Color ConSurf Grade
      No Conservation data available
      1
      2
      3
      4
      5
      6
      7
      8
      9

Index: hub id, click on each number to highlight the corresponding hub in the 3D visualization.

Hub: the hub being considered.

Avg Int. Strength: the average interaction strength of all the links of the corresponding hub.

Num Of Links: the number of links of the corresponding hub.

Community: the id of the community the link belong to, otherwise 0.

ConSurf: this column reports the ConSurf conservation grades of each hub.

Index Hub Avg Int. Strength Num Of Links Community ConSurf
1A:A:V34 6.2025485
2A:A:K35 7.77419
3A:A:K46 5.674559
4A:A:F191 10.6475485
5A:A:F196 8.5725487
6A:A:K197 11.5625416
7A:A:F199 9.11515
8A:A:Q204 7.4225419
9A:A:S206 6.4625418
10A:A:R208 5.7509
11A:A:K210 6.555619
12A:A:W211 6.12833619
13A:A:F215 7.93333619
14A:A:Y230 4.97286778
15A:A:F250 7.572509
16A:A:I253 5.235408
17A:A:C254 4.785495
18A:A:W258 8.52615
19A:A:F259 7.7145159
20A:A:I265 4.07458
21A:A:F267 6.26559
22A:A:N269 4.522559
23A:A:F274 5.276579
24A:A:L283 6.25577
25A:A:Y287 7.21777
26A:A:Y290 9.658577
27A:A:Y296 10.1725404
28A:A:Y302 6.766576
29A:A:F307 7.625408
30A:A:N311 7.14498
31A:A:Y320 9.55457
32A:A:T324 7.8575459
33A:A:N331 8.8558
34A:A:F336 7.468588
35A:A:F354 7.275405
36B:B:L7 2.96408
37B:B:R48 10.5475437
38B:B:H54 10.5154119
39B:B:Y59 8.76333618
40B:B:M61 4.71436
41B:B:W63 9.698537
42B:B:K78 4.5675408
43B:B:L79 4.676127
44B:B:I80 7.8454118
45B:B:N88 6.295407
46B:B:K89 8.306676119
47B:B:H91 6.575405
48B:B:I93 5.405407
49B:B:L95 4.8345128
50B:B:W99 8.15556919
51B:B:Y105 4.85606
52B:B:Y111 8.52254134
53B:B:V112 5.50254128
54B:B:C114 3.57254128
55B:B:N119 6.0225409
56B:B:I123 4.3425136
57B:B:Y124 4.988336126
58B:B:L126 4.93405
59B:B:L139 9.15409
60B:B:H142 7.35857719
61B:B:Y145 6.69875818
62B:B:C149 4.132518
63B:B:F151 6.59509
64B:B:L152 4.875403
65B:B:D154 6.85254136
66B:B:I157 5.6625417
67B:B:T159 5.38167619
68B:B:S160 5.5475466
69B:B:D163 10.2025419
70B:B:C166 4.235468
71B:B:L168 4.056566
72B:B:W169 10.845618
73B:B:Q176 7.27414
74B:B:F180 9.436567
75B:B:H183 10.738569
76B:B:D186 6.7875419
77B:B:V187 4.426569
78B:B:F199 9.0625469
79B:B:S201 4.645469
80B:B:C204 5.625417
81B:B:D205 6.6425469
82B:B:K209 12.46466
83B:B:W211 10.024568
84B:B:D212 7.23409
85B:B:Q220 8.97547
86B:B:F222 10.595448
87B:B:H225 9.65167649
88B:B:D228 7.704519
89B:B:I232 5.8625448
90B:B:F235 7.198577146
91B:B:P236 7.11254147
92B:B:F241 9.372546
93B:B:D246 7.88419
94B:B:D247 6.9625449
95B:B:T249 6.78446
96B:B:R251 12.98548
97B:B:F253 8.566546
98B:B:D258 9.39667647
99B:B:T263 6.29441
100B:B:Y264 5.43667605
101B:B:I269 5.3025414
102B:B:C271 4.408515
103B:B:F278 8.3554147
104B:B:R283 8.5885179
105B:B:L285 5.286506
106B:B:L286 5.18254187
107B:B:Y289 7.19286717
108B:B:N295 8.52516
109B:B:W297 8.0025418
110B:B:R304 8.52415
111B:B:H311 8.133336109
112B:B:R314 13.0775418
113B:B:M325 5.52667635
114B:B:W332 11.3943719
115B:B:D333 7.5554109
116B:B:K337 6.135106
117B:B:I338 5.4435
118B:B:W339 9.7385109
119B:B:N340 8.1625439
120G:G:I25 6.9575442
121G:G:R27 5.786548
122G:G:I28 6.2125404
123G:G:Y40 12.95254146
124G:G:D48 7.01439
125G:G:P49 4.7825437
126G:G:L51 3.226506
127G:G:V54 3.6175436
128G:G:N59 8.2825439
129G:G:P60 7.5325439
130G:G:F61 5.3075838
131L:L:?1 8.721181720
132R:R:Y29 5.118508
133R:R:F33 6.6407
134R:R:N40 5.1854199
135R:R:F47 7.12627
136R:R:F56 8.4725428
137R:R:Y59 7.808527
138R:R:L60 7.49428
139R:R:I63 5.1325409
140R:R:D67 6.224199
141R:R:F74 5.55528
142R:R:R95 4.4225408
143R:R:F101 5.83167627
144R:R:Y102 8.55625
145R:R:I109 6.735428
146R:R:F111 7.10286728
147R:R:F112 7.53167629
148R:R:I115 6.4975429
149R:R:S116 6.435429
150R:R:R119 7.218529
151R:R:Y120 11.0445208
152R:R:W146 9.6275429
153R:R:M149 4.5425408
154R:R:N156 5.25425
155R:R:L159 3.1525405
156R:R:Y189 5.7525404
157R:R:F191 11.38405
158R:R:F195 14.406529
159R:R:W196 6.1425424
160R:R:F199 6.8575407
161R:R:F205 8.51508
162R:R:Y206 6.44629
163R:R:K219 8.8175403
164R:R:F242 5.345629
165R:R:F246 6.6975829
166R:R:Y249 7.13571727
167R:R:H250 14.024528
168R:R:R253 8.01857726
169R:R:Y256 9.66625
170R:R:Q260 8.385423
171R:R:R274 5.4225423
172R:R:Y275 9.782522
173R:R:K277 8.554525
174R:R:L281 5.9425426
175R:R:F296 5.57727
176R:R:Q300 8.035405
177R:R:F302 7.3375429
   

Color ConSurf Grade
      No Conservation data available
      1
      2
      3
      4
      5
      6
      7
      8
      9

Index: link id, click on each number to highlight the corresponding link in the 3D visualization.

Node1 Node2: the two nodes of the corresponding link.

Recurrence: the relative Recurrence in the pool of shortest paths.

Int. Strength: the interaction strength between the two nodes.

Hub1?, Hub2?: "Yes" if the corresponding node has more than 3 links, otherwise "No".

Community: the id of the community the link belong to, otherwise 0.

ConSurf1, ConSurf2: these columns report the ConSurf conservation grades of the two nodes involved in a link.

Index Node1 Node2 Recurrence Int. Strength Hub1? Hub2? Community ConSurf1 ConSurf2
1B:B:L51 B:B:W82 11.203726.19NoNo099
2B:B:I338 B:B:L51 14.19454.28YesNo059
3B:B:I338 B:B:W63 23.71793.52YesYes357
4B:B:L70 B:B:W63 18.342423.92NoYes357
5B:B:L70 B:B:M61 18.50015.65NoYes356
6B:B:C317 B:B:M61 37.30256.48NoYes076
7B:B:C317 B:B:S316 37.61273.44NoNo079
8B:B:S316 B:B:W332 37.77254.94NoYes099
9B:B:A328 B:B:W63 18.34245.19NoYes357
10B:B:A328 B:B:M61 18.50013.22NoYes356
11A:A:W258 B:B:W332 37.44914.69YesYes159
12A:A:I212 A:A:W258 73.64173.52NoYes085
13A:A:I212 A:A:R208 49.21465.01NoYes089
14A:A:L249 A:A:R208 35.51243.64NoYes099
15A:A:F223 A:A:L249 35.54546.09NoNo099
16A:A:F223 A:A:F250 99.920912.86NoYes099
17A:A:F250 A:A:F307 99.62676.43YesYes098
18A:A:F307 A:A:L266 96.83294.87YesNo089
19A:A:L266 A:A:L268 97.07058.3NoNo098
20A:A:L227 A:A:L268 97.35798.3NoNo078
21A:A:F274 A:A:L227 97.29528.53YesNo797
22A:A:F274 A:A:Y296 1003.09YesYes094
23A:A:K271 A:A:Y296 99.97229.55NoYes054
24A:A:C325 A:A:K271 99.96518.08NoNo075
25A:A:C325 A:A:D328 99.94366.22NoNo079
26A:A:D328 A:A:T324 50.19447.23NoYes599
27A:A:F267 A:A:T324 49.375.19YesYes599
28A:A:F267 A:A:I265 99.1123.77YesYes598
29A:A:I265 A:A:Y320 98.72944.84YesYes587
30A:A:I253 A:A:R208 35.55826.26YesYes089
31A:A:F223 A:A:I253 64.37753.77NoYes098
32A:A:F259 A:A:I212 24.6225.02YesNo098
33A:A:F259 A:A:I253 24.78483.77YesYes098
34A:A:D328 A:A:N331 49.74188.08NoYes598
35A:A:F267 A:A:N331 49.44338.46YesYes598
36A:A:F215 B:B:W99 10.143718.04YesYes199
37A:A:R208 A:A:W211 21.92217YesYes099
38A:A:W211 B:B:Y145 13.03165.79YesYes198
39A:A:F354 R:R:V227 95.487310.49YesNo055
40R:R:N223 R:R:V227 95.67064.43NoNo015
41A:A:E318 R:R:N223 95.762211.83NoNo041
42A:A:E318 A:A:Y320 95.945320.2NoYes047
43A:A:F354 A:A:K349 94.47489.93YesNo055
44A:A:K349 R:R:Q300 94.296.78NoYes055
45R:R:P301 R:R:Q300 93.73433.16NoYes065
46R:R:C299 R:R:P301 93.64155.65NoNo086
47R:R:C299 R:R:L60 93.54863.17NoYes088
48B:B:L286 B:B:V327 16.46745.96YesNo076
49B:B:V320 B:B:V327 16.17344.81NoNo076
50B:B:S277 B:B:V320 16.00584.85NoNo057
51B:B:C233 B:B:S277 15.83813.44NoNo035
52B:B:C233 B:B:S191 15.67043.44NoNo038
53B:B:F234 B:B:S191 15.50267.93NoNo058
54B:B:F234 B:B:V200 14.494613.11NoNo056
55B:B:F241 B:B:V200 12.620914.42YesNo466
56B:B:F222 B:B:F241 10.751913.93YesYes486
57B:B:G162 B:B:Y145 12.40758.69NoYes198
58B:B:G162 B:B:S161 12.30413.71NoNo199
59B:B:H142 B:B:S161 11.58313.95YesNo199
60B:B:D290 B:B:R314 12.813921.44NoYes168
61B:B:C271 B:B:D290 12.46897.78YesNo156
62B:B:C271 B:B:Y289 11.60924.03YesYes157
63B:B:R314 B:B:T274 23.77363.88YesNo088
64B:B:S275 B:B:T274 23.60743.2NoNo088
65B:B:L286 B:B:L318 20.34984.15YesNo1876
66B:B:L318 B:B:S275 23.44676.01NoNo068
67R:R:F296 R:R:L60 83.66256.09YesYes278
68R:R:F296 R:R:I63 82.69755.02YesYes079
69R:R:F111 R:R:I63 16.93053.77YesYes089
70R:R:F191 R:R:M149 15.55156.22YesYes058
71L:L:?1 R:R:F191 22.12936.01YesYes005
72R:R:F112 R:R:I63 63.01067.54YesYes099
73R:R:F112 R:R:F246 61.14443.22YesYes299
74R:R:F246 R:R:H250 34.71963.39YesYes298
75R:R:H250 R:R:Y249 26.837814.16YesYes287
76R:R:Y102 R:R:Y249 17.81594.96YesYes257
77L:L:?1 R:R:Y102 14.997726.59YesYes205
78R:R:F246 R:R:S284 26.49515.28YesNo098
79R:R:S284 R:R:Y249 26.38193.82NoYes087
80R:R:R253 R:R:Y249 25.036811.32YesYes267
81L:L:?1 R:R:R253 14.90998.99YesYes206
82L:L:?1 R:R:N156 13.44975.42YesYes205
83L:L:?1 R:R:R274 10.92794.79YesYes203
84R:R:N156 R:R:W183 11.76964.52YesNo052
85R:R:P155 R:R:W183 10.929312.16NoNo072
86A:A:W258 B:B:R314 35.15855YesYes158
Download PSN data

2D representation of the global metapath, ligand(s) interactions and
histograms of path distribution according to several parameters
(click on the image to enlarge it 🔍):

A 2D representation of the global communication in the network.

ConSurf Conservation Grade (See documentation): 

 n/a   1    2    3    4    5    6    7    8    9  

Number of shortest communication paths as a function of the average residue correlation.

Number of shortest communication paths as a function of the average interaction strength of their links.

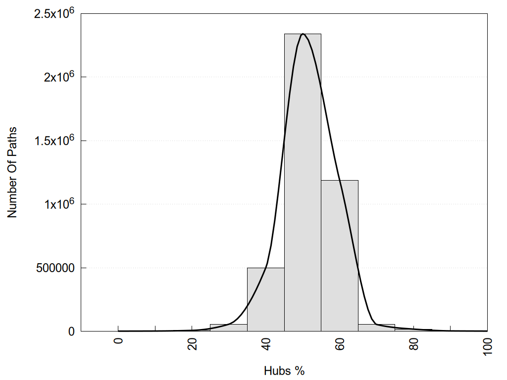
Number of shortest communication paths as a function of the % of hub nodes in each path.

Number of shortest communication paths as a function of the number of nodes in each path.

Number of shortest communication paths as a function of the % of correlated nodes in each path.


2D representation of the interactions of this orthosteric/allosteric ligand.


Links and nodes colored according to ConSurf Conservation Grade (See documentation): 

 n/a   1    2    3    4    5    6    7    8    9  

Node1 Node2 LinkStrength Comm IsNode1Hub? IsNode2Hub? Node1Cons Node2Cons Node1Shell Node2Shell
L:L:?1 R:R:K77 13.91 2 Yes No 0 7 0 1
L:L:?1 R:R:N90 4.74 2 Yes No 0 7 0 1
L:L:?1 R:R:V93 4.41 2 Yes No 0 6 0 1
L:L:?1 R:R:A98 3.88 2 Yes No 0 6 0 1
L:L:?1 R:R:V99 5.14 2 Yes No 0 6 0 1
L:L:?1 R:R:Y102 26.59 2 Yes Yes 0 5 0 1
L:L:?1 R:R:N156 5.42 2 Yes Yes 0 5 0 1
L:L:?1 R:R:C172 11.74 2 Yes No 0 9 0 1
L:L:?1 R:R:K176 6.26 2 Yes No 0 4 0 1
L:L:?1 R:R:H184 16.48 2 Yes No 0 3 0 1
L:L:?1 R:R:N188 6.09 2 Yes No 0 4 0 1
L:L:?1 R:R:F191 6.01 2 Yes Yes 0 5 0 1
L:L:?1 R:R:R253 8.99 2 Yes Yes 0 6 0 1
L:L:?1 R:R:Y256 6.94 2 Yes Yes 0 5 0 1
L:L:?1 R:R:Q260 8.53 2 Yes Yes 0 3 0 1
L:L:?1 R:R:R274 4.79 2 Yes Yes 0 3 0 1
L:L:?1 R:R:K277 8.34 2 Yes Yes 0 5 0 1
R:R:Q16 R:R:T21 4.25 2 No No 3 4 2 2
R:R:Q16 R:R:R274 3.5 2 No Yes 3 3 2 1
R:R:R274 R:R:T21 5.17 2 Yes No 3 4 1 2
R:R:D81 R:R:K77 12.44 0 No No 5 7 2 1
R:R:E278 R:R:K77 5.4 0 No No 5 7 2 1
R:R:I170 R:R:N90 14.16 0 No No 3 7 2 1
R:R:S97 R:R:V93 6.46 0 No No 5 6 2 1
R:R:C172 R:R:C94 5.46 0 No No 9 9 1 2
R:R:I157 R:R:V99 7.68 0 No No 5 6 2 1
R:R:F101 R:R:Y102 6.19 2 Yes Yes 7 5 2 1
R:R:F101 R:R:L281 8.53 2 Yes Yes 7 6 2 2
R:R:Y102 R:R:Y249 4.96 2 Yes Yes 5 7 1 2
R:R:R253 R:R:Y102 4.12 2 Yes Yes 6 5 1 1
R:R:K277 R:R:Y102 3.58 2 Yes Yes 5 5 1 1
R:R:L281 R:R:Y102 5.86 2 Yes Yes 6 5 2 1
R:R:F191 R:R:Y106 24.76 0 Yes No 5 8 1 2
R:R:F191 R:R:M149 6.22 0 Yes Yes 5 8 1 2
R:R:F191 R:R:L152 8.53 0 Yes No 5 5 1 2
R:R:N156 R:R:W183 4.52 2 Yes No 5 2 1 2
R:R:H184 R:R:N156 5.1 2 No Yes 3 5 1 1
R:R:N156 R:R:S187 5.96 2 Yes No 5 4 1 2
R:R:K176 R:R:T160 12.01 0 No No 4 5 1 2
R:R:I173 R:R:Q260 6.86 0 No Yes 4 3 2 1
R:R:H184 R:R:S187 4.18 2 No No 3 4 1 2
R:R:N188 R:R:R253 16.87 2 No Yes 4 6 1 1
R:R:N188 R:R:T257 7.31 2 No No 4 5 1 2
R:R:R253 R:R:Y249 11.32 2 Yes Yes 6 7 1 2
R:R:L281 R:R:Y249 5.86 2 Yes Yes 6 7 2 2
R:R:R253 R:R:Y256 5.14 2 Yes Yes 6 5 1 1
R:R:Q260 R:R:R253 3.5 2 Yes Yes 3 6 1 1
R:R:K277 R:R:R253 6.19 2 Yes Yes 5 6 1 1
R:R:S259 R:R:Y256 5.09 0 No Yes 3 5 2 1
R:R:Q260 R:R:Y256 14.65 2 Yes Yes 3 5 1 1
R:R:R274 R:R:Y256 8.23 2 Yes Yes 3 5 1 1
R:R:K277 R:R:Y256 17.91 2 Yes Yes 5 5 1 1
R:R:E278 R:R:K277 6.75 0 No Yes 5 5 2 1
R:R:A153 R:R:V99 1.7 0 No No 7 6 2 1

Location and physicochemical properties of the interaction partners of this ligand

Interactions of this ligand

Similarities between the interactions of this ligand and those of other networks

ShowSimilarityNetwork TypeNameLigandDescription
76.47Single9YDVMRS29059YDV-P2Y14-MRS2905-Gi1/β1/γ2
75.00Single9J0FNADH9J0F-P2Y14-NADH-Gi1/β1/γ2
72.22Single4PXZ2MeSADP4PXZ-P2Y12-2MeSADP
72.22Single4PY02MeSATP4PY0-P2Y12-2MeSATP
72.22Single9YDUUDP-Glucose9YDU-P2Y14-UDP-Glucose-Gi1/β1/γ2
68.42Single9J0BUDP-Glucose9J0B-P2Y14-UDP-Glucose-Gi1/β1/γ2
63.16Single7XXI2MeSADP7XXI-P2Y12-2MeSADP-Gi2/β1/γ2
63.16Consensusgi_p2yOrthosteric Ligand7XXI-P2Y12-2MeSADP-Gi2/β1/γ2
63.16Consensusp2y12_on_gpOrthosteric Ligand7XXI-P2Y12-2MeSADP-Gi2/β1/γ2
57.89Consensusp2y12_onOrthosteric Ligand7XXI-P2Y12-2MeSADP-Gi2/β1/γ2
48.00Consensusp2y_on_gpOrthosteric Ligandp2y1_on_gp p2y10_on_gp p2y12_on_gp
47.83Consensusgi_nucleotideOrthosteric Ligandgi_adenosine gi_p2y
47.83Consensusp2y_onOrthosteric Ligandp2y1_on p2y10_on p2y12_on
45.83Single8F7WDynorphin8F7W-κ-Dynorphin-Gi1/β1/γ2
45.45Single8ZPLHF511168ZPL-CXCR4-HF51116
43.48Single7Y1FDynorphin7Y1F-κ-Dynorphin-Gi1/β1/γ2
43.48Consensusdop_onOrthosteric Ligand8F7S-δ-Deltorphin-Gi1/β1/γ2
42.86Single8XBIPubChem 1626566368XBI-GPR34-PubChem 162656636
42.11Single8K4NPubChem 1687197658K4N-GPR34-PubChem 168719765-Gi1/β1/γ2
41.67Single8XBHPubChem 1626566368XBH-GPR34-PubChem 162656636-Gi1/β1/γ2
40.91Single9ECJS-geranylgeranyl-L-glutathione9ECJ-P2Y8-S-geranylgeranyl-L-glutathione-G13/β1/γ2
40.00Single8F7SDeltorphin8F7S-δ-Deltorphin-Gi1/β1/γ2
40.00Single9L60Dynorphin9L60-κ-Dynorphin-MPAM-15-Gi1/β1/γ2
40.00Consensusdop_on_gpOrthosteric Ligand8F7S-δ-Deltorphin-Gi1/β1/γ2
39.29Single8XQFApelin-138XQF-Apelin-Apelin-13-Gi1/β1/γ2
38.46Single7MBXCholecystokinin-87MBX-CCKA-Cholecystokinin-8-Gs/β1/γ1
38.10Single4NTJAZD12834NTJ-P2Y12-AZD1283
38.10Single7VV4Cortistatin-147VV4-MRGPRX2-Cortistatin-14
38.10Single8IZ4Lysophosphatidylserine (TJR)8IZ4-GPR34-Lysophosphatidylserine (TJR)-Gi1/β1/γ2
37.93Single8FEG(DNCP)-Beta-Naloxamine8FEG-κ-(DNCP)-β-Naloxamine-Gi1/β1/γ2
37.93Single9KDFRES-701-39KDF-ETB-RES-701-3
37.50Single8SAILysophosphatidylserine (S12)8SAI-GPR34-Lysophosphatidylserine (S12)-Gi1/β1/γ2
37.50Single9KZ8EP679KZ8-C3aB-EP67-Go/β1/γ2
37.04Single8XWQEndothelin-18XWQ-ETB-Endothelin-1-Gi1/β1/γ2
36.36Single6DDEDAMGO6DDE-μ-DAMGO-Gi1/β1/γ2
36.36Single7S8MCortistatin-147S8M-MRGPRX2-Cortistatin-14-Gi1/β1/γ2
36.36Single7Y24Octreotide7Y24-SST2-Octreotide-Go/β1/γ2
36.36Single7YU7ONO-07405567YU7-LPA1-ONO-0740556-Gi1/β1/γ2
36.36Single8ID6Oleic acid8ID6-FFA4-Oleic acid-Gi1/β1/γ2
36.36Single8JSRAnamorelin8JSR-Ghrelin-Anamorelin-chim(NtGi1-Gs-CtGq)/β1/γ2
36.36Single9UY3Anamorelin9UY3-Ghrelin-Anamorelin-chim(NtGi1-Gs-CtGq)/β1/γ2
36.36Consensusffa_onOrthosteric Ligandffa2_on ffa3_on
36.36Consensusffa_on_gpOrthosteric Ligandffa2_on_gp ffa3_on_gp
36.36Consensusgi_ffaOrthosteric Ligand8J21-FFA3-Butyric acid-Gi1/β1/γ2 8J22-FFA2-TUG-1375-Gi1/β1/γ2
36.00Single7F4ISHU91197F4I-MC1-SHU9119-chim(NtGi1-Gs)/β1/γ2
36.00Single8F7XNociceptin8F7X-NOP-Nociceptin-Gi1/β1/γ2
36.00Single8WKYPG-9348WKY-MC4-PG-934
36.00Consensusnop_onOrthosteric Ligand8F7X-NOP-Nociceptin-Gi1/β1/γ2
36.00Consensusnop_on_gpOrthosteric Ligand8F7X-NOP-Nociceptin-Gi1/β1/γ2
35.71Single7F6HBradykinin7F6H-BK2-Bradykinin-Gq/β1/γ2
35.71Single8XVIEndothelin-18XVI-ETA-Endothelin-1-chim(Gs-CtGq)/β1/γ2
35.71Single8ZRTEndothelin-18ZRT-ETB-Endothelin-1
35.71Consensusopioid_onOrthosteric Ligandmop_on nop_on dop_on kop_on
35.00Single8K9LDAMGO8K9L-μ-DAMGO-BMS-986122-Gi3/β1/γ1
34.78Single8WRBLysophosphatidylserine (UBL)8WRB-GPR34-Lysophosphatidylserine (UBL)-Gi1/β1/γ2
34.78Single9IZHLPA9IZH-LPA1-LPA-chim(NtGi2-G13)/β1/γ2
34.78Single9YDQDADLE9YDQ-δ-DADLE-MIPS3614-chim(NtGi1L-Gs-CtGi1)/β1/γ2
34.78Consensusffa2_on_gpOrthosteric Ligand8J22-FFA2-TUG-1375-Gi1/β1/γ2
34.78Consensusgi_lipidOrthosteric Ligandgi_cannabinoid gi_ffa gi_leukotriene gi_lpa gi_s1p
34.62Single7XMSSomatostatin-147XMS-SST4-Somatostatin-14-Gi1/β1/γ2
34.62Single8F7QBeta-Endorphin8F7Q-μ-β-Endorphin-Gi1/β1/γ2
34.62Single8XYDPlatelet Activating Factor8XYD-PAF-Platelet Activating Factor-Gi1/β1/γ2
34.48Single8XVEBQ30208XVE-ETB-BQ3020-chim(Gs-CtGq)/β1/γ2
34.48Consensusgi_peptideOrthosteric Ligandgi_cck gi_apelin gi_compl-pept gi_endothelin gi_formylpeptide gi_galanin gi_ghrelin gi_npy gi_neurotensin gi_opioid gi_orexin gi_relaxin gi_somatostatin
34.48Consensusopioid_on_gpOrthosteric Ligandmop_on_gp nop_on_gp dop_on_gp kop_on_gp
33.33Single3OE0CVX153OE0-CXCR4-CVX15
33.33Single6DDFDAMGO6DDF-μ-DAMGO-Gi1/β1/γ2
33.33Single7NA8Ibutamoren7NA8-Ghrelin-Ibutamoren-Gi1/β1/γ2
33.33Single7XATSomatostatin-147XAT-SST2-Somatostatin-14-Gi1/β1/γ2
33.33Single7YU8ONO-07405567YU8-LPA1-ONO-0740556-Gi1/β1/γ2
33.33Single8IYSTUG-8918IYS-FFA4-TUG-891-GDP-chim(NtGi1L-Gq)/β1/γ2
33.33Single8J21Butyric acid8J21-FFA3-Butyric acid-Gi1/β1/γ2
33.33Single8K6MNeuropeptide-Y8K6M-Y1-Neuropeptide-Y-Gi2/β1/γ1
33.33Single8WRZAM8418WRZ-CB1-AM841-Arrestin2
33.33Single8XBES3E-Lysophosphatidylserine 8XBE-GPR34-S3E-Lysophosphatidylserine-Gi1/β1/γ1
33.33Single8XBGS3E-Lysophosphatidylserine 8XBG-GPR34-S3E-Lysophosphatidylserine
33.33Single8XIRPasireotide8XIR-SST3-Pasireotide-chim(NtGi1-Gs-CtGi1)/β1/γ2
33.33Single8XWPEndothelin-18XWP-ETB-Endothelin-1-Gi1/β1/γ2
33.33Single9GE3Lysophosphatidylinositol9GE3-GPR55-Lysophosphatidylinositol-chim(NtGi1-G13)/β1/γ2
33.33Single9MEUCXCL129MEU-CXCR4-CXCL12
33.33Single9YDPDADLE9YDP-δ-DADLE-chim(NtGi1L-Gs-CtGi1)/β1/γ2
33.33Single9YDRDADLE9YDR-δ-DADLE-MIPS3983-chim(NtGi1L-Gs-CtGi1)/β1/γ2
33.33Consensusffa3_onOrthosteric Ligand8J21-FFA3-Butyric acid-Gi1/β1/γ2
33.33Consensusffa3_on_gpOrthosteric Ligand8J21-FFA3-Butyric acid-Gi1/β1/γ2
33.33Consensusgs_cckOrthosteric Ligand7MBX-CCKA-Cholecystokinin-8-Gs/β1/γ1
33.33Consensusnpy1_onOrthosteric Ligand8K6M-Y1-Neuropeptide-Y-Gi2/β1/γ1
33.33Consensusnpy1_on_gpOrthosteric Ligand8K6M-Y1-Neuropeptide-Y-Gi2/β1/γ1
33.33Consensusnucleotide_offonOrthosteric Ligandnucleotide_off nucleotide_on
33.33Consensusnucleotide_offon_gpOrthosteric Ligandnucleotide_on_gp nucleotide_off
33.33Consensusnucleotide_on_gpOrthosteric Ligandadenosine_on_gp p2y_on_gp
33.33Consensuspeptide_offonOrthosteric Ligandpeptide_off peptide_on
32.26Single6IGLIRL16206IGL-ETB-IRL1620
32.26Single8IY6Endothelin-18IY6-ETB-Endothelin-1
32.26Consensusbk2_onOrthosteric Ligand7F6H-BK2-Bradykinin-Gq/β1/γ2 7F6I-BK2-Kallidin-Gq/β1/γ2
32.26Consensusbk2_on_gpOrthosteric Ligand7F6H-BK2-Bradykinin-Gq/β1/γ2 7F6I-BK2-Kallidin-Gq/β1/γ2
32.26Consensusbradykinin_onOrthosteric Ligandbk2_on
32.26Consensusbradykinin_on_gpOrthosteric Ligandbk2_on_gp
32.26Consensusendothelin_onOrthosteric Ligandetb_on eta_on
32.26Consensusgq_bradykininOrthosteric Ligand7F6H-BK2-Bradykinin-Gq/β1/γ2 7F6I-BK2-Kallidin-Gq/β1/γ2
32.14Single8H4KGW95088H4K-FFA4-GW9508-chim(NtGi1-Gs-CtGq)/β1/γ2
32.14Single8IEDPubChem 1347468948IED-GPR156; GPR156-PubChem 134746894-Go/β1/γ2
32.14Single8ZBISomatostatin-148ZBI-SST3-Somatostatin-14-Gi1/β1/γ2
32.14Single9BKKCholecystokinin-89BKK-CCKA-Cholecystokinin-8-chim(NtGi1-Gs-CtGq)/β1/γ2
32.14Consensusgi_class-aOrthosteric Ligandgi_peptide gi_sensory gi_alicarboxylic gi_amine gi_lipid gi_nucleotide gi_protein
32.14Consensuspeptide_offon_gpOrthosteric Ligandpeptide_on_gp peptide_off
32.00Single6G79Donitriptan6G79-5-HT1B-Donitriptan-Go/β1/γ2
32.00Single6RZ6ONO-25703666RZ6-CysLT2-ONO-2570366
32.00Single7F2OBradykinin7F2O-BK2-Bradykinin-chim(NtGi1-Gs-CtGq)/β1/γ2
32.00Single8H4IDoconexent8H4I-FFA4-Doconexent-chim(NtGi1-Gs)/β1/γ2
32.00Single8J22TUG-13758J22-FFA2-TUG-1375-Gi1/β1/γ2
32.00Single8QJ2pN1628QJ2-MC4-pN162-Gs/β1/γ2
32.00Single8X3LXWD8X3L-CB2-XWD-Gi1/β1/γ2
32.00Single8Z74JN241-98Z74-Apelin; Apelin-JN241-9
32.00Single9KZ2EP679KZ2-C3aB-EP67-Go/β1/γ2
32.00Single9NS9TUG-13759NS9-FFA2-TUG-1375-PubChem 118615810-Gi1/β1/γ2
32.00Single9V2NMacimorelin9V2N-Ghrelin-Macimorelin-chim(NtGi1-Gs-CtGq)/β1/γ2
31.82Single7CFNINT-7777CFN-GPBA-INT-777-Gs/β1/γ2
31.82Single7Y26Octreotide7Y26-SST2-Octreotide-chim(NtGi2L-Gs-CtGq)/β1/γ2
31.82Single7YU3ONO-07405567YU3-LPA1-ONO-0740556-Gi1/β1/γ2
31.82Single7YU6ONO-07405567YU6-LPA1-ONO-0740556-Gi1/β1/γ2
31.82Single8ID4Linoleic acid8ID4-FFA4-Linoleic acid-Gi1/β1/γ2
31.82Single8QOTNanobody-E8QOT-μ-Nanobody-E
31.82Consensuslipid_onOrthosteric Ligandcannabinoid_on ffa_on lpl_on prostanoid_on leukotriene_on
31.82Consensuslipid_on_gpOrthosteric Ligandcannabinoid_on_gp ffa_on_gp lpl_on_gp prostanoid_on_gp leukotriene_on_gp
31.82Consensusnucleotide_onOrthosteric Ligandadenosine_on p2y_on
31.25Single5GLHEndothelin-15GLH-ETB-Endothelin-1
31.03Single7P02Substance-P7P02-NK1-Substance-P-chim(NtGi1-Gs)/β1/γ2
31.03Single7X9CPancreatic Hormone7X9C-Y4-Pancreatic Hormone-Gi1/β1/γ2
31.03Single7Y64C5a7Y64-C5a1-C5a-Gi1/β1/γ2
31.03Single8HCQEndothelin-18HCQ-ETA-Endothelin-1-chim(NtGi1-Gs-CtGq)/β1/γ2
31.03Consensuseta_onOrthosteric Ligand8HCQ-ETA-Endothelin-1-chim(NtGi1-Gs-CtGq)/β1/γ2
31.03Consensuseta_on_gpOrthosteric Ligand8HCQ-ETA-Endothelin-1-chim(NtGi1-Gs-CtGq)/β1/γ2
30.77Single6RZ8ONO-20803656RZ8-CysLT2-ONO-2080365
30.77Single7T6UCGEN-855A7T6U-FPR2-ALX-CGEN-855A-Gi1/β1/γ2
30.77Single7W2ZGhrelin7W2Z-Ghrelin-Ghrelin-Go/β1/γ2
30.77Single8DWGBAM8-228DWG-MRGPRX1-BAM8-22-ML382-chim(NtGi2L-Gs-CtGq)/β1/γ2
30.77Single8G59TUG-8918G59-FFA4-TUG-891-chim(Gi1-CtGq)/β1/γ2
30.77Single8GHVAMG3158GHV-CB1-AMG315-Gi1/β1/γ2
30.77Single8IZBLysophosphatidylserine (UBL)8IZB-GPR174-Lysophosphatidylserine (UBL)-Gs/β1/γ2
30.77Single9BKJCholecystokinin-89BKJ-CCKA-Cholecystokinin-8-chim(NtGi1-Gs-CtGq)/β1/γ2
30.77Single9MEJGp1209MEJ-CXCR4-Gp120
30.77Single9UMRC5a-pep9UMR-C5a1-C5a-pep-Go/β1/γ2
30.77Single9UYJChemerin-99UYJ-CML2-Chemerin-9-Arrestin2
30.77Consensusclass-a_on_gpOrthosteric Ligandsensory_on_gp alicarboxylic_on_gp amine_on_gp lipid_on_gp nucleotide_on_gp peptide_on_gp protein_on_gp
30.77Consensusgi_opioidOrthosteric Ligand8F7R-μ-Endomorphin-Gi1/β1/γ2 8EF5-μ-Fentanyl-Gi1/β1/γ2 7SCG-μ-FH210-Gi1/β1/γ2 7T2H-μ-Lofentanil-Gi1/β1/γ2 7T2G-μ-Mitragynine Pseudoindoxyl-Gi1/β1/γ2 8DZP-κ-momSalB-Gi1/β1/γ2 8EF6-μ-Morphine-Gi1/β1/γ2 8F7X-NOP-Nociceptin-Gi1/β1/γ2 8EFB-μ-Oliceridine-Gi1/β1/γ2 7U2L-μ-C5-guano-Gi1/β1/γ2 8EFO-μ-PZM21-Gi1/β1/γ2 8EFL-μ-SR17018-Gi1/β1/γ2 8F7Q-μ-β-Endorphin-Gi1/β1/γ2 7U2K-μ-C6-guano-Gi1/β1/γ2 8EFQ-μ-DAMGO-Gi1/β1/γ2 8F7S-δ-Deltorphin-Gi1/β1/γ2 8F7W-κ-Dynorphin-Gi1/β1/γ2
30.77Consensusmop_offOrthosteric Ligand4DKL-μ-β-Funaltrexamine 8QOT-μ-Nanobody-E 7UL4-μ-Alvimopan
30.56Consensusmc2_onOrthosteric Ligand8GY7-MC2-Corticotropin-Ca-chim(NtGi1-Gs)/β1/γ2; MRAP1
30.56Consensusmc2_on_gpOrthosteric Ligand8GY7-MC2-Corticotropin-Ca-chim(NtGi1-Gs)/β1/γ2; MRAP1
30.43Single6RZ5Zafirlukast6RZ5-CysLT1-Zafirlukast-Na
30.43Single6Z8NSRI-98296Z8N-NTS1-SRI-9829
30.43Single7FEECP559407FEE-CB1-CP55940-ZCZ011
30.43Single7WV9CP559407WV9-CB1-CP55940-ZCZ011-Gi2/β1/γ2
30.43Single7XTQR3997XTQ-GPBA-R399-Gs/β1/γ2
30.43Single7YU5ONO-07405567YU5-LPA1-ONO-0740556-Gi1/β1/γ2
30.43Single8FMZNeurotensin-(8-13)8FMZ-NTS1-Neurotensin-(8-13)-chim(NtGi2L-Gs-CtGq)/β1/γ2
30.43Single8HPTC5a (C-terminal peptide)8HPT-C5a1-C5a (C-terminal peptide)-Go/β1/γ2
30.43Single8ID39-Hydroxystearic acid8ID3-FFA4-9-Hydroxystearic acid-Gi1/β1/γ2
30.43Single8JGFBAM8-228JGF-MRGPRX1-BAM8-22-chim(NtGi1-Gs-CtGq)/β1/γ2
30.43Single8XX7CXCL58XX7-CXCR2-CXCL5-Go/β1/γ2
30.43Single8Y73Peptide8Y73-μ-Peptide-MPAM-15-Gi1/β1/γ2
30.43Single9B65MDMB-Fubinaca9B65-CB1-MDMB-Fubinaca-Gi1/β1/γ2
30.43Single9ITELPA9ITE-LPA6-LPA-chim(NtGi2-G13)/β1/γ2
30.43Single9IZGLPA9IZG-LPA1-LPA-chim(NtGi1-Gs-CtGq)/β1/γ2
30.43Consensuscyslt1_offOrthosteric Ligand6RZ5-CysLT1-Zafirlukast-Na 6RZ4-CysLT1-Pranlukast-Na
30.43Consensusffa2_onOrthosteric Ligand8J22-FFA2-TUG-1375-Gi1/β1/γ2
30.43Consensusgi_lpaOrthosteric Ligand7TD1-LPA1-LPA-Gi1/β1/γ2 7YU3-LPA1-ONO-0740556-Gi1/β1/γ2
30.43Consensuslpa_onOrthosteric Ligandlpa1_on
30.43Consensuslpa_on_gpOrthosteric Ligandlpa1_on_gp
30.43Consensusmotilin_onOrthosteric Ligand8IBU-Motilin-Erythromycin-A-chim(NtGi1-Gs-CtGq)/β1/γ2
30.30Single7SK6CXCL12_LRHQ7SK6-ACKR3-CXCL12_LRHQ
30.30Single8HBDIRL16208HBD-ETB-IRL1620-Gi1/β1/γ2
30.30Consensusendothelin_on_gpOrthosteric Ligandetb_on_gp eta_on_gp
30.30Consensusmelanocortin_onOrthosteric Ligandmc1_on mc4_on mc2_on mc3_on mc5_on
30.30Consensusmelanocortin_on_gpOrthosteric Ligandmc1_on_gp mc4_on_gp mc2_on_gp mc3_on_gp mc5_on_gp
30.00Single7W0MPubChem 1227019087W0M-Apelin-PubChem 122701908-Gi1/β1/γ2
30.00Single8DWHPubChem 1390305318DWH-MRGPRX1-PubChem 139030531-chim(NtGi2L-Gs-CtGq)/β1/γ2
30.00Single8J20Valeric acid8J20-FFA3-Valeric acid-AR420626-Gi1/β1/γ2
30.00Single8T3SButyric acid8T3S-FFA2-Butyric acid-chim(NtGi2L-Gs-CtGq)/β1/γ2
30.00Single9J5VCpY9J5V-LPA1-CpY-Gi1/β1/γ2
30.00Consensusgi_proteinOrthosteric Ligandgi_chemokine gi_chemerin
30.00Consensusnpy4_onOrthosteric Ligand7X9C-Y4-Pancreatic Hormone-Gi1/β1/γ2
30.00Consensusnpy4_on_gpOrthosteric Ligand7X9C-Y4-Pancreatic Hormone-Gi1/β1/γ2
30.00Consensusprotein_on_gpOrthosteric Ligandchemokine_on_gp chemerin_on_gp
29.63Single7C6A(Sar1,Ile8)-Angiotensin II7C6A-AT2-(Sar1,Ile8)-Angiotensin II
29.63Single8IEBPubChem 1347468948IEB-GPR156; GPR156-PubChem 134746894
29.63Single8K6ONeuropeptide-Y8K6O-Y1-Neuropeptide-Y-Gi2/β1/γ1
29.63Single8KH5Lysophosphatidylserine8KH5-GPR174-Lysophosphatidylserine-Gs/β1/γ2
29.63Single9IK8Pasireotide9IK8-SST1-Pasireotide-Gi1/β1/γ2
29.63Single9KFIRelaxin-39KFI-RXFP3-Relaxin-3-Gi2/β1/γ2
29.63Single9ME1CXCL129ME1-CXCR4-CXCL12
29.63Consensusformylpeptide_on_gpOrthosteric Ligandfpr2-alx_on_gp fpr1-alx_on_gp
29.63Consensusgi_ghrelinOrthosteric Ligand7NA7-Ghrelin-Ghrelin-Gi1/β1/γ2 7NA8-Ghrelin-Ibutamoren-Gi1/β1/γ2
29.63Consensussst4_onOrthosteric Ligand7XMS-SST4-Somatostatin-14-Gi1/β1/γ2 7XMT-SST4-J-2156-Gi1/β1/γ2
29.63Consensussst4_on_gpOrthosteric Ligand7XMS-SST4-Somatostatin-14-Gi1/β1/γ2 7XMT-SST4-J-2156-Gi1/β1/γ2
29.41Single6LRYSarafotoxin-B6LRY-ETB-Sarafotoxin-B
29.41Consensusgs_peptideOrthosteric Ligandgs_cck gs_melanocortin gs_vasop-oxy
29.17Single3VW7Vorapaxar; Na3VW7-PAR1-Vorapaxar; Na
29.17Single4RWADIPP-NH24RWA-δ-DIPP-NH2
29.17Single5TZYMK8666; AP85TZY-FFA1-MK8666; AP8
29.17Single6KQICP559406KQI-CB1-CP55940-Org27569
29.17Single6OS0Angiotensin II6OS0-AT1-Angiotensin II
29.17Single6RZ7ONO-25703666RZ7-CysLT2-ONO-2570366
29.17Single7L0SNeurotensin-(8-13)7L0S-NTS1-Neurotensin-(8-13)-Gi1/β1/γ1
29.17Single7SUSPubChem 1227019087SUS-Apelin-PubChem 122701908
29.17Single7W0LPubChem 1227019087W0L-Apelin; Apelin-PubChem 122701908-Gi1/β1/γ2
29.17Single7Y66BM2137Y66-C5a1-BM213-Gi1/β1/γ2
29.17Single7YITNalfurafine7YIT-κ-Nalfurafine
29.17Single8DWCBAM8-228DWC-MRGPRX1-BAM8-22-chim(NtGi2L-Gs-CtGq)/β1/γ2
29.17Single8I9AEP548I9A-C3aB-EP54-chim(NtGi1-Gs-CtGq)/β1/γ2
29.17Single8IBUErythromycin-A8IBU-Motilin-Erythromycin-A-chim(NtGi1-Gs-CtGq)/β1/γ2
29.17Single8ID9Icosapent8ID9-FFA4-Icosapent-Gi1/β1/γ2
29.17Single8T3QDoconexent8T3Q-FFA4-Doconexent-chim(NtGi2L-Gs-CtGq)/β1/γ2
29.17Single8XWACXCL18XWA-CXCR2-CXCL1
29.17Single8XWMCXCL68XWM-CXCR2-CXCL6
29.17Single8XWSCXCL58XWS-CXCR2-CXCL5
29.17Single8XX3CXCL38XX3-CXCR2-CXCL3-Go/β1/γ2
29.17Single8Y6WTUG-13758Y6W-FFA2-TUG-1375-4-CMTB-Gi1/β1/γ2
29.17Single9GYOP3959GYO-GPBA-P395-chim(NtGi1-Gs)/β1/γ2
29.17Consensuscb1_onOrthosteric Ligand6KPG-CB1-AM841-Gi1/β1/γ2 8K8J-CB1-Fenofibrate-chim(Gs-CtGq)/β1/γ2
29.17Consensuskop_onOrthosteric Ligand8F7W-κ-Dynorphin-Gi1/β1/γ2 8DZS-κ-GR89,696-chim(NtGi2-Gz)/β1/γ2 8DZP-κ-momSalB-Gi1/β1/γ2
29.17Consensuslipid_offonOrthosteric Ligandlipid_off lipid_on
29.17Consensuslipid_offon_gpOrthosteric Ligandlipid_on_gp lipid_off
29.17Consensusmotilin_on_gpOrthosteric Ligand8IBU-Motilin-Erythromycin-A-chim(NtGi1-Gs-CtGq)/β1/γ2
29.17Consensusopioid_offOrthosteric Ligandmop_off nop_off dop_off kop_off
29.03Single7F53Alpha-MSH7F53-MC4-α-MSH-Gs/β1/γ2
29.03Single8W8XBeta-MSH8W8X-MC3-β-MSH-Ca-Gs/β1/γ2
29.03Consensusgq_peptideOrthosteric Ligandgq_cck gq_kisspeptin gq_bradykinin gq_bombesin gq_angiotensin
29.03Consensuspeptide_onOrthosteric Ligandcck_on angiotensin_on apelin_on bombesin_on bradykinin_on compl-peptide_on endothelin_on formylpeptide_on galanin_on ghrelin_on kisspeptin_on melanocortin_on motilin_on neuromedin-u_on npy_on neurotensin_on opioid_on orexin_on relaxin_on somatostatin_on tachykinin_on trh_on vasop-oxy_on
29.03Consensuspeptide_on_gpOrthosteric Ligandcck_on_gp angiotensin_on_gp apelin_on_gp bombesin_on_gp bradykinin_on_gp compl-peptide_on_gp endothelin_on_gp formylpeptide_on_gp galanin_on_gp ghrelin_on_gp kisspeptin_on_gp melanocortin_on_gp motilin_on_gp neuromedin-u_on_gp npy_on_gp neurotensin_on_gp opioid_on_gp orexin_on_gp relaxin_on_gp somatostatin_on_gp tachykinin_on_gp trh_on_gp vasop-oxy_on_gp
28.57Single6PT0WIN 55212-26PT0-CB2-WIN 55212-2-Gi1/β1/γ2
28.57Single6PT2KGCHM076PT2-δ-KGCHM07
28.57Single7TD2LPA7TD2-LPA1-LPA-Gi1/β1/γ2
28.57Single8GUQOlorinab8GUQ-CB2-Olorinab-Gi1/β1/γ2
28.57Single8K9KDAMGO8K9K-μ-DAMGO-Gi3/β1/γ1
28.57Single8XZGApelin-138XZG-Apelin; Apelin-Apelin-13-Gi1/β1/γ2
28.57Single8ZPNAMD31008ZPN-CXCR4-AMD3100
28.57Single9JMDAzithromycin9JMD-Motilin-Azithromycin-chim(Gs-CtGq)/β1/γ2
28.57Single9K1DButyric acid9K1D-FFA2-Butyric acid-Gi1/β1/γ2
28.57Single9U80Conivaptan9U80-V2-Conivaptan
28.57Single9UYIChemerin-99UYI-CML2-Chemerin-9-Arrestin2
28.57Consensusgi_somatostatinOrthosteric Ligand7WIC-SST2-Somatostatin-14-Gi1/β1/γ2 7XMS-SST4-Somatostatin-14-Gi1/β1/γ2 8X8L-SST5-Cortistatin-14-chim(NtGi1-Gs-CtGi1)/β1/γ2 7XMT-SST4-J-2156-Gi1/β1/γ2 7WIG-SST2-L-054264-Gi1/β1/γ2 8X8N-SST5-Octreotide-chim(NtGi1-Gs-CtGi1)/β1/γ2 7YAE-SST2-Octreotide-Gi1/β1/γ2 7YAC-SST2-Paltusotine-Gi1/β1/γ2
28.57Consensusgs_class-aOrthosteric Ligandgs_peptide gs_nucleotide gs_amine
28.57Consensusnucleotide_offOrthosteric Ligandadenosine_off p2y_off
28.57Consensussomatostatin_onOrthosteric Ligandsst2_on sst4_on sst5_on
28.57Consensussomatostatin_on_gpOrthosteric Ligandsst2_on_gp sst4_on_gp sst5_on_gp
28.12Single8IY5Endothelin-18IY5-ETB-Endothelin-1-Gi1/β1/γ2
28.12Consensusetb_onOrthosteric Ligand8IY5-ETB-Endothelin-1-Gi1/β1/γ2 8HBD-ETB-IRL1620-Gi1/β1/γ2
28.12Consensusgs_melanocortinOrthosteric Ligand7F4H-MC1-Afamelanotide-chim(NtGi1-Gs)/β1/γ2 7F54-MC4-Afamelanotide-Gs/β1/γ2 7F4D-MC1-α-MSH-chim(NtGi1-Gs)/β1/γ2 8INR-MC5-α-MSH-Ca-chim(NtGi1-Gs)/β1/γ2 7F53-MC4-α-MSH-Gs/β1/γ2 7F55-MC4-Bremelanotide-Gs/β1/γ2 8GY7-MC2-Corticotropin-Ca-chim(NtGi1-Gs)/β1/γ2; MRAP1 8IOC-MC3-γ-MSH-Ca-chim(NtGi1-Gs)/β1/γ2 8IOD-MC5-PG-901-Ca-chim(NtGi1-Gs)/β1/γ2 7AUE-MC4-Setmelanotide-chim(NtGi1L-Gs)/β1/γ2 7F4I-MC1-SHU9119-chim(NtGi1-Gs)/β1/γ2 7F58-MC4-THIQ-Gs/β1/γ2
28.00Single6RZ9ONO-27703726RZ9-CysLT2-ONO-2770372
28.00Single7X1UTRH7X1U-TRH-TRH-chim(NtGi2L-Gs-CtGq)/β1/γ2
28.00Single7X2DTavapadon7X2D-D1-Tavapadon-Gs/β1/γ2
28.00Single7XK2MK68927XK2-HCA2-MK6892-Gi1/β1/γ2
28.00Single7Y27Somatostatin-147Y27-SST2-Somatostatin-14-chim(NtGi2L-Gs-CtGq)/β1/γ2
28.00Single8E0GBU728E0G-μ-BU72
28.00Single8GUTLEI-1028GUT-CB2-LEI-102-Gi1/β1/γ2
28.00Single8ID8TUG-8918ID8-FFA4-TUG-891-Gi1/β1/γ2
28.00Single8IJDMK68928IJD-HCA2-MK6892-Gi1/β1/γ2
28.00Single8JPFNeurotensin-(8-13)8JPF-NTS1-Neurotensin-(8-13)-SBI-553
28.00Single8T3OTUG-8918T3O-FFA4-TUG-891-chim(NtGi2L-Gs-CtGq)/β1/γ2
28.00Single8XVUCXCL28XVU-CXCR2-CXCL2
28.00Single8XWFCXCL38XWF-CXCR2-CXCL3
28.00Single8XWVCXCL18XWV-CXCR2-CXCL1-Go/β1/γ2
28.00Single8XXHCXCL28XXH-CXCR2-CXCL2-Go/β1/γ2
28.00Single9UYMChemerin-99UYM-CML2-Chemerin-9-chim(Arrestin3-CtArrestin2)
28.00Single9VI9RFRP-39VI9-NPFF1-RFRP-3-Gi1/β1/γ2
28.00Consensuscb1_on_gpOrthosteric Ligand6KPG-CB1-AM841-Gi1/β1/γ2 8K8J-CB1-Fenofibrate-chim(Gs-CtGq)/β1/γ2
28.00Consensuscyslt2_offOrthosteric Ligand6RZ7-CysLT2-ONO-2570366 6RZ8-CysLT2-ONO-2080365 6RZ9-CysLT2-ONO-2770372
28.00Consensuskop_on_gpOrthosteric Ligand8F7W-κ-Dynorphin-Gi1/β1/γ2 8DZS-κ-GR89,696-chim(NtGi2-Gz)/β1/γ2 8DZP-κ-momSalB-Gi1/β1/γ2
28.00Consensuspeptide_offOrthosteric Ligandcck_off angiotensin_off bombesin_off endothelin_off ghrelin_off npy_off opioid_off orexin_off somatostatin_off tachykinin_off vasop-oxy_off neurotensin_off
27.78Consensusp2y_offOrthosteric Ligandp2y1_off
27.59Single6JODAngiotensin II6JOD-AT2-Angiotensin II
27.59Single7F4HAfamelanotide7F4H-MC1-Afamelanotide-chim(NtGi1-Gs)/β1/γ2
27.59Single7KH0AVP7KH0-V2-AVP-chim(NtGi1-Gs)/β1/γ2
27.59Single7T10Somatostatin-147T10-SST2-Somatostatin-14-Gi3/β1/γ2
27.59Single7YONPeptide-YY(3-36)7YON-Y2-Peptide-YY(3-36)-Gi1/β1/γ2
27.59Consensusc5a1_on_gpOrthosteric Ligand8HK5-C5a1-C5a-Gi1/β1/γ2 7Y66-C5a1-BM213-Gi1/β1/γ2 7Y67-C5a1-C089 peptide-Gi1/β1/γ2 7Y64-C5a1-C5a-Gi1/β1/γ2
27.59Consensusgi_formylpeptideOrthosteric Ligand7WVY-FPR2-ALX-Amyloid-β42-Gi2/β1/γ2 7T6U-FPR2-ALX-CGEN-855A-Gi1/β1/γ2 7VFX-FPR1-ALX-fMIFL-Gi1/β1/γ2 7T6V-FPR2-ALX-fMLFII-Gi1/β1/γ2 7WVX-FPR2-ALX-Humanin-Gi2/β1/γ2 7T6S-FPR2-ALX-TC-FPR 43-Gi1/β1/γ2 6OMM-FPR2-ALX-WKYMVX-Gi1/β1/γ2
27.59Consensusprotein_onOrthosteric Ligandchemokine_on chemerin_on
27.27Single6FKCPubChem 1324730396FKC-Rhodopsin-PubChem 132473039
27.27Single6IGKEndothelin-36IGK-ETB-Endothelin-3
27.27Single7CFMP3957CFM-GPBA-P395-Gs/β1/γ2
27.27Single7PP1Selatogrel7PP1-P2Y12-Selatogrel
27.27Single7V3ZCP559407V3Z-CB1-CP55940
27.27Single7WQ3Galanin7WQ3-GAL1-Galanin-Gi1/β1/γ2
27.27Single7YK7DC5910537YK7-RXFP4-DC591053-Gi2/β1/γ2
27.27Single7YU4ONO-07405567YU4-LPA1-ONO-0740556
27.27Single8EJKTAK-8758EJK-FFA1-TAK-875-chim(NtGi1L-Gs-CtGq)/β1/γ2
27.27Single8IC0CXCL88IC0-CXCR1-CXCL8-Gi1/β1/γ2
27.27Single8U1UCCL18U1U-CCR8-CCL1-Gi1/β1/γ2
27.27Single8ZBEOctreotide8ZBE-SST5-Octreotide-Gi1/β1/γ1
27.27Single9IYAONO-97105319IYA-GPR55-ONO-9710531
27.27Single9METGp120; CD49MET-CXCR4-Gp120; CD4
27.27Consensusa3_onOrthosteric Liganda3a_on
27.27Consensusccr5_on_gpOrthosteric Ligand7O7F-CCR5-6P4-CCL5-Gi1/β1/γ1 7F1Q-CCR5-CCL3-Gi1/β1/γ2
27.27Consensuscxcr1_on_gpOrthosteric Ligand8IC0-CXCR1-CXCL8-Gi1/β1/γ2
27.27Consensusgal1_onOrthosteric Ligand7WQ3-GAL1-Galanin-Gi1/β1/γ2
27.27Consensusgal1_on_gpOrthosteric Ligand7WQ3-GAL1-Galanin-Gi1/β1/γ2
27.27Consensusgi_endothelinOrthosteric Ligand8IY5-ETB-Endothelin-1-Gi1/β1/γ2 8HBD-ETB-IRL1620-Gi1/β1/γ2
27.27Consensusgi_galaninOrthosteric Ligand7WQ3-GAL1-Galanin-Gi1/β1/γ2
27.27Consensusgi_npyOrthosteric Ligand8K6M-Y1-Neuropeptide-Y-Gi2/β1/γ1 7X9C-Y4-Pancreatic Hormone-Gi1/β1/γ2 7YOO-Y2-Neuropeptide-Y-Gi1/β1/γ2
27.27Consensusnpy_onOrthosteric Ligandnpy1_on npy2_on npy4_on
27.27Consensusnpy_on_gpOrthosteric Ligandnpy1_on_gp npy2_on_gp npy4_on_gp
26.92Single5VBLAMG3054 5VBL-Apelin-AMG3054
26.92Single7F9ZGHRP-67F9Z-Ghrelin-GHRP-6-chim(NtGi1-Gs-CtGq)/β1/γ2
26.92Single7RMGSubstance-P7RMG-NK1-Substance-P-chim(Gs-CtGq)/β1/γ2
26.92Single7S8LCortistatin-147S8L-MRGPRX2-Cortistatin-14-chim(NtGi2L-Gs-CtGq)/β1/γ2
26.92Single7XBXCX3CL17XBX-CX3CR1-CX3CL1-Gi1/β1/γ2
26.92Single7XY6BAY 60-65837XY6-A2B-BAY 60-6583-chim(NtGi1-Gs)/β1/γ2
26.92Single8F7REndomorphin8F7R-μ-Endomorphin-Gi1/β1/γ2
26.92Single8XX6CXCL88XX6-CXCR2-CXCL8-Go/β1/γ2
26.92Single8Z74JN241-98Z74-Apelin; Apelin-JN241-9
26.92Single9CM7TUG-13759CM7-FFA2-TUG-1375-AZ-1729-Gi1/β1/γ2
26.92Single9EAJNanobody AT2099EAJ-AT1-Nanobody AT209
26.92Single9ITBLPA9ITB-LPA6-LPA-chim(NtGi1-Gs-CtGq)/β1/γ2
26.92Single9WSXEndomorphin9WSX-μ-Endomorphin-Arrestin2
26.92Consensuscxcr4_offOrthosteric Ligand4RWS-CXCR4-vMIP-II 3OE0-CXCR4-CVX15 3OE6-CXCR4-IT1t
26.92Consensuscxcr_on_gpOrthosteric Ligandcxcr3_on_gp cxcr4_on_gp cxcr1_on_gp cxcr2_on_gp
26.92Consensusformylpeptide_onOrthosteric Ligandfpr2-alx_on fpr1-alx_on
26.92Consensusnmur1_onOrthosteric Ligand7W53-NMUR1-Neuromedin-U-25-chim(NtGi1-Gs-CtGq)/β1/γ2
26.92Consensusox2_onOrthosteric Ligand7L1V-OX2-PubChem 155491009-chim(NtGi1-Gs-CtGq)/β1/γ2 7SQO-OX2-TAK-925-Gi1/β1/γ2 7L1U-OX2-Orexin-chim(NtGi1-Gs-CtGq)/β1/γ2
26.92Consensusox2_on_gpOrthosteric Ligand7L1V-OX2-PubChem 155491009-chim(NtGi1-Gs-CtGq)/β1/γ2 7SQO-OX2-TAK-925-Gi1/β1/γ2 7L1U-OX2-Orexin-chim(NtGi1-Gs-CtGq)/β1/γ2
26.92Consensussst2_onOrthosteric Ligand7WIC-SST2-Somatostatin-14-Gi1/β1/γ2 7WIG-SST2-L-054264-Gi1/β1/γ2 7YAE-SST2-Octreotide-Gi1/β1/γ2 7YAC-SST2-Paltusotine-Gi1/β1/γ2
26.92Consensussst2_on_gpOrthosteric Ligand7WIC-SST2-Somatostatin-14-Gi1/β1/γ2 7WIG-SST2-L-054264-Gi1/β1/γ2 7YAE-SST2-Octreotide-Gi1/β1/γ2 7YAC-SST2-Paltusotine-Gi1/β1/γ2
26.67Single7F6IKallidin7F6I-BK2-Kallidin-Gq/β1/γ2
26.67Single7F9YGhrelin7F9Y-Ghrelin-Ghrelin-chim(NtGi1-Gs-CtGq)/β1/γ2
26.67Single7XV3Lysophosphatidylserine (WJS)7XV3-GPR174-Lysophosphatidylserine (WJS)-chim(NtGi1-Gs)/β1/γ2
26.67Single8HK5C5a8HK5-C5a1-C5a-Gi1/β1/γ2
26.67Single8HNKCXCL118HNK-CXCR3-CXCL11-Gi1/β1/γ2
26.67Single8IODPG-9018IOD-MC5-PG-901-Ca-chim(NtGi1-Gs)/β1/γ2
26.67Single8XGOTAK4488XGO-Kiss1-TAK448-chim(NtGi1-Gq)/β1/γ2
26.67Single8XVHEndothelin-18XVH-ETB-Endothelin-1-chim(Gs-CtGq)/β1/γ2
26.67Consensuschemokine_on_gpOrthosteric Ligandccr_on_gp cxcr_on_gp
26.67Consensuscxcr_offOrthosteric Ligandcxcr3_off cxcr4_off
26.67Consensusmc1_onOrthosteric Ligand7F4H-MC1-Afamelanotide-chim(NtGi1-Gs)/β1/γ2 7F4D-MC1-α-MSH-chim(NtGi1-Gs)/β1/γ2 7F4I-MC1-SHU9119-chim(NtGi1-Gs)/β1/γ2
26.67Consensusmc1_on_gpOrthosteric Ligand7F4H-MC1-Afamelanotide-chim(NtGi1-Gs)/β1/γ2 7F4D-MC1-α-MSH-chim(NtGi1-Gs)/β1/γ2 7F4I-MC1-SHU9119-chim(NtGi1-Gs)/β1/γ2
26.47Consensusetb_on_gpOrthosteric Ligand8IY5-ETB-Endothelin-1-Gi1/β1/γ2 8HBD-ETB-IRL1620-Gi1/β1/γ2
26.32Single4XNWMRS25004XNW-P2Y1-MRS2500
26.32Single8J24Acetic acid8J24-FFA2-Acetic acid-Gi1/β1/γ2
26.32Consensusp2y1_offOrthosteric Ligand4XNW-P2Y1-MRS2500
26.09Single4PHUFasiglifam4PHU-FFA1-Fasiglifam
26.09Single4RWDDIPP-NH24RWD-δ-DIPP-NH2-Na
26.09Single6Z4SSR486926Z4S-NTS1-SR48692
26.09Single7CKXA776367CKX-D1-A77636-Gs/β1/γ2
26.09Single7SBFPZM217SBF-μ-PZM21-Gi1/β1/γ2
26.09Single7VV0PAMP-127VV0-MRGPRX2-PAMP-12
26.09Single8DZQmomSalB8DZQ-κ-momSalB-Go/β1/γ2
26.09Single8DZRGR89,6968DZR-κ-GR89,696-chim(NtGi2-Gt3)/β1/γ2
26.09Single8EJCTAK-8758EJC-FFA1-TAK-875-chim(NtGi1L-Gs-CtGq)/β1/γ2
26.09Single8JXSPF-61428JXS-D1-PF-6142
26.09Single8K8JFenofibrate8K8J-CB1-Fenofibrate-chim(Gs-CtGq)/β1/γ2
26.09Single8S4DCMF-0198S4D-Apelin-CMF-019
26.09Single8TH4AT118-L Nanobody8TH4-AT1-Losartan-AT118-L Nanobody
26.09Single8WGBVU01550418WGB-mGlu4; mGlu2-Glutamate-VU0155041-Gi3/β1/γ2
26.09Single9GE2ML1849GE2-GPR55-ML184-chim(NtGi1-G13)/β1/γ2
26.09Single9I52A1IZU9I52-D1-A1IZU-Gs/β1/γ2
26.09Consensusa3_on_gpOrthosteric Liganda3a_on_gp
26.09Consensusa3a_onOrthosteric Ligand8X17-A3A-Namodenoson-Gi1/β1/γ2 8X16-A3A-Piclidenoson-Gi1/β1/γ2
26.09Consensusa3a_on_gpOrthosteric Ligand8X17-A3A-Namodenoson-Gi1/β1/γ2 8X16-A3A-Piclidenoson-Gi1/β1/γ2
26.09Consensuscb2_onOrthosteric Ligand8GUR-CB2-CP55940-Gi1/β1/γ2 8GUS-CB2-HU-308-Gi1/β1/γ2 8GUT-CB2-LEI-102-Gi1/β1/γ2 6KPF-CB2-AM12033-Gi1/β1/γ2 6PT0-CB2-WIN 55212-2-Gi1/β1/γ2 8GUQ-CB2-Olorinab-Gi1/β1/γ2
26.09Consensuscb2_on_gpOrthosteric Ligand8GUR-CB2-CP55940-Gi1/β1/γ2 8GUS-CB2-HU-308-Gi1/β1/γ2 8GUT-CB2-LEI-102-Gi1/β1/γ2 6KPF-CB2-AM12033-Gi1/β1/γ2 6PT0-CB2-WIN 55212-2-Gi1/β1/γ2 8GUQ-CB2-Olorinab-Gi1/β1/γ2
26.09Consensuscyslt_offOrthosteric Ligandcyslt2_off cyslt1_off
26.09Consensuslpa1_onOrthosteric Ligand7TD1-LPA1-LPA-Gi1/β1/γ2 7YU3-LPA1-ONO-0740556-Gi1/β1/γ2
26.09Consensuslpa1_on_gpOrthosteric Ligand7TD1-LPA1-LPA-Gi1/β1/γ2 7YU3-LPA1-ONO-0740556-Gi1/β1/γ2
25.93Single4IB4Ergotamine4IB4-5-HT2B-Ergotamine
25.93Single7F54Afamelanotide7F54-MC4-Afamelanotide-Gs/β1/γ2
25.93Single7L0RNeurotensin-(8-13)7L0R-NTS1-Neurotensin-(8-13)-Gi1/β1/γ1
25.93Single7NA7Ghrelin7NA7-Ghrelin-Ghrelin-Gi1/β1/γ2
25.93Single7W53Neuromedin-U-257W53-NMUR1-Neuromedin-U-25-chim(NtGi1-Gs-CtGq)/β1/γ2
25.93Single7WICSomatostatin-147WIC-SST2-Somatostatin-14-Gi1/β1/γ2
25.93Single7XAUOctreotide7XAU-SST2-Octreotide-Gi1/β1/γ2
25.93Single8IEBPubChem 1347468948IEB-GPR156; GPR156-PubChem 134746894
25.93Single8IEIPubChem 1347468948IEI-GPR156; GPR156-PubChem 134746894
25.93Single8IEPPubChem 1347468948IEP-GPR156; GPR156-PubChem 134746894
25.93Single8IEPPubChem 1347468948IEP-GPR156; GPR156-PubChem 134746894
25.93Single8K3ZCXCL128K3Z-CXCR4-CXCL12-Gi1/β1/γ1
25.93Single8XGMChemerin8XGM-CML2-Chemerin-Gi1/β1/γ2
25.93Single8XWNCXCL88XWN-CXCR2-CXCL8
25.93Single9BUYLM1899BUY-β2-LM189-Gi1/β1/γ2
25.93Single9HB3Mambaquaretin-19HB3-V2-Mambaquaretin-1
25.93Consensuslpl_onOrthosteric Ligands1p_on lpa_on
25.93Consensuslpl_on_gpOrthosteric Ligands1p_on_gp lpa_on_gp
25.93Consensusnmur1_on_gpOrthosteric Ligand7W53-NMUR1-Neuromedin-U-25-chim(NtGi1-Gs-CtGq)/β1/γ2
25.81Single7F8VGastrin-177F8V-CCKB-Gastrin-17-Gi2/β1/γ2
25.81Single7SK4CXCL12_LRHQ7SK4-ACKR3-CXCL12_LRHQ
25.81Single7YKDChemerin-97YKD-CML1-Chemerin-9-Gi1/β1/γ2
25.81Single9KFKRelaxin-39KFK-RXFP4-Relaxin-3-Gi2/β1/γ2
25.81Consensusccr5_onOrthosteric Ligand7O7F-CCR5-6P4-CCL5-Gi1/β1/γ1 7F1Q-CCR5-CCL3-Gi1/β1/γ2
25.81Consensusgi_compl-peptOrthosteric Ligand8HK5-C5a1-C5a-Gi1/β1/γ2 8IA8-C3aB-E7 peptide-Gi1/β1/γ2 7Y66-C5a1-BM213-Gi1/β1/γ2 7Y67-C5a1-C089 peptide-Gi1/β1/γ2 8HK2-C3aB-C3a-Gi1/β1/γ2 7Y64-C5a1-C5a-Gi1/β1/γ2
25.00Single3ZEVNeurotensin-(7-13)3ZEV-NTS1-Neurotensin-(7-13)
25.00Single4DJHJDTic4DJH-κ-JDTic
25.00Single5TZRMK86665TZR-FFA1-MK8666
25.00Single5XJM(Sar1,Ile8)-Angiotensin II5XJM-AT2-(Sar1,Ile8)-Angiotensin II
25.00Single5XRAAM115425XRA-CB1-AM11542
25.00Single6GT3Imaradenant6GT3-A2A-Imaradenant-Na
25.00Single6J21Aprepitant6J21-NK1-Aprepitant
25.00Single6OS1TRV0266OS1-AT1-TRV026
25.00Single6QNOAll-trans-Retinal6QNO-Rhodopsin-All-trans-Retinal-Gi1/β1/γ1
25.00Single7CKYPW04647CKY-D1-PW0464-Gs/β1/γ2
25.00Single7EZKCholecystokinin-87EZK-CCKA-Cholecystokinin-8-chim(NtGi1-Gs)/β1/γ2
25.00Single7F4FAfamelanotide7F4F-MC1-Afamelanotide-chim(NtGi1-Gs)/β1/γ2
25.00Single7F58THIQ7F58-MC4-THIQ-Gs/β1/γ2
25.00Single7JV5SKF812977JV5-D1-SKF81297-Gs/β1/γ2
25.00Single7JVPSKF839597JVP-D1-SKF83959-Gs/β1/γ2
25.00Single7L0PNeurotensin-(8-13)7L0P-NTS1-Neurotensin-(8-13)-Gi1/β1/γ1
25.00Single7L0QNeurotensin-(8-13)7L0Q-NTS1-Neurotensin-(8-13)-Gi1/β1/γ1
25.00Single7PIVAfamelanotide7PIV-MC4-Afamelanotide-Gs/β1/γ2
25.00Single7RMISubstance-P7RMI-NK1-Substance-P-chim(Gs-CtGq)/β1/γ2
25.00Single7S8NR-Zinc-35737S8N-MRGPRX2-R-Zinc-3573-chim(NtGi2L-Gs-CtGq)/β1/γ2
25.00Single7S8OR-Zinc-35737S8O-MRGPRX2-R-Zinc-3573-Gi1/β1/γ2
25.00Single7SK7CXCL127SK7-ACKR3-CXCL12-CCX662
25.00Single7TD1LPA7TD1-LPA1-LPA-Gi1/β1/γ2
25.00Single7TRPLY20332987TRP-M4-Iperoxo-LY2033298-Gi1/β1/γ2
25.00Single7X9ANeuropeptide-Y7X9A-Y1-Neuropeptide-Y-Gi1/β1/γ2
25.00Single7XAVLanreotide7XAV-SST2-Lanreotide-Gi1/β1/γ2
25.00Single7XBDGalanin7XBD-GAL2-Galanin-chim(NtGi2L-Gs-CtGq)/β1/γ2
25.00Single7XWONeurokinin-A7XWO-NK2-Neurokinin-A-chim(NtGi1-Gs-CtGq)/β1/γ2
25.00Single7Y67C089 peptide7Y67-C5a1-C089 peptide-Gi1/β1/γ2
25.00Single7YOONeuropeptide-Y7YOO-Y2-Neuropeptide-Y-Gi1/β1/γ2
25.00Single8HQCC5a8HQC-C5a1-C5a-Go/β1/γ2
25.00Single8I9LC3a8I9L-C3aB-C3a-Go/β1/γ2
25.00Single8JBGNeurokinin-B8JBG-NK3-Neurokinin-B-chim(NtGi1-Gs-CtGq)/β1/γ2
25.00Single8JBHSubstance-P8JBH-NK3-Substance-P-chim(NtGi1-Gs-CtGq)/β1/γ2
25.00Single8JZPC5a8JZP-C5a1-C5a-Go/β1/γ2
25.00Single8RWHStilSwitch28RWH-A2A-StilSwitch2-Na
25.00Single8T1VPubChem 1183102098T1V-GPR6-PubChem 118310209-Na
25.00Single8VVFJDTic8VVF-κ-JDTic-Gi1/β1/γ2
25.00Single8WU1MDMB-Fubinaca8WU1-CB1-MDMB-Fubinaca-Arrestin2
25.00Single8X16Piclidenoson8X16-A3A-Piclidenoson-Gi1/β1/γ2
25.00Single8YH6Namodenoson8YH6-A3A-Namodenoson-Gi1/β1/γ2
25.00Single8Z7JJN241-98Z7J-Apelin-JN241-9-Gi1/β1/γ2
25.00Single8ZH8QRFP268ZH8-QRFP-QRFP26-Gq/β1/γ1
25.00Single9E82CXCL12 (fragment)9E82-ACKR3-CXCL12 (fragment)-Arrestin2
25.00Single9EGOZ85267113509EGO-CB1-Z8526711350-Gi1/β1/γ2
25.00Single9I54PubChem 1764520919I54-D1-PubChem 176452091-Gs/β1/γ2
25.00Single9JFK(Pen5)-Urotensin II9JFK-UT-(Pen5)-Urotensin II-chim(NtGi2L-Gs-CtGq)/β1/γ2
25.00Single9JMCDS-3801b9JMC-Motilin-DS-3801b-chim(Gs-CtGq)/β1/γ2
25.00Single9KV6TLQP219KV6-C3aB-TLQP21-Go/β1/γ2
25.00Single9KVPSB2901579KVP-C3aB-SB290157-Go/β1/γ2
25.00Single9L16CCL219L16-CCR7-CCL21
25.00Single9MENGp120 (V3 loop)9MEN-CXCR4-Gp120 (V3 loop)
25.00Single9PY3Loperamide9PY3-μ-Loperamide-GDPβS-Gi1/β1/γ2
25.00Single9UMXEP549UMX-C5a1-EP54-Go/β1/γ2
25.00Single9WSTDAMGO9WST-μ-DAMGO-chim(NtGi1-Gz)/β1/γ2
25.00Consensusclass-a_offOrthosteric Ligandsensory_off alicarboxylic_off amine_off lipid_off nucleotide_off peptide_off protein_off
25.00Consensuscompl-peptide_onOrthosteric Ligandc5a1_on c3a_on
25.00Consensusghrelin_onOrthosteric Ligand7NA7-Ghrelin-Ghrelin-Gi1/β1/γ2 7F9Z-Ghrelin-GHRP-6-chim(NtGi1-Gs-CtGq)/β1/γ2 7NA8-Ghrelin-Ibutamoren-Gi1/β1/γ2
25.00Consensusghrelin_on_gpOrthosteric Ligand7NA7-Ghrelin-Ghrelin-Gi1/β1/γ2 7F9Z-Ghrelin-GHRP-6-chim(NtGi1-Gs-CtGq)/β1/γ2 7NA8-Ghrelin-Ibutamoren-Gi1/β1/γ2
25.00Consensusgi_cannabinoidOrthosteric Ligand8GUR-CB2-CP55940-Gi1/β1/γ2 8GUS-CB2-HU-308-Gi1/β1/γ2 8GUT-CB2-LEI-102-Gi1/β1/γ2 8GUQ-CB2-Olorinab-Gi1/β1/γ2 6KPF-CB2-AM12033-Gi1/β1/γ2 6PT0-CB2-WIN 55212-2-Gi1/β1/γ2 6KPG-CB1-AM841-Gi1/β1/γ2
25.00Consensusgi_cckOrthosteric Ligand7EZH-CCKA-Cholecystokinin-8-Gi1/β1/γ2 7F8V-CCKB-Gastrin-17-Gi2/β1/γ2
25.00Consensuskop_offOrthosteric Ligand4DJH-κ-JDTic
25.00Consensusneurotensin_onOrthosteric Ligandnts1_on
25.00Consensusnk2_on_gpOrthosteric Ligand7XWO-NK2-Neurokinin-A-chim(NtGi1-Gs-CtGq)/β1/γ2
25.00Consensusnpy2_onOrthosteric Ligand7YOO-Y2-Neuropeptide-Y-Gi1/β1/γ2
25.00Consensusnpy2_on_gpOrthosteric Ligand7YOO-Y2-Neuropeptide-Y-Gi1/β1/γ2
25.00Consensusnts1_onOrthosteric Ligand6OSA-NTS1-JMV449-Gi1/β1/γ2 7L0S-NTS1-Neurotensin-(8-13)-Gi1/β1/γ1
24.24Single7VGXNeuropeptide-Y7VGX-Y1-Neuropeptide-Y-Gi1/β1/γ2
24.24Single8KGGLysophosphatidylserine (WJS)8KGG-P2Y10-Lysophosphatidylserine (WJS)-chim(NtGi2-G13)/β1/γ2
24.14Single6W25SHU91196W25-MC4-SHU9119-Ca
24.14Single7F4DAlpha-MSH7F4D-MC1-α-MSH-chim(NtGi1-Gs)/β1/γ2
24.14Single7O7F6P4-CCL57O7F-CCR5-6P4-CCL5-Gi1/β1/γ1
24.14Single7T6TfMLFII7T6T-FPR1-ALX-fMLFII-Gi1/β1/γ2
24.14Single7TD0LPA7TD0-LPA1-LPA-Gi1/β1/γ2
24.14Single7XA3CCL27XA3-CCR2-CCL2-Gi1/β1/γ2
24.14Single7XOUCholecystokinin-87XOU-CCKA-Cholecystokinin-8-Gs/β1/γ2
24.14Single8K6NNeuropeptide-Y8K6N-Y2-Neuropeptide-Y-Gi2/β1/γ1
24.14Single8W8YGamma-MSH8W8Y-MC3-γ-MSH-Ca-Gs/β1/γ2
24.14Single8WKZSBL-MC-318WKZ-MC4-SBL-MC-31
24.14Single8XIQL7967788XIQ-SST3-L796778-chim(NtGi1-Gs-CtGi1)/β1/γ2
24.14Single8XZHMM078XZH-Apelin; Apelin-MM07-Gi1/β1/γ2
24.14Single9B54VIP369B54-CB1-VIP36-Gi1/β1/γ2
24.14Single9M1ONeuropeptide-FF9M1O-NPFF2-Neuropeptide-FF-Gi1/β1/γ2
24.14Consensusangiotensin_onOrthosteric Ligandat1_on
24.14Consensusat1_onOrthosteric Ligand7F6G-AT1-(Sar1)-Angiotensin II-Gq/β1/γ2
24.14Consensusc5a1_onOrthosteric Ligand8HK5-C5a1-C5a-Gi1/β1/γ2 7Y66-C5a1-BM213-Gi1/β1/γ2 7Y67-C5a1-C089 peptide-Gi1/β1/γ2 7Y64-C5a1-C5a-Gi1/β1/γ2
24.14Consensusccr2_onOrthosteric Ligand7XA3-CCR2-CCL2-Gi1/β1/γ2
24.14Consensusccr2_on_gpOrthosteric Ligand7XA3-CCR2-CCL2-Gi1/β1/γ2
24.14Consensuscompl-peptide_on_gpOrthosteric Ligandc5a1_on_gp c3a_on_gp
24.14Consensuscxcr4_on_gpOrthosteric Ligand8K3Z-CXCR4-CXCL12-Gi1/β1/γ1
24.14Consensusfpr2-alx_onOrthosteric Ligand7WVX-FPR2-ALX-Humanin-Gi2/β1/γ2 7T6U-FPR2-ALX-CGEN-855A-Gi1/β1/γ2 7T6V-FPR2-ALX-fMLFII-Gi1/β1/γ2 7WVY-FPR2-ALX-Amyloid-β42-Gi2/β1/γ2 7T6S-FPR2-ALX-TC-FPR 43-Gi1/β1/γ2 6OMM-FPR2-ALX-WKYMVX-Gi1/β1/γ2
24.00Single4GRVNeurotensin-(8-13)4GRV-NTS1-Neurotensin-(8-13)
24.00Single4XEENeurotensin-(8-13)4XEE-NTS1-Neurotensin-(8-13)
24.00Single4XESNeurotensin-(8-13)4XES-NTS1-Neurotensin-(8-13)
24.00Single4Z36ONO-30805734Z36-LPA1-ONO-3080573
24.00Single6OSAJMV4496OSA-NTS1-JMV449-Gi1/β1/γ2
24.00Single7EO4Siponimod7EO4-S1P1-Siponimod-Gi1/β1/γ2
24.00Single7F55Bremelanotide7F55-MC4-Bremelanotide-Gs/β1/γ2
24.00Single7L1UOrexin7L1U-OX2-Orexin-chim(NtGi1-Gs-CtGq)/β1/γ2
24.00Single7L1VPubChem 1554910097L1V-OX2-PubChem 155491009-chim(NtGi1-Gs-CtGq)/β1/γ2
24.00Single7WQ4Galanin7WQ4-GAL2-Galanin-chim(NtGi1-Gs-CtGq)/β1/γ2
24.00Single7XJKGalanin7XJK-GAL2-Galanin-chim(NtGi2L-Gs-CtGq)/β1/γ2
24.00Single8JJPChemerin-98JJP-CML2-Chemerin-9-Gi1/β1/γ2
24.00Single8JPBNeurotensin-(8-13)8JPB-NTS1-Neurotensin-(8-13)-SBI-553; GDP; Mg-Gq; GRK2
24.00Single8JZ7MK68928JZ7-HCA2-MK6892-Gi1/β1/γ2
24.00Single8U26Substance-P8U26-NK1-Substance-P-Gs/β1/γ2
24.00Single8W1VPubChem 1717162658W1V-β2-PubChem 171716265
24.00Single8XQJJN2418XQJ-Apelin; Apelin-JN241
24.00Single9CM3TUG-13759CM3-FFA2-TUG-1375-PubChem 118615810-chim(NtGi1L-Gs-CtGq)/β1/γ2
24.00Single9DGIZ85267113509DGI-CB1-Z8526711350
24.00Single9L3WChemerin9L3W-CML1-Chemerin-Gi1/β1/γ2
24.00Single9V6ONalfurafine9V6O-κ-Nalfurafine-Gi1/β1/γ2
24.00Single9WSVDAMGO9WSV-μ-DAMGO-Arrestin2
24.00Single9WSWEndomorphin9WSW-μ-Endomorphin-chim(NtGi1-Gz)/β1/γ2
24.00Single9WXMGPR15L(CT)9WXM-GPR15-GPR15L(CT)-Gi3/β1/γ2
24.00Consensusc3a_onOrthosteric Ligand8HK2-C3aB-C3a-Gi1/β1/γ2 8IA8-C3aB-E7 peptide-Gi1/β1/γ2
24.00Consensuscannabinoid_onOrthosteric Ligandcb2_on cb1_on
24.00Consensuscannabinoid_on_gpOrthosteric Ligandcb2_on_gp cb1_on_gp
24.00Consensuscxcr_onOrthosteric Ligandcxcr3_on cxcr4_on cxcr1_on cxcr2_on
24.00Consensusgalanin_onOrthosteric Ligandgal2_on gal1_on
24.00Consensusgalanin_on_gpOrthosteric Ligandgal2_on_gp gal1_on_gp
24.00Consensusgi_neurotensinOrthosteric Ligand6OSA-NTS1-JMV449-Gi1/β1/γ2 7L0S-NTS1-Neurotensin-(8-13)-Gi1/β1/γ1
24.00Consensuslpa1_offOrthosteric Ligand4Z36-LPA1-ONO-3080573 4Z35-LPA1-ONO-9910539 4Z34-LPA1-ONO-9780307
24.00Consensuslpa_offOrthosteric Ligandlpa1_off
24.00Consensuslpl_offOrthosteric Ligands1p_off lpa_off
24.00Consensusneurotensin_on_gpOrthosteric Ligandnts1_on_gp
24.00Consensusnts1_on_gpOrthosteric Ligand6OSA-NTS1-JMV449-Gi1/β1/γ2 7L0S-NTS1-Neurotensin-(8-13)-Gi1/β1/γ1
24.00Consensusorexin_onOrthosteric Ligandox2_on
23.81Single3VGAZM-2413853VGA-A2A-ZM-241385-Antibody
23.81Single4MQTLY21196204MQT-M2-Iperoxo-LY2119620
23.81Single6B73MP11046B73-κ-MP1104
23.81Single6LFOCXCL86LFO-CXCR2-CXCL8-Gi1/β1/γ2
23.81Single6ZA8RTI-3a6ZA8-NTS1-RTI-3a
23.81Single7F8YDevazepide7F8Y-CCKA-Devazepide
23.81Single7TUZ7-alpha,25-dihydroxycholesterol7TUZ-GPR183-7-α,25-dihydroxycholesterol-Gi1/β1/γ2
23.81Single7VDLCortistatin-147VDL-MRGPRX2-Cortistatin-14-Gi1/β1/γ2
23.81Single7W0OElabela7W0O-Apelin-Elabela-Gi1/β1/γ2
23.81Single7XJJGalanin7XJJ-GAL1-Galanin-Go/β1/γ2
23.81Single8EFOPZM218EFO-μ-PZM21-Gi1/β1/γ2
23.81Single8RVWStilSwitch38RVW-A2A-StilSwitch3-Na
23.81Single8RW4AzoSwitch28RW4-A2A-AzoSwitch2-Na
23.81Single8RWEStilSwitch48RWE-A2A-StilSwitch4-Na
23.81Single8T3VDoconexent8T3V-FFA1-Doconexent-chim(NtGi2L-Gs-CtGq)/β1/γ2
23.81Single8U4PAMD31008U4P-CXCR4-AMD3100-Gi1/β1/γ2
23.81Single8XXXCXCL68XXX-CXCR2-CXCL6-Go/β1/γ2
23.81Single8YYWAlpha-ketoglutarate8YYW-Oxoglutarate-α-ketoglutarate-α-ketoglutarate-chim(Gi1-CtGq)/β1/γ2
23.81Single9FUPIstradefylline9FUP-A2A-Istradefylline-Na
23.53Single8ZJETAK4488ZJE-Kiss1-TAK448-chim(NtGi1-Gq)/β1/γ1
23.33Single7F6G(Sar1)-Angiotensin II7F6G-AT1-(Sar1)-Angiotensin II-Gq/β1/γ2
23.33Single7XK8Neuromedin-U-257XK8-NMUR2-Neuromedin-U-25-Gi1/β1/γ2
23.33Single8IEDPubChem 1347468948IED-GPR156; GPR156-PubChem 134746894-Go/β1/γ2
23.33Single8IHFMK68928IHF-HCA2-MK6892-Gi1/β1/γ2
23.33Single8J6IMK68928J6I-HCA2-MK6892-Gi1/β1/γ2
23.33Single8XZJWN3538XZJ-Apelin; Apelin-WN353-Gi1/β1/γ2
23.33Consensusangiotensin_on_gpOrthosteric Ligandat1_on_gp
23.33Consensusapelin_onOrthosteric Ligand8XZH-Apelin; Apelin-MM07-Gi1/β1/γ2 7W0M-Apelin-PubChem 122701908-Gi1/β1/γ2 8XZJ-Apelin; Apelin-WN353-Gi1/β1/γ2 8XZF-Apelin; Apelin-WN561-Gi1/β1/γ2 8XZG-Apelin; Apelin-Apelin-13-Gi1/β1/γ2
23.33Consensusapelin_on_gpOrthosteric Ligand8XZH-Apelin; Apelin-MM07-Gi1/β1/γ2 7W0M-Apelin-PubChem 122701908-Gi1/β1/γ2 8XZJ-Apelin; Apelin-WN353-Gi1/β1/γ2 8XZF-Apelin; Apelin-WN561-Gi1/β1/γ2 8XZG-Apelin; Apelin-Apelin-13-Gi1/β1/γ2
23.33Consensusat1_on_gpOrthosteric Ligand7F6G-AT1-(Sar1)-Angiotensin II-Gq/β1/γ2
23.33Consensuscxcr3_on_gpOrthosteric Ligand8HNK-CXCR3-CXCL11-Gi1/β1/γ2 8HNL-CXCR3-PS372424-Gi1/β1/γ2
23.33Consensusfpr2-alx_on_gpOrthosteric Ligand7WVX-FPR2-ALX-Humanin-Gi2/β1/γ2 7T6U-FPR2-ALX-CGEN-855A-Gi1/β1/γ2 7T6V-FPR2-ALX-fMLFII-Gi1/β1/γ2 7WVY-FPR2-ALX-Amyloid-β42-Gi2/β1/γ2 7T6S-FPR2-ALX-TC-FPR 43-Gi1/β1/γ2 6OMM-FPR2-ALX-WKYMVX-Gi1/β1/γ2
23.33Consensusgq_angiotensinOrthosteric Ligand7F6G-AT1-(Sar1)-Angiotensin II-Gq/β1/γ2
23.33Consensusprotein_offonOrthosteric Ligandprotein_off protein_on
23.33Consensusprotein_offon_gpOrthosteric Ligandprotein_on_gp protein_off
23.33Consensustachykinin_onOrthosteric Ligandnk1_on nk2_on nk3_on
23.26Single8GY7Corticotropin8GY7-MC2-Corticotropin-Ca-chim(NtGi1-Gs)/β1/γ2; MRAP1
23.08Single4BUONeurotensin-(8-13)4BUO-NTS1-Neurotensin-(8-13)
23.08Single4RWSvMIP-II4RWS-CXCR4-vMIP-II
23.08Single4Z35ONO-99105394Z35-LPA1-ONO-9910539
23.08Single6BQGErgotamine6BQG-5-HT2C-Ergotamine
23.08Single6KPGAM8416KPG-CB1-AM841-Gi1/β1/γ2
23.08Single6UP7Neurotensin-(8-13)6UP7-NTS1-Neurotensin-(8-13)-Arrestin2
23.08Single7EZHCholecystokinin-87EZH-CCKA-Cholecystokinin-8-Gi1/β1/γ2
23.08Single7MBYCholecystokinin-87MBY-CCKA-Cholecystokinin-8-chim(NtGi1L-Gs-CtGq)/β1/γ2
23.08Single7MTSADX551647MTS-mGlu2; mGlu2-Glutamate-ADX55164-Gi1/β1/γ2
23.08Single7WVVfMLFII7WVV-FPR2-ALX-fMLFII-Gi2/β1/γ2
23.08Single7Y65C5a (C-terminal peptide)7Y65-C5a1-C5a (C-terminal peptide)-Gi1/β1/γ2
23.08Single8GAGZ85267113508GAG-CB1-Z8526711350-Gi1/β1/γ2
23.08Single8I95EP548I95-C3aB-EP54-Go/β1/γ2
23.08Single8ZX4Lysophosphatidylinositol 8ZX4-GPR55-Lysophosphatidylinositol-chim(NtGi1-G13)/β1/γ2
23.08Single9IZFLPA9IZF-LPA1-LPA-Gi1/β1/γ2
23.08Single9JH5C16:0 Ceramide9JH5-CysLT2-C16:0 Ceramide-chim(NtGi1-Gs-CtGq)/β1/γ2
23.08Single9KUGEP679KUG-C5a1-EP67-Go/β1/γ2
23.08Single9M54Neuropeptide-VF9M54-NPFF2-Neuropeptide-VF-Gi1/β1/γ2
23.08Single9UYHChemerin-99UYH-CML2-Chemerin-9-Arrestin2
23.08Consensusc3a_on_gpOrthosteric Ligand8HK2-C3aB-C3a-Gi1/β1/γ2 8IA8-C3aB-E7 peptide-Gi1/β1/γ2
23.08Consensusccka_onOrthosteric Ligand7EZH-CCKA-Cholecystokinin-8-Gi1/β1/γ2
23.08Consensusccka_on_gpOrthosteric Ligand7EZH-CCKA-Cholecystokinin-8-Gi1/β1/γ2
23.08Consensusclass-a_onOrthosteric Ligandsensory_on alicarboxylic_on amine_on lipid_on nucleotide_on peptide_on protein_on
23.08Consensusgal2_onOrthosteric Ligand7WQ4-GAL2-Galanin-chim(NtGi1-Gs-CtGq)/β1/γ2 7XJL-GAL2-Spexin-chim(NtGi2L-Gs-CtGq)/β1/γ2
23.08Consensusgal2_on_gpOrthosteric Ligand7WQ4-GAL2-Galanin-chim(NtGi1-Gs-CtGq)/β1/γ2 7XJL-GAL2-Spexin-chim(NtGi2L-Gs-CtGq)/β1/γ2
23.08Consensusgi_s1pOrthosteric Ligand7VIE-S1P1-S1P-Gi1/β1/γ2 7EW3-S1P3-S1P-Gi1/β1/γ2 7EVY-S1P1-Siponimod-Gi1/β1/γ2 7EW1-S1P5-Siponimod-Gi1/β1/γ2 7VIF-S1P1-FTY720-P-Gi1/β1/γ2 7VIG-S1P1-CBP-307-Gi1/β1/γ2 7EVZ-S1P1-Cenerimod-Gi1/β1/γ2 7EW4-S1P3-CYM-5541-Gi1/β1/γ2 7EW2-S1P3-FTY720-P-Gi1/β1/γ2 7EW0-S1P1-Ozanimod-Gi1/β1/γ2 7EW7-S1P1-SEW2871-Gi1/β1/γ2
23.08Consensusnk2_onOrthosteric Ligand7XWO-NK2-Neurokinin-A-chim(NtGi1-Gs-CtGq)/β1/γ2
23.08Consensusorexin_on_gpOrthosteric Ligandox2_on_gp
22.73Single4DKLBeta-Funaltrexamine4DKL-μ-β-Funaltrexamine
22.73Single4MBSMaraviroc4MBS-CCR5-Maraviroc
22.73Single4N6HNaltrindole4N6H-δ-Naltrindole-Na
22.73Single5NLXZM-2413855NLX-A2A-ZM-241385-Na
22.73Single5UVIZM-2413855UVI-A2A-ZM-241385
22.73Single6FK8PubChem 1324730356FK8-Rhodopsin-PubChem 132473035
22.73Single6MH8ZM-2413856MH8-A2A-ZM-241385
22.73Single6U1NLY21196206U1N-M2-LY2119620-Arrestin2
22.73Single6ZINSR486926ZIN-NTS1-SR48692
22.73Single7AROLUF58337ARO-A2A-LUF5833-Na
22.73Single7SR8TAK-9257SR8-OX2-TAK-925-chim(NtGi1L-Gs-CtGq)/β1/γ2
22.73Single7T94LY21196207T94-M2-Acetylcholine-LY2119620-chim(NtGi1-Go)/β1/γ2
22.73Single7VV6C48/807VV6-MRGPRX2-C48/80
22.73Single7YK6PubChem 1383196747YK6-RXFP4-PubChem 138319674-Gi2/β1/γ2
22.73Single8GURCP559408GUR-CB2-CP55940-Gi1/β1/γ2
22.73Single8H4LDoconexent8H4L-FFA4-Doconexent-chim(NtGi1-Gs-CtGq)/β1/γ2
22.73Single8HJ5PubChem 1390305318HJ5-MRGPRX1-PubChem 139030531-chim(NtGi1-Gs-CtGq)/β1/γ2
22.73Single8HQN9-S-HODE8HQN-GPR132-9-S-HODE-Gi1/β1/γ2
22.73Single8K4SDCA-3P8K4S-MRGPRX4-DCA-3P-chim(NtGi1L-Gs-CtGq)/β1/γ2
22.73Single8RWCStilSwitch28RWC-A2A-StilSwitch2-Na
22.73Single8RWDStilSwitch38RWD-A2A-StilSwitch3-Na
22.73Single8Y45ADL58598Y45-δ-ADL5859-Gi2/β1/γ2
22.73Single9IXXLTD49IXX-CysLT2-LTD4-chim(NtGi1-Gs-CtGq)/β1/γ2
22.73Single9JH3CMF-0199JH3-Apelin; Apelin-CMF-019-Gi1/β1/γ2
22.73Single9KUWCMPD6449KUW-Apelin; Apelin-CMPD644-Arrestin2 ; Arrestin2
22.73Single9KXSEP679KXS-C5a1-EP67-Go/β1/γ2
22.73Single9W33S5A19W33-SST5-S5A1
22.73Consensusadenosine_onOrthosteric Liganda1_on a2_on a3_on
22.73Consensusgi_adenosineOrthosteric Ligand7LD4-A1-Adenosine-Gi2/β1/γ2 8X17-A3A-Namodenoson-Gi1/β1/γ2 8X16-A3A-Piclidenoson-Gi1/β1/γ2
22.58Single7X9BNeuropeptide-Y7X9B-Y2-Neuropeptide-Y-Gi1/β1/γ2
22.58Single8HCXEndothelin-18HCX-ETB-Endothelin-1-chim(NtGi2L-Gs-CtGq)/β1/γ2
22.58Single8ZPSPrRP208ZPS-PrRP-PrRP20-chim(NtGi1-Gs-CtGi1)/β1/γ2
22.58Single9JFYNeuropeptide-SF9JFY-NPFF2-Neuropeptide-SF-Gi1/β1/γ2
22.58Consensuscml1_on_gpOrthosteric Ligand7YKD-CML1-Chemerin-9-Gi1/β1/γ2
22.58Consensusgi_apelinOrthosteric Ligand8XZH-Apelin; Apelin-MM07-Gi1/β1/γ2 7W0M-Apelin-PubChem 122701908-Gi1/β1/γ2 8XZJ-Apelin; Apelin-WN353-Gi1/β1/γ2 8XZF-Apelin; Apelin-WN561-Gi1/β1/γ2 8XZG-Apelin; Apelin-Apelin-13-Gi1/β1/γ2
22.58Consensusgi_chemokineOrthosteric Ligand6WWZ-CCR6-CCL20-Go/β1/γ2 8HNK-CXCR3-CXCL11-Gi1/β1/γ2 8K3Z-CXCR4-CXCL12-Gi1/β1/γ1 8IC0-CXCR1-CXCL8-Gi1/β1/γ2 6LFM-CXCR2-CXCL8-Gi1/β1/γ2 8KFX-CCR8-LMD-009-Gi1/β1/γ2 7F1Q-CCR5-CCL3-Gi1/β1/γ2 8HNL-CXCR3-PS372424-Gi1/β1/γ2 8KFY-CCR8-ZK-756326-Gi1/β1/γ2 7O7F-CCR5-6P4-CCL5-Gi1/β1/γ1 8U1U-CCR8-CCL1-Gi1/β1/γ2 7VLA-CCR1-CCL15(27-92)-Gi1/β1/γ2 7XA3-CCR2-CCL2-Gi1/β1/γ2
22.58Consensusneuromedin-u_on_gpOrthosteric Ligandnmur1_on_gp nmur2_on_gp
22.58Consensusp2y10_onOrthosteric Ligand8KGG-P2Y10-Lysophosphatidylserine (WJS)-chim(NtGi2-G13)/β1/γ2
22.58Consensussst5_on_gpOrthosteric Ligand8X8L-SST5-Cortistatin-14-chim(NtGi1-Gs-CtGi1)/β1/γ2 8X8N-SST5-Octreotide-chim(NtGi1-Gs-CtGi1)/β1/γ2
22.22Single3NY9PubChem 9131033NY9-β2-PubChem 913103
22.22Single5ZTYAM102575ZTY-CB2-AM10257
22.22Single6C1QPMX536C1Q-C5a1-PMX53-NDT9513727
22.22Single6KNMJN241-96KNM-Apelin-JN241-9
22.22Single6OMMWKYMVX6OMM-FPR2-ALX-WKYMVX-Gi1/β1/γ2
22.22Single6OS9JMV4496OS9-NTS1-JMV449-Gi1/β1/γ2
22.22Single6PT3DPI-2876PT3-δ-DPI-287
22.22Single7RKFCX3CL17RKF-US28-CX3CL1-GDP-chim(NtGi1-G11)/β1/γ2
22.22Single7RKNCX3CL17RKN-US28-CX3CL1-Gi1/β1/γ2
22.22Single7RMHSubstance-P7RMH-NK1-Substance-P-Gs/β1/γ2
22.22Single7T11Octreotide7T11-SST2-Octreotide-Gi3/β1/γ2
22.22Single7YAEOctreotide7YAE-SST2-Octreotide-Gi1/β1/γ2
22.22Single7YJ4INSL57YJ4-RXFP4-INSL5-Gi2/β1/γ2
22.22Single8JBFSenktide8JBF-NK3-Senktide-chim(NtGi1-Gs-CtGq)/β1/γ2
22.22Single8XQJJN2418XQJ-Apelin; Apelin-JN241
22.22Single8Y72Peptide8Y72-μ-Peptide-BMS-986122-Gi1/β1/γ2
22.22Single9IPVJR14a9IPV-C3aB-JR14a-Gi1/β1/γ2
22.22Single9M0RNeuropeptide-VF9M0R-NPFF1-Neuropeptide-VF-Gi1/β1/γ2
22.22Consensuscb2_offOrthosteric Ligand5ZTY-CB2-AM10257
22.22Consensuscxcr3_onOrthosteric Ligand8HNK-CXCR3-CXCL11-Gi1/β1/γ2 8HNL-CXCR3-PS372424-Gi1/β1/γ2
22.22Consensuskiss1_onOrthosteric Ligand8ZJD-Kiss1-Kisspeptin-1-chim(NtGi1-Gq)/β1/γ1
22.22Consensuskisspeptin_onOrthosteric Ligandkiss1_on
22.22Consensuss1p_onOrthosteric Ligands1p1_on s1p3_on s1p5_on
22.22Consensuss1p_on_gpOrthosteric Ligands1p1_on_gp s1p3_on_gp s1p5_on_gp
21.88Single4XT3CX3CL14XT3-US28-CX3CL1
21.88Single5UIW5P7-CCL55UIW-CCR5-5P7-CCL5
21.88Single7SK3CXCL127SK3-ACKR3-CXCL12
21.88Single7W3ZGastrin Releasing Peptide7W3Z-BB2-Gastrin Releasing Peptide-chim(NtGi1L-Gq)/β1/γ2
21.88Single8H0PNMB308H0P-BB1-NMB30-chim(NtGi1-Gs-CtGq)/β1/γ2
21.88Consensusccr5_offOrthosteric Ligand5UIW-CCR5-5P7-CCL5
21.74Single3EMLZM-2413853EML-A2A-ZM-241385
21.74Single4EJ4Naltrindole4EJ4-δ-Naltrindole
21.74Single4QIMANTA XV4QIM-SMO-ANTA XV
21.74Single5K2AZM-2413855K2A-A2A-ZM-241385-Na
21.74Single5VRAZM-2413855VRA-A2A-ZM-241385-Na
21.74Single5ZKPSR274175ZKP-PAF-SR27417
21.74Single6FK7PubChem 1324730346FK7-Rhodopsin-PubChem 132473034
21.74Single6KPFAM120336KPF-CB2-AM12033-Gi1/β1/γ2
21.74Single6LPJZM-2413856LPJ-A2A-ZM-241385-Na
21.74Single6LPKZM-2413856LPK-A2A-ZM-241385-Na
21.74Single6S0LZM-2413856S0L-A2A-ZM-241385
21.74Single6Z4VNeurotensin-(9-13)6Z4V-NTS1-Neurotensin-(9-13)
21.74Single7CRHSKF839597CRH-D1-SKF83959-Gs/β1/γ2
21.74Single7JOZPubChem 752020227JOZ-D1-PubChem 75202022-Gs/β1/γ2
21.74Single7LCIDanuglipron7LCI-GLP-1-Danuglipron-Gs/β1/γ2
21.74Single7LJCSKF812977LJC-D1-SKF81297-Mevidalen-Gs/β1/γ2
21.74Single7SCGFH2107SCG-μ-FH210-Gi1/β1/γ2
21.74Single7T6VfMLFII7T6V-FPR2-ALX-fMLFII-Gi1/β1/γ2
21.74Single7TRQVU04671547TRQ-M4-Iperoxo-VU0467154-Gi1/β1/γ2
21.74Single8KEXDCA-3P8KEX-MRGPRX4-DCA-3P
21.74Single8KFYZK-7563268KFY-CCR8-ZK-756326-Gi1/β1/γ2
21.74Single8RW7StilSwitch18RW7-A2A-StilSwitch1-Na
21.74Single8TH3AT118-H Nanobody8TH3-AT1-AT118-H Nanobody
21.74Single8X17Namodenoson8X17-A3A-Namodenoson-Gi1/β1/γ2
21.74Single9D61JDTic9D61-κ-JDTic-Gi1/β1/γ2
21.74Single9H37PubChem 1756706469H37-A2A-PubChem 175670646-Na
21.74Single9KFTfMLFC9KFT-FPR1-ALX-fMLFC-Gi1/β1/γ2
21.74Single9P1SZM-2413859P1S-A2A-ZM-241385
21.74Single9PXWNaloxone9PXW-μ-Naloxone-GDPβS-Gi1/β1/γ2
21.74Consensusadenosine_on_gpOrthosteric Liganda1_on_gp a2_on_gp a3_on_gp
21.74Consensuscck_offOrthosteric Ligandccka_off
21.74Consensusccka_offOrthosteric Ligand7F8Y-CCKA-Devazepide 7F8U-CCKA-Lintitript
21.74Consensusdop_offOrthosteric Ligand4EJ4-δ-Naltrindole
21.74Consensuslipid_offOrthosteric Ligandcannabinoid_off paf_off lpl_off prostanoid_off leukotriene_off
21.43Single4IARErgotamine4IAR-5-HT1B-Ergotamine
21.43Single4XT1CX3CL14XT1-US28-CX3CL1
21.43Single7QA8Antagonist Peptide7QA8-STE2; STE2-Antagonist Peptide
21.43Single7QA8Antagonist Peptide7QA8-STE2; STE2-Antagonist Peptide
21.43Single7TD4Siponimod7TD4-S1P1-Siponimod-Gi1/β1/γ2
21.43Single7W0PElabela7W0P-Apelin-Elabela-Gi1/β1/γ2
21.43Single7WKDTRH7WKD-TRH-TRH-chim(NtGi1-Gs-CtGq)/β1/γ2
21.43Single7WVWfMYFINILTL7WVW-FPR2-ALX-fMYFINILTL-Gi2/β1/γ2
21.43Single7XMRSomatostatin-147XMR-SST2-Somatostatin-14-Gi1/β1/γ2
21.43Single8IEIPubChem 1347468948IEI-GPR156; GPR156-PubChem 134746894
21.43Single8J6RMK68928J6R-HCA2-MK6892-Gi1/β1/γ2
21.43Single8WDTphotoNECA8WDT-A2A-photoNECA
21.43Single8ZBJSomatostatin-148ZBJ-SST5-Somatostatin-14-Gi1/β1/γ2
21.43Single8ZCJPasireotide8ZCJ-SST5-Pasireotide-Gi1/β1/γ1
21.43Single8ZJDKisspeptin-18ZJD-Kiss1-Kisspeptin-1-chim(NtGi1-Gq)/β1/γ1
21.43Single9L3YChemerin9L3Y-CML2-Chemerin-Gi1/β1/γ2
21.43Consensuschemerin_on_gpOrthosteric Ligandcml1_on_gp
21.43Consensuschemokine_onOrthosteric Ligandccr_on cxcr_on
21.43Consensuscml1_onOrthosteric Ligand7YKD-CML1-Chemerin-9-Gi1/β1/γ2
21.43Consensuscxcr4_onOrthosteric Ligand8K3Z-CXCR4-CXCL12-Gi1/β1/γ1
21.43Consensusgi_chemerinOrthosteric Ligand7YKD-CML1-Chemerin-9-Gi1/β1/γ2
21.43Consensusgq_kisspeptinOrthosteric Ligand8ZJD-Kiss1-Kisspeptin-1-chim(NtGi1-Gq)/β1/γ1
21.43Consensuskiss1_on_gpOrthosteric Ligand8ZJD-Kiss1-Kisspeptin-1-chim(NtGi1-Gq)/β1/γ1
21.43Consensuskisspeptin_on_gpOrthosteric Ligandkiss1_on_gp
21.43Consensusmc4_onOrthosteric Ligand7AUE-MC4-Setmelanotide-chim(NtGi1L-Gs)/β1/γ2 7F58-MC4-THIQ-Gs/β1/γ2 7F54-MC4-Afamelanotide-Gs/β1/γ2 7F53-MC4-α-MSH-Gs/β1/γ2 7F55-MC4-Bremelanotide-Gs/β1/γ2
21.43Consensusnk3_onOrthosteric Ligand8JBF-NK3-Senktide-chim(NtGi1-Gs-CtGq)/β1/γ2
21.43Consensusnk3_on_gpOrthosteric Ligand8JBF-NK3-Senktide-chim(NtGi1-Gs-CtGq)/β1/γ2
21.21Single7WVYAmyloid-Beta427WVY-FPR2-ALX-Amyloid-β42-Gi2/β1/γ2
21.21Single8W8WAlpha-MSH8W8W-MC3-α-MSH-Ca-Gs/β1/γ2
21.21Single8ZJGChemerin8ZJG-CML1-Chemerin-Gi1/β1/γ2
21.21Single9K26PrRP319K26-PrRP-PrRP31-Gi1/β1/γ2
21.21Consensusp2y10_on_gpOrthosteric Ligand8KGG-P2Y10-Lysophosphatidylserine (WJS)-chim(NtGi2-G13)/β1/γ2
21.05Single9M42A1L8O9M42-GPR139-A1L8O-chim(Gs-CtGq)/β1/γ2
20.83Single5C1MBU725C1M-μ-BU72
20.83Single5IUAQ274563485IUA-A2A-Q27456348-Na
20.83Single5N2SPSB365N2S-A1-PSB36
20.83Single5NM2ZM-2413855NM2-A2A-ZM-241385-Na
20.83Single5OM4PubChem 1355666095OM4-A2A-PubChem 135566609-Na
20.83Single6KPCAM120336KPC-CB2-AM12033
20.83Single6LFMCXCL86LFM-CXCR2-CXCL8-Gi1/β1/γ2
20.83Single6LPLZM-2413856LPL-A2A-ZM-241385-Na
20.83Single6RZ4Pranlukast6RZ4-CysLT1-Pranlukast-Na
20.83Single6S0QZM-2413856S0Q-A2A-ZM-241385
20.83Single6TO7Suvorexant6TO7-OX1-Suvorexant-Na
20.83Single6WQAZM-2413856WQA-A2A-ZM-241385-Na
20.83Single6Z4QSR142948A6Z4Q-NTS1-SR142948A
20.83Single7EPFNAM5977EPF-mGlu2-NAM597
20.83Single7EUOfMLF7EUO-FPR1-ALX-fMLF-Gi1/β1/γ2
20.83Single7LD3Adenosine7LD3-A1-Adenosine-MIPS521-Gi2/β1/γ2
20.83Single7RM5ZM-2413857RM5-A2A-ZM-241385-Na
20.83Single7VFXfMIFL7VFX-FPR1-ALX-fMIFL-Gi1/β1/γ2
20.83Single7VUHJNJ-635330547VUH-GPR139-JNJ-63533054-chim(Gs-CtGq)/β1/γ2
20.83Single7WIGL-0542647WIG-SST2-L-054264-Gi1/β1/γ2
20.83Single7X1TTaltirelin7X1T-TRH-Taltirelin-chim(NtGi2L-Gs-CtGq)/β1/γ2
20.83Single8FYNZM-2413858FYN-A2A-ZM-241385-Na
20.83Single8GNEKW-63568GNE-A2A-KW-6356-Na
20.83Single8J6JGSK2560738J6J-HCA2-GSK256073-Gi1/β1/γ2
20.83Single8JGGBAM8-228JGG-MRGPRX1-BAM8-22-Gi1/β1/γ2
20.83Single8SZGCa; Ca; Tryptophan; Cinacalcet; PO4; Spermine8SZG-CaS; CaS-Ca; Ca; Tryptophan; Cinacalcet; PO4; Spermine-chim(NtGi1-Gq)/β1/γ2
20.83Single8TF5Oleic acid8TF5-GPR6-Oleic acid
20.83Single9AYFCa; Ca; Ca; Cyclomethyltryptophan; R-568; PO49AYF-CaS; CaS-Ca-Ca; Ca; Ca; Cyclomethyltryptophan; R-568; PO4-Gi1/β1/γ2
20.83Single9EAHNanobody AT2099EAH-AT1-Olmesartan-Nanobody AT209
20.83Single9ERXD9-THC analog9ERX-CB1-D9-THC analog-Gi1/β1/γ2
20.83Single9HAPTolvaptan9HAP-V2-Tolvaptan
20.83Single9IYBPGD29IYB-DP2-PGD2-A1D5Q-Gi1/β1/γ2
20.83Single9KO4CCL219KO4-CCR7-CCL21-Gi1/β1/γ2
20.83Single9KUVCMPD6449KUV-Apelin-CMPD644-Arrestin2
20.83Single9L74S1P d16:19L74-S1P3-S1P d16:1-chim(NtGi2L-Gs-CtGq)/β1/γ2
20.83Single9U81Tolvaptan9U81-V2-Tolvaptan
20.83Consensusa1_offOrthosteric Ligand5UEN-A1-DU172 5N2S-A1-PSB36
20.83Consensuscxcr2_on_gpOrthosteric Ligand6LFM-CXCR2-CXCL8-Gi1/β1/γ2
20.83Consensusd1_onOrthosteric Ligand7F0T-D1-Dopamine-Gs/β1/γ2 7CKY-D1-PW0464-Gs/β1/γ2 8IRR-D1-Rotigotine-Gs/β1/γ2 7JV5-D1-SKF81297-Gs/β1/γ2 7JVP-D1-SKF83959-Gs/β1/γ2 7X2D-D1-Tavapadon-Gs/β1/γ2 7CKX-D1-A77636-Gs/β1/γ2 7JVQ-D1-Apomorphine-Gs/β1/γ2 7CKW-D1-Fenoldopam-Gs/β1/γ2
20.83Consensusd4_onOrthosteric Ligand8IRU-D4-Rotigotine-chim(NtGi1-Gs-CtGi1)/β1/γ2
20.83Consensusfpr1-alx_onOrthosteric Ligand7VFX-FPR1-ALX-fMIFL-Gi1/β1/γ2
20.83Consensusfpr1-alx_on_gpOrthosteric Ligand7VFX-FPR1-ALX-fMIFL-Gi1/β1/γ2
20.83Consensusrxfp4_onOrthosteric Ligand7YK7-RXFP4-DC591053-Gi2/β1/γ2 7YJ4-RXFP4-INSL5-Gi2/β1/γ2 7YK6-RXFP4-PubChem 138319674-Gi2/β1/γ2
20.83Consensusrxfp4_on_gpOrthosteric Ligand7YK7-RXFP4-DC591053-Gi2/β1/γ2 7YJ4-RXFP4-INSL5-Gi2/β1/γ2 7YK6-RXFP4-PubChem 138319674-Gi2/β1/γ2
20.69Single3QAKUK-4320973QAK-A2A-UK-432097
20.69Single6DO1(Sar1,Ile8)-Angiotensin II6DO1-AT1-(Sar1,Ile8)-Angiotensin II
20.69Single6HLOAprepitant6HLO-NK1-Aprepitant
20.69Single7DDZJNJ-310200287DDZ-Y2-JNJ-31020028
20.69Single7RKMCX3CL17RKM-US28-CX3CL1-Gi1/β1/γ2
20.69Single7W0NElabela7W0N-Apelin; Apelin-Elabela-Gi1/β1/γ2
20.69Single7WJ5Somatostatin-147WJ5-SST2-Somatostatin-14-Gi1/β1/γ2
20.69Single8IBVMotilin8IBV-Motilin-Motilin-chim(NtGi1-Gs-CtGq)/β1/γ2
20.69Single8JZZC5a-des-Arg8JZZ-C5a1-C5a-des-Arg-Go/β1/γ2
20.69Single8SG1Chemerin-98SG1-CML1-Chemerin-9-Gi1/β1/γ2
20.69Single8WSSMCH8WSS-MCH1-MCH-Gi1/β1/γ1
20.69Single9EAINanobody AT2099EAI-AT1-Losartan-Nanobody AT209
20.69Single9IQSMuscarinic toxin 39IQS-M4-Muscarinic toxin 3
20.69Single9KT7MK68929KT7-HCA2-MK6892-Gi1/β1/γ2
20.69Consensuscckb_onOrthosteric Ligand8IA7-CCKB-Cholecystokinin-8-chim(NtGi1L-Gq)/β1/γ2 7XOW-CCKB-Sulfated Gastrin-(10-17)-chim(NtGi1-Gq)/β1/γ2 7F8V-CCKB-Gastrin-17-Gi2/β1/γ2
20.69Consensusccr8_on_gpOrthosteric Ligand8KFX-CCR8-LMD-009-Gi1/β1/γ2 8KFY-CCR8-ZK-756326-Gi1/β1/γ2 8U1U-CCR8-CCL1-Gi1/β1/γ2
20.69Consensusgq_class-aOrthosteric Ligandgq_peptide gq_amine gq_nucleotide
20.69Consensusmc4_on_gpOrthosteric Ligand7AUE-MC4-Setmelanotide-chim(NtGi1L-Gs)/β1/γ2 7F58-MC4-THIQ-Gs/β1/γ2 7F54-MC4-Afamelanotide-Gs/β1/γ2 7F53-MC4-α-MSH-Gs/β1/γ2 7F55-MC4-Bremelanotide-Gs/β1/γ2
20.69Consensusmc5_onOrthosteric Ligand8INR-MC5-α-MSH-Ca-chim(NtGi1-Gs)/β1/γ2 8IOD-MC5-PG-901-Ca-chim(NtGi1-Gs)/β1/γ2
20.69Consensusnpy2_offOrthosteric Ligand7DDZ-Y2-JNJ-31020028
20.69Consensuss1p3_on_gpOrthosteric Ligand7EW3-S1P3-S1P-Gi1/β1/γ2 7EW4-S1P3-CYM-5541-Gi1/β1/γ2 7EW2-S1P3-FTY720-P-Gi1/β1/γ2
20.69Consensustachykinin_on_gpOrthosteric Ligandnk1_on_gp nk2_on_gp nk3_on_gp
20.59Single8Y52BA18Y52-BB3-BA1-chim(NtGi1-Gs-CtGq)/β1/γ2
20.00Single3SN6BI1671073SN6-β2-BI167107-Gs/β1/γ2
20.00Single4BV0Neurotensin-(7-13)4BV0-NTS1-Neurotensin-(7-13)
20.00Single4IAQDihydroergotamine4IAQ-5-HT1B-Dihydroergotamine
20.00Single4Z34ONO-97803074Z34-LPA1-ONO-9780307
20.00Single5XR8AM120335XR8-CB1-AM12033
20.00Single6E59L-7607356E59-NK1-L-760735
20.00Single6J20Aprepitant6J20-NK1-Aprepitant
20.00Single6LW5WKYMVm6LW5-FPR2-ALX-WKYMVm
20.00Single6MEOGp160; CD46MEO-CCR5-Gp160; CD4
20.00Single6N4BMDMB-Fubinaca6N4B-CB1-MDMB-Fubinaca-Gi1/β1/γ2
20.00Single6OIKLY21196206OIK-M2-Iperoxo-LY2119620-chim(NtGi1-Go)/β1/γ2
20.00Single7EW1Siponimod7EW1-S1P5-Siponimod-Gi1/β1/γ2
20.00Single7EW7SEW28717EW7-S1P1-SEW2871-Gi1/β1/γ2
20.00Single7TUYGSK682753A7TUY-GPR183-GSK682753A
20.00Single7V6APubChem 98642757V6A-M4-PubChem 9864275-Gi1/β1/γ2
20.00Single7W55Neuromedin-U-257W55-NMUR2-Neuromedin-U-25-chim(NtGi1-Gs-CtGq)/β1/γ2
20.00Single7XJLSpexin7XJL-GAL2-Spexin-chim(NtGi2L-Gs-CtGq)/β1/γ2
20.00Single7XOWSulfated Gastrin-(10-17)7XOW-CCKB-Sulfated Gastrin-(10-17)-chim(NtGi1-Gq)/β1/γ2
20.00Single8DCSCyanopindolol8DCS-β1-Cyanopindolol-Gs/β1/γ2
20.00Single8DZPmomSalB8DZP-κ-momSalB-Gi1/β1/γ2
20.00Single8EFLSR170188EFL-μ-SR17018-Gi1/β1/γ2
20.00Single8EITDoconexent8EIT-FFA1-Doconexent-chim(NtGi1L-Gs-CtGq)/β1/γ2
20.00Single8F76Propanoic acid8F76-OR51E2-Propanoic acid-Gs/β1/γ2
20.00Single8FN1Neurotensin-(8-13)8FN1-NTS1-Neurotensin-(8-13)-chim(NtGi1-Go)/β1/γ2
20.00Single8GUSHU-3088GUS-CB2-HU-308-Gi1/β1/γ2
20.00Single8HDOBAY 60-65838HDO-A2B-BAY 60-6583-Gs/β1/γ2
20.00Single8IRURotigotine8IRU-D4-Rotigotine-chim(NtGi1-Gs-CtGi1)/β1/γ2
20.00Single8IRVRotigotine8IRV-D5-Rotigotine-chim(NtGi1-Gs)/β1/γ2
20.00Single8IYHMK68928IYH-HCA2-MK6892-Go/β1/γ2
20.00Single8UGWCGS216808UGW-A2A-CGS21680
20.00Single8WJXADP8WJX-P2Y1-ADP-chim(Gs-CtGq)/β1/γ2
20.00Single8XGUTAK4488XGU-Kiss1-TAK448-Gi1/β1/γ2
20.00Single8XIPPasireotide8XIP-SST1-Pasireotide-chim(NtGi1-Gs-CtGi1)/β1/γ2
20.00Single8XZICMF-0198XZI-Apelin; Apelin-CMF-019-Gi1/β1/γ2
20.00Single8ZWFJR14a8ZWF-C3aB-JR14a
20.00Single9BJKNaloxone9BJK-μ-Naloxone-PubChem 171642066
20.00Single9CLWTUG-13759CLW-FFA2-TUG-1375-4-CMTB-chim(NtGi1L-Gs-CtGq)/β1/γ2
20.00Single9IJDCarazolol9IJD-β3-Carazolol-chim(NtGi1-Gs)/β1/γ2
20.00Single9IK9Lanreotide9IK9-SST1-Lanreotide-Gi1/β1/γ2
20.00Single9JCLADP9JCL-P2Y1-ADP-chim(Gs-CtGq)/β1/γ2
20.00Single9K27PrRP319K27-PrRP-PrRP31-chim(NtGi1-Gq)/β1/γ2
20.00Single9PY4Loperamide9PY4-μ-Loperamide-GDPβS-Gi1/β1/γ2
20.00Single9U4WGonadoliberin-19U4W-GnRH1-Gonadoliberin-1-chim(NtGi1L-Gs-CtGq)/β1/γ2
20.00Consensusa2_onOrthosteric Liganda2b_on
20.00Consensusa2_on_gpOrthosteric Liganda2b_on_gp
20.00Consensusa2b_onOrthosteric Ligand8HDP-A2B-Adenosine-Gs/β1/γ2 7XY6-A2B-BAY 60-6583-chim(NtGi1-Gs)/β1/γ2 7XY7-A2B-NECA-chim(NtGi1-Gs)/β1/γ2 8HDO-A2B-BAY 60-6583-Gs/β1/γ2
20.00Consensusa2b_on_gpOrthosteric Ligand8HDP-A2B-Adenosine-Gs/β1/γ2 7XY6-A2B-BAY 60-6583-chim(NtGi1-Gs)/β1/γ2 7XY7-A2B-NECA-chim(NtGi1-Gs)/β1/γ2 8HDO-A2B-BAY 60-6583-Gs/β1/γ2
20.00Consensusbb2_onOrthosteric Ligand7W40-BB2-Bombesin-chim(NtGi1L-Gq)/β1/γ2 7W3Z-BB2-Gastrin Releasing Peptide-chim(NtGi1L-Gq)/β1/γ2
20.00Consensusbb2_on_gpOrthosteric Ligand7W40-BB2-Bombesin-chim(NtGi1L-Gq)/β1/γ2 7W3Z-BB2-Gastrin Releasing Peptide-chim(NtGi1L-Gq)/β1/γ2
20.00Consensusbombesin_onOrthosteric Ligandbb2_on
20.00Consensusbombesin_on_gpOrthosteric Ligandbb2_on_gp
20.00Consensuscckb_on_gpOrthosteric Ligand8IA7-CCKB-Cholecystokinin-8-chim(NtGi1L-Gq)/β1/γ2 7XOW-CCKB-Sulfated Gastrin-(10-17)-chim(NtGi1-Gq)/β1/γ2 7F8V-CCKB-Gastrin-17-Gi2/β1/γ2
20.00Consensusd1_on_gpOrthosteric Ligand7F0T-D1-Dopamine-Gs/β1/γ2 7CKY-D1-PW0464-Gs/β1/γ2 8IRR-D1-Rotigotine-Gs/β1/γ2 7JV5-D1-SKF81297-Gs/β1/γ2 7JVP-D1-SKF83959-Gs/β1/γ2 7X2D-D1-Tavapadon-Gs/β1/γ2 7CKX-D1-A77636-Gs/β1/γ2 7JVQ-D1-Apomorphine-Gs/β1/γ2 7CKW-D1-Fenoldopam-Gs/β1/γ2
20.00Consensusd4_on_gpOrthosteric Ligand8IRU-D4-Rotigotine-chim(NtGi1-Gs-CtGi1)/β1/γ2
20.00Consensusd5_on_gpOrthosteric Ligand8IRV-D5-Rotigotine-chim(NtGi1-Gs)/β1/γ2
20.00Consensusgi_relaxinOrthosteric Ligand7YK7-RXFP4-DC591053-Gi2/β1/γ2 7YJ4-RXFP4-INSL5-Gi2/β1/γ2 7YK6-RXFP4-PubChem 138319674-Gi2/β1/γ2
20.00Consensusgq_bombesinOrthosteric Ligand7W40-BB2-Bombesin-chim(NtGi1L-Gq)/β1/γ2 7W3Z-BB2-Gastrin Releasing Peptide-chim(NtGi1L-Gq)/β1/γ2
20.00Consensusgs_adenosineOrthosteric Ligand8HDP-A2B-Adenosine-Gs/β1/γ2 8HDO-A2B-BAY 60-6583-Gs/β1/γ2 7XY7-A2B-NECA-chim(NtGi1-Gs)/β1/γ2 7XY6-A2B-BAY 60-6583-chim(NtGi1-Gs)/β1/γ2
20.00Consensusgs_dopamineOrthosteric Ligand7F0T-D1-Dopamine-Gs/β1/γ2 7CKW-D1-Fenoldopam-Gs/β1/γ2 7CKY-D1-PW0464-Gs/β1/γ2 8IRV-D5-Rotigotine-chim(NtGi1-Gs)/β1/γ2 8IRR-D1-Rotigotine-Gs/β1/γ2 7JV5-D1-SKF81297-Gs/β1/γ2 7JVP-D1-SKF83959-Gs/β1/γ2 7X2D-D1-Tavapadon-Gs/β1/γ2 7CKX-D1-A77636-Gs/β1/γ2 7JVQ-D1-Apomorphine-Gs/β1/γ2
20.00Consensusgs_nucleotideOrthosteric Ligandgs_adenosine
20.00Consensusmc3_onOrthosteric Ligand8IOC-MC3-γ-MSH-Ca-chim(NtGi1-Gs)/β1/γ2
20.00Consensusmc3_on_gpOrthosteric Ligand8IOC-MC3-γ-MSH-Ca-chim(NtGi1-Gs)/β1/γ2
20.00Consensusnmur2_onOrthosteric Ligand7W55-NMUR2-Neuromedin-U-25-chim(NtGi1-Gs-CtGq)/β1/γ2
20.00Consensusnmur2_on_gpOrthosteric Ligand7W55-NMUR2-Neuromedin-U-25-chim(NtGi1-Gs-CtGq)/β1/γ2
20.00Consensusnpy_offOrthosteric Ligandnpy1_off npy2_off
20.00Consensusrelaxin_onOrthosteric Ligandrxfp4_on
20.00Consensusrelaxin_on_gpOrthosteric Ligandrxfp4_on_gp
20.00Consensuss1p5_onOrthosteric Ligand7EW1-S1P5-Siponimod-Gi1/β1/γ2
20.00Consensuss1p5_on_gpOrthosteric Ligand7EW1-S1P5-Siponimod-Gi1/β1/γ2
20.00Consensustachykinin_offOrthosteric Ligandnk1_off
19.35Single5WB2CX3CL1.355WB2-US28-CX3CL1.35
19.35Single6METGp160; CD46MET-CCR5-Gp160; CD4
19.35Single7DW9AVP7DW9-V2-AVP-chim(NtGi1-Gs)/β1/γ2
19.35Single7W40Bombesin7W40-BB2-Bombesin-chim(NtGi1L-Gq)/β1/γ2
19.35Single7W57Neuromedin-S7W57-NMUR2-Neuromedin-S-chim(NtGi1-Gs-CtGq)/β1/γ2
19.35Single8WSTMCH8WST-MCH2-MCH-chim(NtGi1L-Gs-CtGq)/β1/γ2
19.35Single8X8LCortistatin-148X8L-SST5-Cortistatin-14-chim(NtGi1-Gs-CtGi1)/β1/γ2
19.35Consensusgs_vasop-oxyOrthosteric Ligand7DW9-V2-AVP-chim(NtGi1-Gs)/β1/γ2
19.35Consensusmc5_on_gpOrthosteric Ligand8INR-MC5-α-MSH-Ca-chim(NtGi1-Gs)/β1/γ2 8IOD-MC5-PG-901-Ca-chim(NtGi1-Gs)/β1/γ2
19.35Consensusneuromedin-u_onOrthosteric Ligandnmur1_on nmur2_on
19.35Consensusv2_onOrthosteric Ligand7DW9-V2-AVP-chim(NtGi1-Gs)/β1/γ2
19.35Consensusv2_on_gpOrthosteric Ligand7DW9-V2-AVP-chim(NtGi1-Gs)/β1/γ2
19.35Consensusvasop-oxy_onOrthosteric Ligandv2_on
19.35Consensusvasop-oxy_on_gpOrthosteric Ligandv2_on_gp
19.23Single2YCXCyanopindolol2YCX-β1-Cyanopindolol
19.23Single5F8UCyanopindolol5F8U-β1-Cyanopindolol
19.23Single6C1RPMX536C1R-C5a1-PMX53-Avacopan; Na
19.23Single6MXTSalmeterol6MXT-β2-Salmeterol
19.23Single6OS2TRV0266OS2-AT1-TRV026
19.23Single6YVRNeurotensin-(6-13)6YVR-NTS1-Neurotensin-(6-13)
19.23Single7EW2FTY720-P7EW2-S1P3-FTY720-P-Gi1/β1/γ2
19.23Single7EXDLasmiditan7EXD-5-HT1F-Lasmiditan-Gi1/β1/γ2
19.23Single7MTRADX551647MTR-mGlu2; mGlu2-Glutamate-ADX55164
19.23Single7XMTJ-21567XMT-SST4-J-2156-Gi1/β1/γ2
19.23Single7XW5ML1097XW5-TSH-TSH-ML109-Gs/β1/γ2
19.23Single7XW6ML1097XW6-TSH-M22 Fab-ML109-Gs/β1/γ2
19.23Single7XW9TRH7XW9-TRH-TRH-chim(NtGi1L-Gs-CtGq)/β1/γ2
19.23Single8H0QGastrin Releasing Peptide8H0Q-BB2-Gastrin Releasing Peptide-chim(NtGi1-Gs-CtGq)/β1/γ2
19.23Single8HK2C3a8HK2-C3aB-C3a-Gi1/β1/γ2
19.23Single8IA8E7 peptide8IA8-C3aB-E7 peptide-Gi1/β1/γ2
19.23Single8J6DEP1418J6D-C3aB-EP141-Go/β1/γ2
19.23Single8JPCNeurotensin-(8-13)8JPC-NTS1-Neurotensin-(8-13)-SBI-553; GDP; Mg-Gq; GRK2
19.23Single8X8NOctreotide8X8N-SST5-Octreotide-chim(NtGi1-Gs-CtGi1)/β1/γ2
19.23Single9MQLIsoquinuclidine9MQL-κ-Isoquinuclidine
19.23Single9W32SSTR5 antagonist 19W32-SST5-SSTR5 antagonist 1
19.23Consensus5ht1f_onOrthosteric Ligand7EXD-5-HT1F-Lasmiditan-Gi1/β1/γ2
19.23Consensus5ht1f_on_gpOrthosteric Ligand7EXD-5-HT1F-Lasmiditan-Gi1/β1/γ2
19.23Consensusccr8_onOrthosteric Ligand8KFX-CCR8-LMD-009-Gi1/β1/γ2 8KFY-CCR8-ZK-756326-Gi1/β1/γ2 8U1U-CCR8-CCL1-Gi1/β1/γ2
19.23Consensusleukotriene_offOrthosteric Ligandblt_off cyslt_off
19.23Consensusmop_onOrthosteric Ligand8F7R-μ-Endomorphin-Gi1/β1/γ2 8EF5-μ-Fentanyl-Gi1/β1/γ2 7SCG-μ-FH210-Gi1/β1/γ2 7T2H-μ-Lofentanil-Gi1/β1/γ2 7T2G-μ-Mitragynine Pseudoindoxyl-Gi1/β1/γ2 8EF6-μ-Morphine-Gi1/β1/γ2 8EFB-μ-Oliceridine-Gi1/β1/γ2 7U2L-μ-C5-guano-Gi1/β1/γ2 8EFO-μ-PZM21-Gi1/β1/γ2 8EFL-μ-SR17018-Gi1/β1/γ2 8F7Q-μ-β-Endorphin-Gi1/β1/γ2 7U2K-μ-C6-guano-Gi1/β1/γ2 8EFQ-μ-DAMGO-Gi1/β1/γ2
19.23Consensusmop_on_gpOrthosteric Ligand8F7R-μ-Endomorphin-Gi1/β1/γ2 8EF5-μ-Fentanyl-Gi1/β1/γ2 7SCG-μ-FH210-Gi1/β1/γ2 7T2H-μ-Lofentanil-Gi1/β1/γ2 7T2G-μ-Mitragynine Pseudoindoxyl-Gi1/β1/γ2 8EF6-μ-Morphine-Gi1/β1/γ2 8EFB-μ-Oliceridine-Gi1/β1/γ2 7U2L-μ-C5-guano-Gi1/β1/γ2 8EFO-μ-PZM21-Gi1/β1/γ2 8EFL-μ-SR17018-Gi1/β1/γ2 8F7Q-μ-β-Endorphin-Gi1/β1/γ2 7U2K-μ-C6-guano-Gi1/β1/γ2 8EFQ-μ-DAMGO-Gi1/β1/γ2
19.23Consensusnk1_offOrthosteric Ligand6HLP-NK1-Netupitant 6HLO-NK1-Aprepitant 6HLL-NK1-CP99994 6E59-NK1-L-760735
19.23Consensuss1p1_onOrthosteric Ligand7VIE-S1P1-S1P-Gi1/β1/γ2 7VIF-S1P1-FTY720-P-Gi1/β1/γ2 7VIG-S1P1-CBP-307-Gi1/β1/γ2 7EVY-S1P1-Siponimod-Gi1/β1/γ2 7EVZ-S1P1-Cenerimod-Gi1/β1/γ2 7EW0-S1P1-Ozanimod-Gi1/β1/γ2 7EW7-S1P1-SEW2871-Gi1/β1/γ2
19.23Consensuss1p1_on_gpOrthosteric Ligand7VIE-S1P1-S1P-Gi1/β1/γ2 7VIF-S1P1-FTY720-P-Gi1/β1/γ2 7VIG-S1P1-CBP-307-Gi1/β1/γ2 7EVY-S1P1-Siponimod-Gi1/β1/γ2 7EVZ-S1P1-Cenerimod-Gi1/β1/γ2 7EW0-S1P1-Ozanimod-Gi1/β1/γ2 7EW7-S1P1-SEW2871-Gi1/β1/γ2
19.23Consensustrh_onOrthosteric Ligand7XW9-TRH-TRH-chim(NtGi1L-Gs-CtGq)/β1/γ2
19.23Consensustrh_on_gpOrthosteric Ligand7XW9-TRH-TRH-chim(NtGi1L-Gs-CtGq)/β1/γ2
19.05Single6HLLCP999946HLL-NK1-CP99994
19.05Single6PH7Nerol6PH7-Rhodopsin-Nerol-Gt(CT)
19.05Single6TQ4PubChem 160468446TQ4-OX1-PubChem 16046844-Na
19.05Single7T96LY21196207T96-M2-Acetylcholine-LY2119620-Go/β1/γ2
19.05Single7VUIJNJ-635330547VUI-GPR139-JNJ-63533054-GTP-chim(Gs-CtGq)/β1/γ2
19.05Single7XTASerotonin7XTA-5-HT4-Serotonin-Gi1/β1/γ2
19.05Single8EF6Morphine8EF6-μ-Morphine-Gi1/β1/γ2
19.05Single9JLCAVE 09919JLC-MAS1-AVE 0991-Gi1/β1/γ2
19.05Single9KUWCMPD6449KUW-Apelin; Apelin-CMPD644-Arrestin2 ; Arrestin2
19.05Single9L3ZLRH7-C29L3Z-CML1-LRH7-C2
19.05Consensus5ht4_onOrthosteric Ligand7XTA-5-HT4-Serotonin-Gi1/β1/γ2
19.05Consensus5ht4_on_gpOrthosteric Ligand7XTA-5-HT4-Serotonin-Gi1/β1/γ2
19.05Consensusgq_nucleotideOrthosteric Ligandgq_p2y
19.05Consensusgq_p2yOrthosteric Ligand7XXH-P2Y1-2MeSADP-chim(NtGi1-G11)/β1/γ2
18.75Single7QBIAlpha-factor mating pheromone7QBI-STE2; STE2-α-factor mating pheromone
18.75Single8XQEApelin-138XQE-Apelin; Apelin-Apelin-13-Gi1/β1/γ2
18.75Consensusccr_on_gpOrthosteric Ligandccr6_on_gp ccr8_on_gp ccr2_on_gp ccr1_on_gp ccr5_on_gp
18.75Consensuschemokine_offOrthosteric Ligandccr_off cxcr_off
18.52Single4NC3Ergotamine4NC3-5-HT2B-Ergotamine
18.52Single5TUDErgotamine5TUD-5-HT2B-Ergotamine
18.52Single5X93K-87945X93-ETB-K-8794
18.52Single6K1QIRL25006K1Q-ETB-IRL2500
18.52Single7EVZCenerimod7EVZ-S1P1-Cenerimod-Gi1/β1/γ2
18.52Single7EW0Ozanimod7EW0-S1P1-Ozanimod-Gi1/β1/γ2
18.52Single7EZCUK-4320977EZC-A2A-UK-432097
18.52Single7EZMCholecystokinin-87EZM-CCKA-Cholecystokinin-8-chim(NtGsL-Gq)/β1/γ2
18.52Single7P00Substance-P7P00-NK1-Substance-P-chim(NtGi1-Gs-CtGq)/β1/γ2
18.52Single7PIUSetmelanotide7PIU-MC4-Setmelanotide-Gs/β1/γ2
18.52Single7QVMOxytocin7QVM-OT-Oxytocin-chim(NtGi1-Go-CtGq)/β1/γ2
18.52Single7XJISolabegron7XJI-β3-Solabegron-Gs/β1/γ2
18.52Single8K4OCXCL18K4O-KSHV-CXCL1-Gi1/β1/γ1
18.52Single8XGSKisspeptin-18XGS-Kiss1-Kisspeptin-1-chim(NtGi1-Gq)/β1/γ2
18.52Single8XIOL7975918XIO-SST1-L797591-chim(NtGi1-Gs-CtGi1)/β1/γ2
18.52Single8ZWGJR14a8ZWG-C3aB-JR14a-Gi1/β1/γ2
18.52Single9CGJC6-Quino9CGJ-δ-C6-Quino-Gi1/β1/γ2
18.52Single9KV8TLQP219KV8-C3aB-TLQP21-Go/β1/γ2
18.52Single9KWXC5a-des-Arg9KWX-C5a1-C5a-des-Arg-Go/β1/γ2
18.52Single9WP9S1P9WP9-S1P3-S1P-chim(NtGi2L-Gs-CtGq)/β1/γ2
18.52Consensuscck_onOrthosteric Ligandccka_on cckb_on
18.52Consensuscck_on_gpOrthosteric Ligandccka_on_gp cckb_on_gp
18.52Consensuschemerin_onOrthosteric Ligandcml1_on
18.52Consensusendothelin_offOrthosteric Ligandetb_off
18.52Consensusetb_offOrthosteric Ligand5X93-ETB-K-8794 5XPR-ETB-Bosentan 6K1Q-ETB-IRL2500
18.52Consensusnk1_onOrthosteric Ligand7P00-NK1-Substance-P-chim(NtGi1-Gs-CtGq)/β1/γ2
18.52Consensusnk1_on_gpOrthosteric Ligand7P00-NK1-Substance-P-chim(NtGi1-Gs-CtGq)/β1/γ2
18.18Single2X72All-trans-Retinal2X72-Rhodopsin-All-trans-Retinal-Gt(CT)
18.18Single3ODUIT1t3ODU-CXCR4-IT1t
18.18Single3PWHZM-2413853PWH-A2A-ZM-241385
18.18Single5K2DZM-2413855K2D-A2A-ZM-241385-Na
18.18Single5OLOTozadenant5OLO-A2A-Tozadenant-Na
18.18Single5WS3EMPA5WS3-OX2-EMPA
18.18Single5ZKQABT-4915ZKQ-PAF-ABT-491
18.18Single6AKXA4R6AKX-CCR5-A4R
18.18Single6AKYMaraviroc6AKY-CCR5-Maraviroc
18.18Single6FKBPubChem 1324730386FKB-Rhodopsin-PubChem 132473038
18.18Single6JZHZM-2413856JZH-A2A-ZM-241385-Na
18.18Single6NWEOctyl-Beta-D-Glucopyranoside6NWE-Rhodopsin-Octyl-β-D-Glucopyranoside-Gt(CT)
18.18Single6PS7ZM-2413856PS7-A2A-ZM-241385-Na
18.18Single6TQ6PubChem 1457142836TQ6-OX1-PubChem 145714283
18.18Single7BR3Elagolix7BR3-GnRH1-Elagolix
18.18Single7F1ODopamine7F1O-D1-Dopamine-GDP; Mg-Gs/β1/γ2
18.18Single7M3FCa; Ca; Tryptophan; Cinacalcet7M3F-CaS; CaS-Ca; Ca; Tryptophan; Cinacalcet
18.18Single7QBIAlpha-factor mating pheromone7QBI-STE2; STE2-α-factor mating pheromone
18.18Single7VUJJNJ-635330547VUJ-GPR139-JNJ-63533054-GDP-chim(Gs-CtGq)/β1/γ2
18.18Single7VV5C48/807VV5-MRGPRX2-C48/80-Gi1/β1/γ2
18.18Single7WF7S1P7WF7-S1P1-S1P-Gi1/β1/γ2
18.18Single7X2CFenoldopam7X2C-D1-Fenoldopam-Fenoldopam-Gs/β1/γ2
18.18Single7XRRLemborexant7XRR-OX2-Lemborexant
18.18Single8DU3PubChem 1055260648DU3-A2A-PubChem 105526064
18.18Single8GNGIstradefylline8GNG-A2A-Istradefylline
18.18Single8H8JLodoxamide8H8J-GPR35-Lodoxamide-Ca-chim(NtGi1L-G13)/β1/γ2
18.18Single8JPPSuccinic acid8JPP-Succinate-Succinic acid-chim(Gs-CtGq)/β1/γ1
18.18Single8RW0Istradefylline8RW0-A2A-Istradefylline-Na
18.18Single8YNFCXCL88YNF-ACKR1-CXCL8
18.18Single9C1PCa; Tryptophan; '6218; PO49C1P-CaS; CaS-Ca-Ca; Tryptophan; '6218; PO4
18.18Single9KO2CCL199KO2-CCR7-CCL19-Gi1/β1
18.18Single9KO6CCL199KO6-CCR7-CCL19
18.18Single9KPESalicin9KPE-TAS2R16-Salicin-Gi1/β1/γ2
18.18Single9LKDPL459LKD-OR5V1-PL45
18.18Single9PXUNaloxone9PXU-μ-Naloxone-Na
18.18Consensusccr_offOrthosteric Ligandccr2_off ccr5_off
18.18Consensuscxcr1_onOrthosteric Ligand8IC0-CXCR1-CXCL8-Gi1/β1/γ2
18.18Consensusgnrh1_offOrthosteric Ligand7BR3-GnRH1-Elagolix
18.18Consensusorexin_offOrthosteric Ligandox2_off ox1_off
18.18Consensusox1_offOrthosteric Ligand6TP6-OX1-Filorexant 6TP4-OX1-ACT-462206 6V9S-OX1-GTPL11403 6TOT-OX1-Lemborexant 6TP3-OX1-Nemorexant 6TQ6-OX1-PubChem 145714283 6TQ9-OX1-SB-408124 4ZJC-OX1-SB-674042 4ZJ8-OX1-Suvorexant 6TOD-OX1-EMPA-Na 6TOS-OX1-GSK1059865-Na 6TQ4-OX1-PubChem 16046844-Na
18.18Consensusox2_offOrthosteric Ligand5WQC-OX2-EMPA 6TPN-OX2-HTL6641 7XRR-OX2-Lemborexant 6TPJ-OX2-Suvorexant
18.18Consensusp2y1_onOrthosteric Ligand7XXH-P2Y1-2MeSADP-chim(NtGi1-G11)/β1/γ2
18.18Consensuspaf_offOrthosteric Ligand5ZKQ-PAF-ABT-491
17.86Single4UG2CGS216804UG2-A2A-CGS21680
17.86Single5WF6UK-4320975WF6-A2A-UK-432097
17.86Single7AUESetmelanotide7AUE-MC4-Setmelanotide-chim(NtGi1L-Gs)/β1/γ2
17.86Single7F8WGastrin-177F8W-CCKB-Gastrin-17-chim(NtGsL-Gq)/β1/γ2
17.86Single7XN9L-0545227XN9-SST2-L-054522
17.86Single8IA7Cholecystokinin-88IA7-CCKB-Cholecystokinin-8-chim(NtGi1L-Gq)/β1/γ2
17.86Single8XZFWN5618XZF-Apelin; Apelin-WN561-Gi1/β1/γ2
17.86Single9CGKC5-Quino9CGK-δ-C5-Quino-Gi1/β1/γ2
17.86Single9IPYJR14a9IPY-C3aB-JR14a
17.86Single9IZASCH9002719IZA-HCA2-SCH900271-Gi1/β1/γ2
17.86Single9JF4PD1683689JF4-BB1-PD168368
17.86Single9JH6C20:0 Ceramide9JH6-CysLT2-C20:0 Ceramide-chim(NtGi1-Gs-CtGq)/β1/γ2
17.86Single9KX6C5a-des-Arg9KX6-C5a1-C5a-des-Arg-Go/β1/γ2
17.65Single7AD3Alpha-factor mating pheromone7AD3-STE2; STE2-α-factor mating pheromone-Gi1/STE4/γ2
17.65Single7EIBKallidin-des-Arg107EIB-BK1-Kallidin-des-Arg10-chim(NtGi1-Gs-CtGq)/β1/γ2
17.65Single7QBCAlpha-factor mating pheromone7QBC-STE2; STE2-α-factor mating pheromone
17.65Single8WWLMCH8WWL-MCH1-MCH-Gi1/β1/γ2
17.39Single3REYPubChem 56973REY-A2A-PubChem 5697
17.39Single4ZJCSB-6740424ZJC-OX1-SB-674042
17.39Single5IU4ZM-2413855IU4-A2A-ZM-241385-Na
17.39Single5IU7Q274563465IU7-A2A-Q27456346-Na
17.39Single5IUBQ274563445IUB-A2A-Q27456344-Na
17.39Single5JTBZM-2413855JTB-A2A-ZM-241385
17.39Single5K2BZM-2413855K2B-A2A-ZM-241385-Na
17.39Single5K2CZM-2413855K2C-A2A-ZM-241385-Na
17.39Single5NM4ZM-2413855NM4-A2A-ZM-241385-Na
17.39Single5TE3Octyl-Beta-D-Glucopyranoside5TE3-Rhodopsin-Octyl-β-D-Glucopyranoside
17.39Single6AQFZM-2413856AQF-A2A-ZM-241385
17.39Single6IQLL7458706IQL-D4-L745870
17.39Single6PELCitronellol6PEL-Rhodopsin-Citronellol-Gt(CT)
17.39Single6TOSGSK10598656TOS-OX1-GSK1059865-Na
17.39Single6TPGEMPA6TPG-OX2-EMPA
17.39Single6TPNHTL66416TPN-OX2-HTL6641
17.39Single6VI4JDTic6VI4-κ-JDTic
17.39Single6WJCMuscarinic toxin 76WJC-M1-Atropine-Muscarinic toxin 7
17.39Single6ZDRHMS1413f126ZDR-A2A-HMS1413f12-Na
17.39Single7C2EPubChem 1490507997C2E-GLP-1-PubChem 149050799-Gs/β1/γ2
17.39Single7CKWFenoldopam7CKW-D1-Fenoldopam-Gs/β1/γ2
17.39Single7CKZDopamine7CKZ-D1-Dopamine-Mevidalen-Gs/β1/γ2
17.39Single7F0TDopamine7F0T-D1-Dopamine-Gs/β1/γ2
17.39Single7F1ZDopamine7F1Z-D1-Dopamine-GDP-Gs/β1/γ2
17.39Single7WVUfMLF7WVU-FPR1-ALX-fMLF-Gi1/β1/γ2
17.39Single7XOVSR1461317XOV-CCKA-SR146131-Gs/β1/γ2
17.39Single7XXH2MeSADP7XXH-P2Y1-2MeSADP-chim(NtGi1-G11)/β1/γ2
17.39Single8RQQZM-2413858RQQ-A2A-ZM-241385-Na
17.39Single8RWIStilSwitch28RWI-A2A-StilSwitch2-Na
17.39Single8UO0Constrained Epinephrine8UO0-β2-Constrained Epinephrine-GTP-Gs/β1/γ2
17.39Single8Y62C16:0 Ceramide8Y62-FPR2-ALX-C16:0 Ceramide-Gi1/β1/γ2
17.39Single8Y6YGLPG09748Y6Y-FFA2-GLPG0974
17.39Single8YH2Adenosine8YH2-A3A-Adenosine-Gi1/β1/γ2
17.39Single9ARXSerotonin9ARX-5-HT2A-Serotonin
17.39Single9JKYAcifran9JKY-HCA2-Acifran-Gi1/β1/γ2
17.39Single9KPDSalicin9KPD-TAS2R16-Salicin-chim(Gs-CtGt3)/β1/γ2
17.39Single9LKBPL459LKB-OR5V1-PL45-chim(NtGi1-Gs)/β1
17.39Single9M2FNeuropeptide-FF9M2F-NPFF1-Neuropeptide-FF-Gi1/β1/γ2
17.39Single9P1TZM-2413859P1T-A2A-ZM-241385
17.39Single9PXVNaloxone9PXV-μ-Naloxone-Gi1/β1/γ2
17.39Single9PXXNaloxone9PXX-μ-Naloxone-GDPβS-Gi1/β1/γ2
17.39Single9PY2Loperamide9PY2-μ-Loperamide-GDPβS-Gi1/β1/γ2
17.39Consensusa2_offOrthosteric Liganda2a_off
17.39Consensusa2a_offOrthosteric Ligand3RFM-A2A-Caffeine 8C9W-A2A-Etrumadenant 3UZA-A2A-GTPL9236 8GNG-A2A-Istradefylline 8CU6-A2A-LJ-4517 7PX4-A2A-PSB-2113 7PYR-A2A-PSB-2115 8DU3-A2A-PubChem 105526064 8JWY-A2A-2-118 8PWN-A2A-Theophylline 5IU4-A2A-ZM-241385-Na 5OLZ-A2A-PubChem 135566609-Na 6GT3-A2A-Imaradenant-Na 5OLV-A2A-LUAA47070-Na 5N2R-A2A-PSB36-Na 5IU7-A2A-Q27456346-Na 5OLH-A2A-Vipadenant-Na 5OLO-A2A-Tozadenant-Na 6ZDR-A2A-HMS1413f12-Na 8GNE-A2A-KW-6356-Na 8JWZ-A2A-Etrumadenant-Na 5IU8-A2A-Q27456347-Na 5IUB-A2A-Q27456344-Na 6ZDV-A2A-PubChem 984073-Na 5IUA-A2A-Q27456348-Na 8A2P-A2A-LUAA47070-Na
17.39Consensuscxcr2_onOrthosteric Ligand6LFM-CXCR2-CXCL8-Gi1/β1/γ2
17.39Consensusgrh_offOrthosteric Ligandgnrh1_off
17.39Consensusnop_offOrthosteric Ligand4EA3-NOP-PubChem 10296561 5DHG-NOP-C-35 5DHH-NOP-SB-612111
17.39Consensusp2y1_on_gpOrthosteric Ligand7XXH-P2Y1-2MeSADP-chim(NtGi1-G11)/β1/γ2
17.24Single7VLACCL15(27-92)7VLA-CCR1-CCL15(27-92)-Gi1/β1/γ2
17.24Single7W56Neuromedin-S7W56-NMUR1-Neuromedin-S-chim(NtGi1-Gs-CtGq)/β1/γ2
17.24Single8INRAlpha-MSH8INR-MC5-α-MSH-Ca-chim(NtGi1-Gs)/β1/γ2
17.24Single8KIGSHU91198KIG-MC3-SHU9119-Ca
17.24Single8PKMBefiradol8PKM-5-HT1A-Befiradol-Gi1/β1/γ1
17.24Single8U4OCXCL128U4O-CXCR4-CXCL12-Gi1/β1/γ2
17.24Single8ZSPLSD8ZSP-TA1-LSD-chim(NtGi1L-Gs)/β1/γ2
17.24Single9KWGC5a9KWG-C5a1-C5a-Go/β1/γ2
17.24Consensusccr1_onOrthosteric Ligand7VLA-CCR1-CCL15(27-92)-Gi1/β1/γ2
17.24Consensusccr1_on_gpOrthosteric Ligand7VLA-CCR1-CCL15(27-92)-Gi1/β1/γ2
17.24Consensussst5_onOrthosteric Ligand8X8L-SST5-Cortistatin-14-chim(NtGi1-Gs-CtGi1)/β1/γ2 8X8N-SST5-Octreotide-chim(NtGi1-Gs-CtGi1)/β1/γ2
17.14Single7QBCAlpha-factor mating pheromone7QBC-STE2; STE2-α-factor mating pheromone
17.14Single8WWNMCH8WWN-MCH1-MCH-Gi1/β1/γ2
17.07Single7F16TIP397F16-PTH2-TIP39-Gs/β1/γ2
17.07Consensuspth2_on_gpOrthosteric Ligand7F16-PTH2-TIP39-Gs/β1/γ2
16.67Single4EA3PubChem 102965614EA3-NOP-PubChem 10296561
16.67Single4EIYZM-2413854EIY-A2A-ZM-241385-Na
16.67Single4J4QOctyl Beta-D-Glucopyranoside4J4Q-Rhodopsin-Octyl β-D-Glucopyranoside-Gt(CT)
16.67Single4X1HNonyl-Beta-D-Glucopyranoside4X1H-Rhodopsin-Nonyl-β-D-Glucopyranoside-Gt(CT)
16.67Single5DHGC-355DHG-NOP-C-35
16.67Single5DHHSB-6121115DHH-NOP-SB-612111
16.67Single5IU8Q274563475IU8-A2A-Q27456347-Na
16.67Single5OLGZM-2413855OLG-A2A-ZM-241385-Na
16.67Single5OLZPubChem 1355666095OLZ-A2A-PubChem 135566609-Na
16.67Single5OM1PubChem 1355666095OM1-A2A-PubChem 135566609-Na
16.67Single5UENDU1725UEN-A1-DU172
16.67Single5UIGPubChem 1240811965UIG-A2A-PubChem 124081196
16.67Single6FKDPubChem 1373491836FKD-Rhodopsin-PubChem 137349183
16.67Single6TOTLemborexant6TOT-OX1-Lemborexant
16.67Single6X1ADanuglipron6X1A-GLP-1-Danuglipron-Gs/β1/γ2
16.67Single6XBM25(S)-Epoxycholesterol6XBM-SMO-25(S)-Epoxycholesterol-Gi1/β1/γ2
16.67Single7DB6Ramelteon7DB6-MT1-Ramelteon-Gi1/β1/γ2
16.67Single7F1QCCL37F1Q-CCR5-CCL3-Gi1/β1/γ2
16.67Single7FIHOrg435537FIH-LH-hCG-Org43553-chim(NtGi1-Gs)/β1/γ2
16.67Single7JVQApomorphine7JVQ-D1-Apomorphine-Gs/β1/γ2
16.67Single7LCKDanuglipron7LCK-GLP-1-Danuglipron
16.67Single7PYRPSB-21157PYR-A2A-PSB-2115
16.67Single7S15PubChem 1346112237S15-GLP-1-PubChem 134611223
16.67Single7SK5CXCL127SK5-ACKR3-CXCL12
16.67Single7SK8CXCL127SK8-ACKR3-CXCL12-CCX662
16.67Single7SQOTAK-9257SQO-OX2-TAK-925-Gi1/β1/γ2
16.67Single7UL4Alvimopan7UL4-μ-Alvimopan
16.67Single7VIES1P7VIE-S1P1-S1P-Gi1/β1/γ2
16.67Single7X2CFenoldopam7X2C-D1-Fenoldopam-Fenoldopam-Gs/β1/γ2
16.67Single7XNACYN1548067XNA-SST2-CYN154806
16.67Single7XTC5-CT7XTC-5-HT7-5-CT-Gs/β1/γ2
16.67Single8CU6LJ-45178CU6-A2A-LJ-4517
16.67Single8CU7LJ-45178CU7-A2A-LJ-4517-Na
16.67Single8DZSGR89,6968DZS-κ-GR89,696-chim(NtGi2-Gz)/β1/γ2
16.67Single8EFQDAMGO8EFQ-μ-DAMGO-Gi1/β1/γ2
16.67Single8IOCGamma-MSH8IOC-MC3-γ-MSH-Ca-chim(NtGi1-Gs)/β1/γ2
16.67Single8JLZST19368JLZ-5-HT6-ST1936-Gs/β1/γ2
16.67Single8RWXStilSwitch38RWX-A2A-StilSwitch3-Na
16.67Single8UGYMianserin8UGY-5-HT1E-Mianserin-Gi1/β1/γ1
16.67Single8UNVConstrained Epinephrine8UNV-β2-Constrained Epinephrine-GTP-Gs/β1/γ2
16.67Single8UNZConstrained Epinephrine8UNZ-β2-Constrained Epinephrine-GTP-Gs/β1/γ2
16.67Single8UO2Constrained Epinephrine8UO2-β2-Constrained Epinephrine-GTP-Gs/β1/γ2
16.67Single8VVGGB188VVG-κ-GB18-Gi1/β1/γ2
16.67Single8Y71A1D6F8Y71-δ-A1D6F-BMS986187-Gi1/β1/γ2
16.67Single8YH5Riboprine8YH5-A3A-Riboprine-Gi1/β1/γ2
16.67Single8ZQEGPR15L(CT)8ZQE-GPR15-GPR15L(CT)-Gi1/β1/γ1
16.67Single8ZYYNeurotensin-(8-13)8ZYY-NTS1-Neurotensin-(8-13)-SBI-553-Arrestin2
16.67Single9AVGCa; Ca; Cyclomethyltryptophan; R-568; PO49AVG-CaS; CaS-Ca-Ca; Ca; Cyclomethyltryptophan; R-568; PO4-chim(NtGi1-Gs)/β1/γ2
16.67Single9BQJRO769BQJ-μ-RO76-Gi1/β1/γ2
16.67Single9CHXCarazolol9CHX-β2-Carazolol
16.67Single9IQRMuscarinic toxin 39IQR-α2a-Muscarinic toxin 3
16.67Single9IQVMuscarinic toxin 39IQV-Alpha1A-Muscarinic toxin 3
16.67Single9KUXCMPD6449KUX-Apelin; Apelin-CMPD644-Arrestin2
16.67Consensus5ht6_onOrthosteric Ligand7XTB-5-HT6-Serotonin-Gs/β1/γ2 8JLZ-5-HT6-ST1936-Gs/β1/γ2
16.67Consensus5ht6_on_gpOrthosteric Ligand7XTB-5-HT6-Serotonin-Gs/β1/γ2 8JLZ-5-HT6-ST1936-Gs/β1/γ2
16.67Consensus5ht7_onOrthosteric Ligand7XTC-5-HT7-5-CT-Gs/β1/γ2
16.67Consensus5ht7_on_gpOrthosteric Ligand7XTC-5-HT7-5-CT-Gs/β1/γ2
16.67Consensusalicarboxylic_on_gpOrthosteric Ligandsuccinate_on_gp hca_on_gp
16.67Consensusclass-a_class-b1_cons_onOrthosteric Ligandclass-a_on class-b1_on
16.67Consensusgi_alicarboxylicOrthosteric Ligandgi_hca gi_succinate
16.67Consensusgi_orexinOrthosteric Ligand7SQO-OX2-TAK-925-Gi1/β1/γ2
16.67Consensussst2_offOrthosteric Ligand7XNA-SST2-CYN154806
16.13Single5WF5UK-4320975WF5-A2A-UK-432097
16.13Single7RYCOxytocin7RYC-OT-Oxytocin-chim(NtGi2L-Gs-CtGq)/β1/γ2
16.13Consensusccr_onOrthosteric Ligandccr6_on ccr8_on ccr2_on ccr1_on ccr5_on
16.00Single4ZJ8Suvorexant4ZJ8-OX1-Suvorexant
16.00Single5N2RPSB365N2R-A2A-PSB36-Na
16.00Single5WQCEMPA5WQC-OX2-EMPA
16.00Single5X7DCarazolol5X7D-β2-Carazolol-PubChem 129318963
16.00Single5XPRBosentan5XPR-ETB-Bosentan
16.00Single5ZBQUR-MK-2995ZBQ-Y1-UR-MK-299
16.00Single6D26Fevipiprant6D26-DP2-Fevipiprant
16.00Single6GDGNECA6GDG-A2A-NECA-Gs/β1/γ1
16.00Single6HLPNetupitant6HLP-NK1-Netupitant
16.00Single6TP6Filorexant6TP6-OX1-Filorexant
16.00Single6XBKCholesterol6XBK-SMO-Cholesterol-Gi1/β1/γ2
16.00Single7BB7AVP7BB7-V2-AVP-Gs/β1/γ2
16.00Single7EO2FTY720-P7EO2-S1P1-FTY720-P-Gi1/β1/γ2
16.00Single7TD3S1P7TD3-S1P1-S1P-Gi1/β1/γ2
16.00Single7W41PD1762527W41-BB2-PD176252
16.00Single7WC6LSD7WC6-5-HT2A-LSD
16.00Single7XKAConstrained Epinephrine7XKA-β2-Constrained Epinephrine
16.00Single8EFBOliceridine8EFB-μ-Oliceridine-Gi1/β1/γ2
16.00Single8GDZConstrained Epinephrine8GDZ-β2-Constrained Epinephrine-Gs/β1/γ2
16.00Single8GEBConstrained Epinephrine8GEB-β2-Constrained Epinephrine-Gs/β1/γ2
16.00Single8GEGConstrained Epinephrine8GEG-β2-Constrained Epinephrine-Gs/β1/γ2
16.00Single8GGBConstrained Epinephrine8GGB-β2-Constrained Epinephrine-GTP-Gs/β1/γ2
16.00Single8KFXLMD-0098KFX-CCR8-LMD-009-Gi1/β1/γ2
16.00Single8UNNConstrained Epinephrine8UNN-β2-Constrained Epinephrine-GTP-Gs/β1/γ2
16.00Single8UNPConstrained Epinephrine8UNP-β2-Constrained Epinephrine-GTP-Gs/β1/γ2
16.00Single8YH0NECA8YH0-A3A-NECA-Gi1/β1/γ2
16.00Single8YICSAR2477998YIC-S1P1-SAR247799-Gi1/β1/γ2
16.00Single8ZPTPrRP208ZPT-PrRP-PrRP20-chim(NtGi1-Gs-CtGq)/β1/γ2
16.00Single8ZYTNeurotensin-(8-13)8ZYT-NTS1-Neurotensin-(8-13)-SBI-553-Arrestin2
16.00Single9ARYSerotonin9ARY-5-HT2A-Serotonin-chim(NtGi1-Gs-CtGq)/β1/γ2
16.00Single9AVLCa; Ca; Cyclomethyltryptophan; R-568; PO49AVL-CaS; CaS-Ca-Ca; Ca; Cyclomethyltryptophan; R-568; PO4-Gi3/β2/γ2
16.00Single9AXFCa; Ca; Ca; Cyclomethyltryptophan; R-568; PO49AXF-CaS; CaS-Ca-Ca; Ca; Ca; Cyclomethyltryptophan; R-568; PO4-chim(NtGi1-Gs-CtGq)/β1/γ2
16.00Single9DQHEP-28259DQH-MRGPRD-EP-2825-chim(NtGi1-Gs-CtGq)/β1/γ2
16.00Single9EE8Adenosine9EE8-A2A-Adenosine-Gs/β1/γ2
16.00Single9EHSLUF76029EHS-A3A-LUF7602
16.00Single9JKSPubChem 442501769JKS-HCA3-PubChem 44250176-Gi1/β1/γ2
16.00Single9KPFSalicin9KPF-TAS2R16-Salicin-Gi1/β1/γ2
16.00Single9KT6Acifran9KT6-HCA3-Acifran-Gi1/β1/γ2
16.00Single9MQKIsoquinuclidine9MQK-κ-Isoquinuclidine
16.00Single9PXYNaloxone9PXY-μ-Naloxone-GDPβS-Gi1/β1/γ2
16.00Consensusadenosine_offOrthosteric Liganda1_off a2_off
16.00Consensusbb2_offOrthosteric Ligand7W41-BB2-PD176252
16.00Consensusbombesin_offOrthosteric Ligandbb2_off
16.00Consensusdp2_offOrthosteric Ligand6D26-DP2-Fevipiprant
16.00Consensusdp_offOrthosteric Liganddp2_off
16.00Consensusgs_amineOrthosteric Ligandgs_5ht gs_adrenergic gs_dopamine gs_histamine gs_trace-amine
16.00Consensuss1p_offOrthosteric Ligands1p1_off s1p5_off
15.79Consensuscrf_on_gpOrthosteric Ligandcrf2_on_gp crf1_on_gp
15.62Single6WIVPubChem 52923113; PubChem 529246456WIV-GABAB1, GABAB2-PubChem 52923113; PubChem 52924645
15.62Single7AD3Alpha-factor mating pheromone7AD3-STE2; STE2-α-factor mating pheromone-Gi1/STE4/γ2
15.38Single2YDVNECA2YDV-A2A-NECA
15.38Single3P0GBI1671073P0G-β2-BI167107
15.38Single4UHRCGS216804UHR-A2A-CGS21680
15.38Single5A8E7-Methylcyanopindolol5A8E-β1-7-Methylcyanopindolol-Na
15.38Single5G53NECA5G53-A2A-NECA-Gs
15.38Single5V56TC1145V56-SMO-TC114
15.38Single6H7JIsoprenaline6H7J-β1-Isoprenaline
15.38Single6KO5PubChem 574000026KO5-Ghrelin-PubChem 57400002
15.38Single6N48BI1671076N48-β2-BI167107-PubChem 138454256
15.38Single6NI3BI1671076NI3-β2-BI167107-Gs/β1/γ2
15.38Single6TQ7SB-3348676TQ7-OX1-SB-334867
15.38Single7F1TCCL37F1T-CCR5-CCL3
15.38Single7JJOIsoprenaline7JJO-β1-Isoprenaline-Gs/β1/γ2
15.38Single7M8W15r-Methyl-PGD27M8W-DP2-15r-Methyl-PGD2-Na
15.38Single7PX4PSB-21137PX4-A2A-PSB-2113
15.38Single7R0CAVP7R0C-V2-AVP-Arrestin2
15.38Single7T2HLofentanil7T2H-μ-Lofentanil-Gi1/β1/γ2
15.38Single7U2LC5-guano7U2L-μ-C5-guano-Gi1/β1/γ2
15.38Single7VIGCBP-3077VIG-S1P1-CBP-307-Gi1/β1/γ2
15.38Single7WVXHumanin7WVX-FPR2-ALX-Humanin-Gi2/β1/γ2
15.38Single7XY7NECA7XY7-A2B-NECA-chim(NtGi1-Gs)/β1/γ2
15.38Single8EF5Fentanyl8EF5-μ-Fentanyl-Gi1/β1/γ2
15.38Single8JXVClozapine8JXV-H4-Clozapine-Gi1/β1/γ2
15.38Single8VVEnorBNI8VVE-κ-norBNI-Gi1/β1/γ2
15.38Single8XVLZibotentan8XVL-ETA-Zibotentan
15.38Single9ASTLymphotactin9AST-XCR1-Lymphotactin-Gi1/β1/γ2
15.38Single9AYFCa; Ca; Ca; Cyclomethyltryptophan; R-568; PO49AYF-CaS; CaS-Ca-Ca; Ca; Ca; Cyclomethyltryptophan; R-568; PO4-Gi1/β1/γ2
15.38Single9KUXCMPD6449KUX-Apelin; Apelin-CMPD644-Arrestin2
15.38Consensusclass-a_class-b1_cons_on_gpOrthosteric Ligandclass-a_on_gp class-b1_on_gp
15.38Consensusgi_dopamineOrthosteric Ligand7JVR-D2-Bromoergocryptine-Gi1/β1/γ2 7CMV-D3-PD128907-Gi1/β1/γ2 7CMU-D3-Pramipexole-Gi1/β1/γ2 8IRS-D2-Rotigotine-Gi1/β1/γ2 8IRT-D3-Rotigotine-Gi1/β1/γ2
15.38Consensusnpy1_offOrthosteric Ligand5ZBH-Y1-BMS-193885 5ZBQ-Y1-UR-MK-299
15.38Consensuspth2_onOrthosteric Ligand7F16-PTH2-TIP39-Gs/β1/γ2
15.15Single7VL9CCL15(26-92)7VL9-CCR1-CCL15(26-92)-Gi1/β1/γ2
15.15Single8E3ZVIP8E3Z-VPAC1-VIP-Gs/β1/γ2
15.15Single8IA2C5a8IA2-C5a1-C5a-Go/β1/γ2
15.15Single8WWKMCH8WWK-MCH1-MCH-Gi1/β1/γ2
15.00Single3RFMCaffeine3RFM-A2A-Caffeine
15.00Single6OT025(S)-Epoxycholesterol6OT0-SMO-25(S)-Epoxycholesterol-Gi1/β1/γ2
15.00Single6TQ9SB-4081246TQ9-OX1-SB-408124
15.00Single7VDMSubstance-P7VDM-MRGPRX2-Substance-P-Gi1/β1/γ2
15.00Single8A2OTheophylline8A2O-A2A-Theophylline-Na
15.00Single9L0HJR14a9L0H-C3aB-JR14a-Go/β1/γ2
15.00Consensuspth_onOrthosteric Ligandpth1_on pth2_on
14.81Single4LDEBI1671074LDE-β2-BI167107
14.81Single4PXFOctyl-Beta-D-Glucopyranoside4PXF-Rhodopsin-Octyl-β-D-Glucopyranoside-Arrestin1 Finger Loop
14.81Single5UNHPubChem 1264564065UNH-AT2-PubChem 126456406
14.81Single7BZ2Arformoterol7BZ2-β2-Arformoterol-Gs/β1/γ2
14.81Single7DFPSpiperone7DFP-D2-Spiperone
14.81Single7DH5Mirabegron7DH5-β3-Mirabegron-Gs/β1/γ2
14.81Single7EVYSiponimod7EVY-S1P1-Siponimod-Gi1/β1/γ2
14.81Single7JNIOlodanrigan7JNI-AT2-Olodanrigan
14.81Single7T6BS1P7T6B-S1P2-S1P-chim(NtGi1L-G13)/β1/γ2
14.81Single7W0LPubChem 1227019087W0L-Apelin; Apelin-PubChem 122701908-Gi1/β1/γ2
14.81Single7W0NElabela7W0N-Apelin; Apelin-Elabela-Gi1/β1/γ2
14.81Single7YMJTamsulosin7YMJ-Alpha1A-Tamsulosin
14.81Single8IRSRotigotine8IRS-D2-Rotigotine-Gi1/β1/γ2
14.81Single8IYWGSK2560738IYW-HCA2-GSK256073-Go/β1/γ2
14.81Single8JD3JNJ-404118138JD3-mGlu2; mGlu3-Glutamate-JNJ-40411813-Gi1/β1/γ2
14.81Single8JJ8Arformoterol8JJ8-β2-Arformoterol
14.81Single8JJLOlodaterol8JJL-β2-Olodaterol
14.81Single8JWY2-1188JWY-A2A-2-118
14.81Single8JWZEtrumadenant8JWZ-A2A-Etrumadenant-Na
14.81Single8XQNCholesterol8XQN-TAS2R14-Cholesterol-Aristolochic acid A-Gi1/β1/γ1
14.81Single8XYIVUF106618XYI-CXCR3-VUF10661
14.81Single9EBIPiclidenoson9EBI-A3A-Piclidenoson-chim(NtGi1L-Gs-CtGi1)/β1/γ2
14.81Single9GL2Befiradol9GL2-5-HT1A-Befiradol-Gs/β1/γ2
14.81Single9KVG5-MeO-DMT9KVG-5-HT1A-5-MeO-DMT-PtdIns4P-Gi1/β1/γ2
14.81Single9KZKC3a (fragment)9KZK-C3aB-C3a (fragment)-Go/β1/γ2
14.81Single9M4QDoxazosin9M4Q-Alpha1A-Doxazosin
14.81Single9M8POleic monoethanolamide9M8P-GPR3 ; GPR3-Oleic monoethanolamide-AF64394
14.81Single9VIFNeuropeptide-VF9VIF-NPFF1-Neuropeptide-VF-Gi1/β1/γ2
14.81Single9VJ6F-155999VJ6-5-HT1A-F-15599-Gi3/β1/γ2
14.81Consensusalpha1_offOrthosteric Ligandalpha1a_off
14.81Consensusalpha1a_offOrthosteric Ligand7YMJ-Alpha1A-Tamsulosin
14.81Consensusbeta3_onOrthosteric Ligand7DH5-β3-Mirabegron-Gs/β1/γ2 7XJH-β3-Isoprenaline-Gs/β1/γ2 7XJI-β3-Solabegron-Gs/β1/γ2
14.81Consensusbeta3_on_gpOrthosteric Ligand7DH5-β3-Mirabegron-Gs/β1/γ2 7XJH-β3-Isoprenaline-Gs/β1/γ2 7XJI-β3-Solabegron-Gs/β1/γ2
14.81Consensusbeta_onOrthosteric Ligandbeta1_on beta2_on beta3_on
14.81Consensusbeta_on_gpOrthosteric Ligandbeta1_on_gp beta2_on_gp beta3_on_gp
14.81Consensuscannabinoid_offOrthosteric Ligandcb2_off cb1_off
14.81Consensusd2_on_gpOrthosteric Ligand7JVR-D2-Bromoergocryptine-Gi1/β1/γ2 8IRS-D2-Rotigotine-Gi1/β1/γ2
14.81Consensuss1p3_onOrthosteric Ligand7EW3-S1P3-S1P-Gi1/β1/γ2 7EW4-S1P3-CYM-5541-Gi1/β1/γ2 7EW2-S1P3-FTY720-P-Gi1/β1/γ2
14.71Single7RGPTirzepatide7RGP-GLP-1-Tirzepatide-chim(NtGi1-Gs)/β1/γ2
14.71Single7VABTirzepatide (non-acylated)7VAB-GIP-Tirzepatide (non-acylated)-chim(NtGi1-Gs)/β1/γ2
14.71Consensuspac_on_gpOrthosteric Ligandpac1_on_gp
14.29Single2YCZIodocyanopindolol2YCZ-β1-Iodocyanopindolol
14.29Single3OE6IT1t3OE6-CXCR4-IT1t
14.29Single4BVNCyanopindolol4BVN-β1-Cyanopindolol-Na
14.29Single5UNGPubChem 157800525UNG-AT2-PubChem 15780052
14.29Single5WKTOctyl-Beta-D-Glucopyranoside5WKT-Rhodopsin-Octyl-β-D-Glucopyranoside-Gt(CT)
14.29Single6D32Cyclopamine6D32-SMO-Cyclopamine-Cyclopamine
14.29Single6FK9PubChem 1324730366FK9-Rhodopsin-PubChem 132473036
14.29Single6IBLArformoterol6IBL-β1-Arformoterol
14.29Single6ME5Agomelatine6ME5-MT1-Agomelatine
14.29Single6TKOArformoterol6TKO-β1-Arformoterol-Arrestin2
14.29Single7DD7Ca; Ca; Tryptophan; Evocalcet7DD7-CaS; CaS-Ca-Ca; Ca; Tryptophan; Evocalcet
14.29Single7JVRBromoergocryptine7JVR-D2-Bromoergocryptine-Gi1/β1/γ2
14.29Single7UM4AS26747237UM4-5-HT5A-AS2674723
14.29Single7X8RBOC57X8R-GLP-1-BOC5-Gs/β1/γ2
14.29Single8E9X2-Deoxycytidine8E9X-M4-2-Deoxycytidine-chim(NtGi1-Go)/β1/γ2
14.29Single8E9YClozapine-N-oxide8E9Y-M3-Clozapine-N-oxide-chim(NtGi2L-Gs-CtGq)/β1/γ2
14.29Single8FN0Neurotensin-(8-13)8FN0-NTS1-Neurotensin-(8-13)-SBI-553-chim(NtGi1-Go)/β1/γ2
14.29Single8FX5Xanomeline8FX5-M4-Xanomeline-Xanomeline-Gi1/β1/γ2
14.29Single8GGEConstrained Epinephrine8GGE-β2-Constrained Epinephrine-GTP-Gs/β1/γ2
14.29Single8GH1Constrained Epinephrine8GH1-β2-Constrained Epinephrine
14.29Single8K2XCXCL108K2X-CXCR3-CXCL10-Gi1/β1/γ2
14.29Single8RQLFlufenamic acid8RQL-TAS2R14-Flufenamic acid-Flufenamic acid-chim(NtGi1-Gt3)/β1/γ2
14.29Single8S2TIsoprenaline8S2T-β1-Isoprenaline-chim(NtGi1-Gs)/β1/γ2
14.29Single8X9UMetenolone8X9U-ADGRD1-Metenolone-chim(NtGi1-Gs)/β1/γ2
14.29Single8Y63C20:0 Ceramide8Y63-FPR2-ALX-C20:0 Ceramide-Gi1/β1/γ2
14.29Single9EAILosartan9EAI-AT1-Losartan-Nanobody AT209
14.29Single9IV15alpha-DHT9IV1-ADGRD1-5α-DHT-chim(NtGi1-Gs)/β1/γ2
14.29Single9JHJC18:0 Ceramide9JHJ-FPR2-ALX-C18:0 Ceramide-Gi1/β1/γ2
14.29Single9KT8Acifran9KT8-HCA2-Acifran-Gi1/β1/γ2
14.29Consensusprostanoid_offOrthosteric Ligandep_off dp_off
13.89Single5VAIGLP-15VAI-GLP-1-GLP-1-Gs/β1/γ2
13.89Single6PB1Urocortin6PB1-CRF2-Urocortin-chim(NtGi1-Gs)/β1/γ2
13.89Single7TS0Urocortin7TS0-CRF2-Urocortin-chim(NtGi1L-Go)/β1/γ2
13.89Single8HAFPTHrP(1-36)8HAF-PTH1-PTHrP(1-36)-chim(NtGi1-Gs)/β1/γ2
13.89Consensuspth1_onOrthosteric Ligand6NBF-PTH1-LA-PTH Analog-Gs/β1/γ2 8HA0-PTH1-PTH-chim(NtGi1-Gs)/β1/γ2 8HAF-PTH1-PTHrP(1-36)-chim(NtGi1-Gs)/β1/γ2 7Y36-PTH1-PTH-Gs/β1/γ2 7Y35-PTH1-Abaloparatide-Gs/β1/γ2
13.79Single7X8SWB4-247X8S-GLP-1-WB4-24-Gs/β1/γ2
13.79Single8JLRA776368JLR-TA1-A77636-chim(NtGi1-Gs)/β1/γ2
13.79Single8X5YAstemizole8X5Y-H1-Astemizole
13.79Single8XQLCholesterol8XQL-TAS2R14-Cholesterol-Aristolochic acid A-Gt3/β1/γ1
13.79Single9UMJEP549UMJ-C3aB-EP54-Go/β1/γ2
13.79Consensusgq_cckOrthosteric Ligand8IA7-CCKB-Cholecystokinin-8-chim(NtGi1L-Gq)/β1/γ2 7XOW-CCKB-Sulfated Gastrin-(10-17)-chim(NtGi1-Gq)/β1/γ2 7EZM-CCKA-Cholecystokinin-8-chim(NtGsL-Gq)/β1/γ2 7F8W-CCKB-Gastrin-17-chim(NtGsL-Gq)/β1/γ2
13.64Single3OE9IT1t3OE9-CXCR4-IT1t
13.64Single3PBLEticlopride3PBL-D3-Eticlopride
13.64Single4O9RCyclopamine4O9R-SMO-Cyclopamine
13.64Single5L7IVismodegib5L7I-SMO-Vismodegib
13.64Single6FK6PubChem 1324730336FK6-Rhodopsin-PubChem 132473033
13.64Single6PGSGeraniol6PGS-Rhodopsin-Geraniol-Gt(CT)
13.64Single6TP4ACT-4622066TP4-OX1-ACT-462206
13.64Single7DD7Ca; Ca; Tryptophan; Evocalcet7DD7-CaS; CaS-Ca-Ca; Ca; Tryptophan; Evocalcet
13.64Single7UL2SR486927UL2-NTS1-SR48692-Na
13.64Single7VDHC48/807VDH-MRGPRX2-C48/80-Gi1/β1/γ2
13.64Single7XP6Strychnine7XP6-TAS2R46-Strychnine-chim(Gs-CtGt3)/β1/γ2
13.64Single7XT9Serotonin7XT9-5-HT4-Serotonin-Gs/β1/γ2
13.64Single7XTBSerotonin7XTB-5-HT6-Serotonin-Gs/β1/γ2
13.64Single8FX5Xanomeline8FX5-M4-Xanomeline-Xanomeline-Gi1/β1/γ2
13.64Single8IHIAcifran8IHI-HCA2-Acifran-Gi1/β1/γ2
13.64Single8JLOUlotaront8JLO-TA1-Ulotaront-Gs/β1/γ2
13.64Single8JPNCis-Epoxysuccinic acid8JPN-Succinate-Cis-Epoxysuccinic acid-Gi1/β1/γ1
13.64Single8SZFCa; Ca; Tryptophan; Cinacalcet; PO4; Spermine8SZF-CaS; CaS-Ca; Ca; Tryptophan; Cinacalcet; PO4; Spermine
13.64Single8UO3Constrained Epinephrine8UO3-β2-Constrained Epinephrine-GTP; Mg-Gs/β1/γ2
13.64Single8WP1Cis-Epoxysuccinic acid8WP1-Succinate-Cis-Epoxysuccinic acid-Gi1/β1/γ2
13.64Single8YH3N-methyladenosine8YH3-A3A-N-methyladenosine-Gi1/β1/γ2
13.64Single8YKWSuccinic acid8YKW-Succinate-Succinic acid-Gi1/β1/γ1
13.64Single8YN4Histamine8YN4-H2-Histamine-chim(NtGi1L-Gs-CtGq)/β1/γ2
13.64Single8ZX5AM2518ZX5-GPR55-AM251-chim(NtGi1-G13)/β1/γ2
13.64Single8ZYUNeurotensin-(8-13)8ZYU-NTS1-Neurotensin-(8-13)-SBI-553-Arrestin2
13.64Single9C1PCa; Tryptophan; '6218; PO49C1P-CaS; CaS-Ca-Ca; Tryptophan; '6218; PO4
13.64Single9E7RGB889E7R-PAR2-GB88-chim(NtGi1L-Gs-CtGq)/β1/γ2
13.64Single9IQTNiacin9IQT-HCA2-Niacin-Gi1/β1/γ2
13.64Single9IXJHistamine9IXJ-H2-Histamine-Gs/β1/γ2
13.64Consensusadgrg_onOrthosteric Ligandadgrg2_on adgrg4_on
13.64Consensusadgrg_on_gpOrthosteric Ligandadgrg2_on_gp adgrg4_on_gp
13.64Consensusd3_offOrthosteric Ligand3PBL-D3-Eticlopride
13.64Consensusneurotensin_offOrthosteric Ligandnts1_off
13.64Consensusnts1_offOrthosteric Ligand7UL2-NTS1-SR48692-Na
13.64Consensuspth_on_gpOrthosteric Ligandpth1_on_gp pth2_on_gp
13.51Single6PB0Urocortin6PB0-CRF1-Urocortin-chim(NtGi1-Gs)/β1/γ2
13.51Consensuscrf1_onOrthosteric Ligand6PB0-CRF1-Urocortin-chim(NtGi1-Gs)/β1/γ2 6P9X-CRF1-Corticoliberin-1-Gs/β1/γ2
13.33Single5UNFPubChem 157800525UNF-AT2-PubChem 15780052
13.33Single6WIVPubChem 52923113; PubChem 529246456WIV-GABAB1, GABAB2-PubChem 52923113; PubChem 52924645
13.33Single7F8XNN90567F8X-CCKA-NN9056
13.33Single8DCRDobutamine8DCR-β1-Dobutamine-Gs/β1/γ2
13.33Single8WZ2Orexigenic Neuropeptide QRFP8WZ2-QRFP-Orexigenic Neuropeptide QRFP-chim(NtGi1L-Gs-CtGq)/β1/γ2
13.33Consensussomatostatin_offOrthosteric Ligandsst2_off
13.16Single6LPBPACAP276LPB-PAC1-PACAP27-Gs/β1/γ1
13.16Single8FLULA-PTH Analog8FLU-PTH1-LA-PTH Analog-Gs/β1/γ2
13.04Single3V2WPubChem 518926453V2W-S1P1-PubChem 51892645
13.04Single3VG9ZM-2413853VG9-A2A-ZM-241385-Antibody
13.04Single4BWBNeurotensin-(8-12)4BWB-NTS1-Neurotensin-(8-12)
13.04Single4QINSAG1.54QIN-SMO-SAG1.5
13.04Single4S0VSuvorexant4S0V-OX2-Suvorexant
13.04Single5OLHVipadenant5OLH-A2A-Vipadenant-Na
13.04Single5OLVLUAA470705OLV-A2A-LUAA47070-Na
13.04Single6D9HAdenosine6D9H-A1-Adenosine-Gi2/β1/γ2
13.04Single6ME2Ramelteon6ME2-MT1-Ramelteon
13.04Single6ME9Ramelteon6ME9-MT2-Ramelteon
13.04Single6O3CSAG21k6O3C-SMO-SAG21k-Cholesterol
13.04Single6TODEMPA6TOD-OX1-EMPA-Na
13.04Single6TPJSuvorexant6TPJ-OX2-Suvorexant
13.04Single6WWZCCL206WWZ-CCR6-CCL20-Go/β1/γ2
13.04Single7F8ULintitript7F8U-CCKA-Lintitript
13.04Single7LCJDanuglipron7LCJ-GLP-1-Danuglipron
13.04Single7LD4Adenosine7LD4-A1-Adenosine-Gi2/β1/γ2
13.04Single7M3FCa; Ca; Tryptophan; Cinacalcet7M3F-CaS; CaS-Ca; Ca; Tryptophan; Cinacalcet
13.04Single7S8PMS471347S8P-MRGPRX4-MS47134-chim(NtGi2L-Gs-CtGq)/β1/γ2
13.04Single7SILCa; Ca; Ca; Cyclomethyltryptophan; R-568; PO47SIL-CaS; CaS-Ca-Ca; Ca; Ca; Cyclomethyltryptophan; R-568; PO4
13.04Single7SILCa; Ca; Ca; Cyclomethyltryptophan; R-568; PO47SIL-CaS; CaS-Ca-Ca; Ca; Ca; Cyclomethyltryptophan; R-568; PO4
13.04Single7T6STC-FPR 437T6S-FPR2-ALX-TC-FPR 43-Gi1/β1/γ2
13.04Single7VIHCBP-3077VIH-S1P1-CBP-307-Gi1/β1/γ2
13.04Single7X2FDopamine7X2F-D1-Dopamine-Mevidalen-Gs/β1/γ2
13.04Single7X5H5-CT7X5H-5-HT5A-5-CT-Gi1/β1/γ2
13.04Single7XT8Serotonin7XT8-5-HT4-Serotonin-Gs/β1/γ2
13.04Single8DWGML3828DWG-MRGPRX1-BAM8-22-ML382-chim(NtGi2L-Gs-CtGq)/β1/γ2
13.04Single8GGCConstrained Epinephrine8GGC-β2-Constrained Epinephrine-GTP-Gs/β1/γ2
13.04Single8GGZConstrained Epinephrine8GGZ-β2-Constrained Epinephrine
13.04Single8HDPAdenosine8HDP-A2B-Adenosine-Gs/β1/γ2
13.04Single8IJBAcipimox8IJB-HCA2-Acipimox-Gi1/β1/γ2
13.04Single8JSOAMPH8JSO-TA1-AMPH-chim(NtGi1-Gs)/β1/γ2
13.04Single8TZQDopamine8TZQ-D2-Dopamine-Go/β1/γ2
13.04Single8WC4ZH86518WC4-TA1-ZH8651-chim(NtGi1-Gs)/β1/γ2
13.04Single8WCA2-Phenylethylamine8WCA-TA1-2-Phenylethylamine-chim(NtGi1-Gs)/β1/γ2
13.04Single8WOGSuccinic acid8WOG-Succinate-Succinic acid-Gi1/β1/γ2
13.04Single8WPGTryptophan; Cinacalcet; PO4; Ca8WPG-CaS; CaS-Tryptophan; Cinacalcet; PO4; Ca
13.04Single8YKXMaleic acid8YKX-Succinate-Maleic acid-Gi1/β1/γ1
13.04Single8YUTAmthamine8YUT-H2-Amthamine-Gs/β1/γ2
13.04Single8YYWAlpha-ketoglutarate8YYW-Oxoglutarate-α-ketoglutarate-α-ketoglutarate-chim(Gi1-CtGq)/β1/γ2
13.04Single9C2FCa; Ca; Tryptophan; '54149; PO49C2F-CaS; CaS-Ca-Ca; Ca; Tryptophan; '54149; PO4
13.04Single9EBHAdenosine9EBH-A3A-Adenosine-Gi1/β1/γ2
13.04Single9H2XPubChem 1756706449H2X-A2A-PubChem 175670644-Na
13.04Single9JKXAcifran9JKX-HCA3-Acifran-Gi1/β1/γ2
13.04Single9K6LSalicin9K6L-TAS2R16-Salicin-Gi2/β1/γ2
13.04Single9LLBDOI-NBOMe9LLB-5-HT2A-DOI-NBOMe-chim(NtGi1L-Gs-CtGq)/β1/γ2
13.04Consensus5ht1e_onOrthosteric Ligand7E33-5-HT1E-BRL-54443-Gi1/β1/γ2 8UGY-5-HT1E-Mianserin-Gi1/β1/γ1 8UH3-5-HT1E-Setiptiline-Gi1/β1/γ1
13.04Consensus5ht_onOrthosteric Ligand5ht1_on 5ht2_on 5ht4_on 5ht5_on 5ht6_on 5ht7_on
13.04Consensusa1_onOrthosteric Ligand7LD4-A1-Adenosine-Gi2/β1/γ2
13.04Consensusa1_on_gpOrthosteric Ligand7LD4-A1-Adenosine-Gi2/β1/γ2
13.04Consensusccr6_onOrthosteric Ligand6WWZ-CCR6-CCL20-Go/β1/γ2
13.04Consensusccr6_on_gpOrthosteric Ligand6WWZ-CCR6-CCL20-Go/β1/γ2
13.04Consensusgi_succinateOrthosteric Ligand8YKW-Succinate-Succinic acid-Gi1/β1/γ1 8YKX-Succinate-Maleic acid-Gi1/β1/γ1
13.04Consensusgs_5htOrthosteric Ligand7XTC-5-HT7-5-CT-Gs/β1/γ2 7XTB-5-HT6-Serotonin-Gs/β1/γ2 8JLZ-5-HT6-ST1936-Gs/β1/γ2 7XT8-5-HT4-Serotonin-Gs/β1/γ2
13.04Consensuss1p1_offOrthosteric Ligand3V2W-S1P1-PubChem 51892645
13.04Consensussuccinate_onOrthosteric Ligand8YKW-Succinate-Succinic acid-Gi1/β1/γ1 8YKX-Succinate-Maleic acid-Gi1/β1/γ1
13.04Consensussuccinate_on_gpOrthosteric Ligand8YKW-Succinate-Succinic acid-Gi1/β1/γ1 8YKX-Succinate-Maleic acid-Gi1/β1/γ1
12.82Consensuscrf1_on_gpOrthosteric Ligand6PB0-CRF1-Urocortin-chim(NtGi1-Gs)/β1/γ2 6P9X-CRF1-Corticoliberin-1-Gs/β1/γ2
12.82Consensuspth1_on_gpOrthosteric Ligand6NBF-PTH1-LA-PTH Analog-Gs/β1/γ2 8HA0-PTH1-PTH-chim(NtGi1-Gs)/β1/γ2 8HAF-PTH1-PTHrP(1-36)-chim(NtGi1-Gs)/β1/γ2 7Y36-PTH1-PTH-Gs/β1/γ2 7Y35-PTH1-Abaloparatide-Gs/β1/γ2
12.50Single1F8811-cis-Retinal1F88-Rhodopsin-11-cis-Retinal
12.50Single3UZCPubChem 1355666093UZC-A2A-PubChem 135566609
12.50Single3V2YPubChem 518926453V2Y-S1P1-PubChem 51892645
12.50Single4LDOEpinephrine4LDO-β2-Epinephrine
12.50Single6FKAPubChem 1324730376FKA-Rhodopsin-PubChem 132473037
12.50Single6ME32-Phenylmelatonin6ME3-MT1-2-Phenylmelatonin
12.50Single6ME42-Iodomelatonin6ME4-MT1-2-Iodomelatonin
12.50Single6PS0Carazolol6PS0-β2-Carazolol
12.50Single6PS4ICI118-5516PS4-β2-ICI118-551
12.50Single6PS5Propranolol6PS5-β2-Propranolol
12.50Single6PS82-Phenylmelatonin6PS8-MT1-2-Phenylmelatonin
12.50Single6TP3Nemorexant6TP3-OX1-Nemorexant
12.50Single6TPKRetosiban6TPK-OT-Retosiban
12.50Single6V9SGTPL114036V9S-OX1-GTPL11403
12.50Single6ZDVPubChem 9840736ZDV-A2A-PubChem 984073-Na
12.50Single6ZFZ77-LH-28-16ZFZ-M1-77-LH-28-1
12.50Single6ZG9GSK10347026ZG9-M1-GSK1034702
12.50Single7CMUPramipexole7CMU-D3-Pramipexole-Gi1/β1/γ2
12.50Single7CMVPD1289077CMV-D3-PD128907-Gi1/β1/γ2
12.50Single7E33BRL-544437E33-5-HT1E-BRL-54443-Gi1/β1/γ2
12.50Single7EJ8Brimonidine7EJ8-α2a-Brimonidine-Go/β1/γ2
12.50Single7EJADexmedetomidine7EJA-α2a-Dexmedetomidine-Go/β1/γ2
12.50Single7F24Dopamine7F24-D1-Dopamine-GDP-Gs/β1/γ2
12.50Single7F61PF-036547467F61-H3-PF-03654746
12.50Single7RANPubChem 1645758477RAN-5-HT2A-PubChem 164575847-chim(NtGi2L-Gs-CtGq)/β1/γ2
12.50Single7T32ZM-2413857T32-A2A-ZM-241385
12.50Single7UTZDPPC7UTZ-TSH-TSH-DPPC-Gs/β1/γ2
12.50Single7Y36PTH7Y36-PTH1-PTH-Gs/β1/γ2
12.50Single7ZI0SAG7ZI0-SMO-SAG-Cholesterol
12.50Single8FLQPTH8FLQ-PTH1-PTH-Gs/β1/γ2
12.50Single8GG5Constrained Epinephrine8GG5-β2-Constrained Epinephrine-GTP-Gs/β1/γ2
12.50Single8GG7Constrained Epinephrine8GG7-β2-Constrained Epinephrine-GTP-Gs/β1/γ2
12.50Single8GGLConstrained Epinephrine8GGL-β2-Constrained Epinephrine
12.50Single8GGMConstrained Epinephrine8GGM-β2-Constrained Epinephrine
12.50Single8GGPConstrained Epinephrine8GGP-β2-Constrained Epinephrine
12.50Single8GGQConstrained Epinephrine8GGQ-β2-Constrained Epinephrine
12.50Single8GGSConstrained Epinephrine8GGS-β2-Constrained Epinephrine
12.50Single8GGTConstrained Epinephrine8GGT-β2-Constrained Epinephrine
12.50Single8GGXConstrained Epinephrine8GGX-β2-Constrained Epinephrine
12.50Single8IHKAcifran8IHK-HCA3-Acifran
12.50Single8IY9Niacin8IY9-HCA2-Niacin-Go/β1/γ2
12.50Single8IYXYL-3658IYX-GPR34-YL-365
12.50Single8JEIPubChem 117155568JEI-HCAR3-PubChem 11715556-Gi1/β1/γ2
12.50Single8JIMMonomethyl fumarate8JIM-HCA2-Monomethyl fumarate-Gi1/β1/γ2
12.50Single8JLQFenoldopam8JLQ-TA1-Fenoldopam-Gs/β1/γ2
12.50Single8K2WAMG4878K2W-CXCR3-AMG487
12.50Single8K5CAcipimox8K5C-HCA2-Acipimox
12.50Single8THLEpinephrine8THL-Alpha1A-Epinephrine-chim(NtGi2L-Gs-CtGq)/β1/γ2
12.50Single8U02Dopamine8U02-D2-Dopamine-Go/β1/γ2
12.50Single8UNLConstrained Epinephrine8UNL-β2-Constrained Epinephrine-GTP-Gs/β1/γ2
12.50Single8UNOConstrained Epinephrine8UNO-β2-Constrained Epinephrine-GTP-Gs/β1/γ2
12.50Single8UO1Constrained Epinephrine8UO1-β2-Constrained Epinephrine-GTP; Mg-Gs/β1/γ2
12.50Single8WC8ZH86518WC8-TA1-ZH8651-chim(NtGi1-Gs)/β1/γ2
12.50Single8WPGTryptophan; Cinacalcet; PO4; Ca8WPG-CaS; CaS-Tryptophan; Cinacalcet; PO4; Ca
12.50Single8WPUTryptophan; Cinacalcet; PO4; Ca8WPU-CaS; CaS-Tryptophan; Cinacalcet; PO4; Ca-chim(NtGi2L-Gs-CtGq)/β1/γ2
12.50Single8YKVPubChem 1375531688YKV-Succinate-PubChem 137553168-Gi1/β1/γ2
12.50Single8YN3Histamine8YN3-H2-Histamine-Gs/β1/γ2
12.50Single8YRGFospropofol8YRG-MRGPRX4-Fospropofol-chim(NtGi1-Gs-CtGq)/β1/γ2
12.50Single8ZPMAMD0708ZPM-CXCR4-AMD070
12.50Single9ASBCa; Ca; Cyclomethyltryptophan; R-568; PO49ASB-CaS; CaS-Ca-Ca; Ca; Cyclomethyltryptophan; R-568; PO4-chim(NtGi1-Gs-CtGq)/β1/γ2
12.50Single9ASBCa; Ca; Cyclomethyltryptophan; R-568; PO49ASB-CaS; CaS-Ca-Ca; Ca; Cyclomethyltryptophan; R-568; PO4-chim(NtGi1-Gs-CtGq)/β1/γ2
12.50Single9AVGCa; Ca; Cyclomethyltryptophan; R-568; PO49AVG-CaS; CaS-Ca-Ca; Ca; Cyclomethyltryptophan; R-568; PO4-chim(NtGi1-Gs)/β1/γ2
12.50Single9B5YLA-PTH Analog9B5Y-PTH1-LA-PTH Analog-chim(NtGi1-Gq)/β1/γ2
12.50Single9DQJEP-39459DQJ-MRGPRD-EP-3945-chim(NtGi1-Gs-CtGq)/β1/γ2
12.50Single9EPQ11,20-Ethanoretinal9EPQ-Rhodopsin-11,20-Ethanoretinal-chim(Gi1-CtGq)/β1/γ2
12.50Single9IVMGLP-1 (Truncated)9IVM-GLP-1-GLP-1 (Truncated)-LSN3318839-chim(NtGi1-Gs)/β2/γ2
12.50Single9JR3PTH9JR3-PTH1-PTH-chim(NtGi1L-Gs-CtGq)/β1/γ2
12.50Single9L84Epinephrine9L84-β1-Epinephrine-Atazanavir-Gs/β1/γ2
12.50Single9ODJMitragynine Pseudoindoxyl9ODJ-μ-Mitragynine Pseudoindoxyl-GTP; Mg-Gi1/β1/γ2
12.50Single9ODLMitragynine Pseudoindoxyl9ODL-μ-Mitragynine Pseudoindoxyl-GTP; Mg-Gi1/β1/γ2
12.50Single9W6W5-CT9W6W-5-HT5A-5-CT-Gi1/β1/γ2
12.50Consensus5ht_on_gpOrthosteric Ligand5ht1_on_gp 5ht2_on_gp 5ht4_on_gp 5ht5_on_gp 5ht6_on_gp 5ht7_on_gp
12.50Consensusalpha1_onOrthosteric Ligandalpha1a_on
12.50Consensusalpha1_on_gpOrthosteric Ligandalpha1a_on_gp
12.50Consensusalpha1a_onOrthosteric Ligand7EJ0-α2a-Norepinephrine-Go/β1/γ2 7EJ8-α2a-Brimonidine-Go/β1/γ2 7EJA-α2a-Dexmedetomidine-Go/β1/γ2 7EJK-α2a-Oxymetazoline-Go/β1/γ2 7W6P-α2a-N-pyridin-4-ylisoquinolin-4-amine-Go/β1/γ2 7W7E-α2a-PubChem 164946676-Go/β1/γ2
12.50Consensusalpha1a_on_gpOrthosteric Ligand7EJ0-α2a-Norepinephrine-Go/β1/γ2 7EJ8-α2a-Brimonidine-Go/β1/γ2 7EJA-α2a-Dexmedetomidine-Go/β1/γ2 7EJK-α2a-Oxymetazoline-Go/β1/γ2 7W6P-α2a-N-pyridin-4-ylisoquinolin-4-amine-Go/β1/γ2 7W7E-α2a-PubChem 164946676-Go/β1/γ2
12.50Consensusat1_offOrthosteric Ligand4YAY-AT1-ZD-7155 4ZUD-AT1-Olmesartan
12.50Consensuscxcr3_offOrthosteric Ligand8K2W-CXCR3-AMG487
12.50Consensusd3_onOrthosteric Ligand7CMV-D3-PD128907-Gi1/β1/γ2 8IRT-D3-Rotigotine-Gi1/β1/γ2 7CMU-D3-Pramipexole-Gi1/β1/γ2
12.50Consensusd3_on_gpOrthosteric Ligand7CMV-D3-PD128907-Gi1/β1/γ2 8IRT-D3-Rotigotine-Gi1/β1/γ2 7CMU-D3-Pramipexole-Gi1/β1/γ2
12.50Consensusghrelin_offOrthosteric Ligand6KO5-Ghrelin-PubChem 57400002 7F83-Ghrelin-PF-05190457
12.50Consensushca_onOrthosteric Ligandhca2_on
12.50Consensusot_offOrthosteric Ligand6TPK-OT-Retosiban
12.50Consensusvasop-oxy_offOrthosteric Ligandot_off
12.12Single6WI9Secretin6WI9-Secretin-Secretin-Gs/β1/γ2
12.12Single7FIMTirzepatide7FIM-GLP-1-Tirzepatide-Gs/β1/γ2
12.12Single7V9MSomatoliberin7V9M-GHRH (SV1)-Somatoliberin-Gs/β1/γ2
12.12Single8YW4Retatrutide8YW4-GIP-Retatrutide-chim(NtGi1-Gs)/β1/γ2
12.00Single2VT4Cyanopindolol2VT4-β1-Cyanopindolol
12.00Single2Y02Carmoterol2Y02-β1-Carmoterol
12.00Single2Y04Salbutamol2Y04-β1-Salbutamol
12.00Single2YCYCyanopindolol2YCY-β1-Cyanopindolol
12.00Single3NY8ICI118-5513NY8-β2-ICI118-551
12.00Single3ZPQPubChem 5945903ZPQ-β1-PubChem 594590-Na
12.00Single3ZPRPubChem 5987543ZPR-β1-PubChem 598754-Na
12.00Single4GBRCarazolol4GBR-β2-Carazolol
12.00Single4YAYZD-71554YAY-AT1-ZD-7155
12.00Single5NDDAZ8838; Na5NDD-PAR2-AZ8838; Na
12.00Single5T04Neurotensin-(8-13)5T04-NTS1-Neurotensin-(8-13)
12.00Single6GPSMK08126GPS-CCR2-MK0812
12.00Single6PRZAlprenolol6PRZ-β2-Alprenolol
12.00Single6PS1Timolol6PS1-β2-Timolol
12.00Single6PS2Alprenolol6PS2-β2-Alprenolol
12.00Single6Z10PubChem 1545855546Z10-Succinate-PubChem 154585554
12.00Single7BTSEpinephrine7BTS-β1-Epinephrine
12.00Single7BU6Norepinephrine7BU6-β1-Norepinephrine
12.00Single7BU7BI1671077BU7-β1-BI167107
12.00Single7E32Serotonin7E32-5-HT1D-Serotonin-Gi1/β1/γ2
12.00Single7F83PF-051904577F83-Ghrelin-PF-05190457
12.00Single7S0GIsoprenaline7S0G-β1-Isoprenaline-chim(Gi1-CtGs)/β1/γ2
12.00Single7T2GMitragynine Pseudoindoxyl7T2G-μ-Mitragynine Pseudoindoxyl-Gi1/β1/γ2
12.00Single7UM55-CT7UM5-5-HT5A-5-CT-chim(NtGi1-Go)/β1/γ2
12.00Single7UM6Lisuride7UM6-5-HT5A-Lisuride-chim(NtGi1-Go)/β1/γ2
12.00Single7VGZRamelteon7VGZ-MT1-Ramelteon-Gi1/β1/γ2
12.00Single7VIFFTY720-P7VIF-S1P1-FTY720-P-Gi1/β1/γ2
12.00Single7VKTLTB47VKT-BLT1-LTB4-Gi1/β1/γ2
12.00Single7XJHIsoprenaline7XJH-β3-Isoprenaline-Gs/β1/γ2
12.00Single7YACPaltusotine7YAC-SST2-Paltusotine-Gi1/β1/γ2
12.00Single8CICEtrumadenant8CIC-A2A-Etrumadenant-Na
12.00Single8GE2Constrained Epinephrine8GE2-β2-Constrained Epinephrine-Gs/β1/γ1
12.00Single8GE3Constrained Epinephrine8GE3-β2-Constrained Epinephrine-Gs/β1/γ2
12.00Single8GE9Constrained Epinephrine8GE9-β2-Constrained Epinephrine-Gs/β1/γ2
12.00Single8GECConstrained Epinephrine8GEC-β2-Constrained Epinephrine-Gs/β1/γ2
12.00Single8GEEConstrained Epinephrine8GEE-β2-Constrained Epinephrine-Gs/β1/γ2
12.00Single8GEHConstrained Epinephrine8GEH-β2-Constrained Epinephrine-Gs/β1/γ2
12.00Single8GFVConstrained Epinephrine8GFV-β2-Constrained Epinephrine-GTP-Gs/β1/γ2
12.00Single8GFWConstrained Epinephrine8GFW-β2-Constrained Epinephrine-GTP-Gs/β1/γ2
12.00Single8GFXConstrained Epinephrine8GFX-β2-Constrained Epinephrine-GTP-Gs/β1/γ2
12.00Single8GFZConstrained Epinephrine8GFZ-β2-Constrained Epinephrine-GTP-Gs/β1/γ2
12.00Single8GG0Constrained Epinephrine8GG0-β2-Constrained Epinephrine-GTP-Gs/β1/γ2
12.00Single8GG1Constrained Epinephrine8GG1-β2-Constrained Epinephrine-GTP-Gs/β1/γ2
12.00Single8GG3Constrained Epinephrine8GG3-β2-Constrained Epinephrine-GTP-Gs/β1/γ2
12.00Single8GG4Constrained Epinephrine8GG4-β2-Constrained Epinephrine-GTP-Gs/β1/γ2
12.00Single8GG6Constrained Epinephrine8GG6-β2-Constrained Epinephrine-GTP-Gs/β1/γ2
12.00Single8GG9Constrained Epinephrine8GG9-β2-Constrained Epinephrine-GTP-Gs/β1/γ2
12.00Single8GGIConstrained Epinephrine8GGI-β2-Constrained Epinephrine
12.00Single8GGJConstrained Epinephrine8GGJ-β2-Constrained Epinephrine
12.00Single8GGKConstrained Epinephrine8GGK-β2-Constrained Epinephrine
12.00Single8GGNConstrained Epinephrine8GGN-β2-Constrained Epinephrine
12.00Single8GGOConstrained Epinephrine8GGO-β2-Constrained Epinephrine
12.00Single8GGUConstrained Epinephrine8GGU-β2-Constrained Epinephrine
12.00Single8I7VAcipimox8I7V-HCA2-Acipimox-Gi1/β1/γ2
12.00Single8IHJAcifran8IHJ-HCA3-Acifran-Gi1/β1/γ2
12.00Single8IRTRotigotine8IRT-D3-Rotigotine-Gi1/β1/γ2
12.00Single8J6PNiacin8J6P-HCA2-Niacin-PubChem 25101223-Gi1/β1/γ2
12.00Single8JD0NAM5638JD0-mGlu2; mGlu3-Glutamate-NAM563
12.00Single8JIINiacin8JII-HCA2-Niacin-PubChem 25101223-Gi1/β1/γ2
12.00Single8JXRLSD8JXR-D1-LSD
12.00Single8T1WCVN4248T1W-GPR6-CVN424
12.00Single8UH3Setiptiline8UH3-5-HT1E-Setiptiline-Gi1/β1/γ1
12.00Single8UNQConstrained Epinephrine8UNQ-β2-Constrained Epinephrine-GTP-Gs/β1/γ2
12.00Single8UNRConstrained Epinephrine8UNR-β2-Constrained Epinephrine-GTP-Gs/β1/γ2
12.00Single8UNUConstrained Epinephrine8UNU-β2-Constrained Epinephrine-GTP-Gs/β1/γ2
12.00Single8UNYConstrained Epinephrine8UNY-β2-Constrained Epinephrine-GTP-Gs/β1/γ2
12.00Single8W87METH8W87-TA1-METH-chim(NtGi1L-Gs)/β1/γ2
12.00Single8X64Desloratadine8X64-H1-Desloratadine
12.00Single8XVKAmbrisentan8XVK-ETA-Ambrisentan
12.00Single8ZSSRO52633978ZSS-TA1-RO5263397-chim(NtGi1-Gs)/β1/γ2
12.00Single9CBMDexmedetomidine9CBM-α2a-Dexmedetomidine-Gi1/β1/γ2
12.00Single9IMATalquetamab9IMA-GPRC5D; GPRC5D-Talquetamab
12.00Single9IZCMK19039IZC-HCA2-MK1903-Gi1/β1/γ2
12.00Single9KFJPubChem 1383196749KFJ-RXFP3-PubChem 138319674-Gi2/β1/γ2
12.00Single9LLAAriadne9LLA-5-HT2A-Ariadne-chim(NtGi1L-Gs-CtGq)/β1/γ2
12.00Single9PLNPubChem 1682595949PLN-α2a-PubChem 168259594
12.00Single9PLOPubChem 1682595949PLO-α2a-PubChem 168259594-Go/β1/γ2
12.00Single9PQDPubChem 1764919279PQD-α2a-PubChem 176491927
12.00Single9VMYTMU41429VMY-5-HT1A-TMU4142-Go/β1/γ2
12.00Consensus5ht1d_onOrthosteric Ligand7E32-5-HT1D-Serotonin-Gi1/β1/γ2
12.00Consensus5ht1d_on_gpOrthosteric Ligand7E32-5-HT1D-Serotonin-Gi1/β1/γ2
12.00Consensus5ht5_onOrthosteric Ligand5ht5a_on
12.00Consensus5ht5a_onOrthosteric Ligand7X5H-5-HT5A-5-CT-Gi1/β1/γ2 7UM6-5-HT5A-Lisuride-chim(NtGi1-Go)/β1/γ2 7UM7-5-HT5A-Methylergometrine-chim(NtGi1-Go)/β1/γ2
12.00Consensusadrenergic_onOrthosteric Ligandalpha_on beta_on
12.00Consensusalicarboxylic_offOrthosteric Ligandsuccinate_off
12.00Consensusalpha_onOrthosteric Ligandalpha1_on alpha2_on
12.00Consensusblt1_onOrthosteric Ligand7VKT-BLT1-LTB4-Gi1/β1/γ2
12.00Consensusblt1_on_gpOrthosteric Ligand7VKT-BLT1-LTB4-Gi1/β1/γ2
12.00Consensusblt_onOrthosteric Ligandblt1_on
12.00Consensusblt_on_gpOrthosteric Ligandblt1_on_gp
12.00Consensusccr2_offOrthosteric Ligand6GPS-CCR2-MK0812
12.00Consensusd5_onOrthosteric Ligand8IRV-D5-Rotigotine-chim(NtGi1-Gs)/β1/γ2
12.00Consensusdopamine_offOrthosteric Ligandd2_off d3_off
12.00Consensusdopamine_onOrthosteric Ligandd2_on d1_on d3_on d4_on d5_on
12.00Consensusdopamine_on_gpOrthosteric Ligandd2_on_gp d1_on_gp d3_on_gp d4_on_gp d5_on_gp
12.00Consensusgi_hcaOrthosteric Ligand8J6R-HCA2-MK6892-Gi1/β1/γ2 8JIM-HCA2-Monomethyl fumarate-Gi1/β1/γ2 8IHI-HCA2-Acifran-Gi1/β1/γ2 8IHH-HCA2-LUF6283-Gi1/β1/γ2 8I7V-HCA2-Acipimox-Gi1/β1/γ2 8I7W-HCA2-GSK256073-Gi1/β1/γ2
12.00Consensusgi_leukotrieneOrthosteric Ligand7VKT-BLT1-LTB4-Gi1/β1/γ2
12.00Consensusgs_trace-amineOrthosteric Ligand8W88-TA1-SEP-363856-Gs/β1/γ2 8JLJ-TA1-T1AM-chim(NtGi1-Gs)/β1/γ2 8JLO-TA1-Ulotaront-Gs/β1/γ2 8WC4-TA1-ZH8651-chim(NtGi1-Gs)/β1/γ2 8WC7-TA1-ZH8667-chim(NtGi1-Gs)/β1/γ2 8JLR-TA1-A77636-chim(NtGi1-Gs)/β1/γ2 8JSO-TA1-AMPH-chim(NtGi1-Gs)/β1/γ2 8W87-TA1-METH-chim(NtGi1L-Gs)/β1/γ2 8W89-TA1-2-Phenylethylamine-chim(NtGi1L-Gs)/β1/γ2 8JLP-TA1-Ralmitaront-Gs/β1/γ2 8W8A-TA1-RO5256390-chim(NtGi1L-Gs)/β1/γ2
12.00Consensushca2_onOrthosteric Ligand8J6R-HCA2-MK6892-Gi1/β1/γ2 8JIM-HCA2-Monomethyl fumarate-Gi1/β1/γ2 8I7V-HCA2-Acipimox-Gi1/β1/γ2 8I7W-HCA2-GSK256073-Gi1/β1/γ2 8IHH-HCA2-LUF6283-Gi1/β1/γ2 8IHI-HCA2-Acifran-Gi1/β1/γ2
12.00Consensushca2_on_gpOrthosteric Ligand8J6R-HCA2-MK6892-Gi1/β1/γ2 8IHI-HCA2-Acifran-Gi1/β1/γ2 8IHH-HCA2-LUF6283-Gi1/β1/γ2 8I7V-HCA2-Acipimox-Gi1/β1/γ2 8JIM-HCA2-Monomethyl fumarate-Gi1/β1/γ2 8I7W-HCA2-GSK256073-Gi1/β1/γ2
12.00Consensushca_on_gpOrthosteric Ligandhca2_on_gp
12.00Consensusleukotriene_onOrthosteric Ligandblt_on
12.00Consensusleukotriene_on_gpOrthosteric Ligandblt_on_gp
12.00Consensussuccinate_offOrthosteric Ligand6RNK-Succinate-NF-56-EJ40 6Z10-Succinate-PubChem 154585554
11.76Single6X18GLP-16X18-GLP-1-GLP-1-Gs/β1/γ2
11.76Single7LLYOxyntomodulin7LLY-GLP-1-Oxyntomodulin-Gs/β1/γ2
11.76Single7WBJPACAP277WBJ-VPAC1-PACAP27-Gs/β1/γ2
11.76Single8E3YPACAP278E3Y-VPAC1-PACAP27-Gs/β1/γ2
11.76Consensuspac_onOrthosteric Ligandpac1_on
11.76Consensusvpac_onOrthosteric Ligandvpac1_on vpac2_on
11.54Single2RH1Carazolol2RH1-β2-Carazolol
11.54Single2Y03Isoprenaline2Y03-β1-Isoprenaline
11.54Single2YCWCarazolol2YCW-β1-Carazolol
11.54Single4JKVTaladegib4JKV-SMO-Taladegib
11.54Single5D6LCarazolol5D6L-β2-Carazolol
11.54Single5JQHCarazolol5JQH-β2-Carazolol
11.54Single5TVNLSD5TVN-5-HT2B-LSD
11.54Single5WIUNemonapride5WIU-D4-Nemonapride
11.54Single5WIVNemonapride5WIV-D4-Nemonapride-Na
11.54Single6E67BI1671076E67-β2-BI167107-Gs(CT)
11.54Single6GPXMK08126GPX-CCR2-MK0812
11.54Single6KUWPubChem 572132346KUW-α2c-PubChem 57213234
11.54Single6ME62-Phenylmelatonin6ME6-MT2-2-Phenylmelatonin
11.54Single6ME82-Phenylmelatonin6ME8-MT2-2-Phenylmelatonin
11.54Single6PS3Carvedilol6PS3-β2-Carvedilol
11.54Single7BVQCarazolol7BVQ-β1-Carazolol
11.54Single7C4SS1P7C4S-S1P3-S1P
11.54Single7C61Ergotamine7C61-5-HT1B-Ergotamine
11.54Single7E9GJNJ-404118137E9G-mGlu2; mGlu2-Eglumetad-JNJ-40411813-Gi1/β1/γ2
11.54Single7S0FIsoprenaline7S0F-β1-Isoprenaline-Gi1/β1/γ2
11.54Single7SINNPS-21437SIN-CaS; CaS-NPS-2143
11.54Single7SINNPS-21437SIN-CaS; CaS-NPS-2143
11.54Single7XK9Constrained Isoproterenol7XK9-β2-Constrained Isoproterenol-Na
11.54Single8C9WEtrumadenant8C9W-A2A-Etrumadenant
11.54Single8GFYConstrained Epinephrine8GFY-β2-Constrained Epinephrine-GTP-Gs/β1/γ2
11.54Single8GG2Constrained Epinephrine8GG2-β2-Constrained Epinephrine-GTP-Gs/β1/γ2
11.54Single8TH4Losartan8TH4-AT1-Losartan-AT118-L Nanobody
11.54Single8UUJFCH-22964138UUJ-HCA2-FCH-2296413-Gi1/β1/γ2
11.54Single8XYKVUF106618XYK-CXCR3-VUF10661-Go/β1/γ2
11.54Single8ZRKGSK12922638ZRK-GPR119-GSK1292263-Gs/β1/γ2
11.54Single9CIBFCH-22964139CIB-HCA2-FCH-2296413
11.54Single9EAHOlmesartan9EAH-AT1-Olmesartan-Nanobody AT209
11.54Single9F34FOB02-04A9F34-D3-FOB02-04A-Go/β1/γ2
11.54Single9K07DSO-5a9K07-BB3-DSO-5a-chim(NtGi2L-Gs-CtGq)/β1/γ2
11.54Single9KUTJR14a9KUT-C3aB-JR14a-Go/β1/γ2
11.54Single9M8POleic monoethanolamide9M8P-GPR3 ; GPR3-Oleic monoethanolamide-AF64394
11.54Single9VJFBuspirone9VJF-5-HT1A-Buspirone-Gi3/β1/γ2
11.54Consensus5ht1_onOrthosteric Ligand5ht1a_on 5ht1d_on 5ht1e_on 5ht1f_on
11.54Consensus5ht1_on_gpOrthosteric Ligand5ht1a_on_gp 5ht1d_on_gp 5ht1e_on_gp 5ht1f_on_gp
11.54Consensus5ht1e_on_gpOrthosteric Ligand7E33-5-HT1E-BRL-54443-Gi1/β1/γ2 8UGY-5-HT1E-Mianserin-Gi1/β1/γ1 8UH3-5-HT1E-Setiptiline-Gi1/β1/γ1
11.54Consensus5ht5_on_gpOrthosteric Ligand5ht5a_on_gp
11.54Consensus5ht5a_on_gpOrthosteric Ligand7X5H-5-HT5A-5-CT-Gi1/β1/γ2 7UM6-5-HT5A-Lisuride-chim(NtGi1-Go)/β1/γ2 7UM7-5-HT5A-Methylergometrine-chim(NtGi1-Go)/β1/γ2
11.54Consensusadgrg2_onOrthosteric Ligand7WUI-ADGRG2-IP15-chim(NtGi1-Gs)/β1/γ2 7WUQ-ADGRG2-Gs/β1/γ2 7XKF-ADGRG2-Dehydroepiandrosterone-Gs/β1/γ2
11.54Consensusadgrg2_on_gpOrthosteric Ligand7WUI-ADGRG2-IP15-chim(NtGi1-Gs)/β1/γ2 7WUQ-ADGRG2-Gs/β1/γ2 7XKF-ADGRG2-Dehydroepiandrosterone-Gs/β1/γ2
11.54Consensusadrenergic_offOrthosteric Ligandalpha_off beta_off
11.54Consensusadrenergic_on_gpOrthosteric Ligandalpha_on_gp beta_on_gp
11.54Consensusalpha2c_offOrthosteric Ligand6KUW-α2c-PubChem 57213234
11.54Consensusalpha_offOrthosteric Ligandalpha1_off alpha2_off
11.54Consensusalpha_on_gpOrthosteric Ligandalpha1_on_gp alpha2_on_gp
11.54Consensusamine_offOrthosteric Ligand5ht_off adrenergic_off dopamine_off histamine_off muscarinic_off
11.54Consensusamine_offonOrthosteric Ligandamine_off amine_on
11.54Consensusamine_offon_gpOrthosteric Ligandamine_on_gp amine_off
11.54Consensusamine_onOrthosteric Ligand5ht_on adrenergic_on dopamine_on histamine_on muscarinic_on trace-amine_on
11.54Consensusbeta2_offOrthosteric Ligand2RH1-β2-Carazolol 6PS3-β2-Carvedilol 6PS5-β2-Propranolol 3D4S-β2-Timolol 3NY8-β2-ICI118-551 3NY9-β2-PubChem 913103 6PRZ-β2-Alprenolol
11.54Consensusbeta_offOrthosteric Ligandbeta1_off beta2_off
11.54Consensusd2_onOrthosteric Ligand7JVR-D2-Bromoergocryptine-Gi1/β1/γ2 8IRS-D2-Rotigotine-Gi1/β1/γ2
11.54Consensusgi_adrenergicOrthosteric Ligand7EJ0-α2a-Norepinephrine-Go/β1/γ2 7EJK-α2a-Oxymetazoline-Go/β1/γ2 7W7E-α2a-PubChem 164946676-Go/β1/γ2 7W6P-α2a-N-pyridin-4-ylisoquinolin-4-amine-Go/β1/γ2 7EJ8-α2a-Brimonidine-Go/β1/γ2 6K42-α2b-Dexmedetomidine-Gi1/β1/γ2 7EJA-α2a-Dexmedetomidine-Go/β1/γ2 7S0F-β1-Isoprenaline-Gi1/β1/γ2
11.54Consensush1_offOrthosteric Ligand8X63-H1-Mepyramine 3RZE-H1-Cidoxepin 8X5Y-H1-Astemizole
11.54Consensuss1p5_offOrthosteric Ligand7YXA-S1P5-ONO-5430608
11.54Consensusta1_onOrthosteric Ligand8W87-TA1-METH-chim(NtGi1L-Gs)/β1/γ2 8W89-TA1-2-Phenylethylamine-chim(NtGi1L-Gs)/β1/γ2 8JLP-TA1-Ralmitaront-Gs/β1/γ2 8W8A-TA1-RO5256390-chim(NtGi1L-Gs)/β1/γ2 8W88-TA1-SEP-363856-Gs/β1/γ2 8JLO-TA1-Ulotaront-Gs/β1/γ2 8JLR-TA1-A77636-chim(NtGi1-Gs)/β1/γ2 8JSO-TA1-AMPH-chim(NtGi1-Gs)/β1/γ2 8ZSP-TA1-LSD-chim(NtGi1L-Gs)/β1/γ2
11.54Consensustrace-amine_onOrthosteric Ligandta1_on
11.43Single7D3SSecretin7D3S-Secretin-Secretin-Gs/β1/γ2
11.43Single7RA3GIP7RA3-GIP-GIP-chim(NtGi1-Gs)/β1/γ2
11.43Single8E3XPACAP278E3X-PAC1-PACAP27-Gs/β1/γ2
11.43Single8JISPeptide-158JIS-GLP-1-Peptide-15-chim(NtGi1-Gs)/β1/γ2
11.43Single9J1Pg1:Ox9J1P-GLP-1-g1:Ox-chim(NtGi1-Gs)/β1/γ2
11.43Single9P92VIP9P92-PAC1-VIP-Gs/β1/γ2
11.43Consensusvpac_on_gpOrthosteric Ligandvpac1_on_gp vpac2_on_gp
11.11Single3PDSFAUC503PDS-β2-FAUC50
11.11Single4LDLHydroxybenzyl Isoproterenol4LDL-β2-Hydroxybenzyl Isoproterenol
11.11Single5D5ACarazolol5D5A-β2-Carazolol
11.11Single5D5BCarazolol5D5B-β2-Carazolol
11.11Single5V54Methiothepin5V54-5-HT1B-Methiothepin
11.11Single5V57TC1145V57-SMO-TC114
11.11Single5ZBHBMS-1938855ZBH-Y1-BMS-193885
11.11Single5ZHPPubChem 1348285895ZHP-M3-PubChem 134828589
11.11Single6VCBGLP-16VCB-GLP-1-GLP-1-LSN3160440-Gs/β1/γ2
11.11Single6WGTLSD6WGT-5-HT2A-LSD
11.11Single7B6WCyclazosin7B6W-α1b-Cyclazosin
11.11Single7DTYGIP7DTY-GIP-GIP-Gs/β1/γ2
11.11Single7E2ZAripiprazole7E2Z-5-HT1A-Aripiprazole-PtdIns4P-Gi1/β1/γ2
11.11Single7EW3S1P7EW3-S1P3-S1P-Gi1/β1/γ2
11.11Single7EW4CYM-55417EW4-S1P3-CYM-5541-Gi1/β1/γ2
11.11Single7FIYTirzepatide7FIY-GIP-Tirzepatide-Gs/β1/γ2
11.11Single7S1MExendin-4-D-Ala7S1M-GLP-1-Exendin-4-D-Ala-Gs/β1/γ2
11.11Single7T9NDPPC7T9N-TSH-M22 Fab-DPPC-Gs/β1/γ2
11.11Single7VQXPACAP277VQX-VPAC1-PACAP27-Gs/β1/γ2
11.11Single7VVKPTH7VVK-PTH1-PTH-Gs/β1/γ2
11.11Single7W6PN-pyridin-4-ylisoquinolin-4-amine7W6P-α2a-N-pyridin-4-ylisoquinolin-4-amine-Go/β1/γ2
11.11Single7W7EPubChem 1649466767W7E-α2a-PubChem 164946676-Go/β1/γ2
11.11Single8HAOPTH8HAO-PTH1-PTH-chim(NtGi1-Gs)/β1/γ2
11.11Single8I2GPubChem 675302408I2G-FSH-FSH-PubChem 67530240-Gs/β1/γ2
11.11Single8IHBGSK2560738IHB-HCA2-GSK256073-Gi1/β1/γ2
11.11Single8IHHLUF62838IHH-HCA2-LUF6283-Gi1/β1/γ2
11.11Single8IRRRotigotine8IRR-D1-Rotigotine-Gs/β1/γ2
11.11Single8JLPRalmitaront8JLP-TA1-Ralmitaront-Gs/β1/γ2
11.11Single8JXWVUF68848JXW-H4-VUF6884-Gi1/β1/γ2
11.11Single8JXXClobenpropit8JXX-H4-Clobenpropit-Gi1/β1/γ2
11.11Single8W8RAA-148W8R-GPR101-AA-14-chim(NtGi1-Gs)/β1/γ2
11.11Single9BS9LSD9BS9-D2-LSD
11.11Single9BSBLSD9BSB-D2-LSD-chim(NtGi1-Go)/β1/γ2
11.11Consensus5ht1_offOrthosteric Ligand5ht1b_off
11.11Consensus5ht1b_offOrthosteric Ligand5V54-5-HT1B-Methiothepin
11.11Consensusamine_on_gpOrthosteric Ligand5ht_on_gp adrenergic_on_gp dopamine_on_gp histamine_on_gp muscarinic_on_gp trace-amine_on_gp
11.11Consensusbeta1_offOrthosteric Ligand2VT4-β1-Cyanopindolol 2YCW-β1-Carazolol 2YCZ-β1-Iodocyanopindolol 5A8E-β1-7-Methylcyanopindolol-Na 3ZPQ-β1-PubChem 594590-Na 3ZPR-β1-PubChem 598754-Na
11.11Consensusbeta2_onOrthosteric Ligand7DHI-β2-Salbutamol-Gs/β1/γ2 6NI3-β2-BI167107-Gs/β1/γ2
11.11Consensusbeta2_on_gpOrthosteric Ligand7DHI-β2-Salbutamol-Gs/β1/γ2 6NI3-β2-BI167107-Gs/β1/γ2
11.11Consensusgi_5htOrthosteric Ligand8FYT-5-HT1A-LSD-PtdIns4P-Gi1/β1/γ1 7UM7-5-HT5A-Methylergometrine-chim(NtGi1-Go)/β1/γ2 8UGY-5-HT1E-Mianserin-Gi1/β1/γ1 8W8B-5-HT1A-SEP-363856-Gi1/β1/γ2 7E2Y-5-HT1A-Serotonin-PtdIns4P-Gi1/β1/γ2 7E32-5-HT1D-Serotonin-Gi1/β1/γ2 7XTA-5-HT4-Serotonin-Gi1/β1/γ2 8UH3-5-HT1E-Setiptiline-Gi1/β1/γ1 8JSP-5-HT1A-Ulotaront-Gi1/β1/γ2 8FYL-5-HT1A-Vilazodone-PtdIns4P-Gi1/β1/γ1 8JT6-5-HT1A-(R)-IHCH-7179-PtdIns4P-Gi1/β1/γ2 8FYE-5-HT1A-4-F,5-MeO-PyrT-PtdIns4P-Gi1/β1/γ1 7X5H-5-HT5A-5-CT-Gi1/β1/γ2 8FY8-5-HT1A-5-MeO-DMT-PtdIns4P-Gi1/β1/γ1 7E2Z-5-HT1A-Aripiprazole-PtdIns4P-Gi1/β1/γ2 7E33-5-HT1E-BRL-54443-Gi1/β1/γ2 8FYX-5-HT1A-Buspirone-PtdIns4P-Gi1/β1/γ1 7EXD-5-HT1F-Lasmiditan-Gi1/β1/γ2 7UM6-5-HT5A-Lisuride-chim(NtGi1-Go)/β1/γ2
11.11Consensusglp_onOrthosteric Ligandglp1_on glp2_on
11.11Consensusglp_on_gpOrthosteric Ligandglp1_on_gp glp2_on_gp
11.11Consensusgs_adrenergicOrthosteric Ligand7DHI-β2-Salbutamol-Gs/β1/γ2 7XJI-β3-Solabegron-Gs/β1/γ2 7JJO-β1-Isoprenaline-Gs/β1/γ2 6NI3-β2-BI167107-Gs/β1/γ2 8DCR-β1-Dobutamine-Gs/β1/γ2 7XJH-β3-Isoprenaline-Gs/β1/γ2 7DH5-β3-Mirabegron-Gs/β1/γ2
11.11Consensusprotein_offOrthosteric Ligandchemokine_off grh_off
11.11Consensusta1_on_gpOrthosteric Ligand8W87-TA1-METH-chim(NtGi1L-Gs)/β1/γ2 8W89-TA1-2-Phenylethylamine-chim(NtGi1L-Gs)/β1/γ2 8JLP-TA1-Ralmitaront-Gs/β1/γ2 8W8A-TA1-RO5256390-chim(NtGi1L-Gs)/β1/γ2 8W88-TA1-SEP-363856-Gs/β1/γ2 8JLO-TA1-Ulotaront-Gs/β1/γ2 8JLR-TA1-A77636-chim(NtGi1-Gs)/β1/γ2 8JSO-TA1-AMPH-chim(NtGi1-Gs)/β1/γ2 8ZSP-TA1-LSD-chim(NtGi1L-Gs)/β1/γ2
11.11Consensustrace-amine_on_gpOrthosteric Ligandta1_on_gp
10.81Single6NBHLA-PTH Analog6NBH-PTH1-LA-PTH Analog-Gs/β1/γ2
10.81Single6WZGSecretin6WZG-Secretin-Secretin-Gs/β1/γ2
10.81Single7KI1Taspoglutide7KI1-GLP-1-Taspoglutide-Gs/β1/γ2
10.81Single7VVJPTHrP(1-36)7VVJ-PTH1-PTHrP(1-36)-Gs/β1/γ2
10.81Single7VVLPTH7VVL-PTH1-PTH-Gs/β1/γ2
10.81Single9BYOExendin-39BYO-GLP-1-Exendin-3-Gs/β1/γ2
10.81Single9P93VIP9P93-PAC1-VIP-Gs/β1/γ2
10.81Consensusvip-pacap_onOrthosteric Ligandvpac_on pac_on
10.81Consensusvip-pacap_on_gpOrthosteric Ligandvpac_on_gp pac_on_gp
10.71Single3D4STimolol3D4S-β2-Timolol
10.71Single4AMIBucindolol4AMI-β1-Bucindolol
10.71Single4OR2FITM4OR2-mGlu1; mGlu1-FITM
10.71Single6A93Risperidone6A93-5-HT2A-Risperidone
10.71Single6DRYMethylergometrine6DRY-5-HT2B-Methylergometrine
10.71Single6H7OCyanopindolol6H7O-β1-Cyanopindolol
10.71Single6VMSBromoergocryptine6VMS-D2-Bromoergocryptine-Gi1/β1/γ2
10.71Single6XBLCholesterol6XBL-SMO-SAG-Cholesterol-Gi1/β1/γ2
10.71Single6ZG4HTL00099366ZG4-M1-HTL0009936
10.71Single7EPENAM5637EPE-mGlu2-NAM563
10.71Single7WCMMBX-29827WCM-GPR119-MBX-2982-Gs/β1/γ2
10.71Single7WCNAR2314537WCN-GPR119-AR231453-Gs/β1/γ2
10.71Single8FYE4-F,5-MeO-PyrT8FYE-5-HT1A-4-F,5-MeO-PyrT-PtdIns4P-Gi1/β1/γ1
10.71Single8FYTLSD8FYT-5-HT1A-LSD-PtdIns4P-Gi1/β1/γ1
10.71Single8VHFMBX-29828VHF-GPR119-MBX-2982-Gs/β1/γ2
10.71Single8XQSCholesterol8XQS-TAS2R14-Cholesterol-Flufenamic acid-Gi1/β1/γ1
10.71Consensus5ht1a_onOrthosteric Ligand8FYT-5-HT1A-LSD-PtdIns4P-Gi1/β1/γ1 7E2Y-5-HT1A-Serotonin-PtdIns4P-Gi1/β1/γ2 7E2Z-5-HT1A-Aripiprazole-PtdIns4P-Gi1/β1/γ2 8FYX-5-HT1A-Buspirone-PtdIns4P-Gi1/β1/γ1 8JSP-5-HT1A-Ulotaront-Gi1/β1/γ2 8JT6-5-HT1A-(R)-IHCH-7179-PtdIns4P-Gi1/β1/γ2 8FY8-5-HT1A-5-MeO-DMT-PtdIns4P-Gi1/β1/γ1 8FYE-5-HT1A-4-F,5-MeO-PyrT-PtdIns4P-Gi1/β1/γ1 8FYL-5-HT1A-Vilazodone-PtdIns4P-Gi1/β1/γ1
10.71Consensus5ht1a_on_gpOrthosteric Ligand8FYT-5-HT1A-LSD-PtdIns4P-Gi1/β1/γ1 8FYX-5-HT1A-Buspirone-PtdIns4P-Gi1/β1/γ1 8JSP-5-HT1A-Ulotaront-Gi1/β1/γ2 8JT6-5-HT1A-(R)-IHCH-7179-PtdIns4P-Gi1/β1/γ2 7E2Y-5-HT1A-Serotonin-PtdIns4P-Gi1/β1/γ2 7E2Z-5-HT1A-Aripiprazole-PtdIns4P-Gi1/β1/γ2 8FY8-5-HT1A-5-MeO-DMT-PtdIns4P-Gi1/β1/γ1 8FYE-5-HT1A-4-F,5-MeO-PyrT-PtdIns4P-Gi1/β1/γ1 8FYL-5-HT1A-Vilazodone-PtdIns4P-Gi1/β1/γ1
10.71Consensusgi_amineOrthosteric Ligandgi_5ht gi_muscarinic gi_adrenergic gi_dopamine gi_histamine
10.71Consensusgi_muscarinicOrthosteric Ligand8E9X-M4-2-Deoxycytidine-chim(NtGi1-Go)/β1/γ2 7T8X-M2-Acetylcholine-chim(NtGi1-Go)/β1/γ2 7TRS-M4-Acetylcholine-Gi1/β1/γ2 7TRK-M4-Iperoxo-Gi1/β1/γ2 7V6A-M4-PubChem 9864275-Gi1/β1/γ2
10.71Consensusm4_onOrthosteric Ligand7TRS-M4-Acetylcholine-Gi1/β1/γ2 7V6A-M4-PubChem 9864275-Gi1/β1/γ2 8E9X-M4-2-Deoxycytidine-chim(NtGi1-Go)/β1/γ2 7TRK-M4-Iperoxo-Gi1/β1/γ2
10.71Consensusm4_on_gpOrthosteric Ligand7TRS-M4-Acetylcholine-Gi1/β1/γ2 7V6A-M4-PubChem 9864275-Gi1/β1/γ2 8E9X-M4-2-Deoxycytidine-chim(NtGi1-Go)/β1/γ2 7TRK-M4-Iperoxo-Gi1/β1/γ2
10.53Single7DUQGLP-17DUQ-GLP-1-GLP-1-PubChem 156022738-Gs/β1/γ2
10.53Single8WCCCyclohexylammonium Ion8WCC-TA1-Cyclohexylammonium Ion
10.34Single4OR2FITM4OR2-mGlu1; mGlu1-FITM
10.34Single6H7LDobutamine6H7L-β1-Dobutamine
10.34Single6M1HMaxadilan6M1H-PAC1-Maxadilan-Gs/β1/γ2
10.34Single7LLLExendin-47LLL-GLP-1-Exendin-4-Gs/β1/γ2
10.34Single7SK7CCX6627SK7-ACKR3-CXCL12-CCX662
10.34Single7SK8CCX6627SK8-ACKR3-CXCL12-CCX662
10.34Single7U2KC6-guano7U2K-μ-C6-guano-Gi1/β1/γ2
10.34Single7VGY2-Iodomelatonin7VGY-MT1-2-Iodomelatonin-Gi1/β1/γ2
10.34Single7XZ6APD6687XZ6-GPR119-APD668-Gs/β1/γ2
10.34Single8HN1Toxin AdTx18HN1-Alpha1A-Toxin AdTx1
10.34Single8J19LY2378J19-GPR84-LY237-Gi1/β1/γ2
10.34Single8XVJMacitentan8XVJ-ETA-Macitentan
10.34Single9DYEBuspirone9DYE-5-HT1A-Buspirone-PtdIns4P-Go/β1/γ2
10.34Single9HYIDP819HYI-5-HT1A-DP81-Gi1/β1/γ2
10.34Consensusbeta1_onOrthosteric Ligand8DCR-β1-Dobutamine-Gs/β1/γ2 7S0F-β1-Isoprenaline-Gi1/β1/γ2
10.34Consensusbeta1_on_gpOrthosteric Ligand8DCR-β1-Dobutamine-Gs/β1/γ2 7S0F-β1-Isoprenaline-Gi1/β1/γ2
10.34Consensusd2_offOrthosteric Ligand6CM4-D2-Risperidone 6LUQ-D2-Haloperidol 7DFP-D2-Spiperone
10.26Single7VBHPeptide-207VBH-GLP-1-Peptide-20-Gs/β1/γ2
10.26Single8FLSAbaloparatide8FLS-PTH1-Abaloparatide-Gs/β1/γ2
10.26Consensusglp1_onOrthosteric Ligand7S1M-GLP-1-Exendin-4-D-Ala-Gs/β1/γ2 7X8R-GLP-1-BOC5-Gs/β1/γ2 6X19-GLP-1-CHU-128-Gs/β1/γ2 6X1A-GLP-1-Danuglipron-Gs/β1/γ2 6X18-GLP-1-GLP-1-Gs/β1/γ2 8JIP-GLP-1-MEDI0382-chim(NtGi1-Gs)/β1/γ2 7C2E-GLP-1-PubChem 149050799-Gs/β1/γ2 7KI0-GLP-1-Semaglutide-Gs/β1/γ2 7KI1-GLP-1-Taspoglutide-Gs/β1/γ2 7X8S-GLP-1-WB4-24-Gs/β1/γ2 8JIS-GLP-1-Peptide-15-chim(NtGi1-Gs)/β1/γ2 7VBI-GLP-1-Tirzepatide (non-acylated)-Gs/β1/γ2
10.00Single5MZJTheophylline5MZJ-A2A-Theophylline-Na
10.00Single6XBJCholesterol6XBJ-SMO-Cholesterol-Gi1/β1/γ2
10.00Single7SK9CCX6627SK9-ACKR3-CCX662
10.00Single7V68LY21196207V68-M4-Iperoxo-LY2119620-Gi1/β1/γ2
10.00Single7VVMPTH7VVM-PTH1-PTH-Gs/β1/γ2
10.00Single7XKDDehydroepiandrosterone7XKD-ADGRG2-Dehydroepiandrosterone-Gs/β1/γ2
10.00Single7XKEDehydroepiandrosterone7XKE-ADGRG2-Dehydroepiandrosterone-chim(NtGi1-Gs)/β1/γ2
10.00Single8HQMNPGLY8HQM-GPR132-NPGLY-Gi1/β1/γ2
10.00Single8HVINOX-6-78HVI-GPR132-NOX-6-7-Gi1/β1/γ2
10.00Single8JIPMEDI03828JIP-GLP-1-MEDI0382-chim(NtGi1-Gs)/β1/γ2
10.00Single8JIRSAR4258998JIR-GLP-1-SAR425899-chim(NtGi1-Gs)/β1/γ2
10.00Single8PWNTheophylline8PWN-A2A-Theophylline
10.00Single8XQOCholesterol8XQO-TAS2R14-Cholesterol-Aristolochic acid A-Gi1/β1/γ1
10.00Single9IV25alpha-DHT9IV2-ADGRD1-5α-DHT-chim(NtGi1-Gs)/β1/γ2
10.00Single9JKVPubChem 27366909JKV-HCA3-PubChem 2736690-Gi1/β1/γ2
10.00Single9JR2PTH9JR2-PTH1-PTH-chim(NtGi1L-Gs-CtGq)/β1/γ2
10.00Single9MD1Buspirone9MD1-5-HT1A-Buspirone-PtdIns4P-Gz/β1/γ2
10.00Consensusglp1_on_gpOrthosteric Ligand7S1M-GLP-1-Exendin-4-D-Ala-Gs/β1/γ2 7X8R-GLP-1-BOC5-Gs/β1/γ2 6X19-GLP-1-CHU-128-Gs/β1/γ2 6X1A-GLP-1-Danuglipron-Gs/β1/γ2 6X18-GLP-1-GLP-1-Gs/β1/γ2 8JIP-GLP-1-MEDI0382-chim(NtGi1-Gs)/β1/γ2 7C2E-GLP-1-PubChem 149050799-Gs/β1/γ2 7KI0-GLP-1-Semaglutide-Gs/β1/γ2 7KI1-GLP-1-Taspoglutide-Gs/β1/γ2 7X8S-GLP-1-WB4-24-Gs/β1/γ2 8JIS-GLP-1-Peptide-15-chim(NtGi1-Gs)/β1/γ2 7VBI-GLP-1-Tirzepatide (non-acylated)-Gs/β1/γ2
9.76Consensusglucagon_onOrthosteric Ligandglp_on gluc_on secretin_on gip_on
9.68Single4AMJCarvedilol4AMJ-β1-Carvedilol
9.68Single8FYLVilazodone8FYL-5-HT1A-Vilazodone-PtdIns4P-Gi1/β1/γ1
9.68Single8YWFRetatrutide8YWF-GLP-1-Retatrutide-chim(NtGi1-Gs)/β1/γ2
9.68Single9M4TSilodosin9M4T-Alpha1A-Silodosin
9.68Single9UYLChemerin-99UYL-CML2-Chemerin-9-Arrestin2
9.52Single3OE8IT1t3OE8-CXCR4-IT1t
9.52Single6OY9All-trans-Retinal6OY9-Rhodopsin-All-trans-Retinal-Gt/β1/γ1
9.52Single7Y14Beta-Alanine7Y14-MRGPRD-β-Alanine
9.52Single8IWM2-Phenylethylamine8IWM-TAA9-2-Phenylethylamine
9.52Single9C2FCa; Ca; Tryptophan; '54149; PO49C2F-CaS; CaS-Ca-Ca; Ca; Tryptophan; '54149; PO4
9.52Consensusglucagon_on_gpOrthosteric Ligandglp_on_gp gluc_on_gp secretin_on_gp gip_on_gp
9.52Consensusgs_histamineOrthosteric Ligand8POK-H2-Histamine-Gs/β1/γ2
9.52Consensush2_onOrthosteric Ligand8POK-H2-Histamine-Gs/β1/γ2
9.38Single7VBITirzepatide (non-acylated)7VBI-GLP-1-Tirzepatide (non-acylated)-Gs/β1/γ2
9.09Single2J4Y11-cis-Retinal2J4Y-Rhodopsin-11-cis-Retinal
9.09Single3UZAGTPL92363UZA-A2A-GTPL9236
9.09Single6FUFAll-trans-Retinal6FUF-Rhodopsin-All-trans-Retinal-Go
9.09Single6PWCNeurotensin-(9-13)6PWC-NTS1-Neurotensin-(9-13)-Arrestin2
9.09Single6VN7PACAP276VN7-VPAC1-PACAP27-Gs/β1/γ2
9.09Single7EJKOxymetazoline7EJK-α2a-Oxymetazoline-Go/β1/γ2
9.09Single7F23Dopamine7F23-D1-Dopamine-GDP-Gs/β1/γ2
9.09Single7MT8All-trans-Retinal7MT8-Rhodopsin-All-trans-Retinal-GRK1
9.09Single7MT9All-trans-Retinal7MT9-Rhodopsin-All-trans-Retinal-GRK1
9.09Single7MTAAll-trans-Retinal7MTA-Rhodopsin-All-trans-Retinal-GRK1
9.09Single7WC5Psilocin7WC5-5-HT2A-Psilocin
9.09Single7Y12Beta-Alanine7Y12-MRGPRD-β-Alanine-Gi1/β1/γ2
9.09Single8GGFConstrained Epinephrine8GGF-β2-Constrained Epinephrine-GTP-Gs/β1/γ2
9.09Single8IW72-Phenylethylamine8IW7-TAA9-2-Phenylethylamine-chim(NtGi1-Gs)/β1/γ2
9.09Single8J6QBeta-Hydroxybutyrate8J6Q-HCA2-β-Hydroxybutyrate-PubChem 25101223-Gi1/β1/γ2
9.09Single8J6QPubChem 251012238J6Q-HCA2-β-Hydroxybutyrate-PubChem 25101223-Gi1/β1/γ2
9.09Single8JEFPubChem 113671668JEF-HCA3-PubChem 11367166-Gi1/β1/γ2
9.09Single8JPSCCL78JPS-ACKR1-CCL7
9.09Single8POKHistamine8POK-H2-Histamine-Gs/β1/γ2
9.09Single8SZFCa; Ca; Tryptophan; Cinacalcet; PO4; Spermine8SZF-CaS; CaS-Ca; Ca; Tryptophan; Cinacalcet; PO4; Spermine
9.09Single8WC62-Phenylethylamine8WC6-TA1-2-Phenylethylamine-chim(NtGi1-Gs)/β1/γ2
9.09Single9JKT(2R)-2-hydroxy-3-phenylpropanoic acid9JKT-HCA3-(2R)-2-hydroxy-3-phenylpropanoic acid-Gi1/β1/γ2
9.09Single9KT93,5-DHBA9KT9-HCA1-3,5-DHBA-Gi1/β1/γ2
9.09Single9LXRLA-PTH Analog9LXR-PTH1-LA-PTH Analog-Arrestin2
9.09Consensus5ht2_onOrthosteric Ligand5ht2b_on
9.09Consensus5ht2b_onOrthosteric Ligand7SRR-5-HT2B-LSD-chim(NtGi2L-Gs-CtGq)/β1/γ2
9.09Consensusclass-b1_onOrthosteric Ligandglucagon_on vip-pacap_on pth_on crf_on calcitonin_on
9.09Consensush2_on_gpOrthosteric Ligand8POK-H2-Histamine-Gs/β1/γ2
8.82Single6M1IPACAP276M1I-PAC1-PACAP27-Gs/β1/γ2
8.82Single7WUIIP157WUI-ADGRG2-IP15-chim(NtGi1-Gs)/β1/γ2
8.82Single8HA0PTH8HA0-PTH1-PTH-chim(NtGi1-Gs)/β1/γ2
8.82Single8YW3Retatrutide8YW3-GLP-1-Retatrutide-Gs/β1/γ2
8.82Single9EBOGLP-1 (ACPC18)9EBO-GLP-1-GLP-1 (ACPC18)-Gs/β1/γ2
8.70Single6I9K9-cis-Retinal6I9K-Rhodopsin-9-cis-Retinal
8.70Single7DD5Ca; Ca; Tryptophan; NPS-21437DD5-CaS; CaS-Ca-Ca; Ca; Tryptophan; NPS-2143
8.70Single7E2YSerotonin7E2Y-5-HT1A-Serotonin-PtdIns4P-Gi1/β1/γ2
8.70Single7SRQLSD7SRQ-5-HT2B-LSD
8.70Single7YS6Serotonin7YS6-5-HT6-Serotonin-chim(NtGi1-Gs)/β1/γ2
8.70Single8A2PLUAA470708A2P-A2A-LUAA47070-Na
8.70Single8GGYConstrained Epinephrine8GGY-β2-Constrained Epinephrine
8.70Single8H2GNiacin8H2G-HCA2-Niacin-Gi1/β1/γ2
8.70Single8J6PPubChem 251012238J6P-HCA2-Niacin-PubChem 25101223-Gi1/β1/γ2
8.70Single8JHYPubChem 251012238JHY-HCA2-PubChem 25101223-Gi1/β1/γ2
8.70Single8JIIPubChem 251012238JII-HCA2-Niacin-PubChem 25101223-Gi1/β1/γ2
8.70Single8JILNiacin8JIL-HCA2-Niacin-Gi1/β1/γ2
8.70Single8K5BNiacin8K5B-HCA2-Niacin
8.70Single8UO4Constrained Epinephrine8UO4-β2-Constrained Epinephrine-GTP; Mg-Gs/β1/γ2
8.70Single8W892-Phenylethylamine8W89-TA1-2-Phenylethylamine-chim(NtGi1L-Gs)/β1/γ2
8.70Single8WPUTryptophan; Cinacalcet; PO4; Ca8WPU-CaS; CaS-Tryptophan; Cinacalcet; PO4; Ca-chim(NtGi2L-Gs-CtGq)/β1/γ2
8.70Single8X2KOleic monoethanolamide8X2K-GPR3-Oleic monoethanolamide-chim(NtGi1-Gs)/β1/γ2
8.70Single8ZSVRO52633978ZSV-TA1-RO5263397-chim(NtGi1-Gs)/β1/γ2
8.70Single9IJEEpinephrine9IJE-β3-Epinephrine-chim(NtGi1-Gs)/β1/γ2
8.70Single9IZDCHBA9IZD-HCA1-CHBA-Gi1/β1/γ2
8.70Single9LMPNE52-QQ579LMP-GPR4-NE52-QQ57
8.70Single9U9VMETH9U9V-β2-METH-Gs/β1/γ2
8.70Single9YDAAll-trans-Retinal9YDA-Opsin1MW-All-trans-Retinal-chim(NtGi1L-Gs-CtGt)/β1/γ2
8.57Single5YQZNNC17025YQZ-Glucagon-NNC1702
8.57Single8WWMMCH8WWM-MCH1-MCH-Gi1/β1/γ2
8.57Single8YG4LA-PTH Analog8YG4-PTH1-LA-PTH Analog-chim(NtGi1-Gs)/β1/γ2
8.57Single9E2AGLP-19E2A-GLP-1-GLP-1-Gs/β1/γ2
8.57Consensusvpac1_onOrthosteric Ligand8E3Z-VPAC1-VIP-Gs/β1/γ2
8.33Single1GZM11-cis-Retinal1GZM-Rhodopsin-11-cis-Retinal
8.33Single2PED9-cis-Retinal2PED-Rhodopsin-9-cis-Retinal
8.33Single3C9L11-cis-Retinal3C9L-Rhodopsin-11-cis-Retinal
8.33Single6DS0LY2660976DS0-5-HT2B-LY266097
8.33Single6FJ3PTH6FJ3-PTH1-PTH
8.33Single6NBFLA-PTH Analog6NBF-PTH1-LA-PTH Analog-Gs/β1/γ2
8.33Single6OBAAlprenolol6OBA-β2-Alprenolol-GTPL11074
8.33Single6OYAAll-trans-Retinal6OYA-Rhodopsin-All-trans-Retinal-Gt/β1/γ1
8.33Single6P9YPACAP276P9Y-PAC1-PACAP27-Gs/β1/γ2
8.33Single6RNKNF-56-EJ406RNK-Succinate-NF-56-EJ40
8.33Single7CZ5Somatoliberin7CZ5-GHRH-Somatoliberin-Gs/β1/γ2
8.33Single7DHRIsoprenaline7DHR-β2-Isoprenaline-Gs/β1/γ2
8.33Single7EJ0Norepinephrine7EJ0-α2a-Norepinephrine-Go/β1/γ2
8.33Single7KI0Semaglutide7KI0-GLP-1-Semaglutide-Gs/β1/γ2
8.33Single7LJDDopamine7LJD-D1-Dopamine-Mevidalen-Gs/β1/γ1
8.33Single7M3ECa; Ca; Tryptophan; NPS-21437M3E-CaS; CaS-Ca; Ca; Tryptophan; NPS-2143
8.33Single7M3ECa; Ca; Tryptophan; NPS-21437M3E-CaS; CaS-Ca; Ca; Tryptophan; NPS-2143
8.33Single7SRRLSD7SRR-5-HT2B-LSD-chim(NtGi2L-Gs-CtGq)/β1/γ2
8.33Single7SRSLSD7SRS-5-HT2B-LSD-Arrestin2
8.33Single7YMHNorepinephrine7YMH-Alpha1A-Norepinephrine-chim(Gs-CtGq)
8.33Single8FLRPTHrP(1-36)8FLR-PTH1-PTHrP(1-36)-Gs/β1/γ2
8.33Single8GGAConstrained Epinephrine8GGA-β2-Constrained Epinephrine-GTP-Gs/β1/γ2
8.33Single8GGRConstrained Epinephrine8GGR-β2-Constrained Epinephrine
8.33Single8GGWConstrained Epinephrine8GGW-β2-Constrained Epinephrine
8.33Single8GH0Constrained Epinephrine8GH0-β2-Constrained Epinephrine
8.33Single8IJANiacin8IJA-HCA2-Niacin-Gi1/β1/γ2
8.33Single8J6LNiacin8J6L-HCA2-Niacin-Gi1/β1/γ2
8.33Single8U4SREGN7663-Fab8U4S-CXCR4-REGN7663-Fab
8.33Single8U4TREGN7663-Fab8U4T-CXCR4-REGN7663-Fab
8.33Single8U8FPalmitic Acid8U8F-GPR3-Palmitic Acid-Gs/β1/γ2
8.33Single8UNSConstrained Epinephrine8UNS-β2-Constrained Epinephrine-GTP-Gs/β1/γ2
8.33Single8UNTConstrained Epinephrine8UNT-β2-Constrained Epinephrine-GTP-Gs/β1/γ2
8.33Single8UNXConstrained Epinephrine8UNX-β2-Constrained Epinephrine-GTP-Gs/β1/γ2
8.33Single8UTDMK19038UTD-HCA2-MK1903-Gi1/β1/γ2
8.33Single8XXVIndomethacin8XXV-DP2-Indomethacin-A1D5Q-Gi1/β1/γ2
8.33Single8Y0HVUF114188Y0H-CXCR3-VUF11418
8.33Single8Y0NVUF114188Y0N-CXCR3-VUF11418-Go/β1/γ2
8.33Single8Z87CHBA8Z87-HCA1-CHBA-Gi1/β1/γ2
8.33Single9AVLCa; Ca; Cyclomethyltryptophan; R-568; PO49AVL-CaS; CaS-Ca-Ca; Ca; Cyclomethyltryptophan; R-568; PO4-Gi3/β2/γ2
8.33Single9BLWCagrilintide (non-acylated)9BLW-CT (AMY1)-Cagrilintide (non-acylated)-Gs/β1/γ2; RAMP1
8.33Single9EEAAdenosine9EEA-A2A-Adenosine-Gs/β1/γ2
8.33Single9KVHCinobufotenine9KVH-5-HT1A-Cinobufotenine-PtdIns4P-Gi1/β1/γ2
8.33Single9LL9DOI9LL9-5-HT2A-DOI-chim(NtGi1L-Gs-CtGq)/β1/γ2
8.33Single9LRBHistamine9LRB-H1-Histamine-Gs/β1/γ2
8.33Single9MQJIsoquinuclidine9MQJ-μ-Isoquinuclidine
8.33Single9PEEPF-07054894; OXM29PEE-CCR6-PF-07054894; OXM2
8.33Single9VJEBuspirone9VJE-5-HT1A-Buspirone-Go/β1/γ2
8.33Single9W49U-50488H9W49-κ-U-50488H-Gi1/β1/γ2
8.33Consensus5ht2_on_gpOrthosteric Ligand5ht2b_on_gp
8.33Consensus5ht2b_on_gpOrthosteric Ligand7SRR-5-HT2B-LSD-chim(NtGi2L-Gs-CtGq)/β1/γ2
8.33Consensusalpha2_offOrthosteric Ligandalpha2c_off
8.33Consensusangiotensin_offOrthosteric Ligandat1_off
8.33Consensusclass-b1_on_gpOrthosteric Ligandglucagon_on_gp vip-pacap_on_gp pth_on_gp crf_on_gp calcitonin_on_gp
8.33Consensusctlike_onOrthosteric Ligand6E3Y-CT Like-Calcitonin gene-related peptide-1-Gs/β1/γ2; RAMP1
8.33Consensuspac1_onOrthosteric Ligand8E3X-PAC1-PACAP27-Gs/β1/γ2 6M1H-PAC1-Maxadilan-Gs/β1/γ2
8.33Consensuspac1_on_gpOrthosteric Ligand8E3X-PAC1-PACAP27-Gs/β1/γ2 6M1H-PAC1-Maxadilan-Gs/β1/γ2
8.33Consensusrhodopsin_on_gpOrthosteric Ligand6OYA-Rhodopsin-All-trans-Retinal-Gt/β1/γ1
8.33Consensussecretin_onOrthosteric Ligand7D3S-Secretin-Secretin-Gs/β1/γ2
8.33Consensussensory_offonOrthosteric Ligandsensory_off sensory_on
8.33Consensussensory_offon_gpOrthosteric Ligandsensory_on_gp sensory_on
8.33Consensusvpac1_on_gpOrthosteric Ligand8E3Z-VPAC1-VIP-Gs/β1/γ2
8.11Single5NX2GLP-1 (Truncated)5NX2-GLP-1-GLP-1 (Truncated)
8.11Single6B3JExendin-P56B3J-GLP-1-Exendin-P5-Gs/β1/γ2
8.11Single6P9XCorticoliberin-16P9X-CRF1-Corticoliberin-1-Gs/β1/γ2
8.11Single6UVAAdrenomedullin-26UVA-CT Like (AM2)-Adrenomedullin-2-Gs/β1/γ2; RAMP3
8.11Single8FU6ZP37808FU6-Glucagon-ZP3780-Gs/β1/γ2
8.11Single9BUCCagrilintide9BUC-CT-Cagrilintide-Gs/β1/γ2
8.11Single9P94PACAP279P94-PAC1-PACAP27-Gs/β1/γ2
8.11Consensuscrf_onOrthosteric Ligandcrf2_on crf1_on
8.11Consensussecretin_on_gpOrthosteric Ligand7D3S-Secretin-Secretin-Gs/β1/γ2
8.00Single2YDOAdenosine2YDO-A2A-Adenosine
8.00Single3OAX11-cis-Retinal3OAX-Rhodopsin-11-cis-Retinal
8.00Single3RZECidoxepin3RZE-H1-Cidoxepin
8.00Single4ZUDOlmesartan4ZUD-AT1-Olmesartan
8.00Single6A94Zotepine6A94-5-HT2A-Zotepine
8.00Single6K41Dexmedetomidine6K41-α2b-Dexmedetomidine-Go/β1/γ2
8.00Single6KUXRS799486KUX-α2a-RS79948
8.00Single6WH4Methiothepin6WH4-5-HT2A-Methiothepin
8.00Single6XBLSAG6XBL-SMO-SAG-Cholesterol-Gi1/β1/γ2
8.00Single7BB6AVP7BB6-V2-AVP-Gs/β1/γ2
8.00Single7DHISalbutamol7DHI-β2-Salbutamol-Gs/β1/γ2
8.00Single7M3GCa; Ca; Tryptophan; Evocalcet; Etelcalcetide; PO47M3G-CaS; CaS-Ca; Ca; Tryptophan; Evocalcet; Etelcalcetide; PO4
8.00Single7UL3Famotidine7UL3-H2-Famotidine
8.00Single7UM7Methylergometrine7UM7-5-HT5A-Methylergometrine-chim(NtGi1-Go)/β1/γ2
8.00Single7VUGJNJ-635330547VUG-GPR139-JNJ-63533054-Gi1/β1/γ2
8.00Single7WC9PubChem 1624213647WC9-5-HT2A-PubChem 162421364
8.00Single7ZBC11-cis-Retinal7ZBC-Rhodopsin-11-cis-Retinal
8.00Single7ZBE11-cis-Retinal7ZBE-Rhodopsin-11-cis-Retinal
8.00Single8DPGPsilocin8DPG-5-HT2C-Psilocin-chim(NtGi2L-Gs-CtGq)/β1/γ2
8.00Single8FCZ11-cis-Retinal8FCZ-Rhodopsin-11-cis-Retinal
8.00Single8GE1Constrained Epinephrine8GE1-β2-Constrained Epinephrine-Gs/β1/γ2
8.00Single8GE4Constrained Epinephrine8GE4-β2-Constrained Epinephrine-Gs/β1/γ2
8.00Single8GE5Constrained Epinephrine8GE5-β2-Constrained Epinephrine-Gs/β1/γ1
8.00Single8GE6Constrained Epinephrine8GE6-β2-Constrained Epinephrine-Gs/β1/γ2
8.00Single8GE7Constrained Epinephrine8GE7-β2-Constrained Epinephrine-Gs/β1/γ2
8.00Single8GE8Constrained Epinephrine8GE8-β2-Constrained Epinephrine-Gs/β1/γ2
8.00Single8GEAConstrained Epinephrine8GEA-β2-Constrained Epinephrine-Gs/β1/γ2
8.00Single8GEDConstrained Epinephrine8GED-β2-Constrained Epinephrine-Gs/β1/γ2
8.00Single8GEFConstrained Epinephrine8GEF-β2-Constrained Epinephrine-Gs/β1/γ2
8.00Single8GG8Constrained Epinephrine8GG8-β2-Constrained Epinephrine-GTP-Gs/β1/γ2
8.00Single8GGVConstrained Epinephrine8GGV-β2-Constrained Epinephrine
8.00Single8JERAcipimox8JER-HCA2-Acipimox-Go/β1/γ2
8.00Single8JLKUlotaront8JLK-TA1-Ulotaront-chim(NtGi1-Gs)/β1/γ2
8.00Single8JSPUlotaront8JSP-5-HT1A-Ulotaront-Gi1/β1/γ2
8.00Single8RLNLUF58348RLN-A2A-LUF5834
8.00Single8THKA-616038THK-Alpha1A-A-61603-chim(NtGi2L-Gs-CtGq)/β1/γ2
8.00Single8UHBRO52563908UHB-TA1-RO5256390-Gs/β1/γ2
8.00Single8UNMConstrained Epinephrine8UNM-β2-Constrained Epinephrine-GTP-Gs/β1/γ2
8.00Single8UNWConstrained Epinephrine8UNW-β2-Constrained Epinephrine-GTP-Gs/β1/γ2
8.00Single8V6UPubChem 1713924568V6U-5-HT2A-PubChem 171392456-chim(NtGi2-Gs-CtGq)/β1/γ2
8.00Single8W88SEP-3638568W88-TA1-SEP-363856-Gs/β1/γ2
8.00Single8Y01All-trans-Retinal8Y01-Opsin1MW-All-trans-Retinal-Gi1/β1/γ2
8.00Single8Y53MK50468Y53-BB3-MK5046-chim(NtGi1-Gs-CtGq)/β1/γ2
8.00Single8ZBWQuin-C18ZBW-FPR2-ALX-Quin-C1-Gi2/β1/γ2
8.00Single8ZMGPimavanserin8ZMG-5-HT2A-Pimavanserin
8.00Single9AS3LSD9AS3-5-HT2A-LSD
8.00Single9AS4LSD9AS4-5-HT2A-LSD-chim(NtGi1-Gs-CtGq)/β1/γ2
8.00Single9AS5Mescaline9AS5-5-HT2A-Mescaline
8.00Single9AS6Mescaline9AS6-5-HT2A-Mescaline-chim(NtGi1-Gs-CtGq)/β1/γ2
8.00Single9AXFCa; Ca; Ca; Cyclomethyltryptophan; R-568; PO49AXF-CaS; CaS-Ca-Ca; Ca; Ca; Cyclomethyltryptophan; R-568; PO4-chim(NtGi1-Gs-CtGq)/β1/γ2
8.00Single9CBLEpinephrine9CBL-α2a-Epinephrine-Gi1/β1/γ2
8.00Single9JFUNE52-QQ579JFU-GPR4-NE52-QQ57
8.00Single9JKQMETH9JKQ-TA1-METH-Gs/β1/γ2
8.00Single9K0KUTP9K0K-P2Y4-UTP-chim(NtGi1-Gs-CtGq)/β1/γ2
8.00Single9K0XATP9K0X-P2Y2-ATP-chim(NtGi1-Gs-CtGq)/β1/γ2
8.00Single9K20ATP9K20-P2Y2-ATP-chim(NtGi1-Go)/β1/γ2
8.00Single9KVIBufotenin9KVI-5-HT1A-Bufotenin-PtdIns4P-Gi1/β1/γ2
8.00Single9L8LBI1671079L8L-β2-BI167107-Atazanavir-Gs/β1/γ2 ; Arrestin2
8.00Single9LL8Psilocin9LL8-5-HT2A-Psilocin-Gi1/β1/γ2
8.00Single9LRDHistamine9LRD-H1-Histamine-Gi1/β1/γ2
8.00Single9MQIIsoquinuclidine9MQI-μ-Isoquinuclidine
8.00Single9VJG8-OH-DPAT9VJG-5-HT1A-8-OH-DPAT-chim(NtGi2-Gz)/β1/γ2
8.00Single9VNFPindolol9VNF-5-HT1A-Pindolol-Go/β1/γ2
8.00Consensusopsins_offOrthosteric Ligandrhodopsin_off
8.00Consensussensory_offOrthosteric Ligandopsins_off
7.89Single6LMLGlucagon6LML-Glucagon-Glucagon-Gi1/β1/γ1
7.89Single6UUSAdrenomedullin6UUS-CT Like (AM2)-Adrenomedullin-Gs/β1/γ2; RAMP3
7.89Single7D68GLP-27D68-GLP-2-GLP-2-Gs/β1/γ2
7.89Single8F0KPramlintide Analogue San3858F0K-CT (AMY3)-Pramlintide Analogue San385-Gs/β1/γ2; RAMP3
7.89Single8FLTM-PTH(1-14)8FLT-PTH1-M-PTH(1-14)-Gs/β1/γ2
7.89Consensusctlike_on_gpOrthosteric Ligand6E3Y-CT Like-Calcitonin gene-related peptide-1-Gs/β1/γ2; RAMP1
7.89Consensusvpac2_onOrthosteric Ligand7VQX-VPAC1-PACAP27-Gs/β1/γ2
7.89Consensusvpac2_on_gpOrthosteric Ligand7VQX-VPAC1-PACAP27-Gs/β1/γ2
7.69Single1HZX11-cis-Retinal1HZX-Rhodopsin-11-cis-Retinal
7.69Single2Y01Dobutamine2Y01-β1-Dobutamine
7.69Single3NYAAlprenolol3NYA-β2-Alprenolol
7.69Single4QKXPubChem 762106284QKX-β2-PubChem 76210628
7.69Single5TGZAM65385TGZ-CB1-AM6538
7.69Single6D27CAY104716D27-DP2-CAY10471
7.69Single6DRXLisuride6DRX-5-HT2B-Lisuride
7.69Single6H7MSalbutamol6H7M-β1-Salbutamol
7.69Single6K42Dexmedetomidine6K42-α2b-Dexmedetomidine-Gi1/β1/γ2
7.69Single6ORVTT-OAD26ORV-GLP-1-TT-OAD2-Gs/β1/γ2
7.69Single7M3JNPS-2143; PO47M3J-CaS; CaS-NPS-2143; PO4
7.69Single7RBTTirzepatide7RBT-GIP-Tirzepatide-LSN3556672-chim(NtGi1-Gs)/β1/γ2
7.69Single7TYXAmylin7TYX-CT (AMY2)-Amylin-Gs/β1/γ2; RAMP2
7.69Single7VH0Ramelteon7VH0-MT2-Ramelteon-Gi1/β1/γ1
7.69Single7WC7Lisuride7WC7-5-HT2A-Lisuride
7.69Single7YXAONO-54306087YXA-S1P5-ONO-5430608
7.69Single8FY85-MeO-DMT8FY8-5-HT1A-5-MeO-DMT-PtdIns4P-Gi1/β1/γ1
7.69Single8JHNMonomethyl fumarate8JHN-HCA2-Monomethyl fumarate-Go/β1/γ2
7.69Single8JJOAlprenolol8JJO-β2-Alprenolol
7.69Single8JLJT1AM8JLJ-TA1-T1AM-chim(NtGi1-Gs)/β1/γ2
7.69Single8JT8(R)-IHCH-71798JT8-5-HT2A-(R)-IHCH-7179
7.69Single8K5DGSK2560738K5D-HCA2-GSK256073
7.69Single8PJKST1718PJK-5-HT1A-ST171-Gi1/β1/γ1
7.69Single8W8ARO52563908W8A-TA1-RO5256390-chim(NtGi1L-Gs)/β1/γ2
7.69Single8WC7ZH86678WC7-TA1-ZH8667-chim(NtGi1-Gs)/β1/γ2
7.69Single8X63Mepyramine8X63-H1-Mepyramine
7.69Single8X9TAP5038X9T-ADGRD1-AP503-chim(NtGi1-Gs)/β1/γ2
7.69Single9DYFAsenapine9DYF-5-HT1A-Asenapine-PtdIns4P-Gi1/β1/γ2
7.69Single9EPP11,20-Ethanoretinal9EPP-Rhodopsin-11,20-Ethanoretinal-chim(Gi1-CtGq)/β1/γ2
7.69Single9JGKBalovaptan9JGK-5-HT2B-Balovaptan
7.69Single9UAZAtropine9UAZ-M1-Atropine
7.69Consensusalpha2_onOrthosteric Ligandalpha2b_on
7.69Consensusalpha2_on_gpOrthosteric Ligandalpha2b_on_gp
7.69Consensusalpha2b_onOrthosteric Ligand6K42-α2b-Dexmedetomidine-Gi1/β1/γ2
7.69Consensusalpha2b_on_gpOrthosteric Ligand6K42-α2b-Dexmedetomidine-Gi1/β1/γ2
7.69Consensusgip_onOrthosteric Ligand7FIN-GIP-Peptide-20; GGL-Gs/β1/γ2 7FIY-GIP-Tirzepatide-Gs/β1/γ2 7DTY-GIP-GIP-Gs/β1/γ2
7.69Consensusgip_on_gpOrthosteric Ligand7FIN-GIP-Peptide-20; GGL-Gs/β1/γ2 7FIY-GIP-Tirzepatide-Gs/β1/γ2 7DTY-GIP-GIP-Gs/β1/γ2
7.69Consensushistamine_offOrthosteric Ligandh1_off
7.50Single8F2APramlintide Analogue San3858F2A-CT (AMY3)-Pramlintide Analogue San385-Gs/β1/γ2; RAMP3
7.41Single2Y00Dobutamine2Y00-β1-Dobutamine
7.41Single5T1ABMS-6815T1A-CCR2-BMS-681-PubChem 12093170
7.41Single5YHLPubChem 1351213525YHL-EP4-PubChem 135121352
7.41Single5YWYONO-AE3-2085YWY-EP4-ONO-AE3-208
7.41Single5ZK33-quinuclidinyl-benzilate5ZK3-M2-3-quinuclidinyl-benzilate
7.41Single6ME72-Phenylmelatonin6ME7-MT2-2-Phenylmelatonin
7.41Single6PS6Timolol6PS6-β2-Timolol
7.41Single7M3GCa; Ca; Tryptophan; Evocalcet; Etelcalcetide; PO47M3G-CaS; CaS-Ca; Ca; Tryptophan; Evocalcet; Etelcalcetide; PO4
7.41Single7M3JNPS-2143; PO47M3J-CaS; CaS-NPS-2143; PO4
7.41Single8HNLPS3724248HNL-CXCR3-PS372424-Gi1/β1/γ2
7.41Single8I7WGSK2560738I7W-HCA2-GSK256073-Gi1/β1/γ2
7.41Single8J18(3R)-3-Hydroxydodecanoic acid8J18-GPR84-(3R)-3-Hydroxydodecanoic acid-Gi1/β1/γ2
7.41Single8ZMFPubChem 1719206738ZMF-5-HT2C-PubChem 171920673
7.41Single9ARZ2-bromo-LSD9ARZ-5-HT2A-2-bromo-LSD
7.41Single9DYDAsenapine9DYD-5-HT1A-Asenapine-PtdIns4P-Go/β1/γ2
7.41Single9F33FOB02-04A9F33-D3-FOB02-04A-Go/β1/γ2
7.41Consensus5ht2_offOrthosteric Ligand5ht2a_off 5ht2b_off 5ht2c_off
7.41Consensusblt1_offOrthosteric Ligand5X33-BLT1-BIIL260 7K15-BLT1-MKD046-Na
7.41Consensusblt_offOrthosteric Ligandblt1_off
7.41Consensusep4_offOrthosteric Ligand5YWY-EP4-ONO-AE3-208 5YHL-EP4-PubChem 135121352
7.41Consensusep_offOrthosteric Ligandep4_off
7.32Single6WPWZP37806WPW-Glucagon-ZP3780-Gs/β1/γ2
7.32Single7V35Peptide-207V35-Glucagon-Peptide-20-Gs/β1/γ2
7.14Single3UON3-quinuclidinyl-benzilate3UON-M2-3-quinuclidinyl-benzilate
7.14Single4U15Tiotropium4U15-M3-Tiotropium
7.14Single5ZKBAF-DX 3845ZKB-M2-AF-DX 384
7.14Single6O3CCholesterol6O3C-SMO-SAG21k-Cholesterol
7.14Single6OL9Tiotropium6OL9-M5-Tiotropium
7.14Single7TYOCalcitonin7TYO-CT-Calcitonin-Gs/β1/γ2
7.14Single8JD5JNJ-40411813; ADX881788JD5-mGlu2; mGlu4-Glutamate-JNJ-40411813; ADX88178-Gi1/β1/γ2
7.14Single8JIUSAR4258998JIU-Glucagon-SAR425899-Gs/β1/γ2
7.14Single8JT6(R)-IHCH-71798JT6-5-HT1A-(R)-IHCH-7179-PtdIns4P-Gi1/β1/γ2
7.14Single8XQTCholesterol8XQT-TAS2R14-Cholesterol-Gi1/β1/γ1
7.14Single9RHGC4079RHG-FZD7-C407
7.14Consensus5ht_offOrthosteric Ligand5ht2_off 5ht1_off
7.14Consensush4_on_gpOrthosteric Ligand8HN8-H4-Histamine-Gi1/β1/γ2 8HOC-H4-Imetit-Gi1/β1/γ2 8JXV-H4-Clozapine-Gi1/β1/γ2 8JXW-H4-VUF6884-Gi1/β1/γ2 8JXX-H4-Clobenpropit-Gi1/β1/γ2
7.14Consensusm3_offOrthosteric Ligand4U15-M3-Tiotropium 4U16-M3-N-methyl-Scopolamine 5ZHP-M3-PubChem 134828589
7.14Consensusm5_offOrthosteric Ligand6OL9-M5-Tiotropium
7.14Consensusmuscarinic_offOrthosteric Ligandm2_off m3_off m4_off m5_off m1_off
6.98Single6E3YCalcitonin gene-related peptide-16E3Y-CT Like-Calcitonin gene-related peptide-1-Gs/β1/γ2; RAMP1
6.98Consensusgluc_onOrthosteric Ligand6LMK-Glucagon-Glucagon-Gs/β1/γ2 8JIT-Glucagon-MEDI0382-Gs/β1/γ2 7V35-Glucagon-Peptide-20-Gs/β1/γ2
6.90Single4N4WSANT-14N4W-SMO-SANT-1
6.90Single5CXVTiotropium5CXV-M1-Tiotropium
6.90Single5X33BIIL2605X33-BLT1-BIIL260
6.90Single6CM4Risperidone6CM4-D2-Risperidone
6.90Single6H7NXamoterol6H7N-β1-Xamoterol
6.90Single6XOXOrforglipron6XOX-GLP-1-Orforglipron-chim(NtGi1-Gs)/β1/γ2
6.90Single7K15MKD0467K15-BLT1-MKD046-Na
6.90Single8E9W2-Deoxycytidine8E9W-M3-2-Deoxycytidine-chim(NtGi2L-Gs-CtGq)/β1/γ2
6.90Single8G056-OAU8G05-GPR84-6-OAU-Gi1/β1/γ2
6.90Single9BJKPubChem 1716420669BJK-μ-Naloxone-PubChem 171642066
6.90Consensusm1_offOrthosteric Ligand5CXV-M1-Tiotropium
6.82Consensusgluc_on_gpOrthosteric Ligand6LMK-Glucagon-Glucagon-Gs/β1/γ2 8JIT-Glucagon-MEDI0382-Gs/β1/γ2 7V35-Glucagon-Peptide-20-Gs/β1/γ2
6.67Single6BQHRitanserin6BQH-5-HT2C-Ritanserin
6.67Single7D7MPGE27D7M-EP4-PGE2-Gs/β1/γ1
6.67Single9AS02-bromo-LSD9AS0-5-HT2A-2-bromo-LSD-chim(NtGi1-Gs-CtGq)/β1/γ2
6.67Single9L79AR2314539L79-GPR119-AR231453-chim(NtGi1-Gs)/β1/γ2
6.67Consensus5ht2c_offOrthosteric Ligand6BQH-5-HT2C-Ritanserin
6.25Single6X19CHU-1286X19-GLP-1-CHU-128-Gs/β1/γ2
6.25Single7RTBPeptide-197RTB-GLP-1-Peptide-19-Gs/β1/γ2
6.25Single9BUECagrilintide9BUE-CT-Cagrilintide-Gs/β1/γ2
6.06Single7E14Orforglipron7E14-GLP-1-Orforglipron-PubChem 156022738-Gs/β1/γ2
6.06Single7TRYUrocortin7TRY-CRF2-Urocortin-chim(NtGi1-G11)/β1/γ2
5.88Single6UUNAdrenomedullin6UUN-CT Like (AM1)-Adrenomedullin-Gs/β1/γ2; RAMP2
5.88Single8YFOAc-LA-PTH Analog8YFO-PTH1-Ac-LA-PTH Analog-chim(NtGi1-Gs)/β1/γ2
5.88Consensusclass-b1_class-b2_cons_onOrthosteric Ligandclass-b1_on class-b2_on
5.88Consensusclass-b1_class-b2_cons_on_gpOrthosteric Ligandclass-b1_on_gp class-b2_on_gp
5.71Single6NIYCalcitonin-16NIY-CT-Calcitonin-1-Gs/β1/γ2
5.71Single7FINPeptide-20; GGL7FIN-GIP-Peptide-20; GGL-Gs/β1/γ2
5.71Single7TYIAmylin7TYI-CT-Amylin-Gs/β1/γ2
5.71Consensuscrf2_onOrthosteric Ligand7TS0-CRF2-Urocortin-chim(NtGi1L-Go)/β1/γ2
5.56Single7Y35Abaloparatide7Y35-PTH1-Abaloparatide-Gs/β1/γ2
5.56Single8W8SAA-148W8S-GPR101-AA-14
5.56Consensusclass-b2_onOrthosteric Ligandadgrg_on adgrf_on adgrl_on adgre_on adgrd_on
5.56Consensusclass-b2_on_gpOrthosteric Ligandadgrg_on_gp adgrf_on_gp adgrl_on_gp adgre_on_gp adgrd_on_gp
5.41Single6NBILA-PTH Analog6NBI-PTH1-LA-PTH Analog-Gs/β1/γ2
5.41Single9BLBCagrilintide (non-acylated)9BLB-CT-Cagrilintide (non-acylated)-Gs/β1/γ2
5.41Single9BP3Cagrilintide9BP3-CT (AMY1)-Cagrilintide-Gs/β1/γ2; RAMP1
5.41Consensuscrf2_on_gpOrthosteric Ligand7TS0-CRF2-Urocortin-chim(NtGi1L-Go)/β1/γ2
5.26Single7TYFAmylin7TYF-CT (AMY1)-Amylin-Gs/β1/γ2; RAMP1
5.26Single8SZGCa; Ca; Tryptophan; Cinacalcet; PO4; Spermine8SZG-CaS; CaS-Ca; Ca; Tryptophan; Cinacalcet; PO4; Spermine-chim(NtGi1-Gq)/β1/γ2
5.26Single8TLMAnti-murine CCR8 antibody8TLM-CCR8-Anti-murine CCR8 antibody
5.26Consensusglp2_onOrthosteric Ligand7D68-GLP-2-GLP-2-Gs/β1/γ2
5.26Consensusglp2_on_gpOrthosteric Ligand7D68-GLP-2-GLP-2-Gs/β1/γ2
5.13Single6LMKGlucagon6LMK-Glucagon-Glucagon-Gs/β1/γ2
5.13Single7TYLAmylin7TYL-CT-Amylin-Gs/β1/γ2
5.13Single9BQ3Cagrilintide9BQ3-CT (AMY2)-Cagrilintide-Gs/β1/γ2; RAMP2
5.00Single4A4MAll-trans-Retinal4A4M-Rhodopsin-All-trans-Retinal-Gt(CT)
5.00Single5EN0All-trans-Retinal5EN0-Rhodopsin-All-trans-Retinal-Gt(CT)
5.00Single5MZPCaffeine5MZP-A2A-Caffeine-Na
5.00Single8JGBConorfamide-Tx28JGB-MRGPRX1-Conorfamide-Tx2-Gi1/β1/γ2
5.00Single8WCBCyclohexylammonium Ion8WCB-TA1-Cyclohexylammonium Ion-chim(NtGi1-Gs-CtGq)/β1/γ2
4.88Single7TZFAmylin7TZF-CT (AMY3)-Amylin-Gs/β1/γ2; RAMP3
4.88Single9AUCCalcitonin gene-related peptide-19AUC-CT (AMY1)-Calcitonin gene-related peptide-1-Gs/β1/γ2; RAMP1
4.76Single3PXOAll-trans-Retinal3PXO-Rhodopsin-All-trans-Retinal
4.76Single5DYSAll-trans-Retinal5DYS-Rhodopsin-All-trans-Retinal
4.76Single7WC4Serotonin7WC4-5-HT2A-Serotonin
4.76Single9JIDNiacin9JID-HCA3-Niacin-Gi1/β1/γ2
4.65Single7TYYCalcitonin-17TYY-CT (AMY2)-Calcitonin-1-Gs/β1/γ2; RAMP2
4.65Single8JITMEDI03828JIT-Glucagon-MEDI0382-Gs/β1/γ2
4.55Single2HPYAll-trans-Retinal2HPY-Rhodopsin-All-trans-Retinal
4.55Single6XBM25(S)-Epoxycholesterol6XBM-SMO-25(S)-Epoxycholesterol-Gi1/β1/γ2
4.55Single7DD5Ca; Ca; Tryptophan; NPS-21437DD5-CaS; CaS-Ca-Ca; Ca; Tryptophan; NPS-2143
4.55Single7MTBAll-trans-Retinal7MTB-Rhodopsin-All-trans-Retinal-GRK1
4.55Single8DPHLorcaserin8DPH-5-HT2C-Lorcaserin-chim(NtGi2L-Gs-CtGq)/β1/γ2
4.55Single8IKGPubChem 7032058IKG-CB1-PubChem 703205-Gi1/β1/γ1
4.55Single8U4QREGN7663-Fab8U4Q-CXCR4-REGN7663-Fab-Gi1/β1/γ2
4.55Single8XOFLys058XOF-GPR30-Lys05-chim(NtGi1-Gs-CtGq)/β1/γ2
4.55Single8Z8ALactate8Z8A-HCA1-Lactate-Gi1/β1/γ2
4.55Single9CHUNorepinephrine9CHU-β2-Norepinephrine
4.55Single9EE9Adenosine9EE9-A2A-Adenosine-Gs/β1/γ2
4.55Consensusopsins_onOrthosteric Ligandrhodopsin_on opsin1lw_on
4.55Consensussensory_onOrthosteric Ligandopsins_on
4.35Single3C9M11-cis-Retinal3C9M-Rhodopsin-11-cis-Retinal
4.35Single3PQRAll-trans-Retinal3PQR-Rhodopsin-All-trans-Retinal-Gt(CT)
4.35Single8DPILorcaserin8DPI-5-HT2C-Lorcaserin-chim(NtGi2L-Gs-CtGq)/β1/γ2
4.35Single8ITFDMCHA8ITF-TAA9-DMCHA-chim(NtGi1-Gs)/β1/γ2
4.35Single8IU2All-trans-Retinal8IU2-Opsin1LW-All-trans-Retinal-Gi1/β1/γ2
4.35Single8JRVGlucagon8JRV-Glucagon-Glucagon-Arrestin2
4.35Single8JXTHistamine8JXT-H4-Histamine-PO4-Gi1/β1/γ2
4.35Single8WC9ZH86518WC9-TA1-ZH8651-chim(NtGi1-Gs-CtGq)/β1/γ2
4.35Single8WG8Peptide8WG8-Glucagon-Peptide-chim(NtGi1-Gs)/β1/γ2
4.35Single8YN9Histamine8YN9-H4-Histamine-Gi1/β1/γ2
4.35Single8YUUHistamine8YUU-H3-Histamine-Gi1/β1/γ1
4.35Single9IJRC179IJR-GPR52-C17-Arrestin2
4.35Single9JG1Adriforant9JG1-H4-Adriforant
4.35Single9LL7DOI9LL7-5-HT2A-DOI-Gi1/β1/γ2
4.35Single9LRCHistamine9LRC-H4-Histamine
4.35Single9LREHistamine9LRE-H4-Histamine-Gi1/β1/γ2
4.35Consensusgi_opsinsOrthosteric Ligand8IU2-Opsin1LW-All-trans-Retinal-Gi1/β1/γ2
4.35Consensusgi_sensoryOrthosteric Ligandgi_opsins
4.35Consensush3_onOrthosteric Ligand8YUU-H3-Histamine-Gi1/β1/γ1
4.35Consensush3_on_gpOrthosteric Ligand8YUU-H3-Histamine-Gi1/β1/γ1
4.35Consensusopsin1lw_onOrthosteric Ligand8IU2-Opsin1LW-All-trans-Retinal-Gi1/β1/γ2
4.35Consensusopsin1lw_on_gpOrthosteric Ligand8IU2-Opsin1LW-All-trans-Retinal-Gi1/β1/γ2
4.35Consensusopsins_on_gpOrthosteric Ligandrhodopsin_on_gp opsin1lw_on_gp
4.35Consensusrhodopsin_onOrthosteric Ligand6OYA-Rhodopsin-All-trans-Retinal-Gt/β1/γ1
4.35Consensussensory_on_gpOrthosteric Ligandopsins_on_gp
4.26Single8F0JPramlintide Analogue San458F0J-CT-Pramlintide Analogue San45-Gs/β1/γ2
4.17Single1L9H11-cis-Retinal1L9H-Rhodopsin-11-cis-Retinal
4.17Single1U1911-cis-Retinal1U19-Rhodopsin-11-cis-Retinal
4.17Single2G87All-trans-Retinal2G87-Rhodopsin-All-trans-Retinal
4.17Single2I3511-cis-Retinal2I35-Rhodopsin-11-cis-Retinal
4.17Single3AYMAll-trans-Retinal3AYM-Rhodopsin-All-trans-Retinal
4.17Single5TE520-Methanoretinal5TE5-Rhodopsin-20-Methanoretinal
4.17Single6LI0C176LI0-GPR52-C17
4.17Single7DFLHistamine7DFL-H1-Histamine-chim(NtGi1L-Gq)/β1/γ2
4.17Single7V68Iperoxo7V68-M4-Iperoxo-LY2119620-Gi1/β1/γ2
4.17Single7XKFDehydroepiandrosterone7XKF-ADGRG2-Dehydroepiandrosterone-Gs/β1/γ2
4.17Single7YFCHistamine7YFC-H4-Histamine-chim(NtGi1-Gs-CtGq)/β1/γ2
4.17Single7YFDImetit7YFD-H4-Imetit-chim(NtGi1-Gs-CtGq)/β1/γ2
4.17Single8DPFLorcaserin8DPF-5-HT2C-Lorcaserin-chim(NtGi2L-Gs-CtGq)/β1/γ2
4.17Single8F2BPramlintide Analogue San458F2B-CT (AMY3)-Pramlintide Analogue San45-Gs/β1/γ2; RAMP3
4.17Single8HN8Histamine8HN8-H4-Histamine-Gi1/β1/γ2
4.17Single8IKHPubChem 1713935418IKH-CB1-PubChem 171393541-Gi1/β1/γ1
4.17Single8U4RREGN7663-Fab8U4R-CXCR4-REGN7663-Fab
4.17Single8YN2Histamine8YN2-H1-Histamine-chim(NtGi1L-Gs-CtGq)/β1/γ2
4.17Single8YN5Histamine8YN5-H3-Histamine-Gi1/β1/γ2
4.17Single8YN6Imetit8YN6-H3-Imetit-Gi1/β1/γ2
4.17Single8YN7Immethridine8YN7-H3-Immethridine-Go/β1/γ2
4.17Single9AS2DMT9AS2-5-HT2A-DMT-chim(NtGi1-Gs-CtGq)/β1/γ2
4.17Single9AS7Psilocin9AS7-5-HT2A-Psilocin
4.17Single9B9YTaranabant9B9Y-CB1-Taranabant
4.17Single9EPRAll-trans-Retinal9EPR-Rhodopsin-All-trans-Retinal-Gi1/β1/γ2
4.17Single9JEDHistamine9JED-H4-Histamine-PO4-Gi1/β1/γ2
4.17Single9JEQHistamine9JEQ-H3-Histamine-Gi1/β1/γ2
4.17Single9L42Histamine9L42-H4-Histamine-Gi1/β1/γ2
4.17Single9M88Oleic monoethanolamide9M88-GPR3 ; GPR3-Oleic monoethanolamide-AF64394
4.17Single9MBCAZ122160529MBC-mGlu8; mGlu8-DCPG-AZ12216052
4.17Consensush1_onOrthosteric Ligand7DFL-H1-Histamine-chim(NtGi1L-Gq)/β1/γ2
4.17Consensush4_onOrthosteric Ligand8HN8-H4-Histamine-Gi1/β1/γ2 8HOC-H4-Imetit-Gi1/β1/γ2 8JXV-H4-Clozapine-Gi1/β1/γ2 8JXW-H4-VUF6884-Gi1/β1/γ2 8JXX-H4-Clobenpropit-Gi1/β1/γ2
4.00Single2Z7311-cis-Retinal2Z73-Rhodopsin-11-cis-Retinal
4.00Single3AYN9-cis-Retinal3AYN-Rhodopsin-9-cis-Retinal
4.00Single4XNVBPTU4XNV-P2Y1-BPTU
4.00Single5U09Taranabant5U09-CB1-Taranabant
4.00Single6KUYPubChem 1457046436KUY-α2a-PubChem 145704643
4.00Single7T8XAcetylcholine7T8X-M2-Acetylcholine-chim(NtGi1-Go)/β1/γ2
4.00Single7T90Acetylcholine7T90-M2-Acetylcholine-chim(NtGi1-Go)/β1/γ2
4.00Single7T96Acetylcholine7T96-M2-Acetylcholine-LY2119620-Go/β1/γ2
4.00Single7WV9ZCZ0117WV9-CB1-CP55940-ZCZ011-Gi2/β1/γ2
4.00Single7YM8Oxymetazoline7YM8-Alpha1A-Oxymetazoline-chim(Gs-CtGq)
4.00Single8A6CAll-trans-Retinal8A6C-Rhodopsin-All-trans-Retinal
4.00Single8A6DAll-trans-Retinal8A6D-Rhodopsin-All-trans-Retinal
4.00Single8A6EAll-trans-Retinal8A6E-Rhodopsin-All-trans-Retinal
4.00Single8FYXBuspirone8FYX-5-HT1A-Buspirone-PtdIns4P-Gi1/β1/γ1
4.00Single8HMPC178HMP-GPR52-C17-Gs/β1/γ2
4.00Single8HOCImetit8HOC-H4-Imetit-Gi1/β1/γ2
4.00Single8IW4Spermidine8IW4-TAA9-Spermidine-chim(NtGi1-Gs)/β1/γ2
4.00Single8IWESpermidine8IWE-TAA9-Spermidine
4.00Single8WC3SEP-3638568WC3-TA1-SEP-363856-chim(NtGi1-Gs)/β1/γ2
4.00Single8Y71BMS9861878Y71-δ-A1D6F-BMS986187-Gi1/β1/γ2
4.00Single8YNAImmepip8YNA-H4-Immepip-Gi1/β1/γ2
4.00Single8YUVImmepip8YUV-H3-Immepip-Gi1/β1/γ2
4.00Single9M88Oleic monoethanolamide9M88-GPR3 ; GPR3-Oleic monoethanolamide-AF64394
4.00Single9VJ5Gepirone9VJ5-5-HT1A-Gepirone-Go/β1/γ2
4.00Consensusgq_histamineOrthosteric Ligand7DFL-H1-Histamine-chim(NtGi1L-Gq)/β1/γ2
4.00Consensush1_on_gpOrthosteric Ligand7DFL-H1-Histamine-chim(NtGi1L-Gq)/β1/γ2
4.00Consensushistamine_onOrthosteric Ligandh1_on h2_on h3_on h4_on
4.00Consensushistamine_on_gpOrthosteric Ligandh1_on_gp h2_on_gp h3_on_gp h4_on_gp
4.00Consensusm2_onOrthosteric Ligand7T8X-M2-Acetylcholine-chim(NtGi1-Go)/β1/γ2
4.00Consensusm2_on_gpOrthosteric Ligand7T8X-M2-Acetylcholine-chim(NtGi1-Go)/β1/γ2
4.00Consensusrhodopsin_offOrthosteric Ligand1U19-Rhodopsin-11-cis-Retinal 2PED-Rhodopsin-9-cis-Retinal 5TE5-Rhodopsin-20-Methanoretinal
3.85Single4MQTIperoxo4MQT-M2-Iperoxo-LY2119620
3.85Single6WJCAtropine6WJC-M1-Atropine-Muscarinic toxin 7
3.85Single7T94Acetylcholine7T94-M2-Acetylcholine-LY2119620-chim(NtGi1-Go)/β1/γ2
3.85Single7TRSAcetylcholine7TRS-M4-Acetylcholine-Gi1/β1/γ2
3.85Single8HNMVUF112228HNM-CXCR3-VUF11222-Gi1/β1/γ2
3.85Single8JLNT1AM8JLN-TA1-T1AM-Gs/β1/γ2
3.85Single8PM2DMCHA8PM2-TA7-DMCHA-Gs/β1/γ2
3.85Single8W8BSEP-3638568W8B-5-HT1A-SEP-363856-Gi1/β1/γ2
3.85Single8X7ATreprostinil8X7A-I2-Treprostinil-Gs/β1/γ2
3.85Single9AS8Psilocin9AS8-5-HT2A-Psilocin-chim(NtGi2L-Gs-CtGq)/β1/γ2
3.85Single9BA0MRI-18919BA0-CB1-MRI-1891
3.85Consensus5ht2a_offOrthosteric Ligand6A94-5-HT2A-Zotepine 6A93-5-HT2A-Risperidone 7VOD-5-HT2A-Cariprazine 7WC8-5-HT2A-Lumateperone 8JT8-5-HT2A-(R)-IHCH-7179
3.85Consensuscb1_offOrthosteric Ligand5U09-CB1-Taranabant 5TGZ-CB1-AM6538
3.70Single4DAJTiotropium4DAJ-M3-Tiotropium
3.70Single4MQSIperoxo4MQS-M2-Iperoxo
3.70Single4U14Tiotropium4U14-M3-Tiotropium
3.70Single4U16N-methyl-Scopolamine4U16-M3-N-methyl-Scopolamine
3.70Single5DSGTiotropium5DSG-M4-Tiotropium
3.70Single5YC8N-methyl-Scopolamine5YC8-M2-N-methyl-Scopolamine
3.70Single5ZK8N-methyl-Scopolamine5ZK8-M2-N-methyl-Scopolamine
3.70Single5ZKCN-methyl-Scopolamine5ZKC-M2-N-methyl-Scopolamine
3.70Single6DRZMethysergide6DRZ-5-HT2B-Methysergide
3.70Single6IIVDaltroban6IIV-TXA2-Daltroban
3.70Single6WHADB139486WHA-5-HT2A-DB13948-chim(NtGi2L-Gs-CtGq)/β1/γ2
3.70Single7TRPIperoxo7TRP-M4-Iperoxo-LY2033298-Gi1/β1/γ2
3.70Single8GCML-9026888GCM-EP4-L-902688-Gi1/β1/γ2
3.70Single8UWLLisuride8UWL-5-HT2A-Lisuride-chim(NtGi2-Gs-CtGq)/β1/γ2
3.70Single8XJLPGF2-alpha8XJL-FP-alpha-PGF2-α-chim(NtGi2-Gs-CtGq)/β1/γ2
3.70Single8Y73MPAM-158Y73-μ-Peptide-MPAM-15-Gi1/β1/γ2
3.70Single8YN8Proxyfan8YN8-H3-Proxyfan-Go/β1/γ2
3.70Single9AS1DMT9AS1-5-HT2A-DMT
3.70Single9IVGGLP-1 (Truncated)9IVG-GLP-1-GLP-1 (Truncated)-chim(NtGi1-Gs)/β1/γ2
3.70Single9JEAAtropine9JEA-M1-Atropine
3.70Single9JQZGrapiprant 9JQZ-EP4-Grapiprant
3.70Single9JROPF-044189489JRO-EP2-PF-04418948
3.70Single9YDQMIPS36149YDQ-δ-DADLE-MIPS3614-chim(NtGi1L-Gs-CtGi1)/β1/γ2
3.70Single9YDRMIPS39839YDR-δ-DADLE-MIPS3983-chim(NtGi1L-Gs-CtGi1)/β1/γ2
3.70Consensus5ht2b_offOrthosteric Ligand6DRZ-5-HT2B-Methysergide
3.70Consensusgi_histamineOrthosteric Ligand8JXX-H4-Clobenpropit-Gi1/β1/γ2 8JXV-H4-Clozapine-Gi1/β1/γ2 8YUU-H3-Histamine-Gi1/β1/γ1 8HN8-H4-Histamine-Gi1/β1/γ2 8HOC-H4-Imetit-Gi1/β1/γ2 8JXW-H4-VUF6884-Gi1/β1/γ2
3.70Consensusgq_amineOrthosteric Ligandgq_muscarinic gq_histamine
3.70Consensusm4_offOrthosteric Ligand5DSG-M4-Tiotropium
3.70Consensusmuscarinic_onOrthosteric Ligandm2_on m3_on m4_on m1_on
3.70Consensusmuscarinic_on_gpOrthosteric Ligandm2_on_gp m3_on_gp m4_on_gp m1_on_gp
3.57Single4WW3All-trans-Retinal4WW3-Rhodopsin-All-trans-Retinal
3.57Single6LUQHaloperidol6LUQ-D2-Haloperidol
3.57Single6M9TMisoprostol-FA6M9T-EP3-Misoprostol-FA
3.57Single6OIKIperoxo6OIK-M2-Iperoxo-LY2119620-chim(NtGi1-Go)/β1/γ2
3.57Single7TRKIperoxo7TRK-M4-Iperoxo-Gi1/β1/γ2
3.57Single7VOEAripiprazole7VOE-5-HT2A-Aripiprazole
3.57Single8E9ZIperoxo8E9Z-M3-Iperoxo-chim(NtGi2L-Gs-CtGq)/β1/γ2
3.57Single8GD9Rivenprost8GD9-EP4-Rivenprost-Gs/β1/γ2
3.57Single8GDCPGE28GDC-EP3-PGE2-Gi1/β1/γ2
3.57Single8X0BVU04244658X0B-mGlu5; mGlu5-Quisqualate-VU0424465
3.57Single8X0DVU04244658X0D-mGlu5; mGlu5-Quisqualate-VU0424465
3.57Single8X0DVU04244658X0D-mGlu5; mGlu5-Quisqualate-VU0424465
3.57Single8XQPCholesterol8XQP-TAS2R14-Cholesterol-Aristolochic acid A-Gt3/β1/γ1
3.57Single8YNSSNAP-948478YNS-MCH1-SNAP-94847
3.57Single8ZVZBW245C8ZVZ-DP1-BW245C-Gs/β1/γ2
3.57Single9B9ZMRI-18679B9Z-CB1-MRI-1867
3.57Single9EKHONO-30302979EKH-DP1-ONO-3030297
3.57Single9HC04YI9HC0-mGlu5-4YI
3.57Single9JRTTG6-1299JRT-EP2-TG6-129
3.57Consensusgq_muscarinicOrthosteric Ligand6OIJ-M1-Iperoxo-chim(NtGi1L-G11)/β1/γ2
3.57Consensusm1_onOrthosteric Ligand6OIJ-M1-Iperoxo-chim(NtGi1L-G11)/β1/γ2
3.57Consensusm2_offOrthosteric Ligand5ZKC-M2-N-methyl-Scopolamine 5ZK3-M2-3-quinuclidinyl-benzilate 5ZKB-M2-AF-DX 384
3.57Consensusm3_onOrthosteric Ligand8E9Z-M3-Iperoxo-chim(NtGi2L-Gs-CtGq)/β1/γ2 8E9W-M3-2-Deoxycytidine-chim(NtGi2L-Gs-CtGq)/β1/γ2 8E9Y-M3-Clozapine-N-oxide-chim(NtGi2L-Gs-CtGq)/β1/γ2
3.57Consensusm3_on_gpOrthosteric Ligand8E9Z-M3-Iperoxo-chim(NtGi2L-Gs-CtGq)/β1/γ2 8E9W-M3-2-Deoxycytidine-chim(NtGi2L-Gs-CtGq)/β1/γ2 8E9Y-M3-Clozapine-N-oxide-chim(NtGi2L-Gs-CtGq)/β1/γ2
3.45Single6OIJIperoxo6OIJ-M1-Iperoxo-chim(NtGi1L-G11)/β1/γ2
3.45Single7P2L4YI7P2L-mGlu5-4YI
3.45Single7TRQIperoxo7TRQ-M4-Iperoxo-VU0467154-Gi1/β1/γ2
3.45Single8EA0Iperoxo8EA0-M3-Iperoxo
3.45Single8X0BVU04244658X0B-mGlu5; mGlu5-Quisqualate-VU0424465
3.45Single8X0FVU298X0F-mGlu5; mGlu5-Quisqualate-VU29
3.45Single8X79MRE-2698X79-I2-MRE-269-Gs/β1/γ2
3.45Single8XJMLatanoprost8XJM-FP-alpha-Latanoprost-chim(NtGi2-Gs-CtGq)/β1/γ2
3.45Single8YNTSNAP-948478YNT-MCH1-SNAP-94847
3.45Single8ZR5Firuglipel8ZR5-GPR119-Firuglipel-Gs/β1/γ2
3.45Single8ZW0PGD28ZW0-DP1-PGD2-Gs/β1/γ2
3.45Single9AS9RS130-1809AS9-5-HT2A-RS130-180
3.45Single9ASARS130-1809ASA-5-HT2A-RS130-180-chim(NtGi1-Gs-CtGq)/β1/γ2
3.45Single9E9SPGD29E9S-DP1-PGD2-Gs/β1/γ1
3.45Single9UCPIperoxo9UCP-M1-Iperoxo-G11(CT)
3.45Consensusm1_on_gpOrthosteric Ligand6OIJ-M1-Iperoxo-chim(NtGi1L-G11)/β1/γ2
3.33Single6AK3PGE26AK3-EP3-PGE2
3.33Single6IIURamatroban6IIU-TXA2-Ramatroban
3.33Single7XZ5Lysophosphatidylcholine7XZ5-GPR119-Lysophosphatidylcholine-Gs/β1/γ2
3.33Single8GCPPGE28GCP-EP4-PGE2-Gi1/β1/γ2
3.33Single8IQ6Latanoprost8IQ6-FP-alpha-Latanoprost-chim(NtGi1-Gs-CtGq)/β1/γ2
3.33Single8XJNCloprosetnol8XJN-TXA2-Cloprosetnol-chim(NtGi1-Gs-CtGq)/β1/γ2
3.33Single9AU0BW245C9AU0-DP1-BW245C-Gs/β1/γ2
3.33Single9EK0Iperoxo9EK0-M5-Iperoxo-chim(NtGi1-Gs-CtGq)/β1/γ2
3.33Single9GGGI-BOP9GGG-TXA2-I-BOP-chim(NtGi2L-Gs-CtGq)/β1/γ2
3.23Single7CX4Evatanepag7CX4-EP2-Evatanepag-Gs/β1/γ2
3.23Single7VVNPTH7VVN-PTH1-PTH-Gs/β1/γ2
3.23Single8IULLatanoprost8IUL-FP-alpha-Latanoprost-chim(NtGi1-Gs-CtGq)/β1/γ2
3.23Single8XJKCloprosetnol8XJK-FP-alpha-Cloprosetnol-chim(NtGi1-Gs-CtGq)/β1/γ2
3.23Single8XJOU466198XJO-TXA2-U46619-chim(NtGi1-Gs-CtGq)/β1/γ2
3.23Single9C0KExendin-49C0K-GLP-1-Exendin-4-Gs/β1/γ2
3.23Single9GG5U466199GG5-TXA2-U46619-chim(NtGi2L-Gs-CtGq)/β1/γ2
3.23Single9M1HPGE29M1H-EP1-PGE2-chim(NtGi1-Gs-CtGq)/β1/γ2
3.23Consensusfp-alpha_onOrthosteric Ligand8IUK-FP-alpha-PGF2-α-chim(NtGi1-Gs-CtGq)/β1/γ2 8IUL-FP-alpha-Latanoprost-chim(NtGi1-Gs-CtGq)/β1/γ2 8IUM-FP-alpha-Tafluprost acid-chim(NtGi1-Gs-CtGq)/β1/γ2
3.23Consensusfp-alpha_on_gpOrthosteric Ligand8IUK-FP-alpha-PGF2-α-chim(NtGi1-Gs-CtGq)/β1/γ2 8IUL-FP-alpha-Latanoprost-chim(NtGi1-Gs-CtGq)/β1/γ2 8IUM-FP-alpha-Tafluprost acid-chim(NtGi1-Gs-CtGq)/β1/γ2
3.23Consensusprostanoid_onOrthosteric Ligandtp_on fp-alpha_on
3.23Consensusprostanoid_on_gpOrthosteric Ligandtp_on_gp fp-alpha_on_gp
3.23Consensustp_onOrthosteric Ligand8XJO-TXA2-U46619-chim(NtGi1-Gs-CtGq)/β1/γ2
3.23Consensustp_on_gpOrthosteric Ligand8XJO-TXA2-U46619-chim(NtGi1-Gs-CtGq)/β1/γ2
3.12Single7CX2PGE27CX2-EP2-PGE2-Gs/β1/γ2
3.12Single8GDAL9026888GDA-EP4-L902688-Gs/β1/γ2
3.12Single8IQ4Carboprost8IQ4-FP-alpha-Carboprost-chim(NtGi1-Gs-CtGq)/β1/γ2
3.12Single8IUMTafluprost acid8IUM-FP-alpha-Tafluprost acid-chim(NtGi1-Gs-CtGq)/β1/γ2
3.03Single7CX3Taprenepag7CX3-EP2-Taprenepag-Gs/β1/γ2
3.03Single8JIQPeptide-158JIQ-Glucagon-Peptide-15-Gs/β1/γ2
2.94Single6WHCGlu16 analog of GCG6WHC-Glucagon-Glu16 analog of GCG-Gs/β1/γ2
2.78Single8YW5Retatrutide8YW5-Glucagon-Retatrutide-Gs/β1/γ2
2.78Single9BLCCagrilintide (non-acylated)9BLC-CT-Cagrilintide (non-acylated)-Gs/β1/γ2
2.78Single9BUDCagrilintide9BUD-CT-Cagrilintide-Gs/β1/γ2
2.70Single7TYHCalcitonin7TYH-CT (AMY2)-Calcitonin-Gs/β1/γ2; RAMP2
2.70Single7TYWCalcitonin-17TYW-CT (AMY1)-Calcitonin-1-Gs/β1/γ2; RAMP1
2.70Consensuscalcitonin_onOrthosteric Ligandctlike_on
2.63Single9BUBCagrilintide9BUB-CT-Cagrilintide-Gs/β1/γ2
2.63Consensuscalcitonin_on_gpOrthosteric Ligandctlike_on_gp
2.56Single7TYNCalcitonin-17TYN-CT-Calcitonin-1-Gs/β1/γ2
2.50Single9BTWCagrilintide9BTW-CT (AMY3)-Cagrilintide-Gs/β1/γ2; RAMP3

PDB Summary
PDB 9J0I
Class A
SubFamily Nucleotide
Type P2Y
SubType P2Y14
Species Homo sapiens
Ligand UDP-Glucuronic acid
Other Ligand(s) -
Protein Partners Gi1/Beta1/Gamma2
PDB Resolution 2.76
Date 2025-06-04
D.O.I. doi.org/10.1038/s41421-025-00799-9
Net Summary
Imin 3.09
Number of Linked Nodes 856
Number of Links 1075
Number of Hubs 177
Number of Links mediated by Hubs 648
Number of Communities 20
Number of Nodes involved in Communities 252
Number of Links involved in Communities 389
Path Summary
Number Of Nodes in MetaPath 87
Number Of Links MetaPath 86
Number of Shortest Paths 4168042
Length Of Smallest Path 3
Average Path Length 42.2742
Length of Longest Path 72
Minimum Path Strength 1.115
Average Path Strength 7.03776
Maximum Path Strength 26.88
Minimum Path Correlation 0.7
Average Path Correlation 0.992577
Maximum Path Correlation 1
Minimum % Of Corr. Nodes 2.22222
Average % Of Corr. Nodes 29.4817
Maximum % Of Corr. Nodes 100
Minimum Path Hubs % 0
Average Path Hubs % 51.614
Maximum Path Hubs % 100
AnnotationTypeLinks
Gene OntologyMolecular Function• D2 dopamine receptor binding   • protein binding   • binding   • signaling receptor binding   • G protein-coupled receptor binding   • dopamine receptor binding   • enzyme regulator activity   • adenylate cyclase inhibitor activity   • cyclase regulator activity   • molecular function inhibitor activity   • cyclase inhibitor activity   • molecular function regulator activity   • enzyme inhibitor activity   • adenylate cyclase regulator activity   • guanyl nucleotide binding   • GTP binding   • nucleotide binding   • guanyl ribonucleotide binding   • purine ribonucleotide binding   • purine ribonucleoside triphosphate binding   • nucleoside phosphate binding   • ion binding   • purine nucleotide binding   • anion binding   • heterocyclic compound binding   • carbohydrate derivative binding   • ribonucleotide binding   • small molecule binding   • cation binding   • magnesium ion binding   • metal ion binding   • GDP binding   • G protein-coupled serotonin receptor binding   • protein-containing complex binding   • G-protein beta/gamma-subunit complex binding   • pyrophosphatase activity   • GTPase activity   • G protein activity   • ribonucleoside triphosphate phosphatase activity   • hydrolase activity, acting on acid anhydrides, in phosphorus-containing anhydrides   • hydrolase activity   • hydrolase activity, acting on acid anhydrides   • catalytic activity   • cellular response to stimulus   • regulation of biological process   • regulation of cellular process   • response to stimulus   • signaling   • biological regulation   • cell communication   • G protein-coupled receptor signaling pathway   • cellular process   • signal transduction   • neuropeptide signaling pathway   • adenylate cyclase-inhibiting serotonin receptor signaling pathway   • G protein-coupled serotonin receptor signaling pathway   • adenylate cyclase-inhibiting G protein-coupled receptor signaling pathway
Gene OntologyBiological Process• cellular response to stimulus   • regulation of biological process   • regulation of cellular process   • response to stimulus   • signaling   • biological regulation   • cell communication   • G protein-coupled receptor signaling pathway   • cellular process   • signal transduction   • neuropeptide signaling pathway   • adenylate cyclase-inhibiting serotonin receptor signaling pathway   • G protein-coupled serotonin receptor signaling pathway   • adenylate cyclase-inhibiting G protein-coupled receptor signaling pathway   • adenylate cyclase-modulating G protein-coupled receptor signaling pathway   • response to hormone   • response to chemical   • response to endogenous stimulus   • response to peptide hormone   • response to oxygen-containing compound   • response to nitrogen compound   • cell division   • leukocyte migration   • immune system process   • mononuclear cell migration   • lymphocyte migration   • cell migration   • T cell migration   • cell motility   • regulation of steroid biosynthetic process   • regulation of cholesterol biosynthetic process   • regulation of cholesterol metabolic process   • steroid metabolic process   • regulation of lipid metabolic process   • sterol metabolic process   • positive regulation of biological process   • cholesterol metabolic process   • lipid biosynthetic process   • alcohol metabolic process   • regulation of primary metabolic process   • positive regulation of metabolic process   • regulation of small molecule metabolic process   • positive regulation of biosynthetic process   • positive regulation of lipid metabolic process   • small molecule metabolic process   • steroid biosynthetic process   • positive regulation of cellular process   • regulation of biosynthetic process   • secondary alcohol biosynthetic process   • regulation of alcohol biosynthetic process   • small molecule biosynthetic process   • regulation of steroid metabolic process   • cholesterol biosynthetic process   • positive regulation of cholesterol biosynthetic process   • primary metabolic process   • secondary alcohol metabolic process   • positive regulation of steroid biosynthetic process   • biosynthetic process   • sterol biosynthetic process   • positive regulation of lipid biosynthetic process   • regulation of sterol biosynthetic process   • alcohol biosynthetic process   • positive regulation of cholesterol metabolic process   • positive regulation of steroid metabolic process   • metabolic process   • regulation of lipid biosynthetic process   • positive regulation of small molecule metabolic process   • regulation of metabolic process   • positive regulation of alcohol biosynthetic process   • positive regulation of sterol biosynthetic process   • lipid metabolic process   • cell surface receptor signaling pathway   • response to cytokine   • response to chemokine   • cytokine-mediated signaling pathway   • cellular response to chemokine   • chemokine-mediated signaling pathway   • response to peptide   • cellular response to cytokine stimulus   • multicellular organismal process   • system process   • relaxation of smooth muscle   • regulation of system process   • regulation of muscle system process   • muscle system process   • relaxation of muscle   • positive regulation of relaxation of smooth muscle   • positive regulation of relaxation of muscle   • positive regulation of multicellular organismal process   • regulation of multicellular organismal process   • regulation of relaxation of smooth muscle   • regulation of relaxation of muscle   • negative regulation of protein transport   • regulation of localization   • establishment of protein localization   • nitrogen compound transport   • negative regulation of biological process   • negative regulation of transport   • localization   • negative regulation of secretion   • negative regulation of hormone secretion   • negative regulation of secretion by cell   • intracellular protein localization   • regulation of biological quality   • regulation of peptide hormone secretion   • negative regulation of peptide hormone secretion   • regulation of hormone levels   • establishment of protein localization to extracellular region   • negative regulation of establishment of protein localization   • protein secretion   • establishment of localization   • regulation of protein secretion   • regulation of secretion   • negative regulation of protein secretion   • regulation of hormone secretion   • regulation of protein localization   • regulation of peptide secretion   • transport   • negative regulation of signaling   • hormone secretion   • negative regulation of cell communication   • protein localization to extracellular region   • negative regulation of peptide secretion   • peptide secretion   • regulation of secretion by cell   • secretion by cell   • signal release   • negative regulation of cellular process   • negative regulation of protein localization   • regulation of signaling   • regulation of transport   • secretion   • regulation of peptide transport   • regulation of establishment of protein localization   • export from cell   • cell-cell signaling   • regulation of protein transport   • peptide transport   • negative regulation of insulin secretion   • protein transport   • regulation of insulin secretion   • peptide hormone secretion   • macromolecule localization   • hormone transport   • regulation of cell communication   • insulin secretion   • adenylate cyclase-activating G protein-coupled receptor signaling pathway   • regulation of cytoskeleton organization   • regulation of cellular component organization   • microtubule cytoskeleton organization   • regulation of mitotic spindle organization   • mitotic cell cycle   • cellular component organization   • cell cycle   • cellular component organization or biogenesis   • regulation of cell cycle   • microtubule cytoskeleton organization involved in mitosis   • spindle organization   • cell cycle process   • regulation of cell cycle process   • regulation of microtubule-based process   • regulation of spindle organization   • regulation of organelle organization   • mitotic spindle organization   • organelle organization   • mitotic cell cycle process   • microtubule-based process   • cytoskeleton organization   • regulation of microtubule cytoskeleton organization   • positive regulation of protein localization to cell periphery   • protein localization to cell periphery   • positive regulation of protein localization to cell cortex   • regulation of protein localization to cell periphery   • regulation of protein localization to cell cortex   • positive regulation of protein localization   • protein localization to cell cortex   • response to ketone   • response to prostaglandin   • response to lipid   • response to alcohol   • response to prostaglandin E   • cellular response to forskolin   • cellular response to oxygen-containing compound   • cellular response to chemical stimulus   • cellular response to alcohol   • response to forskolin   • cellular response to lipid   • cellular response to ketone   • midbody   • cellular anatomical structure   • membrane-bounded organelle   • intracellular anatomical structure   • nucleus   • membrane-enclosed lumen   • intracellular membraneless organelle   • intracellular membrane-bounded organelle   • nucleolus   • intracellular organelle lumen   • intracellular organelle   • organelle lumen   • organelle   • membraneless organelle
Gene OntologyCellular Component• midbody   • cellular anatomical structure   • membrane-bounded organelle   • intracellular anatomical structure   • nucleus   • membrane-enclosed lumen   • intracellular membraneless organelle   • intracellular membrane-bounded organelle   • nucleolus   • intracellular organelle lumen   • intracellular organelle   • organelle lumen   • organelle   • membraneless organelle   • nuclear lumen   • cell periphery   • cell cortex   • cytoplasm   • protein-containing complex   • extrinsic component of plasma membrane   • catalytic complex   • plasma membrane protein complex   • cytoplasmic side of membrane   • membrane   • plasma membrane   • membrane protein complex   • heterotrimeric G-protein complex   • side of membrane   • cytoplasmic side of plasma membrane   • GTPase complex   • extrinsic component of membrane   • extrinsic component of cytoplasmic side of plasma membrane   • extracellular exosome   • extracellular vesicle   • extracellular organelle   • extracellular region   • extracellular space   • vesicle   • extracellular membrane-bounded organelle   • centrosome   • microtubule organizing center   • cytoskeleton   • microtubule cytoskeleton   • centriolar satellite   • cytosol   • cell projection   • sperm principal piece   • cilium   • 9+2 motile cilium   • sperm flagellum   • motile cilium   • plasma membrane bounded cell projection   • nucleoplasm   • vacuolar membrane   • lytic vacuole   • vacuole   • lytic vacuole membrane   • bounding membrane of organelle   • lysosomal membrane   • organelle membrane   • lysosome   • Golgi apparatus   • endomembrane system   • ciliary basal body   • protein binding   • binding   • enzyme binding   • GTPase binding   • protein-containing complex binding   • pyrophosphatase activity   • GTPase activity   • ribonucleoside triphosphate phosphatase activity   • hydrolase activity, acting on acid anhydrides, in phosphorus-containing anhydrides   • hydrolase activity   • hydrolase activity, acting on acid anhydrides   • catalytic activity   • signaling receptor complex adaptor activity   • protein-macromolecule adaptor activity   • molecular adaptor activity   • signaling adaptor activity   • multicellular organismal process   • system process   • sensory perception of chemical stimulus   • sensory perception   • nervous system process   • sensory perception of taste   • developmental process   • sensory organ development   • eye development   • animal organ development   • retina development in camera-type eye   • visual system development   • multicellular organism development   • camera-type eye development   • anatomical structure development   • sensory system development   • system development   • cell population proliferation   • cellular process   • cellular response to stimulus   • regulation of biological process   • regulation of cellular process   • response to stimulus   • signaling   • biological regulation   • signal transduction   • cell communication   • response to ketone   • response to prostaglandin   • response to lipid   • response to endogenous stimulus   • response to alcohol   • cellular response to prostaglandin stimulus   • response to oxygen-containing compound   • cellular response to oxygen-containing compound   • cellular response to endogenous stimulus   • cellular response to prostaglandin E stimulus   • cellular response to chemical stimulus   • cellular response to alcohol   • response to hormone   • response to chemical   • cellular response to lipid   • response to prostaglandin E   • cellular response to ketone   • cellular response to hormone stimulus   • small GTPase-mediated signal transduction   • Ras protein signal transduction   • intracellular signal transduction   • intracellular signaling cassette   • phospholipase C-activating G protein-coupled receptor signaling pathway   • G protein-coupled receptor signaling pathway   • cellular response to nitrogen compound   • response to dopamine   • cellular response to dopamine   • response to monoamine   • response to catecholamine   • adenylate cyclase-activating dopamine receptor signaling pathway   • cellular response to catecholamine stimulus   • G protein-coupled dopamine receptor signaling pathway   • response to nitrogen compound   • adenylate cyclase-activating G protein-coupled receptor signaling pathway   • cellular response to monoamine stimulus   • adenylate cyclase-modulating G protein-coupled receptor signaling pathway   • synaptic signaling   • cellular response to acetylcholine   • cell-cell signaling   • acetylcholine receptor signaling pathway   • postsynaptic signal transduction   • G protein-coupled acetylcholine receptor signaling pathway   • response to acetylcholine   • non-motile cilium   • 9+0 non-motile cilium   • neuron projection   • photoreceptor disc membrane   • photoreceptor outer segment   • photoreceptor cell cilium   • synapse   • cell junction   • G-protein beta-subunit binding   • fibroblast proliferation   • G protein-coupled UDP receptor activity   • molecular transducer activity   • G protein-coupled receptor activity   • transmembrane signaling receptor activity   • signaling receptor activity   • G protein-coupled pyrimidinergic nucleotide receptor activity   • nucleotide receptor activity   • G protein-coupled purinergic nucleotide receptor activity   • purinergic nucleotide receptor activity   • multicellular organismal-level homeostasis   • homeostatic process   • hematopoietic stem cell homeostasis   • homeostasis of number of cells
SCOP2Domain Identifier• Ras-like P-loop GTPases   • Transducin (heterotrimeric G protein), gamma chain
SCOP2Family Identifier• Ras-like P-loop GTPases   • Transducin (heterotrimeric G protein), gamma chain
Membrane Protein Annotations-• Orientations of Proteins in Membranes database (OPM)   • Protein Data Bank of Transmembrane Proteins (PDBTM)   • MemProtMD


Details about the values in these tables can be found in the corresponding documentation page .
CodeUGA
PDB ResiduesL:L:?1
Environment DetailsOpen EMBL-EBI Page
CodeUGA
NameUDP-alpha-D-glucuronic acid
Synonymsuridine diphosphate glucuronic acid
Identifier
FormulaC15 H22 N2 O18 P2
Molecular Weight580.285
SMILES
PubChem17473
Formal Charge0
Total Atoms59
Total Chiral Atoms11
Total Bonds61
Total Aromatic Bonds6

PDBsumOpen PDBsum Page
ChainA
ProteinG Protein α Sub unit
UniProtP63096
Sequence
>9J0I_Chain_A
CTLSAEDKA AVERSKMID RNLREDGEK AAREVKLLL LGAGESGKS 
TIVKQMTGI VETHFTFKD LHFKMFDVG GQRSERKKW IHCFEGVTA 
IIFCVALSD YDLVLMNRM HESMKLFDS ICNNKWFTD TSIILFLNK 
KDLFEEKIK KSPLTICYP EYAGSNTYE EAAAYIQCQ FEDLNKRKD 
TKEIYTHFT CATDTKNVQ FVFDAVTDV IIKNNLKDC GLF


Click on each residue to open a popup with some information about it.

ConSurf Conservation Grade (See documentation): 

 n/a   1    2    3    4    5    6    7    8    9  

ChainB
ProteinG Protein β Sub unit
UniProtP62873
Sequence
>9J0I_Chain_B
LDQLRQEAE QLKNQIRDA RKACADATL SQITNNIDP VGRIQMRTR 
RTLRGHLAK IYAMHWGTD SRLLVSASQ DGKLIIWDS YTTNKVHAI 
PLRSSWVMT CAYAPSGNY VACGGLDNI CSIYNLKTR EGNVRVSRE 
LAGHTGYLS CCRFLDDNQ IVTSSGDTT CALWDIETG QQTTTFTGH 
TGDVMSLSL APDTRLFVS GACDASAKL WDVREGMCR QTFTGHESD 
INAICFFPN GNAFATGSD DATCRLFDL RADQELMTY SHDNIICGI 
TSVSFSKSG RLLLAGYDD FNCNVWDAL KADRAGVLA GHDNRVSCL 
GVTDDGMAV ATGSWDSFL KIWN


Click on each residue to open a popup with some information about it.

ConSurf Conservation Grade (See documentation): 

 n/a   1    2    3    4    5    6    7    8    9  

ChainG
ProteinG Protein γ Sub unit
UniProtP59768
Sequence
>9J0I_Chain_G
ASIAQARKL VEQLKMEAN IDRIKVSKA AADLMAYCE AHAKEDPLL 
TPVPASENP FR


Click on each residue to open a popup with some information about it.

ConSurf Conservation Grade (See documentation): 

 n/a   1    2    3    4    5    6    7    8    9  

ChainR
ProteinReceptor
UniProtQ15391
Sequence
>9J0I_Chain_R
SQNLLITQQ IIPVLYCMV FIAGILLNG VSGWIFFYV PSSKSFIIY 
LKNIVIADF VMSLTFPFK ILGDSGLGP WQLNVFVCR VSAVLFYVN 
MYVSIVFFG LISFDRYYK IVKPLWTSF IQSVSYSKL LSVIVWMLM 
LLLAVPNII LTNQSVREV TQIKCIELK SELGRKWHK ASNYIFVAI 
FWIVFLLLI VFYTAITKK IFKSHLKSS RNSTSVKKK SSRNIFSIV 
FVFFVCFVP YHIARIPYT KSQTEAHYS CQSKEILRY MKEFTLLLS 
AANVCLDPI IYFFLCQPF REILCKKLH


Click on each residue to open a popup with some information about it.

ConSurf Conservation Grade (See documentation): 

 n/a   1    2    3    4    5    6    7    8    9  




This receptor, from the same or other species and bound to the same or other ligands, is also present in the following networks:
Show PDB Class SubFamily Type SubType Species Orthosteric Ligand Other Ligand(s) Protein Partners Resolution Date DOI
9J0FANucleotideP2YP2Y14Homo sapiensNADH-Gi1/β1/γ22.762025-06-04doi.org/10.1038/s41421-025-00799-9
9J0F (No Gprot) ANucleotideP2YP2Y14Homo sapiensNADH-2.762025-06-04doi.org/10.1038/s41421-025-00799-9
9J0I (No Gprot) ANucleotideP2YP2Y14Homo sapiensUDP-Glucuronic acid-2.762025-06-04doi.org/10.1038/s41421-025-00799-9
9J0BANucleotideP2YP2Y14Homo sapiensUDP-Glucose-Gi1/β1/γ22.882025-06-0410.1038/s41421-025-00799-9
9J0B (No Gprot) ANucleotideP2YP2Y14Homo sapiensUDP-Glucose-2.882025-06-0410.1038/s41421-025-00799-9
9J05ANucleotideP2YP2Y14Homo sapiens---3.22025-08-06To be published
9YDUANucleotideP2YP2Y14Homo sapiensUDP-Glucose-Gi1/β1/γ23.192025-11-1910.1038/s42003-025-09174-6
9YDU (No Gprot) ANucleotideP2YP2Y14Homo sapiensUDP-Glucose-3.192025-11-1910.1038/s42003-025-09174-6
9YDVANucleotideP2YP2Y14Homo sapiensMRS2905-Gi1/β1/γ23.052025-11-1910.1038/s42003-025-09174-6
9YDV (No Gprot) ANucleotideP2YP2Y14Homo sapiensMRS2905-3.052025-11-1910.1038/s42003-025-09174-6




You can download a compressed (zip) file with structure(s), 3D outputs (as PyMol and VMD scripts) and numerical data files (as csv and plain text files).

Download 9J0I.zip



You can click to copy the link of this page to easily come back here later

or use this QR code to link and share this page.



You can also  read or  download a guide explaining the meaning of all files and numerical data.