| Color | ConSurf Grade |
| No Conservation data available | |
| 1 | |
| 2 | |
| 3 | |
| 4 | |
| 5 | |
| 6 | |
| 7 | |
| 8 | |
| 9 |
Index: link id, click on each number to highlight the corresponding link in the 3D visualization.
Node1 Node2: the two nodes of the corresponding link.
Int. Strength: the interaction strength between the two nodes.
Hub1?, Hub2?: "Yes" if the corresponding node has more than 3 links, otherwise "No".
Community: the id of the community the link belong to, otherwise 0.
ConSurf1, ConSurf2: these columns report the ConSurf conservation grades of the two nodes involved in a link.
| Index | Node1 | Node2 | Int. Strength | Hub1? | Hub2? | Community | ConSurf1 | ConSurf2 |
|---|---|---|---|---|---|---|---|---|
| 1 | E:E:C28 | E:E:C82 | 7.28 | No | Yes | 0 | 9 | 9 |
| 2 | E:E:N29 | E:E:V80 | 8.87 | No | Yes | 0 | 8 | 5 |
| 3 | E:E:M33 | E:E:V80 | 4.56 | No | Yes | 0 | 8 | 5 |
| 4 | E:E:F92 | E:E:L37 | 28.01 | No | No | 0 | 8 | 8 |
| 5 | E:E:F92 | E:E:P38 | 7.22 | No | No | 0 | 8 | 5 |
| 6 | E:E:C40 | E:E:C72 | 7.28 | No | No | 0 | 9 | 9 |
| 7 | E:E:F44 | E:E:M48 | 7.46 | Yes | No | 1 | 9 | 9 |
| 8 | E:E:F44 | E:E:F62 | 4.29 | Yes | Yes | 1 | 9 | 8 |
| 9 | E:E:F44 | E:E:Y66 | 5.16 | Yes | No | 1 | 9 | 9 |
| 10 | E:E:F44 | E:E:F69 | 13.93 | Yes | Yes | 0 | 9 | 8 |
| 11 | E:E:F101 | E:E:F44 | 4.29 | Yes | Yes | 1 | 9 | 9 |
| 12 | E:E:D46 | E:E:K50 | 8.3 | No | No | 0 | 1 | 3 |
| 13 | E:E:K50 | E:E:M47 | 4.32 | No | No | 0 | 3 | 4 |
| 14 | E:E:M47 | E:E:Y65 | 13.17 | No | No | 0 | 4 | 5 |
| 15 | E:E:M48 | E:E:W56 | 19.78 | No | No | 0 | 9 | 7 |
| 16 | E:E:F62 | E:E:M48 | 8.71 | Yes | No | 1 | 8 | 9 |
| 17 | E:E:D52 | E:E:W54 | 35.74 | No | No | 10 | 6 | 3 |
| 18 | E:E:D52 | E:E:K55 | 8.3 | No | No | 10 | 6 | 4 |
| 19 | E:E:V53 | E:E:W56 | 15.94 | No | No | 0 | 4 | 7 |
| 20 | E:E:K55 | E:E:W54 | 4.64 | No | No | 10 | 4 | 3 |
| 21 | E:E:E61 | E:E:K55 | 12.15 | No | No | 0 | 6 | 4 |
| 22 | E:E:C104 | E:E:C57 | 7.28 | No | No | 0 | 9 | 9 |
| 23 | E:E:N58 | E:E:S60 | 8.94 | No | No | 0 | 8 | 7 |
| 24 | E:E:E61 | E:E:N58 | 9.2 | No | No | 0 | 6 | 8 |
| 25 | E:E:L59 | R:R:Y53 | 4.69 | No | Yes | 0 | 7 | 1 |
| 26 | E:E:F62 | E:E:Y66 | 6.19 | Yes | No | 1 | 8 | 9 |
| 27 | E:E:F101 | E:E:F62 | 5.36 | Yes | Yes | 1 | 9 | 8 |
| 28 | E:E:I63 | R:R:K46 | 8.72 | No | No | 0 | 6 | 4 |
| 29 | E:E:Y66 | R:R:Y53 | 9.93 | No | Yes | 1 | 9 | 1 |
| 30 | E:E:E67 | R:R:R45 | 15.12 | No | Yes | 1 | 4 | 7 |
| 31 | E:E:E67 | R:R:M49 | 12.18 | No | Yes | 1 | 4 | 4 |
| 32 | E:E:F69 | E:E:T73 | 7.78 | Yes | No | 0 | 8 | 9 |
| 33 | E:E:F69 | E:E:I96 | 3.77 | Yes | No | 0 | 8 | 6 |
| 34 | E:E:T70 | R:R:M49 | 6.02 | No | Yes | 0 | 9 | 4 |
| 35 | E:E:T70 | R:R:Q52 | 11.34 | No | Yes | 0 | 9 | 6 |
| 36 | E:E:N71 | R:R:R45 | 4.82 | No | Yes | 0 | 4 | 7 |
| 37 | E:E:I93 | E:E:T73 | 6.08 | No | No | 0 | 9 | 9 |
| 38 | E:E:E74 | E:E:W84 | 18.54 | No | Yes | 1 | 5 | 9 |
| 39 | E:E:E74 | L:L:Y37 | 4.49 | No | Yes | 1 | 5 | 0 |
| 40 | E:E:C82 | E:E:N86 | 4.72 | Yes | No | 0 | 9 | 9 |
| 41 | E:E:Y83 | R:R:R126 | 19.55 | No | No | 0 | 6 | 4 |
| 42 | E:E:P85 | E:E:W84 | 6.76 | No | Yes | 0 | 9 | 9 |
| 43 | E:E:W84 | L:L:Y37 | 5.79 | Yes | Yes | 1 | 9 | 0 |
| 44 | E:E:W84 | R:R:Q52 | 6.57 | Yes | Yes | 1 | 9 | 6 |
| 45 | E:E:Q90 | R:R:Y56 | 7.89 | No | Yes | 1 | 9 | 3 |
| 46 | E:E:Q90 | R:R:M59 | 8.16 | No | Yes | 1 | 9 | 5 |
| 47 | E:E:I93 | R:R:Y56 | 13.3 | No | Yes | 0 | 9 | 3 |
| 48 | E:E:F101 | E:E:H97 | 15.84 | Yes | Yes | 1 | 9 | 9 |
| 49 | E:E:H97 | R:R:Y53 | 8.71 | Yes | Yes | 1 | 9 | 1 |
| 50 | E:E:H97 | R:R:Y56 | 5.44 | Yes | Yes | 1 | 9 | 3 |
| 51 | E:E:H97 | R:R:Q60 | 12.36 | Yes | No | 0 | 9 | 3 |
| 52 | E:E:F100 | E:E:Q99 | 23.42 | No | No | 0 | 8 | 4 |
| 53 | E:E:F101 | R:R:Y53 | 15.47 | Yes | Yes | 1 | 9 | 1 |
| 54 | E:E:V106 | R:R:D57 | 4.38 | No | No | 0 | 4 | 4 |
| 55 | E:E:V106 | R:R:Q61 | 14.33 | No | No | 0 | 4 | 3 |
| 56 | E:E:D107 | E:E:H110 | 5.04 | No | No | 0 | 5 | 4 |
| 57 | E:E:R108 | R:R:K54 | 11.14 | No | No | 0 | 4 | 4 |
| 58 | E:E:L111 | R:R:F285 | 14.61 | No | Yes | 0 | 4 | 6 |
| 59 | E:E:D113 | E:E:P114 | 4.83 | No | Yes | 0 | 9 | 9 |
| 60 | E:E:D113 | R:R:T295 | 8.67 | No | Yes | 0 | 9 | 4 |
| 61 | E:E:D113 | R:R:H296 | 6.3 | No | No | 0 | 9 | 2 |
| 62 | E:E:P114 | R:R:Y284 | 23.64 | Yes | No | 0 | 9 | 2 |
| 63 | E:E:P114 | R:R:L297 | 4.93 | Yes | No | 0 | 9 | 4 |
| 64 | E:E:I123 | E:E:L119 | 4.28 | No | No | 0 | 9 | 9 |
| 65 | E:E:L119 | R:R:H296 | 5.14 | No | No | 0 | 9 | 2 |
| 66 | E:E:L122 | R:R:T280 | 4.42 | No | No | 11 | 9 | 4 |
| 67 | E:E:L122 | R:R:I300 | 4.28 | No | No | 11 | 9 | 8 |
| 68 | E:E:T130 | R:R:F235 | 7.78 | No | Yes | 12 | 9 | 5 |
| 69 | E:E:T130 | R:R:F269 | 6.49 | No | Yes | 12 | 9 | 3 |
| 70 | E:E:T130 | R:R:P304 | 5.25 | No | Yes | 0 | 9 | 9 |
| 71 | E:E:M133 | R:R:L264 | 4.24 | No | No | 0 | 9 | 3 |
| 72 | E:E:M133 | R:R:F269 | 7.46 | No | Yes | 0 | 9 | 3 |
| 73 | E:E:G135 | E:E:V138 | 3.68 | No | No | 0 | 7 | 9 |
| 74 | E:E:L136 | R:R:W261 | 5.69 | No | Yes | 0 | 6 | 2 |
| 75 | E:E:V137 | R:R:I242 | 6.14 | No | Yes | 5 | 9 | 7 |
| 76 | E:E:V137 | R:R:W261 | 3.68 | No | Yes | 5 | 9 | 2 |
| 77 | E:E:V137 | R:R:Y262 | 6.31 | No | Yes | 5 | 9 | 7 |
| 78 | E:E:R140 | E:E:W139 | 9 | No | No | 0 | 8 | 9 |
| 79 | E:E:R140 | E:E:R143 | 9.6 | No | No | 0 | 8 | 8 |
| 80 | E:E:R140 | R:R:W261 | 13 | No | Yes | 0 | 8 | 2 |
| 81 | E:E:S141 | R:R:Q257 | 5.78 | No | Yes | 5 | 9 | 5 |
| 82 | E:E:S141 | R:R:Y262 | 5.09 | No | Yes | 5 | 9 | 7 |
| 83 | E:E:K142 | R:R:A251 | 4.82 | No | No | 0 | 8 | 6 |
| 84 | E:E:T144 | R:R:R258 | 3.88 | No | No | 0 | 7 | 5 |
| 85 | H:H:?1 | R:R:Y71 | 12.62 | No | No | 0 | 0 | 3 |
| 86 | H:H:?1 | R:R:N73 | 34.5 | No | No | 0 | 0 | 4 |
| 87 | H:H:?2 | R:R:N125 | 27.11 | No | No | 0 | 0 | 7 |
| 88 | H:H:?3 | R:R:W128 | 5.11 | Yes | Yes | 3 | 0 | 5 |
| 89 | H:H:?3 | R:R:N130 | 27.11 | Yes | Yes | 3 | 0 | 8 |
| 90 | H:H:?3 | R:R:T132 | 6.61 | Yes | No | 3 | 0 | 6 |
| 91 | H:H:?3 | R:R:M133 | 5.07 | Yes | No | 0 | 0 | 5 |
| 92 | L:L:K1 | L:L:R11 | 3.71 | No | No | 0 | 0 | 0 |
| 93 | L:L:K1 | R:R:E294 | 9.45 | No | No | 0 | 0 | 3 |
| 94 | L:L:C2 | L:L:T4 | 5.07 | No | Yes | 2 | 0 | 0 |
| 95 | L:L:C2 | L:L:C7 | 7.28 | No | No | 2 | 0 | 0 |
| 96 | L:L:C2 | R:R:Y299 | 5.38 | No | No | 2 | 0 | 7 |
| 97 | L:L:N3 | R:R:W361 | 18.08 | No | No | 0 | 0 | 4 |
| 98 | L:L:N3 | R:R:R362 | 6.03 | No | Yes | 0 | 0 | 4 |
| 99 | L:L:C7 | L:L:T4 | 5.07 | No | Yes | 2 | 0 | 0 |
| 100 | L:L:T4 | R:R:Y299 | 4.99 | Yes | No | 2 | 0 | 7 |
| 101 | L:L:T6 | R:R:Y234 | 8.74 | Yes | Yes | 2 | 0 | 7 |
| 102 | L:L:T6 | R:R:H302 | 8.21 | Yes | Yes | 2 | 0 | 6 |
| 103 | L:L:T6 | R:R:V305 | 4.76 | Yes | No | 2 | 0 | 7 |
| 104 | L:L:T6 | R:R:F356 | 3.89 | Yes | Yes | 2 | 0 | 7 |
| 105 | L:L:C7 | R:R:H302 | 10.32 | No | Yes | 2 | 0 | 6 |
| 106 | L:L:A8 | R:R:H377 | 4.39 | No | Yes | 0 | 0 | 7 |
| 107 | L:L:T9 | R:R:H381 | 6.85 | No | Yes | 0 | 0 | 9 |
| 108 | L:L:Q10 | R:R:H226 | 6.18 | No | No | 0 | 0 | 6 |
| 109 | L:L:Q10 | R:R:M230 | 4.08 | No | No | 2 | 0 | 6 |
| 110 | L:L:Q10 | R:R:H302 | 6.18 | No | Yes | 2 | 0 | 6 |
| 111 | L:L:R11 | R:R:V293 | 3.92 | No | No | 0 | 0 | 6 |
| 112 | L:L:L12 | L:L:L16 | 4.15 | No | Yes | 0 | 0 | 0 |
| 113 | L:L:L12 | R:R:L148 | 4.15 | No | Yes | 6 | 0 | 5 |
| 114 | L:L:L12 | R:R:H377 | 3.86 | No | Yes | 6 | 0 | 7 |
| 115 | L:L:H18 | L:L:N14 | 8.93 | No | No | 0 | 0 | 0 |
| 116 | L:L:N14 | R:R:V293 | 5.91 | No | No | 0 | 0 | 6 |
| 117 | L:L:F15 | L:L:L16 | 3.65 | Yes | Yes | 0 | 0 | 0 |
| 118 | L:L:F15 | L:L:S19 | 7.93 | Yes | No | 0 | 0 | 0 |
| 119 | L:L:F15 | R:R:D103 | 7.17 | Yes | Yes | 8 | 0 | 3 |
| 120 | L:L:F15 | R:R:K141 | 6.2 | Yes | Yes | 8 | 0 | 3 |
| 121 | L:L:F23 | L:L:L16 | 3.65 | No | Yes | 0 | 0 | 0 |
| 122 | L:L:L16 | R:R:Y149 | 4.69 | Yes | Yes | 0 | 0 | 5 |
| 123 | L:L:V17 | R:R:V206 | 4.81 | No | No | 0 | 0 | 3 |
| 124 | L:L:V17 | R:R:L291 | 5.96 | No | No | 0 | 0 | 6 |
| 125 | L:L:H18 | R:R:P104 | 12.2 | No | No | 0 | 0 | 3 |
| 126 | L:L:N22 | L:L:S19 | 5.96 | No | No | 0 | 0 | 0 |
| 127 | L:L:F23 | L:L:K21 | 6.2 | No | Yes | 0 | 0 | 0 |
| 128 | L:L:?101 | L:L:K21 | 14.68 | Yes | Yes | 7 | 0 | 0 |
| 129 | L:L:K21 | R:R:Y149 | 8.36 | Yes | Yes | 7 | 0 | 5 |
| 130 | L:L:K21 | R:R:P207 | 13.38 | Yes | No | 7 | 0 | 3 |
| 131 | L:L:N22 | R:R:L142 | 6.87 | No | No | 0 | 0 | 2 |
| 132 | L:L:F23 | R:R:Y146 | 19.6 | No | No | 0 | 0 | 2 |
| 133 | L:L:G24 | L:L:P25 | 4.06 | No | No | 0 | 0 | 0 |
| 134 | L:L:L27 | L:L:P28 | 4.93 | No | No | 0 | 0 | 0 |
| 135 | L:L:T30 | R:R:F99 | 14.27 | No | Yes | 1 | 0 | 5 |
| 136 | L:L:T30 | R:R:D101 | 8.67 | No | No | 1 | 0 | 4 |
| 137 | L:L:T30 | R:R:F102 | 6.49 | No | Yes | 1 | 0 | 4 |
| 138 | L:L:N31 | L:L:T36 | 5.85 | No | No | 0 | 0 | 0 |
| 139 | L:L:V32 | R:R:N135 | 5.91 | No | No | 0 | 0 | 3 |
| 140 | L:L:S34 | R:R:H121 | 12.55 | No | Yes | 3 | 0 | 4 |
| 141 | L:L:S34 | R:R:E123 | 8.62 | No | No | 3 | 0 | 4 |
| 142 | L:L:S34 | R:R:N124 | 5.96 | No | No | 3 | 0 | 5 |
| 143 | L:L:?38 | L:L:Y37 | 5.8 | No | Yes | 0 | 0 | 0 |
| 144 | L:L:Y37 | R:R:G78 | 11.59 | Yes | No | 0 | 0 | 5 |
| 145 | L:L:Y37 | R:R:W79 | 13.5 | Yes | Yes | 1 | 0 | 6 |
| 146 | L:L:?38 | R:R:W128 | 5.64 | No | Yes | 0 | 0 | 5 |
| 147 | L:L:?38 | R:R:S129 | 7.43 | No | Yes | 0 | 0 | 7 |
| 148 | L:L:?101 | R:R:Y149 | 6.66 | Yes | Yes | 7 | 0 | 5 |
| 149 | L:L:?101 | R:R:Y150 | 4.44 | Yes | No | 7 | 0 | 4 |
| 150 | L:L:?101 | R:R:I153 | 5.4 | Yes | No | 0 | 0 | 7 |
| 151 | L:L:?101 | R:R:S157 | 11.37 | Yes | No | 0 | 0 | 7 |
| 152 | L:L:?101 | R:R:I160 | 5.4 | Yes | No | 0 | 0 | 5 |
| 153 | L:L:?101 | R:R:F161 | 5.76 | Yes | No | 0 | 0 | 4 |
| 154 | L:L:?101 | R:R:V164 | 5.64 | Yes | No | 0 | 0 | 4 |
| 155 | L:L:?101 | R:R:V203 | 7.05 | Yes | No | 0 | 0 | 3 |
| 156 | L:L:?101 | R:R:P207 | 9.32 | Yes | No | 7 | 0 | 3 |
| 157 | R:R:P100 | R:R:Y41 | 9.74 | No | No | 0 | 4 | 3 |
| 158 | R:R:M48 | R:R:R45 | 3.72 | Yes | Yes | 1 | 6 | 7 |
| 159 | R:R:M49 | R:R:R45 | 4.96 | Yes | Yes | 1 | 4 | 7 |
| 160 | R:R:D50 | R:R:K46 | 11.06 | No | No | 0 | 2 | 4 |
| 161 | R:R:M48 | R:R:M49 | 4.33 | Yes | Yes | 1 | 6 | 4 |
| 162 | R:R:M48 | R:R:W79 | 5.82 | Yes | Yes | 1 | 6 | 6 |
| 163 | R:R:M48 | R:R:Y98 | 14.37 | Yes | Yes | 1 | 6 | 4 |
| 164 | R:R:Q52 | R:R:Y56 | 4.51 | Yes | Yes | 1 | 6 | 3 |
| 165 | R:R:Q52 | R:R:W76 | 20.81 | Yes | No | 1 | 6 | 8 |
| 166 | R:R:C55 | R:R:M59 | 4.86 | No | Yes | 0 | 9 | 5 |
| 167 | R:R:C55 | R:R:W76 | 10.45 | No | No | 0 | 9 | 8 |
| 168 | R:R:C55 | R:R:C81 | 7.28 | No | No | 0 | 9 | 9 |
| 169 | R:R:M59 | R:R:Y56 | 4.79 | Yes | Yes | 1 | 5 | 3 |
| 170 | R:R:W76 | R:R:Y56 | 4.82 | No | Yes | 1 | 8 | 3 |
| 171 | R:R:L62 | R:R:R58 | 9.72 | No | No | 0 | 3 | 3 |
| 172 | R:R:D83 | R:R:R58 | 14.29 | No | No | 0 | 5 | 3 |
| 173 | R:R:M59 | R:R:R74 | 9.93 | Yes | No | 0 | 5 | 4 |
| 174 | R:R:L62 | R:R:P63 | 4.93 | No | No | 0 | 3 | 1 |
| 175 | R:R:Y65 | R:R:Y71 | 19.86 | Yes | No | 13 | 3 | 3 |
| 176 | R:R:D84 | R:R:Y65 | 5.75 | No | Yes | 13 | 4 | 3 |
| 177 | R:R:P86 | R:R:Y65 | 4.17 | No | Yes | 0 | 2 | 3 |
| 178 | R:R:G67 | R:R:Q66 | 4.93 | No | No | 0 | 2 | 1 |
| 179 | R:R:G69 | R:R:P70 | 4.06 | No | No | 0 | 1 | 1 |
| 180 | R:R:D84 | R:R:Y71 | 5.75 | No | No | 13 | 4 | 3 |
| 181 | R:R:C112 | R:R:C72 | 7.28 | No | No | 0 | 9 | 9 |
| 182 | R:R:C72 | R:R:W118 | 18.28 | No | Yes | 0 | 9 | 9 |
| 183 | R:R:D84 | R:R:R74 | 22.63 | No | No | 0 | 4 | 4 |
| 184 | R:R:K110 | R:R:T75 | 6.01 | Yes | No | 1 | 8 | 5 |
| 185 | R:R:T75 | R:R:W118 | 8.49 | No | Yes | 1 | 5 | 9 |
| 186 | R:R:D77 | R:R:L80 | 4.07 | Yes | Yes | 1 | 9 | 5 |
| 187 | R:R:D77 | R:R:W82 | 10.05 | Yes | Yes | 0 | 9 | 9 |
| 188 | R:R:D77 | R:R:S129 | 5.89 | Yes | Yes | 1 | 9 | 7 |
| 189 | R:R:D77 | R:R:Y131 | 8.05 | Yes | Yes | 1 | 9 | 5 |
| 190 | R:R:W79 | R:R:Y98 | 6.75 | Yes | Yes | 1 | 6 | 4 |
| 191 | R:R:F99 | R:R:W79 | 10.02 | Yes | Yes | 1 | 5 | 6 |
| 192 | R:R:W79 | R:R:Y131 | 14.47 | Yes | Yes | 1 | 6 | 5 |
| 193 | R:R:L80 | R:R:Q93 | 17.3 | Yes | No | 0 | 5 | 6 |
| 194 | R:R:L80 | R:R:P96 | 11.49 | Yes | Yes | 1 | 5 | 9 |
| 195 | R:R:L80 | R:R:V108 | 4.47 | Yes | No | 1 | 5 | 7 |
| 196 | R:R:L80 | R:R:Y131 | 9.38 | Yes | Yes | 1 | 5 | 5 |
| 197 | R:R:S91 | R:R:W82 | 3.71 | No | Yes | 0 | 5 | 9 |
| 198 | R:R:Q93 | R:R:W82 | 12.05 | No | Yes | 0 | 6 | 9 |
| 199 | R:R:V108 | R:R:W82 | 4.9 | No | Yes | 0 | 7 | 9 |
| 200 | R:R:K110 | R:R:W82 | 19.73 | Yes | Yes | 0 | 8 | 9 |
| 201 | R:R:S91 | R:R:T85 | 6.4 | No | No | 0 | 5 | 7 |
| 202 | R:R:T85 | R:R:W118 | 6.06 | No | Yes | 0 | 7 | 9 |
| 203 | R:R:G88 | R:R:Y111 | 4.35 | No | Yes | 0 | 8 | 4 |
| 204 | R:R:L90 | R:R:Y92 | 5.86 | No | No | 3 | 4 | 4 |
| 205 | R:R:L90 | R:R:T109 | 10.32 | No | No | 3 | 4 | 5 |
| 206 | R:R:K107 | R:R:Y92 | 8.36 | No | No | 0 | 3 | 4 |
| 207 | R:R:T109 | R:R:Y92 | 4.99 | No | No | 3 | 5 | 4 |
| 208 | R:R:F94 | R:R:K107 | 16.13 | No | No | 0 | 3 | 3 |
| 209 | R:R:E294 | R:R:F94 | 7 | No | No | 0 | 3 | 3 |
| 210 | R:R:C95 | R:R:P96 | 3.77 | No | Yes | 1 | 9 | 9 |
| 211 | R:R:C95 | R:R:F102 | 6.98 | No | Yes | 1 | 9 | 4 |
| 212 | R:R:C134 | R:R:C95 | 7.28 | No | No | 1 | 9 | 9 |
| 213 | R:R:P96 | R:R:Y98 | 12.52 | Yes | Yes | 1 | 9 | 4 |
| 214 | R:R:P96 | R:R:Y131 | 4.17 | Yes | Yes | 1 | 9 | 5 |
| 215 | R:R:D97 | R:R:P104 | 11.27 | No | No | 0 | 2 | 3 |
| 216 | R:R:F99 | R:R:Y98 | 7.22 | Yes | Yes | 1 | 5 | 4 |
| 217 | R:R:F102 | R:R:F99 | 13.93 | Yes | Yes | 1 | 4 | 5 |
| 218 | R:R:D101 | R:R:F102 | 5.97 | No | Yes | 1 | 4 | 4 |
| 219 | R:R:D101 | R:R:N135 | 10.77 | No | No | 1 | 4 | 3 |
| 220 | R:R:C134 | R:R:F102 | 13.97 | No | Yes | 1 | 9 | 4 |
| 221 | R:R:F102 | R:R:N135 | 7.25 | Yes | No | 1 | 4 | 3 |
| 222 | R:R:D103 | R:R:P104 | 6.44 | Yes | No | 0 | 3 | 3 |
| 223 | R:R:D103 | R:R:S105 | 8.83 | Yes | No | 0 | 3 | 1 |
| 224 | R:R:D103 | R:R:E106 | 7.8 | Yes | No | 8 | 3 | 4 |
| 225 | R:R:D103 | R:R:K141 | 6.91 | Yes | Yes | 8 | 3 | 3 |
| 226 | R:R:E106 | R:R:M133 | 4.06 | No | No | 0 | 4 | 5 |
| 227 | R:R:E106 | R:R:K141 | 4.05 | No | Yes | 8 | 4 | 3 |
| 228 | R:R:V108 | R:R:Y131 | 15.14 | No | Yes | 1 | 7 | 5 |
| 229 | R:R:N130 | R:R:T109 | 5.85 | Yes | No | 3 | 8 | 5 |
| 230 | R:R:K110 | R:R:W118 | 19.73 | Yes | Yes | 1 | 8 | 9 |
| 231 | R:R:K110 | R:R:S129 | 6.12 | Yes | Yes | 1 | 8 | 7 |
| 232 | R:R:F119 | R:R:Y111 | 5.16 | No | Yes | 0 | 4 | 4 |
| 233 | R:R:D113 | R:R:V117 | 4.38 | No | No | 0 | 5 | 5 |
| 234 | R:R:K120 | R:R:N125 | 5.6 | No | No | 0 | 1 | 7 |
| 235 | R:R:H121 | R:R:P122 | 10.68 | Yes | No | 0 | 4 | 5 |
| 236 | R:R:E123 | R:R:H121 | 9.85 | No | Yes | 3 | 4 | 4 |
| 237 | R:R:H121 | R:R:N124 | 5.1 | Yes | No | 3 | 4 | 5 |
| 238 | R:R:H121 | R:R:W128 | 23.27 | Yes | Yes | 3 | 4 | 5 |
| 239 | R:R:N124 | R:R:R126 | 6.03 | No | No | 0 | 5 | 4 |
| 240 | R:R:N130 | R:R:W128 | 11.3 | Yes | Yes | 3 | 8 | 5 |
| 241 | R:R:S129 | R:R:Y131 | 7.63 | Yes | Yes | 1 | 7 | 5 |
| 242 | R:R:N130 | R:R:T132 | 7.31 | Yes | No | 3 | 8 | 6 |
| 243 | R:R:A136 | R:R:F137 | 6.93 | No | No | 0 | 2 | 1 |
| 244 | R:R:F137 | R:R:K366 | 8.69 | No | No | 0 | 1 | 3 |
| 245 | R:R:E140 | R:R:N144 | 11.83 | No | No | 6 | 2 | 4 |
| 246 | R:R:E140 | R:R:K370 | 4.05 | No | No | 6 | 2 | 4 |
| 247 | R:R:K370 | R:R:N144 | 9.79 | No | No | 6 | 4 | 4 |
| 248 | R:R:N144 | R:R:Y374 | 5.81 | No | Yes | 6 | 4 | 6 |
| 249 | R:R:Y146 | R:R:Y150 | 7.94 | No | No | 0 | 2 | 4 |
| 250 | R:R:V147 | R:R:Y374 | 8.83 | No | Yes | 0 | 4 | 6 |
| 251 | R:R:D373 | R:R:L148 | 4.07 | No | Yes | 0 | 5 | 5 |
| 252 | R:R:H377 | R:R:L148 | 11.57 | Yes | Yes | 6 | 7 | 5 |
| 253 | R:R:Y149 | R:R:Y150 | 7.94 | Yes | No | 7 | 5 | 4 |
| 254 | R:R:L202 | R:R:Y149 | 8.21 | No | Yes | 0 | 7 | 5 |
| 255 | R:R:L151 | R:R:S378 | 6.01 | No | No | 0 | 5 | 5 |
| 256 | R:R:F382 | R:R:L151 | 3.65 | Yes | No | 0 | 7 | 5 |
| 257 | R:R:A152 | R:R:H381 | 7.32 | No | Yes | 0 | 7 | 9 |
| 258 | R:R:I153 | R:R:L202 | 5.71 | No | No | 0 | 7 | 7 |
| 259 | R:R:F382 | R:R:G155 | 9.03 | Yes | No | 0 | 7 | 8 |
| 260 | R:R:H156 | R:R:S195 | 11.16 | Yes | No | 0 | 7 | 7 |
| 261 | R:R:H156 | R:R:I198 | 14.58 | Yes | No | 0 | 7 | 7 |
| 262 | R:R:H156 | R:R:H381 | 11.94 | Yes | Yes | 0 | 7 | 9 |
| 263 | R:R:F385 | R:R:L158 | 15.83 | Yes | No | 0 | 5 | 4 |
| 264 | R:R:G384 | R:R:S159 | 3.71 | No | No | 0 | 9 | 9 |
| 265 | R:R:I160 | R:R:S195 | 4.64 | No | No | 0 | 5 | 7 |
| 266 | R:R:I160 | R:R:M196 | 5.83 | No | No | 0 | 5 | 4 |
| 267 | R:R:F161 | R:R:I165 | 5.02 | No | No | 0 | 4 | 5 |
| 268 | R:R:F385 | R:R:T162 | 7.78 | Yes | No | 0 | 5 | 6 |
| 269 | R:R:F393 | R:R:T162 | 5.19 | No | No | 0 | 8 | 6 |
| 270 | R:R:F188 | R:R:L163 | 6.09 | No | No | 0 | 8 | 8 |
| 271 | R:R:I192 | R:R:L163 | 4.28 | No | No | 0 | 7 | 8 |
| 272 | R:R:C392 | R:R:S166 | 6.89 | Yes | No | 14 | 9 | 9 |
| 273 | R:R:F393 | R:R:S166 | 6.61 | No | No | 14 | 8 | 9 |
| 274 | R:R:F173 | R:R:I169 | 3.77 | Yes | No | 0 | 7 | 8 |
| 275 | R:R:C392 | R:R:I169 | 4.91 | Yes | No | 0 | 9 | 8 |
| 276 | R:R:F170 | R:R:L176 | 3.65 | Yes | Yes | 0 | 8 | 9 |
| 277 | R:R:F170 | R:R:V181 | 7.87 | Yes | No | 0 | 8 | 9 |
| 278 | R:R:F170 | R:R:K185 | 3.72 | Yes | No | 0 | 8 | 6 |
| 279 | R:R:F170 | R:R:F188 | 5.36 | Yes | No | 0 | 8 | 8 |
| 280 | R:R:C392 | R:R:F170 | 6.98 | Yes | Yes | 0 | 9 | 8 |
| 281 | R:R:F172 | R:R:F173 | 9.65 | No | Yes | 0 | 2 | 7 |
| 282 | R:R:F173 | R:R:L176 | 3.65 | Yes | Yes | 0 | 7 | 9 |
| 283 | R:R:F173 | R:R:V402 | 5.24 | Yes | No | 0 | 7 | 5 |
| 284 | R:R:F173 | R:R:Q405 | 10.54 | Yes | No | 0 | 7 | 4 |
| 285 | R:R:S175 | R:R:T401 | 4.8 | No | Yes | 0 | 8 | 7 |
| 286 | R:R:E397 | R:R:L176 | 6.63 | No | Yes | 0 | 9 | 9 |
| 287 | R:R:L176 | R:R:V398 | 5.96 | Yes | No | 0 | 9 | 9 |
| 288 | R:R:L176 | R:R:T401 | 8.84 | Yes | Yes | 0 | 9 | 7 |
| 289 | R:R:C178 | R:R:R180 | 5.57 | No | No | 0 | 8 | 9 |
| 290 | R:R:Q179 | R:R:Y243 | 7.89 | Yes | Yes | 5 | 7 | 8 |
| 291 | R:R:K256 | R:R:Q179 | 4.07 | No | Yes | 0 | 5 | 7 |
| 292 | R:R:Q179 | R:R:Q257 | 3.84 | Yes | Yes | 5 | 7 | 5 |
| 293 | R:R:L259 | R:R:Q179 | 10.65 | Yes | Yes | 0 | 5 | 7 |
| 294 | R:R:H184 | R:R:R180 | 4.51 | No | No | 0 | 9 | 9 |
| 295 | R:R:E397 | R:R:R180 | 4.65 | No | No | 0 | 9 | 9 |
| 296 | R:R:L183 | R:R:Y243 | 7.03 | No | Yes | 0 | 8 | 8 |
| 297 | R:R:L183 | R:R:L259 | 5.54 | No | Yes | 0 | 8 | 5 |
| 298 | R:R:E240 | R:R:H184 | 11.08 | No | No | 0 | 9 | 9 |
| 299 | R:R:H184 | R:R:Y391 | 6.53 | No | No | 0 | 9 | 8 |
| 300 | R:R:N186 | R:R:W236 | 13.56 | No | Yes | 9 | 9 | 9 |
| 301 | R:R:N186 | R:R:Y263 | 6.98 | No | No | 9 | 9 | 5 |
| 302 | R:R:N186 | R:R:W267 | 7.91 | No | Yes | 9 | 9 | 9 |
| 303 | R:R:M187 | R:R:Y191 | 8.38 | No | Yes | 0 | 8 | 8 |
| 304 | R:R:E240 | R:R:M187 | 9.47 | No | No | 0 | 9 | 8 |
| 305 | R:R:F188 | R:R:V387 | 3.93 | No | No | 0 | 8 | 9 |
| 306 | R:R:L189 | R:R:L193 | 5.54 | No | No | 0 | 3 | 6 |
| 307 | R:R:L189 | R:R:W267 | 5.69 | No | Yes | 0 | 3 | 9 |
| 308 | R:R:N233 | R:R:T190 | 8.77 | No | No | 0 | 9 | 9 |
| 309 | R:R:T190 | R:R:W236 | 6.06 | No | Yes | 0 | 9 | 9 |
| 310 | R:R:N233 | R:R:Y191 | 13.96 | No | Yes | 2 | 9 | 8 |
| 311 | R:R:M237 | R:R:Y191 | 5.99 | Yes | Yes | 2 | 9 | 8 |
| 312 | R:R:Q383 | R:R:Y191 | 14.65 | Yes | Yes | 2 | 9 | 8 |
| 313 | R:R:G384 | R:R:Y191 | 8.69 | No | Yes | 0 | 9 | 8 |
| 314 | R:R:V387 | R:R:Y191 | 6.31 | No | Yes | 0 | 9 | 8 |
| 315 | R:R:L193 | R:R:M229 | 8.48 | No | No | 0 | 6 | 4 |
| 316 | R:R:I198 | R:R:N194 | 8.5 | No | No | 0 | 7 | 8 |
| 317 | R:R:H226 | R:R:I197 | 3.98 | No | No | 0 | 6 | 5 |
| 318 | R:R:H226 | R:R:I198 | 3.98 | No | No | 0 | 6 | 7 |
| 319 | R:R:H201 | R:R:V205 | 6.92 | No | No | 0 | 6 | 7 |
| 320 | R:R:E204 | R:R:V203 | 4.28 | No | No | 0 | 4 | 3 |
| 321 | R:R:P207 | R:R:V206 | 5.3 | No | No | 0 | 3 | 3 |
| 322 | R:R:E210 | R:R:N208 | 11.83 | No | No | 0 | 3 | 3 |
| 323 | R:R:L211 | R:R:N208 | 8.24 | No | No | 0 | 1 | 3 |
| 324 | R:R:E210 | R:R:R214 | 11.63 | No | No | 0 | 3 | 4 |
| 325 | R:R:L211 | R:R:R214 | 6.07 | No | No | 0 | 1 | 4 |
| 326 | R:R:L211 | R:R:P216 | 6.57 | No | No | 0 | 1 | 4 |
| 327 | R:R:C289 | R:R:V212 | 5.12 | No | No | 0 | 9 | 3 |
| 328 | R:R:D215 | R:R:K220 | 11.06 | No | No | 0 | 6 | 7 |
| 329 | R:R:D215 | R:R:N288 | 14.81 | No | No | 0 | 6 | 4 |
| 330 | R:R:C219 | R:R:P216 | 3.77 | No | No | 0 | 9 | 4 |
| 331 | R:R:C219 | R:R:C289 | 7.28 | No | No | 0 | 9 | 9 |
| 332 | R:R:K220 | R:R:N286 | 6.99 | No | No | 4 | 7 | 7 |
| 333 | R:R:K220 | R:R:W290 | 13.92 | No | Yes | 4 | 7 | 9 |
| 334 | R:R:H223 | R:R:Q227 | 14.84 | No | No | 0 | 5 | 7 |
| 335 | R:R:H223 | R:R:W290 | 8.46 | No | Yes | 0 | 5 | 9 |
| 336 | R:R:F224 | R:R:T274 | 9.08 | Yes | No | 0 | 5 | 6 |
| 337 | R:R:H277 | R:R:Q227 | 12.36 | Yes | No | 4 | 7 | 7 |
| 338 | R:R:I301 | R:R:Q227 | 6.86 | No | No | 4 | 7 | 7 |
| 339 | R:R:C232 | R:R:Y228 | 9.41 | No | No | 0 | 8 | 8 |
| 340 | R:R:L271 | R:R:Y228 | 7.03 | No | No | 0 | 4 | 8 |
| 341 | R:R:H302 | R:R:M230 | 6.57 | Yes | No | 2 | 6 | 6 |
| 342 | R:R:C232 | R:R:W267 | 3.92 | No | Yes | 0 | 8 | 9 |
| 343 | R:R:C232 | R:R:P270 | 5.65 | No | Yes | 0 | 8 | 9 |
| 344 | R:R:M237 | R:R:N233 | 4.21 | Yes | No | 2 | 9 | 9 |
| 345 | R:R:M237 | R:R:Y234 | 4.79 | Yes | Yes | 2 | 9 | 7 |
| 346 | R:R:V305 | R:R:Y234 | 11.36 | No | Yes | 2 | 7 | 7 |
| 347 | R:R:F356 | R:R:Y234 | 15.47 | Yes | Yes | 2 | 7 | 7 |
| 348 | R:R:F235 | R:R:L265 | 3.65 | Yes | No | 0 | 5 | 7 |
| 349 | R:R:F235 | R:R:F269 | 7.5 | Yes | Yes | 12 | 5 | 3 |
| 350 | R:R:F235 | R:R:P270 | 4.33 | Yes | Yes | 0 | 5 | 9 |
| 351 | R:R:C239 | R:R:W236 | 7.84 | No | Yes | 0 | 7 | 9 |
| 352 | R:R:W236 | R:R:Y263 | 3.86 | Yes | No | 9 | 9 | 5 |
| 353 | R:R:G266 | R:R:W236 | 8.44 | No | Yes | 0 | 9 | 9 |
| 354 | R:R:W236 | R:R:W267 | 17.81 | Yes | Yes | 9 | 9 | 9 |
| 355 | R:R:M237 | R:R:Q383 | 8.16 | Yes | Yes | 2 | 9 | 9 |
| 356 | R:R:I242 | R:R:L238 | 7.14 | Yes | Yes | 0 | 7 | 8 |
| 357 | R:R:L238 | R:R:L265 | 5.54 | Yes | No | 0 | 8 | 7 |
| 358 | R:R:A308 | R:R:L238 | 4.73 | No | Yes | 0 | 7 | 8 |
| 359 | R:R:L238 | R:R:N312 | 4.12 | Yes | No | 0 | 8 | 9 |
| 360 | R:R:C239 | R:R:Y262 | 5.38 | No | Yes | 0 | 7 | 7 |
| 361 | R:R:C239 | R:R:L265 | 4.76 | No | No | 0 | 7 | 7 |
| 362 | R:R:E240 | R:R:L351 | 13.25 | No | No | 0 | 9 | 9 |
| 363 | R:R:I242 | R:R:Y262 | 4.84 | Yes | Yes | 5 | 7 | 7 |
| 364 | R:R:F315 | R:R:I242 | 5.02 | No | Yes | 0 | 8 | 7 |
| 365 | R:R:L247 | R:R:Y243 | 9.38 | No | Yes | 0 | 8 | 8 |
| 366 | R:R:Q257 | R:R:Y243 | 7.89 | Yes | Yes | 5 | 5 | 8 |
| 367 | R:R:Y243 | R:R:Y262 | 6.95 | Yes | Yes | 5 | 8 | 7 |
| 368 | R:R:I248 | R:R:L244 | 4.28 | No | No | 0 | 7 | 9 |
| 369 | R:R:I319 | R:R:L244 | 4.28 | No | No | 0 | 9 | 9 |
| 370 | R:R:H245 | R:R:V249 | 16.61 | No | Yes | 15 | 8 | 6 |
| 371 | R:R:F315 | R:R:H245 | 23.76 | No | No | 0 | 8 | 8 |
| 372 | R:R:H245 | R:R:N318 | 7.65 | No | No | 15 | 8 | 8 |
| 373 | R:R:Q257 | R:R:T246 | 7.09 | Yes | No | 0 | 5 | 7 |
| 374 | R:R:N318 | R:R:V249 | 7.39 | No | Yes | 15 | 8 | 6 |
| 375 | R:R:Q257 | R:R:Y262 | 5.64 | Yes | Yes | 5 | 5 | 7 |
| 376 | R:R:R258 | R:R:R260 | 18.13 | No | No | 5 | 5 | 3 |
| 377 | R:R:R258 | R:R:W261 | 7 | No | Yes | 5 | 5 | 2 |
| 378 | R:R:L259 | R:R:Y263 | 4.69 | Yes | No | 0 | 5 | 5 |
| 379 | R:R:R260 | R:R:W261 | 4 | No | Yes | 5 | 3 | 2 |
| 380 | R:R:I301 | R:R:T274 | 4.56 | No | No | 0 | 7 | 6 |
| 381 | R:R:H277 | R:R:R281 | 12.41 | Yes | Yes | 4 | 7 | 7 |
| 382 | R:R:H277 | R:R:L298 | 3.86 | Yes | No | 0 | 7 | 6 |
| 383 | R:R:H277 | R:R:I301 | 7.95 | Yes | No | 4 | 7 | 7 |
| 384 | R:R:L297 | R:R:T280 | 8.84 | No | No | 0 | 4 | 4 |
| 385 | R:R:I300 | R:R:T280 | 4.56 | No | No | 11 | 8 | 4 |
| 386 | R:R:F285 | R:R:R281 | 5.34 | Yes | Yes | 4 | 6 | 7 |
| 387 | R:R:D287 | R:R:R281 | 5.96 | No | Yes | 4 | 3 | 7 |
| 388 | R:R:R281 | R:R:W290 | 20.99 | Yes | Yes | 4 | 7 | 9 |
| 389 | R:R:R281 | R:R:T295 | 6.47 | Yes | Yes | 4 | 7 | 4 |
| 390 | R:R:V283 | R:R:Y284 | 6.31 | No | No | 0 | 3 | 2 |
| 391 | R:R:D287 | R:R:F285 | 7.17 | No | Yes | 4 | 3 | 6 |
| 392 | R:R:F285 | R:R:S292 | 7.93 | Yes | No | 4 | 6 | 4 |
| 393 | R:R:F285 | R:R:T295 | 16.86 | Yes | Yes | 4 | 6 | 4 |
| 394 | R:R:N286 | R:R:W290 | 6.78 | No | Yes | 4 | 7 | 9 |
| 395 | R:R:D287 | R:R:S292 | 4.42 | No | No | 4 | 3 | 4 |
| 396 | R:R:C289 | R:R:L291 | 4.76 | No | No | 0 | 9 | 6 |
| 397 | R:R:L297 | R:R:T295 | 4.42 | No | Yes | 0 | 4 | 4 |
| 398 | R:R:H302 | R:R:L298 | 3.86 | Yes | No | 0 | 6 | 6 |
| 399 | R:R:G303 | R:R:P304 | 4.06 | No | Yes | 0 | 4 | 9 |
| 400 | R:R:F356 | R:R:L309 | 3.65 | Yes | No | 0 | 7 | 7 |
| 401 | R:R:F315 | R:R:V311 | 5.24 | No | No | 0 | 8 | 6 |
| 402 | R:R:L352 | R:R:N312 | 9.61 | No | No | 0 | 9 | 9 |
| 403 | R:R:F313 | R:R:L317 | 10.96 | No | No | 0 | 6 | 5 |
| 404 | R:R:F313 | R:R:I354 | 5.02 | No | Yes | 0 | 6 | 6 |
| 405 | R:R:F313 | R:R:V357 | 3.93 | No | No | 0 | 6 | 7 |
| 406 | R:R:L316 | R:R:L348 | 4.15 | No | No | 0 | 9 | 9 |
| 407 | R:R:I354 | R:R:L316 | 7.14 | Yes | No | 0 | 6 | 9 |
| 408 | R:R:N318 | R:R:R321 | 10.85 | No | No | 0 | 8 | 8 |
| 409 | R:R:T345 | R:R:V320 | 4.76 | No | No | 0 | 9 | 7 |
| 410 | R:R:R328 | R:R:V324 | 6.54 | No | No | 0 | 6 | 5 |
| 411 | R:R:E329 | R:R:T325 | 4.23 | No | No | 0 | 6 | 7 |
| 412 | R:R:M327 | R:R:M337 | 8.66 | No | No | 0 | 7 | 7 |
| 413 | R:R:K340 | R:R:M327 | 7.2 | No | No | 0 | 8 | 7 |
| 414 | R:R:M337 | R:R:R328 | 8.69 | No | No | 0 | 7 | 6 |
| 415 | R:R:E332 | R:R:H336 | 4.92 | No | No | 0 | 5 | 6 |
| 416 | R:R:E332 | R:R:M337 | 4.06 | No | No | 0 | 5 | 7 |
| 417 | R:R:E334 | R:R:Y338 | 4.49 | No | No | 0 | 6 | 7 |
| 418 | R:R:H336 | R:R:S335 | 8.37 | No | No | 0 | 6 | 6 |
| 419 | R:R:I347 | R:R:I390 | 4.42 | No | No | 0 | 8 | 8 |
| 420 | R:R:I354 | R:R:V349 | 9.22 | Yes | No | 0 | 6 | 8 |
| 421 | R:R:L351 | R:R:L352 | 5.54 | No | No | 0 | 9 | 9 |
| 422 | R:R:L351 | R:R:Y391 | 17.58 | No | No | 0 | 9 | 8 |
| 423 | R:R:I354 | R:R:L352 | 4.28 | Yes | No | 0 | 6 | 9 |
| 424 | R:R:G353 | R:R:Q355 | 4.93 | No | Yes | 0 | 9 | 8 |
| 425 | R:R:F356 | R:R:Q355 | 10.54 | Yes | Yes | 2 | 7 | 8 |
| 426 | R:R:L379 | R:R:Q355 | 5.32 | No | Yes | 0 | 5 | 8 |
| 427 | R:R:Q355 | R:R:Q383 | 10.24 | Yes | Yes | 2 | 8 | 9 |
| 428 | R:R:F356 | R:R:I380 | 3.77 | Yes | No | 0 | 7 | 6 |
| 429 | R:R:F356 | R:R:Q383 | 4.68 | Yes | Yes | 2 | 7 | 9 |
| 430 | R:R:F359 | R:R:V358 | 9.18 | No | No | 0 | 6 | 5 |
| 431 | R:R:F359 | R:R:M376 | 6.22 | No | No | 0 | 6 | 7 |
| 432 | R:R:G369 | R:R:R362 | 4.5 | No | Yes | 0 | 4 | 4 |
| 433 | R:R:R362 | R:R:Y372 | 7.2 | Yes | No | 0 | 4 | 7 |
| 434 | R:R:D373 | R:R:R362 | 13.1 | No | Yes | 0 | 5 | 4 |
| 435 | R:R:P363 | R:R:Y372 | 5.56 | No | No | 0 | 7 | 7 |
| 436 | R:R:L368 | R:R:N365 | 10.98 | No | No | 0 | 3 | 4 |
| 437 | R:R:K370 | R:R:Y374 | 8.36 | No | Yes | 6 | 4 | 6 |
| 438 | R:R:M376 | R:R:Y372 | 14.37 | No | No | 0 | 7 | 7 |
| 439 | R:R:H377 | R:R:H381 | 9.55 | Yes | Yes | 0 | 7 | 9 |
| 440 | R:R:H381 | R:R:I380 | 5.3 | Yes | No | 0 | 9 | 6 |
| 441 | R:R:F382 | R:R:F386 | 4.29 | Yes | No | 0 | 7 | 5 |
| 442 | R:R:F385 | R:R:F386 | 4.29 | Yes | No | 0 | 5 | 5 |
| 443 | R:R:F385 | R:R:T389 | 7.78 | Yes | No | 0 | 5 | 5 |
| 444 | R:R:I390 | R:R:Y391 | 8.46 | No | No | 0 | 8 | 8 |
| 445 | R:R:C392 | R:R:F393 | 4.19 | Yes | No | 14 | 9 | 8 |
| 446 | R:R:E397 | R:R:N395 | 5.26 | No | No | 0 | 9 | 9 |
| 447 | R:R:N395 | R:R:V398 | 8.87 | No | No | 0 | 9 | 9 |
| 448 | R:R:N396 | R:R:T400 | 4.39 | No | No | 0 | 6 | 4 |
| 449 | R:R:Q405 | R:R:T401 | 4.25 | No | Yes | 0 | 4 | 7 |
| 450 | E:E:G91 | E:E:T94 | 3.64 | No | No | 0 | 4 | 7 |
| 451 | L:L:T36 | R:R:W79 | 3.64 | No | Yes | 0 | 0 | 6 |
| 452 | R:R:L62 | R:R:R74 | 3.64 | No | No | 0 | 3 | 4 |
| 453 | R:R:P216 | R:R:S218 | 3.56 | No | No | 0 | 4 | 3 |
| 454 | E:E:P114 | E:E:V118 | 3.53 | Yes | No | 0 | 9 | 7 |
| 455 | E:E:V127 | R:R:P304 | 3.53 | No | Yes | 0 | 7 | 9 |
| 456 | R:R:P273 | R:R:V272 | 3.53 | No | No | 0 | 6 | 4 |
| 457 | R:R:P350 | R:R:V349 | 3.53 | No | No | 0 | 9 | 8 |
| 458 | L:L:L27 | R:R:Y41 | 3.52 | No | No | 0 | 0 | 3 |
| 459 | R:R:L90 | R:R:Y111 | 3.52 | No | Yes | 0 | 4 | 4 |
| 460 | R:R:L148 | R:R:Y374 | 3.52 | Yes | Yes | 6 | 5 | 6 |
| 461 | R:R:P139 | R:R:T138 | 3.5 | No | No | 0 | 3 | 2 |
| 462 | E:E:E76 | E:E:R36 | 3.49 | No | No | 0 | 6 | 3 |
| 463 | E:E:C82 | E:E:V80 | 3.42 | Yes | Yes | 0 | 9 | 5 |
| 464 | R:R:A388 | R:R:S166 | 3.42 | No | No | 0 | 8 | 9 |
| 465 | R:R:C219 | R:R:V205 | 3.42 | No | No | 0 | 9 | 7 |
| 466 | E:E:I120 | E:E:P121 | 3.39 | No | No | 0 | 5 | 5 |
| 467 | E:E:I125 | E:E:P126 | 3.39 | No | No | 0 | 5 | 9 |
| 468 | L:L:I26 | R:R:P100 | 3.39 | No | No | 0 | 0 | 4 |
| 469 | L:L:G33 | L:L:N31 | 3.39 | No | No | 0 | 0 | 0 |
| 470 | R:R:G241 | R:R:N312 | 3.39 | No | No | 0 | 8 | 9 |
| 471 | R:R:E114 | R:R:Y111 | 3.37 | No | Yes | 0 | 2 | 4 |
| 472 | R:R:A251 | R:R:T254 | 3.36 | No | No | 0 | 6 | 6 |
| 473 | R:R:L368 | R:R:P363 | 3.28 | No | No | 0 | 3 | 7 |
| 474 | E:E:N86 | E:E:P87 | 3.26 | No | No | 0 | 9 | 5 |
| 475 | E:E:A89 | E:E:M33 | 3.22 | No | No | 0 | 8 | 8 |
| 476 | R:R:V249 | R:R:V250 | 3.21 | Yes | No | 0 | 6 | 5 |
| 477 | L:L:L16 | R:R:A145 | 3.15 | Yes | No | 0 | 0 | 4 |
| 478 | E:E:V138 | R:R:I242 | 3.07 | No | Yes | 0 | 9 | 7 |
| 479 | R:R:I221 | R:R:V217 | 3.07 | No | No | 0 | 4 | 3 |
| 480 | R:R:I248 | R:R:V249 | 3.07 | No | Yes | 0 | 7 | 6 |
| 481 | R:R:I248 | R:R:V322 | 3.07 | No | No | 0 | 7 | 8 |
| 482 | E:E:K142 | E:E:S141 | 3.06 | No | No | 0 | 8 | 9 |
| 483 | R:R:I279 | R:R:T275 | 3.04 | No | No | 0 | 3 | 3 |
| 484 | E:E:F92 | E:E:G41 | 3.01 | No | No | 0 | 8 | 7 |
| 485 | L:L:T4 | R:R:M306 | 3.01 | Yes | No | 0 | 0 | 4 |
| 486 | R:R:K110 | R:R:T127 | 3 | Yes | No | 0 | 8 | 4 |
| 487 | R:R:K141 | R:R:T138 | 3 | Yes | No | 0 | 3 | 2 |
| 488 | R:R:L316 | R:R:V320 | 2.98 | No | No | 0 | 9 | 7 |
| 489 | E:E:L34 | E:E:T31 | 2.95 | No | No | 0 | 5 | 7 |
| 490 | R:R:L259 | R:R:T182 | 2.95 | Yes | No | 0 | 5 | 5 |
| 491 | R:R:I276 | R:R:I300 | 2.94 | No | No | 0 | 5 | 8 |
| 492 | L:L:A13 | R:R:H201 | 2.93 | No | No | 0 | 0 | 6 |
| 493 | R:R:G67 | R:R:Y65 | 2.9 | No | Yes | 0 | 2 | 3 |
| 494 | E:E:I125 | E:E:L129 | 2.85 | No | No | 0 | 5 | 7 |
| 495 | R:R:I200 | R:R:L222 | 2.85 | No | No | 0 | 6 | 6 |
| 496 | E:E:L37 | E:E:M33 | 2.83 | No | No | 0 | 8 | 8 |
| 497 | L:L:I26 | L:L:N22 | 2.83 | No | No | 0 | 0 | 0 |
| 498 | E:E:L59 | R:R:K46 | 2.82 | No | No | 0 | 7 | 4 |
| 499 | R:R:K185 | R:R:L167 | 2.82 | No | No | 0 | 6 | 6 |
| 500 | E:E:M75 | E:E:N78 | 2.8 | No | No | 0 | 1 | 1 |
| 501 | E:E:C40 | E:E:F69 | 2.79 | No | Yes | 0 | 9 | 8 |
| 502 | E:E:A45 | E:E:F100 | 2.77 | No | No | 0 | 5 | 8 |
| 503 | L:L:A5 | R:R:F356 | 2.77 | No | Yes | 0 | 0 | 7 |
| 504 | R:R:D50 | R:R:K47 | 2.77 | No | No | 0 | 2 | 4 |
| 505 | R:R:D97 | R:R:K47 | 2.77 | No | No | 0 | 2 | 4 |
| 506 | R:R:A278 | R:R:F224 | 2.77 | No | Yes | 0 | 6 | 5 |
| 507 | E:E:I96 | E:E:Q99 | 2.74 | No | No | 0 | 6 | 4 |
| 508 | R:R:E204 | R:R:I200 | 2.73 | No | No | 0 | 4 | 6 |
| 509 | E:E:C104 | R:R:Y53 | 2.69 | No | Yes | 0 | 9 | 1 |
| 510 | R:R:A51 | R:R:Y98 | 2.67 | No | Yes | 0 | 8 | 4 |
| 511 | E:E:E35 | E:E:L34 | 2.65 | No | No | 0 | 3 | 5 |
| 512 | R:R:H156 | R:R:I199 | 2.65 | Yes | No | 0 | 7 | 7 |
| 513 | R:R:F314 | R:R:V310 | 2.62 | No | No | 0 | 5 | 4 |
| 514 | R:R:F224 | R:R:T275 | 2.59 | Yes | No | 0 | 5 | 3 |
| 515 | R:R:R404 | R:R:T400 | 2.59 | No | No | 0 | 7 | 4 |
| 516 | R:R:R404 | R:R:T401 | 2.59 | No | Yes | 0 | 7 | 7 |
| 517 | E:E:H97 | R:R:D57 | 2.52 | Yes | No | 0 | 9 | 4 |
| 518 | R:R:F225 | R:R:I221 | 2.51 | No | No | 0 | 5 | 4 |
| 519 | E:E:T94 | R:R:Y56 | 2.5 | No | Yes | 0 | 7 | 3 |
| 520 | R:R:F137 | R:R:M133 | 2.49 | No | No | 0 | 1 | 5 |
| 521 | E:E:V51 | E:E:W56 | 2.45 | No | No | 0 | 6 | 7 |
| 522 | E:E:L129 | R:R:F269 | 2.44 | No | Yes | 0 | 7 | 3 |
| 523 | E:E:R98 | R:R:Q60 | 2.34 | No | No | 0 | 6 | 3 |
| 524 | R:R:F224 | R:R:F225 | 2.14 | Yes | No | 0 | 5 | 5 |
| 525 | E:E:F62 | E:E:Y65 | 2.06 | Yes | No | 0 | 8 | 5 |
| 526 | R:R:G268 | R:R:P270 | 2.03 | No | Yes | 0 | 6 | 9 |
| 527 | E:E:C28 | E:E:G81 | 1.96 | No | No | 0 | 9 | 4 |
| 528 | E:E:P114 | E:E:P115 | 1.95 | Yes | No | 0 | 9 | 8 |
| 529 | E:E:P126 | R:R:P273 | 1.95 | No | No | 0 | 9 | 6 |
| 530 | E:E:A134 | E:E:G135 | 1.95 | No | No | 0 | 8 | 7 |
| 531 | L:L:P28 | L:L:P29 | 1.95 | No | No | 0 | 0 | 0 |
| 532 | R:R:P273 | R:R:P304 | 1.95 | No | Yes | 0 | 6 | 9 |
| 533 | R:R:A231 | R:R:P270 | 1.87 | No | Yes | 0 | 5 | 9 |
| 534 | R:R:G44 | R:R:V43 | 1.84 | No | No | 0 | 4 | 2 |
| 535 | R:R:G168 | R:R:V171 | 1.84 | No | No | 0 | 1 | 4 |
| 536 | R:R:G177 | R:R:V181 | 1.84 | No | No | 0 | 7 | 9 |
| 537 | E:E:G32 | E:E:T31 | 1.82 | No | No | 0 | 3 | 7 |
| 538 | E:E:A77 | E:E:C82 | 1.81 | No | Yes | 0 | 7 | 9 |
| 539 | R:R:G44 | R:R:K47 | 1.74 | No | No | 0 | 4 | 4 |
| 540 | E:E:G32 | E:E:N29 | 1.7 | No | No | 0 | 3 | 8 |
| 541 | E:E:V127 | R:R:A307 | 1.7 | No | No | 0 | 7 | 3 |
| 542 | E:E:V131 | R:R:A307 | 1.7 | No | No | 0 | 6 | 3 |
| 543 | R:R:A341 | R:R:V324 | 1.7 | No | No | 0 | 9 | 5 |
| 544 | R:R:C394 | R:R:T389 | 1.69 | No | No | 0 | 5 | 5 |
| 545 | R:R:M306 | R:R:P360 | 1.68 | No | No | 0 | 4 | 5 |
| 546 | R:R:E68 | R:R:G69 | 1.64 | No | No | 0 | 1 | 1 |
| 547 | E:E:S68 | E:E:V64 | 1.62 | No | No | 0 | 2 | 4 |
| 548 | E:E:A43 | E:E:K42 | 1.61 | No | No | 0 | 2 | 3 |
| 549 | E:E:V79 | E:E:V80 | 1.6 | No | Yes | 0 | 1 | 5 |
| 550 | E:E:V124 | E:E:V128 | 1.6 | No | No | 0 | 4 | 4 |
| 551 | R:R:V310 | R:R:V357 | 1.6 | No | No | 0 | 4 | 7 |
| 552 | R:R:V320 | R:R:V324 | 1.6 | No | No | 0 | 7 | 5 |
| 553 | R:R:A344 | R:R:L323 | 1.58 | No | No | 0 | 9 | 9 |
| 554 | E:E:A77 | E:E:N78 | 1.56 | No | No | 0 | 7 | 1 |
| 555 | E:E:I63 | E:E:V64 | 1.54 | No | No | 0 | 6 | 4 |
| 556 | E:E:I120 | E:E:V124 | 1.54 | No | No | 0 | 5 | 4 |
| 557 | R:R:I371 | R:R:V375 | 1.54 | No | No | 0 | 5 | 4 |
| 558 | E:E:C40 | E:E:E76 | 1.52 | No | No | 0 | 9 | 6 |
| 559 | R:R:K115 | R:R:V117 | 1.52 | No | No | 0 | 5 | 5 |
| 560 | R:R:K326 | R:R:V322 | 1.52 | No | No | 0 | 9 | 8 |
| 561 | R:R:M346 | R:R:V342 | 1.52 | No | No | 0 | 8 | 8 |
| 562 | E:E:F69 | E:E:G41 | 1.51 | Yes | No | 0 | 8 | 7 |
| 563 | R:R:K120 | R:R:T127 | 1.5 | No | No | 0 | 1 | 4 |
| 564 | R:R:G209 | R:R:R213 | 1.5 | No | No | 0 | 3 | 2 |
| 565 | E:E:N103 | E:E:S102 | 1.49 | No | No | 0 | 8 | 7 |
| 566 | E:E:L111 | E:E:V109 | 1.49 | No | No | 0 | 4 | 5 |
| 567 | R:R:L379 | R:R:V375 | 1.49 | No | No | 0 | 5 | 4 |
| 568 | E:E:D52 | E:E:V51 | 1.46 | No | No | 0 | 6 | 6 |
| 569 | R:R:A333 | R:R:H336 | 1.46 | No | No | 0 | 5 | 6 |
| 570 | E:E:D107 | E:E:T105 | 1.45 | No | No | 0 | 5 | 8 |
| 571 | E:E:S102 | R:R:Q60 | 1.44 | No | No | 0 | 7 | 3 |
| 572 | R:R:L323 | R:R:M327 | 1.41 | No | No | 0 | 9 | 7 |
| 573 | R:R:E332 | R:R:T330 | 1.41 | No | No | 0 | 5 | 5 |
| 574 | E:E:D116 | E:E:I120 | 1.4 | No | No | 0 | 6 | 5 |
| 575 | R:R:M367 | R:R:N365 | 1.4 | No | No | 0 | 4 | 4 |
| 576 | E:E:D116 | E:E:L119 | 1.36 | No | No | 0 | 6 | 9 |
| 577 | L:L:N31 | L:L:N35 | 1.36 | No | No | 0 | 0 | 0 |
| 578 | R:R:E329 | R:R:K326 | 1.35 | No | No | 0 | 6 | 9 |
| 579 | R:R:N396 | R:R:Q399 | 1.32 | No | No | 0 | 6 | 7 |
| 580 | E:E:R108 | E:E:V109 | 1.31 | No | No | 0 | 4 | 5 |
| 581 | R:R:F382 | R:R:V154 | 1.31 | Yes | No | 0 | 7 | 6 |
| 582 | R:R:R174 | R:R:V171 | 1.31 | No | No | 0 | 7 | 4 |
| 583 | R:R:D113 | R:R:E114 | 1.3 | No | No | 0 | 5 | 2 |
| 584 | R:R:A282 | R:R:W290 | 1.3 | No | Yes | 0 | 3 | 9 |
| 585 | R:R:E210 | R:R:R213 | 1.16 | No | No | 0 | 3 | 2 |
| Color | ConSurf Grade |
| No Conservation data available | |
| 1 | |
| 2 | |
| 3 | |
| 4 | |
| 5 | |
| 6 | |
| 7 | |
| 8 | |
| 9 |
Index: hub id, click on each number to highlight the corresponding hub in the 3D visualization.
Hub: the hub being considered.
Avg Int. Strength: the average interaction strength of all the links of the corresponding hub.
Num Of Links: the number of links of the corresponding hub.
Community: the id of the community the link belong to, otherwise 0.
ConSurf: this column reports the ConSurf conservation grades of each hub.
| Index | Hub | Avg Int. Strength | Num Of Links | Community | ConSurf |
|---|---|---|---|---|---|
| 1 | E:E:F44 | 7.026 | 5 | 1 | 9 |
| 2 | E:E:F62 | 5.322 | 5 | 1 | 8 |
| 3 | E:E:F69 | 5.956 | 5 | 0 | 8 |
| 4 | E:E:V80 | 4.6125 | 4 | 0 | 5 |
| 5 | E:E:C82 | 4.3075 | 4 | 0 | 9 |
| 6 | E:E:W84 | 9.415 | 4 | 1 | 9 |
| 7 | E:E:H97 | 8.974 | 5 | 1 | 9 |
| 8 | E:E:F101 | 10.24 | 4 | 1 | 9 |
| 9 | E:E:P114 | 7.776 | 5 | 0 | 9 |
| 10 | H:H:?3 | 10.975 | 4 | 3 | 0 |
| 11 | L:L:T4 | 4.535 | 4 | 2 | 0 |
| 12 | L:L:T6 | 6.4 | 4 | 2 | 0 |
| 13 | L:L:F15 | 6.2375 | 4 | 8 | 0 |
| 14 | L:L:L16 | 3.858 | 5 | 0 | 0 |
| 15 | L:L:K21 | 10.655 | 4 | 7 | 0 |
| 16 | L:L:Y37 | 8.234 | 5 | 1 | 0 |
| 17 | L:L:?101 | 7.572 | 10 | 7 | 0 |
| 18 | R:R:R45 | 7.155 | 4 | 1 | 7 |
| 19 | R:R:M48 | 7.06 | 4 | 1 | 6 |
| 20 | R:R:M49 | 6.8725 | 4 | 1 | 4 |
| 21 | R:R:Q52 | 10.8075 | 4 | 1 | 6 |
| 22 | R:R:Y53 | 8.298 | 5 | 1 | 1 |
| 23 | R:R:Y56 | 6.17857 | 7 | 1 | 3 |
| 24 | R:R:M59 | 6.935 | 4 | 1 | 5 |
| 25 | R:R:Y65 | 8.17 | 4 | 13 | 3 |
| 26 | R:R:D77 | 7.015 | 4 | 1 | 9 |
| 27 | R:R:W79 | 9.03333 | 6 | 1 | 6 |
| 28 | R:R:L80 | 9.342 | 5 | 1 | 5 |
| 29 | R:R:W82 | 10.088 | 5 | 0 | 9 |
| 30 | R:R:P96 | 7.9875 | 4 | 1 | 9 |
| 31 | R:R:Y98 | 8.706 | 5 | 1 | 4 |
| 32 | R:R:F99 | 11.36 | 4 | 1 | 5 |
| 33 | R:R:F102 | 9.09833 | 6 | 1 | 4 |
| 34 | R:R:D103 | 7.43 | 5 | 8 | 3 |
| 35 | R:R:K110 | 10.918 | 5 | 1 | 8 |
| 36 | R:R:Y111 | 4.1 | 4 | 0 | 4 |
| 37 | R:R:W118 | 13.14 | 4 | 1 | 9 |
| 38 | R:R:H121 | 12.29 | 5 | 3 | 4 |
| 39 | R:R:W128 | 11.33 | 4 | 3 | 5 |
| 40 | R:R:S129 | 6.7675 | 4 | 1 | 7 |
| 41 | R:R:N130 | 12.8925 | 4 | 3 | 8 |
| 42 | R:R:Y131 | 9.80667 | 6 | 1 | 5 |
| 43 | R:R:K141 | 5.04 | 4 | 8 | 3 |
| 44 | R:R:L148 | 5.8275 | 4 | 6 | 5 |
| 45 | R:R:Y149 | 7.172 | 5 | 7 | 5 |
| 46 | R:R:H156 | 10.0825 | 4 | 0 | 7 |
| 47 | R:R:F170 | 5.516 | 5 | 0 | 8 |
| 48 | R:R:F173 | 6.57 | 5 | 0 | 7 |
| 49 | R:R:L176 | 5.746 | 5 | 0 | 9 |
| 50 | R:R:Q179 | 6.6125 | 4 | 5 | 7 |
| 51 | R:R:Y191 | 9.66333 | 6 | 2 | 8 |
| 52 | R:R:F224 | 4.145 | 4 | 0 | 5 |
| 53 | R:R:Y234 | 10.09 | 4 | 2 | 7 |
| 54 | R:R:F235 | 5.815 | 4 | 12 | 5 |
| 55 | R:R:W236 | 9.595 | 6 | 9 | 9 |
| 56 | R:R:M237 | 5.7875 | 4 | 2 | 9 |
| 57 | R:R:L238 | 5.3825 | 4 | 0 | 8 |
| 58 | R:R:I242 | 5.242 | 5 | 5 | 7 |
| 59 | R:R:Y243 | 7.828 | 5 | 5 | 8 |
| 60 | R:R:V249 | 7.57 | 4 | 15 | 6 |
| 61 | R:R:Q257 | 6.048 | 5 | 5 | 5 |
| 62 | R:R:L259 | 5.9575 | 4 | 0 | 5 |
| 63 | R:R:W261 | 6.674 | 5 | 5 | 2 |
| 64 | R:R:Y262 | 5.70167 | 6 | 5 | 7 |
| 65 | R:R:W267 | 8.8325 | 4 | 9 | 9 |
| 66 | R:R:F269 | 5.9725 | 4 | 12 | 3 |
| 67 | R:R:P270 | 3.47 | 4 | 0 | 9 |
| 68 | R:R:H277 | 9.145 | 4 | 4 | 7 |
| 69 | R:R:R281 | 10.234 | 5 | 4 | 7 |
| 70 | R:R:F285 | 10.382 | 5 | 4 | 6 |
| 71 | R:R:W290 | 10.29 | 5 | 4 | 9 |
| 72 | R:R:T295 | 9.105 | 4 | 4 | 4 |
| 73 | R:R:H302 | 7.028 | 5 | 2 | 6 |
| 74 | R:R:P304 | 3.6975 | 4 | 0 | 9 |
| 75 | R:R:I354 | 6.415 | 4 | 0 | 6 |
| 76 | R:R:Q355 | 7.7575 | 4 | 2 | 8 |
| 77 | R:R:F356 | 6.39571 | 7 | 2 | 7 |
| 78 | R:R:R362 | 7.7075 | 4 | 0 | 4 |
| 79 | R:R:Y374 | 6.63 | 4 | 6 | 6 |
| 80 | R:R:H377 | 7.3425 | 4 | 6 | 7 |
| 81 | R:R:H381 | 8.192 | 5 | 0 | 9 |
| 82 | R:R:F382 | 4.57 | 4 | 0 | 7 |
| 83 | R:R:Q383 | 9.4325 | 4 | 2 | 9 |
| 84 | R:R:F385 | 8.92 | 4 | 0 | 5 |
| 85 | R:R:C392 | 5.7425 | 4 | 14 | 9 |
| 86 | R:R:T401 | 5.12 | 4 | 0 | 7 |
| Color | ConSurf Grade |
| No Conservation data available | |
| 1 | |
| 2 | |
| 3 | |
| 4 | |
| 5 | |
| 6 | |
| 7 | |
| 8 | |
| 9 |
Index: link id, click on each number to highlight the corresponding link in the 3D visualization.
Node1 Node2: the two nodes of the corresponding link.
Recurrence: the relative Recurrence in the pool of shortest paths.
Int. Strength: the interaction strength between the two nodes.
Hub1?, Hub2?: "Yes" if the corresponding node has more than 3 links, otherwise "No".
Community: the id of the community the link belong to, otherwise 0.
ConSurf1, ConSurf2: these columns report the ConSurf conservation grades of the two nodes involved in a link.
| Index | Node1 | Node2 | Recurrence | Int. Strength | Hub1? | Hub2? | Community | ConSurf1 | ConSurf2 |
|---|---|---|---|---|---|---|---|---|---|
| 1 | E:E:L37 | E:E:M33 | 10.5175 | 2.83 | No | No | 0 | 8 | 8 |
| 2 | E:E:F92 | E:E:L37 | 11.1274 | 28.01 | No | No | 0 | 8 | 8 |
| 3 | E:E:F92 | E:E:G41 | 12.3442 | 3.01 | No | No | 0 | 8 | 7 |
| 4 | E:E:F69 | E:E:G41 | 12.9511 | 1.51 | Yes | No | 0 | 8 | 7 |
| 5 | E:E:F44 | E:E:F69 | 17.2 | 13.93 | Yes | Yes | 0 | 9 | 8 |
| 6 | E:E:F44 | E:E:Y66 | 11.4082 | 5.16 | Yes | No | 1 | 9 | 9 |
| 7 | E:E:F101 | E:E:F44 | 12.1846 | 4.29 | Yes | Yes | 1 | 9 | 9 |
| 8 | E:E:M48 | E:E:W56 | 11.0434 | 19.78 | No | No | 0 | 9 | 7 |
| 9 | E:E:Y66 | R:R:Y53 | 15.7937 | 9.93 | No | Yes | 1 | 9 | 1 |
| 10 | E:E:F101 | R:R:Y53 | 15.7318 | 15.47 | Yes | Yes | 1 | 9 | 1 |
| 11 | E:E:L59 | R:R:Y53 | 39.9065 | 4.69 | No | Yes | 0 | 7 | 1 |
| 12 | E:E:L59 | R:R:K46 | 40.0631 | 2.82 | No | No | 0 | 7 | 4 |
| 13 | R:R:Q52 | R:R:Y56 | 14.6702 | 4.51 | Yes | Yes | 1 | 6 | 3 |
| 14 | E:E:W84 | R:R:Q52 | 16.9162 | 6.57 | Yes | Yes | 1 | 9 | 6 |
| 15 | E:E:W84 | L:L:Y37 | 17.8845 | 5.79 | Yes | Yes | 1 | 9 | 0 |
| 16 | L:L:?38 | L:L:Y37 | 29.2829 | 5.8 | No | Yes | 0 | 0 | 0 |
| 17 | L:L:?38 | R:R:W128 | 43.5171 | 5.64 | No | Yes | 0 | 0 | 5 |
| 18 | R:R:M59 | R:R:Y56 | 12.2617 | 4.79 | Yes | Yes | 1 | 5 | 3 |
| 19 | R:R:D50 | R:R:K46 | 40.7506 | 11.06 | No | No | 0 | 2 | 4 |
| 20 | R:R:D50 | R:R:K47 | 40.9323 | 2.77 | No | No | 0 | 2 | 4 |
| 21 | R:R:D97 | R:R:K47 | 41.5613 | 2.77 | No | No | 0 | 2 | 4 |
| 22 | R:R:D97 | R:R:P104 | 41.7823 | 11.27 | No | No | 0 | 2 | 3 |
| 23 | R:R:D103 | R:R:P104 | 43.5186 | 6.44 | Yes | No | 0 | 3 | 3 |
| 24 | L:L:F15 | R:R:D103 | 70.8929 | 7.17 | Yes | Yes | 8 | 0 | 3 |
| 25 | L:L:F15 | L:L:L16 | 100 | 3.65 | Yes | Yes | 0 | 0 | 0 |
| 26 | L:L:L12 | L:L:L16 | 86.0084 | 4.15 | No | Yes | 0 | 0 | 0 |
| 27 | L:L:L12 | R:R:H377 | 81.2709 | 3.86 | No | Yes | 6 | 0 | 7 |
| 28 | R:R:H377 | R:R:H381 | 85.2414 | 9.55 | Yes | Yes | 0 | 7 | 9 |
| 29 | R:R:H381 | R:R:I380 | 90.0938 | 5.3 | Yes | No | 0 | 9 | 6 |
| 30 | R:R:F356 | R:R:I380 | 90.0575 | 3.77 | Yes | No | 0 | 7 | 6 |
| 31 | L:L:T6 | R:R:F356 | 16.5352 | 3.89 | Yes | Yes | 2 | 0 | 7 |
| 32 | L:L:T6 | R:R:H302 | 21.4318 | 8.21 | Yes | Yes | 2 | 0 | 6 |
| 33 | R:R:H302 | R:R:L298 | 19.3797 | 3.86 | Yes | No | 0 | 6 | 6 |
| 34 | R:R:H277 | R:R:L298 | 19.0394 | 3.86 | Yes | No | 0 | 7 | 6 |
| 35 | R:R:H277 | R:R:R281 | 14.8568 | 12.41 | Yes | Yes | 4 | 7 | 7 |
| 36 | R:R:F356 | R:R:Y234 | 18.5852 | 15.47 | Yes | Yes | 2 | 7 | 7 |
| 37 | R:R:M237 | R:R:Y234 | 23.667 | 4.79 | Yes | Yes | 2 | 9 | 7 |
| 38 | R:R:M237 | R:R:N233 | 38.6789 | 4.21 | Yes | No | 2 | 9 | 9 |
| 39 | R:R:N233 | R:R:T190 | 57.6496 | 8.77 | No | No | 0 | 9 | 9 |
| 40 | R:R:T190 | R:R:W236 | 56.9209 | 6.06 | No | Yes | 0 | 9 | 9 |
| 41 | R:R:C239 | R:R:W236 | 42.81 | 7.84 | No | Yes | 0 | 7 | 9 |
| 42 | R:R:C239 | R:R:L265 | 14.9 | 4.76 | No | No | 0 | 7 | 7 |
| 43 | R:R:F235 | R:R:L265 | 13.4038 | 3.65 | Yes | No | 0 | 5 | 7 |
| 44 | R:R:F356 | R:R:Q383 | 59.4714 | 4.68 | Yes | Yes | 2 | 7 | 9 |
| 45 | R:R:M237 | R:R:Q383 | 18.3412 | 8.16 | Yes | Yes | 2 | 9 | 9 |
| 46 | R:R:Q383 | R:R:Y191 | 41.5809 | 14.65 | Yes | Yes | 2 | 9 | 8 |
| 47 | R:R:N233 | R:R:Y191 | 19.7117 | 13.96 | No | Yes | 2 | 9 | 8 |
| 48 | R:R:C239 | R:R:Y262 | 27.6434 | 5.38 | No | Yes | 0 | 7 | 7 |
| 49 | R:R:I242 | R:R:Y262 | 14.2327 | 4.84 | Yes | Yes | 5 | 7 | 7 |
| 50 | R:R:M59 | R:R:R74 | 11.3366 | 9.93 | Yes | No | 0 | 5 | 4 |
| 51 | L:L:?38 | R:R:S129 | 15.4136 | 7.43 | No | Yes | 0 | 0 | 7 |
| 52 | H:H:?3 | R:R:W128 | 45.9963 | 5.11 | Yes | Yes | 3 | 0 | 5 |
| 53 | H:H:?3 | R:R:M133 | 53.7635 | 5.07 | Yes | No | 0 | 0 | 5 |
| 54 | L:L:L16 | R:R:Y149 | 13.0537 | 4.69 | Yes | Yes | 0 | 0 | 5 |
| 55 | R:R:P207 | R:R:V206 | 16.5769 | 5.3 | No | No | 0 | 3 | 3 |
| 56 | L:L:V17 | R:R:V206 | 15.7573 | 4.81 | No | No | 0 | 0 | 3 |
| 57 | L:L:V17 | R:R:L291 | 14.9368 | 5.96 | No | No | 0 | 0 | 6 |
| 58 | L:L:Y37 | R:R:W79 | 12.8342 | 13.5 | Yes | Yes | 1 | 0 | 6 |
| 59 | R:R:D103 | R:R:E106 | 28.2321 | 7.8 | Yes | No | 8 | 3 | 4 |
| 60 | R:R:E106 | R:R:M133 | 55.549 | 4.06 | No | No | 0 | 4 | 5 |
| 61 | R:R:V387 | R:R:Y191 | 14.161 | 6.31 | No | Yes | 0 | 9 | 8 |
| 62 | R:R:F188 | R:R:V387 | 13.8212 | 3.93 | No | No | 0 | 8 | 9 |
| 63 | R:R:F170 | R:R:F188 | 12.8018 | 5.36 | Yes | No | 0 | 8 | 8 |
| 64 | R:R:M187 | R:R:Y191 | 13.749 | 8.38 | No | Yes | 0 | 8 | 8 |
| 65 | R:R:E240 | R:R:M187 | 13.449 | 9.47 | No | No | 0 | 9 | 8 |
| 66 | R:R:E240 | R:R:L351 | 11.7417 | 13.25 | No | No | 0 | 9 | 9 |
| 67 | R:R:C289 | R:R:L291 | 14.1153 | 4.76 | No | No | 0 | 9 | 6 |
| 68 | R:R:C219 | R:R:C289 | 12.4694 | 7.28 | No | No | 0 | 9 | 9 |
| 69 | R:R:L351 | R:R:L352 | 11.7412 | 5.54 | No | No | 0 | 9 | 9 |
| 70 | R:R:F315 | R:R:I242 | 11.5212 | 5.02 | No | Yes | 0 | 8 | 7 |
| 71 | R:R:I354 | R:R:L352 | 10.0166 | 4.28 | Yes | No | 0 | 6 | 9 |
| 72 | R:R:E106 | R:R:K141 | 27.8349 | 4.05 | No | Yes | 8 | 4 | 3 |
| 73 | L:L:F15 | R:R:K141 | 28.4536 | 6.2 | Yes | Yes | 8 | 0 | 3 |
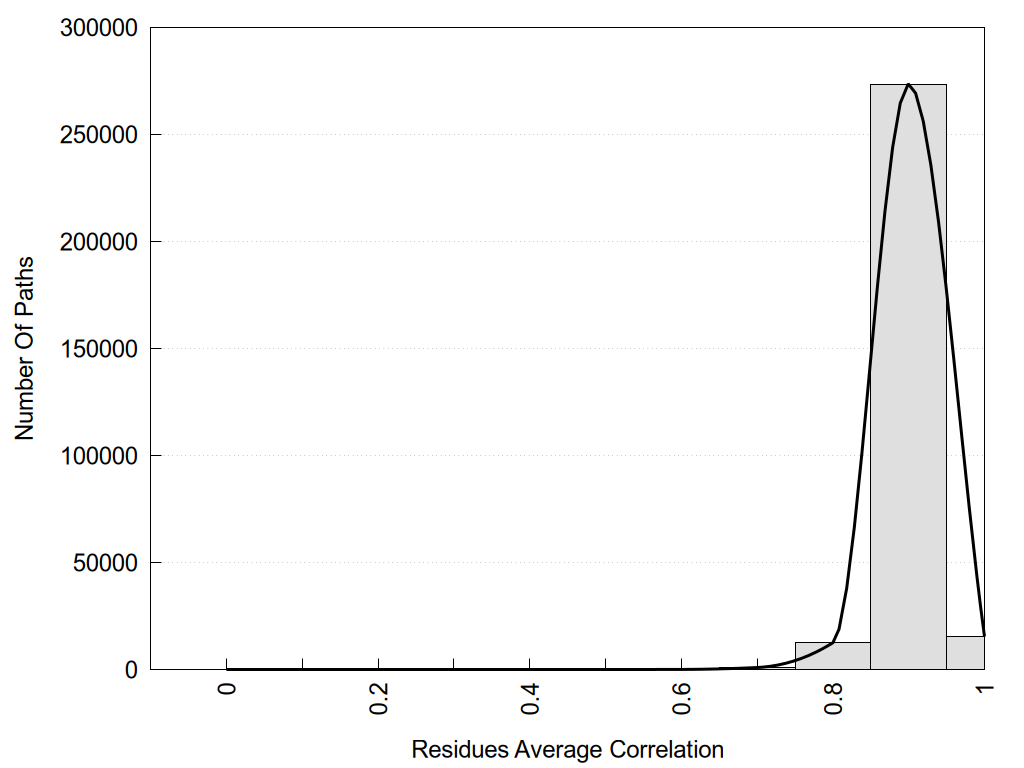
2D representation of the global metapath, ligand(s) interactions and
histograms of path distribution according to several parameters
(click on the image to enlarge it 🔍):

A 2D representation of the global communication in the network.
ConSurf Conservation Grade (See documentation):
n/a 1 2 3 4 5 6 7 8 9
2D representation of the interactions of this orthosteric/allosteric ligand. | |||||||||||||||||||||||||||||||||||||||||||||||||||||||||||||||||||||||||||||||||||||||||||||||||||||||||||||||||||||||||||||||||||||||||||||||||||||||||||||||||||||||||||||||||||||||||||||||||||||||||||||||||||||||||||||||||||||||||||||||||||||||||||||||||||||||||||||||||||||||||||||||||||||||||||||||||||||||||||||||||||||||||||||||||||||||||||||||||||||||||||||||||||||||||||||||||||||||||||||||||||||||||||||||||||||||||||||||||||||||||||||||||||||||||||||||||||||||||||||||||||||||||||||||||||||||||||||||||||||||||||||||||||||||||||||||||||||||||||||||||||||||||||||||||||||||||||||||||||||||||||||||||||||||||||||||||||||||||||||||||||||||||||||||||||||||||||||||||||||||||||||||||||||||||||||||||||||||||||||||||||||||||||||||||||||||||||||||||||||||||||||||||||||||||||||||||||||||||||||||||||||||||||||||||||||||||||||||||||||||||||||||||||||||||||||||||||||||||||||||||||||||||||||||||||||||||||||||||||||||||||||||||||||||||||||||||||||||||||||||||||||||||||||||||||||||||||||||||||||||
Links and nodes colored according to ConSurf Conservation Grade (See documentation): n/a 1 2 3 4 5 6 7 8 9 |
| ||||||||||||||||||||||||||||||||||||||||||||||||||||||||||||||||||||||||||||||||||||||||||||||||||||||||||||||||||||||||||||||||||||||||||||||||||||||||||||||||||||||||||||||||||||||||||||||||||||||||||||||||||||||||||||||||||||||||||||||||||||||||||||||||||||||||||||||||||||||||||||||||||||||||||||||||||||||||||||||||||||||||||||||||||||||||||||||||||||||||||||||||||||||||||||||||||||||||||||||||||||||||||||||||||||||||||||||||||||||||||||||||||||||||||||||||||||||||||||||||||||||||||||||||||||||||||||||||||||||||||||||||||||||||||||||||||||||||||||||||||||||||||||||||||||||||||||||||||||||||||||||||||||||||||||||||||||||||||||||||||||||||||||||||||||||||||||||||||||||||||||||||||||||||||||||||||||||||||||||||||||||||||||||||||||||||||||||||||||||||||||||||||||||||||||||||||||||||||||||||||||||||||||||||||||||||||||||||||||||||||||||||||||||||||||||||||||||||||||||||||||||||||||||||||||||||||||||||||||||||||||||||||||||||||||||||||||||||||||||||||||||||||||||||||||||||||||||||||||||
Location and physicochemical properties of the interaction partners of this ligand | |||||||||||||||||||||||||||||||||||||||||||||||||||||||||||||||||||||||||||||||||||||||||||||||||||||||||||||||||||||||||||||||||||||||||||||||||||||||||||||||||||||||||||||||||||||||||||||||||||||||||||||||||||||||||||||||||||||||||||||||||||||||||||||||||||||||||||||||||||||||||||||||||||||||||||||||||||||||||||||||||||||||||||||||||||||||||||||||||||||||||||||||||||||||||||||||||||||||||||||||||||||||||||||||||||||||||||||||||||||||||||||||||||||||||||||||||||||||||||||||||||||||||||||||||||||||||||||||||||||||||||||||||||||||||||||||||||||||||||||||||||||||||||||||||||||||||||||||||||||||||||||||||||||||||||||||||||||||||||||||||||||||||||||||||||||||||||||||||||||||||||||||||||||||||||||||||||||||||||||||||||||||||||||||||||||||||||||||||||||||||||||||||||||||||||||||||||||||||||||||||||||||||||||||||||||||||||||||||||||||||||||||||||||||||||||||||||||||||||||||||||||||||||||||||||||||||||||||||||||||||||||||||||||||||||||||||||||||||||||||||||||||||||||||||||||||||||||||||||||||
Interactions of this ligand | |||||||||||||||||||||||||||||||||||||||||||||||||||||||||||||||||||||||||||||||||||||||||||||||||||||||||||||||||||||||||||||||||||||||||||||||||||||||||||||||||||||||||||||||||||||||||||||||||||||||||||||||||||||||||||||||||||||||||||||||||||||||||||||||||||||||||||||||||||||||||||||||||||||||||||||||||||||||||||||||||||||||||||||||||||||||||||||||||||||||||||||||||||||||||||||||||||||||||||||||||||||||||||||||||||||||||||||||||||||||||||||||||||||||||||||||||||||||||||||||||||||||||||||||||||||||||||||||||||||||||||||||||||||||||||||||||||||||||||||||||||||||||||||||||||||||||||||||||||||||||||||||||||||||||||||||||||||||||||||||||||||||||||||||||||||||||||||||||||||||||||||||||||||||||||||||||||||||||||||||||||||||||||||||||||||||||||||||||||||||||||||||||||||||||||||||||||||||||||||||||||||||||||||||||||||||||||||||||||||||||||||||||||||||||||||||||||||||||||||||||||||||||||||||||||||||||||||||||||||||||||||||||||||||||||||||||||||||||||||||||||||||||||||||||||||||||||||||||||||||
Similarities between the interactions of this ligand and those of other networks | |||||||||||||||||||||||||||||||||||||||||||||||||||||||||||||||||||||||||||||||||||||||||||||||||||||||||||||||||||||||||||||||||||||||||||||||||||||||||||||||||||||||||||||||||||||||||||||||||||||||||||||||||||||||||||||||||||||||||||||||||||||||||||||||||||||||||||||||||||||||||||||||||||||||||||||||||||||||||||||||||||||||||||||||||||||||||||||||||||||||||||||||||||||||||||||||||||||||||||||||||||||||||||||||||||||||||||||||||||||||||||||||||||||||||||||||||||||||||||||||||||||||||||||||||||||||||||||||||||||||||||||||||||||||||||||||||||||||||||||||||||||||||||||||||||||||||||||||||||||||||||||||||||||||||||||||||||||||||||||||||||||||||||||||||||||||||||||||||||||||||||||||||||||||||||||||||||||||||||||||||||||||||||||||||||||||||||||||||||||||||||||||||||||||||||||||||||||||||||||||||||||||||||||||||||||||||||||||||||||||||||||||||||||||||||||||||||||||||||||||||||||||||||||||||||||||||||||||||||||||||||||||||||||||||||||||||||||||||||||||||||||||||||||||||||||||||||||||||||||||
|
|
|
| |||||||||||||||||||||||||||||||||||
| |||||||||||||||||||||||||||||||||||
| |||||||||||||||||||||||||||||||||||
| PDBsum | Open PDBsum Page |
| Chain | E |
| Protein | RAMP3 |
| UniProt | O60896 |
| Sequence | >8F2B_nogp_Chain_E CNETGMLER LPLCGKAFA DMMGKVDVW KWCNLSEFI VYYESFTNC TEMEANVVG CYWPNPLAQ GFITGIHRQ FFSNCTVDR VHLEDPPDE VLIPLIVIP VVLTVAMAG LVVWRSKRT Click on each residue to open a popup with some information about it. ConSurf Conservation Grade (See documentation): n/a 1 2 3 4 5 6 7 8 9 |
| Chain | L |
| Protein | Pramlintide Analogue San45 |
| UniProt | P10997 |
| Sequence | >8F2B_nogp_Chain_L Click on each residue to open a popup with some information about it. ConSurf Conservation Grade (See documentation): n/a 1 2 3 4 5 6 7 8 9 |
| Chain | R |
| Protein | Receptor |
| UniProt | P30988 |
| Sequence | >8F2B_nogp_Chain_R YVVGRKKMM DAQYKCYDR MQQLPAYQG EGPYCNRTW DGWLCWDDT PAGVLSYQF CPDYFPDFD PSEKVTKYC DEKGVWFKH PENNRTWSN YTMCNAFTP EKLKNAYVL YYLAIVGHS LSIFTLVIS LGIFVFFRS LGCQRVTLH KNMFLTYIL NSMIIIIHL VEVVPNGEL VRRDPVSCK ILHFFHQYM MACNYFWML CEGIYLHTL IVVAVFTEK QRLRWYYLL GWGFPLVPT TIHAITRAV YFNDNCWLS VETHLLYII HGPVMAALV VNFFFLLNI VRVLVTKMR ETHEAESHM YLKAVKATM ILVPLLGIQ FVVFPWRPS NKMLGKIYD YVMHSLIHF QGFFVATIY CFCNNEVQT TVKRQWAQF Click on each residue to open a popup with some information about it. ConSurf Conservation Grade (See documentation): n/a 1 2 3 4 5 6 7 8 9 |
| This receptor, from the same or other species and bound to the same or other ligands, is also present in the following networks: | ||||||||||||
|---|---|---|---|---|---|---|---|---|---|---|---|---|
| Show | PDB | Class | SubFamily | Type | SubType | Species | Orthosteric Ligand | Other Ligand(s) | Protein Partners | Resolution | Date | DOI |
| 7TZF | B1 | Peptide | Calcitonin | CT (AMY3) | Homo sapiens | Amylin | - | Gs/β1/γ2; RAMP3 | 2.4 | 2022-03-23 | doi.org/10.1126/science.abm9609 | |
| 7TZF (No Gprot) | B1 | Peptide | Calcitonin | CT (AMY3) | Homo sapiens | Amylin | - | 2.4 | 2022-03-23 | doi.org/10.1126/science.abm9609 | ||
| 8F0K | B1 | Peptide | Calcitonin | CT (AMY3) | Homo sapiens | Pramlintide Analogue San385 | - | Gs/β1/γ2; RAMP3 | 1.9 | 2023-08-02 | doi.org/10.1038/s41589-023-01393-4 | |
| 8F0K (No Gprot) | B1 | Peptide | Calcitonin | CT (AMY3) | Homo sapiens | Pramlintide Analogue San385 | - | 1.9 | 2023-08-02 | doi.org/10.1038/s41589-023-01393-4 | ||
| 8F2A | B1 | Peptide | Calcitonin | CT (AMY3) | Homo sapiens | Pramlintide Analogue San385 | - | Gs/β1/γ2; RAMP3 | 2.2 | 2023-08-02 | doi.org/10.1038/s41589-023-01393-4 | |
| 8F2A (No Gprot) | B1 | Peptide | Calcitonin | CT (AMY3) | Homo sapiens | Pramlintide Analogue San385 | - | 2.2 | 2023-08-02 | doi.org/10.1038/s41589-023-01393-4 | ||
| 8F2B | B1 | Peptide | Calcitonin | CT (AMY3) | Homo sapiens | Pramlintide Analogue San45 | - | Gs/β1/γ2; RAMP3 | 2 | 2023-08-02 | doi.org/10.1038/s41589-023-01393-4 | |
| 8F2B (No Gprot) | B1 | Peptide | Calcitonin | CT (AMY3) | Homo sapiens | Pramlintide Analogue San45 | - | 2 | 2023-08-02 | doi.org/10.1038/s41589-023-01393-4 | ||
| 9BTW | B1 | Peptide | Calcitonin | CT (AMY3) | Homo sapiens | Cagrilintide | - | Gs/β1/γ2; RAMP3 | 3 | 2025-04-16 | To be published | |
| 9BTW (No Gprot) | B1 | Peptide | Calcitonin | CT (AMY3) | Homo sapiens | Cagrilintide | - | 3 | 2025-04-16 | To be published | ||
You can download a compressed (zip) file with structure(s), 3D outputs (as PyMol and VMD scripts) and numerical data files (as csv and plain text files).
Download 8F2B_nogp.zipYou can click to copy the link of this page to easily come back here later
or use this QR code to link and share this page.
You can also read or download a guide explaining the meaning of all files and numerical data.