Color ConSurf Grade
      No Conservation data available
      1
      2
      3
      4
      5
      6
      7
      8
      9

Index: hub id, click on each number to highlight the corresponding hub in the 3D visualization.

Hub: the hub being considered.

Avg Int. Strength: the average interaction strength of all the links of the corresponding hub.

Num Of Links: the number of links of the corresponding hub.

Community: the id of the community the link belong to, otherwise 0.

ConSurf: this column reports the ConSurf conservation grades of each hub.

Index Hub Avg Int. Strength Num Of Links Community ConSurf
1A:A:I19 4.9575449
2A:A:L23 4.6125446
3A:A:V34 5.6125435
4A:A:L36 4.5075437
5A:A:L37 4.875429
6A:A:L38 8.395408
7A:A:K46 6.26439
8A:A:I49 4.828537
9A:A:I184 4.0625429
10A:A:F189 7.13439
11A:A:F191 10.4975435
12A:A:F196 7.60167637
13A:A:K197 9.066526
14A:A:M198 4.996537
15A:A:F199 6.98667625
16A:A:Q204 6.315429
17A:A:K210 5.436529
18A:A:W211 6.508529
19A:A:I212 4.6825428
20A:A:H213 6.1525428
21A:A:F215 6.105629
22A:A:I221 4.642528
23A:A:I222 4.0275437
24A:A:F223 10.2975429
25A:A:L227 7.3275427
26A:A:D229 6.222528
27A:A:Y230 5.415628
28A:A:R242 8.7525429
29A:A:S246 6.9825429
30A:A:M247 5.845426
31A:A:F250 13.645429
32A:A:I253 3.3825428
33A:A:N256 3.358528
34A:A:W258 7.68425
35A:A:F259 4.59167629
36A:A:I264 5.5426
37A:A:I265 3.13167638
38A:A:L266 5.315429
39A:A:F267 5.86286739
40A:A:K270 5.766509
41A:A:E275 9.76754165
42A:A:K277 7.008529
43A:A:Y287 7.174507
44A:A:Y296 9.0754164
45A:A:Q306 5.4725425
46A:A:F307 10.405428
47A:A:L310 4.895424
48A:A:K317 6.93527
49A:A:I319 4.62667625
50A:A:Y320 9.364537
51A:A:H322 14.02439
52A:A:N331 6.3975438
53A:A:F334 11.13433
54A:A:F336 4.99286738
55A:A:L348 5.12754149
56A:A:L353 4.495147
57A:A:F354 5.1956145
58B:B:I18 3.675497
59B:B:R22 9.52496
60B:B:I33 2.6775403
61B:B:V40 4.0425133
62B:B:M45 3.448504
63B:B:L51 8.5325449
64B:B:H54 10.32549
65B:B:K57 8.545429
66B:B:Y59 6.432528
67B:B:M61 3.77546
68B:B:W63 8.66547
69B:B:L70 7.015445
70B:B:V71 5.43254108
71B:B:K78 4.485408
72B:B:L79 4.703336107
73B:B:I80 10.3448
74B:B:I81 6.10254107
75B:B:W82 9.88649
76B:B:Y85 11.895444
77B:B:N88 5.2025407
78B:B:K89 7.05857749
79B:B:H91 5.3754105
80B:B:W99 7.834529
81B:B:Y105 4.348577106
82B:B:N110 5.4325454
83B:B:Y111 7.306554
84B:B:V112 3.84254108
85B:B:L117 6.645429
86B:B:I123 3.99143756
87B:B:Y124 5.472506
88B:B:L126 4.03254105
89B:B:T128 3.25754183
90B:B:V133 5.40754104
91B:B:E138 6.8354176
92B:B:H142 6.52667629
93B:B:Y145 6.59833628
94B:B:L146 5.49427
95B:B:F151 4.38833659
96B:B:T159 6.5475429
97B:B:S160 4.445466
98B:B:C166 3.96833668
99B:B:W169 10.692528
100B:B:I171 4.428556
101B:B:F180 8.696567
102B:B:H183 8.15167669
103B:B:D186 7.598529
104B:B:V187 5.902569
105B:B:M188 4.7375428
106B:B:L190 3.886565
107B:B:F199 6.51833669
108B:B:V200 7.1875486
109B:B:S201 4.915469
110B:B:C204 4.566527
111B:B:K209 9.0825466
112B:B:L210 4.958505
113B:B:W211 8.86143768
114B:B:Q220 7.02597
115B:B:H225 9.92589
116B:B:D228 7.7325429
117B:B:I232 4.696588
118B:B:F234 5.862505
119B:B:F235 6.418577156
120B:B:P236 6.7254157
121B:B:N237 7.3154155
122B:B:F241 6.825686
123B:B:T243 5.358588
124B:B:D246 6.12429
125B:B:T249 5.445486
126B:B:R251 9.398588
127B:B:L252 5.04254117
128B:B:F253 6.11586
129B:B:D254 7.07254199
130B:B:R256 9.1345199
131B:B:D258 10.7225497
132B:B:T263 4.9075481
133B:B:Y264 7.043336115
134B:B:I273 6.05254116
135B:B:F278 4.12254157
136B:B:R283 6.8545139
137B:B:Y289 6.71254117
138B:B:C294 5.1154125
139B:B:W297 6.925118
140B:B:L300 4.8554136
141B:B:K301 4.3725405
142B:B:R304 7.8545115
143B:B:V307 3.01754113
144B:B:L308 7.1625407
145B:B:H311 9.2525129
146B:B:V315 4.15754127
147B:B:L318 3.894126
148B:B:M325 6.4375445
149B:B:T329 6.18408
150B:B:S331 7.084129
151B:B:W332 10.7283629
152B:B:L336 4.358547
153B:B:K337 7.294126
154B:B:I338 6.51445
155B:B:W339 10.0045129
156B:B:N340 6.4025449
157G:G:E22 5.115499
158G:G:I25 8.3275492
159G:G:R27 6.86667698
160G:G:M38 4.7654134
161G:G:Y40 6.91254156
162G:G:H44 7.5375406
163G:G:D48 4.605609
164G:G:L51 3.06754136
165G:G:N59 5.895449
166G:G:P60 7.795449
167G:G:F61 5.22444948
168R:R:T41 5.14419
169R:R:V42 3.2075416
170R:R:N45 5.198519
171R:R:E55 8.668578
172R:R:L58 4.98833679
173R:R:Y65 5.99667618
174R:R:L69 6.014519
175R:R:D73 6.835619
176R:R:V76 4.072519
177R:R:M81 5.46167619
178R:R:M83 5.4425418
179R:R:N84 5.362518
180R:R:W93 6.13429719
181R:R:R97 9.475415
182R:R:F102 5418
183R:R:W103 6.09857719
184R:R:D107 8.82419
185R:R:Y108 8.7519
186R:R:T112 7.696519
187R:R:I115 6.005419
188R:R:V118 5.244519
189R:R:R125 5.122519
190R:R:Y126 7.6675409
191R:R:L133 6.6025438
192R:R:R139 6.268519
193R:R:W152 4.648509
194R:R:W158 6.14818
195R:R:I162 3.7925419
196R:R:W165 6.4925419
197R:R:C180 6.855419
198R:R:T182 8.97419
199R:R:D183 6.73417
200R:R:F184 7.1625819
201R:R:V187 4.6825418
202R:R:F190 6.37857719
203R:R:A195 2.8575419
204R:R:N198 7.336519
205R:R:F199 8.56333619
206R:R:Y200 4.7825418
207R:R:M206 5.3475419
208R:R:F209 6.2525407
209R:R:Y210 6.178509
210R:R:H220 6.35408
211R:R:E410 5.005408
212R:R:Q416 5.94509
213R:R:I420 4.855409
214R:R:M421 3.7625409
215R:R:F424 5.055619
216R:R:W428 6.60222919
217R:R:I429 4.4225408
218R:R:Y431 7.67719
219R:R:F432 6.60333619
220R:R:F434 11.365407
221R:R:F435 8.876518
222R:R:W455 6.96833619
223R:R:Y458 6.58875819
224R:R:N464 6.99519
225R:R:Y468 5.69333619
226R:R:N474 7.955479
227R:R:F475 6.26879
228R:R:T478 6.048578
229R:R:F479 4.5375479
230R:R:R481 8.1175476
231L:L:?1 8.191010
   

Color ConSurf Grade
      No Conservation data available
      1
      2
      3
      4
      5
      6
      7
      8
      9

Index: link id, click on each number to highlight the corresponding link in the 3D visualization.

Node1 Node2: the two nodes of the corresponding link.

Recurrence: the relative Recurrence in the pool of shortest paths.

Int. Strength: the interaction strength between the two nodes.

Hub1?, Hub2?: "Yes" if the corresponding node has more than 3 links, otherwise "No".

Community: the id of the community the link belong to, otherwise 0.

ConSurf1, ConSurf2: these columns report the ConSurf conservation grades of the two nodes involved in a link.

Index Node1 Node2 Recurrence Int. Strength Hub1? Hub2? Community ConSurf1 ConSurf2
1B:B:L70 B:B:M61 52.55972.83YesYes456
2B:B:C317 B:B:M61 1006.48NoYes076
3B:B:C317 B:B:S316 1005.16NoNo079
4B:B:S316 B:B:W332 1003.71NoYes099
5B:B:L336 B:B:M61 53.14552.83YesYes476
6A:A:H213 B:B:W332 1008.46YesYes289
7A:A:H213 A:A:W258 1008.46YesYes285
8A:A:N256 A:A:W258 1003.39YesYes285
9A:A:I253 A:A:N256 1002.83YesYes288
10A:A:F250 A:A:I253 1003.77YesYes298
11A:A:F250 A:A:L310 1003.65YesYes294
12A:A:L310 A:A:M247 1007.07YesYes246
13A:A:M247 A:A:R242 1003.72YesYes269
14A:A:R242 A:A:Y230 1005.14YesYes298
15A:A:L227 A:A:Y230 1003.52YesYes278
16A:A:F274 A:A:L227 10015.83NoYes097
17A:A:F274 A:A:K270 1002.48NoYes099
18A:A:K270 A:A:N269 10015.39YesNo099
19A:A:I49 A:A:N269 1007.08YesNo379
20A:A:F267 A:A:I49 1003.77YesYes397
21A:A:F267 A:A:I265 1003.77YesYes398
22A:A:N269 A:A:N331 1004.09NoYes398
23A:A:F267 A:A:N331 10013.29YesYes398
24A:A:F215 A:A:L37 10.97178.53YesYes299
25A:A:H322 A:A:N331 52.21842.55YesYes398
26A:A:I212 A:A:K209 12.5587.27YesNo088
27A:A:K209 A:A:W211 12.25268.12NoYes089
28A:A:Q204 B:B:Y145 12.2096.76YesYes298
29A:A:A338 A:A:I265 1003.25NoYes368
30A:A:A338 A:A:Y320 1004NoYes367
31A:A:F267 A:A:F334 1006.43YesYes393
32A:A:A338 A:A:F334 1002.77NoYes363
33A:A:F334 A:A:H322 52.245332.81YesYes339
34A:A:E318 A:A:Y320 10022.45NoYes047
35A:A:E318 A:A:K345 1005.4NoNo045
36A:A:D341 A:A:Y320 10011.49NoYes087
37A:A:D341 R:R:H220 1005.04NoYes088
38A:A:F354 A:A:K345 1007.44YesNo1455
39A:A:F354 R:R:H220 1003.39YesYes058
40A:A:F354 A:A:L348 1007.31YesYes1459
41A:A:L348 A:A:L353 1002.77YesYes1497
42A:A:C351 A:A:L353 70.46253.17NoYes047
43A:A:C351 R:R:R125 70.35666.96NoYes049
44A:A:L353 R:R:Q416 1007.99YesYes079
45R:R:Q416 R:R:R125 70.3653.5YesYes099
46R:R:F475 R:R:F479 10.58635.36YesYes799
47R:R:F479 R:R:V48 19.19093.93YesNo099
48R:R:S70 R:R:V48 19.85298.08NoNo099
49R:R:N45 R:R:S70 22.49732.98YesNo099
50R:R:D73 R:R:N45 42.92198.08YesYes199
51R:R:D73 R:R:L69 38.61975.43YesYes199
52R:R:L69 R:R:Y468 41.57434.69YesYes199
53R:R:R125 R:R:Y468 1004.12YesYes199
54R:R:D73 R:R:N464 38.63028.08YesYes199
55R:R:N464 R:R:Y468 91.39814.65YesYes199
56R:R:I420 R:R:Y468 67.63374.84YesYes099
57R:R:I420 R:R:Q416 68.05614.12YesYes099
58A:A:L353 R:R:L417 51.11525.54YesNo079
59B:B:D66 B:B:R68 1002.38NoNo085
60B:B:D66 B:B:L69 1008.14NoNo085
61B:B:L69 B:B:Y105 1003.52NoYes056
62B:B:H62 B:B:Y105 99.53974.36NoYes066
63B:B:H62 B:B:R150 98.955211.28NoNo066
64B:B:L190 B:B:R150 96.6152.43YesNo056
65B:B:F199 B:B:L190 87.24974.87YesYes695
66B:B:F199 B:B:W211 80.81588.02YesYes698
67B:B:K209 B:B:W211 74.968712.76YesYes668
68B:B:K209 B:B:T221 74.39363YesNo067
69B:B:T221 G:G:E22 73.80869.88NoYes079
70B:B:Q220 G:G:E22 70.29822.55YesYes979
71B:B:D258 B:B:Q220 24.618113.05YesYes977
72B:B:D258 B:B:R22 11.72315.48YesYes976
73B:B:I18 B:B:L14 26.37771.43YesNo078
74B:B:L14 B:B:Q13 22.86095.32NoNo081
75B:B:E10 B:B:Q13 15.8272.55NoNo081
76B:B:E10 B:B:Q6 14.06853.82NoNo081
77B:B:L7 B:B:Q6 12.30991.33NoNo081
78B:B:D258 G:G:R27 12.30925.96YesYes978
79B:B:I18 G:G:R27 19.92973.76YesYes978
80B:B:Q220 G:G:I25 13.481410.98YesYes972
81G:G:I25 G:G:R27 12.309312.53YesYes928
82B:B:M325 G:G:P49 17.784510.06YesNo057
83G:G:D48 G:G:P49 13.69684.83YesNo097
84B:B:Y85 G:G:F61 1006.19YesYes448
85B:B:M325 G:G:F61 10.7343.73YesYes458
86B:B:N340 G:G:F61 38.6276.04YesYes498
87B:B:M45 B:B:N340 36.88092.8YesYes049
88B:B:R314 B:B:W332 16.660422.99NoYes289
89B:B:D290 B:B:R314 16.354217.87NoNo268
90B:B:C271 B:B:D290 16.20286.22NoNo056
91B:B:C271 B:B:D291 15.7476.22NoNo058
92B:B:D291 B:B:I269 15.59692.8NoNo084
93B:B:L308 B:B:M45 26.90675.65YesYes074
94B:B:L308 B:B:W339 13.454413.67YesYes079
95B:B:I338 B:B:L51 46.52818.56YesYes459
96B:B:I338 G:G:F61 46.23813.77YesYes458
97B:B:G319 B:B:M61 49.9383.49NoYes056
98B:B:L70 B:B:W63 49.504117.08YesYes457
99B:B:G319 B:B:W63 49.50822.81NoYes057
100B:B:S84 G:G:F61 1005.28NoYes458
101B:B:V112 B:B:Y105 17.0023.79YesYes1086
102B:B:V112 B:B:Y124 11.13993.79YesYes086
103B:B:L210 B:B:Q220 15.24162.66YesYes057
104B:B:F222 B:B:Q220 16.4145.86NoYes087
105B:B:F222 B:B:F241 15.82798.57NoYes086
106B:B:W297 B:B:Y264 12.72495.79YesYes1185
107B:B:C294 B:B:L308 12.28456.35YesYes057
108R:R:N45 R:R:T41 14.57052.92YesYes199
109R:R:M81 R:R:W455 15.85184.65YesYes199
110R:R:I85 R:R:W455 25.74894.7NoYes189
111R:R:D73 R:R:S461 28.386911.78YesNo199
112R:R:S461 R:R:V76 27.736.46NoYes199
113R:R:V76 R:R:Y458 15.19263.79YesYes199
114R:R:W455 R:R:Y458 18.48732.89YesYes199
115R:R:V118 R:R:Y468 69.6198.83YesYes199
116R:R:F424 R:R:V118 69.30183.93YesYes199
117R:R:F424 R:R:W428 86.34974.01YesYes199
118L:L:?1 R:R:W428 1003.22YesYes109
119L:L:?1 R:R:Y458 20.28624.41YesYes109
120R:R:L417 R:R:Y210 50.9057.03NoYes099
121R:R:C122 R:R:Y210 24.73988.06NoYes089
122R:R:C122 R:R:M206 23.23056.48NoYes089
123R:R:F424 R:R:M206 46.20227.46YesYes199
124R:R:M421 R:R:Y210 26.05923.59YesYes099
125R:R:M206 R:R:M421 23.20622.89YesYes099
126R:R:N460 R:R:N464 52.47866.81NoYes099
127R:R:N460 R:R:W428 51.820113.56NoYes099
128R:R:I85 R:R:V31 22.88774.61NoNo087
129R:R:L89 R:R:V31 17.16532.98NoNo067
130L:L:?1 R:R:D107 22.010910.22YesYes109
131R:R:D107 R:R:W103 20.25463.35YesYes199
132R:R:W103 R:R:W93 14.09737.5YesYes199
133R:R:N84 R:R:Y458 13.87244.65YesYes189
134R:R:M451 R:R:N84 10.78865.61NoYes168
135R:R:L89 R:R:M90 14.30452.83NoNo065
136R:R:K179 R:R:Y87 12.11218.36NoNo047
137R:R:M90 R:R:S94 14.96673.07NoNo055
138R:R:K92 R:R:S94 11.22513.06NoNo025
139R:R:F424 R:R:I115 24.20083.77YesYes199
140R:R:I115 R:R:N198 21.45147.08YesYes199
141R:R:N198 R:R:W158 19.80354.52YesYes198
142R:R:F184 R:R:W158 20.03534.01YesYes198
143R:R:F184 R:R:W165 20.8089.02YesYes199
144R:R:D183 R:R:W165 29.94555.58YesYes179
145R:R:D183 R:R:R97 11.22975.96YesYes175
146L:L:?1 R:R:W158 31.70484.29YesYes108
147L:L:?1 R:R:Y108 25.541316.55YesYes109
148R:R:F184 R:R:Y108 12.32913.09YesYes199
149R:R:F190 R:R:W158 21.46553.01YesYes198
150R:R:F190 R:R:W165 12.88064.01YesYes199
151R:R:W428 R:R:Y431 23.76374.82YesYes199
152R:R:D183 R:R:N166 11.22979.42YesNo176
153R:R:F435 R:R:K191 12.330923.58YesNo089
154R:R:C445 R:R:I438 14.08983.27NoNo056
155B:B:S84 B:B:W63 1006.18NoYes457
156B:B:L336 B:B:L51 46.91135.54YesYes479
157B:B:A328 B:B:M61 49.64553.22NoYes456
158B:B:R68 B:B:Y85 10022.64NoYes454
159A:A:F199 A:A:F215 11.52016.43YesYes259
160A:A:Q204 A:A:W211 11.82896.57YesYes299
161B:B:A328 B:B:W63 49.50233.89NoYes457
162A:A:I212 A:A:N256 12.65874.25YesYes288
Download PSN data

2D representation of the global metapath, ligand(s) interactions and
histograms of path distribution according to several parameters
(click on the image to enlarge it 🔍):

A 2D representation of the global communication in the network.

ConSurf Conservation Grade (See documentation): 

 n/a   1    2    3    4    5    6    7    8    9  

Number of shortest communication paths as a function of the average residue correlation.

Number of shortest communication paths as a function of the average interaction strength of their links.

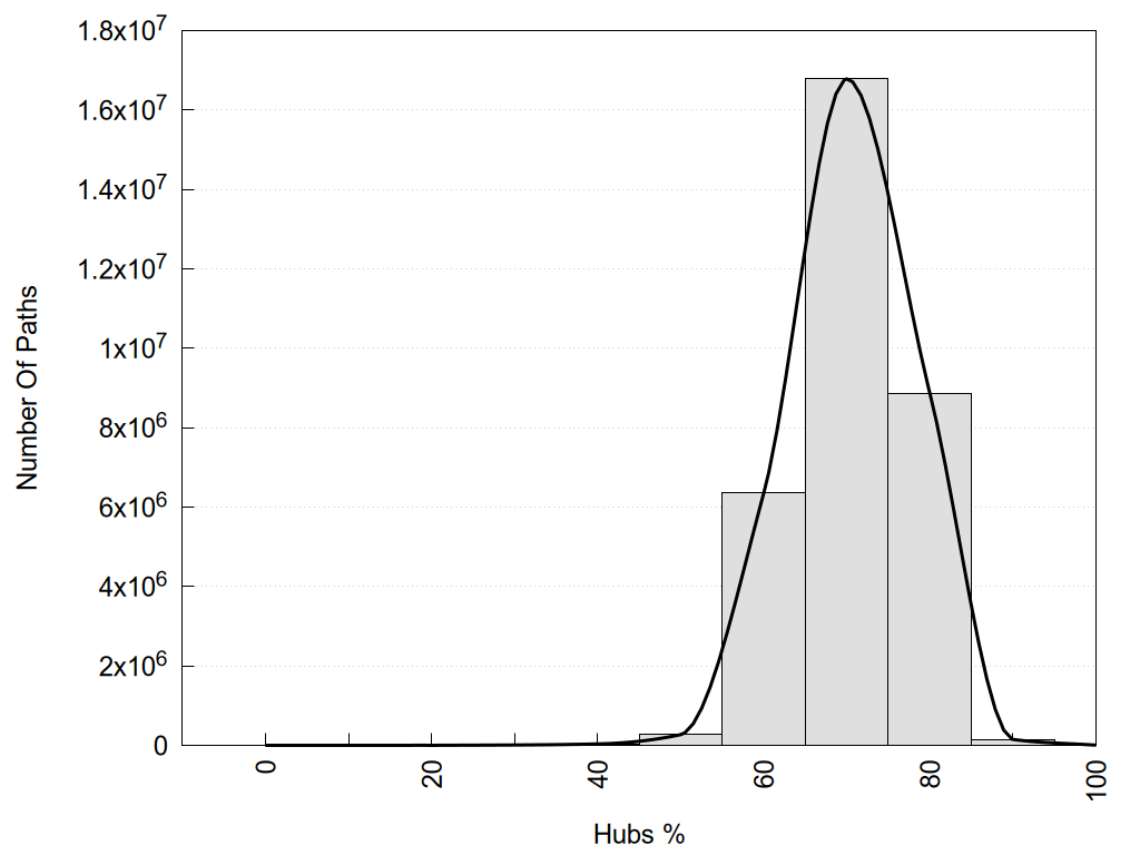
Number of shortest communication paths as a function of the % of hub nodes in each path.

Number of shortest communication paths as a function of the number of nodes in each path.

Number of shortest communication paths as a function of the % of correlated nodes in each path.


2D representation of the interactions of this orthosteric/allosteric ligand.


Links and nodes colored according to ConSurf Conservation Grade (See documentation): 

 n/a   1    2    3    4    5    6    7    8    9  

Node1 Node2 LinkStrength Comm IsNode1Hub? IsNode2Hub? Node1Cons Node2Cons Node1Shell Node2Shell
R:R:M81 R:R:V76 3.04 1 Yes Yes 9 9 2 2
R:R:V76 R:R:Y458 3.79 1 Yes Yes 9 9 2 1
R:R:V80 R:R:W103 3.68 1 No Yes 9 9 2 2
R:R:D107 R:R:V80 10.22 1 Yes No 9 9 1 2
R:R:V80 R:R:Y458 5.05 1 No Yes 9 9 2 1
R:R:M81 R:R:W455 4.65 1 Yes Yes 9 9 2 2
R:R:M81 R:R:Y458 11.97 1 Yes Yes 9 9 2 1
R:R:N84 R:R:W103 6.78 1 Yes Yes 8 9 2 2
R:R:N84 R:R:W455 5.65 1 Yes Yes 8 9 2 2
R:R:N84 R:R:Y458 4.65 1 Yes Yes 8 9 2 1
R:R:D107 R:R:W103 3.35 1 Yes Yes 9 9 1 2
R:R:D107 R:R:Y458 11.49 1 Yes Yes 9 9 1 1
L:L:?1 R:R:D107 10.22 1 Yes Yes 0 9 0 1
R:R:W158 R:R:Y108 11.58 1 Yes Yes 8 9 1 1
R:R:I162 R:R:Y108 6.04 1 Yes Yes 9 9 2 1
R:R:T182 R:R:Y108 6.24 1 Yes Yes 9 9 2 1
R:R:F184 R:R:Y108 3.09 1 Yes Yes 9 9 2 1
L:L:?1 R:R:Y108 16.55 1 Yes Yes 0 9 0 1
R:R:S111 R:R:W428 4.94 1 No Yes 9 9 1 1
L:L:?1 R:R:S111 14.13 1 Yes No 0 9 0 1
R:R:F116 R:R:T112 7.78 0 No Yes 8 9 2 1
R:R:S155 R:R:T112 7.99 0 No Yes 9 9 2 1
R:R:T112 R:R:W158 9.7 1 Yes Yes 9 8 1 1
R:R:N198 R:R:T112 10.24 1 Yes Yes 9 9 1 1
L:L:?1 R:R:T112 2.77 1 Yes Yes 0 9 0 1
R:R:F116 R:R:I115 3.77 0 No Yes 8 9 2 2
R:R:I115 R:R:N198 7.08 1 Yes Yes 9 9 2 1
R:R:F424 R:R:I115 3.77 1 Yes Yes 9 9 2 2
R:R:I115 R:R:W428 9.4 1 Yes Yes 9 9 2 1
R:R:I162 R:R:W158 3.52 1 Yes Yes 9 8 2 1
R:R:F184 R:R:W158 4.01 1 Yes Yes 9 8 2 1
R:R:F190 R:R:W158 3.01 1 Yes Yes 9 8 2 1
R:R:T194 R:R:W158 8.49 1 No Yes 8 8 2 1
R:R:N198 R:R:W158 4.52 1 Yes Yes 9 8 1 1
L:L:?1 R:R:W158 4.29 1 Yes Yes 0 8 0 1
R:R:F184 R:R:I162 2.51 1 Yes Yes 9 9 2 2
R:R:F184 R:R:T182 18.16 1 Yes Yes 9 9 2 2
R:R:F184 R:R:F190 15 1 Yes Yes 9 9 2 2
R:R:F190 R:R:T194 7.78 1 Yes No 9 8 2 2
R:R:F435 R:R:K191 23.58 1 Yes No 8 9 1 2
R:R:F435 R:R:T194 5.19 1 Yes No 8 8 1 2
R:R:A195 R:R:F432 2.77 1 Yes Yes 9 9 2 2
R:R:A195 R:R:F435 2.77 1 Yes Yes 9 8 2 1
R:R:F432 R:R:N198 9.67 1 Yes Yes 9 9 2 1
L:L:?1 R:R:N198 5.17 1 Yes Yes 0 9 0 1
R:R:F199 R:R:F424 8.57 1 Yes Yes 9 9 2 2
R:R:F199 R:R:W428 7.02 1 Yes Yes 9 9 2 1
R:R:F199 R:R:F432 12.86 1 Yes Yes 9 9 2 2
R:R:F424 R:R:W428 4.01 1 Yes Yes 9 9 2 1
R:R:W428 R:R:Y431 4.82 1 Yes Yes 9 9 1 1
R:R:F432 R:R:W428 4.01 1 Yes Yes 9 9 2 1
R:R:G457 R:R:W428 8.44 0 No Yes 9 9 2 1
R:R:N460 R:R:W428 13.56 0 No Yes 9 9 2 1
L:L:?1 R:R:W428 3.22 1 Yes Yes 0 9 0 1
R:R:F432 R:R:Y431 7.22 1 Yes Yes 9 9 2 1
R:R:F435 R:R:Y431 8.25 1 Yes Yes 8 9 1 1
R:R:H450 R:R:Y431 3.27 1 No Yes 7 9 2 1
R:R:T453 R:R:Y431 8.74 0 No Yes 9 9 2 1
R:R:I454 R:R:Y431 4.84 1 No Yes 8 9 2 1
L:L:?1 R:R:Y431 16.55 1 Yes Yes 0 9 0 1
L:L:?1 R:R:F435 4.59 1 Yes Yes 0 8 0 1
R:R:H450 R:R:I454 9.28 1 No No 7 8 2 2
R:R:I454 R:R:Y458 8.46 1 No Yes 8 9 2 1
R:R:W455 R:R:Y458 2.89 1 Yes Yes 9 9 2 1
L:L:?1 R:R:Y458 4.41 1 Yes Yes 0 9 0 1

Location and physicochemical properties of the interaction partners of this ligand

Interactions of this ligand

Similarities between the interactions of this ligand and those of other networks

ShowSimilarityNetwork TypeNameLigandDescription
81.82Single3RZECidoxepin3RZE-H1-Cidoxepin
75.00Single6K42Dexmedetomidine6K42-α2b-Dexmedetomidine-Gi1/β1/γ2
75.00Consensusalpha2_onOrthosteric Ligandalpha2b_on
75.00Consensusalpha2_on_gpOrthosteric Ligandalpha2b_on_gp
75.00Consensusalpha2b_onOrthosteric Ligand6K42-α2b-Dexmedetomidine-Gi1/β1/γ2
75.00Consensusalpha2b_on_gpOrthosteric Ligand6K42-α2b-Dexmedetomidine-Gi1/β1/γ2
75.00Consensusgq_amineOrthosteric Ligandgq_muscarinic gq_histamine
75.00Consensusmuscarinic_onOrthosteric Ligandm2_on m3_on m4_on m1_on
75.00Consensusmuscarinic_on_gpOrthosteric Ligandm2_on_gp m3_on_gp m4_on_gp m1_on_gp
72.73Single9LRBHistamine9LRB-H1-Histamine-Gs/β1/γ2
71.43Single8E9W2-Deoxycytidine8E9W-M3-2-Deoxycytidine-chim(NtGi2L-Gs-CtGq)/β1/γ2
69.23Consensus5ht1_onOrthosteric Ligand5ht1a_on 5ht1d_on 5ht1e_on 5ht1f_on
69.23Consensus5ht1_on_gpOrthosteric Ligand5ht1a_on_gp 5ht1d_on_gp 5ht1e_on_gp 5ht1f_on_gp
69.23Consensus5ht1e_on_gpOrthosteric Ligand7E33-5-HT1E-BRL-54443-Gi1/β1/γ2 8UGY-5-HT1E-Mianserin-Gi1/β1/γ1 8UH3-5-HT1E-Setiptiline-Gi1/β1/γ1
69.23Consensusalpha_on_gpOrthosteric Ligandalpha1_on_gp alpha2_on_gp
69.23Consensusm3_onOrthosteric Ligand8E9Z-M3-Iperoxo-chim(NtGi2L-Gs-CtGq)/β1/γ2 8E9W-M3-2-Deoxycytidine-chim(NtGi2L-Gs-CtGq)/β1/γ2 8E9Y-M3-Clozapine-N-oxide-chim(NtGi2L-Gs-CtGq)/β1/γ2
69.23Consensusm3_on_gpOrthosteric Ligand8E9Z-M3-Iperoxo-chim(NtGi2L-Gs-CtGq)/β1/γ2 8E9W-M3-2-Deoxycytidine-chim(NtGi2L-Gs-CtGq)/β1/γ2 8E9Y-M3-Clozapine-N-oxide-chim(NtGi2L-Gs-CtGq)/β1/γ2
66.67Single4MQTIperoxo4MQT-M2-Iperoxo-LY2119620
66.67Single6K41Dexmedetomidine6K41-α2b-Dexmedetomidine-Go/β1/γ2
66.67Single7CMVPD1289077CMV-D3-PD128907-Gi1/β1/γ2
66.67Single7E33BRL-544437E33-5-HT1E-BRL-54443-Gi1/β1/γ2
66.67Single7EJADexmedetomidine7EJA-α2a-Dexmedetomidine-Go/β1/γ2
66.67Single7F1ZDopamine7F1Z-D1-Dopamine-GDP-Gs/β1/γ2
66.67Single7F24Dopamine7F24-D1-Dopamine-GDP-Gs/β1/γ2
66.67Single7T94Acetylcholine7T94-M2-Acetylcholine-LY2119620-chim(NtGi1-Go)/β1/γ2
66.67Single7TRSAcetylcholine7TRS-M4-Acetylcholine-Gi1/β1/γ2
66.67Single8E9X2-Deoxycytidine8E9X-M4-2-Deoxycytidine-chim(NtGi1-Go)/β1/γ2
66.67Single8E9YClozapine-N-oxide8E9Y-M3-Clozapine-N-oxide-chim(NtGi2L-Gs-CtGq)/β1/γ2
66.67Single8FX5Xanomeline8FX5-M4-Xanomeline-Xanomeline-Gi1/β1/γ2
66.67Single8U02Dopamine8U02-D2-Dopamine-Go/β1/γ2
66.67Single8W8BSEP-3638568W8B-5-HT1A-SEP-363856-Gi1/β1/γ2
66.67Single8YN3Histamine8YN3-H2-Histamine-Gs/β1/γ2
66.67Single9KVIBufotenin9KVI-5-HT1A-Bufotenin-PtdIns4P-Gi1/β1/γ2
64.29Single4U15Tiotropium4U15-M3-Tiotropium
64.29Single6OIJIperoxo6OIJ-M1-Iperoxo-chim(NtGi1L-G11)/β1/γ2
64.29Single6OL9Tiotropium6OL9-M5-Tiotropium
64.29Single7TRQIperoxo7TRQ-M4-Iperoxo-VU0467154-Gi1/β1/γ2
64.29Single7W6PN-pyridin-4-ylisoquinolin-4-amine7W6P-α2a-N-pyridin-4-ylisoquinolin-4-amine-Go/β1/γ2
64.29Single7W7EPubChem 1649466767W7E-α2a-PubChem 164946676-Go/β1/γ2
64.29Single8JXVClozapine8JXV-H4-Clozapine-Gi1/β1/γ2
64.29Consensusamine_on_gpOrthosteric Ligand5ht_on_gp adrenergic_on_gp dopamine_on_gp histamine_on_gp muscarinic_on_gp trace-amine_on_gp
64.29Consensusm1_on_gpOrthosteric Ligand6OIJ-M1-Iperoxo-chim(NtGi1L-G11)/β1/γ2
64.29Consensusm5_offOrthosteric Ligand6OL9-M5-Tiotropium
63.64Single7DFLHistamine7DFL-H1-Histamine-chim(NtGi1L-Gq)/β1/γ2
63.64Single7SRQLSD7SRQ-5-HT2B-LSD
63.64Single8YN2Histamine8YN2-H1-Histamine-chim(NtGi1L-Gs-CtGq)/β1/γ2
63.64Consensush1_onOrthosteric Ligand7DFL-H1-Histamine-chim(NtGi1L-Gq)/β1/γ2
61.54Single3NYAAlprenolol3NYA-β2-Alprenolol
61.54Single4MQSIperoxo4MQS-M2-Iperoxo
61.54Single4U14Tiotropium4U14-M3-Tiotropium
61.54Single5YC8N-methyl-Scopolamine5YC8-M2-N-methyl-Scopolamine
61.54Single5ZK8N-methyl-Scopolamine5ZK8-M2-N-methyl-Scopolamine
61.54Single5ZKCN-methyl-Scopolamine5ZKC-M2-N-methyl-Scopolamine
61.54Single7E32Serotonin7E32-5-HT1D-Serotonin-Gi1/β1/γ2
61.54Single7TRPIperoxo7TRP-M4-Iperoxo-LY2033298-Gi1/β1/γ2
61.54Single8FY85-MeO-DMT8FY8-5-HT1A-5-MeO-DMT-PtdIns4P-Gi1/β1/γ1
61.54Single8JJOAlprenolol8JJO-β2-Alprenolol
61.54Single8X63Mepyramine8X63-H1-Mepyramine
61.54Single8X64Desloratadine8X64-H1-Desloratadine
61.54Single9CBMDexmedetomidine9CBM-α2a-Dexmedetomidine-Gi1/β1/γ2
61.54Single9JEAAtropine9JEA-M1-Atropine
61.54Single9LLAAriadne9LLA-5-HT2A-Ariadne-chim(NtGi1L-Gs-CtGq)/β1/γ2
61.54Single9PLNPubChem 1682595949PLN-α2a-PubChem 168259594
61.54Single9PLOPubChem 1682595949PLO-α2a-PubChem 168259594-Go/β1/γ2
61.54Single9PQDPubChem 1764919279PQD-α2a-PubChem 176491927
61.54Consensus5ht1d_onOrthosteric Ligand7E32-5-HT1D-Serotonin-Gi1/β1/γ2
61.54Consensus5ht1d_on_gpOrthosteric Ligand7E32-5-HT1D-Serotonin-Gi1/β1/γ2
61.54Consensusalpha_onOrthosteric Ligandalpha1_on alpha2_on
61.54Consensusgi_histamineOrthosteric Ligand8JXX-H4-Clobenpropit-Gi1/β1/γ2 8JXV-H4-Clozapine-Gi1/β1/γ2 8YUU-H3-Histamine-Gi1/β1/γ1 8HN8-H4-Histamine-Gi1/β1/γ2 8HOC-H4-Imetit-Gi1/β1/γ2 8JXW-H4-VUF6884-Gi1/β1/γ2
61.54Consensushistamine_offOrthosteric Ligandh1_off
60.00Single3D4STimolol3D4S-β2-Timolol
60.00Single5CXVTiotropium5CXV-M1-Tiotropium
60.00Single6ZG4HTL00099366ZG4-M1-HTL0009936
60.00Single8FYE4-F,5-MeO-PyrT8FYE-5-HT1A-4-F,5-MeO-PyrT-PtdIns4P-Gi1/β1/γ1
60.00Single8IRSRotigotine8IRS-D2-Rotigotine-Gi1/β1/γ2
60.00Single9EK0Iperoxo9EK0-M5-Iperoxo-chim(NtGi1-Gs-CtGq)/β1/γ2
60.00Consensusgi_amineOrthosteric Ligandgi_5ht gi_muscarinic gi_adrenergic gi_dopamine gi_histamine
60.00Consensusgi_muscarinicOrthosteric Ligand8E9X-M4-2-Deoxycytidine-chim(NtGi1-Go)/β1/γ2 7T8X-M2-Acetylcholine-chim(NtGi1-Go)/β1/γ2 7TRS-M4-Acetylcholine-Gi1/β1/γ2 7TRK-M4-Iperoxo-Gi1/β1/γ2 7V6A-M4-PubChem 9864275-Gi1/β1/γ2
60.00Consensusm1_offOrthosteric Ligand5CXV-M1-Tiotropium
58.33Single6KUYPubChem 1457046436KUY-α2a-PubChem 145704643
58.33Single7LJDDopamine7LJD-D1-Dopamine-Mevidalen-Gs/β1/γ1
58.33Single7T8XAcetylcholine7T8X-M2-Acetylcholine-chim(NtGi1-Go)/β1/γ2
58.33Single7T90Acetylcholine7T90-M2-Acetylcholine-chim(NtGi1-Go)/β1/γ2
58.33Single7T96Acetylcholine7T96-M2-Acetylcholine-LY2119620-Go/β1/γ2
58.33Single7X2FDopamine7X2F-D1-Dopamine-Mevidalen-Gs/β1/γ2
58.33Single8HOCImetit8HOC-H4-Imetit-Gi1/β1/γ2
58.33Single8TZQDopamine8TZQ-D2-Dopamine-Go/β1/γ2
58.33Single8WC3SEP-3638568WC3-TA1-SEP-363856-chim(NtGi1-Gs)/β1/γ2
58.33Single8YNAImmepip8YNA-H4-Immepip-Gi1/β1/γ2
58.33Single8YUTAmthamine8YUT-H2-Amthamine-Gs/β1/γ2
58.33Single8YUVImmepip8YUV-H3-Immepip-Gi1/β1/γ2
58.33Single9KVHCinobufotenine9KVH-5-HT1A-Cinobufotenine-PtdIns4P-Gi1/β1/γ2
58.33Single9LL9DOI9LL9-5-HT2A-DOI-chim(NtGi1L-Gs-CtGq)/β1/γ2
58.33Single9MQJIsoquinuclidine9MQJ-μ-Isoquinuclidine
58.33Consensusgq_histamineOrthosteric Ligand7DFL-H1-Histamine-chim(NtGi1L-Gq)/β1/γ2
58.33Consensush1_on_gpOrthosteric Ligand7DFL-H1-Histamine-chim(NtGi1L-Gq)/β1/γ2
58.33Consensusm2_onOrthosteric Ligand7T8X-M2-Acetylcholine-chim(NtGi1-Go)/β1/γ2
58.33Consensusm2_on_gpOrthosteric Ligand7T8X-M2-Acetylcholine-chim(NtGi1-Go)/β1/γ2
57.14Single2RH1Carazolol2RH1-β2-Carazolol
57.14Single6OIKIperoxo6OIK-M2-Iperoxo-LY2119620-chim(NtGi1-Go)/β1/γ2
57.14Single7TRKIperoxo7TRK-M4-Iperoxo-Gi1/β1/γ2
57.14Single8GFYConstrained Epinephrine8GFY-β2-Constrained Epinephrine-GTP-Gs/β1/γ2
57.14Single8GG2Constrained Epinephrine8GG2-β2-Constrained Epinephrine-GTP-Gs/β1/γ2
57.14Single9DYDAsenapine9DYD-5-HT1A-Asenapine-PtdIns4P-Go/β1/γ2
57.14Consensusamine_offOrthosteric Ligand5ht_off adrenergic_off dopamine_off histamine_off muscarinic_off
57.14Consensusamine_offonOrthosteric Ligandamine_off amine_on
57.14Consensusamine_offon_gpOrthosteric Ligandamine_on_gp amine_off
57.14Consensusamine_onOrthosteric Ligand5ht_on adrenergic_on dopamine_on histamine_on muscarinic_on trace-amine_on
57.14Consensusbeta2_offOrthosteric Ligand2RH1-β2-Carazolol 6PS3-β2-Carvedilol 6PS5-β2-Propranolol 3D4S-β2-Timolol 3NY8-β2-ICI118-551 3NY9-β2-PubChem 913103 6PRZ-β2-Alprenolol
57.14Consensusbeta_offOrthosteric Ligandbeta1_off beta2_off
57.14Consensusgi_adrenergicOrthosteric Ligand7EJ0-α2a-Norepinephrine-Go/β1/γ2 7EJK-α2a-Oxymetazoline-Go/β1/γ2 7W7E-α2a-PubChem 164946676-Go/β1/γ2 7W6P-α2a-N-pyridin-4-ylisoquinolin-4-amine-Go/β1/γ2 7EJ8-α2a-Brimonidine-Go/β1/γ2 6K42-α2b-Dexmedetomidine-Gi1/β1/γ2 7EJA-α2a-Dexmedetomidine-Go/β1/γ2 7S0F-β1-Isoprenaline-Gi1/β1/γ2
57.14Consensusgq_muscarinicOrthosteric Ligand6OIJ-M1-Iperoxo-chim(NtGi1L-G11)/β1/γ2
57.14Consensush1_offOrthosteric Ligand8X63-H1-Mepyramine 3RZE-H1-Cidoxepin 8X5Y-H1-Astemizole
57.14Consensusm1_onOrthosteric Ligand6OIJ-M1-Iperoxo-chim(NtGi1L-G11)/β1/γ2
57.14Consensusm2_offOrthosteric Ligand5ZKC-M2-N-methyl-Scopolamine 5ZK3-M2-3-quinuclidinyl-benzilate 5ZKB-M2-AF-DX 384
56.25Single8S2TIsoprenaline8S2T-β1-Isoprenaline-chim(NtGi1-Gs)/β1/γ2
54.55Single7F23Dopamine7F23-D1-Dopamine-GDP-Gs/β1/γ2
53.85Single4DKLBeta-Funaltrexamine4DKL-μ-β-Funaltrexamine
53.85Single4N6HNaltrindole4N6H-δ-Naltrindole-Na
53.85Single6WH4Methiothepin6WH4-5-HT2A-Methiothepin
53.85Single6WJCAtropine6WJC-M1-Atropine-Muscarinic toxin 7
53.85Single7CKZDopamine7CKZ-D1-Dopamine-Mevidalen-Gs/β1/γ2
53.85Single7CMUPramipexole7CMU-D3-Pramipexole-Gi1/β1/γ2
53.85Single7EJ8Brimonidine7EJ8-α2a-Brimonidine-Go/β1/γ2
53.85Single7F0TDopamine7F0T-D1-Dopamine-Gs/β1/γ2
53.85Single7RANPubChem 1645758477RAN-5-HT2A-PubChem 164575847-chim(NtGi2L-Gs-CtGq)/β1/γ2
53.85Single8DPGPsilocin8DPG-5-HT2C-Psilocin-chim(NtGi2L-Gs-CtGq)/β1/γ2
53.85Single8JLKUlotaront8JLK-TA1-Ulotaront-chim(NtGi1-Gs)/β1/γ2
53.85Single8JLNT1AM8JLN-TA1-T1AM-Gs/β1/γ2
53.85Single8JSPUlotaront8JSP-5-HT1A-Ulotaront-Gi1/β1/γ2
53.85Single8PM2DMCHA8PM2-TA7-DMCHA-Gs/β1/γ2
53.85Single8THKA-616038THK-Alpha1A-A-61603-chim(NtGi2L-Gs-CtGq)/β1/γ2
53.85Single8THLEpinephrine8THL-Alpha1A-Epinephrine-chim(NtGi2L-Gs-CtGq)/β1/γ2
53.85Single8UHBRO52563908UHB-TA1-RO5256390-Gs/β1/γ2
53.85Single9AS3LSD9AS3-5-HT2A-LSD
53.85Single9AS4LSD9AS4-5-HT2A-LSD-chim(NtGi1-Gs-CtGq)/β1/γ2
53.85Single9AS5Mescaline9AS5-5-HT2A-Mescaline
53.85Single9AS6Mescaline9AS6-5-HT2A-Mescaline-chim(NtGi1-Gs-CtGq)/β1/γ2
53.85Single9CBLEpinephrine9CBL-α2a-Epinephrine-Gi1/β1/γ2
53.85Single9MQIIsoquinuclidine9MQI-μ-Isoquinuclidine
53.85Single9VJG8-OH-DPAT9VJG-5-HT1A-8-OH-DPAT-chim(NtGi2-Gz)/β1/γ2
53.85Single9W6W5-CT9W6W-5-HT5A-5-CT-Gi1/β1/γ2
53.85Consensusalpha1_onOrthosteric Ligandalpha1a_on
53.85Consensusalpha1_on_gpOrthosteric Ligandalpha1a_on_gp
53.85Consensusalpha1a_onOrthosteric Ligand7EJ0-α2a-Norepinephrine-Go/β1/γ2 7EJ8-α2a-Brimonidine-Go/β1/γ2 7EJA-α2a-Dexmedetomidine-Go/β1/γ2 7EJK-α2a-Oxymetazoline-Go/β1/γ2 7W6P-α2a-N-pyridin-4-ylisoquinolin-4-amine-Go/β1/γ2 7W7E-α2a-PubChem 164946676-Go/β1/γ2
53.85Consensusalpha1a_on_gpOrthosteric Ligand7EJ0-α2a-Norepinephrine-Go/β1/γ2 7EJ8-α2a-Brimonidine-Go/β1/γ2 7EJA-α2a-Dexmedetomidine-Go/β1/γ2 7EJK-α2a-Oxymetazoline-Go/β1/γ2 7W6P-α2a-N-pyridin-4-ylisoquinolin-4-amine-Go/β1/γ2 7W7E-α2a-PubChem 164946676-Go/β1/γ2
53.85Consensusd3_onOrthosteric Ligand7CMV-D3-PD128907-Gi1/β1/γ2 8IRT-D3-Rotigotine-Gi1/β1/γ2 7CMU-D3-Pramipexole-Gi1/β1/γ2
53.85Consensusd3_on_gpOrthosteric Ligand7CMV-D3-PD128907-Gi1/β1/γ2 8IRT-D3-Rotigotine-Gi1/β1/γ2 7CMU-D3-Pramipexole-Gi1/β1/γ2
53.33Single5D5ACarazolol5D5A-β2-Carazolol
53.33Single5D5BCarazolol5D5B-β2-Carazolol
53.33Single6TQ7SB-3348676TQ7-OX1-SB-334867
53.33Single8EA0Iperoxo8EA0-M3-Iperoxo
53.33Single8IRRRotigotine8IRR-D1-Rotigotine-Gs/β1/γ2
53.33Single8JXWVUF68848JXW-H4-VUF6884-Gi1/β1/γ2
53.33Single8JXXClobenpropit8JXX-H4-Clobenpropit-Gi1/β1/γ2
53.33Single9AS9RS130-1809AS9-5-HT2A-RS130-180
53.33Single9ASARS130-1809ASA-5-HT2A-RS130-180-chim(NtGi1-Gs-CtGq)/β1/γ2
53.33Single9BS9LSD9BS9-D2-LSD
53.33Single9BSBLSD9BSB-D2-LSD-chim(NtGi1-Go)/β1/γ2
53.33Single9IJDCarazolol9IJD-β3-Carazolol-chim(NtGi1-Gs)/β1/γ2
53.33Single9PY4Loperamide9PY4-μ-Loperamide-GDPβS-Gi1/β1/γ2
53.33Single9UCPIperoxo9UCP-M1-Iperoxo-G11(CT)
53.33Consensusbeta1_offOrthosteric Ligand2VT4-β1-Cyanopindolol 2YCW-β1-Carazolol 2YCZ-β1-Iodocyanopindolol 5A8E-β1-7-Methylcyanopindolol-Na 3ZPQ-β1-PubChem 594590-Na 3ZPR-β1-PubChem 598754-Na
53.33Consensusgi_5htOrthosteric Ligand8FYT-5-HT1A-LSD-PtdIns4P-Gi1/β1/γ1 7UM7-5-HT5A-Methylergometrine-chim(NtGi1-Go)/β1/γ2 8UGY-5-HT1E-Mianserin-Gi1/β1/γ1 8W8B-5-HT1A-SEP-363856-Gi1/β1/γ2 7E2Y-5-HT1A-Serotonin-PtdIns4P-Gi1/β1/γ2 7E32-5-HT1D-Serotonin-Gi1/β1/γ2 7XTA-5-HT4-Serotonin-Gi1/β1/γ2 8UH3-5-HT1E-Setiptiline-Gi1/β1/γ1 8JSP-5-HT1A-Ulotaront-Gi1/β1/γ2 8FYL-5-HT1A-Vilazodone-PtdIns4P-Gi1/β1/γ1 8JT6-5-HT1A-(R)-IHCH-7179-PtdIns4P-Gi1/β1/γ2 8FYE-5-HT1A-4-F,5-MeO-PyrT-PtdIns4P-Gi1/β1/γ1 7X5H-5-HT5A-5-CT-Gi1/β1/γ2 8FY8-5-HT1A-5-MeO-DMT-PtdIns4P-Gi1/β1/γ1 7E2Z-5-HT1A-Aripiprazole-PtdIns4P-Gi1/β1/γ2 7E33-5-HT1E-BRL-54443-Gi1/β1/γ2 8FYX-5-HT1A-Buspirone-PtdIns4P-Gi1/β1/γ1 7EXD-5-HT1F-Lasmiditan-Gi1/β1/γ2 7UM6-5-HT5A-Lisuride-chim(NtGi1-Go)/β1/γ2
53.33Consensush4_on_gpOrthosteric Ligand8HN8-H4-Histamine-Gi1/β1/γ2 8HOC-H4-Imetit-Gi1/β1/γ2 8JXV-H4-Clozapine-Gi1/β1/γ2 8JXW-H4-VUF6884-Gi1/β1/γ2 8JXX-H4-Clobenpropit-Gi1/β1/γ2
53.33Consensusm3_offOrthosteric Ligand4U15-M3-Tiotropium 4U16-M3-N-methyl-Scopolamine 5ZHP-M3-PubChem 134828589
53.33Consensusmuscarinic_offOrthosteric Ligandm2_off m3_off m4_off m5_off m1_off
53.33Consensusta1_on_gpOrthosteric Ligand8W87-TA1-METH-chim(NtGi1L-Gs)/β1/γ2 8W89-TA1-2-Phenylethylamine-chim(NtGi1L-Gs)/β1/γ2 8JLP-TA1-Ralmitaront-Gs/β1/γ2 8W8A-TA1-RO5256390-chim(NtGi1L-Gs)/β1/γ2 8W88-TA1-SEP-363856-Gs/β1/γ2 8JLO-TA1-Ulotaront-Gs/β1/γ2 8JLR-TA1-A77636-chim(NtGi1-Gs)/β1/γ2 8JSO-TA1-AMPH-chim(NtGi1-Gs)/β1/γ2 8ZSP-TA1-LSD-chim(NtGi1L-Gs)/β1/γ2
53.33Consensustrace-amine_on_gpOrthosteric Ligandta1_on_gp
50.00Single1L9H11-cis-Retinal1L9H-Rhodopsin-11-cis-Retinal
50.00Single1U1911-cis-Retinal1U19-Rhodopsin-11-cis-Retinal
50.00Single2G87All-trans-Retinal2G87-Rhodopsin-All-trans-Retinal
50.00Single2I3511-cis-Retinal2I35-Rhodopsin-11-cis-Retinal
50.00Single3NY8ICI118-5513NY8-β2-ICI118-551
50.00Single3ZPQPubChem 5945903ZPQ-β1-PubChem 594590-Na
50.00Single4AMIBucindolol4AMI-β1-Bucindolol
50.00Single4DAJTiotropium4DAJ-M3-Tiotropium
50.00Single4EJ4Naltrindole4EJ4-δ-Naltrindole
50.00Single4GBRCarazolol4GBR-β2-Carazolol
50.00Single4U16N-methyl-Scopolamine4U16-M3-N-methyl-Scopolamine
50.00Single4X1HNonyl-Beta-D-Glucopyranoside4X1H-Rhodopsin-Nonyl-β-D-Glucopyranoside-Gt(CT)
50.00Single5DSGTiotropium5DSG-M4-Tiotropium
50.00Single6H7OCyanopindolol6H7O-β1-Cyanopindolol
50.00Single6PS1Timolol6PS1-β2-Timolol
50.00Single6PS2Alprenolol6PS2-β2-Alprenolol
50.00Single6VMSBromoergocryptine6VMS-D2-Bromoergocryptine-Gi1/β1/γ2
50.00Single6WHADB139486WHA-5-HT2A-DB13948-chim(NtGi2L-Gs-CtGq)/β1/γ2
50.00Single7BTSEpinephrine7BTS-β1-Epinephrine
50.00Single7BU6Norepinephrine7BU6-β1-Norepinephrine
50.00Single7E2YSerotonin7E2Y-5-HT1A-Serotonin-PtdIns4P-Gi1/β1/γ2
50.00Single7EXDLasmiditan7EXD-5-HT1F-Lasmiditan-Gi1/β1/γ2
50.00Single7JVQApomorphine7JVQ-D1-Apomorphine-Gs/β1/γ2
50.00Single7LJCSKF812977LJC-D1-SKF81297-Mevidalen-Gs/β1/γ2
50.00Single7UM55-CT7UM5-5-HT5A-5-CT-chim(NtGi1-Go)/β1/γ2
50.00Single7V68Iperoxo7V68-M4-Iperoxo-LY2119620-Gi1/β1/γ2
50.00Single7X2CFenoldopam7X2C-D1-Fenoldopam-Fenoldopam-Gs/β1/γ2
50.00Single7XTBSerotonin7XTB-5-HT6-Serotonin-Gs/β1/γ2
50.00Single7XTC5-CT7XTC-5-HT7-5-CT-Gs/β1/γ2
50.00Single7YFCHistamine7YFC-H4-Histamine-chim(NtGi1-Gs-CtGq)/β1/γ2
50.00Single7YFDImetit7YFD-H4-Imetit-chim(NtGi1-Gs-CtGq)/β1/γ2
50.00Single7YS6Serotonin7YS6-5-HT6-Serotonin-chim(NtGi1-Gs)/β1/γ2
50.00Single8FYLVilazodone8FYL-5-HT1A-Vilazodone-PtdIns4P-Gi1/β1/γ1
50.00Single8FYTLSD8FYT-5-HT1A-LSD-PtdIns4P-Gi1/β1/γ1
50.00Single8G056-OAU8G05-GPR84-6-OAU-Gi1/β1/γ2
50.00Single8GE2Constrained Epinephrine8GE2-β2-Constrained Epinephrine-Gs/β1/γ1
50.00Single8GE3Constrained Epinephrine8GE3-β2-Constrained Epinephrine-Gs/β1/γ2
50.00Single8GECConstrained Epinephrine8GEC-β2-Constrained Epinephrine-Gs/β1/γ2
50.00Single8GEEConstrained Epinephrine8GEE-β2-Constrained Epinephrine-Gs/β1/γ2
50.00Single8GEHConstrained Epinephrine8GEH-β2-Constrained Epinephrine-Gs/β1/γ2
50.00Single8GFVConstrained Epinephrine8GFV-β2-Constrained Epinephrine-GTP-Gs/β1/γ2
50.00Single8GFWConstrained Epinephrine8GFW-β2-Constrained Epinephrine-GTP-Gs/β1/γ2
50.00Single8GFXConstrained Epinephrine8GFX-β2-Constrained Epinephrine-GTP-Gs/β1/γ2
50.00Single8GFZConstrained Epinephrine8GFZ-β2-Constrained Epinephrine-GTP-Gs/β1/γ2
50.00Single8GG0Constrained Epinephrine8GG0-β2-Constrained Epinephrine-GTP-Gs/β1/γ2
50.00Single8GG1Constrained Epinephrine8GG1-β2-Constrained Epinephrine-GTP-Gs/β1/γ2
50.00Single8GG3Constrained Epinephrine8GG3-β2-Constrained Epinephrine-GTP-Gs/β1/γ2
50.00Single8GG4Constrained Epinephrine8GG4-β2-Constrained Epinephrine-GTP-Gs/β1/γ2
50.00Single8GG6Constrained Epinephrine8GG6-β2-Constrained Epinephrine-GTP-Gs/β1/γ2
50.00Single8GG9Constrained Epinephrine8GG9-β2-Constrained Epinephrine-GTP-Gs/β1/γ2
50.00Single8GGIConstrained Epinephrine8GGI-β2-Constrained Epinephrine
50.00Single8GGJConstrained Epinephrine8GGJ-β2-Constrained Epinephrine
50.00Single8GGKConstrained Epinephrine8GGK-β2-Constrained Epinephrine
50.00Single8GGNConstrained Epinephrine8GGN-β2-Constrained Epinephrine
50.00Single8GGOConstrained Epinephrine8GGO-β2-Constrained Epinephrine
50.00Single8GGUConstrained Epinephrine8GGU-β2-Constrained Epinephrine
50.00Single8HN8Histamine8HN8-H4-Histamine-Gi1/β1/γ2
50.00Single8IRTRotigotine8IRT-D3-Rotigotine-Gi1/β1/γ2
50.00Single8JLJT1AM8JLJ-TA1-T1AM-chim(NtGi1-Gs)/β1/γ2
50.00Single8UGYMianserin8UGY-5-HT1E-Mianserin-Gi1/β1/γ1
50.00Single8UH3Setiptiline8UH3-5-HT1E-Setiptiline-Gi1/β1/γ1
50.00Single8UNQConstrained Epinephrine8UNQ-β2-Constrained Epinephrine-GTP-Gs/β1/γ2
50.00Single8UNYConstrained Epinephrine8UNY-β2-Constrained Epinephrine-GTP-Gs/β1/γ2
50.00Single8VVGGB188VVG-κ-GB18-Gi1/β1/γ2
50.00Single8W87METH8W87-TA1-METH-chim(NtGi1L-Gs)/β1/γ2
50.00Single8W892-Phenylethylamine8W89-TA1-2-Phenylethylamine-chim(NtGi1L-Gs)/β1/γ2
50.00Single8W8ARO52563908W8A-TA1-RO5256390-chim(NtGi1L-Gs)/β1/γ2
50.00Single8WC7ZH86678WC7-TA1-ZH8667-chim(NtGi1-Gs)/β1/γ2
50.00Single8XVKAmbrisentan8XVK-ETA-Ambrisentan
50.00Single8Y71A1D6F8Y71-δ-A1D6F-BMS986187-Gi1/β1/γ2
50.00Single8YN4Histamine8YN4-H2-Histamine-chim(NtGi1L-Gs-CtGq)/β1/γ2
50.00Single8YN5Histamine8YN5-H3-Histamine-Gi1/β1/γ2
50.00Single8YN6Imetit8YN6-H3-Imetit-Gi1/β1/γ2
50.00Single8YN7Immethridine8YN7-H3-Immethridine-Go/β1/γ2
50.00Single8YN8Proxyfan8YN8-H3-Proxyfan-Go/β1/γ2
50.00Single9AS1DMT9AS1-5-HT2A-DMT
50.00Single9AS2DMT9AS2-5-HT2A-DMT-chim(NtGi1-Gs-CtGq)/β1/γ2
50.00Single9DYFAsenapine9DYF-5-HT1A-Asenapine-PtdIns4P-Gi1/β1/γ2
50.00Single9EBIPiclidenoson9EBI-A3A-Piclidenoson-chim(NtGi1L-Gs-CtGi1)/β1/γ2
50.00Single9IXJHistamine9IXJ-H2-Histamine-Gs/β1/γ2
50.00Single9JEQHistamine9JEQ-H3-Histamine-Gi1/β1/γ2
50.00Single9KVG5-MeO-DMT9KVG-5-HT1A-5-MeO-DMT-PtdIns4P-Gi1/β1/γ2
50.00Single9L42Histamine9L42-H4-Histamine-Gi1/β1/γ2
50.00Single9U9VMETH9U9V-β2-METH-Gs/β1/γ2
50.00Single9UAZAtropine9UAZ-M1-Atropine
50.00Consensus5ht1f_onOrthosteric Ligand7EXD-5-HT1F-Lasmiditan-Gi1/β1/γ2
50.00Consensus5ht1f_on_gpOrthosteric Ligand7EXD-5-HT1F-Lasmiditan-Gi1/β1/γ2
50.00Consensus5ht7_onOrthosteric Ligand7XTC-5-HT7-5-CT-Gs/β1/γ2
50.00Consensus5ht7_on_gpOrthosteric Ligand7XTC-5-HT7-5-CT-Gs/β1/γ2
50.00Consensusadrenergic_onOrthosteric Ligandalpha_on beta_on
50.00Consensusd2_on_gpOrthosteric Ligand7JVR-D2-Bromoergocryptine-Gi1/β1/γ2 8IRS-D2-Rotigotine-Gi1/β1/γ2
50.00Consensusdop_offOrthosteric Ligand4EJ4-δ-Naltrindole
50.00Consensusdopamine_offOrthosteric Ligandd2_off d3_off
50.00Consensusdopamine_onOrthosteric Ligandd2_on d1_on d3_on d4_on d5_on
50.00Consensusdopamine_on_gpOrthosteric Ligandd2_on_gp d1_on_gp d3_on_gp d4_on_gp d5_on_gp
50.00Consensusgs_trace-amineOrthosteric Ligand8W88-TA1-SEP-363856-Gs/β1/γ2 8JLJ-TA1-T1AM-chim(NtGi1-Gs)/β1/γ2 8JLO-TA1-Ulotaront-Gs/β1/γ2 8WC4-TA1-ZH8651-chim(NtGi1-Gs)/β1/γ2 8WC7-TA1-ZH8667-chim(NtGi1-Gs)/β1/γ2 8JLR-TA1-A77636-chim(NtGi1-Gs)/β1/γ2 8JSO-TA1-AMPH-chim(NtGi1-Gs)/β1/γ2 8W87-TA1-METH-chim(NtGi1L-Gs)/β1/γ2 8W89-TA1-2-Phenylethylamine-chim(NtGi1L-Gs)/β1/γ2 8JLP-TA1-Ralmitaront-Gs/β1/γ2 8W8A-TA1-RO5256390-chim(NtGi1L-Gs)/β1/γ2
50.00Consensusm4_offOrthosteric Ligand5DSG-M4-Tiotropium
50.00Consensusm4_onOrthosteric Ligand7TRS-M4-Acetylcholine-Gi1/β1/γ2 7V6A-M4-PubChem 9864275-Gi1/β1/γ2 8E9X-M4-2-Deoxycytidine-chim(NtGi1-Go)/β1/γ2 7TRK-M4-Iperoxo-Gi1/β1/γ2
50.00Consensusm4_on_gpOrthosteric Ligand7TRS-M4-Acetylcholine-Gi1/β1/γ2 7V6A-M4-PubChem 9864275-Gi1/β1/γ2 8E9X-M4-2-Deoxycytidine-chim(NtGi1-Go)/β1/γ2 7TRK-M4-Iperoxo-Gi1/β1/γ2
50.00Consensusnk1_offOrthosteric Ligand6HLP-NK1-Netupitant 6HLO-NK1-Aprepitant 6HLL-NK1-CP99994 6E59-NK1-L-760735
47.06Single2YCZIodocyanopindolol2YCZ-β1-Iodocyanopindolol
47.06Single4BVNCyanopindolol4BVN-β1-Cyanopindolol-Na
47.06Single7SK8CCX6627SK8-ACKR3-CXCL12-CCX662
47.06Single7VGY2-Iodomelatonin7VGY-MT1-2-Iodomelatonin-Gi1/β1/γ2
47.06Single9AS02-bromo-LSD9AS0-5-HT2A-2-bromo-LSD-chim(NtGi1-Gs-CtGq)/β1/γ2
47.06Single9DYEBuspirone9DYE-5-HT1A-Buspirone-PtdIns4P-Go/β1/γ2
46.67Single2YCWCarazolol2YCW-β1-Carazolol
46.67Single5D6LCarazolol5D6L-β2-Carazolol
46.67Single5X7DCarazolol5X7D-β2-Carazolol-PubChem 129318963
46.67Single5ZK33-quinuclidinyl-benzilate5ZK3-M2-3-quinuclidinyl-benzilate
46.67Single6KUWPubChem 572132346KUW-α2c-PubChem 57213234
46.67Single6PS3Carvedilol6PS3-β2-Carvedilol
46.67Single6PS6Timolol6PS6-β2-Timolol
46.67Single7BVQCarazolol7BVQ-β1-Carazolol
46.67Single7EUOfMLF7EUO-FPR1-ALX-fMLF-Gi1/β1/γ2
46.67Single7S0FIsoprenaline7S0F-β1-Isoprenaline-Gi1/β1/γ2
46.67Single7WC6LSD7WC6-5-HT2A-LSD
46.67Single7XK9Constrained Isoproterenol7XK9-β2-Constrained Isoproterenol-Na
46.67Single7XKAConstrained Epinephrine7XKA-β2-Constrained Epinephrine
46.67Single8E9ZIperoxo8E9Z-M3-Iperoxo-chim(NtGi2L-Gs-CtGq)/β1/γ2
46.67Single8GDZConstrained Epinephrine8GDZ-β2-Constrained Epinephrine-Gs/β1/γ2
46.67Single8GEBConstrained Epinephrine8GEB-β2-Constrained Epinephrine-Gs/β1/γ2
46.67Single8GEGConstrained Epinephrine8GEG-β2-Constrained Epinephrine-Gs/β1/γ2
46.67Single8GGBConstrained Epinephrine8GGB-β2-Constrained Epinephrine-GTP-Gs/β1/γ2
46.67Single8J18(3R)-3-Hydroxydodecanoic acid8J18-GPR84-(3R)-3-Hydroxydodecanoic acid-Gi1/β1/γ2
46.67Single8UNNConstrained Epinephrine8UNN-β2-Constrained Epinephrine-GTP-Gs/β1/γ2
46.67Single8UNPConstrained Epinephrine8UNP-β2-Constrained Epinephrine-GTP-Gs/β1/γ2
46.67Single8YH0NECA8YH0-A3A-NECA-Gi1/β1/γ2
46.67Single9ARYSerotonin9ARY-5-HT2A-Serotonin-chim(NtGi1-Gs-CtGq)/β1/γ2
46.67Single9ARZ2-bromo-LSD9ARZ-5-HT2A-2-bromo-LSD
46.67Single9EE8Adenosine9EE8-A2A-Adenosine-Gs/β1/γ2
46.67Single9F34FOB02-04A9F34-D3-FOB02-04A-Go/β1/γ2
46.67Single9K07DSO-5a9K07-BB3-DSO-5a-chim(NtGi2L-Gs-CtGq)/β1/γ2
46.67Single9MQKIsoquinuclidine9MQK-κ-Isoquinuclidine
46.67Single9PXYNaloxone9PXY-μ-Naloxone-GDPβS-Gi1/β1/γ2
46.67Consensus5ht2_offOrthosteric Ligand5ht2a_off 5ht2b_off 5ht2c_off
46.67Consensus5ht5_on_gpOrthosteric Ligand5ht5a_on_gp
46.67Consensus5ht5a_on_gpOrthosteric Ligand7X5H-5-HT5A-5-CT-Gi1/β1/γ2 7UM6-5-HT5A-Lisuride-chim(NtGi1-Go)/β1/γ2 7UM7-5-HT5A-Methylergometrine-chim(NtGi1-Go)/β1/γ2
46.67Consensusadrenergic_offOrthosteric Ligandalpha_off beta_off
46.67Consensusadrenergic_on_gpOrthosteric Ligandalpha_on_gp beta_on_gp
46.67Consensusalpha2c_offOrthosteric Ligand6KUW-α2c-PubChem 57213234
46.67Consensusd4_onOrthosteric Ligand8IRU-D4-Rotigotine-chim(NtGi1-Gs-CtGi1)/β1/γ2
46.67Consensusgs_amineOrthosteric Ligandgs_5ht gs_adrenergic gs_dopamine gs_histamine gs_trace-amine
46.67Consensusta1_onOrthosteric Ligand8W87-TA1-METH-chim(NtGi1L-Gs)/β1/γ2 8W89-TA1-2-Phenylethylamine-chim(NtGi1L-Gs)/β1/γ2 8JLP-TA1-Ralmitaront-Gs/β1/γ2 8W8A-TA1-RO5256390-chim(NtGi1L-Gs)/β1/γ2 8W88-TA1-SEP-363856-Gs/β1/γ2 8JLO-TA1-Ulotaront-Gs/β1/γ2 8JLR-TA1-A77636-chim(NtGi1-Gs)/β1/γ2 8JSO-TA1-AMPH-chim(NtGi1-Gs)/β1/γ2 8ZSP-TA1-LSD-chim(NtGi1L-Gs)/β1/γ2
46.67Consensustrace-amine_onOrthosteric Ligandta1_on
46.15Single1GZM11-cis-Retinal1GZM-Rhodopsin-11-cis-Retinal
46.15Single2PED9-cis-Retinal2PED-Rhodopsin-9-cis-Retinal
46.15Single3C9L11-cis-Retinal3C9L-Rhodopsin-11-cis-Retinal
46.15Single6B73MP11046B73-κ-MP1104
46.15Single7EJ0Norepinephrine7EJ0-α2a-Norepinephrine-Go/β1/γ2
46.15Single7F1ODopamine7F1O-D1-Dopamine-GDP; Mg-Gs/β1/γ2
46.15Single7LD4Adenosine7LD4-A1-Adenosine-Gi2/β1/γ2
46.15Single7SRRLSD7SRR-5-HT2B-LSD-chim(NtGi2L-Gs-CtGq)/β1/γ2
46.15Single7X5H5-CT7X5H-5-HT5A-5-CT-Gi1/β1/γ2
46.15Single7XT8Serotonin7XT8-5-HT4-Serotonin-Gs/β1/γ2
46.15Single7YM8Oxymetazoline7YM8-Alpha1A-Oxymetazoline-chim(Gs-CtGq)
46.15Single8A6CAll-trans-Retinal8A6C-Rhodopsin-All-trans-Retinal
46.15Single8A6DAll-trans-Retinal8A6D-Rhodopsin-All-trans-Retinal
46.15Single8A6EAll-trans-Retinal8A6E-Rhodopsin-All-trans-Retinal
46.15Single8GGWConstrained Epinephrine8GGW-β2-Constrained Epinephrine
46.15Single8GGZConstrained Epinephrine8GGZ-β2-Constrained Epinephrine
46.15Single9LLBDOI-NBOMe9LLB-5-HT2A-DOI-NBOMe-chim(NtGi1L-Gs-CtGq)/β1/γ2
46.15Single9PXUNaloxone9PXU-μ-Naloxone-Na
46.15Consensus5ht1e_onOrthosteric Ligand7E33-5-HT1E-BRL-54443-Gi1/β1/γ2 8UGY-5-HT1E-Mianserin-Gi1/β1/γ1 8UH3-5-HT1E-Setiptiline-Gi1/β1/γ1
46.15Consensus5ht2_on_gpOrthosteric Ligand5ht2b_on_gp
46.15Consensus5ht2b_on_gpOrthosteric Ligand7SRR-5-HT2B-LSD-chim(NtGi2L-Gs-CtGq)/β1/γ2
46.15Consensus5ht_onOrthosteric Ligand5ht1_on 5ht2_on 5ht4_on 5ht5_on 5ht6_on 5ht7_on
46.15Consensusa1_onOrthosteric Ligand7LD4-A1-Adenosine-Gi2/β1/γ2
46.15Consensusa1_on_gpOrthosteric Ligand7LD4-A1-Adenosine-Gi2/β1/γ2
46.15Consensusalpha2_offOrthosteric Ligandalpha2c_off
46.15Consensusgs_5htOrthosteric Ligand7XTC-5-HT7-5-CT-Gs/β1/γ2 7XTB-5-HT6-Serotonin-Gs/β1/γ2 8JLZ-5-HT6-ST1936-Gs/β1/γ2 7XT8-5-HT4-Serotonin-Gs/β1/γ2
46.15Consensusrhodopsin_offOrthosteric Ligand1U19-Rhodopsin-11-cis-Retinal 2PED-Rhodopsin-9-cis-Retinal 5TE5-Rhodopsin-20-Methanoretinal
46.15Consensussensory_offonOrthosteric Ligandsensory_off sensory_on
46.15Consensussensory_offon_gpOrthosteric Ligandsensory_on_gp sensory_on
45.45Single2HPYAll-trans-Retinal2HPY-Rhodopsin-All-trans-Retinal
45.45Single8DPHLorcaserin8DPH-5-HT2C-Lorcaserin-chim(NtGi2L-Gs-CtGq)/β1/γ2
45.45Single8IWM2-Phenylethylamine8IWM-TAA9-2-Phenylethylamine
45.45Single8WC5Tetramethylammonium Ion8WC5-TA1-Tetramethylammonium Ion-chim(NtGi1-Gs)/β1/γ2
44.44Single3NY9PubChem 9131033NY9-β2-PubChem 913103
44.44Single6G79Donitriptan6G79-5-HT1B-Donitriptan-Go/β1/γ2
44.44Single8JLRA776368JLR-TA1-A77636-chim(NtGi1-Gs)/β1/γ2
44.44Single8X5YAstemizole8X5Y-H1-Astemizole
43.75Single2YDVNECA2YDV-A2A-NECA
43.75Single3UON3-quinuclidinyl-benzilate3UON-M2-3-quinuclidinyl-benzilate
43.75Single4UHRCGS216804UHR-A2A-CGS21680
43.75Single5A8E7-Methylcyanopindolol5A8E-β1-7-Methylcyanopindolol-Na
43.75Single5G53NECA5G53-A2A-NECA-Gs
43.75Single5V54Methiothepin5V54-5-HT1B-Methiothepin
43.75Single5ZHPPubChem 1348285895ZHP-M3-PubChem 134828589
43.75Single5ZKBAF-DX 3845ZKB-M2-AF-DX 384
43.75Single6E59L-7607356E59-NK1-L-760735
43.75Single6H7JIsoprenaline6H7J-β1-Isoprenaline
43.75Single6J20Aprepitant6J20-NK1-Aprepitant
43.75Single6J21Aprepitant6J21-NK1-Aprepitant
43.75Single6N48BI1671076N48-β2-BI167107-PubChem 138454256
43.75Single7EW4CYM-55417EW4-S1P3-CYM-5541-Gi1/β1/γ2
43.75Single7EW7SEW28717EW7-S1P1-SEW2871-Gi1/β1/γ2
43.75Single7JJOIsoprenaline7JJO-β1-Isoprenaline-Gs/β1/γ2
43.75Single7U2LC5-guano7U2L-μ-C5-guano-Gi1/β1/γ2
43.75Single8DZPmomSalB8DZP-κ-momSalB-Gi1/β1/γ2
43.75Single8IRURotigotine8IRU-D4-Rotigotine-chim(NtGi1-Gs-CtGi1)/β1/γ2
43.75Single8IRVRotigotine8IRV-D5-Rotigotine-chim(NtGi1-Gs)/β1/γ2
43.75Single8IYHMK68928IYH-HCA2-MK6892-Go/β1/γ2
43.75Single8T1VPubChem 1183102098T1V-GPR6-PubChem 118310209-Na
43.75Single8VVEnorBNI8VVE-κ-norBNI-Gi1/β1/γ2
43.75Single9BJKNaloxone9BJK-μ-Naloxone-PubChem 171642066
43.75Single9PY3Loperamide9PY3-μ-Loperamide-GDPβS-Gi1/β1/γ2
43.75Consensus5ht1_offOrthosteric Ligand5ht1b_off
43.75Consensus5ht1b_offOrthosteric Ligand5V54-5-HT1B-Methiothepin
43.75Consensus5ht_offOrthosteric Ligand5ht2_off 5ht1_off
43.75Consensusbeta2_onOrthosteric Ligand7DHI-β2-Salbutamol-Gs/β1/γ2 6NI3-β2-BI167107-Gs/β1/γ2
43.75Consensusbeta2_on_gpOrthosteric Ligand7DHI-β2-Salbutamol-Gs/β1/γ2 6NI3-β2-BI167107-Gs/β1/γ2
43.75Consensusd1_on_gpOrthosteric Ligand7F0T-D1-Dopamine-Gs/β1/γ2 7CKY-D1-PW0464-Gs/β1/γ2 8IRR-D1-Rotigotine-Gs/β1/γ2 7JV5-D1-SKF81297-Gs/β1/γ2 7JVP-D1-SKF83959-Gs/β1/γ2 7X2D-D1-Tavapadon-Gs/β1/γ2 7CKX-D1-A77636-Gs/β1/γ2 7JVQ-D1-Apomorphine-Gs/β1/γ2 7CKW-D1-Fenoldopam-Gs/β1/γ2
43.75Consensusd4_on_gpOrthosteric Ligand8IRU-D4-Rotigotine-chim(NtGi1-Gs-CtGi1)/β1/γ2
43.75Consensusd5_on_gpOrthosteric Ligand8IRV-D5-Rotigotine-chim(NtGi1-Gs)/β1/γ2
43.75Consensusgi_dopamineOrthosteric Ligand7JVR-D2-Bromoergocryptine-Gi1/β1/γ2 7CMV-D3-PD128907-Gi1/β1/γ2 7CMU-D3-Pramipexole-Gi1/β1/γ2 8IRS-D2-Rotigotine-Gi1/β1/γ2 8IRT-D3-Rotigotine-Gi1/β1/γ2
43.75Consensusgs_dopamineOrthosteric Ligand7F0T-D1-Dopamine-Gs/β1/γ2 7CKW-D1-Fenoldopam-Gs/β1/γ2 7CKY-D1-PW0464-Gs/β1/γ2 8IRV-D5-Rotigotine-chim(NtGi1-Gs)/β1/γ2 8IRR-D1-Rotigotine-Gs/β1/γ2 7JV5-D1-SKF81297-Gs/β1/γ2 7JVP-D1-SKF83959-Gs/β1/γ2 7X2D-D1-Tavapadon-Gs/β1/γ2 7CKX-D1-A77636-Gs/β1/γ2 7JVQ-D1-Apomorphine-Gs/β1/γ2
43.75Consensustachykinin_offOrthosteric Ligandnk1_off
42.86Single1F8811-cis-Retinal1F88-Rhodopsin-11-cis-Retinal
42.86Single2YDOAdenosine2YDO-A2A-Adenosine
42.86Single3OAX11-cis-Retinal3OAX-Rhodopsin-11-cis-Retinal
42.86Single4LDOEpinephrine4LDO-β2-Epinephrine
42.86Single6A94Zotepine6A94-5-HT2A-Zotepine
42.86Single6PS0Carazolol6PS0-β2-Carazolol
42.86Single6PS4ICI118-5516PS4-β2-ICI118-551
42.86Single6PS5Propranolol6PS5-β2-Propranolol
42.86Single6TPNHTL66416TPN-OX2-HTL6641
42.86Single7CKWFenoldopam7CKW-D1-Fenoldopam-Gs/β1/γ2
42.86Single7DHISalbutamol7DHI-β2-Salbutamol-Gs/β1/γ2
42.86Single7UL3Famotidine7UL3-H2-Famotidine
42.86Single7UM7Methylergometrine7UM7-5-HT5A-Methylergometrine-chim(NtGi1-Go)/β1/γ2
42.86Single7ZBC11-cis-Retinal7ZBC-Rhodopsin-11-cis-Retinal
42.86Single7ZBE11-cis-Retinal7ZBE-Rhodopsin-11-cis-Retinal
42.86Single8FCZ11-cis-Retinal8FCZ-Rhodopsin-11-cis-Retinal
42.86Single8GE1Constrained Epinephrine8GE1-β2-Constrained Epinephrine-Gs/β1/γ2
42.86Single8GE4Constrained Epinephrine8GE4-β2-Constrained Epinephrine-Gs/β1/γ2
42.86Single8GE5Constrained Epinephrine8GE5-β2-Constrained Epinephrine-Gs/β1/γ1
42.86Single8GE6Constrained Epinephrine8GE6-β2-Constrained Epinephrine-Gs/β1/γ2
42.86Single8GE7Constrained Epinephrine8GE7-β2-Constrained Epinephrine-Gs/β1/γ2
42.86Single8GE8Constrained Epinephrine8GE8-β2-Constrained Epinephrine-Gs/β1/γ2
42.86Single8GEDConstrained Epinephrine8GED-β2-Constrained Epinephrine-Gs/β1/γ2
42.86Single8GEFConstrained Epinephrine8GEF-β2-Constrained Epinephrine-Gs/β1/γ2
42.86Single8GG5Constrained Epinephrine8GG5-β2-Constrained Epinephrine-GTP-Gs/β1/γ2
42.86Single8GG7Constrained Epinephrine8GG7-β2-Constrained Epinephrine-GTP-Gs/β1/γ2
42.86Single8GGLConstrained Epinephrine8GGL-β2-Constrained Epinephrine
42.86Single8GGMConstrained Epinephrine8GGM-β2-Constrained Epinephrine
42.86Single8GGPConstrained Epinephrine8GGP-β2-Constrained Epinephrine
42.86Single8GGQConstrained Epinephrine8GGQ-β2-Constrained Epinephrine
42.86Single8GGVConstrained Epinephrine8GGV-β2-Constrained Epinephrine
42.86Single8GGXConstrained Epinephrine8GGX-β2-Constrained Epinephrine
42.86Single8UNLConstrained Epinephrine8UNL-β2-Constrained Epinephrine-GTP-Gs/β1/γ2
42.86Single8UNMConstrained Epinephrine8UNM-β2-Constrained Epinephrine-GTP-Gs/β1/γ2
42.86Single8UNOConstrained Epinephrine8UNO-β2-Constrained Epinephrine-GTP-Gs/β1/γ2
42.86Single8UNWConstrained Epinephrine8UNW-β2-Constrained Epinephrine-GTP-Gs/β1/γ2
42.86Single8UO0Constrained Epinephrine8UO0-β2-Constrained Epinephrine-GTP-Gs/β1/γ2
42.86Single8V6UPubChem 1713924568V6U-5-HT2A-PubChem 171392456-chim(NtGi2-Gs-CtGq)/β1/γ2
42.86Single8W88SEP-3638568W88-TA1-SEP-363856-Gs/β1/γ2
42.86Single8WC8ZH86518WC8-TA1-ZH8651-chim(NtGi1-Gs)/β1/γ2
42.86Single8Y45ADL58598Y45-δ-ADL5859-Gi2/β1/γ2
42.86Single8YH2Adenosine8YH2-A3A-Adenosine-Gi1/β1/γ2
42.86Single8ZBWQuin-C18ZBW-FPR2-ALX-Quin-C1-Gi2/β1/γ2
42.86Single8ZMGPimavanserin8ZMG-5-HT2A-Pimavanserin
42.86Single9ARXSerotonin9ARX-5-HT2A-Serotonin
42.86Single9AS8Psilocin9AS8-5-HT2A-Psilocin-chim(NtGi2L-Gs-CtGq)/β1/γ2
42.86Single9JKQMETH9JKQ-TA1-METH-Gs/β1/γ2
42.86Single9L84Epinephrine9L84-β1-Epinephrine-Atazanavir-Gs/β1/γ2
42.86Single9ODJMitragynine Pseudoindoxyl9ODJ-μ-Mitragynine Pseudoindoxyl-GTP; Mg-Gi1/β1/γ2
42.86Single9PXVNaloxone9PXV-μ-Naloxone-Gi1/β1/γ2
42.86Single9PY2Loperamide9PY2-μ-Loperamide-GDPβS-Gi1/β1/γ2
42.86Single9VNFPindolol9VNF-5-HT1A-Pindolol-Go/β1/γ2
42.86Consensus5ht_on_gpOrthosteric Ligand5ht1_on_gp 5ht2_on_gp 5ht4_on_gp 5ht5_on_gp 5ht6_on_gp 5ht7_on_gp
42.86Consensusnop_offOrthosteric Ligand4EA3-NOP-PubChem 10296561 5DHG-NOP-C-35 5DHH-NOP-SB-612111
42.86Consensusopsins_offOrthosteric Ligandrhodopsin_off
42.86Consensussensory_offOrthosteric Ligandopsins_off
42.11Single4AMJCarvedilol4AMJ-β1-Carvedilol
42.11Single4IARErgotamine4IAR-5-HT1B-Ergotamine
42.11Single8ZSPLSD8ZSP-TA1-LSD-chim(NtGi1L-Gs)/β1/γ2
42.11Single9M4TSilodosin9M4T-Alpha1A-Silodosin
41.67Single2J4Y11-cis-Retinal2J4Y-Rhodopsin-11-cis-Retinal
41.67Single3C9M11-cis-Retinal3C9M-Rhodopsin-11-cis-Retinal
41.67Single3PQRAll-trans-Retinal3PQR-Rhodopsin-All-trans-Retinal-Gt(CT)
41.67Single6FUFAll-trans-Retinal6FUF-Rhodopsin-All-trans-Retinal-Go
41.67Single7EJKOxymetazoline7EJK-α2a-Oxymetazoline-Go/β1/γ2
41.67Single8DPILorcaserin8DPI-5-HT2C-Lorcaserin-chim(NtGi2L-Gs-CtGq)/β1/γ2
41.67Single8ITFDMCHA8ITF-TAA9-DMCHA-chim(NtGi1-Gs)/β1/γ2
41.67Single8IW72-Phenylethylamine8IW7-TAA9-2-Phenylethylamine-chim(NtGi1-Gs)/β1/γ2
41.67Single8POKHistamine8POK-H2-Histamine-Gs/β1/γ2
41.67Single8WC62-Phenylethylamine8WC6-TA1-2-Phenylethylamine-chim(NtGi1-Gs)/β1/γ2
41.67Single8WC9ZH86518WC9-TA1-ZH8651-chim(NtGi1-Gs-CtGq)/β1/γ2
41.67Single8YN9Histamine8YN9-H4-Histamine-Gi1/β1/γ2
41.67Single8YUUHistamine8YUU-H3-Histamine-Gi1/β1/γ1
41.67Single9JG1Adriforant9JG1-H4-Adriforant
41.67Single9LL7DOI9LL7-5-HT2A-DOI-Gi1/β1/γ2
41.67Single9LRCHistamine9LRC-H4-Histamine
41.67Single9LREHistamine9LRE-H4-Histamine-Gi1/β1/γ2
41.67Consensus5ht2_onOrthosteric Ligand5ht2b_on
41.67Consensus5ht2b_onOrthosteric Ligand7SRR-5-HT2B-LSD-chim(NtGi2L-Gs-CtGq)/β1/γ2
41.67Consensush2_on_gpOrthosteric Ligand8POK-H2-Histamine-Gs/β1/γ2
41.67Consensush3_onOrthosteric Ligand8YUU-H3-Histamine-Gi1/β1/γ1
41.67Consensush3_on_gpOrthosteric Ligand8YUU-H3-Histamine-Gi1/β1/γ1
41.67Consensusopsins_on_gpOrthosteric Ligandrhodopsin_on_gp opsin1lw_on_gp
41.67Consensusrhodopsin_onOrthosteric Ligand6OYA-Rhodopsin-All-trans-Retinal-Gt/β1/γ1
41.67Consensussensory_on_gpOrthosteric Ligandopsins_on_gp
41.18Single4LDEBI1671074LDE-β2-BI167107
41.18Single5F8UCyanopindolol5F8U-β1-Cyanopindolol
41.18Single6CM4Risperidone6CM4-D2-Risperidone
41.18Single6DRYMethylergometrine6DRY-5-HT2B-Methylergometrine
41.18Single6H7NXamoterol6H7N-β1-Xamoterol
41.18Single7EVYSiponimod7EVY-S1P1-Siponimod-Gi1/β1/γ2
41.18Single7JNIOlodanrigan7JNI-AT2-Olodanrigan
41.18Single7YITNalfurafine7YIT-κ-Nalfurafine
41.18Single7YMJTamsulosin7YMJ-Alpha1A-Tamsulosin
41.18Single8JJ8Arformoterol8JJ8-β2-Arformoterol
41.18Single9MQLIsoquinuclidine9MQL-κ-Isoquinuclidine
41.18Single9V6ONalfurafine9V6O-κ-Nalfurafine-Gi1/β1/γ2
41.18Consensus5ht1a_onOrthosteric Ligand8FYT-5-HT1A-LSD-PtdIns4P-Gi1/β1/γ1 7E2Y-5-HT1A-Serotonin-PtdIns4P-Gi1/β1/γ2 7E2Z-5-HT1A-Aripiprazole-PtdIns4P-Gi1/β1/γ2 8FYX-5-HT1A-Buspirone-PtdIns4P-Gi1/β1/γ1 8JSP-5-HT1A-Ulotaront-Gi1/β1/γ2 8JT6-5-HT1A-(R)-IHCH-7179-PtdIns4P-Gi1/β1/γ2 8FY8-5-HT1A-5-MeO-DMT-PtdIns4P-Gi1/β1/γ1 8FYE-5-HT1A-4-F,5-MeO-PyrT-PtdIns4P-Gi1/β1/γ1 8FYL-5-HT1A-Vilazodone-PtdIns4P-Gi1/β1/γ1
41.18Consensus5ht1a_on_gpOrthosteric Ligand8FYT-5-HT1A-LSD-PtdIns4P-Gi1/β1/γ1 8FYX-5-HT1A-Buspirone-PtdIns4P-Gi1/β1/γ1 8JSP-5-HT1A-Ulotaront-Gi1/β1/γ2 8JT6-5-HT1A-(R)-IHCH-7179-PtdIns4P-Gi1/β1/γ2 7E2Y-5-HT1A-Serotonin-PtdIns4P-Gi1/β1/γ2 7E2Z-5-HT1A-Aripiprazole-PtdIns4P-Gi1/β1/γ2 8FY8-5-HT1A-5-MeO-DMT-PtdIns4P-Gi1/β1/γ1 8FYE-5-HT1A-4-F,5-MeO-PyrT-PtdIns4P-Gi1/β1/γ1 8FYL-5-HT1A-Vilazodone-PtdIns4P-Gi1/β1/γ1
41.18Consensusalpha1_offOrthosteric Ligandalpha1a_off
41.18Consensusalpha1a_offOrthosteric Ligand7YMJ-Alpha1A-Tamsulosin
41.18Consensusbeta_onOrthosteric Ligandbeta1_on beta2_on beta3_on
41.18Consensusbeta_on_gpOrthosteric Ligandbeta1_on_gp beta2_on_gp beta3_on_gp
41.18Consensusmop_onOrthosteric Ligand8F7R-μ-Endomorphin-Gi1/β1/γ2 8EF5-μ-Fentanyl-Gi1/β1/γ2 7SCG-μ-FH210-Gi1/β1/γ2 7T2H-μ-Lofentanil-Gi1/β1/γ2 7T2G-μ-Mitragynine Pseudoindoxyl-Gi1/β1/γ2 8EF6-μ-Morphine-Gi1/β1/γ2 8EFB-μ-Oliceridine-Gi1/β1/γ2 7U2L-μ-C5-guano-Gi1/β1/γ2 8EFO-μ-PZM21-Gi1/β1/γ2 8EFL-μ-SR17018-Gi1/β1/γ2 8F7Q-μ-β-Endorphin-Gi1/β1/γ2 7U2K-μ-C6-guano-Gi1/β1/γ2 8EFQ-μ-DAMGO-Gi1/β1/γ2
41.18Consensusmop_on_gpOrthosteric Ligand8F7R-μ-Endomorphin-Gi1/β1/γ2 8EF5-μ-Fentanyl-Gi1/β1/γ2 7SCG-μ-FH210-Gi1/β1/γ2 7T2H-μ-Lofentanil-Gi1/β1/γ2 7T2G-μ-Mitragynine Pseudoindoxyl-Gi1/β1/γ2 8EF6-μ-Morphine-Gi1/β1/γ2 8EFB-μ-Oliceridine-Gi1/β1/γ2 7U2L-μ-C5-guano-Gi1/β1/γ2 8EFO-μ-PZM21-Gi1/β1/γ2 8EFL-μ-SR17018-Gi1/β1/γ2 8F7Q-μ-β-Endorphin-Gi1/β1/γ2 7U2K-μ-C6-guano-Gi1/β1/γ2 8EFQ-μ-DAMGO-Gi1/β1/γ2
41.18Consensusopioid_offOrthosteric Ligandmop_off nop_off dop_off kop_off
41.18Consensuss1p1_onOrthosteric Ligand7VIE-S1P1-S1P-Gi1/β1/γ2 7VIF-S1P1-FTY720-P-Gi1/β1/γ2 7VIG-S1P1-CBP-307-Gi1/β1/γ2 7EVY-S1P1-Siponimod-Gi1/β1/γ2 7EVZ-S1P1-Cenerimod-Gi1/β1/γ2 7EW0-S1P1-Ozanimod-Gi1/β1/γ2 7EW7-S1P1-SEW2871-Gi1/β1/γ2
41.18Consensuss1p1_on_gpOrthosteric Ligand7VIE-S1P1-S1P-Gi1/β1/γ2 7VIF-S1P1-FTY720-P-Gi1/β1/γ2 7VIG-S1P1-CBP-307-Gi1/β1/γ2 7EVY-S1P1-Siponimod-Gi1/β1/γ2 7EVZ-S1P1-Cenerimod-Gi1/β1/γ2 7EW0-S1P1-Ozanimod-Gi1/β1/γ2 7EW7-S1P1-SEW2871-Gi1/β1/γ2
40.00Single1HZX11-cis-Retinal1HZX-Rhodopsin-11-cis-Retinal
40.00Single2VT4Cyanopindolol2VT4-β1-Cyanopindolol
40.00Single2YCYCyanopindolol2YCY-β1-Cyanopindolol
40.00Single3ZPRPubChem 5987543ZPR-β1-PubChem 598754-Na
40.00Single4EA3PubChem 102965614EA3-NOP-PubChem 10296561
40.00Single4QKXPubChem 762106284QKX-β2-PubChem 76210628
40.00Single5DHGC-355DHG-NOP-C-35
40.00Single6DRZMethysergide6DRZ-5-HT2B-Methysergide
40.00Single6H7MSalbutamol6H7M-β1-Salbutamol
40.00Single6PRZAlprenolol6PRZ-β2-Alprenolol
40.00Single7BU7BI1671077BU7-β1-BI167107
40.00Single7CRHSKF839597CRH-D1-SKF83959-Gs/β1/γ2
40.00Single7DB6Ramelteon7DB6-MT1-Ramelteon-Gi1/β1/γ2
40.00Single7JOZPubChem 752020227JOZ-D1-PubChem 75202022-Gs/β1/γ2
40.00Single7S0GIsoprenaline7S0G-β1-Isoprenaline-chim(Gi1-CtGs)/β1/γ2
40.00Single7SCGFH2107SCG-μ-FH210-Gi1/β1/γ2
40.00Single7SQOTAK-9257SQO-OX2-TAK-925-Gi1/β1/γ2
40.00Single7T2GMitragynine Pseudoindoxyl7T2G-μ-Mitragynine Pseudoindoxyl-Gi1/β1/γ2
40.00Single7UM6Lisuride7UM6-5-HT5A-Lisuride-chim(NtGi1-Go)/β1/γ2
40.00Single7VIES1P7VIE-S1P1-S1P-Gi1/β1/γ2
40.00Single7WC7Lisuride7WC7-5-HT2A-Lisuride
40.00Single8DZSGR89,6968DZS-κ-GR89,696-chim(NtGi2-Gz)/β1/γ2
40.00Single8GE9Constrained Epinephrine8GE9-β2-Constrained Epinephrine-Gs/β1/γ2
40.00Single8JD0NAM5638JD0-mGlu2; mGlu3-Glutamate-NAM563
40.00Single8JLZST19368JLZ-5-HT6-ST1936-Gs/β1/γ2
40.00Single8JXRLSD8JXR-D1-LSD
40.00Single8UNRConstrained Epinephrine8UNR-β2-Constrained Epinephrine-GTP-Gs/β1/γ2
40.00Single8UNUConstrained Epinephrine8UNU-β2-Constrained Epinephrine-GTP-Gs/β1/γ2
40.00Single8UNVConstrained Epinephrine8UNV-β2-Constrained Epinephrine-GTP-Gs/β1/γ2
40.00Single8UNZConstrained Epinephrine8UNZ-β2-Constrained Epinephrine-GTP-Gs/β1/γ2
40.00Single8UO2Constrained Epinephrine8UO2-β2-Constrained Epinephrine-GTP-Gs/β1/γ2
40.00Single8UWLLisuride8UWL-5-HT2A-Lisuride-chim(NtGi2-Gs-CtGq)/β1/γ2
40.00Single8ZSSRO52633978ZSS-TA1-RO5263397-chim(NtGi1-Gs)/β1/γ2
40.00Single9CHXCarazolol9CHX-β2-Carazolol
40.00Single9PXWNaloxone9PXW-μ-Naloxone-GDPβS-Gi1/β1/γ2
40.00Single9VMYTMU41429VMY-5-HT1A-TMU4142-Go/β1/γ2
40.00Consensus5ht2b_offOrthosteric Ligand6DRZ-5-HT2B-Methysergide
40.00Consensus5ht5_onOrthosteric Ligand5ht5a_on
40.00Consensus5ht5a_onOrthosteric Ligand7X5H-5-HT5A-5-CT-Gi1/β1/γ2 7UM6-5-HT5A-Lisuride-chim(NtGi1-Go)/β1/γ2 7UM7-5-HT5A-Methylergometrine-chim(NtGi1-Go)/β1/γ2
40.00Consensus5ht6_onOrthosteric Ligand7XTB-5-HT6-Serotonin-Gs/β1/γ2 8JLZ-5-HT6-ST1936-Gs/β1/γ2
40.00Consensus5ht6_on_gpOrthosteric Ligand7XTB-5-HT6-Serotonin-Gs/β1/γ2 8JLZ-5-HT6-ST1936-Gs/β1/γ2
40.00Consensusadenosine_on_gpOrthosteric Liganda1_on_gp a2_on_gp a3_on_gp
40.00Consensusd5_onOrthosteric Ligand8IRV-D5-Rotigotine-chim(NtGi1-Gs)/β1/γ2
40.00Consensusgi_orexinOrthosteric Ligand7SQO-OX2-TAK-925-Gi1/β1/γ2
38.89Single5X93K-87945X93-ETB-K-8794
38.89Single6BQHRitanserin6BQH-5-HT2C-Ritanserin
38.89Single6H7LDobutamine6H7L-β1-Dobutamine
38.89Single6IBLArformoterol6IBL-β1-Arformoterol
38.89Single6TKOArformoterol6TKO-β1-Arformoterol-Arrestin2
38.89Single7EVZCenerimod7EVZ-S1P1-Cenerimod-Gi1/β1/γ2
38.89Single7EW0Ozanimod7EW0-S1P1-Ozanimod-Gi1/β1/γ2
38.89Single7JVRBromoergocryptine7JVR-D2-Bromoergocryptine-Gi1/β1/γ2
38.89Single7SK7CCX6627SK7-ACKR3-CXCL12-CCX662
38.89Single7UM4AS26747237UM4-5-HT5A-AS2674723
38.89Single7WVVfMLFII7WVV-FPR2-ALX-fMLFII-Gi2/β1/γ2
38.89Single7X2DTavapadon7X2D-D1-Tavapadon-Gs/β1/γ2
38.89Single8J19LY2378J19-GPR84-LY237-Gi1/β1/γ2
38.89Single8XIOL7975918XIO-SST1-L797591-chim(NtGi1-Gs-CtGi1)/β1/γ2
38.89Single9CGJC6-Quino9CGJ-δ-C6-Quino-Gi1/β1/γ2
38.89Single9HYIDP819HYI-5-HT1A-DP81-Gi1/β1/γ2
38.89Single9WP9S1P9WP9-S1P3-S1P-chim(NtGi2L-Gs-CtGq)/β1/γ2
38.89Consensus5ht2c_offOrthosteric Ligand6BQH-5-HT2C-Ritanserin
38.89Consensusbeta1_onOrthosteric Ligand8DCR-β1-Dobutamine-Gs/β1/γ2 7S0F-β1-Isoprenaline-Gi1/β1/γ2
38.89Consensusbeta1_on_gpOrthosteric Ligand8DCR-β1-Dobutamine-Gs/β1/γ2 7S0F-β1-Isoprenaline-Gi1/β1/γ2
38.89Consensusd2_offOrthosteric Ligand6CM4-D2-Risperidone 6LUQ-D2-Haloperidol 7DFP-D2-Spiperone
38.89Consensusendothelin_offOrthosteric Ligandetb_off
38.89Consensusetb_offOrthosteric Ligand5X93-ETB-K-8794 5XPR-ETB-Bosentan 6K1Q-ETB-IRL2500
38.89Consensusgi_s1pOrthosteric Ligand7VIE-S1P1-S1P-Gi1/β1/γ2 7EW3-S1P3-S1P-Gi1/β1/γ2 7EVY-S1P1-Siponimod-Gi1/β1/γ2 7EW1-S1P5-Siponimod-Gi1/β1/γ2 7VIF-S1P1-FTY720-P-Gi1/β1/γ2 7VIG-S1P1-CBP-307-Gi1/β1/γ2 7EVZ-S1P1-Cenerimod-Gi1/β1/γ2 7EW4-S1P3-CYM-5541-Gi1/β1/γ2 7EW2-S1P3-FTY720-P-Gi1/β1/γ2 7EW0-S1P1-Ozanimod-Gi1/β1/γ2 7EW7-S1P1-SEW2871-Gi1/β1/γ2
38.46Single3PBLEticlopride3PBL-D3-Eticlopride
38.46Single5TE520-Methanoretinal5TE5-Rhodopsin-20-Methanoretinal
38.46Single6I9K9-cis-Retinal6I9K-Rhodopsin-9-cis-Retinal
38.46Single7DD5Ca; Ca; Tryptophan; NPS-21437DD5-CaS; CaS-Ca-Ca; Ca; Tryptophan; NPS-2143
38.46Single7XT9Serotonin7XT9-5-HT4-Serotonin-Gs/β1/γ2
38.46Single7XTASerotonin7XTA-5-HT4-Serotonin-Gi1/β1/γ2
38.46Single8DPFLorcaserin8DPF-5-HT2C-Lorcaserin-chim(NtGi2L-Gs-CtGq)/β1/γ2
38.46Single8EF6Morphine8EF6-μ-Morphine-Gi1/β1/γ2
38.46Single8JLOUlotaront8JLO-TA1-Ulotaront-Gs/β1/γ2
38.46Single8UO4Constrained Epinephrine8UO4-β2-Constrained Epinephrine-GTP; Mg-Gs/β1/γ2
38.46Single8ZSVRO52633978ZSV-TA1-RO5263397-chim(NtGi1-Gs)/β1/γ2
38.46Single9AS7Psilocin9AS7-5-HT2A-Psilocin
38.46Single9IJEEpinephrine9IJE-β3-Epinephrine-chim(NtGi1-Gs)/β1/γ2
38.46Single9JEDHistamine9JED-H4-Histamine-PO4-Gi1/β1/γ2
38.46Consensus5ht4_onOrthosteric Ligand7XTA-5-HT4-Serotonin-Gi1/β1/γ2
38.46Consensus5ht4_on_gpOrthosteric Ligand7XTA-5-HT4-Serotonin-Gi1/β1/γ2
38.46Consensusd3_offOrthosteric Ligand3PBL-D3-Eticlopride
38.46Consensush4_onOrthosteric Ligand8HN8-H4-Histamine-Gi1/β1/γ2 8HOC-H4-Imetit-Gi1/β1/γ2 8JXV-H4-Clozapine-Gi1/β1/γ2 8JXW-H4-VUF6884-Gi1/β1/γ2 8JXX-H4-Clobenpropit-Gi1/β1/γ2
38.10Single5WF5UK-4320975WF5-A2A-UK-432097
38.10Single7T6TfMLFII7T6T-FPR1-ALX-fMLFII-Gi1/β1/γ2
37.50Single2Y03Isoprenaline2Y03-β1-Isoprenaline
37.50Single5C1MBU725C1M-μ-BU72
37.50Single5JQHCarazolol5JQH-β2-Carazolol
37.50Single5WIUNemonapride5WIU-D4-Nemonapride
37.50Single5WIVNemonapride5WIV-D4-Nemonapride-Na
37.50Single6E67BI1671076E67-β2-BI167107-Gs(CT)
37.50Single6HLPNetupitant6HLP-NK1-Netupitant
37.50Single6ME72-Phenylmelatonin6ME7-MT2-2-Phenylmelatonin
37.50Single7C61Ergotamine7C61-5-HT1B-Ergotamine
37.50Single7CKXA776367CKX-D1-A77636-Gs/β1/γ2
37.50Single7LD3Adenosine7LD3-A1-Adenosine-MIPS521-Gi2/β1/γ2
37.50Single7VUHJNJ-635330547VUH-GPR139-JNJ-63533054-chim(Gs-CtGq)/β1/γ2
37.50Single7X1TTaltirelin7X1T-TRH-Taltirelin-chim(NtGi2L-Gs-CtGq)/β1/γ2
37.50Single8C9WEtrumadenant8C9W-A2A-Etrumadenant
37.50Single8DZQmomSalB8DZQ-κ-momSalB-Go/β1/γ2
37.50Single8DZRGR89,6968DZR-κ-GR89,696-chim(NtGi2-Gt3)/β1/γ2
37.50Single8EFBOliceridine8EFB-μ-Oliceridine-Gi1/β1/γ2
37.50Single8ZMFPubChem 1719206738ZMF-5-HT2C-PubChem 171920673
37.50Single9AXFCa; Ca; Ca; Cyclomethyltryptophan; R-568; PO49AXF-CaS; CaS-Ca-Ca; Ca; Ca; Cyclomethyltryptophan; R-568; PO4-chim(NtGi1-Gs-CtGq)/β1/γ2
37.50Single9F33FOB02-04A9F33-D3-FOB02-04A-Go/β1/γ2
37.50Consensusa3_on_gpOrthosteric Liganda3a_on_gp
37.50Consensusa3a_onOrthosteric Ligand8X17-A3A-Namodenoson-Gi1/β1/γ2 8X16-A3A-Piclidenoson-Gi1/β1/γ2
37.50Consensusa3a_on_gpOrthosteric Ligand8X17-A3A-Namodenoson-Gi1/β1/γ2 8X16-A3A-Piclidenoson-Gi1/β1/γ2
37.50Consensusalpha_offOrthosteric Ligandalpha1_off alpha2_off
37.50Consensusd1_onOrthosteric Ligand7F0T-D1-Dopamine-Gs/β1/γ2 7CKY-D1-PW0464-Gs/β1/γ2 8IRR-D1-Rotigotine-Gs/β1/γ2 7JV5-D1-SKF81297-Gs/β1/γ2 7JVP-D1-SKF83959-Gs/β1/γ2 7X2D-D1-Tavapadon-Gs/β1/γ2 7CKX-D1-A77636-Gs/β1/γ2 7JVQ-D1-Apomorphine-Gs/β1/γ2 7CKW-D1-Fenoldopam-Gs/β1/γ2
37.50Consensusd2_onOrthosteric Ligand7JVR-D2-Bromoergocryptine-Gi1/β1/γ2 8IRS-D2-Rotigotine-Gi1/β1/γ2
36.84Single4UG2CGS216804UG2-A2A-CGS21680
36.84Single6PT3DPI-2876PT3-δ-DPI-287
36.84Single7SK9CCX6627SK9-ACKR3-CCX662
36.84Single9CGKC5-Quino9CGK-δ-C5-Quino-Gi1/β1/γ2
36.84Single9MD1Buspirone9MD1-5-HT1A-Buspirone-PtdIns4P-Gz/β1/γ2
36.84Consensuss1p_onOrthosteric Ligands1p1_on s1p3_on s1p5_on
36.84Consensuss1p_on_gpOrthosteric Ligands1p1_on_gp s1p3_on_gp s1p5_on_gp
36.36Single3PXOAll-trans-Retinal3PXO-Rhodopsin-All-trans-Retinal
36.36Single5DYSAll-trans-Retinal5DYS-Rhodopsin-All-trans-Retinal
35.71Single6AKXA4R6AKX-CCR5-A4R
35.71Single6D9HAdenosine6D9H-A1-Adenosine-Gi2/β1/γ2
35.71Single6OYAAll-trans-Retinal6OYA-Rhodopsin-All-trans-Retinal-Gt/β1/γ1
35.71Single6TODEMPA6TOD-OX1-EMPA-Na
35.71Single7DHRIsoprenaline7DHR-β2-Isoprenaline-Gs/β1/γ2
35.71Single7SRSLSD7SRS-5-HT2B-LSD-Arrestin2
35.71Single7T6STC-FPR 437T6S-FPR2-ALX-TC-FPR 43-Gi1/β1/γ2
35.71Single7VUJJNJ-635330547VUJ-GPR139-JNJ-63533054-GDP-chim(Gs-CtGq)/β1/γ2
35.71Single7YMHNorepinephrine7YMH-Alpha1A-Norepinephrine-chim(Gs-CtGq)
35.71Single8EFOPZM218EFO-μ-PZM21-Gi1/β1/γ2
35.71Single8FYXBuspirone8FYX-5-HT1A-Buspirone-PtdIns4P-Gi1/β1/γ1
35.71Single8GGAConstrained Epinephrine8GGA-β2-Constrained Epinephrine-GTP-Gs/β1/γ2
35.71Single8GGCConstrained Epinephrine8GGC-β2-Constrained Epinephrine-GTP-Gs/β1/γ2
35.71Single8GGRConstrained Epinephrine8GGR-β2-Constrained Epinephrine
35.71Single8GH0Constrained Epinephrine8GH0-β2-Constrained Epinephrine
35.71Single8IW4Spermidine8IW4-TAA9-Spermidine-chim(NtGi1-Gs)/β1/γ2
35.71Single8IWESpermidine8IWE-TAA9-Spermidine
35.71Single8J20Valeric acid8J20-FFA3-Valeric acid-AR420626-Gi1/β1/γ2
35.71Single8JSOAMPH8JSO-TA1-AMPH-chim(NtGi1-Gs)/β1/γ2
35.71Single8UNSConstrained Epinephrine8UNS-β2-Constrained Epinephrine-GTP-Gs/β1/γ2
35.71Single8UNTConstrained Epinephrine8UNT-β2-Constrained Epinephrine-GTP-Gs/β1/γ2
35.71Single8UNXConstrained Epinephrine8UNX-β2-Constrained Epinephrine-GTP-Gs/β1/γ2
35.71Single8WC4ZH86518WC4-TA1-ZH8651-chim(NtGi1-Gs)/β1/γ2
35.71Single8WCA2-Phenylethylamine8WCA-TA1-2-Phenylethylamine-chim(NtGi1-Gs)/β1/γ2
35.71Single8Y0HVUF114188Y0H-CXCR3-VUF11418
35.71Single8Y0NVUF114188Y0N-CXCR3-VUF11418-Go/β1/γ2
35.71Single9C1PCa; Tryptophan; '6218; PO49C1P-CaS; CaS-Ca-Ca; Tryptophan; '6218; PO4
35.71Single9EBHAdenosine9EBH-A3A-Adenosine-Gi1/β1/γ2
35.71Single9EEAAdenosine9EEA-A2A-Adenosine-Gs/β1/γ2
35.71Single9VJ5Gepirone9VJ5-5-HT1A-Gepirone-Go/β1/γ2
35.71Single9VJEBuspirone9VJE-5-HT1A-Buspirone-Go/β1/γ2
35.71Single9W49U-50488H9W49-κ-U-50488H-Gi1/β1/γ2
35.71Consensushistamine_onOrthosteric Ligandh1_on h2_on h3_on h4_on
35.71Consensushistamine_on_gpOrthosteric Ligandh1_on_gp h2_on_gp h3_on_gp h4_on_gp
35.71Consensusrhodopsin_on_gpOrthosteric Ligand6OYA-Rhodopsin-All-trans-Retinal-Gt/β1/γ1
35.29Single3P0GBI1671073P0G-β2-BI167107
35.29Single3SN6BI1671073SN6-β2-BI167107-Gs/β1/γ2
35.29Single4DJHJDTic4DJH-κ-JDTic
35.29Single4LDLHydroxybenzyl Isoproterenol4LDL-β2-Hydroxybenzyl Isoproterenol
35.29Single6GT3Imaradenant6GT3-A2A-Imaradenant-Na
35.29Single6WGTLSD6WGT-5-HT2A-LSD
35.29Single7E2ZAripiprazole7E2Z-5-HT1A-Aripiprazole-PtdIns4P-Gi1/β1/γ2
35.29Single7JV5SKF812977JV5-D1-SKF81297-Gs/β1/γ2
35.29Single7JVPSKF839597JVP-D1-SKF83959-Gs/β1/γ2
35.29Single7T2HLofentanil7T2H-μ-Lofentanil-Gi1/β1/γ2
35.29Single7XY7NECA7XY7-A2B-NECA-chim(NtGi1-Gs)/β1/γ2
35.29Single8DCSCyanopindolol8DCS-β1-Cyanopindolol-Gs/β1/γ2
35.29Single8EF5Fentanyl8EF5-μ-Fentanyl-Gi1/β1/γ2
35.29Single8EFLSR170188EFL-μ-SR17018-Gi1/β1/γ2
35.29Single8JLPRalmitaront8JLP-TA1-Ralmitaront-Gs/β1/γ2
35.29Single8UGWCGS216808UGW-A2A-CGS21680
35.29Single8VVFJDTic8VVF-κ-JDTic-Gi1/β1/γ2
35.29Single8X16Piclidenoson8X16-A3A-Piclidenoson-Gi1/β1/γ2
35.29Single8XVLZibotentan8XVL-ETA-Zibotentan
35.29Single8YH6Namodenoson8YH6-A3A-Namodenoson-Gi1/β1/γ2
35.29Single9I54PubChem 1764520919I54-D1-PubChem 176452091-Gs/β1/γ2
35.29Consensusclass-a_offOrthosteric Ligandsensory_off alicarboxylic_off amine_off lipid_off nucleotide_off peptide_off protein_off
35.29Consensusgs_adrenergicOrthosteric Ligand7DHI-β2-Salbutamol-Gs/β1/γ2 7XJI-β3-Solabegron-Gs/β1/γ2 7JJO-β1-Isoprenaline-Gs/β1/γ2 6NI3-β2-BI167107-Gs/β1/γ2 8DCR-β1-Dobutamine-Gs/β1/γ2 7XJH-β3-Isoprenaline-Gs/β1/γ2 7DH5-β3-Mirabegron-Gs/β1/γ2
35.29Consensuskop_offOrthosteric Ligand4DJH-κ-JDTic
35.00Single4IB4Ergotamine4IB4-5-HT2B-Ergotamine
35.00Single7WVWfMYFINILTL7WVW-FPR2-ALX-fMYFINILTL-Gi2/β1/γ2
35.00Single8DCRDobutamine8DCR-β1-Dobutamine-Gs/β1/γ2
35.00Single8PKMBefiradol8PKM-5-HT1A-Befiradol-Gi1/β1/γ1
35.00Single8WDTphotoNECA8WDT-A2A-photoNECA
35.00Single9BUYLM1899BUY-β2-LM189-Gi1/β1/γ2
35.00Consensusgi_opioidOrthosteric Ligand8F7R-μ-Endomorphin-Gi1/β1/γ2 8EF5-μ-Fentanyl-Gi1/β1/γ2 7SCG-μ-FH210-Gi1/β1/γ2 7T2H-μ-Lofentanil-Gi1/β1/γ2 7T2G-μ-Mitragynine Pseudoindoxyl-Gi1/β1/γ2 8DZP-κ-momSalB-Gi1/β1/γ2 8EF6-μ-Morphine-Gi1/β1/γ2 8F7X-NOP-Nociceptin-Gi1/β1/γ2 8EFB-μ-Oliceridine-Gi1/β1/γ2 7U2L-μ-C5-guano-Gi1/β1/γ2 8EFO-μ-PZM21-Gi1/β1/γ2 8EFL-μ-SR17018-Gi1/β1/γ2 8F7Q-μ-β-Endorphin-Gi1/β1/γ2 7U2K-μ-C6-guano-Gi1/β1/γ2 8EFQ-μ-DAMGO-Gi1/β1/γ2 8F7S-δ-Deltorphin-Gi1/β1/γ2 8F7W-κ-Dynorphin-Gi1/β1/γ2
35.00Consensusmop_offOrthosteric Ligand4DKL-μ-β-Funaltrexamine 8QOT-μ-Nanobody-E 7UL4-μ-Alvimopan
33.33Single2YCXCyanopindolol2YCX-β1-Cyanopindolol
33.33Single3QAKUK-4320973QAK-A2A-UK-432097
33.33Single3UZCPubChem 1355666093UZC-A2A-PubChem 135566609
33.33Single4MBSMaraviroc4MBS-CCR5-Maraviroc
33.33Single4PXFOctyl-Beta-D-Glucopyranoside4PXF-Rhodopsin-Octyl-β-D-Glucopyranoside-Arrestin1 Finger Loop
33.33Single4RWADIPP-NH24RWA-δ-DIPP-NH2
33.33Single4ZJCSB-6740424ZJC-OX1-SB-674042
33.33Single6A93Risperidone6A93-5-HT2A-Risperidone
33.33Single6HLOAprepitant6HLO-NK1-Aprepitant
33.33Single6IQLL7458706IQL-D4-L745870
33.33Single6MXTSalmeterol6MXT-β2-Salmeterol
33.33Single6OY9All-trans-Retinal6OY9-Rhodopsin-All-trans-Retinal-Gt/β1/γ1
33.33Single6PS82-Phenylmelatonin6PS8-MT1-2-Phenylmelatonin
33.33Single6TPGEMPA6TPG-OX2-EMPA
33.33Single6TPKRetosiban6TPK-OT-Retosiban
33.33Single6VI4JDTic6VI4-κ-JDTic
33.33Single6ZFZ77-LH-28-16ZFZ-M1-77-LH-28-1
33.33Single7DD5Ca; Ca; Tryptophan; NPS-21437DD5-CaS; CaS-Ca-Ca; Ca; Tryptophan; NPS-2143
33.33Single7DFPSpiperone7DFP-D2-Spiperone
33.33Single7SR8TAK-9257SR8-OX2-TAK-925-chim(NtGi1L-Gs-CtGq)/β1/γ2
33.33Single7VUGJNJ-635330547VUG-GPR139-JNJ-63533054-Gi1/β1/γ2
33.33Single7W0LPubChem 1227019087W0L-Apelin; Apelin-PubChem 122701908-Gi1/β1/γ2
33.33Single7W0LPubChem 1227019087W0L-Apelin; Apelin-PubChem 122701908-Gi1/β1/γ2
33.33Single7WC9PubChem 1624213647WC9-5-HT2A-PubChem 162421364
33.33Single7WVUfMLF7WVU-FPR1-ALX-fMLF-Gi1/β1/γ2
33.33Single7XMTJ-21567XMT-SST4-J-2156-Gi1/β1/γ2
33.33Single7XW9TRH7XW9-TRH-TRH-chim(NtGi1L-Gs-CtGq)/β1/γ2
33.33Single8GEAConstrained Epinephrine8GEA-β2-Constrained Epinephrine-Gs/β1/γ2
33.33Single8GEIConstrained Epinephrine8GEI-β2-Constrained Epinephrine-Gs/β1/γ2
33.33Single8GG8Constrained Epinephrine8GG8-β2-Constrained Epinephrine-GTP-Gs/β1/γ2
33.33Single8GGSConstrained Epinephrine8GGS-β2-Constrained Epinephrine
33.33Single8GGTConstrained Epinephrine8GGT-β2-Constrained Epinephrine
33.33Single8HNMVUF112228HNM-CXCR3-VUF11222-Gi1/β1/γ2
33.33Single8JD3JNJ-404118138JD3-mGlu2; mGlu3-Glutamate-JNJ-40411813-Gi1/β1/γ2
33.33Single8JZ7MK68928JZ7-HCA2-MK6892-Gi1/β1/γ2
33.33Single8RLNLUF58348RLN-A2A-LUF5834
33.33Single8T3QDoconexent8T3Q-FFA4-Doconexent-chim(NtGi2L-Gs-CtGq)/β1/γ2
33.33Single8UO1Constrained Epinephrine8UO1-β2-Constrained Epinephrine-GTP; Mg-Gs/β1/γ2
33.33Single8Y01All-trans-Retinal8Y01-Opsin1MW-All-trans-Retinal-Gi1/β1/γ2
33.33Single8Y53MK50468Y53-BB3-MK5046-chim(NtGi1-Gs-CtGq)/β1/γ2
33.33Single9AXFCa; Ca; Ca; Cyclomethyltryptophan; R-568; PO49AXF-CaS; CaS-Ca-Ca; Ca; Ca; Cyclomethyltryptophan; R-568; PO4-chim(NtGi1-Gs-CtGq)/β1/γ2
33.33Single9CHUNorepinephrine9CHU-β2-Norepinephrine
33.33Single9EPQ11,20-Ethanoretinal9EPQ-Rhodopsin-11,20-Ethanoretinal-chim(Gi1-CtGq)/β1/γ2
33.33Single9GL2Befiradol9GL2-5-HT1A-Befiradol-Gs/β1/γ2
33.33Single9LL8Psilocin9LL8-5-HT2A-Psilocin-Gi1/β1/γ2
33.33Single9ODLMitragynine Pseudoindoxyl9ODL-μ-Mitragynine Pseudoindoxyl-GTP; Mg-Gi1/β1/γ2
33.33Single9PXXNaloxone9PXX-μ-Naloxone-GDPβS-Gi1/β1/γ2
33.33Single9VJ6F-155999VJ6-5-HT1A-F-15599-Gi3/β1/γ2
33.33Consensus5ht2a_offOrthosteric Ligand6A94-5-HT2A-Zotepine 6A93-5-HT2A-Risperidone 7VOD-5-HT2A-Cariprazine 7WC8-5-HT2A-Lumateperone 8JT8-5-HT2A-(R)-IHCH-7179
33.33Consensusadenosine_onOrthosteric Liganda1_on a2_on a3_on
33.33Consensusbeta3_onOrthosteric Ligand7DH5-β3-Mirabegron-Gs/β1/γ2 7XJH-β3-Isoprenaline-Gs/β1/γ2 7XJI-β3-Solabegron-Gs/β1/γ2
33.33Consensusbeta3_on_gpOrthosteric Ligand7DH5-β3-Mirabegron-Gs/β1/γ2 7XJH-β3-Isoprenaline-Gs/β1/γ2 7XJI-β3-Solabegron-Gs/β1/γ2
33.33Consensusgi_adenosineOrthosteric Ligand7LD4-A1-Adenosine-Gi2/β1/γ2 8X17-A3A-Namodenoson-Gi1/β1/γ2 8X16-A3A-Piclidenoson-Gi1/β1/γ2
33.33Consensusgs_histamineOrthosteric Ligand8POK-H2-Histamine-Gs/β1/γ2
33.33Consensush2_onOrthosteric Ligand8POK-H2-Histamine-Gs/β1/γ2
33.33Consensusleukotriene_offOrthosteric Ligandblt_off cyslt_off
33.33Consensusopsins_onOrthosteric Ligandrhodopsin_on opsin1lw_on
33.33Consensusot_offOrthosteric Ligand6TPK-OT-Retosiban
33.33Consensuss1p3_on_gpOrthosteric Ligand7EW3-S1P3-S1P-Gi1/β1/γ2 7EW4-S1P3-CYM-5541-Gi1/β1/γ2 7EW2-S1P3-FTY720-P-Gi1/β1/γ2
33.33Consensussensory_onOrthosteric Ligandopsins_on
33.33Consensustrh_onOrthosteric Ligand7XW9-TRH-TRH-chim(NtGi1L-Gs-CtGq)/β1/γ2
33.33Consensustrh_on_gpOrthosteric Ligand7XW9-TRH-TRH-chim(NtGi1L-Gs-CtGq)/β1/γ2
33.33Consensusvasop-oxy_offOrthosteric Ligandot_off
31.82Single6PT2KGCHM076PT2-δ-KGCHM07
31.82Single8XIQL7967788XIQ-SST3-L796778-chim(NtGi1-Gs-CtGi1)/β1/γ2
31.58Single5TUDErgotamine5TUD-5-HT2B-Ergotamine
31.58Single6BQGErgotamine6BQG-5-HT2C-Ergotamine
31.58Single7EZCUK-4320977EZC-A2A-UK-432097
31.58Single7MTSADX551647MTS-mGlu2; mGlu2-Glutamate-ADX55164-Gi1/β1/γ2
31.58Single7U2KC6-guano7U2K-μ-C6-guano-Gi1/β1/γ2
31.58Single7XJISolabegron7XJI-β3-Solabegron-Gs/β1/γ2
31.58Single8E0GBU728E0G-μ-BU72
31.58Single8IJDMK68928IJD-HCA2-MK6892-Gi1/β1/γ2
31.58Single8T3OTUG-8918T3O-FFA4-TUG-891-chim(NtGi2L-Gs-CtGq)/β1/γ2
31.58Single8XVJMacitentan8XVJ-ETA-Macitentan
31.58Single9L79AR2314539L79-GPR119-AR231453-chim(NtGi1-Gs)/β1/γ2
31.58Single9M54Neuropeptide-VF9M54-NPFF2-Neuropeptide-VF-Gi1/β1/γ2
31.58Consensuskop_on_gpOrthosteric Ligand8F7W-κ-Dynorphin-Gi1/β1/γ2 8DZS-κ-GR89,696-chim(NtGi2-Gz)/β1/γ2 8DZP-κ-momSalB-Gi1/β1/γ2
31.58Consensusnucleotide_on_gpOrthosteric Ligandadenosine_on_gp p2y_on_gp
31.58Consensusorexin_on_gpOrthosteric Ligandox2_on_gp
31.58Consensuspeptide_offOrthosteric Ligandcck_off angiotensin_off bombesin_off endothelin_off ghrelin_off npy_off opioid_off orexin_off somatostatin_off tachykinin_off vasop-oxy_off neurotensin_off
31.25Single2Y02Carmoterol2Y02-β1-Carmoterol
31.25Single2Y04Salbutamol2Y04-β1-Salbutamol
31.25Single4J4QOctyl Beta-D-Glucopyranoside4J4Q-Rhodopsin-Octyl β-D-Glucopyranoside-Gt(CT)
31.25Single5DHHSB-6121115DHH-NOP-SB-612111
31.25Single5OLZPubChem 1355666095OLZ-A2A-PubChem 135566609-Na
31.25Single5OM1PubChem 1355666095OM1-A2A-PubChem 135566609-Na
31.25Single6DRXLisuride6DRX-5-HT2B-Lisuride
31.25Single6TOTLemborexant6TOT-OX1-Lemborexant
31.25Single7M3JNPS-2143; PO47M3J-CaS; CaS-NPS-2143; PO4
31.25Single7T6VfMLFII7T6V-FPR2-ALX-fMLFII-Gi1/β1/γ2
31.25Single7UL4Alvimopan7UL4-μ-Alvimopan
31.25Single7VH0Ramelteon7VH0-MT2-Ramelteon-Gi1/β1/γ1
31.25Single7VIFFTY720-P7VIF-S1P1-FTY720-P-Gi1/β1/γ2
31.25Single7VKTLTB47VKT-BLT1-LTB4-Gi1/β1/γ2
31.25Single7XJHIsoprenaline7XJH-β3-Isoprenaline-Gs/β1/γ2
31.25Single8CICEtrumadenant8CIC-A2A-Etrumadenant-Na
31.25Single8CU7LJ-45178CU7-A2A-LJ-4517-Na
31.25Single8JT8(R)-IHCH-71798JT8-5-HT2A-(R)-IHCH-7179
31.25Single8PJKST1718PJK-5-HT1A-ST171-Gi1/β1/γ1
31.25Single8T1WCVN4248T1W-GPR6-CVN424
31.25Single8X17Namodenoson8X17-A3A-Namodenoson-Gi1/β1/γ2
31.25Single9D61JDTic9D61-κ-JDTic-Gi1/β1/γ2
31.25Single9KFJPubChem 1383196749KFJ-RXFP3-PubChem 138319674-Gi2/β1/γ2
31.25Consensusa3_onOrthosteric Liganda3a_on
31.25Consensusblt1_onOrthosteric Ligand7VKT-BLT1-LTB4-Gi1/β1/γ2
31.25Consensusblt1_on_gpOrthosteric Ligand7VKT-BLT1-LTB4-Gi1/β1/γ2
31.25Consensusblt_onOrthosteric Ligandblt1_on
31.25Consensusblt_on_gpOrthosteric Ligandblt1_on_gp
31.25Consensusgi_leukotrieneOrthosteric Ligand7VKT-BLT1-LTB4-Gi1/β1/γ2
31.25Consensusleukotriene_onOrthosteric Ligandblt_on
31.25Consensusleukotriene_on_gpOrthosteric Ligandblt_on_gp
30.77Single7MT8All-trans-Retinal7MT8-Rhodopsin-All-trans-Retinal-GRK1
30.77Single7WC5Psilocin7WC5-5-HT2A-Psilocin
30.77Single8GGFConstrained Epinephrine8GGF-β2-Constrained Epinephrine-GTP-Gs/β1/γ2
30.77Single8GH1Constrained Epinephrine8GH1-β2-Constrained Epinephrine
30.77Single8IU2All-trans-Retinal8IU2-Opsin1LW-All-trans-Retinal-Gi1/β1/γ2
30.77Single8JXTHistamine8JXT-H4-Histamine-PO4-Gi1/β1/γ2
30.77Consensusgi_opsinsOrthosteric Ligand8IU2-Opsin1LW-All-trans-Retinal-Gi1/β1/γ2
30.77Consensusgi_sensoryOrthosteric Ligandgi_opsins
30.77Consensusopsin1lw_onOrthosteric Ligand8IU2-Opsin1LW-All-trans-Retinal-Gi1/β1/γ2
30.77Consensusopsin1lw_on_gpOrthosteric Ligand8IU2-Opsin1LW-All-trans-Retinal-Gi1/β1/γ2
30.43Single8IHFMK68928IHF-HCA2-MK6892-Gi1/β1/γ2
30.43Single8J6IMK68928J6I-HCA2-MK6892-Gi1/β1/γ2
30.00Single5ZTYAM102575ZTY-CB2-AM10257
30.00Single8H4IDoconexent8H4I-FFA4-Doconexent-chim(NtGi1-Gs)/β1/γ2
30.00Consensuscb2_offOrthosteric Ligand5ZTY-CB2-AM10257
30.00Consensusox2_onOrthosteric Ligand7L1V-OX2-PubChem 155491009-chim(NtGi1-Gs-CtGq)/β1/γ2 7SQO-OX2-TAK-925-Gi1/β1/γ2 7L1U-OX2-Orexin-chim(NtGi1-Gs-CtGq)/β1/γ2
30.00Consensusox2_on_gpOrthosteric Ligand7L1V-OX2-PubChem 155491009-chim(NtGi1-Gs-CtGq)/β1/γ2 7SQO-OX2-TAK-925-Gi1/β1/γ2 7L1U-OX2-Orexin-chim(NtGi1-Gs-CtGq)/β1/γ2
29.41Single4RWDDIPP-NH24RWD-δ-DIPP-NH2-Na
29.41Single4WW3All-trans-Retinal4WW3-Rhodopsin-All-trans-Retinal
29.41Single4ZJ8Suvorexant4ZJ8-OX1-Suvorexant
29.41Single5CGCHTL142425CGC-mGlu5-HTL14242
29.41Single5OM4PubChem 1355666095OM4-A2A-PubChem 135566609-Na
29.41Single5TVNLSD5TVN-5-HT2B-LSD
29.41Single5WQCEMPA5WQC-OX2-EMPA
29.41Single5XPRBosentan5XPR-ETB-Bosentan
29.41Single6GDGNECA6GDG-A2A-NECA-Gs/β1/γ1
29.41Single6LUQHaloperidol6LUQ-D2-Haloperidol
29.41Single6ME62-Phenylmelatonin6ME6-MT2-2-Phenylmelatonin
29.41Single6ME82-Phenylmelatonin6ME8-MT2-2-Phenylmelatonin
29.41Single6TO7Suvorexant6TO7-OX1-Suvorexant-Na
29.41Single6TP6Filorexant6TP6-OX1-Filorexant
29.41Single7EPFNAM5977EPF-mGlu2-NAM597
29.41Single7M3JNPS-2143; PO47M3J-CaS; CaS-NPS-2143; PO4
29.41Single7SBFPZM217SBF-μ-PZM21-Gi1/β1/γ2
29.41Single7SINNPS-21437SIN-CaS; CaS-NPS-2143
29.41Single7SINNPS-21437SIN-CaS; CaS-NPS-2143
29.41Single7VOEAripiprazole7VOE-5-HT2A-Aripiprazole
29.41Single7WIGL-0542647WIG-SST2-L-054264-Gi1/β1/γ2
29.41Single8JXSPF-61428JXS-D1-PF-6142
29.41Single8S4DCMF-0198S4D-Apelin-CMF-019
29.41Single8SZGCa; Ca; Tryptophan; Cinacalcet; PO4; Spermine8SZG-CaS; CaS-Ca; Ca; Tryptophan; Cinacalcet; PO4; Spermine-chim(NtGi1-Gq)/β1/γ2
29.41Single8X0DVU04244658X0D-mGlu5; mGlu5-Quisqualate-VU0424465
29.41Single8X0DVU04244658X0D-mGlu5; mGlu5-Quisqualate-VU0424465
29.41Single8YICSAR2477998YIC-S1P1-SAR247799-Gi1/β1/γ2
29.41Single8ZRKGSK12922638ZRK-GPR119-GSK1292263-Gs/β1/γ2
29.41Single9AVLCa; Ca; Cyclomethyltryptophan; R-568; PO49AVL-CaS; CaS-Ca-Ca; Ca; Cyclomethyltryptophan; R-568; PO4-Gi3/β2/γ2
29.41Single9AYFCa; Ca; Ca; Cyclomethyltryptophan; R-568; PO49AYF-CaS; CaS-Ca-Ca; Ca; Ca; Cyclomethyltryptophan; R-568; PO4-Gi1/β1/γ2
29.41Single9HAPTolvaptan9HAP-V2-Tolvaptan
29.41Single9I52A1IZU9I52-D1-A1IZU-Gs/β1/γ2
29.41Single9KUVCMPD6449KUV-Apelin-CMPD644-Arrestin2
29.41Single9L74S1P d16:19L74-S1P3-S1P d16:1-chim(NtGi2L-Gs-CtGq)/β1/γ2
29.41Single9M8POleic monoethanolamide9M8P-GPR3 ; GPR3-Oleic monoethanolamide-AF64394
29.41Single9U81Tolvaptan9U81-V2-Tolvaptan
29.41Single9VJFBuspirone9VJF-5-HT1A-Buspirone-Gi3/β1/γ2
29.41Consensusnucleotide_onOrthosteric Ligandadenosine_on p2y_on
28.57Single3AYMAll-trans-Retinal3AYM-Rhodopsin-All-trans-Retinal
28.57Single5UNFPubChem 157800525UNF-AT2-PubChem 15780052
28.57Single6HLLCP999946HLL-NK1-CP99994
28.57Single6PH7Nerol6PH7-Rhodopsin-Nerol-Gt(CT)
28.57Single6QNOAll-trans-Retinal6QNO-Rhodopsin-All-trans-Retinal-Gi1/β1/γ1
28.57Single7DD7Ca; Ca; Tryptophan; Evocalcet7DD7-CaS; CaS-Ca-Ca; Ca; Tryptophan; Evocalcet
28.57Single7W0PElabela7W0P-Apelin-Elabela-Gi1/β1/γ2
28.57Single7WKDTRH7WKD-TRH-TRH-chim(NtGi1-Gs-CtGq)/β1/γ2
28.57Single8GGYConstrained Epinephrine8GGY-β2-Constrained Epinephrine
28.57Single8UO3Constrained Epinephrine8UO3-β2-Constrained Epinephrine-GTP; Mg-Gs/β1/γ2
28.57Single8YH3N-methyladenosine8YH3-A3A-N-methyladenosine-Gi1/β1/γ2
28.57Single9YDAAll-trans-Retinal9YDA-Opsin1MW-All-trans-Retinal-chim(NtGi1L-Gs-CtGt)/β1/γ2
28.57Consensusclass-a_on_gpOrthosteric Ligandsensory_on_gp alicarboxylic_on_gp amine_on_gp lipid_on_gp nucleotide_on_gp peptide_on_gp protein_on_gp
28.57Consensusgi_nucleotideOrthosteric Ligandgi_adenosine gi_p2y
27.78Single3PDSFAUC503PDS-β2-FAUC50
27.78Single4Z34ONO-97803074Z34-LPA1-ONO-9780307
27.78Single6KO5PubChem 574000026KO5-Ghrelin-PubChem 57400002
27.78Single6NI3BI1671076NI3-β2-BI167107-Gs/β1/γ2
27.78Single6RZ5Zafirlukast6RZ5-CysLT1-Zafirlukast-Na
27.78Single7CKYPW04647CKY-D1-PW0464-Gs/β1/γ2
27.78Single7EW1Siponimod7EW1-S1P5-Siponimod-Gi1/β1/γ2
27.78Single7VIGCBP-3077VIG-S1P1-CBP-307-Gi1/β1/γ2
27.78Single7WVXHumanin7WVX-FPR2-ALX-Humanin-Gi2/β1/γ2
27.78Single7XAVLanreotide7XAV-SST2-Lanreotide-Gi1/β1/γ2
27.78Single8ID39-Hydroxystearic acid8ID3-FFA4-9-Hydroxystearic acid-Gi1/β1/γ2
27.78Single8ID6Oleic acid8ID6-FFA4-Oleic acid-Gi1/β1/γ2
27.78Single8JT6(R)-IHCH-71798JT6-5-HT1A-(R)-IHCH-7179-PtdIns4P-Gi1/β1/γ2
27.78Single8X0FVU298X0F-mGlu5; mGlu5-Quisqualate-VU29
27.78Single8XJMLatanoprost8XJM-FP-alpha-Latanoprost-chim(NtGi2-Gs-CtGq)/β1/γ2
27.78Single8XZICMF-0198XZI-Apelin; Apelin-CMF-019-Gi1/β1/γ2
27.78Single8YNTSNAP-948478YNT-MCH1-SNAP-94847
27.78Single8ZR5Firuglipel8ZR5-GPR119-Firuglipel-Gs/β1/γ2
27.78Single9AYFCa; Ca; Ca; Cyclomethyltryptophan; R-568; PO49AYF-CaS; CaS-Ca-Ca; Ca; Ca; Cyclomethyltryptophan; R-568; PO4-Gi1/β1/γ2
27.78Single9IK9Lanreotide9IK9-SST1-Lanreotide-Gi1/β1/γ2
27.78Single9KVPSB2901579KVP-C3aB-SB290157-Go/β1/γ2
27.78Consensusa2_onOrthosteric Liganda2b_on
27.78Consensusa2_on_gpOrthosteric Liganda2b_on_gp
27.78Consensusa2b_onOrthosteric Ligand8HDP-A2B-Adenosine-Gs/β1/γ2 7XY6-A2B-BAY 60-6583-chim(NtGi1-Gs)/β1/γ2 7XY7-A2B-NECA-chim(NtGi1-Gs)/β1/γ2 8HDO-A2B-BAY 60-6583-Gs/β1/γ2
27.78Consensusa2b_on_gpOrthosteric Ligand8HDP-A2B-Adenosine-Gs/β1/γ2 7XY6-A2B-BAY 60-6583-chim(NtGi1-Gs)/β1/γ2 7XY7-A2B-NECA-chim(NtGi1-Gs)/β1/γ2 8HDO-A2B-BAY 60-6583-Gs/β1/γ2
27.78Consensusgs_adenosineOrthosteric Ligand8HDP-A2B-Adenosine-Gs/β1/γ2 8HDO-A2B-BAY 60-6583-Gs/β1/γ2 7XY7-A2B-NECA-chim(NtGi1-Gs)/β1/γ2 7XY6-A2B-BAY 60-6583-chim(NtGi1-Gs)/β1/γ2
27.78Consensusgs_nucleotideOrthosteric Ligandgs_adenosine
27.78Consensuss1p5_onOrthosteric Ligand7EW1-S1P5-Siponimod-Gi1/β1/γ2
27.78Consensuss1p5_on_gpOrthosteric Ligand7EW1-S1P5-Siponimod-Gi1/β1/γ2
27.27Single4A4MAll-trans-Retinal4A4M-Rhodopsin-All-trans-Retinal-Gt(CT)
27.27Single5EN0All-trans-Retinal5EN0-Rhodopsin-All-trans-Retinal-Gt(CT)
27.27Single8WCCCyclohexylammonium Ion8WCC-TA1-Cyclohexylammonium Ion
27.27Single9IK8Pasireotide9IK8-SST1-Pasireotide-Gi1/β1/γ2
27.27Consensusgq_class-aOrthosteric Ligandgq_peptide gq_amine gq_nucleotide
27.27Consensussst4_onOrthosteric Ligand7XMS-SST4-Somatostatin-14-Gi1/β1/γ2 7XMT-SST4-J-2156-Gi1/β1/γ2
27.27Consensussst4_on_gpOrthosteric Ligand7XMS-SST4-Somatostatin-14-Gi1/β1/γ2 7XMT-SST4-J-2156-Gi1/β1/γ2
26.92Single7WVYAmyloid-Beta427WVY-FPR2-ALX-Amyloid-β42-Gi2/β1/γ2
26.92Single9KDFRES-701-39KDF-ETB-RES-701-3
26.67Single2X72All-trans-Retinal2X72-Rhodopsin-All-trans-Retinal-Gt(CT)
26.67Single2Z7311-cis-Retinal2Z73-Rhodopsin-11-cis-Retinal
26.67Single3AYN9-cis-Retinal3AYN-Rhodopsin-9-cis-Retinal
26.67Single3V2WPubChem 518926453V2W-S1P1-PubChem 51892645
26.67Single4S0VSuvorexant4S0V-OX2-Suvorexant
26.67Single5WS3EMPA5WS3-OX2-EMPA
26.67Single6AKYMaraviroc6AKY-CCR5-Maraviroc
26.67Single6DS0LY2660976DS0-5-HT2B-LY266097
26.67Single6ME2Ramelteon6ME2-MT1-Ramelteon
26.67Single6NWEOctyl-Beta-D-Glucopyranoside6NWE-Rhodopsin-Octyl-β-D-Glucopyranoside-Gt(CT)
26.67Single6OBAAlprenolol6OBA-β2-Alprenolol-GTPL11074
26.67Single6TPJSuvorexant6TPJ-OX2-Suvorexant
26.67Single6TQ6PubChem 1457142836TQ6-OX1-PubChem 145714283
26.67Single7M3ECa; Ca; Tryptophan; NPS-21437M3E-CaS; CaS-Ca; Ca; Tryptophan; NPS-2143
26.67Single7M3ECa; Ca; Tryptophan; NPS-21437M3E-CaS; CaS-Ca; Ca; Tryptophan; NPS-2143
26.67Single7M3FCa; Ca; Tryptophan; Cinacalcet7M3F-CaS; CaS-Ca; Ca; Tryptophan; Cinacalcet
26.67Single7VIHCBP-3077VIH-S1P1-CBP-307-Gi1/β1/γ2
26.67Single7W0MPubChem 1227019087W0M-Apelin-PubChem 122701908-Gi1/β1/γ2
26.67Single8HDPAdenosine8HDP-A2B-Adenosine-Gs/β1/γ2
26.67Single8T3SButyric acid8T3S-FFA2-Butyric acid-chim(NtGi2L-Gs-CtGq)/β1/γ2
26.67Single8YYWAlpha-ketoglutarate8YYW-Oxoglutarate-α-ketoglutarate-α-ketoglutarate-chim(Gi1-CtGq)/β1/γ2
26.67Single9C2FCa; Ca; Tryptophan; '54149; PO49C2F-CaS; CaS-Ca-Ca; Ca; Tryptophan; '54149; PO4
26.67Single9J5VCpY9J5V-LPA1-CpY-Gi1/β1/γ2
26.67Single9K6LSalicin9K6L-TAS2R16-Salicin-Gi2/β1/γ2
26.67Single9KPESalicin9KPE-TAS2R16-Salicin-Gi1/β1/γ2
26.67Single9M88Oleic monoethanolamide9M88-GPR3 ; GPR3-Oleic monoethanolamide-AF64394
26.67Single9PEEPF-07054894; OXM29PEE-CCR6-PF-07054894; OXM2
26.67Consensusorexin_offOrthosteric Ligandox2_off ox1_off
26.67Consensusox1_offOrthosteric Ligand6TP6-OX1-Filorexant 6TP4-OX1-ACT-462206 6V9S-OX1-GTPL11403 6TOT-OX1-Lemborexant 6TP3-OX1-Nemorexant 6TQ6-OX1-PubChem 145714283 6TQ9-OX1-SB-408124 4ZJC-OX1-SB-674042 4ZJ8-OX1-Suvorexant 6TOD-OX1-EMPA-Na 6TOS-OX1-GSK1059865-Na 6TQ4-OX1-PubChem 16046844-Na
26.67Consensusox2_offOrthosteric Ligand5WQC-OX2-EMPA 6TPN-OX2-HTL6641 7XRR-OX2-Lemborexant 6TPJ-OX2-Suvorexant
26.67Consensuss1p1_offOrthosteric Ligand3V2W-S1P1-PubChem 51892645
26.32Single4Z36ONO-30805734Z36-LPA1-ONO-3080573
26.32Single5UNHPubChem 1264564065UNH-AT2-PubChem 126456406
26.32Single6XBLCholesterol6XBL-SMO-SAG-Cholesterol-Gi1/β1/γ2
26.32Single7BZ2Arformoterol7BZ2-β2-Arformoterol-Gs/β1/γ2
26.32Single7DH5Mirabegron7DH5-β3-Mirabegron-Gs/β1/γ2
26.32Single7EO4Siponimod7EO4-S1P1-Siponimod-Gi1/β1/γ2
26.32Single7EPENAM5637EPE-mGlu2-NAM563
26.32Single7EW2FTY720-P7EW2-S1P3-FTY720-P-Gi1/β1/γ2
26.32Single7L1VPubChem 1554910097L1V-OX2-PubChem 155491009-chim(NtGi1-Gs-CtGq)/β1/γ2
26.32Single7MTRADX551647MTR-mGlu2; mGlu2-Glutamate-ADX55164
26.32Single7SUSPubChem 1227019087SUS-Apelin-PubChem 122701908
26.32Single7WCMMBX-29827WCM-GPR119-MBX-2982-Gs/β1/γ2
26.32Single7WCNAR2314537WCN-GPR119-AR231453-Gs/β1/γ2
26.32Single8ID9Icosapent8ID9-FFA4-Icosapent-Gi1/β1/γ2
26.32Single8JJLOlodaterol8JJL-β2-Olodaterol
26.32Single8JWY2-1188JWY-A2A-2-118
26.32Single8JWZEtrumadenant8JWZ-A2A-Etrumadenant-Na
26.32Single8VHFMBX-29828VHF-GPR119-MBX-2982-Gs/β1/γ2
26.32Single8W1VPubChem 1717162658W1V-β2-PubChem 171716265
26.32Single9GYOP3959GYO-GPBA-P395-chim(NtGi1-Gs)/β1/γ2
26.32Single9M8POleic monoethanolamide9M8P-GPR3 ; GPR3-Oleic monoethanolamide-AF64394
26.32Single9WSVDAMGO9WSV-μ-DAMGO-Arrestin2
26.32Single9YDQDADLE9YDQ-δ-DADLE-MIPS3614-chim(NtGi1L-Gs-CtGi1)/β1/γ2
26.32Consensuscannabinoid_offOrthosteric Ligandcb2_off cb1_off
26.32Consensuskop_onOrthosteric Ligand8F7W-κ-Dynorphin-Gi1/β1/γ2 8DZS-κ-GR89,696-chim(NtGi2-Gz)/β1/γ2 8DZP-κ-momSalB-Gi1/β1/γ2
26.32Consensuslpa1_offOrthosteric Ligand4Z36-LPA1-ONO-3080573 4Z35-LPA1-ONO-9910539 4Z34-LPA1-ONO-9780307
26.32Consensuslpa_offOrthosteric Ligandlpa1_off
26.32Consensuslpl_offOrthosteric Ligands1p_off lpa_off
26.32Consensusorexin_onOrthosteric Ligandox2_on
26.32Consensuss1p3_onOrthosteric Ligand7EW3-S1P3-S1P-Gi1/β1/γ2 7EW4-S1P3-CYM-5541-Gi1/β1/γ2 7EW2-S1P3-FTY720-P-Gi1/β1/γ2
26.09Single9B54VIP369B54-CB1-VIP36-Gi1/β1/γ2
26.09Single9MEUCXCL129MEU-CXCR4-CXCL12
25.00Single4NC3Ergotamine4NC3-5-HT2B-Ergotamine
25.00Single4Z35ONO-99105394Z35-LPA1-ONO-9910539
25.00Single5CGDHTL142425CGD-mGlu5-HTL14242
25.00Single5TE3Octyl-Beta-D-Glucopyranoside5TE3-Rhodopsin-Octyl-β-D-Glucopyranoside
25.00Single5UNGPubChem 157800525UNG-AT2-PubChem 15780052
25.00Single6DDFDAMGO6DDF-μ-DAMGO-Gi1/β1/γ2
25.00Single6FFIMPEP6FFI-mGlu5-MPEP
25.00Single6FKAPubChem 1324730376FKA-Rhodopsin-PubChem 132473037
25.00Single6K1QIRL25006K1Q-ETB-IRL2500
25.00Single6KUXRS799486KUX-α2a-RS79948
25.00Single6ME32-Phenylmelatonin6ME3-MT1-2-Phenylmelatonin
25.00Single6ME42-Iodomelatonin6ME4-MT1-2-Iodomelatonin
25.00Single6PELCitronellol6PEL-Rhodopsin-Citronellol-Gt(CT)
25.00Single6TOSGSK10598656TOS-OX1-GSK1059865-Na
25.00Single6TP3Nemorexant6TP3-OX1-Nemorexant
25.00Single6V9SGTPL114036V9S-OX1-GTPL11403
25.00Single6ZG9GSK10347026ZG9-M1-GSK1034702
25.00Single7F61PF-036547467F61-H3-PF-03654746
25.00Single7VODCariprazine7VOD-5-HT2A-Cariprazine
25.00Single7W40Bombesin7W40-BB2-Bombesin-chim(NtGi1L-Gq)/β1/γ2
25.00Single7WC4Serotonin7WC4-5-HT2A-Serotonin
25.00Single7X1UTRH7X1U-TRH-TRH-chim(NtGi2L-Gs-CtGq)/β1/γ2
25.00Single7XK2MK68927XK2-HCA2-MK6892-Gi1/β1/γ2
25.00Single7XZ6APD6687XZ6-GPR119-APD668-Gs/β1/γ2
25.00Single8H4LDoconexent8H4L-FFA4-Doconexent-chim(NtGi1-Gs-CtGq)/β1/γ2
25.00Single8HQN9-S-HODE8HQN-GPR132-9-S-HODE-Gi1/β1/γ2
25.00Single8IULLatanoprost8IUL-FP-alpha-Latanoprost-chim(NtGi1-Gs-CtGq)/β1/γ2
25.00Single8IYSTUG-8918IYS-FFA4-TUG-891-GDP-chim(NtGi1L-Gq)/β1/γ2
25.00Single8JLQFenoldopam8JLQ-TA1-Fenoldopam-Gs/β1/γ2
25.00Single8K9KDAMGO8K9K-μ-DAMGO-Gi3/β1/γ1
25.00Single8WPGTryptophan; Cinacalcet; PO4; Ca8WPG-CaS; CaS-Tryptophan; Cinacalcet; PO4; Ca
25.00Single8XGSKisspeptin-18XGS-Kiss1-Kisspeptin-1-chim(NtGi1-Gq)/β1/γ2
25.00Single8XJKCloprosetnol8XJK-FP-alpha-Cloprosetnol-chim(NtGi1-Gs-CtGq)/β1/γ2
25.00Single8Y62C16:0 Ceramide8Y62-FPR2-ALX-C16:0 Ceramide-Gi1/β1/γ2
25.00Single9ASBCa; Ca; Cyclomethyltryptophan; R-568; PO49ASB-CaS; CaS-Ca-Ca; Ca; Cyclomethyltryptophan; R-568; PO4-chim(NtGi1-Gs-CtGq)/β1/γ2
25.00Single9JH3CMF-0199JH3-Apelin; Apelin-CMF-019-Gi1/β1/γ2
25.00Single9JIDNiacin9JID-HCA3-Niacin-Gi1/β1/γ2
25.00Single9K1DButyric acid9K1D-FFA2-Butyric acid-Gi1/β1/γ2
25.00Single9KUGEP679KUG-C5a1-EP67-Go/β1/γ2
25.00Single9L8LBI1671079L8L-β2-BI167107-Atazanavir-Gs/β1/γ2 ; Arrestin2
25.00Single9YDPDADLE9YDP-δ-DADLE-chim(NtGi1L-Gs-CtGi1)/β1/γ2
25.00Single9YDRDADLE9YDR-δ-DADLE-MIPS3983-chim(NtGi1L-Gs-CtGi1)/β1/γ2
25.00Consensusbb2_onOrthosteric Ligand7W40-BB2-Bombesin-chim(NtGi1L-Gq)/β1/γ2 7W3Z-BB2-Gastrin Releasing Peptide-chim(NtGi1L-Gq)/β1/γ2
25.00Consensusbb2_on_gpOrthosteric Ligand7W40-BB2-Bombesin-chim(NtGi1L-Gq)/β1/γ2 7W3Z-BB2-Gastrin Releasing Peptide-chim(NtGi1L-Gq)/β1/γ2
25.00Consensusbombesin_onOrthosteric Ligandbb2_on
25.00Consensusbombesin_on_gpOrthosteric Ligandbb2_on_gp
25.00Consensusclass-a_onOrthosteric Ligandsensory_on alicarboxylic_on amine_on lipid_on nucleotide_on peptide_on protein_on
25.00Consensusghrelin_offOrthosteric Ligand6KO5-Ghrelin-PubChem 57400002 7F83-Ghrelin-PF-05190457
25.00Consensusgi_class-aOrthosteric Ligandgi_peptide gi_sensory gi_alicarboxylic gi_amine gi_lipid gi_nucleotide gi_protein
25.00Consensusgq_bombesinOrthosteric Ligand7W40-BB2-Bombesin-chim(NtGi1L-Gq)/β1/γ2 7W3Z-BB2-Gastrin Releasing Peptide-chim(NtGi1L-Gq)/β1/γ2
25.00Consensusnk2_onOrthosteric Ligand7XWO-NK2-Neurokinin-A-chim(NtGi1-Gs-CtGq)/β1/γ2
24.00Single8XGOTAK4488XGO-Kiss1-TAK448-chim(NtGi1-Gq)/β1/γ2
24.00Single8ZPSPrRP208ZPS-PrRP-PrRP20-chim(NtGi1-Gs-CtGi1)/β1/γ2
24.00Consensusopioid_onOrthosteric Ligandmop_on nop_on dop_on kop_on
23.81Single5WF6UK-4320975WF6-A2A-UK-432097
23.81Single6XBJCholesterol6XBJ-SMO-Cholesterol-Gi1/β1/γ2
23.81Single7T11Octreotide7T11-SST2-Octreotide-Gi3/β1/γ2
23.81Single7XN9L-0545227XN9-SST2-L-054522
23.81Single7XY6BAY 60-65837XY6-A2B-BAY 60-6583-chim(NtGi1-Gs)/β1/γ2
23.81Single7YAEOctreotide7YAE-SST2-Octreotide-Gi1/β1/γ2
23.81Single8IA7Cholecystokinin-88IA7-CCKB-Cholecystokinin-8-chim(NtGi1L-Gq)/β1/γ2
23.81Single8Y72Peptide8Y72-μ-Peptide-BMS-986122-Gi1/β1/γ2
23.81Single9M0RNeuropeptide-VF9M0R-NPFF1-Neuropeptide-VF-Gi1/β1/γ2
23.81Consensusformylpeptide_onOrthosteric Ligandfpr2-alx_on fpr1-alx_on
23.81Consensussst2_onOrthosteric Ligand7WIC-SST2-Somatostatin-14-Gi1/β1/γ2 7WIG-SST2-L-054264-Gi1/β1/γ2 7YAE-SST2-Octreotide-Gi1/β1/γ2 7YAC-SST2-Paltusotine-Gi1/β1/γ2
23.81Consensussst2_on_gpOrthosteric Ligand7WIC-SST2-Somatostatin-14-Gi1/β1/γ2 7WIG-SST2-L-054264-Gi1/β1/γ2 7YAE-SST2-Octreotide-Gi1/β1/γ2 7YAC-SST2-Paltusotine-Gi1/β1/γ2
23.53Single2Y01Dobutamine2Y01-β1-Dobutamine
23.53Single5TGZAM65385TGZ-CB1-AM6538
23.53Single6FFHFenobam6FFH-mGlu5-Fenobam
23.53Single6XBM25(S)-Epoxycholesterol6XBM-SMO-25(S)-Epoxycholesterol-Gi1/β1/γ2
23.53Single7PP1Selatogrel7PP1-P2Y12-Selatogrel
23.53Single7VGZRamelteon7VGZ-MT1-Ramelteon-Gi1/β1/γ2
23.53Single7WC8Lumateperone7WC8-5-HT2A-Lumateperone
23.53Single7YACPaltusotine7YAC-SST2-Paltusotine-Gi1/β1/γ2
23.53Single8CU6LJ-45178CU6-A2A-LJ-4517
23.53Single8KEXDCA-3P8KEX-MRGPRX4-DCA-3P
23.53Single8YH5Riboprine8YH5-A3A-Riboprine-Gi1/β1/γ2
23.53Single9BQJRO769BQJ-μ-RO76-Gi1/β1/γ2
23.53Single9EPP11,20-Ethanoretinal9EPP-Rhodopsin-11,20-Ethanoretinal-chim(Gi1-CtGq)/β1/γ2
23.53Single9JGKBalovaptan9JGK-5-HT2B-Balovaptan
23.53Single9KUXCMPD6449KUX-Apelin; Apelin-CMPD644-Arrestin2
23.53Consensusalicarboxylic_on_gpOrthosteric Ligandsuccinate_on_gp hca_on_gp
23.53Consensusgi_alicarboxylicOrthosteric Ligandgi_hca gi_succinate
23.08Single7MTBAll-trans-Retinal7MTB-Rhodopsin-All-trans-Retinal-GRK1
23.08Single8XOFLys058XOF-GPR30-Lys05-chim(NtGi1-Gs-CtGq)/β1/γ2
23.08Single8Z8ALactate8Z8A-HCA1-Lactate-Gi1/β1/γ2
23.08Single9EE9Adenosine9EE9-A2A-Adenosine-Gs/β1/γ2
23.08Single9M42A1L8O9M42-GPR139-A1L8O-chim(Gs-CtGq)/β1/γ2
23.08Consensusopioid_on_gpOrthosteric Ligandmop_on_gp nop_on_gp dop_on_gp kop_on_gp
22.73Single7T6UCGEN-855A7T6U-FPR2-ALX-CGEN-855A-Gi1/β1/γ2
22.73Single7TD4Siponimod7TD4-S1P1-Siponimod-Gi1/β1/γ2
22.73Single8IEBPubChem 1347468948IEB-GPR156; GPR156-PubChem 134746894
22.73Single8J6RMK68928J6R-HCA2-MK6892-Gi1/β1/γ2
22.73Single8WZ2Orexigenic Neuropeptide QRFP8WZ2-QRFP-Orexigenic Neuropeptide QRFP-chim(NtGi1L-Gs-CtGq)/β1/γ2
22.73Single8ZBJSomatostatin-148ZBJ-SST5-Somatostatin-14-Gi1/β1/γ2
22.73Single8ZCJPasireotide8ZCJ-SST5-Pasireotide-Gi1/β1/γ1
22.73Consensuslpl_onOrthosteric Ligands1p_on lpa_on
22.73Consensuslpl_on_gpOrthosteric Ligands1p_on_gp lpa_on_gp
22.22Single2Y00Dobutamine2Y00-β1-Dobutamine
22.22Single4NTJAZD12834NTJ-P2Y12-AZD1283
22.22Single4PHUFasiglifam4PHU-FFA1-Fasiglifam
22.22Single5N2RPSB365N2R-A2A-PSB36-Na
22.22Single5N2SPSB365N2S-A1-PSB36
22.22Single5NM2ZM-2413855NM2-A2A-ZM-241385-Na
22.22Single5ZBQUR-MK-2995ZBQ-Y1-UR-MK-299
22.22Single7BB7AVP7BB7-V2-AVP-Gs/β1/γ2
22.22Single7C4SS1P7C4S-S1P3-S1P
22.22Single7CFNINT-7777CFN-GPBA-INT-777-Gs/β1/γ2
22.22Single7E9GJNJ-404118137E9G-mGlu2; mGlu2-Eglumetad-JNJ-40411813-Gi1/β1/γ2
22.22Single7EO2FTY720-P7EO2-S1P1-FTY720-P-Gi1/β1/γ2
22.22Single7M3GCa; Ca; Tryptophan; Evocalcet; Etelcalcetide; PO47M3G-CaS; CaS-Ca; Ca; Tryptophan; Evocalcet; Etelcalcetide; PO4
22.22Single7TD3S1P7TD3-S1P1-S1P-Gi1/β1/γ2
22.22Single7VFXfMIFL7VFX-FPR1-ALX-fMIFL-Gi1/β1/γ2
22.22Single7W41PD1762527W41-BB2-PD176252
22.22Single8EJCTAK-8758EJC-FFA1-TAK-875-chim(NtGi1L-Gs-CtGq)/β1/γ2
22.22Single8FEG(DNCP)-Beta-Naloxamine8FEG-κ-(DNCP)-β-Naloxamine-Gi1/β1/γ2
22.22Single8GDCPGE28GDC-EP3-PGE2-Gi1/β1/γ2
22.22Single8HNLPS3724248HNL-CXCR3-PS372424-Gi1/β1/γ2
22.22Single8ID4Linoleic acid8ID4-FFA4-Linoleic acid-Gi1/β1/γ2
22.22Single8J6JGSK2560738J6J-HCA2-GSK256073-Gi1/β1/γ2
22.22Single8K8JFenofibrate8K8J-CB1-Fenofibrate-chim(Gs-CtGq)/β1/γ2
22.22Single8KFXLMD-0098KFX-CCR8-LMD-009-Gi1/β1/γ2
22.22Single8QOTNanobody-E8QOT-μ-Nanobody-E
22.22Single8TF5Oleic acid8TF5-GPR6-Oleic acid
22.22Single8X0BVU04244658X0B-mGlu5; mGlu5-Quisqualate-VU0424465
22.22Single8X0CVU04244658X0C-mGlu5; mGlu5-Quisqualate-VU0424465
22.22Single8XYKVUF106618XYK-CXCR3-VUF10661-Go/β1/γ2
22.22Single8YNSSNAP-948478YNS-MCH1-SNAP-94847
22.22Single8ZH8QRFP268ZH8-QRFP-QRFP26-Gq/β1/γ1
22.22Single9EHSLUF76029EHS-A3A-LUF7602
22.22Single9HC04YI9HC0-mGlu5-4YI
22.22Single9K26PrRP319K26-PrRP-PrRP31-Gi1/β1/γ2
22.22Consensusa1_offOrthosteric Ligand5UEN-A1-DU172 5N2S-A1-PSB36
22.22Consensusadenosine_offOrthosteric Liganda1_off a2_off
22.22Consensusbb2_offOrthosteric Ligand7W41-BB2-PD176252
22.22Consensusbombesin_offOrthosteric Ligandbb2_off
22.22Consensuscyslt_offOrthosteric Ligandcyslt2_off cyslt1_off
22.22Consensusfpr1-alx_onOrthosteric Ligand7VFX-FPR1-ALX-fMIFL-Gi1/β1/γ2
22.22Consensusfpr1-alx_on_gpOrthosteric Ligand7VFX-FPR1-ALX-fMIFL-Gi1/β1/γ2
22.22Consensusgq_peptideOrthosteric Ligandgq_cck gq_kisspeptin gq_bradykinin gq_bombesin gq_angiotensin
22.22Consensuss1p_offOrthosteric Ligands1p1_off s1p5_off
21.74Single7DDZJNJ-310200287DDZ-Y2-JNJ-31020028
21.74Single9KT7MK68929KT7-HCA2-MK6892-Gi1/β1/γ2
21.74Single9ME1CXCL129ME1-CXCR4-CXCL12
21.74Single9UMXEP549UMX-C5a1-EP54-Go/β1/γ2
21.74Consensusformylpeptide_on_gpOrthosteric Ligandfpr2-alx_on_gp fpr1-alx_on_gp
21.74Consensusnpy2_offOrthosteric Ligand7DDZ-Y2-JNJ-31020028
21.43Single2ZIY11-cis-Retinal2ZIY-Rhodopsin-11-cis-Retinal
21.43Single3UZAGTPL92363UZA-A2A-GTPL9236
21.43Single5WKTOctyl-Beta-D-Glucopyranoside5WKT-Rhodopsin-Octyl-β-D-Glucopyranoside-Gt(CT)
21.43Single6FK9PubChem 1324730366FK9-Rhodopsin-PubChem 132473036
21.43Single6IGLIRL16206IGL-ETB-IRL1620
21.43Single7DD7Ca; Ca; Tryptophan; Evocalcet7DD7-CaS; CaS-Ca-Ca; Ca; Tryptophan; Evocalcet
21.43Single7MT9All-trans-Retinal7MT9-Rhodopsin-All-trans-Retinal-GRK1
21.43Single7MTAAll-trans-Retinal7MTA-Rhodopsin-All-trans-Retinal-GRK1
21.43Single8EITDoconexent8EIT-FFA1-Doconexent-chim(NtGi1L-Gs-CtGq)/β1/γ2
21.43Single8GGEConstrained Epinephrine8GGE-β2-Constrained Epinephrine-GTP-Gs/β1/γ2
21.43Single8J21Butyric acid8J21-FFA3-Butyric acid-Gi1/β1/γ2
21.43Single8J24Acetic acid8J24-FFA2-Acetic acid-Gi1/β1/γ2
21.43Single8J6QBeta-Hydroxybutyrate8J6Q-HCA2-β-Hydroxybutyrate-PubChem 25101223-Gi1/β1/γ2
21.43Single8SZFCa; Ca; Tryptophan; Cinacalcet; PO4; Spermine8SZF-CaS; CaS-Ca; Ca; Tryptophan; Cinacalcet; PO4; Spermine
21.43Single8Y63C20:0 Ceramide8Y63-FPR2-ALX-C20:0 Ceramide-Gi1/β1/γ2
21.43Single9JKT(2R)-2-hydroxy-3-phenylpropanoic acid9JKT-HCA3-(2R)-2-hydroxy-3-phenylpropanoic acid-Gi1/β1/γ2
21.43Consensusffa3_onOrthosteric Ligand8J21-FFA3-Butyric acid-Gi1/β1/γ2
21.43Consensusffa3_on_gpOrthosteric Ligand8J21-FFA3-Butyric acid-Gi1/β1/γ2
21.05Single4IAQDihydroergotamine4IAQ-5-HT1B-Dihydroergotamine
21.05Single4OO9Mavoglurant4OO9-mGlu5-Mavoglurant
21.05Single5TZRMK86665TZR-FFA1-MK8666
21.05Single6DDEDAMGO6DDE-μ-DAMGO-Gi1/β1/γ2
21.05Single6O3CCholesterol6O3C-SMO-SAG21k-Cholesterol
21.05Single7B6WCyclazosin7B6W-α1b-Cyclazosin
21.05Single7P2L4YI7P2L-mGlu5-4YI
21.05Single7TUYGSK682753A7TUY-GPR183-GSK682753A
21.05Single7WV9CP559407WV9-CB1-CP55940-ZCZ011-Gi2/β1/γ2
21.05Single7XTQR3997XTQ-GPBA-R399-Gs/β1/γ2
21.05Single7Y24Octreotide7Y24-SST2-Octreotide-Go/β1/γ2
21.05Single8HDOBAY 60-65838HDO-A2B-BAY 60-6583-Gs/β1/γ2
21.05Single8HPTC5a (C-terminal peptide)8HPT-C5a1-C5a (C-terminal peptide)-Go/β1/γ2
21.05Single8I2GPubChem 675302408I2G-FSH-FSH-PubChem 67530240-Gs/β1/γ2
21.05Single8JD5JNJ-40411813; ADX881788JD5-mGlu2; mGlu4-Glutamate-JNJ-40411813; ADX88178-Gi1/β1/γ2
21.05Single8TAOCDPPB8TAO-mGlu5; mGlu5-Quisqualate-CDPPB
21.05Single8WU1MDMB-Fubinaca8WU1-CB1-MDMB-Fubinaca-Arrestin2
21.05Single8X0BVU04244658X0B-mGlu5; mGlu5-Quisqualate-VU0424465
21.05Single8XIPPasireotide8XIP-SST1-Pasireotide-chim(NtGi1-Gs-CtGi1)/β1/γ2
21.05Single8ZWFJR14a8ZWF-C3aB-JR14a
21.05Single9B65MDMB-Fubinaca9B65-CB1-MDMB-Fubinaca-Gi1/β1/γ2
21.05Single9JMCDS-3801b9JMC-Motilin-DS-3801b-chim(Gs-CtGq)/β1/γ2
21.05Single9KUXCMPD6449KUX-Apelin; Apelin-CMPD644-Arrestin2
21.05Single9RHGC4079RHG-FZD7-C407
21.05Single9WSTDAMGO9WST-μ-DAMGO-chim(NtGi1-Gz)/β1/γ2
21.05Consensuscyslt1_offOrthosteric Ligand6RZ5-CysLT1-Zafirlukast-Na 6RZ4-CysLT1-Pranlukast-Na
20.83Single6LW5WKYMVm6LW5-FPR2-ALX-WKYMVm
20.83Single7TD0LPA7TD0-LPA1-LPA-Gi1/β1/γ2
20.83Single7TD2LPA7TD2-LPA1-LPA-Gi1/β1/γ2
20.83Single7XOUCholecystokinin-87XOU-CCKA-Cholecystokinin-8-Gs/β1/γ2
20.83Single8XGUTAK4488XGU-Kiss1-TAK448-Gi1/β1/γ2
20.83Single9M1ONeuropeptide-FF9M1O-NPFF2-Neuropeptide-FF-Gi1/β1/γ2
20.83Single9U4WGonadoliberin-19U4W-GnRH1-Gonadoliberin-1-chim(NtGi1L-Gs-CtGq)/β1/γ2
20.83Consensusangiotensin_onOrthosteric Ligandat1_on
20.83Consensusat1_onOrthosteric Ligand7F6G-AT1-(Sar1)-Angiotensin II-Gq/β1/γ2
20.83Consensusfpr2-alx_onOrthosteric Ligand7WVX-FPR2-ALX-Humanin-Gi2/β1/γ2 7T6U-FPR2-ALX-CGEN-855A-Gi1/β1/γ2 7T6V-FPR2-ALX-fMLFII-Gi1/β1/γ2 7WVY-FPR2-ALX-Amyloid-β42-Gi2/β1/γ2 7T6S-FPR2-ALX-TC-FPR 43-Gi1/β1/γ2 6OMM-FPR2-ALX-WKYMVX-Gi1/β1/γ2
20.83Consensusgi_somatostatinOrthosteric Ligand7WIC-SST2-Somatostatin-14-Gi1/β1/γ2 7XMS-SST4-Somatostatin-14-Gi1/β1/γ2 8X8L-SST5-Cortistatin-14-chim(NtGi1-Gs-CtGi1)/β1/γ2 7XMT-SST4-J-2156-Gi1/β1/γ2 7WIG-SST2-L-054264-Gi1/β1/γ2 8X8N-SST5-Octreotide-chim(NtGi1-Gs-CtGi1)/β1/γ2 7YAE-SST2-Octreotide-Gi1/β1/γ2 7YAC-SST2-Paltusotine-Gi1/β1/γ2
20.83Consensusgs_class-aOrthosteric Ligandgs_peptide gs_nucleotide gs_amine
20.83Consensuspeptide_offonOrthosteric Ligandpeptide_off peptide_on
20.83Consensussomatostatin_onOrthosteric Ligandsst2_on sst4_on sst5_on
20.83Consensussomatostatin_on_gpOrthosteric Ligandsst2_on_gp sst4_on_gp sst5_on_gp
20.00Single4N4WSANT-14N4W-SMO-SANT-1
20.00Single4OR2FITM4OR2-mGlu1; mGlu1-FITM
20.00Single5TZYMK8666; AP85TZY-FFA1-MK8666; AP8
20.00Single6FK6PubChem 1324730336FK6-Rhodopsin-PubChem 132473033
20.00Single6PGSGeraniol6PGS-Rhodopsin-Geraniol-Gt(CT)
20.00Single6TP4ACT-4622066TP4-OX1-ACT-462206
20.00Single6TQ4PubChem 160468446TQ4-OX1-PubChem 16046844-Na
20.00Single6WIVPubChem 52923113; PubChem 529246456WIV-GABAB1, GABAB2-PubChem 52923113; PubChem 52924645
20.00Single7D76Beclomethasone7D76-ADGRG3-Beclomethasone-Go/β1/γ2
20.00Single7DW9AVP7DW9-V2-AVP-chim(NtGi1-Gs)/β1/γ2
20.00Single7F4HAfamelanotide7F4H-MC1-Afamelanotide-chim(NtGi1-Gs)/β1/γ2
20.00Single7F6G(Sar1)-Angiotensin II7F6G-AT1-(Sar1)-Angiotensin II-Gq/β1/γ2
20.00Single7K15MKD0467K15-BLT1-MKD046-Na
20.00Single7L1UOrexin7L1U-OX2-Orexin-chim(NtGi1-Gs-CtGq)/β1/γ2
20.00Single7VUIJNJ-635330547VUI-GPR139-JNJ-63533054-GTP-chim(Gs-CtGq)/β1/γ2
20.00Single7WUIIP157WUI-ADGRG2-IP15-chim(NtGi1-Gs)/β1/γ2
20.00Single7XZ5Lysophosphatidylcholine7XZ5-GPR119-Lysophosphatidylcholine-Gs/β1/γ2
20.00Single7Y66BM2137Y66-C5a1-BM213-Gi1/β1/γ2
20.00Single8H2GNiacin8H2G-HCA2-Niacin-Gi1/β1/γ2
20.00Single8H4KGW95088H4K-FFA4-GW9508-chim(NtGi1-Gs-CtGq)/β1/γ2
20.00Single8I9AEP548I9A-C3aB-EP54-chim(NtGi1-Gs-CtGq)/β1/γ2
20.00Single8IA8E7 peptide8IA8-C3aB-E7 peptide-Gi1/β1/γ2
20.00Single8IEDPubChem 1347468948IED-GPR156; GPR156-PubChem 134746894-Go/β1/γ2
20.00Single8IHIAcifran8IHI-HCA2-Acifran-Gi1/β1/γ2
20.00Single8IQ6Latanoprost8IQ6-FP-alpha-Latanoprost-chim(NtGi1-Gs-CtGq)/β1/γ2
20.00Single8JILNiacin8JIL-HCA2-Niacin-Gi1/β1/γ2
20.00Single8JJPChemerin-98JJP-CML2-Chemerin-9-Gi1/β1/γ2
20.00Single8K5BNiacin8K5B-HCA2-Niacin
20.00Single8SZFCa; Ca; Tryptophan; Cinacalcet; PO4; Spermine8SZF-CaS; CaS-Ca; Ca; Tryptophan; Cinacalcet; PO4; Spermine
20.00Single8WPUTryptophan; Cinacalcet; PO4; Ca8WPU-CaS; CaS-Tryptophan; Cinacalcet; PO4; Ca-chim(NtGi2L-Gs-CtGq)/β1/γ2
20.00Single8X2KOleic monoethanolamide8X2K-GPR3-Oleic monoethanolamide-chim(NtGi1-Gs)/β1/γ2
20.00Single8XJNCloprosetnol8XJN-TXA2-Cloprosetnol-chim(NtGi1-Gs-CtGq)/β1/γ2
20.00Single8XYIVUF106618XYI-CXCR3-VUF10661
20.00Single8YKWSuccinic acid8YKW-Succinate-Succinic acid-Gi1/β1/γ1
20.00Single8ZBISomatostatin-148ZBI-SST3-Somatostatin-14-Gi1/β1/γ2
20.00Single9BKKCholecystokinin-89BKK-CCKA-Cholecystokinin-8-chim(NtGi1-Gs-CtGq)/β1/γ2
20.00Single9C1PCa; Tryptophan; '6218; PO49C1P-CaS; CaS-Ca-Ca; Tryptophan; '6218; PO4
20.00Single9EPRAll-trans-Retinal9EPR-Rhodopsin-All-trans-Retinal-Gi1/β1/γ2
20.00Single9GGGI-BOP9GGG-TXA2-I-BOP-chim(NtGi2L-Gs-CtGq)/β1/γ2
20.00Single9IQTNiacin9IQT-HCA2-Niacin-Gi1/β1/γ2
20.00Single9IZDCHBA9IZD-HCA1-CHBA-Gi1/β1/γ2
20.00Single9KUWCMPD6449KUW-Apelin; Apelin-CMPD644-Arrestin2 ; Arrestin2
20.00Single9L3ZLRH7-C29L3Z-CML1-LRH7-C2
20.00Single9M4QDoxazosin9M4Q-Alpha1A-Doxazosin
20.00Single9M88Oleic monoethanolamide9M88-GPR3 ; GPR3-Oleic monoethanolamide-AF64394
20.00Single9WXMGPR15L(CT)9WXM-GPR15-GPR15L(CT)-Gi3/β1/γ2
20.00Consensusangiotensin_on_gpOrthosteric Ligandat1_on_gp
20.00Consensusat1_on_gpOrthosteric Ligand7F6G-AT1-(Sar1)-Angiotensin II-Gq/β1/γ2
20.00Consensuscb1_onOrthosteric Ligand6KPG-CB1-AM841-Gi1/β1/γ2 8K8J-CB1-Fenofibrate-chim(Gs-CtGq)/β1/γ2
20.00Consensusccr8_onOrthosteric Ligand8KFX-CCR8-LMD-009-Gi1/β1/γ2 8KFY-CCR8-ZK-756326-Gi1/β1/γ2 8U1U-CCR8-CCL1-Gi1/β1/γ2
20.00Consensuscxcr3_on_gpOrthosteric Ligand8HNK-CXCR3-CXCL11-Gi1/β1/γ2 8HNL-CXCR3-PS372424-Gi1/β1/γ2
20.00Consensusfpr2-alx_on_gpOrthosteric Ligand7WVX-FPR2-ALX-Humanin-Gi2/β1/γ2 7T6U-FPR2-ALX-CGEN-855A-Gi1/β1/γ2 7T6V-FPR2-ALX-fMLFII-Gi1/β1/γ2 7WVY-FPR2-ALX-Amyloid-β42-Gi2/β1/γ2 7T6S-FPR2-ALX-TC-FPR 43-Gi1/β1/γ2 6OMM-FPR2-ALX-WKYMVX-Gi1/β1/γ2
20.00Consensusgi_formylpeptideOrthosteric Ligand7WVY-FPR2-ALX-Amyloid-β42-Gi2/β1/γ2 7T6U-FPR2-ALX-CGEN-855A-Gi1/β1/γ2 7VFX-FPR1-ALX-fMIFL-Gi1/β1/γ2 7T6V-FPR2-ALX-fMLFII-Gi1/β1/γ2 7WVX-FPR2-ALX-Humanin-Gi2/β1/γ2 7T6S-FPR2-ALX-TC-FPR 43-Gi1/β1/γ2 6OMM-FPR2-ALX-WKYMVX-Gi1/β1/γ2
20.00Consensusgi_lipidOrthosteric Ligandgi_cannabinoid gi_ffa gi_leukotriene gi_lpa gi_s1p
20.00Consensusgq_angiotensinOrthosteric Ligand7F6G-AT1-(Sar1)-Angiotensin II-Gq/β1/γ2
20.00Consensusgs_vasop-oxyOrthosteric Ligand7DW9-V2-AVP-chim(NtGi1-Gs)/β1/γ2
20.00Consensuspeptide_offon_gpOrthosteric Ligandpeptide_on_gp peptide_off
20.00Consensusv2_onOrthosteric Ligand7DW9-V2-AVP-chim(NtGi1-Gs)/β1/γ2
20.00Consensusv2_on_gpOrthosteric Ligand7DW9-V2-AVP-chim(NtGi1-Gs)/β1/γ2
20.00Consensusvasop-oxy_onOrthosteric Ligandv2_on
20.00Consensusvasop-oxy_on_gpOrthosteric Ligandv2_on_gp
19.23Single7XV3Lysophosphatidylserine (WJS)7XV3-GPR174-Lysophosphatidylserine (WJS)-chim(NtGi1-Gs)/β1/γ2
19.23Single8WWKMCH8WWK-MCH1-MCH-Gi1/β1/γ2
19.23Single8ZRTEndothelin-18ZRT-ETB-Endothelin-1
19.23Consensuscml1_on_gpOrthosteric Ligand7YKD-CML1-Chemerin-9-Gi1/β1/γ2
19.23Consensusmc1_onOrthosteric Ligand7F4H-MC1-Afamelanotide-chim(NtGi1-Gs)/β1/γ2 7F4D-MC1-α-MSH-chim(NtGi1-Gs)/β1/γ2 7F4I-MC1-SHU9119-chim(NtGi1-Gs)/β1/γ2
19.23Consensusmc1_on_gpOrthosteric Ligand7F4H-MC1-Afamelanotide-chim(NtGi1-Gs)/β1/γ2 7F4D-MC1-α-MSH-chim(NtGi1-Gs)/β1/γ2 7F4I-MC1-SHU9119-chim(NtGi1-Gs)/β1/γ2
19.23Consensussst5_on_gpOrthosteric Ligand8X8L-SST5-Cortistatin-14-chim(NtGi1-Gs-CtGi1)/β1/γ2 8X8N-SST5-Octreotide-chim(NtGi1-Gs-CtGi1)/β1/γ2
19.05Single4OR2FITM4OR2-mGlu1; mGlu1-FITM
19.05Single6RZ9ONO-27703726RZ9-CysLT2-ONO-2770372
19.05Single7MBYCholecystokinin-87MBY-CCKA-Cholecystokinin-8-chim(NtGi1L-Gs-CtGq)/β1/γ2
19.05Single8GUTLEI-1028GUT-CB2-LEI-102-Gi1/β1/γ2
19.05Single8I95EP548I95-C3aB-EP54-Go/β1/γ2
19.05Single8ID8TUG-8918ID8-FFA4-TUG-891-Gi1/β1/γ2
19.05Single8XJOU466198XJO-TXA2-U46619-chim(NtGi1-Gs-CtGq)/β1/γ2
19.05Single8ZWGJR14a8ZWG-C3aB-JR14a-Gi1/β1/γ2
19.05Single9GG5U466199GG5-TXA2-U46619-chim(NtGi2L-Gs-CtGq)/β1/γ2
19.05Single9IZFLPA9IZF-LPA1-LPA-Gi1/β1/γ2
19.05Consensuscb1_on_gpOrthosteric Ligand6KPG-CB1-AM841-Gi1/β1/γ2 8K8J-CB1-Fenofibrate-chim(Gs-CtGq)/β1/γ2
19.05Consensuschemerin_onOrthosteric Ligandcml1_on
19.05Consensuscyslt2_offOrthosteric Ligand6RZ7-CysLT2-ONO-2570366 6RZ8-CysLT2-ONO-2080365 6RZ9-CysLT2-ONO-2770372
19.05Consensusfp-alpha_onOrthosteric Ligand8IUK-FP-alpha-PGF2-α-chim(NtGi1-Gs-CtGq)/β1/γ2 8IUL-FP-alpha-Latanoprost-chim(NtGi1-Gs-CtGq)/β1/γ2 8IUM-FP-alpha-Tafluprost acid-chim(NtGi1-Gs-CtGq)/β1/γ2
19.05Consensusfp-alpha_on_gpOrthosteric Ligand8IUK-FP-alpha-PGF2-α-chim(NtGi1-Gs-CtGq)/β1/γ2 8IUL-FP-alpha-Latanoprost-chim(NtGi1-Gs-CtGq)/β1/γ2 8IUM-FP-alpha-Tafluprost acid-chim(NtGi1-Gs-CtGq)/β1/γ2
19.05Consensusprostanoid_offOrthosteric Ligandep_off dp_off
19.05Consensusprostanoid_onOrthosteric Ligandtp_on fp-alpha_on
19.05Consensusprostanoid_on_gpOrthosteric Ligandtp_on_gp fp-alpha_on_gp
19.05Consensustp_onOrthosteric Ligand8XJO-TXA2-U46619-chim(NtGi1-Gs-CtGq)/β1/γ2
19.05Consensustp_on_gpOrthosteric Ligand8XJO-TXA2-U46619-chim(NtGi1-Gs-CtGq)/β1/γ2
18.75Single3VG9ZM-2413853VG9-A2A-ZM-241385-Antibody
18.75Single3VGAZM-2413853VGA-A2A-ZM-241385-Antibody
18.75Single6FKBPubChem 1324730386FKB-Rhodopsin-PubChem 132473038
18.75Single6ME9Ramelteon6ME9-MT2-Ramelteon
18.75Single7BR3Elagolix7BR3-GnRH1-Elagolix
18.75Single7F8ULintitript7F8U-CCKA-Lintitript
18.75Single7M3FCa; Ca; Tryptophan; Cinacalcet7M3F-CaS; CaS-Ca; Ca; Tryptophan; Cinacalcet
18.75Single7SILCa; Ca; Ca; Cyclomethyltryptophan; R-568; PO47SIL-CaS; CaS-Ca-Ca; Ca; Ca; Cyclomethyltryptophan; R-568; PO4
18.75Single7SILCa; Ca; Ca; Cyclomethyltryptophan; R-568; PO47SIL-CaS; CaS-Ca-Ca; Ca; Ca; Cyclomethyltryptophan; R-568; PO4
18.75Single7TUZ7-alpha,25-dihydroxycholesterol7TUZ-GPR183-7-α,25-dihydroxycholesterol-Gi1/β1/γ2
18.75Single7XRRLemborexant7XRR-OX2-Lemborexant
18.75Single8DU3PubChem 1055260648DU3-A2A-PubChem 105526064
18.75Single8DWGML3828DWG-MRGPRX1-BAM8-22-ML382-chim(NtGi2L-Gs-CtGq)/β1/γ2
18.75Single8GNGIstradefylline8GNG-A2A-Istradefylline
18.75Single8IJANiacin8IJA-HCA2-Niacin-Gi1/β1/γ2
18.75Single8IJBAcipimox8IJB-HCA2-Acipimox-Gi1/β1/γ2
18.75Single8J6LNiacin8J6L-HCA2-Niacin-Gi1/β1/γ2
18.75Single8RW0Istradefylline8RW0-A2A-Istradefylline-Na
18.75Single8UTDMK19038UTD-HCA2-MK1903-Gi1/β1/γ2
18.75Single8WOGSuccinic acid8WOG-Succinate-Succinic acid-Gi1/β1/γ2
18.75Single8WPGTryptophan; Cinacalcet; PO4; Ca8WPG-CaS; CaS-Tryptophan; Cinacalcet; PO4; Ca
18.75Single8XXVIndomethacin8XXV-DP2-Indomethacin-A1D5Q-Gi1/β1/γ2
18.75Single8YKXMaleic acid8YKX-Succinate-Maleic acid-Gi1/β1/γ1
18.75Single8Z87CHBA8Z87-HCA1-CHBA-Gi1/β1/γ2
18.75Single9AVLCa; Ca; Cyclomethyltryptophan; R-568; PO49AVL-CaS; CaS-Ca-Ca; Ca; Cyclomethyltryptophan; R-568; PO4-Gi3/β2/γ2
18.75Single9H2XPubChem 1756706449H2X-A2A-PubChem 175670644-Na
18.75Single9JKXAcifran9JKX-HCA3-Acifran-Gi1/β1/γ2
18.75Single9LKDPL459LKD-OR5V1-PL45
18.75Consensusangiotensin_offOrthosteric Ligandat1_off
18.75Consensusgi_succinateOrthosteric Ligand8YKW-Succinate-Succinic acid-Gi1/β1/γ1 8YKX-Succinate-Maleic acid-Gi1/β1/γ1
18.75Consensusgnrh1_offOrthosteric Ligand7BR3-GnRH1-Elagolix
18.75Consensussuccinate_onOrthosteric Ligand8YKW-Succinate-Succinic acid-Gi1/β1/γ1 8YKX-Succinate-Maleic acid-Gi1/β1/γ1
18.75Consensussuccinate_on_gpOrthosteric Ligand8YKW-Succinate-Succinic acid-Gi1/β1/γ1 8YKX-Succinate-Maleic acid-Gi1/β1/γ1
18.52Single7YKDChemerin-97YKD-CML1-Chemerin-9-Gi1/β1/γ2
18.52Single8H0PNMB308H0P-BB1-NMB30-chim(NtGi1-Gs-CtGq)/β1/γ2
18.52Single8XVEBQ30208XVE-ETB-BQ3020-chim(Gs-CtGq)/β1/γ2
18.52Single9KFKRelaxin-39KFK-RXFP4-Relaxin-3-Gi2/β1/γ2
18.52Consensusgi_peptideOrthosteric Ligandgi_cck gi_apelin gi_compl-pept gi_endothelin gi_formylpeptide gi_galanin gi_ghrelin gi_npy gi_neurotensin gi_opioid gi_orexin gi_relaxin gi_somatostatin
18.18Single6OMMWKYMVX6OMM-FPR2-ALX-WKYMVX-Gi1/β1/γ2
18.18Single6RZ6ONO-25703666RZ6-CysLT2-ONO-2570366
18.18Single7F2OBradykinin7F2O-BK2-Bradykinin-chim(NtGi1-Gs-CtGq)/β1/γ2
18.18Single7F8WGastrin-177F8W-CCKB-Gastrin-17-chim(NtGsL-Gq)/β1/γ2
18.18Single7YJ4INSL57YJ4-RXFP4-INSL5-Gi2/β1/γ2
18.18Single8F7REndomorphin8F7R-μ-Endomorphin-Gi1/β1/γ2
18.18Single8IUMTafluprost acid8IUM-FP-alpha-Tafluprost acid-chim(NtGi1-Gs-CtGq)/β1/γ2
18.18Single8QJ2pN1628QJ2-MC4-pN162-Gs/β1/γ2
18.18Single8X3LXWD8X3L-CB2-XWD-Gi1/β1/γ2
18.18Single9IPVJR14a9IPV-C3aB-JR14a-Gi1/β1/γ2
18.18Single9JF4PD1683689JF4-BB1-PD168368
18.18Single9JH6C20:0 Ceramide9JH6-CysLT2-C20:0 Ceramide-chim(NtGi1-Gs-CtGq)/β1/γ2
18.18Single9KZ2EP679KZ2-C3aB-EP67-Go/β1/γ2
18.18Single9KZ8EP679KZ8-C3aB-EP67-Go/β1/γ2
18.18Single9UMJEP549UMJ-C3aB-EP54-Go/β1/γ2
18.18Single9V2NMacimorelin9V2N-Ghrelin-Macimorelin-chim(NtGi1-Gs-CtGq)/β1/γ2
18.18Consensuscxcr3_onOrthosteric Ligand8HNK-CXCR3-CXCL11-Gi1/β1/γ2 8HNL-CXCR3-PS372424-Gi1/β1/γ2
18.18Consensuskiss1_onOrthosteric Ligand8ZJD-Kiss1-Kisspeptin-1-chim(NtGi1-Gq)/β1/γ1
18.18Consensuskisspeptin_onOrthosteric Ligandkiss1_on
17.86Single7EIBKallidin-des-Arg107EIB-BK1-Kallidin-des-Arg10-chim(NtGi1-Gs-CtGq)/β1/γ2
17.86Single7F4FAfamelanotide7F4F-MC1-Afamelanotide-chim(NtGi1-Gs)/β1/γ2
17.86Single7QBCAlpha-factor mating pheromone7QBC-STE2; STE2-α-factor mating pheromone
17.86Single7XATSomatostatin-147XAT-SST2-Somatostatin-14-Gi1/β1/γ2
17.86Single8WWLMCH8WWL-MCH1-MCH-Gi1/β1/γ2
17.86Single9BUCCagrilintide9BUC-CT-Cagrilintide-Gs/β1/γ2
17.86Consensuspeptide_onOrthosteric Ligandcck_on angiotensin_on apelin_on bombesin_on bradykinin_on compl-peptide_on endothelin_on formylpeptide_on galanin_on ghrelin_on kisspeptin_on melanocortin_on motilin_on neuromedin-u_on npy_on neurotensin_on opioid_on orexin_on relaxin_on somatostatin_on tachykinin_on trh_on vasop-oxy_on
17.86Consensuspeptide_on_gpOrthosteric Ligandcck_on_gp angiotensin_on_gp apelin_on_gp bombesin_on_gp bradykinin_on_gp compl-peptide_on_gp endothelin_on_gp formylpeptide_on_gp galanin_on_gp ghrelin_on_gp kisspeptin_on_gp melanocortin_on_gp motilin_on_gp neuromedin-u_on_gp npy_on_gp neurotensin_on_gp opioid_on_gp orexin_on_gp relaxin_on_gp somatostatin_on_gp tachykinin_on_gp trh_on_gp vasop-oxy_on_gp
17.65Single3V2YPubChem 518926453V2Y-S1P1-PubChem 51892645
17.65Single4ZUDOlmesartan4ZUD-AT1-Olmesartan
17.65Single5IU7Q274563465IU7-A2A-Q27456346-Na
17.65Single5JTBZM-2413855JTB-A2A-ZM-241385
17.65Single5K2BZM-2413855K2B-A2A-ZM-241385-Na
17.65Single5UVIZM-2413855UVI-A2A-ZM-241385
17.65Single6AQFZM-2413856AQF-A2A-ZM-241385
17.65Single6FK8PubChem 1324730356FK8-Rhodopsin-PubChem 132473035
17.65Single6MH8ZM-2413856MH8-A2A-ZM-241385
17.65Single6ZDRHMS1413f126ZDR-A2A-HMS1413f12-Na
17.65Single7AROLUF58337ARO-A2A-LUF5833-Na
17.65Single7BB6AVP7BB6-V2-AVP-Gs/β1/γ2
17.65Single7M3GCa; Ca; Tryptophan; Evocalcet; Etelcalcetide; PO47M3G-CaS; CaS-Ca; Ca; Tryptophan; Evocalcet; Etelcalcetide; PO4
17.65Single7T32ZM-2413857T32-A2A-ZM-241385
17.65Single8GURCP559408GUR-CB2-CP55940-Gi1/β1/γ2
17.65Single8IHKAcifran8IHK-HCA3-Acifran
17.65Single8IY9Niacin8IY9-HCA2-Niacin-Go/β1/γ2
17.65Single8JEIPubChem 117155568JEI-HCAR3-PubChem 11715556-Gi1/β1/γ2
17.65Single8JERAcipimox8JER-HCA2-Acipimox-Go/β1/γ2
17.65Single8JIMMonomethyl fumarate8JIM-HCA2-Monomethyl fumarate-Gi1/β1/γ2
17.65Single8K4SDCA-3P8K4S-MRGPRX4-DCA-3P-chim(NtGi1L-Gs-CtGq)/β1/γ2
17.65Single8K5CAcipimox8K5C-HCA2-Acipimox
17.65Single8K9LDAMGO8K9L-μ-DAMGO-BMS-986122-Gi3/β1/γ1
17.65Single8RQQZM-2413858RQQ-A2A-ZM-241385-Na
17.65Single8RWCStilSwitch28RWC-A2A-StilSwitch2-Na
17.65Single8RWDStilSwitch38RWD-A2A-StilSwitch3-Na
17.65Single8RWIStilSwitch28RWI-A2A-StilSwitch2-Na
17.65Single8WPUTryptophan; Cinacalcet; PO4; Ca8WPU-CaS; CaS-Tryptophan; Cinacalcet; PO4; Ca-chim(NtGi2L-Gs-CtGq)/β1/γ2
17.65Single9ASBCa; Ca; Cyclomethyltryptophan; R-568; PO49ASB-CaS; CaS-Ca-Ca; Ca; Cyclomethyltryptophan; R-568; PO4-chim(NtGi1-Gs-CtGq)/β1/γ2
17.65Single9AVGCa; Ca; Cyclomethyltryptophan; R-568; PO49AVG-CaS; CaS-Ca-Ca; Ca; Cyclomethyltryptophan; R-568; PO4-chim(NtGi1-Gs)/β1/γ2
17.65Single9IXXLTD49IXX-CysLT2-LTD4-chim(NtGi1-Gs-CtGq)/β1/γ2
17.65Single9JKYAcifran9JKY-HCA2-Acifran-Gi1/β1/γ2
17.65Single9KPDSalicin9KPD-TAS2R16-Salicin-chim(Gs-CtGt3)/β1/γ2
17.65Single9KUWCMPD6449KUW-Apelin; Apelin-CMPD644-Arrestin2 ; Arrestin2
17.65Single9LKBPL459LKB-OR5V1-PL45-chim(NtGi1-Gs)/β1
17.65Single9M2FNeuropeptide-FF9M2F-NPFF1-Neuropeptide-FF-Gi1/β1/γ2
17.65Single9P1TZM-2413859P1T-A2A-ZM-241385
17.65Single9W33S5A19W33-SST5-S5A1
17.65Consensusa2_offOrthosteric Liganda2a_off
17.65Consensusa2a_offOrthosteric Ligand3RFM-A2A-Caffeine 8C9W-A2A-Etrumadenant 3UZA-A2A-GTPL9236 8GNG-A2A-Istradefylline 8CU6-A2A-LJ-4517 7PX4-A2A-PSB-2113 7PYR-A2A-PSB-2115 8DU3-A2A-PubChem 105526064 8JWY-A2A-2-118 8PWN-A2A-Theophylline 5IU4-A2A-ZM-241385-Na 5OLZ-A2A-PubChem 135566609-Na 6GT3-A2A-Imaradenant-Na 5OLV-A2A-LUAA47070-Na 5N2R-A2A-PSB36-Na 5IU7-A2A-Q27456346-Na 5OLH-A2A-Vipadenant-Na 5OLO-A2A-Tozadenant-Na 6ZDR-A2A-HMS1413f12-Na 8GNE-A2A-KW-6356-Na 8JWZ-A2A-Etrumadenant-Na 5IU8-A2A-Q27456347-Na 5IUB-A2A-Q27456344-Na 6ZDV-A2A-PubChem 984073-Na 5IUA-A2A-Q27456348-Na 8A2P-A2A-LUAA47070-Na
17.65Consensusat1_offOrthosteric Ligand4YAY-AT1-ZD-7155 4ZUD-AT1-Olmesartan
17.65Consensusgrh_offOrthosteric Ligandgnrh1_off
17.65Consensushca_onOrthosteric Ligandhca2_on
17.39Single6RZ8ONO-20803656RZ8-CysLT2-ONO-2080365
17.39Single6WIVPubChem 52923113; PubChem 529246456WIV-GABAB1, GABAB2-PubChem 52923113; PubChem 52924645
17.39Single7F4ISHU91197F4I-MC1-SHU9119-chim(NtGi1-Gs)/β1/γ2
17.39Single7F8XNN90567F8X-CCKA-NN9056
17.39Single7NA7Ghrelin7NA7-Ghrelin-Ghrelin-Gi1/β1/γ2
17.39Single7QA8Antagonist Peptide7QA8-STE2; STE2-Antagonist Peptide
17.39Single7QA8Antagonist Peptide7QA8-STE2; STE2-Antagonist Peptide
17.39Single7WICSomatostatin-147WIC-SST2-Somatostatin-14-Gi1/β1/γ2
17.39Single7XAUOctreotide7XAU-SST2-Octreotide-Gi1/β1/γ2
17.39Single8F7XNociceptin8F7X-NOP-Nociceptin-Gi1/β1/γ2
17.39Single8G59TUG-8918G59-FFA4-TUG-891-chim(Gi1-CtGq)/β1/γ2
17.39Single8GHVAMG3158GHV-CB1-AMG315-Gi1/β1/γ2
17.39Single8IZBLysophosphatidylserine (UBL)8IZB-GPR174-Lysophosphatidylserine (UBL)-Gs/β1/γ2
17.39Single8K3ZCXCL128K3Z-CXCR4-CXCL12-Gi1/β1/γ1
17.39Single8WKYPG-9348WKY-MC4-PG-934
17.39Single8ZJDKisspeptin-18ZJD-Kiss1-Kisspeptin-1-chim(NtGi1-Gq)/β1/γ1
17.39Single9L3YChemerin9L3Y-CML2-Chemerin-Gi1/β1/γ2
17.39Single9UMRC5a-pep9UMR-C5a1-C5a-pep-Go/β1/γ2
17.39Single9UYJChemerin-99UYJ-CML2-Chemerin-9-Arrestin2
17.39Consensuschemerin_on_gpOrthosteric Ligandcml1_on_gp
17.39Consensuscml1_onOrthosteric Ligand7YKD-CML1-Chemerin-9-Gi1/β1/γ2
17.39Consensuscxcr4_onOrthosteric Ligand8K3Z-CXCR4-CXCL12-Gi1/β1/γ1
17.39Consensusgi_chemerinOrthosteric Ligand7YKD-CML1-Chemerin-9-Gi1/β1/γ2
17.39Consensusgq_kisspeptinOrthosteric Ligand8ZJD-Kiss1-Kisspeptin-1-chim(NtGi1-Gq)/β1/γ1
17.39Consensuskiss1_on_gpOrthosteric Ligand8ZJD-Kiss1-Kisspeptin-1-chim(NtGi1-Gq)/β1/γ1
17.39Consensuskisspeptin_on_gpOrthosteric Ligandkiss1_on_gp
17.39Consensusnop_onOrthosteric Ligand8F7X-NOP-Nociceptin-Gi1/β1/γ2
17.39Consensusnop_on_gpOrthosteric Ligand8F7X-NOP-Nociceptin-Gi1/β1/γ2
17.39Consensussst5_onOrthosteric Ligand8X8L-SST5-Cortistatin-14-chim(NtGi1-Gs-CtGi1)/β1/γ2 8X8N-SST5-Octreotide-chim(NtGi1-Gs-CtGi1)/β1/γ2
17.24Single7QBCAlpha-factor mating pheromone7QBC-STE2; STE2-α-factor mating pheromone
17.24Single7VGXNeuropeptide-Y7VGX-Y1-Neuropeptide-Y-Gi1/β1/γ2
17.24Single8IY6Endothelin-18IY6-ETB-Endothelin-1
17.24Single8WWNMCH8WWN-MCH1-MCH-Gi1/β1/γ2
17.24Single8Y52BA18Y52-BB3-BA1-chim(NtGi1-Gs-CtGq)/β1/γ2
17.24Consensusbk2_onOrthosteric Ligand7F6H-BK2-Bradykinin-Gq/β1/γ2 7F6I-BK2-Kallidin-Gq/β1/γ2
17.24Consensusbk2_on_gpOrthosteric Ligand7F6H-BK2-Bradykinin-Gq/β1/γ2 7F6I-BK2-Kallidin-Gq/β1/γ2
17.24Consensusbradykinin_onOrthosteric Ligandbk2_on
17.24Consensusbradykinin_on_gpOrthosteric Ligandbk2_on_gp
17.24Consensusendothelin_onOrthosteric Ligandetb_on eta_on
17.24Consensusetb_onOrthosteric Ligand8IY5-ETB-Endothelin-1-Gi1/β1/γ2 8HBD-ETB-IRL1620-Gi1/β1/γ2
17.24Consensusgq_bradykininOrthosteric Ligand7F6H-BK2-Bradykinin-Gq/β1/γ2 7F6I-BK2-Kallidin-Gq/β1/γ2
16.67Single3EMLZM-2413853EML-A2A-ZM-241385
16.67Single4EIYZM-2413854EIY-A2A-ZM-241385-Na
16.67Single4YAYZD-71554YAY-AT1-ZD-7155
16.67Single5GLHEndothelin-15GLH-ETB-Endothelin-1
16.67Single5IU8Q274563475IU8-A2A-Q27456347-Na
16.67Single5K2AZM-2413855K2A-A2A-ZM-241385-Na
16.67Single5MZPCaffeine5MZP-A2A-Caffeine-Na
16.67Single5OLGZM-2413855OLG-A2A-ZM-241385-Na
16.67Single5UENDU1725UEN-A1-DU172
16.67Single5UIGPubChem 1240811965UIG-A2A-PubChem 124081196
16.67Single5VRAZM-2413855VRA-A2A-ZM-241385-Na
16.67Single5XJM(Sar1,Ile8)-Angiotensin II5XJM-AT2-(Sar1,Ile8)-Angiotensin II
16.67Single5ZKPSR274175ZKP-PAF-SR27417
16.67Single6DO1(Sar1,Ile8)-Angiotensin II6DO1-AT1-(Sar1,Ile8)-Angiotensin II
16.67Single6FK7PubChem 1324730346FK7-Rhodopsin-PubChem 132473034
16.67Single6FKCPubChem 1324730396FKC-Rhodopsin-PubChem 132473039
16.67Single6FKDPubChem 1373491836FKD-Rhodopsin-PubChem 137349183
16.67Single6GPSMK08126GPS-CCR2-MK0812
16.67Single6IGKEndothelin-36IGK-ETB-Endothelin-3
16.67Single6IIVDaltroban6IIV-TXA2-Daltroban
16.67Single6S0LZM-2413856S0L-A2A-ZM-241385
16.67Single6Z10PubChem 1545855546Z10-Succinate-PubChem 154585554
16.67Single7CFMP3957CFM-GPBA-P395-Gs/β1/γ2
16.67Single7EZKCholecystokinin-87EZK-CCKA-Cholecystokinin-8-chim(NtGi1-Gs)/β1/γ2
16.67Single7F83PF-051904577F83-Ghrelin-PF-05190457
16.67Single7NA8Ibutamoren7NA8-Ghrelin-Ibutamoren-Gi1/β1/γ2
16.67Single7PYRPSB-21157PYR-A2A-PSB-2115
16.67Single7WJ5Somatostatin-147WJ5-SST2-Somatostatin-14-Gi1/β1/γ2
16.67Single7XMSSomatostatin-147XMS-SST4-Somatostatin-14-Gi1/β1/γ2
16.67Single8EFQDAMGO8EFQ-μ-DAMGO-Gi1/β1/γ2
16.67Single8EJKTAK-8758EJK-FFA1-TAK-875-chim(NtGi1L-Gs-CtGq)/β1/γ2
16.67Single8F7WDynorphin8F7W-κ-Dynorphin-Gi1/β1/γ2
16.67Single8GEJConstrained Epinephrine8GEJ-β2-Constrained Epinephrine-Gs/β1/γ2
16.67Single8I7VAcipimox8I7V-HCA2-Acipimox-Gi1/β1/γ2
16.67Single8IHJAcifran8IHJ-HCA3-Acifran-Gi1/β1/γ2
16.67Single8J6PNiacin8J6P-HCA2-Niacin-PubChem 25101223-Gi1/β1/γ2
16.67Single8JHNMonomethyl fumarate8JHN-HCA2-Monomethyl fumarate-Go/β1/γ2
16.67Single8JIINiacin8JII-HCA2-Niacin-PubChem 25101223-Gi1/β1/γ2
16.67Single8JZZC5a-des-Arg8JZZ-C5a1-C5a-des-Arg-Go/β1/γ2
16.67Single8K5DGSK2560738K5D-HCA2-GSK256073
16.67Single8RW7StilSwitch18RW7-A2A-StilSwitch1-Na
16.67Single8RWXStilSwitch38RWX-A2A-StilSwitch3-Na
16.67Single8SG1Chemerin-98SG1-CML1-Chemerin-9-Gi1/β1/γ2
16.67Single8WCBCyclohexylammonium Ion8WCB-TA1-Cyclohexylammonium Ion-chim(NtGi1-Gs-CtGq)/β1/γ2
16.67Single8X9TAP5038X9T-ADGRD1-AP503-chim(NtGi1-Gs)/β1/γ2
16.67Single8ZBEOctreotide8ZBE-SST5-Octreotide-Gi1/β1/γ1
16.67Single8ZQEGPR15L(CT)8ZQE-GPR15-GPR15L(CT)-Gi1/β1/γ1
16.67Single9AVGCa; Ca; Cyclomethyltryptophan; R-568; PO49AVG-CaS; CaS-Ca-Ca; Ca; Cyclomethyltryptophan; R-568; PO4-chim(NtGi1-Gs)/β1/γ2
16.67Single9H37PubChem 1756706469H37-A2A-PubChem 175670646-Na
16.67Single9IQVMuscarinic toxin 39IQV-Alpha1A-Muscarinic toxin 3
16.67Single9IYAONO-97105319IYA-GPR55-ONO-9710531
16.67Single9IZCMK19039IZC-HCA2-MK1903-Gi1/β1/γ2
16.67Single9KFTfMLFC9KFT-FPR1-ALX-fMLFC-Gi1/β1/γ2
16.67Single9L60Dynorphin9L60-κ-Dynorphin-MPAM-15-Gi1/β1/γ2
16.67Single9P1SZM-2413859P1S-A2A-ZM-241385
16.67Consensuscck_offOrthosteric Ligandccka_off
16.67Consensusccka_offOrthosteric Ligand7F8Y-CCKA-Devazepide 7F8U-CCKA-Lintitript
16.67Consensusccr2_offOrthosteric Ligand6GPS-CCR2-MK0812
16.67Consensusccr8_on_gpOrthosteric Ligand8KFX-CCR8-LMD-009-Gi1/β1/γ2 8KFY-CCR8-ZK-756326-Gi1/β1/γ2 8U1U-CCR8-CCL1-Gi1/β1/γ2
16.67Consensusghrelin_onOrthosteric Ligand7NA7-Ghrelin-Ghrelin-Gi1/β1/γ2 7F9Z-Ghrelin-GHRP-6-chim(NtGi1-Gs-CtGq)/β1/γ2 7NA8-Ghrelin-Ibutamoren-Gi1/β1/γ2
16.67Consensusghrelin_on_gpOrthosteric Ligand7NA7-Ghrelin-Ghrelin-Gi1/β1/γ2 7F9Z-Ghrelin-GHRP-6-chim(NtGi1-Gs-CtGq)/β1/γ2 7NA8-Ghrelin-Ibutamoren-Gi1/β1/γ2
16.67Consensusgi_endothelinOrthosteric Ligand8IY5-ETB-Endothelin-1-Gi1/β1/γ2 8HBD-ETB-IRL1620-Gi1/β1/γ2
16.67Consensusgi_ghrelinOrthosteric Ligand7NA7-Ghrelin-Ghrelin-Gi1/β1/γ2 7NA8-Ghrelin-Ibutamoren-Gi1/β1/γ2
16.67Consensusgi_hcaOrthosteric Ligand8J6R-HCA2-MK6892-Gi1/β1/γ2 8JIM-HCA2-Monomethyl fumarate-Gi1/β1/γ2 8IHI-HCA2-Acifran-Gi1/β1/γ2 8IHH-HCA2-LUF6283-Gi1/β1/γ2 8I7V-HCA2-Acipimox-Gi1/β1/γ2 8I7W-HCA2-GSK256073-Gi1/β1/γ2
16.67Consensushca2_onOrthosteric Ligand8J6R-HCA2-MK6892-Gi1/β1/γ2 8JIM-HCA2-Monomethyl fumarate-Gi1/β1/γ2 8I7V-HCA2-Acipimox-Gi1/β1/γ2 8I7W-HCA2-GSK256073-Gi1/β1/γ2 8IHH-HCA2-LUF6283-Gi1/β1/γ2 8IHI-HCA2-Acifran-Gi1/β1/γ2
16.67Consensushca2_on_gpOrthosteric Ligand8J6R-HCA2-MK6892-Gi1/β1/γ2 8IHI-HCA2-Acifran-Gi1/β1/γ2 8IHH-HCA2-LUF6283-Gi1/β1/γ2 8I7V-HCA2-Acipimox-Gi1/β1/γ2 8JIM-HCA2-Monomethyl fumarate-Gi1/β1/γ2 8I7W-HCA2-GSK256073-Gi1/β1/γ2
16.67Consensushca_on_gpOrthosteric Ligandhca2_on_gp
16.67Consensuslipid_offOrthosteric Ligandcannabinoid_off paf_off lpl_off prostanoid_off leukotriene_off
16.67Consensusnucleotide_offonOrthosteric Ligandnucleotide_off nucleotide_on
16.67Consensusnucleotide_offon_gpOrthosteric Ligandnucleotide_on_gp nucleotide_off
16.13Single8HBDIRL16208HBD-ETB-IRL1620-Gi1/β1/γ2
16.13Consensusendothelin_on_gpOrthosteric Ligandetb_on_gp eta_on_gp
16.13Consensusetb_on_gpOrthosteric Ligand8IY5-ETB-Endothelin-1-Gi1/β1/γ2 8HBD-ETB-IRL1620-Gi1/β1/γ2
16.00Single6W25SHU91196W25-MC4-SHU9119-Ca
16.00Single7F4DAlpha-MSH7F4D-MC1-α-MSH-chim(NtGi1-Gs)/β1/γ2
16.00Single8WKZSBL-MC-318WKZ-MC4-SBL-MC-31
16.00Single8XIRPasireotide8XIR-SST3-Pasireotide-chim(NtGi1-Gs-CtGi1)/β1/γ2
16.00Single8XZGApelin-138XZG-Apelin; Apelin-Apelin-13-Gi1/β1/γ2
16.00Single8XZHMM078XZH-Apelin; Apelin-MM07-Gi1/β1/γ2
16.00Single9K27PrRP319K27-PrRP-PrRP31-chim(NtGi1-Gq)/β1/γ2
16.00Single9UYIChemerin-99UYI-CML2-Chemerin-9-Arrestin2
16.00Consensusc5a1_onOrthosteric Ligand8HK5-C5a1-C5a-Gi1/β1/γ2 7Y66-C5a1-BM213-Gi1/β1/γ2 7Y67-C5a1-C089 peptide-Gi1/β1/γ2 7Y64-C5a1-C5a-Gi1/β1/γ2
16.00Consensuscxcr4_on_gpOrthosteric Ligand8K3Z-CXCR4-CXCL12-Gi1/β1/γ1
16.00Consensusgs_cckOrthosteric Ligand7MBX-CCKA-Cholecystokinin-8-Gs/β1/γ1
15.79Single5IUAQ274563485IUA-A2A-Q27456348-Na
15.79Single6D26Fevipiprant6D26-DP2-Fevipiprant
15.79Single6GPXMK08126GPX-CCR2-MK0812
15.79Single6LPLZM-2413856LPL-A2A-ZM-241385-Na
15.79Single6M9TMisoprostol-FA6M9T-EP3-Misoprostol-FA
15.79Single6RZ4Pranlukast6RZ4-CysLT1-Pranlukast-Na
15.79Single6S0QZM-2413856S0Q-A2A-ZM-241385
15.79Single6WQAZM-2413856WQA-A2A-ZM-241385-Na
15.79Single6XBKCholesterol6XBK-SMO-Cholesterol-Gi1/β1/γ2
15.79Single7RM5ZM-2413857RM5-A2A-ZM-241385-Na
15.79Single7Y26Octreotide7Y26-SST2-Octreotide-chim(NtGi2L-Gs-CtGq)/β1/γ2
15.79Single8FYNZM-2413858FYN-A2A-ZM-241385-Na
15.79Single8GD9Rivenprost8GD9-EP4-Rivenprost-Gs/β1/γ2
15.79Single8GNEKW-63568GNE-A2A-KW-6356-Na
15.79Single8I7WGSK2560738I7W-HCA2-GSK256073-Gi1/β1/γ2
15.79Single8TH4Losartan8TH4-AT1-Losartan-AT118-L Nanobody
15.79Single8UUJFCH-22964138UUJ-HCA2-FCH-2296413-Gi1/β1/γ2
15.79Single8X0CVU04244658X0C-mGlu5; mGlu5-Quisqualate-VU0424465
15.79Single8ZPTPrRP208ZPT-PrRP-PrRP20-chim(NtGi1-Gs-CtGq)/β1/γ2
15.79Single8ZVZBW245C8ZVZ-DP1-BW245C-Gs/β1/γ2
15.79Single9CIBFCH-22964139CIB-HCA2-FCH-2296413
15.79Single9EAHOlmesartan9EAH-AT1-Olmesartan-Nanobody AT209
15.79Single9EE5ONO-25502899EE5-DP1-ONO-2550289
15.79Single9EKHONO-30302979EKH-DP1-ONO-3030297
15.79Single9GE2ML1849GE2-GPR55-ML184-chim(NtGi1-G13)/β1/γ2
15.79Single9IYBPGD29IYB-DP2-PGD2-A1D5Q-Gi1/β1/γ2
15.79Single9KPFSalicin9KPF-TAS2R16-Salicin-Gi1/β1/γ2
15.79Single9KT6Acifran9KT6-HCA3-Acifran-Gi1/β1/γ2
15.79Single9KUTJR14a9KUT-C3aB-JR14a-Go/β1/γ2
15.79Consensusblt1_offOrthosteric Ligand5X33-BLT1-BIIL260 7K15-BLT1-MKD046-Na
15.79Consensusblt_offOrthosteric Ligandblt1_off
15.79Consensuscb2_onOrthosteric Ligand8GUR-CB2-CP55940-Gi1/β1/γ2 8GUS-CB2-HU-308-Gi1/β1/γ2 8GUT-CB2-LEI-102-Gi1/β1/γ2 6KPF-CB2-AM12033-Gi1/β1/γ2 6PT0-CB2-WIN 55212-2-Gi1/β1/γ2 8GUQ-CB2-Olorinab-Gi1/β1/γ2
15.79Consensuscb2_on_gpOrthosteric Ligand8GUR-CB2-CP55940-Gi1/β1/γ2 8GUS-CB2-HU-308-Gi1/β1/γ2 8GUT-CB2-LEI-102-Gi1/β1/γ2 6KPF-CB2-AM12033-Gi1/β1/γ2 6PT0-CB2-WIN 55212-2-Gi1/β1/γ2 8GUQ-CB2-Olorinab-Gi1/β1/γ2
15.79Consensusdp2_offOrthosteric Ligand6D26-DP2-Fevipiprant
15.79Consensusdp_offOrthosteric Liganddp2_off
15.62Single6LRYSarafotoxin-B6LRY-ETB-Sarafotoxin-B
15.62Consensusgs_peptideOrthosteric Ligandgs_cck gs_melanocortin gs_vasop-oxy
15.38Single5MZJTheophylline5MZJ-A2A-Theophylline-Na
15.38Single5WB2CX3CL1.355WB2-US28-CX3CL1.35
15.38Single6JODAngiotensin II6JOD-AT2-Angiotensin II
15.38Single7AD3Alpha-factor mating pheromone7AD3-STE2; STE2-α-factor mating pheromone-Gi1/STE4/γ2
15.38Single7KH0AVP7KH0-V2-AVP-chim(NtGi1-Gs)/β1/γ2
15.38Single8IEDPubChem 1347468948IED-GPR156; GPR156-PubChem 134746894-Go/β1/γ2
15.38Single8PWNTheophylline8PWN-A2A-Theophylline
15.38Single8WSTMCH8WST-MCH2-MCH-chim(NtGi1L-Gs-CtGq)/β1/γ2
15.38Single8X8LCortistatin-148X8L-SST5-Cortistatin-14-chim(NtGi1-Gs-CtGi1)/β1/γ2
15.38Single8XWQEndothelin-18XWQ-ETB-Endothelin-1-Gi1/β1/γ2
15.38Single9IV25alpha-DHT9IV2-ADGRD1-5α-DHT-chim(NtGi1-Gs)/β1/γ2
15.38Single9JKVPubChem 27366909JKV-HCA3-PubChem 2736690-Gi1/β1/γ2
15.38Consensusapelin_onOrthosteric Ligand8XZH-Apelin; Apelin-MM07-Gi1/β1/γ2 7W0M-Apelin-PubChem 122701908-Gi1/β1/γ2 8XZJ-Apelin; Apelin-WN353-Gi1/β1/γ2 8XZF-Apelin; Apelin-WN561-Gi1/β1/γ2 8XZG-Apelin; Apelin-Apelin-13-Gi1/β1/γ2
15.38Consensusapelin_on_gpOrthosteric Ligand8XZH-Apelin; Apelin-MM07-Gi1/β1/γ2 7W0M-Apelin-PubChem 122701908-Gi1/β1/γ2 8XZJ-Apelin; Apelin-WN353-Gi1/β1/γ2 8XZF-Apelin; Apelin-WN561-Gi1/β1/γ2 8XZG-Apelin; Apelin-Apelin-13-Gi1/β1/γ2
15.38Consensusc5a1_on_gpOrthosteric Ligand8HK5-C5a1-C5a-Gi1/β1/γ2 7Y66-C5a1-BM213-Gi1/β1/γ2 7Y67-C5a1-C089 peptide-Gi1/β1/γ2 7Y64-C5a1-C5a-Gi1/β1/γ2
15.38Consensusprotein_onOrthosteric Ligandchemokine_on chemerin_on
15.00Single5XR8AM120335XR8-CB1-AM12033
15.00Single5XRAAM115425XRA-CB1-AM11542
15.00Single6N4BMDMB-Fubinaca6N4B-CB1-MDMB-Fubinaca-Gi1/β1/γ2
15.00Single7EW3S1P7EW3-S1P3-S1P-Gi1/β1/γ2
15.00Single7F58THIQ7F58-MC4-THIQ-Gs/β1/γ2
15.00Single7FEECP559407FEE-CB1-CP55940-ZCZ011
15.00Single7M8W15r-Methyl-PGD27M8W-DP2-15r-Methyl-PGD2-Na
15.00Single7PX4PSB-21137PX4-A2A-PSB-2113
15.00Single7T9NDPPC7T9N-TSH-M22 Fab-DPPC-Gs/β1/γ2
15.00Single7TD1LPA7TD1-LPA1-LPA-Gi1/β1/γ2
15.00Single7XWONeurokinin-A7XWO-NK2-Neurokinin-A-chim(NtGi1-Gs-CtGq)/β1/γ2
15.00Single8I9LC3a8I9L-C3aB-C3a-Go/β1/γ2
15.00Single8IHBGSK2560738IHB-HCA2-GSK256073-Gi1/β1/γ2
15.00Single8IHHLUF62838IHH-HCA2-LUF6283-Gi1/β1/γ2
15.00Single8IUKPGF2-alpha8IUK-FP-alpha-PGF2-α-chim(NtGi1-Gs-CtGq)/β1/γ2
15.00Single8JSRAnamorelin8JSR-Ghrelin-Anamorelin-chim(NtGi1-Gs-CtGq)/β1/γ2
15.00Single8JZPC5a8JZP-C5a1-C5a-Go/β1/γ2
15.00Single8X79MRE-2698X79-I2-MRE-269-Gs/β1/γ2
15.00Single8Y73Peptide8Y73-μ-Peptide-MPAM-15-Gi1/β1/γ2
15.00Single9E9SPGD29E9S-DP1-PGD2-Gs/β1/γ1
15.00Single9ITELPA9ITE-LPA6-LPA-chim(NtGi2-G13)/β1/γ2
15.00Single9UY3Anamorelin9UY3-Ghrelin-Anamorelin-chim(NtGi1-Gs-CtGq)/β1/γ2
15.00Consensusffa_onOrthosteric Ligandffa2_on ffa3_on
15.00Consensusffa_on_gpOrthosteric Ligandffa2_on_gp ffa3_on_gp
15.00Consensusgi_cannabinoidOrthosteric Ligand8GUR-CB2-CP55940-Gi1/β1/γ2 8GUS-CB2-HU-308-Gi1/β1/γ2 8GUT-CB2-LEI-102-Gi1/β1/γ2 8GUQ-CB2-Olorinab-Gi1/β1/γ2 6KPF-CB2-AM12033-Gi1/β1/γ2 6PT0-CB2-WIN 55212-2-Gi1/β1/γ2 6KPG-CB1-AM841-Gi1/β1/γ2
15.00Consensusgi_ffaOrthosteric Ligand8J21-FFA3-Butyric acid-Gi1/β1/γ2 8J22-FFA2-TUG-1375-Gi1/β1/γ2
15.00Consensusnk2_on_gpOrthosteric Ligand7XWO-NK2-Neurokinin-A-chim(NtGi1-Gs-CtGq)/β1/γ2
15.00Consensusnpy1_offOrthosteric Ligand5ZBH-Y1-BMS-193885 5ZBQ-Y1-UR-MK-299
15.00Consensusnpy_offOrthosteric Ligandnpy1_off npy2_off
15.00Consensusp2y12_onOrthosteric Ligand7XXI-P2Y12-2MeSADP-Gi2/β1/γ2
15.00Consensusprotein_offOrthosteric Ligandchemokine_off grh_off
14.81Single7F6HBradykinin7F6H-BK2-Bradykinin-Gq/β1/γ2
14.81Single7F6IKallidin7F6I-BK2-Kallidin-Gq/β1/γ2
14.81Single7F9YGhrelin7F9Y-Ghrelin-Ghrelin-chim(NtGi1-Gs-CtGq)/β1/γ2
14.81Single7QBIAlpha-factor mating pheromone7QBI-STE2; STE2-α-factor mating pheromone
14.81Single7X9CPancreatic Hormone7X9C-Y4-Pancreatic Hormone-Gi1/β1/γ2
14.81Single7Y64C5a7Y64-C5a1-C5a-Gi1/β1/γ2
14.81Single8HCQEndothelin-18HCQ-ETA-Endothelin-1-chim(NtGi1-Gs-CtGq)/β1/γ2
14.81Single8HCXEndothelin-18HCX-ETB-Endothelin-1-chim(NtGi2L-Gs-CtGq)/β1/γ2
14.81Single8HK5C5a8HK5-C5a1-C5a-Gi1/β1/γ2
14.81Single8HNKCXCL118HNK-CXCR3-CXCL11-Gi1/β1/γ2
14.81Single8IODPG-9018IOD-MC5-PG-901-Ca-chim(NtGi1-Gs)/β1/γ2
14.81Single8WWMMCH8WWM-MCH1-MCH-Gi1/β1/γ2
14.81Single8XQEApelin-138XQE-Apelin; Apelin-Apelin-13-Gi1/β1/γ2
14.81Single8XVHEndothelin-18XVH-ETB-Endothelin-1-chim(Gs-CtGq)/β1/γ2
14.81Consensuseta_onOrthosteric Ligand8HCQ-ETA-Endothelin-1-chim(NtGi1-Gs-CtGq)/β1/γ2
14.81Consensuseta_on_gpOrthosteric Ligand8HCQ-ETA-Endothelin-1-chim(NtGi1-Gs-CtGq)/β1/γ2
14.81Consensusgi_apelinOrthosteric Ligand8XZH-Apelin; Apelin-MM07-Gi1/β1/γ2 7W0M-Apelin-PubChem 122701908-Gi1/β1/γ2 8XZJ-Apelin; Apelin-WN353-Gi1/β1/γ2 8XZF-Apelin; Apelin-WN561-Gi1/β1/γ2 8XZG-Apelin; Apelin-Apelin-13-Gi1/β1/γ2
14.81Consensusvpac1_onOrthosteric Ligand8E3Z-VPAC1-VIP-Gs/β1/γ2
14.29Single3RFMCaffeine3RFM-A2A-Caffeine
14.29Single5X33BIIL2605X33-BLT1-BIIL260
14.29Single6AK3PGE26AK3-EP3-PGE2
14.29Single6IIURamatroban6IIU-TXA2-Ramatroban
14.29Single6KQICP559406KQI-CB1-CP55940-Org27569
14.29Single6OS0Angiotensin II6OS0-AT1-Angiotensin II
14.29Single6OT025(S)-Epoxycholesterol6OT0-SMO-25(S)-Epoxycholesterol-Gi1/β1/γ2
14.29Single6RZ7ONO-25703666RZ7-CysLT2-ONO-2570366
14.29Single6TQ9SB-4081246TQ9-OX1-SB-408124
14.29Single7F55Bremelanotide7F55-MC4-Bremelanotide-Gs/β1/γ2
14.29Single7F8VGastrin-177F8V-CCKB-Gastrin-17-Gi2/β1/γ2
14.29Single7QBIAlpha-factor mating pheromone7QBI-STE2; STE2-α-factor mating pheromone
14.29Single7T6BS1P7T6B-S1P2-S1P-chim(NtGi1L-G13)/β1/γ2
14.29Single7W3ZGastrin Releasing Peptide7W3Z-BB2-Gastrin Releasing Peptide-chim(NtGi1L-Gq)/β1/γ2
14.29Single7XXI2MeSADP7XXI-P2Y12-2MeSADP-Gi2/β1/γ2
14.29Single8A2OTheophylline8A2O-A2A-Theophylline-Na
14.29Single8GCPPGE28GCP-EP4-PGE2-Gi1/β1/γ2
14.29Single8H0QGastrin Releasing Peptide8H0Q-BB2-Gastrin Releasing Peptide-chim(NtGi1-Gs-CtGq)/β1/γ2
14.29Single8IYWGSK2560738IYW-HCA2-GSK256073-Go/β1/γ2
14.29Single8J6DEP1418J6D-C3aB-EP141-Go/β1/γ2
14.29Single8U26Substance-P8U26-NK1-Substance-P-Gs/β1/γ2
14.29Single8X8NOctreotide8X8N-SST5-Octreotide-chim(NtGi1-Gs-CtGi1)/β1/γ2
14.29Single8XQFApelin-138XQF-Apelin-Apelin-13-Gi1/β1/γ2
14.29Single8Y02All-trans-Retinal8Y02-OPN1SW-All-trans-Retinal-Gi1/β1/γ2
14.29Single8Y6WTUG-13758Y6W-FFA2-TUG-1375-4-CMTB-Gi1/β1/γ2
14.29Single9AU0BW245C9AU0-DP1-BW245C-Gs/β1/γ2
14.29Single9BLWCagrilintide (non-acylated)9BLW-CT (AMY1)-Cagrilintide (non-acylated)-Gs/β1/γ2; RAMP1
14.29Single9C2FCa; Ca; Tryptophan; '54149; PO49C2F-CaS; CaS-Ca-Ca; Ca; Tryptophan; '54149; PO4
14.29Single9CM3TUG-13759CM3-FFA2-TUG-1375-PubChem 118615810-chim(NtGi1L-Gs-CtGq)/β1/γ2
14.29Single9DGIZ85267113509DGI-CB1-Z8526711350
14.29Single9ECJS-geranylgeranyl-L-glutathione9ECJ-P2Y8-S-geranylgeranyl-L-glutathione-G13/β1/γ2
14.29Single9IZHLPA9IZH-LPA1-LPA-chim(NtGi2-G13)/β1/γ2
14.29Single9L0HJR14a9L0H-C3aB-JR14a-Go/β1/γ2
14.29Single9L3WChemerin9L3W-CML1-Chemerin-Gi1/β1/γ2
14.29Single9VIFNeuropeptide-VF9VIF-NPFF1-Neuropeptide-VF-Gi1/β1/γ2
14.29Single9W32SSTR5 antagonist 19W32-SST5-SSTR5 antagonist 1
14.29Single9WSWEndomorphin9WSW-μ-Endomorphin-chim(NtGi1-Gz)/β1/γ2
14.29Consensusc3a_onOrthosteric Ligand8HK2-C3aB-C3a-Gi1/β1/γ2 8IA8-C3aB-E7 peptide-Gi1/β1/γ2
14.29Consensuscannabinoid_onOrthosteric Ligandcb2_on cb1_on
14.29Consensuscannabinoid_on_gpOrthosteric Ligandcb2_on_gp cb1_on_gp
14.29Consensusgi_compl-peptOrthosteric Ligand8HK5-C5a1-C5a-Gi1/β1/γ2 8IA8-C3aB-E7 peptide-Gi1/β1/γ2 7Y66-C5a1-BM213-Gi1/β1/γ2 7Y67-C5a1-C089 peptide-Gi1/β1/γ2 8HK2-C3aB-C3a-Gi1/β1/γ2 7Y64-C5a1-C5a-Gi1/β1/γ2
14.29Consensusgi_p2yOrthosteric Ligand7XXI-P2Y12-2MeSADP-Gi2/β1/γ2
14.29Consensusgi_proteinOrthosteric Ligandgi_chemokine gi_chemerin
14.29Consensuslipid_offonOrthosteric Ligandlipid_off lipid_on
14.29Consensuslipid_offon_gpOrthosteric Ligandlipid_on_gp lipid_off
14.29Consensusnpy4_onOrthosteric Ligand7X9C-Y4-Pancreatic Hormone-Gi1/β1/γ2
14.29Consensusnpy4_on_gpOrthosteric Ligand7X9C-Y4-Pancreatic Hormone-Gi1/β1/γ2
14.29Consensusp2y12_on_gpOrthosteric Ligand7XXI-P2Y12-2MeSADP-Gi2/β1/γ2
14.29Consensusprotein_on_gpOrthosteric Ligandchemokine_on_gp chemerin_on_gp
14.29Consensusvpac1_on_gpOrthosteric Ligand8E3Z-VPAC1-VIP-Gs/β1/γ2
13.79Single7AD3Alpha-factor mating pheromone7AD3-STE2; STE2-α-factor mating pheromone-Gi1/STE4/γ2
13.79Single7F53Alpha-MSH7F53-MC4-α-MSH-Gs/β1/γ2
13.79Single7TYFAmylin7TYF-CT (AMY1)-Amylin-Gs/β1/γ2; RAMP1
13.79Single7YOONeuropeptide-Y7YOO-Y2-Neuropeptide-Y-Gi1/β1/γ2
13.79Single8XWPEndothelin-18XWP-ETB-Endothelin-1-Gi1/β1/γ2
13.79Single8ZJGChemerin8ZJG-CML1-Chemerin-Gi1/β1/γ2
13.79Consensusnpy2_onOrthosteric Ligand7YOO-Y2-Neuropeptide-Y-Gi1/β1/γ2
13.79Consensusnpy2_on_gpOrthosteric Ligand7YOO-Y2-Neuropeptide-Y-Gi1/β1/γ2
13.64Single7EZHCholecystokinin-87EZH-CCKA-Cholecystokinin-8-Gi1/β1/γ2
13.64Single7EZMCholecystokinin-87EZM-CCKA-Cholecystokinin-8-chim(NtGsL-Gq)/β1/γ2
13.64Single7P00Substance-P7P00-NK1-Substance-P-chim(NtGi1-Gs-CtGq)/β1/γ2
13.64Single7QVMOxytocin7QVM-OT-Oxytocin-chim(NtGi1-Go-CtGq)/β1/γ2
13.64Single7Y27Somatostatin-147Y27-SST2-Somatostatin-14-chim(NtGi2L-Gs-CtGq)/β1/γ2
13.64Single7Y65C5a (C-terminal peptide)7Y65-C5a1-C5a (C-terminal peptide)-Gi1/β1/γ2
13.64Single7YU8ONO-07405567YU8-LPA1-ONO-0740556-Gi1/β1/γ2
13.64Single8GAGZ85267113508GAG-CB1-Z8526711350-Gi1/β1/γ2
13.64Single8K2XCXCL108K2X-CXCR3-CXCL10-Gi1/β1/γ2
13.64Single8WRZAM8418WRZ-CB1-AM841-Arrestin2
13.64Single8ZX4Lysophosphatidylinositol 8ZX4-GPR55-Lysophosphatidylinositol-chim(NtGi1-G13)/β1/γ2
13.64Single9EAILosartan9EAI-AT1-Losartan-Nanobody AT209
13.64Single9GE3Lysophosphatidylinositol9GE3-GPR55-Lysophosphatidylinositol-chim(NtGi1-G13)/β1/γ2
13.64Single9JH5C16:0 Ceramide9JH5-CysLT2-C16:0 Ceramide-chim(NtGi1-Gs-CtGq)/β1/γ2
13.64Single9KT8Acifran9KT8-HCA2-Acifran-Gi1/β1/γ2
13.64Single9M1HPGE29M1H-EP1-PGE2-chim(NtGi1-Gs-CtGq)/β1/γ2
13.64Single9UYMChemerin-99UYM-CML2-Chemerin-9-chim(Arrestin3-CtArrestin2)
13.64Consensusc3a_on_gpOrthosteric Ligand8HK2-C3aB-C3a-Gi1/β1/γ2 8IA8-C3aB-E7 peptide-Gi1/β1/γ2
13.64Consensuscck_onOrthosteric Ligandccka_on cckb_on
13.64Consensuscck_on_gpOrthosteric Ligandccka_on_gp cckb_on_gp
13.64Consensusccka_onOrthosteric Ligand7EZH-CCKA-Cholecystokinin-8-Gi1/β1/γ2
13.64Consensusccka_on_gpOrthosteric Ligand7EZH-CCKA-Cholecystokinin-8-Gi1/β1/γ2
13.64Consensusnk1_onOrthosteric Ligand7P00-NK1-Substance-P-chim(NtGi1-Gs-CtGq)/β1/γ2
13.64Consensusnk1_on_gpOrthosteric Ligand7P00-NK1-Substance-P-chim(NtGi1-Gs-CtGq)/β1/γ2
13.33Single6ME5Agomelatine6ME5-MT1-Agomelatine
13.33Single7D77Hydrocortisone7D77-ADGRG3-Hydrocortisone-Go/β1/γ2
13.33Single7TYLAmylin7TYL-CT-Amylin-Gs/β1/γ2
13.33Single7V6APubChem 98642757V6A-M4-PubChem 9864275-Gi1/β1/γ2
13.33Single8F0KPramlintide Analogue San3858F0K-CT (AMY3)-Pramlintide Analogue San385-Gs/β1/γ2; RAMP3
13.33Single8IY5Endothelin-18IY5-ETB-Endothelin-1-Gi1/β1/γ2
13.33Single8JEFPubChem 113671668JEF-HCA3-PubChem 11367166-Gi1/β1/γ2
13.33Single8KGGLysophosphatidylserine (WJS)8KGG-P2Y10-Lysophosphatidylserine (WJS)-chim(NtGi2-G13)/β1/γ2
13.33Single9IV15alpha-DHT9IV1-ADGRD1-5α-DHT-chim(NtGi1-Gs)/β1/γ2
13.33Single9JHJC18:0 Ceramide9JHJ-FPR2-ALX-C18:0 Ceramide-Gi1/β1/γ2
13.33Single9KT93,5-DHBA9KT9-HCA1-3,5-DHBA-Gi1/β1/γ2
13.04Single5VBLAMG3054 5VBL-Apelin-AMG3054
13.04Single7RKFCX3CL17RKF-US28-CX3CL1-GDP-chim(NtGi1-G11)/β1/γ2
13.04Single7RMGSubstance-P7RMG-NK1-Substance-P-chim(Gs-CtGq)/β1/γ2
13.04Single7RMHSubstance-P7RMH-NK1-Substance-P-Gs/β1/γ2
13.04Single7Y1FDynorphin7Y1F-κ-Dynorphin-Gi1/β1/γ2
13.04Single8GDAL9026888GDA-EP4-L902688-Gs/β1/γ2
13.04Single8IQ4Carboprost8IQ4-FP-alpha-Carboprost-chim(NtGi1-Gs-CtGq)/β1/γ2
13.04Single8JBFSenktide8JBF-NK3-Senktide-chim(NtGi1-Gs-CtGq)/β1/γ2
13.04Single8XZFWN5618XZF-Apelin; Apelin-WN561-Gi1/β1/γ2
13.04Single8Z74JN241-98Z74-Apelin; Apelin-JN241-9
13.04Single8Z74JN241-98Z74-Apelin; Apelin-JN241-9
13.04Single9CM7TUG-13759CM7-FFA2-TUG-1375-AZ-1729-Gi1/β1/γ2
13.04Single9IPYJR14a9IPY-C3aB-JR14a
13.04Single9ITBLPA9ITB-LPA6-LPA-chim(NtGi1-Gs-CtGq)/β1/γ2
13.04Single9IZASCH9002719IZA-HCA2-SCH900271-Gi1/β1/γ2
13.04Single9NS9TUG-13759NS9-FFA2-TUG-1375-PubChem 118615810-Gi1/β1/γ2
13.04Single9WSXEndomorphin9WSX-μ-Endomorphin-Arrestin2
13.04Consensuscxcr_on_gpOrthosteric Ligandcxcr3_on_gp cxcr4_on_gp cxcr1_on_gp cxcr2_on_gp
13.04Consensusdop_onOrthosteric Ligand8F7S-δ-Deltorphin-Gi1/β1/γ2
13.04Consensusgq_cckOrthosteric Ligand8IA7-CCKB-Cholecystokinin-8-chim(NtGi1L-Gq)/β1/γ2 7XOW-CCKB-Sulfated Gastrin-(10-17)-chim(NtGi1-Gq)/β1/γ2 7EZM-CCKA-Cholecystokinin-8-chim(NtGsL-Gq)/β1/γ2 7F8W-CCKB-Gastrin-17-chim(NtGsL-Gq)/β1/γ2
12.90Single8ZJETAK4488ZJE-Kiss1-TAK448-chim(NtGi1-Gq)/β1/γ1
12.90Consensusccr5_on_gpOrthosteric Ligand7O7F-CCR5-6P4-CCL5-Gi1/β1/γ1 7F1Q-CCR5-CCL3-Gi1/β1/γ2
12.90Consensuscrf1_onOrthosteric Ligand6PB0-CRF1-Urocortin-chim(NtGi1-Gs)/β1/γ2 6P9X-CRF1-Corticoliberin-1-Gs/β1/γ2
12.90Consensusgi_npyOrthosteric Ligand8K6M-Y1-Neuropeptide-Y-Gi2/β1/γ1 7X9C-Y4-Pancreatic Hormone-Gi1/β1/γ2 7YOO-Y2-Neuropeptide-Y-Gi1/β1/γ2
12.90Consensusnpy_onOrthosteric Ligandnpy1_on npy2_on npy4_on
12.90Consensusnpy_on_gpOrthosteric Ligandnpy1_on_gp npy2_on_gp npy4_on_gp
12.50Single7F54Afamelanotide7F54-MC4-Afamelanotide-Gs/β1/γ2
12.50Single7TZFAmylin7TZF-CT (AMY3)-Amylin-Gs/β1/γ2; RAMP3
12.50Single7W2ZGhrelin7W2Z-Ghrelin-Ghrelin-Go/β1/γ2
12.50Single7W53Neuromedin-U-257W53-NMUR1-Neuromedin-U-25-chim(NtGi1-Gs-CtGq)/β1/γ2
12.50Single7XKFDehydroepiandrosterone7XKF-ADGRG2-Dehydroepiandrosterone-Gs/β1/γ2
12.50Single7XMRSomatostatin-147XMR-SST2-Somatostatin-14-Gi1/β1/γ2
12.50Single7XP6Strychnine7XP6-TAS2R46-Strychnine-chim(Gs-CtGt3)/β1/γ2
12.50Single8A2PLUAA470708A2P-A2A-LUAA47070-Na
12.50Single8IEIPubChem 1347468948IEI-GPR156; GPR156-PubChem 134746894
12.50Single8IEIPubChem 1347468948IEI-GPR156; GPR156-PubChem 134746894
12.50Single8IEPPubChem 1347468948IEP-GPR156; GPR156-PubChem 134746894
12.50Single8IEPPubChem 1347468948IEP-GPR156; GPR156-PubChem 134746894
12.50Single8JPNCis-Epoxysuccinic acid8JPN-Succinate-Cis-Epoxysuccinic acid-Gi1/β1/γ1
12.50Single8RWHStilSwitch28RWH-A2A-StilSwitch2-Na
12.50Single8WP1Cis-Epoxysuccinic acid8WP1-Succinate-Cis-Epoxysuccinic acid-Gi1/β1/γ2
12.50Single8XGMChemerin8XGM-CML2-Chemerin-Gi1/β1/γ2
12.50Single8YKDDehydroepiandrosterone8YKD-ADGRG2-Dehydroepiandrosterone-chim(NtGi1-Gs)/β1/γ2
12.50Single9B9YTaranabant9B9Y-CB1-Taranabant
12.50Single9BKJCholecystokinin-89BKJ-CCKA-Cholecystokinin-8-chim(NtGi1-Gs-CtGq)/β1/γ2
12.50Single9KWGC5a9KWG-C5a1-C5a-Go/β1/γ2
12.50Consensusmc4_onOrthosteric Ligand7AUE-MC4-Setmelanotide-chim(NtGi1L-Gs)/β1/γ2 7F58-MC4-THIQ-Gs/β1/γ2 7F54-MC4-Afamelanotide-Gs/β1/γ2 7F53-MC4-α-MSH-Gs/β1/γ2 7F55-MC4-Bremelanotide-Gs/β1/γ2
12.50Consensusmelanocortin_onOrthosteric Ligandmc1_on mc4_on mc2_on mc3_on mc5_on
12.50Consensusmelanocortin_on_gpOrthosteric Ligandmc1_on_gp mc4_on_gp mc2_on_gp mc3_on_gp mc5_on_gp
12.50Consensusnk3_onOrthosteric Ligand8JBF-NK3-Senktide-chim(NtGi1-Gs-CtGq)/β1/γ2
12.50Consensusnk3_on_gpOrthosteric Ligand8JBF-NK3-Senktide-chim(NtGi1-Gs-CtGq)/β1/γ2
12.50Consensusnmur1_on_gpOrthosteric Ligand7W53-NMUR1-Neuromedin-U-25-chim(NtGi1-Gs-CtGq)/β1/γ2
12.50Consensusp2y_onOrthosteric Ligandp2y1_on p2y10_on p2y12_on
12.12Consensuscrf1_on_gpOrthosteric Ligand6PB0-CRF1-Urocortin-chim(NtGi1-Gs)/β1/γ2 6P9X-CRF1-Corticoliberin-1-Gs/β1/γ2
12.12Consensusglp1_on_gpOrthosteric Ligand7S1M-GLP-1-Exendin-4-D-Ala-Gs/β1/γ2 7X8R-GLP-1-BOC5-Gs/β1/γ2 6X19-GLP-1-CHU-128-Gs/β1/γ2 6X1A-GLP-1-Danuglipron-Gs/β1/γ2 6X18-GLP-1-GLP-1-Gs/β1/γ2 8JIP-GLP-1-MEDI0382-chim(NtGi1-Gs)/β1/γ2 7C2E-GLP-1-PubChem 149050799-Gs/β1/γ2 7KI0-GLP-1-Semaglutide-Gs/β1/γ2 7KI1-GLP-1-Taspoglutide-Gs/β1/γ2 7X8S-GLP-1-WB4-24-Gs/β1/γ2 8JIS-GLP-1-Peptide-15-chim(NtGi1-Gs)/β1/γ2 7VBI-GLP-1-Tirzepatide (non-acylated)-Gs/β1/γ2
12.00Single7PIVAfamelanotide7PIV-MC4-Afamelanotide-Gs/β1/γ2
12.00Single7RKMCX3CL17RKM-US28-CX3CL1-Gi1/β1/γ2
12.00Single7RMISubstance-P7RMI-NK1-Substance-P-chim(Gs-CtGq)/β1/γ2
12.00Single7W0NElabela7W0N-Apelin; Apelin-Elabela-Gi1/β1/γ2
12.00Single8F7QBeta-Endorphin8F7Q-μ-β-Endorphin-Gi1/β1/γ2
12.00Single8F7SDeltorphin8F7S-δ-Deltorphin-Gi1/β1/γ2
12.00Single8IEBPubChem 1347468948IEB-GPR156; GPR156-PubChem 134746894
12.00Single8JBHSubstance-P8JBH-NK3-Substance-P-chim(NtGi1-Gs-CtGq)/β1/γ2
12.00Single8K6ONeuropeptide-Y8K6O-Y1-Neuropeptide-Y-Gi2/β1/γ1
12.00Single8KH5Lysophosphatidylserine8KH5-GPR174-Lysophosphatidylserine-Gs/β1/γ2
12.00Single8WSSMCH8WSS-MCH1-MCH-Gi1/β1/γ1
12.00Single8XYDPlatelet Activating Factor8XYD-PAF-Platelet Activating Factor-Gi1/β1/γ2
12.00Single8Z7JJN241-98Z7J-Apelin-JN241-9-Gi1/β1/γ2
12.00Single9E82CXCL12 (fragment)9E82-ACKR3-CXCL12 (fragment)-Arrestin2
12.00Single9IQRMuscarinic toxin 39IQR-α2a-Muscarinic toxin 3
12.00Single9JFK(Pen5)-Urotensin II9JFK-UT-(Pen5)-Urotensin II-chim(NtGi2L-Gs-CtGq)/β1/γ2
12.00Single9KFIRelaxin-39KFI-RXFP3-Relaxin-3-Gi2/β1/γ2
12.00Single9KV6TLQP219KV6-C3aB-TLQP21-Go/β1/γ2
12.00Consensuscckb_onOrthosteric Ligand8IA7-CCKB-Cholecystokinin-8-chim(NtGi1L-Gq)/β1/γ2 7XOW-CCKB-Sulfated Gastrin-(10-17)-chim(NtGi1-Gq)/β1/γ2 7F8V-CCKB-Gastrin-17-Gi2/β1/γ2
12.00Consensuscompl-peptide_onOrthosteric Ligandc5a1_on c3a_on
12.00Consensusdop_on_gpOrthosteric Ligand8F7S-δ-Deltorphin-Gi1/β1/γ2
12.00Consensusgi_cckOrthosteric Ligand7EZH-CCKA-Cholecystokinin-8-Gi1/β1/γ2 7F8V-CCKB-Gastrin-17-Gi2/β1/γ2
12.00Consensusmc4_on_gpOrthosteric Ligand7AUE-MC4-Setmelanotide-chim(NtGi1L-Gs)/β1/γ2 7F58-MC4-THIQ-Gs/β1/γ2 7F54-MC4-Afamelanotide-Gs/β1/γ2 7F53-MC4-α-MSH-Gs/β1/γ2 7F55-MC4-Bremelanotide-Gs/β1/γ2
12.00Consensustachykinin_on_gpOrthosteric Ligandnk1_on_gp nk2_on_gp nk3_on_gp
11.76Single3PWHZM-2413853PWH-A2A-ZM-241385
11.76Single5K2DZM-2413855K2D-A2A-ZM-241385-Na
11.76Single5OLHVipadenant5OLH-A2A-Vipadenant-Na
11.76Single5OLOTozadenant5OLO-A2A-Tozadenant-Na
11.76Single5OLVLUAA470705OLV-A2A-LUAA47070-Na
11.76Single6JZHZM-2413856JZH-A2A-ZM-241385-Na
11.76Single6PS7ZM-2413856PS7-A2A-ZM-241385-Na
11.76Single7F8YDevazepide7F8Y-CCKA-Devazepide
11.76Single7VDLCortistatin-147VDL-MRGPRX2-Cortistatin-14-Gi1/β1/γ2
11.76Single7VVOPTH7VVO-PTH1-PTH-Gs/β1/γ2
11.76Single7W0OElabela7W0O-Apelin-Elabela-Gi1/β1/γ2
11.76Single7WF7S1P7WF7-S1P1-S1P-Gi1/β1/γ2
11.76Single7X9ANeuropeptide-Y7X9A-Y1-Neuropeptide-Y-Gi1/β1/γ2
11.76Single8JPPSuccinic acid8JPP-Succinate-Succinic acid-chim(Gs-CtGq)/β1/γ1
11.76Single8RVWStilSwitch38RVW-A2A-StilSwitch3-Na
11.76Single8RW4AzoSwitch28RW4-A2A-AzoSwitch2-Na
11.76Single8RWEStilSwitch48RWE-A2A-StilSwitch4-Na
11.76Single8T3VDoconexent8T3V-FFA1-Doconexent-chim(NtGi2L-Gs-CtGq)/β1/γ2
11.76Single8U8FPalmitic Acid8U8F-GPR3-Palmitic Acid-Gs/β1/γ2
11.76Single9FUPIstradefylline9FUP-A2A-Istradefylline-Na
11.76Consensusclass-a_class-b1_cons_on_gpOrthosteric Ligandclass-a_on_gp class-b1_on_gp
11.76Consensuspth2_onOrthosteric Ligand7F16-PTH2-TIP39-Gs/β1/γ2
11.54Single6MEOGp160; CD46MEO-CCR5-Gp160; CD4
11.54Single6UUNAdrenomedullin6UUN-CT Like (AM1)-Adrenomedullin-Gs/β1/γ2; RAMP2
11.54Single6VN7PACAP276VN7-VPAC1-PACAP27-Gs/β1/γ2
11.54Single7MBXCholecystokinin-87MBX-CCKA-Cholecystokinin-8-Gs/β1/γ1
11.54Single7O7F6P4-CCL57O7F-CCR5-6P4-CCL5-Gi1/β1/γ1
11.54Single7RYCOxytocin7RYC-OT-Oxytocin-chim(NtGi2L-Gs-CtGq)/β1/γ2
11.54Single8K6MNeuropeptide-Y8K6M-Y1-Neuropeptide-Y-Gi2/β1/γ1
11.54Consensuscckb_on_gpOrthosteric Ligand8IA7-CCKB-Cholecystokinin-8-chim(NtGi1L-Gq)/β1/γ2 7XOW-CCKB-Sulfated Gastrin-(10-17)-chim(NtGi1-Gq)/β1/γ2 7F8V-CCKB-Gastrin-17-Gi2/β1/γ2
11.54Consensuscompl-peptide_on_gpOrthosteric Ligandc5a1_on_gp c3a_on_gp
11.54Consensusmc3_onOrthosteric Ligand8IOC-MC3-γ-MSH-Ca-chim(NtGi1-Gs)/β1/γ2
11.54Consensusmc3_on_gpOrthosteric Ligand8IOC-MC3-γ-MSH-Ca-chim(NtGi1-Gs)/β1/γ2
11.54Consensusnpy1_onOrthosteric Ligand8K6M-Y1-Neuropeptide-Y-Gi2/β1/γ1
11.54Consensusnpy1_on_gpOrthosteric Ligand8K6M-Y1-Neuropeptide-Y-Gi2/β1/γ1
11.11Single3REYPubChem 56973REY-A2A-PubChem 5697
11.11Single5IU4ZM-2413855IU4-A2A-ZM-241385-Na
11.11Single5IUBQ274563445IUB-A2A-Q27456344-Na
11.11Single5K2CZM-2413855K2C-A2A-ZM-241385-Na
11.11Single5NLXZM-2413855NLX-A2A-ZM-241385-Na
11.11Single5NM4ZM-2413855NM4-A2A-ZM-241385-Na
11.11Single6METGp160; CD46MET-CCR5-Gp160; CD4
11.11Single6WI9Secretin6WI9-Secretin-Secretin-Gs/β1/γ2
11.11Single6ZDVPubChem 9840736ZDV-A2A-PubChem 984073-Na
11.11Single7FIMTirzepatide7FIM-GLP-1-Tirzepatide-Gs/β1/γ2
11.11Single7T10Somatostatin-147T10-SST2-Somatostatin-14-Gi3/β1/γ2
11.11Single7TYIAmylin7TYI-CT-Amylin-Gs/β1/γ2
11.11Single7UTZDPPC7UTZ-TSH-TSH-DPPC-Gs/β1/γ2
11.11Single7V9MSomatoliberin7V9M-GHRH (SV1)-Somatoliberin-Gs/β1/γ2
11.11Single7W57Neuromedin-S7W57-NMUR2-Neuromedin-S-chim(NtGi1-Gs-CtGq)/β1/γ2
11.11Single7XK8Neuromedin-U-257XK8-NMUR2-Neuromedin-U-25-Gi1/β1/γ2
11.11Single7XOVSR1461317XOV-CCKA-SR146131-Gs/β1/γ2
11.11Single7YK6PubChem 1383196747YK6-RXFP4-PubChem 138319674-Gi2/β1/γ2
11.11Single7YONPeptide-YY(3-36)7YON-Y2-Peptide-YY(3-36)-Gi1/β1/γ2
11.11Single8GUQOlorinab8GUQ-CB2-Olorinab-Gi1/β1/γ2
11.11Single8IYXYL-3658IYX-GPR34-YL-365
11.11Single8K4NPubChem 1687197658K4N-GPR34-PubChem 168719765-Gi1/β1/γ2
11.11Single8Y6YGLPG09748Y6Y-FFA2-GLPG0974
11.11Single8YKVPubChem 1375531688YKV-Succinate-PubChem 137553168-Gi1/β1/γ2
11.11Single8ZPMAMD0708ZPM-CXCR4-AMD070
11.11Single8ZPNAMD31008ZPN-CXCR4-AMD3100
11.11Single9BA0MRI-18919BA0-CB1-MRI-1891
11.11Single9BLCCagrilintide (non-acylated)9BLC-CT-Cagrilintide (non-acylated)-Gs/β1/γ2
11.11Single9BUDCagrilintide9BUD-CT-Cagrilintide-Gs/β1/γ2
11.11Single9DQJEP-39459DQJ-MRGPRD-EP-3945-chim(NtGi1-Gs-CtGq)/β1/γ2
11.11Single9JMDAzithromycin9JMD-Motilin-Azithromycin-chim(Gs-CtGq)/β1/γ2
11.11Single9KXSEP679KXS-C5a1-EP67-Go/β1/γ2
11.11Single9U80Conivaptan9U80-V2-Conivaptan
11.11Consensuscb1_offOrthosteric Ligand5U09-CB1-Taranabant 5TGZ-CB1-AM6538
11.11Consensuscrf2_onOrthosteric Ligand7TS0-CRF2-Urocortin-chim(NtGi1L-Go)/β1/γ2
11.11Consensusmc2_onOrthosteric Ligand8GY7-MC2-Corticotropin-Ca-chim(NtGi1-Gs)/β1/γ2; MRAP1
11.11Consensusmc2_on_gpOrthosteric Ligand8GY7-MC2-Corticotropin-Ca-chim(NtGi1-Gs)/β1/γ2; MRAP1
11.11Consensusnucleotide_offOrthosteric Ligandadenosine_off p2y_off
11.11Consensusp2y_on_gpOrthosteric Ligandp2y1_on_gp p2y10_on_gp p2y12_on_gp
11.11Consensustachykinin_onOrthosteric Ligandnk1_on nk2_on nk3_on
10.81Consensuspth2_on_gpOrthosteric Ligand7F16-PTH2-TIP39-Gs/β1/γ2
10.71Single7P02Substance-P7P02-NK1-Substance-P-chim(NtGi1-Gs)/β1/γ2
10.71Single7WBJPACAP277WBJ-VPAC1-PACAP27-Gs/β1/γ2
10.71Single8E3YPACAP278E3Y-VPAC1-PACAP27-Gs/β1/γ2
10.71Single8E3ZVIP8E3Z-VPAC1-VIP-Gs/β1/γ2
10.71Single8IA2C5a8IA2-C5a1-C5a-Go/β1/γ2
10.71Single8XVIEndothelin-18XVI-ETA-Endothelin-1-chim(Gs-CtGq)/β1/γ2
10.71Single9E2AGLP-19E2A-GLP-1-GLP-1-Gs/β1/γ2
10.71Single9JFYNeuropeptide-SF9JFY-NPFF2-Neuropeptide-SF-Gi1/β1/γ2
10.53Single6D27CAY104716D27-DP2-CAY10471
10.53Single6KPFAM120336KPF-CB2-AM12033-Gi1/β1/γ2
10.53Single6LPJZM-2413856LPJ-A2A-ZM-241385-Na
10.53Single6LPKZM-2413856LPK-A2A-ZM-241385-Na
10.53Single7V3ZCP559407V3Z-CB1-CP55940
10.53Single7YU4ONO-07405567YU4-LPA1-ONO-0740556
10.53Single7YXAONO-54306087YXA-S1P5-ONO-5430608
10.53Single8F0JPramlintide Analogue San458F0J-CT-Pramlintide Analogue San45-Gs/β1/γ2
10.53Single8GCML-9026888GCM-EP4-L-902688-Gi1/β1/γ2
10.53Single8KFYZK-7563268KFY-CCR8-ZK-756326-Gi1/β1/γ2
10.53Single8XBGS3E-Lysophosphatidylserine 8XBG-GPR34-S3E-Lysophosphatidylserine
10.53Single8XJLPGF2-alpha8XJL-FP-alpha-PGF2-α-chim(NtGi2-Gs-CtGq)/β1/γ2
10.53Single9JQZGrapiprant 9JQZ-EP4-Grapiprant
10.53Consensusalicarboxylic_offOrthosteric Ligandsuccinate_off
10.53Consensussuccinate_offOrthosteric Ligand6RNK-Succinate-NF-56-EJ40 6Z10-Succinate-PubChem 154585554
10.34Single6P9YPACAP276P9Y-PAC1-PACAP27-Gs/β1/γ2
10.34Single7RGPTirzepatide7RGP-GLP-1-Tirzepatide-chim(NtGi1-Gs)/β1/γ2
10.34Single8E3XPACAP278E3X-PAC1-PACAP27-Gs/β1/γ2
10.34Single9BLBCagrilintide (non-acylated)9BLB-CT-Cagrilintide (non-acylated)-Gs/β1/γ2
10.34Single9BP3Cagrilintide9BP3-CT (AMY1)-Cagrilintide-Gs/β1/γ2; RAMP1
10.34Single9P92VIP9P92-PAC1-VIP-Gs/β1/γ2
10.34Consensuscrf2_on_gpOrthosteric Ligand7TS0-CRF2-Urocortin-chim(NtGi1L-Go)/β1/γ2
10.34Consensuspac1_onOrthosteric Ligand8E3X-PAC1-PACAP27-Gs/β1/γ2 6M1H-PAC1-Maxadilan-Gs/β1/γ2
10.34Consensuspac1_on_gpOrthosteric Ligand8E3X-PAC1-PACAP27-Gs/β1/γ2 6M1H-PAC1-Maxadilan-Gs/β1/γ2
10.34Consensuspac_on_gpOrthosteric Ligandpac1_on_gp
10.34Consensussecretin_onOrthosteric Ligand7D3S-Secretin-Secretin-Gs/β1/γ2
10.26Single8F2BPramlintide Analogue San458F2B-CT (AMY3)-Pramlintide Analogue San45-Gs/β1/γ2; RAMP3
10.00Single5T1ABMS-6815T1A-CCR2-BMS-681-PubChem 12093170
10.00Single5YHLPubChem 1351213525YHL-EP4-PubChem 135121352
10.00Single5YWYONO-AE3-2085YWY-EP4-ONO-AE3-208
10.00Single6B3JExendin-P56B3J-GLP-1-Exendin-P5-Gs/β1/γ2
10.00Single6KPCAM120336KPC-CB2-AM12033
10.00Single6P9XCorticoliberin-16P9X-CRF1-Corticoliberin-1-Gs/β1/γ2
10.00Single6VCBGLP-16VCB-GLP-1-GLP-1-LSN3160440-Gs/β1/γ2
10.00Single7VV0PAMP-127VV0-MRGPRX2-PAMP-12
10.00Single7VV4Cortistatin-147VV4-MRGPRX2-Cortistatin-14
10.00Single7YU3ONO-07405567YU3-LPA1-ONO-0740556-Gi1/β1/γ2
10.00Single7YU6ONO-07405567YU6-LPA1-ONO-0740556-Gi1/β1/γ2
10.00Single8IZ4Lysophosphatidylserine (TJR)8IZ4-GPR34-Lysophosphatidylserine (TJR)-Gi1/β1/γ2
10.00Single8T6JCDPPB8T6J-mGlu5; mGlu5-CDPPB
10.00Single8T6JCDPPB8T6J-mGlu5; mGlu5-CDPPB
10.00Single8W8WAlpha-MSH8W8W-MC3-α-MSH-Ca-Gs/β1/γ2
10.00Single8WGBVU01550418WGB-mGlu4; mGlu2-Glutamate-VU0155041-Gi3/β1/γ2
10.00Single9B9ZMRI-18679B9Z-CB1-MRI-1867
10.00Single9DQHEP-28259DQH-MRGPRD-EP-2825-chim(NtGi1-Gs-CtGq)/β1/γ2
10.00Single9ERXD9-THC analog9ERX-CB1-D9-THC analog-Gi1/β1/γ2
10.00Single9JKSPubChem 442501769JKS-HCA3-PubChem 44250176-Gi1/β1/γ2
10.00Consensuscrf_onOrthosteric Ligandcrf2_on crf1_on
10.00Consensusep4_offOrthosteric Ligand5YWY-EP4-ONO-AE3-208 5YHL-EP4-PubChem 135121352
10.00Consensusep_offOrthosteric Ligandep4_off
10.00Consensusglp2_onOrthosteric Ligand7D68-GLP-2-GLP-2-Gs/β1/γ2
10.00Consensusglp2_on_gpOrthosteric Ligand7D68-GLP-2-GLP-2-Gs/β1/γ2
10.00Consensusglp_onOrthosteric Ligandglp1_on glp2_on
10.00Consensusglp_on_gpOrthosteric Ligandglp1_on_gp glp2_on_gp
10.00Consensuslipid_onOrthosteric Ligandcannabinoid_on ffa_on lpl_on prostanoid_on leukotriene_on
10.00Consensuslipid_on_gpOrthosteric Ligandcannabinoid_on_gp ffa_on_gp lpl_on_gp prostanoid_on_gp leukotriene_on_gp
10.00Consensuslpa1_onOrthosteric Ligand7TD1-LPA1-LPA-Gi1/β1/γ2 7YU3-LPA1-ONO-0740556-Gi1/β1/γ2
10.00Consensuslpa1_on_gpOrthosteric Ligand7TD1-LPA1-LPA-Gi1/β1/γ2 7YU3-LPA1-ONO-0740556-Gi1/β1/γ2
10.00Consensusp2y10_on_gpOrthosteric Ligand8KGG-P2Y10-Lysophosphatidylserine (WJS)-chim(NtGi2-G13)/β1/γ2
10.00Consensuss1p5_offOrthosteric Ligand7YXA-S1P5-ONO-5430608
10.00Consensussecretin_on_gpOrthosteric Ligand7D3S-Secretin-Secretin-Gs/β1/γ2
9.68Single6LMLGlucagon6LML-Glucagon-Glucagon-Gi1/β1/γ1
9.68Single6PB1Urocortin6PB1-CRF2-Urocortin-chim(NtGi1-Gs)/β1/γ2
9.68Single6UUSAdrenomedullin6UUS-CT Like (AM2)-Adrenomedullin-Gs/β1/γ2; RAMP3
9.68Single6WZGSecretin6WZG-Secretin-Secretin-Gs/β1/γ2
9.68Single7D68GLP-27D68-GLP-2-GLP-2-Gs/β1/γ2
9.68Single7KI1Taspoglutide7KI1-GLP-1-Taspoglutide-Gs/β1/γ2
9.68Single7TS0Urocortin7TS0-CRF2-Urocortin-chim(NtGi1L-Go)/β1/γ2
9.68Single9BYOExendin-39BYO-GLP-1-Exendin-3-Gs/β1/γ2
9.68Single9P93VIP9P93-PAC1-VIP-Gs/β1/γ2
9.68Consensusctlike_on_gpOrthosteric Ligand6E3Y-CT Like-Calcitonin gene-related peptide-1-Gs/β1/γ2; RAMP1
9.68Consensusgs_melanocortinOrthosteric Ligand7F4H-MC1-Afamelanotide-chim(NtGi1-Gs)/β1/γ2 7F54-MC4-Afamelanotide-Gs/β1/γ2 7F4D-MC1-α-MSH-chim(NtGi1-Gs)/β1/γ2 8INR-MC5-α-MSH-Ca-chim(NtGi1-Gs)/β1/γ2 7F53-MC4-α-MSH-Gs/β1/γ2 7F55-MC4-Bremelanotide-Gs/β1/γ2 8GY7-MC2-Corticotropin-Ca-chim(NtGi1-Gs)/β1/γ2; MRAP1 8IOC-MC3-γ-MSH-Ca-chim(NtGi1-Gs)/β1/γ2 8IOD-MC5-PG-901-Ca-chim(NtGi1-Gs)/β1/γ2 7AUE-MC4-Setmelanotide-chim(NtGi1L-Gs)/β1/γ2 7F4I-MC1-SHU9119-chim(NtGi1-Gs)/β1/γ2 7F58-MC4-THIQ-Gs/β1/γ2
9.68Consensusvip-pacap_onOrthosteric Ligandvpac_on pac_on
9.68Consensusvip-pacap_on_gpOrthosteric Ligandvpac_on_gp pac_on_gp
9.52Single5ZBHBMS-1938855ZBH-Y1-BMS-193885
9.52Single7R0CAVP7R0C-V2-AVP-Arrestin2
9.52Single7S8MCortistatin-147S8M-MRGPRX2-Cortistatin-14-Gi1/β1/γ2
9.52Single7XOWSulfated Gastrin-(10-17)7XOW-CCKB-Sulfated Gastrin-(10-17)-chim(NtGi1-Gq)/β1/γ2
9.52Single7Y67C089 peptide7Y67-C5a1-C089 peptide-Gi1/β1/γ2
9.52Single7YU5ONO-07405567YU5-LPA1-ONO-0740556-Gi1/β1/γ2
9.52Single7YU7ONO-07405567YU7-LPA1-ONO-0740556-Gi1/β1/γ2
9.52Single8GDBPGE28GDB-EP4-PGE2-Gs/β1/γ2
9.52Single8GUSHU-3088GUS-CB2-HU-308-Gi1/β1/γ2
9.52Single8GY7Corticotropin8GY7-MC2-Corticotropin-Ca-chim(NtGi1-Gs)/β1/γ2; MRAP1
9.52Single8HQCC5a8HQC-C5a1-C5a-Go/β1/γ2
9.52Single8JBGNeurokinin-B8JBG-NK3-Neurokinin-B-chim(NtGi1-Gs-CtGq)/β1/γ2
9.52Single8XBIPubChem 1626566368XBI-GPR34-PubChem 162656636
9.52Single8ZW0PGD28ZW0-DP1-PGD2-Gs/β1/γ2
9.52Single9CLWTUG-13759CLW-FFA2-TUG-1375-4-CMTB-chim(NtGi1L-Gs-CtGq)/β1/γ2
9.52Single9EGOZ85267113509EGO-CB1-Z8526711350-Gi1/β1/γ2
9.52Single9IZGLPA9IZG-LPA1-LPA-chim(NtGi1-Gs-CtGq)/β1/γ2
9.52Single9YDVMRS29059YDV-P2Y14-MRS2905-Gi1/β1/γ2
9.52Consensusffa2_onOrthosteric Ligand8J22-FFA2-TUG-1375-Gi1/β1/γ2
9.52Consensusgi_lpaOrthosteric Ligand7TD1-LPA1-LPA-Gi1/β1/γ2 7YU3-LPA1-ONO-0740556-Gi1/β1/γ2
9.52Consensuslpa_onOrthosteric Ligandlpa1_on
9.52Consensuslpa_on_gpOrthosteric Ligandlpa1_on_gp
9.38Single6PB0Urocortin6PB0-CRF1-Urocortin-chim(NtGi1-Gs)/β1/γ2
9.38Single7DUQGLP-17DUQ-GLP-1-GLP-1-PubChem 156022738-Gs/β1/γ2
9.38Single7TYXAmylin7TYX-CT (AMY2)-Amylin-Gs/β1/γ2; RAMP2
9.38Single8U1UCCL18U1U-CCR8-CCL1-Gi1/β1/γ2
9.38Consensusclass-a_class-b1_cons_onOrthosteric Ligandclass-a_on class-b1_on
9.09Single3VW7Vorapaxar; Na3VW7-PAR1-Vorapaxar; Na
9.09Single4PXZ2MeSADP4PXZ-P2Y12-2MeSADP
9.09Single6LPBPACAP276LPB-PAC1-PACAP27-Gs/β1/γ1
9.09Single7W0NElabela7W0N-Apelin; Apelin-Elabela-Gi1/β1/γ2
9.09Single7XW5ML1097XW5-TSH-TSH-ML109-Gs/β1/γ2
9.09Single7XW6ML1097XW6-TSH-M22 Fab-ML109-Gs/β1/γ2
9.09Single8F2APramlintide Analogue San3858F2A-CT (AMY3)-Pramlintide Analogue San385-Gs/β1/γ2; RAMP3
9.09Single8FLSAbaloparatide8FLS-PTH1-Abaloparatide-Gs/β1/γ2
9.09Single8FLULA-PTH Analog8FLU-PTH1-LA-PTH Analog-Gs/β1/γ2
9.09Single8HK2C3a8HK2-C3aB-C3a-Gi1/β1/γ2
9.09Single8WRBLysophosphatidylserine (UBL)8WRB-GPR34-Lysophosphatidylserine (UBL)-Gi1/β1/γ2
9.09Single9AUCCalcitonin gene-related peptide-19AUC-CT (AMY1)-Calcitonin gene-related peptide-1-Gs/β1/γ2; RAMP1
9.09Single9BJKPubChem 1716420669BJK-μ-Naloxone-PubChem 171642066
9.09Single9KZKC3a (fragment)9KZK-C3aB-C3a (fragment)-Go/β1/γ2
9.09Single9YDUUDP-Glucose9YDU-P2Y14-UDP-Glucose-Gi1/β1/γ2
9.09Consensuscxcr_onOrthosteric Ligandcxcr3_on cxcr4_on cxcr1_on cxcr2_on
9.09Consensusffa2_on_gpOrthosteric Ligand8J22-FFA2-TUG-1375-Gi1/β1/γ2
9.09Consensusglp1_onOrthosteric Ligand7S1M-GLP-1-Exendin-4-D-Ala-Gs/β1/γ2 7X8R-GLP-1-BOC5-Gs/β1/γ2 6X19-GLP-1-CHU-128-Gs/β1/γ2 6X1A-GLP-1-Danuglipron-Gs/β1/γ2 6X18-GLP-1-GLP-1-Gs/β1/γ2 8JIP-GLP-1-MEDI0382-chim(NtGi1-Gs)/β1/γ2 7C2E-GLP-1-PubChem 149050799-Gs/β1/γ2 7KI0-GLP-1-Semaglutide-Gs/β1/γ2 7KI1-GLP-1-Taspoglutide-Gs/β1/γ2 7X8S-GLP-1-WB4-24-Gs/β1/γ2 8JIS-GLP-1-Peptide-15-chim(NtGi1-Gs)/β1/γ2 7VBI-GLP-1-Tirzepatide (non-acylated)-Gs/β1/γ2
8.82Single6WPWZP37806WPW-Glucagon-ZP3780-Gs/β1/γ2
8.82Single7VVMPTH7VVM-PTH1-PTH-Gs/β1/γ2
8.82Single9JR2PTH9JR2-PTH1-PTH-chim(NtGi1L-Gs-CtGq)/β1/γ2
8.82Consensuscrf_on_gpOrthosteric Ligandcrf2_on_gp crf1_on_gp
8.82Consensuspth1_on_gpOrthosteric Ligand6NBF-PTH1-LA-PTH Analog-Gs/β1/γ2 8HA0-PTH1-PTH-chim(NtGi1-Gs)/β1/γ2 8HAF-PTH1-PTHrP(1-36)-chim(NtGi1-Gs)/β1/γ2 7Y36-PTH1-PTH-Gs/β1/γ2 7Y35-PTH1-Abaloparatide-Gs/β1/γ2
8.70Single6KPGAM8416KPG-CB1-AM841-Gi1/β1/γ2
8.70Single7CX4Evatanepag7CX4-EP2-Evatanepag-Gs/β1/γ2
8.70Single7D7MPGE27D7M-EP4-PGE2-Gs/β1/γ1
8.70Single7LLLExendin-47LLL-GLP-1-Exendin-4-Gs/β1/γ2
8.70Single7PIUSetmelanotide7PIU-MC4-Setmelanotide-Gs/β1/γ2
8.70Single7VVNPTH7VVN-PTH1-PTH-Gs/β1/γ2
8.70Single8XBES3E-Lysophosphatidylserine 8XBE-GPR34-S3E-Lysophosphatidylserine-Gi1/β1/γ1
8.70Single9C0KExendin-49C0K-GLP-1-Exendin-4-Gs/β1/γ2
8.70Single9J0BUDP-Glucose9J0B-P2Y14-UDP-Glucose-Gi1/β1/γ2
8.70Single9KV8TLQP219KV8-C3aB-TLQP21-Go/β1/γ2
8.70Single9VI9RFRP-39VI9-NPFF1-RFRP-3-Gi1/β1/γ2
8.57Single7TYYCalcitonin-17TYY-CT (AMY2)-Calcitonin-1-Gs/β1/γ2; RAMP2
8.57Single7Y36PTH7Y36-PTH1-PTH-Gs/β1/γ2
8.57Single8FLQPTH8FLQ-PTH1-PTH-Gs/β1/γ2
8.57Single9JR3PTH9JR3-PTH1-PTH-chim(NtGi1L-Gs-CtGq)/β1/γ2
8.57Consensusglucagon_onOrthosteric Ligandglp_on gluc_on secretin_on gip_on
8.33Single6C1QPMX536C1Q-C5a1-PMX53-NDT9513727
8.33Single6E3YCalcitonin gene-related peptide-16E3Y-CT Like-Calcitonin gene-related peptide-1-Gs/β1/γ2; RAMP1
8.33Single7CX2PGE27CX2-EP2-PGE2-Gs/β1/γ2
8.33Single7F9ZGHRP-67F9Z-Ghrelin-GHRP-6-chim(NtGi1-Gs-CtGq)/β1/γ2
8.33Single7RKNCX3CL17RKN-US28-CX3CL1-Gi1/β1/γ2
8.33Single7S8LCortistatin-147S8L-MRGPRX2-Cortistatin-14-chim(NtGi2L-Gs-CtGq)/β1/γ2
8.33Single7XBXCX3CL17XBX-CX3CR1-CX3CL1-Gi1/β1/γ2
8.33Single8J22TUG-13758J22-FFA2-TUG-1375-Gi1/β1/γ2
8.33Single8SAILysophosphatidylserine (S12)8SAI-GPR34-Lysophosphatidylserine (S12)-Gi1/β1/γ2
8.33Single8XQJJN2418XQJ-Apelin; Apelin-JN241
8.33Single9KX6C5a-des-Arg9KX6-C5a1-C5a-des-Arg-Go/β1/γ2
8.33Consensusglucagon_on_gpOrthosteric Ligandglp_on_gp gluc_on_gp secretin_on_gp gip_on_gp
8.33Consensusnmur1_onOrthosteric Ligand7W53-NMUR1-Neuromedin-U-25-chim(NtGi1-Gs-CtGq)/β1/γ2
8.33Consensuspth_onOrthosteric Ligandpth1_on pth2_on
8.00Single4XT1CX3CL14XT1-US28-CX3CL1
8.00Single7CX3Taprenepag7CX3-EP2-Taprenepag-Gs/β1/γ2
8.00Single7W56Neuromedin-S7W56-NMUR1-Neuromedin-S-chim(NtGi1-Gs-CtGq)/β1/γ2
8.00Single8KIGSHU91198KIG-MC3-SHU9119-Ca
8.00Single8U4OCXCL128U4O-CXCR4-CXCL12-Gi1/β1/γ2
8.00Single8XBHPubChem 1626566368XBH-GPR34-PubChem 162656636-Gi1/β1/γ2
8.00Single8YWFRetatrutide8YWF-GLP-1-Retatrutide-chim(NtGi1-Gs)/β1/γ2
8.00Single9HB3Mambaquaretin-19HB3-V2-Mambaquaretin-1
8.00Single9J0IUDP-Glucuronic acid9J0I-P2Y14-UDP-Glucuronic acid-Gi1/β1/γ2
8.00Single9UYLChemerin-99UYL-CML2-Chemerin-9-Arrestin2
8.00Consensussomatostatin_offOrthosteric Ligandsst2_off
7.89Single7F16TIP397F16-PTH2-TIP39-Gs/β1/γ2
7.89Consensusclass-b1_onOrthosteric Ligandglucagon_on vip-pacap_on pth_on crf_on calcitonin_on
7.69Single7C6A(Sar1,Ile8)-Angiotensin II7C6A-AT2-(Sar1,Ile8)-Angiotensin II
7.69Single7TRYUrocortin7TRY-CRF2-Urocortin-chim(NtGi1-G11)/β1/γ2
7.69Single7VBITirzepatide (non-acylated)7VBI-GLP-1-Tirzepatide (non-acylated)-Gs/β1/γ2
7.69Single7XNACYN1548067XNA-SST2-CYN154806
7.69Single8IBVMotilin8IBV-Motilin-Motilin-chim(NtGi1-Gs-CtGq)/β1/γ2
7.69Single8IOCGamma-MSH8IOC-MC3-γ-MSH-Ca-chim(NtGi1-Gs)/β1/γ2
7.69Single8JGBConorfamide-Tx28JGB-MRGPRX1-Conorfamide-Tx2-Gi1/β1/γ2
7.69Single9EAINanobody AT2099EAI-AT1-Losartan-Nanobody AT209
7.69Single9IQSMuscarinic toxin 39IQS-M4-Muscarinic toxin 3
7.69Single9J0FNADH9J0F-P2Y14-NADH-Gi1/β1/γ2
7.69Consensusmc5_onOrthosteric Ligand8INR-MC5-α-MSH-Ca-chim(NtGi1-Gs)/β1/γ2 8IOD-MC5-PG-901-Ca-chim(NtGi1-Gs)/β1/γ2
7.69Consensussst2_offOrthosteric Ligand7XNA-SST2-CYN154806
7.50Consensuspth_on_gpOrthosteric Ligandpth1_on_gp pth2_on_gp
7.41Single3OE0CVX153OE0-CXCR4-CVX15
7.41Single8K6NNeuropeptide-Y8K6N-Y2-Neuropeptide-Y-Gi2/β1/γ1
7.41Single8W8YGamma-MSH8W8Y-MC3-γ-MSH-Ca-Gs/β1/γ2
7.41Single9LXRLA-PTH Analog9LXR-PTH1-LA-PTH Analog-Arrestin2
7.41Consensusclass-b1_class-b2_cons_onOrthosteric Ligandclass-b1_on class-b2_on
7.41Consensusclass-b1_class-b2_cons_on_gpOrthosteric Ligandclass-b1_on_gp class-b2_on_gp
7.14Single6M1IPACAP276M1I-PAC1-PACAP27-Gs/β1/γ2
7.14Single8HA0PTH8HA0-PTH1-PTH-chim(NtGi1-Gs)/β1/γ2
7.14Single8XZJWN3538XZJ-Apelin; Apelin-WN353-Gi1/β1/γ2
7.14Single8YW3Retatrutide8YW3-GLP-1-Retatrutide-Gs/β1/γ2
7.14Single8YW4Retatrutide8YW4-GIP-Retatrutide-chim(NtGi1-Gs)/β1/γ2
7.14Single8YW5Retatrutide8YW5-Glucagon-Retatrutide-Gs/β1/γ2
7.14Single9EBOGLP-1 (ACPC18)9EBO-GLP-1-GLP-1 (ACPC18)-Gs/β1/γ2
7.14Consensusclass-b1_on_gpOrthosteric Ligandglucagon_on_gp vip-pacap_on_gp pth_on_gp crf_on_gp calcitonin_on_gp
7.14Consensusmc5_on_gpOrthosteric Ligand8INR-MC5-α-MSH-Ca-chim(NtGi1-Gs)/β1/γ2 8IOD-MC5-PG-901-Ca-chim(NtGi1-Gs)/β1/γ2
7.14Consensusneuromedin-u_onOrthosteric Ligandnmur1_on nmur2_on
7.14Consensusprotein_offonOrthosteric Ligandprotein_off protein_on
7.14Consensusprotein_offon_gpOrthosteric Ligandprotein_on_gp protein_off
6.90Single6X18GLP-16X18-GLP-1-GLP-1-Gs/β1/γ2
6.90Single7LLYOxyntomodulin7LLY-GLP-1-Oxyntomodulin-Gs/β1/γ2
6.90Single7TYWCalcitonin-17TYW-CT (AMY1)-Calcitonin-1-Gs/β1/γ2; RAMP1
6.90Single7VL9CCL15(26-92)7VL9-CCR1-CCL15(26-92)-Gi1/β1/γ2
6.90Single7X9BNeuropeptide-Y7X9B-Y2-Neuropeptide-Y-Gi1/β1/γ2
6.90Consensuscalcitonin_onOrthosteric Ligandctlike_on
6.90Consensuschemokine_offOrthosteric Ligandccr_off cxcr_off
6.90Consensuschemokine_on_gpOrthosteric Ligandccr_on_gp cxcr_on_gp
6.90Consensuscxcr_offOrthosteric Ligandcxcr3_off cxcr4_off
6.90Consensusgi_chemokineOrthosteric Ligand6WWZ-CCR6-CCL20-Go/β1/γ2 8HNK-CXCR3-CXCL11-Gi1/β1/γ2 8K3Z-CXCR4-CXCL12-Gi1/β1/γ1 8IC0-CXCR1-CXCL8-Gi1/β1/γ2 6LFM-CXCR2-CXCL8-Gi1/β1/γ2 8KFX-CCR8-LMD-009-Gi1/β1/γ2 7F1Q-CCR5-CCL3-Gi1/β1/γ2 8HNL-CXCR3-PS372424-Gi1/β1/γ2 8KFY-CCR8-ZK-756326-Gi1/β1/γ2 7O7F-CCR5-6P4-CCL5-Gi1/β1/γ1 8U1U-CCR8-CCL1-Gi1/β1/γ2 7VLA-CCR1-CCL15(27-92)-Gi1/β1/γ2 7XA3-CCR2-CCL2-Gi1/β1/γ2
6.90Consensusneuromedin-u_on_gpOrthosteric Ligandnmur1_on_gp nmur2_on_gp
6.90Consensusp2y10_onOrthosteric Ligand8KGG-P2Y10-Lysophosphatidylserine (WJS)-chim(NtGi2-G13)/β1/γ2
6.90Consensuspac_onOrthosteric Ligandpac1_on
6.90Consensusvpac_onOrthosteric Ligandvpac1_on vpac2_on
6.67Single3OE8IT1t3OE8-CXCR4-IT1t
6.67Single4XT3CX3CL14XT3-US28-CX3CL1
6.67Single5UIW5P7-CCL55UIW-CCR5-5P7-CCL5
6.67Single6FJ3PTH6FJ3-PTH1-PTH
6.67Single6NBFLA-PTH Analog6NBF-PTH1-LA-PTH Analog-Gs/β1/γ2
6.67Single6NBILA-PTH Analog6NBI-PTH1-LA-PTH Analog-Gs/β1/γ2
6.67Single7CZ5Somatoliberin7CZ5-GHRH-Somatoliberin-Gs/β1/γ2
6.67Single7D3SSecretin7D3S-Secretin-Secretin-Gs/β1/γ2
6.67Single7KI0Semaglutide7KI0-GLP-1-Semaglutide-Gs/β1/γ2
6.67Single7RA3GIP7RA3-GIP-GIP-chim(NtGi1-Gs)/β1/γ2
6.67Single7SK4CXCL12_LRHQ7SK4-ACKR3-CXCL12_LRHQ
6.67Single7VABTirzepatide (non-acylated)7VAB-GIP-Tirzepatide (non-acylated)-chim(NtGi1-Gs)/β1/γ2
6.67Single7VDMSubstance-P7VDM-MRGPRX2-Substance-P-Gi1/β1/γ2
6.67Single7Y14Beta-Alanine7Y14-MRGPRD-β-Alanine
6.67Single8IKGPubChem 7032058IKG-CB1-PubChem 703205-Gi1/β1/γ1
6.67Single8JISPeptide-158JIS-GLP-1-Peptide-15-chim(NtGi1-Gs)/β1/γ2
6.67Single9BUBCagrilintide9BUB-CT-Cagrilintide-Gs/β1/γ2
6.67Single9J1Pg1:Ox9J1P-GLP-1-g1:Ox-chim(NtGi1-Gs)/β1/γ2
6.67Consensuscalcitonin_on_gpOrthosteric Ligandctlike_on_gp
6.67Consensusccr5_offOrthosteric Ligand5UIW-CCR5-5P7-CCL5
6.67Consensusccr5_onOrthosteric Ligand7O7F-CCR5-6P4-CCL5-Gi1/β1/γ1 7F1Q-CCR5-CCL3-Gi1/β1/γ2
6.67Consensusccr_offOrthosteric Ligandccr2_off ccr5_off
6.67Consensusctlike_onOrthosteric Ligand6E3Y-CT Like-Calcitonin gene-related peptide-1-Gs/β1/γ2; RAMP1
6.67Consensusvpac_on_gpOrthosteric Ligandvpac1_on_gp vpac2_on_gp
6.45Single6UVAAdrenomedullin-26UVA-CT Like (AM2)-Adrenomedullin-2-Gs/β1/γ2; RAMP3
6.45Single7DTYGIP7DTY-GIP-GIP-Gs/β1/γ2
6.45Single7FIYTirzepatide7FIY-GIP-Tirzepatide-Gs/β1/γ2
6.45Single7S1MExendin-4-D-Ala7S1M-GLP-1-Exendin-4-D-Ala-Gs/β1/γ2
6.45Single7TYNCalcitonin-17TYN-CT-Calcitonin-1-Gs/β1/γ2
6.45Single7VQXPACAP277VQX-VPAC1-PACAP27-Gs/β1/γ2
6.45Single8FU6ZP37808FU6-Glucagon-ZP3780-Gs/β1/γ2
6.45Single8W8XBeta-MSH8W8X-MC3-β-MSH-Ca-Gs/β1/γ2
6.45Single9P94PACAP279P94-PAC1-PACAP27-Gs/β1/γ2
6.25Single3OE6IT1t3OE6-CXCR4-IT1t
6.25Single5VAIGLP-15VAI-GLP-1-GLP-1-Gs/β1/γ2
6.25Single6LMKGlucagon6LMK-Glucagon-Glucagon-Gs/β1/γ2
6.25Single6NBHLA-PTH Analog6NBH-PTH1-LA-PTH Analog-Gs/β1/γ2
6.25Single7VVJPTHrP(1-36)7VVJ-PTH1-PTHrP(1-36)-Gs/β1/γ2
6.25Single7VVLPTH7VVL-PTH1-PTH-Gs/β1/γ2
6.25Single7Y12Beta-Alanine7Y12-MRGPRD-β-Alanine-Gi1/β1/γ2
6.25Single8F76Propanoic acid8F76-OR51E2-Propanoic acid-Gs/β1/γ2
6.25Single8FLTM-PTH(1-14)8FLT-PTH1-M-PTH(1-14)-Gs/β1/γ2
6.25Single8HAFPTHrP(1-36)8HAF-PTH1-PTHrP(1-36)-chim(NtGi1-Gs)/β1/γ2
6.25Single8RQLFlufenamic acid8RQL-TAS2R14-Flufenamic acid-Flufenamic acid-chim(NtGi1-Gt3)/β1/γ2
6.25Single8X9UMetenolone8X9U-ADGRD1-Metenolone-chim(NtGi1-Gs)/β1/γ2
6.25Single9BQ3Cagrilintide9BQ3-CT (AMY2)-Cagrilintide-Gs/β1/γ2; RAMP2
6.25Single9BTWCagrilintide9BTW-CT (AMY3)-Cagrilintide-Gs/β1/γ2; RAMP3
6.25Consensuspth1_onOrthosteric Ligand6NBF-PTH1-LA-PTH Analog-Gs/β1/γ2 8HA0-PTH1-PTH-chim(NtGi1-Gs)/β1/γ2 8HAF-PTH1-PTHrP(1-36)-chim(NtGi1-Gs)/β1/γ2 7Y36-PTH1-PTH-Gs/β1/γ2 7Y35-PTH1-Abaloparatide-Gs/β1/γ2
6.25Consensusvpac2_onOrthosteric Ligand7VQX-VPAC1-PACAP27-Gs/β1/γ2
6.25Consensusvpac2_on_gpOrthosteric Ligand7VQX-VPAC1-PACAP27-Gs/β1/γ2
6.06Consensusgip_onOrthosteric Ligand7FIN-GIP-Peptide-20; GGL-Gs/β1/γ2 7FIY-GIP-Tirzepatide-Gs/β1/γ2 7DTY-GIP-GIP-Gs/β1/γ2
6.06Consensusgip_on_gpOrthosteric Ligand7FIN-GIP-Peptide-20; GGL-Gs/β1/γ2 7FIY-GIP-Tirzepatide-Gs/β1/γ2 7DTY-GIP-GIP-Gs/β1/γ2
5.88Single3OE9IT1t3OE9-CXCR4-IT1t
5.88Single5L7IVismodegib5L7I-SMO-Vismodegib
5.88Single7S8NR-Zinc-35737S8N-MRGPRX2-R-Zinc-3573-chim(NtGi2L-Gs-CtGq)/β1/γ2
5.88Single7S8OR-Zinc-35737S8O-MRGPRX2-R-Zinc-3573-Gi1/β1/γ2
5.88Single7VDHC48/807VDH-MRGPRX2-C48/80-Gi1/β1/γ2
5.88Single8IKHPubChem 1713935418IKH-CB1-PubChem 171393541-Gi1/β1/γ1
5.88Single8U4RREGN7663-Fab8U4R-CXCR4-REGN7663-Fab
5.88Single8ZX5AM2518ZX5-GPR55-AM251-chim(NtGi1-G13)/β1/γ2
5.88Single9JCPLPC9JCP-GPR4-LPC-chim(NtGi1-Gs-CtGq)/β1/γ2
5.88Consensusadgrg_onOrthosteric Ligandadgrg2_on adgrg4_on
5.88Consensusadgrg_on_gpOrthosteric Ligandadgrg2_on_gp adgrg4_on_gp
5.71Single7V35Peptide-207V35-Glucagon-Peptide-20-Gs/β1/γ2
5.71Single8JIPMEDI03828JIP-GLP-1-MEDI0382-chim(NtGi1-Gs)/β1/γ2
5.71Single8JIRSAR4258998JIR-GLP-1-SAR425899-chim(NtGi1-Gs)/β1/γ2
5.56Single3ODUIT1t3ODU-CXCR4-IT1t
5.56Single4K5YCP-3763954K5Y-CRF1-CP-376395
5.56Single5U09Taranabant5U09-CB1-Taranabant
5.56Single5ZKQABT-4915ZKQ-PAF-ABT-491
5.56Single6RNKNF-56-EJ406RNK-Succinate-NF-56-EJ40
5.56Single6ZA8RTI-3a6ZA8-NTS1-RTI-3a
5.56Single7S8PMS471347S8P-MRGPRX4-MS47134-chim(NtGi2L-Gs-CtGq)/β1/γ2
5.56Single7VV5C48/807VV5-MRGPRX2-C48/80-Gi1/β1/γ2
5.56Single7WV9ZCZ0117WV9-CB1-CP55940-ZCZ011-Gi2/β1/γ2
5.56Single7X2CFenoldopam7X2C-D1-Fenoldopam-Fenoldopam-Gs/β1/γ2
5.56Single8H8JLodoxamide8H8J-GPR35-Lodoxamide-Ca-chim(NtGi1L-G13)/β1/γ2
5.56Single8HMPC178HMP-GPR52-C17-Gs/β1/γ2
5.56Single8JIUSAR4258998JIU-Glucagon-SAR425899-Gs/β1/γ2
5.56Single8U4PAMD31008U4P-CXCR4-AMD3100-Gi1/β1/γ2
5.56Single8Y71BMS9861878Y71-δ-A1D6F-BMS986187-Gi1/β1/γ2
5.56Single9KO2CCL199KO2-CCR7-CCL19-Gi1/β1
5.56Single9KO6CCL199KO6-CCR7-CCL19
5.56Single9L60MPAM-159L60-κ-Dynorphin-MPAM-15-Gi1/β1/γ2
5.56Consensuspaf_offOrthosteric Ligand5ZKQ-PAF-ABT-491
5.41Consensusgluc_onOrthosteric Ligand6LMK-Glucagon-Glucagon-Gs/β1/γ2 8JIT-Glucagon-MEDI0382-Gs/β1/γ2 7V35-Glucagon-Peptide-20-Gs/β1/γ2
5.26Single6PT0WIN 55212-26PT0-CB2-WIN 55212-2-Gi1/β1/γ2
5.26Single6ZINSR486926ZIN-NTS1-SR48692
5.26Single7VV6C48/807VV6-MRGPRX2-C48/80
5.26Single8HJ5PubChem 1390305318HJ5-MRGPRX1-PubChem 139030531-chim(NtGi1-Gs-CtGq)/β1/γ2
5.26Single8K2WAMG4878K2W-CXCR3-AMG487
5.26Single8X7ATreprostinil8X7A-I2-Treprostinil-Gs/β1/γ2
5.26Single9JQYTG6-1299JQY-EP4-TG6-129
5.26Consensuscxcr3_offOrthosteric Ligand8K2W-CXCR3-AMG487
5.26Consensusgluc_on_gpOrthosteric Ligand6LMK-Glucagon-Glucagon-Gs/β1/γ2 8JIT-Glucagon-MEDI0382-Gs/β1/γ2 7V35-Glucagon-Peptide-20-Gs/β1/γ2
5.00Single4QIMANTA XV4QIM-SMO-ANTA XV
5.00Single4Z9GCP-3763954Z9G-CRF1-CP-376395
5.00Single5NDDAZ8838; Na5NDD-PAR2-AZ8838; Na
5.00Single6Z4VNeurotensin-(9-13)6Z4V-NTS1-Neurotensin-(9-13)
5.00Single7FIHOrg435537FIH-LH-hCG-Org43553-chim(NtGi1-Gs)/β1/γ2
5.00Single7YK7DC5910537YK7-RXFP4-DC591053-Gi2/β1/γ2
5.00Single8GTIBMK-C2058GTI-CRF1-BMK-C205
5.00Single8Y73MPAM-158Y73-μ-Peptide-MPAM-15-Gi1/β1/γ2
5.00Single8ZYYNeurotensin-(8-13)8ZYY-NTS1-Neurotensin-(8-13)-SBI-553-Arrestin2
5.00Single9JROPF-044189489JRO-EP2-PF-04418948
4.76Single6LFMCXCL86LFM-CXCR2-CXCL8-Gi1/β1/γ2
4.76Single6Z4SSR486926Z4S-NTS1-SR48692
4.76Single8GTGBMK-I1528GTG-CRF1-BMK-I152
4.76Single8JGGBAM8-228JGG-MRGPRX1-BAM8-22-Gi1/β1/γ2
4.76Single8XQPCholesterol8XQP-TAS2R14-Cholesterol-Aristolochic acid A-Gt3/β1/γ1
4.76Single8ZYTNeurotensin-(8-13)8ZYT-NTS1-Neurotensin-(8-13)-SBI-553-Arrestin2
4.76Single9JRTTG6-1299JRT-EP2-TG6-129
4.76Single9KO4CCL219KO4-CCR7-CCL21-Gi1/β1/γ2
4.76Consensuscxcr2_on_gpOrthosteric Ligand6LFM-CXCR2-CXCL8-Gi1/β1/γ2
4.76Consensusrxfp4_onOrthosteric Ligand7YK7-RXFP4-DC591053-Gi2/β1/γ2 7YJ4-RXFP4-INSL5-Gi2/β1/γ2 7YK6-RXFP4-PubChem 138319674-Gi2/β1/γ2
4.76Consensusrxfp4_on_gpOrthosteric Ligand7YK7-RXFP4-DC591053-Gi2/β1/γ2 7YJ4-RXFP4-INSL5-Gi2/β1/γ2 7YK6-RXFP4-PubChem 138319674-Gi2/β1/γ2
4.55Single3ZEVNeurotensin-(7-13)3ZEV-NTS1-Neurotensin-(7-13)
4.55Single4BV0Neurotensin-(7-13)4BV0-NTS1-Neurotensin-(7-13)
4.55Single5V56TC1145V56-SMO-TC114
4.55Single6OS1TRV0266OS1-AT1-TRV026
4.55Single6Z8NSRI-98296Z8N-NTS1-SRI-9829
4.55Single7F1TCCL37F1T-CCR5-CCL3
4.55Single7L0PNeurotensin-(8-13)7L0P-NTS1-Neurotensin-(8-13)-Gi1/β1/γ1
4.55Single7L0QNeurotensin-(8-13)7L0Q-NTS1-Neurotensin-(8-13)-Gi1/β1/γ1
4.55Single8FMZNeurotensin-(8-13)8FMZ-NTS1-Neurotensin-(8-13)-chim(NtGi2L-Gs-CtGq)/β1/γ2
4.55Single8FN1Neurotensin-(8-13)8FN1-NTS1-Neurotensin-(8-13)-chim(NtGi1-Go)/β1/γ2
4.55Single8JGFBAM8-228JGF-MRGPRX1-BAM8-22-chim(NtGi1-Gs-CtGq)/β1/γ2
4.55Single8XQTCholesterol8XQT-TAS2R14-Cholesterol-Gi1/β1/γ1
4.55Single9ASTLymphotactin9AST-XCR1-Lymphotactin-Gi1/β1/γ2
4.55Single9L16CCL219L16-CCR7-CCL21
4.55Consensusgi_relaxinOrthosteric Ligand7YK7-RXFP4-DC591053-Gi2/β1/γ2 7YJ4-RXFP4-INSL5-Gi2/β1/γ2 7YK6-RXFP4-PubChem 138319674-Gi2/β1/γ2
4.55Consensusmotilin_onOrthosteric Ligand8IBU-Motilin-Erythromycin-A-chim(NtGi1-Gs-CtGq)/β1/γ2
4.55Consensusneurotensin_onOrthosteric Ligandnts1_on
4.55Consensusnts1_onOrthosteric Ligand6OSA-NTS1-JMV449-Gi1/β1/γ2 7L0S-NTS1-Neurotensin-(8-13)-Gi1/β1/γ1
4.55Consensusrelaxin_onOrthosteric Ligandrxfp4_on
4.55Consensusrelaxin_on_gpOrthosteric Ligandrxfp4_on_gp
4.35Single4GRVNeurotensin-(8-13)4GRV-NTS1-Neurotensin-(8-13)
4.35Single4PY02MeSATP4PY0-P2Y12-2MeSATP
4.35Single4XEENeurotensin-(8-13)4XEE-NTS1-Neurotensin-(8-13)
4.35Single4XESNeurotensin-(8-13)4XES-NTS1-Neurotensin-(8-13)
4.35Single6C1RPMX536C1R-C5a1-PMX53-Avacopan; Na
4.35Single6OSAJMV4496OSA-NTS1-JMV449-Gi1/β1/γ2
4.35Single7L0SNeurotensin-(8-13)7L0S-NTS1-Neurotensin-(8-13)-Gi1/β1/γ1
4.35Single8GTMBMK-C2038GTM-CRF1-BMK-C203
4.35Single8IBUErythromycin-A8IBU-Motilin-Erythromycin-A-chim(NtGi1-Gs-CtGq)/β1/γ2
4.35Single8JPBNeurotensin-(8-13)8JPB-NTS1-Neurotensin-(8-13)-SBI-553; GDP; Mg-Gq; GRK2
4.35Single8XQJJN2418XQJ-Apelin; Apelin-JN241
4.35Single8XQNCholesterol8XQN-TAS2R14-Cholesterol-Aristolochic acid A-Gi1/β1/γ1
4.35Single8XQSCholesterol8XQS-TAS2R14-Cholesterol-Flufenamic acid-Gi1/β1/γ1
4.35Consensusgi_neurotensinOrthosteric Ligand6OSA-NTS1-JMV449-Gi1/β1/γ2 7L0S-NTS1-Neurotensin-(8-13)-Gi1/β1/γ1
4.35Consensusmotilin_on_gpOrthosteric Ligand8IBU-Motilin-Erythromycin-A-chim(NtGi1-Gs-CtGq)/β1/γ2
4.35Consensusneurotensin_on_gpOrthosteric Ligandnts1_on_gp
4.35Consensusnts1_on_gpOrthosteric Ligand6OSA-NTS1-JMV449-Gi1/β1/γ2 7L0S-NTS1-Neurotensin-(8-13)-Gi1/β1/γ1
4.17Single4BUONeurotensin-(8-13)4BUO-NTS1-Neurotensin-(8-13)
4.17Single6UP7Neurotensin-(8-13)6UP7-NTS1-Neurotensin-(8-13)-Arrestin2
4.17Single7X8RBOC57X8R-GLP-1-BOC5-Gs/β1/γ2
4.17Single8FN0Neurotensin-(8-13)8FN0-NTS1-Neurotensin-(8-13)-SBI-553-chim(NtGi1-Go)/β1/γ2
4.17Single8HN1Toxin AdTx18HN1-Alpha1A-Toxin AdTx1
4.17Single8JPFNeurotensin-(8-13)8JPF-NTS1-Neurotensin-(8-13)-SBI-553
4.17Single8K4OCXCL18K4O-KSHV-CXCL1-Gi1/β1/γ1
4.17Single9UYHChemerin-99UYH-CML2-Chemerin-9-Arrestin2
4.00Single5TZYMK8666; AP85TZY-FFA1-MK8666; AP8
4.00Single6KNMJN241-96KNM-Apelin-JN241-9
4.00Single6OS9JMV4496OS9-NTS1-JMV449-Gi1/β1/γ2
4.00Single7AUESetmelanotide7AUE-MC4-Setmelanotide-chim(NtGi1L-Gs)/β1/γ2
4.00Single8XQLCholesterol8XQL-TAS2R14-Cholesterol-Aristolochic acid A-Gt3/β1/γ1
4.00Single8XQOCholesterol8XQO-TAS2R14-Cholesterol-Aristolochic acid A-Gi1/β1/γ1
4.00Consensuscxcr4_offOrthosteric Ligand4RWS-CXCR4-vMIP-II 3OE0-CXCR4-CVX15 3OE6-CXCR4-IT1t
3.85Single6X19CHU-1286X19-GLP-1-CHU-128-Gs/β1/γ2
3.85Single7L0RNeurotensin-(8-13)7L0R-NTS1-Neurotensin-(8-13)-Gi1/β1/γ1
3.85Single8DWGBAM8-228DWG-MRGPRX1-BAM8-22-ML382-chim(NtGi2L-Gs-CtGq)/β1/γ2
3.85Single8INRAlpha-MSH8INR-MC5-α-MSH-Ca-chim(NtGi1-Gs)/β1/γ2
3.85Single9MEJGp1209MEJ-CXCR4-Gp120
3.85Consensuschemokine_onOrthosteric Ligandccr_on cxcr_on
3.70Single6WHCGlu16 analog of GCG6WHC-Glucagon-Glu16 analog of GCG-Gs/β1/γ2
3.70Single7E14Orforglipron7E14-GLP-1-Orforglipron-PubChem 156022738-Gs/β1/γ2
3.70Single7F1QCCL37F1Q-CCR5-CCL3-Gi1/β1/γ2
3.70Single7SK5CXCL127SK5-ACKR3-CXCL12
3.57Single7W55Neuromedin-U-257W55-NMUR2-Neuromedin-U-25-chim(NtGi1-Gs-CtGq)/β1/γ2
3.57Single7XA3CCL27XA3-CCR2-CCL2-Gi1/β1/γ2
3.57Single8YFOAc-LA-PTH Analog8YFO-PTH1-Ac-LA-PTH Analog-chim(NtGi1-Gs)/β1/γ2
3.57Single9B5YLA-PTH Analog9B5Y-PTH1-LA-PTH Analog-chim(NtGi1-Gq)/β1/γ2
3.57Consensusccr2_onOrthosteric Ligand7XA3-CCR2-CCL2-Gi1/β1/γ2
3.57Consensusccr2_on_gpOrthosteric Ligand7XA3-CCR2-CCL2-Gi1/β1/γ2
3.57Consensusccr_onOrthosteric Ligandccr6_on ccr8_on ccr2_on ccr1_on ccr5_on
3.57Consensusnmur2_onOrthosteric Ligand7W55-NMUR2-Neuromedin-U-25-chim(NtGi1-Gs-CtGq)/β1/γ2
3.57Consensusnmur2_on_gpOrthosteric Ligand7W55-NMUR2-Neuromedin-U-25-chim(NtGi1-Gs-CtGq)/β1/γ2
3.45Single7FINPeptide-20; GGL7FIN-GIP-Peptide-20; GGL-Gs/β1/γ2
3.33Single5YQZNNC17025YQZ-Glucagon-NNC1702
3.33Single7TYHCalcitonin7TYH-CT (AMY2)-Calcitonin-Gs/β1/γ2; RAMP2
3.33Single7Y35Abaloparatide7Y35-PTH1-Abaloparatide-Gs/β1/γ2
3.33Single8YG4LA-PTH Analog8YG4-PTH1-LA-PTH Analog-chim(NtGi1-Gs)/β1/γ2
3.33Consensusccr_on_gpOrthosteric Ligandccr6_on_gp ccr8_on_gp ccr2_on_gp ccr1_on_gp ccr5_on_gp
3.23Single7SK3CXCL127SK3-ACKR3-CXCL12
3.23Single8FLRPTHrP(1-36)8FLR-PTH1-PTHrP(1-36)-Gs/β1/γ2
3.12Single5NX2GLP-1 (Truncated)5NX2-GLP-1-GLP-1 (Truncated)
3.12Single7VVKPTH7VVK-PTH1-PTH-Gs/β1/γ2
3.12Single8HAOPTH8HAO-PTH1-PTH-chim(NtGi1-Gs)/β1/γ2
2.94Single7RBTTirzepatide7RBT-GIP-Tirzepatide-LSN3556672-chim(NtGi1-Gs)/β1/γ2
2.86Single7SK6CXCL12_LRHQ7SK6-ACKR3-CXCL12_LRHQ
2.86Single7VBHPeptide-207VBH-GLP-1-Peptide-20-Gs/β1/γ2
2.70Single7TYOCalcitonin7TYO-CT-Calcitonin-Gs/β1/γ2
2.70Single8JITMEDI03828JIT-Glucagon-MEDI0382-Gs/β1/γ2

PDB Summary
PDB 9LRD
Class A
SubFamily Amine
Type Histamine
SubType H1
Species Homo Sapiens
Ligand Histamine
Other Ligand(s) -
Protein Partners Gi1/Beta1/Gamma2
PDB Resolution 3.23
Date 2025-06-11
D.O.I. doi.org/10.1038/s42003-025-08363-7
Net Summary
Imin 2.48
Number of Linked Nodes 833
Number of Links 1132
Number of Hubs 231
Number of Links mediated by Hubs 787
Number of Communities 20
Number of Nodes involved in Communities 331
Number of Links involved in Communities 547
Path Summary
Number Of Nodes in MetaPath 163
Number Of Links MetaPath 162
Number of Shortest Paths 45194618
Length Of Smallest Path 3
Average Path Length 71.8928
Length of Longest Path 73
Minimum Path Strength 1.42
Average Path Strength 8.0177
Maximum Path Strength 23.935
Minimum Path Correlation 0.7
Average Path Correlation 1
Maximum Path Correlation 1
Minimum % Of Corr. Nodes 1.85185
Average % Of Corr. Nodes 51.1453
Maximum % Of Corr. Nodes 100
Minimum Path Hubs % 0
Average Path Hubs % 128
Maximum Path Hubs % 100
AnnotationTypeLinks
Gene OntologyMolecular Function
Gene OntologyBiological Process• regulation of tube diameter   • multicellular organismal process   • regulation of biological process   • system process   • regulation of tube size   • regulation of system process   • biological regulation   • positive regulation of biological process   • positive regulation of vasoconstriction   • circulatory system process   • regulation of blood circulation   • vascular process in circulatory system   • regulation of vasoconstriction   • positive regulation of multicellular organismal process   • regulation of multicellular organismal process   • blood vessel diameter maintenance   • regulation of biological quality   • vasoconstriction   • blood circulation   • regulation of anatomical structure size   • cellular response to stimulus   • regulation of cellular process   • response to stimulus   • signaling   • phospholipase C-activating G protein-coupled receptor signaling pathway   • cell communication   • G protein-coupled receptor signaling pathway   • cellular process   • signal transduction   • trans-synaptic signaling   • synaptic signaling   • anterograde trans-synaptic signaling   • cell-cell signaling   • chemical synaptic transmission   • regulation of synaptic plasticity   • regulation of signaling   • modulation of chemical synaptic transmission   • regulation of trans-synaptic signaling   • regulation of cell communication   • cellular response to nitrogen compound   • cellular response to chemical stimulus   • response to histamine   • response to chemical   • cellular response to histamine   • response to nitrogen compound   • defense response   • response to stress   • inflammatory response   • regulation of vascular permeability   • behavior   • learning or memory   • nervous system process   • cognition   • memory   • response to light stimulus   • learning   • visual learning   • visual behavior   • associative learning   • response to radiation   • response to abiotic stimulus   • G protein-coupled receptor signaling pathway, coupled to cyclic nucleotide second messenger   • cellular anatomical structure   • synapse   • cell junction   • intracellular anatomical structure   • cytoplasm   • cytosol   • cell periphery   • plasma membrane   • membrane   • somatodendritic compartment   • cell projection   • dendrite   • dendritic tree   • neuron projection
Gene OntologyCellular Component• cellular anatomical structure   • synapse   • cell junction   • intracellular anatomical structure   • cytoplasm   • cytosol   • cell periphery   • plasma membrane   • membrane   • somatodendritic compartment   • cell projection   • dendrite   • dendritic tree   • neuron projection   • plasma membrane bounded cell projection   • protein binding   • binding   • G-protein beta-subunit binding   • pyrophosphatase activity   • GTPase activity   • ribonucleoside triphosphate phosphatase activity   • hydrolase activity, acting on acid anhydrides, in phosphorus-containing anhydrides   • hydrolase activity   • hydrolase activity, acting on acid anhydrides   • catalytic activity   • cellular response to nitrogen compound   • cellular response to stimulus   • response to dopamine   • regulation of cellular process   • response to stimulus   • signaling   • cellular response to dopamine   • response to monoamine   • cell communication   • response to catecholamine   • adenylate cyclase-activating dopamine receptor signaling pathway   • cellular response to catecholamine stimulus   • signal transduction   • regulation of biological process   • G protein-coupled dopamine receptor signaling pathway   • biological regulation   • response to oxygen-containing compound   • response to nitrogen compound   • adenylate cyclase-activating G protein-coupled receptor signaling pathway   • cellular response to oxygen-containing compound   • cellular response to chemical stimulus   • cellular response to monoamine stimulus   • response to chemical   • adenylate cyclase-modulating G protein-coupled receptor signaling pathway   • cellular process   • G protein-coupled receptor signaling pathway   • response to ketone   • response to prostaglandin   • response to lipid   • response to endogenous stimulus   • response to alcohol   • cellular response to prostaglandin stimulus   • cellular response to endogenous stimulus   • cellular response to prostaglandin E stimulus   • cellular response to alcohol   • response to hormone   • cellular response to lipid   • response to prostaglandin E   • cellular response to ketone   • cellular response to hormone stimulus   • protein-containing complex   • extrinsic component of plasma membrane   • catalytic complex   • plasma membrane protein complex   • cytoplasmic side of membrane   • membrane protein complex   • heterotrimeric G-protein complex   • side of membrane   • cytoplasmic side of plasma membrane   • GTPase complex   • extrinsic component of membrane   • extrinsic component of cytoplasmic side of plasma membrane   • cytoskeletal protein binding   • spectrin binding   • protein-containing complex binding   • enzyme binding   • GTPase binding   • phosphoric ester hydrolase activity   • alkylglycerophosphoethanolamine phosphodiesterase activity   • hydrolase activity, acting on ester bonds   • phosphoric diester hydrolase activity   • signaling receptor complex adaptor activity   • protein-macromolecule adaptor activity   • molecular adaptor activity   • signaling adaptor activity   • positive regulation of cytosolic calcium ion concentration   • regulation of biological quality   • multicellular organismal process   • system process   • sensory perception of chemical stimulus   • sensory perception   • nervous system process   • sensory perception of taste   • developmental process   • sensory organ development   • eye development   • animal organ development   • retina development in camera-type eye   • visual system development   • multicellular organism development   • camera-type eye development   • anatomical structure development   • sensory system development   • system development   • response to decreased oxygen levels   • cellular response to oxygen levels   • cellular response to hypoxia   • cellular response to decreased oxygen levels   • cellular response to stress   • response to hypoxia   • response to stress   • response to oxygen levels   • response to abiotic stimulus   • cell population proliferation   • phospholipase C-activating G protein-coupled receptor signaling pathway   • muscle cell apoptotic process   • striated muscle cell apoptotic process   • apoptotic process   • cell death   • programmed cell death   • cardiac muscle cell apoptotic process   • photoreceptor inner segment   • membrane-bounded organelle   • non-motile cilium   • 9+0 non-motile cilium   • cilium   • photoreceptor outer segment   • photoreceptor cell cilium   • organelle   • ciliary membrane   • photoreceptor outer segment membrane   • bounding membrane of organelle   • plasma membrane region   • organelle membrane   • cell projection membrane   • cell body   • D2 dopamine receptor binding   • signaling receptor binding   • G protein-coupled receptor binding   • dopamine receptor binding   • enzyme regulator activity   • adenylate cyclase inhibitor activity   • cyclase regulator activity   • molecular function inhibitor activity   • cyclase inhibitor activity   • molecular function regulator activity   • enzyme inhibitor activity   • adenylate cyclase regulator activity   • guanyl nucleotide binding   • GTP binding   • nucleotide binding   • guanyl ribonucleotide binding   • purine ribonucleotide binding   • purine ribonucleoside triphosphate binding   • nucleoside phosphate binding   • ion binding   • purine nucleotide binding   • anion binding   • heterocyclic compound binding   • carbohydrate derivative binding   • ribonucleotide binding   • small molecule binding   • cation binding   • magnesium ion binding   • metal ion binding   • GDP binding   • G protein-coupled serotonin receptor binding   • G-protein beta/gamma-subunit complex binding   • G protein activity   • neuropeptide signaling pathway   • adenylate cyclase-inhibiting serotonin receptor signaling pathway   • G protein-coupled serotonin receptor signaling pathway   • adenylate cyclase-inhibiting G protein-coupled receptor signaling pathway   • response to peptide hormone   • cell division   • leukocyte migration   • immune system process   • mononuclear cell migration   • lymphocyte migration   • cell migration   • T cell migration   • cell motility   • regulation of steroid biosynthetic process   • regulation of cholesterol biosynthetic process   • regulation of cholesterol metabolic process   • steroid metabolic process   • regulation of lipid metabolic process   • sterol metabolic process   • positive regulation of biological process   • cholesterol metabolic process   • lipid biosynthetic process   • alcohol metabolic process   • regulation of primary metabolic process   • positive regulation of metabolic process   • regulation of small molecule metabolic process   • positive regulation of biosynthetic process   • positive regulation of lipid metabolic process   • small molecule metabolic process   • steroid biosynthetic process   • positive regulation of cellular process   • regulation of biosynthetic process   • secondary alcohol biosynthetic process   • regulation of alcohol biosynthetic process   • small molecule biosynthetic process   • regulation of steroid metabolic process   • cholesterol biosynthetic process   • positive regulation of cholesterol biosynthetic process   • primary metabolic process   • secondary alcohol metabolic process   • positive regulation of steroid biosynthetic process   • biosynthetic process   • sterol biosynthetic process   • positive regulation of lipid biosynthetic process   • regulation of sterol biosynthetic process   • alcohol biosynthetic process   • positive regulation of cholesterol metabolic process   • positive regulation of steroid metabolic process   • metabolic process   • regulation of lipid biosynthetic process   • positive regulation of small molecule metabolic process   • regulation of metabolic process   • positive regulation of alcohol biosynthetic process   • positive regulation of sterol biosynthetic process   • lipid metabolic process   • cell surface receptor signaling pathway   • response to cytokine   • response to chemokine   • cytokine-mediated signaling pathway   • cellular response to chemokine   • chemokine-mediated signaling pathway   • response to peptide   • cellular response to cytokine stimulus   • relaxation of smooth muscle   • regulation of system process   • regulation of muscle system process   • muscle system process   • relaxation of muscle   • positive regulation of relaxation of smooth muscle   • positive regulation of relaxation of muscle   • positive regulation of multicellular organismal process   • regulation of multicellular organismal process   • regulation of relaxation of smooth muscle   • regulation of relaxation of muscle   • negative regulation of protein transport   • regulation of localization   • establishment of protein localization   • nitrogen compound transport   • negative regulation of biological process   • negative regulation of transport   • localization   • negative regulation of secretion   • negative regulation of hormone secretion   • negative regulation of secretion by cell   • intracellular protein localization   • regulation of peptide hormone secretion   • negative regulation of peptide hormone secretion   • regulation of hormone levels   • establishment of protein localization to extracellular region   • negative regulation of establishment of protein localization   • protein secretion   • establishment of localization   • regulation of protein secretion   • regulation of secretion   • negative regulation of protein secretion   • regulation of hormone secretion   • regulation of protein localization   • regulation of peptide secretion   • transport   • negative regulation of signaling   • hormone secretion   • negative regulation of cell communication   • protein localization to extracellular region   • negative regulation of peptide secretion   • peptide secretion   • regulation of secretion by cell   • secretion by cell   • signal release   • negative regulation of cellular process   • negative regulation of protein localization   • regulation of signaling   • regulation of transport   • secretion   • regulation of peptide transport   • regulation of establishment of protein localization   • export from cell   • cell-cell signaling   • regulation of protein transport   • peptide transport   • negative regulation of insulin secretion   • protein transport   • regulation of insulin secretion   • peptide hormone secretion   • macromolecule localization   • hormone transport   • regulation of cell communication   • insulin secretion   • regulation of cytoskeleton organization   • regulation of cellular component organization   • microtubule cytoskeleton organization   • regulation of mitotic spindle organization   • mitotic cell cycle   • cellular component organization   • cell cycle   • cellular component organization or biogenesis   • regulation of cell cycle   • microtubule cytoskeleton organization involved in mitosis   • spindle organization   • cell cycle process   • regulation of cell cycle process   • regulation of microtubule-based process   • regulation of spindle organization   • regulation of organelle organization   • mitotic spindle organization   • organelle organization   • mitotic cell cycle process   • microtubule-based process   • cytoskeleton organization   • regulation of microtubule cytoskeleton organization   • positive regulation of protein localization to cell periphery   • protein localization to cell periphery   • positive regulation of protein localization to cell cortex   • regulation of protein localization to cell periphery   • regulation of protein localization to cell cortex   • positive regulation of protein localization   • protein localization to cell cortex   • cellular response to forskolin   • response to forskolin   • midbody   • nucleus   • membrane-enclosed lumen   • intracellular membraneless organelle   • intracellular membrane-bounded organelle   • nucleolus   • intracellular organelle lumen   • intracellular organelle   • organelle lumen   • membraneless organelle   • nuclear lumen   • cell cortex   • extracellular exosome   • extracellular vesicle   • extracellular organelle   • extracellular region   • extracellular space   • vesicle   • extracellular membrane-bounded organelle   • centrosome   • microtubule organizing center   • cytoskeleton   • microtubule cytoskeleton   • centriolar satellite   • sperm principal piece   • 9+2 motile cilium   • sperm flagellum   • motile cilium   • nucleoplasm   • vacuolar membrane   • lytic vacuole   • vacuole   • lytic vacuole membrane   • lysosomal membrane   • lysosome   • Golgi apparatus   • endomembrane system   • ciliary basal body
SCOP2Domain Identifier• G protein-coupled receptor-like   • Transducin (heterotrimeric G protein), gamma chain   • Ras-like P-loop GTPases
SCOP2Family Identifier• G protein-coupled receptor-like   • Transducin (heterotrimeric G protein), gamma chain   • Ras-like P-loop GTPases
Membrane Protein Annotations-• Orientations of Proteins in Membranes database (OPM)   • Protein Data Bank of Transmembrane Proteins (PDBTM)   • MemProtMD


Details about the values in these tables can be found in the corresponding documentation page .
CodeHSM
PDB ResiduesL:L:?1
Environment DetailsOpen EMBL-EBI Page
CodeHSM
NameHistamine
Synonymsbeta-aminoethylglyoxaline
Identifier
FormulaC5 H9 N3
Molecular Weight111.145
SMILES
PubChem774
Formal Charge0
Total Atoms17
Total Chiral Atoms0
Total Bonds17
Total Aromatic Bonds5

PDBsumOpen PDBsum Page
ChainA
ProteinG Protein α Sub unit
UniProtP63096
Sequence
>9LRD_Chain_A
CTLSAEDKA AVERSKMID RNLREDGEK AAREVKLLL LGAGESGKS 
TIVKQMKIT GIVETHFTF KDLHFKMFD VGGQRSERK KWIHCFEGV 
TAIIFCVAL SDYDLNRMH ESMKLFDSI CNNKWFTDT SIILFLNKK 
DLFEEKIKK SPLTICYPE YAGSNTYEE AAAYIQCQF EDLNKRKDT 
KEIYTHFTC ATDTKNVQF VFDAVTDVI IKNNLKDCG LF


Click on each residue to open a popup with some information about it.

ConSurf Conservation Grade (See documentation): 

 n/a   1    2    3    4    5    6    7    8    9  

ChainB
ProteinG Protein β Sub unit
UniProtP54311
Sequence
>9LRD_Chain_B
DQLRQEAEQ LKNQIRDAR KACADATLS QITNNIDPV GRIQMRTRR 
TLRGHLAKI YAMHWGTDS RLLVSASQD GKLIIWDSY TTNKVHAIP 
LRSSWVMTC AYAPSGNYV ACGGLDNIC SIYNLKTRE GNVRVSREL 
AGHTGYLSC CRFLDDNQI VTSSGDTTC ALWDIETGQ QTTTFTGHT 
GDVMSLSLA PDTRLFVSG ACDASAKLW DVREGMCRQ TFTGHESDI 
NAICFFPNG NAFATGSDD ATCRLFDLR ADQELMTYS HDNIICGIT 
SVSFSKSGR LLLAGYDDF NCNVWDALK ADRAGVLAG HDNRVSCLG 
VTDDGMAVA TGSWDSFLK IWN


Click on each residue to open a popup with some information about it.

ConSurf Conservation Grade (See documentation): 

 n/a   1    2    3    4    5    6    7    8    9  

ChainG
ProteinG Protein γ Sub unit
UniProtP63212
Sequence
>9LRD_Chain_G
IAQARKLVE QLKMEANID RIKVSKAAA DLMAYCEAH AKEDPLLTP 
VPASENPF


Click on each residue to open a popup with some information about it.

ConSurf Conservation Grade (See documentation): 

 n/a   1    2    3    4    5    6    7    8    9  

ChainR
ProteinReceptor
UniProtP35367
Sequence
>9LRD_Chain_R
PLVVVLSTI CLVTVGLNL LVLYAVRSE RKLHTVGNL YIVSLSVAD 
LIVGAVVMP MNILYLLMS KWSLGRPLC LFWLSMDYV ASTASIFSV 
FILCIDRYR SVQQPLRYL KYRTKTRAS ATILGAWFL SFLWVIPIL 
GWNHFRRED KCETDFYDV TWFKVMTAI INFYLPTLL MLWFYAKIY 
KAVRQHCQH NRERKAAKQ LGFIMAAFI LCWIPYFIF FMVIAFCKN 
CCNEHLHMF TIWLGYINS TLNPLIYPL CNENFKKTF KRI


Click on each residue to open a popup with some information about it.

ConSurf Conservation Grade (See documentation): 

 n/a   1    2    3    4    5    6    7    8    9  




This receptor, from the same or other species and bound to the same or other ligands, is also present in the following networks:
Show PDB Class SubFamily Type SubType Species Orthosteric Ligand Other Ligand(s) Protein Partners Resolution Date DOI
2RH1AAmineAdrenergicβ2Homo sapiensCarazolol--2.42007-10-30doi.org/10.1126/science.1150577
3RZEAAmineHistamineH1Homo sapiensCidoxepin--3.12011-06-15doi.org/10.1038/nature10236
6FJ3B1PeptideParathyroid HormonePTH1Homo sapiensPTH--2.52018-11-21doi.org/10.1038/s41594-018-0151-4
6NBFB1PeptideParathyroid HormonePTH1Homo sapiensLA-PTH Analog-Gs/β1/γ232019-04-17doi.org/10.1126/science.aav7942
6NBF (No Gprot) B1PeptideParathyroid HormonePTH1Homo sapiensLA-PTH Analog-32019-04-17doi.org/10.1126/science.aav7942
6NBHB1PeptideParathyroid HormonePTH1Homo sapiensLA-PTH Analog-Gs/β1/γ23.52019-04-17doi.org/10.1126/science.aav7942
6NBH (No Gprot) B1PeptideParathyroid HormonePTH1Homo sapiensLA-PTH Analog-3.52019-04-17doi.org/10.1126/science.aav7942
6NBIB1PeptideParathyroid HormonePTH1Homo sapiensLA-PTH Analog-Gs/β1/γ242019-04-17doi.org/10.1126/science.aav7942
6NBI (No Gprot) B1PeptideParathyroid HormonePTH1Homo sapiensLA-PTH Analog-42019-04-17doi.org/10.1126/science.aav7942
7DFLAAmineHistamineH1Homo sapiensHistamine-chim(NtGi1L-Gq)/β1/γ23.32021-03-31doi.org/10.1038/s41467-021-22427-2
7DFL (No Gprot) AAmineHistamineH1Homo sapiensHistamine-3.32021-03-31doi.org/10.1038/s41467-021-22427-2
7VVJB1PeptideParathyroid HormonePTH1Homo sapiensPTHrP(1-36)-Gs/β1/γ23.22022-08-03doi.org/10.1016/j.molcel.2022.07.003
7VVJ (No Gprot) B1PeptideParathyroid HormonePTH1Homo sapiensPTHrP(1-36)-3.22022-08-03doi.org/10.1016/j.molcel.2022.07.003
7VVKB1PeptideParathyroid HormonePTH1Homo sapiensPTH-Gs/β1/γ23.32022-08-03doi.org/10.1016/j.molcel.2022.07.003
7VVK (No Gprot) B1PeptideParathyroid HormonePTH1Homo sapiensPTH-3.32022-08-03doi.org/10.1016/j.molcel.2022.07.003
7VVLB1PeptideParathyroid HormonePTH1Homo sapiensPTH-Gs/β1/γ22.82022-08-03doi.org/10.1016/j.molcel.2022.07.003
7VVL (No Gprot) B1PeptideParathyroid HormonePTH1Homo sapiensPTH-2.82022-08-03doi.org/10.1016/j.molcel.2022.07.003
7VVMB1PeptideParathyroid HormonePTH1Homo sapiensPTH-Gs/β1/γ23.22022-08-03doi.org/10.1016/j.molcel.2022.07.003
7VVM (No Gprot) B1PeptideParathyroid HormonePTH1Homo sapiensPTH-3.22022-08-03doi.org/10.1016/j.molcel.2022.07.003
7VVNB1PeptideParathyroid HormonePTH1Homo sapiensPTH-Gs/β1/γ23.82022-08-03doi.org/10.1016/j.molcel.2022.07.003
7VVN (No Gprot) B1PeptideParathyroid HormonePTH1Homo sapiensPTH-3.82022-08-03doi.org/10.1016/j.molcel.2022.07.003
7VVOB1PeptideParathyroid HormonePTH1Homo sapiensPTH-Gs/β1/γ24.12022-08-03doi.org/10.1016/j.molcel.2022.07.003
7VVO (No Gprot) B1PeptideParathyroid HormonePTH1Homo sapiensPTH-4.12022-08-03doi.org/10.1016/j.molcel.2022.07.003
8HA0B1PeptideParathyroid HormonePTH1Homo sapiensPTH-chim(NtGi1-Gs)/β1/γ22.622022-12-21doi.org/10.1038/s41401-022-01032-z
8HA0 (No Gprot) B1PeptideParathyroid HormonePTH1Homo sapiensPTH-2.622022-12-21doi.org/10.1038/s41401-022-01032-z
8HAFB1PeptideParathyroid HormonePTH1Homo sapiensPTHrP(1-36)-chim(NtGi1-Gs)/β1/γ23.252022-12-21doi.org/10.1038/s41401-022-01032-z
8HAF (No Gprot) B1PeptideParathyroid HormonePTH1Homo sapiensPTHrP(1-36)-3.252022-12-21doi.org/10.1038/s41401-022-01032-z
8HAOB1PeptideParathyroid HormonePTH1Homo sapiensPTH-chim(NtGi1-Gs)/β1/γ23.762022-12-21doi.org/10.1038/s41401-022-01032-z
8HAO (No Gprot) B1PeptideParathyroid HormonePTH1Homo sapiensPTH-3.762022-12-21doi.org/10.1038/s41401-022-01032-z
8FLQB1PeptideParathyroid HormonePTH1Homo sapiensPTH-Gs/β1/γ22.552023-04-26doi.org/10.1016/j.str.2023.04.002
8FLQ (No Gprot) B1PeptideParathyroid HormonePTH1Homo sapiensPTH-2.552023-04-26doi.org/10.1016/j.str.2023.04.002
8FLRB1PeptideParathyroid HormonePTH1Homo sapiensPTHrP(1-36)-Gs/β1/γ22.942023-04-26doi.org/10.1016/j.str.2023.04.002
8FLR (No Gprot) B1PeptideParathyroid HormonePTH1Homo sapiensPTHrP(1-36)-2.942023-04-26doi.org/10.1016/j.str.2023.04.002
8FLSB1PeptideParathyroid HormonePTH1Homo sapiensAbaloparatide-Gs/β1/γ23.092023-04-26doi.org/10.1016/j.str.2023.04.002
8FLS (No Gprot) B1PeptideParathyroid HormonePTH1Homo sapiensAbaloparatide-3.092023-04-26doi.org/10.1016/j.str.2023.04.002
8FLTB1PeptideParathyroid HormonePTH1Homo sapiensM-PTH(1-14)-Gs/β1/γ23.032023-04-26doi.org/10.1016/j.str.2023.04.002
8FLT (No Gprot) B1PeptideParathyroid HormonePTH1Homo sapiensM-PTH(1-14)-3.032023-04-26doi.org/10.1016/j.str.2023.04.002
8FLUB1PeptideParathyroid HormonePTH1Homo sapiensLA-PTH Analog-Gs/β1/γ22.762023-04-26doi.org/10.1016/j.str.2023.04.002
8FLU (No Gprot) B1PeptideParathyroid HormonePTH1Homo sapiensLA-PTH Analog-2.762023-04-26doi.org/10.1016/j.str.2023.04.002
8GW8B1PeptideParathyroid HormonePTH1Homo sapiens-PCO371Gs/β1/γ22.92023-06-14doi.org/10.1038/s41586-023-06169-3
8GW8 (No Gprot) B1PeptideParathyroid HormonePTH1Homo sapiens-PCO3712.92023-06-14doi.org/10.1038/s41586-023-06169-3
7Y35B1PeptideParathyroid HormonePTH1Homo sapiensAbaloparatide-Gs/β1/γ22.92023-07-05To be published
7Y35 (No Gprot) B1PeptideParathyroid HormonePTH1Homo sapiensAbaloparatide-2.92023-07-05To be published
7Y36B1PeptideParathyroid HormonePTH1Homo sapiensPTH-Gs/β1/γ22.82023-07-05To be published
7Y36 (No Gprot) B1PeptideParathyroid HormonePTH1Homo sapiensPTH-2.82023-07-05To be published
8JR9B1PeptideParathyroid HormonePTH1Homo sapiens-PCO371chim(NtGi1-Gs)/β1/γ22.572023-08-02doi.org/10.1038/s41586-023-06467-w
8JR9 (No Gprot) B1PeptideParathyroid HormonePTH1Homo sapiens-PCO3712.572023-08-02doi.org/10.1038/s41586-023-06467-w
8WSSAPeptideMelanin Concentrating HormoneMCH1Homo sapiensMCH-Gi1/β1/γ13.012024-06-19doi.org/10.1038/s41421-024-00679-8
8WSS (No Gprot) APeptideMelanin Concentrating HormoneMCH1Homo sapiensMCH-3.012024-06-19doi.org/10.1038/s41421-024-00679-8
8YNSAPeptideMelanin Concentrating HormoneMCH1Homo sapiensSNAP-94847--3.332024-12-18doi.org/10.1038/s41421-024-00754-0
8YNTAPeptideMelanin Concentrating HormoneMCH1Homo sapiensSNAP-94847--3.432024-12-18doi.org/10.1038/s41421-024-00754-0
9LXRB1PeptideParathyroid HormonePTH1Homo sapiensLA-PTH Analog-Arrestin23.072025-09-10To be published
8X5XAAmineHistamineH1Homo sapiens---3.52024-01-17doi.org/10.1038/s41467-023-44477-4
8X5YAAmineHistamineH1Homo sapiensAstemizole--32024-01-17doi.org/10.1038/s41467-023-44477-4
8X63AAmineHistamineH1Homo sapiensMepyramine--3.22024-01-17doi.org/10.1038/s41467-023-44477-4
8X64AAmineHistamineH1Homo sapiensDesloratadine--3.42024-01-17doi.org/10.1038/s41467-023-44477-4
8GH1AAmineAdrenergicβ2Homo sapiensConstrained Epinephrine--4.12024-03-06doi.org/10.1038/s41586-024-07153-1
8YN2AAmineHistamineH1Homo sapiensHistamine-chim(NtGi1L-Gs-CtGq)/β1/γ22.662024-10-09doi.org/10.1038/s41467-024-52585-y
8YN2 (No Gprot) AAmineHistamineH1Homo sapiensHistamine-2.662024-10-09doi.org/10.1038/s41467-024-52585-y
9JR2B1PeptideParathyroid HormonePTH1Homo sapiensPTH-chim(NtGi1L-Gs-CtGq)/β1/γ22.82024-10-16doi.org/10.1038/s41589-025-01957-6
9JR2 (No Gprot) B1PeptideParathyroid HormonePTH1Homo sapiensPTH-2.82024-10-16doi.org/10.1038/s41589-025-01957-6
9JR3B1PeptideParathyroid HormonePTH1Homo sapiensPTH-chim(NtGi1L-Gs-CtGq)/β1/γ22.82024-10-16doi.org/10.1038/s41589-025-01957-6
9JR3 (No Gprot) B1PeptideParathyroid HormonePTH1Homo sapiensPTH-2.82024-10-16doi.org/10.1038/s41589-025-01957-6
8WWHAPeptideMelanin Concentrating HormoneMCH1Homo sapiens--Gi1/β1/γ22.842024-11-13To be published
8WWH (No Gprot) APeptideMelanin Concentrating HormoneMCH1Homo sapiens--2.842024-11-13To be published
8WWIAPeptideMelanin Concentrating HormoneMCH1Homo sapiens--Gi1/β1/γ23.432024-11-13To be published
8WWI (No Gprot) APeptideMelanin Concentrating HormoneMCH1Homo sapiens--3.432024-11-13To be published
8WWJAPeptideMelanin Concentrating HormoneMCH1Homo sapiens--Gi1/β1/γ23.032024-11-13To be published
8WWJ (No Gprot) APeptideMelanin Concentrating HormoneMCH1Homo sapiens--3.032024-11-13To be published
8WWKAPeptideMelanin Concentrating HormoneMCH1Homo sapiensMCH-Gi1/β1/γ22.612024-11-13doi.org/10.1038/s41421-024-00754-0
8WWK (No Gprot) APeptideMelanin Concentrating HormoneMCH1Homo sapiensMCH-2.612024-11-13doi.org/10.1038/s41421-024-00754-0
8WWLAPeptideMelanin Concentrating HormoneMCH1Homo sapiensMCH-Gi1/β1/γ22.782024-11-13doi.org/10.1038/s41421-024-00754-0
8WWL (No Gprot) APeptideMelanin Concentrating HormoneMCH1Homo sapiensMCH-2.782024-11-13doi.org/10.1038/s41421-024-00754-0
8WWMAPeptideMelanin Concentrating HormoneMCH1Homo sapiensMCH-Gi1/β1/γ22.812024-11-13doi.org/10.1038/s41421-024-00754-0
8WWM (No Gprot) APeptideMelanin Concentrating HormoneMCH1Homo sapiensMCH-2.812024-11-13doi.org/10.1038/s41421-024-00754-0
8WWNAPeptideMelanin Concentrating HormoneMCH1Homo sapiensMCH-Gi1/β1/γ22.652024-11-13doi.org/10.1038/s41421-024-00754-0
8WWN (No Gprot) APeptideMelanin Concentrating HormoneMCH1Homo sapiensMCH-2.652024-11-13doi.org/10.1038/s41421-024-00754-0
9B5YB1PeptideParathyroid HormonePTH1Homo sapiensLA-PTH Analog-chim(NtGi1-Gq)/β1/γ23.492025-03-19doi.org/10.1073/pnas.2426178122
9B5Y (No Gprot) B1PeptideParathyroid HormonePTH1Homo sapiensLA-PTH Analog-3.492025-03-19doi.org/10.1073/pnas.2426178122
9LRBAAmineHistamineH1Homo sapiensHistamine-Gs/β1/γ22.772025-06-11doi.org/10.1038/s42003-025-08363-7
9LRB (No Gprot) AAmineHistamineH1Homo sapiensHistamine-2.772025-06-11doi.org/10.1038/s42003-025-08363-7
9LRD (No Gprot) AAmineHistamineH1Homo sapiensHistamine-3.232025-06-11doi.org/10.1038/s42003-025-08363-7
8YFOB1PeptideParathyroid HormonePTH1Homo sapiensAc-LA-PTH Analog-chim(NtGi1-Gs)/β1/γ22.712025-09-03To be published
8YFO (No Gprot) B1PeptideParathyroid HormonePTH1Homo sapiensAc-LA-PTH Analog-2.712025-09-03To be published
8YG4B1PeptideParathyroid HormonePTH1Homo sapiensLA-PTH Analog-chim(NtGi1-Gs)/β1/γ22.592025-09-03To be published
8YG4 (No Gprot) B1PeptideParathyroid HormonePTH1Homo sapiensLA-PTH Analog-2.592025-09-03To be published




You can download a compressed (zip) file with structure(s), 3D outputs (as PyMol and VMD scripts) and numerical data files (as csv and plain text files).

Download 9LRD.zip



You can click to copy the link of this page to easily come back here later

or use this QR code to link and share this page.



You can also  read or  download a guide explaining the meaning of all files and numerical data.