Color ConSurf Grade
      No Conservation data available
      1
      2
      3
      4
      5
      6
      7
      8
      9

Index: hub id, click on each number to highlight the corresponding hub in the 3D visualization.

Hub: the hub being considered.

Avg Int. Strength: the average interaction strength of all the links of the corresponding hub.

Num Of Links: the number of links of the corresponding hub.

Community: the id of the community the link belong to, otherwise 0.

ConSurf: this column reports the ConSurf conservation grades of each hub.

Index Hub Avg Int. Strength Num Of Links Community ConSurf
1A:A:Y37 7.4185134
2A:A:L41 4.33286717
3A:A:L43 4.06417
4A:A:L46 4.6525148
5A:A:K53 4.91333619
6A:A:V214 5.315416
7A:A:F219 6.73286718
8A:A:H220 8.54254107
9A:A:M221 5.395418
10A:A:F222 10.174107
11A:A:Q227 4.788529
12A:A:K233 5.61729
13A:A:W234 6.04167629
14A:A:C237 5.708528
15A:A:F238 8.424509
16A:A:I244 3.95754148
17A:A:I245 3.775617
18A:A:V247 4.488517
19A:A:L266 6.355488
20A:A:L270 5.8575406
21A:A:F273 4.8956159
22A:A:W277 10.3885156
23A:A:W281 11.7367625
24A:A:I288 5.29419
25A:A:L289 5.5275409
26A:A:F290 5.84429719
27A:A:N292 6.062519
28A:A:F312 4.164508
29A:A:F315 12.295176
30A:A:P321 3.562505
31A:A:E330 6.3875403
32A:A:D331 7.934164
33A:A:V334 3.075164
34A:A:K338 11.5485
35A:A:Y339 4.955683
36A:A:F340 11.594177
37A:A:I341 3.6075488
38A:A:F345 7.51408
39A:A:R356 12.425402
40A:A:C359 3.6425405
41A:A:Y360 11.155408
42A:A:F363 11.15585
43A:A:T364 7.42419
44A:A:N371 5.7925419
45A:A:R374 6.708514
46A:A:F376 7.35518
47A:A:I383 4.118518
48A:A:L388 3.07833698
49A:A:Y391 6.0625414
50A:A:L393 4.834598
51B:B:L4 3.845404
52B:B:I18 3.7175407
53B:B:L30 4.7475405
54B:B:V40 3.822523
55B:B:I43 3.7375423
56B:B:L51 7.9125459
57B:B:H54 9.046559
58B:B:K57 9.372529
59B:B:Y59 7.994528
60B:B:M61 4.144556
61B:B:W63 6.19286757
62B:B:R68 13.9875435
63B:B:L69 4.912535
64B:B:L70 5.445455
65B:B:V71 4.426538
66B:B:Q75 11.4925429
67B:B:D76 7.1425139
68B:B:L79 5.9375437
69B:B:I81 4.71737
70B:B:W82 9.40857759
71B:B:D83 8.515438
72B:B:Y85 13.2575434
73B:B:K89 4.87429759
74B:B:H91 6.36435
75B:B:I93 5.636507
76B:B:L95 5.1575438
77B:B:W99 8.98333609
78B:B:M101 6.22529
79B:B:Y105 4.8425836
80B:B:N110 6.20254114
81B:B:Y111 6.825114
82B:B:V112 4.536538
83B:B:C114 5.77438
84B:B:L117 4.6675429
85B:B:C121 3.7375428
86B:B:I123 3.9675406
87B:B:Y124 6.23667636
88B:B:L126 4.09535
89B:B:E138 5.515436
90B:B:H142 7.38833629
91B:B:Y145 6.795828
92B:B:L146 3.6825427
93B:B:C148 3.5925446
94B:B:C149 3.84428
95B:B:F151 5.975609
96B:B:L152 3.738543
97B:B:D154 6.524116
98B:B:I157 5.6275407
99B:B:T159 5.485429
100B:B:S160 5.2446
101B:B:S161 7.7425429
102B:B:D163 9.435429
103B:B:C166 4.235448
104B:B:L168 4.014546
105B:B:W169 10.0967628
106B:B:F180 8.374547
107B:B:H183 7.39857749
108B:B:D186 6.148529
109B:B:V187 5.088549
110B:B:L190 4.7225445
111B:B:F199 8.194549
112B:B:V200 8.61466
113B:B:S201 5.2625449
114B:B:C204 5.134527
115B:B:D205 7.385449
116B:B:K209 11.3875446
117B:B:L210 4.19405
118B:B:W211 9.04833648
119B:B:D212 6.2425409
120B:B:Q220 5.725467
121B:B:F222 8.59468
122B:B:H225 9.97833669
123B:B:D228 8.7529
124B:B:I229 6.005467
125B:B:I232 6.105468
126B:B:F234 5.735405
127B:B:F235 6.66375826
128B:B:P236 6.3625427
129B:B:F241 9.138566
130B:B:T243 4.91468
131B:B:S245 8.1525469
132B:B:D246 7.215429
133B:B:D247 7.174569
134B:B:T249 6.17466
135B:B:R251 10.5883668
136B:B:F253 7.328566
137B:B:D254 4.91409
138B:B:R256 5.465409
139B:B:D258 7.7675467
140B:B:Q259 5.3725406
141B:B:E260 8.865466
142B:B:L261 3.4925405
143B:B:M262 5.168524
144B:B:Y264 7.766525
145B:B:F278 5.63333627
146B:B:R283 6.61333629
147B:B:L284 4.7875425
148B:B:Y289 7.40286727
149B:B:D290 6.82526
150B:B:C294 3.752575
151B:B:N295 9.9425426
152B:B:W297 9.1675428
153B:B:L300 5.1125426
154B:B:L308 8.145407
155B:B:H311 8.58579
156B:B:R314 14.056528
157B:B:M325 5.9925405
158B:B:V327 3.585406
159B:B:T329 6.025478
160B:B:W332 10.4971729
161B:B:D333 8.255479
162B:B:L336 4.01833657
163B:B:K337 7.332576
164B:B:W339 10.6579
165G:G:I25 5.288562
166G:G:R27 7.308568
167G:G:Y40 9.3625426
168G:G:D48 7.504509
169G:G:L51 4.785406
170G:G:V54 3.895406
171G:G:N59 6.3025439
172G:G:P60 7.1439
173G:G:F61 5.30143738
174R:R:F38 5.41414
175R:R:F54 4.345417
176R:R:I58 3.974516
177R:R:F71 4.44754185
178R:R:L74 5.38254188
179R:R:T77 5.9675407
180R:R:T78 3.8675418
181R:R:Y81 6.592508
182R:R:L82 5.2675418
183R:R:M85 4.34333619
184R:R:S88 5.1975418
185R:R:D89 6.146519
186R:R:F93 3.58833616
187R:R:M96 5.7425407
188R:R:D99 7.11516
189R:R:R102 10.03515
190R:R:W109 6.50667617
191R:R:L115 3.2325415
192R:R:F119 6.03514
193R:R:Q120 9.498514
194R:R:F121 6.498516
195R:R:E124 9.85514
196R:R:I134 5.268518
197R:R:E140 6.8225419
198R:R:R141 6.3975409
199R:R:Y142 9.16754198
200R:R:I145 3.2425499
201R:R:L149 5.82517
202R:R:W168 6.845419
203R:R:L181 3.942514
204R:R:V182 6.3725404
205R:R:V184 5.6325415
206R:R:T190 5.614123
207R:R:C198 7.015419
208R:R:M213 4.6525415
209R:R:F220 7.2825406
210R:R:P224 5.2875419
211R:R:L231 5.72407
212R:R:Y232 7.948509
213R:R:I235 2.97498
214R:R:L239 4.084598
215R:R:H258 5.525406
216R:R:T261 4.14498
217R:R:F272 7.12419
218R:R:W276 6.74718
219R:R:F279 11.425416
220R:R:H280 6.206517
221R:R:R283 15.17416
222R:R:L285 2.754204
223R:R:F286 9.3375414
224R:R:N305 6.1375404
225R:R:L306 4.05514
226R:R:F309 7.885415
227R:R:L311 3.0025407
228R:R:F312 8.456517
229R:R:Y313 9.742517
230R:R:N319 5.164519
231R:R:L322 3.056518
232R:R:Y323 4.82571719
233R:R:Y330 8.4475418
234L:L:?1 9.866151310
   

Color ConSurf Grade
      No Conservation data available
      1
      2
      3
      4
      5
      6
      7
      8
      9

Index: link id, click on each number to highlight the corresponding link in the 3D visualization.

Node1 Node2: the two nodes of the corresponding link.

Recurrence: the relative Recurrence in the pool of shortest paths.

Int. Strength: the interaction strength between the two nodes.

Hub1?, Hub2?: "Yes" if the corresponding node has more than 3 links, otherwise "No".

Community: the id of the community the link belong to, otherwise 0.

ConSurf1, ConSurf2: these columns report the ConSurf conservation grades of the two nodes involved in a link.

Index Node1 Node2 Recurrence Int. Strength Hub1? Hub2? Community ConSurf1 ConSurf2
1B:B:I81 B:B:L69 28.41512.85YesYes375
2B:B:D83 B:B:L69 22.5054.07YesYes385
3B:B:L69 B:B:R68 22.41923.64YesYes355
4B:B:R68 B:B:Y85 22.843630.87YesYes354
5B:B:Y85 G:G:F61 44.76876.19YesYes348
6B:B:S84 G:G:F61 15.87835.28NoYes058
7B:B:S84 B:B:W63 15.9434.94NoYes057
8B:B:M61 B:B:W63 33.23836.98YesYes567
9B:B:C317 B:B:M61 33.45294.86NoYes076
10B:B:C317 B:B:S316 33.51983.44NoNo079
11B:B:S316 B:B:W332 53.65624.94NoYes099
12A:A:W281 B:B:W332 68.95469.37YesYes259
13A:A:R280 A:A:W281 96.075419.99NoYes055
14A:A:R280 A:A:R283 96.12335.33NoNo053
15A:A:R283 A:A:R356 96.171317.06NoYes032
16A:A:H357 A:A:R356 96.362613.54NoYes072
17A:A:H357 A:A:W277 96.410430.68NoYes076
18A:A:F273 A:A:W277 95.25684.01YesYes1596
19A:A:F246 A:A:F273 95.70563.22NoYes099
20A:A:D272 A:A:F246 99.66382.39NoNo089
21A:A:D272 A:A:E268 99.70593.9NoNo089
22A:A:E268 A:A:R265 99.74811.63NoNo099
23A:A:N50 A:A:R265 99.832114.46NoNo069
24A:A:D249 A:A:N50 99.91619.42NoNo086
25A:A:D249 A:A:K293 10017.97NoNo089
26A:A:K293 A:A:N292 99.99719.79NoYes099
27A:A:N292 A:A:V247 45.22974.43YesYes197
28A:A:F290 A:A:V247 45.04833.93YesYes197
29A:A:F290 A:A:I245 25.19213.77YesYes197
30A:A:I245 A:A:L43 25.10524.28YesYes177
31A:A:F219 A:A:L43 50.15034.87YesYes187
32A:A:F219 A:A:L41 48.88448.53YesYes187
33A:A:I383 A:A:L41 48.56432.85YesYes187
34A:A:I383 A:A:N387 48.47314.25YesNo188
35A:A:N387 A:A:Y391 48.12496.98NoYes184
36A:A:Y391 R:R:T78 41.06774.99YesYes148
37R:R:L137 R:R:T78 39.98522.95NoYes188
38R:R:L137 R:R:Y323 32.1983.52NoYes189
39R:R:I134 R:R:Y323 31.36048.46YesYes189
40R:R:F272 R:R:I134 30.94685.02YesYes198
41B:B:D83 B:B:Y85 22.64333.45YesYes384
42B:B:I338 G:G:F61 31.79023.77NoYes058
43B:B:I338 B:B:W63 15.94244.7NoYes057
44B:B:I338 B:B:L51 15.98472.85NoYes059
45B:B:L336 B:B:L51 16.00554.15YesYes579
46B:B:I58 B:B:L336 17.10614.28NoYes097
47B:B:I58 B:B:S316 20.06993.1NoNo099
48A:A:N292 A:A:T364 54.99694.39YesYes199
49A:A:F290 A:A:T364 44.979210.38YesYes199
50A:A:F290 A:A:I375 25.06065.02YesNo199
51A:A:I375 A:A:L43 25.02462.85NoYes197
52A:A:F290 A:A:I288 19.92973.77YesYes199
53A:A:D378 A:A:I288 19.8711.2NoYes079
54A:A:D378 A:A:Y360 49.592512.64NoYes078
55A:A:D381 A:A:Y360 49.203412.64NoYes088
56A:A:D381 A:A:Q385 46.46716.53NoNo085
57A:A:L384 A:A:Q385 43.84373.99NoNo065
58A:A:L384 A:A:L388 43.76622.77NoYes068
59A:A:L388 A:A:L393 43.21214.15YesYes988
60A:A:L393 R:R:R141 42.00758.5YesYes089
61R:R:R141 R:R:Y323 40.32145.14YesYes099
62A:A:F290 A:A:H362 19.89356.79YesNo099
63A:A:D378 A:A:H362 29.820711.35NoNo079
64B:B:W332 B:B:Y59 15.23945.79YesYes298
65B:B:G162 B:B:S161 11.0563.71NoYes299
66B:B:G162 B:B:Y145 11.06818.69NoYes298
67B:B:M101 B:B:Y59 13.24497.18YesYes298
68B:B:M101 B:B:Y145 13.02679.58YesYes298
69A:A:W281 B:B:D290 23.14457.82YesYes256
70B:B:I81 B:B:I93 11.88252.94YesYes077
71B:B:V112 B:B:Y124 17.03293.79YesYes386
72B:B:V135 B:B:Y124 10.20777.57NoYes346
73B:B:E138 B:B:I120 12.75992.73YesNo066
74B:B:C271 B:B:D290 18.53683.11NoYes256
75B:B:C271 B:B:Y289 18.0614.03NoYes257
76B:B:S275 B:B:T274 11.64874.8NoNo088
77R:R:F272 R:R:W276 26.301414.03YesYes198
78R:R:F279 R:R:W276 26.89210.02YesYes168
79R:R:F279 R:R:R283 26.534717.1YesYes166
80L:L:?1 R:R:R283 24.561523.89YesYes106
81R:R:N319 R:R:Y323 39.76893.49YesYes199
82R:R:N319 R:R:S315 27.1552.98YesNo099
83R:R:S315 R:R:W276 26.16787.41NoYes098
84R:R:A316 R:R:D89 16.18554.63NoYes099
85R:R:A316 R:R:F93 15.89884.16NoYes096
86R:R:F93 R:R:Y313 10.46753.09YesYes167
87R:R:D89 R:R:N319 12.40018.08YesYes199
88R:R:F312 R:R:W276 15.28264.01YesYes178
89R:R:F312 R:R:Y313 14.506912.38YesYes177
90R:R:D99 R:R:Y313 10.5294.6YesYes167
91B:B:L69 B:B:Y105 16.09175.86YesYes356
92B:B:L318 B:B:S275 11.49824.5NoNo068
Download PSN data

2D representation of the global metapath, ligand(s) interactions and
histograms of path distribution according to several parameters
(click on the image to enlarge it 🔍):

A 2D representation of the global communication in the network.

ConSurf Conservation Grade (See documentation): 

 n/a   1    2    3    4    5    6    7    8    9  

Number of shortest communication paths as a function of the average residue correlation.

Number of shortest communication paths as a function of the average interaction strength of their links.

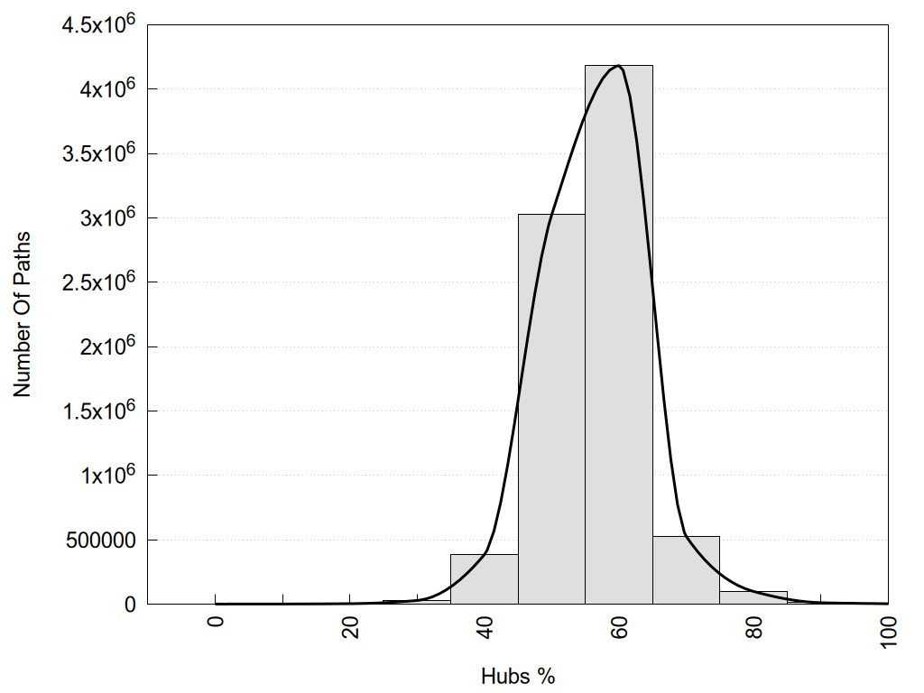
Number of shortest communication paths as a function of the % of hub nodes in each path.

Number of shortest communication paths as a function of the number of nodes in each path.

Number of shortest communication paths as a function of the % of correlated nodes in each path.


2D representation of the interactions of this orthosteric/allosteric ligand.


Links and nodes colored according to ConSurf Conservation Grade (See documentation): 

 n/a   1    2    3    4    5    6    7    8    9  

Node1 Node2 LinkStrength Comm IsNode1Hub? IsNode2Hub? Node1Cons Node2Cons Node1Shell Node2Shell
R:R:F38 R:R:L37 3.65 1 Yes No 4 5 2 2
R:R:L37 R:R:Q302 6.65 1 No No 5 3 2 1
R:R:F38 R:R:Q302 7.03 1 Yes No 4 3 2 1
R:R:F38 R:R:L306 6.09 1 Yes Yes 4 4 2 2
R:R:D99 R:R:R102 11.91 1 Yes Yes 6 5 1 1
R:R:D99 R:R:F119 8.36 1 Yes Yes 6 4 1 2
R:R:D99 R:R:F309 5.97 1 Yes Yes 6 5 1 2
R:R:D99 R:R:Y313 4.6 1 Yes Yes 6 7 1 2
L:L:?1 R:R:D99 4.71 1 Yes Yes 0 6 0 1
R:R:F119 R:R:R102 3.21 1 Yes Yes 4 5 2 1
R:R:Q120 R:R:R102 10.51 1 Yes Yes 4 5 1 1
R:R:C198 R:R:R102 8.36 1 Yes Yes 9 5 2 1
L:L:?1 R:R:R102 16.16 1 Yes Yes 0 5 0 1
R:R:L103 R:R:L306 4.15 0 No Yes 4 4 1 2
R:R:F309 R:R:L103 7.31 1 Yes No 5 4 2 1
L:L:?1 R:R:L103 3.2 1 Yes No 0 4 0 1
R:R:F119 R:R:Q120 5.86 1 Yes Yes 4 4 2 1
R:R:Q120 R:R:V182 15.76 1 Yes Yes 4 4 1 2
R:R:C198 R:R:Q120 4.58 1 Yes Yes 9 4 2 1
L:L:?1 R:R:Q120 10.78 1 Yes Yes 0 4 0 1
L:L:?1 R:R:S123 6.95 1 Yes No 0 6 0 1
R:R:E124 R:R:Y128 16.83 1 Yes No 4 6 1 2
R:R:A175 R:R:E124 3.02 1 No Yes 7 4 2 1
R:R:E124 R:R:I178 8.2 1 Yes No 4 4 1 2
R:R:E124 R:R:R283 10.47 1 Yes Yes 4 6 1 1
L:L:?1 R:R:E124 10.73 1 Yes Yes 0 4 0 1
R:R:S217 R:R:Y128 5.09 0 No No 6 6 2 2
R:R:I178 R:R:V182 3.07 0 No Yes 4 4 2 2
R:R:L181 R:R:V182 2.98 1 Yes Yes 4 4 1 2
R:R:L181 R:R:L209 4.15 1 Yes No 4 4 1 2
R:R:L181 R:R:L210 4.15 1 Yes No 4 3 1 2
R:R:L181 R:R:M213 2.83 1 Yes Yes 4 5 1 2
L:L:?1 R:R:L181 5.6 1 Yes Yes 0 4 0 1
R:R:P200 R:R:R199 2.88 1 No No 4 3 1 2
R:R:F286 R:R:P200 7.22 1 Yes No 4 4 1 1
L:L:?1 R:R:P200 4.75 1 Yes No 0 4 0 1
R:R:L209 R:R:M213 2.83 1 No Yes 4 5 2 2
R:R:F286 R:R:L210 6.09 1 Yes No 4 3 1 2
R:R:L210 R:R:S287 3 0 No No 3 4 2 2
R:R:S287 R:R:V214 3.23 0 No No 4 5 2 1
L:L:?1 R:R:V214 3.45 1 Yes No 0 5 0 1
R:R:R283 R:R:S217 9.22 1 Yes No 6 6 1 2
R:R:F279 R:R:R283 17.1 1 Yes Yes 6 6 2 1
R:R:G282 R:R:N305 5.09 20 No Yes 4 4 2 1
L:L:?1 R:R:R283 23.89 1 Yes Yes 0 6 0 1
R:R:F286 R:R:F290 6.43 1 Yes No 4 1 1 2
L:L:?1 R:R:F286 17.61 1 Yes Yes 0 4 0 1
R:R:N305 R:R:S301 2.98 0 Yes No 4 4 1 2
L:L:?1 R:R:Q302 6.93 1 Yes No 0 3 0 1
R:R:N305 R:R:S308 2.98 0 Yes No 4 7 1 2
L:L:?1 R:R:N305 13.5 1 Yes Yes 0 4 0 1
R:R:F309 R:R:Y313 15.47 1 Yes Yes 5 7 2 2

Location and physicochemical properties of the interaction partners of this ligand

Interactions of this ligand

Similarities between the interactions of this ligand and those of other networks

ShowSimilarityNetwork TypeNameLigandDescription
73.33Single8JSRAnamorelin8JSR-Ghrelin-Anamorelin-chim(NtGi1-Gs-CtGq)/β1/γ2
71.43Single7NA8PubChem 1780247NA8-Ghrelin-PubChem 178024-Gi1/β1/γ2
55.00Consensusghrelin_onOrthosteric Ligand7NA7-Ghrelin-Ghrelin-27-Gi1/β1/γ2 7F9Z-Ghrelin-GHRP-6-chim(NtGi1-Gs-CtGq)/β1/γ2 7NA8-Ghrelin-PubChem 178024-Gi1/β1/γ2
55.00Consensusghrelin_on_gpOrthosteric Ligand7NA7-Ghrelin-Ghrelin-27-Gi1/β1/γ2 7F9Z-Ghrelin-GHRP-6-chim(NtGi1-Gs-CtGq)/β1/γ2 7NA8-Ghrelin-PubChem 178024-Gi1/β1/γ2
52.63Single7F9ZGHRP-67F9Z-Ghrelin-GHRP-6-chim(NtGi1-Gs-CtGq)/β1/γ2
52.63Single9V2NMacimorelin9V2N-Ghrelin-Macimorelin-chim(NtGi1-Gs-CtGq)/β1/γ2
50.00Single7F55Bremelanotide7F55-MC4-Bremelanotide-Gs/β1/γ2
50.00Single7YONPeptide-YY(3-36)7YON-Y2-Peptide-YY(3-36)-Gi1/β1/γ2
50.00Single8WKYPG-9348WKY-MC4-PG-934
46.67Single7W0MPubChem 1227019087W0M-Apelin-PubChem 122701908-Gi1/β1/γ2
45.83Consensusgi_peptideOrthosteric Ligandgi_cck gi_apelin gi_compl-pept gi_endothelin gi_formylpeptide gi_galanin gi_ghrelin gi_npy gi_neurotensin gi_opioid gi_orexin gi_relaxin gi_somatostatin
45.45Single6W25SHU91196W25-MC4-SHU9119-Ca
45.45Single8WKZSBL-MC-318WKZ-MC4-SBL-MC-31
45.45Consensusgs_cckOrthosteric Ligand7MBX-CCKA-Cholecystokinin-8-Gs/β1/γ1
45.45Consensuspeptide_offonOrthosteric Ligandpeptide_off peptide_on
45.00Single8QJ2pN1628QJ2-MC4-pN162-Gs
45.00Single9M0RNeuropeptide VF9M0R-NPFF1-Neuropeptide VF-Gi1/β1/γ2
45.00Consensusdop_onOrthosteric Ligand8F7S-δ-Deltorphin-Gi1/β1/γ2
44.44Single6KO5PubChem 574000026KO5-Ghrelin-PubChem 57400002
44.44Single7F58THIQ7F58-MC4-THIQ-Gs/β1/γ2
44.44Single7XBDGalanin7XBD-GAL2-Galanin-chim(NtGi2L-Gs-CtGq)/β1/γ2
44.44Single8VVFJDTic8VVF-κ-JDTic-Gi1/β1/γ2
44.44Single9JMCDS-3801b9JMC-Motilin-DS-3801b-chim(Gs-CtGq)/β1/γ2
44.44Consensusmotilin_onOrthosteric Ligand8IBU-Motilin-Erythromycin-A-chim(NtGi1-Gs-CtGq)/β1/γ2
44.00Single7YOONeuropeptide-Y7YOO-Y2-Neuropeptide-Y-Gi1/β1/γ2
44.00Consensusgq_peptideOrthosteric Ligandgq_cck gq_kisspeptin gq_bradykinin gq_bombesin gq_angiotensin
44.00Consensusnpy2_onOrthosteric Ligand7YOO-Y2-Neuropeptide-Y-Gi1/β1/γ2
44.00Consensusnpy2_on_gpOrthosteric Ligand7YOO-Y2-Neuropeptide-Y-Gi1/β1/γ2
44.00Consensuspeptide_onOrthosteric Ligandcck_on angiotensin_on apelin_on bombesin_on bradykinin_on compl-peptide_on endothelin_on formylpeptide_on galanin_on ghrelin_on kisspeptin_on melanocortin_on motilin_on neuromedin-u_on npy_on neurotensin_on opioid_on orexin_on relaxin_on somatostatin_on tachykinin_on trh_on vasop-oxy_on
44.00Consensuspeptide_on_gpOrthosteric Ligandcck_on_gp angiotensin_on_gp apelin_on_gp bombesin_on_gp bradykinin_on_gp compl-peptide_on_gp endothelin_on_gp formylpeptide_on_gp galanin_on_gp ghrelin_on_gp kisspeptin_on_gp melanocortin_on_gp motilin_on_gp neuromedin-u_on_gp npy_on_gp neurotensin_on_gp opioid_on_gp orexin_on_gp relaxin_on_gp somatostatin_on_gp tachykinin_on_gp trh_on_gp vasop-oxy_on_gp
43.75Single9JMDAzithromycin9JMD-Motilin-Azithromycin-chim(Gs-CtGq)/β1/γ2
43.48Single8XWQEndothelin-18XWQ-ETB-Endothelin-1-Gi1/β1/γ2
43.48Consensusp2y_on_gpOrthosteric Ligandp2y1_on_gp p2y10_on_gp p2y12_on_gp
43.48Consensuspeptide_offon_gpOrthosteric Ligandpeptide_on_gp peptide_off
42.86Single7F54Afamelanotide7F54-MC4-Afamelanotide-Gs/β1/γ2
42.86Single9BKJCholecystokinin-89BKJ-CCKA-Cholecystokinin-8-chim(NtGi1-Gs-CtGq)/β1/γ2
42.86Consensusclass-a_on_gpOrthosteric Ligandsensory_on_gp alicarboxylic_on_gp amine_on_gp lipid_on_gp nucleotide_on_gp peptide_on_gp protein_on_gp
42.86Consensusmc4_onOrthosteric Ligand7AUE-MC4-Setmelanotide-chim(NtGi1L-Gs)/β1/γ2 7F58-MC4-THIQ-Gs/β1/γ2 7F54-MC4-Afamelanotide-Gs/β1/γ2 7F53-MC4-α-MSH-Gs/β1/γ2 7F55-MC4-Bremelanotide-Gs/β1/γ2
42.86Consensusp2y_onOrthosteric Ligandp2y1_on p2y10_on p2y12_on
42.11Single7SUSPubChem 1227019087SUS-Apelin-PubChem 122701908
42.11Single7W0LPubChem 1227019087W0L-Apelin-PubChem 122701908-Gi1/β1/γ2
42.11Single7XW9TRH7XW9-TRH-TRH-chim(NtGi1L-Gs-CtGq)/β1/γ2
42.11Single8I9AEP548I9A-C3aB-EP54-chim(NtGi1-Gs-CtGq)/β1/γ2
42.11Single8IBUErythromycin-A8IBU-Motilin-Erythromycin-A-chim(NtGi1-Gs-CtGq)/β1/γ2
42.11Single9GYOP3959GYO-GPBA-P395-chim(NtGi1-Gs)/β1/γ2
42.11Consensusc3a_onOrthosteric Ligand8HK2-C3aB-C3a anaphylatoxin-Gi1/β1/γ2 8IA8-C3aB-E7 peptide-Gi1/β1/γ2
42.11Consensusgalanin_onOrthosteric Ligandgal2_on gal1_on
42.11Consensusgalanin_on_gpOrthosteric Ligandgal2_on_gp gal1_on_gp
42.11Consensusmotilin_on_gpOrthosteric Ligand8IBU-Motilin-Erythromycin-A-chim(NtGi1-Gs-CtGq)/β1/γ2
42.11Consensustrh_onOrthosteric Ligand7XW9-TRH-TRH-chim(NtGi1L-Gs-CtGq)/β1/γ2
42.11Consensustrh_on_gpOrthosteric Ligand7XW9-TRH-TRH-chim(NtGi1L-Gs-CtGq)/β1/γ2
41.67Single7Y64C5a anaphylatoxin7Y64-C5a1-C5a anaphylatoxin-Gi1/β1/γ2
41.67Single8IODPG-9018IOD-MC5-PG-901-Ca-chim(NtGi1-Gs)/β1/γ2
41.67Single8XGOTAK4488XGO-Kiss1-TAK448-chim(NtGi1-Gq)/β1/γ2
41.18Single5UIGCmpd-15UIG-A2A-Cmpd-1
41.18Single7WQ3Galanin7WQ3-GAL1-Galanin-Gi1/β1/γ2
41.18Single8YH5Riboprine8YH5-A3A-Riboprine-Gi1/β1/γ2
41.18Single9D61JDTic9D61-κ-JDTic-Gi1/β1/γ2
41.18Consensusgal1_onOrthosteric Ligand7WQ3-GAL1-Galanin-Gi1/β1/γ2
41.18Consensusgal1_on_gpOrthosteric Ligand7WQ3-GAL1-Galanin-Gi1/β1/γ2
41.18Consensusgi_galaninOrthosteric Ligand7WQ3-GAL1-Galanin-Gi1/β1/γ2
40.91Single7EZKCholecystokinin-87EZK-CCKA-Cholecystokinin-8-chim(NtGi1-Gs)/β1/γ2
40.91Single7PIVSetmelanotide7PIV-MC4-Setmelanotide-Gs/β1/γ2
40.91Single7RKMFractalkine7RKM-US28-Fractalkine-Gi1/β1/γ2
40.91Single8F7SDeltorphin8F7S-δ-Deltorphin-Gi1/β1/γ2
40.91Single8F7WDynorphin8F7W-κ-Dynorphin-Gi1/β1/γ2
40.91Single8KH5Lysophosphatidylserine8KH5-GPR174-Lysophosphatidylserine-Gs/β1/γ2
40.91Single9J0FNADH9J0F-P2Y14-NADH-Gi1/β1/γ2
40.91Consensusdop_on_gpOrthosteric Ligand8F7S-δ-Deltorphin-Gi1/β1/γ2
40.91Consensusgi_cckOrthosteric Ligand7EZH-CCKA-Cholecystokinin-8-Gi1/β1/γ2 7F8V-CCKB-Gastrin-17-Gi2/β1/γ2
40.91Consensusgi_ghrelinOrthosteric Ligand7NA7-Ghrelin-Ghrelin-27-Gi1/β1/γ2 7NA8-Ghrelin-PubChem 178024-Gi1/β1/γ2
40.91Consensusmc4_on_gpOrthosteric Ligand7AUE-MC4-Setmelanotide-chim(NtGi1L-Gs)/β1/γ2 7F58-MC4-THIQ-Gs/β1/γ2 7F54-MC4-Afamelanotide-Gs/β1/γ2 7F53-MC4-α-MSH-Gs/β1/γ2 7F55-MC4-Bremelanotide-Gs/β1/γ2
40.74Consensusccr5_on_gpOrthosteric Ligand7O7F-CCR5-6P4-CCL5-Gi1/β1/γ1 7F1Q-CCR5-MIP-1a-Gi1/β1/γ2
40.00Single7EZHCholecystokinin-87EZH-CCKA-Cholecystokinin-8-Gi1/β1/γ2
40.00Single7EZMCholecystokinin-87EZM-CCKA-Cholecystokinin-8-chim(NtGsL-Gq)/β1/γ2
40.00Single7MBYCholecystokinin-87MBY-CCKA-Cholecystokinin-8-chim(NtGi1L-Gs-CtGq)/β1/γ2
40.00Single7PIUSetmelanotide7PIU-MC4-Setmelanotide-Gs/β1/γ2
40.00Single7X1UTRH7X1U-TRH-TRH-chim(NtGi2L-Gs-CtGq)/β1/γ2
40.00Single8JPNCis-Epoxysuccinic acid8JPN-Succinate-Cis-Epoxysuccinic acid-Gi1/β1/γ1
40.00Single8WP1Cis-Epoxysuccinic acid8WP1-Succinate-Cis-Epoxysuccinic acid-Gi1/β1/γ2
40.00Single8WRZPubChem 1023367048WRZ-CB1-PubChem 102336704-Arrestin2
40.00Single8ZWGJR14a8ZWG-C3aB-JR14a-Gi1/β1/γ2
40.00Consensusc3a_on_gpOrthosteric Ligand8HK2-C3aB-C3a anaphylatoxin-Gi1/β1/γ2 8IA8-C3aB-E7 peptide-Gi1/β1/γ2
40.00Consensusccka_onOrthosteric Ligand7EZH-CCKA-Cholecystokinin-8-Gi1/β1/γ2
40.00Consensusccka_on_gpOrthosteric Ligand7EZH-CCKA-Cholecystokinin-8-Gi1/β1/γ2
40.00Consensusccr5_onOrthosteric Ligand7O7F-CCR5-6P4-CCL5-Gi1/β1/γ1 7F1Q-CCR5-MIP-1a-Gi1/β1/γ2
40.00Consensuspeptide_offOrthosteric Ligandcck_off angiotensin_off bombesin_off endothelin_off ghrelin_off npy_off opioid_off orexin_off somatostatin_off tachykinin_off vasop-oxy_off neurotensin_off
39.29Consensusmelanocortin_onOrthosteric Ligandmc1_on mc4_on mc2_on mc3_on mc5_on
39.29Consensusmelanocortin_on_gpOrthosteric Ligandmc1_on_gp mc4_on_gp mc2_on_gp mc3_on_gp mc5_on_gp
39.13Single7MBXCholecystokinin-87MBX-CCKA-Cholecystokinin-8-Gs/β1/γ1
39.13Single8K6NPro-neuropeptide-Y8K6N-Y2-Pro-neuropeptide-Y-Gi2/β1/γ1
39.13Single8XIQL7967788XIQ-SST3-L796778-chim(NtGi1-Gs-CtGi1)/β1/γ2
38.89Single5N2SPSB365N2S-A1-PSB36
38.89Single7CFNINT-7777CFN-GPBA-INT-777-Gs/β1/γ2
38.89Single7X1TTaltirelin7X1T-TRH-Taltirelin-chim(NtGi2L-Gs-CtGq)/β1/γ2
38.89Single8ID4Linoleic acid8ID4-FFA4-Linoleic acid-Gi1/β1/γ2
38.89Single8J6JGSK2560738J6J-HCA2-GSK256073-Gi1/β1/γ2
38.89Single8QOTNanobody-E8QOT-μ-Nanobody-E
38.89Single9EHSLUF76029EHS-A3A-LUF7602
38.46Single7F53Alpha-MSH7F53-MC4-α-MSH-Gs/β1/γ2
38.46Single8FEG(DNCP)-Beta-Naloxamine8FEG-κ-(DNCP)-β-Naloxamine-Gi1/β1/γ2
38.46Single8XWPEndothelin-18XWP-ETB-Endothelin-1-Gi1/β1/γ2
38.10Single6C1QPMX536C1Q-C5a1-PMX53-NDT9513727
38.10Single6G79Donitriptan6G79-5-HT1B-Donitriptan-Go/β1/γ2
38.10Single7AUESetmelanotide7AUE-MC4-Setmelanotide-chim(NtGi1L-Gs)/β1/γ2
38.10Single7S8LCortistatin-147S8L-MRGPRX2-Cortistatin-14-chim(NtGi2L-Gs-CtGq)/β1/γ2
38.10Single7XBXCX3CL17XBX-CX3CR1-CX3CL1-Gi1/β1/γ2
38.10Single7XY6BAY 60-65837XY6-A2B-BAY 60-6583-chim(NtGi1-Gs)/β1/γ2
38.10Single8X3LXWD8X3L-CB2-XWD-Gi1/β1/γ2
38.10Single9IPVJR14a9IPV-C3aB-JR14a-Gi1/β1/γ2
38.10Consensuscxcr4_offOrthosteric Ligand4RWS-CXCR4-vMIP-II 3OE0-CXCR4-CVX15 3OE6-CXCR4-IT1t
38.10Consensussst2_onOrthosteric Ligand7WIC-SST2-Somatostatin-14-Gi1/β1/γ2 7WIG-SST2-L-054,264-Gi1/β1/γ2 7YAE-SST2-Octreotide-Gi1/β1/γ2 7YAC-SST2-Paltusotine-Gi1/β1/γ2
38.10Consensussst2_on_gpOrthosteric Ligand7WIC-SST2-Somatostatin-14-Gi1/β1/γ2 7WIG-SST2-L-054,264-Gi1/β1/γ2 7YAE-SST2-Octreotide-Gi1/β1/γ2 7YAC-SST2-Paltusotine-Gi1/β1/γ2
37.93Consensusgs_peptideOrthosteric Ligandgs_cck gs_melanocortin gs_vasop-oxy
37.50Single6ZA8RTI-3a6ZA8-NTS1-RTI-3a
37.50Single7F4HAfamelanotide7F4H-MC1-Afamelanotide-chim(NtGi1-Gs)/β1/γ2
37.50Single7F8YDevazepide7F8Y-CCKA-Devazepide
37.50Single7W0OElabela7W0O-Apelin-Elabela-Gi1/β1/γ2
37.50Single7XK8Neuromedin-U-257XK8-NMUR2-Neuromedin-U-25-Gi1/β1/γ2
37.50Single8WOGSuccinic acid8WOG-Succinate-Succinic acid-Gi1/β1/γ2
37.50Single8YKXMaleic acid8YKX-Succinate-Maleic acid-Gi1/β1/γ1
37.50Single8YYWAlpha-ketoglutarate8YYW-Oxoglutarate-α-ketoglutarate-α-ketoglutarate-chim(Gi1-CtGq)/β1/γ2
37.50Single8ZBISomatostatin-148ZBI-SST3-Somatostatin-14-Gi1/β1/γ2
37.50Single9BKKCholecystokinin-89BKK-CCKA-Cholecystokinin-8-chim(NtGi1-Gs-CtGq)/β1/γ2
37.50Consensusgi_class-aOrthosteric Ligandgi_peptide gi_sensory gi_alicarboxylic gi_amine gi_lipid gi_nucleotide gi_protein
37.50Consensusgi_succinateOrthosteric Ligand8YKW-Succinate-Succinic acid-Gi1/β1/γ1 8YKX-Succinate-Maleic acid-Gi1/β1/γ1
37.50Consensussuccinate_onOrthosteric Ligand8YKW-Succinate-Succinic acid-Gi1/β1/γ1 8YKX-Succinate-Maleic acid-Gi1/β1/γ1
37.50Consensussuccinate_on_gpOrthosteric Ligand8YKW-Succinate-Succinic acid-Gi1/β1/γ1 8YKX-Succinate-Maleic acid-Gi1/β1/γ1
37.04Consensusgs_melanocortinOrthosteric Ligand7F4H-MC1-Afamelanotide-chim(NtGi1-Gs)/β1/γ2 7F54-MC4-Afamelanotide-Gs/β1/γ2 7F4D-MC1-α-MSH-chim(NtGi1-Gs)/β1/γ2 8INR-MC5-α-MSH-Ca-chim(NtGi1-Gs)/β1/γ2 7F53-MC4-α-MSH-Gs/β1/γ2 7F55-MC4-Bremelanotide-Gs/β1/γ2 8GY7-MC2-Corticotropin-Ca-chim(NtGi1-Gs)/β1/γ2; MRAP1 8IOC-MC3-γ-MSH-Ca-chim(NtGi1-Gs)/β1/γ2 8IOD-MC5-PG-901-Ca-chim(NtGi1-Gs)/β1/γ2 7AUE-MC4-Setmelanotide-chim(NtGi1L-Gs)/β1/γ2 7F4I-MC1-SHU9119-chim(NtGi1-Gs)/β1/γ2 7F58-MC4-THIQ-Gs/β1/γ2
36.84Single6GT3Imaradenant6GT3-A2A-Imaradenant-Na
36.84Single6Z8NSRI-98296Z8N-NTS1-SRI-9829
36.84Single7S8MCortistatin-147S8M-MRGPRX2-Cortistatin-14-Gi1/β1/γ2
36.84Single7TUYGSK682753A7TUY-GPR183-GSK682753A
36.84Single7WV9CP559407WV9-CB1-CP55940-ZCZ011-Gi2/β1/γ2
36.84Single7Y24Octreotide7Y24-SST2-Octreotide-Go/β1/γ2
36.84Single8FMZNeurotensin/Neuromedin-N8FMZ-NTS1-Neurotensin/Neuromedin-N-chim(NtGi2L-Gs-CtGq)/β1/γ2
36.84Single8HDOBAY 60-65838HDO-A2B-BAY 60-6583-Gs/β1/γ2
36.84Single8HPTC5a anaphylatoxin C-terminal peptide8HPT-C5a1-C5a anaphylatoxin C-terminal peptide-Go/β1/γ2
36.84Single8JZPC5A anaphylatoxin8JZP-C5a1-C5A anaphylatoxin-Go/β1/γ2
36.84Single8XIPPasireotide8XIP-SST1-Pasireotide-chim(NtGi1-Gs-CtGi1)/β1/γ2
36.84Single8Y73Peptide8Y73-μ-Peptide-MPAM-15-Gi1/β1/γ2
36.84Single8ZWFJR14a8ZWF-C3aB-JR14a
36.36Single4IB4Ergotamine4IB4-5-HT2B-Ergotamine
36.36Single4XT1Fractalkine4XT1-US28-Fractalkine
36.36Single7L0RNeurotensin7L0R-NTS1-Neurotensin-Gi1/β1/γ1
36.36Single7W2ZGhrelin7W2Z-Ghrelin-Ghrelin-Go/β1/γ2
36.36Single8ZBJSomatostatin-148ZBJ-SST5-Somatostatin-14-Gi1/β1/γ2
36.36Single9HB3Mambaquaretin-19HB3-V2-Mambaquaretin-1
36.36Single9J0IUDP-Glucuronic acid9J0I-P2Y14-UDP-Glucuronic acid-Gi1/β1/γ2
36.00Single7F9YGhrelin-287F9Y-Ghrelin-Ghrelin-28-chim(NtGi1-Gs-CtGq)/β1/γ2
36.00Single8HK5Complement C58HK5-C5a1-Complement C5-Gi1/β1/γ2
36.00Single8XVIEndothelin-18XVI-ETA-Endothelin-1-chim(Gs-CtGq)/β1/γ2
36.00Single8ZRTET-18ZRT-ETB-ET-1
36.00Consensuscxcr_offOrthosteric Ligandcxcr3_off cxcr4_off
36.00Consensusmc1_onOrthosteric Ligand7F4H-MC1-Afamelanotide-chim(NtGi1-Gs)/β1/γ2 7F4D-MC1-α-MSH-chim(NtGi1-Gs)/β1/γ2 7F4I-MC1-SHU9119-chim(NtGi1-Gs)/β1/γ2
36.00Consensusmc1_on_gpOrthosteric Ligand7F4H-MC1-Afamelanotide-chim(NtGi1-Gs)/β1/γ2 7F4D-MC1-α-MSH-chim(NtGi1-Gs)/β1/γ2 7F4I-MC1-SHU9119-chim(NtGi1-Gs)/β1/γ2
36.00Consensusopioid_onOrthosteric Ligandmop_on nop_on dop_on kop_on
36.00Consensussst5_on_gpOrthosteric Ligand8X8L-SST5-Cortistatin-chim(NtGi1-Gs-CtGi1)/β1/γ2 8X8N-SST5-Octreotide-chim(NtGi1-Gs-CtGi1)/β1/γ2
35.71Consensusgi_npyOrthosteric Ligand8K6M-Y1-Neuropeptide-Y-Gi2/β1/γ1 7X9C-Y4-Pancreatic Hormone-Gi1/β1/γ2 7YOO-Y2-Neuropeptide-Y-Gi1/β1/γ2
35.71Consensusnpy_onOrthosteric Ligandnpy1_on npy2_on npy4_on
35.71Consensusnpy_on_gpOrthosteric Ligandnpy1_on_gp npy2_on_gp npy4_on_gp
35.29Single3REYXAC3REY-A2A-XAC
35.29Single6IQLL7458706IQL-D4-L745870
35.29Single6U1NLY21196206U1N-M2-LY2119620-Arrestin2
35.29Single7AROLUF58337ARO-A2A-LUF5833-Na
35.29Single8JEI3-nitro-4-(propylamino)benzoic acid8JEI-HCAR3-3-nitro-4-(propylamino)benzoic acid-Gi1/β1/γ2
35.29Single8K9KDamgo8K9K-μ-Damgo-Gi3/β1/γ1
35.29Single8RWCStilSwitch28RWC-A2A-StilSwitch2-Na
35.29Single8RWDStilSwitch38RWD-A2A-StilSwitch3-Na
35.29Single8RWIStilSwitch28RWI-A2A-StilSwitch2-Na
35.29Single8Y45ADL58598Y45-δ-ADL5859-Gi2/β1/γ2
35.29Single8YH2Adenosine8YH2-A3A-Adenosine-Gi1/β1/γ2
35.29Single8YKVPubChem 1375531688YKV-Succinate-PubChem 137553168-Gi1/β1/γ2
35.29Single8ZPNAMD31008ZPN-CXCR4-AMD3100
35.29Single9JH3CMF-0199JH3-Apelin-CMF-019-Gi1/β1/γ2
35.29Consensusnop_offOrthosteric Ligand4EA3-NOP-PubChem 10296561 5DHG-NOP-C-35 5DHH-NOP-SB-612111
35.00Single4RWADIPP-NH24RWA-δ-DIPP-NH2
35.00Single4XEENeurotensin4XEE-NTS1-Neurotensin
35.00Single4XESNeurotensin4XES-NTS1-Neurotensin
35.00Single6C1RPMX536C1R-C5a1-PMX53-Avacopan; Na
35.00Single7L0SNeurotensin7L0S-NTS1-Neurotensin-Gi1/β1/γ1
35.00Single7L1VPubChem 1554910097L1V-OX2-PubChem 155491009-chim(NtGi1-Gs-CtGq)/β1/γ2
35.00Single7XJKGalanin7XJK-GAL2-Galanin-chim(NtGi2L-Gs-CtGq)/β1/γ2
35.00Single7YITNalfurafine7YIT-κ-Nalfurafine
35.00Single8H0QGastrin Releasing Peptide8H0Q-BB2-Gastrin Releasing Peptide-chim(NtGi1-Gs-CtGq)/β1/γ2
35.00Single8ID9Eicosapentaenoic acid8ID9-FFA4-Eicosapentaenoic acid-Gi1/β1/γ2
35.00Single8JJPChemerin8JJP-CML2-Chemerin-Gi1/β1/γ2
35.00Single8JWZAB9288JWZ-A2A-AB928-Na
35.00Single8W1VPubChem 1717162658W1V-β2-PubChem 171716265
35.00Consensuscb1_onOrthosteric Ligand6KPG-CB1-AM841-Gi1/β1/γ2 8K8J-CB1-Fenofibrate-chim(Gs-CtGq)/β1/γ2
35.00Consensusgi_lipidOrthosteric Ligandgi_cannabinoid gi_ffa gi_leukotriene gi_lpa gi_s1p
35.00Consensuskop_onOrthosteric Ligand8F7W-κ-Dynorphin-Gi1/β1/γ2 8DZS-κ-GR89,696-chim(NtGi2-Gz)/β1/γ2 8DZP-κ-momSalB-Gi1/β1/γ2
35.00Consensuslipid_offonOrthosteric Ligandlipid_off lipid_on
35.00Consensuslipid_offon_gpOrthosteric Ligandlipid_on_gp lipid_off
35.00Consensusorexin_onOrthosteric Ligandox2_on
34.78Single7W0NElabela7W0N-Apelin-Elabela-Gi1/β1/γ2
34.78Single7XMSSomatostatin-147XMS-SST4-Somatostatin-14-Gi1/β1/γ2
34.78Single8WSSPro-MCH8WSS-MCH1-Pro-MCH-Gi1/β1/γ1
34.78Single9IK8SST analogue9IK8-SST1-SST analogue-Gi1/β1/γ2
34.78Consensuscckb_onOrthosteric Ligand8IA7-CCKB-Cholecystokinin-8-chim(NtGi1L-Gq)/β1/γ2 7XOW-CCKB-Gastrin-chim(NtGi1-Gq)/β1/γ2 7F8V-CCKB-Gastrin-17-Gi2/β1/γ2
34.78Consensuscompl-peptide_onOrthosteric Ligandc5a1_on c3a_on
34.78Consensusgq_class-aOrthosteric Ligandgq_peptide gq_amine gq_nucleotide
34.78Consensusmc5_onOrthosteric Ligand8INR-MC5-α-MSH-Ca-chim(NtGi1-Gs)/β1/γ2 8IOD-MC5-PG-901-Ca-chim(NtGi1-Gs)/β1/γ2
34.78Consensussst4_onOrthosteric Ligand7XMS-SST4-Somatostatin-14-Gi1/β1/γ2 7XMT-SST4-J-2156-Gi1/β1/γ2
34.78Consensussst4_on_gpOrthosteric Ligand7XMS-SST4-Somatostatin-14-Gi1/β1/γ2 7XMT-SST4-J-2156-Gi1/β1/γ2
34.62Single4XT3Fractalkine4XT3-US28-Fractalkine
34.62Single5UIW5P7-CCL55UIW-CCR5-5P7-CCL5
34.62Single7F8VGastrin-177F8V-CCKB-Gastrin-17-Gi2/β1/γ2
34.62Single8XVEBQ30208XVE-ETB-BQ3020-chim(Gs-CtGq)/β1/γ2
34.62Consensusccr5_offOrthosteric Ligand5UIW-CCR5-5P7-CCL5
34.62Consensusgi_compl-peptOrthosteric Ligand8HK5-C5a1-Complement C5-Gi1/β1/γ2 8IA8-C3aB-E7 peptide-Gi1/β1/γ2 7Y66-C5a1-BM213-Gi1/β1/γ2 7Y67-C5a1-C089 peptide-Gi1/β1/γ2 8HK2-C3aB-C3a anaphylatoxin-Gi1/β1/γ2 7Y64-C5a1-C5a anaphylatoxin-Gi1/β1/γ2
34.62Consensusnpy4_onOrthosteric Ligand7X9C-Y4-Pancreatic Hormone-Gi1/β1/γ2
34.62Consensusnpy4_on_gpOrthosteric Ligand7X9C-Y4-Pancreatic Hormone-Gi1/β1/γ2
34.62Consensusopioid_on_gpOrthosteric Ligandmop_on_gp nop_on_gp dop_on_gp kop_on_gp
34.38Consensusmc2_onOrthosteric Ligand8GY7-MC2-Corticotropin-Ca-chim(NtGi1-Gs)/β1/γ2; MRAP1
34.38Consensusmc2_on_gpOrthosteric Ligand8GY7-MC2-Corticotropin-Ca-chim(NtGi1-Gs)/β1/γ2; MRAP1
33.33Single3OE0CVX153OE0-CXCR4-CVX15
33.33Single4BUONeurotensin4BUO-NTS1-Neurotensin
33.33Single4EA3PubChem 102965614EA3-NOP-PubChem 10296561
33.33Single4NC3Ergotamine4NC3-5-HT2B-Ergotamine
33.33Single4YAYZD-71554YAY-AT1-ZD-7155
33.33Single5DHGC-355DHG-NOP-C-35
33.33Single5NDDAZ8838; Na5NDD-PAR2-AZ8838; Na
33.33Single5TUDErgotamine5TUD-5-HT2B-Ergotamine
33.33Single5UNGPubChem 157800525UNG-AT2-PubChem 15780052
33.33Single5ZKPForopafant (SR27417)5ZKP-PAF-Foropafant (SR27417)
33.33Single6BQGErgotamine6BQG-5-HT2C-Ergotamine
33.33Single6DDFDamgo6DDF-μ-Damgo-Gi1/β1/γ2
33.33Single6OIKLY21196206OIK-M2-Iperoxo-LY2119620-chim(NtGi1-Go)/β1/γ2
33.33Single6PT2KGCHM076PT2-δ-KGCHM07
33.33Single7F4DAlpha-MSH7F4D-MC1-α-MSH-chim(NtGi1-Gs)/β1/γ2
33.33Single7LCIDanuglipron7LCI-GLP-1-Danuglipron-Gs/β1/γ2
33.33Single7LCKDanuglipron7LCK-GLP-1-Danuglipron
33.33Single7O7F6P4-CCL57O7F-CCR5-6P4-CCL5-Gi1/β1/γ1
33.33Single7T6VfMLFII7T6V-FPR2-ALX-fMLFII-Gi1/β1/γ2
33.33Single7TRQVU04671547TRQ-M4-Iperoxo-VU0467154-Gi1/β1/γ2
33.33Single7V3ZCP559407V3Z-CB1-CP55940
33.33Single7VIES1P7VIE-S1P1-S1P-Gi1/β1/γ2
33.33Single7WVVfMLFII7WVV-FPR2-ALX-fMLFII-Gi2/β1/γ2
33.33Single7X8RBOC57X8R-GLP-1-BOC5-Gs/β1/γ2
33.33Single7XATSomatostatin-147XAT-SST2-Somatostatin-14-Gi1/β1/γ2
33.33Single8CICEtrumadenant8CIC-A2A-Etrumadenant-Na
33.33Single8CU6LJ-45178CU6-A2A-LJ-4517
33.33Single8JPFNeurotensin8JPF-NTS1-Neurotensin-SBI-553
33.33Single8K5DGSK2560738K5D-HCA2-GSK256073
33.33Single8K6MNeuropeptide-Y8K6M-Y1-Neuropeptide-Y-Gi2/β1/γ1
33.33Single8RW7StilSwitch18RW7-A2A-StilSwitch1-Na
33.33Single8RWXStilSwitch38RWX-A2A-StilSwitch3-Na
33.33Single8T3OTUG-8918T3O-FFA4-TUG-891-chim(NtGi2L-Gs-CtGq)/β1/γ2
33.33Single8W8WAlpha-MSH8W8W-MC3-α-MSH-Ca-Gs/β1/γ2
33.33Single8XBGS3E-LysoPS8XBG-GPR34-S3E-LysoPS
33.33Single8XIRPasireotide8XIR-SST3-Pasireotide-chim(NtGi1-Gs-CtGi1)/β1/γ2
33.33Single8ZH8QRF-Amide8ZH8-QRFP-QRF-Amide-Gq/β1/γ1
33.33Single8ZPLHF511168ZPL-CXCR4-HF51116
33.33Single8ZQEGPR15L(C11)8ZQE-GPR15-GPR15L(C11)-Gi1/β1/γ1
33.33Single8ZYYNeurotensin peptide 8-138ZYY-NTS1-Neurotensin peptide 8-13-SBI-553-Arrestin2
33.33Single9H37A1IR09H37-A2A-A1IR0-Na
33.33Single9KDFRES-701-39KDF-ETB-RES-701-3
33.33Consensusa3_onOrthosteric Liganda3a_on
33.33Consensusadenosine_on_gpOrthosteric Liganda1_on_gp a2_on_gp a3_on_gp
33.33Consensusalicarboxylic_on_gpOrthosteric Ligandsuccinate_on_gp hca_on_gp
33.33Consensusangiotensin_onOrthosteric Ligandat1_on
33.33Consensusat1_onOrthosteric Ligand7F6G-AT1-SAR1-AngII-Gq/β1/γ2
33.33Consensuscb1_on_gpOrthosteric Ligand6KPG-CB1-AM841-Gi1/β1/γ2 8K8J-CB1-Fenofibrate-chim(Gs-CtGq)/β1/γ2
33.33Consensuscck_offOrthosteric Ligandccka_off
33.33Consensuscck_onOrthosteric Ligandccka_on cckb_on
33.33Consensuscck_on_gpOrthosteric Ligandccka_on_gp cckb_on_gp
33.33Consensusccka_offOrthosteric Ligand7F8Y-CCKA-Devazepide 7F8U-CCKA-Lintitript
33.33Consensuscckb_on_gpOrthosteric Ligand8IA7-CCKB-Cholecystokinin-8-chim(NtGi1L-Gq)/β1/γ2 7XOW-CCKB-Gastrin-chim(NtGi1-Gq)/β1/γ2 7F8V-CCKB-Gastrin-17-Gi2/β1/γ2
33.33Consensusclass-a_onOrthosteric Ligandsensory_on alicarboxylic_on amine_on lipid_on nucleotide_on peptide_on protein_on
33.33Consensuscompl-peptide_on_gpOrthosteric Ligandc5a1_on_gp c3a_on_gp
33.33Consensusgal2_onOrthosteric Ligand7WQ4-GAL2-Galanin-chim(NtGi1-Gs-CtGq)/β1/γ2 7XJL-GAL2-Spexin-chim(NtGi2L-Gs-CtGq)/β1/γ2
33.33Consensusgal2_on_gpOrthosteric Ligand7WQ4-GAL2-Galanin-chim(NtGi1-Gs-CtGq)/β1/γ2 7XJL-GAL2-Spexin-chim(NtGi2L-Gs-CtGq)/β1/γ2
33.33Consensusgi_alicarboxylicOrthosteric Ligandgi_hca gi_succinate
33.33Consensusgi_somatostatinOrthosteric Ligand7WIC-SST2-Somatostatin-14-Gi1/β1/γ2 7XMS-SST4-Somatostatin-14-Gi1/β1/γ2 8X8L-SST5-Cortistatin-chim(NtGi1-Gs-CtGi1)/β1/γ2 7XMT-SST4-J-2156-Gi1/β1/γ2 7WIG-SST2-L-054,264-Gi1/β1/γ2 8X8N-SST5-Octreotide-chim(NtGi1-Gs-CtGi1)/β1/γ2 7YAE-SST2-Octreotide-Gi1/β1/γ2 7YAC-SST2-Paltusotine-Gi1/β1/γ2
33.33Consensusgs_class-aOrthosteric Ligandgs_peptide gs_nucleotide gs_amine
33.33Consensuskop_on_gpOrthosteric Ligand8F7W-κ-Dynorphin-Gi1/β1/γ2 8DZS-κ-GR89,696-chim(NtGi2-Gz)/β1/γ2 8DZP-κ-momSalB-Gi1/β1/γ2
33.33Consensuslipid_offOrthosteric Ligandcannabinoid_off paf_off lpl_off prostanoid_off leukotriene_off
33.33Consensusmc3_onOrthosteric Ligand8IOC-MC3-γ-MSH-Ca-chim(NtGi1-Gs)/β1/γ2
33.33Consensusmc3_on_gpOrthosteric Ligand8IOC-MC3-γ-MSH-Ca-chim(NtGi1-Gs)/β1/γ2
33.33Consensusnpy1_onOrthosteric Ligand8K6M-Y1-Neuropeptide-Y-Gi2/β1/γ1
33.33Consensusnpy1_on_gpOrthosteric Ligand8K6M-Y1-Neuropeptide-Y-Gi2/β1/γ1
33.33Consensusnucleotide_offonOrthosteric Ligandnucleotide_off nucleotide_on
33.33Consensusnucleotide_offon_gpOrthosteric Ligandnucleotide_on_gp nucleotide_off
33.33Consensusnucleotide_on_gpOrthosteric Ligandadenosine_on_gp p2y_on_gp
33.33Consensusorexin_on_gpOrthosteric Ligandox2_on_gp
33.33Consensusprostanoid_offOrthosteric Ligandep_off dp_off
33.33Consensussomatostatin_onOrthosteric Ligandsst2_on sst4_on sst5_on
33.33Consensussomatostatin_on_gpOrthosteric Ligandsst2_on_gp sst4_on_gp sst5_on_gp
32.14Single6IGLIRL16206IGL-ETB-IRL1620
32.14Single7VGXNeuropeptide-Y7VGX-Y1-Neuropeptide-Y-Gi1/β1/γ2
32.14Single8KGGLPS8KGG-P2Y10-LPS-chim(NtGi2-G13)/β1/γ2
32.00Single6JODAngiotensin II6JOD-AT2-Angiotensin II
32.00Single7F6GSAR1-AngII7F6G-AT1-SAR1-AngII-Gq/β1/γ2
32.00Single7W40Bombesin7W40-BB2-Bombesin-chim(NtGi1L-Gq)/β1/γ2
32.00Single8H4KGW95088H4K-FFA4-GW9508-chim(NtGi1-Gs-CtGq)/β1/γ2
32.00Single8WSTPro-MCH8WST-MCH2-Pro-MCH-chim(NtGi1L-Gs-CtGq)/β1/γ2
32.00Single8XZJWN3538XZJ-Apelin-WN353-Gi1/β1/γ2
32.00Consensusangiotensin_on_gpOrthosteric Ligandat1_on_gp
32.00Consensusat1_on_gpOrthosteric Ligand7F6G-AT1-SAR1-AngII-Gq/β1/γ2
32.00Consensusc5a1_on_gpOrthosteric Ligand8HK5-C5a1-Complement C5-Gi1/β1/γ2 7Y66-C5a1-BM213-Gi1/β1/γ2 7Y67-C5a1-C089 peptide-Gi1/β1/γ2 7Y64-C5a1-C5a anaphylatoxin-Gi1/β1/γ2
32.00Consensusgq_angiotensinOrthosteric Ligand7F6G-AT1-SAR1-AngII-Gq/β1/γ2
32.00Consensusmc5_on_gpOrthosteric Ligand8INR-MC5-α-MSH-Ca-chim(NtGi1-Gs)/β1/γ2 8IOD-MC5-PG-901-Ca-chim(NtGi1-Gs)/β1/γ2
31.82Single7F8WGastrin-177F8W-CCKB-Gastrin-17-chim(NtGsL-Gq)/β1/γ2
31.82Single7RKNFractalkine7RKN-US28-Fractalkine-Gi1/β1/γ2
31.82Single7Y1FDynorphin7Y1F-κ-Dynorphin-Gi1/β1/γ2
31.82Single7YAEOctreotide7YAE-SST2-Octreotide-Gi1/β1/γ2
31.82Single8F7REndomorphin8F7R-μ-Endomorphin-Gi1/β1/γ2
31.82Single8IA7Cholecystokinin-88IA7-CCKB-Cholecystokinin-8-chim(NtGi1L-Gq)/β1/γ2
31.82Single8JBFSenktide8JBF-NK3-Senktide-chim(NtGi1-Gs-CtGq)/β1/γ2
31.82Single8Y72Peptide8Y72-μ-Peptide-BMS-986122-Gi1/β1/γ2
31.82Single8Z74Agonistic antibody8Z74-Apelin-Agonistic antibody
31.82Single9EAJNanobody AT2099EAJ-AT1-Nanobody AT209
31.82Single9IPYJR14a9IPY-C3aB-JR14a
31.82Single9IZASCH9002719IZA-HCA2-SCH900271-Gi1/β1/γ2
31.82Consensusgq_cckOrthosteric Ligand8IA7-CCKB-Cholecystokinin-8-chim(NtGi1L-Gq)/β1/γ2 7XOW-CCKB-Gastrin-chim(NtGi1-Gq)/β1/γ2 7EZM-CCKA-Cholecystokinin-8-chim(NtGsL-Gq)/β1/γ2 7F8W-CCKB-Gastrin-17-chim(NtGsL-Gq)/β1/γ2
31.82Consensusnmur1_onOrthosteric Ligand7W53-NMUR1-Neuromedin-U-25-chim(NtGi1-Gs-CtGq)/β1/γ2
31.82Consensusox2_onOrthosteric Ligand7L1V-OX2-PubChem 155491009-chim(NtGi1-Gs-CtGq)/β1/γ2 7SQO-OX2-TAK-925-Gi1/β1/γ2 7L1U-OX2-Orexin-chim(NtGi1-Gs-CtGq)/β1/γ2
31.82Consensusox2_on_gpOrthosteric Ligand7L1V-OX2-PubChem 155491009-chim(NtGi1-Gs-CtGq)/β1/γ2 7SQO-OX2-TAK-925-Gi1/β1/γ2 7L1U-OX2-Orexin-chim(NtGi1-Gs-CtGq)/β1/γ2
31.58Single4RWDDIPP-NH24RWD-δ-DIPP-NH2-Na
31.58Single5OM4PubChem 1355666095OM4-A2A-PubChem 135566609-Na
31.58Single6D26Fevipiprant6D26-DP2-Fevipiprant
31.58Single6Z4SSR486926Z4S-NTS1-SR48692
31.58Single7BB7AVP7BB7-V2-AVP-Gs/β1/γ2
31.58Single7CKXA776367CKX-D1-A77636-Gs/β1/γ2
31.58Single7LD3Adenosine7LD3-A1-Adenosine-MIPS521-Gi2/β1/γ2
31.58Single7SBFPZM217SBF-μ-PZM21-Gi1/β1/γ2
31.58Single7VV4Cortistatin-147VV4-MRGPRX2-Cortistatin-14
31.58Single7Y26Octreotide7Y26-SST2-Octreotide-chim(NtGi2L-Gs-CtGq)/β1/γ2
31.58Single8C9WEtrumadenant8C9W-A2A-Etrumadenant
31.58Single8DZQmomSalB8DZQ-κ-momSalB-Go/β1/γ2
31.58Single8GNEKW-63568GNE-A2A-KW-6356-Na
31.58Single8I7WGSK2560738I7W-HCA2-GSK256073-Gi1/β1/γ2
31.58Single8K8JFenofibrate8K8J-CB1-Fenofibrate-chim(Gs-CtGq)/β1/γ2
31.58Single8S4DCMF-0198S4D-Apelin-CMF-019
31.58Single8WGBVU01550418WGB-mGlu4; mGlu2-Glutammate-VU0155041-Gi3/β1/γ2
31.58Single8ZPTPrRP208ZPT-PrRP-PrRP20-chim(NtGi1-Gs-CtGq)/β1/γ2
31.58Single9AXFCa; Ca; Ca; Cyclomethyltryptophan; 9IG; PO49AXF-CaS-Ca-Ca; Ca; Ca; Cyclomethyltryptophan; 9IG; PO4-chim(NtGi1-Gs-CtGq)/β1/γ2
31.58Single9IYBProstaglandin9IYB-DP2-Prostaglandin-A1D5Q-Gi1/β1/γ2
31.58Consensusa1_offOrthosteric Ligand5UEN-A1-DU172 5N2S-A1-PSB36
31.58Consensusa3_on_gpOrthosteric Liganda3a_on_gp
31.58Consensusa3a_onOrthosteric Ligand8X17-A3A-Namodenoson-Gi1/β1/γ2 8X16-A3A-Piclidenoson-Gi1/β1/γ2
31.58Consensusa3a_on_gpOrthosteric Ligand8X17-A3A-Namodenoson-Gi1/β1/γ2 8X16-A3A-Piclidenoson-Gi1/β1/γ2
31.58Consensuscb2_onOrthosteric Ligand8GUR-CB2-CP55,940-Gi1/β1/γ2 8GUS-CB2-HU-308-Gi1/β1/γ2 8GUT-CB2-LEI-102-Gi1/β1/γ2 6KPF-CB2-PubChem 145915889-Gi1/β1/γ2 6PT0-CB2-WIN 55212-2-Gi1/β1/γ2 8GUQ-CB2-Olorinab-Gi1/β1/γ2
31.58Consensuscb2_on_gpOrthosteric Ligand8GUR-CB2-CP55,940-Gi1/β1/γ2 8GUS-CB2-HU-308-Gi1/β1/γ2 8GUT-CB2-LEI-102-Gi1/β1/γ2 6KPF-CB2-PubChem 145915889-Gi1/β1/γ2 6PT0-CB2-WIN 55212-2-Gi1/β1/γ2 8GUQ-CB2-Olorinab-Gi1/β1/γ2
31.58Consensusdp2_offOrthosteric Ligand6D26-DP2-Fevipiprant
31.58Consensusdp_offOrthosteric Liganddp2_off
31.58Consensuslipid_onOrthosteric Ligandcannabinoid_on ffa_on lpl_on prostanoid_on leukotriene_on
31.58Consensuslipid_on_gpOrthosteric Ligandcannabinoid_on_gp ffa_on_gp lpl_on_gp prostanoid_on_gp leukotriene_on_gp
31.25Single3OE9IT1t3OE9-CXCR4-IT1t
31.25Single6HLLCP999946HLL-NK1-CP99994
31.25Single6TQ4PubChem 160468446TQ4-OX1-PubChem 16046844-Na
31.25Single7TRPLY20332987TRP-M4-Iperoxo-LY2033298-Gi1/β1/γ2
31.25Single8RWHStilSwitch28RWH-A2A-StilSwitch2-Na
31.25Single8YH3N-methyladenosine8YH3-A3A-N-methyladenosine-Gi1/β1/γ2
31.25Single8YKWSuccinic acid8YKW-Succinate-Succinic acid-Gi1/β1/γ1
31.25Consensusgq_nucleotideOrthosteric Ligandgq_p2y
31.25Consensusgq_p2yOrthosteric Ligand7XXH-P2Y1-2MeSADP-chim(NtGi1-G11)/β1/γ2
31.03Single5GLHEndothelin-15GLH-ETB-Endothelin-1
31.03Single6IGKEndothelin-36IGK-ETB-Endothelin-3
31.03Consensusbb2_onOrthosteric Ligand7W40-BB2-Bombesin-chim(NtGi1L-Gq)/β1/γ2 7W3Z-BB2-Gastrin Releasing Peptide-chim(NtGi1L-Gq)/β1/γ2
31.03Consensusbb2_on_gpOrthosteric Ligand7W40-BB2-Bombesin-chim(NtGi1L-Gq)/β1/γ2 7W3Z-BB2-Gastrin Releasing Peptide-chim(NtGi1L-Gq)/β1/γ2
31.03Consensusbombesin_onOrthosteric Ligandbb2_on
31.03Consensusbombesin_on_gpOrthosteric Ligandbb2_on_gp
31.03Consensusgq_bombesinOrthosteric Ligand7W40-BB2-Bombesin-chim(NtGi1L-Gq)/β1/γ2 7W3Z-BB2-Gastrin Releasing Peptide-chim(NtGi1L-Gq)/β1/γ2
30.77Single7X9BNeuropeptide-Y7X9B-Y2-Neuropeptide-Y-Gi1/β1/γ2
30.77Single7X9CPancreatic Hormone7X9C-Y4-Pancreatic Hormone-Gi1/β1/γ2
30.77Single7XV3Lysophosphatidylserine7XV3-GPR174-Lysophosphatidylserine-chim(NtGi1-Gs)/β1/γ2
30.77Single8IA2C5a anaphylatoxin8IA2-C5a1-C5a anaphylatoxin-Go/β1/γ2
30.77Single8XQEApelin-138XQE-Apelin-Apelin-13-Gi1/β1/γ2
30.77Single8ZPSPrRP208ZPS-PrRP-PrRP20-chim(NtGi1-Gs-CtGq)/β1/γ2
30.77Single9JFYhNPSF9JFY-NPFF2-hNPSF-Gi1/β1/γ2
30.77Consensuschemokine_offOrthosteric Ligandccr_off cxcr_off
30.77Consensuschemokine_on_gpOrthosteric Ligandccr_on_gp cxcr_on_gp
30.43Single4IARErgotamine4IAR-5-HT1B-Ergotamine
30.43Single5UNFPubChem 157800525UNF-AT2-PubChem 15780052
30.43Single7F4ISHU91197F4I-MC1-SHU9119-chim(NtGi1-Gs)/β1/γ2
30.43Single7F8XNN90567F8X-CCKA-NN9056
30.43Single7W0PElabela7W0P-Apelin-Elabela-Gi1/β1/γ2
30.43Single7W53Neuromedin-U-257W53-NMUR1-Neuromedin-U-25-chim(NtGi1-Gs-CtGq)/β1/γ2
30.43Single7W56Neuromedin-S7W56-NMUR1-Neuromedin-S-chim(NtGi1-Gs-CtGq)/β1/γ2
30.43Single7WICSomatostatin-147WIC-SST2-Somatostatin-14-Gi1/β1/γ2
30.43Single7WKDTRH7WKD-TRH-TRH-chim(NtGi1-Gs-CtGq)/β1/γ2
30.43Single8DCRDobutamine8DCR-β1-Dobutamine-Gs/β1/γ2
30.43Single8F7XNociceptin8F7X-NOP-Nociceptin-Gi1/β1/γ2
30.43Single8G59TUG-8918G59-FFA4-TUG-891-chim(Gi1-CtGq)/β1/γ2
30.43Single8GHVAMG3158GHV-CB1-AMG315-Gi1/β1/γ2
30.43Single8INRAlpha-MSH8INR-MC5-α-MSH-Ca-chim(NtGi1-Gs)/β1/γ2
30.43Single8IZBLysophosphatidylserine8IZB-GPR174-Lysophosphatidylserine-Gs/β1/γ2
30.43Single8K3ZCXCL128K3Z-CXCR4-CXCL12-Gi1/β1/γ1
30.43Single8KIGSHU91198KIG-MC3-SHU9119-Ca
30.43Single8WZ2Orexigenic Neuropeptide QRFP8WZ2-QRFP-Orexigenic Neuropeptide QRFP-chim(NtGi1L-Gs-CtGq)/β1/γ2
30.43Single8ZCJPasireotide8ZCJ-SST5-Pasireotide-Gi1/β1/γ1
30.43Single9BUYLM1899BUY-β2-LM189-Gi1/β1/γ2
30.43Single9L3YRetinoic acid receptor responder protein 29L3Y-CML2-Retinoic acid receptor responder protein 2-Gi1/β1/γ2
30.43Single9M4TSilodosin9M4T-Alpha1A-Silodosin
30.43Consensusgi_nucleotideOrthosteric Ligandgi_adenosine gi_p2y
30.43Consensusgi_opioidOrthosteric Ligand8F7R-μ-Endomorphin-Gi1/β1/γ2 8EF5-μ-Fentanyl-Gi1/β1/γ2 7SCG-μ-FH210-Gi1/β1/γ2 7T2H-μ-Lofentanil-Gi1/β1/γ2 7T2G-μ-Mitragynine Pseudoindoxyl-Gi1/β1/γ2 8DZP-κ-momSalB-Gi1/β1/γ2 8EF6-μ-Morphine-Gi1/β1/γ2 8F7X-NOP-Nociceptin-Gi1/β1/γ2 8EFB-μ-Oliceridine-Gi1/β1/γ2 7U2L-μ-PubChem 163201242-Gi1/β1/γ2 8EFO-μ-PZM21-Gi1/β1/γ2 8EFL-μ-SR17018-Gi1/β1/γ2 8F7Q-μ-β-Endorphin-Gi1/β1/γ2 7U2K-μ-C6-guano-Gi1/β1/γ2 8EFQ-μ-Damgo-Gi1/β1/γ2 8F7S-δ-Deltorphin-Gi1/β1/γ2 8F7W-κ-Dynorphin-Gi1/β1/γ2
30.43Consensusmop_offOrthosteric Ligand4DKL-μ-β-Funaltrexamine 8QOT-μ-Nanobody-E 7UL4-μ-Alvimopan
30.43Consensusnk3_onOrthosteric Ligand8JBF-NK3-Senktide-chim(NtGi1-Gs-CtGq)/β1/γ2
30.43Consensusnk3_on_gpOrthosteric Ligand8JBF-NK3-Senktide-chim(NtGi1-Gs-CtGq)/β1/γ2
30.43Consensusnmur1_on_gpOrthosteric Ligand7W53-NMUR1-Neuromedin-U-25-chim(NtGi1-Gs-CtGq)/β1/γ2
30.43Consensusnop_onOrthosteric Ligand8F7X-NOP-Nociceptin-Gi1/β1/γ2
30.43Consensusnop_on_gpOrthosteric Ligand8F7X-NOP-Nociceptin-Gi1/β1/γ2
30.43Consensussst5_onOrthosteric Ligand8X8L-SST5-Cortistatin-chim(NtGi1-Gs-CtGi1)/β1/γ2 8X8N-SST5-Octreotide-chim(NtGi1-Gs-CtGi1)/β1/γ2
30.00Single3SN6BI1671073SN6-β2-BI167107-Gs/β1/γ2
30.00Single3ZEVNeurotensin3ZEV-NTS1-Neurotensin
30.00Single4IAQDihydroergotamine4IAQ-5-HT1B-Dihydroergotamine
30.00Single5XRAAM115425XRA-CB1-AM11542
30.00Single6DDEDamgo6DDE-μ-Damgo-Gi1/β1/γ2
30.00Single6J20Aprepitant6J20-NK1-Aprepitant
30.00Single6N4BMDMB-Fubinaca6N4B-CB1-MDMB-Fubinaca-Gi1/β1/γ2
30.00Single6NI3BI1671076NI3-β2-BI167107-Gs/β1/γ2
30.00Single6OS1TRV0266OS1-AT1-TRV026
30.00Single7CKYPW04647CKY-D1-PW0464-Gs/β1/γ2
30.00Single7FEECP559407FEE-CB1-CP55940-ZCZ011
30.00Single7JV5SKF812977JV5-D1-SKF81297-Gs/β1/γ2
30.00Single7JVPSKF839597JVP-D1-SKF83959-Gs/β1/γ2
30.00Single7L0PNeurotensin7L0P-NTS1-Neurotensin-Gi1/β1/γ1
30.00Single7L0QNeurotensin7L0Q-NTS1-Neurotensin-Gi1/β1/γ1
30.00Single7M8W15r-Methyl-Prostaglandin D27M8W-DP2-15r-Methyl-Prostaglandin D2-Na
30.00Single7XJLSpexin7XJL-GAL2-Spexin-chim(NtGi2L-Gs-CtGq)/β1/γ2
30.00Single7YU7ONO-07405567YU7-LPA1-ONO-0740556-Gi1/β1/γ2
30.00Single8DZPmomSalB8DZP-κ-momSalB-Gi1/β1/γ2
30.00Single8E0GBU728E0G-μ-BU72
30.00Single8EFLSR170188EFL-μ-SR17018-Gi1/β1/γ2
30.00Single8FN1Neurotensin/Neuromedin-N8FN1-NTS1-Neurotensin/Neuromedin-N-chim(NtGi1-Go)/β1/γ2
30.00Single8HBDIRL16208HBD-ETB-IRL1620-Gi1/β1/γ2
30.00Single8HQCC5a anaphylatoxin8HQC-C5a1-C5a anaphylatoxin-Go/β1/γ2
30.00Single8ID39-Hydroxystearic acid8ID3-FFA4-9-Hydroxystearic acid-Gi1/β1/γ2
30.00Single8ID6Oleic acid8ID6-FFA4-Oleic acid-Gi1/β1/γ2
30.00Single8IHHLUF62838IHH-HCA2-LUF6283-Gi1/β1/γ2
30.00Single8IRVRotigotine8IRV-D5-Rotigotine-chim(NtGi1-Gs)/β1/γ2
30.00Single8IYHMK68928IYH-HCA2-MK6892-Go/β1/γ2
30.00Single8JBGNeurokinin-B8JBG-NK3-Neurokinin-B-chim(NtGi1-Gs-CtGq)/β1/γ2
30.00Single8WJXADP8WJX-P2Y1-ADP-chim(Gs-CtGq)/β1/γ2
30.00Single8X16Piclidenoson8X16-A3A-Piclidenoson-Gi1/β1/γ2
30.00Single8XBIS3E-LysoPS8XBI-GPR34-S3E-LysoPS
30.00Single8XZICMF-0198XZI-Apelin-CMF-019-Gi1/β1/γ2
30.00Single8YH6Namodenoson8YH6-A3A-Namodenoson-Gi1/β1/γ2
30.00Single9B65KCA9B65-CB1-KCA-Gi1/β1/γ2
30.00Single9EGOYVF9EGO-CB1-YVF-Gi1/β1/γ2
30.00Single9I54A1IZV9I54-D1-A1IZV-Gs/β1/γ2
30.00Consensusclass-a_offOrthosteric Ligandsensory_off alicarboxylic_off amine_off lipid_off nucleotide_off peptide_off protein_off
30.00Consensusd5_on_gpOrthosteric Ligand8IRV-D5-Rotigotine-chim(NtGi1-Gs)/β1/γ2
30.00Consensusgi_cannabinoidOrthosteric Ligand8GUR-CB2-CP55,940-Gi1/β1/γ2 8GUS-CB2-HU-308-Gi1/β1/γ2 8GUT-CB2-LEI-102-Gi1/β1/γ2 8GUQ-CB2-Olorinab-Gi1/β1/γ2 6KPF-CB2-PubChem 145915889-Gi1/β1/γ2 6PT0-CB2-WIN 55212-2-Gi1/β1/γ2 6KPG-CB1-AM841-Gi1/β1/γ2
30.00Consensusneurotensin_onOrthosteric Ligandnts1_on
30.00Consensusnpy1_offOrthosteric Ligand5ZBH-Y1-BMS-193885 5ZBQ-Y1-UR-MK-299
30.00Consensusnpy_offOrthosteric Ligandnpy1_off npy2_off
30.00Consensusnts1_onOrthosteric Ligand6OSA-NTS1-JMV449-Gi1/β1/γ2 7L0S-NTS1-Neurotensin-Gi1/β1/γ1
30.00Consensusp2y12_onOrthosteric Ligand7XXI-P2Y12-2MeSADP-Gi2/β1/γ2
29.63Single7W3ZGastrin Releasing Peptide7W3Z-BB2-Gastrin Releasing Peptide-chim(NtGi1L-Gq)/β1/γ2
29.63Single8H0PNMB308H0P-BB1-NMB30-chim(NtGi1-Gs-CtGq)/β1/γ2
29.63Single8XQFApelin-138XQF-Apelin-Apelin-13-Gi1/β1/γ2
29.41Single3PWHZM-2413853PWH-A2A-ZM-241385
29.41Single3VGAZM-2413853VGA-A2A-ZM-241385-Antibody
29.41Single4MQTLY21196204MQT-M2-Iperoxo-LY2119620
29.41Single5OLVLUAA410635OLV-A2A-LUAA41063-Na
29.41Single6B73MP11046B73-κ-MP1104
29.41Single7BR3Elagolix7BR3-GnRH1-Elagolix
29.41Single7LCJDanuglipron7LCJ-GLP-1-Danuglipron
29.41Single7VDLCortistatin-147VDL-MRGPRX2-Cortistatin-14-Gi1/β1/γ2
29.41Single7XJJGalanin7XJJ-GAL1-Galanin-Go/β1/γ2
29.41Single7XRRLemborexant7XRR-OX2-Lemborexant
29.41Single8EFOPZM218EFO-μ-PZM21-Gi1/β1/γ2
29.41Single8GNGIstradefylline8GNG-A2A-Istradefylline
29.41Single8H8JLodoxamide8H8J-GPR35-Lodoxamide-Ca-chim(NtGi1L-G13)/β1/γ2
29.41Single8JPPSuccinic acid8JPP-Succinate-Succinic acid-chim(Gs-CtGq)/β1/γ1
29.41Single8RVWStilSwitch38RVW-A2A-StilSwitch3-Na
29.41Single8RW0Istradefylline8RW0-A2A-Istradefylline-Na
29.41Single8RW4AzoSwitch28RW4-A2A-AzoSwitch2-Na
29.41Single8RWEStilSwitch48RWE-A2A-StilSwitch4-Na
29.41Single8T3SButyric acid8T3S-FFA2-Butyric acid-chim(NtGi2L-Gs-CtGq)/β1/γ2
29.41Single8U4PAMD31008U4P-CXCR4-AMD3100-Gi1/β1/γ2
29.41Single9C1PCa; Tryptophan; '6218; PO49C1P-CaS-Ca-Ca; Tryptophan; '6218; PO4
29.41Single9FUPIstradefylline9FUP-A2A-Istradefylline-Na
29.41Single9J5VCpY9J5V-LPA1-CpY-Gi1/β1/γ2
29.41Single9KPESA09KPE-TAS2R16-SA0-Gi1/β1/γ2
29.41Consensusgnrh1_offOrthosteric Ligand7BR3-GnRH1-Elagolix
29.41Consensusp2y1_onOrthosteric Ligand7XXH-P2Y1-2MeSADP-chim(NtGi1-G11)/β1/γ2
29.17Single3QAKUK-4320973QAK-A2A-UK-432097
29.17Single6DO1Angiotensin-like peptide S1I86DO1-AT1-Angiotensin-like peptide S1I8
29.17Single7DDZJNJ-310200287DDZ-Y2-JNJ-31020028
29.17Single8F7QBeta-Endorphin8F7Q-μ-β-Endorphin-Gi1/β1/γ2
29.17Single8IOCGamma-MSH8IOC-MC3-γ-MSH-Ca-chim(NtGi1-Gs)/β1/γ2
29.17Single8K6OPro-neuropeptide-Y8K6O-Y1-Pro-neuropeptide-Y-Gi2/β1/γ1
29.17Single8XYDPlatelet Activating Factor8XYD-PAF-Platelet Activating Factor-Gi1/β1/γ2
29.17Single8Z7JAgonistic antibody8Z7J-Apelin-Agonistic antibody-Gi1/β1/γ2
29.17Single9IQSMuscarinic toxin 39IQS-M4-Muscarinic toxin 3
29.17Consensusformylpeptide_on_gpOrthosteric Ligandfpr2-alx_on_gp fpr1-alx_on_gp
29.17Consensusnpy2_offOrthosteric Ligand7DDZ-Y2-JNJ-31020028
29.03Single6LRYSarafotoxin-B6LRY-ETB-Sarafotoxin-B
28.95Single8GY7Corticotropin8GY7-MC2-Corticotropin-Ca-chim(NtGi1-Gs)/β1/γ2; MRAP1
28.57Single4GRVNeurotensin-(8-13)4GRV-NTS1-Neurotensin-(8-13)
28.57Single4PXZ2MeSADP4PXZ-P2Y12-2MeSADP
28.57Single5F8UCyanopindolol5F8U-β1-Cyanopindolol
28.57Single5UNHPubChem 1264564065UNH-AT2-PubChem 126456406
28.57Single6KQICP559406KQI-CB1-CP55940-Org27569
28.57Single6MXTSalmeterol6MXT-β2-Salmeterol
28.57Single6OS0Angiotensinogen6OS0-AT1-Angiotensinogen
28.57Single6OS2TRV0266OS2-AT1-TRV026
28.57Single6OSAJMV4496OSA-NTS1-JMV449-Gi1/β1/γ2
28.57Single6YVRNTS8-136YVR-NTS1-NTS8-13
28.57Single7EO4BAF3127EO4-S1P1-BAF312-Gi1/β1/γ2
28.57Single7EW2Fingolimod7EW2-S1P3-Fingolimod-Gi1/β1/γ2
28.57Single7F4FAfamelanotide7F4F-MC1-Afamelanotide-chim(NtGi1-Gs)/β1/γ2
28.57Single7W0NElabela7W0N-Apelin-Elabela-Gi1/β1/γ2
28.57Single7WQ4Galanin7WQ4-GAL2-Galanin-chim(NtGi1-Gs-CtGq)/β1/γ2
28.57Single7XMTJ-21567XMT-SST4-J-2156-Gi1/β1/γ2
28.57Single7XXI2MeSADP7XXI-P2Y12-2MeSADP-Gi2/β1/γ2
28.57Single7Y66BM2137Y66-C5a1-BM213-Gi1/β1/γ2
28.57Single7YMJTamsulosin7YMJ-Alpha1A-Tamsulosin
28.57Single8HK2C3a anaphylatoxin8HK2-C3aB-C3a anaphylatoxin-Gi1/β1/γ2
28.57Single8IA8E7 peptide8IA8-C3aB-E7 peptide-Gi1/β1/γ2
28.57Single8IYWGSK2560738IYW-HCA2-GSK256073-Go/β1/γ2
28.57Single8J6DEP1418J6D-C3aB-EP141-Go/β1/γ2
28.57Single8JJLOlodaterol8JJL-β2-Olodaterol
28.57Single8JPBNeurotensin-(8-13)8JPB-NTS1-Neurotensin-(8-13)-SBI-553; GDP; Mg-Gq; GRK2
28.57Single8JPCNeurotensin-(8-13)8JPC-NTS1-Neurotensin-(8-13)-SBI-553; GDP; Mg-Gq; GRK2
28.57Single8JWY2-1188JWY-A2A-2-118
28.57Single8T3QDocosa-4,7,10,13,16,19-Hexaenoic acid8T3Q-FFA4-Docosa-4,7,10,13,16,19-Hexaenoic acid-chim(NtGi2L-Gs-CtGq)/β1/γ2
28.57Single8U26Protachykinin-18U26-NK1-Protachykinin-1-Gs/β1/γ2
28.57Single8W8XBeta-MSH8W8X-MC3-β-MSH-Ca-Gs/β1/γ2
28.57Single8WWLMCH8WWL-MCH1-MCH-Gi1/β1/γ2
28.57Single8X8NOctreotide8X8N-SST5-Octreotide-chim(NtGi1-Gs-CtGi1)/β1/γ2
28.57Single8XYIVUF106618XYI-CXCR3-VUF10661
28.57Single9DGIZ85267113509DGI-CB1-Z8526711350
28.57Single9GL2Befiradol9GL2-5-HT1A-Befiradol-Gs/β1/γ2
28.57Single9IZHLPA9IZH-LPA1-LPA-chim(NtGi2-G13)/β1/γ2
28.57Single9K26PrRP319K26-PrRP-PrRP31-Gi1/β1/γ2
28.57Single9M4QDoxazosin9M4Q-Alpha1A-Doxazosin
28.57Single9MQLIsoquinuclidine9MQL-κ-Isoquinuclidine
28.57Consensus5ht1a_onOrthosteric Ligand8FYT-5-HT1A-LSD-Gi1/β1/γ1 7E2Y-5-HT1A-Serotonin-Gi1/β1/γ2 7E2Z-5-HT1A-Aripiprazole-Gi1/β1/γ2 8FYX-5-HT1A-Buspirone-Gi1/β1/γ1 8JSP-5-HT1A-Ulotaront-Gi1/β1/γ2 8JT6-5-HT1A-(R)-IHCH-7179-Gi1/β1/γ2 8FY8-5-HT1A-5-MeO-DMT-Gi1/β1/γ1 8FYE-5-HT1A-4-F,5-MeO-PyrT-Gi1/β1/γ1 8FYL-5-HT1A-Vilazodone-Gi1/β1/γ1
28.57Consensus5ht1a_on_gpOrthosteric Ligand8FYT-5-HT1A-LSD-Gi1/β1/γ1 8FYX-5-HT1A-Buspirone-Gi1/β1/γ1 8JSP-5-HT1A-Ulotaront-Gi1/β1/γ2 8JT6-5-HT1A-(R)-IHCH-7179-Gi1/β1/γ2 7E2Y-5-HT1A-Serotonin-Gi1/β1/γ2 7E2Z-5-HT1A-Aripiprazole-Gi1/β1/γ2 8FY8-5-HT1A-5-MeO-DMT-Gi1/β1/γ1 8FYE-5-HT1A-4-F,5-MeO-PyrT-Gi1/β1/γ1 8FYL-5-HT1A-Vilazodone-Gi1/β1/γ1
28.57Consensusalpha1_offOrthosteric Ligandalpha1a_off
28.57Consensusalpha1a_offOrthosteric Ligand7YMJ-Alpha1A-Tamsulosin
28.57Consensuscannabinoid_onOrthosteric Ligandcb2_on cb1_on
28.57Consensuscannabinoid_on_gpOrthosteric Ligandcb2_on_gp cb1_on_gp
28.57Consensusgi_neurotensinOrthosteric Ligand6OSA-NTS1-JMV449-Gi1/β1/γ2 7L0S-NTS1-Neurotensin-Gi1/β1/γ1
28.57Consensusgi_p2yOrthosteric Ligand7XXI-P2Y12-2MeSADP-Gi2/β1/γ2
28.57Consensuslpl_offOrthosteric Ligands1p_off lpa_off
28.57Consensusmop_onOrthosteric Ligand8F7R-μ-Endomorphin-Gi1/β1/γ2 8EF5-μ-Fentanyl-Gi1/β1/γ2 7SCG-μ-FH210-Gi1/β1/γ2 7T2H-μ-Lofentanil-Gi1/β1/γ2 7T2G-μ-Mitragynine Pseudoindoxyl-Gi1/β1/γ2 8EF6-μ-Morphine-Gi1/β1/γ2 8EFB-μ-Oliceridine-Gi1/β1/γ2 7U2L-μ-PubChem 163201242-Gi1/β1/γ2 8EFO-μ-PZM21-Gi1/β1/γ2 8EFL-μ-SR17018-Gi1/β1/γ2 8F7Q-μ-β-Endorphin-Gi1/β1/γ2 7U2K-μ-C6-guano-Gi1/β1/γ2 8EFQ-μ-Damgo-Gi1/β1/γ2
28.57Consensusmop_on_gpOrthosteric Ligand8F7R-μ-Endomorphin-Gi1/β1/γ2 8EF5-μ-Fentanyl-Gi1/β1/γ2 7SCG-μ-FH210-Gi1/β1/γ2 7T2H-μ-Lofentanil-Gi1/β1/γ2 7T2G-μ-Mitragynine Pseudoindoxyl-Gi1/β1/γ2 8EF6-μ-Morphine-Gi1/β1/γ2 8EFB-μ-Oliceridine-Gi1/β1/γ2 7U2L-μ-PubChem 163201242-Gi1/β1/γ2 8EFO-μ-PZM21-Gi1/β1/γ2 8EFL-μ-SR17018-Gi1/β1/γ2 8F7Q-μ-β-Endorphin-Gi1/β1/γ2 7U2K-μ-C6-guano-Gi1/β1/γ2 8EFQ-μ-Damgo-Gi1/β1/γ2
28.57Consensusneurotensin_on_gpOrthosteric Ligandnts1_on_gp
28.57Consensusnts1_on_gpOrthosteric Ligand6OSA-NTS1-JMV449-Gi1/β1/γ2 7L0S-NTS1-Neurotensin-Gi1/β1/γ1
28.57Consensusopioid_offOrthosteric Ligandmop_off nop_off dop_off kop_off
28.57Consensusp2y10_on_gpOrthosteric Ligand8KGG-P2Y10-LPS-chim(NtGi2-G13)/β1/γ2
28.57Consensusp2y12_on_gpOrthosteric Ligand7XXI-P2Y12-2MeSADP-Gi2/β1/γ2
28.57Consensuss1p1_onOrthosteric Ligand7VIE-S1P1-S1P-Gi1/β1/γ2 7VIF-S1P1-S-FTY720-P-Gi1/β1/γ2 7VIG-S1P1-CBP-307-Gi1/β1/γ2 7EVY-S1P1-Siponimod-Gi1/β1/γ2 7EVZ-S1P1-Cenerimod-Gi1/β1/γ2 7EW0-S1P1-Ozanimod-Gi1/β1/γ2 7EW7-S1P1-SEW2871-Gi1/β1/γ2
28.57Consensuss1p1_on_gpOrthosteric Ligand7VIE-S1P1-S1P-Gi1/β1/γ2 7VIF-S1P1-S-FTY720-P-Gi1/β1/γ2 7VIG-S1P1-CBP-307-Gi1/β1/γ2 7EVY-S1P1-Siponimod-Gi1/β1/γ2 7EVZ-S1P1-Cenerimod-Gi1/β1/γ2 7EW0-S1P1-Ozanimod-Gi1/β1/γ2 7EW7-S1P1-SEW2871-Gi1/β1/γ2
28.57Consensuss1p3_onOrthosteric Ligand7EW3-S1P3-S1P-Gi1/β1/γ2 7EW4-S1P3-CYM5541-Gi1/β1/γ2 7EW2-S1P3-Fingolimod-Gi1/β1/γ2
28.12Single7X9ANeuropeptide-Y7X9A-Y1-Neuropeptide-Y-Gi1/β1/γ2
28.00Single7T6TfMLFII7T6T-FPR1-ALX-fMLFII-Gi1/β1/γ2
28.00Single7W55Neuromedin-U-257W55-NMUR2-Neuromedin-U-25-chim(NtGi1-Gs-CtGq)/β1/γ2
28.00Single7XOUCholecystokinin-87XOU-CCKA-Cholecystokinin-8-Gs/β1/γ2
28.00Single8W8YGamma-MSH8W8Y-MC3-γ-MSH-Ca-Gs/β1/γ2
28.00Single8XZHMM078XZH-Apelin-MM07-Gi1/β1/γ2
28.00Single9B54A1AIW9B54-CB1-A1AIW-Gi1/β1/γ2
28.00Single9K27PrRP319K27-PrRP-PrRP31-chim(NtGi1-Gq)/β1/γ2
28.00Consensusc5a1_onOrthosteric Ligand8HK5-C5a1-Complement C5-Gi1/β1/γ2 7Y66-C5a1-BM213-Gi1/β1/γ2 7Y67-C5a1-C089 peptide-Gi1/β1/γ2 7Y64-C5a1-C5a anaphylatoxin-Gi1/β1/γ2
28.00Consensusccr_onOrthosteric Ligandccr6_on ccr8_on ccr2_on ccr1_on ccr5_on
28.00Consensuscxcr4_on_gpOrthosteric Ligand8K3Z-CXCR4-CXCL12-Gi1/β1/γ1
28.00Consensusnmur2_onOrthosteric Ligand7W55-NMUR2-Neuromedin-U-25-chim(NtGi1-Gs-CtGq)/β1/γ2
28.00Consensusnmur2_on_gpOrthosteric Ligand7W55-NMUR2-Neuromedin-U-25-chim(NtGi1-Gs-CtGq)/β1/γ2
27.78Single3UZC4-(3-amino-5-phenyl-1,2,4-triazin-6-yl)-2-chlorophenol3UZC-A2A-4-(3-amino-5-phenyl-1,2,4-triazin-6-yl)-2-chlorophenol
27.78Single3V2YPubChem 518926453V2Y-S1P1-PubChem 51892645
27.78Single4DKLBeta-Funaltrexamine4DKL-μ-β-Funaltrexamine
27.78Single4N6HNaltrindole4N6H-δ-Naltrindole-Na
27.78Single5NLXZM-2413855NLX-A2A-ZM-241385-Na
27.78Single5UVIZM-2413855UVI-A2A-ZM-241385
27.78Single6MH8ZM-2413856MH8-A2A-ZM-241385
27.78Single6PT0WIN 55212-26PT0-CB2-WIN 55212-2-Gi1/β1/γ2
27.78Single6V9SGTPL114036V9S-OX1-GTPL11403
27.78Single6WJCMuscarinic toxin 76WJC-M1-Atropine-Muscarinic toxin 7
27.78Single6ZDVChromone 5d6ZDV-A2A-Chromone 5d-Na
27.78Single6ZINSR486926ZIN-NTS1-SR48692
27.78Single7C2EPubChem 1490507997C2E-GLP-1-PubChem 149050799-Gs/β1/γ2
27.78Single7SR8TAK-9257SR8-OX2-TAK-925-chim(NtGi1L-Gs-CtGq)/β1/γ2
27.78Single7T94LY21196207T94-M2-Acetylcholine-LY2119620-chim(NtGi1-Go)/β1/γ2
27.78Single7XOVSR1461317XOV-CCKA-SR146131-Gs/β1/γ2
27.78Single7XXH2MeSADP7XXH-P2Y1-2MeSADP-chim(NtGi1-G11)/β1/γ2
27.78Single8GUQOlorinab8GUQ-CB2-Olorinab-Gi1/β1/γ2
27.78Single8GURCP55,9408GUR-CB2-CP55,940-Gi1/β1/γ2
27.78Single8JIMMMF8JIM-HCA2-MMF-Gi1/β1/γ2
27.78Single8JLQFenoldopam8JLQ-TA1-Fenoldopam-Gs/β1/γ2
27.78Single8K5CAcipimox8K5C-HCA2-Acipimox
27.78Single8K9LDamgo8K9L-μ-Damgo-BMS-986122-Gi3/β1/γ1
27.78Single8RLNLUF58348RLN-A2A-LUF5834
27.78Single8UO0Constrained Epinephrine8UO0-β2-Constrained Epinephrine-GTP-Gs/β1/γ2
27.78Single8ZPMAMD0708ZPM-CXCR4-AMD070
27.78Single9ASBCa; Ca; Cyclomethyltryptophan; 9IG; PO49ASB-CaS-Ca-Ca; Ca; Cyclomethyltryptophan; 9IG; PO4-chim(NtGi1-Gs-CtGq)/β1/γ2
27.78Single9KPDSA09KPD-TAS2R16-SA0-chim(Gs-CtGt3)/β1/γ2
27.78Single9M2FNeuropeptide FF9M2F-NPFF1-Neuropeptide FF-Gi1/β1/γ2
27.78Consensusadenosine_onOrthosteric Liganda1_on a2_on a3_on
27.78Consensusat1_offOrthosteric Ligand4YAY-AT1-ZD-7155 4ZUD-AT1-Olmesartan
27.78Consensusghrelin_offOrthosteric Ligand6KO5-Ghrelin-PubChem 57400002 7F83-Ghrelin-PF-05190457
27.78Consensusgi_adenosineOrthosteric Ligand7LD4-A1-Adenosine-Gi2/β1/γ2 8X17-A3A-Namodenoson-Gi1/β1/γ2 8X16-A3A-Piclidenoson-Gi1/β1/γ2
27.78Consensusgrh_offOrthosteric Ligandgnrh1_off
27.78Consensushca_onOrthosteric Ligandhca2_on
27.78Consensusnucleotide_offOrthosteric Ligandadenosine_off p2y_off
27.78Consensusp2y1_on_gpOrthosteric Ligand7XXH-P2Y1-2MeSADP-chim(NtGi1-G11)/β1/γ2
27.59Single8IY6Endothelin-18IY6-ETB-Endothelin-1
27.59Single8WWNMCH8WWN-MCH1-MCH-Gi1/β1/γ2
27.59Consensusbk2_onOrthosteric Ligand7F6H-BK2-Bradykinin-Gq/β1/γ2 7F6I-BK2-Kallidin-Gq/β1/γ2
27.59Consensusbk2_on_gpOrthosteric Ligand7F6H-BK2-Bradykinin-Gq/β1/γ2 7F6I-BK2-Kallidin-Gq/β1/γ2
27.59Consensusbradykinin_onOrthosteric Ligandbk2_on
27.59Consensusbradykinin_on_gpOrthosteric Ligandbk2_on_gp
27.59Consensusetb_onOrthosteric Ligand8IY5-ETB-Endothelin-1-Gi1/β1/γ2 8HBD-ETB-IRL1620-Gi1/β1/γ2
27.59Consensusgq_bradykininOrthosteric Ligand7F6H-BK2-Bradykinin-Gq/β1/γ2 7F6I-BK2-Kallidin-Gq/β1/γ2
27.27Single6K1QIRL25006K1Q-ETB-IRL2500
27.27Single6UP7Neurotensin6UP7-NTS1-Neurotensin-Arrestin2
27.27Single7UM4AS26747237UM4-5-HT5A-AS2674723
27.27Single7XK2MK68927XK2-HCA2-MK6892-Gi1/β1/γ2
27.27Single7XZ6APD6687XZ6-GPR119-APD668-Gs/β1/γ2
27.27Single7Y65C5a peptide7Y65-C5a1-C5a peptide-Gi1/β1/γ2
27.27Single7YU8ONO-07405567YU8-LPA1-ONO-0740556-Gi1/β1/γ2
27.27Single8GAGPubChem 1708384908GAG-CB1-PubChem 170838490-Gi1/β1/γ2
27.27Single8GUTLEI-1028GUT-CB2-LEI-102-Gi1/β1/γ2
27.27Single8HN1Toxin AdTx18HN1-Alpha1A-Toxin AdTx1
27.27Single8I95EP548I95-C3aB-EP54-Go/β1/γ2
27.27Single8IJDMK68928IJD-HCA2-MK6892-Gi1/β1/γ2
27.27Single8IYSTUG-8918IYS-FFA4-TUG-891-GDP-chim(NtGi1L-Gq)/β1/γ2
27.27Single8XBES3E-LysoPS8XBE-GPR34-S3E-LysoPS-Gi1/β1/γ1
27.27Single8XIOL7975918XIO-SST1-L797591-chim(NtGi1-Gs-CtGi1)/β1/γ2
27.27Single9EAILosartan9EAI-AT1-Losartan-Nanobody AT209
27.27Single9GE3Lysophosphatidylinositol9GE3-GPR55-Lysophosphatidylinositol-chim(NtGi1-G13)/β1/γ2
27.27Single9M54Neuropeptide VF9M54-NPFF2-Neuropeptide VF-Gi1/β1/γ2
27.27Consensusd2_offOrthosteric Ligand6CM4-D2-Risperidone 6LUQ-D2-Haloperidol 7DFP-D2-Spiperone
27.27Consensusendothelin_offOrthosteric Ligandetb_off
27.27Consensusetb_offOrthosteric Ligand5X93-ETB-K-8794 5XPR-ETB-Bosentan 6K1Q-ETB-IRL2500
27.27Consensusgi_s1pOrthosteric Ligand7VIE-S1P1-S1P-Gi1/β1/γ2 7EW3-S1P3-S1P-Gi1/β1/γ2 7EVY-S1P1-Siponimod-Gi1/β1/γ2 7EW1-S1P5-Siponimod-Gi1/β1/γ2 7VIF-S1P1-S-FTY720-P-Gi1/β1/γ2 7VIG-S1P1-CBP-307-Gi1/β1/γ2 7EVZ-S1P1-Cenerimod-Gi1/β1/γ2 7EW4-S1P3-CYM5541-Gi1/β1/γ2 7EW2-S1P3-Fingolimod-Gi1/β1/γ2 7EW0-S1P1-Ozanimod-Gi1/β1/γ2 7EW7-S1P1-SEW2871-Gi1/β1/γ2
26.92Single8J6IMK68928J6I-HCA2-MK6892-Gi1/β1/γ2
26.92Single8X8LCortistatin8X8L-SST5-Cortistatin-chim(NtGi1-Gs-CtGi1)/β1/γ2
26.92Consensuscxcr3_on_gpOrthosteric Ligand8HNK-CXCR3-CXCL11-Gi1/β1/γ2 8HNL-CXCR3-PS372424-Gi1/β1/γ2
26.92Consensusprotein_onOrthosteric Ligandchemokine_on chemerin_on
26.67Single3OE8IT1t3OE8-CXCR4-IT1t
26.67Single3RFMCaffeine3RFM-A2A-Caffeine
26.67Single6TQ9SB-4081246TQ9-OX1-SB-408124
26.67Single8ZJETAK-4488ZJE-Kiss1-TAK-448-chim(NtGi1-Gq)/β1/γ1
26.67Consensusgi_endothelinOrthosteric Ligand8IY5-ETB-Endothelin-1-Gi1/β1/γ2 8HBD-ETB-IRL1620-Gi1/β1/γ2
26.32Single3EMLZM-2413853EML-A2A-ZM-241385
26.32Single4EJ4Naltrindole4EJ4-δ-Naltrindole
26.32Single5DHHSB-6121115DHH-NOP-SB-612111
26.32Single5K2AZM-2413855K2A-A2A-ZM-241385-Na
26.32Single5OLZPubChem 1355666095OLZ-A2A-PubChem 135566609-Na
26.32Single5OM1PubChem 1355666095OM1-A2A-PubChem 135566609-Na
26.32Single5UENDU1725UEN-A1-DU172
26.32Single5VRAZM-2413855VRA-A2A-ZM-241385-Na
26.32Single6D27CAY104716D27-DP2-CAY10471
26.32Single6KPFPubChem 1459158896KPF-CB2-PubChem 145915889-Gi1/β1/γ2
26.32Single6LPJZM-2413856LPJ-A2A-ZM-241385-Na
26.32Single6LPKZM-2413856LPK-A2A-ZM-241385-Na
26.32Single6PS1Timolol6PS1-β2-Timolol
26.32Single6S0LZM-2413856S0L-A2A-ZM-241385
26.32Single6TOTLemborexant6TOT-OX1-Lemborexant
26.32Single6X1ADanuglipron6X1A-GLP-1-Danuglipron-Gs/β1/γ2
26.32Single6Z10PubChem 1545855546Z10-Succinate-PubChem 154585554
26.32Single6Z4VNTS8-136Z4V-NTS1-NTS8-13
26.32Single7S15PubChem 1346112237S15-GLP-1-PubChem 134611223
26.32Single7SCGFH2107SCG-μ-FH210-Gi1/β1/γ2
26.32Single7SQOTAK-9257SQO-OX2-TAK-925-Gi1/β1/γ2
26.32Single7UL4Alvimopan7UL4-μ-Alvimopan
26.32Single7XTC5-CT7XTC-5-HT7-5-CT-Gs/β1/γ2
26.32Single7YACPaltusotine7YAC-SST2-Paltusotine-Gi1/β1/γ2
26.32Single7YK7DC5910537YK7-RXFP4-DC591053-Gi2/β1/γ2
26.32Single8CU7LJ-45178CU7-A2A-LJ-4517-Na
26.32Single8GEHConstrained Epinephrine8GEH-β2-Constrained Epinephrine-Gs/β1/γ2
26.32Single8I7VAcipimox8I7V-HCA2-Acipimox-Gi1/β1/γ2
26.32Single8J6PNiacin8J6P-HCA2-Niacin-Compound 9n-Gi1/β1/γ2
26.32Single8JIINiacin8JII-HCA2-Niacin-Compound 9n-Gi1/β1/γ2
26.32Single8KEXDCA-3P8KEX-MRGPRX4-DCA-3P
26.32Single8PJKST1718PJK-5-HT1A-ST171-Gi1/β1/γ1
26.32Single8UGYMianserin8UGY-5-HT1E-Mianserin-Gi1/β1/γ1
26.32Single8UH3Setiptiline8UH3-5-HT1E-Setiptiline-Gi1/β1/γ1
26.32Single8UNVConstrained Epinephrine8UNV-β2-Constrained Epinephrine-GTP-Gs/β1/γ2
26.32Single8UNZConstrained Epinephrine8UNZ-β2-Constrained Epinephrine-GTP-Gs/β1/γ2
26.32Single8UO2Constrained Epinephrine8UO2-β2-Constrained Epinephrine-GTP-Gs/β1/γ2
26.32Single8VVGGB188VVG-κ-GB18-Gi1/β1/γ2
26.32Single8X17Namodenoson8X17-A3A-Namodenoson-Gi1/β1/γ2
26.32Single9AVGCa; Ca; Cyclomethyltryptophan; 9IG; PO49AVG-CaS-Ca-Ca; Ca; Cyclomethyltryptophan; 9IG; PO4-chim(NtGi1-Gs)/β1/γ2
26.32Single9BQJRO769BQJ-μ-RO76-Gi1/β1/γ2
26.32Single9IZCMK19039IZC-HCA2-MK1903-Gi1/β1/γ2
26.32Consensus5ht7_onOrthosteric Ligand7XTC-5-HT7-5-CT-Gs/β1/γ2
26.32Consensus5ht7_on_gpOrthosteric Ligand7XTC-5-HT7-5-CT-Gs/β1/γ2
26.32Consensusdop_offOrthosteric Ligand4EJ4-δ-Naltrindole
26.32Consensusgi_hcaOrthosteric Ligand8J6R-HCA2-MK6892-Gi1/β1/γ2 8JIM-HCA2-MMF-Gi1/β1/γ2 8IHI-HCA2-Acifran-Gi1/β1/γ2 8IHH-HCA2-LUF6283-Gi1/β1/γ2 8I7V-HCA2-Acipimox-Gi1/β1/γ2 8I7W-HCA2-GSK256073-Gi1/β1/γ2
26.32Consensusgi_orexinOrthosteric Ligand7SQO-OX2-TAK-925-Gi1/β1/γ2
26.32Consensushca2_onOrthosteric Ligand8J6R-HCA2-MK6892-Gi1/β1/γ2 8JIM-HCA2-MMF-Gi1/β1/γ2 8I7V-HCA2-Acipimox-Gi1/β1/γ2 8I7W-HCA2-GSK256073-Gi1/β1/γ2 8IHH-HCA2-LUF6283-Gi1/β1/γ2 8IHI-HCA2-Acifran-Gi1/β1/γ2
26.32Consensushca2_on_gpOrthosteric Ligand8J6R-HCA2-MK6892-Gi1/β1/γ2 8IHI-HCA2-Acifran-Gi1/β1/γ2 8IHH-HCA2-LUF6283-Gi1/β1/γ2 8I7V-HCA2-Acipimox-Gi1/β1/γ2 8JIM-HCA2-MMF-Gi1/β1/γ2 8I7W-HCA2-GSK256073-Gi1/β1/γ2
26.32Consensushca_on_gpOrthosteric Ligandhca2_on_gp
26.09Single3NY9ICI118-5513NY9-β2-ICI118-551
26.09Single4UG2CGS216804UG2-A2A-CGS21680
26.09Single5ZTYAM102575ZTY-CB2-AM10257
26.09Single6OS9JMV4496OS9-NTS1-JMV449-Gi1/β1/γ2
26.09Single6PT3DPI-2876PT3-δ-DPI-287
26.09Single7F2OBradykinin7F2O-BK2-Bradykinin-chim(NtGi1-Gs-CtGq)/β1/γ2
26.09Single7RKFFractalkine7RKF-US28-Fractalkine-GDP-chim(NtGi1-G11)/β1/γ2
26.09Single7RMGSubstance-P7RMG-NK1-Substance-P-chim(Gs-CtGq)/β1/γ2
26.09Single7RMHSubstance-P7RMH-NK1-Substance-P-Gs/β1/γ2
26.09Single7T11Octreotide7T11-SST2-Octreotide-Gi3/β1/γ2
26.09Single7XN9L-054,5227XN9-SST2-L-054,522
26.09Single7YJ4INSL57YJ4-RXFP4-INSL5-Gi2/β1/γ2
26.09Single8H4IDoconexent8H4I-FFA4-Doconexent-chim(NtGi1-Gs)/β1/γ2
26.09Single8XZFWN5618XZF-Apelin-WN561-Gi1/β1/γ2
26.09Single8Z74Agonistic antibody8Z74-Apelin-Agonistic antibody
26.09Consensuscb2_offOrthosteric Ligand5ZTY-CB2-AM10257
26.09Consensusformylpeptide_onOrthosteric Ligandfpr2-alx_on fpr1-alx_on
26.09Consensuss1p_onOrthosteric Ligands1p1_on s1p3_on s1p5_on
26.09Consensuss1p_on_gpOrthosteric Ligands1p1_on_gp s1p3_on_gp s1p5_on_gp
25.93Single7F6HBradykinin7F6H-BK2-Bradykinin-Gq/β1/γ2
25.93Single7F6IKallidin7F6I-BK2-Kallidin-Gq/β1/γ2
25.93Single7P02Protachykinin-17P02-NK1-Protachykinin-1-chim(NtGi1-Gs)/β1/γ2
25.93Single8HCQEndothelin-18HCQ-ETA-Endothelin-1-chim(NtGi1-Gs-CtGq)/β1/γ2
25.93Single8WWKMCH8WWK-MCH1-MCH-Gi1/β1/γ2
25.93Single8XVHEndothelin-18XVH-ETB-Endothelin-1-chim(Gs-CtGq)/β1/γ2
25.93Consensusccr_on_gpOrthosteric Ligandccr6_on_gp ccr8_on_gp ccr2_on_gp ccr1_on_gp ccr5_on_gp
25.93Consensuseta_onOrthosteric Ligand8HCQ-ETA-Endothelin-1-chim(NtGi1-Gs-CtGq)/β1/γ2
25.93Consensuseta_on_gpOrthosteric Ligand8HCQ-ETA-Endothelin-1-chim(NtGi1-Gs-CtGq)/β1/γ2
25.93Consensusgi_chemokineOrthosteric Ligand6WWZ-CCR6-CCL20-Go/β1/γ2 8HNK-CXCR3-CXCL11-Gi1/β1/γ2 8K3Z-CXCR4-CXCL12-Gi1/β1/γ1 8IC0-CXCR1-Interleukin-8-Gi1/β1/γ2 6LFM-CXCR2-Interleukin-8-Gi1/β1/γ2 8KFX-CCR8-LMD-009-Gi1/β1/γ2 7F1Q-CCR5-MIP-1a-Gi1/β1/γ2 8HNL-CXCR3-PS372424-Gi1/β1/γ2 8KFY-CCR8-ZK-756326-Gi1/β1/γ2 7O7F-CCR5-6P4-CCL5-Gi1/β1/γ1 8U1U-CCR8-CCL1-Gi1/β1/γ2 7VLA-CCR1-CCL15(27-92)-Gi1/β1/γ2 7XA3-CCR2-CCL2-Gi1/β1/γ2
25.93Consensusneuromedin-u_on_gpOrthosteric Ligandnmur1_on_gp nmur2_on_gp
25.93Consensusp2y10_onOrthosteric Ligand8KGG-P2Y10-LPS-chim(NtGi2-G13)/β1/γ2
25.81Consensusendothelin_on_gpOrthosteric Ligandetb_on_gp eta_on_gp
25.81Consensusetb_on_gpOrthosteric Ligand8IY5-ETB-Endothelin-1-Gi1/β1/γ2 8HBD-ETB-IRL1620-Gi1/β1/γ2
25.00Single3OE6IT1t3OE6-CXCR4-IT1t
25.00Single4NTJAZD12834NTJ-P2Y12-AZD1283
25.00Single5C1MBU725C1M-μ-BU72
25.00Single5IUAQ274563485IUA-A2A-Q27456348-Na
25.00Single5N2RPSB-365N2R-A2A-PSB-36-Na
25.00Single5NM2ZM-2413855NM2-A2A-ZM-241385-Na
25.00Single5WIUNemonapride5WIU-D4-Nemonapride
25.00Single5WIVNemonapride5WIV-D4-Nemonapride-Na
25.00Single5X7DS-Carazolol5X7D-β2-S-Carazolol-Cmpd-15
25.00Single5ZBQUR-MK-2995ZBQ-Y1-UR-MK-299
25.00Single6KPCPubChem 1459158896KPC-CB2-PubChem 145915889
25.00Single6LPLZM-2413856LPL-A2A-ZM-241385-Na
25.00Single6S0QZM-2413856S0Q-A2A-ZM-241385
25.00Single6TO7Suvorexant6TO7-OX1-Suvorexant-Na
25.00Single6WQAZM-2413856WQA-A2A-ZM-241385-Na
25.00Single6X19CHU-1286X19-GLP-1-CHU-128-Gs/β1/γ2
25.00Single6Z4QSR142948A6Z4Q-NTS1-SR142948A
25.00Single7C4SS1P7C4S-S1P3-S1P
25.00Single7C61Ergotamine7C61-5-HT1B-Ergotamine
25.00Single7DD7Ca; Ca; Tryptophan; Evocalcet7DD7-CaS-Ca-Ca; Ca; Tryptophan; Evocalcet
25.00Single7EO2FTY720-P7EO2-S1P1-FTY720-P-Gi1/β1/γ2
25.00Single7NA7Ghrelin-277NA7-Ghrelin-Ghrelin-27-Gi1/β1/γ2
25.00Single7RM5ZM-2413857RM5-A2A-ZM-241385-Na
25.00Single7SINNPS-21437SIN-CaS-NPS-2143
25.00Single7SINNPS-21437SIN-CaS-NPS-2143
25.00Single7T6UCGEN-855A7T6U-FPR2-ALX-CGEN-855A-Gi1/β1/γ2
25.00Single7TD3S1P7TD3-S1P1-S1P-Gi1/β1/γ2
25.00Single7V6APubChem 98642757V6A-M4-PubChem 9864275-Gi1/β1/γ2
25.00Single7VFXfMLF7VFX-FPR1-ALX-fMLF-Gi1/β1/γ2
25.00Single7VV0PAMP-127VV0-MRGPRX2-PAMP-12
25.00Single7WIGL-054,2647WIG-SST2-L-054,264-Gi1/β1/γ2
25.00Single7XAUOctreotide7XAU-SST2-Octreotide-Gi1/β1/γ2
25.00Single7XKAConstrained Epinephrine7XKA-β2-Constrained Epinephrine
25.00Single7YKDChemerin-97YKD-CML1-Chemerin-9-Gi1/β1/γ2
25.00Single7YU3ONO-07405567YU3-LPA1-ONO-0740556-Gi1/β1/γ2
25.00Single7YU6ONO-07405567YU6-LPA1-ONO-0740556-Gi1/β1/γ2
25.00Single8DZRGR89,6968DZR-κ-GR89,696-chim(NtGi2-Gt3)/β1/γ2
25.00Single8FYLVilazodone8FYL-5-HT1A-Vilazodone-Gi1/β1/γ1
25.00Single8FYNZM-2413858FYN-A2A-ZM-241385-Na
25.00Single8GDZConstrained Epinephrine8GDZ-β2-Constrained Epinephrine-Gs/β1/γ2
25.00Single8GEBConstrained Epinephrine8GEB-β2-Constrained Epinephrine-Gs/β1/γ2
25.00Single8GEGConstrained Epinephrine8GEG-β2-Constrained Epinephrine-Gs/β1/γ2
25.00Single8GGBConstrained Epinephrine8GGB-β2-Constrained Epinephrine-GTP-Gs/β1/γ2
25.00Single8GGEConstrained Epinephrine8GGE-β2-Constrained Epinephrine-GTP-Gs/β1/γ2
25.00Single8GH1Constrained Epinephrine8GH1-β2-Constrained Epinephrine
25.00Single8J21Butyric acid8J21-FFA3-Butyric acid-Gi1/β1/γ2
25.00Single8J24Acetic acid8J24-FFA2-Acetic acid-Gi1/β1/γ2
25.00Single8J6RMK68928J6R-HCA2-MK6892-Gi1/β1/γ2
25.00Single8JXSPF-61428JXS-D1-PF-6142
25.00Single8KFXLMD-0098KFX-CCR8-LMD-009-Gi1/β1/γ2
25.00Single8PKMBefiradol8PKM-5-HT1A-Befiradol-Gi1/β1/γ1
25.00Single8SZGCa; Ca; Tryptophan; Cinacalcet; PO4; Spermine8SZG-CaS-Ca; Ca; Tryptophan; Cinacalcet; PO4; Spermine-chim(NtGi1-Gq)/β1/γ2
25.00Single8TH4Losartan8TH4-AT1-Losartan-AT118-L Nanobody
25.00Single8UNNConstrained Epinephrine8UNN-β2-Constrained Epinephrine-GTP-Gs/β1/γ2
25.00Single8UNPConstrained Epinephrine8UNP-β2-Constrained Epinephrine-GTP-Gs/β1/γ2
25.00Single8UUJFCH-22964138UUJ-HCA2-FCH-2296413-Gi1/β1/γ2
25.00Single8WDTphotoNECA8WDT-A2A-photoNECA
25.00Single8XBHS3E-LysoPS8XBH-GPR34-S3E-LysoPS-Gi1/β1/γ2
25.00Single8XGMChemerin8XGM-CML2-Chemerin-Gi1/β1/γ2
25.00Single8XYKVUF106618XYK-CXCR3-VUF10661-Go/β1/γ2
25.00Single8YH0NECA8YH0-A3A-NECA-Gi1/β1/γ2
25.00Single8YICSAR2477998YIC-S1P1-SAR247799-Gi1/β1/γ2
25.00Single8ZRKGSK-12922638ZRK-GPR119-GSK-1292263-Gs/β1/γ2
25.00Single8ZSPLSD8ZSP-TA1-LSD-chim(NtGi1L-Gs-CtGq)/β1/γ2
25.00Single9ARYSerotonin9ARY-5-HT2A-Serotonin-chim(NtGi1-Gs-CtGq)/β1/γ2
25.00Single9AVLCa; Ca; Cyclomethyltryptophan; 9IG; PO49AVL-CaS-Ca-Ca; Ca; Cyclomethyltryptophan; 9IG; PO4-Gi3/β2/γ2
25.00Single9AYFCa; Ca; Ca; Cyclomethyltryptophan; 9IG; PO49AYF-CaS-Ca-Ca; Ca; Ca; Cyclomethyltryptophan; 9IG; PO4-Gi1/β1/γ2
25.00Single9CIBFCH-22964139CIB-HCA2-FCH-2296413
25.00Single9EAHOlmesartan9EAH-AT1-Olmesartan-Nanobody AT209
25.00Single9EE8Adenosine9EE8-A2A-Adenosine-Gs/β1/γ2
25.00Single9ERXD9-THC analog9ERX-CB1-D9-THC analog-Gi1/β1/γ2
25.00Single9F34FOB02-04A9F34-D3-FOB02-04A-Go/β1/γ2
25.00Single9HAPTolvaptan9HAP-V2-Tolvaptan
25.00Single9I52A1IZU9I52-D1-A1IZU-Gs/β1/γ2
25.00Single9KFKRelaxin-39KFK-RXFP4-Relaxin-3-Gi2/β1/γ2
25.00Single9KPFSA09KPF-TAS2R16-SA0-Gi1/β1/γ2
25.00Single9MQKIsoquinuclidine9MQK-κ-Isoquinuclidine
25.00Consensusadenosine_offOrthosteric Liganda1_off a2_off
25.00Consensusalpha_offOrthosteric Ligandalpha1_off alpha2_off
25.00Consensusblt1_offOrthosteric Ligand5X33-BLT1-BIIL260 7K15-BLT1-MKD046-Na
25.00Consensusblt_offOrthosteric Ligandblt1_off
25.00Consensusccr_offOrthosteric Ligandccr2_off ccr5_off
25.00Consensuschemerin_on_gpOrthosteric Ligandcml1_on_gp
25.00Consensuscml1_onOrthosteric Ligand7YKD-CML1-Chemerin-9-Gi1/β1/γ2
25.00Consensuscxcr4_onOrthosteric Ligand8K3Z-CXCR4-CXCL12-Gi1/β1/γ1
25.00Consensusd1_onOrthosteric Ligand7F0T-D1-Dopamine-Gs/β1/γ2 7CKY-D1-PW0464-Gs/β1/γ2 8IRR-D1-Rotigotine-Gs/β1/γ2 7JV5-D1-SKF81297-Gs/β1/γ2 7JVP-D1-SKF83959-Gs/β1/γ2 7X2D-D1-Tavapadon-Gs/β1/γ2 7CKX-D1-A77636-Gs/β1/γ2 7JVQ-D1-Apomorphine-Gs/β1/γ2 7CKW-D1-Fenoldopam-Gs/β1/γ2
25.00Consensusd4_onOrthosteric Ligand8IRU-D4-Rotigotine-chim(NtGi1-Gs-CtGi1)/β1/γ2
25.00Consensusffa3_onOrthosteric Ligand8J21-FFA3-Butyric acid-Gi1/β1/γ2
25.00Consensusffa3_on_gpOrthosteric Ligand8J21-FFA3-Butyric acid-Gi1/β1/γ2
25.00Consensusfpr1-alx_onOrthosteric Ligand7VFX-FPR1-ALX-fMLF-Gi1/β1/γ2
25.00Consensusfpr1-alx_on_gpOrthosteric Ligand7VFX-FPR1-ALX-fMLF-Gi1/β1/γ2
25.00Consensusgi_chemerinOrthosteric Ligand7YKD-CML1-Chemerin-9-Gi1/β1/γ2
25.00Consensusgi_proteinOrthosteric Ligandgi_chemokine gi_chemerin
25.00Consensuslpa1_onOrthosteric Ligand7TD1-LPA1-LPA-Gi1/β1/γ2 7YU3-LPA1-ONO-0740556-Gi1/β1/γ2
25.00Consensuslpa1_on_gpOrthosteric Ligand7TD1-LPA1-LPA-Gi1/β1/γ2 7YU3-LPA1-ONO-0740556-Gi1/β1/γ2
25.00Consensuslpl_onOrthosteric Ligands1p_on lpa_on
25.00Consensuslpl_on_gpOrthosteric Ligands1p_on_gp lpa_on_gp
25.00Consensusnucleotide_onOrthosteric Ligandadenosine_on p2y_on
25.00Consensusprotein_on_gpOrthosteric Ligandchemokine_on_gp chemerin_on_gp
25.00Consensusrxfp4_onOrthosteric Ligand7YK7-RXFP4-DC591053-Gi2/β1/γ2 7YJ4-RXFP4-INSL5-Gi2/β1/γ2 7YK6-RXFP4-PubChem 138319674-Gi2/β1/γ2
25.00Consensusrxfp4_on_gpOrthosteric Ligand7YK7-RXFP4-DC591053-Gi2/β1/γ2 7YJ4-RXFP4-INSL5-Gi2/β1/γ2 7YK6-RXFP4-PubChem 138319674-Gi2/β1/γ2
25.00Consensussomatostatin_offOrthosteric Ligandsst2_off
24.14Single7WVYAmyloid-Beta427WVY-FPR2-ALX-Amyloid-β42-Gi2/β1/γ2
24.00Single5XJM(Sar1,Ile8)-Angiotensin II5XJM-AT2-(Sar1,Ile8)-Angiotensin II
24.00Single7E14Orforglipron7E14-GLP-1-Orforglipron-PubChem 156022738-Gs/β1/γ2
24.00Single7RMISubstance-P7RMI-NK1-Substance-P-chim(Gs-CtGq)/β1/γ2
24.00Single7SK5CXCL127SK5-ACKR3-CXCL12
24.00Single7XNACYN1548067XNA-SST2-CYN154806
24.00Single8JBHSubstance-P8JBH-NK3-Substance-P-chim(NtGi1-Gs-CtGq)/β1/γ2
24.00Single8JZZC5a-desArg8JZZ-C5a1-C5a-desArg-Go/β1/γ2
24.00Single8SG1Chemerin-98SG1-CML1-Chemerin-9-Gi1/β1/γ2
24.00Single9IQRMuscarinic toxin 39IQR-α2a-Muscarinic toxin 3
24.00Single9IQVMuscarinic toxin 39IQV-Alpha1A-Muscarinic toxin 3
24.00Single9KFIRelaxin-39KFI-RXFP3-Relaxin-3-Gi2/β1/γ2
24.00Consensuss1p3_on_gpOrthosteric Ligand7EW3-S1P3-S1P-Gi1/β1/γ2 7EW4-S1P3-CYM5541-Gi1/β1/γ2 7EW2-S1P3-Fingolimod-Gi1/β1/γ2
24.00Consensussst2_offOrthosteric Ligand7XNA-SST2-CYN154806
24.00Consensustachykinin_on_gpOrthosteric Ligandnk1_on_gp nk2_on_gp nk3_on_gp
23.81Single3P0GBI1671073P0G-β2-BI167107
23.81Single3PDSHydroxybenzylisoproterenol3PDS-β2-Hydroxybenzylisoproterenol
23.81Single4BV0Neurotensin4BV0-NTS1-Neurotensin
23.81Single4DJHJDTic4DJH-κ-JDTic
23.81Single4Z34ONO-97803074Z34-LPA1-ONO-9780307
23.81Single5XR8AM8415XR8-CB1-AM841
23.81Single6E59L-7607356E59-NK1-L-760735
23.81Single6H7JIsoprenaline6H7J-β1-Isoprenaline
23.81Single6J21Aprepitant6J21-NK1-Aprepitant
23.81Single6N48BI1671076N48-β2-BI167107-PubChem 138454256
23.81Single6TQ7SB-3348676TQ7-OX1-SB-334867
23.81Single7B6WCyclazosin7B6W-α1b-Cyclazosin
23.81Single7E2ZAripiprazole7E2Z-5-HT1A-Aripiprazole-Gi1/β1/γ2
23.81Single7EW1Siponimod7EW1-S1P5-Siponimod-Gi1/β1/γ2
23.81Single7EW3S1P7EW3-S1P3-S1P-Gi1/β1/γ2
23.81Single7EW7SEW28717EW7-S1P1-SEW2871-Gi1/β1/γ2
23.81Single7JJOIsoprenaline7JJO-β1-Isoprenaline-Gs/β1/γ2
23.81Single7T2HLofentanil7T2H-μ-Lofentanil-Gi1/β1/γ2
23.81Single7TD1LPA7TD1-LPA1-LPA-Gi1/β1/γ2
23.81Single7U2LPubChem 1632012427U2L-μ-PubChem 163201242-Gi1/β1/γ2
23.81Single7XOWGastrin7XOW-CCKB-Gastrin-chim(NtGi1-Gq)/β1/γ2
23.81Single7XTQR3997XTQ-GPBA-R399-Gs/β1/γ2
23.81Single7XWONeurokinin-A7XWO-NK2-Neurokinin-A-chim(NtGi1-Gs-CtGq)/β1/γ2
23.81Single7Y67C089 peptide7Y67-C5a1-C089 peptide-Gi1/β1/γ2
23.81Single7YU5ONO-07405567YU5-LPA1-ONO-0740556-Gi1/β1/γ2
23.81Single8DCSCyanopindolol8DCS-β1-Cyanopindolol-Gs/β1/γ2
23.81Single8EF5Fentanyl8EF5-μ-Fentanyl-Gi1/β1/γ2
23.81Single8GUSHU-3088GUS-CB2-HU-308-Gi1/β1/γ2
23.81Single8I9LC3a anaphylatoxin8I9L-C3aB-C3a anaphylatoxin-Go/β1/γ2
23.81Single8IHBGSK2560738IHB-HCA2-GSK256073-Gi1/β1/γ2
23.81Single8IRURotigotine8IRU-D4-Rotigotine-chim(NtGi1-Gs-CtGi1)/β1/γ2
23.81Single8JT6(R)-IHCH-71798JT6-5-HT1A-(R)-IHCH-7179-Gi1/β1/γ2
23.81Single8T1VPubChem 1183102098T1V-GPR6-PubChem 118310209-Na
23.81Single8VVEnorBNI8VVE-κ-norBNI-Gi1/β1/γ2
23.81Single8WU1PubChem 1190256658WU1-CB1-PubChem 119025665-Arrestin2
23.81Single8XVLZibotentan8XVL-ETA-Zibotentan
23.81Single9ASTLymphotactin9AST-XCR1-Lymphotactin-Gi1/β1/γ2
23.81Single9AYFCa; Ca; Ca; Cyclomethyltryptophan; 9IG; PO49AYF-CaS-Ca-Ca; Ca; Ca; Cyclomethyltryptophan; 9IG; PO4-Gi1/β1/γ2
23.81Single9BJKNaloxone9BJK-μ-Naloxone-NAM
23.81Single9IJDCarazolol9IJD-β3-Carazolol-chim(NtGi1-Gs)/β1/γ2
23.81Single9IK9SST analogue9IK9-SST1-SST analogue-Gi1/β1/γ2
23.81Single9IZGNKP9IZG-LPA1-NKP-chim(NtGi1-Gs-CtGq)/β1/γ2
23.81Consensusa2_onOrthosteric Liganda2b_on
23.81Consensusa2_on_gpOrthosteric Liganda2b_on_gp
23.81Consensusa2b_onOrthosteric Ligand8HDP-A2B-Adenosine-Gs/β1/γ2 7XY6-A2B-BAY 60-6583-chim(NtGi1-Gs)/β1/γ2 7XY7-A2B-NECA-chim(NtGi1-Gs)/β1/γ2 8HDO-A2B-BAY 60-6583-Gs/β1/γ2
23.81Consensusa2b_on_gpOrthosteric Ligand8HDP-A2B-Adenosine-Gs/β1/γ2 7XY6-A2B-BAY 60-6583-chim(NtGi1-Gs)/β1/γ2 7XY7-A2B-NECA-chim(NtGi1-Gs)/β1/γ2 8HDO-A2B-BAY 60-6583-Gs/β1/γ2
23.81Consensusbeta2_onOrthosteric Ligand7DHI-β2-Salbutamol-Gs/β1/γ2 6NI3-β2-BI167107-Gs/β1/γ2
23.81Consensusbeta2_on_gpOrthosteric Ligand7DHI-β2-Salbutamol-Gs/β1/γ2 6NI3-β2-BI167107-Gs/β1/γ2
23.81Consensusd1_on_gpOrthosteric Ligand7F0T-D1-Dopamine-Gs/β1/γ2 7CKY-D1-PW0464-Gs/β1/γ2 8IRR-D1-Rotigotine-Gs/β1/γ2 7JV5-D1-SKF81297-Gs/β1/γ2 7JVP-D1-SKF83959-Gs/β1/γ2 7X2D-D1-Tavapadon-Gs/β1/γ2 7CKX-D1-A77636-Gs/β1/γ2 7JVQ-D1-Apomorphine-Gs/β1/γ2 7CKW-D1-Fenoldopam-Gs/β1/γ2
23.81Consensusd4_on_gpOrthosteric Ligand8IRU-D4-Rotigotine-chim(NtGi1-Gs-CtGi1)/β1/γ2
23.81Consensusffa_onOrthosteric Ligandffa2_on ffa3_on
23.81Consensusffa_on_gpOrthosteric Ligandffa2_on_gp ffa3_on_gp
23.81Consensusgi_5htOrthosteric Ligand8FYT-5-HT1A-LSD-Gi1/β1/γ1 7UM7-5-HT5A-Methylergometrine-chim(NtGi1-Go)/β1/γ2 8UGY-5-HT1E-Mianserin-Gi1/β1/γ1 8W8B-5-HT1A-SEP-363856-Gi1/β1/γ2 7E2Y-5-HT1A-Serotonin-Gi1/β1/γ2 7E32-5-HT1D-Serotonin-Gi1/β1/γ2 7XTA-5-HT4-Serotonin-Gi1/β1/γ2 8UH3-5-HT1E-Setiptiline-Gi1/β1/γ1 8JSP-5-HT1A-Ulotaront-Gi1/β1/γ2 8FYL-5-HT1A-Vilazodone-Gi1/β1/γ1 8JT6-5-HT1A-(R)-IHCH-7179-Gi1/β1/γ2 8FYE-5-HT1A-4-F,5-MeO-PyrT-Gi1/β1/γ1 7X5H-5-HT5A-5-CT-Gi1/β1/γ2 8FY8-5-HT1A-5-MeO-DMT-Gi1/β1/γ1 7E2Z-5-HT1A-Aripiprazole-Gi1/β1/γ2 7E33-5-HT1E-BRL-54443-Gi1/β1/γ2 8FYX-5-HT1A-Buspirone-Gi1/β1/γ1 7EXD-5-HT1F-Lasmiditan-Gi1/β1/γ2 7UM6-5-HT5A-Lisuride-chim(NtGi1-Go)/β1/γ2
23.81Consensusgi_dopamineOrthosteric Ligand7JVR-D2-Bromoergocryptine-Gi1/β1/γ2 7CMV-D3-PD128907-Gi1/β1/γ2 7CMU-D3-Pramipexole-Gi1/β1/γ2 8IRS-D2-Rotigotine-Gi1/β1/γ2 8IRT-D3-Rotigotine-Gi1/β1/γ2
23.81Consensusgi_ffaOrthosteric Ligand8J21-FFA3-Butyric acid-Gi1/β1/γ2 8J22-FFA2-TUG-1375-Gi1/β1/γ2
23.81Consensusgi_lpaOrthosteric Ligand7TD1-LPA1-LPA-Gi1/β1/γ2 7YU3-LPA1-ONO-0740556-Gi1/β1/γ2
23.81Consensusgi_relaxinOrthosteric Ligand7YK7-RXFP4-DC591053-Gi2/β1/γ2 7YJ4-RXFP4-INSL5-Gi2/β1/γ2 7YK6-RXFP4-PubChem 138319674-Gi2/β1/γ2
23.81Consensusgs_adenosineOrthosteric Ligand8HDP-A2B-Adenosine-Gs/β1/γ2 8HDO-A2B-BAY 60-6583-Gs/β1/γ2 7XY7-A2B-NECA-chim(NtGi1-Gs)/β1/γ2 7XY6-A2B-BAY 60-6583-chim(NtGi1-Gs)/β1/γ2
23.81Consensusgs_dopamineOrthosteric Ligand7F0T-D1-Dopamine-Gs/β1/γ2 7CKW-D1-Fenoldopam-Gs/β1/γ2 7CKY-D1-PW0464-Gs/β1/γ2 8IRV-D5-Rotigotine-chim(NtGi1-Gs)/β1/γ2 8IRR-D1-Rotigotine-Gs/β1/γ2 7JV5-D1-SKF81297-Gs/β1/γ2 7JVP-D1-SKF83959-Gs/β1/γ2 7X2D-D1-Tavapadon-Gs/β1/γ2 7CKX-D1-A77636-Gs/β1/γ2 7JVQ-D1-Apomorphine-Gs/β1/γ2
23.81Consensusgs_nucleotideOrthosteric Ligandgs_adenosine
23.81Consensuskop_offOrthosteric Ligand4DJH-κ-JDTic
23.81Consensuslpa_onOrthosteric Ligandlpa1_on
23.81Consensuslpa_on_gpOrthosteric Ligandlpa1_on_gp
23.81Consensusnk2_on_gpOrthosteric Ligand7XWO-NK2-Neurokinin-A-chim(NtGi1-Gs-CtGq)/β1/γ2
23.81Consensusrelaxin_onOrthosteric Ligandrxfp4_on
23.81Consensusrelaxin_on_gpOrthosteric Ligandrxfp4_on_gp
23.81Consensuss1p5_onOrthosteric Ligand7EW1-S1P5-Siponimod-Gi1/β1/γ2
23.81Consensuss1p5_on_gpOrthosteric Ligand7EW1-S1P5-Siponimod-Gi1/β1/γ2
23.81Consensustachykinin_offOrthosteric Ligandnk1_off
23.53Single3PBLEticlopride3PBL-D3-Eticlopride
23.53Single7DD7Ca; Ca; Tryptophan; Evocalcet7DD7-CaS-Ca-Ca; Ca; Tryptophan; Evocalcet
23.53Single7T96LY21196207T96-M2-Acetylcholine-LY2119620-Go/β1/γ2
23.53Single7XP6Strychnine7XP6-TAS2R46-Strychnine-chim(Gs-CtGt3)/β1/γ2
23.53Single7XT9Serotonin7XT9-5-HT4-Serotonin-Gs/β1/γ2
23.53Single7YS6Serotonin7YS6-5-HT6-Serotonin-chim(NtGi1-Gs)/β1/γ2
23.53Single8A2PLUAA470708A2P-A2A-LUAA47070-Na
23.53Single8EF6Morphine8EF6-μ-Morphine-Gi1/β1/γ2
23.53Single8FX5Xanomeline8FX5-M4-Xanomeline-Xanomeline-Gi1/β1/γ2
23.53Single8H2GNiacin8H2G-HCA2-Niacin-Gi1/β1/γ2
23.53Single8IHIAcifran8IHI-HCA2-Acifran-Gi1/β1/γ2
23.53Single8K5BNiacin8K5B-HCA2-Niacin
23.53Single8SZFCa; Ca; Tryptophan; Cinacalcet; PO4; Spermine8SZF-CaS-Ca; Ca; Tryptophan; Cinacalcet; PO4; Spermine
23.53Single9C1PCa; Tryptophan; '6218; PO49C1P-CaS-Ca-Ca; Tryptophan; '6218; PO4
23.53Single9IQTNiacin9IQT-HCA2-Niacin-Gi1/β1/γ2
23.53Single9IZDCHBA9IZD-HCA1-CHBA-Gi1/β1/γ2
23.53Consensusd3_offOrthosteric Ligand3PBL-D3-Eticlopride
23.33Single8Y52BA18Y52-BB3-BA1-chim(NtGi1-Gs-CtGq)/β1/γ2
23.33Consensusendothelin_onOrthosteric Ligandetb_on eta_on
23.08Single5WF5UK-4320975WF5-A2A-UK-432097
23.08Single6MEOEnvelope Glycoprotein Gp160; T-Cell Surface Glycoprotein Cd46MEO-CCR5-Envelope Glycoprotein Gp160; T-Cell Surface Glycoprotein Cd4
23.08Single7TD0LPA7TD0-LPA1-LPA-Gi1/β1/γ2
23.08Single7TD2LPA7TD2-LPA1-LPA-Gi1/β1/γ2
23.08Single7XA3CCL27XA3-CCR2-CCL2-Gi1/β1/γ2
23.08Single8XGUTAK4488XGU-Kiss1-TAK448-Gi1/β1/γ2
23.08Single8XZGApelin-138XZG-Apelin-Apelin-13-Gi1/β1/γ2
23.08Single9M1OMorphine-Modulating Neuropeptide B9M1O-NPFF2-Morphine-Modulating Neuropeptide B-Gi1/β1/γ2
23.08Single9U4WGonadoliberin-19U4W-GnRH1-Gonadoliberin-1-chim(NtGi1L-Gs-CtGq)/β1/γ2
23.08Consensusccr2_onOrthosteric Ligand7XA3-CCR2-CCL2-Gi1/β1/γ2
23.08Consensusccr2_on_gpOrthosteric Ligand7XA3-CCR2-CCL2-Gi1/β1/γ2
23.08Consensusfpr2-alx_onOrthosteric Ligand7WVX-FPR2-ALX-Humanin-Gi2/β1/γ2 7T6U-FPR2-ALX-CGEN-855A-Gi1/β1/γ2 7T6V-FPR2-ALX-fMLFII-Gi1/β1/γ2 7WVY-FPR2-ALX-Amyloid-β42-Gi2/β1/γ2 7T6S-FPR2-ALX-PubChem 24776341-Gi1/β1/γ2 6OMM-FPR2-ALX-WKYMVX-Gi1/β1/γ2
22.73Single2YCXCyanopindolol2YCX-β1-Cyanopindolol
22.73Single3VW7Vorapaxar; Na3VW7-PAR1-Vorapaxar; Na
22.73Single4LDEBI1671074LDE-β2-BI167107
22.73Single4PY02MeSATP4PY0-P2Y12-2MeSATP
22.73Single4Z36ONO-30805734Z36-LPA1-ONO-3080573
22.73Single6KPGAM8416KPG-CB1-AM841-Gi1/β1/γ2
22.73Single6VMSBromoergocryptine6VMS-D2-Bromoergocryptine-Gi1/β1/γ2
22.73Single6XOXOrforglipron6XOX-GLP-1-Orforglipron-chim(NtGi1-Gs)/β1/γ2
22.73Single6ZG4HTL00099366ZG4-M1-HTL0009936
22.73Single7BZ2Arformoterol7BZ2-β2-Arformoterol-Gs/β1/γ2
22.73Single7EXDLasmiditan7EXD-5-HT1F-Lasmiditan-Gi1/β1/γ2
22.73Single7JNIOlodanrigan7JNI-AT2-Olodanrigan
22.73Single7K15MKD0467K15-BLT1-MKD046-Na
22.73Single7L1UOrexin7L1U-OX2-Orexin-chim(NtGi1-Gs-CtGq)/β1/γ2
22.73Single7W0LPubChem 1227019087W0L-Apelin-PubChem 122701908-Gi1/β1/γ2
22.73Single7WCNAR2314537WCN-GPR119-AR231453-Gs/β1/γ2
22.73Single8JJ8Formoterol8JJ8-β2-Formoterol
22.73Single8JZ7MK68928JZ7-HCA2-MK6892-Gi1/β1/γ2
22.73Single8VHFMBX-29828VHF-GPR119-MBX-2982-Gs/β1/γ2
22.73Single9BJKNAM9BJK-μ-Naloxone-NAM
22.73Single9EBIPiclidenoson9EBI-A3A-Piclidenoson-chim(NtGi1L-Gs-CtGi1)/β1/γ2
22.73Single9L3WRetinoic acid receptor responder protein 29L3W-CML1-Retinoic acid receptor responder protein 2-Gi1/β1/γ2
22.73Consensus5ht1f_onOrthosteric Ligand7EXD-5-HT1F-Lasmiditan-Gi1/β1/γ2
22.73Consensus5ht1f_on_gpOrthosteric Ligand7EXD-5-HT1F-Lasmiditan-Gi1/β1/γ2
22.73Consensusbeta_onOrthosteric Ligandbeta1_on beta2_on beta3_on
22.73Consensusbeta_on_gpOrthosteric Ligandbeta1_on_gp beta2_on_gp beta3_on_gp
22.73Consensusccr8_onOrthosteric Ligand8KFX-CCR8-LMD-009-Gi1/β1/γ2 8KFY-CCR8-ZK-756326-Gi1/β1/γ2 8U1U-CCR8-CCL1-Gi1/β1/γ2
22.73Consensusd2_on_gpOrthosteric Ligand7JVR-D2-Bromoergocryptine-Gi1/β1/γ2 8IRS-D2-Rotigotine-Gi1/β1/γ2
22.73Consensusleukotriene_offOrthosteric Ligandblt_off cyslt_off
22.73Consensuslpa1_offOrthosteric Ligand4Z36-LPA1-ONO-3080573 4Z35-LPA1-ONO-9910539 4Z34-LPA1-ONO-9780307
22.73Consensuslpa_offOrthosteric Ligandlpa1_off
22.73Consensusnk1_offOrthosteric Ligand6HLP-NK1-Netupitant 6HLO-NK1-Aprepitant 6HLL-NK1-CP99994 6E59-NK1-L-760735
22.58Single8U1UCCL18U1U-CCR8-CCL1-Gi1/β1/γ2
22.22Single2X72All-trans-Retinal2X72-Rhodopsin-All-trans-Retinal-Gt(CT)
22.22Single3ODUIT1t3ODU-CXCR4-IT1t
22.22Single3V2WPubChem 518926453V2W-S1P1-PubChem 51892645
22.22Single4S0VSuvorexant4S0V-OX2-Suvorexant
22.22Single5K2DZM-2413855K2D-A2A-ZM-241385-Na
22.22Single5OLHVipadenant5OLH-A2A-Vipadenant-Na
22.22Single5OLOTozadenant5OLO-A2A-Tozadenant-Na
22.22Single5WB2CX3CL1.355WB2-US28-CX3CL1.35
22.22Single5WS3EMPA5WS3-OX2-EMPA
22.22Single5ZKQABT-4915ZKQ-PAF-ABT-491
22.22Single6AKXA4R6AKX-CCR5-A4R
22.22Single6D9HAdenosine6D9H-A1-Adenosine-Gi2/β1/γ2
22.22Single6JZHZM-2413856JZH-A2A-ZM-241385-Na
22.22Single6LFOInterleukin-86LFO-CXCR2-Interleukin-8-Gi1/β1/γ2
22.22Single6METEnvelope Glycoprotein Gp160; T-Cell Surface Glycoprotein Cd46MET-CCR5-Envelope Glycoprotein Gp160; T-Cell Surface Glycoprotein Cd4
22.22Single6PS7ZM-2413856PS7-A2A-ZM-241385-Na
22.22Single6RNKNF-56-EJ406RNK-Succinate-NF-56-EJ40
22.22Single6TPJSuvorexant6TPJ-OX2-Suvorexant
22.22Single6TQ6PubChem 1457142836TQ6-OX1-PubChem 145714283
22.22Single7DW9AVP7DW9-V2-AVP-chim(NtGi1-Gs)/β1/γ2
22.22Single7F8ULintitript7F8U-CCKA-Lintitript
22.22Single7FIMTirzepatide7FIM-GLP-1-Tirzepatide-Gs/β1/γ2
22.22Single7KH0AVP7KH0-V2-AVP-chim(NtGi1-Gs)/β1/γ2
22.22Single7LD4Adenosine7LD4-A1-Adenosine-Gi2/β1/γ2
22.22Single7M3FCa; Ca; Tryptophan; Cinacalcet; PO47M3F-CaS-Ca; Ca; Tryptophan; Cinacalcet; PO4
22.22Single7M3FCa; Ca; Tryptophan; Cinacalcet; PO47M3F-CaS-Ca; Ca; Tryptophan; Cinacalcet; PO4
22.22Single7S8PMS471347S8P-MRGPRX4-MS47134-chim(NtGi2L-Gs-CtGq)/β1/γ2
22.22Single7SILCa; Ca; Ca; Cyclomethyltryptophan; 9IG; PO47SIL-CaS-Ca-Ca; Ca; Ca; Cyclomethyltryptophan; 9IG; PO4
22.22Single7SILCa; Ca; Ca; Cyclomethyltryptophan; 9IG; PO47SIL-CaS-Ca-Ca; Ca; Ca; Cyclomethyltryptophan; 9IG; PO4
22.22Single7T10Somatostatin-147T10-SST2-Somatostatin-14-Gi3/β1/γ2
22.22Single7V9MSomatoliberin7V9M-GHRH (SV1)-Somatoliberin-Gs/β1/γ2
22.22Single7VIHCBP-3077VIH-S1P1-CBP-307-Gi1/β1/γ2
22.22Single7W57Neuromedin-S7W57-NMUR2-Neuromedin-S-chim(NtGi1-Gs-CtGq)/β1/γ2
22.22Single7WF7S1P7WF7-S1P1-S1P-Gi1/β1/γ2
22.22Single7X2CFenoldopam7X2C-D1-Fenoldopam-Fenoldopam-Gs/β1/γ2
22.22Single7X5H5-CT7X5H-5-HT5A-5-CT-Gi1/β1/γ2
22.22Single7XT8Serotonin7XT8-5-HT4-Serotonin-Gs/β1/γ2
22.22Single8DU3PubChem 1055260648DU3-A2A-PubChem 105526064
22.22Single8DWGML3828DWG-MRGPRX1-Proenkephalin-A-ML382-chim(NtGi2L-Gs-CtGq)/β1/γ2
22.22Single8DWHPubChem 1390305318DWH-MRGPRX1-PubChem 139030531-chim(NtGi2L-Gs-CtGq)/β1/γ2
22.22Single8GGCConstrained Epinephrine8GGC-β2-Constrained Epinephrine-GTP-Gs/β1/γ2
22.22Single8GGZConstrained Epinephrine8GGZ-β2-Constrained Epinephrine
22.22Single8IEDA1LYA8IED-GPR156-A1LYA-Go/β1/γ2
22.22Single8IEDA1LYA8IED-GPR156-A1LYA-Go/β1/γ2
22.22Single8IHFMK68928IHF-HCA2-MK6892-Gi1/β1/γ2
22.22Single8IJBAcipimox8IJB-HCA2-Acipimox-Gi1/β1/γ2
22.22Single8J20Valeric acid8J20-FFA3-Valeric acid-AR420626-Gi1/β1/γ2
22.22Single8T3VDocosa-4,7,10,13,16,19-Hexaenoic acid8T3V-FFA1-Docosa-4,7,10,13,16,19-Hexaenoic acid-chim(NtGi2L-Gs-CtGq)/β1/γ2
22.22Single8UTDMK19038UTD-HCA2-MK1903-Gi1/β1/γ2
22.22Single8XXVIndomethacin8XXV-DP2-Indomethacin-A1D5Q-Gi1/β1/γ2
22.22Single8YYWAlpha-ketoglutarate8YYW-Oxoglutarate-α-ketoglutarate-α-ketoglutarate-chim(Gi1-CtGq)/β1/γ2
22.22Single9C2FCa; Ca; Tryptophan; '54149; PO49C2F-CaS-Ca-Ca; Ca; Tryptophan; '54149; PO4
22.22Single9EBHAdenosine9EBH-A3A-Adenosine-Gi1/β1/γ2
22.22Single9EEAAdenosine9EEA-A2A-Adenosine-Gs/β1/γ2
22.22Single9H2XA1IR19H2X-A2A-A1IR1-Na
22.22Single9K6LSA09K6L-TAS2R16-SA0-Gi2/β1/γ2
22.22Consensus5ht1e_onOrthosteric Ligand7E33-5-HT1E-BRL-54443-Gi1/β1/γ2 8UGY-5-HT1E-Mianserin-Gi1/β1/γ1 8UH3-5-HT1E-Setiptiline-Gi1/β1/γ1
22.22Consensus5ht_onOrthosteric Ligand5ht1_on 5ht2_on 5ht4_on 5ht5_on 5ht6_on 5ht7_on
22.22Consensusa1_onOrthosteric Ligand7LD4-A1-Adenosine-Gi2/β1/γ2
22.22Consensusa1_on_gpOrthosteric Ligand7LD4-A1-Adenosine-Gi2/β1/γ2
22.22Consensusalpha2_offOrthosteric Ligandalpha2c_off
22.22Consensusangiotensin_offOrthosteric Ligandat1_off
22.22Consensusapelin_onOrthosteric Ligand8XZH-Apelin-MM07-Gi1/β1/γ2 7W0M-Apelin-PubChem 122701908-Gi1/β1/γ2 8XZJ-Apelin-WN353-Gi1/β1/γ2 8XZF-Apelin-WN561-Gi1/β1/γ2 8XZG-Apelin-Apelin-13-Gi1/β1/γ2
22.22Consensusapelin_on_gpOrthosteric Ligand8XZH-Apelin-MM07-Gi1/β1/γ2 7W0M-Apelin-PubChem 122701908-Gi1/β1/γ2 8XZJ-Apelin-WN353-Gi1/β1/γ2 8XZF-Apelin-WN561-Gi1/β1/γ2 8XZG-Apelin-Apelin-13-Gi1/β1/γ2
22.22Consensusfpr2-alx_on_gpOrthosteric Ligand7WVX-FPR2-ALX-Humanin-Gi2/β1/γ2 7T6U-FPR2-ALX-CGEN-855A-Gi1/β1/γ2 7T6V-FPR2-ALX-fMLFII-Gi1/β1/γ2 7WVY-FPR2-ALX-Amyloid-β42-Gi2/β1/γ2 7T6S-FPR2-ALX-PubChem 24776341-Gi1/β1/γ2 6OMM-FPR2-ALX-WKYMVX-Gi1/β1/γ2
22.22Consensusgi_formylpeptideOrthosteric Ligand7WVY-FPR2-ALX-Amyloid-β42-Gi2/β1/γ2 7T6U-FPR2-ALX-CGEN-855A-Gi1/β1/γ2 7VFX-FPR1-ALX-fMLF-Gi1/β1/γ2 7T6V-FPR2-ALX-fMLFII-Gi1/β1/γ2 7WVX-FPR2-ALX-Humanin-Gi2/β1/γ2 7T6S-FPR2-ALX-PubChem 24776341-Gi1/β1/γ2 6OMM-FPR2-ALX-WKYMVX-Gi1/β1/γ2
22.22Consensusgs_5htOrthosteric Ligand7XTC-5-HT7-5-CT-Gs/β1/γ2 7XTB-5-HT6-Serotonin-Gs/β1/γ2 8JLZ-5-HT6-ST1936-Gs/β1/γ2 7XT8-5-HT4-Serotonin-Gs/β1/γ2
22.22Consensusgs_vasop-oxyOrthosteric Ligand7DW9-V2-AVP-chim(NtGi1-Gs)/β1/γ2
22.22Consensusneuromedin-u_onOrthosteric Ligandnmur1_on nmur2_on
22.22Consensusorexin_offOrthosteric Ligandox2_off ox1_off
22.22Consensusox1_offOrthosteric Ligand6TP6-OX1-Filorexant 6TP4-OX1-ACT-462206 6V9S-OX1-GTPL11403 6TOT-OX1-Lemborexant 6TP3-OX1-Nemorexant 6TQ6-OX1-PubChem 145714283 6TQ9-OX1-SB-408124 4ZJC-OX1-SB-674042 4ZJ8-OX1-Suvorexant 6TOD-OX1-EMPA-Na 6TOS-OX1-GSK1059865-Na 6TQ4-OX1-PubChem 16046844-Na
22.22Consensusox2_offOrthosteric Ligand5WQC-OX2-EMPA 6TPN-OX2-HTL6641 7XRR-OX2-Lemborexant 6TPJ-OX2-Suvorexant
22.22Consensuspaf_offOrthosteric Ligand5ZKQ-PAF-ABT-491
22.22Consensusprotein_offonOrthosteric Ligandprotein_off protein_on
22.22Consensusprotein_offon_gpOrthosteric Ligandprotein_on_gp protein_off
22.22Consensuss1p1_offOrthosteric Ligand3V2W-S1P1-PubChem 51892645
22.22Consensustachykinin_onOrthosteric Ligandnk1_on nk2_on nk3_on
22.22Consensusv2_onOrthosteric Ligand7DW9-V2-AVP-chim(NtGi1-Gs)/β1/γ2
22.22Consensusv2_on_gpOrthosteric Ligand7DW9-V2-AVP-chim(NtGi1-Gs)/β1/γ2
22.22Consensusvasop-oxy_onOrthosteric Ligandv2_on
22.22Consensusvasop-oxy_on_gpOrthosteric Ligandv2_on_gp
21.88Single7SK6CXCL12_LRHQ7SK6-ACKR3-CXCL12_LRHQ
21.74Single4RWSvMIP-II4RWS-CXCR4-vMIP-II
21.74Single4Z35ONO-99105394Z35-LPA1-ONO-9910539
21.74Single5X93K-87945X93-ETB-K-8794
21.74Single6H7LDobutamine6H7L-β1-Dobutamine
21.74Single6IBLArformoterol6IBL-β1-Arformoterol
21.74Single6TKOArformoterol6TKO-β1-Arformoterol-Arrestin2
21.74Single7EZCUKA7EZC-A2A-UKA
21.74Single7JVRBromoergocryptine7JVR-D2-Bromoergocryptine-Gi1/β1/γ2
21.74Single7MTSADX551647MTS-mGlu2; mGlu2-Glutamate-ADX55164-Gi1/β1/γ2
21.74Single7P00Substance-P7P00-NK1-Substance-P-chim(NtGi1-Gs-CtGq)/β1/γ2
21.74Single7QVMOxytocin7QVM-OT-Oxytocin-chim(NtGi1-Go-CtGq)/β1/γ2
21.74Single7SK7CCX6627SK7-ACKR3-CXCL12-CCX662
21.74Single7X2DTavapadon7X2D-D1-Tavapadon-Gs/β1/γ2
21.74Single7XJISolabegron7XJI-β3-Solabegron-Gs/β1/γ2
21.74Single8FN0Neurotensin/Neuromedin-N8FN0-NTS1-Neurotensin/Neuromedin-N-SBI-553-chim(NtGi1-Go)/β1/γ2
21.74Single8ID8TUG-8918ID8-FFA4-TUG-891-Gi1/β1/γ2
21.74Single8S2TIsoprenaline8S2T-β1-Isoprenaline-chim(NtGi1-Gs)/β1/γ2
21.74Single8XGSMetastin8XGS-Kiss1-Metastin-chim(NtGi1-Gq)/β1/γ2
21.74Single8ZX4Lysophosphatidylinositol 8ZX4-GPR55-Lysophosphatidylinositol-chim(NtGi1-G13)/β1/γ2
21.74Single9CGJC6-Quino9CGJ-δ-C6-Quino-Gi1/β1/γ2
21.74Single9IZFNKP9IZF-LPA1-NKP-Gi1/β1/γ2
21.74Consensusbeta1_onOrthosteric Ligand8DCR-β1-Dobutamine-Gs/β1/γ2 7S0F-β1-Isoprenaline-Gi1/β1/γ2
21.74Consensusbeta1_on_gpOrthosteric Ligand8DCR-β1-Dobutamine-Gs/β1/γ2 7S0F-β1-Isoprenaline-Gi1/β1/γ2
21.74Consensuschemerin_onOrthosteric Ligandcml1_on
21.74Consensusnk1_onOrthosteric Ligand7P00-NK1-Substance-P-chim(NtGi1-Gs-CtGq)/β1/γ2
21.74Consensusnk1_on_gpOrthosteric Ligand7P00-NK1-Substance-P-chim(NtGi1-Gs-CtGq)/β1/γ2
21.74Consensusnk2_onOrthosteric Ligand7XWO-NK2-Neurokinin-A-chim(NtGi1-Gs-CtGq)/β1/γ2
21.43Single7VL9CCL15(26-92)7VL9-CCR1-CCL15(26-92)-Gi1/β1/γ2
21.43Single8E3ZVIP8E3Z-VPAC1-VIP-Gs/β1/γ2
21.43Single8HCXEndothelin-18HCX-ETB-Endothelin-1-chim(NtGi2L-Gs-CtGq)/β1/γ2
21.43Single8HNKCXCL118HNK-CXCR3-CXCL11-Gi1/β1/γ2
21.43Consensuscml1_on_gpOrthosteric Ligand7YKD-CML1-Chemerin-9-Gi1/β1/γ2
21.43Consensusgi_apelinOrthosteric Ligand8XZH-Apelin-MM07-Gi1/β1/γ2 7W0M-Apelin-PubChem 122701908-Gi1/β1/γ2 8XZJ-Apelin-WN353-Gi1/β1/γ2 8XZF-Apelin-WN561-Gi1/β1/γ2 8XZG-Apelin-Apelin-13-Gi1/β1/γ2
21.05Single4LDOL-Epinephrine4LDO-β2-L-Epinephrine
21.05Single4MBSMaraviroc4MBS-CCR5-Maraviroc
21.05Single4ZJCSB-6740424ZJC-OX1-SB-674042
21.05Single4ZUDOlmesartan4ZUD-AT1-Olmesartan
21.05Single5IU4ZM-2413855IU4-A2A-ZM-241385-Na
21.05Single5IU7Q274563465IU7-A2A-Q27456346-Na
21.05Single5IUBQ274563445IUB-A2A-Q27456344-Na
21.05Single5JTBZM-2413855JTB-A2A-ZM-241385
21.05Single5K2BZM-2413855K2B-A2A-ZM-241385-Na
21.05Single5K2CZM-2413855K2C-A2A-ZM-241385-Na
21.05Single5NM4ZM-2413855NM4-A2A-ZM-241385-Na
21.05Single6AQFZM-2413856AQF-A2A-ZM-241385
21.05Single6PS0S-Carazolol6PS0-β2-S-Carazolol
21.05Single6PS4ICI118-5516PS4-β2-ICI118-551
21.05Single6PS5S-Propranolol6PS5-β2-S-Propranolol
21.05Single6TOSGSK10598656TOS-OX1-GSK1059865-Na
21.05Single6TP3Nemorexant6TP3-OX1-Nemorexant
21.05Single6TPGEMPA6TPG-OX2-EMPA
21.05Single6TPKRetosiban6TPK-OT-Retosiban
21.05Single6TPNHTL66416TPN-OX2-HTL6641
21.05Single6WH4Methiothepin6WH4-5-HT2A-Methiothepin
21.05Single6ZDRHMS1413f126ZDR-A2A-HMS1413f12-Na
21.05Single6ZFZ77-LH-28-16ZFZ-M1-77-LH-28-1
21.05Single6ZG9GSK10347026ZG9-M1-GSK1034702
21.05Single7F61PF-036547467F61-H3-PF-03654746
21.05Single7YK6PubChem 1383196747YK6-RXFP4-PubChem 138319674-Gi2/β1/γ2
21.05Single8GG7Constrained Epinephrine8GG7-β2-Constrained Epinephrine-GTP-Gs/β1/γ2
21.05Single8GGLConstrained Epinephrine8GGL-β2-Constrained Epinephrine
21.05Single8GGMConstrained Epinephrine8GGM-β2-Constrained Epinephrine
21.05Single8GGPConstrained Epinephrine8GGP-β2-Constrained Epinephrine
21.05Single8GGQConstrained Epinephrine8GGQ-β2-Constrained Epinephrine
21.05Single8GGSConstrained Epinephrine8GGS-β2-Constrained Epinephrine
21.05Single8GGTConstrained Epinephrine8GGT-β2-Constrained Epinephrine
21.05Single8GGXConstrained Epinephrine8GGX-β2-Constrained Epinephrine
21.05Single8H4LDoconexent8H4L-FFA4-Doconexent-chim(NtGi1-Gs-CtGq)/β1/γ2
21.05Single8HJ5PubChem 1390305318HJ5-MRGPRX1-PubChem 139030531-chim(NtGi1-Gs-CtGq)/β1/γ2
21.05Single8IHKAcifran8IHK-HCA3-Acifran
21.05Single8IY9Niacin8IY9-HCA2-Niacin-Go/β1/γ2
21.05Single8JERAcipimox8JER-HCA2-Acipimox-Go/β1/γ2
21.05Single8K4NVF08K4N-GPR34-VF0-Gi1/β1/γ2
21.05Single8K4SDCA-3P8K4S-MRGPRX4-DCA-3P-chim(NtGi1L-Gs-CtGq)/β1/γ2
21.05Single8RQQZM-2413858RQQ-A2A-ZM-241385-Na
21.05Single8UNLConstrained Epinephrine8UNL-β2-Constrained Epinephrine-GTP-Gs/β1/γ2
21.05Single8UNOConstrained Epinephrine8UNO-β2-Constrained Epinephrine-GTP-Gs/β1/γ2
21.05Single8UO1Constrained Epinephrine8UO1-β2-Constrained Epinephrine-GTP; Mg-Gs/β1/γ2
21.05Single8WPGTryptophan; Cinacalcet; PO4; Ca8WPG-CaS-Tryptophan; Cinacalcet; PO4; Ca
21.05Single8Y6YGLPG09748Y6Y-FFA2-GLPG0974
21.05Single8YRGFospropofol8YRG-MRGPRX4-Fospropofol-chim(NtGi1-Gs-CtGq)/β1/γ2
21.05Single9ARXSerotonin9ARX-5-HT2A-Serotonin
21.05Single9AS3LSD9AS3-5-HT2A-LSD
21.05Single9AS4LSD9AS4-5-HT2A-LSD-chim(NtGi1-Gs-CtGq)/β1/γ2
21.05Single9AS5Mescaline9AS5-5-HT2A-Mescaline
21.05Single9AS6Mescaline9AS6-5-HT2A-Mescaline-chim(NtGi1-Gs-CtGq)/β1/γ2
21.05Single9IXXLTD49IXX-CysLT2-LTD4-chim(NtGi1-Gs-CtGq)/β1/γ2
21.05Single9K1DButanoic acid9K1D-FFA2-Butanoic acid-Gi1/β1/γ2
21.05Single9MQIIsoquinuclidine9MQI-μ-Isoquinuclidine
21.05Consensus5ht_on_gpOrthosteric Ligand5ht1_on_gp 5ht2_on_gp 5ht4_on_gp 5ht5_on_gp 5ht6_on_gp 5ht7_on_gp
21.05Consensusa2_offOrthosteric Liganda2a_off
21.05Consensusa2a_offOrthosteric Ligand3RFM-A2A-Caffeine 8C9W-A2A-Etrumadenant 3UZA-A2A-GTPL9236 8GNG-A2A-Istradefylline 8CU6-A2A-LJ-4517 7PX4-A2A-PSB-2113 7PYR-A2A-PSB-2115 8DU3-A2A-PubChem 105526064 8JWY-A2A-2-118 8PWN-A2A-Theophylline 5IU4-A2A-ZM-241385-Na 5OLZ-A2A-PubChem 135566609-Na 6GT3-A2A-Imaradenant-Na 5OLV-A2A-LUAA41063-Na 5N2R-A2A-PSB-36-Na 5IU7-A2A-Q27456346-Na 5OLH-A2A-Vipadenant-Na 5OLO-A2A-Tozadenant-Na 6ZDR-A2A-HMS1413f12-Na 8GNE-A2A-KW-6356-Na 8JWZ-A2A-AB928-Na 5IU8-A2A-Q27456347-Na 5IUB-A2A-Q27456344-Na 6ZDV-A2A-Chromone 5d-Na 5IUA-A2A-Q27456348-Na 8A2P-A2A-LUAA47070-Na
21.05Consensusot_offOrthosteric Ligand6TPK-OT-Retosiban
21.05Consensusvasop-oxy_offOrthosteric Ligandot_off
20.83Single5VBLApelin mimetic peptide agonist5VBL-Apelin-Apelin mimetic peptide agonist
20.83Single6OMMWKYMVX6OMM-FPR2-ALX-WKYMVX-Gi1/β1/γ2
20.83Single6RZ6ONO-25703666RZ6-CysLT2-ONO-2570366
20.83Single7X8SWB4-247X8S-GLP-1-WB4-24-Gs/β1/γ2
20.83Single8J22TUG-13758J22-FFA2-TUG-1375-Gi1/β1/γ2
20.83Single8JLRA776368JLR-TA1-A77636-chim(NtGi1-Gs)/β1/γ2
20.83Single8SAI1-Oleoyl-2-Hydroxy-Sn-Glycero-3-Phospho-L-Serine8SAI-GPR34-1-Oleoyl-2-Hydroxy-Sn-Glycero-3-Phospho-L-Serine-Gi1/β1/γ2
20.83Single8X5YAstemizole8X5Y-H1-Astemizole
20.83Single8XX6CXCL88XX6-CXCR2-CXCL8-Go/β1/γ2
20.83Single9CGKC5-Quino9CGK-δ-C5-Quino-Gi1/β1/γ2
20.83Single9JF4PD1683689JF4-BB1-PD168368
20.83Single9JH6C20:0 Ceramide9JH6-CysLT2-C20:0 Ceramide-chim(NtGi1-Gs-CtGq)/β1/γ2
20.83Single9MD1Buspirone9MD1-5-HT1A-Buspirone-Gz/β1/γ2
20.83Single9NS9TUG-13759NS9-FFA2-TUG-1375-Compound 187-Gi1/β1/γ2
20.83Consensuscxcr3_onOrthosteric Ligand8HNK-CXCR3-CXCL11-Gi1/β1/γ2 8HNL-CXCR3-PS372424-Gi1/β1/γ2
20.69Single7RGPTirzepatide7RGP-GLP-1-Tirzepatide-chim(NtGi1-Gs)/β1/γ2
20.69Single7SK3CXCL127SK3-ACKR3-CXCL12
20.69Single7SK4CXCL12_LRHQ7SK4-ACKR3-CXCL12_LRHQ
20.69Consensuspac_on_gpOrthosteric Ligandpac1_on_gp
20.00Single2VT4Cyanopindolol2VT4-β1-Cyanopindolol
20.00Single2Y02Carmoterol2Y02-β1-Carmoterol
20.00Single2Y04Salbutamol2Y04-β1-Salbutamol
20.00Single2YCYCyanopindolol2YCY-β1-Cyanopindolol
20.00Single3NY8ICI118-5513NY8-β2-ICI118-551
20.00Single3NYAS-Alprenolol3NYA-β2-S-Alprenolol
20.00Single3ZPQ4-(piperazin-1- yl)-1H-indole3ZPQ-β1-4-(piperazin-1- yl)-1H-indole-Na
20.00Single3ZPR4-methyl-2-(piperazin-1-yl)3ZPR-β1-4-methyl-2-(piperazin-1-yl)-Na
20.00Single4AMJS-Carvedilol4AMJ-β1-S-Carvedilol
20.00Single4EIYZM-2413854EIY-A2A-ZM-241385-Na
20.00Single4GBRS-Carazolol4GBR-β2-S-Carazolol
20.00Single4J4QOctyl Beta-D-Glucopyranoside4J4Q-Rhodopsin-Octyl β-D-Glucopyranoside-Gt(CT)
20.00Single4QKX35V4QKX-β2-35V
20.00Single5IU8Q274563475IU8-A2A-Q27456347-Na
20.00Single5OLGZM-2413855OLG-A2A-ZM-241385-Na
20.00Single6FKCPubChem 1324730396FKC-Rhodopsin-PubChem 132473039
20.00Single6GPSMK08126GPS-CCR2-MK0812
20.00Single6ORVTT-OAD26ORV-GLP-1-TT-OAD2-Gs/β1/γ2
20.00Single6PRZS-Alprenolol6PRZ-β2-S-Alprenolol
20.00Single6PS2S-Alprenolol6PS2-β2-S-Alprenolol
20.00Single6RZ8ONO-20803656RZ8-CysLT2-ONO-2080365
20.00Single7BTSL-Epinephrine7BTS-β1-L-Epinephrine
20.00Single7BU6L-Norepinephrine7BU6-β1-L-Norepinephrine
20.00Single7BU7BI1671077BU7-β1-BI167107
20.00Single7CFMP3957CFM-GPBA-P395-Gs/β1/γ2
20.00Single7CRHSKF839597CRH-D1-SKF83959-Gs/β1/γ2
20.00Single7E32Serotonin7E32-5-HT1D-Serotonin-Gi1/β1/γ2
20.00Single7EIBDes-Arg10-Kallidin7EIB-BK1-Des-Arg10-Kallidin-chim(NtGi1-Gs-CtGq)/β1/γ2
20.00Single7F83PF-051904577F83-Ghrelin-PF-05190457
20.00Single7FIHOrg435537FIH-LH-hCG-Org43553-chim(NtGi1-Gs)/β1/γ2
20.00Single7JOZVFP7JOZ-D1-VFP-Gs/β1/γ2
20.00Single7LJCSKF-812977LJC-D1-SKF-81297-Mevidalen-Gs/β1/γ2
20.00Single7PP1Selatogrel7PP1-P2Y12-Selatogrel
20.00Single7PYRPSB-21157PYR-A2A-PSB-2115
20.00Single7QA8Peptide7QA8-STE2-Peptide
20.00Single7QA8Peptide7QA8-STE2-Peptide
20.00Single7S0GIsoprenaline7S0G-β1-Isoprenaline-chim(Gi1-CtGs)/β1/γ2
20.00Single7T2GMitragynine Pseudoindoxyl7T2G-μ-Mitragynine Pseudoindoxyl-Gi1/β1/γ2
20.00Single7TD4Siponimod7TD4-S1P1-Siponimod-Gi1/β1/γ2
20.00Single7UM55-CT7UM5-5-HT5A-5-CT-chim(NtGi1-Go)/β1/γ2
20.00Single7UM6Lisuride7UM6-5-HT5A-Lisuride-chim(NtGi1-Go)/β1/γ2
20.00Single7VIFS-FTY720-P7VIF-S1P1-S-FTY720-P-Gi1/β1/γ2
20.00Single7WVWfMYFINILTL7WVW-FPR2-ALX-fMYFINILTL-Gi2/β1/γ2
20.00Single7XJHIsoproterenol7XJH-β3-Isoproterenol-Gs/β1/γ2
20.00Single7XMRSomatostatin-147XMR-SST2-Somatostatin-14-Gi1/β1/γ2
20.00Single7YU4ONO-07405567YU4-LPA1-ONO-0740556
20.00Single8DWGProenkephalin-A8DWG-MRGPRX1-Proenkephalin-A-ML382-chim(NtGi2L-Gs-CtGq)/β1/γ2
20.00Single8DZSGR89,6968DZS-κ-GR89,696-chim(NtGi2-Gz)/β1/γ2
20.00Single8EFQDamgo8EFQ-μ-Damgo-Gi1/β1/γ2
20.00Single8GE3Constrained Epinephrine8GE3-β2-Constrained Epinephrine-Gs/β1/γ2
20.00Single8GE9Constrained Epinephrine8GE9-β2-Constrained Epinephrine-Gs/β1/γ2
20.00Single8GECConstrained Epinephrine8GEC-β2-Constrained Epinephrine-Gs/β1/γ2
20.00Single8GEEConstrained Epinephrine8GEE-β2-Constrained Epinephrine-Gs/β1/γ2
20.00Single8GFVConstrained Epinephrine8GFV-β2-Constrained Epinephrine-GTP-Gs/β1/γ2
20.00Single8GFWConstrained Epinephrine8GFW-β2-Constrained Epinephrine-GTP-Gs/β1/γ2
20.00Single8GFXConstrained Epinephrine8GFX-β2-Constrained Epinephrine-GTP-Gs/β1/γ2
20.00Single8GFZConstrained Epinephrine8GFZ-β2-Constrained Epinephrine-GTP-Gs/β1/γ2
20.00Single8GG0Constrained Epinephrine8GG0-β2-Constrained Epinephrine-GTP-Gs/β1/γ2
20.00Single8GG1Constrained Epinephrine8GG1-β2-Constrained Epinephrine-GTP-Gs/β1/γ2
20.00Single8GG3Constrained Epinephrine8GG3-β2-Constrained Epinephrine-GTP-Gs/β1/γ2
20.00Single8GG4Constrained Epinephrine8GG4-β2-Constrained Epinephrine-GTP-Gs/β1/γ2
20.00Single8GG6Constrained Epinephrine8GG6-β2-Constrained Epinephrine-GTP-Gs/β1/γ2
20.00Single8GG9Constrained Epinephrine8GG9-β2-Constrained Epinephrine-GTP-Gs/β1/γ2
20.00Single8GGIConstrained Epinephrine8GGI-β2-Constrained Epinephrine
20.00Single8GGJConstrained Epinephrine8GGJ-β2-Constrained Epinephrine
20.00Single8GGKConstrained Epinephrine8GGK-β2-Constrained Epinephrine
20.00Single8GGNConstrained Epinephrine8GGN-β2-Constrained Epinephrine
20.00Single8GGOConstrained Epinephrine8GGO-β2-Constrained Epinephrine
20.00Single8GGUConstrained Epinephrine8GGU-β2-Constrained Epinephrine
20.00Single8HAOPTH8HAO-PTH1-PTH-chim(NtGi1-Gs)/β1/γ2
20.00Single8IEBA1LYA8IEB-GPR156-A1LYA
20.00Single8IHJAcifran8IHJ-HCA3-Acifran-Gi1/β1/γ2
20.00Single8IRTRotigotine8IRT-D3-Rotigotine-Gi1/β1/γ2
20.00Single8JD0NAM5638JD0-mGlu2; mGlu3-Glutamate-NAM563
20.00Single8JHNMMF8JHN-HCA2-MMF-Go/β1/γ2
20.00Single8JJOAlprenolol8JJO-β2-Alprenolol
20.00Single8KFYZK-7563268KFY-CCR8-ZK-756326-Gi1/β1/γ2
20.00Single8U4OCXCL128U4O-CXCR4-CXCL12-Gi1/β1/γ2
20.00Single8UNQConstrained Epinephrine8UNQ-β2-Constrained Epinephrine-GTP-Gs/β1/γ2
20.00Single8UNRConstrained Epinephrine8UNR-β2-Constrained Epinephrine-GTP-Gs/β1/γ2
20.00Single8UNUConstrained Epinephrine8UNU-β2-Constrained Epinephrine-GTP-Gs/β1/γ2
20.00Single8UNYConstrained Epinephrine8UNY-β2-Constrained Epinephrine-GTP-Gs/β1/γ2
20.00Single8XWNCXCL88XWN-CXCR2-CXCL8
20.00Single8ZBEOctreotide8ZBE-SST5-Octreotide-Gi1/β1/γ1
20.00Single8ZJDKisspeptin-108ZJD-Kiss1-Kisspeptin-10-chim(NtGi1-Gq)/β1/γ1
20.00Single8ZJGChemerin8ZJG-CML1-Chemerin-Gi1/β1/γ2
20.00Single9CHXS-Carazolol9CHX-β2-S-Carazolol
20.00Single9IYAONO-97105319IYA-GPR55-ONO-9710531
20.00Single9JGKBalovaptan9JGK-5-HT2B-Balovaptan
20.00Consensus5ht1d_onOrthosteric Ligand7E32-5-HT1D-Serotonin-Gi1/β1/γ2
20.00Consensus5ht1d_on_gpOrthosteric Ligand7E32-5-HT1D-Serotonin-Gi1/β1/γ2
20.00Consensus5ht5_onOrthosteric Ligand5ht5a_on
20.00Consensus5ht5a_onOrthosteric Ligand7X5H-5-HT5A-5-CT-Gi1/β1/γ2 7UM6-5-HT5A-Lisuride-chim(NtGi1-Go)/β1/γ2 7UM7-5-HT5A-Methylergometrine-chim(NtGi1-Go)/β1/γ2
20.00Consensusadrenergic_onOrthosteric Ligandalpha_on beta_on
20.00Consensusalicarboxylic_offOrthosteric Ligandsuccinate_off
20.00Consensusccr2_offOrthosteric Ligand6GPS-CCR2-MK0812
20.00Consensuschemokine_onOrthosteric Ligandccr_on cxcr_on
20.00Consensusd5_onOrthosteric Ligand8IRV-D5-Rotigotine-chim(NtGi1-Gs)/β1/γ2
20.00Consensusdopamine_offOrthosteric Ligandd2_off d3_off
20.00Consensusdopamine_onOrthosteric Ligandd2_on d1_on d3_on d4_on d5_on
20.00Consensusdopamine_on_gpOrthosteric Ligandd2_on_gp d1_on_gp d3_on_gp d4_on_gp d5_on_gp
20.00Consensusglp_onOrthosteric Ligandglp1_on glp2_on
20.00Consensusglp_on_gpOrthosteric Ligandglp1_on_gp glp2_on_gp
20.00Consensusgq_kisspeptinOrthosteric Ligand8ZJD-Kiss1-Kisspeptin-10-chim(NtGi1-Gq)/β1/γ1
20.00Consensuskiss1_on_gpOrthosteric Ligand8ZJD-Kiss1-Kisspeptin-10-chim(NtGi1-Gq)/β1/γ1
20.00Consensuskisspeptin_on_gpOrthosteric Ligandkiss1_on_gp
20.00Consensuspth_onOrthosteric Ligandpth1_on pth2_on
20.00Consensussuccinate_offOrthosteric Ligand6RNK-Succinate-NF-56-EJ40 6Z10-Succinate-PubChem 154585554
19.35Single5VAIGLP-15VAI-GLP-1-GLP-1-Gs/β1/γ2
19.35Single6NBHLong-Acting PTH Analog6NBH-PTH1-Long-Acting PTH Analog-Gs/β1/γ2
19.35Single6PB1Urocortin6PB1-CRF2-Urocortin-chim(NtGi1-Gs)/β1/γ2
19.35Single7KI1Taspoglutide7KI1-GLP-1-Taspoglutide-Gs/β1/γ2
19.35Single8IY5Endothelin-18IY5-ETB-Endothelin-1-Gi1/β1/γ2
19.35Single9BYOExendin-39BYO-GLP-1-Exendin-3-Gs/β1/γ2
19.23Single6HLOAprepitant6HLO-NK1-Aprepitant
19.23Single7C6A(Sar1,Ile8)-Angiotensin II7C6A-AT2-(Sar1,Ile8)-Angiotensin II
19.23Single7F1QMIP-1a7F1Q-CCR5-MIP-1a-Gi1/β1/γ2
19.23Single8IBVMotilin8IBV-Motilin-Motilin-chim(NtGi1-Gs-CtGq)/β1/γ2
19.23Single8IEBA1LYA8IEB-GPR156-A1LYA
19.23Single9E82SDF-1-beta9E82-ACKR3-SDF-1-β-Arrestin2
19.23Single9EAINanobody AT2099EAI-AT1-Losartan-Nanobody AT209
19.23Consensusccr8_on_gpOrthosteric Ligand8KFX-CCR8-LMD-009-Gi1/β1/γ2 8KFY-CCR8-ZK-756326-Gi1/β1/γ2 8U1U-CCR8-CCL1-Gi1/β1/γ2
19.05Single2RH1S-Carazolol2RH1-β2-S-Carazolol
19.05Single2Y00Dobutamine2Y00-β1-Dobutamine
19.05Single2Y03Isoprenaline2Y03-β1-Isoprenaline
19.05Single2YCWS-Carazolol2YCW-β1-S-Carazolol
19.05Single4PHUFasiglifam4PHU-FFA1-Fasiglifam
19.05Single4ZJ8Suvorexant4ZJ8-OX1-Suvorexant
19.05Single5D6LS-Carazolol5D6L-β2-S-Carazolol
19.05Single5JQHS-Carazolol5JQH-β2-S-Carazolol
19.05Single5TVNLSD5TVN-5-HT2B-LSD
19.05Single5WQCEMPA5WQC-OX2-EMPA
19.05Single5XPRBosentan5XPR-ETB-Bosentan
19.05Single6E67BI1671076E67-β2-BI167107-Gs(CT)
19.05Single6GDGNECA6GDG-A2A-NECA-Gs/β1/γ1
19.05Single6GPXMK08126GPX-CCR2-MK0812
19.05Single6HLPNetupitant6HLP-NK1-Netupitant
19.05Single6KUWPubChem 572132346KUW-α2c-PubChem 57213234
19.05Single6LUQHaloperidol6LUQ-D2-Haloperidol
19.05Single6PS3S-Carvedilol6PS3-β2-S-Carvedilol
19.05Single6PS6Timolol6PS6-β2-Timolol
19.05Single6TP6Filorexant6TP6-OX1-Filorexant
19.05Single7BVQS-Carazolol7BVQ-β1-S-Carazolol
19.05Single7E9GJNJ-404118137E9G-mGlu2; mGlu2-Eglumetad-JNJ-40411813-Gi1/β1/γ2
19.05Single7EPFNAM5977EPF-mGlu2; mGlu2-NAM597
19.05Single7EUOfMLF7EUO-FPR1-ALX-fMLF-Gi1/β1/γ2
19.05Single7S0FIsoprenaline7S0F-β1-Isoprenaline-Gi1/β1/γ2
19.05Single7VUHJNJ-635330547VUH-GPR139-JNJ-63533054-chim(Gs-CtGq)/β1/γ2
19.05Single7W41PD1762527W41-BB2-PD176252
19.05Single7WC6LSD7WC6-5-HT2A-LSD
19.05Single7XK9Constrained Isoproterenol7XK9-β2-Constrained Isoproterenol-Na
19.05Single8EFBOliceridine8EFB-μ-Oliceridine-Gi1/β1/γ2
19.05Single8GFYConstrained Epinephrine8GFY-β2-Constrained Epinephrine-GTP-Gs/β1/γ2
19.05Single8GG2Constrained Epinephrine8GG2-β2-Constrained Epinephrine-GTP-Gs/β1/γ2
19.05Single8HNLPS3724248HNL-CXCR3-PS372424-Gi1/β1/γ2
19.05Single8IZ4Lysophosphatidylserine8IZ4-GPR34-Lysophosphatidylserine-Gi1/β1/γ2
19.05Single8JGGBAM8-228JGG-MRGPRX1-BAM8-22-Gi1/β1/γ2
19.05Single8TF5Oleic acid8TF5-GPR6-Oleic acid
19.05Single8ZYTNeurotensin peptide 8-138ZYT-NTS1-Neurotensin peptide 8-13-SBI-553-Arrestin2
19.05Single9GE2ML1849GE2-GPR55-ML184-chim(NtGi1-G13)/β1/γ2
19.05Single9K07DSO-5a9K07-BB3-DSO-5a-chim(NtGi2L-Gs-CtGq)/β1/γ2
19.05Consensus5ht1_onOrthosteric Ligand5ht1a_on 5ht1d_on 5ht1e_on 5ht1f_on
19.05Consensus5ht1_on_gpOrthosteric Ligand5ht1a_on_gp 5ht1d_on_gp 5ht1e_on_gp 5ht1f_on_gp
19.05Consensus5ht1e_on_gpOrthosteric Ligand7E33-5-HT1E-BRL-54443-Gi1/β1/γ2 8UGY-5-HT1E-Mianserin-Gi1/β1/γ1 8UH3-5-HT1E-Setiptiline-Gi1/β1/γ1
19.05Consensus5ht5_on_gpOrthosteric Ligand5ht5a_on_gp
19.05Consensus5ht5a_on_gpOrthosteric Ligand7X5H-5-HT5A-5-CT-Gi1/β1/γ2 7UM6-5-HT5A-Lisuride-chim(NtGi1-Go)/β1/γ2 7UM7-5-HT5A-Methylergometrine-chim(NtGi1-Go)/β1/γ2
19.05Consensusadrenergic_offOrthosteric Ligandalpha_off beta_off
19.05Consensusadrenergic_on_gpOrthosteric Ligandalpha_on_gp beta_on_gp
19.05Consensusalpha2c_offOrthosteric Ligand6KUW-α2c-PubChem 57213234
19.05Consensusamine_offOrthosteric Ligand5ht_off adrenergic_off dopamine_off histamine_off muscarinic_off
19.05Consensusamine_offonOrthosteric Ligandamine_off amine_on
19.05Consensusamine_offon_gpOrthosteric Ligandamine_on_gp amine_off
19.05Consensusamine_onOrthosteric Ligand5ht_on adrenergic_on dopamine_on histamine_on muscarinic_on trace-amine_on
19.05Consensusbb2_offOrthosteric Ligand7W41-BB2-PD176252
19.05Consensusbeta2_offOrthosteric Ligand2RH1-β2-S-Carazolol 6PS3-β2-S-Carvedilol 6PS5-β2-S-Propranolol 3D4S-β2-Timolol 3NY8-β2-ICI118-551 3NY9-β2-ICI118-551 6PRZ-β2-S-Alprenolol
19.05Consensusbeta_offOrthosteric Ligandbeta1_off beta2_off
19.05Consensusbombesin_offOrthosteric Ligandbb2_off
19.05Consensusd2_onOrthosteric Ligand7JVR-D2-Bromoergocryptine-Gi1/β1/γ2 8IRS-D2-Rotigotine-Gi1/β1/γ2
19.05Consensusgi_adrenergicOrthosteric Ligand7EJ0-α2a-L-Norepinephrine-Go/β1/γ2 7EJK-α2a-Oxymetazoline-Go/β1/γ2 7W7E-α2a-PubChem 164946676-Go/β1/γ2 7W6P-α2a-N-pyridin-4-ylisoquinolin-4-amine-Go/β1/γ2 7EJ8-α2a-Brimonidine-Go/β1/γ2 6K42-α2b-Dexmedetomidine-Gi1/β1/γ2 7EJA-α2a-Dexmedetomidine-Go/β1/γ2 7S0F-β1-Isoprenaline-Gi1/β1/γ2
19.05Consensusgs_amineOrthosteric Ligandgs_5ht gs_adrenergic gs_dopamine gs_histamine gs_trace-amine
19.05Consensuss1p_offOrthosteric Ligands1p1_off s1p5_off
18.92Single7F16TIP397F16-PTH2-TIP39-Gs/β1/γ2
18.75Single7DUQGLP-17DUQ-GLP-1-GLP-1-PubChem 156022738-Gs/β1/γ2
18.75Single8A2OTheophylline8A2O-A2A-Theophylline-Na
18.75Single9C2FCa; Ca; Tryptophan; '54149; PO49C2F-CaS-Ca-Ca; Ca; Tryptophan; '54149; PO4
18.75Consensusclass-a_class-b1_cons_onOrthosteric Ligandclass-a_on class-b1_on
18.75Consensusp2y_offOrthosteric Ligandp2y1_off
18.52Single6VN7PACAP6VN7-VPAC1-PACAP-Gs/β1/γ2
18.52Single7RYCOxytocin7RYC-OT-Oxytocin-chim(NtGi2L-Gs-CtGq)/β1/γ2
18.52Single9IVMGLP-1 (Truncated)9IVM-GLP-1-GLP-1 (Truncated)-LSN3318839-chim(NtGi1-Gs)/β2/γ2
18.18Single2YDVNECA2YDV-A2A-NECA
18.18Single4LDLHydroxybenzylisoproterenol4LDL-β2-Hydroxybenzylisoproterenol
18.18Single4UHRCGS216804UHR-A2A-CGS21680
18.18Single5A8E7-Methylcyanopindolol5A8E-β1-7-Methylcyanopindolol-Na
18.18Single5D5AS-Carazolol5D5A-β2-S-Carazolol
18.18Single5D5BS-Carazolol5D5B-β2-S-Carazolol
18.18Single5G53NECA5G53-A2A-NECA-Gs
18.18Single5TZRMK86665TZR-FFA1-MK8666
18.18Single5V54Methiothepin5V54-5-HT1B-Methiothepin
18.18Single5ZBHBMS-1938855ZBH-Y1-BMS-193885
18.18Single6RZ5Zafirlukast6RZ5-CysLT1-Zafirlukast-Na
18.18Single6WGTLSD6WGT-5-HT2A-LSD
18.18Single7F1TMIP-1a7F1T-CCR5-MIP-1a
18.18Single7PX4PSB-21137PX4-A2A-PSB-2113
18.18Single7VIGCBP-3077VIG-S1P1-CBP-307-Gi1/β1/γ2
18.18Single7W6PN-pyridin-4-ylisoquinolin-4-amine7W6P-α2a-N-pyridin-4-ylisoquinolin-4-amine-Go/β1/γ2
18.18Single7W7EPubChem 1649466767W7E-α2a-PubChem 164946676-Go/β1/γ2
18.18Single7XAVLanreotide7XAV-SST2-Lanreotide-Gi1/β1/γ2
18.18Single7XY7NECA7XY7-A2B-NECA-chim(NtGi1-Gs)/β1/γ2
18.18Single8FLULong-Acting PTH8FLU-PTH1-Long-Acting PTH-Gs/β1/γ2
18.18Single8IRRRotigotine8IRR-D1-Rotigotine-Gs/β1/γ2
18.18Single8JGFBAM8-228JGF-MRGPRX1-BAM8-22-chim(NtGi1-Gs-CtGq)/β1/γ2
18.18Single8UGWPubChem 30865998UGW-A2A-PubChem 3086599
18.18Single8XX7CXCL58XX7-CXCR2-CXCL5-Go/β1/γ2
18.18Single9ITELPA9ITE-LPA6-LPA-chim(NtGi2-G13)/β1/γ2
18.18Consensus5ht1_offOrthosteric Ligand5ht1b_off
18.18Consensus5ht1b_offOrthosteric Ligand5V54-5-HT1B-Methiothepin
18.18Consensusamine_on_gpOrthosteric Ligand5ht_on_gp adrenergic_on_gp dopamine_on_gp histamine_on_gp muscarinic_on_gp trace-amine_on_gp
18.18Consensusbeta1_offOrthosteric Ligand2VT4-β1-Cyanopindolol 2YCW-β1-S-Carazolol 2YCZ-β1-Iodocyanopindolol 5A8E-β1-7-Methylcyanopindolol-Na 3ZPQ-β1-4-(piperazin-1- yl)-1H-indole-Na 3ZPR-β1-4-methyl-2-(piperazin-1-yl)-Na
18.18Consensuscyslt1_offOrthosteric Ligand6RZ5-CysLT1-Zafirlukast-Na 6RZ4-CysLT1-Pranlukast-Na
18.18Consensusffa2_onOrthosteric Ligand8J22-FFA2-TUG-1375-Gi1/β1/γ2
18.18Consensusgs_adrenergicOrthosteric Ligand7DHI-β2-Salbutamol-Gs/β1/γ2 7XJI-β3-Solabegron-Gs/β1/γ2 7JJO-β1-Isoprenaline-Gs/β1/γ2 6NI3-β2-BI167107-Gs/β1/γ2 8DCR-β1-Dobutamine-Gs/β1/γ2 7XJH-β3-Isoproterenol-Gs/β1/γ2 7DH5-β3-Mirabegron-Gs/β1/γ2
17.95Consensuspth_on_gpOrthosteric Ligandpth1_on_gp pth2_on_gp
17.86Single6M1IPACAP6M1I-PAC1-PACAP-Gs/β1/γ2
17.86Single7AD3Alpha-factor mating pheromone7AD3-STE2-α-factor mating pheromone-Gi1/STE4/γ2
17.65Single3UZAGTPL92363UZA-A2A-GTPL9236
17.65Single4XNWMRS25004XNW-P2Y1-MRS2500
17.65Single6FUFAll-trans-Retinal6FUF-Rhodopsin-All-trans-Retinal-Go
17.65Single7WC5Psilocin7WC5-5-HT2A-Psilocin
17.65Single8EITDoconexent8EIT-FFA1-Doconexent-chim(NtGi1L-Gs-CtGq)/β1/γ2
17.65Single8F76Propanoic acid8F76-OR51E2-Propanoic acid-Gs/β1/γ2
17.65Single8GGFConstrained Epinephrine8GGF-β2-Constrained Epinephrine-GTP-Gs/β1/γ2
17.65Single8IU2Retinal8IU2-Opsin1LW-Retinal-Gi1/β1/γ2
17.65Single8J6QBeta-Hydroxybutyrate8J6Q-HCA2-β-Hydroxybutyrate-Compound 9n-Gi1/β1/γ2
17.65Single8RQLFlufenamic acid8RQL-TAS2R14-Flufenamic acid-Flufenamic acid-chim(NtGi1-Gt3)/β1/γ2
17.65Single8SZFCa; Ca; Tryptophan; Cinacalcet; PO4; Spermine8SZF-CaS-Ca; Ca; Tryptophan; Cinacalcet; PO4; Spermine
17.65Single8X9UMetenolone8X9U-ADGRD1-Metenolone-chim(NtGi1-Gs)/β1/γ2
17.65Consensus5ht2_onOrthosteric Ligand5ht2b_on
17.65Consensus5ht2b_onOrthosteric Ligand7SRR-5-HT2B-LSD-chim(NtGi2L-Gs-CtGq)/β1/γ2
17.65Consensuscrf_on_gpOrthosteric Ligandcrf2_on_gp crf1_on_gp
17.65Consensusgi_opsinsOrthosteric Ligand8IU2-Opsin1LW-Retinal-Gi1/β1/γ2
17.65Consensusgi_sensoryOrthosteric Ligandgi_opsins
17.65Consensusopsin1lw_onOrthosteric Ligand8IU2-Opsin1LW-Retinal-Gi1/β1/γ2
17.65Consensusopsin1lw_on_gpOrthosteric Ligand8IU2-Opsin1LW-Retinal-Gi1/β1/γ2
17.65Consensusp2y1_offOrthosteric Ligand4XNW-P2Y1-MRS2500
17.39Single3D4STimolol3D4S-β2-Timolol
17.39Single4AMIBucindolol4AMI-β1-Bucindolol
17.39Single4OR2FITM4OR2-mGlu1; mGlu1-FITM
17.39Single5TZYMK8666; AP85TZY-FFA1-MK8666; AP8
17.39Single5X33BIIL2605X33-BLT1-BIIL260
17.39Single6A93Risperidone6A93-5-HT2A-Risperidone
17.39Single6DRYMethylergonovine6DRY-5-HT2B-Methylergonovine
17.39Single6H7OCyanopindolol6H7O-β1-Cyanopindolol
17.39Single6RZ7ONO-25703666RZ7-CysLT2-ONO-2570366
17.39Single7DFPSpiperone7DFP-D2-Spiperone
17.39Single7DH5Mirabegron7DH5-β3-Mirabegron-Gs/β1/γ2
17.39Single7EVYSiponimod7EVY-S1P1-Siponimod-Gi1/β1/γ2
17.39Single7MTRADX551647MTR-mGlu2; mGlu2-Glutamate-ADX55164
17.39Single7WCMMBX-29827WCM-GPR119-MBX-2982-Gs/β1/γ2
17.39Single7XW5ML1097XW5-TSH-TSH-ML109-Gs/β1/γ2
17.39Single7XW6ML1097XW6-TSH-M22 Fab-ML109-Gs/β1/γ2
17.39Single8DWCProenkephalin-A8DWC-MRGPRX1-Proenkephalin-A-chim(NtGi2L-Gs-CtGq)/β1/γ2
17.39Single8FYE4-F,5-MeO-PyrT8FYE-5-HT1A-4-F,5-MeO-PyrT-Gi1/β1/γ1
17.39Single8FYTLSD8FYT-5-HT1A-LSD-Gi1/β1/γ1
17.39Single8IRSRotigotine8IRS-D2-Rotigotine-Gi1/β1/γ2
17.39Single8JD3JNJ-404118138JD3-mGlu2; mGlu3-Glutamate-JNJ-40411813-Gi1/β1/γ2
17.39Single8WRBLysophosphatidylserine8WRB-GPR34-Lysophosphatidylserine-Gi1/β1/γ2
17.39Single8XQJJN2418XQJ-Apelin-JN241
17.39Single8XWACXCL18XWA-CXCR2-CXCL1
17.39Single8XWMCXCL68XWM-CXCR2-CXCL6
17.39Single8XWSCXCL58XWS-CXCR2-CXCL5
17.39Single8XX3CXCL38XX3-CXCR2-CXCL3-Go/β1/γ2
17.39Single8Y6WTUG-13758Y6W-FFA2-TUG-1375-4-CMTB-Gi1/β1/γ2
17.39Single9CM3TUG-13759CM3-FFA2-TUG-1375-Compound 187-chim(NtGi1L-Gs-CtGq)/β1/γ2
17.39Consensusbeta3_onOrthosteric Ligand7DH5-β3-Mirabegron-Gs/β1/γ2 7XJH-β3-Isoproterenol-Gs/β1/γ2 7XJI-β3-Solabegron-Gs/β1/γ2
17.39Consensusbeta3_on_gpOrthosteric Ligand7DH5-β3-Mirabegron-Gs/β1/γ2 7XJH-β3-Isoproterenol-Gs/β1/γ2 7XJI-β3-Solabegron-Gs/β1/γ2
17.39Consensuscannabinoid_offOrthosteric Ligandcb2_off cb1_off
17.39Consensuscxcr_onOrthosteric Ligandcxcr3_on cxcr4_on cxcr1_on cxcr2_on
17.39Consensusffa2_on_gpOrthosteric Ligand8J22-FFA2-TUG-1375-Gi1/β1/γ2
17.39Consensusgi_muscarinicOrthosteric Ligand8E9X-M4-2-Deoxycytidine-chim(NtGi1-Go)/β1/γ2 7T8X-M2-Acetylcholine-chim(NtGi1-Go)/β1/γ2 7TRS-M4-Acetylcholine-Gi1/β1/γ2 7TRK-M4-Iperoxo-Gi1/β1/γ2 7V6A-M4-PubChem 9864275-Gi1/β1/γ2
17.39Consensusm4_onOrthosteric Ligand7TRS-M4-Acetylcholine-Gi1/β1/γ2 7V6A-M4-PubChem 9864275-Gi1/β1/γ2 8E9X-M4-2-Deoxycytidine-chim(NtGi1-Go)/β1/γ2 7TRK-M4-Iperoxo-Gi1/β1/γ2
17.39Consensusm4_on_gpOrthosteric Ligand7TRS-M4-Acetylcholine-Gi1/β1/γ2 7V6A-M4-PubChem 9864275-Gi1/β1/γ2 8E9X-M4-2-Deoxycytidine-chim(NtGi1-Go)/β1/γ2 7TRK-M4-Iperoxo-Gi1/β1/γ2
17.24Single6X18GLP-16X18-GLP-1-GLP-1-Gs/β1/γ2
17.24Single7LLYOxyntomodulin7LLY-GLP-1-Oxyntomodulin-Gs/β1/γ2
17.24Single7QBIAlpha-factor mating pheromone7QBI-STE2-α-factor mating pheromone
17.24Single7WBJPACAP277WBJ-VPAC1-PACAP27-Gs/β1/γ2
17.24Single8E3YPACAP278E3Y-VPAC1-PACAP27-Gs/β1/γ2
17.24Single8WWMMCH8WWM-MCH1-MCH-Gi1/β1/γ2
17.24Consensuspac_onOrthosteric Ligandpac1_on
17.14Single7Y36Teriparatide7Y36-PTH1-Teriparatide-Gs/β1/γ2
17.14Single8FLQPTH8FLQ-PTH1-PTH-Gs/β1/γ2
17.14Single9JR3PTH9JR3-PTH1-PTH-chim(NtGi1L-Gs-CtGq)/β1/γ2
17.14Consensusclass-a_class-b1_cons_on_gpOrthosteric Ligandclass-a_on_gp class-b1_on_gp
17.14Consensuspth2_onOrthosteric Ligand7F16-PTH2-TIP39-Gs/β1/γ2
16.67Single2YCZIodocyanopindolol2YCZ-β1-Iodocyanopindolol
16.67Single4BVNCyanopindolol4BVN-β1-Cyanopindolol-Na
16.67Single4OR2FITM4OR2-mGlu1; mGlu1-FITM
16.67Single6FJ3PTH6FJ3-PTH1-PTH
16.67Single6NBFLong-Acting PTH Analog6NBF-PTH1-Long-Acting PTH Analog-Gs/β1/γ2
16.67Single6QNOAll-trans-Retinal6QNO-Rhodopsin-All-trans-Retinal-Gi1/β1/γ1
16.67Single6RZ9ONO-27703726RZ9-CysLT2-ONO-2770372
16.67Single6TP4ACT-4622066TP4-OX1-ACT-462206
16.67Single7DD5Ca; Ca; Tryptophan; NPS-21437DD5-CaS-Ca-Ca; Ca; Tryptophan; NPS-2143
16.67Single7EVZCenerimod7EVZ-S1P1-Cenerimod-Gi1/β1/γ2
16.67Single7EW0Ozanimod7EW0-S1P1-Ozanimod-Gi1/β1/γ2
16.67Single7LLLExendin-47LLL-GLP-1-Exendin-4-Gs/β1/γ2
16.67Single7QBIAlpha-factor mating pheromone7QBI-STE2-α-factor mating pheromone
16.67Single7S8NR-Zinc-35737S8N-MRGPRX2-R-Zinc-3573-chim(NtGi2L-Gs-CtGq)/β1/γ2
16.67Single7SK8CCX6627SK8-ACKR3-CXCL12-CCX662
16.67Single7SRQLSD7SRQ-5-HT2B-LSD
16.67Single7U2KC6-guano7U2K-μ-C6-guano-Gi1/β1/γ2
16.67Single7UL2SR486927UL2-NTS1-SR48692-Na
16.67Single7VUIJNJ-635330547VUI-GPR139-JNJ-63533054-GTP-chim(Gs-CtGq)/β1/γ2
16.67Single7XTASerotonin7XTA-5-HT4-Serotonin-Gi1/β1/γ2
16.67Single7XTBSerotonin7XTB-5-HT6-Serotonin-Gs/β1/γ2
16.67Single8E3XPACAP278E3X-PAC1-PACAP27-Gs/β1/γ2
16.67Single8E9YClozapine-N-oxide8E9Y-M3-Clozapine-N-oxide-chim(NtGi2L-Gs-CtGq)/β1/γ2
16.67Single8JILNiacin8JIL-HCA2-Niacin-Gi1/β1/γ2
16.67Single8JISPeptide-158JIS-GLP-1-Peptide-15-chim(NtGi1-Gs)/β1/γ2
16.67Single8K2XCXCL108K2X-CXCR3-CXCL10-Gi1/β1/γ2
16.67Single8K4OCXCL18K4O-KSHV-CXCL1-Gi1/β1/γ1
16.67Single8UO3Constrained Epinephrine8UO3-β2-Constrained Epinephrine-GTP; Mg-Gs/β1/γ2
16.67Single8UO4Constrained Epinephrine8UO4-β2-Constrained Epinephrine-GTP; Mg-Gs/β1/γ2
16.67Single8WPUTryptophan; Cinacalcet; PO4; Ca8WPU-CaS-Tryptophan; Cinacalcet; PO4; Ca-chim(NtGi2L-Gs-CtGq)/β1/γ2
16.67Single8XVUCXCL28XVU-CXCR2-CXCL2
16.67Single8XWFCXCL38XWF-CXCR2-CXCL3
16.67Single8XWVCXCL18XWV-CXCR2-CXCL1-Go/β1/γ2
16.67Single8XXHCXCL28XXH-CXCR2-CXCL2-Go/β1/γ2
16.67Single8YN4Histamine8YN4-H2-Histamine-chim(NtGi1L-Gs-CtGq)/β1/γ2
16.67Single8ZX5AM2518ZX5-GPR55-AM251-chim(NtGi1-G13)/β1/γ2
16.67Single8ZYUNeurotensin peptide 8-138ZYU-NTS1-Neurotensin peptide 8-13-SBI-553-Arrestin2
16.67Single9AS02-bromo-LSD9AS0-5-HT2A-2-bromo-LSD-chim(NtGi1-Gs-CtGq)/β1/γ2
16.67Single9AS2DMT9AS2-5-HT2A-DMT-chim(NtGi1-Gs-CtGq)/β1/γ2
16.67Single9C0KExendin-49C0K-GLP-1-Exendin-4-Gs/β1/γ2
16.67Single9DYEBuspirone9DYE-5-HT1A-Buspirone-Go/β1/γ2
16.67Single9IXJHistamine9IXJ-H2-Histamine-Gs/β1/γ2
16.67Single9L3ZLRH7-C29L3Z-CML1-LRH7-C2
16.67Single9LMPNE52-QQ579LMP-GPR4-NE52-QQ57
16.67Consensus5ht4_onOrthosteric Ligand7XTA-5-HT4-Serotonin-Gi1/β1/γ2
16.67Consensus5ht4_on_gpOrthosteric Ligand7XTA-5-HT4-Serotonin-Gi1/β1/γ2
16.67Consensuscyslt2_offOrthosteric Ligand6RZ7-CysLT2-ONO-2570366 6RZ8-CysLT2-ONO-2080365 6RZ9-CysLT2-ONO-2770372
16.67Consensusglucagon_on_gpOrthosteric Ligandglp_on_gp gluc_on_gp secretin_on_gp gip_on_gp
16.67Consensusneurotensin_offOrthosteric Ligandnts1_off
16.67Consensusnts1_offOrthosteric Ligand7UL2-NTS1-SR48692-Na
16.13Single6B3JExendin-P56B3J-GLP-1-Exendin-P5-Gs/β1/γ2
16.13Single6VCBGLP-16VCB-GLP-1-GLP-1-LSN3160440-Gs/β1/γ2
16.13Single7AD3Alpha-factor mating pheromone7AD3-STE2-α-factor mating pheromone-Gi1/STE4/γ2
16.13Single7QBCAlpha-factor mating pheromone7QBC-STE2-α-factor mating pheromone
16.00Single5WF6UK-4320975WF6-A2A-UK-432097
16.00Single7SK9CCX6627SK9-ACKR3-CCX662
16.00Single8XQJJN2418XQJ-Apelin-JN241
16.00Single8XQLCholesterol8XQL-TAS2R14-Cholesterol-Aristolochic acid A-Gt3/β1/γ1
16.00Single9CM7TUG-13759CM7-FFA2-TUG-1375-AZ-1729-Gi1/β1/γ2
16.00Consensuscxcr_on_gpOrthosteric Ligandcxcr3_on_gp cxcr4_on_gp cxcr1_on_gp cxcr2_on_gp
16.00Consensuskiss1_onOrthosteric Ligand8ZJD-Kiss1-Kisspeptin-10-chim(NtGi1-Gq)/β1/γ1
16.00Consensuskisspeptin_onOrthosteric Ligandkiss1_on
15.79Single3VG9ZM-2413853VG9-A2A-ZM-241385-Antibody
15.79Single4BWBNeurotensin4BWB-NTS1-Neurotensin
15.79Single6AKYMaraviroc6AKY-CCR5-Maraviroc
15.79Single6DS0Ly2660976DS0-5-HT2B-Ly266097
15.79Single6NWEOctyl-Beta-D-Glucopyranoside6NWE-Rhodopsin-Octyl-β-D-Glucopyranoside-Gt(CT)
15.79Single6OBAS-Alprenolol6OBA-β2-S-Alprenolol-GTPL11074
15.79Single6TODEMPA6TOD-OX1-EMPA-Na
15.79Single7DHRIsoprenaline7DHR-β2-Isoprenaline-Gs/β1/γ2
15.79Single7EJ0L-Norepinephrine7EJ0-α2a-L-Norepinephrine-Go/β1/γ2
15.79Single7F1ODopamine7F1O-D1-Dopamine-GDP; Mg-Gs/β1/γ2
15.79Single7M3ECa; Ca; Tryptophan; NPS-21437M3E-CaS-Ca; Ca; Tryptophan; NPS-2143
15.79Single7M3ECa; Ca; Tryptophan; NPS-21437M3E-CaS-Ca; Ca; Tryptophan; NPS-2143
15.79Single7SRRLSD7SRR-5-HT2B-LSD-chim(NtGi2L-Gs-CtGq)/β1/γ2
15.79Single7TUZ7-alpha,25-dihydroxycholesterol7TUZ-GPR183-7-α,25-dihydroxycholesterol-Gi1/β1/γ2
15.79Single7VUJJNJ-635330547VUJ-GPR139-JNJ-63533054-GDP-chim(Gs-CtGq)/β1/γ2
15.79Single7X2FDopamine7X2F-D1-Dopamine-Mevidalen-Gs/β1/γ2
15.79Single7YMHNorepinephrine7YMH-Alpha1A-Norepinephrine-chim(Gs-CtGq)
15.79Single8FYXBuspirone8FYX-5-HT1A-Buspirone-Gi1/β1/γ1
15.79Single8GGAConstrained Epinephrine8GGA-β2-Constrained Epinephrine-GTP-Gs/β1/γ2
15.79Single8GGRConstrained Epinephrine8GGR-β2-Constrained Epinephrine
15.79Single8GGWConstrained Epinephrine8GGW-β2-Constrained Epinephrine
15.79Single8GH0Constrained Epinephrine8GH0-β2-Constrained Epinephrine
15.79Single8HDPAdenosine8HDP-A2B-Adenosine-Gs/β1/γ2
15.79Single8IJANiacin8IJA-HCA2-Niacin-Gi1/β1/γ2
15.79Single8IW4Spermidine8IW4-TA9-Spermidine-chim(NtGi1-Gs)/β1/γ2
15.79Single8IWESpermidine8IWE-TA9-Spermidine
15.79Single8J6LNiacin8J6L-HCA2-Niacin-Gi1/β1/γ2
15.79Single8TZQL-Dopamine8TZQ-D2-L-Dopamine-Go/β1/γ2
15.79Single8UNSConstrained Epinephrine8UNS-β2-Constrained Epinephrine-GTP-Gs/β1/γ2
15.79Single8UNTConstrained Epinephrine8UNT-β2-Constrained Epinephrine-GTP-Gs/β1/γ2
15.79Single8UNXConstrained Epinephrine8UNX-β2-Constrained Epinephrine-GTP-Gs/β1/γ2
15.79Single8WPGTryptophan; Cinacalcet; PO4; Ca8WPG-CaS-Tryptophan; Cinacalcet; PO4; Ca
15.79Single8Y0HVUF114188Y0H-CXCR3-VUF11418
15.79Single8Y0NVUF114188Y0N-CXCR3-VUF11418-Go/β1/γ2
15.79Single8YUTAmthamine8YUT-H2-Amthamine-Gs/β1/γ2
15.79Single9AVLCa; Ca; Cyclomethyltryptophan; 9IG; PO49AVL-CaS-Ca-Ca; Ca; Cyclomethyltryptophan; 9IG; PO4-Gi3/β2/γ2
15.79Single9LRBHistamine9LRB-H1-Histamine-Gs/β1/γ2
15.79Single9MQJIsoquinuclidine9MQJ-μ-Isoquinuclidine
15.79Consensus5ht2_on_gpOrthosteric Ligand5ht2b_on_gp
15.79Consensus5ht2b_on_gpOrthosteric Ligand7SRR-5-HT2B-LSD-chim(NtGi2L-Gs-CtGq)/β1/γ2
15.79Consensuspth2_on_gpOrthosteric Ligand7F16-PTH2-TIP39-Gs/β1/γ2
15.79Consensussensory_offonOrthosteric Ligandsensory_off sensory_on
15.79Consensussensory_offon_gpOrthosteric Ligandsensory_on_gp sensory_on
15.62Single6WZGSecretin6WZG-Secretin-Secretin-Gs/β1/γ2
15.62Single7D68GLP-27D68-GLP-2-GLP-2-Gs/β1/γ2
15.62Single7QBCAlpha-factor mating pheromone7QBC-STE2-α-factor mating pheromone
15.62Single7TS0Urocortin7TS0-CRF2-Urocortin-chim(NtGi1L-Go)/β1/γ2
15.62Single8HAFPTHrP(1-36)8HAF-PTH1-PTHrP(1-36)-chim(NtGi1-Gs)/β1/γ2
15.62Consensusvip-pacap_onOrthosteric Ligandvpac_on pac_on
15.62Consensusvip-pacap_on_gpOrthosteric Ligandvpac_on_gp pac_on_gp
15.38Single7VLACCL15(27-92)7VLA-CCR1-CCL15(27-92)-Gi1/β1/γ2
15.38Single8IEIA1LYA8IEI-GPR156-A1LYA
15.38Single8IEPA1LYA8IEP-GPR156-A1LYA
15.38Single8IEPA1LYA8IEP-GPR156-A1LYA
15.38Consensusccr1_onOrthosteric Ligand7VLA-CCR1-CCL15(27-92)-Gi1/β1/γ2
15.38Consensusccr1_on_gpOrthosteric Ligand7VLA-CCR1-CCL15(27-92)-Gi1/β1/γ2
15.15Single6PB0Urocortin6PB0-CRF1-Urocortin-chim(NtGi1-Gs)/β1/γ2
15.15Consensuscrf1_onOrthosteric Ligand6PB0-CRF1-Urocortin-chim(NtGi1-Gs)/β1/γ2 6P9X-CRF1-Corticoliberin-Gs/β1/γ2
15.00Single2YDOAdenosine2YDO-A2A-Adenosine
15.00Single3RZECidoxepin3RZE-H1-Cidoxepin
15.00Single5TE3Octyl-Beta-D-Glucopyranoside5TE3-Rhodopsin-Octyl-β-D-Glucopyranoside
15.00Single6A94Zotepine6A94-5-HT2A-Zotepine
15.00Single6FK8PubChem 1324730356FK8-Rhodopsin-PubChem 132473035
15.00Single6K41Dexmedetomidine6K41-α2b-Dexmedetomidine-Go/β1/γ2
15.00Single6KUXRS-799486KUX-α2a-RS-79948
15.00Single6ME42-Iodomelatonin6ME4-MT1-2-Iodomelatonin
15.00Single6VI4JDTic6VI4-κ-JDTic
15.00Single7BB6AVP7BB6-V2-AVP-Gs/β1/γ2
15.00Single7CKWFenoldopam7CKW-D1-Fenoldopam-Gs/β1/γ2
15.00Single7CKZDopamine7CKZ-D1-Dopamine-Mevidalen-Gs/β1/γ2
15.00Single7CMUPramipexole7CMU-D3-Pramipexole-Gi1/β1/γ2
15.00Single7CMVPD1289077CMV-D3-PD128907-Gi1/β1/γ2
15.00Single7DHISalbutamol7DHI-β2-Salbutamol-Gs/β1/γ2
15.00Single7E33BRL-544437E33-5-HT1E-BRL-54443-Gi1/β1/γ2
15.00Single7EJ8Brimonidine7EJ8-α2a-Brimonidine-Go/β1/γ2
15.00Single7EJADexmedetomidine7EJA-α2a-Dexmedetomidine-Go/β1/γ2
15.00Single7F0TDopamine7F0T-D1-Dopamine-Gs/β1/γ2
15.00Single7F1ZDopamine7F1Z-D1-Dopamine-GDP-Gs/β1/γ2
15.00Single7F24Dopamine7F24-D1-Dopamine-GDP-Gs/β1/γ2
15.00Single7M3GCa; Ca; Tryptophan; Evocalcet; Etelcalcetide; PO47M3G-CaS-Ca; Ca; Tryptophan; Evocalcet; Etelcalcetide; PO4
15.00Single7RANPubChem 1645758477RAN-5-HT2A-PubChem 164575847-chim(NtGi2L-Gs-CtGq)/β1/γ2
15.00Single7T32ZM-2413857T32-A2A-ZM-241385
15.00Single7UL3Famotidine7UL3-H2-Famotidine
15.00Single7WC9PubChem 1624213647WC9-5-HT2A-PubChem 162421364
15.00Single7WVUfMLF7WVU-FPR1-ALX-fMLF-Gi1/β1/γ2
15.00Single8GE1Constrained Epinephrine8GE1-β2-Constrained Epinephrine-Gs/β1/γ2
15.00Single8GE4Constrained Epinephrine8GE4-β2-Constrained Epinephrine-Gs/β1/γ2
15.00Single8GE6Constrained Epinephrine8GE6-β2-Constrained Epinephrine-Gs/β1/γ2
15.00Single8GE7Constrained Epinephrine8GE7-β2-Constrained Epinephrine-Gs/β1/γ2
15.00Single8GE8Constrained Epinephrine8GE8-β2-Constrained Epinephrine-Gs/β1/γ2
15.00Single8GEAConstrained Epinephrine8GEA-β2-Constrained Epinephrine-Gs/β1/γ2
15.00Single8GEDConstrained Epinephrine8GED-β2-Constrained Epinephrine-Gs/β1/γ2
15.00Single8GEFConstrained Epinephrine8GEF-β2-Constrained Epinephrine-Gs/β1/γ2
15.00Single8GG5Constrained Epinephrine8GG5-β2-Constrained Epinephrine-GTP-Gs/β1/γ2
15.00Single8GG8Constrained Epinephrine8GG8-β2-Constrained Epinephrine-GTP-Gs/β1/γ2
15.00Single8GGVConstrained Epinephrine8GGV-β2-Constrained Epinephrine
15.00Single8HNMVUF112228HNM-CXCR3-VUF11222-Gi1/β1/γ2
15.00Single8HQN9-S-HODE8HQN-GPR132-9-S-HODE-Gi1/β1/γ2
15.00Single8JLNT1AM8JLN-TA1-T1AM-Gs/β1/γ2
15.00Single8JSPUlotaront8JSP-5-HT1A-Ulotaront-Gi1/β1/γ2
15.00Single8K2WAMG4878K2W-CXCR3-AMG487
15.00Single8THLEpinephrine8THL-Alpha1A-Epinephrine-chim(NtGi2L-Gs-CtGq)/β1/γ2
15.00Single8U02L-Dopamine8U02-D2-L-Dopamine-Go/β1/γ2
15.00Single8UHBRO52563908UHB-TA1-RO5256390-Gs/β1/γ2
15.00Single8UNMConstrained Epinephrine8UNM-β2-Constrained Epinephrine-GTP-Gs/β1/γ2
15.00Single8UNWConstrained Epinephrine8UNW-β2-Constrained Epinephrine-GTP-Gs/β1/γ2
15.00Single8W88SEP-3638568W88-TA1-SEP-363856-Gs/β1/γ2
15.00Single8W8BSEP-3638568W8B-5-HT1A-SEP-363856-Gi1/β1/γ2
15.00Single8WPUTryptophan; Cinacalcet; PO4; Ca8WPU-CaS-Tryptophan; Cinacalcet; PO4; Ca-chim(NtGi2L-Gs-CtGq)/β1/γ2
15.00Single8YN3Histamine8YN3-H2-Histamine-Gs/β1/γ2
15.00Single9ASBCa; Ca; Cyclomethyltryptophan; 9IG; PO49ASB-CaS-Ca-Ca; Ca; Cyclomethyltryptophan; 9IG; PO4-chim(NtGi1-Gs-CtGq)/β1/γ2
15.00Single9AVGCa; Ca; Cyclomethyltryptophan; 9IG; PO49AVG-CaS-Ca-Ca; Ca; Cyclomethyltryptophan; 9IG; PO4-chim(NtGi1-Gs)/β1/γ2
15.00Single9AXFCa; Ca; Ca; Cyclomethyltryptophan; 9IG; PO49AXF-CaS-Ca-Ca; Ca; Ca; Cyclomethyltryptophan; 9IG; PO4-chim(NtGi1-Gs-CtGq)/β1/γ2
15.00Single9DQJEP-39459DQJ-MRGPRD-EP-3945-chim(NtGi1-Gs-CtGq)/β1/γ2
15.00Single9JFUNE52-QQ579JFU-GPR4-NE52-QQ57
15.00Single9JKQMETH9JKQ-TA1-METH-Gs/β1/γ2
15.00Single9K0KUTP9K0K-P2Y4-UTP-chim(NtGi1-Gs-CtGq)/β1/γ2
15.00Single9K0XATP9K0X-P2Y2-ATP-chim(NtGi1-Gs-CtGq)/β1/γ2
15.00Single9K20ATP9K20-P2Y2-ATP-chim(NtGi1-Go)/β1/γ2
15.00Single9LRDHistamine9LRD-H1-Histamine-Gi1/β1/γ2
15.00Consensusalpha1_onOrthosteric Ligandalpha1a_on
15.00Consensusalpha1_on_gpOrthosteric Ligandalpha1a_on_gp
15.00Consensusalpha1a_onOrthosteric Ligand7EJ0-α2a-L-Norepinephrine-Go/β1/γ2 7EJ8-α2a-Brimonidine-Go/β1/γ2 7EJA-α2a-Dexmedetomidine-Go/β1/γ2 7EJK-α2a-Oxymetazoline-Go/β1/γ2 7W6P-α2a-N-pyridin-4-ylisoquinolin-4-amine-Go/β1/γ2 7W7E-α2a-PubChem 164946676-Go/β1/γ2
15.00Consensusalpha1a_on_gpOrthosteric Ligand7EJ0-α2a-L-Norepinephrine-Go/β1/γ2 7EJ8-α2a-Brimonidine-Go/β1/γ2 7EJA-α2a-Dexmedetomidine-Go/β1/γ2 7EJK-α2a-Oxymetazoline-Go/β1/γ2 7W6P-α2a-N-pyridin-4-ylisoquinolin-4-amine-Go/β1/γ2 7W7E-α2a-PubChem 164946676-Go/β1/γ2
15.00Consensuscxcr3_offOrthosteric Ligand8K2W-CXCR3-AMG487
15.00Consensusd3_onOrthosteric Ligand7CMV-D3-PD128907-Gi1/β1/γ2 8IRT-D3-Rotigotine-Gi1/β1/γ2 7CMU-D3-Pramipexole-Gi1/β1/γ2
15.00Consensusd3_on_gpOrthosteric Ligand7CMV-D3-PD128907-Gi1/β1/γ2 8IRT-D3-Rotigotine-Gi1/β1/γ2 7CMU-D3-Pramipexole-Gi1/β1/γ2
14.81Single7TRYUrocortin7TRY-CRF2-Urocortin-chim(NtGi1-G11)/β1/γ2
14.81Single7WJ5Somatostatin-147WJ5-SST2-Somatostatin-14-Gi1/β1/γ2
14.71Single6LPBPACAP6LPB-PAC1-PACAP-Gs/β1/γ1
14.71Single7VBHPeptide-207VBH-GLP-1-Peptide-20-Gs/β1/γ2
14.71Single8FLSAbaloparatide8FLS-PTH1-Abaloparatide-Gs/β1/γ2
14.29Single2Y01Dobutamine2Y01-β1-Dobutamine
14.29Single4QIMANTA XV4QIM-SMO-ANTA XV
14.29Single4X1HNonyl-Beta-D-Glucopyranoside4X1H-Rhodopsin-Nonyl-β-D-Glucopyranoside-Gt(CT)
14.29Single5T04Neurotensin5T04-NTS1-Neurotensin
14.29Single6DRXLisuride6DRX-5-HT2B-Lisuride
14.29Single6DRZMethysergide6DRZ-5-HT2B-Methysergide
14.29Single6FK7PubChem 1324730346FK7-Rhodopsin-PubChem 132473034
14.29Single6H7MSalbutamol6H7M-β1-Salbutamol
14.29Single6K42Dexmedetomidine6K42-α2b-Dexmedetomidine-Gi1/β1/γ2
14.29Single6LW5WKYMVm6LW5-FPR2-ALX-WKYMVm
14.29Single6WPWGlucagon derivative ZP37806WPW-Glucagon-Glucagon derivative ZP3780-Gs/β1/γ2
14.29Single6XBM5LWE6XBM-SMO-5LWE-Gi1/β1/γ2
14.29Single7DB6Ramelteon7DB6-MT1-Ramelteon-Gi1/β1/γ2
14.29Single7JVQApomorphine7JVQ-D1-Apomorphine-Gs/β1/γ2
14.29Single7M3JNPS-2143; PO47M3J-CaS-NPS-2143; PO4
14.29Single7VH0Ramelteon7VH0-MT2-Ramelteon-Gi1/β1/γ1
14.29Single7VKTLTB47VKT-BLT1-LTB4-Gi1/β1/γ2
14.29Single7VVMPTH7VVM-PTH1-PTH-Gs/β1/γ2
14.29Single7WC7Lisuride7WC7-5-HT2A-Lisuride
14.29Single7X2CFenoldopam7X2C-D1-Fenoldopam-Fenoldopam-Gs/β1/γ2
14.29Single7YXAONO-54306087YXA-S1P5-ONO-5430608
14.29Single8EJKTAK-8758EJK-FFA1-TAK-875-chim(NtGi1L-Gs-CtGq)/β1/γ2
14.29Single8FY85-MeO-DMT8FY8-5-HT1A-5-MeO-DMT-Gi1/β1/γ1
14.29Single8IC0Interleukin-88IC0-CXCR1-Interleukin-8-Gi1/β1/γ2
14.29Single8JLZST19368JLZ-5-HT6-ST1936-Gs/β1/γ2
14.29Single8JT8(R)-IHCH-71798JT8-5-HT2A-(R)-IHCH-7179
14.29Single8JXRLSD8JXR-D1-LSD
14.29Single8W8ARO52563908W8A-TA1-RO5256390-chim(NtGi1L-Gs)/β1/γ2
14.29Single8X63Mepyramine8X63-H1-Mepyramine
14.29Single8X64Desloratadine8X64-H1-Desloratadine
14.29Single8XVKAmbrisentan8XVK-ETA-Ambrisentan
14.29Single8ZSSRO52633978ZSS-TA1-RO5263397-chim(NtGi1-Gs)/β1/γ2
14.29Single9AS1DMT9AS1-5-HT2A-DMT
14.29Single9CBMDexmedetomidine9CBM-α2a-Dexmedetomidine-Gi1/β1/γ2
14.29Single9EPP11,20-Ethanoretinal9EPP-Rhodopsin-11,20-Ethanoretinal-chim(Gi1-CtGq)/β1/γ2
14.29Single9JR2PTH9JR2-PTH1-PTH-chim(NtGi1L-Gs-CtGq)/β1/γ2
14.29Single9KFJPubChem 1383196749KFJ-RXFP3-PubChem 138319674-Gi2/β1/γ2
14.29Single9PLNN-(5-methylnaphthalen-1-yl)pyridin-4-amine9PLN-α2a-N-(5-methylnaphthalen-1-yl)pyridin-4-amine
14.29Single9PLON-(5-methylnaphthalen-1-yl)pyridin-4-amine9PLO-α2a-N-(5-methylnaphthalen-1-yl)pyridin-4-amine-Go/β1/γ2
14.29Single9PQD(6m)-1-methyl-6-(1,2,5,6-tetrahydropyridin-3-yl)-1h-indole9PQD-α2a-(6m)-1-methyl-6-(1,2,5,6-tetrahydropyridin-3-yl)-1h-indole
14.29Consensus5ht2b_offOrthosteric Ligand6DRZ-5-HT2B-Methysergide
14.29Consensus5ht6_onOrthosteric Ligand7XTB-5-HT6-Serotonin-Gs/β1/γ2 8JLZ-5-HT6-ST1936-Gs/β1/γ2
14.29Consensus5ht6_on_gpOrthosteric Ligand7XTB-5-HT6-Serotonin-Gs/β1/γ2 8JLZ-5-HT6-ST1936-Gs/β1/γ2
14.29Consensusalpha2_onOrthosteric Ligandalpha2b_on
14.29Consensusalpha2_on_gpOrthosteric Ligandalpha2b_on_gp
14.29Consensusalpha2b_onOrthosteric Ligand6K42-α2b-Dexmedetomidine-Gi1/β1/γ2
14.29Consensusalpha2b_on_gpOrthosteric Ligand6K42-α2b-Dexmedetomidine-Gi1/β1/γ2
14.29Consensusalpha_onOrthosteric Ligandalpha1_on alpha2_on
14.29Consensusblt1_onOrthosteric Ligand7VKT-BLT1-LTB4-Gi1/β1/γ2
14.29Consensusblt1_on_gpOrthosteric Ligand7VKT-BLT1-LTB4-Gi1/β1/γ2
14.29Consensusblt_onOrthosteric Ligandblt1_on
14.29Consensusblt_on_gpOrthosteric Ligandblt1_on_gp
14.29Consensuscrf1_on_gpOrthosteric Ligand6PB0-CRF1-Urocortin-chim(NtGi1-Gs)/β1/γ2 6P9X-CRF1-Corticoliberin-Gs/β1/γ2
14.29Consensuscxcr1_on_gpOrthosteric Ligand8IC0-CXCR1-Interleukin-8-Gi1/β1/γ2
14.29Consensusgi_leukotrieneOrthosteric Ligand7VKT-BLT1-LTB4-Gi1/β1/γ2
14.29Consensushistamine_offOrthosteric Ligandh1_off
14.29Consensusleukotriene_onOrthosteric Ligandblt_on
14.29Consensusleukotriene_on_gpOrthosteric Ligandblt_on_gp
13.89Consensusglucagon_onOrthosteric Ligandglp_on gluc_on secretin_on gip_on
13.79Single6WI9Secretin6WI9-Secretin-Secretin-Gs/β1/γ2
13.79Single8HA0PTH8HA0-PTH1-PTH-chim(NtGi1-Gs)/β1/γ2
13.79Single8YW3Retatrutide8YW3-GLP-1-Retatrutide-Gs/β1/γ2
13.79Single8YW4Retatrutide8YW4-GIP-Retatrutide-chim(NtGi1-Gs)/β1/γ2
13.64Single5T1ABMS-6815T1A-CCR2-BMS-681-PubChem 12093170
13.64Single5YHLPubChem 1351213525YHL-EP4-PubChem 135121352
13.64Single5YWYONO-AE3-2085YWY-EP4-ONO-AE3-208
13.64Single6ME62-Phenylmelatonin6ME6-MT2-2-Phenylmelatonin
13.64Single6ME72-Phenylmelatonin6ME7-MT2-2-Phenylmelatonin
13.64Single6ME82-Phenylmelatonin6ME8-MT2-2-Phenylmelatonin
13.64Single6RZ4Pranlukast6RZ4-CysLT1-Pranlukast-Na
13.64Single6XBKCholesterol6XBK-SMO-Cholesterol-Gi1/β1/γ2
13.64Single7M3JNPS-2143; PO47M3J-CaS-NPS-2143; PO4
13.64Single8EJCTAK-8758EJC-FFA1-TAK-875-chim(NtGi1L-Gs-CtGq)/β1/γ2
13.64Single8TH4AT118-L Nanobody8TH4-AT1-Losartan-AT118-L Nanobody
13.64Single8ZMFA1L108ZMF-5-HT2C-A1L10
13.64Single9ARZ2-bromo-LSD9ARZ-5-HT2A-2-bromo-LSD
13.64Single9DQHEP-28259DQH-MRGPRD-EP-2825-chim(NtGi1-Gs-CtGq)/β1/γ2
13.64Single9DYDAsenapine9DYD-5-HT1A-Asenapine-Go/β1/γ2
13.64Single9DYFAsenapine9DYF-5-HT1A-Asenapine-Gi1/β1/γ2
13.64Single9EAHNanobody AT2099EAH-AT1-Olmesartan-Nanobody AT209
13.64Single9F33FOB02-04A9F33-D3-FOB02-04A-Go/β1/γ2
13.64Consensusalpha_on_gpOrthosteric Ligandalpha1_on_gp alpha2_on_gp
13.64Consensuscyslt_offOrthosteric Ligandcyslt2_off cyslt1_off
13.64Consensusep4_offOrthosteric Ligand5YWY-EP4-ONO-AE3-208 5YHL-EP4-PubChem 135121352
13.64Consensusep_offOrthosteric Ligandep4_off
13.64Consensush1_offOrthosteric Ligand8X63-H1-Mepyramine 3RZE-H1-Cidoxepin 8X5Y-H1-Astemizole
13.64Consensuss1p5_offOrthosteric Ligand7YXA-S1P5-ONO-5430608
13.64Consensusta1_onOrthosteric Ligand8W87-TA1-METH-chim(NtGi1L-Gs)/β1/γ2 8W89-TA1-PEA-chim(NtGi1L-Gs)/β1/γ2 8JLP-TA1-Ralmitaront-Gs/β1/γ2 8W8A-TA1-RO5256390-chim(NtGi1L-Gs)/β1/γ2 8W88-TA1-SEP-363856-Gs/β1/γ2 8JLO-TA1-Ulotaront-Gs/β1/γ2 8JLR-TA1-A77636-chim(NtGi1-Gs)/β1/γ2 8JSO-TA1-AMPH-chim(NtGi1-Gs)/β1/γ2 8ZSP-TA1-LSD-chim(NtGi1L-Gs-CtGq)/β1/γ2
13.64Consensustrace-amine_onOrthosteric Ligandta1_on
13.33Single5MZPCaffeine5MZP-A2A-Caffeine-Na
13.33Single5YQZGlucagon analogue5YQZ-Glucagon-Glucagon analogue
13.33Single8GEJConstrained Epinephrine8GEJ-β2-Constrained Epinephrine-Gs/β1/γ2
13.33Single8WCCCyclohexylammonium Ion8WCC-TA1-Cyclohexylammonium Ion
13.33Consensusvpac_onOrthosteric Ligandvpac1_on vpac2_on
13.04Single7EW4CYM55417EW4-S1P3-CYM5541-Gi1/β1/γ2
13.04Single7R0CAVP7R0C-V2-AVP-Arrestin2
13.04Single7SK7CXCL127SK7-ACKR3-CXCL12-CCX662
13.04Single7T9NDPPC7T9N-TSH-M22 Fab-DPPC-Gs/β1/γ2
13.04Single8I2GCompound 7163408I2G-FSH-Glycoprotein hormones α chain-Compound 716340-Gs/β1/γ2
13.04Single8JD5JNJ-40411813; ADX881788JD5-mGlu2; mGlu4-Glutamate-JNJ-40411813; ADX88178-Gi1/β1/γ2
13.04Single8JXVClozapine8JXV-H4-Clozapine-Gi1/β1/γ2
13.04Single8JXXClobenpropit8JXX-H4-Clobenpropit-Gi1/β1/γ2
13.04Single8XQTCholesterol8XQT-TAS2R14-Cholesterol-Gi1/β1/γ1
13.04Single9CLWTUG-13759CLW-FFA2-TUG-1375-4-CMTB-chim(NtGi1L-Gs-CtGq)/β1/γ2
13.04Consensus5ht_offOrthosteric Ligand5ht2_off 5ht1_off
13.04Consensusprotein_offOrthosteric Ligandchemokine_off grh_off
13.04Consensusta1_on_gpOrthosteric Ligand8W87-TA1-METH-chim(NtGi1L-Gs)/β1/γ2 8W89-TA1-PEA-chim(NtGi1L-Gs)/β1/γ2 8JLP-TA1-Ralmitaront-Gs/β1/γ2 8W8A-TA1-RO5256390-chim(NtGi1L-Gs)/β1/γ2 8W88-TA1-SEP-363856-Gs/β1/γ2 8JLO-TA1-Ulotaront-Gs/β1/γ2 8JLR-TA1-A77636-chim(NtGi1-Gs)/β1/γ2 8JSO-TA1-AMPH-chim(NtGi1-Gs)/β1/γ2 8ZSP-TA1-LSD-chim(NtGi1L-Gs-CtGq)/β1/γ2
13.04Consensustrace-amine_on_gpOrthosteric Ligandta1_on_gp
12.90Single6NBILong-Acting PTH Analog6NBI-PTH1-Long-Acting PTH Analog-Gs/β1/γ2
12.90Single6P9YPACAP6P9Y-PAC1-PACAP-Gs/β1/γ2
12.90Single7D3SSecretin7D3S-Secretin-Secretin-Gs/β1/γ2
12.90Single7KI0Semaglutide7KI0-GLP-1-Semaglutide-Gs/β1/γ2
12.90Single7RA3GIP7RA3-GIP-GIP-chim(NtGi1-Gs)/β1/γ2
12.90Single7VABNon-Acylated Tirzepatide7VAB-GIP-Non-Acylated Tirzepatide-chim(NtGi1-Gs)/β1/γ2
12.90Single9BLWCagrilintide backbone (non-acylated)9BLW-CT (AMY1)-Cagrilintide backbone (non-acylated)-Gs/β1/γ2; RAMP1
12.90Single9J1Pg1:Ox9J1P-GLP-1-g1:Ox-chim(NtGi1-Gs)/β1/γ2
12.90Consensussecretin_onOrthosteric Ligand7D3S-Secretin-Secretin-Gs/β1/γ2
12.90Consensusvpac_on_gpOrthosteric Ligandvpac1_on_gp vpac2_on_gp
12.82Consensusclass-b1_onOrthosteric Ligandglucagon_on vip-pacap_on pth_on crf_on calcitonin_on
12.50Single5MZJTheophylline5MZJ-A2A-Theophylline-Na
12.50Single6CM4Risperidone6CM4-D2-Risperidone
12.50Single6H7NS-Xamoterol6H7N-β1-S-Xamoterol
12.50Single6P9XCorticoliberin6P9X-CRF1-Corticoliberin-Gs/β1/γ2
12.50Single6UVAAdrenomedullin-26UVA-CT Like (AM2)-Adrenomedullin-2-Gs/β1/γ2; RAMP3
12.50Single7DTYGIP7DTY-GIP-GIP-Gs/β1/γ2
12.50Single7EPENAM5637EPE-mGlu2; mGlu2-NAM563
12.50Single7FIYTirzepatide7FIY-GIP-Tirzepatide-Gs/β1/γ2
12.50Single7S1MEx4-D-Ala7S1M-GLP-1-Ex4-D-Ala-Gs/β1/γ2
12.50Single7T6BS1P7T6B-S1P2-S1P-chim(NtGi1L-G13)/β1/γ2
12.50Single7V68LY21196207V68-M4-Iperoxo-LY2119620-Gi1/β1/γ2
12.50Single7VQXPACAP277VQX-VPAC1-PACAP27-Gs/β1/γ2
12.50Single7VVKPTH7VVK-PTH1-PTH-Gs/β1/γ2
12.50Single7WC4Serotonin7WC4-5-HT2A-Serotonin
12.50Single7XZ5Lysophosphatidylcholine7XZ5-GPR119-Lysophosphatidylcholine-Gs/β1/γ2
12.50Single8E9W2-Deoxycytidine8E9W-M3-2-Deoxycytidine-chim(NtGi2L-Gs-CtGq)/β1/γ2
12.50Single8FU6Glucagon derivative ZP37808FU6-Glucagon-Glucagon derivative ZP3780-Gs/β1/γ2
12.50Single8HQMNPGLY8HQM-GPR132-NPGLY-Gi1/β1/γ2
12.50Single8HVINOX-6-78HVI-GPR132-NOX-6-7-Gi1/β1/γ2
12.50Single8PWNTheophylline8PWN-A2A-Theophylline
12.50Single8XQNCholesterol8XQN-TAS2R14-Cholesterol-Aristolochic acid A-Gi1/β1/γ1
12.50Single8XQSCholesterol8XQS-TAS2R14-Cholesterol-Flufenamic acid-Gi1/β1/γ1
12.50Single9BUCCagrilintide9BUC-CT-Cagrilintide-Gs/β1/γ2
12.50Consensuscrf_onOrthosteric Ligandcrf2_on crf1_on
12.50Consensusgi_amineOrthosteric Ligandgi_5ht gi_muscarinic gi_adrenergic gi_dopamine gi_histamine
12.50Consensussecretin_on_gpOrthosteric Ligand7D3S-Secretin-Secretin-Gs/β1/γ2
12.12Single6LMLGlucagon6LML-Glucagon-Glucagon-Gi1/β1/γ1
12.12Single6UUSAdrenomedullin6UUS-CT Like (AM2)-Adrenomedullin-Gs/β1/γ2; RAMP3
12.12Single7VVJPTHrP(1-36)7VVJ-PTH1-PTHrP(1-36)-Gs/β1/γ2
12.12Single7VVLPTH7VVL-PTH1-PTH-Gs/β1/γ2
12.12Single8F0KPramlintide Analogue San3858F0K-CT (AMY3)-Pramlintide Analogue San385-Gs/β1/γ2; RAMP3
12.12Single8FLTM-PTH(1-14)8FLT-PTH1-M-PTH(1-14)-Gs/β1/γ2
12.12Consensuspth1_onOrthosteric Ligand6NBF-PTH1-Long-Acting PTH Analog-Gs/β1/γ2 8HA0-PTH1-PTH-chim(NtGi1-Gs)/β1/γ2 8HAF-PTH1-PTHrP(1-36)-chim(NtGi1-Gs)/β1/γ2 7Y36-PTH1-Teriparatide-Gs/β1/γ2 7Y35-PTH1-Abaloparatide-Gs/β1/γ2
12.12Consensusvpac2_onOrthosteric Ligand7VQX-VPAC1-PACAP27-Gs/β1/γ2
12.12Consensusvpac2_on_gpOrthosteric Ligand7VQX-VPAC1-PACAP27-Gs/β1/γ2
12.00Single7VGY2-Iodomelatonin7VGY-MT1-2-Iodomelatonin-Gi1/β1/γ2
12.00Single8E9X2-Deoxycytidine8E9X-M4-2-Deoxycytidine-chim(NtGi1-Go)/β1/γ2
12.00Single8FX5Xanomeline8FX5-M4-Xanomeline-Xanomeline-Gi1/β1/γ2
12.00Single8XVJMacitentan8XVJ-ETA-Macitentan
12.00Single9JH5C16:0 Ceramide9JH5-CysLT2-C16:0 Ceramide-chim(NtGi1-Gs-CtGq)/β1/γ2
11.76Single2HPYAll-trans-Retinal2HPY-Rhodopsin-All-trans-Retinal
11.76Single6OT025(S)-Epoxycholesterol6OT0-SMO-25(S)-Epoxycholesterol-Gi1/β1/γ2
11.76Single7DD5Ca; Ca; Tryptophan; NPS-21437DD5-CaS-Ca-Ca; Ca; Tryptophan; NPS-2143
11.76Single7MTBAll-trans-Retinal7MTB-Rhodopsin-All-trans-Retinal-GRK1
11.76Single7VDMSubstance-P7VDM-MRGPRX2-Substance-P-Gi1/β1/γ2
11.76Single7Y14Beta-Alanine7Y14-MRGPRD-β-Alanine
11.76Single8DPHLorcaserin8DPH-5-HT2C-Lorcaserin-chim(NtGi2L-Gs-CtGq)/β1/γ2
11.76Single8GEIConstrained Epinephrine8GEI-β2-Constrained Epinephrine-Gs/β1/γ2
11.76Single8IWM2-Phenylethylamine8IWM-TA9-2-Phenylethylamine
11.76Single8XOFLys058XOF-GPR30-Lys05-chim(NtGi1-Gs-CtGq)/β1/γ2
11.76Single9CHUNoradrenaline9CHU-β2-Noradrenaline
11.76Single9EE9Adenosine9EE9-A2A-Adenosine-Gs/β1/γ2
11.76Consensusgip_onOrthosteric Ligand7FIN-GIP-Peptide-20; GGL-Gs/β1/γ2 7FIY-GIP-Tirzepatide-Gs/β1/γ2 7DTY-GIP-GIP-Gs/β1/γ2
11.76Consensusgip_on_gpOrthosteric Ligand7FIN-GIP-Peptide-20; GGL-Gs/β1/γ2 7FIY-GIP-Tirzepatide-Gs/β1/γ2 7DTY-GIP-GIP-Gs/β1/γ2
11.76Consensusgs_histamineOrthosteric Ligand8POK-H2-Histamine-Gs/β1/γ2
11.76Consensush2_onOrthosteric Ligand8POK-H2-Histamine-Gs/β1/γ2
11.76Consensusopsins_onOrthosteric Ligandrhodopsin_on opsin1lw_on
11.76Consensussensory_onOrthosteric Ligandopsins_on
11.63Consensusclass-b1_on_gpOrthosteric Ligandglucagon_on_gp vip-pacap_on_gp pth_on_gp crf_on_gp calcitonin_on_gp
11.54Single6KNMJN241-96KNM-Apelin-JN241-9
11.54Single8XQOCholesterol8XQO-TAS2R14-Cholesterol-Aristolochic acid A-Gi1/β1/γ1
11.54Single9ITBLPA9ITB-LPA6-LPA-chim(NtGi1-Gs-CtGq)/β1/γ2
11.43Consensusglp1_onOrthosteric Ligand7S1M-GLP-1-Ex4-D-Ala-Gs/β1/γ2 7X8R-GLP-1-BOC5-Gs/β1/γ2 6X19-GLP-1-CHU-128-Gs/β1/γ2 6X1A-GLP-1-Danuglipron-Gs/β1/γ2 6X18-GLP-1-GLP-1-Gs/β1/γ2 8JIP-GLP-1-MEDI0382-chim(NtGi1-Gs)/β1/γ2 7C2E-GLP-1-PubChem 149050799-Gs/β1/γ2 7KI0-GLP-1-Semaglutide-Gs/β1/γ2 7KI1-GLP-1-Taspoglutide-Gs/β1/γ2 7X8S-GLP-1-WB4-24-Gs/β1/γ2 8JIS-GLP-1-Peptide-15-chim(NtGi1-Gs)/β1/γ2 7VBI-GLP-1-Non-Acylated Tirzepatide-Gs/β1/γ2
11.11Single2J4Y11-cis-Retinal2J4Y-Rhodopsin-11-cis-Retinal
11.11Single3C9M11-cis-Retinal3C9M-Rhodopsin-11-cis-Retinal
11.11Single5WKTOctyl-Beta-D-Glucopyranoside5WKT-Rhodopsin-Octyl-β-D-Glucopyranoside-Gt(CT)
11.11Single6ME5Agomelatine6ME5-MT1-Agomelatine
11.11Single6PWCNeurotensin6PWC-NTS1-Neurotensin-Arrestin2
11.11Single6WIVPubChem 52923113; PubChem 529246456WIV-GABAB1, GABAB2-PubChem 52923113; PubChem 52924645
11.11Single7EJKOxymetazoline7EJK-α2a-Oxymetazoline-Go/β1/γ2
11.11Single7F23Dopamine7F23-D1-Dopamine-GDP-Gs/β1/γ2
11.11Single7V35Peptide-207V35-Glucagon-Peptide-20-Gs/β1/γ2
11.11Single7Y12Beta-Alanine7Y12-MRGPRD-β-Alanine-Gi1/β1/γ2
11.11Single8DPILorcaserin8DPI-5-HT2C-Lorcaserin-chim(NtGi2L-Gs-CtGq)/β1/γ2
11.11Single8IEIA1LYA8IEI-GPR156-A1LYA
11.11Single8ITFDMCHA8ITF-TA9-DMCHA-chim(NtGi1-Gs)/β1/γ2
11.11Single8IW72-Phenylethylamine8IW7-TA9-2-Phenylethylamine-chim(NtGi1-Gs)/β1/γ2
11.11Single8JEF(3S)-3-hydroxyoctanoic acid8JEF-HCA3-(3S)-3-hydroxyoctanoic acid-Gi1/β1/γ2
11.11Single8JIPMEDI03828JIP-GLP-1-MEDI0382-chim(NtGi1-Gs)/β1/γ2
11.11Single8JIRSAR4258998JIR-GLP-1-SAR425899-chim(NtGi1-Gs)/β1/γ2
11.11Single8JRVGlucagon8JRV-Glucagon-Glucagon-Arrestin2
11.11Single8JXTHistamine8JXT-H4-Histamine-PO4-Gi1/β1/γ2
11.11Single8POKHistamine8POK-H2-Histamine-Gs/β1/γ2
11.11Single8WC62-Phenylethylamine8WC6-TA1-2-Phenylethylamine-chim(NtGi1-Gs)/β1/γ2
11.11Single8WC9ZH86518WC9-TA1-ZH8651-chim(NtGi1-Gs-CtGq)/β1/γ2
11.11Single8Y63C20:0 Ceramide8Y63-FPR2-ALX-C20:0 Ceramide-Gi1/β1/γ2
11.11Single8YN9Histamine8YN9-H4-Histamine-Gi1/β1/γ2
11.11Single8YUUHistamine8YUU-H3-Histamine-Gi1/β1/γ1
11.11Single8YWFRetatrutide8YWF-GLP-1-Retatrutide-chim(NtGi1-Gs)/β1/γ2
11.11Single9IV15alpha-DHT9IV1-ADGRD1-5α-DHT-chim(NtGi1-Gs)/β1/γ2
11.11Single9LRCHistamine9LRC-H4-Histamine
11.11Single9LREHistamine9LRE-H4-Histamine-Gi1/β1/γ2
11.11Consensusglp1_on_gpOrthosteric Ligand7S1M-GLP-1-Ex4-D-Ala-Gs/β1/γ2 7X8R-GLP-1-BOC5-Gs/β1/γ2 6X19-GLP-1-CHU-128-Gs/β1/γ2 6X1A-GLP-1-Danuglipron-Gs/β1/γ2 6X18-GLP-1-GLP-1-Gs/β1/γ2 8JIP-GLP-1-MEDI0382-chim(NtGi1-Gs)/β1/γ2 7C2E-GLP-1-PubChem 149050799-Gs/β1/γ2 7KI0-GLP-1-Semaglutide-Gs/β1/γ2 7KI1-GLP-1-Taspoglutide-Gs/β1/γ2 7X8S-GLP-1-WB4-24-Gs/β1/γ2 8JIS-GLP-1-Peptide-15-chim(NtGi1-Gs)/β1/γ2 7VBI-GLP-1-Non-Acylated Tirzepatide-Gs/β1/γ2
11.11Consensush2_on_gpOrthosteric Ligand8POK-H2-Histamine-Gs/β1/γ2
11.11Consensush3_onOrthosteric Ligand8YUU-H3-Histamine-Gi1/β1/γ1
11.11Consensush3_on_gpOrthosteric Ligand8YUU-H3-Histamine-Gi1/β1/γ1
11.11Consensusopsins_on_gpOrthosteric Ligandrhodopsin_on_gp opsin1lw_on_gp
11.11Consensuspth1_on_gpOrthosteric Ligand6NBF-PTH1-Long-Acting PTH Analog-Gs/β1/γ2 8HA0-PTH1-PTH-chim(NtGi1-Gs)/β1/γ2 8HAF-PTH1-PTHrP(1-36)-chim(NtGi1-Gs)/β1/γ2 7Y36-PTH1-Teriparatide-Gs/β1/γ2 7Y35-PTH1-Abaloparatide-Gs/β1/γ2
11.11Consensusrhodopsin_onOrthosteric Ligand6OYA-Rhodopsin-All-trans-Retinal-Gt/β1/γ1
11.11Consensussensory_on_gpOrthosteric Ligandopsins_on_gp
10.71Single6WHCGlu16 analog of GCG6WHC-Glucagon-Glu16 analog of GCG-Gs/β1/γ2
10.71Single7VBINon-Acylated Tirzepatide7VBI-GLP-1-Non-Acylated Tirzepatide-Gs/β1/γ2
10.53Single1L9H11-cis-Retinal1L9H-Rhodopsin-11-cis-Retinal
10.53Single1U1911-cis-Retinal1U19-Rhodopsin-11-cis-Retinal
10.53Single2G87All-trans-Retinal2G87-Rhodopsin-All-trans-Retinal
10.53Single2I3511-cis-Retinal2I35-Rhodopsin-11-cis-Retinal
10.53Single3AYMAll-trans-Retinal3AYM-Rhodopsin-All-trans-Retinal
10.53Single5TE520-Methanoretinal5TE5-Rhodopsin-20-Methanoretinal
10.53Single6E3YCalcitonin gene-related peptide-16E3Y-CT Like-Calcitonin gene-related peptide-1-Gs/β1/γ2; RAMP1
10.53Single6PH7Nerol6PH7-Rhodopsin-Nerol-Gt(CT)
10.53Single7DFLHistamine7DFL-H1-Histamine-chim(NtGi1L-Gq)/β1/γ2
10.53Single7E2YSerotonin7E2Y-5-HT1A-Serotonin-Gi1/β1/γ2
10.53Single7S8OR-Zinc-35737S8O-MRGPRX2-R-Zinc-3573-Gi1/β1/γ2
10.53Single7V68Iperoxo7V68-M4-Iperoxo-LY2119620-Gi1/β1/γ2
10.53Single7VDHC48/807VDH-MRGPRX2-C48/80-Gi1/β1/γ2
10.53Single7YFCHistamine7YFC-H4-Histamine-chim(NtGi1-Gs-CtGq)/β1/γ2
10.53Single7YFDImetit7YFD-H4-Imetit-chim(NtGi1-Gs-CtGq)/β1/γ2
10.53Single8DPFLorcaserin8DPF-5-HT2C-Lorcaserin-chim(NtGi2L-Gs-CtGq)/β1/γ2
10.53Single8GGYConstrained Epinephrine8GGY-β2-Constrained Epinephrine
10.53Single8HN8Histamine8HN8-H4-Histamine-Gi1/β1/γ2
10.53Single8JLOUlotaront8JLO-TA1-Ulotaront-Gs/β1/γ2
10.53Single8W89PEA8W89-TA1-PEA-chim(NtGi1L-Gs)/β1/γ2
10.53Single8X2KOleic monoethanolamide8X2K-GPR3-Oleic monoethanolamide-chim(NtGi1-Gs)/β1/γ2
10.53Single8YN2Histamine8YN2-H1-Histamine-chim(NtGi1L-Gs-CtGq)/β1/γ2
10.53Single8YN5Histamine8YN5-H3-Histamine-Gi1/β1/γ2
10.53Single8YN6Imetit8YN6-H3-Imetit-Gi1/β1/γ2
10.53Single8YN7Immethridine8YN7-H3-Immethridine-Go/β1/γ2
10.53Single8ZSVRO52633978ZSV-TA1-RO5263397-chim(NtGi1-Gs)/β1/γ2
10.53Single9AS7Psilocin9AS7-5-HT2A-Psilocin
10.53Single9E7RGB889E7R-PAR2-GB88-chim(NtGi1L-Gs-CtGq)/β1/γ2
10.53Single9IJEEpinephrine9IJE-β3-Epinephrine-chim(NtGi1-Gs)/β1/γ2
10.53Consensusadgrg_onOrthosteric Ligandadgrg2_on adgrg4_on
10.53Consensusadgrg_on_gpOrthosteric Ligandadgrg2_on_gp adgrg4_on_gp
10.53Consensush1_onOrthosteric Ligand7DFL-H1-Histamine-chim(NtGi1L-Gq)/β1/γ2
10.53Consensush4_onOrthosteric Ligand8HN8-H4-Histamine-Gi1/β1/γ2 8HOC-H4-Imetit-Gi1/β1/γ2 8JXV-H4-Clozapine-Gi1/β1/γ2 8JXW-H4-VUF6884-Gi1/β1/γ2 8JXX-H4-Clobenpropit-Gi1/β1/γ2
10.34Single6UUNAdrenomedullin6UUN-CT Like (AM1)-Adrenomedullin-Gs/β1/γ2; RAMP2
10.34Single9B5YLong-Acting PTH9B5Y-PTH1-Long-Acting PTH-chim(NtGi1-Gq)/β1/γ2
10.34Consensusclass-b1_class-b2_cons_onOrthosteric Ligandclass-b1_on class-b2_on
10.34Consensusclass-b1_class-b2_cons_on_gpOrthosteric Ligandclass-b1_on_gp class-b2_on_gp
10.00Single1GZM11-cis-Retinal1GZM-Rhodopsin-11-cis-Retinal
10.00Single2PED9-cis-Retinal2PED-Rhodopsin-9-cis-Retinal
10.00Single2Z7311-cis-Retinal2Z73-Rhodopsin-11-cis-Retinal
10.00Single3AYN9-cis-Retinal3AYN-Rhodopsin-9-cis-Retinal
10.00Single3C9L11-cis-Retinal3C9L-Rhodopsin-11-cis-Retinal
10.00Single6FKBPubChem 1324730386FKB-Rhodopsin-PubChem 132473038
10.00Single6KUYPubChem 1457046436KUY-α2a-PubChem 145704643
10.00Single6ME2Ramelteon6ME2-MT1-Ramelteon
10.00Single6ME9Ramelteon6ME9-MT2-Ramelteon
10.00Single6OYAAll-trans-Retinal6OYA-Rhodopsin-All-trans-Retinal-Gt/β1/γ1
10.00Single6WIVPubChem 52923113; PubChem 529246456WIV-GABAB1, GABAB2-PubChem 52923113; PubChem 52924645
10.00Single6WWZCCL206WWZ-CCR6-CCL20-Go/β1/γ2
10.00Single7LJDDopamine7LJD-D1-Dopamine-Mevidalen-Gs/β1/γ1
10.00Single7SRSLSD7SRS-5-HT2B-LSD-Arrestin2
10.00Single7T6SPubChem 247763417T6S-FPR2-ALX-PubChem 24776341-Gi1/β1/γ2
10.00Single7T8XAcetylcholine7T8X-M2-Acetylcholine-chim(NtGi1-Go)/β1/γ2
10.00Single7T90Acetylcholine7T90-M2-Acetylcholine-chim(NtGi1-Go)/β1/γ2
10.00Single7T96Acetylcholine7T96-M2-Acetylcholine-LY2119620-Go/β1/γ2
10.00Single7VV5C48/807VV5-MRGPRX2-C48/80-Gi1/β1/γ2
10.00Single7YM8Oxymetazoline7YM8-Alpha1A-Oxymetazoline-chim(Gs-CtGq)
10.00Single8A6CAll-trans-Retinal8A6C-Rhodopsin-All-trans-Retinal
10.00Single8A6DAll-trans-Retinal8A6D-Rhodopsin-All-trans-Retinal
10.00Single8A6EAll-trans-Retinal8A6E-Rhodopsin-All-trans-Retinal
10.00Single8HOCImetit8HOC-H4-Imetit-Gi1/β1/γ2
10.00Single8JSOAMPH8JSO-TA1-AMPH-chim(NtGi1-Gs)/β1/γ2
10.00Single8WC3SEP-3638568WC3-TA1-SEP-363856-chim(NtGi1-Gs)/β1/γ2
10.00Single8WC4ZH86518WC4-TA1-ZH8651-chim(NtGi1-Gs)/β1/γ2
10.00Single8WCA2-Phenylethylamine8WCA-TA1-2-Phenylethylamine-chim(NtGi1-Gs)/β1/γ2
10.00Single8XXXCXCL68XXX-CXCR2-CXCL6-Go/β1/γ2
10.00Single8YNAImmepip8YNA-H4-Immepip-Gi1/β1/γ2
10.00Single8YUVImmepip8YUV-H3-Immepip-Gi1/β1/γ2
10.00Single8YW5Retatrutide8YW5-Glucagon-Retatrutide-Gs/β1/γ2
10.00Single9EBOGLP-1 (ACPC18)9EBO-GLP-1-GLP-1 (ACPC18)-Gs/β1/γ2
10.00Consensusccr6_onOrthosteric Ligand6WWZ-CCR6-CCL20-Go/β1/γ2
10.00Consensusccr6_on_gpOrthosteric Ligand6WWZ-CCR6-CCL20-Go/β1/γ2
10.00Consensuscxcr1_onOrthosteric Ligand8IC0-CXCR1-Interleukin-8-Gi1/β1/γ2
10.00Consensusgq_histamineOrthosteric Ligand7DFL-H1-Histamine-chim(NtGi1L-Gq)/β1/γ2
10.00Consensush1_on_gpOrthosteric Ligand7DFL-H1-Histamine-chim(NtGi1L-Gq)/β1/γ2
10.00Consensushistamine_onOrthosteric Ligandh1_on h2_on h3_on h4_on
10.00Consensushistamine_on_gpOrthosteric Ligandh1_on_gp h2_on_gp h3_on_gp h4_on_gp
10.00Consensusm2_onOrthosteric Ligand7T8X-M2-Acetylcholine-chim(NtGi1-Go)/β1/γ2
10.00Consensusm2_on_gpOrthosteric Ligand7T8X-M2-Acetylcholine-chim(NtGi1-Go)/β1/γ2
10.00Consensusrhodopsin_offOrthosteric Ligand1U19-Rhodopsin-11-cis-Retinal 2PED-Rhodopsin-9-cis-Retinal 5TE5-Rhodopsin-20-Methanoretinal
10.00Consensusrhodopsin_on_gpOrthosteric Ligand6OYA-Rhodopsin-All-trans-Retinal-Gt/β1/γ1
9.68Consensusvpac1_onOrthosteric Ligand8E3Z-VPAC1-VIP-Gs/β1/γ2
9.52Single1F8811-cis-Retinal1F88-Rhodopsin-11-cis-Retinal
9.52Single3OAX11-cis-Retinal3OAX-Rhodopsin-11-cis-Retinal
9.52Single4MQTIperoxo4MQT-M2-Iperoxo-LY2119620
9.52Single6ME32-Phenylmelatonin6ME3-MT1-2-Phenylmelatonin
9.52Single6PELCitronellol6PEL-Rhodopsin-Citronellol-Gt(CT)
9.52Single6PS82-Phenylmelatonin6PS8-MT1-2-Phenylmelatonin
9.52Single6WJCAtropine6WJC-M1-Atropine-Muscarinic toxin 7
9.52Single7T94Acetylcholine7T94-M2-Acetylcholine-LY2119620-chim(NtGi1-Go)/β1/γ2
9.52Single7TRSAcetylcholine7TRS-M4-Acetylcholine-Gi1/β1/γ2
9.52Single7UM7Methylergometrine7UM7-5-HT5A-Methylergometrine-chim(NtGi1-Go)/β1/γ2
9.52Single7UTZDPPC7UTZ-TSH-TR1402-DPPC-Gs/β1/γ2
9.52Single7VUGJNJ-635330547VUG-GPR139-JNJ-63533054-Gi1/β1/γ2
9.52Single7VV6C48/807VV6-MRGPRX2-C48/80
9.52Single7ZBC11-cis-Retinal7ZBC-Rhodopsin-11-cis-Retinal
9.52Single7ZBE11-cis-Retinal7ZBE-Rhodopsin-11-cis-Retinal
9.52Single8DPGPsilocin8DPG-5-HT2C-Psilocin-chim(NtGi2L-Gs-CtGq)/β1/γ2
9.52Single8FCZ11-cis-Retinal8FCZ-Rhodopsin-11-cis-Retinal
9.52Single8JLKUlotaront8JLK-TA1-Ulotaront-chim(NtGi1-Gs)/β1/γ2
9.52Single8PM2DMCH8PM2-TA7-DMCH-Gs/β1/γ2
9.52Single8THKA616038THK-Alpha1A-A61603-chim(NtGi2L-Gs-CtGq)/β1/γ2
9.52Single8V6UPubChem 1713924568V6U-5-HT2A-PubChem 171392456-chim(NtGi2-Gs-CtGq)/β1/γ2
9.52Single8WC8ZH86518WC8-TA1-ZH8651-chim(NtGi1-Gs)/β1/γ2
9.52Single8Y01Retinal8Y01-Opsin1MW-Retinal-Gi1/β1/γ2
9.52Single8Y53MK50468Y53-BB3-MK5046-chim(NtGi1-Gs-CtGq)/β1/γ2
9.52Single8Y62C16:0 Ceramide8Y62-FPR2-ALX-C16:0 Ceramide-Gi1/β1/γ2
9.52Single8ZMGPimavanserin8ZMG-5-HT2A-Pimavanserin
9.52Single9CBLEpinephrine9CBL-α2a-Epinephrine-Gi1/β1/γ2
9.52Single9EPQ11,20-Ethanoretinal9EPQ-Rhodopsin-11,20-Ethanoretinal-chim(Gi1-CtGq)/β1/γ2
9.52Consensus5ht2a_offOrthosteric Ligand6A94-5-HT2A-Zotepine 6A93-5-HT2A-Risperidone 7VOD-5-HT2A-Cariprazine 7WC8-5-HT2A-Lumateperone 8JT8-5-HT2A-(R)-IHCH-7179
9.52Consensuscxcr2_onOrthosteric Ligand6LFM-CXCR2-Interleukin-8-Gi1/β1/γ2
9.52Consensusopsins_offOrthosteric Ligandrhodopsin_off
9.52Consensussensory_offOrthosteric Ligandopsins_off
9.38Single7CZ5Somatoliberin7CZ5-GHRH-Somatoliberin-Gs/β1/γ2
9.38Single8FLRPTHrP(1-36)8FLR-PTH1-PTHrP(1-36)-Gs/β1/γ2
9.38Single9BP3Cagrilintide9BP3-CT (AMY1)-Cagrilintide-Gs/β1/γ2; RAMP1
9.38Consensuscrf2_on_gpOrthosteric Ligand7TS0-CRF2-Urocortin-chim(NtGi1L-Go)/β1/γ2
9.38Consensusctlike_onOrthosteric Ligand6E3Y-CT Like-Calcitonin gene-related peptide-1-Gs/β1/γ2; RAMP1
9.38Consensuspac1_onOrthosteric Ligand8E3X-PAC1-PACAP27-Gs/β1/γ2 6M1H-PAC1-Maxadilan-Gs/β1/γ2
9.38Consensuspac1_on_gpOrthosteric Ligand8E3X-PAC1-PACAP27-Gs/β1/γ2 6M1H-PAC1-Maxadilan-Gs/β1/γ2
9.38Consensusvpac1_on_gpOrthosteric Ligand8E3Z-VPAC1-VIP-Gs/β1/γ2
9.09Single1HZX11-cis-Retinal1HZX-Rhodopsin-11-cis-Retinal
9.09Single4DAJTiotropium4DAJ-M3-Tiotropium
9.09Single4MQSIperoxo4MQS-M2-Iperoxo
9.09Single4U14Tiotropium4U14-M3-Tiotropium
9.09Single4U16N-Methyl-Scopolamine4U16-M3-N-Methyl-Scopolamine
9.09Single5TGZAM65385TGZ-CB1-AM6538
9.09Single5YC8N-Methyl-Scopolamine5YC8-M2-N-Methyl-Scopolamine
9.09Single5ZK8N-Methyl-Scopolamine5ZK8-M2-N-Methyl-Scopolamine
9.09Single5ZKCN-Methyl-Scopolamine5ZKC-M2-N-Methyl-Scopolamine
9.09Single6FKDPubChem 1373491836FKD-Rhodopsin-PubChem 137349183
9.09Single6WHADB139486WHA-5-HT2A-DB13948-chim(NtGi2L-Gs-CtGq)/β1/γ2
9.09Single7SK8CXCL127SK8-ACKR3-CXCL12-CCX662
9.09Single7TRPIperoxo7TRP-M4-Iperoxo-LY2033298-Gi1/β1/γ2
9.09Single7TYFAmylin7TYF-CT (AMY1)-Amylin-Gs/β1/γ2; RAMP1
9.09Single7VGZRemalteon7VGZ-MT1-Remalteon-Gi1/β1/γ2
9.09Single8GCML9026888GCM-EP4-L902688-Gi1/β1/γ2
9.09Single8JLJT1AM8JLJ-TA1-T1AM-chim(NtGi1-Gs)/β1/γ2
9.09Single8T1WCVN4248T1W-GPR6-CVN424
9.09Single8TH3AT118-H Nanobody8TH3-AT1-AT118-H Nanobody
9.09Single8UWLLisuride8UWL-5-HT2A-Lisuride-chim(NtGi2-Gs-CtGq)/β1/γ2
9.09Single8W87METH8W87-TA1-METH-chim(NtGi1L-Gs)/β1/γ2
9.09Single8WC7ZH86678WC7-TA1-ZH8667-chim(NtGi1-Gs)/β1/γ2
9.09Single8YN8Proxyfan8YN8-H3-Proxyfan-Go/β1/γ2
9.09Single9IVGGLP-1 (Truncated)9IVG-GLP-1-GLP-1 (Truncated)-chim(NtGi1-Gs)/β1/γ2
9.09Single9JEAAtropine9JEA-M1-Atropine
9.09Consensusgi_histamineOrthosteric Ligand8JXX-H4-Clobenpropit-Gi1/β1/γ2 8JXV-H4-Clozapine-Gi1/β1/γ2 8YUU-H3-Histamine-Gi1/β1/γ1 8HN8-H4-Histamine-Gi1/β1/γ2 8HOC-H4-Imetit-Gi1/β1/γ2 8JXW-H4-VUF6884-Gi1/β1/γ2
9.09Consensusglp2_onOrthosteric Ligand7D68-GLP-2-GLP-2-Gs/β1/γ2
9.09Consensusglp2_on_gpOrthosteric Ligand7D68-GLP-2-GLP-2-Gs/β1/γ2
9.09Consensusgq_amineOrthosteric Ligandgq_muscarinic gq_histamine
9.09Consensusgs_trace-amineOrthosteric Ligand8W88-TA1-SEP-363856-Gs/β1/γ2 8JLJ-TA1-T1AM-chim(NtGi1-Gs)/β1/γ2 8JLO-TA1-Ulotaront-Gs/β1/γ2 8WC4-TA1-ZH8651-chim(NtGi1-Gs)/β1/γ2 8WC7-TA1-ZH8667-chim(NtGi1-Gs)/β1/γ2 8JLR-TA1-A77636-chim(NtGi1-Gs)/β1/γ2 8JSO-TA1-AMPH-chim(NtGi1-Gs)/β1/γ2 8W87-TA1-METH-chim(NtGi1L-Gs)/β1/γ2 8W89-TA1-PEA-chim(NtGi1L-Gs)/β1/γ2 8JLP-TA1-Ralmitaront-Gs/β1/γ2 8W8A-TA1-RO5256390-chim(NtGi1L-Gs)/β1/γ2
9.09Consensusmuscarinic_onOrthosteric Ligandm2_on m3_on m4_on m1_on
9.09Consensusmuscarinic_on_gpOrthosteric Ligandm2_on_gp m3_on_gp m4_on_gp m1_on_gp
8.82Consensusctlike_on_gpOrthosteric Ligand6E3Y-CT Like-Calcitonin gene-related peptide-1-Gs/β1/γ2; RAMP1
8.70Single4WW3All-trans-Retinal4WW3-Rhodopsin-All-trans-Retinal
8.70Single5ZK33-quinuclidinyl-benzilate5ZK3-M2-3-quinuclidinyl-benzilate
8.70Single6LFMInterleukin-86LFM-CXCR2-Interleukin-8-Gi1/β1/γ2
8.70Single7M3GCa; Ca; Tryptophan; Evocalcet; Etelcalcetide; PO47M3G-CaS-Ca; Ca; Tryptophan; Evocalcet; Etelcalcetide; PO4
8.70Single7TRKIperoxo7TRK-M4-Iperoxo-Gi1/β1/γ2
8.70Single7VOEAripiprazole7VOE-5-HT2A-Aripiprazole
8.70Single8E9ZIperoxo8E9Z-M3-Iperoxo-chim(NtGi2L-Gs-CtGq)/β1/γ2
8.70Single8J18(3R)-3-Hydroxydodecanoic acid8J18-GPR84-(3R)-3-Hydroxydodecanoic acid-Gi1/β1/γ2
8.70Single8XQPCholesterol8XQP-TAS2R14-Cholesterol-Aristolochic acid A-Gt3/β1/γ1
8.70Single8YNSSNAP-948478YNS-MCH1-SNAP-94847
8.70Consensus5ht2_offOrthosteric Ligand5ht2a_off 5ht2b_off 5ht2c_off
8.70Consensuscxcr2_on_gpOrthosteric Ligand6LFM-CXCR2-Interleukin-8-Gi1/β1/γ2
8.70Consensusgq_muscarinicOrthosteric Ligand6OIJ-M1-Iperoxo-chim(NtGi1L-G11)/β1/γ2
8.70Consensusm1_onOrthosteric Ligand6OIJ-M1-Iperoxo-chim(NtGi1L-G11)/β1/γ2
8.70Consensusm2_offOrthosteric Ligand5ZKC-M2-N-Methyl-Scopolamine 5ZK3-M2-3-quinuclidinyl-benzilate 5ZKB-M2-AF-DX 384
8.70Consensusm3_onOrthosteric Ligand8E9Z-M3-Iperoxo-chim(NtGi2L-Gs-CtGq)/β1/γ2 8E9W-M3-2-Deoxycytidine-chim(NtGi2L-Gs-CtGq)/β1/γ2 8E9Y-M3-Clozapine-N-oxide-chim(NtGi2L-Gs-CtGq)/β1/γ2
8.70Consensusm3_on_gpOrthosteric Ligand8E9Z-M3-Iperoxo-chim(NtGi2L-Gs-CtGq)/β1/γ2 8E9W-M3-2-Deoxycytidine-chim(NtGi2L-Gs-CtGq)/β1/γ2 8E9Y-M3-Clozapine-N-oxide-chim(NtGi2L-Gs-CtGq)/β1/γ2
8.57Single7RBTTirzepatide7RBT-GIP-Tirzepatide-LSN3556672-chim(NtGi1-Gs)/β1/γ2
8.57Single7TYXAmylin7TYX-CT (AMY2)-Amylin-Gs/β1/γ2; RAMP2
8.33Single3UON3-quinuclidinyl-benzilate3UON-M2-3-quinuclidinyl-benzilate
8.33Single4U15Tiotropium4U15-M3-Tiotropium
8.33Single5V56TC1145V56-SMO-TC114
8.33Single5ZKBAF-DX 3845ZKB-M2-AF-DX 384
8.33Single6OIJIperoxo6OIJ-M1-Iperoxo-chim(NtGi1L-G11)/β1/γ2
8.33Single6OL9Tiotropium6OL9-M5-Tiotropium
8.33Single7TRQIperoxo7TRQ-M4-Iperoxo-VU0467154-Gi1/β1/γ2
8.33Single7TZFAmylin7TZF-CT (AMY3)-Amylin-Gs/β1/γ2; RAMP3
8.33Single7WVXHumanin7WVX-FPR2-ALX-Humanin-Gi2/β1/γ2
8.33Single8EA0Iperoxo8EA0-M3-Iperoxo
8.33Single8F2APramlintide Analogue San3858F2A-CT (AMY3)-Pramlintide Analogue San385-Gs/β1/γ2; RAMP3
8.33Single8JLPRalmitaront8JLP-TA1-Ralmitaront-Gs/β1/γ2
8.33Single8JXWVUF68848JXW-H4-VUF6884-Gi1/β1/γ2
8.33Single8YNTSNAP-948478YNT-MCH1-SNAP-94847
8.33Single8ZR5Firuglipel8ZR5-GPR119-Firuglipel-Gs/β1/γ2
8.33Single9AS9RS130-1809AS9-5-HT2A-RS130-180
8.33Single9ASARS130-1809ASA-5-HT2A-RS130-180-chim(NtGi1-Gs-CtGq)/β1/γ2
8.33Single9AUCCalcitonin gene-related peptide-19AUC-CT (AMY1)-Calcitonin gene-related peptide-1-Gs/β1/γ2; RAMP1
8.33Consensush4_on_gpOrthosteric Ligand8HN8-H4-Histamine-Gi1/β1/γ2 8HOC-H4-Imetit-Gi1/β1/γ2 8JXV-H4-Clozapine-Gi1/β1/γ2 8JXW-H4-VUF6884-Gi1/β1/γ2 8JXX-H4-Clobenpropit-Gi1/β1/γ2
8.33Consensusm1_on_gpOrthosteric Ligand6OIJ-M1-Iperoxo-chim(NtGi1L-G11)/β1/γ2
8.33Consensusm3_offOrthosteric Ligand4U15-M3-Tiotropium 4U16-M3-N-Methyl-Scopolamine 5ZHP-M3-PubChem 134828589
8.33Consensusm5_offOrthosteric Ligand6OL9-M5-Tiotropium
8.33Consensusmuscarinic_offOrthosteric Ligandm2_off m3_off m4_off m5_off m1_off
8.00Single5CXVTiotropium5CXV-M1-Tiotropium
8.00Single8G056-OAU8G05-GPR84-6-OAU-Gi1/β1/γ2
8.00Consensusm1_offOrthosteric Ligand5CXV-M1-Tiotropium
7.89Single7TYOCalcitonin7TYO-CT-Calcitonin-Gs/β1/γ2
7.89Single7TYYCalcitonin-17TYY-CT (AMY2)-Calcitonin-1-Gs/β1/γ2; RAMP2
7.89Single8JIUSAR4258998JIU-Glucagon-SAR425899-Gs/β1/γ2
7.69Single6BQHRitanserin6BQH-5-HT2C-Ritanserin
7.69Single6M1HMaxadilan6M1H-PAC1-Maxadilan-Gs/β1/γ2
7.69Single7D7MDinoprostone7D7M-EP4-Dinoprostone-Gs/β1/γ1
7.69Single7VVNPTH7VVN-PTH1-PTH-Gs/β1/γ2
7.69Single8J19LY2378J19-GPR84-LY237-Gi1/β1/γ2
7.69Consensus5ht2c_offOrthosteric Ligand6BQH-5-HT2C-Ritanserin
7.69Consensusgluc_onOrthosteric Ligand6LMK-Glucagon-Glucagon-Gs/β1/γ2 8JIT-Glucagon-MEDI0382-Gs/β1/γ2 7V35-Glucagon-Peptide-20-Gs/β1/γ2
7.50Consensusgluc_on_gpOrthosteric Ligand6LMK-Glucagon-Glucagon-Gs/β1/γ2 8JIT-Glucagon-MEDI0382-Gs/β1/γ2 7V35-Glucagon-Peptide-20-Gs/β1/γ2
7.14Single8F0JPramlintide Analogue San458F0J-CT-Pramlintide Analogue San45-Gs/β1/γ2
7.14Single8JIQPeptide-158JIQ-Glucagon-Peptide-15-Gs/β1/γ2
7.14Single9BUECagrilintide9BUE-CT-Cagrilintide-Gs/β1/γ2
6.98Single8F2BPramlintide Analogue San458F2B-CT (AMY3)-Pramlintide Analogue San45-Gs/β1/γ2; RAMP3
6.67Single8SZGCa; Ca; Tryptophan; Cinacalcet; PO4; Spermine8SZG-CaS-Ca; Ca; Tryptophan; Cinacalcet; PO4; Spermine-chim(NtGi1-Gq)/β1/γ2
6.45Single6NIYAdrenomedullin6NIY-CT-Adrenomedullin-Gs/β1/γ2
6.45Single7FINPeptide-20; GGL7FIN-GIP-Peptide-20; GGL-Gs/β1/γ2
6.45Single7TYIAmylin7TYI-CT-Amylin-Gs/β1/γ2
6.45Single7WUIIP157WUI-ADGRG2-IP15-chim(NtGi1-Gs)/β1/γ2
6.45Single9BLCCagrilintide backbone (non-acylated)9BLC-CT-Cagrilintide backbone (non-acylated)-Gs/β1/γ2
6.45Consensuscrf2_onOrthosteric Ligand7TS0-CRF2-Urocortin-chim(NtGi1L-Go)/β1/γ2
6.25Single7TYWCalcitonin-17TYW-CT (AMY1)-Calcitonin-1-Gs/β1/γ2; RAMP1
6.25Single7Y35Abaloparatide7Y35-PTH1-Abaloparatide-Gs/β1/γ2
6.25Single8JGBConorfamide-Tx28JGB-MRGPRX1-Conorfamide-Tx2-Gi1/β1/γ2
6.25Single8WCBCyclohexylammonium Ion8WCB-TA1-Cyclohexylammonium Ion-chim(NtGi1-Gs-CtGq)/β1/γ2
6.25Consensuscalcitonin_onOrthosteric Ligandctlike_on
6.06Single9BLBCagrilintide backbone (non-acylated)9BLB-CT-Cagrilintide backbone (non-acylated)-Gs/β1/γ2
6.06Consensuscalcitonin_on_gpOrthosteric Ligandctlike_on_gp
5.88Single3PXOAll-trans-Retinal3PXO-Rhodopsin-All-trans-Retinal
5.88Single5DYSAll-trans-Retinal5DYS-Rhodopsin-All-trans-Retinal
5.88Single5NX2GLP-1 (Truncated)5NX2-GLP-1-GLP-1 (Truncated)
5.88Single7XKDBeta-Hydroxyandrosterone7XKD-ADGRG2-β-Hydroxyandrosterone-Gs/β1/γ2
5.88Single7XKEBeta-Hydroxyandrosterone7XKE-ADGRG2-β-Hydroxyandrosterone-chim(NtGi1-Gs)/β1/γ2
5.88Single9IV25alpha-DHT9IV2-ADGRD1-5α-DHT-chim(NtGi1-Gs)/β1/γ2
5.71Single6LMKGlucagon6LMK-Glucagon-Glucagon-Gs/β1/γ2
5.56Single6OY9All-trans-Retinal6OY9-Rhodopsin-All-trans-Retinal-Gt/β1/γ1
5.56Single8WC5Tetramethylammonium Ion8WC5-TA1-Tetramethylammonium Ion-chim(NtGi1-Gs)/β1/γ2
5.56Single9IVMLSN33188399IVM-GLP-1-GLP-1 (Truncated)-LSN3318839-chim(NtGi1-Gs)/β2/γ2
5.26Single3PQRAll-trans-Retinal3PQR-Rhodopsin-All-trans-Retinal-Gt(CT)
5.26Single6D32Cyclopamine6D32-SMO-Cyclopamine-Cyclopamine
5.26Single6FK9PubChem 1324730366FK9-Rhodopsin-PubChem 132473036
5.26Single7D77Hydrocortisone7D77-ADGRG3-Hydrocortisone-Go/β1/γ2
5.26Single7MT8All-trans-Retinal7MT8-Rhodopsin-All-trans-Retinal-GRK1
5.26Single7MT9All-trans-Retinal7MT9-Rhodopsin-All-trans-Retinal-GRK1
5.26Single7MTAAll-trans-Retinal7MTA-Rhodopsin-All-trans-Retinal-GRK1
5.26Single8JPSCCL78JPS-ACKR1-CCL7
5.26Single9JHJC18:0 Ceramide9JHJ-FPR2-ALX-C18:0 Ceramide-Gi1/β1/γ2
5.13Single8JITMEDI03828JIT-Glucagon-MEDI0382-Gs/β1/γ2
5.00Single4O9RCyclopamine4O9R-SMO-Cyclopamine
5.00Single5L7IVismodegib5L7I-SMO-Vismodegib
5.00Single6FK6PubChem 1324730336FK6-Rhodopsin-PubChem 132473033
5.00Single6I9K9-cis-Retinal6I9K-Rhodopsin-9-cis-Retinal
5.00Single6PGSGeraniol6PGS-Rhodopsin-Geraniol-Gt(CT)
5.00Single7D76Beclomethasone7D76-ADGRG3-Beclomethasone-Go/β1/γ2
5.00Single8HSCFab0468HSC-GPR20-Fab046-Gi1/β1/γ2
5.00Single9B9Y7DY9B9Y-CB1-7DY
4.76Single4QINSAG1.54QIN-SMO-SAG1.5
4.76Single5U09Taranabant5U09-CB1-Taranabant
4.76Single6O3CSAG21k6O3C-SMO-SAG21k-Cholesterol
4.55Single6FKAPubChem 1324730376FKA-Rhodopsin-PubChem 132473037
4.55Single6XBLSAG6XBL-SMO-SAG-Cholesterol-Gi1/β1/γ2
4.55Single7VODCariprazine7VOD-5-HT2A-Cariprazine
4.55Single7ZI0SAG7ZI0-SMO-SAG-Cholesterol
4.55Single8IYXYL-3658IYX-GPR34-YL-365
4.55Single9BA0A1AKN9BA0-CB1-A1AKN
4.55Consensuscb1_offOrthosteric Ligand5U09-CB1-Taranabant 5TGZ-CB1-AM6538
4.35Single5DSGTiotropium5DSG-M4-Tiotropium
4.35Single6IIVDaltroban6IIV-TXA2-Daltroban
4.35Single7WC8Lumateperone7WC8-5-HT2A-Lumateperone
4.35Single8X9TAP5038X9T-ADGRD1-AP503-chim(NtGi1-Gs)/β1/γ2
4.35Single8XJLPGF2-alpha8XJL-FP-alpha-PGF2-α-chim(NtGi2-Gs-CtGq)/β1/γ2
4.35Single9IMATalquetamab9IMA-GPRC5D-Talquetamab
4.35Consensusm4_offOrthosteric Ligand5DSG-M4-Tiotropium
4.17Single4JKVTaladegib4JKV-SMO-Taladegib
4.17Single5CGCHTL142425CGC-mGlu5-HTL14242
4.17Single6M9TMisoprostol-FA6M9T-EP3-Misoprostol-FA
4.17Single6OIKIperoxo6OIK-M2-Iperoxo-LY2119620-chim(NtGi1-Go)/β1/γ2
4.17Single8GD9Rivenprost8GD9-EP4-Rivenprost-Gs/β1/γ2
4.17Single8GDCPGE28GDC-EP3-PGE2-Gi1/β1/γ2
4.17Single8X0BVU04244658X0B-mGlu5; mGlu5-Quisqualate-VU0424465
4.17Single8X0DVU04244658X0D-mGlu5; mGlu5-Quisqualate-VU0424465
4.17Single8X0DVU04244658X0D-mGlu5; mGlu5-Quisqualate-VU0424465
4.17Single8ZVZBW245C8ZVZ-DP1-BW245C-Gs/β1/γ2
4.17Single9B9ZA1AKO9B9Z-CB1-A1AKO
4.17Single9HC04YI9HC0-mGlu5-4YI
4.17Consensusadgrg2_onOrthosteric Ligand7WUI-ADGRG2-IP15-chim(NtGi1-Gs)/β1/γ2 7WUQ-ADGRG2-Gs/β1/γ2 7XKF-ADGRG2-β-Hydroxyandrosterone-Gs/β1/γ2
4.17Consensusadgrg2_on_gpOrthosteric Ligand7WUI-ADGRG2-IP15-chim(NtGi1-Gs)/β1/γ2 7WUQ-ADGRG2-Gs/β1/γ2 7XKF-ADGRG2-β-Hydroxyandrosterone-Gs/β1/γ2
4.00Single4OO9Mavoglurant4OO9-mGlu5-Mavoglurant
4.00Single5V57TC1145V57-SMO-TC114
4.00Single5ZHPPubChem 1348285895ZHP-M3-PubChem 134828589
4.00Single6O3CCholesterol6O3C-SMO-SAG21k-Cholesterol
4.00Single7P2L4YI7P2L-mGlu5-4YI
4.00Single8GDBPGE28GDB-EP4-PGE2-Gs/β1/γ2
4.00Single8IUKPGF2-alpha8IUK-FP-alpha-PGF2-α-chim(NtGi1-Gs-CtGq)/β1/γ2
4.00Single8X0BVU04244658X0B-mGlu5; mGlu5-Quisqualate-VU0424465
4.00Single8X0FVU04244658X0F-mGlu5; mGlu5-Quisqualate-VU0424465
4.00Single8X79MRE-2698X79-I2-MRE-269-Gs/β1/γ2
4.00Single8XJMLatanoprost8XJM-FP-alpha-Latanoprost-chim(NtGi2-Gs-CtGq)/β1/γ2
4.00Single8ZW0PGD28ZW0-DP1-PGD2-Gs/β1/γ2
3.85Single4N4WSANT-14N4W-SMO-SANT-1
3.85Single6AK3Dinoprostone IPGE26AK3-EP3-Dinoprostone IPGE2
3.85Single6IIURamatroban6IIU-TXA2-Ramatroban
3.85Single6XBLCholesterol6XBL-SMO-SAG-Cholesterol-Gi1/β1/γ2
3.85Single8GCPPGE28GCP-EP4-PGE2-Gi1/β1/γ2
3.85Single8IQ6Latanoprost8IQ6-FP-alpha-Latanoprost-chim(NtGi1-Gs-CtGq)/β1/γ2
3.85Single8XJNCloprosetnol8XJN-TXA2-Cloprosetnol-chim(NtGi1-Gs-CtGq)/β1/γ2
3.85Single9AU0BW245C9AU0-DP1-BW245C-Gs/β1/γ2
3.85Single9GGGI-BOP9GGG-TXA2-I-BOP-chim(NtGi2L-Gs-CtGq)/β1/γ2
3.70Single5CGDHTL142425CGD-mGlu5-HTL14242
3.70Single7CX4Evatanepag7CX4-EP2-Evatanepag-Gs/β1/γ2
3.70Single8IULLatanoprost8IUL-FP-alpha-Latanoprost-chim(NtGi1-Gs-CtGq)/β1/γ2
3.70Single8XJKCloprosetnol8XJK-FP-alpha-Cloprosetnol-chim(NtGi1-Gs-CtGq)/β1/γ2
3.70Single8XJOU466198XJO-TXA2-U46619-chim(NtGi1-Gs-CtGq)/β1/γ2
3.70Single9GG5U466199GG5-TXA2-U46619-chim(NtGi2L-Gs-CtGq)/β1/γ2
3.70Single9M1HProstaglandin E29M1H-EP1-Prostaglandin E2-chim(NtGi1-Gs-CtGq)/β1/γ2
3.70Consensusfp-alpha_onOrthosteric Ligand8IUK-FP-alpha-PGF2-α-chim(NtGi1-Gs-CtGq)/β1/γ2 8IUL-FP-alpha-Latanoprost-chim(NtGi1-Gs-CtGq)/β1/γ2 8IUM-FP-alpha-Tafluprost acid-chim(NtGi1-Gs-CtGq)/β1/γ2
3.70Consensusfp-alpha_on_gpOrthosteric Ligand8IUK-FP-alpha-PGF2-α-chim(NtGi1-Gs-CtGq)/β1/γ2 8IUL-FP-alpha-Latanoprost-chim(NtGi1-Gs-CtGq)/β1/γ2 8IUM-FP-alpha-Tafluprost acid-chim(NtGi1-Gs-CtGq)/β1/γ2
3.70Consensusprostanoid_onOrthosteric Ligandtp_on fp-alpha_on
3.70Consensusprostanoid_on_gpOrthosteric Ligandtp_on_gp fp-alpha_on_gp
3.70Consensustp_onOrthosteric Ligand8XJO-TXA2-U46619-chim(NtGi1-Gs-CtGq)/β1/γ2
3.70Consensustp_on_gpOrthosteric Ligand8XJO-TXA2-U46619-chim(NtGi1-Gs-CtGq)/β1/γ2
3.57Single6XBJCholesterol6XBJ-SMO-Cholesterol-Gi1/β1/γ2
3.57Single7CX2PGE27CX2-EP2-PGE2-Gs/β1/γ2
3.57Single8GDAL9026888GDA-EP4-L902688-Gs/β1/γ2
3.57Single8IQ4Carboprost8IQ4-FP-alpha-Carboprost-chim(NtGi1-Gs-CtGq)/β1/γ2
3.57Single8IUMTafluprost acid8IUM-FP-alpha-Tafluprost acid-chim(NtGi1-Gs-CtGq)/β1/γ2
3.45Single7CX3Taprenepag7CX3-EP2-Taprenepag-Gs/β1/γ2
3.45Single7RTBPeptide-197RTB-GLP-1-Peptide-19-Gs/β1/γ2
3.12Single9BUDCagrilintide9BUD-CT-Cagrilintide-Gs/β1/γ2
3.03Single7TYHCalcitonin-17TYH-CT (AMY2)-Calcitonin-1-Gs/β1/γ2; RAMP2
2.94Single9BUBCagrilintide9BUB-CT-Cagrilintide-Gs/β1/γ2
2.86Single7TYNCalcitonin-17TYN-CT-Calcitonin-1-Gs/β1/γ2
2.78Single7TYLAmylin7TYL-CT-Amylin-Gs/β1/γ2
2.78Single9BQ3Cagrilintide9BQ3-CT (AMY2)-Cagrilintide-Gs/β1/γ2; RAMP2
2.78Single9BTWCagrilintide9BTW-CT (AMY3)-Cagrilintide-Gs/β1/γ2; RAMP3

PDB Summary
PDB 9UY3
Class A
SubFamily Peptide
Type Ghrelin
SubType Ghrelin
Species Homo Sapiens
Ligand Anamorelin
Other Ligand(s) -
Protein Partners chim(NtGi1-Gs-CtGq)/Beta1/Gamma2
PDB Resolution 2.52
Date 2025-07-02
D.O.I. doi.org/10.1038/s41401-025-01606-7
Net Summary
Imin 2.77
Number of Linked Nodes 871
Number of Links 1167
Number of Hubs 234
Number of Links mediated by Hubs 810
Number of Communities 20
Number of Nodes involved in Communities 306
Number of Links involved in Communities 485
Path Summary
Number Of Nodes in MetaPath 93
Number Of Links MetaPath 92
Number of Shortest Paths 8261337
Length Of Smallest Path 3
Average Path Length 40.1752
Length of Longest Path 62
Minimum Path Strength 1.3
Average Path Strength 7.96397
Maximum Path Strength 22.11
Minimum Path Correlation 0.7
Average Path Correlation 0.995476
Maximum Path Correlation 1
Minimum % Of Corr. Nodes 2.32558
Average % Of Corr. Nodes 28.8439
Maximum % Of Corr. Nodes 100
Minimum Path Hubs % 0
Average Path Hubs % 58.4817
Maximum Path Hubs % 100
AnnotationTypeLinks
Gene OntologyMolecular Function
Gene OntologyBiological Process• multicellular organismal process   • system process   • regulation of biological process   • digestive system process   • regulation of system process   • regulation of gastric motility   • biological regulation   • regulation of digestive system process   • digestion   • gastric motility   • regulation of multicellular organismal process   • cellular response to stimulus   • cellular response to nitrogen compound   • response to stimulus   • response to endogenous stimulus   • response to peptide hormone   • cellular response to peptide hormone stimulus   • response to oxygen-containing compound   • response to nitrogen compound   • cellular response to oxygen-containing compound   • cellular response to endogenous stimulus   • cellular response to chemical stimulus   • response to hormone   • response to chemical   • cellular process   • cellular response to insulin-like growth factor stimulus   • cellular response to hormone stimulus   • developmental process   • spermatogenesis   • sexual reproduction   • reproductive process   • multicellular organismal reproductive process   • developmental process involved in reproduction   • male gamete generation   • gamete generation   • regulation of tumor necrosis factor production   • regulation of cellular process   • negative regulation of biological process   • negative regulation of tumor necrosis factor production   • cytokine production   • regulation of cytokine production   • negative regulation of cellular process   • negative regulation of macromolecule metabolic process   • regulation of biosynthetic process   • negative regulation of metabolic process   • tumor necrosis factor superfamily cytokine production   • negative regulation of cytokine production   • regulation of macromolecule metabolic process   • gene expression   • macromolecule biosynthetic process   • tumor necrosis factor production   • regulation of gene expression   • negative regulation of gene expression   • regulation of tumor necrosis factor superfamily cytokine production   • biosynthetic process   • negative regulation of biosynthetic process   • negative regulation of macromolecule biosynthetic process   • negative regulation of tumor necrosis factor superfamily cytokine production   • metabolic process   • regulation of macromolecule biosynthetic process   • macromolecule metabolic process   • negative regulation of multicellular organismal process   • regulation of metabolic process   • interleukin-6 production   • regulation of interleukin-6 production   • negative regulation of interleukin-6 production   • negative regulation of behavior   • negative regulation of locomotion   • locomotion involved in locomotory behavior   • behavior   • regulation of behavior   • negative regulation of locomotion involved in locomotory behavior   • locomotory behavior   • regulation of locomotion   • regulation of locomotion involved in locomotory behavior   • locomotion   • regulation of localization   • regulation of hormone secretion   • nitrogen compound transport   • regulation of peptide secretion   • signaling   • transport   • hormone secretion   • cell communication   • localization   • peptide secretion   • regulation of secretion by cell   • secretion by cell   • amide transport   • signal release   • regulation of biological quality   • regulation of peptide hormone secretion   • regulation of signaling   • growth hormone secretion   • regulation of transport   • secretion   • regulation of hormone levels   • regulation of growth hormone secretion   • regulation of peptide transport   • export from cell   • cell-cell signaling   • establishment of localization   • regulation of secretion   • peptide transport   • peptide hormone secretion   • regulation of cell communication   • hormone transport   • intestinal motility   • positive regulation of small intestinal transit   • positive regulation of biological process   • positive regulation of digestive system process   • positive regulation of multicellular organismal process   • small intestinal transit   • regulation of small intestinal transit   • cell surface receptor signaling pathway   • insulin-like growth factor receptor signaling pathway   • cell surface receptor protein tyrosine kinase signaling pathway   • signal transduction   • enzyme-linked receptor protein signaling pathway   • positive regulation of cell communication   • positive regulation of signal transduction   • regulation of signal transduction   • positive regulation of response to stimulus   • positive regulation of insulin-like growth factor receptor signaling pathway   • regulation of insulin-like growth factor receptor signaling pathway   • positive regulation of cellular process   • regulation of response to stimulus   • positive regulation of signaling   • trans-synaptic signaling   • modulation of chemical synaptic transmission   • chemical synaptic transmission   • synaptic signaling   • regulation of trans-synaptic signaling   • anterograde trans-synaptic signaling   • postsynaptic modulation of chemical synaptic transmission   • response to ketone   • response to lipid   • response to glucocorticoid   • response to corticosteroid   • response to steroid hormone   • response to dexamethasone   • cell population proliferation   • positive regulation of cell population proliferation   • endothelial cell proliferation   • positive regulation of epithelial cell proliferation   • regulation of vascular endothelial cell proliferation   • regulation of endothelial cell proliferation   • regulation of cell population proliferation   • positive regulation of endothelial cell proliferation   • regulation of epithelial cell proliferation   • vascular endothelial cell proliferation   • epithelial cell proliferation   • positive regulation of vascular endothelial cell proliferation   • response to growth hormone   • response to thyroid hormone   • cellular response to thyroid hormone stimulus   • response to acid chemical   • response to L-glutamate   • response to amino acid   • regulation of cellular component organization   • cellular component organization   • cellular component biogenesis   • multicellular organism development   • cellular component assembly   • cell junction assembly   • anatomical structure development   • regulation of synapse structure or activity   • regulation of synapse assembly   • synapse organization   • cellular component organization or biogenesis   • system development   • nervous system development   • regulation of cellular component biogenesis   • regulation of cell junction assembly   • regulation of synapse organization   • cell junction organization   • synapse assembly   • response to gonadotropin   • response to follicle-stimulating hormone   • postsynapse organization   • regulation of postsynapse organization   • regulation of hindgut contraction   • muscle contraction   • muscle system process   • regulation of muscle system process   • hindgut contraction   • smooth muscle contraction   • regulation of smooth muscle contraction   • regulation of muscle contraction   • adult feeding behavior   • adult behavior   • feeding behavior   • actin polymerization or depolymerization   • organelle organization   • actin cytoskeleton organization   • actin filament organization   • actin filament-based process   • supramolecular fiber organization   • cytoskeleton organization   • positive regulation of smooth muscle contraction   • intestine smooth muscle contraction   • regulation of gastro-intestinal system smooth muscle contraction   • positive regulation of small intestine smooth muscle contraction   • regulation of small intestine smooth muscle contraction   • small intestine smooth muscle contraction   • gastro-intestinal system smooth muscle contraction   • phasic smooth muscle contraction   • positive regulation of gastro-intestinal system smooth muscle contraction   • positive regulation of muscle contraction   • leukocyte apoptotic process   • regulation of programmed cell death   • macrophage apoptotic process   • negative regulation of leukocyte apoptotic process   • myeloid cell apoptotic process   • regulation of leukocyte apoptotic process   • negative regulation of programmed cell death   • regulation of apoptotic process   • negative regulation of macrophage apoptotic process   • cell death   • negative regulation of apoptotic process   • regulation of macrophage apoptotic process   • inflammatory cell apoptotic process   • negative regulation of myeloid cell apoptotic process   • apoptotic process   • regulation of myeloid cell apoptotic process   • programmed cell death   • response to nutrient levels   • regulation of response to nutrient levels   • negative regulation of response to food   • negative regulation of response to nutrient levels   • negative regulation of response to stimulus   • negative regulation of appetite   • regulation of response to food   • response to food   • regulation of appetite   • oxoacid metabolic process   • ketone metabolic process   • regulation of lipid metabolic process   • organic acid metabolic process   • regulation of primary metabolic process   • positive regulation of metabolic process   • regulation of small molecule metabolic process   • positive regulation of lipid metabolic process   • small molecule metabolic process   • positive regulation of fatty acid metabolic process   • fatty acid metabolic process   • carboxylic acid metabolic process   • primary metabolic process   • regulation of ketone metabolic process   • regulation of fatty acid metabolic process   • monocarboxylic acid metabolic process   • positive regulation of small molecule metabolic process   • lipid metabolic process   • hormone-mediated signaling pathway   • regulation of defense response   • regulation of response to external stimulus   • negative regulation of inflammatory response   • defense response   • response to external stimulus   • regulation of inflammatory response   • response to stress   • negative regulation of response to external stimulus   • regulation of response to stress   • negative regulation of defense response   • inflammatory response   • interleukin-1 production   • regulation of interleukin-1 beta production   • negative regulation of interleukin-1 beta production   • negative regulation of interleukin-1 production   • regulation of interleukin-1 production   • interleukin-1 beta production   • biological process involved in interspecies interaction between organisms   • response to other organism   • cellular response to lipopolysaccharide   • cellular response to molecule of bacterial origin   • response to lipopolysaccharide   • response to biotic stimulus   • cellular response to biotic stimulus   • response to bacterium   • cellular response to lipid   • response to external biotic stimulus   • response to molecule of bacterial origin   • positive regulation of appetite   • positive regulation of response to food   • positive regulation of response to nutrient levels   • negative regulation of protein transport   • establishment of protein localization   • negative regulation of transport   • negative regulation of secretion   • negative regulation of hormone secretion   • negative regulation of secretion by cell   • intracellular protein localization   • negative regulation of peptide hormone secretion   • establishment of protein localization to extracellular region   • negative regulation of establishment of protein localization   • protein secretion   • regulation of protein secretion   • negative regulation of protein secretion   • regulation of protein localization   • negative regulation of signaling   • negative regulation of cell communication   • protein localization to extracellular region   • negative regulation of peptide secretion   • negative regulation of protein localization   • regulation of establishment of protein localization   • regulation of protein transport   • negative regulation of insulin secretion   • protein transport   • regulation of insulin secretion   • macromolecule localization   • insulin secretion   • ghrelin secretion   • cellular localization   • protein localization to synapse   • regulation of neurotransmitter receptor localization to postsynaptic specialization membrane   • regulation of protein localization to synapse   • neurotransmitter receptor localization to postsynaptic specialization membrane   • regulation of protein localization to membrane   • regulation of receptor localization to synapse   • protein localization to postsynaptic specialization membrane   • protein localization to cell periphery   • protein localization to postsynaptic membrane   • regulation of protein localization to cell periphery   • localization within membrane   • protein localization to membrane   • protein-containing complex localization   • regulation of postsynaptic membrane neurotransmitter receptor levels   • regulation of cellular localization   • protein localization to organelle   • protein localization to postsynapse   • protein localization to cell junction   • receptor localization to synapse   • multi-multicellular organism process   • placenta development   • maternal process involved in female pregnancy   • animal organ development   • tissue development   • maternal placenta development   • female pregnancy   • multi-organism reproductive process   • decidualization   • learning or memory   • nervous system process   • cognition   • regulation of multicellular organism growth   • regulation of growth   • regulation of developmental growth   • regulation of developmental process   • developmental growth   • growth   • positive regulation of multicellular organism growth   • positive regulation of developmental process   • multicellular organism growth   • positive regulation of growth   • positive regulation of developmental growth   • regulation of sprouting angiogenesis   • angiogenesis   • regulation of vasculature development   • tube morphogenesis   • positive regulation of sprouting angiogenesis   • regulation of anatomical structure morphogenesis   • blood vessel development   • regulation of multicellular organismal development   • blood vessel morphogenesis   • tube development   • positive regulation of angiogenesis   • sprouting angiogenesis   • vasculature development   • circulatory system development   • anatomical structure morphogenesis   • positive regulation of vasculature development   • regulation of angiogenesis   • anatomical structure formation involved in morphogenesis   • regulation of eating behavior   • positive regulation of feeding behavior   • eating behavior   • positive regulation of eating behavior   • positive regulation of behavior   • regulation of feeding behavior   • response to insulin   • cellular response to insulin stimulus   • G protein-coupled receptor signaling pathway   • monoamine transport   • negative regulation of amine transport   • regulation of catecholamine secretion   • organic hydroxy compound transport   • catecholamine transport   • negative regulation of norepinephrine secretion   • norepinephrine transport   • negative regulation of catecholamine secretion   • organic cation transport   • catecholamine secretion   • amine transport   • norepinephrine secretion   • regulation of amine transport   • regulation of norepinephrine secretion   • transmission of nerve impulse   • regulation of nervous system process   • regulation of transmission of nerve impulse   • response to estradiol   • cellular anatomical structure   • synapse   • cell junction   • glutamatergic synapse   • cell projection   • neuron projection   • plasma membrane bounded cell projection   • postsynapse   • cell periphery   • membrane   • plasma membrane   • plasma membrane region   • synaptic membrane   • cell surface
Gene OntologyCellular Component• cellular anatomical structure   • synapse   • cell junction   • glutamatergic synapse   • cell projection   • neuron projection   • plasma membrane bounded cell projection   • postsynapse   • cell periphery   • membrane   • plasma membrane   • plasma membrane region   • synaptic membrane   • cell surface   • membrane microdomain   • membrane raft   • Schaffer collateral - CA1 synapse   • protein binding   • binding   • G-protein beta-subunit binding   • fibroblast proliferation   • cell population proliferation   • cellular process   • cellular response to nitrogen compound   • cellular response to stimulus   • response to dopamine   • regulation of cellular process   • response to stimulus   • signaling   • cellular response to dopamine   • response to monoamine   • cell communication   • response to catecholamine   • adenylate cyclase-activating dopamine receptor signaling pathway   • cellular response to catecholamine stimulus   • signal transduction   • regulation of biological process   • G protein-coupled dopamine receptor signaling pathway   • biological regulation   • response to oxygen-containing compound   • response to nitrogen compound   • adenylate cyclase-activating G protein-coupled receptor signaling pathway   • cellular response to oxygen-containing compound   • cellular response to chemical stimulus   • cellular response to monoamine stimulus   • response to chemical   • adenylate cyclase-modulating G protein-coupled receptor signaling pathway   • G protein-coupled receptor signaling pathway   • response to ketone   • response to prostaglandin   • response to lipid   • response to endogenous stimulus   • response to alcohol   • cellular response to prostaglandin stimulus   • cellular response to endogenous stimulus   • cellular response to prostaglandin E stimulus   • cellular response to alcohol   • response to hormone   • cellular response to lipid   • response to prostaglandin E   • cellular response to ketone   • cellular response to hormone stimulus   • protein-containing complex   • extrinsic component of plasma membrane   • catalytic complex   • plasma membrane protein complex   • cytoplasmic side of membrane   • membrane protein complex   • heterotrimeric G-protein complex   • side of membrane   • cytoplasmic side of plasma membrane   • GTPase complex   • extrinsic component of membrane   • extrinsic component of cytoplasmic side of plasma membrane   • extracellular exosome   • membrane-bounded organelle   • extracellular vesicle   • extracellular organelle   • extracellular region   • organelle   • extracellular space   • vesicle   • extracellular membrane-bounded organelle   • enzyme binding   • GTPase binding   • protein-containing complex binding   • pyrophosphatase activity   • GTPase activity   • ribonucleoside triphosphate phosphatase activity   • hydrolase activity, acting on acid anhydrides, in phosphorus-containing anhydrides   • hydrolase activity   • hydrolase activity, acting on acid anhydrides   • catalytic activity   • signaling receptor complex adaptor activity   • protein-macromolecule adaptor activity   • molecular adaptor activity   • signaling adaptor activity   • multicellular organismal process   • system process   • sensory perception of chemical stimulus   • sensory perception   • nervous system process   • sensory perception of taste   • developmental process   • sensory organ development   • eye development   • animal organ development   • retina development in camera-type eye   • visual system development   • multicellular organism development   • camera-type eye development   • anatomical structure development   • sensory system development   • system development   • small GTPase-mediated signal transduction   • Ras protein signal transduction   • intracellular signal transduction   • intracellular signaling cassette   • phospholipase C-activating G protein-coupled receptor signaling pathway   • synaptic signaling   • cellular response to acetylcholine   • cell-cell signaling   • acetylcholine receptor signaling pathway   • postsynaptic signal transduction   • G protein-coupled acetylcholine receptor signaling pathway   • response to acetylcholine   • non-motile cilium   • 9+0 non-motile cilium   • cilium   • photoreceptor disc membrane   • photoreceptor outer segment   • photoreceptor cell cilium   • organelle membrane   • intracellular anatomical structure   • cytoplasm   • cytosol   • vacuolar membrane   • lytic vacuole   • vacuole   • intracellular membrane-bounded organelle   • intracellular organelle   • lytic vacuole membrane   • bounding membrane of organelle   • lysosomal membrane   • lysosome
SCOP2Domain Identifier• G protein-coupled receptor-like   • Transducin (heterotrimeric G protein), gamma chain
SCOP2Family Identifier• G protein-coupled receptor-like   • Transducin (heterotrimeric G protein), gamma chain
Membrane Protein Annotations-• Orientations of Proteins in Membranes database (OPM)   • Protein Data Bank of Transmembrane Proteins (PDBTM)   • MemProtMD


Details about the values in these tables can be found in the corresponding documentation page .
Code_L_
PDB ResiduesL:L:?1
Environment DetailsOpen EMBL-EBI Page
Code_L_
Name
Synonyms
Identifier
Formula
Molecular Weight
SMILES
PubChem
Formal Charge
Total Atoms
Total Chiral Atoms
Total Bonds
Total Aromatic Bonds

PDBsumOpen PDBsum Page
ChainA
ProteinG Protein α Sub unit
UniProtP63092
Sequence
>9UY3_Chain_A
EKAEKIEKQ LQKDKQVYR TRLLLLGAS GKSTIVKQM RITSGIFET 
KFQVDKVNF HMFDVGQRD ERRKWIQCF NDVTAIIFV VSSNRLQEA 
LNFKSIWNN RWLRTISVI LFLNKQDLL AEKVLAGKS KIEDYFPEF 
ARYTTPEDA TPEPGEDPR VTRAKYFIR EFISTASGD GRHCYPHFT 
CVDTENRRF NDCDIIMLR YLDAVRSMR LDNADDDKV DISAIKLQN 
ENV


Click on each residue to open a popup with some information about it.

ConSurf Conservation Grade (See documentation): 

 n/a   1    2    3    4    5    6    7    8    9  

ChainB
ProteinG Protein β Sub unit
UniProtP62873
Sequence
>9UY3_Chain_B
ELDQLRQEA EQLKNQIRD ARKACADAT LSQITNNID PVGRIQMRT 
RRTLRGHLA KIYAMHWGT DSRLLVSAS QDGKLIIWD SYTTNKVHA 
IPLRSSWVM TCAYAPSGN YVACGGLDN ICSIYNLKT REGNVRVSR 
ELAGHTGYL SCCRFLDDN QIVTSSGDT TCALWDIET GQQTTTFTG 
HTGDVMSLS LAPDTRLFV SGACDASAK LWDVREGMC RQTFTGHES 
DINAICFFP NGNAFATGS DDATCRLFD LRADQELMT YSHDNIICG 
ITSVSFSKS GRLLLAGYD DFNCNVWDA LKADRAGVL AGHDNRVSC 
LGVTDDGMA VATGSWDSF LKIWN


Click on each residue to open a popup with some information about it.

ConSurf Conservation Grade (See documentation): 

 n/a   1    2    3    4    5    6    7    8    9  

ChainG
ProteinG Protein γ Sub unit
UniProtP59768
Sequence
>9UY3_Chain_G
TASIAQARK LVEQLKMEA NIDRIKVSK AAADLMAYC EAHAKEDPL 
LTPVPASEN PFR


Click on each residue to open a popup with some information about it.

ConSurf Conservation Grade (See documentation): 

 n/a   1    2    3    4    5    6    7    8    9  

ChainR
ProteinReceptor
UniProtQ92847
Sequence
>9UY3_Chain_R
LFPAPLLAG VTATCVALF VVGIAGNLL TMLVVSRFR ELRTTTNLY 
LSSMAFSDL LIFLCMPLD LVRLWQYRP WNFGDLLCK LFQFVSESC 
TYATVLTIT ALSVERYFA ICFPLRAKV VVTKGRVKL VIFVIWAVA 
FCSAGPIFV LVGVEHENG TDPWDTNEC RPTEFAVRS GLLTVMVWV 
SSIFFFLPV FCLTVLYSL IGRKLWRNH KQTVKMLAV VVFAFILCW 
LPFHVGRYL FSKSFEPGS LEIAQISQY CNLVSFVLF YLSAAINPI 
LYNIMSKKY RVAV


Click on each residue to open a popup with some information about it.

ConSurf Conservation Grade (See documentation): 

 n/a   1    2    3    4    5    6    7    8    9  




This receptor, from the same or other species and bound to the same or other ligands, is also present in the following networks:
Show PDB Class SubFamily Type SubType Species Orthosteric Ligand Other Ligand(s) Protein Partners Resolution Date DOI
6KO5APeptideGhrelinGhrelinHomo sapiensPubChem 57400002--3.32020-08-12doi.org/10.1038/s41467-020-17554-1
7F9YAPeptideGhrelinGhrelinHomo sapiensGhrelin-28-chim(NtGi1-Gs-CtGq)/β1/γ22.92021-08-18doi.org/10.1038/s41467-021-25364-2
7F9Y (No Gprot) APeptideGhrelinGhrelinHomo sapiensGhrelin-28-2.92021-08-18doi.org/10.1038/s41467-021-25364-2
7F9ZAPeptideGhrelinGhrelinHomo sapiensGHRP-6-chim(NtGi1-Gs-CtGq)/β1/γ23.22021-08-18doi.org/10.1038/s41467-021-25364-2
7F9Z (No Gprot) APeptideGhrelinGhrelinHomo sapiensGHRP-6-3.22021-08-18doi.org/10.1038/s41467-021-25364-2
7NA7APeptideGhrelinGhrelinHomo sapiensGhrelin-27-Gi1/β1/γ22.72021-12-15doi.org/10.1038/s41467-021-26735-5
7NA7 (No Gprot) APeptideGhrelinGhrelinHomo sapiensGhrelin-27-2.72021-12-15doi.org/10.1038/s41467-021-26735-5
7NA8APeptideGhrelinGhrelinHomo sapiensPubChem 178024-Gi1/β1/γ22.72021-12-15doi.org/10.1038/s41467-021-26735-5
7NA8 (No Gprot) APeptideGhrelinGhrelinHomo sapiensPubChem 178024-2.72021-12-15doi.org/10.1038/s41467-021-26735-5
7F83APeptideGhrelinGhrelinHomo sapiensPF-05190457--2.942022-01-19doi.org/10.1038/s41467-022-27975-9
7W2ZAPeptideGhrelinGhrelinHomo sapiensGhrelin-Go/β1/γ22.82022-01-19doi.org/10.1038/s41467-022-27975-9
7W2Z (No Gprot) APeptideGhrelinGhrelinHomo sapiensGhrelin-2.82022-01-19doi.org/10.1038/s41467-022-27975-9
8JSRAPeptideGhrelinGhrelinHomo sapiensAnamorelin-chim(NtGi1-Gs-CtGq)/β1/γ22.92025-01-22doi.org/10.1038/s41594-024-01481-6
8JSR (No Gprot) APeptideGhrelinGhrelinHomo sapiensAnamorelin-2.92025-01-22doi.org/10.1038/s41594-024-01481-6
9UY3APeptideGhrelinGhrelinHomo sapiensAnamorelin-chim(NtGi1-Gs-CtGq)/β1/γ22.522025-07-02doi.org/10.1038/s41401-025-01606-7
9UY3 (No Gprot) APeptideGhrelinGhrelinHomo sapiensAnamorelin-2.522025-07-02doi.org/10.1038/s41401-025-01606-7
9V2NAPeptideGhrelinGhrelinHomo sapiensMacimorelin-chim(NtGi1-Gs-CtGq)/β1/γ22.632025-07-02doi.org/10.1038/s41401-025-01606-7
9V2N (No Gprot) APeptideGhrelinGhrelinHomo sapiensMacimorelin-2.632025-07-02doi.org/10.1038/s41401-025-01606-7




You can download a compressed (zip) file with structure(s), 3D outputs (as PyMol and VMD scripts) and numerical data files (as csv and plain text files).

Download 9UY3.zip



You can click to copy the link of this page to easily come back here later

or use this QR code to link and share this page.



You can also  read or  download a guide explaining the meaning of all files and numerical data.