Color ConSurf Grade
      No Conservation data available
      1
      2
      3
      4
      5
      6
      7
      8
      9

Index: hub id, click on each number to highlight the corresponding hub in the 3D visualization.

Hub: the hub being considered.

Avg Int. Strength: the average interaction strength of all the links of the corresponding hub.

Num Of Links: the number of links of the corresponding hub.

Community: the id of the community the link belong to, otherwise 0.

ConSurf: this column reports the ConSurf conservation grades of each hub.

Index Hub Avg Int. Strength Num Of Links Community ConSurf
1A:A:L45 4.2408
2A:A:K53 4.0625409
3A:A:G206 2.774518
4A:A:I207 4.33419
5A:A:F219 6.733336128
6A:A:F222 11.966517
7A:A:D223 4.525409
8A:A:Q227 5.695419
9A:A:R228 7.5125409
10A:A:K233 6.98833619
11A:A:W234 7.106509
12A:A:F238 11.605409
13A:A:I244 5.9675408
14A:A:F273 5.54499
15A:A:W277 8.66506
16A:A:W281 8.418515
17A:A:L289 6.0625499
18A:A:F315 8.328506
19A:A:Y318 8.09754196
20A:A:E327 6.79404
21A:A:D331 6.6875404
22A:A:Y339 8.55403
23A:A:F340 6.9345197
24A:A:R342 5.4225404
25A:A:F345 6698
26A:A:R356 5.568502
27A:A:Y360 9.484178
28A:A:D368 5.8525139
29A:A:F376 5.2245128
30A:A:R385 5.2445175
31A:A:Y391 6.6865104
32B:B:L7 4.59408
33B:B:L14 4.525408
34B:B:L30 4.385405
35B:B:H54 8.655159
36B:B:K57 11.29519
37B:B:Y59 9.31518
38B:B:W63 6.958507
39B:B:D76 8.87409
40B:B:W82 9.778336159
41B:B:D83 7.41254168
42B:B:K89 6.108336159
43B:B:I93 3.895407
44B:B:L95 5.1045148
45B:B:W99 8.335619
46B:B:M101 4.62419
47B:B:Y105 4.34167606
48B:B:S122 4.6954148
49B:B:Y124 7.2825146
50B:B:E138 3.77254146
51B:B:H142 8.91479
52B:B:Y145 4.605618
53B:B:C148 3.46406
54B:B:F151 4.56409
55B:B:T159 4.9679
56B:B:D163 7.0775479
57B:B:C166 4.0525448
58B:B:W169 12.188578
59B:B:Q176 7.2575474
60B:B:F180 6.196547
61B:B:H183 8.25549
62B:B:D186 5.23419
63B:B:F199 5.958549
64B:B:S201 5.2625449
65B:B:C204 3.65833617
66B:B:D205 6.74449
67B:B:K209 9.302546
68B:B:W211 8.58667648
69B:B:F222 6.595428
70B:B:H225 8.704529
71B:B:D228 7.355419
72B:B:I229 5.98427
73B:B:F234 5.0975405
74B:B:F235 7.958536
75B:B:P236 8.17437
76B:B:F241 7.085426
77B:B:T243 6.54428
78B:B:D246 8.6675419
79B:B:T249 6.2075426
80B:B:R251 10.23428
81B:B:F253 7.5325426
82B:B:D254 6.055409
83B:B:R256 9.6925409
84B:B:D258 7.238527
85B:B:M262 4.68404
86B:B:Y264 4.406535
87B:B:F278 5.05837
88B:B:R283 7.1285219
89B:B:L284 4.365405
90B:B:L285 4.504536
91B:B:Y289 6.812537
92B:B:D290 6.106516
93B:B:N295 9.55436
94B:B:W297 5.486538
95B:B:L300 5.8954216
96B:B:K301 5.965405
97B:B:R304 7.745435
98B:B:H311 7.538336119
99B:B:R314 16.84418
100B:B:T321 6.5925467
101B:B:M325 4.23565
102B:B:T329 6.07254118
103B:B:W332 12.2014719
104B:B:D333 6.395119
105B:B:K337 7.66754116
106B:B:W339 6.0065119
107B:B:N340 3.7025469
108G:G:Q18 4.858549
109G:G:I25 5.035422
110G:G:R27 7.1225428
111G:G:Y40 11.6025436
112G:G:D48 6.388509
113G:G:L51 3.81667606
114G:G:F61 5.01857768
115L:L:T4 3.654250
116L:L:C7 6.24754250
117L:L:P37 6.62450
118L:L:?38 9.142550
119R:R:D77 7.006559
120R:R:W79 6.5125456
121R:R:W82 8.7459
122R:R:T85 4.8075407
123R:R:Y98 5.1665264
124R:R:D103 4.1125403
125R:R:K110 9.37458
126R:R:W118 9.025659
127R:R:H121 10.4325404
128R:R:W128 11.3405
129R:R:S129 7.6575457
130R:R:Y131 10.522555
131R:R:T138 5.6925402
132R:R:Y149 6405
133R:R:H156 8.4725407
134R:R:T162 4.4075406
135R:R:F173 5.8325287
136R:R:L176 5.364289
137R:R:Q179 6.6675407
138R:R:H184 6.6625109
139R:R:F188 4.914508
140R:R:Y191 8.542508
141R:R:H201 5.1525186
142R:R:H223 6.665185
143R:R:H226 4.97754186
144R:R:M229 4.84404
145R:R:C232 4.5825408
146R:R:Y234 6.835407
147R:R:F235 5.48405
148R:R:W236 8.036509
149R:R:E240 9.514109
150R:R:Y243 7.7256108
151R:R:H245 9.65254308
152R:R:F253 7.6325406
153R:R:Y262 4.645107
154R:R:R281 9.65587
155R:R:F285 8.032586
156R:R:D287 4.6925483
157R:R:W290 8.935489
158R:R:L297 6.0725484
159R:R:Q355 5.841676298
160R:R:F356 7.8165297
161R:R:Y374 2.7175406
162R:R:M376 4.1507
163R:R:H377 6.3775407
164R:R:F382 4.0025407
165R:R:Q383 7.22254299
166R:R:F393 3.935408
   

Color ConSurf Grade
      No Conservation data available
      1
      2
      3
      4
      5
      6
      7
      8
      9

Index: link id, click on each number to highlight the corresponding link in the 3D visualization.

Node1 Node2: the two nodes of the corresponding link.

Recurrence: the relative Recurrence in the pool of shortest paths.

Int. Strength: the interaction strength between the two nodes.

Hub1?, Hub2?: "Yes" if the corresponding node has more than 3 links, otherwise "No".

Community: the id of the community the link belong to, otherwise 0.

ConSurf1, ConSurf2: these columns report the ConSurf conservation grades of the two nodes involved in a link.

Index Node1 Node2 Recurrence Int. Strength Hub1? Hub2? Community ConSurf1 ConSurf2
1B:B:D76 B:B:L55 10.053910.86YesNo096
2B:B:D83 B:B:R68 32.503511.91YesNo085
3B:B:R68 B:B:Y85 32.95239.26NoNo054
4B:B:Y85 G:G:F61 31.90089.28NoYes648
5B:B:S84 G:G:F61 41.61373.96NoYes058
6B:B:S84 B:B:W63 41.81917.41NoYes057
7B:B:M61 B:B:W63 61.29435.82NoYes067
8B:B:C317 B:B:M61 61.49614.86NoNo076
9B:B:C317 B:B:S316 61.69973.44NoNo079
10B:B:S316 B:B:W332 61.90396.18NoYes099
11B:B:K57 B:B:W332 24.047519.73YesYes199
12B:B:K57 B:B:Q75 24.1999.49YesNo199
13B:B:Q75 B:B:W99 48.25944.38NoYes199
14A:A:F238 B:B:W99 51.717314.03YesYes099
15A:A:F238 A:A:W234 50.99574.01YesYes099
16A:A:R231 A:A:W234 93.468210NoYes099
17A:A:L46 A:A:R231 1003.64NoNo089
18A:A:G47 A:A:L46 99.97015.13NoNo098
19A:A:G47 A:A:K53 99.95493.49NoYes099
20A:A:K53 A:A:L45 99.71465.64YesYes098
21A:A:L45 A:A:M221 99.57734.24YesNo088
22A:A:F212 A:A:M221 99.55974.98NoNo098
23A:A:F212 A:A:F219 99.52428.57NoYes098
24A:A:F219 A:A:H41 33.07737.92YesNo086
25A:A:H41 R:R:F253 32.97897.92NoYes066
26A:A:R380 R:R:F253 98.71535.34NoYes076
27A:A:R380 R:R:V252 98.25523.92NoNo2077
28A:A:I383 R:R:V252 98.05543.07NoNo087
29A:A:H387 A:A:I383 97.6153.98NoNo088
30A:A:H387 R:R:L247 97.394715.43NoNo088
31R:R:L247 R:R:Y243 97.174212.89NoYes088
32B:B:W332 B:B:Y59 46.98969.65YesYes198
33B:B:Q75 B:B:Y59 24.05914.65NoYes198
34A:A:Y37 B:B:L55 10.65164.69NoNo046
35A:A:R42 A:A:Y37 10.801418.52NoNo094
36A:A:F222 A:A:R42 10.95265.34YesNo079
37B:B:M101 B:B:Y59 23.02153.59YesYes198
38B:B:M101 B:B:Y145 23.15684.79YesYes198
39A:A:Q227 B:B:Y145 37.38125.64YesYes198
40A:A:Q227 A:A:W234 37.72323.29YesYes099
41A:A:F219 A:A:V217 32.99736.55YesNo085
42A:A:V217 R:R:F253 32.93786.55NoYes056
43A:A:F219 A:A:F376 33.31754.29YesYes1288
44A:A:F376 R:R:F253 33.019910.72YesYes086
45A:A:K233 B:B:Y145 14.03573.58YesYes198
46B:B:D290 B:B:G272 13.58163.35YesNo064
47B:B:D246 B:B:G272 13.60985.03YesNo094
48A:A:Y391 R:R:Y243 24.59834.96YesYes1048
49A:A:Y391 R:R:E240 16.11375.61YesYes1049
50B:B:M325 G:G:P49 17.24526.71YesNo057
51G:G:D48 G:G:P49 16.39823.22YesNo097
52G:G:D48 G:G:L51 12.12695.43YesYes096
53B:B:C271 B:B:D290 18.80413.11NoYes056
54B:B:C271 B:B:D291 18.70249.34NoNo058
55B:B:D291 B:B:Y289 18.08334.6NoYes087
56B:B:N313 B:B:W332 10.3894.52NoYes079
57B:B:D83 B:B:L69 33.27695.43YesNo085
58B:B:L69 B:B:Y105 33.04474.69NoYes056
59B:B:H62 B:B:Y105 30.0194.36NoYes066
60B:B:H62 B:B:R150 29.785711.28NoNo066
61B:B:C148 B:B:R150 29.55265.57YesNo066
62B:B:T321 B:B:W63 19.0739.7YesYes077
63B:B:C148 B:B:L190 29.27423.17YesNo065
64B:B:L190 B:B:S160 29.03627.51NoNo056
65B:B:C166 B:B:S160 18.79195.16YesNo486
66B:B:S160 B:B:V187 10.00614.85NoNo469
67B:B:S201 B:B:W211 10.25437.41YesYes498
68R:R:L183 R:R:Y243 60.13197.03NoYes1088
69R:R:L183 R:R:W236 60.38823.42NoYes089
70R:R:W236 R:R:W267 58.03914.06YesNo099
71R:R:L189 R:R:W267 52.55763.42NoNo039
72R:R:L189 R:R:L193 52.3254.15NoNo036
73R:R:L193 R:R:M229 51.86785.65NoYes064
74R:R:I197 R:R:M229 53.22964.37NoYes054
75R:R:H226 R:R:I197 52.98653.98YesNo065
76R:R:H223 R:R:H226 10.43257.17YesYes1856
77R:R:E240 R:R:M187 16.23776.77YesNo098
78R:R:M187 R:R:Y191 16.00754.79NoYes088
79R:R:Q383 R:R:Y191 11.754811.27YesYes098
80R:R:H226 R:R:I198 37.47063.98YesNo067
81R:R:H156 R:R:I198 36.971611.93YesNo077
82R:R:H156 R:R:H381 35.72239.55YesNo079
83R:R:H377 R:R:H381 35.22199.55YesNo079
84L:L:L12 R:R:H377 32.21123.86NoYes007
85L:L:L12 L:L:L16 31.95966.92NoNo000
86L:L:F15 L:L:L16 29.69133.65NoNo000
87L:L:F15 R:R:F137 29.18626.43NoNo001
88R:R:D101 R:R:F137 28.42775.97NoNo041
89L:L:T30 R:R:D101 28.17467.23NoNo004
90L:L:T30 R:R:F102 27.92152.59NoNo004
91R:R:F102 R:R:F99 27.66838.57NoNo045
92R:R:F99 R:R:Y98 27.16154.13NoYes054
93R:R:L80 R:R:Y98 18.45093.52NoYes2654
94R:R:L80 R:R:Q93 18.22926.65NoNo056
95R:R:Q93 R:R:W82 17.715113.14NoYes069
96B:B:D322 B:B:T321 10.42961.45NoYes017
97B:B:D322 B:B:T65 10.21311.45NoNo011
98A:A:K233 B:B:D246 13.42615.53YesYes199
Download PSN data

2D representation of the global metapath, ligand(s) interactions and
histograms of path distribution according to several parameters
(click on the image to enlarge it 🔍):

A 2D representation of the global communication in the network.

ConSurf Conservation Grade (See documentation): 

 n/a   1    2    3    4    5    6    7    8    9  

Number of shortest communication paths as a function of the average residue correlation.

Number of shortest communication paths as a function of the average interaction strength of their links.

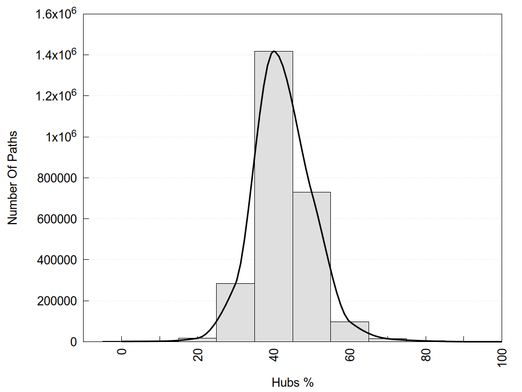
Number of shortest communication paths as a function of the % of hub nodes in each path.

Number of shortest communication paths as a function of the number of nodes in each path.

Number of shortest communication paths as a function of the % of correlated nodes in each path.


2D representation of the interactions of this orthosteric/allosteric ligand.


Links and nodes colored according to ConSurf Conservation Grade (See documentation): 

 n/a   1    2    3    4    5    6    7    8    9  

Node1 Node2 LinkStrength Comm IsNode1Hub? IsNode2Hub? Node1Cons Node2Cons Node1Shell Node2Shell
L:L:K1 R:R:V293 4.55 0 No No 0 6 0 1
L:L:K1 R:R:E294 4.05 0 No No 0 3 0 1
L:L:C2 R:R:Y299 4.03 25 No No 0 7 0 1
L:L:N3 R:R:W361 11.3 0 No No 0 4 0 1
L:L:A5 R:R:M376 3.22 0 No Yes 0 7 0 1
L:L:T6 R:R:H302 10.95 0 No No 0 6 0 1
L:L:C7 R:R:H302 7.37 25 Yes No 0 6 0 1
L:L:A8 R:R:H377 4.39 0 No Yes 0 7 0 1
L:L:Q10 R:R:H223 4.95 0 No Yes 0 5 0 1
L:L:L12 R:R:H377 3.86 0 No Yes 0 7 0 1
L:L:E14 R:R:V293 4.28 0 No No 0 6 0 1
L:L:F15 R:R:F137 6.43 0 No No 0 1 0 1
L:L:L16 R:R:Y149 3.52 0 No Yes 0 5 0 1
L:L:R17 R:R:L291 8.5 0 No No 0 6 0 1
L:L:S19 R:R:F137 14.53 0 No No 0 1 0 1
L:L:S19 R:R:L142 6.01 0 No No 0 2 0 1
L:L:T30 R:R:D101 7.23 0 No No 0 4 0 1
L:L:V32 R:R:T132 4.76 0 No No 0 6 0 1
L:L:G33 R:R:W128 5.63 0 No Yes 0 5 0 1
L:L:P37 R:R:D77 4.83 5 Yes Yes 0 9 0 1
L:L:P37 R:R:G78 4.06 5 Yes No 0 5 0 1
L:L:P37 R:R:W79 9.46 5 Yes Yes 0 6 0 1
L:L:?38 R:R:D77 10.08 5 Yes Yes 0 9 0 1
L:L:?38 R:R:W128 8.46 5 Yes Yes 0 5 0 1
L:L:?38 R:R:S129 7.43 5 Yes Yes 0 7 0 1
L:L:?38 R:R:Y131 11.61 5 Yes Yes 0 5 0 1
R:R:M48 R:R:W79 4.65 0 No Yes 6 6 2 1
R:R:D77 R:R:G78 5.03 5 Yes No 9 5 1 1
R:R:D77 R:R:S129 5.89 5 Yes Yes 9 7 1 1
R:R:D77 R:R:Y131 9.2 5 Yes Yes 9 5 1 1
R:R:G78 R:R:W79 4.22 5 No Yes 5 6 1 1
R:R:W79 R:R:Y131 7.72 5 Yes Yes 6 5 1 1
R:R:F102 R:R:F99 8.57 0 No No 4 5 1 2
R:R:D101 R:R:F137 5.97 0 No No 4 1 1 1
R:R:V108 R:R:Y131 11.36 0 No Yes 7 5 2 1
R:R:K110 R:R:S129 4.59 5 Yes Yes 8 7 2 1
R:R:H121 R:R:W128 24.33 0 Yes Yes 4 5 2 1
R:R:N130 R:R:W128 6.78 0 No Yes 8 5 2 1
R:R:S129 R:R:Y131 12.72 5 Yes Yes 7 5 1 1
R:R:N130 R:R:T132 4.39 0 No No 8 6 2 1
R:R:H377 R:R:L148 7.71 0 Yes No 7 5 1 2
R:R:Y149 R:R:Y150 10.92 0 Yes No 5 4 1 2
R:R:I153 R:R:Y149 6.04 0 No Yes 7 5 2 1
R:R:L202 R:R:Y149 3.52 0 No Yes 7 5 2 1
R:R:H156 R:R:I198 11.93 0 Yes No 7 7 2 1
R:R:H156 R:R:H381 9.55 0 Yes No 7 9 2 2
R:R:H226 R:R:I198 3.98 18 Yes No 6 7 2 1
R:R:H201 R:R:H223 3.58 18 Yes Yes 6 5 2 1
R:R:H201 R:R:H226 4.78 18 Yes Yes 6 6 2 2
R:R:H201 R:R:L291 7.71 18 Yes No 6 6 2 1
R:R:P207 R:R:V206 3.53 0 No No 3 3 2 1
R:R:C289 R:R:V212 6.83 0 No No 9 3 2 1
R:R:H223 R:R:H226 7.17 18 Yes Yes 5 6 1 2
R:R:H223 R:R:Q227 9.89 18 Yes No 5 7 1 2
R:R:H223 R:R:L291 7.71 18 Yes No 5 6 1 1
R:R:H302 R:R:M230 5.25 0 No No 6 6 1 2
R:R:M376 R:R:Q355 4.08 0 Yes Yes 7 8 1 2
R:R:F359 R:R:M376 4.98 0 No Yes 6 7 2 1
R:R:I380 R:R:M376 5.83 0 No Yes 6 7 2 1
R:R:H377 R:R:H381 9.55 0 Yes No 7 9 1 2
L:L:T9 R:R:I198 3.04 0 No No 0 7 0 1
L:L:T4 R:R:M306 3.01 25 Yes No 0 4 0 1
L:L:F15 R:R:A145 2.77 0 No No 0 4 0 1
R:R:H201 R:R:V206 2.77 18 Yes No 6 3 2 1
L:L:R17 R:R:V212 2.62 0 No No 0 3 0 1
L:L:T30 R:R:F102 2.59 0 No No 0 4 0 1
R:R:M376 R:R:Y372 2.39 0 Yes No 7 7 1 2
L:L:A13 R:R:V206 1.7 0 No No 0 3 0 1
L:L:P28 R:R:Y41 1.39 0 No No 0 3 0 1

Location and physicochemical properties of the interaction partners of this ligand

Interactions of this ligand

Similarities between the interactions of this ligand and those of other networks

ShowSimilarityNetwork TypeNameLigandDescription
60.87Single9BLCCagrilintide (non-acylated)9BLC-CT-Cagrilintide (non-acylated)-Gs/β1/γ2
60.87Single9BUDCagrilintide9BUD-CT-Cagrilintide-Gs/β1/γ2
58.33Single7TYHCalcitonin7TYH-CT (AMY2)-Calcitonin-Gs/β1/γ2; RAMP2
57.69Single9BTWCagrilintide9BTW-CT (AMY3)-Cagrilintide-Gs/β1/γ2; RAMP3
54.17Single7TYIAmylin7TYI-CT-Amylin-Gs/β1/γ2
53.85Single6UVAAdrenomedullin-26UVA-CT Like (AM2)-Adrenomedullin-2-Gs/β1/γ2; RAMP3
52.00Single7TYWCalcitonin-17TYW-CT (AMY1)-Calcitonin-1-Gs/β1/γ2; RAMP1
52.00Consensuscalcitonin_onOrthosteric Ligandctlike_on
50.00Single7TYOCalcitonin7TYO-CT-Calcitonin-Gs/β1/γ2
50.00Single9BUBCagrilintide9BUB-CT-Cagrilintide-Gs/β1/γ2
50.00Consensuscalcitonin_on_gpOrthosteric Ligandctlike_on_gp
48.15Single9BUCCagrilintide9BUC-CT-Cagrilintide-Gs/β1/γ2
46.43Single6UUSAdrenomedullin6UUS-CT Like (AM2)-Adrenomedullin-Gs/β1/γ2; RAMP3
45.83Single7TRYUrocortin7TRY-CRF2-Urocortin-chim(NtGi1-G11)/β1/γ2
45.16Single7TYYCalcitonin-17TYY-CT (AMY2)-Calcitonin-1-Gs/β1/γ2; RAMP2
44.44Single9BLBCagrilintide (non-acylated)9BLB-CT-Cagrilintide (non-acylated)-Gs/β1/γ2
44.44Single9BP3Cagrilintide9BP3-CT (AMY1)-Cagrilintide-Gs/β1/γ2; RAMP1
44.12Single8F0JPramlintide Analogue San458F0J-CT-Pramlintide Analogue San45-Gs/β1/γ2
44.00Single8YFOAc-LA-PTH Analog8YFO-PTH1-Ac-LA-PTH Analog-chim(NtGi1-Gs)/β1/γ2
43.75Single6E3YCalcitonin gene-related peptide-16E3Y-CT Like-Calcitonin gene-related peptide-1-Gs/β1/γ2; RAMP1
43.33Single7TZFAmylin7TZF-CT (AMY3)-Amylin-Gs/β1/γ2; RAMP3
43.33Single8F2APramlintide Analogue San3858F2A-CT (AMY3)-Pramlintide Analogue San385-Gs/β1/γ2; RAMP3
42.86Single6P9XCorticoliberin-16P9X-CRF1-Corticoliberin-1-Gs/β1/γ2
42.86Single7TYNCalcitonin-17TYN-CT-Calcitonin-1-Gs/β1/γ2
42.31Single6NIYCalcitonin-16NIY-CT-Calcitonin-1-Gs/β1/γ2
41.67Single8JIQPeptide-158JIQ-Glucagon-Peptide-15-Gs/β1/γ2
41.38Single7TYLAmylin7TYL-CT-Amylin-Gs/β1/γ2
41.38Single8F0KPramlintide Analogue San3858F0K-CT (AMY3)-Pramlintide Analogue San385-Gs/β1/γ2; RAMP3
41.38Single9BQ3Cagrilintide9BQ3-CT (AMY2)-Cagrilintide-Gs/β1/γ2; RAMP2
40.00Single7TYXAmylin7TYX-CT (AMY2)-Amylin-Gs/β1/γ2; RAMP2
39.29Single9BLWCagrilintide (non-acylated)9BLW-CT (AMY1)-Cagrilintide (non-acylated)-Gs/β1/γ2; RAMP1
38.71Single9AUCCalcitonin gene-related peptide-19AUC-CT (AMY1)-Calcitonin gene-related peptide-1-Gs/β1/γ2; RAMP1
38.46Single6UUNAdrenomedullin6UUN-CT Like (AM1)-Adrenomedullin-Gs/β1/γ2; RAMP2
37.93Single7TYFAmylin7TYF-CT (AMY1)-Amylin-Gs/β1/γ2; RAMP1
37.04Single7FINPeptide-20; GGL7FIN-GIP-Peptide-20; GGL-Gs/β1/γ2
37.04Single8YW4Retatrutide8YW4-GIP-Retatrutide-chim(NtGi1-Gs)/β1/γ2
37.04Single8YW5Retatrutide8YW5-Glucagon-Retatrutide-Gs/β1/γ2
36.67Single6LMLGlucagon6LML-Glucagon-Glucagon-Gi1/β1/γ1
36.67Single6PB1Urocortin6PB1-CRF2-Urocortin-chim(NtGi1-Gs)/β1/γ2
36.67Single8FLTM-PTH(1-14)8FLT-PTH1-M-PTH(1-14)-Gs/β1/γ2
36.00Single7RTBPeptide-197RTB-GLP-1-Peptide-19-Gs/β1/γ2
36.00Single8YWFRetatrutide8YWF-GLP-1-Retatrutide-chim(NtGi1-Gs)/β1/γ2
35.71Single5YQZNNC17025YQZ-Glucagon-NNC1702
35.71Single8YG4LA-PTH Analog8YG4-PTH1-LA-PTH Analog-chim(NtGi1-Gs)/β1/γ2
35.48Single6PB0Urocortin6PB0-CRF1-Urocortin-chim(NtGi1-Gs)/β1/γ2
34.48Single6NBFLA-PTH Analog6NBF-PTH1-LA-PTH Analog-Gs/β1/γ2
34.48Single7RA3GIP7RA3-GIP-GIP-chim(NtGi1-Gs)/β1/γ2
34.48Single7VABTirzepatide (non-acylated)7VAB-GIP-Tirzepatide (non-acylated)-chim(NtGi1-Gs)/β1/γ2
34.48Single8FLRPTHrP(1-36)8FLR-PTH1-PTHrP(1-36)-Gs/β1/γ2
34.38Single6LPBPACAP276LPB-PAC1-PACAP27-Gs/β1/γ1
34.38Single8FLULA-PTH Analog8FLU-PTH1-LA-PTH Analog-Gs/β1/γ2
33.33Single6B3JExendin-P56B3J-GLP-1-Exendin-P5-Gs/β1/γ2
33.33Single7F16TIP397F16-PTH2-TIP39-Gs/β1/γ2
33.33Single7VVNPTH7VVN-PTH1-PTH-Gs/β1/γ2
33.33Single8FU6ZP37808FU6-Glucagon-ZP3780-Gs/β1/γ2
33.33Single8HAOPTH8HAO-PTH1-PTH-chim(NtGi1-Gs)/β1/γ2
33.33Single9IVMGLP-1 (Truncated)9IVM-GLP-1-GLP-1 (Truncated)-LSN3318839-chim(NtGi1-Gs)/β2/γ2
33.33Consensusclass-b1_class-b2_cons_onOrthosteric Ligandclass-b1_on class-b2_on
33.33Consensusclass-b1_class-b2_cons_on_gpOrthosteric Ligandclass-b1_on_gp class-b2_on_gp
33.33Consensusclass-b1_onOrthosteric Ligandglucagon_on vip-pacap_on pth_on crf_on calcitonin_on
33.33Consensuscrf_onOrthosteric Ligandcrf2_on crf1_on
33.33Consensuscrf_on_gpOrthosteric Ligandcrf2_on_gp crf1_on_gp
33.33Consensusglp_onOrthosteric Ligandglp1_on glp2_on
33.33Consensusglp_on_gpOrthosteric Ligandglp1_on_gp glp2_on_gp
32.35Single8FLQPTH8FLQ-PTH1-PTH-Gs/β1/γ2
32.26Single6LMKGlucagon6LMK-Glucagon-Glucagon-Gs/β1/γ2
32.26Single6NBHLA-PTH Analog6NBH-PTH1-LA-PTH Analog-Gs/β1/γ2
32.26Single6WZGSecretin6WZG-Secretin-Secretin-Gs/β1/γ2
32.26Single7D68GLP-27D68-GLP-2-GLP-2-Gs/β1/γ2
32.26Single7TS0Urocortin7TS0-CRF2-Urocortin-chim(NtGi1L-Go)/β1/γ2
32.26Single7VVJPTHrP(1-36)7VVJ-PTH1-PTHrP(1-36)-Gs/β1/γ2
32.26Single8HAFPTHrP(1-36)8HAF-PTH1-PTHrP(1-36)-chim(NtGi1-Gs)/β1/γ2
32.14Single6WI9Secretin6WI9-Secretin-Secretin-Gs/β1/γ2
32.14Single8YW3Retatrutide8YW3-GLP-1-Retatrutide-Gs/β1/γ2
31.58Single8F2BPramlintide Analogue San458F2B-CT (AMY3)-Pramlintide Analogue San45-Gs/β1/γ2; RAMP3
31.25Single7RBTTirzepatide7RBT-GIP-Tirzepatide-LSN3556672-chim(NtGi1-Gs)/β1/γ2
31.25Consensusclass-a_class-b1_cons_onOrthosteric Ligandclass-a_on class-b1_on
31.03Single7WBJPACAP277WBJ-VPAC1-PACAP27-Gs/β1/γ2
31.03Single8E3ZVIP8E3Z-VPAC1-VIP-Gs/β1/γ2
31.03Single9E2AGLP-19E2A-GLP-1-GLP-1-Gs/β1/γ2
30.00Single6FJ3PTH6FJ3-PTH1-PTH
30.00Single7D3SSecretin7D3S-Secretin-Secretin-Gs/β1/γ2
30.00Single8JISPeptide-158JIS-GLP-1-Peptide-15-chim(NtGi1-Gs)/β1/γ2
30.00Single9J1Pg1:Ox9J1P-GLP-1-g1:Ox-chim(NtGi1-Gs)/β1/γ2
30.00Consensusclass-b1_on_gpOrthosteric Ligandglucagon_on_gp vip-pacap_on_gp pth_on_gp crf_on_gp calcitonin_on_gp
30.00Consensusvpac_on_gpOrthosteric Ligandvpac1_on_gp vpac2_on_gp
29.63Single6WHCGlu16 analog of GCG6WHC-Glucagon-Glu16 analog of GCG-Gs/β1/γ2
29.41Single6WPWZP37806WPW-Glucagon-ZP3780-Gs/β1/γ2
29.41Single8JIPMEDI03828JIP-GLP-1-MEDI0382-chim(NtGi1-Gs)/β1/γ2
29.41Single9JR2PTH9JR2-PTH1-PTH-chim(NtGi1L-Gs-CtGq)/β1/γ2
29.17Single6XOXOrforglipron6XOX-GLP-1-Orforglipron-chim(NtGi1-Gs)/β1/γ2
29.03Single7DTYGIP7DTY-GIP-GIP-Gs/β1/γ2
29.03Single7FIYTirzepatide7FIY-GIP-Tirzepatide-Gs/β1/γ2
29.03Single7S1MExendin-4-D-Ala7S1M-GLP-1-Exendin-4-D-Ala-Gs/β1/γ2
29.03Single7VQXPACAP277VQX-VPAC1-PACAP27-Gs/β1/γ2
28.57Single7Y36PTH7Y36-PTH1-PTH-Gs/β1/γ2
28.57Single8JITMEDI03828JIT-Glucagon-MEDI0382-Gs/β1/γ2
28.57Single9JR3PTH9JR3-PTH1-PTH-chim(NtGi1L-Gs-CtGq)/β1/γ2
28.57Single9LXRLA-PTH Analog9LXR-PTH1-LA-PTH Analog-Arrestin2
28.57Consensusclass-a_class-b1_cons_on_gpOrthosteric Ligandclass-a_on_gp class-b1_on_gp
28.57Consensusglucagon_onOrthosteric Ligandglp_on gluc_on secretin_on gip_on
28.21Consensuspth_on_gpOrthosteric Ligandpth1_on_gp pth2_on_gp
28.12Consensusvpac2_onOrthosteric Ligand7VQX-VPAC1-PACAP27-Gs/β1/γ2
28.12Consensusvpac2_on_gpOrthosteric Ligand7VQX-VPAC1-PACAP27-Gs/β1/γ2
28.00Single6M1HMaxadilan6M1H-PAC1-Maxadilan-Gs/β1/γ2
28.00Single9C0KExendin-49C0K-GLP-1-Exendin-4-Gs/β1/γ2
27.78Consensusglucagon_on_gpOrthosteric Ligandglp_on_gp gluc_on_gp secretin_on_gp gip_on_gp
27.78Consensuspth_onOrthosteric Ligandpth1_on pth2_on
27.59Single6M1IPACAP276M1I-PAC1-PACAP27-Gs/β1/γ2
27.59Single7FIMTirzepatide7FIM-GLP-1-Tirzepatide-Gs/β1/γ2
27.59Single7V9MSomatoliberin7V9M-GHRH (SV1)-Somatoliberin-Gs/β1/γ2
27.59Single8HA0PTH8HA0-PTH1-PTH-chim(NtGi1-Gs)/β1/γ2
27.59Single9EBOGLP-1 (ACPC18)9EBO-GLP-1-GLP-1 (ACPC18)-Gs/β1/γ2
27.59Consensuscrf2_onOrthosteric Ligand7TS0-CRF2-Urocortin-chim(NtGi1L-Go)/β1/γ2
27.27Single7DUQGLP-17DUQ-GLP-1-GLP-1-PubChem 156022738-Gs/β1/γ2
26.67Single6X18GLP-16X18-GLP-1-GLP-1-Gs/β1/γ2
26.67Single7LLYOxyntomodulin7LLY-GLP-1-Oxyntomodulin-Gs/β1/γ2
26.67Single7Y35Abaloparatide7Y35-PTH1-Abaloparatide-Gs/β1/γ2
26.67Single8E3YPACAP278E3Y-VPAC1-PACAP27-Gs/β1/γ2
26.67Consensuspac_onOrthosteric Ligandpac1_on
26.67Consensusvpac_onOrthosteric Ligandvpac1_on vpac2_on
26.47Single7VBHPeptide-207VBH-GLP-1-Peptide-20-Gs/β1/γ2
26.47Single8FLSAbaloparatide8FLS-PTH1-Abaloparatide-Gs/β1/γ2
25.93Single6X19CHU-1286X19-GLP-1-CHU-128-Gs/β1/γ2
25.81Single6NBILA-PTH Analog6NBI-PTH1-LA-PTH Analog-Gs/β1/γ2
25.81Single7CZ5Somatoliberin7CZ5-GHRH-Somatoliberin-Gs/β1/γ2
25.81Single7KI0Semaglutide7KI0-GLP-1-Semaglutide-Gs/β1/γ2
25.81Single8E3XPACAP278E3X-PAC1-PACAP27-Gs/β1/γ2
25.81Single9P92VIP9P92-PAC1-VIP-Gs/β1/γ2
25.81Consensuscrf2_on_gpOrthosteric Ligand7TS0-CRF2-Urocortin-chim(NtGi1L-Go)/β1/γ2
25.81Consensuspac_on_gpOrthosteric Ligandpac1_on_gp
25.71Single7V35Peptide-207V35-Glucagon-Peptide-20-Gs/β1/γ2
25.71Single7VVMPTH7VVM-PTH1-PTH-Gs/β1/γ2
25.71Single8JIRSAR4258998JIR-GLP-1-SAR425899-chim(NtGi1-Gs)/β1/γ2
25.00Single5NX2GLP-1 (Truncated)5NX2-GLP-1-GLP-1 (Truncated)
25.00Single6LI0C176LI0-GPR52-C17
25.00Single7E14Orforglipron7E14-GLP-1-Orforglipron-PubChem 156022738-Gs/β1/γ2
25.00Single7VBITirzepatide (non-acylated)7VBI-GLP-1-Tirzepatide (non-acylated)-Gs/β1/γ2
25.00Single7VVKPTH7VVK-PTH1-PTH-Gs/β1/γ2
25.00Single8JIUSAR4258998JIU-Glucagon-SAR425899-Gs/β1/γ2
25.00Single8WJXADP8WJX-P2Y1-ADP-chim(Gs-CtGq)/β1/γ2
25.00Single9ASTLymphotactin9AST-XCR1-Lymphotactin-Gi1/β1/γ2
25.00Single9P94PACAP279P94-PAC1-PACAP27-Gs/β1/γ2
24.24Single5VAIGLP-15VAI-GLP-1-GLP-1-Gs/β1/γ2
24.24Single7KI1Taspoglutide7KI1-GLP-1-Taspoglutide-Gs/β1/γ2
24.24Single7VVLPTH7VVL-PTH1-PTH-Gs/β1/γ2
24.24Single9BYOExendin-39BYO-GLP-1-Exendin-3-Gs/β1/γ2
24.24Single9P93VIP9P93-PAC1-VIP-Gs/β1/γ2
24.24Consensusctlike_on_gpOrthosteric Ligand6E3Y-CT Like-Calcitonin gene-related peptide-1-Gs/β1/γ2; RAMP1
24.24Consensuspth1_onOrthosteric Ligand6NBF-PTH1-LA-PTH Analog-Gs/β1/γ2 8HA0-PTH1-PTH-chim(NtGi1-Gs)/β1/γ2 8HAF-PTH1-PTHrP(1-36)-chim(NtGi1-Gs)/β1/γ2 7Y36-PTH1-PTH-Gs/β1/γ2 7Y35-PTH1-Abaloparatide-Gs/β1/γ2
24.24Consensusvip-pacap_onOrthosteric Ligandvpac_on pac_on
24.24Consensusvip-pacap_on_gpOrthosteric Ligandvpac_on_gp pac_on_gp
24.14Single9B5YLA-PTH Analog9B5Y-PTH1-LA-PTH Analog-chim(NtGi1-Gq)/β1/γ2
24.00Consensuslpl_offOrthosteric Ligands1p_off lpa_off
23.81Single8HMPC178HMP-GPR52-C17-Gs/β1/γ2
23.81Single8YYWAlpha-ketoglutarate8YYW-Oxoglutarate-α-ketoglutarate-α-ketoglutarate-chim(Gi1-CtGq)/β1/γ2
23.53Consensuscrf1_onOrthosteric Ligand6PB0-CRF1-Urocortin-chim(NtGi1-Gs)/β1/γ2 6P9X-CRF1-Corticoliberin-1-Gs/β1/γ2
23.08Single7LLLExendin-47LLL-GLP-1-Exendin-4-Gs/β1/γ2
23.08Single7X8RBOC57X8R-GLP-1-BOC5-Gs/β1/γ2
23.08Single9KWXC5a-des-Arg9KWX-C5a1-C5a-des-Arg-Go/β1/γ2
23.08Consensuspth2_on_gpOrthosteric Ligand7F16-PTH2-TIP39-Gs/β1/γ2
22.73Single7XXH2MeSADP7XXH-P2Y1-2MeSADP-chim(NtGi1-G11)/β1/γ2
22.73Single9K0KUTP9K0K-P2Y4-UTP-chim(NtGi1-Gs-CtGq)/β1/γ2
22.73Consensusp2y1_on_gpOrthosteric Ligand7XXH-P2Y1-2MeSADP-chim(NtGi1-G11)/β1/γ2
22.58Consensusvpac1_onOrthosteric Ligand8E3Z-VPAC1-VIP-Gs/β1/γ2
22.22Single7X8SWB4-247X8S-GLP-1-WB4-24-Gs/β1/γ2
22.22Consensuscrf1_on_gpOrthosteric Ligand6PB0-CRF1-Urocortin-chim(NtGi1-Gs)/β1/γ2 6P9X-CRF1-Corticoliberin-1-Gs/β1/γ2
22.22Consensuscxcr4_offOrthosteric Ligand4RWS-CXCR4-vMIP-II 3OE0-CXCR4-CVX15 3OE6-CXCR4-IT1t
22.22Consensuspth1_on_gpOrthosteric Ligand6NBF-PTH1-LA-PTH Analog-Gs/β1/γ2 8HA0-PTH1-PTH-chim(NtGi1-Gs)/β1/γ2 8HAF-PTH1-PTHrP(1-36)-chim(NtGi1-Gs)/β1/γ2 7Y36-PTH1-PTH-Gs/β1/γ2 7Y35-PTH1-Abaloparatide-Gs/β1/γ2
21.88Single4XT3CX3CL14XT3-US28-CX3CL1
21.88Single7RGPTirzepatide7RGP-GLP-1-Tirzepatide-chim(NtGi1-Gs)/β1/γ2
21.88Consensusctlike_onOrthosteric Ligand6E3Y-CT Like-Calcitonin gene-related peptide-1-Gs/β1/γ2; RAMP1
21.88Consensuspac1_onOrthosteric Ligand8E3X-PAC1-PACAP27-Gs/β1/γ2 6M1H-PAC1-Maxadilan-Gs/β1/γ2
21.88Consensuspac1_on_gpOrthosteric Ligand8E3X-PAC1-PACAP27-Gs/β1/γ2 6M1H-PAC1-Maxadilan-Gs/β1/γ2
21.88Consensusvpac1_on_gpOrthosteric Ligand8E3Z-VPAC1-VIP-Gs/β1/γ2
21.74Single5TGZAM65385TGZ-CB1-AM6538
21.74Single7YK7DC5910537YK7-RXFP4-DC591053-Gi2/β1/γ2
21.74Single7YU4ONO-07405567YU4-LPA1-ONO-0740556
21.74Single8I7VAcipimox8I7V-HCA2-Acipimox-Gi1/β1/γ2
21.74Single8J6PNiacin8J6P-HCA2-Niacin-PubChem 25101223-Gi1/β1/γ2
21.74Consensusgi_hcaOrthosteric Ligand8J6R-HCA2-MK6892-Gi1/β1/γ2 8JIM-HCA2-Monomethyl fumarate-Gi1/β1/γ2 8IHI-HCA2-Acifran-Gi1/β1/γ2 8IHH-HCA2-LUF6283-Gi1/β1/γ2 8I7V-HCA2-Acipimox-Gi1/β1/γ2 8I7W-HCA2-GSK256073-Gi1/β1/γ2
21.74Consensushca2_onOrthosteric Ligand8J6R-HCA2-MK6892-Gi1/β1/γ2 8JIM-HCA2-Monomethyl fumarate-Gi1/β1/γ2 8I7V-HCA2-Acipimox-Gi1/β1/γ2 8I7W-HCA2-GSK256073-Gi1/β1/γ2 8IHH-HCA2-LUF6283-Gi1/β1/γ2 8IHI-HCA2-Acifran-Gi1/β1/γ2
21.74Consensushca2_on_gpOrthosteric Ligand8J6R-HCA2-MK6892-Gi1/β1/γ2 8IHI-HCA2-Acifran-Gi1/β1/γ2 8IHH-HCA2-LUF6283-Gi1/β1/γ2 8I7V-HCA2-Acipimox-Gi1/β1/γ2 8JIM-HCA2-Monomethyl fumarate-Gi1/β1/γ2 8I7W-HCA2-GSK256073-Gi1/β1/γ2
21.74Consensushca_on_gpOrthosteric Ligandhca2_on_gp
21.62Consensuspth2_onOrthosteric Ligand7F16-PTH2-TIP39-Gs/β1/γ2
21.43Single4XT1CX3CL14XT1-US28-CX3CL1
21.43Single9KWGC5a9KWG-C5a1-C5a-Go/β1/γ2
21.21Single6VCBGLP-16VCB-GLP-1-GLP-1-LSN3160440-Gs/β1/γ2
21.21Consensusglp2_onOrthosteric Ligand7D68-GLP-2-GLP-2-Gs/β1/γ2
21.21Consensusglp2_on_gpOrthosteric Ligand7D68-GLP-2-GLP-2-Gs/β1/γ2
21.21Consensussecretin_on_gpOrthosteric Ligand7D3S-Secretin-Secretin-Gs/β1/γ2
20.83Single7YU3ONO-07405567YU3-LPA1-ONO-0740556-Gi1/β1/γ2
20.83Single7YU6ONO-07405567YU6-LPA1-ONO-0740556-Gi1/β1/γ2
20.83Single8J6JGSK2560738J6J-HCA2-GSK256073-Gi1/β1/γ2
20.83Single8UUJFCH-22964138UUJ-HCA2-FCH-2296413-Gi1/β1/γ2
20.83Single9CIBFCH-22964139CIB-HCA2-FCH-2296413
20.83Single9ERXD9-THC analog9ERX-CB1-D9-THC analog-Gi1/β1/γ2
20.83Single9KPFSalicin9KPF-TAS2R16-Salicin-Gi1/β1/γ2
20.83Consensusrxfp4_onOrthosteric Ligand7YK7-RXFP4-DC591053-Gi2/β1/γ2 7YJ4-RXFP4-INSL5-Gi2/β1/γ2 7YK6-RXFP4-PubChem 138319674-Gi2/β1/γ2
20.83Consensusrxfp4_on_gpOrthosteric Ligand7YK7-RXFP4-DC591053-Gi2/β1/γ2 7YJ4-RXFP4-INSL5-Gi2/β1/γ2 7YK6-RXFP4-PubChem 138319674-Gi2/β1/γ2
20.83Consensuss1p5_offOrthosteric Ligand7YXA-S1P5-ONO-5430608
20.83Consensuss1p_offOrthosteric Ligands1p1_off s1p5_off
20.69Single7RKMCX3CL17RKM-US28-CX3CL1-Gi1/β1/γ2
20.69Single8F7QBeta-Endorphin8F7Q-μ-β-Endorphin-Gi1/β1/γ2
20.69Consensuscompl-peptide_onOrthosteric Ligandc5a1_on c3a_on
20.51Consensusgluc_on_gpOrthosteric Ligand6LMK-Glucagon-Glucagon-Gs/β1/γ2 8JIT-Glucagon-MEDI0382-Gs/β1/γ2 7V35-Glucagon-Peptide-20-Gs/β1/γ2
20.00Single4Z34ONO-97803074Z34-LPA1-ONO-9780307
20.00Single6VN7PACAP276VN7-VPAC1-PACAP27-Gs/β1/γ2
20.00Single7O7F6P4-CCL57O7F-CCR5-6P4-CCL5-Gi1/β1/γ1
20.00Single7TD0LPA7TD0-LPA1-LPA-Gi1/β1/γ2
20.00Single7YU5ONO-07405567YU5-LPA1-ONO-0740556-Gi1/β1/γ2
20.00Single7YU7ONO-07405567YU7-LPA1-ONO-0740556-Gi1/β1/γ2
20.00Single8HQCC5a8HQC-C5a1-C5a-Go/β1/γ2
20.00Single8IHBGSK2560738IHB-HCA2-GSK256073-Gi1/β1/γ2
20.00Single8IHHLUF62838IHH-HCA2-LUF6283-Gi1/β1/γ2
20.00Single8J6QBeta-Hydroxybutyrate8J6Q-HCA2-β-Hydroxybutyrate-PubChem 25101223-Gi1/β1/γ2
20.00Single8JRVGlucagon8JRV-Glucagon-Glucagon-Arrestin2
20.00Single8XQTCholesterol8XQT-TAS2R14-Cholesterol-Gi1/β1/γ1
20.00Single9IZGLPA9IZG-LPA1-LPA-chim(NtGi1-Gs-CtGq)/β1/γ2
20.00Consensusccr5_on_gpOrthosteric Ligand7O7F-CCR5-6P4-CCL5-Gi1/β1/γ1 7F1Q-CCR5-CCL3-Gi1/β1/γ2
20.00Consensusclass-a_offOrthosteric Ligandsensory_off alicarboxylic_off amine_off lipid_off nucleotide_off peptide_off protein_off
20.00Consensuscompl-peptide_on_gpOrthosteric Ligandc5a1_on_gp c3a_on_gp
20.00Consensusgi_lpaOrthosteric Ligand7TD1-LPA1-LPA-Gi1/β1/γ2 7YU3-LPA1-ONO-0740556-Gi1/β1/γ2
20.00Consensusgi_relaxinOrthosteric Ligand7YK7-RXFP4-DC591053-Gi2/β1/γ2 7YJ4-RXFP4-INSL5-Gi2/β1/γ2 7YK6-RXFP4-PubChem 138319674-Gi2/β1/γ2
20.00Consensusgip_onOrthosteric Ligand7FIN-GIP-Peptide-20; GGL-Gs/β1/γ2 7FIY-GIP-Tirzepatide-Gs/β1/γ2 7DTY-GIP-GIP-Gs/β1/γ2
20.00Consensusgip_on_gpOrthosteric Ligand7FIN-GIP-Peptide-20; GGL-Gs/β1/γ2 7FIY-GIP-Tirzepatide-Gs/β1/γ2 7DTY-GIP-GIP-Gs/β1/γ2
20.00Consensuslpa_onOrthosteric Ligandlpa1_on
20.00Consensuslpa_on_gpOrthosteric Ligandlpa1_on_gp
20.00Consensusrelaxin_onOrthosteric Ligandrxfp4_on
20.00Consensusrelaxin_on_gpOrthosteric Ligandrxfp4_on_gp
19.35Single7WUIIP157WUI-ADGRG2-IP15-chim(NtGi1-Gs)/β1/γ2
19.35Single8XZJWN3538XZJ-Apelin; Apelin-WN353-Gi1/β1/γ2
19.35Consensusgi_class-aOrthosteric Ligandgi_peptide gi_sensory gi_alicarboxylic gi_amine gi_lipid gi_nucleotide gi_protein
19.23Single4XEENeurotensin-(8-13)4XEE-NTS1-Neurotensin-(8-13)
19.23Single4XESNeurotensin-(8-13)4XES-NTS1-Neurotensin-(8-13)
19.23Single6C1RPMX536C1R-C5a1-PMX53-Avacopan; Na
19.23Single6OS0Angiotensin II6OS0-AT1-Angiotensin II
19.23Single6OS2TRV0266OS2-AT1-TRV026
19.23Single6YVRNeurotensin-(6-13)6YVR-NTS1-Neurotensin-(6-13)
19.23Single7WCMMBX-29827WCM-GPR119-MBX-2982-Gs/β1/γ2
19.23Single8IA8E7 peptide8IA8-C3aB-E7 peptide-Gi1/β1/γ2
19.23Single8JPCNeurotensin-(8-13)8JPC-NTS1-Neurotensin-(8-13)-SBI-553; GDP; Mg-Gq; GRK2
19.23Single9IZHLPA9IZH-LPA1-LPA-chim(NtGi2-G13)/β1/γ2
19.23Consensuscannabinoid_offOrthosteric Ligandcb2_off cb1_off
19.23Consensuslipid_offonOrthosteric Ligandlipid_off lipid_on
19.23Consensuslipid_offon_gpOrthosteric Ligandlipid_on_gp lipid_off
19.23Consensuslpa1_offOrthosteric Ligand4Z36-LPA1-ONO-3080573 4Z35-LPA1-ONO-9910539 4Z34-LPA1-ONO-9780307
19.23Consensuslpa_offOrthosteric Ligandlpa1_off
19.05Single3OE9IT1t3OE9-CXCR4-IT1t
19.05Single7XKFDehydroepiandrosterone7XKF-ADGRG2-Dehydroepiandrosterone-Gs/β1/γ2
19.05Single7XP6Strychnine7XP6-TAS2R46-Strychnine-chim(Gs-CtGt3)/β1/γ2
19.05Single8U4RREGN7663-Fab8U4R-CXCR4-REGN7663-Fab
19.05Single9B9YTaranabant9B9Y-CB1-Taranabant
18.75Single7Y64C5a7Y64-C5a1-C5a-Gi1/β1/γ2
18.75Single8HK5C5a8HK5-C5a1-C5a-Gi1/β1/γ2
18.75Single8IA2C5a8IA2-C5a1-C5a-Go/β1/γ2
18.75Single8WWKMCH8WWK-MCH1-MCH-Gi1/β1/γ2
18.75Single8XQEApelin-138XQE-Apelin; Apelin-Apelin-13-Gi1/β1/γ2
18.75Consensuschemokine_offOrthosteric Ligandccr_off cxcr_off
18.75Consensuscxcr_offOrthosteric Ligandcxcr3_off cxcr4_off
18.75Consensusgi_apelinOrthosteric Ligand8XZH-Apelin; Apelin-MM07-Gi1/β1/γ2 7W0M-Apelin-PubChem 122701908-Gi1/β1/γ2 8XZJ-Apelin; Apelin-WN353-Gi1/β1/γ2 8XZF-Apelin; Apelin-WN561-Gi1/β1/γ2 8XZG-Apelin; Apelin-Apelin-13-Gi1/β1/γ2
18.52Single4BUONeurotensin-(8-13)4BUO-NTS1-Neurotensin-(8-13)
18.52Single4RWSvMIP-II4RWS-CXCR4-vMIP-II
18.52Single4Z35ONO-99105394Z35-LPA1-ONO-9910539
18.52Single6KPGAM8416KPG-CB1-AM841-Gi1/β1/γ2
18.52Single7XZ6APD6687XZ6-GPR119-APD668-Gs/β1/γ2
18.52Single7Y65C5a (C-terminal peptide)7Y65-C5a1-C5a (C-terminal peptide)-Gi1/β1/γ2
18.52Single7YU8ONO-07405567YU8-LPA1-ONO-0740556-Gi1/β1/γ2
18.52Single8IJDMK68928IJD-HCA2-MK6892-Gi1/β1/γ2
18.52Single9KT8Acifran9KT8-HCA2-Acifran-Gi1/β1/γ2
18.52Single9L79AR2314539L79-GPR119-AR231453-chim(NtGi1-Gs)/β1/γ2
18.52Consensusc3a_on_gpOrthosteric Ligand8HK2-C3aB-C3a-Gi1/β1/γ2 8IA8-C3aB-E7 peptide-Gi1/β1/γ2
18.52Consensusclass-a_onOrthosteric Ligandsensory_on alicarboxylic_on amine_on lipid_on nucleotide_on peptide_on protein_on
18.18Single5U09Taranabant5U09-CB1-Taranabant
18.18Single5UIW5P7-CCL55UIW-CCR5-5P7-CCL5
18.18Single6P9YPACAP276P9Y-PAC1-PACAP27-Gs/β1/γ2
18.18Single7LCJDanuglipron7LCJ-GLP-1-Danuglipron
18.18Single7WF7S1P7WF7-S1P1-S1P-Gi1/β1/γ2
18.18Single8IJANiacin8IJA-HCA2-Niacin-Gi1/β1/γ2
18.18Single8JPPSuccinic acid8JPP-Succinate-Succinic acid-chim(Gs-CtGq)/β1/γ1
18.18Single8YYWAlpha-ketoglutarate8YYW-Oxoglutarate-α-ketoglutarate-α-ketoglutarate-chim(Gi1-CtGq)/β1/γ2
18.18Consensusccr5_offOrthosteric Ligand5UIW-CCR5-5P7-CCL5
18.18Consensusccr5_onOrthosteric Ligand7O7F-CCR5-6P4-CCL5-Gi1/β1/γ1 7F1Q-CCR5-CCL3-Gi1/β1/γ2
18.18Consensusccr_offOrthosteric Ligandccr2_off ccr5_off
18.18Consensusgi_compl-peptOrthosteric Ligand8HK5-C5a1-C5a-Gi1/β1/γ2 8IA8-C3aB-E7 peptide-Gi1/β1/γ2 7Y66-C5a1-BM213-Gi1/β1/γ2 7Y67-C5a1-C089 peptide-Gi1/β1/γ2 8HK2-C3aB-C3a-Gi1/β1/γ2 7Y64-C5a1-C5a-Gi1/β1/γ2
18.18Consensusgi_peptideOrthosteric Ligandgi_cck gi_apelin gi_compl-pept gi_endothelin gi_formylpeptide gi_galanin gi_ghrelin gi_npy gi_neurotensin gi_opioid gi_orexin gi_relaxin gi_somatostatin
18.18Consensusp2y1_onOrthosteric Ligand7XXH-P2Y1-2MeSADP-chim(NtGi1-G11)/β1/γ2
18.18Consensussecretin_onOrthosteric Ligand7D3S-Secretin-Secretin-Gs/β1/γ2
17.95Consensusgluc_onOrthosteric Ligand6LMK-Glucagon-Glucagon-Gs/β1/γ2 8JIT-Glucagon-MEDI0382-Gs/β1/γ2 7V35-Glucagon-Peptide-20-Gs/β1/γ2
17.86Single6C1QPMX536C1Q-C5a1-PMX53-NDT9513727
17.86Single7RKFCX3CL17RKF-US28-CX3CL1-GDP-chim(NtGi1-G11)/β1/γ2
17.86Single7XBXCX3CL17XBX-CX3CR1-CX3CL1-Gi1/β1/γ2
17.86Single8XQLCholesterol8XQL-TAS2R14-Cholesterol-Aristolochic acid A-Gt3/β1/γ1
17.86Single8XQOCholesterol8XQO-TAS2R14-Cholesterol-Aristolochic acid A-Gi1/β1/γ1
17.86Single8XZFWN5618XZF-Apelin; Apelin-WN561-Gi1/β1/γ2
17.86Single9IZASCH9002719IZA-HCA2-SCH900271-Gi1/β1/γ2
17.86Single9KX6C5a-des-Arg9KX6-C5a1-C5a-des-Arg-Go/β1/γ2
17.86Consensuscxcr3_onOrthosteric Ligand8HNK-CXCR3-CXCL11-Gi1/β1/γ2 8HNL-CXCR3-PS372424-Gi1/β1/γ2
17.65Single8WWLMCH8WWL-MCH1-MCH-Gi1/β1/γ2
17.65Single8ZH8QRFP268ZH8-QRFP-QRFP26-Gq/β1/γ1
17.65Single8ZJGChemerin8ZJG-CML1-Chemerin-Gi1/β1/γ2
17.65Consensusgq_peptideOrthosteric Ligandgq_cck gq_kisspeptin gq_bradykinin gq_bombesin gq_angiotensin
17.65Consensuspeptide_onOrthosteric Ligandcck_on angiotensin_on apelin_on bombesin_on bradykinin_on compl-peptide_on endothelin_on formylpeptide_on galanin_on ghrelin_on kisspeptin_on melanocortin_on motilin_on neuromedin-u_on npy_on neurotensin_on opioid_on orexin_on relaxin_on somatostatin_on tachykinin_on trh_on vasop-oxy_on
17.65Consensuspeptide_on_gpOrthosteric Ligandcck_on_gp angiotensin_on_gp apelin_on_gp bombesin_on_gp bradykinin_on_gp compl-peptide_on_gp endothelin_on_gp formylpeptide_on_gp galanin_on_gp ghrelin_on_gp kisspeptin_on_gp melanocortin_on_gp motilin_on_gp neuromedin-u_on_gp npy_on_gp neurotensin_on_gp opioid_on_gp orexin_on_gp relaxin_on_gp somatostatin_on_gp tachykinin_on_gp trh_on_gp vasop-oxy_on_gp
17.39Single6PT0WIN 55212-26PT0-CB2-WIN 55212-2-Gi1/β1/γ2
17.39Single7C2EPubChem 1490507997C2E-GLP-1-PubChem 149050799-Gs/β1/γ2
17.39Single7YK6PubChem 1383196747YK6-RXFP4-PubChem 138319674-Gi2/β1/γ2
17.39Single8GUQOlorinab8GUQ-CB2-Olorinab-Gi1/β1/γ2
17.39Single8GURCP559408GUR-CB2-CP55940-Gi1/β1/γ2
17.39Single8IY9Niacin8IY9-HCA2-Niacin-Go/β1/γ2
17.39Single8JERAcipimox8JER-HCA2-Acipimox-Go/β1/γ2
17.39Single8JIMMonomethyl fumarate8JIM-HCA2-Monomethyl fumarate-Gi1/β1/γ2
17.39Single8JLQFenoldopam8JLQ-TA1-Fenoldopam-Gs/β1/γ2
17.39Single8K5CAcipimox8K5C-HCA2-Acipimox
17.39Single9ASBCa; Ca; Cyclomethyltryptophan; R-568; PO49ASB-CaS; CaS-Ca-Ca; Ca; Cyclomethyltryptophan; R-568; PO4-chim(NtGi1-Gs-CtGq)/β1/γ2
17.39Single9BA0MRI-18919BA0-CB1-MRI-1891
17.39Single9JFUNE52-QQ579JFU-GPR4-NE52-QQ57
17.39Single9K0XATP9K0X-P2Y2-ATP-chim(NtGi1-Gs-CtGq)/β1/γ2
17.39Single9K20ATP9K20-P2Y2-ATP-chim(NtGi1-Go)/β1/γ2
17.39Single9KPDSalicin9KPD-TAS2R16-Salicin-chim(Gs-CtGt3)/β1/γ2
17.39Single9M2FNeuropeptide-FF9M2F-NPFF1-Neuropeptide-FF-Gi1/β1/γ2
17.39Consensuscb1_offOrthosteric Ligand5U09-CB1-Taranabant 5TGZ-CB1-AM6538
17.39Consensushca_onOrthosteric Ligandhca2_on
17.39Consensusnucleotide_offOrthosteric Ligandadenosine_off p2y_off
17.24Single7L0RNeurotensin-(8-13)7L0R-NTS1-Neurotensin-(8-13)-Gi1/β1/γ1
17.24Single7W0PElabela7W0P-Apelin-Elabela-Gi1/β1/γ2
17.24Single8J6RMK68928J6R-HCA2-MK6892-Gi1/β1/γ2
17.24Single8K3ZCXCL128K3Z-CXCR4-CXCL12-Gi1/β1/γ1
17.24Single8U4OCXCL128U4O-CXCR4-CXCL12-Gi1/β1/γ2
17.24Single9L3YChemerin9L3Y-CML2-Chemerin-Gi1/β1/γ2
17.24Single9UYJChemerin-99UYJ-CML2-Chemerin-9-Arrestin2
17.24Consensusclass-a_on_gpOrthosteric Ligandsensory_on_gp alicarboxylic_on_gp amine_on_gp lipid_on_gp nucleotide_on_gp peptide_on_gp protein_on_gp
17.24Consensuslpl_onOrthosteric Ligands1p_on lpa_on
17.24Consensuslpl_on_gpOrthosteric Ligands1p_on_gp lpa_on_gp
17.24Consensusp2y_onOrthosteric Ligandp2y1_on p2y10_on p2y12_on
17.14Single8WWNMCH8WWN-MCH1-MCH-Gi1/β1/γ2
16.67Single4QIMANTA XV4QIM-SMO-ANTA XV
16.67Single5GLHEndothelin-15GLH-ETB-Endothelin-1
16.67Single5T04Neurotensin-(8-13)5T04-NTS1-Neurotensin-(8-13)
16.67Single6DO1(Sar1,Ile8)-Angiotensin II6DO1-AT1-(Sar1,Ile8)-Angiotensin II
16.67Single6IGKEndothelin-36IGK-ETB-Endothelin-3
16.67Single6ORVTT-OAD26ORV-GLP-1-TT-OAD2-Gs/β1/γ2
16.67Single6X1ADanuglipron6X1A-GLP-1-Danuglipron-Gs/β1/γ2
16.67Single6Z4VNeurotensin-(9-13)6Z4V-NTS1-Neurotensin-(9-13)
16.67Single7F1QCCL37F1Q-CCR5-CCL3-Gi1/β1/γ2
16.67Single7LCIDanuglipron7LCI-GLP-1-Danuglipron-Gs/β1/γ2
16.67Single7LCKDanuglipron7LCK-GLP-1-Danuglipron
16.67Single7S15PubChem 1346112237S15-GLP-1-PubChem 134611223
16.67Single7V3ZCP559407V3Z-CB1-CP55940
16.67Single7XMSSomatostatin-147XMS-SST4-Somatostatin-14-Gi1/β1/γ2
16.67Single7XNACYN1548067XNA-SST2-CYN154806
16.67Single7YXAONO-54306087YXA-S1P5-ONO-5430608
16.67Single8IBVMotilin8IBV-Motilin-Motilin-chim(NtGi1-Gs-CtGq)/β1/γ2
16.67Single8JHNMonomethyl fumarate8JHN-HCA2-Monomethyl fumarate-Go/β1/γ2
16.67Single8JIINiacin8JII-HCA2-Niacin-PubChem 25101223-Gi1/β1/γ2
16.67Single8JZZC5a-des-Arg8JZZ-C5a1-C5a-des-Arg-Go/β1/γ2
16.67Single8K5DGSK2560738K5D-HCA2-GSK256073
16.67Single8Z7JJN241-98Z7J-Apelin-JN241-9-Gi1/β1/γ2
16.67Single9AVGCa; Ca; Cyclomethyltryptophan; R-568; PO49AVG-CaS; CaS-Ca-Ca; Ca; Cyclomethyltryptophan; R-568; PO4-chim(NtGi1-Gs)/β1/γ2
16.67Single9E82CXCL12 (fragment)9E82-ACKR3-CXCL12 (fragment)-Arrestin2
16.67Single9IVGGLP-1 (Truncated)9IVG-GLP-1-GLP-1 (Truncated)-chim(NtGi1-Gs)/β1/γ2
16.67Single9IZCMK19039IZC-HCA2-MK1903-Gi1/β1/γ2
16.67Single9JFK(Pen5)-Urotensin II9JFK-UT-(Pen5)-Urotensin II-chim(NtGi2L-Gs-CtGq)/β1/γ2
16.67Consensusalicarboxylic_on_gpOrthosteric Ligandsuccinate_on_gp hca_on_gp
16.67Consensusgi_alicarboxylicOrthosteric Ligandgi_hca gi_succinate
16.67Consensusgq_class-aOrthosteric Ligandgq_peptide gq_amine gq_nucleotide
16.67Consensuslipid_offOrthosteric Ligandcannabinoid_off paf_off lpl_off prostanoid_off leukotriene_off
16.67Consensusnucleotide_offonOrthosteric Ligandnucleotide_off nucleotide_on
16.67Consensusnucleotide_offon_gpOrthosteric Ligandnucleotide_on_gp nucleotide_off
16.67Consensussst2_offOrthosteric Ligand7XNA-SST2-CYN154806
16.22Consensusglp1_onOrthosteric Ligand7S1M-GLP-1-Exendin-4-D-Ala-Gs/β1/γ2 7X8R-GLP-1-BOC5-Gs/β1/γ2 6X19-GLP-1-CHU-128-Gs/β1/γ2 6X1A-GLP-1-Danuglipron-Gs/β1/γ2 6X18-GLP-1-GLP-1-Gs/β1/γ2 8JIP-GLP-1-MEDI0382-chim(NtGi1-Gs)/β1/γ2 7C2E-GLP-1-PubChem 149050799-Gs/β1/γ2 7KI0-GLP-1-Semaglutide-Gs/β1/γ2 7KI1-GLP-1-Taspoglutide-Gs/β1/γ2 7X8S-GLP-1-WB4-24-Gs/β1/γ2 8JIS-GLP-1-Peptide-15-chim(NtGi1-Gs)/β1/γ2 7VBI-GLP-1-Tirzepatide (non-acylated)-Gs/β1/γ2
16.13Single3OE0CVX153OE0-CXCR4-CVX15
16.13Single6LW5WKYMVm6LW5-FPR2-ALX-WKYMVm
16.13Single7TD2LPA7TD2-LPA1-LPA-Gi1/β1/γ2
16.13Single7XA3CCL27XA3-CCR2-CCL2-Gi1/β1/γ2
16.13Consensusangiotensin_onOrthosteric Ligandat1_on
16.13Consensusat1_onOrthosteric Ligand7F6G-AT1-(Sar1)-Angiotensin II-Gq/β1/γ2
16.13Consensusccr2_onOrthosteric Ligand7XA3-CCR2-CCL2-Gi1/β1/γ2
16.13Consensusccr2_on_gpOrthosteric Ligand7XA3-CCR2-CCL2-Gi1/β1/γ2
16.13Consensusccr_onOrthosteric Ligandccr6_on ccr8_on ccr2_on ccr1_on ccr5_on
16.13Consensuscxcr4_on_gpOrthosteric Ligand8K3Z-CXCR4-CXCL12-Gi1/β1/γ1
16.13Consensuspeptide_offonOrthosteric Ligandpeptide_off peptide_on
16.00Single4JKVTaladegib4JKV-SMO-Taladegib
16.00Single7EO2FTY720-P7EO2-S1P1-FTY720-P-Gi1/β1/γ2
16.00Single7SINNPS-21437SIN-CaS; CaS-NPS-2143
16.00Single7SINNPS-21437SIN-CaS; CaS-NPS-2143
16.00Single7TD3S1P7TD3-S1P1-S1P-Gi1/β1/γ2
16.00Single7W41PD1762527W41-BB2-PD176252
16.00Single8I7WGSK2560738I7W-HCA2-GSK256073-Gi1/β1/γ2
16.00Single8WGBVU01550418WGB-mGlu4; mGlu2-Glutamate-VU0155041-Gi3/β1/γ2
16.00Single8XQPCholesterol8XQP-TAS2R14-Cholesterol-Aristolochic acid A-Gt3/β1/γ1
16.00Single8YICSAR2477998YIC-S1P1-SAR247799-Gi1/β1/γ2
16.00Single8ZPTPrRP208ZPT-PrRP-PrRP20-chim(NtGi1-Gs-CtGq)/β1/γ2
16.00Single8ZRKGSK12922638ZRK-GPR119-GSK1292263-Gs/β1/γ2
16.00Single8ZYTNeurotensin-(8-13)8ZYT-NTS1-Neurotensin-(8-13)-SBI-553-Arrestin2
16.00Single9AVLCa; Ca; Cyclomethyltryptophan; R-568; PO49AVL-CaS; CaS-Ca-Ca; Ca; Cyclomethyltryptophan; R-568; PO4-Gi3/β2/γ2
16.00Single9AXFCa; Ca; Ca; Cyclomethyltryptophan; R-568; PO49AXF-CaS; CaS-Ca-Ca; Ca; Ca; Cyclomethyltryptophan; R-568; PO4-chim(NtGi1-Gs-CtGq)/β1/γ2
16.00Single9B9ZMRI-18679B9Z-CB1-MRI-1867
16.00Single9JKSPubChem 442501769JKS-HCA3-PubChem 44250176-Gi1/β1/γ2
16.00Single9KO4CCL219KO4-CCR7-CCL21-Gi1/β1/γ2
16.00Consensusbb2_offOrthosteric Ligand7W41-BB2-PD176252
16.00Consensusbombesin_offOrthosteric Ligandbb2_off
16.00Consensuscb2_onOrthosteric Ligand8GUR-CB2-CP55940-Gi1/β1/γ2 8GUS-CB2-HU-308-Gi1/β1/γ2 8GUT-CB2-LEI-102-Gi1/β1/γ2 6KPF-CB2-AM12033-Gi1/β1/γ2 6PT0-CB2-WIN 55212-2-Gi1/β1/γ2 8GUQ-CB2-Olorinab-Gi1/β1/γ2
16.00Consensuscb2_on_gpOrthosteric Ligand8GUR-CB2-CP55940-Gi1/β1/γ2 8GUS-CB2-HU-308-Gi1/β1/γ2 8GUT-CB2-LEI-102-Gi1/β1/γ2 6KPF-CB2-AM12033-Gi1/β1/γ2 6PT0-CB2-WIN 55212-2-Gi1/β1/γ2 8GUQ-CB2-Olorinab-Gi1/β1/γ2
16.00Consensusd1_onOrthosteric Ligand7F0T-D1-Dopamine-Gs/β1/γ2 7CKY-D1-PW0464-Gs/β1/γ2 8IRR-D1-Rotigotine-Gs/β1/γ2 7JV5-D1-SKF81297-Gs/β1/γ2 7JVP-D1-SKF83959-Gs/β1/γ2 7X2D-D1-Tavapadon-Gs/β1/γ2 7CKX-D1-A77636-Gs/β1/γ2 7JVQ-D1-Apomorphine-Gs/β1/γ2 7CKW-D1-Fenoldopam-Gs/β1/γ2
16.00Consensuslipid_onOrthosteric Ligandcannabinoid_on ffa_on lpl_on prostanoid_on leukotriene_on
16.00Consensuslipid_on_gpOrthosteric Ligandcannabinoid_on_gp ffa_on_gp lpl_on_gp prostanoid_on_gp leukotriene_on_gp
16.00Consensuslpa1_onOrthosteric Ligand7TD1-LPA1-LPA-Gi1/β1/γ2 7YU3-LPA1-ONO-0740556-Gi1/β1/γ2
16.00Consensuslpa1_on_gpOrthosteric Ligand7TD1-LPA1-LPA-Gi1/β1/γ2 7YU3-LPA1-ONO-0740556-Gi1/β1/γ2
15.79Single5MZJTheophylline5MZJ-A2A-Theophylline-Na
15.79Single6LRYSarafotoxin-B6LRY-ETB-Sarafotoxin-B
15.79Single7XKEDehydroepiandrosterone7XKE-ADGRG2-Dehydroepiandrosterone-chim(NtGi1-Gs)/β1/γ2
15.79Single8HQMNPGLY8HQM-GPR132-NPGLY-Gi1/β1/γ2
15.79Single8HVINOX-6-78HVI-GPR132-NOX-6-7-Gi1/β1/γ2
15.79Single8PWNTheophylline8PWN-A2A-Theophylline
15.79Consensusglp1_on_gpOrthosteric Ligand7S1M-GLP-1-Exendin-4-D-Ala-Gs/β1/γ2 7X8R-GLP-1-BOC5-Gs/β1/γ2 6X19-GLP-1-CHU-128-Gs/β1/γ2 6X1A-GLP-1-Danuglipron-Gs/β1/γ2 6X18-GLP-1-GLP-1-Gs/β1/γ2 8JIP-GLP-1-MEDI0382-chim(NtGi1-Gs)/β1/γ2 7C2E-GLP-1-PubChem 149050799-Gs/β1/γ2 7KI0-GLP-1-Semaglutide-Gs/β1/γ2 7KI1-GLP-1-Taspoglutide-Gs/β1/γ2 7X8S-GLP-1-WB4-24-Gs/β1/γ2 8JIS-GLP-1-Peptide-15-chim(NtGi1-Gs)/β1/γ2 7VBI-GLP-1-Tirzepatide (non-acylated)-Gs/β1/γ2
15.62Single5WB2CX3CL1.355WB2-US28-CX3CL1.35
15.62Single7F6G(Sar1)-Angiotensin II7F6G-AT1-(Sar1)-Angiotensin II-Gq/β1/γ2
15.62Single7W40Bombesin7W40-BB2-Bombesin-chim(NtGi1L-Gq)/β1/γ2
15.62Single8H4KGW95088H4K-FFA4-GW9508-chim(NtGi1-Gs-CtGq)/β1/γ2
15.62Single8IHFMK68928IHF-HCA2-MK6892-Gi1/β1/γ2
15.62Consensusangiotensin_on_gpOrthosteric Ligandat1_on_gp
15.62Consensusapelin_onOrthosteric Ligand8XZH-Apelin; Apelin-MM07-Gi1/β1/γ2 7W0M-Apelin-PubChem 122701908-Gi1/β1/γ2 8XZJ-Apelin; Apelin-WN353-Gi1/β1/γ2 8XZF-Apelin; Apelin-WN561-Gi1/β1/γ2 8XZG-Apelin; Apelin-Apelin-13-Gi1/β1/γ2
15.62Consensusapelin_on_gpOrthosteric Ligand8XZH-Apelin; Apelin-MM07-Gi1/β1/γ2 7W0M-Apelin-PubChem 122701908-Gi1/β1/γ2 8XZJ-Apelin; Apelin-WN353-Gi1/β1/γ2 8XZF-Apelin; Apelin-WN561-Gi1/β1/γ2 8XZG-Apelin; Apelin-Apelin-13-Gi1/β1/γ2
15.62Consensusat1_on_gpOrthosteric Ligand7F6G-AT1-(Sar1)-Angiotensin II-Gq/β1/γ2
15.62Consensusc5a1_on_gpOrthosteric Ligand8HK5-C5a1-C5a-Gi1/β1/γ2 7Y66-C5a1-BM213-Gi1/β1/γ2 7Y67-C5a1-C089 peptide-Gi1/β1/γ2 7Y64-C5a1-C5a-Gi1/β1/γ2
15.62Consensuscxcr3_on_gpOrthosteric Ligand8HNK-CXCR3-CXCL11-Gi1/β1/γ2 8HNL-CXCR3-PS372424-Gi1/β1/γ2
15.62Consensusgq_angiotensinOrthosteric Ligand7F6G-AT1-(Sar1)-Angiotensin II-Gq/β1/γ2
15.62Consensusp2y_on_gpOrthosteric Ligandp2y1_on_gp p2y10_on_gp p2y12_on_gp
15.62Consensuspeptide_offon_gpOrthosteric Ligandpeptide_on_gp peptide_off
15.62Consensusprotein_offonOrthosteric Ligandprotein_off protein_on
15.62Consensusprotein_offon_gpOrthosteric Ligandprotein_on_gp protein_off
15.62Consensusprotein_onOrthosteric Ligandchemokine_on chemerin_on
15.38Single3ZEVNeurotensin-(7-13)3ZEV-NTS1-Neurotensin-(7-13)
15.38Single4BV0Neurotensin-(7-13)4BV0-NTS1-Neurotensin-(7-13)
15.38Single5V56TC1145V56-SMO-TC114
15.38Single5V57TC1145V57-SMO-TC114
15.38Single5XR8AM120335XR8-CB1-AM12033
15.38Single5XRAAM115425XRA-CB1-AM11542
15.38Single7CKYPW04647CKY-D1-PW0464-Gs/β1/γ2
15.38Single7F1TCCL37F1T-CCR5-CCL3
15.38Single7FEECP559407FEE-CB1-CP55940-ZCZ011
15.38Single7JV5SKF812977JV5-D1-SKF81297-Gs/β1/γ2
15.38Single7JVPSKF839597JVP-D1-SKF83959-Gs/β1/γ2
15.38Single7L0PNeurotensin-(8-13)7L0P-NTS1-Neurotensin-(8-13)-Gi1/β1/γ1
15.38Single7L0QNeurotensin-(8-13)7L0Q-NTS1-Neurotensin-(8-13)-Gi1/β1/γ1
15.38Single7TD1LPA7TD1-LPA1-LPA-Gi1/β1/γ2
15.38Single7VIGCBP-3077VIG-S1P1-CBP-307-Gi1/β1/γ2
15.38Single7XJLSpexin7XJL-GAL2-Spexin-chim(NtGi2L-Gs-CtGq)/β1/γ2
15.38Single8FN1Neurotensin-(8-13)8FN1-NTS1-Neurotensin-(8-13)-chim(NtGi1-Go)/β1/γ2
15.38Single8GUSHU-3088GUS-CB2-HU-308-Gi1/β1/γ2
15.38Single8I2GPubChem 675302408I2G-FSH-FSH-PubChem 67530240-Gs/β1/γ2
15.38Single8WU1MDMB-Fubinaca8WU1-CB1-MDMB-Fubinaca-Arrestin2
15.38Single9AYFCa; Ca; Ca; Cyclomethyltryptophan; R-568; PO49AYF-CaS; CaS-Ca-Ca; Ca; Ca; Cyclomethyltryptophan; R-568; PO4-Gi1/β1/γ2
15.38Single9B65MDMB-Fubinaca9B65-CB1-MDMB-Fubinaca-Gi1/β1/γ2
15.38Single9EGOZ85267113509EGO-CB1-Z8526711350-Gi1/β1/γ2
15.38Single9JCLADP9JCL-P2Y1-ADP-chim(Gs-CtGq)/β1/γ2
15.38Single9L16CCL219L16-CCR7-CCL21
15.38Single9MENGp120 (V3 loop)9MEN-CXCR4-Gp120 (V3 loop)
15.38Consensusd1_on_gpOrthosteric Ligand7F0T-D1-Dopamine-Gs/β1/γ2 7CKY-D1-PW0464-Gs/β1/γ2 8IRR-D1-Rotigotine-Gs/β1/γ2 7JV5-D1-SKF81297-Gs/β1/γ2 7JVP-D1-SKF83959-Gs/β1/γ2 7X2D-D1-Tavapadon-Gs/β1/γ2 7CKX-D1-A77636-Gs/β1/γ2 7JVQ-D1-Apomorphine-Gs/β1/γ2 7CKW-D1-Fenoldopam-Gs/β1/γ2
15.38Consensusgi_cannabinoidOrthosteric Ligand8GUR-CB2-CP55940-Gi1/β1/γ2 8GUS-CB2-HU-308-Gi1/β1/γ2 8GUT-CB2-LEI-102-Gi1/β1/γ2 8GUQ-CB2-Olorinab-Gi1/β1/γ2 6KPF-CB2-AM12033-Gi1/β1/γ2 6PT0-CB2-WIN 55212-2-Gi1/β1/γ2 6KPG-CB1-AM841-Gi1/β1/γ2
15.38Consensusgs_dopamineOrthosteric Ligand7F0T-D1-Dopamine-Gs/β1/γ2 7CKW-D1-Fenoldopam-Gs/β1/γ2 7CKY-D1-PW0464-Gs/β1/γ2 8IRV-D5-Rotigotine-chim(NtGi1-Gs)/β1/γ2 8IRR-D1-Rotigotine-Gs/β1/γ2 7JV5-D1-SKF81297-Gs/β1/γ2 7JVP-D1-SKF83959-Gs/β1/γ2 7X2D-D1-Tavapadon-Gs/β1/γ2 7CKX-D1-A77636-Gs/β1/γ2 7JVQ-D1-Apomorphine-Gs/β1/γ2
15.38Consensusmotilin_onOrthosteric Ligand8IBU-Motilin-Erythromycin-A-chim(NtGi1-Gs-CtGq)/β1/γ2
15.38Consensusneurotensin_onOrthosteric Ligandnts1_on
15.38Consensusnts1_onOrthosteric Ligand6OSA-NTS1-JMV449-Gi1/β1/γ2 7L0S-NTS1-Neurotensin-(8-13)-Gi1/β1/γ1
15.38Consensusprotein_offOrthosteric Ligandchemokine_off grh_off
15.15Single7F6HBradykinin7F6H-BK2-Bradykinin-Gq/β1/γ2
15.15Single7F6IKallidin7F6I-BK2-Kallidin-Gq/β1/γ2
15.15Single7QBIAlpha-factor mating pheromone7QBI-STE2; STE2-α-factor mating pheromone
15.15Single8HCQEndothelin-18HCQ-ETA-Endothelin-1-chim(NtGi1-Gs-CtGq)/β1/γ2
15.15Single8HNKCXCL118HNK-CXCR3-CXCL11-Gi1/β1/γ2
15.15Single8WWMMCH8WWM-MCH1-MCH-Gi1/β1/γ2
15.15Single8XVHEndothelin-18XVH-ETB-Endothelin-1-chim(Gs-CtGq)/β1/γ2
15.15Single8XVIEndothelin-18XVI-ETA-Endothelin-1-chim(Gs-CtGq)/β1/γ2
15.15Consensusccr_on_gpOrthosteric Ligandccr6_on_gp ccr8_on_gp ccr2_on_gp ccr1_on_gp ccr5_on_gp
15.15Consensuschemokine_on_gpOrthosteric Ligandccr_on_gp cxcr_on_gp
15.15Consensuscml1_on_gpOrthosteric Ligand7YKD-CML1-Chemerin-9-Gi1/β1/γ2
15.15Consensuseta_onOrthosteric Ligand8HCQ-ETA-Endothelin-1-chim(NtGi1-Gs-CtGq)/β1/γ2
15.15Consensuseta_on_gpOrthosteric Ligand8HCQ-ETA-Endothelin-1-chim(NtGi1-Gs-CtGq)/β1/γ2
15.15Consensusgi_chemokineOrthosteric Ligand6WWZ-CCR6-CCL20-Go/β1/γ2 8HNK-CXCR3-CXCL11-Gi1/β1/γ2 8K3Z-CXCR4-CXCL12-Gi1/β1/γ1 8IC0-CXCR1-CXCL8-Gi1/β1/γ2 6LFM-CXCR2-CXCL8-Gi1/β1/γ2 8KFX-CCR8-LMD-009-Gi1/β1/γ2 7F1Q-CCR5-CCL3-Gi1/β1/γ2 8HNL-CXCR3-PS372424-Gi1/β1/γ2 8KFY-CCR8-ZK-756326-Gi1/β1/γ2 7O7F-CCR5-6P4-CCL5-Gi1/β1/γ1 8U1U-CCR8-CCL1-Gi1/β1/γ2 7VLA-CCR1-CCL15(27-92)-Gi1/β1/γ2 7XA3-CCR2-CCL2-Gi1/β1/γ2
15.00Single6XBM25(S)-Epoxycholesterol6XBM-SMO-25(S)-Epoxycholesterol-Gi1/β1/γ2
15.00Single8A2OTheophylline8A2O-A2A-Theophylline-Na
15.00Single8U4QREGN7663-Fab8U4Q-CXCR4-REGN7663-Fab-Gi1/β1/γ2
15.00Single9C2FCa; Ca; Tryptophan; '54149; PO49C2F-CaS; CaS-Ca-Ca; Ca; Tryptophan; '54149; PO4
14.81Single4GRVNeurotensin-(8-13)4GRV-NTS1-Neurotensin-(8-13)
14.81Single4Z36ONO-30805734Z36-LPA1-ONO-3080573
14.81Single5UNHPubChem 1264564065UNH-AT2-PubChem 126456406
14.81Single6KQICP559406KQI-CB1-CP55940-Org27569
14.81Single6OSAJMV4496OSA-NTS1-JMV449-Gi1/β1/γ2
14.81Single7EVYSiponimod7EVY-S1P1-Siponimod-Gi1/β1/γ2
14.81Single7EW2FTY720-P7EW2-S1P3-FTY720-P-Gi1/β1/γ2
14.81Single7L0SNeurotensin-(8-13)7L0S-NTS1-Neurotensin-(8-13)-Gi1/β1/γ1
14.81Single7MTRADX551647MTR-mGlu2; mGlu2-Glutamate-ADX55164
14.81Single7T6BS1P7T6B-S1P2-S1P-chim(NtGi1L-G13)/β1/γ2
14.81Single7WCNAR2314537WCN-GPR119-AR231453-Gs/β1/γ2
14.81Single7XW5ML1097XW5-TSH-TSH-ML109-Gs/β1/γ2
14.81Single8I9AEP548I9A-C3aB-EP54-chim(NtGi1-Gs-CtGq)/β1/γ2
14.81Single8IBUErythromycin-A8IBU-Motilin-Erythromycin-A-chim(NtGi1-Gs-CtGq)/β1/γ2
14.81Single8IYWGSK2560738IYW-HCA2-GSK256073-Go/β1/γ2
14.81Single8JJPChemerin-98JJP-CML2-Chemerin-9-Gi1/β1/γ2
14.81Single8JPBNeurotensin-(8-13)8JPB-NTS1-Neurotensin-(8-13)-SBI-553; GDP; Mg-Gq; GRK2
14.81Single8VHFMBX-29828VHF-GPR119-MBX-2982-Gs/β1/γ2
14.81Single8XQNCholesterol8XQN-TAS2R14-Cholesterol-Aristolochic acid A-Gi1/β1/γ1
14.81Single8XQSCholesterol8XQS-TAS2R14-Cholesterol-Flufenamic acid-Gi1/β1/γ1
14.81Single9DGIZ85267113509DGI-CB1-Z8526711350
14.81Single9GYOP3959GYO-GPBA-P395-chim(NtGi1-Gs)/β1/γ2
14.81Single9KZKC3a (fragment)9KZK-C3aB-C3a (fragment)-Go/β1/γ2
14.81Single9L3WChemerin9L3W-CML1-Chemerin-Gi1/β1/γ2
14.81Consensusc3a_onOrthosteric Ligand8HK2-C3aB-C3a-Gi1/β1/γ2 8IA8-C3aB-E7 peptide-Gi1/β1/γ2
14.81Consensuscannabinoid_onOrthosteric Ligandcb2_on cb1_on
14.81Consensuscannabinoid_on_gpOrthosteric Ligandcb2_on_gp cb1_on_gp
14.81Consensusgi_lipidOrthosteric Ligandgi_cannabinoid gi_ffa gi_leukotriene gi_lpa gi_s1p
14.81Consensusgi_neurotensinOrthosteric Ligand6OSA-NTS1-JMV449-Gi1/β1/γ2 7L0S-NTS1-Neurotensin-(8-13)-Gi1/β1/γ1
14.81Consensusmotilin_on_gpOrthosteric Ligand8IBU-Motilin-Erythromycin-A-chim(NtGi1-Gs-CtGq)/β1/γ2
14.81Consensusneurotensin_on_gpOrthosteric Ligandnts1_on_gp
14.81Consensusnts1_on_gpOrthosteric Ligand6OSA-NTS1-JMV449-Gi1/β1/γ2 7L0S-NTS1-Neurotensin-(8-13)-Gi1/β1/γ1
14.81Consensuss1p1_onOrthosteric Ligand7VIE-S1P1-S1P-Gi1/β1/γ2 7VIF-S1P1-FTY720-P-Gi1/β1/γ2 7VIG-S1P1-CBP-307-Gi1/β1/γ2 7EVY-S1P1-Siponimod-Gi1/β1/γ2 7EVZ-S1P1-Cenerimod-Gi1/β1/γ2 7EW0-S1P1-Ozanimod-Gi1/β1/γ2 7EW7-S1P1-SEW2871-Gi1/β1/γ2
14.81Consensuss1p1_on_gpOrthosteric Ligand7VIE-S1P1-S1P-Gi1/β1/γ2 7VIF-S1P1-FTY720-P-Gi1/β1/γ2 7VIG-S1P1-CBP-307-Gi1/β1/γ2 7EVY-S1P1-Siponimod-Gi1/β1/γ2 7EVZ-S1P1-Cenerimod-Gi1/β1/γ2 7EW0-S1P1-Ozanimod-Gi1/β1/γ2 7EW7-S1P1-SEW2871-Gi1/β1/γ2
14.71Single7QBIAlpha-factor mating pheromone7QBI-STE2; STE2-α-factor mating pheromone
14.71Single7SK4CXCL12_LRHQ7SK4-ACKR3-CXCL12_LRHQ
14.71Single7W3ZGastrin Releasing Peptide7W3Z-BB2-Gastrin Releasing Peptide-chim(NtGi1L-Gq)/β1/γ2
14.71Single7YKDChemerin-97YKD-CML1-Chemerin-9-Gi1/β1/γ2
14.71Single8XQFApelin-138XQF-Apelin-Apelin-13-Gi1/β1/γ2
14.71Consensusgi_proteinOrthosteric Ligandgi_chemokine gi_chemerin
14.71Consensusprotein_on_gpOrthosteric Ligandchemokine_on_gp chemerin_on_gp
14.63Consensusmc2_onOrthosteric Ligand8GY7-MC2-Corticotropin-Ca-chim(NtGi1-Gs)/β1/γ2; MRAP1
14.63Consensusmc2_on_gpOrthosteric Ligand8GY7-MC2-Corticotropin-Ca-chim(NtGi1-Gs)/β1/γ2; MRAP1
14.29Single3OE6IT1t3OE6-CXCR4-IT1t
14.29Single4BVNCyanopindolol4BVN-β1-Cyanopindolol-Na
14.29Single7AD3Alpha-factor mating pheromone7AD3-STE2; STE2-α-factor mating pheromone-Gi1/STE4/γ2
14.29Single7DD7Ca; Ca; Tryptophan; Evocalcet7DD7-CaS; CaS-Ca-Ca; Ca; Tryptophan; Evocalcet
14.29Single7EVZCenerimod7EVZ-S1P1-Cenerimod-Gi1/β1/γ2
14.29Single7EW0Ozanimod7EW0-S1P1-Ozanimod-Gi1/β1/γ2
14.29Single7P00Substance-P7P00-NK1-Substance-P-chim(NtGi1-Gs-CtGq)/β1/γ2
14.29Single7QBCAlpha-factor mating pheromone7QBC-STE2; STE2-α-factor mating pheromone
14.29Single7XK2MK68927XK2-HCA2-MK6892-Gi1/β1/γ2
14.29Single8E0GBU728E0G-μ-BU72
14.29Single8F76Propanoic acid8F76-OR51E2-Propanoic acid-Gs/β1/γ2
14.29Single8FN0Neurotensin-(8-13)8FN0-NTS1-Neurotensin-(8-13)-SBI-553-chim(NtGi1-Go)/β1/γ2
14.29Single8GAGZ85267113508GAG-CB1-Z8526711350-Gi1/β1/γ2
14.29Single8GUTLEI-1028GUT-CB2-LEI-102-Gi1/β1/γ2
14.29Single8I95EP548I95-C3aB-EP54-Go/β1/γ2
14.29Single8JPFNeurotensin-(8-13)8JPF-NTS1-Neurotensin-(8-13)-SBI-553
14.29Single8RQLFlufenamic acid8RQL-TAS2R14-Flufenamic acid-Flufenamic acid-chim(NtGi1-Gt3)/β1/γ2
14.29Single8WRZAM8418WRZ-CB1-AM841-Arrestin2
14.29Single8X9UMetenolone8X9U-ADGRD1-Metenolone-chim(NtGi1-Gs)/β1/γ2
14.29Single8XVUCXCL28XVU-CXCR2-CXCL2
14.29Single8XWPEndothelin-18XWP-ETB-Endothelin-1-Gi1/β1/γ2
14.29Single8XXHCXCL28XXH-CXCR2-CXCL2-Go/β1/γ2
14.29Single8ZX4Lysophosphatidylinositol 8ZX4-GPR55-Lysophosphatidylinositol-chim(NtGi1-G13)/β1/γ2
14.29Single9AS02-bromo-LSD9AS0-5-HT2A-2-bromo-LSD-chim(NtGi1-Gs-CtGq)/β1/γ2
14.29Single9GE3Lysophosphatidylinositol9GE3-GPR55-Lysophosphatidylinositol-chim(NtGi1-G13)/β1/γ2
14.29Single9IJRC179IJR-GPR52-C17-Arrestin2
14.29Single9IV15alpha-DHT9IV1-ADGRD1-5α-DHT-chim(NtGi1-Gs)/β1/γ2
14.29Single9IZFLPA9IZF-LPA1-LPA-Gi1/β1/γ2
14.29Single9KT93,5-DHBA9KT9-HCA1-3,5-DHBA-Gi1/β1/γ2
14.29Single9UYHChemerin-99UYH-CML2-Chemerin-9-Arrestin2
14.29Single9WP9S1P9WP9-S1P3-S1P-chim(NtGi2L-Gs-CtGq)/β1/γ2
14.29Consensuscb1_on_gpOrthosteric Ligand6KPG-CB1-AM841-Gi1/β1/γ2 8K8J-CB1-Fenofibrate-chim(Gs-CtGq)/β1/γ2
14.29Consensusgal2_onOrthosteric Ligand7WQ4-GAL2-Galanin-chim(NtGi1-Gs-CtGq)/β1/γ2 7XJL-GAL2-Spexin-chim(NtGi2L-Gs-CtGq)/β1/γ2
14.29Consensusgal2_on_gpOrthosteric Ligand7WQ4-GAL2-Galanin-chim(NtGi1-Gs-CtGq)/β1/γ2 7XJL-GAL2-Spexin-chim(NtGi2L-Gs-CtGq)/β1/γ2
14.29Consensusgi_s1pOrthosteric Ligand7VIE-S1P1-S1P-Gi1/β1/γ2 7EW3-S1P3-S1P-Gi1/β1/γ2 7EVY-S1P1-Siponimod-Gi1/β1/γ2 7EW1-S1P5-Siponimod-Gi1/β1/γ2 7VIF-S1P1-FTY720-P-Gi1/β1/γ2 7VIG-S1P1-CBP-307-Gi1/β1/γ2 7EVZ-S1P1-Cenerimod-Gi1/β1/γ2 7EW4-S1P3-CYM-5541-Gi1/β1/γ2 7EW2-S1P3-FTY720-P-Gi1/β1/γ2 7EW0-S1P1-Ozanimod-Gi1/β1/γ2 7EW7-S1P1-SEW2871-Gi1/β1/γ2
14.29Consensusnk1_onOrthosteric Ligand7P00-NK1-Substance-P-chim(NtGi1-Gs-CtGq)/β1/γ2
14.29Consensusnk1_on_gpOrthosteric Ligand7P00-NK1-Substance-P-chim(NtGi1-Gs-CtGq)/β1/γ2
14.29Consensusnucleotide_on_gpOrthosteric Ligandadenosine_on_gp p2y_on_gp
13.89Single7QBCAlpha-factor mating pheromone7QBC-STE2; STE2-α-factor mating pheromone
13.89Consensusbk2_onOrthosteric Ligand7F6H-BK2-Bradykinin-Gq/β1/γ2 7F6I-BK2-Kallidin-Gq/β1/γ2
13.89Consensusbk2_on_gpOrthosteric Ligand7F6H-BK2-Bradykinin-Gq/β1/γ2 7F6I-BK2-Kallidin-Gq/β1/γ2
13.89Consensusbradykinin_onOrthosteric Ligandbk2_on
13.89Consensusbradykinin_on_gpOrthosteric Ligandbk2_on_gp
13.89Consensusgq_bradykininOrthosteric Ligand7F6H-BK2-Bradykinin-Gq/β1/γ2 7F6I-BK2-Kallidin-Gq/β1/γ2
13.79Single3NY9PubChem 9131033NY9-β2-PubChem 913103
13.79Single5VBLAMG3054 5VBL-Apelin-AMG3054
13.79Single5ZTYAM102575ZTY-CB2-AM10257
13.79Single7F2OBradykinin7F2O-BK2-Bradykinin-chim(NtGi1-Gs-CtGq)/β1/γ2
13.79Single7F9ZGHRP-67F9Z-Ghrelin-GHRP-6-chim(NtGi1-Gs-CtGq)/β1/γ2
13.79Single7RKNCX3CL17RKN-US28-CX3CL1-Gi1/β1/γ2
13.79Single7RMGSubstance-P7RMG-NK1-Substance-P-chim(Gs-CtGq)/β1/γ2
13.79Single7RMHSubstance-P7RMH-NK1-Substance-P-Gs/β1/γ2
13.79Single8IA7Cholecystokinin-88IA7-CCKB-Cholecystokinin-8-chim(NtGi1L-Gq)/β1/γ2
13.79Single8JBFSenktide8JBF-NK3-Senktide-chim(NtGi1-Gs-CtGq)/β1/γ2
13.79Single8JLRA776368JLR-TA1-A77636-chim(NtGi1-Gs)/β1/γ2
13.79Single8QJ2pN1628QJ2-MC4-pN162-Gs/β1/γ2
13.79Single8X3LXWD8X3L-CB2-XWD-Gi1/β1/γ2
13.79Single9EAJNanobody AT2099EAJ-AT1-Nanobody AT209
13.79Single9KZ2EP679KZ2-C3aB-EP67-Go/β1/γ2
13.79Single9KZ8EP679KZ8-C3aB-EP67-Go/β1/γ2
13.79Single9UMJEP549UMJ-C3aB-EP54-Go/β1/γ2
13.79Consensuscb2_offOrthosteric Ligand5ZTY-CB2-AM10257
13.79Consensusdop_onOrthosteric Ligand8F7S-δ-Deltorphin-Gi1/β1/γ2
13.79Consensusformylpeptide_onOrthosteric Ligandfpr2-alx_on fpr1-alx_on
13.79Consensuss1p_onOrthosteric Ligands1p1_on s1p3_on s1p5_on
13.79Consensuss1p_on_gpOrthosteric Ligands1p1_on_gp s1p3_on_gp s1p5_on_gp
13.64Single4O9RCyclopamine4O9R-SMO-Cyclopamine
13.64Single5L7IVismodegib5L7I-SMO-Vismodegib
13.64Single7DD7Ca; Ca; Tryptophan; Evocalcet7DD7-CaS; CaS-Ca-Ca; Ca; Tryptophan; Evocalcet
13.64Single7VUIJNJ-635330547VUI-GPR139-JNJ-63533054-GTP-chim(Gs-CtGq)/β1/γ2
13.64Single8H2GNiacin8H2G-HCA2-Niacin-Gi1/β1/γ2
13.64Single8J6PPubChem 251012238J6P-HCA2-Niacin-PubChem 25101223-Gi1/β1/γ2
13.64Single8JHYPubChem 251012238JHY-HCA2-PubChem 25101223-Gi1/β1/γ2
13.64Single8JIIPubChem 251012238JII-HCA2-Niacin-PubChem 25101223-Gi1/β1/γ2
13.64Single8JPNCis-Epoxysuccinic acid8JPN-Succinate-Cis-Epoxysuccinic acid-Gi1/β1/γ1
13.64Single8K5BNiacin8K5B-HCA2-Niacin
13.64Single8RWHStilSwitch28RWH-A2A-StilSwitch2-Na
13.64Single8WP1Cis-Epoxysuccinic acid8WP1-Succinate-Cis-Epoxysuccinic acid-Gi1/β1/γ2
13.64Single8WPUTryptophan; Cinacalcet; PO4; Ca8WPU-CaS; CaS-Tryptophan; Cinacalcet; PO4; Ca-chim(NtGi2L-Gs-CtGq)/β1/γ2
13.64Single9C1PCa; Tryptophan; '6218; PO49C1P-CaS; CaS-Ca-Ca; Tryptophan; '6218; PO4
13.64Single9IQTNiacin9IQT-HCA2-Niacin-Gi1/β1/γ2
13.64Single9JLCAVE 09919JLC-MAS1-AVE 0991-Gi1/β1/γ2
13.64Consensusadgrg_onOrthosteric Ligandadgrg2_on adgrg4_on
13.64Consensusadgrg_on_gpOrthosteric Ligandadgrg2_on_gp adgrg4_on_gp
13.64Consensusgq_nucleotideOrthosteric Ligandgq_p2y
13.64Consensusgq_p2yOrthosteric Ligand7XXH-P2Y1-2MeSADP-chim(NtGi1-G11)/β1/γ2
13.51Consensusbb2_onOrthosteric Ligand7W40-BB2-Bombesin-chim(NtGi1L-Gq)/β1/γ2 7W3Z-BB2-Gastrin Releasing Peptide-chim(NtGi1L-Gq)/β1/γ2
13.51Consensusbb2_on_gpOrthosteric Ligand7W40-BB2-Bombesin-chim(NtGi1L-Gq)/β1/γ2 7W3Z-BB2-Gastrin Releasing Peptide-chim(NtGi1L-Gq)/β1/γ2
13.51Consensusbombesin_onOrthosteric Ligandbb2_on
13.51Consensusbombesin_on_gpOrthosteric Ligandbb2_on_gp
13.51Consensusgq_bombesinOrthosteric Ligand7W40-BB2-Bombesin-chim(NtGi1L-Gq)/β1/γ2 7W3Z-BB2-Gastrin Releasing Peptide-chim(NtGi1L-Gq)/β1/γ2
13.33Single5UNFPubChem 157800525UNF-AT2-PubChem 15780052
13.33Single6WIVPubChem 52923113; PubChem 529246456WIV-GABAB1, GABAB2-PubChem 52923113; PubChem 52924645
13.33Single7QA8Antagonist Peptide7QA8-STE2; STE2-Antagonist Peptide
13.33Single7QA8Antagonist Peptide7QA8-STE2; STE2-Antagonist Peptide
13.33Single7T6UCGEN-855A7T6U-FPR2-ALX-CGEN-855A-Gi1/β1/γ2
13.33Single7TD4Siponimod7TD4-S1P1-Siponimod-Gi1/β1/γ2
13.33Single7W2ZGhrelin7W2Z-Ghrelin-Ghrelin-Go/β1/γ2
13.33Single8G59TUG-8918G59-FFA4-TUG-891-chim(Gi1-CtGq)/β1/γ2
13.33Single8GHVAMG3158GHV-CB1-AMG315-Gi1/β1/γ2
13.33Single8WZ2Orexigenic Neuropeptide QRFP8WZ2-QRFP-Orexigenic Neuropeptide QRFP-chim(NtGi1L-Gs-CtGq)/β1/γ2
13.33Single8XGMChemerin8XGM-CML2-Chemerin-Gi1/β1/γ2
13.33Single8ZSPLSD8ZSP-TA1-LSD-chim(NtGi1L-Gs)/β1/γ2
13.33Single9MEJGp1209MEJ-CXCR4-Gp120
13.33Consensuschemerin_on_gpOrthosteric Ligandcml1_on_gp
13.33Consensuscml1_onOrthosteric Ligand7YKD-CML1-Chemerin-9-Gi1/β1/γ2
13.33Consensuscxcr4_onOrthosteric Ligand8K3Z-CXCR4-CXCL12-Gi1/β1/γ1
13.33Consensusgi_chemerinOrthosteric Ligand7YKD-CML1-Chemerin-9-Gi1/β1/γ2
13.33Consensusgi_nucleotideOrthosteric Ligandgi_adenosine gi_p2y
13.33Consensusgi_opioidOrthosteric Ligand8F7R-μ-Endomorphin-Gi1/β1/γ2 8EF5-μ-Fentanyl-Gi1/β1/γ2 7SCG-μ-FH210-Gi1/β1/γ2 7T2H-μ-Lofentanil-Gi1/β1/γ2 7T2G-μ-Mitragynine Pseudoindoxyl-Gi1/β1/γ2 8DZP-κ-momSalB-Gi1/β1/γ2 8EF6-μ-Morphine-Gi1/β1/γ2 8F7X-NOP-Nociceptin-Gi1/β1/γ2 8EFB-μ-Oliceridine-Gi1/β1/γ2 7U2L-μ-C5-guano-Gi1/β1/γ2 8EFO-μ-PZM21-Gi1/β1/γ2 8EFL-μ-SR17018-Gi1/β1/γ2 8F7Q-μ-β-Endorphin-Gi1/β1/γ2 7U2K-μ-C6-guano-Gi1/β1/γ2 8EFQ-μ-DAMGO-Gi1/β1/γ2 8F7S-δ-Deltorphin-Gi1/β1/γ2 8F7W-κ-Dynorphin-Gi1/β1/γ2
13.33Consensusnk3_onOrthosteric Ligand8JBF-NK3-Senktide-chim(NtGi1-Gs-CtGq)/β1/γ2
13.33Consensusnk3_on_gpOrthosteric Ligand8JBF-NK3-Senktide-chim(NtGi1-Gs-CtGq)/β1/γ2
13.33Consensussomatostatin_offOrthosteric Ligandsst2_off
13.16Single7SK6CXCL12_LRHQ7SK6-ACKR3-CXCL12_LRHQ
13.16Consensusendothelin_on_gpOrthosteric Ligandetb_on_gp eta_on_gp
13.04Single2X72All-trans-Retinal2X72-Rhodopsin-All-trans-Retinal-Gt(CT)
13.04Single3ODUIT1t3ODU-CXCR4-IT1t
13.04Single3PWHZM-2413853PWH-A2A-ZM-241385
13.04Single3V2WPubChem 518926453V2W-S1P1-PubChem 51892645
13.04Single3VGAZM-2413853VGA-A2A-ZM-241385-Antibody
13.04Single4BWBNeurotensin-(8-12)4BWB-NTS1-Neurotensin-(8-12)
13.04Single4QINSAG1.54QIN-SMO-SAG1.5
13.04Single5K2DZM-2413855K2D-A2A-ZM-241385-Na
13.04Single5OLOTozadenant5OLO-A2A-Tozadenant-Na
13.04Single6JZHZM-2413856JZH-A2A-ZM-241385-Na
13.04Single6O3CSAG21k6O3C-SMO-SAG21k-Cholesterol
13.04Single6PS7ZM-2413856PS7-A2A-ZM-241385-Na
13.04Single7LD4Adenosine7LD4-A1-Adenosine-Gi2/β1/γ2
13.04Single7M3ECa; Ca; Tryptophan; NPS-21437M3E-CaS; CaS-Ca; Ca; Tryptophan; NPS-2143
13.04Single7M3ECa; Ca; Tryptophan; NPS-21437M3E-CaS; CaS-Ca; Ca; Tryptophan; NPS-2143
13.04Single7M3FCa; Ca; Tryptophan; Cinacalcet7M3F-CaS; CaS-Ca; Ca; Tryptophan; Cinacalcet
13.04Single7SILCa; Ca; Ca; Cyclomethyltryptophan; R-568; PO47SIL-CaS; CaS-Ca-Ca; Ca; Ca; Cyclomethyltryptophan; R-568; PO4
13.04Single7SILCa; Ca; Ca; Cyclomethyltryptophan; R-568; PO47SIL-CaS; CaS-Ca-Ca; Ca; Ca; Cyclomethyltryptophan; R-568; PO4
13.04Single7VDLCortistatin-147VDL-MRGPRX2-Cortistatin-14-Gi1/β1/γ2
13.04Single7VIHCBP-3077VIH-S1P1-CBP-307-Gi1/β1/γ2
13.04Single7VVOPTH7VVO-PTH1-PTH-Gs/β1/γ2
13.04Single7W0OElabela7W0O-Apelin-Elabela-Gi1/β1/γ2
13.04Single8DU3PubChem 1055260648DU3-A2A-PubChem 105526064
13.04Single8DWGML3828DWG-MRGPRX1-BAM8-22-ML382-chim(NtGi2L-Gs-CtGq)/β1/γ2
13.04Single8GNGIstradefylline8GNG-A2A-Istradefylline
13.04Single8H8JLodoxamide8H8J-GPR35-Lodoxamide-Ca-chim(NtGi1L-G13)/β1/γ2
13.04Single8HDPAdenosine8HDP-A2B-Adenosine-Gs/β1/γ2
13.04Single8IJBAcipimox8IJB-HCA2-Acipimox-Gi1/β1/γ2
13.04Single8RVWStilSwitch38RVW-A2A-StilSwitch3-Na
13.04Single8RW0Istradefylline8RW0-A2A-Istradefylline-Na
13.04Single8RW4AzoSwitch28RW4-A2A-AzoSwitch2-Na
13.04Single8RWEStilSwitch48RWE-A2A-StilSwitch4-Na
13.04Single8U4SREGN7663-Fab8U4S-CXCR4-REGN7663-Fab
13.04Single8U4TREGN7663-Fab8U4T-CXCR4-REGN7663-Fab
13.04Single8WOGSuccinic acid8WOG-Succinate-Succinic acid-Gi1/β1/γ2
13.04Single8WPGTryptophan; Cinacalcet; PO4; Ca8WPG-CaS; CaS-Tryptophan; Cinacalcet; PO4; Ca
13.04Single8YKXMaleic acid8YKX-Succinate-Maleic acid-Gi1/β1/γ1
13.04Single8Z87CHBA8Z87-HCA1-CHBA-Gi1/β1/γ2
13.04Single9AVLCa; Ca; Cyclomethyltryptophan; R-568; PO49AVL-CaS; CaS-Ca-Ca; Ca; Cyclomethyltryptophan; R-568; PO4-Gi3/β2/γ2
13.04Single9C2FCa; Ca; Tryptophan; '54149; PO49C2F-CaS; CaS-Ca-Ca; Ca; Tryptophan; '54149; PO4
13.04Single9FUPIstradefylline9FUP-A2A-Istradefylline-Na
13.04Single9H2XPubChem 1756706449H2X-A2A-PubChem 175670644-Na
13.04Single9J5VCpY9J5V-LPA1-CpY-Gi1/β1/γ2
13.04Single9JKXAcifran9JKX-HCA3-Acifran-Gi1/β1/γ2
13.04Consensusa1_onOrthosteric Ligand7LD4-A1-Adenosine-Gi2/β1/γ2
13.04Consensusa1_on_gpOrthosteric Ligand7LD4-A1-Adenosine-Gi2/β1/γ2
13.04Consensuscxcr1_onOrthosteric Ligand8IC0-CXCR1-CXCL8-Gi1/β1/γ2
13.04Consensusgi_succinateOrthosteric Ligand8YKW-Succinate-Succinic acid-Gi1/β1/γ1 8YKX-Succinate-Maleic acid-Gi1/β1/γ1
13.04Consensuss1p1_offOrthosteric Ligand3V2W-S1P1-PubChem 51892645
13.04Consensussuccinate_onOrthosteric Ligand8YKW-Succinate-Succinic acid-Gi1/β1/γ1 8YKX-Succinate-Maleic acid-Gi1/β1/γ1
13.04Consensussuccinate_on_gpOrthosteric Ligand8YKW-Succinate-Succinic acid-Gi1/β1/γ1 8YKX-Succinate-Maleic acid-Gi1/β1/γ1
12.90Single6HLOAprepitant6HLO-NK1-Aprepitant
12.90Single7C6A(Sar1,Ile8)-Angiotensin II7C6A-AT2-(Sar1,Ile8)-Angiotensin II
12.90Single7W0NElabela7W0N-Apelin; Apelin-Elabela-Gi1/β1/γ2
12.90Single8F7SDeltorphin8F7S-δ-Deltorphin-Gi1/β1/γ2
12.90Single8SG1Chemerin-98SG1-CML1-Chemerin-9-Gi1/β1/γ2
12.90Single8WSSMCH8WSS-MCH1-MCH-Gi1/β1/γ1
12.90Single9EAINanobody AT2099EAI-AT1-Losartan-Nanobody AT209
12.90Single9KT7MK68929KT7-HCA2-MK6892-Gi1/β1/γ2
12.90Single9KV6TLQP219KV6-C3aB-TLQP21-Go/β1/γ2
12.90Single9ME1CXCL129ME1-CXCR4-CXCL12
12.90Consensusdop_on_gpOrthosteric Ligand8F7S-δ-Deltorphin-Gi1/β1/γ2
12.90Consensusformylpeptide_on_gpOrthosteric Ligandfpr2-alx_on_gp fpr1-alx_on_gp
12.90Consensusgi_ghrelinOrthosteric Ligand7NA7-Ghrelin-Ghrelin-Gi1/β1/γ2 7NA8-Ghrelin-Ibutamoren-Gi1/β1/γ2
12.90Consensuss1p3_on_gpOrthosteric Ligand7EW3-S1P3-S1P-Gi1/β1/γ2 7EW4-S1P3-CYM-5541-Gi1/β1/γ2 7EW2-S1P3-FTY720-P-Gi1/β1/γ2
12.90Consensussst4_onOrthosteric Ligand7XMS-SST4-Somatostatin-14-Gi1/β1/γ2 7XMT-SST4-J-2156-Gi1/β1/γ2
12.90Consensussst4_on_gpOrthosteric Ligand7XMS-SST4-Somatostatin-14-Gi1/β1/γ2 7XMT-SST4-J-2156-Gi1/β1/γ2
12.77Single8GY7Corticotropin8GY7-MC2-Corticotropin-Ca-chim(NtGi1-Gs)/β1/γ2; MRAP1
12.50Single2YDOAdenosine2YDO-A2A-Adenosine
12.50Single3V2YPubChem 518926453V2Y-S1P1-PubChem 51892645
12.50Single4ZUDOlmesartan4ZUD-AT1-Olmesartan
12.50Single5IU4ZM-2413855IU4-A2A-ZM-241385-Na
12.50Single5IU7Q274563465IU7-A2A-Q27456346-Na
12.50Single5IUBQ274563445IUB-A2A-Q27456344-Na
12.50Single5JTBZM-2413855JTB-A2A-ZM-241385
12.50Single5K2BZM-2413855K2B-A2A-ZM-241385-Na
12.50Single5K2CZM-2413855K2C-A2A-ZM-241385-Na
12.50Single5NLXZM-2413855NLX-A2A-ZM-241385-Na
12.50Single5NM4ZM-2413855NM4-A2A-ZM-241385-Na
12.50Single6AQFZM-2413856AQF-A2A-ZM-241385
12.50Single6ME32-Phenylmelatonin6ME3-MT1-2-Phenylmelatonin
12.50Single6MH8ZM-2413856MH8-A2A-ZM-241385
12.50Single6PS82-Phenylmelatonin6PS8-MT1-2-Phenylmelatonin
12.50Single6V9SGTPL114036V9S-OX1-GTPL11403
12.50Single6XBLSAG6XBL-SMO-SAG-Cholesterol-Gi1/β1/γ2
12.50Single6ZDRHMS1413f126ZDR-A2A-HMS1413f12-Na
12.50Single7AROLUF58337ARO-A2A-LUF5833-Na
12.50Single7T32ZM-2413857T32-A2A-ZM-241385
12.50Single7VUGJNJ-635330547VUG-GPR139-JNJ-63533054-Gi1/β1/γ2
12.50Single7ZI0SAG7ZI0-SMO-SAG-Cholesterol
12.50Single8IHKAcifran8IHK-HCA3-Acifran
12.50Single8JEIPubChem 117155568JEI-HCAR3-PubChem 11715556-Gi1/β1/γ2
12.50Single8RQQZM-2413858RQQ-A2A-ZM-241385-Na
12.50Single8RWCStilSwitch28RWC-A2A-StilSwitch2-Na
12.50Single8RWDStilSwitch38RWD-A2A-StilSwitch3-Na
12.50Single8RWIStilSwitch28RWI-A2A-StilSwitch2-Na
12.50Single8W88SEP-3638568W88-TA1-SEP-363856-Gs/β1/γ2
12.50Single8WPGTryptophan; Cinacalcet; PO4; Ca8WPG-CaS; CaS-Tryptophan; Cinacalcet; PO4; Ca
12.50Single8WPUTryptophan; Cinacalcet; PO4; Ca8WPU-CaS; CaS-Tryptophan; Cinacalcet; PO4; Ca-chim(NtGi2L-Gs-CtGq)/β1/γ2
12.50Single8X7ATreprostinil8X7A-I2-Treprostinil-Gs/β1/γ2
12.50Single8XIQL7967788XIQ-SST3-L796778-chim(NtGi1-Gs-CtGi1)/β1/γ2
12.50Single8XIRPasireotide8XIR-SST3-Pasireotide-chim(NtGi1-Gs-CtGi1)/β1/γ2
12.50Single8XZHMM078XZH-Apelin; Apelin-MM07-Gi1/β1/γ2
12.50Single8YKVPubChem 1375531688YKV-Succinate-PubChem 137553168-Gi1/β1/γ2
12.50Single9ASBCa; Ca; Cyclomethyltryptophan; R-568; PO49ASB-CaS; CaS-Ca-Ca; Ca; Cyclomethyltryptophan; R-568; PO4-chim(NtGi1-Gs-CtGq)/β1/γ2
12.50Single9AVGCa; Ca; Cyclomethyltryptophan; R-568; PO49AVG-CaS; CaS-Ca-Ca; Ca; Cyclomethyltryptophan; R-568; PO4-chim(NtGi1-Gs)/β1/γ2
12.50Single9AXFCa; Ca; Ca; Cyclomethyltryptophan; R-568; PO49AXF-CaS; CaS-Ca-Ca; Ca; Ca; Cyclomethyltryptophan; R-568; PO4-chim(NtGi1-Gs-CtGq)/β1/γ2
12.50Single9B54VIP369B54-CB1-VIP36-Gi1/β1/γ2
12.50Single9JKQMETH9JKQ-TA1-METH-Gs/β1/γ2
12.50Single9JKYAcifran9JKY-HCA2-Acifran-Gi1/β1/γ2
12.50Single9JMDAzithromycin9JMD-Motilin-Azithromycin-chim(Gs-CtGq)/β1/γ2
12.50Single9K27PrRP319K27-PrRP-PrRP31-chim(NtGi1-Gq)/β1/γ2
12.50Single9KXSEP679KXS-C5a1-EP67-Go/β1/γ2
12.50Single9MEUCXCL129MEU-CXCR4-CXCL12
12.50Single9P1TZM-2413859P1T-A2A-ZM-241385
12.50Single9UYIChemerin-99UYI-CML2-Chemerin-9-Arrestin2
12.50Consensusa2_offOrthosteric Liganda2a_off
12.50Consensusa2a_offOrthosteric Ligand3RFM-A2A-Caffeine 8C9W-A2A-Etrumadenant 3UZA-A2A-GTPL9236 8GNG-A2A-Istradefylline 8CU6-A2A-LJ-4517 7PX4-A2A-PSB-2113 7PYR-A2A-PSB-2115 8DU3-A2A-PubChem 105526064 8JWY-A2A-2-118 8PWN-A2A-Theophylline 5IU4-A2A-ZM-241385-Na 5OLZ-A2A-PubChem 135566609-Na 6GT3-A2A-Imaradenant-Na 5OLV-A2A-LUAA47070-Na 5N2R-A2A-PSB36-Na 5IU7-A2A-Q27456346-Na 5OLH-A2A-Vipadenant-Na 5OLO-A2A-Tozadenant-Na 6ZDR-A2A-HMS1413f12-Na 8GNE-A2A-KW-6356-Na 8JWZ-A2A-Etrumadenant-Na 5IU8-A2A-Q27456347-Na 5IUB-A2A-Q27456344-Na 6ZDV-A2A-PubChem 984073-Na 5IUA-A2A-Q27456348-Na 8A2P-A2A-LUAA47070-Na
12.50Consensusadenosine_onOrthosteric Liganda1_on a2_on a3_on
12.50Consensusat1_offOrthosteric Ligand4YAY-AT1-ZD-7155 4ZUD-AT1-Olmesartan
12.50Consensusc5a1_onOrthosteric Ligand8HK5-C5a1-C5a-Gi1/β1/γ2 7Y66-C5a1-BM213-Gi1/β1/γ2 7Y67-C5a1-C089 peptide-Gi1/β1/γ2 7Y64-C5a1-C5a-Gi1/β1/γ2
12.50Consensuscxcr2_onOrthosteric Ligand6LFM-CXCR2-CXCL8-Gi1/β1/γ2
12.50Consensusghrelin_offOrthosteric Ligand6KO5-Ghrelin-PubChem 57400002 7F83-Ghrelin-PF-05190457
12.50Consensusgi_adenosineOrthosteric Ligand7LD4-A1-Adenosine-Gi2/β1/γ2 8X17-A3A-Namodenoson-Gi1/β1/γ2 8X16-A3A-Piclidenoson-Gi1/β1/γ2
12.50Consensusgs_class-aOrthosteric Ligandgs_peptide gs_nucleotide gs_amine
12.12Single6JODAngiotensin II6JOD-AT2-Angiotensin II
12.12Single6WIVPubChem 52923113; PubChem 529246456WIV-GABAB1, GABAB2-PubChem 52923113; PubChem 52924645
12.12Single7AD3Alpha-factor mating pheromone7AD3-STE2; STE2-α-factor mating pheromone-Gi1/STE4/γ2
12.12Single7T10Somatostatin-147T10-SST2-Somatostatin-14-Gi3/β1/γ2
12.12Single7YONPeptide-YY(3-36)7YON-Y2-Peptide-YY(3-36)-Gi1/β1/γ2
12.12Single8IEDPubChem 1347468948IED-GPR156; GPR156-PubChem 134746894-Go/β1/γ2
12.12Single8J6IMK68928J6I-HCA2-MK6892-Gi1/β1/γ2
12.12Single8WSTMCH8WST-MCH2-MCH-chim(NtGi1L-Gs-CtGq)/β1/γ2
12.12Single8X8LCortistatin-148X8L-SST5-Cortistatin-14-chim(NtGi1-Gs-CtGi1)/β1/γ2
12.12Single8XWQEndothelin-18XWQ-ETB-Endothelin-1-Gi1/β1/γ2
12.12Single8ZBISomatostatin-148ZBI-SST3-Somatostatin-14-Gi1/β1/γ2
12.12Consensusgi_formylpeptideOrthosteric Ligand7WVY-FPR2-ALX-Amyloid-β42-Gi2/β1/γ2 7T6U-FPR2-ALX-CGEN-855A-Gi1/β1/γ2 7VFX-FPR1-ALX-fMIFL-Gi1/β1/γ2 7T6V-FPR2-ALX-fMLFII-Gi1/β1/γ2 7WVX-FPR2-ALX-Humanin-Gi2/β1/γ2 7T6S-FPR2-ALX-TC-FPR 43-Gi1/β1/γ2 6OMM-FPR2-ALX-WKYMVX-Gi1/β1/γ2
12.12Consensusneuromedin-u_onOrthosteric Ligandnmur1_on nmur2_on
12.12Consensustachykinin_onOrthosteric Ligandnk1_on nk2_on nk3_on
12.00Single2Y04Salbutamol2Y04-β1-Salbutamol
12.00Single3EMLZM-2413853EML-A2A-ZM-241385
12.00Single4EIYZM-2413854EIY-A2A-ZM-241385-Na
12.00Single4YAYZD-71554YAY-AT1-ZD-7155
12.00Single5IU8Q274563475IU8-A2A-Q27456347-Na
12.00Single5K2AZM-2413855K2A-A2A-ZM-241385-Na
12.00Single5NDDAZ8838; Na5NDD-PAR2-AZ8838; Na
12.00Single5OLGZM-2413855OLG-A2A-ZM-241385-Na
12.00Single5OLZPubChem 1355666095OLZ-A2A-PubChem 135566609-Na
12.00Single5OM1PubChem 1355666095OM1-A2A-PubChem 135566609-Na
12.00Single5UENDU1725UEN-A1-DU172
12.00Single5VRAZM-2413855VRA-A2A-ZM-241385-Na
12.00Single6D27CAY104716D27-DP2-CAY10471
12.00Single6IIVDaltroban6IIV-TXA2-Daltroban
12.00Single6KPFAM120336KPF-CB2-AM12033-Gi1/β1/γ2
12.00Single6LPJZM-2413856LPJ-A2A-ZM-241385-Na
12.00Single6LPKZM-2413856LPK-A2A-ZM-241385-Na
12.00Single6S0LZM-2413856S0L-A2A-ZM-241385
12.00Single6XBM25(S)-Epoxycholesterol6XBM-SMO-25(S)-Epoxycholesterol-Gi1/β1/γ2
12.00Single7FIHOrg435537FIH-LH-hCG-Org43553-chim(NtGi1-Gs)/β1/γ2
12.00Single7M3JNPS-2143; PO47M3J-CaS; CaS-NPS-2143; PO4
12.00Single7PYRPSB-21157PYR-A2A-PSB-2115
12.00Single7UL4Alvimopan7UL4-μ-Alvimopan
12.00Single7VGZRamelteon7VGZ-MT1-Ramelteon-Gi1/β1/γ2
12.00Single7VIES1P7VIE-S1P1-S1P-Gi1/β1/γ2
12.00Single7VIFFTY720-P7VIF-S1P1-FTY720-P-Gi1/β1/γ2
12.00Single7XJHIsoprenaline7XJH-β3-Isoprenaline-Gs/β1/γ2
12.00Single8CU6LJ-45178CU6-A2A-LJ-4517
12.00Single8CU7LJ-45178CU7-A2A-LJ-4517-Na
12.00Single8IC0CXCL88IC0-CXCR1-CXCL8-Gi1/β1/γ2
12.00Single8IHJAcifran8IHJ-HCA3-Acifran-Gi1/β1/γ2
12.00Single8RW7StilSwitch18RW7-A2A-StilSwitch1-Na
12.00Single8RWXStilSwitch38RWX-A2A-StilSwitch3-Na
12.00Single8T1WCVN4248T1W-GPR6-CVN424
12.00Single8UH3Setiptiline8UH3-5-HT1E-Setiptiline-Gi1/β1/γ1
12.00Single8W8ARO52563908W8A-TA1-RO5256390-chim(NtGi1L-Gs)/β1/γ2
12.00Single8X17Namodenoson8X17-A3A-Namodenoson-Gi1/β1/γ2
12.00Single8X9TAP5038X9T-ADGRD1-AP503-chim(NtGi1-Gs)/β1/γ2
12.00Single8XJLPGF2-alpha8XJL-FP-alpha-PGF2-α-chim(NtGi2-Gs-CtGq)/β1/γ2
12.00Single8ZSSRO52633978ZSS-TA1-RO5263397-chim(NtGi1-Gs)/β1/γ2
12.00Single8ZYYNeurotensin-(8-13)8ZYY-NTS1-Neurotensin-(8-13)-SBI-553-Arrestin2
12.00Single9AS1DMT9AS1-5-HT2A-DMT
12.00Single9CHXCarazolol9CHX-β2-Carazolol
12.00Single9EPP11,20-Ethanoretinal9EPP-Rhodopsin-11,20-Ethanoretinal-chim(Gi1-CtGq)/β1/γ2
12.00Single9H37PubChem 1756706469H37-A2A-PubChem 175670646-Na
12.00Single9IYAONO-97105319IYA-GPR55-ONO-9710531
12.00Single9JQZGrapiprant 9JQZ-EP4-Grapiprant
12.00Single9METGp120; CD49MET-CXCR4-Gp120; CD4
12.00Single9P1SZM-2413859P1S-A2A-ZM-241385
12.00Consensusa3_onOrthosteric Liganda3a_on
12.00Consensusadenosine_on_gpOrthosteric Liganda1_on_gp a2_on_gp a3_on_gp
12.00Consensuscxcr1_on_gpOrthosteric Ligand8IC0-CXCR1-CXCL8-Gi1/β1/γ2
11.76Single7F9YGhrelin7F9Y-Ghrelin-Ghrelin-chim(NtGi1-Gs-CtGq)/β1/γ2
11.76Single7P02Substance-P7P02-NK1-Substance-P-chim(NtGi1-Gs)/β1/γ2
11.76Single7VL9CCL15(26-92)7VL9-CCR1-CCL15(26-92)-Gi1/β1/γ2
11.76Single7X9BNeuropeptide-Y7X9B-Y2-Neuropeptide-Y-Gi1/β1/γ2
11.76Single8HCXEndothelin-18HCX-ETB-Endothelin-1-chim(NtGi2L-Gs-CtGq)/β1/γ2
11.76Single8XGOTAK4488XGO-Kiss1-TAK448-chim(NtGi1-Gq)/β1/γ2
11.76Single8ZPSPrRP208ZPS-PrRP-PrRP20-chim(NtGi1-Gs-CtGi1)/β1/γ2
11.76Single8ZRTEndothelin-18ZRT-ETB-Endothelin-1
11.76Single9JFYNeuropeptide-SF9JFY-NPFF2-Neuropeptide-SF-Gi1/β1/γ2
11.76Consensusmc1_onOrthosteric Ligand7F4H-MC1-Afamelanotide-chim(NtGi1-Gs)/β1/γ2 7F4D-MC1-α-MSH-chim(NtGi1-Gs)/β1/γ2 7F4I-MC1-SHU9119-chim(NtGi1-Gs)/β1/γ2
11.76Consensusmc1_on_gpOrthosteric Ligand7F4H-MC1-Afamelanotide-chim(NtGi1-Gs)/β1/γ2 7F4D-MC1-α-MSH-chim(NtGi1-Gs)/β1/γ2 7F4I-MC1-SHU9119-chim(NtGi1-Gs)/β1/γ2
11.76Consensusneuromedin-u_on_gpOrthosteric Ligandnmur1_on_gp nmur2_on_gp
11.76Consensusopioid_onOrthosteric Ligandmop_on nop_on dop_on kop_on
11.76Consensussst5_on_gpOrthosteric Ligand8X8L-SST5-Cortistatin-14-chim(NtGi1-Gs-CtGi1)/β1/γ2 8X8N-SST5-Octreotide-chim(NtGi1-Gs-CtGi1)/β1/γ2
11.54Single2Y03Isoprenaline2Y03-β1-Isoprenaline
11.54Single4WW3All-trans-Retinal4WW3-Rhodopsin-All-trans-Retinal
11.54Single5IUAQ274563485IUA-A2A-Q27456348-Na
11.54Single5JQHCarazolol5JQH-β2-Carazolol
11.54Single5N2RPSB365N2R-A2A-PSB36-Na
11.54Single5N2SPSB365N2S-A1-PSB36
11.54Single5NM2ZM-2413855NM2-A2A-ZM-241385-Na
11.54Single5OM4PubChem 1355666095OM4-A2A-PubChem 135566609-Na
11.54Single5TVNLSD5TVN-5-HT2B-LSD
11.54Single5ZK33-quinuclidinyl-benzilate5ZK3-M2-3-quinuclidinyl-benzilate
11.54Single6D26Fevipiprant6D26-DP2-Fevipiprant
11.54Single6GDGNECA6GDG-A2A-NECA-Gs/β1/γ1
11.54Single6KPCAM120336KPC-CB2-AM12033
11.54Single6LFMCXCL86LFM-CXCR2-CXCL8-Gi1/β1/γ2
11.54Single6LPLZM-2413856LPL-A2A-ZM-241385-Na
11.54Single6ME62-Phenylmelatonin6ME6-MT2-2-Phenylmelatonin
11.54Single6ME72-Phenylmelatonin6ME7-MT2-2-Phenylmelatonin
11.54Single6ME82-Phenylmelatonin6ME8-MT2-2-Phenylmelatonin
11.54Single6PS6Timolol6PS6-β2-Timolol
11.54Single6RZ4Pranlukast6RZ4-CysLT1-Pranlukast-Na
11.54Single6S0QZM-2413856S0Q-A2A-ZM-241385
11.54Single6WQAZM-2413856WQA-A2A-ZM-241385-Na
11.54Single6XBKCholesterol6XBK-SMO-Cholesterol-Gi1/β1/γ2
11.54Single7C4SS1P7C4S-S1P3-S1P
11.54Single7CFNINT-7777CFN-GPBA-INT-777-Gs/β1/γ2
11.54Single7CKXA776367CKX-D1-A77636-Gs/β1/γ2
11.54Single7EPFNAM5977EPF-mGlu2-NAM597
11.54Single7LD3Adenosine7LD3-A1-Adenosine-MIPS521-Gi2/β1/γ2
11.54Single7M3JNPS-2143; PO47M3J-CaS; CaS-NPS-2143; PO4
11.54Single7RM5ZM-2413857RM5-A2A-ZM-241385-Na
11.54Single7VUHJNJ-635330547VUH-GPR139-JNJ-63533054-chim(Gs-CtGq)/β1/γ2
11.54Single8FYNZM-2413858FYN-A2A-ZM-241385-Na
11.54Single8GNEKW-63568GNE-A2A-KW-6356-Na
11.54Single8ID4Linoleic acid8ID4-FFA4-Linoleic acid-Gi1/β1/γ2
11.54Single8K8JFenofibrate8K8J-CB1-Fenofibrate-chim(Gs-CtGq)/β1/γ2
11.54Single8SZGCa; Ca; Tryptophan; Cinacalcet; PO4; Spermine8SZG-CaS; CaS-Ca; Ca; Tryptophan; Cinacalcet; PO4; Spermine-chim(NtGi1-Gq)/β1/γ2
11.54Single8TF5Oleic acid8TF5-GPR6-Oleic acid
11.54Single9ARZ2-bromo-LSD9ARZ-5-HT2A-2-bromo-LSD
11.54Single9AYFCa; Ca; Ca; Cyclomethyltryptophan; R-568; PO49AYF-CaS; CaS-Ca-Ca; Ca; Ca; Cyclomethyltryptophan; R-568; PO4-Gi1/β1/γ2
11.54Single9EAHOlmesartan9EAH-AT1-Olmesartan-Nanobody AT209
11.54Single9EAHNanobody AT2099EAH-AT1-Olmesartan-Nanobody AT209
11.54Single9EE8Adenosine9EE8-A2A-Adenosine-Gs/β1/γ2
11.54Single9EHSLUF76029EHS-A3A-LUF7602
11.54Single9GE2ML1849GE2-GPR55-ML184-chim(NtGi1-G13)/β1/γ2
11.54Single9I52A1IZU9I52-D1-A1IZU-Gs/β1/γ2
11.54Single9KT6Acifran9KT6-HCA3-Acifran-Gi1/β1/γ2
11.54Single9L74S1P d16:19L74-S1P3-S1P d16:1-chim(NtGi2L-Gs-CtGq)/β1/γ2
11.54Consensusa1_offOrthosteric Ligand5UEN-A1-DU172 5N2S-A1-PSB36
11.54Consensusa3_on_gpOrthosteric Liganda3a_on_gp
11.54Consensusa3a_onOrthosteric Ligand8X17-A3A-Namodenoson-Gi1/β1/γ2 8X16-A3A-Piclidenoson-Gi1/β1/γ2
11.54Consensusa3a_on_gpOrthosteric Ligand8X17-A3A-Namodenoson-Gi1/β1/γ2 8X16-A3A-Piclidenoson-Gi1/β1/γ2
11.54Consensusadenosine_offOrthosteric Liganda1_off a2_off
11.54Consensusblt1_offOrthosteric Ligand5X33-BLT1-BIIL260 7K15-BLT1-MKD046-Na
11.54Consensusblt_offOrthosteric Ligandblt1_off
11.54Consensuscxcr2_on_gpOrthosteric Ligand6LFM-CXCR2-CXCL8-Gi1/β1/γ2
11.54Consensusdp2_offOrthosteric Ligand6D26-DP2-Fevipiprant
11.54Consensusdp_offOrthosteric Liganddp2_off
11.54Consensusgs_amineOrthosteric Ligandgs_5ht gs_adrenergic gs_dopamine gs_histamine gs_trace-amine
11.54Consensusnucleotide_onOrthosteric Ligandadenosine_on p2y_on
11.54Consensusta1_onOrthosteric Ligand8W87-TA1-METH-chim(NtGi1L-Gs)/β1/γ2 8W89-TA1-2-Phenylethylamine-chim(NtGi1L-Gs)/β1/γ2 8JLP-TA1-Ralmitaront-Gs/β1/γ2 8W8A-TA1-RO5256390-chim(NtGi1L-Gs)/β1/γ2 8W88-TA1-SEP-363856-Gs/β1/γ2 8JLO-TA1-Ulotaront-Gs/β1/γ2 8JLR-TA1-A77636-chim(NtGi1-Gs)/β1/γ2 8JSO-TA1-AMPH-chim(NtGi1-Gs)/β1/γ2 8ZSP-TA1-LSD-chim(NtGi1L-Gs)/β1/γ2
11.54Consensustrace-amine_onOrthosteric Ligandta1_on
11.43Single7SK3CXCL127SK3-ACKR3-CXCL12
11.43Single8H0PNMB308H0P-BB1-NMB30-chim(NtGi1-Gs-CtGq)/β1/γ2
11.43Single9KFKRelaxin-39KFK-RXFP4-Relaxin-3-Gi2/β1/γ2
11.43Consensusopioid_on_gpOrthosteric Ligandmop_on_gp nop_on_gp dop_on_gp kop_on_gp
11.11Single2YDVNECA2YDV-A2A-NECA
11.11Single3SN6BI1671073SN6-β2-BI167107-Gs/β1/γ2
11.11Single3UON3-quinuclidinyl-benzilate3UON-M2-3-quinuclidinyl-benzilate
11.11Single4UHRCGS216804UHR-A2A-CGS21680
11.11Single5A8E7-Methylcyanopindolol5A8E-β1-7-Methylcyanopindolol-Na
11.11Single5G53NECA5G53-A2A-NECA-Gs
11.11Single6GT3Imaradenant6GT3-A2A-Imaradenant-Na
11.11Single6H7JIsoprenaline6H7J-β1-Isoprenaline
11.11Single6KO5PubChem 574000026KO5-Ghrelin-PubChem 57400002
11.11Single6N48BI1671076N48-β2-BI167107-PubChem 138454256
11.11Single6N4BMDMB-Fubinaca6N4B-CB1-MDMB-Fubinaca-Gi1/β1/γ2
11.11Single6NI3BI1671076NI3-β2-BI167107-Gs/β1/γ2
11.11Single6O3CCholesterol6O3C-SMO-SAG21k-Cholesterol
11.11Single6OS1TRV0266OS1-AT1-TRV026
11.11Single6WGTLSD6WGT-5-HT2A-LSD
11.11Single7B6WCyclazosin7B6W-α1b-Cyclazosin
11.11Single7EIBKallidin-des-Arg107EIB-BK1-Kallidin-des-Arg10-chim(NtGi1-Gs-CtGq)/β1/γ2
11.11Single7EW1Siponimod7EW1-S1P5-Siponimod-Gi1/β1/γ2
11.11Single7EW3S1P7EW3-S1P3-S1P-Gi1/β1/γ2
11.11Single7EW7SEW28717EW7-S1P1-SEW2871-Gi1/β1/γ2
11.11Single7F4FAfamelanotide7F4F-MC1-Afamelanotide-chim(NtGi1-Gs)/β1/γ2
11.11Single7F58THIQ7F58-MC4-THIQ-Gs/β1/γ2
11.11Single7JJOIsoprenaline7JJO-β1-Isoprenaline-Gs/β1/γ2
11.11Single7M8W15r-Methyl-PGD27M8W-DP2-15r-Methyl-PGD2-Na
11.11Single7PX4PSB-21137PX4-A2A-PSB-2113
11.11Single7T9NDPPC7T9N-TSH-M22 Fab-DPPC-Gs/β1/γ2
11.11Single7TUYGSK682753A7TUY-GPR183-GSK682753A
11.11Single7WV9CP559407WV9-CB1-CP55940-ZCZ011-Gi2/β1/γ2
11.11Single7WVYAmyloid-Beta427WVY-FPR2-ALX-Amyloid-β42-Gi2/β1/γ2
11.11Single7XATSomatostatin-147XAT-SST2-Somatostatin-14-Gi1/β1/γ2
11.11Single7XBDGalanin7XBD-GAL2-Galanin-chim(NtGi2L-Gs-CtGq)/β1/γ2
11.11Single7XOWSulfated Gastrin-(10-17)7XOW-CCKB-Sulfated Gastrin-(10-17)-chim(NtGi1-Gq)/β1/γ2
11.11Single7XTQR3997XTQ-GPBA-R399-Gs/β1/γ2
11.11Single7Y67C089 peptide7Y67-C5a1-C089 peptide-Gi1/β1/γ2
11.11Single7YOONeuropeptide-Y7YOO-Y2-Neuropeptide-Y-Gi1/β1/γ2
11.11Single8DCSCyanopindolol8DCS-β1-Cyanopindolol-Gs/β1/γ2
11.11Single8FMZNeurotensin-(8-13)8FMZ-NTS1-Neurotensin-(8-13)-chim(NtGi2L-Gs-CtGq)/β1/γ2
11.11Single8I9LC3a8I9L-C3aB-C3a-Go/β1/γ2
11.11Single8ID39-Hydroxystearic acid8ID3-FFA4-9-Hydroxystearic acid-Gi1/β1/γ2
11.11Single8IRURotigotine8IRU-D4-Rotigotine-chim(NtGi1-Gs-CtGi1)/β1/γ2
11.11Single8JT6(R)-IHCH-71798JT6-5-HT1A-(R)-IHCH-7179-PtdIns4P-Gi1/β1/γ2
11.11Single8JZPC5a8JZP-C5a1-C5a-Go/β1/γ2
11.11Single8T1VPubChem 1183102098T1V-GPR6-PubChem 118310209-Na
11.11Single8UGWCGS216808UGW-A2A-CGS21680
11.11Single8X16Piclidenoson8X16-A3A-Piclidenoson-Gi1/β1/γ2
11.11Single8X79MRE-2698X79-I2-MRE-269-Gs/β1/γ2
11.11Single8YH6Namodenoson8YH6-A3A-Namodenoson-Gi1/β1/γ2
11.11Single8ZR5Firuglipel8ZR5-GPR119-Firuglipel-Gs/β1/γ2
11.11Single8ZW0PGD28ZW0-DP1-PGD2-Gs/β1/γ2
11.11Single9I54PubChem 1764520919I54-D1-PubChem 176452091-Gs/β1/γ2
11.11Single9JMCDS-3801b9JMC-Motilin-DS-3801b-chim(Gs-CtGq)/β1/γ2
11.11Single9KVPSB2901579KVP-C3aB-SB290157-Go/β1/γ2
11.11Single9RHGC4079RHG-FZD7-C407
11.11Consensus5ht_offOrthosteric Ligand5ht2_off 5ht1_off
11.11Consensusa2_onOrthosteric Liganda2b_on
11.11Consensusa2_on_gpOrthosteric Liganda2b_on_gp
11.11Consensusa2b_onOrthosteric Ligand8HDP-A2B-Adenosine-Gs/β1/γ2 7XY6-A2B-BAY 60-6583-chim(NtGi1-Gs)/β1/γ2 7XY7-A2B-NECA-chim(NtGi1-Gs)/β1/γ2 8HDO-A2B-BAY 60-6583-Gs/β1/γ2
11.11Consensusa2b_on_gpOrthosteric Ligand8HDP-A2B-Adenosine-Gs/β1/γ2 7XY6-A2B-BAY 60-6583-chim(NtGi1-Gs)/β1/γ2 7XY7-A2B-NECA-chim(NtGi1-Gs)/β1/γ2 8HDO-A2B-BAY 60-6583-Gs/β1/γ2
11.11Consensusd4_on_gpOrthosteric Ligand8IRU-D4-Rotigotine-chim(NtGi1-Gs-CtGi1)/β1/γ2
11.11Consensusgs_adenosineOrthosteric Ligand8HDP-A2B-Adenosine-Gs/β1/γ2 8HDO-A2B-BAY 60-6583-Gs/β1/γ2 7XY7-A2B-NECA-chim(NtGi1-Gs)/β1/γ2 7XY6-A2B-BAY 60-6583-chim(NtGi1-Gs)/β1/γ2
11.11Consensusgs_nucleotideOrthosteric Ligandgs_adenosine
11.11Consensusnpy2_onOrthosteric Ligand7YOO-Y2-Neuropeptide-Y-Gi1/β1/γ2
11.11Consensusnpy2_on_gpOrthosteric Ligand7YOO-Y2-Neuropeptide-Y-Gi1/β1/γ2
11.11Consensuss1p5_onOrthosteric Ligand7EW1-S1P5-Siponimod-Gi1/β1/γ2
11.11Consensuss1p5_on_gpOrthosteric Ligand7EW1-S1P5-Siponimod-Gi1/β1/γ2
11.11Consensusta1_on_gpOrthosteric Ligand8W87-TA1-METH-chim(NtGi1L-Gs)/β1/γ2 8W89-TA1-2-Phenylethylamine-chim(NtGi1L-Gs)/β1/γ2 8JLP-TA1-Ralmitaront-Gs/β1/γ2 8W8A-TA1-RO5256390-chim(NtGi1L-Gs)/β1/γ2 8W88-TA1-SEP-363856-Gs/β1/γ2 8JLO-TA1-Ulotaront-Gs/β1/γ2 8JLR-TA1-A77636-chim(NtGi1-Gs)/β1/γ2 8JSO-TA1-AMPH-chim(NtGi1-Gs)/β1/γ2 8ZSP-TA1-LSD-chim(NtGi1L-Gs)/β1/γ2
11.11Consensustrace-amine_on_gpOrthosteric Ligandta1_on_gp
10.81Single6IGLIRL16206IGL-ETB-IRL1620
10.81Single8IY5Endothelin-18IY5-ETB-Endothelin-1-Gi1/β1/γ2
10.81Single8Y52BA18Y52-BB3-BA1-chim(NtGi1-Gs-CtGq)/β1/γ2
10.81Consensusendothelin_onOrthosteric Ligandetb_on eta_on
10.81Consensusgs_melanocortinOrthosteric Ligand7F4H-MC1-Afamelanotide-chim(NtGi1-Gs)/β1/γ2 7F54-MC4-Afamelanotide-Gs/β1/γ2 7F4D-MC1-α-MSH-chim(NtGi1-Gs)/β1/γ2 8INR-MC5-α-MSH-Ca-chim(NtGi1-Gs)/β1/γ2 7F53-MC4-α-MSH-Gs/β1/γ2 7F55-MC4-Bremelanotide-Gs/β1/γ2 8GY7-MC2-Corticotropin-Ca-chim(NtGi1-Gs)/β1/γ2; MRAP1 8IOC-MC3-γ-MSH-Ca-chim(NtGi1-Gs)/β1/γ2 8IOD-MC5-PG-901-Ca-chim(NtGi1-Gs)/β1/γ2 7AUE-MC4-Setmelanotide-chim(NtGi1L-Gs)/β1/γ2 7F4I-MC1-SHU9119-chim(NtGi1-Gs)/β1/γ2 7F58-MC4-THIQ-Gs/β1/γ2
10.71Single2YCXCyanopindolol2YCX-β1-Cyanopindolol
10.71Single4LDEBI1671074LDE-β2-BI167107
10.71Single4N4WSANT-14N4W-SMO-SANT-1
10.71Single4OR2FITM4OR2-mGlu1; mGlu1-FITM
10.71Single5F8UCyanopindolol5F8U-β1-Cyanopindolol
10.71Single6AK3PGE26AK3-EP3-PGE2
10.71Single6IIURamatroban6IIU-TXA2-Ramatroban
10.71Single6XBLCholesterol6XBL-SMO-SAG-Cholesterol-Gi1/β1/γ2
10.71Single7BZ2Arformoterol7BZ2-β2-Arformoterol-Gs/β1/γ2
10.71Single7DH5Mirabegron7DH5-β3-Mirabegron-Gs/β1/γ2
10.71Single7EO4Siponimod7EO4-S1P1-Siponimod-Gi1/β1/γ2
10.71Single7K15MKD0467K15-BLT1-MKD046-Na
10.71Single7W0NElabela7W0N-Apelin; Apelin-Elabela-Gi1/β1/γ2
10.71Single7XJKGalanin7XJK-GAL2-Galanin-chim(NtGi2L-Gs-CtGq)/β1/γ2
10.71Single7XZ5Lysophosphatidylcholine7XZ5-GPR119-Lysophosphatidylcholine-Gs/β1/γ2
10.71Single8FYE4-F,5-MeO-PyrT8FYE-5-HT1A-4-F,5-MeO-PyrT-PtdIns4P-Gi1/β1/γ1
10.71Single8FYTLSD8FYT-5-HT1A-LSD-PtdIns4P-Gi1/β1/γ1
10.71Single8GCPPGE28GCP-EP4-PGE2-Gi1/β1/γ2
10.71Single8H0QGastrin Releasing Peptide8H0Q-BB2-Gastrin Releasing Peptide-chim(NtGi1-Gs-CtGq)/β1/γ2
10.71Single8HK2C3a8HK2-C3aB-C3a-Gi1/β1/γ2
10.71Single8ID9Icosapent8ID9-FFA4-Icosapent-Gi1/β1/γ2
10.71Single8IQ6Latanoprost8IQ6-FP-alpha-Latanoprost-chim(NtGi1-Gs-CtGq)/β1/γ2
10.71Single8J6DEP1418J6D-C3aB-EP141-Go/β1/γ2
10.71Single8JWY2-1188JWY-A2A-2-118
10.71Single8JZ7MK68928JZ7-HCA2-MK6892-Gi1/β1/γ2
10.71Single8U26Substance-P8U26-NK1-Substance-P-Gs/β1/γ2
10.71Single8XJNCloprosetnol8XJN-TXA2-Cloprosetnol-chim(NtGi1-Gs-CtGq)/β1/γ2
10.71Single8XQJJN2418XQJ-Apelin; Apelin-JN241
10.71Single8XWMCXCL68XWM-CXCR2-CXCL6
10.71Single8XX3CXCL38XX3-CXCR2-CXCL3-Go/β1/γ2
10.71Single8XYIVUF106618XYI-CXCR3-VUF10661
10.71Single9EBIPiclidenoson9EBI-A3A-Piclidenoson-chim(NtGi1L-Gs-CtGi1)/β1/γ2
10.71Single9GGGI-BOP9GGG-TXA2-I-BOP-chim(NtGi2L-Gs-CtGq)/β1/γ2
10.71Single9GL2Befiradol9GL2-5-HT1A-Befiradol-Gs/β1/γ2
10.71Single9KVG5-MeO-DMT9KVG-5-HT1A-5-MeO-DMT-PtdIns4P-Gi1/β1/γ2
10.71Single9M4QDoxazosin9M4Q-Alpha1A-Doxazosin
10.71Single9M8POleic monoethanolamide9M8P-GPR3 ; GPR3-Oleic monoethanolamide-AF64394
10.71Single9VJ6F-155999VJ6-5-HT1A-F-15599-Gi3/β1/γ2
10.71Consensusbeta3_onOrthosteric Ligand7DH5-β3-Mirabegron-Gs/β1/γ2 7XJH-β3-Isoprenaline-Gs/β1/γ2 7XJI-β3-Solabegron-Gs/β1/γ2
10.71Consensusbeta3_on_gpOrthosteric Ligand7DH5-β3-Mirabegron-Gs/β1/γ2 7XJH-β3-Isoprenaline-Gs/β1/γ2 7XJI-β3-Solabegron-Gs/β1/γ2
10.71Consensuscb1_onOrthosteric Ligand6KPG-CB1-AM841-Gi1/β1/γ2 8K8J-CB1-Fenofibrate-chim(Gs-CtGq)/β1/γ2
10.71Consensusccr8_onOrthosteric Ligand8KFX-CCR8-LMD-009-Gi1/β1/γ2 8KFY-CCR8-ZK-756326-Gi1/β1/γ2 8U1U-CCR8-CCL1-Gi1/β1/γ2
10.71Consensuscxcr_onOrthosteric Ligandcxcr3_on cxcr4_on cxcr1_on cxcr2_on
10.71Consensusgalanin_onOrthosteric Ligandgal2_on gal1_on
10.71Consensusgalanin_on_gpOrthosteric Ligandgal2_on_gp gal1_on_gp
10.71Consensusleukotriene_offOrthosteric Ligandblt_off cyslt_off
10.71Consensusmop_onOrthosteric Ligand8F7R-μ-Endomorphin-Gi1/β1/γ2 8EF5-μ-Fentanyl-Gi1/β1/γ2 7SCG-μ-FH210-Gi1/β1/γ2 7T2H-μ-Lofentanil-Gi1/β1/γ2 7T2G-μ-Mitragynine Pseudoindoxyl-Gi1/β1/γ2 8EF6-μ-Morphine-Gi1/β1/γ2 8EFB-μ-Oliceridine-Gi1/β1/γ2 7U2L-μ-C5-guano-Gi1/β1/γ2 8EFO-μ-PZM21-Gi1/β1/γ2 8EFL-μ-SR17018-Gi1/β1/γ2 8F7Q-μ-β-Endorphin-Gi1/β1/γ2 7U2K-μ-C6-guano-Gi1/β1/γ2 8EFQ-μ-DAMGO-Gi1/β1/γ2
10.71Consensusmop_on_gpOrthosteric Ligand8F7R-μ-Endomorphin-Gi1/β1/γ2 8EF5-μ-Fentanyl-Gi1/β1/γ2 7SCG-μ-FH210-Gi1/β1/γ2 7T2H-μ-Lofentanil-Gi1/β1/γ2 7T2G-μ-Mitragynine Pseudoindoxyl-Gi1/β1/γ2 8EF6-μ-Morphine-Gi1/β1/γ2 8EFB-μ-Oliceridine-Gi1/β1/γ2 7U2L-μ-C5-guano-Gi1/β1/γ2 8EFO-μ-PZM21-Gi1/β1/γ2 8EFL-μ-SR17018-Gi1/β1/γ2 8F7Q-μ-β-Endorphin-Gi1/β1/γ2 7U2K-μ-C6-guano-Gi1/β1/γ2 8EFQ-μ-DAMGO-Gi1/β1/γ2
10.71Consensusopioid_offOrthosteric Ligandmop_off nop_off dop_off kop_off
10.71Consensuss1p3_onOrthosteric Ligand7EW3-S1P3-S1P-Gi1/β1/γ2 7EW4-S1P3-CYM-5541-Gi1/β1/γ2 7EW2-S1P3-FTY720-P-Gi1/β1/γ2
10.53Single5MZPCaffeine5MZP-A2A-Caffeine-Na
10.53Single8GEJConstrained Epinephrine8GEJ-β2-Constrained Epinephrine-Gs/β1/γ2
10.53Consensusgi_npyOrthosteric Ligand8K6M-Y1-Neuropeptide-Y-Gi2/β1/γ1 7X9C-Y4-Pancreatic Hormone-Gi1/β1/γ2 7YOO-Y2-Neuropeptide-Y-Gi1/β1/γ2
10.53Consensusnpy_onOrthosteric Ligandnpy1_on npy2_on npy4_on
10.53Consensusnpy_on_gpOrthosteric Ligandnpy1_on_gp npy2_on_gp npy4_on_gp
10.34Single2YCZIodocyanopindolol2YCZ-β1-Iodocyanopindolol
10.34Single4OR2FITM4OR2-mGlu1; mGlu1-FITM
10.34Single5UNGPubChem 157800525UNG-AT2-PubChem 15780052
10.34Single6UP7Neurotensin-(8-13)6UP7-NTS1-Neurotensin-(8-13)-Arrestin2
10.34Single7D7MPGE27D7M-EP4-PGE2-Gs/β1/γ1
10.34Single7EZCUK-4320977EZC-A2A-UK-432097
10.34Single7MTSADX551647MTS-mGlu2; mGlu2-Glutamate-ADX55164-Gi1/β1/γ2
10.34Single7SK7CCX6627SK7-ACKR3-CXCL12-CCX662
10.34Single7UM4AS26747237UM4-5-HT5A-AS2674723
10.34Single7VGY2-Iodomelatonin7VGY-MT1-2-Iodomelatonin-Gi1/β1/γ2
10.34Single7X1UTRH7X1U-TRH-TRH-chim(NtGi2L-Gs-CtGq)/β1/γ2
10.34Single7X2DTavapadon7X2D-D1-Tavapadon-Gs/β1/γ2
10.34Single7XJISolabegron7XJI-β3-Solabegron-Gs/β1/γ2
10.34Single7Y27Somatostatin-147Y27-SST2-Somatostatin-14-chim(NtGi2L-Gs-CtGq)/β1/γ2
10.34Single8HN1Toxin AdTx18HN1-Alpha1A-Toxin AdTx1
10.34Single8IULLatanoprost8IUL-FP-alpha-Latanoprost-chim(NtGi1-Gs-CtGq)/β1/γ2
10.34Single8IYSTUG-8918IYS-FFA4-TUG-891-GDP-chim(NtGi1L-Gq)/β1/γ2
10.34Single8J19LY2378J19-GPR84-LY237-Gi1/β1/γ2
10.34Single8K4OCXCL18K4O-KSHV-CXCL1-Gi1/β1/γ1
10.34Single8S2TIsoprenaline8S2T-β1-Isoprenaline-chim(NtGi1-Gs)/β1/γ2
10.34Single8XGSKisspeptin-18XGS-Kiss1-Kisspeptin-1-chim(NtGi1-Gq)/β1/γ2
10.34Single8XIOL7975918XIO-SST1-L797591-chim(NtGi1-Gs-CtGi1)/β1/γ2
10.34Single8XJKCloprosetnol8XJK-FP-alpha-Cloprosetnol-chim(NtGi1-Gs-CtGq)/β1/γ2
10.34Single8XJOU466198XJO-TXA2-U46619-chim(NtGi1-Gs-CtGq)/β1/γ2
10.34Single8XWFCXCL38XWF-CXCR2-CXCL3
10.34Single8ZPLHF511168ZPL-CXCR4-HF51116
10.34Single9EAILosartan9EAI-AT1-Losartan-Nanobody AT209
10.34Single9KUGEP679KUG-C5a1-EP67-Go/β1/γ2
10.34Single9KV8TLQP219KV8-C3aB-TLQP21-Go/β1/γ2
10.34Single9UYMChemerin-99UYM-CML2-Chemerin-9-chim(Arrestin3-CtArrestin2)
10.34Consensuscck_onOrthosteric Ligandccka_on cckb_on
10.34Consensuscck_on_gpOrthosteric Ligandccka_on_gp cckb_on_gp
10.34Consensuschemerin_onOrthosteric Ligandcml1_on
10.34Consensusfp-alpha_onOrthosteric Ligand8IUK-FP-alpha-PGF2-α-chim(NtGi1-Gs-CtGq)/β1/γ2 8IUL-FP-alpha-Latanoprost-chim(NtGi1-Gs-CtGq)/β1/γ2 8IUM-FP-alpha-Tafluprost acid-chim(NtGi1-Gs-CtGq)/β1/γ2
10.34Consensusfp-alpha_on_gpOrthosteric Ligand8IUK-FP-alpha-PGF2-α-chim(NtGi1-Gs-CtGq)/β1/γ2 8IUL-FP-alpha-Latanoprost-chim(NtGi1-Gs-CtGq)/β1/γ2 8IUM-FP-alpha-Tafluprost acid-chim(NtGi1-Gs-CtGq)/β1/γ2
10.34Consensusprostanoid_offOrthosteric Ligandep_off dp_off
10.34Consensusprostanoid_onOrthosteric Ligandtp_on fp-alpha_on
10.34Consensusprostanoid_on_gpOrthosteric Ligandtp_on_gp fp-alpha_on_gp
10.34Consensustp_onOrthosteric Ligand8XJO-TXA2-U46619-chim(NtGi1-Gs-CtGq)/β1/γ2
10.34Consensustp_on_gpOrthosteric Ligand8XJO-TXA2-U46619-chim(NtGi1-Gs-CtGq)/β1/γ2
10.26Consensusmelanocortin_onOrthosteric Ligandmc1_on mc4_on mc2_on mc3_on mc5_on
10.26Consensusmelanocortin_on_gpOrthosteric Ligandmc1_on_gp mc4_on_gp mc2_on_gp mc3_on_gp mc5_on_gp
10.00Single4UG2CGS216804UG2-A2A-CGS21680
10.00Single5WF6UK-4320975WF6-A2A-UK-432097
10.00Single6KNMJN241-96KNM-Apelin-JN241-9
10.00Single6OMMWKYMVX6OMM-FPR2-ALX-WKYMVX-Gi1/β1/γ2
10.00Single6OS9JMV4496OS9-NTS1-JMV449-Gi1/β1/γ2
10.00Single6XBJCholesterol6XBJ-SMO-Cholesterol-Gi1/β1/γ2
10.00Single7AUESetmelanotide7AUE-MC4-Setmelanotide-chim(NtGi1L-Gs)/β1/γ2
10.00Single7F8WGastrin-177F8W-CCKB-Gastrin-17-chim(NtGsL-Gq)/β1/γ2
10.00Single7XKDDehydroepiandrosterone7XKD-ADGRG2-Dehydroepiandrosterone-Gs/β1/γ2
10.00Single7XY6BAY 60-65837XY6-A2B-BAY 60-6583-chim(NtGi1-Gs)/β1/γ2
10.00Single7Y1FDynorphin7Y1F-κ-Dynorphin-Gi1/β1/γ2
10.00Single7YJ4INSL57YJ4-RXFP4-INSL5-Gi2/β1/γ2
10.00Single8GDAL9026888GDA-EP4-L902688-Gs/β1/γ2
10.00Single8H4IDoconexent8H4I-FFA4-Doconexent-chim(NtGi1-Gs)/β1/γ2
10.00Single8IQ4Carboprost8IQ4-FP-alpha-Carboprost-chim(NtGi1-Gs-CtGq)/β1/γ2
10.00Single8IUMTafluprost acid8IUM-FP-alpha-Tafluprost acid-chim(NtGi1-Gs-CtGq)/β1/γ2
10.00Single8X9S5alpha-DHT8X9S-ADGRD1-5α-DHT-chim(NtGi1-Gs)/β1/γ2
10.00Single8XQJJN2418XQJ-Apelin; Apelin-JN241
10.00Single8XX6CXCL88XX6-CXCR2-CXCL8-Go/β1/γ2
10.00Single8Y72Peptide8Y72-μ-Peptide-BMS-986122-Gi1/β1/γ2
10.00Single8Z74JN241-98Z74-Apelin; Apelin-JN241-9
10.00Single9IPVJR14a9IPV-C3aB-JR14a-Gi1/β1/γ2
10.00Single9IPYJR14a9IPY-C3aB-JR14a
10.00Single9JF4PD1683689JF4-BB1-PD168368
10.00Single9M0RNeuropeptide-VF9M0R-NPFF1-Neuropeptide-VF-Gi1/β1/γ2
10.00Single9V2NMacimorelin9V2N-Ghrelin-Macimorelin-chim(NtGi1-Gs-CtGq)/β1/γ2
10.00Consensuscxcr_on_gpOrthosteric Ligandcxcr3_on_gp cxcr4_on_gp cxcr1_on_gp cxcr2_on_gp
10.00Consensusgq_cckOrthosteric Ligand8IA7-CCKB-Cholecystokinin-8-chim(NtGi1L-Gq)/β1/γ2 7XOW-CCKB-Sulfated Gastrin-(10-17)-chim(NtGi1-Gq)/β1/γ2 7EZM-CCKA-Cholecystokinin-8-chim(NtGsL-Gq)/β1/γ2 7F8W-CCKB-Gastrin-17-chim(NtGsL-Gq)/β1/γ2
10.00Consensusgs_peptideOrthosteric Ligandgs_cck gs_melanocortin gs_vasop-oxy
10.00Consensusnmur1_onOrthosteric Ligand7W53-NMUR1-Neuromedin-U-25-chim(NtGi1-Gs-CtGq)/β1/γ2
10.00Consensusox2_onOrthosteric Ligand7L1V-OX2-PubChem 155491009-chim(NtGi1-Gs-CtGq)/β1/γ2 7SQO-OX2-TAK-925-Gi1/β1/γ2 7L1U-OX2-Orexin-chim(NtGi1-Gs-CtGq)/β1/γ2
10.00Consensusox2_on_gpOrthosteric Ligand7L1V-OX2-PubChem 155491009-chim(NtGi1-Gs-CtGq)/β1/γ2 7SQO-OX2-TAK-925-Gi1/β1/γ2 7L1U-OX2-Orexin-chim(NtGi1-Gs-CtGq)/β1/γ2
9.76Single7X9ANeuropeptide-Y7X9A-Y1-Neuropeptide-Y-Gi1/β1/γ2
9.68Single7F4ISHU91197F4I-MC1-SHU9119-chim(NtGi1-Gs)/β1/γ2
9.68Single7F8XNN90567F8X-CCKA-NN9056
9.68Single7NA7Ghrelin7NA7-Ghrelin-Ghrelin-Gi1/β1/γ2
9.68Single7VLACCL15(27-92)7VLA-CCR1-CCL15(27-92)-Gi1/β1/γ2
9.68Single7W53Neuromedin-U-257W53-NMUR1-Neuromedin-U-25-chim(NtGi1-Gs-CtGq)/β1/γ2
9.68Single7WKDTRH7WKD-TRH-TRH-chim(NtGi1-Gs-CtGq)/β1/γ2
9.68Single7XAUOctreotide7XAU-SST2-Octreotide-Gi1/β1/γ2
9.68Single8IEBPubChem 1347468948IEB-GPR156; GPR156-PubChem 134746894
9.68Single8IEIPubChem 1347468948IEI-GPR156; GPR156-PubChem 134746894
9.68Single8IEIPubChem 1347468948IEI-GPR156; GPR156-PubChem 134746894
9.68Single8IEPPubChem 1347468948IEP-GPR156; GPR156-PubChem 134746894
9.68Single8IEPPubChem 1347468948IEP-GPR156; GPR156-PubChem 134746894
9.68Single8PKMBefiradol8PKM-5-HT1A-Befiradol-Gi1/β1/γ1
9.68Single8WDTphotoNECA8WDT-A2A-photoNECA
9.68Single8XBHPubChem 1626566368XBH-GPR34-PubChem 162656636-Gi1/β1/γ2
9.68Single8XWNCXCL88XWN-CXCR2-CXCL8
9.68Single9BUYLM1899BUY-β2-LM189-Gi1/β1/γ2
9.68Single9HB3Mambaquaretin-19HB3-V2-Mambaquaretin-1
9.68Single9UYLChemerin-99UYL-CML2-Chemerin-9-Arrestin2
9.68Consensusccr1_onOrthosteric Ligand7VLA-CCR1-CCL15(27-92)-Gi1/β1/γ2
9.68Consensusccr1_on_gpOrthosteric Ligand7VLA-CCR1-CCL15(27-92)-Gi1/β1/γ2
9.68Consensuschemokine_onOrthosteric Ligandccr_on cxcr_on
9.68Consensusmc4_onOrthosteric Ligand7AUE-MC4-Setmelanotide-chim(NtGi1L-Gs)/β1/γ2 7F58-MC4-THIQ-Gs/β1/γ2 7F54-MC4-Afamelanotide-Gs/β1/γ2 7F53-MC4-α-MSH-Gs/β1/γ2 7F55-MC4-Bremelanotide-Gs/β1/γ2
9.68Consensusmop_offOrthosteric Ligand4DKL-μ-β-Funaltrexamine 8QOT-μ-Nanobody-E 7UL4-μ-Alvimopan
9.68Consensusnmur1_on_gpOrthosteric Ligand7W53-NMUR1-Neuromedin-U-25-chim(NtGi1-Gs-CtGq)/β1/γ2
9.68Consensussst5_onOrthosteric Ligand8X8L-SST5-Cortistatin-14-chim(NtGi1-Gs-CtGi1)/β1/γ2 8X8N-SST5-Octreotide-chim(NtGi1-Gs-CtGi1)/β1/γ2
9.52Single3OE8IT1t3OE8-CXCR4-IT1t
9.52Single3RFMCaffeine3RFM-A2A-Caffeine
9.52Single6OT025(S)-Epoxycholesterol6OT0-SMO-25(S)-Epoxycholesterol-Gi1/β1/γ2
9.52Single7DD5Ca; Ca; Tryptophan; NPS-21437DD5-CaS; CaS-Ca-Ca; Ca; Tryptophan; NPS-2143
9.52Single8GEIConstrained Epinephrine8GEI-β2-Constrained Epinephrine-Gs/β1/γ2
9.52Single8Y02All-trans-Retinal8Y02-OPN1SW-All-trans-Retinal-Gi1/β1/γ2
9.52Single8Z8ALactate8Z8A-HCA1-Lactate-Gi1/β1/γ2
9.52Single9EE9Adenosine9EE9-A2A-Adenosine-Gs/β1/γ2
9.52Single9M42A1L8O9M42-GPR139-A1L8O-chim(Gs-CtGq)/β1/γ2
9.52Consensusp2y_offOrthosteric Ligandp2y1_off
9.38Single3QAKUK-4320973QAK-A2A-UK-432097
9.38Single5XJM(Sar1,Ile8)-Angiotensin II5XJM-AT2-(Sar1,Ile8)-Angiotensin II
9.38Single7RMISubstance-P7RMI-NK1-Substance-P-chim(Gs-CtGq)/β1/γ2
9.38Single7SK5CXCL127SK5-ACKR3-CXCL12
9.38Single7WJ5Somatostatin-147WJ5-SST2-Somatostatin-14-Gi1/β1/γ2
9.38Single8F7WDynorphin8F7W-κ-Dynorphin-Gi1/β1/γ2
9.38Single8IEBPubChem 1347468948IEB-GPR156; GPR156-PubChem 134746894
9.38Single8KH5Lysophosphatidylserine8KH5-GPR174-Lysophosphatidylserine-Gs/β1/γ2
9.38Single8XYDPlatelet Activating Factor8XYD-PAF-Platelet Activating Factor-Gi1/β1/γ2
9.38Single9IQSMuscarinic toxin 39IQS-M4-Muscarinic toxin 3
9.38Single9KFIRelaxin-39KFI-RXFP3-Relaxin-3-Gi2/β1/γ2
9.38Single9UMXEP549UMX-C5a1-EP54-Go/β1/γ2
9.38Consensuscckb_onOrthosteric Ligand8IA7-CCKB-Cholecystokinin-8-chim(NtGi1L-Gq)/β1/γ2 7XOW-CCKB-Sulfated Gastrin-(10-17)-chim(NtGi1-Gq)/β1/γ2 7F8V-CCKB-Gastrin-17-Gi2/β1/γ2
9.38Consensusccr8_on_gpOrthosteric Ligand8KFX-CCR8-LMD-009-Gi1/β1/γ2 8KFY-CCR8-ZK-756326-Gi1/β1/γ2 8U1U-CCR8-CCL1-Gi1/β1/γ2
9.38Consensusghrelin_onOrthosteric Ligand7NA7-Ghrelin-Ghrelin-Gi1/β1/γ2 7F9Z-Ghrelin-GHRP-6-chim(NtGi1-Gs-CtGq)/β1/γ2 7NA8-Ghrelin-Ibutamoren-Gi1/β1/γ2
9.38Consensusghrelin_on_gpOrthosteric Ligand7NA7-Ghrelin-Ghrelin-Gi1/β1/γ2 7F9Z-Ghrelin-GHRP-6-chim(NtGi1-Gs-CtGq)/β1/γ2 7NA8-Ghrelin-Ibutamoren-Gi1/β1/γ2
9.38Consensusgi_cckOrthosteric Ligand7EZH-CCKA-Cholecystokinin-8-Gi1/β1/γ2 7F8V-CCKB-Gastrin-17-Gi2/β1/γ2
9.38Consensusmc4_on_gpOrthosteric Ligand7AUE-MC4-Setmelanotide-chim(NtGi1L-Gs)/β1/γ2 7F58-MC4-THIQ-Gs/β1/γ2 7F54-MC4-Afamelanotide-Gs/β1/γ2 7F53-MC4-α-MSH-Gs/β1/γ2 7F55-MC4-Bremelanotide-Gs/β1/γ2
9.38Consensustachykinin_on_gpOrthosteric Ligandnk1_on_gp nk2_on_gp nk3_on_gp
9.09Single3UZAGTPL92363UZA-A2A-GTPL9236
9.09Single4XNWMRS25004XNW-P2Y1-MRS2500
9.09Single5WF5UK-4320975WF5-A2A-UK-432097
9.09Single5WKTOctyl-Beta-D-Glucopyranoside5WKT-Rhodopsin-Octyl-β-D-Glucopyranoside-Gt(CT)
9.09Single6D32Cyclopamine6D32-SMO-Cyclopamine-Cyclopamine
9.09Single6FK9PubChem 1324730366FK9-Rhodopsin-PubChem 132473036
9.09Single6ME5Agomelatine6ME5-MT1-Agomelatine
9.09Single6MEOGp160; CD46MEO-CCR5-Gp160; CD4
9.09Single6PWCNeurotensin-(9-13)6PWC-NTS1-Neurotensin-(9-13)-Arrestin2
9.09Single6W25SHU91196W25-MC4-SHU9119-Ca
9.09Single7MBXCholecystokinin-87MBX-CCKA-Cholecystokinin-8-Gs/β1/γ1
9.09Single7MT9All-trans-Retinal7MT9-Rhodopsin-All-trans-Retinal-GRK1
9.09Single7MTAAll-trans-Retinal7MTA-Rhodopsin-All-trans-Retinal-GRK1
9.09Single7RYCOxytocin7RYC-OT-Oxytocin-chim(NtGi2L-Gs-CtGq)/β1/γ2
9.09Single7W55Neuromedin-U-257W55-NMUR2-Neuromedin-U-25-chim(NtGi1-Gs-CtGq)/β1/γ2
9.09Single7XOUCholecystokinin-87XOU-CCKA-Cholecystokinin-8-Gs/β1/γ2
9.09Single8GGEConstrained Epinephrine8GGE-β2-Constrained Epinephrine-GTP-Gs/β1/γ2
9.09Single8GGFConstrained Epinephrine8GGF-β2-Constrained Epinephrine-GTP-Gs/β1/γ2
9.09Single8GH1Constrained Epinephrine8GH1-β2-Constrained Epinephrine
9.09Single8J6QPubChem 251012238J6Q-HCA2-β-Hydroxybutyrate-PubChem 25101223-Gi1/β1/γ2
9.09Single8JEFPubChem 113671668JEF-HCA3-PubChem 11367166-Gi1/β1/γ2
9.09Single8K6NNeuropeptide-Y8K6N-Y2-Neuropeptide-Y-Gi2/β1/γ1
9.09Single8SZFCa; Ca; Tryptophan; Cinacalcet; PO4; Spermine8SZF-CaS; CaS-Ca; Ca; Tryptophan; Cinacalcet; PO4; Spermine
9.09Single8W8YGamma-MSH8W8Y-MC3-γ-MSH-Ca-Gs/β1/γ2
9.09Single8WKZSBL-MC-318WKZ-MC4-SBL-MC-31
9.09Single8XGUTAK4488XGU-Kiss1-TAK448-Gi1/β1/γ2
9.09Single8XZGApelin-138XZG-Apelin; Apelin-Apelin-13-Gi1/β1/γ2
9.09Single8Y63C20:0 Ceramide8Y63-FPR2-ALX-C20:0 Ceramide-Gi1/β1/γ2
9.09Single9JHJC18:0 Ceramide9JHJ-FPR2-ALX-C18:0 Ceramide-Gi1/β1/γ2
9.09Single9M1ONeuropeptide-FF9M1O-NPFF2-Neuropeptide-FF-Gi1/β1/γ2
9.09Single9U4WGonadoliberin-19U4W-GnRH1-Gonadoliberin-1-chim(NtGi1L-Gs-CtGq)/β1/γ2
9.09Consensuscckb_on_gpOrthosteric Ligand8IA7-CCKB-Cholecystokinin-8-chim(NtGi1L-Gq)/β1/γ2 7XOW-CCKB-Sulfated Gastrin-(10-17)-chim(NtGi1-Gq)/β1/γ2 7F8V-CCKB-Gastrin-17-Gi2/β1/γ2
9.09Consensusfpr2-alx_onOrthosteric Ligand7WVX-FPR2-ALX-Humanin-Gi2/β1/γ2 7T6U-FPR2-ALX-CGEN-855A-Gi1/β1/γ2 7T6V-FPR2-ALX-fMLFII-Gi1/β1/γ2 7WVY-FPR2-ALX-Amyloid-β42-Gi2/β1/γ2 7T6S-FPR2-ALX-TC-FPR 43-Gi1/β1/γ2 6OMM-FPR2-ALX-WKYMVX-Gi1/β1/γ2
9.09Consensusgi_somatostatinOrthosteric Ligand7WIC-SST2-Somatostatin-14-Gi1/β1/γ2 7XMS-SST4-Somatostatin-14-Gi1/β1/γ2 8X8L-SST5-Cortistatin-14-chim(NtGi1-Gs-CtGi1)/β1/γ2 7XMT-SST4-J-2156-Gi1/β1/γ2 7WIG-SST2-L-054264-Gi1/β1/γ2 8X8N-SST5-Octreotide-chim(NtGi1-Gs-CtGi1)/β1/γ2 7YAE-SST2-Octreotide-Gi1/β1/γ2 7YAC-SST2-Paltusotine-Gi1/β1/γ2
9.09Consensusgs_cckOrthosteric Ligand7MBX-CCKA-Cholecystokinin-8-Gs/β1/γ1
9.09Consensusnmur2_onOrthosteric Ligand7W55-NMUR2-Neuromedin-U-25-chim(NtGi1-Gs-CtGq)/β1/γ2
9.09Consensusnmur2_on_gpOrthosteric Ligand7W55-NMUR2-Neuromedin-U-25-chim(NtGi1-Gs-CtGq)/β1/γ2
9.09Consensusp2y1_offOrthosteric Ligand4XNW-P2Y1-MRS2500
9.09Consensussomatostatin_onOrthosteric Ligandsst2_on sst4_on sst5_on
9.09Consensussomatostatin_on_gpOrthosteric Ligandsst2_on_gp sst4_on_gp sst5_on_gp
8.82Single6METGp160; CD46MET-CCR5-Gp160; CD4
8.82Single7DW9AVP7DW9-V2-AVP-chim(NtGi1-Gs)/β1/γ2
8.82Single7F4HAfamelanotide7F4H-MC1-Afamelanotide-chim(NtGi1-Gs)/β1/γ2
8.82Single7XK8Neuromedin-U-257XK8-NMUR2-Neuromedin-U-25-Gi1/β1/γ2
8.82Single8IEDPubChem 1347468948IED-GPR156; GPR156-PubChem 134746894-Go/β1/γ2
8.82Single9BKKCholecystokinin-89BKK-CCKA-Cholecystokinin-8-chim(NtGi1-Gs-CtGq)/β1/γ2
8.82Consensusfpr2-alx_on_gpOrthosteric Ligand7WVX-FPR2-ALX-Humanin-Gi2/β1/γ2 7T6U-FPR2-ALX-CGEN-855A-Gi1/β1/γ2 7T6V-FPR2-ALX-fMLFII-Gi1/β1/γ2 7WVY-FPR2-ALX-Amyloid-β42-Gi2/β1/γ2 7T6S-FPR2-ALX-TC-FPR 43-Gi1/β1/γ2 6OMM-FPR2-ALX-WKYMVX-Gi1/β1/γ2
8.82Consensusgs_vasop-oxyOrthosteric Ligand7DW9-V2-AVP-chim(NtGi1-Gs)/β1/γ2
8.82Consensusv2_onOrthosteric Ligand7DW9-V2-AVP-chim(NtGi1-Gs)/β1/γ2
8.82Consensusv2_on_gpOrthosteric Ligand7DW9-V2-AVP-chim(NtGi1-Gs)/β1/γ2
8.82Consensusvasop-oxy_onOrthosteric Ligandv2_on
8.82Consensusvasop-oxy_on_gpOrthosteric Ligandv2_on_gp
8.70Single3AYMAll-trans-Retinal3AYM-Rhodopsin-All-trans-Retinal
8.70Single6FK6PubChem 1324730336FK6-Rhodopsin-PubChem 132473033
8.70Single6PGSGeraniol6PGS-Rhodopsin-Geraniol-Gt(CT)
8.70Single6QNOAll-trans-Retinal6QNO-Rhodopsin-All-trans-Retinal-Gi1/β1/γ1
8.70Single6TQ4PubChem 160468446TQ4-OX1-PubChem 16046844-Na
8.70Single7D76Beclomethasone7D76-ADGRG3-Beclomethasone-Go/β1/γ2
8.70Single7DD5Ca; Ca; Tryptophan; NPS-21437DD5-CaS; CaS-Ca-Ca; Ca; Tryptophan; NPS-2143
8.70Single7T96LY21196207T96-M2-Acetylcholine-LY2119620-Go/β1/γ2
8.70Single7TRPLY20332987TRP-M4-Iperoxo-LY2033298-Gi1/β1/γ2
8.70Single7VDHC48/807VDH-MRGPRX2-C48/80-Gi1/β1/γ2
8.70Single7XT9Serotonin7XT9-5-HT4-Serotonin-Gs/β1/γ2
8.70Single8A2PLUAA470708A2P-A2A-LUAA47070-Na
8.70Single8DPFLorcaserin8DPF-5-HT2C-Lorcaserin-chim(NtGi2L-Gs-CtGq)/β1/γ2
8.70Single8GGYConstrained Epinephrine8GGY-β2-Constrained Epinephrine
8.70Single8IHIAcifran8IHI-HCA2-Acifran-Gi1/β1/γ2
8.70Single8SZFCa; Ca; Tryptophan; Cinacalcet; PO4; Spermine8SZF-CaS; CaS-Ca; Ca; Tryptophan; Cinacalcet; PO4; Spermine
8.70Single8UO3Constrained Epinephrine8UO3-β2-Constrained Epinephrine-GTP; Mg-Gs/β1/γ2
8.70Single8YH3N-methyladenosine8YH3-A3A-N-methyladenosine-Gi1/β1/γ2
8.70Single8YKDDehydroepiandrosterone8YKD-ADGRG2-Dehydroepiandrosterone-chim(NtGi1-Gs)/β1/γ2
8.70Single8YKWSuccinic acid8YKW-Succinate-Succinic acid-Gi1/β1/γ1
8.70Single8ZSVRO52633978ZSV-TA1-RO5263397-chim(NtGi1-Gs)/β1/γ2
8.70Single8ZX5AM2518ZX5-GPR55-AM251-chim(NtGi1-G13)/β1/γ2
8.70Single9E7RGB889E7R-PAR2-GB88-chim(NtGi1L-Gs-CtGq)/β1/γ2
8.70Single9EPRAll-trans-Retinal9EPR-Rhodopsin-All-trans-Retinal-Gi1/β1/γ2
8.70Single9L3ZLRH7-C29L3Z-CML1-LRH7-C2
8.70Single9LMPNE52-QQ579LMP-GPR4-NE52-QQ57
8.70Single9U9VMETH9U9V-β2-METH-Gs/β1/γ2
8.33Single2Z7311-cis-Retinal2Z73-Rhodopsin-11-cis-Retinal
8.33Single3AYN9-cis-Retinal3AYN-Rhodopsin-9-cis-Retinal
8.33Single3VG9ZM-2413853VG9-A2A-ZM-241385-Antibody
8.33Single4MQTLY21196204MQT-M2-Iperoxo-LY2119620
8.33Single4S0VSuvorexant4S0V-OX2-Suvorexant
8.33Single5OLHVipadenant5OLH-A2A-Vipadenant-Na
8.33Single5OLVLUAA470705OLV-A2A-LUAA47070-Na
8.33Single5WS3EMPA5WS3-OX2-EMPA
8.33Single5ZKQABT-4915ZKQ-PAF-ABT-491
8.33Single6D9HAdenosine6D9H-A1-Adenosine-Gi2/β1/γ2
8.33Single6LFOCXCL86LFO-CXCR2-CXCL8-Gi1/β1/γ2
8.33Single6ME2Ramelteon6ME2-MT1-Ramelteon
8.33Single6ME9Ramelteon6ME9-MT2-Ramelteon
8.33Single6NWEOctyl-Beta-D-Glucopyranoside6NWE-Rhodopsin-Octyl-β-D-Glucopyranoside-Gt(CT)
8.33Single6OBAAlprenolol6OBA-β2-Alprenolol-GTPL11074
8.33Single6OYAAll-trans-Retinal6OYA-Rhodopsin-All-trans-Retinal-Gt/β1/γ1
8.33Single6RNKNF-56-EJ406RNK-Succinate-NF-56-EJ40
8.33Single6TODEMPA6TOD-OX1-EMPA-Na
8.33Single6TPJSuvorexant6TPJ-OX2-Suvorexant
8.33Single6WWZCCL206WWZ-CCR6-CCL20-Go/β1/γ2
8.33Single6ZA8RTI-3a6ZA8-NTS1-RTI-3a
8.33Single7BR3Elagolix7BR3-GnRH1-Elagolix
8.33Single7DHRIsoprenaline7DHR-β2-Isoprenaline-Gs/β1/γ2
8.33Single7EJ0Norepinephrine7EJ0-α2a-Norepinephrine-Go/β1/γ2
8.33Single7F8VGastrin-177F8V-CCKB-Gastrin-17-Gi2/β1/γ2
8.33Single7M3FCa; Ca; Tryptophan; Cinacalcet7M3F-CaS; CaS-Ca; Ca; Tryptophan; Cinacalcet
8.33Single7TUZ7-alpha,25-dihydroxycholesterol7TUZ-GPR183-7-α,25-dihydroxycholesterol-Gi1/β1/γ2
8.33Single7VUJJNJ-635330547VUJ-GPR139-JNJ-63533054-GDP-chim(Gs-CtGq)/β1/γ2
8.33Single7VV5C48/807VV5-MRGPRX2-C48/80-Gi1/β1/γ2
8.33Single7XJJGalanin7XJJ-GAL1-Galanin-Go/β1/γ2
8.33Single7XRRLemborexant7XRR-OX2-Lemborexant
8.33Single7XT8Serotonin7XT8-5-HT4-Serotonin-Gs/β1/γ2
8.33Single7YMHNorepinephrine7YMH-Alpha1A-Norepinephrine-chim(Gs-CtGq)
8.33Single8DWHPubChem 1390305318DWH-MRGPRX1-PubChem 139030531-chim(NtGi2L-Gs-CtGq)/β1/γ2
8.33Single8EFOPZM218EFO-μ-PZM21-Gi1/β1/γ2
8.33Single8GGAConstrained Epinephrine8GGA-β2-Constrained Epinephrine-GTP-Gs/β1/γ2
8.33Single8GGCConstrained Epinephrine8GGC-β2-Constrained Epinephrine-GTP-Gs/β1/γ2
8.33Single8GGRConstrained Epinephrine8GGR-β2-Constrained Epinephrine
8.33Single8GGWConstrained Epinephrine8GGW-β2-Constrained Epinephrine
8.33Single8GGZConstrained Epinephrine8GGZ-β2-Constrained Epinephrine
8.33Single8GH0Constrained Epinephrine8GH0-β2-Constrained Epinephrine
8.33Single8IW4Spermidine8IW4-TAA9-Spermidine-chim(NtGi1-Gs)/β1/γ2
8.33Single8IWESpermidine8IWE-TAA9-Spermidine
8.33Single8J6LNiacin8J6L-HCA2-Niacin-Gi1/β1/γ2
8.33Single8JSOAMPH8JSO-TA1-AMPH-chim(NtGi1-Gs)/β1/γ2
8.33Single8UNSConstrained Epinephrine8UNS-β2-Constrained Epinephrine-GTP-Gs/β1/γ2
8.33Single8UNTConstrained Epinephrine8UNT-β2-Constrained Epinephrine-GTP-Gs/β1/γ2
8.33Single8UNXConstrained Epinephrine8UNX-β2-Constrained Epinephrine-GTP-Gs/β1/γ2
8.33Single8UTDMK19038UTD-HCA2-MK1903-Gi1/β1/γ2
8.33Single8WC4ZH86518WC4-TA1-ZH8651-chim(NtGi1-Gs)/β1/γ2
8.33Single8WCA2-Phenylethylamine8WCA-TA1-2-Phenylethylamine-chim(NtGi1-Gs)/β1/γ2
8.33Single8XVEBQ30208XVE-ETB-BQ3020-chim(Gs-CtGq)/β1/γ2
8.33Single8XXXCXCL68XXX-CXCR2-CXCL6-Go/β1/γ2
8.33Single8Y0HVUF114188Y0H-CXCR3-VUF11418
8.33Single8Y0NVUF114188Y0N-CXCR3-VUF11418-Go/β1/γ2
8.33Single8YNFCXCL88YNF-ACKR1-CXCL8
8.33Single9C1PCa; Tryptophan; '6218; PO49C1P-CaS; CaS-Ca-Ca; Tryptophan; '6218; PO4
8.33Single9EBHAdenosine9EBH-A3A-Adenosine-Gi1/β1/γ2
8.33Single9EEAAdenosine9EEA-A2A-Adenosine-Gs/β1/γ2
8.33Single9K6LSalicin9K6L-TAS2R16-Salicin-Gi2/β1/γ2
8.33Single9KO2CCL199KO2-CCR7-CCL19-Gi1/β1
8.33Single9KO6CCL199KO6-CCR7-CCL19
8.33Single9KPESalicin9KPE-TAS2R16-Salicin-Gi1/β1/γ2
8.33Consensusalpha2_offOrthosteric Ligandalpha2c_off
8.33Consensusangiotensin_offOrthosteric Ligandat1_off
8.33Consensusccr6_onOrthosteric Ligand6WWZ-CCR6-CCL20-Go/β1/γ2
8.33Consensusccr6_on_gpOrthosteric Ligand6WWZ-CCR6-CCL20-Go/β1/γ2
8.33Consensusgnrh1_offOrthosteric Ligand7BR3-GnRH1-Elagolix
8.33Consensusorexin_offOrthosteric Ligandox2_off ox1_off
8.33Consensusox1_offOrthosteric Ligand6TP6-OX1-Filorexant 6TP4-OX1-ACT-462206 6V9S-OX1-GTPL11403 6TOT-OX1-Lemborexant 6TP3-OX1-Nemorexant 6TQ6-OX1-PubChem 145714283 6TQ9-OX1-SB-408124 4ZJC-OX1-SB-674042 4ZJ8-OX1-Suvorexant 6TOD-OX1-EMPA-Na 6TOS-OX1-GSK1059865-Na 6TQ4-OX1-PubChem 16046844-Na
8.33Consensusox2_offOrthosteric Ligand5WQC-OX2-EMPA 6TPN-OX2-HTL6641 7XRR-OX2-Lemborexant 6TPJ-OX2-Suvorexant
8.33Consensuspaf_offOrthosteric Ligand5ZKQ-PAF-ABT-491
8.33Consensusrhodopsin_on_gpOrthosteric Ligand6OYA-Rhodopsin-All-trans-Retinal-Gt/β1/γ1
8.11Single7F53Alpha-MSH7F53-MC4-α-MSH-Gs/β1/γ2
8.11Single8FEG(DNCP)-Beta-Naloxamine8FEG-κ-(DNCP)-β-Naloxamine-Gi1/β1/γ2
8.11Single8W8XBeta-MSH8W8X-MC3-β-MSH-Ca-Gs/β1/γ2
8.11Single9K26PrRP319K26-PrRP-PrRP31-Gi1/β1/γ2
8.11Single9KDFRES-701-39KDF-ETB-RES-701-3
8.00Single3REYPubChem 56973REY-A2A-PubChem 5697
8.00Single3UZCPubChem 1355666093UZC-A2A-PubChem 135566609
8.00Single4LDOEpinephrine4LDO-β2-Epinephrine
8.00Single4ZJCSB-6740424ZJC-OX1-SB-674042
8.00Single5TE3Octyl-Beta-D-Glucopyranoside5TE3-Rhodopsin-Octyl-β-D-Glucopyranoside
8.00Single5UVIZM-2413855UVI-A2A-ZM-241385
8.00Single6FKAPubChem 1324730376FKA-Rhodopsin-PubChem 132473037
8.00Single6KUXRS799486KUX-α2a-RS79948
8.00Single6ME42-Iodomelatonin6ME4-MT1-2-Iodomelatonin
8.00Single6PELCitronellol6PEL-Rhodopsin-Citronellol-Gt(CT)
8.00Single6PS0Carazolol6PS0-β2-Carazolol
8.00Single6PS4ICI118-5516PS4-β2-ICI118-551
8.00Single6PS5Propranolol6PS5-β2-Propranolol
8.00Single6TOSGSK10598656TOS-OX1-GSK1059865-Na
8.00Single6TP3Nemorexant6TP3-OX1-Nemorexant
8.00Single6TPGEMPA6TPG-OX2-EMPA
8.00Single6U1NLY21196206U1N-M2-LY2119620-Arrestin2
8.00Single6WJCMuscarinic toxin 76WJC-M1-Atropine-Muscarinic toxin 7
8.00Single6ZDVPubChem 9840736ZDV-A2A-PubChem 984073-Na
8.00Single6ZG9GSK10347026ZG9-M1-GSK1034702
8.00Single7BB6AVP7BB6-V2-AVP-Gs/β1/γ2
8.00Single7CKWFenoldopam7CKW-D1-Fenoldopam-Gs/β1/γ2
8.00Single7DHISalbutamol7DHI-β2-Salbutamol-Gs/β1/γ2
8.00Single7F61PF-036547467F61-H3-PF-03654746
8.00Single7M3GCa; Ca; Tryptophan; Evocalcet; Etelcalcetide; PO47M3G-CaS; CaS-Ca; Ca; Tryptophan; Evocalcet; Etelcalcetide; PO4
8.00Single7SR8TAK-9257SR8-OX2-TAK-925-chim(NtGi1L-Gs-CtGq)/β1/γ2
8.00Single7T94LY21196207T94-M2-Acetylcholine-LY2119620-chim(NtGi1-Go)/β1/γ2
8.00Single7UL3Famotidine7UL3-H2-Famotidine
8.00Single7UTZDPPC7UTZ-TSH-TSH-DPPC-Gs/β1/γ2
8.00Single7VV6C48/807VV6-MRGPRX2-C48/80
8.00Single8GE1Constrained Epinephrine8GE1-β2-Constrained Epinephrine-Gs/β1/γ2
8.00Single8GE4Constrained Epinephrine8GE4-β2-Constrained Epinephrine-Gs/β1/γ2
8.00Single8GE5Constrained Epinephrine8GE5-β2-Constrained Epinephrine-Gs/β1/γ1
8.00Single8GE6Constrained Epinephrine8GE6-β2-Constrained Epinephrine-Gs/β1/γ2
8.00Single8GE7Constrained Epinephrine8GE7-β2-Constrained Epinephrine-Gs/β1/γ2
8.00Single8GE8Constrained Epinephrine8GE8-β2-Constrained Epinephrine-Gs/β1/γ2
8.00Single8GEAConstrained Epinephrine8GEA-β2-Constrained Epinephrine-Gs/β1/γ2
8.00Single8GEDConstrained Epinephrine8GED-β2-Constrained Epinephrine-Gs/β1/γ2
8.00Single8GEFConstrained Epinephrine8GEF-β2-Constrained Epinephrine-Gs/β1/γ2
8.00Single8GG5Constrained Epinephrine8GG5-β2-Constrained Epinephrine-GTP-Gs/β1/γ2
8.00Single8GG7Constrained Epinephrine8GG7-β2-Constrained Epinephrine-GTP-Gs/β1/γ2
8.00Single8GG8Constrained Epinephrine8GG8-β2-Constrained Epinephrine-GTP-Gs/β1/γ2
8.00Single8GGLConstrained Epinephrine8GGL-β2-Constrained Epinephrine
8.00Single8GGMConstrained Epinephrine8GGM-β2-Constrained Epinephrine
8.00Single8GGPConstrained Epinephrine8GGP-β2-Constrained Epinephrine
8.00Single8GGQConstrained Epinephrine8GGQ-β2-Constrained Epinephrine
8.00Single8GGSConstrained Epinephrine8GGS-β2-Constrained Epinephrine
8.00Single8GGTConstrained Epinephrine8GGT-β2-Constrained Epinephrine
8.00Single8GGVConstrained Epinephrine8GGV-β2-Constrained Epinephrine
8.00Single8GGXConstrained Epinephrine8GGX-β2-Constrained Epinephrine
8.00Single8JD6VU03647708JD6-mGlu4; mGlu4-Phosphoserine-VU0364770-Gi3/β1/γ2
8.00Single8JLKUlotaront8JLK-TA1-Ulotaront-chim(NtGi1-Gs)/β1/γ2
8.00Single8JLNT1AM8JLN-TA1-T1AM-Gs/β1/γ2
8.00Single8K2WAMG4878K2W-CXCR3-AMG487
8.00Single8K9KDAMGO8K9K-μ-DAMGO-Gi3/β1/γ1
8.00Single8PM2DMCHA8PM2-TA7-DMCHA-Gs/β1/γ2
8.00Single8RLNLUF58348RLN-A2A-LUF5834
8.00Single8UHBRO52563908UHB-TA1-RO5256390-Gs/β1/γ2
8.00Single8UNLConstrained Epinephrine8UNL-β2-Constrained Epinephrine-GTP-Gs/β1/γ2
8.00Single8UNMConstrained Epinephrine8UNM-β2-Constrained Epinephrine-GTP-Gs/β1/γ2
8.00Single8UNOConstrained Epinephrine8UNO-β2-Constrained Epinephrine-GTP-Gs/β1/γ2
8.00Single8UNWConstrained Epinephrine8UNW-β2-Constrained Epinephrine-GTP-Gs/β1/γ2
8.00Single8UO0Constrained Epinephrine8UO0-β2-Constrained Epinephrine-GTP-Gs/β1/γ2
8.00Single8UO1Constrained Epinephrine8UO1-β2-Constrained Epinephrine-GTP; Mg-Gs/β1/γ2
8.00Single8WC8ZH86518WC8-TA1-ZH8651-chim(NtGi1-Gs)/β1/γ2
8.00Single8Y62C16:0 Ceramide8Y62-FPR2-ALX-C16:0 Ceramide-Gi1/β1/γ2
8.00Single8Y6YGLPG09748Y6Y-FFA2-GLPG0974
8.00Single8YH2Adenosine8YH2-A3A-Adenosine-Gi1/β1/γ2
8.00Single9AS5Mescaline9AS5-5-HT2A-Mescaline
8.00Single9AS6Mescaline9AS6-5-HT2A-Mescaline-chim(NtGi1-Gs-CtGq)/β1/γ2
8.00Single9AS8Psilocin9AS8-5-HT2A-Psilocin-chim(NtGi2L-Gs-CtGq)/β1/γ2
8.00Single9DQJEP-39459DQJ-MRGPRD-EP-3945-chim(NtGi1-Gs-CtGq)/β1/γ2
8.00Single9EPQ11,20-Ethanoretinal9EPQ-Rhodopsin-11,20-Ethanoretinal-chim(Gi1-CtGq)/β1/γ2
8.00Single9KUWCMPD6449KUW-Apelin; Apelin-CMPD644-Arrestin2 ; Arrestin2
8.00Single9L84Epinephrine9L84-β1-Epinephrine-Atazanavir-Gs/β1/γ2
8.00Single9L8LBI1671079L8L-β2-BI167107-Atazanavir-Gs/β1/γ2 ; Arrestin2
8.00Single9LKBPL459LKB-OR5V1-PL45-chim(NtGi1-Gs)/β1
8.00Single9LL8Psilocin9LL8-5-HT2A-Psilocin-Gi1/β1/γ2
8.00Single9VNFPindolol9VNF-5-HT1A-Pindolol-Go/β1/γ2
8.00Single9W33S5A19W33-SST5-S5A1
8.00Consensus5ht_on_gpOrthosteric Ligand5ht1_on_gp 5ht2_on_gp 5ht4_on_gp 5ht5_on_gp 5ht6_on_gp 5ht7_on_gp
8.00Consensuscxcr3_offOrthosteric Ligand8K2W-CXCR3-AMG487
8.00Consensusgrh_offOrthosteric Ligandgnrh1_off
7.89Single7VGXNeuropeptide-Y7VGX-Y1-Neuropeptide-Y-Gi1/β1/γ2
7.89Single8IY6Endothelin-18IY6-ETB-Endothelin-1
7.69Single2VT4Cyanopindolol2VT4-β1-Cyanopindolol
7.69Single2Y01Dobutamine2Y01-β1-Dobutamine
7.69Single2Y02Carmoterol2Y02-β1-Carmoterol
7.69Single2YCYCyanopindolol2YCY-β1-Cyanopindolol
7.69Single3NY8ICI118-5513NY8-β2-ICI118-551
7.69Single3NYAAlprenolol3NYA-β2-Alprenolol
7.69Single3ZPQPubChem 5945903ZPQ-β1-PubChem 594590-Na
7.69Single3ZPRPubChem 5987543ZPR-β1-PubChem 598754-Na
7.69Single4DAJTiotropium4DAJ-M3-Tiotropium
7.69Single4EA3PubChem 102965614EA3-NOP-PubChem 10296561
7.69Single4GBRCarazolol4GBR-β2-Carazolol
7.69Single4J4QOctyl Beta-D-Glucopyranoside4J4Q-Rhodopsin-Octyl β-D-Glucopyranoside-Gt(CT)
7.69Single4QKXPubChem 762106284QKX-β2-PubChem 76210628
7.69Single4U16N-methyl-Scopolamine4U16-M3-N-methyl-Scopolamine
7.69Single4X1HNonyl-Beta-D-Glucopyranoside4X1H-Rhodopsin-Nonyl-β-D-Glucopyranoside-Gt(CT)
7.69Single5DSGTiotropium5DSG-M4-Tiotropium
7.69Single5UIGPubChem 1240811965UIG-A2A-PubChem 124081196
7.69Single6DRXLisuride6DRX-5-HT2B-Lisuride
7.69Single6DRZMethysergide6DRZ-5-HT2B-Methysergide
7.69Single6FK7PubChem 1324730346FK7-Rhodopsin-PubChem 132473034
7.69Single6FKCPubChem 1324730396FKC-Rhodopsin-PubChem 132473039
7.69Single6FKDPubChem 1373491836FKD-Rhodopsin-PubChem 137349183
7.69Single6GPSMK08126GPS-CCR2-MK0812
7.69Single6H7MSalbutamol6H7M-β1-Salbutamol
7.69Single6PRZAlprenolol6PRZ-β2-Alprenolol
7.69Single6PS1Timolol6PS1-β2-Timolol
7.69Single6PS2Alprenolol6PS2-β2-Alprenolol
7.69Single6TOTLemborexant6TOT-OX1-Lemborexant
7.69Single6Z10PubChem 1545855546Z10-Succinate-PubChem 154585554
7.69Single7BTSEpinephrine7BTS-β1-Epinephrine
7.69Single7BU6Norepinephrine7BU6-β1-Norepinephrine
7.69Single7BU7BI1671077BU7-β1-BI167107
7.69Single7CFMP3957CFM-GPBA-P395-Gs/β1/γ2
7.69Single7CRHSKF839597CRH-D1-SKF83959-Gs/β1/γ2
7.69Single7DB6Ramelteon7DB6-MT1-Ramelteon-Gi1/β1/γ2
7.69Single7F83PF-051904577F83-Ghrelin-PF-05190457
7.69Single7JOZPubChem 752020227JOZ-D1-PubChem 75202022-Gs/β1/γ2
7.69Single7JVQApomorphine7JVQ-D1-Apomorphine-Gs/β1/γ2
7.69Single7S0GIsoprenaline7S0G-β1-Isoprenaline-chim(Gi1-CtGs)/β1/γ2
7.69Single7SK8CXCL127SK8-ACKR3-CXCL12-CCX662
7.69Single7SQOTAK-9257SQO-OX2-TAK-925-Gi1/β1/γ2
7.69Single7T6VfMLFII7T6V-FPR2-ALX-fMLFII-Gi1/β1/γ2
7.69Single7TRQVU04671547TRQ-M4-Iperoxo-VU0467154-Gi1/β1/γ2
7.69Single7UM55-CT7UM5-5-HT5A-5-CT-chim(NtGi1-Go)/β1/γ2
7.69Single7UM6Lisuride7UM6-5-HT5A-Lisuride-chim(NtGi1-Go)/β1/γ2
7.69Single7VH0Ramelteon7VH0-MT2-Ramelteon-Gi1/β1/γ1
7.69Single7WC7Lisuride7WC7-5-HT2A-Lisuride
7.69Single7WQ3Galanin7WQ3-GAL1-Galanin-Gi1/β1/γ2
7.69Single7YACPaltusotine7YAC-SST2-Paltusotine-Gi1/β1/γ2
7.69Single8CICEtrumadenant8CIC-A2A-Etrumadenant-Na
7.69Single8EJKTAK-8758EJK-FFA1-TAK-875-chim(NtGi1L-Gs-CtGq)/β1/γ2
7.69Single8GCML-9026888GCM-EP4-L-902688-Gi1/β1/γ2
7.69Single8GE2Constrained Epinephrine8GE2-β2-Constrained Epinephrine-Gs/β1/γ1
7.69Single8GE3Constrained Epinephrine8GE3-β2-Constrained Epinephrine-Gs/β1/γ2
7.69Single8GE9Constrained Epinephrine8GE9-β2-Constrained Epinephrine-Gs/β1/γ2
7.69Single8GECConstrained Epinephrine8GEC-β2-Constrained Epinephrine-Gs/β1/γ2
7.69Single8GEEConstrained Epinephrine8GEE-β2-Constrained Epinephrine-Gs/β1/γ2
7.69Single8GEHConstrained Epinephrine8GEH-β2-Constrained Epinephrine-Gs/β1/γ2
7.69Single8GFVConstrained Epinephrine8GFV-β2-Constrained Epinephrine-GTP-Gs/β1/γ2
7.69Single8GFWConstrained Epinephrine8GFW-β2-Constrained Epinephrine-GTP-Gs/β1/γ2
7.69Single8GFXConstrained Epinephrine8GFX-β2-Constrained Epinephrine-GTP-Gs/β1/γ2
7.69Single8GFZConstrained Epinephrine8GFZ-β2-Constrained Epinephrine-GTP-Gs/β1/γ2
7.69Single8GG0Constrained Epinephrine8GG0-β2-Constrained Epinephrine-GTP-Gs/β1/γ2
7.69Single8GG1Constrained Epinephrine8GG1-β2-Constrained Epinephrine-GTP-Gs/β1/γ2
7.69Single8GG3Constrained Epinephrine8GG3-β2-Constrained Epinephrine-GTP-Gs/β1/γ2
7.69Single8GG4Constrained Epinephrine8GG4-β2-Constrained Epinephrine-GTP-Gs/β1/γ2
7.69Single8GG6Constrained Epinephrine8GG6-β2-Constrained Epinephrine-GTP-Gs/β1/γ2
7.69Single8GG9Constrained Epinephrine8GG9-β2-Constrained Epinephrine-GTP-Gs/β1/γ2
7.69Single8GGIConstrained Epinephrine8GGI-β2-Constrained Epinephrine
7.69Single8GGJConstrained Epinephrine8GGJ-β2-Constrained Epinephrine
7.69Single8GGKConstrained Epinephrine8GGK-β2-Constrained Epinephrine
7.69Single8GGNConstrained Epinephrine8GGN-β2-Constrained Epinephrine
7.69Single8GGOConstrained Epinephrine8GGO-β2-Constrained Epinephrine
7.69Single8GGUConstrained Epinephrine8GGU-β2-Constrained Epinephrine
7.69Single8JJOAlprenolol8JJO-β2-Alprenolol
7.69Single8JLZST19368JLZ-5-HT6-ST1936-Gs/β1/γ2
7.69Single8PJKST1718PJK-5-HT1A-ST171-Gi1/β1/γ1
7.69Single8U1UCCL18U1U-CCR8-CCL1-Gi1/β1/γ2
7.69Single8UGYMianserin8UGY-5-HT1E-Mianserin-Gi1/β1/γ1
7.69Single8UNQConstrained Epinephrine8UNQ-β2-Constrained Epinephrine-GTP-Gs/β1/γ2
7.69Single8UNRConstrained Epinephrine8UNR-β2-Constrained Epinephrine-GTP-Gs/β1/γ2
7.69Single8UNUConstrained Epinephrine8UNU-β2-Constrained Epinephrine-GTP-Gs/β1/γ2
7.69Single8UNVConstrained Epinephrine8UNV-β2-Constrained Epinephrine-GTP-Gs/β1/γ2
7.69Single8UNYConstrained Epinephrine8UNY-β2-Constrained Epinephrine-GTP-Gs/β1/γ2
7.69Single8UNZConstrained Epinephrine8UNZ-β2-Constrained Epinephrine-GTP-Gs/β1/γ2
7.69Single8UO2Constrained Epinephrine8UO2-β2-Constrained Epinephrine-GTP-Gs/β1/γ2
7.69Single8UWLLisuride8UWL-5-HT2A-Lisuride-chim(NtGi2-Gs-CtGq)/β1/γ2
7.69Single8VVGGB188VVG-κ-GB18-Gi1/β1/γ2
7.69Single8W87METH8W87-TA1-METH-chim(NtGi1L-Gs)/β1/γ2
7.69Single8YH5Riboprine8YH5-A3A-Riboprine-Gi1/β1/γ2
7.69Single8YN8Proxyfan8YN8-H3-Proxyfan-Go/β1/γ2
7.69Single8ZBEOctreotide8ZBE-SST5-Octreotide-Gi1/β1/γ1
7.69Single8ZJETAK4488ZJE-Kiss1-TAK448-chim(NtGi1-Gq)/β1/γ1
7.69Single8ZQEGPR15L(CT)8ZQE-GPR15-GPR15L(CT)-Gi1/β1/γ1
7.69Single9BQJRO769BQJ-μ-RO76-Gi1/β1/γ2
7.69Single9D61JDTic9D61-κ-JDTic-Gi1/β1/γ2
7.69Single9IMATalquetamab9IMA-GPRC5D; GPRC5D-Talquetamab
7.69Single9JROPF-044189489JRO-EP2-PF-04418948
7.69Single9KFJPubChem 1383196749KFJ-RXFP3-PubChem 138319674-Gi2/β1/γ2
7.69Single9KUXCMPD6449KUX-Apelin; Apelin-CMPD644-Arrestin2
7.69Single9VMYTMU41429VMY-5-HT1A-TMU4142-Go/β1/γ2
7.69Consensus5ht2b_offOrthosteric Ligand6DRZ-5-HT2B-Methysergide
7.69Consensus5ht5_onOrthosteric Ligand5ht5a_on
7.69Consensus5ht5a_onOrthosteric Ligand7X5H-5-HT5A-5-CT-Gi1/β1/γ2 7UM6-5-HT5A-Lisuride-chim(NtGi1-Go)/β1/γ2 7UM7-5-HT5A-Methylergometrine-chim(NtGi1-Go)/β1/γ2
7.69Consensus5ht6_onOrthosteric Ligand7XTB-5-HT6-Serotonin-Gs/β1/γ2 8JLZ-5-HT6-ST1936-Gs/β1/γ2
7.69Consensus5ht6_on_gpOrthosteric Ligand7XTB-5-HT6-Serotonin-Gs/β1/γ2 8JLZ-5-HT6-ST1936-Gs/β1/γ2
7.69Consensusadrenergic_onOrthosteric Ligandalpha_on beta_on
7.69Consensusalicarboxylic_offOrthosteric Ligandsuccinate_off
7.69Consensusccr2_offOrthosteric Ligand6GPS-CCR2-MK0812
7.69Consensusd5_onOrthosteric Ligand8IRV-D5-Rotigotine-chim(NtGi1-Gs)/β1/γ2
7.69Consensusdopamine_offOrthosteric Ligandd2_off d3_off
7.69Consensusdopamine_onOrthosteric Ligandd2_on d1_on d3_on d4_on d5_on
7.69Consensusdopamine_on_gpOrthosteric Ligandd2_on_gp d1_on_gp d3_on_gp d4_on_gp d5_on_gp
7.69Consensusgal1_onOrthosteric Ligand7WQ3-GAL1-Galanin-Gi1/β1/γ2
7.69Consensusgal1_on_gpOrthosteric Ligand7WQ3-GAL1-Galanin-Gi1/β1/γ2
7.69Consensusgi_endothelinOrthosteric Ligand8IY5-ETB-Endothelin-1-Gi1/β1/γ2 8HBD-ETB-IRL1620-Gi1/β1/γ2
7.69Consensusgi_galaninOrthosteric Ligand7WQ3-GAL1-Galanin-Gi1/β1/γ2
7.69Consensusgi_orexinOrthosteric Ligand7SQO-OX2-TAK-925-Gi1/β1/γ2
7.69Consensusgs_trace-amineOrthosteric Ligand8W88-TA1-SEP-363856-Gs/β1/γ2 8JLJ-TA1-T1AM-chim(NtGi1-Gs)/β1/γ2 8JLO-TA1-Ulotaront-Gs/β1/γ2 8WC4-TA1-ZH8651-chim(NtGi1-Gs)/β1/γ2 8WC7-TA1-ZH8667-chim(NtGi1-Gs)/β1/γ2 8JLR-TA1-A77636-chim(NtGi1-Gs)/β1/γ2 8JSO-TA1-AMPH-chim(NtGi1-Gs)/β1/γ2 8W87-TA1-METH-chim(NtGi1L-Gs)/β1/γ2 8W89-TA1-2-Phenylethylamine-chim(NtGi1L-Gs)/β1/γ2 8JLP-TA1-Ralmitaront-Gs/β1/γ2 8W8A-TA1-RO5256390-chim(NtGi1L-Gs)/β1/γ2
7.69Consensusm4_offOrthosteric Ligand5DSG-M4-Tiotropium
7.69Consensussuccinate_offOrthosteric Ligand6RNK-Succinate-NF-56-EJ40 6Z10-Succinate-PubChem 154585554
7.50Single8HBDIRL16208HBD-ETB-IRL1620-Gi1/β1/γ2
7.50Consensusetb_on_gpOrthosteric Ligand8IY5-ETB-Endothelin-1-Gi1/β1/γ2 8HBD-ETB-IRL1620-Gi1/β1/γ2
7.41Single2RH1Carazolol2RH1-β2-Carazolol
7.41Single2Y00Dobutamine2Y00-β1-Dobutamine
7.41Single2YCWCarazolol2YCW-β1-Carazolol
7.41Single4PHUFasiglifam4PHU-FFA1-Fasiglifam
7.41Single4RWDDIPP-NH24RWD-δ-DIPP-NH2-Na
7.41Single4ZJ8Suvorexant4ZJ8-OX1-Suvorexant
7.41Single5C1MBU725C1M-μ-BU72
7.41Single5CGCHTL142425CGC-mGlu5-HTL14242
7.41Single5D6LCarazolol5D6L-β2-Carazolol
7.41Single5T1ABMS-6815T1A-CCR2-BMS-681-PubChem 12093170
7.41Single5WQCEMPA5WQC-OX2-EMPA
7.41Single5X7DCarazolol5X7D-β2-Carazolol-PubChem 129318963
7.41Single5XPRBosentan5XPR-ETB-Bosentan
7.41Single5YHLPubChem 1351213525YHL-EP4-PubChem 135121352
7.41Single5YWYONO-AE3-2085YWY-EP4-ONO-AE3-208
7.41Single6E67BI1671076E67-β2-BI167107-Gs(CT)
7.41Single6GPXMK08126GPX-CCR2-MK0812
7.41Single6KUWPubChem 572132346KUW-α2c-PubChem 57213234
7.41Single6M9TMisoprostol-FA6M9T-EP3-Misoprostol-FA
7.41Single6PS3Carvedilol6PS3-β2-Carvedilol
7.41Single6TO7Suvorexant6TO7-OX1-Suvorexant-Na
7.41Single6TP6Filorexant6TP6-OX1-Filorexant
7.41Single6Z4QSR142948A6Z4Q-NTS1-SR142948A
7.41Single7BB7AVP7BB7-V2-AVP-Gs/β1/γ2
7.41Single7BVQCarazolol7BVQ-β1-Carazolol
7.41Single7C61Ergotamine7C61-5-HT1B-Ergotamine
7.41Single7M3GCa; Ca; Tryptophan; Evocalcet; Etelcalcetide; PO47M3G-CaS; CaS-Ca; Ca; Tryptophan; Evocalcet; Etelcalcetide; PO4
7.41Single7S0FIsoprenaline7S0F-β1-Isoprenaline-Gi1/β1/γ2
7.41Single7SBFPZM217SBF-μ-PZM21-Gi1/β1/γ2
7.41Single7VFXfMIFL7VFX-FPR1-ALX-fMIFL-Gi1/β1/γ2
7.41Single7VV0PAMP-127VV0-MRGPRX2-PAMP-12
7.41Single7VV4Cortistatin-147VV4-MRGPRX2-Cortistatin-14
7.41Single7WIGL-0542647WIG-SST2-L-054264-Gi1/β1/γ2
7.41Single7X1TTaltirelin7X1T-TRH-Taltirelin-chim(NtGi2L-Gs-CtGq)/β1/γ2
7.41Single7XK9Constrained Isoproterenol7XK9-β2-Constrained Isoproterenol-Na
7.41Single7XKAConstrained Epinephrine7XKA-β2-Constrained Epinephrine
7.41Single7Y26Octreotide7Y26-SST2-Octreotide-chim(NtGi2L-Gs-CtGq)/β1/γ2
7.41Single8C9WEtrumadenant8C9W-A2A-Etrumadenant
7.41Single8DZQmomSalB8DZQ-κ-momSalB-Go/β1/γ2
7.41Single8DZRGR89,6968DZR-κ-GR89,696-chim(NtGi2-Gt3)/β1/γ2
7.41Single8EFBOliceridine8EFB-μ-Oliceridine-Gi1/β1/γ2
7.41Single8EJCTAK-8758EJC-FFA1-TAK-875-chim(NtGi1L-Gs-CtGq)/β1/γ2
7.41Single8GD9Rivenprost8GD9-EP4-Rivenprost-Gs/β1/γ2
7.41Single8GDCPGE28GDC-EP3-PGE2-Gi1/β1/γ2
7.41Single8GDZConstrained Epinephrine8GDZ-β2-Constrained Epinephrine-Gs/β1/γ2
7.41Single8GEBConstrained Epinephrine8GEB-β2-Constrained Epinephrine-Gs/β1/γ2
7.41Single8GEGConstrained Epinephrine8GEG-β2-Constrained Epinephrine-Gs/β1/γ2
7.41Single8GFYConstrained Epinephrine8GFY-β2-Constrained Epinephrine-GTP-Gs/β1/γ2
7.41Single8GG2Constrained Epinephrine8GG2-β2-Constrained Epinephrine-GTP-Gs/β1/γ2
7.41Single8GGBConstrained Epinephrine8GGB-β2-Constrained Epinephrine-GTP-Gs/β1/γ2
7.41Single8HNLPS3724248HNL-CXCR3-PS372424-Gi1/β1/γ2
7.41Single8IZ4Lysophosphatidylserine (TJR)8IZ4-GPR34-Lysophosphatidylserine (TJR)-Gi1/β1/γ2
7.41Single8J18(3R)-3-Hydroxydodecanoic acid8J18-GPR84-(3R)-3-Hydroxydodecanoic acid-Gi1/β1/γ2
7.41Single8JXSPF-61428JXS-D1-PF-6142
7.41Single8KFXLMD-0098KFX-CCR8-LMD-009-Gi1/β1/γ2
7.41Single8QOTNanobody-E8QOT-μ-Nanobody-E
7.41Single8S4DCMF-0198S4D-Apelin-CMF-019
7.41Single8T6JCDPPB8T6J-mGlu5; mGlu5-CDPPB
7.41Single8T6JCDPPB8T6J-mGlu5; mGlu5-CDPPB
7.41Single8TH4Losartan8TH4-AT1-Losartan-AT118-L Nanobody
7.41Single8TH4AT118-L Nanobody8TH4-AT1-Losartan-AT118-L Nanobody
7.41Single8UNNConstrained Epinephrine8UNN-β2-Constrained Epinephrine-GTP-Gs/β1/γ2
7.41Single8UNPConstrained Epinephrine8UNP-β2-Constrained Epinephrine-GTP-Gs/β1/γ2
7.41Single8X0BVU04244658X0B-mGlu5; mGlu5-Quisqualate-VU0424465
7.41Single8X0CVU04244658X0C-mGlu5; mGlu5-Quisqualate-VU0424465
7.41Single8X0CVU04244658X0C-mGlu5; mGlu5-Quisqualate-VU0424465
7.41Single8X0DVU04244658X0D-mGlu5; mGlu5-Quisqualate-VU0424465
7.41Single8X0DVU04244658X0D-mGlu5; mGlu5-Quisqualate-VU0424465
7.41Single8XYKVUF106618XYK-CXCR3-VUF10661-Go/β1/γ2
7.41Single8YH0NECA8YH0-A3A-NECA-Gi1/β1/γ2
7.41Single8YNSSNAP-948478YNS-MCH1-SNAP-94847
7.41Single8ZVZBW245C8ZVZ-DP1-BW245C-Gs/β1/γ2
7.41Single9ARYSerotonin9ARY-5-HT2A-Serotonin-chim(NtGi1-Gs-CtGq)/β1/γ2
7.41Single9DQHEP-28259DQH-MRGPRD-EP-2825-chim(NtGi1-Gs-CtGq)/β1/γ2
7.41Single9EKHONO-30302979EKH-DP1-ONO-3030297
7.41Single9F33FOB02-04A9F33-D3-FOB02-04A-Go/β1/γ2
7.41Single9HAPTolvaptan9HAP-V2-Tolvaptan
7.41Single9HC04YI9HC0-mGlu5-4YI
7.41Single9IYBPGD29IYB-DP2-PGD2-A1D5Q-Gi1/β1/γ2
7.41Single9JRTTG6-1299JRT-EP2-TG6-129
7.41Single9K07DSO-5a9K07-BB3-DSO-5a-chim(NtGi2L-Gs-CtGq)/β1/γ2
7.41Single9KUTJR14a9KUT-C3aB-JR14a-Go/β1/γ2
7.41Single9M8POleic monoethanolamide9M8P-GPR3 ; GPR3-Oleic monoethanolamide-AF64394
7.41Single9U81Tolvaptan9U81-V2-Tolvaptan
7.41Consensus5ht5_on_gpOrthosteric Ligand5ht5a_on_gp
7.41Consensus5ht5a_on_gpOrthosteric Ligand7X5H-5-HT5A-5-CT-Gi1/β1/γ2 7UM6-5-HT5A-Lisuride-chim(NtGi1-Go)/β1/γ2 7UM7-5-HT5A-Methylergometrine-chim(NtGi1-Go)/β1/γ2
7.41Consensusadgrg2_onOrthosteric Ligand7WUI-ADGRG2-IP15-chim(NtGi1-Gs)/β1/γ2 7WUQ-ADGRG2-Gs/β1/γ2 7XKF-ADGRG2-Dehydroepiandrosterone-Gs/β1/γ2
7.41Consensusadgrg2_on_gpOrthosteric Ligand7WUI-ADGRG2-IP15-chim(NtGi1-Gs)/β1/γ2 7WUQ-ADGRG2-Gs/β1/γ2 7XKF-ADGRG2-Dehydroepiandrosterone-Gs/β1/γ2
7.41Consensusadrenergic_offOrthosteric Ligandalpha_off beta_off
7.41Consensusadrenergic_on_gpOrthosteric Ligandalpha_on_gp beta_on_gp
7.41Consensusalpha2c_offOrthosteric Ligand6KUW-α2c-PubChem 57213234
7.41Consensusalpha_offOrthosteric Ligandalpha1_off alpha2_off
7.41Consensusamine_offOrthosteric Ligand5ht_off adrenergic_off dopamine_off histamine_off muscarinic_off
7.41Consensusamine_offonOrthosteric Ligandamine_off amine_on
7.41Consensusamine_offon_gpOrthosteric Ligandamine_on_gp amine_off
7.41Consensusamine_onOrthosteric Ligand5ht_on adrenergic_on dopamine_on histamine_on muscarinic_on trace-amine_on
7.41Consensusbeta2_offOrthosteric Ligand2RH1-β2-Carazolol 6PS3-β2-Carvedilol 6PS5-β2-Propranolol 3D4S-β2-Timolol 3NY8-β2-ICI118-551 3NY9-β2-PubChem 913103 6PRZ-β2-Alprenolol
7.41Consensusbeta_offOrthosteric Ligandbeta1_off beta2_off
7.41Consensusd2_onOrthosteric Ligand7JVR-D2-Bromoergocryptine-Gi1/β1/γ2 8IRS-D2-Rotigotine-Gi1/β1/γ2
7.41Consensusd4_onOrthosteric Ligand8IRU-D4-Rotigotine-chim(NtGi1-Gs-CtGi1)/β1/γ2
7.41Consensusep4_offOrthosteric Ligand5YWY-EP4-ONO-AE3-208 5YHL-EP4-PubChem 135121352
7.41Consensusep_offOrthosteric Ligandep4_off
7.41Consensusfpr1-alx_onOrthosteric Ligand7VFX-FPR1-ALX-fMIFL-Gi1/β1/γ2
7.41Consensusfpr1-alx_on_gpOrthosteric Ligand7VFX-FPR1-ALX-fMIFL-Gi1/β1/γ2
7.41Consensusgi_adrenergicOrthosteric Ligand7EJ0-α2a-Norepinephrine-Go/β1/γ2 7EJK-α2a-Oxymetazoline-Go/β1/γ2 7W7E-α2a-PubChem 164946676-Go/β1/γ2 7W6P-α2a-N-pyridin-4-ylisoquinolin-4-amine-Go/β1/γ2 7EJ8-α2a-Brimonidine-Go/β1/γ2 6K42-α2b-Dexmedetomidine-Gi1/β1/γ2 7EJA-α2a-Dexmedetomidine-Go/β1/γ2 7S0F-β1-Isoprenaline-Gi1/β1/γ2
7.41Consensusm2_offOrthosteric Ligand5ZKC-M2-N-methyl-Scopolamine 5ZK3-M2-3-quinuclidinyl-benzilate 5ZKB-M2-AF-DX 384
7.14Single3P0GBI1671073P0G-β2-BI167107
7.14Single3PDSFAUC503PDS-β2-FAUC50
7.14Single4DJHJDTic4DJH-κ-JDTic
7.14Single4IAQDihydroergotamine4IAQ-5-HT1B-Dihydroergotamine
7.14Single4LDLHydroxybenzyl Isoproterenol4LDL-β2-Hydroxybenzyl Isoproterenol
7.14Single5D5ACarazolol5D5A-β2-Carazolol
7.14Single5D5BCarazolol5D5B-β2-Carazolol
7.14Single5TZRMK86665TZR-FFA1-MK8666
7.14Single5V54Methiothepin5V54-5-HT1B-Methiothepin
7.14Single5ZHPPubChem 1348285895ZHP-M3-PubChem 134828589
7.14Single6DDEDAMGO6DDE-μ-DAMGO-Gi1/β1/γ2
7.14Single6J20Aprepitant6J20-NK1-Aprepitant
7.14Single6J21Aprepitant6J21-NK1-Aprepitant
7.14Single6TQ7SB-3348676TQ7-OX1-SB-334867
7.14Single6Z8NSRI-98296Z8N-NTS1-SRI-9829
7.14Single7P2L4YI7P2L-mGlu5-4YI
7.14Single7R0CAVP7R0C-V2-AVP-Arrestin2
7.14Single7S8MCortistatin-147S8M-MRGPRX2-Cortistatin-14-Gi1/β1/γ2
7.14Single7SK7CXCL127SK7-ACKR3-CXCL12-CCX662
7.14Single7T2HLofentanil7T2H-μ-Lofentanil-Gi1/β1/γ2
7.14Single7U2LC5-guano7U2L-μ-C5-guano-Gi1/β1/γ2
7.14Single7W6PN-pyridin-4-ylisoquinolin-4-amine7W6P-α2a-N-pyridin-4-ylisoquinolin-4-amine-Go/β1/γ2
7.14Single7W7EPubChem 1649466767W7E-α2a-PubChem 164946676-Go/β1/γ2
7.14Single7WVXHumanin7WVX-FPR2-ALX-Humanin-Gi2/β1/γ2
7.14Single7XY7NECA7XY7-A2B-NECA-chim(NtGi1-Gs)/β1/γ2
7.14Single7Y24Octreotide7Y24-SST2-Octreotide-Go/β1/γ2
7.14Single8DZPmomSalB8DZP-κ-momSalB-Gi1/β1/γ2
7.14Single8EF5Fentanyl8EF5-μ-Fentanyl-Gi1/β1/γ2
7.14Single8GDBPGE28GDB-EP4-PGE2-Gs/β1/γ2
7.14Single8HDOBAY 60-65838HDO-A2B-BAY 60-6583-Gs/β1/γ2
7.14Single8HPTC5a (C-terminal peptide)8HPT-C5a1-C5a (C-terminal peptide)-Go/β1/γ2
7.14Single8ID6Oleic acid8ID6-FFA4-Oleic acid-Gi1/β1/γ2
7.14Single8IRRRotigotine8IRR-D1-Rotigotine-Gs/β1/γ2
7.14Single8IRVRotigotine8IRV-D5-Rotigotine-chim(NtGi1-Gs)/β1/γ2
7.14Single8IUKPGF2-alpha8IUK-FP-alpha-PGF2-α-chim(NtGi1-Gs-CtGq)/β1/γ2
7.14Single8IYHMK68928IYH-HCA2-MK6892-Go/β1/γ2
7.14Single8JBGNeurokinin-B8JBG-NK3-Neurokinin-B-chim(NtGi1-Gs-CtGq)/β1/γ2
7.14Single8JD5JNJ-40411813; ADX881788JD5-mGlu2; mGlu4-Glutamate-JNJ-40411813; ADX88178-Gi1/β1/γ2
7.14Single8JLPRalmitaront8JLP-TA1-Ralmitaront-Gs/β1/γ2
7.14Single8JSRAnamorelin8JSR-Ghrelin-Anamorelin-chim(NtGi1-Gs-CtGq)/β1/γ2
7.14Single8JXVClozapine8JXV-H4-Clozapine-Gi1/β1/γ2
7.14Single8JXWVUF68848JXW-H4-VUF6884-Gi1/β1/γ2
7.14Single8JXXClobenpropit8JXX-H4-Clobenpropit-Gi1/β1/γ2
7.14Single8VVFJDTic8VVF-κ-JDTic-Gi1/β1/γ2
7.14Single8X0BVU04244658X0B-mGlu5; mGlu5-Quisqualate-VU0424465
7.14Single8X0FVU298X0F-mGlu5; mGlu5-Quisqualate-VU29
7.14Single8XBIPubChem 1626566368XBI-GPR34-PubChem 162656636
7.14Single8XIPPasireotide8XIP-SST1-Pasireotide-chim(NtGi1-Gs-CtGi1)/β1/γ2
7.14Single8XJMLatanoprost8XJM-FP-alpha-Latanoprost-chim(NtGi2-Gs-CtGq)/β1/γ2
7.14Single8XVLZibotentan8XVL-ETA-Zibotentan
7.14Single8XX7CXCL58XX7-CXCR2-CXCL5-Go/β1/γ2
7.14Single8Y73Peptide8Y73-μ-Peptide-MPAM-15-Gi1/β1/γ2
7.14Single8ZWFJR14a8ZWF-C3aB-JR14a
7.14Single9BS9LSD9BS9-D2-LSD
7.14Single9BSBLSD9BSB-D2-LSD-chim(NtGi1-Go)/β1/γ2
7.14Single9IJDCarazolol9IJD-β3-Carazolol-chim(NtGi1-Gs)/β1/γ2
7.14Single9UY3Anamorelin9UY3-Ghrelin-Anamorelin-chim(NtGi1-Gs-CtGq)/β1/γ2
7.14Single9WSTDAMGO9WST-μ-DAMGO-chim(NtGi1-Gz)/β1/γ2
7.14Consensus5ht1_offOrthosteric Ligand5ht1b_off
7.14Consensus5ht1b_offOrthosteric Ligand5V54-5-HT1B-Methiothepin
7.14Consensusamine_on_gpOrthosteric Ligand5ht_on_gp adrenergic_on_gp dopamine_on_gp histamine_on_gp muscarinic_on_gp trace-amine_on_gp
7.14Consensusbeta1_offOrthosteric Ligand2VT4-β1-Cyanopindolol 2YCW-β1-Carazolol 2YCZ-β1-Iodocyanopindolol 5A8E-β1-7-Methylcyanopindolol-Na 3ZPQ-β1-PubChem 594590-Na 3ZPR-β1-PubChem 598754-Na
7.14Consensusbeta2_onOrthosteric Ligand7DHI-β2-Salbutamol-Gs/β1/γ2 6NI3-β2-BI167107-Gs/β1/γ2
7.14Consensusbeta2_on_gpOrthosteric Ligand7DHI-β2-Salbutamol-Gs/β1/γ2 6NI3-β2-BI167107-Gs/β1/γ2
7.14Consensuscyslt1_offOrthosteric Ligand6RZ5-CysLT1-Zafirlukast-Na 6RZ4-CysLT1-Pranlukast-Na
7.14Consensusd5_on_gpOrthosteric Ligand8IRV-D5-Rotigotine-chim(NtGi1-Gs)/β1/γ2
7.14Consensusffa2_onOrthosteric Ligand8J22-FFA2-TUG-1375-Gi1/β1/γ2
7.14Consensusgi_5htOrthosteric Ligand8FYT-5-HT1A-LSD-PtdIns4P-Gi1/β1/γ1 7UM7-5-HT5A-Methylergometrine-chim(NtGi1-Go)/β1/γ2 8UGY-5-HT1E-Mianserin-Gi1/β1/γ1 8W8B-5-HT1A-SEP-363856-Gi1/β1/γ2 7E2Y-5-HT1A-Serotonin-PtdIns4P-Gi1/β1/γ2 7E32-5-HT1D-Serotonin-Gi1/β1/γ2 7XTA-5-HT4-Serotonin-Gi1/β1/γ2 8UH3-5-HT1E-Setiptiline-Gi1/β1/γ1 8JSP-5-HT1A-Ulotaront-Gi1/β1/γ2 8FYL-5-HT1A-Vilazodone-PtdIns4P-Gi1/β1/γ1 8JT6-5-HT1A-(R)-IHCH-7179-PtdIns4P-Gi1/β1/γ2 8FYE-5-HT1A-4-F,5-MeO-PyrT-PtdIns4P-Gi1/β1/γ1 7X5H-5-HT5A-5-CT-Gi1/β1/γ2 8FY8-5-HT1A-5-MeO-DMT-PtdIns4P-Gi1/β1/γ1 7E2Z-5-HT1A-Aripiprazole-PtdIns4P-Gi1/β1/γ2 7E33-5-HT1E-BRL-54443-Gi1/β1/γ2 8FYX-5-HT1A-Buspirone-PtdIns4P-Gi1/β1/γ1 7EXD-5-HT1F-Lasmiditan-Gi1/β1/γ2 7UM6-5-HT5A-Lisuride-chim(NtGi1-Go)/β1/γ2
7.14Consensusgi_dopamineOrthosteric Ligand7JVR-D2-Bromoergocryptine-Gi1/β1/γ2 7CMV-D3-PD128907-Gi1/β1/γ2 7CMU-D3-Pramipexole-Gi1/β1/γ2 8IRS-D2-Rotigotine-Gi1/β1/γ2 8IRT-D3-Rotigotine-Gi1/β1/γ2
7.14Consensusgs_adrenergicOrthosteric Ligand7DHI-β2-Salbutamol-Gs/β1/γ2 7XJI-β3-Solabegron-Gs/β1/γ2 7JJO-β1-Isoprenaline-Gs/β1/γ2 6NI3-β2-BI167107-Gs/β1/γ2 8DCR-β1-Dobutamine-Gs/β1/γ2 7XJH-β3-Isoprenaline-Gs/β1/γ2 7DH5-β3-Mirabegron-Gs/β1/γ2
7.14Consensush4_on_gpOrthosteric Ligand8HN8-H4-Histamine-Gi1/β1/γ2 8HOC-H4-Imetit-Gi1/β1/γ2 8JXV-H4-Clozapine-Gi1/β1/γ2 8JXW-H4-VUF6884-Gi1/β1/γ2 8JXX-H4-Clobenpropit-Gi1/β1/γ2
7.14Consensuskop_offOrthosteric Ligand4DJH-κ-JDTic
7.14Consensusm3_offOrthosteric Ligand4U15-M3-Tiotropium 4U16-M3-N-methyl-Scopolamine 5ZHP-M3-PubChem 134828589
7.14Consensusmuscarinic_offOrthosteric Ligandm2_off m3_off m4_off m5_off m1_off
6.90Single3D4STimolol3D4S-β2-Timolol
6.90Single4AMIBucindolol4AMI-β1-Bucindolol
6.90Single4PXZ2MeSADP4PXZ-P2Y12-2MeSADP
6.90Single4PY02MeSATP4PY0-P2Y12-2MeSATP
6.90Single4RWADIPP-NH24RWA-δ-DIPP-NH2
6.90Single5CXVTiotropium5CXV-M1-Tiotropium
6.90Single5TZYMK8666; AP85TZY-FFA1-MK8666; AP8
6.90Single5X33BIIL2605X33-BLT1-BIIL260
6.90Single6DRYMethylergometrine6DRY-5-HT2B-Methylergometrine
6.90Single6H7NXamoterol6H7N-β1-Xamoterol
6.90Single6H7OCyanopindolol6H7O-β1-Cyanopindolol
6.90Single6MXTSalmeterol6MXT-β2-Salmeterol
6.90Single6RZ7ONO-25703666RZ7-CysLT2-ONO-2570366
6.90Single6VMSBromoergocryptine6VMS-D2-Bromoergocryptine-Gi1/β1/γ2
6.90Single6ZG4HTL00099366ZG4-M1-HTL0009936
6.90Single7DFPSpiperone7DFP-D2-Spiperone
6.90Single7EPENAM5637EPE-mGlu2-NAM563
6.90Single7EXDLasmiditan7EXD-5-HT1F-Lasmiditan-Gi1/β1/γ2
6.90Single7JNIOlodanrigan7JNI-AT2-Olodanrigan
6.90Single7L1VPubChem 1554910097L1V-OX2-PubChem 155491009-chim(NtGi1-Gs-CtGq)/β1/γ2
6.90Single7SUSPubChem 1227019087SUS-Apelin-PubChem 122701908
6.90Single7W0LPubChem 1227019087W0L-Apelin; Apelin-PubChem 122701908-Gi1/β1/γ2
6.90Single7WQ4Galanin7WQ4-GAL2-Galanin-chim(NtGi1-Gs-CtGq)/β1/γ2
6.90Single7XMTJ-21567XMT-SST4-J-2156-Gi1/β1/γ2
6.90Single7XW6ML1097XW6-TSH-M22 Fab-ML109-Gs/β1/γ2
6.90Single7XW9TRH7XW9-TRH-TRH-chim(NtGi1L-Gs-CtGq)/β1/γ2
6.90Single7Y66BM2137Y66-C5a1-BM213-Gi1/β1/γ2
6.90Single7YITNalfurafine7YIT-κ-Nalfurafine
6.90Single8DWCBAM8-228DWC-MRGPRX1-BAM8-22-chim(NtGi2L-Gs-CtGq)/β1/γ2
6.90Single8E9W2-Deoxycytidine8E9W-M3-2-Deoxycytidine-chim(NtGi2L-Gs-CtGq)/β1/γ2
6.90Single8G056-OAU8G05-GPR84-6-OAU-Gi1/β1/γ2
6.90Single8JD3JNJ-404118138JD3-mGlu2; mGlu3-Glutamate-JNJ-40411813-Gi1/β1/γ2
6.90Single8JJ8Arformoterol8JJ8-β2-Arformoterol
6.90Single8JJLOlodaterol8JJL-β2-Olodaterol
6.90Single8JWZEtrumadenant8JWZ-A2A-Etrumadenant-Na
6.90Single8T3QDoconexent8T3Q-FFA4-Doconexent-chim(NtGi2L-Gs-CtGq)/β1/γ2
6.90Single8W1VPubChem 1717162658W1V-β2-PubChem 171716265
6.90Single8WRBLysophosphatidylserine (UBL)8WRB-GPR34-Lysophosphatidylserine (UBL)-Gi1/β1/γ2
6.90Single8X8NOctreotide8X8N-SST5-Octreotide-chim(NtGi1-Gs-CtGi1)/β1/γ2
6.90Single8XWACXCL18XWA-CXCR2-CXCL1
6.90Single8XWSCXCL58XWS-CXCR2-CXCL5
6.90Single9AU0BW245C9AU0-DP1-BW245C-Gs/β1/γ2
6.90Single9BJKPubChem 1716420669BJK-μ-Naloxone-PubChem 171642066
6.90Single9ECJS-geranylgeranyl-L-glutathione9ECJ-P2Y8-S-geranylgeranyl-L-glutathione-G13/β1/γ2
6.90Single9V6ONalfurafine9V6O-κ-Nalfurafine-Gi1/β1/γ2
6.90Single9VIFNeuropeptide-VF9VIF-NPFF1-Neuropeptide-VF-Gi1/β1/γ2
6.90Single9WSVDAMGO9WSV-μ-DAMGO-Arrestin2
6.90Single9WSWEndomorphin9WSW-μ-Endomorphin-chim(NtGi1-Gz)/β1/γ2
6.90Single9YDQDADLE9YDQ-δ-DADLE-MIPS3614-chim(NtGi1L-Gs-CtGi1)/β1/γ2
6.90Consensus5ht1a_onOrthosteric Ligand8FYT-5-HT1A-LSD-PtdIns4P-Gi1/β1/γ1 7E2Y-5-HT1A-Serotonin-PtdIns4P-Gi1/β1/γ2 7E2Z-5-HT1A-Aripiprazole-PtdIns4P-Gi1/β1/γ2 8FYX-5-HT1A-Buspirone-PtdIns4P-Gi1/β1/γ1 8JSP-5-HT1A-Ulotaront-Gi1/β1/γ2 8JT6-5-HT1A-(R)-IHCH-7179-PtdIns4P-Gi1/β1/γ2 8FY8-5-HT1A-5-MeO-DMT-PtdIns4P-Gi1/β1/γ1 8FYE-5-HT1A-4-F,5-MeO-PyrT-PtdIns4P-Gi1/β1/γ1 8FYL-5-HT1A-Vilazodone-PtdIns4P-Gi1/β1/γ1
6.90Consensus5ht1a_on_gpOrthosteric Ligand8FYT-5-HT1A-LSD-PtdIns4P-Gi1/β1/γ1 8FYX-5-HT1A-Buspirone-PtdIns4P-Gi1/β1/γ1 8JSP-5-HT1A-Ulotaront-Gi1/β1/γ2 8JT6-5-HT1A-(R)-IHCH-7179-PtdIns4P-Gi1/β1/γ2 7E2Y-5-HT1A-Serotonin-PtdIns4P-Gi1/β1/γ2 7E2Z-5-HT1A-Aripiprazole-PtdIns4P-Gi1/β1/γ2 8FY8-5-HT1A-5-MeO-DMT-PtdIns4P-Gi1/β1/γ1 8FYE-5-HT1A-4-F,5-MeO-PyrT-PtdIns4P-Gi1/β1/γ1 8FYL-5-HT1A-Vilazodone-PtdIns4P-Gi1/β1/γ1
6.90Consensus5ht1f_onOrthosteric Ligand7EXD-5-HT1F-Lasmiditan-Gi1/β1/γ2
6.90Consensus5ht1f_on_gpOrthosteric Ligand7EXD-5-HT1F-Lasmiditan-Gi1/β1/γ2
6.90Consensusbeta_onOrthosteric Ligandbeta1_on beta2_on beta3_on
6.90Consensusbeta_on_gpOrthosteric Ligandbeta1_on_gp beta2_on_gp beta3_on_gp
6.90Consensusd2_on_gpOrthosteric Ligand7JVR-D2-Bromoergocryptine-Gi1/β1/γ2 8IRS-D2-Rotigotine-Gi1/β1/γ2
6.90Consensusffa2_on_gpOrthosteric Ligand8J22-FFA2-TUG-1375-Gi1/β1/γ2
6.90Consensuskop_onOrthosteric Ligand8F7W-κ-Dynorphin-Gi1/β1/γ2 8DZS-κ-GR89,696-chim(NtGi2-Gz)/β1/γ2 8DZP-κ-momSalB-Gi1/β1/γ2
6.90Consensusm1_offOrthosteric Ligand5CXV-M1-Tiotropium
6.90Consensusorexin_onOrthosteric Ligandox2_on
6.90Consensustrh_onOrthosteric Ligand7XW9-TRH-TRH-chim(NtGi1L-Gs-CtGq)/β1/γ2
6.90Consensustrh_on_gpOrthosteric Ligand7XW9-TRH-TRH-chim(NtGi1L-Gs-CtGq)/β1/γ2
6.67Single4NC3Ergotamine4NC3-5-HT2B-Ergotamine
6.67Single5CGDHTL142425CGD-mGlu5-HTL14242
6.67Single5TUDErgotamine5TUD-5-HT2B-Ergotamine
6.67Single5X93K-87945X93-ETB-K-8794
6.67Single6BQGErgotamine6BQG-5-HT2C-Ergotamine
6.67Single6BQHRitanserin6BQH-5-HT2C-Ritanserin
6.67Single6DDFDAMGO6DDF-μ-DAMGO-Gi1/β1/γ2
6.67Single6H7LDobutamine6H7L-β1-Dobutamine
6.67Single6IBLArformoterol6IBL-β1-Arformoterol
6.67Single6RZ9ONO-27703726RZ9-CysLT2-ONO-2770372
6.67Single6TKOArformoterol6TKO-β1-Arformoterol-Arrestin2
6.67Single7CX4Evatanepag7CX4-EP2-Evatanepag-Gs/β1/γ2
6.67Single7EZHCholecystokinin-87EZH-CCKA-Cholecystokinin-8-Gi1/β1/γ2
6.67Single7EZMCholecystokinin-87EZM-CCKA-Cholecystokinin-8-chim(NtGsL-Gq)/β1/γ2
6.67Single7JVRBromoergocryptine7JVR-D2-Bromoergocryptine-Gi1/β1/γ2
6.67Single7SK8CCX6627SK8-ACKR3-CXCL12-CCX662
6.67Single7U2KC6-guano7U2K-μ-C6-guano-Gi1/β1/γ2
6.67Single7WVVfMLFII7WVV-FPR2-ALX-fMLFII-Gi2/β1/γ2
6.67Single8E9X2-Deoxycytidine8E9X-M4-2-Deoxycytidine-chim(NtGi1-Go)/β1/γ2
6.67Single8FX5Xanomeline8FX5-M4-Xanomeline-Xanomeline-Gi1/β1/γ2
6.67Single8ID8TUG-8918ID8-FFA4-TUG-891-Gi1/β1/γ2
6.67Single8K2XCXCL108K2X-CXCR3-CXCL10-Gi1/β1/γ2
6.67Single8T3OTUG-8918T3O-FFA4-TUG-891-chim(NtGi2L-Gs-CtGq)/β1/γ2
6.67Single8XWVCXCL18XWV-CXCR2-CXCL1-Go/β1/γ2
6.67Single8ZWGJR14a8ZWG-C3aB-JR14a-Gi1/β1/γ2
6.67Single9DYEBuspirone9DYE-5-HT1A-Buspirone-PtdIns4P-Go/β1/γ2
6.67Single9GG5U466199GG5-TXA2-U46619-chim(NtGi2L-Gs-CtGq)/β1/γ2
6.67Single9HYIDP819HYI-5-HT1A-DP81-Gi1/β1/γ2
6.67Single9J0BUDP-Glucose9J0B-P2Y14-UDP-Glucose-Gi1/β1/γ2
6.67Single9M1HPGE29M1H-EP1-PGE2-chim(NtGi1-Gs-CtGq)/β1/γ2
6.67Single9M54Neuropeptide-VF9M54-NPFF2-Neuropeptide-VF-Gi1/β1/γ2
6.67Single9YDPDADLE9YDP-δ-DADLE-chim(NtGi1L-Gs-CtGi1)/β1/γ2
6.67Single9YDRDADLE9YDR-δ-DADLE-MIPS3983-chim(NtGi1L-Gs-CtGi1)/β1/γ2
6.67Consensus5ht2c_offOrthosteric Ligand6BQH-5-HT2C-Ritanserin
6.67Consensusbeta1_onOrthosteric Ligand8DCR-β1-Dobutamine-Gs/β1/γ2 7S0F-β1-Isoprenaline-Gi1/β1/γ2
6.67Consensusbeta1_on_gpOrthosteric Ligand8DCR-β1-Dobutamine-Gs/β1/γ2 7S0F-β1-Isoprenaline-Gi1/β1/γ2
6.67Consensusccka_onOrthosteric Ligand7EZH-CCKA-Cholecystokinin-8-Gi1/β1/γ2
6.67Consensusccka_on_gpOrthosteric Ligand7EZH-CCKA-Cholecystokinin-8-Gi1/β1/γ2
6.67Consensuscyslt2_offOrthosteric Ligand6RZ7-CysLT2-ONO-2570366 6RZ8-CysLT2-ONO-2080365 6RZ9-CysLT2-ONO-2770372
6.67Consensusd2_offOrthosteric Ligand6CM4-D2-Risperidone 6LUQ-D2-Haloperidol 7DFP-D2-Spiperone
6.67Consensusendothelin_offOrthosteric Ligandetb_off
6.67Consensusetb_offOrthosteric Ligand5X93-ETB-K-8794 5XPR-ETB-Bosentan 6K1Q-ETB-IRL2500
6.67Consensuskop_on_gpOrthosteric Ligand8F7W-κ-Dynorphin-Gi1/β1/γ2 8DZS-κ-GR89,696-chim(NtGi2-Gz)/β1/γ2 8DZP-κ-momSalB-Gi1/β1/γ2
6.67Consensusorexin_on_gpOrthosteric Ligandox2_on_gp
6.67Consensuspeptide_offOrthosteric Ligandcck_off angiotensin_off bombesin_off endothelin_off ghrelin_off npy_off opioid_off orexin_off somatostatin_off tachykinin_off vasop-oxy_off neurotensin_off
6.45Single6G79Donitriptan6G79-5-HT1B-Donitriptan-Go/β1/γ2
6.45Single6RZ6ONO-25703666RZ6-CysLT2-ONO-2570366
6.45Single7CX2PGE27CX2-EP2-PGE2-Gs/β1/γ2
6.45Single7S8LCortistatin-147S8L-MRGPRX2-Cortistatin-14-chim(NtGi2L-Gs-CtGq)/β1/γ2
6.45Single7SK9CCX6627SK9-ACKR3-CCX662
6.45Single7T11Octreotide7T11-SST2-Octreotide-Gi3/β1/γ2
6.45Single7XN9L-0545227XN9-SST2-L-054522
6.45Single7YAEOctreotide7YAE-SST2-Octreotide-Gi1/β1/γ2
6.45Single8F7REndomorphin8F7R-μ-Endomorphin-Gi1/β1/γ2
6.45Single8J22TUG-13758J22-FFA2-TUG-1375-Gi1/β1/γ2
6.45Single8Z74JN241-98Z74-Apelin; Apelin-JN241-9
6.45Single9ITBLPA9ITB-LPA6-LPA-chim(NtGi1-Gs-CtGq)/β1/γ2
6.45Single9MD1Buspirone9MD1-5-HT1A-Buspirone-PtdIns4P-Gz/β1/γ2
6.45Single9WSXEndomorphin9WSX-μ-Endomorphin-Arrestin2
6.45Consensuskiss1_onOrthosteric Ligand8ZJD-Kiss1-Kisspeptin-1-chim(NtGi1-Gq)/β1/γ1
6.45Consensuskisspeptin_onOrthosteric Ligandkiss1_on
6.25Single4AMJCarvedilol4AMJ-β1-Carvedilol
6.25Single4IARErgotamine4IAR-5-HT1B-Ergotamine
6.25Single4IB4Ergotamine4IB4-5-HT2B-Ergotamine
6.25Single6RZ8ONO-20803656RZ8-CysLT2-ONO-2080365
6.25Single7CX3Taprenepag7CX3-EP2-Taprenepag-Gs/β1/γ2
6.25Single7F54Afamelanotide7F54-MC4-Afamelanotide-Gs/β1/γ2
6.25Single7W56Neuromedin-S7W56-NMUR1-Neuromedin-S-chim(NtGi1-Gs-CtGq)/β1/γ2
6.25Single7WICSomatostatin-147WIC-SST2-Somatostatin-14-Gi1/β1/γ2
6.25Single7WVWfMYFINILTL7WVW-FPR2-ALX-fMYFINILTL-Gi2/β1/γ2
6.25Single8DCRDobutamine8DCR-β1-Dobutamine-Gs/β1/γ2
6.25Single8DWGBAM8-228DWG-MRGPRX1-BAM8-22-ML382-chim(NtGi2L-Gs-CtGq)/β1/γ2
6.25Single8F7XNociceptin8F7X-NOP-Nociceptin-Gi1/β1/γ2
6.25Single8FYLVilazodone8FYL-5-HT1A-Vilazodone-PtdIns4P-Gi1/β1/γ1
6.25Single8KIGSHU91198KIG-MC3-SHU9119-Ca
6.25Single8WKYPG-9348WKY-MC4-PG-934
6.25Single8ZJDKisspeptin-18ZJD-Kiss1-Kisspeptin-1-chim(NtGi1-Gq)/β1/γ1
6.25Single9BKJCholecystokinin-89BKJ-CCKA-Cholecystokinin-8-chim(NtGi1-Gs-CtGq)/β1/γ2
6.25Single9J0IUDP-Glucuronic acid9J0I-P2Y14-UDP-Glucuronic acid-Gi1/β1/γ2
6.25Single9M4TSilodosin9M4T-Alpha1A-Silodosin
6.25Single9UMRC5a-pep9UMR-C5a1-C5a-pep-Go/β1/γ2
6.25Consensusgq_kisspeptinOrthosteric Ligand8ZJD-Kiss1-Kisspeptin-1-chim(NtGi1-Gq)/β1/γ1
6.25Consensuskiss1_on_gpOrthosteric Ligand8ZJD-Kiss1-Kisspeptin-1-chim(NtGi1-Gq)/β1/γ1
6.25Consensuskisspeptin_on_gpOrthosteric Ligandkiss1_on_gp
6.25Consensusnop_onOrthosteric Ligand8F7X-NOP-Nociceptin-Gi1/β1/γ2
6.25Consensusnop_on_gpOrthosteric Ligand8F7X-NOP-Nociceptin-Gi1/β1/γ2
6.06Single7DDZJNJ-310200287DDZ-Y2-JNJ-31020028
6.06Single7EZKCholecystokinin-87EZK-CCKA-Cholecystokinin-8-chim(NtGi1-Gs)/β1/γ2
6.06Single7PIVAfamelanotide7PIV-MC4-Afamelanotide-Gs/β1/γ2
6.06Single8IOCGamma-MSH8IOC-MC3-γ-MSH-Ca-chim(NtGi1-Gs)/β1/γ2
6.06Single8JBHSubstance-P8JBH-NK3-Substance-P-chim(NtGi1-Gs-CtGq)/β1/γ2
6.06Single9IQRMuscarinic toxin 39IQR-α2a-Muscarinic toxin 3
6.06Single9IQVMuscarinic toxin 39IQV-Alpha1A-Muscarinic toxin 3
6.06Single9J0FNADH9J0F-P2Y14-NADH-Gi1/β1/γ2
6.06Single9L60Dynorphin9L60-κ-Dynorphin-MPAM-15-Gi1/β1/γ2
6.06Consensusmc5_onOrthosteric Ligand8INR-MC5-α-MSH-Ca-chim(NtGi1-Gs)/β1/γ2 8IOD-MC5-PG-901-Ca-chim(NtGi1-Gs)/β1/γ2
6.06Consensusnpy2_offOrthosteric Ligand7DDZ-Y2-JNJ-31020028
5.88Single6D32Cyclopamine6D32-SMO-Cyclopamine-Cyclopamine
5.88Single6D35Cholesterol6D35-SMO-Cholesterol
5.88Single6N51Quisqualate6N51-mGlu5; mGlu5-Quisqualate
5.88Single6N51Quisqualate6N51-mGlu5; mGlu5-Quisqualate
5.88Single6UO8SKF975416UO8-GABAB1, GABAB2-SKF97541-GS39783
5.88Single6UO9SKF975416UO9-GABAB1, GABAB2-SKF97541
5.88Single6W2XPubChem 53110426W2X-GABAB1, GABAB2-PubChem 5311042
5.88Single6W2YPubChem 53110426W2Y-GABAB1; GABAB1-PubChem 5311042
5.88Single6W2YPubChem 53110426W2Y-GABAB1; GABAB1-PubChem 5311042
5.88Single7C7QBaclofen7C7Q-GABAB1, GABAB2-Baclofen-BHFF
5.88Single7C7SCGP546267C7S-GABAB1, GABAB2-CGP54626
5.88Single7CUMCGP546267CUM-GABAB1, GABAB2-CGP54626
5.88Single7DD5Ca7DD5-CaS; CaS-Ca-Ca; Ca; Tryptophan; NPS-2143
5.88Single7DD5Ca; Ca; Tryptophan; NPS-21437DD5-CaS; CaS-Ca-Ca; Ca; Tryptophan; NPS-2143
5.88Single7DD5Ca7DD5-CaS; CaS-Ca-Ca; Ca; Tryptophan; NPS-2143
5.88Single7DD5Ca; Ca; Tryptophan; NPS-21437DD5-CaS; CaS-Ca-Ca; Ca; Tryptophan; NPS-2143
5.88Single7DGEQuisqualate7DGE-mGlu1; mGlu1-Quisqualate
5.88Single7DTTCa7DTT-CaS; CaS-Ca-Ca
5.88Single7DTTCa7DTT-CaS; CaS-Ca-Ca
5.88Single7DTUTryptophan7DTU-CaS; CaS-Tryptophan
5.88Single7DTUTryptophan7DTU-CaS; CaS-Tryptophan
5.88Single7DTVCa7DTV-CaS; CaS-Ca-Ca; Tryptophan
5.88Single7DTVCa; Tryptophan7DTV-CaS; CaS-Ca-Ca; Tryptophan
5.88Single7DTVCa7DTV-CaS; CaS-Ca-Ca; Tryptophan
5.88Single7DTVCa; Tryptophan7DTV-CaS; CaS-Ca-Ca; Tryptophan
5.88Single7E6TCa; Ca; Cyclomethyltryptophan; PO47E6T-CaS; CaS-Ca-Ca; Ca; Cyclomethyltryptophan; PO4
5.88Single7E6TCa7E6T-CaS; CaS-Ca-Ca; Ca; Cyclomethyltryptophan; PO4
5.88Single7E6TCa; Ca; Cyclomethyltryptophan; PO47E6T-CaS; CaS-Ca-Ca; Ca; Cyclomethyltryptophan; PO4
5.88Single7E6TCa7E6T-CaS; CaS-Ca-Ca; Ca; Cyclomethyltryptophan; PO4
5.88Single7E9GEglumetad7E9G-mGlu2; mGlu2-Eglumetad-JNJ-40411813-Gi1/β1/γ2
5.88Single7E9GEglumetad7E9G-mGlu2; mGlu2-Eglumetad-JNJ-40411813-Gi1/β1/γ2
5.88Single7E9HPhosphoserine7E9H-mGlu4; mGlu4-Phosphoserine-Gi3/β1/γ2
5.88Single7E9HPhosphoserine7E9H-mGlu4; mGlu4-Phosphoserine-Gi3/β1/γ2
5.88Single7EB2Baclofen7EB2-GABAB2; GABAB1-Baclofen-rac-BHFF-Gi1/β1/γ2
5.88Single7EPBEglumetad7EPB-mGlu2; mGlu2-Eglumetad
5.88Single7EPBEglumetad7EPB-mGlu2; mGlu2-Eglumetad
5.88Single7F4DAlpha-MSH7F4D-MC1-α-MSH-chim(NtGi1-Gs)/β1/γ2
5.88Single7FD8Quisqualate7FD8-mGlu5; mGlu5-Quisqualate
5.88Single7FD8Quisqualate7FD8-mGlu5; mGlu5-Quisqualate
5.88Single7FD9LY3414957FD9-mGlu5; mGlu5-LY341495
5.88Single7FD9LY3414957FD9-mGlu5; mGlu5-LY341495
5.88Single7FIHhCG7FIH-LH-hCG-Org43553-chim(NtGi1-Gs)/β1/γ2
5.88Single7FIIhCG7FII-LH-hCG-chim(NtGi1-Gs)/β1/γ2
5.88Single7M3ECa; Ca; Tryptophan; NPS-21437M3E-CaS; CaS-Ca; Ca; Tryptophan; NPS-2143
5.88Single7M3ECa; Ca; Tryptophan; NPS-21437M3E-CaS; CaS-Ca; Ca; Tryptophan; NPS-2143
5.88Single7M3FCa; Ca; Tryptophan; Cinacalcet7M3F-CaS; CaS-Ca; Ca; Tryptophan; Cinacalcet
5.88Single7M3FCa; Ca; Tryptophan; Cinacalcet7M3F-CaS; CaS-Ca; Ca; Tryptophan; Cinacalcet
5.88Single7M3GCa; Ca; Tryptophan; Evocalcet; Etelcalcetide; PO47M3G-CaS; CaS-Ca; Ca; Tryptophan; Evocalcet; Etelcalcetide; PO4
5.88Single7M3GCa; Ca; Tryptophan; Evocalcet; Etelcalcetide; PO47M3G-CaS; CaS-Ca; Ca; Tryptophan; Evocalcet; Etelcalcetide; PO4
5.88Single7M3GCa; Ca; Tryptophan; Evocalcet; Etelcalcetide; PO47M3G-CaS; CaS-Ca; Ca; Tryptophan; Evocalcet; Etelcalcetide; PO4
5.88Single7M3GCa; Ca; Tryptophan; Evocalcet; Etelcalcetide; PO47M3G-CaS; CaS-Ca; Ca; Tryptophan; Evocalcet; Etelcalcetide; PO4
5.88Single7MTQLY3414957MTQ-mGlu2; mGlu2-LY341495
5.88Single7MTQLY3414957MTQ-mGlu2; mGlu2-LY341495
5.88Single7MTRGlutamate7MTR-mGlu2; mGlu2-Glutamate-ADX55164
5.88Single7MTRGlutamate7MTR-mGlu2; mGlu2-Glutamate-ADX55164
5.88Single7MTSGlutamate7MTS-mGlu2; mGlu2-Glutamate-ADX55164-Gi1/β1/γ2
5.88Single7MTSGlutamate7MTS-mGlu2; mGlu2-Glutamate-ADX55164-Gi1/β1/γ2
5.88Single7SILCa7SIL-CaS; CaS-Ca-Ca; Ca; Ca; Cyclomethyltryptophan; R-568; PO4
5.88Single7SILCa; Ca; Ca; Cyclomethyltryptophan; R-568; PO47SIL-CaS; CaS-Ca-Ca; Ca; Ca; Cyclomethyltryptophan; R-568; PO4
5.88Single7SILCa7SIL-CaS; CaS-Ca-Ca; Ca; Ca; Cyclomethyltryptophan; R-568; PO4
5.88Single7SILCa; Ca; Ca; Cyclomethyltryptophan; R-568; PO47SIL-CaS; CaS-Ca-Ca; Ca; Ca; Cyclomethyltryptophan; R-568; PO4
5.88Single7SIMCa; Ca; Cyclomethyltryptophan; PO47SIM-CaS; CaS-Ca-Ca; Ca; Cyclomethyltryptophan; PO4
5.88Single7SIMCa7SIM-CaS; CaS-Ca-Ca; Ca; Cyclomethyltryptophan; PO4
5.88Single7SIMCa; Ca; Cyclomethyltryptophan; PO47SIM-CaS; CaS-Ca-Ca; Ca; Cyclomethyltryptophan; PO4
5.88Single7SIMCa7SIM-CaS; CaS-Ca-Ca; Ca; Cyclomethyltryptophan; PO4
5.88Single7T6TfMLFII7T6T-FPR1-ALX-fMLFII-Gi1/β1/γ2
5.88Single7T9NM22 Fab7T9N-TSH-M22 Fab-DPPC-Gs/β1/γ2
5.88Single7WI6LY3414957WI6-mGlu3; mGlu3-LY341495
5.88Single7WI6LY3414957WI6-mGlu3; mGlu3-LY341495
5.88Single7WI8LY3414957WI8-mGlu3; mGlu3-LY341495
5.88Single7WI8LY3414957WI8-mGlu3; mGlu3-LY341495
5.88Single7WIHLY27941937WIH-mGlu3; mGlu3-LY2794193
5.88Single7WIHLY27941937WIH-mGlu3; mGlu3-LY2794193
5.88Single7XW6M22 Fab7XW6-TSH-M22 Fab-ML109-Gs/β1/γ2
5.88Single7XW7K1-707XW7-TSH-K1-70
5.88Single8JCULY3414958JCU-mGlu2; mGlu3-LY341495
5.88Single8JCULY3414958JCU-mGlu2; mGlu3-LY341495
5.88Single8JCVLY3414958JCV-mGlu2; mGlu3-LY341495
5.88Single8JCVLY3414958JCV-mGlu2; mGlu3-LY341495
5.88Single8JCWLY3414958JCW-mGlu2; mGlu3-LY341495
5.88Single8JCWLY3414958JCW-mGlu2; mGlu3-LY341495
5.88Single8JCXLY3414958JCX-mGlu2; mGlu3-LY341495
5.88Single8JCXLY3414958JCX-mGlu2; mGlu3-LY341495
5.88Single8JCYLY3414958JCY-mGlu2; mGlu3-LY341495
5.88Single8JCYLY3414958JCY-mGlu2; mGlu3-LY341495
5.88Single8JCZLY3414958JCZ-mGlu2; mGlu3-LY341495
5.88Single8JCZLY3414958JCZ-mGlu2; mGlu3-LY341495
5.88Single8JD0Glutamate8JD0-mGlu2; mGlu3-Glutamate-NAM563
5.88Single8JD1Glutamate8JD1-mGlu2; mGlu3-Glutamate
5.88Single8JD1Glutamate8JD1-mGlu2; mGlu3-Glutamate
5.88Single8JD2Glutamate8JD2-mGlu2; mGlu3-Glutamate
5.88Single8JD2Glutamate8JD2-mGlu2; mGlu3-Glutamate
5.88Single8JD3Glutamate8JD3-mGlu2; mGlu3-Glutamate-JNJ-40411813-Gi1/β1/γ2
5.88Single8JD3Glutamate8JD3-mGlu2; mGlu3-Glutamate-JNJ-40411813-Gi1/β1/γ2
5.88Single8JD4Glutamate8JD4-mGlu2; mGlu4-Glutamate
5.88Single8JD4Glutamate8JD4-mGlu2; mGlu4-Glutamate
5.88Single8JD5Glutamate8JD5-mGlu2; mGlu4-Glutamate-JNJ-40411813; ADX88178-Gi1/β1/γ2
5.88Single8JD5Glutamate8JD5-mGlu2; mGlu4-Glutamate-JNJ-40411813; ADX88178-Gi1/β1/γ2
5.88Single8JD6Phosphoserine8JD6-mGlu4; mGlu4-Phosphoserine-VU0364770-Gi3/β1/γ2
5.88Single8JD6Phosphoserine8JD6-mGlu4; mGlu4-Phosphoserine-VU0364770-Gi3/β1/γ2
5.88Single8SZFCa; Ca; Tryptophan; Cinacalcet; PO4; Spermine8SZF-CaS; CaS-Ca; Ca; Tryptophan; Cinacalcet; PO4; Spermine
5.88Single8SZFCa; Ca; Tryptophan; Cinacalcet; PO4; Spermine8SZF-CaS; CaS-Ca; Ca; Tryptophan; Cinacalcet; PO4; Spermine
5.88Single8SZGCa; Ca; Tryptophan; Cinacalcet; PO4; Spermine8SZG-CaS; CaS-Ca; Ca; Tryptophan; Cinacalcet; PO4; Spermine-chim(NtGi1-Gq)/β1/γ2
5.88Single8T7HQuisqualate8T7H-mGlu5; mGlu5-Quisqualate
5.88Single8T7HQuisqualate8T7H-mGlu5; mGlu5-Quisqualate
5.88Single8T8MQuisqualate8T8M-mGlu5; mGlu5-Quisqualate
5.88Single8T8MQuisqualate8T8M-mGlu5; mGlu5-Quisqualate
5.88Single8TAOQuisqualate8TAO-mGlu5; mGlu5-Quisqualate-CDPPB
5.88Single8TAOQuisqualate8TAO-mGlu5; mGlu5-Quisqualate-CDPPB
5.88Single8TQBCa; LY3792688TQB-mGlu3; mGlu3-Ca; LY379268-Ca
5.88Single8TQBCa; LY3792688TQB-mGlu3; mGlu3-Ca; LY379268-Ca
5.88Single8TR0LY3414958TR0-mGlu3; mGlu3-LY341495
5.88Single8TR0LY3414958TR0-mGlu3; mGlu3-LY341495
5.88Single8TR2Ca; LY3792688TR2-mGlu3; mGlu3-Ca; LY379268-Ca
5.88Single8TR2Ca; LY3792688TR2-mGlu3; mGlu3-Ca; LY379268-Ca
5.88Single8TRCLY3414958TRC-mGlu3; mGlu3-LY341495
5.88Single8TRCLY3414958TRC-mGlu3; mGlu3-LY341495
5.88Single8TRDLY3414958TRD-mGlu3; mGlu3-LY341495
5.88Single8TRDLY3414958TRD-mGlu3; mGlu3-LY341495
5.88Single8WG9PubChem 1793948WG9-mGlu4; mGlu2-PubChem 179394
5.88Single8WGBGlutamate8WGB-mGlu4; mGlu2-Glutamate-VU0155041-Gi3/β1/γ2
5.88Single8WGBGlutamate8WGB-mGlu4; mGlu2-Glutamate-VU0155041-Gi3/β1/γ2
5.88Single8WGCLY3792688WGC-mGlu2; mGlu4-LY379268
5.88Single8WGDLY341495; CPPG8WGD-mGlu4; mGlu2-LY341495; CPPG
5.88Single8WGDLY341495; CPPG8WGD-mGlu4; mGlu2-LY341495; CPPG
5.88Single8WPGTryptophan; Cinacalcet; PO4; Ca8WPG-CaS; CaS-Tryptophan; Cinacalcet; PO4; Ca
5.88Single8WPGTryptophan; Cinacalcet; PO4; Ca8WPG-CaS; CaS-Tryptophan; Cinacalcet; PO4; Ca
5.88Single8WPUTryptophan; Cinacalcet; PO4; Ca8WPU-CaS; CaS-Tryptophan; Cinacalcet; PO4; Ca-chim(NtGi2L-Gs-CtGq)/β1/γ2
5.88Single8WPUTryptophan; Cinacalcet; PO4; Ca8WPU-CaS; CaS-Tryptophan; Cinacalcet; PO4; Ca-chim(NtGi2L-Gs-CtGq)/β1/γ2
5.88Single8WVXNorrin8WVX-LGR4-Norrin
5.88Single8WVYNorrin8WVY-LGR4-Norrin
5.88Single8X0BQuisqualate8X0B-mGlu5; mGlu5-Quisqualate-VU0424465
5.88Single8X0BQuisqualate8X0B-mGlu5; mGlu5-Quisqualate-VU0424465
5.88Single8X0CQuisqualate8X0C-mGlu5; mGlu5-Quisqualate-VU0424465
5.88Single8X0CQuisqualate8X0C-mGlu5; mGlu5-Quisqualate-VU0424465
5.88Single8X0DQuisqualate8X0D-mGlu5; mGlu5-Quisqualate-VU0424465
5.88Single8X0DQuisqualate8X0D-mGlu5; mGlu5-Quisqualate-VU0424465
5.88Single8X0EQuisqualate8X0E-mGlu5; mGlu5-Quisqualate
5.88Single8X0EQuisqualate8X0E-mGlu5; mGlu5-Quisqualate
5.88Single8X0FQuisqualate8X0F-mGlu5; mGlu5-Quisqualate-VU29
5.88Single8X0FQuisqualate8X0F-mGlu5; mGlu5-Quisqualate-VU29
5.88Single8X0GQuisqualate8X0G-mGlu5; mGlu5-Quisqualate
5.88Single8X0GQuisqualate8X0G-mGlu5; mGlu5-Quisqualate
5.88Single8X0HQuisqualate8X0H-mGlu5; mGlu5-Quisqualate
5.88Single8X0HQuisqualate8X0H-mGlu5; mGlu5-Quisqualate
5.88Single8XUMR-spondin-28XUM-LGR4-R-spondin-2
5.88Single9ASBCa9ASB-CaS; CaS-Ca-Ca; Ca; Cyclomethyltryptophan; R-568; PO4-chim(NtGi1-Gs-CtGq)/β1/γ2
5.88Single9ASBCa; Ca; Cyclomethyltryptophan; R-568; PO49ASB-CaS; CaS-Ca-Ca; Ca; Cyclomethyltryptophan; R-568; PO4-chim(NtGi1-Gs-CtGq)/β1/γ2
5.88Single9AVGCa9AVG-CaS; CaS-Ca-Ca; Ca; Cyclomethyltryptophan; R-568; PO4-chim(NtGi1-Gs)/β1/γ2
5.88Single9AVGCa; Ca; Cyclomethyltryptophan; R-568; PO49AVG-CaS; CaS-Ca-Ca; Ca; Cyclomethyltryptophan; R-568; PO4-chim(NtGi1-Gs)/β1/γ2
5.88Single9AVLCa9AVL-CaS; CaS-Ca-Ca; Ca; Cyclomethyltryptophan; R-568; PO4-Gi3/β2/γ2
5.88Single9AVLCa; Ca; Cyclomethyltryptophan; R-568; PO49AVL-CaS; CaS-Ca-Ca; Ca; Cyclomethyltryptophan; R-568; PO4-Gi3/β2/γ2
5.88Single9AVLCa9AVL-CaS; CaS-Ca-Ca; Ca; Cyclomethyltryptophan; R-568; PO4-Gi3/β2/γ2
5.88Single9AVLCa; Ca; Cyclomethyltryptophan; R-568; PO49AVL-CaS; CaS-Ca-Ca; Ca; Cyclomethyltryptophan; R-568; PO4-Gi3/β2/γ2
5.88Single9AXFCa9AXF-CaS; CaS-Ca-Ca; Ca; Ca; Cyclomethyltryptophan; R-568; PO4-chim(NtGi1-Gs-CtGq)/β1/γ2
5.88Single9AXFCa; Ca; Ca; Cyclomethyltryptophan; R-568; PO49AXF-CaS; CaS-Ca-Ca; Ca; Ca; Cyclomethyltryptophan; R-568; PO4-chim(NtGi1-Gs-CtGq)/β1/γ2
5.88Single9AXFCa9AXF-CaS; CaS-Ca-Ca; Ca; Ca; Cyclomethyltryptophan; R-568; PO4-chim(NtGi1-Gs-CtGq)/β1/γ2
5.88Single9AXFCa; Ca; Ca; Cyclomethyltryptophan; R-568; PO49AXF-CaS; CaS-Ca-Ca; Ca; Ca; Cyclomethyltryptophan; R-568; PO4-chim(NtGi1-Gs-CtGq)/β1/γ2
5.88Single9AYFCa9AYF-CaS; CaS-Ca-Ca; Ca; Ca; Cyclomethyltryptophan; R-568; PO4-Gi1/β1/γ2
5.88Single9AYFCa; Ca; Ca; Cyclomethyltryptophan; R-568; PO49AYF-CaS; CaS-Ca-Ca; Ca; Ca; Cyclomethyltryptophan; R-568; PO4-Gi1/β1/γ2
5.88Single9C1PCa9C1P-CaS; CaS-Ca-Ca; Tryptophan; '6218; PO4
5.88Single9C1PCa; Tryptophan; '6218; PO49C1P-CaS; CaS-Ca-Ca; Tryptophan; '6218; PO4
5.88Single9C1PCa9C1P-CaS; CaS-Ca-Ca; Tryptophan; '6218; PO4
5.88Single9C1PCa; Tryptophan; '6218; PO49C1P-CaS; CaS-Ca-Ca; Tryptophan; '6218; PO4
5.88Single9C2FCa9C2F-CaS; CaS-Ca-Ca; Ca; Tryptophan; '54149; PO4
5.88Single9C2FCa; Ca; Tryptophan; '54149; PO49C2F-CaS; CaS-Ca-Ca; Ca; Tryptophan; '54149; PO4
5.88Single9C2FCa9C2F-CaS; CaS-Ca-Ca; Ca; Tryptophan; '54149; PO4
5.88Single9C2FCa; Ca; Tryptophan; '54149; PO49C2F-CaS; CaS-Ca-Ca; Ca; Tryptophan; '54149; PO4
5.88Single9II2Glutamate9II2-mGlu3; mGlu3-Glutamate-Arrestin2; Arrestin2
5.88Single9II2Glutamate9II2-mGlu3; mGlu3-Glutamate-Arrestin2; Arrestin2
5.88Single9II3Glutamate9II3-mGlu3; mGlu3-Glutamate-Arrestin2
5.88Single9II3Glutamate9II3-mGlu3; mGlu3-Glutamate-Arrestin2
5.88Single9KB7R-spondin-29KB7-LGR4-R-spondin-2
5.88Single9KGKNB189KGK-LGR4-NB18
5.88Single9KHHNorrin9KHH-LGR4-Norrin
5.88Single9MBAGlutamate9MBA-mGlu8; mGlu8-Glutamate-Arrestin2 ; Arrestin2
5.88Single9MBAGlutamate9MBA-mGlu8; mGlu8-Glutamate-Arrestin2 ; Arrestin2
5.88Single9MBBLY3414959MBB-mGlu8; mGlu8-LY341495
5.88Single9MBBLY3414959MBB-mGlu8; mGlu8-LY341495
5.88Single9MBCDCPG9MBC-mGlu8; mGlu8-DCPG-AZ12216052
5.88Single9MBCDCPG9MBC-mGlu8; mGlu8-DCPG-AZ12216052
5.88Single9S37NB219S37-LGR4-NB21
5.88Single9S38NB219S38-LGR4-NB21
5.88Single9UTBSucralose9UTB-TAS1R2; TAS1R3-Sucralose
5.88Consensusmc3_onOrthosteric Ligand8IOC-MC3-γ-MSH-Ca-chim(NtGi1-Gs)/β1/γ2
5.88Consensusmc3_on_gpOrthosteric Ligand8IOC-MC3-γ-MSH-Ca-chim(NtGi1-Gs)/β1/γ2
5.71Single7KH0AVP7KH0-V2-AVP-chim(NtGi1-Gs)/β1/γ2
5.71Single7W57Neuromedin-S7W57-NMUR2-Neuromedin-S-chim(NtGi1-Gs-CtGq)/β1/γ2
5.71Consensusmc5_on_gpOrthosteric Ligand8INR-MC5-α-MSH-Ca-chim(NtGi1-Gs)/β1/γ2 8IOD-MC5-PG-901-Ca-chim(NtGi1-Gs)/β1/γ2
5.56Single7DD6Ca7DD6-CaS; CaS-Ca-Ca; Ca; Tryptophan
5.56Single7DD6Ca; Ca; Tryptophan7DD6-CaS; CaS-Ca-Ca; Ca; Tryptophan
5.56Single7DD6Ca7DD6-CaS; CaS-Ca-Ca; Ca; Tryptophan
5.56Single7DD6Ca; Ca; Tryptophan7DD6-CaS; CaS-Ca-Ca; Ca; Tryptophan
5.56Single7DD7Ca7DD7-CaS; CaS-Ca-Ca; Ca; Tryptophan; Evocalcet
5.56Single7DD7Ca; Ca; Tryptophan; Evocalcet7DD7-CaS; CaS-Ca-Ca; Ca; Tryptophan; Evocalcet
5.56Single7DD7Ca7DD7-CaS; CaS-Ca-Ca; Ca; Tryptophan; Evocalcet
5.56Single7DD7Ca; Ca; Tryptophan; Evocalcet7DD7-CaS; CaS-Ca-Ca; Ca; Tryptophan; Evocalcet
5.56Single7X9CPancreatic Hormone7X9C-Y4-Pancreatic Hormone-Gi1/β1/γ2
5.56Single7XV3Lysophosphatidylserine (WJS)7XV3-GPR174-Lysophosphatidylserine (WJS)-chim(NtGi1-Gs)/β1/γ2
5.56Single8IODPG-9018IOD-MC5-PG-901-Ca-chim(NtGi1-Gs)/β1/γ2
5.56Single8SZFCa; Ca; Tryptophan; Cinacalcet; PO4; Spermine8SZF-CaS; CaS-Ca; Ca; Tryptophan; Cinacalcet; PO4; Spermine
5.56Single8SZFCa; Ca; Tryptophan; Cinacalcet; PO4; Spermine8SZF-CaS; CaS-Ca; Ca; Tryptophan; Cinacalcet; PO4; Spermine
5.56Single9ASBCa9ASB-CaS; CaS-Ca-Ca; Ca; Cyclomethyltryptophan; R-568; PO4-chim(NtGi1-Gs-CtGq)/β1/γ2
5.56Single9ASBCa; Ca; Cyclomethyltryptophan; R-568; PO49ASB-CaS; CaS-Ca-Ca; Ca; Cyclomethyltryptophan; R-568; PO4-chim(NtGi1-Gs-CtGq)/β1/γ2
5.56Single9AVGCa9AVG-CaS; CaS-Ca-Ca; Ca; Cyclomethyltryptophan; R-568; PO4-chim(NtGi1-Gs)/β1/γ2
5.56Single9AVGCa; Ca; Cyclomethyltryptophan; R-568; PO49AVG-CaS; CaS-Ca-Ca; Ca; Cyclomethyltryptophan; R-568; PO4-chim(NtGi1-Gs)/β1/γ2
5.56Single9AYFCa9AYF-CaS; CaS-Ca-Ca; Ca; Ca; Cyclomethyltryptophan; R-568; PO4-Gi1/β1/γ2
5.56Single9AYFCa; Ca; Ca; Cyclomethyltryptophan; R-568; PO49AYF-CaS; CaS-Ca-Ca; Ca; Ca; Cyclomethyltryptophan; R-568; PO4-Gi1/β1/γ2
5.56Consensusclass-b2_onOrthosteric Ligandadgrg_on adgrf_on adgrl_on adgre_on adgrd_on
5.56Consensusclass-b2_on_gpOrthosteric Ligandadgrg_on_gp adgrf_on_gp adgrl_on_gp adgre_on_gp adgrd_on_gp
5.56Consensusp2y10_onOrthosteric Ligand8KGG-P2Y10-Lysophosphatidylserine (WJS)-chim(NtGi2-G13)/β1/γ2
5.41Consensusnpy4_onOrthosteric Ligand7X9C-Y4-Pancreatic Hormone-Gi1/β1/γ2
5.41Consensusnpy4_on_gpOrthosteric Ligand7X9C-Y4-Pancreatic Hormone-Gi1/β1/γ2
5.26Single7KNUCalcitonin gene-related peptide-17KNU-CT Like-Calcitonin gene-related peptide-1-RAMP1
5.26Single7T9MCS-17 Antibody7T9M-TSH-CS-17 Antibody
5.26Single8TLMAnti-murine CCR8 antibody8TLM-CCR8-Anti-murine CCR8 antibody
5.26Single8W8WAlpha-MSH8W8W-MC3-α-MSH-Ca-Gs/β1/γ2
5.26Consensusp2y10_on_gpOrthosteric Ligand8KGG-P2Y10-Lysophosphatidylserine (WJS)-chim(NtGi2-G13)/β1/γ2
5.13Single8KGGLysophosphatidylserine (WJS)8KGG-P2Y10-Lysophosphatidylserine (WJS)-chim(NtGi2-G13)/β1/γ2
5.13Consensusetb_onOrthosteric Ligand8IY5-ETB-Endothelin-1-Gi1/β1/γ2 8HBD-ETB-IRL1620-Gi1/β1/γ2
5.00Single6O3CCholesterol6O3C-SMO-SAG21k-Cholesterol
5.00Single7FIGhCG7FIG-LH-hCG-chim(NtGi1L-Gs)/β1/γ2
5.00Single7UTZTSH7UTZ-TSH-TSH-DPPC-Gs/β1/γ2
5.00Single7XW5TSH7XW5-TSH-TSH-ML109-Gs/β1/γ2
5.00Single7ZI0Cholesterol7ZI0-SMO-SAG-Cholesterol
5.00Single8WCBCyclohexylammonium Ion8WCB-TA1-Cyclohexylammonium Ion-chim(NtGi1-Gs-CtGq)/β1/γ2
5.00Single8WCCCyclohexylammonium Ion8WCC-TA1-Cyclohexylammonium Ion
4.76Single5L7DCholesterol5L7D-SMO-Cholesterol
4.76Single6VCBLSN31604406VCB-GLP-1-GLP-1-LSN3160440-Gs/β1/γ2
4.76Single7T9ITSH7T9I-TSH-TSH-Gs/β1/γ2
4.76Single7V68LY21196207V68-M4-Iperoxo-LY2119620-Gi1/β1/γ2
4.76Single8I2GFSH8I2G-FSH-FSH-PubChem 67530240-Gs/β1/γ2
4.76Single9IV25alpha-DHT9IV2-ADGRD1-5α-DHT-chim(NtGi1-Gs)/β1/γ2
4.76Single9JIDNiacin9JID-HCA3-Niacin-Gi1/β1/γ2
4.76Single9JKVPubChem 27366909JKV-HCA3-PubChem 2736690-Gi1/β1/γ2
4.55Single7MTBAll-trans-Retinal7MTB-Rhodopsin-All-trans-Retinal-GRK1
4.55Single7VDMSubstance-P7VDM-MRGPRX2-Substance-P-Gi1/β1/γ2
4.55Single8DPHLorcaserin8DPH-5-HT2C-Lorcaserin-chim(NtGi2L-Gs-CtGq)/β1/γ2
4.55Single8WC5Tetramethylammonium Ion8WC5-TA1-Tetramethylammonium Ion-chim(NtGi1-Gs)/β1/γ2
4.55Single8XOFLys058XOF-GPR30-Lys05-chim(NtGi1-Gs-CtGq)/β1/γ2
4.55Single9CHUNorepinephrine9CHU-β2-Norepinephrine
4.55Single9IVMLSN33188399IVM-GLP-1-GLP-1 (Truncated)-LSN3318839-chim(NtGi1-Gs)/β2/γ2
4.55Single9L0HJR14a9L0H-C3aB-JR14a-Go/β1/γ2
4.55Consensusopsins_onOrthosteric Ligandrhodopsin_on opsin1lw_on
4.55Consensussensory_onOrthosteric Ligandopsins_on
4.35Single2J4Y11-cis-Retinal2J4Y-Rhodopsin-11-cis-Retinal
4.35Single6FUFAll-trans-Retinal6FUF-Rhodopsin-All-trans-Retinal-Go
4.35Single6OIKLY21196206OIK-M2-Iperoxo-LY2119620-chim(NtGi1-Go)/β1/γ2
4.35Single7D77Hydrocortisone7D77-ADGRG3-Hydrocortisone-Go/β1/γ2
4.35Single7EJKOxymetazoline7EJK-α2a-Oxymetazoline-Go/β1/γ2
4.35Single7F23Dopamine7F23-D1-Dopamine-GDP-Gs/β1/γ2
4.35Single7MT8All-trans-Retinal7MT8-Rhodopsin-All-trans-Retinal-GRK1
4.35Single8DPILorcaserin8DPI-5-HT2C-Lorcaserin-chim(NtGi2L-Gs-CtGq)/β1/γ2
4.35Single8ITFDMCHA8ITF-TAA9-DMCHA-chim(NtGi1-Gs)/β1/γ2
4.35Single8IU2All-trans-Retinal8IU2-Opsin1LW-All-trans-Retinal-Gi1/β1/γ2
4.35Single8JPSCCL78JPS-ACKR1-CCL7
4.35Single8JXTHistamine8JXT-H4-Histamine-PO4-Gi1/β1/γ2
4.35Single8WC62-Phenylethylamine8WC6-TA1-2-Phenylethylamine-chim(NtGi1-Gs)/β1/γ2
4.35Single8WC9ZH86518WC9-TA1-ZH8651-chim(NtGi1-Gs-CtGq)/β1/γ2
4.35Single8YN9Histamine8YN9-H4-Histamine-Gi1/β1/γ2
4.35Single8YUUHistamine8YUU-H3-Histamine-Gi1/β1/γ1
4.35Single9JG1Adriforant9JG1-H4-Adriforant
4.35Single9JKT(2R)-2-hydroxy-3-phenylpropanoic acid9JKT-HCA3-(2R)-2-hydroxy-3-phenylpropanoic acid-Gi1/β1/γ2
4.35Single9LRCHistamine9LRC-H4-Histamine
4.35Single9LREHistamine9LRE-H4-Histamine-Gi1/β1/γ2
4.35Single9MBCAZ122160529MBC-mGlu8; mGlu8-DCPG-AZ12216052
4.35Consensus5ht2_onOrthosteric Ligand5ht2b_on
4.35Consensus5ht2b_onOrthosteric Ligand7SRR-5-HT2B-LSD-chim(NtGi2L-Gs-CtGq)/β1/γ2
4.35Consensusgi_opsinsOrthosteric Ligand8IU2-Opsin1LW-All-trans-Retinal-Gi1/β1/γ2
4.35Consensusgi_sensoryOrthosteric Ligandgi_opsins
4.35Consensush3_onOrthosteric Ligand8YUU-H3-Histamine-Gi1/β1/γ1
4.35Consensush3_on_gpOrthosteric Ligand8YUU-H3-Histamine-Gi1/β1/γ1
4.35Consensusopsin1lw_onOrthosteric Ligand8IU2-Opsin1LW-All-trans-Retinal-Gi1/β1/γ2
4.35Consensusopsin1lw_on_gpOrthosteric Ligand8IU2-Opsin1LW-All-trans-Retinal-Gi1/β1/γ2
4.35Consensusopsins_on_gpOrthosteric Ligandrhodopsin_on_gp opsin1lw_on_gp
4.35Consensusrhodopsin_onOrthosteric Ligand6OYA-Rhodopsin-All-trans-Retinal-Gt/β1/γ1
4.35Consensussensory_on_gpOrthosteric Ligandopsins_on_gp
4.17Single3PBLEticlopride3PBL-D3-Eticlopride
4.17Single6HLLCP999946HLL-NK1-CP99994
4.17Single6PH7Nerol6PH7-Rhodopsin-Nerol-Gt(CT)
4.17Single6TP4ACT-4622066TP4-OX1-ACT-462206
4.17Single7S8NR-Zinc-35737S8N-MRGPRX2-R-Zinc-3573-chim(NtGi2L-Gs-CtGq)/β1/γ2
4.17Single7S8OR-Zinc-35737S8O-MRGPRX2-R-Zinc-3573-Gi1/β1/γ2
4.17Single7SRQLSD7SRQ-5-HT2B-LSD
4.17Single7XTASerotonin7XTA-5-HT4-Serotonin-Gi1/β1/γ2
4.17Single7YFCHistamine7YFC-H4-Histamine-chim(NtGi1-Gs-CtGq)/β1/γ2
4.17Single7YFDImetit7YFD-H4-Imetit-chim(NtGi1-Gs-CtGq)/β1/γ2
4.17Single7YS6Serotonin7YS6-5-HT6-Serotonin-chim(NtGi1-Gs)/β1/γ2
4.17Single8FX5Xanomeline8FX5-M4-Xanomeline-Xanomeline-Gi1/β1/γ2
4.17Single8HN8Histamine8HN8-H4-Histamine-Gi1/β1/γ2
4.17Single8JILNiacin8JIL-HCA2-Niacin-Gi1/β1/γ2
4.17Single8JLOUlotaront8JLO-TA1-Ulotaront-Gs/β1/γ2
4.17Single8UO4Constrained Epinephrine8UO4-β2-Constrained Epinephrine-GTP; Mg-Gs/β1/γ2
4.17Single8W892-Phenylethylamine8W89-TA1-2-Phenylethylamine-chim(NtGi1L-Gs)/β1/γ2
4.17Single8X2KOleic monoethanolamide8X2K-GPR3-Oleic monoethanolamide-chim(NtGi1-Gs)/β1/γ2
4.17Single8YN5Histamine8YN5-H3-Histamine-Gi1/β1/γ2
4.17Single8YN6Imetit8YN6-H3-Imetit-Gi1/β1/γ2
4.17Single8YN7Immethridine8YN7-H3-Immethridine-Go/β1/γ2
4.17Single8ZYUNeurotensin-(8-13)8ZYU-NTS1-Neurotensin-(8-13)-SBI-553-Arrestin2
4.17Single9AS2DMT9AS2-5-HT2A-DMT-chim(NtGi1-Gs-CtGq)/β1/γ2
4.17Single9AS7Psilocin9AS7-5-HT2A-Psilocin
4.17Single9IJEEpinephrine9IJE-β3-Epinephrine-chim(NtGi1-Gs)/β1/γ2
4.17Single9IZDCHBA9IZD-HCA1-CHBA-Gi1/β1/γ2
4.17Single9JEDHistamine9JED-H4-Histamine-PO4-Gi1/β1/γ2
4.17Single9JEQHistamine9JEQ-H3-Histamine-Gi1/β1/γ2
4.17Single9KUWCMPD6449KUW-Apelin; Apelin-CMPD644-Arrestin2 ; Arrestin2
4.17Single9L42Histamine9L42-H4-Histamine-Gi1/β1/γ2
4.17Single9M88Oleic monoethanolamide9M88-GPR3 ; GPR3-Oleic monoethanolamide-AF64394
4.17Single9MBCAZ122160529MBC-mGlu8; mGlu8-DCPG-AZ12216052
4.17Single9MNIdC2_059MNI-CTLike-dC2_05-RAMP1
4.17Single9YDAAll-trans-Retinal9YDA-Opsin1MW-All-trans-Retinal-chim(NtGi1L-Gs-CtGt)/β1/γ2
4.17Consensus5ht4_onOrthosteric Ligand7XTA-5-HT4-Serotonin-Gi1/β1/γ2
4.17Consensus5ht4_on_gpOrthosteric Ligand7XTA-5-HT4-Serotonin-Gi1/β1/γ2
4.17Consensusd3_offOrthosteric Ligand3PBL-D3-Eticlopride
4.17Consensush4_onOrthosteric Ligand8HN8-H4-Histamine-Gi1/β1/γ2 8HOC-H4-Imetit-Gi1/β1/γ2 8JXV-H4-Clozapine-Gi1/β1/γ2 8JXW-H4-VUF6884-Gi1/β1/γ2 8JXX-H4-Clobenpropit-Gi1/β1/γ2
4.00Single6AKXA4R6AKX-CCR5-A4R
4.00Single6AKYMaraviroc6AKY-CCR5-Maraviroc
4.00Single6B73MP11046B73-κ-MP1104
4.00Single6DS0LY2660976DS0-5-HT2B-LY266097
4.00Single6FKBPubChem 1324730386FKB-Rhodopsin-PubChem 132473038
4.00Single6KUYPubChem 1457046436KUY-α2a-PubChem 145704643
4.00Single6TQ6PubChem 1457142836TQ6-OX1-PubChem 145714283
4.00Single7F1ODopamine7F1O-D1-Dopamine-GDP; Mg-Gs/β1/γ2
4.00Single7F8ULintitript7F8U-CCKA-Lintitript
4.00Single7F8YDevazepide7F8Y-CCKA-Devazepide
4.00Single7S8PMS471347S8P-MRGPRX4-MS47134-chim(NtGi2L-Gs-CtGq)/β1/γ2
4.00Single7SRRLSD7SRR-5-HT2B-LSD-chim(NtGi2L-Gs-CtGq)/β1/γ2
4.00Single7SRSLSD7SRS-5-HT2B-LSD-Arrestin2
4.00Single7T8XAcetylcholine7T8X-M2-Acetylcholine-chim(NtGi1-Go)/β1/γ2
4.00Single7T90Acetylcholine7T90-M2-Acetylcholine-chim(NtGi1-Go)/β1/γ2
4.00Single7T96Acetylcholine7T96-M2-Acetylcholine-LY2119620-Go/β1/γ2
4.00Single7X2CFenoldopam7X2C-D1-Fenoldopam-Fenoldopam-Gs/β1/γ2
4.00Single7X5H5-CT7X5H-5-HT5A-5-CT-Gi1/β1/γ2
4.00Single7YM8Oxymetazoline7YM8-Alpha1A-Oxymetazoline-chim(Gs-CtGq)
4.00Single8FYXBuspirone8FYX-5-HT1A-Buspirone-PtdIns4P-Gi1/β1/γ1
4.00Single8HOCImetit8HOC-H4-Imetit-Gi1/β1/γ2
4.00Single8T3VDoconexent8T3V-FFA1-Doconexent-chim(NtGi2L-Gs-CtGq)/β1/γ2
4.00Single8U4PAMD31008U4P-CXCR4-AMD3100-Gi1/β1/γ2
4.00Single8U8FPalmitic Acid8U8F-GPR3-Palmitic Acid-Gs/β1/γ2
4.00Single8WC3SEP-3638568WC3-TA1-SEP-363856-chim(NtGi1-Gs)/β1/γ2
4.00Single8XXVIndomethacin8XXV-DP2-Indomethacin-A1D5Q-Gi1/β1/γ2
4.00Single8YNAImmepip8YNA-H4-Immepip-Gi1/β1/γ2
4.00Single8YUVImmepip8YUV-H3-Immepip-Gi1/β1/γ2
4.00Single9LKDPL459LKD-OR5V1-PL45
4.00Single9LL9DOI9LL9-5-HT2A-DOI-chim(NtGi1L-Gs-CtGq)/β1/γ2
4.00Single9M88Oleic monoethanolamide9M88-GPR3 ; GPR3-Oleic monoethanolamide-AF64394
4.00Single9MQJIsoquinuclidine9MQJ-μ-Isoquinuclidine
4.00Single9PEEPF-07054894; OXM29PEE-CCR6-PF-07054894; OXM2
4.00Single9PXUNaloxone9PXU-μ-Naloxone-Na
4.00Single9VJ5Gepirone9VJ5-5-HT1A-Gepirone-Go/β1/γ2
4.00Single9VJEBuspirone9VJE-5-HT1A-Buspirone-Go/β1/γ2
4.00Single9W49U-50488H9W49-κ-U-50488H-Gi1/β1/γ2
4.00Consensus5ht1e_onOrthosteric Ligand7E33-5-HT1E-BRL-54443-Gi1/β1/γ2 8UGY-5-HT1E-Mianserin-Gi1/β1/γ1 8UH3-5-HT1E-Setiptiline-Gi1/β1/γ1
4.00Consensus5ht2_on_gpOrthosteric Ligand5ht2b_on_gp
4.00Consensus5ht2b_on_gpOrthosteric Ligand7SRR-5-HT2B-LSD-chim(NtGi2L-Gs-CtGq)/β1/γ2
4.00Consensus5ht_onOrthosteric Ligand5ht1_on 5ht2_on 5ht4_on 5ht5_on 5ht6_on 5ht7_on
4.00Consensusgq_histamineOrthosteric Ligand7DFL-H1-Histamine-chim(NtGi1L-Gq)/β1/γ2
4.00Consensusgs_5htOrthosteric Ligand7XTC-5-HT7-5-CT-Gs/β1/γ2 7XTB-5-HT6-Serotonin-Gs/β1/γ2 8JLZ-5-HT6-ST1936-Gs/β1/γ2 7XT8-5-HT4-Serotonin-Gs/β1/γ2
4.00Consensush1_on_gpOrthosteric Ligand7DFL-H1-Histamine-chim(NtGi1L-Gq)/β1/γ2
4.00Consensushistamine_onOrthosteric Ligandh1_on h2_on h3_on h4_on
4.00Consensushistamine_on_gpOrthosteric Ligandh1_on_gp h2_on_gp h3_on_gp h4_on_gp
4.00Consensusm2_onOrthosteric Ligand7T8X-M2-Acetylcholine-chim(NtGi1-Go)/β1/γ2
4.00Consensusm2_on_gpOrthosteric Ligand7T8X-M2-Acetylcholine-chim(NtGi1-Go)/β1/γ2
4.00Consensussensory_offonOrthosteric Ligandsensory_off sensory_on
4.00Consensussensory_offon_gpOrthosteric Ligandsensory_on_gp sensory_on
3.85Single1F8811-cis-Retinal1F88-Rhodopsin-11-cis-Retinal
3.85Single4MBSMaraviroc4MBS-CCR5-Maraviroc
3.85Single4MQTIperoxo4MQT-M2-Iperoxo-LY2119620
3.85Single6A94Zotepine6A94-5-HT2A-Zotepine
3.85Single6FK8PubChem 1324730356FK8-Rhodopsin-PubChem 132473035
3.85Single6IQLL7458706IQL-D4-L745870
3.85Single6K41Dexmedetomidine6K41-α2b-Dexmedetomidine-Go/β1/γ2
3.85Single6TPKRetosiban6TPK-OT-Retosiban
3.85Single6TPNHTL66416TPN-OX2-HTL6641
3.85Single6VI4JDTic6VI4-κ-JDTic
3.85Single6WH4Methiothepin6WH4-5-HT2A-Methiothepin
3.85Single6WJCAtropine6WJC-M1-Atropine-Muscarinic toxin 7
3.85Single6ZFZ77-LH-28-16ZFZ-M1-77-LH-28-1
3.85Single6ZINSR486926ZIN-NTS1-SR48692
3.85Single7CKZDopamine7CKZ-D1-Dopamine-Mevidalen-Gs/β1/γ2
3.85Single7CMUPramipexole7CMU-D3-Pramipexole-Gi1/β1/γ2
3.85Single7EJ8Brimonidine7EJ8-α2a-Brimonidine-Go/β1/γ2
3.85Single7EJADexmedetomidine7EJA-α2a-Dexmedetomidine-Go/β1/γ2
3.85Single7F0TDopamine7F0T-D1-Dopamine-Gs/β1/γ2
3.85Single7F1ZDopamine7F1Z-D1-Dopamine-GDP-Gs/β1/γ2
3.85Single7RANPubChem 1645758477RAN-5-HT2A-PubChem 164575847-chim(NtGi2L-Gs-CtGq)/β1/γ2
3.85Single7T94Acetylcholine7T94-M2-Acetylcholine-LY2119620-chim(NtGi1-Go)/β1/γ2
3.85Single7TRSAcetylcholine7TRS-M4-Acetylcholine-Gi1/β1/γ2
3.85Single7UM7Methylergometrine7UM7-5-HT5A-Methylergometrine-chim(NtGi1-Go)/β1/γ2
3.85Single7WC9PubChem 1624213647WC9-5-HT2A-PubChem 162421364
3.85Single7WVUfMLF7WVU-FPR1-ALX-fMLF-Gi1/β1/γ2
3.85Single7XOVSR1461317XOV-CCKA-SR146131-Gs/β1/γ2
3.85Single8DPGPsilocin8DPG-5-HT2C-Psilocin-chim(NtGi2L-Gs-CtGq)/β1/γ2
3.85Single8H4LDoconexent8H4L-FFA4-Doconexent-chim(NtGi1-Gs-CtGq)/β1/γ2
3.85Single8HJ5PubChem 1390305318HJ5-MRGPRX1-PubChem 139030531-chim(NtGi1-Gs-CtGq)/β1/γ2
3.85Single8HNMVUF112228HNM-CXCR3-VUF11222-Gi1/β1/γ2
3.85Single8HQN9-S-HODE8HQN-GPR132-9-S-HODE-Gi1/β1/γ2
3.85Single8JSPUlotaront8JSP-5-HT1A-Ulotaront-Gi1/β1/γ2
3.85Single8K4NPubChem 1687197658K4N-GPR34-PubChem 168719765-Gi1/β1/γ2
3.85Single8K4SDCA-3P8K4S-MRGPRX4-DCA-3P-chim(NtGi1L-Gs-CtGq)/β1/γ2
3.85Single8K9LDAMGO8K9L-μ-DAMGO-BMS-986122-Gi3/β1/γ1
3.85Single8THKA-616038THK-Alpha1A-A-61603-chim(NtGi2L-Gs-CtGq)/β1/γ2
3.85Single8THLEpinephrine8THL-Alpha1A-Epinephrine-chim(NtGi2L-Gs-CtGq)/β1/γ2
3.85Single8V6UPubChem 1713924568V6U-5-HT2A-PubChem 171392456-chim(NtGi2-Gs-CtGq)/β1/γ2
3.85Single8W8BSEP-3638568W8B-5-HT1A-SEP-363856-Gi1/β1/γ2
3.85Single8Y01All-trans-Retinal8Y01-Opsin1MW-All-trans-Retinal-Gi1/β1/γ2
3.85Single8Y45ADL58598Y45-δ-ADL5859-Gi2/β1/γ2
3.85Single8YRGFospropofol8YRG-MRGPRX4-Fospropofol-chim(NtGi1-Gs-CtGq)/β1/γ2
3.85Single8ZBWQuin-C18ZBW-FPR2-ALX-Quin-C1-Gi2/β1/γ2
3.85Single8ZPMAMD0708ZPM-CXCR4-AMD070
3.85Single8ZPNAMD31008ZPN-CXCR4-AMD3100
3.85Single9ARXSerotonin9ARX-5-HT2A-Serotonin
3.85Single9AS3LSD9AS3-5-HT2A-LSD
3.85Single9AS4LSD9AS4-5-HT2A-LSD-chim(NtGi1-Gs-CtGq)/β1/γ2
3.85Single9CBLEpinephrine9CBL-α2a-Epinephrine-Gi1/β1/γ2
3.85Single9JH3CMF-0199JH3-Apelin; Apelin-CMF-019-Gi1/β1/γ2
3.85Single9JQYTG6-1299JQY-EP4-TG6-129
3.85Single9MQIIsoquinuclidine9MQI-μ-Isoquinuclidine
3.85Single9ODJMitragynine Pseudoindoxyl9ODJ-μ-Mitragynine Pseudoindoxyl-GTP; Mg-Gi1/β1/γ2
3.85Single9ODLMitragynine Pseudoindoxyl9ODL-μ-Mitragynine Pseudoindoxyl-GTP; Mg-Gi1/β1/γ2
3.85Single9PXVNaloxone9PXV-μ-Naloxone-Gi1/β1/γ2
3.85Single9PXXNaloxone9PXX-μ-Naloxone-GDPβS-Gi1/β1/γ2
3.85Single9PY2Loperamide9PY2-μ-Loperamide-GDPβS-Gi1/β1/γ2
3.85Single9U80Conivaptan9U80-V2-Conivaptan
3.85Single9VJG8-OH-DPAT9VJG-5-HT1A-8-OH-DPAT-chim(NtGi2-Gz)/β1/γ2
3.85Single9W6W5-CT9W6W-5-HT5A-5-CT-Gi1/β1/γ2
3.85Consensus5ht2a_offOrthosteric Ligand6A94-5-HT2A-Zotepine 6A93-5-HT2A-Risperidone 7VOD-5-HT2A-Cariprazine 7WC8-5-HT2A-Lumateperone 8JT8-5-HT2A-(R)-IHCH-7179
3.85Consensusalpha1_onOrthosteric Ligandalpha1a_on
3.85Consensusalpha1_on_gpOrthosteric Ligandalpha1a_on_gp
3.85Consensusalpha1a_onOrthosteric Ligand7EJ0-α2a-Norepinephrine-Go/β1/γ2 7EJ8-α2a-Brimonidine-Go/β1/γ2 7EJA-α2a-Dexmedetomidine-Go/β1/γ2 7EJK-α2a-Oxymetazoline-Go/β1/γ2 7W6P-α2a-N-pyridin-4-ylisoquinolin-4-amine-Go/β1/γ2 7W7E-α2a-PubChem 164946676-Go/β1/γ2
3.85Consensusalpha1a_on_gpOrthosteric Ligand7EJ0-α2a-Norepinephrine-Go/β1/γ2 7EJ8-α2a-Brimonidine-Go/β1/γ2 7EJA-α2a-Dexmedetomidine-Go/β1/γ2 7EJK-α2a-Oxymetazoline-Go/β1/γ2 7W6P-α2a-N-pyridin-4-ylisoquinolin-4-amine-Go/β1/γ2 7W7E-α2a-PubChem 164946676-Go/β1/γ2
3.85Consensusd3_onOrthosteric Ligand7CMV-D3-PD128907-Gi1/β1/γ2 8IRT-D3-Rotigotine-Gi1/β1/γ2 7CMU-D3-Pramipexole-Gi1/β1/γ2
3.85Consensusd3_on_gpOrthosteric Ligand7CMV-D3-PD128907-Gi1/β1/γ2 8IRT-D3-Rotigotine-Gi1/β1/γ2 7CMU-D3-Pramipexole-Gi1/β1/γ2
3.85Consensusnop_offOrthosteric Ligand4EA3-NOP-PubChem 10296561 5DHG-NOP-C-35 5DHH-NOP-SB-612111
3.85Consensusopsins_offOrthosteric Ligandrhodopsin_off
3.85Consensusot_offOrthosteric Ligand6TPK-OT-Retosiban
3.85Consensussensory_offOrthosteric Ligandopsins_off
3.85Consensusvasop-oxy_offOrthosteric Ligandot_off
3.70Single4EJ4Naltrindole4EJ4-δ-Naltrindole
3.70Single4MQSIperoxo4MQS-M2-Iperoxo
3.70Single4U14Tiotropium4U14-M3-Tiotropium
3.70Single5DHGC-355DHG-NOP-C-35
3.70Single5DHHSB-6121115DHH-NOP-SB-612111
3.70Single5YC8N-methyl-Scopolamine5YC8-M2-N-methyl-Scopolamine
3.70Single5ZK8N-methyl-Scopolamine5ZK8-M2-N-methyl-Scopolamine
3.70Single5ZKCN-methyl-Scopolamine5ZKC-M2-N-methyl-Scopolamine
3.70Single5ZKPSR274175ZKP-PAF-SR27417
3.70Single6K42Dexmedetomidine6K42-α2b-Dexmedetomidine-Gi1/β1/γ2
3.70Single6WHADB139486WHA-5-HT2A-DB13948-chim(NtGi2L-Gs-CtGq)/β1/γ2
3.70Single7E32Serotonin7E32-5-HT1D-Serotonin-Gi1/β1/γ2
3.70Single7LJCSKF812977LJC-D1-SKF81297-Mevidalen-Gs/β1/γ2
3.70Single7NA8Ibutamoren7NA8-Ghrelin-Ibutamoren-Gi1/β1/γ2
3.70Single7T2GMitragynine Pseudoindoxyl7T2G-μ-Mitragynine Pseudoindoxyl-Gi1/β1/γ2
3.70Single7TRPIperoxo7TRP-M4-Iperoxo-LY2033298-Gi1/β1/γ2
3.70Single7VKTLTB47VKT-BLT1-LTB4-Gi1/β1/γ2
3.70Single7WC8Lumateperone7WC8-5-HT2A-Lumateperone
3.70Single7X2CFenoldopam7X2C-D1-Fenoldopam-Fenoldopam-Gs/β1/γ2
3.70Single7XTC5-CT7XTC-5-HT7-5-CT-Gs/β1/γ2
3.70Single8EFQDAMGO8EFQ-μ-DAMGO-Gi1/β1/γ2
3.70Single8FY85-MeO-DMT8FY8-5-HT1A-5-MeO-DMT-PtdIns4P-Gi1/β1/γ1
3.70Single8IRTRotigotine8IRT-D3-Rotigotine-Gi1/β1/γ2
3.70Single8JD0NAM5638JD0-mGlu2; mGlu3-Glutamate-NAM563
3.70Single8JLJT1AM8JLJ-TA1-T1AM-chim(NtGi1-Gs)/β1/γ2
3.70Single8JXRLSD8JXR-D1-LSD
3.70Single8KEXDCA-3P8KEX-MRGPRX4-DCA-3P
3.70Single8KFYZK-7563268KFY-CCR8-ZK-756326-Gi1/β1/γ2
3.70Single8TH3AT118-H Nanobody8TH3-AT1-AT118-H Nanobody
3.70Single8WC7ZH86678WC7-TA1-ZH8667-chim(NtGi1-Gs)/β1/γ2
3.70Single8X63Mepyramine8X63-H1-Mepyramine
3.70Single8XVKAmbrisentan8XVK-ETA-Ambrisentan
3.70Single8Y71A1D6F8Y71-δ-A1D6F-BMS986187-Gi1/β1/γ2
3.70Single9CBMDexmedetomidine9CBM-α2a-Dexmedetomidine-Gi1/β1/γ2
3.70Single9DYFAsenapine9DYF-5-HT1A-Asenapine-PtdIns4P-Gi1/β1/γ2
3.70Single9JEAAtropine9JEA-M1-Atropine
3.70Single9JGKBalovaptan9JGK-5-HT2B-Balovaptan
3.70Single9KFTfMLFC9KFT-FPR1-ALX-fMLFC-Gi1/β1/γ2
3.70Single9PLNPubChem 1682595949PLN-α2a-PubChem 168259594
3.70Single9PLOPubChem 1682595949PLO-α2a-PubChem 168259594-Go/β1/γ2
3.70Single9PQDPubChem 1764919279PQD-α2a-PubChem 176491927
3.70Single9PXWNaloxone9PXW-μ-Naloxone-GDPβS-Gi1/β1/γ2
3.70Single9UAZAtropine9UAZ-M1-Atropine
3.70Consensus5ht1d_onOrthosteric Ligand7E32-5-HT1D-Serotonin-Gi1/β1/γ2
3.70Consensus5ht1d_on_gpOrthosteric Ligand7E32-5-HT1D-Serotonin-Gi1/β1/γ2
3.70Consensus5ht7_onOrthosteric Ligand7XTC-5-HT7-5-CT-Gs/β1/γ2
3.70Consensus5ht7_on_gpOrthosteric Ligand7XTC-5-HT7-5-CT-Gs/β1/γ2
3.70Consensusalpha2_onOrthosteric Ligandalpha2b_on
3.70Consensusalpha2_on_gpOrthosteric Ligandalpha2b_on_gp
3.70Consensusalpha2b_onOrthosteric Ligand6K42-α2b-Dexmedetomidine-Gi1/β1/γ2
3.70Consensusalpha2b_on_gpOrthosteric Ligand6K42-α2b-Dexmedetomidine-Gi1/β1/γ2
3.70Consensusalpha_onOrthosteric Ligandalpha1_on alpha2_on
3.70Consensusblt1_onOrthosteric Ligand7VKT-BLT1-LTB4-Gi1/β1/γ2
3.70Consensusblt1_on_gpOrthosteric Ligand7VKT-BLT1-LTB4-Gi1/β1/γ2
3.70Consensusblt_onOrthosteric Ligandblt1_on
3.70Consensusblt_on_gpOrthosteric Ligandblt1_on_gp
3.70Consensuscck_offOrthosteric Ligandccka_off
3.70Consensusccka_offOrthosteric Ligand7F8Y-CCKA-Devazepide 7F8U-CCKA-Lintitript
3.70Consensusdop_offOrthosteric Ligand4EJ4-δ-Naltrindole
3.70Consensusgi_histamineOrthosteric Ligand8JXX-H4-Clobenpropit-Gi1/β1/γ2 8JXV-H4-Clozapine-Gi1/β1/γ2 8YUU-H3-Histamine-Gi1/β1/γ1 8HN8-H4-Histamine-Gi1/β1/γ2 8HOC-H4-Imetit-Gi1/β1/γ2 8JXW-H4-VUF6884-Gi1/β1/γ2
3.70Consensusgi_leukotrieneOrthosteric Ligand7VKT-BLT1-LTB4-Gi1/β1/γ2
3.70Consensusgq_amineOrthosteric Ligandgq_muscarinic gq_histamine
3.70Consensushistamine_offOrthosteric Ligandh1_off
3.70Consensusleukotriene_onOrthosteric Ligandblt_on
3.70Consensusleukotriene_on_gpOrthosteric Ligandblt_on_gp
3.70Consensusmuscarinic_onOrthosteric Ligandm2_on m3_on m4_on m1_on
3.70Consensusmuscarinic_on_gpOrthosteric Ligandm2_on_gp m3_on_gp m4_on_gp m1_on_gp
3.57Single5WIUNemonapride5WIU-D4-Nemonapride
3.57Single5WIVNemonapride5WIV-D4-Nemonapride-Na
3.57Single6LUQHaloperidol6LUQ-D2-Haloperidol
3.57Single6OIKIperoxo6OIK-M2-Iperoxo-LY2119620-chim(NtGi1-Go)/β1/γ2
3.57Single6Z4SSR486926Z4S-NTS1-SR48692
3.57Single7E9GJNJ-404118137E9G-mGlu2; mGlu2-Eglumetad-JNJ-40411813-Gi1/β1/γ2
3.57Single7TRKIperoxo7TRK-M4-Iperoxo-Gi1/β1/γ2
3.57Single7VOEAripiprazole7VOE-5-HT2A-Aripiprazole
3.57Single7WC6LSD7WC6-5-HT2A-LSD
3.57Single8E9ZIperoxo8E9Z-M3-Iperoxo-chim(NtGi2L-Gs-CtGq)/β1/γ2
3.57Single8JGGBAM8-228JGG-MRGPRX1-BAM8-22-Gi1/β1/γ2
3.57Single8ZMFPubChem 1719206738ZMF-5-HT2C-PubChem 171920673
3.57Single9DYDAsenapine9DYD-5-HT1A-Asenapine-PtdIns4P-Go/β1/γ2
3.57Single9EE5ONO-25502899EE5-DP1-ONO-2550289
3.57Single9F34FOB02-04A9F34-D3-FOB02-04A-Go/β1/γ2
3.57Single9KUVCMPD6449KUV-Apelin-CMPD644-Arrestin2
3.57Single9MQKIsoquinuclidine9MQK-κ-Isoquinuclidine
3.57Single9PXYNaloxone9PXY-μ-Naloxone-GDPβS-Gi1/β1/γ2
3.57Single9VJFBuspirone9VJF-5-HT1A-Buspirone-Gi3/β1/γ2
3.57Consensus5ht1_onOrthosteric Ligand5ht1a_on 5ht1d_on 5ht1e_on 5ht1f_on
3.57Consensus5ht1_on_gpOrthosteric Ligand5ht1a_on_gp 5ht1d_on_gp 5ht1e_on_gp 5ht1f_on_gp
3.57Consensus5ht1e_on_gpOrthosteric Ligand7E33-5-HT1E-BRL-54443-Gi1/β1/γ2 8UGY-5-HT1E-Mianserin-Gi1/β1/γ1 8UH3-5-HT1E-Setiptiline-Gi1/β1/γ1
3.57Consensus5ht2_offOrthosteric Ligand5ht2a_off 5ht2b_off 5ht2c_off
3.57Consensusalpha_on_gpOrthosteric Ligandalpha1_on_gp alpha2_on_gp
3.57Consensuscyslt_offOrthosteric Ligandcyslt2_off cyslt1_off
3.57Consensusgq_muscarinicOrthosteric Ligand6OIJ-M1-Iperoxo-chim(NtGi1L-G11)/β1/γ2
3.57Consensush1_offOrthosteric Ligand8X63-H1-Mepyramine 3RZE-H1-Cidoxepin 8X5Y-H1-Astemizole
3.57Consensusm1_onOrthosteric Ligand6OIJ-M1-Iperoxo-chim(NtGi1L-G11)/β1/γ2
3.57Consensusm3_onOrthosteric Ligand8E9Z-M3-Iperoxo-chim(NtGi2L-Gs-CtGq)/β1/γ2 8E9W-M3-2-Deoxycytidine-chim(NtGi2L-Gs-CtGq)/β1/γ2 8E9Y-M3-Clozapine-N-oxide-chim(NtGi2L-Gs-CtGq)/β1/γ2
3.57Consensusm3_on_gpOrthosteric Ligand8E9Z-M3-Iperoxo-chim(NtGi2L-Gs-CtGq)/β1/γ2 8E9W-M3-2-Deoxycytidine-chim(NtGi2L-Gs-CtGq)/β1/γ2 8E9Y-M3-Clozapine-N-oxide-chim(NtGi2L-Gs-CtGq)/β1/γ2
3.45Single4OO9Mavoglurant4OO9-mGlu5-Mavoglurant
3.45Single4U15Tiotropium4U15-M3-Tiotropium
3.45Single5ZBHBMS-1938855ZBH-Y1-BMS-193885
3.45Single5ZKBAF-DX 3845ZKB-M2-AF-DX 384
3.45Single6E59L-7607356E59-NK1-L-760735
3.45Single6OIJIperoxo6OIJ-M1-Iperoxo-chim(NtGi1L-G11)/β1/γ2
3.45Single6OL9Tiotropium6OL9-M5-Tiotropium
3.45Single6RZ5Zafirlukast6RZ5-CysLT1-Zafirlukast-Na
3.45Single7E2ZAripiprazole7E2Z-5-HT1A-Aripiprazole-PtdIns4P-Gi1/β1/γ2
3.45Single7EW4CYM-55417EW4-S1P3-CYM-5541-Gi1/β1/γ2
3.45Single7TRQIperoxo7TRQ-M4-Iperoxo-VU0467154-Gi1/β1/γ2
3.45Single7XAVLanreotide7XAV-SST2-Lanreotide-Gi1/β1/γ2
3.45Single7XWONeurokinin-A7XWO-NK2-Neurokinin-A-chim(NtGi1-Gs-CtGq)/β1/γ2
3.45Single8EA0Iperoxo8EA0-M3-Iperoxo
3.45Single8EFLSR170188EFL-μ-SR17018-Gi1/β1/γ2
3.45Single8JD5JNJ-40411813; ADX881788JD5-mGlu2; mGlu4-Glutamate-JNJ-40411813; ADX88178-Gi1/β1/γ2
3.45Single8JGFBAM8-228JGF-MRGPRX1-BAM8-22-chim(NtGi1-Gs-CtGq)/β1/γ2
3.45Single8TAOCDPPB8TAO-mGlu5; mGlu5-Quisqualate-CDPPB
3.45Single8XZICMF-0198XZI-Apelin; Apelin-CMF-019-Gi1/β1/γ2
3.45Single8YNTSNAP-948478YNT-MCH1-SNAP-94847
3.45Single9AS9RS130-1809AS9-5-HT2A-RS130-180
3.45Single9ASARS130-1809ASA-5-HT2A-RS130-180-chim(NtGi1-Gs-CtGq)/β1/γ2
3.45Single9BJKNaloxone9BJK-μ-Naloxone-PubChem 171642066
3.45Single9E9SPGD29E9S-DP1-PGD2-Gs/β1/γ1
3.45Single9IK9Lanreotide9IK9-SST1-Lanreotide-Gi1/β1/γ2
3.45Single9ITELPA9ITE-LPA6-LPA-chim(NtGi2-G13)/β1/γ2
3.45Single9KUXCMPD6449KUX-Apelin; Apelin-CMPD644-Arrestin2
3.45Single9PY3Loperamide9PY3-μ-Loperamide-GDPβS-Gi1/β1/γ2
3.45Single9PY4Loperamide9PY4-μ-Loperamide-GDPβS-Gi1/β1/γ2
3.45Single9UCPIperoxo9UCP-M1-Iperoxo-G11(CT)
3.45Single9YDVMRS29059YDV-P2Y14-MRS2905-Gi1/β1/γ2
3.45Consensusffa_onOrthosteric Ligandffa2_on ffa3_on
3.45Consensusffa_on_gpOrthosteric Ligandffa2_on_gp ffa3_on_gp
3.45Consensusgi_ffaOrthosteric Ligand8J21-FFA3-Butyric acid-Gi1/β1/γ2 8J22-FFA2-TUG-1375-Gi1/β1/γ2
3.45Consensusm1_on_gpOrthosteric Ligand6OIJ-M1-Iperoxo-chim(NtGi1L-G11)/β1/γ2
3.45Consensusm5_offOrthosteric Ligand6OL9-M5-Tiotropium
3.45Consensusnk2_on_gpOrthosteric Ligand7XWO-NK2-Neurokinin-A-chim(NtGi1-Gs-CtGq)/β1/γ2
3.45Consensusnpy1_offOrthosteric Ligand5ZBH-Y1-BMS-193885 5ZBQ-Y1-UR-MK-299
3.45Consensusnpy_offOrthosteric Ligandnpy1_off npy2_off
3.45Consensusp2y12_onOrthosteric Ligand7XXI-P2Y12-2MeSADP-Gi2/β1/γ2
3.45Consensustachykinin_offOrthosteric Ligandnk1_off
3.33Single3VW7Vorapaxar; Na3VW7-PAR1-Vorapaxar; Na
3.33Single4PXFOctyl-Beta-D-Glucopyranoside4PXF-Rhodopsin-Octyl-β-D-Glucopyranoside-Arrestin1 Finger Loop
3.33Single6A93Risperidone6A93-5-HT2A-Risperidone
3.33Single6CM4Risperidone6CM4-D2-Risperidone
3.33Single7F55Bremelanotide7F55-MC4-Bremelanotide-Gs/β1/γ2
3.33Single7L1UOrexin7L1U-OX2-Orexin-chim(NtGi1-Gs-CtGq)/β1/γ2
3.33Single7W0LPubChem 1227019087W0L-Apelin; Apelin-PubChem 122701908-Gi1/β1/γ2
3.33Single7XXI2MeSADP7XXI-P2Y12-2MeSADP-Gi2/β1/γ2
3.33Single7YMJTamsulosin7YMJ-Alpha1A-Tamsulosin
3.33Single8IRSRotigotine8IRS-D2-Rotigotine-Gi1/β1/γ2
3.33Single8Y6WTUG-13758Y6W-FFA2-TUG-1375-4-CMTB-Gi1/β1/γ2
3.33Single9EK0Iperoxo9EK0-M5-Iperoxo-chim(NtGi1-Gs-CtGq)/β1/γ2
3.33Single9MQLIsoquinuclidine9MQL-κ-Isoquinuclidine
3.33Single9W32SSTR5 antagonist 19W32-SST5-SSTR5 antagonist 1
3.33Single9WXMGPR15L(CT)9WXM-GPR15-GPR15L(CT)-Gi3/β1/γ2
3.33Single9YDUUDP-Glucose9YDU-P2Y14-UDP-Glucose-Gi1/β1/γ2
3.33Consensusalpha1_offOrthosteric Ligandalpha1a_off
3.33Consensusalpha1a_offOrthosteric Ligand7YMJ-Alpha1A-Tamsulosin
3.33Consensusgi_amineOrthosteric Ligandgi_5ht gi_muscarinic gi_adrenergic gi_dopamine gi_histamine
3.33Consensusgi_muscarinicOrthosteric Ligand8E9X-M4-2-Deoxycytidine-chim(NtGi1-Go)/β1/γ2 7T8X-M2-Acetylcholine-chim(NtGi1-Go)/β1/γ2 7TRS-M4-Acetylcholine-Gi1/β1/γ2 7TRK-M4-Iperoxo-Gi1/β1/γ2 7V6A-M4-PubChem 9864275-Gi1/β1/γ2
3.33Consensusgi_p2yOrthosteric Ligand7XXI-P2Y12-2MeSADP-Gi2/β1/γ2
3.33Consensusm4_onOrthosteric Ligand7TRS-M4-Acetylcholine-Gi1/β1/γ2 7V6A-M4-PubChem 9864275-Gi1/β1/γ2 8E9X-M4-2-Deoxycytidine-chim(NtGi1-Go)/β1/γ2 7TRK-M4-Iperoxo-Gi1/β1/γ2
3.33Consensusm4_on_gpOrthosteric Ligand7TRS-M4-Acetylcholine-Gi1/β1/γ2 7V6A-M4-PubChem 9864275-Gi1/β1/γ2 8E9X-M4-2-Deoxycytidine-chim(NtGi1-Go)/β1/γ2 7TRK-M4-Iperoxo-Gi1/β1/γ2
3.33Consensusnk1_offOrthosteric Ligand6HLP-NK1-Netupitant 6HLO-NK1-Aprepitant 6HLL-NK1-CP99994 6E59-NK1-L-760735
3.33Consensusp2y12_on_gpOrthosteric Ligand7XXI-P2Y12-2MeSADP-Gi2/β1/γ2
3.23Single6K1QIRL25006K1Q-ETB-IRL2500
3.23Single7MBYCholecystokinin-87MBY-CCKA-Cholecystokinin-8-chim(NtGi1L-Gs-CtGq)/β1/γ2
3.23Single7PIUSetmelanotide7PIU-MC4-Setmelanotide-Gs/β1/γ2
3.23Single8E9YClozapine-N-oxide8E9Y-M3-Clozapine-N-oxide-chim(NtGi2L-Gs-CtGq)/β1/γ2
3.23Single8XBES3E-Lysophosphatidylserine 8XBE-GPR34-S3E-Lysophosphatidylserine-Gi1/β1/γ1
3.23Single8XVJMacitentan8XVJ-ETA-Macitentan
3.23Single9CGJC6-Quino9CGJ-δ-C6-Quino-Gi1/β1/γ2
3.23Single9VI9RFRP-39VI9-NPFF1-RFRP-3-Gi1/β1/γ2
3.23Consensusnk2_onOrthosteric Ligand7XWO-NK2-Neurokinin-A-chim(NtGi1-Gs-CtGq)/β1/γ2
3.12Single6PT3DPI-2876PT3-δ-DPI-287
3.12Single8SAILysophosphatidylserine (S12)8SAI-GPR34-Lysophosphatidylserine (S12)-Gi1/β1/γ2
3.12Single8X5YAstemizole8X5Y-H1-Astemizole
3.12Single9CGKC5-Quino9CGK-δ-C5-Quino-Gi1/β1/γ2
3.12Single9JH6C20:0 Ceramide9JH6-CysLT2-C20:0 Ceramide-chim(NtGi1-Gs-CtGq)/β1/γ2
3.12Single9NS9TUG-13759NS9-FFA2-TUG-1375-PubChem 118615810-Gi1/β1/γ2
3.12Consensussst2_onOrthosteric Ligand7WIC-SST2-Somatostatin-14-Gi1/β1/γ2 7WIG-SST2-L-054264-Gi1/β1/γ2 7YAE-SST2-Octreotide-Gi1/β1/γ2 7YAC-SST2-Paltusotine-Gi1/β1/γ2
3.12Consensussst2_on_gpOrthosteric Ligand7WIC-SST2-Somatostatin-14-Gi1/β1/γ2 7WIG-SST2-L-054264-Gi1/β1/γ2 7YAE-SST2-Octreotide-Gi1/β1/γ2 7YAC-SST2-Paltusotine-Gi1/β1/γ2
3.03Single7XMRSomatostatin-147XMR-SST2-Somatostatin-14-Gi1/β1/γ2
3.03Single8INRAlpha-MSH8INR-MC5-α-MSH-Ca-chim(NtGi1-Gs)/β1/γ2
3.03Single8IZBLysophosphatidylserine (UBL)8IZB-GPR174-Lysophosphatidylserine (UBL)-Gs/β1/γ2
3.03Single8XFSR-spondin-28XFS-LGR4-R-spondin-2-ZNRF3; ZNRF3
3.03Single8XFTR-spondin-28XFT-LGR4-R-spondin-2-ZNRF3
3.03Single8Y69R-spondin-28Y69-LGR4; LGR4-R-spondin-2-ZNRF3
3.03Single8ZBJSomatostatin-148ZBJ-SST5-Somatostatin-14-Gi1/β1/γ2
3.03Single8ZCJPasireotide8ZCJ-SST5-Pasireotide-Gi1/β1/γ1
2.94Single8K6ONeuropeptide-Y8K6O-Y1-Neuropeptide-Y-Gi2/β1/γ1
2.94Single8XFPR-spondin-28XFP-LGR4-R-spondin-2-ZNRF3; ZNRF3
2.94Single9IK8Pasireotide9IK8-SST1-Pasireotide-Gi1/β1/γ2
2.94Single9KB8R-spondin-29KB8-LGR4-R-spondin-2-ZNRF3; ZNRF3
2.94Single9KB9R-spondin-29KB9-LGR4; LGR4-R-spondin-2-ZNRF3; ZNRF3
2.86Single6PT2KGCHM076PT2-δ-KGCHM07
2.86Single8K6MNeuropeptide-Y8K6M-Y1-Neuropeptide-Y-Gi2/β1/γ1
2.86Single8WVUR-spondin-18WVU-LGR4-R-spondin-1-RNF43
2.86Single8Y69R-spondin-28Y69-LGR4; LGR4-R-spondin-2-ZNRF3
2.86Single9KB9R-spondin-29KB9-LGR4; LGR4-R-spondin-2-ZNRF3; ZNRF3
2.86Consensusnpy1_onOrthosteric Ligand8K6M-Y1-Neuropeptide-Y-Gi2/β1/γ1
2.86Consensusnpy1_on_gpOrthosteric Ligand8K6M-Y1-Neuropeptide-Y-Gi2/β1/γ1

PDB Summary
PDB 9BUE
Class B1
SubFamily Peptide
Type Calcitonin
SubType CT
Species Homo Sapiens
Ligand Cagrilintide
Other Ligand(s) -
Protein Partners Gs/Beta1/Gamma2
PDB Resolution 3.6
Date 2025-04-16
D.O.I. doi.org/10.1038/s41467-025-58680-y
Net Summary
Imin 3.07
Number of Linked Nodes 968
Number of Links 1115
Number of Hubs 166
Number of Links mediated by Hubs 616
Number of Communities 30
Number of Nodes involved in Communities 204
Number of Links involved in Communities 280
Path Summary
Number Of Nodes in MetaPath 99
Number Of Links MetaPath 98
Number of Shortest Paths 2570847
Length Of Smallest Path 3
Average Path Length 41.2427
Length of Longest Path 80
Minimum Path Strength 1.21
Average Path Strength 6.51977
Maximum Path Strength 27.36
Minimum Path Correlation 0.7
Average Path Correlation 0.9918
Maximum Path Correlation 1
Minimum % Of Corr. Nodes 2.38095
Average % Of Corr. Nodes 42.9773
Maximum % Of Corr. Nodes 100
Minimum Path Hubs % 0
Average Path Hubs % 42.4835
Maximum Path Hubs % 100
AnnotationTypeLinks
Gene OntologyMolecular Function• amyloid-beta binding   • binding   • peptide binding   • calcitonin family receptor activity   • peptide receptor activity   • molecular transducer activity   • G protein-coupled receptor activity   • G protein-coupled peptide receptor activity   • signaling receptor activity   • transmembrane signaling receptor activity   • calcitonin receptor activity   • amylin receptor activity   • calcitonin gene-related peptide receptor activity   • calcitonin binding   • calcitonin family binding   • peptide hormone binding   • hormone binding   • positive regulation of cytosolic calcium ion concentration   • biological regulation   • regulation of biological quality   • cellular response to stimulus   • positive regulation of cell communication   • regulation of cellular process   • positive regulation of signal transduction   • response to stimulus   • signaling   • positive regulation of biological process   • regulation of signal transduction   • intracellular signal transduction   • cell communication   • positive regulation of response to stimulus
Gene OntologyBiological Process• positive regulation of cytosolic calcium ion concentration   • biological regulation   • regulation of biological quality   • cellular response to stimulus   • positive regulation of cell communication   • regulation of cellular process   • positive regulation of signal transduction   • response to stimulus   • signaling   • positive regulation of biological process   • regulation of signal transduction   • intracellular signal transduction   • cell communication   • positive regulation of response to stimulus   • regulation of intracellular signal transduction   • intracellular signaling cassette   • regulation of calcium-mediated signaling   • positive regulation of calcium-mediated signaling   • signal transduction   • positive regulation of cellular process   • regulation of biological process   • regulation of signaling   • positive regulation of intracellular signal transduction   • regulation of response to stimulus   • calcium-mediated signaling   • regulation of cell communication   • cellular process   • positive regulation of signaling   • catabolic process   • negative regulation of biological process   • RNA metabolic process   • macromolecule catabolic process   • regulation of primary metabolic process   • nucleobase-containing compound metabolic process   • post-transcriptional regulation of gene expression   • regulation of RNA metabolic process   • regulation of mRNA catabolic process   • negative regulation of cellular process   • regulation of nucleobase-containing compound metabolic process   • RNA catabolic process   • negative regulation of macromolecule metabolic process   • regulation of biosynthetic process   • mRNA catabolic process   • negative regulation of metabolic process   • primary metabolic process   • regulation of macromolecule metabolic process   • regulation of catabolic process   • gene expression   • mRNA metabolic process   • macromolecule biosynthetic process   • nucleic acid metabolic process   • nucleobase-containing compound catabolic process   • regulation of mRNA stability   • regulation of gene expression   • negative regulation of gene expression   • biosynthetic process   • negative regulation of biosynthetic process   • negative regulation of macromolecule biosynthetic process   • regulation of RNA stability   • nucleic acid catabolic process   • metabolic process   • regulation of macromolecule biosynthetic process   • macromolecule metabolic process   • regulation of mRNA metabolic process   • regulation of metabolic process   • positive regulation of ERK1 and ERK2 cascade   • positive regulation of MAPK cascade   • regulation of MAPK cascade   • MAPK cascade   • ERK1 and ERK2 cascade   • regulation of ERK1 and ERK2 cascade   • positive regulation of macromolecule biosynthetic process   • positive regulation of metabolic process   • positive regulation of gene expression   • positive regulation of biosynthetic process   • positive regulation of macromolecule metabolic process   • amylin receptor 1 signaling pathway   • amylin receptor signaling pathway   • calcitonin family receptor signaling pathway   • G protein-coupled receptor signaling pathway   • regulation of phosphatidylinositol 3-kinase/protein kinase B signal transduction   • positive regulation of phosphatidylinositol 3-kinase/protein kinase B signal transduction   • phosphatidylinositol 3-kinase/protein kinase B signal transduction   • response to corticosteroid   • response to lipid   • response to hormone   • response to steroid hormone   • response to chemical   • response to endogenous stimulus   • response to glucocorticoid   • adenylate cyclase-activating G protein-coupled receptor signaling pathway   • adenylate cyclase-modulating G protein-coupled receptor signaling pathway   • response to oxygen-containing compound   • response to nitrogen compound   • response to amyloid-beta   • cell surface receptor signaling pathway   • calcitonin gene-related peptide receptor signaling pathway   • multicellular organismal process   • ossification   • amylin receptor 2 signaling pathway   • developmental process   • myeloid leukocyte differentiation   • cellular developmental process   • hemopoiesis   • cell development   • myeloid cell differentiation   • cell differentiation   • osteoclast differentiation   • anatomical structure development   • leukocyte differentiation   • positive regulation of cAMP/PKA signal transduction   • cAMP/PKA signal transduction   • regulation of cAMP/PKA signal transduction   • regulation of multicellular organismal process   • negative regulation of multicellular organismal process   • regulation of ossification   • negative regulation of ossification   • amylin receptor 3 signaling pathway   • membrane-bounded organelle   • cell projection   • cellular anatomical structure   • organelle   • cilium   • plasma membrane bounded cell projection   • cell periphery   • plasma membrane   • membrane   • protein-containing complex   • amylin receptor complex   • plasma membrane protein complex   • amylin receptor complex 3   • membrane protein complex
Gene OntologyCellular Component• membrane-bounded organelle   • cell projection   • cellular anatomical structure   • organelle   • cilium   • plasma membrane bounded cell projection   • cell periphery   • plasma membrane   • membrane   • protein-containing complex   • amylin receptor complex   • plasma membrane protein complex   • amylin receptor complex 3   • membrane protein complex   • receptor complex   • plasma membrane signaling receptor complex   • G protein-coupled receptor complex   • calcitonin family receptor complex   • amylin receptor complex 2   • amylin receptor complex 1   • axon   • neuron projection   • acrosomal vesicle   • intracellular anatomical structure   • intracellular vesicle   • intracellular membrane-bounded organelle   • endomembrane system   • intracellular organelle   • cytoplasmic vesicle   • secretory granule   • secretory vesicle   • cytoplasm   • vesicle   • protein binding   • binding   • signaling receptor binding   • amyloid-beta binding   • peptide binding   • molecular function activator activity   • molecular function regulator activity   • signaling receptor regulator activity   • receptor ligand activity   • signaling receptor activator activity   • hormone activity   • lipid binding   • identical protein binding   • cellular response to stimulus   • positive regulation of cell communication   • regulation of cellular process   • positive regulation of signal transduction   • response to stimulus   • signaling   • positive regulation of biological process   • regulation of signal transduction   • intracellular signal transduction   • cell communication   • positive regulation of response to stimulus   • regulation of intracellular signal transduction   • intracellular signaling cassette   • regulation of calcium-mediated signaling   • positive regulation of calcium-mediated signaling   • signal transduction   • positive regulation of cellular process   • regulation of biological process   • regulation of signaling   • biological regulation   • positive regulation of intracellular signal transduction   • regulation of response to stimulus   • calcium-mediated signaling   • regulation of cell communication   • cellular process   • positive regulation of signaling   • apoptotic process   • cell death   • programmed cell death   • positive regulation of programmed cell death   • regulation of apoptotic process   • regulation of programmed cell death   • positive regulation of apoptotic process   • behavior   • multicellular organismal process   • eating behavior   • feeding behavior   • cell-cell signaling   • amylin receptor 1 signaling pathway   • amylin receptor signaling pathway   • calcitonin family receptor signaling pathway   • G protein-coupled receptor signaling pathway   • regulation of cellular component organization   • negative regulation of cellular component organization   • protein-containing complex organization   • negative regulation of biological process   • regulation of cellular component biogenesis   • negative regulation of protein-containing complex assembly   • cellular component organization   • cellular component biogenesis   • regulation of protein-containing complex assembly   • cellular component assembly   • protein-containing complex assembly   • negative regulation of cellular process   • cellular component organization or biogenesis   • myeloid leukocyte differentiation   • regulation of leukocyte differentiation   • cellular developmental process   • regulation of developmental process   • cell development   • regulation of cell differentiation   • regulation of cell development   • regulation of osteoclast differentiation   • multicellular organism development   • cell differentiation   • osteoclast differentiation   • anatomical structure development   • regulation of immune system process   • regulation of multicellular organismal process   • negative regulation of cell differentiation   • negative regulation of hemopoiesis   • developmental process   • regulation of multicellular organismal development   • negative regulation of leukocyte differentiation   • hemopoiesis   • regulation of myeloid cell differentiation   • negative regulation of developmental process   • regulation of myeloid leukocyte differentiation   • negative regulation of myeloid cell differentiation   • negative regulation of osteoclast differentiation   • negative regulation of myeloid leukocyte differentiation   • negative regulation of cell development   • myeloid cell differentiation   • negative regulation of immune system process   • immune system process   • regulation of hemopoiesis   • negative regulation of multicellular organismal process   • leukocyte differentiation   • positive regulation of MAPK cascade   • regulation of MAPK cascade   • MAPK cascade   • negative regulation of tissue remodeling   • homeostatic process   • negative regulation of bone remodeling   • regulation of bone remodeling   • tissue homeostasis   • regulation of tissue remodeling   • regulation of bone resorption   • bone resorption   • negative regulation of bone resorption   • multicellular organismal-level homeostasis   • tissue remodeling   • bone remodeling   • anatomical structure homeostasis   • amylin receptor 2 signaling pathway   • system process   • sensory perception   • nervous system process   • sensory perception of pain   • positive regulation of cAMP/PKA signal transduction   • cAMP/PKA signal transduction   • regulation of cAMP/PKA signal transduction   • negative regulation of amyloid fibril formation   • regulation of amyloid fibril formation   • amyloid fibril formation   • regulation of primary metabolic process   • negative regulation of supramolecular fiber organization   • protein metabolic process   • negative regulation of protein metabolic process   • negative regulation of macromolecule metabolic process   • regulation of protein metabolic process   • negative regulation of metabolic process   • primary metabolic process   • regulation of macromolecule metabolic process   • regulation of supramolecular fiber organization   • metabolic process   • macromolecule metabolic process   • supramolecular fiber organization   • regulation of metabolic process   • amylin receptor 3 signaling pathway   • extracellular region   • somatodendritic compartment   • cell body   • neuronal cell body   • extracellular space   • G-protein beta-subunit binding   • fibroblast proliferation   • cell population proliferation   • cellular response to nitrogen compound   • response to dopamine   • cellular response to dopamine   • response to monoamine   • response to catecholamine   • adenylate cyclase-activating dopamine receptor signaling pathway   • cellular response to catecholamine stimulus   • G protein-coupled dopamine receptor signaling pathway   • response to oxygen-containing compound   • response to nitrogen compound   • adenylate cyclase-activating G protein-coupled receptor signaling pathway   • cellular response to oxygen-containing compound   • cellular response to chemical stimulus   • cellular response to monoamine stimulus   • response to chemical   • adenylate cyclase-modulating G protein-coupled receptor signaling pathway   • response to ketone   • response to prostaglandin   • response to lipid   • response to endogenous stimulus   • response to alcohol   • cellular response to prostaglandin stimulus   • cellular response to endogenous stimulus   • cellular response to prostaglandin E stimulus   • cellular response to alcohol   • response to hormone   • cellular response to lipid   • response to prostaglandin E   • cellular response to ketone   • cellular response to hormone stimulus   • extrinsic component of plasma membrane   • catalytic complex   • cytoplasmic side of membrane   • heterotrimeric G-protein complex   • side of membrane   • cytoplasmic side of plasma membrane   • GTPase complex   • extrinsic component of membrane   • extrinsic component of cytoplasmic side of plasma membrane   • extracellular exosome   • extracellular vesicle   • extracellular organelle   • extracellular membrane-bounded organelle   • synapse   • cell junction   • enzyme binding   • GTPase binding   • protein-containing complex binding   • pyrophosphatase activity   • GTPase activity   • ribonucleoside triphosphate phosphatase activity   • hydrolase activity, acting on acid anhydrides, in phosphorus-containing anhydrides   • hydrolase activity   • hydrolase activity, acting on acid anhydrides   • catalytic activity   • signaling receptor complex adaptor activity   • protein-macromolecule adaptor activity   • molecular adaptor activity   • signaling adaptor activity   • sensory perception of chemical stimulus   • sensory perception of taste   • sensory organ development   • eye development   • animal organ development   • retina development in camera-type eye   • visual system development   • camera-type eye development   • sensory system development   • system development   • small GTPase-mediated signal transduction   • Ras protein signal transduction   • phospholipase C-activating G protein-coupled receptor signaling pathway   • synaptic signaling   • cellular response to acetylcholine   • acetylcholine receptor signaling pathway   • postsynaptic signal transduction   • G protein-coupled acetylcholine receptor signaling pathway   • response to acetylcholine   • non-motile cilium   • 9+0 non-motile cilium   • photoreceptor disc membrane   • photoreceptor outer segment   • photoreceptor cell cilium   • organelle membrane   • cytosol   • vacuolar membrane   • lytic vacuole   • vacuole   • lytic vacuole membrane   • bounding membrane of organelle   • lysosomal membrane   • lysosome   • guanyl nucleotide binding   • GTP binding   • nucleotide binding   • guanyl ribonucleotide binding   • purine ribonucleotide binding   • purine ribonucleoside triphosphate binding   • nucleoside phosphate binding   • ion binding   • purine nucleotide binding   • anion binding   • heterocyclic compound binding   • carbohydrate derivative binding   • ribonucleotide binding   • small molecule binding   • D1 dopamine receptor binding   • G protein-coupled receptor binding   • dopamine receptor binding   • G-protein beta/gamma-subunit complex binding   • G protein activity   • enzyme regulator activity   • cyclase regulator activity   • enzyme activator activity   • cyclase activator activity   • adenylate cyclase regulator activity   • adenylate cyclase activator activity   • cation binding   • metal ion binding   • epithelium development   • ectodermal placode morphogenesis   • epidermis development   • molting cycle process   • hair cycle   • hair follicle placode formation   • tissue development   • ectodermal placode formation   • anatomical structure morphogenesis   • skin development   • skin epidermis development   • hair follicle development   • molting cycle   • anatomical structure formation involved in morphogenesis   • ectodermal placode development   • hair cycle process   • cellular homeostasis   • chemical homeostasis   • glucose homeostasis   • carbohydrate homeostasis   • intracellular chemical homeostasis   • intracellular glucose homeostasis   • neuromuscular process   • regulation of system process   • skeletal muscle contraction   • muscle contraction   • muscle system process   • regulation of muscle system process   • striated muscle contraction   • multicellular organismal movement   • musculoskeletal movement   • regulation of striated muscle contraction   • regulation of muscle contraction   • regulation of skeletal muscle contraction   • sensory perception of smell   • response to peptide hormone   • cellular response to peptide hormone stimulus   • response to glucagon   • cellular response to glucagon stimulus   • skeletal system development   • bone development   • response to pH   • cellular response to pH   • response to abiotic stimulus   • cellular response to acidic pH   • response to acidic pH   • cellular response to abiotic stimulus   • cellular response to environmental stimulus   • regulation of body fluid levels   • wound healing   • homotypic cell-cell adhesion   • cell activation   • hemostasis   • platelet aggregation   • blood coagulation   • cell adhesion   • cell-cell adhesion   • response to stress   • coagulation   • regulation of biological quality   • response to wounding   • platelet activation   • response to fluid shear stress   • vascular endothelial cell response to laminar fluid shear stress   • response to laminar fluid shear stress   • cellular response to stress   • cellular response to laminar fluid shear stress   • vascular endothelial cell response to fluid shear stress   • cellular response to fluid shear stress   • cognition   • developmental growth   • growth   • adaptive thermogenesis   • regulation of cold-induced thermogenesis   • cold-induced thermogenesis   • temperature homeostasis   • positive regulation of cold-induced thermogenesis   • positive regulation of multicellular organismal process   • regulation of localization   • establishment of protein localization   • nitrogen compound transport   • positive regulation of establishment of protein localization   • localization   • establishment of localization in cell   • positive regulation of insulin secretion involved in cellular response to glucose stimulus   • positive regulation of insulin secretion   • intracellular protein localization   • regulation of peptide hormone secretion   • regulation of hormone levels   • positive regulation of peptide hormone secretion   • establishment of protein localization to extracellular region   • protein secretion   • establishment of localization   • regulation of protein secretion   • regulation of secretion   • cellular response to carbohydrate stimulus   • response to glucose   • positive regulation of protein localization   • insulin secretion involved in cellular response to glucose stimulus   • cellular localization   • regulation of hormone secretion   • regulation of protein localization   • regulation of peptide secretion   • transport   • positive regulation of secretion by cell   • hormone secretion   • protein localization to extracellular region   • positive regulation of protein transport   • peptide secretion   • regulation of secretion by cell   • secretion by cell   • positive regulation of hormone secretion   • response to monosaccharide   • response to carbohydrate   • positive regulation of secretion   • signal release   • cellular response to hexose stimulus   • cellular response to monosaccharide stimulus   • positive regulation of peptide secretion   • regulation of transport   • secretion   • regulation of peptide transport   • regulation of establishment of protein localization   • export from cell   • cellular response to glucose stimulus   • regulation of protein transport   • positive regulation of protein secretion   • peptide transport   • response to hexose   • positive regulation of transport   • regulation of cellular localization   • protein transport   • regulation of insulin secretion   • peptide hormone secretion   • macromolecule localization   • regulation of insulin secretion involved in cellular response to glucose stimulus   • hormone transport   • insulin secretion   • adenylate cyclase-activating adrenergic receptor signaling pathway   • adrenergic receptor signaling pathway   • serotonin receptor signaling pathway   • adenylate cyclase-activating serotonin receptor signaling pathway   • intracellular transport   • regulation of defense response   • regulation of response to external stimulus   • negative regulation of inflammatory response   • inflammatory response to antigenic stimulus   • regulation of response to stress   • negative regulation of inflammatory response to antigenic stimulus   • defense response   • immune response   • negative regulation of response to stimulus   • negative regulation of immune response   • regulation of inflammatory response to antigenic stimulus   • response to external stimulus   • regulation of inflammatory response   • negative regulation of response to external stimulus   • negative regulation of defense response   • regulation of immune response   • inflammatory response   • positive regulation of adenylate cyclase activity   • positive regulation of molecular function   • regulation of molecular function   • positive regulation of cyclase activity   • activation of adenylate cyclase activity   • regulation of adenylate cyclase activity   • regulation of catalytic activity   • positive regulation of catalytic activity   • positive regulation of lyase activity   • cell surface receptor signaling pathway   • bile acid signaling pathway   • adenylate cyclase-activating G protein-coupled bile acid receptor signaling pathway   • renal system process   • multicellular organismal-level water homeostasis   • multicellular organismal-level chemical homeostasis   • renal water homeostasis   • Golgi apparatus subcompartment   • Golgi apparatus   • organelle subcompartment   • trans-Golgi network membrane   • trans-Golgi network
SCOP2Domain Identifier• G protein-coupled receptor-like   • Transducin (heterotrimeric G protein), gamma chain
SCOP2Family Identifier• G protein-coupled receptor-like   • Transducin (heterotrimeric G protein), gamma chain
Membrane Protein Annotations-• Orientations of Proteins in Membranes database (OPM)   • Protein Data Bank of Transmembrane Proteins (PDBTM)   • MemProtMD


Details about the values in these tables can be found in the corresponding documentation page .
CodeNH2
PDB ResiduesL:L:?38
Environment DetailsOpen EMBL-EBI Page
CodeNH2
NameAMINO GROUP
Synonyms
Identifier
FormulaH2 N
Molecular Weight16.023
SMILES
PubChem123329
Formal Charge0
Total Atoms3
Total Chiral Atoms0
Total Bonds2
Total Aromatic Bonds0

PDBsumOpen PDBsum Page
ChainA
ProteinG Protein α Sub unit
UniProtP63092
Sequence
>9BUE_Chain_A
DQRNEEKAQ REANKKIEK QLQKDKQVY RATHRLLLL GAGESGKTI 
VKQMTSGIF ETKFQVDKV NFHMFDVGQ RDERRKWIQ CFNDVTAII 
FVVASNRLQ ALLFSIWNN WLRSVILFL NKQDLLAEK VLAGKSKIE 
DYFPEFARY TTPEDATPE PGEDPRVTR AKYFIRDEF LRISTASGD 
GRHYCYPHF TCVDTENIR RVFNDCRDI IQRMHLRQY ELLNAAKDK 
DTS


Click on each residue to open a popup with some information about it.

ConSurf Conservation Grade (See documentation): 

 n/a   1    2    3    4    5    6    7    8    9  

ChainB
ProteinG Protein β Sub unit
UniProtP62873
Sequence
>9BUE_Chain_B
SELDQLRQE AEQLKNQIR DARKACADA TLSQITNNI DPVGRIQMR 
TRRTLRGHL AKIYAMHWG TDSRLLVSA SQDGKLIIW DSYTTNKVH 
AIPLRSSWV MTCAYAPSG NYVACGGLD NICSIYNLK TREGNVRVS 
RELAGHTGY LSCCRFLDD NQIVTSSGD TTCALWDIE TGQQTTTFT 
GHTGDVMSL SLAPDTRLF VSGACDASA KLWDVREGM CRQTFTGHE 
SDINAICFF PNGNAFATG SDDATCRLF DLRADQELM TYSHDNIIC 
GITSVSFSK SGRLLLAGY DDFNCNVWD ALKADRAGV LAGHDNRVS 
CLGVTDDGM AVATGSWDS FLKIWN


Click on each residue to open a popup with some information about it.

ConSurf Conservation Grade (See documentation): 

 n/a   1    2    3    4    5    6    7    8    9  

ChainG
ProteinG Protein γ Sub unit
UniProtP59768
Sequence
>9BUE_Chain_G
SIAQARKLV EQLKMEANI DRIKVSKAA ADLMAYCEA HAKEDPLLT 
PVPASENPF R


Click on each residue to open a popup with some information about it.

ConSurf Conservation Grade (See documentation): 

 n/a   1    2    3    4    5    6    7    8    9  

ChainL
ProteinCagrilintide
UniProtP10997
Sequence
>9BUE_Chain_L


Click on each residue to open a popup with some information about it.

ConSurf Conservation Grade (See documentation): 

 n/a   1    2    3    4    5    6    7    8    9  

ChainR
ProteinReceptor
UniProtP30988
Sequence
>9BUE_Chain_R
PFLYVVGRK KMMDAQYKC YDRMQQLPP YCNRTWDGW LCWDDTPAG 
VLSYQFCPD YFPDFDPSE KVTKYCDWF KHPENNRTW SNYTMCNAF 
TPEKLKNAY VLYYLAIVG HSLSIFTLV ISLGIFVFF RSLGCQRVT 
LHKNMFLTY ILNSMIIII HLVEVVPNG ELVRRDPVS CKILHFFHQ 
YMMACNYFW MLCEGIYLH TLIVVAVFT EKQRLRWYY LLGWGFPLV 
PTTIHAITR AVYFNDNCW LSVETHLLY IIHGPVMAA LVVNFFFLL 
NIVRVLVTK MRETHEAES HMYLKAVKA TMILVPLLG IQFVVFPWR 
PSNKMLGKI YDYVMHSLI HFQGFFVAT IYCFCNNEV QTTVKRQWA 
QFKIQW


Click on each residue to open a popup with some information about it.

ConSurf Conservation Grade (See documentation): 

 n/a   1    2    3    4    5    6    7    8    9  




This receptor, from the same or other species and bound to the same or other ligands, is also present in the following networks:
Show PDB Class SubFamily Type SubType Species Orthosteric Ligand Other Ligand(s) Protein Partners Resolution Date DOI
3DQBASensoryOpsinsRhodopsinBos taurus--Gt(CT)3.22008-09-23doi.org/10.1038/nature07330
3PQRASensoryOpsinsRhodopsinBos taurusAll-trans-Retinal-Gt(CT)2.852011-03-09doi.org/10.1038/nature09789
2X72ASensoryOpsinsRhodopsinBos taurusAll-trans-Retinal-Gt(CT)32011-03-16doi.org/10.1038/nature09795
4A4MASensoryOpsinsRhodopsinBos taurusAll-trans-Retinal-Gt(CT)3.32012-01-25doi.org/10.1073/pnas.1114089108
4BEYASensoryOpsinsRhodopsinBos taurus--Gt(CT)2.92013-05-08doi.org/10.1038/embor.2013.44
4J4QASensoryOpsinsRhodopsinBos taurusOctyl β-D-Glucopyranoside-Gt(CT)2.652013-10-30doi.org/10.1002/anie.201302374
4X1HASensoryOpsinsRhodopsinBos taurusNonyl-β-D-Glucopyranoside-Gt(CT)2.292015-11-04doi.org/10.1016/j.str.2015.09.015
5EN0ASensoryOpsinsRhodopsinBos taurusAll-trans-Retinal-Gt(CT)2.812016-08-10doi.org/10.15252/embr.201642671
5UZ7B1PeptideCalcitoninCTHomo sapiens--Gs/β1/γ24.12017-05-03doi.org/10.1038/nature22327
5UZ7 (No Gprot) B1PeptideCalcitoninCTHomo sapiens--4.12017-05-03doi.org/10.1038/nature22327
5WKTASensoryOpsinsRhodopsinBos taurusOctyl-β-D-Glucopyranoside-Gt(CT)3.22017-12-13doi.org/10.1038/nprot.2017.135
6E3YB1PeptideCalcitoninCT LikeHomo sapiensCalcitonin gene-related peptide-1-Gs/β1/γ2; RAMP13.32018-09-19doi.org/10.1038/s41586-018-0535-y
6E3Y (No Gprot) B1PeptideCalcitoninCT LikeHomo sapiensCalcitonin gene-related peptide-1-3.32018-09-19doi.org/10.1038/s41586-018-0535-y
6NIYB1PeptideCalcitoninCTHomo sapiensCalcitonin-1-Gs/β1/γ23.342019-01-23doi.org/10.1021/acsptsci.8b00056
6NIY (No Gprot) B1PeptideCalcitoninCTHomo sapiensCalcitonin-1-3.342019-01-23doi.org/10.1021/acsptsci.8b00056
6E67AAmineAdrenergicβ2Homo sapiensBI167107-Gs(CT)3.72019-06-05doi.org/10.1016/j.cell.2019.04.021
6TP4APeptideOrexinOX1Homo sapiensACT-462206--3.012020-01-01doi.org/10.1021/acs.jmedchem.9b01787
6NWEASensoryOpsinsRhodopsinBos taurusOctyl-β-D-Glucopyranoside-Gt(CT)2.712020-02-12To be published
6UUNB1PeptideCalcitoninCT Like (AM1)Homo sapiensAdrenomedullin-Gs/β1/γ2; RAMP232020-03-25doi.org/10.1021/acsptsci.9b00080
6UUN (No Gprot) B1PeptideCalcitoninCT Like (AM1)Homo sapiensAdrenomedullin-32020-03-25doi.org/10.1021/acsptsci.9b00080
6UUSB1PeptideCalcitoninCT Like (AM2)Homo sapiensAdrenomedullin-Gs/β1/γ2; RAMP32.42020-04-01doi.org/10.1021/acsptsci.9b00080
6UUS (No Gprot) B1PeptideCalcitoninCT Like (AM2)Homo sapiensAdrenomedullin-2.42020-04-01doi.org/10.1021/acsptsci.9b00080
6UVAB1PeptideCalcitoninCT Like (AM2)Homo sapiensAdrenomedullin-2-Gs/β1/γ2; RAMP32.32020-04-01doi.org/10.1021/acsptsci.9b00080
6UVA (No Gprot) B1PeptideCalcitoninCT Like (AM2)Homo sapiensAdrenomedullin-2-2.32020-04-01doi.org/10.1021/acsptsci.9b00080
6PELASensoryOpsinsRhodopsinBos taurus-CitronellolGt(CT)3.192020-06-24To be published
6PGSASensoryOpsinsRhodopsinBos taurus-GeraniolGt(CT)2.92020-07-01To be published
6PH7ASensoryOpsinsRhodopsinBos taurus-NerolGt(CT)2.92020-07-01To be published
7KNTB1PeptideCalcitoninCT LikeHomo sapiens--RAMP13.152021-02-24doi.org/10.1126/science.abf7258
7KNUB1PeptideCalcitoninCT LikeHomo sapiensCalcitonin gene-related peptide-1-RAMP13.492021-02-24doi.org/10.1126/science.abf7258
7TYLB1PeptideCalcitoninCTHomo sapiensAmylin-Gs/β1/γ23.32022-03-23doi.org/10.1126/science.abm9609
7TYL (No Gprot) B1PeptideCalcitoninCTHomo sapiensAmylin-3.32022-03-23doi.org/10.1126/science.abm9609
7TYOB1PeptideCalcitoninCTHomo sapiensCalcitonin-Gs/β1/γ22.72022-03-23doi.org/10.1126/science.abm9609
7TYO (No Gprot) B1PeptideCalcitoninCTHomo sapiensCalcitonin-2.72022-03-23doi.org/10.1126/science.abm9609
7TYFB1PeptideCalcitoninCT (AMY1)Homo sapiensAmylin-Gs/β1/γ2; RAMP12.22022-03-23doi.org/10.1126/science.abm9609
7TYF (No Gprot) B1PeptideCalcitoninCT (AMY1)Homo sapiensAmylin-2.22022-03-23doi.org/10.1126/science.abm9609
7TYWB1PeptideCalcitoninCT (AMY1)Homo sapiensCalcitonin-1-Gs/β1/γ2; RAMP132022-03-23doi.org/10.1126/science.abm9609
7TYW (No Gprot) B1PeptideCalcitoninCT (AMY1)Homo sapiensCalcitonin-1-32022-03-23doi.org/10.1126/science.abm9609
7TYHB1PeptideCalcitoninCT (AMY2)Homo sapiensCalcitonin-Gs/β1/γ2; RAMP23.32022-03-23doi.org/10.1126/science.abm9609
7TYH (No Gprot) B1PeptideCalcitoninCT (AMY2)Homo sapiensCalcitonin-3.32022-03-23doi.org/10.1126/science.abm9609
7TYYB1PeptideCalcitoninCT (AMY2)Homo sapiensCalcitonin-1-Gs/β1/γ2; RAMP232022-03-23doi.org/10.1126/science.abm9609
7TYY (No Gprot) B1PeptideCalcitoninCT (AMY2)Homo sapiensCalcitonin-1-32022-03-23doi.org/10.1126/science.abm9609
7TZFB1PeptideCalcitoninCT (AMY3)Homo sapiensAmylin-Gs/β1/γ2; RAMP32.42022-03-23doi.org/10.1126/science.abm9609
7TZF (No Gprot) B1PeptideCalcitoninCT (AMY3)Homo sapiensAmylin-2.42022-03-23doi.org/10.1126/science.abm9609
7TYIB1PeptideCalcitoninCTHomo sapiensAmylin-Gs/β1/γ23.32022-03-30doi.org/10.1126/science.abm9609
7TYI (No Gprot) B1PeptideCalcitoninCTHomo sapiensAmylin-3.32022-03-30doi.org/10.1126/science.abm9609
7TYNB1PeptideCalcitoninCTHomo sapiensCalcitonin-1-Gs/β1/γ22.62022-03-30doi.org/10.1126/science.abm9609
7TYN (No Gprot) B1PeptideCalcitoninCTHomo sapiensCalcitonin-1-2.62022-03-30doi.org/10.1126/science.abm9609
7TYXB1PeptideCalcitoninCT (AMY2)Homo sapiensAmylin-Gs/β1/γ2; RAMP22.552022-03-30doi.org/10.1126/science.abm9609
7TYX (No Gprot) B1PeptideCalcitoninCT (AMY2)Homo sapiensAmylin-2.552022-03-30doi.org/10.1126/science.abm9609
7UM5AAmine5-Hydroxytryptamine5-HT5AHomo sapiens5-CT-chim(NtGi1-Go)/β1/γ22.732022-07-20doi.org/10.1038/s41594-022-00796-6
7UM5 (No Gprot) AAmine5-Hydroxytryptamine5-HT5AHomo sapiens5-CT-2.732022-07-20doi.org/10.1038/s41594-022-00796-6
7XTCAAmine5-Hydroxytryptamine5-HT7Homo sapiens5-CT-Gs/β1/γ23.22022-07-27doi.org/10.1016/j.molcel.2022.05.031
7XTC (No Gprot) AAmine5-Hydroxytryptamine5-HT7Homo sapiens5-CT-3.22022-07-27doi.org/10.1016/j.molcel.2022.05.031
7X5HAAmine5-Hydroxytryptamine5-HT5AHomo sapiens5-CT-Gi1/β1/γ23.12022-09-14doi.org/10.1038/s41421-022-00412-3
7X5H (No Gprot) AAmine5-Hydroxytryptamine5-HT5AHomo sapiens5-CT-3.12022-09-14doi.org/10.1038/s41421-022-00412-3
8F0JB1PeptideCalcitoninCTHomo sapiensPramlintide Analogue San45-Gs/β1/γ222023-08-02doi.org/10.1038/s41589-023-01393-4
8F0J (No Gprot) B1PeptideCalcitoninCTHomo sapiensPramlintide Analogue San45-22023-08-02doi.org/10.1038/s41589-023-01393-4
8F0KB1PeptideCalcitoninCT (AMY3)Homo sapiensPramlintide Analogue San385-Gs/β1/γ2; RAMP31.92023-08-02doi.org/10.1038/s41589-023-01393-4
8F0K (No Gprot) B1PeptideCalcitoninCT (AMY3)Homo sapiensPramlintide Analogue San385-1.92023-08-02doi.org/10.1038/s41589-023-01393-4
8F2AB1PeptideCalcitoninCT (AMY3)Homo sapiensPramlintide Analogue San385-Gs/β1/γ2; RAMP32.22023-08-02doi.org/10.1038/s41589-023-01393-4
8F2A (No Gprot) B1PeptideCalcitoninCT (AMY3)Homo sapiensPramlintide Analogue San385-2.22023-08-02doi.org/10.1038/s41589-023-01393-4
8F2BB1PeptideCalcitoninCT (AMY3)Homo sapiensPramlintide Analogue San45-Gs/β1/γ2; RAMP322023-08-02doi.org/10.1038/s41589-023-01393-4
8F2B (No Gprot) B1PeptideCalcitoninCT (AMY3)Homo sapiensPramlintide Analogue San45-22023-08-02doi.org/10.1038/s41589-023-01393-4
8ZQEAOrphanOrphanGPR15Homo sapiensGPR15L(CT)-Gi1/β1/γ12.92024-07-10doi.org/10.1038/s41421-024-00698-5
8ZQE (No Gprot) AOrphanOrphanGPR15Homo sapiensGPR15L(CT)-2.92024-07-10doi.org/10.1038/s41421-024-00698-5
9MNIB1PeptideCalcitoninCTLikeHomo sapiensdC2_05-RAMP14.062025-10-22doi.org/10.1101/2025.03.23.644666
9AUCB1PeptideCalcitoninCT (AMY1)Homo sapiensCalcitonin gene-related peptide-1-Gs/β1/γ2; RAMP12.42024-04-24doi.org/10.1021/acs.biochem.4c00114
9AUC (No Gprot) B1PeptideCalcitoninCT (AMY1)Homo sapiensCalcitonin gene-related peptide-1-2.42024-04-24doi.org/10.1021/acs.biochem.4c00114
9BLBB1PeptideCalcitoninCTHomo sapiensCagrilintide (non-acylated)-Gs/β1/γ23.22025-04-16doi.org/10.1038/s41467-025-58680-y
9BLB (No Gprot) B1PeptideCalcitoninCTHomo sapiensCagrilintide (non-acylated)-3.22025-04-16doi.org/10.1038/s41467-025-58680-y
9BLCB1PeptideCalcitoninCTHomo sapiensCagrilintide (non-acylated)-Gs/β1/γ23.32025-04-16doi.org/10.1038/s41467-025-58680-y
9BLC (No Gprot) B1PeptideCalcitoninCTHomo sapiensCagrilintide (non-acylated)-3.32025-04-16doi.org/10.1038/s41467-025-58680-y
9BUEB1PeptideCalcitoninCTHomo sapiensCagrilintide-Gs/β1/γ23.62025-04-16doi.org/10.1038/s41467-025-58680-y
9BUE (No Gprot) B1PeptideCalcitoninCTHomo sapiensCagrilintide-3.62025-04-16doi.org/10.1038/s41467-025-58680-y
9BLWB1PeptideCalcitoninCT (AMY1)Homo sapiensCagrilintide (non-acylated)-Gs/β1/γ2; RAMP13.22025-04-16doi.org/10.1038/s41467-025-58680-y
9BLW (No Gprot) B1PeptideCalcitoninCT (AMY1)Homo sapiensCagrilintide (non-acylated)-3.22025-04-16doi.org/10.1038/s41467-025-58680-y
9BTWB1PeptideCalcitoninCT (AMY3)Homo sapiensCagrilintide-Gs/β1/γ2; RAMP332025-04-16To be published
9BTW (No Gprot) B1PeptideCalcitoninCT (AMY3)Homo sapiensCagrilintide-32025-04-16To be published
9BUBB1PeptideCalcitoninCTHomo sapiensCagrilintide-Gs/β1/γ22.32025-04-23doi.org/10.1038/s41467-025-58680-y
9BUB (No Gprot) B1PeptideCalcitoninCTHomo sapiensCagrilintide-2.32025-04-23doi.org/10.1038/s41467-025-58680-y
9BUCB1PeptideCalcitoninCTHomo sapiensCagrilintide-Gs/β1/γ23.42025-04-23doi.org/10.1038/s41467-025-58680-y
9BUC (No Gprot) B1PeptideCalcitoninCTHomo sapiensCagrilintide-3.42025-04-23doi.org/10.1038/s41467-025-58680-y
9BUDB1PeptideCalcitoninCTHomo sapiensCagrilintide-Gs/β1/γ22.52025-04-23doi.org/10.1038/s41467-025-58680-y
9BUD (No Gprot) B1PeptideCalcitoninCTHomo sapiensCagrilintide-2.52025-04-23doi.org/10.1038/s41467-025-58680-y
9BP3B1PeptideCalcitoninCT (AMY1)Homo sapiensCagrilintide-Gs/β1/γ2; RAMP12.22025-04-23doi.org/10.1038/s41467-025-58680-y
9BP3 (No Gprot) B1PeptideCalcitoninCT (AMY1)Homo sapiensCagrilintide-2.22025-04-23doi.org/10.1038/s41467-025-58680-y
9BQ3B1PeptideCalcitoninCT (AMY2)Homo sapiensCagrilintide-Gs/β1/γ2; RAMP22.82025-04-23doi.org/10.1038/s41467-025-58680-y
9BQ3 (No Gprot) B1PeptideCalcitoninCT (AMY2)Homo sapiensCagrilintide-2.82025-04-23doi.org/10.1038/s41467-025-58680-y
9UAPAAmineAcetylcholine (muscarinic)M1Homo sapiens--G11(CT)3.622025-10-29To be published
9UCPAAmineAcetylcholine (muscarinic)M1Homo sapiensIperoxo-G11(CT)2.882025-10-29To be published
9WXMAOrphanOrphanGPR15Homo sapiensGPR15L(CT)-Gi3/β1/γ23.32025-11-1910.1016/j.isci.2025.113935
9WXM (No Gprot) AOrphanOrphanGPR15Homo sapiensGPR15L(CT)-3.32025-11-1910.1016/j.isci.2025.113935
9W6WAAmine5-Hydroxytryptamine5-HT5AHomo sapiens5-CT-Gi1/β1/γ23.132025-11-2610.1186/s43556-025-00359-3
9W6W (No Gprot) AAmine5-Hydroxytryptamine5-HT5AHomo sapiens5-CT-3.132025-11-2610.1186/s43556-025-00359-3




You can download a compressed (zip) file with structure(s), 3D outputs (as PyMol and VMD scripts) and numerical data files (as csv and plain text files).

Download 9BUE.zip



You can click to copy the link of this page to easily come back here later

or use this QR code to link and share this page.



You can also  read or  download a guide explaining the meaning of all files and numerical data.