Color ConSurf Grade
      No Conservation data available
      1
      2
      3
      4
      5
      6
      7
      8
      9

Index: hub id, click on each number to highlight the corresponding hub in the 3D visualization.

Hub: the hub being considered.

Avg Int. Strength: the average interaction strength of all the links of the corresponding hub.

Num Of Links: the number of links of the corresponding hub.

Community: the id of the community the link belong to, otherwise 0.

ConSurf: this column reports the ConSurf conservation grades of each hub.

Index Hub Avg Int. Strength Num Of Links Community ConSurf
1A:A:I19 3.5125409
2A:A:V34 4.75575
3A:A:F191 9.6275475
4A:A:F196 7677
5A:A:K197 8.1825416
6A:A:F199 9.9125415
7A:A:D200 4.0475409
8A:A:Q204 4.595419
9A:A:E207 5.6175419
10A:A:R208 4.854509
11A:A:K210 5.77714719
12A:A:W211 5.63833619
13A:A:H213 7.515418
14A:A:F215 7.816519
15A:A:I221 4.7925408
16A:A:Y230 5.747108
17A:A:M247 4.795406
18A:A:F250 8.3975409
19A:A:W258 9.54333615
20A:A:F259 9.0575409
21A:A:F267 5.07667609
22A:A:N269 5.0054149
23A:A:L273 5.46506
24A:A:F274 6.6525109
25A:A:P282 2.9825405
26A:A:Y287 4.94507
27A:A:Y290 7.8275407
28A:A:F307 4.145408
29A:A:Y320 7.1885167
30A:A:H322 11.6825409
31A:A:F336 6.522578
32A:A:F354 6.572505
33B:B:L14 3.4925408
34B:B:R22 5.614546
35B:B:L30 7.04754185
36B:B:V40 3.94193
37B:B:R48 7.6525407
38B:B:H54 10.418539
39B:B:K57 8.2675419
40B:B:I58 6.265439
41B:B:Y59 9.02167618
42B:B:M61 4.4825436
43B:B:W63 5.69833637
44B:B:S72 5.255439
45B:B:S74 4.4175439
46B:B:W82 10.4386739
47B:B:N88 5.565407
48B:B:K89 7.34539
49B:B:I93 5.79407
50B:B:L95 5.68598
51B:B:W99 8.61619
52B:B:M101 5.22519
53B:B:Y105 4.155406
54B:B:Y124 5.83167696
55B:B:T128 3.575403
56B:B:E138 6.6775496
57B:B:H142 8.4854209
58B:B:Y145 6.39125818
59B:B:L146 4.19507
60B:B:F151 5.5975409
61B:B:W169 11.2154208
62B:B:D170 7.234219
63B:B:H183 10.1775459
64B:B:D186 7.2419
65B:B:V187 5.1275459
66B:B:V200 7.915446
67B:B:C204 6.995417
68B:B:D205 6.8575409
69B:B:K209 9.415456
70B:B:W211 8.84658
71B:B:D212 7.55754129
72B:B:E215 7.93254123
73B:B:C218 6.435455
74B:B:F222 9.745448
75B:B:H225 10.4649
76B:B:D228 6.4225419
77B:B:F234 6.1175445
78B:B:F235 8.28754136
79B:B:P236 5.68254137
80B:B:F241 7.784546
81B:B:S245 6.5875449
82B:B:D246 7.0575419
83B:B:D247 7.26549
84B:B:T249 7.5375446
85B:B:R251 10.655648
86B:B:F253 7.99746
87B:B:D254 5.3675409
88B:B:D258 12.9975447
89B:B:Y264 4.65405
90B:B:H266 6.988564
91B:B:I269 4.07564
92B:B:F278 7.323336137
93B:B:R283 8.7725409
94B:B:Y289 6.05143767
95B:B:N295 6.025466
96B:B:W297 5.885468
97B:B:L300 7.4754186
98B:B:R304 6.808565
99B:B:H311 8.98667689
100B:B:M325 5.3275435
101B:B:W332 8.81429719
102B:B:L336 6.7025437
103B:B:W339 9.24167689
104G:G:R13 3.6406
105G:G:E22 5.75459
106G:G:R27 4.94448
107G:G:D48 6.6945239
108G:G:L51 3.03406
109G:G:N59 6.896539
110G:G:P60 7.5925439
111G:G:F61 4.4275838
112L:L:?1 9.888671520
113R:R:E20 6.7554244
114R:R:F34 5.4025407
115R:R:M52 3.516509
116R:R:W60 4.412508
117R:R:H63 6.9408
118R:R:L64 5.195429
119R:R:D68 6.7429
120R:R:W88 8.152529
121R:R:F111 4.6325408
122R:R:V123 5.20254115
123R:R:N132 2.605408
124R:R:R134 9.065119
125R:R:W147 4.415409
126R:R:R161 7.676528
127R:R:Y174 7.2075427
128R:R:L341 4.63426
129R:R:F345 9.1275429
130R:R:P348 4.055409
131R:R:Y356 4.5585269
132R:R:F368 8.284165
133R:R:W390 7.36857729
134R:R:Y393 12.03429
135R:R:H394 8.765429
136R:R:L401 4.415407
137R:R:N431 8.4429
138R:R:Y435 6.23529
139R:R:F442 4.8675409
   

Color ConSurf Grade
      No Conservation data available
      1
      2
      3
      4
      5
      6
      7
      8
      9

Index: link id, click on each number to highlight the corresponding link in the 3D visualization.

Node1 Node2: the two nodes of the corresponding link.

Recurrence: the relative Recurrence in the pool of shortest paths.

Int. Strength: the interaction strength between the two nodes.

Hub1?, Hub2?: "Yes" if the corresponding node has more than 3 links, otherwise "No".

Community: the id of the community the link belong to, otherwise 0.

ConSurf1, ConSurf2: these columns report the ConSurf conservation grades of the two nodes involved in a link.

Index Node1 Node2 Recurrence Int. Strength Hub1? Hub2? Community ConSurf1 ConSurf2
1B:B:D83 B:B:R68 30.411313.1NoNo085
2B:B:R68 B:B:Y85 30.88319.55NoNo054
3B:B:Y85 G:G:P60 15.609811.13NoYes349
4B:B:M325 G:G:P60 23.45618.39YesYes359
5B:B:D323 B:B:M325 66.98494.16NoYes375
6B:B:D323 B:B:T321 67.1485.78NoNo377
7B:B:T321 B:B:W63 68.05279.7NoYes377
8B:B:Y85 G:G:F61 15.74476.19NoYes348
9B:B:M325 G:G:F61 31.66843.73YesYes358
10B:B:M61 B:B:W63 68.21575.82YesYes367
11B:B:C317 B:B:M61 74.83473.24NoYes076
12B:B:C317 B:B:S316 75.25543.44NoNo079
13B:B:S316 B:B:W332 75.46614.94NoYes099
14B:B:W332 B:B:Y59 48.109210.61YesYes198
15A:A:W258 B:B:W332 23.84895.62YesYes159
16A:A:N256 A:A:W258 25.58711.3NoYes085
17A:A:F259 A:A:N256 25.618313.29YesNo098
18A:A:F259 A:A:I212 25.68665.02YesNo098
19A:A:I212 A:A:R208 25.75463.76NoYes089
20A:A:L249 A:A:R208 1004.86NoYes099
21A:A:F223 A:A:L249 99.9927.31NoNo099
22A:A:F223 A:A:F250 99.97516.08NoYes099
23A:A:F250 A:A:F307 99.88365.36YesYes098
24A:A:F307 A:A:M247 98.74873.73YesYes086
25A:A:M247 A:A:Y287 98.68197.18YesYes067
26A:A:C286 A:A:Y287 98.07195.38NoYes067
27A:A:C286 A:A:Y230 98.01144.03NoYes068
28A:A:K277 A:A:Y230 99.18439.55NoYes1098
29A:A:K277 A:A:L273 99.62985.64NoYes096
30A:A:K270 A:A:L273 99.56668.46NoYes096
31A:A:A226 A:A:K270 99.55053.21NoNo089
32A:A:A226 A:A:S44 99.4013.42NoNo089
33A:A:N269 A:A:S44 99.30164.47YesNo1499
34A:A:C224 A:A:N269 48.48143.15NoYes079
35A:A:C224 A:A:F267 48.4315.59NoYes079
36A:A:F267 A:A:I222 85.32965.02YesNo097
37A:A:I222 A:A:L38 85.18975.71NoNo078
38A:A:L38 A:A:M198 84.3498.48NoNo087
39A:A:M198 A:A:M53 83.7874.33NoNo078
40A:A:F189 A:A:M53 83.50577.46NoNo098
41A:A:F189 A:A:F196 83.366215NoYes097
42B:B:M101 B:B:Y59 48.14757.18YesYes198
43B:B:L117 B:B:M101 24.40925.65NoYes099
44A:A:W211 B:B:L117 25.56923.42YesNo099
45A:A:R208 A:A:W211 74.25588YesYes099
46B:B:M101 B:B:Y145 24.81224.79YesYes198
47A:A:W211 B:B:Y145 47.71436.75YesYes198
48A:A:N269 A:A:T324 50.86857.31YesNo099
49A:A:F267 A:A:T324 48.58947.78YesNo099
50A:A:F196 A:A:V339 78.75793.93YesNo778
51A:A:K210 B:B:Y145 24.00733.58YesYes198
52A:A:I343 A:A:V339 79.10943.07NoNo078
53A:A:I343 A:A:N347 78.81644.25NoNo078
54A:A:N347 R:R:V123 78.66987.39NoYes085
55A:A:C351 R:R:N57 30.91486.3NoNo048
56R:R:N57 R:R:R134 31.07236.03NoYes089
57R:R:R134 R:R:V123 78.00863.92YesYes1195
58A:A:C351 R:R:R120 30.7619.75NoNo049
59B:B:D246 B:B:S227 26.22125.89YesNo096
60B:B:S227 B:B:S245 26.14613.26NoYes069
61B:B:H225 B:B:S245 25.33911.16YesYes499
62B:B:F253 B:B:H225 25.03014.53YesYes469
63B:B:F241 B:B:F253 20.91738.57YesYes466
64B:B:F241 B:B:L255 21.71943.65YesNo066
65B:B:L210 B:B:L255 21.62965.54NoNo056
66B:B:L198 B:B:L210 21.53988.3NoNo035
67B:B:D212 B:B:L198 21.45015.43YesNo093
68B:B:D212 B:B:E215 10.680411.69YesYes1293
69B:B:E215 B:B:M217 10.4886.77YesNo1233
70B:B:M217 G:G:M21 20.77244.33NoNo031
71G:G:M21 G:G:Q18 20.57424.08NoNo019
72B:B:D212 B:B:R219 10.57867.15YesNo1295
73B:B:M217 B:B:R219 10.48254.96NoNo1235
74B:B:M325 G:G:P49 13.00845.03YesNo057
75G:G:D48 G:G:P49 12.29254.83YesNo097
76G:G:D48 G:G:L51 11.34415.43YesYes096
77B:B:R283 G:G:L51 10.49743.64YesYes096
78B:B:N340 G:G:N59 12.43175.45NoYes099
79B:B:M45 B:B:N340 17.94454.21NoNo049
80B:B:M45 B:B:W339 15.81945.82NoYes849
81B:B:D83 B:B:L69 25.68864.07NoNo085
82B:B:L69 B:B:Y105 24.26973.52NoYes056
83B:B:C218 G:G:Q18 15.89294.58YesNo559
84B:B:C218 B:B:W211 12.910811.75YesYes558
85B:B:L126 B:B:Y105 13.82973.52NoYes056
86B:B:L126 B:B:V112 13.35427.45NoNo058
87B:B:V112 B:B:Y124 12.87883.79NoYes086
88R:R:R134 R:R:V56 46.865915.69YesNo098
89R:R:V56 R:R:W60 46.55163.68NoYes088
90R:R:I116 R:R:W60 30.85987.05NoYes098
91R:R:I116 R:R:Y435 30.69913.63NoYes299
92R:R:L113 R:R:Y435 15.537714.07NoYes289
93R:R:L113 R:R:L64 15.19464.15NoYes289
94R:R:D68 R:R:L64 28.68678.14YesYes299
95R:R:D68 R:R:P432 22.38863.22YesNo299
96R:R:F433 R:R:P432 21.69052.89NoNo069
97R:R:F433 R:R:L437 20.99064.87NoNo067
98R:R:L437 R:R:V44 20.29092.98NoNo079
99R:R:F442 R:R:V44 16.89686.55YesNo099
100R:R:R120 R:R:Y435 30.60396.17NoYes299
101R:R:N431 R:R:Y435 39.31843.49YesYes299
102R:R:L64 R:R:N431 15.58945.49YesYes299
103R:R:C143 R:R:W60 15.38663.92NoYes088
104R:R:C143 R:R:H63 15.210314.74NoYes088
105R:R:H63 R:R:W147 12.09626.35YesYes089
106R:R:L104 R:R:W147 11.58583.42NoYes089
107R:R:C154 R:R:L104 11.41784.76NoNo088
108R:R:C154 R:R:V103 11.26163.42NoNo085
109R:R:N427 R:R:N431 24.197112.26NoYes299
110R:R:N427 R:R:W390 21.432914.69NoYes299
111R:R:H394 R:R:W390 10.11223.17YesYes299
112A:A:K210 B:B:D246 23.56045.53YesYes199
Download PSN data

2D representation of the global metapath, ligand(s) interactions and
histograms of path distribution according to several parameters
(click on the image to enlarge it 🔍):

A 2D representation of the global communication in the network.

ConSurf Conservation Grade (See documentation): 

 n/a   1    2    3    4    5    6    7    8    9  

Number of shortest communication paths as a function of the average residue correlation.

Number of shortest communication paths as a function of the average interaction strength of their links.

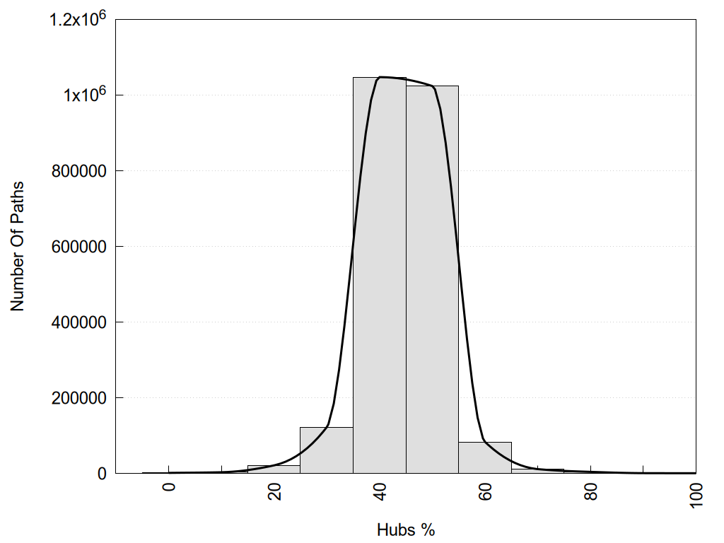
Number of shortest communication paths as a function of the % of hub nodes in each path.

Number of shortest communication paths as a function of the number of nodes in each path.

Number of shortest communication paths as a function of the % of correlated nodes in each path.


2D representation of the interactions of this orthosteric/allosteric ligand.


Links and nodes colored according to ConSurf Conservation Grade (See documentation): 

 n/a   1    2    3    4    5    6    7    8    9  

Node1 Node2 LinkStrength Comm IsNode1Hub? IsNode2Hub? Node1Cons Node2Cons Node1Shell Node2Shell
L:L:?1 R:R:L30 7.61 2 Yes No 0 6 0 1
L:L:?1 R:R:S78 19.61 2 Yes No 0 8 0 1
L:L:?1 R:R:H81 15.91 2 Yes No 0 7 0 1
L:L:?1 R:R:L82 5.71 2 Yes No 0 7 0 1
L:L:?1 R:R:W88 3.92 2 Yes Yes 0 9 0 1
L:L:?1 R:R:I98 3.93 2 Yes No 0 8 0 1
L:L:?1 R:R:I102 7.85 2 Yes No 0 8 0 1
L:L:?1 R:R:V103 4.1 2 Yes No 0 5 0 1
L:L:?1 R:R:R161 3.34 2 Yes Yes 0 8 0 1
L:L:?1 R:R:Y174 9.67 2 Yes Yes 0 7 0 1
L:L:?1 R:R:R340 5.85 2 Yes No 0 9 0 1
L:L:?1 R:R:Y393 31.43 2 Yes Yes 0 9 0 1
L:L:?1 R:R:G397 3.53 2 Yes No 0 8 0 1
L:L:?1 R:R:D417 12.13 2 Yes No 0 8 0 1
L:L:?1 R:R:I421 13.74 2 Yes No 0 4 0 1
R:R:A422 R:R:L30 3.15 0 No No 8 6 2 1
R:R:I102 R:R:S74 6.19 0 No No 8 9 1 2
R:R:G86 R:R:H81 3.18 0 No No 7 7 2 1
R:R:H81 R:R:W88 8.46 2 No Yes 7 9 1 1
R:R:W88 R:R:Y90 20.26 2 Yes No 9 7 1 2
R:R:L94 R:R:W88 3.42 0 No Yes 8 9 2 1
R:R:I98 R:R:W88 4.7 2 No Yes 8 9 1 1
R:R:I98 R:R:P99 5.08 2 No No 8 8 1 2
R:R:P99 R:R:R161 10.09 0 No Yes 8 8 2 1
R:R:I102 R:R:M106 4.37 0 No No 8 9 1 2
R:R:C154 R:R:V103 3.42 0 No No 8 5 2 1
R:R:V103 R:R:V157 6.41 0 No No 5 9 1 2
R:R:F107 R:R:R340 7.48 0 No No 8 9 2 1
R:R:V157 R:R:Y174 3.79 0 No Yes 9 7 2 1
R:R:C172 R:R:R161 5.57 0 No Yes 8 8 2 1
R:R:G173 R:R:R161 6 0 No Yes 1 8 2 1
R:R:R161 R:R:Y174 13.38 2 Yes Yes 8 7 1 1
R:R:R340 R:R:Y393 4.12 2 No Yes 9 9 1 1
R:R:H394 R:R:Y393 6.53 2 Yes Yes 9 9 2 1
R:R:I421 R:R:Y393 6.04 2 No Yes 4 9 1 1
R:R:D417 R:R:I421 8.4 2 No No 8 4 1 1
R:R:L82 R:R:M27 2.83 0 No No 7 6 1 2
R:R:L30 R:R:L79 2.77 0 No No 6 6 1 2
R:R:Y160 R:R:Y174 1.99 0 No Yes 8 7 2 1

Location and physicochemical properties of the interaction partners of this ligand

Interactions of this ligand

Similarities between the interactions of this ligand and those of other networks

ShowSimilarityNetwork TypeNameLigandDescription
72.22Single9IPVJR14a9IPV-C3aB-JR14a-Gi1/β1/γ2
64.71Single8ZWFJR14a8ZWF-C3aB-JR14a
63.16Single8F7REndomorphin8F7R-μ-Endomorphin-Gi1/β1/γ2
63.16Single9IPYJR14a9IPY-C3aB-JR14a
58.82Single8KFXLMD-0098KFX-CCR8-LMD-009-Gi1/β1/γ2
58.82Single9KUTJR14a9KUT-C3aB-JR14a-Go/β1/γ2
57.89Single5UNGPubChem 157800525UNG-AT2-PubChem 15780052
56.25Single8YKVPubChem 1375531688YKV-Succinate-PubChem 137553168-Gi1/β1/γ2
55.56Single6NI3BI1671076NI3-β2-BI167107-Gs/β1/γ2
55.56Single8HPTC5a (C-terminal peptide)8HPT-C5a1-C5a (C-terminal peptide)-Go/β1/γ2
55.56Single9KVPSB2901579KVP-C3aB-SB290157-Go/β1/γ2
55.00Single8Y72Peptide8Y72-μ-Peptide-BMS-986122-Gi1/β1/γ2
55.00Single9KZ2EP679KZ2-C3aB-EP67-Go/β1/γ2
55.00Single9WSXEndomorphin9WSX-μ-Endomorphin-Arrestin2
52.63Single7L1VPubChem 1554910097L1V-OX2-PubChem 155491009-chim(NtGi1-Gs-CtGq)/β1/γ2
52.63Single7YMJTamsulosin7YMJ-Alpha1A-Tamsulosin
52.63Single8I9AEP548I9A-C3aB-EP54-chim(NtGi1-Gs-CtGq)/β1/γ2
52.63Single8JJLOlodaterol8JJL-β2-Olodaterol
52.63Single9MQLIsoquinuclidine9MQL-κ-Isoquinuclidine
52.63Single9WSVDAMGO9WSV-μ-DAMGO-Arrestin2
52.63Consensusalpha1_offOrthosteric Ligandalpha1a_off
52.63Consensusalpha1a_offOrthosteric Ligand7YMJ-Alpha1A-Tamsulosin
52.38Single5UNFPubChem 157800525UNF-AT2-PubChem 15780052
52.38Single8DCRDobutamine8DCR-β1-Dobutamine-Gs/β1/γ2
52.38Single9UMRC5a-pep9UMR-C5a1-C5a-pep-Go/β1/γ2
50.00Single6AKXA4R6AKX-CCR5-A4R
50.00Single6DDFDAMGO6DDF-μ-DAMGO-Gi1/β1/γ2
50.00Single8DZQmomSalB8DZQ-κ-momSalB-Go/β1/γ2
50.00Single8I95EP548I95-C3aB-EP54-Go/β1/γ2
50.00Single8TH4Losartan8TH4-AT1-Losartan-AT118-L Nanobody
50.00Single8XQEApelin-138XQE-Apelin; Apelin-Apelin-13-Gi1/β1/γ2
50.00Single9EAHOlmesartan9EAH-AT1-Olmesartan-Nanobody AT209
50.00Single9EHSLUF76029EHS-A3A-LUF7602
50.00Single9IYBPGD29IYB-DP2-PGD2-A1D5Q-Gi1/β1/γ2
50.00Single9VJFBuspirone9VJF-5-HT1A-Buspirone-Gi3/β1/γ2
50.00Consensusalpha_offOrthosteric Ligandalpha1_off alpha2_off
50.00Consensusccr8_on_gpOrthosteric Ligand8KFX-CCR8-LMD-009-Gi1/β1/γ2 8KFY-CCR8-ZK-756326-Gi1/β1/γ2 8U1U-CCR8-CCL1-Gi1/β1/γ2
47.83Single8XIRPasireotide8XIR-SST3-Pasireotide-chim(NtGi1-Gs-CtGi1)/β1/γ2
47.62Single6C1QPMX536C1Q-C5a1-PMX53-NDT9513727
47.62Single9KZ8EP679KZ8-C3aB-EP67-Go/β1/γ2
47.37Single3P0GBI1671073P0G-β2-BI167107
47.37Single3PDSFAUC503PDS-β2-FAUC50
47.37Single3SN6BI1671073SN6-β2-BI167107-Gs/β1/γ2
47.37Single7M8W15r-Methyl-PGD27M8W-DP2-15r-Methyl-PGD2-Na
47.37Single7TUYGSK682753A7TUY-GPR183-GSK682753A
47.37Single8IRVRotigotine8IRV-D5-Rotigotine-chim(NtGi1-Gs)/β1/γ2
47.37Single8JZPC5a8JZP-C5a1-C5a-Go/β1/γ2
47.37Single8XVLZibotentan8XVL-ETA-Zibotentan
47.37Single9KUXCMPD6449KUX-Apelin; Apelin-CMPD644-Arrestin2
47.37Single9WSTDAMGO9WST-μ-DAMGO-chim(NtGi1-Gz)/β1/γ2
47.37Consensusbeta2_onOrthosteric Ligand7DHI-β2-Salbutamol-Gs/β1/γ2 6NI3-β2-BI167107-Gs/β1/γ2
47.37Consensusbeta2_on_gpOrthosteric Ligand7DHI-β2-Salbutamol-Gs/β1/γ2 6NI3-β2-BI167107-Gs/β1/γ2
47.37Consensusd5_on_gpOrthosteric Ligand8IRV-D5-Rotigotine-chim(NtGi1-Gs)/β1/γ2
47.06Single4MBSMaraviroc4MBS-CCR5-Maraviroc
47.06Single7SR8TAK-9257SR8-OX2-TAK-925-chim(NtGi1L-Gs-CtGq)/β1/γ2
47.06Single8UO0Constrained Epinephrine8UO0-β2-Constrained Epinephrine-GTP-Gs/β1/γ2
47.06Single9KUWCMPD6449KUW-Apelin; Apelin-CMPD644-Arrestin2 ; Arrestin2
45.83Single8XWQEndothelin-18XWQ-ETB-Endothelin-1-Gi1/β1/γ2
45.45Single8PKMBefiradol8PKM-5-HT1A-Befiradol-Gi1/β1/γ1
45.45Single9KWGC5a9KWG-C5a1-C5a-Go/β1/γ2
45.45Consensusclass-a_on_gpOrthosteric Ligandsensory_on_gp alicarboxylic_on_gp amine_on_gp lipid_on_gp nucleotide_on_gp peptide_on_gp protein_on_gp
45.45Consensuslpl_onOrthosteric Ligands1p_on lpa_on
45.45Consensuslpl_on_gpOrthosteric Ligands1p_on_gp lpa_on_gp
45.00Single5UNHPubChem 1264564065UNH-AT2-PubChem 126456406
45.00Single7JNIOlodanrigan7JNI-AT2-Olodanrigan
45.00Single8HK2C3a8HK2-C3aB-C3a-Gi1/β1/γ2
45.00Single8IA8E7 peptide8IA8-C3aB-E7 peptide-Gi1/β1/γ2
45.00Single8JJ8Arformoterol8JJ8-β2-Arformoterol
45.00Single9IZHLPA9IZH-LPA1-LPA-chim(NtGi2-G13)/β1/γ2
45.00Single9M4QDoxazosin9M4Q-Alpha1A-Doxazosin
45.00Single9WSWEndomorphin9WSW-μ-Endomorphin-chim(NtGi1-Gz)/β1/γ2
45.00Consensusc3a_onOrthosteric Ligand8HK2-C3aB-C3a-Gi1/β1/γ2 8IA8-C3aB-E7 peptide-Gi1/β1/γ2
44.44Single2Y02Carmoterol2Y02-β1-Carmoterol
44.44Single2YCYCyanopindolol2YCY-β1-Cyanopindolol
44.44Single4QKXPubChem 762106284QKX-β2-PubChem 76210628
44.44Single4YAYZD-71554YAY-AT1-ZD-7155
44.44Single5UIGPubChem 1240811965UIG-A2A-PubChem 124081196
44.44Single5ZKPSR274175ZKP-PAF-SR27417
44.44Single6PRZAlprenolol6PRZ-β2-Alprenolol
44.44Single6Z10PubChem 1545855546Z10-Succinate-PubChem 154585554
44.44Single7BU7BI1671077BU7-β1-BI167107
44.44Single7S0GIsoprenaline7S0G-β1-Isoprenaline-chim(Gi1-CtGs)/β1/γ2
44.44Single7SCGFH2107SCG-μ-FH210-Gi1/β1/γ2
44.44Single7UL4Alvimopan7UL4-μ-Alvimopan
44.44Single7UM6Lisuride7UM6-5-HT5A-Lisuride-chim(NtGi1-Go)/β1/γ2
44.44Single7YACPaltusotine7YAC-SST2-Paltusotine-Gi1/β1/γ2
44.44Single8EFQDAMGO8EFQ-μ-DAMGO-Gi1/β1/γ2
44.44Single8PJKST1718PJK-5-HT1A-ST171-Gi1/β1/γ1
44.44Single8UNVConstrained Epinephrine8UNV-β2-Constrained Epinephrine-GTP-Gs/β1/γ2
44.44Single8UNZConstrained Epinephrine8UNZ-β2-Constrained Epinephrine-GTP-Gs/β1/γ2
44.44Single8UO2Constrained Epinephrine8UO2-β2-Constrained Epinephrine-GTP-Gs/β1/γ2
44.44Single9KUXCMPD6449KUX-Apelin; Apelin-CMPD644-Arrestin2
44.44Consensus5ht5_onOrthosteric Ligand5ht5a_on
44.44Consensus5ht5a_onOrthosteric Ligand7X5H-5-HT5A-5-CT-Gi1/β1/γ2 7UM6-5-HT5A-Lisuride-chim(NtGi1-Go)/β1/γ2 7UM7-5-HT5A-Methylergometrine-chim(NtGi1-Go)/β1/γ2
44.00Single8IA2C5a8IA2-C5a1-C5a-Go/β1/γ2
44.00Single8XGOTAK4488XGO-Kiss1-TAK448-chim(NtGi1-Gq)/β1/γ2
43.75Single8JPNCis-Epoxysuccinic acid8JPN-Succinate-Cis-Epoxysuccinic acid-Gi1/β1/γ1
43.75Single8WP1Cis-Epoxysuccinic acid8WP1-Succinate-Cis-Epoxysuccinic acid-Gi1/β1/γ2
43.75Single9KUWCMPD6449KUW-Apelin; Apelin-CMPD644-Arrestin2 ; Arrestin2
43.48Single7DDZJNJ-310200287DDZ-Y2-JNJ-31020028
43.48Single8F7SDeltorphin8F7S-δ-Deltorphin-Gi1/β1/γ2
43.48Consensusdop_on_gpOrthosteric Ligand8F7S-δ-Deltorphin-Gi1/β1/γ2
43.48Consensusnpy2_offOrthosteric Ligand7DDZ-Y2-JNJ-31020028
43.48Consensuss1p3_on_gpOrthosteric Ligand7EW3-S1P3-S1P-Gi1/β1/γ2 7EW4-S1P3-CYM-5541-Gi1/β1/γ2 7EW2-S1P3-FTY720-P-Gi1/β1/γ2
42.86Single4Z35ONO-99105394Z35-LPA1-ONO-9910539
42.86Single5X93K-87945X93-ETB-K-8794
42.86Single6H7LDobutamine6H7L-β1-Dobutamine
42.86Single7YU8ONO-07405567YU8-LPA1-ONO-0740556-Gi1/β1/γ2
42.86Single9EAILosartan9EAI-AT1-Losartan-Nanobody AT209
42.86Single9HYIDP819HYI-5-HT1A-DP81-Gi1/β1/γ2
42.86Single9KUGEP679KUG-C5a1-EP67-Go/β1/γ2
42.86Single9KV8TLQP219KV8-C3aB-TLQP21-Go/β1/γ2
42.86Single9YDPDADLE9YDP-δ-DADLE-chim(NtGi1L-Gs-CtGi1)/β1/γ2
42.86Consensusbeta1_onOrthosteric Ligand8DCR-β1-Dobutamine-Gs/β1/γ2 7S0F-β1-Isoprenaline-Gi1/β1/γ2
42.86Consensusbeta1_on_gpOrthosteric Ligand8DCR-β1-Dobutamine-Gs/β1/γ2 7S0F-β1-Isoprenaline-Gi1/β1/γ2
42.86Consensusc3a_on_gpOrthosteric Ligand8HK2-C3aB-C3a-Gi1/β1/γ2 8IA8-C3aB-E7 peptide-Gi1/β1/γ2
42.86Consensusclass-a_onOrthosteric Ligandsensory_on alicarboxylic_on amine_on lipid_on nucleotide_on peptide_on protein_on
42.86Consensusendothelin_offOrthosteric Ligandetb_off
42.86Consensusetb_offOrthosteric Ligand5X93-ETB-K-8794 5XPR-ETB-Bosentan 6K1Q-ETB-IRL2500
42.86Consensusprostanoid_offOrthosteric Ligandep_off dp_off
42.31Consensusgi_peptideOrthosteric Ligandgi_cck gi_apelin gi_compl-pept gi_endothelin gi_formylpeptide gi_galanin gi_ghrelin gi_npy gi_neurotensin gi_opioid gi_orexin gi_relaxin gi_somatostatin
42.31Consensusopioid_on_gpOrthosteric Ligandmop_on_gp nop_on_gp dop_on_gp kop_on_gp
42.11Single2Y00Dobutamine2Y00-β1-Dobutamine
42.11Single5C1MBU725C1M-μ-BU72
42.11Single5JQHCarazolol5JQH-β2-Carazolol
42.11Single5TVNLSD5TVN-5-HT2B-LSD
42.11Single5WIUNemonapride5WIU-D4-Nemonapride
42.11Single5WIVNemonapride5WIV-D4-Nemonapride-Na
42.11Single6D26Fevipiprant6D26-DP2-Fevipiprant
42.11Single6E67BI1671076E67-β2-BI167107-Gs(CT)
42.11Single6KUWPubChem 572132346KUW-α2c-PubChem 57213234
42.11Single6PS3Carvedilol6PS3-β2-Carvedilol
42.11Single7BVQCarazolol7BVQ-β1-Carazolol
42.11Single7CFNINT-7777CFN-GPBA-INT-777-Gs/β1/γ2
42.11Single7S0FIsoprenaline7S0F-β1-Isoprenaline-Gi1/β1/γ2
42.11Single7X1TTaltirelin7X1T-TRH-Taltirelin-chim(NtGi2L-Gs-CtGq)/β1/γ2
42.11Single7XK9Constrained Isoproterenol7XK9-β2-Constrained Isoproterenol-Na
42.11Single7XKAConstrained Epinephrine7XKA-β2-Constrained Epinephrine
42.11Single8GDZConstrained Epinephrine8GDZ-β2-Constrained Epinephrine-Gs/β1/γ2
42.11Single8GEBConstrained Epinephrine8GEB-β2-Constrained Epinephrine-Gs/β1/γ2
42.11Single8GEGConstrained Epinephrine8GEG-β2-Constrained Epinephrine-Gs/β1/γ2
42.11Single8GGBConstrained Epinephrine8GGB-β2-Constrained Epinephrine-GTP-Gs/β1/γ2
42.11Single8HNLPS3724248HNL-CXCR3-PS372424-Gi1/β1/γ2
42.11Single8S4DCMF-0198S4D-Apelin-CMF-019
42.11Single8UNNConstrained Epinephrine8UNN-β2-Constrained Epinephrine-GTP-Gs/β1/γ2
42.11Single8UNPConstrained Epinephrine8UNP-β2-Constrained Epinephrine-GTP-Gs/β1/γ2
42.11Single8XYKVUF106618XYK-CXCR3-VUF10661-Go/β1/γ2
42.11Single9I52A1IZU9I52-D1-A1IZU-Gs/β1/γ2
42.11Single9L74S1P d16:19L74-S1P3-S1P d16:1-chim(NtGi2L-Gs-CtGq)/β1/γ2
42.11Single9MQKIsoquinuclidine9MQK-κ-Isoquinuclidine
42.11Consensus5ht5_on_gpOrthosteric Ligand5ht5a_on_gp
42.11Consensus5ht5a_on_gpOrthosteric Ligand7X5H-5-HT5A-5-CT-Gi1/β1/γ2 7UM6-5-HT5A-Lisuride-chim(NtGi1-Go)/β1/γ2 7UM7-5-HT5A-Methylergometrine-chim(NtGi1-Go)/β1/γ2
42.11Consensusadrenergic_offOrthosteric Ligandalpha_off beta_off
42.11Consensusadrenergic_on_gpOrthosteric Ligandalpha_on_gp beta_on_gp
42.11Consensusalpha2c_offOrthosteric Ligand6KUW-α2c-PubChem 57213234
42.11Consensusdp2_offOrthosteric Ligand6D26-DP2-Fevipiprant
42.11Consensusdp_offOrthosteric Liganddp2_off
41.67Single6PT2KGCHM076PT2-δ-KGCHM07
41.67Single7TD0LPA7TD0-LPA1-LPA-Gi1/β1/γ2
41.67Single8XIQL7967788XIQ-SST3-L796778-chim(NtGi1-Gs-CtGi1)/β1/γ2
41.67Consensuspeptide_offonOrthosteric Ligandpeptide_off peptide_on
41.18Single6AKYMaraviroc6AKY-CCR5-Maraviroc
41.18Single6OBAAlprenolol6OBA-β2-Alprenolol-GTPL11074
41.18Single7XRRLemborexant7XRR-OX2-Lemborexant
41.18Single8GGCConstrained Epinephrine8GGC-β2-Constrained Epinephrine-GTP-Gs/β1/γ2
41.18Single8GGZConstrained Epinephrine8GGZ-β2-Constrained Epinephrine
41.18Single8WOGSuccinic acid8WOG-Succinate-Succinic acid-Gi1/β1/γ2
41.18Single8XXVIndomethacin8XXV-DP2-Indomethacin-A1D5Q-Gi1/β1/γ2
41.18Single8YKXMaleic acid8YKX-Succinate-Maleic acid-Gi1/β1/γ1
41.18Single8YYWAlpha-ketoglutarate8YYW-Oxoglutarate-α-ketoglutarate-α-ketoglutarate-chim(Gi1-CtGq)/β1/γ2
41.18Consensusangiotensin_offOrthosteric Ligandat1_off
41.18Consensusgi_succinateOrthosteric Ligand8YKW-Succinate-Succinic acid-Gi1/β1/γ1 8YKX-Succinate-Maleic acid-Gi1/β1/γ1
41.18Consensussuccinate_onOrthosteric Ligand8YKW-Succinate-Succinic acid-Gi1/β1/γ1 8YKX-Succinate-Maleic acid-Gi1/β1/γ1
41.18Consensussuccinate_on_gpOrthosteric Ligand8YKW-Succinate-Succinic acid-Gi1/β1/γ1 8YKX-Succinate-Maleic acid-Gi1/β1/γ1
40.91Single4UG2CGS216804UG2-A2A-CGS21680
40.91Single7XY6BAY 60-65837XY6-A2B-BAY 60-6583-chim(NtGi1-Gs)/β1/γ2
40.91Single8X5YAstemizole8X5Y-H1-Astemizole
40.91Single9M0RNeuropeptide-VF9M0R-NPFF1-Neuropeptide-VF-Gi1/β1/γ2
40.91Single9MD1Buspirone9MD1-5-HT1A-Buspirone-PtdIns4P-Gz/β1/γ2
40.91Single9UMJEP549UMJ-C3aB-EP54-Go/β1/γ2
40.91Single9V2NMacimorelin9V2N-Ghrelin-Macimorelin-chim(NtGi1-Gs-CtGq)/β1/γ2
40.91Consensusdop_onOrthosteric Ligand8F7S-δ-Deltorphin-Gi1/β1/γ2
40.74Single8FEG(DNCP)-Beta-Naloxamine8FEG-κ-(DNCP)-β-Naloxamine-Gi1/β1/γ2
40.74Single8XWPEndothelin-18XWP-ETB-Endothelin-1-Gi1/β1/γ2
40.74Consensusgq_peptideOrthosteric Ligandgq_cck gq_kisspeptin gq_bradykinin gq_bombesin gq_angiotensin
40.74Consensuspeptide_onOrthosteric Ligandcck_on angiotensin_on apelin_on bombesin_on bradykinin_on compl-peptide_on endothelin_on formylpeptide_on galanin_on ghrelin_on kisspeptin_on melanocortin_on motilin_on neuromedin-u_on npy_on neurotensin_on opioid_on orexin_on relaxin_on somatostatin_on tachykinin_on trh_on vasop-oxy_on
40.74Consensuspeptide_on_gpOrthosteric Ligandcck_on_gp angiotensin_on_gp apelin_on_gp bombesin_on_gp bradykinin_on_gp compl-peptide_on_gp endothelin_on_gp formylpeptide_on_gp galanin_on_gp ghrelin_on_gp kisspeptin_on_gp melanocortin_on_gp motilin_on_gp neuromedin-u_on_gp npy_on_gp neurotensin_on_gp opioid_on_gp orexin_on_gp relaxin_on_gp somatostatin_on_gp tachykinin_on_gp trh_on_gp vasop-oxy_on_gp
40.00Single4LDLHydroxybenzyl Isoproterenol4LDL-β2-Hydroxybenzyl Isoproterenol
40.00Single4Z34ONO-97803074Z34-LPA1-ONO-9780307
40.00Single6DDEDAMGO6DDE-μ-DAMGO-Gi1/β1/γ2
40.00Single6GT3Imaradenant6GT3-A2A-Imaradenant-Na
40.00Single6H7JIsoprenaline6H7J-β1-Isoprenaline
40.00Single6KO5PubChem 574000026KO5-Ghrelin-PubChem 57400002
40.00Single6WGTLSD6WGT-5-HT2A-LSD
40.00Single7CKYPW04647CKY-D1-PW0464-Gs/β1/γ2
40.00Single7E2ZAripiprazole7E2Z-5-HT1A-Aripiprazole-PtdIns4P-Gi1/β1/γ2
40.00Single7F6G(Sar1)-Angiotensin II7F6G-AT1-(Sar1)-Angiotensin II-Gq/β1/γ2
40.00Single7JJOIsoprenaline7JJO-β1-Isoprenaline-Gs/β1/γ2
40.00Single7JVPSKF839597JVP-D1-SKF83959-Gs/β1/γ2
40.00Single7W40Bombesin7W40-BB2-Bombesin-chim(NtGi1L-Gq)/β1/γ2
40.00Single8DCSCyanopindolol8DCS-β1-Cyanopindolol-Gs/β1/γ2
40.00Single8DZPmomSalB8DZP-κ-momSalB-Gi1/β1/γ2
40.00Single8EF5Fentanyl8EF5-μ-Fentanyl-Gi1/β1/γ2
40.00Single8EFLSR170188EFL-μ-SR17018-Gi1/β1/γ2
40.00Single8HDOBAY 60-65838HDO-A2B-BAY 60-6583-Gs/β1/γ2
40.00Single8JSRAnamorelin8JSR-Ghrelin-Anamorelin-chim(NtGi1-Gs-CtGq)/β1/γ2
40.00Single8JT6(R)-IHCH-71798JT6-5-HT1A-(R)-IHCH-7179-PtdIns4P-Gi1/β1/γ2
40.00Single8VVFJDTic8VVF-κ-JDTic-Gi1/β1/γ2
40.00Single8Y73Peptide8Y73-μ-Peptide-MPAM-15-Gi1/β1/γ2
40.00Single9BKKCholecystokinin-89BKK-CCKA-Cholecystokinin-8-chim(NtGi1-Gs-CtGq)/β1/γ2
40.00Single9BS9LSD9BS9-D2-LSD
40.00Single9BSBLSD9BSB-D2-LSD-chim(NtGi1-Go)/β1/γ2
40.00Single9I54PubChem 1764520919I54-D1-PubChem 176452091-Gs/β1/γ2
40.00Single9IZGLPA9IZG-LPA1-LPA-chim(NtGi1-Gs-CtGq)/β1/γ2
40.00Single9JMCDS-3801b9JMC-Motilin-DS-3801b-chim(Gs-CtGq)/β1/γ2
40.00Single9UY3Anamorelin9UY3-Ghrelin-Anamorelin-chim(NtGi1-Gs-CtGq)/β1/γ2
40.00Consensusangiotensin_on_gpOrthosteric Ligandat1_on_gp
40.00Consensusat1_on_gpOrthosteric Ligand7F6G-AT1-(Sar1)-Angiotensin II-Gq/β1/γ2
40.00Consensusgi_5htOrthosteric Ligand8FYT-5-HT1A-LSD-PtdIns4P-Gi1/β1/γ1 7UM7-5-HT5A-Methylergometrine-chim(NtGi1-Go)/β1/γ2 8UGY-5-HT1E-Mianserin-Gi1/β1/γ1 8W8B-5-HT1A-SEP-363856-Gi1/β1/γ2 7E2Y-5-HT1A-Serotonin-PtdIns4P-Gi1/β1/γ2 7E32-5-HT1D-Serotonin-Gi1/β1/γ2 7XTA-5-HT4-Serotonin-Gi1/β1/γ2 8UH3-5-HT1E-Setiptiline-Gi1/β1/γ1 8JSP-5-HT1A-Ulotaront-Gi1/β1/γ2 8FYL-5-HT1A-Vilazodone-PtdIns4P-Gi1/β1/γ1 8JT6-5-HT1A-(R)-IHCH-7179-PtdIns4P-Gi1/β1/γ2 8FYE-5-HT1A-4-F,5-MeO-PyrT-PtdIns4P-Gi1/β1/γ1 7X5H-5-HT5A-5-CT-Gi1/β1/γ2 8FY8-5-HT1A-5-MeO-DMT-PtdIns4P-Gi1/β1/γ1 7E2Z-5-HT1A-Aripiprazole-PtdIns4P-Gi1/β1/γ2 7E33-5-HT1E-BRL-54443-Gi1/β1/γ2 8FYX-5-HT1A-Buspirone-PtdIns4P-Gi1/β1/γ1 7EXD-5-HT1F-Lasmiditan-Gi1/β1/γ2 7UM6-5-HT5A-Lisuride-chim(NtGi1-Go)/β1/γ2
40.00Consensusgi_class-aOrthosteric Ligandgi_peptide gi_sensory gi_alicarboxylic gi_amine gi_lipid gi_nucleotide gi_protein
40.00Consensusgi_dopamineOrthosteric Ligand7JVR-D2-Bromoergocryptine-Gi1/β1/γ2 7CMV-D3-PD128907-Gi1/β1/γ2 7CMU-D3-Pramipexole-Gi1/β1/γ2 8IRS-D2-Rotigotine-Gi1/β1/γ2 8IRT-D3-Rotigotine-Gi1/β1/γ2
40.00Consensusgq_angiotensinOrthosteric Ligand7F6G-AT1-(Sar1)-Angiotensin II-Gq/β1/γ2
40.00Consensuspeptide_offon_gpOrthosteric Ligandpeptide_on_gp peptide_off
39.13Single4AMJCarvedilol4AMJ-β1-Carvedilol
39.13Single4XT1CX3CL14XT1-US28-CX3CL1
39.13Single7F4ISHU91197F4I-MC1-SHU9119-chim(NtGi1-Gs)/β1/γ2
39.13Single7F8XNN90567F8X-CCKA-NN9056
39.13Single8FYLVilazodone8FYL-5-HT1A-Vilazodone-PtdIns4P-Gi1/β1/γ1
39.13Single9BUYLM1899BUY-β2-LM189-Gi1/β1/γ2
39.13Single9HB3Mambaquaretin-19HB3-V2-Mambaquaretin-1
39.13Single9M4TSilodosin9M4T-Alpha1A-Silodosin
39.13Consensusgi_opioidOrthosteric Ligand8F7R-μ-Endomorphin-Gi1/β1/γ2 8EF5-μ-Fentanyl-Gi1/β1/γ2 7SCG-μ-FH210-Gi1/β1/γ2 7T2H-μ-Lofentanil-Gi1/β1/γ2 7T2G-μ-Mitragynine Pseudoindoxyl-Gi1/β1/γ2 8DZP-κ-momSalB-Gi1/β1/γ2 8EF6-μ-Morphine-Gi1/β1/γ2 8F7X-NOP-Nociceptin-Gi1/β1/γ2 8EFB-μ-Oliceridine-Gi1/β1/γ2 7U2L-μ-C5-guano-Gi1/β1/γ2 8EFO-μ-PZM21-Gi1/β1/γ2 8EFL-μ-SR17018-Gi1/β1/γ2 8F7Q-μ-β-Endorphin-Gi1/β1/γ2 7U2K-μ-C6-guano-Gi1/β1/γ2 8EFQ-μ-DAMGO-Gi1/β1/γ2 8F7S-δ-Deltorphin-Gi1/β1/γ2 8F7W-κ-Dynorphin-Gi1/β1/γ2
39.13Consensusmop_offOrthosteric Ligand4DKL-μ-β-Funaltrexamine 8QOT-μ-Nanobody-E 7UL4-μ-Alvimopan
38.89Single4LDOEpinephrine4LDO-β2-Epinephrine
38.89Single4ZUDOlmesartan4ZUD-AT1-Olmesartan
38.89Single6IQLL7458706IQL-D4-L745870
38.89Single6KUXRS799486KUX-α2a-RS79948
38.89Single6PS0Carazolol6PS0-β2-Carazolol
38.89Single6PS4ICI118-5516PS4-β2-ICI118-551
38.89Single6PS5Propranolol6PS5-β2-Propranolol
38.89Single6V9SGTPL114036V9S-OX1-GTPL11403
38.89Single8GG7Constrained Epinephrine8GG7-β2-Constrained Epinephrine-GTP-Gs/β1/γ2
38.89Single8GGLConstrained Epinephrine8GGL-β2-Constrained Epinephrine
38.89Single8GGMConstrained Epinephrine8GGM-β2-Constrained Epinephrine
38.89Single8GGPConstrained Epinephrine8GGP-β2-Constrained Epinephrine
38.89Single8GGQConstrained Epinephrine8GGQ-β2-Constrained Epinephrine
38.89Single8GGSConstrained Epinephrine8GGS-β2-Constrained Epinephrine
38.89Single8GGTConstrained Epinephrine8GGT-β2-Constrained Epinephrine
38.89Single8GGXConstrained Epinephrine8GGX-β2-Constrained Epinephrine
38.89Single8K9KDAMGO8K9K-μ-DAMGO-Gi3/β1/γ1
38.89Single8RLNLUF58348RLN-A2A-LUF5834
38.89Single8RWIStilSwitch28RWI-A2A-StilSwitch2-Na
38.89Single8UNLConstrained Epinephrine8UNL-β2-Constrained Epinephrine-GTP-Gs/β1/γ2
38.89Single8UNOConstrained Epinephrine8UNO-β2-Constrained Epinephrine-GTP-Gs/β1/γ2
38.89Single8UO1Constrained Epinephrine8UO1-β2-Constrained Epinephrine-GTP; Mg-Gs/β1/γ2
38.89Single8Y6YGLPG09748Y6Y-FFA2-GLPG0974
38.89Single8YH2Adenosine8YH2-A3A-Adenosine-Gi1/β1/γ2
38.89Single9JH3CMF-0199JH3-Apelin; Apelin-CMF-019-Gi1/β1/γ2
38.89Single9L84Epinephrine9L84-β1-Epinephrine-Atazanavir-Gs/β1/γ2
38.89Single9ODJMitragynine Pseudoindoxyl9ODJ-μ-Mitragynine Pseudoindoxyl-GTP; Mg-Gi1/β1/γ2
38.89Single9ODLMitragynine Pseudoindoxyl9ODL-μ-Mitragynine Pseudoindoxyl-GTP; Mg-Gi1/β1/γ2
38.89Single9PXXNaloxone9PXX-μ-Naloxone-GDPβS-Gi1/β1/γ2
38.89Consensus5ht_on_gpOrthosteric Ligand5ht1_on_gp 5ht2_on_gp 5ht4_on_gp 5ht5_on_gp 5ht6_on_gp 5ht7_on_gp
38.89Consensusat1_offOrthosteric Ligand4YAY-AT1-ZD-7155 4ZUD-AT1-Olmesartan
38.46Single7Y64C5a7Y64-C5a1-C5a-Gi1/β1/γ2
38.46Single8ZPSPrRP208ZPS-PrRP-PrRP20-chim(NtGi1-Gs-CtGi1)/β1/γ2
38.46Consensusmc1_onOrthosteric Ligand7F4H-MC1-Afamelanotide-chim(NtGi1-Gs)/β1/γ2 7F4D-MC1-α-MSH-chim(NtGi1-Gs)/β1/γ2 7F4I-MC1-SHU9119-chim(NtGi1-Gs)/β1/γ2
38.46Consensusmc1_on_gpOrthosteric Ligand7F4H-MC1-Afamelanotide-chim(NtGi1-Gs)/β1/γ2 7F4D-MC1-α-MSH-chim(NtGi1-Gs)/β1/γ2 7F4I-MC1-SHU9119-chim(NtGi1-Gs)/β1/γ2
38.46Consensusopioid_onOrthosteric Ligandmop_on nop_on dop_on kop_on
38.46Consensussst5_on_gpOrthosteric Ligand8X8L-SST5-Cortistatin-14-chim(NtGi1-Gs-CtGi1)/β1/γ2 8X8N-SST5-Octreotide-chim(NtGi1-Gs-CtGi1)/β1/γ2
38.10Single2YCXCyanopindolol2YCX-β1-Cyanopindolol
38.10Single4AMIBucindolol4AMI-β1-Bucindolol
38.10Single4LDEBI1671074LDE-β2-BI167107
38.10Single5F8UCyanopindolol5F8U-β1-Cyanopindolol
38.10Single6C1RPMX536C1R-C5a1-PMX53-Avacopan; Na
38.10Single6H7OCyanopindolol6H7O-β1-Cyanopindolol
38.10Single6MXTSalmeterol6MXT-β2-Salmeterol
38.10Single6VMSBromoergocryptine6VMS-D2-Bromoergocryptine-Gi1/β1/γ2
38.10Single7BZ2Arformoterol7BZ2-β2-Arformoterol-Gs/β1/γ2
38.10Single7EW2FTY720-P7EW2-S1P3-FTY720-P-Gi1/β1/γ2
38.10Single7SUSPubChem 1227019087SUS-Apelin-PubChem 122701908
38.10Single7W0LPubChem 1227019087W0L-Apelin; Apelin-PubChem 122701908-Gi1/β1/γ2
38.10Single7W0LPubChem 1227019087W0L-Apelin; Apelin-PubChem 122701908-Gi1/β1/γ2
38.10Single7W0NElabela7W0N-Apelin; Apelin-Elabela-Gi1/β1/γ2
38.10Single7YITNalfurafine7YIT-κ-Nalfurafine
38.10Single8JWZEtrumadenant8JWZ-A2A-Etrumadenant-Na
38.10Single8W1VPubChem 1717162658W1V-β2-PubChem 171716265
38.10Single8XYIVUF106618XYI-CXCR3-VUF10661
38.10Single9GL2Befiradol9GL2-5-HT1A-Befiradol-Gs/β1/γ2
38.10Single9GYOP3959GYO-GPBA-P395-chim(NtGi1-Gs)/β1/γ2
38.10Single9KZKC3a (fragment)9KZK-C3aB-C3a (fragment)-Go/β1/γ2
38.10Single9V6ONalfurafine9V6O-κ-Nalfurafine-Gi1/β1/γ2
38.10Single9VJ6F-155999VJ6-5-HT1A-F-15599-Gi3/β1/γ2
38.10Single9YDQDADLE9YDQ-δ-DADLE-MIPS3614-chim(NtGi1L-Gs-CtGi1)/β1/γ2
38.10Consensus5ht1a_onOrthosteric Ligand8FYT-5-HT1A-LSD-PtdIns4P-Gi1/β1/γ1 7E2Y-5-HT1A-Serotonin-PtdIns4P-Gi1/β1/γ2 7E2Z-5-HT1A-Aripiprazole-PtdIns4P-Gi1/β1/γ2 8FYX-5-HT1A-Buspirone-PtdIns4P-Gi1/β1/γ1 8JSP-5-HT1A-Ulotaront-Gi1/β1/γ2 8JT6-5-HT1A-(R)-IHCH-7179-PtdIns4P-Gi1/β1/γ2 8FY8-5-HT1A-5-MeO-DMT-PtdIns4P-Gi1/β1/γ1 8FYE-5-HT1A-4-F,5-MeO-PyrT-PtdIns4P-Gi1/β1/γ1 8FYL-5-HT1A-Vilazodone-PtdIns4P-Gi1/β1/γ1
38.10Consensus5ht1a_on_gpOrthosteric Ligand8FYT-5-HT1A-LSD-PtdIns4P-Gi1/β1/γ1 8FYX-5-HT1A-Buspirone-PtdIns4P-Gi1/β1/γ1 8JSP-5-HT1A-Ulotaront-Gi1/β1/γ2 8JT6-5-HT1A-(R)-IHCH-7179-PtdIns4P-Gi1/β1/γ2 7E2Y-5-HT1A-Serotonin-PtdIns4P-Gi1/β1/γ2 7E2Z-5-HT1A-Aripiprazole-PtdIns4P-Gi1/β1/γ2 8FY8-5-HT1A-5-MeO-DMT-PtdIns4P-Gi1/β1/γ1 8FYE-5-HT1A-4-F,5-MeO-PyrT-PtdIns4P-Gi1/β1/γ1 8FYL-5-HT1A-Vilazodone-PtdIns4P-Gi1/β1/γ1
38.10Consensusbeta_onOrthosteric Ligandbeta1_on beta2_on beta3_on
38.10Consensusbeta_on_gpOrthosteric Ligandbeta1_on_gp beta2_on_gp beta3_on_gp
38.10Consensusccr8_onOrthosteric Ligand8KFX-CCR8-LMD-009-Gi1/β1/γ2 8KFY-CCR8-ZK-756326-Gi1/β1/γ2 8U1U-CCR8-CCL1-Gi1/β1/γ2
38.10Consensusd2_on_gpOrthosteric Ligand7JVR-D2-Bromoergocryptine-Gi1/β1/γ2 8IRS-D2-Rotigotine-Gi1/β1/γ2
38.10Consensusgi_lipidOrthosteric Ligandgi_cannabinoid gi_ffa gi_leukotriene gi_lpa gi_s1p
38.10Consensuskop_onOrthosteric Ligand8F7W-κ-Dynorphin-Gi1/β1/γ2 8DZS-κ-GR89,696-chim(NtGi2-Gz)/β1/γ2 8DZP-κ-momSalB-Gi1/β1/γ2
38.10Consensuslipid_offonOrthosteric Ligandlipid_off lipid_on
38.10Consensuslipid_offon_gpOrthosteric Ligandlipid_on_gp lipid_off
38.10Consensusmop_onOrthosteric Ligand8F7R-μ-Endomorphin-Gi1/β1/γ2 8EF5-μ-Fentanyl-Gi1/β1/γ2 7SCG-μ-FH210-Gi1/β1/γ2 7T2H-μ-Lofentanil-Gi1/β1/γ2 7T2G-μ-Mitragynine Pseudoindoxyl-Gi1/β1/γ2 8EF6-μ-Morphine-Gi1/β1/γ2 8EFB-μ-Oliceridine-Gi1/β1/γ2 7U2L-μ-C5-guano-Gi1/β1/γ2 8EFO-μ-PZM21-Gi1/β1/γ2 8EFL-μ-SR17018-Gi1/β1/γ2 8F7Q-μ-β-Endorphin-Gi1/β1/γ2 7U2K-μ-C6-guano-Gi1/β1/γ2 8EFQ-μ-DAMGO-Gi1/β1/γ2
38.10Consensusmop_on_gpOrthosteric Ligand8F7R-μ-Endomorphin-Gi1/β1/γ2 8EF5-μ-Fentanyl-Gi1/β1/γ2 7SCG-μ-FH210-Gi1/β1/γ2 7T2H-μ-Lofentanil-Gi1/β1/γ2 7T2G-μ-Mitragynine Pseudoindoxyl-Gi1/β1/γ2 8EF6-μ-Morphine-Gi1/β1/γ2 8EFB-μ-Oliceridine-Gi1/β1/γ2 7U2L-μ-C5-guano-Gi1/β1/γ2 8EFO-μ-PZM21-Gi1/β1/γ2 8EFL-μ-SR17018-Gi1/β1/γ2 8F7Q-μ-β-Endorphin-Gi1/β1/γ2 7U2K-μ-C6-guano-Gi1/β1/γ2 8EFQ-μ-DAMGO-Gi1/β1/γ2
38.10Consensusorexin_onOrthosteric Ligandox2_on
38.10Consensuss1p3_onOrthosteric Ligand7EW3-S1P3-S1P-Gi1/β1/γ2 7EW4-S1P3-CYM-5541-Gi1/β1/γ2 7EW2-S1P3-FTY720-P-Gi1/β1/γ2
37.93Consensusbb2_onOrthosteric Ligand7W40-BB2-Bombesin-chim(NtGi1L-Gq)/β1/γ2 7W3Z-BB2-Gastrin Releasing Peptide-chim(NtGi1L-Gq)/β1/γ2
37.93Consensusbb2_on_gpOrthosteric Ligand7W40-BB2-Bombesin-chim(NtGi1L-Gq)/β1/γ2 7W3Z-BB2-Gastrin Releasing Peptide-chim(NtGi1L-Gq)/β1/γ2
37.93Consensusbombesin_onOrthosteric Ligandbb2_on
37.93Consensusbombesin_on_gpOrthosteric Ligandbb2_on_gp
37.93Consensusgq_bombesinOrthosteric Ligand7W40-BB2-Bombesin-chim(NtGi1L-Gq)/β1/γ2 7W3Z-BB2-Gastrin Releasing Peptide-chim(NtGi1L-Gq)/β1/γ2
37.50Single7RKMCX3CL17RKM-US28-CX3CL1-Gi1/β1/γ2
37.50Single8GGEConstrained Epinephrine8GGE-β2-Constrained Epinephrine-GTP-Gs/β1/γ2
37.50Single8GH1Constrained Epinephrine8GH1-β2-Constrained Epinephrine
37.50Single9UMXEP549UMX-C5a1-EP54-Go/β1/γ2
37.50Consensusghrelin_onOrthosteric Ligand7NA7-Ghrelin-Ghrelin-Gi1/β1/γ2 7F9Z-Ghrelin-GHRP-6-chim(NtGi1-Gs-CtGq)/β1/γ2 7NA8-Ghrelin-Ibutamoren-Gi1/β1/γ2
37.50Consensusghrelin_on_gpOrthosteric Ligand7NA7-Ghrelin-Ghrelin-Gi1/β1/γ2 7F9Z-Ghrelin-GHRP-6-chim(NtGi1-Gs-CtGq)/β1/γ2 7NA8-Ghrelin-Ibutamoren-Gi1/β1/γ2
37.04Consensusgi_compl-peptOrthosteric Ligand8HK5-C5a1-C5a-Gi1/β1/γ2 8IA8-C3aB-E7 peptide-Gi1/β1/γ2 7Y66-C5a1-BM213-Gi1/β1/γ2 7Y67-C5a1-C089 peptide-Gi1/β1/γ2 8HK2-C3aB-C3a-Gi1/β1/γ2 7Y64-C5a1-C5a-Gi1/β1/γ2
36.84Single2VT4Cyanopindolol2VT4-β1-Cyanopindolol
36.84Single2Y01Dobutamine2Y01-β1-Dobutamine
36.84Single2Y04Salbutamol2Y04-β1-Salbutamol
36.84Single3NY8ICI118-5513NY8-β2-ICI118-551
36.84Single3ZPQPubChem 5945903ZPQ-β1-PubChem 594590-Na
36.84Single3ZPRPubChem 5987543ZPR-β1-PubChem 598754-Na
36.84Single4GBRCarazolol4GBR-β2-Carazolol
36.84Single5DHHSB-6121115DHH-NOP-SB-612111
36.84Single5NDDAZ8838; Na5NDD-PAR2-AZ8838; Na
36.84Single6D27CAY104716D27-DP2-CAY10471
36.84Single6H7MSalbutamol6H7M-β1-Salbutamol
36.84Single6PS1Timolol6PS1-β2-Timolol
36.84Single6PS2Alprenolol6PS2-β2-Alprenolol
36.84Single6TOTLemborexant6TOT-OX1-Lemborexant
36.84Single7BTSEpinephrine7BTS-β1-Epinephrine
36.84Single7BU6Norepinephrine7BU6-β1-Norepinephrine
36.84Single7CRHSKF839597CRH-D1-SKF83959-Gs/β1/γ2
36.84Single7NA8Ibutamoren7NA8-Ghrelin-Ibutamoren-Gi1/β1/γ2
36.84Single7SQOTAK-9257SQO-OX2-TAK-925-Gi1/β1/γ2
36.84Single7T2GMitragynine Pseudoindoxyl7T2G-μ-Mitragynine Pseudoindoxyl-Gi1/β1/γ2
36.84Single7T6VfMLFII7T6V-FPR2-ALX-fMLFII-Gi1/β1/γ2
36.84Single7V3ZCP559407V3Z-CB1-CP55940
36.84Single7VIES1P7VIE-S1P1-S1P-Gi1/β1/γ2
36.84Single7WC7Lisuride7WC7-5-HT2A-Lisuride
36.84Single7XJHIsoprenaline7XJH-β3-Isoprenaline-Gs/β1/γ2
36.84Single8CICEtrumadenant8CIC-A2A-Etrumadenant-Na
36.84Single8CU6LJ-45178CU6-A2A-LJ-4517
36.84Single8GE2Constrained Epinephrine8GE2-β2-Constrained Epinephrine-Gs/β1/γ1
36.84Single8GE3Constrained Epinephrine8GE3-β2-Constrained Epinephrine-Gs/β1/γ2
36.84Single8GE9Constrained Epinephrine8GE9-β2-Constrained Epinephrine-Gs/β1/γ2
36.84Single8GECConstrained Epinephrine8GEC-β2-Constrained Epinephrine-Gs/β1/γ2
36.84Single8GEEConstrained Epinephrine8GEE-β2-Constrained Epinephrine-Gs/β1/γ2
36.84Single8GEHConstrained Epinephrine8GEH-β2-Constrained Epinephrine-Gs/β1/γ2
36.84Single8GFVConstrained Epinephrine8GFV-β2-Constrained Epinephrine-GTP-Gs/β1/γ2
36.84Single8GFWConstrained Epinephrine8GFW-β2-Constrained Epinephrine-GTP-Gs/β1/γ2
36.84Single8GFXConstrained Epinephrine8GFX-β2-Constrained Epinephrine-GTP-Gs/β1/γ2
36.84Single8GFZConstrained Epinephrine8GFZ-β2-Constrained Epinephrine-GTP-Gs/β1/γ2
36.84Single8GG0Constrained Epinephrine8GG0-β2-Constrained Epinephrine-GTP-Gs/β1/γ2
36.84Single8GG1Constrained Epinephrine8GG1-β2-Constrained Epinephrine-GTP-Gs/β1/γ2
36.84Single8GG3Constrained Epinephrine8GG3-β2-Constrained Epinephrine-GTP-Gs/β1/γ2
36.84Single8GG4Constrained Epinephrine8GG4-β2-Constrained Epinephrine-GTP-Gs/β1/γ2
36.84Single8GG6Constrained Epinephrine8GG6-β2-Constrained Epinephrine-GTP-Gs/β1/γ2
36.84Single8GG9Constrained Epinephrine8GG9-β2-Constrained Epinephrine-GTP-Gs/β1/γ2
36.84Single8GGIConstrained Epinephrine8GGI-β2-Constrained Epinephrine
36.84Single8GGJConstrained Epinephrine8GGJ-β2-Constrained Epinephrine
36.84Single8GGKConstrained Epinephrine8GGK-β2-Constrained Epinephrine
36.84Single8GGNConstrained Epinephrine8GGN-β2-Constrained Epinephrine
36.84Single8GGOConstrained Epinephrine8GGO-β2-Constrained Epinephrine
36.84Single8GGUConstrained Epinephrine8GGU-β2-Constrained Epinephrine
36.84Single8IRTRotigotine8IRT-D3-Rotigotine-Gi1/β1/γ2
36.84Single8JXRLSD8JXR-D1-LSD
36.84Single8KFYZK-7563268KFY-CCR8-ZK-756326-Gi1/β1/γ2
36.84Single8RWXStilSwitch38RWX-A2A-StilSwitch3-Na
36.84Single8UNQConstrained Epinephrine8UNQ-β2-Constrained Epinephrine-GTP-Gs/β1/γ2
36.84Single8UNRConstrained Epinephrine8UNR-β2-Constrained Epinephrine-GTP-Gs/β1/γ2
36.84Single8UNUConstrained Epinephrine8UNU-β2-Constrained Epinephrine-GTP-Gs/β1/γ2
36.84Single8UNYConstrained Epinephrine8UNY-β2-Constrained Epinephrine-GTP-Gs/β1/γ2
36.84Single8XVKAmbrisentan8XVK-ETA-Ambrisentan
36.84Single8YH5Riboprine8YH5-A3A-Riboprine-Gi1/β1/γ2
36.84Single8ZQEGPR15L(CT)8ZQE-GPR15-GPR15L(CT)-Gi1/β1/γ1
36.84Single9CHXCarazolol9CHX-β2-Carazolol
36.84Single9H37PubChem 1756706469H37-A2A-PubChem 175670646-Na
36.84Single9PXWNaloxone9PXW-μ-Naloxone-GDPβS-Gi1/β1/γ2
36.84Single9VMYTMU41429VMY-5-HT1A-TMU4142-Go/β1/γ2
36.84Consensusadenosine_on_gpOrthosteric Liganda1_on_gp a2_on_gp a3_on_gp
36.84Consensusadrenergic_onOrthosteric Ligandalpha_on beta_on
36.84Consensusalicarboxylic_on_gpOrthosteric Ligandsuccinate_on_gp hca_on_gp
36.84Consensusd5_onOrthosteric Ligand8IRV-D5-Rotigotine-chim(NtGi1-Gs)/β1/γ2
36.84Consensusdopamine_offOrthosteric Ligandd2_off d3_off
36.84Consensusdopamine_onOrthosteric Ligandd2_on d1_on d3_on d4_on d5_on
36.84Consensusdopamine_on_gpOrthosteric Ligandd2_on_gp d1_on_gp d3_on_gp d4_on_gp d5_on_gp
36.84Consensusgi_alicarboxylicOrthosteric Ligandgi_hca gi_succinate
36.84Consensusgi_orexinOrthosteric Ligand7SQO-OX2-TAK-925-Gi1/β1/γ2
36.67Consensusmelanocortin_onOrthosteric Ligandmc1_on mc4_on mc2_on mc3_on mc5_on
36.67Consensusmelanocortin_on_gpOrthosteric Ligandmc1_on_gp mc4_on_gp mc2_on_gp mc3_on_gp mc5_on_gp
36.36Single2YCZIodocyanopindolol2YCZ-β1-Iodocyanopindolol
36.36Single6BQGErgotamine6BQG-5-HT2C-Ergotamine
36.36Single6IBLArformoterol6IBL-β1-Arformoterol
36.36Single6TKOArformoterol6TKO-β1-Arformoterol-Arrestin2
36.36Single7JVRBromoergocryptine7JVR-D2-Bromoergocryptine-Gi1/β1/γ2
36.36Single7SK8CCX6627SK8-ACKR3-CXCL12-CCX662
36.36Single7UM4AS26747237UM4-5-HT5A-AS2674723
36.36Single7X1UTRH7X1U-TRH-TRH-chim(NtGi2L-Gs-CtGq)/β1/γ2
36.36Single7X2DTavapadon7X2D-D1-Tavapadon-Gs/β1/γ2
36.36Single7XJISolabegron7XJI-β3-Solabegron-Gs/β1/γ2
36.36Single7Y65C5a (C-terminal peptide)7Y65-C5a1-C5a (C-terminal peptide)-Gi1/β1/γ2
36.36Single8E0GBU728E0G-μ-BU72
36.36Single8GUTLEI-1028GUT-CB2-LEI-102-Gi1/β1/γ2
36.36Single8K2XCXCL108K2X-CXCR3-CXCL10-Gi1/β1/γ2
36.36Single8S2TIsoprenaline8S2T-β1-Isoprenaline-chim(NtGi1-Gs)/β1/γ2
36.36Single8WRZAM8418WRZ-CB1-AM841-Arrestin2
36.36Single9DYEBuspirone9DYE-5-HT1A-Buspirone-PtdIns4P-Go/β1/γ2
36.36Single9IZFLPA9IZF-LPA1-LPA-Gi1/β1/γ2
36.36Single9KWXC5a-des-Arg9KWX-C5a1-C5a-des-Arg-Go/β1/γ2
36.36Single9WP9S1P9WP9-S1P3-S1P-chim(NtGi2L-Gs-CtGq)/β1/γ2
36.36Single9YDRDADLE9YDR-δ-DADLE-MIPS3983-chim(NtGi1L-Gs-CtGi1)/β1/γ2
36.36Consensuscb1_on_gpOrthosteric Ligand6KPG-CB1-AM841-Gi1/β1/γ2 8K8J-CB1-Fenofibrate-chim(Gs-CtGq)/β1/γ2
36.36Consensusd2_offOrthosteric Ligand6CM4-D2-Risperidone 6LUQ-D2-Haloperidol 7DFP-D2-Spiperone
36.36Consensusgi_s1pOrthosteric Ligand7VIE-S1P1-S1P-Gi1/β1/γ2 7EW3-S1P3-S1P-Gi1/β1/γ2 7EVY-S1P1-Siponimod-Gi1/β1/γ2 7EW1-S1P5-Siponimod-Gi1/β1/γ2 7VIF-S1P1-FTY720-P-Gi1/β1/γ2 7VIG-S1P1-CBP-307-Gi1/β1/γ2 7EVZ-S1P1-Cenerimod-Gi1/β1/γ2 7EW4-S1P3-CYM-5541-Gi1/β1/γ2 7EW2-S1P3-FTY720-P-Gi1/β1/γ2 7EW0-S1P1-Ozanimod-Gi1/β1/γ2 7EW7-S1P1-SEW2871-Gi1/β1/γ2
36.36Consensuskop_on_gpOrthosteric Ligand8F7W-κ-Dynorphin-Gi1/β1/γ2 8DZS-κ-GR89,696-chim(NtGi2-Gz)/β1/γ2 8DZP-κ-momSalB-Gi1/β1/γ2
36.36Consensusorexin_on_gpOrthosteric Ligandox2_on_gp
36.36Consensuspeptide_offOrthosteric Ligandcck_off angiotensin_off bombesin_off endothelin_off ghrelin_off npy_off opioid_off orexin_off somatostatin_off tachykinin_off vasop-oxy_off neurotensin_off
36.00Single6W25SHU91196W25-MC4-SHU9119-Ca
36.00Single7TD2LPA7TD2-LPA1-LPA-Gi1/β1/γ2
36.00Single9B54VIP369B54-CB1-VIP36-Gi1/β1/γ2
36.00Single9MEUCXCL129MEU-CXCR4-CXCL12
36.00Consensusangiotensin_onOrthosteric Ligandat1_on
36.00Consensusat1_onOrthosteric Ligand7F6G-AT1-(Sar1)-Angiotensin II-Gq/β1/γ2
36.00Consensuscompl-peptide_on_gpOrthosteric Ligandc5a1_on_gp c3a_on_gp
36.00Consensusgi_somatostatinOrthosteric Ligand7WIC-SST2-Somatostatin-14-Gi1/β1/γ2 7XMS-SST4-Somatostatin-14-Gi1/β1/γ2 8X8L-SST5-Cortistatin-14-chim(NtGi1-Gs-CtGi1)/β1/γ2 7XMT-SST4-J-2156-Gi1/β1/γ2 7WIG-SST2-L-054264-Gi1/β1/γ2 8X8N-SST5-Octreotide-chim(NtGi1-Gs-CtGi1)/β1/γ2 7YAE-SST2-Octreotide-Gi1/β1/γ2 7YAC-SST2-Paltusotine-Gi1/β1/γ2
36.00Consensusgs_class-aOrthosteric Ligandgs_peptide gs_nucleotide gs_amine
36.00Consensussomatostatin_onOrthosteric Ligandsst2_on sst4_on sst5_on
36.00Consensussomatostatin_on_gpOrthosteric Ligandsst2_on_gp sst4_on_gp sst5_on_gp
35.71Single7F4FAfamelanotide7F4F-MC1-Afamelanotide-chim(NtGi1-Gs)/β1/γ2
35.71Single8W8WAlpha-MSH8W8W-MC3-α-MSH-Ca-Gs/β1/γ2
35.71Single8ZH8QRFP268ZH8-QRFP-QRFP26-Gq/β1/γ1
35.71Single9K26PrRP319K26-PrRP-PrRP31-Gi1/β1/γ2
35.48Consensusgs_peptideOrthosteric Ligandgs_cck gs_melanocortin gs_vasop-oxy
35.29Single3PBLEticlopride3PBL-D3-Eticlopride
35.29Single6HLLCP999946HLL-NK1-CP99994
35.29Single8EF6Morphine8EF6-μ-Morphine-Gi1/β1/γ2
35.29Single8UO3Constrained Epinephrine8UO3-β2-Constrained Epinephrine-GTP; Mg-Gs/β1/γ2
35.29Single8UO4Constrained Epinephrine8UO4-β2-Constrained Epinephrine-GTP; Mg-Gs/β1/γ2
35.29Single8YH3N-methyladenosine8YH3-A3A-N-methyladenosine-Gi1/β1/γ2
35.29Single8YKWSuccinic acid8YKW-Succinate-Succinic acid-Gi1/β1/γ1
35.29Single9U9VMETH9U9V-β2-METH-Gs/β1/γ2
35.29Consensusd3_offOrthosteric Ligand3PBL-D3-Eticlopride
35.00Single2RH1Carazolol2RH1-β2-Carazolol
35.00Single2Y03Isoprenaline2Y03-β1-Isoprenaline
35.00Single2YCWCarazolol2YCW-β1-Carazolol
35.00Single4RWDDIPP-NH24RWD-δ-DIPP-NH2-Na
35.00Single4ZJ8Suvorexant4ZJ8-OX1-Suvorexant
35.00Single5D6LCarazolol5D6L-β2-Carazolol
35.00Single5N2SPSB365N2S-A1-PSB36
35.00Single5OM4PubChem 1355666095OM4-A2A-PubChem 135566609-Na
35.00Single5WQCEMPA5WQC-OX2-EMPA
35.00Single5X7DCarazolol5X7D-β2-Carazolol-PubChem 129318963
35.00Single6KPCAM120336KPC-CB2-AM12033
35.00Single6TP6Filorexant6TP6-OX1-Filorexant
35.00Single7C4SS1P7C4S-S1P3-S1P
35.00Single7C61Ergotamine7C61-5-HT1B-Ergotamine
35.00Single7CKXA776367CKX-D1-A77636-Gs/β1/γ2
35.00Single7EO2FTY720-P7EO2-S1P1-FTY720-P-Gi1/β1/γ2
35.00Single7LD3Adenosine7LD3-A1-Adenosine-MIPS521-Gi2/β1/γ2
35.00Single7SBFPZM217SBF-μ-PZM21-Gi1/β1/γ2
35.00Single7TD3S1P7TD3-S1P1-S1P-Gi1/β1/γ2
35.00Single7WC6LSD7WC6-5-HT2A-LSD
35.00Single7YU6ONO-07405567YU6-LPA1-ONO-0740556-Gi1/β1/γ2
35.00Single8C9WEtrumadenant8C9W-A2A-Etrumadenant
35.00Single8DZRGR89,6968DZR-κ-GR89,696-chim(NtGi2-Gt3)/β1/γ2
35.00Single8GFYConstrained Epinephrine8GFY-β2-Constrained Epinephrine-GTP-Gs/β1/γ2
35.00Single8GG2Constrained Epinephrine8GG2-β2-Constrained Epinephrine-GTP-Gs/β1/γ2
35.00Single8I7WGSK2560738I7W-HCA2-GSK256073-Gi1/β1/γ2
35.00Single8JXSPF-61428JXS-D1-PF-6142
35.00Single8TF5Oleic acid8TF5-GPR6-Oleic acid
35.00Single8ZPTPrRP208ZPT-PrRP-PrRP20-chim(NtGi1-Gs-CtGq)/β1/γ2
35.00Single9F33FOB02-04A9F33-D3-FOB02-04A-Go/β1/γ2
35.00Single9HAPTolvaptan9HAP-V2-Tolvaptan
35.00Single9JKSPubChem 442501769JKS-HCA3-PubChem 44250176-Gi1/β1/γ2
35.00Single9K07DSO-5a9K07-BB3-DSO-5a-chim(NtGi2L-Gs-CtGq)/β1/γ2
35.00Single9KUVCMPD6449KUV-Apelin-CMPD644-Arrestin2
35.00Single9PXYNaloxone9PXY-μ-Naloxone-GDPβS-Gi1/β1/γ2
35.00Consensusamine_offOrthosteric Ligand5ht_off adrenergic_off dopamine_off histamine_off muscarinic_off
35.00Consensusamine_offonOrthosteric Ligandamine_off amine_on
35.00Consensusamine_offon_gpOrthosteric Ligandamine_on_gp amine_off
35.00Consensusamine_onOrthosteric Ligand5ht_on adrenergic_on dopamine_on histamine_on muscarinic_on trace-amine_on
35.00Consensusbeta2_offOrthosteric Ligand2RH1-β2-Carazolol 6PS3-β2-Carvedilol 6PS5-β2-Propranolol 3D4S-β2-Timolol 3NY8-β2-ICI118-551 3NY9-β2-PubChem 913103 6PRZ-β2-Alprenolol
35.00Consensusbeta_offOrthosteric Ligandbeta1_off beta2_off
35.00Consensuscb2_onOrthosteric Ligand8GUR-CB2-CP55940-Gi1/β1/γ2 8GUS-CB2-HU-308-Gi1/β1/γ2 8GUT-CB2-LEI-102-Gi1/β1/γ2 6KPF-CB2-AM12033-Gi1/β1/γ2 6PT0-CB2-WIN 55212-2-Gi1/β1/γ2 8GUQ-CB2-Olorinab-Gi1/β1/γ2
35.00Consensuscb2_on_gpOrthosteric Ligand8GUR-CB2-CP55940-Gi1/β1/γ2 8GUS-CB2-HU-308-Gi1/β1/γ2 8GUT-CB2-LEI-102-Gi1/β1/γ2 6KPF-CB2-AM12033-Gi1/β1/γ2 6PT0-CB2-WIN 55212-2-Gi1/β1/γ2 8GUQ-CB2-Olorinab-Gi1/β1/γ2
35.00Consensusd1_onOrthosteric Ligand7F0T-D1-Dopamine-Gs/β1/γ2 7CKY-D1-PW0464-Gs/β1/γ2 8IRR-D1-Rotigotine-Gs/β1/γ2 7JV5-D1-SKF81297-Gs/β1/γ2 7JVP-D1-SKF83959-Gs/β1/γ2 7X2D-D1-Tavapadon-Gs/β1/γ2 7CKX-D1-A77636-Gs/β1/γ2 7JVQ-D1-Apomorphine-Gs/β1/γ2 7CKW-D1-Fenoldopam-Gs/β1/γ2
35.00Consensusd2_onOrthosteric Ligand7JVR-D2-Bromoergocryptine-Gi1/β1/γ2 8IRS-D2-Rotigotine-Gi1/β1/γ2
35.00Consensusd4_onOrthosteric Ligand8IRU-D4-Rotigotine-chim(NtGi1-Gs-CtGi1)/β1/γ2
35.00Consensusgi_adrenergicOrthosteric Ligand7EJ0-α2a-Norepinephrine-Go/β1/γ2 7EJK-α2a-Oxymetazoline-Go/β1/γ2 7W7E-α2a-PubChem 164946676-Go/β1/γ2 7W6P-α2a-N-pyridin-4-ylisoquinolin-4-amine-Go/β1/γ2 7EJ8-α2a-Brimonidine-Go/β1/γ2 6K42-α2b-Dexmedetomidine-Gi1/β1/γ2 7EJA-α2a-Dexmedetomidine-Go/β1/γ2 7S0F-β1-Isoprenaline-Gi1/β1/γ2
35.00Consensusgs_amineOrthosteric Ligandgs_5ht gs_adrenergic gs_dopamine gs_histamine gs_trace-amine
35.00Consensuslpa1_onOrthosteric Ligand7TD1-LPA1-LPA-Gi1/β1/γ2 7YU3-LPA1-ONO-0740556-Gi1/β1/γ2
35.00Consensuslpa1_on_gpOrthosteric Ligand7TD1-LPA1-LPA-Gi1/β1/γ2 7YU3-LPA1-ONO-0740556-Gi1/β1/γ2
34.78Single3NY9PubChem 9131033NY9-β2-PubChem 913103
34.78Single5ZTYAM102575ZTY-CB2-AM10257
34.78Single7F8WGastrin-177F8W-CCKB-Gastrin-17-chim(NtGsL-Gq)/β1/γ2
34.78Single7RKFCX3CL17RKF-US28-CX3CL1-GDP-chim(NtGi1-G11)/β1/γ2
34.78Single7SK9CCX6627SK9-ACKR3-CCX662
34.78Single7XN9L-0545227XN9-SST2-L-054522
34.78Single7YJ4INSL57YJ4-RXFP4-INSL5-Gi2/β1/γ2
34.78Single8QJ2pN1628QJ2-MC4-pN162-Gs/β1/γ2
34.78Single8X3LXWD8X3L-CB2-XWD-Gi1/β1/γ2
34.78Single9EAJNanobody AT2099EAJ-AT1-Nanobody AT209
34.78Single9IZASCH9002719IZA-HCA2-SCH900271-Gi1/β1/γ2
34.78Consensuscb2_offOrthosteric Ligand5ZTY-CB2-AM10257
34.78Consensusgq_cckOrthosteric Ligand8IA7-CCKB-Cholecystokinin-8-chim(NtGi1L-Gq)/β1/γ2 7XOW-CCKB-Sulfated Gastrin-(10-17)-chim(NtGi1-Gq)/β1/γ2 7EZM-CCKA-Cholecystokinin-8-chim(NtGsL-Gq)/β1/γ2 7F8W-CCKB-Gastrin-17-chim(NtGsL-Gq)/β1/γ2
34.78Consensusox2_onOrthosteric Ligand7L1V-OX2-PubChem 155491009-chim(NtGi1-Gs-CtGq)/β1/γ2 7SQO-OX2-TAK-925-Gi1/β1/γ2 7L1U-OX2-Orexin-chim(NtGi1-Gs-CtGq)/β1/γ2
34.78Consensusox2_on_gpOrthosteric Ligand7L1V-OX2-PubChem 155491009-chim(NtGi1-Gs-CtGq)/β1/γ2 7SQO-OX2-TAK-925-Gi1/β1/γ2 7L1U-OX2-Orexin-chim(NtGi1-Gs-CtGq)/β1/γ2
34.78Consensuss1p_onOrthosteric Ligands1p1_on s1p3_on s1p5_on
34.78Consensuss1p_on_gpOrthosteric Ligands1p1_on_gp s1p3_on_gp s1p5_on_gp
34.78Consensussst2_onOrthosteric Ligand7WIC-SST2-Somatostatin-14-Gi1/β1/γ2 7WIG-SST2-L-054264-Gi1/β1/γ2 7YAE-SST2-Octreotide-Gi1/β1/γ2 7YAC-SST2-Paltusotine-Gi1/β1/γ2
34.78Consensussst2_on_gpOrthosteric Ligand7WIC-SST2-Somatostatin-14-Gi1/β1/γ2 7WIG-SST2-L-054264-Gi1/β1/γ2 7YAE-SST2-Octreotide-Gi1/β1/γ2 7YAC-SST2-Paltusotine-Gi1/β1/γ2
34.62Single6JODAngiotensin II6JOD-AT2-Angiotensin II
34.62Single7F4HAfamelanotide7F4H-MC1-Afamelanotide-chim(NtGi1-Gs)/β1/γ2
34.62Single7XK8Neuromedin-U-257XK8-NMUR2-Neuromedin-U-25-Gi1/β1/γ2
34.62Single7YONPeptide-YY(3-36)7YON-Y2-Peptide-YY(3-36)-Gi1/β1/γ2
34.62Single8ZBISomatostatin-148ZBI-SST3-Somatostatin-14-Gi1/β1/γ2
34.62Consensuscxcr3_on_gpOrthosteric Ligand8HNK-CXCR3-CXCL11-Gi1/β1/γ2 8HNL-CXCR3-PS372424-Gi1/β1/γ2
34.48Consensusgs_melanocortinOrthosteric Ligand7F4H-MC1-Afamelanotide-chim(NtGi1-Gs)/β1/γ2 7F54-MC4-Afamelanotide-Gs/β1/γ2 7F4D-MC1-α-MSH-chim(NtGi1-Gs)/β1/γ2 8INR-MC5-α-MSH-Ca-chim(NtGi1-Gs)/β1/γ2 7F53-MC4-α-MSH-Gs/β1/γ2 7F55-MC4-Bremelanotide-Gs/β1/γ2 8GY7-MC2-Corticotropin-Ca-chim(NtGi1-Gs)/β1/γ2; MRAP1 8IOC-MC3-γ-MSH-Ca-chim(NtGi1-Gs)/β1/γ2 8IOD-MC5-PG-901-Ca-chim(NtGi1-Gs)/β1/γ2 7AUE-MC4-Setmelanotide-chim(NtGi1L-Gs)/β1/γ2 7F4I-MC1-SHU9119-chim(NtGi1-Gs)/β1/γ2 7F58-MC4-THIQ-Gs/β1/γ2
33.33Single2X72All-trans-Retinal2X72-Rhodopsin-All-trans-Retinal-Gt(CT)
33.33Single2YDVNECA2YDV-A2A-NECA
33.33Single3PWHZM-2413853PWH-A2A-ZM-241385
33.33Single3VGAZM-2413853VGA-A2A-ZM-241385-Antibody
33.33Single4DJHJDTic4DJH-κ-JDTic
33.33Single4IAQDihydroergotamine4IAQ-5-HT1B-Dihydroergotamine
33.33Single4IARErgotamine4IAR-5-HT1B-Ergotamine
33.33Single4IB4Ergotamine4IB4-5-HT2B-Ergotamine
33.33Single4UHRCGS216804UHR-A2A-CGS21680
33.33Single5A8E7-Methylcyanopindolol5A8E-β1-7-Methylcyanopindolol-Na
33.33Single5D5ACarazolol5D5A-β2-Carazolol
33.33Single5D5BCarazolol5D5B-β2-Carazolol
33.33Single5G53NECA5G53-A2A-NECA-Gs
33.33Single5GLHEndothelin-15GLH-ETB-Endothelin-1
33.33Single5OLVLUAA470705OLV-A2A-LUAA47070-Na
33.33Single5WS3EMPA5WS3-OX2-EMPA
33.33Single5XRAAM115425XRA-CB1-AM11542
33.33Single6DS0LY2660976DS0-5-HT2B-LY266097
33.33Single6IGKEndothelin-36IGK-ETB-Endothelin-3
33.33Single6N48BI1671076N48-β2-BI167107-PubChem 138454256
33.33Single6RNKNF-56-EJ406RNK-Succinate-NF-56-EJ40
33.33Single7EW1Siponimod7EW1-S1P5-Siponimod-Gi1/β1/γ2
33.33Single7EW3S1P7EW3-S1P3-S1P-Gi1/β1/γ2
33.33Single7FEECP559407FEE-CB1-CP55940-ZCZ011
33.33Single7JV5SKF812977JV5-D1-SKF81297-Gs/β1/γ2
33.33Single7LD4Adenosine7LD4-A1-Adenosine-Gi2/β1/γ2
33.33Single7SRRLSD7SRR-5-HT2B-LSD-chim(NtGi2L-Gs-CtGq)/β1/γ2
33.33Single7SRSLSD7SRS-5-HT2B-LSD-Arrestin2
33.33Single7T2HLofentanil7T2H-μ-Lofentanil-Gi1/β1/γ2
33.33Single7TD1LPA7TD1-LPA1-LPA-Gi1/β1/γ2
33.33Single7TD4Siponimod7TD4-S1P1-Siponimod-Gi1/β1/γ2
33.33Single7U2LC5-guano7U2L-μ-C5-guano-Gi1/β1/γ2
33.33Single7VIGCBP-3077VIG-S1P1-CBP-307-Gi1/β1/γ2
33.33Single7W0MPubChem 1227019087W0M-Apelin-PubChem 122701908-Gi1/β1/γ2
33.33Single7W0PElabela7W0P-Apelin-Elabela-Gi1/β1/γ2
33.33Single7W56Neuromedin-S7W56-NMUR1-Neuromedin-S-chim(NtGi1-Gs-CtGq)/β1/γ2
33.33Single7W6PN-pyridin-4-ylisoquinolin-4-amine7W6P-α2a-N-pyridin-4-ylisoquinolin-4-amine-Go/β1/γ2
33.33Single7W7EPubChem 1649466767W7E-α2a-PubChem 164946676-Go/β1/γ2
33.33Single7WF7S1P7WF7-S1P1-S1P-Gi1/β1/γ2
33.33Single7WV9CP559407WV9-CB1-CP55940-ZCZ011-Gi2/β1/γ2
33.33Single7X5H5-CT7X5H-5-HT5A-5-CT-Gi1/β1/γ2
33.33Single7XAUOctreotide7XAU-SST2-Octreotide-Gi1/β1/γ2
33.33Single7XV3Lysophosphatidylserine (WJS)7XV3-GPR174-Lysophosphatidylserine (WJS)-chim(NtGi1-Gs)/β1/γ2
33.33Single7YMHNorepinephrine7YMH-Alpha1A-Norepinephrine-chim(Gs-CtGq)
33.33Single7YU5ONO-07405567YU5-LPA1-ONO-0740556-Gi1/β1/γ2
33.33Single7YU7ONO-07405567YU7-LPA1-ONO-0740556-Gi1/β1/γ2
33.33Single8DWGML3828DWG-MRGPRX1-BAM8-22-ML382-chim(NtGi2L-Gs-CtGq)/β1/γ2
33.33Single8EFOPZM218EFO-μ-PZM21-Gi1/β1/γ2
33.33Single8F7XNociceptin8F7X-NOP-Nociceptin-Gi1/β1/γ2
33.33Single8FYXBuspirone8FYX-5-HT1A-Buspirone-PtdIns4P-Gi1/β1/γ1
33.33Single8GGAConstrained Epinephrine8GGA-β2-Constrained Epinephrine-GTP-Gs/β1/γ2
33.33Single8GGRConstrained Epinephrine8GGR-β2-Constrained Epinephrine
33.33Single8GGWConstrained Epinephrine8GGW-β2-Constrained Epinephrine
33.33Single8GH0Constrained Epinephrine8GH0-β2-Constrained Epinephrine
33.33Single8GHVAMG3158GHV-CB1-AMG315-Gi1/β1/γ2
33.33Single8GNGIstradefylline8GNG-A2A-Istradefylline
33.33Single8HK5C5a8HK5-C5a1-C5a-Gi1/β1/γ2
33.33Single8HQCC5a8HQC-C5a1-C5a-Go/β1/γ2
33.33Single8I9LC3a8I9L-C3aB-C3a-Go/β1/γ2
33.33Single8IODPG-9018IOD-MC5-PG-901-Ca-chim(NtGi1-Gs)/β1/γ2
33.33Single8IRRRotigotine8IRR-D1-Rotigotine-Gs/β1/γ2
33.33Single8IRURotigotine8IRU-D4-Rotigotine-chim(NtGi1-Gs-CtGi1)/β1/γ2
33.33Single8JPPSuccinic acid8JPP-Succinate-Succinic acid-chim(Gs-CtGq)/β1/γ1
33.33Single8RW0Istradefylline8RW0-A2A-Istradefylline-Na
33.33Single8T1VPubChem 1183102098T1V-GPR6-PubChem 118310209-Na
33.33Single8UGWCGS216808UGW-A2A-CGS21680
33.33Single8UNSConstrained Epinephrine8UNS-β2-Constrained Epinephrine-GTP-Gs/β1/γ2
33.33Single8UNTConstrained Epinephrine8UNT-β2-Constrained Epinephrine-GTP-Gs/β1/γ2
33.33Single8UNXConstrained Epinephrine8UNX-β2-Constrained Epinephrine-GTP-Gs/β1/γ2
33.33Single8WDTphotoNECA8WDT-A2A-photoNECA
33.33Single8WKYPG-9348WKY-MC4-PG-934
33.33Single8XZICMF-0198XZI-Apelin; Apelin-CMF-019-Gi1/β1/γ2
33.33Single8ZBJSomatostatin-148ZBJ-SST5-Somatostatin-14-Gi1/β1/γ2
33.33Single8ZRTEndothelin-18ZRT-ETB-Endothelin-1
33.33Single8ZSPLSD8ZSP-TA1-LSD-chim(NtGi1L-Gs)/β1/γ2
33.33Single9BJKNaloxone9BJK-μ-Naloxone-PubChem 171642066
33.33Single9BKJCholecystokinin-89BKJ-CCKA-Cholecystokinin-8-chim(NtGi1-Gs-CtGq)/β1/γ2
33.33Single9EBHAdenosine9EBH-A3A-Adenosine-Gi1/β1/γ2
33.33Single9EEAAdenosine9EEA-A2A-Adenosine-Gs/β1/γ2
33.33Single9EGOZ85267113509EGO-CB1-Z8526711350-Gi1/β1/γ2
33.33Single9J5VCpY9J5V-LPA1-CpY-Gi1/β1/γ2
33.33Single9JFYNeuropeptide-SF9JFY-NPFF2-Neuropeptide-SF-Gi1/β1/γ2
33.33Single9PY4Loperamide9PY4-μ-Loperamide-GDPβS-Gi1/β1/γ2
33.33Single9UYJChemerin-99UYJ-CML2-Chemerin-9-Arrestin2
33.33Single9VJ5Gepirone9VJ5-5-HT1A-Gepirone-Go/β1/γ2
33.33Single9VJEBuspirone9VJE-5-HT1A-Buspirone-Go/β1/γ2
33.33Single9W49U-50488H9W49-κ-U-50488H-Gi1/β1/γ2
33.33Consensus5ht1e_onOrthosteric Ligand7E33-5-HT1E-BRL-54443-Gi1/β1/γ2 8UGY-5-HT1E-Mianserin-Gi1/β1/γ1 8UH3-5-HT1E-Setiptiline-Gi1/β1/γ1
33.33Consensus5ht2_on_gpOrthosteric Ligand5ht2b_on_gp
33.33Consensus5ht2b_on_gpOrthosteric Ligand7SRR-5-HT2B-LSD-chim(NtGi2L-Gs-CtGq)/β1/γ2
33.33Consensus5ht_onOrthosteric Ligand5ht1_on 5ht2_on 5ht4_on 5ht5_on 5ht6_on 5ht7_on
33.33Consensusa1_onOrthosteric Ligand7LD4-A1-Adenosine-Gi2/β1/γ2
33.33Consensusa1_on_gpOrthosteric Ligand7LD4-A1-Adenosine-Gi2/β1/γ2
33.33Consensusa2_onOrthosteric Liganda2b_on
33.33Consensusa2_on_gpOrthosteric Liganda2b_on_gp
33.33Consensusa2b_onOrthosteric Ligand8HDP-A2B-Adenosine-Gs/β1/γ2 7XY6-A2B-BAY 60-6583-chim(NtGi1-Gs)/β1/γ2 7XY7-A2B-NECA-chim(NtGi1-Gs)/β1/γ2 8HDO-A2B-BAY 60-6583-Gs/β1/γ2
33.33Consensusa2b_on_gpOrthosteric Ligand8HDP-A2B-Adenosine-Gs/β1/γ2 7XY6-A2B-BAY 60-6583-chim(NtGi1-Gs)/β1/γ2 7XY7-A2B-NECA-chim(NtGi1-Gs)/β1/γ2 8HDO-A2B-BAY 60-6583-Gs/β1/γ2
33.33Consensusalpha2_offOrthosteric Ligandalpha2c_off
33.33Consensusamine_on_gpOrthosteric Ligand5ht_on_gp adrenergic_on_gp dopamine_on_gp histamine_on_gp muscarinic_on_gp trace-amine_on_gp
33.33Consensusbeta1_offOrthosteric Ligand2VT4-β1-Cyanopindolol 2YCW-β1-Carazolol 2YCZ-β1-Iodocyanopindolol 5A8E-β1-7-Methylcyanopindolol-Na 3ZPQ-β1-PubChem 594590-Na 3ZPR-β1-PubChem 598754-Na
33.33Consensuschemerin_on_gpOrthosteric Ligandcml1_on_gp
33.33Consensusclass-a_offOrthosteric Ligandsensory_off alicarboxylic_off amine_off lipid_off nucleotide_off peptide_off protein_off
33.33Consensuscml1_onOrthosteric Ligand7YKD-CML1-Chemerin-9-Gi1/β1/γ2
33.33Consensusd1_on_gpOrthosteric Ligand7F0T-D1-Dopamine-Gs/β1/γ2 7CKY-D1-PW0464-Gs/β1/γ2 8IRR-D1-Rotigotine-Gs/β1/γ2 7JV5-D1-SKF81297-Gs/β1/γ2 7JVP-D1-SKF83959-Gs/β1/γ2 7X2D-D1-Tavapadon-Gs/β1/γ2 7CKX-D1-A77636-Gs/β1/γ2 7JVQ-D1-Apomorphine-Gs/β1/γ2 7CKW-D1-Fenoldopam-Gs/β1/γ2
33.33Consensusd4_on_gpOrthosteric Ligand8IRU-D4-Rotigotine-chim(NtGi1-Gs-CtGi1)/β1/γ2
33.33Consensusgi_cannabinoidOrthosteric Ligand8GUR-CB2-CP55940-Gi1/β1/γ2 8GUS-CB2-HU-308-Gi1/β1/γ2 8GUT-CB2-LEI-102-Gi1/β1/γ2 8GUQ-CB2-Olorinab-Gi1/β1/γ2 6KPF-CB2-AM12033-Gi1/β1/γ2 6PT0-CB2-WIN 55212-2-Gi1/β1/γ2 6KPG-CB1-AM841-Gi1/β1/γ2
33.33Consensusgi_chemerinOrthosteric Ligand7YKD-CML1-Chemerin-9-Gi1/β1/γ2
33.33Consensusgi_endothelinOrthosteric Ligand8IY5-ETB-Endothelin-1-Gi1/β1/γ2 8HBD-ETB-IRL1620-Gi1/β1/γ2
33.33Consensusgi_lpaOrthosteric Ligand7TD1-LPA1-LPA-Gi1/β1/γ2 7YU3-LPA1-ONO-0740556-Gi1/β1/γ2
33.33Consensusgs_5htOrthosteric Ligand7XTC-5-HT7-5-CT-Gs/β1/γ2 7XTB-5-HT6-Serotonin-Gs/β1/γ2 8JLZ-5-HT6-ST1936-Gs/β1/γ2 7XT8-5-HT4-Serotonin-Gs/β1/γ2
33.33Consensusgs_adenosineOrthosteric Ligand8HDP-A2B-Adenosine-Gs/β1/γ2 8HDO-A2B-BAY 60-6583-Gs/β1/γ2 7XY7-A2B-NECA-chim(NtGi1-Gs)/β1/γ2 7XY6-A2B-BAY 60-6583-chim(NtGi1-Gs)/β1/γ2
33.33Consensusgs_adrenergicOrthosteric Ligand7DHI-β2-Salbutamol-Gs/β1/γ2 7XJI-β3-Solabegron-Gs/β1/γ2 7JJO-β1-Isoprenaline-Gs/β1/γ2 6NI3-β2-BI167107-Gs/β1/γ2 8DCR-β1-Dobutamine-Gs/β1/γ2 7XJH-β3-Isoprenaline-Gs/β1/γ2 7DH5-β3-Mirabegron-Gs/β1/γ2
33.33Consensusgs_dopamineOrthosteric Ligand7F0T-D1-Dopamine-Gs/β1/γ2 7CKW-D1-Fenoldopam-Gs/β1/γ2 7CKY-D1-PW0464-Gs/β1/γ2 8IRV-D5-Rotigotine-chim(NtGi1-Gs)/β1/γ2 8IRR-D1-Rotigotine-Gs/β1/γ2 7JV5-D1-SKF81297-Gs/β1/γ2 7JVP-D1-SKF83959-Gs/β1/γ2 7X2D-D1-Tavapadon-Gs/β1/γ2 7CKX-D1-A77636-Gs/β1/γ2 7JVQ-D1-Apomorphine-Gs/β1/γ2
33.33Consensusgs_nucleotideOrthosteric Ligandgs_adenosine
33.33Consensuskop_offOrthosteric Ligand4DJH-κ-JDTic
33.33Consensuslpa_onOrthosteric Ligandlpa1_on
33.33Consensuslpa_on_gpOrthosteric Ligandlpa1_on_gp
33.33Consensusmc4_onOrthosteric Ligand7AUE-MC4-Setmelanotide-chim(NtGi1L-Gs)/β1/γ2 7F58-MC4-THIQ-Gs/β1/γ2 7F54-MC4-Afamelanotide-Gs/β1/γ2 7F53-MC4-α-MSH-Gs/β1/γ2 7F55-MC4-Bremelanotide-Gs/β1/γ2
33.33Consensusorexin_offOrthosteric Ligandox2_off ox1_off
33.33Consensusox1_offOrthosteric Ligand6TP6-OX1-Filorexant 6TP4-OX1-ACT-462206 6V9S-OX1-GTPL11403 6TOT-OX1-Lemborexant 6TP3-OX1-Nemorexant 6TQ6-OX1-PubChem 145714283 6TQ9-OX1-SB-408124 4ZJC-OX1-SB-674042 4ZJ8-OX1-Suvorexant 6TOD-OX1-EMPA-Na 6TOS-OX1-GSK1059865-Na 6TQ4-OX1-PubChem 16046844-Na
33.33Consensusox2_offOrthosteric Ligand5WQC-OX2-EMPA 6TPN-OX2-HTL6641 7XRR-OX2-Lemborexant 6TPJ-OX2-Suvorexant
33.33Consensuss1p5_onOrthosteric Ligand7EW1-S1P5-Siponimod-Gi1/β1/γ2
33.33Consensuss1p5_on_gpOrthosteric Ligand7EW1-S1P5-Siponimod-Gi1/β1/γ2
32.35Consensusmc2_onOrthosteric Ligand8GY7-MC2-Corticotropin-Ca-chim(NtGi1-Gs)/β1/γ2; MRAP1
32.35Consensusmc2_on_gpOrthosteric Ligand8GY7-MC2-Corticotropin-Ca-chim(NtGi1-Gs)/β1/γ2; MRAP1
32.26Single8HBDIRL16208HBD-ETB-IRL1620-Gi1/β1/γ2
32.26Consensusendothelin_on_gpOrthosteric Ligandetb_on_gp eta_on_gp
32.26Consensusetb_on_gpOrthosteric Ligand8IY5-ETB-Endothelin-1-Gi1/β1/γ2 8HBD-ETB-IRL1620-Gi1/β1/γ2
32.14Single4XT3CX3CL14XT3-US28-CX3CL1
32.14Single7F8VGastrin-177F8V-CCKB-Gastrin-17-Gi2/β1/γ2
32.14Single7RGPTirzepatide7RGP-GLP-1-Tirzepatide-chim(NtGi1-Gs)/β1/γ2
32.14Single7W3ZGastrin Releasing Peptide7W3Z-BB2-Gastrin Releasing Peptide-chim(NtGi1L-Gq)/β1/γ2
32.14Single7YKDChemerin-97YKD-CML1-Chemerin-9-Gi1/β1/γ2
32.14Single8H0PNMB308H0P-BB1-NMB30-chim(NtGi1-Gs-CtGq)/β1/γ2
32.14Single8XQFApelin-138XQF-Apelin-Apelin-13-Gi1/β1/γ2
32.14Single8XVEBQ30208XVE-ETB-BQ3020-chim(Gs-CtGq)/β1/γ2
32.00Single6DO1(Sar1,Ile8)-Angiotensin II6DO1-AT1-(Sar1,Ile8)-Angiotensin II
32.00Single7EZKCholecystokinin-87EZK-CCKA-Cholecystokinin-8-chim(NtGi1-Gs)/β1/γ2
32.00Single7PIVAfamelanotide7PIV-MC4-Afamelanotide-Gs/β1/γ2
32.00Single7W0NElabela7W0N-Apelin; Apelin-Elabela-Gi1/β1/γ2
32.00Single8F7WDynorphin8F7W-κ-Dynorphin-Gi1/β1/γ2
32.00Single8KH5Lysophosphatidylserine8KH5-GPR174-Lysophosphatidylserine-Gs/β1/γ2
32.00Single9IQSMuscarinic toxin 39IQS-M4-Muscarinic toxin 3
32.00Single9ME1CXCL129ME1-CXCR4-CXCL12
32.00Consensuscompl-peptide_onOrthosteric Ligandc5a1_on c3a_on
32.00Consensusgi_cckOrthosteric Ligand7EZH-CCKA-Cholecystokinin-8-Gi1/β1/γ2 7F8V-CCKB-Gastrin-17-Gi2/β1/γ2
32.00Consensusgi_ghrelinOrthosteric Ligand7NA7-Ghrelin-Ghrelin-Gi1/β1/γ2 7NA8-Ghrelin-Ibutamoren-Gi1/β1/γ2
32.00Consensusgq_class-aOrthosteric Ligandgq_peptide gq_amine gq_nucleotide
32.00Consensusmc4_on_gpOrthosteric Ligand7AUE-MC4-Setmelanotide-chim(NtGi1L-Gs)/β1/γ2 7F58-MC4-THIQ-Gs/β1/γ2 7F54-MC4-Afamelanotide-Gs/β1/γ2 7F53-MC4-α-MSH-Gs/β1/γ2 7F55-MC4-Bremelanotide-Gs/β1/γ2
32.00Consensusmc5_onOrthosteric Ligand8INR-MC5-α-MSH-Ca-chim(NtGi1-Gs)/β1/γ2 8IOD-MC5-PG-901-Ca-chim(NtGi1-Gs)/β1/γ2
32.00Consensussst4_onOrthosteric Ligand7XMS-SST4-Somatostatin-14-Gi1/β1/γ2 7XMT-SST4-J-2156-Gi1/β1/γ2
32.00Consensussst4_on_gpOrthosteric Ligand7XMS-SST4-Somatostatin-14-Gi1/β1/γ2 7XMT-SST4-J-2156-Gi1/β1/γ2
31.82Single3D4STimolol3D4S-β2-Timolol
31.82Single4OR2FITM4OR2-mGlu1; mGlu1-FITM
31.82Single4RWADIPP-NH24RWA-δ-DIPP-NH2
31.82Single4Z36ONO-30805734Z36-LPA1-ONO-3080573
31.82Single6H7NXamoterol6H7N-β1-Xamoterol
31.82Single6KQICP559406KQI-CB1-CP55940-Org27569
31.82Single6ZG4HTL00099366ZG4-M1-HTL0009936
31.82Single7DH5Mirabegron7DH5-β3-Mirabegron-Gs/β1/γ2
31.82Single7EO4Siponimod7EO4-S1P1-Siponimod-Gi1/β1/γ2
31.82Single7F55Bremelanotide7F55-MC4-Bremelanotide-Gs/β1/γ2
31.82Single7K15MKD0467K15-BLT1-MKD046-Na
31.82Single7WCNAR2314537WCN-GPR119-AR231453-Gs/β1/γ2
31.82Single7XMTJ-21567XMT-SST4-J-2156-Gi1/β1/γ2
31.82Single8FYE4-F,5-MeO-PyrT8FYE-5-HT1A-4-F,5-MeO-PyrT-PtdIns4P-Gi1/β1/γ1
31.82Single8FYTLSD8FYT-5-HT1A-LSD-PtdIns4P-Gi1/β1/γ1
31.82Single8IRSRotigotine8IRS-D2-Rotigotine-Gi1/β1/γ2
31.82Single8IYWGSK2560738IYW-HCA2-GSK256073-Go/β1/γ2
31.82Single8JWY2-1188JWY-A2A-2-118
31.82Single8VHFMBX-29828VHF-GPR119-MBX-2982-Gs/β1/γ2
31.82Single9BJKPubChem 1716420669BJK-μ-Naloxone-PubChem 171642066
31.82Single9DGIZ85267113509DGI-CB1-Z8526711350
31.82Single9KVG5-MeO-DMT9KVG-5-HT1A-5-MeO-DMT-PtdIns4P-Gi1/β1/γ2
31.82Single9VIFNeuropeptide-VF9VIF-NPFF1-Neuropeptide-VF-Gi1/β1/γ2
31.82Single9W32SSTR5 antagonist 19W32-SST5-SSTR5 antagonist 1
31.82Consensusbeta3_onOrthosteric Ligand7DH5-β3-Mirabegron-Gs/β1/γ2 7XJH-β3-Isoprenaline-Gs/β1/γ2 7XJI-β3-Solabegron-Gs/β1/γ2
31.82Consensusbeta3_on_gpOrthosteric Ligand7DH5-β3-Mirabegron-Gs/β1/γ2 7XJH-β3-Isoprenaline-Gs/β1/γ2 7XJI-β3-Solabegron-Gs/β1/γ2
31.82Consensuscannabinoid_onOrthosteric Ligandcb2_on cb1_on
31.82Consensuscannabinoid_on_gpOrthosteric Ligandcb2_on_gp cb1_on_gp
31.82Consensuscb1_onOrthosteric Ligand6KPG-CB1-AM841-Gi1/β1/γ2 8K8J-CB1-Fenofibrate-chim(Gs-CtGq)/β1/γ2
31.82Consensuslpa1_offOrthosteric Ligand4Z36-LPA1-ONO-3080573 4Z35-LPA1-ONO-9910539 4Z34-LPA1-ONO-9780307
31.82Consensuslpa_offOrthosteric Ligandlpa1_off
31.82Consensuslpl_offOrthosteric Ligands1p_off lpa_off
31.82Consensusopioid_offOrthosteric Ligandmop_off nop_off dop_off kop_off
31.82Consensuss1p1_onOrthosteric Ligand7VIE-S1P1-S1P-Gi1/β1/γ2 7VIF-S1P1-FTY720-P-Gi1/β1/γ2 7VIG-S1P1-CBP-307-Gi1/β1/γ2 7EVY-S1P1-Siponimod-Gi1/β1/γ2 7EVZ-S1P1-Cenerimod-Gi1/β1/γ2 7EW0-S1P1-Ozanimod-Gi1/β1/γ2 7EW7-S1P1-SEW2871-Gi1/β1/γ2
31.82Consensuss1p1_on_gpOrthosteric Ligand7VIE-S1P1-S1P-Gi1/β1/γ2 7VIF-S1P1-FTY720-P-Gi1/β1/γ2 7VIG-S1P1-CBP-307-Gi1/β1/γ2 7EVY-S1P1-Siponimod-Gi1/β1/γ2 7EVZ-S1P1-Cenerimod-Gi1/β1/γ2 7EW0-S1P1-Ozanimod-Gi1/β1/γ2 7EW7-S1P1-SEW2871-Gi1/β1/γ2
31.58Single3REYPubChem 56973REY-A2A-PubChem 5697
31.58Single3UZCPubChem 1355666093UZC-A2A-PubChem 135566609
31.58Single3V2YPubChem 518926453V2Y-S1P1-PubChem 51892645
31.58Single4DKLBeta-Funaltrexamine4DKL-μ-β-Funaltrexamine
31.58Single4ZJCSB-6740424ZJC-OX1-SB-674042
31.58Single6PT0WIN 55212-26PT0-CB2-WIN 55212-2-Gi1/β1/γ2
31.58Single6TOSGSK10598656TOS-OX1-GSK1059865-Na
31.58Single6TP3Nemorexant6TP3-OX1-Nemorexant
31.58Single6TPGEMPA6TPG-OX2-EMPA
31.58Single6VI4JDTic6VI4-κ-JDTic
31.58Single6ZDVPubChem 9840736ZDV-A2A-PubChem 984073-Na
31.58Single6ZFZ77-LH-28-16ZFZ-M1-77-LH-28-1
31.58Single7AROLUF58337ARO-A2A-LUF5833-Na
31.58Single7CMUPramipexole7CMU-D3-Pramipexole-Gi1/β1/γ2
31.58Single7DHISalbutamol7DHI-β2-Salbutamol-Gs/β1/γ2
31.58Single7EJ8Brimonidine7EJ8-α2a-Brimonidine-Go/β1/γ2
31.58Single7EJADexmedetomidine7EJA-α2a-Dexmedetomidine-Go/β1/γ2
31.58Single7F61PF-036547467F61-H3-PF-03654746
31.58Single7RANPubChem 1645758477RAN-5-HT2A-PubChem 164575847-chim(NtGi2L-Gs-CtGq)/β1/γ2
31.58Single7UL3Famotidine7UL3-H2-Famotidine
31.58Single7UM7Methylergometrine7UM7-5-HT5A-Methylergometrine-chim(NtGi1-Go)/β1/γ2
31.58Single8GE1Constrained Epinephrine8GE1-β2-Constrained Epinephrine-Gs/β1/γ2
31.58Single8GE4Constrained Epinephrine8GE4-β2-Constrained Epinephrine-Gs/β1/γ2
31.58Single8GE5Constrained Epinephrine8GE5-β2-Constrained Epinephrine-Gs/β1/γ1
31.58Single8GE6Constrained Epinephrine8GE6-β2-Constrained Epinephrine-Gs/β1/γ2
31.58Single8GE7Constrained Epinephrine8GE7-β2-Constrained Epinephrine-Gs/β1/γ2
31.58Single8GE8Constrained Epinephrine8GE8-β2-Constrained Epinephrine-Gs/β1/γ2
31.58Single8GEAConstrained Epinephrine8GEA-β2-Constrained Epinephrine-Gs/β1/γ2
31.58Single8GEDConstrained Epinephrine8GED-β2-Constrained Epinephrine-Gs/β1/γ2
31.58Single8GEFConstrained Epinephrine8GEF-β2-Constrained Epinephrine-Gs/β1/γ2
31.58Single8GG5Constrained Epinephrine8GG5-β2-Constrained Epinephrine-GTP-Gs/β1/γ2
31.58Single8GG8Constrained Epinephrine8GG8-β2-Constrained Epinephrine-GTP-Gs/β1/γ2
31.58Single8GGVConstrained Epinephrine8GGV-β2-Constrained Epinephrine
31.58Single8GURCP559408GUR-CB2-CP55940-Gi1/β1/γ2
31.58Single8HNMVUF112228HNM-CXCR3-VUF11222-Gi1/β1/γ2
31.58Single8JLQFenoldopam8JLQ-TA1-Fenoldopam-Gs/β1/γ2
31.58Single8K9LDAMGO8K9L-μ-DAMGO-BMS-986122-Gi3/β1/γ1
31.58Single8RWCStilSwitch28RWC-A2A-StilSwitch2-Na
31.58Single8RWDStilSwitch38RWD-A2A-StilSwitch3-Na
31.58Single8THLEpinephrine8THL-Alpha1A-Epinephrine-chim(NtGi2L-Gs-CtGq)/β1/γ2
31.58Single8UNMConstrained Epinephrine8UNM-β2-Constrained Epinephrine-GTP-Gs/β1/γ2
31.58Single8UNWConstrained Epinephrine8UNW-β2-Constrained Epinephrine-GTP-Gs/β1/γ2
31.58Single8Y45ADL58598Y45-δ-ADL5859-Gi2/β1/γ2
31.58Single8ZPMAMD0708ZPM-CXCR4-AMD070
31.58Single9AS3LSD9AS3-5-HT2A-LSD
31.58Single9AS4LSD9AS4-5-HT2A-LSD-chim(NtGi1-Gs-CtGq)/β1/γ2
31.58Single9AS5Mescaline9AS5-5-HT2A-Mescaline
31.58Single9AS6Mescaline9AS6-5-HT2A-Mescaline-chim(NtGi1-Gs-CtGq)/β1/γ2
31.58Single9JMDAzithromycin9JMD-Motilin-Azithromycin-chim(Gs-CtGq)/β1/γ2
31.58Single9L8LBI1671079L8L-β2-BI167107-Atazanavir-Gs/β1/γ2 ; Arrestin2
31.58Single9MQIIsoquinuclidine9MQI-μ-Isoquinuclidine
31.58Single9PXVNaloxone9PXV-μ-Naloxone-Gi1/β1/γ2
31.58Single9U80Conivaptan9U80-V2-Conivaptan
31.58Single9VNFPindolol9VNF-5-HT1A-Pindolol-Go/β1/γ2
31.58Single9W33S5A19W33-SST5-S5A1
31.58Single9W6W5-CT9W6W-5-HT5A-5-CT-Gi1/β1/γ2
31.58Consensusadenosine_onOrthosteric Liganda1_on a2_on a3_on
31.58Consensusalpha1_onOrthosteric Ligandalpha1a_on
31.58Consensusalpha1_on_gpOrthosteric Ligandalpha1a_on_gp
31.58Consensusalpha1a_onOrthosteric Ligand7EJ0-α2a-Norepinephrine-Go/β1/γ2 7EJ8-α2a-Brimonidine-Go/β1/γ2 7EJA-α2a-Dexmedetomidine-Go/β1/γ2 7EJK-α2a-Oxymetazoline-Go/β1/γ2 7W6P-α2a-N-pyridin-4-ylisoquinolin-4-amine-Go/β1/γ2 7W7E-α2a-PubChem 164946676-Go/β1/γ2
31.58Consensusalpha1a_on_gpOrthosteric Ligand7EJ0-α2a-Norepinephrine-Go/β1/γ2 7EJ8-α2a-Brimonidine-Go/β1/γ2 7EJA-α2a-Dexmedetomidine-Go/β1/γ2 7EJK-α2a-Oxymetazoline-Go/β1/γ2 7W6P-α2a-N-pyridin-4-ylisoquinolin-4-amine-Go/β1/γ2 7W7E-α2a-PubChem 164946676-Go/β1/γ2
31.58Consensusd3_onOrthosteric Ligand7CMV-D3-PD128907-Gi1/β1/γ2 8IRT-D3-Rotigotine-Gi1/β1/γ2 7CMU-D3-Pramipexole-Gi1/β1/γ2
31.58Consensusd3_on_gpOrthosteric Ligand7CMV-D3-PD128907-Gi1/β1/γ2 8IRT-D3-Rotigotine-Gi1/β1/γ2 7CMU-D3-Pramipexole-Gi1/β1/γ2
31.58Consensusghrelin_offOrthosteric Ligand6KO5-Ghrelin-PubChem 57400002 7F83-Ghrelin-PF-05190457
31.58Consensusgi_adenosineOrthosteric Ligand7LD4-A1-Adenosine-Gi2/β1/γ2 8X17-A3A-Namodenoson-Gi1/β1/γ2 8X16-A3A-Piclidenoson-Gi1/β1/γ2
31.25Single3OE8IT1t3OE8-CXCR4-IT1t
31.25Single3RFMCaffeine3RFM-A2A-Caffeine
31.25Single6LRYSarafotoxin-B6LRY-ETB-Sarafotoxin-B
31.25Single6TQ9SB-4081246TQ9-OX1-SB-408124
31.25Single8A2OTheophylline8A2O-A2A-Theophylline-Na
31.25Single9L0HJR14a9L0H-C3aB-JR14a-Go/β1/γ2
31.03Single7F53Alpha-MSH7F53-MC4-α-MSH-Gs/β1/γ2
31.03Single7YOONeuropeptide-Y7YOO-Y2-Neuropeptide-Y-Gi1/β1/γ2
31.03Single9KDFRES-701-39KDF-ETB-RES-701-3
31.03Consensusnpy2_onOrthosteric Ligand7YOO-Y2-Neuropeptide-Y-Gi1/β1/γ2
31.03Consensusnpy2_on_gpOrthosteric Ligand7YOO-Y2-Neuropeptide-Y-Gi1/β1/γ2
30.77Single7F4DAlpha-MSH7F4D-MC1-α-MSH-chim(NtGi1-Gs)/β1/γ2
30.77Single7MBXCholecystokinin-87MBX-CCKA-Cholecystokinin-8-Gs/β1/γ1
30.77Single7T6TfMLFII7T6T-FPR1-ALX-fMLFII-Gi1/β1/γ2
30.77Single8K6MNeuropeptide-Y8K6M-Y1-Neuropeptide-Y-Gi2/β1/γ1
30.77Single8K6NNeuropeptide-Y8K6N-Y2-Neuropeptide-Y-Gi2/β1/γ1
30.77Single8W8YGamma-MSH8W8Y-MC3-γ-MSH-Ca-Gs/β1/γ2
30.77Single8WKZSBL-MC-318WKZ-MC4-SBL-MC-31
30.77Single8XGUTAK4488XGU-Kiss1-TAK448-Gi1/β1/γ2
30.77Single9K27PrRP319K27-PrRP-PrRP31-chim(NtGi1-Gq)/β1/γ2
30.77Single9U4WGonadoliberin-19U4W-GnRH1-Gonadoliberin-1-chim(NtGi1L-Gs-CtGq)/β1/γ2
30.77Consensusc5a1_onOrthosteric Ligand8HK5-C5a1-C5a-Gi1/β1/γ2 7Y66-C5a1-BM213-Gi1/β1/γ2 7Y67-C5a1-C089 peptide-Gi1/β1/γ2 7Y64-C5a1-C5a-Gi1/β1/γ2
30.77Consensuscckb_on_gpOrthosteric Ligand8IA7-CCKB-Cholecystokinin-8-chim(NtGi1L-Gq)/β1/γ2 7XOW-CCKB-Sulfated Gastrin-(10-17)-chim(NtGi1-Gq)/β1/γ2 7F8V-CCKB-Gastrin-17-Gi2/β1/γ2
30.77Consensuscxcr4_on_gpOrthosteric Ligand8K3Z-CXCR4-CXCL12-Gi1/β1/γ1
30.77Consensusgs_cckOrthosteric Ligand7MBX-CCKA-Cholecystokinin-8-Gs/β1/γ1
30.77Consensusnpy1_onOrthosteric Ligand8K6M-Y1-Neuropeptide-Y-Gi2/β1/γ1
30.77Consensusnpy1_on_gpOrthosteric Ligand8K6M-Y1-Neuropeptide-Y-Gi2/β1/γ1
30.43Single4BVNCyanopindolol4BVN-β1-Cyanopindolol-Na
30.43Single4OR2FITM4OR2-mGlu1; mGlu1-FITM
30.43Single5TUDErgotamine5TUD-5-HT2B-Ergotamine
30.43Single6K1QIRL25006K1Q-ETB-IRL2500
30.43Single6KPGAM8416KPG-CB1-AM841-Gi1/β1/γ2
30.43Single7MTSADX551647MTS-mGlu2; mGlu2-Glutamate-ADX55164-Gi1/β1/γ2
30.43Single7SK7CCX6627SK7-ACKR3-CXCL12-CCX662
30.43Single7WVVfMLFII7WVV-FPR2-ALX-fMLFII-Gi2/β1/γ2
30.43Single7X8RBOC57X8R-GLP-1-BOC5-Gs/β1/γ2
30.43Single7XZ6APD6687XZ6-GPR119-APD668-Gs/β1/γ2
30.43Single8GAGZ85267113508GAG-CB1-Z8526711350-Gi1/β1/γ2
30.43Single8HN1Toxin AdTx18HN1-Alpha1A-Toxin AdTx1
30.43Single8IYSTUG-8918IYS-FFA4-TUG-891-GDP-chim(NtGi1L-Gq)/β1/γ2
30.43Single8XGSKisspeptin-18XGS-Kiss1-Kisspeptin-1-chim(NtGi1-Gq)/β1/γ2
30.43Single8XIOL7975918XIO-SST1-L797591-chim(NtGi1-Gs-CtGi1)/β1/γ2
30.43Single9KT8Acifran9KT8-HCA2-Acifran-Gi1/β1/γ2
30.43Single9M54Neuropeptide-VF9M54-NPFF2-Neuropeptide-VF-Gi1/β1/γ2
30.43Consensuscck_onOrthosteric Ligandccka_on cckb_on
30.43Consensuscck_on_gpOrthosteric Ligandccka_on_gp cckb_on_gp
30.43Consensusnucleotide_on_gpOrthosteric Ligandadenosine_on_gp p2y_on_gp
30.30Single7X9ANeuropeptide-Y7X9A-Y1-Neuropeptide-Y-Gi1/β1/γ2
30.00Single3NYAAlprenolol3NYA-β2-Alprenolol
30.00Single4EA3PubChem 102965614EA3-NOP-PubChem 10296561
30.00Single4EJ4Naltrindole4EJ4-δ-Naltrindole
30.00Single4J4QOctyl Beta-D-Glucopyranoside4J4Q-Rhodopsin-Octyl β-D-Glucopyranoside-Gt(CT)
30.00Single5DHGC-355DHG-NOP-C-35
30.00Single5OLZPubChem 1355666095OLZ-A2A-PubChem 135566609-Na
30.00Single5OM1PubChem 1355666095OM1-A2A-PubChem 135566609-Na
30.00Single5UENDU1725UEN-A1-DU172
30.00Single6IGLIRL16206IGL-ETB-IRL1620
30.00Single6KPFAM120336KPF-CB2-AM12033-Gi1/β1/γ2
30.00Single7E32Serotonin7E32-5-HT1D-Serotonin-Gi1/β1/γ2
30.00Single7JVQApomorphine7JVQ-D1-Apomorphine-Gs/β1/γ2
30.00Single7LJCSKF812977LJC-D1-SKF81297-Mevidalen-Gs/β1/γ2
30.00Single7UM55-CT7UM5-5-HT5A-5-CT-chim(NtGi1-Go)/β1/γ2
30.00Single7VGXNeuropeptide-Y7VGX-Y1-Neuropeptide-Y-Gi1/β1/γ2
30.00Single7VIFFTY720-P7VIF-S1P1-FTY720-P-Gi1/β1/γ2
30.00Single7XTC5-CT7XTC-5-HT7-5-CT-Gs/β1/γ2
30.00Single7YU4ONO-07405567YU4-LPA1-ONO-0740556
30.00Single8CU7LJ-45178CU7-A2A-LJ-4517-Na
30.00Single8DZSGR89,6968DZS-κ-GR89,696-chim(NtGi2-Gz)/β1/γ2
30.00Single8IY6Endothelin-18IY6-ETB-Endothelin-1
30.00Single8JJOAlprenolol8JJO-β2-Alprenolol
30.00Single8K5DGSK2560738K5D-HCA2-GSK256073
30.00Single8KGGLysophosphatidylserine (WJS)8KGG-P2Y10-Lysophosphatidylserine (WJS)-chim(NtGi2-G13)/β1/γ2
30.00Single8RW7StilSwitch18RW7-A2A-StilSwitch1-Na
30.00Single8UGYMianserin8UGY-5-HT1E-Mianserin-Gi1/β1/γ1
30.00Single8UH3Setiptiline8UH3-5-HT1E-Setiptiline-Gi1/β1/γ1
30.00Single8VVGGB188VVG-κ-GB18-Gi1/β1/γ2
30.00Single8WWNMCH8WWN-MCH1-MCH-Gi1/β1/γ2
30.00Single8X17Namodenoson8X17-A3A-Namodenoson-Gi1/β1/γ2
30.00Single8ZSSRO52633978ZSS-TA1-RO5263397-chim(NtGi1-Gs)/β1/γ2
30.00Single9BQJRO769BQJ-μ-RO76-Gi1/β1/γ2
30.00Single9CBMDexmedetomidine9CBM-α2a-Dexmedetomidine-Gi1/β1/γ2
30.00Single9D61JDTic9D61-κ-JDTic-Gi1/β1/γ2
30.00Single9EPP11,20-Ethanoretinal9EPP-Rhodopsin-11,20-Ethanoretinal-chim(Gi1-CtGq)/β1/γ2
30.00Single9JGKBalovaptan9JGK-5-HT2B-Balovaptan
30.00Single9KFJPubChem 1383196749KFJ-RXFP3-PubChem 138319674-Gi2/β1/γ2
30.00Single9PLNPubChem 1682595949PLN-α2a-PubChem 168259594
30.00Single9PLOPubChem 1682595949PLO-α2a-PubChem 168259594-Go/β1/γ2
30.00Single9PQDPubChem 1764919279PQD-α2a-PubChem 176491927
30.00Consensus5ht1d_onOrthosteric Ligand7E32-5-HT1D-Serotonin-Gi1/β1/γ2
30.00Consensus5ht1d_on_gpOrthosteric Ligand7E32-5-HT1D-Serotonin-Gi1/β1/γ2
30.00Consensus5ht7_onOrthosteric Ligand7XTC-5-HT7-5-CT-Gs/β1/γ2
30.00Consensus5ht7_on_gpOrthosteric Ligand7XTC-5-HT7-5-CT-Gs/β1/γ2
30.00Consensusa3_onOrthosteric Liganda3a_on
30.00Consensusalicarboxylic_offOrthosteric Ligandsuccinate_off
30.00Consensusalpha_onOrthosteric Ligandalpha1_on alpha2_on
30.00Consensusbk2_onOrthosteric Ligand7F6H-BK2-Bradykinin-Gq/β1/γ2 7F6I-BK2-Kallidin-Gq/β1/γ2
30.00Consensusbk2_on_gpOrthosteric Ligand7F6H-BK2-Bradykinin-Gq/β1/γ2 7F6I-BK2-Kallidin-Gq/β1/γ2
30.00Consensusbradykinin_onOrthosteric Ligandbk2_on
30.00Consensusbradykinin_on_gpOrthosteric Ligandbk2_on_gp
30.00Consensusdop_offOrthosteric Ligand4EJ4-δ-Naltrindole
30.00Consensusendothelin_onOrthosteric Ligandetb_on eta_on
30.00Consensusetb_onOrthosteric Ligand8IY5-ETB-Endothelin-1-Gi1/β1/γ2 8HBD-ETB-IRL1620-Gi1/β1/γ2
30.00Consensusgq_bradykininOrthosteric Ligand7F6H-BK2-Bradykinin-Gq/β1/γ2 7F6I-BK2-Kallidin-Gq/β1/γ2
30.00Consensuslipid_offOrthosteric Ligandcannabinoid_off paf_off lpl_off prostanoid_off leukotriene_off
30.00Consensusnucleotide_offonOrthosteric Ligandnucleotide_off nucleotide_on
30.00Consensusnucleotide_offon_gpOrthosteric Ligandnucleotide_on_gp nucleotide_off
30.00Consensussuccinate_offOrthosteric Ligand6RNK-Succinate-NF-56-EJ40 6Z10-Succinate-PubChem 154585554
29.63Single7DW9AVP7DW9-V2-AVP-chim(NtGi1-Gs)/β1/γ2
29.63Single7FIMTirzepatide7FIM-GLP-1-Tirzepatide-Gs/β1/γ2
29.63Single7V9MSomatoliberin7V9M-GHRH (SV1)-Somatoliberin-Gs/β1/γ2
29.63Single8H4KGW95088H4K-FFA4-GW9508-chim(NtGi1-Gs-CtGq)/β1/γ2
29.63Single8X8LCortistatin-148X8L-SST5-Cortistatin-14-chim(NtGi1-Gs-CtGi1)/β1/γ2
29.63Single8XZJWN3538XZJ-Apelin; Apelin-WN353-Gi1/β1/γ2
29.63Consensusapelin_onOrthosteric Ligand8XZH-Apelin; Apelin-MM07-Gi1/β1/γ2 7W0M-Apelin-PubChem 122701908-Gi1/β1/γ2 8XZJ-Apelin; Apelin-WN353-Gi1/β1/γ2 8XZF-Apelin; Apelin-WN561-Gi1/β1/γ2 8XZG-Apelin; Apelin-Apelin-13-Gi1/β1/γ2
29.63Consensusapelin_on_gpOrthosteric Ligand8XZH-Apelin; Apelin-MM07-Gi1/β1/γ2 7W0M-Apelin-PubChem 122701908-Gi1/β1/γ2 8XZJ-Apelin; Apelin-WN353-Gi1/β1/γ2 8XZF-Apelin; Apelin-WN561-Gi1/β1/γ2 8XZG-Apelin; Apelin-Apelin-13-Gi1/β1/γ2
29.63Consensusc5a1_on_gpOrthosteric Ligand8HK5-C5a1-C5a-Gi1/β1/γ2 7Y66-C5a1-BM213-Gi1/β1/γ2 7Y67-C5a1-C089 peptide-Gi1/β1/γ2 7Y64-C5a1-C5a-Gi1/β1/γ2
29.63Consensusgs_vasop-oxyOrthosteric Ligand7DW9-V2-AVP-chim(NtGi1-Gs)/β1/γ2
29.63Consensusmc5_on_gpOrthosteric Ligand8INR-MC5-α-MSH-Ca-chim(NtGi1-Gs)/β1/γ2 8IOD-MC5-PG-901-Ca-chim(NtGi1-Gs)/β1/γ2
29.63Consensusp2y_on_gpOrthosteric Ligandp2y1_on_gp p2y10_on_gp p2y12_on_gp
29.63Consensusprotein_onOrthosteric Ligandchemokine_on chemerin_on
29.63Consensusv2_onOrthosteric Ligand7DW9-V2-AVP-chim(NtGi1-Gs)/β1/γ2
29.63Consensusv2_on_gpOrthosteric Ligand7DW9-V2-AVP-chim(NtGi1-Gs)/β1/γ2
29.63Consensusvasop-oxy_onOrthosteric Ligandv2_on
29.63Consensusvasop-oxy_on_gpOrthosteric Ligandv2_on_gp
29.41Single6FUFAll-trans-Retinal6FUF-Rhodopsin-All-trans-Retinal-Go
29.41Single7EJKOxymetazoline7EJK-α2a-Oxymetazoline-Go/β1/γ2
29.41Single7WC5Psilocin7WC5-5-HT2A-Psilocin
29.41Single8GGFConstrained Epinephrine8GGF-β2-Constrained Epinephrine-GTP-Gs/β1/γ2
29.41Single8J21Butyric acid8J21-FFA3-Butyric acid-Gi1/β1/γ2
29.41Single8J24Acetic acid8J24-FFA2-Acetic acid-Gi1/β1/γ2
29.41Single9KT93,5-DHBA9KT9-HCA1-3,5-DHBA-Gi1/β1/γ2
29.41Consensus5ht2_onOrthosteric Ligand5ht2b_on
29.41Consensus5ht2b_onOrthosteric Ligand7SRR-5-HT2B-LSD-chim(NtGi2L-Gs-CtGq)/β1/γ2
29.41Consensusffa3_onOrthosteric Ligand8J21-FFA3-Butyric acid-Gi1/β1/γ2
29.41Consensusffa3_on_gpOrthosteric Ligand8J21-FFA3-Butyric acid-Gi1/β1/γ2
29.17Single6G79Donitriptan6G79-5-HT1B-Donitriptan-Go/β1/γ2
29.17Single6PT3DPI-2876PT3-δ-DPI-287
29.17Single7F9ZGHRP-67F9Z-Ghrelin-GHRP-6-chim(NtGi1-Gs-CtGq)/β1/γ2
29.17Single7RKNCX3CL17RKN-US28-CX3CL1-Gi1/β1/γ2
29.17Single7T11Octreotide7T11-SST2-Octreotide-Gi3/β1/γ2
29.17Single7XBXCX3CL17XBX-CX3CR1-CX3CL1-Gi1/β1/γ2
29.17Single8IA7Cholecystokinin-88IA7-CCKB-Cholecystokinin-8-chim(NtGi1L-Gq)/β1/γ2
29.17Single8JLRA776368JLR-TA1-A77636-chim(NtGi1-Gs)/β1/γ2
29.17Single9CGKC5-Quino9CGK-δ-C5-Quino-Gi1/β1/γ2
29.17Consensuscxcr3_onOrthosteric Ligand8HNK-CXCR3-CXCL11-Gi1/β1/γ2 8HNL-CXCR3-PS372424-Gi1/β1/γ2
29.03Single8U1UCCL18U1U-CCR8-CCL1-Gi1/β1/γ2
29.03Single8ZJETAK4488ZJE-Kiss1-TAK448-chim(NtGi1-Gq)/β1/γ1
29.03Consensusccr5_on_gpOrthosteric Ligand7O7F-CCR5-6P4-CCL5-Gi1/β1/γ1 7F1Q-CCR5-CCL3-Gi1/β1/γ2
29.03Consensusgi_npyOrthosteric Ligand8K6M-Y1-Neuropeptide-Y-Gi2/β1/γ1 7X9C-Y4-Pancreatic Hormone-Gi1/β1/γ2 7YOO-Y2-Neuropeptide-Y-Gi1/β1/γ2
29.03Consensusnpy_onOrthosteric Ligandnpy1_on npy2_on npy4_on
29.03Consensusnpy_on_gpOrthosteric Ligandnpy1_on_gp npy2_on_gp npy4_on_gp
28.57Single5N2RPSB365N2R-A2A-PSB36-Na
28.57Single5NM2ZM-2413855NM2-A2A-ZM-241385-Na
28.57Single5XPRBosentan5XPR-ETB-Bosentan
28.57Single6LUQHaloperidol6LUQ-D2-Haloperidol
28.57Single6ME62-Phenylmelatonin6ME6-MT2-2-Phenylmelatonin
28.57Single6ME82-Phenylmelatonin6ME8-MT2-2-Phenylmelatonin
28.57Single6PS6Timolol6PS6-β2-Timolol
28.57Single6TO7Suvorexant6TO7-OX1-Suvorexant-Na
28.57Single7BB7AVP7BB7-V2-AVP-Gs/β1/γ2
28.57Single7F6HBradykinin7F6H-BK2-Bradykinin-Gq/β1/γ2
28.57Single7P02Substance-P7P02-NK1-Substance-P-chim(NtGi1-Gs)/β1/γ2
28.57Single7VFXfMIFL7VFX-FPR1-ALX-fMIFL-Gi1/β1/γ2
28.57Single7X9BNeuropeptide-Y7X9B-Y2-Neuropeptide-Y-Gi1/β1/γ2
28.57Single7YU3ONO-07405567YU3-LPA1-ONO-0740556-Gi1/β1/γ2
28.57Single8GNEKW-63568GNE-A2A-KW-6356-Na
28.57Single8HCXEndothelin-18HCX-ETB-Endothelin-1-chim(NtGi2L-Gs-CtGq)/β1/γ2
28.57Single8ID4Linoleic acid8ID4-FFA4-Linoleic acid-Gi1/β1/γ2
28.57Single8J6JGSK2560738J6J-HCA2-GSK256073-Gi1/β1/γ2
28.57Single8K8JFenofibrate8K8J-CB1-Fenofibrate-chim(Gs-CtGq)/β1/γ2
28.57Single8SZGCa; Ca; Tryptophan; Cinacalcet; PO4; Spermine8SZG-CaS; CaS-Ca; Ca; Tryptophan; Cinacalcet; PO4; Spermine-chim(NtGi1-Gq)/β1/γ2
28.57Single8WGBVU01550418WGB-mGlu4; mGlu2-Glutamate-VU0155041-Gi3/β1/γ2
28.57Single8WWKMCH8WWK-MCH1-MCH-Gi1/β1/γ2
28.57Single8XVHEndothelin-18XVH-ETB-Endothelin-1-chim(Gs-CtGq)/β1/γ2
28.57Single8XVIEndothelin-18XVI-ETA-Endothelin-1-chim(Gs-CtGq)/β1/γ2
28.57Single8YH0NECA8YH0-A3A-NECA-Gi1/β1/γ2
28.57Single8YICSAR2477998YIC-S1P1-SAR247799-Gi1/β1/γ2
28.57Single8ZRKGSK12922638ZRK-GPR119-GSK1292263-Gs/β1/γ2
28.57Single9ARYSerotonin9ARY-5-HT2A-Serotonin-chim(NtGi1-Gs-CtGq)/β1/γ2
28.57Single9AVLCa; Ca; Cyclomethyltryptophan; R-568; PO49AVL-CaS; CaS-Ca-Ca; Ca; Cyclomethyltryptophan; R-568; PO4-Gi3/β2/γ2
28.57Single9AXFCa; Ca; Ca; Cyclomethyltryptophan; R-568; PO49AXF-CaS; CaS-Ca-Ca; Ca; Ca; Cyclomethyltryptophan; R-568; PO4-chim(NtGi1-Gs-CtGq)/β1/γ2
28.57Single9EE8Adenosine9EE8-A2A-Adenosine-Gs/β1/γ2
28.57Single9ERXD9-THC analog9ERX-CB1-D9-THC analog-Gi1/β1/γ2
28.57Single9F34FOB02-04A9F34-D3-FOB02-04A-Go/β1/γ2
28.57Single9KT6Acifran9KT6-HCA3-Acifran-Gi1/β1/γ2
28.57Single9U81Tolvaptan9U81-V2-Tolvaptan
28.57Consensus5ht1_onOrthosteric Ligand5ht1a_on 5ht1d_on 5ht1e_on 5ht1f_on
28.57Consensus5ht1_on_gpOrthosteric Ligand5ht1a_on_gp 5ht1d_on_gp 5ht1e_on_gp 5ht1f_on_gp
28.57Consensus5ht1e_on_gpOrthosteric Ligand7E33-5-HT1E-BRL-54443-Gi1/β1/γ2 8UGY-5-HT1E-Mianserin-Gi1/β1/γ1 8UH3-5-HT1E-Setiptiline-Gi1/β1/γ1
28.57Consensusa1_offOrthosteric Ligand5UEN-A1-DU172 5N2S-A1-PSB36
28.57Consensusa3_on_gpOrthosteric Liganda3a_on_gp
28.57Consensusa3a_onOrthosteric Ligand8X17-A3A-Namodenoson-Gi1/β1/γ2 8X16-A3A-Piclidenoson-Gi1/β1/γ2
28.57Consensusa3a_on_gpOrthosteric Ligand8X17-A3A-Namodenoson-Gi1/β1/γ2 8X16-A3A-Piclidenoson-Gi1/β1/γ2
28.57Consensusadenosine_offOrthosteric Liganda1_off a2_off
28.57Consensusalpha_on_gpOrthosteric Ligandalpha1_on_gp alpha2_on_gp
28.57Consensusblt1_offOrthosteric Ligand5X33-BLT1-BIIL260 7K15-BLT1-MKD046-Na
28.57Consensusblt_offOrthosteric Ligandblt1_off
28.57Consensuscml1_on_gpOrthosteric Ligand7YKD-CML1-Chemerin-9-Gi1/β1/γ2
28.57Consensusfpr1-alx_onOrthosteric Ligand7VFX-FPR1-ALX-fMIFL-Gi1/β1/γ2
28.57Consensusfpr1-alx_on_gpOrthosteric Ligand7VFX-FPR1-ALX-fMIFL-Gi1/β1/γ2
28.57Consensusgi_apelinOrthosteric Ligand8XZH-Apelin; Apelin-MM07-Gi1/β1/γ2 7W0M-Apelin-PubChem 122701908-Gi1/β1/γ2 8XZJ-Apelin; Apelin-WN353-Gi1/β1/γ2 8XZF-Apelin; Apelin-WN561-Gi1/β1/γ2 8XZG-Apelin; Apelin-Apelin-13-Gi1/β1/γ2
28.57Consensusgi_chemokineOrthosteric Ligand6WWZ-CCR6-CCL20-Go/β1/γ2 8HNK-CXCR3-CXCL11-Gi1/β1/γ2 8K3Z-CXCR4-CXCL12-Gi1/β1/γ1 8IC0-CXCR1-CXCL8-Gi1/β1/γ2 6LFM-CXCR2-CXCL8-Gi1/β1/γ2 8KFX-CCR8-LMD-009-Gi1/β1/γ2 7F1Q-CCR5-CCL3-Gi1/β1/γ2 8HNL-CXCR3-PS372424-Gi1/β1/γ2 8KFY-CCR8-ZK-756326-Gi1/β1/γ2 7O7F-CCR5-6P4-CCL5-Gi1/β1/γ1 8U1U-CCR8-CCL1-Gi1/β1/γ2 7VLA-CCR1-CCL15(27-92)-Gi1/β1/γ2 7XA3-CCR2-CCL2-Gi1/β1/γ2
28.57Consensush1_offOrthosteric Ligand8X63-H1-Mepyramine 3RZE-H1-Cidoxepin 8X5Y-H1-Astemizole
28.57Consensuslipid_onOrthosteric Ligandcannabinoid_on ffa_on lpl_on prostanoid_on leukotriene_on
28.57Consensuslipid_on_gpOrthosteric Ligandcannabinoid_on_gp ffa_on_gp lpl_on_gp prostanoid_on_gp leukotriene_on_gp
28.57Consensusnucleotide_onOrthosteric Ligandadenosine_on p2y_on
28.57Consensusta1_onOrthosteric Ligand8W87-TA1-METH-chim(NtGi1L-Gs)/β1/γ2 8W89-TA1-2-Phenylethylamine-chim(NtGi1L-Gs)/β1/γ2 8JLP-TA1-Ralmitaront-Gs/β1/γ2 8W8A-TA1-RO5256390-chim(NtGi1L-Gs)/β1/γ2 8W88-TA1-SEP-363856-Gs/β1/γ2 8JLO-TA1-Ulotaront-Gs/β1/γ2 8JLR-TA1-A77636-chim(NtGi1-Gs)/β1/γ2 8JSO-TA1-AMPH-chim(NtGi1-Gs)/β1/γ2 8ZSP-TA1-LSD-chim(NtGi1L-Gs)/β1/γ2
28.57Consensustrace-amine_onOrthosteric Ligandta1_on
28.00Single6X19CHU-1286X19-GLP-1-CHU-128-Gs/β1/γ2
28.00Single7F54Afamelanotide7F54-MC4-Afamelanotide-Gs/β1/γ2
28.00Single7W53Neuromedin-U-257W53-NMUR1-Neuromedin-U-25-chim(NtGi1-Gs-CtGq)/β1/γ2
28.00Single7WKDTRH7WKD-TRH-TRH-chim(NtGi1-Gs-CtGq)/β1/γ2
28.00Single7WVWfMYFINILTL7WVW-FPR2-ALX-fMYFINILTL-Gi2/β1/γ2
28.00Single8G59TUG-8918G59-FFA4-TUG-891-chim(Gi1-CtGq)/β1/γ2
28.00Single8K3ZCXCL128K3Z-CXCR4-CXCL12-Gi1/β1/γ1
28.00Single8KIGSHU91198KIG-MC3-SHU9119-Ca
28.00Single8U4OCXCL128U4O-CXCR4-CXCL12-Gi1/β1/γ2
28.00Single8WZ2Orexigenic Neuropeptide QRFP8WZ2-QRFP-Orexigenic Neuropeptide QRFP-chim(NtGi1L-Gs-CtGq)/β1/γ2
28.00Single8ZJDKisspeptin-18ZJD-Kiss1-Kisspeptin-1-chim(NtGi1-Gq)/β1/γ1
28.00Consensuscxcr4_onOrthosteric Ligand8K3Z-CXCR4-CXCL12-Gi1/β1/γ1
28.00Consensusgq_kisspeptinOrthosteric Ligand8ZJD-Kiss1-Kisspeptin-1-chim(NtGi1-Gq)/β1/γ1
28.00Consensuskiss1_on_gpOrthosteric Ligand8ZJD-Kiss1-Kisspeptin-1-chim(NtGi1-Gq)/β1/γ1
28.00Consensuskisspeptin_on_gpOrthosteric Ligandkiss1_on_gp
28.00Consensusnmur1_on_gpOrthosteric Ligand7W53-NMUR1-Neuromedin-U-25-chim(NtGi1-Gs-CtGq)/β1/γ2
28.00Consensusnop_onOrthosteric Ligand8F7X-NOP-Nociceptin-Gi1/β1/γ2
28.00Consensusnop_on_gpOrthosteric Ligand8F7X-NOP-Nociceptin-Gi1/β1/γ2
28.00Consensusp2y_onOrthosteric Ligandp2y1_on p2y10_on p2y12_on
28.00Consensussst5_onOrthosteric Ligand8X8L-SST5-Cortistatin-14-chim(NtGi1-Gs-CtGi1)/β1/γ2 8X8N-SST5-Octreotide-chim(NtGi1-Gs-CtGi1)/β1/γ2
27.78Single3OE9IT1t3OE9-CXCR4-IT1t
27.78Single6TP4ACT-4622066TP4-OX1-ACT-462206
27.78Single6TQ4PubChem 160468446TQ4-OX1-PubChem 16046844-Na
27.78Single7SRQLSD7SRQ-5-HT2B-LSD
27.78Single7XT9Serotonin7XT9-5-HT4-Serotonin-Gs/β1/γ2
27.78Single7XTASerotonin7XTA-5-HT4-Serotonin-Gi1/β1/γ2
27.78Single7XTBSerotonin7XTB-5-HT6-Serotonin-Gs/β1/γ2
27.78Single7YS6Serotonin7YS6-5-HT6-Serotonin-chim(NtGi1-Gs)/β1/γ2
27.78Single8A2PLUAA470708A2P-A2A-LUAA47070-Na
27.78Single8GGYConstrained Epinephrine8GGY-β2-Constrained Epinephrine
27.78Single8H2GNiacin8H2G-HCA2-Niacin-Gi1/β1/γ2
27.78Single8K5BNiacin8K5B-HCA2-Niacin
27.78Single8RWHStilSwitch28RWH-A2A-StilSwitch2-Na
27.78Single8YN4Histamine8YN4-H2-Histamine-chim(NtGi1L-Gs-CtGq)/β1/γ2
27.78Single9IJEEpinephrine9IJE-β3-Epinephrine-chim(NtGi1-Gs)/β1/γ2
27.78Single9IXJHistamine9IXJ-H2-Histamine-Gs/β1/γ2
27.78Single9L3ZLRH7-C29L3Z-CML1-LRH7-C2
27.78Single9LMPNE52-QQ579LMP-GPR4-NE52-QQ57
27.78Consensus5ht4_onOrthosteric Ligand7XTA-5-HT4-Serotonin-Gi1/β1/γ2
27.78Consensus5ht4_on_gpOrthosteric Ligand7XTA-5-HT4-Serotonin-Gi1/β1/γ2
27.59Single5UIW5P7-CCL55UIW-CCR5-5P7-CCL5
27.59Consensusccr5_offOrthosteric Ligand5UIW-CCR5-5P7-CCL5
27.59Consensusgi_proteinOrthosteric Ligandgi_chemokine gi_chemerin
27.59Consensusnpy4_onOrthosteric Ligand7X9C-Y4-Pancreatic Hormone-Gi1/β1/γ2
27.59Consensusnpy4_on_gpOrthosteric Ligand7X9C-Y4-Pancreatic Hormone-Gi1/β1/γ2
27.59Consensusprotein_on_gpOrthosteric Ligandchemokine_on_gp chemerin_on_gp
27.50Single8GY7Corticotropin8GY7-MC2-Corticotropin-Ca-chim(NtGi1-Gs)/β1/γ2; MRAP1
27.27Single5XR8AM120335XR8-CB1-AM12033
27.27Single5ZKBAF-DX 3845ZKB-M2-AF-DX 384
27.27Single6J21Aprepitant6J21-NK1-Aprepitant
27.27Single6N4BMDMB-Fubinaca6N4B-CB1-MDMB-Fubinaca-Gi1/β1/γ2
27.27Single6TQ7SB-3348676TQ7-OX1-SB-334867
27.27Single7B6WCyclazosin7B6W-α1b-Cyclazosin
27.27Single7EW7SEW28717EW7-S1P1-SEW2871-Gi1/β1/γ2
27.27Single7F58THIQ7F58-MC4-THIQ-Gs/β1/γ2
27.27Single7XBDGalanin7XBD-GAL2-Galanin-chim(NtGi2L-Gs-CtGq)/β1/γ2
27.27Single7XOWSulfated Gastrin-(10-17)7XOW-CCKB-Sulfated Gastrin-(10-17)-chim(NtGi1-Gq)/β1/γ2
27.27Single7XTQR3997XTQ-GPBA-R399-Gs/β1/γ2
27.27Single7XY7NECA7XY7-A2B-NECA-chim(NtGi1-Gs)/β1/γ2
27.27Single7Y24Octreotide7Y24-SST2-Octreotide-Go/β1/γ2
27.27Single7Y67C089 peptide7Y67-C5a1-C089 peptide-Gi1/β1/γ2
27.27Single8GUSHU-3088GUS-CB2-HU-308-Gi1/β1/γ2
27.27Single8ID39-Hydroxystearic acid8ID3-FFA4-9-Hydroxystearic acid-Gi1/β1/γ2
27.27Single8ID6Oleic acid8ID6-FFA4-Oleic acid-Gi1/β1/γ2
27.27Single8IHBGSK2560738IHB-HCA2-GSK256073-Gi1/β1/γ2
27.27Single8IHHLUF62838IHH-HCA2-LUF6283-Gi1/β1/γ2
27.27Single8IYHMK68928IYH-HCA2-MK6892-Go/β1/γ2
27.27Single8JXVClozapine8JXV-H4-Clozapine-Gi1/β1/γ2
27.27Single8WU1MDMB-Fubinaca8WU1-CB1-MDMB-Fubinaca-Arrestin2
27.27Single8XIPPasireotide8XIP-SST1-Pasireotide-chim(NtGi1-Gs-CtGi1)/β1/γ2
27.27Single8YH6Namodenoson8YH6-A3A-Namodenoson-Gi1/β1/γ2
27.27Single9AYFCa; Ca; Ca; Cyclomethyltryptophan; R-568; PO49AYF-CaS; CaS-Ca-Ca; Ca; Ca; Cyclomethyltryptophan; R-568; PO4-Gi1/β1/γ2
27.27Single9B65MDMB-Fubinaca9B65-CB1-MDMB-Fubinaca-Gi1/β1/γ2
27.27Single9IJDCarazolol9IJD-β3-Carazolol-chim(NtGi1-Gs)/β1/γ2
27.27Single9IK9Lanreotide9IK9-SST1-Lanreotide-Gi1/β1/γ2
27.27Single9PY3Loperamide9PY3-μ-Loperamide-GDPβS-Gi1/β1/γ2
27.27Consensus5ht_offOrthosteric Ligand5ht2_off 5ht1_off
27.27Consensuscyslt1_offOrthosteric Ligand6RZ5-CysLT1-Zafirlukast-Na 6RZ4-CysLT1-Pranlukast-Na
27.27Consensusmotilin_onOrthosteric Ligand8IBU-Motilin-Erythromycin-A-chim(NtGi1-Gs-CtGq)/β1/γ2
27.27Consensusnpy_offOrthosteric Ligandnpy1_off npy2_off
27.27Consensusta1_on_gpOrthosteric Ligand8W87-TA1-METH-chim(NtGi1L-Gs)/β1/γ2 8W89-TA1-2-Phenylethylamine-chim(NtGi1L-Gs)/β1/γ2 8JLP-TA1-Ralmitaront-Gs/β1/γ2 8W8A-TA1-RO5256390-chim(NtGi1L-Gs)/β1/γ2 8W88-TA1-SEP-363856-Gs/β1/γ2 8JLO-TA1-Ulotaront-Gs/β1/γ2 8JLR-TA1-A77636-chim(NtGi1-Gs)/β1/γ2 8JSO-TA1-AMPH-chim(NtGi1-Gs)/β1/γ2 8ZSP-TA1-LSD-chim(NtGi1L-Gs)/β1/γ2
27.27Consensustachykinin_offOrthosteric Ligandnk1_off
27.27Consensustrace-amine_on_gpOrthosteric Ligandta1_on_gp
26.92Single3QAKUK-4320973QAK-A2A-UK-432097
26.92Single5XJM(Sar1,Ile8)-Angiotensin II5XJM-AT2-(Sar1,Ile8)-Angiotensin II
26.92Single6HLOAprepitant6HLO-NK1-Aprepitant
26.92Single7E14Orforglipron7E14-GLP-1-Orforglipron-PubChem 156022738-Gs/β1/γ2
26.92Single7RMISubstance-P7RMI-NK1-Substance-P-chim(Gs-CtGq)/β1/γ2
26.92Single7XMSSomatostatin-147XMS-SST4-Somatostatin-14-Gi1/β1/γ2
26.92Single8SG1Chemerin-98SG1-CML1-Chemerin-9-Gi1/β1/γ2
26.92Single8WSSMCH8WSS-MCH1-MCH-Gi1/β1/γ1
26.92Single8XYDPlatelet Activating Factor8XYD-PAF-Platelet Activating Factor-Gi1/β1/γ2
26.92Single8Z7JJN241-98Z7J-Apelin-JN241-9-Gi1/β1/γ2
26.92Single9E82CXCL12 (fragment)9E82-ACKR3-CXCL12 (fragment)-Arrestin2
26.92Single9EAINanobody AT2099EAI-AT1-Losartan-Nanobody AT209
26.92Single9IK8Pasireotide9IK8-SST1-Pasireotide-Gi1/β1/γ2
26.92Single9IQRMuscarinic toxin 39IQR-α2a-Muscarinic toxin 3
26.92Single9IQVMuscarinic toxin 39IQV-Alpha1A-Muscarinic toxin 3
26.92Single9JFK(Pen5)-Urotensin II9JFK-UT-(Pen5)-Urotensin II-chim(NtGi2L-Gs-CtGq)/β1/γ2
26.92Single9KFIRelaxin-39KFI-RXFP3-Relaxin-3-Gi2/β1/γ2
26.92Single9KV6TLQP219KV6-C3aB-TLQP21-Go/β1/γ2
26.92Consensuscckb_onOrthosteric Ligand8IA7-CCKB-Cholecystokinin-8-chim(NtGi1L-Gq)/β1/γ2 7XOW-CCKB-Sulfated Gastrin-(10-17)-chim(NtGi1-Gq)/β1/γ2 7F8V-CCKB-Gastrin-17-Gi2/β1/γ2
26.67Single5MZPCaffeine5MZP-A2A-Caffeine-Na
26.67Single7WVYAmyloid-Beta427WVY-FPR2-ALX-Amyloid-β42-Gi2/β1/γ2
26.67Single8W8XBeta-MSH8W8X-MC3-β-MSH-Ca-Gs/β1/γ2
26.67Single8WWLMCH8WWL-MCH1-MCH-Gi1/β1/γ2
26.67Single8ZJGChemerin8ZJG-CML1-Chemerin-Gi1/β1/γ2
26.67Consensusglp_onOrthosteric Ligandglp1_on glp2_on
26.67Consensusglp_on_gpOrthosteric Ligandglp1_on_gp glp2_on_gp
26.67Consensusp2y10_on_gpOrthosteric Ligand8KGG-P2Y10-Lysophosphatidylserine (WJS)-chim(NtGi2-G13)/β1/γ2
26.47Consensusclass-a_class-b1_cons_on_gpOrthosteric Ligandclass-a_on_gp class-b1_on_gp
26.32Single1GZM11-cis-Retinal1GZM-Rhodopsin-11-cis-Retinal
26.32Single3C9L11-cis-Retinal3C9L-Rhodopsin-11-cis-Retinal
26.32Single4S0VSuvorexant4S0V-OX2-Suvorexant
26.32Single5K2DZM-2413855K2D-A2A-ZM-241385-Na
26.32Single5OLHVipadenant5OLH-A2A-Vipadenant-Na
26.32Single5OLOTozadenant5OLO-A2A-Tozadenant-Na
26.32Single5ZKQABT-4915ZKQ-PAF-ABT-491
26.32Single6B73MP11046B73-κ-MP1104
26.32Single6JZHZM-2413856JZH-A2A-ZM-241385-Na
26.32Single6NWEOctyl-Beta-D-Glucopyranoside6NWE-Rhodopsin-Octyl-β-D-Glucopyranoside-Gt(CT)
26.32Single6PS7ZM-2413856PS7-A2A-ZM-241385-Na
26.32Single6TODEMPA6TOD-OX1-EMPA-Na
26.32Single6TPJSuvorexant6TPJ-OX2-Suvorexant
26.32Single6TQ6PubChem 1457142836TQ6-OX1-PubChem 145714283
26.32Single7BR3Elagolix7BR3-GnRH1-Elagolix
26.32Single7DHRIsoprenaline7DHR-β2-Isoprenaline-Gs/β1/γ2
26.32Single7EJ0Norepinephrine7EJ0-α2a-Norepinephrine-Go/β1/γ2
26.32Single7F1ODopamine7F1O-D1-Dopamine-GDP; Mg-Gs/β1/γ2
26.32Single7F8ULintitript7F8U-CCKA-Lintitript
26.32Single7TUZ7-alpha,25-dihydroxycholesterol7TUZ-GPR183-7-α,25-dihydroxycholesterol-Gi1/β1/γ2
26.32Single7VIHCBP-3077VIH-S1P1-CBP-307-Gi1/β1/γ2
26.32Single7W0OElabela7W0O-Apelin-Elabela-Gi1/β1/γ2
26.32Single7X2FDopamine7X2F-D1-Dopamine-Mevidalen-Gs/β1/γ2
26.32Single7XT8Serotonin7XT8-5-HT4-Serotonin-Gs/β1/γ2
26.32Single8DU3PubChem 1055260648DU3-A2A-PubChem 105526064
26.32Single8IW4Spermidine8IW4-TAA9-Spermidine-chim(NtGi1-Gs)/β1/γ2
26.32Single8IWESpermidine8IWE-TAA9-Spermidine
26.32Single8J20Valeric acid8J20-FFA3-Valeric acid-AR420626-Gi1/β1/γ2
26.32Single8JSOAMPH8JSO-TA1-AMPH-chim(NtGi1-Gs)/β1/γ2
26.32Single8RVWStilSwitch38RVW-A2A-StilSwitch3-Na
26.32Single8RW4AzoSwitch28RW4-A2A-AzoSwitch2-Na
26.32Single8RWEStilSwitch48RWE-A2A-StilSwitch4-Na
26.32Single8T3SButyric acid8T3S-FFA2-Butyric acid-chim(NtGi2L-Gs-CtGq)/β1/γ2
26.32Single8TZQDopamine8TZQ-D2-Dopamine-Go/β1/γ2
26.32Single8U4PAMD31008U4P-CXCR4-AMD3100-Gi1/β1/γ2
26.32Single8WC4ZH86518WC4-TA1-ZH8651-chim(NtGi1-Gs)/β1/γ2
26.32Single8WCA2-Phenylethylamine8WCA-TA1-2-Phenylethylamine-chim(NtGi1-Gs)/β1/γ2
26.32Single8YUTAmthamine8YUT-H2-Amthamine-Gs/β1/γ2
26.32Single8Z87CHBA8Z87-HCA1-CHBA-Gi1/β1/γ2
26.32Single9FUPIstradefylline9FUP-A2A-Istradefylline-Na
26.32Single9H2XPubChem 1756706449H2X-A2A-PubChem 175670644-Na
26.32Single9K6LSalicin9K6L-TAS2R16-Salicin-Gi2/β1/γ2
26.32Single9KPESalicin9KPE-TAS2R16-Salicin-Gi1/β1/γ2
26.32Single9LKDPL459LKD-OR5V1-PL45
26.32Single9LL9DOI9LL9-5-HT2A-DOI-chim(NtGi1L-Gs-CtGq)/β1/γ2
26.32Single9LLBDOI-NBOMe9LLB-5-HT2A-DOI-NBOMe-chim(NtGi1L-Gs-CtGq)/β1/γ2
26.32Single9MQJIsoquinuclidine9MQJ-μ-Isoquinuclidine
26.32Single9PXUNaloxone9PXU-μ-Naloxone-Na
26.32Consensusgnrh1_offOrthosteric Ligand7BR3-GnRH1-Elagolix
26.32Consensuspaf_offOrthosteric Ligand5ZKQ-PAF-ABT-491
26.32Consensussensory_offonOrthosteric Ligandsensory_off sensory_on
26.32Consensussensory_offon_gpOrthosteric Ligandsensory_on_gp sensory_on
26.09Single6A93Risperidone6A93-5-HT2A-Risperidone
26.09Single6CM4Risperidone6CM4-D2-Risperidone
26.09Single6DRYMethylergometrine6DRY-5-HT2B-Methylergometrine
26.09Single6OS0Angiotensin II6OS0-AT1-Angiotensin II
26.09Single6XOXOrforglipron6XOX-GLP-1-Orforglipron-chim(NtGi1-Gs)/β1/γ2
26.09Single7EXDLasmiditan7EXD-5-HT1F-Lasmiditan-Gi1/β1/γ2
26.09Single7L1UOrexin7L1U-OX2-Orexin-chim(NtGi1-Gs-CtGq)/β1/γ2
26.09Single7MTRADX551647MTR-mGlu2; mGlu2-Glutamate-ADX55164
26.09Single7XW9TRH7XW9-TRH-TRH-chim(NtGi1L-Gs-CtGq)/β1/γ2
26.09Single7Y66BM2137Y66-C5a1-BM213-Gi1/β1/γ2
26.09Single8H0QGastrin Releasing Peptide8H0Q-BB2-Gastrin Releasing Peptide-chim(NtGi1-Gs-CtGq)/β1/γ2
26.09Single8IBUErythromycin-A8IBU-Motilin-Erythromycin-A-chim(NtGi1-Gs-CtGq)/β1/γ2
26.09Single8ID9Icosapent8ID9-FFA4-Icosapent-Gi1/β1/γ2
26.09Single8J6DEP1418J6D-C3aB-EP141-Go/β1/γ2
26.09Single8JZ7MK68928JZ7-HCA2-MK6892-Gi1/β1/γ2
26.09Single8T3QDoconexent8T3Q-FFA4-Doconexent-chim(NtGi2L-Gs-CtGq)/β1/γ2
26.09Single8X8NOctreotide8X8N-SST5-Octreotide-chim(NtGi1-Gs-CtGi1)/β1/γ2
26.09Single9EBIPiclidenoson9EBI-A3A-Piclidenoson-chim(NtGi1L-Gs-CtGi1)/β1/γ2
26.09Single9L3WChemerin9L3W-CML1-Chemerin-Gi1/β1/γ2
26.09Single9M8POleic monoethanolamide9M8P-GPR3 ; GPR3-Oleic monoethanolamide-AF64394
26.09Single9YDUUDP-Glucose9YDU-P2Y14-UDP-Glucose-Gi1/β1/γ2
26.09Consensus5ht1f_onOrthosteric Ligand7EXD-5-HT1F-Lasmiditan-Gi1/β1/γ2
26.09Consensus5ht1f_on_gpOrthosteric Ligand7EXD-5-HT1F-Lasmiditan-Gi1/β1/γ2
26.09Consensuscannabinoid_offOrthosteric Ligandcb2_off cb1_off
26.09Consensusgalanin_onOrthosteric Ligandgal2_on gal1_on
26.09Consensusgalanin_on_gpOrthosteric Ligandgal2_on_gp gal1_on_gp
26.09Consensusgi_amineOrthosteric Ligandgi_5ht gi_muscarinic gi_adrenergic gi_dopamine gi_histamine
26.09Consensusmotilin_on_gpOrthosteric Ligand8IBU-Motilin-Erythromycin-A-chim(NtGi1-Gs-CtGq)/β1/γ2
26.09Consensusnk1_offOrthosteric Ligand6HLP-NK1-Netupitant 6HLO-NK1-Aprepitant 6HLL-NK1-CP99994 6E59-NK1-L-760735
26.09Consensustrh_onOrthosteric Ligand7XW9-TRH-TRH-chim(NtGi1L-Gs-CtGq)/β1/γ2
26.09Consensustrh_on_gpOrthosteric Ligand7XW9-TRH-TRH-chim(NtGi1L-Gs-CtGq)/β1/γ2
25.93Single5WF5UK-4320975WF5-A2A-UK-432097
25.93Single6MEOGp160; CD46MEO-CCR5-Gp160; CD4
25.93Single6VN7PACAP276VN7-VPAC1-PACAP27-Gs/β1/γ2
25.93Single7W55Neuromedin-U-257W55-NMUR2-Neuromedin-U-25-chim(NtGi1-Gs-CtGq)/β1/γ2
25.93Single7XA3CCL27XA3-CCR2-CCL2-Gi1/β1/γ2
25.93Single7XOUCholecystokinin-87XOU-CCKA-Cholecystokinin-8-Gs/β1/γ2
25.93Single8XZGApelin-138XZG-Apelin; Apelin-Apelin-13-Gi1/β1/γ2
25.93Single8XZHMM078XZH-Apelin; Apelin-MM07-Gi1/β1/γ2
25.93Single9UYIChemerin-99UYI-CML2-Chemerin-9-Arrestin2
25.93Consensusccr2_onOrthosteric Ligand7XA3-CCR2-CCL2-Gi1/β1/γ2
25.93Consensusccr2_on_gpOrthosteric Ligand7XA3-CCR2-CCL2-Gi1/β1/γ2
25.93Consensusnmur2_onOrthosteric Ligand7W55-NMUR2-Neuromedin-U-25-chim(NtGi1-Gs-CtGq)/β1/γ2
25.93Consensusnmur2_on_gpOrthosteric Ligand7W55-NMUR2-Neuromedin-U-25-chim(NtGi1-Gs-CtGq)/β1/γ2
25.81Single7KI1Taspoglutide7KI1-GLP-1-Taspoglutide-Gs/β1/γ2
25.81Single8IY5Endothelin-18IY5-ETB-Endothelin-1-Gi1/β1/γ2
25.81Single8Y52BA18Y52-BB3-BA1-chim(NtGi1-Gs-CtGq)/β1/γ2
25.81Single9BYOExendin-39BYO-GLP-1-Exendin-3-Gs/β1/γ2
25.00Single1F8811-cis-Retinal1F88-Rhodopsin-11-cis-Retinal
25.00Single2YDOAdenosine2YDO-A2A-Adenosine
25.00Single3OAX11-cis-Retinal3OAX-Rhodopsin-11-cis-Retinal
25.00Single4N6HNaltrindole4N6H-δ-Naltrindole-Na
25.00Single4NC3Ergotamine4NC3-5-HT2B-Ergotamine
25.00Single5IU4ZM-2413855IU4-A2A-ZM-241385-Na
25.00Single5IU7Q274563465IU7-A2A-Q27456346-Na
25.00Single5IUBQ274563445IUB-A2A-Q27456344-Na
25.00Single5JTBZM-2413855JTB-A2A-ZM-241385
25.00Single5K2BZM-2413855K2B-A2A-ZM-241385-Na
25.00Single5K2CZM-2413855K2C-A2A-ZM-241385-Na
25.00Single5MZJTheophylline5MZJ-A2A-Theophylline-Na
25.00Single5NLXZM-2413855NLX-A2A-ZM-241385-Na
25.00Single5NM4ZM-2413855NM4-A2A-ZM-241385-Na
25.00Single5TE3Octyl-Beta-D-Glucopyranoside5TE3-Rhodopsin-Octyl-β-D-Glucopyranoside
25.00Single5WB2CX3CL1.355WB2-US28-CX3CL1.35
25.00Single6A94Zotepine6A94-5-HT2A-Zotepine
25.00Single6AQFZM-2413856AQF-A2A-ZM-241385
25.00Single6K41Dexmedetomidine6K41-α2b-Dexmedetomidine-Go/β1/γ2
25.00Single6M1IPACAP276M1I-PAC1-PACAP27-Gs/β1/γ2
25.00Single6ME32-Phenylmelatonin6ME3-MT1-2-Phenylmelatonin
25.00Single6ME42-Iodomelatonin6ME4-MT1-2-Iodomelatonin
25.00Single6METGp160; CD46MET-CCR5-Gp160; CD4
25.00Single6MH8ZM-2413856MH8-A2A-ZM-241385
25.00Single6PS82-Phenylmelatonin6PS8-MT1-2-Phenylmelatonin
25.00Single6TPNHTL66416TPN-OX2-HTL6641
25.00Single6WI9Secretin6WI9-Secretin-Secretin-Gs/β1/γ2
25.00Single6ZDRHMS1413f126ZDR-A2A-HMS1413f12-Na
25.00Single6ZG9GSK10347026ZG9-M1-GSK1034702
25.00Single7CKWFenoldopam7CKW-D1-Fenoldopam-Gs/β1/γ2
25.00Single7CKZDopamine7CKZ-D1-Dopamine-Mevidalen-Gs/β1/γ2
25.00Single7CMVPD1289077CMV-D3-PD128907-Gi1/β1/γ2
25.00Single7DUQGLP-17DUQ-GLP-1-GLP-1-PubChem 156022738-Gs/β1/γ2
25.00Single7E33BRL-544437E33-5-HT1E-BRL-54443-Gi1/β1/γ2
25.00Single7EVZCenerimod7EVZ-S1P1-Cenerimod-Gi1/β1/γ2
25.00Single7EW0Ozanimod7EW0-S1P1-Ozanimod-Gi1/β1/γ2
25.00Single7EZCUK-4320977EZC-A2A-UK-432097
25.00Single7EZHCholecystokinin-87EZH-CCKA-Cholecystokinin-8-Gi1/β1/γ2
25.00Single7EZMCholecystokinin-87EZM-CCKA-Cholecystokinin-8-chim(NtGsL-Gq)/β1/γ2
25.00Single7F0TDopamine7F0T-D1-Dopamine-Gs/β1/γ2
25.00Single7F1ZDopamine7F1Z-D1-Dopamine-GDP-Gs/β1/γ2
25.00Single7F24Dopamine7F24-D1-Dopamine-GDP-Gs/β1/γ2
25.00Single7KH0AVP7KH0-V2-AVP-chim(NtGi1-Gs)/β1/γ2
25.00Single7LLLExendin-47LLL-GLP-1-Exendin-4-Gs/β1/γ2
25.00Single7MBYCholecystokinin-87MBY-CCKA-Cholecystokinin-8-chim(NtGi1L-Gs-CtGq)/β1/γ2
25.00Single7P00Substance-P7P00-NK1-Substance-P-chim(NtGi1-Gs-CtGq)/β1/γ2
25.00Single7PIUSetmelanotide7PIU-MC4-Setmelanotide-Gs/β1/γ2
25.00Single7T32ZM-2413857T32-A2A-ZM-241385
25.00Single7U2KC6-guano7U2K-μ-C6-guano-Gi1/β1/γ2
25.00Single7VGY2-Iodomelatonin7VGY-MT1-2-Iodomelatonin-Gi1/β1/γ2
25.00Single7W57Neuromedin-S7W57-NMUR2-Neuromedin-S-chim(NtGi1-Gs-CtGq)/β1/γ2
25.00Single7WC4Serotonin7WC4-5-HT2A-Serotonin
25.00Single7WC9PubChem 1624213647WC9-5-HT2A-PubChem 162421364
25.00Single7XK2MK68927XK2-HCA2-MK6892-Gi1/β1/γ2
25.00Single7XOVSR1461317XOV-CCKA-SR146131-Gs/β1/γ2
25.00Single7YK6PubChem 1383196747YK6-RXFP4-PubChem 138319674-Gi2/β1/γ2
25.00Single7ZBC11-cis-Retinal7ZBC-Rhodopsin-11-cis-Retinal
25.00Single7ZBE11-cis-Retinal7ZBE-Rhodopsin-11-cis-Retinal
25.00Single8E9X2-Deoxycytidine8E9X-M4-2-Deoxycytidine-chim(NtGi1-Go)/β1/γ2
25.00Single8E9YClozapine-N-oxide8E9Y-M3-Clozapine-N-oxide-chim(NtGi2L-Gs-CtGq)/β1/γ2
25.00Single8FCZ11-cis-Retinal8FCZ-Rhodopsin-11-cis-Retinal
25.00Single8FX5Xanomeline8FX5-M4-Xanomeline-Xanomeline-Gi1/β1/γ2
25.00Single8GUQOlorinab8GUQ-CB2-Olorinab-Gi1/β1/γ2
25.00Single8ID8TUG-8918ID8-FFA4-TUG-891-Gi1/β1/γ2
25.00Single8IHKAcifran8IHK-HCA3-Acifran
25.00Single8IJDMK68928IJD-HCA2-MK6892-Gi1/β1/γ2
25.00Single8J6IMK68928J6I-HCA2-MK6892-Gi1/β1/γ2
25.00Single8JEIPubChem 117155568JEI-HCAR3-PubChem 11715556-Gi1/β1/γ2
25.00Single8JIMMonomethyl fumarate8JIM-HCA2-Monomethyl fumarate-Gi1/β1/γ2
25.00Single8JLNT1AM8JLN-TA1-T1AM-Gs/β1/γ2
25.00Single8JSPUlotaront8JSP-5-HT1A-Ulotaront-Gi1/β1/γ2
25.00Single8K5CAcipimox8K5C-HCA2-Acipimox
25.00Single8PWNTheophylline8PWN-A2A-Theophylline
25.00Single8RQQZM-2413858RQQ-A2A-ZM-241385-Na
25.00Single8T3OTUG-8918T3O-FFA4-TUG-891-chim(NtGi2L-Gs-CtGq)/β1/γ2
25.00Single8THKA-616038THK-Alpha1A-A-61603-chim(NtGi2L-Gs-CtGq)/β1/γ2
25.00Single8U02Dopamine8U02-D2-Dopamine-Go/β1/γ2
25.00Single8V6UPubChem 1713924568V6U-5-HT2A-PubChem 171392456-chim(NtGi2-Gs-CtGq)/β1/γ2
25.00Single8W88SEP-3638568W88-TA1-SEP-363856-Gs/β1/γ2
25.00Single8WC8ZH86518WC8-TA1-ZH8651-chim(NtGi1-Gs)/β1/γ2
25.00Single8WSTMCH8WST-MCH2-MCH-chim(NtGi1L-Gs-CtGq)/β1/γ2
25.00Single8YN3Histamine8YN3-H2-Histamine-Gs/β1/γ2
25.00Single9ARXSerotonin9ARX-5-HT2A-Serotonin
25.00Single9AS02-bromo-LSD9AS0-5-HT2A-2-bromo-LSD-chim(NtGi1-Gs-CtGq)/β1/γ2
25.00Single9ASBCa; Ca; Cyclomethyltryptophan; R-568; PO49ASB-CaS; CaS-Ca-Ca; Ca; Cyclomethyltryptophan; R-568; PO4-chim(NtGi1-Gs-CtGq)/β1/γ2
25.00Single9C0KExendin-49C0K-GLP-1-Exendin-4-Gs/β1/γ2
25.00Single9CBLEpinephrine9CBL-α2a-Epinephrine-Gi1/β1/γ2
25.00Single9CGJC6-Quino9CGJ-δ-C6-Quino-Gi1/β1/γ2
25.00Single9GE3Lysophosphatidylinositol9GE3-GPR55-Lysophosphatidylinositol-chim(NtGi1-G13)/β1/γ2
25.00Single9JFUNE52-QQ579JFU-GPR4-NE52-QQ57
25.00Single9JKQMETH9JKQ-TA1-METH-Gs/β1/γ2
25.00Single9K1DButyric acid9K1D-FFA2-Butyric acid-Gi1/β1/γ2
25.00Single9KPDSalicin9KPD-TAS2R16-Salicin-chim(Gs-CtGt3)/β1/γ2
25.00Single9KXSEP679KXS-C5a1-EP67-Go/β1/γ2
25.00Single9LKBPL459LKB-OR5V1-PL45-chim(NtGi1-Gs)/β1
25.00Single9LL8Psilocin9LL8-5-HT2A-Psilocin-Gi1/β1/γ2
25.00Single9M2FNeuropeptide-FF9M2F-NPFF1-Neuropeptide-FF-Gi1/β1/γ2
25.00Single9P1TZM-2413859P1T-A2A-ZM-241385
25.00Single9PY2Loperamide9PY2-μ-Loperamide-GDPβS-Gi1/β1/γ2
25.00Single9VI9RFRP-39VI9-NPFF1-RFRP-3-Gi1/β1/γ2
25.00Single9VJG8-OH-DPAT9VJG-5-HT1A-8-OH-DPAT-chim(NtGi2-Gz)/β1/γ2
25.00Consensusa2_offOrthosteric Liganda2a_off
25.00Consensusa2a_offOrthosteric Ligand3RFM-A2A-Caffeine 8C9W-A2A-Etrumadenant 3UZA-A2A-GTPL9236 8GNG-A2A-Istradefylline 8CU6-A2A-LJ-4517 7PX4-A2A-PSB-2113 7PYR-A2A-PSB-2115 8DU3-A2A-PubChem 105526064 8JWY-A2A-2-118 8PWN-A2A-Theophylline 5IU4-A2A-ZM-241385-Na 5OLZ-A2A-PubChem 135566609-Na 6GT3-A2A-Imaradenant-Na 5OLV-A2A-LUAA47070-Na 5N2R-A2A-PSB36-Na 5IU7-A2A-Q27456346-Na 5OLH-A2A-Vipadenant-Na 5OLO-A2A-Tozadenant-Na 6ZDR-A2A-HMS1413f12-Na 8GNE-A2A-KW-6356-Na 8JWZ-A2A-Etrumadenant-Na 5IU8-A2A-Q27456347-Na 5IUB-A2A-Q27456344-Na 6ZDV-A2A-PubChem 984073-Na 5IUA-A2A-Q27456348-Na 8A2P-A2A-LUAA47070-Na
25.00Consensusccka_onOrthosteric Ligand7EZH-CCKA-Cholecystokinin-8-Gi1/β1/γ2
25.00Consensusccka_on_gpOrthosteric Ligand7EZH-CCKA-Cholecystokinin-8-Gi1/β1/γ2
25.00Consensuschemerin_onOrthosteric Ligandcml1_on
25.00Consensusgal2_onOrthosteric Ligand7WQ4-GAL2-Galanin-chim(NtGi1-Gs-CtGq)/β1/γ2 7XJL-GAL2-Spexin-chim(NtGi2L-Gs-CtGq)/β1/γ2
25.00Consensusgal2_on_gpOrthosteric Ligand7WQ4-GAL2-Galanin-chim(NtGi1-Gs-CtGq)/β1/γ2 7XJL-GAL2-Spexin-chim(NtGi2L-Gs-CtGq)/β1/γ2
25.00Consensusgrh_offOrthosteric Ligandgnrh1_off
25.00Consensushca_onOrthosteric Ligandhca2_on
25.00Consensusnk1_onOrthosteric Ligand7P00-NK1-Substance-P-chim(NtGi1-Gs-CtGq)/β1/γ2
25.00Consensusnk1_on_gpOrthosteric Ligand7P00-NK1-Substance-P-chim(NtGi1-Gs-CtGq)/β1/γ2
25.00Consensusnop_offOrthosteric Ligand4EA3-NOP-PubChem 10296561 5DHG-NOP-C-35 5DHH-NOP-SB-612111
25.00Consensusnucleotide_offOrthosteric Ligandadenosine_off p2y_off
25.00Consensusprotein_offonOrthosteric Ligandprotein_off protein_on
25.00Consensusprotein_offon_gpOrthosteric Ligandprotein_on_gp protein_off
24.24Single6LPBPACAP276LPB-PAC1-PACAP27-Gs/β1/γ1
24.14Single6X18GLP-16X18-GLP-1-GLP-1-Gs/β1/γ2
24.14Single7F6IKallidin7F6I-BK2-Kallidin-Gq/β1/γ2
24.14Single7F9YGhrelin7F9Y-Ghrelin-Ghrelin-chim(NtGi1-Gs-CtGq)/β1/γ2
24.14Single7LLYOxyntomodulin7LLY-GLP-1-Oxyntomodulin-Gs/β1/γ2
24.14Single7VL9CCL15(26-92)7VL9-CCR1-CCL15(26-92)-Gi1/β1/γ2
24.14Single7WBJPACAP277WBJ-VPAC1-PACAP27-Gs/β1/γ2
24.14Single7X9CPancreatic Hormone7X9C-Y4-Pancreatic Hormone-Gi1/β1/γ2
24.14Single8E3YPACAP278E3Y-VPAC1-PACAP27-Gs/β1/γ2
24.14Single8E3ZVIP8E3Z-VPAC1-VIP-Gs/β1/γ2
24.14Single8HCQEndothelin-18HCQ-ETA-Endothelin-1-chim(NtGi1-Gs-CtGq)/β1/γ2
24.14Single8WWMMCH8WWM-MCH1-MCH-Gi1/β1/γ2
24.14Consensuschemokine_offOrthosteric Ligandccr_off cxcr_off
24.14Consensuschemokine_on_gpOrthosteric Ligandccr_on_gp cxcr_on_gp
24.14Consensuscxcr_offOrthosteric Ligandcxcr3_off cxcr4_off
24.14Consensuseta_onOrthosteric Ligand8HCQ-ETA-Endothelin-1-chim(NtGi1-Gs-CtGq)/β1/γ2
24.14Consensuseta_on_gpOrthosteric Ligand8HCQ-ETA-Endothelin-1-chim(NtGi1-Gs-CtGq)/β1/γ2
24.14Consensusp2y10_onOrthosteric Ligand8KGG-P2Y10-Lysophosphatidylserine (WJS)-chim(NtGi2-G13)/β1/γ2
24.00Single5VBLAMG3054 5VBL-Apelin-AMG3054
24.00Single5WF6UK-4320975WF6-A2A-UK-432097
24.00Single7AUESetmelanotide7AUE-MC4-Setmelanotide-chim(NtGi1L-Gs)/β1/γ2
24.00Single7F2OBradykinin7F2O-BK2-Bradykinin-chim(NtGi1-Gs-CtGq)/β1/γ2
24.00Single7RMGSubstance-P7RMG-NK1-Substance-P-chim(Gs-CtGq)/β1/γ2
24.00Single7RMHSubstance-P7RMH-NK1-Substance-P-Gs/β1/γ2
24.00Single7S8LCortistatin-147S8L-MRGPRX2-Cortistatin-14-chim(NtGi2L-Gs-CtGq)/β1/γ2
24.00Single7X8SWB4-247X8S-GLP-1-WB4-24-Gs/β1/γ2
24.00Single7Y1FDynorphin7Y1F-κ-Dynorphin-Gi1/β1/γ2
24.00Single7YAEOctreotide7YAE-SST2-Octreotide-Gi1/β1/γ2
24.00Single8H4IDoconexent8H4I-FFA4-Doconexent-chim(NtGi1-Gs)/β1/γ2
24.00Single8JBFSenktide8JBF-NK3-Senktide-chim(NtGi1-Gs-CtGq)/β1/γ2
24.00Single8XZFWN5618XZF-Apelin; Apelin-WN561-Gi1/β1/γ2
24.00Single8Z74JN241-98Z74-Apelin; Apelin-JN241-9
24.00Single9JH6C20:0 Ceramide9JH6-CysLT2-C20:0 Ceramide-chim(NtGi1-Gs-CtGq)/β1/γ2
24.00Consensuscxcr_on_gpOrthosteric Ligandcxcr3_on_gp cxcr4_on_gp cxcr1_on_gp cxcr2_on_gp
24.00Consensuskiss1_onOrthosteric Ligand8ZJD-Kiss1-Kisspeptin-1-chim(NtGi1-Gq)/β1/γ1
24.00Consensuskisspeptin_onOrthosteric Ligandkiss1_on
24.00Consensusnmur1_onOrthosteric Ligand7W53-NMUR1-Neuromedin-U-25-chim(NtGi1-Gs-CtGq)/β1/γ2
23.81Single1HZX11-cis-Retinal1HZX-Rhodopsin-11-cis-Retinal
23.81Single3EMLZM-2413853EML-A2A-ZM-241385
23.81Single4EIYZM-2413854EIY-A2A-ZM-241385-Na
23.81Single4X1HNonyl-Beta-D-Glucopyranoside4X1H-Rhodopsin-Nonyl-β-D-Glucopyranoside-Gt(CT)
23.81Single5IU8Q274563475IU8-A2A-Q27456347-Na
23.81Single5K2AZM-2413855K2A-A2A-ZM-241385-Na
23.81Single5OLGZM-2413855OLG-A2A-ZM-241385-Na
23.81Single5VRAZM-2413855VRA-A2A-ZM-241385-Na
23.81Single6DRXLisuride6DRX-5-HT2B-Lisuride
23.81Single6DRZMethysergide6DRZ-5-HT2B-Methysergide
23.81Single6K42Dexmedetomidine6K42-α2b-Dexmedetomidine-Gi1/β1/γ2
23.81Single6LPJZM-2413856LPJ-A2A-ZM-241385-Na
23.81Single6LPKZM-2413856LPK-A2A-ZM-241385-Na
23.81Single6S0LZM-2413856S0L-A2A-ZM-241385
23.81Single7DB6Ramelteon7DB6-MT1-Ramelteon-Gi1/β1/γ2
23.81Single7F83PF-051904577F83-Ghrelin-PF-05190457
23.81Single7JOZPubChem 752020227JOZ-D1-PubChem 75202022-Gs/β1/γ2
23.81Single7PP1Selatogrel7PP1-P2Y12-Selatogrel
23.81Single7PYRPSB-21157PYR-A2A-PSB-2115
23.81Single7TRQVU04671547TRQ-M4-Iperoxo-VU0467154-Gi1/β1/γ2
23.81Single7VGZRamelteon7VGZ-MT1-Ramelteon-Gi1/β1/γ2
23.81Single7VH0Ramelteon7VH0-MT2-Ramelteon-Gi1/β1/γ1
23.81Single7VKTLTB47VKT-BLT1-LTB4-Gi1/β1/γ2
23.81Single7X2CFenoldopam7X2C-D1-Fenoldopam-Fenoldopam-Gs/β1/γ2
23.81Single7YK7DC5910537YK7-RXFP4-DC591053-Gi2/β1/γ2
23.81Single8FY85-MeO-DMT8FY8-5-HT1A-5-MeO-DMT-PtdIns4P-Gi1/β1/γ1
23.81Single8I7VAcipimox8I7V-HCA2-Acipimox-Gi1/β1/γ2
23.81Single8IHJAcifran8IHJ-HCA3-Acifran-Gi1/β1/γ2
23.81Single8J6PNiacin8J6P-HCA2-Niacin-PubChem 25101223-Gi1/β1/γ2
23.81Single8JD0NAM5638JD0-mGlu2; mGlu3-Glutamate-NAM563
23.81Single8JHNMonomethyl fumarate8JHN-HCA2-Monomethyl fumarate-Go/β1/γ2
23.81Single8JIINiacin8JII-HCA2-Niacin-PubChem 25101223-Gi1/β1/γ2
23.81Single8JLJT1AM8JLJ-TA1-T1AM-chim(NtGi1-Gs)/β1/γ2
23.81Single8JLZST19368JLZ-5-HT6-ST1936-Gs/β1/γ2
23.81Single8KEXDCA-3P8KEX-MRGPRX4-DCA-3P
23.81Single8T1WCVN4248T1W-GPR6-CVN424
23.81Single8UWLLisuride8UWL-5-HT2A-Lisuride-chim(NtGi2-Gs-CtGq)/β1/γ2
23.81Single8W87METH8W87-TA1-METH-chim(NtGi1L-Gs)/β1/γ2
23.81Single8W8ARO52563908W8A-TA1-RO5256390-chim(NtGi1L-Gs)/β1/γ2
23.81Single8WC7ZH86678WC7-TA1-ZH8667-chim(NtGi1-Gs)/β1/γ2
23.81Single8X63Mepyramine8X63-H1-Mepyramine
23.81Single8X64Desloratadine8X64-H1-Desloratadine
23.81Single8Y71A1D6F8Y71-δ-A1D6F-BMS986187-Gi1/β1/γ2
23.81Single9AS1DMT9AS1-5-HT2A-DMT
23.81Single9AVGCa; Ca; Cyclomethyltryptophan; R-568; PO49AVG-CaS; CaS-Ca-Ca; Ca; Cyclomethyltryptophan; R-568; PO4-chim(NtGi1-Gs)/β1/γ2
23.81Single9DYFAsenapine9DYF-5-HT1A-Asenapine-PtdIns4P-Gi1/β1/γ2
23.81Single9LLAAriadne9LLA-5-HT2A-Ariadne-chim(NtGi1L-Gs-CtGq)/β1/γ2
23.81Single9P1SZM-2413859P1S-A2A-ZM-241385
23.81Consensus5ht2b_offOrthosteric Ligand6DRZ-5-HT2B-Methysergide
23.81Consensus5ht6_onOrthosteric Ligand7XTB-5-HT6-Serotonin-Gs/β1/γ2 8JLZ-5-HT6-ST1936-Gs/β1/γ2
23.81Consensus5ht6_on_gpOrthosteric Ligand7XTB-5-HT6-Serotonin-Gs/β1/γ2 8JLZ-5-HT6-ST1936-Gs/β1/γ2
23.81Consensusalpha2_onOrthosteric Ligandalpha2b_on
23.81Consensusalpha2_on_gpOrthosteric Ligandalpha2b_on_gp
23.81Consensusalpha2b_onOrthosteric Ligand6K42-α2b-Dexmedetomidine-Gi1/β1/γ2
23.81Consensusalpha2b_on_gpOrthosteric Ligand6K42-α2b-Dexmedetomidine-Gi1/β1/γ2
23.81Consensusblt1_onOrthosteric Ligand7VKT-BLT1-LTB4-Gi1/β1/γ2
23.81Consensusblt1_on_gpOrthosteric Ligand7VKT-BLT1-LTB4-Gi1/β1/γ2
23.81Consensusblt_onOrthosteric Ligandblt1_on
23.81Consensusblt_on_gpOrthosteric Ligandblt1_on_gp
23.81Consensuscck_offOrthosteric Ligandccka_off
23.81Consensusccka_offOrthosteric Ligand7F8Y-CCKA-Devazepide 7F8U-CCKA-Lintitript
23.81Consensusgi_hcaOrthosteric Ligand8J6R-HCA2-MK6892-Gi1/β1/γ2 8JIM-HCA2-Monomethyl fumarate-Gi1/β1/γ2 8IHI-HCA2-Acifran-Gi1/β1/γ2 8IHH-HCA2-LUF6283-Gi1/β1/γ2 8I7V-HCA2-Acipimox-Gi1/β1/γ2 8I7W-HCA2-GSK256073-Gi1/β1/γ2
23.81Consensusgi_leukotrieneOrthosteric Ligand7VKT-BLT1-LTB4-Gi1/β1/γ2
23.81Consensusgs_trace-amineOrthosteric Ligand8W88-TA1-SEP-363856-Gs/β1/γ2 8JLJ-TA1-T1AM-chim(NtGi1-Gs)/β1/γ2 8JLO-TA1-Ulotaront-Gs/β1/γ2 8WC4-TA1-ZH8651-chim(NtGi1-Gs)/β1/γ2 8WC7-TA1-ZH8667-chim(NtGi1-Gs)/β1/γ2 8JLR-TA1-A77636-chim(NtGi1-Gs)/β1/γ2 8JSO-TA1-AMPH-chim(NtGi1-Gs)/β1/γ2 8W87-TA1-METH-chim(NtGi1L-Gs)/β1/γ2 8W89-TA1-2-Phenylethylamine-chim(NtGi1L-Gs)/β1/γ2 8JLP-TA1-Ralmitaront-Gs/β1/γ2 8W8A-TA1-RO5256390-chim(NtGi1L-Gs)/β1/γ2
23.81Consensushca2_onOrthosteric Ligand8J6R-HCA2-MK6892-Gi1/β1/γ2 8JIM-HCA2-Monomethyl fumarate-Gi1/β1/γ2 8I7V-HCA2-Acipimox-Gi1/β1/γ2 8I7W-HCA2-GSK256073-Gi1/β1/γ2 8IHH-HCA2-LUF6283-Gi1/β1/γ2 8IHI-HCA2-Acifran-Gi1/β1/γ2
23.81Consensushca2_on_gpOrthosteric Ligand8J6R-HCA2-MK6892-Gi1/β1/γ2 8IHI-HCA2-Acifran-Gi1/β1/γ2 8IHH-HCA2-LUF6283-Gi1/β1/γ2 8I7V-HCA2-Acipimox-Gi1/β1/γ2 8JIM-HCA2-Monomethyl fumarate-Gi1/β1/γ2 8I7W-HCA2-GSK256073-Gi1/β1/γ2
23.81Consensushca_on_gpOrthosteric Ligandhca2_on_gp
23.81Consensushistamine_offOrthosteric Ligandh1_off
23.81Consensusleukotriene_onOrthosteric Ligandblt_on
23.81Consensusleukotriene_on_gpOrthosteric Ligandblt_on_gp
23.53Single7DD5Ca; Ca; Tryptophan; NPS-21437DD5-CaS; CaS-Ca-Ca; Ca; Tryptophan; NPS-2143
23.53Single7MTBAll-trans-Retinal7MTB-Rhodopsin-All-trans-Retinal-GRK1
23.53Single8DPHLorcaserin8DPH-5-HT2C-Lorcaserin-chim(NtGi2L-Gs-CtGq)/β1/γ2
23.53Single8GEIConstrained Epinephrine8GEI-β2-Constrained Epinephrine-Gs/β1/γ2
23.53Single8IWM2-Phenylethylamine8IWM-TAA9-2-Phenylethylamine
23.53Single8Z8ALactate8Z8A-HCA1-Lactate-Gi1/β1/γ2
23.53Single9CHUNorepinephrine9CHU-β2-Norepinephrine
23.53Single9EE9Adenosine9EE9-A2A-Adenosine-Gs/β1/γ2
23.53Consensusgs_histamineOrthosteric Ligand8POK-H2-Histamine-Gs/β1/γ2
23.53Consensush2_onOrthosteric Ligand8POK-H2-Histamine-Gs/β1/γ2
23.53Consensusopsins_onOrthosteric Ligandrhodopsin_on opsin1lw_on
23.53Consensussensory_onOrthosteric Ligandopsins_on
23.33Single7SK3CXCL127SK3-ACKR3-CXCL12
23.33Single7VABTirzepatide (non-acylated)7VAB-GIP-Tirzepatide (non-acylated)-chim(NtGi1-Gs)/β1/γ2
23.33Single8E3XPACAP278E3X-PAC1-PACAP27-Gs/β1/γ2
23.33Single8JISPeptide-158JIS-GLP-1-Peptide-15-chim(NtGi1-Gs)/β1/γ2
23.33Single9KFKRelaxin-39KFK-RXFP4-Relaxin-3-Gi2/β1/γ2
23.33Single9P92VIP9P92-PAC1-VIP-Gs/β1/γ2
23.33Consensuspac_on_gpOrthosteric Ligandpac1_on_gp
23.08Single7NA7Ghrelin7NA7-Ghrelin-Ghrelin-Gi1/β1/γ2
23.08Single7WICSomatostatin-147WIC-SST2-Somatostatin-14-Gi1/β1/γ2
23.08Single8IZBLysophosphatidylserine (UBL)8IZB-GPR174-Lysophosphatidylserine (UBL)-Gs/β1/γ2
23.08Single8J6RMK68928J6R-HCA2-MK6892-Gi1/β1/γ2
23.08Single8XGMChemerin8XGM-CML2-Chemerin-Gi1/β1/γ2
23.08Consensusgi_nucleotideOrthosteric Ligandgi_adenosine gi_p2y
23.08Consensusnk3_onOrthosteric Ligand8JBF-NK3-Senktide-chim(NtGi1-Gs-CtGq)/β1/γ2
23.08Consensusnk3_on_gpOrthosteric Ligand8JBF-NK3-Senktide-chim(NtGi1-Gs-CtGq)/β1/γ2
22.73Single4NTJAZD12834NTJ-P2Y12-AZD1283
22.73Single5IUAQ274563485IUA-A2A-Q27456348-Na
22.73Single5YHLPubChem 1351213525YHL-EP4-PubChem 135121352
22.73Single5YWYONO-AE3-2085YWY-EP4-ONO-AE3-208
22.73Single6GDGNECA6GDG-A2A-NECA-Gs/β1/γ1
22.73Single6HLPNetupitant6HLP-NK1-Netupitant
22.73Single6LPLZM-2413856LPL-A2A-ZM-241385-Na
22.73Single6ME72-Phenylmelatonin6ME7-MT2-2-Phenylmelatonin
22.73Single6S0QZM-2413856S0Q-A2A-ZM-241385
22.73Single6WQAZM-2413856WQA-A2A-ZM-241385-Na
22.73Single7EPFNAM5977EPF-mGlu2-NAM597
22.73Single7EUOfMLF7EUO-FPR1-ALX-fMLF-Gi1/β1/γ2
22.73Single7RM5ZM-2413857RM5-A2A-ZM-241385-Na
22.73Single7SINNPS-21437SIN-CaS; CaS-NPS-2143
22.73Single7SINNPS-21437SIN-CaS; CaS-NPS-2143
22.73Single7VUHJNJ-635330547VUH-GPR139-JNJ-63533054-chim(Gs-CtGq)/β1/γ2
22.73Single7W41PD1762527W41-BB2-PD176252
22.73Single7WIGL-0542647WIG-SST2-L-054264-Gi1/β1/γ2
22.73Single8EFBOliceridine8EFB-μ-Oliceridine-Gi1/β1/γ2
22.73Single8FYNZM-2413858FYN-A2A-ZM-241385-Na
22.73Single8QOTNanobody-E8QOT-μ-Nanobody-E
22.73Single8UUJFCH-22964138UUJ-HCA2-FCH-2296413-Gi1/β1/γ2
22.73Single8ZMFPubChem 1719206738ZMF-5-HT2C-PubChem 171920673
22.73Single9ARZ2-bromo-LSD9ARZ-5-HT2A-2-bromo-LSD
22.73Single9AYFCa; Ca; Ca; Cyclomethyltryptophan; R-568; PO49AYF-CaS; CaS-Ca-Ca; Ca; Ca; Cyclomethyltryptophan; R-568; PO4-Gi1/β1/γ2
22.73Single9CIBFCH-22964139CIB-HCA2-FCH-2296413
22.73Single9DYDAsenapine9DYD-5-HT1A-Asenapine-PtdIns4P-Go/β1/γ2
22.73Single9KPFSalicin9KPF-TAS2R16-Salicin-Gi1/β1/γ2
22.73Single9M8POleic monoethanolamide9M8P-GPR3 ; GPR3-Oleic monoethanolamide-AF64394
22.73Consensus5ht2_offOrthosteric Ligand5ht2a_off 5ht2b_off 5ht2c_off
22.73Consensusbb2_offOrthosteric Ligand7W41-BB2-PD176252
22.73Consensusbombesin_offOrthosteric Ligandbb2_off
22.73Consensusep4_offOrthosteric Ligand5YWY-EP4-ONO-AE3-208 5YHL-EP4-PubChem 135121352
22.73Consensusep_offOrthosteric Ligandep4_off
22.73Consensusrxfp4_onOrthosteric Ligand7YK7-RXFP4-DC591053-Gi2/β1/γ2 7YJ4-RXFP4-INSL5-Gi2/β1/γ2 7YK6-RXFP4-PubChem 138319674-Gi2/β1/γ2
22.73Consensusrxfp4_on_gpOrthosteric Ligand7YK7-RXFP4-DC591053-Gi2/β1/γ2 7YJ4-RXFP4-INSL5-Gi2/β1/γ2 7YK6-RXFP4-PubChem 138319674-Gi2/β1/γ2
22.73Consensuss1p_offOrthosteric Ligands1p1_off s1p5_off
22.58Single6B3JExendin-P56B3J-GLP-1-Exendin-P5-Gs/β1/γ2
22.58Single6VCBGLP-16VCB-GLP-1-GLP-1-LSN3160440-Gs/β1/γ2
22.58Single7EIBKallidin-des-Arg107EIB-BK1-Kallidin-des-Arg10-chim(NtGi1-Gs-CtGq)/β1/γ2
22.58Single7XATSomatostatin-147XAT-SST2-Somatostatin-14-Gi1/β1/γ2
22.22Single2J4Y11-cis-Retinal2J4Y-Rhodopsin-11-cis-Retinal
22.22Single3C9M11-cis-Retinal3C9M-Rhodopsin-11-cis-Retinal
22.22Single3OE6IT1t3OE6-CXCR4-IT1t
22.22Single3UZAGTPL92363UZA-A2A-GTPL9236
22.22Single5WKTOctyl-Beta-D-Glucopyranoside5WKT-Rhodopsin-Octyl-β-D-Glucopyranoside-Gt(CT)
22.22Single6ME5Agomelatine6ME5-MT1-Agomelatine
22.22Single6OIKLY21196206OIK-M2-Iperoxo-LY2119620-chim(NtGi1-Go)/β1/γ2
22.22Single7C6A(Sar1,Ile8)-Angiotensin II7C6A-AT2-(Sar1,Ile8)-Angiotensin II
22.22Single7DD7Ca; Ca; Tryptophan; Evocalcet7DD7-CaS; CaS-Ca-Ca; Ca; Tryptophan; Evocalcet
22.22Single7SK5CXCL127SK5-ACKR3-CXCL12
22.22Single8EITDoconexent8EIT-FFA1-Doconexent-chim(NtGi1L-Gs-CtGq)/β1/γ2
22.22Single8F7QBeta-Endorphin8F7Q-μ-β-Endorphin-Gi1/β1/γ2
22.22Single8ITFDMCHA8ITF-TAA9-DMCHA-chim(NtGi1-Gs)/β1/γ2
22.22Single8IW72-Phenylethylamine8IW7-TAA9-2-Phenylethylamine-chim(NtGi1-Gs)/β1/γ2
22.22Single8JBHSubstance-P8JBH-NK3-Substance-P-chim(NtGi1-Gs-CtGq)/β1/γ2
22.22Single8JXTHistamine8JXT-H4-Histamine-PO4-Gi1/β1/γ2
22.22Single8JZZC5a-des-Arg8JZZ-C5a1-C5a-des-Arg-Go/β1/γ2
22.22Single8POKHistamine8POK-H2-Histamine-Gs/β1/γ2
22.22Single8WC9ZH86518WC9-TA1-ZH8651-chim(NtGi1-Gs-CtGq)/β1/γ2
22.22Single8Y63C20:0 Ceramide8Y63-FPR2-ALX-C20:0 Ceramide-Gi1/β1/γ2
22.22Single8YN9Histamine8YN9-H4-Histamine-Gi1/β1/γ2
22.22Single8YUUHistamine8YUU-H3-Histamine-Gi1/β1/γ1
22.22Single9J0FNADH9J0F-P2Y14-NADH-Gi1/β1/γ2
22.22Single9JKT(2R)-2-hydroxy-3-phenylpropanoic acid9JKT-HCA3-(2R)-2-hydroxy-3-phenylpropanoic acid-Gi1/β1/γ2
22.22Single9KT7MK68929KT7-HCA2-MK6892-Gi1/β1/γ2
22.22Single9L60Dynorphin9L60-κ-Dynorphin-MPAM-15-Gi1/β1/γ2
22.22Single9LRCHistamine9LRC-H4-Histamine
22.22Single9LREHistamine9LRE-H4-Histamine-Gi1/β1/γ2
22.22Consensusformylpeptide_on_gpOrthosteric Ligandfpr2-alx_on_gp fpr1-alx_on_gp
22.22Consensusglucagon_on_gpOrthosteric Ligandglp_on_gp gluc_on_gp secretin_on_gp gip_on_gp
22.22Consensush2_on_gpOrthosteric Ligand8POK-H2-Histamine-Gs/β1/γ2
22.22Consensush3_onOrthosteric Ligand8YUU-H3-Histamine-Gi1/β1/γ1
22.22Consensush3_on_gpOrthosteric Ligand8YUU-H3-Histamine-Gi1/β1/γ1
22.22Consensusopsins_on_gpOrthosteric Ligandrhodopsin_on_gp opsin1lw_on_gp
22.22Consensuspth_onOrthosteric Ligandpth1_on pth2_on
22.22Consensusrhodopsin_onOrthosteric Ligand6OYA-Rhodopsin-All-trans-Retinal-Gt/β1/γ1
22.22Consensussensory_on_gpOrthosteric Ligandopsins_on_gp
22.22Consensustachykinin_on_gpOrthosteric Ligandnk1_on_gp nk2_on_gp nk3_on_gp
21.88Single5VAIGLP-15VAI-GLP-1-GLP-1-Gs/β1/γ2
21.88Single6WZGSecretin6WZG-Secretin-Secretin-Gs/β1/γ2
21.88Single7D68GLP-27D68-GLP-2-GLP-2-Gs/β1/γ2
21.88Single7TS0Urocortin7TS0-CRF2-Urocortin-chim(NtGi1L-Go)/β1/γ2
21.88Single9P93VIP9P93-PAC1-VIP-Gs/β1/γ2
21.88Consensusvip-pacap_onOrthosteric Ligandvpac_on pac_on
21.88Consensusvip-pacap_on_gpOrthosteric Ligandvpac_on_gp pac_on_gp
21.74Single4U15Tiotropium4U15-M3-Tiotropium
21.74Single5V54Methiothepin5V54-5-HT1B-Methiothepin
21.74Single6J20Aprepitant6J20-NK1-Aprepitant
21.74Single6OL9Tiotropium6OL9-M5-Tiotropium
21.74Single6RZ5Zafirlukast6RZ5-CysLT1-Zafirlukast-Na
21.74Single7EW4CYM-55417EW4-S1P3-CYM-5541-Gi1/β1/γ2
21.74Single7PX4PSB-21137PX4-A2A-PSB-2113
21.74Single7XAVLanreotide7XAV-SST2-Lanreotide-Gi1/β1/γ2
21.74Single7XJLSpexin7XJL-GAL2-Spexin-chim(NtGi2L-Gs-CtGq)/β1/γ2
21.74Single7XWONeurokinin-A7XWO-NK2-Neurokinin-A-chim(NtGi1-Gs-CtGq)/β1/γ2
21.74Single8FN1Neurotensin-(8-13)8FN1-NTS1-Neurotensin-(8-13)-chim(NtGi1-Go)/β1/γ2
21.74Single8JLPRalmitaront8JLP-TA1-Ralmitaront-Gs/β1/γ2
21.74Single8JXWVUF68848JXW-H4-VUF6884-Gi1/β1/γ2
21.74Single8JXXClobenpropit8JXX-H4-Clobenpropit-Gi1/β1/γ2
21.74Single8VVEnorBNI8VVE-κ-norBNI-Gi1/β1/γ2
21.74Single8X16Piclidenoson8X16-A3A-Piclidenoson-Gi1/β1/γ2
21.74Single9ASTLymphotactin9AST-XCR1-Lymphotactin-Gi1/β1/γ2
21.74Consensus5ht1_offOrthosteric Ligand5ht1b_off
21.74Consensus5ht1b_offOrthosteric Ligand5V54-5-HT1B-Methiothepin
21.74Consensusffa_onOrthosteric Ligandffa2_on ffa3_on
21.74Consensusffa_on_gpOrthosteric Ligandffa2_on_gp ffa3_on_gp
21.74Consensusgi_ffaOrthosteric Ligand8J21-FFA3-Butyric acid-Gi1/β1/γ2 8J22-FFA2-TUG-1375-Gi1/β1/γ2
21.74Consensusgi_relaxinOrthosteric Ligand7YK7-RXFP4-DC591053-Gi2/β1/γ2 7YJ4-RXFP4-INSL5-Gi2/β1/γ2 7YK6-RXFP4-PubChem 138319674-Gi2/β1/γ2
21.74Consensush4_on_gpOrthosteric Ligand8HN8-H4-Histamine-Gi1/β1/γ2 8HOC-H4-Imetit-Gi1/β1/γ2 8JXV-H4-Clozapine-Gi1/β1/γ2 8JXW-H4-VUF6884-Gi1/β1/γ2 8JXX-H4-Clobenpropit-Gi1/β1/γ2
21.74Consensusm3_offOrthosteric Ligand4U15-M3-Tiotropium 4U16-M3-N-methyl-Scopolamine 5ZHP-M3-PubChem 134828589
21.74Consensusm5_offOrthosteric Ligand6OL9-M5-Tiotropium
21.74Consensusmuscarinic_offOrthosteric Ligandm2_off m3_off m4_off m5_off m1_off
21.74Consensusnk2_on_gpOrthosteric Ligand7XWO-NK2-Neurokinin-A-chim(NtGi1-Gs-CtGq)/β1/γ2
21.74Consensusprotein_offOrthosteric Ligandchemokine_off grh_off
21.74Consensusrelaxin_onOrthosteric Ligandrxfp4_on
21.74Consensusrelaxin_on_gpOrthosteric Ligandrxfp4_on_gp
21.43Single7O7F6P4-CCL57O7F-CCR5-6P4-CCL5-Gi1/β1/γ1
21.43Single7RYCOxytocin7RYC-OT-Oxytocin-chim(NtGi2L-Gs-CtGq)/β1/γ2
21.43Single9IVMGLP-1 (Truncated)9IVM-GLP-1-GLP-1 (Truncated)-LSN3318839-chim(NtGi1-Gs)/β2/γ2
21.43Single9M1ONeuropeptide-FF9M1O-NPFF2-Neuropeptide-FF-Gi1/β1/γ2
21.43Consensusccr_onOrthosteric Ligandccr6_on ccr8_on ccr2_on ccr1_on ccr5_on
21.43Consensusfpr2-alx_onOrthosteric Ligand7WVX-FPR2-ALX-Humanin-Gi2/β1/γ2 7T6U-FPR2-ALX-CGEN-855A-Gi1/β1/γ2 7T6V-FPR2-ALX-fMLFII-Gi1/β1/γ2 7WVY-FPR2-ALX-Amyloid-β42-Gi2/β1/γ2 7T6S-FPR2-ALX-TC-FPR 43-Gi1/β1/γ2 6OMM-FPR2-ALX-WKYMVX-Gi1/β1/γ2
21.43Consensusmc3_onOrthosteric Ligand8IOC-MC3-γ-MSH-Ca-chim(NtGi1-Gs)/β1/γ2
21.43Consensusmc3_on_gpOrthosteric Ligand8IOC-MC3-γ-MSH-Ca-chim(NtGi1-Gs)/β1/γ2
21.21Consensusclass-a_class-b1_cons_onOrthosteric Ligandclass-a_on class-b1_on
21.05Single1L9H11-cis-Retinal1L9H-Rhodopsin-11-cis-Retinal
21.05Single5TE520-Methanoretinal5TE5-Rhodopsin-20-Methanoretinal
21.05Single6I9K9-cis-Retinal6I9K-Rhodopsin-9-cis-Retinal
21.05Single6QNOAll-trans-Retinal6QNO-Rhodopsin-All-trans-Retinal-Gi1/β1/γ1
21.05Single7DD5Ca; Ca; Tryptophan; NPS-21437DD5-CaS; CaS-Ca-Ca; Ca; Tryptophan; NPS-2143
21.05Single7DD7Ca; Ca; Tryptophan; Evocalcet7DD7-CaS; CaS-Ca-Ca; Ca; Tryptophan; Evocalcet
21.05Single7E2YSerotonin7E2Y-5-HT1A-Serotonin-PtdIns4P-Gi1/β1/γ2
21.05Single7F16TIP397F16-PTH2-TIP39-Gs/β1/γ2
21.05Single7T96LY21196207T96-M2-Acetylcholine-LY2119620-Go/β1/γ2
21.05Single7TRPLY20332987TRP-M4-Iperoxo-LY2033298-Gi1/β1/γ2
21.05Single7VUIJNJ-635330547VUI-GPR139-JNJ-63533054-GTP-chim(Gs-CtGq)/β1/γ2
21.05Single7XP6Strychnine7XP6-TAS2R46-Strychnine-chim(Gs-CtGt3)/β1/γ2
21.05Single7YFCHistamine7YFC-H4-Histamine-chim(NtGi1-Gs-CtGq)/β1/γ2
21.05Single8DPFLorcaserin8DPF-5-HT2C-Lorcaserin-chim(NtGi2L-Gs-CtGq)/β1/γ2
21.05Single8JLOUlotaront8JLO-TA1-Ulotaront-Gs/β1/γ2
21.05Single8YN5Histamine8YN5-H3-Histamine-Gi1/β1/γ2
21.05Single8YN6Imetit8YN6-H3-Imetit-Gi1/β1/γ2
21.05Single8YN7Immethridine8YN7-H3-Immethridine-Go/β1/γ2
21.05Single8ZSVRO52633978ZSV-TA1-RO5263397-chim(NtGi1-Gs)/β1/γ2
21.05Single9AS2DMT9AS2-5-HT2A-DMT-chim(NtGi1-Gs-CtGq)/β1/γ2
21.05Single9JEDHistamine9JED-H4-Histamine-PO4-Gi1/β1/γ2
21.05Single9JEQHistamine9JEQ-H3-Histamine-Gi1/β1/γ2
21.05Single9JLCAVE 09919JLC-MAS1-AVE 0991-Gi1/β1/γ2
21.05Single9L42Histamine9L42-H4-Histamine-Gi1/β1/γ2
20.83Single5CXVTiotropium5CXV-M1-Tiotropium
20.83Single6OS2TRV0266OS2-AT1-TRV026
20.83Single7DFPSpiperone7DFP-D2-Spiperone
20.83Single7EPENAM5637EPE-mGlu2-NAM563
20.83Single7EVYSiponimod7EVY-S1P1-Siponimod-Gi1/β1/γ2
20.83Single7WCMMBX-29827WCM-GPR119-MBX-2982-Gs/β1/γ2
20.83Single7WQ4Galanin7WQ4-GAL2-Galanin-chim(NtGi1-Gs-CtGq)/β1/γ2
20.83Single7XJKGalanin7XJK-GAL2-Galanin-chim(NtGi2L-Gs-CtGq)/β1/γ2
20.83Single7XZ5Lysophosphatidylcholine7XZ5-GPR119-Lysophosphatidylcholine-Gs/β1/γ2
20.83Single8E9W2-Deoxycytidine8E9W-M3-2-Deoxycytidine-chim(NtGi2L-Gs-CtGq)/β1/γ2
20.83Single8JD3JNJ-404118138JD3-mGlu2; mGlu3-Glutamate-JNJ-40411813-Gi1/β1/γ2
20.83Single8U26Substance-P8U26-NK1-Substance-P-Gs/β1/γ2
20.83Single8XQSCholesterol8XQS-TAS2R14-Cholesterol-Flufenamic acid-Gi1/β1/γ1
20.83Consensuscxcr_onOrthosteric Ligandcxcr3_on cxcr4_on cxcr1_on cxcr2_on
20.83Consensusffa2_on_gpOrthosteric Ligand8J22-FFA2-TUG-1375-Gi1/β1/γ2
20.83Consensusgi_muscarinicOrthosteric Ligand8E9X-M4-2-Deoxycytidine-chim(NtGi1-Go)/β1/γ2 7T8X-M2-Acetylcholine-chim(NtGi1-Go)/β1/γ2 7TRS-M4-Acetylcholine-Gi1/β1/γ2 7TRK-M4-Iperoxo-Gi1/β1/γ2 7V6A-M4-PubChem 9864275-Gi1/β1/γ2
20.83Consensusleukotriene_offOrthosteric Ligandblt_off cyslt_off
20.83Consensusm1_offOrthosteric Ligand5CXV-M1-Tiotropium
20.83Consensusm4_onOrthosteric Ligand7TRS-M4-Acetylcholine-Gi1/β1/γ2 7V6A-M4-PubChem 9864275-Gi1/β1/γ2 8E9X-M4-2-Deoxycytidine-chim(NtGi1-Go)/β1/γ2 7TRK-M4-Iperoxo-Gi1/β1/γ2
20.83Consensusm4_on_gpOrthosteric Ligand7TRS-M4-Acetylcholine-Gi1/β1/γ2 7V6A-M4-PubChem 9864275-Gi1/β1/γ2 8E9X-M4-2-Deoxycytidine-chim(NtGi1-Go)/β1/γ2 7TRK-M4-Iperoxo-Gi1/β1/γ2
20.69Single8IHFMK68928IHF-HCA2-MK6892-Gi1/β1/γ2
20.69Single8YW3Retatrutide8YW3-GLP-1-Retatrutide-Gs/β1/γ2
20.69Single8YW4Retatrutide8YW4-GIP-Retatrutide-chim(NtGi1-Gs)/β1/γ2
20.69Consensusfpr2-alx_on_gpOrthosteric Ligand7WVX-FPR2-ALX-Humanin-Gi2/β1/γ2 7T6U-FPR2-ALX-CGEN-855A-Gi1/β1/γ2 7T6V-FPR2-ALX-fMLFII-Gi1/β1/γ2 7WVY-FPR2-ALX-Amyloid-β42-Gi2/β1/γ2 7T6S-FPR2-ALX-TC-FPR 43-Gi1/β1/γ2 6OMM-FPR2-ALX-WKYMVX-Gi1/β1/γ2
20.69Consensusgi_formylpeptideOrthosteric Ligand7WVY-FPR2-ALX-Amyloid-β42-Gi2/β1/γ2 7T6U-FPR2-ALX-CGEN-855A-Gi1/β1/γ2 7VFX-FPR1-ALX-fMIFL-Gi1/β1/γ2 7T6V-FPR2-ALX-fMLFII-Gi1/β1/γ2 7WVX-FPR2-ALX-Humanin-Gi2/β1/γ2 7T6S-FPR2-ALX-TC-FPR 43-Gi1/β1/γ2 6OMM-FPR2-ALX-WKYMVX-Gi1/β1/γ2
20.69Consensusneuromedin-u_onOrthosteric Ligandnmur1_on nmur2_on
20.69Consensustachykinin_onOrthosteric Ligandnk1_on nk2_on nk3_on
20.59Single7SK6CXCL12_LRHQ7SK6-ACKR3-CXCL12_LRHQ
20.59Single7VBHPeptide-207VBH-GLP-1-Peptide-20-Gs/β1/γ2
20.00Single2PED9-cis-Retinal2PED-Rhodopsin-9-cis-Retinal
20.00Single3ODUIT1t3ODU-CXCR4-IT1t
20.00Single3V2WPubChem 518926453V2W-S1P1-PubChem 51892645
20.00Single3VG9ZM-2413853VG9-A2A-ZM-241385-Antibody
20.00Single4BUONeurotensin-(8-13)4BUO-NTS1-Neurotensin-(8-13)
20.00Single4MQTLY21196204MQT-M2-Iperoxo-LY2119620
20.00Single4RWSvMIP-II4RWS-CXCR4-vMIP-II
20.00Single5YQZNNC17025YQZ-Glucagon-NNC1702
20.00Single6BQHRitanserin6BQH-5-HT2C-Ritanserin
20.00Single6D9HAdenosine6D9H-A1-Adenosine-Gi2/β1/γ2
20.00Single6KUYPubChem 1457046436KUY-α2a-PubChem 145704643
20.00Single6ME2Ramelteon6ME2-MT1-Ramelteon
20.00Single6ME9Ramelteon6ME9-MT2-Ramelteon
20.00Single6OYAAll-trans-Retinal6OYA-Rhodopsin-All-trans-Retinal-Gt/β1/γ1
20.00Single6WPWZP37806WPW-Glucagon-ZP3780-Gs/β1/γ2
20.00Single7F8YDevazepide7F8Y-CCKA-Devazepide
20.00Single7LJDDopamine7LJD-D1-Dopamine-Mevidalen-Gs/β1/γ1
20.00Single7M3ECa; Ca; Tryptophan; NPS-21437M3E-CaS; CaS-Ca; Ca; Tryptophan; NPS-2143
20.00Single7M3ECa; Ca; Tryptophan; NPS-21437M3E-CaS; CaS-Ca; Ca; Tryptophan; NPS-2143
20.00Single7M3FCa; Ca; Tryptophan; Cinacalcet7M3F-CaS; CaS-Ca; Ca; Tryptophan; Cinacalcet
20.00Single7QVMOxytocin7QVM-OT-Oxytocin-chim(NtGi1-Go-CtGq)/β1/γ2
20.00Single7S8PMS471347S8P-MRGPRX4-MS47134-chim(NtGi2L-Gs-CtGq)/β1/γ2
20.00Single7T6STC-FPR 437T6S-FPR2-ALX-TC-FPR 43-Gi1/β1/γ2
20.00Single7T8XAcetylcholine7T8X-M2-Acetylcholine-chim(NtGi1-Go)/β1/γ2
20.00Single7T90Acetylcholine7T90-M2-Acetylcholine-chim(NtGi1-Go)/β1/γ2
20.00Single7T96Acetylcholine7T96-M2-Acetylcholine-LY2119620-Go/β1/γ2
20.00Single7VUJJNJ-635330547VUJ-GPR139-JNJ-63533054-GDP-chim(Gs-CtGq)/β1/γ2
20.00Single7X2CFenoldopam7X2C-D1-Fenoldopam-Fenoldopam-Gs/β1/γ2
20.00Single7YM8Oxymetazoline7YM8-Alpha1A-Oxymetazoline-chim(Gs-CtGq)
20.00Single8A6CAll-trans-Retinal8A6C-Rhodopsin-All-trans-Retinal
20.00Single8A6DAll-trans-Retinal8A6D-Rhodopsin-All-trans-Retinal
20.00Single8A6EAll-trans-Retinal8A6E-Rhodopsin-All-trans-Retinal
20.00Single8FN0Neurotensin-(8-13)8FN0-NTS1-Neurotensin-(8-13)-SBI-553-chim(NtGi1-Go)/β1/γ2
20.00Single8H8JLodoxamide8H8J-GPR35-Lodoxamide-Ca-chim(NtGi1L-G13)/β1/γ2
20.00Single8HDPAdenosine8HDP-A2B-Adenosine-Gs/β1/γ2
20.00Single8HOCImetit8HOC-H4-Imetit-Gi1/β1/γ2
20.00Single8IJANiacin8IJA-HCA2-Niacin-Gi1/β1/γ2
20.00Single8J19LY2378J19-GPR84-LY237-Gi1/β1/γ2
20.00Single8J6LNiacin8J6L-HCA2-Niacin-Gi1/β1/γ2
20.00Single8WC3SEP-3638568WC3-TA1-SEP-363856-chim(NtGi1-Gs)/β1/γ2
20.00Single8WPGTryptophan; Cinacalcet; PO4; Ca8WPG-CaS; CaS-Tryptophan; Cinacalcet; PO4; Ca
20.00Single8XVJMacitentan8XVJ-ETA-Macitentan
20.00Single8Y0HVUF114188Y0H-CXCR3-VUF11418
20.00Single8Y0NVUF114188Y0N-CXCR3-VUF11418-Go/β1/γ2
20.00Single8YNAImmepip8YNA-H4-Immepip-Gi1/β1/γ2
20.00Single8YUVImmepip8YUV-H3-Immepip-Gi1/β1/γ2
20.00Single8ZX4Lysophosphatidylinositol 8ZX4-GPR55-Lysophosphatidylinositol-chim(NtGi1-G13)/β1/γ2
20.00Single9C1PCa; Tryptophan; '6218; PO49C1P-CaS; CaS-Ca-Ca; Tryptophan; '6218; PO4
20.00Single9C2FCa; Ca; Tryptophan; '54149; PO49C2F-CaS; CaS-Ca-Ca; Ca; Tryptophan; '54149; PO4
20.00Single9KVHCinobufotenine9KVH-5-HT1A-Cinobufotenine-PtdIns4P-Gi1/β1/γ2
20.00Single9L79AR2314539L79-GPR119-AR231453-chim(NtGi1-Gs)/β1/γ2
20.00Single9LRBHistamine9LRB-H1-Histamine-Gs/β1/γ2
20.00Single9M88Oleic monoethanolamide9M88-GPR3 ; GPR3-Oleic monoethanolamide-AF64394
20.00Single9UYHChemerin-99UYH-CML2-Chemerin-9-Arrestin2
20.00Consensus5ht2c_offOrthosteric Ligand6BQH-5-HT2C-Ritanserin
20.00Consensusccr_on_gpOrthosteric Ligandccr6_on_gp ccr8_on_gp ccr2_on_gp ccr1_on_gp ccr5_on_gp
20.00Consensuscrf_on_gpOrthosteric Ligandcrf2_on_gp crf1_on_gp
20.00Consensusgq_histamineOrthosteric Ligand7DFL-H1-Histamine-chim(NtGi1L-Gq)/β1/γ2
20.00Consensush1_on_gpOrthosteric Ligand7DFL-H1-Histamine-chim(NtGi1L-Gq)/β1/γ2
20.00Consensushistamine_onOrthosteric Ligandh1_on h2_on h3_on h4_on
20.00Consensushistamine_on_gpOrthosteric Ligandh1_on_gp h2_on_gp h3_on_gp h4_on_gp
20.00Consensusm2_onOrthosteric Ligand7T8X-M2-Acetylcholine-chim(NtGi1-Go)/β1/γ2
20.00Consensusm2_on_gpOrthosteric Ligand7T8X-M2-Acetylcholine-chim(NtGi1-Go)/β1/γ2
20.00Consensusneuromedin-u_on_gpOrthosteric Ligandnmur1_on_gp nmur2_on_gp
20.00Consensusnk2_onOrthosteric Ligand7XWO-NK2-Neurokinin-A-chim(NtGi1-Gs-CtGq)/β1/γ2
20.00Consensuspac_onOrthosteric Ligandpac1_on
20.00Consensuspth_on_gpOrthosteric Ligandpth1_on_gp pth2_on_gp
20.00Consensusrhodopsin_offOrthosteric Ligand1U19-Rhodopsin-11-cis-Retinal 2PED-Rhodopsin-9-cis-Retinal 5TE5-Rhodopsin-20-Methanoretinal
20.00Consensusrhodopsin_on_gpOrthosteric Ligand6OYA-Rhodopsin-All-trans-Retinal-Gt/β1/γ1
20.00Consensuss1p1_offOrthosteric Ligand3V2W-S1P1-PubChem 51892645
20.00Consensusvpac_onOrthosteric Ligandvpac1_on vpac2_on
19.44Consensusglucagon_onOrthosteric Ligandglp_on gluc_on secretin_on gip_on
19.35Single6FJ3PTH6FJ3-PTH1-PTH
19.35Single6P9YPACAP276P9Y-PAC1-PACAP27-Gs/β1/γ2
19.35Single7D3SSecretin7D3S-Secretin-Secretin-Gs/β1/γ2
19.35Single7KI0Semaglutide7KI0-GLP-1-Semaglutide-Gs/β1/γ2
19.35Single7RA3GIP7RA3-GIP-GIP-chim(NtGi1-Gs)/β1/γ2
19.35Single9J1Pg1:Ox9J1P-GLP-1-g1:Ox-chim(NtGi1-Gs)/β1/γ2
19.35Consensusccr5_onOrthosteric Ligand7O7F-CCR5-6P4-CCL5-Gi1/β1/γ1 7F1Q-CCR5-CCL3-Gi1/β1/γ2
19.35Consensusccr_offOrthosteric Ligandccr2_off ccr5_off
19.35Consensussecretin_onOrthosteric Ligand7D3S-Secretin-Secretin-Gs/β1/γ2
19.35Consensusvpac_on_gpOrthosteric Ligandvpac1_on_gp vpac2_on_gp
19.23Single6OMMWKYMVX6OMM-FPR2-ALX-WKYMVX-Gi1/β1/γ2
19.23Single8J22TUG-13758J22-FFA2-TUG-1375-Gi1/β1/γ2
19.23Single8Z74JN241-98Z74-Apelin; Apelin-JN241-9
19.23Single9KX6C5a-des-Arg9KX6-C5a1-C5a-des-Arg-Go/β1/γ2
19.23Consensuscxcr4_offOrthosteric Ligand4RWS-CXCR4-vMIP-II 3OE0-CXCR4-CVX15 3OE6-CXCR4-IT1t
19.23Consensusformylpeptide_onOrthosteric Ligandfpr2-alx_on fpr1-alx_on
19.05Single3RZECidoxepin3RZE-H1-Cidoxepin
19.05Single4MQTIperoxo4MQT-M2-Iperoxo-LY2119620
19.05Single5UVIZM-2413855UVI-A2A-ZM-241385
19.05Single6FK8PubChem 1324730356FK8-Rhodopsin-PubChem 132473035
19.05Single6TPKRetosiban6TPK-OT-Retosiban
19.05Single6U1NLY21196206U1N-M2-LY2119620-Arrestin2
19.05Single6WH4Methiothepin6WH4-5-HT2A-Methiothepin
19.05Single6WJCAtropine6WJC-M1-Atropine-Muscarinic toxin 7
19.05Single6WJCMuscarinic toxin 76WJC-M1-Atropine-Muscarinic toxin 7
19.05Single7BB6AVP7BB6-V2-AVP-Gs/β1/γ2
19.05Single7T94Acetylcholine7T94-M2-Acetylcholine-LY2119620-chim(NtGi1-Go)/β1/γ2
19.05Single7T94LY21196207T94-M2-Acetylcholine-LY2119620-chim(NtGi1-Go)/β1/γ2
19.05Single7TRSAcetylcholine7TRS-M4-Acetylcholine-Gi1/β1/γ2
19.05Single7VUGJNJ-635330547VUG-GPR139-JNJ-63533054-Gi1/β1/γ2
19.05Single7XXH2MeSADP7XXH-P2Y1-2MeSADP-chim(NtGi1-G11)/β1/γ2
19.05Single8DPGPsilocin8DPG-5-HT2C-Psilocin-chim(NtGi2L-Gs-CtGq)/β1/γ2
19.05Single8IY9Niacin8IY9-HCA2-Niacin-Go/β1/γ2
19.05Single8JERAcipimox8JER-HCA2-Acipimox-Go/β1/γ2
19.05Single8JLKUlotaront8JLK-TA1-Ulotaront-chim(NtGi1-Gs)/β1/γ2
19.05Single8K2WAMG4878K2W-CXCR3-AMG487
19.05Single8K4SDCA-3P8K4S-MRGPRX4-DCA-3P-chim(NtGi1L-Gs-CtGq)/β1/γ2
19.05Single8PM2DMCHA8PM2-TA7-DMCHA-Gs/β1/γ2
19.05Single8UHBRO52563908UHB-TA1-RO5256390-Gs/β1/γ2
19.05Single8W8BSEP-3638568W8B-5-HT1A-SEP-363856-Gi1/β1/γ2
19.05Single8WPGTryptophan; Cinacalcet; PO4; Ca8WPG-CaS; CaS-Tryptophan; Cinacalcet; PO4; Ca
19.05Single8WPUTryptophan; Cinacalcet; PO4; Ca8WPU-CaS; CaS-Tryptophan; Cinacalcet; PO4; Ca-chim(NtGi2L-Gs-CtGq)/β1/γ2
19.05Single8Y01All-trans-Retinal8Y01-Opsin1MW-All-trans-Retinal-Gi1/β1/γ2
19.05Single8Y53MK50468Y53-BB3-MK5046-chim(NtGi1-Gs-CtGq)/β1/γ2
19.05Single8Y62C16:0 Ceramide8Y62-FPR2-ALX-C16:0 Ceramide-Gi1/β1/γ2
19.05Single8ZMGPimavanserin8ZMG-5-HT2A-Pimavanserin
19.05Single8ZPNAMD31008ZPN-CXCR4-AMD3100
19.05Single9AS8Psilocin9AS8-5-HT2A-Psilocin-chim(NtGi2L-Gs-CtGq)/β1/γ2
19.05Single9ASBCa; Ca; Cyclomethyltryptophan; R-568; PO49ASB-CaS; CaS-Ca-Ca; Ca; Cyclomethyltryptophan; R-568; PO4-chim(NtGi1-Gs-CtGq)/β1/γ2
19.05Single9AVGCa; Ca; Cyclomethyltryptophan; R-568; PO49AVG-CaS; CaS-Ca-Ca; Ca; Cyclomethyltryptophan; R-568; PO4-chim(NtGi1-Gs)/β1/γ2
19.05Single9AXFCa; Ca; Ca; Cyclomethyltryptophan; R-568; PO49AXF-CaS; CaS-Ca-Ca; Ca; Ca; Cyclomethyltryptophan; R-568; PO4-chim(NtGi1-Gs-CtGq)/β1/γ2
19.05Single9EPQ11,20-Ethanoretinal9EPQ-Rhodopsin-11,20-Ethanoretinal-chim(Gi1-CtGq)/β1/γ2
19.05Single9JKYAcifran9JKY-HCA2-Acifran-Gi1/β1/γ2
19.05Single9KVIBufotenin9KVI-5-HT1A-Bufotenin-PtdIns4P-Gi1/β1/γ2
19.05Single9LRDHistamine9LRD-H1-Histamine-Gi1/β1/γ2
19.05Consensus5ht2a_offOrthosteric Ligand6A94-5-HT2A-Zotepine 6A93-5-HT2A-Risperidone 7VOD-5-HT2A-Cariprazine 7WC8-5-HT2A-Lumateperone 8JT8-5-HT2A-(R)-IHCH-7179
19.05Consensuscb1_offOrthosteric Ligand5U09-CB1-Taranabant 5TGZ-CB1-AM6538
19.05Consensuscxcr3_offOrthosteric Ligand8K2W-CXCR3-AMG487
19.05Consensusopsins_offOrthosteric Ligandrhodopsin_off
19.05Consensusot_offOrthosteric Ligand6TPK-OT-Retosiban
19.05Consensusp2y1_on_gpOrthosteric Ligand7XXH-P2Y1-2MeSADP-chim(NtGi1-G11)/β1/γ2
19.05Consensussensory_offOrthosteric Ligandopsins_off
19.05Consensusvasop-oxy_offOrthosteric Ligandot_off
18.75Single7DTYGIP7DTY-GIP-GIP-Gs/β1/γ2
18.75Single7FIYTirzepatide7FIY-GIP-Tirzepatide-Gs/β1/γ2
18.75Single7S1MExendin-4-D-Ala7S1M-GLP-1-Exendin-4-D-Ala-Gs/β1/γ2
18.75Single7VQXPACAP277VQX-VPAC1-PACAP27-Gs/β1/γ2
18.75Single8FU6ZP37808FU6-Glucagon-ZP3780-Gs/β1/γ2
18.75Single8GEJConstrained Epinephrine8GEJ-β2-Constrained Epinephrine-Gs/β1/γ2
18.75Single8HAOPTH8HAO-PTH1-PTH-chim(NtGi1-Gs)/β1/γ2
18.75Single8WCCCyclohexylammonium Ion8WCC-TA1-Cyclohexylammonium Ion
18.75Single9P94PACAP279P94-PAC1-PACAP27-Gs/β1/γ2
18.75Consensussecretin_on_gpOrthosteric Ligand7D3S-Secretin-Secretin-Gs/β1/γ2
18.52Single7L0RNeurotensin-(8-13)7L0R-NTS1-Neurotensin-(8-13)-Gi1/β1/γ1
18.52Single7QA8Antagonist Peptide7QA8-STE2; STE2-Antagonist Peptide
18.52Single7QA8Antagonist Peptide7QA8-STE2; STE2-Antagonist Peptide
18.52Single7T6UCGEN-855A7T6U-FPR2-ALX-CGEN-855A-Gi1/β1/γ2
18.52Single7W2ZGhrelin7W2Z-Ghrelin-Ghrelin-Go/β1/γ2
18.52Single7XMRSomatostatin-147XMR-SST2-Somatostatin-14-Gi1/β1/γ2
18.52Single8INRAlpha-MSH8INR-MC5-α-MSH-Ca-chim(NtGi1-Gs)/β1/γ2
18.52Single8XBHPubChem 1626566368XBH-GPR34-PubChem 162656636-Gi1/β1/γ2
18.52Single8YWFRetatrutide8YWF-GLP-1-Retatrutide-chim(NtGi1-Gs)/β1/γ2
18.52Single8ZCJPasireotide8ZCJ-SST5-Pasireotide-Gi1/β1/γ1
18.52Single9J0IUDP-Glucuronic acid9J0I-P2Y14-UDP-Glucuronic acid-Gi1/β1/γ2
18.52Single9L3YChemerin9L3Y-CML2-Chemerin-Gi1/β1/γ2
18.52Single9MEJGp1209MEJ-CXCR4-Gp120
18.52Consensuschemokine_onOrthosteric Ligandccr_on cxcr_on
18.18Single4DAJTiotropium4DAJ-M3-Tiotropium
18.18Single4MQSIperoxo4MQS-M2-Iperoxo
18.18Single4U14Tiotropium4U14-M3-Tiotropium
18.18Single4U16N-methyl-Scopolamine4U16-M3-N-methyl-Scopolamine
18.18Single5YC8N-methyl-Scopolamine5YC8-M2-N-methyl-Scopolamine
18.18Single5ZK8N-methyl-Scopolamine5ZK8-M2-N-methyl-Scopolamine
18.18Single5ZKCN-methyl-Scopolamine5ZKC-M2-N-methyl-Scopolamine
18.18Single6FK7PubChem 1324730346FK7-Rhodopsin-PubChem 132473034
18.18Single6FKCPubChem 1324730396FKC-Rhodopsin-PubChem 132473039
18.18Single6FKDPubChem 1373491836FKD-Rhodopsin-PubChem 137349183
18.18Single6GPSMK08126GPS-CCR2-MK0812
18.18Single6LMLGlucagon6LML-Glucagon-Glucagon-Gi1/β1/γ1
18.18Single6NBHLA-PTH Analog6NBH-PTH1-LA-PTH Analog-Gs/β1/γ2
18.18Single6ORVTT-OAD26ORV-GLP-1-TT-OAD2-Gs/β1/γ2
18.18Single6PB1Urocortin6PB1-CRF2-Urocortin-chim(NtGi1-Gs)/β1/γ2
18.18Single7CFMP3957CFM-GPBA-P395-Gs/β1/γ2
18.18Single7LCIDanuglipron7LCI-GLP-1-Danuglipron-Gs/β1/γ2
18.18Single7LCKDanuglipron7LCK-GLP-1-Danuglipron
18.18Single7M3JNPS-2143; PO47M3J-CaS; CaS-NPS-2143; PO4
18.18Single7TRPIperoxo7TRP-M4-Iperoxo-LY2033298-Gi1/β1/γ2
18.18Single7WQ3Galanin7WQ3-GAL1-Galanin-Gi1/β1/γ2
18.18Single7YXAONO-54306087YXA-S1P5-ONO-5430608
18.18Single8GCML-9026888GCM-EP4-L-902688-Gi1/β1/γ2
18.18Single8JT8(R)-IHCH-71798JT8-5-HT2A-(R)-IHCH-7179
18.18Single8XBGS3E-Lysophosphatidylserine 8XBG-GPR34-S3E-Lysophosphatidylserine
18.18Single8YN8Proxyfan8YN8-H3-Proxyfan-Go/β1/γ2
18.18Single8ZYYNeurotensin-(8-13)8ZYY-NTS1-Neurotensin-(8-13)-SBI-553-Arrestin2
18.18Single9IYAONO-97105319IYA-GPR55-ONO-9710531
18.18Single9IZCMK19039IZC-HCA2-MK1903-Gi1/β1/γ2
18.18Single9JEAAtropine9JEA-M1-Atropine
18.18Single9KFTfMLFC9KFT-FPR1-ALX-fMLFC-Gi1/β1/γ2
18.18Single9UAZAtropine9UAZ-M1-Atropine
18.18Consensusccr2_offOrthosteric Ligand6GPS-CCR2-MK0812
18.18Consensusgal1_onOrthosteric Ligand7WQ3-GAL1-Galanin-Gi1/β1/γ2
18.18Consensusgal1_on_gpOrthosteric Ligand7WQ3-GAL1-Galanin-Gi1/β1/γ2
18.18Consensusgi_galaninOrthosteric Ligand7WQ3-GAL1-Galanin-Gi1/β1/γ2
18.18Consensusgi_histamineOrthosteric Ligand8JXX-H4-Clobenpropit-Gi1/β1/γ2 8JXV-H4-Clozapine-Gi1/β1/γ2 8YUU-H3-Histamine-Gi1/β1/γ1 8HN8-H4-Histamine-Gi1/β1/γ2 8HOC-H4-Imetit-Gi1/β1/γ2 8JXW-H4-VUF6884-Gi1/β1/γ2
18.18Consensusgq_amineOrthosteric Ligandgq_muscarinic gq_histamine
18.18Consensusmuscarinic_onOrthosteric Ligandm2_on m3_on m4_on m1_on
18.18Consensusmuscarinic_on_gpOrthosteric Ligandm2_on_gp m3_on_gp m4_on_gp m1_on_gp
18.18Consensusvpac2_onOrthosteric Ligand7VQX-VPAC1-PACAP27-Gs/β1/γ2
18.18Consensusvpac2_on_gpOrthosteric Ligand7VQX-VPAC1-PACAP27-Gs/β1/γ2
17.95Consensusclass-b1_onOrthosteric Ligandglucagon_on vip-pacap_on pth_on crf_on calcitonin_on
17.95Consensuspth2_on_gpOrthosteric Ligand7F16-PTH2-TIP39-Gs/β1/γ2
17.86Single6WHCGlu16 analog of GCG6WHC-Glucagon-Glu16 analog of GCG-Gs/β1/γ2
17.86Single7VBITirzepatide (non-acylated)7VBI-GLP-1-Tirzepatide (non-acylated)-Gs/β1/γ2
17.86Single7WJ5Somatostatin-147WJ5-SST2-Somatostatin-14-Gi1/β1/γ2
17.86Single8IOCGamma-MSH8IOC-MC3-γ-MSH-Ca-chim(NtGi1-Gs)/β1/γ2
17.65Single3PXOAll-trans-Retinal3PXO-Rhodopsin-All-trans-Retinal
17.65Single5DYSAll-trans-Retinal5DYS-Rhodopsin-All-trans-Retinal
17.65Single6PB0Urocortin6PB0-CRF1-Urocortin-chim(NtGi1-Gs)/β1/γ2
17.65Single9JKVPubChem 27366909JKV-HCA3-PubChem 2736690-Gi1/β1/γ2
17.65Consensusgip_onOrthosteric Ligand7FIN-GIP-Peptide-20; GGL-Gs/β1/γ2 7FIY-GIP-Tirzepatide-Gs/β1/γ2 7DTY-GIP-GIP-Gs/β1/γ2
17.65Consensusgip_on_gpOrthosteric Ligand7FIN-GIP-Peptide-20; GGL-Gs/β1/γ2 7FIY-GIP-Tirzepatide-Gs/β1/γ2 7DTY-GIP-GIP-Gs/β1/γ2
17.39Single5T1ABMS-6815T1A-CCR2-BMS-681-PubChem 12093170
17.39Single5ZBQUR-MK-2995ZBQ-Y1-UR-MK-299
17.39Single5ZK33-quinuclidinyl-benzilate5ZK3-M2-3-quinuclidinyl-benzilate
17.39Single6GPXMK08126GPX-CCR2-MK0812
17.39Single6RZ4Pranlukast6RZ4-CysLT1-Pranlukast-Na
17.39Single7M3JNPS-2143; PO47M3J-CaS; CaS-NPS-2143; PO4
17.39Single7TRKIperoxo7TRK-M4-Iperoxo-Gi1/β1/γ2
17.39Single7VOEAripiprazole7VOE-5-HT2A-Aripiprazole
17.39Single7VV4Cortistatin-147VV4-MRGPRX2-Cortistatin-14
17.39Single7Y26Octreotide7Y26-SST2-Octreotide-chim(NtGi2L-Gs-CtGq)/β1/γ2
17.39Single8E9ZIperoxo8E9Z-M3-Iperoxo-chim(NtGi2L-Gs-CtGq)/β1/γ2
17.39Single8J18(3R)-3-Hydroxydodecanoic acid8J18-GPR84-(3R)-3-Hydroxydodecanoic acid-Gi1/β1/γ2
17.39Single8YNSSNAP-948478YNS-MCH1-SNAP-94847
17.39Single9B9ZMRI-18679B9Z-CB1-MRI-1867
17.39Single9GE2ML1849GE2-GPR55-ML184-chim(NtGi1-G13)/β1/γ2
17.39Single9KO4CCL219KO4-CCR7-CCL21-Gi1/β1/γ2
17.39Consensuscyslt_offOrthosteric Ligandcyslt2_off cyslt1_off
17.39Consensusgq_muscarinicOrthosteric Ligand6OIJ-M1-Iperoxo-chim(NtGi1L-G11)/β1/γ2
17.39Consensusm1_onOrthosteric Ligand6OIJ-M1-Iperoxo-chim(NtGi1L-G11)/β1/γ2
17.39Consensusm2_offOrthosteric Ligand5ZKC-M2-N-methyl-Scopolamine 5ZK3-M2-3-quinuclidinyl-benzilate 5ZKB-M2-AF-DX 384
17.39Consensusm3_onOrthosteric Ligand8E9Z-M3-Iperoxo-chim(NtGi2L-Gs-CtGq)/β1/γ2 8E9W-M3-2-Deoxycytidine-chim(NtGi2L-Gs-CtGq)/β1/γ2 8E9Y-M3-Clozapine-N-oxide-chim(NtGi2L-Gs-CtGq)/β1/γ2
17.39Consensusm3_on_gpOrthosteric Ligand8E9Z-M3-Iperoxo-chim(NtGi2L-Gs-CtGq)/β1/γ2 8E9W-M3-2-Deoxycytidine-chim(NtGi2L-Gs-CtGq)/β1/γ2 8E9Y-M3-Clozapine-N-oxide-chim(NtGi2L-Gs-CtGq)/β1/γ2
17.39Consensuss1p5_offOrthosteric Ligand7YXA-S1P5-ONO-5430608
17.24Single3OE0CVX153OE0-CXCR4-CVX15
17.24Single6LW5WKYMVm6LW5-FPR2-ALX-WKYMVm
17.24Single6UUNAdrenomedullin6UUN-CT Like (AM1)-Adrenomedullin-Gs/β1/γ2; RAMP2
17.14Single8FLSAbaloparatide8FLS-PTH1-Abaloparatide-Gs/β1/γ2
17.14Single8FLULA-PTH Analog8FLU-PTH1-LA-PTH Analog-Gs/β1/γ2
17.14Consensusglp1_onOrthosteric Ligand7S1M-GLP-1-Exendin-4-D-Ala-Gs/β1/γ2 7X8R-GLP-1-BOC5-Gs/β1/γ2 6X19-GLP-1-CHU-128-Gs/β1/γ2 6X1A-GLP-1-Danuglipron-Gs/β1/γ2 6X18-GLP-1-GLP-1-Gs/β1/γ2 8JIP-GLP-1-MEDI0382-chim(NtGi1-Gs)/β1/γ2 7C2E-GLP-1-PubChem 149050799-Gs/β1/γ2 7KI0-GLP-1-Semaglutide-Gs/β1/γ2 7KI1-GLP-1-Taspoglutide-Gs/β1/γ2 7X8S-GLP-1-WB4-24-Gs/β1/γ2 8JIS-GLP-1-Peptide-15-chim(NtGi1-Gs)/β1/γ2 7VBI-GLP-1-Tirzepatide (non-acylated)-Gs/β1/γ2
16.67Single3UON3-quinuclidinyl-benzilate3UON-M2-3-quinuclidinyl-benzilate
16.67Single5ZHPPubChem 1348285895ZHP-M3-PubChem 134828589
16.67Single6E59L-7607356E59-NK1-L-760735
16.67Single6OIJIperoxo6OIJ-M1-Iperoxo-chim(NtGi1L-G11)/β1/γ2
16.67Single6OS1TRV0266OS1-AT1-TRV026
16.67Single6OY9All-trans-Retinal6OY9-Rhodopsin-All-trans-Retinal-Gt/β1/γ1
16.67Single7AD3Alpha-factor mating pheromone7AD3-STE2; STE2-α-factor mating pheromone-Gi1/STE4/γ2
16.67Single7R0CAVP7R0C-V2-AVP-Arrestin2
16.67Single7S8MCortistatin-147S8M-MRGPRX2-Cortistatin-14-Gi1/β1/γ2
16.67Single7T10Somatostatin-147T10-SST2-Somatostatin-14-Gi3/β1/γ2
16.67Single7TRQIperoxo7TRQ-M4-Iperoxo-VU0467154-Gi1/β1/γ2
16.67Single7V35Peptide-207V35-Glucagon-Peptide-20-Gs/β1/γ2
16.67Single7VVMPTH7VVM-PTH1-PTH-Gs/β1/γ2
16.67Single7WVXHumanin7WVX-FPR2-ALX-Humanin-Gi2/β1/γ2
16.67Single8EA0Iperoxo8EA0-M3-Iperoxo
16.67Single8HA0PTH8HA0-PTH1-PTH-chim(NtGi1-Gs)/β1/γ2
16.67Single8IEDPubChem 1347468948IED-GPR156; GPR156-PubChem 134746894-Go/β1/γ2
16.67Single8JBGNeurokinin-B8JBG-NK3-Neurokinin-B-chim(NtGi1-Gs-CtGq)/β1/γ2
16.67Single8JIPMEDI03828JIP-GLP-1-MEDI0382-chim(NtGi1-Gs)/β1/γ2
16.67Single8JIRSAR4258998JIR-GLP-1-SAR425899-chim(NtGi1-Gs)/β1/γ2
16.67Single8WC5Tetramethylammonium Ion8WC5-TA1-Tetramethylammonium Ion-chim(NtGi1-Gs)/β1/γ2
16.67Single8WJXADP8WJX-P2Y1-ADP-chim(Gs-CtGq)/β1/γ2
16.67Single8XBIPubChem 1626566368XBI-GPR34-PubChem 162656636
16.67Single8XJMLatanoprost8XJM-FP-alpha-Latanoprost-chim(NtGi2-Gs-CtGq)/β1/γ2
16.67Single8XOFLys058XOF-GPR30-Lys05-chim(NtGi1-Gs-CtGq)/β1/γ2
16.67Single8YNTSNAP-948478YNT-MCH1-SNAP-94847
16.67Single8YW5Retatrutide8YW5-Glucagon-Retatrutide-Gs/β1/γ2
16.67Single8ZR5Firuglipel8ZR5-GPR119-Firuglipel-Gs/β1/γ2
16.67Single9C2FCa; Ca; Tryptophan; '54149; PO49C2F-CaS; CaS-Ca-Ca; Ca; Tryptophan; '54149; PO4
16.67Single9EBOGLP-1 (ACPC18)9EBO-GLP-1-GLP-1 (ACPC18)-Gs/β1/γ2
16.67Single9JR2PTH9JR2-PTH1-PTH-chim(NtGi1L-Gs-CtGq)/β1/γ2
16.67Single9L16CCL219L16-CCR7-CCL21
16.67Single9M42A1L8O9M42-GPR139-A1L8O-chim(Gs-CtGq)/β1/γ2
16.67Single9YDVMRS29059YDV-P2Y14-MRS2905-Gi1/β1/γ2
16.67Consensusffa2_onOrthosteric Ligand8J22-FFA2-TUG-1375-Gi1/β1/γ2
16.67Consensusglp1_on_gpOrthosteric Ligand7S1M-GLP-1-Exendin-4-D-Ala-Gs/β1/γ2 7X8R-GLP-1-BOC5-Gs/β1/γ2 6X19-GLP-1-CHU-128-Gs/β1/γ2 6X1A-GLP-1-Danuglipron-Gs/β1/γ2 6X18-GLP-1-GLP-1-Gs/β1/γ2 8JIP-GLP-1-MEDI0382-chim(NtGi1-Gs)/β1/γ2 7C2E-GLP-1-PubChem 149050799-Gs/β1/γ2 7KI0-GLP-1-Semaglutide-Gs/β1/γ2 7KI1-GLP-1-Taspoglutide-Gs/β1/γ2 7X8S-GLP-1-WB4-24-Gs/β1/γ2 8JIS-GLP-1-Peptide-15-chim(NtGi1-Gs)/β1/γ2 7VBI-GLP-1-Tirzepatide (non-acylated)-Gs/β1/γ2
16.67Consensusm1_on_gpOrthosteric Ligand6OIJ-M1-Iperoxo-chim(NtGi1L-G11)/β1/γ2
16.67Consensusneurotensin_onOrthosteric Ligandnts1_on
16.67Consensusnpy1_offOrthosteric Ligand5ZBH-Y1-BMS-193885 5ZBQ-Y1-UR-MK-299
16.67Consensusnts1_onOrthosteric Ligand6OSA-NTS1-JMV449-Gi1/β1/γ2 7L0S-NTS1-Neurotensin-(8-13)-Gi1/β1/γ1
16.67Consensuspth1_on_gpOrthosteric Ligand6NBF-PTH1-LA-PTH Analog-Gs/β1/γ2 8HA0-PTH1-PTH-chim(NtGi1-Gs)/β1/γ2 8HAF-PTH1-PTHrP(1-36)-chim(NtGi1-Gs)/β1/γ2 7Y36-PTH1-PTH-Gs/β1/γ2 7Y35-PTH1-Abaloparatide-Gs/β1/γ2
16.28Consensusclass-b1_on_gpOrthosteric Ligandglucagon_on_gp vip-pacap_on_gp pth_on_gp crf_on_gp calcitonin_on_gp
16.22Single7Y36PTH7Y36-PTH1-PTH-Gs/β1/γ2
16.22Single8FLQPTH8FLQ-PTH1-PTH-Gs/β1/γ2
16.22Single9JR3PTH9JR3-PTH1-PTH-chim(NtGi1L-Gs-CtGq)/β1/γ2
16.22Consensuspth2_onOrthosteric Ligand7F16-PTH2-TIP39-Gs/β1/γ2
16.13Single7QBIAlpha-factor mating pheromone7QBI-STE2; STE2-α-factor mating pheromone
16.13Single8HNKCXCL118HNK-CXCR3-CXCL11-Gi1/β1/γ2
16.13Single9E2AGLP-19E2A-GLP-1-GLP-1-Gs/β1/γ2
16.13Consensusvpac1_onOrthosteric Ligand8E3Z-VPAC1-VIP-Gs/β1/γ2
16.00Single4GRVNeurotensin-(8-13)4GRV-NTS1-Neurotensin-(8-13)
16.00Single4PXFOctyl-Beta-D-Glucopyranoside4PXF-Rhodopsin-Octyl-β-D-Glucopyranoside-Arrestin1 Finger Loop
16.00Single4PXZ2MeSADP4PXZ-P2Y12-2MeSADP
16.00Single4XEENeurotensin-(8-13)4XEE-NTS1-Neurotensin-(8-13)
16.00Single4XESNeurotensin-(8-13)4XES-NTS1-Neurotensin-(8-13)
16.00Single5TZYMK8666; AP85TZY-FFA1-MK8666; AP8
16.00Single5X33BIIL2605X33-BLT1-BIIL260
16.00Single6OSAJMV4496OSA-NTS1-JMV449-Gi1/β1/γ2
16.00Single6XBLCholesterol6XBL-SMO-SAG-Cholesterol-Gi1/β1/γ2
16.00Single6YVRNeurotensin-(6-13)6YVR-NTS1-Neurotensin-(6-13)
16.00Single7L0SNeurotensin-(8-13)7L0S-NTS1-Neurotensin-(8-13)-Gi1/β1/γ1
16.00Single7T6BS1P7T6B-S1P2-S1P-chim(NtGi1L-G13)/β1/γ2
16.00Single7XW5ML1097XW5-TSH-TSH-ML109-Gs/β1/γ2
16.00Single7XW6ML1097XW6-TSH-M22 Fab-ML109-Gs/β1/γ2
16.00Single8G056-OAU8G05-GPR84-6-OAU-Gi1/β1/γ2
16.00Single8IQ6Latanoprost8IQ6-FP-alpha-Latanoprost-chim(NtGi1-Gs-CtGq)/β1/γ2
16.00Single8JJPChemerin-98JJP-CML2-Chemerin-9-Gi1/β1/γ2
16.00Single8WRBLysophosphatidylserine (UBL)8WRB-GPR34-Lysophosphatidylserine (UBL)-Gi1/β1/γ2
16.00Single8XQNCholesterol8XQN-TAS2R14-Cholesterol-Aristolochic acid A-Gi1/β1/γ1
16.00Single8Y6WTUG-13758Y6W-FFA2-TUG-1375-4-CMTB-Gi1/β1/γ2
16.00Single9CM3TUG-13759CM3-FFA2-TUG-1375-PubChem 118615810-chim(NtGi1L-Gs-CtGq)/β1/γ2
16.00Single9ECJS-geranylgeranyl-L-glutathione9ECJ-P2Y8-S-geranylgeranyl-L-glutathione-G13/β1/γ2
16.00Single9EK0Iperoxo9EK0-M5-Iperoxo-chim(NtGi1-Gs-CtGq)/β1/γ2
16.00Single9WXMGPR15L(CT)9WXM-GPR15-GPR15L(CT)-Gi3/β1/γ2
16.00Consensusgi_neurotensinOrthosteric Ligand6OSA-NTS1-JMV449-Gi1/β1/γ2 7L0S-NTS1-Neurotensin-(8-13)-Gi1/β1/γ1
16.00Consensusneurotensin_on_gpOrthosteric Ligandnts1_on_gp
16.00Consensusnts1_on_gpOrthosteric Ligand6OSA-NTS1-JMV449-Gi1/β1/γ2 7L0S-NTS1-Neurotensin-(8-13)-Gi1/β1/γ1
15.79Single3PQRAll-trans-Retinal3PQR-Rhodopsin-All-trans-Retinal-Gt(CT)
15.79Single6FK9PubChem 1324730366FK9-Rhodopsin-PubChem 132473036
15.79Single7F23Dopamine7F23-D1-Dopamine-GDP-Gs/β1/γ2
15.79Single7MT8All-trans-Retinal7MT8-Rhodopsin-All-trans-Retinal-GRK1
15.79Single7MT9All-trans-Retinal7MT9-Rhodopsin-All-trans-Retinal-GRK1
15.79Single7MTAAll-trans-Retinal7MTA-Rhodopsin-All-trans-Retinal-GRK1
15.79Single7V6APubChem 98642757V6A-M4-PubChem 9864275-Gi1/β1/γ2
15.79Single8DPILorcaserin8DPI-5-HT2C-Lorcaserin-chim(NtGi2L-Gs-CtGq)/β1/γ2
15.79Single8IU2All-trans-Retinal8IU2-Opsin1LW-All-trans-Retinal-Gi1/β1/γ2
15.79Single8J6QBeta-Hydroxybutyrate8J6Q-HCA2-β-Hydroxybutyrate-PubChem 25101223-Gi1/β1/γ2
15.79Single8RQLFlufenamic acid8RQL-TAS2R14-Flufenamic acid-Flufenamic acid-chim(NtGi1-Gt3)/β1/γ2
15.79Single8WC62-Phenylethylamine8WC6-TA1-2-Phenylethylamine-chim(NtGi1-Gs)/β1/γ2
15.79Single8X9UMetenolone8X9U-ADGRD1-Metenolone-chim(NtGi1-Gs)/β1/γ2
15.79Single9IV15alpha-DHT9IV1-ADGRD1-5α-DHT-chim(NtGi1-Gs)/β1/γ2
15.79Single9JG1Adriforant9JG1-H4-Adriforant
15.79Single9LL7DOI9LL7-5-HT2A-DOI-Gi1/β1/γ2
15.79Consensusgi_opsinsOrthosteric Ligand8IU2-Opsin1LW-All-trans-Retinal-Gi1/β1/γ2
15.79Consensusgi_sensoryOrthosteric Ligandgi_opsins
15.79Consensusgluc_onOrthosteric Ligand6LMK-Glucagon-Glucagon-Gs/β1/γ2 8JIT-Glucagon-MEDI0382-Gs/β1/γ2 7V35-Glucagon-Peptide-20-Gs/β1/γ2
15.79Consensusopsin1lw_onOrthosteric Ligand8IU2-Opsin1LW-All-trans-Retinal-Gi1/β1/γ2
15.79Consensusopsin1lw_on_gpOrthosteric Ligand8IU2-Opsin1LW-All-trans-Retinal-Gi1/β1/γ2
15.62Single6NBFLA-PTH Analog6NBF-PTH1-LA-PTH Analog-Gs/β1/γ2
15.62Single6NBILA-PTH Analog6NBI-PTH1-LA-PTH Analog-Gs/β1/γ2
15.62Single7CZ5Somatoliberin7CZ5-GHRH-Somatoliberin-Gs/β1/γ2
15.62Single7QBIAlpha-factor mating pheromone7QBI-STE2; STE2-α-factor mating pheromone
15.62Single7SK4CXCL12_LRHQ7SK4-ACKR3-CXCL12_LRHQ
15.62Single9BLWCagrilintide (non-acylated)9BLW-CT (AMY1)-Cagrilintide (non-acylated)-Gs/β1/γ2; RAMP1
15.62Consensuspac1_onOrthosteric Ligand8E3X-PAC1-PACAP27-Gs/β1/γ2 6M1H-PAC1-Maxadilan-Gs/β1/γ2
15.62Consensuspac1_on_gpOrthosteric Ligand8E3X-PAC1-PACAP27-Gs/β1/γ2 6M1H-PAC1-Maxadilan-Gs/β1/γ2
15.62Consensusvpac1_on_gpOrthosteric Ligand8E3Z-VPAC1-VIP-Gs/β1/γ2
15.38Single7D7MPGE27D7M-EP4-PGE2-Gs/β1/γ1
15.38Single7Y27Somatostatin-147Y27-SST2-Somatostatin-14-chim(NtGi2L-Gs-CtGq)/β1/γ2
15.38Single8IULLatanoprost8IUL-FP-alpha-Latanoprost-chim(NtGi1-Gs-CtGq)/β1/γ2
15.38Single8JPFNeurotensin-(8-13)8JPF-NTS1-Neurotensin-(8-13)-SBI-553
15.38Single8K4OCXCL18K4O-KSHV-CXCL1-Gi1/β1/γ1
15.38Single8XBES3E-Lysophosphatidylserine 8XBE-GPR34-S3E-Lysophosphatidylserine-Gi1/β1/γ1
15.38Single8XJKCloprosetnol8XJK-FP-alpha-Cloprosetnol-chim(NtGi1-Gs-CtGq)/β1/γ2
15.38Single8ZPLHF511168ZPL-CXCR4-HF51116
15.38Single9J0BUDP-Glucose9J0B-P2Y14-UDP-Glucose-Gi1/β1/γ2
15.38Single9UYMChemerin-99UYM-CML2-Chemerin-9-chim(Arrestin3-CtArrestin2)
15.38Consensusfp-alpha_onOrthosteric Ligand8IUK-FP-alpha-PGF2-α-chim(NtGi1-Gs-CtGq)/β1/γ2 8IUL-FP-alpha-Latanoprost-chim(NtGi1-Gs-CtGq)/β1/γ2 8IUM-FP-alpha-Tafluprost acid-chim(NtGi1-Gs-CtGq)/β1/γ2
15.38Consensusfp-alpha_on_gpOrthosteric Ligand8IUK-FP-alpha-PGF2-α-chim(NtGi1-Gs-CtGq)/β1/γ2 8IUL-FP-alpha-Latanoprost-chim(NtGi1-Gs-CtGq)/β1/γ2 8IUM-FP-alpha-Tafluprost acid-chim(NtGi1-Gs-CtGq)/β1/γ2
15.38Consensusgluc_on_gpOrthosteric Ligand6LMK-Glucagon-Glucagon-Gs/β1/γ2 8JIT-Glucagon-MEDI0382-Gs/β1/γ2 7V35-Glucagon-Peptide-20-Gs/β1/γ2
15.15Single6P9XCorticoliberin-16P9X-CRF1-Corticoliberin-1-Gs/β1/γ2
15.15Single7AD3Alpha-factor mating pheromone7AD3-STE2; STE2-α-factor mating pheromone-Gi1/STE4/γ2
15.15Single7QBCAlpha-factor mating pheromone7QBC-STE2; STE2-α-factor mating pheromone
15.15Single9BUCCagrilintide9BUC-CT-Cagrilintide-Gs/β1/γ2
15.15Consensuscrf_onOrthosteric Ligandcrf2_on crf1_on
15.00Single1U1911-cis-Retinal1U19-Rhodopsin-11-cis-Retinal
15.00Single2G87All-trans-Retinal2G87-Rhodopsin-All-trans-Retinal
15.00Single2I3511-cis-Retinal2I35-Rhodopsin-11-cis-Retinal
15.00Single6FK6PubChem 1324730336FK6-Rhodopsin-PubChem 132473033
15.00Single6LI0C176LI0-GPR52-C17
15.00Single6PGSGeraniol6PGS-Rhodopsin-Geraniol-Gt(CT)
15.00Single6PH7Nerol6PH7-Rhodopsin-Nerol-Gt(CT)
15.00Single7DFLHistamine7DFL-H1-Histamine-chim(NtGi1L-Gq)/β1/γ2
15.00Single7V68Iperoxo7V68-M4-Iperoxo-LY2119620-Gi1/β1/γ2
15.00Single7YFDImetit7YFD-H4-Imetit-chim(NtGi1-Gs-CtGq)/β1/γ2
15.00Single8FX5Xanomeline8FX5-M4-Xanomeline-Xanomeline-Gi1/β1/γ2
15.00Single8HN8Histamine8HN8-H4-Histamine-Gi1/β1/γ2
15.00Single8IHIAcifran8IHI-HCA2-Acifran-Gi1/β1/γ2
15.00Single8JILNiacin8JIL-HCA2-Niacin-Gi1/β1/γ2
15.00Single8W892-Phenylethylamine8W89-TA1-2-Phenylethylamine-chim(NtGi1L-Gs)/β1/γ2
15.00Single8WPUTryptophan; Cinacalcet; PO4; Ca8WPU-CaS; CaS-Tryptophan; Cinacalcet; PO4; Ca-chim(NtGi2L-Gs-CtGq)/β1/γ2
15.00Single8YN2Histamine8YN2-H1-Histamine-chim(NtGi1L-Gs-CtGq)/β1/γ2
15.00Single8ZX5AM2518ZX5-GPR55-AM251-chim(NtGi1-G13)/β1/γ2
15.00Single9AS7Psilocin9AS7-5-HT2A-Psilocin
15.00Single9B9YTaranabant9B9Y-CB1-Taranabant
15.00Single9C1PCa; Tryptophan; '6218; PO49C1P-CaS; CaS-Ca-Ca; Tryptophan; '6218; PO4
15.00Single9EPRAll-trans-Retinal9EPR-Rhodopsin-All-trans-Retinal-Gi1/β1/γ2
15.00Single9IQTNiacin9IQT-HCA2-Niacin-Gi1/β1/γ2
15.00Single9IZDCHBA9IZD-HCA1-CHBA-Gi1/β1/γ2
15.00Single9M88Oleic monoethanolamide9M88-GPR3 ; GPR3-Oleic monoethanolamide-AF64394
15.00Single9YDAAll-trans-Retinal9YDA-Opsin1MW-All-trans-Retinal-chim(NtGi1L-Gs-CtGt)/β1/γ2
15.00Consensusgq_nucleotideOrthosteric Ligandgq_p2y
15.00Consensusgq_p2yOrthosteric Ligand7XXH-P2Y1-2MeSADP-chim(NtGi1-G11)/β1/γ2
15.00Consensush1_onOrthosteric Ligand7DFL-H1-Histamine-chim(NtGi1L-Gq)/β1/γ2
15.00Consensush4_onOrthosteric Ligand8HN8-H4-Histamine-Gi1/β1/γ2 8HOC-H4-Imetit-Gi1/β1/γ2 8JXV-H4-Clozapine-Gi1/β1/γ2 8JXW-H4-VUF6884-Gi1/β1/γ2 8JXX-H4-Clobenpropit-Gi1/β1/γ2
14.81Single6OS9JMV4496OS9-NTS1-JMV449-Gi1/β1/γ2
14.81Single6RZ6ONO-25703666RZ6-CysLT2-ONO-2570366
14.81Single6XBJCholesterol6XBJ-SMO-Cholesterol-Gi1/β1/γ2
14.81Single8IUMTafluprost acid8IUM-FP-alpha-Tafluprost acid-chim(NtGi1-Gs-CtGq)/β1/γ2
14.81Single8SAILysophosphatidylserine (S12)8SAI-GPR34-Lysophosphatidylserine (S12)-Gi1/β1/γ2
14.81Single8XQLCholesterol8XQL-TAS2R14-Cholesterol-Aristolochic acid A-Gt3/β1/γ1
14.81Single8XQOCholesterol8XQO-TAS2R14-Cholesterol-Aristolochic acid A-Gi1/β1/γ1
14.81Single9CM7TUG-13759CM7-FFA2-TUG-1375-AZ-1729-Gi1/β1/γ2
14.81Single9JF4PD1683689JF4-BB1-PD168368
14.81Single9NS9TUG-13759NS9-FFA2-TUG-1375-PubChem 118615810-Gi1/β1/γ2
14.71Single6UUSAdrenomedullin6UUS-CT Like (AM2)-Adrenomedullin-Gs/β1/γ2; RAMP3
14.71Single7QBCAlpha-factor mating pheromone7QBC-STE2; STE2-α-factor mating pheromone
14.71Single7VVJPTHrP(1-36)7VVJ-PTH1-PTHrP(1-36)-Gs/β1/γ2
14.71Single7VVLPTH7VVL-PTH1-PTH-Gs/β1/γ2
14.71Single8F0KPramlintide Analogue San3858F0K-CT (AMY3)-Pramlintide Analogue San385-Gs/β1/γ2; RAMP3
14.71Single8HAFPTHrP(1-36)8HAF-PTH1-PTHrP(1-36)-chim(NtGi1-Gs)/β1/γ2
14.71Consensuspth1_onOrthosteric Ligand6NBF-PTH1-LA-PTH Analog-Gs/β1/γ2 8HA0-PTH1-PTH-chim(NtGi1-Gs)/β1/γ2 8HAF-PTH1-PTHrP(1-36)-chim(NtGi1-Gs)/β1/γ2 7Y36-PTH1-PTH-Gs/β1/γ2 7Y35-PTH1-Abaloparatide-Gs/β1/γ2
14.29Single5U09Taranabant5U09-CB1-Taranabant
14.29Single6FKBPubChem 1324730386FKB-Rhodopsin-PubChem 132473038
14.29Single6LFOCXCL86LFO-CXCR2-CXCL8-Gi1/β1/γ2
14.29Single6WIVPubChem 52923113; PubChem 529246456WIV-GABAB1, GABAB2-PubChem 52923113; PubChem 52924645
14.29Single6ZA8RTI-3a6ZA8-NTS1-RTI-3a
14.29Single7LCJDanuglipron7LCJ-GLP-1-Danuglipron
14.29Single7M3FCa; Ca; Tryptophan; Cinacalcet7M3F-CaS; CaS-Ca; Ca; Tryptophan; Cinacalcet
14.29Single7RBTTirzepatide7RBT-GIP-Tirzepatide-LSN3556672-chim(NtGi1-Gs)/β1/γ2
14.29Single7SILCa; Ca; Ca; Cyclomethyltryptophan; R-568; PO47SIL-CaS; CaS-Ca-Ca; Ca; Ca; Cyclomethyltryptophan; R-568; PO4
14.29Single7SILCa; Ca; Ca; Cyclomethyltryptophan; R-568; PO47SIL-CaS; CaS-Ca-Ca; Ca; Ca; Cyclomethyltryptophan; R-568; PO4
14.29Single7VDLCortistatin-147VDL-MRGPRX2-Cortistatin-14-Gi1/β1/γ2
14.29Single7XJJGalanin7XJJ-GAL1-Galanin-Go/β1/γ2
14.29Single8HMPC178HMP-GPR52-C17-Gs/β1/γ2
14.29Single8IEBPubChem 1347468948IEB-GPR156; GPR156-PubChem 134746894
14.29Single8IJBAcipimox8IJB-HCA2-Acipimox-Gi1/β1/γ2
14.29Single8JIQPeptide-158JIQ-Glucagon-Peptide-15-Gs/β1/γ2
14.29Single8UTDMK19038UTD-HCA2-MK1903-Gi1/β1/γ2
14.29Single9AVLCa; Ca; Cyclomethyltryptophan; R-568; PO49AVL-CaS; CaS-Ca-Ca; Ca; Cyclomethyltryptophan; R-568; PO4-Gi3/β2/γ2
14.29Single9JKXAcifran9JKX-HCA3-Acifran-Gi1/β1/γ2
14.29Consensuscrf1_onOrthosteric Ligand6PB0-CRF1-Urocortin-chim(NtGi1-Gs)/β1/γ2 6P9X-CRF1-Corticoliberin-1-Gs/β1/γ2
14.29Consensusp2y1_onOrthosteric Ligand7XXH-P2Y1-2MeSADP-chim(NtGi1-G11)/β1/γ2
14.29Consensussomatostatin_offOrthosteric Ligandsst2_off
13.79Single7F1QCCL37F1Q-CCR5-CCL3-Gi1/β1/γ2
13.79Single7TRYUrocortin7TRY-CRF2-Urocortin-chim(NtGi1-G11)/β1/γ2
13.79Single7XNACYN1548067XNA-SST2-CYN154806
13.79Single8IBVMotilin8IBV-Motilin-Motilin-chim(NtGi1-Gs-CtGq)/β1/γ2
13.79Single8K6ONeuropeptide-Y8K6O-Y1-Neuropeptide-Y-Gi2/β1/γ1
13.79Consensussst2_offOrthosteric Ligand7XNA-SST2-CYN154806
13.64Single6FKAPubChem 1324730376FKA-Rhodopsin-PubChem 132473037
13.64Single6PELCitronellol6PEL-Rhodopsin-Citronellol-Gt(CT)
13.64Single6ZINSR486926ZIN-NTS1-SR48692
13.64Single7C2EPubChem 1490507997C2E-GLP-1-PubChem 149050799-Gs/β1/γ2
13.64Single7VODCariprazine7VOD-5-HT2A-Cariprazine
13.64Single7WVUfMLF7WVU-FPR1-ALX-fMLF-Gi1/β1/γ2
13.64Single8H4LDoconexent8H4L-FFA4-Doconexent-chim(NtGi1-Gs-CtGq)/β1/γ2
13.64Single8HQN9-S-HODE8HQN-GPR132-9-S-HODE-Gi1/β1/γ2
13.64Single8K4NPubChem 1687197658K4N-GPR34-PubChem 168719765-Gi1/β1/γ2
13.64Single8X7ATreprostinil8X7A-I2-Treprostinil-Gs/β1/γ2
13.64Single8YRGFospropofol8YRG-MRGPRX4-Fospropofol-chim(NtGi1-Gs-CtGq)/β1/γ2
13.64Single8ZBWQuin-C18ZBW-FPR2-ALX-Quin-C1-Gi2/β1/γ2
13.64Single9BA0MRI-18919BA0-CB1-MRI-1891
13.64Single9IXXLTD49IXX-CysLT2-LTD4-chim(NtGi1-Gs-CtGq)/β1/γ2
13.64Single9K0KUTP9K0K-P2Y4-UTP-chim(NtGi1-Gs-CtGq)/β1/γ2
13.64Single9K0XATP9K0X-P2Y2-ATP-chim(NtGi1-Gs-CtGq)/β1/γ2
13.64Single9K20ATP9K20-P2Y2-ATP-chim(NtGi1-Go)/β1/γ2
13.51Consensuscrf1_on_gpOrthosteric Ligand6PB0-CRF1-Urocortin-chim(NtGi1-Gs)/β1/γ2 6P9X-CRF1-Corticoliberin-1-Gs/β1/γ2
13.33Single8YFOAc-LA-PTH Analog8YFO-PTH1-Ac-LA-PTH Analog-chim(NtGi1-Gs)/β1/γ2
13.33Single9LXRLA-PTH Analog9LXR-PTH1-LA-PTH Analog-Arrestin2
13.33Consensusclass-b1_class-b2_cons_onOrthosteric Ligandclass-b1_on class-b2_on
13.33Consensusclass-b1_class-b2_cons_on_gpOrthosteric Ligandclass-b1_on_gp class-b2_on_gp
13.16Single8JIUSAR4258998JIU-Glucagon-SAR425899-Gs/β1/γ2
13.04Single5DSGTiotropium5DSG-M4-Tiotropium
13.04Single5TGZAM65385TGZ-CB1-AM6538
13.04Single6WHADB139486WHA-5-HT2A-DB13948-chim(NtGi2L-Gs-CtGq)/β1/γ2
13.04Single6X1ADanuglipron6X1A-GLP-1-Danuglipron-Gs/β1/γ2
13.04Single6XBM25(S)-Epoxycholesterol6XBM-SMO-25(S)-Epoxycholesterol-Gi1/β1/γ2
13.04Single6Z4VNeurotensin-(9-13)6Z4V-NTS1-Neurotensin-(9-13)
13.04Single7S15PubChem 1346112237S15-GLP-1-PubChem 134611223
13.04Single7WC8Lumateperone7WC8-5-HT2A-Lumateperone
13.04Single8XJLPGF2-alpha8XJL-FP-alpha-PGF2-α-chim(NtGi2-Gs-CtGq)/β1/γ2
13.04Single8ZBEOctreotide8ZBE-SST5-Octreotide-Gi1/β1/γ1
13.04Single9IVGGLP-1 (Truncated)9IVG-GLP-1-GLP-1 (Truncated)-chim(NtGi1-Gs)/β1/γ2
13.04Consensusm4_offOrthosteric Ligand5DSG-M4-Tiotropium
12.90Single6WIVPubChem 52923113; PubChem 529246456WIV-GABAB1, GABAB2-PubChem 52923113; PubChem 52924645
12.90Single7FINPeptide-20; GGL7FIN-GIP-Peptide-20; GGL-Gs/β1/γ2
12.90Single7WUIIP157WUI-ADGRG2-IP15-chim(NtGi1-Gs)/β1/γ2
12.90Single8IEDPubChem 1347468948IED-GPR156; GPR156-PubChem 134746894-Go/β1/γ2
12.82Single6E3YCalcitonin gene-related peptide-16E3Y-CT Like-Calcitonin gene-related peptide-1-Gs/β1/γ2; RAMP1
12.50Single4PHUFasiglifam4PHU-FFA1-Fasiglifam
12.50Single4WW3All-trans-Retinal4WW3-Rhodopsin-All-trans-Retinal
12.50Single5CGCHTL142425CGC-mGlu5-HTL14242
12.50Single6LFMCXCL86LFM-CXCR2-CXCL8-Gi1/β1/γ2
12.50Single6OIKIperoxo6OIK-M2-Iperoxo-LY2119620-chim(NtGi1-Go)/β1/γ2
12.50Single6XBKCholesterol6XBK-SMO-Cholesterol-Gi1/β1/γ2
12.50Single6Z4QSR142948A6Z4Q-NTS1-SR142948A
12.50Single6Z4SSR486926Z4S-NTS1-SR48692
12.50Single7E9GJNJ-404118137E9G-mGlu2; mGlu2-Eglumetad-JNJ-40411813-Gi1/β1/γ2
12.50Single8IZ4Lysophosphatidylserine (TJR)8IZ4-GPR34-Lysophosphatidylserine (TJR)-Gi1/β1/γ2
12.50Single8X0DVU04244658X0D-mGlu5; mGlu5-Quisqualate-VU0424465
12.50Single8X0DVU04244658X0D-mGlu5; mGlu5-Quisqualate-VU0424465
12.50Single8XQPCholesterol8XQP-TAS2R14-Cholesterol-Aristolochic acid A-Gt3/β1/γ1
12.50Single8YG4LA-PTH Analog8YG4-PTH1-LA-PTH Analog-chim(NtGi1-Gs)/β1/γ2
12.50Single8ZYTNeurotensin-(8-13)8ZYT-NTS1-Neurotensin-(8-13)-SBI-553-Arrestin2
12.50Consensusadgrg2_onOrthosteric Ligand7WUI-ADGRG2-IP15-chim(NtGi1-Gs)/β1/γ2 7WUQ-ADGRG2-Gs/β1/γ2 7XKF-ADGRG2-Dehydroepiandrosterone-Gs/β1/γ2
12.50Consensusadgrg2_on_gpOrthosteric Ligand7WUI-ADGRG2-IP15-chim(NtGi1-Gs)/β1/γ2 7WUQ-ADGRG2-Gs/β1/γ2 7XKF-ADGRG2-Dehydroepiandrosterone-Gs/β1/γ2
12.50Consensuscxcr2_on_gpOrthosteric Ligand6LFM-CXCR2-CXCL8-Gi1/β1/γ2
12.12Single8FLRPTHrP(1-36)8FLR-PTH1-PTHrP(1-36)-Gs/β1/γ2
12.12Single9BP3Cagrilintide9BP3-CT (AMY1)-Cagrilintide-Gs/β1/γ2; RAMP1
12.00Single3ZEVNeurotensin-(7-13)3ZEV-NTS1-Neurotensin-(7-13)
12.00Single4BV0Neurotensin-(7-13)4BV0-NTS1-Neurotensin-(7-13)
12.00Single5TZRMK86665TZR-FFA1-MK8666
12.00Single5ZBHBMS-1938855ZBH-Y1-BMS-193885
12.00Single6O3CCholesterol6O3C-SMO-SAG21k-Cholesterol
12.00Single6Z8NSRI-98296Z8N-NTS1-SRI-9829
12.00Single7F1TCCL37F1T-CCR5-CCL3
12.00Single7L0PNeurotensin-(8-13)7L0P-NTS1-Neurotensin-(8-13)-Gi1/β1/γ1
12.00Single7L0QNeurotensin-(8-13)7L0Q-NTS1-Neurotensin-(8-13)-Gi1/β1/γ1
12.00Single7T9NDPPC7T9N-TSH-M22 Fab-DPPC-Gs/β1/γ2
12.00Single8FMZNeurotensin-(8-13)8FMZ-NTS1-Neurotensin-(8-13)-chim(NtGi2L-Gs-CtGq)/β1/γ2
12.00Single8GDBPGE28GDB-EP4-PGE2-Gs/β1/γ2
12.00Single8I2GPubChem 675302408I2G-FSH-FSH-PubChem 67530240-Gs/β1/γ2
12.00Single8IUKPGF2-alpha8IUK-FP-alpha-PGF2-α-chim(NtGi1-Gs-CtGq)/β1/γ2
12.00Single8X0FVU298X0F-mGlu5; mGlu5-Quisqualate-VU29
12.00Single9AS9RS130-1809AS9-5-HT2A-RS130-180
12.00Single9ASARS130-1809ASA-5-HT2A-RS130-180-chim(NtGi1-Gs-CtGq)/β1/γ2
12.00Single9CLWTUG-13759CLW-FFA2-TUG-1375-4-CMTB-chim(NtGi1L-Gs-CtGq)/β1/γ2
12.00Single9ITELPA9ITE-LPA6-LPA-chim(NtGi2-G13)/β1/γ2
12.00Single9JCLADP9JCL-P2Y1-ADP-chim(Gs-CtGq)/β1/γ2
12.00Single9MENGp120 (V3 loop)9MEN-CXCR4-Gp120 (V3 loop)
12.00Single9RHGC4079RHG-FZD7-C407
12.00Single9UCPIperoxo9UCP-M1-Iperoxo-G11(CT)
12.00Consensusp2y12_onOrthosteric Ligand7XXI-P2Y12-2MeSADP-Gi2/β1/γ2
11.76Single4A4MAll-trans-Retinal4A4M-Rhodopsin-All-trans-Retinal-Gt(CT)
11.76Single5EN0All-trans-Retinal5EN0-Rhodopsin-All-trans-Retinal-Gt(CT)
11.76Single5NX2GLP-1 (Truncated)5NX2-GLP-1-GLP-1 (Truncated)
11.76Single6UVAAdrenomedullin-26UVA-CT Like (AM2)-Adrenomedullin-2-Gs/β1/γ2; RAMP3
11.76Single7TYFAmylin7TYF-CT (AMY1)-Amylin-Gs/β1/γ2; RAMP1
11.76Single7VVKPTH7VVK-PTH1-PTH-Gs/β1/γ2
11.76Single8WCBCyclohexylammonium Ion8WCB-TA1-Cyclohexylammonium Ion-chim(NtGi1-Gs-CtGq)/β1/γ2
11.76Consensusglp2_onOrthosteric Ligand7D68-GLP-2-GLP-2-Gs/β1/γ2
11.76Consensusglp2_on_gpOrthosteric Ligand7D68-GLP-2-GLP-2-Gs/β1/γ2
11.54Single3VW7Vorapaxar; Na3VW7-PAR1-Vorapaxar; Na
11.54Single4N4WSANT-14N4W-SMO-SANT-1
11.54Single4PY02MeSATP4PY0-P2Y12-2MeSATP
11.54Single6AK3PGE26AK3-EP3-PGE2
11.54Single6IIURamatroban6IIU-TXA2-Ramatroban
11.54Single6RZ7ONO-25703666RZ7-CysLT2-ONO-2570366
11.54Single7XXI2MeSADP7XXI-P2Y12-2MeSADP-Gi2/β1/γ2
11.54Single8GCPPGE28GCP-EP4-PGE2-Gi1/β1/γ2
11.54Single8JPBNeurotensin-(8-13)8JPB-NTS1-Neurotensin-(8-13)-SBI-553; GDP; Mg-Gq; GRK2
11.54Single8JPCNeurotensin-(8-13)8JPC-NTS1-Neurotensin-(8-13)-SBI-553; GDP; Mg-Gq; GRK2
11.54Single8XJNCloprosetnol8XJN-TXA2-Cloprosetnol-chim(NtGi1-Gs-CtGq)/β1/γ2
11.54Single9GGGI-BOP9GGG-TXA2-I-BOP-chim(NtGi2L-Gs-CtGq)/β1/γ2
11.54Consensusgi_p2yOrthosteric Ligand7XXI-P2Y12-2MeSADP-Gi2/β1/γ2
11.54Consensusp2y12_on_gpOrthosteric Ligand7XXI-P2Y12-2MeSADP-Gi2/β1/γ2
11.43Single6LMKGlucagon6LMK-Glucagon-Glucagon-Gs/β1/γ2
11.43Single8FLTM-PTH(1-14)8FLT-PTH1-M-PTH(1-14)-Gs/β1/γ2
11.11Single5CGDHTL142425CGD-mGlu5-HTL14242
11.11Single6RZ9ONO-27703726RZ9-CysLT2-ONO-2770372
11.11Single6UP7Neurotensin-(8-13)6UP7-NTS1-Neurotensin-(8-13)-Arrestin2
11.11Single7TYXAmylin7TYX-CT (AMY2)-Amylin-Gs/β1/γ2; RAMP2
11.11Single7V68LY21196207V68-M4-Iperoxo-LY2119620-Gi1/β1/γ2
11.11Single7VVNPTH7VVN-PTH1-PTH-Gs/β1/γ2
11.11Single7XKDDehydroepiandrosterone7XKD-ADGRG2-Dehydroepiandrosterone-Gs/β1/γ2
11.11Single7XKEDehydroepiandrosterone7XKE-ADGRG2-Dehydroepiandrosterone-chim(NtGi1-Gs)/β1/γ2
11.11Single8HVINOX-6-78HVI-GPR132-NOX-6-7-Gi1/β1/γ2
11.11Single8XJOU466198XJO-TXA2-U46619-chim(NtGi1-Gs-CtGq)/β1/γ2
11.11Single9IV25alpha-DHT9IV2-ADGRD1-5α-DHT-chim(NtGi1-Gs)/β1/γ2
11.11Single9JIDNiacin9JID-HCA3-Niacin-Gi1/β1/γ2
11.11Single9M1HPGE29M1H-EP1-PGE2-chim(NtGi1-Gs-CtGq)/β1/γ2
11.11Consensuscyslt2_offOrthosteric Ligand6RZ7-CysLT2-ONO-2570366 6RZ8-CysLT2-ONO-2080365 6RZ9-CysLT2-ONO-2770372
11.11Consensusprostanoid_onOrthosteric Ligandtp_on fp-alpha_on
11.11Consensusprostanoid_on_gpOrthosteric Ligandtp_on_gp fp-alpha_on_gp
11.11Consensustp_onOrthosteric Ligand8XJO-TXA2-U46619-chim(NtGi1-Gs-CtGq)/β1/γ2
11.11Consensustp_on_gpOrthosteric Ligand8XJO-TXA2-U46619-chim(NtGi1-Gs-CtGq)/β1/γ2
10.81Single7TZFAmylin7TZF-CT (AMY3)-Amylin-Gs/β1/γ2; RAMP3
10.81Single8F2APramlintide Analogue San3858F2A-CT (AMY3)-Pramlintide Analogue San385-Gs/β1/γ2; RAMP3
10.81Single9AUCCalcitonin gene-related peptide-19AUC-CT (AMY1)-Calcitonin gene-related peptide-1-Gs/β1/γ2; RAMP1
10.71Single6KNMJN241-96KNM-Apelin-JN241-9
10.71Single8GDAL9026888GDA-EP4-L902688-Gs/β1/γ2
10.71Single8IQ4Carboprost8IQ4-FP-alpha-Carboprost-chim(NtGi1-Gs-CtGq)/β1/γ2
10.71Single8XQJJN2418XQJ-Apelin; Apelin-JN241
10.71Single8XX6CXCL88XX6-CXCR2-CXCL8-Go/β1/γ2
10.71Single9ITBLPA9ITB-LPA6-LPA-chim(NtGi1-Gs-CtGq)/β1/γ2
10.53Single2HPYAll-trans-Retinal2HPY-Rhodopsin-All-trans-Retinal
10.53Single6OT025(S)-Epoxycholesterol6OT0-SMO-25(S)-Epoxycholesterol-Gi1/β1/γ2
10.53Single8Y02All-trans-Retinal8Y02-OPN1SW-All-trans-Retinal-Gi1/β1/γ2
10.34Single6RZ8ONO-20803656RZ8-CysLT2-ONO-2080365
10.34Single7RTBPeptide-197RTB-GLP-1-Peptide-19-Gs/β1/γ2
10.34Single7VLACCL15(27-92)7VLA-CCR1-CCL15(27-92)-Gi1/β1/γ2
10.34Single8IEIPubChem 1347468948IEI-GPR156; GPR156-PubChem 134746894
10.34Single8IEIPubChem 1347468948IEI-GPR156; GPR156-PubChem 134746894
10.34Single8IEPPubChem 1347468948IEP-GPR156; GPR156-PubChem 134746894
10.34Single8IEPPubChem 1347468948IEP-GPR156; GPR156-PubChem 134746894
10.34Single8XWNCXCL88XWN-CXCR2-CXCL8
10.34Single9UYLChemerin-99UYL-CML2-Chemerin-9-Arrestin2
10.34Consensusccr1_onOrthosteric Ligand7VLA-CCR1-CCL15(27-92)-Gi1/β1/γ2
10.34Consensusccr1_on_gpOrthosteric Ligand7VLA-CCR1-CCL15(27-92)-Gi1/β1/γ2
10.26Single7TYOCalcitonin7TYO-CT-Calcitonin-Gs/β1/γ2
10.26Single7TYYCalcitonin-17TYY-CT (AMY2)-Calcitonin-1-Gs/β1/γ2; RAMP2
10.26Single8JITMEDI03828JIT-Glucagon-MEDI0382-Gs/β1/γ2
10.00Single6PWCNeurotensin-(9-13)6PWC-NTS1-Neurotensin-(9-13)-Arrestin2
10.00Single8F76Propanoic acid8F76-OR51E2-Propanoic acid-Gs/β1/γ2
10.00Single8IEBPubChem 1347468948IEB-GPR156; GPR156-PubChem 134746894
10.00Single8JEFPubChem 113671668JEF-HCA3-PubChem 11367166-Gi1/β1/γ2
10.00Single8JRVGlucagon8JRV-Glucagon-Glucagon-Arrestin2
10.00Single8SZFCa; Ca; Tryptophan; Cinacalcet; PO4; Spermine8SZF-CaS; CaS-Ca; Ca; Tryptophan; Cinacalcet; PO4; Spermine
10.00Single9IJRC179IJR-GPR52-C17-Arrestin2
10.00Single9JHJC18:0 Ceramide9JHJ-FPR2-ALX-C18:0 Ceramide-Gi1/β1/γ2
9.68Single9B5YLA-PTH Analog9B5Y-PTH1-LA-PTH Analog-chim(NtGi1-Gq)/β1/γ2
9.52Single3AYMAll-trans-Retinal3AYM-Rhodopsin-All-trans-Retinal
9.52Single7D76Beclomethasone7D76-ADGRG3-Beclomethasone-Go/β1/γ2
9.52Single8SZFCa; Ca; Tryptophan; Cinacalcet; PO4; Spermine8SZF-CaS; CaS-Ca; Ca; Tryptophan; Cinacalcet; PO4; Spermine
9.52Single8U4RREGN7663-Fab8U4R-CXCR4-REGN7663-Fab
9.52Single8X2KOleic monoethanolamide8X2K-GPR3-Oleic monoethanolamide-chim(NtGi1-Gs)/β1/γ2
9.52Consensusadgrg_onOrthosteric Ligandadgrg2_on adgrg4_on
9.52Consensusadgrg_on_gpOrthosteric Ligandadgrg2_on_gp adgrg4_on_gp
9.38Single6NIYCalcitonin-16NIY-CT-Calcitonin-1-Gs/β1/γ2
9.38Single7TYIAmylin7TYI-CT-Amylin-Gs/β1/γ2
9.38Single9BLCCagrilintide (non-acylated)9BLC-CT-Cagrilintide (non-acylated)-Gs/β1/γ2
9.30Single8F0JPramlintide Analogue San458F0J-CT-Pramlintide Analogue San45-Gs/β1/γ2
9.09Single2Z7311-cis-Retinal2Z73-Rhodopsin-11-cis-Retinal
9.09Single3AYN9-cis-Retinal3AYN-Rhodopsin-9-cis-Retinal
9.09Single4BWBNeurotensin-(8-12)4BWB-NTS1-Neurotensin-(8-12)
9.09Single7TYWCalcitonin-17TYW-CT (AMY1)-Calcitonin-1-Gs/β1/γ2; RAMP1
9.09Single7Y35Abaloparatide7Y35-PTH1-Abaloparatide-Gs/β1/γ2
9.09Single8F2BPramlintide Analogue San458F2B-CT (AMY3)-Pramlintide Analogue San45-Gs/β1/γ2; RAMP3
9.09Single8T3VDoconexent8T3V-FFA1-Doconexent-chim(NtGi2L-Gs-CtGq)/β1/γ2
9.09Single8U8FPalmitic Acid8U8F-GPR3-Palmitic Acid-Gs/β1/γ2
9.09Single8YYWAlpha-ketoglutarate8YYW-Oxoglutarate-α-ketoglutarate-α-ketoglutarate-chim(Gi1-CtGq)/β1/γ2
9.09Single9KO2CCL199KO2-CCR7-CCL19-Gi1/β1
9.09Single9KO6CCL199KO6-CCR7-CCL19
9.09Single9PEEPF-07054894; OXM29PEE-CCR6-PF-07054894; OXM2
9.09Consensuscalcitonin_onOrthosteric Ligandctlike_on
9.09Consensuscxcr1_onOrthosteric Ligand8IC0-CXCR1-CXCL8-Gi1/β1/γ2
8.82Single9BLBCagrilintide (non-acylated)9BLB-CT-Cagrilintide (non-acylated)-Gs/β1/γ2
8.82Consensuscalcitonin_on_gpOrthosteric Ligandctlike_on_gp
8.82Consensuscrf2_on_gpOrthosteric Ligand7TS0-CRF2-Urocortin-chim(NtGi1L-Go)/β1/γ2
8.70Single7M3GCa; Ca; Tryptophan; Evocalcet; Etelcalcetide; PO47M3G-CaS; CaS-Ca; Ca; Tryptophan; Evocalcet; Etelcalcetide; PO4
8.70Single7UTZDPPC7UTZ-TSH-TSH-DPPC-Gs/β1/γ2
8.70Single9DQJEP-39459DQJ-MRGPRD-EP-3945-chim(NtGi1-Gs-CtGq)/β1/γ2
8.70Consensuscxcr2_onOrthosteric Ligand6LFM-CXCR2-CXCL8-Gi1/β1/γ2
8.33Single4QIMANTA XV4QIM-SMO-ANTA XV
8.33Single5T04Neurotensin-(8-13)5T04-NTS1-Neurotensin-(8-13)
8.33Single6IIVDaltroban6IIV-TXA2-Daltroban
8.33Single7FIHOrg435537FIH-LH-hCG-Org43553-chim(NtGi1-Gs)/β1/γ2
8.33Single8EJKTAK-8758EJK-FFA1-TAK-875-chim(NtGi1L-Gs-CtGq)/β1/γ2
8.33Single8IC0CXCL88IC0-CXCR1-CXCL8-Gi1/β1/γ2
8.33Single8TH3AT118-H Nanobody8TH3-AT1-AT118-H Nanobody
8.33Single8X9TAP5038X9T-ADGRD1-AP503-chim(NtGi1-Gs)/β1/γ2
8.33Single9JQZGrapiprant 9JQZ-EP4-Grapiprant
8.33Single9METGp120; CD49MET-CXCR4-Gp120; CD4
8.33Consensuscxcr1_on_gpOrthosteric Ligand8IC0-CXCR1-CXCL8-Gi1/β1/γ2
8.00Single7M3GCa; Ca; Tryptophan; Evocalcet; Etelcalcetide; PO47M3G-CaS; CaS-Ca; Ca; Tryptophan; Evocalcet; Etelcalcetide; PO4
8.00Single7VV0PAMP-127VV0-MRGPRX2-PAMP-12
8.00Single8EJCTAK-8758EJC-FFA1-TAK-875-chim(NtGi1L-Gs-CtGq)/β1/γ2
8.00Single8GD9Rivenprost8GD9-EP4-Rivenprost-Gs/β1/γ2
8.00Single8GDCPGE28GDC-EP3-PGE2-Gi1/β1/γ2
8.00Single8JGGBAM8-228JGG-MRGPRX1-BAM8-22-Gi1/β1/γ2
8.00Single8X0BVU04244658X0B-mGlu5; mGlu5-Quisqualate-VU0424465
8.00Single8X0CVU04244658X0C-mGlu5; mGlu5-Quisqualate-VU0424465
8.00Single8ZVZBW245C8ZVZ-DP1-BW245C-Gs/β1/γ2
8.00Single9DQHEP-28259DQH-MRGPRD-EP-2825-chim(NtGi1-Gs-CtGq)/β1/γ2
8.00Single9EE5ONO-25502899EE5-DP1-ONO-2550289
8.00Single9EKHONO-30302979EKH-DP1-ONO-3030297
8.00Single9HC04YI9HC0-mGlu5-4YI
7.69Single4OO9Mavoglurant4OO9-mGlu5-Mavoglurant
7.69Single5V56TC1145V56-SMO-TC114
7.69Single7P2L4YI7P2L-mGlu5-4YI
7.69Single8JD5JNJ-40411813; ADX881788JD5-mGlu2; mGlu4-Glutamate-JNJ-40411813; ADX88178-Gi1/β1/γ2
7.69Single8JGFBAM8-228JGF-MRGPRX1-BAM8-22-chim(NtGi1-Gs-CtGq)/β1/γ2
7.69Single8X0BVU04244658X0B-mGlu5; mGlu5-Quisqualate-VU0424465
7.69Single8X79MRE-2698X79-I2-MRE-269-Gs/β1/γ2
7.69Single8XQTCholesterol8XQT-TAS2R14-Cholesterol-Gi1/β1/γ1
7.69Single8ZW0PGD28ZW0-DP1-PGD2-Gs/β1/γ2
7.69Single9E9SPGD29E9S-DP1-PGD2-Gs/β1/γ1
7.41Single8XQJJN2418XQJ-Apelin; Apelin-JN241
7.41Single9AU0BW245C9AU0-DP1-BW245C-Gs/β1/γ2
7.14Single6M1HMaxadilan6M1H-PAC1-Maxadilan-Gs/β1/γ2
7.14Single7CX4Evatanepag7CX4-EP2-Evatanepag-Gs/β1/γ2
7.14Single8XVUCXCL28XVU-CXCR2-CXCL2
7.14Single8XXHCXCL28XXH-CXCR2-CXCL2-Go/β1/γ2
7.14Single9GG5U466199GG5-TXA2-U46619-chim(NtGi2L-Gs-CtGq)/β1/γ2
7.14Single9JH5C16:0 Ceramide9JH5-CysLT2-C16:0 Ceramide-chim(NtGi1-Gs-CtGq)/β1/γ2
6.90Single7CX2PGE27CX2-EP2-PGE2-Gs/β1/γ2
6.67Single7CX3Taprenepag7CX3-EP2-Taprenepag-Gs/β1/γ2
6.67Single8DWGBAM8-228DWG-MRGPRX1-BAM8-22-ML382-chim(NtGi2L-Gs-CtGq)/β1/γ2
6.67Single9BUECagrilintide9BUE-CT-Cagrilintide-Gs/β1/γ2
6.06Single9BUDCagrilintide9BUD-CT-Cagrilintide-Gs/β1/γ2
6.06Consensuscrf2_onOrthosteric Ligand7TS0-CRF2-Urocortin-chim(NtGi1L-Go)/β1/γ2
5.88Single7TYHCalcitonin7TYH-CT (AMY2)-Calcitonin-Gs/β1/γ2; RAMP2
5.71Single9BUBCagrilintide9BUB-CT-Cagrilintide-Gs/β1/γ2
5.56Single7TYNCalcitonin-17TYN-CT-Calcitonin-1-Gs/β1/γ2
5.56Single8JGBConorfamide-Tx28JGB-MRGPRX1-Conorfamide-Tx2-Gi1/β1/γ2
5.41Single7TYLAmylin7TYL-CT-Amylin-Gs/β1/γ2
5.41Single9BQ3Cagrilintide9BQ3-CT (AMY2)-Cagrilintide-Gs/β1/γ2; RAMP2
5.41Single9BTWCagrilintide9BTW-CT (AMY3)-Cagrilintide-Gs/β1/γ2; RAMP3
5.26Single8HQMNPGLY8HQM-GPR132-NPGLY-Gi1/β1/γ2
5.26Single8X9S5alpha-DHT8X9S-ADGRD1-5α-DHT-chim(NtGi1-Gs)/β1/γ2
5.00Single7VDMSubstance-P7VDM-MRGPRX2-Substance-P-Gi1/β1/γ2
5.00Single7Y14Beta-Alanine7Y14-MRGPRD-β-Alanine
5.00Single9IVMLSN33188399IVM-GLP-1-GLP-1 (Truncated)-LSN3318839-chim(NtGi1-Gs)/β2/γ2
5.00Consensusp2y_offOrthosteric Ligandp2y1_off
4.76Single2ZIY11-cis-Retinal2ZIY-Rhodopsin-11-cis-Retinal
4.76Single4XNWMRS25004XNW-P2Y1-MRS2500
4.76Single7D77Hydrocortisone7D77-ADGRG3-Hydrocortisone-Go/β1/γ2
4.76Single7Y12Beta-Alanine7Y12-MRGPRD-β-Alanine-Gi1/β1/γ2
4.76Consensusp2y1_offOrthosteric Ligand4XNW-P2Y1-MRS2500
4.55Single5L7IVismodegib5L7I-SMO-Vismodegib
4.55Single7S8NR-Zinc-35737S8N-MRGPRX2-R-Zinc-3573-chim(NtGi2L-Gs-CtGq)/β1/γ2
4.55Single7S8OR-Zinc-35737S8O-MRGPRX2-R-Zinc-3573-Gi1/β1/γ2
4.55Single7UL2SR486927UL2-NTS1-SR48692-Na
4.55Single7VDHC48/807VDH-MRGPRX2-C48/80-Gi1/β1/γ2
4.55Single7XKFDehydroepiandrosterone7XKF-ADGRG2-Dehydroepiandrosterone-Gs/β1/γ2
4.55Single8YKDDehydroepiandrosterone8YKD-ADGRG2-Dehydroepiandrosterone-chim(NtGi1-Gs)/β1/γ2
4.55Single8ZYUNeurotensin-(8-13)8ZYU-NTS1-Neurotensin-(8-13)-SBI-553-Arrestin2
4.55Consensusneurotensin_offOrthosteric Ligandnts1_off
4.55Consensusnts1_offOrthosteric Ligand7UL2-NTS1-SR48692-Na
4.35Single4XNVBPTU4XNV-P2Y1-BPTU
4.35Single6WWZCCL206WWZ-CCR6-CCL20-Go/β1/γ2
4.35Single7VV5C48/807VV5-MRGPRX2-C48/80-Gi1/β1/γ2
4.35Single7VVOPTH7VVO-PTH1-PTH-Gs/β1/γ2
4.35Single7WV9ZCZ0117WV9-CB1-CP55940-ZCZ011-Gi2/β1/γ2
4.35Single8DWHPubChem 1390305318DWH-MRGPRX1-PubChem 139030531-chim(NtGi2L-Gs-CtGq)/β1/γ2
4.35Single8YNFCXCL88YNF-ACKR1-CXCL8
4.35Consensusccr6_onOrthosteric Ligand6WWZ-CCR6-CCL20-Go/β1/γ2
4.35Consensusccr6_on_gpOrthosteric Ligand6WWZ-CCR6-CCL20-Go/β1/γ2
4.17Single6FFIMPEP6FFI-mGlu5-MPEP
4.17Single7VV6C48/807VV6-MRGPRX2-C48/80
4.17Single8HJ5PubChem 1390305318HJ5-MRGPRX1-PubChem 139030531-chim(NtGi1-Gs-CtGq)/β1/γ2
4.17Single8IYXYL-3658IYX-GPR34-YL-365
4.17Single9JQYTG6-1299JQY-EP4-TG6-129
4.00Single6FFHFenobam6FFH-mGlu5-Fenobam
4.00Single7SK8CXCL127SK8-ACKR3-CXCL12-CCX662
4.00Single9IMATalquetamab9IMA-GPRC5D; GPRC5D-Talquetamab
4.00Single9JROPF-044189489JRO-EP2-PF-04418948
3.85Single4JKVTaladegib4JKV-SMO-Taladegib
3.85Single6M9TMisoprostol-FA6M9T-EP3-Misoprostol-FA
3.85Single8TH4AT118-L Nanobody8TH4-AT1-Losartan-AT118-L Nanobody
3.85Single8X0CVU04244658X0C-mGlu5; mGlu5-Quisqualate-VU0424465
3.85Single9EAHNanobody AT2099EAH-AT1-Olmesartan-Nanobody AT209
3.85Single9JRTTG6-1299JRT-EP2-TG6-129
3.70Single5V57TC1145V57-SMO-TC114
3.70Single7SK7CXCL127SK7-ACKR3-CXCL12-CCX662
3.70Single8JD5JNJ-40411813; ADX881788JD5-mGlu2; mGlu4-Glutamate-JNJ-40411813; ADX88178-Gi1/β1/γ2
3.70Single8TAOCDPPB8TAO-mGlu5; mGlu5-Quisqualate-CDPPB
3.70Single8XX7CXCL58XX7-CXCR2-CXCL5-Go/β1/γ2
3.57Single8DWCBAM8-228DWC-MRGPRX1-BAM8-22-chim(NtGi2L-Gs-CtGq)/β1/γ2
3.57Single8XWACXCL18XWA-CXCR2-CXCL1
3.57Single8XWMCXCL68XWM-CXCR2-CXCL6
3.57Single8XWSCXCL58XWS-CXCR2-CXCL5
3.57Single8XX3CXCL38XX3-CXCR2-CXCL3-Go/β1/γ2
3.45Single8XWFCXCL38XWF-CXCR2-CXCL3
3.45Single8XWVCXCL18XWV-CXCR2-CXCL1-Go/β1/γ2
2.78Consensusctlike_onOrthosteric Ligand6E3Y-CT Like-Calcitonin gene-related peptide-1-Gs/β1/γ2; RAMP1
2.63Consensusctlike_on_gpOrthosteric Ligand6E3Y-CT Like-Calcitonin gene-related peptide-1-Gs/β1/γ2; RAMP1

PDB Summary
PDB 8ZWG
Class A
SubFamily Peptide
Type Complement Peptide
SubType C3A
Species Homo Sapiens
Ligand JR14a
Other Ligand(s) -
Protein Partners Gi1/Beta1/Gamma2
PDB Resolution 2.87
Date 2025-05-14
D.O.I. doi.org/10.1038/s41421-024-00765-x
Net Summary
Imin 3.07
Number of Linked Nodes 830
Number of Links 975
Number of Hubs 139
Number of Links mediated by Hubs 533
Number of Communities 26
Number of Nodes involved in Communities 197
Number of Links involved in Communities 281
Path Summary
Number Of Nodes in MetaPath 113
Number Of Links MetaPath 112
Number of Shortest Paths 2317759
Length Of Smallest Path 3
Average Path Length 46.9431
Length of Longest Path 81
Minimum Path Strength 1.21
Average Path Strength 6.41575
Maximum Path Strength 25.52
Minimum Path Correlation 0.7
Average Path Correlation 0.986792
Maximum Path Correlation 1
Minimum % Of Corr. Nodes 1.69492
Average % Of Corr. Nodes 33.8174
Maximum % Of Corr. Nodes 100
Minimum Path Hubs % 0
Average Path Hubs % 44.6112
Maximum Path Hubs % 100
AnnotationTypeLinks
Gene OntologyMolecular Function
Gene OntologyBiological Process
Gene OntologyCellular Component• protein-containing complex   • extrinsic component of plasma membrane   • catalytic complex   • plasma membrane protein complex   • cytoplasmic side of membrane   • membrane   • plasma membrane   • membrane protein complex   • heterotrimeric G-protein complex   • side of membrane   • cell periphery   • cellular anatomical structure   • cytoplasmic side of plasma membrane   • GTPase complex   • extrinsic component of membrane   • extrinsic component of cytoplasmic side of plasma membrane   • cytoskeletal protein binding   • spectrin binding   • protein-containing complex binding   • protein binding   • binding   • enzyme binding   • GTPase binding   • phosphoric ester hydrolase activity   • alkylglycerophosphoethanolamine phosphodiesterase activity   • hydrolase activity, acting on ester bonds   • phosphoric diester hydrolase activity   • hydrolase activity   • catalytic activity   • pyrophosphatase activity   • GTPase activity   • ribonucleoside triphosphate phosphatase activity   • hydrolase activity, acting on acid anhydrides, in phosphorus-containing anhydrides   • hydrolase activity, acting on acid anhydrides   • signaling receptor complex adaptor activity   • protein-macromolecule adaptor activity   • molecular adaptor activity   • signaling adaptor activity   • positive regulation of cytosolic calcium ion concentration   • biological regulation   • regulation of biological quality   • multicellular organismal process   • system process   • sensory perception of chemical stimulus   • sensory perception   • nervous system process   • sensory perception of taste   • developmental process   • sensory organ development   • eye development   • animal organ development   • retina development in camera-type eye   • visual system development   • multicellular organism development   • camera-type eye development   • anatomical structure development   • sensory system development   • system development   • response to decreased oxygen levels   • cellular response to stimulus   • response to stimulus   • cellular response to oxygen levels   • cellular response to hypoxia   • cellular response to decreased oxygen levels   • cellular response to chemical stimulus   • cellular response to stress   • response to hypoxia   • response to stress   • response to chemical   • response to oxygen levels   • response to abiotic stimulus   • cellular process   • cell population proliferation   • regulation of biological process   • regulation of cellular process   • signaling   • phospholipase C-activating G protein-coupled receptor signaling pathway   • cell communication   • G protein-coupled receptor signaling pathway   • signal transduction   • muscle cell apoptotic process   • striated muscle cell apoptotic process   • apoptotic process   • cell death   • programmed cell death   • cardiac muscle cell apoptotic process   • photoreceptor inner segment   • somatodendritic compartment   • cell projection   • dendrite   • dendritic tree   • neuron projection   • plasma membrane bounded cell projection   • intracellular anatomical structure   • cytoplasm   • membrane-bounded organelle   • non-motile cilium   • 9+0 non-motile cilium   • cilium   • photoreceptor outer segment   • photoreceptor cell cilium   • organelle   • ciliary membrane   • photoreceptor outer segment membrane   • bounding membrane of organelle   • plasma membrane region   • organelle membrane   • cell projection membrane   • synapse   • cell junction   • cell body   • D2 dopamine receptor binding   • signaling receptor binding   • G protein-coupled receptor binding   • dopamine receptor binding   • enzyme regulator activity   • adenylate cyclase inhibitor activity   • cyclase regulator activity   • molecular function inhibitor activity   • cyclase inhibitor activity   • molecular function regulator activity   • enzyme inhibitor activity   • adenylate cyclase regulator activity   • guanyl nucleotide binding   • GTP binding   • nucleotide binding   • guanyl ribonucleotide binding   • purine ribonucleotide binding   • purine ribonucleoside triphosphate binding   • nucleoside phosphate binding   • ion binding   • purine nucleotide binding   • anion binding   • heterocyclic compound binding   • carbohydrate derivative binding   • ribonucleotide binding   • small molecule binding   • cation binding   • magnesium ion binding   • metal ion binding   • GDP binding   • G protein-coupled serotonin receptor binding   • G-protein beta/gamma-subunit complex binding   • G protein activity   • neuropeptide signaling pathway   • adenylate cyclase-inhibiting serotonin receptor signaling pathway   • G protein-coupled serotonin receptor signaling pathway   • adenylate cyclase-inhibiting G protein-coupled receptor signaling pathway   • adenylate cyclase-modulating G protein-coupled receptor signaling pathway   • response to hormone   • response to endogenous stimulus   • response to peptide hormone   • response to oxygen-containing compound   • response to nitrogen compound   • cell division   • leukocyte migration   • immune system process   • mononuclear cell migration   • lymphocyte migration   • cell migration   • T cell migration   • cell motility   • regulation of steroid biosynthetic process   • regulation of cholesterol biosynthetic process   • regulation of cholesterol metabolic process   • steroid metabolic process   • regulation of lipid metabolic process   • sterol metabolic process   • positive regulation of biological process   • cholesterol metabolic process   • lipid biosynthetic process   • alcohol metabolic process   • regulation of primary metabolic process   • positive regulation of metabolic process   • regulation of small molecule metabolic process   • positive regulation of biosynthetic process   • positive regulation of lipid metabolic process   • small molecule metabolic process   • steroid biosynthetic process   • positive regulation of cellular process   • regulation of biosynthetic process   • secondary alcohol biosynthetic process   • regulation of alcohol biosynthetic process   • small molecule biosynthetic process   • regulation of steroid metabolic process   • cholesterol biosynthetic process   • positive regulation of cholesterol biosynthetic process   • primary metabolic process   • secondary alcohol metabolic process   • positive regulation of steroid biosynthetic process   • biosynthetic process   • sterol biosynthetic process   • positive regulation of lipid biosynthetic process   • regulation of sterol biosynthetic process   • alcohol biosynthetic process   • positive regulation of cholesterol metabolic process   • positive regulation of steroid metabolic process   • metabolic process   • regulation of lipid biosynthetic process   • positive regulation of small molecule metabolic process   • regulation of metabolic process   • positive regulation of alcohol biosynthetic process   • positive regulation of sterol biosynthetic process   • lipid metabolic process   • cell surface receptor signaling pathway   • response to cytokine   • response to chemokine   • cytokine-mediated signaling pathway   • cellular response to chemokine   • chemokine-mediated signaling pathway   • response to peptide   • cellular response to cytokine stimulus   • relaxation of smooth muscle   • regulation of system process   • regulation of muscle system process   • muscle system process   • relaxation of muscle   • positive regulation of relaxation of smooth muscle   • positive regulation of relaxation of muscle   • positive regulation of multicellular organismal process   • regulation of multicellular organismal process   • regulation of relaxation of smooth muscle   • regulation of relaxation of muscle   • negative regulation of protein transport   • regulation of localization   • establishment of protein localization   • nitrogen compound transport   • negative regulation of biological process   • negative regulation of transport   • localization   • negative regulation of secretion   • negative regulation of hormone secretion   • negative regulation of secretion by cell   • intracellular protein localization   • regulation of peptide hormone secretion   • negative regulation of peptide hormone secretion   • regulation of hormone levels   • establishment of protein localization to extracellular region   • negative regulation of establishment of protein localization   • protein secretion   • establishment of localization   • regulation of protein secretion   • regulation of secretion   • negative regulation of protein secretion   • regulation of hormone secretion   • regulation of protein localization   • regulation of peptide secretion   • transport   • negative regulation of signaling   • hormone secretion   • negative regulation of cell communication   • protein localization to extracellular region   • negative regulation of peptide secretion   • peptide secretion   • regulation of secretion by cell   • secretion by cell   • signal release   • negative regulation of cellular process   • negative regulation of protein localization   • regulation of signaling   • regulation of transport   • secretion   • regulation of peptide transport   • regulation of establishment of protein localization   • export from cell   • cell-cell signaling   • regulation of protein transport   • peptide transport   • negative regulation of insulin secretion   • protein transport   • regulation of insulin secretion   • peptide hormone secretion   • macromolecule localization   • hormone transport   • regulation of cell communication   • insulin secretion   • adenylate cyclase-activating G protein-coupled receptor signaling pathway   • regulation of cytoskeleton organization   • regulation of cellular component organization   • microtubule cytoskeleton organization   • regulation of mitotic spindle organization   • mitotic cell cycle   • cellular component organization   • cell cycle   • cellular component organization or biogenesis   • regulation of cell cycle   • microtubule cytoskeleton organization involved in mitosis   • spindle organization   • cell cycle process   • regulation of cell cycle process   • regulation of microtubule-based process   • regulation of spindle organization   • regulation of organelle organization   • mitotic spindle organization   • organelle organization   • mitotic cell cycle process   • microtubule-based process   • cytoskeleton organization   • regulation of microtubule cytoskeleton organization   • positive regulation of protein localization to cell periphery   • protein localization to cell periphery   • positive regulation of protein localization to cell cortex   • regulation of protein localization to cell periphery   • regulation of protein localization to cell cortex   • positive regulation of protein localization   • protein localization to cell cortex   • response to ketone   • response to prostaglandin   • response to lipid   • response to alcohol   • response to prostaglandin E   • cellular response to forskolin   • cellular response to oxygen-containing compound   • cellular response to alcohol   • response to forskolin   • cellular response to lipid   • cellular response to ketone   • midbody   • nucleus   • membrane-enclosed lumen   • intracellular membraneless organelle   • intracellular membrane-bounded organelle   • nucleolus   • intracellular organelle lumen   • intracellular organelle   • organelle lumen   • membraneless organelle   • nuclear lumen   • cell cortex   • extracellular exosome   • extracellular vesicle   • extracellular organelle   • extracellular region   • extracellular space   • vesicle   • extracellular membrane-bounded organelle   • centrosome   • microtubule organizing center   • cytoskeleton   • microtubule cytoskeleton   • centriolar satellite   • cytosol   • sperm principal piece   • 9+2 motile cilium   • sperm flagellum   • motile cilium   • nucleoplasm   • vacuolar membrane   • lytic vacuole   • vacuole   • lytic vacuole membrane   • lysosomal membrane   • lysosome   • Golgi apparatus   • endomembrane system   • ciliary basal body   • amyloid-beta binding   • peptide binding   • adenylate cyclase binding   • G protein-coupled amine receptor activity   • molecular transducer activity   • beta2-adrenergic receptor activity   • G protein-coupled receptor activity   • transmembrane signaling receptor activity   • signaling receptor activity   • beta-adrenergic receptor activity   • adrenergic receptor activity   • potassium channel regulator activity   • channel regulator activity   • ion channel regulator activity   • transporter regulator activity   • identical protein binding   • protein homodimerization activity   • protein dimerization activity   • catecholamine binding   • norepinephrine binding   • complement component C3a receptor activity   • complement receptor activity   • immune receptor activity   • opsonin receptor activity   • complement component C5a receptor activity   • response to nutrient levels   • multicellular organismal-level homeostasis   • homeostatic process   • response to dietary excess   • diet induced thermogenesis   • temperature homeostasis   • energy homeostasis   • adaptive thermogenesis   • response to cold   • response to temperature stimulus   • adenylate cyclase-inhibiting adrenergic receptor signaling pathway   • adrenergic receptor signaling pathway   • regulation of developmental process   • regulation of biomineral tissue development   • regulation of bone mineralization   • positive regulation of ossification   • positive regulation of developmental process   • positive regulation of biomineral tissue development   • ossification   • biomineral tissue development   • regulation of multicellular organismal development   • bone mineralization   • tissue development   • positive regulation of bone mineralization   • regulation of ossification   • regulation of multicellular organism growth   • regulation of growth   • regulation of developmental growth   • negative regulation of multicellular organism growth   • developmental growth   • negative regulation of developmental process   • growth   • multicellular organism growth   • negative regulation of developmental growth   • negative regulation of growth   • negative regulation of multicellular organismal process   • adenylate cyclase-activating adrenergic receptor signaling pathway   • fat cell differentiation   • cellular developmental process   • brown fat cell differentiation   • cell differentiation   • negative regulation of cardiac muscle cell apoptotic process   • negative regulation of programmed cell death   • regulation of apoptotic process   • regulation of cardiac muscle cell apoptotic process   • regulation of muscle cell apoptotic process   • regulation of programmed cell death   • negative regulation of apoptotic process   • regulation of striated muscle cell apoptotic process   • negative regulation of muscle cell apoptotic process   • negative regulation of striated muscle cell apoptotic process   • muscle contraction   • negative regulation of muscle contraction   • smooth muscle contraction   • regulation of smooth muscle contraction   • regulation of muscle contraction   • negative regulation of smooth muscle contraction   • positive regulation of DNA-templated transcription   • RNA metabolic process   • positive regulation of macromolecule biosynthetic process   • nucleobase-containing compound metabolic process   • RNA biosynthetic process   • nucleic acid biosynthetic process   • DNA-templated transcription   • regulation of RNA metabolic process   • transcription by RNA polymerase II   • positive regulation of macromolecule metabolic process   • regulation of nucleobase-containing compound metabolic process   • regulation of RNA biosynthetic process   • regulation of transcription by RNA polymerase II   • regulation of macromolecule metabolic process   • positive regulation of transcription by RNA polymerase II   • nucleobase-containing compound biosynthetic process   • gene expression   • macromolecule biosynthetic process   • nucleic acid metabolic process   • positive regulation of RNA metabolic process   • regulation of gene expression   • positive regulation of RNA biosynthetic process   • regulation of macromolecule biosynthetic process   • macromolecule metabolic process   • regulation of DNA-templated transcription   • tissue remodeling   • bone remodeling   • anatomical structure homeostasis   • tissue homeostasis   • bone resorption   • import into cell   • receptor-mediated endocytosis   • endocytosis   • vesicle-mediated transport   • cellular localization   • endosome to lysosome transport   • intracellular transport   • lysosomal transport   • establishment of localization in cell   • vacuolar transport   • heart process   • regulation of actin filament-based process   • regulation of heart contraction   • cardiac muscle contraction   • striated muscle contraction   • circulatory system process   • actin filament-based process   • positive regulation of actin filament-based movement   • blood circulation   • cardiac muscle cell contraction   • regulation of cardiac muscle contraction   • positive regulation of cardiac muscle cell contraction   • actin filament-based movement   • regulation of blood circulation   • regulation of striated muscle contraction   • regulation of actin filament-based movement   • regulation of cardiac muscle cell contraction   • actin-mediated cell contraction   • heart contraction   • positive regulation of organelle organization   • catabolic process   • positive regulation of cellular component organization   • regulation of autophagosome maturation   • macroautophagy   • autophagy   • protein-containing complex disassembly   • regulation of autophagy   • regulation of protein-containing complex disassembly   • autophagosome maturation   • positive regulation of macroautophagy   • process utilizing autophagic mechanism   • positive regulation of protein-containing complex disassembly   • cellular component disassembly   • positive regulation of autophagy   • protein-containing complex organization   • regulation of catabolic process   • positive regulation of autophagosome maturation   • positive regulation of catabolic process   • regulation of macroautophagy   • positive regulation of cardiac muscle cell apoptotic process   • positive regulation of programmed cell death   • positive regulation of striated muscle cell apoptotic process   • positive regulation of apoptotic process   • positive regulation of muscle cell apoptotic process   • lipophagy   • positive regulation of lipophagy   • regulation of lipophagy   • response to psychosocial stress   • regulation of cold-induced thermogenesis   • cold-induced thermogenesis   • positive regulation of cold-induced thermogenesis   • positive regulation of cell communication   • positive regulation of signal transduction   • regulation of signal transduction   • intracellular signal transduction   • positive regulation of response to stimulus   • regulation of intracellular signal transduction   • intracellular signaling cassette   • positive regulation of MAPK cascade   • positive regulation of intracellular signal transduction   • regulation of MAPK cascade   • regulation of response to stimulus   • MAPK cascade   • positive regulation of signaling   • ligand-gated ion channel signaling pathway   • ionotropic glutamate receptor signaling pathway   • glutamate receptor signaling pathway   • AMPA selective glutamate receptor signaling pathway   • regulation of tube diameter   • regulation of systemic arterial blood pressure mediated by a chemical signal   • regulation of blood pressure   • regulation of tube size   • norepinephrine-epinephrine-mediated vasodilation involved in regulation of systemic arterial blood pressure   • negative regulation of blood pressure   • regulation of systemic arterial blood pressure by norepinephrine-epinephrine   • regulation of systemic arterial blood pressure   • negative regulation of systemic arterial blood pressure   • vascular process in circulatory system   • blood vessel diameter maintenance   • vasodilation   • regulation of anatomical structure size   • negative regulation of response to stimulus   • negative regulation of signal transduction   • negative regulation of G protein-coupled receptor signaling pathway   • regulation of G protein-coupled receptor signaling pathway   • positive regulation of cAMP/PKA signal transduction   • cAMP/PKA signal transduction   • regulation of cAMP/PKA signal transduction   • cellular response to nitrogen compound   • cellular response to amyloid-beta   • response to amyloid-beta   • regulation of monoatomic ion transport   • regulation of sodium ion transport   • metal ion transport   • monoatomic ion transport   • regulation of metal ion transport   • monoatomic cation transport   • sodium ion transport   • heat generation   • regulation of postsynaptic membrane potential   • modulation of chemical synaptic transmission   • positive regulation of excitatory postsynaptic potential   • chemical synaptic transmission, postsynaptic   • synaptic signaling   • modulation of excitatory postsynaptic potential   • mini excitatory postsynaptic potential   • trans-synaptic signaling   • chemical synaptic transmission   • regulation of nervous system process   • regulation of mini excitatory postsynaptic potential   • positive regulation of mini excitatory postsynaptic potential   • regulation of trans-synaptic signaling   • anterograde trans-synaptic signaling   • excitatory postsynaptic potential   • regulation of membrane potential   • positive regulation of locomotion   • regulation of cell motility   • macrophage migration   • positive regulation of chemotaxis   • positive regulation of cell migration   • taxis   • regulation of immune system process   • regulation of mononuclear cell migration   • positive regulation of immune system process   • chemotaxis   • regulation of leukocyte chemotaxis   • regulation of leukocyte migration   • positive regulation of macrophage migration   • response to external stimulus   • positive regulation of leukocyte chemotaxis   • granulocyte migration   • regulation of locomotion   • regulation of response to external stimulus   • macrophage chemotaxis   • regulation of granulocyte chemotaxis   • regulation of macrophage migration   • positive regulation of response to external stimulus   • positive regulation of cell motility   • regulation of cell migration   • myeloid leukocyte migration   • positive regulation of mononuclear cell migration   • locomotion   • cell chemotaxis   • regulation of macrophage chemotaxis   • positive regulation of leukocyte migration   • regulation of chemotaxis   • granulocyte chemotaxis   • positive regulation of macrophage chemotaxis   • leukocyte chemotaxis   • regulation of cytokine production   • cytokine production   • regulation of vascular endothelial growth factor production   • vascular endothelial growth factor production   • positive regulation of gene expression   • positive regulation of vascular endothelial growth factor production   • positive regulation of cytokine production   • angiogenesis   • regulation of vasculature development   • tube morphogenesis   • regulation of anatomical structure morphogenesis   • blood vessel development   • blood vessel morphogenesis   • tube development   • positive regulation of angiogenesis   • vasculature development   • circulatory system development   • anatomical structure morphogenesis   • positive regulation of vasculature development   • regulation of angiogenesis   • anatomical structure formation involved in morphogenesis   • immune response-regulating cell surface receptor signaling pathway   • complement receptor mediated signaling pathway   • immune response-activating signaling pathway   • immune response-regulating signaling pathway   • positive regulation of immune response   • immune response-activating cell surface receptor signaling pathway   • immune response   • regulation of immune response   • activation of immune response   • defense response   • inflammatory response   • positive regulation of neutrophil chemotaxis   • neutrophil migration   • positive regulation of granulocyte chemotaxis   • regulation of neutrophil chemotaxis   • regulation of neutrophil migration   • neutrophil chemotaxis   • positive regulation of neutrophil migration   • calcium-mediated signaling   • dense core granule   • intracellular vesicle   • cytoplasmic vesicle   • secretory granule   • secretory vesicle   • neuronal dense core vesicle   • vesicle membrane   • clathrin-coated vesicle   • endocytic vesicle membrane   • coated vesicle   • endocytic vesicle   • clathrin-coated vesicle membrane   • clathrin-coated endocytic vesicle membrane   • clathrin-coated endocytic vesicle   • cytoplasmic vesicle membrane   • coated vesicle membrane   • receptor complex   • intercellular bridge   • endosome membrane   • endosome   • apical part of cell   • apical plasma membrane   • mitotic spindle   • spindle   • early endosome   • specific granule membrane   • secretory granule membrane   • specific granule   • azurophil granule   • primary lysosome   • azurophil granule membrane
SCOP2Domain Identifier• Ras-like P-loop GTPases
SCOP2Family Identifier• Ras-like P-loop GTPases
Membrane Protein Annotations-• Orientations of Proteins in Membranes database (OPM)   • Protein Data Bank of Transmembrane Proteins (PDBTM)   • MemProtMD


Details about the values in these tables can be found in the corresponding documentation page .
Code_L_
PDB ResiduesL:L:?1
Environment DetailsOpen EMBL-EBI Page
Code_L_
Name
Synonyms
Identifier
Formula
Molecular Weight
SMILES
PubChem
Formal Charge
Total Atoms
Total Chiral Atoms
Total Bonds
Total Aromatic Bonds

PDBsumOpen PDBsum Page
ChainA
ProteinG Protein α Sub unit
UniProtP63096
Sequence
>8ZWG_Chain_A
LSAEDKAAV ERSKMIDRN LREDGEKAA REVKLLLLG AGESGKSTI 
VKQMKITGI VETHFTFKD LHFKMFDVG QRSERKKWI HCFEGVTAI 
IFCVALSDY DLVLAEDEE MNRMHESMK LFDSICNNK WFTDTSIIL 
FLNKKDLFE EKIKKSPLT ICYPEYAGS NTYEEAAAY IQCQFEDLN 
KRKDTKEIY THFTCTDTK NVQFVFDAV TDVIIKNNL KDCGLFAS


Click on each residue to open a popup with some information about it.

ConSurf Conservation Grade (See documentation): 

 n/a   1    2    3    4    5    6    7    8    9  

ChainB
ProteinG Protein β Sub unit
UniProtP62873
Sequence
>8ZWG_Chain_B
SELDQLRQE AEQLKNQIR DARKACADA TLSQITNNI DPVGRIQMR 
TRRTLRGHL AKIYAMHWG TDSRLLVSA SQDGKLIIW DSYTTNKVH 
AIPLRSSWV MTCAYAPSG NYVACGGLD NICSIYNLK TREGNVRVS 
RELAGHTGY LSCCRFLDD NQIVTSSGD TTCALWDIE TGQQTTTFT 
GHTGDVMSL SLAPDTRLF VSGACDASA KLWDVREGM CRQTFTGHE 
SDINAICFF PNGNAFATG SDDATCRLF DLRADQELM TYSHDNIIC 
GITSVSFSK SGRLLLAGY DDFNCNVWD ALKADRAGV LAGHDNRVS 
CLGVTDDGM AVATGSWDS FLKIWN


Click on each residue to open a popup with some information about it.

ConSurf Conservation Grade (See documentation): 

 n/a   1    2    3    4    5    6    7    8    9  

ChainG
ProteinG Protein γ Sub unit
UniProtP59768
Sequence
>8ZWG_Chain_G
NTASIAQAR KLVEQLKME ANIDRIKVS KAAADLMAY CEAHAKEDP 
LLTPVPASE NPFRE


Click on each residue to open a popup with some information about it.

ConSurf Conservation Grade (See documentation): 

 n/a   1    2    3    4    5    6    7    8    9  

ChainR
ProteinReceptor
UniProtQ16581
Sequence
>8ZWG_Chain_R
NEPPVILSM VILSLTFLL GLPGNGLVL WVAGLKMQR TVNTIWFLH 
LTLADLLCC LSLPFSLAH LALQGQWPY GRFLCKLIP SIIVLNMFA 
SVFLLTAIS LDRCLVVFK PIWCQNHRN VGMACSICG CIWVVAFVM 
CIPVFVYRE INRCGYKLV AITITRLVV GFLLPSVIM IACYSFIVF 
RMQRGRFAK SQSKTFRVA VVVVAVFLV CWTPYHIFG VLSLLTDPE 
TPLGKTLMS WDHVCIALA SANSCFNPF LYALLGKDF RKKARQSI


Click on each residue to open a popup with some information about it.

ConSurf Conservation Grade (See documentation): 

 n/a   1    2    3    4    5    6    7    8    9  




This receptor, from the same or other species and bound to the same or other ligands, is also present in the following networks:
Show PDB Class SubFamily Type SubType Species Orthosteric Ligand Other Ligand(s) Protein Partners Resolution Date DOI
8HK2APeptideComplement PeptideC3aBHomo sapiensC3a-Gi1/β1/γ22.92023-05-10doi.org/10.1038/s41589-023-01339-w
8HK2 (No Gprot) APeptideComplement PeptideC3aBHomo sapiensC3a-2.92023-05-10doi.org/10.1038/s41589-023-01339-w
8HK3APeptideComplement PeptideC3aBHomo sapiens--Gi1/β1/γ23.22023-05-10doi.org/10.1038/s41589-023-01339-w
8HK3 (No Gprot) APeptideComplement PeptideC3aBHomo sapiens--3.22023-05-10doi.org/10.1038/s41589-023-01339-w
8IA8APeptideComplement PeptideC3aBHomo sapiensE7 peptide-Gi1/β1/γ22.862023-05-24To be published
8IA8 (No Gprot) APeptideComplement PeptideC3aBHomo sapiensE7 peptide-2.862023-05-24To be published
8I95APeptideComplement PeptideC3aBHomo sapiensEP54-Go/β1/γ22.882023-10-18doi.org/10.1016/j.cell.2023.09.020
8I95 (No Gprot) APeptideComplement PeptideC3aBHomo sapiensEP54-2.882023-10-18doi.org/10.1016/j.cell.2023.09.020
8I97APeptideComplement PeptideC3aBHomo sapiens--Go/β1/γ23.12023-10-18doi.org/10.1016/j.cell.2023.09.020
8I97 (No Gprot) APeptideComplement PeptideC3aBHomo sapiens--3.12023-10-18doi.org/10.1016/j.cell.2023.09.020
8I9AAPeptideComplement PeptideC3aBHomo sapiensEP54-chim(NtGi1-Gs-CtGq)/β1/γ23.572023-10-18doi.org/10.1016/j.cell.2023.09.020
8I9A (No Gprot) APeptideComplement PeptideC3aBHomo sapiensEP54-3.572023-10-18doi.org/10.1016/j.cell.2023.09.020
8I9LAPeptideComplement PeptideC3aBHomo sapiensC3a-Go/β1/γ23.182023-10-18doi.org/10.1016/j.cell.2023.09.020
8I9L (No Gprot) APeptideComplement PeptideC3aBHomo sapiensC3a-3.182023-10-18doi.org/10.1016/j.cell.2023.09.020
8I9SAPeptideComplement PeptideC3aBHomo sapiens--Go/β1/γ23.262023-10-18doi.org/10.1016/j.cell.2023.09.020
8I9S (No Gprot) APeptideComplement PeptideC3aBHomo sapiens--3.262023-10-18doi.org/10.1016/j.cell.2023.09.020
8J6DAPeptideComplement PeptideC3aBHomo sapiensEP141-Go/β1/γ23.12023-10-18doi.org/10.1016/j.cell.2023.09.020
8J6D (No Gprot) APeptideComplement PeptideC3aBHomo sapiensEP141-3.12023-10-18doi.org/10.1016/j.cell.2023.09.020
9KVPAPeptideComplement PeptideC3aBHomo sapiensSB290157-Go/β1/γ22.792025-11-2610.1101/2025.05.26.656101
9KVP (No Gprot) APeptideComplement PeptideC3aBHomo sapiensSB290157-2.792025-11-2610.1101/2025.05.26.656101
9KZ2APeptideComplement PeptideC3aBHomo sapiensEP67-Go/β1/γ23.432025-11-2610.1101/2025.05.26.656101
9KZ2 (No Gprot) APeptideComplement PeptideC3aBHomo sapiensEP67-3.432025-11-2610.1101/2025.05.26.656101
9KZ8APeptideComplement PeptideC3aBMus musculusEP67-Go/β1/γ23.32025-11-2610.1101/2025.05.26.656101
9KZ8 (No Gprot) APeptideComplement PeptideC3aBMus musculusEP67-3.32025-11-2610.1101/2025.05.26.656101
9KZKAPeptideComplement PeptideC3aBMus musculusC3a (fragment)-Go/β1/γ23.542025-11-2610.1101/2025.05.26.656101
9KZK (No Gprot) APeptideComplement PeptideC3aBMus musculusC3a (fragment)-3.542025-11-2610.1101/2025.05.26.656101
9L0HAPeptideComplement PeptideC3aBMus musculusJR14a-Go/β1/γ23.572025-11-2610.1101/2025.05.26.656101
9L0H (No Gprot) APeptideComplement PeptideC3aBMus musculusJR14a-3.572025-11-2610.1101/2025.05.26.656101
9UMJAPeptideComplement PeptideC3aBMus musculusEP54-Go/β1/γ23.382025-11-2610.1101/2025.05.26.656101
9UMJ (No Gprot) APeptideComplement PeptideC3aBMus musculusEP54-3.382025-11-2610.1101/2025.05.26.656101
9IPVAPeptideComplement PeptideC3aBHomo sapiensJR14a-Gi1/β1/γ22.532025-04-23doi.org/10.1038/s44318-025-00429-w
9IPV (No Gprot) APeptideComplement PeptideC3aBHomo sapiensJR14a-2.532025-04-23doi.org/10.1038/s44318-025-00429-w
9IPYAPeptideComplement PeptideC3aBHomo sapiensJR14a--3.552025-04-23doi.org/10.1038/s44318-025-00429-w
9ISIAPeptideComplement PeptideC3aBHomo sapiens---3.562025-04-23doi.org/10.1038/s44318-025-00429-w
8ZWFAPeptideComplement PeptideC3aBHomo sapiensJR14a--32025-05-14doi.org/10.1038/s41421-024-00765-x
8ZWF (No Gprot) APeptideComplement PeptideC3aBHomo sapiensJR14a-32025-05-14doi.org/10.1038/s41421-024-00765-x
8ZWG (No Gprot) APeptideComplement PeptideC3aBHomo sapiensJR14a-2.872025-05-14doi.org/10.1038/s41421-024-00765-x
9KUTAPeptideComplement PeptideC3aBHomo sapiensJR14a-Go/β1/γ23.292025-11-2610.1101/2025.05.26.656101
9KUT (No Gprot) APeptideComplement PeptideC3aBHomo sapiensJR14a-3.292025-11-2610.1101/2025.05.26.656101
9KV6APeptideComplement PeptideC3aBMus musculusTLQP21-Go/β1/γ22.882025-11-2610.1101/2025.05.26.656101
9KV6 (No Gprot) APeptideComplement PeptideC3aBMus musculusTLQP21-2.882025-11-2610.1101/2025.05.26.656101
9KV8APeptideComplement PeptideC3aBMus musculusTLQP21-Go/β1/γ23.172025-11-2610.1101/2025.05.26.656101
9KV8 (No Gprot) APeptideComplement PeptideC3aBMus musculusTLQP21-3.172025-11-2610.1101/2025.05.26.656101




You can download a compressed (zip) file with structure(s), 3D outputs (as PyMol and VMD scripts) and numerical data files (as csv and plain text files).

Download 8ZWG.zip



You can click to copy the link of this page to easily come back here later

or use this QR code to link and share this page.



You can also  read or  download a guide explaining the meaning of all files and numerical data.