Color ConSurf Grade
      No Conservation data available
      1
      2
      3
      4
      5
      6
      7
      8
      9

Index: hub id, click on each number to highlight the corresponding hub in the 3D visualization.

Hub: the hub being considered.

Avg Int. Strength: the average interaction strength of all the links of the corresponding hub.

Num Of Links: the number of links of the corresponding hub.

Community: the id of the community the link belong to, otherwise 0.

ConSurf: this column reports the ConSurf conservation grades of each hub.

Index Hub Avg Int. Strength Num Of Links Community ConSurf
1A:A:I19 4.55499
2A:A:L23 3.1875496
3A:A:V34 5.412535
4A:A:E186 6.845419
5A:A:F191 8.364535
6A:A:L194 5.99434
7A:A:F196 6.88637
8A:A:K197 8.904516
9A:A:M198 4.39537
10A:A:F199 7.90333615
11A:A:S206 4.0175418
12A:A:E207 5.0975419
13A:A:K210 6.806519
14A:A:W211 4.92519
15A:A:I212 2.8425418
16A:A:H213 5.265418
17A:A:F215 5.14167619
18A:A:T219 3.9325437
19A:A:I222 2.86286737
20A:A:F223 4.82667619
21A:A:L227 5.2875417
22A:A:Y230 8.64333618
23A:A:D231 9.84519
24A:A:M247 3.4875406
25A:A:F250 6.346519
26A:A:W258 6.344515
27A:A:F259 5.732519
28A:A:I265 2.96167638
29A:A:L266 4.4025419
30A:A:F267 4.2439
31A:A:L268 4.385408
32A:A:F274 3.87167619
33A:A:K277 7.7175419
34A:A:Y287 5.48286717
35A:A:Y290 8.7325417
36A:A:I303 3.948517
37A:A:F307 5.12618
38A:A:N311 5.4075418
39A:A:Y320 5.29167637
40A:A:Q333 5.6225435
41A:A:F336 6.05167638
42A:A:V342 4.095437
43A:A:F354 10.0975405
44B:B:L14 3.805408
45B:B:I18 3.405407
46B:B:I33 3.565403
47B:B:T34 4.15254105
48B:B:I37 4.94102
49B:B:V40 4.8825103
50B:B:H54 8.58599
51B:B:Y59 6.49333618
52B:B:W63 7.5475477
53B:B:D76 5.78409
54B:B:L79 3.5765157
55B:B:I80 8.935498
56B:B:I81 3.8245147
57B:B:W82 8.83286799
58B:B:S84 4.0375475
59B:B:N88 5.1875407
60B:B:K89 6.08143799
61B:B:H91 5.9654145
62B:B:I93 3.79507
63B:B:L95 4.65158
64B:B:W99 6.49625819
65B:B:M101 3.675409
66B:B:Y105 4.458336146
67B:B:Y111 5.59667614
68B:B:C114 3.794158
69B:B:N119 3.9409
70B:B:I123 3.772516
71B:B:Y124 4.6056156
72B:B:L126 3.4554145
73B:B:T128 2.3545193
74B:B:L139 4.78519
75B:B:H142 6.30714719
76B:B:Y145 5.28833618
77B:B:R150 6.25446
78B:B:F151 4.45719
79B:B:L152 3.8725403
80B:B:T159 5.19519
81B:B:D163 9.8875419
82B:B:W169 9.57333618
83B:B:I171 4.8275416
84B:B:Q176 8.185414
85B:B:F180 6.714547
86B:B:H183 8.09649
87B:B:D186 4.31419
88B:B:V187 4.355449
89B:B:M188 5.645418
90B:B:L190 3.606545
91B:B:L192 3.33445
92B:B:F199 5.54649
93B:B:C204 5.12517
94B:B:D205 6.9925449
95B:B:S207 4.105445
96B:B:K209 11.1975446
97B:B:W211 8.78548
98B:B:C218 5.2625445
99B:B:Q220 7.9925457
100B:B:F222 6.728558
101B:B:H225 9.665659
102B:B:D228 7.11519
103B:B:I232 5.095458
104B:B:F234 4.288505
105B:B:F235 6.13571766
106B:B:P236 7.435467
107B:B:F241 5.86429756
108B:B:T243 5.405458
109B:B:D247 9.595459
110B:B:R251 8.89833658
111B:B:L252 3.235467
112B:B:F253 6.38756
113B:B:L255 2.8675456
114B:B:R256 5.8825169
115B:B:D258 9.216557
116B:B:Q259 3.4506
117B:B:M262 6.3775464
118B:B:Y264 5.21167665
119B:B:I269 3.638564
120B:B:F278 4.70167667
121B:B:R283 8.1025109
122B:B:L284 4.0665105
123B:B:L285 4.254566
124B:B:Y289 7.614567
125B:B:C294 3.8975485
126B:B:N295 5.57333666
127B:B:W297 6.316568
128B:B:L300 4.794106
129B:B:K301 5.8225105
130B:B:R304 6.5175465
131B:B:H311 6.834589
132B:B:L318 3.87586
133B:B:M325 6.2625405
134B:B:T329 4.82588
135B:B:W332 7.37714719
136B:B:F335 5.352584
137B:B:L336 4.82497
138B:B:K337 6.288586
139B:B:W339 8.132589
140G:G:V16 1.5275407
141G:G:R27 5.036558
142G:G:Y40 10.07466
143G:G:D48 6.01833609
144G:G:L51 4.845106
145G:G:N59 5.85579
146G:G:P60 7.6075479
147G:G:F61 4.08286778
148L:L:F4 6.8265110
149L:L:F6 6.7025110
150L:L:R10 5.728336120
151L:L:F11 5.6525400
152L:L:?12 4.558520
153R:R:I134 4.884133
154R:R:F150 5.0485235
155R:R:Y154 3.43333627
156R:R:I157 5.7075407
157R:R:N165 5.976509
158R:R:F185 3.674508
159R:R:L189 7.11754259
160R:R:D193 6.4345259
161R:R:M201 4.248507
162R:R:T204 3.428526
163R:R:I209 3.5025425
164R:R:W213 6.76571727
165R:R:F215 8.9875427
166R:R:C220 6.44429
167R:R:Q227 4.115407
168R:R:V235 3.3025408
169R:R:F236 3.8285276
170R:R:F246 7.1825408
171R:R:F253 6.5475406
172R:R:I266 3.975408
173R:R:I276 5.65254275
174R:R:M277 4.242508
175R:R:M283 4.565125
176R:R:V286 3.58425
177R:R:E289 4.354113
178R:R:K290 5.18754133
179R:R:Y292 5.4756111
180R:R:R293 4.8354134
181R:R:W307 10.5575404
182R:R:C308 5.8525429
183R:R:E310 9.22754125
184R:R:W312 10.055125
185R:R:R318 11.135404
186R:R:Y330 6.28754228
187R:R:Y341 8.335409
188R:R:I344 4.0725409
189R:R:K370 6.765407
190R:R:W389 5.79167608
191R:R:W393 7.018336227
192R:R:L404 5.774295
193R:R:Q410 4.674111
194R:R:N413 3.2175425
195R:R:I414 6.644114
196R:R:Y417 4.44167625
197R:R:H421 5.34333626
198R:R:W422 8.06426
199R:R:F425 5.23427
200R:R:N439 5.49754188
201R:R:F442 3.875609
   

Color ConSurf Grade
      No Conservation data available
      1
      2
      3
      4
      5
      6
      7
      8
      9

Index: link id, click on each number to highlight the corresponding link in the 3D visualization.

Node1 Node2: the two nodes of the corresponding link.

Recurrence: the relative Recurrence in the pool of shortest paths.

Int. Strength: the interaction strength between the two nodes.

Hub1?, Hub2?: "Yes" if the corresponding node has more than 3 links, otherwise "No".

Community: the id of the community the link belong to, otherwise 0.

ConSurf1, ConSurf2: these columns report the ConSurf conservation grades of the two nodes involved in a link.

Index Node1 Node2 Recurrence Int. Strength Hub1? Hub2? Community ConSurf1 ConSurf2
1B:B:S84 G:G:F61 18.80942.64YesYes758
2B:B:L70 B:B:S84 21.34323NoYes755
3B:B:L70 B:B:M61 34.47162.83NoNo056
4B:B:C317 B:B:M61 47.67124.86NoNo076
5B:B:C317 B:B:S316 47.73543.44NoNo079
6B:B:S316 B:B:W332 47.80143.71NoYes099
7A:A:W258 B:B:W332 50.97144.69YesYes159
8A:A:N256 A:A:W258 51.51793.39NoYes185
9A:A:F259 A:A:N256 51.518110.87YesNo198
10A:A:F259 A:A:I253 77.49612.51YesNo198
11A:A:F223 A:A:I253 77.53112.51YesNo198
12A:A:F223 A:A:V225 52.66732.62YesNo097
13A:A:L268 A:A:V225 17.73572.98YesNo087
14A:A:L227 A:A:L268 34.84215.54YesYes078
15A:A:F274 A:A:L227 34.33928.53YesYes197
16A:A:F274 A:A:Y230 67.92014.13YesYes198
17A:A:K277 A:A:Y230 1009.55YesYes198
18A:A:K277 A:A:S228 99.74444.59YesNo199
19A:A:K270 A:A:S228 99.57697.65NoNo099
20A:A:K270 A:A:N269 99.39811.4NoNo099
21A:A:C224 A:A:N269 99.04033.15NoNo079
22A:A:C224 A:A:I222 98.86141.64NoYes077
23A:A:F223 A:A:L266 17.84852.44YesYes199
24A:A:L266 A:A:L268 17.77614.15YesYes098
25A:A:F307 A:A:V225 34.93737.87YesNo087
26A:A:F307 A:A:I303 34.88132.51YesYes187
27A:A:F274 A:A:I303 34.26012.51YesYes197
28A:A:F223 A:A:F250 35.226512.86YesYes199
29A:A:F250 A:A:F307 35.08436.43YesYes198
30A:A:F307 A:A:M243 33.99393.73YesNo188
31A:A:C286 A:A:M243 33.94263.24NoNo068
32A:A:C286 A:A:Y230 34.11035.38NoYes068
33A:A:F215 A:A:L37 27.95346.09YesNo099
34A:A:I212 A:A:W211 25.64313.52YesYes189
35A:A:S206 B:B:Y145 25.46455.09YesYes188
36B:B:H62 B:B:Y105 15.80783.27NoYes066
37B:B:H62 B:B:R150 16.096313.54NoYes066
38B:B:C148 B:B:R150 17.80844.18NoYes466
39B:B:C148 B:B:T102 26.96723.38NoNo068
40B:B:C149 B:B:T102 27.25563.38NoNo088
41B:B:C149 B:B:T159 27.83243.38NoYes089
42B:B:H142 B:B:T159 27.87624.11YesYes199
43A:A:I222 A:A:I265 85.85452.94YesYes378
44A:A:I265 A:A:Y320 84.98532.42YesYes387
45A:A:D341 A:A:Y320 84.523210.34NoYes087
46A:A:D341 A:A:K345 84.34113.83NoNo085
47A:A:K345 R:R:K370 84.15888.62NoYes057
48A:A:F354 R:R:K370 83.429312.41YesYes057
49A:A:F354 A:A:L348 79.22139.74YesNo059
50A:A:L348 A:A:L353 75.00814.15NoNo097
51A:A:L353 R:R:R245 74.44732.43NoNo079
52B:B:M325 G:G:P60 13.62538.39YesYes059
53B:B:M325 G:G:P49 38.74625.03YesNo057
54G:G:D48 G:G:P49 38.27774.83YesNo097
55G:G:D48 G:G:L51 26.90848.14YesYes096
56B:B:R283 G:G:L51 20.80116.07YesYes1096
57B:B:I37 B:B:R283 18.72785.01YesYes1029
58B:B:I37 B:B:T34 17.54063.04YesYes1025
59B:B:I33 B:B:T34 17.38373.04YesYes035
60B:B:I33 G:G:S31 16.66393.1YesNo039
61B:B:D27 G:G:S31 16.42384.42NoNo089
62B:B:D27 G:G:V30 15.94362.92NoNo088
63B:B:Q259 G:G:V30 15.70342.87YesNo068
64B:B:Q259 B:B:R22 14.0163.5YesNo066
65B:B:D258 B:B:R22 10.163713.1YesNo076
66B:B:A328 B:B:W63 13.06433.89NoYes057
67B:B:D323 B:B:M325 25.36775.54NoYes075
68B:B:D323 B:B:T321 25.50287.23NoNo777
69B:B:T321 B:B:W63 25.973410.92NoYes777
70B:B:H142 B:B:S161 45.472813.95YesNo199
71B:B:G162 B:B:S161 47.57193.71NoNo199
72B:B:G162 B:B:Y145 24.13848.69NoYes198
73R:R:I241 R:R:R245 73.87513.76NoNo099
74R:R:F185 R:R:I241 72.58143.77YesNo089
75R:R:F185 R:R:I266 69.98762.51YesYes088
76R:R:I266 R:R:N188 69.2452.83YesNo089
77R:R:N188 R:R:T237 68.48658.77NoNo098
78R:R:L189 R:R:T237 68.300611.79YesNo098
79R:R:D193 R:R:L189 32.94768.14YesYes2599
80R:R:D193 R:R:S428 29.68967.36YesNo099
81R:R:S428 R:R:V196 29.49913.23NoNo098
82R:R:C200 R:R:V196 28.93163.42NoNo078
83R:R:C200 R:R:F425 23.29254.19NoYes077
84R:R:F425 R:R:H421 15.20477.92YesYes276
85R:R:L189 R:R:L238 35.08445.54YesNo099
86R:R:F385 R:R:L238 34.90052.44NoNo099
87R:R:F385 R:R:W389 32.23076.01NoYes098
88R:R:W389 R:R:W393 16.42316.56YesYes087
89L:L:?12 L:L:Q9 12.90553.29YesNo200
90A:A:S206 B:B:D186 24.8692.94YesYes189
91B:B:D186 B:B:G162 23.73483.35YesNo199
92A:A:S206 A:A:W211 51.14473.71YesYes189
93G:G:F61 G:G:P60 12.86955.78YesYes789
94A:A:F215 A:A:W211 25.65526.01YesYes199
95A:A:L37 A:A:L39 28.02424.15NoNo099
96A:A:F223 A:A:L39 28.08762.44YesNo199
97A:A:F259 A:A:I212 25.74562.51YesYes198
98B:B:L70 B:B:W63 13.06057.97NoYes757
99B:B:A328 B:B:M61 13.13563.22NoNo056
100B:B:H142 B:B:W169 14.42246.35YesYes198
Download PSN data

2D representation of the global metapath, ligand(s) interactions and
histograms of path distribution according to several parameters
(click on the image to enlarge it 🔍):

A 2D representation of the global communication in the network.

ConSurf Conservation Grade (See documentation): 

 n/a   1    2    3    4    5    6    7    8    9  

Number of shortest communication paths as a function of the average residue correlation.

Number of shortest communication paths as a function of the average interaction strength of their links.

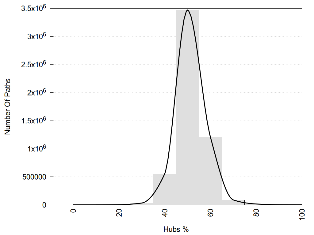
Number of shortest communication paths as a function of the % of hub nodes in each path.

Number of shortest communication paths as a function of the number of nodes in each path.

Number of shortest communication paths as a function of the % of correlated nodes in each path.


2D representation of the interactions of this orthosteric/allosteric ligand.


Links and nodes colored according to ConSurf Conservation Grade (See documentation): 

 n/a   1    2    3    4    5    6    7    8    9  

Node1 Node2 LinkStrength Comm IsNode1Hub? IsNode2Hub? Node1Cons Node2Cons Node1Shell Node2Shell
L:L:Q2 R:R:Q287 12.8 11 No No 0 2 0 1
L:L:Q2 R:R:E289 6.37 11 No Yes 0 3 0 1
L:L:F4 R:R:G212 3.01 11 Yes No 0 5 0 1
L:L:F4 R:R:Y292 8.25 11 Yes Yes 0 1 0 1
L:L:F4 R:R:V305 10.49 11 Yes No 0 4 0 1
L:L:F4 R:R:W307 7.02 11 Yes Yes 0 4 0 1
L:L:L5 R:R:L409 4.15 0 No No 0 4 0 1
L:L:L5 R:R:Q410 5.32 0 No Yes 0 1 0 1
L:L:F6 R:R:L141 7.31 11 Yes No 0 4 0 1
L:L:F6 R:R:Y292 6.19 11 Yes Yes 0 1 0 1
L:L:F6 R:R:Q410 5.86 11 Yes Yes 0 1 0 1
L:L:F6 R:R:I414 8.79 11 Yes Yes 0 4 0 1
L:L:Q7 R:R:W307 9.86 0 No Yes 0 4 0 1
L:L:Q7 R:R:N413 2.64 0 No Yes 0 5 0 1
L:L:P8 R:R:Y417 5.56 0 No Yes 0 5 0 1
L:L:Q9 R:R:W213 4.38 2 No Yes 0 7 0 1
L:L:Q9 R:R:C220 4.58 2 No Yes 0 9 0 1
L:L:R10 R:R:E310 8.14 12 Yes Yes 0 5 0 1
L:L:R10 R:R:Y321 7.2 12 Yes No 0 8 0 1
L:L:R10 R:R:T322 6.47 12 Yes No 0 6 0 1
L:L:R10 R:R:L325 2.43 12 Yes No 0 5 0 1
L:L:R10 R:R:M396 3.72 12 Yes No 0 6 0 1
L:L:F11 R:R:V231 9.18 0 Yes No 0 7 0 1
L:L:F11 R:R:W393 4.01 0 Yes Yes 0 7 0 1
L:L:?12 R:R:T204 3.65 2 Yes Yes 0 6 0 1
L:L:?12 R:R:Q227 3.29 2 Yes Yes 0 7 0 1
L:L:?12 R:R:H421 9.55 2 Yes Yes 0 6 0 1
R:R:T135 R:R:Y292 9.99 0 No Yes 4 1 2 1
R:R:V137 R:R:Y292 2.52 0 No Yes 2 1 2 1
R:R:H142 R:R:L141 3.86 0 No No 5 4 2 1
R:R:H142 R:R:I414 3.98 0 No Yes 5 4 2 1
R:R:T204 R:R:Y154 2.5 2 Yes Yes 6 7 1 2
R:R:H421 R:R:Y154 3.27 2 Yes Yes 6 7 1 2
R:R:C200 R:R:Q227 6.1 0 No Yes 7 7 2 1
R:R:C200 R:R:F425 4.19 0 No Yes 7 7 2 2
R:R:I203 R:R:Q227 2.74 0 No Yes 6 7 2 1
R:R:N208 R:R:T204 2.92 0 No Yes 5 6 2 1
R:R:H421 R:R:T204 5.48 2 Yes Yes 6 6 1 1
R:R:F425 R:R:T204 2.59 2 Yes Yes 7 6 2 1
R:R:P214 R:R:W213 2.7 2 No Yes 3 7 2 1
R:R:F215 R:R:W213 18.04 2 Yes Yes 7 7 2 1
R:R:G216 R:R:W213 2.81 0 No Yes 8 7 2 1
R:R:C220 R:R:W213 9.14 2 Yes Yes 9 7 1 1
R:R:V286 R:R:W213 2.45 2 Yes Yes 5 7 2 1
R:R:C308 R:R:W213 7.84 2 Yes Yes 9 7 2 1
R:R:F215 R:R:P214 4.33 2 Yes No 7 3 2 2
R:R:C220 R:R:L284 4.76 2 Yes No 9 5 1 2
R:R:C220 R:R:C308 7.28 2 Yes Yes 9 9 1 2
R:R:Q227 R:R:S223 4.33 0 Yes No 7 5 1 2
R:R:V231 R:R:W389 2.45 0 No Yes 7 8 1 2
R:R:L325 R:R:M277 2.83 12 No Yes 5 8 1 2
R:R:E310 R:R:M283 6.77 12 Yes Yes 5 5 1 2
R:R:M283 R:R:W312 6.98 12 Yes Yes 5 5 2 2
R:R:C308 R:R:L284 3.17 2 Yes No 9 5 2 2
R:R:C308 R:R:V286 5.12 2 Yes Yes 9 5 2 2
R:R:E289 R:R:Q287 3.82 11 Yes No 3 2 1 1
R:R:Q287 R:R:R309 5.84 11 No No 2 4 1 2
R:R:E289 R:R:V305 2.85 11 Yes No 3 4 1 1
R:R:E289 R:R:W307 4.36 11 Yes Yes 3 4 1 1
R:R:V305 R:R:Y292 2.52 11 No Yes 4 1 1 1
R:R:Q410 R:R:Y292 3.38 11 Yes Yes 1 1 1 1
R:R:R309 R:R:W307 20.99 0 No Yes 4 4 2 1
R:R:E310 R:R:W312 15.27 12 Yes Yes 5 5 1 2
R:R:E310 R:R:Y321 6.73 12 Yes No 5 8 1 1
R:R:L325 R:R:Y321 12.89 12 No No 5 8 1 1
R:R:D400 R:R:T322 8.67 0 No No 5 6 2 1
R:R:F326 R:R:Y330 7.22 22 No Yes 6 8 2 2
R:R:F326 R:R:W393 9.02 22 No Yes 6 7 2 1
R:R:I329 R:R:W393 8.22 0 No Yes 6 7 2 1
R:R:W393 R:R:Y330 9.65 22 Yes Yes 7 8 1 2
R:R:W389 R:R:W393 6.56 0 Yes Yes 8 7 2 1
R:R:L392 R:R:M396 4.24 0 No No 6 6 2 1
R:R:H421 R:R:L392 2.57 2 Yes No 6 6 1 2
R:R:M396 R:R:W393 4.65 0 No Yes 6 7 1 1
R:R:L395 R:R:Y417 8.21 0 No Yes 6 5 2 1
R:R:S399 R:R:Y417 2.54 0 No Yes 4 5 2 1
R:R:L404 R:R:L409 2.77 29 Yes No 5 4 2 1
R:R:L409 R:R:N413 2.75 0 No Yes 4 5 1 1
R:R:I414 R:R:Q410 4.12 11 Yes Yes 4 1 1 1
R:R:I412 R:R:N413 2.83 2 No Yes 4 5 2 1
R:R:I412 R:R:Y417 2.42 2 No Yes 4 5 2 1
R:R:N413 R:R:Y417 4.65 2 Yes Yes 5 5 1 1
R:R:I414 R:R:Y415 9.67 11 Yes No 4 3 1 2
R:R:H421 R:R:Y417 3.27 2 Yes Yes 6 5 1 1
R:R:F425 R:R:H421 7.92 2 Yes Yes 7 6 2 1
R:R:A211 R:R:G212 1.95 0 No No 4 5 2 1
L:L:P8 R:R:D207 1.61 0 No No 0 5 0 1

Location and physicochemical properties of the interaction partners of this ligand

Interactions of this ligand

Similarities between the interactions of this ligand and those of other networks

ShowSimilarityNetwork TypeNameLigandDescription
60.00Single8K6NPro-neuropeptide-Y8K6N-Y2-Pro-neuropeptide-Y-Gi2/β1/γ1
60.00Consensussomatostatin_onOrthosteric Ligandsst2_on sst4_on sst5_on
60.00Consensussomatostatin_on_gpOrthosteric Ligandsst2_on_gp sst4_on_gp sst5_on_gp
58.62Consensusgi_npyOrthosteric Ligand8K6M-Y1-Neuropeptide-Y-Gi2/β1/γ1 7X9C-Y4-Pancreatic Hormone-Gi1/β1/γ2 7YOO-Y2-Neuropeptide-Y-Gi1/β1/γ2
58.62Consensusnpy_onOrthosteric Ligandnpy1_on npy2_on npy4_on
58.62Consensusnpy_on_gpOrthosteric Ligandnpy1_on_gp npy2_on_gp npy4_on_gp
55.56Single7X9BNeuropeptide-Y7X9B-Y2-Neuropeptide-Y-Gi1/β1/γ2
55.56Consensussst5_on_gpOrthosteric Ligand8X8L-SST5-Cortistatin-chim(NtGi1-Gs-CtGi1)/β1/γ2 8X8N-SST5-Octreotide-chim(NtGi1-Gs-CtGi1)/β1/γ2
53.85Single9K27PrRP319K27-PrRP-PrRP31-chim(NtGi1-Gq)/β1/γ2
53.85Consensusgi_somatostatinOrthosteric Ligand7WIC-SST2-Somatostatin-14-Gi1/β1/γ2 7XMS-SST4-Somatostatin-14-Gi1/β1/γ2 8X8L-SST5-Cortistatin-chim(NtGi1-Gs-CtGi1)/β1/γ2 7XMT-SST4-J-2156-Gi1/β1/γ2 7WIG-SST2-L-054,264-Gi1/β1/γ2 8X8N-SST5-Octreotide-chim(NtGi1-Gs-CtGi1)/β1/γ2 7YAE-SST2-Octreotide-Gi1/β1/γ2 7YAC-SST2-Paltusotine-Gi1/β1/γ2
53.12Single7X9ANeuropeptide-Y7X9A-Y1-Neuropeptide-Y-Gi1/β1/γ2
51.85Single7YONPeptide-YY(3-36)7YON-Y2-Peptide-YY(3-36)-Gi1/β1/γ2
51.85Single8ZBISomatostatin-148ZBI-SST3-Somatostatin-14-Gi1/β1/γ2
51.85Single9BKKCholecystokinin-89BKK-CCKA-Cholecystokinin-8-chim(NtGi1-Gs-CtGq)/β1/γ2
51.72Single7YOONeuropeptide-Y7YOO-Y2-Neuropeptide-Y-Gi1/β1/γ2
51.72Single9K26PrRP319K26-PrRP-PrRP31-Gi1/β1/γ2
51.72Consensusnpy2_onOrthosteric Ligand7YOO-Y2-Neuropeptide-Y-Gi1/β1/γ2
51.72Consensusnpy2_on_gpOrthosteric Ligand7YOO-Y2-Neuropeptide-Y-Gi1/β1/γ2
50.00Single7X9CPancreatic Hormone7X9C-Y4-Pancreatic Hormone-Gi1/β1/γ2
50.00Single8XGOTAK4488XGO-Kiss1-TAK448-chim(NtGi1-Gq)/β1/γ2
50.00Single8XVHEndothelin-18XVH-ETB-Endothelin-1-chim(Gs-CtGq)/β1/γ2
48.28Consensusnpy4_onOrthosteric Ligand7X9C-Y4-Pancreatic Hormone-Gi1/β1/γ2
48.28Consensusnpy4_on_gpOrthosteric Ligand7X9C-Y4-Pancreatic Hormone-Gi1/β1/γ2
48.28Consensusopioid_on_gpOrthosteric Ligandmop_on_gp nop_on_gp dop_on_gp kop_on_gp
48.15Single8XIRPasireotide8XIR-SST3-Pasireotide-chim(NtGi1-Gs-CtGi1)/β1/γ2
48.00Single7YJ4INSL57YJ4-RXFP4-INSL5-Gi2/β1/γ2
48.00Single9M0RNeuropeptide VF9M0R-NPFF1-Neuropeptide VF-Gi1/β1/γ2
48.00Consensusdop_onOrthosteric Ligand8F7S-δ-Deltorphin-Gi1/β1/γ2
46.67Single7XATSomatostatin-147XAT-SST2-Somatostatin-14-Gi1/β1/γ2
46.67Single8FEG(DNCP)-Beta-Naloxamine8FEG-κ-(DNCP)-β-Naloxamine-Gi1/β1/γ2
46.67Consensuspeptide_onOrthosteric Ligandcck_on angiotensin_on apelin_on bombesin_on bradykinin_on compl-peptide_on endothelin_on formylpeptide_on galanin_on ghrelin_on kisspeptin_on melanocortin_on motilin_on neuromedin-u_on npy_on neurotensin_on opioid_on orexin_on relaxin_on somatostatin_on tachykinin_on trh_on vasop-oxy_on
46.67Consensuspeptide_on_gpOrthosteric Ligandcck_on_gp angiotensin_on_gp apelin_on_gp bombesin_on_gp bradykinin_on_gp compl-peptide_on_gp endothelin_on_gp formylpeptide_on_gp galanin_on_gp ghrelin_on_gp kisspeptin_on_gp melanocortin_on_gp motilin_on_gp neuromedin-u_on_gp npy_on_gp neurotensin_on_gp opioid_on_gp orexin_on_gp relaxin_on_gp somatostatin_on_gp tachykinin_on_gp trh_on_gp vasop-oxy_on_gp
46.43Single8WSTPro-MCH8WST-MCH2-Pro-MCH-chim(NtGi1L-Gs-CtGq)/β1/γ2
46.15Consensusmop_offOrthosteric Ligand4DKL-μ-β-Funaltrexamine 8QOT-μ-Nanobody-E 7UL4-μ-Alvimopan
46.15Consensussst5_onOrthosteric Ligand8X8L-SST5-Cortistatin-chim(NtGi1-Gs-CtGi1)/β1/γ2 8X8N-SST5-Octreotide-chim(NtGi1-Gs-CtGi1)/β1/γ2
45.83Single8X8NOctreotide8X8N-SST5-Octreotide-chim(NtGi1-Gs-CtGi1)/β1/γ2
45.16Single8Y52BA18Y52-BB3-BA1-chim(NtGi1-Gs-CtGq)/β1/γ2
44.83Consensusopioid_onOrthosteric Ligandmop_on nop_on dop_on kop_on
44.44Single7DDZJNJ-310200287DDZ-Y2-JNJ-31020028
44.44Single8F7SDeltorphin8F7S-δ-Deltorphin-Gi1/β1/γ2
44.44Consensusdop_on_gpOrthosteric Ligand8F7S-δ-Deltorphin-Gi1/β1/γ2
44.44Consensusgi_cckOrthosteric Ligand7EZH-CCKA-Cholecystokinin-8-Gi1/β1/γ2 7F8V-CCKB-Gastrin-17-Gi2/β1/γ2
44.44Consensusnpy2_offOrthosteric Ligand7DDZ-Y2-JNJ-31020028
44.44Consensussst4_onOrthosteric Ligand7XMS-SST4-Somatostatin-14-Gi1/β1/γ2 7XMT-SST4-J-2156-Gi1/β1/γ2
44.44Consensussst4_on_gpOrthosteric Ligand7XMS-SST4-Somatostatin-14-Gi1/β1/γ2 7XMT-SST4-J-2156-Gi1/β1/γ2
43.75Single6IGKEndothelin-36IGK-ETB-Endothelin-3
43.75Consensusccr5_on_gpOrthosteric Ligand7O7F-CCR5-6P4-CCL5-Gi1/β1/γ1 7F1Q-CCR5-MIP-1a-Gi1/β1/γ2
43.33Single5UIW5P7-CCL55UIW-CCR5-5P7-CCL5
43.33Single7F8VGastrin-177F8V-CCKB-Gastrin-17-Gi2/β1/γ2
43.33Single9KFKRelaxin-39KFK-RXFP4-Relaxin-3-Gi2/β1/γ2
43.33Consensusccr5_offOrthosteric Ligand5UIW-CCR5-5P7-CCL5
43.33Consensusccr5_onOrthosteric Ligand7O7F-CCR5-6P4-CCL5-Gi1/β1/γ1 7F1Q-CCR5-MIP-1a-Gi1/β1/γ2
43.33Consensusgi_peptideOrthosteric Ligandgi_cck gi_apelin gi_compl-pept gi_endothelin gi_formylpeptide gi_galanin gi_ghrelin gi_npy gi_neurotensin gi_opioid gi_orexin gi_relaxin gi_somatostatin
42.86Single6PT2KGCHM076PT2-δ-KGCHM07
42.86Single7MBXCholecystokinin-87MBX-CCKA-Cholecystokinin-8-Gs/β1/γ1
42.86Single9M1OMorphine-Modulating Neuropeptide B9M1O-NPFF2-Morphine-Modulating Neuropeptide B-Gi1/β1/γ2
42.86Consensuscckb_on_gpOrthosteric Ligand8IA7-CCKB-Cholecystokinin-8-chim(NtGi1L-Gq)/β1/γ2 7XOW-CCKB-Gastrin-chim(NtGi1-Gq)/β1/γ2 7F8V-CCKB-Gastrin-17-Gi2/β1/γ2
42.86Consensusgs_cckOrthosteric Ligand7MBX-CCKA-Cholecystokinin-8-Gs/β1/γ1
42.86Consensusgs_class-aOrthosteric Ligandgs_peptide gs_nucleotide gs_amine
42.86Consensuspeptide_offonOrthosteric Ligandpeptide_off peptide_on
42.42Consensusetb_on_gpOrthosteric Ligand8IY5-ETB-Endothelin-1-Gi1/β1/γ2 8HBD-ETB-IRL1620-Gi1/β1/γ2
42.31Single7T11Octreotide7T11-SST2-Octreotide-Gi3/β1/γ2
42.31Single7XY6BAY 60-65837XY6-A2B-BAY 60-6583-chim(NtGi1-Gs)/β1/γ2
42.31Single8QJ2pN1628QJ2-MC4-pN162-Gs
42.31Consensusox2_onOrthosteric Ligand7L1V-OX2-PubChem 155491009-chim(NtGi1-Gs-CtGq)/β1/γ2 7SQO-OX2-TAK-925-Gi1/β1/γ2 7L1U-OX2-Orexin-chim(NtGi1-Gs-CtGq)/β1/γ2
42.31Consensusox2_on_gpOrthosteric Ligand7L1V-OX2-PubChem 155491009-chim(NtGi1-Gs-CtGq)/β1/γ2 7SQO-OX2-TAK-925-Gi1/β1/γ2 7L1U-OX2-Orexin-chim(NtGi1-Gs-CtGq)/β1/γ2
41.94Single8XWPEndothelin-18XWP-ETB-Endothelin-1-Gi1/β1/γ2
41.94Single8ZH8QRF-Amide8ZH8-QRFP-QRF-Amide-Gq/β1/γ1
41.94Single9KDFRES-701-39KDF-ETB-RES-701-3
41.94Consensusgq_peptideOrthosteric Ligandgq_cck gq_kisspeptin gq_bradykinin gq_bombesin gq_angiotensin
41.67Single9B65KCA9B65-CB1-KCA-Gi1/β1/γ2
41.38Single8X8LCortistatin8X8L-SST5-Cortistatin-chim(NtGi1-Gs-CtGi1)/β1/γ2
41.38Single8XWQEndothelin-18XWQ-ETB-Endothelin-1-Gi1/β1/γ2
41.38Consensuspeptide_offon_gpOrthosteric Ligandpeptide_on_gp peptide_off
41.38Consensusprotein_onOrthosteric Ligandchemokine_on chemerin_on
40.91Single5NLXZM-2413855NLX-A2A-ZM-241385-Na
40.91Single8RWCStilSwitch28RWC-A2A-StilSwitch2-Na
40.91Single8RWDStilSwitch38RWD-A2A-StilSwitch3-Na
40.74Single7XAUOctreotide7XAU-SST2-Octreotide-Gi1/β1/γ2
40.74Single8ZCJPasireotide8ZCJ-SST5-Pasireotide-Gi1/β1/γ1
40.74Consensusgi_opioidOrthosteric Ligand8F7R-μ-Endomorphin-Gi1/β1/γ2 8EF5-μ-Fentanyl-Gi1/β1/γ2 7SCG-μ-FH210-Gi1/β1/γ2 7T2H-μ-Lofentanil-Gi1/β1/γ2 7T2G-μ-Mitragynine Pseudoindoxyl-Gi1/β1/γ2 8DZP-κ-momSalB-Gi1/β1/γ2 8EF6-μ-Morphine-Gi1/β1/γ2 8F7X-NOP-Nociceptin-Gi1/β1/γ2 8EFB-μ-Oliceridine-Gi1/β1/γ2 7U2L-μ-PubChem 163201242-Gi1/β1/γ2 8EFO-μ-PZM21-Gi1/β1/γ2 8EFL-μ-SR17018-Gi1/β1/γ2 8F7Q-μ-β-Endorphin-Gi1/β1/γ2 7U2K-μ-C6-guano-Gi1/β1/γ2 8EFQ-μ-Damgo-Gi1/β1/γ2 8F7S-δ-Deltorphin-Gi1/β1/γ2 8F7W-κ-Dynorphin-Gi1/β1/γ2
40.62Single8IY6Endothelin-18IY6-ETB-Endothelin-1
40.62Consensusbk2_onOrthosteric Ligand7F6H-BK2-Bradykinin-Gq/β1/γ2 7F6I-BK2-Kallidin-Gq/β1/γ2
40.62Consensusbk2_on_gpOrthosteric Ligand7F6H-BK2-Bradykinin-Gq/β1/γ2 7F6I-BK2-Kallidin-Gq/β1/γ2
40.62Consensusbradykinin_onOrthosteric Ligandbk2_on
40.62Consensusbradykinin_on_gpOrthosteric Ligandbk2_on_gp
40.62Consensusetb_onOrthosteric Ligand8IY5-ETB-Endothelin-1-Gi1/β1/γ2 8HBD-ETB-IRL1620-Gi1/β1/γ2
40.62Consensusgq_bradykininOrthosteric Ligand7F6H-BK2-Bradykinin-Gq/β1/γ2 7F6I-BK2-Kallidin-Gq/β1/γ2
40.00Single7L0SNeurotensin7L0S-NTS1-Neurotensin-Gi1/β1/γ1
40.00Single7L1UOrexin7L1U-OX2-Orexin-chim(NtGi1-Gs-CtGq)/β1/γ2
40.00Single8HCXEndothelin-18HCX-ETB-Endothelin-1-chim(NtGi2L-Gs-CtGq)/β1/γ2
40.00Single8HK2C3a anaphylatoxin8HK2-C3aB-C3a anaphylatoxin-Gi1/β1/γ2
40.00Single8HNKCXCL118HNK-CXCR3-CXCL11-Gi1/β1/γ2
40.00Single8ZPSPrRP208ZPS-PrRP-PrRP20-chim(NtGi1-Gs-CtGq)/β1/γ2
40.00Single8ZRTET-18ZRT-ETB-ET-1
40.00Single9L3WRetinoic acid receptor responder protein 29L3W-CML1-Retinoic acid receptor responder protein 2-Gi1/β1/γ2
40.00Consensusc3a_onOrthosteric Ligand8HK2-C3aB-C3a anaphylatoxin-Gi1/β1/γ2 8IA8-C3aB-E7 peptide-Gi1/β1/γ2
40.00Consensusorexin_onOrthosteric Ligandox2_on
39.39Consensusbb2_onOrthosteric Ligand7W40-BB2-Bombesin-chim(NtGi1L-Gq)/β1/γ2 7W3Z-BB2-Gastrin Releasing Peptide-chim(NtGi1L-Gq)/β1/γ2
39.39Consensusbb2_on_gpOrthosteric Ligand7W40-BB2-Bombesin-chim(NtGi1L-Gq)/β1/γ2 7W3Z-BB2-Gastrin Releasing Peptide-chim(NtGi1L-Gq)/β1/γ2
39.39Consensusbombesin_onOrthosteric Ligandbb2_on
39.39Consensusbombesin_on_gpOrthosteric Ligandbb2_on_gp
39.39Consensusgi_endothelinOrthosteric Ligand8IY5-ETB-Endothelin-1-Gi1/β1/γ2 8HBD-ETB-IRL1620-Gi1/β1/γ2
39.39Consensusgq_bombesinOrthosteric Ligand7W40-BB2-Bombesin-chim(NtGi1L-Gq)/β1/γ2 7W3Z-BB2-Gastrin Releasing Peptide-chim(NtGi1L-Gq)/β1/γ2
39.29Single6DO1Angiotensin-like peptide S1I86DO1-AT1-Angiotensin-like peptide S1I8
39.29Single7EZKCholecystokinin-87EZK-CCKA-Cholecystokinin-8-chim(NtGi1-Gs)/β1/γ2
39.29Single7XMSSomatostatin-147XMS-SST4-Somatostatin-14-Gi1/β1/γ2
39.29Single9IK8SST analogue9IK8-SST1-SST analogue-Gi1/β1/γ2
39.29Single9KFIRelaxin-39KFI-RXFP3-Relaxin-3-Gi2/β1/γ2
39.29Consensuscckb_onOrthosteric Ligand8IA7-CCKB-Cholecystokinin-8-chim(NtGi1L-Gq)/β1/γ2 7XOW-CCKB-Gastrin-chim(NtGi1-Gq)/β1/γ2 7F8V-CCKB-Gastrin-17-Gi2/β1/γ2
39.29Consensuscompl-peptide_onOrthosteric Ligandc5a1_on c3a_on
39.13Single3EMLZM-2413853EML-A2A-ZM-241385
39.13Single5K2AZM-2413855K2A-A2A-ZM-241385-Na
39.13Single5VRAZM-2413855VRA-A2A-ZM-241385-Na
39.13Single6LPJZM-2413856LPJ-A2A-ZM-241385-Na
39.13Single6LPKZM-2413856LPK-A2A-ZM-241385-Na
39.13Single6S0LZM-2413856S0L-A2A-ZM-241385
39.13Single8CU6LJ-45178CU6-A2A-LJ-4517
39.13Single9H37A1IR09H37-A2A-A1IR0-Na
38.71Single8H0PNMB308H0P-BB1-NMB30-chim(NtGi1-Gs-CtGq)/β1/γ2
38.71Single8XVEBQ30208XVE-ETB-BQ3020-chim(Gs-CtGq)/β1/γ2
38.71Consensusgi_compl-peptOrthosteric Ligand8HK5-C5a1-Complement C5-Gi1/β1/γ2 8IA8-C3aB-E7 peptide-Gi1/β1/γ2 7Y66-C5a1-BM213-Gi1/β1/γ2 7Y67-C5a1-C089 peptide-Gi1/β1/γ2 8HK2-C3aB-C3a anaphylatoxin-Gi1/β1/γ2 7Y64-C5a1-C5a anaphylatoxin-Gi1/β1/γ2
38.71Consensusgi_proteinOrthosteric Ligandgi_chemokine gi_chemerin
38.71Consensusprotein_on_gpOrthosteric Ligandchemokine_on_gp chemerin_on_gp
38.46Single7EZHCholecystokinin-87EZH-CCKA-Cholecystokinin-8-Gi1/β1/γ2
38.46Single7EZMCholecystokinin-87EZM-CCKA-Cholecystokinin-8-chim(NtGsL-Gq)/β1/γ2
38.46Single8I95EP548I95-C3aB-EP54-Go/β1/γ2
38.46Single9M54Neuropeptide VF9M54-NPFF2-Neuropeptide VF-Gi1/β1/γ2
38.46Consensusc3a_on_gpOrthosteric Ligand8HK2-C3aB-C3a anaphylatoxin-Gi1/β1/γ2 8IA8-C3aB-E7 peptide-Gi1/β1/γ2
38.46Consensuscck_onOrthosteric Ligandccka_on cckb_on
38.46Consensuscck_on_gpOrthosteric Ligandccka_on_gp cckb_on_gp
38.46Consensusccka_onOrthosteric Ligand7EZH-CCKA-Cholecystokinin-8-Gi1/β1/γ2
38.46Consensusccka_on_gpOrthosteric Ligand7EZH-CCKA-Cholecystokinin-8-Gi1/β1/γ2
38.46Consensusorexin_on_gpOrthosteric Ligandox2_on_gp
38.24Single8HBDIRL16208HBD-ETB-IRL1620-Gi1/β1/γ2
38.24Consensusendothelin_on_gpOrthosteric Ligandetb_on_gp eta_on_gp
37.93Single7O7F6P4-CCL57O7F-CCR5-6P4-CCL5-Gi1/β1/γ1
37.93Single7TD0LPA7TD0-LPA1-LPA-Gi1/β1/γ2
37.93Single7TD2LPA7TD2-LPA1-LPA-Gi1/β1/γ2
37.93Single8K6MNeuropeptide-Y8K6M-Y1-Neuropeptide-Y-Gi2/β1/γ1
37.93Single8XGUTAK4488XGU-Kiss1-TAK448-Gi1/β1/γ2
37.93Single8XIQL7967788XIQ-SST3-L796778-chim(NtGi1-Gs-CtGi1)/β1/γ2
37.93Single9U4WGonadoliberin-19U4W-GnRH1-Gonadoliberin-1-chim(NtGi1L-Gs-CtGq)/β1/γ2
37.93Consensusangiotensin_onOrthosteric Ligandat1_on
37.93Consensusat1_onOrthosteric Ligand7F6G-AT1-SAR1-AngII-Gq/β1/γ2
37.93Consensusccr_onOrthosteric Ligandccr6_on ccr8_on ccr2_on ccr1_on ccr5_on
37.93Consensuscompl-peptide_on_gpOrthosteric Ligandc5a1_on_gp c3a_on_gp
37.93Consensusnpy1_onOrthosteric Ligand8K6M-Y1-Neuropeptide-Y-Gi2/β1/γ1
37.93Consensusnpy1_on_gpOrthosteric Ligand8K6M-Y1-Neuropeptide-Y-Gi2/β1/γ1
37.50Single5C1MBU725C1M-μ-BU72
37.50Single5IUAQ274563485IUA-A2A-Q27456348-Na
37.50Single5N2SPSB365N2S-A1-PSB36
37.50Single5OM4PubChem 1355666095OM4-A2A-PubChem 135566609-Na
37.50Single6LPLZM-2413856LPL-A2A-ZM-241385-Na
37.50Single6S0QZM-2413856S0Q-A2A-ZM-241385
37.50Single6WQAZM-2413856WQA-A2A-ZM-241385-Na
37.50Single7CFNINT-7777CFN-GPBA-INT-777-Gs/β1/γ2
37.50Single7F4FAfamelanotide7F4F-MC1-Afamelanotide-chim(NtGi1-Gs)/β1/γ2
37.50Single7RM5ZM-2413857RM5-A2A-ZM-241385-Na
37.50Single8FYNZM-2413858FYN-A2A-ZM-241385-Na
37.50Single8GNEKW-63568GNE-A2A-KW-6356-Na
37.50Consensusadenosine_offOrthosteric Liganda1_off a2_off
37.14Single6LRYSarafotoxin-B6LRY-ETB-Sarafotoxin-B
37.04Single3NY9ICI118-5513NY9-β2-ICI118-551
37.04Single4UG2CGS216804UG2-A2A-CGS21680
37.04Single6G79Donitriptan6G79-5-HT1B-Donitriptan-Go/β1/γ2
37.04Single7F8WGastrin-177F8W-CCKB-Gastrin-17-chim(NtGsL-Gq)/β1/γ2
37.04Single7RKNFractalkine7RKN-US28-Fractalkine-Gi1/β1/γ2
37.04Single7XBXCX3CL17XBX-CX3CR1-CX3CL1-Gi1/β1/γ2
37.04Single7XN9L-054,5227XN9-SST2-L-054,522
37.04Single7Y1FDynorphin7Y1F-κ-Dynorphin-Gi1/β1/γ2
37.04Single7YAEOctreotide7YAE-SST2-Octreotide-Gi1/β1/γ2
37.04Single8IA7Cholecystokinin-88IA7-CCKB-Cholecystokinin-8-chim(NtGi1L-Gq)/β1/γ2
37.04Single8X3LXWD8X3L-CB2-XWD-Gi1/β1/γ2
37.04Single8Y72Peptide8Y72-μ-Peptide-BMS-986122-Gi1/β1/γ2
37.04Consensuscxcr3_onOrthosteric Ligand8HNK-CXCR3-CXCL11-Gi1/β1/γ2 8HNL-CXCR3-PS372424-Gi1/β1/γ2
37.04Consensuscxcr4_offOrthosteric Ligand4RWS-CXCR4-vMIP-II 3OE0-CXCR4-CVX15 3OE6-CXCR4-IT1t
37.04Consensusgq_cckOrthosteric Ligand8IA7-CCKB-Cholecystokinin-8-chim(NtGi1L-Gq)/β1/γ2 7XOW-CCKB-Gastrin-chim(NtGi1-Gq)/β1/γ2 7EZM-CCKA-Cholecystokinin-8-chim(NtGsL-Gq)/β1/γ2 7F8W-CCKB-Gastrin-17-chim(NtGsL-Gq)/β1/γ2
37.04Consensussst2_onOrthosteric Ligand7WIC-SST2-Somatostatin-14-Gi1/β1/γ2 7WIG-SST2-L-054,264-Gi1/β1/γ2 7YAE-SST2-Octreotide-Gi1/β1/γ2 7YAC-SST2-Paltusotine-Gi1/β1/γ2
37.04Consensussst2_on_gpOrthosteric Ligand7WIC-SST2-Somatostatin-14-Gi1/β1/γ2 7WIG-SST2-L-054,264-Gi1/β1/γ2 7YAE-SST2-Octreotide-Gi1/β1/γ2 7YAC-SST2-Paltusotine-Gi1/β1/γ2
36.67Single7DW9AVP7DW9-V2-AVP-chim(NtGi1-Gs)/β1/γ2
36.67Single7F6GSAR1-AngII7F6G-AT1-SAR1-AngII-Gq/β1/γ2
36.67Single7W40Bombesin7W40-BB2-Bombesin-chim(NtGi1L-Gq)/β1/γ2
36.67Single7XK8Neuromedin-U-257XK8-NMUR2-Neuromedin-U-25-Gi1/β1/γ2
36.67Single8H4KGW95088H4K-FFA4-GW9508-chim(NtGi1-Gs-CtGq)/β1/γ2
36.67Consensusangiotensin_on_gpOrthosteric Ligandat1_on_gp
36.67Consensusat1_on_gpOrthosteric Ligand7F6G-AT1-SAR1-AngII-Gq/β1/γ2
36.67Consensuscxcr3_on_gpOrthosteric Ligand8HNK-CXCR3-CXCL11-Gi1/β1/γ2 8HNL-CXCR3-PS372424-Gi1/β1/γ2
36.67Consensusgq_angiotensinOrthosteric Ligand7F6G-AT1-SAR1-AngII-Gq/β1/γ2
36.67Consensusgs_vasop-oxyOrthosteric Ligand7DW9-V2-AVP-chim(NtGi1-Gs)/β1/γ2
36.67Consensusprotein_offonOrthosteric Ligandprotein_off protein_on
36.67Consensusprotein_offon_gpOrthosteric Ligandprotein_on_gp protein_off
36.67Consensusv2_onOrthosteric Ligand7DW9-V2-AVP-chim(NtGi1-Gs)/β1/γ2
36.67Consensusv2_on_gpOrthosteric Ligand7DW9-V2-AVP-chim(NtGi1-Gs)/β1/γ2
36.67Consensusvasop-oxy_onOrthosteric Ligandv2_on
36.67Consensusvasop-oxy_on_gpOrthosteric Ligandv2_on_gp
36.36Single5K2DZM-2413855K2D-A2A-ZM-241385-Na
36.36Single6IGLIRL16206IGL-ETB-IRL1620
36.36Single6JZHZM-2413856JZH-A2A-ZM-241385-Na
36.36Single6PS7ZM-2413856PS7-A2A-ZM-241385-Na
36.36Single7VGXNeuropeptide-Y7VGX-Y1-Neuropeptide-Y-Gi1/β1/γ2
36.36Single8IY5Endothelin-18IY5-ETB-Endothelin-1-Gi1/β1/γ2
36.36Single8RVWStilSwitch38RVW-A2A-StilSwitch3-Na
36.36Consensusendothelin_onOrthosteric Ligandetb_on eta_on
36.36Consensusgs_melanocortinOrthosteric Ligand7F4H-MC1-Afamelanotide-chim(NtGi1-Gs)/β1/γ2 7F54-MC4-Afamelanotide-Gs/β1/γ2 7F4D-MC1-α-MSH-chim(NtGi1-Gs)/β1/γ2 8INR-MC5-α-MSH-Ca-chim(NtGi1-Gs)/β1/γ2 7F53-MC4-α-MSH-Gs/β1/γ2 7F55-MC4-Bremelanotide-Gs/β1/γ2 8GY7-MC2-Corticotropin-Ca-chim(NtGi1-Gs)/β1/γ2; MRAP1 8IOC-MC3-γ-MSH-Ca-chim(NtGi1-Gs)/β1/γ2 8IOD-MC5-PG-901-Ca-chim(NtGi1-Gs)/β1/γ2 7AUE-MC4-Setmelanotide-chim(NtGi1L-Gs)/β1/γ2 7F4I-MC1-SHU9119-chim(NtGi1-Gs)/β1/γ2 7F58-MC4-THIQ-Gs/β1/γ2
36.00Single5A8E7-Methylcyanopindolol5A8E-β1-7-Methylcyanopindolol-Na
36.00Single6GT3Imaradenant6GT3-A2A-Imaradenant-Na
36.00Single6NI3BI1671076NI3-β2-BI167107-Gs/β1/γ2
36.00Single7JVPSKF839597JVP-D1-SKF83959-Gs/β1/γ2
36.00Single7XOWGastrin7XOW-CCKB-Gastrin-chim(NtGi1-Gq)/β1/γ2
36.00Single7Y24Octreotide7Y24-SST2-Octreotide-Go/β1/γ2
36.00Single8E0GBU728E0G-μ-BU72
36.00Single8FMZNeurotensin/Neuromedin-N8FMZ-NTS1-Neurotensin/Neuromedin-N-chim(NtGi2L-Gs-CtGq)/β1/γ2
36.00Single8HDOBAY 60-65838HDO-A2B-BAY 60-6583-Gs/β1/γ2
36.00Single8HPTC5a anaphylatoxin C-terminal peptide8HPT-C5a1-C5a anaphylatoxin C-terminal peptide-Go/β1/γ2
36.00Single8ID39-Hydroxystearic acid8ID3-FFA4-9-Hydroxystearic acid-Gi1/β1/γ2
36.00Single8IRVRotigotine8IRV-D5-Rotigotine-chim(NtGi1-Gs)/β1/γ2
36.00Single8JZPC5A anaphylatoxin8JZP-C5a1-C5A anaphylatoxin-Go/β1/γ2
36.00Single8VVFJDTic8VVF-κ-JDTic-Gi1/β1/γ2
36.00Single8Y73Peptide8Y73-μ-Peptide-MPAM-15-Gi1/β1/γ2
36.00Single9IK9SST analogue9IK9-SST1-SST analogue-Gi1/β1/γ2
36.00Consensusa2_onOrthosteric Liganda2b_on
36.00Consensusa2_on_gpOrthosteric Liganda2b_on_gp
36.00Consensusa2b_onOrthosteric Ligand8HDP-A2B-Adenosine-Gs/β1/γ2 7XY6-A2B-BAY 60-6583-chim(NtGi1-Gs)/β1/γ2 7XY7-A2B-NECA-chim(NtGi1-Gs)/β1/γ2 8HDO-A2B-BAY 60-6583-Gs/β1/γ2
36.00Consensusa2b_on_gpOrthosteric Ligand8HDP-A2B-Adenosine-Gs/β1/γ2 7XY6-A2B-BAY 60-6583-chim(NtGi1-Gs)/β1/γ2 7XY7-A2B-NECA-chim(NtGi1-Gs)/β1/γ2 8HDO-A2B-BAY 60-6583-Gs/β1/γ2
36.00Consensusd5_on_gpOrthosteric Ligand8IRV-D5-Rotigotine-chim(NtGi1-Gs)/β1/γ2
36.00Consensusgi_relaxinOrthosteric Ligand7YK7-RXFP4-DC591053-Gi2/β1/γ2 7YJ4-RXFP4-INSL5-Gi2/β1/γ2 7YK6-RXFP4-PubChem 138319674-Gi2/β1/γ2
36.00Consensusgs_adenosineOrthosteric Ligand8HDP-A2B-Adenosine-Gs/β1/γ2 8HDO-A2B-BAY 60-6583-Gs/β1/γ2 7XY7-A2B-NECA-chim(NtGi1-Gs)/β1/γ2 7XY6-A2B-BAY 60-6583-chim(NtGi1-Gs)/β1/γ2
36.00Consensusgs_nucleotideOrthosteric Ligandgs_adenosine
36.00Consensusrelaxin_onOrthosteric Ligandrxfp4_on
36.00Consensusrelaxin_on_gpOrthosteric Ligandrxfp4_on_gp
35.71Single4IB4Ergotamine4IB4-5-HT2B-Ergotamine
35.71Single7F8XNN90567F8X-CCKA-NN9056
35.71Single7L0RNeurotensin7L0R-NTS1-Neurotensin-Gi1/β1/γ1
35.71Single7WICSomatostatin-147WIC-SST2-Somatostatin-14-Gi1/β1/γ2
35.71Single7WVWfMYFINILTL7WVW-FPR2-ALX-fMYFINILTL-Gi2/β1/γ2
35.71Single7XMRSomatostatin-147XMR-SST2-Somatostatin-14-Gi1/β1/γ2
35.71Single8F7XNociceptin8F7X-NOP-Nociceptin-Gi1/β1/γ2
35.71Single8WDTphotoNECA8WDT-A2A-photoNECA
35.71Single8WZ2Orexigenic Neuropeptide QRFP8WZ2-QRFP-Orexigenic Neuropeptide QRFP-chim(NtGi1L-Gs-CtGq)/β1/γ2
35.71Single8ZBJSomatostatin-148ZBJ-SST5-Somatostatin-14-Gi1/β1/γ2
35.71Single9BKJCholecystokinin-89BKJ-CCKA-Cholecystokinin-8-chim(NtGi1-Gs-CtGq)/β1/γ2
35.71Single9HB3Mambaquaretin-19HB3-V2-Mambaquaretin-1
35.71Consensuschemokine_onOrthosteric Ligandccr_on cxcr_on
35.71Consensusclass-a_on_gpOrthosteric Ligandsensory_on_gp alicarboxylic_on_gp amine_on_gp lipid_on_gp nucleotide_on_gp peptide_on_gp protein_on_gp
35.48Single7F6HBradykinin7F6H-BK2-Bradykinin-Gq/β1/γ2
35.48Single7F6IKallidin7F6I-BK2-Kallidin-Gq/β1/γ2
35.48Single8HCQEndothelin-18HCQ-ETA-Endothelin-1-chim(NtGi1-Gs-CtGq)/β1/γ2
35.48Single8XVIEndothelin-18XVI-ETA-Endothelin-1-chim(Gs-CtGq)/β1/γ2
35.48Consensusccr_on_gpOrthosteric Ligandccr6_on_gp ccr8_on_gp ccr2_on_gp ccr1_on_gp ccr5_on_gp
35.48Consensuschemokine_offOrthosteric Ligandccr_off cxcr_off
35.48Consensuschemokine_on_gpOrthosteric Ligandccr_on_gp cxcr_on_gp
35.48Consensuscxcr_offOrthosteric Ligandcxcr3_off cxcr4_off
35.48Consensuseta_onOrthosteric Ligand8HCQ-ETA-Endothelin-1-chim(NtGi1-Gs-CtGq)/β1/γ2
35.48Consensuseta_on_gpOrthosteric Ligand8HCQ-ETA-Endothelin-1-chim(NtGi1-Gs-CtGq)/β1/γ2
35.48Consensusgi_chemokineOrthosteric Ligand6WWZ-CCR6-CCL20-Go/β1/γ2 8HNK-CXCR3-CXCL11-Gi1/β1/γ2 8K3Z-CXCR4-CXCL12-Gi1/β1/γ1 8IC0-CXCR1-Interleukin-8-Gi1/β1/γ2 6LFM-CXCR2-Interleukin-8-Gi1/β1/γ2 8KFX-CCR8-LMD-009-Gi1/β1/γ2 7F1Q-CCR5-MIP-1a-Gi1/β1/γ2 8HNL-CXCR3-PS372424-Gi1/β1/γ2 8KFY-CCR8-ZK-756326-Gi1/β1/γ2 7O7F-CCR5-6P4-CCL5-Gi1/β1/γ1 8U1U-CCR8-CCL1-Gi1/β1/γ2 7VLA-CCR1-CCL15(27-92)-Gi1/β1/γ2 7XA3-CCR2-CCL2-Gi1/β1/γ2
35.48Consensusmc1_onOrthosteric Ligand7F4H-MC1-Afamelanotide-chim(NtGi1-Gs)/β1/γ2 7F4D-MC1-α-MSH-chim(NtGi1-Gs)/β1/γ2 7F4I-MC1-SHU9119-chim(NtGi1-Gs)/β1/γ2
35.48Consensusmc1_on_gpOrthosteric Ligand7F4H-MC1-Afamelanotide-chim(NtGi1-Gs)/β1/γ2 7F4D-MC1-α-MSH-chim(NtGi1-Gs)/β1/γ2 7F4I-MC1-SHU9119-chim(NtGi1-Gs)/β1/γ2
35.48Consensuspac_onOrthosteric Ligandpac1_on
35.29Single5GLHEndothelin-15GLH-ETB-Endothelin-1
35.29Single8U1UCCL18U1U-CCR8-CCL1-Gi1/β1/γ2
35.29Single8ZJETAK-4488ZJE-Kiss1-TAK-448-chim(NtGi1-Gq)/β1/γ1
34.78Single5IU4ZM-2413855IU4-A2A-ZM-241385-Na
34.78Single5IU7Q274563465IU7-A2A-Q27456346-Na
34.78Single5IUBQ274563445IUB-A2A-Q27456344-Na
34.78Single5JTBZM-2413855JTB-A2A-ZM-241385
34.78Single5K2BZM-2413855K2B-A2A-ZM-241385-Na
34.78Single5K2CZM-2413855K2C-A2A-ZM-241385-Na
34.78Single5NM4ZM-2413855NM4-A2A-ZM-241385-Na
34.78Single5UVIZM-2413855UVI-A2A-ZM-241385
34.78Single6ZDRHMS1413f126ZDR-A2A-HMS1413f12-Na
34.78Single7AROLUF58337ARO-A2A-LUF5833-Na
34.78Single8RQQZM-2413858RQQ-A2A-ZM-241385-Na
34.78Single8UO1Constrained Epinephrine8UO1-β2-Constrained Epinephrine-GTP; Mg-Gs/β1/γ2
34.78Consensusa2_offOrthosteric Liganda2a_off
34.78Consensusa2a_offOrthosteric Ligand3RFM-A2A-Caffeine 8C9W-A2A-Etrumadenant 3UZA-A2A-GTPL9236 8GNG-A2A-Istradefylline 8CU6-A2A-LJ-4517 7PX4-A2A-PSB-2113 7PYR-A2A-PSB-2115 8DU3-A2A-PubChem 105526064 8JWY-A2A-2-118 8PWN-A2A-Theophylline 5IU4-A2A-ZM-241385-Na 5OLZ-A2A-PubChem 135566609-Na 6GT3-A2A-Imaradenant-Na 5OLV-A2A-LUAA41063-Na 5N2R-A2A-PSB-36-Na 5IU7-A2A-Q27456346-Na 5OLH-A2A-Vipadenant-Na 5OLO-A2A-Tozadenant-Na 6ZDR-A2A-HMS1413f12-Na 8GNE-A2A-KW-6356-Na 8JWZ-A2A-AB928-Na 5IU8-A2A-Q27456347-Na 5IUB-A2A-Q27456344-Na 6ZDV-A2A-Chromone 5d-Na 5IUA-A2A-Q27456348-Na 8A2P-A2A-LUAA47070-Na
34.62Single2YCXCyanopindolol2YCX-β1-Cyanopindolol
34.62Single4XEENeurotensin4XEE-NTS1-Neurotensin
34.62Single4XESNeurotensin4XES-NTS1-Neurotensin
34.62Single6OS0Angiotensinogen6OS0-AT1-Angiotensinogen
34.62Single6OS2TRV0266OS2-AT1-TRV026
34.62Single7BZ2Arformoterol7BZ2-β2-Arformoterol-Gs/β1/γ2
34.62Single7EW2Fingolimod7EW2-S1P3-Fingolimod-Gi1/β1/γ2
34.62Single7L1VPubChem 1554910097L1V-OX2-PubChem 155491009-chim(NtGi1-Gs-CtGq)/β1/γ2
34.62Single7XMTJ-21567XMT-SST4-J-2156-Gi1/β1/γ2
34.62Single7YITNalfurafine7YIT-κ-Nalfurafine
34.62Single8H0QGastrin Releasing Peptide8H0Q-BB2-Gastrin Releasing Peptide-chim(NtGi1-Gs-CtGq)/β1/γ2
34.62Single8I9AEP548I9A-C3aB-EP54-chim(NtGi1-Gs-CtGq)/β1/γ2
34.62Single8J6DEP1418J6D-C3aB-EP141-Go/β1/γ2
34.62Single8JJLOlodaterol8JJL-β2-Olodaterol
34.62Single8W1VPubChem 1717162658W1V-β2-PubChem 171716265
34.62Single9GYOP3959GYO-GPBA-P395-chim(NtGi1-Gs)/β1/γ2
34.62Single9IZHLPA9IZH-LPA1-LPA-chim(NtGi2-G13)/β1/γ2
34.62Single9M4QDoxazosin9M4Q-Alpha1A-Doxazosin
34.62Single9MQLIsoquinuclidine9MQL-κ-Isoquinuclidine
34.62Consensusgalanin_onOrthosteric Ligandgal2_on gal1_on
34.62Consensusgalanin_on_gpOrthosteric Ligandgal2_on_gp gal1_on_gp
34.62Consensusgi_lipidOrthosteric Ligandgi_cannabinoid gi_ffa gi_leukotriene gi_lpa gi_s1p
34.62Consensusmop_onOrthosteric Ligand8F7R-μ-Endomorphin-Gi1/β1/γ2 8EF5-μ-Fentanyl-Gi1/β1/γ2 7SCG-μ-FH210-Gi1/β1/γ2 7T2H-μ-Lofentanil-Gi1/β1/γ2 7T2G-μ-Mitragynine Pseudoindoxyl-Gi1/β1/γ2 8EF6-μ-Morphine-Gi1/β1/γ2 8EFB-μ-Oliceridine-Gi1/β1/γ2 7U2L-μ-PubChem 163201242-Gi1/β1/γ2 8EFO-μ-PZM21-Gi1/β1/γ2 8EFL-μ-SR17018-Gi1/β1/γ2 8F7Q-μ-β-Endorphin-Gi1/β1/γ2 7U2K-μ-C6-guano-Gi1/β1/γ2 8EFQ-μ-Damgo-Gi1/β1/γ2
34.62Consensusmop_on_gpOrthosteric Ligand8F7R-μ-Endomorphin-Gi1/β1/γ2 8EF5-μ-Fentanyl-Gi1/β1/γ2 7SCG-μ-FH210-Gi1/β1/γ2 7T2H-μ-Lofentanil-Gi1/β1/γ2 7T2G-μ-Mitragynine Pseudoindoxyl-Gi1/β1/γ2 8EF6-μ-Morphine-Gi1/β1/γ2 8EFB-μ-Oliceridine-Gi1/β1/γ2 7U2L-μ-PubChem 163201242-Gi1/β1/γ2 8EFO-μ-PZM21-Gi1/β1/γ2 8EFL-μ-SR17018-Gi1/β1/γ2 8F7Q-μ-β-Endorphin-Gi1/β1/γ2 7U2K-μ-C6-guano-Gi1/β1/γ2 8EFQ-μ-Damgo-Gi1/β1/γ2
34.62Consensusopioid_offOrthosteric Ligandmop_off nop_off dop_off kop_off
34.48Single3QAKUK-4320973QAK-A2A-UK-432097
34.48Single5XJM(Sar1,Ile8)-Angiotensin II5XJM-AT2-(Sar1,Ile8)-Angiotensin II
34.48Single8F7WDynorphin8F7W-κ-Dynorphin-Gi1/β1/γ2
34.48Single8JZZC5a-desArg8JZZ-C5a1-C5a-desArg-Go/β1/γ2
34.48Single8K6OPro-neuropeptide-Y8K6O-Y1-Pro-neuropeptide-Y-Gi2/β1/γ1
34.48Single8WSSPro-MCH8WSS-MCH1-Pro-MCH-Gi1/β1/γ1
34.48Single8Z7JAgonistic antibody8Z7J-Apelin-Agonistic antibody-Gi1/β1/γ2
34.48Single9E82SDF-1-beta9E82-ACKR3-SDF-1-β-Arrestin2
34.48Single9EAINanobody AT2099EAI-AT1-Losartan-Nanobody AT209
34.48Single9IQVMuscarinic toxin 39IQV-Alpha1A-Muscarinic toxin 3
34.48Consensuss1p3_on_gpOrthosteric Ligand7EW3-S1P3-S1P-Gi1/β1/γ2 7EW4-S1P3-CYM5541-Gi1/β1/γ2 7EW2-S1P3-Fingolimod-Gi1/β1/γ2
34.38Single7RGPTirzepatide7RGP-GLP-1-Tirzepatide-chim(NtGi1-Gs)/β1/γ2
34.38Single7SK3CXCL127SK3-ACKR3-CXCL12
34.38Single7SK4CXCL12_LRHQ7SK4-ACKR3-CXCL12_LRHQ
34.38Consensuspac_on_gpOrthosteric Ligandpac1_on_gp
34.29Single7SK6CXCL12_LRHQ7SK6-ACKR3-CXCL12_LRHQ
34.29Consensusmelanocortin_onOrthosteric Ligandmc1_on mc4_on mc2_on mc3_on mc5_on
34.29Consensusmelanocortin_on_gpOrthosteric Ligandmc1_on_gp mc4_on_gp mc2_on_gp mc3_on_gp mc5_on_gp
33.33Single2YCZIodocyanopindolol2YCZ-β1-Iodocyanopindolol
33.33Single4BUONeurotensin4BUO-NTS1-Neurotensin
33.33Single4BVNCyanopindolol4BVN-β1-Cyanopindolol-Na
33.33Single4EIYZM-2413854EIY-A2A-ZM-241385-Na
33.33Single4NC3Ergotamine4NC3-5-HT2B-Ergotamine
33.33Single5DHHSB-6121115DHH-NOP-SB-612111
33.33Single5IU8Q274563475IU8-A2A-Q27456347-Na
33.33Single5OLGZM-2413855OLG-A2A-ZM-241385-Na
33.33Single5OLZPubChem 1355666095OLZ-A2A-PubChem 135566609-Na
33.33Single5OM1PubChem 1355666095OM1-A2A-PubChem 135566609-Na
33.33Single5TUDErgotamine5TUD-5-HT2B-Ergotamine
33.33Single6BQGErgotamine6BQG-5-HT2C-Ergotamine
33.33Single6DDFDamgo6DDF-μ-Damgo-Gi1/β1/γ2
33.33Single6UP7Neurotensin6UP7-NTS1-Neurotensin-Arrestin2
33.33Single7CRHSKF839597CRH-D1-SKF83959-Gs/β1/γ2
33.33Single7F4DAlpha-MSH7F4D-MC1-α-MSH-chim(NtGi1-Gs)/β1/γ2
33.33Single7F53Alpha-MSH7F53-MC4-α-MSH-Gs/β1/γ2
33.33Single7MBYCholecystokinin-87MBY-CCKA-Cholecystokinin-8-chim(NtGi1L-Gs-CtGq)/β1/γ2
33.33Single7PYRPSB-21157PYR-A2A-PSB-2115
33.33Single7UL4Alvimopan7UL4-μ-Alvimopan
33.33Single7UM4AS26747237UM4-5-HT5A-AS2674723
33.33Single7X8RBOC57X8R-GLP-1-BOC5-Gs/β1/γ2
33.33Single7XA3CCL27XA3-CCR2-CCL2-Gi1/β1/γ2
33.33Single7XJISolabegron7XJI-β3-Solabegron-Gs/β1/γ2
33.33Single7YACPaltusotine7YAC-SST2-Paltusotine-Gi1/β1/γ2
33.33Single7YK7DC5910537YK7-RXFP4-DC591053-Gi2/β1/γ2
33.33Single7YU8ONO-07405567YU8-LPA1-ONO-0740556-Gi1/β1/γ2
33.33Single8CU7LJ-45178CU7-A2A-LJ-4517-Na
33.33Single8EFQDamgo8EFQ-μ-Damgo-Gi1/β1/γ2
33.33Single8GAGPubChem 1708384908GAG-CB1-PubChem 170838490-Gi1/β1/γ2
33.33Single8GUTLEI-1028GUT-CB2-LEI-102-Gi1/β1/γ2
33.33Single8HN1Toxin AdTx18HN1-Alpha1A-Toxin AdTx1
33.33Single8JPFNeurotensin8JPF-NTS1-Neurotensin-SBI-553
33.33Single8RW7StilSwitch18RW7-A2A-StilSwitch1-Na
33.33Single8UNRConstrained Epinephrine8UNR-β2-Constrained Epinephrine-GTP-Gs/β1/γ2
33.33Single8UNUConstrained Epinephrine8UNU-β2-Constrained Epinephrine-GTP-Gs/β1/γ2
33.33Single8UNVConstrained Epinephrine8UNV-β2-Constrained Epinephrine-GTP-Gs/β1/γ2
33.33Single8UNZConstrained Epinephrine8UNZ-β2-Constrained Epinephrine-GTP-Gs/β1/γ2
33.33Single8UO2Constrained Epinephrine8UO2-β2-Constrained Epinephrine-GTP-Gs/β1/γ2
33.33Single8WRZPubChem 1023367048WRZ-CB1-PubChem 102336704-Arrestin2
33.33Single8WWLMCH8WWL-MCH1-MCH-Gi1/β1/γ2
33.33Single8XGSMetastin8XGS-Kiss1-Metastin-chim(NtGi1-Gq)/β1/γ2
33.33Single8ZJGChemerin8ZJG-CML1-Chemerin-Gi1/β1/γ2
33.33Single8ZWGJR14a8ZWG-C3aB-JR14a-Gi1/β1/γ2
33.33Single9B54A1AIW9B54-CB1-A1AIW-Gi1/β1/γ2
33.33Single9CHXS-Carazolol9CHX-β2-S-Carazolol
33.33Single9D61JDTic9D61-κ-JDTic-Gi1/β1/γ2
33.33Consensusadenosine_on_gpOrthosteric Liganda1_on_gp a2_on_gp a3_on_gp
33.33Consensuscb1_on_gpOrthosteric Ligand6KPG-CB1-AM841-Gi1/β1/γ2 8K8J-CB1-Fenofibrate-chim(Gs-CtGq)/β1/γ2
33.33Consensusccr2_onOrthosteric Ligand7XA3-CCR2-CCL2-Gi1/β1/γ2
33.33Consensusccr2_on_gpOrthosteric Ligand7XA3-CCR2-CCL2-Gi1/β1/γ2
33.33Consensusclass-a_onOrthosteric Ligandsensory_on alicarboxylic_on amine_on lipid_on nucleotide_on peptide_on protein_on
33.33Consensusgal2_onOrthosteric Ligand7WQ4-GAL2-Galanin-chim(NtGi1-Gs-CtGq)/β1/γ2 7XJL-GAL2-Spexin-chim(NtGi2L-Gs-CtGq)/β1/γ2
33.33Consensusgal2_on_gpOrthosteric Ligand7WQ4-GAL2-Galanin-chim(NtGi1-Gs-CtGq)/β1/γ2 7XJL-GAL2-Spexin-chim(NtGi2L-Gs-CtGq)/β1/γ2
33.33Consensusgs_peptideOrthosteric Ligandgs_cck gs_melanocortin gs_vasop-oxy
32.35Single8WWNMCH8WWN-MCH1-MCH-Gi1/β1/γ2
32.26Single6JODAngiotensin II6JOD-AT2-Angiotensin II
32.26Single7F4HAfamelanotide7F4H-MC1-Afamelanotide-chim(NtGi1-Gs)/β1/γ2
32.26Consensusgi_class-aOrthosteric Ligandgi_peptide gi_sensory gi_alicarboxylic gi_amine gi_lipid gi_nucleotide gi_protein
32.26Consensusp2y_on_gpOrthosteric Ligandp2y1_on_gp p2y10_on_gp p2y12_on_gp
32.14Single5WF6UK-4320975WF6-A2A-UK-432097
32.14Single6C1QPMX536C1Q-C5a1-PMX53-NDT9513727
32.14Single6OS9JMV4496OS9-NTS1-JMV449-Gi1/β1/γ2
32.14Single7X8SWB4-247X8S-GLP-1-WB4-24-Gs/β1/γ2
32.14Single9IZASCH9002719IZA-HCA2-SCH900271-Gi1/β1/γ2
32.14Single9V2NMacimorelin9V2N-Ghrelin-Macimorelin-chim(NtGi1-Gs-CtGq)/β1/γ2
32.14Consensusnmur1_onOrthosteric Ligand7W53-NMUR1-Neuromedin-U-25-chim(NtGi1-Gs-CtGq)/β1/γ2
32.00Single2YCWS-Carazolol2YCW-β1-S-Carazolol
32.00Single5D6LS-Carazolol5D6L-β2-S-Carazolol
32.00Single5NM2ZM-2413855NM2-A2A-ZM-241385-Na
32.00Single5TVNLSD5TVN-5-HT2B-LSD
32.00Single5X7DS-Carazolol5X7D-β2-S-Carazolol-Cmpd-15
32.00Single6GDGNECA6GDG-A2A-NECA-Gs/β1/γ1
32.00Single6ME82-Phenylmelatonin6ME8-MT2-2-Phenylmelatonin
32.00Single7CKXA776367CKX-D1-A77636-Gs/β1/γ2
32.00Single7LD3Adenosine7LD3-A1-Adenosine-MIPS521-Gi2/β1/γ2
32.00Single7SBFPZM217SBF-μ-PZM21-Gi1/β1/γ2
32.00Single7XKAConstrained Epinephrine7XKA-β2-Constrained Epinephrine
32.00Single7Y26Octreotide7Y26-SST2-Octreotide-chim(NtGi2L-Gs-CtGq)/β1/γ2
32.00Single8GDZConstrained Epinephrine8GDZ-β2-Constrained Epinephrine-Gs/β1/γ2
32.00Single8GEBConstrained Epinephrine8GEB-β2-Constrained Epinephrine-Gs/β1/γ2
32.00Single8GEGConstrained Epinephrine8GEG-β2-Constrained Epinephrine-Gs/β1/γ2
32.00Single8GGBConstrained Epinephrine8GGB-β2-Constrained Epinephrine-GTP-Gs/β1/γ2
32.00Single8QOTNanobody-E8QOT-μ-Nanobody-E
32.00Single8TF5Oleic acid8TF5-GPR6-Oleic acid
32.00Single8UNNConstrained Epinephrine8UNN-β2-Constrained Epinephrine-GTP-Gs/β1/γ2
32.00Single8UNPConstrained Epinephrine8UNP-β2-Constrained Epinephrine-GTP-Gs/β1/γ2
32.00Single9I52A1IZU9I52-D1-A1IZU-Gs/β1/γ2
32.00Single9MQKIsoquinuclidine9MQK-κ-Isoquinuclidine
32.00Consensusalpha_offOrthosteric Ligandalpha1_off alpha2_off
32.00Consensusd1_onOrthosteric Ligand7F0T-D1-Dopamine-Gs/β1/γ2 7CKY-D1-PW0464-Gs/β1/γ2 8IRR-D1-Rotigotine-Gs/β1/γ2 7JV5-D1-SKF81297-Gs/β1/γ2 7JVP-D1-SKF83959-Gs/β1/γ2 7X2D-D1-Tavapadon-Gs/β1/γ2 7CKX-D1-A77636-Gs/β1/γ2 7JVQ-D1-Apomorphine-Gs/β1/γ2 7CKW-D1-Fenoldopam-Gs/β1/γ2
32.00Consensusgs_amineOrthosteric Ligandgs_5ht gs_adrenergic gs_dopamine gs_histamine gs_trace-amine
32.00Consensusrxfp4_onOrthosteric Ligand7YK7-RXFP4-DC591053-Gi2/β1/γ2 7YJ4-RXFP4-INSL5-Gi2/β1/γ2 7YK6-RXFP4-PubChem 138319674-Gi2/β1/γ2
32.00Consensusrxfp4_on_gpOrthosteric Ligand7YK7-RXFP4-DC591053-Gi2/β1/γ2 7YJ4-RXFP4-INSL5-Gi2/β1/γ2 7YK6-RXFP4-PubChem 138319674-Gi2/β1/γ2
31.82Single8RWHStilSwitch28RWH-A2A-StilSwitch2-Na
31.43Consensusclass-a_class-b1_cons_onOrthosteric Ligandclass-a_on class-b1_on
31.25Single7F9YGhrelin-287F9Y-Ghrelin-Ghrelin-28-chim(NtGi1-Gs-CtGq)/β1/γ2
31.25Single7P02Protachykinin-17P02-NK1-Protachykinin-1-chim(NtGi1-Gs)/β1/γ2
31.25Single7Y64C5a anaphylatoxin7Y64-C5a1-C5a anaphylatoxin-Gi1/β1/γ2
31.25Single8IA2C5a anaphylatoxin8IA2-C5a1-C5a anaphylatoxin-Go/β1/γ2
31.25Single8IODPG-9018IOD-MC5-PG-901-Ca-chim(NtGi1-Gs)/β1/γ2
31.25Single8WWKMCH8WWK-MCH1-MCH-Gi1/β1/γ2
31.25Single8XQEApelin-138XQE-Apelin-Apelin-13-Gi1/β1/γ2
31.25Consensusneuromedin-u_on_gpOrthosteric Ligandnmur1_on_gp nmur2_on_gp
31.03Single4AMJS-Carvedilol4AMJ-β1-S-Carvedilol
31.03Single4IARErgotamine4IAR-5-HT1B-Ergotamine
31.03Single7F4ISHU91197F4I-MC1-SHU9119-chim(NtGi1-Gs)/β1/γ2
31.03Single7F54Afamelanotide7F54-MC4-Afamelanotide-Gs/β1/γ2
31.03Single7W0PElabela7W0P-Apelin-Elabela-Gi1/β1/γ2
31.03Single7W53Neuromedin-U-257W53-NMUR1-Neuromedin-U-25-chim(NtGi1-Gs-CtGq)/β1/γ2
31.03Single8DCRDobutamine8DCR-β1-Dobutamine-Gs/β1/γ2
31.03Single8GHVAMG3158GHV-CB1-AMG315-Gi1/β1/γ2
31.03Single8PKMBefiradol8PKM-5-HT1A-Befiradol-Gi1/β1/γ1
31.03Single8XGMChemerin8XGM-CML2-Chemerin-Gi1/β1/γ2
31.03Single8ZJDKisspeptin-108ZJD-Kiss1-Kisspeptin-10-chim(NtGi1-Gq)/β1/γ1
31.03Single8ZSPLSD8ZSP-TA1-LSD-chim(NtGi1L-Gs-CtGq)/β1/γ2
31.03Single9BUYLM1899BUY-β2-LM189-Gi1/β1/γ2
31.03Single9M4TSilodosin9M4T-Alpha1A-Silodosin
31.03Consensuschemerin_on_gpOrthosteric Ligandcml1_on_gp
31.03Consensuscml1_onOrthosteric Ligand7YKD-CML1-Chemerin-9-Gi1/β1/γ2
31.03Consensusgi_chemerinOrthosteric Ligand7YKD-CML1-Chemerin-9-Gi1/β1/γ2
31.03Consensusgq_kisspeptinOrthosteric Ligand8ZJD-Kiss1-Kisspeptin-10-chim(NtGi1-Gq)/β1/γ1
31.03Consensuskiss1_on_gpOrthosteric Ligand8ZJD-Kiss1-Kisspeptin-10-chim(NtGi1-Gq)/β1/γ1
31.03Consensuskisspeptin_on_gpOrthosteric Ligandkiss1_on_gp
31.03Consensuslpl_onOrthosteric Ligands1p_on lpa_on
31.03Consensuslpl_on_gpOrthosteric Ligands1p_on_gp lpa_on_gp
31.03Consensusnmur1_on_gpOrthosteric Ligand7W53-NMUR1-Neuromedin-U-25-chim(NtGi1-Gs-CtGq)/β1/γ2
31.03Consensusnop_onOrthosteric Ligand8F7X-NOP-Nociceptin-Gi1/β1/γ2
31.03Consensusnop_on_gpOrthosteric Ligand8F7X-NOP-Nociceptin-Gi1/β1/γ2
30.77Single2YDVNECA2YDV-A2A-NECA
30.77Single3P0GBI1671073P0G-β2-BI167107
30.77Single3SN6BI1671073SN6-β2-BI167107-Gs/β1/γ2
30.77Single3ZEVNeurotensin3ZEV-NTS1-Neurotensin
30.77Single4UHRCGS216804UHR-A2A-CGS21680
30.77Single5D5AS-Carazolol5D5A-β2-S-Carazolol
30.77Single5D5BS-Carazolol5D5B-β2-S-Carazolol
30.77Single5G53NECA5G53-A2A-NECA-Gs
30.77Single5XR8AM8415XR8-CB1-AM841
30.77Single5ZBHBMS-1938855ZBH-Y1-BMS-193885
30.77Single6DDEDamgo6DDE-μ-Damgo-Gi1/β1/γ2
30.77Single6J21Aprepitant6J21-NK1-Aprepitant
30.77Single6N4BMDMB-Fubinaca6N4B-CB1-MDMB-Fubinaca-Gi1/β1/γ2
30.77Single6Z8NSRI-98296Z8N-NTS1-SRI-9829
30.77Single7B6WCyclazosin7B6W-α1b-Cyclazosin
30.77Single7CKYPW04647CKY-D1-PW0464-Gs/β1/γ2
30.77Single7JV5SKF812977JV5-D1-SKF81297-Gs/β1/γ2
30.77Single7L0PNeurotensin7L0P-NTS1-Neurotensin-Gi1/β1/γ1
30.77Single7L0QNeurotensin7L0Q-NTS1-Neurotensin-Gi1/β1/γ1
30.77Single7PX4PSB-21137PX4-A2A-PSB-2113
30.77Single7TD1LPA7TD1-LPA1-LPA-Gi1/β1/γ2
30.77Single7TUYGSK682753A7TUY-GPR183-GSK682753A
30.77Single7XBDGalanin7XBD-GAL2-Galanin-chim(NtGi2L-Gs-CtGq)/β1/γ2
30.77Single7XJLSpexin7XJL-GAL2-Spexin-chim(NtGi2L-Gs-CtGq)/β1/γ2
30.77Single7XY7NECA7XY7-A2B-NECA-chim(NtGi1-Gs)/β1/γ2
30.77Single7YU5ONO-07405567YU5-LPA1-ONO-0740556-Gi1/β1/γ2
30.77Single7YU7ONO-07405567YU7-LPA1-ONO-0740556-Gi1/β1/γ2
30.77Single8DCSCyanopindolol8DCS-β1-Cyanopindolol-Gs/β1/γ2
30.77Single8FN1Neurotensin/Neuromedin-N8FN1-NTS1-Neurotensin/Neuromedin-N-chim(NtGi1-Go)/β1/γ2
30.77Single8ID6Oleic acid8ID6-FFA4-Oleic acid-Gi1/β1/γ2
30.77Single8T1VPubChem 1183102098T1V-GPR6-PubChem 118310209-Na
30.77Single8UGWPubChem 30865998UGW-A2A-PubChem 3086599
30.77Single8WU1PubChem 1190256658WU1-CB1-PubChem 119025665-Arrestin2
30.77Single8XIPPasireotide8XIP-SST1-Pasireotide-chim(NtGi1-Gs-CtGi1)/β1/γ2
30.77Single9BJKNaloxone9BJK-μ-Naloxone-NAM
30.77Single9I54A1IZV9I54-D1-A1IZV-Gs/β1/γ2
30.77Single9IZGNKP9IZG-LPA1-NKP-chim(NtGi1-Gs-CtGq)/β1/γ2
30.77Single9UY3Anamorelin9UY3-Ghrelin-Anamorelin-chim(NtGi1-Gs-CtGq)/β1/γ2
30.77Consensusbeta1_offOrthosteric Ligand2VT4-β1-Cyanopindolol 2YCW-β1-S-Carazolol 2YCZ-β1-Iodocyanopindolol 5A8E-β1-7-Methylcyanopindolol-Na 3ZPQ-β1-4-(piperazin-1- yl)-1H-indole-Na 3ZPR-β1-4-methyl-2-(piperazin-1-yl)-Na
30.77Consensusbeta2_onOrthosteric Ligand7DHI-β2-Salbutamol-Gs/β1/γ2 6NI3-β2-BI167107-Gs/β1/γ2
30.77Consensusbeta2_on_gpOrthosteric Ligand7DHI-β2-Salbutamol-Gs/β1/γ2 6NI3-β2-BI167107-Gs/β1/γ2
30.77Consensusd1_on_gpOrthosteric Ligand7F0T-D1-Dopamine-Gs/β1/γ2 7CKY-D1-PW0464-Gs/β1/γ2 8IRR-D1-Rotigotine-Gs/β1/γ2 7JV5-D1-SKF81297-Gs/β1/γ2 7JVP-D1-SKF83959-Gs/β1/γ2 7X2D-D1-Tavapadon-Gs/β1/γ2 7CKX-D1-A77636-Gs/β1/γ2 7JVQ-D1-Apomorphine-Gs/β1/γ2 7CKW-D1-Fenoldopam-Gs/β1/γ2
30.77Consensusgi_5htOrthosteric Ligand8FYT-5-HT1A-LSD-Gi1/β1/γ1 7UM7-5-HT5A-Methylergometrine-chim(NtGi1-Go)/β1/γ2 8UGY-5-HT1E-Mianserin-Gi1/β1/γ1 8W8B-5-HT1A-SEP-363856-Gi1/β1/γ2 7E2Y-5-HT1A-Serotonin-Gi1/β1/γ2 7E32-5-HT1D-Serotonin-Gi1/β1/γ2 7XTA-5-HT4-Serotonin-Gi1/β1/γ2 8UH3-5-HT1E-Setiptiline-Gi1/β1/γ1 8JSP-5-HT1A-Ulotaront-Gi1/β1/γ2 8FYL-5-HT1A-Vilazodone-Gi1/β1/γ1 8JT6-5-HT1A-(R)-IHCH-7179-Gi1/β1/γ2 8FYE-5-HT1A-4-F,5-MeO-PyrT-Gi1/β1/γ1 7X5H-5-HT5A-5-CT-Gi1/β1/γ2 8FY8-5-HT1A-5-MeO-DMT-Gi1/β1/γ1 7E2Z-5-HT1A-Aripiprazole-Gi1/β1/γ2 7E33-5-HT1E-BRL-54443-Gi1/β1/γ2 8FYX-5-HT1A-Buspirone-Gi1/β1/γ1 7EXD-5-HT1F-Lasmiditan-Gi1/β1/γ2 7UM6-5-HT5A-Lisuride-chim(NtGi1-Go)/β1/γ2
30.77Consensusgi_cannabinoidOrthosteric Ligand8GUR-CB2-CP55,940-Gi1/β1/γ2 8GUS-CB2-HU-308-Gi1/β1/γ2 8GUT-CB2-LEI-102-Gi1/β1/γ2 8GUQ-CB2-Olorinab-Gi1/β1/γ2 6KPF-CB2-PubChem 145915889-Gi1/β1/γ2 6PT0-CB2-WIN 55212-2-Gi1/β1/γ2 6KPG-CB1-AM841-Gi1/β1/γ2
30.77Consensusgi_dopamineOrthosteric Ligand7JVR-D2-Bromoergocryptine-Gi1/β1/γ2 7CMV-D3-PD128907-Gi1/β1/γ2 7CMU-D3-Pramipexole-Gi1/β1/γ2 8IRS-D2-Rotigotine-Gi1/β1/γ2 8IRT-D3-Rotigotine-Gi1/β1/γ2
30.77Consensusgi_lpaOrthosteric Ligand7TD1-LPA1-LPA-Gi1/β1/γ2 7YU3-LPA1-ONO-0740556-Gi1/β1/γ2
30.77Consensusgs_dopamineOrthosteric Ligand7F0T-D1-Dopamine-Gs/β1/γ2 7CKW-D1-Fenoldopam-Gs/β1/γ2 7CKY-D1-PW0464-Gs/β1/γ2 8IRV-D5-Rotigotine-chim(NtGi1-Gs)/β1/γ2 8IRR-D1-Rotigotine-Gs/β1/γ2 7JV5-D1-SKF81297-Gs/β1/γ2 7JVP-D1-SKF83959-Gs/β1/γ2 7X2D-D1-Tavapadon-Gs/β1/γ2 7CKX-D1-A77636-Gs/β1/γ2 7JVQ-D1-Apomorphine-Gs/β1/γ2
30.77Consensuslpa_onOrthosteric Ligandlpa1_on
30.77Consensuslpa_on_gpOrthosteric Ligandlpa1_on_gp
30.77Consensusmc2_onOrthosteric Ligand8GY7-MC2-Corticotropin-Ca-chim(NtGi1-Gs)/β1/γ2; MRAP1
30.77Consensusmc2_on_gpOrthosteric Ligand8GY7-MC2-Corticotropin-Ca-chim(NtGi1-Gs)/β1/γ2; MRAP1
30.77Consensusmotilin_onOrthosteric Ligand8IBU-Motilin-Erythromycin-A-chim(NtGi1-Gs-CtGq)/β1/γ2
30.77Consensusneurotensin_onOrthosteric Ligandnts1_on
30.77Consensusnpy1_offOrthosteric Ligand5ZBH-Y1-BMS-193885 5ZBQ-Y1-UR-MK-299
30.77Consensusnpy_offOrthosteric Ligandnpy1_off npy2_off
30.77Consensusnts1_onOrthosteric Ligand6OSA-NTS1-JMV449-Gi1/β1/γ2 7L0S-NTS1-Neurotensin-Gi1/β1/γ1
30.43Single3VGAZM-2413853VGA-A2A-ZM-241385-Antibody
30.43Single4BWBNeurotensin4BWB-NTS1-Neurotensin
30.43Single4MQTLY21196204MQT-M2-Iperoxo-LY2119620
30.43Single5OLOTozadenant5OLO-A2A-Tozadenant-Na
30.43Single5OLVLUAA410635OLV-A2A-LUAA41063-Na
30.43Single7DHRIsoprenaline7DHR-β2-Isoprenaline-Gs/β1/γ2
30.43Single7XJJGalanin7XJJ-GAL1-Galanin-Go/β1/γ2
30.43Single8DU3PubChem 1055260648DU3-A2A-PubChem 105526064
30.43Single8GNGIstradefylline8GNG-A2A-Istradefylline
30.43Single8HDPAdenosine8HDP-A2B-Adenosine-Gs/β1/γ2
30.43Single8RW0Istradefylline8RW0-A2A-Istradefylline-Na
30.43Single8RW4AzoSwitch28RW4-A2A-AzoSwitch2-Na
30.43Single8RWEStilSwitch48RWE-A2A-StilSwitch4-Na
30.43Single8UNSConstrained Epinephrine8UNS-β2-Constrained Epinephrine-GTP-Gs/β1/γ2
30.43Single8UNTConstrained Epinephrine8UNT-β2-Constrained Epinephrine-GTP-Gs/β1/γ2
30.43Single8UNXConstrained Epinephrine8UNX-β2-Constrained Epinephrine-GTP-Gs/β1/γ2
30.43Single9FUPIstradefylline9FUP-A2A-Istradefylline-Na
30.43Single9H2XA1IR19H2X-A2A-A1IR1-Na
30.30Single7W3ZGastrin Releasing Peptide7W3Z-BB2-Gastrin Releasing Peptide-chim(NtGi1L-Gq)/β1/γ2
30.30Single7YKDChemerin-97YKD-CML1-Chemerin-9-Gi1/β1/γ2
30.30Single8E3XPACAP278E3X-PAC1-PACAP27-Gs/β1/γ2
30.30Consensusccr_offOrthosteric Ligandccr2_off ccr5_off
30.00Single7RKMFractalkine7RKM-US28-Fractalkine-Gi1/β1/γ2
30.00Single7SK5CXCL127SK5-ACKR3-CXCL12
30.00Single7WJ5Somatostatin-147WJ5-SST2-Somatostatin-14-Gi1/β1/γ2
30.00Single8F7QBeta-Endorphin8F7Q-μ-β-Endorphin-Gi1/β1/γ2
30.00Single8IBVMotilin8IBV-Motilin-Motilin-chim(NtGi1-Gs-CtGq)/β1/γ2
30.00Single8SG1Chemerin-98SG1-CML1-Chemerin-9-Gi1/β1/γ2
30.00Single9IQSMuscarinic toxin 39IQS-M4-Muscarinic toxin 3
30.00Consensusformylpeptide_on_gpOrthosteric Ligandfpr2-alx_on_gp fpr1-alx_on_gp
30.00Consensusgi_ghrelinOrthosteric Ligand7NA7-Ghrelin-Ghrelin-27-Gi1/β1/γ2 7NA8-Ghrelin-PubChem 178024-Gi1/β1/γ2
30.00Consensusgq_class-aOrthosteric Ligandgq_peptide gq_amine gq_nucleotide
29.63Single3D4STimolol3D4S-β2-Timolol
29.63Single4GRVNeurotensin-(8-13)4GRV-NTS1-Neurotensin-(8-13)
29.63Single4RWADIPP-NH24RWA-δ-DIPP-NH2
29.63Single5F8UCyanopindolol5F8U-β1-Cyanopindolol
29.63Single6DRYMethylergonovine6DRY-5-HT2B-Methylergonovine
29.63Single6H7OCyanopindolol6H7O-β1-Cyanopindolol
29.63Single6KPGAM8416KPG-CB1-AM841-Gi1/β1/γ2
29.63Single6MXTSalmeterol6MXT-β2-Salmeterol
29.63Single6OSAJMV4496OSA-NTS1-JMV449-Gi1/β1/γ2
29.63Single6YVRNTS8-136YVR-NTS1-NTS8-13
29.63Single7DH5Mirabegron7DH5-β3-Mirabegron-Gs/β1/γ2
29.63Single7EXDLasmiditan7EXD-5-HT1F-Lasmiditan-Gi1/β1/γ2
29.63Single7MTRADX551647MTR-mGlu2; mGlu2-Glutamate-ADX55164
29.63Single7WQ4Galanin7WQ4-GAL2-Galanin-chim(NtGi1-Gs-CtGq)/β1/γ2
29.63Single7XJKGalanin7XJK-GAL2-Galanin-chim(NtGi2L-Gs-CtGq)/β1/γ2
29.63Single7Y66BM2137Y66-C5a1-BM213-Gi1/β1/γ2
29.63Single7YMJTamsulosin7YMJ-Alpha1A-Tamsulosin
29.63Single8IA8E7 peptide8IA8-C3aB-E7 peptide-Gi1/β1/γ2
29.63Single8IBUErythromycin-A8IBU-Motilin-Erythromycin-A-chim(NtGi1-Gs-CtGq)/β1/γ2
29.63Single8ID9Eicosapentaenoic acid8ID9-FFA4-Eicosapentaenoic acid-Gi1/β1/γ2
29.63Single8JJ8Formoterol8JJ8-β2-Formoterol
29.63Single8JPBNeurotensin-(8-13)8JPB-NTS1-Neurotensin-(8-13)-SBI-553; GDP; Mg-Gq; GRK2
29.63Single8JPCNeurotensin-(8-13)8JPC-NTS1-Neurotensin-(8-13)-SBI-553; GDP; Mg-Gq; GRK2
29.63Single8JWY2-1188JWY-A2A-2-118
29.63Single8JWZAB9288JWZ-A2A-AB928-Na
29.63Single8JZ7MK68928JZ7-HCA2-MK6892-Gi1/β1/γ2
29.63Single8XWSCXCL58XWS-CXCR2-CXCL5
29.63Single9DGIZ85267113509DGI-CB1-Z8526711350
29.63Consensus5ht1a_onOrthosteric Ligand8FYT-5-HT1A-LSD-Gi1/β1/γ1 7E2Y-5-HT1A-Serotonin-Gi1/β1/γ2 7E2Z-5-HT1A-Aripiprazole-Gi1/β1/γ2 8FYX-5-HT1A-Buspirone-Gi1/β1/γ1 8JSP-5-HT1A-Ulotaront-Gi1/β1/γ2 8JT6-5-HT1A-(R)-IHCH-7179-Gi1/β1/γ2 8FY8-5-HT1A-5-MeO-DMT-Gi1/β1/γ1 8FYE-5-HT1A-4-F,5-MeO-PyrT-Gi1/β1/γ1 8FYL-5-HT1A-Vilazodone-Gi1/β1/γ1
29.63Consensus5ht1a_on_gpOrthosteric Ligand8FYT-5-HT1A-LSD-Gi1/β1/γ1 8FYX-5-HT1A-Buspirone-Gi1/β1/γ1 8JSP-5-HT1A-Ulotaront-Gi1/β1/γ2 8JT6-5-HT1A-(R)-IHCH-7179-Gi1/β1/γ2 7E2Y-5-HT1A-Serotonin-Gi1/β1/γ2 7E2Z-5-HT1A-Aripiprazole-Gi1/β1/γ2 8FY8-5-HT1A-5-MeO-DMT-Gi1/β1/γ1 8FYE-5-HT1A-4-F,5-MeO-PyrT-Gi1/β1/γ1 8FYL-5-HT1A-Vilazodone-Gi1/β1/γ1
29.63Consensus5ht1f_onOrthosteric Ligand7EXD-5-HT1F-Lasmiditan-Gi1/β1/γ2
29.63Consensus5ht1f_on_gpOrthosteric Ligand7EXD-5-HT1F-Lasmiditan-Gi1/β1/γ2
29.63Consensusalpha1_offOrthosteric Ligandalpha1a_off
29.63Consensusalpha1a_offOrthosteric Ligand7YMJ-Alpha1A-Tamsulosin
29.63Consensusbeta3_onOrthosteric Ligand7DH5-β3-Mirabegron-Gs/β1/γ2 7XJH-β3-Isoproterenol-Gs/β1/γ2 7XJI-β3-Solabegron-Gs/β1/γ2
29.63Consensusbeta3_on_gpOrthosteric Ligand7DH5-β3-Mirabegron-Gs/β1/γ2 7XJH-β3-Isoproterenol-Gs/β1/γ2 7XJI-β3-Solabegron-Gs/β1/γ2
29.63Consensusbeta_onOrthosteric Ligandbeta1_on beta2_on beta3_on
29.63Consensusbeta_on_gpOrthosteric Ligandbeta1_on_gp beta2_on_gp beta3_on_gp
29.63Consensuscannabinoid_onOrthosteric Ligandcb2_on cb1_on
29.63Consensuscannabinoid_on_gpOrthosteric Ligandcb2_on_gp cb1_on_gp
29.63Consensuscb1_onOrthosteric Ligand6KPG-CB1-AM841-Gi1/β1/γ2 8K8J-CB1-Fenofibrate-chim(Gs-CtGq)/β1/γ2
29.63Consensusd2_on_gpOrthosteric Ligand7JVR-D2-Bromoergocryptine-Gi1/β1/γ2 8IRS-D2-Rotigotine-Gi1/β1/γ2
29.63Consensusgi_neurotensinOrthosteric Ligand6OSA-NTS1-JMV449-Gi1/β1/γ2 7L0S-NTS1-Neurotensin-Gi1/β1/γ1
29.63Consensuskop_onOrthosteric Ligand8F7W-κ-Dynorphin-Gi1/β1/γ2 8DZS-κ-GR89,696-chim(NtGi2-Gz)/β1/γ2 8DZP-κ-momSalB-Gi1/β1/γ2
29.63Consensuslipid_offonOrthosteric Ligandlipid_off lipid_on
29.63Consensuslipid_offon_gpOrthosteric Ligandlipid_on_gp lipid_off
29.63Consensusmotilin_on_gpOrthosteric Ligand8IBU-Motilin-Erythromycin-A-chim(NtGi1-Gs-CtGq)/β1/γ2
29.63Consensusneurotensin_on_gpOrthosteric Ligandnts1_on_gp
29.63Consensusnts1_on_gpOrthosteric Ligand6OSA-NTS1-JMV449-Gi1/β1/γ2 7L0S-NTS1-Neurotensin-Gi1/β1/γ1
29.63Consensuss1p3_onOrthosteric Ligand7EW3-S1P3-S1P-Gi1/β1/γ2 7EW4-S1P3-CYM5541-Gi1/β1/γ2 7EW2-S1P3-Fingolimod-Gi1/β1/γ2
29.41Single6VCBGLP-16VCB-GLP-1-GLP-1-LSN3160440-Gs/β1/γ2
29.41Single7WVYAmyloid-Beta427WVY-FPR2-ALX-Amyloid-β42-Gi2/β1/γ2
29.41Single8W8WAlpha-MSH8W8W-MC3-α-MSH-Ca-Gs/β1/γ2
29.41Single8W8XBeta-MSH8W8X-MC3-β-MSH-Ca-Gs/β1/γ2
29.17Single3REYXAC3REY-A2A-XAC
29.17Single3UZC4-(3-amino-5-phenyl-1,2,4-triazin-6-yl)-2-chlorophenol3UZC-A2A-4-(3-amino-5-phenyl-1,2,4-triazin-6-yl)-2-chlorophenol
29.17Single4LDOL-Epinephrine4LDO-β2-L-Epinephrine
29.17Single6AQFZM-2413856AQF-A2A-ZM-241385
29.17Single6MH8ZM-2413856MH8-A2A-ZM-241385
29.17Single6PS0S-Carazolol6PS0-β2-S-Carazolol
29.17Single6PS4ICI118-5516PS4-β2-ICI118-551
29.17Single6PS5S-Propranolol6PS5-β2-S-Propranolol
29.17Single6TPGEMPA6TPG-OX2-EMPA
29.17Single6U1NLY21196206U1N-M2-LY2119620-Arrestin2
29.17Single6ZDVChromone 5d6ZDV-A2A-Chromone 5d-Na
29.17Single7SR8TAK-9257SR8-OX2-TAK-925-chim(NtGi1L-Gs-CtGq)/β1/γ2
29.17Single7T94LY21196207T94-M2-Acetylcholine-LY2119620-chim(NtGi1-Go)/β1/γ2
29.17Single8GEAConstrained Epinephrine8GEA-β2-Constrained Epinephrine-Gs/β1/γ2
29.17Single8GEDConstrained Epinephrine8GED-β2-Constrained Epinephrine-Gs/β1/γ2
29.17Single8GG7Constrained Epinephrine8GG7-β2-Constrained Epinephrine-GTP-Gs/β1/γ2
29.17Single8GG8Constrained Epinephrine8GG8-β2-Constrained Epinephrine-GTP-Gs/β1/γ2
29.17Single8GGLConstrained Epinephrine8GGL-β2-Constrained Epinephrine
29.17Single8GGMConstrained Epinephrine8GGM-β2-Constrained Epinephrine
29.17Single8GGPConstrained Epinephrine8GGP-β2-Constrained Epinephrine
29.17Single8GGQConstrained Epinephrine8GGQ-β2-Constrained Epinephrine
29.17Single8GGSConstrained Epinephrine8GGS-β2-Constrained Epinephrine
29.17Single8GGTConstrained Epinephrine8GGT-β2-Constrained Epinephrine
29.17Single8GGXConstrained Epinephrine8GGX-β2-Constrained Epinephrine
29.17Single8JLQFenoldopam8JLQ-TA1-Fenoldopam-Gs/β1/γ2
29.17Single8K9KDamgo8K9K-μ-Damgo-Gi3/β1/γ1
29.17Single8RWIStilSwitch28RWI-A2A-StilSwitch2-Na
29.17Single8UNLConstrained Epinephrine8UNL-β2-Constrained Epinephrine-GTP-Gs/β1/γ2
29.17Single8UNMConstrained Epinephrine8UNM-β2-Constrained Epinephrine-GTP-Gs/β1/γ2
29.17Single8UNOConstrained Epinephrine8UNO-β2-Constrained Epinephrine-GTP-Gs/β1/γ2
29.17Single8UNWConstrained Epinephrine8UNW-β2-Constrained Epinephrine-GTP-Gs/β1/γ2
29.17Single8UO0Constrained Epinephrine8UO0-β2-Constrained Epinephrine-GTP-Gs/β1/γ2
29.17Single8Y6YGLPG09748Y6Y-FFA2-GLPG0974
29.17Single8YH2Adenosine8YH2-A3A-Adenosine-Gi1/β1/γ2
29.17Single8ZPNAMD31008ZPN-CXCR4-AMD3100
29.17Single9M2FNeuropeptide FF9M2F-NPFF1-Neuropeptide FF-Gi1/β1/γ2
29.17Consensus5ht_on_gpOrthosteric Ligand5ht1_on_gp 5ht2_on_gp 5ht4_on_gp 5ht5_on_gp 5ht6_on_gp 5ht7_on_gp
29.17Consensusadenosine_onOrthosteric Liganda1_on a2_on a3_on
29.17Consensuscxcr2_onOrthosteric Ligand6LFM-CXCR2-Interleukin-8-Gi1/β1/γ2
29.17Consensusgi_adenosineOrthosteric Ligand7LD4-A1-Adenosine-Gi2/β1/γ2 8X17-A3A-Namodenoson-Gi1/β1/γ2 8X16-A3A-Piclidenoson-Gi1/β1/γ2
29.17Consensusnucleotide_offOrthosteric Ligandadenosine_off p2y_off
29.03Single3OE0CVX153OE0-CXCR4-CVX15
29.03Single5WF5UK-4320975WF5-A2A-UK-432097
29.03Single6MEOEnvelope Glycoprotein Gp160; T-Cell Surface Glycoprotein Cd46MEO-CCR5-Envelope Glycoprotein Gp160; T-Cell Surface Glycoprotein Cd4
29.03Single7W55Neuromedin-U-257W55-NMUR2-Neuromedin-U-25-chim(NtGi1-Gs-CtGq)/β1/γ2
29.03Consensusc5a1_onOrthosteric Ligand8HK5-C5a1-Complement C5-Gi1/β1/γ2 7Y66-C5a1-BM213-Gi1/β1/γ2 7Y67-C5a1-C089 peptide-Gi1/β1/γ2 7Y64-C5a1-C5a anaphylatoxin-Gi1/β1/γ2
29.03Consensusnmur2_onOrthosteric Ligand7W55-NMUR2-Neuromedin-U-25-chim(NtGi1-Gs-CtGq)/β1/γ2
29.03Consensusnmur2_on_gpOrthosteric Ligand7W55-NMUR2-Neuromedin-U-25-chim(NtGi1-Gs-CtGq)/β1/γ2
28.95Consensusclass-a_class-b1_cons_on_gpOrthosteric Ligandclass-a_on_gp class-b1_on_gp
28.57Single4RWSvMIP-II4RWS-CXCR4-vMIP-II
28.57Single4Z35ONO-99105394Z35-LPA1-ONO-9910539
28.57Single6H7LDobutamine6H7L-β1-Dobutamine
28.57Single6IBLArformoterol6IBL-β1-Arformoterol
28.57Single6NBHLong-Acting PTH Analog6NBH-PTH1-Long-Acting PTH Analog-Gs/β1/γ2
28.57Single6TKOArformoterol6TKO-β1-Arformoterol-Arrestin2
28.57Single7EZCUKA7EZC-A2A-UKA
28.57Single7JVRBromoergocryptine7JVR-D2-Bromoergocryptine-Gi1/β1/γ2
28.57Single7KI1Taspoglutide7KI1-GLP-1-Taspoglutide-Gs/β1/γ2
28.57Single7LLLExendin-47LLL-GLP-1-Exendin-4-Gs/β1/γ2
28.57Single7MTSADX551647MTS-mGlu2; mGlu2-Glutamate-ADX55164-Gi1/β1/γ2
28.57Single7VGY2-Iodomelatonin7VGY-MT1-2-Iodomelatonin-Gi1/β1/γ2
28.57Single7WVVfMLFII7WVV-FPR2-ALX-fMLFII-Gi2/β1/γ2
28.57Single7X2DTavapadon7X2D-D1-Tavapadon-Gs/β1/γ2
28.57Single7XK2MK68927XK2-HCA2-MK6892-Gi1/β1/γ2
28.57Single7Y65C5a peptide7Y65-C5a1-C5a peptide-Gi1/β1/γ2
28.57Single8FN0Neurotensin/Neuromedin-N8FN0-NTS1-Neurotensin/Neuromedin-N-SBI-553-chim(NtGi1-Go)/β1/γ2
28.57Single8IJDMK68928IJD-HCA2-MK6892-Gi1/β1/γ2
28.57Single8IYSTUG-8918IYS-FFA4-TUG-891-GDP-chim(NtGi1L-Gq)/β1/γ2
28.57Single8K4OCXCL18K4O-KSHV-CXCL1-Gi1/β1/γ1
28.57Single8XVUCXCL28XVU-CXCR2-CXCL2
28.57Single8XWVCXCL18XWV-CXCR2-CXCL1-Go/β1/γ2
28.57Single8XXHCXCL28XXH-CXCR2-CXCL2-Go/β1/γ2
28.57Single9BYOExendin-39BYO-GLP-1-Exendin-3-Gs/β1/γ2
28.57Single9GE3Lysophosphatidylinositol9GE3-GPR55-Lysophosphatidylinositol-chim(NtGi1-G13)/β1/γ2
28.57Single9IZFNKP9IZF-LPA1-NKP-Gi1/β1/γ2
28.57Consensusbeta1_onOrthosteric Ligand8DCR-β1-Dobutamine-Gs/β1/γ2 7S0F-β1-Isoprenaline-Gi1/β1/γ2
28.57Consensusbeta1_on_gpOrthosteric Ligand8DCR-β1-Dobutamine-Gs/β1/γ2 7S0F-β1-Isoprenaline-Gi1/β1/γ2
28.57Consensusd2_offOrthosteric Ligand6CM4-D2-Risperidone 6LUQ-D2-Haloperidol 7DFP-D2-Spiperone
28.57Consensusendothelin_offOrthosteric Ligandetb_off
28.57Consensusetb_offOrthosteric Ligand5X93-ETB-K-8794 5XPR-ETB-Bosentan 6K1Q-ETB-IRL2500
28.57Consensusgi_s1pOrthosteric Ligand7VIE-S1P1-S1P-Gi1/β1/γ2 7EW3-S1P3-S1P-Gi1/β1/γ2 7EVY-S1P1-Siponimod-Gi1/β1/γ2 7EW1-S1P5-Siponimod-Gi1/β1/γ2 7VIF-S1P1-S-FTY720-P-Gi1/β1/γ2 7VIG-S1P1-CBP-307-Gi1/β1/γ2 7EVZ-S1P1-Cenerimod-Gi1/β1/γ2 7EW4-S1P3-CYM5541-Gi1/β1/γ2 7EW2-S1P3-Fingolimod-Gi1/β1/γ2 7EW0-S1P1-Ozanimod-Gi1/β1/γ2 7EW7-S1P1-SEW2871-Gi1/β1/γ2
28.57Consensuskop_on_gpOrthosteric Ligand8F7W-κ-Dynorphin-Gi1/β1/γ2 8DZS-κ-GR89,696-chim(NtGi2-Gz)/β1/γ2 8DZP-κ-momSalB-Gi1/β1/γ2
28.57Consensuspeptide_offOrthosteric Ligandcck_off angiotensin_off bombesin_off endothelin_off ghrelin_off npy_off opioid_off orexin_off somatostatin_off tachykinin_off vasop-oxy_off neurotensin_off
28.57Consensuspth1_onOrthosteric Ligand6NBF-PTH1-Long-Acting PTH Analog-Gs/β1/γ2 8HA0-PTH1-PTH-chim(NtGi1-Gs)/β1/γ2 8HAF-PTH1-PTHrP(1-36)-chim(NtGi1-Gs)/β1/γ2 7Y36-PTH1-Teriparatide-Gs/β1/γ2 7Y35-PTH1-Abaloparatide-Gs/β1/γ2
28.57Consensusvip-pacap_onOrthosteric Ligandvpac_on pac_on
28.57Consensusvip-pacap_on_gpOrthosteric Ligandvpac_on_gp pac_on_gp
28.21Consensuspth_onOrthosteric Ligandpth1_on pth2_on
28.12Single5WB2CX3CL1.355WB2-US28-CX3CL1.35
28.12Single6METEnvelope Glycoprotein Gp160; T-Cell Surface Glycoprotein Cd46MET-CCR5-Envelope Glycoprotein Gp160; T-Cell Surface Glycoprotein Cd4
28.12Single7FIMTirzepatide7FIM-GLP-1-Tirzepatide-Gs/β1/γ2
28.12Single7KH0AVP7KH0-V2-AVP-chim(NtGi1-Gs)/β1/γ2
28.12Single7T10Somatostatin-147T10-SST2-Somatostatin-14-Gi3/β1/γ2
28.12Single7W57Neuromedin-S7W57-NMUR2-Neuromedin-S-chim(NtGi1-Gs-CtGq)/β1/γ2
28.12Single8XZJWN3538XZJ-Apelin-WN353-Gi1/β1/γ2
28.12Consensusc5a1_on_gpOrthosteric Ligand8HK5-C5a1-Complement C5-Gi1/β1/γ2 7Y66-C5a1-BM213-Gi1/β1/γ2 7Y67-C5a1-C089 peptide-Gi1/β1/γ2 7Y64-C5a1-C5a anaphylatoxin-Gi1/β1/γ2
28.12Consensusfpr2-alx_on_gpOrthosteric Ligand7WVX-FPR2-ALX-Humanin-Gi2/β1/γ2 7T6U-FPR2-ALX-CGEN-855A-Gi1/β1/γ2 7T6V-FPR2-ALX-fMLFII-Gi1/β1/γ2 7WVY-FPR2-ALX-Amyloid-β42-Gi2/β1/γ2 7T6S-FPR2-ALX-PubChem 24776341-Gi1/β1/γ2 6OMM-FPR2-ALX-WKYMVX-Gi1/β1/γ2
28.12Consensusgi_formylpeptideOrthosteric Ligand7WVY-FPR2-ALX-Amyloid-β42-Gi2/β1/γ2 7T6U-FPR2-ALX-CGEN-855A-Gi1/β1/γ2 7VFX-FPR1-ALX-fMLF-Gi1/β1/γ2 7T6V-FPR2-ALX-fMLFII-Gi1/β1/γ2 7WVX-FPR2-ALX-Humanin-Gi2/β1/γ2 7T6S-FPR2-ALX-PubChem 24776341-Gi1/β1/γ2 6OMM-FPR2-ALX-WKYMVX-Gi1/β1/γ2
28.12Consensusneuromedin-u_onOrthosteric Ligandnmur1_on nmur2_on
28.00Single2VT4Cyanopindolol2VT4-β1-Cyanopindolol
28.00Single3NY8ICI118-5513NY8-β2-ICI118-551
28.00Single3ZPQ4-(piperazin-1- yl)-1H-indole3ZPQ-β1-4-(piperazin-1- yl)-1H-indole-Na
28.00Single3ZPR4-methyl-2-(piperazin-1-yl)3ZPR-β1-4-methyl-2-(piperazin-1-yl)-Na
28.00Single4EA3PubChem 102965614EA3-NOP-PubChem 10296561
28.00Single4GBRS-Carazolol4GBR-β2-S-Carazolol
28.00Single5DHGC-355DHG-NOP-C-35
28.00Single5UENDU1725UEN-A1-DU172
28.00Single5UIGCmpd-15UIG-A2A-Cmpd-1
28.00Single6D27CAY104716D27-DP2-CAY10471
28.00Single6PS1Timolol6PS1-β2-Timolol
28.00Single6PS2S-Alprenolol6PS2-β2-S-Alprenolol
28.00Single6TOTLemborexant6TOT-OX1-Lemborexant
28.00Single6Z4VNTS8-136Z4V-NTS1-NTS8-13
28.00Single7BTSL-Epinephrine7BTS-β1-L-Epinephrine
28.00Single7BU6L-Norepinephrine7BU6-β1-L-Norepinephrine
28.00Single7FIHOrg435537FIH-LH-hCG-Org43553-chim(NtGi1-Gs)/β1/γ2
28.00Single7JVQApomorphine7JVQ-D1-Apomorphine-Gs/β1/γ2
28.00Single7LJCSKF-812977LJC-D1-SKF-81297-Mevidalen-Gs/β1/γ2
28.00Single7NA8PubChem 1780247NA8-Ghrelin-PubChem 178024-Gi1/β1/γ2
28.00Single7S0GIsoprenaline7S0G-β1-Isoprenaline-chim(Gi1-CtGs)/β1/γ2
28.00Single7T6VfMLFII7T6V-FPR2-ALX-fMLFII-Gi1/β1/γ2
28.00Single7UM6Lisuride7UM6-5-HT5A-Lisuride-chim(NtGi1-Go)/β1/γ2
28.00Single7XTC5-CT7XTC-5-HT7-5-CT-Gs/β1/γ2
28.00Single8GE3Constrained Epinephrine8GE3-β2-Constrained Epinephrine-Gs/β1/γ2
28.00Single8GE9Constrained Epinephrine8GE9-β2-Constrained Epinephrine-Gs/β1/γ2
28.00Single8GECConstrained Epinephrine8GEC-β2-Constrained Epinephrine-Gs/β1/γ2
28.00Single8GEEConstrained Epinephrine8GEE-β2-Constrained Epinephrine-Gs/β1/γ2
28.00Single8GEHConstrained Epinephrine8GEH-β2-Constrained Epinephrine-Gs/β1/γ2
28.00Single8GFVConstrained Epinephrine8GFV-β2-Constrained Epinephrine-GTP-Gs/β1/γ2
28.00Single8GFWConstrained Epinephrine8GFW-β2-Constrained Epinephrine-GTP-Gs/β1/γ2
28.00Single8GFXConstrained Epinephrine8GFX-β2-Constrained Epinephrine-GTP-Gs/β1/γ2
28.00Single8GFZConstrained Epinephrine8GFZ-β2-Constrained Epinephrine-GTP-Gs/β1/γ2
28.00Single8GG0Constrained Epinephrine8GG0-β2-Constrained Epinephrine-GTP-Gs/β1/γ2
28.00Single8GG1Constrained Epinephrine8GG1-β2-Constrained Epinephrine-GTP-Gs/β1/γ2
28.00Single8GG3Constrained Epinephrine8GG3-β2-Constrained Epinephrine-GTP-Gs/β1/γ2
28.00Single8GG4Constrained Epinephrine8GG4-β2-Constrained Epinephrine-GTP-Gs/β1/γ2
28.00Single8GG6Constrained Epinephrine8GG6-β2-Constrained Epinephrine-GTP-Gs/β1/γ2
28.00Single8GG9Constrained Epinephrine8GG9-β2-Constrained Epinephrine-GTP-Gs/β1/γ2
28.00Single8GGIConstrained Epinephrine8GGI-β2-Constrained Epinephrine
28.00Single8GGJConstrained Epinephrine8GGJ-β2-Constrained Epinephrine
28.00Single8GGKConstrained Epinephrine8GGK-β2-Constrained Epinephrine
28.00Single8GGNConstrained Epinephrine8GGN-β2-Constrained Epinephrine
28.00Single8GGOConstrained Epinephrine8GGO-β2-Constrained Epinephrine
28.00Single8GGUConstrained Epinephrine8GGU-β2-Constrained Epinephrine
28.00Single8IRTRotigotine8IRT-D3-Rotigotine-Gi1/β1/γ2
28.00Single8JLZST19368JLZ-5-HT6-ST1936-Gs/β1/γ2
28.00Single8PJKST1718PJK-5-HT1A-ST171-Gi1/β1/γ1
28.00Single8RWXStilSwitch38RWX-A2A-StilSwitch3-Na
28.00Single8T1WCVN4248T1W-GPR6-CVN424
28.00Single8UNQConstrained Epinephrine8UNQ-β2-Constrained Epinephrine-GTP-Gs/β1/γ2
28.00Single8UNYConstrained Epinephrine8UNY-β2-Constrained Epinephrine-GTP-Gs/β1/γ2
28.00Single8X17Namodenoson8X17-A3A-Namodenoson-Gi1/β1/γ2
28.00Single8YH5Riboprine8YH5-A3A-Riboprine-Gi1/β1/γ2
28.00Single8ZSSRO52633978ZSS-TA1-RO5263397-chim(NtGi1-Gs)/β1/γ2
28.00Single9KFJPubChem 1383196749KFJ-RXFP3-PubChem 138319674-Gi2/β1/γ2
28.00Consensus5ht5_onOrthosteric Ligand5ht5a_on
28.00Consensus5ht5a_onOrthosteric Ligand7X5H-5-HT5A-5-CT-Gi1/β1/γ2 7UM6-5-HT5A-Lisuride-chim(NtGi1-Go)/β1/γ2 7UM7-5-HT5A-Methylergometrine-chim(NtGi1-Go)/β1/γ2
28.00Consensus5ht6_onOrthosteric Ligand7XTB-5-HT6-Serotonin-Gs/β1/γ2 8JLZ-5-HT6-ST1936-Gs/β1/γ2
28.00Consensus5ht6_on_gpOrthosteric Ligand7XTB-5-HT6-Serotonin-Gs/β1/γ2 8JLZ-5-HT6-ST1936-Gs/β1/γ2
28.00Consensus5ht7_onOrthosteric Ligand7XTC-5-HT7-5-CT-Gs/β1/γ2
28.00Consensus5ht7_on_gpOrthosteric Ligand7XTC-5-HT7-5-CT-Gs/β1/γ2
28.00Consensusa3_onOrthosteric Liganda3a_on
28.00Consensusadrenergic_onOrthosteric Ligandalpha_on beta_on
28.00Consensusd5_onOrthosteric Ligand8IRV-D5-Rotigotine-chim(NtGi1-Gs)/β1/γ2
28.00Consensusdopamine_offOrthosteric Ligandd2_off d3_off
28.00Consensusdopamine_onOrthosteric Ligandd2_on d1_on d3_on d4_on d5_on
28.00Consensusdopamine_on_gpOrthosteric Ligandd2_on_gp d1_on_gp d3_on_gp d4_on_gp d5_on_gp
28.00Consensusnucleotide_offonOrthosteric Ligandnucleotide_off nucleotide_on
28.00Consensusnucleotide_offon_gpOrthosteric Ligandnucleotide_on_gp nucleotide_off
27.78Single7DUQGLP-17DUQ-GLP-1-GLP-1-PubChem 156022738-Gs/β1/γ2
27.59Single5ZTYAM102575ZTY-CB2-AM10257
27.59Single6PT3DPI-2876PT3-δ-DPI-287
27.59Single7F2OBradykinin7F2O-BK2-Bradykinin-chim(NtGi1-Gs-CtGq)/β1/γ2
27.59Single8F7REndomorphin8F7R-μ-Endomorphin-Gi1/β1/γ2
27.59Single8JBFSenktide8JBF-NK3-Senktide-chim(NtGi1-Gs-CtGq)/β1/γ2
27.59Single8JLRA776368JLR-TA1-A77636-chim(NtGi1-Gs)/β1/γ2
27.59Single8X5YAstemizole8X5Y-H1-Astemizole
27.59Single8XX6CXCL88XX6-CXCR2-CXCL8-Go/β1/γ2
27.59Single8XZFWN5618XZF-Apelin-WN561-Gi1/β1/γ2
27.59Single9IPVJR14a9IPV-C3aB-JR14a-Gi1/β1/γ2
27.59Single9IPYJR14a9IPY-C3aB-JR14a
27.59Single9MD1Buspirone9MD1-5-HT1A-Buspirone-Gz/β1/γ2
27.59Consensuscb2_offOrthosteric Ligand5ZTY-CB2-AM10257
27.59Consensuscxcr_on_gpOrthosteric Ligandcxcr3_on_gp cxcr4_on_gp cxcr1_on_gp cxcr2_on_gp
27.59Consensusformylpeptide_onOrthosteric Ligandfpr2-alx_on fpr1-alx_on
27.59Consensuskiss1_onOrthosteric Ligand8ZJD-Kiss1-Kisspeptin-10-chim(NtGi1-Gq)/β1/γ1
27.59Consensuskisspeptin_onOrthosteric Ligandkiss1_on
27.59Consensuss1p_onOrthosteric Ligands1p1_on s1p3_on s1p5_on
27.59Consensuss1p_on_gpOrthosteric Ligands1p1_on_gp s1p3_on_gp s1p5_on_gp
27.27Single6X18GLP-16X18-GLP-1-GLP-1-Gs/β1/γ2
27.27Single7LLYOxyntomodulin7LLY-GLP-1-Oxyntomodulin-Gs/β1/γ2
27.27Single8E3YPACAP278E3Y-VPAC1-PACAP27-Gs/β1/γ2
27.27Single8E3ZVIP8E3Z-VPAC1-VIP-Gs/β1/γ2
27.27Single8GGEConstrained Epinephrine8GGE-β2-Constrained Epinephrine-GTP-Gs/β1/γ2
27.27Single8GH1Constrained Epinephrine8GH1-β2-Constrained Epinephrine
27.27Single8HK5Complement C58HK5-C5a1-Complement C5-Gi1/β1/γ2
27.27Single8WWMMCH8WWM-MCH1-MCH-Gi1/β1/γ2
27.27Consensuscml1_on_gpOrthosteric Ligand7YKD-CML1-Chemerin-9-Gi1/β1/γ2
27.03Single6LPBPACAP6LPB-PAC1-PACAP-Gs/β1/γ1
27.03Single8FLSAbaloparatide8FLS-PTH1-Abaloparatide-Gs/β1/γ2
27.03Single8FLULong-Acting PTH8FLU-PTH1-Long-Acting PTH-Gs/β1/γ2
26.92Single2RH1S-Carazolol2RH1-β2-S-Carazolol
26.92Single4RWDDIPP-NH24RWD-δ-DIPP-NH2-Na
26.92Single4ZJ8Suvorexant4ZJ8-OX1-Suvorexant
26.92Single5JQHS-Carazolol5JQH-β2-S-Carazolol
26.92Single5N2RPSB-365N2R-A2A-PSB-36-Na
26.92Single5WIUNemonapride5WIU-D4-Nemonapride
26.92Single5WIVNemonapride5WIV-D4-Nemonapride-Na
26.92Single5WQCEMPA5WQC-OX2-EMPA
26.92Single6D26Fevipiprant6D26-DP2-Fevipiprant
26.92Single6E67BI1671076E67-β2-BI167107-Gs(CT)
26.92Single6KPCPubChem 1459158896KPC-CB2-PubChem 145915889
26.92Single6KUWPubChem 572132346KUW-α2c-PubChem 57213234
26.92Single6LFMInterleukin-86LFM-CXCR2-Interleukin-8-Gi1/β1/γ2
26.92Single6ME62-Phenylmelatonin6ME6-MT2-2-Phenylmelatonin
26.92Single6PS3S-Carvedilol6PS3-β2-S-Carvedilol
26.92Single6PS6Timolol6PS6-β2-Timolol
26.92Single6TO7Suvorexant6TO7-OX1-Suvorexant-Na
26.92Single7BB7AVP7BB7-V2-AVP-Gs/β1/γ2
26.92Single7BVQS-Carazolol7BVQ-β1-S-Carazolol
26.92Single7C61Ergotamine7C61-5-HT1B-Ergotamine
26.92Single7EO2FTY720-P7EO2-S1P1-FTY720-P-Gi1/β1/γ2
26.92Single7EPFNAM5977EPF-mGlu2; mGlu2-NAM597
26.92Single7S0FIsoprenaline7S0F-β1-Isoprenaline-Gi1/β1/γ2
26.92Single7TD3S1P7TD3-S1P1-S1P-Gi1/β1/γ2
26.92Single7VV4Cortistatin-147VV4-MRGPRX2-Cortistatin-14
26.92Single7W41PD1762527W41-BB2-PD176252
26.92Single7WC6LSD7WC6-5-HT2A-LSD
26.92Single7X1TTaltirelin7X1T-TRH-Taltirelin-chim(NtGi2L-Gs-CtGq)/β1/γ2
26.92Single7XK9Constrained Isoproterenol7XK9-β2-Constrained Isoproterenol-Na
26.92Single7YU3ONO-07405567YU3-LPA1-ONO-0740556-Gi1/β1/γ2
26.92Single7YU6ONO-07405567YU6-LPA1-ONO-0740556-Gi1/β1/γ2
26.92Single8C9WEtrumadenant8C9W-A2A-Etrumadenant
26.92Single8DZQmomSalB8DZQ-κ-momSalB-Go/β1/γ2
26.92Single8DZRGR89,6968DZR-κ-GR89,696-chim(NtGi2-Gt3)/β1/γ2
26.92Single8GFYConstrained Epinephrine8GFY-β2-Constrained Epinephrine-GTP-Gs/β1/γ2
26.92Single8GG2Constrained Epinephrine8GG2-β2-Constrained Epinephrine-GTP-Gs/β1/γ2
26.92Single8I7WGSK2560738I7W-HCA2-GSK256073-Gi1/β1/γ2
26.92Single8J6JGSK2560738J6J-HCA2-GSK256073-Gi1/β1/γ2
26.92Single8JXSPF-61428JXS-D1-PF-6142
26.92Single8WGBVU01550418WGB-mGlu4; mGlu2-Glutammate-VU0155041-Gi3/β1/γ2
26.92Single8XYKVUF106618XYK-CXCR3-VUF10661-Go/β1/γ2
26.92Single8YICSAR2477998YIC-S1P1-SAR247799-Gi1/β1/γ2
26.92Single8ZPTPrRP208ZPT-PrRP-PrRP20-chim(NtGi1-Gs-CtGq)/β1/γ2
26.92Single8ZYTNeurotensin peptide 8-138ZYT-NTS1-Neurotensin peptide 8-13-SBI-553-Arrestin2
26.92Single9ARYSerotonin9ARY-5-HT2A-Serotonin-chim(NtGi1-Gs-CtGq)/β1/γ2
26.92Single9EE8Adenosine9EE8-A2A-Adenosine-Gs/β1/γ2
26.92Single9EHSLUF76029EHS-A3A-LUF7602
26.92Single9F34FOB02-04A9F34-D3-FOB02-04A-Go/β1/γ2
26.92Single9K07DSO-5a9K07-BB3-DSO-5a-chim(NtGi2L-Gs-CtGq)/β1/γ2
26.92Consensus5ht5_on_gpOrthosteric Ligand5ht5a_on_gp
26.92Consensus5ht5a_on_gpOrthosteric Ligand7X5H-5-HT5A-5-CT-Gi1/β1/γ2 7UM6-5-HT5A-Lisuride-chim(NtGi1-Go)/β1/γ2 7UM7-5-HT5A-Methylergometrine-chim(NtGi1-Go)/β1/γ2
26.92Consensusa1_offOrthosteric Ligand5UEN-A1-DU172 5N2S-A1-PSB36
26.92Consensusa3_on_gpOrthosteric Liganda3a_on_gp
26.92Consensusa3a_onOrthosteric Ligand8X17-A3A-Namodenoson-Gi1/β1/γ2 8X16-A3A-Piclidenoson-Gi1/β1/γ2
26.92Consensusa3a_on_gpOrthosteric Ligand8X17-A3A-Namodenoson-Gi1/β1/γ2 8X16-A3A-Piclidenoson-Gi1/β1/γ2
26.92Consensusadrenergic_offOrthosteric Ligandalpha_off beta_off
26.92Consensusadrenergic_on_gpOrthosteric Ligandalpha_on_gp beta_on_gp
26.92Consensusalpha2c_offOrthosteric Ligand6KUW-α2c-PubChem 57213234
26.92Consensusamine_offOrthosteric Ligand5ht_off adrenergic_off dopamine_off histamine_off muscarinic_off
26.92Consensusamine_offonOrthosteric Ligandamine_off amine_on
26.92Consensusamine_offon_gpOrthosteric Ligandamine_on_gp amine_off
26.92Consensusamine_onOrthosteric Ligand5ht_on adrenergic_on dopamine_on histamine_on muscarinic_on trace-amine_on
26.92Consensusbb2_offOrthosteric Ligand7W41-BB2-PD176252
26.92Consensusbeta2_offOrthosteric Ligand2RH1-β2-S-Carazolol 6PS3-β2-S-Carvedilol 6PS5-β2-S-Propranolol 3D4S-β2-Timolol 3NY8-β2-ICI118-551 3NY9-β2-ICI118-551 6PRZ-β2-S-Alprenolol
26.92Consensusbeta_offOrthosteric Ligandbeta1_off beta2_off
26.92Consensusbombesin_offOrthosteric Ligandbb2_off
26.92Consensuscb2_onOrthosteric Ligand8GUR-CB2-CP55,940-Gi1/β1/γ2 8GUS-CB2-HU-308-Gi1/β1/γ2 8GUT-CB2-LEI-102-Gi1/β1/γ2 6KPF-CB2-PubChem 145915889-Gi1/β1/γ2 6PT0-CB2-WIN 55212-2-Gi1/β1/γ2 8GUQ-CB2-Olorinab-Gi1/β1/γ2
26.92Consensuscb2_on_gpOrthosteric Ligand8GUR-CB2-CP55,940-Gi1/β1/γ2 8GUS-CB2-HU-308-Gi1/β1/γ2 8GUT-CB2-LEI-102-Gi1/β1/γ2 6KPF-CB2-PubChem 145915889-Gi1/β1/γ2 6PT0-CB2-WIN 55212-2-Gi1/β1/γ2 8GUQ-CB2-Olorinab-Gi1/β1/γ2
26.92Consensuscxcr2_on_gpOrthosteric Ligand6LFM-CXCR2-Interleukin-8-Gi1/β1/γ2
26.92Consensusd2_onOrthosteric Ligand7JVR-D2-Bromoergocryptine-Gi1/β1/γ2 8IRS-D2-Rotigotine-Gi1/β1/γ2
26.92Consensusd4_onOrthosteric Ligand8IRU-D4-Rotigotine-chim(NtGi1-Gs-CtGi1)/β1/γ2
26.92Consensusdp2_offOrthosteric Ligand6D26-DP2-Fevipiprant
26.92Consensusdp_offOrthosteric Liganddp2_off
26.92Consensusgi_adrenergicOrthosteric Ligand7EJ0-α2a-L-Norepinephrine-Go/β1/γ2 7EJK-α2a-Oxymetazoline-Go/β1/γ2 7W7E-α2a-PubChem 164946676-Go/β1/γ2 7W6P-α2a-N-pyridin-4-ylisoquinolin-4-amine-Go/β1/γ2 7EJ8-α2a-Brimonidine-Go/β1/γ2 6K42-α2b-Dexmedetomidine-Gi1/β1/γ2 7EJA-α2a-Dexmedetomidine-Go/β1/γ2 7S0F-β1-Isoprenaline-Gi1/β1/γ2
26.92Consensuslipid_onOrthosteric Ligandcannabinoid_on ffa_on lpl_on prostanoid_on leukotriene_on
26.92Consensuslipid_on_gpOrthosteric Ligandcannabinoid_on_gp ffa_on_gp lpl_on_gp prostanoid_on_gp leukotriene_on_gp
26.92Consensuslpa1_onOrthosteric Ligand7TD1-LPA1-LPA-Gi1/β1/γ2 7YU3-LPA1-ONO-0740556-Gi1/β1/γ2
26.92Consensuslpa1_on_gpOrthosteric Ligand7TD1-LPA1-LPA-Gi1/β1/γ2 7YU3-LPA1-ONO-0740556-Gi1/β1/γ2
26.92Consensusnucleotide_onOrthosteric Ligandadenosine_on p2y_on
26.92Consensusta1_onOrthosteric Ligand8W87-TA1-METH-chim(NtGi1L-Gs)/β1/γ2 8W89-TA1-PEA-chim(NtGi1L-Gs)/β1/γ2 8JLP-TA1-Ralmitaront-Gs/β1/γ2 8W8A-TA1-RO5256390-chim(NtGi1L-Gs)/β1/γ2 8W88-TA1-SEP-363856-Gs/β1/γ2 8JLO-TA1-Ulotaront-Gs/β1/γ2 8JLR-TA1-A77636-chim(NtGi1-Gs)/β1/γ2 8JSO-TA1-AMPH-chim(NtGi1-Gs)/β1/γ2 8ZSP-TA1-LSD-chim(NtGi1L-Gs-CtGq)/β1/γ2
26.92Consensustrace-amine_onOrthosteric Ligandta1_on
26.83Consensusclass-b1_onOrthosteric Ligandglucagon_on vip-pacap_on pth_on crf_on calcitonin_on
26.67Single4XT1Fractalkine4XT1-US28-Fractalkine
26.67Single7T6UCGEN-855A7T6U-FPR2-ALX-CGEN-855A-Gi1/β1/γ2
26.67Single7TD4Siponimod7TD4-S1P1-Siponimod-Gi1/β1/γ2
26.67Single8FYLVilazodone8FYL-5-HT1A-Vilazodone-Gi1/β1/γ1
26.67Single8G59TUG-8918G59-FFA4-TUG-891-chim(Gi1-CtGq)/β1/γ2
26.67Single8GY7Corticotropin8GY7-MC2-Corticotropin-Ca-chim(NtGi1-Gs)/β1/γ2; MRAP1
26.67Single8XWNCXCL88XWN-CXCR2-CXCL8
26.67Consensusmc4_onOrthosteric Ligand7AUE-MC4-Setmelanotide-chim(NtGi1L-Gs)/β1/γ2 7F58-MC4-THIQ-Gs/β1/γ2 7F54-MC4-Afamelanotide-Gs/β1/γ2 7F53-MC4-α-MSH-Gs/β1/γ2 7F55-MC4-Bremelanotide-Gs/β1/γ2
26.67Consensusnk3_onOrthosteric Ligand8JBF-NK3-Senktide-chim(NtGi1-Gs-CtGq)/β1/γ2
26.67Consensusnk3_on_gpOrthosteric Ligand8JBF-NK3-Senktide-chim(NtGi1-Gs-CtGq)/β1/γ2
26.67Consensusp2y_onOrthosteric Ligandp2y1_on p2y10_on p2y12_on
26.47Single4XT3Fractalkine4XT3-US28-Fractalkine
26.47Single6FJ3PTH6FJ3-PTH1-PTH
26.47Single6NBFLong-Acting PTH Analog6NBF-PTH1-Long-Acting PTH Analog-Gs/β1/γ2
26.47Single8JISPeptide-158JIS-GLP-1-Peptide-15-chim(NtGi1-Gs)/β1/γ2
26.47Single8XQFApelin-138XQF-Apelin-Apelin-13-Gi1/β1/γ2
26.47Single9J1Pg1:Ox9J1P-GLP-1-g1:Ox-chim(NtGi1-Gs)/β1/γ2
26.32Single7VVMPTH7VVM-PTH1-PTH-Gs/β1/γ2
26.32Consensuspth1_on_gpOrthosteric Ligand6NBF-PTH1-Long-Acting PTH Analog-Gs/β1/γ2 8HA0-PTH1-PTH-chim(NtGi1-Gs)/β1/γ2 8HAF-PTH1-PTHrP(1-36)-chim(NtGi1-Gs)/β1/γ2 7Y36-PTH1-Teriparatide-Gs/β1/γ2 7Y35-PTH1-Abaloparatide-Gs/β1/γ2
26.09Single3OE9IT1t3OE9-CXCR4-IT1t
26.09Single7TRPLY20332987TRP-M4-Iperoxo-LY2033298-Gi1/β1/γ2
26.09Single7VDHC48/807VDH-MRGPRX2-C48/80-Gi1/β1/γ2
26.09Single7XT9Serotonin7XT9-5-HT4-Serotonin-Gs/β1/γ2
26.09Single7XTASerotonin7XTA-5-HT4-Serotonin-Gi1/β1/γ2
26.09Single8A2PLUAA470708A2P-A2A-LUAA47070-Na
26.09Single8EF6Morphine8EF6-μ-Morphine-Gi1/β1/γ2
26.09Single8H2GNiacin8H2G-HCA2-Niacin-Gi1/β1/γ2
26.09Single8K5BNiacin8K5B-HCA2-Niacin
26.09Single8YH3N-methyladenosine8YH3-A3A-N-methyladenosine-Gi1/β1/γ2
26.09Single9L3ZLRH7-C29L3Z-CML1-LRH7-C2
26.09Consensus5ht4_onOrthosteric Ligand7XTA-5-HT4-Serotonin-Gi1/β1/γ2
26.09Consensus5ht4_on_gpOrthosteric Ligand7XTA-5-HT4-Serotonin-Gi1/β1/γ2
25.93Single3PDSHydroxybenzylisoproterenol3PDS-β2-Hydroxybenzylisoproterenol
25.93Single4BV0Neurotensin4BV0-NTS1-Neurotensin
25.93Single4IAQDihydroergotamine4IAQ-5-HT1B-Dihydroergotamine
25.93Single4LDLHydroxybenzylisoproterenol4LDL-β2-Hydroxybenzylisoproterenol
25.93Single4Z34ONO-97803074Z34-LPA1-ONO-9780307
25.93Single5XRAAM115425XRA-CB1-AM11542
25.93Single6H7JIsoprenaline6H7J-β1-Isoprenaline
25.93Single6N48BI1671076N48-β2-BI167107-PubChem 138454256
25.93Single6OS1TRV0266OS1-AT1-TRV026
25.93Single6WGTLSD6WGT-5-HT2A-LSD
25.93Single7E2ZAripiprazole7E2Z-5-HT1A-Aripiprazole-Gi1/β1/γ2
25.93Single7EW1Siponimod7EW1-S1P5-Siponimod-Gi1/β1/γ2
25.93Single7EW3S1P7EW3-S1P3-S1P-Gi1/β1/γ2
25.93Single7F58THIQ7F58-MC4-THIQ-Gs/β1/γ2
25.93Single7FEECP559407FEE-CB1-CP55940-ZCZ011
25.93Single7JJOIsoprenaline7JJO-β1-Isoprenaline-Gs/β1/γ2
25.93Single7S8MCortistatin-147S8M-MRGPRX2-Cortistatin-14-Gi1/β1/γ2
25.93Single7T2HLofentanil7T2H-μ-Lofentanil-Gi1/β1/γ2
25.93Single7T9NDPPC7T9N-TSH-M22 Fab-DPPC-Gs/β1/γ2
25.93Single7U2LPubChem 1632012427U2L-μ-PubChem 163201242-Gi1/β1/γ2
25.93Single7W6PN-pyridin-4-ylisoquinolin-4-amine7W6P-α2a-N-pyridin-4-ylisoquinolin-4-amine-Go/β1/γ2
25.93Single7W7EPubChem 1649466767W7E-α2a-PubChem 164946676-Go/β1/γ2
25.93Single7WV9CP559407WV9-CB1-CP55940-ZCZ011-Gi2/β1/γ2
25.93Single7WVXHumanin7WVX-FPR2-ALX-Humanin-Gi2/β1/γ2
25.93Single7XAVLanreotide7XAV-SST2-Lanreotide-Gi1/β1/γ2
25.93Single7XTQR3997XTQ-GPBA-R399-Gs/β1/γ2
25.93Single7Y67C089 peptide7Y67-C5a1-C089 peptide-Gi1/β1/γ2
25.93Single8DZPmomSalB8DZP-κ-momSalB-Gi1/β1/γ2
25.93Single8EF5Fentanyl8EF5-μ-Fentanyl-Gi1/β1/γ2
25.93Single8EFLSR170188EFL-μ-SR17018-Gi1/β1/γ2
25.93Single8GUSHU-3088GUS-CB2-HU-308-Gi1/β1/γ2
25.93Single8HQCC5a anaphylatoxin8HQC-C5a1-C5a anaphylatoxin-Go/β1/γ2
25.93Single8I9LC3a anaphylatoxin8I9L-C3aB-C3a anaphylatoxin-Go/β1/γ2
25.93Single8IHHLUF62838IHH-HCA2-LUF6283-Gi1/β1/γ2
25.93Single8IRRRotigotine8IRR-D1-Rotigotine-Gs/β1/γ2
25.93Single8IRURotigotine8IRU-D4-Rotigotine-chim(NtGi1-Gs-CtGi1)/β1/γ2
25.93Single8IYHMK68928IYH-HCA2-MK6892-Go/β1/γ2
25.93Single8JSRAnamorelin8JSR-Ghrelin-Anamorelin-chim(NtGi1-Gs-CtGq)/β1/γ2
25.93Single8JT6(R)-IHCH-71798JT6-5-HT1A-(R)-IHCH-7179-Gi1/β1/γ2
25.93Single8WJXADP8WJX-P2Y1-ADP-chim(Gs-CtGq)/β1/γ2
25.93Single8X16Piclidenoson8X16-A3A-Piclidenoson-Gi1/β1/γ2
25.93Single8XVLZibotentan8XVL-ETA-Zibotentan
25.93Single8XX7CXCL58XX7-CXCR2-CXCL5-Go/β1/γ2
25.93Single8YH6Namodenoson8YH6-A3A-Namodenoson-Gi1/β1/γ2
25.93Single8ZWFJR14a8ZWF-C3aB-JR14a
25.93Single9ASTLymphotactin9AST-XCR1-Lymphotactin-Gi1/β1/γ2
25.93Single9EGOYVF9EGO-CB1-YVF-Gi1/β1/γ2
25.93Single9IJDCarazolol9IJD-β3-Carazolol-chim(NtGi1-Gs)/β1/γ2
25.93Consensusamine_on_gpOrthosteric Ligand5ht_on_gp adrenergic_on_gp dopamine_on_gp histamine_on_gp muscarinic_on_gp trace-amine_on_gp
25.93Consensusclass-a_offOrthosteric Ligandsensory_off alicarboxylic_off amine_off lipid_off nucleotide_off peptide_off protein_off
25.93Consensusd4_on_gpOrthosteric Ligand8IRU-D4-Rotigotine-chim(NtGi1-Gs-CtGi1)/β1/γ2
25.93Consensusgs_adrenergicOrthosteric Ligand7DHI-β2-Salbutamol-Gs/β1/γ2 7XJI-β3-Solabegron-Gs/β1/γ2 7JJO-β1-Isoprenaline-Gs/β1/γ2 6NI3-β2-BI167107-Gs/β1/γ2 8DCR-β1-Dobutamine-Gs/β1/γ2 7XJH-β3-Isoproterenol-Gs/β1/γ2 7DH5-β3-Mirabegron-Gs/β1/γ2
25.93Consensusprotein_offOrthosteric Ligandchemokine_off grh_off
25.93Consensuss1p5_onOrthosteric Ligand7EW1-S1P5-Siponimod-Gi1/β1/γ2
25.93Consensuss1p5_on_gpOrthosteric Ligand7EW1-S1P5-Siponimod-Gi1/β1/γ2
25.93Consensusta1_on_gpOrthosteric Ligand8W87-TA1-METH-chim(NtGi1L-Gs)/β1/γ2 8W89-TA1-PEA-chim(NtGi1L-Gs)/β1/γ2 8JLP-TA1-Ralmitaront-Gs/β1/γ2 8W8A-TA1-RO5256390-chim(NtGi1L-Gs)/β1/γ2 8W88-TA1-SEP-363856-Gs/β1/γ2 8JLO-TA1-Ulotaront-Gs/β1/γ2 8JLR-TA1-A77636-chim(NtGi1-Gs)/β1/γ2 8JSO-TA1-AMPH-chim(NtGi1-Gs)/β1/γ2 8ZSP-TA1-LSD-chim(NtGi1L-Gs-CtGq)/β1/γ2
25.93Consensustrace-amine_on_gpOrthosteric Ligandta1_on_gp
25.81Single6HLOAprepitant6HLO-NK1-Aprepitant
25.81Single7C6A(Sar1,Ile8)-Angiotensin II7C6A-AT2-(Sar1,Ile8)-Angiotensin II
25.81Single7F1QMIP-1a7F1Q-CCR5-MIP-1a-Gi1/β1/γ2
25.81Single7PIVSetmelanotide7PIV-MC4-Setmelanotide-Gs/β1/γ2
25.81Single7RMISubstance-P7RMI-NK1-Substance-P-chim(Gs-CtGq)/β1/γ2
25.81Single7VBINon-Acylated Tirzepatide7VBI-GLP-1-Non-Acylated Tirzepatide-Gs/β1/γ2
25.81Single7XNACYN1548067XNA-SST2-CYN154806
25.81Single8XYDPlatelet Activating Factor8XYD-PAF-Platelet Activating Factor-Gi1/β1/γ2
25.81Single9IQRMuscarinic toxin 39IQR-α2a-Muscarinic toxin 3
25.81Consensusccr8_on_gpOrthosteric Ligand8KFX-CCR8-LMD-009-Gi1/β1/γ2 8KFY-CCR8-ZK-756326-Gi1/β1/γ2 8U1U-CCR8-CCL1-Gi1/β1/γ2
25.81Consensusghrelin_onOrthosteric Ligand7NA7-Ghrelin-Ghrelin-27-Gi1/β1/γ2 7F9Z-Ghrelin-GHRP-6-chim(NtGi1-Gs-CtGq)/β1/γ2 7NA8-Ghrelin-PubChem 178024-Gi1/β1/γ2
25.81Consensusghrelin_on_gpOrthosteric Ligand7NA7-Ghrelin-Ghrelin-27-Gi1/β1/γ2 7F9Z-Ghrelin-GHRP-6-chim(NtGi1-Gs-CtGq)/β1/γ2 7NA8-Ghrelin-PubChem 178024-Gi1/β1/γ2
25.81Consensusmc4_on_gpOrthosteric Ligand7AUE-MC4-Setmelanotide-chim(NtGi1L-Gs)/β1/γ2 7F58-MC4-THIQ-Gs/β1/γ2 7F54-MC4-Afamelanotide-Gs/β1/γ2 7F53-MC4-α-MSH-Gs/β1/γ2 7F55-MC4-Bremelanotide-Gs/β1/γ2
25.81Consensusmc5_onOrthosteric Ligand8INR-MC5-α-MSH-Ca-chim(NtGi1-Gs)/β1/γ2 8IOD-MC5-PG-901-Ca-chim(NtGi1-Gs)/β1/γ2
25.81Consensussst2_offOrthosteric Ligand7XNA-SST2-CYN154806
25.71Single6B3JExendin-P56B3J-GLP-1-Exendin-P5-Gs/β1/γ2
25.71Single7EIBDes-Arg10-Kallidin7EIB-BK1-Des-Arg10-Kallidin-chim(NtGi1-Gs-CtGq)/β1/γ2
25.71Single7S1MEx4-D-Ala7S1M-GLP-1-Ex4-D-Ala-Gs/β1/γ2
25.71Single8HAOPTH8HAO-PTH1-PTH-chim(NtGi1-Gs)/β1/γ2
25.71Consensusglp_onOrthosteric Ligandglp1_on glp2_on
25.71Consensusglp_on_gpOrthosteric Ligandglp1_on_gp glp2_on_gp
25.64Single7Y36Teriparatide7Y36-PTH1-Teriparatide-Gs/β1/γ2
25.64Single8FLQPTH8FLQ-PTH1-PTH-Gs/β1/γ2
25.58Consensuspth_on_gpOrthosteric Ligandpth1_on_gp pth2_on_gp
25.00Single3PWHZM-2413853PWH-A2A-ZM-241385
25.00Single3VG9ZM-2413853VG9-A2A-ZM-241385-Antibody
25.00Single4AMIBucindolol4AMI-β1-Bucindolol
25.00Single4LDEBI1671074LDE-β2-BI167107
25.00Single5OLHVipadenant5OLH-A2A-Vipadenant-Na
25.00Single5UNHPubChem 1264564065UNH-AT2-PubChem 126456406
25.00Single6AKXA4R6AKX-CCR5-A4R
25.00Single6C1RPMX536C1R-C5a1-PMX53-Avacopan; Na
25.00Single6D9HAdenosine6D9H-A1-Adenosine-Gi2/β1/γ2
25.00Single6KQICP559406KQI-CB1-CP55940-Org27569
25.00Single6LW5WKYMVm6LW5-FPR2-ALX-WKYMVm
25.00Single6OBAS-Alprenolol6OBA-β2-S-Alprenolol-GTPL11074
25.00Single6VMSBromoergocryptine6VMS-D2-Bromoergocryptine-Gi1/β1/γ2
25.00Single6WZGSecretin6WZG-Secretin-Secretin-Gs/β1/γ2
25.00Single7EO4BAF3127EO4-S1P1-BAF312-Gi1/β1/γ2
25.00Single7F1ODopamine7F1O-D1-Dopamine-GDP; Mg-Gs/β1/γ2
25.00Single7F8ULintitript7F8U-CCKA-Lintitript
25.00Single7LD4Adenosine7LD4-A1-Adenosine-Gi2/β1/γ2
25.00Single7RYCOxytocin7RYC-OT-Oxytocin-chim(NtGi2L-Gs-CtGq)/β1/γ2
25.00Single7SRSLSD7SRS-5-HT2B-LSD-Arrestin2
25.00Single7T6TfMLFII7T6T-FPR1-ALX-fMLFII-Gi1/β1/γ2
25.00Single7TS0Urocortin7TS0-CRF2-Urocortin-chim(NtGi1L-Go)/β1/γ2
25.00Single7VVJPTHrP(1-36)7VVJ-PTH1-PTHrP(1-36)-Gs/β1/γ2
25.00Single7WF7S1P7WF7-S1P1-S1P-Gi1/β1/γ2
25.00Single7X5H5-CT7X5H-5-HT5A-5-CT-Gi1/β1/γ2
25.00Single7XOUCholecystokinin-87XOU-CCKA-Cholecystokinin-8-Gs/β1/γ2
25.00Single7XRRLemborexant7XRR-OX2-Lemborexant
25.00Single7XT8Serotonin7XT8-5-HT4-Serotonin-Gs/β1/γ2
25.00Single7XW5ML1097XW5-TSH-TSH-ML109-Gs/β1/γ2
25.00Single7XW6ML1097XW6-TSH-M22 Fab-ML109-Gs/β1/γ2
25.00Single7YMHNorepinephrine7YMH-Alpha1A-Norepinephrine-chim(Gs-CtGq)
25.00Single8EFOPZM218EFO-μ-PZM21-Gi1/β1/γ2
25.00Single8FYE4-F,5-MeO-PyrT8FYE-5-HT1A-4-F,5-MeO-PyrT-Gi1/β1/γ1
25.00Single8FYXBuspirone8FYX-5-HT1A-Buspirone-Gi1/β1/γ1
25.00Single8GGAConstrained Epinephrine8GGA-β2-Constrained Epinephrine-GTP-Gs/β1/γ2
25.00Single8GGCConstrained Epinephrine8GGC-β2-Constrained Epinephrine-GTP-Gs/β1/γ2
25.00Single8GGRConstrained Epinephrine8GGR-β2-Constrained Epinephrine
25.00Single8GGZConstrained Epinephrine8GGZ-β2-Constrained Epinephrine
25.00Single8GH0Constrained Epinephrine8GH0-β2-Constrained Epinephrine
25.00Single8HAFPTHrP(1-36)8HAF-PTH1-PTHrP(1-36)-chim(NtGi1-Gs)/β1/γ2
25.00Single8IJANiacin8IJA-HCA2-Niacin-Gi1/β1/γ2
25.00Single8IRSRotigotine8IRS-D2-Rotigotine-Gi1/β1/γ2
25.00Single8IYWGSK2560738IYW-HCA2-GSK256073-Go/β1/γ2
25.00Single8JSOAMPH8JSO-TA1-AMPH-chim(NtGi1-Gs)/β1/γ2
25.00Single8T3QDocosa-4,7,10,13,16,19-Hexaenoic acid8T3Q-FFA4-Docosa-4,7,10,13,16,19-Hexaenoic acid-chim(NtGi2L-Gs-CtGq)/β1/γ2
25.00Single8U26Protachykinin-18U26-NK1-Protachykinin-1-Gs/β1/γ2
25.00Single8U4PAMD31008U4P-CXCR4-AMD3100-Gi1/β1/γ2
25.00Single8W8YGamma-MSH8W8Y-MC3-γ-MSH-Ca-Gs/β1/γ2
25.00Single8WC4ZH86518WC4-TA1-ZH8651-chim(NtGi1-Gs)/β1/γ2
25.00Single8WCA2-Phenylethylamine8WCA-TA1-2-Phenylethylamine-chim(NtGi1-Gs)/β1/γ2
25.00Single8WKZSBL-MC-318WKZ-MC4-SBL-MC-31
25.00Single8XWACXCL18XWA-CXCR2-CXCL1
25.00Single8XWMCXCL68XWM-CXCR2-CXCL6
25.00Single8XXXCXCL68XXX-CXCR2-CXCL6-Go/β1/γ2
25.00Single8XYIVUF106618XYI-CXCR3-VUF10661
25.00Single8YYWAlpha-ketoglutarate8YYW-Oxoglutarate-α-ketoglutarate-α-ketoglutarate-chim(Gi1-CtGq)/β1/γ2
25.00Single9EBIPiclidenoson9EBI-A3A-Piclidenoson-chim(NtGi1L-Gs-CtGi1)/β1/γ2
25.00Single9EEAAdenosine9EEA-A2A-Adenosine-Gs/β1/γ2
25.00Single9GL2Befiradol9GL2-5-HT1A-Befiradol-Gs/β1/γ2
25.00Single9IVMGLP-1 (Truncated)9IVM-GLP-1-GLP-1 (Truncated)-LSN3318839-chim(NtGi1-Gs)/β2/γ2
25.00Single9J5VCpY9J5V-LPA1-CpY-Gi1/β1/γ2
25.00Consensus5ht1e_onOrthosteric Ligand7E33-5-HT1E-BRL-54443-Gi1/β1/γ2 8UGY-5-HT1E-Mianserin-Gi1/β1/γ1 8UH3-5-HT1E-Setiptiline-Gi1/β1/γ1
25.00Consensus5ht_onOrthosteric Ligand5ht1_on 5ht2_on 5ht4_on 5ht5_on 5ht6_on 5ht7_on
25.00Consensusa1_onOrthosteric Ligand7LD4-A1-Adenosine-Gi2/β1/γ2
25.00Consensusa1_on_gpOrthosteric Ligand7LD4-A1-Adenosine-Gi2/β1/γ2
25.00Consensusalpha2_offOrthosteric Ligandalpha2c_off
25.00Consensusccr8_onOrthosteric Ligand8KFX-CCR8-LMD-009-Gi1/β1/γ2 8KFY-CCR8-ZK-756326-Gi1/β1/γ2 8U1U-CCR8-CCL1-Gi1/β1/γ2
25.00Consensuscxcr_onOrthosteric Ligandcxcr3_on cxcr4_on cxcr1_on cxcr2_on
25.00Consensusfpr2-alx_onOrthosteric Ligand7WVX-FPR2-ALX-Humanin-Gi2/β1/γ2 7T6U-FPR2-ALX-CGEN-855A-Gi1/β1/γ2 7T6V-FPR2-ALX-fMLFII-Gi1/β1/γ2 7WVY-FPR2-ALX-Amyloid-β42-Gi2/β1/γ2 7T6S-FPR2-ALX-PubChem 24776341-Gi1/β1/γ2 6OMM-FPR2-ALX-WKYMVX-Gi1/β1/γ2
25.00Consensusgs_5htOrthosteric Ligand7XTC-5-HT7-5-CT-Gs/β1/γ2 7XTB-5-HT6-Serotonin-Gs/β1/γ2 8JLZ-5-HT6-ST1936-Gs/β1/γ2 7XT8-5-HT4-Serotonin-Gs/β1/γ2
25.00Consensuslpa1_offOrthosteric Ligand4Z36-LPA1-ONO-3080573 4Z35-LPA1-ONO-9910539 4Z34-LPA1-ONO-9780307
25.00Consensuslpa_offOrthosteric Ligandlpa1_off
25.00Consensuslpl_offOrthosteric Ligands1p_off lpa_off
25.00Consensusnk1_offOrthosteric Ligand6HLP-NK1-Netupitant 6HLO-NK1-Aprepitant 6HLL-NK1-CP99994 6E59-NK1-L-760735
25.00Consensusorexin_offOrthosteric Ligandox2_off ox1_off
25.00Consensusox2_offOrthosteric Ligand5WQC-OX2-EMPA 6TPN-OX2-HTL6641 7XRR-OX2-Lemborexant 6TPJ-OX2-Suvorexant
25.00Consensuss1p1_onOrthosteric Ligand7VIE-S1P1-S1P-Gi1/β1/γ2 7VIF-S1P1-S-FTY720-P-Gi1/β1/γ2 7VIG-S1P1-CBP-307-Gi1/β1/γ2 7EVY-S1P1-Siponimod-Gi1/β1/γ2 7EVZ-S1P1-Cenerimod-Gi1/β1/γ2 7EW0-S1P1-Ozanimod-Gi1/β1/γ2 7EW7-S1P1-SEW2871-Gi1/β1/γ2
25.00Consensuss1p1_on_gpOrthosteric Ligand7VIE-S1P1-S1P-Gi1/β1/γ2 7VIF-S1P1-S-FTY720-P-Gi1/β1/γ2 7VIG-S1P1-CBP-307-Gi1/β1/γ2 7EVY-S1P1-Siponimod-Gi1/β1/γ2 7EVZ-S1P1-Cenerimod-Gi1/β1/γ2 7EW0-S1P1-Ozanimod-Gi1/β1/γ2 7EW7-S1P1-SEW2871-Gi1/β1/γ2
24.44Consensusclass-b1_on_gpOrthosteric Ligandglucagon_on_gp vip-pacap_on_gp pth_on_gp crf_on_gp calcitonin_on_gp
24.24Single6M1IPACAP6M1I-PAC1-PACAP-Gs/β1/γ2
24.24Single6WI9Secretin6WI9-Secretin-Secretin-Gs/β1/γ2
24.24Single7V9MSomatoliberin7V9M-GHRH (SV1)-Somatoliberin-Gs/β1/γ2
24.24Single8HA0PTH8HA0-PTH1-PTH-chim(NtGi1-Gs)/β1/γ2
24.24Single8IHFMK68928IHF-HCA2-MK6892-Gi1/β1/γ2
24.24Single8J6IMK68928J6I-HCA2-MK6892-Gi1/β1/γ2
24.24Single9EBOGLP-1 (ACPC18)9EBO-GLP-1-GLP-1 (ACPC18)-Gs/β1/γ2
24.24Consensusmc5_on_gpOrthosteric Ligand8INR-MC5-α-MSH-Ca-chim(NtGi1-Gs)/β1/γ2 8IOD-MC5-PG-901-Ca-chim(NtGi1-Gs)/β1/γ2
24.14Single5UNGPubChem 157800525UNG-AT2-PubChem 15780052
24.14Single5X93K-87945X93-ETB-K-8794
24.14Single7EVZCenerimod7EVZ-S1P1-Cenerimod-Gi1/β1/γ2
24.14Single7EW0Ozanimod7EW0-S1P1-Ozanimod-Gi1/β1/γ2
24.14Single7QVMOxytocin7QVM-OT-Oxytocin-chim(NtGi1-Go-CtGq)/β1/γ2
24.14Single7SK8CCX6627SK8-ACKR3-CXCL12-CCX662
24.14Single7VVNPTH7VVN-PTH1-PTH-Gs/β1/γ2
24.14Single8E9X2-Deoxycytidine8E9X-M4-2-Deoxycytidine-chim(NtGi1-Go)/β1/γ2
24.14Single8E9YClozapine-N-oxide8E9Y-M3-Clozapine-N-oxide-chim(NtGi2L-Gs-CtGq)/β1/γ2
24.14Single8FX5Xanomeline8FX5-M4-Xanomeline-Xanomeline-Gi1/β1/γ2
24.14Single8ID8TUG-8918ID8-FFA4-TUG-891-Gi1/β1/γ2
24.14Single8K2XCXCL108K2X-CXCR3-CXCL10-Gi1/β1/γ2
24.14Single8S2TIsoprenaline8S2T-β1-Isoprenaline-chim(NtGi1-Gs)/β1/γ2
24.14Single8XIOL7975918XIO-SST1-L797591-chim(NtGi1-Gs-CtGi1)/β1/γ2
24.14Single8XWFCXCL38XWF-CXCR2-CXCL3
24.14Single8ZPLHF511168ZPL-CXCR4-HF51116
24.14Single9CGJC6-Quino9CGJ-δ-C6-Quino-Gi1/β1/γ2
24.14Single9DYEBuspirone9DYE-5-HT1A-Buspirone-Go/β1/γ2
24.14Single9EAILosartan9EAI-AT1-Losartan-Nanobody AT209
24.14Consensuschemerin_onOrthosteric Ligandcml1_on
24.14Consensusnk2_onOrthosteric Ligand7XWO-NK2-Neurokinin-A-chim(NtGi1-Gs-CtGq)/β1/γ2
24.14Consensusnucleotide_on_gpOrthosteric Ligandadenosine_on_gp p2y_on_gp
24.14Consensusprostanoid_offOrthosteric Ligandep_off dp_off
24.00Single2YDOAdenosine2YDO-A2A-Adenosine
24.00Single4DKLBeta-Funaltrexamine4DKL-μ-β-Funaltrexamine
24.00Single4MBSMaraviroc4MBS-CCR5-Maraviroc
24.00Single4ZJCSB-6740424ZJC-OX1-SB-674042
24.00Single6IQLL7458706IQL-D4-L745870
24.00Single6PT0WIN 55212-26PT0-CB2-WIN 55212-2-Gi1/β1/γ2
24.00Single6V9SGTPL114036V9S-OX1-GTPL11403
24.00Single6VI4JDTic6VI4-κ-JDTic
24.00Single6WJCMuscarinic toxin 76WJC-M1-Atropine-Muscarinic toxin 7
24.00Single6ZFZ77-LH-28-16ZFZ-M1-77-LH-28-1
24.00Single6ZG9GSK10347026ZG9-M1-GSK1034702
24.00Single7BB6AVP7BB6-V2-AVP-Gs/β1/γ2
24.00Single7CKWFenoldopam7CKW-D1-Fenoldopam-Gs/β1/γ2
24.00Single7CKZDopamine7CKZ-D1-Dopamine-Mevidalen-Gs/β1/γ2
24.00Single7CMUPramipexole7CMU-D3-Pramipexole-Gi1/β1/γ2
24.00Single7DHISalbutamol7DHI-β2-Salbutamol-Gs/β1/γ2
24.00Single7F0TDopamine7F0T-D1-Dopamine-Gs/β1/γ2
24.00Single7F61PF-036547467F61-H3-PF-03654746
24.00Single7RANPubChem 1645758477RAN-5-HT2A-PubChem 164575847-chim(NtGi2L-Gs-CtGq)/β1/γ2
24.00Single7T32ZM-2413857T32-A2A-ZM-241385
24.00Single7WC9PubChem 1624213647WC9-5-HT2A-PubChem 162421364
24.00Single7XOVSR1461317XOV-CCKA-SR146131-Gs/β1/γ2
24.00Single7XXH2MeSADP7XXH-P2Y1-2MeSADP-chim(NtGi1-G11)/β1/γ2
24.00Single8GE1Constrained Epinephrine8GE1-β2-Constrained Epinephrine-Gs/β1/γ2
24.00Single8GE4Constrained Epinephrine8GE4-β2-Constrained Epinephrine-Gs/β1/γ2
24.00Single8GE6Constrained Epinephrine8GE6-β2-Constrained Epinephrine-Gs/β1/γ2
24.00Single8GE7Constrained Epinephrine8GE7-β2-Constrained Epinephrine-Gs/β1/γ2
24.00Single8GE8Constrained Epinephrine8GE8-β2-Constrained Epinephrine-Gs/β1/γ2
24.00Single8GEFConstrained Epinephrine8GEF-β2-Constrained Epinephrine-Gs/β1/γ2
24.00Single8GG5Constrained Epinephrine8GG5-β2-Constrained Epinephrine-GTP-Gs/β1/γ2
24.00Single8GGVConstrained Epinephrine8GGV-β2-Constrained Epinephrine
24.00Single8GUQOlorinab8GUQ-CB2-Olorinab-Gi1/β1/γ2
24.00Single8GURCP55,9408GUR-CB2-CP55,940-Gi1/β1/γ2
24.00Single8H4LDoconexent8H4L-FFA4-Doconexent-chim(NtGi1-Gs-CtGq)/β1/γ2
24.00Single8IHKAcifran8IHK-HCA3-Acifran
24.00Single8IY9Niacin8IY9-HCA2-Niacin-Go/β1/γ2
24.00Single8JEI3-nitro-4-(propylamino)benzoic acid8JEI-HCAR3-3-nitro-4-(propylamino)benzoic acid-Gi1/β1/γ2
24.00Single8JIMMMF8JIM-HCA2-MMF-Gi1/β1/γ2
24.00Single8K5CAcipimox8K5C-HCA2-Acipimox
24.00Single8THLEpinephrine8THL-Alpha1A-Epinephrine-chim(NtGi2L-Gs-CtGq)/β1/γ2
24.00Single8W88SEP-3638568W88-TA1-SEP-363856-Gs/β1/γ2
24.00Single8WC8ZH86518WC8-TA1-ZH8651-chim(NtGi1-Gs)/β1/γ2
24.00Single8Y45ADL58598Y45-δ-ADL5859-Gi2/β1/γ2
24.00Single8ZPMAMD0708ZPM-CXCR4-AMD070
24.00Single9ARXSerotonin9ARX-5-HT2A-Serotonin
24.00Single9AS5Mescaline9AS5-5-HT2A-Mescaline
24.00Single9AS6Mescaline9AS6-5-HT2A-Mescaline-chim(NtGi1-Gs-CtGq)/β1/γ2
24.00Single9JKQMETH9JKQ-TA1-METH-Gs/β1/γ2
24.00Consensusalpha1_onOrthosteric Ligandalpha1a_on
24.00Consensusalpha1_on_gpOrthosteric Ligandalpha1a_on_gp
24.00Consensusalpha1a_onOrthosteric Ligand7EJ0-α2a-L-Norepinephrine-Go/β1/γ2 7EJ8-α2a-Brimonidine-Go/β1/γ2 7EJA-α2a-Dexmedetomidine-Go/β1/γ2 7EJK-α2a-Oxymetazoline-Go/β1/γ2 7W6P-α2a-N-pyridin-4-ylisoquinolin-4-amine-Go/β1/γ2 7W7E-α2a-PubChem 164946676-Go/β1/γ2
24.00Consensusalpha1a_on_gpOrthosteric Ligand7EJ0-α2a-L-Norepinephrine-Go/β1/γ2 7EJ8-α2a-Brimonidine-Go/β1/γ2 7EJA-α2a-Dexmedetomidine-Go/β1/γ2 7EJK-α2a-Oxymetazoline-Go/β1/γ2 7W6P-α2a-N-pyridin-4-ylisoquinolin-4-amine-Go/β1/γ2 7W7E-α2a-PubChem 164946676-Go/β1/γ2
24.00Consensusd3_onOrthosteric Ligand7CMV-D3-PD128907-Gi1/β1/γ2 8IRT-D3-Rotigotine-Gi1/β1/γ2 7CMU-D3-Pramipexole-Gi1/β1/γ2
24.00Consensusd3_on_gpOrthosteric Ligand7CMV-D3-PD128907-Gi1/β1/γ2 8IRT-D3-Rotigotine-Gi1/β1/γ2 7CMU-D3-Pramipexole-Gi1/β1/γ2
24.00Consensusgrh_offOrthosteric Ligandgnrh1_off
24.00Consensushca_onOrthosteric Ligandhca2_on
24.00Consensusnop_offOrthosteric Ligand4EA3-NOP-PubChem 10296561 5DHG-NOP-C-35 5DHH-NOP-SB-612111
24.00Consensusp2y1_on_gpOrthosteric Ligand7XXH-P2Y1-2MeSADP-chim(NtGi1-G11)/β1/γ2
23.81Single7F16TIP397F16-PTH2-TIP39-Gs/β1/γ2
23.81Consensuspth2_on_gpOrthosteric Ligand7F16-PTH2-TIP39-Gs/β1/γ2
23.53Single5YQZGlucagon analogue5YQZ-Glucagon-Glucagon analogue
23.53Single7QBIAlpha-factor mating pheromone7QBI-STE2-α-factor mating pheromone
23.53Single7VL9CCL15(26-92)7VL9-CCR1-CCL15(26-92)-Gi1/β1/γ2
23.53Single7WBJPACAP277WBJ-VPAC1-PACAP27-Gs/β1/γ2
23.53Single7Y35Abaloparatide7Y35-PTH1-Abaloparatide-Gs/β1/γ2
23.53Consensusgi_apelinOrthosteric Ligand8XZH-Apelin-MM07-Gi1/β1/γ2 7W0M-Apelin-PubChem 122701908-Gi1/β1/γ2 8XZJ-Apelin-WN353-Gi1/β1/γ2 8XZF-Apelin-WN561-Gi1/β1/γ2 8XZG-Apelin-Apelin-13-Gi1/β1/γ2
23.33Single5VBLApelin mimetic peptide agonist5VBL-Apelin-Apelin mimetic peptide agonist
23.33Single6OMMWKYMVX6OMM-FPR2-ALX-WKYMVX-Gi1/β1/γ2
23.33Single6RZ6ONO-25703666RZ6-CysLT2-ONO-2570366
23.33Single7AUESetmelanotide7AUE-MC4-Setmelanotide-chim(NtGi1L-Gs)/β1/γ2
23.33Single7F9ZGHRP-67F9Z-Ghrelin-GHRP-6-chim(NtGi1-Gs-CtGq)/β1/γ2
23.33Single7S8LCortistatin-147S8L-MRGPRX2-Cortistatin-14-chim(NtGi2L-Gs-CtGq)/β1/γ2
23.33Single8H4IDoconexent8H4I-FFA4-Doconexent-chim(NtGi1-Gs)/β1/γ2
23.33Single8SAI1-Oleoyl-2-Hydroxy-Sn-Glycero-3-Phospho-L-Serine8SAI-GPR34-1-Oleoyl-2-Hydroxy-Sn-Glycero-3-Phospho-L-Serine-Gi1/β1/γ2
23.33Single8XQJJN2418XQJ-Apelin-JN241
23.33Single8Z74Agonistic antibody8Z74-Apelin-Agonistic antibody
23.33Single9CGKC5-Quino9CGK-δ-C5-Quino-Gi1/β1/γ2
23.33Single9EAJNanobody AT2099EAJ-AT1-Nanobody AT209
23.33Single9JF4PD1683689JF4-BB1-PD168368
23.08Single2Y02Carmoterol2Y02-β1-Carmoterol
23.08Single2Y04Salbutamol2Y04-β1-Salbutamol
23.08Single2YCYCyanopindolol2YCY-β1-Cyanopindolol
23.08Single3NYAS-Alprenolol3NYA-β2-S-Alprenolol
23.08Single4EJ4Naltrindole4EJ4-δ-Naltrindole
23.08Single4QKX35V4QKX-β2-35V
23.08Single5ZKPForopafant (SR27417)5ZKP-PAF-Foropafant (SR27417)
23.08Single6DRZMethysergide6DRZ-5-HT2B-Methysergide
23.08Single6H7MSalbutamol6H7M-β1-Salbutamol
23.08Single6KPFPubChem 1459158896KPF-CB2-PubChem 145915889-Gi1/β1/γ2
23.08Single6PRZS-Alprenolol6PRZ-β2-S-Alprenolol
23.08Single6XBM5LWE6XBM-SMO-5LWE-Gi1/β1/γ2
23.08Single7CFMP3957CFM-GPBA-P395-Gs/β1/γ2
23.08Single7E32Serotonin7E32-5-HT1D-Serotonin-Gi1/β1/γ2
23.08Single7JOZVFP7JOZ-D1-VFP-Gs/β1/γ2
23.08Single7LCIDanuglipron7LCI-GLP-1-Danuglipron-Gs/β1/γ2
23.08Single7LCKDanuglipron7LCK-GLP-1-Danuglipron
23.08Single7SCGFH2107SCG-μ-FH210-Gi1/β1/γ2
23.08Single7SQOTAK-9257SQO-OX2-TAK-925-Gi1/β1/γ2
23.08Single7T2GMitragynine Pseudoindoxyl7T2G-μ-Mitragynine Pseudoindoxyl-Gi1/β1/γ2
23.08Single7TRQVU04671547TRQ-M4-Iperoxo-VU0467154-Gi1/β1/γ2
23.08Single7UM55-CT7UM5-5-HT5A-5-CT-chim(NtGi1-Go)/β1/γ2
23.08Single7V3ZCP559407V3Z-CB1-CP55940
23.08Single7VGZRemalteon7VGZ-MT1-Remalteon-Gi1/β1/γ2
23.08Single7VIES1P7VIE-S1P1-S1P-Gi1/β1/γ2
23.08Single7WC7Lisuride7WC7-5-HT2A-Lisuride
23.08Single7WQ3Galanin7WQ3-GAL1-Galanin-Gi1/β1/γ2
23.08Single7X2CFenoldopam7X2C-D1-Fenoldopam-Fenoldopam-Gs/β1/γ2
23.08Single7XJHIsoproterenol7XJH-β3-Isoproterenol-Gs/β1/γ2
23.08Single7YU4ONO-07405567YU4-LPA1-ONO-0740556
23.08Single8CICEtrumadenant8CIC-A2A-Etrumadenant-Na
23.08Single8DZSGR89,6968DZS-κ-GR89,696-chim(NtGi2-Gz)/β1/γ2
23.08Single8I7VAcipimox8I7V-HCA2-Acipimox-Gi1/β1/γ2
23.08Single8IC0Interleukin-88IC0-CXCR1-Interleukin-8-Gi1/β1/γ2
23.08Single8IHJAcifran8IHJ-HCA3-Acifran-Gi1/β1/γ2
23.08Single8J6PNiacin8J6P-HCA2-Niacin-Compound 9n-Gi1/β1/γ2
23.08Single8JD0NAM5638JD0-mGlu2; mGlu3-Glutamate-NAM563
23.08Single8JHNMMF8JHN-HCA2-MMF-Go/β1/γ2
23.08Single8JIINiacin8JII-HCA2-Niacin-Compound 9n-Gi1/β1/γ2
23.08Single8JIRSAR4258998JIR-GLP-1-SAR425899-chim(NtGi1-Gs)/β1/γ2
23.08Single8JJOAlprenolol8JJO-β2-Alprenolol
23.08Single8JXRLSD8JXR-D1-LSD
23.08Single8K5DGSK2560738K5D-HCA2-GSK256073
23.08Single8KFYZK-7563268KFY-CCR8-ZK-756326-Gi1/β1/γ2
23.08Single8UGYMianserin8UGY-5-HT1E-Mianserin-Gi1/β1/γ1
23.08Single8UH3Setiptiline8UH3-5-HT1E-Setiptiline-Gi1/β1/γ1
23.08Single8VVGGB188VVG-κ-GB18-Gi1/β1/γ2
23.08Single8W87METH8W87-TA1-METH-chim(NtGi1L-Gs)/β1/γ2
23.08Single8W8ARO52563908W8A-TA1-RO5256390-chim(NtGi1L-Gs)/β1/γ2
23.08Single8XVKAmbrisentan8XVK-ETA-Ambrisentan
23.08Single8ZQEGPR15L(C11)8ZQE-GPR15-GPR15L(C11)-Gi1/β1/γ1
23.08Single8ZYYNeurotensin peptide 8-138ZYY-NTS1-Neurotensin peptide 8-13-SBI-553-Arrestin2
23.08Single9AVGCa; Ca; Cyclomethyltryptophan; 9IG; PO49AVG-CaS-Ca-Ca; Ca; Cyclomethyltryptophan; 9IG; PO4-chim(NtGi1-Gs)/β1/γ2
23.08Single9BQJRO769BQJ-μ-RO76-Gi1/β1/γ2
23.08Single9CBMDexmedetomidine9CBM-α2a-Dexmedetomidine-Gi1/β1/γ2
23.08Single9JR2PTH9JR2-PTH1-PTH-chim(NtGi1L-Gs-CtGq)/β1/γ2
23.08Single9PLNN-(5-methylnaphthalen-1-yl)pyridin-4-amine9PLN-α2a-N-(5-methylnaphthalen-1-yl)pyridin-4-amine
23.08Single9PLON-(5-methylnaphthalen-1-yl)pyridin-4-amine9PLO-α2a-N-(5-methylnaphthalen-1-yl)pyridin-4-amine-Go/β1/γ2
23.08Single9PQD(6m)-1-methyl-6-(1,2,5,6-tetrahydropyridin-3-yl)-1h-indole9PQD-α2a-(6m)-1-methyl-6-(1,2,5,6-tetrahydropyridin-3-yl)-1h-indole
23.08Consensus5ht1d_onOrthosteric Ligand7E32-5-HT1D-Serotonin-Gi1/β1/γ2
23.08Consensus5ht1d_on_gpOrthosteric Ligand7E32-5-HT1D-Serotonin-Gi1/β1/γ2
23.08Consensus5ht2b_offOrthosteric Ligand6DRZ-5-HT2B-Methysergide
23.08Consensusalicarboxylic_on_gpOrthosteric Ligandsuccinate_on_gp hca_on_gp
23.08Consensusalpha_onOrthosteric Ligandalpha1_on alpha2_on
23.08Consensuscck_offOrthosteric Ligandccka_off
23.08Consensusccka_offOrthosteric Ligand7F8Y-CCKA-Devazepide 7F8U-CCKA-Lintitript
23.08Consensuscrf_on_gpOrthosteric Ligandcrf2_on_gp crf1_on_gp
23.08Consensuscxcr1_on_gpOrthosteric Ligand8IC0-CXCR1-Interleukin-8-Gi1/β1/γ2
23.08Consensusdop_offOrthosteric Ligand4EJ4-δ-Naltrindole
23.08Consensusgal1_onOrthosteric Ligand7WQ3-GAL1-Galanin-Gi1/β1/γ2
23.08Consensusgal1_on_gpOrthosteric Ligand7WQ3-GAL1-Galanin-Gi1/β1/γ2
23.08Consensusgi_alicarboxylicOrthosteric Ligandgi_hca gi_succinate
23.08Consensusgi_galaninOrthosteric Ligand7WQ3-GAL1-Galanin-Gi1/β1/γ2
23.08Consensusgi_hcaOrthosteric Ligand8J6R-HCA2-MK6892-Gi1/β1/γ2 8JIM-HCA2-MMF-Gi1/β1/γ2 8IHI-HCA2-Acifran-Gi1/β1/γ2 8IHH-HCA2-LUF6283-Gi1/β1/γ2 8I7V-HCA2-Acipimox-Gi1/β1/γ2 8I7W-HCA2-GSK256073-Gi1/β1/γ2
23.08Consensusgi_orexinOrthosteric Ligand7SQO-OX2-TAK-925-Gi1/β1/γ2
23.08Consensusgs_trace-amineOrthosteric Ligand8W88-TA1-SEP-363856-Gs/β1/γ2 8JLJ-TA1-T1AM-chim(NtGi1-Gs)/β1/γ2 8JLO-TA1-Ulotaront-Gs/β1/γ2 8WC4-TA1-ZH8651-chim(NtGi1-Gs)/β1/γ2 8WC7-TA1-ZH8667-chim(NtGi1-Gs)/β1/γ2 8JLR-TA1-A77636-chim(NtGi1-Gs)/β1/γ2 8JSO-TA1-AMPH-chim(NtGi1-Gs)/β1/γ2 8W87-TA1-METH-chim(NtGi1L-Gs)/β1/γ2 8W89-TA1-PEA-chim(NtGi1L-Gs)/β1/γ2 8JLP-TA1-Ralmitaront-Gs/β1/γ2 8W8A-TA1-RO5256390-chim(NtGi1L-Gs)/β1/γ2
23.08Consensushca2_onOrthosteric Ligand8J6R-HCA2-MK6892-Gi1/β1/γ2 8JIM-HCA2-MMF-Gi1/β1/γ2 8I7V-HCA2-Acipimox-Gi1/β1/γ2 8I7W-HCA2-GSK256073-Gi1/β1/γ2 8IHH-HCA2-LUF6283-Gi1/β1/γ2 8IHI-HCA2-Acifran-Gi1/β1/γ2
23.08Consensushca2_on_gpOrthosteric Ligand8J6R-HCA2-MK6892-Gi1/β1/γ2 8IHI-HCA2-Acifran-Gi1/β1/γ2 8IHH-HCA2-LUF6283-Gi1/β1/γ2 8I7V-HCA2-Acipimox-Gi1/β1/γ2 8JIM-HCA2-MMF-Gi1/β1/γ2 8I7W-HCA2-GSK256073-Gi1/β1/γ2
23.08Consensushca_on_gpOrthosteric Ligandhca2_on_gp
23.08Consensuslipid_offOrthosteric Ligandcannabinoid_off paf_off lpl_off prostanoid_off leukotriene_off
22.86Single6NBILong-Acting PTH Analog6NBI-PTH1-Long-Acting PTH Analog-Gs/β1/γ2
22.86Single6P9YPACAP6P9Y-PAC1-PACAP-Gs/β1/γ2
22.86Single7KI0Semaglutide7KI0-GLP-1-Semaglutide-Gs/β1/γ2
22.86Single7QBIAlpha-factor mating pheromone7QBI-STE2-α-factor mating pheromone
22.86Single7RA3GIP7RA3-GIP-GIP-chim(NtGi1-Gs)/β1/γ2
22.86Single7VABNon-Acylated Tirzepatide7VAB-GIP-Non-Acylated Tirzepatide-chim(NtGi1-Gs)/β1/γ2
22.86Consensuspac1_onOrthosteric Ligand8E3X-PAC1-PACAP27-Gs/β1/γ2 6M1H-PAC1-Maxadilan-Gs/β1/γ2
22.86Consensuspac1_on_gpOrthosteric Ligand8E3X-PAC1-PACAP27-Gs/β1/γ2 6M1H-PAC1-Maxadilan-Gs/β1/γ2
22.73Single3OE8IT1t3OE8-CXCR4-IT1t
22.73Single3RFMCaffeine3RFM-A2A-Caffeine
22.73Single8A2OTheophylline8A2O-A2A-Theophylline-Na
22.58Single5UNFPubChem 157800525UNF-AT2-PubChem 15780052
22.58Single6WIVPubChem 52923113; PubChem 529246456WIV-GABAB1, GABAB2-PubChem 52923113; PubChem 52924645
22.58Single7NA7Ghrelin-277NA7-Ghrelin-Ghrelin-27-Gi1/β1/γ2
22.58Single7QA8Peptide7QA8-STE2-Peptide
22.58Single7QA8Peptide7QA8-STE2-Peptide
22.58Single7W2ZGhrelin7W2Z-Ghrelin-Ghrelin-Go/β1/γ2
22.58Single7WKDTRH7WKD-TRH-TRH-chim(NtGi1-Gs-CtGq)/β1/γ2
22.58Single8INRAlpha-MSH8INR-MC5-α-MSH-Ca-chim(NtGi1-Gs)/β1/γ2
22.58Single8J6RMK68928J6R-HCA2-MK6892-Gi1/β1/γ2
22.58Single8K3ZCXCL128K3Z-CXCR4-CXCL12-Gi1/β1/γ1
22.58Single8KIGSHU91198KIG-MC3-SHU9119-Ca
22.58Single8WKYPG-9348WKY-MC4-PG-934
22.58Single8XBHS3E-LysoPS8XBH-GPR34-S3E-LysoPS-Gi1/β1/γ2
22.58Single8YWFRetatrutide8YWF-GLP-1-Retatrutide-chim(NtGi1-Gs)/β1/γ2
22.58Single9J0IUDP-Glucuronic acid9J0I-P2Y14-UDP-Glucuronic acid-Gi1/β1/γ2
22.58Consensusgi_nucleotideOrthosteric Ligandgi_adenosine gi_p2y
22.58Consensussomatostatin_offOrthosteric Ligandsst2_off
22.50Single9JR3PTH9JR3-PTH1-PTH-chim(NtGi1L-Gs-CtGq)/β1/γ2
22.50Consensusglucagon_onOrthosteric Ligandglp_on gluc_on secretin_on gip_on
22.50Consensuspth2_onOrthosteric Ligand7F16-PTH2-TIP39-Gs/β1/γ2
22.22Single2Y00Dobutamine2Y00-β1-Dobutamine
22.22Single2Y03Isoprenaline2Y03-β1-Isoprenaline
22.22Single5XPRBosentan5XPR-ETB-Bosentan
22.22Single5ZBQUR-MK-2995ZBQ-Y1-UR-MK-299
22.22Single6LUQHaloperidol6LUQ-D2-Haloperidol
22.22Single6ME72-Phenylmelatonin6ME7-MT2-2-Phenylmelatonin
22.22Single6TP6Filorexant6TP6-OX1-Filorexant
22.22Single6Z4SSR486926Z4S-NTS1-SR48692
22.22Single7AD3Alpha-factor mating pheromone7AD3-STE2-α-factor mating pheromone-Gi1/STE4/γ2
22.22Single7C4SS1P7C4S-S1P3-S1P
22.22Single7DTYGIP7DTY-GIP-GIP-Gs/β1/γ2
22.22Single7E9GJNJ-404118137E9G-mGlu2; mGlu2-Eglumetad-JNJ-40411813-Gi1/β1/γ2
22.22Single7FIYTirzepatide7FIY-GIP-Tirzepatide-Gs/β1/γ2
22.22Single7QBCAlpha-factor mating pheromone7QBC-STE2-α-factor mating pheromone
22.22Single7TYFAmylin7TYF-CT (AMY1)-Amylin-Gs/β1/γ2; RAMP1
22.22Single7VQXPACAP277VQX-VPAC1-PACAP27-Gs/β1/γ2
22.22Single7VV0PAMP-127VV0-MRGPRX2-PAMP-12
22.22Single7VVKPTH7VVK-PTH1-PTH-Gs/β1/γ2
22.22Single7WIGL-054,2647WIG-SST2-L-054,264-Gi1/β1/γ2
22.22Single8HNLPS3724248HNL-CXCR3-PS372424-Gi1/β1/γ2
22.22Single8ID4Linoleic acid8ID4-FFA4-Linoleic acid-Gi1/β1/γ2
22.22Single8K8JFenofibrate8K8J-CB1-Fenofibrate-chim(Gs-CtGq)/β1/γ2
22.22Single8S4DCMF-0198S4D-Apelin-CMF-019
22.22Single8TH4Losartan8TH4-AT1-Losartan-AT118-L Nanobody
22.22Single8UUJFCH-22964138UUJ-HCA2-FCH-2296413-Gi1/β1/γ2
22.22Single8YH0NECA8YH0-A3A-NECA-Gi1/β1/γ2
22.22Single9AVLCa; Ca; Cyclomethyltryptophan; 9IG; PO49AVL-CaS-Ca-Ca; Ca; Cyclomethyltryptophan; 9IG; PO4-Gi3/β2/γ2
22.22Single9CIBFCH-22964139CIB-HCA2-FCH-2296413
22.22Single9EAHOlmesartan9EAH-AT1-Olmesartan-Nanobody AT209
22.22Single9ERXD9-THC analog9ERX-CB1-D9-THC analog-Gi1/β1/γ2
22.22Single9IYBProstaglandin9IYB-DP2-Prostaglandin-A1D5Q-Gi1/β1/γ2
22.22Consensus5ht1_onOrthosteric Ligand5ht1a_on 5ht1d_on 5ht1e_on 5ht1f_on
22.22Consensus5ht1_on_gpOrthosteric Ligand5ht1a_on_gp 5ht1d_on_gp 5ht1e_on_gp 5ht1f_on_gp
22.22Consensus5ht1e_on_gpOrthosteric Ligand7E33-5-HT1E-BRL-54443-Gi1/β1/γ2 8UGY-5-HT1E-Mianserin-Gi1/β1/γ1 8UH3-5-HT1E-Setiptiline-Gi1/β1/γ1
22.22Consensusalpha_on_gpOrthosteric Ligandalpha1_on_gp alpha2_on_gp
22.22Consensush1_offOrthosteric Ligand8X63-H1-Mepyramine 3RZE-H1-Cidoxepin 8X5Y-H1-Astemizole
21.95Consensusglucagon_on_gpOrthosteric Ligandglp_on_gp gluc_on_gp secretin_on_gp gip_on_gp
21.88Single7W0NElabela7W0N-Apelin-Elabela-Gi1/β1/γ2
21.88Single9J0FNADH9J0F-P2Y14-NADH-Gi1/β1/γ2
21.88Consensustachykinin_on_gpOrthosteric Ligandnk1_on_gp nk2_on_gp nk3_on_gp
21.74Single3OE6IT1t3OE6-CXCR4-IT1t
21.74Single3UZAGTPL92363UZA-A2A-GTPL9236
21.74Single4XNWMRS25004XNW-P2Y1-MRS2500
21.74Single6OIKLY21196206OIK-M2-Iperoxo-LY2119620-chim(NtGi1-Go)/β1/γ2
21.74Single6PWCNeurotensin6PWC-NTS1-Neurotensin-Arrestin2
21.74Single8J6QBeta-Hydroxybutyrate8J6Q-HCA2-β-Hydroxybutyrate-Compound 9n-Gi1/β1/γ2
21.74Single8RQLFlufenamic acid8RQL-TAS2R14-Flufenamic acid-Flufenamic acid-chim(NtGi1-Gt3)/β1/γ2
21.74Consensus5ht2_onOrthosteric Ligand5ht2b_on
21.74Consensus5ht2b_onOrthosteric Ligand7SRR-5-HT2B-LSD-chim(NtGi2L-Gs-CtGq)/β1/γ2
21.74Consensusp2y1_offOrthosteric Ligand4XNW-P2Y1-MRS2500
21.62Single5VAIGLP-15VAI-GLP-1-GLP-1-Gs/β1/γ2
21.62Single6LMLGlucagon6LML-Glucagon-Glucagon-Gi1/β1/γ1
21.62Single7D68GLP-27D68-GLP-2-GLP-2-Gs/β1/γ2
21.62Single7QBCAlpha-factor mating pheromone7QBC-STE2-α-factor mating pheromone
21.62Single7VVLPTH7VVL-PTH1-PTH-Gs/β1/γ2
21.62Single8F0KPramlintide Analogue San3858F0K-CT (AMY3)-Pramlintide Analogue San385-Gs/β1/γ2; RAMP3
21.62Single8FLTM-PTH(1-14)8FLT-PTH1-M-PTH(1-14)-Gs/β1/γ2
21.43Single4DJHJDTic4DJH-κ-JDTic
21.43Single5V54Methiothepin5V54-5-HT1B-Methiothepin
21.43Single5V56TC1145V56-SMO-TC114
21.43Single6J20Aprepitant6J20-NK1-Aprepitant
21.43Single6KO5PubChem 574000026KO5-Ghrelin-PubChem 57400002
21.43Single6TQ7SB-3348676TQ7-OX1-SB-334867
21.43Single7EW7SEW28717EW7-S1P1-SEW2871-Gi1/β1/γ2
21.43Single7F1TMIP-1a7F1T-CCR5-MIP-1a
21.43Single7SK7CXCL127SK7-ACKR3-CXCL12-CCX662
21.43Single7VIGCBP-3077VIG-S1P1-CBP-307-Gi1/β1/γ2
21.43Single7XWONeurokinin-A7XWO-NK2-Neurokinin-A-chim(NtGi1-Gs-CtGq)/β1/γ2
21.43Single8IHBGSK2560738IHB-HCA2-GSK256073-Gi1/β1/γ2
21.43Single8JBGNeurokinin-B8JBG-NK3-Neurokinin-B-chim(NtGi1-Gs-CtGq)/β1/γ2
21.43Single8JLPRalmitaront8JLP-TA1-Ralmitaront-Gs/β1/γ2
21.43Single8JXVClozapine8JXV-H4-Clozapine-Gi1/β1/γ2
21.43Single8VVEnorBNI8VVE-κ-norBNI-Gi1/β1/γ2
21.43Single8XBIS3E-LysoPS8XBI-GPR34-S3E-LysoPS
21.43Single9AYFCa; Ca; Ca; Cyclomethyltryptophan; 9IG; PO49AYF-CaS-Ca-Ca; Ca; Ca; Cyclomethyltryptophan; 9IG; PO4-Gi1/β1/γ2
21.43Single9JMCDS-3801b9JMC-Motilin-DS-3801b-chim(Gs-CtGq)/β1/γ2
21.43Consensus5ht1_offOrthosteric Ligand5ht1b_off
21.43Consensus5ht1b_offOrthosteric Ligand5V54-5-HT1B-Methiothepin
21.43Consensus5ht_offOrthosteric Ligand5ht2_off 5ht1_off
21.43Consensuscyslt1_offOrthosteric Ligand6RZ5-CysLT1-Zafirlukast-Na 6RZ4-CysLT1-Pranlukast-Na
21.43Consensusffa_onOrthosteric Ligandffa2_on ffa3_on
21.43Consensusffa_on_gpOrthosteric Ligandffa2_on_gp ffa3_on_gp
21.43Consensusgi_ffaOrthosteric Ligand8J21-FFA3-Butyric acid-Gi1/β1/γ2 8J22-FFA2-TUG-1375-Gi1/β1/γ2
21.43Consensuskop_offOrthosteric Ligand4DJH-κ-JDTic
21.43Consensusnk2_on_gpOrthosteric Ligand7XWO-NK2-Neurokinin-A-chim(NtGi1-Gs-CtGq)/β1/γ2
21.43Consensustachykinin_offOrthosteric Ligandnk1_off
21.21Single6UUNAdrenomedullin6UUN-CT Like (AM1)-Adrenomedullin-Gs/β1/γ2; RAMP2
21.21Single6VN7PACAP6VN7-VPAC1-PACAP-Gs/β1/γ2
21.21Single6W25SHU91196W25-MC4-SHU9119-Ca
21.21Single8XZGApelin-138XZG-Apelin-Apelin-13-Gi1/β1/γ2
21.21Single9B5YLong-Acting PTH9B5Y-PTH1-Long-Acting PTH-chim(NtGi1-Gq)/β1/γ2
21.21Consensusclass-b1_class-b2_cons_onOrthosteric Ligandclass-b1_on class-b2_on
21.21Consensusclass-b1_class-b2_cons_on_gpOrthosteric Ligandclass-b1_on_gp class-b2_on_gp
21.21Consensuscxcr4_on_gpOrthosteric Ligand8K3Z-CXCR4-CXCL12-Gi1/β1/γ1
21.05Single7RBTTirzepatide7RBT-GIP-Tirzepatide-LSN3556672-chim(NtGi1-Gs)/β1/γ2
20.83Single3PBLEticlopride3PBL-D3-Eticlopride
20.83Single6HLLCP999946HLL-NK1-CP99994
20.83Single6TQ4PubChem 160468446TQ4-OX1-PubChem 16046844-Na
20.83Single7E2YSerotonin7E2Y-5-HT1A-Serotonin-Gi1/β1/γ2
20.83Single7T96LY21196207T96-M2-Acetylcholine-LY2119620-Go/β1/γ2
20.83Single7UL2SR486927UL2-NTS1-SR48692-Na
20.83Single7XTBSerotonin7XTB-5-HT6-Serotonin-Gs/β1/γ2
20.83Single7YS6Serotonin7YS6-5-HT6-Serotonin-chim(NtGi1-Gs)/β1/γ2
20.83Single8GGYConstrained Epinephrine8GGY-β2-Constrained Epinephrine
20.83Single8IHIAcifran8IHI-HCA2-Acifran-Gi1/β1/γ2
20.83Single8JLOUlotaront8JLO-TA1-Ulotaront-Gs/β1/γ2
20.83Single8UO3Constrained Epinephrine8UO3-β2-Constrained Epinephrine-GTP; Mg-Gs/β1/γ2
20.83Single8YN4Histamine8YN4-H2-Histamine-chim(NtGi1L-Gs-CtGq)/β1/γ2
20.83Single8ZSVRO52633978ZSV-TA1-RO5263397-chim(NtGi1-Gs)/β1/γ2
20.83Single9IJEEpinephrine9IJE-β3-Epinephrine-chim(NtGi1-Gs)/β1/γ2
20.83Single9IQTNiacin9IQT-HCA2-Niacin-Gi1/β1/γ2
20.83Single9IXJHistamine9IXJ-H2-Histamine-Gs/β1/γ2
20.83Consensusd3_offOrthosteric Ligand3PBL-D3-Eticlopride
20.83Consensusneurotensin_offOrthosteric Ligandnts1_off
20.83Consensusnts1_offOrthosteric Ligand7UL2-NTS1-SR48692-Na
20.69Single3VW7Vorapaxar; Na3VW7-PAR1-Vorapaxar; Na
20.69Single4OR2FITM4OR2-mGlu1; mGlu1-FITM
20.69Single4PXZ2MeSADP4PXZ-P2Y12-2MeSADP
20.69Single4Z36ONO-30805734Z36-LPA1-ONO-3080573
20.69Single6A93Risperidone6A93-5-HT2A-Risperidone
20.69Single6CM4Risperidone6CM4-D2-Risperidone
20.69Single6H7NS-Xamoterol6H7N-β1-S-Xamoterol
20.69Single6RZ7ONO-25703666RZ7-CysLT2-ONO-2570366
20.69Single6ZG4HTL00099366ZG4-M1-HTL0009936
20.69Single7EPENAM5637EPE-mGlu2; mGlu2-NAM563
20.69Single7EVYSiponimod7EVY-S1P1-Siponimod-Gi1/β1/γ2
20.69Single7F55Bremelanotide7F55-MC4-Bremelanotide-Gs/β1/γ2
20.69Single7JNIOlodanrigan7JNI-AT2-Olodanrigan
20.69Single7SUSPubChem 1227019087SUS-Apelin-PubChem 122701908
20.69Single7W0LPubChem 1227019087W0L-Apelin-PubChem 122701908-Gi1/β1/γ2
20.69Single7W0NElabela7W0N-Apelin-Elabela-Gi1/β1/γ2
20.69Single7WCNAR2314537WCN-GPR119-AR231453-Gs/β1/γ2
20.69Single7XW9TRH7XW9-TRH-TRH-chim(NtGi1L-Gs-CtGq)/β1/γ2
20.69Single8FYTLSD8FYT-5-HT1A-LSD-Gi1/β1/γ1
20.69Single8WRBLysophosphatidylserine8WRB-GPR34-Lysophosphatidylserine-Gi1/β1/γ2
20.69Single8XQJJN2418XQJ-Apelin-JN241
20.69Single8XQSCholesterol8XQS-TAS2R14-Cholesterol-Flufenamic acid-Gi1/β1/γ1
20.69Single8XX3CXCL38XX3-CXCR2-CXCL3-Go/β1/γ2
20.69Consensuscannabinoid_offOrthosteric Ligandcb2_off cb1_off
20.69Consensusffa2_on_gpOrthosteric Ligand8J22-FFA2-TUG-1375-Gi1/β1/γ2
20.69Consensusgi_amineOrthosteric Ligandgi_5ht gi_muscarinic gi_adrenergic gi_dopamine gi_histamine
20.69Consensusleukotriene_offOrthosteric Ligandblt_off cyslt_off
20.69Consensusm4_onOrthosteric Ligand7TRS-M4-Acetylcholine-Gi1/β1/γ2 7V6A-M4-PubChem 9864275-Gi1/β1/γ2 8E9X-M4-2-Deoxycytidine-chim(NtGi1-Go)/β1/γ2 7TRK-M4-Iperoxo-Gi1/β1/γ2
20.69Consensusm4_on_gpOrthosteric Ligand7TRS-M4-Acetylcholine-Gi1/β1/γ2 7V6A-M4-PubChem 9864275-Gi1/β1/γ2 8E9X-M4-2-Deoxycytidine-chim(NtGi1-Go)/β1/γ2 7TRK-M4-Iperoxo-Gi1/β1/γ2
20.69Consensustrh_onOrthosteric Ligand7XW9-TRH-TRH-chim(NtGi1L-Gs-CtGq)/β1/γ2
20.69Consensustrh_on_gpOrthosteric Ligand7XW9-TRH-TRH-chim(NtGi1L-Gs-CtGq)/β1/γ2
20.59Single7FINPeptide-20; GGL7FIN-GIP-Peptide-20; GGL-Gs/β1/γ2
20.59Single8IEDA1LYA8IED-GPR156-A1LYA-Go/β1/γ2
20.59Single8YW3Retatrutide8YW3-GLP-1-Retatrutide-Gs/β1/γ2
20.59Single8YW4Retatrutide8YW4-GIP-Retatrutide-chim(NtGi1-Gs)/β1/γ2
20.59Consensusapelin_onOrthosteric Ligand8XZH-Apelin-MM07-Gi1/β1/γ2 7W0M-Apelin-PubChem 122701908-Gi1/β1/γ2 8XZJ-Apelin-WN353-Gi1/β1/γ2 8XZF-Apelin-WN561-Gi1/β1/γ2 8XZG-Apelin-Apelin-13-Gi1/β1/γ2
20.59Consensusapelin_on_gpOrthosteric Ligand8XZH-Apelin-MM07-Gi1/β1/γ2 7W0M-Apelin-PubChem 122701908-Gi1/β1/γ2 8XZJ-Apelin-WN353-Gi1/β1/γ2 8XZF-Apelin-WN561-Gi1/β1/γ2 8XZG-Apelin-Apelin-13-Gi1/β1/γ2
20.59Consensustachykinin_onOrthosteric Ligandnk1_on nk2_on nk3_on
20.51Single7TZFAmylin7TZF-CT (AMY3)-Amylin-Gs/β1/γ2; RAMP3
20.51Single7VBHPeptide-207VBH-GLP-1-Peptide-20-Gs/β1/γ2
20.00Single2X72All-trans-Retinal2X72-Rhodopsin-All-trans-Retinal-Gt(CT)
20.00Single3ODUIT1t3ODU-CXCR4-IT1t
20.00Single3V2WPubChem 518926453V2W-S1P1-PubChem 51892645
20.00Single4OR2FITM4OR2-mGlu1; mGlu1-FITM
20.00Single5WS3EMPA5WS3-OX2-EMPA
20.00Single5ZKQABT-4915ZKQ-PAF-ABT-491
20.00Single6AKYMaraviroc6AKY-CCR5-Maraviroc
20.00Single6B73MP11046B73-κ-MP1104
20.00Single6K1QIRL25006K1Q-ETB-IRL2500
20.00Single6LFOInterleukin-86LFO-CXCR2-Interleukin-8-Gi1/β1/γ2
20.00Single6ME2Ramelteon6ME2-MT1-Ramelteon
20.00Single6NWEOctyl-Beta-D-Glucopyranoside6NWE-Rhodopsin-Octyl-β-D-Glucopyranoside-Gt(CT)
20.00Single6RZ9ONO-27703726RZ9-CysLT2-ONO-2770372
20.00Single6TODEMPA6TOD-OX1-EMPA-Na
20.00Single6WPWGlucagon derivative ZP37806WPW-Glucagon-Glucagon derivative ZP3780-Gs/β1/γ2
20.00Single6WWZCCL206WWZ-CCR6-CCL20-Go/β1/γ2
20.00Single7BR3Elagolix7BR3-GnRH1-Elagolix
20.00Single7F8YDevazepide7F8Y-CCKA-Devazepide
20.00Single7LCJDanuglipron7LCJ-GLP-1-Danuglipron
20.00Single7LJDDopamine7LJD-D1-Dopamine-Mevidalen-Gs/β1/γ1
20.00Single7S8PMS471347S8P-MRGPRX4-MS47134-chim(NtGi2L-Gs-CtGq)/β1/γ2
20.00Single7SK7CCX6627SK7-ACKR3-CXCL12-CCX662
20.00Single7SRRLSD7SRR-5-HT2B-LSD-chim(NtGi2L-Gs-CtGq)/β1/γ2
20.00Single7T6SPubChem 247763417T6S-FPR2-ALX-PubChem 24776341-Gi1/β1/γ2
20.00Single7TUZ7-alpha,25-dihydroxycholesterol7TUZ-GPR183-7-α,25-dihydroxycholesterol-Gi1/β1/γ2
20.00Single7VDLCortistatin-147VDL-MRGPRX2-Cortistatin-14-Gi1/β1/γ2
20.00Single7VV5C48/807VV5-MRGPRX2-C48/80-Gi1/β1/γ2
20.00Single7W0MPubChem 1227019087W0M-Apelin-PubChem 122701908-Gi1/β1/γ2
20.00Single7W0OElabela7W0O-Apelin-Elabela-Gi1/β1/γ2
20.00Single7X1UTRH7X1U-TRH-TRH-chim(NtGi2L-Gs-CtGq)/β1/γ2
20.00Single7X2CFenoldopam7X2C-D1-Fenoldopam-Fenoldopam-Gs/β1/γ2
20.00Single7X2FDopamine7X2F-D1-Dopamine-Mevidalen-Gs/β1/γ2
20.00Single7YM8Oxymetazoline7YM8-Alpha1A-Oxymetazoline-chim(Gs-CtGq)
20.00Single8DWGML3828DWG-MRGPRX1-Proenkephalin-A-ML382-chim(NtGi2L-Gs-CtGq)/β1/γ2
20.00Single8GGWConstrained Epinephrine8GGW-β2-Constrained Epinephrine
20.00Single8H8JLodoxamide8H8J-GPR35-Lodoxamide-Ca-chim(NtGi1L-G13)/β1/γ2
20.00Single8IJBAcipimox8IJB-HCA2-Acipimox-Gi1/β1/γ2
20.00Single8J19LY2378J19-GPR84-LY237-Gi1/β1/γ2
20.00Single8J6LNiacin8J6L-HCA2-Niacin-Gi1/β1/γ2
20.00Single8JIPMEDI03828JIP-GLP-1-MEDI0382-chim(NtGi1-Gs)/β1/γ2
20.00Single8T3OTUG-8918T3O-FFA4-TUG-891-chim(NtGi2L-Gs-CtGq)/β1/γ2
20.00Single8TZQL-Dopamine8TZQ-D2-L-Dopamine-Go/β1/γ2
20.00Single8WPGTryptophan; Cinacalcet; PO4; Ca8WPG-CaS-Tryptophan; Cinacalcet; PO4; Ca
20.00Single8XBES3E-LysoPS8XBE-GPR34-S3E-LysoPS-Gi1/β1/γ1
20.00Single8XVJMacitentan8XVJ-ETA-Macitentan
20.00Single8YUTAmthamine8YUT-H2-Amthamine-Gs/β1/γ2
20.00Single8YYWAlpha-ketoglutarate8YYW-Oxoglutarate-α-ketoglutarate-α-ketoglutarate-chim(Gi1-CtGq)/β1/γ2
20.00Single8ZX4Lysophosphatidylinositol 8ZX4-GPR55-Lysophosphatidylinositol-chim(NtGi1-G13)/β1/γ2
20.00Single9EBHAdenosine9EBH-A3A-Adenosine-Gi1/β1/γ2
20.00Single9MQJIsoquinuclidine9MQJ-μ-Isoquinuclidine
20.00Consensus5ht2_on_gpOrthosteric Ligand5ht2b_on_gp
20.00Consensus5ht2b_on_gpOrthosteric Ligand7SRR-5-HT2B-LSD-chim(NtGi2L-Gs-CtGq)/β1/γ2
20.00Consensuscalcitonin_onOrthosteric Ligandctlike_on
20.00Consensusccr6_onOrthosteric Ligand6WWZ-CCR6-CCL20-Go/β1/γ2
20.00Consensusccr6_on_gpOrthosteric Ligand6WWZ-CCR6-CCL20-Go/β1/γ2
20.00Consensuscxcr1_onOrthosteric Ligand8IC0-CXCR1-Interleukin-8-Gi1/β1/γ2
20.00Consensuscyslt2_offOrthosteric Ligand6RZ7-CysLT2-ONO-2570366 6RZ8-CysLT2-ONO-2080365 6RZ9-CysLT2-ONO-2770372
20.00Consensusglp1_on_gpOrthosteric Ligand7S1M-GLP-1-Ex4-D-Ala-Gs/β1/γ2 7X8R-GLP-1-BOC5-Gs/β1/γ2 6X19-GLP-1-CHU-128-Gs/β1/γ2 6X1A-GLP-1-Danuglipron-Gs/β1/γ2 6X18-GLP-1-GLP-1-Gs/β1/γ2 8JIP-GLP-1-MEDI0382-chim(NtGi1-Gs)/β1/γ2 7C2E-GLP-1-PubChem 149050799-Gs/β1/γ2 7KI0-GLP-1-Semaglutide-Gs/β1/γ2 7KI1-GLP-1-Taspoglutide-Gs/β1/γ2 7X8S-GLP-1-WB4-24-Gs/β1/γ2 8JIS-GLP-1-Peptide-15-chim(NtGi1-Gs)/β1/γ2 7VBI-GLP-1-Non-Acylated Tirzepatide-Gs/β1/γ2
20.00Consensusgnrh1_offOrthosteric Ligand7BR3-GnRH1-Elagolix
20.00Consensusox1_offOrthosteric Ligand6TP6-OX1-Filorexant 6TP4-OX1-ACT-462206 6V9S-OX1-GTPL11403 6TOT-OX1-Lemborexant 6TP3-OX1-Nemorexant 6TQ6-OX1-PubChem 145714283 6TQ9-OX1-SB-408124 4ZJC-OX1-SB-674042 4ZJ8-OX1-Suvorexant 6TOD-OX1-EMPA-Na 6TOS-OX1-GSK1059865-Na 6TQ4-OX1-PubChem 16046844-Na
20.00Consensusp2y1_onOrthosteric Ligand7XXH-P2Y1-2MeSADP-chim(NtGi1-G11)/β1/γ2
20.00Consensuspaf_offOrthosteric Ligand5ZKQ-PAF-ABT-491
20.00Consensuss1p1_offOrthosteric Ligand3V2W-S1P1-PubChem 51892645
20.00Consensusvpac_onOrthosteric Ligandvpac1_on vpac2_on
19.44Single7CZ5Somatoliberin7CZ5-GHRH-Somatoliberin-Gs/β1/γ2
19.44Single7D3SSecretin7D3S-Secretin-Secretin-Gs/β1/γ2
19.44Single8FLRPTHrP(1-36)8FLR-PTH1-PTHrP(1-36)-Gs/β1/γ2
19.44Consensuscalcitonin_on_gpOrthosteric Ligandctlike_on_gp
19.44Consensuscrf2_on_gpOrthosteric Ligand7TS0-CRF2-Urocortin-chim(NtGi1L-Go)/β1/γ2
19.44Consensusvpac1_on_gpOrthosteric Ligand8E3Z-VPAC1-VIP-Gs/β1/γ2
19.44Consensusvpac_on_gpOrthosteric Ligandvpac1_on_gp vpac2_on_gp
19.35Single7RKFFractalkine7RKF-US28-Fractalkine-GDP-chim(NtGi1-G11)/β1/γ2
19.35Single7RMHSubstance-P7RMH-NK1-Substance-P-Gs/β1/γ2
19.35Single7SK9CCX6627SK9-ACKR3-CCX662
19.35Single8J22TUG-13758J22-FFA2-TUG-1375-Gi1/β1/γ2
19.35Single8Z74Agonistic antibody8Z74-Apelin-Agonistic antibody
19.35Single9JH6C20:0 Ceramide9JH6-CysLT2-C20:0 Ceramide-chim(NtGi1-Gs-CtGq)/β1/γ2
19.23Single3V2YPubChem 518926453V2Y-S1P1-PubChem 51892645
19.23Single4N6HNaltrindole4N6H-δ-Naltrindole-Na
19.23Single5TE3Octyl-Beta-D-Glucopyranoside5TE3-Rhodopsin-Octyl-β-D-Glucopyranoside
19.23Single6A94Zotepine6A94-5-HT2A-Zotepine
19.23Single6FK8PubChem 1324730356FK8-Rhodopsin-PubChem 132473035
19.23Single6K41Dexmedetomidine6K41-α2b-Dexmedetomidine-Go/β1/γ2
19.23Single6KUXRS-799486KUX-α2a-RS-79948
19.23Single6ME32-Phenylmelatonin6ME3-MT1-2-Phenylmelatonin
19.23Single6ME42-Iodomelatonin6ME4-MT1-2-Iodomelatonin
19.23Single6PELCitronellol6PEL-Rhodopsin-Citronellol-Gt(CT)
19.23Single6PS82-Phenylmelatonin6PS8-MT1-2-Phenylmelatonin
19.23Single6TOSGSK10598656TOS-OX1-GSK1059865-Na
19.23Single6TPNHTL66416TPN-OX2-HTL6641
19.23Single6WH4Methiothepin6WH4-5-HT2A-Methiothepin
19.23Single7C2EPubChem 1490507997C2E-GLP-1-PubChem 149050799-Gs/β1/γ2
19.23Single7E33BRL-544437E33-5-HT1E-BRL-54443-Gi1/β1/γ2
19.23Single7EJ8Brimonidine7EJ8-α2a-Brimonidine-Go/β1/γ2
19.23Single7EJADexmedetomidine7EJA-α2a-Dexmedetomidine-Go/β1/γ2
19.23Single7F1ZDopamine7F1Z-D1-Dopamine-GDP-Gs/β1/γ2
19.23Single7F24Dopamine7F24-D1-Dopamine-GDP-Gs/β1/γ2
19.23Single7UL3Famotidine7UL3-H2-Famotidine
19.23Single7UM7Methylergometrine7UM7-5-HT5A-Methylergometrine-chim(NtGi1-Go)/β1/γ2
19.23Single7VUGJNJ-635330547VUG-GPR139-JNJ-63533054-Gi1/β1/γ2
19.23Single7VV6C48/807VV6-MRGPRX2-C48/80
19.23Single7YK6PubChem 1383196747YK6-RXFP4-PubChem 138319674-Gi2/β1/γ2
19.23Single8JERAcipimox8JER-HCA2-Acipimox-Go/β1/γ2
19.23Single8JLKUlotaront8JLK-TA1-Ulotaront-chim(NtGi1-Gs)/β1/γ2
19.23Single8JLNT1AM8JLN-TA1-T1AM-Gs/β1/γ2
19.23Single8JSPUlotaront8JSP-5-HT1A-Ulotaront-Gi1/β1/γ2
19.23Single8K4SDCA-3P8K4S-MRGPRX4-DCA-3P-chim(NtGi1L-Gs-CtGq)/β1/γ2
19.23Single8K9LDamgo8K9L-μ-Damgo-BMS-986122-Gi3/β1/γ1
19.23Single8THKA616038THK-Alpha1A-A61603-chim(NtGi2L-Gs-CtGq)/β1/γ2
19.23Single8U02L-Dopamine8U02-D2-L-Dopamine-Go/β1/γ2
19.23Single8UHBRO52563908UHB-TA1-RO5256390-Gs/β1/γ2
19.23Single8V6UPubChem 1713924568V6U-5-HT2A-PubChem 171392456-chim(NtGi2-Gs-CtGq)/β1/γ2
19.23Single8WPUTryptophan; Cinacalcet; PO4; Ca8WPU-CaS-Tryptophan; Cinacalcet; PO4; Ca-chim(NtGi2L-Gs-CtGq)/β1/γ2
19.23Single8Y53MK50468Y53-BB3-MK5046-chim(NtGi1-Gs-CtGq)/β1/γ2
19.23Single8Y62C16:0 Ceramide8Y62-FPR2-ALX-C16:0 Ceramide-Gi1/β1/γ2
19.23Single8YKVPubChem 1375531688YKV-Succinate-PubChem 137553168-Gi1/β1/γ2
19.23Single8YN3Histamine8YN3-H2-Histamine-Gs/β1/γ2
19.23Single8YRGFospropofol8YRG-MRGPRX4-Fospropofol-chim(NtGi1-Gs-CtGq)/β1/γ2
19.23Single8ZMGPimavanserin8ZMG-5-HT2A-Pimavanserin
19.23Single9AS3LSD9AS3-5-HT2A-LSD
19.23Single9AS4LSD9AS4-5-HT2A-LSD-chim(NtGi1-Gs-CtGq)/β1/γ2
19.23Single9ASBCa; Ca; Cyclomethyltryptophan; 9IG; PO49ASB-CaS-Ca-Ca; Ca; Cyclomethyltryptophan; 9IG; PO4-chim(NtGi1-Gs-CtGq)/β1/γ2
19.23Single9ASBCa; Ca; Cyclomethyltryptophan; 9IG; PO49ASB-CaS-Ca-Ca; Ca; Cyclomethyltryptophan; 9IG; PO4-chim(NtGi1-Gs-CtGq)/β1/γ2
19.23Single9AVGCa; Ca; Cyclomethyltryptophan; 9IG; PO49AVG-CaS-Ca-Ca; Ca; Cyclomethyltryptophan; 9IG; PO4-chim(NtGi1-Gs)/β1/γ2
19.23Single9CBLEpinephrine9CBL-α2a-Epinephrine-Gi1/β1/γ2
19.23Single9EPQ11,20-Ethanoretinal9EPQ-Rhodopsin-11,20-Ethanoretinal-chim(Gi1-CtGq)/β1/γ2
19.23Single9JH3CMF-0199JH3-Apelin-CMF-019-Gi1/β1/γ2
19.23Single9JMDAzithromycin9JMD-Motilin-Azithromycin-chim(Gs-CtGq)/β1/γ2
19.23Single9K0KUTP9K0K-P2Y4-UTP-chim(NtGi1-Gs-CtGq)/β1/γ2
19.23Single9K0XATP9K0X-P2Y2-ATP-chim(NtGi1-Gs-CtGq)/β1/γ2
19.23Single9K20ATP9K20-P2Y2-ATP-chim(NtGi1-Go)/β1/γ2
19.23Single9KPDSA09KPD-TAS2R16-SA0-chim(Gs-CtGt3)/β1/γ2
19.23Single9MQIIsoquinuclidine9MQI-μ-Isoquinuclidine
19.23Consensusghrelin_offOrthosteric Ligand6KO5-Ghrelin-PubChem 57400002 7F83-Ghrelin-PF-05190457
19.05Single6E3YCalcitonin gene-related peptide-16E3Y-CT Like-Calcitonin gene-related peptide-1-Gs/β1/γ2; RAMP1
19.05Single8GEJConstrained Epinephrine8GEJ-β2-Constrained Epinephrine-Gs/β1/γ2
18.92Single8FU6Glucagon derivative ZP37808FU6-Glucagon-Glucagon derivative ZP3780-Gs/β1/γ2
18.92Single9BUCCagrilintide9BUC-CT-Cagrilintide-Gs/β1/γ2
18.92Consensuscrf_onOrthosteric Ligandcrf2_on crf1_on
18.75Single6RZ8ONO-20803656RZ8-CysLT2-ONO-2080365
18.75Single7W56Neuromedin-S7W56-NMUR1-Neuromedin-S-chim(NtGi1-Gs-CtGq)/β1/γ2
18.75Single8DWGProenkephalin-A8DWG-MRGPRX1-Proenkephalin-A-ML382-chim(NtGi2L-Gs-CtGq)/β1/γ2
18.75Single8IEIA1LYA8IEI-GPR156-A1LYA
18.75Single8IEPA1LYA8IEP-GPR156-A1LYA
18.75Single8IEPA1LYA8IEP-GPR156-A1LYA
18.75Single8IZBLysophosphatidylserine8IZB-GPR174-Lysophosphatidylserine-Gs/β1/γ2
18.75Single8U4OCXCL128U4O-CXCR4-CXCL12-Gi1/β1/γ2
18.75Single9L3YRetinoic acid receptor responder protein 29L3Y-CML2-Retinoic acid receptor responder protein 2-Gi1/β1/γ2
18.75Consensuscxcr4_onOrthosteric Ligand8K3Z-CXCR4-CXCL12-Gi1/β1/γ1
18.52Single2Y01Dobutamine2Y01-β1-Dobutamine
18.52Single4J4QOctyl Beta-D-Glucopyranoside4J4Q-Rhodopsin-Octyl β-D-Glucopyranoside-Gt(CT)
18.52Single4QIMANTA XV4QIM-SMO-ANTA XV
18.52Single4X1HNonyl-Beta-D-Glucopyranoside4X1H-Rhodopsin-Nonyl-β-D-Glucopyranoside-Gt(CT)
18.52Single5NDDAZ8838; Na5NDD-PAR2-AZ8838; Na
18.52Single5T04Neurotensin5T04-NTS1-Neurotensin
18.52Single6DRXLisuride6DRX-5-HT2B-Lisuride
18.52Single6FK7PubChem 1324730346FK7-Rhodopsin-PubChem 132473034
18.52Single6FKCPubChem 1324730396FKC-Rhodopsin-PubChem 132473039
18.52Single6K42Dexmedetomidine6K42-α2b-Dexmedetomidine-Gi1/β1/γ2
18.52Single6WHADB139486WHA-5-HT2A-DB13948-chim(NtGi2L-Gs-CtGq)/β1/γ2
18.52Single6X1ADanuglipron6X1A-GLP-1-Danuglipron-Gs/β1/γ2
18.52Single6Z10PubChem 1545855546Z10-Succinate-PubChem 154585554
18.52Single7BU7BI1671077BU7-β1-BI167107
18.52Single7DB6Ramelteon7DB6-MT1-Ramelteon-Gi1/β1/γ2
18.52Single7PP1Selatogrel7PP1-P2Y12-Selatogrel
18.52Single7S15PubChem 1346112237S15-GLP-1-PubChem 134611223
18.52Single7SK8CXCL127SK8-ACKR3-CXCL12-CCX662
18.52Single7VIFS-FTY720-P7VIF-S1P1-S-FTY720-P-Gi1/β1/γ2
18.52Single8FY85-MeO-DMT8FY8-5-HT1A-5-MeO-DMT-Gi1/β1/γ1
18.52Single8JLJT1AM8JLJ-TA1-T1AM-chim(NtGi1-Gs)/β1/γ2
18.52Single8JT8(R)-IHCH-71798JT8-5-HT2A-(R)-IHCH-7179
18.52Single8KEXDCA-3P8KEX-MRGPRX4-DCA-3P
18.52Single8TH3AT118-H Nanobody8TH3-AT1-AT118-H Nanobody
18.52Single8WC7ZH86678WC7-TA1-ZH8667-chim(NtGi1-Gs)/β1/γ2
18.52Single8X63Mepyramine8X63-H1-Mepyramine
18.52Single8X64Desloratadine8X64-H1-Desloratadine
18.52Single8ZBEOctreotide8ZBE-SST5-Octreotide-Gi1/β1/γ1
18.52Single9AS1DMT9AS1-5-HT2A-DMT
18.52Single9EPP11,20-Ethanoretinal9EPP-Rhodopsin-11,20-Ethanoretinal-chim(Gi1-CtGq)/β1/γ2
18.52Single9IZCMK19039IZC-HCA2-MK1903-Gi1/β1/γ2
18.52Consensusalpha2_onOrthosteric Ligandalpha2b_on
18.52Consensusalpha2_on_gpOrthosteric Ligandalpha2b_on_gp
18.52Consensusalpha2b_onOrthosteric Ligand6K42-α2b-Dexmedetomidine-Gi1/β1/γ2
18.52Consensusalpha2b_on_gpOrthosteric Ligand6K42-α2b-Dexmedetomidine-Gi1/β1/γ2
18.52Consensushistamine_offOrthosteric Ligandh1_off
18.42Single8KGGLPS8KGG-P2Y10-LPS-chim(NtGi2-G13)/β1/γ2
18.18Single5MZJTheophylline5MZJ-A2A-Theophylline-Na
18.18Single7E14Orforglipron7E14-GLP-1-Orforglipron-PubChem 156022738-Gs/β1/γ2
18.18Single7TRYUrocortin7TRY-CRF2-Urocortin-chim(NtGi1-G11)/β1/γ2
18.18Single7V68LY21196207V68-M4-Iperoxo-LY2119620-Gi1/β1/γ2
18.18Single8HQMNPGLY8HQM-GPR132-NPGLY-Gi1/β1/γ2
18.18Single8HVINOX-6-78HVI-GPR132-NOX-6-7-Gi1/β1/γ2
18.18Single8IEBA1LYA8IEB-GPR156-A1LYA
18.18Single8JBHSubstance-P8JBH-NK3-Substance-P-chim(NtGi1-Gs-CtGq)/β1/γ2
18.18Single8PWNTheophylline8PWN-A2A-Theophylline
17.95Single6PB0Urocortin6PB0-CRF1-Urocortin-chim(NtGi1-Gs)/β1/γ2
17.95Single7TYXAmylin7TYX-CT (AMY2)-Amylin-Gs/β1/γ2; RAMP2
17.86Single4JKVTaladegib4JKV-SMO-Taladegib
17.86Single4NTJAZD12834NTJ-P2Y12-AZD1283
17.86Single5ZK33-quinuclidinyl-benzilate5ZK3-M2-3-quinuclidinyl-benzilate
17.86Single6HLPNetupitant6HLP-NK1-Netupitant
17.86Single6RZ4Pranlukast6RZ4-CysLT1-Pranlukast-Na
17.86Single6XBKCholesterol6XBK-SMO-Cholesterol-Gi1/β1/γ2
17.86Single6Z4QSR142948A6Z4Q-NTS1-SR142948A
17.86Single7EUOfMLF7EUO-FPR1-ALX-fMLF-Gi1/β1/γ2
17.86Single7SINNPS-21437SIN-CaS-NPS-2143
17.86Single7SINNPS-21437SIN-CaS-NPS-2143
17.86Single7VFXfMLF7VFX-FPR1-ALX-fMLF-Gi1/β1/γ2
17.86Single7VUHJNJ-635330547VUH-GPR139-JNJ-63533054-chim(Gs-CtGq)/β1/γ2
17.86Single8EFBOliceridine8EFB-μ-Oliceridine-Gi1/β1/γ2
17.86Single8J18(3R)-3-Hydroxydodecanoic acid8J18-GPR84-(3R)-3-Hydroxydodecanoic acid-Gi1/β1/γ2
17.86Single8KFXLMD-0098KFX-CCR8-LMD-009-Gi1/β1/γ2
17.86Single8SZGCa; Ca; Tryptophan; Cinacalcet; PO4; Spermine8SZG-CaS-Ca; Ca; Tryptophan; Cinacalcet; PO4; Spermine-chim(NtGi1-Gq)/β1/γ2
17.86Single8TH4AT118-L Nanobody8TH4-AT1-Losartan-AT118-L Nanobody
17.86Single8YNSSNAP-948478YNS-MCH1-SNAP-94847
17.86Single8ZMFA1L108ZMF-5-HT2C-A1L10
17.86Single8ZRKGSK-12922638ZRK-GPR119-GSK-1292263-Gs/β1/γ2
17.86Single9AXFCa; Ca; Ca; Cyclomethyltryptophan; 9IG; PO49AXF-CaS-Ca-Ca; Ca; Ca; Cyclomethyltryptophan; 9IG; PO4-chim(NtGi1-Gs-CtGq)/β1/γ2
17.86Single9AYFCa; Ca; Ca; Cyclomethyltryptophan; 9IG; PO49AYF-CaS-Ca-Ca; Ca; Ca; Cyclomethyltryptophan; 9IG; PO4-Gi1/β1/γ2
17.86Single9DYDAsenapine9DYD-5-HT1A-Asenapine-Go/β1/γ2
17.86Single9DYFAsenapine9DYF-5-HT1A-Asenapine-Gi1/β1/γ2
17.86Single9F33FOB02-04A9F33-D3-FOB02-04A-Go/β1/γ2
17.86Single9GE2ML1849GE2-GPR55-ML184-chim(NtGi1-G13)/β1/γ2
17.86Single9HAPTolvaptan9HAP-V2-Tolvaptan
17.86Single9KPFSA09KPF-TAS2R16-SA0-Gi1/β1/γ2
17.86Consensus5ht2_offOrthosteric Ligand5ht2a_off 5ht2b_off 5ht2c_off
17.86Consensuscyslt_offOrthosteric Ligandcyslt2_off cyslt1_off
17.86Consensusfpr1-alx_onOrthosteric Ligand7VFX-FPR1-ALX-fMLF-Gi1/β1/γ2
17.86Consensusfpr1-alx_on_gpOrthosteric Ligand7VFX-FPR1-ALX-fMLF-Gi1/β1/γ2
17.86Consensuss1p5_offOrthosteric Ligand7YXA-S1P5-ONO-5430608
17.86Consensuss1p_offOrthosteric Ligands1p1_off s1p5_off
17.78Single8F0JPramlintide Analogue San458F0J-CT-Pramlintide Analogue San45-Gs/β1/γ2
17.65Single8XZHMM078XZH-Apelin-MM07-Gi1/β1/γ2
17.50Single9AUCCalcitonin gene-related peptide-19AUC-CT (AMY1)-Calcitonin gene-related peptide-1-Gs/β1/γ2; RAMP1
17.50Consensusglp1_onOrthosteric Ligand7S1M-GLP-1-Ex4-D-Ala-Gs/β1/γ2 7X8R-GLP-1-BOC5-Gs/β1/γ2 6X19-GLP-1-CHU-128-Gs/β1/γ2 6X1A-GLP-1-Danuglipron-Gs/β1/γ2 6X18-GLP-1-GLP-1-Gs/β1/γ2 8JIP-GLP-1-MEDI0382-chim(NtGi1-Gs)/β1/γ2 7C2E-GLP-1-PubChem 149050799-Gs/β1/γ2 7KI0-GLP-1-Semaglutide-Gs/β1/γ2 7KI1-GLP-1-Taspoglutide-Gs/β1/γ2 7X8S-GLP-1-WB4-24-Gs/β1/γ2 8JIS-GLP-1-Peptide-15-chim(NtGi1-Gs)/β1/γ2 7VBI-GLP-1-Non-Acylated Tirzepatide-Gs/β1/γ2
17.39Single6OT025(S)-Epoxycholesterol6OT0-SMO-25(S)-Epoxycholesterol-Gi1/β1/γ2
17.39Single6TQ9SB-4081246TQ9-OX1-SB-408124
17.39Single8F2BPramlintide Analogue San458F2B-CT (AMY3)-Pramlintide Analogue San45-Gs/β1/γ2; RAMP3
17.39Single8GEIConstrained Epinephrine8GEI-β2-Constrained Epinephrine-Gs/β1/γ2
17.39Single9CHUNoradrenaline9CHU-β2-Noradrenaline
17.39Single9EE9Adenosine9EE9-A2A-Adenosine-Gs/β1/γ2
17.39Consensusgs_histamineOrthosteric Ligand8POK-H2-Histamine-Gs/β1/γ2
17.39Consensush2_onOrthosteric Ligand8POK-H2-Histamine-Gs/β1/γ2
17.39Consensusp2y_offOrthosteric Ligandp2y1_off
17.24Single3UON3-quinuclidinyl-benzilate3UON-M2-3-quinuclidinyl-benzilate
17.24Single4U15Tiotropium4U15-M3-Tiotropium
17.24Single5V57TC1145V57-SMO-TC114
17.24Single5ZHPPubChem 1348285895ZHP-M3-PubChem 134828589
17.24Single5ZKBAF-DX 3845ZKB-M2-AF-DX 384
17.24Single6E59L-7607356E59-NK1-L-760735
17.24Single6OL9Tiotropium6OL9-M5-Tiotropium
17.24Single6RZ5Zafirlukast6RZ5-CysLT1-Zafirlukast-Na
17.24Single7M8W15r-Methyl-Prostaglandin D27M8W-DP2-15r-Methyl-Prostaglandin D2-Na
17.24Single7R0CAVP7R0C-V2-AVP-Arrestin2
17.24Single8I2GCompound 7163408I2G-FSH-Glycoprotein hormones α chain-Compound 716340-Gs/β1/γ2
17.24Single8JD5JNJ-40411813; ADX881788JD5-mGlu2; mGlu4-Glutamate-JNJ-40411813; ADX88178-Gi1/β1/γ2
17.24Single8JGFBAM8-228JGF-MRGPRX1-BAM8-22-chim(NtGi1-Gs-CtGq)/β1/γ2
17.24Single8JXWVUF68848JXW-H4-VUF6884-Gi1/β1/γ2
17.24Single8JXXClobenpropit8JXX-H4-Clobenpropit-Gi1/β1/γ2
17.24Single8XZICMF-0198XZI-Apelin-CMF-019-Gi1/β1/γ2
17.24Consensusffa2_onOrthosteric Ligand8J22-FFA2-TUG-1375-Gi1/β1/γ2
17.24Consensusm3_offOrthosteric Ligand4U15-M3-Tiotropium 4U16-M3-N-Methyl-Scopolamine 5ZHP-M3-PubChem 134828589
17.24Consensusm5_offOrthosteric Ligand6OL9-M5-Tiotropium
17.24Consensusmuscarinic_offOrthosteric Ligandm2_off m3_off m4_off m5_off m1_off
17.14Single6WIVPubChem 52923113; PubChem 529246456WIV-GABAB1, GABAB2-PubChem 52923113; PubChem 52924645
17.14Single7AD3Alpha-factor mating pheromone7AD3-STE2-α-factor mating pheromone-Gi1/STE4/γ2
17.14Single7WUIIP157WUI-ADGRG2-IP15-chim(NtGi1-Gs)/β1/γ2
17.14Single8IEDA1LYA8IED-GPR156-A1LYA-Go/β1/γ2
17.14Single8YW5Retatrutide8YW5-Glucagon-Retatrutide-Gs/β1/γ2
17.14Single9BLCCagrilintide backbone (non-acylated)9BLC-CT-Cagrilintide backbone (non-acylated)-Gs/β1/γ2
17.14Consensuscrf2_onOrthosteric Ligand7TS0-CRF2-Urocortin-chim(NtGi1L-Go)/β1/γ2
17.07Single7V35Peptide-207V35-Glucagon-Peptide-20-Gs/β1/γ2
17.07Consensuscrf1_on_gpOrthosteric Ligand6PB0-CRF1-Urocortin-chim(NtGi1-Gs)/β1/γ2 6P9X-CRF1-Corticoliberin-Gs/β1/γ2
16.67Single4PY02MeSATP4PY0-P2Y12-2MeSATP
16.67Single5CXVTiotropium5CXV-M1-Tiotropium
16.67Single6XBLCholesterol6XBL-SMO-SAG-Cholesterol-Gi1/β1/γ2
16.67Single7DD7Ca; Ca; Tryptophan; Evocalcet7DD7-CaS-Ca-Ca; Ca; Tryptophan; Evocalcet
16.67Single7DFPSpiperone7DFP-D2-Spiperone
16.67Single7EJKOxymetazoline7EJK-α2a-Oxymetazoline-Go/β1/γ2
16.67Single7TYOCalcitonin7TYO-CT-Calcitonin-Gs/β1/γ2
16.67Single7TYYCalcitonin-17TYY-CT (AMY2)-Calcitonin-1-Gs/β1/γ2; RAMP2
16.67Single7V6APubChem 98642757V6A-M4-PubChem 9864275-Gi1/β1/γ2
16.67Single7W0LPubChem 1227019087W0L-Apelin-PubChem 122701908-Gi1/β1/γ2
16.67Single8DWCProenkephalin-A8DWC-MRGPRX1-Proenkephalin-A-chim(NtGi2L-Gs-CtGq)/β1/γ2
16.67Single8E9W2-Deoxycytidine8E9W-M3-2-Deoxycytidine-chim(NtGi2L-Gs-CtGq)/β1/γ2
16.67Single8G056-OAU8G05-GPR84-6-OAU-Gi1/β1/γ2
16.67Single8GGFConstrained Epinephrine8GGF-β2-Constrained Epinephrine-GTP-Gs/β1/γ2
16.67Single8J21Butyric acid8J21-FFA3-Butyric acid-Gi1/β1/γ2
16.67Single8J24Acetic acid8J24-FFA2-Acetic acid-Gi1/β1/γ2
16.67Single8JD3JNJ-404118138JD3-mGlu2; mGlu3-Glutamate-JNJ-40411813-Gi1/β1/γ2
16.67Single8JEF(3S)-3-hydroxyoctanoic acid8JEF-HCA3-(3S)-3-hydroxyoctanoic acid-Gi1/β1/γ2
16.67Single8JITMEDI03828JIT-Glucagon-MEDI0382-Gs/β1/γ2
16.67Single8JIUSAR4258998JIU-Glucagon-SAR425899-Gs/β1/γ2
16.67Single8POKHistamine8POK-H2-Histamine-Gs/β1/γ2
16.67Single8VHFMBX-29828VHF-GPR119-MBX-2982-Gs/β1/γ2
16.67Single8WC62-Phenylethylamine8WC6-TA1-2-Phenylethylamine-chim(NtGi1-Gs)/β1/γ2
16.67Single8WC9ZH86518WC9-TA1-ZH8651-chim(NtGi1-Gs-CtGq)/β1/γ2
16.67Single8XQNCholesterol8XQN-TAS2R14-Cholesterol-Aristolochic acid A-Gi1/β1/γ1
16.67Single8Y6WTUG-13758Y6W-FFA2-TUG-1375-4-CMTB-Gi1/β1/γ2
16.67Single9IV15alpha-DHT9IV1-ADGRD1-5α-DHT-chim(NtGi1-Gs)/β1/γ2
16.67Consensusffa3_onOrthosteric Ligand8J21-FFA3-Butyric acid-Gi1/β1/γ2
16.67Consensusffa3_on_gpOrthosteric Ligand8J21-FFA3-Butyric acid-Gi1/β1/γ2
16.67Consensusgi_muscarinicOrthosteric Ligand8E9X-M4-2-Deoxycytidine-chim(NtGi1-Go)/β1/γ2 7T8X-M2-Acetylcholine-chim(NtGi1-Go)/β1/γ2 7TRS-M4-Acetylcholine-Gi1/β1/γ2 7TRK-M4-Iperoxo-Gi1/β1/γ2 7V6A-M4-PubChem 9864275-Gi1/β1/γ2
16.67Consensush2_on_gpOrthosteric Ligand8POK-H2-Histamine-Gs/β1/γ2
16.67Consensusm1_offOrthosteric Ligand5CXV-M1-Tiotropium
16.67Consensusvpac1_onOrthosteric Ligand8E3Z-VPAC1-VIP-Gs/β1/γ2
16.22Single9BLWCagrilintide backbone (non-acylated)9BLW-CT (AMY1)-Cagrilintide backbone (non-acylated)-Gs/β1/γ2; RAMP1
16.22Single9BP3Cagrilintide9BP3-CT (AMY1)-Cagrilintide-Gs/β1/γ2; RAMP1
16.22Consensusctlike_onOrthosteric Ligand6E3Y-CT Like-Calcitonin gene-related peptide-1-Gs/β1/γ2; RAMP1
16.22Consensussecretin_onOrthosteric Ligand7D3S-Secretin-Secretin-Gs/β1/γ2
16.13Single6BQHRitanserin6BQH-5-HT2C-Ritanserin
16.13Single6M1HMaxadilan6M1H-PAC1-Maxadilan-Gs/β1/γ2
16.13Single7P00Substance-P7P00-NK1-Substance-P-chim(NtGi1-Gs-CtGq)/β1/γ2
16.13Single7PIUSetmelanotide7PIU-MC4-Setmelanotide-Gs/β1/γ2
16.13Single7U2KC6-guano7U2K-μ-C6-guano-Gi1/β1/γ2
16.13Single7XZ6APD6687XZ6-GPR119-APD668-Gs/β1/γ2
16.13Single9AS02-bromo-LSD9AS0-5-HT2A-2-bromo-LSD-chim(NtGi1-Gs-CtGq)/β1/γ2
16.13Single9C0KExendin-49C0K-GLP-1-Exendin-4-Gs/β1/γ2
16.13Consensus5ht2c_offOrthosteric Ligand6BQH-5-HT2C-Ritanserin
16.13Consensusnk1_onOrthosteric Ligand7P00-NK1-Substance-P-chim(NtGi1-Gs-CtGq)/β1/γ2
16.13Consensusnk1_on_gpOrthosteric Ligand7P00-NK1-Substance-P-chim(NtGi1-Gs-CtGq)/β1/γ2
16.00Single6PGSGeraniol6PGS-Rhodopsin-Geraniol-Gt(CT)
16.00Single6PH7Nerol6PH7-Rhodopsin-Nerol-Gt(CT)
16.00Single6QNOAll-trans-Retinal6QNO-Rhodopsin-All-trans-Retinal-Gi1/β1/γ1
16.00Single6TP4ACT-4622066TP4-OX1-ACT-462206
16.00Single7DD5Ca; Ca; Tryptophan; NPS-21437DD5-CaS-Ca-Ca; Ca; Tryptophan; NPS-2143
16.00Single7DD7Ca; Ca; Tryptophan; Evocalcet7DD7-CaS-Ca-Ca; Ca; Tryptophan; Evocalcet
16.00Single7SRQLSD7SRQ-5-HT2B-LSD
16.00Single7XP6Strychnine7XP6-TAS2R46-Strychnine-chim(Gs-CtGt3)/β1/γ2
16.00Single8DPFLorcaserin8DPF-5-HT2C-Lorcaserin-chim(NtGi2L-Gs-CtGq)/β1/γ2
16.00Single8FX5Xanomeline8FX5-M4-Xanomeline-Xanomeline-Gi1/β1/γ2
16.00Single8JILNiacin8JIL-HCA2-Niacin-Gi1/β1/γ2
16.00Single8JPNCis-Epoxysuccinic acid8JPN-Succinate-Cis-Epoxysuccinic acid-Gi1/β1/γ1
16.00Single8UO4Constrained Epinephrine8UO4-β2-Constrained Epinephrine-GTP; Mg-Gs/β1/γ2
16.00Single8W89PEA8W89-TA1-PEA-chim(NtGi1L-Gs)/β1/γ2
16.00Single8WP1Cis-Epoxysuccinic acid8WP1-Succinate-Cis-Epoxysuccinic acid-Gi1/β1/γ2
16.00Single8ZX5AM2518ZX5-GPR55-AM251-chim(NtGi1-G13)/β1/γ2
16.00Single8ZYUNeurotensin peptide 8-138ZYU-NTS1-Neurotensin peptide 8-13-SBI-553-Arrestin2
16.00Single9AS2DMT9AS2-5-HT2A-DMT-chim(NtGi1-Gs-CtGq)/β1/γ2
16.00Single9AS7Psilocin9AS7-5-HT2A-Psilocin
16.00Single9B9Y7DY9B9Y-CB1-7DY
16.00Single9C1PCa; Tryptophan; '6218; PO49C1P-CaS-Ca-Ca; Tryptophan; '6218; PO4
16.00Single9E7RGB889E7R-PAR2-GB88-chim(NtGi1L-Gs-CtGq)/β1/γ2
16.00Single9LMPNE52-QQ579LMP-GPR4-NE52-QQ57
16.00Consensusgq_nucleotideOrthosteric Ligandgq_p2y
16.00Consensusgq_p2yOrthosteric Ligand7XXH-P2Y1-2MeSADP-chim(NtGi1-G11)/β1/γ2
15.79Single5NX2GLP-1 (Truncated)5NX2-GLP-1-GLP-1 (Truncated)
15.79Single7TYNCalcitonin-17TYN-CT-Calcitonin-1-Gs/β1/γ2
15.79Consensusp2y10_on_gpOrthosteric Ligand8KGG-P2Y10-LPS-chim(NtGi2-G13)/β1/γ2
15.79Consensussecretin_on_gpOrthosteric Ligand7D3S-Secretin-Secretin-Gs/β1/γ2
15.62Single6KNMJN241-96KNM-Apelin-JN241-9
15.62Single6XBJCholesterol6XBJ-SMO-Cholesterol-Gi1/β1/γ2
15.62Single7RMGSubstance-P7RMG-NK1-Substance-P-chim(Gs-CtGq)/β1/γ2
15.62Single8XQLCholesterol8XQL-TAS2R14-Cholesterol-Aristolochic acid A-Gt3/β1/γ1
15.62Single8XQOCholesterol8XQO-TAS2R14-Cholesterol-Aristolochic acid A-Gi1/β1/γ1
15.38Single4S0VSuvorexant4S0V-OX2-Suvorexant
15.38Single5U09Taranabant5U09-CB1-Taranabant
15.38Single6DS0Ly2660976DS0-5-HT2B-Ly266097
15.38Single6FKBPubChem 1324730386FKB-Rhodopsin-PubChem 132473038
15.38Single6KUYPubChem 1457046436KUY-α2a-PubChem 145704643
15.38Single6LMKGlucagon6LMK-Glucagon-Glucagon-Gs/β1/γ2
15.38Single6ME9Ramelteon6ME9-MT2-Ramelteon
15.38Single6OYAAll-trans-Retinal6OYA-Rhodopsin-All-trans-Retinal-Gt/β1/γ1
15.38Single6PB1Urocortin6PB1-CRF2-Urocortin-chim(NtGi1-Gs)/β1/γ2
15.38Single6RNKNF-56-EJ406RNK-Succinate-NF-56-EJ40
15.38Single6TPJSuvorexant6TPJ-OX2-Suvorexant
15.38Single6TQ6PubChem 1457142836TQ6-OX1-PubChem 145714283
15.38Single6ZA8RTI-3a6ZA8-NTS1-RTI-3a
15.38Single7EJ0L-Norepinephrine7EJ0-α2a-L-Norepinephrine-Go/β1/γ2
15.38Single7M3ECa; Ca; Tryptophan; NPS-21437M3E-CaS-Ca; Ca; Tryptophan; NPS-2143
15.38Single7M3ECa; Ca; Tryptophan; NPS-21437M3E-CaS-Ca; Ca; Tryptophan; NPS-2143
15.38Single7M3FCa; Ca; Tryptophan; Cinacalcet; PO47M3F-CaS-Ca; Ca; Tryptophan; Cinacalcet; PO4
15.38Single7SILCa; Ca; Ca; Cyclomethyltryptophan; 9IG; PO47SIL-CaS-Ca-Ca; Ca; Ca; Cyclomethyltryptophan; 9IG; PO4
15.38Single7SILCa; Ca; Ca; Cyclomethyltryptophan; 9IG; PO47SIL-CaS-Ca-Ca; Ca; Ca; Cyclomethyltryptophan; 9IG; PO4
15.38Single7VIHCBP-3077VIH-S1P1-CBP-307-Gi1/β1/γ2
15.38Single7VUJJNJ-635330547VUJ-GPR139-JNJ-63533054-GDP-chim(Gs-CtGq)/β1/γ2
15.38Single8IW4Spermidine8IW4-TA9-Spermidine-chim(NtGi1-Gs)/β1/γ2
15.38Single8IWESpermidine8IWE-TA9-Spermidine
15.38Single8J20Valeric acid8J20-FFA3-Valeric acid-AR420626-Gi1/β1/γ2
15.38Single8JPPSuccinic acid8JPP-Succinate-Succinic acid-chim(Gs-CtGq)/β1/γ1
15.38Single8T3SButyric acid8T3S-FFA2-Butyric acid-chim(NtGi2L-Gs-CtGq)/β1/γ2
15.38Single8WC3SEP-3638568WC3-TA1-SEP-363856-chim(NtGi1-Gs)/β1/γ2
15.38Single8WOGSuccinic acid8WOG-Succinate-Succinic acid-Gi1/β1/γ2
15.38Single8XXVIndomethacin8XXV-DP2-Indomethacin-A1D5Q-Gi1/β1/γ2
15.38Single8Y0HVUF114188Y0H-CXCR3-VUF11418
15.38Single8Y0NVUF114188Y0N-CXCR3-VUF11418-Go/β1/γ2
15.38Single8YKXMaleic acid8YKX-Succinate-Maleic acid-Gi1/β1/γ1
15.38Single9AVLCa; Ca; Cyclomethyltryptophan; 9IG; PO49AVL-CaS-Ca-Ca; Ca; Cyclomethyltryptophan; 9IG; PO4-Gi3/β2/γ2
15.38Single9C2FCa; Ca; Tryptophan; '54149; PO49C2F-CaS-Ca-Ca; Ca; Tryptophan; '54149; PO4
15.38Single9K6LSA09K6L-TAS2R16-SA0-Gi2/β1/γ2
15.38Single9KPESA09KPE-TAS2R16-SA0-Gi1/β1/γ2
15.38Single9LRBHistamine9LRB-H1-Histamine-Gs/β1/γ2
15.38Consensusangiotensin_offOrthosteric Ligandat1_off
15.38Consensusctlike_on_gpOrthosteric Ligand6E3Y-CT Like-Calcitonin gene-related peptide-1-Gs/β1/γ2; RAMP1
15.38Consensusgi_succinateOrthosteric Ligand8YKW-Succinate-Succinic acid-Gi1/β1/γ1 8YKX-Succinate-Maleic acid-Gi1/β1/γ1
15.38Consensusgq_histamineOrthosteric Ligand7DFL-H1-Histamine-chim(NtGi1L-Gq)/β1/γ2
15.38Consensush1_on_gpOrthosteric Ligand7DFL-H1-Histamine-chim(NtGi1L-Gq)/β1/γ2
15.38Consensushistamine_onOrthosteric Ligandh1_on h2_on h3_on h4_on
15.38Consensushistamine_on_gpOrthosteric Ligandh1_on_gp h2_on_gp h3_on_gp h4_on_gp
15.38Consensusrhodopsin_on_gpOrthosteric Ligand6OYA-Rhodopsin-All-trans-Retinal-Gt/β1/γ1
15.38Consensussuccinate_onOrthosteric Ligand8YKW-Succinate-Succinic acid-Gi1/β1/γ1 8YKX-Succinate-Maleic acid-Gi1/β1/γ1
15.38Consensussuccinate_on_gpOrthosteric Ligand8YKW-Succinate-Succinic acid-Gi1/β1/γ1 8YKX-Succinate-Maleic acid-Gi1/β1/γ1
15.38Consensusvpac2_onOrthosteric Ligand7VQX-VPAC1-PACAP27-Gs/β1/γ2
15.38Consensusvpac2_on_gpOrthosteric Ligand7VQX-VPAC1-PACAP27-Gs/β1/γ2
15.15Single6X19CHU-1286X19-GLP-1-CHU-128-Gs/β1/γ2
15.15Single7VLACCL15(27-92)7VLA-CCR1-CCL15(27-92)-Gi1/β1/γ2
15.15Single8IEBA1LYA8IEB-GPR156-A1LYA
15.15Single8IEIA1LYA8IEI-GPR156-A1LYA
15.15Consensusccr1_onOrthosteric Ligand7VLA-CCR1-CCL15(27-92)-Gi1/β1/γ2
15.15Consensusccr1_on_gpOrthosteric Ligand7VLA-CCR1-CCL15(27-92)-Gi1/β1/γ2
15.00Consensuscrf1_onOrthosteric Ligand6PB0-CRF1-Urocortin-chim(NtGi1-Gs)/β1/γ2 6P9X-CRF1-Corticoliberin-Gs/β1/γ2
15.00Consensusgip_onOrthosteric Ligand7FIN-GIP-Peptide-20; GGL-Gs/β1/γ2 7FIY-GIP-Tirzepatide-Gs/β1/γ2 7DTY-GIP-GIP-Gs/β1/γ2
15.00Consensusgip_on_gpOrthosteric Ligand7FIN-GIP-Peptide-20; GGL-Gs/β1/γ2 7FIY-GIP-Tirzepatide-Gs/β1/γ2 7DTY-GIP-GIP-Gs/β1/γ2
14.81Single3RZECidoxepin3RZE-H1-Cidoxepin
14.81Single4MQTIperoxo4MQT-M2-Iperoxo-LY2119620
14.81Single4ZUDOlmesartan4ZUD-AT1-Olmesartan
14.81Single6TP3Nemorexant6TP3-OX1-Nemorexant
14.81Single6TPKRetosiban6TPK-OT-Retosiban
14.81Single6WJCAtropine6WJC-M1-Atropine-Muscarinic toxin 7
14.81Single6ZINSR486926ZIN-NTS1-SR48692
14.81Single7CMVPD1289077CMV-D3-PD128907-Gi1/β1/γ2
14.81Single7UTZDPPC7UTZ-TSH-TR1402-DPPC-Gs/β1/γ2
14.81Single7WVUfMLF7WVU-FPR1-ALX-fMLF-Gi1/β1/γ2
14.81Single8DPGPsilocin8DPG-5-HT2C-Psilocin-chim(NtGi2L-Gs-CtGq)/β1/γ2
14.81Single8HNMVUF112228HNM-CXCR3-VUF11222-Gi1/β1/γ2
14.81Single8HQN9-S-HODE8HQN-GPR132-9-S-HODE-Gi1/β1/γ2
14.81Single8K4NVF08K4N-GPR34-VF0-Gi1/β1/γ2
14.81Single8RLNLUF58348RLN-A2A-LUF5834
14.81Single8W8BSEP-3638568W8B-5-HT1A-SEP-363856-Gi1/β1/γ2
14.81Single8WPGTryptophan; Cinacalcet; PO4; Ca8WPG-CaS-Tryptophan; Cinacalcet; PO4; Ca
14.81Single8Y01Retinal8Y01-Opsin1MW-Retinal-Gi1/β1/γ2
14.81Single9BA0A1AKN9BA0-CB1-A1AKN
14.81Single9IXXLTD49IXX-CysLT2-LTD4-chim(NtGi1-Gs-CtGq)/β1/γ2
14.81Single9JFUNE52-QQ579JFU-GPR4-NE52-QQ57
14.81Single9K1DButanoic acid9K1D-FFA2-Butanoic acid-Gi1/β1/γ2
14.81Consensus5ht2a_offOrthosteric Ligand6A94-5-HT2A-Zotepine 6A93-5-HT2A-Risperidone 7VOD-5-HT2A-Cariprazine 7WC8-5-HT2A-Lumateperone 8JT8-5-HT2A-(R)-IHCH-7179
14.81Consensusat1_offOrthosteric Ligand4YAY-AT1-ZD-7155 4ZUD-AT1-Olmesartan
14.81Consensuscb1_offOrthosteric Ligand5U09-CB1-Taranabant 5TGZ-CB1-AM6538
14.81Consensusot_offOrthosteric Ligand6TPK-OT-Retosiban
14.81Consensusvasop-oxy_offOrthosteric Ligandot_off
14.71Single6WHCGlu16 analog of GCG6WHC-Glucagon-Glu16 analog of GCG-Gs/β1/γ2
14.71Single8IOCGamma-MSH8IOC-MC3-γ-MSH-Ca-chim(NtGi1-Gs)/β1/γ2
14.71Single8KH5Lysophosphatidylserine8KH5-GPR174-Lysophosphatidylserine-Gs/β1/γ2
14.63Single8F2APramlintide Analogue San3858F2A-CT (AMY3)-Pramlintide Analogue San385-Gs/β1/γ2; RAMP3
14.29Single4DAJTiotropium4DAJ-M3-Tiotropium
14.29Single4MQSIperoxo4MQS-M2-Iperoxo
14.29Single4U14Tiotropium4U14-M3-Tiotropium
14.29Single4U16N-Methyl-Scopolamine4U16-M3-N-Methyl-Scopolamine
14.29Single4YAYZD-71554YAY-AT1-ZD-7155
14.29Single5TGZAM65385TGZ-CB1-AM6538
14.29Single5YC8N-Methyl-Scopolamine5YC8-M2-N-Methyl-Scopolamine
14.29Single5ZK8N-Methyl-Scopolamine5ZK8-M2-N-Methyl-Scopolamine
14.29Single5ZKCN-Methyl-Scopolamine5ZKC-M2-N-Methyl-Scopolamine
14.29Single6FKDPubChem 1373491836FKD-Rhodopsin-PubChem 137349183
14.29Single7M3JNPS-2143; PO47M3J-CaS-NPS-2143; PO4
14.29Single7TRPIperoxo7TRP-M4-Iperoxo-LY2033298-Gi1/β1/γ2
14.29Single7VH0Ramelteon7VH0-MT2-Ramelteon-Gi1/β1/γ1
14.29Single7VKTLTB47VKT-BLT1-LTB4-Gi1/β1/γ2
14.29Single7WC8Lumateperone7WC8-5-HT2A-Lumateperone
14.29Single7YXAONO-54306087YXA-S1P5-ONO-5430608
14.29Single8UWLLisuride8UWL-5-HT2A-Lisuride-chim(NtGi2-Gs-CtGq)/β1/γ2
14.29Single8XBGS3E-LysoPS8XBG-GPR34-S3E-LysoPS
14.29Single8YN8Proxyfan8YN8-H3-Proxyfan-Go/β1/γ2
14.29Single9IYAONO-97105319IYA-GPR55-ONO-9710531
14.29Single9JEAAtropine9JEA-M1-Atropine
14.29Single9JGKBalovaptan9JGK-5-HT2B-Balovaptan
14.29Consensusalicarboxylic_offOrthosteric Ligandsuccinate_off
14.29Consensusblt1_onOrthosteric Ligand7VKT-BLT1-LTB4-Gi1/β1/γ2
14.29Consensusblt1_on_gpOrthosteric Ligand7VKT-BLT1-LTB4-Gi1/β1/γ2
14.29Consensusblt_onOrthosteric Ligandblt1_on
14.29Consensusblt_on_gpOrthosteric Ligandblt1_on_gp
14.29Consensusgi_leukotrieneOrthosteric Ligand7VKT-BLT1-LTB4-Gi1/β1/γ2
14.29Consensusgq_amineOrthosteric Ligandgq_muscarinic gq_histamine
14.29Consensusleukotriene_onOrthosteric Ligandblt_on
14.29Consensusleukotriene_on_gpOrthosteric Ligandblt_on_gp
14.29Consensusmc3_onOrthosteric Ligand8IOC-MC3-γ-MSH-Ca-chim(NtGi1-Gs)/β1/γ2
14.29Consensusmc3_on_gpOrthosteric Ligand8IOC-MC3-γ-MSH-Ca-chim(NtGi1-Gs)/β1/γ2
14.29Consensussuccinate_offOrthosteric Ligand6RNK-Succinate-NF-56-EJ40 6Z10-Succinate-PubChem 154585554
13.89Single6NIYAdrenomedullin6NIY-CT-Adrenomedullin-Gs/β1/γ2
13.89Single9BUDCagrilintide9BUD-CT-Cagrilintide-Gs/β1/γ2
13.79Single5YHLPubChem 1351213525YHL-EP4-PubChem 135121352
13.79Single5YWYONO-AE3-2085YWY-EP4-ONO-AE3-208
13.79Single7M3JNPS-2143; PO47M3J-CaS-NPS-2143; PO4
13.79Single7TRKIperoxo7TRK-M4-Iperoxo-Gi1/β1/γ2
13.79Single7VOEAripiprazole7VOE-5-HT2A-Aripiprazole
13.79Single8E9ZIperoxo8E9Z-M3-Iperoxo-chim(NtGi2L-Gs-CtGq)/β1/γ2
13.79Single8GD9Rivenprost8GD9-EP4-Rivenprost-Gs/β1/γ2
13.79Single8IZ4Lysophosphatidylserine8IZ4-GPR34-Lysophosphatidylserine-Gi1/β1/γ2
13.79Single8JGGBAM8-228JGG-MRGPRX1-BAM8-22-Gi1/β1/γ2
13.79Single9ARZ2-bromo-LSD9ARZ-5-HT2A-2-bromo-LSD
13.79Single9B9ZA1AKO9B9Z-CB1-A1AKO
13.79Consensusblt1_offOrthosteric Ligand5X33-BLT1-BIIL260 7K15-BLT1-MKD046-Na
13.79Consensusblt_offOrthosteric Ligandblt1_off
13.79Consensusep4_offOrthosteric Ligand5YWY-EP4-ONO-AE3-208 5YHL-EP4-PubChem 135121352
13.79Consensusep_offOrthosteric Ligandep4_off
13.79Consensusm2_offOrthosteric Ligand5ZKC-M2-N-Methyl-Scopolamine 5ZK3-M2-3-quinuclidinyl-benzilate 5ZKB-M2-AF-DX 384
13.79Consensusm3_onOrthosteric Ligand8E9Z-M3-Iperoxo-chim(NtGi2L-Gs-CtGq)/β1/γ2 8E9W-M3-2-Deoxycytidine-chim(NtGi2L-Gs-CtGq)/β1/γ2 8E9Y-M3-Clozapine-N-oxide-chim(NtGi2L-Gs-CtGq)/β1/γ2
13.79Consensusm3_on_gpOrthosteric Ligand8E9Z-M3-Iperoxo-chim(NtGi2L-Gs-CtGq)/β1/γ2 8E9W-M3-2-Deoxycytidine-chim(NtGi2L-Gs-CtGq)/β1/γ2 8E9Y-M3-Clozapine-N-oxide-chim(NtGi2L-Gs-CtGq)/β1/γ2
13.64Single5MZPCaffeine5MZP-A2A-Caffeine-Na
13.64Single8WCBCyclohexylammonium Ion8WCB-TA1-Cyclohexylammonium Ion-chim(NtGi1-Gs-CtGq)/β1/γ2
13.64Consensusgluc_onOrthosteric Ligand6LMK-Glucagon-Glucagon-Gs/β1/γ2 8JIT-Glucagon-MEDI0382-Gs/β1/γ2 7V35-Glucagon-Peptide-20-Gs/β1/γ2
13.51Single7TYHCalcitonin-17TYH-CT (AMY2)-Calcitonin-1-Gs/β1/γ2; RAMP2
13.51Single7TYWCalcitonin-17TYW-CT (AMY1)-Calcitonin-1-Gs/β1/γ2; RAMP1
13.51Single7XV3Lysophosphatidylserine7XV3-GPR174-Lysophosphatidylserine-chim(NtGi1-Gs)/β1/γ2
13.51Consensusp2y10_onOrthosteric Ligand8KGG-P2Y10-LPS-chim(NtGi2-G13)/β1/γ2
13.33Single6O3CCholesterol6O3C-SMO-SAG21k-Cholesterol
13.33Single7EW4CYM55417EW4-S1P3-CYM5541-Gi1/β1/γ2
13.33Single7TRQIperoxo7TRQ-M4-Iperoxo-VU0467154-Gi1/β1/γ2
13.33Single8EA0Iperoxo8EA0-M3-Iperoxo
13.33Single8X0BVU04244658X0B-mGlu5; mGlu5-Quisqualate-VU0424465
13.33Single8X79MRE-2698X79-I2-MRE-269-Gs/β1/γ2
13.33Single8XJMLatanoprost8XJM-FP-alpha-Latanoprost-chim(NtGi2-Gs-CtGq)/β1/γ2
13.33Single9ITELPA9ITE-LPA6-LPA-chim(NtGi2-G13)/β1/γ2
13.33Consensusgluc_on_gpOrthosteric Ligand6LMK-Glucagon-Glucagon-Gs/β1/γ2 8JIT-Glucagon-MEDI0382-Gs/β1/γ2 7V35-Glucagon-Peptide-20-Gs/β1/γ2
13.33Consensush4_on_gpOrthosteric Ligand8HN8-H4-Histamine-Gi1/β1/γ2 8HOC-H4-Imetit-Gi1/β1/γ2 8JXV-H4-Clozapine-Gi1/β1/γ2 8JXW-H4-VUF6884-Gi1/β1/γ2 8JXX-H4-Clobenpropit-Gi1/β1/γ2
13.33Consensusp2y12_onOrthosteric Ligand7XXI-P2Y12-2MeSADP-Gi2/β1/γ2
13.16Single9BLBCagrilintide backbone (non-acylated)9BLB-CT-Cagrilintide backbone (non-acylated)-Gs/β1/γ2
13.04Single7XKEBeta-Hydroxyandrosterone7XKE-ADGRG2-β-Hydroxyandrosterone-chim(NtGi1-Gs)/β1/γ2
13.04Single9IV25alpha-DHT9IV2-ADGRD1-5α-DHT-chim(NtGi1-Gs)/β1/γ2
12.90Single4N4WSANT-14N4W-SMO-SANT-1
12.90Single5TZYMK8666; AP85TZY-FFA1-MK8666; AP8
12.90Single6XOXOrforglipron6XOX-GLP-1-Orforglipron-chim(NtGi1-Gs)/β1/γ2
12.90Single7K15MKD0467K15-BLT1-MKD046-Na
12.90Single7WCMMBX-29827WCM-GPR119-MBX-2982-Gs/β1/γ2
12.90Single7XXI2MeSADP7XXI-P2Y12-2MeSADP-Gi2/β1/γ2
12.90Single7XZ5Lysophosphatidylcholine7XZ5-GPR119-Lysophosphatidylcholine-Gs/β1/γ2
12.90Single8GCPPGE28GCP-EP4-PGE2-Gi1/β1/γ2
12.90Single8JJPChemerin8JJP-CML2-Chemerin-Gi1/β1/γ2
12.90Single8XJNCloprosetnol8XJN-TXA2-Cloprosetnol-chim(NtGi1-Gs-CtGq)/β1/γ2
12.90Single9BJKNAM9BJK-μ-Naloxone-NAM
12.90Single9CM3TUG-13759CM3-FFA2-TUG-1375-Compound 187-chim(NtGi1L-Gs-CtGq)/β1/γ2
12.90Single9GGGI-BOP9GGG-TXA2-I-BOP-chim(NtGi2L-Gs-CtGq)/β1/γ2
12.90Consensusgi_p2yOrthosteric Ligand7XXI-P2Y12-2MeSADP-Gi2/β1/γ2
12.90Consensusp2y12_on_gpOrthosteric Ligand7XXI-P2Y12-2MeSADP-Gi2/β1/γ2
12.82Single6P9XCorticoliberin6P9X-CRF1-Corticoliberin-Gs/β1/γ2
12.82Single6UVAAdrenomedullin-26UVA-CT Like (AM2)-Adrenomedullin-2-Gs/β1/γ2; RAMP3
12.82Consensusglp2_onOrthosteric Ligand7D68-GLP-2-GLP-2-Gs/β1/γ2
12.82Consensusglp2_on_gpOrthosteric Ligand7D68-GLP-2-GLP-2-Gs/β1/γ2
12.50Single6OY9All-trans-Retinal6OY9-Rhodopsin-All-trans-Retinal-Gt/β1/γ1
12.50Single6UUSAdrenomedullin6UUS-CT Like (AM2)-Adrenomedullin-Gs/β1/γ2; RAMP3
12.50Single7D7MDinoprostone7D7M-EP4-Dinoprostone-Gs/β1/γ1
12.50Single7DD5Ca; Ca; Tryptophan; NPS-21437DD5-CaS-Ca-Ca; Ca; Tryptophan; NPS-2143
12.50Single7MTBAll-trans-Retinal7MTB-Rhodopsin-All-trans-Retinal-GRK1
12.50Single7TYLAmylin7TYL-CT-Amylin-Gs/β1/γ2
12.50Single8DPHLorcaserin8DPH-5-HT2C-Lorcaserin-chim(NtGi2L-Gs-CtGq)/β1/γ2
12.50Single8IULLatanoprost8IUL-FP-alpha-Latanoprost-chim(NtGi1-Gs-CtGq)/β1/γ2
12.50Single8IWM2-Phenylethylamine8IWM-TA9-2-Phenylethylamine
12.50Single8WC5Tetramethylammonium Ion8WC5-TA1-Tetramethylammonium Ion-chim(NtGi1-Gs)/β1/γ2
12.50Single8XJKCloprosetnol8XJK-FP-alpha-Cloprosetnol-chim(NtGi1-Gs-CtGq)/β1/γ2
12.50Single8XJOU466198XJO-TXA2-U46619-chim(NtGi1-Gs-CtGq)/β1/γ2
12.50Single9BQ3Cagrilintide9BQ3-CT (AMY2)-Cagrilintide-Gs/β1/γ2; RAMP2
12.50Single9C2FCa; Ca; Tryptophan; '54149; PO49C2F-CaS-Ca-Ca; Ca; Tryptophan; '54149; PO4
12.50Single9JH5C16:0 Ceramide9JH5-CysLT2-C16:0 Ceramide-chim(NtGi1-Gs-CtGq)/β1/γ2
12.50Single9M1HProstaglandin E29M1H-EP1-Prostaglandin E2-chim(NtGi1-Gs-CtGq)/β1/γ2
12.50Consensusfp-alpha_onOrthosteric Ligand8IUK-FP-alpha-PGF2-α-chim(NtGi1-Gs-CtGq)/β1/γ2 8IUL-FP-alpha-Latanoprost-chim(NtGi1-Gs-CtGq)/β1/γ2 8IUM-FP-alpha-Tafluprost acid-chim(NtGi1-Gs-CtGq)/β1/γ2
12.50Consensusfp-alpha_on_gpOrthosteric Ligand8IUK-FP-alpha-PGF2-α-chim(NtGi1-Gs-CtGq)/β1/γ2 8IUL-FP-alpha-Latanoprost-chim(NtGi1-Gs-CtGq)/β1/γ2 8IUM-FP-alpha-Tafluprost acid-chim(NtGi1-Gs-CtGq)/β1/γ2
12.50Consensusopsins_onOrthosteric Ligandrhodopsin_on opsin1lw_on
12.50Consensusprostanoid_onOrthosteric Ligandtp_on fp-alpha_on
12.50Consensusprostanoid_on_gpOrthosteric Ligandtp_on_gp fp-alpha_on_gp
12.50Consensussensory_onOrthosteric Ligandopsins_on
12.50Consensustp_onOrthosteric Ligand8XJO-TXA2-U46619-chim(NtGi1-Gs-CtGq)/β1/γ2
12.50Consensustp_on_gpOrthosteric Ligand8XJO-TXA2-U46619-chim(NtGi1-Gs-CtGq)/β1/γ2
12.12Single8GDAL9026888GDA-EP4-L902688-Gs/β1/γ2
12.12Single8IQ4Carboprost8IQ4-FP-alpha-Carboprost-chim(NtGi1-Gs-CtGq)/β1/γ2
12.12Single8IUMTafluprost acid8IUM-FP-alpha-Tafluprost acid-chim(NtGi1-Gs-CtGq)/β1/γ2
12.12Single9CM7TUG-13759CM7-FFA2-TUG-1375-AZ-1729-Gi1/β1/γ2
12.12Single9ITBLPA9ITB-LPA6-LPA-chim(NtGi1-Gs-CtGq)/β1/γ2
12.12Single9NS9TUG-13759NS9-FFA2-TUG-1375-Compound 187-Gi1/β1/γ2
12.00Single5WKTOctyl-Beta-D-Glucopyranoside5WKT-Rhodopsin-Octyl-β-D-Glucopyranoside-Gt(CT)
12.00Single6D32Cyclopamine6D32-SMO-Cyclopamine-Cyclopamine
12.00Single6FK9PubChem 1324730366FK9-Rhodopsin-PubChem 132473036
12.00Single6FUFAll-trans-Retinal6FUF-Rhodopsin-All-trans-Retinal-Go
12.00Single6ME5Agomelatine6ME5-MT1-Agomelatine
12.00Single7F23Dopamine7F23-D1-Dopamine-GDP-Gs/β1/γ2
12.00Single7MT8All-trans-Retinal7MT8-Rhodopsin-All-trans-Retinal-GRK1
12.00Single7MT9All-trans-Retinal7MT9-Rhodopsin-All-trans-Retinal-GRK1
12.00Single7MTAAll-trans-Retinal7MTA-Rhodopsin-All-trans-Retinal-GRK1
12.00Single8DPILorcaserin8DPI-5-HT2C-Lorcaserin-chim(NtGi2L-Gs-CtGq)/β1/γ2
12.00Single8EITDoconexent8EIT-FFA1-Doconexent-chim(NtGi1L-Gs-CtGq)/β1/γ2
12.00Single8F76Propanoic acid8F76-OR51E2-Propanoic acid-Gs/β1/γ2
12.00Single8IU2Retinal8IU2-Opsin1LW-Retinal-Gi1/β1/γ2
12.00Single8IW72-Phenylethylamine8IW7-TA9-2-Phenylethylamine-chim(NtGi1-Gs)/β1/γ2
12.00Single8JPSCCL78JPS-ACKR1-CCL7
12.00Single8SZFCa; Ca; Tryptophan; Cinacalcet; PO4; Spermine8SZF-CaS-Ca; Ca; Tryptophan; Cinacalcet; PO4; Spermine
12.00Single8X9UMetenolone8X9U-ADGRD1-Metenolone-chim(NtGi1-Gs)/β1/γ2
12.00Single8Y63C20:0 Ceramide8Y63-FPR2-ALX-C20:0 Ceramide-Gi1/β1/γ2
12.00Single8YN9Histamine8YN9-H4-Histamine-Gi1/β1/γ2
12.00Single8YUUHistamine8YUU-H3-Histamine-Gi1/β1/γ1
12.00Single9JHJC18:0 Ceramide9JHJ-FPR2-ALX-C18:0 Ceramide-Gi1/β1/γ2
12.00Single9LRCHistamine9LRC-H4-Histamine
12.00Single9LREHistamine9LRE-H4-Histamine-Gi1/β1/γ2
12.00Consensusgi_opsinsOrthosteric Ligand8IU2-Opsin1LW-Retinal-Gi1/β1/γ2
12.00Consensusgi_sensoryOrthosteric Ligandgi_opsins
12.00Consensush3_onOrthosteric Ligand8YUU-H3-Histamine-Gi1/β1/γ1
12.00Consensush3_on_gpOrthosteric Ligand8YUU-H3-Histamine-Gi1/β1/γ1
12.00Consensusopsin1lw_onOrthosteric Ligand8IU2-Opsin1LW-Retinal-Gi1/β1/γ2
12.00Consensusopsin1lw_on_gpOrthosteric Ligand8IU2-Opsin1LW-Retinal-Gi1/β1/γ2
12.00Consensusopsins_on_gpOrthosteric Ligandrhodopsin_on_gp opsin1lw_on_gp
12.00Consensusrhodopsin_onOrthosteric Ligand6OYA-Rhodopsin-All-trans-Retinal-Gt/β1/γ1
12.00Consensussensory_on_gpOrthosteric Ligandopsins_on_gp
11.76Single7RTBPeptide-197RTB-GLP-1-Peptide-19-Gs/β1/γ2
11.76Single8JIQPeptide-158JIQ-Glucagon-Peptide-15-Gs/β1/γ2
11.76Single9BUECagrilintide9BUE-CT-Cagrilintide-Gs/β1/γ2
11.54Single4O9RCyclopamine4O9R-SMO-Cyclopamine
11.54Single5L7IVismodegib5L7I-SMO-Vismodegib
11.54Single6FK6PubChem 1324730336FK6-Rhodopsin-PubChem 132473033
11.54Single6LI0C176LI0-GPR52-C17
11.54Single7DFLHistamine7DFL-H1-Histamine-chim(NtGi1L-Gq)/β1/γ2
11.54Single7S8NR-Zinc-35737S8N-MRGPRX2-R-Zinc-3573-chim(NtGi2L-Gs-CtGq)/β1/γ2
11.54Single7S8OR-Zinc-35737S8O-MRGPRX2-R-Zinc-3573-Gi1/β1/γ2
11.54Single7VUIJNJ-635330547VUI-GPR139-JNJ-63533054-GTP-chim(Gs-CtGq)/β1/γ2
11.54Single7YFCHistamine7YFC-H4-Histamine-chim(NtGi1-Gs-CtGq)/β1/γ2
11.54Single7YFDImetit7YFD-H4-Imetit-chim(NtGi1-Gs-CtGq)/β1/γ2
11.54Single8HN8Histamine8HN8-H4-Histamine-Gi1/β1/γ2
11.54Single8SZFCa; Ca; Tryptophan; Cinacalcet; PO4; Spermine8SZF-CaS-Ca; Ca; Tryptophan; Cinacalcet; PO4; Spermine
11.54Single8U4RREGN7663-Fab8U4R-CXCR4-REGN7663-Fab
11.54Single8WPUTryptophan; Cinacalcet; PO4; Ca8WPU-CaS-Tryptophan; Cinacalcet; PO4; Ca-chim(NtGi2L-Gs-CtGq)/β1/γ2
11.54Single8YKWSuccinic acid8YKW-Succinate-Succinic acid-Gi1/β1/γ1
11.54Single8YN2Histamine8YN2-H1-Histamine-chim(NtGi1L-Gs-CtGq)/β1/γ2
11.54Single8YN5Histamine8YN5-H3-Histamine-Gi1/β1/γ2
11.54Single8YN6Imetit8YN6-H3-Imetit-Gi1/β1/γ2
11.54Single8YN7Immethridine8YN7-H3-Immethridine-Go/β1/γ2
11.54Single9IZDCHBA9IZD-HCA1-CHBA-Gi1/β1/γ2
11.54Consensusadgrg_onOrthosteric Ligandadgrg2_on adgrg4_on
11.54Consensusadgrg_on_gpOrthosteric Ligandadgrg2_on_gp adgrg4_on_gp
11.54Consensush1_onOrthosteric Ligand7DFL-H1-Histamine-chim(NtGi1L-Gq)/β1/γ2
11.54Consensush4_onOrthosteric Ligand8HN8-H4-Histamine-Gi1/β1/γ2 8HOC-H4-Imetit-Gi1/β1/γ2 8JXV-H4-Clozapine-Gi1/β1/γ2 8JXW-H4-VUF6884-Gi1/β1/γ2 8JXX-H4-Clobenpropit-Gi1/β1/γ2
11.11Single2PED9-cis-Retinal2PED-Rhodopsin-9-cis-Retinal
11.11Single4QINSAG1.54QIN-SMO-SAG1.5
11.11Single6O3CSAG21k6O3C-SMO-SAG21k-Cholesterol
11.11Single7M3FCa; Ca; Tryptophan; Cinacalcet; PO47M3F-CaS-Ca; Ca; Tryptophan; Cinacalcet; PO4
11.11Single7T8XAcetylcholine7T8X-M2-Acetylcholine-chim(NtGi1-Go)/β1/γ2
11.11Single7T90Acetylcholine7T90-M2-Acetylcholine-chim(NtGi1-Go)/β1/γ2
11.11Single7T96Acetylcholine7T96-M2-Acetylcholine-LY2119620-Go/β1/γ2
11.11Single8DWHPubChem 1390305318DWH-MRGPRX1-PubChem 139030531-chim(NtGi2L-Gs-CtGq)/β1/γ2
11.11Single8HMPC178HMP-GPR52-C17-Gs/β1/γ2
11.11Single8HOCImetit8HOC-H4-Imetit-Gi1/β1/γ2
11.11Single8UTDMK19038UTD-HCA2-MK1903-Gi1/β1/γ2
11.11Single8YNAImmepip8YNA-H4-Immepip-Gi1/β1/γ2
11.11Single8YUVImmepip8YUV-H3-Immepip-Gi1/β1/γ2
11.11Single9C1PCa; Tryptophan; '6218; PO49C1P-CaS-Ca-Ca; Tryptophan; '6218; PO4
11.11Consensusm2_onOrthosteric Ligand7T8X-M2-Acetylcholine-chim(NtGi1-Go)/β1/γ2
11.11Consensusm2_on_gpOrthosteric Ligand7T8X-M2-Acetylcholine-chim(NtGi1-Go)/β1/γ2
11.11Consensussensory_offonOrthosteric Ligandsensory_off sensory_on
11.11Consensussensory_offon_gpOrthosteric Ligandsensory_on_gp sensory_on
10.81Single7TYIAmylin7TYI-CT-Amylin-Gs/β1/γ2
10.71Single1F8811-cis-Retinal1F88-Rhodopsin-11-cis-Retinal
10.71Single6FKAPubChem 1324730376FKA-Rhodopsin-PubChem 132473037
10.71Single6XBLSAG6XBL-SMO-SAG-Cholesterol-Gi1/β1/γ2
10.71Single7M3GCa; Ca; Tryptophan; Evocalcet; Etelcalcetide; PO47M3G-CaS-Ca; Ca; Tryptophan; Evocalcet; Etelcalcetide; PO4
10.71Single7T94Acetylcholine7T94-M2-Acetylcholine-LY2119620-chim(NtGi1-Go)/β1/γ2
10.71Single7TRSAcetylcholine7TRS-M4-Acetylcholine-Gi1/β1/γ2
10.71Single7VODCariprazine7VOD-5-HT2A-Cariprazine
10.71Single7ZI0SAG7ZI0-SMO-SAG-Cholesterol
10.71Single8FCZ11-cis-Retinal8FCZ-Rhodopsin-11-cis-Retinal
10.71Single8K2WAMG4878K2W-CXCR3-AMG487
10.71Single8PM2DMCH8PM2-TA7-DMCH-Gs/β1/γ2
10.71Single9AXFCa; Ca; Ca; Cyclomethyltryptophan; 9IG; PO49AXF-CaS-Ca-Ca; Ca; Ca; Cyclomethyltryptophan; 9IG; PO4-chim(NtGi1-Gs-CtGq)/β1/γ2
10.71Single9DQJEP-39459DQJ-MRGPRD-EP-3945-chim(NtGi1-Gs-CtGq)/β1/γ2
10.71Single9LRDHistamine9LRD-H1-Histamine-Gi1/β1/γ2
10.71Consensuscxcr3_offOrthosteric Ligand8K2W-CXCR3-AMG487
10.71Consensusopsins_offOrthosteric Ligandrhodopsin_off
10.71Consensussensory_offOrthosteric Ligandopsins_off
10.34Single1HZX11-cis-Retinal1HZX-Rhodopsin-11-cis-Retinal
10.34Single5DSGTiotropium5DSG-M4-Tiotropium
10.34Single6GPSMK08126GPS-CCR2-MK0812
10.34Single6IIVDaltroban6IIV-TXA2-Daltroban
10.34Single7F83PF-051904577F83-Ghrelin-PF-05190457
10.34Single8EJKTAK-8758EJK-FFA1-TAK-875-chim(NtGi1L-Gs-CtGq)/β1/γ2
10.34Single8GCML9026888GCM-EP4-L902688-Gi1/β1/γ2
10.34Single8X9TAP5038X9T-ADGRD1-AP503-chim(NtGi1-Gs)/β1/γ2
10.34Single8XJLPGF2-alpha8XJL-FP-alpha-PGF2-α-chim(NtGi2-Gs-CtGq)/β1/γ2
10.34Single9IMATalquetamab9IMA-GPRC5D-Talquetamab
10.34Consensusccr2_offOrthosteric Ligand6GPS-CCR2-MK0812
10.34Consensusgi_histamineOrthosteric Ligand8JXX-H4-Clobenpropit-Gi1/β1/γ2 8JXV-H4-Clozapine-Gi1/β1/γ2 8YUU-H3-Histamine-Gi1/β1/γ1 8HN8-H4-Histamine-Gi1/β1/γ2 8HOC-H4-Imetit-Gi1/β1/γ2 8JXW-H4-VUF6884-Gi1/β1/γ2
10.34Consensusm4_offOrthosteric Ligand5DSG-M4-Tiotropium
10.34Consensusmuscarinic_onOrthosteric Ligandm2_on m3_on m4_on m1_on
10.34Consensusmuscarinic_on_gpOrthosteric Ligandm2_on_gp m3_on_gp m4_on_gp m1_on_gp
10.26Single9BUBCagrilintide9BUB-CT-Cagrilintide-Gs/β1/γ2
10.00Single4PHUFasiglifam4PHU-FFA1-Fasiglifam
10.00Single4WW3All-trans-Retinal4WW3-Rhodopsin-All-trans-Retinal
10.00Single5CGCHTL142425CGC-mGlu5-HTL14242
10.00Single5T1ABMS-6815T1A-CCR2-BMS-681-PubChem 12093170
10.00Single6GPXMK08126GPX-CCR2-MK0812
10.00Single6M9TMisoprostol-FA6M9T-EP3-Misoprostol-FA
10.00Single6OIKIperoxo6OIK-M2-Iperoxo-LY2119620-chim(NtGi1-Go)/β1/γ2
10.00Single8GDCPGE28GDC-EP3-PGE2-Gi1/β1/γ2
10.00Single8X0BVU04244658X0B-mGlu5; mGlu5-Quisqualate-VU0424465
10.00Single8X0CVU04244658X0C-mGlu5; mGlu5-Quisqualate-VU0424465
10.00Single8X0DVU04244658X0D-mGlu5; mGlu5-Quisqualate-VU0424465
10.00Single8X0DVU04244658X0D-mGlu5; mGlu5-Quisqualate-VU0424465
10.00Single8XQPCholesterol8XQP-TAS2R14-Cholesterol-Aristolochic acid A-Gt3/β1/γ1
10.00Single8ZVZBW245C8ZVZ-DP1-BW245C-Gs/β1/γ2
10.00Single9DQHEP-28259DQH-MRGPRD-EP-2825-chim(NtGi1-Gs-CtGq)/β1/γ2
10.00Single9EAHNanobody AT2099EAH-AT1-Olmesartan-Nanobody AT209
10.00Single9HC04YI9HC0-mGlu5-4YI
10.00Consensusgq_muscarinicOrthosteric Ligand6OIJ-M1-Iperoxo-chim(NtGi1L-G11)/β1/γ2
10.00Consensusm1_onOrthosteric Ligand6OIJ-M1-Iperoxo-chim(NtGi1L-G11)/β1/γ2
9.76Single9BTWCagrilintide9BTW-CT (AMY3)-Cagrilintide-Gs/β1/γ2; RAMP3
9.68Single5TZRMK86665TZR-FFA1-MK8666
9.68Single6OIJIperoxo6OIJ-M1-Iperoxo-chim(NtGi1L-G11)/β1/γ2
9.68Single7P2L4YI7P2L-mGlu5-4YI
9.68Single8IUKPGF2-alpha8IUK-FP-alpha-PGF2-α-chim(NtGi1-Gs-CtGq)/β1/γ2
9.68Single8X0FVU04244658X0F-mGlu5; mGlu5-Quisqualate-VU0424465
9.68Single8YNTSNAP-948478YNT-MCH1-SNAP-94847
9.68Single8ZR5Firuglipel8ZR5-GPR119-Firuglipel-Gs/β1/γ2
9.68Single8ZW0PGD28ZW0-DP1-PGD2-Gs/β1/γ2
9.68Single9AS9RS130-1809AS9-5-HT2A-RS130-180
9.68Single9ASARS130-1809ASA-5-HT2A-RS130-180-chim(NtGi1-Gs-CtGq)/β1/γ2
9.68Single9CLWTUG-13759CLW-FFA2-TUG-1375-4-CMTB-chim(NtGi1L-Gs-CtGq)/β1/γ2
9.68Consensusm1_on_gpOrthosteric Ligand6OIJ-M1-Iperoxo-chim(NtGi1L-G11)/β1/γ2
9.38Single5X33BIIL2605X33-BLT1-BIIL260
9.38Single6AK3Dinoprostone IPGE26AK3-EP3-Dinoprostone IPGE2
9.38Single6IIURamatroban6IIU-TXA2-Ramatroban
9.38Single7T6BS1P7T6B-S1P2-S1P-chim(NtGi1L-G13)/β1/γ2
9.38Single8IQ6Latanoprost8IQ6-FP-alpha-Latanoprost-chim(NtGi1-Gs-CtGq)/β1/γ2
9.38Single9AU0BW245C9AU0-DP1-BW245C-Gs/β1/γ2
9.09Single5CGDHTL142425CGD-mGlu5-HTL14242
9.09Single8TLMAnti-murine CCR8 antibody8TLM-CCR8-Anti-murine CCR8 antibody
9.09Single9GG5U466199GG5-TXA2-U46619-chim(NtGi2L-Gs-CtGq)/β1/γ2
8.70Single8WCCCyclohexylammonium Ion8WCC-TA1-Cyclohexylammonium Ion
8.33Single3PXOAll-trans-Retinal3PXO-Rhodopsin-All-trans-Retinal
8.33Single5DYSAll-trans-Retinal5DYS-Rhodopsin-All-trans-Retinal
8.33Single7XKDBeta-Hydroxyandrosterone7XKD-ADGRG2-β-Hydroxyandrosterone-Gs/β1/γ2
8.00Single6XBM5LWE6XBM-SMO-5LWE-Gi1/β1/γ2
8.00Single7VDMSubstance-P7VDM-MRGPRX2-Substance-P-Gi1/β1/γ2
8.00Single8U4QREGN7663-Fab8U4Q-CXCR4-REGN7663-Fab-Gi1/β1/γ2
8.00Single8XOFLys058XOF-GPR30-Lys05-chim(NtGi1-Gs-CtGq)/β1/γ2
7.69Single2J4Y11-cis-Retinal2J4Y-Rhodopsin-11-cis-Retinal
7.69Single3PQRAll-trans-Retinal3PQR-Rhodopsin-All-trans-Retinal-Gt(CT)
7.69Single7D77Hydrocortisone7D77-ADGRG3-Hydrocortisone-Go/β1/γ2
7.69Single7WC5Psilocin7WC5-5-HT2A-Psilocin
7.69Single8ITFDMCHA8ITF-TA9-DMCHA-chim(NtGi1-Gs)/β1/γ2
7.69Single8JRVGlucagon8JRV-Glucagon-Glucagon-Arrestin2
7.69Single8JXTHistamine8JXT-H4-Histamine-PO4-Gi1/β1/γ2
7.41Single1U1911-cis-Retinal1U19-Rhodopsin-11-cis-Retinal
7.41Single2G87All-trans-Retinal2G87-Rhodopsin-All-trans-Retinal
7.41Single2I3511-cis-Retinal2I35-Rhodopsin-11-cis-Retinal
7.41Single3AYMAll-trans-Retinal3AYM-Rhodopsin-All-trans-Retinal
7.41Single7D76Beclomethasone7D76-ADGRG3-Beclomethasone-Go/β1/γ2
7.41Single7V68Iperoxo7V68-M4-Iperoxo-LY2119620-Gi1/β1/γ2
7.41Single8HSCFab0468HSC-GPR20-Fab046-Gi1/β1/γ2
7.41Single8X2KOleic monoethanolamide8X2K-GPR3-Oleic monoethanolamide-chim(NtGi1-Gs)/β1/γ2
7.41Single9EPRRetinal9EPR-Rhodopsin-Retinal-Gi1/β1/γ2
7.14Single1GZM11-cis-Retinal1GZM-Rhodopsin-11-cis-Retinal
7.14Single2Z7311-cis-Retinal2Z73-Rhodopsin-11-cis-Retinal
7.14Single3AYN9-cis-Retinal3AYN-Rhodopsin-9-cis-Retinal
7.14Single3C9L11-cis-Retinal3C9L-Rhodopsin-11-cis-Retinal
7.14Single8T3VDocosa-4,7,10,13,16,19-Hexaenoic acid8T3V-FFA1-Docosa-4,7,10,13,16,19-Hexaenoic acid-chim(NtGi2L-Gs-CtGq)/β1/γ2
7.14Single8U4SREGN7663-Fab8U4S-CXCR4-REGN7663-Fab
7.14Single8U4TREGN7663-Fab8U4T-CXCR4-REGN7663-Fab
7.14Single8U8FPalmitic Acid8U8F-GPR3-Palmitic Acid-Gs/β1/γ2
7.14Consensusrhodopsin_offOrthosteric Ligand1U19-Rhodopsin-11-cis-Retinal 2PED-Rhodopsin-9-cis-Retinal 5TE5-Rhodopsin-20-Methanoretinal
6.90Single3OAX11-cis-Retinal3OAX-Rhodopsin-11-cis-Retinal
6.90Single7ZBC11-cis-Retinal7ZBC-Rhodopsin-11-cis-Retinal
6.90Single7ZBE11-cis-Retinal7ZBE-Rhodopsin-11-cis-Retinal
6.90Single8HJ5PubChem 1390305318HJ5-MRGPRX1-PubChem 139030531-chim(NtGi1-Gs-CtGq)/β1/γ2
6.90Single8X7ATreprostinil8X7A-I2-Treprostinil-Gs/β1/γ2
6.67Single6ORVTT-OAD26ORV-GLP-1-TT-OAD2-Gs/β1/γ2
6.67Single9IVGGLP-1 (Truncated)9IVG-GLP-1-GLP-1 (Truncated)-chim(NtGi1-Gs)/β1/γ2
6.45Single7M3GCa; Ca; Tryptophan; Evocalcet; Etelcalcetide; PO47M3G-CaS-Ca; Ca; Tryptophan; Evocalcet; Etelcalcetide; PO4
6.45Single8EJCTAK-8758EJC-FFA1-TAK-875-chim(NtGi1L-Gs-CtGq)/β1/γ2
6.45Single8X0CVU04244658X0C-mGlu5; mGlu5-Quisqualate-VU0424465
6.45Consensusadgrg2_onOrthosteric Ligand7WUI-ADGRG2-IP15-chim(NtGi1-Gs)/β1/γ2 7WUQ-ADGRG2-Gs/β1/γ2 7XKF-ADGRG2-β-Hydroxyandrosterone-Gs/β1/γ2
6.45Consensusadgrg2_on_gpOrthosteric Ligand7WUI-ADGRG2-IP15-chim(NtGi1-Gs)/β1/γ2 7WUQ-ADGRG2-Gs/β1/γ2 7XKF-ADGRG2-β-Hydroxyandrosterone-Gs/β1/γ2
6.25Single4OO9Mavoglurant4OO9-mGlu5-Mavoglurant
6.25Single8GDBPGE28GDB-EP4-PGE2-Gs/β1/γ2
6.25Single8XQTCholesterol8XQT-TAS2R14-Cholesterol-Gi1/β1/γ1
5.88Single7CX4Evatanepag7CX4-EP2-Evatanepag-Gs/β1/γ2
5.71Single7CX2PGE27CX2-EP2-PGE2-Gs/β1/γ2
5.56Single7CX3Taprenepag7CX3-EP2-Taprenepag-Gs/β1/γ2
4.76Single6D32Cyclopamine6D32-SMO-Cyclopamine-Cyclopamine
4.76Single6D35Cholesterol6D35-SMO-Cholesterol
4.76Single6N51Quisqualate6N51-mGlu5; mGlu5-Quisqualate
4.76Single6N51Quisqualate6N51-mGlu5; mGlu5-Quisqualate
4.76Single6UO8SKF975416UO8-GABAB1, GABAB2-SKF97541-GS39783
4.76Single6UO9SKF975416UO9-GABAB1, GABAB2-SKF97541
4.76Single6W2XPubChem 53110426W2X-GABAB1, GABAB2-PubChem 5311042
4.76Single6W2YPubChem 53110426W2Y-GABAB1; GABAB1-PubChem 5311042
4.76Single6W2YPubChem 53110426W2Y-GABAB1; GABAB1-PubChem 5311042
4.76Single7C7QBaclofen7C7Q-GABAB1, GABAB2-Baclofen-BHFF
4.76Single7C7SCGP546267C7S-GABAB1, GABAB2-CGP54626
4.76Single7CUMCGP546267CUM-GABAB1, GABAB2-CGP54626
4.76Single7DD5Ca7DD5-CaS-Ca-Ca; Ca; Tryptophan; NPS-2143
4.76Single7DD5Ca; Ca; Tryptophan; NPS-21437DD5-CaS-Ca-Ca; Ca; Tryptophan; NPS-2143
4.76Single7DD5Ca7DD5-CaS-Ca-Ca; Ca; Tryptophan; NPS-2143
4.76Single7DD5Ca; Ca; Tryptophan; NPS-21437DD5-CaS-Ca-Ca; Ca; Tryptophan; NPS-2143
4.76Single7DGEQuisqualate7DGE-mGlu1; mGlu1-Quisqualate
4.76Single7DTTCa7DTT-CaS-Ca-Ca
4.76Single7DTTCa7DTT-CaS-Ca-Ca
4.76Single7DTUTryptophan7DTU-CaS-Tryptophan
4.76Single7DTUTryptophan7DTU-CaS-Tryptophan
4.76Single7DTVCa7DTV-CaS-Ca-Ca; Tryptophan
4.76Single7DTVCa; Tryptophan7DTV-CaS-Ca-Ca; Tryptophan
4.76Single7DTVCa7DTV-CaS-Ca-Ca; Tryptophan
4.76Single7DTVCa; Tryptophan7DTV-CaS-Ca-Ca; Tryptophan
4.76Single7E6TCa7E6T-CaS-Ca-Ca; Ca; Cyclomethyltryptophan; PO4
4.76Single7E6TCa; Ca; Cyclomethyltryptophan; PO47E6T-CaS-Ca-Ca; Ca; Cyclomethyltryptophan; PO4
4.76Single7E6TCa7E6T-CaS-Ca-Ca; Ca; Cyclomethyltryptophan; PO4
4.76Single7E6TCa; Ca; Cyclomethyltryptophan; PO47E6T-CaS-Ca-Ca; Ca; Cyclomethyltryptophan; PO4
4.76Single7E9GEglumetad7E9G-mGlu2; mGlu2-Eglumetad-JNJ-40411813-Gi1/β1/γ2
4.76Single7E9GEglumetad7E9G-mGlu2; mGlu2-Eglumetad-JNJ-40411813-Gi1/β1/γ2
4.76Single7E9HPhosphoserine7E9H-mGlu4; mGlu4-Phosphoserine-Gi3/β1/γ2
4.76Single7E9HPhosphoserine7E9H-mGlu4; mGlu4-Phosphoserine-Gi3/β1/γ2
4.76Single7EB2Baclofen7EB2-GABAB2; GABAB1-Baclofen-rac-BHFF-Gi1/β1/γ2
4.76Single7EPBEglumetad7EPB-mGlu2; mGlu2-Eglumetad
4.76Single7EPBEglumetad7EPB-mGlu2; mGlu2-Eglumetad
4.76Single7FD8Quisqualate7FD8-mGlu5; mGlu5-Quisqualate
4.76Single7FD8Quisqualate7FD8-mGlu5; mGlu5-Quisqualate
4.76Single7FD9LY3414957FD9-mGlu5; mGlu5-LY341495
4.76Single7FD9LY3414957FD9-mGlu5; mGlu5-LY341495
4.76Single7FIHhCG7FIH-LH-hCG-Org43553-chim(NtGi1-Gs)/β1/γ2
4.76Single7FIIhCG7FII-LH-hCG-chim(NtGi1-Gs)/β1/γ2
4.76Single7M3ECa; Ca; Tryptophan; NPS-21437M3E-CaS-Ca; Ca; Tryptophan; NPS-2143
4.76Single7M3ECa; Ca; Tryptophan; NPS-21437M3E-CaS-Ca; Ca; Tryptophan; NPS-2143
4.76Single7M3FCa; Ca; Tryptophan; Cinacalcet; PO47M3F-CaS-Ca; Ca; Tryptophan; Cinacalcet; PO4
4.76Single7M3FCa; Ca; Tryptophan; Cinacalcet; PO47M3F-CaS-Ca; Ca; Tryptophan; Cinacalcet; PO4
4.76Single7M3GCa; Ca; Tryptophan; Evocalcet; Etelcalcetide; PO47M3G-CaS-Ca; Ca; Tryptophan; Evocalcet; Etelcalcetide; PO4
4.76Single7M3GCa; Ca; Tryptophan; Evocalcet; Etelcalcetide; PO47M3G-CaS-Ca; Ca; Tryptophan; Evocalcet; Etelcalcetide; PO4
4.76Single7M3GCa; Ca; Tryptophan; Evocalcet; Etelcalcetide; PO47M3G-CaS-Ca; Ca; Tryptophan; Evocalcet; Etelcalcetide; PO4
4.76Single7M3GCa; Ca; Tryptophan; Evocalcet; Etelcalcetide; PO47M3G-CaS-Ca; Ca; Tryptophan; Evocalcet; Etelcalcetide; PO4
4.76Single7MTQLY3414957MTQ-mGlu2; mGlu2-LY341495
4.76Single7MTQLY3414957MTQ-mGlu2; mGlu2-LY341495
4.76Single7MTRGlutamate7MTR-mGlu2; mGlu2-Glutamate-ADX55164
4.76Single7MTRGlutamate7MTR-mGlu2; mGlu2-Glutamate-ADX55164
4.76Single7MTSGlutamate7MTS-mGlu2; mGlu2-Glutamate-ADX55164-Gi1/β1/γ2
4.76Single7MTSGlutamate7MTS-mGlu2; mGlu2-Glutamate-ADX55164-Gi1/β1/γ2
4.76Single7SILCa7SIL-CaS-Ca-Ca; Ca; Ca; Cyclomethyltryptophan; 9IG; PO4
4.76Single7SILCa; Ca; Ca; Cyclomethyltryptophan; 9IG; PO47SIL-CaS-Ca-Ca; Ca; Ca; Cyclomethyltryptophan; 9IG; PO4
4.76Single7SILCa7SIL-CaS-Ca-Ca; Ca; Ca; Cyclomethyltryptophan; 9IG; PO4
4.76Single7SILCa; Ca; Ca; Cyclomethyltryptophan; 9IG; PO47SIL-CaS-Ca-Ca; Ca; Ca; Cyclomethyltryptophan; 9IG; PO4
4.76Single7SIMCa7SIM-CaS-Ca-Ca; Ca; Cyclomethyltryptophan; PO4
4.76Single7SIMCa; Ca; Cyclomethyltryptophan; PO47SIM-CaS-Ca-Ca; Ca; Cyclomethyltryptophan; PO4
4.76Single7SIMCa7SIM-CaS-Ca-Ca; Ca; Cyclomethyltryptophan; PO4
4.76Single7SIMCa; Ca; Cyclomethyltryptophan; PO47SIM-CaS-Ca-Ca; Ca; Cyclomethyltryptophan; PO4
4.76Single7T9NM22 Fab7T9N-TSH-M22 Fab-DPPC-Gs/β1/γ2
4.76Single7WI6LY3414957WI6-mGlu3; mGlu3-LY341495
4.76Single7WI6LY3414957WI6-mGlu3; mGlu3-LY341495
4.76Single7WI8LY3414957WI8-mGlu3; mGlu3-LY341495
4.76Single7WI8LY3414957WI8-mGlu3; mGlu3-LY341495
4.76Single7WIHLY27941937WIH-mGlu3; mGlu3-LY2794193
4.76Single7WIHLY27941937WIH-mGlu3; mGlu3-LY2794193
4.76Single7XW6M22 Fab7XW6-TSH-M22 Fab-ML109-Gs/β1/γ2
4.76Single7XW7K1-707XW7-TSH-K1-70
4.76Single8JCULY3414958JCU-mGlu2; mGlu3-LY341495
4.76Single8JCULY3414958JCU-mGlu2; mGlu3-LY341495
4.76Single8JCVLY3414958JCV-mGlu2; mGlu3-LY341495
4.76Single8JCVLY3414958JCV-mGlu2; mGlu3-LY341495
4.76Single8JCWLY3414958JCW-mGlu2; mGlu3-LY341495
4.76Single8JCWLY3414958JCW-mGlu2; mGlu3-LY341495
4.76Single8JCXLY3414958JCX-mGlu2; mGlu3-LY341495
4.76Single8JCXLY3414958JCX-mGlu2; mGlu3-LY341495
4.76Single8JCYLY3414958JCY-mGlu2; mGlu3-LY341495
4.76Single8JCYLY3414958JCY-mGlu2; mGlu3-LY341495
4.76Single8JCZLY3414958JCZ-mGlu2; mGlu3-LY341495
4.76Single8JCZLY3414958JCZ-mGlu2; mGlu3-LY341495
4.76Single8JD0Glutamate8JD0-mGlu2; mGlu3-Glutamate-NAM563
4.76Single8JD1Glutamate8JD1-mGlu2; mGlu3-Glutamate
4.76Single8JD1Glutamate8JD1-mGlu2; mGlu3-Glutamate
4.76Single8JD2Glutamate8JD2-mGlu2; mGlu3-Glutamate
4.76Single8JD2Glutamate8JD2-mGlu2; mGlu3-Glutamate
4.76Single8JD3Glutamate8JD3-mGlu2; mGlu3-Glutamate-JNJ-40411813-Gi1/β1/γ2
4.76Single8JD3Glutamate8JD3-mGlu2; mGlu3-Glutamate-JNJ-40411813-Gi1/β1/γ2
4.76Single8JD4Glutamate8JD4-mGlu2; mGlu4-Glutamate
4.76Single8JD4Glutamate8JD4-mGlu2; mGlu4-Glutamate
4.76Single8JD5Glutamate8JD5-mGlu2; mGlu4-Glutamate-JNJ-40411813; ADX88178-Gi1/β1/γ2
4.76Single8JD5Glutamate8JD5-mGlu2; mGlu4-Glutamate-JNJ-40411813; ADX88178-Gi1/β1/γ2
4.76Single8JD6Phosphoserine8JD6-mGlu4; mGlu4-Phosphoserine-VU0364770-Gi3/β1/γ2
4.76Single8JD6Phosphoserine8JD6-mGlu4; mGlu4-Phosphoserine-VU0364770-Gi3/β1/γ2
4.76Single8SZFCa; Ca; Tryptophan; Cinacalcet; PO4; Spermine8SZF-CaS-Ca; Ca; Tryptophan; Cinacalcet; PO4; Spermine
4.76Single8SZFCa; Ca; Tryptophan; Cinacalcet; PO4; Spermine8SZF-CaS-Ca; Ca; Tryptophan; Cinacalcet; PO4; Spermine
4.76Single8SZGCa; Ca; Tryptophan; Cinacalcet; PO4; Spermine8SZG-CaS-Ca; Ca; Tryptophan; Cinacalcet; PO4; Spermine-chim(NtGi1-Gq)/β1/γ2
4.76Single8T7HQuisqualate8T7H-mGlu5; mGlu5-Quisqualate
4.76Single8T7HQuisqualate8T7H-mGlu5; mGlu5-Quisqualate
4.76Single8T8MQuisqualate8T8M-mGlu5; mGlu5-Quisqualate
4.76Single8T8MQuisqualate8T8M-mGlu5; mGlu5-Quisqualate
4.76Single8TAOQuisqualate8TAO-mGlu5; mGlu5-Quisqualate-CDPPB
4.76Single8TAOQuisqualate8TAO-mGlu5; mGlu5-Quisqualate-CDPPB
4.76Single8TQBCa; PAM VU60233268TQB-mGlu3; mGlu3-Ca; PAM VU6023326-Ca
4.76Single8TQBCa; PAM VU60233268TQB-mGlu3; mGlu3-Ca; PAM VU6023326-Ca
4.76Single8TR0LY3414958TR0-mGlu3; mGlu3-LY341495
4.76Single8TR0LY3414958TR0-mGlu3; mGlu3-LY341495
4.76Single8TR2Ca; LY3792688TR2-mGlu3; mGlu3-Ca; LY379268-Ca
4.76Single8TR2Ca; LY3792688TR2-mGlu3; mGlu3-Ca; LY379268-Ca
4.76Single8TRCLY3414958TRC-mGlu3; mGlu3-LY341495
4.76Single8TRCLY3414958TRC-mGlu3; mGlu3-LY341495
4.76Single8TRDLY3414958TRD-mGlu3; mGlu3-LY341495
4.76Single8TRDLY3414958TRD-mGlu3; mGlu3-LY341495
4.76Single8WG9(2S)-2-amino-4-phosphonobutanoic acid8WG9-mGlu4; mGlu2-(2S)-2-amino-4-phosphonobutanoic acid
4.76Single8WGBGlutammate8WGB-mGlu4; mGlu2-Glutammate-VU0155041-Gi3/β1/γ2
4.76Single8WGBGlutammate8WGB-mGlu4; mGlu2-Glutammate-VU0155041-Gi3/β1/γ2
4.76Single8WGCLY3792688WGC-mGlu4; mGlu2-LY379268
4.76Single8WGDWAG; WA68WGD-mGlu4; mGlu2-WAG; WA6
4.76Single8WGDWAG; WA68WGD-mGlu4; mGlu2-WAG; WA6
4.76Single8WPGTryptophan; Cinacalcet; PO4; Ca8WPG-CaS-Tryptophan; Cinacalcet; PO4; Ca
4.76Single8WPGTryptophan; Cinacalcet; PO4; Ca8WPG-CaS-Tryptophan; Cinacalcet; PO4; Ca
4.76Single8WPUTryptophan; Cinacalcet; PO4; Ca8WPU-CaS-Tryptophan; Cinacalcet; PO4; Ca-chim(NtGi2L-Gs-CtGq)/β1/γ2
4.76Single8WPUTryptophan; Cinacalcet; PO4; Ca8WPU-CaS-Tryptophan; Cinacalcet; PO4; Ca-chim(NtGi2L-Gs-CtGq)/β1/γ2
4.76Single8WVXNorrin8WVX-LGR4-Norrin
4.76Single8WVYNorrin8WVY-LGR4-Norrin
4.76Single8X0BQuisqualate8X0B-mGlu5; mGlu5-Quisqualate-VU0424465
4.76Single8X0BQuisqualate8X0B-mGlu5; mGlu5-Quisqualate-VU0424465
4.76Single8X0CQuisqualate8X0C-mGlu5; mGlu5-Quisqualate-VU0424465
4.76Single8X0CQuisqualate8X0C-mGlu5; mGlu5-Quisqualate-VU0424465
4.76Single8X0DQuisqualate8X0D-mGlu5; mGlu5-Quisqualate-VU0424465
4.76Single8X0DQuisqualate8X0D-mGlu5; mGlu5-Quisqualate-VU0424465
4.76Single8X0EQuisqualate8X0E-mGlu5; mGlu5-Quisqualate
4.76Single8X0EQuisqualate8X0E-mGlu5; mGlu5-Quisqualate
4.76Single8X0FQuisqualate8X0F-mGlu5; mGlu5-Quisqualate-VU0424465
4.76Single8X0FQuisqualate8X0F-mGlu5; mGlu5-Quisqualate-VU0424465
4.76Single8X0GQuisqualate8X0G-mGlu5; mGlu5-Quisqualate
4.76Single8X0GQuisqualate8X0G-mGlu5; mGlu5-Quisqualate
4.76Single8X0HQuisqualate8X0H-mGlu5; mGlu5-Quisqualate
4.76Single8X0HQuisqualate8X0H-mGlu5; mGlu5-Quisqualate
4.76Single8XUMR-spondin-28XUM-LGR4-R-spondin-2
4.76Single9ASBCa9ASB-CaS-Ca-Ca; Ca; Cyclomethyltryptophan; 9IG; PO4-chim(NtGi1-Gs-CtGq)/β1/γ2
4.76Single9ASBCa; Ca; Cyclomethyltryptophan; 9IG; PO49ASB-CaS-Ca-Ca; Ca; Cyclomethyltryptophan; 9IG; PO4-chim(NtGi1-Gs-CtGq)/β1/γ2
4.76Single9AVGCa9AVG-CaS-Ca-Ca; Ca; Cyclomethyltryptophan; 9IG; PO4-chim(NtGi1-Gs)/β1/γ2
4.76Single9AVGCa; Ca; Cyclomethyltryptophan; 9IG; PO49AVG-CaS-Ca-Ca; Ca; Cyclomethyltryptophan; 9IG; PO4-chim(NtGi1-Gs)/β1/γ2
4.76Single9AVLCa9AVL-CaS-Ca-Ca; Ca; Cyclomethyltryptophan; 9IG; PO4-Gi3/β2/γ2
4.76Single9AVLCa; Ca; Cyclomethyltryptophan; 9IG; PO49AVL-CaS-Ca-Ca; Ca; Cyclomethyltryptophan; 9IG; PO4-Gi3/β2/γ2
4.76Single9AVLCa9AVL-CaS-Ca-Ca; Ca; Cyclomethyltryptophan; 9IG; PO4-Gi3/β2/γ2
4.76Single9AVLCa; Ca; Cyclomethyltryptophan; 9IG; PO49AVL-CaS-Ca-Ca; Ca; Cyclomethyltryptophan; 9IG; PO4-Gi3/β2/γ2
4.76Single9AXFCa9AXF-CaS-Ca-Ca; Ca; Ca; Cyclomethyltryptophan; 9IG; PO4-chim(NtGi1-Gs-CtGq)/β1/γ2
4.76Single9AXFCa; Ca; Ca; Cyclomethyltryptophan; 9IG; PO49AXF-CaS-Ca-Ca; Ca; Ca; Cyclomethyltryptophan; 9IG; PO4-chim(NtGi1-Gs-CtGq)/β1/γ2
4.76Single9AXFCa9AXF-CaS-Ca-Ca; Ca; Ca; Cyclomethyltryptophan; 9IG; PO4-chim(NtGi1-Gs-CtGq)/β1/γ2
4.76Single9AXFCa; Ca; Ca; Cyclomethyltryptophan; 9IG; PO49AXF-CaS-Ca-Ca; Ca; Ca; Cyclomethyltryptophan; 9IG; PO4-chim(NtGi1-Gs-CtGq)/β1/γ2
4.76Single9AYFCa9AYF-CaS-Ca-Ca; Ca; Ca; Cyclomethyltryptophan; 9IG; PO4-Gi1/β1/γ2
4.76Single9AYFCa; Ca; Ca; Cyclomethyltryptophan; 9IG; PO49AYF-CaS-Ca-Ca; Ca; Ca; Cyclomethyltryptophan; 9IG; PO4-Gi1/β1/γ2
4.76Single9C1PCa9C1P-CaS-Ca-Ca; Tryptophan; '6218; PO4
4.76Single9C1PCa; Tryptophan; '6218; PO49C1P-CaS-Ca-Ca; Tryptophan; '6218; PO4
4.76Single9C1PCa9C1P-CaS-Ca-Ca; Tryptophan; '6218; PO4
4.76Single9C1PCa; Tryptophan; '6218; PO49C1P-CaS-Ca-Ca; Tryptophan; '6218; PO4
4.76Single9C2FCa9C2F-CaS-Ca-Ca; Ca; Tryptophan; '54149; PO4
4.76Single9C2FCa; Ca; Tryptophan; '54149; PO49C2F-CaS-Ca-Ca; Ca; Tryptophan; '54149; PO4
4.76Single9C2FCa9C2F-CaS-Ca-Ca; Ca; Tryptophan; '54149; PO4
4.76Single9C2FCa; Ca; Tryptophan; '54149; PO49C2F-CaS-Ca-Ca; Ca; Tryptophan; '54149; PO4
4.76Single9II2Glutamate9II2-mGlu3; mGlu3-Glutamate-Arrestin2
4.76Single9II2Glutamate9II2-mGlu3; mGlu3-Glutamate-Arrestin2
4.76Single9II3Glutamate9II3-mGlu3; mGlu3-Glutamate-Arrestin2
4.76Single9II3Glutamate9II3-mGlu3; mGlu3-Glutamate-Arrestin2
4.76Single9KHHNorrin9KHH-LGR4-Norrin
4.76Single9S37NB219S37-LGR4-NB21
4.76Single9UTBSucralose9UTB-TAS1R2; TAS1R3-Sucralose
4.55Single7DD6Ca7DD6-CaS-Ca-Ca; Ca; Tryptophan
4.55Single7DD6Ca; Ca; Tryptophan7DD6-CaS-Ca-Ca; Ca; Tryptophan
4.55Single7DD6Ca7DD6-CaS-Ca-Ca; Ca; Tryptophan
4.55Single7DD6Ca; Ca; Tryptophan7DD6-CaS-Ca-Ca; Ca; Tryptophan
4.55Single7DD7Ca7DD7-CaS-Ca-Ca; Ca; Tryptophan; Evocalcet
4.55Single7DD7Ca; Ca; Tryptophan; Evocalcet7DD7-CaS-Ca-Ca; Ca; Tryptophan; Evocalcet
4.55Single7DD7Ca7DD7-CaS-Ca-Ca; Ca; Tryptophan; Evocalcet
4.55Single7DD7Ca; Ca; Tryptophan; Evocalcet7DD7-CaS-Ca-Ca; Ca; Tryptophan; Evocalcet
4.55Single8SZFCa; Ca; Tryptophan; Cinacalcet; PO4; Spermine8SZF-CaS-Ca; Ca; Tryptophan; Cinacalcet; PO4; Spermine
4.55Single8SZFCa; Ca; Tryptophan; Cinacalcet; PO4; Spermine8SZF-CaS-Ca; Ca; Tryptophan; Cinacalcet; PO4; Spermine
4.55Single8W8SAA-148W8S-GPR101-AA-14
4.55Single9ASBCa9ASB-CaS-Ca-Ca; Ca; Cyclomethyltryptophan; 9IG; PO4-chim(NtGi1-Gs-CtGq)/β1/γ2
4.55Single9ASBCa; Ca; Cyclomethyltryptophan; 9IG; PO49ASB-CaS-Ca-Ca; Ca; Cyclomethyltryptophan; 9IG; PO4-chim(NtGi1-Gs-CtGq)/β1/γ2
4.55Single9AVGCa9AVG-CaS-Ca-Ca; Ca; Cyclomethyltryptophan; 9IG; PO4-chim(NtGi1-Gs)/β1/γ2
4.55Single9AVGCa; Ca; Cyclomethyltryptophan; 9IG; PO49AVG-CaS-Ca-Ca; Ca; Cyclomethyltryptophan; 9IG; PO4-chim(NtGi1-Gs)/β1/γ2
4.55Single9AYFCa9AYF-CaS-Ca-Ca; Ca; Ca; Cyclomethyltryptophan; 9IG; PO4-Gi1/β1/γ2
4.55Single9AYFCa; Ca; Ca; Cyclomethyltryptophan; 9IG; PO49AYF-CaS-Ca-Ca; Ca; Ca; Cyclomethyltryptophan; 9IG; PO4-Gi1/β1/γ2
4.55Consensusclass-b2_onOrthosteric Ligandadgrg_on adgrf_on adgrl_on adgre_on adgrd_on
4.55Consensusclass-b2_on_gpOrthosteric Ligandadgrg_on_gp adgrf_on_gp adgrl_on_gp adgre_on_gp adgrd_on_gp
4.35Single7KNUCalcitonin gene-related peptide-17KNU-CT Like-Calcitonin gene-related peptide-1-RAMP1
4.35Single7T9MCS-17 Antibody7T9M-TSH-CS-17 Antibody
4.35Single8SZGCa; Ca; Tryptophan; Cinacalcet; PO4; Spermine8SZG-CaS-Ca; Ca; Tryptophan; Cinacalcet; PO4; Spermine-chim(NtGi1-Gq)/β1/γ2
4.35Single8W8RAA-148W8R-GPR101-AA-14-chim(NtGi1-Gs)/β1/γ2
4.17Single4A4MAll-trans-Retinal4A4M-Rhodopsin-All-trans-Retinal-Gt(CT)
4.17Single5EN0All-trans-Retinal5EN0-Rhodopsin-All-trans-Retinal-Gt(CT)
4.17Single6O3CCholesterol6O3C-SMO-SAG21k-Cholesterol
4.17Single7FIGhCG7FIG-LH-hCG-chim(NtGi1L-Gs)/β1/γ2
4.17Single7UTZTR14027UTZ-TSH-TR1402-DPPC-Gs/β1/γ2
4.17Single7XW5TSH7XW5-TSH-TSH-ML109-Gs/β1/γ2
4.17Single7ZI0Cholesterol7ZI0-SMO-SAG-Cholesterol
4.17Single8JGBConorfamide-Tx28JGB-MRGPRX1-Conorfamide-Tx2-Gi1/β1/γ2
4.00Single5L7DCholesterol5L7D-SMO-Cholesterol
4.00Single7T9ITSH7T9I-TSH-TSH-Gs/β1/γ2
4.00Single7WC4Serotonin7WC4-5-HT2A-Serotonin
4.00Single8HS2Fab0468HS2-GPR20-Fab046
4.00Single8I2GGlycoprotein hormones alpha chain8I2G-FSH-Glycoprotein hormones α chain-Compound 716340-Gs/β1/γ2
4.00Single8X9S5alpha-DHT8X9S-ADGRD1-5α-DHT-chim(NtGi1-Gs)/β1/γ2
3.85Single2HPYAll-trans-Retinal2HPY-Rhodopsin-All-trans-Retinal
3.85Single7Y14Beta-Alanine7Y14-MRGPRD-β-Alanine
3.85Single8Y02Retinal8Y02-OPN1SW-Retinal-Gi1/β1/γ2
3.70Single2ZIY11-cis-Retinal2ZIY-Rhodopsin-11-cis-Retinal
3.70Single3C9M11-cis-Retinal3C9M-Rhodopsin-11-cis-Retinal
3.70Single7Y12Beta-Alanine7Y12-MRGPRD-β-Alanine-Gi1/β1/γ2
3.70Single8J6QCompound 9n8J6Q-HCA2-β-Hydroxybutyrate-Compound 9n-Gi1/β1/γ2
3.57Single1L9H11-cis-Retinal1L9H-Rhodopsin-11-cis-Retinal
3.57Single5TE520-Methanoretinal5TE5-Rhodopsin-20-Methanoretinal
3.57Single6I9K9-cis-Retinal6I9K-Rhodopsin-9-cis-Retinal
3.57Single7XKFBeta-Hydroxyandrosterone7XKF-ADGRG2-β-Hydroxyandrosterone-Gs/β1/γ2
3.57Single8J6PCompound 9n8J6P-HCA2-Niacin-Compound 9n-Gi1/β1/γ2
3.57Single8JHYCompound 9n8JHY-HCA2-Compound 9n-Gi1/β1/γ2
3.57Single8JIICompound 9n8JII-HCA2-Niacin-Compound 9n-Gi1/β1/γ2
3.45Single7VVOPTH7VVO-PTH1-PTH-Gs/β1/γ2
3.45Single8A6CAll-trans-Retinal8A6C-Rhodopsin-All-trans-Retinal
3.45Single8A6DAll-trans-Retinal8A6D-Rhodopsin-All-trans-Retinal
3.45Single8A6EAll-trans-Retinal8A6E-Rhodopsin-All-trans-Retinal
3.33Single6FFIMMPEP6FFI-mGlu5-MMPEP
3.33Single8JD6VU03647708JD6-mGlu4; mGlu4-Phosphoserine-VU0364770-Gi3/β1/γ2
3.23Single6FFHFenobam6FFH-mGlu5-Fenobam
3.12Single8T6JCDPPB8T6J-mGlu5; mGlu5-CDPPB
3.12Single8T6JCDPPB8T6J-mGlu5; mGlu5-CDPPB
3.03Single8JD5JNJ-40411813; ADX881788JD5-mGlu2; mGlu4-Glutamate-JNJ-40411813; ADX88178-Gi1/β1/γ2
3.03Single8TAOCDPPB8TAO-mGlu5; mGlu5-Quisqualate-CDPPB
2.70Single8XFTR-spondin-28XFT-LGR4-R-spondin-2-ZNRF3
2.70Single8Y69R-spondin-28Y69-LGR4-R-spondin-2-ZNRF3
2.56Single8WVUR-spondin-18WVU-LGR4-R-spondin-1-RNF43
2.56Single8Y69R-spondin-28Y69-LGR4-R-spondin-2-ZNRF3
2.50Single8XFPR-spondin-28XFP-LGR4-R-spondin-2-ZNRF3
2.33Single8XFSR-spondin-28XFS-LGR4-R-spondin-2-ZNRF3

PDB Summary
PDB 9JFY
Class A
SubFamily Peptide
Type Neuropeptide FF
SubType NPFF2
Species Homo Sapiens
Ligand hNPSF
Other Ligand(s) -
Protein Partners Gi1/Beta1/Gamma2
PDB Resolution 3.21
Date 2025-04-09
D.O.I. doi.org/10.1038/s44319-025-00428-2
Net Summary
Imin 2.42
Number of Linked Nodes 849
Number of Links 1111
Number of Hubs 201
Number of Links mediated by Hubs 730
Number of Communities 29
Number of Nodes involved in Communities 314
Number of Links involved in Communities 479
Path Summary
Number Of Nodes in MetaPath 101
Number Of Links MetaPath 100
Number of Shortest Paths 5373846
Length Of Smallest Path 3
Average Path Length 44.3119
Length of Longest Path 75
Minimum Path Strength 1.26
Average Path Strength 5.59047
Maximum Path Strength 19.49
Minimum Path Correlation 0.7
Average Path Correlation 0.993544
Maximum Path Correlation 1
Minimum % Of Corr. Nodes 2.22222
Average % Of Corr. Nodes 29.4957
Maximum % Of Corr. Nodes 100
Minimum Path Hubs % 0
Average Path Hubs % 50.9282
Maximum Path Hubs % 100
AnnotationTypeLinks
Gene OntologyMolecular Function
Gene OntologyBiological Process• response to stimulus   • response to chemical   • response to xenobiotic stimulus   • cellular response to stimulus   • regulation of biological process   • regulation of cellular process   • signaling   • biological regulation   • cell communication   • G protein-coupled receptor signaling pathway   • cellular process   • signal transduction   • neuropeptide signaling pathway   • positive regulation of cytosolic calcium ion concentration   • regulation of biological quality   • developmental process   • multicellular organism development   • multicellular organismal process   • spinal cord development   • central nervous system development   • anatomical structure development   • nervous system development   • system development   • response to nutrient levels   • regulation of response to nutrient levels   • negative regulation of response to food   • negative regulation of response to nutrient levels   • negative regulation of response to stimulus   • negative regulation of biological process   • negative regulation of appetite   • regulation of response to food   • regulation of response to stimulus   • response to food   • regulation of appetite   • defense response   • immune response   • response to stress   • immune system process   • inflammatory response   • acute inflammatory response to antigenic stimulus   • acute inflammatory response   • inflammatory response to antigenic stimulus   • multi-multicellular organism process   • maternal process involved in female pregnancy   • reproductive process   • multicellular organismal reproductive process   • female pregnancy   • multi-organism reproductive process   • system process   • circulatory system process   • regulation of blood pressure   • positive regulation of blood pressure   • blood circulation   • regulation of membrane depolarization   • membrane depolarization   • regulation of membrane potential   • negative regulation of protein transport   • regulation of localization   • establishment of protein localization   • nitrogen compound transport   • negative regulation of transport   • localization   • negative regulation of secretion   • negative regulation of hormone secretion   • negative regulation of secretion by cell   • intracellular protein localization   • regulation of peptide hormone secretion   • negative regulation of peptide hormone secretion   • regulation of hormone levels   • establishment of protein localization to extracellular region   • negative regulation of establishment of protein localization   • protein secretion   • establishment of localization   • regulation of protein secretion   • regulation of secretion   • negative regulation of protein secretion   • regulation of hormone secretion   • regulation of protein localization   • regulation of peptide secretion   • transport   • negative regulation of signaling   • hormone secretion   • negative regulation of cell communication   • protein localization to extracellular region   • negative regulation of peptide secretion   • peptide secretion   • regulation of secretion by cell   • secretion by cell   • amide transport   • signal release   • negative regulation of cellular process   • negative regulation of protein localization   • regulation of signaling   • regulation of transport   • secretion   • regulation of peptide transport   • regulation of establishment of protein localization   • export from cell   • cell-cell signaling   • regulation of protein transport   • peptide transport   • negative regulation of insulin secretion   • protein transport   • regulation of insulin secretion   • peptide hormone secretion   • macromolecule localization   • hormone transport   • regulation of cell communication   • insulin secretion   • regulation of postsynaptic membrane potential   • chemical synaptic transmission, postsynaptic   • synaptic signaling   • trans-synaptic signaling   • cell surface receptor signaling pathway   • nervous system process   • chemical synaptic transmission   • anterograde trans-synaptic signaling   • excitatory postsynaptic potential   • somatostatin secretion   • heart process   • negative regulation of heart rate   • regulation of heart contraction   • regulation of system process   • negative regulation of blood circulation   • negative regulation of heart contraction   • regulation of blood circulation   • regulation of multicellular organismal process   • heart contraction   • negative regulation of multicellular organismal process   • regulation of heart rate   • vasopressin secretion   • somatodendritic compartment   • cell body   • cellular anatomical structure   • perikaryon   • neuronal cell body   • membrane-bounded organelle   • intracellular anatomical structure   • dense core granule   • intracellular vesicle   • intracellular membrane-bounded organelle   • endomembrane system   • intracellular organelle   • cytoplasmic vesicle   • organelle
Gene OntologyCellular Component• somatodendritic compartment   • cell body   • cellular anatomical structure   • perikaryon   • neuronal cell body   • membrane-bounded organelle   • intracellular anatomical structure   • dense core granule   • intracellular vesicle   • intracellular membrane-bounded organelle   • endomembrane system   • intracellular organelle   • cytoplasmic vesicle   • organelle   • secretory granule   • secretory vesicle   • cytoplasm   • vesicle   • neuronal dense core vesicle   • cell projection   • dendrite   • dendritic tree   • neuron projection   • plasma membrane bounded cell projection   • extracellular region   • extracellular space   • axon   • synapse   • axon terminus   • presynapse   • distal axon   • cell junction   • neuron projection terminus   • postsynapse   • D2 dopamine receptor binding   • protein binding   • binding   • signaling receptor binding   • G protein-coupled receptor binding   • dopamine receptor binding   • enzyme regulator activity   • adenylate cyclase inhibitor activity   • cyclase regulator activity   • molecular function inhibitor activity   • cyclase inhibitor activity   • molecular function regulator activity   • enzyme inhibitor activity   • adenylate cyclase regulator activity   • guanyl nucleotide binding   • GTP binding   • nucleotide binding   • guanyl ribonucleotide binding   • purine ribonucleotide binding   • purine ribonucleoside triphosphate binding   • nucleoside phosphate binding   • ion binding   • purine nucleotide binding   • anion binding   • heterocyclic compound binding   • carbohydrate derivative binding   • ribonucleotide binding   • small molecule binding   • cation binding   • magnesium ion binding   • metal ion binding   • GDP binding   • G protein-coupled serotonin receptor binding   • protein-containing complex binding   • G-protein beta/gamma-subunit complex binding   • pyrophosphatase activity   • GTPase activity   • G protein activity   • ribonucleoside triphosphate phosphatase activity   • hydrolase activity, acting on acid anhydrides, in phosphorus-containing anhydrides   • hydrolase activity   • hydrolase activity, acting on acid anhydrides   • catalytic activity   • cellular response to stimulus   • regulation of biological process   • regulation of cellular process   • response to stimulus   • signaling   • biological regulation   • adenylate cyclase-inhibiting serotonin receptor signaling pathway   • G protein-coupled serotonin receptor signaling pathway   • cell communication   • adenylate cyclase-inhibiting G protein-coupled receptor signaling pathway   • adenylate cyclase-modulating G protein-coupled receptor signaling pathway   • G protein-coupled receptor signaling pathway   • cellular process   • signal transduction   • response to hormone   • response to chemical   • response to endogenous stimulus   • response to peptide hormone   • response to oxygen-containing compound   • response to nitrogen compound   • cell division   • leukocyte migration   • immune system process   • mononuclear cell migration   • lymphocyte migration   • cell migration   • T cell migration   • cell motility   • regulation of steroid biosynthetic process   • regulation of cholesterol biosynthetic process   • regulation of cholesterol metabolic process   • steroid metabolic process   • regulation of lipid metabolic process   • sterol metabolic process   • positive regulation of biological process   • cholesterol metabolic process   • lipid biosynthetic process   • alcohol metabolic process   • regulation of primary metabolic process   • positive regulation of metabolic process   • regulation of small molecule metabolic process   • positive regulation of biosynthetic process   • positive regulation of lipid metabolic process   • small molecule metabolic process   • steroid biosynthetic process   • positive regulation of cellular process   • regulation of biosynthetic process   • secondary alcohol biosynthetic process   • regulation of alcohol biosynthetic process   • small molecule biosynthetic process   • regulation of steroid metabolic process   • cholesterol biosynthetic process   • positive regulation of cholesterol biosynthetic process   • primary metabolic process   • secondary alcohol metabolic process   • positive regulation of steroid biosynthetic process   • biosynthetic process   • sterol biosynthetic process   • positive regulation of lipid biosynthetic process   • regulation of sterol biosynthetic process   • alcohol biosynthetic process   • positive regulation of cholesterol metabolic process   • positive regulation of steroid metabolic process   • metabolic process   • regulation of lipid biosynthetic process   • positive regulation of small molecule metabolic process   • regulation of metabolic process   • positive regulation of alcohol biosynthetic process   • positive regulation of sterol biosynthetic process   • lipid metabolic process   • negative regulation of protein transport   • regulation of localization   • establishment of protein localization   • nitrogen compound transport   • negative regulation of biological process   • negative regulation of transport   • localization   • negative regulation of secretion   • negative regulation of hormone secretion   • negative regulation of secretion by cell   • intracellular protein localization   • regulation of biological quality   • regulation of peptide hormone secretion   • negative regulation of peptide hormone secretion   • regulation of hormone levels   • establishment of protein localization to extracellular region   • negative regulation of establishment of protein localization   • protein secretion   • establishment of localization   • regulation of protein secretion   • regulation of secretion   • negative regulation of protein secretion   • regulation of hormone secretion   • regulation of protein localization   • regulation of peptide secretion   • transport   • negative regulation of signaling   • hormone secretion   • negative regulation of cell communication   • protein localization to extracellular region   • negative regulation of peptide secretion   • peptide secretion   • regulation of secretion by cell   • secretion by cell   • amide transport   • signal release   • negative regulation of cellular process   • negative regulation of protein localization   • regulation of signaling   • regulation of transport   • secretion   • regulation of peptide transport   • regulation of establishment of protein localization   • export from cell   • cell-cell signaling   • regulation of protein transport   • peptide transport   • negative regulation of insulin secretion   • protein transport   • regulation of insulin secretion   • peptide hormone secretion   • macromolecule localization   • hormone transport   • regulation of cell communication   • insulin secretion   • regulation of cytoskeleton organization   • regulation of cellular component organization   • microtubule cytoskeleton organization   • regulation of mitotic spindle organization   • mitotic cell cycle   • cellular component organization   • cell cycle   • cellular component organization or biogenesis   • regulation of cell cycle   • microtubule cytoskeleton organization involved in mitosis   • spindle organization   • cell cycle process   • regulation of cell cycle process   • regulation of microtubule-based process   • regulation of spindle organization   • regulation of organelle organization   • mitotic spindle organization   • organelle organization   • mitotic cell cycle process   • microtubule-based process   • cytoskeleton organization   • regulation of microtubule cytoskeleton organization   • positive regulation of protein localization to cell periphery   • protein localization to cell periphery   • positive regulation of protein localization to cell cortex   • regulation of protein localization to cell periphery   • regulation of protein localization to cell cortex   • positive regulation of protein localization   • protein localization to cell cortex   • response to ketone   • response to prostaglandin   • response to lipid   • response to alcohol   • response to prostaglandin E   • cellular response to forskolin   • cellular response to oxygen-containing compound   • cellular response to chemical stimulus   • cellular response to alcohol   • response to forskolin   • cellular response to lipid   • cellular response to ketone   • midbody   • nucleus   • membrane-enclosed lumen   • intracellular membraneless organelle   • nucleolus   • intracellular organelle lumen   • organelle lumen   • membraneless organelle   • nuclear lumen   • cell periphery   • cell cortex   • protein-containing complex   • extrinsic component of plasma membrane   • catalytic complex   • plasma membrane protein complex   • cytoplasmic side of membrane   • membrane   • plasma membrane   • membrane protein complex   • heterotrimeric G-protein complex   • side of membrane   • cytoplasmic side of plasma membrane   • GTPase complex   • extrinsic component of membrane   • extrinsic component of cytoplasmic side of plasma membrane   • extracellular exosome   • extracellular vesicle   • extracellular organelle   • extracellular membrane-bounded organelle   • centrosome   • microtubule organizing center   • cytoskeleton   • microtubule cytoskeleton   • centriolar satellite   • cytosol   • nucleoplasm   • vacuolar membrane   • lytic vacuole   • vacuole   • lytic vacuole membrane   • bounding membrane of organelle   • lysosomal membrane   • organelle membrane   • lysosome   • Golgi apparatus   • cilium   • ciliary basal body   • enzyme binding   • GTPase binding   • signaling receptor complex adaptor activity   • protein-macromolecule adaptor activity   • molecular adaptor activity   • signaling adaptor activity   • multicellular organismal process   • system process   • sensory perception of chemical stimulus   • sensory perception   • nervous system process   • sensory perception of taste   • developmental process   • sensory organ development   • eye development   • animal organ development   • retina development in camera-type eye   • visual system development   • multicellular organism development   • camera-type eye development   • anatomical structure development   • sensory system development   • system development   • cell population proliferation   • cellular response to prostaglandin stimulus   • cellular response to endogenous stimulus   • cellular response to prostaglandin E stimulus   • cellular response to hormone stimulus   • small GTPase-mediated signal transduction   • Ras protein signal transduction   • intracellular signal transduction   • intracellular signaling cassette   • phospholipase C-activating G protein-coupled receptor signaling pathway   • cellular response to nitrogen compound   • response to dopamine   • cellular response to dopamine   • response to monoamine   • response to catecholamine   • adenylate cyclase-activating dopamine receptor signaling pathway   • cellular response to catecholamine stimulus   • G protein-coupled dopamine receptor signaling pathway   • adenylate cyclase-activating G protein-coupled receptor signaling pathway   • cellular response to monoamine stimulus   • synaptic signaling   • cellular response to acetylcholine   • acetylcholine receptor signaling pathway   • postsynaptic signal transduction   • G protein-coupled acetylcholine receptor signaling pathway   • response to acetylcholine   • non-motile cilium   • 9+0 non-motile cilium   • photoreceptor disc membrane   • photoreceptor outer segment   • photoreceptor cell cilium   • G-protein beta-subunit binding   • fibroblast proliferation   • molecular transducer activity   • G protein-coupled receptor activity   • transmembrane signaling receptor activity   • signaling receptor activity   • peptide receptor activity   • G protein-coupled peptide receptor activity   • neuropeptide receptor activity   • opioid receptor binding   • neuropeptide signaling pathway   • detection of stimulus   • response to abiotic stimulus   • detection of abiotic stimulus   • regulation of signal transduction   • regulation of MAPK cascade   • regulation of intracellular signal transduction   • regulation of response to stimulus   • MAPK cascade   • actin cytoskeleton
SCOP2Domain Identifier• Ras-like P-loop GTPases   • Transducin (heterotrimeric G protein), gamma chain
SCOP2Family Identifier• Ras-like P-loop GTPases   • Transducin (heterotrimeric G protein), gamma chain
Membrane Protein Annotations-• Orientations of Proteins in Membranes database (OPM)   • Protein Data Bank of Transmembrane Proteins (PDBTM)   • MemProtMD


Details about the values in these tables can be found in the corresponding documentation page .
CodeNH2
PDB ResiduesL:L:?12
Environment DetailsOpen EMBL-EBI Page
CodeNH2
NameAMINO GROUP
Synonyms
Identifier
FormulaH2 N
Molecular Weight16.023
SMILES
PubChem123329
Formal Charge0
Total Atoms3
Total Chiral Atoms0
Total Bonds2
Total Aromatic Bonds0

PDBsumOpen PDBsum Page
ChainA
ProteinG Protein α Sub unit
UniProtP63096
Sequence
>9JFY_Chain_A
CTLSAEDKA AVERSKMID RNLREDGEK AAREVKLLL LGTGIVETH 
FTFKDLHFK MFDVGGQRS ERKKWIHCF EGVTAIIFC VALSDYDLV 
LNRMHESMK LFDSICNNK WFTDTSIIL FLNKKDLFE EKIKKSPLT 
ICYPEYAGS NTYEEAAAY IQCQFEDLN KRKDTKEIY THFTCATDT 
KNVQFVFDA VTDVIIKNN LKDCGLF


Click on each residue to open a popup with some information about it.

ConSurf Conservation Grade (See documentation): 

 n/a   1    2    3    4    5    6    7    8    9  

ChainB
ProteinG Protein β Sub unit
UniProtP62873
Sequence
>9JFY_Chain_B
QLRQEAEQL KNQIRDARK ACADATLSQ ITNNIDPVG RIQMRTRRT 
LRGHLAKIY AMHWGTDSR LLVSASQDG KLIIWDSYT TNKVHAIPL 
RSSWVMTCA YAPSGNYVA CGGLDNICS IYNLKTREG NVRVSRELA 
GHTGYLSCC RFLDDNQIV TSSGDTTCA LWDIETGQQ TTTFTGHTG 
DVMSLSLAP DTRLFVSGA CDASAKLWD VREGMCRQT FTGHESDIN 
AICFFPNGN AFATGSDDA TCRLFDLRA DQELMTYSH DNIICGITS 
VSFSKSGRL LLAGYDDFN CNVWDALKA DRAGVLAGH DNRVSCLGV 
TDDGMAVAT GSWDSFLKI WN


Click on each residue to open a popup with some information about it.

ConSurf Conservation Grade (See documentation): 

 n/a   1    2    3    4    5    6    7    8    9  

ChainG
ProteinG Protein γ Sub unit
UniProtP59768
Sequence
>9JFY_Chain_G
IAQARKLVE QLKMEANID RIKVSKAAA DLMAYCEAH AKEDPLLTP 
VPASENPFR


Click on each residue to open a popup with some information about it.

ConSurf Conservation Grade (See documentation): 

 n/a   1    2    3    4    5    6    7    8    9  

ChainR
ProteinReceptor
UniProtQ9Y5X5
Sequence
>9JFY_Chain_R
INITYVNYY LHQPQVAAI FIISYFLIF FLCMMGNTV VCFIVMRNK 
HMHTVTNLF ILNLAISDL LVGIFCMPI TLLDNIIAG WPFGNTMCK 
ISGLVQGIS VAASVFTLV AIAVDRFQC VVYPFKPKL TIKTAFVII 
MIIWVLAIT IMSPSAVML HVQEEKYYR VRLNSQNKT SPVYWCRED 
WPNQEMRKI YTTVLFANI YLAPLSLIV IMYGRIGIS LFRVVSRKK 
QKIIKMLLI VALLFILSW LPLWTLMML SDYADLSPN ELQIINIYI 
YPFAHWLAF GNSSVNPII YGFFNENFR R


Click on each residue to open a popup with some information about it.

ConSurf Conservation Grade (See documentation): 

 n/a   1    2    3    4    5    6    7    8    9  




This receptor, from the same or other species and bound to the same or other ligands, is also present in the following networks:
Show PDB Class SubFamily Type SubType Species Orthosteric Ligand Other Ligand(s) Protein Partners Resolution Date DOI
9JFYAPeptideNeuropeptide FFNPFF2Homo sapienshNPSF-Gi1/β1/γ23.212025-04-09doi.org/10.1038/s44319-025-00428-2
9JFY (No Gprot) APeptideNeuropeptide FFNPFF2Homo sapienshNPSF-3.212025-04-09doi.org/10.1038/s44319-025-00428-2
9JG0APeptideNeuropeptide FFNPFF2Homo sapiens---2.912025-04-09doi.org/10.1038/s44319-025-00428-2
9M1OAPeptideNeuropeptide FFNPFF2Homo sapiensMorphine-Modulating Neuropeptide B-Gi1/β1/γ22.492025-07-23doi.org/10.1016/j.celrep.2025.116160
9M1O (No Gprot) APeptideNeuropeptide FFNPFF2Homo sapiensMorphine-Modulating Neuropeptide B-2.492025-07-23doi.org/10.1016/j.celrep.2025.116160
9M54APeptideNeuropeptide FFNPFF2Homo sapiensNeuropeptide VF-Gi1/β1/γ23.242025-07-23doi.org/10.1016/j.celrep.2025.116160
9M54 (No Gprot) APeptideNeuropeptide FFNPFF2Homo sapiensNeuropeptide VF-3.242025-07-23doi.org/10.1016/j.celrep.2025.116160




You can download a compressed (zip) file with structure(s), 3D outputs (as PyMol and VMD scripts) and numerical data files (as csv and plain text files).

Download 9JFY.zip



You can click to copy the link of this page to easily come back here later

or use this QR code to link and share this page.



You can also  read or  download a guide explaining the meaning of all files and numerical data.