Gq)/β1/γ2
20.00Single3OE9IT1t3OE9-CXCR4-IT1t
20.00Single4Z36ONO-30805734Z36-LPA1-ONO-3080573
20.00Single5UNHPubChem 1264564065UNH-AT2-PubChem 126456406
20.00Single6A93Risperidone6A93-5-HT2A-Risperidone
20.00Single6OS0Angiotensin II6OS0-AT1-Angiotensin II
20.00Single6OS2TRV0266OS2-AT1-TRV026
20.00Single7DD5Ca; Ca; Tryptophan; NPS-21437DD5-CaS; CaS-Ca-Ca; Ca; Tryptophan; NPS-2143
20.00Single7DFPSpiperone7DFP-D2-Spiperone
20.00Single7DW9AVP7DW9-V2-AVP-chim(NtGi1-Gs)/β1/γ2
20.00Single7EVYSiponimod7EVY-S1P1-Siponimod-Gi1/β1/γ2
20.00Single7F6G(Sar1)-Angiotensin II7F6G-AT1-(Sar1)-Angiotensin II-Gq/β1/γ2
20.00Single7K15MKD0467K15-BLT1-MKD046-Na
20.00Single7W0NElabela7W0N-Apelin; Apelin-Elabela-Gi1/β1/γ2
20.00Single7XKFDehydroepiandrosterone7XKF-ADGRG2-Dehydroepiandrosterone-Gs/β1/γ2
20.00Single8FYE4-F,5-MeO-PyrT8FYE-5-HT1A-4-F,5-MeO-PyrT-PtdIns4P-Gi1/β1/γ1
20.00Single8H4KGW95088H4K-FFA4-GW9508-chim(NtGi1-Gs-CtGq)/β1/γ2
20.00Single8IA8E7 peptide8IA8-C3aB-E7 peptide-Gi1/β1/γ2
20.00Single8IHFMK68928IHF-HCA2-MK6892-Gi1/β1/γ2
20.00Single8IYWGSK2560738IYW-HCA2-GSK256073-Go/β1/γ2
20.00Single8JZ7MK68928JZ7-HCA2-MK6892-Gi1/β1/γ2
20.00Single8XQSCholesterol8XQS-TAS2R14-Cholesterol-Flufenamic acid-Gi1/β1/γ1
20.00Single8XYIVUF106618XYI-CXCR3-VUF10661
20.00Single8XZJWN3538XZJ-Apelin; Apelin-WN353-Gi1/β1/γ2
20.00Single9B9YTaranabant9B9Y-CB1-Taranabant
20.00Single9EBIPiclidenoson9EBI-A3A-Piclidenoson-chim(NtGi1L-Gs-CtGi1)/β1/γ2
20.00Single9IQTNiacin9IQT-HCA2-Niacin-Gi1/β1/γ2
20.00Single9KVG5-MeO-DMT9KVG-5-HT1A-5-MeO-DMT-PtdIns4P-Gi1/β1/γ2
20.00Single9M8POleic monoethanolamide9M8P-GPR3 ; GPR3-Oleic monoethanolamide-AF64394
20.00Consensusangiotensin_on_gpOrthosteric Ligandat1_on_gp
20.00Consensusat1_on_gpOrthosteric Ligand7F6G-AT1-(Sar1)-Angiotensin II-Gq/β1/γ2
20.00Consensuscxcr3_on_gpOrthosteric Ligand8HNK-CXCR3-CXCL11-Gi1/β1/γ2 8HNL-CXCR3-PS372424-Gi1/β1/γ2
20.00Consensusgq_angiotensinOrthosteric Ligand7F6G-AT1-(Sar1)-Angiotensin II-Gq/β1/γ2
20.00Consensusgs_vasop-oxyOrthosteric Ligand7DW9-V2-AVP-chim(NtGi1-Gs)/β1/γ2
20.00Consensusleukotriene_offOrthosteric Ligandblt_off cyslt_off
20.00Consensusmop_onOrthosteric Ligand8F7R-μ-Endomorphin-Gi1/β1/γ2 8EF5-μ-Fentanyl-Gi1/β1/γ2 7SCG-μ-FH210-Gi1/β1/γ2 7T2H-μ-Lofentanil-Gi1/β1/γ2 7T2G-μ-Mitragynine Pseudoindoxyl-Gi1/β1/γ2 8EF6-μ-Morphine-Gi1/β1/γ2 8EFB-μ-Oliceridine-Gi1/β1/γ2 7U2L-μ-C5-guano-Gi1/β1/γ2 8EFO-μ-PZM21-Gi1/β1/γ2 8EFL-μ-SR17018-Gi1/β1/γ2 8F7Q-μ-β-Endorphin-Gi1/β1/γ2 7U2K-μ-C6-guano-Gi1/β1/γ2 8EFQ-μ-DAMGO-Gi1/β1/γ2
20.00Consensusmop_on_gpOrthosteric Ligand8F7R-μ-Endomorphin-Gi1/β1/γ2 8EF5-μ-Fentanyl-Gi1/β1/γ2 7SCG-μ-FH210-Gi1/β1/γ2 7T2H-μ-Lofentanil-Gi1/β1/γ2 7T2G-μ-Mitragynine Pseudoindoxyl-Gi1/β1/γ2 8EF6-μ-Morphine-Gi1/β1/γ2 8EFB-μ-Oliceridine-Gi1/β1/γ2 7U2L-μ-C5-guano-Gi1/β1/γ2 8EFO-μ-PZM21-Gi1/β1/γ2 8EFL-μ-SR17018-Gi1/β1/γ2 8F7Q-μ-β-Endorphin-Gi1/β1/γ2 7U2K-μ-C6-guano-Gi1/β1/γ2 8EFQ-μ-DAMGO-Gi1/β1/γ2
20.00Consensusopioid_offOrthosteric Ligandmop_off nop_off dop_off kop_off
20.00Consensuss1p1_onOrthosteric Ligand7VIE-S1P1-S1P-Gi1/β1/γ2 7VIF-S1P1-FTY720-P-Gi1/β1/γ2 7VIG-S1P1-CBP-307-Gi1/β1/γ2 7EVY-S1P1-Siponimod-Gi1/β1/γ2 7EVZ-S1P1-Cenerimod-Gi1/β1/γ2 7EW0-S1P1-Ozanimod-Gi1/β1/γ2 7EW7-S1P1-SEW2871-Gi1/β1/γ2
20.00Consensuss1p1_on_gpOrthosteric Ligand7VIE-S1P1-S1P-Gi1/β1/γ2 7VIF-S1P1-FTY720-P-Gi1/β1/γ2 7VIG-S1P1-CBP-307-Gi1/β1/γ2 7EVY-S1P1-Siponimod-Gi1/β1/γ2 7EVZ-S1P1-Cenerimod-Gi1/β1/γ2 7EW0-S1P1-Ozanimod-Gi1/β1/γ2 7EW7-S1P1-SEW2871-Gi1/β1/γ2
20.00Consensusv2_onOrthosteric Ligand7DW9-V2-AVP-chim(NtGi1-Gs)/β1/γ2
20.00Consensusv2_on_gpOrthosteric Ligand7DW9-V2-AVP-chim(NtGi1-Gs)/β1/γ2
20.00Consensusvasop-oxy_onOrthosteric Ligandv2_on
20.00Consensusvasop-oxy_on_gpOrthosteric Ligandv2_on_gp
19.51Single6LRYSarafotoxin-B6LRY-ETB-Sarafotoxin-B
19.44Single7F6HBradykinin7F6H-BK2-Bradykinin-Gq/β1/γ2
19.44Single7F6IKallidin7F6I-BK2-Kallidin-Gq/β1/γ2
19.44Single7VL9CCL15(26-92)7VL9-CCR1-CCL15(26-92)-Gi1/β1/γ2
19.44Single7Y64C5a7Y64-C5a1-C5a-Gi1/β1/γ2
19.44Single8HCQEndothelin-18HCQ-ETA-Endothelin-1-chim(NtGi1-Gs-CtGq)/β1/γ2
19.44Single8HK5C5a8HK5-C5a1-C5a-Gi1/β1/γ2
19.44Single8IA2C5a8IA2-C5a1-C5a-Go/β1/γ2
19.44Single8WWKMCH8WWK-MCH1-MCH-Gi1/β1/γ2
19.44Single8WWMMCH8WWM-MCH1-MCH-Gi1/β1/γ2
19.44Single8XVHEndothelin-18XVH-ETB-Endothelin-1-chim(Gs-CtGq)/β1/γ2
19.44Consensusccr_on_gpOrthosteric Ligandccr6_on_gp ccr8_on_gp ccr2_on_gp ccr1_on_gp ccr5_on_gp
19.44Consensuschemokine_on_gpOrthosteric Ligandccr_on_gp cxcr_on_gp
19.44Consensuseta_onOrthosteric Ligand8HCQ-ETA-Endothelin-1-chim(NtGi1-Gs-CtGq)/β1/γ2
19.44Consensuseta_on_gpOrthosteric Ligand8HCQ-ETA-Endothelin-1-chim(NtGi1-Gs-CtGq)/β1/γ2
19.44Consensusgi_chemokineOrthosteric Ligand6WWZ-CCR6-CCL20-Go/β1/γ2 8HNK-CXCR3-CXCL11-Gi1/β1/γ2 8K3Z-CXCR4-CXCL12-Gi1/β1/γ1 8IC0-CXCR1-CXCL8-Gi1/β1/γ2 6LFM-CXCR2-CXCL8-Gi1/β1/γ2 8KFX-CCR8-LMD-009-Gi1/β1/γ2 7F1Q-CCR5-CCL3-Gi1/β1/γ2 8HNL-CXCR3-PS372424-Gi1/β1/γ2 8KFY-CCR8-ZK-756326-Gi1/β1/γ2 7O7F-CCR5-6P4-CCL5-Gi1/β1/γ1 8U1U-CCR8-CCL1-Gi1/β1/γ2 7VLA-CCR1-CCL15(27-92)-Gi1/β1/γ2 7XA3-CCR2-CCL2-Gi1/β1/γ2
19.44Consensussst5_on_gpOrthosteric Ligand8X8L-SST5-Cortistatin-14-chim(NtGi1-Gs-CtGi1)/β1/γ2 8X8N-SST5-Octreotide-chim(NtGi1-Gs-CtGi1)/β1/γ2
19.35Single2YCZIodocyanopindolol2YCZ-β1-Iodocyanopindolol
19.35Single4Z35ONO-99105394Z35-LPA1-ONO-9910539
19.35Single5CGDHTL142425CGD-mGlu5-HTL14242
19.35Single6BQHRitanserin6BQH-5-HT2C-Ritanserin
19.35Single7EVZCenerimod7EVZ-S1P1-Cenerimod-Gi1/β1/γ2
19.35Single7MTSADX551647MTS-mGlu2; mGlu2-Glutamate-ADX55164-Gi1/β1/γ2
19.35Single7SK8CCX6627SK8-ACKR3-CXCL12-CCX662
19.35Single7XJISolabegron7XJI-β3-Solabegron-Gs/β1/γ2
19.35Single7XK2MK68927XK2-HCA2-MK6892-Gi1/β1/γ2
19.35Single7Y65C5a (C-terminal peptide)7Y65-C5a1-C5a (C-terminal peptide)-Gi1/β1/γ2
19.35Single8E0GBU728E0G-μ-BU72
19.35Single8J19LY2378J19-GPR84-LY237-Gi1/β1/γ2
19.35Single8K2XCXCL108K2X-CXCR3-CXCL10-Gi1/β1/γ2
19.35Single8XIOL7975918XIO-SST1-L797591-chim(NtGi1-Gs-CtGi1)/β1/γ2
19.35Single9AS02-bromo-LSD9AS0-5-HT2A-2-bromo-LSD-chim(NtGi1-Gs-CtGq)/β1/γ2
19.35Single9DYEBuspirone9DYE-5-HT1A-Buspirone-PtdIns4P-Go/β1/γ2
19.35Single9KUGEP679KUG-C5a1-EP67-Go/β1/γ2
19.35Single9KWXC5a-des-Arg9KWX-C5a1-C5a-des-Arg-Go/β1/γ2
19.35Single9UYHChemerin-99UYH-CML2-Chemerin-9-Arrestin2
19.35Single9WP9S1P9WP9-S1P3-S1P-chim(NtGi2L-Gs-CtGq)/β1/γ2
19.35Consensus5ht2c_offOrthosteric Ligand6BQH-5-HT2C-Ritanserin
19.35Consensusc3a_on_gpOrthosteric Ligand8HK2-C3aB-C3a-Gi1/β1/γ2 8IA8-C3aB-E7 peptide-Gi1/β1/γ2
19.35Consensusd2_offOrthosteric Ligand6CM4-D2-Risperidone 6LUQ-D2-Haloperidol 7DFP-D2-Spiperone
19.35Consensusgi_s1pOrthosteric Ligand7VIE-S1P1-S1P-Gi1/β1/γ2 7EW3-S1P3-S1P-Gi1/β1/γ2 7EVY-S1P1-Siponimod-Gi1/β1/γ2 7EW1-S1P5-Siponimod-Gi1/β1/γ2 7VIF-S1P1-FTY720-P-Gi1/β1/γ2 7VIG-S1P1-CBP-307-Gi1/β1/γ2 7EVZ-S1P1-Cenerimod-Gi1/β1/γ2 7EW4-S1P3-CYM-5541-Gi1/β1/γ2 7EW2-S1P3-FTY720-P-Gi1/β1/γ2 7EW0-S1P1-Ozanimod-Gi1/β1/γ2 7EW7-S1P1-SEW2871-Gi1/β1/γ2
19.35Consensusprostanoid_offOrthosteric Ligandep_off dp_off
19.23Single3V2WPubChem 518926453V2W-S1P1-PubChem 51892645
19.23Single6OYAAll-trans-Retinal6OYA-Rhodopsin-All-trans-Retinal-Gt/β1/γ1
19.23Single7LD4Adenosine7LD4-A1-Adenosine-Gi2/β1/γ2
19.23Single7W0OElabela7W0O-Apelin-Elabela-Gi1/β1/γ2
19.23Single7WF7S1P7WF7-S1P1-S1P-Gi1/β1/γ2
19.23Single8HMPC178HMP-GPR52-C17-Gs/β1/γ2
19.23Single8IJBAcipimox8IJB-HCA2-Acipimox-Gi1/β1/γ2
19.23Single8J6LNiacin8J6L-HCA2-Niacin-Gi1/β1/γ2
19.23Single8JPPSuccinic acid8JPP-Succinate-Succinic acid-chim(Gs-CtGq)/β1/γ1
19.23Single8WOGSuccinic acid8WOG-Succinate-Succinic acid-Gi1/β1/γ2
19.23Single8Y0HVUF114188Y0H-CXCR3-VUF11418
19.23Single8Y0NVUF114188Y0N-CXCR3-VUF11418-Go/β1/γ2
19.23Single8YKXMaleic acid8YKX-Succinate-Maleic acid-Gi1/β1/γ1
19.23Single9JKXAcifran9JKX-HCA3-Acifran-Gi1/β1/γ2
19.23Single9W49U-50488H9W49-κ-U-50488H-Gi1/β1/γ2
19.23Consensusa1_onOrthosteric Ligand7LD4-A1-Adenosine-Gi2/β1/γ2
19.23Consensusa1_on_gpOrthosteric Ligand7LD4-A1-Adenosine-Gi2/β1/γ2
19.23Consensusangiotensin_offOrthosteric Ligandat1_off
19.23Consensusgi_succinateOrthosteric Ligand8YKW-Succinate-Succinic acid-Gi1/β1/γ1 8YKX-Succinate-Maleic acid-Gi1/β1/γ1
19.23Consensusrhodopsin_on_gpOrthosteric Ligand6OYA-Rhodopsin-All-trans-Retinal-Gt/β1/γ1
19.23Consensuss1p1_offOrthosteric Ligand3V2W-S1P1-PubChem 51892645
19.23Consensussuccinate_onOrthosteric Ligand8YKW-Succinate-Succinic acid-Gi1/β1/γ1 8YKX-Succinate-Maleic acid-Gi1/β1/γ1
19.23Consensussuccinate_on_gpOrthosteric Ligand8YKW-Succinate-Succinic acid-Gi1/β1/γ1 8YKX-Succinate-Maleic acid-Gi1/β1/γ1
18.92Single5UIW5P7-CCL55UIW-CCR5-5P7-CCL5
18.92Single7F8VGastrin-177F8V-CCKB-Gastrin-17-Gi2/β1/γ2
18.92Single7W3ZGastrin Releasing Peptide7W3Z-BB2-Gastrin Releasing Peptide-chim(NtGi1L-Gq)/β1/γ2
18.92Single7YKDChemerin-97YKD-CML1-Chemerin-9-Gi1/β1/γ2
18.92Consensusccr5_offOrthosteric Ligand5UIW-CCR5-5P7-CCL5
18.92Consensusccr5_onOrthosteric Ligand7O7F-CCR5-6P4-CCL5-Gi1/β1/γ1 7F1Q-CCR5-CCL3-Gi1/β1/γ2
18.92Consensusgi_compl-peptOrthosteric Ligand8HK5-C5a1-C5a-Gi1/β1/γ2 8IA8-C3aB-E7 peptide-Gi1/β1/γ2 7Y66-C5a1-BM213-Gi1/β1/γ2 7Y67-C5a1-C089 peptide-Gi1/β1/γ2 8HK2-C3aB-C3a-Gi1/β1/γ2 7Y64-C5a1-C5a-Gi1/β1/γ2
18.92Consensusgi_peptideOrthosteric Ligandgi_cck gi_apelin gi_compl-pept gi_endothelin gi_formylpeptide gi_galanin gi_ghrelin gi_npy gi_neurotensin gi_opioid gi_orexin gi_relaxin gi_somatostatin
18.75Single4UG2CGS216804UG2-A2A-CGS21680
18.75Single5VBLAMG3054 5VBL-Apelin-AMG3054
18.75Single7F2OBradykinin7F2O-BK2-Bradykinin-chim(NtGi1-Gs-CtGq)/β1/γ2
18.75Single7RKNCX3CL17RKN-US28-CX3CL1-Gi1/β1/γ2
18.75Single7SK9CCX6627SK9-ACKR3-CCX662
18.75Single7XBXCX3CL17XBX-CX3CR1-CX3CL1-Gi1/β1/γ2
18.75Single7YJ4INSL57YJ4-RXFP4-INSL5-Gi2/β1/γ2
18.75Single8JLRA776368JLR-TA1-A77636-chim(NtGi1-Gs)/β1/γ2
18.75Single8X5YAstemizole8X5Y-H1-Astemizole
18.75Single8XQLCholesterol8XQL-TAS2R14-Cholesterol-Aristolochic acid A-Gt3/β1/γ1
18.75Single8XQOCholesterol8XQO-TAS2R14-Cholesterol-Aristolochic acid A-Gi1/β1/γ1
18.75Single9M0RNeuropeptide-VF9M0R-NPFF1-Neuropeptide-VF-Gi1/β1/γ2
18.75Consensuscxcr4_offOrthosteric Ligand4RWS-CXCR4-vMIP-II 3OE0-CXCR4-CVX15 3OE6-CXCR4-IT1t
18.75Consensuscxcr_on_gpOrthosteric Ligandcxcr3_on_gp cxcr4_on_gp cxcr1_on_gp cxcr2_on_gp
18.52Single3UZCPubChem 1355666093UZC-A2A-PubChem 135566609
18.52Single6V9SGTPL114036V9S-OX1-GTPL11403
18.52Single6ZG9GSK10347026ZG9-M1-GSK1034702
18.52Single7YK6PubChem 1383196747YK6-RXFP4-PubChem 138319674-Gi2/β1/γ2
18.52Single8HNMVUF112228HNM-CXCR3-VUF11222-Gi1/β1/γ2
18.52Single8IHKAcifran8IHK-HCA3-Acifran
18.52Single8JEIPubChem 117155568JEI-HCAR3-PubChem 11715556-Gi1/β1/γ2
18.52Single8JERAcipimox8JER-HCA2-Acipimox-Go/β1/γ2
18.52Single8JLKUlotaront8JLK-TA1-Ulotaront-chim(NtGi1-Gs)/β1/γ2
18.52Single8JLNT1AM8JLN-TA1-T1AM-Gs/β1/γ2
18.52Single8PM2DMCHA8PM2-TA7-DMCHA-Gs/β1/γ2
18.52Single8RLNLUF58348RLN-A2A-LUF5834
18.52Single8UHBRO52563908UHB-TA1-RO5256390-Gs/β1/γ2
18.52Single8WC8ZH86518WC8-TA1-ZH8651-chim(NtGi1-Gs)/β1/γ2
18.52Single9ASBCa; Ca; Cyclomethyltryptophan; R-568; PO49ASB-CaS; CaS-Ca-Ca; Ca; Cyclomethyltryptophan; R-568; PO4-chim(NtGi1-Gs-CtGq)/β1/γ2
18.52Single9AXFCa; Ca; Ca; Cyclomethyltryptophan; R-568; PO49AXF-CaS; CaS-Ca-Ca; Ca; Ca; Cyclomethyltryptophan; R-568; PO4-chim(NtGi1-Gs-CtGq)/β1/γ2
18.52Single9BA0MRI-18919BA0-CB1-MRI-1891
18.52Single9JKYAcifran9JKY-HCA2-Acifran-Gi1/β1/γ2
18.52Single9K0KUTP9K0K-P2Y4-UTP-chim(NtGi1-Gs-CtGq)/β1/γ2
18.52Single9VNFPindolol9VNF-5-HT1A-Pindolol-Go/β1/γ2
18.52Consensusat1_offOrthosteric Ligand4YAY-AT1-ZD-7155 4ZUD-AT1-Olmesartan
18.42Single7QBCAlpha-factor mating pheromone7QBC-STE2; STE2-α-factor mating pheromone
18.42Single8WWLMCH8WWL-MCH1-MCH-Gi1/β1/γ2
18.42Single8ZJGChemerin8ZJG-CML1-Chemerin-Gi1/β1/γ2
18.42Consensuspeptide_onOrthosteric Ligandcck_on angiotensin_on apelin_on bombesin_on bradykinin_on compl-peptide_on endothelin_on formylpeptide_on galanin_on ghrelin_on kisspeptin_on melanocortin_on motilin_on neuromedin-u_on npy_on neurotensin_on opioid_on orexin_on relaxin_on somatostatin_on tachykinin_on trh_on vasop-oxy_on
18.42Consensuspeptide_on_gpOrthosteric Ligandcck_on_gp angiotensin_on_gp apelin_on_gp bombesin_on_gp bradykinin_on_gp compl-peptide_on_gp endothelin_on_gp formylpeptide_on_gp galanin_on_gp ghrelin_on_gp kisspeptin_on_gp melanocortin_on_gp motilin_on_gp neuromedin-u_on_gp npy_on_gp neurotensin_on_gp opioid_on_gp orexin_on_gp relaxin_on_gp somatostatin_on_gp tachykinin_on_gp trh_on_gp vasop-oxy_on_gp
18.18Single5UNFPubChem 157800525UNF-AT2-PubChem 15780052
18.18Single7T6UCGEN-855A7T6U-FPR2-ALX-CGEN-855A-Gi1/β1/γ2
18.18Single7TD4Siponimod7TD4-S1P1-Siponimod-Gi1/β1/γ2
18.18Single7WVWfMYFINILTL7WVW-FPR2-ALX-fMYFINILTL-Gi2/β1/γ2
18.18Single8J6RMK68928J6R-HCA2-MK6892-Gi1/β1/γ2
18.18Single8K3ZCXCL128K3Z-CXCR4-CXCL12-Gi1/β1/γ1
18.18Single8PKMBefiradol8PKM-5-HT1A-Befiradol-Gi1/β1/γ1
18.18Single8WDTphotoNECA8WDT-A2A-photoNECA
18.18Single8XGMChemerin8XGM-CML2-Chemerin-Gi1/β1/γ2
18.18Single8ZSPLSD8ZSP-TA1-LSD-chim(NtGi1L-Gs)/β1/γ2
18.18Single9L3YChemerin9L3Y-CML2-Chemerin-Gi1/β1/γ2
18.18Single9UYJChemerin-99UYJ-CML2-Chemerin-9-Arrestin2
18.18Consensuschemokine_onOrthosteric Ligandccr_on cxcr_on
18.18Consensussst5_onOrthosteric Ligand8X8L-SST5-Cortistatin-14-chim(NtGi1-Gs-CtGi1)/β1/γ2 8X8N-SST5-Octreotide-chim(NtGi1-Gs-CtGi1)/β1/γ2
17.95Single7QBCAlpha-factor mating pheromone7QBC-STE2; STE2-α-factor mating pheromone
17.95Consensusendothelin_onOrthosteric Ligandetb_on eta_on
17.86Single3NY8ICI118-5513NY8-β2-ICI118-551
17.86Single3NYAAlprenolol3NYA-β2-Alprenolol
17.86Single3ZPRPubChem 5987543ZPR-β1-PubChem 598754-Na
17.86Single4GBRCarazolol4GBR-β2-Carazolol
17.86Single4U16N-methyl-Scopolamine4U16-M3-N-methyl-Scopolamine
17.86Single4YAYZD-71554YAY-AT1-ZD-7155
17.86Single5UENDU1725UEN-A1-DU172
17.86Single6GPSMK08126GPS-CCR2-MK0812
17.86Single6IIVDaltroban6IIV-TXA2-Daltroban
17.86Single7M3JNPS-2143; PO47M3J-CaS; CaS-NPS-2143; PO4
17.86Single7UL4Alvimopan7UL4-μ-Alvimopan
17.86Single7VIES1P7VIE-S1P1-S1P-Gi1/β1/γ2
17.86Single7YACPaltusotine7YAC-SST2-Paltusotine-Gi1/β1/γ2
17.86Single7YXAONO-54306087YXA-S1P5-ONO-5430608
17.86Single8CICEtrumadenant8CIC-A2A-Etrumadenant-Na
17.86Single8CU6LJ-45178CU6-A2A-LJ-4517
17.86Single8IHJAcifran8IHJ-HCA3-Acifran-Gi1/β1/γ2
17.86Single8JJOAlprenolol8JJO-β2-Alprenolol
17.86Single8RWXStilSwitch38RWX-A2A-StilSwitch3-Na
17.86Single8W87METH8W87-TA1-METH-chim(NtGi1L-Gs)/β1/γ2
17.86Single9AS1DMT9AS1-5-HT2A-DMT
17.86Single9AVGCa; Ca; Cyclomethyltryptophan; R-568; PO49AVG-CaS; CaS-Ca-Ca; Ca; Cyclomethyltryptophan; R-568; PO4-chim(NtGi1-Gs)/β1/γ2
17.86Single9CHXCarazolol9CHX-β2-Carazolol
17.86Single9DYFAsenapine9DYF-5-HT1A-Asenapine-PtdIns4P-Gi1/β1/γ2
17.86Single9EPP11,20-Ethanoretinal9EPP-Rhodopsin-11,20-Ethanoretinal-chim(Gi1-CtGq)/β1/γ2
17.86Single9H37PubChem 1756706469H37-A2A-PubChem 175670646-Na
17.86Single9KUXCMPD6449KUX-Apelin; Apelin-CMPD644-Arrestin2
17.86Single9VMYTMU41429VMY-5-HT1A-TMU4142-Go/β1/γ2
17.86Consensusadenosine_on_gpOrthosteric Liganda1_on_gp a2_on_gp a3_on_gp
17.86Consensusccr2_offOrthosteric Ligand6GPS-CCR2-MK0812
17.86Consensusdopamine_offOrthosteric Ligandd2_off d3_off
17.86Consensusgs_trace-amineOrthosteric Ligand8W88-TA1-SEP-363856-Gs/β1/γ2 8JLJ-TA1-T1AM-chim(NtGi1-Gs)/β1/γ2 8JLO-TA1-Ulotaront-Gs/β1/γ2 8WC4-TA1-ZH8651-chim(NtGi1-Gs)/β1/γ2 8WC7-TA1-ZH8667-chim(NtGi1-Gs)/β1/γ2 8JLR-TA1-A77636-chim(NtGi1-Gs)/β1/γ2 8JSO-TA1-AMPH-chim(NtGi1-Gs)/β1/γ2 8W87-TA1-METH-chim(NtGi1L-Gs)/β1/γ2 8W89-TA1-2-Phenylethylamine-chim(NtGi1L-Gs)/β1/γ2 8JLP-TA1-Ralmitaront-Gs/β1/γ2 8W8A-TA1-RO5256390-chim(NtGi1L-Gs)/β1/γ2
17.86Consensuslipid_offOrthosteric Ligandcannabinoid_off paf_off lpl_off prostanoid_off leukotriene_off
17.65Single3QAKUK-4320973QAK-A2A-UK-432097
17.65Single5XJM(Sar1,Ile8)-Angiotensin II5XJM-AT2-(Sar1,Ile8)-Angiotensin II
17.65Single7C6A(Sar1,Ile8)-Angiotensin II7C6A-AT2-(Sar1,Ile8)-Angiotensin II
17.65Single8SG1Chemerin-98SG1-CML1-Chemerin-9-Gi1/β1/γ2
17.65Single9IQVMuscarinic toxin 39IQV-Alpha1A-Muscarinic toxin 3
17.65Single9KFIRelaxin-39KFI-RXFP3-Relaxin-3-Gi2/β1/γ2
17.65Single9ME1CXCL129ME1-CXCR4-CXCL12
17.65Consensusformylpeptide_on_gpOrthosteric Ligandfpr2-alx_on_gp fpr1-alx_on_gp
17.65Consensusgi_cckOrthosteric Ligand7EZH-CCKA-Cholecystokinin-8-Gi1/β1/γ2 7F8V-CCKB-Gastrin-17-Gi2/β1/γ2
17.65Consensuss1p3_on_gpOrthosteric Ligand7EW3-S1P3-S1P-Gi1/β1/γ2 7EW4-S1P3-CYM-5541-Gi1/β1/γ2 7EW2-S1P3-FTY720-P-Gi1/β1/γ2
17.65Consensussst4_onOrthosteric Ligand7XMS-SST4-Somatostatin-14-Gi1/β1/γ2 7XMT-SST4-J-2156-Gi1/β1/γ2
17.65Consensussst4_on_gpOrthosteric Ligand7XMS-SST4-Somatostatin-14-Gi1/β1/γ2 7XMT-SST4-J-2156-Gi1/β1/γ2
17.24Single2RH1Carazolol2RH1-β2-Carazolol
17.24Single2YCWCarazolol2YCW-β1-Carazolol
17.24Single5C1MBU725C1M-μ-BU72
17.24Single5CGCHTL142425CGC-mGlu5-HTL14242
17.24Single5D6LCarazolol5D6L-β2-Carazolol
17.24Single5JQHCarazolol5JQH-β2-Carazolol
17.24Single5N2RPSB365N2R-A2A-PSB36-Na
17.24Single5N2SPSB365N2S-A1-PSB36
17.24Single5T1ABMS-6815T1A-CCR2-BMS-681-PubChem 12093170
17.24Single5X7DCarazolol5X7D-β2-Carazolol-PubChem 129318963
17.24Single5YHLPubChem 1351213525YHL-EP4-PubChem 135121352
17.24Single5YWYONO-AE3-2085YWY-EP4-ONO-AE3-208
17.24Single5ZK33-quinuclidinyl-benzilate5ZK3-M2-3-quinuclidinyl-benzilate
17.24Single6D26Fevipiprant6D26-DP2-Fevipiprant
17.24Single6GDGNECA6GDG-A2A-NECA-Gs/β1/γ1
17.24Single6GPXMK08126GPX-CCR2-MK0812
17.24Single6ME72-Phenylmelatonin6ME7-MT2-2-Phenylmelatonin
17.24Single7BB7AVP7BB7-V2-AVP-Gs/β1/γ2
17.24Single7C4SS1P7C4S-S1P3-S1P
17.24Single7EO2FTY720-P7EO2-S1P1-FTY720-P-Gi1/β1/γ2
17.24Single7EPFNAM5977EPF-mGlu2-NAM597
17.24Single7LD3Adenosine7LD3-A1-Adenosine-MIPS521-Gi2/β1/γ2
17.24Single7M3JNPS-2143; PO47M3J-CaS; CaS-NPS-2143; PO4
17.24Single7TD3S1P7TD3-S1P1-S1P-Gi1/β1/γ2
17.24Single7W41PD1762527W41-BB2-PD176252
17.24Single7X1TTaltirelin7X1T-TRH-Taltirelin-chim(NtGi2L-Gs-CtGq)/β1/γ2
17.24Single7YU6ONO-07405567YU6-LPA1-ONO-0740556-Gi1/β1/γ2
17.24Single8C9WEtrumadenant8C9W-A2A-Etrumadenant
17.24Single8E9ZIperoxo8E9Z-M3-Iperoxo-chim(NtGi2L-Gs-CtGq)/β1/γ2
17.24Single8EFBOliceridine8EFB-μ-Oliceridine-Gi1/β1/γ2
17.24Single8J18(3R)-3-Hydroxydodecanoic acid8J18-GPR84-(3R)-3-Hydroxydodecanoic acid-Gi1/β1/γ2
17.24Single8S4DCMF-0198S4D-Apelin-CMF-019
17.24Single8TF5Oleic acid8TF5-GPR6-Oleic acid
17.24Single8TH4Losartan8TH4-AT1-Losartan-AT118-L Nanobody
17.24Single8WGBVU01550418WGB-mGlu4; mGlu2-Glutamate-VU0155041-Gi3/β1/γ2
17.24Single8X0BVU04244658X0B-mGlu5; mGlu5-Quisqualate-VU0424465
17.24Single8X0CVU04244658X0C-mGlu5; mGlu5-Quisqualate-VU0424465
17.24Single8X0CVU04244658X0C-mGlu5; mGlu5-Quisqualate-VU0424465
17.24Single8X0DVU04244658X0D-mGlu5; mGlu5-Quisqualate-VU0424465
17.24Single8X0DVU04244658X0D-mGlu5; mGlu5-Quisqualate-VU0424465
17.24Single8YICSAR2477998YIC-S1P1-SAR247799-Gi1/β1/γ2
17.24Single8YNSSNAP-948478YNS-MCH1-SNAP-94847
17.24Single8ZMFPubChem 1719206738ZMF-5-HT2C-PubChem 171920673
17.24Single9AYFCa; Ca; Ca; Cyclomethyltryptophan; R-568; PO49AYF-CaS; CaS-Ca-Ca; Ca; Ca; Cyclomethyltryptophan; R-568; PO4-Gi1/β1/γ2
17.24Single9B9ZMRI-18679B9Z-CB1-MRI-1867
17.24Single9DYDAsenapine9DYD-5-HT1A-Asenapine-PtdIns4P-Go/β1/γ2
17.24Single9EHSLUF76029EHS-A3A-LUF7602
17.24Single9HC04YI9HC0-mGlu5-4YI
17.24Single9KO4CCL219KO4-CCR7-CCL21-Gi1/β1/γ2
17.24Single9KT6Acifran9KT6-HCA3-Acifran-Gi1/β1/γ2
17.24Single9M8POleic monoethanolamide9M8P-GPR3 ; GPR3-Oleic monoethanolamide-AF64394
17.24Single9MQKIsoquinuclidine9MQK-κ-Isoquinuclidine
17.24Consensusadenosine_offOrthosteric Liganda1_off a2_off
17.24Consensusamine_offOrthosteric Ligand5ht_off adrenergic_off dopamine_off histamine_off muscarinic_off
17.24Consensusamine_offonOrthosteric Ligandamine_off amine_on
17.24Consensusamine_offon_gpOrthosteric Ligandamine_on_gp amine_off
17.24Consensusamine_onOrthosteric Ligand5ht_on adrenergic_on dopamine_on histamine_on muscarinic_on trace-amine_on
17.24Consensusbb2_offOrthosteric Ligand7W41-BB2-PD176252
17.24Consensusbeta2_offOrthosteric Ligand2RH1-β2-Carazolol 6PS3-β2-Carvedilol 6PS5-β2-Propranolol 3D4S-β2-Timolol 3NY8-β2-ICI118-551 3NY9-β2-PubChem 913103 6PRZ-β2-Alprenolol
17.24Consensusbeta_offOrthosteric Ligandbeta1_off beta2_off
17.24Consensusbombesin_offOrthosteric Ligandbb2_off
17.24Consensusdp2_offOrthosteric Ligand6D26-DP2-Fevipiprant
17.24Consensusdp_offOrthosteric Liganddp2_off
17.24Consensusep4_offOrthosteric Ligand5YWY-EP4-ONO-AE3-208 5YHL-EP4-PubChem 135121352
17.24Consensusep_offOrthosteric Ligandep4_off
17.24Consensusgi_adrenergicOrthosteric Ligand7EJ0-α2a-Norepinephrine-Go/β1/γ2 7EJK-α2a-Oxymetazoline-Go/β1/γ2 7W7E-α2a-PubChem 164946676-Go/β1/γ2 7W6P-α2a-N-pyridin-4-ylisoquinolin-4-amine-Go/β1/γ2 7EJ8-α2a-Brimonidine-Go/β1/γ2 6K42-α2b-Dexmedetomidine-Gi1/β1/γ2 7EJA-α2a-Dexmedetomidine-Go/β1/γ2 7S0F-β1-Isoprenaline-Gi1/β1/γ2
17.24Consensusgq_muscarinicOrthosteric Ligand6OIJ-M1-Iperoxo-chim(NtGi1L-G11)/β1/γ2
17.24Consensusgs_amineOrthosteric Ligandgs_5ht gs_adrenergic gs_dopamine gs_histamine gs_trace-amine
17.24Consensusm1_onOrthosteric Ligand6OIJ-M1-Iperoxo-chim(NtGi1L-G11)/β1/γ2
17.24Consensusm2_offOrthosteric Ligand5ZKC-M2-N-methyl-Scopolamine 5ZK3-M2-3-quinuclidinyl-benzilate 5ZKB-M2-AF-DX 384
17.14Single5WF5UK-4320975WF5-A2A-UK-432097
17.14Single6LW5WKYMVm6LW5-FPR2-ALX-WKYMVm
17.14Single6MEOGp160; CD46MEO-CCR5-Gp160; CD4
17.14Single7RYCOxytocin7RYC-OT-Oxytocin-chim(NtGi2L-Gs-CtGq)/β1/γ2
17.14Single7T6TfMLFII7T6T-FPR1-ALX-fMLFII-Gi1/β1/γ2
17.14Single7TD0LPA7TD0-LPA1-LPA-Gi1/β1/γ2
17.14Single7TD2LPA7TD2-LPA1-LPA-Gi1/β1/γ2
17.14Single8XIQL7967788XIQ-SST3-L796778-chim(NtGi1-Gs-CtGi1)/β1/γ2
17.14Single8XZGApelin-138XZG-Apelin; Apelin-Apelin-13-Gi1/β1/γ2
17.14Single8XZHMM078XZH-Apelin; Apelin-MM07-Gi1/β1/γ2
17.14Single9K27PrRP319K27-PrRP-PrRP31-chim(NtGi1-Gq)/β1/γ2
17.14Single9MEUCXCL129MEU-CXCR4-CXCL12
17.14Single9U4WGonadoliberin-19U4W-GnRH1-Gonadoliberin-1-chim(NtGi1L-Gs-CtGq)/β1/γ2
17.14Consensusc5a1_onOrthosteric Ligand8HK5-C5a1-C5a-Gi1/β1/γ2 7Y66-C5a1-BM213-Gi1/β1/γ2 7Y67-C5a1-C089 peptide-Gi1/β1/γ2 7Y64-C5a1-C5a-Gi1/β1/γ2
17.14Consensusgi_somatostatinOrthosteric Ligand7WIC-SST2-Somatostatin-14-Gi1/β1/γ2 7XMS-SST4-Somatostatin-14-Gi1/β1/γ2 8X8L-SST5-Cortistatin-14-chim(NtGi1-Gs-CtGi1)/β1/γ2 7XMT-SST4-J-2156-Gi1/β1/γ2 7WIG-SST2-L-054264-Gi1/β1/γ2 8X8N-SST5-Octreotide-chim(NtGi1-Gs-CtGi1)/β1/γ2 7YAE-SST2-Octreotide-Gi1/β1/γ2 7YAC-SST2-Paltusotine-Gi1/β1/γ2
17.14Consensuspeptide_offonOrthosteric Ligandpeptide_off peptide_on
17.14Consensussomatostatin_onOrthosteric Ligandsst2_on sst4_on sst5_on
17.14Consensussomatostatin_on_gpOrthosteric Ligandsst2_on_gp sst4_on_gp sst5_on_gp
17.07Consensusendothelin_on_gpOrthosteric Ligandetb_on_gp eta_on_gp
16.67Single3UON3-quinuclidinyl-benzilate3UON-M2-3-quinuclidinyl-benzilate
16.67Single4DJHJDTic4DJH-κ-JDTic
16.67Single5D5ACarazolol5D5A-β2-Carazolol
16.67Single5D5BCarazolol5D5B-β2-Carazolol
16.67Single6J21Aprepitant6J21-NK1-Aprepitant
16.67Single6JODAngiotensin II6JOD-AT2-Angiotensin II
16.67Single6KO5PubChem 574000026KO5-Ghrelin-PubChem 57400002
16.67Single6METGp160; CD46MET-CCR5-Gp160; CD4
16.67Single6OIJIperoxo6OIJ-M1-Iperoxo-chim(NtGi1L-G11)/β1/γ2
16.67Single6TQ7SB-3348676TQ7-OX1-SB-334867
16.67Single6WIVPubChem 52923113; PubChem 529246456WIV-GABAB1, GABAB2-PubChem 52923113; PubChem 52924645
16.67Single7CKYPW04647CKY-D1-PW0464-Gs/β1/γ2
16.67Single7DD5Ca; Ca; Tryptophan; NPS-21437DD5-CaS; CaS-Ca-Ca; Ca; Tryptophan; NPS-2143
16.67Single7EW1Siponimod7EW1-S1P5-Siponimod-Gi1/β1/γ2
16.67Single7P2L4YI7P2L-mGlu5-4YI
16.67Single7PX4PSB-21137PX4-A2A-PSB-2113
16.67Single7T2HLofentanil7T2H-μ-Lofentanil-Gi1/β1/γ2
16.67Single7TRQIperoxo7TRQ-M4-Iperoxo-VU0467154-Gi1/β1/γ2
16.67Single7U2LC5-guano7U2L-μ-C5-guano-Gi1/β1/γ2
16.67Single7VIGCBP-3077VIG-S1P1-CBP-307-Gi1/β1/γ2
16.67Single7W6PN-pyridin-4-ylisoquinolin-4-amine7W6P-α2a-N-pyridin-4-ylisoquinolin-4-amine-Go/β1/γ2
16.67Single7W7EPubChem 1649466767W7E-α2a-PubChem 164946676-Go/β1/γ2
16.67Single7XTQR3997XTQ-GPBA-R399-Gs/β1/γ2
16.67Single7YONPeptide-YY(3-36)7YON-Y2-Peptide-YY(3-36)-Gi1/β1/γ2
16.67Single7YU7ONO-07405567YU7-LPA1-ONO-0740556-Gi1/β1/γ2
16.67Single8DCSCyanopindolol8DCS-β1-Cyanopindolol-Gs/β1/γ2
16.67Single8DZPmomSalB8DZP-κ-momSalB-Gi1/β1/γ2
16.67Single8EA0Iperoxo8EA0-M3-Iperoxo
16.67Single8EF5Fentanyl8EF5-μ-Fentanyl-Gi1/β1/γ2
16.67Single8GEIConstrained Epinephrine8GEI-β2-Constrained Epinephrine-Gs/β1/γ2
16.67Single8HQCC5a8HQC-C5a1-C5a-Go/β1/γ2
16.67Single8IRRRotigotine8IRR-D1-Rotigotine-Gs/β1/γ2
16.67Single8IRURotigotine8IRU-D4-Rotigotine-chim(NtGi1-Gs-CtGi1)/β1/γ2
16.67Single8IRVRotigotine8IRV-D5-Rotigotine-chim(NtGi1-Gs)/β1/γ2
16.67Single8IYHMK68928IYH-HCA2-MK6892-Go/β1/γ2
16.67Single8J6IMK68928J6I-HCA2-MK6892-Gi1/β1/γ2
16.67Single8JXXClobenpropit8JXX-H4-Clobenpropit-Gi1/β1/γ2
16.67Single8UGWCGS216808UGW-A2A-CGS21680
16.67Single8WC5Tetramethylammonium Ion8WC5-TA1-Tetramethylammonium Ion-chim(NtGi1-Gs)/β1/γ2
16.67Single8WJXADP8WJX-P2Y1-ADP-chim(Gs-CtGq)/β1/γ2
16.67Single8WSTMCH8WST-MCH2-MCH-chim(NtGi1L-Gs-CtGq)/β1/γ2
16.67Single8X0BVU04244658X0B-mGlu5; mGlu5-Quisqualate-VU0424465
16.67Single8X0FVU298X0F-mGlu5; mGlu5-Quisqualate-VU29
16.67Single8X16Piclidenoson8X16-A3A-Piclidenoson-Gi1/β1/γ2
16.67Single8X8LCortistatin-148X8L-SST5-Cortistatin-14-chim(NtGi1-Gs-CtGi1)/β1/γ2
16.67Single8XJMLatanoprost8XJM-FP-alpha-Latanoprost-chim(NtGi2-Gs-CtGq)/β1/γ2
16.67Single8XQTCholesterol8XQT-TAS2R14-Cholesterol-Gi1/β1/γ1
16.67Single8XZICMF-0198XZI-Apelin; Apelin-CMF-019-Gi1/β1/γ2
16.67Single8YH6Namodenoson8YH6-A3A-Namodenoson-Gi1/β1/γ2
16.67Single8ZBISomatostatin-148ZBI-SST3-Somatostatin-14-Gi1/β1/γ2
16.67Single9BKKCholecystokinin-89BKK-CCKA-Cholecystokinin-8-chim(NtGi1-Gs-CtGq)/β1/γ2
16.67Single9BS9LSD9BS9-D2-LSD
16.67Single9BSBLSD9BSB-D2-LSD-chim(NtGi1-Go)/β1/γ2
16.67Single9IZGLPA9IZG-LPA1-LPA-chim(NtGi1-Gs-CtGq)/β1/γ2
16.67Single9L16CCL219L16-CCR7-CCL21
16.67Consensusa2_onOrthosteric Liganda2b_on
16.67Consensusa2_on_gpOrthosteric Liganda2b_on_gp
16.67Consensusa2b_onOrthosteric Ligand8HDP-A2B-Adenosine-Gs/β1/γ2 7XY6-A2B-BAY 60-6583-chim(NtGi1-Gs)/β1/γ2 7XY7-A2B-NECA-chim(NtGi1-Gs)/β1/γ2 8HDO-A2B-BAY 60-6583-Gs/β1/γ2
16.67Consensusa2b_on_gpOrthosteric Ligand8HDP-A2B-Adenosine-Gs/β1/γ2 7XY6-A2B-BAY 60-6583-chim(NtGi1-Gs)/β1/γ2 7XY7-A2B-NECA-chim(NtGi1-Gs)/β1/γ2 8HDO-A2B-BAY 60-6583-Gs/β1/γ2
16.67Consensusamine_on_gpOrthosteric Ligand5ht_on_gp adrenergic_on_gp dopamine_on_gp histamine_on_gp muscarinic_on_gp trace-amine_on_gp
16.67Consensusbeta1_offOrthosteric Ligand2VT4-β1-Cyanopindolol 2YCW-β1-Carazolol 2YCZ-β1-Iodocyanopindolol 5A8E-β1-7-Methylcyanopindolol-Na 3ZPQ-β1-PubChem 594590-Na 3ZPR-β1-PubChem 598754-Na
16.67Consensusc5a1_on_gpOrthosteric Ligand8HK5-C5a1-C5a-Gi1/β1/γ2 7Y66-C5a1-BM213-Gi1/β1/γ2 7Y67-C5a1-C089 peptide-Gi1/β1/γ2 7Y64-C5a1-C5a-Gi1/β1/γ2
16.67Consensusd1_on_gpOrthosteric Ligand7F0T-D1-Dopamine-Gs/β1/γ2 7CKY-D1-PW0464-Gs/β1/γ2 8IRR-D1-Rotigotine-Gs/β1/γ2 7JV5-D1-SKF81297-Gs/β1/γ2 7JVP-D1-SKF83959-Gs/β1/γ2 7X2D-D1-Tavapadon-Gs/β1/γ2 7CKX-D1-A77636-Gs/β1/γ2 7JVQ-D1-Apomorphine-Gs/β1/γ2 7CKW-D1-Fenoldopam-Gs/β1/γ2
16.67Consensusd4_on_gpOrthosteric Ligand8IRU-D4-Rotigotine-chim(NtGi1-Gs-CtGi1)/β1/γ2
16.67Consensusd5_on_gpOrthosteric Ligand8IRV-D5-Rotigotine-chim(NtGi1-Gs)/β1/γ2
16.67Consensusgi_formylpeptideOrthosteric Ligand7WVY-FPR2-ALX-Amyloid-β42-Gi2/β1/γ2 7T6U-FPR2-ALX-CGEN-855A-Gi1/β1/γ2 7VFX-FPR1-ALX-fMIFL-Gi1/β1/γ2 7T6V-FPR2-ALX-fMLFII-Gi1/β1/γ2 7WVX-FPR2-ALX-Humanin-Gi2/β1/γ2 7T6S-FPR2-ALX-TC-FPR 43-Gi1/β1/γ2 6OMM-FPR2-ALX-WKYMVX-Gi1/β1/γ2
16.67Consensusgs_adenosineOrthosteric Ligand8HDP-A2B-Adenosine-Gs/β1/γ2 8HDO-A2B-BAY 60-6583-Gs/β1/γ2 7XY7-A2B-NECA-chim(NtGi1-Gs)/β1/γ2 7XY6-A2B-BAY 60-6583-chim(NtGi1-Gs)/β1/γ2
16.67Consensusgs_dopamineOrthosteric Ligand7F0T-D1-Dopamine-Gs/β1/γ2 7CKW-D1-Fenoldopam-Gs/β1/γ2 7CKY-D1-PW0464-Gs/β1/γ2 8IRV-D5-Rotigotine-chim(NtGi1-Gs)/β1/γ2 8IRR-D1-Rotigotine-Gs/β1/γ2 7JV5-D1-SKF81297-Gs/β1/γ2 7JVP-D1-SKF83959-Gs/β1/γ2 7X2D-D1-Tavapadon-Gs/β1/γ2 7CKX-D1-A77636-Gs/β1/γ2 7JVQ-D1-Apomorphine-Gs/β1/γ2
16.67Consensusgs_nucleotideOrthosteric Ligandgs_adenosine
16.67Consensush4_on_gpOrthosteric Ligand8HN8-H4-Histamine-Gi1/β1/γ2 8HOC-H4-Imetit-Gi1/β1/γ2 8JXV-H4-Clozapine-Gi1/β1/γ2 8JXW-H4-VUF6884-Gi1/β1/γ2 8JXX-H4-Clobenpropit-Gi1/β1/γ2
16.67Consensuskop_offOrthosteric Ligand4DJH-κ-JDTic
16.67Consensusm1_on_gpOrthosteric Ligand6OIJ-M1-Iperoxo-chim(NtGi1L-G11)/β1/γ2
16.67Consensusmuscarinic_offOrthosteric Ligandm2_off m3_off m4_off m5_off m1_off
16.67Consensusopsins_onOrthosteric Ligandrhodopsin_on opsin1lw_on
16.67Consensuspeptide_offon_gpOrthosteric Ligandpeptide_on_gp peptide_off
16.67Consensuss1p5_onOrthosteric Ligand7EW1-S1P5-Siponimod-Gi1/β1/γ2
16.67Consensuss1p5_on_gpOrthosteric Ligand7EW1-S1P5-Siponimod-Gi1/β1/γ2
16.67Consensussensory_onOrthosteric Ligandopsins_on
16.22Single7QBIAlpha-factor mating pheromone7QBI-STE2; STE2-α-factor mating pheromone
16.22Single7X9BNeuropeptide-Y7X9B-Y2-Neuropeptide-Y-Gi1/β1/γ2
16.22Single8HNKCXCL118HNK-CXCR3-CXCL11-Gi1/β1/γ2
16.22Single8XGOTAK4488XGO-Kiss1-TAK448-chim(NtGi1-Gq)/β1/γ2
16.22Single8ZPSPrRP208ZPS-PrRP-PrRP20-chim(NtGi1-Gs-CtGi1)/β1/γ2
16.22Single8ZRTEndothelin-18ZRT-ETB-Endothelin-1
16.22Single9JFYNeuropeptide-SF9JFY-NPFF2-Neuropeptide-SF-Gi1/β1/γ2
16.22Consensuscml1_on_gpOrthosteric Ligand7YKD-CML1-Chemerin-9-Gi1/β1/γ2
16.22Consensusopioid_onOrthosteric Ligandmop_on nop_on dop_on kop_on
16.13Single2YCXCyanopindolol2YCX-β1-Cyanopindolol
16.13Single3D4STimolol3D4S-β2-Timolol
16.13Single4AMIBucindolol4AMI-β1-Bucindolol
16.13Single4N4WSANT-14N4W-SMO-SANT-1
16.13Single4OR2FITM4OR2-mGlu1; mGlu1-FITM
16.13Single5CXVTiotropium5CXV-M1-Tiotropium
16.13Single5X33BIIL2605X33-BLT1-BIIL260
16.13Single6AK3PGE26AK3-EP3-PGE2
16.13Single6C1RPMX536C1R-C5a1-PMX53-Avacopan; Na
16.13Single6H7NXamoterol6H7N-β1-Xamoterol
16.13Single6H7OCyanopindolol6H7O-β1-Cyanopindolol
16.13Single6IIURamatroban6IIU-TXA2-Ramatroban
16.13Single6ZG4HTL00099366ZG4-M1-HTL0009936
16.13Single7BZ2Arformoterol7BZ2-β2-Arformoterol-Gs/β1/γ2
16.13Single7EO4Siponimod7EO4-S1P1-Siponimod-Gi1/β1/γ2
16.13Single7EPENAM5637EPE-mGlu2-NAM563
16.13Single7EW2FTY720-P7EW2-S1P3-FTY720-P-Gi1/β1/γ2
16.13Single7EXDLasmiditan7EXD-5-HT1F-Lasmiditan-Gi1/β1/γ2
16.13Single7JNIOlodanrigan7JNI-AT2-Olodanrigan
16.13Single7T6BS1P7T6B-S1P2-S1P-chim(NtGi1L-G13)/β1/γ2
16.13Single7W0LPubChem 1227019087W0L-Apelin; Apelin-PubChem 122701908-Gi1/β1/γ2
16.13Single7W0LPubChem 1227019087W0L-Apelin; Apelin-PubChem 122701908-Gi1/β1/γ2
16.13Single7XZ5Lysophosphatidylcholine7XZ5-GPR119-Lysophosphatidylcholine-Gs/β1/γ2
16.13Single7YITNalfurafine7YIT-κ-Nalfurafine
16.13Single8E9W2-Deoxycytidine8E9W-M3-2-Deoxycytidine-chim(NtGi2L-Gs-CtGq)/β1/γ2
16.13Single8FYTLSD8FYT-5-HT1A-LSD-PtdIns4P-Gi1/β1/γ1
16.13Single8G056-OAU8G05-GPR84-6-OAU-Gi1/β1/γ2
16.13Single8IBUErythromycin-A8IBU-Motilin-Erythromycin-A-chim(NtGi1-Gs-CtGq)/β1/γ2
16.13Single8IQ6Latanoprost8IQ6-FP-alpha-Latanoprost-chim(NtGi1-Gs-CtGq)/β1/γ2
16.13Single8J6DEP1418J6D-C3aB-EP141-Go/β1/γ2
16.13Single8JD3JNJ-404118138JD3-mGlu2; mGlu3-Glutamate-JNJ-40411813-Gi1/β1/γ2
16.13Single8JJPChemerin-98JJP-CML2-Chemerin-9-Gi1/β1/γ2
16.13Single8JWY2-1188JWY-A2A-2-118
16.13Single8JWZEtrumadenant8JWZ-A2A-Etrumadenant-Na
16.13Single8XJNCloprosetnol8XJN-TXA2-Cloprosetnol-chim(NtGi1-Gs-CtGq)/β1/γ2
16.13Single8XQNCholesterol8XQN-TAS2R14-Cholesterol-Aristolochic acid A-Gi1/β1/γ1
16.13Single9EK0Iperoxo9EK0-M5-Iperoxo-chim(NtGi1-Gs-CtGq)/β1/γ2
16.13Single9GGGI-BOP9GGG-TXA2-I-BOP-chim(NtGi2L-Gs-CtGq)/β1/γ2
16.13Single9GL2Befiradol9GL2-5-HT1A-Befiradol-Gs/β1/γ2
16.13Single9GYOP3959GYO-GPBA-P395-chim(NtGi1-Gs)/β1/γ2
16.13Single9IZHLPA9IZH-LPA1-LPA-chim(NtGi2-G13)/β1/γ2
16.13Single9MQLIsoquinuclidine9MQL-κ-Isoquinuclidine
16.13Single9V6ONalfurafine9V6O-κ-Nalfurafine-Gi1/β1/γ2
16.13Single9VJ6F-155999VJ6-5-HT1A-F-15599-Gi3/β1/γ2
16.13Consensus5ht1f_onOrthosteric Ligand7EXD-5-HT1F-Lasmiditan-Gi1/β1/γ2
16.13Consensus5ht1f_on_gpOrthosteric Ligand7EXD-5-HT1F-Lasmiditan-Gi1/β1/γ2
16.13Consensusbeta3_onOrthosteric Ligand7DH5-β3-Mirabegron-Gs/β1/γ2 7XJH-β3-Isoprenaline-Gs/β1/γ2 7XJI-β3-Solabegron-Gs/β1/γ2
16.13Consensusbeta3_on_gpOrthosteric Ligand7DH5-β3-Mirabegron-Gs/β1/γ2 7XJH-β3-Isoprenaline-Gs/β1/γ2 7XJI-β3-Solabegron-Gs/β1/γ2
16.13Consensusc3a_onOrthosteric Ligand8HK2-C3aB-C3a-Gi1/β1/γ2 8IA8-C3aB-E7 peptide-Gi1/β1/γ2
16.13Consensuscannabinoid_offOrthosteric Ligandcb2_off cb1_off
16.13Consensusccr8_onOrthosteric Ligand8KFX-CCR8-LMD-009-Gi1/β1/γ2 8KFY-CCR8-ZK-756326-Gi1/β1/γ2 8U1U-CCR8-CCL1-Gi1/β1/γ2
16.13Consensuscxcr_onOrthosteric Ligandcxcr3_on cxcr4_on cxcr1_on cxcr2_on
16.13Consensuslipid_offonOrthosteric Ligandlipid_off lipid_on
16.13Consensuslipid_offon_gpOrthosteric Ligandlipid_on_gp lipid_off
16.13Consensusm1_offOrthosteric Ligand5CXV-M1-Tiotropium
16.13Consensusmotilin_on_gpOrthosteric Ligand8IBU-Motilin-Erythromycin-A-chim(NtGi1-Gs-CtGq)/β1/γ2
16.00Single2J4Y11-cis-Retinal2J4Y-Rhodopsin-11-cis-Retinal
16.00Single3OE6IT1t3OE6-CXCR4-IT1t
16.00Single7MT8All-trans-Retinal7MT8-Rhodopsin-All-trans-Retinal-GRK1
16.00Single7MT9All-trans-Retinal7MT9-Rhodopsin-All-trans-Retinal-GRK1
16.00Single7MTAAll-trans-Retinal7MTA-Rhodopsin-All-trans-Retinal-GRK1
16.00Single8IU2All-trans-Retinal8IU2-Opsin1LW-All-trans-Retinal-Gi1/β1/γ2
16.00Single8JRVGlucagon8JRV-Glucagon-Glucagon-Arrestin2
16.00Single8RQLFlufenamic acid8RQL-TAS2R14-Flufenamic acid-Flufenamic acid-chim(NtGi1-Gt3)/β1/γ2
16.00Single9IJRC179IJR-GPR52-C17-Arrestin2
16.00Consensusgi_opsinsOrthosteric Ligand8IU2-Opsin1LW-All-trans-Retinal-Gi1/β1/γ2
16.00Consensusgi_sensoryOrthosteric Ligandgi_opsins
16.00Consensusopsin1lw_onOrthosteric Ligand8IU2-Opsin1LW-All-trans-Retinal-Gi1/β1/γ2
16.00Consensusopsin1lw_on_gpOrthosteric Ligand8IU2-Opsin1LW-All-trans-Retinal-Gi1/β1/γ2
16.00Consensusopsins_on_gpOrthosteric Ligandrhodopsin_on_gp opsin1lw_on_gp
16.00Consensusrhodopsin_onOrthosteric Ligand6OYA-Rhodopsin-All-trans-Retinal-Gt/β1/γ1
16.00Consensussensory_on_gpOrthosteric Ligandopsins_on_gp
15.79Single7QBIAlpha-factor mating pheromone7QBI-STE2; STE2-α-factor mating pheromone
15.79Single8XQFApelin-138XQF-Apelin-Apelin-13-Gi1/β1/γ2
15.79Consensusopioid_on_gpOrthosteric Ligandmop_on_gp nop_on_gp dop_on_gp kop_on_gp
15.62Single4OR2FITM4OR2-mGlu1; mGlu1-FITM
15.62Single5UNGPubChem 157800525UNG-AT2-PubChem 15780052
15.62Single5X93K-87945X93-ETB-K-8794
15.62Single7EW0Ozanimod7EW0-S1P1-Ozanimod-Gi1/β1/γ2
15.62Single7EZCUK-4320977EZC-A2A-UK-432097
15.62Single7U2KC6-guano7U2K-μ-C6-guano-Gi1/β1/γ2
15.62Single7VGY2-Iodomelatonin7VGY-MT1-2-Iodomelatonin-Gi1/β1/γ2
15.62Single7X1UTRH7X1U-TRH-TRH-chim(NtGi2L-Gs-CtGq)/β1/γ2
15.62Single7X2DTavapadon7X2D-D1-Tavapadon-Gs/β1/γ2
15.62Single7YU8ONO-07405567YU8-LPA1-ONO-0740556-Gi1/β1/γ2
15.62Single8E9X2-Deoxycytidine8E9X-M4-2-Deoxycytidine-chim(NtGi1-Go)/β1/γ2
15.62Single8FX5Xanomeline8FX5-M4-Xanomeline-Xanomeline-Gi1/β1/γ2
15.62Single8IULLatanoprost8IUL-FP-alpha-Latanoprost-chim(NtGi1-Gs-CtGq)/β1/γ2
15.62Single8IYSTUG-8918IYS-FFA4-TUG-891-GDP-chim(NtGi1L-Gq)/β1/γ2
15.62Single8S2TIsoprenaline8S2T-β1-Isoprenaline-chim(NtGi1-Gs)/β1/γ2
15.62Single8XGSKisspeptin-18XGS-Kiss1-Kisspeptin-1-chim(NtGi1-Gq)/β1/γ2
15.62Single8XJKCloprosetnol8XJK-FP-alpha-Cloprosetnol-chim(NtGi1-Gs-CtGq)/β1/γ2
15.62Single8XJOU466198XJO-TXA2-U46619-chim(NtGi1-Gs-CtGq)/β1/γ2
15.62Single9EAILosartan9EAI-AT1-Losartan-Nanobody AT209
15.62Single9HYIDP819HYI-5-HT1A-DP81-Gi1/β1/γ2
15.62Single9KV8TLQP219KV8-C3aB-TLQP21-Go/β1/γ2
15.62Single9M54Neuropeptide-VF9M54-NPFF2-Neuropeptide-VF-Gi1/β1/γ2
15.62Single9UYMChemerin-99UYM-CML2-Chemerin-9-chim(Arrestin3-CtArrestin2)
15.62Consensusendothelin_offOrthosteric Ligandetb_off
15.62Consensusetb_offOrthosteric Ligand5X93-ETB-K-8794 5XPR-ETB-Bosentan 6K1Q-ETB-IRL2500
15.62Consensuskop_on_gpOrthosteric Ligand8F7W-κ-Dynorphin-Gi1/β1/γ2 8DZS-κ-GR89,696-chim(NtGi2-Gz)/β1/γ2 8DZP-κ-momSalB-Gi1/β1/γ2
15.62Consensusprostanoid_onOrthosteric Ligandtp_on fp-alpha_on
15.62Consensusprostanoid_on_gpOrthosteric Ligandtp_on_gp fp-alpha_on_gp
15.62Consensustp_onOrthosteric Ligand8XJO-TXA2-U46619-chim(NtGi1-Gs-CtGq)/β1/γ2
15.62Consensustp_on_gpOrthosteric Ligand8XJO-TXA2-U46619-chim(NtGi1-Gs-CtGq)/β1/γ2
15.38Single3AYMAll-trans-Retinal3AYM-Rhodopsin-All-trans-Retinal
15.38Single6LI0C176LI0-GPR52-C17
15.38Single7AD3Alpha-factor mating pheromone7AD3-STE2; STE2-α-factor mating pheromone-Gi1/STE4/γ2
15.38Single7DD7Ca; Ca; Tryptophan; Evocalcet7DD7-CaS; CaS-Ca-Ca; Ca; Tryptophan; Evocalcet
15.38Single7XATSomatostatin-147XAT-SST2-Somatostatin-14-Gi1/β1/γ2
15.38Single7XP6Strychnine7XP6-TAS2R46-Strychnine-chim(Gs-CtGt3)/β1/γ2
15.38Single7YFDImetit7YFD-H4-Imetit-chim(NtGi1-Gs-CtGq)/β1/γ2
15.38Single7YOONeuropeptide-Y7YOO-Y2-Neuropeptide-Y-Gi1/β1/γ2
15.38Single8HN8Histamine8HN8-H4-Histamine-Gi1/β1/γ2
15.38Single8IHIAcifran8IHI-HCA2-Acifran-Gi1/β1/γ2
15.38Single8J6PPubChem 251012238J6P-HCA2-Niacin-PubChem 25101223-Gi1/β1/γ2
15.38Single8JHYPubChem 251012238JHY-HCA2-PubChem 25101223-Gi1/β1/γ2
15.38Single8JIIPubChem 251012238JII-HCA2-Niacin-PubChem 25101223-Gi1/β1/γ2
15.38Single8JILNiacin8JIL-HCA2-Niacin-Gi1/β1/γ2
15.38Single8JPNCis-Epoxysuccinic acid8JPN-Succinate-Cis-Epoxysuccinic acid-Gi1/β1/γ1
15.38Single8U4RREGN7663-Fab8U4R-CXCR4-REGN7663-Fab
15.38Single8W892-Phenylethylamine8W89-TA1-2-Phenylethylamine-chim(NtGi1L-Gs)/β1/γ2
15.38Single8WP1Cis-Epoxysuccinic acid8WP1-Succinate-Cis-Epoxysuccinic acid-Gi1/β1/γ2
15.38Single8WPUTryptophan; Cinacalcet; PO4; Ca8WPU-CaS; CaS-Tryptophan; Cinacalcet; PO4; Ca-chim(NtGi2L-Gs-CtGq)/β1/γ2
15.38Single8XWPEndothelin-18XWP-ETB-Endothelin-1-Gi1/β1/γ2
15.38Single8YH3N-methyladenosine8YH3-A3A-N-methyladenosine-Gi1/β1/γ2
15.38Single8YKWSuccinic acid8YKW-Succinate-Succinic acid-Gi1/β1/γ1
15.38Single8ZSVRO52633978ZSV-TA1-RO5263397-chim(NtGi1-Gs)/β1/γ2
15.38Single8ZX5AM2518ZX5-GPR55-AM251-chim(NtGi1-G13)/β1/γ2
15.38Single9C1PCa; Tryptophan; '6218; PO49C1P-CaS; CaS-Ca-Ca; Tryptophan; '6218; PO4
15.38Single9EPRAll-trans-Retinal9EPR-Rhodopsin-All-trans-Retinal-Gi1/β1/γ2
15.38Single9L42Histamine9L42-H4-Histamine-Gi1/β1/γ2
15.38Single9U9VMETH9U9V-β2-METH-Gs/β1/γ2
15.38Consensush4_onOrthosteric Ligand8HN8-H4-Histamine-Gi1/β1/γ2 8HOC-H4-Imetit-Gi1/β1/γ2 8JXV-H4-Clozapine-Gi1/β1/γ2 8JXW-H4-VUF6884-Gi1/β1/γ2 8JXX-H4-Clobenpropit-Gi1/β1/γ2
15.38Consensusnpy2_onOrthosteric Ligand7YOO-Y2-Neuropeptide-Y-Gi1/β1/γ2
15.38Consensusnpy2_on_gpOrthosteric Ligand7YOO-Y2-Neuropeptide-Y-Gi1/β1/γ2
15.15Single5WF6UK-4320975WF6-A2A-UK-432097
15.15Single5ZTYAM102575ZTY-CB2-AM10257
15.15Single6C1QPMX536C1Q-C5a1-PMX53-NDT9513727
15.15Single6XBJCholesterol6XBJ-SMO-Cholesterol-Gi1/β1/γ2
15.15Single7RKFCX3CL17RKF-US28-CX3CL1-GDP-chim(NtGi1-G11)/β1/γ2
15.15Single8IA7Cholecystokinin-88IA7-CCKB-Cholecystokinin-8-chim(NtGi1L-Gq)/β1/γ2
15.15Single8IUMTafluprost acid8IUM-FP-alpha-Tafluprost acid-chim(NtGi1-Gs-CtGq)/β1/γ2
15.15Single8QJ2pN1628QJ2-MC4-pN162-Gs/β1/γ2
15.15Single9EAJNanobody AT2099EAJ-AT1-Nanobody AT209
15.15Single9IPYJR14a9IPY-C3aB-JR14a
15.15Single9KX6C5a-des-Arg9KX6-C5a1-C5a-des-Arg-Go/β1/γ2
15.15Single9KZ2EP679KZ2-C3aB-EP67-Go/β1/γ2
15.15Single9KZ8EP679KZ8-C3aB-EP67-Go/β1/γ2
15.15Single9MD1Buspirone9MD1-5-HT1A-Buspirone-PtdIns4P-Gz/β1/γ2
15.15Single9UMJEP549UMJ-C3aB-EP54-Go/β1/γ2
15.15Consensuscb2_offOrthosteric Ligand5ZTY-CB2-AM10257
15.15Consensusnmur1_onOrthosteric Ligand7W53-NMUR1-Neuromedin-U-25-chim(NtGi1-Gs-CtGq)/β1/γ2
15.00Single6IGLIRL16206IGL-ETB-IRL1620
15.00Single8IY6Endothelin-18IY6-ETB-Endothelin-1
14.81Single2X72All-trans-Retinal2X72-Rhodopsin-All-trans-Retinal-Gt(CT)
14.81Single2Z7311-cis-Retinal2Z73-Rhodopsin-11-cis-Retinal
14.81Single3AYN9-cis-Retinal3AYN-Rhodopsin-9-cis-Retinal
14.81Single3ODUIT1t3ODU-CXCR4-IT1t
14.81Single4S0VSuvorexant4S0V-OX2-Suvorexant
14.81Single5U09Taranabant5U09-CB1-Taranabant
14.81Single5WS3EMPA5WS3-OX2-EMPA
14.81Single5ZKQABT-4915ZKQ-PAF-ABT-491
14.81Single6B73MP11046B73-κ-MP1104
14.81Single6D9HAdenosine6D9H-A1-Adenosine-Gi2/β1/γ2
14.81Single6KUYPubChem 1457046436KUY-α2a-PubChem 145704643
14.81Single6TPJSuvorexant6TPJ-OX2-Suvorexant
14.81Single7BR3Elagolix7BR3-GnRH1-Elagolix
14.81Single7DHRIsoprenaline7DHR-β2-Isoprenaline-Gs/β1/γ2
14.81Single7EJ0Norepinephrine7EJ0-α2a-Norepinephrine-Go/β1/γ2
14.81Single7LCJDanuglipron7LCJ-GLP-1-Danuglipron
14.81Single7M3ECa; Ca; Tryptophan; NPS-21437M3E-CaS; CaS-Ca; Ca; Tryptophan; NPS-2143
14.81Single7M3ECa; Ca; Tryptophan; NPS-21437M3E-CaS; CaS-Ca; Ca; Tryptophan; NPS-2143
14.81Single7M3FCa; Ca; Tryptophan; Cinacalcet7M3F-CaS; CaS-Ca; Ca; Tryptophan; Cinacalcet
14.81Single7SILCa; Ca; Ca; Cyclomethyltryptophan; R-568; PO47SIL-CaS; CaS-Ca-Ca; Ca; Ca; Cyclomethyltryptophan; R-568; PO4
14.81Single7SILCa; Ca; Ca; Cyclomethyltryptophan; R-568; PO47SIL-CaS; CaS-Ca-Ca; Ca; Ca; Cyclomethyltryptophan; R-568; PO4
14.81Single7T8XAcetylcholine7T8X-M2-Acetylcholine-chim(NtGi1-Go)/β1/γ2
14.81Single7T90Acetylcholine7T90-M2-Acetylcholine-chim(NtGi1-Go)/β1/γ2
14.81Single7T96Acetylcholine7T96-M2-Acetylcholine-LY2119620-Go/β1/γ2
14.81Single7VVOPTH7VVO-PTH1-PTH-Gs/β1/γ2
14.81Single7YM8Oxymetazoline7YM8-Alpha1A-Oxymetazoline-chim(Gs-CtGq)
14.81Single7YMHNorepinephrine7YMH-Alpha1A-Norepinephrine-chim(Gs-CtGq)
14.81Single8DU3PubChem 1055260648DU3-A2A-PubChem 105526064
14.81Single8DWGML3828DWG-MRGPRX1-BAM8-22-ML382-chim(NtGi2L-Gs-CtGq)/β1/γ2
14.81Single8EFOPZM218EFO-μ-PZM21-Gi1/β1/γ2
14.81Single8GGAConstrained Epinephrine8GGA-β2-Constrained Epinephrine-GTP-Gs/β1/γ2
14.81Single8GGCConstrained Epinephrine8GGC-β2-Constrained Epinephrine-GTP-Gs/β1/γ2
14.81Single8GGRConstrained Epinephrine8GGR-β2-Constrained Epinephrine
14.81Single8GGWConstrained Epinephrine8GGW-β2-Constrained Epinephrine
14.81Single8GGZConstrained Epinephrine8GGZ-β2-Constrained Epinephrine
14.81Single8GH0Constrained Epinephrine8GH0-β2-Constrained Epinephrine
14.81Single8GNGIstradefylline8GNG-A2A-Istradefylline
14.81Single8HDPAdenosine8HDP-A2B-Adenosine-Gs/β1/γ2
14.81Single8HOCImetit8HOC-H4-Imetit-Gi1/β1/γ2
14.81Single8IW4Spermidine8IW4-TAA9-Spermidine-chim(NtGi1-Gs)/β1/γ2
14.81Single8IWESpermidine8IWE-TAA9-Spermidine
14.81Single8RW0Istradefylline8RW0-A2A-Istradefylline-Na
14.81Single8UNXConstrained Epinephrine8UNX-β2-Constrained Epinephrine-GTP-Gs/β1/γ2
14.81Single8UTDMK19038UTD-HCA2-MK1903-Gi1/β1/γ2
14.81Single8WC3SEP-3638568WC3-TA1-SEP-363856-chim(NtGi1-Gs)/β1/γ2
14.81Single8WC4ZH86518WC4-TA1-ZH8651-chim(NtGi1-Gs)/β1/γ2
14.81Single8WCA2-Phenylethylamine8WCA-TA1-2-Phenylethylamine-chim(NtGi1-Gs)/β1/γ2
14.81Single8WPGTryptophan; Cinacalcet; PO4; Ca8WPG-CaS; CaS-Tryptophan; Cinacalcet; PO4; Ca
14.81Single8XXVIndomethacin8XXV-DP2-Indomethacin-A1D5Q-Gi1/β1/γ2
14.81Single8YNAImmepip8YNA-H4-Immepip-Gi1/β1/γ2
14.81Single8YYWAlpha-ketoglutarate8YYW-Oxoglutarate-α-ketoglutarate-α-ketoglutarate-chim(Gi1-CtGq)/β1/γ2
14.81Single8YYWAlpha-ketoglutarate8YYW-Oxoglutarate-α-ketoglutarate-α-ketoglutarate-chim(Gi1-CtGq)/β1/γ2
14.81Single9AVLCa; Ca; Cyclomethyltryptophan; R-568; PO49AVL-CaS; CaS-Ca-Ca; Ca; Cyclomethyltryptophan; R-568; PO4-Gi3/β2/γ2
14.81Single9C2FCa; Ca; Tryptophan; '54149; PO49C2F-CaS; CaS-Ca-Ca; Ca; Tryptophan; '54149; PO4
14.81Single9EEAAdenosine9EEA-A2A-Adenosine-Gs/β1/γ2
14.81Single9H2XPubChem 1756706449H2X-A2A-PubChem 175670644-Na
14.81Single9J5VCpY9J5V-LPA1-CpY-Gi1/β1/γ2
14.81Single9K6LSalicin9K6L-TAS2R16-Salicin-Gi2/β1/γ2
14.81Single9KPESalicin9KPE-TAS2R16-Salicin-Gi1/β1/γ2
14.81Single9MQJIsoquinuclidine9MQJ-μ-Isoquinuclidine
14.81Single9VJEBuspirone9VJE-5-HT1A-Buspirone-Go/β1/γ2
14.81Consensusalpha2_offOrthosteric Ligandalpha2c_off
14.81Consensusgnrh1_offOrthosteric Ligand7BR3-GnRH1-Elagolix
14.81Consensusm2_onOrthosteric Ligand7T8X-M2-Acetylcholine-chim(NtGi1-Go)/β1/γ2
14.81Consensusm2_on_gpOrthosteric Ligand7T8X-M2-Acetylcholine-chim(NtGi1-Go)/β1/γ2
14.81Consensusox1_offOrthosteric Ligand6TP6-OX1-Filorexant 6TP4-OX1-ACT-462206 6V9S-OX1-GTPL11403 6TOT-OX1-Lemborexant 6TP3-OX1-Nemorexant 6TQ6-OX1-PubChem 145714283 6TQ9-OX1-SB-408124 4ZJC-OX1-SB-674042 4ZJ8-OX1-Suvorexant 6TOD-OX1-EMPA-Na 6TOS-OX1-GSK1059865-Na 6TQ4-OX1-PubChem 16046844-Na
14.81Consensuspaf_offOrthosteric Ligand5ZKQ-PAF-ABT-491
14.81Consensussensory_offonOrthosteric Ligandsensory_off sensory_on
14.81Consensussensory_offon_gpOrthosteric Ligandsensory_on_gp sensory_on
14.71Single4AMJCarvedilol4AMJ-β1-Carvedilol
14.71Single6WIVPubChem 52923113; PubChem 529246456WIV-GABAB1, GABAB2-PubChem 52923113; PubChem 52924645
14.71Single7F8XNN90567F8X-CCKA-NN9056
14.71Single7QA8Antagonist Peptide7QA8-STE2; STE2-Antagonist Peptide
14.71Single7QA8Antagonist Peptide7QA8-STE2; STE2-Antagonist Peptide
14.71Single7W53Neuromedin-U-257W53-NMUR1-Neuromedin-U-25-chim(NtGi1-Gs-CtGq)/β1/γ2
14.71Single7XAUOctreotide7XAU-SST2-Octreotide-Gi1/β1/γ2
14.71Single8DCRDobutamine8DCR-β1-Dobutamine-Gs/β1/γ2
14.71Single8FYLVilazodone8FYL-5-HT1A-Vilazodone-PtdIns4P-Gi1/β1/γ1
14.71Single8G59TUG-8918G59-FFA4-TUG-891-chim(Gi1-CtGq)/β1/γ2
14.71Single8U4OCXCL128U4O-CXCR4-CXCL12-Gi1/β1/γ2
14.71Single9BUYLM1899BUY-β2-LM189-Gi1/β1/γ2
14.71Single9M4TSilodosin9M4T-Alpha1A-Silodosin
14.71Single9MEJGp1209MEJ-CXCR4-Gp120
14.71Consensuschemerin_on_gpOrthosteric Ligandcml1_on_gp
14.71Consensuscml1_onOrthosteric Ligand7YKD-CML1-Chemerin-9-Gi1/β1/γ2
14.71Consensusgi_chemerinOrthosteric Ligand7YKD-CML1-Chemerin-9-Gi1/β1/γ2
14.71Consensuslpl_onOrthosteric Ligands1p_on lpa_on
14.71Consensuslpl_on_gpOrthosteric Ligands1p_on_gp lpa_on_gp
14.71Consensusnmur1_on_gpOrthosteric Ligand7W53-NMUR1-Neuromedin-U-25-chim(NtGi1-Gs-CtGq)/β1/γ2
14.71Consensusp2y_onOrthosteric Ligandp2y1_on p2y10_on p2y12_on
14.63Consensusgi_endothelinOrthosteric Ligand8IY5-ETB-Endothelin-1-Gi1/β1/γ2 8HBD-ETB-IRL1620-Gi1/β1/γ2
14.63Consensusgi_npyOrthosteric Ligand8K6M-Y1-Neuropeptide-Y-Gi2/β1/γ1 7X9C-Y4-Pancreatic Hormone-Gi1/β1/γ2 7YOO-Y2-Neuropeptide-Y-Gi1/β1/γ2
14.63Consensusnpy_onOrthosteric Ligandnpy1_on npy2_on npy4_on
14.63Consensusnpy_on_gpOrthosteric Ligandnpy1_on_gp npy2_on_gp npy4_on_gp
14.29Single1F8811-cis-Retinal1F88-Rhodopsin-11-cis-Retinal
14.29Single3V2YPubChem 518926453V2Y-S1P1-PubChem 51892645
14.29Single4LDOEpinephrine4LDO-β2-Epinephrine
14.29Single4ZJCSB-6740424ZJC-OX1-SB-674042
14.29Single5IU7Q274563465IU7-A2A-Q27456346-Na
14.29Single5JTBZM-2413855JTB-A2A-ZM-241385
14.29Single5K2BZM-2413855K2B-A2A-ZM-241385-Na
14.29Single6AQFZM-2413856AQF-A2A-ZM-241385
14.29Single6FKAPubChem 1324730376FKA-Rhodopsin-PubChem 132473037
14.29Single6K41Dexmedetomidine6K41-α2b-Dexmedetomidine-Go/β1/γ2
14.29Single6KUXRS799486KUX-α2a-RS79948
14.29Single6ME32-Phenylmelatonin6ME3-MT1-2-Phenylmelatonin
14.29Single6MH8ZM-2413856MH8-A2A-ZM-241385
14.29Single6PS0Carazolol6PS0-β2-Carazolol
14.29Single6PS4ICI118-5516PS4-β2-ICI118-551
14.29Single6PS82-Phenylmelatonin6PS8-MT1-2-Phenylmelatonin
14.29Single6TOSGSK10598656TOS-OX1-GSK1059865-Na
14.29Single6TP3Nemorexant6TP3-OX1-Nemorexant
14.29Single6TPGEMPA6TPG-OX2-EMPA
14.29Single6WH4Methiothepin6WH4-5-HT2A-Methiothepin
14.29Single6ZDRHMS1413f126ZDR-A2A-HMS1413f12-Na
14.29Single6ZDVPubChem 9840736ZDV-A2A-PubChem 984073-Na
14.29Single6ZFZ77-LH-28-16ZFZ-M1-77-LH-28-1
14.29Single7AROLUF58337ARO-A2A-LUF5833-Na
14.29Single7BB6AVP7BB6-V2-AVP-Gs/β1/γ2
14.29Single7DHISalbutamol7DHI-β2-Salbutamol-Gs/β1/γ2
14.29Single7EJ8Brimonidine7EJ8-α2a-Brimonidine-Go/β1/γ2
14.29Single7EJADexmedetomidine7EJA-α2a-Dexmedetomidine-Go/β1/γ2
14.29Single7F1QCCL37F1Q-CCR5-CCL3-Gi1/β1/γ2
14.29Single7F61PF-036547467F61-H3-PF-03654746
14.29Single7SK5CXCL127SK5-ACKR3-CXCL12
14.29Single7T32ZM-2413857T32-A2A-ZM-241385
14.29Single7T94Acetylcholine7T94-M2-Acetylcholine-LY2119620-chim(NtGi1-Go)/β1/γ2
14.29Single7TRSAcetylcholine7TRS-M4-Acetylcholine-Gi1/β1/γ2
14.29Single7VUGJNJ-635330547VUG-GPR139-JNJ-63533054-Gi1/β1/γ2
14.29Single7XNACYN1548067XNA-SST2-CYN154806
14.29Single7XXH2MeSADP7XXH-P2Y1-2MeSADP-chim(NtGi1-G11)/β1/γ2
14.29Single8GE1Constrained Epinephrine8GE1-β2-Constrained Epinephrine-Gs/β1/γ2
14.29Single8GE4Constrained Epinephrine8GE4-β2-Constrained Epinephrine-Gs/β1/γ2
14.29Single8GE5Constrained Epinephrine8GE5-β2-Constrained Epinephrine-Gs/β1/γ1
14.29Single8GE6Constrained Epinephrine8GE6-β2-Constrained Epinephrine-Gs/β1/γ2
14.29Single8GE7Constrained Epinephrine8GE7-β2-Constrained Epinephrine-Gs/β1/γ2
14.29Single8GE8Constrained Epinephrine8GE8-β2-Constrained Epinephrine-Gs/β1/γ2
14.29Single8GEAConstrained Epinephrine8GEA-β2-Constrained Epinephrine-Gs/β1/γ2
14.29Single8GEDConstrained Epinephrine8GED-β2-Constrained Epinephrine-Gs/β1/γ2
14.29Single8GEFConstrained Epinephrine8GEF-β2-Constrained Epinephrine-Gs/β1/γ2
14.29Single8GG8Constrained Epinephrine8GG8-β2-Constrained Epinephrine-GTP-Gs/β1/γ2
14.29Single8GGQConstrained Epinephrine8GGQ-β2-Constrained Epinephrine
14.29Single8GGSConstrained Epinephrine8GGS-β2-Constrained Epinephrine
14.29Single8GGTConstrained Epinephrine8GGT-β2-Constrained Epinephrine
14.29Single8GGVConstrained Epinephrine8GGV-β2-Constrained Epinephrine
14.29Single8GGXConstrained Epinephrine8GGX-β2-Constrained Epinephrine
14.29Single8JLQFenoldopam8JLQ-TA1-Fenoldopam-Gs/β1/γ2
14.29Single8K2WAMG4878K2W-CXCR3-AMG487
14.29Single8RQQZM-2413858RQQ-A2A-ZM-241385-Na
14.29Single8RWCStilSwitch28RWC-A2A-StilSwitch2-Na
14.29Single8RWDStilSwitch38RWD-A2A-StilSwitch3-Na
14.29Single8RWIStilSwitch28RWI-A2A-StilSwitch2-Na
14.29Single8THKA-616038THK-Alpha1A-A-61603-chim(NtGi2L-Gs-CtGq)/β1/γ2
14.29Single8THLEpinephrine8THL-Alpha1A-Epinephrine-chim(NtGi2L-Gs-CtGq)/β1/γ2
14.29Single8UNMConstrained Epinephrine8UNM-β2-Constrained Epinephrine-GTP-Gs/β1/γ2
14.29Single8UNWConstrained Epinephrine8UNW-β2-Constrained Epinephrine-GTP-Gs/β1/γ2
14.29Single8UO0Constrained Epinephrine8UO0-β2-Constrained Epinephrine-GTP-Gs/β1/γ2
14.29Single8W8BSEP-3638568W8B-5-HT1A-SEP-363856-Gi1/β1/γ2
14.29Single8WPGTryptophan; Cinacalcet; PO4; Ca8WPG-CaS; CaS-Tryptophan; Cinacalcet; PO4; Ca
14.29Single8WPUTryptophan; Cinacalcet; PO4; Ca8WPU-CaS; CaS-Tryptophan; Cinacalcet; PO4; Ca-chim(NtGi2L-Gs-CtGq)/β1/γ2
14.29Single8WSSMCH8WSS-MCH1-MCH-Gi1/β1/γ1
14.29Single8XYDPlatelet Activating Factor8XYD-PAF-Platelet Activating Factor-Gi1/β1/γ2
14.29Single8Y01All-trans-Retinal8Y01-Opsin1MW-All-trans-Retinal-Gi1/β1/γ2
14.29Single8Y6YGLPG09748Y6Y-FFA2-GLPG0974
14.29Single8YH2Adenosine8YH2-A3A-Adenosine-Gi1/β1/γ2
14.29Single8YKVPubChem 1375531688YKV-Succinate-PubChem 137553168-Gi1/β1/γ2
14.29Single8ZBWQuin-C18ZBW-FPR2-ALX-Quin-C1-Gi2/β1/γ2
14.29Single8ZPMAMD0708ZPM-CXCR4-AMD070
14.29Single8ZPNAMD31008ZPN-CXCR4-AMD3100
14.29Single9AS5Mescaline9AS5-5-HT2A-Mescaline
14.29Single9AS6Mescaline9AS6-5-HT2A-Mescaline-chim(NtGi1-Gs-CtGq)/β1/γ2
14.29Single9ASBCa; Ca; Cyclomethyltryptophan; R-568; PO49ASB-CaS; CaS-Ca-Ca; Ca; Cyclomethyltryptophan; R-568; PO4-chim(NtGi1-Gs-CtGq)/β1/γ2
14.29Single9AVGCa; Ca; Cyclomethyltryptophan; R-568; PO49AVG-CaS; CaS-Ca-Ca; Ca; Cyclomethyltryptophan; R-568; PO4-chim(NtGi1-Gs)/β1/γ2
14.29Single9E82CXCL12 (fragment)9E82-ACKR3-CXCL12 (fragment)-Arrestin2
14.29Single9EPQ11,20-Ethanoretinal9EPQ-Rhodopsin-11,20-Ethanoretinal-chim(Gi1-CtGq)/β1/γ2
14.29Single9IQSMuscarinic toxin 39IQS-M4-Muscarinic toxin 3
14.29Single9JFUNE52-QQ579JFU-GPR4-NE52-QQ57
14.29Single9JH3CMF-0199JH3-Apelin; Apelin-CMF-019-Gi1/β1/γ2
14.29Single9JKQMETH9JKQ-TA1-METH-Gs/β1/γ2
14.29Single9K0XATP9K0X-P2Y2-ATP-chim(NtGi1-Gs-CtGq)/β1/γ2
14.29Single9K20ATP9K20-P2Y2-ATP-chim(NtGi1-Go)/β1/γ2
14.29Single9KPDSalicin9KPD-TAS2R16-Salicin-chim(Gs-CtGt3)/β1/γ2
14.29Single9KT7MK68929KT7-HCA2-MK6892-Gi1/β1/γ2
14.29Single9KUWCMPD6449KUW-Apelin; Apelin-CMPD644-Arrestin2 ; Arrestin2
14.29Single9KV6TLQP219KV6-C3aB-TLQP21-Go/β1/γ2
14.29Single9M2FNeuropeptide-FF9M2F-NPFF1-Neuropeptide-FF-Gi1/β1/γ2
14.29Single9MQIIsoquinuclidine9MQI-μ-Isoquinuclidine
14.29Single9ODJMitragynine Pseudoindoxyl9ODJ-μ-Mitragynine Pseudoindoxyl-GTP; Mg-Gi1/β1/γ2
14.29Single9P1TZM-2413859P1T-A2A-ZM-241385
14.29Single9PY2Loperamide9PY2-μ-Loperamide-GDPβS-Gi1/β1/γ2
14.29Single9UMXEP549UMX-C5a1-EP54-Go/β1/γ2
14.29Single9VJG8-OH-DPAT9VJG-5-HT1A-8-OH-DPAT-chim(NtGi2-Gz)/β1/γ2
14.29Consensusa2_offOrthosteric Liganda2a_off
14.29Consensusa2a_offOrthosteric Ligand3RFM-A2A-Caffeine 8C9W-A2A-Etrumadenant 3UZA-A2A-GTPL9236 8GNG-A2A-Istradefylline 8CU6-A2A-LJ-4517 7PX4-A2A-PSB-2113 7PYR-A2A-PSB-2115 8DU3-A2A-PubChem 105526064 8JWY-A2A-2-118 8PWN-A2A-Theophylline 5IU4-A2A-ZM-241385-Na 5OLZ-A2A-PubChem 135566609-Na 6GT3-A2A-Imaradenant-Na 5OLV-A2A-LUAA47070-Na 5N2R-A2A-PSB36-Na 5IU7-A2A-Q27456346-Na 5OLH-A2A-Vipadenant-Na 5OLO-A2A-Tozadenant-Na 6ZDR-A2A-HMS1413f12-Na 8GNE-A2A-KW-6356-Na 8JWZ-A2A-Etrumadenant-Na 5IU8-A2A-Q27456347-Na 5IUB-A2A-Q27456344-Na 6ZDV-A2A-PubChem 984073-Na 5IUA-A2A-Q27456348-Na 8A2P-A2A-LUAA47070-Na
14.29Consensusadenosine_onOrthosteric Liganda1_on a2_on a3_on
14.29Consensusalpha1_onOrthosteric Ligandalpha1a_on
14.29Consensusalpha1_on_gpOrthosteric Ligandalpha1a_on_gp
14.29Consensusalpha1a_onOrthosteric Ligand7EJ0-α2a-Norepinephrine-Go/β1/γ2 7EJ8-α2a-Brimonidine-Go/β1/γ2 7EJA-α2a-Dexmedetomidine-Go/β1/γ2 7EJK-α2a-Oxymetazoline-Go/β1/γ2 7W6P-α2a-N-pyridin-4-ylisoquinolin-4-amine-Go/β1/γ2 7W7E-α2a-PubChem 164946676-Go/β1/γ2
14.29Consensusalpha1a_on_gpOrthosteric Ligand7EJ0-α2a-Norepinephrine-Go/β1/γ2 7EJ8-α2a-Brimonidine-Go/β1/γ2 7EJA-α2a-Dexmedetomidine-Go/β1/γ2 7EJK-α2a-Oxymetazoline-Go/β1/γ2 7W6P-α2a-N-pyridin-4-ylisoquinolin-4-amine-Go/β1/γ2 7W7E-α2a-PubChem 164946676-Go/β1/γ2
14.29Consensuscb1_offOrthosteric Ligand5U09-CB1-Taranabant 5TGZ-CB1-AM6538
14.29Consensuscckb_onOrthosteric Ligand8IA7-CCKB-Cholecystokinin-8-chim(NtGi1L-Gq)/β1/γ2 7XOW-CCKB-Sulfated Gastrin-(10-17)-chim(NtGi1-Gq)/β1/γ2 7F8V-CCKB-Gastrin-17-Gi2/β1/γ2
14.29Consensusccr8_on_gpOrthosteric Ligand8KFX-CCR8-LMD-009-Gi1/β1/γ2 8KFY-CCR8-ZK-756326-Gi1/β1/γ2 8U1U-CCR8-CCL1-Gi1/β1/γ2
14.29Consensuscxcr3_offOrthosteric Ligand8K2W-CXCR3-AMG487
14.29Consensusetb_on_gpOrthosteric Ligand8IY5-ETB-Endothelin-1-Gi1/β1/γ2 8HBD-ETB-IRL1620-Gi1/β1/γ2
14.29Consensusghrelin_offOrthosteric Ligand6KO5-Ghrelin-PubChem 57400002 7F83-Ghrelin-PF-05190457
14.29Consensusgi_adenosineOrthosteric Ligand7LD4-A1-Adenosine-Gi2/β1/γ2 8X17-A3A-Namodenoson-Gi1/β1/γ2 8X16-A3A-Piclidenoson-Gi1/β1/γ2
14.29Consensusgrh_offOrthosteric Ligandgnrh1_off
14.29Consensusnucleotide_offOrthosteric Ligandadenosine_off p2y_off
14.29Consensusopsins_offOrthosteric Ligandrhodopsin_off
14.29Consensusp2y1_on_gpOrthosteric Ligand7XXH-P2Y1-2MeSADP-chim(NtGi1-G11)/β1/γ2
14.29Consensussensory_offOrthosteric Ligandopsins_off
14.29Consensussst2_offOrthosteric Ligand7XNA-SST2-CYN154806
13.89Single3OE0CVX153OE0-CXCR4-CVX15
13.89Single6PT2KGCHM076PT2-δ-KGCHM07
13.89Single8K6NNeuropeptide-Y8K6N-Y2-Neuropeptide-Y-Gi2/β1/γ1
13.89Single8XGUTAK4488XGU-Kiss1-TAK448-Gi1/β1/γ2
13.89Single8XIRPasireotide8XIR-SST3-Pasireotide-chim(NtGi1-Gs-CtGi1)/β1/γ2
13.89Single9B54VIP369B54-CB1-VIP36-Gi1/β1/γ2
13.89Single9UYIChemerin-99UYI-CML2-Chemerin-9-Arrestin2
13.89Consensuscckb_on_gpOrthosteric Ligand8IA7-CCKB-Cholecystokinin-8-chim(NtGi1L-Gq)/β1/γ2 7XOW-CCKB-Sulfated Gastrin-(10-17)-chim(NtGi1-Gq)/β1/γ2 7F8V-CCKB-Gastrin-17-Gi2/β1/γ2
13.89Consensusfpr2-alx_onOrthosteric Ligand7WVX-FPR2-ALX-Humanin-Gi2/β1/γ2 7T6U-FPR2-ALX-CGEN-855A-Gi1/β1/γ2 7T6V-FPR2-ALX-fMLFII-Gi1/β1/γ2 7WVY-FPR2-ALX-Amyloid-β42-Gi2/β1/γ2 7T6S-FPR2-ALX-TC-FPR 43-Gi1/β1/γ2 6OMM-FPR2-ALX-WKYMVX-Gi1/β1/γ2
13.89Consensusgs_class-aOrthosteric Ligandgs_peptide gs_nucleotide gs_amine
13.79Single2VT4Cyanopindolol2VT4-β1-Cyanopindolol
13.79Single2Y01Dobutamine2Y01-β1-Dobutamine
13.79Single2Y04Salbutamol2Y04-β1-Salbutamol
13.79Single2YCYCyanopindolol2YCY-β1-Cyanopindolol
13.79Single3EMLZM-2413853EML-A2A-ZM-241385
13.79Single3ZPQPubChem 5945903ZPQ-β1-PubChem 594590-Na
13.79Single4DAJTiotropium4DAJ-M3-Tiotropium
13.79Single4EA3PubChem 102965614EA3-NOP-PubChem 10296561
13.79Single4EIYZM-2413854EIY-A2A-ZM-241385-Na
13.79Single4EJ4Naltrindole4EJ4-δ-Naltrindole
13.79Single4J4QOctyl Beta-D-Glucopyranoside4J4Q-Rhodopsin-Octyl β-D-Glucopyranoside-Gt(CT)
13.79Single4QKXPubChem 762106284QKX-β2-PubChem 76210628
13.79Single4X1HNonyl-Beta-D-Glucopyranoside4X1H-Rhodopsin-Nonyl-β-D-Glucopyranoside-Gt(CT)
13.79Single5DHHSB-6121115DHH-NOP-SB-612111
13.79Single5DSGTiotropium5DSG-M4-Tiotropium
13.79Single5IU8Q274563475IU8-A2A-Q27456347-Na
13.79Single5K2AZM-2413855K2A-A2A-ZM-241385-Na
13.79Single5NDDAZ8838; Na5NDD-PAR2-AZ8838; Na
13.79Single5OLGZM-2413855OLG-A2A-ZM-241385-Na
13.79Single5VRAZM-2413855VRA-A2A-ZM-241385-Na
13.79Single5YC8N-methyl-Scopolamine5YC8-M2-N-methyl-Scopolamine
13.79Single5ZK8N-methyl-Scopolamine5ZK8-M2-N-methyl-Scopolamine
13.79Single5ZKCN-methyl-Scopolamine5ZKC-M2-N-methyl-Scopolamine
13.79Single6D27CAY104716D27-DP2-CAY10471
13.79Single6DRZMethysergide6DRZ-5-HT2B-Methysergide
13.79Single6FKDPubChem 1373491836FKD-Rhodopsin-PubChem 137349183
13.79Single6H7MSalbutamol6H7M-β1-Salbutamol
13.79Single6K42Dexmedetomidine6K42-α2b-Dexmedetomidine-Gi1/β1/γ2
13.79Single6KPFAM120336KPF-CB2-AM12033-Gi1/β1/γ2
13.79Single6PRZAlprenolol6PRZ-β2-Alprenolol
13.79Single6PS1Timolol6PS1-β2-Timolol
13.79Single6PS2Alprenolol6PS2-β2-Alprenolol
13.79Single6S0LZM-2413856S0L-A2A-ZM-241385
13.79Single6TOTLemborexant6TOT-OX1-Lemborexant
13.79Single6WHADB139486WHA-5-HT2A-DB13948-chim(NtGi2L-Gs-CtGq)/β1/γ2
13.79Single6X1ADanuglipron6X1A-GLP-1-Danuglipron-Gs/β1/γ2
13.79Single6XBM25(S)-Epoxycholesterol6XBM-SMO-25(S)-Epoxycholesterol-Gi1/β1/γ2
13.79Single6Z10PubChem 1545855546Z10-Succinate-PubChem 154585554
13.79Single7BTSEpinephrine7BTS-β1-Epinephrine
13.79Single7BU6Norepinephrine7BU6-β1-Norepinephrine
13.79Single7BU7BI1671077BU7-β1-BI167107
13.79Single7CFMP3957CFM-GPBA-P395-Gs/β1/γ2
13.79Single7CRHSKF839597CRH-D1-SKF83959-Gs/β1/γ2
13.79Single7E32Serotonin7E32-5-HT1D-Serotonin-Gi1/β1/γ2
13.79Single7JVQApomorphine7JVQ-D1-Apomorphine-Gs/β1/γ2
13.79Single7LCIDanuglipron7LCI-GLP-1-Danuglipron-Gs/β1/γ2
13.79Single7LCKDanuglipron7LCK-GLP-1-Danuglipron
13.79Single7PYRPSB-21157PYR-A2A-PSB-2115
13.79Single7S0GIsoprenaline7S0G-β1-Isoprenaline-chim(Gi1-CtGs)/β1/γ2
13.79Single7S15PubChem 1346112237S15-GLP-1-PubChem 134611223
13.79Single7T2GMitragynine Pseudoindoxyl7T2G-μ-Mitragynine Pseudoindoxyl-Gi1/β1/γ2
13.79Single7UM55-CT7UM5-5-HT5A-5-CT-chim(NtGi1-Go)/β1/γ2
13.79Single7V3ZCP559407V3Z-CB1-CP55940
13.79Single7VIFFTY720-P7VIF-S1P1-FTY720-P-Gi1/β1/γ2
13.79Single7VKTLTB47VKT-BLT1-LTB4-Gi1/β1/γ2
13.79Single7WC7Lisuride7WC7-5-HT2A-Lisuride
13.79Single7WC8Lumateperone7WC8-5-HT2A-Lumateperone
13.79Single7YU4ONO-07405567YU4-LPA1-ONO-0740556
13.79Single8DZSGR89,6968DZS-κ-GR89,696-chim(NtGi2-Gz)/β1/γ2
13.79Single8FY85-MeO-DMT8FY8-5-HT1A-5-MeO-DMT-PtdIns4P-Gi1/β1/γ1
13.79Single8GCML-9026888GCM-EP4-L-902688-Gi1/β1/γ2
13.79Single8GE2Constrained Epinephrine8GE2-β2-Constrained Epinephrine-Gs/β1/γ1
13.79Single8GE3Constrained Epinephrine8GE3-β2-Constrained Epinephrine-Gs/β1/γ2
13.79Single8GE9Constrained Epinephrine8GE9-β2-Constrained Epinephrine-Gs/β1/γ2
13.79Single8GECConstrained Epinephrine8GEC-β2-Constrained Epinephrine-Gs/β1/γ2
13.79Single8GEEConstrained Epinephrine8GEE-β2-Constrained Epinephrine-Gs/β1/γ2
13.79Single8GEHConstrained Epinephrine8GEH-β2-Constrained Epinephrine-Gs/β1/γ2
13.79Single8GFVConstrained Epinephrine8GFV-β2-Constrained Epinephrine-GTP-Gs/β1/γ2
13.79Single8GFWConstrained Epinephrine8GFW-β2-Constrained Epinephrine-GTP-Gs/β1/γ2
13.79Single8GFXConstrained Epinephrine8GFX-β2-Constrained Epinephrine-GTP-Gs/β1/γ2
13.79Single8GFZConstrained Epinephrine8GFZ-β2-Constrained Epinephrine-GTP-Gs/β1/γ2
13.79Single8GG0Constrained Epinephrine8GG0-β2-Constrained Epinephrine-GTP-Gs/β1/γ2
13.79Single8GG1Constrained Epinephrine8GG1-β2-Constrained Epinephrine-GTP-Gs/β1/γ2
13.79Single8GG3Constrained Epinephrine8GG3-β2-Constrained Epinephrine-GTP-Gs/β1/γ2
13.79Single8GG4Constrained Epinephrine8GG4-β2-Constrained Epinephrine-GTP-Gs/β1/γ2
13.79Single8GG6Constrained Epinephrine8GG6-β2-Constrained Epinephrine-GTP-Gs/β1/γ2
13.79Single8GG9Constrained Epinephrine8GG9-β2-Constrained Epinephrine-GTP-Gs/β1/γ2
13.79Single8GGIConstrained Epinephrine8GGI-β2-Constrained Epinephrine
13.79Single8GGJConstrained Epinephrine8GGJ-β2-Constrained Epinephrine
13.79Single8GGKConstrained Epinephrine8GGK-β2-Constrained Epinephrine
13.79Single8GGNConstrained Epinephrine8GGN-β2-Constrained Epinephrine
13.79Single8GGOConstrained Epinephrine8GGO-β2-Constrained Epinephrine
13.79Single8GGUConstrained Epinephrine8GGU-β2-Constrained Epinephrine
13.79Single8JLJT1AM8JLJ-TA1-T1AM-chim(NtGi1-Gs)/β1/γ2
13.79Single8JLZST19368JLZ-5-HT6-ST1936-Gs/β1/γ2
13.79Single8JXRLSD8JXR-D1-LSD
13.79Single8PJKST1718PJK-5-HT1A-ST171-Gi1/β1/γ1
13.79Single8RW7StilSwitch18RW7-A2A-StilSwitch1-Na
13.79Single8UH3Setiptiline8UH3-5-HT1E-Setiptiline-Gi1/β1/γ1
13.79Single8UNQConstrained Epinephrine8UNQ-β2-Constrained Epinephrine-GTP-Gs/β1/γ2
13.79Single8UNRConstrained Epinephrine8UNR-β2-Constrained Epinephrine-GTP-Gs/β1/γ2
13.79Single8UNUConstrained Epinephrine8UNU-β2-Constrained Epinephrine-GTP-Gs/β1/γ2
13.79Single8UNVConstrained Epinephrine8UNV-β2-Constrained Epinephrine-GTP-Gs/β1/γ2
13.79Single8UNYConstrained Epinephrine8UNY-β2-Constrained Epinephrine-GTP-Gs/β1/γ2
13.79Single8UNZConstrained Epinephrine8UNZ-β2-Constrained Epinephrine-GTP-Gs/β1/γ2
13.79Single8UO2Constrained Epinephrine8UO2-β2-Constrained Epinephrine-GTP-Gs/β1/γ2
13.79Single8X17Namodenoson8X17-A3A-Namodenoson-Gi1/β1/γ2
13.79Single8X63Mepyramine8X63-H1-Mepyramine
13.79Single8X64Desloratadine8X64-H1-Desloratadine
13.79Single8XJLPGF2-alpha8XJL-FP-alpha-PGF2-α-chim(NtGi2-Gs-CtGq)/β1/γ2
13.79Single8XVKAmbrisentan8XVK-ETA-Ambrisentan
13.79Single8Y71A1D6F8Y71-δ-A1D6F-BMS986187-Gi1/β1/γ2
13.79Single8YH5Riboprine8YH5-A3A-Riboprine-Gi1/β1/γ2
13.79Single8YN8Proxyfan8YN8-H3-Proxyfan-Go/β1/γ2
13.79Single9BQJRO769BQJ-μ-RO76-Gi1/β1/γ2
13.79Single9CBMDexmedetomidine9CBM-α2a-Dexmedetomidine-Gi1/β1/γ2
13.79Single9D61JDTic9D61-κ-JDTic-Gi1/β1/γ2
13.79Single9JEAAtropine9JEA-M1-Atropine
13.79Single9JGKBalovaptan9JGK-5-HT2B-Balovaptan
13.79Single9JQZGrapiprant 9JQZ-EP4-Grapiprant
13.79Single9METGp120; CD49MET-CXCR4-Gp120; CD4
13.79Single9P1SZM-2413859P1S-A2A-ZM-241385
13.79Single9PLNPubChem 1682595949PLN-α2a-PubChem 168259594
13.79Single9PLOPubChem 1682595949PLO-α2a-PubChem 168259594-Go/β1/γ2
13.79Single9PXWNaloxone9PXW-μ-Naloxone-GDPβS-Gi1/β1/γ2
13.79Consensus5ht1d_onOrthosteric Ligand7E32-5-HT1D-Serotonin-Gi1/β1/γ2
13.79Consensus5ht1d_on_gpOrthosteric Ligand7E32-5-HT1D-Serotonin-Gi1/β1/γ2
13.79Consensus5ht2b_offOrthosteric Ligand6DRZ-5-HT2B-Methysergide
13.79Consensusa3_onOrthosteric Liganda3a_on
13.79Consensusadrenergic_onOrthosteric Ligandalpha_on beta_on
13.79Consensusalicarboxylic_offOrthosteric Ligandsuccinate_off
13.79Consensusalpha2_onOrthosteric Ligandalpha2b_on
13.79Consensusalpha2_on_gpOrthosteric Ligandalpha2b_on_gp
13.79Consensusalpha2b_onOrthosteric Ligand6K42-α2b-Dexmedetomidine-Gi1/β1/γ2
13.79Consensusalpha2b_on_gpOrthosteric Ligand6K42-α2b-Dexmedetomidine-Gi1/β1/γ2
13.79Consensusalpha_onOrthosteric Ligandalpha1_on alpha2_on
13.79Consensusblt1_onOrthosteric Ligand7VKT-BLT1-LTB4-Gi1/β1/γ2
13.79Consensusblt1_on_gpOrthosteric Ligand7VKT-BLT1-LTB4-Gi1/β1/γ2
13.79Consensusblt_onOrthosteric Ligandblt1_on
13.79Consensusblt_on_gpOrthosteric Ligandblt1_on_gp
13.79Consensusd5_onOrthosteric Ligand8IRV-D5-Rotigotine-chim(NtGi1-Gs)/β1/γ2
13.79Consensusdop_offOrthosteric Ligand4EJ4-δ-Naltrindole
13.79Consensusdopamine_onOrthosteric Ligandd2_on d1_on d3_on d4_on d5_on
13.79Consensusdopamine_on_gpOrthosteric Ligandd2_on_gp d1_on_gp d3_on_gp d4_on_gp d5_on_gp
13.79Consensusgi_histamineOrthosteric Ligand8JXX-H4-Clobenpropit-Gi1/β1/γ2 8JXV-H4-Clozapine-Gi1/β1/γ2 8YUU-H3-Histamine-Gi1/β1/γ1 8HN8-H4-Histamine-Gi1/β1/γ2 8HOC-H4-Imetit-Gi1/β1/γ2 8JXW-H4-VUF6884-Gi1/β1/γ2
13.79Consensusgi_leukotrieneOrthosteric Ligand7VKT-BLT1-LTB4-Gi1/β1/γ2
13.79Consensusgq_amineOrthosteric Ligandgq_muscarinic gq_histamine
13.79Consensushistamine_offOrthosteric Ligandh1_off
13.79Consensusleukotriene_onOrthosteric Ligandblt_on
13.79Consensusleukotriene_on_gpOrthosteric Ligandblt_on_gp
13.79Consensusm4_offOrthosteric Ligand5DSG-M4-Tiotropium
13.79Consensusmuscarinic_onOrthosteric Ligandm2_on m3_on m4_on m1_on
13.79Consensusmuscarinic_on_gpOrthosteric Ligandm2_on_gp m3_on_gp m4_on_gp m1_on_gp
13.79Consensusnucleotide_offonOrthosteric Ligandnucleotide_off nucleotide_on
13.79Consensusnucleotide_offon_gpOrthosteric Ligandnucleotide_on_gp nucleotide_off
13.79Consensussuccinate_offOrthosteric Ligand6RNK-Succinate-NF-56-EJ40 6Z10-Succinate-PubChem 154585554
13.64Single7X9ANeuropeptide-Y7X9A-Y1-Neuropeptide-Y-Gi1/β1/γ2
13.51Single7AD3Alpha-factor mating pheromone7AD3-STE2; STE2-α-factor mating pheromone-Gi1/STE4/γ2
13.51Single7T10Somatostatin-147T10-SST2-Somatostatin-14-Gi3/β1/γ2
13.51Single7W40Bombesin7W40-BB2-Bombesin-chim(NtGi1L-Gq)/β1/γ2
13.51Single8XWQEndothelin-18XWQ-ETB-Endothelin-1-Gi1/β1/γ2
13.51Consensusfpr2-alx_on_gpOrthosteric Ligand7WVX-FPR2-ALX-Humanin-Gi2/β1/γ2 7T6U-FPR2-ALX-CGEN-855A-Gi1/β1/γ2 7T6V-FPR2-ALX-fMLFII-Gi1/β1/γ2 7WVY-FPR2-ALX-Amyloid-β42-Gi2/β1/γ2 7T6S-FPR2-ALX-TC-FPR 43-Gi1/β1/γ2 6OMM-FPR2-ALX-WKYMVX-Gi1/β1/γ2
13.51Consensusneuromedin-u_onOrthosteric Ligandnmur1_on nmur2_on
13.51Consensusp2y_on_gpOrthosteric Ligandp2y1_on_gp p2y10_on_gp p2y12_on_gp
13.33Single2Y00Dobutamine2Y00-β1-Dobutamine
13.33Single2Y03Isoprenaline2Y03-β1-Isoprenaline
13.33Single4JKVTaladegib4JKV-SMO-Taladegib
13.33Single4WW3All-trans-Retinal4WW3-Rhodopsin-All-trans-Retinal
13.33Single4ZJ8Suvorexant4ZJ8-OX1-Suvorexant
13.33Single5IUAQ274563485IUA-A2A-Q27456348-Na
13.33Single5NM2ZM-2413855NM2-A2A-ZM-241385-Na
13.33Single5TVNLSD5TVN-5-HT2B-LSD
13.33Single5WIUNemonapride5WIU-D4-Nemonapride
13.33Single5WIVNemonapride5WIV-D4-Nemonapride-Na
13.33Single5WQCEMPA5WQC-OX2-EMPA
13.33Single6KPCAM120336KPC-CB2-AM12033
13.33Single6KUWPubChem 572132346KUW-α2c-PubChem 57213234
13.33Single6LPLZM-2413856LPL-A2A-ZM-241385-Na
13.33Single6LUQHaloperidol6LUQ-D2-Haloperidol
13.33Single6ME62-Phenylmelatonin6ME6-MT2-2-Phenylmelatonin
13.33Single6ME82-Phenylmelatonin6ME8-MT2-2-Phenylmelatonin
13.33Single6PS3Carvedilol6PS3-β2-Carvedilol
13.33Single6S0QZM-2413856S0Q-A2A-ZM-241385
13.33Single6TO7Suvorexant6TO7-OX1-Suvorexant-Na
13.33Single6TP6Filorexant6TP6-OX1-Filorexant
13.33Single6WQAZM-2413856WQA-A2A-ZM-241385-Na
13.33Single6XBKCholesterol6XBK-SMO-Cholesterol-Gi1/β1/γ2
13.33Single7BVQCarazolol7BVQ-β1-Carazolol
13.33Single7C61Ergotamine7C61-5-HT1B-Ergotamine
13.33Single7CFNINT-7777CFN-GPBA-INT-777-Gs/β1/γ2
13.33Single7E9GJNJ-404118137E9G-mGlu2; mGlu2-Eglumetad-JNJ-40411813-Gi1/β1/γ2
13.33Single7RM5ZM-2413857RM5-A2A-ZM-241385-Na
13.33Single7S0FIsoprenaline7S0F-β1-Isoprenaline-Gi1/β1/γ2
13.33Single7SBFPZM217SBF-μ-PZM21-Gi1/β1/γ2
13.33Single7TRKIperoxo7TRK-M4-Iperoxo-Gi1/β1/γ2
13.33Single7VUHJNJ-635330547VUH-GPR139-JNJ-63533054-chim(Gs-CtGq)/β1/γ2
13.33Single7XK9Constrained Isoproterenol7XK9-β2-Constrained Isoproterenol-Na
13.33Single7XKAConstrained Epinephrine7XKA-β2-Constrained Epinephrine
13.33Single7YU3ONO-07405567YU3-LPA1-ONO-0740556-Gi1/β1/γ2
13.33Single8DZQmomSalB8DZQ-κ-momSalB-Go/β1/γ2
13.33Single8DZRGR89,6968DZR-κ-GR89,696-chim(NtGi2-Gt3)/β1/γ2
13.33Single8FYNZM-2413858FYN-A2A-ZM-241385-Na
13.33Single8GD9Rivenprost8GD9-EP4-Rivenprost-Gs/β1/γ2
13.33Single8GDCPGE28GDC-EP3-PGE2-Gi1/β1/γ2
13.33Single8GDZConstrained Epinephrine8GDZ-β2-Constrained Epinephrine-Gs/β1/γ2
13.33Single8GEBConstrained Epinephrine8GEB-β2-Constrained Epinephrine-Gs/β1/γ2
13.33Single8GEGConstrained Epinephrine8GEG-β2-Constrained Epinephrine-Gs/β1/γ2
13.33Single8GFYConstrained Epinephrine8GFY-β2-Constrained Epinephrine-GTP-Gs/β1/γ2
13.33Single8GG2Constrained Epinephrine8GG2-β2-Constrained Epinephrine-GTP-Gs/β1/γ2
13.33Single8GGBConstrained Epinephrine8GGB-β2-Constrained Epinephrine-GTP-Gs/β1/γ2
13.33Single8GNEKW-63568GNE-A2A-KW-6356-Na
13.33Single8QOTNanobody-E8QOT-μ-Nanobody-E
13.33Single8SZGCa; Ca; Tryptophan; Cinacalcet; PO4; Spermine8SZG-CaS; CaS-Ca; Ca; Tryptophan; Cinacalcet; PO4; Spermine-chim(NtGi1-Gq)/β1/γ2
13.33Single8T6JCDPPB8T6J-mGlu5; mGlu5-CDPPB
13.33Single8T6JCDPPB8T6J-mGlu5; mGlu5-CDPPB
13.33Single8UNNConstrained Epinephrine8UNN-β2-Constrained Epinephrine-GTP-Gs/β1/γ2
13.33Single8UNPConstrained Epinephrine8UNP-β2-Constrained Epinephrine-GTP-Gs/β1/γ2
13.33Single8XQPCholesterol8XQP-TAS2R14-Cholesterol-Aristolochic acid A-Gt3/β1/γ1
13.33Single8YH0NECA8YH0-A3A-NECA-Gi1/β1/γ2
13.33Single8ZYTNeurotensin-(8-13)8ZYT-NTS1-Neurotensin-(8-13)-SBI-553-Arrestin2
13.33Single9ARZ2-bromo-LSD9ARZ-5-HT2A-2-bromo-LSD
13.33Single9ERXD9-THC analog9ERX-CB1-D9-THC analog-Gi1/β1/γ2
13.33Single9F33FOB02-04A9F33-D3-FOB02-04A-Go/β1/γ2
13.33Single9F34FOB02-04A9F34-D3-FOB02-04A-Go/β1/γ2
13.33Single9I52A1IZU9I52-D1-A1IZU-Gs/β1/γ2
13.33Single9IYBPGD29IYB-DP2-PGD2-A1D5Q-Gi1/β1/γ2
13.33Single9K07DSO-5a9K07-BB3-DSO-5a-chim(NtGi2L-Gs-CtGq)/β1/γ2
13.33Single9KPFSalicin9KPF-TAS2R16-Salicin-Gi1/β1/γ2
13.33Single9KUTJR14a9KUT-C3aB-JR14a-Go/β1/γ2
13.33Single9KUVCMPD6449KUV-Apelin-CMPD644-Arrestin2
13.33Single9L74S1P d16:19L74-S1P3-S1P d16:1-chim(NtGi2L-Gs-CtGq)/β1/γ2
13.33Single9PXYNaloxone9PXY-μ-Naloxone-GDPβS-Gi1/β1/γ2
13.33Single9VJFBuspirone9VJF-5-HT1A-Buspirone-Gi3/β1/γ2
13.33Consensus5ht1_onOrthosteric Ligand5ht1a_on 5ht1d_on 5ht1e_on 5ht1f_on
13.33Consensus5ht1_on_gpOrthosteric Ligand5ht1a_on_gp 5ht1d_on_gp 5ht1e_on_gp 5ht1f_on_gp
13.33Consensus5ht1e_on_gpOrthosteric Ligand7E33-5-HT1E-BRL-54443-Gi1/β1/γ2 8UGY-5-HT1E-Mianserin-Gi1/β1/γ1 8UH3-5-HT1E-Setiptiline-Gi1/β1/γ1
13.33Consensus5ht2_offOrthosteric Ligand5ht2a_off 5ht2b_off 5ht2c_off
13.33Consensus5ht5_on_gpOrthosteric Ligand5ht5a_on_gp
13.33Consensus5ht5a_on_gpOrthosteric Ligand7X5H-5-HT5A-5-CT-Gi1/β1/γ2 7UM6-5-HT5A-Lisuride-chim(NtGi1-Go)/β1/γ2 7UM7-5-HT5A-Methylergometrine-chim(NtGi1-Go)/β1/γ2
13.33Consensusa3_on_gpOrthosteric Liganda3a_on_gp
13.33Consensusa3a_onOrthosteric Ligand8X17-A3A-Namodenoson-Gi1/β1/γ2 8X16-A3A-Piclidenoson-Gi1/β1/γ2
13.33Consensusa3a_on_gpOrthosteric Ligand8X17-A3A-Namodenoson-Gi1/β1/γ2 8X16-A3A-Piclidenoson-Gi1/β1/γ2
13.33Consensusadrenergic_offOrthosteric Ligandalpha_off beta_off
13.33Consensusadrenergic_on_gpOrthosteric Ligandalpha_on_gp beta_on_gp
13.33Consensusalpha2c_offOrthosteric Ligand6KUW-α2c-PubChem 57213234
13.33Consensusalpha_offOrthosteric Ligandalpha1_off alpha2_off
13.33Consensusalpha_on_gpOrthosteric Ligandalpha1_on_gp alpha2_on_gp
13.33Consensuscb2_onOrthosteric Ligand8GUR-CB2-CP55940-Gi1/β1/γ2 8GUS-CB2-HU-308-Gi1/β1/γ2 8GUT-CB2-LEI-102-Gi1/β1/γ2 6KPF-CB2-AM12033-Gi1/β1/γ2 6PT0-CB2-WIN 55212-2-Gi1/β1/γ2 8GUQ-CB2-Olorinab-Gi1/β1/γ2
13.33Consensuscb2_on_gpOrthosteric Ligand8GUR-CB2-CP55940-Gi1/β1/γ2 8GUS-CB2-HU-308-Gi1/β1/γ2 8GUT-CB2-LEI-102-Gi1/β1/γ2 6KPF-CB2-AM12033-Gi1/β1/γ2 6PT0-CB2-WIN 55212-2-Gi1/β1/γ2 8GUQ-CB2-Olorinab-Gi1/β1/γ2
13.33Consensusd1_onOrthosteric Ligand7F0T-D1-Dopamine-Gs/β1/γ2 7CKY-D1-PW0464-Gs/β1/γ2 8IRR-D1-Rotigotine-Gs/β1/γ2 7JV5-D1-SKF81297-Gs/β1/γ2 7JVP-D1-SKF83959-Gs/β1/γ2 7X2D-D1-Tavapadon-Gs/β1/γ2 7CKX-D1-A77636-Gs/β1/γ2 7JVQ-D1-Apomorphine-Gs/β1/γ2 7CKW-D1-Fenoldopam-Gs/β1/γ2
13.33Consensusd2_onOrthosteric Ligand7JVR-D2-Bromoergocryptine-Gi1/β1/γ2 8IRS-D2-Rotigotine-Gi1/β1/γ2
13.33Consensusd4_onOrthosteric Ligand8IRU-D4-Rotigotine-chim(NtGi1-Gs-CtGi1)/β1/γ2
13.33Consensush1_offOrthosteric Ligand8X63-H1-Mepyramine 3RZE-H1-Cidoxepin 8X5Y-H1-Astemizole
13.33Consensusm3_onOrthosteric Ligand8E9Z-M3-Iperoxo-chim(NtGi2L-Gs-CtGq)/β1/γ2 8E9W-M3-2-Deoxycytidine-chim(NtGi2L-Gs-CtGq)/β1/γ2 8E9Y-M3-Clozapine-N-oxide-chim(NtGi2L-Gs-CtGq)/β1/γ2
13.33Consensusm3_on_gpOrthosteric Ligand8E9Z-M3-Iperoxo-chim(NtGi2L-Gs-CtGq)/β1/γ2 8E9W-M3-2-Deoxycytidine-chim(NtGi2L-Gs-CtGq)/β1/γ2 8E9Y-M3-Clozapine-N-oxide-chim(NtGi2L-Gs-CtGq)/β1/γ2
13.16Single8HCXEndothelin-18HCX-ETB-Endothelin-1-chim(NtGi2L-Gs-CtGq)/β1/γ2
13.16Single8XVIEndothelin-18XVI-ETA-Endothelin-1-chim(Gs-CtGq)/β1/γ2
13.16Consensusmc1_onOrthosteric Ligand7F4H-MC1-Afamelanotide-chim(NtGi1-Gs)/β1/γ2 7F4D-MC1-α-MSH-chim(NtGi1-Gs)/β1/γ2 7F4I-MC1-SHU9119-chim(NtGi1-Gs)/β1/γ2
13.16Consensusmc1_on_gpOrthosteric Ligand7F4H-MC1-Afamelanotide-chim(NtGi1-Gs)/β1/γ2 7F4D-MC1-α-MSH-chim(NtGi1-Gs)/β1/γ2 7F4I-MC1-SHU9119-chim(NtGi1-Gs)/β1/γ2
13.16Consensusneuromedin-u_on_gpOrthosteric Ligandnmur1_on_gp nmur2_on_gp
13.04Single8GEJConstrained Epinephrine8GEJ-β2-Constrained Epinephrine-Gs/β1/γ2
13.04Consensusmc2_onOrthosteric Ligand8GY7-MC2-Corticotropin-Ca-chim(NtGi1-Gs)/β1/γ2; MRAP1
13.04Consensusmc2_on_gpOrthosteric Ligand8GY7-MC2-Corticotropin-Ca-chim(NtGi1-Gs)/β1/γ2; MRAP1
12.90Single4LDLHydroxybenzyl Isoproterenol4LDL-β2-Hydroxybenzyl Isoproterenol
12.90Single4OO9Mavoglurant4OO9-mGlu5-Mavoglurant
12.90Single4U15Tiotropium4U15-M3-Tiotropium
12.90Single5V56TC1145V56-SMO-TC114
12.90Single5V57TC1145V57-SMO-TC114
12.90Single5ZKBAF-DX 3845ZKB-M2-AF-DX 384
12.90Single6H7JIsoprenaline6H7J-β1-Isoprenaline
12.90Single6N48BI1671076N48-β2-BI167107-PubChem 138454256
12.90Single6N4BMDMB-Fubinaca6N4B-CB1-MDMB-Fubinaca-Gi1/β1/γ2
12.90Single6NI3BI1671076NI3-β2-BI167107-Gs/β1/γ2
12.90Single6O3CCholesterol6O3C-SMO-SAG21k-Cholesterol
12.90Single6OL9Tiotropium6OL9-M5-Tiotropium
12.90Single6OS1TRV0266OS1-AT1-TRV026
12.90Single6WGTLSD6WGT-5-HT2A-LSD
12.90Single7EW3S1P7EW3-S1P3-S1P-Gi1/β1/γ2
12.90Single7EW4CYM-55417EW4-S1P3-CYM-5541-Gi1/β1/γ2
12.90Single7F1TCCL37F1T-CCR5-CCL3
12.90Single7F58THIQ7F58-MC4-THIQ-Gs/β1/γ2
12.90Single7FEECP559407FEE-CB1-CP55940-ZCZ011
12.90Single7JJOIsoprenaline7JJO-β1-Isoprenaline-Gs/β1/γ2
12.90Single7JV5SKF812977JV5-D1-SKF81297-Gs/β1/γ2
12.90Single7JVPSKF839597JVP-D1-SKF83959-Gs/β1/γ2
12.90Single7XY7NECA7XY7-A2B-NECA-chim(NtGi1-Gs)/β1/γ2
12.90Single7Y67C089 peptide7Y67-C5a1-C089 peptide-Gi1/β1/γ2
12.90Single7YU5ONO-07405567YU5-LPA1-ONO-0740556-Gi1/β1/γ2
12.90Single8HPTC5a (C-terminal peptide)8HPT-C5a1-C5a (C-terminal peptide)-Go/β1/γ2
12.90Single8I9LC3a8I9L-C3aB-C3a-Go/β1/γ2
12.90Single8ID39-Hydroxystearic acid8ID3-FFA4-9-Hydroxystearic acid-Gi1/β1/γ2
12.90Single8JD5JNJ-40411813; ADX881788JD5-mGlu2; mGlu4-Glutamate-JNJ-40411813; ADX88178-Gi1/β1/γ2
12.90Single8JT6(R)-IHCH-71798JT6-5-HT1A-(R)-IHCH-7179-PtdIns4P-Gi1/β1/γ2
12.90Single8JXVClozapine8JXV-H4-Clozapine-Gi1/β1/γ2
12.90Single8JXWVUF68848JXW-H4-VUF6884-Gi1/β1/γ2
12.90Single8JZPC5a8JZP-C5a1-C5a-Go/β1/γ2
12.90Single8TAOCDPPB8TAO-mGlu5; mGlu5-Quisqualate-CDPPB
12.90Single8VVFJDTic8VVF-κ-JDTic-Gi1/β1/γ2
12.90Single8X79MRE-2698X79-I2-MRE-269-Gs/β1/γ2
12.90Single8XIPPasireotide8XIP-SST1-Pasireotide-chim(NtGi1-Gs-CtGi1)/β1/γ2
12.90Single8XVLZibotentan8XVL-ETA-Zibotentan
12.90Single8YNTSNAP-948478YNT-MCH1-SNAP-94847
12.90Single8ZW0PGD28ZW0-DP1-PGD2-Gs/β1/γ2
12.90Single8ZWFJR14a8ZWF-C3aB-JR14a
12.90Single9AS9RS130-1809AS9-5-HT2A-RS130-180
12.90Single9ASARS130-1809ASA-5-HT2A-RS130-180-chim(NtGi1-Gs-CtGq)/β1/γ2
12.90Single9B65MDMB-Fubinaca9B65-CB1-MDMB-Fubinaca-Gi1/β1/γ2
12.90Single9BJKNaloxone9BJK-μ-Naloxone-PubChem 171642066
12.90Single9EGOZ85267113509EGO-CB1-Z8526711350-Gi1/β1/γ2
12.90Single9I54PubChem 1764520919I54-D1-PubChem 176452091-Gs/β1/γ2
12.90Single9IK9Lanreotide9IK9-SST1-Lanreotide-Gi1/β1/γ2
12.90Single9JMCDS-3801b9JMC-Motilin-DS-3801b-chim(Gs-CtGq)/β1/γ2
12.90Single9KUXCMPD6449KUX-Apelin; Apelin-CMPD644-Arrestin2
12.90Single9KVPSB2901579KVP-C3aB-SB290157-Go/β1/γ2
12.90Single9MENGp120 (V3 loop)9MEN-CXCR4-Gp120 (V3 loop)
12.90Single9PY3Loperamide9PY3-μ-Loperamide-GDPβS-Gi1/β1/γ2
12.90Single9PY4Loperamide9PY4-μ-Loperamide-GDPβS-Gi1/β1/γ2
12.90Single9RHGC4079RHG-FZD7-C407
12.90Single9UCPIperoxo9UCP-M1-Iperoxo-G11(CT)
12.90Consensusbeta2_onOrthosteric Ligand7DHI-β2-Salbutamol-Gs/β1/γ2 6NI3-β2-BI167107-Gs/β1/γ2
12.90Consensusbeta2_on_gpOrthosteric Ligand7DHI-β2-Salbutamol-Gs/β1/γ2 6NI3-β2-BI167107-Gs/β1/γ2
12.90Consensusgi_5htOrthosteric Ligand8FYT-5-HT1A-LSD-PtdIns4P-Gi1/β1/γ1 7UM7-5-HT5A-Methylergometrine-chim(NtGi1-Go)/β1/γ2 8UGY-5-HT1E-Mianserin-Gi1/β1/γ1 8W8B-5-HT1A-SEP-363856-Gi1/β1/γ2 7E2Y-5-HT1A-Serotonin-PtdIns4P-Gi1/β1/γ2 7E32-5-HT1D-Serotonin-Gi1/β1/γ2 7XTA-5-HT4-Serotonin-Gi1/β1/γ2 8UH3-5-HT1E-Setiptiline-Gi1/β1/γ1 8JSP-5-HT1A-Ulotaront-Gi1/β1/γ2 8FYL-5-HT1A-Vilazodone-PtdIns4P-Gi1/β1/γ1 8JT6-5-HT1A-(R)-IHCH-7179-PtdIns4P-Gi1/β1/γ2 8FYE-5-HT1A-4-F,5-MeO-PyrT-PtdIns4P-Gi1/β1/γ1 7X5H-5-HT5A-5-CT-Gi1/β1/γ2 8FY8-5-HT1A-5-MeO-DMT-PtdIns4P-Gi1/β1/γ1 7E2Z-5-HT1A-Aripiprazole-PtdIns4P-Gi1/β1/γ2 7E33-5-HT1E-BRL-54443-Gi1/β1/γ2 8FYX-5-HT1A-Buspirone-PtdIns4P-Gi1/β1/γ1 7EXD-5-HT1F-Lasmiditan-Gi1/β1/γ2 7UM6-5-HT5A-Lisuride-chim(NtGi1-Go)/β1/γ2
12.90Consensusgi_cannabinoidOrthosteric Ligand8GUR-CB2-CP55940-Gi1/β1/γ2 8GUS-CB2-HU-308-Gi1/β1/γ2 8GUT-CB2-LEI-102-Gi1/β1/γ2 8GUQ-CB2-Olorinab-Gi1/β1/γ2 6KPF-CB2-AM12033-Gi1/β1/γ2 6PT0-CB2-WIN 55212-2-Gi1/β1/γ2 6KPG-CB1-AM841-Gi1/β1/γ2
12.90Consensusgi_dopamineOrthosteric Ligand7JVR-D2-Bromoergocryptine-Gi1/β1/γ2 7CMV-D3-PD128907-Gi1/β1/γ2 7CMU-D3-Pramipexole-Gi1/β1/γ2 8IRS-D2-Rotigotine-Gi1/β1/γ2 8IRT-D3-Rotigotine-Gi1/β1/γ2
12.90Consensusgi_lpaOrthosteric Ligand7TD1-LPA1-LPA-Gi1/β1/γ2 7YU3-LPA1-ONO-0740556-Gi1/β1/γ2
12.90Consensusgs_adrenergicOrthosteric Ligand7DHI-β2-Salbutamol-Gs/β1/γ2 7XJI-β3-Solabegron-Gs/β1/γ2 7JJO-β1-Isoprenaline-Gs/β1/γ2 6NI3-β2-BI167107-Gs/β1/γ2 8DCR-β1-Dobutamine-Gs/β1/γ2 7XJH-β3-Isoprenaline-Gs/β1/γ2 7DH5-β3-Mirabegron-Gs/β1/γ2
12.90Consensuslpa_onOrthosteric Ligandlpa1_on
12.90Consensuslpa_on_gpOrthosteric Ligandlpa1_on_gp
12.90Consensusm3_offOrthosteric Ligand4U15-M3-Tiotropium 4U16-M3-N-methyl-Scopolamine 5ZHP-M3-PubChem 134828589
12.90Consensusm5_offOrthosteric Ligand6OL9-M5-Tiotropium
12.90Consensusmotilin_onOrthosteric Ligand8IBU-Motilin-Erythromycin-A-chim(NtGi1-Gs-CtGq)/β1/γ2
12.90Consensustachykinin_offOrthosteric Ligandnk1_off
12.82Single7SK3CXCL127SK3-ACKR3-CXCL12
12.82Single7SK4CXCL12_LRHQ7SK4-ACKR3-CXCL12_LRHQ
12.82Single8H0PNMB308H0P-BB1-NMB30-chim(NtGi1-Gs-CtGq)/β1/γ2
12.50Single3PXOAll-trans-Retinal3PXO-Rhodopsin-All-trans-Retinal
12.50Single4LDEBI1671074LDE-β2-BI167107
12.50Single4XEENeurotensin-(8-13)4XEE-NTS1-Neurotensin-(8-13)
12.50Single4XESNeurotensin-(8-13)4XES-NTS1-Neurotensin-(8-13)
12.50Single5DYSAll-trans-Retinal5DYS-Rhodopsin-All-trans-Retinal
12.50Single5F8UCyanopindolol5F8U-β1-Cyanopindolol
12.50Single5MZJTheophylline5MZJ-A2A-Theophylline-Na
12.50Single6CM4Risperidone6CM4-D2-Risperidone
12.50Single6DRYMethylergometrine6DRY-5-HT2B-Methylergometrine
12.50Single6KQICP559406KQI-CB1-CP55940-Org27569
12.50Single6VMSBromoergocryptine6VMS-D2-Bromoergocryptine-Gi1/β1/γ2
12.50Single6XBLCholesterol6XBL-SMO-SAG-Cholesterol-Gi1/β1/γ2
12.50Single6YVRNeurotensin-(6-13)6YVR-NTS1-Neurotensin-(6-13)
12.50Single7DH5Mirabegron7DH5-β3-Mirabegron-Gs/β1/γ2
12.50Single7F4FAfamelanotide7F4F-MC1-Afamelanotide-chim(NtGi1-Gs)/β1/γ2
12.50Single7SUSPubChem 1227019087SUS-Apelin-PubChem 122701908
12.50Single7XKEDehydroepiandrosterone7XKE-ADGRG2-Dehydroepiandrosterone-chim(NtGi1-Gs)/β1/γ2
12.50Single7XMTJ-21567XMT-SST4-J-2156-Gi1/β1/γ2
12.50Single7XW5ML1097XW5-TSH-TSH-ML109-Gs/β1/γ2
12.50Single7Y66BM2137Y66-C5a1-BM213-Gi1/β1/γ2
12.50Single7YMJTamsulosin7YMJ-Alpha1A-Tamsulosin
12.50Single8FEG(DNCP)-Beta-Naloxamine8FEG-κ-(DNCP)-β-Naloxamine-Gi1/β1/γ2
12.50Single8GCPPGE28GCP-EP4-PGE2-Gi1/β1/γ2
12.50Single8HK2C3a8HK2-C3aB-C3a-Gi1/β1/γ2
12.50Single8HQMNPGLY8HQM-GPR132-NPGLY-Gi1/β1/γ2
12.50Single8HVINOX-6-78HVI-GPR132-NOX-6-7-Gi1/β1/γ2
12.50Single8I9AEP548I9A-C3aB-EP54-chim(NtGi1-Gs-CtGq)/β1/γ2
12.50Single8ID9Icosapent8ID9-FFA4-Icosapent-Gi1/β1/γ2
12.50Single8IRSRotigotine8IRS-D2-Rotigotine-Gi1/β1/γ2
12.50Single8JJ8Arformoterol8JJ8-β2-Arformoterol
12.50Single8JPCNeurotensin-(8-13)8JPC-NTS1-Neurotensin-(8-13)-SBI-553; GDP; Mg-Gq; GRK2
12.50Single8PWNTheophylline8PWN-A2A-Theophylline
12.50Single8T3QDoconexent8T3Q-FFA4-Doconexent-chim(NtGi2L-Gs-CtGq)/β1/γ2
12.50Single8X8NOctreotide8X8N-SST5-Octreotide-chim(NtGi1-Gs-CtGi1)/β1/γ2
12.50Single9BJKPubChem 1716420669BJK-μ-Naloxone-PubChem 171642066
12.50Single9DGIZ85267113509DGI-CB1-Z8526711350
12.50Single9JKVPubChem 27366909JKV-HCA3-PubChem 2736690-Gi1/β1/γ2
12.50Single9K26PrRP319K26-PrRP-PrRP31-Gi1/β1/γ2
12.50Single9KZKC3a (fragment)9KZK-C3aB-C3a (fragment)-Go/β1/γ2
12.50Single9L3WChemerin9L3W-CML1-Chemerin-Gi1/β1/γ2
12.50Consensus5ht1a_onOrthosteric Ligand8FYT-5-HT1A-LSD-PtdIns4P-Gi1/β1/γ1 7E2Y-5-HT1A-Serotonin-PtdIns4P-Gi1/β1/γ2 7E2Z-5-HT1A-Aripiprazole-PtdIns4P-Gi1/β1/γ2 8FYX-5-HT1A-Buspirone-PtdIns4P-Gi1/β1/γ1 8JSP-5-HT1A-Ulotaront-Gi1/β1/γ2 8JT6-5-HT1A-(R)-IHCH-7179-PtdIns4P-Gi1/β1/γ2 8FY8-5-HT1A-5-MeO-DMT-PtdIns4P-Gi1/β1/γ1 8FYE-5-HT1A-4-F,5-MeO-PyrT-PtdIns4P-Gi1/β1/γ1 8FYL-5-HT1A-Vilazodone-PtdIns4P-Gi1/β1/γ1
12.50Consensus5ht1a_on_gpOrthosteric Ligand8FYT-5-HT1A-LSD-PtdIns4P-Gi1/β1/γ1 8FYX-5-HT1A-Buspirone-PtdIns4P-Gi1/β1/γ1 8JSP-5-HT1A-Ulotaront-Gi1/β1/γ2 8JT6-5-HT1A-(R)-IHCH-7179-PtdIns4P-Gi1/β1/γ2 7E2Y-5-HT1A-Serotonin-PtdIns4P-Gi1/β1/γ2 7E2Z-5-HT1A-Aripiprazole-PtdIns4P-Gi1/β1/γ2 8FY8-5-HT1A-5-MeO-DMT-PtdIns4P-Gi1/β1/γ1 8FYE-5-HT1A-4-F,5-MeO-PyrT-PtdIns4P-Gi1/β1/γ1 8FYL-5-HT1A-Vilazodone-PtdIns4P-Gi1/β1/γ1
12.50Consensusalpha1_offOrthosteric Ligandalpha1a_off
12.50Consensusalpha1a_offOrthosteric Ligand7YMJ-Alpha1A-Tamsulosin
12.50Consensusbeta_onOrthosteric Ligandbeta1_on beta2_on beta3_on
12.50Consensusbeta_on_gpOrthosteric Ligandbeta1_on_gp beta2_on_gp beta3_on_gp
12.50Consensuscannabinoid_onOrthosteric Ligandcb2_on cb1_on
12.50Consensuscannabinoid_on_gpOrthosteric Ligandcb2_on_gp cb1_on_gp
12.50Consensusd2_on_gpOrthosteric Ligand7JVR-D2-Bromoergocryptine-Gi1/β1/γ2 8IRS-D2-Rotigotine-Gi1/β1/γ2
12.50Consensusgi_amineOrthosteric Ligandgi_5ht gi_muscarinic gi_adrenergic gi_dopamine gi_histamine
12.50Consensusgi_lipidOrthosteric Ligandgi_cannabinoid gi_ffa gi_leukotriene gi_lpa gi_s1p
12.50Consensusgi_muscarinicOrthosteric Ligand8E9X-M4-2-Deoxycytidine-chim(NtGi1-Go)/β1/γ2 7T8X-M2-Acetylcholine-chim(NtGi1-Go)/β1/γ2 7TRS-M4-Acetylcholine-Gi1/β1/γ2 7TRK-M4-Iperoxo-Gi1/β1/γ2 7V6A-M4-PubChem 9864275-Gi1/β1/γ2
12.50Consensuskop_onOrthosteric Ligand8F7W-κ-Dynorphin-Gi1/β1/γ2 8DZS-κ-GR89,696-chim(NtGi2-Gz)/β1/γ2 8DZP-κ-momSalB-Gi1/β1/γ2
12.50Consensusnk1_offOrthosteric Ligand6HLP-NK1-Netupitant 6HLO-NK1-Aprepitant 6HLL-NK1-CP99994 6E59-NK1-L-760735
12.50Consensuss1p3_onOrthosteric Ligand7EW3-S1P3-S1P-Gi1/β1/γ2 7EW4-S1P3-CYM-5541-Gi1/β1/γ2 7EW2-S1P3-FTY720-P-Gi1/β1/γ2
12.20Single7VGXNeuropeptide-Y7VGX-Y1-Neuropeptide-Y-Gi1/β1/γ2
12.20Single8IY5Endothelin-18IY5-ETB-Endothelin-1-Gi1/β1/γ2
12.20Single8Y52BA18Y52-BB3-BA1-chim(NtGi1-Gs-CtGq)/β1/γ2
12.20Consensusetb_onOrthosteric Ligand8IY5-ETB-Endothelin-1-Gi1/β1/γ2 8HBD-ETB-IRL1620-Gi1/β1/γ2
12.20Consensusgs_melanocortinOrthosteric Ligand7F4H-MC1-Afamelanotide-chim(NtGi1-Gs)/β1/γ2 7F54-MC4-Afamelanotide-Gs/β1/γ2 7F4D-MC1-α-MSH-chim(NtGi1-Gs)/β1/γ2 8INR-MC5-α-MSH-Ca-chim(NtGi1-Gs)/β1/γ2 7F53-MC4-α-MSH-Gs/β1/γ2 7F55-MC4-Bremelanotide-Gs/β1/γ2 8GY7-MC2-Corticotropin-Ca-chim(NtGi1-Gs)/β1/γ2; MRAP1 8IOC-MC3-γ-MSH-Ca-chim(NtGi1-Gs)/β1/γ2 8IOD-MC5-PG-901-Ca-chim(NtGi1-Gs)/β1/γ2 7AUE-MC4-Setmelanotide-chim(NtGi1L-Gs)/β1/γ2 7F4I-MC1-SHU9119-chim(NtGi1-Gs)/β1/γ2 7F58-MC4-THIQ-Gs/β1/γ2
12.12Single4BUONeurotensin-(8-13)4BUO-NTS1-Neurotensin-(8-13)
12.12Single4RWSvMIP-II4RWS-CXCR4-vMIP-II
12.12Single5TUDErgotamine5TUD-5-HT2B-Ergotamine
12.12Single6H7LDobutamine6H7L-β1-Dobutamine
12.12Single6IBLArformoterol6IBL-β1-Arformoterol
12.12Single6KPGAM8416KPG-CB1-AM841-Gi1/β1/γ2
12.12Single6TKOArformoterol6TKO-β1-Arformoterol-Arrestin2
12.12Single7D7MPGE27D7M-EP4-PGE2-Gs/β1/γ1
12.12Single7JVRBromoergocryptine7JVR-D2-Bromoergocryptine-Gi1/β1/γ2
12.12Single7UM4AS26747237UM4-5-HT5A-AS2674723
12.12Single7Y27Somatostatin-147Y27-SST2-Somatostatin-14-chim(NtGi2L-Gs-CtGq)/β1/γ2
12.12Single8E9YClozapine-N-oxide8E9Y-M3-Clozapine-N-oxide-chim(NtGi2L-Gs-CtGq)/β1/γ2
12.12Single8FN0Neurotensin-(8-13)8FN0-NTS1-Neurotensin-(8-13)-SBI-553-chim(NtGi1-Go)/β1/γ2
12.12Single8GAGZ85267113508GAG-CB1-Z8526711350-Gi1/β1/γ2
12.12Single8GUTLEI-1028GUT-CB2-LEI-102-Gi1/β1/γ2
12.12Single8HN1Toxin AdTx18HN1-Alpha1A-Toxin AdTx1
12.12Single8I95EP548I95-C3aB-EP54-Go/β1/γ2
12.12Single8ID8TUG-8918ID8-FFA4-TUG-891-Gi1/β1/γ2
12.12Single8K4OCXCL18K4O-KSHV-CXCL1-Gi1/β1/γ1
12.12Single8WRZAM8418WRZ-CB1-AM841-Arrestin2
12.12Single8XVJMacitentan8XVJ-ETA-Macitentan
12.12Single8XVUCXCL28XVU-CXCR2-CXCL2
12.12Single8XXHCXCL28XXH-CXCR2-CXCL2-Go/β1/γ2
12.12Single8ZWGJR14a8ZWG-C3aB-JR14a-Gi1/β1/γ2
12.12Single8ZX4Lysophosphatidylinositol 8ZX4-GPR55-Lysophosphatidylinositol-chim(NtGi1-G13)/β1/γ2
12.12Single9CGJC6-Quino9CGJ-δ-C6-Quino-Gi1/β1/γ2
12.12Single9GE3Lysophosphatidylinositol9GE3-GPR55-Lysophosphatidylinositol-chim(NtGi1-G13)/β1/γ2
12.12Single9GG5U466199GG5-TXA2-U46619-chim(NtGi2L-Gs-CtGq)/β1/γ2
12.12Single9M1HPGE29M1H-EP1-PGE2-chim(NtGi1-Gs-CtGq)/β1/γ2
12.12Consensusbeta1_onOrthosteric Ligand8DCR-β1-Dobutamine-Gs/β1/γ2 7S0F-β1-Isoprenaline-Gi1/β1/γ2
12.12Consensusbeta1_on_gpOrthosteric Ligand8DCR-β1-Dobutamine-Gs/β1/γ2 7S0F-β1-Isoprenaline-Gi1/β1/γ2
12.12Consensuscb1_on_gpOrthosteric Ligand6KPG-CB1-AM841-Gi1/β1/γ2 8K8J-CB1-Fenofibrate-chim(Gs-CtGq)/β1/γ2
12.12Consensuscck_onOrthosteric Ligandccka_on cckb_on
12.12Consensuscck_on_gpOrthosteric Ligandccka_on_gp cckb_on_gp
12.12Consensuschemerin_onOrthosteric Ligandcml1_on
12.12Consensusfp-alpha_onOrthosteric Ligand8IUK-FP-alpha-PGF2-α-chim(NtGi1-Gs-CtGq)/β1/γ2 8IUL-FP-alpha-Latanoprost-chim(NtGi1-Gs-CtGq)/β1/γ2 8IUM-FP-alpha-Tafluprost acid-chim(NtGi1-Gs-CtGq)/β1/γ2
12.12Consensusfp-alpha_on_gpOrthosteric Ligand8IUK-FP-alpha-PGF2-α-chim(NtGi1-Gs-CtGq)/β1/γ2 8IUL-FP-alpha-Latanoprost-chim(NtGi1-Gs-CtGq)/β1/γ2 8IUM-FP-alpha-Tafluprost acid-chim(NtGi1-Gs-CtGq)/β1/γ2
12.12Consensusgal2_onOrthosteric Ligand7WQ4-GAL2-Galanin-chim(NtGi1-Gs-CtGq)/β1/γ2 7XJL-GAL2-Spexin-chim(NtGi2L-Gs-CtGq)/β1/γ2
12.12Consensusgal2_on_gpOrthosteric Ligand7WQ4-GAL2-Galanin-chim(NtGi1-Gs-CtGq)/β1/γ2 7XJL-GAL2-Spexin-chim(NtGi2L-Gs-CtGq)/β1/γ2
12.12Consensusnucleotide_on_gpOrthosteric Ligandadenosine_on_gp p2y_on_gp
12.12Consensuspeptide_offOrthosteric Ligandcck_off angiotensin_off bombesin_off endothelin_off ghrelin_off npy_off opioid_off orexin_off somatostatin_off tachykinin_off vasop-oxy_off neurotensin_off
12.00Single2HPYAll-trans-Retinal2HPY-Rhodopsin-All-trans-Retinal
12.00Single3OE8IT1t3OE8-CXCR4-IT1t
12.00Single6OT025(S)-Epoxycholesterol6OT0-SMO-25(S)-Epoxycholesterol-Gi1/β1/γ2
12.00Single6XBM25(S)-Epoxycholesterol6XBM-SMO-25(S)-Epoxycholesterol-Gi1/β1/γ2
12.00Single7MTBAll-trans-Retinal7MTB-Rhodopsin-All-trans-Retinal-GRK1
12.00Single8A2OTheophylline8A2O-A2A-Theophylline-Na
12.00Single8DPHLorcaserin8DPH-5-HT2C-Lorcaserin-chim(NtGi2L-Gs-CtGq)/β1/γ2
12.00Single8XOFLys058XOF-GPR30-Lys05-chim(NtGi1-Gs-CtGq)/β1/γ2
12.00Single8Y02All-trans-Retinal8Y02-OPN1SW-All-trans-Retinal-Gi1/β1/γ2
12.00Single9C2FCa; Ca; Tryptophan; '54149; PO49C2F-CaS; CaS-Ca-Ca; Ca; Tryptophan; '54149; PO4
12.00Single9EE9Adenosine9EE9-A2A-Adenosine-Gs/β1/γ2
11.90Single8U1UCCL18U1U-CCR8-CCL1-Gi1/β1/γ2
11.76Single6G79Donitriptan6G79-5-HT1B-Donitriptan-Go/β1/γ2
11.76Single6PT3DPI-2876PT3-δ-DPI-287
11.76Single7AUESetmelanotide7AUE-MC4-Setmelanotide-chim(NtGi1L-Gs)/β1/γ2
11.76Single7CX2PGE27CX2-EP2-PGE2-Gs/β1/γ2
11.76Single7T11Octreotide7T11-SST2-Octreotide-Gi3/β1/γ2
11.76Single7XN9L-0545227XN9-SST2-L-054522
11.76Single7YAEOctreotide7YAE-SST2-Octreotide-Gi1/β1/γ2
11.76Single8GDAL9026888GDA-EP4-L902688-Gs/β1/γ2
11.76Single8H4IDoconexent8H4I-FFA4-Doconexent-chim(NtGi1-Gs)/β1/γ2
11.76Single8IQ4Carboprost8IQ4-FP-alpha-Carboprost-chim(NtGi1-Gs-CtGq)/β1/γ2
11.76Single8X3LXWD8X3L-CB2-XWD-Gi1/β1/γ2
11.76Single8Y72Peptide8Y72-μ-Peptide-BMS-986122-Gi1/β1/γ2
11.76Single9CGKC5-Quino9CGK-δ-C5-Quino-Gi1/β1/γ2
11.76Single9IPVJR14a9IPV-C3aB-JR14a-Gi1/β1/γ2
11.76Single9JF4PD1683689JF4-BB1-PD168368
11.76Single9V2NMacimorelin9V2N-Ghrelin-Macimorelin-chim(NtGi1-Gs-CtGq)/β1/γ2
11.76Consensusdop_onOrthosteric Ligand8F7S-δ-Deltorphin-Gi1/β1/γ2
11.76Consensusformylpeptide_onOrthosteric Ligandfpr2-alx_on fpr1-alx_on
11.76Consensusgq_cckOrthosteric Ligand8IA7-CCKB-Cholecystokinin-8-chim(NtGi1L-Gq)/β1/γ2 7XOW-CCKB-Sulfated Gastrin-(10-17)-chim(NtGi1-Gq)/β1/γ2 7EZM-CCKA-Cholecystokinin-8-chim(NtGsL-Gq)/β1/γ2 7F8W-CCKB-Gastrin-17-chim(NtGsL-Gq)/β1/γ2
11.76Consensusox2_onOrthosteric Ligand7L1V-OX2-PubChem 155491009-chim(NtGi1-Gs-CtGq)/β1/γ2 7SQO-OX2-TAK-925-Gi1/β1/γ2 7L1U-OX2-Orexin-chim(NtGi1-Gs-CtGq)/β1/γ2
11.76Consensusox2_on_gpOrthosteric Ligand7L1V-OX2-PubChem 155491009-chim(NtGi1-Gs-CtGq)/β1/γ2 7SQO-OX2-TAK-925-Gi1/β1/γ2 7L1U-OX2-Orexin-chim(NtGi1-Gs-CtGq)/β1/γ2
11.76Consensussst2_onOrthosteric Ligand7WIC-SST2-Somatostatin-14-Gi1/β1/γ2 7WIG-SST2-L-054264-Gi1/β1/γ2 7YAE-SST2-Octreotide-Gi1/β1/γ2 7YAC-SST2-Paltusotine-Gi1/β1/γ2
11.76Consensussst2_on_gpOrthosteric Ligand7WIC-SST2-Somatostatin-14-Gi1/β1/γ2 7WIG-SST2-L-054264-Gi1/β1/γ2 7YAE-SST2-Octreotide-Gi1/β1/γ2 7YAC-SST2-Paltusotine-Gi1/β1/γ2
11.63Single7SK6CXCL12_LRHQ7SK6-ACKR3-CXCL12_LRHQ
11.63Single8HBDIRL16208HBD-ETB-IRL1620-Gi1/β1/γ2
11.63Consensusmelanocortin_onOrthosteric Ligandmc1_on mc4_on mc2_on mc3_on mc5_on
11.63Consensusmelanocortin_on_gpOrthosteric Ligandmc1_on_gp mc4_on_gp mc2_on_gp mc3_on_gp mc5_on_gp
11.54Single3C9M11-cis-Retinal3C9M-Rhodopsin-11-cis-Retinal
11.54Single3PQRAll-trans-Retinal3PQR-Rhodopsin-All-trans-Retinal-Gt(CT)
11.54Single3UZAGTPL92363UZA-A2A-GTPL9236
11.54Single5WKTOctyl-Beta-D-Glucopyranoside5WKT-Rhodopsin-Octyl-β-D-Glucopyranoside-Gt(CT)
11.54Single6FUFAll-trans-Retinal6FUF-Rhodopsin-All-trans-Retinal-Go
11.54Single7DD7Ca; Ca; Tryptophan; Evocalcet7DD7-CaS; CaS-Ca-Ca; Ca; Tryptophan; Evocalcet
11.54Single7EJKOxymetazoline7EJK-α2a-Oxymetazoline-Go/β1/γ2
11.54Single7F23Dopamine7F23-D1-Dopamine-GDP-Gs/β1/γ2
11.54Single8F76Propanoic acid8F76-OR51E2-Propanoic acid-Gs/β1/γ2
11.54Single8GGEConstrained Epinephrine8GGE-β2-Constrained Epinephrine-GTP-Gs/β1/γ2
11.54Single8GGFConstrained Epinephrine8GGF-β2-Constrained Epinephrine-GTP-Gs/β1/γ2
11.54Single8GH1Constrained Epinephrine8GH1-β2-Constrained Epinephrine
11.54Single8GY7Corticotropin8GY7-MC2-Corticotropin-Ca-chim(NtGi1-Gs)/β1/γ2; MRAP1
11.54Single8ITFDMCHA8ITF-TAA9-DMCHA-chim(NtGi1-Gs)/β1/γ2
11.54Single8J6QPubChem 251012238J6Q-HCA2-β-Hydroxybutyrate-PubChem 25101223-Gi1/β1/γ2
11.54Single8JXTHistamine8JXT-H4-Histamine-PO4-Gi1/β1/γ2
11.54Single8SZFCa; Ca; Tryptophan; Cinacalcet; PO4; Spermine8SZF-CaS; CaS-Ca; Ca; Tryptophan; Cinacalcet; PO4; Spermine
11.54Single8WC62-Phenylethylamine8WC6-TA1-2-Phenylethylamine-chim(NtGi1-Gs)/β1/γ2
11.54Single8WC9ZH86518WC9-TA1-ZH8651-chim(NtGi1-Gs-CtGq)/β1/γ2
11.54Single8YN9Histamine8YN9-H4-Histamine-Gi1/β1/γ2
11.54Single8YUUHistamine8YUU-H3-Histamine-Gi1/β1/γ1
11.54Single9JG1Adriforant9JG1-H4-Adriforant
11.54Single9JKT(2R)-2-hydroxy-3-phenylpropanoic acid9JKT-HCA3-(2R)-2-hydroxy-3-phenylpropanoic acid-Gi1/β1/γ2
11.54Single9LRCHistamine9LRC-H4-Histamine
11.54Single9LREHistamine9LRE-H4-Histamine-Gi1/β1/γ2
11.54Consensush3_onOrthosteric Ligand8YUU-H3-Histamine-Gi1/β1/γ1
11.54Consensush3_on_gpOrthosteric Ligand8YUU-H3-Histamine-Gi1/β1/γ1
11.43Single4IARErgotamine4IAR-5-HT1B-Ergotamine
11.43Single7L0RNeurotensin-(8-13)7L0R-NTS1-Neurotensin-(8-13)-Gi1/β1/γ1
11.43Single7W2ZGhrelin7W2Z-Ghrelin-Ghrelin-Go/β1/γ2
11.43Single7WICSomatostatin-147WIC-SST2-Somatostatin-14-Gi1/β1/γ2
11.43Single7WKDTRH7WKD-TRH-TRH-chim(NtGi1-Gs-CtGq)/β1/γ2
11.43Single7XMRSomatostatin-147XMR-SST2-Somatostatin-14-Gi1/β1/γ2
11.43Single8WZ2Orexigenic Neuropeptide QRFP8WZ2-QRFP-Orexigenic Neuropeptide QRFP-chim(NtGi1L-Gs-CtGq)/β1/γ2
11.43Single8ZBJSomatostatin-148ZBJ-SST5-Somatostatin-14-Gi1/β1/γ2
11.43Single9BKJCholecystokinin-89BKJ-CCKA-Cholecystokinin-8-chim(NtGi1-Gs-CtGq)/β1/γ2
11.43Single9HB3Mambaquaretin-19HB3-V2-Mambaquaretin-1
11.43Single9UMRC5a-pep9UMR-C5a1-C5a-pep-Go/β1/γ2
11.43Consensusgi_nucleotideOrthosteric Ligandgi_adenosine gi_p2y
11.43Consensusmc4_onOrthosteric Ligand7AUE-MC4-Setmelanotide-chim(NtGi1L-Gs)/β1/γ2 7F58-MC4-THIQ-Gs/β1/γ2 7F54-MC4-Afamelanotide-Gs/β1/γ2 7F53-MC4-α-MSH-Gs/β1/γ2 7F55-MC4-Bremelanotide-Gs/β1/γ2
11.43Consensussomatostatin_offOrthosteric Ligandsst2_off
11.36Consensusgs_peptideOrthosteric Ligandgs_cck gs_melanocortin gs_vasop-oxy
11.11Single1L9H11-cis-Retinal1L9H-Rhodopsin-11-cis-Retinal
11.11Single1U1911-cis-Retinal1U19-Rhodopsin-11-cis-Retinal
11.11Single2G87All-trans-Retinal2G87-Rhodopsin-All-trans-Retinal
11.11Single2I3511-cis-Retinal2I35-Rhodopsin-11-cis-Retinal
11.11Single3PBLEticlopride3PBL-D3-Eticlopride
11.11Single4O9RCyclopamine4O9R-SMO-Cyclopamine
11.11Single5L7IVismodegib5L7I-SMO-Vismodegib
11.11Single5TE520-Methanoretinal5TE5-Rhodopsin-20-Methanoretinal
11.11Single6FK6PubChem 1324730336FK6-Rhodopsin-PubChem 132473033
11.11Single6QNOAll-trans-Retinal6QNO-Rhodopsin-All-trans-Retinal-Gi1/β1/γ1
11.11Single7DDZJNJ-310200287DDZ-Y2-JNJ-31020028
11.11Single7EZKCholecystokinin-87EZK-CCKA-Cholecystokinin-8-chim(NtGi1-Gs)/β1/γ2
11.11Single7T96LY21196207T96-M2-Acetylcholine-LY2119620-Go/β1/γ2
11.11Single7TRPLY20332987TRP-M4-Iperoxo-LY2033298-Gi1/β1/γ2
11.11Single7V68Iperoxo7V68-M4-Iperoxo-LY2119620-Gi1/β1/γ2
11.11Single7WJ5Somatostatin-147WJ5-SST2-Somatostatin-14-Gi1/β1/γ2
11.11Single7XT9Serotonin7XT9-5-HT4-Serotonin-Gs/β1/γ2
11.11Single7YFCHistamine7YFC-H4-Histamine-chim(NtGi1-Gs-CtGq)/β1/γ2
11.11Single8DPFLorcaserin8DPF-5-HT2C-Lorcaserin-chim(NtGi2L-Gs-CtGq)/β1/γ2
11.11Single8F7SDeltorphin8F7S-δ-Deltorphin-Gi1/β1/γ2
11.11Single8F7WDynorphin8F7W-κ-Dynorphin-Gi1/β1/γ2
11.11Single8GGYConstrained Epinephrine8GGY-β2-Constrained Epinephrine
11.11Single8IBVMotilin8IBV-Motilin-Motilin-chim(NtGi1-Gs-CtGq)/β1/γ2
11.11Single8JLOUlotaront8JLO-TA1-Ulotaront-Gs/β1/γ2
11.11Single8KH5Lysophosphatidylserine8KH5-GPR174-Lysophosphatidylserine-Gs/β1/γ2
11.11Single8RWHStilSwitch28RWH-A2A-StilSwitch2-Na
11.11Single8SZFCa; Ca; Tryptophan; Cinacalcet; PO4; Spermine8SZF-CaS; CaS-Ca; Ca; Tryptophan; Cinacalcet; PO4; Spermine
11.11Single8UO3Constrained Epinephrine8UO3-β2-Constrained Epinephrine-GTP; Mg-Gs/β1/γ2
11.11Single8X2KOleic monoethanolamide8X2K-GPR3-Oleic monoethanolamide-chim(NtGi1-Gs)/β1/γ2
11.11Single8YN5Histamine8YN5-H3-Histamine-Gi1/β1/γ2
11.11Single8YN6Imetit8YN6-H3-Imetit-Gi1/β1/γ2
11.11Single8YN7Immethridine8YN7-H3-Immethridine-Go/β1/γ2
11.11Single9AS2DMT9AS2-5-HT2A-DMT-chim(NtGi1-Gs-CtGq)/β1/γ2
11.11Single9EAINanobody AT2099EAI-AT1-Losartan-Nanobody AT209
11.11Single9IQRMuscarinic toxin 39IQR-α2a-Muscarinic toxin 3
11.11Single9IZDCHBA9IZD-HCA1-CHBA-Gi1/β1/γ2
11.11Single9JEDHistamine9JED-H4-Histamine-PO4-Gi1/β1/γ2
11.11Single9JEQHistamine9JEQ-H3-Histamine-Gi1/β1/γ2
11.11Single9KUWCMPD6449KUW-Apelin; Apelin-CMPD644-Arrestin2 ; Arrestin2
11.11Single9LMPNE52-QQ579LMP-GPR4-NE52-QQ57
11.11Single9YDAAll-trans-Retinal9YDA-Opsin1MW-All-trans-Retinal-chim(NtGi1L-Gs-CtGt)/β1/γ2
11.11Consensusd3_offOrthosteric Ligand3PBL-D3-Eticlopride
11.11Consensusdop_on_gpOrthosteric Ligand8F7S-δ-Deltorphin-Gi1/β1/γ2
11.11Consensusghrelin_onOrthosteric Ligand7NA7-Ghrelin-Ghrelin-Gi1/β1/γ2 7F9Z-Ghrelin-GHRP-6-chim(NtGi1-Gs-CtGq)/β1/γ2 7NA8-Ghrelin-Ibutamoren-Gi1/β1/γ2
11.11Consensusghrelin_on_gpOrthosteric Ligand7NA7-Ghrelin-Ghrelin-Gi1/β1/γ2 7F9Z-Ghrelin-GHRP-6-chim(NtGi1-Gs-CtGq)/β1/γ2 7NA8-Ghrelin-Ibutamoren-Gi1/β1/γ2
11.11Consensusgi_ghrelinOrthosteric Ligand7NA7-Ghrelin-Ghrelin-Gi1/β1/γ2 7NA8-Ghrelin-Ibutamoren-Gi1/β1/γ2
11.11Consensusmc4_on_gpOrthosteric Ligand7AUE-MC4-Setmelanotide-chim(NtGi1L-Gs)/β1/γ2 7F58-MC4-THIQ-Gs/β1/γ2 7F54-MC4-Afamelanotide-Gs/β1/γ2 7F53-MC4-α-MSH-Gs/β1/γ2 7F55-MC4-Bremelanotide-Gs/β1/γ2
11.11Consensusnpy2_offOrthosteric Ligand7DDZ-Y2-JNJ-31020028
10.81Single8WKZSBL-MC-318WKZ-MC4-SBL-MC-31
10.81Single9M1ONeuropeptide-FF9M1O-NPFF2-Neuropeptide-FF-Gi1/β1/γ2
10.81Consensusgs_cckOrthosteric Ligand7MBX-CCKA-Cholecystokinin-8-Gs/β1/γ1
10.71Single1GZM11-cis-Retinal1GZM-Rhodopsin-11-cis-Retinal
10.71Single2PED9-cis-Retinal2PED-Rhodopsin-9-cis-Retinal
10.71Single3C9L11-cis-Retinal3C9L-Rhodopsin-11-cis-Retinal
10.71Single3PWHZM-2413853PWH-A2A-ZM-241385
10.71Single3VG9ZM-2413853VG9-A2A-ZM-241385-Antibody
10.71Single3VGAZM-2413853VGA-A2A-ZM-241385-Antibody
10.71Single4BWBNeurotensin-(8-12)4BWB-NTS1-Neurotensin-(8-12)
10.71Single4MQTLY21196204MQT-M2-Iperoxo-LY2119620
10.71Single4QINSAG1.54QIN-SMO-SAG1.5
10.71Single5K2DZM-2413855K2D-A2A-ZM-241385-Na
10.71Single5OLHVipadenant5OLH-A2A-Vipadenant-Na
10.71Single5OLOTozadenant5OLO-A2A-Tozadenant-Na
10.71Single5OLVLUAA470705OLV-A2A-LUAA47070-Na
10.71Single6AKXA4R6AKX-CCR5-A4R
10.71Single6AKYMaraviroc6AKY-CCR5-Maraviroc
10.71Single6JZHZM-2413856JZH-A2A-ZM-241385-Na
10.71Single6LFOCXCL86LFO-CXCR2-CXCL8-Gi1/β1/γ2
10.71Single6NWEOctyl-Beta-D-Glucopyranoside6NWE-Rhodopsin-Octyl-β-D-Glucopyranoside-Gt(CT)
10.71Single6O3CSAG21k6O3C-SMO-SAG21k-Cholesterol
10.71Single6OBAAlprenolol6OBA-β2-Alprenolol-GTPL11074
10.71Single6PS7ZM-2413856PS7-A2A-ZM-241385-Na
10.71Single6RNKNF-56-EJ406RNK-Succinate-NF-56-EJ40
10.71Single6TODEMPA6TOD-OX1-EMPA-Na
10.71Single7M3FCa; Ca; Tryptophan; Cinacalcet7M3F-CaS; CaS-Ca; Ca; Tryptophan; Cinacalcet
10.71Single7VDLCortistatin-147VDL-MRGPRX2-Cortistatin-14-Gi1/β1/γ2
10.71Single7VIHCBP-3077VIH-S1P1-CBP-307-Gi1/β1/γ2
10.71Single7VUJJNJ-635330547VUJ-GPR139-JNJ-63533054-GDP-chim(Gs-CtGq)/β1/γ2
10.71Single7X2CFenoldopam7X2C-D1-Fenoldopam-Fenoldopam-Gs/β1/γ2
10.71Single7XRRLemborexant7XRR-OX2-Lemborexant
10.71Single7XT8Serotonin7XT8-5-HT4-Serotonin-Gs/β1/γ2
10.71Single8A6CAll-trans-Retinal8A6C-Rhodopsin-All-trans-Retinal
10.71Single8A6DAll-trans-Retinal8A6D-Rhodopsin-All-trans-Retinal
10.71Single8A6EAll-trans-Retinal8A6E-Rhodopsin-All-trans-Retinal
10.71Single8FYXBuspirone8FYX-5-HT1A-Buspirone-PtdIns4P-Gi1/β1/γ1
10.71Single8H8JLodoxamide8H8J-GPR35-Lodoxamide-Ca-chim(NtGi1L-G13)/β1/γ2
10.71Single8JSOAMPH8JSO-TA1-AMPH-chim(NtGi1-Gs)/β1/γ2
10.71Single8RVWStilSwitch38RVW-A2A-StilSwitch3-Na
10.71Single8RW4AzoSwitch28RW4-A2A-AzoSwitch2-Na
10.71Single8RWEStilSwitch48RWE-A2A-StilSwitch4-Na
10.71Single8U4PAMD31008U4P-CXCR4-AMD3100-Gi1/β1/γ2
10.71Single8U4SREGN7663-Fab8U4S-CXCR4-REGN7663-Fab
10.71Single8U4TREGN7663-Fab8U4T-CXCR4-REGN7663-Fab
10.71Single8UNSConstrained Epinephrine8UNS-β2-Constrained Epinephrine-GTP-Gs/β1/γ2
10.71Single8UNTConstrained Epinephrine8UNT-β2-Constrained Epinephrine-GTP-Gs/β1/γ2
10.71Single8YUVImmepip8YUV-H3-Immepip-Gi1/β1/γ2
10.71Single9C1PCa; Tryptophan; '6218; PO49C1P-CaS; CaS-Ca-Ca; Tryptophan; '6218; PO4
10.71Single9EBHAdenosine9EBH-A3A-Adenosine-Gi1/β1/γ2
10.71Single9FUPIstradefylline9FUP-A2A-Istradefylline-Na
10.71Single9KO2CCL199KO2-CCR7-CCL19-Gi1/β1
10.71Single9KO6CCL199KO6-CCR7-CCL19
10.71Single9KVHCinobufotenine9KVH-5-HT1A-Cinobufotenine-PtdIns4P-Gi1/β1/γ2
10.71Single9M88Oleic monoethanolamide9M88-GPR3 ; GPR3-Oleic monoethanolamide-AF64394
10.71Single9PXUNaloxone9PXU-μ-Naloxone-Na
10.71Single9VJ5Gepirone9VJ5-5-HT1A-Gepirone-Go/β1/γ2
10.71Consensus5ht1e_onOrthosteric Ligand7E33-5-HT1E-BRL-54443-Gi1/β1/γ2 8UGY-5-HT1E-Mianserin-Gi1/β1/γ1 8UH3-5-HT1E-Setiptiline-Gi1/β1/γ1
10.71Consensuscxcr1_onOrthosteric Ligand8IC0-CXCR1-CXCL8-Gi1/β1/γ2
10.71Consensusgq_histamineOrthosteric Ligand7DFL-H1-Histamine-chim(NtGi1L-Gq)/β1/γ2
10.71Consensush1_on_gpOrthosteric Ligand7DFL-H1-Histamine-chim(NtGi1L-Gq)/β1/γ2
10.71Consensushistamine_onOrthosteric Ligandh1_on h2_on h3_on h4_on
10.71Consensushistamine_on_gpOrthosteric Ligandh1_on_gp h2_on_gp h3_on_gp h4_on_gp
10.71Consensusorexin_offOrthosteric Ligandox2_off ox1_off
10.71Consensusox2_offOrthosteric Ligand5WQC-OX2-EMPA 6TPN-OX2-HTL6641 7XRR-OX2-Lemborexant 6TPJ-OX2-Suvorexant
10.71Consensusp2y1_onOrthosteric Ligand7XXH-P2Y1-2MeSADP-chim(NtGi1-G11)/β1/γ2
10.71Consensusrhodopsin_offOrthosteric Ligand1U19-Rhodopsin-11-cis-Retinal 2PED-Rhodopsin-9-cis-Retinal 5TE5-Rhodopsin-20-Methanoretinal
10.53Single7F4HAfamelanotide7F4H-MC1-Afamelanotide-chim(NtGi1-Gs)/β1/γ2
10.53Single7W57Neuromedin-S7W57-NMUR2-Neuromedin-S-chim(NtGi1-Gs-CtGq)/β1/γ2
10.53Single7XK8Neuromedin-U-257XK8-NMUR2-Neuromedin-U-25-Gi1/β1/γ2
10.53Single8IEDPubChem 1347468948IED-GPR156; GPR156-PubChem 134746894-Go/β1/γ2
10.34Single3OAX11-cis-Retinal3OAX-Rhodopsin-11-cis-Retinal
10.34Single4DKLBeta-Funaltrexamine4DKL-μ-β-Funaltrexamine
10.34Single4MBSMaraviroc4MBS-CCR5-Maraviroc
10.34Single4MQTIperoxo4MQT-M2-Iperoxo-LY2119620
10.34Single4N6HNaltrindole4N6H-δ-Naltrindole-Na
10.34Single5IU4ZM-2413855IU4-A2A-ZM-241385-Na
10.34Single5IUBQ274563445IUB-A2A-Q27456344-Na
10.34Single5K2CZM-2413855K2C-A2A-ZM-241385-Na
10.34Single5NLXZM-2413855NLX-A2A-ZM-241385-Na
10.34Single5NM4ZM-2413855NM4-A2A-ZM-241385-Na
10.34Single5TE3Octyl-Beta-D-Glucopyranoside5TE3-Rhodopsin-Octyl-β-D-Glucopyranoside
10.34Single5UVIZM-2413855UVI-A2A-ZM-241385
10.34Single6A94Zotepine6A94-5-HT2A-Zotepine
10.34Single6FFIMPEP6FFI-mGlu5-MPEP
10.34Single6IQLL7458706IQL-D4-L745870
10.34Single6ME42-Iodomelatonin6ME4-MT1-2-Iodomelatonin
10.34Single6PELCitronellol6PEL-Rhodopsin-Citronellol-Gt(CT)
10.34Single6PS5Propranolol6PS5-β2-Propranolol
10.34Single6PT0WIN 55212-26PT0-CB2-WIN 55212-2-Gi1/β1/γ2
10.34Single6U1NLY21196206U1N-M2-LY2119620-Arrestin2
10.34Single6VI4JDTic6VI4-κ-JDTic
10.34Single6WJCAtropine6WJC-M1-Atropine-Muscarinic toxin 7
10.34Single6WJCMuscarinic toxin 76WJC-M1-Atropine-Muscarinic toxin 7
10.34Single6XBLSAG6XBL-SMO-SAG-Cholesterol-Gi1/β1/γ2
10.34Single7C2EPubChem 1490507997C2E-GLP-1-PubChem 149050799-Gs/β1/γ2
10.34Single7CKWFenoldopam7CKW-D1-Fenoldopam-Gs/β1/γ2
10.34Single7CKZDopamine7CKZ-D1-Dopamine-Mevidalen-Gs/β1/γ2
10.34Single7CMUPramipexole7CMU-D3-Pramipexole-Gi1/β1/γ2
10.34Single7CMVPD1289077CMV-D3-PD128907-Gi1/β1/γ2
10.34Single7E33BRL-544437E33-5-HT1E-BRL-54443-Gi1/β1/γ2
10.34Single7F0TDopamine7F0T-D1-Dopamine-Gs/β1/γ2
10.34Single7F1ZDopamine7F1Z-D1-Dopamine-GDP-Gs/β1/γ2
10.34Single7RANPubChem 1645758477RAN-5-HT2A-PubChem 164575847-chim(NtGi2L-Gs-CtGq)/β1/γ2
10.34Single7SR8TAK-9257SR8-OX2-TAK-925-chim(NtGi1L-Gs-CtGq)/β1/γ2
10.34Single7T94LY21196207T94-M2-Acetylcholine-LY2119620-chim(NtGi1-Go)/β1/γ2
10.34Single7UL3Famotidine7UL3-H2-Famotidine
10.34Single7UM7Methylergometrine7UM7-5-HT5A-Methylergometrine-chim(NtGi1-Go)/β1/γ2
10.34Single7WC9PubChem 1624213647WC9-5-HT2A-PubChem 162421364
10.34Single7XOVSR1461317XOV-CCKA-SR146131-Gs/β1/γ2
10.34Single7ZBC11-cis-Retinal7ZBC-Rhodopsin-11-cis-Retinal
10.34Single7ZBE11-cis-Retinal7ZBE-Rhodopsin-11-cis-Retinal
10.34Single7ZI0SAG7ZI0-SMO-SAG-Cholesterol
10.34Single8DPGPsilocin8DPG-5-HT2C-Psilocin-chim(NtGi2L-Gs-CtGq)/β1/γ2
10.34Single8FCZ11-cis-Retinal8FCZ-Rhodopsin-11-cis-Retinal
10.34Single8GG5Constrained Epinephrine8GG5-β2-Constrained Epinephrine-GTP-Gs/β1/γ2
10.34Single8GG7Constrained Epinephrine8GG7-β2-Constrained Epinephrine-GTP-Gs/β1/γ2
10.34Single8GGLConstrained Epinephrine8GGL-β2-Constrained Epinephrine
10.34Single8GGMConstrained Epinephrine8GGM-β2-Constrained Epinephrine
10.34Single8GGPConstrained Epinephrine8GGP-β2-Constrained Epinephrine
10.34Single8GUQOlorinab8GUQ-CB2-Olorinab-Gi1/β1/γ2
10.34Single8GURCP559408GUR-CB2-CP55940-Gi1/β1/γ2
10.34Single8H4LDoconexent8H4L-FFA4-Doconexent-chim(NtGi1-Gs-CtGq)/β1/γ2
10.34Single8JSPUlotaront8JSP-5-HT1A-Ulotaront-Gi1/β1/γ2
10.34Single8K9KDAMGO8K9K-μ-DAMGO-Gi3/β1/γ1
10.34Single8U02Dopamine8U02-D2-Dopamine-Go/β1/γ2
10.34Single8UNLConstrained Epinephrine8UNL-β2-Constrained Epinephrine-GTP-Gs/β1/γ2
10.34Single8UNOConstrained Epinephrine8UNO-β2-Constrained Epinephrine-GTP-Gs/β1/γ2
10.34Single8UO1Constrained Epinephrine8UO1-β2-Constrained Epinephrine-GTP; Mg-Gs/β1/γ2
10.34Single8X7ATreprostinil8X7A-I2-Treprostinil-Gs/β1/γ2
10.34Single8Y45ADL58598Y45-δ-ADL5859-Gi2/β1/γ2
10.34Single8YN3Histamine8YN3-H2-Histamine-Gs/β1/γ2
10.34Single9AS3LSD9AS3-5-HT2A-LSD
10.34Single9AS4LSD9AS4-5-HT2A-LSD-chim(NtGi1-Gs-CtGq)/β1/γ2
10.34Single9AS8Psilocin9AS8-5-HT2A-Psilocin-chim(NtGi2L-Gs-CtGq)/β1/γ2
10.34Single9CBLEpinephrine9CBL-α2a-Epinephrine-Gi1/β1/γ2
10.34Single9DQJEP-39459DQJ-MRGPRD-EP-3945-chim(NtGi1-Gs-CtGq)/β1/γ2
10.34Single9JMDAzithromycin9JMD-Motilin-Azithromycin-chim(Gs-CtGq)/β1/γ2
10.34Single9KVIBufotenin9KVI-5-HT1A-Bufotenin-PtdIns4P-Gi1/β1/γ2
10.34Single9KXSEP679KXS-C5a1-EP67-Go/β1/γ2
10.34Single9L84Epinephrine9L84-β1-Epinephrine-Atazanavir-Gs/β1/γ2
10.34Single9L8LBI1671079L8L-β2-BI167107-Atazanavir-Gs/β1/γ2 ; Arrestin2
10.34Single9LL8Psilocin9LL8-5-HT2A-Psilocin-Gi1/β1/γ2
10.34Single9LRDHistamine9LRD-H1-Histamine-Gi1/β1/γ2
10.34Single9ODLMitragynine Pseudoindoxyl9ODL-μ-Mitragynine Pseudoindoxyl-GTP; Mg-Gi1/β1/γ2
10.34Single9PXVNaloxone9PXV-μ-Naloxone-Gi1/β1/γ2
10.34Single9PXXNaloxone9PXX-μ-Naloxone-GDPβS-Gi1/β1/γ2
10.34Single9W33S5A19W33-SST5-S5A1
10.34Single9W6W5-CT9W6W-5-HT5A-5-CT-Gi1/β1/γ2
10.34Consensus5ht2a_offOrthosteric Ligand6A94-5-HT2A-Zotepine 6A93-5-HT2A-Risperidone 7VOD-5-HT2A-Cariprazine 7WC8-5-HT2A-Lumateperone 8JT8-5-HT2A-(R)-IHCH-7179
10.34Consensus5ht_on_gpOrthosteric Ligand5ht1_on_gp 5ht2_on_gp 5ht4_on_gp 5ht5_on_gp 5ht6_on_gp 5ht7_on_gp
10.34Consensuscxcr2_onOrthosteric Ligand6LFM-CXCR2-CXCL8-Gi1/β1/γ2
10.34Consensusd3_onOrthosteric Ligand7CMV-D3-PD128907-Gi1/β1/γ2 8IRT-D3-Rotigotine-Gi1/β1/γ2 7CMU-D3-Pramipexole-Gi1/β1/γ2
10.34Consensusd3_on_gpOrthosteric Ligand7CMV-D3-PD128907-Gi1/β1/γ2 8IRT-D3-Rotigotine-Gi1/β1/γ2 7CMU-D3-Pramipexole-Gi1/β1/γ2
10.34Consensusnop_offOrthosteric Ligand4EA3-NOP-PubChem 10296561 5DHG-NOP-C-35 5DHH-NOP-SB-612111
10.26Single7F9YGhrelin7F9Y-Ghrelin-Ghrelin-chim(NtGi1-Gs-CtGq)/β1/γ2
10.26Single7X9CPancreatic Hormone7X9C-Y4-Pancreatic Hormone-Gi1/β1/γ2
10.26Single7XV3Lysophosphatidylserine (WJS)7XV3-GPR174-Lysophosphatidylserine (WJS)-chim(NtGi1-Gs)/β1/γ2
10.00Single1HZX11-cis-Retinal1HZX-Rhodopsin-11-cis-Retinal
10.00Single2Y02Carmoterol2Y02-β1-Carmoterol
10.00Single4MQSIperoxo4MQS-M2-Iperoxo
10.00Single4QIMANTA XV4QIM-SMO-ANTA XV
10.00Single4U14Tiotropium4U14-M3-Tiotropium
10.00Single5DHGC-355DHG-NOP-C-35
10.00Single5T04Neurotensin-(8-13)5T04-NTS1-Neurotensin-(8-13)
10.00Single5ZKPSR274175ZKP-PAF-SR27417
10.00Single6FFHFenobam6FFH-mGlu5-Fenobam
10.00Single6FK7PubChem 1324730346FK7-Rhodopsin-PubChem 132473034
10.00Single6FKCPubChem 1324730396FKC-Rhodopsin-PubChem 132473039
10.00Single6LPJZM-2413856LPJ-A2A-ZM-241385-Na
10.00Single6LPKZM-2413856LPK-A2A-ZM-241385-Na
10.00Single6ORVTT-OAD26ORV-GLP-1-TT-OAD2-Gs/β1/γ2
10.00Single6Z4VNeurotensin-(9-13)6Z4V-NTS1-Neurotensin-(9-13)
10.00Single7DB6Ramelteon7DB6-MT1-Ramelteon-Gi1/β1/γ2
10.00Single7F83PF-051904577F83-Ghrelin-PF-05190457
10.00Single7FIHOrg435537FIH-LH-hCG-Org43553-chim(NtGi1-Gs)/β1/γ2
10.00Single7LJCSKF812977LJC-D1-SKF81297-Mevidalen-Gs/β1/γ2
10.00Single7SCGFH2107SCG-μ-FH210-Gi1/β1/γ2
10.00Single7T6VfMLFII7T6V-FPR2-ALX-fMLFII-Gi1/β1/γ2
10.00Single7TRPIperoxo7TRP-M4-Iperoxo-LY2033298-Gi1/β1/γ2
10.00Single7TRQVU04671547TRQ-M4-Iperoxo-VU0467154-Gi1/β1/γ2
10.00Single7UM6Lisuride7UM6-5-HT5A-Lisuride-chim(NtGi1-Go)/β1/γ2
10.00Single7VGZRamelteon7VGZ-MT1-Ramelteon-Gi1/β1/γ2
10.00Single7VH0Ramelteon7VH0-MT2-Ramelteon-Gi1/β1/γ1
10.00Single7X2CFenoldopam7X2C-D1-Fenoldopam-Fenoldopam-Gs/β1/γ2
10.00Single7XJHIsoprenaline7XJH-β3-Isoprenaline-Gs/β1/γ2
10.00Single7XTC5-CT7XTC-5-HT7-5-CT-Gs/β1/γ2
10.00Single8IC0CXCL88IC0-CXCR1-CXCL8-Gi1/β1/γ2
10.00Single8IRTRotigotine8IRT-D3-Rotigotine-Gi1/β1/γ2
10.00Single8JD0NAM5638JD0-mGlu2; mGlu3-Glutamate-NAM563
10.00Single8JT8(R)-IHCH-71798JT8-5-HT2A-(R)-IHCH-7179
10.00Single8KFYZK-7563268KFY-CCR8-ZK-756326-Gi1/β1/γ2
10.00Single8UGYMianserin8UGY-5-HT1E-Mianserin-Gi1/β1/γ1
10.00Single8UWLLisuride8UWL-5-HT2A-Lisuride-chim(NtGi2-Gs-CtGq)/β1/γ2
10.00Single8VVGGB188VVG-κ-GB18-Gi1/β1/γ2
10.00Single8WC7ZH86678WC7-TA1-ZH8667-chim(NtGi1-Gs)/β1/γ2
10.00Single8XVEBQ30208XVE-ETB-BQ3020-chim(Gs-CtGq)/β1/γ2
10.00Single8ZQEGPR15L(CT)8ZQE-GPR15-GPR15L(CT)-Gi1/β1/γ1
10.00Single9PQDPubChem 1764919279PQD-α2a-PubChem 176491927
10.00Single9UAZAtropine9UAZ-M1-Atropine
10.00Consensus5ht5_onOrthosteric Ligand5ht5a_on
10.00Consensus5ht5a_onOrthosteric Ligand7X5H-5-HT5A-5-CT-Gi1/β1/γ2 7UM6-5-HT5A-Lisuride-chim(NtGi1-Go)/β1/γ2 7UM7-5-HT5A-Methylergometrine-chim(NtGi1-Go)/β1/γ2
10.00Consensus5ht6_onOrthosteric Ligand7XTB-5-HT6-Serotonin-Gs/β1/γ2 8JLZ-5-HT6-ST1936-Gs/β1/γ2
10.00Consensus5ht6_on_gpOrthosteric Ligand7XTB-5-HT6-Serotonin-Gs/β1/γ2 8JLZ-5-HT6-ST1936-Gs/β1/γ2
10.00Consensus5ht7_onOrthosteric Ligand7XTC-5-HT7-5-CT-Gs/β1/γ2
10.00Consensus5ht7_on_gpOrthosteric Ligand7XTC-5-HT7-5-CT-Gs/β1/γ2
10.00Consensuscxcr1_on_gpOrthosteric Ligand8IC0-CXCR1-CXCL8-Gi1/β1/γ2
10.00Consensusnpy4_onOrthosteric Ligand7X9C-Y4-Pancreatic Hormone-Gi1/β1/γ2
10.00Consensusnpy4_on_gpOrthosteric Ligand7X9C-Y4-Pancreatic Hormone-Gi1/β1/γ2
9.76Single7F53Alpha-MSH7F53-MC4-α-MSH-Gs/β1/γ2
9.76Single9KDFRES-701-39KDF-ETB-RES-701-3
9.76Consensusp2y10_on_gpOrthosteric Ligand8KGG-P2Y10-Lysophosphatidylserine (WJS)-chim(NtGi2-G13)/β1/γ2
9.68Single5XPRBosentan5XPR-ETB-Bosentan
9.68Single6E67BI1671076E67-β2-BI167107-Gs(CT)
9.68Single6HLPNetupitant6HLP-NK1-Netupitant
9.68Single6LFMCXCL86LFM-CXCR2-CXCL8-Gi1/β1/γ2
9.68Single6M9TMisoprostol-FA6M9T-EP3-Misoprostol-FA
9.68Single6OIKIperoxo6OIK-M2-Iperoxo-LY2119620-chim(NtGi1-Go)/β1/γ2
9.68Single6RZ4Pranlukast6RZ4-CysLT1-Pranlukast-Na
9.68Single7CKXA776367CKX-D1-A77636-Gs/β1/γ2
9.68Single7VOEAripiprazole7VOE-5-HT2A-Aripiprazole
9.68Single7VV4Cortistatin-147VV4-MRGPRX2-Cortistatin-14
9.68Single7WC6LSD7WC6-5-HT2A-LSD
9.68Single7WIGL-0542647WIG-SST2-L-054264-Gi1/β1/γ2
9.68Single8ID4Linoleic acid8ID4-FFA4-Linoleic acid-Gi1/β1/γ2
9.68Single8JXSPF-61428JXS-D1-PF-6142
9.68Single8K8JFenofibrate8K8J-CB1-Fenofibrate-chim(Gs-CtGq)/β1/γ2
9.68Single8KFXLMD-0098KFX-CCR8-LMD-009-Gi1/β1/γ2
9.68Single8ZVZBW245C8ZVZ-DP1-BW245C-Gs/β1/γ2
9.68Single9ARYSerotonin9ARY-5-HT2A-Serotonin-chim(NtGi1-Gs-CtGq)/β1/γ2
9.68Single9DQHEP-28259DQH-MRGPRD-EP-2825-chim(NtGi1-Gs-CtGq)/β1/γ2
9.68Single9EAHNanobody AT2099EAH-AT1-Olmesartan-Nanobody AT209
9.68Single9EKHONO-30302979EKH-DP1-ONO-3030297
9.68Single9HAPTolvaptan9HAP-V2-Tolvaptan
9.68Consensusadgrg2_onOrthosteric Ligand7WUI-ADGRG2-IP15-chim(NtGi1-Gs)/β1/γ2 7WUQ-ADGRG2-Gs/β1/γ2 7XKF-ADGRG2-Dehydroepiandrosterone-Gs/β1/γ2
9.68Consensusadgrg2_on_gpOrthosteric Ligand7WUI-ADGRG2-IP15-chim(NtGi1-Gs)/β1/γ2 7WUQ-ADGRG2-Gs/β1/γ2 7XKF-ADGRG2-Dehydroepiandrosterone-Gs/β1/γ2
9.68Consensuscxcr2_on_gpOrthosteric Ligand6LFM-CXCR2-CXCL8-Gi1/β1/γ2
9.68Consensuslipid_onOrthosteric Ligandcannabinoid_on ffa_on lpl_on prostanoid_on leukotriene_on
9.68Consensuslipid_on_gpOrthosteric Ligandcannabinoid_on_gp ffa_on_gp lpl_on_gp prostanoid_on_gp leukotriene_on_gp
9.68Consensuslpa1_onOrthosteric Ligand7TD1-LPA1-LPA-Gi1/β1/γ2 7YU3-LPA1-ONO-0740556-Gi1/β1/γ2
9.68Consensuslpa1_on_gpOrthosteric Ligand7TD1-LPA1-LPA-Gi1/β1/γ2 7YU3-LPA1-ONO-0740556-Gi1/β1/γ2
9.68Consensusnucleotide_onOrthosteric Ligandadenosine_on p2y_on
9.52Single8KGGLysophosphatidylserine (WJS)8KGG-P2Y10-Lysophosphatidylserine (WJS)-chim(NtGi2-G13)/β1/γ2
9.38Single3P0GBI1671073P0G-β2-BI167107
9.38Single3PDSFAUC503PDS-β2-FAUC50
9.38Single3SN6BI1671073SN6-β2-BI167107-Gs/β1/γ2
9.38Single3ZEVNeurotensin-(7-13)3ZEV-NTS1-Neurotensin-(7-13)
9.38Single4BV0Neurotensin-(7-13)4BV0-NTS1-Neurotensin-(7-13)
9.38Single4IAQDihydroergotamine4IAQ-5-HT1B-Dihydroergotamine
9.38Single5XR8AM120335XR8-CB1-AM12033
9.38Single5XRAAM115425XRA-CB1-AM11542
9.38Single5ZHPPubChem 1348285895ZHP-M3-PubChem 134828589
9.38Single6J20Aprepitant6J20-NK1-Aprepitant
9.38Single7B6WCyclazosin7B6W-α1b-Cyclazosin
9.38Single7E2ZAripiprazole7E2Z-5-HT1A-Aripiprazole-PtdIns4P-Gi1/β1/γ2
9.38Single7L0PNeurotensin-(8-13)7L0P-NTS1-Neurotensin-(8-13)-Gi1/β1/γ1
9.38Single7L0QNeurotensin-(8-13)7L0Q-NTS1-Neurotensin-(8-13)-Gi1/β1/γ1
9.38Single7M8W15r-Methyl-PGD27M8W-DP2-15r-Methyl-PGD2-Na
9.38Single7R0CAVP7R0C-V2-AVP-Arrestin2
9.38Single7S8MCortistatin-147S8M-MRGPRX2-Cortistatin-14-Gi1/β1/γ2
9.38Single7T9NDPPC7T9N-TSH-M22 Fab-DPPC-Gs/β1/γ2
9.38Single7TD1LPA7TD1-LPA1-LPA-Gi1/β1/γ2
9.38Single7WV9CP559407WV9-CB1-CP55940-ZCZ011-Gi2/β1/γ2
9.38Single7WVXHumanin7WVX-FPR2-ALX-Humanin-Gi2/β1/γ2
9.38Single7XBDGalanin7XBD-GAL2-Galanin-chim(NtGi2L-Gs-CtGq)/β1/γ2
9.38Single7XJLSpexin7XJL-GAL2-Spexin-chim(NtGi2L-Gs-CtGq)/β1/γ2
9.38Single7XOWSulfated Gastrin-(10-17)7XOW-CCKB-Sulfated Gastrin-(10-17)-chim(NtGi1-Gq)/β1/γ2
9.38Single7Y24Octreotide7Y24-SST2-Octreotide-Go/β1/γ2
9.38Single8EFLSR170188EFL-μ-SR17018-Gi1/β1/γ2
9.38Single8FN1Neurotensin-(8-13)8FN1-NTS1-Neurotensin-(8-13)-chim(NtGi1-Go)/β1/γ2
9.38Single8GDBPGE28GDB-EP4-PGE2-Gs/β1/γ2
9.38Single8GUSHU-3088GUS-CB2-HU-308-Gi1/β1/γ2
9.38Single8HDOBAY 60-65838HDO-A2B-BAY 60-6583-Gs/β1/γ2
9.38Single8I2GPubChem 675302408I2G-FSH-FSH-PubChem 67530240-Gs/β1/γ2
9.38Single8ID6Oleic acid8ID6-FFA4-Oleic acid-Gi1/β1/γ2
9.38Single8IUKPGF2-alpha8IUK-FP-alpha-PGF2-α-chim(NtGi1-Gs-CtGq)/β1/γ2
9.38Single8JLPRalmitaront8JLP-TA1-Ralmitaront-Gs/β1/γ2
9.38Single8JSRAnamorelin8JSR-Ghrelin-Anamorelin-chim(NtGi1-Gs-CtGq)/β1/γ2
9.38Single8VVEnorBNI8VVE-κ-norBNI-Gi1/β1/γ2
9.38Single8WU1MDMB-Fubinaca8WU1-CB1-MDMB-Fubinaca-Arrestin2
9.38Single9E9SPGD29E9S-DP1-PGD2-Gs/β1/γ1
9.38Single9IJDCarazolol9IJD-β3-Carazolol-chim(NtGi1-Gs)/β1/γ2
9.38Single9JCLADP9JCL-P2Y1-ADP-chim(Gs-CtGq)/β1/γ2
9.38Single9UY3Anamorelin9UY3-Ghrelin-Anamorelin-chim(NtGi1-Gs-CtGq)/β1/γ2
9.38Single9WSTDAMGO9WST-μ-DAMGO-chim(NtGi1-Gz)/β1/γ2
9.38Consensusneurotensin_onOrthosteric Ligandnts1_on
9.38Consensusnpy_offOrthosteric Ligandnpy1_off npy2_off
9.38Consensusnts1_onOrthosteric Ligand6OSA-NTS1-JMV449-Gi1/β1/γ2 7L0S-NTS1-Neurotensin-(8-13)-Gi1/β1/γ1
9.09Single4GRVNeurotensin-(8-13)4GRV-NTS1-Neurotensin-(8-13)
9.09Single4RWADIPP-NH24RWA-δ-DIPP-NH2
9.09Single6MXTSalmeterol6MXT-β2-Salmeterol
9.09Single6OSAJMV4496OSA-NTS1-JMV449-Gi1/β1/γ2
9.09Single7L0SNeurotensin-(8-13)7L0S-NTS1-Neurotensin-(8-13)-Gi1/β1/γ1
9.09Single7L1VPubChem 1554910097L1V-OX2-PubChem 155491009-chim(NtGi1-Gs-CtGq)/β1/γ2
9.09Single7XJKGalanin7XJK-GAL2-Galanin-chim(NtGi2L-Gs-CtGq)/β1/γ2
9.09Single7XW9TRH7XW9-TRH-TRH-chim(NtGi1L-Gs-CtGq)/β1/γ2
9.09Single8JJLOlodaterol8JJL-β2-Olodaterol
9.09Single8JPBNeurotensin-(8-13)8JPB-NTS1-Neurotensin-(8-13)-SBI-553; GDP; Mg-Gq; GRK2
9.09Single8W1VPubChem 1717162658W1V-β2-PubChem 171716265
9.09Single8XQJJN2418XQJ-Apelin; Apelin-JN241
9.09Single8XWMCXCL68XWM-CXCR2-CXCL6
9.09Single8XX3CXCL38XX3-CXCR2-CXCL3-Go/β1/γ2
9.09Single9AU0BW245C9AU0-DP1-BW245C-Gs/β1/γ2
9.09Single9M4QDoxazosin9M4Q-Alpha1A-Doxazosin
9.09Single9VIFNeuropeptide-VF9VIF-NPFF1-Neuropeptide-VF-Gi1/β1/γ2
9.09Single9WSVDAMGO9WSV-μ-DAMGO-Arrestin2
9.09Single9YDQDADLE9YDQ-δ-DADLE-MIPS3614-chim(NtGi1L-Gs-CtGi1)/β1/γ2
9.09Consensuscb1_onOrthosteric Ligand6KPG-CB1-AM841-Gi1/β1/γ2 8K8J-CB1-Fenofibrate-chim(Gs-CtGq)/β1/γ2
9.09Consensusgalanin_onOrthosteric Ligandgal2_on gal1_on
9.09Consensusgalanin_on_gpOrthosteric Ligandgal2_on_gp gal1_on_gp
9.09Consensusgi_neurotensinOrthosteric Ligand6OSA-NTS1-JMV449-Gi1/β1/γ2 7L0S-NTS1-Neurotensin-(8-13)-Gi1/β1/γ1
9.09Consensusm4_onOrthosteric Ligand7TRS-M4-Acetylcholine-Gi1/β1/γ2 7V6A-M4-PubChem 9864275-Gi1/β1/γ2 8E9X-M4-2-Deoxycytidine-chim(NtGi1-Go)/β1/γ2 7TRK-M4-Iperoxo-Gi1/β1/γ2
9.09Consensusm4_on_gpOrthosteric Ligand7TRS-M4-Acetylcholine-Gi1/β1/γ2 7V6A-M4-PubChem 9864275-Gi1/β1/γ2 8E9X-M4-2-Deoxycytidine-chim(NtGi1-Go)/β1/γ2 7TRK-M4-Iperoxo-Gi1/β1/γ2
9.09Consensusneurotensin_on_gpOrthosteric Ligandnts1_on_gp
9.09Consensusnts1_on_gpOrthosteric Ligand6OSA-NTS1-JMV449-Gi1/β1/γ2 7L0S-NTS1-Neurotensin-(8-13)-Gi1/β1/γ1
9.09Consensusorexin_onOrthosteric Ligandox2_on
9.09Consensustrh_onOrthosteric Ligand7XW9-TRH-TRH-chim(NtGi1L-Gs-CtGq)/β1/γ2
9.09Consensustrh_on_gpOrthosteric Ligand7XW9-TRH-TRH-chim(NtGi1L-Gs-CtGq)/β1/γ2
8.82Single4NC3Ergotamine4NC3-5-HT2B-Ergotamine
8.82Single6BQGErgotamine6BQG-5-HT2C-Ergotamine
8.82Single6DDFDAMGO6DDF-μ-DAMGO-Gi1/β1/γ2
8.82Single6K1QIRL25006K1Q-ETB-IRL2500
8.82Single6UP7Neurotensin-(8-13)6UP7-NTS1-Neurotensin-(8-13)-Arrestin2
8.82Single7CX4Evatanepag7CX4-EP2-Evatanepag-Gs/β1/γ2
8.82Single7EZHCholecystokinin-87EZH-CCKA-Cholecystokinin-8-Gi1/β1/γ2
8.82Single7EZMCholecystokinin-87EZM-CCKA-Cholecystokinin-8-chim(NtGsL-Gq)/β1/γ2
8.82Single7QVMOxytocin7QVM-OT-Oxytocin-chim(NtGi1-Go-CtGq)/β1/γ2
8.82Single7WVVfMLFII7WVV-FPR2-ALX-fMLFII-Gi2/β1/γ2
8.82Single8JPFNeurotensin-(8-13)8JPF-NTS1-Neurotensin-(8-13)-SBI-553
8.82Single8T3OTUG-8918T3O-FFA4-TUG-891-chim(NtGi2L-Gs-CtGq)/β1/γ2
8.82Single8XWFCXCL38XWF-CXCR2-CXCL3
8.82Single8ZPLHF511168ZPL-CXCR4-HF51116
8.82Single9IZFLPA9IZF-LPA1-LPA-Gi1/β1/γ2
8.82Single9YDPDADLE9YDP-δ-DADLE-chim(NtGi1L-Gs-CtGi1)/β1/γ2
8.82Single9YDRDADLE9YDR-δ-DADLE-MIPS3983-chim(NtGi1L-Gs-CtGi1)/β1/γ2
8.82Consensusccka_onOrthosteric Ligand7EZH-CCKA-Cholecystokinin-8-Gi1/β1/γ2
8.82Consensusccka_on_gpOrthosteric Ligand7EZH-CCKA-Cholecystokinin-8-Gi1/β1/γ2
8.82Consensusorexin_on_gpOrthosteric Ligandox2_on_gp
8.57Single6KNMJN241-96KNM-Apelin-JN241-9
8.57Single6OMMWKYMVX6OMM-FPR2-ALX-WKYMVX-Gi1/β1/γ2
8.57Single6OS9JMV4496OS9-NTS1-JMV449-Gi1/β1/γ2
8.57Single7F9ZGHRP-67F9Z-Ghrelin-GHRP-6-chim(NtGi1-Gs-CtGq)/β1/γ2
8.57Single7S8LCortistatin-147S8L-MRGPRX2-Cortistatin-14-chim(NtGi2L-Gs-CtGq)/β1/γ2
8.57Single7Y1FDynorphin7Y1F-κ-Dynorphin-Gi1/β1/γ2
8.57Single8JBFSenktide8JBF-NK3-Senktide-chim(NtGi1-Gs-CtGq)/β1/γ2
8.57Single8XQJJN2418XQJ-Apelin; Apelin-JN241
8.57Single8XX6CXCL88XX6-CXCR2-CXCL8-Go/β1/γ2
8.57Single8Z74JN241-98Z74-Apelin; Apelin-JN241-9
8.33Single4A4MAll-trans-Retinal4A4M-Rhodopsin-All-trans-Retinal-Gt(CT)
8.33Single4IB4Ergotamine4IB4-5-HT2B-Ergotamine
8.33Single5EN0All-trans-Retinal5EN0-Rhodopsin-All-trans-Retinal-Gt(CT)
8.33Single5MZPCaffeine5MZP-A2A-Caffeine-Na
8.33Single7CX3Taprenepag7CX3-EP2-Taprenepag-Gs/β1/γ2
8.33Single7F4ISHU91197F4I-MC1-SHU9119-chim(NtGi1-Gs)/β1/γ2
8.33Single7F54Afamelanotide7F54-MC4-Afamelanotide-Gs/β1/γ2
8.33Single7NA7Ghrelin7NA7-Ghrelin-Ghrelin-Gi1/β1/γ2
8.33Single7VLACCL15(27-92)7VLA-CCR1-CCL15(27-92)-Gi1/β1/γ2
8.33Single7W56Neuromedin-S7W56-NMUR1-Neuromedin-S-chim(NtGi1-Gs-CtGq)/β1/γ2
8.33Single8GHVAMG3158GHV-CB1-AMG315-Gi1/β1/γ2
8.33Single8IEBPubChem 1347468948IEB-GPR156; GPR156-PubChem 134746894
8.33Single8IEIPubChem 1347468948IEI-GPR156; GPR156-PubChem 134746894
8.33Single8IEIPubChem 1347468948IEI-GPR156; GPR156-PubChem 134746894
8.33Single8IEPPubChem 1347468948IEP-GPR156; GPR156-PubChem 134746894
8.33Single8IEPPubChem 1347468948IEP-GPR156; GPR156-PubChem 134746894
8.33Single8IZBLysophosphatidylserine (UBL)8IZB-GPR174-Lysophosphatidylserine (UBL)-Gs/β1/γ2
8.33Single8KIGSHU91198KIG-MC3-SHU9119-Ca
8.33Single8WCBCyclohexylammonium Ion8WCB-TA1-Cyclohexylammonium Ion-chim(NtGi1-Gs-CtGq)/β1/γ2
8.33Single8WCCCyclohexylammonium Ion8WCC-TA1-Cyclohexylammonium Ion
8.33Single8WKYPG-9348WKY-MC4-PG-934
8.33Single8XWNCXCL88XWN-CXCR2-CXCL8
8.33Consensusccr1_onOrthosteric Ligand7VLA-CCR1-CCL15(27-92)-Gi1/β1/γ2
8.33Consensusccr1_on_gpOrthosteric Ligand7VLA-CCR1-CCL15(27-92)-Gi1/β1/γ2
8.33Consensusnk3_onOrthosteric Ligand8JBF-NK3-Senktide-chim(NtGi1-Gs-CtGq)/β1/γ2
8.33Consensusnk3_on_gpOrthosteric Ligand8JBF-NK3-Senktide-chim(NtGi1-Gs-CtGq)/β1/γ2
8.11Single7PIVAfamelanotide7PIV-MC4-Afamelanotide-Gs/β1/γ2
8.11Single8IEBPubChem 1347468948IEB-GPR156; GPR156-PubChem 134746894
8.11Single9IK8Pasireotide9IK8-SST1-Pasireotide-Gi1/β1/γ2
8.11Single9L60Dynorphin9L60-κ-Dynorphin-MPAM-15-Gi1/β1/γ2
8.11Consensusmc5_onOrthosteric Ligand8INR-MC5-α-MSH-Ca-chim(NtGi1-Gs)/β1/γ2 8IOD-MC5-PG-901-Ca-chim(NtGi1-Gs)/β1/γ2
8.00Single6VCBLSN31604406VCB-GLP-1-GLP-1-LSN3160440-Gs/β1/γ2
8.00Single7XKDDehydroepiandrosterone7XKD-ADGRG2-Dehydroepiandrosterone-Gs/β1/γ2
8.00Single8X9S5alpha-DHT8X9S-ADGRD1-5α-DHT-chim(NtGi1-Gs)/β1/γ2
8.00Single9JIDNiacin9JID-HCA3-Niacin-Gi1/β1/γ2
7.89Single6W25SHU91196W25-MC4-SHU9119-Ca
7.89Single7F4DAlpha-MSH7F4D-MC1-α-MSH-chim(NtGi1-Gs)/β1/γ2
7.89Single7MBXCholecystokinin-87MBX-CCKA-Cholecystokinin-8-Gs/β1/γ1
7.89Single7W55Neuromedin-U-257W55-NMUR2-Neuromedin-U-25-chim(NtGi1-Gs-CtGq)/β1/γ2
7.89Single7XOUCholecystokinin-87XOU-CCKA-Cholecystokinin-8-Gs/β1/γ2
7.89Single8K6MNeuropeptide-Y8K6M-Y1-Neuropeptide-Y-Gi2/β1/γ1
7.89Single8W8YGamma-MSH8W8Y-MC3-γ-MSH-Ca-Gs/β1/γ2
7.89Consensusnmur2_onOrthosteric Ligand7W55-NMUR2-Neuromedin-U-25-chim(NtGi1-Gs-CtGq)/β1/γ2
7.89Consensusnmur2_on_gpOrthosteric Ligand7W55-NMUR2-Neuromedin-U-25-chim(NtGi1-Gs-CtGq)/β1/γ2
7.89Consensusnpy1_onOrthosteric Ligand8K6M-Y1-Neuropeptide-Y-Gi2/β1/γ1
7.89Consensusnpy1_on_gpOrthosteric Ligand8K6M-Y1-Neuropeptide-Y-Gi2/β1/γ1
7.69Single3RFMCaffeine3RFM-A2A-Caffeine
7.69Single6OY9All-trans-Retinal6OY9-Rhodopsin-All-trans-Retinal-Gt/β1/γ1
7.69Single6TQ9SB-4081246TQ9-OX1-SB-408124
7.69Single7KH0AVP7KH0-V2-AVP-chim(NtGi1-Gs)/β1/γ2
7.69Single8IEDPubChem 1347468948IED-GPR156; GPR156-PubChem 134746894-Go/β1/γ2
7.69Single8IWM2-Phenylethylamine8IWM-TAA9-2-Phenylethylamine
7.69Single8U4QREGN7663-Fab8U4Q-CXCR4-REGN7663-Fab-Gi1/β1/γ2
7.69Single9CHUNorepinephrine9CHU-β2-Norepinephrine
7.69Single9IVMLSN33188399IVM-GLP-1-GLP-1 (Truncated)-LSN3318839-chim(NtGi1-Gs)/β2/γ2
7.69Single9L0HJR14a9L0H-C3aB-JR14a-Go/β1/γ2
7.69Consensusmc5_on_gpOrthosteric Ligand8INR-MC5-α-MSH-Ca-chim(NtGi1-Gs)/β1/γ2 8IOD-MC5-PG-901-Ca-chim(NtGi1-Gs)/β1/γ2
7.69Consensusp2y_offOrthosteric Ligandp2y1_off
7.50Single8IODPG-9018IOD-MC5-PG-901-Ca-chim(NtGi1-Gs)/β1/γ2
7.50Consensusp2y10_onOrthosteric Ligand8KGG-P2Y10-Lysophosphatidylserine (WJS)-chim(NtGi2-G13)/β1/γ2
7.41Single2ZIY11-cis-Retinal2ZIY-Rhodopsin-11-cis-Retinal
7.41Single4XNWMRS25004XNW-P2Y1-MRS2500
7.41Single6D32Cyclopamine6D32-SMO-Cyclopamine-Cyclopamine
7.41Single6FK9PubChem 1324730366FK9-Rhodopsin-PubChem 132473036
7.41Single6ME5Agomelatine6ME5-MT1-Agomelatine
7.41Single6OIKLY21196206OIK-M2-Iperoxo-LY2119620-chim(NtGi1-Go)/β1/γ2
7.41Single6PWCNeurotensin-(9-13)6PWC-NTS1-Neurotensin-(9-13)-Arrestin2
7.41Single7D77Hydrocortisone7D77-ADGRG3-Hydrocortisone-Go/β1/γ2
7.41Single8DPILorcaserin8DPI-5-HT2C-Lorcaserin-chim(NtGi2L-Gs-CtGq)/β1/γ2
7.41Single8IW72-Phenylethylamine8IW7-TAA9-2-Phenylethylamine-chim(NtGi1-Gs)/β1/γ2
7.41Single8POKHistamine8POK-H2-Histamine-Gs/β1/γ2
7.41Single8Y63C20:0 Ceramide8Y63-FPR2-ALX-C20:0 Ceramide-Gi1/β1/γ2
7.41Single9IV15alpha-DHT9IV1-ADGRD1-5α-DHT-chim(NtGi1-Gs)/β1/γ2
7.41Single9JHJC18:0 Ceramide9JHJ-FPR2-ALX-C18:0 Ceramide-Gi1/β1/γ2
7.41Single9MBCAZ122160529MBC-mGlu8; mGlu8-DCPG-AZ12216052
7.41Consensus5ht2_onOrthosteric Ligand5ht2b_on
7.41Consensus5ht2b_onOrthosteric Ligand7SRR-5-HT2B-LSD-chim(NtGi2L-Gs-CtGq)/β1/γ2
7.41Consensush2_on_gpOrthosteric Ligand8POK-H2-Histamine-Gs/β1/γ2
7.41Consensusp2y1_offOrthosteric Ligand4XNW-P2Y1-MRS2500
7.14Single6HLLCP999946HLL-NK1-CP99994
7.14Single6I9K9-cis-Retinal6I9K-Rhodopsin-9-cis-Retinal
7.14Single6PGSGeraniol6PGS-Rhodopsin-Geraniol-Gt(CT)
7.14Single6PH7Nerol6PH7-Rhodopsin-Nerol-Gt(CT)
7.14Single6TQ4PubChem 160468446TQ4-OX1-PubChem 16046844-Na
7.14Single7D76Beclomethasone7D76-ADGRG3-Beclomethasone-Go/β1/γ2
7.14Single7DFLHistamine7DFL-H1-Histamine-chim(NtGi1L-Gq)/β1/γ2
7.14Single7E2YSerotonin7E2Y-5-HT1A-Serotonin-PtdIns4P-Gi1/β1/γ2
7.14Single7SRQLSD7SRQ-5-HT2B-LSD
7.14Single7VDHC48/807VDH-MRGPRX2-C48/80-Gi1/β1/γ2
7.14Single7VUIJNJ-635330547VUI-GPR139-JNJ-63533054-GTP-chim(Gs-CtGq)/β1/γ2
7.14Single7XTASerotonin7XTA-5-HT4-Serotonin-Gi1/β1/γ2
7.14Single7YS6Serotonin7YS6-5-HT6-Serotonin-chim(NtGi1-Gs)/β1/γ2
7.14Single8A2PLUAA470708A2P-A2A-LUAA47070-Na
7.14Single8FX5Xanomeline8FX5-M4-Xanomeline-Xanomeline-Gi1/β1/γ2
7.14Single8UO4Constrained Epinephrine8UO4-β2-Constrained Epinephrine-GTP; Mg-Gs/β1/γ2
7.14Single8W8WAlpha-MSH8W8W-MC3-α-MSH-Ca-Gs/β1/γ2
7.14Single8W8XBeta-MSH8W8X-MC3-β-MSH-Ca-Gs/β1/γ2
7.14Single8YKDDehydroepiandrosterone8YKD-ADGRG2-Dehydroepiandrosterone-chim(NtGi1-Gs)/β1/γ2
7.14Single8YN4Histamine8YN4-H2-Histamine-chim(NtGi1L-Gs-CtGq)/β1/γ2
7.14Single9AS7Psilocin9AS7-5-HT2A-Psilocin
7.14Single9E7RGB889E7R-PAR2-GB88-chim(NtGi1L-Gs-CtGq)/β1/γ2
7.14Single9IJEEpinephrine9IJE-β3-Epinephrine-chim(NtGi1-Gs)/β1/γ2
7.14Single9IXJHistamine9IXJ-H2-Histamine-Gs/β1/γ2
7.14Single9JLCAVE 09919JLC-MAS1-AVE 0991-Gi1/β1/γ2
7.14Single9L3ZLRH7-C29L3Z-CML1-LRH7-C2
7.14Single9M88Oleic monoethanolamide9M88-GPR3 ; GPR3-Oleic monoethanolamide-AF64394
7.14Single9MBCAZ122160529MBC-mGlu8; mGlu8-DCPG-AZ12216052
7.14Consensus5ht4_onOrthosteric Ligand7XTA-5-HT4-Serotonin-Gi1/β1/γ2
7.14Consensus5ht4_on_gpOrthosteric Ligand7XTA-5-HT4-Serotonin-Gi1/β1/γ2
7.14Consensusgq_nucleotideOrthosteric Ligandgq_p2y
7.14Consensusgq_p2yOrthosteric Ligand7XXH-P2Y1-2MeSADP-chim(NtGi1-G11)/β1/γ2
7.14Consensush1_onOrthosteric Ligand7DFL-H1-Histamine-chim(NtGi1L-Gq)/β1/γ2
6.90Single4K5YCP-3763954K5Y-CRF1-CP-376395
6.90Single6DS0LY2660976DS0-5-HT2B-LY266097
6.90Single6FKBPubChem 1324730386FKB-Rhodopsin-PubChem 132473038
6.90Single6ME2Ramelteon6ME2-MT1-Ramelteon
6.90Single6ME9Ramelteon6ME9-MT2-Ramelteon
6.90Single6TQ6PubChem 1457142836TQ6-OX1-PubChem 145714283
6.90Single6WWZCCL206WWZ-CCR6-CCL20-Go/β1/γ2
6.90Single7F1ODopamine7F1O-D1-Dopamine-GDP; Mg-Gs/β1/γ2
6.90Single7F8ULintitript7F8U-CCKA-Lintitript
6.90Single7F8YDevazepide7F8Y-CCKA-Devazepide
6.90Single7LJDDopamine7LJD-D1-Dopamine-Mevidalen-Gs/β1/γ1
6.90Single7S8PMS471347S8P-MRGPRX4-MS47134-chim(NtGi2L-Gs-CtGq)/β1/γ2
6.90Single7SRRLSD7SRR-5-HT2B-LSD-chim(NtGi2L-Gs-CtGq)/β1/γ2
6.90Single7SRSLSD7SRS-5-HT2B-LSD-Arrestin2
6.90Single7TUZ7-alpha,25-dihydroxycholesterol7TUZ-GPR183-7-α,25-dihydroxycholesterol-Gi1/β1/γ2
6.90Single7VV5C48/807VV5-MRGPRX2-C48/80-Gi1/β1/γ2
6.90Single7W0MPubChem 1227019087W0M-Apelin-PubChem 122701908-Gi1/β1/γ2
6.90Single7X5H5-CT7X5H-5-HT5A-5-CT-Gi1/β1/γ2
6.90Single7XJJGalanin7XJJ-GAL1-Galanin-Go/β1/γ2
6.90Single8DWHPubChem 1390305318DWH-MRGPRX1-PubChem 139030531-chim(NtGi2L-Gs-CtGq)/β1/γ2
6.90Single8TZQDopamine8TZQ-D2-Dopamine-Go/β1/γ2
6.90Single8U8FPalmitic Acid8U8F-GPR3-Palmitic Acid-Gs/β1/γ2
6.90Single8XXXCXCL68XXX-CXCR2-CXCL6-Go/β1/γ2
6.90Single8YNFCXCL88YNF-ACKR1-CXCL8
6.90Single9LKDPL459LKD-OR5V1-PL45
6.90Single9LL9DOI9LL9-5-HT2A-DOI-chim(NtGi1L-Gs-CtGq)/β1/γ2
6.90Single9LLBDOI-NBOMe9LLB-5-HT2A-DOI-NBOMe-chim(NtGi1L-Gs-CtGq)/β1/γ2
6.90Single9LRBHistamine9LRB-H1-Histamine-Gs/β1/γ2
6.90Single9PEEPF-07054894; OXM29PEE-CCR6-PF-07054894; OXM2
6.90Consensus5ht2_on_gpOrthosteric Ligand5ht2b_on_gp
6.90Consensus5ht2b_on_gpOrthosteric Ligand7SRR-5-HT2B-LSD-chim(NtGi2L-Gs-CtGq)/β1/γ2
6.90Consensus5ht_onOrthosteric Ligand5ht1_on 5ht2_on 5ht4_on 5ht5_on 5ht6_on 5ht7_on
6.90Consensusccr6_onOrthosteric Ligand6WWZ-CCR6-CCL20-Go/β1/γ2
6.90Consensusccr6_on_gpOrthosteric Ligand6WWZ-CCR6-CCL20-Go/β1/γ2
6.90Consensusgs_5htOrthosteric Ligand7XTC-5-HT7-5-CT-Gs/β1/γ2 7XTB-5-HT6-Serotonin-Gs/β1/γ2 8JLZ-5-HT6-ST1936-Gs/β1/γ2 7XT8-5-HT4-Serotonin-Gs/β1/γ2
6.82Single8ZJETAK4488ZJE-Kiss1-TAK448-chim(NtGi1-Gq)/β1/γ1
6.67Single3REYPubChem 56973REY-A2A-PubChem 5697
6.67Single3RZECidoxepin3RZE-H1-Cidoxepin
6.67Single6FK8PubChem 1324730356FK8-Rhodopsin-PubChem 132473035
6.67Single6TPKRetosiban6TPK-OT-Retosiban
6.67Single6TPNHTL66416TPN-OX2-HTL6641
6.67Single7F24Dopamine7F24-D1-Dopamine-GDP-Gs/β1/γ2
6.67Single7M3GCa; Ca; Tryptophan; Evocalcet; Etelcalcetide; PO47M3G-CaS; CaS-Ca; Ca; Tryptophan; Evocalcet; Etelcalcetide; PO4
6.67Single7UTZDPPC7UTZ-TSH-TSH-DPPC-Gs/β1/γ2
6.67Single7VODCariprazine7VOD-5-HT2A-Cariprazine
6.67Single7VV6C48/807VV6-MRGPRX2-C48/80
6.67Single8V6UPubChem 1713924568V6U-5-HT2A-PubChem 171392456-chim(NtGi2-Gs-CtGq)/β1/γ2
6.67Single8Y53MK50468Y53-BB3-MK5046-chim(NtGi1-Gs-CtGq)/β1/γ2
6.67Single8Y62C16:0 Ceramide8Y62-FPR2-ALX-C16:0 Ceramide-Gi1/β1/γ2
6.67Single8ZMGPimavanserin8ZMG-5-HT2A-Pimavanserin
6.67Single9ARXSerotonin9ARX-5-HT2A-Serotonin
6.67Single9LKBPL459LKB-OR5V1-PL45-chim(NtGi1-Gs)/β1
6.67Consensusot_offOrthosteric Ligand6TPK-OT-Retosiban
6.67Consensusvasop-oxy_offOrthosteric Ligandot_off
6.45Single4Z9GCP-3763954Z9G-CRF1-CP-376395
6.45Single5UIGPubChem 1240811965UIG-A2A-PubChem 124081196
6.45Single6DRXLisuride6DRX-5-HT2B-Lisuride
6.45Single7JOZPubChem 752020227JOZ-D1-PubChem 75202022-Gs/β1/γ2
6.45Single7NA8Ibutamoren7NA8-Ghrelin-Ibutamoren-Gi1/β1/γ2
6.45Single7SK8CXCL127SK8-ACKR3-CXCL12-CCX662
6.45Single7SQOTAK-9257SQO-OX2-TAK-925-Gi1/β1/γ2
6.45Single7WQ3Galanin7WQ3-GAL1-Galanin-Gi1/β1/γ2
6.45Single8EFQDAMGO8EFQ-μ-DAMGO-Gi1/β1/γ2
6.45Single8GTIBMK-C2058GTI-CRF1-BMK-C205
6.45Single8TH3AT118-H Nanobody8TH3-AT1-AT118-H Nanobody
6.45Single8X9TAP5038X9T-ADGRD1-AP503-chim(NtGi1-Gs)/β1/γ2
6.45Single8ZYYNeurotensin-(8-13)8ZYY-NTS1-Neurotensin-(8-13)-SBI-553-Arrestin2
6.45Single9IMATalquetamab9IMA-GPRC5D; GPRC5D-Talquetamab
6.45Single9IYAONO-97105319IYA-GPR55-ONO-9710531
6.45Single9JROPF-044189489JRO-EP2-PF-04418948
6.45Single9KFTfMLFC9KFT-FPR1-ALX-fMLFC-Gi1/β1/γ2
6.45Single9LLAAriadne9LLA-5-HT2A-Ariadne-chim(NtGi1L-Gs-CtGq)/β1/γ2
6.45Consensuscck_offOrthosteric Ligandccka_off
6.45Consensusccka_offOrthosteric Ligand7F8Y-CCKA-Devazepide 7F8U-CCKA-Lintitript
6.45Consensusgal1_onOrthosteric Ligand7WQ3-GAL1-Galanin-Gi1/β1/γ2
6.45Consensusgal1_on_gpOrthosteric Ligand7WQ3-GAL1-Galanin-Gi1/β1/γ2
6.45Consensusgi_galaninOrthosteric Ligand7WQ3-GAL1-Galanin-Gi1/β1/γ2
6.45Consensusgi_orexinOrthosteric Ligand7SQO-OX2-TAK-925-Gi1/β1/γ2
6.25Single4RWDDIPP-NH24RWD-δ-DIPP-NH2-Na
6.25Single7EUOfMLF7EUO-FPR1-ALX-fMLF-Gi1/β1/γ2
6.25Single7M3GCa; Ca; Tryptophan; Evocalcet; Etelcalcetide; PO47M3G-CaS; CaS-Ca; Ca; Tryptophan; Evocalcet; Etelcalcetide; PO4
6.25Single7VV0PAMP-127VV0-MRGPRX2-PAMP-12
6.25Single7Y26Octreotide7Y26-SST2-Octreotide-chim(NtGi2L-Gs-CtGq)/β1/γ2
6.25Single8GTGBMK-I1528GTG-CRF1-BMK-I152
6.25Single8IZ4Lysophosphatidylserine (TJR)8IZ4-GPR34-Lysophosphatidylserine (TJR)-Gi1/β1/γ2
6.25Single8TH4AT118-L Nanobody8TH4-AT1-Losartan-AT118-L Nanobody
6.25Single9EE5ONO-25502899EE5-DP1-ONO-2550289
6.25Single9GE2ML1849GE2-GPR55-ML184-chim(NtGi1-G13)/β1/γ2
6.25Single9JRTTG6-1299JRT-EP2-TG6-129
6.25Single9U81Tolvaptan9U81-V2-Tolvaptan
6.06Single6DDEDAMGO6DDE-μ-DAMGO-Gi1/β1/γ2
6.06Single6E59L-7607356E59-NK1-L-760735
6.06Single7SK7CXCL127SK7-ACKR3-CXCL12-CCX662
6.06Single7XAVLanreotide7XAV-SST2-Lanreotide-Gi1/β1/γ2
6.06Single8FMZNeurotensin-(8-13)8FMZ-NTS1-Neurotensin-(8-13)-chim(NtGi2L-Gs-CtGq)/β1/γ2
6.06Single8JD5JNJ-40411813; ADX881788JD5-mGlu2; mGlu4-Glutamate-JNJ-40411813; ADX88178-Gi1/β1/γ2
6.06Single8XX7CXCL58XX7-CXCR2-CXCL5-Go/β1/γ2
6.06Single8Y73Peptide8Y73-μ-Peptide-MPAM-15-Gi1/β1/γ2
6.06Consensuscyslt1_offOrthosteric Ligand6RZ5-CysLT1-Zafirlukast-Na 6RZ4-CysLT1-Pranlukast-Na
6.06Consensusffa2_onOrthosteric Ligand8J22-FFA2-TUG-1375-Gi1/β1/γ2
6.06Consensusnpy1_offOrthosteric Ligand5ZBH-Y1-BMS-193885 5ZBQ-Y1-UR-MK-299
5.88Single4PXFOctyl-Beta-D-Glucopyranoside4PXF-Rhodopsin-Octyl-β-D-Glucopyranoside-Arrestin1 Finger Loop
5.88Single6RZ7ONO-25703666RZ7-CysLT2-ONO-2570366
5.88Single7F55Bremelanotide7F55-MC4-Bremelanotide-Gs/β1/γ2
5.88Single7L1UOrexin7L1U-OX2-Orexin-chim(NtGi1-Gs-CtGq)/β1/γ2
5.88Single7WQ4Galanin7WQ4-GAL2-Galanin-chim(NtGi1-Gs-CtGq)/β1/γ2
5.88Single7XW6ML1097XW6-TSH-M22 Fab-ML109-Gs/β1/γ2
5.88Single8GTMBMK-C2038GTM-CRF1-BMK-C203
5.88Single8H0QGastrin Releasing Peptide8H0Q-BB2-Gastrin Releasing Peptide-chim(NtGi1-Gs-CtGq)/β1/γ2
5.88Single8U26Substance-P8U26-NK1-Substance-P-Gs/β1/γ2
5.88Single8WRBLysophosphatidylserine (UBL)8WRB-GPR34-Lysophosphatidylserine (UBL)-Gi1/β1/γ2
5.88Single8XWACXCL18XWA-CXCR2-CXCL1
5.88Single8XWSCXCL58XWS-CXCR2-CXCL5
5.88Single9ECJS-geranylgeranyl-L-glutathione9ECJ-P2Y8-S-geranylgeranyl-L-glutathione-G13/β1/γ2
5.88Single9W32SSTR5 antagonist 19W32-SST5-SSTR5 antagonist 1
5.88Single9WSWEndomorphin9WSW-μ-Endomorphin-chim(NtGi1-Gz)/β1/γ2
5.88Single9WXMGPR15L(CT)9WXM-GPR15-GPR15L(CT)-Gi3/β1/γ2
5.88Consensusffa2_on_gpOrthosteric Ligand8J22-FFA2-TUG-1375-Gi1/β1/γ2
5.71Single6RZ9ONO-27703726RZ9-CysLT2-ONO-2770372
5.71Single7MBYCholecystokinin-87MBY-CCKA-Cholecystokinin-8-chim(NtGi1L-Gs-CtGq)/β1/γ2
5.71Single7P00Substance-P7P00-NK1-Substance-P-chim(NtGi1-Gs-CtGq)/β1/γ2
5.71Single7PIUSetmelanotide7PIU-MC4-Setmelanotide-Gs/β1/γ2
5.71Single8XWVCXCL18XWV-CXCR2-CXCL1-Go/β1/γ2
5.71Consensuscyslt2_offOrthosteric Ligand6RZ7-CysLT2-ONO-2570366 6RZ8-CysLT2-ONO-2080365 6RZ9-CysLT2-ONO-2770372
5.71Consensusnk1_onOrthosteric Ligand7P00-NK1-Substance-P-chim(NtGi1-Gs-CtGq)/β1/γ2
5.71Consensusnk1_on_gpOrthosteric Ligand7P00-NK1-Substance-P-chim(NtGi1-Gs-CtGq)/β1/γ2
5.56Single6RZ6ONO-25703666RZ6-CysLT2-ONO-2570366
5.56Single7RMGSubstance-P7RMG-NK1-Substance-P-chim(Gs-CtGq)/β1/γ2
5.56Single7RMHSubstance-P7RMH-NK1-Substance-P-Gs/β1/γ2
5.56Single8F7REndomorphin8F7R-μ-Endomorphin-Gi1/β1/γ2
5.56Single8J22TUG-13758J22-FFA2-TUG-1375-Gi1/β1/γ2
5.56Single8Z74JN241-98Z74-Apelin; Apelin-JN241-9
5.56Single9ITBLPA9ITB-LPA6-LPA-chim(NtGi1-Gs-CtGq)/β1/γ2
5.56Single9JH6C20:0 Ceramide9JH6-CysLT2-C20:0 Ceramide-chim(NtGi1-Gs-CtGq)/β1/γ2
5.56Single9WSXEndomorphin9WSX-μ-Endomorphin-Arrestin2
5.41Single8F7XNociceptin8F7X-NOP-Nociceptin-Gi1/β1/γ2
5.41Single8INRAlpha-MSH8INR-MC5-α-MSH-Ca-chim(NtGi1-Gs)/β1/γ2
5.41Single8XBHPubChem 1626566368XBH-GPR34-PubChem 162656636-Gi1/β1/γ2
5.41Single8ZCJPasireotide8ZCJ-SST5-Pasireotide-Gi1/β1/γ1
5.41Single9J0IUDP-Glucuronic acid9J0I-P2Y14-UDP-Glucuronic acid-Gi1/β1/γ2
5.41Single9UYLChemerin-99UYL-CML2-Chemerin-9-Arrestin2
5.41Consensusnop_onOrthosteric Ligand8F7X-NOP-Nociceptin-Gi1/β1/γ2
5.41Consensusnop_on_gpOrthosteric Ligand8F7X-NOP-Nociceptin-Gi1/β1/γ2
5.26Single7RMISubstance-P7RMI-NK1-Substance-P-chim(Gs-CtGq)/β1/γ2
5.26Single8IOCGamma-MSH8IOC-MC3-γ-MSH-Ca-chim(NtGi1-Gs)/β1/γ2
5.26Single8K6ONeuropeptide-Y8K6O-Y1-Neuropeptide-Y-Gi2/β1/γ1
5.26Single9J0FNADH9J0F-P2Y14-NADH-Gi1/β1/γ2
5.26Consensustachykinin_on_gpOrthosteric Ligandnk1_on_gp nk2_on_gp nk3_on_gp
5.13Consensusmc3_onOrthosteric Ligand8IOC-MC3-γ-MSH-Ca-chim(NtGi1-Gs)/β1/γ2
5.13Consensusmc3_on_gpOrthosteric Ligand8IOC-MC3-γ-MSH-Ca-chim(NtGi1-Gs)/β1/γ2
5.00Consensustachykinin_onOrthosteric Ligandnk1_on nk2_on nk3_on
4.88Single7P02Substance-P7P02-NK1-Substance-P-chim(NtGi1-Gs)/β1/γ2
4.55Single6D32Cyclopamine6D32-SMO-Cyclopamine-Cyclopamine
4.55Single6D35Cholesterol6D35-SMO-Cholesterol
4.55Single6N51Quisqualate6N51-mGlu5; mGlu5-Quisqualate
4.55Single6N51Quisqualate6N51-mGlu5; mGlu5-Quisqualate
4.55Single6UO8SKF975416UO8-GABAB1, GABAB2-SKF97541-GS39783
4.55Single6UO9SKF975416UO9-GABAB1, GABAB2-SKF97541
4.55Single6W2XPubChem 53110426W2X-GABAB1, GABAB2-PubChem 5311042
4.55Single6W2YPubChem 53110426W2Y-GABAB1; GABAB1-PubChem 5311042
4.55Single6W2YPubChem 53110426W2Y-GABAB1; GABAB1-PubChem 5311042
4.55Single7C7QBaclofen7C7Q-GABAB1, GABAB2-Baclofen-BHFF
4.55Single7C7SCGP546267C7S-GABAB1, GABAB2-CGP54626
4.55Single7CUMCGP546267CUM-GABAB1, GABAB2-CGP54626
4.55Single7DD5Ca7DD5-CaS; CaS-Ca-Ca; Ca; Tryptophan; NPS-2143
4.55Single7DD5Ca; Ca; Tryptophan; NPS-21437DD5-CaS; CaS-Ca-Ca; Ca; Tryptophan; NPS-2143
4.55Single7DD5Ca7DD5-CaS; CaS-Ca-Ca; Ca; Tryptophan; NPS-2143
4.55Single7DD5Ca; Ca; Tryptophan; NPS-21437DD5-CaS; CaS-Ca-Ca; Ca; Tryptophan; NPS-2143
4.55Single7DGEQuisqualate7DGE-mGlu1; mGlu1-Quisqualate
4.55Single7DTTCa7DTT-CaS; CaS-Ca-Ca
4.55Single7DTTCa7DTT-CaS; CaS-Ca-Ca
4.55Single7DTUTryptophan7DTU-CaS; CaS-Tryptophan
4.55Single7DTUTryptophan7DTU-CaS; CaS-Tryptophan
4.55Single7DTVCa7DTV-CaS; CaS-Ca-Ca; Tryptophan
4.55Single7DTVCa; Tryptophan7DTV-CaS; CaS-Ca-Ca; Tryptophan
4.55Single7DTVCa7DTV-CaS; CaS-Ca-Ca; Tryptophan
4.55Single7DTVCa; Tryptophan7DTV-CaS; CaS-Ca-Ca; Tryptophan
4.55Single7E6TCa; Ca; Cyclomethyltryptophan; PO47E6T-CaS; CaS-Ca-Ca; Ca; Cyclomethyltryptophan; PO4
4.55Single7E6TCa7E6T-CaS; CaS-Ca-Ca; Ca; Cyclomethyltryptophan; PO4
4.55Single7E6TCa; Ca; Cyclomethyltryptophan; PO47E6T-CaS; CaS-Ca-Ca; Ca; Cyclomethyltryptophan; PO4
4.55Single7E6TCa7E6T-CaS; CaS-Ca-Ca; Ca; Cyclomethyltryptophan; PO4
4.55Single7E9GEglumetad7E9G-mGlu2; mGlu2-Eglumetad-JNJ-40411813-Gi1/β1/γ2
4.55Single7E9GEglumetad7E9G-mGlu2; mGlu2-Eglumetad-JNJ-40411813-Gi1/β1/γ2
4.55Single7E9HPhosphoserine7E9H-mGlu4; mGlu4-Phosphoserine-Gi3/β1/γ2
4.55Single7E9HPhosphoserine7E9H-mGlu4; mGlu4-Phosphoserine-Gi3/β1/γ2
4.55Single7EB2Baclofen7EB2-GABAB2; GABAB1-Baclofen-rac-BHFF-Gi1/β1/γ2
4.55Single7EPBEglumetad7EPB-mGlu2; mGlu2-Eglumetad
4.55Single7EPBEglumetad7EPB-mGlu2; mGlu2-Eglumetad
4.55Single7FD8Quisqualate7FD8-mGlu5; mGlu5-Quisqualate
4.55Single7FD8Quisqualate7FD8-mGlu5; mGlu5-Quisqualate
4.55Single7FD9LY3414957FD9-mGlu5; mGlu5-LY341495
4.55Single7FD9LY3414957FD9-mGlu5; mGlu5-LY341495
4.55Single7FIHhCG7FIH-LH-hCG-Org43553-chim(NtGi1-Gs)/β1/γ2
4.55Single7FIIhCG7FII-LH-hCG-chim(NtGi1-Gs)/β1/γ2
4.55Single7M3ECa; Ca; Tryptophan; NPS-21437M3E-CaS; CaS-Ca; Ca; Tryptophan; NPS-2143
4.55Single7M3ECa; Ca; Tryptophan; NPS-21437M3E-CaS; CaS-Ca; Ca; Tryptophan; NPS-2143
4.55Single7M3FCa; Ca; Tryptophan; Cinacalcet7M3F-CaS; CaS-Ca; Ca; Tryptophan; Cinacalcet
4.55Single7M3FCa; Ca; Tryptophan; Cinacalcet7M3F-CaS; CaS-Ca; Ca; Tryptophan; Cinacalcet
4.55Single7M3GCa; Ca; Tryptophan; Evocalcet; Etelcalcetide; PO47M3G-CaS; CaS-Ca; Ca; Tryptophan; Evocalcet; Etelcalcetide; PO4
4.55Single7M3GCa; Ca; Tryptophan; Evocalcet; Etelcalcetide; PO47M3G-CaS; CaS-Ca; Ca; Tryptophan; Evocalcet; Etelcalcetide; PO4
4.55Single7M3GCa; Ca; Tryptophan; Evocalcet; Etelcalcetide; PO47M3G-CaS; CaS-Ca; Ca; Tryptophan; Evocalcet; Etelcalcetide; PO4
4.55Single7M3GCa; Ca; Tryptophan; Evocalcet; Etelcalcetide; PO47M3G-CaS; CaS-Ca; Ca; Tryptophan; Evocalcet; Etelcalcetide; PO4
4.55Single7MTQLY3414957MTQ-mGlu2; mGlu2-LY341495
4.55Single7MTQLY3414957MTQ-mGlu2; mGlu2-LY341495
4.55Single7MTRGlutamate7MTR-mGlu2; mGlu2-Glutamate-ADX55164
4.55Single7MTRGlutamate7MTR-mGlu2; mGlu2-Glutamate-ADX55164
4.55Single7MTSGlutamate7MTS-mGlu2; mGlu2-Glutamate-ADX55164-Gi1/β1/γ2
4.55Single7MTSGlutamate7MTS-mGlu2; mGlu2-Glutamate-ADX55164-Gi1/β1/γ2
4.55Single7SILCa7SIL-CaS; CaS-Ca-Ca; Ca; Ca; Cyclomethyltryptophan; R-568; PO4
4.55Single7SILCa; Ca; Ca; Cyclomethyltryptophan; R-568; PO47SIL-CaS; CaS-Ca-Ca; Ca; Ca; Cyclomethyltryptophan; R-568; PO4
4.55Single7SILCa7SIL-CaS; CaS-Ca-Ca; Ca; Ca; Cyclomethyltryptophan; R-568; PO4
4.55Single7SILCa; Ca; Ca; Cyclomethyltryptophan; R-568; PO47SIL-CaS; CaS-Ca-Ca; Ca; Ca; Cyclomethyltryptophan; R-568; PO4
4.55Single7SIMCa; Ca; Cyclomethyltryptophan; PO47SIM-CaS; CaS-Ca-Ca; Ca; Cyclomethyltryptophan; PO4
4.55Single7SIMCa7SIM-CaS; CaS-Ca-Ca; Ca; Cyclomethyltryptophan; PO4
4.55Single7SIMCa; Ca; Cyclomethyltryptophan; PO47SIM-CaS; CaS-Ca-Ca; Ca; Cyclomethyltryptophan; PO4
4.55Single7SIMCa7SIM-CaS; CaS-Ca-Ca; Ca; Cyclomethyltryptophan; PO4
4.55Single7T9NM22 Fab7T9N-TSH-M22 Fab-DPPC-Gs/β1/γ2
4.55Single7WI6LY3414957WI6-mGlu3; mGlu3-LY341495
4.55Single7WI6LY3414957WI6-mGlu3; mGlu3-LY341495
4.55Single7WI8LY3414957WI8-mGlu3; mGlu3-LY341495
4.55Single7WI8LY3414957WI8-mGlu3; mGlu3-LY341495
4.55Single7WIHLY27941937WIH-mGlu3; mGlu3-LY2794193
4.55Single7WIHLY27941937WIH-mGlu3; mGlu3-LY2794193
4.55Single7XW6M22 Fab7XW6-TSH-M22 Fab-ML109-Gs/β1/γ2
4.55Single7XW7K1-707XW7-TSH-K1-70
4.55Single8JCULY3414958JCU-mGlu2; mGlu3-LY341495
4.55Single8JCULY3414958JCU-mGlu2; mGlu3-LY341495
4.55Single8JCVLY3414958JCV-mGlu2; mGlu3-LY341495
4.55Single8JCVLY3414958JCV-mGlu2; mGlu3-LY341495
4.55Single8JCWLY3414958JCW-mGlu2; mGlu3-LY341495
4.55Single8JCWLY3414958JCW-mGlu2; mGlu3-LY341495
4.55Single8JCXLY3414958JCX-mGlu2; mGlu3-LY341495
4.55Single8JCXLY3414958JCX-mGlu2; mGlu3-LY341495
4.55Single8JCYLY3414958JCY-mGlu2; mGlu3-LY341495
4.55Single8JCYLY3414958JCY-mGlu2; mGlu3-LY341495
4.55Single8JCZLY3414958JCZ-mGlu2; mGlu3-LY341495
4.55Single8JCZLY3414958JCZ-mGlu2; mGlu3-LY341495
4.55Single8JD0Glutamate8JD0-mGlu2; mGlu3-Glutamate-NAM563
4.55Single8JD1Glutamate8JD1-mGlu2; mGlu3-Glutamate
4.55Single8JD1Glutamate8JD1-mGlu2; mGlu3-Glutamate
4.55Single8JD2Glutamate8JD2-mGlu2; mGlu3-Glutamate
4.55Single8JD2Glutamate8JD2-mGlu2; mGlu3-Glutamate
4.55Single8JD3Glutamate8JD3-mGlu2; mGlu3-Glutamate-JNJ-40411813-Gi1/β1/γ2
4.55Single8JD3Glutamate8JD3-mGlu2; mGlu3-Glutamate-JNJ-40411813-Gi1/β1/γ2
4.55Single8JD4Glutamate8JD4-mGlu2; mGlu4-Glutamate
4.55Single8JD4Glutamate8JD4-mGlu2; mGlu4-Glutamate
4.55Single8JD5Glutamate8JD5-mGlu2; mGlu4-Glutamate-JNJ-40411813; ADX88178-Gi1/β1/γ2
4.55Single8JD5Glutamate8JD5-mGlu2; mGlu4-Glutamate-JNJ-40411813; ADX88178-Gi1/β1/γ2
4.55Single8JD6Phosphoserine8JD6-mGlu4; mGlu4-Phosphoserine-VU0364770-Gi3/β1/γ2
4.55Single8JD6Phosphoserine8JD6-mGlu4; mGlu4-Phosphoserine-VU0364770-Gi3/β1/γ2
4.55Single8SZFCa; Ca; Tryptophan; Cinacalcet; PO4; Spermine8SZF-CaS; CaS-Ca; Ca; Tryptophan; Cinacalcet; PO4; Spermine
4.55Single8SZFCa; Ca; Tryptophan; Cinacalcet; PO4; Spermine8SZF-CaS; CaS-Ca; Ca; Tryptophan; Cinacalcet; PO4; Spermine
4.55Single8SZGCa; Ca; Tryptophan; Cinacalcet; PO4; Spermine8SZG-CaS; CaS-Ca; Ca; Tryptophan; Cinacalcet; PO4; Spermine-chim(NtGi1-Gq)/β1/γ2
4.55Single8T7HQuisqualate8T7H-mGlu5; mGlu5-Quisqualate
4.55Single8T7HQuisqualate8T7H-mGlu5; mGlu5-Quisqualate
4.55Single8T8MQuisqualate8T8M-mGlu5; mGlu5-Quisqualate
4.55Single8T8MQuisqualate8T8M-mGlu5; mGlu5-Quisqualate
4.55Single8TAOQuisqualate8TAO-mGlu5; mGlu5-Quisqualate-CDPPB
4.55Single8TAOQuisqualate8TAO-mGlu5; mGlu5-Quisqualate-CDPPB
4.55Single8TQBCa; LY3792688TQB-mGlu3; mGlu3-Ca; LY379268-Ca
4.55Single8TQBCa; LY3792688TQB-mGlu3; mGlu3-Ca; LY379268-Ca
4.55Single8TR0LY3414958TR0-mGlu3; mGlu3-LY341495
4.55Single8TR0LY3414958TR0-mGlu3; mGlu3-LY341495
4.55Single8TR2Ca; LY3792688TR2-mGlu3; mGlu3-Ca; LY379268-Ca
4.55Single8TR2Ca; LY3792688TR2-mGlu3; mGlu3-Ca; LY379268-Ca
4.55Single8TRCLY3414958TRC-mGlu3; mGlu3-LY341495
4.55Single8TRCLY3414958TRC-mGlu3; mGlu3-LY341495
4.55Single8TRDLY3414958TRD-mGlu3; mGlu3-LY341495
4.55Single8TRDLY3414958TRD-mGlu3; mGlu3-LY341495
4.55Single8WG9PubChem 1793948WG9-mGlu4; mGlu2-PubChem 179394
4.55Single8WGBGlutamate8WGB-mGlu4; mGlu2-Glutamate-VU0155041-Gi3/β1/γ2
4.55Single8WGBGlutamate8WGB-mGlu4; mGlu2-Glutamate-VU0155041-Gi3/β1/γ2
4.55Single8WGCLY3792688WGC-mGlu2; mGlu4-LY379268
4.55Single8WGDLY341495; CPPG8WGD-mGlu4; mGlu2-LY341495; CPPG
4.55Single8WGDLY341495; CPPG8WGD-mGlu4; mGlu2-LY341495; CPPG
4.55Single8WPGTryptophan; Cinacalcet; PO4; Ca8WPG-CaS; CaS-Tryptophan; Cinacalcet; PO4; Ca
4.55Single8WPGTryptophan; Cinacalcet; PO4; Ca8WPG-CaS; CaS-Tryptophan; Cinacalcet; PO4; Ca
4.55Single8WPUTryptophan; Cinacalcet; PO4; Ca8WPU-CaS; CaS-Tryptophan; Cinacalcet; PO4; Ca-chim(NtGi2L-Gs-CtGq)/β1/γ2
4.55Single8WPUTryptophan; Cinacalcet; PO4; Ca8WPU-CaS; CaS-Tryptophan; Cinacalcet; PO4; Ca-chim(NtGi2L-Gs-CtGq)/β1/γ2
4.55Single8WVXNorrin8WVX-LGR4-Norrin
4.55Single8WVYNorrin8WVY-LGR4-Norrin
4.55Single8X0BQuisqualate8X0B-mGlu5; mGlu5-Quisqualate-VU0424465
4.55Single8X0BQuisqualate8X0B-mGlu5; mGlu5-Quisqualate-VU0424465
4.55Single8X0CQuisqualate8X0C-mGlu5; mGlu5-Quisqualate-VU0424465
4.55Single8X0CQuisqualate8X0C-mGlu5; mGlu5-Quisqualate-VU0424465
4.55Single8X0DQuisqualate8X0D-mGlu5; mGlu5-Quisqualate-VU0424465
4.55Single8X0DQuisqualate8X0D-mGlu5; mGlu5-Quisqualate-VU0424465
4.55Single8X0EQuisqualate8X0E-mGlu5; mGlu5-Quisqualate
4.55Single8X0EQuisqualate8X0E-mGlu5; mGlu5-Quisqualate
4.55Single8X0FQuisqualate8X0F-mGlu5; mGlu5-Quisqualate-VU29
4.55Single8X0FQuisqualate8X0F-mGlu5; mGlu5-Quisqualate-VU29
4.55Single8X0GQuisqualate8X0G-mGlu5; mGlu5-Quisqualate
4.55Single8X0GQuisqualate8X0G-mGlu5; mGlu5-Quisqualate
4.55Single8X0HQuisqualate8X0H-mGlu5; mGlu5-Quisqualate
4.55Single8X0HQuisqualate8X0H-mGlu5; mGlu5-Quisqualate
4.55Single8XUMR-spondin-28XUM-LGR4-R-spondin-2
4.55Single9ASBCa9ASB-CaS; CaS-Ca-Ca; Ca; Cyclomethyltryptophan; R-568; PO4-chim(NtGi1-Gs-CtGq)/β1/γ2
4.55Single9ASBCa; Ca; Cyclomethyltryptophan; R-568; PO49ASB-CaS; CaS-Ca-Ca; Ca; Cyclomethyltryptophan; R-568; PO4-chim(NtGi1-Gs-CtGq)/β1/γ2
4.55Single9AVGCa9AVG-CaS; CaS-Ca-Ca; Ca; Cyclomethyltryptophan; R-568; PO4-chim(NtGi1-Gs)/β1/γ2
4.55Single9AVGCa; Ca; Cyclomethyltryptophan; R-568; PO49AVG-CaS; CaS-Ca-Ca; Ca; Cyclomethyltryptophan; R-568; PO4-chim(NtGi1-Gs)/β1/γ2
4.55Single9AVLCa9AVL-CaS; CaS-Ca-Ca; Ca; Cyclomethyltryptophan; R-568; PO4-Gi3/β2/γ2
4.55Single9AVLCa; Ca; Cyclomethyltryptophan; R-568; PO49AVL-CaS; CaS-Ca-Ca; Ca; Cyclomethyltryptophan; R-568; PO4-Gi3/β2/γ2
4.55Single9AVLCa9AVL-CaS; CaS-Ca-Ca; Ca; Cyclomethyltryptophan; R-568; PO4-Gi3/β2/γ2
4.55Single9AVLCa; Ca; Cyclomethyltryptophan; R-568; PO49AVL-CaS; CaS-Ca-Ca; Ca; Cyclomethyltryptophan; R-568; PO4-Gi3/β2/γ2
4.55Single9AXFCa9AXF-CaS; CaS-Ca-Ca; Ca; Ca; Cyclomethyltryptophan; R-568; PO4-chim(NtGi1-Gs-CtGq)/β1/γ2
4.55Single9AXFCa; Ca; Ca; Cyclomethyltryptophan; R-568; PO49AXF-CaS; CaS-Ca-Ca; Ca; Ca; Cyclomethyltryptophan; R-568; PO4-chim(NtGi1-Gs-CtGq)/β1/γ2
4.55Single9AXFCa9AXF-CaS; CaS-Ca-Ca; Ca; Ca; Cyclomethyltryptophan; R-568; PO4-chim(NtGi1-Gs-CtGq)/β1/γ2
4.55Single9AXFCa; Ca; Ca; Cyclomethyltryptophan; R-568; PO49AXF-CaS; CaS-Ca-Ca; Ca; Ca; Cyclomethyltryptophan; R-568; PO4-chim(NtGi1-Gs-CtGq)/β1/γ2
4.55Single9AYFCa9AYF-CaS; CaS-Ca-Ca; Ca; Ca; Cyclomethyltryptophan; R-568; PO4-Gi1/β1/γ2
4.55Single9AYFCa; Ca; Ca; Cyclomethyltryptophan; R-568; PO49AYF-CaS; CaS-Ca-Ca; Ca; Ca; Cyclomethyltryptophan; R-568; PO4-Gi1/β1/γ2
4.55Single9C1PCa9C1P-CaS; CaS-Ca-Ca; Tryptophan; '6218; PO4
4.55Single9C1PCa; Tryptophan; '6218; PO49C1P-CaS; CaS-Ca-Ca; Tryptophan; '6218; PO4
4.55Single9C1PCa9C1P-CaS; CaS-Ca-Ca; Tryptophan; '6218; PO4
4.55Single9C1PCa; Tryptophan; '6218; PO49C1P-CaS; CaS-Ca-Ca; Tryptophan; '6218; PO4
4.55Single9C2FCa9C2F-CaS; CaS-Ca-Ca; Ca; Tryptophan; '54149; PO4
4.55Single9C2FCa; Ca; Tryptophan; '54149; PO49C2F-CaS; CaS-Ca-Ca; Ca; Tryptophan; '54149; PO4
4.55Single9C2FCa9C2F-CaS; CaS-Ca-Ca; Ca; Tryptophan; '54149; PO4
4.55Single9C2FCa; Ca; Tryptophan; '54149; PO49C2F-CaS; CaS-Ca-Ca; Ca; Tryptophan; '54149; PO4
4.55Single9II2Glutamate9II2-mGlu3; mGlu3-Glutamate-Arrestin2; Arrestin2
4.55Single9II2Glutamate9II2-mGlu3; mGlu3-Glutamate-Arrestin2; Arrestin2
4.55Single9II3Glutamate9II3-mGlu3; mGlu3-Glutamate-Arrestin2
4.55Single9II3Glutamate9II3-mGlu3; mGlu3-Glutamate-Arrestin2
4.55Single9KB7R-spondin-29KB7-LGR4-R-spondin-2
4.55Single9KGKNB189KGK-LGR4-NB18
4.55Single9KHHNorrin9KHH-LGR4-Norrin
4.55Single9MBAGlutamate9MBA-mGlu8; mGlu8-Glutamate-Arrestin2 ; Arrestin2
4.55Single9MBAGlutamate9MBA-mGlu8; mGlu8-Glutamate-Arrestin2 ; Arrestin2
4.55Single9MBBLY3414959MBB-mGlu8; mGlu8-LY341495
4.55Single9MBBLY3414959MBB-mGlu8; mGlu8-LY341495
4.55Single9MBCDCPG9MBC-mGlu8; mGlu8-DCPG-AZ12216052
4.55Single9MBCDCPG9MBC-mGlu8; mGlu8-DCPG-AZ12216052
4.55Single9S37NB219S37-LGR4-NB21
4.55Single9S38NB219S38-LGR4-NB21
4.55Single9UTBSucralose9UTB-TAS1R2; TAS1R3-Sucralose
4.35Single7DD6Ca7DD6-CaS; CaS-Ca-Ca; Ca; Tryptophan
4.35Single7DD6Ca; Ca; Tryptophan7DD6-CaS; CaS-Ca-Ca; Ca; Tryptophan
4.35Single7DD6Ca7DD6-CaS; CaS-Ca-Ca; Ca; Tryptophan
4.35Single7DD6Ca; Ca; Tryptophan7DD6-CaS; CaS-Ca-Ca; Ca; Tryptophan
4.35Single7DD7Ca7DD7-CaS; CaS-Ca-Ca; Ca; Tryptophan; Evocalcet
4.35Single7DD7Ca; Ca; Tryptophan; Evocalcet7DD7-CaS; CaS-Ca-Ca; Ca; Tryptophan; Evocalcet
4.35Single7DD7Ca7DD7-CaS; CaS-Ca-Ca; Ca; Tryptophan; Evocalcet
4.35Single7DD7Ca; Ca; Tryptophan; Evocalcet7DD7-CaS; CaS-Ca-Ca; Ca; Tryptophan; Evocalcet
4.35Single8SZFCa; Ca; Tryptophan; Cinacalcet; PO4; Spermine8SZF-CaS; CaS-Ca; Ca; Tryptophan; Cinacalcet; PO4; Spermine
4.35Single8SZFCa; Ca; Tryptophan; Cinacalcet; PO4; Spermine8SZF-CaS; CaS-Ca; Ca; Tryptophan; Cinacalcet; PO4; Spermine
4.35Single9ASBCa9ASB-CaS; CaS-Ca-Ca; Ca; Cyclomethyltryptophan; R-568; PO4-chim(NtGi1-Gs-CtGq)/β1/γ2
4.35Single9ASBCa; Ca; Cyclomethyltryptophan; R-568; PO49ASB-CaS; CaS-Ca-Ca; Ca; Cyclomethyltryptophan; R-568; PO4-chim(NtGi1-Gs-CtGq)/β1/γ2
4.35Single9AVGCa9AVG-CaS; CaS-Ca-Ca; Ca; Cyclomethyltryptophan; R-568; PO4-chim(NtGi1-Gs)/β1/γ2
4.35Single9AVGCa; Ca; Cyclomethyltryptophan; R-568; PO49AVG-CaS; CaS-Ca-Ca; Ca; Cyclomethyltryptophan; R-568; PO4-chim(NtGi1-Gs)/β1/γ2
4.35Single9AYFCa9AYF-CaS; CaS-Ca-Ca; Ca; Ca; Cyclomethyltryptophan; R-568; PO4-Gi1/β1/γ2
4.35Single9AYFCa; Ca; Ca; Cyclomethyltryptophan; R-568; PO49AYF-CaS; CaS-Ca-Ca; Ca; Ca; Cyclomethyltryptophan; R-568; PO4-Gi1/β1/γ2
4.35Consensusclass-b2_onOrthosteric Ligandadgrg_on adgrf_on adgrl_on adgre_on adgrd_on
4.35Consensusclass-b2_on_gpOrthosteric Ligandadgrg_on_gp adgrf_on_gp adgrl_on_gp adgre_on_gp adgrd_on_gp
4.17Single7KNUCalcitonin gene-related peptide-17KNU-CT Like-Calcitonin gene-related peptide-1-RAMP1
4.17Single7T9MCS-17 Antibody7T9M-TSH-CS-17 Antibody
4.17Single8TLMAnti-murine CCR8 antibody8TLM-CCR8-Anti-murine CCR8 antibody
4.00Single6O3CCholesterol6O3C-SMO-SAG21k-Cholesterol
4.00Single7FIGhCG7FIG-LH-hCG-chim(NtGi1L-Gs)/β1/γ2
4.00Single7UTZTSH7UTZ-TSH-TSH-DPPC-Gs/β1/γ2
4.00Single7XW5TSH7XW5-TSH-TSH-ML109-Gs/β1/γ2
4.00Single7ZI0Cholesterol7ZI0-SMO-SAG-Cholesterol
3.85Single5L7DCholesterol5L7D-SMO-Cholesterol
3.85Single7T9ITSH7T9I-TSH-TSH-Gs/β1/γ2
3.85Single7V68LY21196207V68-M4-Iperoxo-LY2119620-Gi1/β1/γ2
3.85Single7WC4Serotonin7WC4-5-HT2A-Serotonin
3.85Single8I2GFSH8I2G-FSH-FSH-PubChem 67530240-Gs/β1/γ2
3.85Single9IV25alpha-DHT9IV2-ADGRD1-5α-DHT-chim(NtGi1-Gs)/β1/γ2
3.70Single7VDMSubstance-P7VDM-MRGPRX2-Substance-P-Gi1/β1/γ2
3.70Single9M42A1L8O9M42-GPR139-A1L8O-chim(Gs-CtGq)/β1/γ2
3.70Consensusgs_histamineOrthosteric Ligand8POK-H2-Histamine-Gs/β1/γ2
3.70Consensush2_onOrthosteric Ligand8POK-H2-Histamine-Gs/β1/γ2
3.57Single7WC5Psilocin7WC5-5-HT2A-Psilocin
3.57Single8JPSCCL78JPS-ACKR1-CCL7
3.57Single8X9UMetenolone8X9U-ADGRD1-Metenolone-chim(NtGi1-Gs)/β1/γ2
3.57Single9LL7DOI9LL7-5-HT2A-DOI-Gi1/β1/γ2
3.45Single6TP4ACT-4622066TP4-OX1-ACT-462206
3.45Single7S8NR-Zinc-35737S8N-MRGPRX2-R-Zinc-3573-chim(NtGi2L-Gs-CtGq)/β1/γ2
3.45Single7S8OR-Zinc-35737S8O-MRGPRX2-R-Zinc-3573-Gi1/β1/γ2
3.45Single7XTBSerotonin7XTB-5-HT6-Serotonin-Gs/β1/γ2
3.45Single8EF6Morphine8EF6-μ-Morphine-Gi1/β1/γ2
3.45Single8YN2Histamine8YN2-H1-Histamine-chim(NtGi1L-Gs-CtGq)/β1/γ2
3.45Single8ZYUNeurotensin-(8-13)8ZYU-NTS1-Neurotensin-(8-13)-SBI-553-Arrestin2
3.45Single9MNIdC2_059MNI-CTLike-dC2_05-RAMP1
3.45Consensusadgrg_onOrthosteric Ligandadgrg2_on adgrg4_on
3.45Consensusadgrg_on_gpOrthosteric Ligandadgrg2_on_gp adgrg4_on_gp
3.33Single6C1QNDT95137276C1Q-C5a1-PMX53-NDT9513727
3.33Single6ZA8RTI-3a6ZA8-NTS1-RTI-3a
3.33Single7T6STC-FPR 437T6S-FPR2-ALX-TC-FPR 43-Gi1/β1/γ2
3.33Single7X2FDopamine7X2F-D1-Dopamine-Mevidalen-Gs/β1/γ2
3.33Single8YUTAmthamine8YUT-H2-Amthamine-Gs/β1/γ2
3.23Single7WVUfMLF7WVU-FPR1-ALX-fMLF-Gi1/β1/γ2
3.23Single8HQN9-S-HODE8HQN-GPR132-9-S-HODE-Gi1/β1/γ2
3.23Single8JD6VU03647708JD6-mGlu4; mGlu4-Phosphoserine-VU0364770-Gi3/β1/γ2
3.23Single8K4NPubChem 1687197658K4N-GPR34-PubChem 168719765-Gi1/β1/γ2
3.23Single8K9LDAMGO8K9L-μ-DAMGO-BMS-986122-Gi3/β1/γ1
3.23Single8YRGFospropofol8YRG-MRGPRX4-Fospropofol-chim(NtGi1-Gs-CtGq)/β1/γ2
3.23Single9JQYTG6-1299JQY-EP4-TG6-129
3.12Single8EJKTAK-8758EJK-FFA1-TAK-875-chim(NtGi1L-Gs-CtGq)/β1/γ2
3.12Single8KEXDCA-3P8KEX-MRGPRX4-DCA-3P
3.12Single8ZBEOctreotide8ZBE-SST5-Octreotide-Gi1/β1/γ1
3.03Single4PHUFasiglifam4PHU-FFA1-Fasiglifam
3.03Single5ZBQUR-MK-2995ZBQ-Y1-UR-MK-299
3.03Single6Z4QSR142948A6Z4Q-NTS1-SR142948A
3.03Single7VFXfMIFL7VFX-FPR1-ALX-fMIFL-Gi1/β1/γ2
3.03Single8EJCTAK-8758EJC-FFA1-TAK-875-chim(NtGi1L-Gs-CtGq)/β1/γ2
3.03Consensuscyslt_offOrthosteric Ligandcyslt2_off cyslt1_off
3.03Consensusfpr1-alx_onOrthosteric Ligand7VFX-FPR1-ALX-fMIFL-Gi1/β1/γ2
3.03Consensusfpr1-alx_on_gpOrthosteric Ligand7VFX-FPR1-ALX-fMIFL-Gi1/β1/γ2
2.94Single5TZRMK86665TZR-FFA1-MK8666
2.94Single5ZBHBMS-1938855ZBH-Y1-BMS-193885
2.94Single6RZ5Zafirlukast6RZ5-CysLT1-Zafirlukast-Na
2.94Single6Z8NSRI-98296Z8N-NTS1-SRI-9829
2.94Single7XWONeurokinin-A7XWO-NK2-Neurokinin-A-chim(NtGi1-Gs-CtGq)/β1/γ2
2.94Single8JBGNeurokinin-B8JBG-NK3-Neurokinin-B-chim(NtGi1-Gs-CtGq)/β1/γ2
2.94Single8XBIPubChem 1626566368XBI-GPR34-PubChem 162656636
2.94Single9ITELPA9ITE-LPA6-LPA-chim(NtGi2-G13)/β1/γ2
2.94Consensusffa_onOrthosteric Ligandffa2_on ffa3_on
2.94Consensusffa_on_gpOrthosteric Ligandffa2_on_gp ffa3_on_gp
2.94Consensusgi_ffaOrthosteric Ligand8J21-FFA3-Butyric acid-Gi1/β1/γ2 8J22-FFA2-TUG-1375-Gi1/β1/γ2
2.94Consensusnk2_on_gpOrthosteric Ligand7XWO-NK2-Neurokinin-A-chim(NtGi1-Gs-CtGq)/β1/γ2
2.86Single3VW7Vorapaxar; Na3VW7-PAR1-Vorapaxar; Na
2.86Single4PXZ2MeSADP4PXZ-P2Y12-2MeSADP
2.86Single4PY02MeSATP4PY0-P2Y12-2MeSATP
2.86Single5TZYMK8666; AP85TZY-FFA1-MK8666; AP8
2.86Single8DWCBAM8-228DWC-MRGPRX1-BAM8-22-chim(NtGi2L-Gs-CtGq)/β1/γ2
2.86Single8Y6WTUG-13758Y6W-FFA2-TUG-1375-4-CMTB-Gi1/β1/γ2
2.86Single9YDUUDP-Glucose9YDU-P2Y14-UDP-Glucose-Gi1/β1/γ2
2.78Single8XBES3E-Lysophosphatidylserine 8XBE-GPR34-S3E-Lysophosphatidylserine-Gi1/β1/γ1
2.78Single9J0BUDP-Glucose9J0B-P2Y14-UDP-Glucose-Gi1/β1/γ2
2.78Single9VI9RFRP-39VI9-NPFF1-RFRP-3-Gi1/β1/γ2
2.78Consensusnk2_onOrthosteric Ligand7XWO-NK2-Neurokinin-A-chim(NtGi1-Gs-CtGq)/β1/γ2
2.70Single8SAILysophosphatidylserine (S12)8SAI-GPR34-Lysophosphatidylserine (S12)-Gi1/β1/γ2
2.70Consensuskiss1_onOrthosteric Ligand8ZJD-Kiss1-Kisspeptin-1-chim(NtGi1-Gq)/β1/γ1
2.70Consensuskisspeptin_onOrthosteric Ligandkiss1_on
2.63Single6RZ8ONO-20803656RZ8-CysLT2-ONO-2080365
2.63Single8DWGBAM8-228DWG-MRGPRX1-BAM8-22-ML382-chim(NtGi2L-Gs-CtGq)/β1/γ2
2.63Single8XFSR-spondin-28XFS-LGR4-R-spondin-2-ZNRF3; ZNRF3
2.63Single8XFTR-spondin-28XFT-LGR4-R-spondin-2-ZNRF3
2.63Single8Y69R-spondin-28Y69-LGR4; LGR4-R-spondin-2-ZNRF3
2.63Single8ZJDKisspeptin-18ZJD-Kiss1-Kisspeptin-1-chim(NtGi1-Gq)/β1/γ1
2.63Consensusgq_kisspeptinOrthosteric Ligand8ZJD-Kiss1-Kisspeptin-1-chim(NtGi1-Gq)/β1/γ1
2.63Consensuskiss1_on_gpOrthosteric Ligand8ZJD-Kiss1-Kisspeptin-1-chim(NtGi1-Gq)/β1/γ1
2.63Consensuskisspeptin_on_gpOrthosteric Ligandkiss1_on_gp
2.56Single8JBHSubstance-P8JBH-NK3-Substance-P-chim(NtGi1-Gs-CtGq)/β1/γ2
2.56Single8XFPR-spondin-28XFP-LGR4-R-spondin-2-ZNRF3; ZNRF3
2.56Single9KB8R-spondin-29KB8-LGR4-R-spondin-2-ZNRF3; ZNRF3
2.56Single9KB9R-spondin-29KB9-LGR4; LGR4-R-spondin-2-ZNRF3; ZNRF3
2.50Single8WVUR-spondin-18WVU-LGR4-R-spondin-1-RNF43
2.50Single8Y69R-spondin-28Y69-LGR4; LGR4-R-spondin-2-ZNRF3
2.50Single9KB9R-spondin-29KB9-LGR4; LGR4-R-spondin-2-ZNRF3; ZNRF3

PDB Summary
PDB 9BP3
Class B1
SubFamily Peptide
Type Calcitonin
SubType CT (AMY1)
Species Homo Sapiens
Ligand Cagrilintide
Other Ligand(s) -
Protein Partners Gs/Beta1/Gamma2; RAMP1
PDB Resolution 2.2
Date 2025-04-23
D.O.I. doi.org/10.1038/s41467-025-58680-y
Net Summary
Imin 3.05
Number of Linked Nodes 1090
Number of Links 1330
Number of Hubs 217
Number of Links mediated by Hubs 788
Number of Communities 38
Number of Nodes involved in Communities 333
Number of Links involved in Communities 477
Path Summary
Number Of Nodes in MetaPath 128
Number Of Links MetaPath 127
Number of Shortest Paths 4617767
Length Of Smallest Path 3
Average Path Length 53.8027
Length of Longest Path 97
Minimum Path Strength 1.31
Average Path Strength 7.29641
Maximum Path Strength 22.81
Minimum Path Correlation 0.7
Average Path Correlation 0.996185
Maximum Path Correlation 1
Minimum % Of Corr. Nodes 1.53846
Average % Of Corr. Nodes 39.9189
Maximum % Of Corr. Nodes 100
Minimum Path Hubs % 0
Average Path Hubs % 43.8314
Maximum Path Hubs % 100
AnnotationTypeLinks
Gene OntologyMolecular Function• amyloid-beta binding   • binding   • peptide binding   • calcitonin family receptor activity   • peptide receptor activity   • molecular transducer activity   • G protein-coupled receptor activity   • G protein-coupled peptide receptor activity   • signaling receptor activity   • transmembrane signaling receptor activity   • calcitonin receptor activity   • amylin receptor activity   • calcitonin gene-related peptide receptor activity   • calcitonin binding   • calcitonin family binding   • peptide hormone binding   • hormone binding   • positive regulation of cytosolic calcium ion concentration   • biological regulation   • regulation of biological quality   • cellular response to stimulus   • positive regulation of cell communication   • regulation of cellular process   • positive regulation of signal transduction   • response to stimulus   • signaling   • positive regulation of biological process   • regulation of signal transduction   • intracellular signal transduction   • cell communication   • positive regulation of response to stimulus
Gene OntologyBiological Process• positive regulation of cytosolic calcium ion concentration   • biological regulation   • regulation of biological quality   • cellular response to stimulus   • positive regulation of cell communication   • regulation of cellular process   • positive regulation of signal transduction   • response to stimulus   • signaling   • positive regulation of biological process   • regulation of signal transduction   • intracellular signal transduction   • cell communication   • positive regulation of response to stimulus   • regulation of intracellular signal transduction   • intracellular signaling cassette   • regulation of calcium-mediated signaling   • positive regulation of calcium-mediated signaling   • signal transduction   • positive regulation of cellular process   • regulation of biological process   • regulation of signaling   • positive regulation of intracellular signal transduction   • regulation of response to stimulus   • calcium-mediated signaling   • regulation of cell communication   • cellular process   • positive regulation of signaling   • catabolic process   • negative regulation of biological process   • RNA metabolic process   • macromolecule catabolic process   • regulation of primary metabolic process   • nucleobase-containing compound metabolic process   • post-transcriptional regulation of gene expression   • regulation of RNA metabolic process   • regulation of mRNA catabolic process   • negative regulation of cellular process   • regulation of nucleobase-containing compound metabolic process   • RNA catabolic process   • negative regulation of macromolecule metabolic process   • regulation of biosynthetic process   • mRNA catabolic process   • negative regulation of metabolic process   • primary metabolic process   • regulation of macromolecule metabolic process   • regulation of catabolic process   • gene expression   • mRNA metabolic process   • macromolecule biosynthetic process   • nucleic acid metabolic process   • nucleobase-containing compound catabolic process   • regulation of mRNA stability   • regulation of gene expression   • negative regulation of gene expression   • biosynthetic process   • negative regulation of biosynthetic process   • negative regulation of macromolecule biosynthetic process   • regulation of RNA stability   • nucleic acid catabolic process   • metabolic process   • regulation of macromolecule biosynthetic process   • macromolecule metabolic process   • regulation of mRNA metabolic process   • regulation of metabolic process   • positive regulation of ERK1 and ERK2 cascade   • positive regulation of MAPK cascade   • regulation of MAPK cascade   • MAPK cascade   • ERK1 and ERK2 cascade   • regulation of ERK1 and ERK2 cascade   • positive regulation of macromolecule biosynthetic process   • positive regulation of metabolic process   • positive regulation of gene expression   • positive regulation of biosynthetic process   • positive regulation of macromolecule metabolic process   • amylin receptor 1 signaling pathway   • amylin receptor signaling pathway   • calcitonin family receptor signaling pathway   • G protein-coupled receptor signaling pathway   • regulation of phosphatidylinositol 3-kinase/protein kinase B signal transduction   • positive regulation of phosphatidylinositol 3-kinase/protein kinase B signal transduction   • phosphatidylinositol 3-kinase/protein kinase B signal transduction   • response to corticosteroid   • response to lipid   • response to hormone   • response to steroid hormone   • response to chemical   • response to endogenous stimulus   • response to glucocorticoid   • adenylate cyclase-activating G protein-coupled receptor signaling pathway   • adenylate cyclase-modulating G protein-coupled receptor signaling pathway   • response to oxygen-containing compound   • response to nitrogen compound   • response to amyloid-beta   • cell surface receptor signaling pathway   • calcitonin gene-related peptide receptor signaling pathway   • multicellular organismal process   • ossification   • amylin receptor 2 signaling pathway   • developmental process   • myeloid leukocyte differentiation   • cellular developmental process   • hemopoiesis   • cell development   • myeloid cell differentiation   • cell differentiation   • osteoclast differentiation   • anatomical structure development   • leukocyte differentiation   • positive regulation of cAMP/PKA signal transduction   • cAMP/PKA signal transduction   • regulation of cAMP/PKA signal transduction   • regulation of multicellular organismal process   • negative regulation of multicellular organismal process   • regulation of ossification   • negative regulation of ossification   • amylin receptor 3 signaling pathway   • membrane-bounded organelle   • cell projection   • cellular anatomical structure   • organelle   • cilium   • plasma membrane bounded cell projection   • cell periphery   • plasma membrane   • membrane   • protein-containing complex   • amylin receptor complex   • plasma membrane protein complex   • amylin receptor complex 3   • membrane protein complex
Gene OntologyCellular Component• membrane-bounded organelle   • cell projection   • cellular anatomical structure   • organelle   • cilium   • plasma membrane bounded cell projection   • cell periphery   • plasma membrane   • membrane   • protein-containing complex   • amylin receptor complex   • plasma membrane protein complex   • amylin receptor complex 3   • membrane protein complex   • receptor complex   • plasma membrane signaling receptor complex   • G protein-coupled receptor complex   • calcitonin family receptor complex   • amylin receptor complex 2   • amylin receptor complex 1   • axon   • neuron projection   • acrosomal vesicle   • intracellular anatomical structure   • intracellular vesicle   • intracellular membrane-bounded organelle   • endomembrane system   • intracellular organelle   • cytoplasmic vesicle   • secretory granule   • secretory vesicle   • cytoplasm   • vesicle   • protein binding   • binding   • G-protein beta-subunit binding   • fibroblast proliferation   • cell population proliferation   • cellular process   • cellular response to nitrogen compound   • cellular response to stimulus   • response to dopamine   • regulation of cellular process   • response to stimulus   • signaling   • cellular response to dopamine   • response to monoamine   • cell communication   • response to catecholamine   • adenylate cyclase-activating dopamine receptor signaling pathway   • cellular response to catecholamine stimulus   • signal transduction   • regulation of biological process   • G protein-coupled dopamine receptor signaling pathway   • biological regulation   • response to oxygen-containing compound   • response to nitrogen compound   • adenylate cyclase-activating G protein-coupled receptor signaling pathway   • cellular response to oxygen-containing compound   • cellular response to chemical stimulus   • cellular response to monoamine stimulus   • response to chemical   • adenylate cyclase-modulating G protein-coupled receptor signaling pathway   • G protein-coupled receptor signaling pathway   • response to ketone   • response to prostaglandin   • response to lipid   • response to endogenous stimulus   • response to alcohol   • cellular response to prostaglandin stimulus   • cellular response to endogenous stimulus   • cellular response to prostaglandin E stimulus   • cellular response to alcohol   • response to hormone   • cellular response to lipid   • response to prostaglandin E   • cellular response to ketone   • cellular response to hormone stimulus   • extrinsic component of plasma membrane   • catalytic complex   • cytoplasmic side of membrane   • heterotrimeric G-protein complex   • side of membrane   • cytoplasmic side of plasma membrane   • GTPase complex   • extrinsic component of membrane   • extrinsic component of cytoplasmic side of plasma membrane   • extracellular exosome   • extracellular vesicle   • extracellular organelle   • extracellular region   • extracellular space   • extracellular membrane-bounded organelle   • synapse   • cell junction   • enzyme binding   • GTPase binding   • protein-containing complex binding   • pyrophosphatase activity   • GTPase activity   • ribonucleoside triphosphate phosphatase activity   • hydrolase activity, acting on acid anhydrides, in phosphorus-containing anhydrides   • hydrolase activity   • hydrolase activity, acting on acid anhydrides   • catalytic activity   • signaling receptor complex adaptor activity   • protein-macromolecule adaptor activity   • molecular adaptor activity   • signaling adaptor activity   • multicellular organismal process   • system process   • sensory perception of chemical stimulus   • sensory perception   • nervous system process   • sensory perception of taste   • developmental process   • sensory organ development   • eye development   • animal organ development   • retina development in camera-type eye   • visual system development   • multicellular organism development   • camera-type eye development   • anatomical structure development   • sensory system development   • system development   • small GTPase-mediated signal transduction   • Ras protein signal transduction   • intracellular signal transduction   • intracellular signaling cassette   • phospholipase C-activating G protein-coupled receptor signaling pathway   • synaptic signaling   • cellular response to acetylcholine   • cell-cell signaling   • acetylcholine receptor signaling pathway   • postsynaptic signal transduction   • G protein-coupled acetylcholine receptor signaling pathway   • response to acetylcholine   • non-motile cilium   • 9+0 non-motile cilium   • photoreceptor disc membrane   • photoreceptor outer segment   • photoreceptor cell cilium   • organelle membrane   • cytosol   • vacuolar membrane   • lytic vacuole   • vacuole   • lytic vacuole membrane   • bounding membrane of organelle   • lysosomal membrane   • lysosome   • guanyl nucleotide binding   • GTP binding   • nucleotide binding   • guanyl ribonucleotide binding   • purine ribonucleotide binding   • purine ribonucleoside triphosphate binding   • nucleoside phosphate binding   • ion binding   • purine nucleotide binding   • anion binding   • heterocyclic compound binding   • carbohydrate derivative binding   • ribonucleotide binding   • small molecule binding   • D1 dopamine receptor binding   • signaling receptor binding   • G protein-coupled receptor binding   • dopamine receptor binding   • G-protein beta/gamma-subunit complex binding   • G protein activity   • molecular function regulator activity   • enzyme regulator activity   • cyclase regulator activity   • enzyme activator activity   • cyclase activator activity   • molecular function activator activity   • adenylate cyclase regulator activity   • adenylate cyclase activator activity   • cation binding   • metal ion binding   • epithelium development   • ectodermal placode morphogenesis   • epidermis development   • molting cycle process   • hair cycle   • hair follicle placode formation   • tissue development   • ectodermal placode formation   • anatomical structure morphogenesis   • skin development   • skin epidermis development   • hair follicle development   • molting cycle   • anatomical structure formation involved in morphogenesis   • ectodermal placode development   • hair cycle process   • cellular homeostasis   • chemical homeostasis   • homeostatic process   • glucose homeostasis   • carbohydrate homeostasis   • intracellular chemical homeostasis   • intracellular glucose homeostasis   • neuromuscular process   • regulation of system process   • skeletal muscle contraction   • muscle contraction   • muscle system process   • regulation of muscle system process   • striated muscle contraction   • multicellular organismal movement   • musculoskeletal movement   • regulation of striated muscle contraction   • regulation of muscle contraction   • regulation of skeletal muscle contraction   • regulation of multicellular organismal process   • sensory perception of smell   • response to peptide hormone   • cellular response to peptide hormone stimulus   • response to glucagon   • cellular response to glucagon stimulus   • skeletal system development   • bone development   • response to pH   • cellular response to pH   • response to abiotic stimulus   • cellular response to acidic pH   • response to acidic pH   • cellular response to abiotic stimulus   • cellular response to environmental stimulus   • regulation of body fluid levels   • wound healing   • homotypic cell-cell adhesion   • cell activation   • hemostasis   • platelet aggregation   • blood coagulation   • cell adhesion   • cell-cell adhesion   • response to stress   • coagulation   • regulation of biological quality   • response to wounding   • platelet activation   • response to fluid shear stress   • vascular endothelial cell response to laminar fluid shear stress   • response to laminar fluid shear stress   • cellular response to stress   • cellular response to laminar fluid shear stress   • vascular endothelial cell response to fluid shear stress   • cellular response to fluid shear stress   • cognition   • developmental growth   • growth   • positive regulation of biological process   • adaptive thermogenesis   • multicellular organismal-level homeostasis   • regulation of cold-induced thermogenesis   • cold-induced thermogenesis   • temperature homeostasis   • positive regulation of cold-induced thermogenesis   • positive regulation of multicellular organismal process   • positive regulation of cell communication   • regulation of localization   • establishment of protein localization   • nitrogen compound transport   • positive regulation of establishment of protein localization   • localization   • establishment of localization in cell   • positive regulation of insulin secretion involved in cellular response to glucose stimulus   • positive regulation of insulin secretion   • intracellular protein localization   • regulation of peptide hormone secretion   • regulation of hormone levels   • positive regulation of peptide hormone secretion   • establishment of protein localization to extracellular region   • protein secretion   • establishment of localization   • regulation of protein secretion   • regulation of secretion   • cellular response to carbohydrate stimulus   • response to glucose   • positive regulation of protein localization   • insulin secretion involved in cellular response to glucose stimulus   • cellular localization   • regulation of hormone secretion   • regulation of protein localization   • regulation of peptide secretion   • transport   • positive regulation of secretion by cell   • hormone secretion   • protein localization to extracellular region   • positive regulation of protein transport   • peptide secretion   • regulation of secretion by cell   • secretion by cell   • positive regulation of hormone secretion   • response to monosaccharide   • response to carbohydrate   • positive regulation of secretion   • signal release   • cellular response to hexose stimulus   • cellular response to monosaccharide stimulus   • positive regulation of cellular process   • positive regulation of peptide secretion   • regulation of signaling   • regulation of transport   • secretion   • regulation of peptide transport   • regulation of establishment of protein localization   • export from cell   • cellular response to glucose stimulus   • regulation of protein transport   • positive regulation of protein secretion   • peptide transport   • response to hexose   • positive regulation of transport   • regulation of cellular localization   • protein transport   • regulation of insulin secretion   • peptide hormone secretion   • macromolecule localization   • regulation of insulin secretion involved in cellular response to glucose stimulus   • hormone transport   • regulation of cell communication   • insulin secretion   • positive regulation of signaling   • adenylate cyclase-activating adrenergic receptor signaling pathway   • adrenergic receptor signaling pathway   • serotonin receptor signaling pathway   • adenylate cyclase-activating serotonin receptor signaling pathway   • intracellular transport   • regulation of defense response   • regulation of response to external stimulus   • negative regulation of inflammatory response   • negative regulation of biological process   • inflammatory response to antigenic stimulus   • regulation of response to stress   • regulation of immune system process   • negative regulation of inflammatory response to antigenic stimulus   • defense response   • immune response   • negative regulation of response to stimulus   • negative regulation of immune response   • regulation of inflammatory response to antigenic stimulus   • response to external stimulus   • regulation of inflammatory response   • regulation of response to stimulus   • negative regulation of immune system process   • immune system process   • negative regulation of response to external stimulus   • negative regulation of defense response   • regulation of immune response   • inflammatory response   • positive regulation of adenylate cyclase activity   • positive regulation of molecular function   • regulation of molecular function   • positive regulation of cyclase activity   • activation of adenylate cyclase activity   • regulation of adenylate cyclase activity   • regulation of catalytic activity   • positive regulation of catalytic activity   • positive regulation of lyase activity   • cell surface receptor signaling pathway   • bile acid signaling pathway   • adenylate cyclase-activating G protein-coupled bile acid receptor signaling pathway   • renal system process   • multicellular organismal-level water homeostasis   • multicellular organismal-level chemical homeostasis   • renal water homeostasis   • Golgi apparatus subcompartment   • Golgi apparatus   • organelle subcompartment   • trans-Golgi network membrane   • trans-Golgi network   • amyloid-beta binding   • peptide binding   • signaling receptor regulator activity   • receptor ligand activity   • signaling receptor activator activity   • hormone activity   • lipid binding   • identical protein binding   • positive regulation of signal transduction   • regulation of signal transduction   • positive regulation of response to stimulus   • regulation of intracellular signal transduction   • regulation of calcium-mediated signaling   • positive regulation of calcium-mediated signaling   • positive regulation of intracellular signal transduction   • calcium-mediated signaling   • apoptotic process   • cell death   • programmed cell death   • positive regulation of programmed cell death   • regulation of apoptotic process   • regulation of programmed cell death   • positive regulation of apoptotic process   • behavior   • eating behavior   • feeding behavior   • amylin receptor 1 signaling pathway   • amylin receptor signaling pathway   • calcitonin family receptor signaling pathway   • regulation of cellular component organization   • negative regulation of cellular component organization   • protein-containing complex organization   • regulation of cellular component biogenesis   • negative regulation of protein-containing complex assembly   • cellular component organization   • cellular component biogenesis   • regulation of protein-containing complex assembly   • cellular component assembly   • protein-containing complex assembly   • negative regulation of cellular process   • cellular component organization or biogenesis   • myeloid leukocyte differentiation   • regulation of leukocyte differentiation   • cellular developmental process   • regulation of developmental process   • cell development   • regulation of cell differentiation   • regulation of cell development   • regulation of osteoclast differentiation   • cell differentiation   • osteoclast differentiation   • negative regulation of cell differentiation   • negative regulation of hemopoiesis   • regulation of multicellular organismal development   • negative regulation of leukocyte differentiation   • hemopoiesis   • regulation of myeloid cell differentiation   • negative regulation of developmental process   • regulation of myeloid leukocyte differentiation   • negative regulation of myeloid cell differentiation   • negative regulation of osteoclast differentiation   • negative regulation of myeloid leukocyte differentiation   • negative regulation of cell development   • myeloid cell differentiation   • regulation of hemopoiesis   • negative regulation of multicellular organismal process   • leukocyte differentiation   • positive regulation of MAPK cascade   • regulation of MAPK cascade   • MAPK cascade   • negative regulation of tissue remodeling   • negative regulation of bone remodeling   • regulation of bone remodeling   • tissue homeostasis   • regulation of tissue remodeling   • regulation of bone resorption   • bone resorption   • negative regulation of bone resorption   • tissue remodeling   • bone remodeling   • anatomical structure homeostasis   • amylin receptor 2 signaling pathway   • sensory perception of pain   • positive regulation of cAMP/PKA signal transduction   • cAMP/PKA signal transduction   • regulation of cAMP/PKA signal transduction   • negative regulation of amyloid fibril formation   • regulation of amyloid fibril formation   • amyloid fibril formation   • regulation of primary metabolic process   • negative regulation of supramolecular fiber organization   • protein metabolic process   • negative regulation of protein metabolic process   • negative regulation of macromolecule metabolic process   • regulation of protein metabolic process   • negative regulation of metabolic process   • primary metabolic process   • regulation of macromolecule metabolic process   • regulation of supramolecular fiber organization   • metabolic process   • macromolecule metabolic process   • supramolecular fiber organization   • regulation of metabolic process   • amylin receptor 3 signaling pathway   • somatodendritic compartment   • cell body   • neuronal cell body   • calcitonin family binding   • calcitonin gene-related peptide binding   • peptide hormone binding   • hormone binding   • molecular transducer activity   • coreceptor activity   • signaling receptor activity   • calcitonin family receptor activity   • peptide receptor activity   • G protein-coupled receptor activity   • G protein-coupled peptide receptor activity   • transmembrane signaling receptor activity   • calcitonin gene-related peptide receptor activity   • amylin receptor activity   • intracellular protein transport   • regulation of G protein-coupled receptor signaling pathway   • import into cell   • receptor internalization   • receptor-mediated endocytosis   • endocytosis   • vesicle-mediated transport   • blood vessel morphogenesis   • tube development   • angiogenesis   • vasculature development   • circulatory system development   • tube morphogenesis   • blood vessel development   • calcitonin gene-related peptide receptor signaling pathway   • positive regulation of glycoprotein metabolic process   • positive regulation of protein metabolic process   • carbohydrate derivative metabolic process   • positive regulation of macromolecule biosynthetic process   • positive regulation of metabolic process   • positive regulation of biosynthetic process   • positive regulation of macromolecule metabolic process   • regulation of glycoprotein biosynthetic process   • positive regulation of glycoprotein biosynthetic process   • carbohydrate derivative biosynthetic process   • regulation of biosynthetic process   • glycoprotein biosynthetic process   • glycoprotein metabolic process   • macromolecule biosynthetic process   • regulation of glycoprotein metabolic process   • biosynthetic process   • regulation of macromolecule biosynthetic process   • monoatomic ion transport   • monoatomic cation transport   • calcium ion transport   • metal ion transport   • protein localization to cell periphery   • protein localization to plasma membrane   • localization within membrane   • protein localization to membrane   • cell surface   • CGRP receptor complex
SCOP2Domain Identifier• G protein-coupled receptor-like   • Transducin (heterotrimeric G protein), gamma chain   • RAMP1-like
SCOP2Family Identifier• G protein-coupled receptor-like   • Transducin (heterotrimeric G protein), gamma chain   • RAMP1-like
Membrane Protein Annotations-• Orientations of Proteins in Membranes database (OPM)   • Protein Data Bank of Transmembrane Proteins (PDBTM)   • MemProtMD


Details about the values in these tables can be found in the corresponding documentation page .
CodeNAG
PDB ResiduesH:H:?501 H:H:?502 H:H:?503
Environment DetailsOpen EMBL-EBI Page
CodeNAG
NameN-Acetylglucosamine
SynonymsN-Acetylchitosamine
Identifier
FormulaC8 H15 N O6
Molecular Weight221.208
SMILES
PubChem24139
Formal Charge0
Total Atoms30
Total Chiral Atoms5
Total Bonds30
Total Aromatic Bonds0

CodeGGL
PDB ResiduesL:L:?0
Environment DetailsOpen EMBL-EBI Page
CodeGGL
NameGlutamic acid
SynonymsGlutamic acid
Identifier
FormulaC5 H9 N O4
Molecular Weight147.129
SMILES
PubChem33032
Formal Charge0
Total Atoms19
Total Chiral Atoms1
Total Bonds18
Total Aromatic Bonds0

CodeNH2
PDB ResiduesL:L:?38
Environment DetailsOpen EMBL-EBI Page
CodeNH2
NameAMINO GROUP
Synonyms
Identifier
FormulaH2 N
Molecular Weight16.023
SMILES
PubChem123329
Formal Charge0
Total Atoms3
Total Chiral Atoms0
Total Bonds2
Total Aromatic Bonds0

Code_L_
PDB ResiduesL:L:?101
Environment DetailsOpen EMBL-EBI Page
Code_L_
Name
Synonyms
Identifier
Formula
Molecular Weight
SMILES
PubChem
Formal Charge
Total Atoms
Total Chiral Atoms
Total Bonds
Total Aromatic Bonds

PDBsumOpen PDBsum Page
ChainA
ProteinG Protein α Sub unit
UniProtP63092
Sequence
>9BP3_Chain_A
DQRNEEKAQ REANKKIEK QLQKDKQVY RATHRLLLL GAGESGKTI 
VKQMTSGIF ETKFQVDKV NFHMFDVGQ RDERRKWIQ CFNDVTAII 
FVVASNRLQ ALLFSIWNN WLRSVILFL NKQDLLAEK VLAGKSKIE 
DYFPEFARY TTPEDATPE PGEDPRVTR AKYFIRDEF LRISTASGD 
GRHYCYPHF TCVDTENIR RVFNDCRDI IQRMHLRQY ELLNAAKDK 
DTS


Click on each residue to open a popup with some information about it.

ConSurf Conservation Grade (See documentation): 

 n/a   1    2    3    4    5    6    7    8    9  

ChainB
ProteinG Protein β Sub unit
UniProtP62873
Sequence
>9BP3_Chain_B
SELDQLRQE AEQLKNQIR DARKACADA TLSQITNNI DPVGRIQMR 
TRRTLRGHL AKIYAMHWG TDSRLLVSA SQDGKLIIW DSYTTNKVH 
AIPLRSSWV MTCAYAPSG NYVACGGLD NICSIYNLK TREGNVRVS 
RELAGHTGY LSCCRFLDD NQIVTSSGD TTCALWDIE TGQQTTTFT 
GHTGDVMSL SLAPDTRLF VSGACDASA KLWDVREGM CRQTFTGHE 
SDINAICFF PNGNAFATG SDDATCRLF DLRADQELM TYSHDNIIC 
GITSVSFSK SGRLLLAGY DDFNCNVWD ALKADRAGV LAGHDNRVS 
CLGVTDDGM AVATGSWDS FLKIWN


Click on each residue to open a popup with some information about it.

ConSurf Conservation Grade (See documentation): 

 n/a   1    2    3    4    5    6    7    8    9  

ChainE
ProteinRAMP1
UniProtO60894
Sequence
>9BP3_Chain_E
YGALLRELC LTQFQVDME AVGETLWCD WGRTIRSYR ELADCTWHM 
AEKLGCFWP NAEVDRFFL AVHGRYFRS CPISGRAVR DPPGSILYP 
FIVVPITVT LLVTALVVW QSKRTE


Click on each residue to open a popup with some information about it.

ConSurf Conservation Grade (See documentation): 

 n/a   1    2    3    4    5    6    7    8    9  

ChainG
ProteinG Protein γ Sub unit
UniProtP59768
Sequence
>9BP3_Chain_G
SIAQARKLV EQLKMEANI DRIKVSKAA ADLMAYCEA HAKEDPLLT 
PVPASENPF R


Click on each residue to open a popup with some information about it.

ConSurf Conservation Grade (See documentation): 

 n/a   1    2    3    4    5    6    7    8    9  

ChainL
ProteinCagrilintide
UniProtP10997
Sequence
>9BP3_Chain_L


Click on each residue to open a popup with some information about it.

ConSurf Conservation Grade (See documentation): 

 n/a   1    2    3    4    5    6    7    8    9  

ChainR
ProteinReceptor
UniProtP30988
Sequence
>9BP3_Chain_R
YVVGRKKMM DAQYKCYDR MQQLPAYQG EGPYCNRTW DGWLCWDDT 
PAGVLSYQF CPDYFPDFD PSEKVTKYC DEKGVWFKH PENNRTWSN 
YTMCNAFTP EKLKNAYVL YYLAIVGHS LSIFTLVIS LGIFVFFRS 
LGCQRVTLH KNMFLTYIL NSMIIIIHL VEVVPNGEL VRRDPVSCK 
ILHFFHQYM MACNYFWML CEGIYLHTL IVVAVFTEK QRLRWYYLL 
GWGFPLVPT TIHAITRAV YFNDNCWLS VETHLLYII HGPVMAALV 
VNFFFLLNI VRVLVTKMR ETHEAESHM YLKAVKATM ILVPLLGIQ 
FVVFPWRPS NKMLGKIYD YVMHSLIHF QGFFVATIY CFCNNEVQT 
TVKRQWAQF


Click on each residue to open a popup with some information about it.

ConSurf Conservation Grade (See documentation): 

 n/a   1    2    3    4    5    6    7    8    9  




This receptor, from the same or other species and bound to the same or other ligands, is also present in the following networks:
Show PDB Class SubFamily Type SubType Species Orthosteric Ligand Other Ligand(s) Protein Partners Resolution Date DOI
7TYFB1PeptideCalcitoninCT (AMY1)Homo sapiensAmylin-Gs/β1/γ2; RAMP12.22022-03-23doi.org/10.1126/science.abm9609
7TYF (No Gprot) B1PeptideCalcitoninCT (AMY1)Homo sapiensAmylin-2.22022-03-23doi.org/10.1126/science.abm9609
7TYWB1PeptideCalcitoninCT (AMY1)Homo sapiensCalcitonin-1-Gs/β1/γ2; RAMP132022-03-23doi.org/10.1126/science.abm9609
7TYW (No Gprot) B1PeptideCalcitoninCT (AMY1)Homo sapiensCalcitonin-1-32022-03-23doi.org/10.1126/science.abm9609
9AUCB1PeptideCalcitoninCT (AMY1)Homo sapiensCalcitonin gene-related peptide-1-Gs/β1/γ2; RAMP12.42024-04-24doi.org/10.1021/acs.biochem.4c00114
9AUC (No Gprot) B1PeptideCalcitoninCT (AMY1)Homo sapiensCalcitonin gene-related peptide-1-2.42024-04-24doi.org/10.1021/acs.biochem.4c00114
9BLWB1PeptideCalcitoninCT (AMY1)Homo sapiensCagrilintide (non-acylated)-Gs/β1/γ2; RAMP13.22025-04-16doi.org/10.1038/s41467-025-58680-y
9BLW (No Gprot) B1PeptideCalcitoninCT (AMY1)Homo sapiensCagrilintide (non-acylated)-3.22025-04-16doi.org/10.1038/s41467-025-58680-y
9BP3 (No Gprot) B1PeptideCalcitoninCT (AMY1)Homo sapiensCagrilintide-2.22025-04-23doi.org/10.1038/s41467-025-58680-y




You can download a compressed (zip) file with structure(s), 3D outputs (as PyMol and VMD scripts) and numerical data files (as csv and plain text files).

Download 9BP3.zip



You can click to copy the link of this page to easily come back here later

or use this QR code to link and share this page.



You can also  read or  download a guide explaining the meaning of all files and numerical data.