Color ConSurf Grade
      No Conservation data available
      1
      2
      3
      4
      5
      6
      7
      8
      9

Index: hub id, click on each number to highlight the corresponding hub in the 3D visualization.

Hub: the hub being considered.

Avg Int. Strength: the average interaction strength of all the links of the corresponding hub.

Num Of Links: the number of links of the corresponding hub.

Community: the id of the community the link belong to, otherwise 0.

ConSurf: this column reports the ConSurf conservation grades of each hub.

Index Hub Avg Int. Strength Num Of Links Community ConSurf
1A:A:Q19 7.3125444
2A:A:N23 7.4875447
3A:A:Y37 5.93444
4A:A:L43 4.19333627
5A:A:L45 4.5525428
6A:A:K53 6.3725429
7A:A:F219 6.50429728
8A:A:M221 4.5575408
9A:A:F222 9.4985227
10A:A:D223 6.0625429
11A:A:K233 6.1845159
12A:A:W234 6.574509
13A:A:C237 4.785478
14A:A:F238 9.94409
15A:A:F273 5.0175409
16A:A:W277 11.82406
17A:A:W281 8.996575
18A:A:F312 3.136676128
19A:A:F315 10.30254126
20A:A:Y318 6.4325126
21A:A:E327 4.65143794
22A:A:V334 3.375404
23A:A:K338 4.99495
24A:A:Y339 6.4493
25A:A:F340 7.8565127
26A:A:R342 5.7525494
27A:A:E344 8.3354125
28A:A:F345 9.0175408
29A:A:S349 5.1975407
30A:A:R356 3.7475402
31A:A:C359 3.205405
32A:A:F363 4.518595
33A:A:T364 7.3754189
34A:A:N371 5.7125189
35A:A:R374 9.2065184
36A:A:F376 6.46167628
37A:A:C379 4.08428
38A:A:R380 5.8575427
39A:A:I383 3.5175408
40A:A:L388 5.275458
41A:A:Y391 6.408554
42A:A:L393 3.488558
43B:B:L7 3.01254288
44B:B:L51 7.24409
45B:B:H54 10.426549
46B:B:K57 12.284579
47B:B:Y59 10.1975478
48B:B:W63 4.4507
49B:B:Q75 9.1125479
50B:B:D76 6.636549
51B:B:K78 5.588548
52B:B:L79 5.06754207
53B:B:I80 6.902548
54B:B:I81 4.7054247
55B:B:W82 10.155649
56B:B:D83 7.93448
57B:B:K89 5.01429749
58B:B:L95 4.7445208
59B:B:W99 8.706509
60B:B:M101 4.59479
61B:B:Y105 4.244297246
62B:B:N110 9.21754254
63B:B:Y111 6.994254
64B:B:C114 4.18754208
65B:B:L117 3.97479
66B:B:Y124 5.7265206
67B:B:H142 7.7685109
68B:B:Y145 5.59143708
69B:B:F151 3.12167609
70B:B:L152 3.225403
71B:B:I157 3.9375407
72B:B:V158 3.2175485
73B:B:T159 5.1845109
74B:B:D163 8.5254109
75B:B:C166 4.235488
76B:B:W169 12.354108
77B:B:F180 9.025487
78B:B:H183 7.44833689
79B:B:L190 4.9375485
80B:B:F199 7.618589
81B:B:V200 6.5425436
82B:B:C204 4.7145157
83B:B:D205 8.1075489
84B:B:S207 4.475485
85B:B:K209 8.91586
86B:B:W211 8.67333688
87B:B:F222 8.3525438
88B:B:H225 7.55429739
89B:B:D228 8.49254159
90B:B:I229 5.3275437
91B:B:I232 4.08538
92B:B:F234 5.225405
93B:B:F235 6.347147136
94B:B:P236 7.80754137
95B:B:F241 7.466536
96B:B:T243 6.6025438
97B:B:D247 7.234539
98B:B:T249 7.1325436
99B:B:R251 9.562538
100B:B:F253 7.696536
101B:B:D254 4.1825409
102B:B:R256 6.95409
103B:B:D258 8.642537
104B:B:M262 5.845404
105B:B:Y264 6.68333605
106B:B:F278 4.993336137
107B:B:R283 8.575169
108B:B:L285 5.34136
109B:B:Y289 6.8025147
110B:B:D291 5.0854148
111B:B:C294 4.095115
112B:B:N295 7.064146
113B:B:V296 4.8775405
114B:B:W297 7.6145148
115B:B:L300 6.0054166
116B:B:L308 5.2275407
117B:B:H311 7.101437119
118B:B:R314 14.24478
119B:B:T321 6.46254307
120B:B:T329 7.224118
121B:B:W332 11.2143779
122B:B:D333 6.6565119
123B:B:K337 7.454116
124B:B:I338 3.83254195
125B:B:W339 6.311676119
126G:G:R27 6.15638
127G:G:Y40 10.4754136
128G:G:D48 5.5509
129G:G:L51 4.3954166
130G:G:F61 5.086676198
131L:L:T6 5.5725400
132L:L:C7 5.27754260
133L:L:L16 3.78754170
134L:L:R17 6.715270
135L:L:H18 13.21754270
136L:L:F23 9.7185270
137L:L:V32 3.975410
138L:L:P37 8.746510
139L:L:?38 5.822510
140R:R:C55 3.93409
141R:R:W76 7.0875418
142R:R:D77 4.46667619
143R:R:W79 10.7767616
144R:R:W82 4.306519
145R:R:C95 4.115419
146R:R:P96 5.4275419
147R:R:Y98 5.475414
148R:R:F102 5.2225404
149R:R:D103 6.8275403
150R:R:K110 6.425418
151R:R:W118 6.96857719
152R:R:W128 9.3525405
153R:R:S129 5.812517
154R:R:Y131 7.49429715
155R:R:F137 6.3485321
156R:R:Y146 3.48254172
157R:R:Y149 7.665175
158R:R:T162 4.495406
159R:R:L163 4.532508
160R:R:F173 5.6945367
161R:R:L176 4.56254369
162R:R:R180 8.13459
163R:R:V181 5.6175409
164R:R:L183 4.21558
165R:R:F188 6.3675408
166R:R:Y191 7.105668
167R:R:I192 3.30254357
168R:R:V206 2.655403
169R:R:Y228 4.61408
170R:R:N233 7.165469
171R:R:W236 9.428559
172R:R:M237 4.1775469
173R:R:L238 4.385408
174R:R:E240 7.485409
175R:R:I242 4.35407
176R:R:Y243 6.405658
177R:R:L244 5.23409
178R:R:H245 9.79754388
179R:R:V249 5.24754386
180R:R:F253 7.39626
181R:R:Y262 6.0275457
182R:R:W267 7.7625459
183R:R:P270 3.734379
184R:R:H277 8.76407
185R:R:R281 6.66217
186R:R:F285 11.6554216
187R:R:D287 7.1885213
188R:R:I301 3.26407
189R:R:H302 6.146676266
190R:R:L323 1.43459
191R:R:G353 3.27469
192R:R:I354 4.564396
193R:R:Q355 6.482568
194R:R:F356 5.50667667
195R:R:P363 6.6675467
196R:R:Y372 6.98467
197R:R:D373 8.2954345
198R:R:M376 4.956567
199R:R:H377 5.6925407
200R:R:H381 8.6175409
201R:R:Q383 6.61569
202R:R:T401 3.7654367
   

Color ConSurf Grade
      No Conservation data available
      1
      2
      3
      4
      5
      6
      7
      8
      9

Index: link id, click on each number to highlight the corresponding link in the 3D visualization.

Node1 Node2: the two nodes of the corresponding link.

Recurrence: the relative Recurrence in the pool of shortest paths.

Int. Strength: the interaction strength between the two nodes.

Hub1?, Hub2?: "Yes" if the corresponding node has more than 3 links, otherwise "No".

Community: the id of the community the link belong to, otherwise 0.

ConSurf1, ConSurf2: these columns report the ConSurf conservation grades of the two nodes involved in a link.

Index Node1 Node2 Recurrence Int. Strength Hub1? Hub2? Community ConSurf1 ConSurf2
1A:A:Y37 B:B:D76 10.62253.45YesYes449
2A:A:R42 A:A:Y37 11.180710.29NoYes094
3A:A:F222 A:A:R42 11.13415.34YesNo079
4A:A:F222 B:B:W99 11.548419.04YesYes079
5A:A:F238 B:B:W99 74.745311.02YesYes099
6A:A:F238 A:A:L44 84.005919.49YesNo099
7A:A:I244 A:A:L44 84.04897.14NoNo089
8A:A:I244 A:A:V287 84.32357.68NoNo086
9A:A:C359 A:A:V287 84.36643.42YesNo056
10A:A:C359 A:A:F273 46.64712.79YesYes059
11A:A:F273 A:A:W277 51.65656.01YesYes096
12A:A:H357 A:A:W277 10030.68NoYes076
13A:A:H357 A:A:S286 99.90482.79NoNo078
14A:A:I382 A:A:S286 99.88883.1NoNo068
15A:A:I382 A:A:Y360 99.87289.67NoNo068
16A:A:D378 A:A:Y360 99.856813.79NoNo078
17A:A:D378 A:A:H362 99.808613.87NoNo079
18A:A:F290 A:A:H362 49.82663.39NoNo099
19A:A:F290 A:A:T364 49.56312.97NoYes1899
20A:A:N292 A:A:T364 99.19832.92NoYes099
21A:A:N292 A:A:V247 99.12034.43NoNo097
22A:A:K53 A:A:V247 98.02464.55YesNo097
23A:A:K53 A:A:L45 97.49455.64YesYes298
24A:A:L45 A:A:M221 49.48445.65YesYes088
25A:A:L43 A:A:M221 47.81832.83YesYes078
26A:A:C359 A:A:S349 47.58653.44YesYes057
27A:A:S349 A:A:W277 48.36214.94YesYes076
28A:A:H362 A:A:R374 49.965911.28NoYes094
29A:A:R374 A:A:T364 49.60817.76YesYes1849
30A:A:I245 A:A:L45 47.99052.85NoYes278
31A:A:I245 A:A:L43 47.8117.14NoYes277
32A:A:L43 A:A:T242 91.72082.95YesNo278
33A:A:I383 A:A:T242 91.54763.04YesNo088
34A:A:R231 A:A:W234 14.69518NoYes099
35A:A:W234 B:B:Y145 23.6833.86YesYes098
36A:A:L272 A:A:R231 14.88838.5NoNo089
37B:B:K57 B:B:W332 31.3317.4YesYes799
38B:B:K57 B:B:Q75 31.303512.2YesYes799
39B:B:Q75 B:B:W99 62.57597.67YesYes099
40A:A:F246 A:A:L272 15.01716.09NoNo098
41A:A:F246 A:A:L289 15.08143.65NoNo099
42A:A:C359 A:A:L289 10.02393.17YesNo059
43A:A:H387 A:A:I383 90.97153.98NoYes088
44A:A:H387 A:A:Q390 15.53816.18NoNo084
45A:A:Q390 A:A:Y391 14.98293.38NoYes544
46A:A:H387 R:R:L247 75.254416.71NoNo088
47B:B:N313 B:B:W332 61.66274.52NoYes079
48B:B:D333 B:B:N313 61.41354.04YesNo097
49B:B:D312 B:B:D333 52.37487.98NoYes059
50B:B:D312 R:R:R404 52.24884.76NoNo057
51B:B:L252 B:B:L261 34.38744.15NoNo075
52B:B:D254 B:B:L261 34.12872.71YesNo095
53B:B:A257 B:B:D254 12.24984.63NoYes079
54B:B:A257 G:G:V30 11.98953.39NoNo078
55B:B:A26 G:G:V30 10.94971.7NoNo038
56B:B:A26 B:B:Q259 10.68984.55NoNo036
57B:B:C25 B:B:Q259 10.42993.05NoNo036
58B:B:C25 G:G:R27 10.172.79NoYes038
59R:R:Q408 R:R:R404 50.26384.67NoNo077
60B:B:A309 R:R:Q408 50.24784.55NoNo037
61B:B:A309 B:B:N293 50.1224.69NoNo035
62B:B:N293 B:B:V307 25.33065.91NoNo053
63B:B:C148 B:B:L190 12.06913.17NoYes065
64B:B:L190 B:B:S160 16.90997.51YesNo056
65B:B:S147 B:B:S160 19.00573.26NoNo096
66B:B:D254 B:B:R256 21.36914.76YesYes099
67B:B:N239 B:B:R256 19.818.44NoYes029
68B:B:G238 B:B:N239 19.55011.7NoNo072
69B:B:G238 B:B:P194 19.29094.06NoNo074
70B:B:A193 B:B:P194 19.03171.87NoNo044
71B:B:A193 B:B:F234 17.99462.77NoYes045
72B:B:F234 B:B:V200 11.21757.87YesYes056
73B:B:L252 B:B:Y264 38.16595.86NoYes075
74B:B:D291 B:B:N293 24.66749.42YesNo085
75B:B:D291 B:B:Y289 24.01813.45YesYes1487
76B:B:W297 B:B:Y264 46.288714.47YesYes085
77B:B:N295 B:B:V307 23.79065.91YesNo063
78R:R:L247 R:R:Y243 75.07335.86NoYes088
79R:R:L183 R:R:Y243 71.55485.86YesYes588
80R:R:L183 R:R:W236 71.58183.42YesYes589
81R:R:W236 R:R:W267 66.798114.06YesYes599
82R:R:C232 R:R:W267 66.43545.22NoYes089
83R:R:C232 R:R:T190 66.25163.38NoNo089
84R:R:N233 R:R:T190 66.0685.85YesNo099
85R:R:N194 R:R:N233 56.20169.54NoYes089
86R:R:M230 R:R:N194 15.53412.8NoNo068
87R:R:H302 R:R:M230 15.21646.57YesNo066
88R:R:H302 R:R:L298 10.24956.43YesNo2666
89R:R:I198 R:R:N194 40.49295.66NoNo078
90R:R:H156 R:R:I198 38.034510.61NoNo077
91R:R:H156 R:R:H381 37.790110.75NoYes079
92R:R:H377 R:R:H381 37.6579.55YesYes079
93L:L:L12 R:R:H377 36.1493.86NoYes007
94R:R:H277 R:R:L298 10.06415.14YesNo076
95L:L:L12 L:L:L16 35.96042.77NoYes000
96L:L:L16 R:R:Y146 34.45913.52YesYes1702
97R:R:L142 R:R:Y146 34.11652.34NoYes022
98L:L:S19 R:R:L142 33.92733NoNo002
99L:L:S19 R:R:F137 33.354714.53NoYes3201
100R:R:D101 R:R:F137 32.79178.36NoYes041
101L:L:T30 R:R:D101 32.60235.78NoNo004
102L:L:T30 L:L:V32 27.04343.17NoYes000
103L:L:V32 R:R:W79 19.18246.13YesYes106
104R:R:W79 R:R:Y131 11.522613.5YesYes165
105R:R:W118 R:R:W82 10.77282.81YesYes199
106B:B:S147 B:B:Y145 19.16725.09NoYes098
107B:B:W297 B:B:Y289 23.37746.75YesYes1487
108B:B:N295 B:B:W297 23.40313.39YesYes1468
109B:B:Q75 B:B:Y59 31.167813.53YesYes798
110B:B:W332 B:B:Y59 31.76849.65YesYes798
Download PSN data

2D representation of the global metapath, ligand(s) interactions and
histograms of path distribution according to several parameters
(click on the image to enlarge it 🔍):

A 2D representation of the global communication in the network.

ConSurf Conservation Grade (See documentation): 

 n/a   1    2    3    4    5    6    7    8    9  

Number of shortest communication paths as a function of the average residue correlation.

Number of shortest communication paths as a function of the average interaction strength of their links.

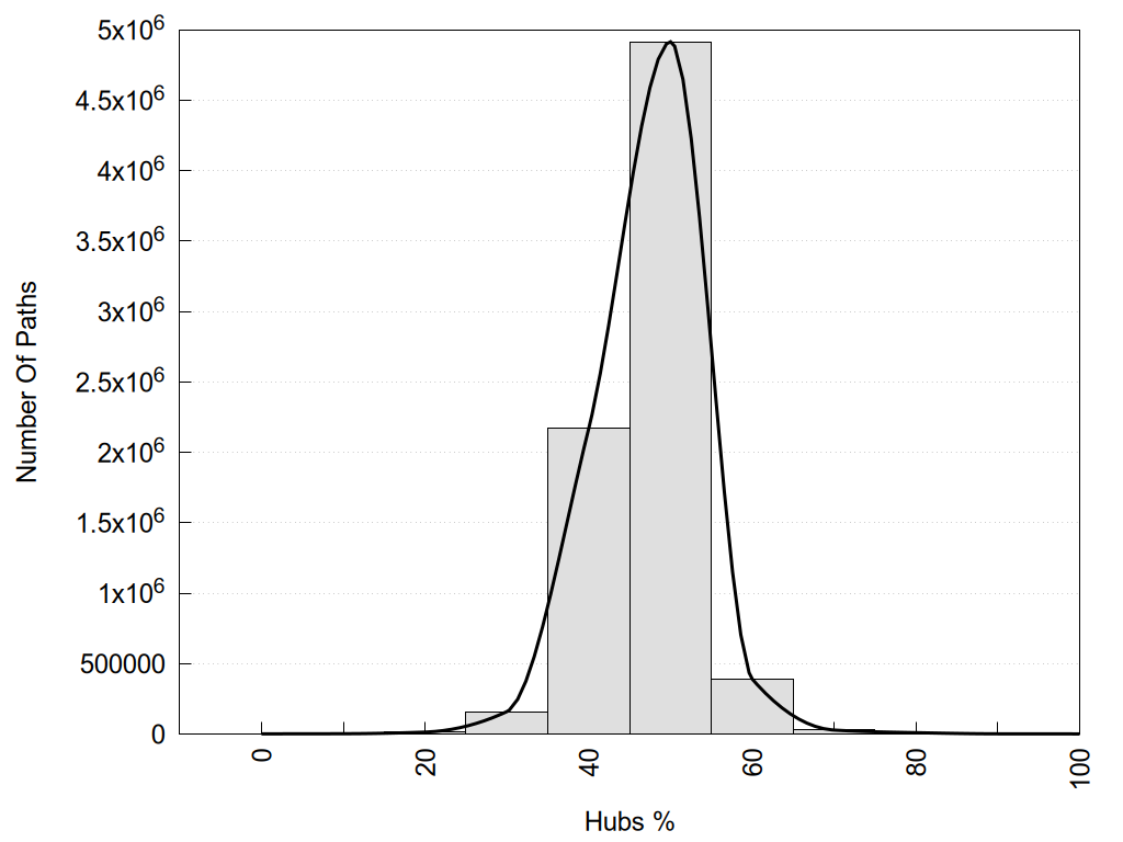
Number of shortest communication paths as a function of the % of hub nodes in each path.

Number of shortest communication paths as a function of the number of nodes in each path.

Number of shortest communication paths as a function of the % of correlated nodes in each path.


2D representation of the interactions of this orthosteric/allosteric ligand.


Links and nodes colored according to ConSurf Conservation Grade (See documentation): 

 n/a   1    2    3    4    5    6    7    8    9  

Node1 Node2 LinkStrength Comm IsNode1Hub? IsNode2Hub? Node1Cons Node2Cons Node1Shell Node2Shell
L:L:K1 R:R:Y299 5.97 0 No No 0 7 0 1
L:L:C2 R:R:L298 3.17 26 No No 0 6 0 1
L:L:C2 R:R:H302 2.95 26 No Yes 0 6 0 1
L:L:N3 R:R:W361 9.04 0 No No 0 4 0 1
L:L:A5 R:R:M376 3.22 0 No Yes 0 7 0 1
L:L:T6 R:R:Y234 4.99 0 Yes No 0 7 0 1
L:L:T6 R:R:H302 9.58 0 Yes Yes 0 6 0 1
L:L:T6 R:R:M306 3.01 0 Yes No 0 4 0 1
L:L:C7 R:R:H302 7.37 26 Yes Yes 0 6 0 1
L:L:A8 R:R:H377 2.93 0 No Yes 0 7 0 1
L:L:T9 R:R:H381 6.85 0 No Yes 0 9 0 1
L:L:Q10 R:R:H226 6.18 0 No No 0 6 0 1
L:L:Q10 R:R:M230 4.08 0 No No 0 6 0 1
L:L:L12 R:R:H377 3.86 0 No Yes 0 7 0 1
L:L:E14 R:R:V293 5.7 0 No No 0 6 0 1
L:L:F15 R:R:F137 6.43 32 No Yes 0 1 0 1
L:L:L16 R:R:Y146 3.52 17 Yes Yes 0 2 0 1
L:L:L16 R:R:Y149 5.86 17 Yes Yes 0 5 0 1
L:L:R17 R:R:V212 6.54 27 Yes No 0 3 0 1
L:L:R17 R:R:L291 12.15 27 Yes No 0 6 0 1
L:L:H18 R:R:P100 3.05 27 Yes No 0 4 0 1
L:L:S19 R:R:F137 14.53 32 No Yes 0 1 0 1
L:L:S19 R:R:L142 3 32 No No 0 2 0 1
L:L:S20 R:R:Y146 5.09 17 No Yes 0 2 0 1
L:L:F23 R:R:L40 7.31 27 Yes No 0 5 0 1
L:L:F23 R:R:P100 7.22 27 Yes No 0 4 0 1
L:L:F23 R:R:N288 4.83 27 Yes No 0 4 0 1
L:L:T30 R:R:D101 5.78 0 No No 0 4 0 1
L:L:T30 R:R:F102 9.08 0 No Yes 0 4 0 1
L:L:V32 R:R:W79 6.13 1 Yes Yes 0 6 0 1
L:L:T36 R:R:W79 4.85 1 No Yes 0 6 0 1
L:L:P37 R:R:D77 6.44 1 Yes Yes 0 9 0 1
L:L:P37 R:R:G78 4.06 1 Yes No 0 5 0 1
L:L:P37 R:R:W79 25.67 1 Yes Yes 0 6 0 1
L:L:?38 R:R:D77 3.36 1 Yes Yes 0 9 0 1
L:L:?38 R:R:W128 8.46 1 Yes Yes 0 5 0 1
L:L:?38 R:R:S129 7.43 1 Yes Yes 0 7 0 1
L:L:?38 R:R:Y131 5.8 1 Yes Yes 0 5 0 1
R:R:D287 R:R:L40 4.07 21 Yes No 3 5 2 1
R:R:M48 R:R:W79 3.49 0 No Yes 6 6 2 1
R:R:G78 R:R:W76 4.22 1 No Yes 5 8 1 2
R:R:D77 R:R:G78 5.03 1 Yes No 9 5 1 1
R:R:D77 R:R:W82 5.58 1 Yes Yes 9 9 1 2
R:R:D77 R:R:S129 2.94 1 Yes Yes 9 7 1 1
R:R:D77 R:R:Y131 3.45 1 Yes Yes 9 5 1 1
R:R:F99 R:R:W79 11.02 0 No Yes 5 6 2 1
R:R:W79 R:R:Y131 13.5 1 Yes Yes 6 5 1 1
R:R:K110 R:R:W82 6.96 1 Yes Yes 8 9 2 2
R:R:S129 R:R:W82 4.94 1 Yes Yes 7 9 1 2
R:R:C95 R:R:P96 3.77 1 Yes Yes 9 9 2 2
R:R:C95 R:R:F102 4.19 1 Yes Yes 9 4 2 1
R:R:C134 R:R:C95 5.46 1 No Yes 9 9 2 2
R:R:P96 R:R:Y131 4.17 1 Yes Yes 9 5 2 1
R:R:F102 R:R:F99 6.43 0 Yes No 4 5 1 2
R:R:D101 R:R:F137 8.36 0 No Yes 4 1 1 1
R:R:V108 R:R:Y131 13.88 0 No Yes 7 5 2 1
R:R:K110 R:R:S129 6.12 1 Yes Yes 8 7 2 1
R:R:H121 R:R:W128 19.04 0 No Yes 4 5 2 1
R:R:N130 R:R:W128 7.91 0 No Yes 8 5 2 1
R:R:S129 R:R:Y131 7.63 1 Yes Yes 7 5 1 1
R:R:C134 R:R:Y131 4.03 1 No Yes 9 5 2 1
R:R:Y146 R:R:Y150 2.98 17 Yes No 2 4 1 2
R:R:H377 R:R:L148 6.43 0 Yes No 7 5 1 2
R:R:Y149 R:R:Y150 10.92 17 Yes No 5 4 1 2
R:R:I153 R:R:Y149 10.88 17 No Yes 7 5 2 1
R:R:L202 R:R:Y149 9.38 17 No Yes 7 5 2 1
R:R:A152 R:R:H381 7.32 0 No Yes 7 9 2 1
R:R:I153 R:R:L202 4.28 17 No No 7 7 2 2
R:R:H156 R:R:I198 10.61 0 No No 7 7 2 2
R:R:H156 R:R:H381 10.75 0 No Yes 7 9 2 1
R:R:I198 R:R:N194 5.66 0 No No 7 8 2 2
R:R:M230 R:R:N194 2.8 0 No No 6 8 1 2
R:R:H226 R:R:I197 5.3 0 No No 6 5 1 2
R:R:H226 R:R:I198 5.3 0 No No 6 7 1 2
R:R:P207 R:R:V206 3.53 0 No Yes 3 3 2 1
R:R:N288 R:R:V212 5.91 0 No No 4 3 1 1
R:R:C289 R:R:V212 5.12 0 No No 9 3 2 1
R:R:H302 R:R:M230 6.57 26 Yes No 6 6 1 1
R:R:V305 R:R:Y234 8.83 0 No No 7 7 2 1
R:R:F356 R:R:Y234 7.22 6 Yes No 7 7 2 1
R:R:H277 R:R:L298 5.14 0 Yes No 7 6 2 1
R:R:H302 R:R:L298 6.43 26 Yes No 6 6 1 1
R:R:H302 R:R:I301 3.98 26 Yes Yes 6 7 1 2
R:R:F356 R:R:Q355 8.2 6 Yes Yes 7 8 2 2
R:R:M376 R:R:Q355 4.08 6 Yes Yes 7 8 1 2
R:R:F356 R:R:I380 6.28 6 Yes No 7 6 2 2
R:R:F359 R:R:Y372 3.09 6 No Yes 6 7 2 2
R:R:F359 R:R:M376 4.98 6 No Yes 6 7 2 1
R:R:P360 R:R:W361 12.16 0 No No 5 4 2 1
R:R:M376 R:R:Y372 9.58 6 Yes Yes 7 7 1 2
R:R:I380 R:R:M376 2.92 0 No Yes 6 7 2 1
R:R:H377 R:R:H381 9.55 0 Yes Yes 7 9 1 1
L:L:F15 R:R:A145 2.77 32 No No 0 4 0 1
R:R:H201 R:R:V206 2.77 0 No Yes 6 3 2 1
L:L:K1 R:R:H296 2.62 0 No No 0 2 0 1
L:L:R17 R:R:V206 2.62 27 Yes Yes 0 3 0 1
L:L:T4 R:R:W361 2.43 0 No No 0 4 0 1
R:R:L142 R:R:Y146 2.34 0 No Yes 2 2 1 1
R:R:F119 R:R:W128 2 0 No Yes 4 5 2 1
L:L:A13 R:R:V206 1.7 0 No Yes 0 3 0 1
L:L:N21 R:R:G209 1.7 0 No No 0 3 0 1
R:R:V203 R:R:Y149 1.26 0 No Yes 3 5 2 1
L:L:N22 R:R:F137 1.21 0 No Yes 0 1 0 1
R:R:F137 R:R:N135 1.21 32 Yes No 1 3 1 2
R:R:D97 R:R:F102 1.19 0 No Yes 2 4 2 1

Location and physicochemical properties of the interaction partners of this ligand

Interactions of this ligand

Similarities between the interactions of this ligand and those of other networks

ShowSimilarityNetwork TypeNameLigandDescription
73.91Single9BUDCagrilintide9BUD-CT-Cagrilintide-Gs/β1/γ2
70.83Consensuscalcitonin_onOrthosteric Ligandctlike_on
68.00Single9BP3Cagrilintide9BP3-CT (AMY1)-Cagrilintide-Gs/β1/γ2; RAMP1
68.00Consensuscalcitonin_on_gpOrthosteric Ligandctlike_on_gp
66.67Single7TYIAmylin7TYI-CT-Amylin-Gs/β1/γ2
65.38Single9BUCCagrilintide9BUC-CT-Cagrilintide-Gs/β1/γ2
64.29Single7TZFAmylin7TZF-CT (AMY3)-Amylin-Gs/β1/γ2; RAMP3
64.00Single7TYWCalcitonin-17TYW-CT (AMY1)-Calcitonin-1-Gs/β1/γ2; RAMP1
62.96Single8F0KPramlintide Analogue San3858F0K-CT (AMY3)-Pramlintide Analogue San385-Gs/β1/γ2; RAMP3
61.54Single9BUBCagrilintide9BUB-CT-Cagrilintide-Gs/β1/γ2
60.87Single9BUECagrilintide9BUE-CT-Cagrilintide-Gs/β1/γ2
60.00Single7TYYCalcitonin-17TYY-CT (AMY2)-Calcitonin-1-Gs/β1/γ2; RAMP2
59.26Single6UVAAdrenomedullin-26UVA-CT Like (AM2)-Adrenomedullin-2-Gs/β1/γ2; RAMP3
59.26Single7TYFAmylin7TYF-CT (AMY1)-Amylin-Gs/β1/γ2; RAMP1
57.58Single8F0JPramlintide Analogue San458F0J-CT-Pramlintide Analogue San45-Gs/β1/γ2
57.14Single9BQ3Cagrilintide9BQ3-CT (AMY2)-Cagrilintide-Gs/β1/γ2; RAMP2
57.14Single9BTWCagrilintide9BTW-CT (AMY3)-Cagrilintide-Gs/β1/γ2; RAMP3
56.00Single6UUNAdrenomedullin6UUN-CT Like (AM1)-Adrenomedullin-Gs/β1/γ2; RAMP2
55.56Single9BLBCagrilintide (non-acylated)9BLB-CT-Cagrilintide (non-acylated)-Gs/β1/γ2
55.56Single9BLWCagrilintide (non-acylated)9BLW-CT (AMY1)-Cagrilintide (non-acylated)-Gs/β1/γ2; RAMP1
53.57Single7TYNCalcitonin-17TYN-CT-Calcitonin-1-Gs/β1/γ2
53.33Single9AUCCalcitonin gene-related peptide-19AUC-CT (AMY1)-Calcitonin gene-related peptide-1-Gs/β1/γ2; RAMP1
53.12Single6E3YCalcitonin gene-related peptide-16E3Y-CT Like-Calcitonin gene-related peptide-1-Gs/β1/γ2; RAMP1
51.72Single6UUSAdrenomedullin6UUS-CT Like (AM2)-Adrenomedullin-Gs/β1/γ2; RAMP3
50.00Single7TYOCalcitonin7TYO-CT-Calcitonin-Gs/β1/γ2
50.00Single7TYXAmylin7TYX-CT (AMY2)-Amylin-Gs/β1/γ2; RAMP2
48.39Single8F2APramlintide Analogue San3858F2A-CT (AMY3)-Pramlintide Analogue San385-Gs/β1/γ2; RAMP3
47.22Single8F2BPramlintide Analogue San458F2B-CT (AMY3)-Pramlintide Analogue San45-Gs/β1/γ2; RAMP3
46.67Single7TYLAmylin7TYL-CT-Amylin-Gs/β1/γ2
46.43Single7TYHCalcitonin7TYH-CT (AMY2)-Calcitonin-Gs/β1/γ2; RAMP2
46.43Single9E2AGLP-19E2A-GLP-1-GLP-1-Gs/β1/γ2
44.44Single8YFOAc-LA-PTH Analog8YFO-PTH1-Ac-LA-PTH Analog-chim(NtGi1-Gs)/β1/γ2
43.75Single6LPBPACAP276LPB-PAC1-PACAP27-Gs/β1/γ1
42.86Single6NIYCalcitonin-16NIY-CT-Calcitonin-1-Gs/β1/γ2
42.86Single7FINPeptide-20; GGL7FIN-GIP-Peptide-20; GGL-Gs/β1/γ2
42.86Single8YW4Retatrutide8YW4-GIP-Retatrutide-chim(NtGi1-Gs)/β1/γ2
42.86Single8YW5Retatrutide8YW5-Glucagon-Retatrutide-Gs/β1/γ2
42.31Single8JIQPeptide-158JIQ-Glucagon-Peptide-15-Gs/β1/γ2
41.94Single6LMLGlucagon6LML-Glucagon-Glucagon-Gi1/β1/γ1
41.94Single6WZGSecretin6WZG-Secretin-Secretin-Gs/β1/γ2
41.94Single9P93VIP9P93-PAC1-VIP-Gs/β1/γ2
41.67Single7F16TIP397F16-PTH2-TIP39-Gs/β1/γ2
41.38Single8YG4LA-PTH Analog8YG4-PTH1-LA-PTH Analog-chim(NtGi1-Gs)/β1/γ2
41.38Consensuspac_onOrthosteric Ligandpac1_on
40.74Single7TRYUrocortin7TRY-CRF2-Urocortin-chim(NtGi1-G11)/β1/γ2
40.62Single7RBTTirzepatide7RBT-GIP-Tirzepatide-LSN3556672-chim(NtGi1-Gs)/β1/γ2
40.00Single7RA3GIP7RA3-GIP-GIP-chim(NtGi1-Gs)/β1/γ2
40.00Single7VABTirzepatide (non-acylated)7VAB-GIP-Tirzepatide (non-acylated)-chim(NtGi1-Gs)/β1/γ2
40.00Single9P92VIP9P92-PAC1-VIP-Gs/β1/γ2
40.00Consensuspac_on_gpOrthosteric Ligandpac1_on_gp
39.39Single8FLULA-PTH Analog8FLU-PTH1-LA-PTH Analog-Gs/β1/γ2
39.29Consensusclass-b1_class-b2_cons_onOrthosteric Ligandclass-b1_on class-b2_on
39.29Consensusclass-b1_class-b2_cons_on_gpOrthosteric Ligandclass-b1_on_gp class-b2_on_gp
38.71Single6B3JExendin-P56B3J-GLP-1-Exendin-P5-Gs/β1/γ2
38.71Single6P9XCorticoliberin-16P9X-CRF1-Corticoliberin-1-Gs/β1/γ2
38.71Single7DTYGIP7DTY-GIP-GIP-Gs/β1/γ2
38.71Single9P94PACAP279P94-PAC1-PACAP27-Gs/β1/γ2
38.71Consensusglp_onOrthosteric Ligandglp1_on glp2_on
38.71Consensusglp_on_gpOrthosteric Ligandglp1_on_gp glp2_on_gp
38.24Single6WPWZP37806WPW-Glucagon-ZP3780-Gs/β1/γ2
37.93Single6M1IPACAP276M1I-PAC1-PACAP27-Gs/β1/γ2
37.93Single6WI9Secretin6WI9-Secretin-Secretin-Gs/β1/γ2
37.93Single7V9MSomatoliberin7V9M-GHRH (SV1)-Somatoliberin-Gs/β1/γ2
37.93Single8YW3Retatrutide8YW3-GLP-1-Retatrutide-Gs/β1/γ2
37.84Consensusclass-b1_onOrthosteric Ligandglucagon_on vip-pacap_on pth_on crf_on calcitonin_on
37.50Single7D68GLP-27D68-GLP-2-GLP-2-Gs/β1/γ2
37.50Single7KI1Taspoglutide7KI1-GLP-1-Taspoglutide-Gs/β1/γ2
37.50Single8FLTM-PTH(1-14)8FLT-PTH1-M-PTH(1-14)-Gs/β1/γ2
37.50Single9BYOExendin-39BYO-GLP-1-Exendin-3-Gs/β1/γ2
37.50Consensusctlike_on_gpOrthosteric Ligand6E3Y-CT Like-Calcitonin gene-related peptide-1-Gs/β1/γ2; RAMP1
37.50Consensuspth1_onOrthosteric Ligand6NBF-PTH1-LA-PTH Analog-Gs/β1/γ2 8HA0-PTH1-PTH-chim(NtGi1-Gs)/β1/γ2 8HAF-PTH1-PTHrP(1-36)-chim(NtGi1-Gs)/β1/γ2 7Y36-PTH1-PTH-Gs/β1/γ2 7Y35-PTH1-Abaloparatide-Gs/β1/γ2
37.50Consensusvip-pacap_onOrthosteric Ligandvpac_on pac_on
37.50Consensusvip-pacap_on_gpOrthosteric Ligandvpac_on_gp pac_on_gp
37.50Consensusvpac2_onOrthosteric Ligand7VQX-VPAC1-PACAP27-Gs/β1/γ2
37.50Consensusvpac2_on_gpOrthosteric Ligand7VQX-VPAC1-PACAP27-Gs/β1/γ2
37.14Consensusglucagon_onOrthosteric Ligandglp_on gluc_on secretin_on gip_on
37.04Single8YWFRetatrutide8YWF-GLP-1-Retatrutide-chim(NtGi1-Gs)/β1/γ2
36.67Single7WBJPACAP277WBJ-VPAC1-PACAP27-Gs/β1/γ2
36.67Single8E3YPACAP278E3Y-VPAC1-PACAP27-Gs/β1/γ2
36.67Single8E3ZVIP8E3Z-VPAC1-VIP-Gs/β1/γ2
36.67Consensusvpac1_onOrthosteric Ligand8E3Z-VPAC1-VIP-Gs/β1/γ2
36.36Single6PB0Urocortin6PB0-CRF1-Urocortin-chim(NtGi1-Gs)/β1/γ2
36.11Consensusglucagon_on_gpOrthosteric Ligandglp_on_gp gluc_on_gp secretin_on_gp gip_on_gp
35.71Single6WHCGlu16 analog of GCG6WHC-Glucagon-Glu16 analog of GCG-Gs/β1/γ2
35.48Single6FJ3PTH6FJ3-PTH1-PTH
35.48Single6NBFLA-PTH Analog6NBF-PTH1-LA-PTH Analog-Gs/β1/γ2
35.48Single6P9YPACAP276P9Y-PAC1-PACAP27-Gs/β1/γ2
35.48Single7D3SSecretin7D3S-Secretin-Secretin-Gs/β1/γ2
35.48Single8E3XPACAP278E3X-PAC1-PACAP27-Gs/β1/γ2
35.48Single8FLRPTHrP(1-36)8FLR-PTH1-PTHrP(1-36)-Gs/β1/γ2
35.48Consensusctlike_onOrthosteric Ligand6E3Y-CT Like-Calcitonin gene-related peptide-1-Gs/β1/γ2; RAMP1
35.48Consensuspac1_onOrthosteric Ligand8E3X-PAC1-PACAP27-Gs/β1/γ2 6M1H-PAC1-Maxadilan-Gs/β1/γ2
35.48Consensuspac1_on_gpOrthosteric Ligand8E3X-PAC1-PACAP27-Gs/β1/γ2 6M1H-PAC1-Maxadilan-Gs/β1/γ2
35.48Consensusvpac1_on_gpOrthosteric Ligand8E3Z-VPAC1-VIP-Gs/β1/γ2
35.48Consensusvpac_on_gpOrthosteric Ligandvpac1_on_gp vpac2_on_gp
35.29Single8FLSAbaloparatide8FLS-PTH1-Abaloparatide-Gs/β1/γ2
34.62Single7LLLExendin-47LLL-GLP-1-Exendin-4-Gs/β1/γ2
34.62Single7VVNPTH7VVN-PTH1-PTH-Gs/β1/γ2
34.62Single9C0KExendin-49C0K-GLP-1-Exendin-4-Gs/β1/γ2
34.48Single9LXRLA-PTH Analog9LXR-PTH1-LA-PTH Analog-Arrestin2
34.38Single6VCBGLP-16VCB-GLP-1-GLP-1-LSN3160440-Gs/β1/γ2
34.38Single7FIYTirzepatide7FIY-GIP-Tirzepatide-Gs/β1/γ2
34.38Single7S1MExendin-4-D-Ala7S1M-GLP-1-Exendin-4-D-Ala-Gs/β1/γ2
34.38Single8FU6ZP37808FU6-Glucagon-ZP3780-Gs/β1/γ2
34.38Consensuscrf_onOrthosteric Ligandcrf2_on crf1_on
34.38Consensusglp2_onOrthosteric Ligand7D68-GLP-2-GLP-2-Gs/β1/γ2
34.38Consensusglp2_on_gpOrthosteric Ligand7D68-GLP-2-GLP-2-Gs/β1/γ2
34.38Consensussecretin_on_gpOrthosteric Ligand7D3S-Secretin-Secretin-Gs/β1/γ2
34.29Single7V35Peptide-207V35-Glucagon-Peptide-20-Gs/β1/γ2
34.29Single7VVMPTH7VVM-PTH1-PTH-Gs/β1/γ2
34.29Single9JR2PTH9JR2-PTH1-PTH-chim(NtGi1L-Gs-CtGq)/β1/γ2
34.29Consensuscrf_on_gpOrthosteric Ligandcrf2_on_gp crf1_on_gp
34.29Consensuspth1_on_gpOrthosteric Ligand6NBF-PTH1-LA-PTH Analog-Gs/β1/γ2 8HA0-PTH1-PTH-chim(NtGi1-Gs)/β1/γ2 8HAF-PTH1-PTHrP(1-36)-chim(NtGi1-Gs)/β1/γ2 7Y36-PTH1-PTH-Gs/β1/γ2 7Y35-PTH1-Abaloparatide-Gs/β1/γ2
34.21Consensuspth2_on_gpOrthosteric Ligand7F16-PTH2-TIP39-Gs/β1/γ2
34.15Consensusclass-b1_on_gpOrthosteric Ligandglucagon_on_gp vip-pacap_on_gp pth_on_gp crf_on_gp calcitonin_on_gp
33.33Single5VAIGLP-15VAI-GLP-1-GLP-1-Gs/β1/γ2
33.33Single6LMKGlucagon6LMK-Glucagon-Glucagon-Gs/β1/γ2
33.33Single6NBHLA-PTH Analog6NBH-PTH1-LA-PTH Analog-Gs/β1/γ2
33.33Single6PB1Urocortin6PB1-CRF2-Urocortin-chim(NtGi1-Gs)/β1/γ2
33.33Single7FIMTirzepatide7FIM-GLP-1-Tirzepatide-Gs/β1/γ2
33.33Single7TS0Urocortin7TS0-CRF2-Urocortin-chim(NtGi1L-Go)/β1/γ2
33.33Single7VVJPTHrP(1-36)7VVJ-PTH1-PTHrP(1-36)-Gs/β1/γ2
33.33Single7VVLPTH7VVL-PTH1-PTH-Gs/β1/γ2
33.33Single8FLQPTH8FLQ-PTH1-PTH-Gs/β1/γ2
33.33Single8HA0PTH8HA0-PTH1-PTH-chim(NtGi1-Gs)/β1/γ2
33.33Single8HAFPTHrP(1-36)8HAF-PTH1-PTHrP(1-36)-chim(NtGi1-Gs)/β1/γ2
33.33Single8JITMEDI03828JIT-Glucagon-MEDI0382-Gs/β1/γ2
33.33Single9EBOGLP-1 (ACPC18)9EBO-GLP-1-GLP-1 (ACPC18)-Gs/β1/γ2
33.33Single9JR3PTH9JR3-PTH1-PTH-chim(NtGi1L-Gs-CtGq)/β1/γ2
33.33Consensusclass-a_class-b1_cons_on_gpOrthosteric Ligandclass-a_on_gp class-b1_on_gp
33.33Consensuscrf2_onOrthosteric Ligand7TS0-CRF2-Urocortin-chim(NtGi1L-Go)/β1/γ2
33.33Consensuspth2_onOrthosteric Ligand7F16-PTH2-TIP39-Gs/β1/γ2
32.50Consensuspth_on_gpOrthosteric Ligandpth1_on_gp pth2_on_gp
32.43Consensuspth_onOrthosteric Ligandpth1_on pth2_on
32.35Single7DUQGLP-17DUQ-GLP-1-GLP-1-PubChem 156022738-Gs/β1/γ2
32.35Consensusclass-a_class-b1_cons_onOrthosteric Ligandclass-a_on class-b1_on
32.35Consensuscrf1_onOrthosteric Ligand6PB0-CRF1-Urocortin-chim(NtGi1-Gs)/β1/γ2 6P9X-CRF1-Corticoliberin-1-Gs/β1/γ2
32.26Single6X18GLP-16X18-GLP-1-GLP-1-Gs/β1/γ2
32.26Single7LLYOxyntomodulin7LLY-GLP-1-Oxyntomodulin-Gs/β1/γ2
32.26Single7Y35Abaloparatide7Y35-PTH1-Abaloparatide-Gs/β1/γ2
32.26Consensusvpac_onOrthosteric Ligandvpac1_on vpac2_on
32.14Single7RTBPeptide-197RTB-GLP-1-Peptide-19-Gs/β1/γ2
31.82Single8IJANiacin8IJA-HCA2-Niacin-Gi1/β1/γ2
31.25Single6NBILA-PTH Analog6NBI-PTH1-LA-PTH Analog-Gs/β1/γ2
31.25Single7CZ5Somatoliberin7CZ5-GHRH-Somatoliberin-Gs/β1/γ2
31.25Single7KI0Semaglutide7KI0-GLP-1-Semaglutide-Gs/β1/γ2
31.25Single8JISPeptide-158JIS-GLP-1-Peptide-15-chim(NtGi1-Gs)/β1/γ2
31.25Single9J1Pg1:Ox9J1P-GLP-1-g1:Ox-chim(NtGi1-Gs)/β1/γ2
31.25Consensuscrf2_on_gpOrthosteric Ligand7TS0-CRF2-Urocortin-chim(NtGi1L-Go)/β1/γ2
31.25Consensussecretin_onOrthosteric Ligand7D3S-Secretin-Secretin-Gs/β1/γ2
31.03Single7VBITirzepatide (non-acylated)7VBI-GLP-1-Tirzepatide (non-acylated)-Gs/β1/γ2
30.56Single8JIPMEDI03828JIP-GLP-1-MEDI0382-chim(NtGi1-Gs)/β1/γ2
30.56Single8JIRSAR4258998JIR-GLP-1-SAR425899-chim(NtGi1-Gs)/β1/γ2
30.56Consensuscrf1_on_gpOrthosteric Ligand6PB0-CRF1-Urocortin-chim(NtGi1-Gs)/β1/γ2 6P9X-CRF1-Corticoliberin-1-Gs/β1/γ2
30.30Single5NX2GLP-1 (Truncated)5NX2-GLP-1-GLP-1 (Truncated)
30.30Single7VVKPTH7VVK-PTH1-PTH-Gs/β1/γ2
30.30Single8HAOPTH8HAO-PTH1-PTH-chim(NtGi1-Gs)/β1/γ2
30.00Single6VN7PACAP276VN7-VPAC1-PACAP27-Gs/β1/γ2
29.73Single7Y36PTH7Y36-PTH1-PTH-Gs/β1/γ2
29.73Single8JIUSAR4258998JIU-Glucagon-SAR425899-Gs/β1/γ2
29.63Single6M1HMaxadilan6M1H-PAC1-Maxadilan-Gs/β1/γ2
29.17Single8I7VAcipimox8I7V-HCA2-Acipimox-Gi1/β1/γ2
29.17Single8J6PNiacin8J6P-HCA2-Niacin-PubChem 25101223-Gi1/β1/γ2
29.17Single8JHNMonomethyl fumarate8JHN-HCA2-Monomethyl fumarate-Go/β1/γ2
29.17Consensusgi_hcaOrthosteric Ligand8J6R-HCA2-MK6892-Gi1/β1/γ2 8JIM-HCA2-Monomethyl fumarate-Gi1/β1/γ2 8IHI-HCA2-Acifran-Gi1/β1/γ2 8IHH-HCA2-LUF6283-Gi1/β1/γ2 8I7V-HCA2-Acipimox-Gi1/β1/γ2 8I7W-HCA2-GSK256073-Gi1/β1/γ2
29.17Consensushca2_onOrthosteric Ligand8J6R-HCA2-MK6892-Gi1/β1/γ2 8JIM-HCA2-Monomethyl fumarate-Gi1/β1/γ2 8I7V-HCA2-Acipimox-Gi1/β1/γ2 8I7W-HCA2-GSK256073-Gi1/β1/γ2 8IHH-HCA2-LUF6283-Gi1/β1/γ2 8IHI-HCA2-Acifran-Gi1/β1/γ2
29.17Consensushca2_on_gpOrthosteric Ligand8J6R-HCA2-MK6892-Gi1/β1/γ2 8IHI-HCA2-Acifran-Gi1/β1/γ2 8IHH-HCA2-LUF6283-Gi1/β1/γ2 8I7V-HCA2-Acipimox-Gi1/β1/γ2 8JIM-HCA2-Monomethyl fumarate-Gi1/β1/γ2 8I7W-HCA2-GSK256073-Gi1/β1/γ2
29.17Consensushca_on_gpOrthosteric Ligandhca2_on_gp
28.57Single8J6QBeta-Hydroxybutyrate8J6Q-HCA2-β-Hydroxybutyrate-PubChem 25101223-Gi1/β1/γ2
28.57Consensusgip_onOrthosteric Ligand7FIN-GIP-Peptide-20; GGL-Gs/β1/γ2 7FIY-GIP-Tirzepatide-Gs/β1/γ2 7DTY-GIP-GIP-Gs/β1/γ2
28.57Consensusgip_on_gpOrthosteric Ligand7FIN-GIP-Peptide-20; GGL-Gs/β1/γ2 7FIY-GIP-Tirzepatide-Gs/β1/γ2 7DTY-GIP-GIP-Gs/β1/γ2
28.21Consensusgluc_on_gpOrthosteric Ligand6LMK-Glucagon-Glucagon-Gs/β1/γ2 8JIT-Glucagon-MEDI0382-Gs/β1/γ2 7V35-Glucagon-Peptide-20-Gs/β1/γ2
28.12Single5YQZNNC17025YQZ-Glucagon-NNC1702
28.00Single8J6JGSK2560738J6J-HCA2-GSK256073-Gi1/β1/γ2
28.00Single8UUJFCH-22964138UUJ-HCA2-FCH-2296413-Gi1/β1/γ2
28.00Single9CIBFCH-22964139CIB-HCA2-FCH-2296413
27.78Single7VBHPeptide-207VBH-GLP-1-Peptide-20-Gs/β1/γ2
27.59Single7W0PElabela7W0P-Apelin-Elabela-Gi1/β1/γ2
27.27Single7RGPTirzepatide7RGP-GLP-1-Tirzepatide-chim(NtGi1-Gs)/β1/γ2
27.27Single8H2GNiacin8H2G-HCA2-Niacin-Gi1/β1/γ2
27.27Single8K5BNiacin8K5B-HCA2-Niacin
27.03Consensusglp1_on_gpOrthosteric Ligand7S1M-GLP-1-Exendin-4-D-Ala-Gs/β1/γ2 7X8R-GLP-1-BOC5-Gs/β1/γ2 6X19-GLP-1-CHU-128-Gs/β1/γ2 6X1A-GLP-1-Danuglipron-Gs/β1/γ2 6X18-GLP-1-GLP-1-Gs/β1/γ2 8JIP-GLP-1-MEDI0382-chim(NtGi1-Gs)/β1/γ2 7C2E-GLP-1-PubChem 149050799-Gs/β1/γ2 7KI0-GLP-1-Semaglutide-Gs/β1/γ2 7KI1-GLP-1-Taspoglutide-Gs/β1/γ2 7X8S-GLP-1-WB4-24-Gs/β1/γ2 8JIS-GLP-1-Peptide-15-chim(NtGi1-Gs)/β1/γ2 7VBI-GLP-1-Tirzepatide (non-acylated)-Gs/β1/γ2
26.92Single8IHBGSK2560738IHB-HCA2-GSK256073-Gi1/β1/γ2
26.92Single8IHHLUF62838IHH-HCA2-LUF6283-Gi1/β1/γ2
26.92Consensus5ht_offOrthosteric Ligand5ht2_off 5ht1_off
26.67Single6DO1(Sar1,Ile8)-Angiotensin II6DO1-AT1-(Sar1,Ile8)-Angiotensin II
26.67Single8JZZC5a-des-Arg8JZZ-C5a1-C5a-des-Arg-Go/β1/γ2
26.47Single7VQXPACAP277VQX-VPAC1-PACAP27-Gs/β1/γ2
26.09Single7LD4Adenosine7LD4-A1-Adenosine-Gi2/β1/γ2
26.09Single8Z87CHBA8Z87-HCA1-CHBA-Gi1/β1/γ2
26.09Consensusa1_onOrthosteric Ligand7LD4-A1-Adenosine-Gi2/β1/γ2
26.09Consensusa1_on_gpOrthosteric Ligand7LD4-A1-Adenosine-Gi2/β1/γ2
25.93Single7WCNAR2314537WCN-GPR119-AR231453-Gs/β1/γ2
25.81Single9B5YLA-PTH Analog9B5Y-PTH1-LA-PTH Analog-chim(NtGi1-Gq)/β1/γ2
25.81Single9IVMGLP-1 (Truncated)9IVM-GLP-1-GLP-1 (Truncated)-LSN3318839-chim(NtGi1-Gs)/β2/γ2
25.64Consensusgluc_onOrthosteric Ligand6LMK-Glucagon-Glucagon-Gs/β1/γ2 8JIT-Glucagon-MEDI0382-Gs/β1/γ2 7V35-Glucagon-Peptide-20-Gs/β1/γ2
25.00Single2YDOAdenosine2YDO-A2A-Adenosine
25.00Single4BVNCyanopindolol4BVN-β1-Cyanopindolol-Na
25.00Single7WUIIP157WUI-ADGRG2-IP15-chim(NtGi1-Gs)/β1/γ2
25.00Single7XZ6APD6687XZ6-GPR119-APD668-Gs/β1/γ2
25.00Single8IJDMK68928IJD-HCA2-MK6892-Gi1/β1/γ2
25.00Single8IY9Niacin8IY9-HCA2-Niacin-Go/β1/γ2
25.00Single8J19LY2378J19-GPR84-LY237-Gi1/β1/γ2
25.00Single8JERAcipimox8JER-HCA2-Acipimox-Go/β1/γ2
25.00Single8JIMMonomethyl fumarate8JIM-HCA2-Monomethyl fumarate-Gi1/β1/γ2
25.00Single8K5CAcipimox8K5C-HCA2-Acipimox
25.00Single8W88SEP-3638568W88-TA1-SEP-363856-Gs/β1/γ2
25.00Single9KT8Acifran9KT8-HCA2-Acifran-Gi1/β1/γ2
25.00Single9L79AR2314539L79-GPR119-AR231453-chim(NtGi1-Gs)/β1/γ2
25.00Consensusclass-a_onOrthosteric Ligandsensory_on alicarboxylic_on amine_on lipid_on nucleotide_on peptide_on protein_on
25.00Consensusgi_class-aOrthosteric Ligandgi_peptide gi_sensory gi_alicarboxylic gi_amine gi_lipid gi_nucleotide gi_protein
25.00Consensushca_onOrthosteric Ligandhca2_on
24.32Consensusglp1_onOrthosteric Ligand7S1M-GLP-1-Exendin-4-D-Ala-Gs/β1/γ2 7X8R-GLP-1-BOC5-Gs/β1/γ2 6X19-GLP-1-CHU-128-Gs/β1/γ2 6X1A-GLP-1-Danuglipron-Gs/β1/γ2 6X18-GLP-1-GLP-1-Gs/β1/γ2 8JIP-GLP-1-MEDI0382-chim(NtGi1-Gs)/β1/γ2 7C2E-GLP-1-PubChem 149050799-Gs/β1/γ2 7KI0-GLP-1-Semaglutide-Gs/β1/γ2 7KI1-GLP-1-Taspoglutide-Gs/β1/γ2 7X8S-GLP-1-WB4-24-Gs/β1/γ2 8JIS-GLP-1-Peptide-15-chim(NtGi1-Gs)/β1/γ2 7VBI-GLP-1-Tirzepatide (non-acylated)-Gs/β1/γ2
24.24Single8WWKMCH8WWK-MCH1-MCH-Gi1/β1/γ2
24.24Single8WWMMCH8WWM-MCH1-MCH-Gi1/β1/γ2
24.24Consensusgi_apelinOrthosteric Ligand8XZH-Apelin; Apelin-MM07-Gi1/β1/γ2 7W0M-Apelin-PubChem 122701908-Gi1/β1/γ2 8XZJ-Apelin; Apelin-WN353-Gi1/β1/γ2 8XZF-Apelin; Apelin-WN561-Gi1/β1/γ2 8XZG-Apelin; Apelin-Apelin-13-Gi1/β1/γ2
24.14Single3NY9PubChem 9131033NY9-β2-PubChem 913103
24.14Single8XZFWN5618XZF-Apelin; Apelin-WN561-Gi1/β1/γ2
24.14Single9IZASCH9002719IZA-HCA2-SCH900271-Gi1/β1/γ2
24.14Consensuscxcr3_onOrthosteric Ligand8HNK-CXCR3-CXCL11-Gi1/β1/γ2 8HNL-CXCR3-PS372424-Gi1/β1/γ2
24.00Single8JIINiacin8JII-HCA2-Niacin-PubChem 25101223-Gi1/β1/γ2
24.00Single8K5DGSK2560738K5D-HCA2-GSK256073
24.00Single8T1WCVN4248T1W-GPR6-CVN424
24.00Single8W8ARO52563908W8A-TA1-RO5256390-chim(NtGi1L-Gs)/β1/γ2
24.00Single8ZSSRO52633978ZSS-TA1-RO5263397-chim(NtGi1-Gs)/β1/γ2
24.00Single9IZCMK19039IZC-HCA2-MK1903-Gi1/β1/γ2
24.00Consensusadenosine_on_gpOrthosteric Liganda1_on_gp a2_on_gp a3_on_gp
24.00Consensusalicarboxylic_on_gpOrthosteric Ligandsuccinate_on_gp hca_on_gp
24.00Consensusgi_alicarboxylicOrthosteric Ligandgi_hca gi_succinate
23.81Single8GEIConstrained Epinephrine8GEI-β2-Constrained Epinephrine-Gs/β1/γ2
23.81Single8Z8ALactate8Z8A-HCA1-Lactate-Gi1/β1/γ2
23.33Single6X19CHU-1286X19-GLP-1-CHU-128-Gs/β1/γ2
23.33Single8J6RMK68928J6R-HCA2-MK6892-Gi1/β1/γ2
23.33Consensusclass-a_on_gpOrthosteric Ligandsensory_on_gp alicarboxylic_on_gp amine_on_gp lipid_on_gp nucleotide_on_gp peptide_on_gp protein_on_gp
23.08Single5JQHCarazolol5JQH-β2-Carazolol
23.08Single6ME72-Phenylmelatonin6ME7-MT2-2-Phenylmelatonin
23.08Single6PS6Timolol6PS6-β2-Timolol
23.08Single7LD3Adenosine7LD3-A1-Adenosine-MIPS521-Gi2/β1/γ2
23.08Single8I7WGSK2560738I7W-HCA2-GSK256073-Gi1/β1/γ2
23.08Single8ZRKGSK12922638ZRK-GPR119-GSK1292263-Gs/β1/γ2
23.08Single9EE8Adenosine9EE8-A2A-Adenosine-Gs/β1/γ2
23.08Consensusgs_amineOrthosteric Ligandgs_5ht gs_adrenergic gs_dopamine gs_histamine gs_trace-amine
23.08Consensusta1_onOrthosteric Ligand8W87-TA1-METH-chim(NtGi1L-Gs)/β1/γ2 8W89-TA1-2-Phenylethylamine-chim(NtGi1L-Gs)/β1/γ2 8JLP-TA1-Ralmitaront-Gs/β1/γ2 8W8A-TA1-RO5256390-chim(NtGi1L-Gs)/β1/γ2 8W88-TA1-SEP-363856-Gs/β1/γ2 8JLO-TA1-Ulotaront-Gs/β1/γ2 8JLR-TA1-A77636-chim(NtGi1-Gs)/β1/γ2 8JSO-TA1-AMPH-chim(NtGi1-Gs)/β1/γ2 8ZSP-TA1-LSD-chim(NtGi1L-Gs)/β1/γ2
23.08Consensustrace-amine_onOrthosteric Ligandta1_on
22.86Single8WWLMCH8WWL-MCH1-MCH-Gi1/β1/γ2
22.86Single8ZH8QRFP268ZH8-QRFP-QRFP26-Gq/β1/γ1
22.86Consensusgq_peptideOrthosteric Ligandgq_cck gq_kisspeptin gq_bradykinin gq_bombesin gq_angiotensin
22.73Single9KT93,5-DHBA9KT9-HCA1-3,5-DHBA-Gi1/β1/γ2
22.58Single7E14Orforglipron7E14-GLP-1-Orforglipron-PubChem 156022738-Gs/β1/γ2
22.58Single7RKMCX3CL17RKM-US28-CX3CL1-Gi1/β1/γ2
22.58Single7XMSSomatostatin-147XMS-SST4-Somatostatin-14-Gi1/β1/γ2
22.58Single8F7QBeta-Endorphin8F7Q-μ-β-Endorphin-Gi1/β1/γ2
22.58Single8Z7JJN241-98Z7J-Apelin-JN241-9-Gi1/β1/γ2
22.58Consensusgq_class-aOrthosteric Ligandgq_peptide gq_amine gq_nucleotide
22.22Single2YDVNECA2YDV-A2A-NECA
22.22Single4UHRCGS216804UHR-A2A-CGS21680
22.22Single5A8E7-Methylcyanopindolol5A8E-β1-7-Methylcyanopindolol-Na
22.22Single5G53NECA5G53-A2A-NECA-Gs
22.22Single5V54Methiothepin5V54-5-HT1B-Methiothepin
22.22Single8T1VPubChem 1183102098T1V-GPR6-PubChem 118310209-Na
22.22Single8WWNMCH8WWN-MCH1-MCH-Gi1/β1/γ2
22.22Single8XQTCholesterol8XQT-TAS2R14-Cholesterol-Gi1/β1/γ1
22.22Single9ASTLymphotactin9AST-XCR1-Lymphotactin-Gi1/β1/γ2
22.22Consensus5ht1_offOrthosteric Ligand5ht1b_off
22.22Consensus5ht1b_offOrthosteric Ligand5V54-5-HT1B-Methiothepin
22.22Consensusbk2_onOrthosteric Ligand7F6H-BK2-Bradykinin-Gq/β1/γ2 7F6I-BK2-Kallidin-Gq/β1/γ2
22.22Consensusbk2_on_gpOrthosteric Ligand7F6H-BK2-Bradykinin-Gq/β1/γ2 7F6I-BK2-Kallidin-Gq/β1/γ2
22.22Consensusbradykinin_onOrthosteric Ligandbk2_on
22.22Consensusbradykinin_on_gpOrthosteric Ligandbk2_on_gp
22.22Consensusclass-a_offOrthosteric Ligandsensory_off alicarboxylic_off amine_off lipid_off nucleotide_off peptide_off protein_off
22.22Consensusd1_on_gpOrthosteric Ligand7F0T-D1-Dopamine-Gs/β1/γ2 7CKY-D1-PW0464-Gs/β1/γ2 8IRR-D1-Rotigotine-Gs/β1/γ2 7JV5-D1-SKF81297-Gs/β1/γ2 7JVP-D1-SKF83959-Gs/β1/γ2 7X2D-D1-Tavapadon-Gs/β1/γ2 7CKX-D1-A77636-Gs/β1/γ2 7JVQ-D1-Apomorphine-Gs/β1/γ2 7CKW-D1-Fenoldopam-Gs/β1/γ2
22.22Consensusgq_bradykininOrthosteric Ligand7F6H-BK2-Bradykinin-Gq/β1/γ2 7F6I-BK2-Kallidin-Gq/β1/γ2
22.22Consensusgs_dopamineOrthosteric Ligand7F0T-D1-Dopamine-Gs/β1/γ2 7CKW-D1-Fenoldopam-Gs/β1/γ2 7CKY-D1-PW0464-Gs/β1/γ2 8IRV-D5-Rotigotine-chim(NtGi1-Gs)/β1/γ2 8IRR-D1-Rotigotine-Gs/β1/γ2 7JV5-D1-SKF81297-Gs/β1/γ2 7JVP-D1-SKF83959-Gs/β1/γ2 7X2D-D1-Tavapadon-Gs/β1/γ2 7CKX-D1-A77636-Gs/β1/γ2 7JVQ-D1-Apomorphine-Gs/β1/γ2
22.22Consensusprotein_offOrthosteric Ligandchemokine_off grh_off
22.22Consensusta1_on_gpOrthosteric Ligand8W87-TA1-METH-chim(NtGi1L-Gs)/β1/γ2 8W89-TA1-2-Phenylethylamine-chim(NtGi1L-Gs)/β1/γ2 8JLP-TA1-Ralmitaront-Gs/β1/γ2 8W8A-TA1-RO5256390-chim(NtGi1L-Gs)/β1/γ2 8W88-TA1-SEP-363856-Gs/β1/γ2 8JLO-TA1-Ulotaront-Gs/β1/γ2 8JLR-TA1-A77636-chim(NtGi1-Gs)/β1/γ2 8JSO-TA1-AMPH-chim(NtGi1-Gs)/β1/γ2 8ZSP-TA1-LSD-chim(NtGi1L-Gs)/β1/γ2
22.22Consensustrace-amine_on_gpOrthosteric Ligandta1_on_gp
21.88Single7TD0LPA7TD0-LPA1-LPA-Gi1/β1/γ2
21.88Consensusangiotensin_onOrthosteric Ligandat1_on
21.88Consensusat1_onOrthosteric Ligand7F6G-AT1-(Sar1)-Angiotensin II-Gq/β1/γ2
21.74Single9IQTNiacin9IQT-HCA2-Niacin-Gi1/β1/γ2
21.74Single9U9VMETH9U9V-β2-METH-Gs/β1/γ2
21.43Single6OS0Angiotensin II6OS0-AT1-Angiotensin II
21.43Single6XOXOrforglipron6XOX-GLP-1-Orforglipron-chim(NtGi1-Gs)/β1/γ2
21.43Single7BZ2Arformoterol7BZ2-β2-Arformoterol-Gs/β1/γ2
21.43Single7EVYSiponimod7EVY-S1P1-Siponimod-Gi1/β1/γ2
21.43Single7MTRADX551647MTR-mGlu2; mGlu2-Glutamate-ADX55164
21.43Single7WCMMBX-29827WCM-GPR119-MBX-2982-Gs/β1/γ2
21.43Single8FYE4-F,5-MeO-PyrT8FYE-5-HT1A-4-F,5-MeO-PyrT-PtdIns4P-Gi1/β1/γ1
21.43Single8IA8E7 peptide8IA8-C3aB-E7 peptide-Gi1/β1/γ2
21.43Single8IYWGSK2560738IYW-HCA2-GSK256073-Go/β1/γ2
21.43Single8JZ7MK68928JZ7-HCA2-MK6892-Gi1/β1/γ2
21.43Single8VHFMBX-29828VHF-GPR119-MBX-2982-Gs/β1/γ2
21.43Single8XQSCholesterol8XQS-TAS2R14-Cholesterol-Flufenamic acid-Gi1/β1/γ1
21.43Single9EBIPiclidenoson9EBI-A3A-Piclidenoson-chim(NtGi1L-Gs-CtGi1)/β1/γ2
21.43Single9KVG5-MeO-DMT9KVG-5-HT1A-5-MeO-DMT-PtdIns4P-Gi1/β1/γ2
21.43Consensusbeta3_onOrthosteric Ligand7DH5-β3-Mirabegron-Gs/β1/γ2 7XJH-β3-Isoprenaline-Gs/β1/γ2 7XJI-β3-Solabegron-Gs/β1/γ2
21.43Consensusbeta3_on_gpOrthosteric Ligand7DH5-β3-Mirabegron-Gs/β1/γ2 7XJH-β3-Isoprenaline-Gs/β1/γ2 7XJI-β3-Solabegron-Gs/β1/γ2
21.21Single5WB2CX3CL1.355WB2-US28-CX3CL1.35
21.21Single7F6G(Sar1)-Angiotensin II7F6G-AT1-(Sar1)-Angiotensin II-Gq/β1/γ2
21.21Single8H4KGW95088H4K-FFA4-GW9508-chim(NtGi1-Gs-CtGq)/β1/γ2
21.21Single8IHFMK68928IHF-HCA2-MK6892-Gi1/β1/γ2
21.21Single8WSTMCH8WST-MCH2-MCH-chim(NtGi1L-Gs-CtGq)/β1/γ2
21.21Single8X8LCortistatin-148X8L-SST5-Cortistatin-14-chim(NtGi1-Gs-CtGi1)/β1/γ2
21.21Consensusangiotensin_on_gpOrthosteric Ligandat1_on_gp
21.21Consensusapelin_onOrthosteric Ligand8XZH-Apelin; Apelin-MM07-Gi1/β1/γ2 7W0M-Apelin-PubChem 122701908-Gi1/β1/γ2 8XZJ-Apelin; Apelin-WN353-Gi1/β1/γ2 8XZF-Apelin; Apelin-WN561-Gi1/β1/γ2 8XZG-Apelin; Apelin-Apelin-13-Gi1/β1/γ2
21.21Consensusapelin_on_gpOrthosteric Ligand8XZH-Apelin; Apelin-MM07-Gi1/β1/γ2 7W0M-Apelin-PubChem 122701908-Gi1/β1/γ2 8XZJ-Apelin; Apelin-WN353-Gi1/β1/γ2 8XZF-Apelin; Apelin-WN561-Gi1/β1/γ2 8XZG-Apelin; Apelin-Apelin-13-Gi1/β1/γ2
21.21Consensusat1_on_gpOrthosteric Ligand7F6G-AT1-(Sar1)-Angiotensin II-Gq/β1/γ2
21.21Consensuscxcr3_on_gpOrthosteric Ligand8HNK-CXCR3-CXCL11-Gi1/β1/γ2 8HNL-CXCR3-PS372424-Gi1/β1/γ2
21.21Consensusgq_angiotensinOrthosteric Ligand7F6G-AT1-(Sar1)-Angiotensin II-Gq/β1/γ2
21.21Consensusprotein_onOrthosteric Ligandchemokine_on chemerin_on
20.83Single6D9HAdenosine6D9H-A1-Adenosine-Gi2/β1/γ2
20.83Single7DHRIsoprenaline7DHR-β2-Isoprenaline-Gs/β1/γ2
20.83Single7EJ0Norepinephrine7EJ0-α2a-Norepinephrine-Go/β1/γ2
20.83Single7VVOPTH7VVO-PTH1-PTH-Gs/β1/γ2
20.83Single7YMHNorepinephrine7YMH-Alpha1A-Norepinephrine-chim(Gs-CtGq)
20.83Single8GGAConstrained Epinephrine8GGA-β2-Constrained Epinephrine-GTP-Gs/β1/γ2
20.83Single8GGCConstrained Epinephrine8GGC-β2-Constrained Epinephrine-GTP-Gs/β1/γ2
20.83Single8GGRConstrained Epinephrine8GGR-β2-Constrained Epinephrine
20.83Single8GGWConstrained Epinephrine8GGW-β2-Constrained Epinephrine
20.83Single8GGZConstrained Epinephrine8GGZ-β2-Constrained Epinephrine
20.83Single8GH0Constrained Epinephrine8GH0-β2-Constrained Epinephrine
20.83Single8HDPAdenosine8HDP-A2B-Adenosine-Gs/β1/γ2
20.83Single8HMPC178HMP-GPR52-C17-Gs/β1/γ2
20.83Single8IJBAcipimox8IJB-HCA2-Acipimox-Gi1/β1/γ2
20.83Single8IW4Spermidine8IW4-TAA9-Spermidine-chim(NtGi1-Gs)/β1/γ2
20.83Single8IWESpermidine8IWE-TAA9-Spermidine
20.83Single8J6LNiacin8J6L-HCA2-Niacin-Gi1/β1/γ2
20.83Single8UNXConstrained Epinephrine8UNX-β2-Constrained Epinephrine-GTP-Gs/β1/γ2
20.83Single8WC4ZH86518WC4-TA1-ZH8651-chim(NtGi1-Gs)/β1/γ2
20.83Single8WCA2-Phenylethylamine8WCA-TA1-2-Phenylethylamine-chim(NtGi1-Gs)/β1/γ2
20.83Single9JKXAcifran9JKX-HCA3-Acifran-Gi1/β1/γ2
20.83Consensusalpha2_offOrthosteric Ligandalpha2c_off
20.69Single2YCZIodocyanopindolol2YCZ-β1-Iodocyanopindolol
20.69Single5CGDHTL142425CGD-mGlu5-HTL14242
20.69Single6BQHRitanserin6BQH-5-HT2C-Ritanserin
20.69Single7EVZCenerimod7EVZ-S1P1-Cenerimod-Gi1/β1/γ2
20.69Single7SK7CCX6627SK7-ACKR3-CXCL12-CCX662
20.69Single7X8RBOC57X8R-GLP-1-BOC5-Gs/β1/γ2
20.69Single7XJISolabegron7XJI-β3-Solabegron-Gs/β1/γ2
20.69Single7XK2MK68927XK2-HCA2-MK6892-Gi1/β1/γ2
20.69Single8E0GBU728E0G-μ-BU72
20.69Single9AS02-bromo-LSD9AS0-5-HT2A-2-bromo-LSD-chim(NtGi1-Gs-CtGq)/β1/γ2
20.69Consensus5ht2c_offOrthosteric Ligand6BQH-5-HT2C-Ritanserin
20.59Single7F6HBradykinin7F6H-BK2-Bradykinin-Gq/β1/γ2
20.59Single7F6IKallidin7F6I-BK2-Kallidin-Gq/β1/γ2
20.59Single8HNKCXCL118HNK-CXCR3-CXCL11-Gi1/β1/γ2
20.59Single8XQEApelin-138XQE-Apelin; Apelin-Apelin-13-Gi1/β1/γ2
20.59Single8XVHEndothelin-18XVH-ETB-Endothelin-1-chim(Gs-CtGq)/β1/γ2
20.59Consensuschemokine_offOrthosteric Ligandccr_off cxcr_off
20.59Consensuscml1_on_gpOrthosteric Ligand7YKD-CML1-Chemerin-9-Gi1/β1/γ2
20.59Consensuscxcr_offOrthosteric Ligandcxcr3_off cxcr4_off
20.59Consensussst5_on_gpOrthosteric Ligand8X8L-SST5-Cortistatin-14-chim(NtGi1-Gs-CtGi1)/β1/γ2 8X8N-SST5-Octreotide-chim(NtGi1-Gs-CtGi1)/β1/γ2
20.00Single4LDOEpinephrine4LDO-β2-Epinephrine
20.00Single4UG2CGS216804UG2-A2A-CGS21680
20.00Single4XT3CX3CL14XT3-US28-CX3CL1
20.00Single4ZUDOlmesartan4ZUD-AT1-Olmesartan
20.00Single6ME32-Phenylmelatonin6ME3-MT1-2-Phenylmelatonin
20.00Single6PS0Carazolol6PS0-β2-Carazolol
20.00Single6PS4ICI118-5516PS4-β2-ICI118-551
20.00Single6PS82-Phenylmelatonin6PS8-MT1-2-Phenylmelatonin
20.00Single7DHISalbutamol7DHI-β2-Salbutamol-Gs/β1/γ2
20.00Single7F2OBradykinin7F2O-BK2-Bradykinin-chim(NtGi1-Gs-CtGq)/β1/γ2
20.00Single7F8WGastrin-177F8W-CCKB-Gastrin-17-chim(NtGsL-Gq)/β1/γ2
20.00Single7VUGJNJ-635330547VUG-GPR139-JNJ-63533054-Gi1/β1/γ2
20.00Single7X8SWB4-247X8S-GLP-1-WB4-24-Gs/β1/γ2
20.00Single7YJ4INSL57YJ4-RXFP4-INSL5-Gi2/β1/γ2
20.00Single7YKDChemerin-97YKD-CML1-Chemerin-9-Gi1/β1/γ2
20.00Single8GE1Constrained Epinephrine8GE1-β2-Constrained Epinephrine-Gs/β1/γ2
20.00Single8GE4Constrained Epinephrine8GE4-β2-Constrained Epinephrine-Gs/β1/γ2
20.00Single8GE5Constrained Epinephrine8GE5-β2-Constrained Epinephrine-Gs/β1/γ1
20.00Single8GE6Constrained Epinephrine8GE6-β2-Constrained Epinephrine-Gs/β1/γ2
20.00Single8GE7Constrained Epinephrine8GE7-β2-Constrained Epinephrine-Gs/β1/γ2
20.00Single8GE8Constrained Epinephrine8GE8-β2-Constrained Epinephrine-Gs/β1/γ2
20.00Single8GEAConstrained Epinephrine8GEA-β2-Constrained Epinephrine-Gs/β1/γ2
20.00Single8GEDConstrained Epinephrine8GED-β2-Constrained Epinephrine-Gs/β1/γ2
20.00Single8GEFConstrained Epinephrine8GEF-β2-Constrained Epinephrine-Gs/β1/γ2
20.00Single8GEJConstrained Epinephrine8GEJ-β2-Constrained Epinephrine-Gs/β1/γ2
20.00Single8GG8Constrained Epinephrine8GG8-β2-Constrained Epinephrine-GTP-Gs/β1/γ2
20.00Single8GGQConstrained Epinephrine8GGQ-β2-Constrained Epinephrine
20.00Single8GGSConstrained Epinephrine8GGS-β2-Constrained Epinephrine
20.00Single8GGTConstrained Epinephrine8GGT-β2-Constrained Epinephrine
20.00Single8GGVConstrained Epinephrine8GGV-β2-Constrained Epinephrine
20.00Single8GGXConstrained Epinephrine8GGX-β2-Constrained Epinephrine
20.00Single8IA7Cholecystokinin-88IA7-CCKB-Cholecystokinin-8-chim(NtGi1L-Gq)/β1/γ2
20.00Single8IHKAcifran8IHK-HCA3-Acifran
20.00Single8IUMTafluprost acid8IUM-FP-alpha-Tafluprost acid-chim(NtGi1-Gs-CtGq)/β1/γ2
20.00Single8JEIPubChem 117155568JEI-HCAR3-PubChem 11715556-Gi1/β1/γ2
20.00Single8JLKUlotaront8JLK-TA1-Ulotaront-chim(NtGi1-Gs)/β1/γ2
20.00Single8JLNT1AM8JLN-TA1-T1AM-Gs/β1/γ2
20.00Single8JLQFenoldopam8JLQ-TA1-Fenoldopam-Gs/β1/γ2
20.00Single8JLRA776368JLR-TA1-A77636-chim(NtGi1-Gs)/β1/γ2
20.00Single8PM2DMCHA8PM2-TA7-DMCHA-Gs/β1/γ2
20.00Single8UHBRO52563908UHB-TA1-RO5256390-Gs/β1/γ2
20.00Single8UNMConstrained Epinephrine8UNM-β2-Constrained Epinephrine-GTP-Gs/β1/γ2
20.00Single8UNWConstrained Epinephrine8UNW-β2-Constrained Epinephrine-GTP-Gs/β1/γ2
20.00Single8UO0Constrained Epinephrine8UO0-β2-Constrained Epinephrine-GTP-Gs/β1/γ2
20.00Single8WC8ZH86518WC8-TA1-ZH8651-chim(NtGi1-Gs)/β1/γ2
20.00Single8XQLCholesterol8XQL-TAS2R14-Cholesterol-Aristolochic acid A-Gt3/β1/γ1
20.00Single8XQOCholesterol8XQO-TAS2R14-Cholesterol-Aristolochic acid A-Gi1/β1/γ1
20.00Single8YH2Adenosine8YH2-A3A-Adenosine-Gi1/β1/γ2
20.00Single9AS5Mescaline9AS5-5-HT2A-Mescaline
20.00Single9AS6Mescaline9AS6-5-HT2A-Mescaline-chim(NtGi1-Gs-CtGq)/β1/γ2
20.00Single9JKQMETH9JKQ-TA1-METH-Gs/β1/γ2
20.00Single9JKYAcifran9JKY-HCA2-Acifran-Gi1/β1/γ2
20.00Single9K0KUTP9K0K-P2Y4-UTP-chim(NtGi1-Gs-CtGq)/β1/γ2
20.00Single9KFKRelaxin-39KFK-RXFP4-Relaxin-3-Gi2/β1/γ2
20.00Single9KX6C5a-des-Arg9KX6-C5a1-C5a-des-Arg-Go/β1/γ2
20.00Single9M0RNeuropeptide-VF9M0R-NPFF1-Neuropeptide-VF-Gi1/β1/γ2
20.00Single9UMJEP549UMJ-C3aB-EP54-Go/β1/γ2
20.00Single9VNFPindolol9VNF-5-HT1A-Pindolol-Go/β1/γ2
20.00Consensusadenosine_onOrthosteric Liganda1_on a2_on a3_on
20.00Consensusccr_offOrthosteric Ligandccr2_off ccr5_off
20.00Consensuscxcr4_offOrthosteric Ligand4RWS-CXCR4-vMIP-II 3OE0-CXCR4-CVX15 3OE6-CXCR4-IT1t
20.00Consensusgi_adenosineOrthosteric Ligand7LD4-A1-Adenosine-Gi2/β1/γ2 8X17-A3A-Namodenoson-Gi1/β1/γ2 8X16-A3A-Piclidenoson-Gi1/β1/γ2
20.00Consensusgi_peptideOrthosteric Ligandgi_cck gi_apelin gi_compl-pept gi_endothelin gi_formylpeptide gi_galanin gi_ghrelin gi_npy gi_neurotensin gi_opioid gi_orexin gi_relaxin gi_somatostatin
20.00Consensusgi_proteinOrthosteric Ligandgi_chemokine gi_chemerin
20.00Consensusprotein_on_gpOrthosteric Ligandchemokine_on_gp chemerin_on_gp
20.00Consensuss1p_onOrthosteric Ligands1p1_on s1p3_on s1p5_on
20.00Consensuss1p_on_gpOrthosteric Ligands1p1_on_gp s1p3_on_gp s1p5_on_gp
19.44Single7EIBKallidin-des-Arg107EIB-BK1-Kallidin-des-Arg10-chim(NtGi1-Gs-CtGq)/β1/γ2
19.44Single7QBCAlpha-factor mating pheromone7QBC-STE2; STE2-α-factor mating pheromone
19.44Single8ZJGChemerin8ZJG-CML1-Chemerin-Gi1/β1/γ2
19.44Consensuspeptide_onOrthosteric Ligandcck_on angiotensin_on apelin_on bombesin_on bradykinin_on compl-peptide_on endothelin_on formylpeptide_on galanin_on ghrelin_on kisspeptin_on melanocortin_on motilin_on neuromedin-u_on npy_on neurotensin_on opioid_on orexin_on relaxin_on somatostatin_on tachykinin_on trh_on vasop-oxy_on
19.44Consensuspeptide_on_gpOrthosteric Ligandcck_on_gp angiotensin_on_gp apelin_on_gp bombesin_on_gp bradykinin_on_gp compl-peptide_on_gp endothelin_on_gp formylpeptide_on_gp galanin_on_gp ghrelin_on_gp kisspeptin_on_gp melanocortin_on_gp motilin_on_gp neuromedin-u_on_gp npy_on_gp neurotensin_on_gp opioid_on_gp orexin_on_gp relaxin_on_gp somatostatin_on_gp tachykinin_on_gp trh_on_gp vasop-oxy_on_gp
19.35Single4XT1CX3CL14XT1-US28-CX3CL1
19.35Single5UNFPubChem 157800525UNF-AT2-PubChem 15780052
19.35Single8K3ZCXCL128K3Z-CXCR4-CXCL12-Gi1/β1/γ1
19.35Single8WDTphotoNECA8WDT-A2A-photoNECA
19.35Single8ZSPLSD8ZSP-TA1-LSD-chim(NtGi1L-Gs)/β1/γ2
19.35Single9BUYLM1899BUY-β2-LM189-Gi1/β1/γ2
19.35Single9KWGC5a9KWG-C5a1-C5a-Go/β1/γ2
19.35Single9L3YChemerin9L3Y-CML2-Chemerin-Gi1/β1/γ2
19.35Single9UYJChemerin-99UYJ-CML2-Chemerin-9-Arrestin2
19.35Consensuschemerin_on_gpOrthosteric Ligandcml1_on_gp
19.35Consensuscml1_onOrthosteric Ligand7YKD-CML1-Chemerin-9-Gi1/β1/γ2
19.35Consensusgi_chemerinOrthosteric Ligand7YKD-CML1-Chemerin-9-Gi1/β1/γ2
19.35Consensusgi_opioidOrthosteric Ligand8F7R-μ-Endomorphin-Gi1/β1/γ2 8EF5-μ-Fentanyl-Gi1/β1/γ2 7SCG-μ-FH210-Gi1/β1/γ2 7T2H-μ-Lofentanil-Gi1/β1/γ2 7T2G-μ-Mitragynine Pseudoindoxyl-Gi1/β1/γ2 8DZP-κ-momSalB-Gi1/β1/γ2 8EF6-μ-Morphine-Gi1/β1/γ2 8F7X-NOP-Nociceptin-Gi1/β1/γ2 8EFB-μ-Oliceridine-Gi1/β1/γ2 7U2L-μ-C5-guano-Gi1/β1/γ2 8EFO-μ-PZM21-Gi1/β1/γ2 8EFL-μ-SR17018-Gi1/β1/γ2 8F7Q-μ-β-Endorphin-Gi1/β1/γ2 7U2K-μ-C6-guano-Gi1/β1/γ2 8EFQ-μ-DAMGO-Gi1/β1/γ2 8F7S-δ-Deltorphin-Gi1/β1/γ2 8F7W-κ-Dynorphin-Gi1/β1/γ2
19.35Consensusmop_offOrthosteric Ligand4DKL-μ-β-Funaltrexamine 8QOT-μ-Nanobody-E 7UL4-μ-Alvimopan
19.35Consensussst5_onOrthosteric Ligand8X8L-SST5-Cortistatin-14-chim(NtGi1-Gs-CtGi1)/β1/γ2 8X8N-SST5-Octreotide-chim(NtGi1-Gs-CtGi1)/β1/γ2
19.23Single2Y04Salbutamol2Y04-β1-Salbutamol
19.23Single3NY8ICI118-5513NY8-β2-ICI118-551
19.23Single3NYAAlprenolol3NYA-β2-Alprenolol
19.23Single4GBRCarazolol4GBR-β2-Carazolol
19.23Single4QKXPubChem 762106284QKX-β2-PubChem 76210628
19.23Single4U16N-methyl-Scopolamine4U16-M3-N-methyl-Scopolamine
19.23Single5OLZPubChem 1355666095OLZ-A2A-PubChem 135566609-Na
19.23Single5OM1PubChem 1355666095OM1-A2A-PubChem 135566609-Na
19.23Single5TGZAM65385TGZ-CB1-AM6538
19.23Single6DRZMethysergide6DRZ-5-HT2B-Methysergide
19.23Single6H7MSalbutamol6H7M-β1-Salbutamol
19.23Single6PS1Timolol6PS1-β2-Timolol
19.23Single6XBM25(S)-Epoxycholesterol6XBM-SMO-25(S)-Epoxycholesterol-Gi1/β1/γ2
19.23Single7BTSEpinephrine7BTS-β1-Epinephrine
19.23Single7BU6Norepinephrine7BU6-β1-Norepinephrine
19.23Single7CRHSKF839597CRH-D1-SKF83959-Gs/β1/γ2
19.23Single7JVQApomorphine7JVQ-D1-Apomorphine-Gs/β1/γ2
19.23Single7S0GIsoprenaline7S0G-β1-Isoprenaline-chim(Gi1-CtGs)/β1/γ2
19.23Single7UL4Alvimopan7UL4-μ-Alvimopan
19.23Single7UM55-CT7UM5-5-HT5A-5-CT-chim(NtGi1-Go)/β1/γ2
19.23Single7YACPaltusotine7YAC-SST2-Paltusotine-Gi1/β1/γ2
19.23Single7YK7DC5910537YK7-RXFP4-DC591053-Gi2/β1/γ2
19.23Single8CU7LJ-45178CU7-A2A-LJ-4517-Na
19.23Single8GE2Constrained Epinephrine8GE2-β2-Constrained Epinephrine-Gs/β1/γ1
19.23Single8GE3Constrained Epinephrine8GE3-β2-Constrained Epinephrine-Gs/β1/γ2
19.23Single8GE9Constrained Epinephrine8GE9-β2-Constrained Epinephrine-Gs/β1/γ2
19.23Single8GECConstrained Epinephrine8GEC-β2-Constrained Epinephrine-Gs/β1/γ2
19.23Single8GEEConstrained Epinephrine8GEE-β2-Constrained Epinephrine-Gs/β1/γ2
19.23Single8GEHConstrained Epinephrine8GEH-β2-Constrained Epinephrine-Gs/β1/γ2
19.23Single8GFVConstrained Epinephrine8GFV-β2-Constrained Epinephrine-GTP-Gs/β1/γ2
19.23Single8GFWConstrained Epinephrine8GFW-β2-Constrained Epinephrine-GTP-Gs/β1/γ2
19.23Single8GFXConstrained Epinephrine8GFX-β2-Constrained Epinephrine-GTP-Gs/β1/γ2
19.23Single8GFZConstrained Epinephrine8GFZ-β2-Constrained Epinephrine-GTP-Gs/β1/γ2
19.23Single8GG0Constrained Epinephrine8GG0-β2-Constrained Epinephrine-GTP-Gs/β1/γ2
19.23Single8GG1Constrained Epinephrine8GG1-β2-Constrained Epinephrine-GTP-Gs/β1/γ2
19.23Single8GG3Constrained Epinephrine8GG3-β2-Constrained Epinephrine-GTP-Gs/β1/γ2
19.23Single8GG4Constrained Epinephrine8GG4-β2-Constrained Epinephrine-GTP-Gs/β1/γ2
19.23Single8GG6Constrained Epinephrine8GG6-β2-Constrained Epinephrine-GTP-Gs/β1/γ2
19.23Single8GG9Constrained Epinephrine8GG9-β2-Constrained Epinephrine-GTP-Gs/β1/γ2
19.23Single8GGIConstrained Epinephrine8GGI-β2-Constrained Epinephrine
19.23Single8GGJConstrained Epinephrine8GGJ-β2-Constrained Epinephrine
19.23Single8GGKConstrained Epinephrine8GGK-β2-Constrained Epinephrine
19.23Single8GGNConstrained Epinephrine8GGN-β2-Constrained Epinephrine
19.23Single8GGOConstrained Epinephrine8GGO-β2-Constrained Epinephrine
19.23Single8GGUConstrained Epinephrine8GGU-β2-Constrained Epinephrine
19.23Single8IHJAcifran8IHJ-HCA3-Acifran-Gi1/β1/γ2
19.23Single8JJOAlprenolol8JJO-β2-Alprenolol
19.23Single8JLZST19368JLZ-5-HT6-ST1936-Gs/β1/γ2
19.23Single8PJKST1718PJK-5-HT1A-ST171-Gi1/β1/γ1
19.23Single8UNQConstrained Epinephrine8UNQ-β2-Constrained Epinephrine-GTP-Gs/β1/γ2
19.23Single8UNRConstrained Epinephrine8UNR-β2-Constrained Epinephrine-GTP-Gs/β1/γ2
19.23Single8UNUConstrained Epinephrine8UNU-β2-Constrained Epinephrine-GTP-Gs/β1/γ2
19.23Single8UNVConstrained Epinephrine8UNV-β2-Constrained Epinephrine-GTP-Gs/β1/γ2
19.23Single8UNYConstrained Epinephrine8UNY-β2-Constrained Epinephrine-GTP-Gs/β1/γ2
19.23Single8UNZConstrained Epinephrine8UNZ-β2-Constrained Epinephrine-GTP-Gs/β1/γ2
19.23Single8UO2Constrained Epinephrine8UO2-β2-Constrained Epinephrine-GTP-Gs/β1/γ2
19.23Single8W87METH8W87-TA1-METH-chim(NtGi1L-Gs)/β1/γ2
19.23Single8X17Namodenoson8X17-A3A-Namodenoson-Gi1/β1/γ2
19.23Single8YN8Proxyfan8YN8-H3-Proxyfan-Go/β1/γ2
19.23Single9AS1DMT9AS1-5-HT2A-DMT
19.23Single9CHXCarazolol9CHX-β2-Carazolol
19.23Single9DYFAsenapine9DYF-5-HT1A-Asenapine-PtdIns4P-Gi1/β1/γ2
19.23Single9IVGGLP-1 (Truncated)9IVG-GLP-1-GLP-1 (Truncated)-chim(NtGi1-Gs)/β1/γ2
19.23Single9KFJPubChem 1383196749KFJ-RXFP3-PubChem 138319674-Gi2/β1/γ2
19.23Single9VMYTMU41429VMY-5-HT1A-TMU4142-Go/β1/γ2
19.23Consensus5ht2b_offOrthosteric Ligand6DRZ-5-HT2B-Methysergide
19.23Consensusa3_onOrthosteric Liganda3a_on
19.23Consensusadrenergic_onOrthosteric Ligandalpha_on beta_on
19.23Consensusd5_onOrthosteric Ligand8IRV-D5-Rotigotine-chim(NtGi1-Gs)/β1/γ2
19.23Consensusdopamine_offOrthosteric Ligandd2_off d3_off
19.23Consensusdopamine_onOrthosteric Ligandd2_on d1_on d3_on d4_on d5_on
19.23Consensusdopamine_on_gpOrthosteric Ligandd2_on_gp d1_on_gp d3_on_gp d4_on_gp d5_on_gp
19.23Consensusgs_trace-amineOrthosteric Ligand8W88-TA1-SEP-363856-Gs/β1/γ2 8JLJ-TA1-T1AM-chim(NtGi1-Gs)/β1/γ2 8JLO-TA1-Ulotaront-Gs/β1/γ2 8WC4-TA1-ZH8651-chim(NtGi1-Gs)/β1/γ2 8WC7-TA1-ZH8667-chim(NtGi1-Gs)/β1/γ2 8JLR-TA1-A77636-chim(NtGi1-Gs)/β1/γ2 8JSO-TA1-AMPH-chim(NtGi1-Gs)/β1/γ2 8W87-TA1-METH-chim(NtGi1L-Gs)/β1/γ2 8W89-TA1-2-Phenylethylamine-chim(NtGi1L-Gs)/β1/γ2 8JLP-TA1-Ralmitaront-Gs/β1/γ2 8W8A-TA1-RO5256390-chim(NtGi1L-Gs)/β1/γ2
18.92Single7QBCAlpha-factor mating pheromone7QBC-STE2; STE2-α-factor mating pheromone
18.75Single3QAKUK-4320973QAK-A2A-UK-432097
18.75Single5XJM(Sar1,Ile8)-Angiotensin II5XJM-AT2-(Sar1,Ile8)-Angiotensin II
18.75Single6HLOAprepitant6HLO-NK1-Aprepitant
18.75Single7W0NElabela7W0N-Apelin; Apelin-Elabela-Gi1/β1/γ2
18.75Single7XNACYN1548067XNA-SST2-CYN154806
18.75Single8SG1Chemerin-98SG1-CML1-Chemerin-9-Gi1/β1/γ2
18.75Single8WSSMCH8WSS-MCH1-MCH-Gi1/β1/γ1
18.75Single9IQVMuscarinic toxin 39IQV-Alpha1A-Muscarinic toxin 3
18.75Single9JFK(Pen5)-Urotensin II9JFK-UT-(Pen5)-Urotensin II-chim(NtGi2L-Gs-CtGq)/β1/γ2
18.75Single9KT7MK68929KT7-HCA2-MK6892-Gi1/β1/γ2
18.75Single9ME1CXCL129ME1-CXCR4-CXCL12
18.75Consensuscompl-peptide_onOrthosteric Ligandc5a1_on c3a_on
18.75Consensussst2_offOrthosteric Ligand7XNA-SST2-CYN154806
18.75Consensussst4_onOrthosteric Ligand7XMS-SST4-Somatostatin-14-Gi1/β1/γ2 7XMT-SST4-J-2156-Gi1/β1/γ2
18.75Consensussst4_on_gpOrthosteric Ligand7XMS-SST4-Somatostatin-14-Gi1/β1/γ2 7XMT-SST4-J-2156-Gi1/β1/γ2
18.52Single2RH1Carazolol2RH1-β2-Carazolol
18.52Single2Y03Isoprenaline2Y03-β1-Isoprenaline
18.52Single2YCWCarazolol2YCW-β1-Carazolol
18.52Single5C1MBU725C1M-μ-BU72
18.52Single5CGCHTL142425CGC-mGlu5-HTL14242
18.52Single5D6LCarazolol5D6L-β2-Carazolol
18.52Single5OM4PubChem 1355666095OM4-A2A-PubChem 135566609-Na
18.52Single5TVNLSD5TVN-5-HT2B-LSD
18.52Single5X7DCarazolol5X7D-β2-Carazolol-PubChem 129318963
18.52Single5ZK33-quinuclidinyl-benzilate5ZK3-M2-3-quinuclidinyl-benzilate
18.52Single6GDGNECA6GDG-A2A-NECA-Gs/β1/γ1
18.52Single6KUWPubChem 572132346KUW-α2c-PubChem 57213234
18.52Single6ME62-Phenylmelatonin6ME6-MT2-2-Phenylmelatonin
18.52Single6ME82-Phenylmelatonin6ME8-MT2-2-Phenylmelatonin
18.52Single6PS3Carvedilol6PS3-β2-Carvedilol
18.52Single7BVQCarazolol7BVQ-β1-Carazolol
18.52Single7C61Ergotamine7C61-5-HT1B-Ergotamine
18.52Single7EO2FTY720-P7EO2-S1P1-FTY720-P-Gi1/β1/γ2
18.52Single7EPFNAM5977EPF-mGlu2-NAM597
18.52Single7S0FIsoprenaline7S0F-β1-Isoprenaline-Gi1/β1/γ2
18.52Single7SINNPS-21437SIN-CaS; CaS-NPS-2143
18.52Single7SINNPS-21437SIN-CaS; CaS-NPS-2143
18.52Single7TD3S1P7TD3-S1P1-S1P-Gi1/β1/γ2
18.52Single7X1TTaltirelin7X1T-TRH-Taltirelin-chim(NtGi2L-Gs-CtGq)/β1/γ2
18.52Single7XK9Constrained Isoproterenol7XK9-β2-Constrained Isoproterenol-Na
18.52Single7XKAConstrained Epinephrine7XKA-β2-Constrained Epinephrine
18.52Single8E9ZIperoxo8E9Z-M3-Iperoxo-chim(NtGi2L-Gs-CtGq)/β1/γ2
18.52Single8GD9Rivenprost8GD9-EP4-Rivenprost-Gs/β1/γ2
18.52Single8GDZConstrained Epinephrine8GDZ-β2-Constrained Epinephrine-Gs/β1/γ2
18.52Single8GEBConstrained Epinephrine8GEB-β2-Constrained Epinephrine-Gs/β1/γ2
18.52Single8GEGConstrained Epinephrine8GEG-β2-Constrained Epinephrine-Gs/β1/γ2
18.52Single8GFYConstrained Epinephrine8GFY-β2-Constrained Epinephrine-GTP-Gs/β1/γ2
18.52Single8GG2Constrained Epinephrine8GG2-β2-Constrained Epinephrine-GTP-Gs/β1/γ2
18.52Single8GGBConstrained Epinephrine8GGB-β2-Constrained Epinephrine-GTP-Gs/β1/γ2
18.52Single8HNLPS3724248HNL-CXCR3-PS372424-Gi1/β1/γ2
18.52Single8J18(3R)-3-Hydroxydodecanoic acid8J18-GPR84-(3R)-3-Hydroxydodecanoic acid-Gi1/β1/γ2
18.52Single8T6JCDPPB8T6J-mGlu5; mGlu5-CDPPB
18.52Single8T6JCDPPB8T6J-mGlu5; mGlu5-CDPPB
18.52Single8TF5Oleic acid8TF5-GPR6-Oleic acid
18.52Single8UNNConstrained Epinephrine8UNN-β2-Constrained Epinephrine-GTP-Gs/β1/γ2
18.52Single8UNPConstrained Epinephrine8UNP-β2-Constrained Epinephrine-GTP-Gs/β1/γ2
18.52Single8X0BVU04244658X0B-mGlu5; mGlu5-Quisqualate-VU0424465
18.52Single8X0CVU04244658X0C-mGlu5; mGlu5-Quisqualate-VU0424465
18.52Single8X0CVU04244658X0C-mGlu5; mGlu5-Quisqualate-VU0424465
18.52Single8X0DVU04244658X0D-mGlu5; mGlu5-Quisqualate-VU0424465
18.52Single8X0DVU04244658X0D-mGlu5; mGlu5-Quisqualate-VU0424465
18.52Single8XQPCholesterol8XQP-TAS2R14-Cholesterol-Aristolochic acid A-Gt3/β1/γ1
18.52Single8XYKVUF106618XYK-CXCR3-VUF10661-Go/β1/γ2
18.52Single8YICSAR2477998YIC-S1P1-SAR247799-Gi1/β1/γ2
18.52Single8ZMFPubChem 1719206738ZMF-5-HT2C-PubChem 171920673
18.52Single8ZPTPrRP208ZPT-PrRP-PrRP20-chim(NtGi1-Gs-CtGq)/β1/γ2
18.52Single9ARZ2-bromo-LSD9ARZ-5-HT2A-2-bromo-LSD
18.52Single9AVLCa; Ca; Cyclomethyltryptophan; R-568; PO49AVL-CaS; CaS-Ca-Ca; Ca; Cyclomethyltryptophan; R-568; PO4-Gi3/β2/γ2
18.52Single9AXFCa; Ca; Ca; Cyclomethyltryptophan; R-568; PO49AXF-CaS; CaS-Ca-Ca; Ca; Ca; Cyclomethyltryptophan; R-568; PO4-chim(NtGi1-Gs-CtGq)/β1/γ2
18.52Single9DYDAsenapine9DYD-5-HT1A-Asenapine-PtdIns4P-Go/β1/γ2
18.52Single9EAHOlmesartan9EAH-AT1-Olmesartan-Nanobody AT209
18.52Single9F33FOB02-04A9F33-D3-FOB02-04A-Go/β1/γ2
18.52Single9HC04YI9HC0-mGlu5-4YI
18.52Single9JKSPubChem 442501769JKS-HCA3-PubChem 44250176-Gi1/β1/γ2
18.52Single9KT6Acifran9KT6-HCA3-Acifran-Gi1/β1/γ2
18.52Consensus5ht5_on_gpOrthosteric Ligand5ht5a_on_gp
18.52Consensus5ht5a_on_gpOrthosteric Ligand7X5H-5-HT5A-5-CT-Gi1/β1/γ2 7UM6-5-HT5A-Lisuride-chim(NtGi1-Go)/β1/γ2 7UM7-5-HT5A-Methylergometrine-chim(NtGi1-Go)/β1/γ2
18.52Consensusa3_on_gpOrthosteric Liganda3a_on_gp
18.52Consensusa3a_onOrthosteric Ligand8X17-A3A-Namodenoson-Gi1/β1/γ2 8X16-A3A-Piclidenoson-Gi1/β1/γ2
18.52Consensusa3a_on_gpOrthosteric Ligand8X17-A3A-Namodenoson-Gi1/β1/γ2 8X16-A3A-Piclidenoson-Gi1/β1/γ2
18.52Consensusadrenergic_offOrthosteric Ligandalpha_off beta_off
18.52Consensusadrenergic_on_gpOrthosteric Ligandalpha_on_gp beta_on_gp
18.52Consensusalpha2c_offOrthosteric Ligand6KUW-α2c-PubChem 57213234
18.52Consensusalpha_offOrthosteric Ligandalpha1_off alpha2_off
18.52Consensusamine_offOrthosteric Ligand5ht_off adrenergic_off dopamine_off histamine_off muscarinic_off
18.52Consensusamine_offonOrthosteric Ligandamine_off amine_on
18.52Consensusamine_offon_gpOrthosteric Ligandamine_on_gp amine_off
18.52Consensusamine_onOrthosteric Ligand5ht_on adrenergic_on dopamine_on histamine_on muscarinic_on trace-amine_on
18.52Consensusbeta2_offOrthosteric Ligand2RH1-β2-Carazolol 6PS3-β2-Carvedilol 6PS5-β2-Propranolol 3D4S-β2-Timolol 3NY8-β2-ICI118-551 3NY9-β2-PubChem 913103 6PRZ-β2-Alprenolol
18.52Consensusbeta_offOrthosteric Ligandbeta1_off beta2_off
18.52Consensusd1_onOrthosteric Ligand7F0T-D1-Dopamine-Gs/β1/γ2 7CKY-D1-PW0464-Gs/β1/γ2 8IRR-D1-Rotigotine-Gs/β1/γ2 7JV5-D1-SKF81297-Gs/β1/γ2 7JVP-D1-SKF83959-Gs/β1/γ2 7X2D-D1-Tavapadon-Gs/β1/γ2 7CKX-D1-A77636-Gs/β1/γ2 7JVQ-D1-Apomorphine-Gs/β1/γ2 7CKW-D1-Fenoldopam-Gs/β1/γ2
18.52Consensusd2_onOrthosteric Ligand7JVR-D2-Bromoergocryptine-Gi1/β1/γ2 8IRS-D2-Rotigotine-Gi1/β1/γ2
18.52Consensusgi_adrenergicOrthosteric Ligand7EJ0-α2a-Norepinephrine-Go/β1/γ2 7EJK-α2a-Oxymetazoline-Go/β1/γ2 7W7E-α2a-PubChem 164946676-Go/β1/γ2 7W6P-α2a-N-pyridin-4-ylisoquinolin-4-amine-Go/β1/γ2 7EJ8-α2a-Brimonidine-Go/β1/γ2 6K42-α2b-Dexmedetomidine-Gi1/β1/γ2 7EJA-α2a-Dexmedetomidine-Go/β1/γ2 7S0F-β1-Isoprenaline-Gi1/β1/γ2
18.52Consensusgq_muscarinicOrthosteric Ligand6OIJ-M1-Iperoxo-chim(NtGi1L-G11)/β1/γ2
18.52Consensusm1_onOrthosteric Ligand6OIJ-M1-Iperoxo-chim(NtGi1L-G11)/β1/γ2
18.52Consensusm2_offOrthosteric Ligand5ZKC-M2-N-methyl-Scopolamine 5ZK3-M2-3-quinuclidinyl-benzilate 5ZKB-M2-AF-DX 384
18.52Consensusrxfp4_onOrthosteric Ligand7YK7-RXFP4-DC591053-Gi2/β1/γ2 7YJ4-RXFP4-INSL5-Gi2/β1/γ2 7YK6-RXFP4-PubChem 138319674-Gi2/β1/γ2
18.52Consensusrxfp4_on_gpOrthosteric Ligand7YK7-RXFP4-DC591053-Gi2/β1/γ2 7YJ4-RXFP4-INSL5-Gi2/β1/γ2 7YK6-RXFP4-PubChem 138319674-Gi2/β1/γ2
18.52Consensuss1p5_offOrthosteric Ligand7YXA-S1P5-ONO-5430608
18.52Consensuss1p_offOrthosteric Ligands1p1_off s1p5_off
18.42Consensusbb2_onOrthosteric Ligand7W40-BB2-Bombesin-chim(NtGi1L-Gq)/β1/γ2 7W3Z-BB2-Gastrin Releasing Peptide-chim(NtGi1L-Gq)/β1/γ2
18.42Consensusbb2_on_gpOrthosteric Ligand7W40-BB2-Bombesin-chim(NtGi1L-Gq)/β1/γ2 7W3Z-BB2-Gastrin Releasing Peptide-chim(NtGi1L-Gq)/β1/γ2
18.42Consensusbombesin_onOrthosteric Ligandbb2_on
18.42Consensusbombesin_on_gpOrthosteric Ligandbb2_on_gp
18.42Consensusccr5_on_gpOrthosteric Ligand7O7F-CCR5-6P4-CCL5-Gi1/β1/γ1 7F1Q-CCR5-CCL3-Gi1/β1/γ2
18.42Consensusgq_bombesinOrthosteric Ligand7W40-BB2-Bombesin-chim(NtGi1L-Gq)/β1/γ2 7W3Z-BB2-Gastrin Releasing Peptide-chim(NtGi1L-Gq)/β1/γ2
18.18Single5WF5UK-4320975WF5-A2A-UK-432097
18.18Single6LW5WKYMVm6LW5-FPR2-ALX-WKYMVm
18.18Single7O7F6P4-CCL57O7F-CCR5-6P4-CCL5-Gi1/β1/γ1
18.18Single8DPHLorcaserin8DPH-5-HT2C-Lorcaserin-chim(NtGi2L-Gs-CtGq)/β1/γ2
18.18Single8WC5Tetramethylammonium Ion8WC5-TA1-Tetramethylammonium Ion-chim(NtGi1-Gs)/β1/γ2
18.18Single8XIQL7967788XIQ-SST3-L796778-chim(NtGi1-Gs-CtGi1)/β1/γ2
18.18Single9EE9Adenosine9EE9-A2A-Adenosine-Gs/β1/γ2
18.18Single9K27PrRP319K27-PrRP-PrRP31-chim(NtGi1-Gq)/β1/γ2
18.18Single9MEUCXCL129MEU-CXCR4-CXCL12
18.18Consensuscompl-peptide_on_gpOrthosteric Ligandc5a1_on_gp c3a_on_gp
18.18Consensuscxcr4_on_gpOrthosteric Ligand8K3Z-CXCR4-CXCL12-Gi1/β1/γ1
18.18Consensusgi_somatostatinOrthosteric Ligand7WIC-SST2-Somatostatin-14-Gi1/β1/γ2 7XMS-SST4-Somatostatin-14-Gi1/β1/γ2 8X8L-SST5-Cortistatin-14-chim(NtGi1-Gs-CtGi1)/β1/γ2 7XMT-SST4-J-2156-Gi1/β1/γ2 7WIG-SST2-L-054264-Gi1/β1/γ2 8X8N-SST5-Octreotide-chim(NtGi1-Gs-CtGi1)/β1/γ2 7YAE-SST2-Octreotide-Gi1/β1/γ2 7YAC-SST2-Paltusotine-Gi1/β1/γ2
18.18Consensuspeptide_offonOrthosteric Ligandpeptide_off peptide_on
18.18Consensussomatostatin_onOrthosteric Ligandsst2_on sst4_on sst5_on
18.18Consensussomatostatin_on_gpOrthosteric Ligandsst2_on_gp sst4_on_gp sst5_on_gp
17.86Single3UON3-quinuclidinyl-benzilate3UON-M2-3-quinuclidinyl-benzilate
17.86Single4LDLHydroxybenzyl Isoproterenol4LDL-β2-Hydroxybenzyl Isoproterenol
17.86Single4OO9Mavoglurant4OO9-mGlu5-Mavoglurant
17.86Single4Z34ONO-97803074Z34-LPA1-ONO-9780307
17.86Single5D5ACarazolol5D5A-β2-Carazolol
17.86Single5D5BCarazolol5D5B-β2-Carazolol
17.86Single6GT3Imaradenant6GT3-A2A-Imaradenant-Na
17.86Single6H7JIsoprenaline6H7J-β1-Isoprenaline
17.86Single6J21Aprepitant6J21-NK1-Aprepitant
17.86Single6N48BI1671076N48-β2-BI167107-PubChem 138454256
17.86Single6NI3BI1671076NI3-β2-BI167107-Gs/β1/γ2
17.86Single6O3CCholesterol6O3C-SMO-SAG21k-Cholesterol
17.86Single6OIJIperoxo6OIJ-M1-Iperoxo-chim(NtGi1L-G11)/β1/γ2
17.86Single6WGTLSD6WGT-5-HT2A-LSD
17.86Single7CKYPW04647CKY-D1-PW0464-Gs/β1/γ2
17.86Single7EW1Siponimod7EW1-S1P5-Siponimod-Gi1/β1/γ2
17.86Single7EW7SEW28717EW7-S1P1-SEW2871-Gi1/β1/γ2
17.86Single7JJOIsoprenaline7JJO-β1-Isoprenaline-Gs/β1/γ2
17.86Single7JV5SKF812977JV5-D1-SKF81297-Gs/β1/γ2
17.86Single7JVPSKF839597JVP-D1-SKF83959-Gs/β1/γ2
17.86Single7P2L4YI7P2L-mGlu5-4YI
17.86Single7TRQIperoxo7TRQ-M4-Iperoxo-VU0467154-Gi1/β1/γ2
17.86Single7W6PN-pyridin-4-ylisoquinolin-4-amine7W6P-α2a-N-pyridin-4-ylisoquinolin-4-amine-Go/β1/γ2
17.86Single7W7EPubChem 1649466767W7E-α2a-PubChem 164946676-Go/β1/γ2
17.86Single7XTQR3997XTQ-GPBA-R399-Gs/β1/γ2
17.86Single8DCSCyanopindolol8DCS-β1-Cyanopindolol-Gs/β1/γ2
17.86Single8EA0Iperoxo8EA0-M3-Iperoxo
17.86Single8I2GPubChem 675302408I2G-FSH-FSH-PubChem 67530240-Gs/β1/γ2
17.86Single8IRRRotigotine8IRR-D1-Rotigotine-Gs/β1/γ2
17.86Single8IRURotigotine8IRU-D4-Rotigotine-chim(NtGi1-Gs-CtGi1)/β1/γ2
17.86Single8IRVRotigotine8IRV-D5-Rotigotine-chim(NtGi1-Gs)/β1/γ2
17.86Single8IYHMK68928IYH-HCA2-MK6892-Go/β1/γ2
17.86Single8JT6(R)-IHCH-71798JT6-5-HT1A-(R)-IHCH-7179-PtdIns4P-Gi1/β1/γ2
17.86Single8JXVClozapine8JXV-H4-Clozapine-Gi1/β1/γ2
17.86Single8JXWVUF68848JXW-H4-VUF6884-Gi1/β1/γ2
17.86Single8JXXClobenpropit8JXX-H4-Clobenpropit-Gi1/β1/γ2
17.86Single8UGWCGS216808UGW-A2A-CGS21680
17.86Single8WJXADP8WJX-P2Y1-ADP-chim(Gs-CtGq)/β1/γ2
17.86Single8X0BVU04244658X0B-mGlu5; mGlu5-Quisqualate-VU0424465
17.86Single8X0FVU298X0F-mGlu5; mGlu5-Quisqualate-VU29
17.86Single8X16Piclidenoson8X16-A3A-Piclidenoson-Gi1/β1/γ2
17.86Single8X79MRE-2698X79-I2-MRE-269-Gs/β1/γ2
17.86Single8XJMLatanoprost8XJM-FP-alpha-Latanoprost-chim(NtGi2-Gs-CtGq)/β1/γ2
17.86Single8YH6Namodenoson8YH6-A3A-Namodenoson-Gi1/β1/γ2
17.86Single8ZR5Firuglipel8ZR5-GPR119-Firuglipel-Gs/β1/γ2
17.86Single9AYFCa; Ca; Ca; Cyclomethyltryptophan; R-568; PO49AYF-CaS; CaS-Ca-Ca; Ca; Ca; Cyclomethyltryptophan; R-568; PO4-Gi1/β1/γ2
17.86Single9BS9LSD9BS9-D2-LSD
17.86Single9BSBLSD9BSB-D2-LSD-chim(NtGi1-Go)/β1/γ2
17.86Single9RHGC4079RHG-FZD7-C407
17.86Consensusa2_onOrthosteric Liganda2b_on
17.86Consensusa2_on_gpOrthosteric Liganda2b_on_gp
17.86Consensusa2b_onOrthosteric Ligand8HDP-A2B-Adenosine-Gs/β1/γ2 7XY6-A2B-BAY 60-6583-chim(NtGi1-Gs)/β1/γ2 7XY7-A2B-NECA-chim(NtGi1-Gs)/β1/γ2 8HDO-A2B-BAY 60-6583-Gs/β1/γ2
17.86Consensusa2b_on_gpOrthosteric Ligand8HDP-A2B-Adenosine-Gs/β1/γ2 7XY6-A2B-BAY 60-6583-chim(NtGi1-Gs)/β1/γ2 7XY7-A2B-NECA-chim(NtGi1-Gs)/β1/γ2 8HDO-A2B-BAY 60-6583-Gs/β1/γ2
17.86Consensusamine_on_gpOrthosteric Ligand5ht_on_gp adrenergic_on_gp dopamine_on_gp histamine_on_gp muscarinic_on_gp trace-amine_on_gp
17.86Consensusbeta1_offOrthosteric Ligand2VT4-β1-Cyanopindolol 2YCW-β1-Carazolol 2YCZ-β1-Iodocyanopindolol 5A8E-β1-7-Methylcyanopindolol-Na 3ZPQ-β1-PubChem 594590-Na 3ZPR-β1-PubChem 598754-Na
17.86Consensusbeta2_onOrthosteric Ligand7DHI-β2-Salbutamol-Gs/β1/γ2 6NI3-β2-BI167107-Gs/β1/γ2
17.86Consensusbeta2_on_gpOrthosteric Ligand7DHI-β2-Salbutamol-Gs/β1/γ2 6NI3-β2-BI167107-Gs/β1/γ2
17.86Consensusd4_on_gpOrthosteric Ligand8IRU-D4-Rotigotine-chim(NtGi1-Gs-CtGi1)/β1/γ2
17.86Consensusd5_on_gpOrthosteric Ligand8IRV-D5-Rotigotine-chim(NtGi1-Gs)/β1/γ2
17.86Consensusgi_5htOrthosteric Ligand8FYT-5-HT1A-LSD-PtdIns4P-Gi1/β1/γ1 7UM7-5-HT5A-Methylergometrine-chim(NtGi1-Go)/β1/γ2 8UGY-5-HT1E-Mianserin-Gi1/β1/γ1 8W8B-5-HT1A-SEP-363856-Gi1/β1/γ2 7E2Y-5-HT1A-Serotonin-PtdIns4P-Gi1/β1/γ2 7E32-5-HT1D-Serotonin-Gi1/β1/γ2 7XTA-5-HT4-Serotonin-Gi1/β1/γ2 8UH3-5-HT1E-Setiptiline-Gi1/β1/γ1 8JSP-5-HT1A-Ulotaront-Gi1/β1/γ2 8FYL-5-HT1A-Vilazodone-PtdIns4P-Gi1/β1/γ1 8JT6-5-HT1A-(R)-IHCH-7179-PtdIns4P-Gi1/β1/γ2 8FYE-5-HT1A-4-F,5-MeO-PyrT-PtdIns4P-Gi1/β1/γ1 7X5H-5-HT5A-5-CT-Gi1/β1/γ2 8FY8-5-HT1A-5-MeO-DMT-PtdIns4P-Gi1/β1/γ1 7E2Z-5-HT1A-Aripiprazole-PtdIns4P-Gi1/β1/γ2 7E33-5-HT1E-BRL-54443-Gi1/β1/γ2 8FYX-5-HT1A-Buspirone-PtdIns4P-Gi1/β1/γ1 7EXD-5-HT1F-Lasmiditan-Gi1/β1/γ2 7UM6-5-HT5A-Lisuride-chim(NtGi1-Go)/β1/γ2
17.86Consensusgi_dopamineOrthosteric Ligand7JVR-D2-Bromoergocryptine-Gi1/β1/γ2 7CMV-D3-PD128907-Gi1/β1/γ2 7CMU-D3-Pramipexole-Gi1/β1/γ2 8IRS-D2-Rotigotine-Gi1/β1/γ2 8IRT-D3-Rotigotine-Gi1/β1/γ2
17.86Consensusgi_relaxinOrthosteric Ligand7YK7-RXFP4-DC591053-Gi2/β1/γ2 7YJ4-RXFP4-INSL5-Gi2/β1/γ2 7YK6-RXFP4-PubChem 138319674-Gi2/β1/γ2
17.86Consensusgs_adenosineOrthosteric Ligand8HDP-A2B-Adenosine-Gs/β1/γ2 8HDO-A2B-BAY 60-6583-Gs/β1/γ2 7XY7-A2B-NECA-chim(NtGi1-Gs)/β1/γ2 7XY6-A2B-BAY 60-6583-chim(NtGi1-Gs)/β1/γ2
17.86Consensusgs_adrenergicOrthosteric Ligand7DHI-β2-Salbutamol-Gs/β1/γ2 7XJI-β3-Solabegron-Gs/β1/γ2 7JJO-β1-Isoprenaline-Gs/β1/γ2 6NI3-β2-BI167107-Gs/β1/γ2 8DCR-β1-Dobutamine-Gs/β1/γ2 7XJH-β3-Isoprenaline-Gs/β1/γ2 7DH5-β3-Mirabegron-Gs/β1/γ2
17.86Consensusgs_nucleotideOrthosteric Ligandgs_adenosine
17.86Consensush4_on_gpOrthosteric Ligand8HN8-H4-Histamine-Gi1/β1/γ2 8HOC-H4-Imetit-Gi1/β1/γ2 8JXV-H4-Clozapine-Gi1/β1/γ2 8JXW-H4-VUF6884-Gi1/β1/γ2 8JXX-H4-Clobenpropit-Gi1/β1/γ2
17.86Consensusm1_on_gpOrthosteric Ligand6OIJ-M1-Iperoxo-chim(NtGi1L-G11)/β1/γ2
17.86Consensusmuscarinic_offOrthosteric Ligandm2_off m3_off m4_off m5_off m1_off
17.86Consensusrelaxin_onOrthosteric Ligandrxfp4_on
17.86Consensusrelaxin_on_gpOrthosteric Ligandrxfp4_on_gp
17.86Consensuss1p5_onOrthosteric Ligand7EW1-S1P5-Siponimod-Gi1/β1/γ2
17.86Consensuss1p5_on_gpOrthosteric Ligand7EW1-S1P5-Siponimod-Gi1/β1/γ2
17.65Single6WIVPubChem 52923113; PubChem 529246456WIV-GABAB1, GABAB2-PubChem 52923113; PubChem 52924645
17.65Single7W40Bombesin7W40-BB2-Bombesin-chim(NtGi1L-Gq)/β1/γ2
17.65Single8J6IMK68928J6I-HCA2-MK6892-Gi1/β1/γ2
17.65Single8XZJWN3538XZJ-Apelin; Apelin-WN353-Gi1/β1/γ2
17.65Single8ZBISomatostatin-148ZBI-SST3-Somatostatin-14-Gi1/β1/γ2
17.65Single9BKKCholecystokinin-89BKK-CCKA-Cholecystokinin-8-chim(NtGi1-Gs-CtGq)/β1/γ2
17.65Consensuspeptide_offon_gpOrthosteric Ligandpeptide_on_gp peptide_off
17.65Consensusprotein_offonOrthosteric Ligandprotein_off protein_on
17.65Consensusprotein_offon_gpOrthosteric Ligandprotein_on_gp protein_off
17.39Single7EJKOxymetazoline7EJK-α2a-Oxymetazoline-Go/β1/γ2
17.39Single7F23Dopamine7F23-D1-Dopamine-GDP-Gs/β1/γ2
17.39Single8GGEConstrained Epinephrine8GGE-β2-Constrained Epinephrine-GTP-Gs/β1/γ2
17.39Single8GGFConstrained Epinephrine8GGF-β2-Constrained Epinephrine-GTP-Gs/β1/γ2
17.39Single8GH1Constrained Epinephrine8GH1-β2-Constrained Epinephrine
17.39Single8JEFPubChem 113671668JEF-HCA3-PubChem 11367166-Gi1/β1/γ2
17.39Single8JRVGlucagon8JRV-Glucagon-Glucagon-Arrestin2
17.39Single8RQLFlufenamic acid8RQL-TAS2R14-Flufenamic acid-Flufenamic acid-chim(NtGi1-Gt3)/β1/γ2
17.39Single8WC62-Phenylethylamine8WC6-TA1-2-Phenylethylamine-chim(NtGi1-Gs)/β1/γ2
17.39Single8WC9ZH86518WC9-TA1-ZH8651-chim(NtGi1-Gs-CtGq)/β1/γ2
17.39Single8YN9Histamine8YN9-H4-Histamine-Gi1/β1/γ2
17.39Single8YUUHistamine8YUU-H3-Histamine-Gi1/β1/γ1
17.39Single9IJRC179IJR-GPR52-C17-Arrestin2
17.39Single9LRCHistamine9LRC-H4-Histamine
17.39Single9LREHistamine9LRE-H4-Histamine-Gi1/β1/γ2
17.39Consensush3_onOrthosteric Ligand8YUU-H3-Histamine-Gi1/β1/γ1
17.39Consensush3_on_gpOrthosteric Ligand8YUU-H3-Histamine-Gi1/β1/γ1
17.24Single2YCXCyanopindolol2YCX-β1-Cyanopindolol
17.24Single3D4STimolol3D4S-β2-Timolol
17.24Single4AMIBucindolol4AMI-β1-Bucindolol
17.24Single4LDEBI1671074LDE-β2-BI167107
17.24Single4N4WSANT-14N4W-SMO-SANT-1
17.24Single5CXVTiotropium5CXV-M1-Tiotropium
17.24Single5UNHPubChem 1264564065UNH-AT2-PubChem 126456406
17.24Single6A93Risperidone6A93-5-HT2A-Risperidone
17.24Single6DRYMethylergometrine6DRY-5-HT2B-Methylergometrine
17.24Single6H7NXamoterol6H7N-β1-Xamoterol
17.24Single6H7OCyanopindolol6H7O-β1-Cyanopindolol
17.24Single6OS2TRV0266OS2-AT1-TRV026
17.24Single6VMSBromoergocryptine6VMS-D2-Bromoergocryptine-Gi1/β1/γ2
17.24Single7DFPSpiperone7DFP-D2-Spiperone
17.24Single7DH5Mirabegron7DH5-β3-Mirabegron-Gs/β1/γ2
17.24Single7EO4Siponimod7EO4-S1P1-Siponimod-Gi1/β1/γ2
17.24Single7EPENAM5637EPE-mGlu2-NAM563
17.24Single7EW2FTY720-P7EW2-S1P3-FTY720-P-Gi1/β1/γ2
17.24Single7EXDLasmiditan7EXD-5-HT1F-Lasmiditan-Gi1/β1/γ2
17.24Single7XZ5Lysophosphatidylcholine7XZ5-GPR119-Lysophosphatidylcholine-Gs/β1/γ2
17.24Single8E9W2-Deoxycytidine8E9W-M3-2-Deoxycytidine-chim(NtGi2L-Gs-CtGq)/β1/γ2
17.24Single8FYTLSD8FYT-5-HT1A-LSD-PtdIns4P-Gi1/β1/γ1
17.24Single8G056-OAU8G05-GPR84-6-OAU-Gi1/β1/γ2
17.24Single8GCPPGE28GCP-EP4-PGE2-Gi1/β1/γ2
17.24Single8J6DEP1418J6D-C3aB-EP141-Go/β1/γ2
17.24Single8JD3JNJ-404118138JD3-mGlu2; mGlu3-Glutamate-JNJ-40411813-Gi1/β1/γ2
17.24Single8JJ8Arformoterol8JJ8-β2-Arformoterol
17.24Single8JJPChemerin-98JJP-CML2-Chemerin-9-Gi1/β1/γ2
17.24Single8XJNCloprosetnol8XJN-TXA2-Cloprosetnol-chim(NtGi1-Gs-CtGq)/β1/γ2
17.24Single8XQNCholesterol8XQN-TAS2R14-Cholesterol-Aristolochic acid A-Gi1/β1/γ1
17.24Single8XYIVUF106618XYI-CXCR3-VUF10661
17.24Single9EK0Iperoxo9EK0-M5-Iperoxo-chim(NtGi1-Gs-CtGq)/β1/γ2
17.24Single9GGGI-BOP9GGG-TXA2-I-BOP-chim(NtGi2L-Gs-CtGq)/β1/γ2
17.24Single9GL2Befiradol9GL2-5-HT1A-Befiradol-Gs/β1/γ2
17.24Single9GYOP3959GYO-GPBA-P395-chim(NtGi1-Gs)/β1/γ2
17.24Single9L3WChemerin9L3W-CML1-Chemerin-Gi1/β1/γ2
17.24Single9M8POleic monoethanolamide9M8P-GPR3 ; GPR3-Oleic monoethanolamide-AF64394
17.24Single9VJ6F-155999VJ6-5-HT1A-F-15599-Gi3/β1/γ2
17.24Consensus5ht1a_onOrthosteric Ligand8FYT-5-HT1A-LSD-PtdIns4P-Gi1/β1/γ1 7E2Y-5-HT1A-Serotonin-PtdIns4P-Gi1/β1/γ2 7E2Z-5-HT1A-Aripiprazole-PtdIns4P-Gi1/β1/γ2 8FYX-5-HT1A-Buspirone-PtdIns4P-Gi1/β1/γ1 8JSP-5-HT1A-Ulotaront-Gi1/β1/γ2 8JT6-5-HT1A-(R)-IHCH-7179-PtdIns4P-Gi1/β1/γ2 8FY8-5-HT1A-5-MeO-DMT-PtdIns4P-Gi1/β1/γ1 8FYE-5-HT1A-4-F,5-MeO-PyrT-PtdIns4P-Gi1/β1/γ1 8FYL-5-HT1A-Vilazodone-PtdIns4P-Gi1/β1/γ1
17.24Consensus5ht1a_on_gpOrthosteric Ligand8FYT-5-HT1A-LSD-PtdIns4P-Gi1/β1/γ1 8FYX-5-HT1A-Buspirone-PtdIns4P-Gi1/β1/γ1 8JSP-5-HT1A-Ulotaront-Gi1/β1/γ2 8JT6-5-HT1A-(R)-IHCH-7179-PtdIns4P-Gi1/β1/γ2 7E2Y-5-HT1A-Serotonin-PtdIns4P-Gi1/β1/γ2 7E2Z-5-HT1A-Aripiprazole-PtdIns4P-Gi1/β1/γ2 8FY8-5-HT1A-5-MeO-DMT-PtdIns4P-Gi1/β1/γ1 8FYE-5-HT1A-4-F,5-MeO-PyrT-PtdIns4P-Gi1/β1/γ1 8FYL-5-HT1A-Vilazodone-PtdIns4P-Gi1/β1/γ1
17.24Consensus5ht1f_onOrthosteric Ligand7EXD-5-HT1F-Lasmiditan-Gi1/β1/γ2
17.24Consensus5ht1f_on_gpOrthosteric Ligand7EXD-5-HT1F-Lasmiditan-Gi1/β1/γ2
17.24Consensusbeta_onOrthosteric Ligandbeta1_on beta2_on beta3_on
17.24Consensusbeta_on_gpOrthosteric Ligandbeta1_on_gp beta2_on_gp beta3_on_gp
17.24Consensuscannabinoid_offOrthosteric Ligandcb2_off cb1_off
17.24Consensusd2_on_gpOrthosteric Ligand7JVR-D2-Bromoergocryptine-Gi1/β1/γ2 8IRS-D2-Rotigotine-Gi1/β1/γ2
17.24Consensuslpa1_offOrthosteric Ligand4Z36-LPA1-ONO-3080573 4Z35-LPA1-ONO-9910539 4Z34-LPA1-ONO-9780307
17.24Consensuslpa_offOrthosteric Ligandlpa1_off
17.24Consensuslpl_offOrthosteric Ligands1p_off lpa_off
17.24Consensusm1_offOrthosteric Ligand5CXV-M1-Tiotropium
17.24Consensusmop_onOrthosteric Ligand8F7R-μ-Endomorphin-Gi1/β1/γ2 8EF5-μ-Fentanyl-Gi1/β1/γ2 7SCG-μ-FH210-Gi1/β1/γ2 7T2H-μ-Lofentanil-Gi1/β1/γ2 7T2G-μ-Mitragynine Pseudoindoxyl-Gi1/β1/γ2 8EF6-μ-Morphine-Gi1/β1/γ2 8EFB-μ-Oliceridine-Gi1/β1/γ2 7U2L-μ-C5-guano-Gi1/β1/γ2 8EFO-μ-PZM21-Gi1/β1/γ2 8EFL-μ-SR17018-Gi1/β1/γ2 8F7Q-μ-β-Endorphin-Gi1/β1/γ2 7U2K-μ-C6-guano-Gi1/β1/γ2 8EFQ-μ-DAMGO-Gi1/β1/γ2
17.24Consensusmop_on_gpOrthosteric Ligand8F7R-μ-Endomorphin-Gi1/β1/γ2 8EF5-μ-Fentanyl-Gi1/β1/γ2 7SCG-μ-FH210-Gi1/β1/γ2 7T2H-μ-Lofentanil-Gi1/β1/γ2 7T2G-μ-Mitragynine Pseudoindoxyl-Gi1/β1/γ2 8EF6-μ-Morphine-Gi1/β1/γ2 8EFB-μ-Oliceridine-Gi1/β1/γ2 7U2L-μ-C5-guano-Gi1/β1/γ2 8EFO-μ-PZM21-Gi1/β1/γ2 8EFL-μ-SR17018-Gi1/β1/γ2 8F7Q-μ-β-Endorphin-Gi1/β1/γ2 7U2K-μ-C6-guano-Gi1/β1/γ2 8EFQ-μ-DAMGO-Gi1/β1/γ2
17.24Consensusopioid_offOrthosteric Ligandmop_off nop_off dop_off kop_off
17.24Consensuss1p1_onOrthosteric Ligand7VIE-S1P1-S1P-Gi1/β1/γ2 7VIF-S1P1-FTY720-P-Gi1/β1/γ2 7VIG-S1P1-CBP-307-Gi1/β1/γ2 7EVY-S1P1-Siponimod-Gi1/β1/γ2 7EVZ-S1P1-Cenerimod-Gi1/β1/γ2 7EW0-S1P1-Ozanimod-Gi1/β1/γ2 7EW7-S1P1-SEW2871-Gi1/β1/γ2
17.24Consensuss1p1_on_gpOrthosteric Ligand7VIE-S1P1-S1P-Gi1/β1/γ2 7VIF-S1P1-FTY720-P-Gi1/β1/γ2 7VIG-S1P1-CBP-307-Gi1/β1/γ2 7EVY-S1P1-Siponimod-Gi1/β1/γ2 7EVZ-S1P1-Cenerimod-Gi1/β1/γ2 7EW0-S1P1-Ozanimod-Gi1/β1/γ2 7EW7-S1P1-SEW2871-Gi1/β1/γ2
17.14Single7QBIAlpha-factor mating pheromone7QBI-STE2; STE2-α-factor mating pheromone
17.14Single7Y64C5a7Y64-C5a1-C5a-Gi1/β1/γ2
17.14Single8HCQEndothelin-18HCQ-ETA-Endothelin-1-chim(NtGi1-Gs-CtGq)/β1/γ2
17.14Single8HK5C5a8HK5-C5a1-C5a-Gi1/β1/γ2
17.14Single8IA2C5a8IA2-C5a1-C5a-Go/β1/γ2
17.14Single8XGOTAK4488XGO-Kiss1-TAK448-chim(NtGi1-Gq)/β1/γ2
17.14Single8ZPSPrRP208ZPS-PrRP-PrRP20-chim(NtGi1-Gs-CtGi1)/β1/γ2
17.14Single9JFYNeuropeptide-SF9JFY-NPFF2-Neuropeptide-SF-Gi1/β1/γ2
17.14Consensuseta_onOrthosteric Ligand8HCQ-ETA-Endothelin-1-chim(NtGi1-Gs-CtGq)/β1/γ2
17.14Consensuseta_on_gpOrthosteric Ligand8HCQ-ETA-Endothelin-1-chim(NtGi1-Gs-CtGq)/β1/γ2
17.14Consensusopioid_onOrthosteric Ligandmop_on nop_on dop_on kop_on
16.67Single3OE9IT1t3OE9-CXCR4-IT1t
16.67Single4Z35ONO-99105394Z35-LPA1-ONO-9910539
16.67Single5TUDErgotamine5TUD-5-HT2B-Ergotamine
16.67Single5UIW5P7-CCL55UIW-CCR5-5P7-CCL5
16.67Single5UNGPubChem 157800525UNG-AT2-PubChem 15780052
16.67Single6H7LDobutamine6H7L-β1-Dobutamine
16.67Single6IBLArformoterol6IBL-β1-Arformoterol
16.67Single6LI0C176LI0-GPR52-C17
16.67Single6TKOArformoterol6TKO-β1-Arformoterol-Arrestin2
16.67Single7DD5Ca; Ca; Tryptophan; NPS-21437DD5-CaS; CaS-Ca-Ca; Ca; Tryptophan; NPS-2143
16.67Single7EW0Ozanimod7EW0-S1P1-Ozanimod-Gi1/β1/γ2
16.67Single7EZCUK-4320977EZC-A2A-UK-432097
16.67Single7F8VGastrin-177F8V-CCKB-Gastrin-17-Gi2/β1/γ2
16.67Single7JVRBromoergocryptine7JVR-D2-Bromoergocryptine-Gi1/β1/γ2
16.67Single7MTSADX551647MTS-mGlu2; mGlu2-Glutamate-ADX55164-Gi1/β1/γ2
16.67Single7QBIAlpha-factor mating pheromone7QBI-STE2; STE2-α-factor mating pheromone
16.67Single7SK8CCX6627SK8-ACKR3-CXCL12-CCX662
16.67Single7UM4AS26747237UM4-5-HT5A-AS2674723
16.67Single7VGY2-Iodomelatonin7VGY-MT1-2-Iodomelatonin-Gi1/β1/γ2
16.67Single7XKFDehydroepiandrosterone7XKF-ADGRG2-Dehydroepiandrosterone-Gs/β1/γ2
16.67Single7XT9Serotonin7XT9-5-HT4-Serotonin-Gs/β1/γ2
16.67Single7Y27Somatostatin-147Y27-SST2-Somatostatin-14-chim(NtGi2L-Gs-CtGq)/β1/γ2
16.67Single7Y65C5a (C-terminal peptide)7Y65-C5a1-C5a (C-terminal peptide)-Gi1/β1/γ2
16.67Single7YFDImetit7YFD-H4-Imetit-chim(NtGi1-Gs-CtGq)/β1/γ2
16.67Single8DPFLorcaserin8DPF-5-HT2C-Lorcaserin-chim(NtGi2L-Gs-CtGq)/β1/γ2
16.67Single8E9X2-Deoxycytidine8E9X-M4-2-Deoxycytidine-chim(NtGi1-Go)/β1/γ2
16.67Single8FX5Xanomeline8FX5-M4-Xanomeline-Xanomeline-Gi1/β1/γ2
16.67Single8GGYConstrained Epinephrine8GGY-β2-Constrained Epinephrine
16.67Single8H0PNMB308H0P-BB1-NMB30-chim(NtGi1-Gs-CtGq)/β1/γ2
16.67Single8HN8Histamine8HN8-H4-Histamine-Gi1/β1/γ2
16.67Single8I95EP548I95-C3aB-EP54-Go/β1/γ2
16.67Single8IHIAcifran8IHI-HCA2-Acifran-Gi1/β1/γ2
16.67Single8IULLatanoprost8IUL-FP-alpha-Latanoprost-chim(NtGi1-Gs-CtGq)/β1/γ2
16.67Single8J6PPubChem 251012238J6P-HCA2-Niacin-PubChem 25101223-Gi1/β1/γ2
16.67Single8JHYPubChem 251012238JHY-HCA2-PubChem 25101223-Gi1/β1/γ2
16.67Single8JIIPubChem 251012238JII-HCA2-Niacin-PubChem 25101223-Gi1/β1/γ2
16.67Single8JILNiacin8JIL-HCA2-Niacin-Gi1/β1/γ2
16.67Single8JLOUlotaront8JLO-TA1-Ulotaront-Gs/β1/γ2
16.67Single8S2TIsoprenaline8S2T-β1-Isoprenaline-chim(NtGi1-Gs)/β1/γ2
16.67Single8U4RREGN7663-Fab8U4R-CXCR4-REGN7663-Fab
16.67Single8UO3Constrained Epinephrine8UO3-β2-Constrained Epinephrine-GTP; Mg-Gs/β1/γ2
16.67Single8W892-Phenylethylamine8W89-TA1-2-Phenylethylamine-chim(NtGi1L-Gs)/β1/γ2
16.67Single8XGSKisspeptin-18XGS-Kiss1-Kisspeptin-1-chim(NtGi1-Gq)/β1/γ2
16.67Single8XIOL7975918XIO-SST1-L797591-chim(NtGi1-Gs-CtGi1)/β1/γ2
16.67Single8XJKCloprosetnol8XJK-FP-alpha-Cloprosetnol-chim(NtGi1-Gs-CtGq)/β1/γ2
16.67Single8XJOU466198XJO-TXA2-U46619-chim(NtGi1-Gs-CtGq)/β1/γ2
16.67Single8YH3N-methyladenosine8YH3-A3A-N-methyladenosine-Gi1/β1/γ2
16.67Single8YN5Histamine8YN5-H3-Histamine-Gi1/β1/γ2
16.67Single8YN6Imetit8YN6-H3-Imetit-Gi1/β1/γ2
16.67Single8YN7Immethridine8YN7-H3-Immethridine-Go/β1/γ2
16.67Single8ZSVRO52633978ZSV-TA1-RO5263397-chim(NtGi1-Gs)/β1/γ2
16.67Single9B9YTaranabant9B9Y-CB1-Taranabant
16.67Single9DYEBuspirone9DYE-5-HT1A-Buspirone-PtdIns4P-Go/β1/γ2
16.67Single9HYIDP819HYI-5-HT1A-DP81-Gi1/β1/γ2
16.67Single9JEDHistamine9JED-H4-Histamine-PO4-Gi1/β1/γ2
16.67Single9JEQHistamine9JEQ-H3-Histamine-Gi1/β1/γ2
16.67Single9KUGEP679KUG-C5a1-EP67-Go/β1/γ2
16.67Single9KWXC5a-des-Arg9KWX-C5a1-C5a-des-Arg-Go/β1/γ2
16.67Single9L42Histamine9L42-H4-Histamine-Gi1/β1/γ2
16.67Single9M1HPGE29M1H-EP1-PGE2-chim(NtGi1-Gs-CtGq)/β1/γ2
16.67Single9M54Neuropeptide-VF9M54-NPFF2-Neuropeptide-VF-Gi1/β1/γ2
16.67Single9UYHChemerin-99UYH-CML2-Chemerin-9-Arrestin2
16.67Single9WP9S1P9WP9-S1P3-S1P-chim(NtGi2L-Gs-CtGq)/β1/γ2
16.67Consensusbeta1_onOrthosteric Ligand8DCR-β1-Dobutamine-Gs/β1/γ2 7S0F-β1-Isoprenaline-Gi1/β1/γ2
16.67Consensusbeta1_on_gpOrthosteric Ligand8DCR-β1-Dobutamine-Gs/β1/γ2 7S0F-β1-Isoprenaline-Gi1/β1/γ2
16.67Consensusc3a_on_gpOrthosteric Ligand8HK2-C3aB-C3a-Gi1/β1/γ2 8IA8-C3aB-E7 peptide-Gi1/β1/γ2
16.67Consensuscck_onOrthosteric Ligandccka_on cckb_on
16.67Consensuscck_on_gpOrthosteric Ligandccka_on_gp cckb_on_gp
16.67Consensusccr5_offOrthosteric Ligand5UIW-CCR5-5P7-CCL5
16.67Consensusccr5_onOrthosteric Ligand7O7F-CCR5-6P4-CCL5-Gi1/β1/γ1 7F1Q-CCR5-CCL3-Gi1/β1/γ2
16.67Consensuschemerin_onOrthosteric Ligandcml1_on
16.67Consensusd2_offOrthosteric Ligand6CM4-D2-Risperidone 6LUQ-D2-Haloperidol 7DFP-D2-Spiperone
16.67Consensusfp-alpha_onOrthosteric Ligand8IUK-FP-alpha-PGF2-α-chim(NtGi1-Gs-CtGq)/β1/γ2 8IUL-FP-alpha-Latanoprost-chim(NtGi1-Gs-CtGq)/β1/γ2 8IUM-FP-alpha-Tafluprost acid-chim(NtGi1-Gs-CtGq)/β1/γ2
16.67Consensusfp-alpha_on_gpOrthosteric Ligand8IUK-FP-alpha-PGF2-α-chim(NtGi1-Gs-CtGq)/β1/γ2 8IUL-FP-alpha-Latanoprost-chim(NtGi1-Gs-CtGq)/β1/γ2 8IUM-FP-alpha-Tafluprost acid-chim(NtGi1-Gs-CtGq)/β1/γ2
16.67Consensusgi_compl-peptOrthosteric Ligand8HK5-C5a1-C5a-Gi1/β1/γ2 8IA8-C3aB-E7 peptide-Gi1/β1/γ2 7Y66-C5a1-BM213-Gi1/β1/γ2 7Y67-C5a1-C089 peptide-Gi1/β1/γ2 8HK2-C3aB-C3a-Gi1/β1/γ2 7Y64-C5a1-C5a-Gi1/β1/γ2
16.67Consensusgi_s1pOrthosteric Ligand7VIE-S1P1-S1P-Gi1/β1/γ2 7EW3-S1P3-S1P-Gi1/β1/γ2 7EVY-S1P1-Siponimod-Gi1/β1/γ2 7EW1-S1P5-Siponimod-Gi1/β1/γ2 7VIF-S1P1-FTY720-P-Gi1/β1/γ2 7VIG-S1P1-CBP-307-Gi1/β1/γ2 7EVZ-S1P1-Cenerimod-Gi1/β1/γ2 7EW4-S1P3-CYM-5541-Gi1/β1/γ2 7EW2-S1P3-FTY720-P-Gi1/β1/γ2 7EW0-S1P1-Ozanimod-Gi1/β1/γ2 7EW7-S1P1-SEW2871-Gi1/β1/γ2
16.67Consensush4_onOrthosteric Ligand8HN8-H4-Histamine-Gi1/β1/γ2 8HOC-H4-Imetit-Gi1/β1/γ2 8JXV-H4-Clozapine-Gi1/β1/γ2 8JXW-H4-VUF6884-Gi1/β1/γ2 8JXX-H4-Clobenpropit-Gi1/β1/γ2
16.67Consensusnucleotide_on_gpOrthosteric Ligandadenosine_on_gp p2y_on_gp
16.67Consensusopioid_on_gpOrthosteric Ligandmop_on_gp nop_on_gp dop_on_gp kop_on_gp
16.67Consensusprostanoid_offOrthosteric Ligandep_off dp_off
16.67Consensusprostanoid_onOrthosteric Ligandtp_on fp-alpha_on
16.67Consensusprostanoid_on_gpOrthosteric Ligandtp_on_gp fp-alpha_on_gp
16.67Consensustp_onOrthosteric Ligand8XJO-TXA2-U46619-chim(NtGi1-Gs-CtGq)/β1/γ2
16.67Consensustp_on_gpOrthosteric Ligand8XJO-TXA2-U46619-chim(NtGi1-Gs-CtGq)/β1/γ2
16.22Single7AD3Alpha-factor mating pheromone7AD3-STE2; STE2-α-factor mating pheromone-Gi1/STE4/γ2
16.22Single7WVYAmyloid-Beta427WVY-FPR2-ALX-Amyloid-β42-Gi2/β1/γ2
16.22Single7XATSomatostatin-147XAT-SST2-Somatostatin-14-Gi1/β1/γ2
16.22Single7YOONeuropeptide-Y7YOO-Y2-Neuropeptide-Y-Gi1/β1/γ2
16.22Single8XWPEndothelin-18XWP-ETB-Endothelin-1-Gi1/β1/γ2
16.22Consensusnpy2_onOrthosteric Ligand7YOO-Y2-Neuropeptide-Y-Gi1/β1/γ2
16.22Consensusnpy2_on_gpOrthosteric Ligand7YOO-Y2-Neuropeptide-Y-Gi1/β1/γ2
16.13Single5VBLAMG3054 5VBL-Apelin-AMG3054
16.13Single5WF6UK-4320975WF6-A2A-UK-432097
16.13Single6XBJCholesterol6XBJ-SMO-Cholesterol-Gi1/β1/γ2
16.13Single7RKFCX3CL17RKF-US28-CX3CL1-GDP-chim(NtGi1-G11)/β1/γ2
16.13Single7RKNCX3CL17RKN-US28-CX3CL1-Gi1/β1/γ2
16.13Single7SK9CCX6627SK9-ACKR3-CCX662
16.13Single7T11Octreotide7T11-SST2-Octreotide-Gi3/β1/γ2
16.13Single7XBXCX3CL17XBX-CX3CR1-CX3CL1-Gi1/β1/γ2
16.13Single7XN9L-0545227XN9-SST2-L-054522
16.13Single7XY6BAY 60-65837XY6-A2B-BAY 60-6583-chim(NtGi1-Gs)/β1/γ2
16.13Single7YAEOctreotide7YAE-SST2-Octreotide-Gi1/β1/γ2
16.13Single8GDAL9026888GDA-EP4-L902688-Gs/β1/γ2
16.13Single8IQ4Carboprost8IQ4-FP-alpha-Carboprost-chim(NtGi1-Gs-CtGq)/β1/γ2
16.13Single8X5YAstemizole8X5Y-H1-Astemizole
16.13Single9MD1Buspirone9MD1-5-HT1A-Buspirone-PtdIns4P-Gz/β1/γ2
16.13Consensuscxcr_on_gpOrthosteric Ligandcxcr3_on_gp cxcr4_on_gp cxcr1_on_gp cxcr2_on_gp
16.13Consensusgq_cckOrthosteric Ligand8IA7-CCKB-Cholecystokinin-8-chim(NtGi1L-Gq)/β1/γ2 7XOW-CCKB-Sulfated Gastrin-(10-17)-chim(NtGi1-Gq)/β1/γ2 7EZM-CCKA-Cholecystokinin-8-chim(NtGsL-Gq)/β1/γ2 7F8W-CCKB-Gastrin-17-chim(NtGsL-Gq)/β1/γ2
16.00Single2X72All-trans-Retinal2X72-Rhodopsin-All-trans-Retinal-Gt(CT)
16.00Single3V2WPubChem 518926453V2W-S1P1-PubChem 51892645
16.00Single5U09Taranabant5U09-CB1-Taranabant
16.00Single6KUYPubChem 1457046436KUY-α2a-PubChem 145704643
16.00Single6OBAAlprenolol6OBA-β2-Alprenolol-GTPL11074
16.00Single6OYAAll-trans-Retinal6OYA-Rhodopsin-All-trans-Retinal-Gt/β1/γ1
16.00Single6TODEMPA6TOD-OX1-EMPA-Na
16.00Single7T8XAcetylcholine7T8X-M2-Acetylcholine-chim(NtGi1-Go)/β1/γ2
16.00Single7T90Acetylcholine7T90-M2-Acetylcholine-chim(NtGi1-Go)/β1/γ2
16.00Single7T96Acetylcholine7T96-M2-Acetylcholine-LY2119620-Go/β1/γ2
16.00Single7VUJJNJ-635330547VUJ-GPR139-JNJ-63533054-GDP-chim(Gs-CtGq)/β1/γ2
16.00Single7W0OElabela7W0O-Apelin-Elabela-Gi1/β1/γ2
16.00Single7WF7S1P7WF7-S1P1-S1P-Gi1/β1/γ2
16.00Single7XT8Serotonin7XT8-5-HT4-Serotonin-Gs/β1/γ2
16.00Single7YM8Oxymetazoline7YM8-Alpha1A-Oxymetazoline-chim(Gs-CtGq)
16.00Single8EFOPZM218EFO-μ-PZM21-Gi1/β1/γ2
16.00Single8FYXBuspirone8FYX-5-HT1A-Buspirone-PtdIns4P-Gi1/β1/γ1
16.00Single8GNGIstradefylline8GNG-A2A-Istradefylline
16.00Single8HOCImetit8HOC-H4-Imetit-Gi1/β1/γ2
16.00Single8JPPSuccinic acid8JPP-Succinate-Succinic acid-chim(Gs-CtGq)/β1/γ1
16.00Single8JSOAMPH8JSO-TA1-AMPH-chim(NtGi1-Gs)/β1/γ2
16.00Single8RW0Istradefylline8RW0-A2A-Istradefylline-Na
16.00Single8UNSConstrained Epinephrine8UNS-β2-Constrained Epinephrine-GTP-Gs/β1/γ2
16.00Single8UNTConstrained Epinephrine8UNT-β2-Constrained Epinephrine-GTP-Gs/β1/γ2
16.00Single8UTDMK19038UTD-HCA2-MK1903-Gi1/β1/γ2
16.00Single8WC3SEP-3638568WC3-TA1-SEP-363856-chim(NtGi1-Gs)/β1/γ2
16.00Single8WOGSuccinic acid8WOG-Succinate-Succinic acid-Gi1/β1/γ2
16.00Single8Y0HVUF114188Y0H-CXCR3-VUF11418
16.00Single8Y0NVUF114188Y0N-CXCR3-VUF11418-Go/β1/γ2
16.00Single8YKXMaleic acid8YKX-Succinate-Maleic acid-Gi1/β1/γ1
16.00Single8YNAImmepip8YNA-H4-Immepip-Gi1/β1/γ2
16.00Single8YUVImmepip8YUV-H3-Immepip-Gi1/β1/γ2
16.00Single8YYWAlpha-ketoglutarate8YYW-Oxoglutarate-α-ketoglutarate-α-ketoglutarate-chim(Gi1-CtGq)/β1/γ2
16.00Single8YYWAlpha-ketoglutarate8YYW-Oxoglutarate-α-ketoglutarate-α-ketoglutarate-chim(Gi1-CtGq)/β1/γ2
16.00Single9EBHAdenosine9EBH-A3A-Adenosine-Gi1/β1/γ2
16.00Single9EEAAdenosine9EEA-A2A-Adenosine-Gs/β1/γ2
16.00Single9M88Oleic monoethanolamide9M88-GPR3 ; GPR3-Oleic monoethanolamide-AF64394
16.00Single9MQJIsoquinuclidine9MQJ-μ-Isoquinuclidine
16.00Single9VJ5Gepirone9VJ5-5-HT1A-Gepirone-Go/β1/γ2
16.00Single9VJEBuspirone9VJE-5-HT1A-Buspirone-Go/β1/γ2
16.00Single9W49U-50488H9W49-κ-U-50488H-Gi1/β1/γ2
16.00Consensus5ht1e_onOrthosteric Ligand7E33-5-HT1E-BRL-54443-Gi1/β1/γ2 8UGY-5-HT1E-Mianserin-Gi1/β1/γ1 8UH3-5-HT1E-Setiptiline-Gi1/β1/γ1
16.00Consensusangiotensin_offOrthosteric Ligandat1_off
16.00Consensusgi_succinateOrthosteric Ligand8YKW-Succinate-Succinic acid-Gi1/β1/γ1 8YKX-Succinate-Maleic acid-Gi1/β1/γ1
16.00Consensusgq_histamineOrthosteric Ligand7DFL-H1-Histamine-chim(NtGi1L-Gq)/β1/γ2
16.00Consensush1_on_gpOrthosteric Ligand7DFL-H1-Histamine-chim(NtGi1L-Gq)/β1/γ2
16.00Consensushistamine_onOrthosteric Ligandh1_on h2_on h3_on h4_on
16.00Consensushistamine_on_gpOrthosteric Ligandh1_on_gp h2_on_gp h3_on_gp h4_on_gp
16.00Consensusm2_onOrthosteric Ligand7T8X-M2-Acetylcholine-chim(NtGi1-Go)/β1/γ2
16.00Consensusm2_on_gpOrthosteric Ligand7T8X-M2-Acetylcholine-chim(NtGi1-Go)/β1/γ2
16.00Consensusrhodopsin_on_gpOrthosteric Ligand6OYA-Rhodopsin-All-trans-Retinal-Gt/β1/γ1
16.00Consensuss1p1_offOrthosteric Ligand3V2W-S1P1-PubChem 51892645
16.00Consensussuccinate_onOrthosteric Ligand8YKW-Succinate-Succinic acid-Gi1/β1/γ1 8YKX-Succinate-Maleic acid-Gi1/β1/γ1
16.00Consensussuccinate_on_gpOrthosteric Ligand8YKW-Succinate-Succinic acid-Gi1/β1/γ1 8YKX-Succinate-Maleic acid-Gi1/β1/γ1
15.62Single4AMJCarvedilol4AMJ-β1-Carvedilol
15.62Single4IARErgotamine4IAR-5-HT1B-Ergotamine
15.62Single6WIVPubChem 52923113; PubChem 529246456WIV-GABAB1, GABAB2-PubChem 52923113; PubChem 52924645
15.62Single7F8XNN90567F8X-CCKA-NN9056
15.62Single7QA8Antagonist Peptide7QA8-STE2; STE2-Antagonist Peptide
15.62Single7QA8Antagonist Peptide7QA8-STE2; STE2-Antagonist Peptide
15.62Single7T6UCGEN-855A7T6U-FPR2-ALX-CGEN-855A-Gi1/β1/γ2
15.62Single7TD4Siponimod7TD4-S1P1-Siponimod-Gi1/β1/γ2
15.62Single7W2ZGhrelin7W2Z-Ghrelin-Ghrelin-Go/β1/γ2
15.62Single7WICSomatostatin-147WIC-SST2-Somatostatin-14-Gi1/β1/γ2
15.62Single7WKDTRH7WKD-TRH-TRH-chim(NtGi1-Gs-CtGq)/β1/γ2
15.62Single7WVWfMYFINILTL7WVW-FPR2-ALX-fMYFINILTL-Gi2/β1/γ2
15.62Single7XAUOctreotide7XAU-SST2-Octreotide-Gi1/β1/γ2
15.62Single8DCRDobutamine8DCR-β1-Dobutamine-Gs/β1/γ2
15.62Single8FYLVilazodone8FYL-5-HT1A-Vilazodone-PtdIns4P-Gi1/β1/γ1
15.62Single8G59TUG-8918G59-FFA4-TUG-891-chim(Gi1-CtGq)/β1/γ2
15.62Single8PKMBefiradol8PKM-5-HT1A-Befiradol-Gi1/β1/γ1
15.62Single8U4OCXCL128U4O-CXCR4-CXCL12-Gi1/β1/γ2
15.62Single8WZ2Orexigenic Neuropeptide QRFP8WZ2-QRFP-Orexigenic Neuropeptide QRFP-chim(NtGi1L-Gs-CtGq)/β1/γ2
15.62Single8XGMChemerin8XGM-CML2-Chemerin-Gi1/β1/γ2
15.62Single9M4TSilodosin9M4T-Alpha1A-Silodosin
15.62Consensuscxcr4_onOrthosteric Ligand8K3Z-CXCR4-CXCL12-Gi1/β1/γ1
15.62Consensusgi_nucleotideOrthosteric Ligandgi_adenosine gi_p2y
15.62Consensuslpl_onOrthosteric Ligands1p_on lpa_on
15.62Consensuslpl_on_gpOrthosteric Ligands1p_on_gp lpa_on_gp
15.62Consensussomatostatin_offOrthosteric Ligandsst2_off
15.38Single3UZCPubChem 1355666093UZC-A2A-PubChem 135566609
15.38Single3V2YPubChem 518926453V2Y-S1P1-PubChem 51892645
15.38Single4ZJCSB-6740424ZJC-OX1-SB-674042
15.38Single5GLHEndothelin-15GLH-ETB-Endothelin-1
15.38Single6IGKEndothelin-36IGK-ETB-Endothelin-3
15.38Single6K41Dexmedetomidine6K41-α2b-Dexmedetomidine-Go/β1/γ2
15.38Single6KUXRS799486KUX-α2a-RS79948
15.38Single6PS5Propranolol6PS5-β2-Propranolol
15.38Single6TPGEMPA6TPG-OX2-EMPA
15.38Single6V9SGTPL114036V9S-OX1-GTPL11403
15.38Single6VI4JDTic6VI4-κ-JDTic
15.38Single6WH4Methiothepin6WH4-5-HT2A-Methiothepin
15.38Single6ZFZ77-LH-28-16ZFZ-M1-77-LH-28-1
15.38Single6ZG9GSK10347026ZG9-M1-GSK1034702
15.38Single7AROLUF58337ARO-A2A-LUF5833-Na
15.38Single7BB6AVP7BB6-V2-AVP-Gs/β1/γ2
15.38Single7CKWFenoldopam7CKW-D1-Fenoldopam-Gs/β1/γ2
15.38Single7CKZDopamine7CKZ-D1-Dopamine-Mevidalen-Gs/β1/γ2
15.38Single7CMUPramipexole7CMU-D3-Pramipexole-Gi1/β1/γ2
15.38Single7EJADexmedetomidine7EJA-α2a-Dexmedetomidine-Go/β1/γ2
15.38Single7F0TDopamine7F0T-D1-Dopamine-Gs/β1/γ2
15.38Single7F1ZDopamine7F1Z-D1-Dopamine-GDP-Gs/β1/γ2
15.38Single7F61PF-036547467F61-H3-PF-03654746
15.38Single7RANPubChem 1645758477RAN-5-HT2A-PubChem 164575847-chim(NtGi2L-Gs-CtGq)/β1/γ2
15.38Single7T94Acetylcholine7T94-M2-Acetylcholine-LY2119620-chim(NtGi1-Go)/β1/γ2
15.38Single7TRSAcetylcholine7TRS-M4-Acetylcholine-Gi1/β1/γ2
15.38Single7UL3Famotidine7UL3-H2-Famotidine
15.38Single7UM7Methylergometrine7UM7-5-HT5A-Methylergometrine-chim(NtGi1-Go)/β1/γ2
15.38Single7XXH2MeSADP7XXH-P2Y1-2MeSADP-chim(NtGi1-G11)/β1/γ2
15.38Single7YK6PubChem 1383196747YK6-RXFP4-PubChem 138319674-Gi2/β1/γ2
15.38Single8DPGPsilocin8DPG-5-HT2C-Psilocin-chim(NtGi2L-Gs-CtGq)/β1/γ2
15.38Single8GG5Constrained Epinephrine8GG5-β2-Constrained Epinephrine-GTP-Gs/β1/γ2
15.38Single8GG7Constrained Epinephrine8GG7-β2-Constrained Epinephrine-GTP-Gs/β1/γ2
15.38Single8GGLConstrained Epinephrine8GGL-β2-Constrained Epinephrine
15.38Single8GGMConstrained Epinephrine8GGM-β2-Constrained Epinephrine
15.38Single8GGPConstrained Epinephrine8GGP-β2-Constrained Epinephrine
15.38Single8GURCP559408GUR-CB2-CP55940-Gi1/β1/γ2
15.38Single8HNMVUF112228HNM-CXCR3-VUF11222-Gi1/β1/γ2
15.38Single8RWCStilSwitch28RWC-A2A-StilSwitch2-Na
15.38Single8RWDStilSwitch38RWD-A2A-StilSwitch3-Na
15.38Single8RWIStilSwitch28RWI-A2A-StilSwitch2-Na
15.38Single8THKA-616038THK-Alpha1A-A-61603-chim(NtGi2L-Gs-CtGq)/β1/γ2
15.38Single8THLEpinephrine8THL-Alpha1A-Epinephrine-chim(NtGi2L-Gs-CtGq)/β1/γ2
15.38Single8UNLConstrained Epinephrine8UNL-β2-Constrained Epinephrine-GTP-Gs/β1/γ2
15.38Single8UNOConstrained Epinephrine8UNO-β2-Constrained Epinephrine-GTP-Gs/β1/γ2
15.38Single8UO1Constrained Epinephrine8UO1-β2-Constrained Epinephrine-GTP; Mg-Gs/β1/γ2
15.38Single8W8BSEP-3638568W8B-5-HT1A-SEP-363856-Gi1/β1/γ2
15.38Single8Y45ADL58598Y45-δ-ADL5859-Gi2/β1/γ2
15.38Single8ZBWQuin-C18ZBW-FPR2-ALX-Quin-C1-Gi2/β1/γ2
15.38Single9AS3LSD9AS3-5-HT2A-LSD
15.38Single9AS4LSD9AS4-5-HT2A-LSD-chim(NtGi1-Gs-CtGq)/β1/γ2
15.38Single9AS8Psilocin9AS8-5-HT2A-Psilocin-chim(NtGi2L-Gs-CtGq)/β1/γ2
15.38Single9ASBCa; Ca; Cyclomethyltryptophan; R-568; PO49ASB-CaS; CaS-Ca-Ca; Ca; Cyclomethyltryptophan; R-568; PO4-chim(NtGi1-Gs-CtGq)/β1/γ2
15.38Single9AXFCa; Ca; Ca; Cyclomethyltryptophan; R-568; PO49AXF-CaS; CaS-Ca-Ca; Ca; Ca; Cyclomethyltryptophan; R-568; PO4-chim(NtGi1-Gs-CtGq)/β1/γ2
15.38Single9BA0MRI-18919BA0-CB1-MRI-1891
15.38Single9CBLEpinephrine9CBL-α2a-Epinephrine-Gi1/β1/γ2
15.38Single9K0XATP9K0X-P2Y2-ATP-chim(NtGi1-Gs-CtGq)/β1/γ2
15.38Single9K20ATP9K20-P2Y2-ATP-chim(NtGi1-Go)/β1/γ2
15.38Single9L84Epinephrine9L84-β1-Epinephrine-Atazanavir-Gs/β1/γ2
15.38Single9L8LBI1671079L8L-β2-BI167107-Atazanavir-Gs/β1/γ2 ; Arrestin2
15.38Single9LL8Psilocin9LL8-5-HT2A-Psilocin-Gi1/β1/γ2
15.38Single9M2FNeuropeptide-FF9M2F-NPFF1-Neuropeptide-FF-Gi1/β1/γ2
15.38Single9MQIIsoquinuclidine9MQI-μ-Isoquinuclidine
15.38Single9ODJMitragynine Pseudoindoxyl9ODJ-μ-Mitragynine Pseudoindoxyl-GTP; Mg-Gi1/β1/γ2
15.38Single9VJG8-OH-DPAT9VJG-5-HT1A-8-OH-DPAT-chim(NtGi2-Gz)/β1/γ2
15.38Single9W6W5-CT9W6W-5-HT5A-5-CT-Gi1/β1/γ2
15.38Consensus5ht_on_gpOrthosteric Ligand5ht1_on_gp 5ht2_on_gp 5ht4_on_gp 5ht5_on_gp 5ht6_on_gp 5ht7_on_gp
15.38Consensusalpha1_onOrthosteric Ligandalpha1a_on
15.38Consensusalpha1_on_gpOrthosteric Ligandalpha1a_on_gp
15.38Consensusalpha1a_onOrthosteric Ligand7EJ0-α2a-Norepinephrine-Go/β1/γ2 7EJ8-α2a-Brimonidine-Go/β1/γ2 7EJA-α2a-Dexmedetomidine-Go/β1/γ2 7EJK-α2a-Oxymetazoline-Go/β1/γ2 7W6P-α2a-N-pyridin-4-ylisoquinolin-4-amine-Go/β1/γ2 7W7E-α2a-PubChem 164946676-Go/β1/γ2
15.38Consensusalpha1a_on_gpOrthosteric Ligand7EJ0-α2a-Norepinephrine-Go/β1/γ2 7EJ8-α2a-Brimonidine-Go/β1/γ2 7EJA-α2a-Dexmedetomidine-Go/β1/γ2 7EJK-α2a-Oxymetazoline-Go/β1/γ2 7W6P-α2a-N-pyridin-4-ylisoquinolin-4-amine-Go/β1/γ2 7W7E-α2a-PubChem 164946676-Go/β1/γ2
15.38Consensusat1_offOrthosteric Ligand4YAY-AT1-ZD-7155 4ZUD-AT1-Olmesartan
15.38Consensuscb1_offOrthosteric Ligand5U09-CB1-Taranabant 5TGZ-CB1-AM6538
15.38Consensusd3_onOrthosteric Ligand7CMV-D3-PD128907-Gi1/β1/γ2 8IRT-D3-Rotigotine-Gi1/β1/γ2 7CMU-D3-Pramipexole-Gi1/β1/γ2
15.38Consensusd3_on_gpOrthosteric Ligand7CMV-D3-PD128907-Gi1/β1/γ2 8IRT-D3-Rotigotine-Gi1/β1/γ2 7CMU-D3-Pramipexole-Gi1/β1/γ2
15.38Consensusgi_npyOrthosteric Ligand8K6M-Y1-Neuropeptide-Y-Gi2/β1/γ1 7X9C-Y4-Pancreatic Hormone-Gi1/β1/γ2 7YOO-Y2-Neuropeptide-Y-Gi1/β1/γ2
15.38Consensusnpy_onOrthosteric Ligandnpy1_on npy2_on npy4_on
15.38Consensusnpy_on_gpOrthosteric Ligandnpy1_on_gp npy2_on_gp npy4_on_gp
15.38Consensusnucleotide_offOrthosteric Ligandadenosine_off p2y_off
15.38Consensusp2y1_on_gpOrthosteric Ligand7XXH-P2Y1-2MeSADP-chim(NtGi1-G11)/β1/γ2
15.15Single7C6A(Sar1,Ile8)-Angiotensin II7C6A-AT2-(Sar1,Ile8)-Angiotensin II
15.15Single7WJ5Somatostatin-147WJ5-SST2-Somatostatin-14-Gi1/β1/γ2
15.15Single9E82CXCL12 (fragment)9E82-ACKR3-CXCL12 (fragment)-Arrestin2
15.15Single9KFIRelaxin-39KFI-RXFP3-Relaxin-3-Gi2/β1/γ2
15.15Consensuscckb_onOrthosteric Ligand8IA7-CCKB-Cholecystokinin-8-chim(NtGi1L-Gq)/β1/γ2 7XOW-CCKB-Sulfated Gastrin-(10-17)-chim(NtGi1-Gq)/β1/γ2 7F8V-CCKB-Gastrin-17-Gi2/β1/γ2
15.15Consensusformylpeptide_on_gpOrthosteric Ligandfpr2-alx_on_gp fpr1-alx_on_gp
15.15Consensusgi_cckOrthosteric Ligand7EZH-CCKA-Cholecystokinin-8-Gi1/β1/γ2 7F8V-CCKB-Gastrin-17-Gi2/β1/γ2
15.15Consensuss1p3_on_gpOrthosteric Ligand7EW3-S1P3-S1P-Gi1/β1/γ2 7EW4-S1P3-CYM-5541-Gi1/β1/γ2 7EW2-S1P3-FTY720-P-Gi1/β1/γ2
15.00Consensusendothelin_on_gpOrthosteric Ligandetb_on_gp eta_on_gp
14.81Single2VT4Cyanopindolol2VT4-β1-Cyanopindolol
14.81Single2Y01Dobutamine2Y01-β1-Dobutamine
14.81Single2YCYCyanopindolol2YCY-β1-Cyanopindolol
14.81Single3ZPQPubChem 5945903ZPQ-β1-PubChem 594590-Na
14.81Single3ZPRPubChem 5987543ZPR-β1-PubChem 598754-Na
14.81Single4DAJTiotropium4DAJ-M3-Tiotropium
14.81Single4EA3PubChem 102965614EA3-NOP-PubChem 10296561
14.81Single4EJ4Naltrindole4EJ4-δ-Naltrindole
14.81Single4J4QOctyl Beta-D-Glucopyranoside4J4Q-Rhodopsin-Octyl β-D-Glucopyranoside-Gt(CT)
14.81Single4X1HNonyl-Beta-D-Glucopyranoside4X1H-Rhodopsin-Nonyl-β-D-Glucopyranoside-Gt(CT)
14.81Single4YAYZD-71554YAY-AT1-ZD-7155
14.81Single5DHHSB-6121115DHH-NOP-SB-612111
14.81Single5DSGTiotropium5DSG-M4-Tiotropium
14.81Single5UENDU1725UEN-A1-DU172
14.81Single5YC8N-methyl-Scopolamine5YC8-M2-N-methyl-Scopolamine
14.81Single5ZK8N-methyl-Scopolamine5ZK8-M2-N-methyl-Scopolamine
14.81Single5ZKCN-methyl-Scopolamine5ZKC-M2-N-methyl-Scopolamine
14.81Single6D27CAY104716D27-DP2-CAY10471
14.81Single6IIVDaltroban6IIV-TXA2-Daltroban
14.81Single6K42Dexmedetomidine6K42-α2b-Dexmedetomidine-Gi1/β1/γ2
14.81Single6PRZAlprenolol6PRZ-β2-Alprenolol
14.81Single6PS2Alprenolol6PS2-β2-Alprenolol
14.81Single6TOTLemborexant6TOT-OX1-Lemborexant
14.81Single6WHADB139486WHA-5-HT2A-DB13948-chim(NtGi2L-Gs-CtGq)/β1/γ2
14.81Single7BU7BI1671077BU7-β1-BI167107
14.81Single7CFMP3957CFM-GPBA-P395-Gs/β1/γ2
14.81Single7E32Serotonin7E32-5-HT1D-Serotonin-Gi1/β1/γ2
14.81Single7LJCSKF812977LJC-D1-SKF81297-Mevidalen-Gs/β1/γ2
14.81Single7M3JNPS-2143; PO47M3J-CaS; CaS-NPS-2143; PO4
14.81Single7T2GMitragynine Pseudoindoxyl7T2G-μ-Mitragynine Pseudoindoxyl-Gi1/β1/γ2
14.81Single7UM6Lisuride7UM6-5-HT5A-Lisuride-chim(NtGi1-Go)/β1/γ2
14.81Single7VGZRamelteon7VGZ-MT1-Ramelteon-Gi1/β1/γ2
14.81Single7VIES1P7VIE-S1P1-S1P-Gi1/β1/γ2
14.81Single7WC7Lisuride7WC7-5-HT2A-Lisuride
14.81Single7WC8Lumateperone7WC8-5-HT2A-Lumateperone
14.81Single7X2CFenoldopam7X2C-D1-Fenoldopam-Fenoldopam-Gs/β1/γ2
14.81Single7XJHIsoprenaline7XJH-β3-Isoprenaline-Gs/β1/γ2
14.81Single7YU4ONO-07405567YU4-LPA1-ONO-0740556
14.81Single7YXAONO-54306087YXA-S1P5-ONO-5430608
14.81Single8CU6LJ-45178CU6-A2A-LJ-4517
14.81Single8FY85-MeO-DMT8FY8-5-HT1A-5-MeO-DMT-PtdIns4P-Gi1/β1/γ1
14.81Single8GCML-9026888GCM-EP4-L-902688-Gi1/β1/γ2
14.81Single8IRTRotigotine8IRT-D3-Rotigotine-Gi1/β1/γ2
14.81Single8JLJT1AM8JLJ-TA1-T1AM-chim(NtGi1-Gs)/β1/γ2
14.81Single8JXRLSD8JXR-D1-LSD
14.81Single8RW7StilSwitch18RW7-A2A-StilSwitch1-Na
14.81Single8RWXStilSwitch38RWX-A2A-StilSwitch3-Na
14.81Single8UGYMianserin8UGY-5-HT1E-Mianserin-Gi1/β1/γ1
14.81Single8UH3Setiptiline8UH3-5-HT1E-Setiptiline-Gi1/β1/γ1
14.81Single8UWLLisuride8UWL-5-HT2A-Lisuride-chim(NtGi2-Gs-CtGq)/β1/γ2
14.81Single8WC7ZH86678WC7-TA1-ZH8667-chim(NtGi1-Gs)/β1/γ2
14.81Single8X63Mepyramine8X63-H1-Mepyramine
14.81Single8X64Desloratadine8X64-H1-Desloratadine
14.81Single8XJLPGF2-alpha8XJL-FP-alpha-PGF2-α-chim(NtGi2-Gs-CtGq)/β1/γ2
14.81Single8XVKAmbrisentan8XVK-ETA-Ambrisentan
14.81Single8Y71A1D6F8Y71-δ-A1D6F-BMS986187-Gi1/β1/γ2
14.81Single8YH5Riboprine8YH5-A3A-Riboprine-Gi1/β1/γ2
14.81Single9AVGCa; Ca; Cyclomethyltryptophan; R-568; PO49AVG-CaS; CaS-Ca-Ca; Ca; Cyclomethyltryptophan; R-568; PO4-chim(NtGi1-Gs)/β1/γ2
14.81Single9CBMDexmedetomidine9CBM-α2a-Dexmedetomidine-Gi1/β1/γ2
14.81Single9D61JDTic9D61-κ-JDTic-Gi1/β1/γ2
14.81Single9EPP11,20-Ethanoretinal9EPP-Rhodopsin-11,20-Ethanoretinal-chim(Gi1-CtGq)/β1/γ2
14.81Single9JEAAtropine9JEA-M1-Atropine
14.81Single9JQZGrapiprant 9JQZ-EP4-Grapiprant
14.81Single9KUXCMPD6449KUX-Apelin; Apelin-CMPD644-Arrestin2
14.81Single9PLNPubChem 1682595949PLN-α2a-PubChem 168259594
14.81Single9PLOPubChem 1682595949PLO-α2a-PubChem 168259594-Go/β1/γ2
14.81Single9PQDPubChem 1764919279PQD-α2a-PubChem 176491927
14.81Consensus5ht1d_onOrthosteric Ligand7E32-5-HT1D-Serotonin-Gi1/β1/γ2
14.81Consensus5ht1d_on_gpOrthosteric Ligand7E32-5-HT1D-Serotonin-Gi1/β1/γ2
14.81Consensus5ht5_onOrthosteric Ligand5ht5a_on
14.81Consensus5ht5a_onOrthosteric Ligand7X5H-5-HT5A-5-CT-Gi1/β1/γ2 7UM6-5-HT5A-Lisuride-chim(NtGi1-Go)/β1/γ2 7UM7-5-HT5A-Methylergometrine-chim(NtGi1-Go)/β1/γ2
14.81Consensus5ht6_onOrthosteric Ligand7XTB-5-HT6-Serotonin-Gs/β1/γ2 8JLZ-5-HT6-ST1936-Gs/β1/γ2
14.81Consensus5ht6_on_gpOrthosteric Ligand7XTB-5-HT6-Serotonin-Gs/β1/γ2 8JLZ-5-HT6-ST1936-Gs/β1/γ2
14.81Consensusalpha2_onOrthosteric Ligandalpha2b_on
14.81Consensusalpha2_on_gpOrthosteric Ligandalpha2b_on_gp
14.81Consensusalpha2b_onOrthosteric Ligand6K42-α2b-Dexmedetomidine-Gi1/β1/γ2
14.81Consensusalpha2b_on_gpOrthosteric Ligand6K42-α2b-Dexmedetomidine-Gi1/β1/γ2
14.81Consensusalpha_onOrthosteric Ligandalpha1_on alpha2_on
14.81Consensusdop_offOrthosteric Ligand4EJ4-δ-Naltrindole
14.81Consensusgi_histamineOrthosteric Ligand8JXX-H4-Clobenpropit-Gi1/β1/γ2 8JXV-H4-Clozapine-Gi1/β1/γ2 8YUU-H3-Histamine-Gi1/β1/γ1 8HN8-H4-Histamine-Gi1/β1/γ2 8HOC-H4-Imetit-Gi1/β1/γ2 8JXW-H4-VUF6884-Gi1/β1/γ2
14.81Consensusgq_amineOrthosteric Ligandgq_muscarinic gq_histamine
14.81Consensushistamine_offOrthosteric Ligandh1_off
14.81Consensuslipid_offOrthosteric Ligandcannabinoid_off paf_off lpl_off prostanoid_off leukotriene_off
14.81Consensusm4_offOrthosteric Ligand5DSG-M4-Tiotropium
14.81Consensusmuscarinic_onOrthosteric Ligandm2_on m3_on m4_on m1_on
14.81Consensusmuscarinic_on_gpOrthosteric Ligandm2_on_gp m3_on_gp m4_on_gp m1_on_gp
14.81Consensusnucleotide_offonOrthosteric Ligandnucleotide_off nucleotide_on
14.81Consensusnucleotide_offon_gpOrthosteric Ligandnucleotide_on_gp nucleotide_off
14.71Single3OE0CVX153OE0-CXCR4-CVX15
14.71Single7T6TfMLFII7T6T-FPR1-ALX-fMLFII-Gi1/β1/γ2
14.71Single7TD2LPA7TD2-LPA1-LPA-Gi1/β1/γ2
14.71Single7XA3CCL27XA3-CCR2-CCL2-Gi1/β1/γ2
14.71Single8XGUTAK4488XGU-Kiss1-TAK448-Gi1/β1/γ2
14.71Single8XIRPasireotide8XIR-SST3-Pasireotide-chim(NtGi1-Gs-CtGi1)/β1/γ2
14.71Single8XZGApelin-138XZG-Apelin; Apelin-Apelin-13-Gi1/β1/γ2
14.71Single8XZHMM078XZH-Apelin; Apelin-MM07-Gi1/β1/γ2
14.71Single9M1ONeuropeptide-FF9M1O-NPFF2-Neuropeptide-FF-Gi1/β1/γ2
14.71Single9U4WGonadoliberin-19U4W-GnRH1-Gonadoliberin-1-chim(NtGi1L-Gs-CtGq)/β1/γ2
14.71Single9UYIChemerin-99UYI-CML2-Chemerin-9-Arrestin2
14.71Consensusc5a1_onOrthosteric Ligand8HK5-C5a1-C5a-Gi1/β1/γ2 7Y66-C5a1-BM213-Gi1/β1/γ2 7Y67-C5a1-C089 peptide-Gi1/β1/γ2 7Y64-C5a1-C5a-Gi1/β1/γ2
14.71Consensuscckb_on_gpOrthosteric Ligand8IA7-CCKB-Cholecystokinin-8-chim(NtGi1L-Gq)/β1/γ2 7XOW-CCKB-Sulfated Gastrin-(10-17)-chim(NtGi1-Gq)/β1/γ2 7F8V-CCKB-Gastrin-17-Gi2/β1/γ2
14.71Consensusccr2_onOrthosteric Ligand7XA3-CCR2-CCL2-Gi1/β1/γ2
14.71Consensusccr2_on_gpOrthosteric Ligand7XA3-CCR2-CCL2-Gi1/β1/γ2
14.71Consensusccr_onOrthosteric Ligandccr6_on ccr8_on ccr2_on ccr1_on ccr5_on
14.71Consensusgs_class-aOrthosteric Ligandgs_peptide gs_nucleotide gs_amine
14.63Single6LRYSarafotoxin-B6LRY-ETB-Sarafotoxin-B
14.29Single2Y00Dobutamine2Y00-β1-Dobutamine
14.29Single4WW3All-trans-Retinal4WW3-Rhodopsin-All-trans-Retinal
14.29Single4ZJ8Suvorexant4ZJ8-OX1-Suvorexant
14.29Single5N2RPSB365N2R-A2A-PSB36-Na
14.29Single5N2SPSB365N2S-A1-PSB36
14.29Single5WIUNemonapride5WIU-D4-Nemonapride
14.29Single5WIVNemonapride5WIV-D4-Nemonapride-Na
14.29Single5WQCEMPA5WQC-OX2-EMPA
14.29Single5YHLPubChem 1351213525YHL-EP4-PubChem 135121352
14.29Single5YWYONO-AE3-2085YWY-EP4-ONO-AE3-208
14.29Single6D26Fevipiprant6D26-DP2-Fevipiprant
14.29Single6E67BI1671076E67-β2-BI167107-Gs(CT)
14.29Single6JODAngiotensin II6JOD-AT2-Angiotensin II
14.29Single6LUQHaloperidol6LUQ-D2-Haloperidol
14.29Single6M9TMisoprostol-FA6M9T-EP3-Misoprostol-FA
14.29Single6TO7Suvorexant6TO7-OX1-Suvorexant-Na
14.29Single6TP6Filorexant6TP6-OX1-Filorexant
14.29Single6XBKCholesterol6XBK-SMO-Cholesterol-Gi1/β1/γ2
14.29Single7BB7AVP7BB7-V2-AVP-Gs/β1/γ2
14.29Single7C4SS1P7C4S-S1P3-S1P
14.29Single7CFNINT-7777CFN-GPBA-INT-777-Gs/β1/γ2
14.29Single7CKXA776367CKX-D1-A77636-Gs/β1/γ2
14.29Single7DW9AVP7DW9-V2-AVP-chim(NtGi1-Gs)/β1/γ2
14.29Single7E9GJNJ-404118137E9G-mGlu2; mGlu2-Eglumetad-JNJ-40411813-Gi1/β1/γ2
14.29Single7M3JNPS-2143; PO47M3J-CaS; CaS-NPS-2143; PO4
14.29Single7SBFPZM217SBF-μ-PZM21-Gi1/β1/γ2
14.29Single7T10Somatostatin-147T10-SST2-Somatostatin-14-Gi3/β1/γ2
14.29Single7TRKIperoxo7TRK-M4-Iperoxo-Gi1/β1/γ2
14.29Single7VUHJNJ-635330547VUH-GPR139-JNJ-63533054-chim(Gs-CtGq)/β1/γ2
14.29Single7W41PD1762527W41-BB2-PD176252
14.29Single7WC6LSD7WC6-5-HT2A-LSD
14.29Single7WIGL-0542647WIG-SST2-L-054264-Gi1/β1/γ2
14.29Single7X9ANeuropeptide-Y7X9A-Y1-Neuropeptide-Y-Gi1/β1/γ2
14.29Single7YONPeptide-YY(3-36)7YON-Y2-Peptide-YY(3-36)-Gi1/β1/γ2
14.29Single7YU3ONO-07405567YU3-LPA1-ONO-0740556-Gi1/β1/γ2
14.29Single7YU6ONO-07405567YU6-LPA1-ONO-0740556-Gi1/β1/γ2
14.29Single8C9WEtrumadenant8C9W-A2A-Etrumadenant
14.29Single8DZQmomSalB8DZQ-κ-momSalB-Go/β1/γ2
14.29Single8DZRGR89,6968DZR-κ-GR89,696-chim(NtGi2-Gt3)/β1/γ2
14.29Single8EFBOliceridine8EFB-μ-Oliceridine-Gi1/β1/γ2
14.29Single8GDCPGE28GDC-EP3-PGE2-Gi1/β1/γ2
14.29Single8IEDPubChem 1347468948IED-GPR156; GPR156-PubChem 134746894-Go/β1/γ2
14.29Single8S4DCMF-0198S4D-Apelin-CMF-019
14.29Single8TH4Losartan8TH4-AT1-Losartan-AT118-L Nanobody
14.29Single8WGBVU01550418WGB-mGlu4; mGlu2-Glutamate-VU0155041-Gi3/β1/γ2
14.29Single8XWQEndothelin-18XWQ-ETB-Endothelin-1-Gi1/β1/γ2
14.29Single8YH0NECA8YH0-A3A-NECA-Gi1/β1/γ2
14.29Single8YNSSNAP-948478YNS-MCH1-SNAP-94847
14.29Single8ZVZBW245C8ZVZ-DP1-BW245C-Gs/β1/γ2
14.29Single8ZYTNeurotensin-(8-13)8ZYT-NTS1-Neurotensin-(8-13)-SBI-553-Arrestin2
14.29Single9ARYSerotonin9ARY-5-HT2A-Serotonin-chim(NtGi1-Gs-CtGq)/β1/γ2
14.29Single9AYFCa; Ca; Ca; Cyclomethyltryptophan; R-568; PO49AYF-CaS; CaS-Ca-Ca; Ca; Ca; Cyclomethyltryptophan; R-568; PO4-Gi1/β1/γ2
14.29Single9B9ZMRI-18679B9Z-CB1-MRI-1867
14.29Single9EHSLUF76029EHS-A3A-LUF7602
14.29Single9EKHONO-30302979EKH-DP1-ONO-3030297
14.29Single9ERXD9-THC analog9ERX-CB1-D9-THC analog-Gi1/β1/γ2
14.29Single9F34FOB02-04A9F34-D3-FOB02-04A-Go/β1/γ2
14.29Single9I52A1IZU9I52-D1-A1IZU-Gs/β1/γ2
14.29Single9K07DSO-5a9K07-BB3-DSO-5a-chim(NtGi2L-Gs-CtGq)/β1/γ2
14.29Single9KO4CCL219KO4-CCR7-CCL21-Gi1/β1/γ2
14.29Single9KPFSalicin9KPF-TAS2R16-Salicin-Gi1/β1/γ2
14.29Single9KUVCMPD6449KUV-Apelin-CMPD644-Arrestin2
14.29Single9L74S1P d16:19L74-S1P3-S1P d16:1-chim(NtGi2L-Gs-CtGq)/β1/γ2
14.29Single9M8POleic monoethanolamide9M8P-GPR3 ; GPR3-Oleic monoethanolamide-AF64394
14.29Single9MQKIsoquinuclidine9MQK-κ-Isoquinuclidine
14.29Single9PXYNaloxone9PXY-μ-Naloxone-GDPβS-Gi1/β1/γ2
14.29Single9VJFBuspirone9VJF-5-HT1A-Buspirone-Gi3/β1/γ2
14.29Consensus5ht1_onOrthosteric Ligand5ht1a_on 5ht1d_on 5ht1e_on 5ht1f_on
14.29Consensus5ht1_on_gpOrthosteric Ligand5ht1a_on_gp 5ht1d_on_gp 5ht1e_on_gp 5ht1f_on_gp
14.29Consensus5ht1e_on_gpOrthosteric Ligand7E33-5-HT1E-BRL-54443-Gi1/β1/γ2 8UGY-5-HT1E-Mianserin-Gi1/β1/γ1 8UH3-5-HT1E-Setiptiline-Gi1/β1/γ1
14.29Consensus5ht2_offOrthosteric Ligand5ht2a_off 5ht2b_off 5ht2c_off
14.29Consensusa1_offOrthosteric Ligand5UEN-A1-DU172 5N2S-A1-PSB36
14.29Consensusadenosine_offOrthosteric Liganda1_off a2_off
14.29Consensusalpha_on_gpOrthosteric Ligandalpha1_on_gp alpha2_on_gp
14.29Consensusbb2_offOrthosteric Ligand7W41-BB2-PD176252
14.29Consensusblt1_offOrthosteric Ligand5X33-BLT1-BIIL260 7K15-BLT1-MKD046-Na
14.29Consensusblt_offOrthosteric Ligandblt1_off
14.29Consensusbombesin_offOrthosteric Ligandbb2_off
14.29Consensusc5a1_on_gpOrthosteric Ligand8HK5-C5a1-C5a-Gi1/β1/γ2 7Y66-C5a1-BM213-Gi1/β1/γ2 7Y67-C5a1-C089 peptide-Gi1/β1/γ2 7Y64-C5a1-C5a-Gi1/β1/γ2
14.29Consensuscb2_onOrthosteric Ligand8GUR-CB2-CP55940-Gi1/β1/γ2 8GUS-CB2-HU-308-Gi1/β1/γ2 8GUT-CB2-LEI-102-Gi1/β1/γ2 6KPF-CB2-AM12033-Gi1/β1/γ2 6PT0-CB2-WIN 55212-2-Gi1/β1/γ2 8GUQ-CB2-Olorinab-Gi1/β1/γ2
14.29Consensuscb2_on_gpOrthosteric Ligand8GUR-CB2-CP55940-Gi1/β1/γ2 8GUS-CB2-HU-308-Gi1/β1/γ2 8GUT-CB2-LEI-102-Gi1/β1/γ2 6KPF-CB2-AM12033-Gi1/β1/γ2 6PT0-CB2-WIN 55212-2-Gi1/β1/γ2 8GUQ-CB2-Olorinab-Gi1/β1/γ2
14.29Consensusd4_onOrthosteric Ligand8IRU-D4-Rotigotine-chim(NtGi1-Gs-CtGi1)/β1/γ2
14.29Consensusdp2_offOrthosteric Ligand6D26-DP2-Fevipiprant
14.29Consensusdp_offOrthosteric Liganddp2_off
14.29Consensusep4_offOrthosteric Ligand5YWY-EP4-ONO-AE3-208 5YHL-EP4-PubChem 135121352
14.29Consensusep_offOrthosteric Ligandep4_off
14.29Consensusgi_formylpeptideOrthosteric Ligand7WVY-FPR2-ALX-Amyloid-β42-Gi2/β1/γ2 7T6U-FPR2-ALX-CGEN-855A-Gi1/β1/γ2 7VFX-FPR1-ALX-fMIFL-Gi1/β1/γ2 7T6V-FPR2-ALX-fMLFII-Gi1/β1/γ2 7WVX-FPR2-ALX-Humanin-Gi2/β1/γ2 7T6S-FPR2-ALX-TC-FPR 43-Gi1/β1/γ2 6OMM-FPR2-ALX-WKYMVX-Gi1/β1/γ2
14.29Consensusgs_vasop-oxyOrthosteric Ligand7DW9-V2-AVP-chim(NtGi1-Gs)/β1/γ2
14.29Consensush1_offOrthosteric Ligand8X63-H1-Mepyramine 3RZE-H1-Cidoxepin 8X5Y-H1-Astemizole
14.29Consensusm3_onOrthosteric Ligand8E9Z-M3-Iperoxo-chim(NtGi2L-Gs-CtGq)/β1/γ2 8E9W-M3-2-Deoxycytidine-chim(NtGi2L-Gs-CtGq)/β1/γ2 8E9Y-M3-Clozapine-N-oxide-chim(NtGi2L-Gs-CtGq)/β1/γ2
14.29Consensusm3_on_gpOrthosteric Ligand8E9Z-M3-Iperoxo-chim(NtGi2L-Gs-CtGq)/β1/γ2 8E9W-M3-2-Deoxycytidine-chim(NtGi2L-Gs-CtGq)/β1/γ2 8E9Y-M3-Clozapine-N-oxide-chim(NtGi2L-Gs-CtGq)/β1/γ2
14.29Consensusneuromedin-u_onOrthosteric Ligandnmur1_on nmur2_on
14.29Consensusnucleotide_onOrthosteric Ligandadenosine_on p2y_on
14.29Consensusv2_onOrthosteric Ligand7DW9-V2-AVP-chim(NtGi1-Gs)/β1/γ2
14.29Consensusv2_on_gpOrthosteric Ligand7DW9-V2-AVP-chim(NtGi1-Gs)/β1/γ2
14.29Consensusvasop-oxy_onOrthosteric Ligandv2_on
14.29Consensusvasop-oxy_on_gpOrthosteric Ligandv2_on_gp
13.89Single7VL9CCL15(26-92)7VL9-CCR1-CCL15(26-92)-Gi1/β1/γ2
13.89Single7X9BNeuropeptide-Y7X9B-Y2-Neuropeptide-Y-Gi1/β1/γ2
13.89Single8HCXEndothelin-18HCX-ETB-Endothelin-1-chim(NtGi2L-Gs-CtGq)/β1/γ2
13.89Single8XVIEndothelin-18XVI-ETA-Endothelin-1-chim(Gs-CtGq)/β1/γ2
13.89Single8ZRTEndothelin-18ZRT-ETB-Endothelin-1
13.89Consensusccr_on_gpOrthosteric Ligandccr6_on_gp ccr8_on_gp ccr2_on_gp ccr1_on_gp ccr5_on_gp
13.89Consensuschemokine_on_gpOrthosteric Ligandccr_on_gp cxcr_on_gp
13.89Consensusgi_chemokineOrthosteric Ligand6WWZ-CCR6-CCL20-Go/β1/γ2 8HNK-CXCR3-CXCL11-Gi1/β1/γ2 8K3Z-CXCR4-CXCL12-Gi1/β1/γ1 8IC0-CXCR1-CXCL8-Gi1/β1/γ2 6LFM-CXCR2-CXCL8-Gi1/β1/γ2 8KFX-CCR8-LMD-009-Gi1/β1/γ2 7F1Q-CCR5-CCL3-Gi1/β1/γ2 8HNL-CXCR3-PS372424-Gi1/β1/γ2 8KFY-CCR8-ZK-756326-Gi1/β1/γ2 7O7F-CCR5-6P4-CCL5-Gi1/β1/γ1 8U1U-CCR8-CCL1-Gi1/β1/γ2 7VLA-CCR1-CCL15(27-92)-Gi1/β1/γ2 7XA3-CCR2-CCL2-Gi1/β1/γ2
13.89Consensusmc1_onOrthosteric Ligand7F4H-MC1-Afamelanotide-chim(NtGi1-Gs)/β1/γ2 7F4D-MC1-α-MSH-chim(NtGi1-Gs)/β1/γ2 7F4I-MC1-SHU9119-chim(NtGi1-Gs)/β1/γ2
13.89Consensusmc1_on_gpOrthosteric Ligand7F4H-MC1-Afamelanotide-chim(NtGi1-Gs)/β1/γ2 7F4D-MC1-α-MSH-chim(NtGi1-Gs)/β1/γ2 7F4I-MC1-SHU9119-chim(NtGi1-Gs)/β1/γ2
13.89Consensusneuromedin-u_on_gpOrthosteric Ligandnmur1_on_gp nmur2_on_gp
13.79Single3P0GBI1671073P0G-β2-BI167107
13.79Single3SN6BI1671073SN6-β2-BI167107-Gs/β1/γ2
13.79Single4DJHJDTic4DJH-κ-JDTic
13.79Single4U15Tiotropium4U15-M3-Tiotropium
13.79Single5XR8AM120335XR8-CB1-AM12033
13.79Single5ZKBAF-DX 3845ZKB-M2-AF-DX 384
13.79Single6KO5PubChem 574000026KO5-Ghrelin-PubChem 57400002
13.79Single6N4BMDMB-Fubinaca6N4B-CB1-MDMB-Fubinaca-Gi1/β1/γ2
13.79Single6OL9Tiotropium6OL9-M5-Tiotropium
13.79Single6TQ7SB-3348676TQ7-OX1-SB-334867
13.79Single7B6WCyclazosin7B6W-α1b-Cyclazosin
13.79Single7E2ZAripiprazole7E2Z-5-HT1A-Aripiprazole-PtdIns4P-Gi1/β1/γ2
13.79Single7EW3S1P7EW3-S1P3-S1P-Gi1/β1/γ2
13.79Single7EW4CYM-55417EW4-S1P3-CYM-5541-Gi1/β1/γ2
13.79Single7F1TCCL37F1T-CCR5-CCL3
13.79Single7T2HLofentanil7T2H-μ-Lofentanil-Gi1/β1/γ2
13.79Single7T9NDPPC7T9N-TSH-M22 Fab-DPPC-Gs/β1/γ2
13.79Single7TD1LPA7TD1-LPA1-LPA-Gi1/β1/γ2
13.79Single7TUYGSK682753A7TUY-GPR183-GSK682753A
13.79Single7U2LC5-guano7U2L-μ-C5-guano-Gi1/β1/γ2
13.79Single7VIGCBP-3077VIG-S1P1-CBP-307-Gi1/β1/γ2
13.79Single7XOWSulfated Gastrin-(10-17)7XOW-CCKB-Sulfated Gastrin-(10-17)-chim(NtGi1-Gq)/β1/γ2
13.79Single7XY7NECA7XY7-A2B-NECA-chim(NtGi1-Gs)/β1/γ2
13.79Single7Y24Octreotide7Y24-SST2-Octreotide-Go/β1/γ2
13.79Single7YU5ONO-07405567YU5-LPA1-ONO-0740556-Gi1/β1/γ2
13.79Single7YU7ONO-07405567YU7-LPA1-ONO-0740556-Gi1/β1/γ2
13.79Single8DZPmomSalB8DZP-κ-momSalB-Gi1/β1/γ2
13.79Single8EF5Fentanyl8EF5-μ-Fentanyl-Gi1/β1/γ2
13.79Single8HQCC5a8HQC-C5a1-C5a-Go/β1/γ2
13.79Single8ID39-Hydroxystearic acid8ID3-FFA4-9-Hydroxystearic acid-Gi1/β1/γ2
13.79Single8ID6Oleic acid8ID6-FFA4-Oleic acid-Gi1/β1/γ2
13.79Single8IUKPGF2-alpha8IUK-FP-alpha-PGF2-α-chim(NtGi1-Gs-CtGq)/β1/γ2
13.79Single8JD5JNJ-40411813; ADX881788JD5-mGlu2; mGlu4-Glutamate-JNJ-40411813; ADX88178-Gi1/β1/γ2
13.79Single8JLPRalmitaront8JLP-TA1-Ralmitaront-Gs/β1/γ2
13.79Single8TAOCDPPB8TAO-mGlu5; mGlu5-Quisqualate-CDPPB
13.79Single8VVFJDTic8VVF-κ-JDTic-Gi1/β1/γ2
13.79Single8WU1MDMB-Fubinaca8WU1-CB1-MDMB-Fubinaca-Arrestin2
13.79Single8XIPPasireotide8XIP-SST1-Pasireotide-chim(NtGi1-Gs-CtGi1)/β1/γ2
13.79Single8ZW0PGD28ZW0-DP1-PGD2-Gs/β1/γ2
13.79Single9AS9RS130-1809AS9-5-HT2A-RS130-180
13.79Single9ASARS130-1809ASA-5-HT2A-RS130-180-chim(NtGi1-Gs-CtGq)/β1/γ2
13.79Single9B65MDMB-Fubinaca9B65-CB1-MDMB-Fubinaca-Gi1/β1/γ2
13.79Single9BJKNaloxone9BJK-μ-Naloxone-PubChem 171642066
13.79Single9E9SPGD29E9S-DP1-PGD2-Gs/β1/γ1
13.79Single9I54PubChem 1764520919I54-D1-PubChem 176452091-Gs/β1/γ2
13.79Single9IJDCarazolol9IJD-β3-Carazolol-chim(NtGi1-Gs)/β1/γ2
13.79Single9IK9Lanreotide9IK9-SST1-Lanreotide-Gi1/β1/γ2
13.79Single9IZGLPA9IZG-LPA1-LPA-chim(NtGi1-Gs-CtGq)/β1/γ2
13.79Single9KVPSB2901579KVP-C3aB-SB290157-Go/β1/γ2
13.79Single9L16CCL219L16-CCR7-CCL21
13.79Single9MENGp120 (V3 loop)9MEN-CXCR4-Gp120 (V3 loop)
13.79Single9UCPIperoxo9UCP-M1-Iperoxo-G11(CT)
13.79Consensusgi_cannabinoidOrthosteric Ligand8GUR-CB2-CP55940-Gi1/β1/γ2 8GUS-CB2-HU-308-Gi1/β1/γ2 8GUT-CB2-LEI-102-Gi1/β1/γ2 8GUQ-CB2-Olorinab-Gi1/β1/γ2 6KPF-CB2-AM12033-Gi1/β1/γ2 6PT0-CB2-WIN 55212-2-Gi1/β1/γ2 6KPG-CB1-AM841-Gi1/β1/γ2
13.79Consensusgi_lpaOrthosteric Ligand7TD1-LPA1-LPA-Gi1/β1/γ2 7YU3-LPA1-ONO-0740556-Gi1/β1/γ2
13.79Consensuskop_offOrthosteric Ligand4DJH-κ-JDTic
13.79Consensuslpa_onOrthosteric Ligandlpa1_on
13.79Consensuslpa_on_gpOrthosteric Ligandlpa1_on_gp
13.79Consensusm3_offOrthosteric Ligand4U15-M3-Tiotropium 4U16-M3-N-methyl-Scopolamine 5ZHP-M3-PubChem 134828589
13.79Consensusm5_offOrthosteric Ligand6OL9-M5-Tiotropium
13.64Single5MZJTheophylline5MZJ-A2A-Theophylline-Na
13.64Single7XKEDehydroepiandrosterone7XKE-ADGRG2-Dehydroepiandrosterone-chim(NtGi1-Gs)/β1/γ2
13.64Single8HQMNPGLY8HQM-GPR132-NPGLY-Gi1/β1/γ2
13.64Single8HVINOX-6-78HVI-GPR132-NOX-6-7-Gi1/β1/γ2
13.64Single8PWNTheophylline8PWN-A2A-Theophylline
13.64Single9JIDNiacin9JID-HCA3-Niacin-Gi1/β1/γ2
13.51Single7SK4CXCL12_LRHQ7SK4-ACKR3-CXCL12_LRHQ
13.51Single7W3ZGastrin Releasing Peptide7W3Z-BB2-Gastrin Releasing Peptide-chim(NtGi1L-Gq)/β1/γ2
13.51Single8XQFApelin-138XQF-Apelin-Apelin-13-Gi1/β1/γ2
13.33Single4OR2FITM4OR2-mGlu1; mGlu1-FITM
13.33Single4RWADIPP-NH24RWA-δ-DIPP-NH2
13.33Single4XEENeurotensin-(8-13)4XEE-NTS1-Neurotensin-(8-13)
13.33Single4XESNeurotensin-(8-13)4XES-NTS1-Neurotensin-(8-13)
13.33Single4Z36ONO-30805734Z36-LPA1-ONO-3080573
13.33Single5F8UCyanopindolol5F8U-β1-Cyanopindolol
13.33Single6AK3PGE26AK3-EP3-PGE2
13.33Single6C1RPMX536C1R-C5a1-PMX53-Avacopan; Na
13.33Single6CM4Risperidone6CM4-D2-Risperidone
13.33Single6IIURamatroban6IIU-TXA2-Ramatroban
13.33Single6MXTSalmeterol6MXT-β2-Salmeterol
13.33Single6XBLCholesterol6XBL-SMO-SAG-Cholesterol-Gi1/β1/γ2
13.33Single6YVRNeurotensin-(6-13)6YVR-NTS1-Neurotensin-(6-13)
13.33Single6ZG4HTL00099366ZG4-M1-HTL0009936
13.33Single7JNIOlodanrigan7JNI-AT2-Olodanrigan
13.33Single7K15MKD0467K15-BLT1-MKD046-Na
13.33Single7W0LPubChem 1227019087W0L-Apelin; Apelin-PubChem 122701908-Gi1/β1/γ2
13.33Single7W0NElabela7W0N-Apelin; Apelin-Elabela-Gi1/β1/γ2
13.33Single7XMTJ-21567XMT-SST4-J-2156-Gi1/β1/γ2
13.33Single7XW5ML1097XW5-TSH-TSH-ML109-Gs/β1/γ2
13.33Single7XW9TRH7XW9-TRH-TRH-chim(NtGi1L-Gs-CtGq)/β1/γ2
13.33Single7YITNalfurafine7YIT-κ-Nalfurafine
13.33Single7YMJTamsulosin7YMJ-Alpha1A-Tamsulosin
13.33Single8I9AEP548I9A-C3aB-EP54-chim(NtGi1-Gs-CtGq)/β1/γ2
13.33Single8IBUErythromycin-A8IBU-Motilin-Erythromycin-A-chim(NtGi1-Gs-CtGq)/β1/γ2
13.33Single8ID9Icosapent8ID9-FFA4-Icosapent-Gi1/β1/γ2
13.33Single8IQ6Latanoprost8IQ6-FP-alpha-Latanoprost-chim(NtGi1-Gs-CtGq)/β1/γ2
13.33Single8IRSRotigotine8IRS-D2-Rotigotine-Gi1/β1/γ2
13.33Single8JJLOlodaterol8JJL-β2-Olodaterol
13.33Single8JPCNeurotensin-(8-13)8JPC-NTS1-Neurotensin-(8-13)-SBI-553; GDP; Mg-Gq; GRK2
13.33Single8JWY2-1188JWY-A2A-2-118
13.33Single8T3QDoconexent8T3Q-FFA4-Doconexent-chim(NtGi2L-Gs-CtGq)/β1/γ2
13.33Single8W1VPubChem 1717162658W1V-β2-PubChem 171716265
13.33Single8X8NOctreotide8X8N-SST5-Octreotide-chim(NtGi1-Gs-CtGi1)/β1/γ2
13.33Single9AU0BW245C9AU0-DP1-BW245C-Gs/β1/γ2
13.33Single9DGIZ85267113509DGI-CB1-Z8526711350
13.33Single9IZHLPA9IZH-LPA1-LPA-chim(NtGi2-G13)/β1/γ2
13.33Single9KZKC3a (fragment)9KZK-C3aB-C3a (fragment)-Go/β1/γ2
13.33Single9M4QDoxazosin9M4Q-Alpha1A-Doxazosin
13.33Single9MQLIsoquinuclidine9MQL-κ-Isoquinuclidine
13.33Single9V6ONalfurafine9V6O-κ-Nalfurafine-Gi1/β1/γ2
13.33Single9VIFNeuropeptide-VF9VIF-NPFF1-Neuropeptide-VF-Gi1/β1/γ2
13.33Consensusalpha1_offOrthosteric Ligandalpha1a_off
13.33Consensusalpha1a_offOrthosteric Ligand7YMJ-Alpha1A-Tamsulosin
13.33Consensusc3a_onOrthosteric Ligand8HK2-C3aB-C3a-Gi1/β1/γ2 8IA8-C3aB-E7 peptide-Gi1/β1/γ2
13.33Consensuscannabinoid_onOrthosteric Ligandcb2_on cb1_on
13.33Consensuscannabinoid_on_gpOrthosteric Ligandcb2_on_gp cb1_on_gp
13.33Consensusccr8_onOrthosteric Ligand8KFX-CCR8-LMD-009-Gi1/β1/γ2 8KFY-CCR8-ZK-756326-Gi1/β1/γ2 8U1U-CCR8-CCL1-Gi1/β1/γ2
13.33Consensuscxcr_onOrthosteric Ligandcxcr3_on cxcr4_on cxcr1_on cxcr2_on
13.33Consensusgi_amineOrthosteric Ligandgi_5ht gi_muscarinic gi_adrenergic gi_dopamine gi_histamine
13.33Consensusgi_lipidOrthosteric Ligandgi_cannabinoid gi_ffa gi_leukotriene gi_lpa gi_s1p
13.33Consensusgi_muscarinicOrthosteric Ligand8E9X-M4-2-Deoxycytidine-chim(NtGi1-Go)/β1/γ2 7T8X-M2-Acetylcholine-chim(NtGi1-Go)/β1/γ2 7TRS-M4-Acetylcholine-Gi1/β1/γ2 7TRK-M4-Iperoxo-Gi1/β1/γ2 7V6A-M4-PubChem 9864275-Gi1/β1/γ2
13.33Consensuskop_onOrthosteric Ligand8F7W-κ-Dynorphin-Gi1/β1/γ2 8DZS-κ-GR89,696-chim(NtGi2-Gz)/β1/γ2 8DZP-κ-momSalB-Gi1/β1/γ2
13.33Consensusleukotriene_offOrthosteric Ligandblt_off cyslt_off
13.33Consensuslipid_offonOrthosteric Ligandlipid_off lipid_on
13.33Consensuslipid_offon_gpOrthosteric Ligandlipid_on_gp lipid_off
13.33Consensusmotilin_on_gpOrthosteric Ligand8IBU-Motilin-Erythromycin-A-chim(NtGi1-Gs-CtGq)/β1/γ2
13.33Consensusnk1_offOrthosteric Ligand6HLP-NK1-Netupitant 6HLO-NK1-Aprepitant 6HLL-NK1-CP99994 6E59-NK1-L-760735
13.33Consensuss1p3_onOrthosteric Ligand7EW3-S1P3-S1P-Gi1/β1/γ2 7EW4-S1P3-CYM-5541-Gi1/β1/γ2 7EW2-S1P3-FTY720-P-Gi1/β1/γ2
13.33Consensustrh_onOrthosteric Ligand7XW9-TRH-TRH-chim(NtGi1L-Gs-CtGq)/β1/γ2
13.33Consensustrh_on_gpOrthosteric Ligand7XW9-TRH-TRH-chim(NtGi1L-Gs-CtGq)/β1/γ2
13.16Single7F4FAfamelanotide7F4F-MC1-Afamelanotide-chim(NtGi1-Gs)/β1/γ2
13.16Single8FEG(DNCP)-Beta-Naloxamine8FEG-κ-(DNCP)-β-Naloxamine-Gi1/β1/γ2
13.16Single9K26PrRP319K26-PrRP-PrRP31-Gi1/β1/γ2
13.04Single6OT025(S)-Epoxycholesterol6OT0-SMO-25(S)-Epoxycholesterol-Gi1/β1/γ2
13.04Single6XBM25(S)-Epoxycholesterol6XBM-SMO-25(S)-Epoxycholesterol-Gi1/β1/γ2
13.04Single7DD5Ca; Ca; Tryptophan; NPS-21437DD5-CaS; CaS-Ca-Ca; Ca; Tryptophan; NPS-2143
13.04Single7MTBAll-trans-Retinal7MTB-Rhodopsin-All-trans-Retinal-GRK1
13.04Single8A2OTheophylline8A2O-A2A-Theophylline-Na
13.04Single8IWM2-Phenylethylamine8IWM-TAA9-2-Phenylethylamine
13.04Single8U4QREGN7663-Fab8U4Q-CXCR4-REGN7663-Fab-Gi1/β1/γ2
13.04Single8Y02All-trans-Retinal8Y02-OPN1SW-All-trans-Retinal-Gi1/β1/γ2
13.04Single9C2FCa; Ca; Tryptophan; '54149; PO49C2F-CaS; CaS-Ca-Ca; Ca; Tryptophan; '54149; PO4
13.04Single9CHUNorepinephrine9CHU-β2-Norepinephrine
13.04Consensusopsins_onOrthosteric Ligandrhodopsin_on opsin1lw_on
13.04Consensussensory_onOrthosteric Ligandopsins_on
12.90Single4BUONeurotensin-(8-13)4BUO-NTS1-Neurotensin-(8-13)
12.90Single4NC3Ergotamine4NC3-5-HT2B-Ergotamine
12.90Single4OR2FITM4OR2-mGlu1; mGlu1-FITM
12.90Single4RWSvMIP-II4RWS-CXCR4-vMIP-II
12.90Single5X93K-87945X93-ETB-K-8794
12.90Single6BQGErgotamine6BQG-5-HT2C-Ergotamine
12.90Single7D7MPGE27D7M-EP4-PGE2-Gs/β1/γ1
12.90Single7EZHCholecystokinin-87EZH-CCKA-Cholecystokinin-8-Gi1/β1/γ2
12.90Single7EZMCholecystokinin-87EZM-CCKA-Cholecystokinin-8-chim(NtGsL-Gq)/β1/γ2
12.90Single7U2KC6-guano7U2K-μ-C6-guano-Gi1/β1/γ2
12.90Single7X1UTRH7X1U-TRH-TRH-chim(NtGi2L-Gs-CtGq)/β1/γ2
12.90Single7X2DTavapadon7X2D-D1-Tavapadon-Gs/β1/γ2
12.90Single7YU8ONO-07405567YU8-LPA1-ONO-0740556-Gi1/β1/γ2
12.90Single8E9YClozapine-N-oxide8E9Y-M3-Clozapine-N-oxide-chim(NtGi2L-Gs-CtGq)/β1/γ2
12.90Single8FN0Neurotensin-(8-13)8FN0-NTS1-Neurotensin-(8-13)-SBI-553-chim(NtGi1-Go)/β1/γ2
12.90Single8GAGZ85267113508GAG-CB1-Z8526711350-Gi1/β1/γ2
12.90Single8HN1Toxin AdTx18HN1-Alpha1A-Toxin AdTx1
12.90Single8ID8TUG-8918ID8-FFA4-TUG-891-Gi1/β1/γ2
12.90Single8IYSTUG-8918IYS-FFA4-TUG-891-GDP-chim(NtGi1L-Gq)/β1/γ2
12.90Single8K2XCXCL108K2X-CXCR3-CXCL10-Gi1/β1/γ2
12.90Single8K4OCXCL18K4O-KSHV-CXCL1-Gi1/β1/γ1
12.90Single8XVJMacitentan8XVJ-ETA-Macitentan
12.90Single8XVUCXCL28XVU-CXCR2-CXCL2
12.90Single8XXHCXCL28XXH-CXCR2-CXCL2-Go/β1/γ2
12.90Single8ZX4Lysophosphatidylinositol 8ZX4-GPR55-Lysophosphatidylinositol-chim(NtGi1-G13)/β1/γ2
12.90Single9CGJC6-Quino9CGJ-δ-C6-Quino-Gi1/β1/γ2
12.90Single9EAILosartan9EAI-AT1-Losartan-Nanobody AT209
12.90Single9GE3Lysophosphatidylinositol9GE3-GPR55-Lysophosphatidylinositol-chim(NtGi1-G13)/β1/γ2
12.90Single9GG5U466199GG5-TXA2-U46619-chim(NtGi2L-Gs-CtGq)/β1/γ2
12.90Single9IZFLPA9IZF-LPA1-LPA-Gi1/β1/γ2
12.90Single9KV8TLQP219KV8-C3aB-TLQP21-Go/β1/γ2
12.90Single9UYMChemerin-99UYM-CML2-Chemerin-9-chim(Arrestin3-CtArrestin2)
12.90Consensuscb1_on_gpOrthosteric Ligand6KPG-CB1-AM841-Gi1/β1/γ2 8K8J-CB1-Fenofibrate-chim(Gs-CtGq)/β1/γ2
12.90Consensusccka_onOrthosteric Ligand7EZH-CCKA-Cholecystokinin-8-Gi1/β1/γ2
12.90Consensusccka_on_gpOrthosteric Ligand7EZH-CCKA-Cholecystokinin-8-Gi1/β1/γ2
12.90Consensusendothelin_offOrthosteric Ligandetb_off
12.90Consensusetb_offOrthosteric Ligand5X93-ETB-K-8794 5XPR-ETB-Bosentan 6K1Q-ETB-IRL2500
12.90Consensuskop_on_gpOrthosteric Ligand8F7W-κ-Dynorphin-Gi1/β1/γ2 8DZS-κ-GR89,696-chim(NtGi2-Gz)/β1/γ2 8DZP-κ-momSalB-Gi1/β1/γ2
12.82Single6IGLIRL16206IGL-ETB-IRL1620
12.82Single7VGXNeuropeptide-Y7VGX-Y1-Neuropeptide-Y-Gi1/β1/γ2
12.82Single8IY5Endothelin-18IY5-ETB-Endothelin-1-Gi1/β1/γ2
12.82Single8Y52BA18Y52-BB3-BA1-chim(NtGi1-Gs-CtGq)/β1/γ2
12.82Consensusendothelin_onOrthosteric Ligandetb_on eta_on
12.50Single2J4Y11-cis-Retinal2J4Y-Rhodopsin-11-cis-Retinal
12.50Single3OE6IT1t3OE6-CXCR4-IT1t
12.50Single3UZAGTPL92363UZA-A2A-GTPL9236
12.50Single5ZTYAM102575ZTY-CB2-AM10257
12.50Single6C1QPMX536C1Q-C5a1-PMX53-NDT9513727
12.50Single6FUFAll-trans-Retinal6FUF-Rhodopsin-All-trans-Retinal-Go
12.50Single6G79Donitriptan6G79-5-HT1B-Donitriptan-Go/β1/γ2
12.50Single6PT3DPI-2876PT3-δ-DPI-287
12.50Single7CX2PGE27CX2-EP2-PGE2-Gs/β1/γ2
12.50Single7DD7Ca; Ca; Tryptophan; Evocalcet7DD7-CaS; CaS-Ca-Ca; Ca; Tryptophan; Evocalcet
12.50Single7MT8All-trans-Retinal7MT8-Rhodopsin-All-trans-Retinal-GRK1
12.50Single7MT9All-trans-Retinal7MT9-Rhodopsin-All-trans-Retinal-GRK1
12.50Single7MTAAll-trans-Retinal7MTA-Rhodopsin-All-trans-Retinal-GRK1
12.50Single8DPILorcaserin8DPI-5-HT2C-Lorcaserin-chim(NtGi2L-Gs-CtGq)/β1/γ2
12.50Single8F76Propanoic acid8F76-OR51E2-Propanoic acid-Gs/β1/γ2
12.50Single8H4IDoconexent8H4I-FFA4-Doconexent-chim(NtGi1-Gs)/β1/γ2
12.50Single8ITFDMCHA8ITF-TAA9-DMCHA-chim(NtGi1-Gs)/β1/γ2
12.50Single8IU2All-trans-Retinal8IU2-Opsin1LW-All-trans-Retinal-Gi1/β1/γ2
12.50Single8IW72-Phenylethylamine8IW7-TAA9-2-Phenylethylamine-chim(NtGi1-Gs)/β1/γ2
12.50Single8J6QPubChem 251012238J6Q-HCA2-β-Hydroxybutyrate-PubChem 25101223-Gi1/β1/γ2
12.50Single8JXTHistamine8JXT-H4-Histamine-PO4-Gi1/β1/γ2
12.50Single8QJ2pN1628QJ2-MC4-pN162-Gs/β1/γ2
12.50Single8X3LXWD8X3L-CB2-XWD-Gi1/β1/γ2
12.50Single8Y72Peptide8Y72-μ-Peptide-BMS-986122-Gi1/β1/γ2
12.50Single9CGKC5-Quino9CGK-δ-C5-Quino-Gi1/β1/γ2
12.50Single9EAJNanobody AT2099EAJ-AT1-Nanobody AT209
12.50Single9IV15alpha-DHT9IV1-ADGRD1-5α-DHT-chim(NtGi1-Gs)/β1/γ2
12.50Single9JF4PD1683689JF4-BB1-PD168368
12.50Single9JG1Adriforant9JG1-H4-Adriforant
12.50Single9JKT(2R)-2-hydroxy-3-phenylpropanoic acid9JKT-HCA3-(2R)-2-hydroxy-3-phenylpropanoic acid-Gi1/β1/γ2
12.50Single9KZ2EP679KZ2-C3aB-EP67-Go/β1/γ2
12.50Single9KZ8EP679KZ8-C3aB-EP67-Go/β1/γ2
12.50Consensus5ht2_onOrthosteric Ligand5ht2b_on
12.50Consensus5ht2b_onOrthosteric Ligand7SRR-5-HT2B-LSD-chim(NtGi2L-Gs-CtGq)/β1/γ2
12.50Consensuscb2_offOrthosteric Ligand5ZTY-CB2-AM10257
12.50Consensusdop_onOrthosteric Ligand8F7S-δ-Deltorphin-Gi1/β1/γ2
12.50Consensusformylpeptide_onOrthosteric Ligandfpr2-alx_on fpr1-alx_on
12.50Consensusgi_opsinsOrthosteric Ligand8IU2-Opsin1LW-All-trans-Retinal-Gi1/β1/γ2
12.50Consensusgi_sensoryOrthosteric Ligandgi_opsins
12.50Consensusnmur1_onOrthosteric Ligand7W53-NMUR1-Neuromedin-U-25-chim(NtGi1-Gs-CtGq)/β1/γ2
12.50Consensusopsin1lw_onOrthosteric Ligand8IU2-Opsin1LW-All-trans-Retinal-Gi1/β1/γ2
12.50Consensusopsin1lw_on_gpOrthosteric Ligand8IU2-Opsin1LW-All-trans-Retinal-Gi1/β1/γ2
12.50Consensusopsins_on_gpOrthosteric Ligandrhodopsin_on_gp opsin1lw_on_gp
12.50Consensusox2_onOrthosteric Ligand7L1V-OX2-PubChem 155491009-chim(NtGi1-Gs-CtGq)/β1/γ2 7SQO-OX2-TAK-925-Gi1/β1/γ2 7L1U-OX2-Orexin-chim(NtGi1-Gs-CtGq)/β1/γ2
12.50Consensusox2_on_gpOrthosteric Ligand7L1V-OX2-PubChem 155491009-chim(NtGi1-Gs-CtGq)/β1/γ2 7SQO-OX2-TAK-925-Gi1/β1/γ2 7L1U-OX2-Orexin-chim(NtGi1-Gs-CtGq)/β1/γ2
12.50Consensusrhodopsin_onOrthosteric Ligand6OYA-Rhodopsin-All-trans-Retinal-Gt/β1/γ1
12.50Consensussensory_on_gpOrthosteric Ligandopsins_on_gp
12.50Consensussst2_onOrthosteric Ligand7WIC-SST2-Somatostatin-14-Gi1/β1/γ2 7WIG-SST2-L-054264-Gi1/β1/γ2 7YAE-SST2-Octreotide-Gi1/β1/γ2 7YAC-SST2-Paltusotine-Gi1/β1/γ2
12.50Consensussst2_on_gpOrthosteric Ligand7WIC-SST2-Somatostatin-14-Gi1/β1/γ2 7WIG-SST2-L-054264-Gi1/β1/γ2 7YAE-SST2-Octreotide-Gi1/β1/γ2 7YAC-SST2-Paltusotine-Gi1/β1/γ2
12.12Single4IB4Ergotamine4IB4-5-HT2B-Ergotamine
12.12Single7L0RNeurotensin-(8-13)7L0R-NTS1-Neurotensin-(8-13)-Gi1/β1/γ1
12.12Single7W53Neuromedin-U-257W53-NMUR1-Neuromedin-U-25-chim(NtGi1-Gs-CtGq)/β1/γ2
12.12Single7XMRSomatostatin-147XMR-SST2-Somatostatin-14-Gi1/β1/γ2
12.12Single8IEBPubChem 1347468948IEB-GPR156; GPR156-PubChem 134746894
12.12Single8IEIPubChem 1347468948IEI-GPR156; GPR156-PubChem 134746894
12.12Single8IEIPubChem 1347468948IEI-GPR156; GPR156-PubChem 134746894
12.12Single8IEPPubChem 1347468948IEP-GPR156; GPR156-PubChem 134746894
12.12Single8IEPPubChem 1347468948IEP-GPR156; GPR156-PubChem 134746894
12.12Single8ZBJSomatostatin-148ZBJ-SST5-Somatostatin-14-Gi1/β1/γ2
12.12Single9MEJGp1209MEJ-CXCR4-Gp120
12.12Consensuschemokine_onOrthosteric Ligandccr_on cxcr_on
12.12Consensusnmur1_on_gpOrthosteric Ligand7W53-NMUR1-Neuromedin-U-25-chim(NtGi1-Gs-CtGq)/β1/γ2
12.12Consensusp2y_onOrthosteric Ligandp2y1_on p2y10_on p2y12_on
12.00Single3AYMAll-trans-Retinal3AYM-Rhodopsin-All-trans-Retinal
12.00Single3PBLEticlopride3PBL-D3-Eticlopride
12.00Single4O9RCyclopamine4O9R-SMO-Cyclopamine
12.00Single5L7IVismodegib5L7I-SMO-Vismodegib
12.00Single6FK6PubChem 1324730336FK6-Rhodopsin-PubChem 132473033
12.00Single6QNOAll-trans-Retinal6QNO-Rhodopsin-All-trans-Retinal-Gi1/β1/γ1
12.00Single7DD7Ca; Ca; Tryptophan; Evocalcet7DD7-CaS; CaS-Ca-Ca; Ca; Tryptophan; Evocalcet
12.00Single7DFLHistamine7DFL-H1-Histamine-chim(NtGi1L-Gq)/β1/γ2
12.00Single7E2YSerotonin7E2Y-5-HT1A-Serotonin-PtdIns4P-Gi1/β1/γ2
12.00Single7SRQLSD7SRQ-5-HT2B-LSD
12.00Single7V68Iperoxo7V68-M4-Iperoxo-LY2119620-Gi1/β1/γ2
12.00Single7XP6Strychnine7XP6-TAS2R46-Strychnine-chim(Gs-CtGt3)/β1/γ2
12.00Single7XTASerotonin7XTA-5-HT4-Serotonin-Gi1/β1/γ2
12.00Single7YFCHistamine7YFC-H4-Histamine-chim(NtGi1-Gs-CtGq)/β1/γ2
12.00Single7YS6Serotonin7YS6-5-HT6-Serotonin-chim(NtGi1-Gs)/β1/γ2
12.00Single8JPNCis-Epoxysuccinic acid8JPN-Succinate-Cis-Epoxysuccinic acid-Gi1/β1/γ1
12.00Single8RWHStilSwitch28RWH-A2A-StilSwitch2-Na
12.00Single8UO4Constrained Epinephrine8UO4-β2-Constrained Epinephrine-GTP; Mg-Gs/β1/γ2
12.00Single8WP1Cis-Epoxysuccinic acid8WP1-Succinate-Cis-Epoxysuccinic acid-Gi1/β1/γ2
12.00Single8WPUTryptophan; Cinacalcet; PO4; Ca8WPU-CaS; CaS-Tryptophan; Cinacalcet; PO4; Ca-chim(NtGi2L-Gs-CtGq)/β1/γ2
12.00Single8YKWSuccinic acid8YKW-Succinate-Succinic acid-Gi1/β1/γ1
12.00Single8YN4Histamine8YN4-H2-Histamine-chim(NtGi1L-Gs-CtGq)/β1/γ2
12.00Single8ZX5AM2518ZX5-GPR55-AM251-chim(NtGi1-G13)/β1/γ2
12.00Single9AS2DMT9AS2-5-HT2A-DMT-chim(NtGi1-Gs-CtGq)/β1/γ2
12.00Single9AS7Psilocin9AS7-5-HT2A-Psilocin
12.00Single9C1PCa; Tryptophan; '6218; PO49C1P-CaS; CaS-Ca-Ca; Tryptophan; '6218; PO4
12.00Single9EPRAll-trans-Retinal9EPR-Rhodopsin-All-trans-Retinal-Gi1/β1/γ2
12.00Single9IJEEpinephrine9IJE-β3-Epinephrine-chim(NtGi1-Gs)/β1/γ2
12.00Single9IXJHistamine9IXJ-H2-Histamine-Gs/β1/γ2
12.00Single9IZDCHBA9IZD-HCA1-CHBA-Gi1/β1/γ2
12.00Single9L3ZLRH7-C29L3Z-CML1-LRH7-C2
12.00Single9M88Oleic monoethanolamide9M88-GPR3 ; GPR3-Oleic monoethanolamide-AF64394
12.00Consensus5ht4_onOrthosteric Ligand7XTA-5-HT4-Serotonin-Gi1/β1/γ2
12.00Consensus5ht4_on_gpOrthosteric Ligand7XTA-5-HT4-Serotonin-Gi1/β1/γ2
12.00Consensusd3_offOrthosteric Ligand3PBL-D3-Eticlopride
12.00Consensush1_onOrthosteric Ligand7DFL-H1-Histamine-chim(NtGi1L-Gq)/β1/γ2
11.90Consensusgs_peptideOrthosteric Ligandgs_cck gs_melanocortin gs_vasop-oxy
11.76Single7DDZJNJ-310200287DDZ-Y2-JNJ-31020028
11.76Single7EZKCholecystokinin-87EZK-CCKA-Cholecystokinin-8-chim(NtGi1-Gs)/β1/γ2
11.76Single7F1QCCL37F1Q-CCR5-CCL3-Gi1/β1/γ2
11.76Single7SK5CXCL127SK5-ACKR3-CXCL12
11.76Single8F7SDeltorphin8F7S-δ-Deltorphin-Gi1/β1/γ2
11.76Single8F7WDynorphin8F7W-κ-Dynorphin-Gi1/β1/γ2
11.76Single8IBVMotilin8IBV-Motilin-Motilin-chim(NtGi1-Gs-CtGq)/β1/γ2
11.76Single8IEBPubChem 1347468948IEB-GPR156; GPR156-PubChem 134746894
11.76Single8XYDPlatelet Activating Factor8XYD-PAF-Platelet Activating Factor-Gi1/β1/γ2
11.76Single9EAINanobody AT2099EAI-AT1-Losartan-Nanobody AT209
11.76Single9IQRMuscarinic toxin 39IQR-α2a-Muscarinic toxin 3
11.76Single9IQSMuscarinic toxin 39IQS-M4-Muscarinic toxin 3
11.76Single9KV6TLQP219KV6-C3aB-TLQP21-Go/β1/γ2
11.76Single9UMXEP549UMX-C5a1-EP54-Go/β1/γ2
11.76Consensusccr8_on_gpOrthosteric Ligand8KFX-CCR8-LMD-009-Gi1/β1/γ2 8KFY-CCR8-ZK-756326-Gi1/β1/γ2 8U1U-CCR8-CCL1-Gi1/β1/γ2
11.76Consensusdop_on_gpOrthosteric Ligand8F7S-δ-Deltorphin-Gi1/β1/γ2
11.76Consensusgi_ghrelinOrthosteric Ligand7NA7-Ghrelin-Ghrelin-Gi1/β1/γ2 7NA8-Ghrelin-Ibutamoren-Gi1/β1/γ2
11.76Consensusnpy2_offOrthosteric Ligand7DDZ-Y2-JNJ-31020028
11.54Single2Z7311-cis-Retinal2Z73-Rhodopsin-11-cis-Retinal
11.54Single3AYN9-cis-Retinal3AYN-Rhodopsin-9-cis-Retinal
11.54Single3ODUIT1t3ODU-CXCR4-IT1t
11.54Single3PWHZM-2413853PWH-A2A-ZM-241385
11.54Single3VGAZM-2413853VGA-A2A-ZM-241385-Antibody
11.54Single4BWBNeurotensin-(8-12)4BWB-NTS1-Neurotensin-(8-12)
11.54Single4QINSAG1.54QIN-SMO-SAG1.5
11.54Single4S0VSuvorexant4S0V-OX2-Suvorexant
11.54Single5K2DZM-2413855K2D-A2A-ZM-241385-Na
11.54Single5OLOTozadenant5OLO-A2A-Tozadenant-Na
11.54Single5WS3EMPA5WS3-OX2-EMPA
11.54Single5ZKQABT-4915ZKQ-PAF-ABT-491
11.54Single6AKXA4R6AKX-CCR5-A4R
11.54Single6AKYMaraviroc6AKY-CCR5-Maraviroc
11.54Single6B73MP11046B73-κ-MP1104
11.54Single6JZHZM-2413856JZH-A2A-ZM-241385-Na
11.54Single6ME2Ramelteon6ME2-MT1-Ramelteon
11.54Single6O3CSAG21k6O3C-SMO-SAG21k-Cholesterol
11.54Single6PS7ZM-2413856PS7-A2A-ZM-241385-Na
11.54Single6TPJSuvorexant6TPJ-OX2-Suvorexant
11.54Single7BR3Elagolix7BR3-GnRH1-Elagolix
11.54Single7F1ODopamine7F1O-D1-Dopamine-GDP; Mg-Gs/β1/γ2
11.54Single7LCJDanuglipron7LCJ-GLP-1-Danuglipron
11.54Single7LJDDopamine7LJD-D1-Dopamine-Mevidalen-Gs/β1/γ1
11.54Single7M3ECa; Ca; Tryptophan; NPS-21437M3E-CaS; CaS-Ca; Ca; Tryptophan; NPS-2143
11.54Single7M3ECa; Ca; Tryptophan; NPS-21437M3E-CaS; CaS-Ca; Ca; Tryptophan; NPS-2143
11.54Single7M3FCa; Ca; Tryptophan; Cinacalcet7M3F-CaS; CaS-Ca; Ca; Tryptophan; Cinacalcet
11.54Single7SILCa; Ca; Ca; Cyclomethyltryptophan; R-568; PO47SIL-CaS; CaS-Ca-Ca; Ca; Ca; Cyclomethyltryptophan; R-568; PO4
11.54Single7SILCa; Ca; Ca; Cyclomethyltryptophan; R-568; PO47SIL-CaS; CaS-Ca-Ca; Ca; Ca; Cyclomethyltryptophan; R-568; PO4
11.54Single7SRRLSD7SRR-5-HT2B-LSD-chim(NtGi2L-Gs-CtGq)/β1/γ2
11.54Single7SRSLSD7SRS-5-HT2B-LSD-Arrestin2
11.54Single7VDLCortistatin-147VDL-MRGPRX2-Cortistatin-14-Gi1/β1/γ2
11.54Single7VIHCBP-3077VIH-S1P1-CBP-307-Gi1/β1/γ2
11.54Single7X5H5-CT7X5H-5-HT5A-5-CT-Gi1/β1/γ2
11.54Single8DU3PubChem 1055260648DU3-A2A-PubChem 105526064
11.54Single8DWGML3828DWG-MRGPRX1-BAM8-22-ML382-chim(NtGi2L-Gs-CtGq)/β1/γ2
11.54Single8H8JLodoxamide8H8J-GPR35-Lodoxamide-Ca-chim(NtGi1L-G13)/β1/γ2
11.54Single8RVWStilSwitch38RVW-A2A-StilSwitch3-Na
11.54Single8RW4AzoSwitch28RW4-A2A-AzoSwitch2-Na
11.54Single8RWEStilSwitch48RWE-A2A-StilSwitch4-Na
11.54Single8TZQDopamine8TZQ-D2-Dopamine-Go/β1/γ2
11.54Single8U4SREGN7663-Fab8U4S-CXCR4-REGN7663-Fab
11.54Single8U4TREGN7663-Fab8U4T-CXCR4-REGN7663-Fab
11.54Single8WPGTryptophan; Cinacalcet; PO4; Ca8WPG-CaS; CaS-Tryptophan; Cinacalcet; PO4; Ca
11.54Single8XXVIndomethacin8XXV-DP2-Indomethacin-A1D5Q-Gi1/β1/γ2
11.54Single9AVLCa; Ca; Cyclomethyltryptophan; R-568; PO49AVL-CaS; CaS-Ca-Ca; Ca; Cyclomethyltryptophan; R-568; PO4-Gi3/β2/γ2
11.54Single9C2FCa; Ca; Tryptophan; '54149; PO49C2F-CaS; CaS-Ca-Ca; Ca; Tryptophan; '54149; PO4
11.54Single9FUPIstradefylline9FUP-A2A-Istradefylline-Na
11.54Single9H2XPubChem 1756706449H2X-A2A-PubChem 175670644-Na
11.54Single9J5VCpY9J5V-LPA1-CpY-Gi1/β1/γ2
11.54Single9K6LSalicin9K6L-TAS2R16-Salicin-Gi2/β1/γ2
11.54Single9KO2CCL199KO2-CCR7-CCL19-Gi1/β1
11.54Single9KO6CCL199KO6-CCR7-CCL19
11.54Single9KPESalicin9KPE-TAS2R16-Salicin-Gi1/β1/γ2
11.54Single9KVHCinobufotenine9KVH-5-HT1A-Cinobufotenine-PtdIns4P-Gi1/β1/γ2
11.54Single9LL9DOI9LL9-5-HT2A-DOI-chim(NtGi1L-Gs-CtGq)/β1/γ2
11.54Single9PEEPF-07054894; OXM29PEE-CCR6-PF-07054894; OXM2
11.54Single9PXUNaloxone9PXU-μ-Naloxone-Na
11.54Consensus5ht2_on_gpOrthosteric Ligand5ht2b_on_gp
11.54Consensus5ht2b_on_gpOrthosteric Ligand7SRR-5-HT2B-LSD-chim(NtGi2L-Gs-CtGq)/β1/γ2
11.54Consensus5ht_onOrthosteric Ligand5ht1_on 5ht2_on 5ht4_on 5ht5_on 5ht6_on 5ht7_on
11.54Consensuscxcr1_onOrthosteric Ligand8IC0-CXCR1-CXCL8-Gi1/β1/γ2
11.54Consensusgnrh1_offOrthosteric Ligand7BR3-GnRH1-Elagolix
11.54Consensusgs_5htOrthosteric Ligand7XTC-5-HT7-5-CT-Gs/β1/γ2 7XTB-5-HT6-Serotonin-Gs/β1/γ2 8JLZ-5-HT6-ST1936-Gs/β1/γ2 7XT8-5-HT4-Serotonin-Gs/β1/γ2
11.54Consensusorexin_offOrthosteric Ligandox2_off ox1_off
11.54Consensusox1_offOrthosteric Ligand6TP6-OX1-Filorexant 6TP4-OX1-ACT-462206 6V9S-OX1-GTPL11403 6TOT-OX1-Lemborexant 6TP3-OX1-Nemorexant 6TQ6-OX1-PubChem 145714283 6TQ9-OX1-SB-408124 4ZJC-OX1-SB-674042 4ZJ8-OX1-Suvorexant 6TOD-OX1-EMPA-Na 6TOS-OX1-GSK1059865-Na 6TQ4-OX1-PubChem 16046844-Na
11.54Consensusox2_offOrthosteric Ligand5WQC-OX2-EMPA 6TPN-OX2-HTL6641 7XRR-OX2-Lemborexant 6TPJ-OX2-Suvorexant
11.54Consensusp2y1_onOrthosteric Ligand7XXH-P2Y1-2MeSADP-chim(NtGi1-G11)/β1/γ2
11.54Consensuspaf_offOrthosteric Ligand5ZKQ-PAF-ABT-491
11.54Consensussensory_offonOrthosteric Ligandsensory_off sensory_on
11.54Consensussensory_offon_gpOrthosteric Ligandsensory_on_gp sensory_on
11.43Single6MEOGp160; CD46MEO-CCR5-Gp160; CD4
11.43Single6PT2KGCHM076PT2-δ-KGCHM07
11.43Single7RYCOxytocin7RYC-OT-Oxytocin-chim(NtGi2L-Gs-CtGq)/β1/γ2
11.43Single7XOUCholecystokinin-87XOU-CCKA-Cholecystokinin-8-Gs/β1/γ2
11.43Single8K6NNeuropeptide-Y8K6N-Y2-Neuropeptide-Y-Gi2/β1/γ1
11.43Single9B54VIP369B54-CB1-VIP36-Gi1/β1/γ2
11.43Consensusfpr2-alx_onOrthosteric Ligand7WVX-FPR2-ALX-Humanin-Gi2/β1/γ2 7T6U-FPR2-ALX-CGEN-855A-Gi1/β1/γ2 7T6V-FPR2-ALX-fMLFII-Gi1/β1/γ2 7WVY-FPR2-ALX-Amyloid-β42-Gi2/β1/γ2 7T6S-FPR2-ALX-TC-FPR 43-Gi1/β1/γ2 6OMM-FPR2-ALX-WKYMVX-Gi1/β1/γ2
11.43Consensusgs_cckOrthosteric Ligand7MBX-CCKA-Cholecystokinin-8-Gs/β1/γ1
11.11Single1F8811-cis-Retinal1F88-Rhodopsin-11-cis-Retinal
11.11Single4DKLBeta-Funaltrexamine4DKL-μ-β-Funaltrexamine
11.11Single4MBSMaraviroc4MBS-CCR5-Maraviroc
11.11Single4MQTIperoxo4MQT-M2-Iperoxo-LY2119620
11.11Single4N6HNaltrindole4N6H-δ-Naltrindole-Na
11.11Single5IU4ZM-2413855IU4-A2A-ZM-241385-Na
11.11Single5IU7Q274563465IU7-A2A-Q27456346-Na
11.11Single5IUBQ274563445IUB-A2A-Q27456344-Na
11.11Single5JTBZM-2413855JTB-A2A-ZM-241385
11.11Single5K2BZM-2413855K2B-A2A-ZM-241385-Na
11.11Single5K2CZM-2413855K2C-A2A-ZM-241385-Na
11.11Single5NLXZM-2413855NLX-A2A-ZM-241385-Na
11.11Single5NM4ZM-2413855NM4-A2A-ZM-241385-Na
11.11Single6A94Zotepine6A94-5-HT2A-Zotepine
11.11Single6AQFZM-2413856AQF-A2A-ZM-241385
11.11Single6FFIMPEP6FFI-mGlu5-MPEP
11.11Single6FKAPubChem 1324730376FKA-Rhodopsin-PubChem 132473037
11.11Single6ME42-Iodomelatonin6ME4-MT1-2-Iodomelatonin
11.11Single6METGp160; CD46MET-CCR5-Gp160; CD4
11.11Single6MH8ZM-2413856MH8-A2A-ZM-241385
11.11Single6TOSGSK10598656TOS-OX1-GSK1059865-Na
11.11Single6TP3Nemorexant6TP3-OX1-Nemorexant
11.11Single6WJCAtropine6WJC-M1-Atropine-Muscarinic toxin 7
11.11Single6XBLSAG6XBL-SMO-SAG-Cholesterol-Gi1/β1/γ2
11.11Single6ZDRHMS1413f126ZDR-A2A-HMS1413f12-Na
11.11Single7AD3Alpha-factor mating pheromone7AD3-STE2; STE2-α-factor mating pheromone-Gi1/STE4/γ2
11.11Single7C2EPubChem 1490507997C2E-GLP-1-PubChem 149050799-Gs/β1/γ2
11.11Single7CMVPD1289077CMV-D3-PD128907-Gi1/β1/γ2
11.11Single7E33BRL-544437E33-5-HT1E-BRL-54443-Gi1/β1/γ2
11.11Single7EJ8Brimonidine7EJ8-α2a-Brimonidine-Go/β1/γ2
11.11Single7F24Dopamine7F24-D1-Dopamine-GDP-Gs/β1/γ2
11.11Single7F4HAfamelanotide7F4H-MC1-Afamelanotide-chim(NtGi1-Gs)/β1/γ2
11.11Single7M3GCa; Ca; Tryptophan; Evocalcet; Etelcalcetide; PO47M3G-CaS; CaS-Ca; Ca; Tryptophan; Evocalcet; Etelcalcetide; PO4
11.11Single7SR8TAK-9257SR8-OX2-TAK-925-chim(NtGi1L-Gs-CtGq)/β1/γ2
11.11Single7T32ZM-2413857T32-A2A-ZM-241385
11.11Single7WC9PubChem 1624213647WC9-5-HT2A-PubChem 162421364
11.11Single7ZI0SAG7ZI0-SMO-SAG-Cholesterol
11.11Single8GUQOlorinab8GUQ-CB2-Olorinab-Gi1/β1/γ2
11.11Single8H4LDoconexent8H4L-FFA4-Doconexent-chim(NtGi1-Gs-CtGq)/β1/γ2
11.11Single8IEDPubChem 1347468948IED-GPR156; GPR156-PubChem 134746894-Go/β1/γ2
11.11Single8JSPUlotaront8JSP-5-HT1A-Ulotaront-Gi1/β1/γ2
11.11Single8K9KDAMGO8K9K-μ-DAMGO-Gi3/β1/γ1
11.11Single8RLNLUF58348RLN-A2A-LUF5834
11.11Single8RQQZM-2413858RQQ-A2A-ZM-241385-Na
11.11Single8U02Dopamine8U02-D2-Dopamine-Go/β1/γ2
11.11Single8V6UPubChem 1713924568V6U-5-HT2A-PubChem 171392456-chim(NtGi2-Gs-CtGq)/β1/γ2
11.11Single8WPGTryptophan; Cinacalcet; PO4; Ca8WPG-CaS; CaS-Tryptophan; Cinacalcet; PO4; Ca
11.11Single8WPUTryptophan; Cinacalcet; PO4; Ca8WPU-CaS; CaS-Tryptophan; Cinacalcet; PO4; Ca-chim(NtGi2L-Gs-CtGq)/β1/γ2
11.11Single8X7ATreprostinil8X7A-I2-Treprostinil-Gs/β1/γ2
11.11Single8Y01All-trans-Retinal8Y01-Opsin1MW-All-trans-Retinal-Gi1/β1/γ2
11.11Single8Y62C16:0 Ceramide8Y62-FPR2-ALX-C16:0 Ceramide-Gi1/β1/γ2
11.11Single8Y6YGLPG09748Y6Y-FFA2-GLPG0974
11.11Single8YKVPubChem 1375531688YKV-Succinate-PubChem 137553168-Gi1/β1/γ2
11.11Single8YN3Histamine8YN3-H2-Histamine-Gs/β1/γ2
11.11Single8ZPMAMD0708ZPM-CXCR4-AMD070
11.11Single8ZPNAMD31008ZPN-CXCR4-AMD3100
11.11Single9ARXSerotonin9ARX-5-HT2A-Serotonin
11.11Single9ASBCa; Ca; Cyclomethyltryptophan; R-568; PO49ASB-CaS; CaS-Ca-Ca; Ca; Cyclomethyltryptophan; R-568; PO4-chim(NtGi1-Gs-CtGq)/β1/γ2
11.11Single9AVGCa; Ca; Cyclomethyltryptophan; R-568; PO49AVG-CaS; CaS-Ca-Ca; Ca; Cyclomethyltryptophan; R-568; PO4-chim(NtGi1-Gs)/β1/γ2
11.11Single9DQJEP-39459DQJ-MRGPRD-EP-3945-chim(NtGi1-Gs-CtGq)/β1/γ2
11.11Single9EPQ11,20-Ethanoretinal9EPQ-Rhodopsin-11,20-Ethanoretinal-chim(Gi1-CtGq)/β1/γ2
11.11Single9JFUNE52-QQ579JFU-GPR4-NE52-QQ57
11.11Single9JH3CMF-0199JH3-Apelin; Apelin-CMF-019-Gi1/β1/γ2
11.11Single9KPDSalicin9KPD-TAS2R16-Salicin-chim(Gs-CtGt3)/β1/γ2
11.11Single9KUWCMPD6449KUW-Apelin; Apelin-CMPD644-Arrestin2 ; Arrestin2
11.11Single9KVIBufotenin9KVI-5-HT1A-Bufotenin-PtdIns4P-Gi1/β1/γ2
11.11Single9KXSEP679KXS-C5a1-EP67-Go/β1/γ2
11.11Single9LKBPL459LKB-OR5V1-PL45-chim(NtGi1-Gs)/β1
11.11Single9LRDHistamine9LRD-H1-Histamine-Gi1/β1/γ2
11.11Single9ODLMitragynine Pseudoindoxyl9ODL-μ-Mitragynine Pseudoindoxyl-GTP; Mg-Gi1/β1/γ2
11.11Single9P1TZM-2413859P1T-A2A-ZM-241385
11.11Single9PXVNaloxone9PXV-μ-Naloxone-Gi1/β1/γ2
11.11Single9PXXNaloxone9PXX-μ-Naloxone-GDPβS-Gi1/β1/γ2
11.11Single9PY2Loperamide9PY2-μ-Loperamide-GDPβS-Gi1/β1/γ2
11.11Consensus5ht2a_offOrthosteric Ligand6A94-5-HT2A-Zotepine 6A93-5-HT2A-Risperidone 7VOD-5-HT2A-Cariprazine 7WC8-5-HT2A-Lumateperone 8JT8-5-HT2A-(R)-IHCH-7179
11.11Consensusa2_offOrthosteric Liganda2a_off
11.11Consensusa2a_offOrthosteric Ligand3RFM-A2A-Caffeine 8C9W-A2A-Etrumadenant 3UZA-A2A-GTPL9236 8GNG-A2A-Istradefylline 8CU6-A2A-LJ-4517 7PX4-A2A-PSB-2113 7PYR-A2A-PSB-2115 8DU3-A2A-PubChem 105526064 8JWY-A2A-2-118 8PWN-A2A-Theophylline 5IU4-A2A-ZM-241385-Na 5OLZ-A2A-PubChem 135566609-Na 6GT3-A2A-Imaradenant-Na 5OLV-A2A-LUAA47070-Na 5N2R-A2A-PSB36-Na 5IU7-A2A-Q27456346-Na 5OLH-A2A-Vipadenant-Na 5OLO-A2A-Tozadenant-Na 6ZDR-A2A-HMS1413f12-Na 8GNE-A2A-KW-6356-Na 8JWZ-A2A-Etrumadenant-Na 5IU8-A2A-Q27456347-Na 5IUB-A2A-Q27456344-Na 6ZDV-A2A-PubChem 984073-Na 5IUA-A2A-Q27456348-Na 8A2P-A2A-LUAA47070-Na
11.11Consensuscxcr2_onOrthosteric Ligand6LFM-CXCR2-CXCL8-Gi1/β1/γ2
11.11Consensusfpr2-alx_on_gpOrthosteric Ligand7WVX-FPR2-ALX-Humanin-Gi2/β1/γ2 7T6U-FPR2-ALX-CGEN-855A-Gi1/β1/γ2 7T6V-FPR2-ALX-fMLFII-Gi1/β1/γ2 7WVY-FPR2-ALX-Amyloid-β42-Gi2/β1/γ2 7T6S-FPR2-ALX-TC-FPR 43-Gi1/β1/γ2 6OMM-FPR2-ALX-WKYMVX-Gi1/β1/γ2
11.11Consensusghrelin_offOrthosteric Ligand6KO5-Ghrelin-PubChem 57400002 7F83-Ghrelin-PF-05190457
11.11Consensusgrh_offOrthosteric Ligandgnrh1_off
11.11Consensusmc2_onOrthosteric Ligand8GY7-MC2-Corticotropin-Ca-chim(NtGi1-Gs)/β1/γ2; MRAP1
11.11Consensusmc2_on_gpOrthosteric Ligand8GY7-MC2-Corticotropin-Ca-chim(NtGi1-Gs)/β1/γ2; MRAP1
11.11Consensusnop_offOrthosteric Ligand4EA3-NOP-PubChem 10296561 5DHG-NOP-C-35 5DHH-NOP-SB-612111
11.11Consensusopsins_offOrthosteric Ligandrhodopsin_off
11.11Consensusp2y_on_gpOrthosteric Ligandp2y1_on_gp p2y10_on_gp p2y12_on_gp
11.11Consensussensory_offOrthosteric Ligandopsins_off
10.81Single7F9YGhrelin7F9Y-Ghrelin-Ghrelin-chim(NtGi1-Gs-CtGq)/β1/γ2
10.81Single7X9CPancreatic Hormone7X9C-Y4-Pancreatic Hormone-Gi1/β1/γ2
10.71Single2Y02Carmoterol2Y02-β1-Carmoterol
10.71Single3EMLZM-2413853EML-A2A-ZM-241385
10.71Single4EIYZM-2413854EIY-A2A-ZM-241385-Na
10.71Single4MQSIperoxo4MQS-M2-Iperoxo
10.71Single4QIMANTA XV4QIM-SMO-ANTA XV
10.71Single4U14Tiotropium4U14-M3-Tiotropium
10.71Single5DHGC-355DHG-NOP-C-35
10.71Single5IU8Q274563475IU8-A2A-Q27456347-Na
10.71Single5K2AZM-2413855K2A-A2A-ZM-241385-Na
10.71Single5NDDAZ8838; Na5NDD-PAR2-AZ8838; Na
10.71Single5OLGZM-2413855OLG-A2A-ZM-241385-Na
10.71Single5T04Neurotensin-(8-13)5T04-NTS1-Neurotensin-(8-13)
10.71Single5VRAZM-2413855VRA-A2A-ZM-241385-Na
10.71Single6DRXLisuride6DRX-5-HT2B-Lisuride
10.71Single6FFHFenobam6FFH-mGlu5-Fenobam
10.71Single6FK7PubChem 1324730346FK7-Rhodopsin-PubChem 132473034
10.71Single6FKCPubChem 1324730396FKC-Rhodopsin-PubChem 132473039
10.71Single6FKDPubChem 1373491836FKD-Rhodopsin-PubChem 137349183
10.71Single6GPSMK08126GPS-CCR2-MK0812
10.71Single6KPFAM120336KPF-CB2-AM12033-Gi1/β1/γ2
10.71Single6LPJZM-2413856LPJ-A2A-ZM-241385-Na
10.71Single6LPKZM-2413856LPK-A2A-ZM-241385-Na
10.71Single6S0LZM-2413856S0L-A2A-ZM-241385
10.71Single6X1ADanuglipron6X1A-GLP-1-Danuglipron-Gs/β1/γ2
10.71Single6Z10PubChem 1545855546Z10-Succinate-PubChem 154585554
10.71Single6Z4VNeurotensin-(9-13)6Z4V-NTS1-Neurotensin-(9-13)
10.71Single7DB6Ramelteon7DB6-MT1-Ramelteon-Gi1/β1/γ2
10.71Single7FIHOrg435537FIH-LH-hCG-Org43553-chim(NtGi1-Gs)/β1/γ2
10.71Single7JOZPubChem 752020227JOZ-D1-PubChem 75202022-Gs/β1/γ2
10.71Single7LCIDanuglipron7LCI-GLP-1-Danuglipron-Gs/β1/γ2
10.71Single7LCKDanuglipron7LCK-GLP-1-Danuglipron
10.71Single7PYRPSB-21157PYR-A2A-PSB-2115
10.71Single7S15PubChem 1346112237S15-GLP-1-PubChem 134611223
10.71Single7SCGFH2107SCG-μ-FH210-Gi1/β1/γ2
10.71Single7SQOTAK-9257SQO-OX2-TAK-925-Gi1/β1/γ2
10.71Single7T6VfMLFII7T6V-FPR2-ALX-fMLFII-Gi1/β1/γ2
10.71Single7TRPIperoxo7TRP-M4-Iperoxo-LY2033298-Gi1/β1/γ2
10.71Single7V3ZCP559407V3Z-CB1-CP55940
10.71Single7VH0Ramelteon7VH0-MT2-Ramelteon-Gi1/β1/γ1
10.71Single7VIFFTY720-P7VIF-S1P1-FTY720-P-Gi1/β1/γ2
10.71Single7VKTLTB47VKT-BLT1-LTB4-Gi1/β1/γ2
10.71Single7XTC5-CT7XTC-5-HT7-5-CT-Gs/β1/γ2
10.71Single8CICEtrumadenant8CIC-A2A-Etrumadenant-Na
10.71Single8DZSGR89,6968DZS-κ-GR89,696-chim(NtGi2-Gz)/β1/γ2
10.71Single8IC0CXCL88IC0-CXCR1-CXCL8-Gi1/β1/γ2
10.71Single8JD0NAM5638JD0-mGlu2; mGlu3-Glutamate-NAM563
10.71Single8JT8(R)-IHCH-71798JT8-5-HT2A-(R)-IHCH-7179
10.71Single8VVGGB188VVG-κ-GB18-Gi1/β1/γ2
10.71Single8X9TAP5038X9T-ADGRD1-AP503-chim(NtGi1-Gs)/β1/γ2
10.71Single8ZQEGPR15L(CT)8ZQE-GPR15-GPR15L(CT)-Gi1/β1/γ1
10.71Single9BQJRO769BQJ-μ-RO76-Gi1/β1/γ2
10.71Single9H37PubChem 1756706469H37-A2A-PubChem 175670646-Na
10.71Single9JGKBalovaptan9JGK-5-HT2B-Balovaptan
10.71Single9METGp120; CD49MET-CXCR4-Gp120; CD4
10.71Single9P1SZM-2413859P1S-A2A-ZM-241385
10.71Single9PXWNaloxone9PXW-μ-Naloxone-GDPβS-Gi1/β1/γ2
10.71Single9UAZAtropine9UAZ-M1-Atropine
10.71Consensus5ht7_onOrthosteric Ligand7XTC-5-HT7-5-CT-Gs/β1/γ2
10.71Consensus5ht7_on_gpOrthosteric Ligand7XTC-5-HT7-5-CT-Gs/β1/γ2
10.71Consensusalicarboxylic_offOrthosteric Ligandsuccinate_off
10.71Consensusblt1_onOrthosteric Ligand7VKT-BLT1-LTB4-Gi1/β1/γ2
10.71Consensusblt1_on_gpOrthosteric Ligand7VKT-BLT1-LTB4-Gi1/β1/γ2
10.71Consensusblt_onOrthosteric Ligandblt1_on
10.71Consensusblt_on_gpOrthosteric Ligandblt1_on_gp
10.71Consensusccr2_offOrthosteric Ligand6GPS-CCR2-MK0812
10.71Consensuscxcr1_on_gpOrthosteric Ligand8IC0-CXCR1-CXCL8-Gi1/β1/γ2
10.71Consensusgi_leukotrieneOrthosteric Ligand7VKT-BLT1-LTB4-Gi1/β1/γ2
10.71Consensusgi_orexinOrthosteric Ligand7SQO-OX2-TAK-925-Gi1/β1/γ2
10.71Consensusleukotriene_onOrthosteric Ligandblt_on
10.71Consensusleukotriene_on_gpOrthosteric Ligandblt_on_gp
10.71Consensussuccinate_offOrthosteric Ligand6RNK-Succinate-NF-56-EJ40 6Z10-Succinate-PubChem 154585554
10.53Single7SK3CXCL127SK3-ACKR3-CXCL12
10.53Single8XVEBQ30208XVE-ETB-BQ3020-chim(Gs-CtGq)/β1/γ2
10.53Consensusnpy4_onOrthosteric Ligand7X9C-Y4-Pancreatic Hormone-Gi1/β1/γ2
10.53Consensusnpy4_on_gpOrthosteric Ligand7X9C-Y4-Pancreatic Hormone-Gi1/β1/γ2
10.34Single4JKVTaladegib4JKV-SMO-Taladegib
10.34Single4RWDDIPP-NH24RWD-δ-DIPP-NH2-Na
10.34Single5IUAQ274563485IUA-A2A-Q27456348-Na
10.34Single5NM2ZM-2413855NM2-A2A-ZM-241385-Na
10.34Single5T1ABMS-6815T1A-CCR2-BMS-681-PubChem 12093170
10.34Single6GPXMK08126GPX-CCR2-MK0812
10.34Single6KPCAM120336KPC-CB2-AM12033
10.34Single6LFMCXCL86LFM-CXCR2-CXCL8-Gi1/β1/γ2
10.34Single6LPLZM-2413856LPL-A2A-ZM-241385-Na
10.34Single6OIKIperoxo6OIK-M2-Iperoxo-LY2119620-chim(NtGi1-Go)/β1/γ2
10.34Single6RZ4Pranlukast6RZ4-CysLT1-Pranlukast-Na
10.34Single6S0QZM-2413856S0Q-A2A-ZM-241385
10.34Single6WQAZM-2413856WQA-A2A-ZM-241385-Na
10.34Single7M3GCa; Ca; Tryptophan; Evocalcet; Etelcalcetide; PO47M3G-CaS; CaS-Ca; Ca; Tryptophan; Evocalcet; Etelcalcetide; PO4
10.34Single7RM5ZM-2413857RM5-A2A-ZM-241385-Na
10.34Single7VOEAripiprazole7VOE-5-HT2A-Aripiprazole
10.34Single7Y26Octreotide7Y26-SST2-Octreotide-chim(NtGi2L-Gs-CtGq)/β1/γ2
10.34Single8FYNZM-2413858FYN-A2A-ZM-241385-Na
10.34Single8GNEKW-63568GNE-A2A-KW-6356-Na
10.34Single8ID4Linoleic acid8ID4-FFA4-Linoleic acid-Gi1/β1/γ2
10.34Single8JXSPF-61428JXS-D1-PF-6142
10.34Single8K8JFenofibrate8K8J-CB1-Fenofibrate-chim(Gs-CtGq)/β1/γ2
10.34Single8KFXLMD-0098KFX-CCR8-LMD-009-Gi1/β1/γ2
10.34Single8QOTNanobody-E8QOT-μ-Nanobody-E
10.34Single8SZGCa; Ca; Tryptophan; Cinacalcet; PO4; Spermine8SZG-CaS; CaS-Ca; Ca; Tryptophan; Cinacalcet; PO4; Spermine-chim(NtGi1-Gq)/β1/γ2
10.34Single9DQHEP-28259DQH-MRGPRD-EP-2825-chim(NtGi1-Gs-CtGq)/β1/γ2
10.34Single9EAHNanobody AT2099EAH-AT1-Olmesartan-Nanobody AT209
10.34Single9EE5ONO-25502899EE5-DP1-ONO-2550289
10.34Single9HAPTolvaptan9HAP-V2-Tolvaptan
10.34Single9IYBPGD29IYB-DP2-PGD2-A1D5Q-Gi1/β1/γ2
10.34Single9KUTJR14a9KUT-C3aB-JR14a-Go/β1/γ2
10.34Single9U81Tolvaptan9U81-V2-Tolvaptan
10.34Consensusadgrg2_onOrthosteric Ligand7WUI-ADGRG2-IP15-chim(NtGi1-Gs)/β1/γ2 7WUQ-ADGRG2-Gs/β1/γ2 7XKF-ADGRG2-Dehydroepiandrosterone-Gs/β1/γ2
10.34Consensusadgrg2_on_gpOrthosteric Ligand7WUI-ADGRG2-IP15-chim(NtGi1-Gs)/β1/γ2 7WUQ-ADGRG2-Gs/β1/γ2 7XKF-ADGRG2-Dehydroepiandrosterone-Gs/β1/γ2
10.34Consensuscxcr2_on_gpOrthosteric Ligand6LFM-CXCR2-CXCL8-Gi1/β1/γ2
10.34Consensuslipid_onOrthosteric Ligandcannabinoid_on ffa_on lpl_on prostanoid_on leukotriene_on
10.34Consensuslipid_on_gpOrthosteric Ligandcannabinoid_on_gp ffa_on_gp lpl_on_gp prostanoid_on_gp leukotriene_on_gp
10.34Consensuslpa1_onOrthosteric Ligand7TD1-LPA1-LPA-Gi1/β1/γ2 7YU3-LPA1-ONO-0740556-Gi1/β1/γ2
10.34Consensuslpa1_on_gpOrthosteric Ligand7TD1-LPA1-LPA-Gi1/β1/γ2 7YU3-LPA1-ONO-0740556-Gi1/β1/γ2
10.26Single7F53Alpha-MSH7F53-MC4-α-MSH-Gs/β1/γ2
10.26Single9KDFRES-701-39KDF-ETB-RES-701-3
10.00Single3PDSFAUC503PDS-β2-FAUC50
10.00Single3ZEVNeurotensin-(7-13)3ZEV-NTS1-Neurotensin-(7-13)
10.00Single4BV0Neurotensin-(7-13)4BV0-NTS1-Neurotensin-(7-13)
10.00Single4IAQDihydroergotamine4IAQ-5-HT1B-Dihydroergotamine
10.00Single5V56TC1145V56-SMO-TC114
10.00Single5V57TC1145V57-SMO-TC114
10.00Single5XRAAM115425XRA-CB1-AM11542
10.00Single5ZHPPubChem 1348285895ZHP-M3-PubChem 134828589
10.00Single6J20Aprepitant6J20-NK1-Aprepitant
10.00Single6OS1TRV0266OS1-AT1-TRV026
10.00Single7F58THIQ7F58-MC4-THIQ-Gs/β1/γ2
10.00Single7L0PNeurotensin-(8-13)7L0P-NTS1-Neurotensin-(8-13)-Gi1/β1/γ1
10.00Single7L0QNeurotensin-(8-13)7L0Q-NTS1-Neurotensin-(8-13)-Gi1/β1/γ1
10.00Single7M8W15r-Methyl-PGD27M8W-DP2-15r-Methyl-PGD2-Na
10.00Single7PX4PSB-21137PX4-A2A-PSB-2113
10.00Single7WV9CP559407WV9-CB1-CP55940-ZCZ011-Gi2/β1/γ2
10.00Single7WVXHumanin7WVX-FPR2-ALX-Humanin-Gi2/β1/γ2
10.00Single7XAVLanreotide7XAV-SST2-Lanreotide-Gi1/β1/γ2
10.00Single7XJLSpexin7XJL-GAL2-Spexin-chim(NtGi2L-Gs-CtGq)/β1/γ2
10.00Single7Y67C089 peptide7Y67-C5a1-C089 peptide-Gi1/β1/γ2
10.00Single8EFLSR170188EFL-μ-SR17018-Gi1/β1/γ2
10.00Single8FN1Neurotensin-(8-13)8FN1-NTS1-Neurotensin-(8-13)-chim(NtGi1-Go)/β1/γ2
10.00Single8GDBPGE28GDB-EP4-PGE2-Gs/β1/γ2
10.00Single8GUSHU-3088GUS-CB2-HU-308-Gi1/β1/γ2
10.00Single8HDOBAY 60-65838HDO-A2B-BAY 60-6583-Gs/β1/γ2
10.00Single8HPTC5a (C-terminal peptide)8HPT-C5a1-C5a (C-terminal peptide)-Go/β1/γ2
10.00Single8I9LC3a8I9L-C3aB-C3a-Go/β1/γ2
10.00Single8IY6Endothelin-18IY6-ETB-Endothelin-1
10.00Single8JZPC5a8JZP-C5a1-C5a-Go/β1/γ2
10.00Single8VVEnorBNI8VVE-κ-norBNI-Gi1/β1/γ2
10.00Single8XVLZibotentan8XVL-ETA-Zibotentan
10.00Single8XZICMF-0198XZI-Apelin; Apelin-CMF-019-Gi1/β1/γ2
10.00Single8YNTSNAP-948478YNT-MCH1-SNAP-94847
10.00Single8ZWFJR14a8ZWF-C3aB-JR14a
10.00Single9EGOZ85267113509EGO-CB1-Z8526711350-Gi1/β1/γ2
10.00Single9JCLADP9JCL-P2Y1-ADP-chim(Gs-CtGq)/β1/γ2
10.00Single9JMCDS-3801b9JMC-Motilin-DS-3801b-chim(Gs-CtGq)/β1/γ2
10.00Single9KUXCMPD6449KUX-Apelin; Apelin-CMPD644-Arrestin2
10.00Single9PY3Loperamide9PY3-μ-Loperamide-GDPβS-Gi1/β1/γ2
10.00Single9PY4Loperamide9PY4-μ-Loperamide-GDPβS-Gi1/β1/γ2
10.00Single9WSTDAMGO9WST-μ-DAMGO-chim(NtGi1-Gz)/β1/γ2
10.00Consensusgs_melanocortinOrthosteric Ligand7F4H-MC1-Afamelanotide-chim(NtGi1-Gs)/β1/γ2 7F54-MC4-Afamelanotide-Gs/β1/γ2 7F4D-MC1-α-MSH-chim(NtGi1-Gs)/β1/γ2 8INR-MC5-α-MSH-Ca-chim(NtGi1-Gs)/β1/γ2 7F53-MC4-α-MSH-Gs/β1/γ2 7F55-MC4-Bremelanotide-Gs/β1/γ2 8GY7-MC2-Corticotropin-Ca-chim(NtGi1-Gs)/β1/γ2; MRAP1 8IOC-MC3-γ-MSH-Ca-chim(NtGi1-Gs)/β1/γ2 8IOD-MC5-PG-901-Ca-chim(NtGi1-Gs)/β1/γ2 7AUE-MC4-Setmelanotide-chim(NtGi1L-Gs)/β1/γ2 7F4I-MC1-SHU9119-chim(NtGi1-Gs)/β1/γ2 7F58-MC4-THIQ-Gs/β1/γ2
10.00Consensusmotilin_onOrthosteric Ligand8IBU-Motilin-Erythromycin-A-chim(NtGi1-Gs-CtGq)/β1/γ2
10.00Consensusneurotensin_onOrthosteric Ligandnts1_on
10.00Consensusnpy1_offOrthosteric Ligand5ZBH-Y1-BMS-193885 5ZBQ-Y1-UR-MK-299
10.00Consensusnpy_offOrthosteric Ligandnpy1_off npy2_off
10.00Consensusnts1_onOrthosteric Ligand6OSA-NTS1-JMV449-Gi1/β1/γ2 7L0S-NTS1-Neurotensin-(8-13)-Gi1/β1/γ1
10.00Consensustachykinin_offOrthosteric Ligandnk1_off
9.80Single8GY7Corticotropin8GY7-MC2-Corticotropin-Ca-chim(NtGi1-Gs)/β1/γ2; MRAP1
9.76Single8U1UCCL18U1U-CCR8-CCL1-Gi1/β1/γ2
9.76Single8ZJETAK4488ZJE-Kiss1-TAK448-chim(NtGi1-Gq)/β1/γ1
9.76Consensusgi_endothelinOrthosteric Ligand8IY5-ETB-Endothelin-1-Gi1/β1/γ2 8HBD-ETB-IRL1620-Gi1/β1/γ2
9.68Single4GRVNeurotensin-(8-13)4GRV-NTS1-Neurotensin-(8-13)
9.68Single5X33BIIL2605X33-BLT1-BIIL260
9.68Single6OSAJMV4496OSA-NTS1-JMV449-Gi1/β1/γ2
9.68Single7L0SNeurotensin-(8-13)7L0S-NTS1-Neurotensin-(8-13)-Gi1/β1/γ1
9.68Single7L1UOrexin7L1U-OX2-Orexin-chim(NtGi1-Gs-CtGq)/β1/γ2
9.68Single7L1VPubChem 1554910097L1V-OX2-PubChem 155491009-chim(NtGi1-Gs-CtGq)/β1/γ2
9.68Single7SUSPubChem 1227019087SUS-Apelin-PubChem 122701908
9.68Single7T6BS1P7T6B-S1P2-S1P-chim(NtGi1L-G13)/β1/γ2
9.68Single7W0LPubChem 1227019087W0L-Apelin; Apelin-PubChem 122701908-Gi1/β1/γ2
9.68Single7Y66BM2137Y66-C5a1-BM213-Gi1/β1/γ2
9.68Single8H0QGastrin Releasing Peptide8H0Q-BB2-Gastrin Releasing Peptide-chim(NtGi1-Gs-CtGq)/β1/γ2
9.68Single8HK2C3a8HK2-C3aB-C3a-Gi1/β1/γ2
9.68Single8JPBNeurotensin-(8-13)8JPB-NTS1-Neurotensin-(8-13)-SBI-553; GDP; Mg-Gq; GRK2
9.68Single8JWZEtrumadenant8JWZ-A2A-Etrumadenant-Na
9.68Single8XQJJN2418XQJ-Apelin; Apelin-JN241
9.68Single8XWMCXCL68XWM-CXCR2-CXCL6
9.68Single8XX3CXCL38XX3-CXCR2-CXCL3-Go/β1/γ2
9.68Single9BJKPubChem 1716420669BJK-μ-Naloxone-PubChem 171642066
9.68Single9WSVDAMGO9WSV-μ-DAMGO-Arrestin2
9.68Single9WXMGPR15L(CT)9WXM-GPR15-GPR15L(CT)-Gi3/β1/γ2
9.68Single9YDQDADLE9YDQ-δ-DADLE-MIPS3614-chim(NtGi1L-Gs-CtGi1)/β1/γ2
9.68Consensuscb1_onOrthosteric Ligand6KPG-CB1-AM841-Gi1/β1/γ2 8K8J-CB1-Fenofibrate-chim(Gs-CtGq)/β1/γ2
9.68Consensusgi_neurotensinOrthosteric Ligand6OSA-NTS1-JMV449-Gi1/β1/γ2 7L0S-NTS1-Neurotensin-(8-13)-Gi1/β1/γ1
9.68Consensusm4_onOrthosteric Ligand7TRS-M4-Acetylcholine-Gi1/β1/γ2 7V6A-M4-PubChem 9864275-Gi1/β1/γ2 8E9X-M4-2-Deoxycytidine-chim(NtGi1-Go)/β1/γ2 7TRK-M4-Iperoxo-Gi1/β1/γ2
9.68Consensusm4_on_gpOrthosteric Ligand7TRS-M4-Acetylcholine-Gi1/β1/γ2 7V6A-M4-PubChem 9864275-Gi1/β1/γ2 8E9X-M4-2-Deoxycytidine-chim(NtGi1-Go)/β1/γ2 7TRK-M4-Iperoxo-Gi1/β1/γ2
9.68Consensusneurotensin_on_gpOrthosteric Ligandnts1_on_gp
9.68Consensusnts1_on_gpOrthosteric Ligand6OSA-NTS1-JMV449-Gi1/β1/γ2 7L0S-NTS1-Neurotensin-(8-13)-Gi1/β1/γ1
9.68Consensusorexin_onOrthosteric Ligandox2_on
9.52Single7SK6CXCL12_LRHQ7SK6-ACKR3-CXCL12_LRHQ
9.52Consensusetb_on_gpOrthosteric Ligand8IY5-ETB-Endothelin-1-Gi1/β1/γ2 8HBD-ETB-IRL1620-Gi1/β1/γ2
9.52Consensusmelanocortin_onOrthosteric Ligandmc1_on mc4_on mc2_on mc3_on mc5_on
9.52Consensusmelanocortin_on_gpOrthosteric Ligandmc1_on_gp mc4_on_gp mc2_on_gp mc3_on_gp mc5_on_gp
9.38Single6DDFDAMGO6DDF-μ-DAMGO-Gi1/β1/γ2
9.38Single6KPGAM8416KPG-CB1-AM841-Gi1/β1/γ2
9.38Single6UP7Neurotensin-(8-13)6UP7-NTS1-Neurotensin-(8-13)-Arrestin2
9.38Single7CX4Evatanepag7CX4-EP2-Evatanepag-Gs/β1/γ2
9.38Single7WVVfMLFII7WVV-FPR2-ALX-fMLFII-Gi2/β1/γ2
9.38Single8GUTLEI-1028GUT-CB2-LEI-102-Gi1/β1/γ2
9.38Single8JPFNeurotensin-(8-13)8JPF-NTS1-Neurotensin-(8-13)-SBI-553
9.38Single8WRZAM8418WRZ-CB1-AM841-Arrestin2
9.38Single8XWFCXCL38XWF-CXCR2-CXCL3
9.38Single8ZWGJR14a8ZWG-C3aB-JR14a-Gi1/β1/γ2
9.38Single9YDPDADLE9YDP-δ-DADLE-chim(NtGi1L-Gs-CtGi1)/β1/γ2
9.38Consensusgal2_onOrthosteric Ligand7WQ4-GAL2-Galanin-chim(NtGi1-Gs-CtGq)/β1/γ2 7XJL-GAL2-Spexin-chim(NtGi2L-Gs-CtGq)/β1/γ2
9.38Consensusgal2_on_gpOrthosteric Ligand7WQ4-GAL2-Galanin-chim(NtGi1-Gs-CtGq)/β1/γ2 7XJL-GAL2-Spexin-chim(NtGi2L-Gs-CtGq)/β1/γ2
9.38Consensusorexin_on_gpOrthosteric Ligandox2_on_gp
9.38Consensuspeptide_offOrthosteric Ligandcck_off angiotensin_off bombesin_off endothelin_off ghrelin_off npy_off opioid_off orexin_off somatostatin_off tachykinin_off vasop-oxy_off neurotensin_off
9.09Single5MZPCaffeine5MZP-A2A-Caffeine-Na
9.09Single6KNMJN241-96KNM-Apelin-JN241-9
9.09Single6OMMWKYMVX6OMM-FPR2-ALX-WKYMVX-Gi1/β1/γ2
9.09Single6OS9JMV4496OS9-NTS1-JMV449-Gi1/β1/γ2
9.09Single7AUESetmelanotide7AUE-MC4-Setmelanotide-chim(NtGi1L-Gs)/β1/γ2
9.09Single7F9ZGHRP-67F9Z-Ghrelin-GHRP-6-chim(NtGi1-Gs-CtGq)/β1/γ2
9.09Single7Y1FDynorphin7Y1F-κ-Dynorphin-Gi1/β1/γ2
9.09Single8JBFSenktide8JBF-NK3-Senktide-chim(NtGi1-Gs-CtGq)/β1/γ2
9.09Single8WCBCyclohexylammonium Ion8WCB-TA1-Cyclohexylammonium Ion-chim(NtGi1-Gs-CtGq)/β1/γ2
9.09Single8WCCCyclohexylammonium Ion8WCC-TA1-Cyclohexylammonium Ion
9.09Single8XQJJN2418XQJ-Apelin; Apelin-JN241
9.09Single8XX6CXCL88XX6-CXCR2-CXCL8-Go/β1/γ2
9.09Single8Z74JN241-98Z74-Apelin; Apelin-JN241-9
9.09Single9IPVJR14a9IPV-C3aB-JR14a-Gi1/β1/γ2
9.09Single9IPYJR14a9IPY-C3aB-JR14a
9.09Single9V2NMacimorelin9V2N-Ghrelin-Macimorelin-chim(NtGi1-Gs-CtGq)/β1/γ2
8.82Single7CX3Taprenepag7CX3-EP2-Taprenepag-Gs/β1/γ2
8.82Single7F4ISHU91197F4I-MC1-SHU9119-chim(NtGi1-Gs)/β1/γ2
8.82Single7NA7Ghrelin7NA7-Ghrelin-Ghrelin-Gi1/β1/γ2
8.82Single7VLACCL15(27-92)7VLA-CCR1-CCL15(27-92)-Gi1/β1/γ2
8.82Single8GHVAMG3158GHV-CB1-AMG315-Gi1/β1/γ2
8.82Single8XWNCXCL88XWN-CXCR2-CXCL8
8.82Single8ZCJPasireotide8ZCJ-SST5-Pasireotide-Gi1/β1/γ1
8.82Single9BKJCholecystokinin-89BKJ-CCKA-Cholecystokinin-8-chim(NtGi1-Gs-CtGq)/β1/γ2
8.82Single9HB3Mambaquaretin-19HB3-V2-Mambaquaretin-1
8.82Single9UMRC5a-pep9UMR-C5a1-C5a-pep-Go/β1/γ2
8.82Single9UYLChemerin-99UYL-CML2-Chemerin-9-Arrestin2
8.82Consensusccr1_onOrthosteric Ligand7VLA-CCR1-CCL15(27-92)-Gi1/β1/γ2
8.82Consensusccr1_on_gpOrthosteric Ligand7VLA-CCR1-CCL15(27-92)-Gi1/β1/γ2
8.82Consensusmc4_onOrthosteric Ligand7AUE-MC4-Setmelanotide-chim(NtGi1L-Gs)/β1/γ2 7F58-MC4-THIQ-Gs/β1/γ2 7F54-MC4-Afamelanotide-Gs/β1/γ2 7F53-MC4-α-MSH-Gs/β1/γ2 7F55-MC4-Bremelanotide-Gs/β1/γ2
8.82Consensusnk3_onOrthosteric Ligand8JBF-NK3-Senktide-chim(NtGi1-Gs-CtGq)/β1/γ2
8.82Consensusnk3_on_gpOrthosteric Ligand8JBF-NK3-Senktide-chim(NtGi1-Gs-CtGq)/β1/γ2
8.70Single3PXOAll-trans-Retinal3PXO-Rhodopsin-All-trans-Retinal
8.70Single5DYSAll-trans-Retinal5DYS-Rhodopsin-All-trans-Retinal
8.70Single6VCBLSN31604406VCB-GLP-1-GLP-1-LSN3160440-Gs/β1/γ2
8.70Single7XKDDehydroepiandrosterone7XKD-ADGRG2-Dehydroepiandrosterone-Gs/β1/γ2
8.70Single8X9S5alpha-DHT8X9S-ADGRD1-5α-DHT-chim(NtGi1-Gs)/β1/γ2
8.70Single9IV25alpha-DHT9IV2-ADGRD1-5α-DHT-chim(NtGi1-Gs)/β1/γ2
8.70Single9JKVPubChem 27366909JKV-HCA3-PubChem 2736690-Gi1/β1/γ2
8.57Single9IK8Pasireotide9IK8-SST1-Pasireotide-Gi1/β1/γ2
8.57Single9L60Dynorphin9L60-κ-Dynorphin-MPAM-15-Gi1/β1/γ2
8.57Consensusghrelin_onOrthosteric Ligand7NA7-Ghrelin-Ghrelin-Gi1/β1/γ2 7F9Z-Ghrelin-GHRP-6-chim(NtGi1-Gs-CtGq)/β1/γ2 7NA8-Ghrelin-Ibutamoren-Gi1/β1/γ2
8.57Consensusghrelin_on_gpOrthosteric Ligand7NA7-Ghrelin-Ghrelin-Gi1/β1/γ2 7F9Z-Ghrelin-GHRP-6-chim(NtGi1-Gs-CtGq)/β1/γ2 7NA8-Ghrelin-Ibutamoren-Gi1/β1/γ2
8.57Consensusmc4_on_gpOrthosteric Ligand7AUE-MC4-Setmelanotide-chim(NtGi1L-Gs)/β1/γ2 7F58-MC4-THIQ-Gs/β1/γ2 7F54-MC4-Afamelanotide-Gs/β1/γ2 7F53-MC4-α-MSH-Gs/β1/γ2 7F55-MC4-Bremelanotide-Gs/β1/γ2
8.33Single2HPYAll-trans-Retinal2HPY-Rhodopsin-All-trans-Retinal
8.33Single3OE8IT1t3OE8-CXCR4-IT1t
8.33Single3RFMCaffeine3RFM-A2A-Caffeine
8.33Single7F4DAlpha-MSH7F4D-MC1-α-MSH-chim(NtGi1-Gs)/β1/γ2
8.33Single7MBXCholecystokinin-87MBX-CCKA-Cholecystokinin-8-Gs/β1/γ1
8.33Single7W55Neuromedin-U-257W55-NMUR2-Neuromedin-U-25-chim(NtGi1-Gs-CtGq)/β1/γ2
8.33Single8W8YGamma-MSH8W8Y-MC3-γ-MSH-Ca-Gs/β1/γ2
8.33Single8WKZSBL-MC-318WKZ-MC4-SBL-MC-31
8.33Single8XOFLys058XOF-GPR30-Lys05-chim(NtGi1-Gs-CtGq)/β1/γ2
8.33Single9IVMLSN33188399IVM-GLP-1-GLP-1 (Truncated)-LSN3318839-chim(NtGi1-Gs)/β2/γ2
8.33Consensusgs_histamineOrthosteric Ligand8POK-H2-Histamine-Gs/β1/γ2
8.33Consensush2_onOrthosteric Ligand8POK-H2-Histamine-Gs/β1/γ2
8.33Consensusnmur2_onOrthosteric Ligand7W55-NMUR2-Neuromedin-U-25-chim(NtGi1-Gs-CtGq)/β1/γ2
8.33Consensusnmur2_on_gpOrthosteric Ligand7W55-NMUR2-Neuromedin-U-25-chim(NtGi1-Gs-CtGq)/β1/γ2
8.33Consensusp2y_offOrthosteric Ligandp2y1_off
8.11Single7KH0AVP7KH0-V2-AVP-chim(NtGi1-Gs)/β1/γ2
8.11Single7W57Neuromedin-S7W57-NMUR2-Neuromedin-S-chim(NtGi1-Gs-CtGq)/β1/γ2
8.11Single7XK8Neuromedin-U-257XK8-NMUR2-Neuromedin-U-25-Gi1/β1/γ2
8.00Single3C9M11-cis-Retinal3C9M-Rhodopsin-11-cis-Retinal
8.00Single3PQRAll-trans-Retinal3PQR-Rhodopsin-All-trans-Retinal-Gt(CT)
8.00Single4XNWMRS25004XNW-P2Y1-MRS2500
8.00Single5WKTOctyl-Beta-D-Glucopyranoside5WKT-Rhodopsin-Octyl-β-D-Glucopyranoside-Gt(CT)
8.00Single6D32Cyclopamine6D32-SMO-Cyclopamine-Cyclopamine
8.00Single6FK9PubChem 1324730366FK9-Rhodopsin-PubChem 132473036
8.00Single6ME5Agomelatine6ME5-MT1-Agomelatine
8.00Single6PWCNeurotensin-(9-13)6PWC-NTS1-Neurotensin-(9-13)-Arrestin2
8.00Single8POKHistamine8POK-H2-Histamine-Gs/β1/γ2
8.00Single8SZFCa; Ca; Tryptophan; Cinacalcet; PO4; Spermine8SZF-CaS; CaS-Ca; Ca; Tryptophan; Cinacalcet; PO4; Spermine
8.00Single8X9UMetenolone8X9U-ADGRD1-Metenolone-chim(NtGi1-Gs)/β1/γ2
8.00Single8Y63C20:0 Ceramide8Y63-FPR2-ALX-C20:0 Ceramide-Gi1/β1/γ2
8.00Single9JHJC18:0 Ceramide9JHJ-FPR2-ALX-C18:0 Ceramide-Gi1/β1/γ2
8.00Single9LL7DOI9LL7-5-HT2A-DOI-Gi1/β1/γ2
8.00Consensush2_on_gpOrthosteric Ligand8POK-H2-Histamine-Gs/β1/γ2
8.00Consensusp2y1_offOrthosteric Ligand4XNW-P2Y1-MRS2500
7.89Single8IODPG-9018IOD-MC5-PG-901-Ca-chim(NtGi1-Gs)/β1/γ2
7.69Single1L9H11-cis-Retinal1L9H-Rhodopsin-11-cis-Retinal
7.69Single1U1911-cis-Retinal1U19-Rhodopsin-11-cis-Retinal
7.69Single2G87All-trans-Retinal2G87-Rhodopsin-All-trans-Retinal
7.69Single2I3511-cis-Retinal2I35-Rhodopsin-11-cis-Retinal
7.69Single5TE520-Methanoretinal5TE5-Rhodopsin-20-Methanoretinal
7.69Single6HLLCP999946HLL-NK1-CP99994
7.69Single6PGSGeraniol6PGS-Rhodopsin-Geraniol-Gt(CT)
7.69Single6TQ4PubChem 160468446TQ4-OX1-PubChem 16046844-Na
7.69Single7D76Beclomethasone7D76-ADGRG3-Beclomethasone-Go/β1/γ2
7.69Single7T96LY21196207T96-M2-Acetylcholine-LY2119620-Go/β1/γ2
7.69Single7TRPLY20332987TRP-M4-Iperoxo-LY2033298-Gi1/β1/γ2
7.69Single7VDHC48/807VDH-MRGPRX2-C48/80-Gi1/β1/γ2
7.69Single7VUIJNJ-635330547VUI-GPR139-JNJ-63533054-GTP-chim(Gs-CtGq)/β1/γ2
7.69Single7XTBSerotonin7XTB-5-HT6-Serotonin-Gs/β1/γ2
7.69Single8A2PLUAA470708A2P-A2A-LUAA47070-Na
7.69Single8EF6Morphine8EF6-μ-Morphine-Gi1/β1/γ2
7.69Single8SZFCa; Ca; Tryptophan; Cinacalcet; PO4; Spermine8SZF-CaS; CaS-Ca; Ca; Tryptophan; Cinacalcet; PO4; Spermine
7.69Single8X2KOleic monoethanolamide8X2K-GPR3-Oleic monoethanolamide-chim(NtGi1-Gs)/β1/γ2
7.69Single8YKDDehydroepiandrosterone8YKD-ADGRG2-Dehydroepiandrosterone-chim(NtGi1-Gs)/β1/γ2
7.69Single8YN2Histamine8YN2-H1-Histamine-chim(NtGi1L-Gs-CtGq)/β1/γ2
7.69Single9E7RGB889E7R-PAR2-GB88-chim(NtGi1L-Gs-CtGq)/β1/γ2
7.69Single9KUWCMPD6449KUW-Apelin; Apelin-CMPD644-Arrestin2 ; Arrestin2
7.69Single9LMPNE52-QQ579LMP-GPR4-NE52-QQ57
7.69Single9YDAAll-trans-Retinal9YDA-Opsin1MW-All-trans-Retinal-chim(NtGi1L-Gs-CtGt)/β1/γ2
7.69Consensusadgrg_onOrthosteric Ligandadgrg2_on adgrg4_on
7.69Consensusadgrg_on_gpOrthosteric Ligandadgrg2_on_gp adgrg4_on_gp
7.69Consensusgq_nucleotideOrthosteric Ligandgq_p2y
7.69Consensusgq_p2yOrthosteric Ligand7XXH-P2Y1-2MeSADP-chim(NtGi1-G11)/β1/γ2
7.50Single8W8XBeta-MSH8W8X-MC3-β-MSH-Ca-Gs/β1/γ2
7.41Single1GZM11-cis-Retinal1GZM-Rhodopsin-11-cis-Retinal
7.41Single2PED9-cis-Retinal2PED-Rhodopsin-9-cis-Retinal
7.41Single3C9L11-cis-Retinal3C9L-Rhodopsin-11-cis-Retinal
7.41Single3VG9ZM-2413853VG9-A2A-ZM-241385-Antibody
7.41Single4MQTLY21196204MQT-M2-Iperoxo-LY2119620
7.41Single5OLHVipadenant5OLH-A2A-Vipadenant-Na
7.41Single5OLVLUAA470705OLV-A2A-LUAA47070-Na
7.41Single6DS0LY2660976DS0-5-HT2B-LY266097
7.41Single6FKBPubChem 1324730386FKB-Rhodopsin-PubChem 132473038
7.41Single6LFOCXCL86LFO-CXCR2-CXCL8-Gi1/β1/γ2
7.41Single6ME9Ramelteon6ME9-MT2-Ramelteon
7.41Single6NWEOctyl-Beta-D-Glucopyranoside6NWE-Rhodopsin-Octyl-β-D-Glucopyranoside-Gt(CT)
7.41Single6RNKNF-56-EJ406RNK-Succinate-NF-56-EJ40
7.41Single6WWZCCL206WWZ-CCR6-CCL20-Go/β1/γ2
7.41Single7F8ULintitript7F8U-CCKA-Lintitript
7.41Single7M3FCa; Ca; Tryptophan; Cinacalcet7M3F-CaS; CaS-Ca; Ca; Tryptophan; Cinacalcet
7.41Single7TUZ7-alpha,25-dihydroxycholesterol7TUZ-GPR183-7-α,25-dihydroxycholesterol-Gi1/β1/γ2
7.41Single7VV5C48/807VV5-MRGPRX2-C48/80-Gi1/β1/γ2
7.41Single7X2CFenoldopam7X2C-D1-Fenoldopam-Fenoldopam-Gs/β1/γ2
7.41Single7X2FDopamine7X2F-D1-Dopamine-Mevidalen-Gs/β1/γ2
7.41Single7XRRLemborexant7XRR-OX2-Lemborexant
7.41Single8A6CAll-trans-Retinal8A6C-Rhodopsin-All-trans-Retinal
7.41Single8A6DAll-trans-Retinal8A6D-Rhodopsin-All-trans-Retinal
7.41Single8A6EAll-trans-Retinal8A6E-Rhodopsin-All-trans-Retinal
7.41Single8U4PAMD31008U4P-CXCR4-AMD3100-Gi1/β1/γ2
7.41Single8U8FPalmitic Acid8U8F-GPR3-Palmitic Acid-Gs/β1/γ2
7.41Single8XXXCXCL68XXX-CXCR2-CXCL6-Go/β1/γ2
7.41Single8YNFCXCL88YNF-ACKR1-CXCL8
7.41Single8YUTAmthamine8YUT-H2-Amthamine-Gs/β1/γ2
7.41Single9C1PCa; Tryptophan; '6218; PO49C1P-CaS; CaS-Ca-Ca; Tryptophan; '6218; PO4
7.41Single9LKDPL459LKD-OR5V1-PL45
7.41Single9LLBDOI-NBOMe9LLB-5-HT2A-DOI-NBOMe-chim(NtGi1L-Gs-CtGq)/β1/γ2
7.41Single9LRBHistamine9LRB-H1-Histamine-Gs/β1/γ2
7.41Consensusccr6_onOrthosteric Ligand6WWZ-CCR6-CCL20-Go/β1/γ2
7.41Consensusccr6_on_gpOrthosteric Ligand6WWZ-CCR6-CCL20-Go/β1/γ2
7.41Consensusrhodopsin_offOrthosteric Ligand1U19-Rhodopsin-11-cis-Retinal 2PED-Rhodopsin-9-cis-Retinal 5TE5-Rhodopsin-20-Methanoretinal
7.32Consensusetb_onOrthosteric Ligand8IY5-ETB-Endothelin-1-Gi1/β1/γ2 8HBD-ETB-IRL1620-Gi1/β1/γ2
7.14Single3OAX11-cis-Retinal3OAX-Rhodopsin-11-cis-Retinal
7.14Single3REYPubChem 56973REY-A2A-PubChem 5697
7.14Single3RZECidoxepin3RZE-H1-Cidoxepin
7.14Single5TE3Octyl-Beta-D-Glucopyranoside5TE3-Rhodopsin-Octyl-β-D-Glucopyranoside
7.14Single5UVIZM-2413855UVI-A2A-ZM-241385
7.14Single6FK8PubChem 1324730356FK8-Rhodopsin-PubChem 132473035
7.14Single6IQLL7458706IQL-D4-L745870
7.14Single6PELCitronellol6PEL-Rhodopsin-Citronellol-Gt(CT)
7.14Single6PT0WIN 55212-26PT0-CB2-WIN 55212-2-Gi1/β1/γ2
7.14Single6TPKRetosiban6TPK-OT-Retosiban
7.14Single6TPNHTL66416TPN-OX2-HTL6641
7.14Single6U1NLY21196206U1N-M2-LY2119620-Arrestin2
7.14Single6WJCMuscarinic toxin 76WJC-M1-Atropine-Muscarinic toxin 7
7.14Single6ZDVPubChem 9840736ZDV-A2A-PubChem 984073-Na
7.14Single7T94LY21196207T94-M2-Acetylcholine-LY2119620-chim(NtGi1-Go)/β1/γ2
7.14Single7UTZDPPC7UTZ-TSH-TSH-DPPC-Gs/β1/γ2
7.14Single7VODCariprazine7VOD-5-HT2A-Cariprazine
7.14Single7VV6C48/807VV6-MRGPRX2-C48/80
7.14Single7XOVSR1461317XOV-CCKA-SR146131-Gs/β1/γ2
7.14Single7ZBC11-cis-Retinal7ZBC-Rhodopsin-11-cis-Retinal
7.14Single7ZBE11-cis-Retinal7ZBE-Rhodopsin-11-cis-Retinal
7.14Single8FCZ11-cis-Retinal8FCZ-Rhodopsin-11-cis-Retinal
7.14Single8JD6VU03647708JD6-mGlu4; mGlu4-Phosphoserine-VU0364770-Gi3/β1/γ2
7.14Single8K2WAMG4878K2W-CXCR3-AMG487
7.14Single8Y53MK50468Y53-BB3-MK5046-chim(NtGi1-Gs-CtGq)/β1/γ2
7.14Single8ZMGPimavanserin8ZMG-5-HT2A-Pimavanserin
7.14Single9JMDAzithromycin9JMD-Motilin-Azithromycin-chim(Gs-CtGq)/β1/γ2
7.14Single9W33S5A19W33-SST5-S5A1
7.14Consensuscxcr3_offOrthosteric Ligand8K2W-CXCR3-AMG487
7.14Consensusot_offOrthosteric Ligand6TPK-OT-Retosiban
7.14Consensusvasop-oxy_offOrthosteric Ligandot_off
6.98Single8HBDIRL16208HBD-ETB-IRL1620-Gi1/β1/γ2
6.90Single1HZX11-cis-Retinal1HZX-Rhodopsin-11-cis-Retinal
6.90Single5UIGPubChem 1240811965UIG-A2A-PubChem 124081196
6.90Single5ZKPSR274175ZKP-PAF-SR27417
6.90Single6ORVTT-OAD26ORV-GLP-1-TT-OAD2-Gs/β1/γ2
6.90Single7F83PF-051904577F83-Ghrelin-PF-05190457
6.90Single7SK8CXCL127SK8-ACKR3-CXCL12-CCX662
6.90Single7TRQVU04671547TRQ-M4-Iperoxo-VU0467154-Gi1/β1/γ2
6.90Single8EFQDAMGO8EFQ-μ-DAMGO-Gi1/β1/γ2
6.90Single8KFYZK-7563268KFY-CCR8-ZK-756326-Gi1/β1/γ2
6.90Single8ZBEOctreotide8ZBE-SST5-Octreotide-Gi1/β1/γ1
6.90Single8ZYYNeurotensin-(8-13)8ZYY-NTS1-Neurotensin-(8-13)-SBI-553-Arrestin2
6.90Single9IMATalquetamab9IMA-GPRC5D; GPRC5D-Talquetamab
6.90Single9IYAONO-97105319IYA-GPR55-ONO-9710531
6.90Single9JROPF-044189489JRO-EP2-PF-04418948
6.90Single9LLAAriadne9LLA-5-HT2A-Ariadne-chim(NtGi1L-Gs-CtGq)/β1/γ2
6.67Single5XPRBosentan5XPR-ETB-Bosentan
6.67Single6HLPNetupitant6HLP-NK1-Netupitant
6.67Single7EUOfMLF7EUO-FPR1-ALX-fMLF-Gi1/β1/γ2
6.67Single7VFXfMIFL7VFX-FPR1-ALX-fMIFL-Gi1/β1/γ2
6.67Single7VV0PAMP-127VV0-MRGPRX2-PAMP-12
6.67Single7VV4Cortistatin-147VV4-MRGPRX2-Cortistatin-14
6.67Single8IZ4Lysophosphatidylserine (TJR)8IZ4-GPR34-Lysophosphatidylserine (TJR)-Gi1/β1/γ2
6.67Single8TH4AT118-L Nanobody8TH4-AT1-Losartan-AT118-L Nanobody
6.67Single9GE2ML1849GE2-GPR55-ML184-chim(NtGi1-G13)/β1/γ2
6.67Single9JRTTG6-1299JRT-EP2-TG6-129
6.67Consensusfpr1-alx_onOrthosteric Ligand7VFX-FPR1-ALX-fMIFL-Gi1/β1/γ2
6.67Consensusfpr1-alx_on_gpOrthosteric Ligand7VFX-FPR1-ALX-fMIFL-Gi1/β1/γ2
6.45Single5ZBHBMS-1938855ZBH-Y1-BMS-193885
6.45Single6DDEDAMGO6DDE-μ-DAMGO-Gi1/β1/γ2
6.45Single6E59L-7607356E59-NK1-L-760735
6.45Single7FEECP559407FEE-CB1-CP55940-ZCZ011
6.45Single7R0CAVP7R0C-V2-AVP-Arrestin2
6.45Single7S8MCortistatin-147S8M-MRGPRX2-Cortistatin-14-Gi1/β1/γ2
6.45Single7SK7CXCL127SK7-ACKR3-CXCL12-CCX662
6.45Single7XBDGalanin7XBD-GAL2-Galanin-chim(NtGi2L-Gs-CtGq)/β1/γ2
6.45Single8FMZNeurotensin-(8-13)8FMZ-NTS1-Neurotensin-(8-13)-chim(NtGi2L-Gs-CtGq)/β1/γ2
6.45Single8JD5JNJ-40411813; ADX881788JD5-mGlu2; mGlu4-Glutamate-JNJ-40411813; ADX88178-Gi1/β1/γ2
6.45Single8JSRAnamorelin8JSR-Ghrelin-Anamorelin-chim(NtGi1-Gs-CtGq)/β1/γ2
6.45Single8XX7CXCL58XX7-CXCR2-CXCL5-Go/β1/γ2
6.45Single8Y73Peptide8Y73-μ-Peptide-MPAM-15-Gi1/β1/γ2
6.45Single9UY3Anamorelin9UY3-Ghrelin-Anamorelin-chim(NtGi1-Gs-CtGq)/β1/γ2
6.45Consensuscyslt1_offOrthosteric Ligand6RZ5-CysLT1-Zafirlukast-Na 6RZ4-CysLT1-Pranlukast-Na
6.45Consensusffa2_onOrthosteric Ligand8J22-FFA2-TUG-1375-Gi1/β1/γ2
6.25Single4PXFOctyl-Beta-D-Glucopyranoside4PXF-Rhodopsin-Octyl-β-D-Glucopyranoside-Arrestin1 Finger Loop
6.25Single6KQICP559406KQI-CB1-CP55940-Org27569
6.25Single6RZ7ONO-25703666RZ7-CysLT2-ONO-2570366
6.25Single7XJKGalanin7XJK-GAL2-Galanin-chim(NtGi2L-Gs-CtGq)/β1/γ2
6.25Single7XW6ML1097XW6-TSH-M22 Fab-ML109-Gs/β1/γ2
6.25Single8U26Substance-P8U26-NK1-Substance-P-Gs/β1/γ2
6.25Single8WRBLysophosphatidylserine (UBL)8WRB-GPR34-Lysophosphatidylserine (UBL)-Gi1/β1/γ2
6.25Single8XWACXCL18XWA-CXCR2-CXCL1
6.25Single8XWSCXCL58XWS-CXCR2-CXCL5
6.25Single9ECJS-geranylgeranyl-L-glutathione9ECJ-P2Y8-S-geranylgeranyl-L-glutathione-G13/β1/γ2
6.25Single9WSWEndomorphin9WSW-μ-Endomorphin-chim(NtGi1-Gz)/β1/γ2
6.25Consensusffa2_on_gpOrthosteric Ligand8J22-FFA2-TUG-1375-Gi1/β1/γ2
6.25Consensusgalanin_onOrthosteric Ligandgal2_on gal1_on
6.25Consensusgalanin_on_gpOrthosteric Ligandgal2_on_gp gal1_on_gp
6.06Single6K1QIRL25006K1Q-ETB-IRL2500
6.06Single6RZ9ONO-27703726RZ9-CysLT2-ONO-2770372
6.06Single7MBYCholecystokinin-87MBY-CCKA-Cholecystokinin-8-chim(NtGi1L-Gs-CtGq)/β1/γ2
6.06Single7P00Substance-P7P00-NK1-Substance-P-chim(NtGi1-Gs-CtGq)/β1/γ2
6.06Single8T3OTUG-8918T3O-FFA4-TUG-891-chim(NtGi2L-Gs-CtGq)/β1/γ2
6.06Single8XWVCXCL18XWV-CXCR2-CXCL1-Go/β1/γ2
6.06Single8ZPLHF511168ZPL-CXCR4-HF51116
6.06Single9VI9RFRP-39VI9-NPFF1-RFRP-3-Gi1/β1/γ2
6.06Single9YDRDADLE9YDR-δ-DADLE-MIPS3983-chim(NtGi1L-Gs-CtGi1)/β1/γ2
6.06Consensuscyslt2_offOrthosteric Ligand6RZ7-CysLT2-ONO-2570366 6RZ8-CysLT2-ONO-2080365 6RZ9-CysLT2-ONO-2770372
6.06Consensusnk1_onOrthosteric Ligand7P00-NK1-Substance-P-chim(NtGi1-Gs-CtGq)/β1/γ2
6.06Consensusnk1_on_gpOrthosteric Ligand7P00-NK1-Substance-P-chim(NtGi1-Gs-CtGq)/β1/γ2
6.06Consensusnk2_onOrthosteric Ligand7XWO-NK2-Neurokinin-A-chim(NtGi1-Gs-CtGq)/β1/γ2
5.88Single6RZ6ONO-25703666RZ6-CysLT2-ONO-2570366
5.88Single7RMGSubstance-P7RMG-NK1-Substance-P-chim(Gs-CtGq)/β1/γ2
5.88Single7RMHSubstance-P7RMH-NK1-Substance-P-Gs/β1/γ2
5.88Single7S8LCortistatin-147S8L-MRGPRX2-Cortistatin-14-chim(NtGi2L-Gs-CtGq)/β1/γ2
5.88Single8F7REndomorphin8F7R-μ-Endomorphin-Gi1/β1/γ2
5.88Single8J22TUG-13758J22-FFA2-TUG-1375-Gi1/β1/γ2
5.88Single8Z74JN241-98Z74-Apelin; Apelin-JN241-9
5.88Single9ITBLPA9ITB-LPA6-LPA-chim(NtGi1-Gs-CtGq)/β1/γ2
5.88Single9WSXEndomorphin9WSX-μ-Endomorphin-Arrestin2
5.88Consensuskiss1_onOrthosteric Ligand8ZJD-Kiss1-Kisspeptin-1-chim(NtGi1-Gq)/β1/γ1
5.88Consensuskisspeptin_onOrthosteric Ligandkiss1_on
5.71Single7F54Afamelanotide7F54-MC4-Afamelanotide-Gs/β1/γ2
5.71Single7W56Neuromedin-S7W56-NMUR1-Neuromedin-S-chim(NtGi1-Gs-CtGq)/β1/γ2
5.71Single8F7XNociceptin8F7X-NOP-Nociceptin-Gi1/β1/γ2
5.71Single8KIGSHU91198KIG-MC3-SHU9119-Ca
5.71Single8WKYPG-9348WKY-MC4-PG-934
5.71Single8XBHPubChem 1626566368XBH-GPR34-PubChem 162656636-Gi1/β1/γ2
5.71Single8ZJDKisspeptin-18ZJD-Kiss1-Kisspeptin-1-chim(NtGi1-Gq)/β1/γ1
5.71Consensusgq_kisspeptinOrthosteric Ligand8ZJD-Kiss1-Kisspeptin-1-chim(NtGi1-Gq)/β1/γ1
5.71Consensuskiss1_on_gpOrthosteric Ligand8ZJD-Kiss1-Kisspeptin-1-chim(NtGi1-Gq)/β1/γ1
5.71Consensuskisspeptin_on_gpOrthosteric Ligandkiss1_on_gp
5.71Consensusnop_onOrthosteric Ligand8F7X-NOP-Nociceptin-Gi1/β1/γ2
5.71Consensusnop_on_gpOrthosteric Ligand8F7X-NOP-Nociceptin-Gi1/β1/γ2
5.56Single7PIVAfamelanotide7PIV-MC4-Afamelanotide-Gs/β1/γ2
5.56Single7RMISubstance-P7RMI-NK1-Substance-P-chim(Gs-CtGq)/β1/γ2
5.56Single8IOCGamma-MSH8IOC-MC3-γ-MSH-Ca-chim(NtGi1-Gs)/β1/γ2
5.56Single8K6ONeuropeptide-Y8K6O-Y1-Neuropeptide-Y-Gi2/β1/γ1
5.56Single8KH5Lysophosphatidylserine8KH5-GPR174-Lysophosphatidylserine-Gs/β1/γ2
5.56Consensusmc5_onOrthosteric Ligand8INR-MC5-α-MSH-Ca-chim(NtGi1-Gs)/β1/γ2 8IOD-MC5-PG-901-Ca-chim(NtGi1-Gs)/β1/γ2
5.56Consensustachykinin_on_gpOrthosteric Ligandnk1_on_gp nk2_on_gp nk3_on_gp
5.41Single6W25SHU91196W25-MC4-SHU9119-Ca
5.41Single8K6MNeuropeptide-Y8K6M-Y1-Neuropeptide-Y-Gi2/β1/γ1
5.41Consensusmc3_onOrthosteric Ligand8IOC-MC3-γ-MSH-Ca-chim(NtGi1-Gs)/β1/γ2
5.41Consensusmc3_on_gpOrthosteric Ligand8IOC-MC3-γ-MSH-Ca-chim(NtGi1-Gs)/β1/γ2
5.41Consensusnpy1_onOrthosteric Ligand8K6M-Y1-Neuropeptide-Y-Gi2/β1/γ1
5.41Consensusnpy1_on_gpOrthosteric Ligand8K6M-Y1-Neuropeptide-Y-Gi2/β1/γ1
5.26Consensusmc5_on_gpOrthosteric Ligand8INR-MC5-α-MSH-Ca-chim(NtGi1-Gs)/β1/γ2 8IOD-MC5-PG-901-Ca-chim(NtGi1-Gs)/β1/γ2
5.26Consensustachykinin_onOrthosteric Ligandnk1_on nk2_on nk3_on
5.13Single7P02Substance-P7P02-NK1-Substance-P-chim(NtGi1-Gs)/β1/γ2
5.13Single7XV3Lysophosphatidylserine (WJS)7XV3-GPR174-Lysophosphatidylserine (WJS)-chim(NtGi1-Gs)/β1/γ2
5.00Single6D32Cyclopamine6D32-SMO-Cyclopamine-Cyclopamine
5.00Single6D35Cholesterol6D35-SMO-Cholesterol
5.00Single6N51Quisqualate6N51-mGlu5; mGlu5-Quisqualate
5.00Single6N51Quisqualate6N51-mGlu5; mGlu5-Quisqualate
5.00Single6UO8SKF975416UO8-GABAB1, GABAB2-SKF97541-GS39783
5.00Single6UO9SKF975416UO9-GABAB1, GABAB2-SKF97541
5.00Single6W2XPubChem 53110426W2X-GABAB1, GABAB2-PubChem 5311042
5.00Single6W2YPubChem 53110426W2Y-GABAB1; GABAB1-PubChem 5311042
5.00Single6W2YPubChem 53110426W2Y-GABAB1; GABAB1-PubChem 5311042
5.00Single7C7QBaclofen7C7Q-GABAB1, GABAB2-Baclofen-BHFF
5.00Single7C7SCGP546267C7S-GABAB1, GABAB2-CGP54626
5.00Single7CUMCGP546267CUM-GABAB1, GABAB2-CGP54626
5.00Single7DD5Ca7DD5-CaS; CaS-Ca-Ca; Ca; Tryptophan; NPS-2143
5.00Single7DD5Ca; Ca; Tryptophan; NPS-21437DD5-CaS; CaS-Ca-Ca; Ca; Tryptophan; NPS-2143
5.00Single7DD5Ca7DD5-CaS; CaS-Ca-Ca; Ca; Tryptophan; NPS-2143
5.00Single7DD5Ca; Ca; Tryptophan; NPS-21437DD5-CaS; CaS-Ca-Ca; Ca; Tryptophan; NPS-2143
5.00Single7DGEQuisqualate7DGE-mGlu1; mGlu1-Quisqualate
5.00Single7DTTCa7DTT-CaS; CaS-Ca-Ca
5.00Single7DTTCa7DTT-CaS; CaS-Ca-Ca
5.00Single7DTUTryptophan7DTU-CaS; CaS-Tryptophan
5.00Single7DTUTryptophan7DTU-CaS; CaS-Tryptophan
5.00Single7DTVCa7DTV-CaS; CaS-Ca-Ca; Tryptophan
5.00Single7DTVCa; Tryptophan7DTV-CaS; CaS-Ca-Ca; Tryptophan
5.00Single7DTVCa7DTV-CaS; CaS-Ca-Ca; Tryptophan
5.00Single7DTVCa; Tryptophan7DTV-CaS; CaS-Ca-Ca; Tryptophan
5.00Single7E6TCa; Ca; Cyclomethyltryptophan; PO47E6T-CaS; CaS-Ca-Ca; Ca; Cyclomethyltryptophan; PO4
5.00Single7E6TCa7E6T-CaS; CaS-Ca-Ca; Ca; Cyclomethyltryptophan; PO4
5.00Single7E6TCa; Ca; Cyclomethyltryptophan; PO47E6T-CaS; CaS-Ca-Ca; Ca; Cyclomethyltryptophan; PO4
5.00Single7E6TCa7E6T-CaS; CaS-Ca-Ca; Ca; Cyclomethyltryptophan; PO4
5.00Single7E9GEglumetad7E9G-mGlu2; mGlu2-Eglumetad-JNJ-40411813-Gi1/β1/γ2
5.00Single7E9GEglumetad7E9G-mGlu2; mGlu2-Eglumetad-JNJ-40411813-Gi1/β1/γ2
5.00Single7E9HPhosphoserine7E9H-mGlu4; mGlu4-Phosphoserine-Gi3/β1/γ2
5.00Single7E9HPhosphoserine7E9H-mGlu4; mGlu4-Phosphoserine-Gi3/β1/γ2
5.00Single7EB2Baclofen7EB2-GABAB2; GABAB1-Baclofen-rac-BHFF-Gi1/β1/γ2
5.00Single7EPBEglumetad7EPB-mGlu2; mGlu2-Eglumetad
5.00Single7EPBEglumetad7EPB-mGlu2; mGlu2-Eglumetad
5.00Single7FD8Quisqualate7FD8-mGlu5; mGlu5-Quisqualate
5.00Single7FD8Quisqualate7FD8-mGlu5; mGlu5-Quisqualate
5.00Single7FD9LY3414957FD9-mGlu5; mGlu5-LY341495
5.00Single7FD9LY3414957FD9-mGlu5; mGlu5-LY341495
5.00Single7FIHhCG7FIH-LH-hCG-Org43553-chim(NtGi1-Gs)/β1/γ2
5.00Single7FIIhCG7FII-LH-hCG-chim(NtGi1-Gs)/β1/γ2
5.00Single7M3ECa; Ca; Tryptophan; NPS-21437M3E-CaS; CaS-Ca; Ca; Tryptophan; NPS-2143
5.00Single7M3ECa; Ca; Tryptophan; NPS-21437M3E-CaS; CaS-Ca; Ca; Tryptophan; NPS-2143
5.00Single7M3FCa; Ca; Tryptophan; Cinacalcet7M3F-CaS; CaS-Ca; Ca; Tryptophan; Cinacalcet
5.00Single7M3FCa; Ca; Tryptophan; Cinacalcet7M3F-CaS; CaS-Ca; Ca; Tryptophan; Cinacalcet
5.00Single7M3GCa; Ca; Tryptophan; Evocalcet; Etelcalcetide; PO47M3G-CaS; CaS-Ca; Ca; Tryptophan; Evocalcet; Etelcalcetide; PO4
5.00Single7M3GCa; Ca; Tryptophan; Evocalcet; Etelcalcetide; PO47M3G-CaS; CaS-Ca; Ca; Tryptophan; Evocalcet; Etelcalcetide; PO4
5.00Single7M3GCa; Ca; Tryptophan; Evocalcet; Etelcalcetide; PO47M3G-CaS; CaS-Ca; Ca; Tryptophan; Evocalcet; Etelcalcetide; PO4
5.00Single7M3GCa; Ca; Tryptophan; Evocalcet; Etelcalcetide; PO47M3G-CaS; CaS-Ca; Ca; Tryptophan; Evocalcet; Etelcalcetide; PO4
5.00Single7MTQLY3414957MTQ-mGlu2; mGlu2-LY341495
5.00Single7MTQLY3414957MTQ-mGlu2; mGlu2-LY341495
5.00Single7MTRGlutamate7MTR-mGlu2; mGlu2-Glutamate-ADX55164
5.00Single7MTRGlutamate7MTR-mGlu2; mGlu2-Glutamate-ADX55164
5.00Single7MTSGlutamate7MTS-mGlu2; mGlu2-Glutamate-ADX55164-Gi1/β1/γ2
5.00Single7MTSGlutamate7MTS-mGlu2; mGlu2-Glutamate-ADX55164-Gi1/β1/γ2
5.00Single7SILCa7SIL-CaS; CaS-Ca-Ca; Ca; Ca; Cyclomethyltryptophan; R-568; PO4
5.00Single7SILCa; Ca; Ca; Cyclomethyltryptophan; R-568; PO47SIL-CaS; CaS-Ca-Ca; Ca; Ca; Cyclomethyltryptophan; R-568; PO4
5.00Single7SILCa7SIL-CaS; CaS-Ca-Ca; Ca; Ca; Cyclomethyltryptophan; R-568; PO4
5.00Single7SILCa; Ca; Ca; Cyclomethyltryptophan; R-568; PO47SIL-CaS; CaS-Ca-Ca; Ca; Ca; Cyclomethyltryptophan; R-568; PO4
5.00Single7SIMCa; Ca; Cyclomethyltryptophan; PO47SIM-CaS; CaS-Ca-Ca; Ca; Cyclomethyltryptophan; PO4
5.00Single7SIMCa7SIM-CaS; CaS-Ca-Ca; Ca; Cyclomethyltryptophan; PO4
5.00Single7SIMCa; Ca; Cyclomethyltryptophan; PO47SIM-CaS; CaS-Ca-Ca; Ca; Cyclomethyltryptophan; PO4
5.00Single7SIMCa7SIM-CaS; CaS-Ca-Ca; Ca; Cyclomethyltryptophan; PO4
5.00Single7T9NM22 Fab7T9N-TSH-M22 Fab-DPPC-Gs/β1/γ2
5.00Single7WI6LY3414957WI6-mGlu3; mGlu3-LY341495
5.00Single7WI6LY3414957WI6-mGlu3; mGlu3-LY341495
5.00Single7WI8LY3414957WI8-mGlu3; mGlu3-LY341495
5.00Single7WI8LY3414957WI8-mGlu3; mGlu3-LY341495
5.00Single7WIHLY27941937WIH-mGlu3; mGlu3-LY2794193
5.00Single7WIHLY27941937WIH-mGlu3; mGlu3-LY2794193
5.00Single7XW6M22 Fab7XW6-TSH-M22 Fab-ML109-Gs/β1/γ2
5.00Single7XW7K1-707XW7-TSH-K1-70
5.00Single8JCULY3414958JCU-mGlu2; mGlu3-LY341495
5.00Single8JCULY3414958JCU-mGlu2; mGlu3-LY341495
5.00Single8JCVLY3414958JCV-mGlu2; mGlu3-LY341495
5.00Single8JCVLY3414958JCV-mGlu2; mGlu3-LY341495
5.00Single8JCWLY3414958JCW-mGlu2; mGlu3-LY341495
5.00Single8JCWLY3414958JCW-mGlu2; mGlu3-LY341495
5.00Single8JCXLY3414958JCX-mGlu2; mGlu3-LY341495
5.00Single8JCXLY3414958JCX-mGlu2; mGlu3-LY341495
5.00Single8JCYLY3414958JCY-mGlu2; mGlu3-LY341495
5.00Single8JCYLY3414958JCY-mGlu2; mGlu3-LY341495
5.00Single8JCZLY3414958JCZ-mGlu2; mGlu3-LY341495
5.00Single8JCZLY3414958JCZ-mGlu2; mGlu3-LY341495
5.00Single8JD0Glutamate8JD0-mGlu2; mGlu3-Glutamate-NAM563
5.00Single8JD1Glutamate8JD1-mGlu2; mGlu3-Glutamate
5.00Single8JD1Glutamate8JD1-mGlu2; mGlu3-Glutamate
5.00Single8JD2Glutamate8JD2-mGlu2; mGlu3-Glutamate
5.00Single8JD2Glutamate8JD2-mGlu2; mGlu3-Glutamate
5.00Single8JD3Glutamate8JD3-mGlu2; mGlu3-Glutamate-JNJ-40411813-Gi1/β1/γ2
5.00Single8JD3Glutamate8JD3-mGlu2; mGlu3-Glutamate-JNJ-40411813-Gi1/β1/γ2
5.00Single8JD4Glutamate8JD4-mGlu2; mGlu4-Glutamate
5.00Single8JD4Glutamate8JD4-mGlu2; mGlu4-Glutamate
5.00Single8JD5Glutamate8JD5-mGlu2; mGlu4-Glutamate-JNJ-40411813; ADX88178-Gi1/β1/γ2
5.00Single8JD5Glutamate8JD5-mGlu2; mGlu4-Glutamate-JNJ-40411813; ADX88178-Gi1/β1/γ2
5.00Single8JD6Phosphoserine8JD6-mGlu4; mGlu4-Phosphoserine-VU0364770-Gi3/β1/γ2
5.00Single8JD6Phosphoserine8JD6-mGlu4; mGlu4-Phosphoserine-VU0364770-Gi3/β1/γ2
5.00Single8SZFCa; Ca; Tryptophan; Cinacalcet; PO4; Spermine8SZF-CaS; CaS-Ca; Ca; Tryptophan; Cinacalcet; PO4; Spermine
5.00Single8SZFCa; Ca; Tryptophan; Cinacalcet; PO4; Spermine8SZF-CaS; CaS-Ca; Ca; Tryptophan; Cinacalcet; PO4; Spermine
5.00Single8SZGCa; Ca; Tryptophan; Cinacalcet; PO4; Spermine8SZG-CaS; CaS-Ca; Ca; Tryptophan; Cinacalcet; PO4; Spermine-chim(NtGi1-Gq)/β1/γ2
5.00Single8T7HQuisqualate8T7H-mGlu5; mGlu5-Quisqualate
5.00Single8T7HQuisqualate8T7H-mGlu5; mGlu5-Quisqualate
5.00Single8T8MQuisqualate8T8M-mGlu5; mGlu5-Quisqualate
5.00Single8T8MQuisqualate8T8M-mGlu5; mGlu5-Quisqualate
5.00Single8TAOQuisqualate8TAO-mGlu5; mGlu5-Quisqualate-CDPPB
5.00Single8TAOQuisqualate8TAO-mGlu5; mGlu5-Quisqualate-CDPPB
5.00Single8TQBCa; LY3792688TQB-mGlu3; mGlu3-Ca; LY379268-Ca
5.00Single8TQBCa; LY3792688TQB-mGlu3; mGlu3-Ca; LY379268-Ca
5.00Single8TR0LY3414958TR0-mGlu3; mGlu3-LY341495
5.00Single8TR0LY3414958TR0-mGlu3; mGlu3-LY341495
5.00Single8TR2Ca; LY3792688TR2-mGlu3; mGlu3-Ca; LY379268-Ca
5.00Single8TR2Ca; LY3792688TR2-mGlu3; mGlu3-Ca; LY379268-Ca
5.00Single8TRCLY3414958TRC-mGlu3; mGlu3-LY341495
5.00Single8TRCLY3414958TRC-mGlu3; mGlu3-LY341495
5.00Single8TRDLY3414958TRD-mGlu3; mGlu3-LY341495
5.00Single8TRDLY3414958TRD-mGlu3; mGlu3-LY341495
5.00Single8WG9PubChem 1793948WG9-mGlu4; mGlu2-PubChem 179394
5.00Single8WGBGlutamate8WGB-mGlu4; mGlu2-Glutamate-VU0155041-Gi3/β1/γ2
5.00Single8WGBGlutamate8WGB-mGlu4; mGlu2-Glutamate-VU0155041-Gi3/β1/γ2
5.00Single8WGCLY3792688WGC-mGlu2; mGlu4-LY379268
5.00Single8WGDLY341495; CPPG8WGD-mGlu4; mGlu2-LY341495; CPPG
5.00Single8WGDLY341495; CPPG8WGD-mGlu4; mGlu2-LY341495; CPPG
5.00Single8WPGTryptophan; Cinacalcet; PO4; Ca8WPG-CaS; CaS-Tryptophan; Cinacalcet; PO4; Ca
5.00Single8WPGTryptophan; Cinacalcet; PO4; Ca8WPG-CaS; CaS-Tryptophan; Cinacalcet; PO4; Ca
5.00Single8WPUTryptophan; Cinacalcet; PO4; Ca8WPU-CaS; CaS-Tryptophan; Cinacalcet; PO4; Ca-chim(NtGi2L-Gs-CtGq)/β1/γ2
5.00Single8WPUTryptophan; Cinacalcet; PO4; Ca8WPU-CaS; CaS-Tryptophan; Cinacalcet; PO4; Ca-chim(NtGi2L-Gs-CtGq)/β1/γ2
5.00Single8WVXNorrin8WVX-LGR4-Norrin
5.00Single8WVYNorrin8WVY-LGR4-Norrin
5.00Single8X0BQuisqualate8X0B-mGlu5; mGlu5-Quisqualate-VU0424465
5.00Single8X0BQuisqualate8X0B-mGlu5; mGlu5-Quisqualate-VU0424465
5.00Single8X0CQuisqualate8X0C-mGlu5; mGlu5-Quisqualate-VU0424465
5.00Single8X0CQuisqualate8X0C-mGlu5; mGlu5-Quisqualate-VU0424465
5.00Single8X0DQuisqualate8X0D-mGlu5; mGlu5-Quisqualate-VU0424465
5.00Single8X0DQuisqualate8X0D-mGlu5; mGlu5-Quisqualate-VU0424465
5.00Single8X0EQuisqualate8X0E-mGlu5; mGlu5-Quisqualate
5.00Single8X0EQuisqualate8X0E-mGlu5; mGlu5-Quisqualate
5.00Single8X0FQuisqualate8X0F-mGlu5; mGlu5-Quisqualate-VU29
5.00Single8X0FQuisqualate8X0F-mGlu5; mGlu5-Quisqualate-VU29
5.00Single8X0GQuisqualate8X0G-mGlu5; mGlu5-Quisqualate
5.00Single8X0GQuisqualate8X0G-mGlu5; mGlu5-Quisqualate
5.00Single8X0HQuisqualate8X0H-mGlu5; mGlu5-Quisqualate
5.00Single8X0HQuisqualate8X0H-mGlu5; mGlu5-Quisqualate
5.00Single8XUMR-spondin-28XUM-LGR4-R-spondin-2
5.00Single9ASBCa9ASB-CaS; CaS-Ca-Ca; Ca; Cyclomethyltryptophan; R-568; PO4-chim(NtGi1-Gs-CtGq)/β1/γ2
5.00Single9ASBCa; Ca; Cyclomethyltryptophan; R-568; PO49ASB-CaS; CaS-Ca-Ca; Ca; Cyclomethyltryptophan; R-568; PO4-chim(NtGi1-Gs-CtGq)/β1/γ2
5.00Single9AVGCa9AVG-CaS; CaS-Ca-Ca; Ca; Cyclomethyltryptophan; R-568; PO4-chim(NtGi1-Gs)/β1/γ2
5.00Single9AVGCa; Ca; Cyclomethyltryptophan; R-568; PO49AVG-CaS; CaS-Ca-Ca; Ca; Cyclomethyltryptophan; R-568; PO4-chim(NtGi1-Gs)/β1/γ2
5.00Single9AVLCa9AVL-CaS; CaS-Ca-Ca; Ca; Cyclomethyltryptophan; R-568; PO4-Gi3/β2/γ2
5.00Single9AVLCa; Ca; Cyclomethyltryptophan; R-568; PO49AVL-CaS; CaS-Ca-Ca; Ca; Cyclomethyltryptophan; R-568; PO4-Gi3/β2/γ2
5.00Single9AVLCa9AVL-CaS; CaS-Ca-Ca; Ca; Cyclomethyltryptophan; R-568; PO4-Gi3/β2/γ2
5.00Single9AVLCa; Ca; Cyclomethyltryptophan; R-568; PO49AVL-CaS; CaS-Ca-Ca; Ca; Cyclomethyltryptophan; R-568; PO4-Gi3/β2/γ2
5.00Single9AXFCa9AXF-CaS; CaS-Ca-Ca; Ca; Ca; Cyclomethyltryptophan; R-568; PO4-chim(NtGi1-Gs-CtGq)/β1/γ2
5.00Single9AXFCa; Ca; Ca; Cyclomethyltryptophan; R-568; PO49AXF-CaS; CaS-Ca-Ca; Ca; Ca; Cyclomethyltryptophan; R-568; PO4-chim(NtGi1-Gs-CtGq)/β1/γ2
5.00Single9AXFCa9AXF-CaS; CaS-Ca-Ca; Ca; Ca; Cyclomethyltryptophan; R-568; PO4-chim(NtGi1-Gs-CtGq)/β1/γ2
5.00Single9AXFCa; Ca; Ca; Cyclomethyltryptophan; R-568; PO49AXF-CaS; CaS-Ca-Ca; Ca; Ca; Cyclomethyltryptophan; R-568; PO4-chim(NtGi1-Gs-CtGq)/β1/γ2
5.00Single9AYFCa9AYF-CaS; CaS-Ca-Ca; Ca; Ca; Cyclomethyltryptophan; R-568; PO4-Gi1/β1/γ2
5.00Single9AYFCa; Ca; Ca; Cyclomethyltryptophan; R-568; PO49AYF-CaS; CaS-Ca-Ca; Ca; Ca; Cyclomethyltryptophan; R-568; PO4-Gi1/β1/γ2
5.00Single9C1PCa9C1P-CaS; CaS-Ca-Ca; Tryptophan; '6218; PO4
5.00Single9C1PCa; Tryptophan; '6218; PO49C1P-CaS; CaS-Ca-Ca; Tryptophan; '6218; PO4
5.00Single9C1PCa9C1P-CaS; CaS-Ca-Ca; Tryptophan; '6218; PO4
5.00Single9C1PCa; Tryptophan; '6218; PO49C1P-CaS; CaS-Ca-Ca; Tryptophan; '6218; PO4
5.00Single9C2FCa9C2F-CaS; CaS-Ca-Ca; Ca; Tryptophan; '54149; PO4
5.00Single9C2FCa; Ca; Tryptophan; '54149; PO49C2F-CaS; CaS-Ca-Ca; Ca; Tryptophan; '54149; PO4
5.00Single9C2FCa9C2F-CaS; CaS-Ca-Ca; Ca; Tryptophan; '54149; PO4
5.00Single9C2FCa; Ca; Tryptophan; '54149; PO49C2F-CaS; CaS-Ca-Ca; Ca; Tryptophan; '54149; PO4
5.00Single9II2Glutamate9II2-mGlu3; mGlu3-Glutamate-Arrestin2; Arrestin2
5.00Single9II2Glutamate9II2-mGlu3; mGlu3-Glutamate-Arrestin2; Arrestin2
5.00Single9II3Glutamate9II3-mGlu3; mGlu3-Glutamate-Arrestin2
5.00Single9II3Glutamate9II3-mGlu3; mGlu3-Glutamate-Arrestin2
5.00Single9KB7R-spondin-29KB7-LGR4-R-spondin-2
5.00Single9KGKNB189KGK-LGR4-NB18
5.00Single9KHHNorrin9KHH-LGR4-Norrin
5.00Single9MBAGlutamate9MBA-mGlu8; mGlu8-Glutamate-Arrestin2 ; Arrestin2
5.00Single9MBAGlutamate9MBA-mGlu8; mGlu8-Glutamate-Arrestin2 ; Arrestin2
5.00Single9MBBLY3414959MBB-mGlu8; mGlu8-LY341495
5.00Single9MBBLY3414959MBB-mGlu8; mGlu8-LY341495
5.00Single9MBCDCPG9MBC-mGlu8; mGlu8-DCPG-AZ12216052
5.00Single9MBCDCPG9MBC-mGlu8; mGlu8-DCPG-AZ12216052
5.00Single9S37NB219S37-LGR4-NB21
5.00Single9S38NB219S38-LGR4-NB21
5.00Single9UTBSucralose9UTB-TAS1R2; TAS1R3-Sucralose
4.88Single8W8WAlpha-MSH8W8W-MC3-α-MSH-Ca-Gs/β1/γ2
4.88Consensusp2y10_on_gpOrthosteric Ligand8KGG-P2Y10-Lysophosphatidylserine (WJS)-chim(NtGi2-G13)/β1/γ2
4.76Single7DD6Ca7DD6-CaS; CaS-Ca-Ca; Ca; Tryptophan
4.76Single7DD6Ca; Ca; Tryptophan7DD6-CaS; CaS-Ca-Ca; Ca; Tryptophan
4.76Single7DD6Ca7DD6-CaS; CaS-Ca-Ca; Ca; Tryptophan
4.76Single7DD6Ca; Ca; Tryptophan7DD6-CaS; CaS-Ca-Ca; Ca; Tryptophan
4.76Single7DD7Ca7DD7-CaS; CaS-Ca-Ca; Ca; Tryptophan; Evocalcet
4.76Single7DD7Ca; Ca; Tryptophan; Evocalcet7DD7-CaS; CaS-Ca-Ca; Ca; Tryptophan; Evocalcet
4.76Single7DD7Ca7DD7-CaS; CaS-Ca-Ca; Ca; Tryptophan; Evocalcet
4.76Single7DD7Ca; Ca; Tryptophan; Evocalcet7DD7-CaS; CaS-Ca-Ca; Ca; Tryptophan; Evocalcet
4.76Single8KGGLysophosphatidylserine (WJS)8KGG-P2Y10-Lysophosphatidylserine (WJS)-chim(NtGi2-G13)/β1/γ2
4.76Single8SZFCa; Ca; Tryptophan; Cinacalcet; PO4; Spermine8SZF-CaS; CaS-Ca; Ca; Tryptophan; Cinacalcet; PO4; Spermine
4.76Single8SZFCa; Ca; Tryptophan; Cinacalcet; PO4; Spermine8SZF-CaS; CaS-Ca; Ca; Tryptophan; Cinacalcet; PO4; Spermine
4.76Single9ASBCa9ASB-CaS; CaS-Ca-Ca; Ca; Cyclomethyltryptophan; R-568; PO4-chim(NtGi1-Gs-CtGq)/β1/γ2
4.76Single9ASBCa; Ca; Cyclomethyltryptophan; R-568; PO49ASB-CaS; CaS-Ca-Ca; Ca; Cyclomethyltryptophan; R-568; PO4-chim(NtGi1-Gs-CtGq)/β1/γ2
4.76Single9AVGCa9AVG-CaS; CaS-Ca-Ca; Ca; Cyclomethyltryptophan; R-568; PO4-chim(NtGi1-Gs)/β1/γ2
4.76Single9AVGCa; Ca; Cyclomethyltryptophan; R-568; PO49AVG-CaS; CaS-Ca-Ca; Ca; Cyclomethyltryptophan; R-568; PO4-chim(NtGi1-Gs)/β1/γ2
4.76Single9AYFCa9AYF-CaS; CaS-Ca-Ca; Ca; Ca; Cyclomethyltryptophan; R-568; PO4-Gi1/β1/γ2
4.76Single9AYFCa; Ca; Ca; Cyclomethyltryptophan; R-568; PO49AYF-CaS; CaS-Ca-Ca; Ca; Ca; Cyclomethyltryptophan; R-568; PO4-Gi1/β1/γ2
4.76Consensusclass-b2_onOrthosteric Ligandadgrg_on adgrf_on adgrl_on adgre_on adgrd_on
4.76Consensusclass-b2_on_gpOrthosteric Ligandadgrg_on_gp adgrf_on_gp adgrl_on_gp adgre_on_gp adgrd_on_gp
4.55Single7KNUCalcitonin gene-related peptide-17KNU-CT Like-Calcitonin gene-related peptide-1-RAMP1
4.55Single7T9MCS-17 Antibody7T9M-TSH-CS-17 Antibody
4.55Single8TLMAnti-murine CCR8 antibody8TLM-CCR8-Anti-murine CCR8 antibody
4.35Single4A4MAll-trans-Retinal4A4M-Rhodopsin-All-trans-Retinal-Gt(CT)
4.35Single5EN0All-trans-Retinal5EN0-Rhodopsin-All-trans-Retinal-Gt(CT)
4.35Single6O3CCholesterol6O3C-SMO-SAG21k-Cholesterol
4.35Single7FIGhCG7FIG-LH-hCG-chim(NtGi1L-Gs)/β1/γ2
4.35Single7UTZTSH7UTZ-TSH-TSH-DPPC-Gs/β1/γ2
4.35Single7XW5TSH7XW5-TSH-TSH-ML109-Gs/β1/γ2
4.35Single7ZI0Cholesterol7ZI0-SMO-SAG-Cholesterol
4.17Single5L7DCholesterol5L7D-SMO-Cholesterol
4.17Single7T9ITSH7T9I-TSH-TSH-Gs/β1/γ2
4.17Single7V68LY21196207V68-M4-Iperoxo-LY2119620-Gi1/β1/γ2
4.17Single7WC4Serotonin7WC4-5-HT2A-Serotonin
4.17Single8I2GFSH8I2G-FSH-FSH-PubChem 67530240-Gs/β1/γ2
4.00Single6OY9All-trans-Retinal6OY9-Rhodopsin-All-trans-Retinal-Gt/β1/γ1
4.00Single6TQ9SB-4081246TQ9-OX1-SB-408124
4.00Single7VDMSubstance-P7VDM-MRGPRX2-Substance-P-Gi1/β1/γ2
4.00Single9L0HJR14a9L0H-C3aB-JR14a-Go/β1/γ2
4.00Single9M42A1L8O9M42-GPR139-A1L8O-chim(Gs-CtGq)/β1/γ2
3.85Single2ZIY11-cis-Retinal2ZIY-Rhodopsin-11-cis-Retinal
3.85Single6OIKLY21196206OIK-M2-Iperoxo-LY2119620-chim(NtGi1-Go)/β1/γ2
3.85Single7D77Hydrocortisone7D77-ADGRG3-Hydrocortisone-Go/β1/γ2
3.85Single7WC5Psilocin7WC5-5-HT2A-Psilocin
3.85Single8JPSCCL78JPS-ACKR1-CCL7
3.85Single9MBCAZ122160529MBC-mGlu8; mGlu8-DCPG-AZ12216052
3.70Single6I9K9-cis-Retinal6I9K-Rhodopsin-9-cis-Retinal
3.70Single6PH7Nerol6PH7-Rhodopsin-Nerol-Gt(CT)
3.70Single6TP4ACT-4622066TP4-OX1-ACT-462206
3.70Single7S8NR-Zinc-35737S8N-MRGPRX2-R-Zinc-3573-chim(NtGi2L-Gs-CtGq)/β1/γ2
3.70Single7S8OR-Zinc-35737S8O-MRGPRX2-R-Zinc-3573-Gi1/β1/γ2
3.70Single8FX5Xanomeline8FX5-M4-Xanomeline-Xanomeline-Gi1/β1/γ2
3.70Single8ZYUNeurotensin-(8-13)8ZYU-NTS1-Neurotensin-(8-13)-SBI-553-Arrestin2
3.70Single9JLCAVE 09919JLC-MAS1-AVE 0991-Gi1/β1/γ2
3.70Single9MBCAZ122160529MBC-mGlu8; mGlu8-DCPG-AZ12216052
3.70Single9MNIdC2_059MNI-CTLike-dC2_05-RAMP1
3.57Single4K5YCP-3763954K5Y-CRF1-CP-376395
3.57Single6C1QNDT95137276C1Q-C5a1-PMX53-NDT9513727
3.57Single6TQ6PubChem 1457142836TQ6-OX1-PubChem 145714283
3.57Single6ZA8RTI-3a6ZA8-NTS1-RTI-3a
3.57Single7F8YDevazepide7F8Y-CCKA-Devazepide
3.57Single7S8PMS471347S8P-MRGPRX4-MS47134-chim(NtGi2L-Gs-CtGq)/β1/γ2
3.57Single7T6STC-FPR 437T6S-FPR2-ALX-TC-FPR 43-Gi1/β1/γ2
3.57Single7W0MPubChem 1227019087W0M-Apelin-PubChem 122701908-Gi1/β1/γ2
3.57Single7XJJGalanin7XJJ-GAL1-Galanin-Go/β1/γ2
3.57Single8DWHPubChem 1390305318DWH-MRGPRX1-PubChem 139030531-chim(NtGi2L-Gs-CtGq)/β1/γ2
3.45Single7WVUfMLF7WVU-FPR1-ALX-fMLF-Gi1/β1/γ2
3.45Single8HQN9-S-HODE8HQN-GPR132-9-S-HODE-Gi1/β1/γ2
3.45Single8K4NPubChem 1687197658K4N-GPR34-PubChem 168719765-Gi1/β1/γ2
3.45Single8K9LDAMGO8K9L-μ-DAMGO-BMS-986122-Gi3/β1/γ1
3.45Single9JQYTG6-1299JQY-EP4-TG6-129
3.33Single4Z9GCP-3763954Z9G-CRF1-CP-376395
3.33Single7NA8Ibutamoren7NA8-Ghrelin-Ibutamoren-Gi1/β1/γ2
3.33Single7WQ3Galanin7WQ3-GAL1-Galanin-Gi1/β1/γ2
3.33Single8EJKTAK-8758EJK-FFA1-TAK-875-chim(NtGi1L-Gs-CtGq)/β1/γ2
3.33Single8GTIBMK-C2058GTI-CRF1-BMK-C205
3.33Single8TH3AT118-H Nanobody8TH3-AT1-AT118-H Nanobody
3.33Single9KFTfMLFC9KFT-FPR1-ALX-fMLFC-Gi1/β1/γ2
3.33Consensuscck_offOrthosteric Ligandccka_off
3.33Consensusccka_offOrthosteric Ligand7F8Y-CCKA-Devazepide 7F8U-CCKA-Lintitript
3.33Consensusgal1_onOrthosteric Ligand7WQ3-GAL1-Galanin-Gi1/β1/γ2
3.33Consensusgal1_on_gpOrthosteric Ligand7WQ3-GAL1-Galanin-Gi1/β1/γ2
3.33Consensusgi_galaninOrthosteric Ligand7WQ3-GAL1-Galanin-Gi1/β1/γ2
3.23Single4PHUFasiglifam4PHU-FFA1-Fasiglifam
3.23Single5ZBQUR-MK-2995ZBQ-Y1-UR-MK-299
3.23Single6Z4QSR142948A6Z4Q-NTS1-SR142948A
3.23Single8EJCTAK-8758EJC-FFA1-TAK-875-chim(NtGi1L-Gs-CtGq)/β1/γ2
3.23Single8GTGBMK-I1528GTG-CRF1-BMK-I152
3.23Consensuscyslt_offOrthosteric Ligandcyslt2_off cyslt1_off
3.12Single5TZRMK86665TZR-FFA1-MK8666
3.12Single6RZ5Zafirlukast6RZ5-CysLT1-Zafirlukast-Na
3.12Single6Z8NSRI-98296Z8N-NTS1-SRI-9829
3.12Single7XWONeurokinin-A7XWO-NK2-Neurokinin-A-chim(NtGi1-Gs-CtGq)/β1/γ2
3.12Single8JBGNeurokinin-B8JBG-NK3-Neurokinin-B-chim(NtGi1-Gs-CtGq)/β1/γ2
3.12Single8XBIPubChem 1626566368XBI-GPR34-PubChem 162656636
3.12Single9ITELPA9ITE-LPA6-LPA-chim(NtGi2-G13)/β1/γ2
3.12Consensusffa_onOrthosteric Ligandffa2_on ffa3_on
3.12Consensusffa_on_gpOrthosteric Ligandffa2_on_gp ffa3_on_gp
3.12Consensusgi_ffaOrthosteric Ligand8J21-FFA3-Butyric acid-Gi1/β1/γ2 8J22-FFA2-TUG-1375-Gi1/β1/γ2
3.12Consensusnk2_on_gpOrthosteric Ligand7XWO-NK2-Neurokinin-A-chim(NtGi1-Gs-CtGq)/β1/γ2
3.03Single3VW7Vorapaxar; Na3VW7-PAR1-Vorapaxar; Na
3.03Single4PXZ2MeSADP4PXZ-P2Y12-2MeSADP
3.03Single4PY02MeSATP4PY0-P2Y12-2MeSATP
3.03Single5TZYMK8666; AP85TZY-FFA1-MK8666; AP8
3.03Single7F55Bremelanotide7F55-MC4-Bremelanotide-Gs/β1/γ2
3.03Single7WQ4Galanin7WQ4-GAL2-Galanin-chim(NtGi1-Gs-CtGq)/β1/γ2
3.03Single8DWCBAM8-228DWC-MRGPRX1-BAM8-22-chim(NtGi2L-Gs-CtGq)/β1/γ2
3.03Single8GTMBMK-C2038GTM-CRF1-BMK-C203
3.03Single8Y6WTUG-13758Y6W-FFA2-TUG-1375-4-CMTB-Gi1/β1/γ2
3.03Single9W32SSTR5 antagonist 19W32-SST5-SSTR5 antagonist 1
2.94Single7PIUSetmelanotide7PIU-MC4-Setmelanotide-Gs/β1/γ2
2.94Single7QVMOxytocin7QVM-OT-Oxytocin-chim(NtGi1-Go-CtGq)/β1/γ2
2.94Single8XBES3E-Lysophosphatidylserine 8XBE-GPR34-S3E-Lysophosphatidylserine-Gi1/β1/γ1
2.94Single9J0BUDP-Glucose9J0B-P2Y14-UDP-Glucose-Gi1/β1/γ2
2.86Single8SAILysophosphatidylserine (S12)8SAI-GPR34-Lysophosphatidylserine (S12)-Gi1/β1/γ2
2.86Single9JH6C20:0 Ceramide9JH6-CysLT2-C20:0 Ceramide-chim(NtGi1-Gs-CtGq)/β1/γ2
2.78Single6RZ8ONO-20803656RZ8-CysLT2-ONO-2080365
2.78Single8DWGBAM8-228DWG-MRGPRX1-BAM8-22-ML382-chim(NtGi2L-Gs-CtGq)/β1/γ2
2.78Single8INRAlpha-MSH8INR-MC5-α-MSH-Ca-chim(NtGi1-Gs)/β1/γ2
2.78Single8IZBLysophosphatidylserine (UBL)8IZB-GPR174-Lysophosphatidylserine (UBL)-Gs/β1/γ2
2.78Single8XFSR-spondin-28XFS-LGR4-R-spondin-2-ZNRF3; ZNRF3
2.78Single8XFTR-spondin-28XFT-LGR4-R-spondin-2-ZNRF3
2.78Single8Y69R-spondin-28Y69-LGR4; LGR4-R-spondin-2-ZNRF3
2.78Single9J0IUDP-Glucuronic acid9J0I-P2Y14-UDP-Glucuronic acid-Gi1/β1/γ2
2.70Single8JBHSubstance-P8JBH-NK3-Substance-P-chim(NtGi1-Gs-CtGq)/β1/γ2
2.70Single8XFPR-spondin-28XFP-LGR4-R-spondin-2-ZNRF3; ZNRF3
2.70Single9J0FNADH9J0F-P2Y14-NADH-Gi1/β1/γ2
2.70Single9KB8R-spondin-29KB8-LGR4-R-spondin-2-ZNRF3; ZNRF3
2.70Single9KB9R-spondin-29KB9-LGR4; LGR4-R-spondin-2-ZNRF3; ZNRF3
2.63Single8WVUR-spondin-18WVU-LGR4-R-spondin-1-RNF43
2.63Single8Y69R-spondin-28Y69-LGR4; LGR4-R-spondin-2-ZNRF3
2.63Single9KB9R-spondin-29KB9-LGR4; LGR4-R-spondin-2-ZNRF3; ZNRF3
2.50Consensusp2y10_onOrthosteric Ligand8KGG-P2Y10-Lysophosphatidylserine (WJS)-chim(NtGi2-G13)/β1/γ2

PDB Summary
PDB 9BLC
Class B1
SubFamily Peptide
Type Calcitonin
SubType CT
Species Homo Sapiens
Ligand Cagrilintide (non-acylated)
Other Ligand(s) -
Protein Partners Gs/Beta1/Gamma2
PDB Resolution 3.3
Date 2025-04-16
D.O.I. doi.org/10.1038/s41467-025-58680-y
Net Summary
Imin 2.79
Number of Linked Nodes 965
Number of Links 1192
Number of Hubs 202
Number of Links mediated by Hubs 714
Number of Communities 39
Number of Nodes involved in Communities 281
Number of Links involved in Communities 401
Path Summary
Number Of Nodes in MetaPath 111
Number Of Links MetaPath 110
Number of Shortest Paths 7690705
Length Of Smallest Path 3
Average Path Length 53.7495
Length of Longest Path 90
Minimum Path Strength 1.185
Average Path Strength 7.27414
Maximum Path Strength 27.345
Minimum Path Correlation 0.7
Average Path Correlation 0.997306
Maximum Path Correlation 1
Minimum % Of Corr. Nodes 1.96078
Average % Of Corr. Nodes 39.2352
Maximum % Of Corr. Nodes 100
Minimum Path Hubs % 0
Average Path Hubs % 47.6203
Maximum Path Hubs % 100
AnnotationTypeLinks
Gene OntologyMolecular Function
Gene OntologyBiological Process• fibroblast proliferation   • cell population proliferation   • cellular process   • cellular response to nitrogen compound   • cellular response to stimulus   • response to dopamine   • regulation of cellular process   • response to stimulus   • signaling   • cellular response to dopamine   • response to monoamine   • cell communication   • response to catecholamine   • adenylate cyclase-activating dopamine receptor signaling pathway   • cellular response to catecholamine stimulus   • signal transduction   • regulation of biological process   • G protein-coupled dopamine receptor signaling pathway   • biological regulation   • response to oxygen-containing compound   • response to nitrogen compound   • adenylate cyclase-activating G protein-coupled receptor signaling pathway   • cellular response to oxygen-containing compound   • cellular response to chemical stimulus   • cellular response to monoamine stimulus   • response to chemical   • adenylate cyclase-modulating G protein-coupled receptor signaling pathway   • G protein-coupled receptor signaling pathway   • response to ketone   • response to prostaglandin   • response to lipid   • response to endogenous stimulus   • response to alcohol   • cellular response to prostaglandin stimulus   • cellular response to endogenous stimulus   • cellular response to prostaglandin E stimulus   • cellular response to alcohol   • response to hormone   • cellular response to lipid   • response to prostaglandin E   • cellular response to ketone   • cellular response to hormone stimulus   • cellular anatomical structure   • membrane   • protein-containing complex   • extrinsic component of plasma membrane   • catalytic complex   • plasma membrane protein complex   • cytoplasmic side of membrane   • plasma membrane   • membrane protein complex   • heterotrimeric G-protein complex   • side of membrane   • cell periphery   • cytoplasmic side of plasma membrane   • GTPase complex
Gene OntologyCellular Component• cellular anatomical structure   • membrane   • protein-containing complex   • extrinsic component of plasma membrane   • catalytic complex   • plasma membrane protein complex   • cytoplasmic side of membrane   • plasma membrane   • membrane protein complex   • heterotrimeric G-protein complex   • side of membrane   • cell periphery   • cytoplasmic side of plasma membrane   • GTPase complex   • extrinsic component of membrane   • extrinsic component of cytoplasmic side of plasma membrane   • extracellular exosome   • membrane-bounded organelle   • extracellular vesicle   • extracellular organelle   • extracellular region   • organelle   • extracellular space   • vesicle   • extracellular membrane-bounded organelle   • synapse   • cell junction   • protein binding   • binding   • enzyme binding   • GTPase binding   • protein-containing complex binding   • pyrophosphatase activity   • GTPase activity   • ribonucleoside triphosphate phosphatase activity   • hydrolase activity, acting on acid anhydrides, in phosphorus-containing anhydrides   • hydrolase activity   • hydrolase activity, acting on acid anhydrides   • catalytic activity   • signaling receptor complex adaptor activity   • protein-macromolecule adaptor activity   • molecular adaptor activity   • signaling adaptor activity   • multicellular organismal process   • system process   • sensory perception of chemical stimulus   • sensory perception   • nervous system process   • sensory perception of taste   • developmental process   • sensory organ development   • eye development   • animal organ development   • retina development in camera-type eye   • visual system development   • multicellular organism development   • camera-type eye development   • anatomical structure development   • sensory system development   • system development   • cell population proliferation   • cellular process   • cellular response to stimulus   • regulation of biological process   • regulation of cellular process   • response to stimulus   • signaling   • biological regulation   • signal transduction   • cell communication   • response to ketone   • response to prostaglandin   • response to lipid   • response to endogenous stimulus   • response to alcohol   • cellular response to prostaglandin stimulus   • response to oxygen-containing compound   • cellular response to oxygen-containing compound   • cellular response to endogenous stimulus   • cellular response to prostaglandin E stimulus   • cellular response to chemical stimulus   • cellular response to alcohol   • response to hormone   • response to chemical   • cellular response to lipid   • response to prostaglandin E   • cellular response to ketone   • cellular response to hormone stimulus   • small GTPase-mediated signal transduction   • Ras protein signal transduction   • intracellular signal transduction   • intracellular signaling cassette   • phospholipase C-activating G protein-coupled receptor signaling pathway   • G protein-coupled receptor signaling pathway   • cellular response to nitrogen compound   • response to dopamine   • cellular response to dopamine   • response to monoamine   • response to catecholamine   • adenylate cyclase-activating dopamine receptor signaling pathway   • cellular response to catecholamine stimulus   • G protein-coupled dopamine receptor signaling pathway   • response to nitrogen compound   • adenylate cyclase-activating G protein-coupled receptor signaling pathway   • cellular response to monoamine stimulus   • adenylate cyclase-modulating G protein-coupled receptor signaling pathway   • synaptic signaling   • cellular response to acetylcholine   • cell-cell signaling   • acetylcholine receptor signaling pathway   • postsynaptic signal transduction   • G protein-coupled acetylcholine receptor signaling pathway   • response to acetylcholine   • non-motile cilium   • 9+0 non-motile cilium   • cilium   • neuron projection   • photoreceptor disc membrane   • photoreceptor outer segment   • plasma membrane bounded cell projection   • cell projection   • photoreceptor cell cilium   • organelle membrane   • intracellular anatomical structure   • cytoplasm   • cytosol   • vacuolar membrane   • lytic vacuole   • vacuole   • intracellular membrane-bounded organelle   • intracellular organelle   • lytic vacuole membrane   • bounding membrane of organelle   • lysosomal membrane   • lysosome   • guanyl nucleotide binding   • GTP binding   • nucleotide binding   • guanyl ribonucleotide binding   • purine ribonucleotide binding   • purine ribonucleoside triphosphate binding   • nucleoside phosphate binding   • ion binding   • purine nucleotide binding   • anion binding   • heterocyclic compound binding   • carbohydrate derivative binding   • ribonucleotide binding   • small molecule binding   • D1 dopamine receptor binding   • signaling receptor binding   • G protein-coupled receptor binding   • dopamine receptor binding   • G-protein beta/gamma-subunit complex binding   • G protein activity   • molecular function regulator activity   • enzyme regulator activity   • cyclase regulator activity   • enzyme activator activity   • cyclase activator activity   • molecular function activator activity   • adenylate cyclase regulator activity   • adenylate cyclase activator activity   • cation binding   • metal ion binding   • epithelium development   • ectodermal placode morphogenesis   • epidermis development   • molting cycle process   • hair cycle   • hair follicle placode formation   • tissue development   • ectodermal placode formation   • anatomical structure morphogenesis   • skin development   • skin epidermis development   • hair follicle development   • molting cycle   • anatomical structure formation involved in morphogenesis   • ectodermal placode development   • hair cycle process   • cellular homeostasis   • chemical homeostasis   • homeostatic process   • glucose homeostasis   • carbohydrate homeostasis   • intracellular chemical homeostasis   • intracellular glucose homeostasis   • neuromuscular process   • regulation of system process   • skeletal muscle contraction   • muscle contraction   • muscle system process   • regulation of muscle system process   • striated muscle contraction   • multicellular organismal movement   • musculoskeletal movement   • regulation of striated muscle contraction   • regulation of muscle contraction   • regulation of skeletal muscle contraction   • regulation of multicellular organismal process   • sensory perception of smell   • response to peptide hormone   • cellular response to peptide hormone stimulus   • response to glucagon   • cellular response to glucagon stimulus   • skeletal system development   • bone development   • response to pH   • cellular response to pH   • response to abiotic stimulus   • cellular response to acidic pH   • response to acidic pH   • cellular response to abiotic stimulus   • cellular response to environmental stimulus   • regulation of body fluid levels   • wound healing   • homotypic cell-cell adhesion   • cell activation   • hemostasis   • platelet aggregation   • blood coagulation   • cell adhesion   • cell-cell adhesion   • response to stress   • coagulation   • regulation of biological quality   • response to wounding   • platelet activation   • response to fluid shear stress   • vascular endothelial cell response to laminar fluid shear stress   • response to laminar fluid shear stress   • cellular response to stress   • cellular response to laminar fluid shear stress   • vascular endothelial cell response to fluid shear stress   • cellular response to fluid shear stress   • cognition   • developmental growth   • growth   • positive regulation of biological process   • adaptive thermogenesis   • multicellular organismal-level homeostasis   • regulation of cold-induced thermogenesis   • cold-induced thermogenesis   • temperature homeostasis   • positive regulation of cold-induced thermogenesis   • positive regulation of multicellular organismal process   • positive regulation of cell communication   • regulation of localization   • establishment of protein localization   • nitrogen compound transport   • positive regulation of establishment of protein localization   • localization   • establishment of localization in cell   • positive regulation of insulin secretion involved in cellular response to glucose stimulus   • positive regulation of insulin secretion   • intracellular protein localization   • regulation of peptide hormone secretion   • regulation of hormone levels   • positive regulation of peptide hormone secretion   • establishment of protein localization to extracellular region   • protein secretion   • establishment of localization   • regulation of protein secretion   • regulation of secretion   • cellular response to carbohydrate stimulus   • response to glucose   • positive regulation of protein localization   • insulin secretion involved in cellular response to glucose stimulus   • cellular localization   • regulation of hormone secretion   • regulation of protein localization   • regulation of peptide secretion   • transport   • positive regulation of secretion by cell   • hormone secretion   • protein localization to extracellular region   • positive regulation of protein transport   • peptide secretion   • regulation of secretion by cell   • secretion by cell   • positive regulation of hormone secretion   • response to monosaccharide   • response to carbohydrate   • positive regulation of secretion   • signal release   • cellular response to hexose stimulus   • cellular response to monosaccharide stimulus   • positive regulation of cellular process   • positive regulation of peptide secretion   • regulation of signaling   • regulation of transport   • secretion   • regulation of peptide transport   • regulation of establishment of protein localization   • export from cell   • cellular response to glucose stimulus   • regulation of protein transport   • positive regulation of protein secretion   • peptide transport   • response to hexose   • positive regulation of transport   • regulation of cellular localization   • protein transport   • regulation of insulin secretion   • peptide hormone secretion   • macromolecule localization   • regulation of insulin secretion involved in cellular response to glucose stimulus   • hormone transport   • regulation of cell communication   • insulin secretion   • positive regulation of signaling   • adenylate cyclase-activating adrenergic receptor signaling pathway   • adrenergic receptor signaling pathway   • serotonin receptor signaling pathway   • adenylate cyclase-activating serotonin receptor signaling pathway   • intracellular transport   • regulation of defense response   • regulation of response to external stimulus   • negative regulation of inflammatory response   • negative regulation of biological process   • inflammatory response to antigenic stimulus   • regulation of response to stress   • regulation of immune system process   • negative regulation of inflammatory response to antigenic stimulus   • defense response   • immune response   • negative regulation of response to stimulus   • negative regulation of immune response   • regulation of inflammatory response to antigenic stimulus   • response to external stimulus   • regulation of inflammatory response   • regulation of response to stimulus   • negative regulation of immune system process   • immune system process   • negative regulation of response to external stimulus   • negative regulation of defense response   • regulation of immune response   • inflammatory response   • positive regulation of adenylate cyclase activity   • positive regulation of molecular function   • regulation of molecular function   • positive regulation of cyclase activity   • activation of adenylate cyclase activity   • regulation of adenylate cyclase activity   • regulation of catalytic activity   • positive regulation of catalytic activity   • positive regulation of lyase activity   • cell surface receptor signaling pathway   • bile acid signaling pathway   • adenylate cyclase-activating G protein-coupled bile acid receptor signaling pathway   • renal system process   • multicellular organismal-level water homeostasis   • multicellular organismal-level chemical homeostasis   • renal water homeostasis   • Golgi apparatus subcompartment   • Golgi apparatus   • organelle subcompartment   • trans-Golgi network membrane   • endomembrane system   • trans-Golgi network   • amyloid-beta binding   • peptide binding   • calcitonin family receptor activity   • peptide receptor activity   • molecular transducer activity   • G protein-coupled receptor activity   • G protein-coupled peptide receptor activity   • signaling receptor activity   • transmembrane signaling receptor activity   • calcitonin receptor activity   • amylin receptor activity   • calcitonin gene-related peptide receptor activity   • calcitonin binding   • calcitonin family binding   • peptide hormone binding   • hormone binding   • positive regulation of cytosolic calcium ion concentration   • positive regulation of signal transduction   • regulation of signal transduction   • positive regulation of response to stimulus   • regulation of intracellular signal transduction   • regulation of calcium-mediated signaling   • positive regulation of calcium-mediated signaling   • positive regulation of intracellular signal transduction   • calcium-mediated signaling   • catabolic process   • RNA metabolic process   • macromolecule catabolic process   • regulation of primary metabolic process   • nucleobase-containing compound metabolic process   • post-transcriptional regulation of gene expression   • regulation of RNA metabolic process   • regulation of mRNA catabolic process   • negative regulation of cellular process   • regulation of nucleobase-containing compound metabolic process   • RNA catabolic process   • negative regulation of macromolecule metabolic process   • regulation of biosynthetic process   • mRNA catabolic process   • negative regulation of metabolic process   • primary metabolic process   • regulation of macromolecule metabolic process   • regulation of catabolic process   • gene expression   • mRNA metabolic process   • macromolecule biosynthetic process   • nucleic acid metabolic process   • nucleobase-containing compound catabolic process   • regulation of mRNA stability   • regulation of gene expression   • negative regulation of gene expression   • biosynthetic process   • negative regulation of biosynthetic process   • negative regulation of macromolecule biosynthetic process   • regulation of RNA stability   • nucleic acid catabolic process   • metabolic process   • regulation of macromolecule biosynthetic process   • macromolecule metabolic process   • regulation of mRNA metabolic process   • regulation of metabolic process   • positive regulation of ERK1 and ERK2 cascade   • positive regulation of MAPK cascade   • regulation of MAPK cascade   • MAPK cascade   • ERK1 and ERK2 cascade   • regulation of ERK1 and ERK2 cascade   • positive regulation of macromolecule biosynthetic process   • positive regulation of metabolic process   • positive regulation of gene expression   • positive regulation of biosynthetic process   • positive regulation of macromolecule metabolic process   • amylin receptor 1 signaling pathway   • amylin receptor signaling pathway   • calcitonin family receptor signaling pathway   • regulation of phosphatidylinositol 3-kinase/protein kinase B signal transduction   • positive regulation of phosphatidylinositol 3-kinase/protein kinase B signal transduction   • phosphatidylinositol 3-kinase/protein kinase B signal transduction   • response to corticosteroid   • response to steroid hormone   • response to glucocorticoid   • response to amyloid-beta   • calcitonin gene-related peptide receptor signaling pathway   • ossification   • amylin receptor 2 signaling pathway   • myeloid leukocyte differentiation   • cellular developmental process   • hemopoiesis   • cell development   • myeloid cell differentiation   • cell differentiation   • osteoclast differentiation   • leukocyte differentiation   • positive regulation of cAMP/PKA signal transduction   • cAMP/PKA signal transduction   • regulation of cAMP/PKA signal transduction   • negative regulation of multicellular organismal process   • regulation of ossification   • negative regulation of ossification   • amylin receptor 3 signaling pathway   • amylin receptor complex   • amylin receptor complex 3   • receptor complex   • plasma membrane signaling receptor complex   • G protein-coupled receptor complex   • calcitonin family receptor complex   • amylin receptor complex 2   • amylin receptor complex 1   • axon   • acrosomal vesicle   • intracellular vesicle   • cytoplasmic vesicle   • secretory granule   • secretory vesicle   • signaling receptor regulator activity   • receptor ligand activity   • signaling receptor activator activity   • hormone activity   • lipid binding   • identical protein binding   • apoptotic process   • cell death   • programmed cell death   • positive regulation of programmed cell death   • regulation of apoptotic process   • regulation of programmed cell death   • positive regulation of apoptotic process   • behavior   • eating behavior   • feeding behavior   • regulation of cellular component organization   • negative regulation of cellular component organization   • protein-containing complex organization   • regulation of cellular component biogenesis   • negative regulation of protein-containing complex assembly   • cellular component organization   • cellular component biogenesis   • regulation of protein-containing complex assembly   • cellular component assembly   • protein-containing complex assembly   • cellular component organization or biogenesis   • regulation of leukocyte differentiation   • regulation of developmental process   • regulation of cell differentiation   • regulation of cell development   • regulation of osteoclast differentiation   • negative regulation of cell differentiation   • negative regulation of hemopoiesis   • regulation of multicellular organismal development   • negative regulation of leukocyte differentiation   • regulation of myeloid cell differentiation   • negative regulation of developmental process   • regulation of myeloid leukocyte differentiation   • negative regulation of myeloid cell differentiation   • negative regulation of osteoclast differentiation   • negative regulation of myeloid leukocyte differentiation   • negative regulation of cell development   • regulation of hemopoiesis   • negative regulation of tissue remodeling   • negative regulation of bone remodeling   • regulation of bone remodeling   • tissue homeostasis   • regulation of tissue remodeling   • regulation of bone resorption   • bone resorption   • negative regulation of bone resorption   • tissue remodeling   • bone remodeling   • anatomical structure homeostasis   • sensory perception of pain   • negative regulation of amyloid fibril formation   • regulation of amyloid fibril formation   • amyloid fibril formation   • negative regulation of supramolecular fiber organization   • protein metabolic process   • negative regulation of protein metabolic process   • regulation of protein metabolic process   • regulation of supramolecular fiber organization   • supramolecular fiber organization   • somatodendritic compartment   • cell body   • neuronal cell body
SCOP2Domain Identifier• Transducin (heterotrimeric G protein), gamma chain   • G protein-coupled receptor-like
SCOP2Family Identifier• Transducin (heterotrimeric G protein), gamma chain   • G protein-coupled receptor-like
Membrane Protein Annotations-• Orientations of Proteins in Membranes database (OPM)   • Protein Data Bank of Transmembrane Proteins (PDBTM)   • MemProtMD


Details about the values in these tables can be found in the corresponding documentation page .
CodeNH2
PDB ResiduesL:L:?38
Environment DetailsOpen EMBL-EBI Page
CodeNH2
NameAMINO GROUP
Synonyms
Identifier
FormulaH2 N
Molecular Weight16.023
SMILES
PubChem123329
Formal Charge0
Total Atoms3
Total Chiral Atoms0
Total Bonds2
Total Aromatic Bonds0

PDBsumOpen PDBsum Page
ChainA
ProteinG Protein α Sub unit
UniProtP63092
Sequence
>9BLC_Chain_A
DQRNEEKAQ REANKKIEK QLQKDKQVY RATHRLLLL GAGESGKTI 
VKQMTSGIF ETKFQVDKV NFHMFDVGQ RDERRKWIQ CFNDVTAII 
FVVASNRLQ ALLFSIWNN WLRSVILFL NKQDLLAEK VLAGKSKIE 
DYFPEFARY TTPEDATPE PGEDPRVTR AKYFIRDEF LRISTASGD 
GRHYCYPHF TCVDTENIR RVFNDCRDI IQRMHLRQY ELLNAAKDK 
DTS


Click on each residue to open a popup with some information about it.

ConSurf Conservation Grade (See documentation): 

 n/a   1    2    3    4    5    6    7    8    9  

ChainB
ProteinG Protein β Sub unit
UniProtP62873
Sequence
>9BLC_Chain_B
SELDQLRQE AEQLKNQIR DARKACADA TLSQITNNI DPVGRIQMR 
TRRTLRGHL AKIYAMHWG TDSRLLVSA SQDGKLIIW DSYTTNKVH 
AIPLRSSWV MTCAYAPSG NYVACGGLD NICSIYNLK TREGNVRVS 
RELAGHTGY LSCCRFLDD NQIVTSSGD TTCALWDIE TGQQTTTFT 
GHTGDVMSL SLAPDTRLF VSGACDASA KLWDVREGM CRQTFTGHE 
SDINAICFF PNGNAFATG SDDATCRLF DLRADQELM TYSHDNIIC 
GITSVSFSK SGRLLLAGY DDFNCNVWD ALKADRAGV LAGHDNRVS 
CLGVTDDGM AVATGSWDS FLKIWN


Click on each residue to open a popup with some information about it.

ConSurf Conservation Grade (See documentation): 

 n/a   1    2    3    4    5    6    7    8    9  

ChainG
ProteinG Protein γ Sub unit
UniProtP59768
Sequence
>9BLC_Chain_G
SIAQARKLV EQLKMEANI DRIKVSKAA ADLMAYCEA HAKEDPLLT 
PVPASENPF R


Click on each residue to open a popup with some information about it.

ConSurf Conservation Grade (See documentation): 

 n/a   1    2    3    4    5    6    7    8    9  

ChainL
ProteinCagrilintide (non-acylated)
UniProtP10997
Sequence
>9BLC_Chain_L


Click on each residue to open a popup with some information about it.

ConSurf Conservation Grade (See documentation): 

 n/a   1    2    3    4    5    6    7    8    9  

ChainR
ProteinReceptor
UniProtP30988
Sequence
>9BLC_Chain_R
PFLYVVGRK KMMDAQYKC YDRMQQLPP YCNRTWDGW LCWDDTPAG 
VLSYQFCPD YFPDFDPSE KVTKYCDEK GVWFKHPEN NRTWSNYTM 
CNAFTPEKL KNAYVLYYL AIVGHSLSI FTLVISLGI FVFFRSLGC 
QRVTLHKNM FLTYILNSM IIIIHLVEV VPNGELVRR DPVSCKILH 
FFHQYMMAC NYFWMLCEG IYLHTLIVV AVFTEKQRL RWYYLLGWG 
FPLVPTTIH AITRAVYFN DNCWLSVET HLLYIIHGP VMAALVVNF 
FFLLNIVRV LVTKMRETH EAESHMYLK AVKATMILV PLLGIQFVV 
FPWRPSNKM LGKIYDYVM HSLIHFQGF FVATIYCFC NNEVQTTVK 
RQWAQFKIQ W


Click on each residue to open a popup with some information about it.

ConSurf Conservation Grade (See documentation): 

 n/a   1    2    3    4    5    6    7    8    9  




This receptor, from the same or other species and bound to the same or other ligands, is also present in the following networks:
Show PDB Class SubFamily Type SubType Species Orthosteric Ligand Other Ligand(s) Protein Partners Resolution Date DOI
3DQBASensoryOpsinsRhodopsinBos taurus--Gt(CT)3.22008-09-23doi.org/10.1038/nature07330
3PQRASensoryOpsinsRhodopsinBos taurusAll-trans-Retinal-Gt(CT)2.852011-03-09doi.org/10.1038/nature09789
2X72ASensoryOpsinsRhodopsinBos taurusAll-trans-Retinal-Gt(CT)32011-03-16doi.org/10.1038/nature09795
4A4MASensoryOpsinsRhodopsinBos taurusAll-trans-Retinal-Gt(CT)3.32012-01-25doi.org/10.1073/pnas.1114089108
4BEYASensoryOpsinsRhodopsinBos taurus--Gt(CT)2.92013-05-08doi.org/10.1038/embor.2013.44
4J4QASensoryOpsinsRhodopsinBos taurusOctyl β-D-Glucopyranoside-Gt(CT)2.652013-10-30doi.org/10.1002/anie.201302374
4X1HASensoryOpsinsRhodopsinBos taurusNonyl-β-D-Glucopyranoside-Gt(CT)2.292015-11-04doi.org/10.1016/j.str.2015.09.015
5EN0ASensoryOpsinsRhodopsinBos taurusAll-trans-Retinal-Gt(CT)2.812016-08-10doi.org/10.15252/embr.201642671
5UZ7B1PeptideCalcitoninCTHomo sapiens--Gs/β1/γ24.12017-05-03doi.org/10.1038/nature22327
5UZ7 (No Gprot) B1PeptideCalcitoninCTHomo sapiens--4.12017-05-03doi.org/10.1038/nature22327
5WKTASensoryOpsinsRhodopsinBos taurusOctyl-β-D-Glucopyranoside-Gt(CT)3.22017-12-13doi.org/10.1038/nprot.2017.135
6E3YB1PeptideCalcitoninCT LikeHomo sapiensCalcitonin gene-related peptide-1-Gs/β1/γ2; RAMP13.32018-09-19doi.org/10.1038/s41586-018-0535-y
6E3Y (No Gprot) B1PeptideCalcitoninCT LikeHomo sapiensCalcitonin gene-related peptide-1-3.32018-09-19doi.org/10.1038/s41586-018-0535-y
6NIYB1PeptideCalcitoninCTHomo sapiensCalcitonin-1-Gs/β1/γ23.342019-01-23doi.org/10.1021/acsptsci.8b00056
6NIY (No Gprot) B1PeptideCalcitoninCTHomo sapiensCalcitonin-1-3.342019-01-23doi.org/10.1021/acsptsci.8b00056
6E67AAmineAdrenergicβ2Homo sapiensBI167107-Gs(CT)3.72019-06-05doi.org/10.1016/j.cell.2019.04.021
6TP4APeptideOrexinOX1Homo sapiensACT-462206--3.012020-01-01doi.org/10.1021/acs.jmedchem.9b01787
6NWEASensoryOpsinsRhodopsinBos taurusOctyl-β-D-Glucopyranoside-Gt(CT)2.712020-02-12To be published
6UUNB1PeptideCalcitoninCT Like (AM1)Homo sapiensAdrenomedullin-Gs/β1/γ2; RAMP232020-03-25doi.org/10.1021/acsptsci.9b00080
6UUN (No Gprot) B1PeptideCalcitoninCT Like (AM1)Homo sapiensAdrenomedullin-32020-03-25doi.org/10.1021/acsptsci.9b00080
6UUSB1PeptideCalcitoninCT Like (AM2)Homo sapiensAdrenomedullin-Gs/β1/γ2; RAMP32.42020-04-01doi.org/10.1021/acsptsci.9b00080
6UUS (No Gprot) B1PeptideCalcitoninCT Like (AM2)Homo sapiensAdrenomedullin-2.42020-04-01doi.org/10.1021/acsptsci.9b00080
6UVAB1PeptideCalcitoninCT Like (AM2)Homo sapiensAdrenomedullin-2-Gs/β1/γ2; RAMP32.32020-04-01doi.org/10.1021/acsptsci.9b00080
6UVA (No Gprot) B1PeptideCalcitoninCT Like (AM2)Homo sapiensAdrenomedullin-2-2.32020-04-01doi.org/10.1021/acsptsci.9b00080
6PELASensoryOpsinsRhodopsinBos taurus-CitronellolGt(CT)3.192020-06-24To be published
6PGSASensoryOpsinsRhodopsinBos taurus-GeraniolGt(CT)2.92020-07-01To be published
6PH7ASensoryOpsinsRhodopsinBos taurus-NerolGt(CT)2.92020-07-01To be published
7KNTB1PeptideCalcitoninCT LikeHomo sapiens--RAMP13.152021-02-24doi.org/10.1126/science.abf7258
7KNUB1PeptideCalcitoninCT LikeHomo sapiensCalcitonin gene-related peptide-1-RAMP13.492021-02-24doi.org/10.1126/science.abf7258
7TYLB1PeptideCalcitoninCTHomo sapiensAmylin-Gs/β1/γ23.32022-03-23doi.org/10.1126/science.abm9609
7TYL (No Gprot) B1PeptideCalcitoninCTHomo sapiensAmylin-3.32022-03-23doi.org/10.1126/science.abm9609
7TYOB1PeptideCalcitoninCTHomo sapiensCalcitonin-Gs/β1/γ22.72022-03-23doi.org/10.1126/science.abm9609
7TYO (No Gprot) B1PeptideCalcitoninCTHomo sapiensCalcitonin-2.72022-03-23doi.org/10.1126/science.abm9609
7TYFB1PeptideCalcitoninCT (AMY1)Homo sapiensAmylin-Gs/β1/γ2; RAMP12.22022-03-23doi.org/10.1126/science.abm9609
7TYF (No Gprot) B1PeptideCalcitoninCT (AMY1)Homo sapiensAmylin-2.22022-03-23doi.org/10.1126/science.abm9609
7TYWB1PeptideCalcitoninCT (AMY1)Homo sapiensCalcitonin-1-Gs/β1/γ2; RAMP132022-03-23doi.org/10.1126/science.abm9609
7TYW (No Gprot) B1PeptideCalcitoninCT (AMY1)Homo sapiensCalcitonin-1-32022-03-23doi.org/10.1126/science.abm9609
7TYHB1PeptideCalcitoninCT (AMY2)Homo sapiensCalcitonin-Gs/β1/γ2; RAMP23.32022-03-23doi.org/10.1126/science.abm9609
7TYH (No Gprot) B1PeptideCalcitoninCT (AMY2)Homo sapiensCalcitonin-3.32022-03-23doi.org/10.1126/science.abm9609
7TYYB1PeptideCalcitoninCT (AMY2)Homo sapiensCalcitonin-1-Gs/β1/γ2; RAMP232022-03-23doi.org/10.1126/science.abm9609
7TYY (No Gprot) B1PeptideCalcitoninCT (AMY2)Homo sapiensCalcitonin-1-32022-03-23doi.org/10.1126/science.abm9609
7TZFB1PeptideCalcitoninCT (AMY3)Homo sapiensAmylin-Gs/β1/γ2; RAMP32.42022-03-23doi.org/10.1126/science.abm9609
7TZF (No Gprot) B1PeptideCalcitoninCT (AMY3)Homo sapiensAmylin-2.42022-03-23doi.org/10.1126/science.abm9609
7TYIB1PeptideCalcitoninCTHomo sapiensAmylin-Gs/β1/γ23.32022-03-30doi.org/10.1126/science.abm9609
7TYI (No Gprot) B1PeptideCalcitoninCTHomo sapiensAmylin-3.32022-03-30doi.org/10.1126/science.abm9609
7TYNB1PeptideCalcitoninCTHomo sapiensCalcitonin-1-Gs/β1/γ22.62022-03-30doi.org/10.1126/science.abm9609
7TYN (No Gprot) B1PeptideCalcitoninCTHomo sapiensCalcitonin-1-2.62022-03-30doi.org/10.1126/science.abm9609
7TYXB1PeptideCalcitoninCT (AMY2)Homo sapiensAmylin-Gs/β1/γ2; RAMP22.552022-03-30doi.org/10.1126/science.abm9609
7TYX (No Gprot) B1PeptideCalcitoninCT (AMY2)Homo sapiensAmylin-2.552022-03-30doi.org/10.1126/science.abm9609
7UM5AAmine5-Hydroxytryptamine5-HT5AHomo sapiens5-CT-chim(NtGi1-Go)/β1/γ22.732022-07-20doi.org/10.1038/s41594-022-00796-6
7UM5 (No Gprot) AAmine5-Hydroxytryptamine5-HT5AHomo sapiens5-CT-2.732022-07-20doi.org/10.1038/s41594-022-00796-6
7XTCAAmine5-Hydroxytryptamine5-HT7Homo sapiens5-CT-Gs/β1/γ23.22022-07-27doi.org/10.1016/j.molcel.2022.05.031
7XTC (No Gprot) AAmine5-Hydroxytryptamine5-HT7Homo sapiens5-CT-3.22022-07-27doi.org/10.1016/j.molcel.2022.05.031
7X5HAAmine5-Hydroxytryptamine5-HT5AHomo sapiens5-CT-Gi1/β1/γ23.12022-09-14doi.org/10.1038/s41421-022-00412-3
7X5H (No Gprot) AAmine5-Hydroxytryptamine5-HT5AHomo sapiens5-CT-3.12022-09-14doi.org/10.1038/s41421-022-00412-3
8F0JB1PeptideCalcitoninCTHomo sapiensPramlintide Analogue San45-Gs/β1/γ222023-08-02doi.org/10.1038/s41589-023-01393-4
8F0J (No Gprot) B1PeptideCalcitoninCTHomo sapiensPramlintide Analogue San45-22023-08-02doi.org/10.1038/s41589-023-01393-4
8F0KB1PeptideCalcitoninCT (AMY3)Homo sapiensPramlintide Analogue San385-Gs/β1/γ2; RAMP31.92023-08-02doi.org/10.1038/s41589-023-01393-4
8F0K (No Gprot) B1PeptideCalcitoninCT (AMY3)Homo sapiensPramlintide Analogue San385-1.92023-08-02doi.org/10.1038/s41589-023-01393-4
8F2AB1PeptideCalcitoninCT (AMY3)Homo sapiensPramlintide Analogue San385-Gs/β1/γ2; RAMP32.22023-08-02doi.org/10.1038/s41589-023-01393-4
8F2A (No Gprot) B1PeptideCalcitoninCT (AMY3)Homo sapiensPramlintide Analogue San385-2.22023-08-02doi.org/10.1038/s41589-023-01393-4
8F2BB1PeptideCalcitoninCT (AMY3)Homo sapiensPramlintide Analogue San45-Gs/β1/γ2; RAMP322023-08-02doi.org/10.1038/s41589-023-01393-4
8F2B (No Gprot) B1PeptideCalcitoninCT (AMY3)Homo sapiensPramlintide Analogue San45-22023-08-02doi.org/10.1038/s41589-023-01393-4
8ZQEAOrphanOrphanGPR15Homo sapiensGPR15L(CT)-Gi1/β1/γ12.92024-07-10doi.org/10.1038/s41421-024-00698-5
8ZQE (No Gprot) AOrphanOrphanGPR15Homo sapiensGPR15L(CT)-2.92024-07-10doi.org/10.1038/s41421-024-00698-5
9MNIB1PeptideCalcitoninCTLikeHomo sapiensdC2_05-RAMP14.062025-10-22doi.org/10.1101/2025.03.23.644666
9AUCB1PeptideCalcitoninCT (AMY1)Homo sapiensCalcitonin gene-related peptide-1-Gs/β1/γ2; RAMP12.42024-04-24doi.org/10.1021/acs.biochem.4c00114
9AUC (No Gprot) B1PeptideCalcitoninCT (AMY1)Homo sapiensCalcitonin gene-related peptide-1-2.42024-04-24doi.org/10.1021/acs.biochem.4c00114
9BLBB1PeptideCalcitoninCTHomo sapiensCagrilintide (non-acylated)-Gs/β1/γ23.22025-04-16doi.org/10.1038/s41467-025-58680-y
9BLB (No Gprot) B1PeptideCalcitoninCTHomo sapiensCagrilintide (non-acylated)-3.22025-04-16doi.org/10.1038/s41467-025-58680-y
9BLCB1PeptideCalcitoninCTHomo sapiensCagrilintide (non-acylated)-Gs/β1/γ23.32025-04-16doi.org/10.1038/s41467-025-58680-y
9BLC (No Gprot) B1PeptideCalcitoninCTHomo sapiensCagrilintide (non-acylated)-3.32025-04-16doi.org/10.1038/s41467-025-58680-y
9BUEB1PeptideCalcitoninCTHomo sapiensCagrilintide-Gs/β1/γ23.62025-04-16doi.org/10.1038/s41467-025-58680-y
9BUE (No Gprot) B1PeptideCalcitoninCTHomo sapiensCagrilintide-3.62025-04-16doi.org/10.1038/s41467-025-58680-y
9BLWB1PeptideCalcitoninCT (AMY1)Homo sapiensCagrilintide (non-acylated)-Gs/β1/γ2; RAMP13.22025-04-16doi.org/10.1038/s41467-025-58680-y
9BLW (No Gprot) B1PeptideCalcitoninCT (AMY1)Homo sapiensCagrilintide (non-acylated)-3.22025-04-16doi.org/10.1038/s41467-025-58680-y
9BTWB1PeptideCalcitoninCT (AMY3)Homo sapiensCagrilintide-Gs/β1/γ2; RAMP332025-04-16To be published
9BTW (No Gprot) B1PeptideCalcitoninCT (AMY3)Homo sapiensCagrilintide-32025-04-16To be published
9BUBB1PeptideCalcitoninCTHomo sapiensCagrilintide-Gs/β1/γ22.32025-04-23doi.org/10.1038/s41467-025-58680-y
9BUB (No Gprot) B1PeptideCalcitoninCTHomo sapiensCagrilintide-2.32025-04-23doi.org/10.1038/s41467-025-58680-y
9BUCB1PeptideCalcitoninCTHomo sapiensCagrilintide-Gs/β1/γ23.42025-04-23doi.org/10.1038/s41467-025-58680-y
9BUC (No Gprot) B1PeptideCalcitoninCTHomo sapiensCagrilintide-3.42025-04-23doi.org/10.1038/s41467-025-58680-y
9BUDB1PeptideCalcitoninCTHomo sapiensCagrilintide-Gs/β1/γ22.52025-04-23doi.org/10.1038/s41467-025-58680-y
9BUD (No Gprot) B1PeptideCalcitoninCTHomo sapiensCagrilintide-2.52025-04-23doi.org/10.1038/s41467-025-58680-y
9BP3B1PeptideCalcitoninCT (AMY1)Homo sapiensCagrilintide-Gs/β1/γ2; RAMP12.22025-04-23doi.org/10.1038/s41467-025-58680-y
9BP3 (No Gprot) B1PeptideCalcitoninCT (AMY1)Homo sapiensCagrilintide-2.22025-04-23doi.org/10.1038/s41467-025-58680-y
9BQ3B1PeptideCalcitoninCT (AMY2)Homo sapiensCagrilintide-Gs/β1/γ2; RAMP22.82025-04-23doi.org/10.1038/s41467-025-58680-y
9BQ3 (No Gprot) B1PeptideCalcitoninCT (AMY2)Homo sapiensCagrilintide-2.82025-04-23doi.org/10.1038/s41467-025-58680-y
9UAPAAmineAcetylcholine (muscarinic)M1Homo sapiens--G11(CT)3.622025-10-29To be published
9UCPAAmineAcetylcholine (muscarinic)M1Homo sapiensIperoxo-G11(CT)2.882025-10-29To be published
9WXMAOrphanOrphanGPR15Homo sapiensGPR15L(CT)-Gi3/β1/γ23.32025-11-1910.1016/j.isci.2025.113935
9WXM (No Gprot) AOrphanOrphanGPR15Homo sapiensGPR15L(CT)-3.32025-11-1910.1016/j.isci.2025.113935
9W6WAAmine5-Hydroxytryptamine5-HT5AHomo sapiens5-CT-Gi1/β1/γ23.132025-11-2610.1186/s43556-025-00359-3
9W6W (No Gprot) AAmine5-Hydroxytryptamine5-HT5AHomo sapiens5-CT-3.132025-11-2610.1186/s43556-025-00359-3




You can download a compressed (zip) file with structure(s), 3D outputs (as PyMol and VMD scripts) and numerical data files (as csv and plain text files).

Download 9BLC.zip



You can click to copy the link of this page to easily come back here later

or use this QR code to link and share this page.



You can also  read or  download a guide explaining the meaning of all files and numerical data.