Color ConSurf Grade
      No Conservation data available
      1
      2
      3
      4
      5
      6
      7
      8
      9

Index: hub id, click on each number to highlight the corresponding hub in the 3D visualization.

Hub: the hub being considered.

Avg Int. Strength: the average interaction strength of all the links of the corresponding hub.

Num Of Links: the number of links of the corresponding hub.

Community: the id of the community the link belong to, otherwise 0.

ConSurf: this column reports the ConSurf conservation grades of each hub.

Index Hub Avg Int. Strength Num Of Links Community ConSurf
1A:A:L41 6.1725447
2A:A:R42 4.002539
3A:A:L43 2.9425447
4A:A:L46 3.684538
5A:A:N50 6.65546
6A:A:I56 5.63547
7A:A:F212 5.78714749
8A:A:V214 6.1575446
9A:A:F219 7.07571748
10A:A:H220 7.1375407
11A:A:M221 5.225448
12A:A:F222 7.345437
13A:A:R231 5.896539
14A:A:K233 6.35571739
15A:A:W234 7.70833639
16A:A:I235 5.965439
17A:A:F238 4.73333639
18A:A:I244 3.655438
19A:A:I245 3.982547
20A:A:F246 6.245639
21A:A:V248 4.272537
22A:A:D249 7.555448
23A:A:S251 4.4675449
24A:A:D252 5.082548
25A:A:Y253 6.55648
26A:A:R265 5.995449
27A:A:F273 5.505639
28A:A:I276 3.34438
29A:A:W277 9.60667636
30A:A:W281 7.622535
31A:A:L282 4.9275439
32A:A:I288 5.438549
33A:A:L289 4.142539
34A:A:F290 4.9849
35A:A:L291 4.432538
36A:A:N292 5.528549
37A:A:Y311 7.0025446
38A:A:F315 12.09446
39A:A:P321 3.868535
40A:A:E330 5.384533
41A:A:T335 4.88434
42A:A:Y339 3.8475433
43A:A:F340 7.5325407
44A:A:F345 5.91638
45A:A:R356 7.368502
46A:A:C359 3.156535
47A:A:Y360 7.39667648
48A:A:F363 8.39435
49A:A:T364 5.62167649
50A:A:D368 8.4025449
51A:A:N371 7.7549
52A:A:R373 6.75445
53A:A:R374 6.965644
54A:A:I375 3.78449
55A:A:F376 5.97375848
56A:A:I382 6.385446
57A:A:Y391 6.28514
58A:A:L393 4.2275418
59B:B:I18 7.768557
60B:B:R22 8.8675456
61B:B:D27 6.755408
62B:B:L30 4.358505
63B:B:V40 5423
64B:B:I43 3.72403
65B:B:M45 4.746524
66B:B:R48 2.7725427
67B:B:H54 8.68629
68B:B:K57 9.4125439
69B:B:I58 5.3525429
70B:B:Y59 6.6875408
71B:B:M61 4.14426
72B:B:W63 7.188527
73B:B:L70 5.73525
74B:B:Q75 8.145439
75B:B:D76 5.852529
76B:B:L79 3.862597
77B:B:I80 9.8425428
78B:B:I81 4.175407
79B:B:W82 8.915829
80B:B:Y85 12.1225424
81B:B:N88 5.40754107
82B:B:K89 7.54333629
83B:B:H91 5.6825405
84B:B:I93 4.978507
85B:B:L95 4.6598
86B:B:W99 8.65429739
87B:B:Y105 5.1775406
88B:B:N110 5.7675474
89B:B:Y111 6.7474
90B:B:C114 3.816598
91B:B:L117 3.775439
92B:B:I123 5.79476
93B:B:Y124 5.82333696
94B:B:H142 6.99286779
95B:B:Y145 6.39143738
96B:B:C148 4.635486
97B:B:C149 5.145408
98B:B:R150 4.365486
99B:B:F151 4.84167679
100B:B:L152 4.2725483
101B:B:I157 5.21577
102B:B:V158 4.575485
103B:B:T159 5.98479
104B:B:S160 4.045486
105B:B:D163 8.554579
106B:B:C166 3.885488
107B:B:L168 4.262586
108B:B:W169 9.27167678
109B:B:Q176 8.8575474
110B:B:F180 7.714587
111B:B:H183 6.09667689
112B:B:D186 5.868539
113B:B:V187 4.725489
114B:B:L190 4.34585
115B:B:F199 8.13589
116B:B:V200 4.235456
117B:B:C204 3.9675437
118B:B:D205 5.695489
119B:B:L210 4.4075405
120B:B:W211 9.778588
121B:B:F222 5.85833658
122B:B:H225 9.37559
123B:B:F234 4.432555
124B:B:F235 6.69833666
125B:B:F241 5.42756
126B:B:T243 5.17558
127B:B:D247 7.1425409
128B:B:R251 9.028558
129B:B:L252 4.465467
130B:B:F253 5.37333656
131B:B:R256 7.295409
132B:B:D258 12.9375457
133B:B:M262 5.88464
134B:B:Y264 6.61667665
135B:B:I269 3.09464
136B:B:F278 7.24571767
137B:B:R283 8.56571729
138B:B:L284 4.01833625
139B:B:L286 4.62527
140B:B:Y289 7.16833667
141B:B:D290 6.875436
142B:B:C294 4.535425
143B:B:N295 6.894566
144B:B:V296 4.2075425
145B:B:K301 3.712525
146B:B:V307 2.9275463
147B:B:H311 8.832529
148B:B:R314 13.7575438
149B:B:V315 4.935427
150B:B:L318 4.17167626
151B:B:M325 6.4125425
152B:B:V327 4.985426
153B:B:T329 5.4175428
154B:B:W332 11.1617639
155B:B:D333 9.1875429
156B:B:L336 3.56714727
157B:B:K337 7.2275426
158B:B:W339 9.015629
159G:G:I9 2.83402
160G:G:L19 3.066559
161G:G:D48 6.372529
162G:G:P49 6.0575427
163G:G:L51 4.54833626
164G:G:N59 6.17529
165G:G:P60 7.8225429
166G:G:F61 5.75556928
167L:L:?1 11.2462810
168L:L:H2 6.61857710
169L:L:W3 8.22375810
170L:L:Y5 6.22167610
171L:L:R8 6.42400
172L:L:?11 8.56510
173R:R:R38 7.555615
174R:R:V39 4.5425406
175R:R:F46 5.2975407
176R:R:S49 3.9954127
177R:R:N53 6.3425409
178R:R:F56 4.77333617
179R:R:L79 2.775417
180R:R:L80 3.105418
181R:R:L83 4.6825419
182R:R:N87 5.1509
183R:R:L89 3.25417
184R:R:E90 5.78416
185R:R:T91 4.36254126
186R:R:V94 4.835416
187R:R:M95 4.5565127
188R:R:D98 7.19416
189R:R:W101 13.022515
190R:R:N102 9.705415
191R:R:W107 9.29714719
192R:R:L117 3.02415
193R:R:Y119 4.504516
194R:R:K121 5.3575417
195R:R:L122 6.802515
196R:R:F123 6.73515
197R:R:M125 3.146517
198R:R:Y126 8.0675416
199R:R:L137 2.966516
200R:R:R139 4.38429719
201R:R:R145 3.9054135
202R:R:L147 4.58446
203R:R:W164 3.945419
204R:R:Q174 8.2825414
205R:R:I177 7.5725414
206R:R:F178 8.81415
207R:R:R179 6.165415
208R:R:F193 8.656514
209R:R:C196 5.1275419
210R:R:S201 5.6425413
211R:R:F202 5.854515
212R:R:Y211 4.865415
213R:R:T215 5.485415
214R:R:L219 5414
215R:R:F220 5.7925418
216R:R:M227 5.6675408
217R:R:N231 6.29409
218R:R:I234 4.8375418
219R:R:I258 4.8254154
220R:R:T265 5.5975418
221R:R:M268 7.855418
222R:R:F272 6.976518
223R:R:F276 4.755419
224R:R:W280 4.97833618
225R:R:Y283 7.06625816
226R:R:Y284 8.72667617
227R:R:Y290 3.79667614
228R:R:W291 11.9825404
229R:R:V304 5.5475414
230R:R:N305 7.8375413
231R:R:H306 6.10857715
232R:R:F307 4.58333615
233R:R:F309 8.598515
234R:R:L310 4.2875415
235R:R:N315 6.054519
236R:R:P316 4.0925409
237R:R:F318 4.5175416
238R:R:Y323 6.362519
239R:R:F326 5.97408
   

Color ConSurf Grade
      No Conservation data available
      1
      2
      3
      4
      5
      6
      7
      8
      9

Index: link id, click on each number to highlight the corresponding link in the 3D visualization.

Node1 Node2: the two nodes of the corresponding link.

Recurrence: the relative Recurrence in the pool of shortest paths.

Int. Strength: the interaction strength between the two nodes.

Hub1?, Hub2?: "Yes" if the corresponding node has more than 3 links, otherwise "No".

Community: the id of the community the link belong to, otherwise 0.

ConSurf1, ConSurf2: these columns report the ConSurf conservation grades of the two nodes involved in a link.

Index Node1 Node2 Recurrence Int. Strength Hub1? Hub2? Community ConSurf1 ConSurf2
1B:B:I81 B:B:L69 1002.85YesNo075
2B:B:D66 B:B:L69 15.48958.14NoNo085
3B:B:D66 B:B:R68 14.20283.57NoNo085
4B:B:D83 B:B:R68 10.23868.34NoNo085
5A:A:I26 B:B:K89 15.293310.18NoYes299
6B:B:K89 B:B:W82 30.591610.44YesYes299
7B:B:L70 B:B:W63 10011.39YesYes257
8B:B:S84 B:B:W63 30.63096.18NoYes257
9A:A:I26 B:B:A92 10.19493.25NoNo096
10A:A:D27 B:B:K89 22.939911.06NoYes069
11A:A:D27 A:A:R31 15.29331.19NoNo063
12B:B:D76 B:B:H54 15.30115.04YesYes299
13B:B:H54 B:B:W82 20.40012.12YesYes299
14R:R:I143 R:R:I234 1005.89NoYes088
15A:A:L388 R:R:I143 1002.85NoNo088
16A:A:L384 A:A:L388 1002.77NoNo068
17A:A:D381 A:A:L384 1002.71NoNo086
18A:A:D381 A:A:Y360 10012.64NoYes488
19A:A:D378 A:A:Y360 10014.94NoYes478
20A:A:D378 A:A:I288 10012.59NoYes479
21A:A:F290 A:A:I288 1002.51YesYes499
22A:A:F290 A:A:I56 1007.54YesYes497
23A:A:I56 A:A:N292 1004.25YesYes479
24A:A:K293 A:A:N292 10011.19NoYes099
25A:A:D249 A:A:K293 1006.91YesNo089
26A:A:D249 A:A:S251 1005.89YesYes489
27A:A:K300 A:A:S251 1003.06NoYes499
28A:A:K300 A:A:Y253 10015.53NoYes498
29A:A:Y253 A:A:Y311 1008.94YesYes486
30A:A:F315 A:A:Y311 10011.35YesYes466
31A:A:F315 A:A:F340 10010.72YesYes067
32A:A:F340 A:A:Y318 1003.09YesNo076
33A:A:Y318 A:A:Y339 1001.99NoYes063
34A:A:T335 A:A:Y339 1002.5YesYes343
35A:A:E330 A:A:T335 1007.06YesYes334
36A:A:E330 A:A:K338 1006.75YesNo335
37A:A:F363 A:A:K338 10014.89YesNo355
38A:A:F363 A:A:L291 1008.53YesYes358
39A:A:L291 A:A:V248 1002.98YesYes387
40A:A:F246 A:A:V248 1002.62YesYes397
41A:A:F246 A:A:L46 1006.09YesYes398
42A:A:L44 A:A:L46 1002.77NoYes398
43A:A:F238 A:A:L44 1006.09YesNo399
44A:A:F238 B:B:W99 10010.02YesYes399
45A:A:C237 B:B:W99 1002.61NoYes089
46A:A:C237 B:B:Y59 1006.72NoYes088
47B:B:V100 B:B:Y59 1002.52NoYes098
48B:B:A73 B:B:V100 72.08565.09NoNo099
49B:B:A73 B:B:L79 70.79853.15NoYes997
50B:B:I93 B:B:L79 1004.28YesYes077
51B:B:I81 B:B:I93 1002.94YesYes077
52A:A:F290 A:A:T364 1009.08YesYes499
53A:A:N292 A:A:T364 1005.85YesYes499
54A:A:K293 A:A:L296 1007.05NoNo096
55A:A:L296 A:A:S251 1004.5NoYes069
56A:A:L289 A:A:L291 1004.15YesYes398
57A:A:F246 A:A:L289 1003.65YesYes399
58B:B:Q75 B:B:W99 10019.71YesYes399
59B:B:Q75 B:B:Y59 1006.76YesYes098
60B:B:L95 B:B:V100 1004.47YesNo089
61B:B:L79 B:B:L95 70.80025.54YesYes978
62B:B:L95 B:B:Y124 75.09614.69YesYes986
63B:B:I93 B:B:Y124 70.39079.67YesYes076
64A:A:F222 A:A:R42 75.15245.34YesYes379
65A:A:D368 A:A:T364 1004.34YesYes499
66A:A:D368 A:A:E370 1003.9YesNo494
67A:A:E370 A:A:R373 1008.14NoYes445
68A:A:F376 A:A:R373 1002.14YesYes485
69A:A:F376 R:R:L147 1002.44YesYes486
70A:A:R374 A:A:T364 1002.59YesYes449
71A:A:E370 A:A:R374 1004.65NoYes444
72A:A:D240 B:B:K57 1005.53NoYes369
73B:B:K57 B:B:Y59 75.353810.75YesYes098
74A:A:R42 A:A:V241 1002.62YesNo099
75A:A:W234 B:B:L117 1002.28YesYes399
76A:A:R231 A:A:W234 10010YesYes399
77A:A:I244 A:A:I285 1004.42YesNo387
78A:A:I285 A:A:V241 1004.61NoNo079
79A:A:I276 A:A:R231 95.26172.51YesYes389
80B:B:L117 B:B:Y145 1004.69YesYes398
81A:A:K233 B:B:Y145 1003.58YesYes398
82A:A:K233 A:A:R232 1002.48YesNo098
83B:B:K57 B:B:W332 10018.57YesYes399
84A:A:Q236 A:A:W281 13.571813.14NoYes085
85A:A:K233 A:A:Q236 15.69075.42YesNo098
86A:A:D272 A:A:R231 95.26179.53NoYes389
87A:A:I235 A:A:N279 1002.83YesNo398
88A:A:L282 A:A:N279 92.0976.87YesNo398
89A:A:K233 B:B:D228 10012.44YesNo399
90A:A:I383 R:R:L147 1004.28NoYes086
91A:A:I244 A:A:V287 1003.07YesNo086
92A:A:F273 A:A:V287 1006.55YesNo096
93A:A:F273 A:A:F345 61.40034.29YesYes398
94A:A:L384 R:R:P146 1004.93NoNo069
95A:A:I383 R:R:P146 1003.39NoNo089
96A:A:N387 R:R:P146 1003.26NoNo089
97A:A:N387 R:R:A142 1004.69NoNo088
98A:A:Y391 R:R:A142 1005.34YesNo048
99A:A:Y391 R:R:M76 10.96898.38YesNo147
100A:A:L393 R:R:I234 1004.28YesYes188
101A:A:L393 R:R:R139 1002.43YesYes189
102A:A:Y391 R:R:R139 1005.14YesYes149
103A:A:L393 R:R:M268 1002.83YesYes188
104B:B:D228 B:B:S227 1005.89NoNo096
105B:B:D247 B:B:S227 1004.42YesNo096
106B:B:D247 B:B:T249 10010.12YesNo096
107B:B:R251 B:B:T249 1009.06YesNo086
108B:B:F253 B:B:R251 1003.21YesYes568
109B:B:F222 B:B:F253 55.43697.5YesYes586
110B:B:F222 B:B:R22 38.39322.14YesYes586
111B:B:I18 B:B:R22 34.12816.26YesYes576
112B:B:I18 G:G:L19 17.06442.85YesYes579
113B:B:D247 B:B:S245 1008.83YesNo099
114B:B:H225 B:B:S245 10012.55YesNo099
115B:B:H225 B:B:T243 10010.95YesYes598
116B:B:G244 B:B:T243 1003.64NoYes058
117B:B:G244 B:B:I273 1003.53NoNo056
118B:B:C250 B:B:I273 1006.55NoNo086
119B:B:C250 B:B:Y264 1004.03NoYes085
120B:B:M262 B:B:Y264 44.781311.97YesYes645
121B:B:L30 B:B:M262 36.25264.24YesYes054
122B:B:L30 G:G:A34 17.06164.73YesNo056
123B:B:I33 G:G:A34 14.92896.5NoNo036
124B:B:I33 G:G:S31 12.79633.1NoNo039
125B:B:D27 G:G:S31 10.66364.42YesNo089
126B:B:L252 B:B:Y264 36.25147.03YesYes675
127B:B:L30 G:G:L37 14.92912.77YesNo057
128B:B:M325 G:G:P49 10013.42YesYes257
129G:G:D48 G:G:P49 1003.22YesYes297
130G:G:D48 G:G:L51 61.19095.43YesYes296
131B:B:R283 G:G:L51 28.0467.29YesYes296
132B:B:K301 B:B:R283 10.22.48YesYes259
133B:B:S279 G:G:D48 17.84738.83NoYes099
134B:B:L284 B:B:S279 15.2986.01YesNo059
135B:B:I43 B:B:L284 10.19974.28YesYes035
136B:B:L284 G:G:L51 15.29874.15YesYes256
137G:G:D48 G:G:L50 1004.07YesNo099
138B:B:M45 G:G:L50 89.23714.24YesNo049
139B:B:V40 G:G:L51 10.19884.47YesYes236
140B:B:L284 B:B:V296 10.19964.47YesYes255
141B:B:L308 B:B:M45 12.74867.07NoYes274
142B:B:M45 B:B:W339 63.74413.49YesYes249
143B:B:T47 B:B:W339 12.74967.28NoYes239
144B:B:T47 B:B:T50 10.19953.14NoNo233
145B:B:K337 B:B:W339 28.04776.96YesYes269
146B:B:K337 B:B:T50 10.19979.01YesNo263
147B:B:R48 G:G:F61 15.29462.14YesYes278
148G:G:F61 G:G:N59 10.19566.04YesYes289
149B:B:I338 G:G:F61 22.93666.28NoYes258
150B:B:R52 B:B:T50 15.2999.06NoNo073
151B:B:L336 B:B:L70 1002.77YesYes275
152B:B:F335 B:B:R52 10.198910.69NoNo047
153B:B:T329 B:B:W339 17.84838.49YesYes289
154B:B:H311 B:B:T329 30.59726.85YesYes298
155B:B:D333 B:B:H311 30.596913.87YesYes299
156B:B:D333 B:B:F335 15.298613.14YesNo094
157B:B:V327 G:G:L50 50.99264.47YesNo069
158B:B:L318 B:B:V327 38.24462.98YesYes266
159B:B:L318 B:B:T329 17.84922.95YesYes268
160B:B:H311 B:B:K337 15.29843.93YesYes296
161B:B:I58 B:B:L336 1002.85YesYes297
162B:B:S316 B:B:W332 1003.71NoYes099
163B:B:I58 B:B:S316 1003.1YesNo099
164B:B:L69 B:B:Y105 1005.86NoYes056
165B:B:H62 B:B:Y105 1003.27NoYes066
166B:B:H62 B:B:R150 1005.64NoYes066
167B:B:T321 B:B:W63 10012.13NoYes277
168B:B:D323 B:B:M325 1004.16NoYes275
169B:B:C148 B:B:R150 87.66656.96YesYes866
170B:B:C148 B:B:T102 69.62753.38YesNo068
171B:B:C149 B:B:T102 68.33848.45YesNo088
172B:B:C149 B:B:I157 51.57674.91YesYes087
173B:B:F151 B:B:P107 11.60612.89YesNo096
174B:B:I123 B:B:I157 15.47415.89YesYes767
175B:B:I123 B:B:Y111 14.1873.63YesYes764
176B:B:I157 B:B:W169 25.79333.52YesYes778
177B:B:H142 B:B:W169 11.60715.29YesYes798
178B:B:L190 B:B:R150 65.74942.43YesYes856
179B:B:L190 B:B:V158 19.33972.98YesYes855
180B:B:L168 B:B:V158 18.05034.47YesYes865
181B:B:L168 B:B:T178 23.2072.95YesNo064
182B:B:T177 B:B:T178 30.94483.14NoNo044
183B:B:D170 B:B:T177 27.07734.34NoNo094
184B:B:D170 B:B:T173 23.209410.12NoNo095
185B:B:G174 B:B:T173 15.4731.82NoNo045
186B:B:G174 B:B:R137 11.60481.5NoNo045
187B:B:L192 B:B:R150 21.91752.43NoYes056
188B:B:L152 B:B:L192 20.62796.92YesNo035
189B:B:L152 B:B:L168 18.04962.77YesYes836
190B:B:F199 B:B:L190 28.36628.53YesYes895
191B:B:F180 B:B:F199 14.18216.43YesYes879
192B:B:F180 B:B:T178 11.6073.89YesNo074
193B:B:C148 B:B:S160 16.76483.44YesYes866
194B:B:L190 B:B:S160 16.76053YesYes856
195B:B:S160 B:B:V187 28.36784.85YesYes869
196B:B:F199 B:B:W211 10.316415.03YesYes898
197B:B:H183 B:B:V187 18.05275.54YesYes899
198B:B:F241 B:B:T243 89.56182.59YesYes568
199B:B:F241 B:B:F253 89.531713.93YesYes566
200B:B:F241 B:B:V200 98.07212.62YesYes566
201B:B:F234 B:B:V200 34.11245.24YesYes556
202B:B:A193 B:B:F234 17.05635.55NoYes045
203B:B:L210 B:B:V200 59.69654.47YesYes056
204B:B:L198 B:B:L210 68.22444.15NoYes035
205B:B:D195 B:B:L198 25.58436.79NoNo053
206B:B:F241 B:B:L255 63.96012.44YesNo066
207B:B:L210 B:B:L255 59.69624.15YesNo056
208B:B:A193 B:B:D195 12.79233.09NoNo045
209B:B:D195 B:B:R197 25.58433.57NoNo055
210B:B:R197 B:B:R214 12.792218.13NoNo059
211B:B:D212 B:B:L198 34.11244.07NoNo093
212B:B:D212 B:B:E215 51.16847.8NoNo093
213B:B:E215 B:B:R214 17.05625.82NoNo039
214B:B:L210 B:B:R219 42.64034.86YesNo055
215B:B:D212 B:B:R219 34.112321.44NoNo095
216B:B:E215 B:B:M217 17.05625.41NoNo033
217B:B:F278 B:B:L252 31.98772.44YesYes677
218B:B:L285 B:B:Y264 36.25158.21NoYes665
219B:B:F278 B:B:L285 31.986714.61YesNo676
220B:B:F235 B:B:F278 42.650118.22YesYes667
221B:B:F235 B:B:N237 29.85572.42YesNo065
222B:B:N237 G:G:Y40 21.325611.63NoNo056
223B:B:D254 G:G:L37 12.79582.71NoNo097
224B:B:I273 B:B:Y289 29.85279.67NoYes067
225B:B:N295 B:B:Y289 10.66189.3YesYes667
226B:B:C294 B:B:L308 10.19894.76YesNo257
227B:B:C294 B:B:V315 15.29866.83YesYes257
228B:B:C294 B:B:L318 10.19923.17YesYes256
229B:B:M325 G:G:V54 10.19823.04YesNo256
230B:B:F335 B:B:S334 12.74865.28NoNo044
231G:G:H44 G:G:Y40 17.06056.53NoNo066
232R:R:I135 R:R:R139 1002.51NoYes199
233R:R:I135 R:R:Y323 1003.63NoYes199
234R:R:D319 R:R:Y323 1004.6NoYes099
235R:R:D319 R:R:N315 10010.77NoYes099
236R:R:N315 R:R:W280 1009.04YesYes198
237R:R:W280 R:R:Y283 1002.89YesYes186
238L:L:?1 R:R:Y283 86.173517.56YesYes106
239R:R:F272 R:R:R139 1002.14YesYes189
240R:R:F272 R:R:Y323 10016.5YesYes189
241R:R:F272 R:R:M268 1004.98YesYes188
242R:R:F272 R:R:I322 1006.28YesNo188
243R:R:F318 R:R:I322 1002.51YesNo168
244R:R:C279 R:R:F318 1004.19NoYes186
245R:R:C279 R:R:W280 1003.92NoYes188
246R:R:I135 R:R:L83 1002.85NoYes199
247R:R:L83 R:R:N87 1004.12YesYes099
248R:R:N87 R:R:P316 1003.26YesYes099
249R:R:E90 R:R:P316 84.63914.72YesYes069
250R:R:E90 R:R:M125 43.89874.06YesYes167
251L:L:H2 R:R:M125 1002.63YesYes107
252R:R:M125 R:R:W280 1002.33YesYes178
253L:L:H2 R:R:Y283 1007.62YesYes106
254R:R:W280 R:R:Y284 1008.68YesYes187
255L:L:H2 R:R:Y284 1007.62YesYes107
256L:L:W3 R:R:Y283 1009.65YesYes106
257R:R:E90 R:R:V94 24.28844.28YesYes166
258R:R:K121 R:R:V94 11.76017.59YesYes176
259L:L:?11 R:R:K121 62.1513.49YesYes107
260R:R:K121 R:R:M125 54.83534.32YesYes177
261L:L:?1 L:L:?11 40.225121.99YesYes100
262R:R:F313 R:R:V94 11.75772.62NoYes076
263R:R:D98 R:R:F313 21.9568.36YesNo067
264R:R:P316 R:R:T91 40.75343.5YesYes096
265R:R:M95 R:R:T91 37.63383.01YesYes1276
266R:R:F313 R:R:M95 11.7698.71NoYes077
267L:L:?1 R:R:D98 40.23144.36YesYes106
268R:R:F309 R:R:Y283 83.3084.13YesYes156
269L:L:H2 R:R:T215 1009.58YesYes105
270R:R:L219 R:R:Y284 1004.69YesYes147
271R:R:L219 R:R:T215 1004.42YesYes145
272L:L:W3 L:L:Y5 77.5762.89YesYes100
273L:L:Y5 R:R:F309 77.55988.25YesYes105
274L:L:W3 R:R:Y290 20.12222.89YesYes104
275R:R:W291 R:R:Y284 11.49914.82YesYes047
276L:L:Y5 R:R:N305 10012.79YesYes103
277L:L:R8 R:R:N305 1009.64YesYes003
278L:L:R8 R:R:P29 1008.65YesNo006
279L:L:L7 R:R:P29 74.70963.28NoNo006
280L:L:L7 R:R:H199 20.37762.57NoNo004
281R:R:H199 R:R:V197 13.586715.22NoNo045
282R:R:F318 R:R:L314 33.42066.09YesNo065
283R:R:F311 R:R:L314 32.37453.65NoNo075
284R:R:F311 R:R:P282 31.33025.78NoNo079
285R:R:F308 R:R:P282 28.20314.33NoNo069
286R:R:F308 R:R:V304 26.11156.55NoYes164
287R:R:N305 R:R:V304 24.02382.96YesYes134
288L:L:Y5 R:R:M296 11.49672.39YesNo103
289L:L:L7 R:R:F193 47.54363.65NoYes004
290R:R:L28 R:R:P29 54.33344.93NoNo046
291R:R:F193 R:R:L28 47.542718.27YesNo044
292L:L:?11 R:R:R38 95.06473.01YesYes105
293R:R:N102 R:R:R38 87.740618.08YesYes155
294L:L:P9 R:R:N102 12.536911.4NoYes005
295R:R:D98 R:R:R38 57.73515.96YesYes165
296R:R:M95 R:R:T42 22.74353.01YesNo078
297R:R:L310 R:R:T42 21.96052.95YesNo058
298R:R:L310 R:R:R38 10.20154.86YesYes155
299R:R:H306 R:R:R38 62.697511.28YesYes155
300R:R:F193 R:R:V105 27.16642.62YesNo144
301R:R:L31 R:R:V105 13.58324.47NoNo064
302R:R:H306 R:R:T32 39.95532.74YesNo054
303R:R:D302 R:R:T32 13.31842.89NoNo034
304R:R:G35 R:R:H306 13.31846.35NoYes055
305R:R:N102 R:R:V39 62.6772.96YesYes056
306R:R:F43 R:R:V39 12.53542.62NoYes036
307R:R:I103 R:R:V39 25.070810.75NoYes046
308R:R:L80 R:R:M76 10.45442.83YesNo187
309R:R:E90 R:R:S124 15.686910.06YesNo168
310R:R:L89 R:R:S124 14.91353YesNo178
311R:R:F123 R:R:L89 10.20324.87YesYes157
312R:R:L122 R:R:T215 1002.95YesYes155
313R:R:L122 R:R:Q174 1007.99YesYes154
314R:R:F178 R:R:Q174 10014.05YesYes154
315R:R:C196 R:R:F178 1002.79YesYes195
316R:R:C196 R:R:W101 45.43335.22YesYes195
317R:R:L97 R:R:W101 15.144710.25NoYes055
318R:R:L219 R:R:Y126 1007.03YesYes146
319R:R:L122 R:R:Y126 10017.58YesYes156
320R:R:C196 R:R:W107 1005.22YesYes199
321R:R:L117 R:R:W107 60.57852.28YesYes159
322R:R:M100 R:R:W107 15.14475.82NoYes049
323R:R:C114 R:R:C196 15.14367.28NoYes199
324R:R:Q195 R:R:W101 15.14927.67NoYes145
325R:R:Q195 R:R:W107 15.15473.29NoYes149
326R:R:F193 R:R:Q195 13.59572.34YesNo144
327R:R:I103 R:R:T104 12.53543.04NoNo045
328R:R:F193 R:R:Q106 40.749616.4YesNo145
329R:R:Q106 R:R:S194 27.16647.22NoNo054
330R:R:A109 R:R:W107 15.14473.89NoYes069
331R:R:S194 R:R:Y108 13.58323.82NoNo044
332R:R:L122 R:R:Y211 1002.34YesYes155
333R:R:F202 R:R:Y211 1006.19YesYes155
334R:R:F202 R:R:S201 1002.64YesYes153
335R:R:R179 R:R:S201 90.86535.27YesYes153
336R:R:E111 R:R:R179 45.43238.14NoYes145
337R:R:K115 R:R:R179 15.14412.48NoYes185
338R:R:E111 R:R:M180 30.28825.41NoNo045
339R:R:L117 R:R:V116 30.28931.49YesNo154
340R:R:F112 R:R:V116 15.14473.93NoNo024
341R:R:L113 R:R:L117 15.14462.77NoYes165
342R:R:Q174 R:R:S118 15.14414.33YesNo145
343R:R:P173 R:R:Y211 15.14834.17NoYes085
344R:R:F202 R:R:I177 30.289610.05YesYes154
345R:R:I177 R:R:Y176 15.14424.84YesNo145
346R:R:S201 R:R:Y176 15.14433.82YesNo135
347R:R:F178 R:R:T198 15.14655.19YesNo058
348R:R:I181 R:R:R179 15.14878.77NoYes025
349R:R:F202 R:R:H207 90.86774.53YesNo053
350R:R:F202 R:R:Q208 15.14465.86YesNo054
351R:R:H207 R:R:P203 15.144610.68NoNo034
352R:R:H207 R:R:Q204 60.57858.65NoNo033
353R:R:Q204 R:R:W206 45.43397.67NoNo032
354R:R:W205 R:R:W206 15.144622.49NoNo022
355R:R:F210 R:R:W206 15.14463.01NoNo032
356R:R:G99 R:R:V39 12.53541.84NoYes066
357R:R:G110 R:R:M180 15.14411.75NoNo085
358B:B:A305 B:B:I43 10.19891.62NoYes043
359R:R:T30 R:R:T32 13.31841.57NoNo064
360A:A:D240 A:A:N239 1004.04NoNo368
361A:A:N239 B:B:W332 1006.78NoYes389
362A:A:N279 A:A:R232 1004.82NoNo088
363B:B:I80 B:B:K89 15.28987.27YesYes289
364B:B:H54 B:B:I80 25.4839.28YesYes298
365A:A:F222 A:A:F238 76.82143.22YesYes379
366A:A:D240 A:A:R42 1002.38NoYes369
367B:B:H54 B:B:I58 68.803411.93YesYes299
368A:A:F238 A:A:V241 75.32482.62YesNo099
369A:A:I244 A:A:L46 1002.85YesYes388
370A:A:F273 A:A:L289 61.29643.65YesYes399
371A:A:F345 A:A:L291 62.03533.65YesYes388
372A:A:R42 B:B:W99 75.12765YesYes399
373B:B:L336 B:B:W82 20.38634.56YesYes279
374A:A:I235 A:A:R231 1005.01YesYes399
375B:B:D323 B:B:T321 1007.23NoNo277
376B:B:S84 G:G:F61 22.93555.28NoYes258
377B:B:I338 B:B:W63 28.03162.35NoYes257
378A:A:L44 A:A:W234 48.78762.28NoYes399
379A:A:L46 A:A:R231 95.23552.43YesYes389
380A:A:D272 A:A:F246 95.44479.55NoYes389
381A:A:F246 A:A:I276 95.44463.77YesYes398
382A:A:F238 B:B:L117 47.52442.44YesYes399
383A:A:I244 A:A:L282 92.51574.28YesYes389
Download PSN data

2D representation of the global metapath, ligand(s) interactions and
histograms of path distribution according to several parameters
(click on the image to enlarge it 🔍):

A 2D representation of the global communication in the network.

ConSurf Conservation Grade (See documentation): 

 n/a   1    2    3    4    5    6    7    8    9  

Number of shortest communication paths as a function of the average residue correlation.

Number of shortest communication paths as a function of the average interaction strength of their links.

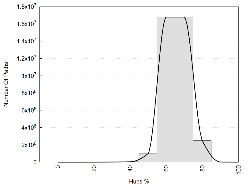
Number of shortest communication paths as a function of the % of hub nodes in each path.

Number of shortest communication paths as a function of the number of nodes in each path.

Number of shortest communication paths as a function of the % of correlated nodes in each path.


2D representation of the interactions of this orthosteric/allosteric ligand.


Links and nodes colored according to ConSurf Conservation Grade (See documentation): 

 n/a   1    2    3    4    5    6    7    8    9  

Node1 Node2 LinkStrength Comm IsNode1Hub? IsNode2Hub? Node1Cons Node2Cons Node1Shell Node2Shell
L:L:?1 R:R:D98 4.36 1 Yes Yes 0 6 0 1
L:L:?1 R:R:K121 6.03 1 Yes Yes 0 7 0 1
L:L:?1 R:R:Y283 17.56 1 Yes Yes 0 6 0 1
L:L:?1 R:R:F309 15.64 1 Yes Yes 0 5 0 1
L:L:H2 R:R:M125 2.63 1 Yes Yes 0 7 0 1
L:L:H2 R:R:T215 9.58 1 Yes Yes 0 5 0 1
L:L:H2 R:R:L219 3.86 1 Yes Yes 0 4 0 1
L:L:H2 R:R:Y283 7.62 1 Yes Yes 0 6 0 1
L:L:H2 R:R:Y284 7.62 1 Yes Yes 0 7 0 1
L:L:W3 R:R:Y283 9.65 1 Yes Yes 0 6 0 1
L:L:W3 R:R:G287 8.44 1 Yes No 0 5 0 1
L:L:W3 R:R:Y290 2.89 1 Yes Yes 0 4 0 1
L:L:W3 R:R:W291 14.99 1 Yes Yes 0 4 0 1
L:L:W3 R:R:F309 4.01 1 Yes Yes 0 5 0 1
L:L:S4 R:R:V197 6.46 0 No No 0 5 0 1
L:L:Y5 R:R:Y290 5.96 1 Yes Yes 0 4 0 1
L:L:Y5 R:R:M296 2.39 1 Yes No 0 3 0 1
L:L:Y5 R:R:V297 5.05 1 Yes No 0 1 0 1
L:L:Y5 R:R:N305 12.79 1 Yes Yes 0 3 0 1
L:L:Y5 R:R:F309 8.25 1 Yes Yes 0 5 0 1
L:L:L7 R:R:P29 3.28 0 No No 0 6 0 1
L:L:L7 R:R:F193 3.65 0 No Yes 0 4 0 1
L:L:L7 R:R:H199 2.57 0 No No 0 4 0 1
L:L:R8 R:R:P29 8.65 0 Yes No 0 6 0 1
L:L:R8 R:R:N305 9.64 0 Yes Yes 0 3 0 1
L:L:R8 R:R:H306 4.51 0 Yes Yes 0 5 0 1
L:L:P9 R:R:N102 11.4 0 No Yes 0 5 0 1
L:L:?11 R:R:R38 3.01 1 Yes Yes 0 5 0 1
L:L:?11 R:R:D98 10.08 1 Yes Yes 0 6 0 1
L:L:?11 R:R:K121 3.49 1 Yes Yes 0 7 0 1
R:R:L28 R:R:P29 4.93 0 No No 4 6 2 1
R:R:F193 R:R:L28 18.27 1 Yes No 4 4 1 2
R:R:H306 R:R:T32 2.74 1 Yes No 5 4 1 2
R:R:H306 R:R:S34 6.97 1 Yes No 5 4 1 2
R:R:F307 R:R:S34 6.61 1 Yes No 5 4 2 2
R:R:G35 R:R:H306 6.35 0 No Yes 5 5 2 1
R:R:D98 R:R:R38 5.96 1 Yes Yes 6 5 1 1
R:R:N102 R:R:R38 18.08 1 Yes Yes 5 5 1 1
R:R:H306 R:R:R38 11.28 1 Yes Yes 5 5 1 1
R:R:F307 R:R:R38 2.14 1 Yes Yes 5 5 2 1
R:R:L310 R:R:R38 4.86 1 Yes Yes 5 5 2 1
R:R:N102 R:R:V39 2.96 1 Yes Yes 5 6 1 2
R:R:E90 R:R:V94 4.28 1 Yes Yes 6 6 2 2
R:R:E90 R:R:M125 4.06 1 Yes Yes 6 7 2 1
R:R:K121 R:R:V94 7.59 1 Yes Yes 7 6 1 2
R:R:F313 R:R:V94 2.62 0 No Yes 7 6 2 2
R:R:D98 R:R:F313 8.36 1 Yes No 6 7 1 2
R:R:H306 R:R:N102 6.38 1 Yes Yes 5 5 1 1
R:R:Q106 R:R:V105 4.3 1 No No 5 4 2 2
R:R:F193 R:R:V105 2.62 1 Yes No 4 4 1 2
R:R:F193 R:R:Q106 16.4 1 Yes No 4 5 1 2
R:R:K121 R:R:M125 4.32 1 Yes Yes 7 7 1 1
R:R:L122 R:R:Y126 17.58 1 Yes Yes 5 6 2 2
R:R:L122 R:R:T215 2.95 1 Yes Yes 5 5 2 1
R:R:M125 R:R:W280 2.33 1 Yes Yes 7 8 1 2
R:R:M125 R:R:Y283 2.39 1 Yes Yes 7 6 1 1
R:R:T215 R:R:Y126 4.99 1 Yes Yes 5 6 1 2
R:R:L219 R:R:Y126 7.03 1 Yes Yes 4 6 1 2
R:R:I181 R:R:V197 4.61 0 No No 2 5 2 1
R:R:F193 R:R:Q195 2.34 1 Yes No 4 4 1 2
R:R:H199 R:R:V197 15.22 0 No No 4 5 1 1
R:R:N212 R:R:W291 27.12 0 No Yes 5 4 2 1
R:R:L219 R:R:T215 4.42 1 Yes Yes 4 5 1 1
R:R:F216 R:R:Y284 19.6 0 No Yes 5 7 2 1
R:R:L219 R:R:Y284 4.69 1 Yes Yes 4 7 1 1
R:R:W280 R:R:Y283 2.89 1 Yes Yes 8 6 2 1
R:R:W280 R:R:Y284 8.68 1 Yes Yes 8 7 2 1
R:R:Y283 R:R:Y284 6.95 1 Yes Yes 6 7 1 1
R:R:F309 R:R:Y283 4.13 1 Yes Yes 5 6 1 1
R:R:A312 R:R:Y283 5.34 0 No Yes 7 6 2 1
R:R:W291 R:R:Y284 4.82 0 Yes Yes 4 7 1 1
R:R:L286 R:R:V304 2.98 1 No Yes 4 4 2 2
R:R:F309 R:R:L286 10.96 1 Yes No 5 4 1 2
R:R:M296 R:R:W289 8.14 1 No No 3 5 1 2
R:R:P294 R:R:Y290 2.78 0 No Yes 3 4 2 1
R:R:M296 R:R:Y290 7.18 1 No Yes 3 4 1 1
R:R:V297 R:R:Y290 2.52 1 No Yes 1 4 1 1
R:R:S301 R:R:V304 9.7 1 No Yes 4 4 2 2
R:R:N305 R:R:S301 5.96 1 Yes No 3 4 1 2
R:R:N305 R:R:V304 2.96 1 Yes Yes 3 4 1 2
R:R:F307 R:R:H306 4.53 1 Yes Yes 5 5 2 1
R:R:F307 R:R:L310 4.87 1 Yes Yes 5 5 2 2
L:L:G6 R:R:Y290 1.45 0 No Yes 0 4 0 1
R:R:F292 R:R:W291 1 0 No Yes 5 4 2 1

Location and physicochemical properties of the interaction partners of this ligand

Interactions of this ligand

Similarities between the interactions of this ligand and those of other networks

ShowSimilarityNetwork TypeNameLigandDescription
61.54Single9K26PrRP319K26-PrRP-PrRP31-Gi1/β1/γ2
60.00Single8ZPSPrRP208ZPS-PrRP-PrRP20-chim(NtGi1-Gs-CtGi1)/β1/γ2
57.69Consensusnpy4_onOrthosteric Ligand7X9C-Y4-Pancreatic Hormone-Gi1/β1/γ2
57.69Consensusnpy4_on_gpOrthosteric Ligand7X9C-Y4-Pancreatic Hormone-Gi1/β1/γ2
57.14Single6MXTSalmeterol6MXT-β2-Salmeterol
56.52Consensusclass-a_on_gpOrthosteric Ligandsensory_on_gp alicarboxylic_on_gp amine_on_gp lipid_on_gp nucleotide_on_gp peptide_on_gp protein_on_gp
56.00Single7KH0AVP7KH0-V2-AVP-chim(NtGi1-Gs)/β1/γ2
54.55Single8E0GBU728E0G-μ-BU72
54.17Consensusgi_cckOrthosteric Ligand7EZH-CCKA-Cholecystokinin-8-Gi1/β1/γ2 7F8V-CCKB-Gastrin-17-Gi2/β1/γ2
53.85Single7X9CPancreatic Hormone7X9C-Y4-Pancreatic Hormone-Gi1/β1/γ2
52.17Single5WF6UK-4320975WF6-A2A-UK-432097
52.17Single7F8WGastrin-177F8W-CCKB-Gastrin-17-chim(NtGsL-Gq)/β1/γ2
52.17Single7XY6BAY 60-65837XY6-A2B-BAY 60-6583-chim(NtGi1-Gs)/β1/γ2
52.00Single8K6NNeuropeptide-Y8K6N-Y2-Neuropeptide-Y-Gi2/β1/γ1
52.00Single9K27PrRP319K27-PrRP-PrRP31-chim(NtGi1-Gq)/β1/γ2
52.00Single9MEUCXCL129MEU-CXCR4-CXCL12
52.00Consensuscxcr4_on_gpOrthosteric Ligand8K3Z-CXCR4-CXCL12-Gi1/β1/γ1
51.85Single7F8VGastrin-177F8V-CCKB-Gastrin-17-Gi2/β1/γ2
51.85Consensusgi_peptideOrthosteric Ligandgi_cck gi_apelin gi_compl-pept gi_endothelin gi_formylpeptide gi_galanin gi_ghrelin gi_npy gi_neurotensin gi_opioid gi_orexin gi_relaxin gi_somatostatin
51.72Consensusgi_npyOrthosteric Ligand8K6M-Y1-Neuropeptide-Y-Gi2/β1/γ1 7X9C-Y4-Pancreatic Hormone-Gi1/β1/γ2 7YOO-Y2-Neuropeptide-Y-Gi1/β1/γ2
51.72Consensusnpy_onOrthosteric Ligandnpy1_on npy2_on npy4_on
51.72Consensusnpy_on_gpOrthosteric Ligandnpy1_on_gp npy2_on_gp npy4_on_gp
50.00Single4IARErgotamine4IAR-5-HT1B-Ergotamine
50.00Single4IB4Ergotamine4IB4-5-HT2B-Ergotamine
50.00Single7W0PElabela7W0P-Apelin-Elabela-Gi1/β1/γ2
50.00Single8K3ZCXCL128K3Z-CXCR4-CXCL12-Gi1/β1/γ1
50.00Single9BUYLM1899BUY-β2-LM189-Gi1/β1/γ2
50.00Consensuscxcr4_onOrthosteric Ligand8K3Z-CXCR4-CXCL12-Gi1/β1/γ1
50.00Consensusgi_class-aOrthosteric Ligandgi_peptide gi_sensory gi_alicarboxylic gi_amine gi_lipid gi_nucleotide gi_protein
50.00Consensusgi_lipidOrthosteric Ligandgi_cannabinoid gi_ffa gi_leukotriene gi_lpa gi_s1p
50.00Consensusgq_peptideOrthosteric Ligandgq_cck gq_kisspeptin gq_bradykinin gq_bombesin gq_angiotensin
50.00Consensuspeptide_onOrthosteric Ligandcck_on angiotensin_on apelin_on bombesin_on bradykinin_on compl-peptide_on endothelin_on formylpeptide_on galanin_on ghrelin_on kisspeptin_on melanocortin_on motilin_on neuromedin-u_on npy_on neurotensin_on opioid_on orexin_on relaxin_on somatostatin_on tachykinin_on trh_on vasop-oxy_on
50.00Consensuspeptide_on_gpOrthosteric Ligandcck_on_gp angiotensin_on_gp apelin_on_gp bombesin_on_gp bradykinin_on_gp compl-peptide_on_gp endothelin_on_gp formylpeptide_on_gp galanin_on_gp ghrelin_on_gp kisspeptin_on_gp melanocortin_on_gp motilin_on_gp neuromedin-u_on_gp npy_on_gp neurotensin_on_gp opioid_on_gp orexin_on_gp relaxin_on_gp somatostatin_on_gp tachykinin_on_gp trh_on_gp vasop-oxy_on_gp
48.15Single7X9BNeuropeptide-Y7X9B-Y2-Neuropeptide-Y-Gi1/β1/γ2
48.15Consensusopioid_onOrthosteric Ligandmop_on nop_on dop_on kop_on
48.00Single3QAKUK-4320973QAK-A2A-UK-432097
48.00Single6DO1(Sar1,Ile8)-Angiotensin II6DO1-AT1-(Sar1,Ile8)-Angiotensin II
48.00Single7EZKCholecystokinin-87EZK-CCKA-Cholecystokinin-8-chim(NtGi1-Gs)/β1/γ2
48.00Single7XMSSomatostatin-147XMS-SST4-Somatostatin-14-Gi1/β1/γ2
48.00Single9L60Dynorphin9L60-κ-Dynorphin-MPAM-15-Gi1/β1/γ2
48.00Single9ME1CXCL129ME1-CXCR4-CXCL12
47.83Single6BQGErgotamine6BQG-5-HT2C-Ergotamine
47.83Single7EZCUK-4320977EZC-A2A-UK-432097
47.83Consensuscck_onOrthosteric Ligandccka_on cckb_on
47.83Consensuscck_on_gpOrthosteric Ligandccka_on_gp cckb_on_gp
47.83Consensusclass-a_onOrthosteric Ligandsensory_on alicarboxylic_on amine_on lipid_on nucleotide_on peptide_on protein_on
47.62Single4RWDDIPP-NH24RWD-δ-DIPP-NH2-Na
47.62Single5C1MBU725C1M-μ-BU72
47.62Single8TF5Oleic acid8TF5-GPR6-Oleic acid
47.62Single8ZPTPrRP208ZPT-PrRP-PrRP20-chim(NtGi1-Gs-CtGq)/β1/γ2
46.43Consensusopioid_on_gpOrthosteric Ligandmop_on_gp nop_on_gp dop_on_gp kop_on_gp
46.15Single5WF5UK-4320975WF5-A2A-UK-432097
46.15Consensusangiotensin_onOrthosteric Ligandat1_on
46.15Consensusat1_onOrthosteric Ligand7F6G-AT1-(Sar1)-Angiotensin II-Gq/β1/γ2
46.15Consensusgs_class-aOrthosteric Ligandgs_peptide gs_nucleotide gs_amine
45.83Single4UG2CGS216804UG2-A2A-CGS21680
45.83Consensuscxcr_on_gpOrthosteric Ligandcxcr3_on_gp cxcr4_on_gp cxcr1_on_gp cxcr2_on_gp
45.45Single3P0GBI1671073P0G-β2-BI167107
45.45Single7JVPSKF839597JVP-D1-SKF83959-Gs/β1/γ2
45.45Single8IRVRotigotine8IRV-D5-Rotigotine-chim(NtGi1-Gs)/β1/γ2
45.45Consensusd5_on_gpOrthosteric Ligand8IRV-D5-Rotigotine-chim(NtGi1-Gs)/β1/γ2
45.45Consensusgi_dopamineOrthosteric Ligand7JVR-D2-Bromoergocryptine-Gi1/β1/γ2 7CMV-D3-PD128907-Gi1/β1/γ2 7CMU-D3-Pramipexole-Gi1/β1/γ2 8IRS-D2-Rotigotine-Gi1/β1/γ2 8IRT-D3-Rotigotine-Gi1/β1/γ2
45.00Single8UO1Constrained Epinephrine8UO1-β2-Constrained Epinephrine-GTP; Mg-Gs/β1/γ2
45.00Single9L8LBI1671079L8L-β2-BI167107-Atazanavir-Gs/β1/γ2 ; Arrestin2
44.83Single7YOONeuropeptide-Y7YOO-Y2-Neuropeptide-Y-Gi1/β1/γ2
44.83Single9KDFRES-701-39KDF-ETB-RES-701-3
44.83Consensusnpy2_onOrthosteric Ligand7YOO-Y2-Neuropeptide-Y-Gi1/β1/γ2
44.83Consensusnpy2_on_gpOrthosteric Ligand7YOO-Y2-Neuropeptide-Y-Gi1/β1/γ2
44.44Single5WB2CX3CL1.355WB2-US28-CX3CL1.35
44.44Single7DW9AVP7DW9-V2-AVP-chim(NtGi1-Gs)/β1/γ2
44.44Single7F6G(Sar1)-Angiotensin II7F6G-AT1-(Sar1)-Angiotensin II-Gq/β1/γ2
44.44Single9BKKCholecystokinin-89BKK-CCKA-Cholecystokinin-8-chim(NtGi1-Gs-CtGq)/β1/γ2
44.44Consensusangiotensin_on_gpOrthosteric Ligandat1_on_gp
44.44Consensusat1_on_gpOrthosteric Ligand7F6G-AT1-(Sar1)-Angiotensin II-Gq/β1/γ2
44.44Consensusgq_angiotensinOrthosteric Ligand7F6G-AT1-(Sar1)-Angiotensin II-Gq/β1/γ2
44.44Consensusgs_vasop-oxyOrthosteric Ligand7DW9-V2-AVP-chim(NtGi1-Gs)/β1/γ2
44.44Consensuspeptide_offon_gpOrthosteric Ligandpeptide_on_gp peptide_off
44.44Consensusv2_onOrthosteric Ligand7DW9-V2-AVP-chim(NtGi1-Gs)/β1/γ2
44.44Consensusv2_on_gpOrthosteric Ligand7DW9-V2-AVP-chim(NtGi1-Gs)/β1/γ2
44.44Consensusvasop-oxy_onOrthosteric Ligandv2_on
44.44Consensusvasop-oxy_on_gpOrthosteric Ligandv2_on_gp
44.00Single7F54Afamelanotide7F54-MC4-Afamelanotide-Gs/β1/γ2
44.00Single7F8XNN90567F8X-CCKA-NN9056
44.00Single7XAUOctreotide7XAU-SST2-Octreotide-Gi1/β1/γ2
44.00Single8DCRDobutamine8DCR-β1-Dobutamine-Gs/β1/γ2
44.00Single8WDTphotoNECA8WDT-A2A-photoNECA
44.00Single8ZBJSomatostatin-148ZBJ-SST5-Somatostatin-14-Gi1/β1/γ2
44.00Single9BKJCholecystokinin-89BKJ-CCKA-Cholecystokinin-8-chim(NtGi1-Gs-CtGq)/β1/γ2
44.00Single9KWGC5a9KWG-C5a1-C5a-Go/β1/γ2
44.00Single9UYJChemerin-99UYJ-CML2-Chemerin-9-Arrestin2
44.00Consensusgi_opioidOrthosteric Ligand8F7R-μ-Endomorphin-Gi1/β1/γ2 8EF5-μ-Fentanyl-Gi1/β1/γ2 7SCG-μ-FH210-Gi1/β1/γ2 7T2H-μ-Lofentanil-Gi1/β1/γ2 7T2G-μ-Mitragynine Pseudoindoxyl-Gi1/β1/γ2 8DZP-κ-momSalB-Gi1/β1/γ2 8EF6-μ-Morphine-Gi1/β1/γ2 8F7X-NOP-Nociceptin-Gi1/β1/γ2 8EFB-μ-Oliceridine-Gi1/β1/γ2 7U2L-μ-C5-guano-Gi1/β1/γ2 8EFO-μ-PZM21-Gi1/β1/γ2 8EFL-μ-SR17018-Gi1/β1/γ2 8F7Q-μ-β-Endorphin-Gi1/β1/γ2 7U2K-μ-C6-guano-Gi1/β1/γ2 8EFQ-μ-DAMGO-Gi1/β1/γ2 8F7S-δ-Deltorphin-Gi1/β1/γ2 8F7W-κ-Dynorphin-Gi1/β1/γ2
44.00Consensuslpl_onOrthosteric Ligands1p_on lpa_on
44.00Consensuslpl_on_gpOrthosteric Ligands1p_on_gp lpa_on_gp
44.00Consensusmop_offOrthosteric Ligand4DKL-μ-β-Funaltrexamine 8QOT-μ-Nanobody-E 7UL4-μ-Alvimopan
43.75Consensusgs_peptideOrthosteric Ligandgs_cck gs_melanocortin gs_vasop-oxy
43.48Single4RWADIPP-NH24RWA-δ-DIPP-NH2
43.48Single7DH5Mirabegron7DH5-β3-Mirabegron-Gs/β1/γ2
43.48Single7L1UOrexin7L1U-OX2-Orexin-chim(NtGi1-Gs-CtGq)/β1/γ2
43.48Single7YMJTamsulosin7YMJ-Alpha1A-Tamsulosin
43.48Single8IRSRotigotine8IRS-D2-Rotigotine-Gi1/β1/γ2
43.48Single8J6DEP1418J6D-C3aB-EP141-Go/β1/γ2
43.48Single8JJ8Arformoterol8JJ8-β2-Arformoterol
43.48Single8JJLOlodaterol8JJL-β2-Olodaterol
43.48Single8W1VPubChem 1717162658W1V-β2-PubChem 171716265
43.48Single8X8NOctreotide8X8N-SST5-Octreotide-chim(NtGi1-Gs-CtGi1)/β1/γ2
43.48Single9V6ONalfurafine9V6O-κ-Nalfurafine-Gi1/β1/γ2
43.48Single9WSVDAMGO9WSV-μ-DAMGO-Arrestin2
43.48Consensusalpha1_offOrthosteric Ligandalpha1a_off
43.48Consensusalpha1a_offOrthosteric Ligand7YMJ-Alpha1A-Tamsulosin
43.48Consensuscxcr_onOrthosteric Ligandcxcr3_on cxcr4_on cxcr1_on cxcr2_on
43.48Consensusd2_on_gpOrthosteric Ligand7JVR-D2-Bromoergocryptine-Gi1/β1/γ2 8IRS-D2-Rotigotine-Gi1/β1/γ2
43.48Consensuslipid_offonOrthosteric Ligandlipid_off lipid_on
43.48Consensuslipid_offon_gpOrthosteric Ligandlipid_on_gp lipid_off
43.48Consensuslpa1_offOrthosteric Ligand4Z36-LPA1-ONO-3080573 4Z35-LPA1-ONO-9910539 4Z34-LPA1-ONO-9780307
43.48Consensuslpa_offOrthosteric Ligandlpa1_off
43.33Single6IGLIRL16206IGL-ETB-IRL1620
43.33Single8IY5Endothelin-18IY5-ETB-Endothelin-1-Gi1/β1/γ2
43.33Consensusbk2_onOrthosteric Ligand7F6H-BK2-Bradykinin-Gq/β1/γ2 7F6I-BK2-Kallidin-Gq/β1/γ2
43.33Consensusbk2_on_gpOrthosteric Ligand7F6H-BK2-Bradykinin-Gq/β1/γ2 7F6I-BK2-Kallidin-Gq/β1/γ2
43.33Consensusbradykinin_onOrthosteric Ligandbk2_on
43.33Consensusbradykinin_on_gpOrthosteric Ligandbk2_on_gp
43.33Consensusendothelin_onOrthosteric Ligandetb_on eta_on
43.33Consensusgq_bradykininOrthosteric Ligand7F6H-BK2-Bradykinin-Gq/β1/γ2 7F6I-BK2-Kallidin-Gq/β1/γ2
43.33Consensusgs_melanocortinOrthosteric Ligand7F4H-MC1-Afamelanotide-chim(NtGi1-Gs)/β1/γ2 7F54-MC4-Afamelanotide-Gs/β1/γ2 7F4D-MC1-α-MSH-chim(NtGi1-Gs)/β1/γ2 8INR-MC5-α-MSH-Ca-chim(NtGi1-Gs)/β1/γ2 7F53-MC4-α-MSH-Gs/β1/γ2 7F55-MC4-Bremelanotide-Gs/β1/γ2 8GY7-MC2-Corticotropin-Ca-chim(NtGi1-Gs)/β1/γ2; MRAP1 8IOC-MC3-γ-MSH-Ca-chim(NtGi1-Gs)/β1/γ2 8IOD-MC5-PG-901-Ca-chim(NtGi1-Gs)/β1/γ2 7AUE-MC4-Setmelanotide-chim(NtGi1L-Gs)/β1/γ2 7F4I-MC1-SHU9119-chim(NtGi1-Gs)/β1/γ2 7F58-MC4-THIQ-Gs/β1/γ2
42.86Single6XBM25(S)-Epoxycholesterol6XBM-SMO-25(S)-Epoxycholesterol-Gi1/β1/γ2
42.86Single7CRHSKF839597CRH-D1-SKF83959-Gs/β1/γ2
42.86Single7F6HBradykinin7F6H-BK2-Bradykinin-Gq/β1/γ2
42.86Single7JOZPubChem 752020227JOZ-D1-PubChem 75202022-Gs/β1/γ2
42.86Single7JVQApomorphine7JVQ-D1-Apomorphine-Gs/β1/γ2
42.86Single7LJCSKF812977LJC-D1-SKF81297-Mevidalen-Gs/β1/γ2
42.86Single7Y64C5a7Y64-C5a1-C5a-Gi1/β1/γ2
42.86Single8EFQDAMGO8EFQ-μ-DAMGO-Gi1/β1/γ2
42.86Single8HCQEndothelin-18HCQ-ETA-Endothelin-1-chim(NtGi1-Gs-CtGq)/β1/γ2
42.86Single8HCXEndothelin-18HCX-ETB-Endothelin-1-chim(NtGi2L-Gs-CtGq)/β1/γ2
42.86Single8RWXStilSwitch38RWX-A2A-StilSwitch3-Na
42.86Single8UNRConstrained Epinephrine8UNR-β2-Constrained Epinephrine-GTP-Gs/β1/γ2
42.86Single8UNUConstrained Epinephrine8UNU-β2-Constrained Epinephrine-GTP-Gs/β1/γ2
42.86Single8XQEApelin-138XQE-Apelin; Apelin-Apelin-13-Gi1/β1/γ2
42.86Consensuseta_onOrthosteric Ligand8HCQ-ETA-Endothelin-1-chim(NtGi1-Gs-CtGq)/β1/γ2
42.86Consensuseta_on_gpOrthosteric Ligand8HCQ-ETA-Endothelin-1-chim(NtGi1-Gs-CtGq)/β1/γ2
42.86Consensussst5_on_gpOrthosteric Ligand8X8L-SST5-Cortistatin-14-chim(NtGi1-Gs-CtGi1)/β1/γ2 8X8N-SST5-Octreotide-chim(NtGi1-Gs-CtGi1)/β1/γ2
42.42Single7X9ANeuropeptide-Y7X9A-Y1-Neuropeptide-Y-Gi1/β1/γ2
42.31Single5XJM(Sar1,Ile8)-Angiotensin II5XJM-AT2-(Sar1,Ile8)-Angiotensin II
42.31Single7C6A(Sar1,Ile8)-Angiotensin II7C6A-AT2-(Sar1,Ile8)-Angiotensin II
42.31Single9KV6TLQP219KV6-C3aB-TLQP21-Go/β1/γ2
42.31Consensuscckb_onOrthosteric Ligand8IA7-CCKB-Cholecystokinin-8-chim(NtGi1L-Gq)/β1/γ2 7XOW-CCKB-Sulfated Gastrin-(10-17)-chim(NtGi1-Gq)/β1/γ2 7F8V-CCKB-Gastrin-17-Gi2/β1/γ2
42.31Consensuscompl-peptide_onOrthosteric Ligandc5a1_on c3a_on
42.31Consensuss1p3_on_gpOrthosteric Ligand7EW3-S1P3-S1P-Gi1/β1/γ2 7EW4-S1P3-CYM-5541-Gi1/β1/γ2 7EW2-S1P3-FTY720-P-Gi1/β1/γ2
41.94Single5GLHEndothelin-15GLH-ETB-Endothelin-1
41.94Consensusgi_endothelinOrthosteric Ligand8IY5-ETB-Endothelin-1-Gi1/β1/γ2 8HBD-ETB-IRL1620-Gi1/β1/γ2
41.67Single5TUDErgotamine5TUD-5-HT2B-Ergotamine
41.67Single6DDFDAMGO6DDF-μ-DAMGO-Gi1/β1/γ2
41.67Single6IBLArformoterol6IBL-β1-Arformoterol
41.67Single6TKOArformoterol6TKO-β1-Arformoterol-Arrestin2
41.67Single7EZHCholecystokinin-87EZH-CCKA-Cholecystokinin-8-Gi1/β1/γ2
41.67Single7EZMCholecystokinin-87EZM-CCKA-Cholecystokinin-8-chim(NtGsL-Gq)/β1/γ2
41.67Single7X2DTavapadon7X2D-D1-Tavapadon-Gs/β1/γ2
41.67Single9WP9S1P9WP9-S1P3-S1P-chim(NtGi2L-Gs-CtGq)/β1/γ2
41.67Consensusccka_onOrthosteric Ligand7EZH-CCKA-Cholecystokinin-8-Gi1/β1/γ2
41.67Consensusccka_on_gpOrthosteric Ligand7EZH-CCKA-Cholecystokinin-8-Gi1/β1/γ2
41.67Consensusgi_s1pOrthosteric Ligand7VIE-S1P1-S1P-Gi1/β1/γ2 7EW3-S1P3-S1P-Gi1/β1/γ2 7EVY-S1P1-Siponimod-Gi1/β1/γ2 7EW1-S1P5-Siponimod-Gi1/β1/γ2 7VIF-S1P1-FTY720-P-Gi1/β1/γ2 7VIG-S1P1-CBP-307-Gi1/β1/γ2 7EVZ-S1P1-Cenerimod-Gi1/β1/γ2 7EW4-S1P3-CYM-5541-Gi1/β1/γ2 7EW2-S1P3-FTY720-P-Gi1/β1/γ2 7EW0-S1P1-Ozanimod-Gi1/β1/γ2 7EW7-S1P1-SEW2871-Gi1/β1/γ2
41.38Single8XVEBQ30208XVE-ETB-BQ3020-chim(Gs-CtGq)/β1/γ2
40.91Single5N2RPSB365N2R-A2A-PSB36-Na
40.91Single5ZBQUR-MK-2995ZBQ-Y1-UR-MK-299
40.91Single6E67BI1671076E67-β2-BI167107-Gs(CT)
40.91Single7C61Ergotamine7C61-5-HT1B-Ergotamine
40.91Single7CKXA776367CKX-D1-A77636-Gs/β1/γ2
40.91Single7XKAConstrained Epinephrine7XKA-β2-Constrained Epinephrine
40.91Single8GDZConstrained Epinephrine8GDZ-β2-Constrained Epinephrine-Gs/β1/γ2
40.91Single8GEBConstrained Epinephrine8GEB-β2-Constrained Epinephrine-Gs/β1/γ2
40.91Single8GEGConstrained Epinephrine8GEG-β2-Constrained Epinephrine-Gs/β1/γ2
40.91Single8GGBConstrained Epinephrine8GGB-β2-Constrained Epinephrine-GTP-Gs/β1/γ2
40.91Single8HNLPS3724248HNL-CXCR3-PS372424-Gi1/β1/γ2
40.91Single8JXSPF-61428JXS-D1-PF-6142
40.91Single8UNNConstrained Epinephrine8UNN-β2-Constrained Epinephrine-GTP-Gs/β1/γ2
40.91Single8UNPConstrained Epinephrine8UNP-β2-Constrained Epinephrine-GTP-Gs/β1/γ2
40.91Single9EHSLUF76029EHS-A3A-LUF7602
40.91Single9I52A1IZU9I52-D1-A1IZU-Gs/β1/γ2
40.91Single9L74S1P d16:19L74-S1P3-S1P d16:1-chim(NtGi2L-Gs-CtGq)/β1/γ2
40.91Consensusa1_offOrthosteric Ligand5UEN-A1-DU172 5N2S-A1-PSB36
40.91Consensusadenosine_offOrthosteric Liganda1_off a2_off
40.91Consensusd1_onOrthosteric Ligand7F0T-D1-Dopamine-Gs/β1/γ2 7CKY-D1-PW0464-Gs/β1/γ2 8IRR-D1-Rotigotine-Gs/β1/γ2 7JV5-D1-SKF81297-Gs/β1/γ2 7JVP-D1-SKF83959-Gs/β1/γ2 7X2D-D1-Tavapadon-Gs/β1/γ2 7CKX-D1-A77636-Gs/β1/γ2 7JVQ-D1-Apomorphine-Gs/β1/γ2 7CKW-D1-Fenoldopam-Gs/β1/γ2
40.91Consensusd2_onOrthosteric Ligand7JVR-D2-Bromoergocryptine-Gi1/β1/γ2 8IRS-D2-Rotigotine-Gi1/β1/γ2
40.91Consensusd4_onOrthosteric Ligand8IRU-D4-Rotigotine-chim(NtGi1-Gs-CtGi1)/β1/γ2
40.91Consensusgs_amineOrthosteric Ligandgs_5ht gs_adrenergic gs_dopamine gs_histamine gs_trace-amine
40.74Single6MEOGp160; CD46MEO-CCR5-Gp160; CD4
40.74Single6PT2KGCHM076PT2-δ-KGCHM07
40.74Single7RYCOxytocin7RYC-OT-Oxytocin-chim(NtGi2L-Gs-CtGq)/β1/γ2
40.74Single7TD0LPA7TD0-LPA1-LPA-Gi1/β1/γ2
40.74Single8XIRPasireotide8XIR-SST3-Pasireotide-chim(NtGi1-Gs-CtGi1)/β1/γ2
40.74Single9UYIChemerin-99UYI-CML2-Chemerin-9-Arrestin2
40.74Consensusc5a1_onOrthosteric Ligand8HK5-C5a1-C5a-Gi1/β1/γ2 7Y66-C5a1-BM213-Gi1/β1/γ2 7Y67-C5a1-C089 peptide-Gi1/β1/γ2 7Y64-C5a1-C5a-Gi1/β1/γ2
40.74Consensuscckb_on_gpOrthosteric Ligand8IA7-CCKB-Cholecystokinin-8-chim(NtGi1L-Gq)/β1/γ2 7XOW-CCKB-Sulfated Gastrin-(10-17)-chim(NtGi1-Gq)/β1/γ2 7F8V-CCKB-Gastrin-17-Gi2/β1/γ2
40.74Consensuscompl-peptide_on_gpOrthosteric Ligandc5a1_on_gp c3a_on_gp
40.74Consensusgi_somatostatinOrthosteric Ligand7WIC-SST2-Somatostatin-14-Gi1/β1/γ2 7XMS-SST4-Somatostatin-14-Gi1/β1/γ2 8X8L-SST5-Cortistatin-14-chim(NtGi1-Gs-CtGi1)/β1/γ2 7XMT-SST4-J-2156-Gi1/β1/γ2 7WIG-SST2-L-054264-Gi1/β1/γ2 8X8N-SST5-Octreotide-chim(NtGi1-Gs-CtGi1)/β1/γ2 7YAE-SST2-Octreotide-Gi1/β1/γ2 7YAC-SST2-Paltusotine-Gi1/β1/γ2
40.74Consensuspeptide_offonOrthosteric Ligandpeptide_off peptide_on
40.74Consensussomatostatin_onOrthosteric Ligandsst2_on sst4_on sst5_on
40.74Consensussomatostatin_on_gpOrthosteric Ligandsst2_on_gp sst4_on_gp sst5_on_gp
40.62Consensusendothelin_on_gpOrthosteric Ligandetb_on_gp eta_on_gp
40.62Consensusetb_on_gpOrthosteric Ligand8IY5-ETB-Endothelin-1-Gi1/β1/γ2 8HBD-ETB-IRL1620-Gi1/β1/γ2
40.62Consensusmelanocortin_onOrthosteric Ligandmc1_on mc4_on mc2_on mc3_on mc5_on
40.62Consensusmelanocortin_on_gpOrthosteric Ligandmc1_on_gp mc4_on_gp mc2_on_gp mc3_on_gp mc5_on_gp
40.00Single3NY9PubChem 9131033NY9-β2-PubChem 913103
40.00Single5OLOTozadenant5OLO-A2A-Tozadenant-Na
40.00Single6G79Donitriptan6G79-5-HT1B-Donitriptan-Go/β1/γ2
40.00Single7F4FAfamelanotide7F4F-MC1-Afamelanotide-chim(NtGi1-Gs)/β1/γ2
40.00Single7F53Alpha-MSH7F53-MC4-α-MSH-Gs/β1/γ2
40.00Single7F8ULintitript7F8U-CCKA-Lintitript
40.00Single7RKFCX3CL17RKF-US28-CX3CL1-GDP-chim(NtGi1-G11)/β1/γ2
40.00Single7SRSLSD7SRS-5-HT2B-LSD-Arrestin2
40.00Single7XATSomatostatin-147XAT-SST2-Somatostatin-14-Gi1/β1/γ2
40.00Single7XN9L-0545227XN9-SST2-L-054522
40.00Single8J6LNiacin8J6L-HCA2-Niacin-Gi1/β1/γ2
40.00Single8QJ2pN1628QJ2-MC4-pN162-Gs/β1/γ2
40.00Single8UNSConstrained Epinephrine8UNS-β2-Constrained Epinephrine-GTP-Gs/β1/γ2
40.00Single8UNTConstrained Epinephrine8UNT-β2-Constrained Epinephrine-GTP-Gs/β1/γ2
40.00Single8X5YAstemizole8X5Y-H1-Astemizole
40.00Single8Y72Peptide8Y72-μ-Peptide-BMS-986122-Gi1/β1/γ2
40.00Single9KZ2EP679KZ2-C3aB-EP67-Go/β1/γ2
40.00Single9KZ8EP679KZ8-C3aB-EP67-Go/β1/γ2
40.00Single9M0RNeuropeptide-VF9M0R-NPFF1-Neuropeptide-VF-Gi1/β1/γ2
40.00Single9UMJEP549UMJ-C3aB-EP54-Go/β1/γ2
40.00Consensusgq_cckOrthosteric Ligand8IA7-CCKB-Cholecystokinin-8-chim(NtGi1L-Gq)/β1/γ2 7XOW-CCKB-Sulfated Gastrin-(10-17)-chim(NtGi1-Gq)/β1/γ2 7EZM-CCKA-Cholecystokinin-8-chim(NtGsL-Gq)/β1/γ2 7F8W-CCKB-Gastrin-17-chim(NtGsL-Gq)/β1/γ2
40.00Consensusox2_onOrthosteric Ligand7L1V-OX2-PubChem 155491009-chim(NtGi1-Gs-CtGq)/β1/γ2 7SQO-OX2-TAK-925-Gi1/β1/γ2 7L1U-OX2-Orexin-chim(NtGi1-Gs-CtGq)/β1/γ2
40.00Consensusox2_on_gpOrthosteric Ligand7L1V-OX2-PubChem 155491009-chim(NtGi1-Gs-CtGq)/β1/γ2 7SQO-OX2-TAK-925-Gi1/β1/γ2 7L1U-OX2-Orexin-chim(NtGi1-Gs-CtGq)/β1/γ2
40.00Consensuss1p_onOrthosteric Ligands1p1_on s1p3_on s1p5_on
40.00Consensuss1p_on_gpOrthosteric Ligands1p1_on_gp s1p3_on_gp s1p5_on_gp
40.00Consensussst2_onOrthosteric Ligand7WIC-SST2-Somatostatin-14-Gi1/β1/γ2 7WIG-SST2-L-054264-Gi1/β1/γ2 7YAE-SST2-Octreotide-Gi1/β1/γ2 7YAC-SST2-Paltusotine-Gi1/β1/γ2
40.00Consensussst2_on_gpOrthosteric Ligand7WIC-SST2-Somatostatin-14-Gi1/β1/γ2 7WIG-SST2-L-054264-Gi1/β1/γ2 7YAE-SST2-Octreotide-Gi1/β1/γ2 7YAC-SST2-Paltusotine-Gi1/β1/γ2
39.39Single6LRYSarafotoxin-B6LRY-ETB-Sarafotoxin-B
39.29Single6JODAngiotensin II6JOD-AT2-Angiotensin II
39.29Single6METGp160; CD46MET-CCR5-Gp160; CD4
39.29Single8X8LCortistatin-148X8L-SST5-Cortistatin-14-chim(NtGi1-Gs-CtGi1)/β1/γ2
39.29Single8XZJWN3538XZJ-Apelin; Apelin-WN353-Gi1/β1/γ2
39.29Single8ZBISomatostatin-148ZBI-SST3-Somatostatin-14-Gi1/β1/γ2
39.29Consensusc5a1_on_gpOrthosteric Ligand8HK5-C5a1-C5a-Gi1/β1/γ2 7Y66-C5a1-BM213-Gi1/β1/γ2 7Y67-C5a1-C089 peptide-Gi1/β1/γ2 7Y64-C5a1-C5a-Gi1/β1/γ2
39.29Consensusprotein_offonOrthosteric Ligandprotein_off protein_on
39.29Consensusprotein_offon_gpOrthosteric Ligandprotein_on_gp protein_off
39.29Consensusprotein_onOrthosteric Ligandchemokine_on chemerin_on
39.13Single3SN6BI1671073SN6-β2-BI167107-Gs/β1/γ2
39.13Single4IAQDihydroergotamine4IAQ-5-HT1B-Dihydroergotamine
39.13Single4LDLHydroxybenzyl Isoproterenol4LDL-β2-Hydroxybenzyl Isoproterenol
39.13Single6DDEDAMGO6DDE-μ-DAMGO-Gi1/β1/γ2
39.13Single6N48BI1671076N48-β2-BI167107-PubChem 138454256
39.13Single6WGTLSD6WGT-5-HT2A-LSD
39.13Single7F58THIQ7F58-MC4-THIQ-Gs/β1/γ2
39.13Single7JV5SKF812977JV5-D1-SKF81297-Gs/β1/γ2
39.13Single7PX4PSB-21137PX4-A2A-PSB-2113
39.13Single7R0CAVP7R0C-V2-AVP-Arrestin2
39.13Single7Y24Octreotide7Y24-SST2-Octreotide-Go/β1/γ2
39.13Single8HQCC5a8HQC-C5a1-C5a-Go/β1/γ2
39.13Single8I9LC3a8I9L-C3aB-C3a-Go/β1/γ2
39.13Single8ID39-Hydroxystearic acid8ID3-FFA4-9-Hydroxystearic acid-Gi1/β1/γ2
39.13Single8ID6Oleic acid8ID6-FFA4-Oleic acid-Gi1/β1/γ2
39.13Single8IRRRotigotine8IRR-D1-Rotigotine-Gs/β1/γ2
39.13Single8IRURotigotine8IRU-D4-Rotigotine-chim(NtGi1-Gs-CtGi1)/β1/γ2
39.13Single8UGWCGS216808UGW-A2A-CGS21680
39.13Single8VVEnorBNI8VVE-κ-norBNI-Gi1/β1/γ2
39.13Single9I54PubChem 1764520919I54-D1-PubChem 176452091-Gs/β1/γ2
39.13Single9IK9Lanreotide9IK9-SST1-Lanreotide-Gi1/β1/γ2
39.13Single9KVPSB2901579KVP-C3aB-SB290157-Go/β1/γ2
39.13Consensusa2_onOrthosteric Liganda2b_on
39.13Consensusa2_on_gpOrthosteric Liganda2b_on_gp
39.13Consensusa2b_onOrthosteric Ligand8HDP-A2B-Adenosine-Gs/β1/γ2 7XY6-A2B-BAY 60-6583-chim(NtGi1-Gs)/β1/γ2 7XY7-A2B-NECA-chim(NtGi1-Gs)/β1/γ2 8HDO-A2B-BAY 60-6583-Gs/β1/γ2
39.13Consensusa2b_on_gpOrthosteric Ligand8HDP-A2B-Adenosine-Gs/β1/γ2 7XY6-A2B-BAY 60-6583-chim(NtGi1-Gs)/β1/γ2 7XY7-A2B-NECA-chim(NtGi1-Gs)/β1/γ2 8HDO-A2B-BAY 60-6583-Gs/β1/γ2
39.13Consensusd1_on_gpOrthosteric Ligand7F0T-D1-Dopamine-Gs/β1/γ2 7CKY-D1-PW0464-Gs/β1/γ2 8IRR-D1-Rotigotine-Gs/β1/γ2 7JV5-D1-SKF81297-Gs/β1/γ2 7JVP-D1-SKF83959-Gs/β1/γ2 7X2D-D1-Tavapadon-Gs/β1/γ2 7CKX-D1-A77636-Gs/β1/γ2 7JVQ-D1-Apomorphine-Gs/β1/γ2 7CKW-D1-Fenoldopam-Gs/β1/γ2
39.13Consensusd4_on_gpOrthosteric Ligand8IRU-D4-Rotigotine-chim(NtGi1-Gs-CtGi1)/β1/γ2
39.13Consensusgs_adenosineOrthosteric Ligand8HDP-A2B-Adenosine-Gs/β1/γ2 8HDO-A2B-BAY 60-6583-Gs/β1/γ2 7XY7-A2B-NECA-chim(NtGi1-Gs)/β1/γ2 7XY6-A2B-BAY 60-6583-chim(NtGi1-Gs)/β1/γ2
39.13Consensusgs_dopamineOrthosteric Ligand7F0T-D1-Dopamine-Gs/β1/γ2 7CKW-D1-Fenoldopam-Gs/β1/γ2 7CKY-D1-PW0464-Gs/β1/γ2 8IRV-D5-Rotigotine-chim(NtGi1-Gs)/β1/γ2 8IRR-D1-Rotigotine-Gs/β1/γ2 7JV5-D1-SKF81297-Gs/β1/γ2 7JVP-D1-SKF83959-Gs/β1/γ2 7X2D-D1-Tavapadon-Gs/β1/γ2 7CKX-D1-A77636-Gs/β1/γ2 7JVQ-D1-Apomorphine-Gs/β1/γ2
39.13Consensusgs_nucleotideOrthosteric Ligandgs_adenosine
39.13Consensusmotilin_onOrthosteric Ligand8IBU-Motilin-Erythromycin-A-chim(NtGi1-Gs-CtGq)/β1/γ2
39.13Consensusnpy_offOrthosteric Ligandnpy1_off npy2_off
38.71Single7VGXNeuropeptide-Y7VGX-Y1-Neuropeptide-Y-Gi1/β1/γ2
38.71Single8IY6Endothelin-18IY6-ETB-Endothelin-1
38.71Consensusetb_onOrthosteric Ligand8IY5-ETB-Endothelin-1-Gi1/β1/γ2 8HBD-ETB-IRL1620-Gi1/β1/γ2
38.46Single7WVWfMYFINILTL7WVW-FPR2-ALX-fMYFINILTL-Gi2/β1/γ2
38.46Single8GHVAMG3158GHV-CB1-AMG315-Gi1/β1/γ2
38.46Single8ZSPLSD8ZSP-TA1-LSD-chim(NtGi1L-Gs)/β1/γ2
38.46Single9HB3Mambaquaretin-19HB3-V2-Mambaquaretin-1
38.46Single9UMRC5a-pep9UMR-C5a1-C5a-pep-Go/β1/γ2
38.46Consensusmc4_onOrthosteric Ligand7AUE-MC4-Setmelanotide-chim(NtGi1L-Gs)/β1/γ2 7F58-MC4-THIQ-Gs/β1/γ2 7F54-MC4-Afamelanotide-Gs/β1/γ2 7F53-MC4-α-MSH-Gs/β1/γ2 7F55-MC4-Bremelanotide-Gs/β1/γ2
38.46Consensusnop_onOrthosteric Ligand8F7X-NOP-Nociceptin-Gi1/β1/γ2
38.46Consensusnop_on_gpOrthosteric Ligand8F7X-NOP-Nociceptin-Gi1/β1/γ2
38.46Consensussst5_onOrthosteric Ligand8X8L-SST5-Cortistatin-14-chim(NtGi1-Gs-CtGi1)/β1/γ2 8X8N-SST5-Octreotide-chim(NtGi1-Gs-CtGi1)/β1/γ2
38.10Single5IU4ZM-2413855IU4-A2A-ZM-241385-Na
38.10Single5IUBQ274563445IUB-A2A-Q27456344-Na
38.10Single5K2CZM-2413855K2C-A2A-ZM-241385-Na
38.10Single5NM4ZM-2413855NM4-A2A-ZM-241385-Na
38.10Single6PS5Propranolol6PS5-β2-Propranolol
38.10Single6TPGEMPA6TPG-OX2-EMPA
38.10Single7CKWFenoldopam7CKW-D1-Fenoldopam-Gs/β1/γ2
38.10Single7CKZDopamine7CKZ-D1-Dopamine-Mevidalen-Gs/β1/γ2
38.10Single7CMUPramipexole7CMU-D3-Pramipexole-Gi1/β1/γ2
38.10Single7F61PF-036547467F61-H3-PF-03654746
38.10Single7RANPubChem 1645758477RAN-5-HT2A-PubChem 164575847-chim(NtGi2L-Gs-CtGq)/β1/γ2
38.10Single7T94LY21196207T94-M2-Acetylcholine-LY2119620-chim(NtGi1-Go)/β1/γ2
38.10Single7UTZDPPC7UTZ-TSH-TSH-DPPC-Gs/β1/γ2
38.10Single7WC9PubChem 1624213647WC9-5-HT2A-PubChem 162421364
38.10Single7XOVSR1461317XOV-CCKA-SR146131-Gs/β1/γ2
38.10Single8GEAConstrained Epinephrine8GEA-β2-Constrained Epinephrine-Gs/β1/γ2
38.10Single8GEDConstrained Epinephrine8GED-β2-Constrained Epinephrine-Gs/β1/γ2
38.10Single8GG7Constrained Epinephrine8GG7-β2-Constrained Epinephrine-GTP-Gs/β1/γ2
38.10Single8GG8Constrained Epinephrine8GG8-β2-Constrained Epinephrine-GTP-Gs/β1/γ2
38.10Single8GGLConstrained Epinephrine8GGL-β2-Constrained Epinephrine
38.10Single8GGMConstrained Epinephrine8GGM-β2-Constrained Epinephrine
38.10Single8GGPConstrained Epinephrine8GGP-β2-Constrained Epinephrine
38.10Single8K9KDAMGO8K9K-μ-DAMGO-Gi3/β1/γ1
38.10Single8RWIStilSwitch28RWI-A2A-StilSwitch2-Na
38.10Single8UNLConstrained Epinephrine8UNL-β2-Constrained Epinephrine-GTP-Gs/β1/γ2
38.10Single8UNMConstrained Epinephrine8UNM-β2-Constrained Epinephrine-GTP-Gs/β1/γ2
38.10Single8UNOConstrained Epinephrine8UNO-β2-Constrained Epinephrine-GTP-Gs/β1/γ2
38.10Single8UNWConstrained Epinephrine8UNW-β2-Constrained Epinephrine-GTP-Gs/β1/γ2
38.10Single8V6UPubChem 1713924568V6U-5-HT2A-PubChem 171392456-chim(NtGi2-Gs-CtGq)/β1/γ2
38.10Single9K0XATP9K0X-P2Y2-ATP-chim(NtGi1-Gs-CtGq)/β1/γ2
38.10Single9K20ATP9K20-P2Y2-ATP-chim(NtGi1-Go)/β1/γ2
38.10Single9L84Epinephrine9L84-β1-Epinephrine-Atazanavir-Gs/β1/γ2
38.10Single9ODLMitragynine Pseudoindoxyl9ODL-μ-Mitragynine Pseudoindoxyl-GTP; Mg-Gi1/β1/γ2
38.10Consensus5ht_on_gpOrthosteric Ligand5ht1_on_gp 5ht2_on_gp 5ht4_on_gp 5ht5_on_gp 5ht6_on_gp 5ht7_on_gp
38.10Consensusd3_onOrthosteric Ligand7CMV-D3-PD128907-Gi1/β1/γ2 8IRT-D3-Rotigotine-Gi1/β1/γ2 7CMU-D3-Pramipexole-Gi1/β1/γ2
38.10Consensusd3_on_gpOrthosteric Ligand7CMV-D3-PD128907-Gi1/β1/γ2 8IRT-D3-Rotigotine-Gi1/β1/γ2 7CMU-D3-Pramipexole-Gi1/β1/γ2
38.10Consensusgrh_offOrthosteric Ligandgnrh1_off
37.93Single7F6IKallidin7F6I-BK2-Kallidin-Gq/β1/γ2
37.93Single8XGOTAK4488XGO-Kiss1-TAK448-chim(NtGi1-Gq)/β1/γ2
37.93Single8ZRTEndothelin-18ZRT-ETB-Endothelin-1
37.93Single9JFYNeuropeptide-SF9JFY-NPFF2-Neuropeptide-SF-Gi1/β1/γ2
37.93Consensuschemokine_on_gpOrthosteric Ligandccr_on_gp cxcr_on_gp
37.50Single4AMIBucindolol4AMI-β1-Bucindolol
37.50Single4LDEBI1671074LDE-β2-BI167107
37.50Single4Z36ONO-30805734Z36-LPA1-ONO-3080573
37.50Single6A93Risperidone6A93-5-HT2A-Risperidone
37.50Single6IGKEndothelin-36IGK-ETB-Endothelin-3
37.50Single6OS0Angiotensin II6OS0-AT1-Angiotensin II
37.50Single6VMSBromoergocryptine6VMS-D2-Bromoergocryptine-Gi1/β1/γ2
37.50Single7BZ2Arformoterol7BZ2-β2-Arformoterol-Gs/β1/γ2
37.50Single7EW2FTY720-P7EW2-S1P3-FTY720-P-Gi1/β1/γ2
37.50Single7W0NElabela7W0N-Apelin; Apelin-Elabela-Gi1/β1/γ2
37.50Single7XW5ML1097XW5-TSH-TSH-ML109-Gs/β1/γ2
37.50Single7YITNalfurafine7YIT-κ-Nalfurafine
37.50Single8HK2C3a8HK2-C3aB-C3a-Gi1/β1/γ2
37.50Single8I9AEP548I9A-C3aB-EP54-chim(NtGi1-Gs-CtGq)/β1/γ2
37.50Single8IA8E7 peptide8IA8-C3aB-E7 peptide-Gi1/β1/γ2
37.50Single8IBUErythromycin-A8IBU-Motilin-Erythromycin-A-chim(NtGi1-Gs-CtGq)/β1/γ2
37.50Single8ID9Icosapent8ID9-FFA4-Icosapent-Gi1/β1/γ2
37.50Single8JWY2-1188JWY-A2A-2-118
37.50Single8JWZEtrumadenant8JWZ-A2A-Etrumadenant-Na
37.50Single9ECJS-geranylgeranyl-L-glutathione9ECJ-P2Y8-S-geranylgeranyl-L-glutathione-G13/β1/γ2
37.50Single9L3WChemerin9L3W-CML1-Chemerin-Gi1/β1/γ2
37.50Single9MQLIsoquinuclidine9MQL-κ-Isoquinuclidine
37.50Single9YDQDADLE9YDQ-δ-DADLE-MIPS3614-chim(NtGi1L-Gs-CtGi1)/β1/γ2
37.50Consensusbeta3_onOrthosteric Ligand7DH5-β3-Mirabegron-Gs/β1/γ2 7XJH-β3-Isoprenaline-Gs/β1/γ2 7XJI-β3-Solabegron-Gs/β1/γ2
37.50Consensusbeta3_on_gpOrthosteric Ligand7DH5-β3-Mirabegron-Gs/β1/γ2 7XJH-β3-Isoprenaline-Gs/β1/γ2 7XJI-β3-Solabegron-Gs/β1/γ2
37.50Consensusbeta_onOrthosteric Ligandbeta1_on beta2_on beta3_on
37.50Consensusbeta_on_gpOrthosteric Ligandbeta1_on_gp beta2_on_gp beta3_on_gp
37.50Consensusc3a_onOrthosteric Ligand8HK2-C3aB-C3a-Gi1/β1/γ2 8IA8-C3aB-E7 peptide-Gi1/β1/γ2
37.50Consensusccr5_on_gpOrthosteric Ligand7O7F-CCR5-6P4-CCL5-Gi1/β1/γ1 7F1Q-CCR5-CCL3-Gi1/β1/γ2
37.50Consensusccr8_onOrthosteric Ligand8KFX-CCR8-LMD-009-Gi1/β1/γ2 8KFY-CCR8-ZK-756326-Gi1/β1/γ2 8U1U-CCR8-CCL1-Gi1/β1/γ2
37.50Consensuskop_onOrthosteric Ligand8F7W-κ-Dynorphin-Gi1/β1/γ2 8DZS-κ-GR89,696-chim(NtGi2-Gz)/β1/γ2 8DZP-κ-momSalB-Gi1/β1/γ2
37.50Consensuslpl_offOrthosteric Ligands1p_off lpa_off
37.50Consensusmop_onOrthosteric Ligand8F7R-μ-Endomorphin-Gi1/β1/γ2 8EF5-μ-Fentanyl-Gi1/β1/γ2 7SCG-μ-FH210-Gi1/β1/γ2 7T2H-μ-Lofentanil-Gi1/β1/γ2 7T2G-μ-Mitragynine Pseudoindoxyl-Gi1/β1/γ2 8EF6-μ-Morphine-Gi1/β1/γ2 8EFB-μ-Oliceridine-Gi1/β1/γ2 7U2L-μ-C5-guano-Gi1/β1/γ2 8EFO-μ-PZM21-Gi1/β1/γ2 8EFL-μ-SR17018-Gi1/β1/γ2 8F7Q-μ-β-Endorphin-Gi1/β1/γ2 7U2K-μ-C6-guano-Gi1/β1/γ2 8EFQ-μ-DAMGO-Gi1/β1/γ2
37.50Consensusmop_on_gpOrthosteric Ligand8F7R-μ-Endomorphin-Gi1/β1/γ2 8EF5-μ-Fentanyl-Gi1/β1/γ2 7SCG-μ-FH210-Gi1/β1/γ2 7T2H-μ-Lofentanil-Gi1/β1/γ2 7T2G-μ-Mitragynine Pseudoindoxyl-Gi1/β1/γ2 8EF6-μ-Morphine-Gi1/β1/γ2 8EFB-μ-Oliceridine-Gi1/β1/γ2 7U2L-μ-C5-guano-Gi1/β1/γ2 8EFO-μ-PZM21-Gi1/β1/γ2 8EFL-μ-SR17018-Gi1/β1/γ2 8F7Q-μ-β-Endorphin-Gi1/β1/γ2 7U2K-μ-C6-guano-Gi1/β1/γ2 8EFQ-μ-DAMGO-Gi1/β1/γ2
37.50Consensusmotilin_on_gpOrthosteric Ligand8IBU-Motilin-Erythromycin-A-chim(NtGi1-Gs-CtGq)/β1/γ2
37.50Consensusopioid_offOrthosteric Ligandmop_off nop_off dop_off kop_off
37.50Consensuss1p1_onOrthosteric Ligand7VIE-S1P1-S1P-Gi1/β1/γ2 7VIF-S1P1-FTY720-P-Gi1/β1/γ2 7VIG-S1P1-CBP-307-Gi1/β1/γ2 7EVY-S1P1-Siponimod-Gi1/β1/γ2 7EVZ-S1P1-Cenerimod-Gi1/β1/γ2 7EW0-S1P1-Ozanimod-Gi1/β1/γ2 7EW7-S1P1-SEW2871-Gi1/β1/γ2
37.50Consensuss1p1_on_gpOrthosteric Ligand7VIE-S1P1-S1P-Gi1/β1/γ2 7VIF-S1P1-FTY720-P-Gi1/β1/γ2 7VIG-S1P1-CBP-307-Gi1/β1/γ2 7EVY-S1P1-Siponimod-Gi1/β1/γ2 7EVZ-S1P1-Cenerimod-Gi1/β1/γ2 7EW0-S1P1-Ozanimod-Gi1/β1/γ2 7EW7-S1P1-SEW2871-Gi1/β1/γ2
37.04Single7PIVAfamelanotide7PIV-MC4-Afamelanotide-Gs/β1/γ2
37.04Single7W0NElabela7W0N-Apelin; Apelin-Elabela-Gi1/β1/γ2
37.04Single7WJ5Somatostatin-147WJ5-SST2-Somatostatin-14-Gi1/β1/γ2
37.04Single8F7SDeltorphin8F7S-δ-Deltorphin-Gi1/β1/γ2
37.04Single8F7WDynorphin8F7W-κ-Dynorphin-Gi1/β1/γ2
37.04Single8JZZC5a-des-Arg8JZZ-C5a1-C5a-des-Arg-Go/β1/γ2
37.04Single8K6ONeuropeptide-Y8K6O-Y1-Neuropeptide-Y-Gi2/β1/γ1
37.04Single8WSSMCH8WSS-MCH1-MCH-Gi1/β1/γ1
37.04Single9IK8Pasireotide9IK8-SST1-Pasireotide-Gi1/β1/γ2
37.04Single9IQRMuscarinic toxin 39IQR-α2a-Muscarinic toxin 3
37.04Single9IQVMuscarinic toxin 39IQV-Alpha1A-Muscarinic toxin 3
37.04Consensusdop_on_gpOrthosteric Ligand8F7S-δ-Deltorphin-Gi1/β1/γ2
37.04Consensusgi_ghrelinOrthosteric Ligand7NA7-Ghrelin-Ghrelin-Gi1/β1/γ2 7NA8-Ghrelin-Ibutamoren-Gi1/β1/γ2
37.04Consensusmc4_on_gpOrthosteric Ligand7AUE-MC4-Setmelanotide-chim(NtGi1L-Gs)/β1/γ2 7F58-MC4-THIQ-Gs/β1/γ2 7F54-MC4-Afamelanotide-Gs/β1/γ2 7F53-MC4-α-MSH-Gs/β1/γ2 7F55-MC4-Bremelanotide-Gs/β1/γ2
37.04Consensussst4_onOrthosteric Ligand7XMS-SST4-Somatostatin-14-Gi1/β1/γ2 7XMT-SST4-J-2156-Gi1/β1/γ2
37.04Consensussst4_on_gpOrthosteric Ligand7XMS-SST4-Somatostatin-14-Gi1/β1/γ2 7XMT-SST4-J-2156-Gi1/β1/γ2
36.67Single7RGPTirzepatide7RGP-GLP-1-Tirzepatide-chim(NtGi1-Gs)/β1/γ2
36.67Single8H0PNMB308H0P-BB1-NMB30-chim(NtGi1-Gs-CtGq)/β1/γ2
36.67Consensusgi_compl-peptOrthosteric Ligand8HK5-C5a1-C5a-Gi1/β1/γ2 8IA8-C3aB-E7 peptide-Gi1/β1/γ2 7Y66-C5a1-BM213-Gi1/β1/γ2 7Y67-C5a1-C089 peptide-Gi1/β1/γ2 8HK2-C3aB-C3a-Gi1/β1/γ2 7Y64-C5a1-C5a-Gi1/β1/γ2
36.67Consensusgi_proteinOrthosteric Ligandgi_chemokine gi_chemerin
36.67Consensusprotein_on_gpOrthosteric Ligandchemokine_on_gp chemerin_on_gp
36.36Single2Y02Carmoterol2Y02-β1-Carmoterol
36.36Single3ZPQPubChem 5945903ZPQ-β1-PubChem 594590-Na
36.36Single4EIYZM-2413854EIY-A2A-ZM-241385-Na
36.36Single5IU8Q274563475IU8-A2A-Q27456347-Na
36.36Single5OLGZM-2413855OLG-A2A-ZM-241385-Na
36.36Single5UENDU1725UEN-A1-DU172
36.36Single6LPJZM-2413856LPJ-A2A-ZM-241385-Na
36.36Single6LPKZM-2413856LPK-A2A-ZM-241385-Na
36.36Single6PS1Timolol6PS1-β2-Timolol
36.36Single6PS2Alprenolol6PS2-β2-Alprenolol
36.36Single7BTSEpinephrine7BTS-β1-Epinephrine
36.36Single7BU6Norepinephrine7BU6-β1-Norepinephrine
36.36Single7PYRPSB-21157PYR-A2A-PSB-2115
36.36Single7T2GMitragynine Pseudoindoxyl7T2G-μ-Mitragynine Pseudoindoxyl-Gi1/β1/γ2
36.36Single7TRQVU04671547TRQ-M4-Iperoxo-VU0467154-Gi1/β1/γ2
36.36Single7VIES1P7VIE-S1P1-S1P-Gi1/β1/γ2
36.36Single7X2CFenoldopam7X2C-D1-Fenoldopam-Fenoldopam-Gs/β1/γ2
36.36Single7YACPaltusotine7YAC-SST2-Paltusotine-Gi1/β1/γ2
36.36Single8GE2Constrained Epinephrine8GE2-β2-Constrained Epinephrine-Gs/β1/γ1
36.36Single8GE3Constrained Epinephrine8GE3-β2-Constrained Epinephrine-Gs/β1/γ2
36.36Single8GE9Constrained Epinephrine8GE9-β2-Constrained Epinephrine-Gs/β1/γ2
36.36Single8GECConstrained Epinephrine8GEC-β2-Constrained Epinephrine-Gs/β1/γ2
36.36Single8GEEConstrained Epinephrine8GEE-β2-Constrained Epinephrine-Gs/β1/γ2
36.36Single8GEHConstrained Epinephrine8GEH-β2-Constrained Epinephrine-Gs/β1/γ2
36.36Single8GFVConstrained Epinephrine8GFV-β2-Constrained Epinephrine-GTP-Gs/β1/γ2
36.36Single8GFWConstrained Epinephrine8GFW-β2-Constrained Epinephrine-GTP-Gs/β1/γ2
36.36Single8GFXConstrained Epinephrine8GFX-β2-Constrained Epinephrine-GTP-Gs/β1/γ2
36.36Single8GFZConstrained Epinephrine8GFZ-β2-Constrained Epinephrine-GTP-Gs/β1/γ2
36.36Single8GG0Constrained Epinephrine8GG0-β2-Constrained Epinephrine-GTP-Gs/β1/γ2
36.36Single8GG1Constrained Epinephrine8GG1-β2-Constrained Epinephrine-GTP-Gs/β1/γ2
36.36Single8GG3Constrained Epinephrine8GG3-β2-Constrained Epinephrine-GTP-Gs/β1/γ2
36.36Single8GG4Constrained Epinephrine8GG4-β2-Constrained Epinephrine-GTP-Gs/β1/γ2
36.36Single8GG6Constrained Epinephrine8GG6-β2-Constrained Epinephrine-GTP-Gs/β1/γ2
36.36Single8GG9Constrained Epinephrine8GG9-β2-Constrained Epinephrine-GTP-Gs/β1/γ2
36.36Single8GGIConstrained Epinephrine8GGI-β2-Constrained Epinephrine
36.36Single8GGJConstrained Epinephrine8GGJ-β2-Constrained Epinephrine
36.36Single8GGKConstrained Epinephrine8GGK-β2-Constrained Epinephrine
36.36Single8GGNConstrained Epinephrine8GGN-β2-Constrained Epinephrine
36.36Single8GGOConstrained Epinephrine8GGO-β2-Constrained Epinephrine
36.36Single8GGUConstrained Epinephrine8GGU-β2-Constrained Epinephrine
36.36Single8HBDIRL16208HBD-ETB-IRL1620-Gi1/β1/γ2
36.36Single8IRTRotigotine8IRT-D3-Rotigotine-Gi1/β1/γ2
36.36Single8JHNMonomethyl fumarate8JHN-HCA2-Monomethyl fumarate-Go/β1/γ2
36.36Single8JIINiacin8JII-HCA2-Niacin-PubChem 25101223-Gi1/β1/γ2
36.36Single8RW7StilSwitch18RW7-A2A-StilSwitch1-Na
36.36Single8T1WCVN4248T1W-GPR6-CVN424
36.36Single8UNQConstrained Epinephrine8UNQ-β2-Constrained Epinephrine-GTP-Gs/β1/γ2
36.36Single8UNVConstrained Epinephrine8UNV-β2-Constrained Epinephrine-GTP-Gs/β1/γ2
36.36Single8UNYConstrained Epinephrine8UNY-β2-Constrained Epinephrine-GTP-Gs/β1/γ2
36.36Single8UNZConstrained Epinephrine8UNZ-β2-Constrained Epinephrine-GTP-Gs/β1/γ2
36.36Single8UO2Constrained Epinephrine8UO2-β2-Constrained Epinephrine-GTP-Gs/β1/γ2
36.36Single8W87METH8W87-TA1-METH-chim(NtGi1L-Gs)/β1/γ2
36.36Single9CBMDexmedetomidine9CBM-α2a-Dexmedetomidine-Gi1/β1/γ2
36.36Single9CHXCarazolol9CHX-β2-Carazolol
36.36Single9PLNPubChem 1682595949PLN-α2a-PubChem 168259594
36.36Single9PLOPubChem 1682595949PLO-α2a-PubChem 168259594-Go/β1/γ2
36.36Single9PQDPubChem 1764919279PQD-α2a-PubChem 176491927
36.36Consensus5ht6_onOrthosteric Ligand7XTB-5-HT6-Serotonin-Gs/β1/γ2 8JLZ-5-HT6-ST1936-Gs/β1/γ2
36.36Consensus5ht6_on_gpOrthosteric Ligand7XTB-5-HT6-Serotonin-Gs/β1/γ2 8JLZ-5-HT6-ST1936-Gs/β1/γ2
36.36Consensusadrenergic_onOrthosteric Ligandalpha_on beta_on
36.36Consensusalpha_onOrthosteric Ligandalpha1_on alpha2_on
36.36Consensuscck_offOrthosteric Ligandccka_off
36.36Consensusccka_offOrthosteric Ligand7F8Y-CCKA-Devazepide 7F8U-CCKA-Lintitript
36.36Consensusd5_onOrthosteric Ligand8IRV-D5-Rotigotine-chim(NtGi1-Gs)/β1/γ2
36.36Consensusdopamine_onOrthosteric Ligandd2_on d1_on d3_on d4_on d5_on
36.36Consensusdopamine_on_gpOrthosteric Ligandd2_on_gp d1_on_gp d3_on_gp d4_on_gp d5_on_gp
36.36Consensusgs_trace-amineOrthosteric Ligand8W88-TA1-SEP-363856-Gs/β1/γ2 8JLJ-TA1-T1AM-chim(NtGi1-Gs)/β1/γ2 8JLO-TA1-Ulotaront-Gs/β1/γ2 8WC4-TA1-ZH8651-chim(NtGi1-Gs)/β1/γ2 8WC7-TA1-ZH8667-chim(NtGi1-Gs)/β1/γ2 8JLR-TA1-A77636-chim(NtGi1-Gs)/β1/γ2 8JSO-TA1-AMPH-chim(NtGi1-Gs)/β1/γ2 8W87-TA1-METH-chim(NtGi1L-Gs)/β1/γ2 8W89-TA1-2-Phenylethylamine-chim(NtGi1L-Gs)/β1/γ2 8JLP-TA1-Ralmitaront-Gs/β1/γ2 8W8A-TA1-RO5256390-chim(NtGi1L-Gs)/β1/γ2
36.36Consensuslipid_offOrthosteric Ligandcannabinoid_off paf_off lpl_off prostanoid_off leukotriene_off
36.11Consensusmc2_onOrthosteric Ligand8GY7-MC2-Corticotropin-Ca-chim(NtGi1-Gs)/β1/γ2; MRAP1
36.11Consensusmc2_on_gpOrthosteric Ligand8GY7-MC2-Corticotropin-Ca-chim(NtGi1-Gs)/β1/γ2; MRAP1
36.00Single2YCZIodocyanopindolol2YCZ-β1-Iodocyanopindolol
36.00Single4BVNCyanopindolol4BVN-β1-Cyanopindolol-Na
36.00Single4NC3Ergotamine4NC3-5-HT2B-Ergotamine
36.00Single4Z35ONO-99105394Z35-LPA1-ONO-9910539
36.00Single6H7LDobutamine6H7L-β1-Dobutamine
36.00Single7EW0Ozanimod7EW0-S1P1-Ozanimod-Gi1/β1/γ2
36.00Single7JVRBromoergocryptine7JVR-D2-Bromoergocryptine-Gi1/β1/γ2
36.00Single7MBYCholecystokinin-87MBY-CCKA-Cholecystokinin-8-chim(NtGi1L-Gs-CtGq)/β1/γ2
36.00Single7QVMOxytocin7QVM-OT-Oxytocin-chim(NtGi1-Go-CtGq)/β1/γ2
36.00Single7UM4AS26747237UM4-5-HT5A-AS2674723
36.00Single7WVVfMLFII7WVV-FPR2-ALX-fMLFII-Gi2/β1/γ2
36.00Single7XJISolabegron7XJI-β3-Solabegron-Gs/β1/γ2
36.00Single7YU8ONO-07405567YU8-LPA1-ONO-0740556-Gi1/β1/γ2
36.00Single8E9X2-Deoxycytidine8E9X-M4-2-Deoxycytidine-chim(NtGi1-Go)/β1/γ2
36.00Single8FX5Xanomeline8FX5-M4-Xanomeline-Xanomeline-Gi1/β1/γ2
36.00Single8I95EP548I95-C3aB-EP54-Go/β1/γ2
36.00Single8IYSTUG-8918IYS-FFA4-TUG-891-GDP-chim(NtGi1L-Gq)/β1/γ2
36.00Single8J19LY2378J19-GPR84-LY237-Gi1/β1/γ2
36.00Single8K4OCXCL18K4O-KSHV-CXCL1-Gi1/β1/γ1
36.00Single8WRZAM8418WRZ-CB1-AM841-Arrestin2
36.00Single9HYIDP819HYI-5-HT1A-DP81-Gi1/β1/γ2
36.00Single9KUGEP679KUG-C5a1-EP67-Go/β1/γ2
36.00Single9M54Neuropeptide-VF9M54-NPFF2-Neuropeptide-VF-Gi1/β1/γ2
36.00Single9YDPDADLE9YDP-δ-DADLE-chim(NtGi1L-Gs-CtGi1)/β1/γ2
36.00Consensusbeta1_onOrthosteric Ligand8DCR-β1-Dobutamine-Gs/β1/γ2 7S0F-β1-Isoprenaline-Gi1/β1/γ2
36.00Consensusbeta1_on_gpOrthosteric Ligand8DCR-β1-Dobutamine-Gs/β1/γ2 7S0F-β1-Isoprenaline-Gi1/β1/γ2
36.00Consensusc3a_on_gpOrthosteric Ligand8HK2-C3aB-C3a-Gi1/β1/γ2 8IA8-C3aB-E7 peptide-Gi1/β1/γ2
36.00Consensuscb1_on_gpOrthosteric Ligand6KPG-CB1-AM841-Gi1/β1/γ2 8K8J-CB1-Fenofibrate-chim(Gs-CtGq)/β1/γ2
36.00Consensuskop_on_gpOrthosteric Ligand8F7W-κ-Dynorphin-Gi1/β1/γ2 8DZS-κ-GR89,696-chim(NtGi2-Gz)/β1/γ2 8DZP-κ-momSalB-Gi1/β1/γ2
36.00Consensusorexin_on_gpOrthosteric Ligandox2_on_gp
36.00Consensuspeptide_offOrthosteric Ligandcck_off angiotensin_off bombesin_off endothelin_off ghrelin_off npy_off opioid_off orexin_off somatostatin_off tachykinin_off vasop-oxy_off neurotensin_off
35.71Single7MBXCholecystokinin-87MBX-CCKA-Cholecystokinin-8-Gs/β1/γ1
35.71Single7TD2LPA7TD2-LPA1-LPA-Gi1/β1/γ2
35.71Single8K6MNeuropeptide-Y8K6M-Y1-Neuropeptide-Y-Gi2/β1/γ1
35.71Single8WKZSBL-MC-318WKZ-MC4-SBL-MC-31
35.71Single9B54VIP369B54-CB1-VIP36-Gi1/β1/γ2
35.71Consensusgs_cckOrthosteric Ligand7MBX-CCKA-Cholecystokinin-8-Gs/β1/γ1
35.71Consensusnpy1_onOrthosteric Ligand8K6M-Y1-Neuropeptide-Y-Gi2/β1/γ1
35.71Consensusnpy1_on_gpOrthosteric Ligand8K6M-Y1-Neuropeptide-Y-Gi2/β1/γ1
35.48Single7WVYAmyloid-Beta427WVY-FPR2-ALX-Amyloid-β42-Gi2/β1/γ2
35.48Single8FEG(DNCP)-Beta-Naloxamine8FEG-κ-(DNCP)-β-Naloxamine-Gi1/β1/γ2
35.48Single8XWPEndothelin-18XWP-ETB-Endothelin-1-Gi1/β1/γ2
35.00Single7E2YSerotonin7E2Y-5-HT1A-Serotonin-PtdIns4P-Gi1/β1/γ2
35.00Single7T96LY21196207T96-M2-Acetylcholine-LY2119620-Go/β1/γ2
35.00Single7XTASerotonin7XTA-5-HT4-Serotonin-Gi1/β1/γ2
35.00Single7XTBSerotonin7XTB-5-HT6-Serotonin-Gs/β1/γ2
35.00Single8EF6Morphine8EF6-μ-Morphine-Gi1/β1/γ2
35.00Single8JILNiacin8JIL-HCA2-Niacin-Gi1/β1/γ2
35.00Single8ZX5AM2518ZX5-GPR55-AM251-chim(NtGi1-G13)/β1/γ2
35.00Single9IJEEpinephrine9IJE-β3-Epinephrine-chim(NtGi1-Gs)/β1/γ2
35.00Single9L3ZLRH7-C29L3Z-CML1-LRH7-C2
35.00Consensus5ht4_onOrthosteric Ligand7XTA-5-HT4-Serotonin-Gi1/β1/γ2
35.00Consensus5ht4_on_gpOrthosteric Ligand7XTA-5-HT4-Serotonin-Gi1/β1/γ2
34.78Single2RH1Carazolol2RH1-β2-Carazolol
34.78Single5IUAQ274563485IUA-A2A-Q27456348-Na
34.78Single5N2SPSB365N2S-A1-PSB36
34.78Single5NM2ZM-2413855NM2-A2A-ZM-241385-Na
34.78Single5OM4PubChem 1355666095OM4-A2A-PubChem 135566609-Na
34.78Single5WQCEMPA5WQC-OX2-EMPA
34.78Single6KUWPubChem 572132346KUW-α2c-PubChem 57213234
34.78Single6LPLZM-2413856LPL-A2A-ZM-241385-Na
34.78Single6PS3Carvedilol6PS3-β2-Carvedilol
34.78Single6S0QZM-2413856S0Q-A2A-ZM-241385
34.78Single6WQAZM-2413856WQA-A2A-ZM-241385-Na
34.78Single6XBKCholesterol6XBK-SMO-Cholesterol-Gi1/β1/γ2
34.78Single7BVQCarazolol7BVQ-β1-Carazolol
34.78Single7CFNINT-7777CFN-GPBA-INT-777-Gs/β1/γ2
34.78Single7EO2FTY720-P7EO2-S1P1-FTY720-P-Gi1/β1/γ2
34.78Single7RM5ZM-2413857RM5-A2A-ZM-241385-Na
34.78Single7S0FIsoprenaline7S0F-β1-Isoprenaline-Gi1/β1/γ2
34.78Single7WC6LSD7WC6-5-HT2A-LSD
34.78Single7X1TTaltirelin7X1T-TRH-Taltirelin-chim(NtGi2L-Gs-CtGq)/β1/γ2
34.78Single7XK9Constrained Isoproterenol7XK9-β2-Constrained Isoproterenol-Na
34.78Single7YU6ONO-07405567YU6-LPA1-ONO-0740556-Gi1/β1/γ2
34.78Single8C9WEtrumadenant8C9W-A2A-Etrumadenant
34.78Single8DZQmomSalB8DZQ-κ-momSalB-Go/β1/γ2
34.78Single8DZRGR89,6968DZR-κ-GR89,696-chim(NtGi2-Gt3)/β1/γ2
34.78Single8FYNZM-2413858FYN-A2A-ZM-241385-Na
34.78Single8GFYConstrained Epinephrine8GFY-β2-Constrained Epinephrine-GTP-Gs/β1/γ2
34.78Single8GG2Constrained Epinephrine8GG2-β2-Constrained Epinephrine-GTP-Gs/β1/γ2
34.78Single8GNEKW-63568GNE-A2A-KW-6356-Na
34.78Single8S4DCMF-0198S4D-Apelin-CMF-019
34.78Single8UUJFCH-22964138UUJ-HCA2-FCH-2296413-Gi1/β1/γ2
34.78Single8XYKVUF106618XYK-CXCR3-VUF10661-Go/β1/γ2
34.78Single8YICSAR2477998YIC-S1P1-SAR247799-Gi1/β1/γ2
34.78Single8ZYTNeurotensin-(8-13)8ZYT-NTS1-Neurotensin-(8-13)-SBI-553-Arrestin2
34.78Single9CIBFCH-22964139CIB-HCA2-FCH-2296413
34.78Single9F33FOB02-04A9F33-D3-FOB02-04A-Go/β1/γ2
34.78Single9K07DSO-5a9K07-BB3-DSO-5a-chim(NtGi2L-Gs-CtGq)/β1/γ2
34.78Single9MQKIsoquinuclidine9MQK-κ-Isoquinuclidine
34.78Single9PXYNaloxone9PXY-μ-Naloxone-GDPβS-Gi1/β1/γ2
34.78Consensusadrenergic_offOrthosteric Ligandalpha_off beta_off
34.78Consensusadrenergic_on_gpOrthosteric Ligandalpha_on_gp beta_on_gp
34.78Consensusalpha2c_offOrthosteric Ligand6KUW-α2c-PubChem 57213234
34.78Consensusalpha_on_gpOrthosteric Ligandalpha1_on_gp alpha2_on_gp
34.78Consensusamine_offOrthosteric Ligand5ht_off adrenergic_off dopamine_off histamine_off muscarinic_off
34.78Consensusamine_offonOrthosteric Ligandamine_off amine_on
34.78Consensusamine_offon_gpOrthosteric Ligandamine_on_gp amine_off
34.78Consensusamine_onOrthosteric Ligand5ht_on adrenergic_on dopamine_on histamine_on muscarinic_on trace-amine_on
34.78Consensusbeta2_offOrthosteric Ligand2RH1-β2-Carazolol 6PS3-β2-Carvedilol 6PS5-β2-Propranolol 3D4S-β2-Timolol 3NY8-β2-ICI118-551 3NY9-β2-PubChem 913103 6PRZ-β2-Alprenolol
34.78Consensusbeta_offOrthosteric Ligandbeta1_off beta2_off
34.78Consensuscb2_onOrthosteric Ligand8GUR-CB2-CP55940-Gi1/β1/γ2 8GUS-CB2-HU-308-Gi1/β1/γ2 8GUT-CB2-LEI-102-Gi1/β1/γ2 6KPF-CB2-AM12033-Gi1/β1/γ2 6PT0-CB2-WIN 55212-2-Gi1/β1/γ2 8GUQ-CB2-Olorinab-Gi1/β1/γ2
34.78Consensuscb2_on_gpOrthosteric Ligand8GUR-CB2-CP55940-Gi1/β1/γ2 8GUS-CB2-HU-308-Gi1/β1/γ2 8GUT-CB2-LEI-102-Gi1/β1/γ2 6KPF-CB2-AM12033-Gi1/β1/γ2 6PT0-CB2-WIN 55212-2-Gi1/β1/γ2 8GUQ-CB2-Olorinab-Gi1/β1/γ2
34.78Consensusgi_adrenergicOrthosteric Ligand7EJ0-α2a-Norepinephrine-Go/β1/γ2 7EJK-α2a-Oxymetazoline-Go/β1/γ2 7W7E-α2a-PubChem 164946676-Go/β1/γ2 7W6P-α2a-N-pyridin-4-ylisoquinolin-4-amine-Go/β1/γ2 7EJ8-α2a-Brimonidine-Go/β1/γ2 6K42-α2b-Dexmedetomidine-Gi1/β1/γ2 7EJA-α2a-Dexmedetomidine-Go/β1/γ2 7S0F-β1-Isoprenaline-Gi1/β1/γ2
34.78Consensush1_offOrthosteric Ligand8X63-H1-Mepyramine 3RZE-H1-Cidoxepin 8X5Y-H1-Astemizole
34.78Consensuslipid_onOrthosteric Ligandcannabinoid_on ffa_on lpl_on prostanoid_on leukotriene_on
34.78Consensuslipid_on_gpOrthosteric Ligandcannabinoid_on_gp ffa_on_gp lpl_on_gp prostanoid_on_gp leukotriene_on_gp
34.78Consensusta1_onOrthosteric Ligand8W87-TA1-METH-chim(NtGi1L-Gs)/β1/γ2 8W89-TA1-2-Phenylethylamine-chim(NtGi1L-Gs)/β1/γ2 8JLP-TA1-Ralmitaront-Gs/β1/γ2 8W8A-TA1-RO5256390-chim(NtGi1L-Gs)/β1/γ2 8W88-TA1-SEP-363856-Gs/β1/γ2 8JLO-TA1-Ulotaront-Gs/β1/γ2 8JLR-TA1-A77636-chim(NtGi1-Gs)/β1/γ2 8JSO-TA1-AMPH-chim(NtGi1-Gs)/β1/γ2 8ZSP-TA1-LSD-chim(NtGi1L-Gs)/β1/γ2
34.78Consensustrace-amine_onOrthosteric Ligandta1_on
34.62Single5VBLAMG3054 5VBL-Apelin-AMG3054
34.62Single5ZTYAM102575ZTY-CB2-AM10257
34.62Single6PT3DPI-2876PT3-δ-DPI-287
34.62Single7F2OBradykinin7F2O-BK2-Bradykinin-chim(NtGi1-Gs-CtGq)/β1/γ2
34.62Single7RKNCX3CL17RKN-US28-CX3CL1-Gi1/β1/γ2
34.62Single7SK9CCX6627SK9-ACKR3-CCX662
34.62Single7T11Octreotide7T11-SST2-Octreotide-Gi3/β1/γ2
34.62Single7Y1FDynorphin7Y1F-κ-Dynorphin-Gi1/β1/γ2
34.62Single7YAEOctreotide7YAE-SST2-Octreotide-Gi1/β1/γ2
34.62Single8F7REndomorphin8F7R-μ-Endomorphin-Gi1/β1/γ2
34.62Single8H4IDoconexent8H4I-FFA4-Doconexent-chim(NtGi1-Gs)/β1/γ2
34.62Single8IA7Cholecystokinin-88IA7-CCKB-Cholecystokinin-8-chim(NtGi1L-Gq)/β1/γ2
34.62Single8JLRA776368JLR-TA1-A77636-chim(NtGi1-Gs)/β1/γ2
34.62Single8X3LXWD8X3L-CB2-XWD-Gi1/β1/γ2
34.62Single8XX6CXCL88XX6-CXCR2-CXCL8-Go/β1/γ2
34.62Single9CGKC5-Quino9CGK-δ-C5-Quino-Gi1/β1/γ2
34.62Single9IPYJR14a9IPY-C3aB-JR14a
34.62Single9WSXEndomorphin9WSX-μ-Endomorphin-Arrestin2
34.62Consensuscb2_offOrthosteric Ligand5ZTY-CB2-AM10257
34.62Consensusdop_onOrthosteric Ligand8F7S-δ-Deltorphin-Gi1/β1/γ2
34.48Single7T10Somatostatin-147T10-SST2-Somatostatin-14-Gi3/β1/γ2
34.48Single7W40Bombesin7W40-BB2-Bombesin-chim(NtGi1L-Gq)/β1/γ2
34.48Single7YONPeptide-YY(3-36)7YON-Y2-Peptide-YY(3-36)-Gi1/β1/γ2
34.48Single8H4KGW95088H4K-FFA4-GW9508-chim(NtGi1-Gs-CtGq)/β1/γ2
34.48Single8J6IMK68928J6I-HCA2-MK6892-Gi1/β1/γ2
34.48Single8XWQEndothelin-18XWQ-ETB-Endothelin-1-Gi1/β1/γ2
34.48Consensuscxcr3_on_gpOrthosteric Ligand8HNK-CXCR3-CXCL11-Gi1/β1/γ2 8HNL-CXCR3-PS372424-Gi1/β1/γ2
34.38Single8KGGLysophosphatidylserine (WJS)8KGG-P2Y10-Lysophosphatidylserine (WJS)-chim(NtGi2-G13)/β1/γ2
34.38Single8WWNMCH8WWN-MCH1-MCH-Gi1/β1/γ2
34.38Single8Y52BA18Y52-BB3-BA1-chim(NtGi1-Gs-CtGq)/β1/γ2
33.33Single2YDVNECA2YDV-A2A-NECA
33.33Single3PDSFAUC503PDS-β2-FAUC50
33.33Single3PWHZM-2413853PWH-A2A-ZM-241385
33.33Single3VG9ZM-2413853VG9-A2A-ZM-241385-Antibody
33.33Single4AMJCarvedilol4AMJ-β1-Carvedilol
33.33Single4MQTLY21196204MQT-M2-Iperoxo-LY2119620
33.33Single4UHRCGS216804UHR-A2A-CGS21680
33.33Single5A8E7-Methylcyanopindolol5A8E-β1-7-Methylcyanopindolol-Na
33.33Single5D5ACarazolol5D5A-β2-Carazolol
33.33Single5D5BCarazolol5D5B-β2-Carazolol
33.33Single5G53NECA5G53-A2A-NECA-Gs
33.33Single5K2DZM-2413855K2D-A2A-ZM-241385-Na
33.33Single5OLHVipadenant5OLH-A2A-Vipadenant-Na
33.33Single5V56TC1145V56-SMO-TC114
33.33Single6AKXA4R6AKX-CCR5-A4R
33.33Single6GT3Imaradenant6GT3-A2A-Imaradenant-Na
33.33Single6H7JIsoprenaline6H7J-β1-Isoprenaline
33.33Single6JZHZM-2413856JZH-A2A-ZM-241385-Na
33.33Single6LFOCXCL86LFO-CXCR2-CXCL8-Gi1/β1/γ2
33.33Single6NI3BI1671076NI3-β2-BI167107-Gs/β1/γ2
33.33Single6PS7ZM-2413856PS7-A2A-ZM-241385-Na
33.33Single6TQ7SB-3348676TQ7-OX1-SB-334867
33.33Single7BR3Elagolix7BR3-GnRH1-Elagolix
33.33Single7CKYPW04647CKY-D1-PW0464-Gs/β1/γ2
33.33Single7DHRIsoprenaline7DHR-β2-Isoprenaline-Gs/β1/γ2
33.33Single7E2ZAripiprazole7E2Z-5-HT1A-Aripiprazole-PtdIns4P-Gi1/β1/γ2
33.33Single7EW1Siponimod7EW1-S1P5-Siponimod-Gi1/β1/γ2
33.33Single7F1ODopamine7F1O-D1-Dopamine-GDP; Mg-Gs/β1/γ2
33.33Single7F4ISHU91197F4I-MC1-SHU9119-chim(NtGi1-Gs)/β1/γ2
33.33Single7JJOIsoprenaline7JJO-β1-Isoprenaline-Gs/β1/γ2
33.33Single7LJDDopamine7LJD-D1-Dopamine-Mevidalen-Gs/β1/γ1
33.33Single7NA7Ghrelin7NA7-Ghrelin-Ghrelin-Gi1/β1/γ2
33.33Single7T9NDPPC7T9N-TSH-M22 Fab-DPPC-Gs/β1/γ2
33.33Single7TUYGSK682753A7TUY-GPR183-GSK682753A
33.33Single7W6PN-pyridin-4-ylisoquinolin-4-amine7W6P-α2a-N-pyridin-4-ylisoquinolin-4-amine-Go/β1/γ2
33.33Single7W7EPubChem 1649466767W7E-α2a-PubChem 164946676-Go/β1/γ2
33.33Single7WICSomatostatin-147WIC-SST2-Somatostatin-14-Gi1/β1/γ2
33.33Single7WV9CP559407WV9-CB1-CP55940-ZCZ011-Gi2/β1/γ2
33.33Single7X2FDopamine7X2F-D1-Dopamine-Mevidalen-Gs/β1/γ2
33.33Single7X5H5-CT7X5H-5-HT5A-5-CT-Gi1/β1/γ2
33.33Single7XAVLanreotide7XAV-SST2-Lanreotide-Gi1/β1/γ2
33.33Single7XMRSomatostatin-147XMR-SST2-Somatostatin-14-Gi1/β1/γ2
33.33Single7XT8Serotonin7XT8-5-HT4-Serotonin-Gs/β1/γ2
33.33Single7Y67C089 peptide7Y67-C5a1-C089 peptide-Gi1/β1/γ2
33.33Single7YU7ONO-07405567YU7-LPA1-ONO-0740556-Gi1/β1/γ2
33.33Single8DCSCyanopindolol8DCS-β1-Cyanopindolol-Gs/β1/γ2
33.33Single8DZPmomSalB8DZP-κ-momSalB-Gi1/β1/γ2
33.33Single8F7XNociceptin8F7X-NOP-Nociceptin-Gi1/β1/γ2
33.33Single8FN1Neurotensin-(8-13)8FN1-NTS1-Neurotensin-(8-13)-chim(NtGi1-Go)/β1/γ2
33.33Single8FYLVilazodone8FYL-5-HT1A-Vilazodone-PtdIns4P-Gi1/β1/γ1
33.33Single8G59TUG-8918G59-FFA4-TUG-891-chim(Gi1-CtGq)/β1/γ2
33.33Single8GNGIstradefylline8GNG-A2A-Istradefylline
33.33Single8HK5C5a8HK5-C5a1-C5a-Gi1/β1/γ2
33.33Single8HPTC5a (C-terminal peptide)8HPT-C5a1-C5a (C-terminal peptide)-Go/β1/γ2
33.33Single8I2GPubChem 675302408I2G-FSH-FSH-PubChem 67530240-Gs/β1/γ2
33.33Single8IA2C5a8IA2-C5a1-C5a-Go/β1/γ2
33.33Single8IHBGSK2560738IHB-HCA2-GSK256073-Gi1/β1/γ2
33.33Single8IHHLUF62838IHH-HCA2-LUF6283-Gi1/β1/γ2
33.33Single8IODPG-9018IOD-MC5-PG-901-Ca-chim(NtGi1-Gs)/β1/γ2
33.33Single8JLPRalmitaront8JLP-TA1-Ralmitaront-Gs/β1/γ2
33.33Single8JSOAMPH8JSO-TA1-AMPH-chim(NtGi1-Gs)/β1/γ2
33.33Single8JT6(R)-IHCH-71798JT6-5-HT1A-(R)-IHCH-7179-PtdIns4P-Gi1/β1/γ2
33.33Single8JXVClozapine8JXV-H4-Clozapine-Gi1/β1/γ2
33.33Single8RW0Istradefylline8RW0-A2A-Istradefylline-Na
33.33Single8T1VPubChem 1183102098T1V-GPR6-PubChem 118310209-Na
33.33Single8TZQDopamine8TZQ-D2-Dopamine-Go/β1/γ2
33.33Single8U1UCCL18U1U-CCR8-CCL1-Gi1/β1/γ2
33.33Single8U4OCXCL128U4O-CXCR4-CXCL12-Gi1/β1/γ2
33.33Single8UNXConstrained Epinephrine8UNX-β2-Constrained Epinephrine-GTP-Gs/β1/γ2
33.33Single8VVFJDTic8VVF-κ-JDTic-Gi1/β1/γ2
33.33Single8WC4ZH86518WC4-TA1-ZH8651-chim(NtGi1-Gs)/β1/γ2
33.33Single8WCA2-Phenylethylamine8WCA-TA1-2-Phenylethylamine-chim(NtGi1-Gs)/β1/γ2
33.33Single8WWKMCH8WWK-MCH1-MCH-Gi1/β1/γ2
33.33Single8XGMChemerin8XGM-CML2-Chemerin-Gi1/β1/γ2
33.33Single8XIPPasireotide8XIP-SST1-Pasireotide-chim(NtGi1-Gs-CtGi1)/β1/γ2
33.33Single8XVIEndothelin-18XVI-ETA-Endothelin-1-chim(Gs-CtGq)/β1/γ2
33.33Single8XWNCXCL88XWN-CXCR2-CXCL8
33.33Single8Y73Peptide8Y73-μ-Peptide-MPAM-15-Gi1/β1/γ2
33.33Single8YUTAmthamine8YUT-H2-Amthamine-Gs/β1/γ2
33.33Single8Z87CHBA8Z87-HCA1-CHBA-Gi1/β1/γ2
33.33Single8ZCJPasireotide8ZCJ-SST5-Pasireotide-Gi1/β1/γ1
33.33Single9BJKNaloxone9BJK-μ-Naloxone-PubChem 171642066
33.33Single9BS9LSD9BS9-D2-LSD
33.33Single9BSBLSD9BSB-D2-LSD-chim(NtGi1-Go)/β1/γ2
33.33Single9IJDCarazolol9IJD-β3-Carazolol-chim(NtGi1-Gs)/β1/γ2
33.33Single9IZGLPA9IZG-LPA1-LPA-chim(NtGi1-Gs-CtGq)/β1/γ2
33.33Single9WSTDAMGO9WST-μ-DAMGO-chim(NtGi1-Gz)/β1/γ2
33.33Consensus5ht_onOrthosteric Ligand5ht1_on 5ht2_on 5ht4_on 5ht5_on 5ht6_on 5ht7_on
33.33Consensusamine_on_gpOrthosteric Ligand5ht_on_gp adrenergic_on_gp dopamine_on_gp histamine_on_gp muscarinic_on_gp trace-amine_on_gp
33.33Consensusbeta1_offOrthosteric Ligand2VT4-β1-Cyanopindolol 2YCW-β1-Carazolol 2YCZ-β1-Iodocyanopindolol 5A8E-β1-7-Methylcyanopindolol-Na 3ZPQ-β1-PubChem 594590-Na 3ZPR-β1-PubChem 598754-Na
33.33Consensusbeta2_onOrthosteric Ligand7DHI-β2-Salbutamol-Gs/β1/γ2 6NI3-β2-BI167107-Gs/β1/γ2
33.33Consensusbeta2_on_gpOrthosteric Ligand7DHI-β2-Salbutamol-Gs/β1/γ2 6NI3-β2-BI167107-Gs/β1/γ2
33.33Consensuschemerin_on_gpOrthosteric Ligandcml1_on_gp
33.33Consensuschemokine_onOrthosteric Ligandccr_on cxcr_on
33.33Consensuscml1_onOrthosteric Ligand7YKD-CML1-Chemerin-9-Gi1/β1/γ2
33.33Consensuscxcr1_onOrthosteric Ligand8IC0-CXCR1-CXCL8-Gi1/β1/γ2
33.33Consensuscxcr_offOrthosteric Ligandcxcr3_off cxcr4_off
33.33Consensusgi_5htOrthosteric Ligand8FYT-5-HT1A-LSD-PtdIns4P-Gi1/β1/γ1 7UM7-5-HT5A-Methylergometrine-chim(NtGi1-Go)/β1/γ2 8UGY-5-HT1E-Mianserin-Gi1/β1/γ1 8W8B-5-HT1A-SEP-363856-Gi1/β1/γ2 7E2Y-5-HT1A-Serotonin-PtdIns4P-Gi1/β1/γ2 7E32-5-HT1D-Serotonin-Gi1/β1/γ2 7XTA-5-HT4-Serotonin-Gi1/β1/γ2 8UH3-5-HT1E-Setiptiline-Gi1/β1/γ1 8JSP-5-HT1A-Ulotaront-Gi1/β1/γ2 8FYL-5-HT1A-Vilazodone-PtdIns4P-Gi1/β1/γ1 8JT6-5-HT1A-(R)-IHCH-7179-PtdIns4P-Gi1/β1/γ2 8FYE-5-HT1A-4-F,5-MeO-PyrT-PtdIns4P-Gi1/β1/γ1 7X5H-5-HT5A-5-CT-Gi1/β1/γ2 8FY8-5-HT1A-5-MeO-DMT-PtdIns4P-Gi1/β1/γ1 7E2Z-5-HT1A-Aripiprazole-PtdIns4P-Gi1/β1/γ2 7E33-5-HT1E-BRL-54443-Gi1/β1/γ2 8FYX-5-HT1A-Buspirone-PtdIns4P-Gi1/β1/γ1 7EXD-5-HT1F-Lasmiditan-Gi1/β1/γ2 7UM6-5-HT5A-Lisuride-chim(NtGi1-Go)/β1/γ2
33.33Consensusgi_cannabinoidOrthosteric Ligand8GUR-CB2-CP55940-Gi1/β1/γ2 8GUS-CB2-HU-308-Gi1/β1/γ2 8GUT-CB2-LEI-102-Gi1/β1/γ2 8GUQ-CB2-Olorinab-Gi1/β1/γ2 6KPF-CB2-AM12033-Gi1/β1/γ2 6PT0-CB2-WIN 55212-2-Gi1/β1/γ2 6KPG-CB1-AM841-Gi1/β1/γ2
33.33Consensusgi_chemerinOrthosteric Ligand7YKD-CML1-Chemerin-9-Gi1/β1/γ2
33.33Consensusgi_chemokineOrthosteric Ligand6WWZ-CCR6-CCL20-Go/β1/γ2 8HNK-CXCR3-CXCL11-Gi1/β1/γ2 8K3Z-CXCR4-CXCL12-Gi1/β1/γ1 8IC0-CXCR1-CXCL8-Gi1/β1/γ2 6LFM-CXCR2-CXCL8-Gi1/β1/γ2 8KFX-CCR8-LMD-009-Gi1/β1/γ2 7F1Q-CCR5-CCL3-Gi1/β1/γ2 8HNL-CXCR3-PS372424-Gi1/β1/γ2 8KFY-CCR8-ZK-756326-Gi1/β1/γ2 7O7F-CCR5-6P4-CCL5-Gi1/β1/γ1 8U1U-CCR8-CCL1-Gi1/β1/γ2 7VLA-CCR1-CCL15(27-92)-Gi1/β1/γ2 7XA3-CCR2-CCL2-Gi1/β1/γ2
33.33Consensusgnrh1_offOrthosteric Ligand7BR3-GnRH1-Elagolix
33.33Consensusgs_5htOrthosteric Ligand7XTC-5-HT7-5-CT-Gs/β1/γ2 7XTB-5-HT6-Serotonin-Gs/β1/γ2 8JLZ-5-HT6-ST1936-Gs/β1/γ2 7XT8-5-HT4-Serotonin-Gs/β1/γ2
33.33Consensusgs_adrenergicOrthosteric Ligand7DHI-β2-Salbutamol-Gs/β1/γ2 7XJI-β3-Solabegron-Gs/β1/γ2 7JJO-β1-Isoprenaline-Gs/β1/γ2 6NI3-β2-BI167107-Gs/β1/γ2 8DCR-β1-Dobutamine-Gs/β1/γ2 7XJH-β3-Isoprenaline-Gs/β1/γ2 7DH5-β3-Mirabegron-Gs/β1/γ2
33.33Consensusmc1_onOrthosteric Ligand7F4H-MC1-Afamelanotide-chim(NtGi1-Gs)/β1/γ2 7F4D-MC1-α-MSH-chim(NtGi1-Gs)/β1/γ2 7F4I-MC1-SHU9119-chim(NtGi1-Gs)/β1/γ2
33.33Consensusmc1_on_gpOrthosteric Ligand7F4H-MC1-Afamelanotide-chim(NtGi1-Gs)/β1/γ2 7F4D-MC1-α-MSH-chim(NtGi1-Gs)/β1/γ2 7F4I-MC1-SHU9119-chim(NtGi1-Gs)/β1/γ2
33.33Consensusnpy1_offOrthosteric Ligand5ZBH-Y1-BMS-193885 5ZBQ-Y1-UR-MK-299
33.33Consensusorexin_offOrthosteric Ligandox2_off ox1_off
33.33Consensusox2_offOrthosteric Ligand5WQC-OX2-EMPA 6TPN-OX2-HTL6641 7XRR-OX2-Lemborexant 6TPJ-OX2-Suvorexant
33.33Consensusp2y_onOrthosteric Ligandp2y1_on p2y10_on p2y12_on
33.33Consensusprotein_offOrthosteric Ligandchemokine_off grh_off
33.33Consensuss1p5_onOrthosteric Ligand7EW1-S1P5-Siponimod-Gi1/β1/γ2
33.33Consensuss1p5_on_gpOrthosteric Ligand7EW1-S1P5-Siponimod-Gi1/β1/γ2
33.33Consensusta1_on_gpOrthosteric Ligand8W87-TA1-METH-chim(NtGi1L-Gs)/β1/γ2 8W89-TA1-2-Phenylethylamine-chim(NtGi1L-Gs)/β1/γ2 8JLP-TA1-Ralmitaront-Gs/β1/γ2 8W8A-TA1-RO5256390-chim(NtGi1L-Gs)/β1/γ2 8W88-TA1-SEP-363856-Gs/β1/γ2 8JLO-TA1-Ulotaront-Gs/β1/γ2 8JLR-TA1-A77636-chim(NtGi1-Gs)/β1/γ2 8JSO-TA1-AMPH-chim(NtGi1-Gs)/β1/γ2 8ZSP-TA1-LSD-chim(NtGi1L-Gs)/β1/γ2
33.33Consensustrace-amine_on_gpOrthosteric Ligandta1_on_gp
32.35Single7SK6CXCL12_LRHQ7SK6-ACKR3-CXCL12_LRHQ
32.26Single4XT3CX3CL14XT3-US28-CX3CL1
32.26Single5UIW5P7-CCL55UIW-CCR5-5P7-CCL5
32.26Single6FJ3PTH6FJ3-PTH1-PTH
32.26Single7SK3CXCL127SK3-ACKR3-CXCL12
32.26Single7SK4CXCL12_LRHQ7SK4-ACKR3-CXCL12_LRHQ
32.26Single7YKDChemerin-97YKD-CML1-Chemerin-9-Gi1/β1/γ2
32.26Consensusccr5_offOrthosteric Ligand5UIW-CCR5-5P7-CCL5
32.26Consensusccr5_onOrthosteric Ligand7O7F-CCR5-6P4-CCL5-Gi1/β1/γ1 7F1Q-CCR5-CCL3-Gi1/β1/γ2
32.26Consensusccr_offOrthosteric Ligandccr2_off ccr5_off
32.14Single7DDZJNJ-310200287DDZ-Y2-JNJ-31020028
32.14Single7F1QCCL37F1Q-CCR5-CCL3-Gi1/β1/γ2
32.14Single7RKMCX3CL17RKM-US28-CX3CL1-Gi1/β1/γ2
32.14Single7SK5CXCL127SK5-ACKR3-CXCL12
32.14Single8F7QBeta-Endorphin8F7Q-μ-β-Endorphin-Gi1/β1/γ2
32.14Single8IBVMotilin8IBV-Motilin-Motilin-chim(NtGi1-Gs-CtGq)/β1/γ2
32.14Single8SG1Chemerin-98SG1-CML1-Chemerin-9-Gi1/β1/γ2
32.14Single8XYDPlatelet Activating Factor8XYD-PAF-Platelet Activating Factor-Gi1/β1/γ2
32.14Single9IQSMuscarinic toxin 39IQS-M4-Muscarinic toxin 3
32.14Single9UMXEP549UMX-C5a1-EP54-Go/β1/γ2
32.14Consensusccr8_on_gpOrthosteric Ligand8KFX-CCR8-LMD-009-Gi1/β1/γ2 8KFY-CCR8-ZK-756326-Gi1/β1/γ2 8U1U-CCR8-CCL1-Gi1/β1/γ2
32.14Consensusformylpeptide_on_gpOrthosteric Ligandfpr2-alx_on_gp fpr1-alx_on_gp
32.14Consensusgq_class-aOrthosteric Ligandgq_peptide gq_amine gq_nucleotide
32.14Consensusnpy2_offOrthosteric Ligand7DDZ-Y2-JNJ-31020028
32.00Single2YCXCyanopindolol2YCX-β1-Cyanopindolol
32.00Single3D4STimolol3D4S-β2-Timolol
32.00Single4N4WSANT-14N4W-SMO-SANT-1
32.00Single5F8UCyanopindolol5F8U-β1-Cyanopindolol
32.00Single6CM4Risperidone6CM4-D2-Risperidone
32.00Single6DRYMethylergometrine6DRY-5-HT2B-Methylergometrine
32.00Single6H7NXamoterol6H7N-β1-Xamoterol
32.00Single6H7OCyanopindolol6H7O-β1-Cyanopindolol
32.00Single6OS2TRV0266OS2-AT1-TRV026
32.00Single6OSAJMV4496OSA-NTS1-JMV449-Gi1/β1/γ2
32.00Single7EO4Siponimod7EO4-S1P1-Siponimod-Gi1/β1/γ2
32.00Single7EXDLasmiditan7EXD-5-HT1F-Lasmiditan-Gi1/β1/γ2
32.00Single7F55Bremelanotide7F55-MC4-Bremelanotide-Gs/β1/γ2
32.00Single7MTRADX551647MTR-mGlu2; mGlu2-Glutamate-ADX55164
32.00Single7XMTJ-21567XMT-SST4-J-2156-Gi1/β1/γ2
32.00Single7XW6ML1097XW6-TSH-M22 Fab-ML109-Gs/β1/γ2
32.00Single7Y66BM2137Y66-C5a1-BM213-Gi1/β1/γ2
32.00Single8FYE4-F,5-MeO-PyrT8FYE-5-HT1A-4-F,5-MeO-PyrT-PtdIns4P-Gi1/β1/γ1
32.00Single8G056-OAU8G05-GPR84-6-OAU-Gi1/β1/γ2
32.00Single8IYWGSK2560738IYW-HCA2-GSK256073-Go/β1/γ2
32.00Single8U26Substance-P8U26-NK1-Substance-P-Gs/β1/γ2
32.00Single8XYIVUF106618XYI-CXCR3-VUF10661
32.00Single9IZHLPA9IZH-LPA1-LPA-chim(NtGi2-G13)/β1/γ2
32.00Single9KVG5-MeO-DMT9KVG-5-HT1A-5-MeO-DMT-PtdIns4P-Gi1/β1/γ2
32.00Single9M4QDoxazosin9M4Q-Alpha1A-Doxazosin
32.00Single9VIFNeuropeptide-VF9VIF-NPFF1-Neuropeptide-VF-Gi1/β1/γ2
32.00Single9W32SSTR5 antagonist 19W32-SST5-SSTR5 antagonist 1
32.00Single9WSWEndomorphin9WSW-μ-Endomorphin-chim(NtGi1-Gz)/β1/γ2
32.00Consensus5ht1a_onOrthosteric Ligand8FYT-5-HT1A-LSD-PtdIns4P-Gi1/β1/γ1 7E2Y-5-HT1A-Serotonin-PtdIns4P-Gi1/β1/γ2 7E2Z-5-HT1A-Aripiprazole-PtdIns4P-Gi1/β1/γ2 8FYX-5-HT1A-Buspirone-PtdIns4P-Gi1/β1/γ1 8JSP-5-HT1A-Ulotaront-Gi1/β1/γ2 8JT6-5-HT1A-(R)-IHCH-7179-PtdIns4P-Gi1/β1/γ2 8FY8-5-HT1A-5-MeO-DMT-PtdIns4P-Gi1/β1/γ1 8FYE-5-HT1A-4-F,5-MeO-PyrT-PtdIns4P-Gi1/β1/γ1 8FYL-5-HT1A-Vilazodone-PtdIns4P-Gi1/β1/γ1
32.00Consensus5ht1a_on_gpOrthosteric Ligand8FYT-5-HT1A-LSD-PtdIns4P-Gi1/β1/γ1 8FYX-5-HT1A-Buspirone-PtdIns4P-Gi1/β1/γ1 8JSP-5-HT1A-Ulotaront-Gi1/β1/γ2 8JT6-5-HT1A-(R)-IHCH-7179-PtdIns4P-Gi1/β1/γ2 7E2Y-5-HT1A-Serotonin-PtdIns4P-Gi1/β1/γ2 7E2Z-5-HT1A-Aripiprazole-PtdIns4P-Gi1/β1/γ2 8FY8-5-HT1A-5-MeO-DMT-PtdIns4P-Gi1/β1/γ1 8FYE-5-HT1A-4-F,5-MeO-PyrT-PtdIns4P-Gi1/β1/γ1 8FYL-5-HT1A-Vilazodone-PtdIns4P-Gi1/β1/γ1
32.00Consensus5ht1f_onOrthosteric Ligand7EXD-5-HT1F-Lasmiditan-Gi1/β1/γ2
32.00Consensus5ht1f_on_gpOrthosteric Ligand7EXD-5-HT1F-Lasmiditan-Gi1/β1/γ2
32.00Consensuscannabinoid_offOrthosteric Ligandcb2_off cb1_off
32.00Consensuscannabinoid_onOrthosteric Ligandcb2_on cb1_on
32.00Consensuscannabinoid_on_gpOrthosteric Ligandcb2_on_gp cb1_on_gp
32.00Consensuscb1_onOrthosteric Ligand6KPG-CB1-AM841-Gi1/β1/γ2 8K8J-CB1-Fenofibrate-chim(Gs-CtGq)/β1/γ2
32.00Consensusgi_neurotensinOrthosteric Ligand6OSA-NTS1-JMV449-Gi1/β1/γ2 7L0S-NTS1-Neurotensin-(8-13)-Gi1/β1/γ1
32.00Consensusm4_onOrthosteric Ligand7TRS-M4-Acetylcholine-Gi1/β1/γ2 7V6A-M4-PubChem 9864275-Gi1/β1/γ2 8E9X-M4-2-Deoxycytidine-chim(NtGi1-Go)/β1/γ2 7TRK-M4-Iperoxo-Gi1/β1/γ2
32.00Consensusm4_on_gpOrthosteric Ligand7TRS-M4-Acetylcholine-Gi1/β1/γ2 7V6A-M4-PubChem 9864275-Gi1/β1/γ2 8E9X-M4-2-Deoxycytidine-chim(NtGi1-Go)/β1/γ2 7TRK-M4-Iperoxo-Gi1/β1/γ2
32.00Consensusneurotensin_on_gpOrthosteric Ligandnts1_on_gp
32.00Consensusnts1_on_gpOrthosteric Ligand6OSA-NTS1-JMV449-Gi1/β1/γ2 7L0S-NTS1-Neurotensin-(8-13)-Gi1/β1/γ1
32.00Consensusorexin_onOrthosteric Ligandox2_on
32.00Consensuss1p3_onOrthosteric Ligand7EW3-S1P3-S1P-Gi1/β1/γ2 7EW4-S1P3-CYM-5541-Gi1/β1/γ2 7EW2-S1P3-FTY720-P-Gi1/β1/γ2
31.82Single3REYPubChem 56973REY-A2A-PubChem 5697
31.82Single3V2YPubChem 518926453V2Y-S1P1-PubChem 51892645
31.82Single4LDOEpinephrine4LDO-β2-Epinephrine
31.82Single4MBSMaraviroc4MBS-CCR5-Maraviroc
31.82Single4ZJCSB-6740424ZJC-OX1-SB-674042
31.82Single5IU7Q274563465IU7-A2A-Q27456346-Na
31.82Single5JTBZM-2413855JTB-A2A-ZM-241385
31.82Single5K2BZM-2413855K2B-A2A-ZM-241385-Na
31.82Single5NLXZM-2413855NLX-A2A-ZM-241385-Na
31.82Single6AQFZM-2413856AQF-A2A-ZM-241385
31.82Single6K41Dexmedetomidine6K41-α2b-Dexmedetomidine-Go/β1/γ2
31.82Single6PS0Carazolol6PS0-β2-Carazolol
31.82Single6PS4ICI118-5516PS4-β2-ICI118-551
31.82Single6U1NLY21196206U1N-M2-LY2119620-Arrestin2
31.82Single6ZDRHMS1413f126ZDR-A2A-HMS1413f12-Na
31.82Single6ZDVPubChem 9840736ZDV-A2A-PubChem 984073-Na
31.82Single7AROLUF58337ARO-A2A-LUF5833-Na
31.82Single7BB6AVP7BB6-V2-AVP-Gs/β1/γ2
31.82Single7DHISalbutamol7DHI-β2-Salbutamol-Gs/β1/γ2
31.82Single7E33BRL-544437E33-5-HT1E-BRL-54443-Gi1/β1/γ2
31.82Single7EJ8Brimonidine7EJ8-α2a-Brimonidine-Go/β1/γ2
31.82Single7EJADexmedetomidine7EJA-α2a-Dexmedetomidine-Go/β1/γ2
31.82Single7F0TDopamine7F0T-D1-Dopamine-Gs/β1/γ2
31.82Single7F1ZDopamine7F1Z-D1-Dopamine-GDP-Gs/β1/γ2
31.82Single7F24Dopamine7F24-D1-Dopamine-GDP-Gs/β1/γ2
31.82Single7SR8TAK-9257SR8-OX2-TAK-925-chim(NtGi1L-Gs-CtGq)/β1/γ2
31.82Single7T32ZM-2413857T32-A2A-ZM-241385
31.82Single7UL3Famotidine7UL3-H2-Famotidine
31.82Single8GE1Constrained Epinephrine8GE1-β2-Constrained Epinephrine-Gs/β1/γ2
31.82Single8GE4Constrained Epinephrine8GE4-β2-Constrained Epinephrine-Gs/β1/γ2
31.82Single8GE5Constrained Epinephrine8GE5-β2-Constrained Epinephrine-Gs/β1/γ1
31.82Single8GE6Constrained Epinephrine8GE6-β2-Constrained Epinephrine-Gs/β1/γ2
31.82Single8GE7Constrained Epinephrine8GE7-β2-Constrained Epinephrine-Gs/β1/γ2
31.82Single8GE8Constrained Epinephrine8GE8-β2-Constrained Epinephrine-Gs/β1/γ2
31.82Single8GEFConstrained Epinephrine8GEF-β2-Constrained Epinephrine-Gs/β1/γ2
31.82Single8GG5Constrained Epinephrine8GG5-β2-Constrained Epinephrine-GTP-Gs/β1/γ2
31.82Single8GGQConstrained Epinephrine8GGQ-β2-Constrained Epinephrine
31.82Single8GGSConstrained Epinephrine8GGS-β2-Constrained Epinephrine
31.82Single8GGTConstrained Epinephrine8GGT-β2-Constrained Epinephrine
31.82Single8GGVConstrained Epinephrine8GGV-β2-Constrained Epinephrine
31.82Single8GGXConstrained Epinephrine8GGX-β2-Constrained Epinephrine
31.82Single8GURCP559408GUR-CB2-CP55940-Gi1/β1/γ2
31.82Single8IY9Niacin8IY9-HCA2-Niacin-Go/β1/γ2
31.82Single8JERAcipimox8JER-HCA2-Acipimox-Go/β1/γ2
31.82Single8JIMMonomethyl fumarate8JIM-HCA2-Monomethyl fumarate-Gi1/β1/γ2
31.82Single8JLKUlotaront8JLK-TA1-Ulotaront-chim(NtGi1-Gs)/β1/γ2
31.82Single8K5CAcipimox8K5C-HCA2-Acipimox
31.82Single8RLNLUF58348RLN-A2A-LUF5834
31.82Single8RQQZM-2413858RQQ-A2A-ZM-241385-Na
31.82Single8RWCStilSwitch28RWC-A2A-StilSwitch2-Na
31.82Single8RWDStilSwitch38RWD-A2A-StilSwitch3-Na
31.82Single8THKA-616038THK-Alpha1A-A-61603-chim(NtGi2L-Gs-CtGq)/β1/γ2
31.82Single8THLEpinephrine8THL-Alpha1A-Epinephrine-chim(NtGi2L-Gs-CtGq)/β1/γ2
31.82Single8U02Dopamine8U02-D2-Dopamine-Go/β1/γ2
31.82Single8UO0Constrained Epinephrine8UO0-β2-Constrained Epinephrine-GTP-Gs/β1/γ2
31.82Single8WC8ZH86518WC8-TA1-ZH8651-chim(NtGi1-Gs)/β1/γ2
31.82Single8Y45ADL58598Y45-δ-ADL5859-Gi2/β1/γ2
31.82Single9ARXSerotonin9ARX-5-HT2A-Serotonin
31.82Single9AS5Mescaline9AS5-5-HT2A-Mescaline
31.82Single9AS6Mescaline9AS6-5-HT2A-Mescaline-chim(NtGi1-Gs-CtGq)/β1/γ2
31.82Single9BA0MRI-18919BA0-CB1-MRI-1891
31.82Single9CBLEpinephrine9CBL-α2a-Epinephrine-Gi1/β1/γ2
31.82Single9EPQ11,20-Ethanoretinal9EPQ-Rhodopsin-11,20-Ethanoretinal-chim(Gi1-CtGq)/β1/γ2
31.82Single9JKQMETH9JKQ-TA1-METH-Gs/β1/γ2
31.82Single9K0KUTP9K0K-P2Y4-UTP-chim(NtGi1-Gs-CtGq)/β1/γ2
31.82Single9MQIIsoquinuclidine9MQI-μ-Isoquinuclidine
31.82Single9ODJMitragynine Pseudoindoxyl9ODJ-μ-Mitragynine Pseudoindoxyl-GTP; Mg-Gi1/β1/γ2
31.82Single9P1TZM-2413859P1T-A2A-ZM-241385
31.82Single9PXVNaloxone9PXV-μ-Naloxone-Gi1/β1/γ2
31.82Single9PXXNaloxone9PXX-μ-Naloxone-GDPβS-Gi1/β1/γ2
31.82Consensusa2_offOrthosteric Liganda2a_off
31.82Consensusa2a_offOrthosteric Ligand3RFM-A2A-Caffeine 8C9W-A2A-Etrumadenant 3UZA-A2A-GTPL9236 8GNG-A2A-Istradefylline 8CU6-A2A-LJ-4517 7PX4-A2A-PSB-2113 7PYR-A2A-PSB-2115 8DU3-A2A-PubChem 105526064 8JWY-A2A-2-118 8PWN-A2A-Theophylline 5IU4-A2A-ZM-241385-Na 5OLZ-A2A-PubChem 135566609-Na 6GT3-A2A-Imaradenant-Na 5OLV-A2A-LUAA47070-Na 5N2R-A2A-PSB36-Na 5IU7-A2A-Q27456346-Na 5OLH-A2A-Vipadenant-Na 5OLO-A2A-Tozadenant-Na 6ZDR-A2A-HMS1413f12-Na 8GNE-A2A-KW-6356-Na 8JWZ-A2A-Etrumadenant-Na 5IU8-A2A-Q27456347-Na 5IUB-A2A-Q27456344-Na 6ZDV-A2A-PubChem 984073-Na 5IUA-A2A-Q27456348-Na 8A2P-A2A-LUAA47070-Na
31.82Consensusalpha1_onOrthosteric Ligandalpha1a_on
31.82Consensusalpha1_on_gpOrthosteric Ligandalpha1a_on_gp
31.82Consensusalpha1a_onOrthosteric Ligand7EJ0-α2a-Norepinephrine-Go/β1/γ2 7EJ8-α2a-Brimonidine-Go/β1/γ2 7EJA-α2a-Dexmedetomidine-Go/β1/γ2 7EJK-α2a-Oxymetazoline-Go/β1/γ2 7W6P-α2a-N-pyridin-4-ylisoquinolin-4-amine-Go/β1/γ2 7W7E-α2a-PubChem 164946676-Go/β1/γ2
31.82Consensusalpha1a_on_gpOrthosteric Ligand7EJ0-α2a-Norepinephrine-Go/β1/γ2 7EJ8-α2a-Brimonidine-Go/β1/γ2 7EJA-α2a-Dexmedetomidine-Go/β1/γ2 7EJK-α2a-Oxymetazoline-Go/β1/γ2 7W6P-α2a-N-pyridin-4-ylisoquinolin-4-amine-Go/β1/γ2 7W7E-α2a-PubChem 164946676-Go/β1/γ2
31.82Consensushca_onOrthosteric Ligandhca2_on
31.82Consensusnucleotide_offOrthosteric Ligandadenosine_off p2y_off
31.58Single9L0HJR14a9L0H-C3aB-JR14a-Go/β1/γ2
31.25Single8W8WAlpha-MSH8W8W-MC3-α-MSH-Ca-Gs/β1/γ2
31.25Single8W8XBeta-MSH8W8X-MC3-β-MSH-Ca-Gs/β1/γ2
31.25Single8WWLMCH8WWL-MCH1-MCH-Gi1/β1/γ2
31.25Single8ZH8QRFP268ZH8-QRFP-QRFP26-Gq/β1/γ1
31.25Consensusp2y10_on_gpOrthosteric Ligand8KGG-P2Y10-Lysophosphatidylserine (WJS)-chim(NtGi2-G13)/β1/γ2
31.03Single7F4DAlpha-MSH7F4D-MC1-α-MSH-chim(NtGi1-Gs)/β1/γ2
31.03Single7T6TfMLFII7T6T-FPR1-ALX-fMLFII-Gi1/β1/γ2
31.03Single7W55Neuromedin-U-257W55-NMUR2-Neuromedin-U-25-chim(NtGi1-Gs-CtGq)/β1/γ2
31.03Single7XA3CCL27XA3-CCR2-CCL2-Gi1/β1/γ2
31.03Single7XOUCholecystokinin-87XOU-CCKA-Cholecystokinin-8-Gs/β1/γ2
31.03Single9M1ONeuropeptide-FF9M1O-NPFF2-Neuropeptide-FF-Gi1/β1/γ2
31.03Consensusccr2_onOrthosteric Ligand7XA3-CCR2-CCL2-Gi1/β1/γ2
31.03Consensusccr2_on_gpOrthosteric Ligand7XA3-CCR2-CCL2-Gi1/β1/γ2
31.03Consensusccr_onOrthosteric Ligandccr6_on ccr8_on ccr2_on ccr1_on ccr5_on
31.03Consensusnmur2_onOrthosteric Ligand7W55-NMUR2-Neuromedin-U-25-chim(NtGi1-Gs-CtGq)/β1/γ2
31.03Consensusnmur2_on_gpOrthosteric Ligand7W55-NMUR2-Neuromedin-U-25-chim(NtGi1-Gs-CtGq)/β1/γ2
30.95Single8GY7Corticotropin8GY7-MC2-Corticotropin-Ca-chim(NtGi1-Gs)/β1/γ2; MRAP1
30.77Single5X93K-87945X93-ETB-K-8794
30.77Single6BQHRitanserin6BQH-5-HT2C-Ritanserin
30.77Single6KPGAM8416KPG-CB1-AM841-Gi1/β1/γ2
30.77Single6UP7Neurotensin-(8-13)6UP7-NTS1-Neurotensin-(8-13)-Arrestin2
30.77Single7EVZCenerimod7EVZ-S1P1-Cenerimod-Gi1/β1/γ2
30.77Single7LLLExendin-47LLL-GLP-1-Exendin-4-Gs/β1/γ2
30.77Single7MTSADX551647MTS-mGlu2; mGlu2-Glutamate-ADX55164-Gi1/β1/γ2
30.77Single7P00Substance-P7P00-NK1-Substance-P-chim(NtGi1-Gs-CtGq)/β1/γ2
30.77Single7SK8CCX6627SK8-ACKR3-CXCL12-CCX662
30.77Single7VGY2-Iodomelatonin7VGY-MT1-2-Iodomelatonin-Gi1/β1/γ2
30.77Single7Y27Somatostatin-147Y27-SST2-Somatostatin-14-chim(NtGi2L-Gs-CtGq)/β1/γ2
30.77Single7Y65C5a (C-terminal peptide)7Y65-C5a1-C5a (C-terminal peptide)-Gi1/β1/γ2
30.77Single8E9YClozapine-N-oxide8E9Y-M3-Clozapine-N-oxide-chim(NtGi2L-Gs-CtGq)/β1/γ2
30.77Single8FN0Neurotensin-(8-13)8FN0-NTS1-Neurotensin-(8-13)-SBI-553-chim(NtGi1-Go)/β1/γ2
30.77Single8GUTLEI-1028GUT-CB2-LEI-102-Gi1/β1/γ2
30.77Single8K2XCXCL108K2X-CXCR3-CXCL10-Gi1/β1/γ2
30.77Single8S2TIsoprenaline8S2T-β1-Isoprenaline-chim(NtGi1-Gs)/β1/γ2
30.77Single8ZWGJR14a8ZWG-C3aB-JR14a-Gi1/β1/γ2
30.77Single9CGJC6-Quino9CGJ-δ-C6-Quino-Gi1/β1/γ2
30.77Single9IZFLPA9IZF-LPA1-LPA-Gi1/β1/γ2
30.77Single9KT8Acifran9KT8-HCA2-Acifran-Gi1/β1/γ2
30.77Single9KV8TLQP219KV8-C3aB-TLQP21-Go/β1/γ2
30.77Single9KWXC5a-des-Arg9KWX-C5a1-C5a-des-Arg-Go/β1/γ2
30.77Single9VI9RFRP-39VI9-NPFF1-RFRP-3-Gi1/β1/γ2
30.77Single9YDRDADLE9YDR-δ-DADLE-MIPS3983-chim(NtGi1L-Gs-CtGi1)/β1/γ2
30.77Consensus5ht2c_offOrthosteric Ligand6BQH-5-HT2C-Ritanserin
30.77Consensusd2_offOrthosteric Ligand6CM4-D2-Risperidone 6LUQ-D2-Haloperidol 7DFP-D2-Spiperone
30.77Consensusendothelin_offOrthosteric Ligandetb_off
30.77Consensusetb_offOrthosteric Ligand5X93-ETB-K-8794 5XPR-ETB-Bosentan 6K1Q-ETB-IRL2500
30.77Consensusnk1_onOrthosteric Ligand7P00-NK1-Substance-P-chim(NtGi1-Gs-CtGq)/β1/γ2
30.77Consensusnk1_on_gpOrthosteric Ligand7P00-NK1-Substance-P-chim(NtGi1-Gs-CtGq)/β1/γ2
30.77Consensusprostanoid_offOrthosteric Ligandep_off dp_off
30.43Single2VT4Cyanopindolol2VT4-β1-Cyanopindolol
30.43Single2YCYCyanopindolol2YCY-β1-Cyanopindolol
30.43Single3EMLZM-2413853EML-A2A-ZM-241385
30.43Single3NY8ICI118-5513NY8-β2-ICI118-551
30.43Single3NYAAlprenolol3NYA-β2-Alprenolol
30.43Single4EA3PubChem 102965614EA3-NOP-PubChem 10296561
30.43Single4EJ4Naltrindole4EJ4-δ-Naltrindole
30.43Single4GBRCarazolol4GBR-β2-Carazolol
30.43Single4QIMANTA XV4QIM-SMO-ANTA XV
30.43Single5K2AZM-2413855K2A-A2A-ZM-241385-Na
30.43Single5OLZPubChem 1355666095OLZ-A2A-PubChem 135566609-Na
30.43Single5OM1PubChem 1355666095OM1-A2A-PubChem 135566609-Na
30.43Single5UIGPubChem 1240811965UIG-A2A-PubChem 124081196
30.43Single5VRAZM-2413855VRA-A2A-ZM-241385-Na
30.43Single5ZKPSR274175ZKP-PAF-SR27417
30.43Single6D27CAY104716D27-DP2-CAY10471
30.43Single6H7MSalbutamol6H7M-β1-Salbutamol
30.43Single6K42Dexmedetomidine6K42-α2b-Dexmedetomidine-Gi1/β1/γ2
30.43Single6PRZAlprenolol6PRZ-β2-Alprenolol
30.43Single6S0LZM-2413856S0L-A2A-ZM-241385
30.43Single6TOTLemborexant6TOT-OX1-Lemborexant
30.43Single6Z4VNeurotensin-(9-13)6Z4V-NTS1-Neurotensin-(9-13)
30.43Single7BU7BI1671077BU7-β1-BI167107
30.43Single7CFMP3957CFM-GPBA-P395-Gs/β1/γ2
30.43Single7E32Serotonin7E32-5-HT1D-Serotonin-Gi1/β1/γ2
30.43Single7S0GIsoprenaline7S0G-β1-Isoprenaline-chim(Gi1-CtGs)/β1/γ2
30.43Single7SQOTAK-9257SQO-OX2-TAK-925-Gi1/β1/γ2
30.43Single7UL4Alvimopan7UL4-μ-Alvimopan
30.43Single7UM6Lisuride7UM6-5-HT5A-Lisuride-chim(NtGi1-Go)/β1/γ2
30.43Single7V3ZCP559407V3Z-CB1-CP55940
30.43Single7VGZRamelteon7VGZ-MT1-Ramelteon-Gi1/β1/γ2
30.43Single7WC7Lisuride7WC7-5-HT2A-Lisuride
30.43Single7WC8Lumateperone7WC8-5-HT2A-Lumateperone
30.43Single7WQ3Galanin7WQ3-GAL1-Galanin-Gi1/β1/γ2
30.43Single7XJHIsoprenaline7XJH-β3-Isoprenaline-Gs/β1/γ2
30.43Single7XTC5-CT7XTC-5-HT7-5-CT-Gs/β1/γ2
30.43Single7YU4ONO-07405567YU4-LPA1-ONO-0740556
30.43Single8CICEtrumadenant8CIC-A2A-Etrumadenant-Na
30.43Single8CU6LJ-45178CU6-A2A-LJ-4517
30.43Single8CU7LJ-45178CU7-A2A-LJ-4517-Na
30.43Single8I7VAcipimox8I7V-HCA2-Acipimox-Gi1/β1/γ2
30.43Single8IC0CXCL88IC0-CXCR1-CXCL8-Gi1/β1/γ2
30.43Single8IHJAcifran8IHJ-HCA3-Acifran-Gi1/β1/γ2
30.43Single8J6PNiacin8J6P-HCA2-Niacin-PubChem 25101223-Gi1/β1/γ2
30.43Single8JJOAlprenolol8JJO-β2-Alprenolol
30.43Single8JLJT1AM8JLJ-TA1-T1AM-chim(NtGi1-Gs)/β1/γ2
30.43Single8JLZST19368JLZ-5-HT6-ST1936-Gs/β1/γ2
30.43Single8JT8(R)-IHCH-71798JT8-5-HT2A-(R)-IHCH-7179
30.43Single8JXRLSD8JXR-D1-LSD
30.43Single8PJKST1718PJK-5-HT1A-ST171-Gi1/β1/γ1
30.43Single8UWLLisuride8UWL-5-HT2A-Lisuride-chim(NtGi2-Gs-CtGq)/β1/γ2
30.43Single8VVGGB188VVG-κ-GB18-Gi1/β1/γ2
30.43Single8W8ARO52563908W8A-TA1-RO5256390-chim(NtGi1L-Gs)/β1/γ2
30.43Single8WC7ZH86678WC7-TA1-ZH8667-chim(NtGi1-Gs)/β1/γ2
30.43Single8X17Namodenoson8X17-A3A-Namodenoson-Gi1/β1/γ2
30.43Single8X63Mepyramine8X63-H1-Mepyramine
30.43Single8X64Desloratadine8X64-H1-Desloratadine
30.43Single8XVKAmbrisentan8XVK-ETA-Ambrisentan
30.43Single8Y71A1D6F8Y71-δ-A1D6F-BMS986187-Gi1/β1/γ2
30.43Single8ZSSRO52633978ZSS-TA1-RO5263397-chim(NtGi1-Gs)/β1/γ2
30.43Single9H37PubChem 1756706469H37-A2A-PubChem 175670646-Na
30.43Single9IZCMK19039IZC-HCA2-MK1903-Gi1/β1/γ2
30.43Single9KFJPubChem 1383196749KFJ-RXFP3-PubChem 138319674-Gi2/β1/γ2
30.43Single9LLAAriadne9LLA-5-HT2A-Ariadne-chim(NtGi1L-Gs-CtGq)/β1/γ2
30.43Single9P1SZM-2413859P1S-A2A-ZM-241385
30.43Single9PXWNaloxone9PXW-μ-Naloxone-GDPβS-Gi1/β1/γ2
30.43Single9VMYTMU41429VMY-5-HT1A-TMU4142-Go/β1/γ2
30.43Consensus5ht1d_onOrthosteric Ligand7E32-5-HT1D-Serotonin-Gi1/β1/γ2
30.43Consensus5ht1d_on_gpOrthosteric Ligand7E32-5-HT1D-Serotonin-Gi1/β1/γ2
30.43Consensus5ht5_onOrthosteric Ligand5ht5a_on
30.43Consensus5ht5a_onOrthosteric Ligand7X5H-5-HT5A-5-CT-Gi1/β1/γ2 7UM6-5-HT5A-Lisuride-chim(NtGi1-Go)/β1/γ2 7UM7-5-HT5A-Methylergometrine-chim(NtGi1-Go)/β1/γ2
30.43Consensus5ht7_onOrthosteric Ligand7XTC-5-HT7-5-CT-Gs/β1/γ2
30.43Consensus5ht7_on_gpOrthosteric Ligand7XTC-5-HT7-5-CT-Gs/β1/γ2
30.43Consensusa3_onOrthosteric Liganda3a_on
30.43Consensusadenosine_on_gpOrthosteric Liganda1_on_gp a2_on_gp a3_on_gp
30.43Consensusalpha2_onOrthosteric Ligandalpha2b_on
30.43Consensusalpha2_on_gpOrthosteric Ligandalpha2b_on_gp
30.43Consensusalpha2b_onOrthosteric Ligand6K42-α2b-Dexmedetomidine-Gi1/β1/γ2
30.43Consensusalpha2b_on_gpOrthosteric Ligand6K42-α2b-Dexmedetomidine-Gi1/β1/γ2
30.43Consensuscxcr1_on_gpOrthosteric Ligand8IC0-CXCR1-CXCL8-Gi1/β1/γ2
30.43Consensusdop_offOrthosteric Ligand4EJ4-δ-Naltrindole
30.43Consensusdopamine_offOrthosteric Ligandd2_off d3_off
30.43Consensusgal1_onOrthosteric Ligand7WQ3-GAL1-Galanin-Gi1/β1/γ2
30.43Consensusgal1_on_gpOrthosteric Ligand7WQ3-GAL1-Galanin-Gi1/β1/γ2
30.43Consensusgi_galaninOrthosteric Ligand7WQ3-GAL1-Galanin-Gi1/β1/γ2
30.43Consensusgi_hcaOrthosteric Ligand8J6R-HCA2-MK6892-Gi1/β1/γ2 8JIM-HCA2-Monomethyl fumarate-Gi1/β1/γ2 8IHI-HCA2-Acifran-Gi1/β1/γ2 8IHH-HCA2-LUF6283-Gi1/β1/γ2 8I7V-HCA2-Acipimox-Gi1/β1/γ2 8I7W-HCA2-GSK256073-Gi1/β1/γ2
30.43Consensusgi_orexinOrthosteric Ligand7SQO-OX2-TAK-925-Gi1/β1/γ2
30.43Consensushca2_onOrthosteric Ligand8J6R-HCA2-MK6892-Gi1/β1/γ2 8JIM-HCA2-Monomethyl fumarate-Gi1/β1/γ2 8I7V-HCA2-Acipimox-Gi1/β1/γ2 8I7W-HCA2-GSK256073-Gi1/β1/γ2 8IHH-HCA2-LUF6283-Gi1/β1/γ2 8IHI-HCA2-Acifran-Gi1/β1/γ2
30.43Consensushca2_on_gpOrthosteric Ligand8J6R-HCA2-MK6892-Gi1/β1/γ2 8IHI-HCA2-Acifran-Gi1/β1/γ2 8IHH-HCA2-LUF6283-Gi1/β1/γ2 8I7V-HCA2-Acipimox-Gi1/β1/γ2 8JIM-HCA2-Monomethyl fumarate-Gi1/β1/γ2 8I7W-HCA2-GSK256073-Gi1/β1/γ2
30.43Consensushca_on_gpOrthosteric Ligandhca2_on_gp
30.43Consensushistamine_offOrthosteric Ligandh1_off
30.43Consensusnucleotide_offonOrthosteric Ligandnucleotide_off nucleotide_on
30.43Consensusnucleotide_offon_gpOrthosteric Ligandnucleotide_on_gp nucleotide_off
30.30Single7KI1Taspoglutide7KI1-GLP-1-Taspoglutide-Gs/β1/γ2
30.30Single9BYOExendin-39BYO-GLP-1-Exendin-3-Gs/β1/γ2
30.00Single6M1IPACAP276M1I-PAC1-PACAP27-Gs/β1/γ2
30.00Single7F4HAfamelanotide7F4H-MC1-Afamelanotide-chim(NtGi1-Gs)/β1/γ2
30.00Single7V6APubChem 98642757V6A-M4-PubChem 9864275-Gi1/β1/γ2
30.00Single7XK8Neuromedin-U-257XK8-NMUR2-Neuromedin-U-25-Gi1/β1/γ2
30.00Single8IHFMK68928IHF-HCA2-MK6892-Gi1/β1/γ2
30.00Single8JEFPubChem 113671668JEF-HCA3-PubChem 11367166-Gi1/β1/γ2
30.00Single9LL7DOI9LL7-5-HT2A-DOI-Gi1/β1/γ2
30.00Consensusfpr2-alx_on_gpOrthosteric Ligand7WVX-FPR2-ALX-Humanin-Gi2/β1/γ2 7T6U-FPR2-ALX-CGEN-855A-Gi1/β1/γ2 7T6V-FPR2-ALX-fMLFII-Gi1/β1/γ2 7WVY-FPR2-ALX-Amyloid-β42-Gi2/β1/γ2 7T6S-FPR2-ALX-TC-FPR 43-Gi1/β1/γ2 6OMM-FPR2-ALX-WKYMVX-Gi1/β1/γ2
30.00Consensusgi_formylpeptideOrthosteric Ligand7WVY-FPR2-ALX-Amyloid-β42-Gi2/β1/γ2 7T6U-FPR2-ALX-CGEN-855A-Gi1/β1/γ2 7VFX-FPR1-ALX-fMIFL-Gi1/β1/γ2 7T6V-FPR2-ALX-fMLFII-Gi1/β1/γ2 7WVX-FPR2-ALX-Humanin-Gi2/β1/γ2 7T6S-FPR2-ALX-TC-FPR 43-Gi1/β1/γ2 6OMM-FPR2-ALX-WKYMVX-Gi1/β1/γ2
30.00Consensusp2y_on_gpOrthosteric Ligandp2y1_on_gp p2y10_on_gp p2y12_on_gp
29.63Single6C1QPMX536C1Q-C5a1-PMX53-NDT9513727
29.63Single6OS9JMV4496OS9-NTS1-JMV449-Gi1/β1/γ2
29.63Single6XBJCholesterol6XBJ-SMO-Cholesterol-Gi1/β1/γ2
29.63Single7RMHSubstance-P7RMH-NK1-Substance-P-Gs/β1/γ2
29.63Single7XBXCX3CL17XBX-CX3CR1-CX3CL1-Gi1/β1/γ2
29.63Single7YJ4INSL57YJ4-RXFP4-INSL5-Gi2/β1/γ2
29.63Single8JBFSenktide8JBF-NK3-Senktide-chim(NtGi1-Gs-CtGq)/β1/γ2
29.63Single8XQJJN2418XQJ-Apelin; Apelin-JN241
29.63Single9EAJNanobody AT2099EAJ-AT1-Nanobody AT209
29.63Single9IPVJR14a9IPV-C3aB-JR14a-Gi1/β1/γ2
29.63Single9KX6C5a-des-Arg9KX6-C5a1-C5a-des-Arg-Go/β1/γ2
29.63Consensuscxcr3_onOrthosteric Ligand8HNK-CXCR3-CXCL11-Gi1/β1/γ2 8HNL-CXCR3-PS372424-Gi1/β1/γ2
29.63Consensusformylpeptide_onOrthosteric Ligandfpr2-alx_on fpr1-alx_on
29.41Single7DUQGLP-17DUQ-GLP-1-GLP-1-PubChem 156022738-Gs/β1/γ2
29.41Single8ZJETAK4488ZJE-Kiss1-TAK448-chim(NtGi1-Gq)/β1/γ1
29.41Consensusbb2_onOrthosteric Ligand7W40-BB2-Bombesin-chim(NtGi1L-Gq)/β1/γ2 7W3Z-BB2-Gastrin Releasing Peptide-chim(NtGi1L-Gq)/β1/γ2
29.41Consensusbb2_on_gpOrthosteric Ligand7W40-BB2-Bombesin-chim(NtGi1L-Gq)/β1/γ2 7W3Z-BB2-Gastrin Releasing Peptide-chim(NtGi1L-Gq)/β1/γ2
29.41Consensusbombesin_onOrthosteric Ligandbb2_on
29.41Consensusbombesin_on_gpOrthosteric Ligandbb2_on_gp
29.41Consensusgq_bombesinOrthosteric Ligand7W40-BB2-Bombesin-chim(NtGi1L-Gq)/β1/γ2 7W3Z-BB2-Gastrin Releasing Peptide-chim(NtGi1L-Gq)/β1/γ2
29.17Single2Y03Isoprenaline2Y03-β1-Isoprenaline
29.17Single2YCWCarazolol2YCW-β1-Carazolol
29.17Single4JKVTaladegib4JKV-SMO-Taladegib
29.17Single4ZJ8Suvorexant4ZJ8-OX1-Suvorexant
29.17Single5D6LCarazolol5D6L-β2-Carazolol
29.17Single5JQHCarazolol5JQH-β2-Carazolol
29.17Single5TVNLSD5TVN-5-HT2B-LSD
29.17Single5WIUNemonapride5WIU-D4-Nemonapride
29.17Single5WIVNemonapride5WIV-D4-Nemonapride-Na
29.17Single5X7DCarazolol5X7D-β2-Carazolol-PubChem 129318963
29.17Single5ZK33-quinuclidinyl-benzilate5ZK3-M2-3-quinuclidinyl-benzilate
29.17Single6D26Fevipiprant6D26-DP2-Fevipiprant
29.17Single6GDGNECA6GDG-A2A-NECA-Gs/β1/γ1
29.17Single6KPCAM120336KPC-CB2-AM12033
29.17Single6LFMCXCL86LFM-CXCR2-CXCL8-Gi1/β1/γ2
29.17Single6ME62-Phenylmelatonin6ME6-MT2-2-Phenylmelatonin
29.17Single6ME72-Phenylmelatonin6ME7-MT2-2-Phenylmelatonin
29.17Single6ME82-Phenylmelatonin6ME8-MT2-2-Phenylmelatonin
29.17Single6TO7Suvorexant6TO7-OX1-Suvorexant-Na
29.17Single6TP6Filorexant6TP6-OX1-Filorexant
29.17Single7EUOfMLF7EUO-FPR1-ALX-fMLF-Gi1/β1/γ2
29.17Single7LD3Adenosine7LD3-A1-Adenosine-MIPS521-Gi2/β1/γ2
29.17Single7SBFPZM217SBF-μ-PZM21-Gi1/β1/γ2
29.17Single7TD3S1P7TD3-S1P1-S1P-Gi1/β1/γ2
29.17Single7VUHJNJ-635330547VUH-GPR139-JNJ-63533054-chim(Gs-CtGq)/β1/γ2
29.17Single7WIGL-0542647WIG-SST2-L-054264-Gi1/β1/γ2
29.17Single7Y26Octreotide7Y26-SST2-Octreotide-chim(NtGi2L-Gs-CtGq)/β1/γ2
29.17Single7YU3ONO-07405567YU3-LPA1-ONO-0740556-Gi1/β1/γ2
29.17Single8J18(3R)-3-Hydroxydodecanoic acid8J18-GPR84-(3R)-3-Hydroxydodecanoic acid-Gi1/β1/γ2
29.17Single8K8JFenofibrate8K8J-CB1-Fenofibrate-chim(Gs-CtGq)/β1/γ2
29.17Single8QOTNanobody-E8QOT-μ-Nanobody-E
29.17Single9ARYSerotonin9ARY-5-HT2A-Serotonin-chim(NtGi1-Gs-CtGq)/β1/γ2
29.17Single9B9ZMRI-18679B9Z-CB1-MRI-1867
29.17Single9ERXD9-THC analog9ERX-CB1-D9-THC analog-Gi1/β1/γ2
29.17Single9F34FOB02-04A9F34-D3-FOB02-04A-Go/β1/γ2
29.17Single9KO4CCL219KO4-CCR7-CCL21-Gi1/β1/γ2
29.17Single9KUVCMPD6449KUV-Apelin-CMPD644-Arrestin2
29.17Single9VJFBuspirone9VJF-5-HT1A-Buspirone-Gi3/β1/γ2
29.17Consensus5ht1_onOrthosteric Ligand5ht1a_on 5ht1d_on 5ht1e_on 5ht1f_on
29.17Consensus5ht1_on_gpOrthosteric Ligand5ht1a_on_gp 5ht1d_on_gp 5ht1e_on_gp 5ht1f_on_gp
29.17Consensus5ht1e_on_gpOrthosteric Ligand7E33-5-HT1E-BRL-54443-Gi1/β1/γ2 8UGY-5-HT1E-Mianserin-Gi1/β1/γ1 8UH3-5-HT1E-Setiptiline-Gi1/β1/γ1
29.17Consensus5ht2_offOrthosteric Ligand5ht2a_off 5ht2b_off 5ht2c_off
29.17Consensus5ht5_on_gpOrthosteric Ligand5ht5a_on_gp
29.17Consensus5ht5a_on_gpOrthosteric Ligand7X5H-5-HT5A-5-CT-Gi1/β1/γ2 7UM6-5-HT5A-Lisuride-chim(NtGi1-Go)/β1/γ2 7UM7-5-HT5A-Methylergometrine-chim(NtGi1-Go)/β1/γ2
29.17Consensusa3_on_gpOrthosteric Liganda3a_on_gp
29.17Consensusa3a_onOrthosteric Ligand8X17-A3A-Namodenoson-Gi1/β1/γ2 8X16-A3A-Piclidenoson-Gi1/β1/γ2
29.17Consensusa3a_on_gpOrthosteric Ligand8X17-A3A-Namodenoson-Gi1/β1/γ2 8X16-A3A-Piclidenoson-Gi1/β1/γ2
29.17Consensusalpha_offOrthosteric Ligandalpha1_off alpha2_off
29.17Consensuscxcr2_on_gpOrthosteric Ligand6LFM-CXCR2-CXCL8-Gi1/β1/γ2
29.17Consensusdp2_offOrthosteric Ligand6D26-DP2-Fevipiprant
29.17Consensusdp_offOrthosteric Liganddp2_off
29.03Single6X18GLP-16X18-GLP-1-GLP-1-Gs/β1/γ2
29.03Single7F9YGhrelin7F9Y-Ghrelin-Ghrelin-chim(NtGi1-Gs-CtGq)/β1/γ2
29.03Single7LLYOxyntomodulin7LLY-GLP-1-Oxyntomodulin-Gs/β1/γ2
29.03Single7P02Substance-P7P02-NK1-Substance-P-chim(NtGi1-Gs)/β1/γ2
29.03Single7XV3Lysophosphatidylserine (WJS)7XV3-GPR174-Lysophosphatidylserine (WJS)-chim(NtGi1-Gs)/β1/γ2
29.03Single8E3YPACAP278E3Y-VPAC1-PACAP27-Gs/β1/γ2
29.03Single8E3ZVIP8E3Z-VPAC1-VIP-Gs/β1/γ2
29.03Single8WWMMCH8WWM-MCH1-MCH-Gi1/β1/γ2
29.03Single8XVHEndothelin-18XVH-ETB-Endothelin-1-chim(Gs-CtGq)/β1/γ2
29.03Consensusccr_on_gpOrthosteric Ligandccr6_on_gp ccr8_on_gp ccr2_on_gp ccr1_on_gp ccr5_on_gp
29.03Consensuschemokine_offOrthosteric Ligandccr_off cxcr_off
29.03Consensuscml1_on_gpOrthosteric Ligand7YKD-CML1-Chemerin-9-Gi1/β1/γ2
29.03Consensusgi_apelinOrthosteric Ligand8XZH-Apelin; Apelin-MM07-Gi1/β1/γ2 7W0M-Apelin-PubChem 122701908-Gi1/β1/γ2 8XZJ-Apelin; Apelin-WN353-Gi1/β1/γ2 8XZF-Apelin; Apelin-WN561-Gi1/β1/γ2 8XZG-Apelin; Apelin-Apelin-13-Gi1/β1/γ2
29.03Consensuspac_onOrthosteric Ligandpac1_on
28.57Single4XT1CX3CL14XT1-US28-CX3CL1
28.57Single7L0RNeurotensin-(8-13)7L0R-NTS1-Neurotensin-(8-13)-Gi1/β1/γ1
28.57Single7SRQLSD7SRQ-5-HT2B-LSD
28.57Single7TD4Siponimod7TD4-S1P1-Siponimod-Gi1/β1/γ2
28.57Single7TRPLY20332987TRP-M4-Iperoxo-LY2033298-Gi1/β1/γ2
28.57Single7W53Neuromedin-U-257W53-NMUR1-Neuromedin-U-25-chim(NtGi1-Gs-CtGq)/β1/γ2
28.57Single7WKDTRH7WKD-TRH-TRH-chim(NtGi1-Gs-CtGq)/β1/γ2
28.57Single7XT9Serotonin7XT9-5-HT4-Serotonin-Gs/β1/γ2
28.57Single7YS6Serotonin7YS6-5-HT6-Serotonin-chim(NtGi1-Gs)/β1/γ2
28.57Single8DPFLorcaserin8DPF-5-HT2C-Lorcaserin-chim(NtGi2L-Gs-CtGq)/β1/γ2
28.57Single8H2GNiacin8H2G-HCA2-Niacin-Gi1/β1/γ2
28.57Single8JLOUlotaront8JLO-TA1-Ulotaront-Gs/β1/γ2
28.57Single8K5BNiacin8K5B-HCA2-Niacin
28.57Single8PKMBefiradol8PKM-5-HT1A-Befiradol-Gi1/β1/γ1
28.57Single8WKYPG-9348WKY-MC4-PG-934
28.57Single8YN4Histamine8YN4-H2-Histamine-chim(NtGi1L-Gs-CtGq)/β1/γ2
28.57Single8ZSVRO52633978ZSV-TA1-RO5263397-chim(NtGi1-Gs)/β1/γ2
28.57Single9B9YTaranabant9B9Y-CB1-Taranabant
28.57Single9E7RGB889E7R-PAR2-GB88-chim(NtGi1L-Gs-CtGq)/β1/γ2
28.57Single9IXJHistamine9IXJ-H2-Histamine-Gs/β1/γ2
28.57Single9IZDCHBA9IZD-HCA1-CHBA-Gi1/β1/γ2
28.57Single9JLCAVE 09919JLC-MAS1-AVE 0991-Gi1/β1/γ2
28.57Single9KUWCMPD6449KUW-Apelin; Apelin-CMPD644-Arrestin2 ; Arrestin2
28.57Single9L3YChemerin9L3Y-CML2-Chemerin-Gi1/β1/γ2
28.57Single9LMPNE52-QQ579LMP-GPR4-NE52-QQ57
28.57Single9M4TSilodosin9M4T-Alpha1A-Silodosin
28.57Single9MEJGp1209MEJ-CXCR4-Gp120
28.57Consensusnk3_onOrthosteric Ligand8JBF-NK3-Senktide-chim(NtGi1-Gs-CtGq)/β1/γ2
28.57Consensusnk3_on_gpOrthosteric Ligand8JBF-NK3-Senktide-chim(NtGi1-Gs-CtGq)/β1/γ2
28.57Consensusnmur1_on_gpOrthosteric Ligand7W53-NMUR1-Neuromedin-U-25-chim(NtGi1-Gs-CtGq)/β1/γ2
28.12Single6NBFLA-PTH Analog6NBF-PTH1-LA-PTH Analog-Gs/β1/γ2
28.12Single8E3XPACAP278E3X-PAC1-PACAP27-Gs/β1/γ2
28.12Single8JISPeptide-158JIS-GLP-1-Peptide-15-chim(NtGi1-Gs)/β1/γ2
28.12Single8XQFApelin-138XQF-Apelin-Apelin-13-Gi1/β1/γ2
28.12Single9KFKRelaxin-39KFK-RXFP4-Relaxin-3-Gi2/β1/γ2
28.12Single9P92VIP9P92-PAC1-VIP-Gs/β1/γ2
28.12Consensuspac_on_gpOrthosteric Ligandpac1_on_gp
28.00Single3UON3-quinuclidinyl-benzilate3UON-M2-3-quinuclidinyl-benzilate
28.00Single3ZEVNeurotensin-(7-13)3ZEV-NTS1-Neurotensin-(7-13)
28.00Single4BV0Neurotensin-(7-13)4BV0-NTS1-Neurotensin-(7-13)
28.00Single4U15Tiotropium4U15-M3-Tiotropium
28.00Single4Z34ONO-97803074Z34-LPA1-ONO-9780307
28.00Single5V57TC1145V57-SMO-TC114
28.00Single5XR8AM120335XR8-CB1-AM12033
28.00Single5XRAAM115425XRA-CB1-AM11542
28.00Single5ZHPPubChem 1348285895ZHP-M3-PubChem 134828589
28.00Single5ZKBAF-DX 3845ZKB-M2-AF-DX 384
28.00Single6J21Aprepitant6J21-NK1-Aprepitant
28.00Single6N4BMDMB-Fubinaca6N4B-CB1-MDMB-Fubinaca-Gi1/β1/γ2
28.00Single6OL9Tiotropium6OL9-M5-Tiotropium
28.00Single6OS1TRV0266OS1-AT1-TRV026
28.00Single7EW3S1P7EW3-S1P3-S1P-Gi1/β1/γ2
28.00Single7EW7SEW28717EW7-S1P1-SEW2871-Gi1/β1/γ2
28.00Single7FEECP559407FEE-CB1-CP55940-ZCZ011
28.00Single7L0PNeurotensin-(8-13)7L0P-NTS1-Neurotensin-(8-13)-Gi1/β1/γ1
28.00Single7L0QNeurotensin-(8-13)7L0Q-NTS1-Neurotensin-(8-13)-Gi1/β1/γ1
28.00Single7T2HLofentanil7T2H-μ-Lofentanil-Gi1/β1/γ2
28.00Single7TD1LPA7TD1-LPA1-LPA-Gi1/β1/γ2
28.00Single7U2LC5-guano7U2L-μ-C5-guano-Gi1/β1/γ2
28.00Single7VIGCBP-3077VIG-S1P1-CBP-307-Gi1/β1/γ2
28.00Single7WVXHumanin7WVX-FPR2-ALX-Humanin-Gi2/β1/γ2
28.00Single7XBDGalanin7XBD-GAL2-Galanin-chim(NtGi2L-Gs-CtGq)/β1/γ2
28.00Single7XOWSulfated Gastrin-(10-17)7XOW-CCKB-Sulfated Gastrin-(10-17)-chim(NtGi1-Gq)/β1/γ2
28.00Single7XTQR3997XTQ-GPBA-R399-Gs/β1/γ2
28.00Single7XY7NECA7XY7-A2B-NECA-chim(NtGi1-Gs)/β1/γ2
28.00Single7YU5ONO-07405567YU5-LPA1-ONO-0740556-Gi1/β1/γ2
28.00Single8FMZNeurotensin-(8-13)8FMZ-NTS1-Neurotensin-(8-13)-chim(NtGi2L-Gs-CtGq)/β1/γ2
28.00Single8HDOBAY 60-65838HDO-A2B-BAY 60-6583-Gs/β1/γ2
28.00Single8IYHMK68928IYH-HCA2-MK6892-Go/β1/γ2
28.00Single8JBGNeurokinin-B8JBG-NK3-Neurokinin-B-chim(NtGi1-Gs-CtGq)/β1/γ2
28.00Single8JSRAnamorelin8JSR-Ghrelin-Anamorelin-chim(NtGi1-Gs-CtGq)/β1/γ2
28.00Single8JXWVUF68848JXW-H4-VUF6884-Gi1/β1/γ2
28.00Single8WU1MDMB-Fubinaca8WU1-CB1-MDMB-Fubinaca-Arrestin2
28.00Single8YH6Namodenoson8YH6-A3A-Namodenoson-Gi1/β1/γ2
28.00Single8ZWFJR14a8ZWF-C3aB-JR14a
28.00Single9ASTLymphotactin9AST-XCR1-Lymphotactin-Gi1/β1/γ2
28.00Single9B65MDMB-Fubinaca9B65-CB1-MDMB-Fubinaca-Gi1/β1/γ2
28.00Single9JCLADP9JCL-P2Y1-ADP-chim(Gs-CtGq)/β1/γ2
28.00Single9JMCDS-3801b9JMC-Motilin-DS-3801b-chim(Gs-CtGq)/β1/γ2
28.00Single9KUXCMPD6449KUX-Apelin; Apelin-CMPD644-Arrestin2
28.00Single9L16CCL219L16-CCR7-CCL21
28.00Single9PY3Loperamide9PY3-μ-Loperamide-GDPβS-Gi1/β1/γ2
28.00Single9PY4Loperamide9PY4-μ-Loperamide-GDPβS-Gi1/β1/γ2
28.00Single9RHGC4079RHG-FZD7-C407
28.00Consensusclass-a_offOrthosteric Ligandsensory_off alicarboxylic_off amine_off lipid_off nucleotide_off peptide_off protein_off
28.00Consensuscyslt1_offOrthosteric Ligand6RZ5-CysLT1-Zafirlukast-Na 6RZ4-CysLT1-Pranlukast-Na
28.00Consensusgi_lpaOrthosteric Ligand7TD1-LPA1-LPA-Gi1/β1/γ2 7YU3-LPA1-ONO-0740556-Gi1/β1/γ2
28.00Consensuslpa_onOrthosteric Ligandlpa1_on
28.00Consensuslpa_on_gpOrthosteric Ligandlpa1_on_gp
28.00Consensusm3_offOrthosteric Ligand4U15-M3-Tiotropium 4U16-M3-N-methyl-Scopolamine 5ZHP-M3-PubChem 134828589
28.00Consensusm5_offOrthosteric Ligand6OL9-M5-Tiotropium
28.00Consensusmuscarinic_offOrthosteric Ligandm2_off m3_off m4_off m5_off m1_off
28.00Consensusneurotensin_onOrthosteric Ligandnts1_on
28.00Consensusnts1_onOrthosteric Ligand6OSA-NTS1-JMV449-Gi1/β1/γ2 7L0S-NTS1-Neurotensin-(8-13)-Gi1/β1/γ1
27.78Single9JR2PTH9JR2-PTH1-PTH-chim(NtGi1L-Gs-CtGq)/β1/γ2
27.59Single6HLOAprepitant6HLO-NK1-Aprepitant
27.59Single7XNACYN1548067XNA-SST2-CYN154806
27.59Single8Z7JJN241-98Z7J-Apelin-JN241-9-Gi1/β1/γ2
27.59Single9E82CXCL12 (fragment)9E82-ACKR3-CXCL12 (fragment)-Arrestin2
27.59Single9EAINanobody AT2099EAI-AT1-Losartan-Nanobody AT209
27.59Single9J0FNADH9J0F-P2Y14-NADH-Gi1/β1/γ2
27.59Single9KFIRelaxin-39KFI-RXFP3-Relaxin-3-Gi2/β1/γ2
27.59Single9KT7MK68929KT7-HCA2-MK6892-Gi1/β1/γ2
27.59Consensusghrelin_onOrthosteric Ligand7NA7-Ghrelin-Ghrelin-Gi1/β1/γ2 7F9Z-Ghrelin-GHRP-6-chim(NtGi1-Gs-CtGq)/β1/γ2 7NA8-Ghrelin-Ibutamoren-Gi1/β1/γ2
27.59Consensusghrelin_on_gpOrthosteric Ligand7NA7-Ghrelin-Ghrelin-Gi1/β1/γ2 7F9Z-Ghrelin-GHRP-6-chim(NtGi1-Gs-CtGq)/β1/γ2 7NA8-Ghrelin-Ibutamoren-Gi1/β1/γ2
27.59Consensusmc5_onOrthosteric Ligand8INR-MC5-α-MSH-Ca-chim(NtGi1-Gs)/β1/γ2 8IOD-MC5-PG-901-Ca-chim(NtGi1-Gs)/β1/γ2
27.59Consensussst2_offOrthosteric Ligand7XNA-SST2-CYN154806
27.59Consensustachykinin_on_gpOrthosteric Ligandnk1_on_gp nk2_on_gp nk3_on_gp
27.27Single2X72All-trans-Retinal2X72-Rhodopsin-All-trans-Retinal-Gt(CT)
27.27Single3V2WPubChem 518926453V2W-S1P1-PubChem 51892645
27.27Single3VGAZM-2413853VGA-A2A-ZM-241385-Antibody
27.27Single5OLVLUAA470705OLV-A2A-LUAA47070-Na
27.27Single5WS3EMPA5WS3-OX2-EMPA
27.27Single5ZKQABT-4915ZKQ-PAF-ABT-491
27.27Single6AKYMaraviroc6AKY-CCR5-Maraviroc
27.27Single6DS0LY2660976DS0-5-HT2B-LY266097
27.27Single6KUYPubChem 1457046436KUY-α2a-PubChem 145704643
27.27Single6NWEOctyl-Beta-D-Glucopyranoside6NWE-Rhodopsin-Octyl-β-D-Glucopyranoside-Gt(CT)
27.27Single6OBAAlprenolol6OBA-β2-Alprenolol-GTPL11074
27.27Single6TODEMPA6TOD-OX1-EMPA-Na
27.27Single6VCBGLP-16VCB-GLP-1-GLP-1-LSN3160440-Gs/β1/γ2
27.27Single7EIBKallidin-des-Arg107EIB-BK1-Kallidin-des-Arg10-chim(NtGi1-Gs-CtGq)/β1/γ2
27.27Single7F8YDevazepide7F8Y-CCKA-Devazepide
27.27Single7LD4Adenosine7LD4-A1-Adenosine-Gi2/β1/γ2
27.27Single7SRRLSD7SRR-5-HT2B-LSD-chim(NtGi2L-Gs-CtGq)/β1/γ2
27.27Single7VIHCBP-3077VIH-S1P1-CBP-307-Gi1/β1/γ2
27.27Single7VUJJNJ-635330547VUJ-GPR139-JNJ-63533054-GDP-chim(Gs-CtGq)/β1/γ2
27.27Single7W0MPubChem 1227019087W0M-Apelin-PubChem 122701908-Gi1/β1/γ2
27.27Single7X2CFenoldopam7X2C-D1-Fenoldopam-Fenoldopam-Gs/β1/γ2
27.27Single7XRRLemborexant7XRR-OX2-Lemborexant
27.27Single7YMHNorepinephrine7YMH-Alpha1A-Norepinephrine-chim(Gs-CtGq)
27.27Single8DU3PubChem 1055260648DU3-A2A-PubChem 105526064
27.27Single8DWGML3828DWG-MRGPRX1-BAM8-22-ML382-chim(NtGi2L-Gs-CtGq)/β1/γ2
27.27Single8EFOPZM218EFO-μ-PZM21-Gi1/β1/γ2
27.27Single8GGAConstrained Epinephrine8GGA-β2-Constrained Epinephrine-GTP-Gs/β1/γ2
27.27Single8GGCConstrained Epinephrine8GGC-β2-Constrained Epinephrine-GTP-Gs/β1/γ2
27.27Single8GGRConstrained Epinephrine8GGR-β2-Constrained Epinephrine
27.27Single8GGWConstrained Epinephrine8GGW-β2-Constrained Epinephrine
27.27Single8GGZConstrained Epinephrine8GGZ-β2-Constrained Epinephrine
27.27Single8GH0Constrained Epinephrine8GH0-β2-Constrained Epinephrine
27.27Single8H8JLodoxamide8H8J-GPR35-Lodoxamide-Ca-chim(NtGi1L-G13)/β1/γ2
27.27Single8HDPAdenosine8HDP-A2B-Adenosine-Gs/β1/γ2
27.27Single8IJANiacin8IJA-HCA2-Niacin-Gi1/β1/γ2
27.27Single8IJBAcipimox8IJB-HCA2-Acipimox-Gi1/β1/γ2
27.27Single8RVWStilSwitch38RVW-A2A-StilSwitch3-Na
27.27Single8RW4AzoSwitch28RW4-A2A-AzoSwitch2-Na
27.27Single8RWEStilSwitch48RWE-A2A-StilSwitch4-Na
27.27Single8UTDMK19038UTD-HCA2-MK1903-Gi1/β1/γ2
27.27Single8WC3SEP-3638568WC3-TA1-SEP-363856-chim(NtGi1-Gs)/β1/γ2
27.27Single8YYWAlpha-ketoglutarate8YYW-Oxoglutarate-α-ketoglutarate-α-ketoglutarate-chim(Gi1-CtGq)/β1/γ2
27.27Single8ZJGChemerin8ZJG-CML1-Chemerin-Gi1/β1/γ2
27.27Single9EEAAdenosine9EEA-A2A-Adenosine-Gs/β1/γ2
27.27Single9FUPIstradefylline9FUP-A2A-Istradefylline-Na
27.27Single9J5VCpY9J5V-LPA1-CpY-Gi1/β1/γ2
27.27Single9JKXAcifran9JKX-HCA3-Acifran-Gi1/β1/γ2
27.27Single9KO2CCL199KO2-CCR7-CCL19-Gi1/β1
27.27Single9KO6CCL199KO6-CCR7-CCL19
27.27Single9KVHCinobufotenine9KVH-5-HT1A-Cinobufotenine-PtdIns4P-Gi1/β1/γ2
27.27Single9LL9DOI9LL9-5-HT2A-DOI-chim(NtGi1L-Gs-CtGq)/β1/γ2
27.27Single9LLBDOI-NBOMe9LLB-5-HT2A-DOI-NBOMe-chim(NtGi1L-Gs-CtGq)/β1/γ2
27.27Single9LRBHistamine9LRB-H1-Histamine-Gs/β1/γ2
27.27Single9MQJIsoquinuclidine9MQJ-μ-Isoquinuclidine
27.27Single9P94PACAP279P94-PAC1-PACAP27-Gs/β1/γ2
27.27Single9VJ5Gepirone9VJ5-5-HT1A-Gepirone-Go/β1/γ2
27.27Single9VJEBuspirone9VJE-5-HT1A-Buspirone-Go/β1/γ2
27.27Consensus5ht1e_onOrthosteric Ligand7E33-5-HT1E-BRL-54443-Gi1/β1/γ2 8UGY-5-HT1E-Mianserin-Gi1/β1/γ1 8UH3-5-HT1E-Setiptiline-Gi1/β1/γ1
27.27Consensus5ht2_on_gpOrthosteric Ligand5ht2b_on_gp
27.27Consensus5ht2b_on_gpOrthosteric Ligand7SRR-5-HT2B-LSD-chim(NtGi2L-Gs-CtGq)/β1/γ2
27.27Consensusa1_onOrthosteric Ligand7LD4-A1-Adenosine-Gi2/β1/γ2
27.27Consensusa1_on_gpOrthosteric Ligand7LD4-A1-Adenosine-Gi2/β1/γ2
27.27Consensusalpha2_offOrthosteric Ligandalpha2c_off
27.27Consensusglp_onOrthosteric Ligandglp1_on glp2_on
27.27Consensusglp_on_gpOrthosteric Ligandglp1_on_gp glp2_on_gp
27.27Consensusgq_histamineOrthosteric Ligand7DFL-H1-Histamine-chim(NtGi1L-Gq)/β1/γ2
27.27Consensush1_on_gpOrthosteric Ligand7DFL-H1-Histamine-chim(NtGi1L-Gq)/β1/γ2
27.27Consensusox1_offOrthosteric Ligand6TP6-OX1-Filorexant 6TP4-OX1-ACT-462206 6V9S-OX1-GTPL11403 6TOT-OX1-Lemborexant 6TP3-OX1-Nemorexant 6TQ6-OX1-PubChem 145714283 6TQ9-OX1-SB-408124 4ZJC-OX1-SB-674042 4ZJ8-OX1-Suvorexant 6TOD-OX1-EMPA-Na 6TOS-OX1-GSK1059865-Na 6TQ4-OX1-PubChem 16046844-Na
27.27Consensuspaf_offOrthosteric Ligand5ZKQ-PAF-ABT-491
27.27Consensuss1p1_offOrthosteric Ligand3V2W-S1P1-PubChem 51892645
27.03Consensusclass-a_class-b1_cons_on_gpOrthosteric Ligandclass-a_on_gp class-b1_on_gp
26.92Single4GRVNeurotensin-(8-13)4GRV-NTS1-Neurotensin-(8-13)
26.92Single4XEENeurotensin-(8-13)4XEE-NTS1-Neurotensin-(8-13)
26.92Single4XESNeurotensin-(8-13)4XES-NTS1-Neurotensin-(8-13)
26.92Single5CXVTiotropium5CXV-M1-Tiotropium
26.92Single6C1RPMX536C1R-C5a1-PMX53-Avacopan; Na
26.92Single6KQICP559406KQI-CB1-CP55940-Org27569
26.92Single6XBLCholesterol6XBL-SMO-SAG-Cholesterol-Gi1/β1/γ2
26.92Single7DFPSpiperone7DFP-D2-Spiperone
26.92Single7EVYSiponimod7EVY-S1P1-Siponimod-Gi1/β1/γ2
26.92Single7K15MKD0467K15-BLT1-MKD046-Na
26.92Single7L1VPubChem 1554910097L1V-OX2-PubChem 155491009-chim(NtGi1-Gs-CtGq)/β1/γ2
26.92Single7SUSPubChem 1227019087SUS-Apelin-PubChem 122701908
26.92Single7W0LPubChem 1227019087W0L-Apelin; Apelin-PubChem 122701908-Gi1/β1/γ2
26.92Single7W0LPubChem 1227019087W0L-Apelin; Apelin-PubChem 122701908-Gi1/β1/γ2
26.92Single7WCNAR2314537WCN-GPR119-AR231453-Gs/β1/γ2
26.92Single7XJKGalanin7XJK-GAL2-Galanin-chim(NtGi2L-Gs-CtGq)/β1/γ2
26.92Single7XZ5Lysophosphatidylcholine7XZ5-GPR119-Lysophosphatidylcholine-Gs/β1/γ2
26.92Single8E9W2-Deoxycytidine8E9W-M3-2-Deoxycytidine-chim(NtGi2L-Gs-CtGq)/β1/γ2
26.92Single8FYTLSD8FYT-5-HT1A-LSD-PtdIns4P-Gi1/β1/γ1
26.92Single8H0QGastrin Releasing Peptide8H0Q-BB2-Gastrin Releasing Peptide-chim(NtGi1-Gs-CtGq)/β1/γ2
26.92Single8JPBNeurotensin-(8-13)8JPB-NTS1-Neurotensin-(8-13)-SBI-553; GDP; Mg-Gq; GRK2
26.92Single8JPCNeurotensin-(8-13)8JPC-NTS1-Neurotensin-(8-13)-SBI-553; GDP; Mg-Gq; GRK2
26.92Single8JZ7MK68928JZ7-HCA2-MK6892-Gi1/β1/γ2
26.92Single8T3QDoconexent8T3Q-FFA4-Doconexent-chim(NtGi2L-Gs-CtGq)/β1/γ2
26.92Single9DGIZ85267113509DGI-CB1-Z8526711350
26.92Single9GL2Befiradol9GL2-5-HT1A-Befiradol-Gs/β1/γ2
26.92Single9GYOP3959GYO-GPBA-P395-chim(NtGi1-Gs)/β1/γ2
26.92Single9KZKC3a (fragment)9KZK-C3aB-C3a (fragment)-Go/β1/γ2
26.92Single9M8POleic monoethanolamide9M8P-GPR3 ; GPR3-Oleic monoethanolamide-AF64394
26.92Consensusgalanin_onOrthosteric Ligandgal2_on gal1_on
26.92Consensusgalanin_on_gpOrthosteric Ligandgal2_on_gp gal1_on_gp
26.92Consensusgi_amineOrthosteric Ligandgi_5ht gi_muscarinic gi_adrenergic gi_dopamine gi_histamine
26.92Consensusgi_muscarinicOrthosteric Ligand8E9X-M4-2-Deoxycytidine-chim(NtGi1-Go)/β1/γ2 7T8X-M2-Acetylcholine-chim(NtGi1-Go)/β1/γ2 7TRS-M4-Acetylcholine-Gi1/β1/γ2 7TRK-M4-Iperoxo-Gi1/β1/γ2 7V6A-M4-PubChem 9864275-Gi1/β1/γ2
26.92Consensusm1_offOrthosteric Ligand5CXV-M1-Tiotropium
26.92Consensusnk1_offOrthosteric Ligand6HLP-NK1-Netupitant 6HLO-NK1-Aprepitant 6HLL-NK1-CP99994 6E59-NK1-L-760735
26.67Single3OE0CVX153OE0-CXCR4-CVX15
26.67Single6LW5WKYMVm6LW5-FPR2-ALX-WKYMVm
26.67Single6VN7PACAP276VN7-VPAC1-PACAP27-Gs/β1/γ2
26.67Single6W25SHU91196W25-MC4-SHU9119-Ca
26.67Single7O7F6P4-CCL57O7F-CCR5-6P4-CCL5-Gi1/β1/γ1
26.67Single8W8YGamma-MSH8W8Y-MC3-γ-MSH-Ca-Gs/β1/γ2
26.67Single8XGUTAK4488XGU-Kiss1-TAK448-Gi1/β1/γ2
26.67Single8XIQL7967788XIQ-SST3-L796778-chim(NtGi1-Gs-CtGi1)/β1/γ2
26.67Single9IVMGLP-1 (Truncated)9IVM-GLP-1-GLP-1 (Truncated)-LSN3318839-chim(NtGi1-Gs)/β2/γ2
26.67Consensusfpr2-alx_onOrthosteric Ligand7WVX-FPR2-ALX-Humanin-Gi2/β1/γ2 7T6U-FPR2-ALX-CGEN-855A-Gi1/β1/γ2 7T6V-FPR2-ALX-fMLFII-Gi1/β1/γ2 7WVY-FPR2-ALX-Amyloid-β42-Gi2/β1/γ2 7T6S-FPR2-ALX-TC-FPR 43-Gi1/β1/γ2 6OMM-FPR2-ALX-WKYMVX-Gi1/β1/γ2
26.47Single6NBHLA-PTH Analog6NBH-PTH1-LA-PTH Analog-Gs/β1/γ2
26.47Single9P93VIP9P93-PAC1-VIP-Gs/β1/γ2
26.47Consensusvip-pacap_onOrthosteric Ligandvpac_on pac_on
26.47Consensusvip-pacap_on_gpOrthosteric Ligandvpac_on_gp pac_on_gp
26.32Consensuspth_onOrthosteric Ligandpth1_on pth2_on
26.09Single2YDOAdenosine2YDO-A2A-Adenosine
26.09Single3RZECidoxepin3RZE-H1-Cidoxepin
26.09Single3UZCPubChem 1355666093UZC-A2A-PubChem 135566609
26.09Single4DKLBeta-Funaltrexamine4DKL-μ-β-Funaltrexamine
26.09Single4MQTIperoxo4MQT-M2-Iperoxo-LY2119620
26.09Single4N6HNaltrindole4N6H-δ-Naltrindole-Na
26.09Single5TE3Octyl-Beta-D-Glucopyranoside5TE3-Rhodopsin-Octyl-β-D-Glucopyranoside
26.09Single5UVIZM-2413855UVI-A2A-ZM-241385
26.09Single6A94Zotepine6A94-5-HT2A-Zotepine
26.09Single6KUXRS799486KUX-α2a-RS79948
26.09Single6ME32-Phenylmelatonin6ME3-MT1-2-Phenylmelatonin
26.09Single6ME42-Iodomelatonin6ME4-MT1-2-Iodomelatonin
26.09Single6MH8ZM-2413856MH8-A2A-ZM-241385
26.09Single6PT0WIN 55212-26PT0-CB2-WIN 55212-2-Gi1/β1/γ2
26.09Single6TOSGSK10598656TOS-OX1-GSK1059865-Na
26.09Single6TPNHTL66416TPN-OX2-HTL6641
26.09Single6WJCAtropine6WJC-M1-Atropine-Muscarinic toxin 7
26.09Single6WJCMuscarinic toxin 76WJC-M1-Atropine-Muscarinic toxin 7
26.09Single7CMVPD1289077CMV-D3-PD128907-Gi1/β1/γ2
26.09Single7UM7Methylergometrine7UM7-5-HT5A-Methylergometrine-chim(NtGi1-Go)/β1/γ2
26.09Single8GUQOlorinab8GUQ-CB2-Olorinab-Gi1/β1/γ2
26.09Single8H4LDoconexent8H4L-FFA4-Doconexent-chim(NtGi1-Gs-CtGq)/β1/γ2
26.09Single8HNMVUF112228HNM-CXCR3-VUF11222-Gi1/β1/γ2
26.09Single8IHKAcifran8IHK-HCA3-Acifran
26.09Single8JEIPubChem 117155568JEI-HCAR3-PubChem 11715556-Gi1/β1/γ2
26.09Single8JLNT1AM8JLN-TA1-T1AM-Gs/β1/γ2
26.09Single8JLQFenoldopam8JLQ-TA1-Fenoldopam-Gs/β1/γ2
26.09Single8JSPUlotaront8JSP-5-HT1A-Ulotaront-Gi1/β1/γ2
26.09Single8K9LDAMGO8K9L-μ-DAMGO-BMS-986122-Gi3/β1/γ1
26.09Single8UHBRO52563908UHB-TA1-RO5256390-Gs/β1/γ2
26.09Single8W88SEP-3638568W88-TA1-SEP-363856-Gs/β1/γ2
26.09Single8Y53MK50468Y53-BB3-MK5046-chim(NtGi1-Gs-CtGq)/β1/γ2
26.09Single8Y6YGLPG09748Y6Y-FFA2-GLPG0974
26.09Single8YH2Adenosine8YH2-A3A-Adenosine-Gi1/β1/γ2
26.09Single8YN3Histamine8YN3-H2-Histamine-Gs/β1/γ2
26.09Single8ZMGPimavanserin8ZMG-5-HT2A-Pimavanserin
26.09Single8ZPMAMD0708ZPM-CXCR4-AMD070
26.09Single9AS3LSD9AS3-5-HT2A-LSD
26.09Single9AS4LSD9AS4-5-HT2A-LSD-chim(NtGi1-Gs-CtGq)/β1/γ2
26.09Single9AS8Psilocin9AS8-5-HT2A-Psilocin-chim(NtGi2L-Gs-CtGq)/β1/γ2
26.09Single9JFUNE52-QQ579JFU-GPR4-NE52-QQ57
26.09Single9JH3CMF-0199JH3-Apelin; Apelin-CMF-019-Gi1/β1/γ2
26.09Single9JMDAzithromycin9JMD-Motilin-Azithromycin-chim(Gs-CtGq)/β1/γ2
26.09Single9KUWCMPD6449KUW-Apelin; Apelin-CMPD644-Arrestin2 ; Arrestin2
26.09Single9KVIBufotenin9KVI-5-HT1A-Bufotenin-PtdIns4P-Gi1/β1/γ2
26.09Single9LL8Psilocin9LL8-5-HT2A-Psilocin-Gi1/β1/γ2
26.09Single9M2FNeuropeptide-FF9M2F-NPFF1-Neuropeptide-FF-Gi1/β1/γ2
26.09Single9VNFPindolol9VNF-5-HT1A-Pindolol-Go/β1/γ2
26.09Single9W33S5A19W33-SST5-S5A1
26.09Single9W6W5-CT9W6W-5-HT5A-5-CT-Gi1/β1/γ2
26.09Consensus5ht2a_offOrthosteric Ligand6A94-5-HT2A-Zotepine 6A93-5-HT2A-Risperidone 7VOD-5-HT2A-Cariprazine 7WC8-5-HT2A-Lumateperone 8JT8-5-HT2A-(R)-IHCH-7179
26.09Consensusadenosine_onOrthosteric Liganda1_on a2_on a3_on
26.09Consensuscxcr2_onOrthosteric Ligand6LFM-CXCR2-CXCL8-Gi1/β1/γ2
26.09Consensusgi_adenosineOrthosteric Ligand7LD4-A1-Adenosine-Gi2/β1/γ2 8X17-A3A-Namodenoson-Gi1/β1/γ2 8X16-A3A-Piclidenoson-Gi1/β1/γ2
26.09Consensusnop_offOrthosteric Ligand4EA3-NOP-PubChem 10296561 5DHG-NOP-C-35 5DHH-NOP-SB-612111
25.93Single4BUONeurotensin-(8-13)4BUO-NTS1-Neurotensin-(8-13)
25.93Single4RWSvMIP-II4RWS-CXCR4-vMIP-II
25.93Single5UNGPubChem 157800525UNG-AT2-PubChem 15780052
25.93Single7PIUSetmelanotide7PIU-MC4-Setmelanotide-Gs/β1/γ2
25.93Single7X1UTRH7X1U-TRH-TRH-chim(NtGi2L-Gs-CtGq)/β1/γ2
25.93Single7X8RBOC57X8R-GLP-1-BOC5-Gs/β1/γ2
25.93Single7XK2MK68927XK2-HCA2-MK6892-Gi1/β1/γ2
25.93Single8GAGZ85267113508GAG-CB1-Z8526711350-Gi1/β1/γ2
25.93Single8HN1Toxin AdTx18HN1-Alpha1A-Toxin AdTx1
25.93Single8ID8TUG-8918ID8-FFA4-TUG-891-Gi1/β1/γ2
25.93Single8IULLatanoprost8IUL-FP-alpha-Latanoprost-chim(NtGi1-Gs-CtGq)/β1/γ2
25.93Single8JPFNeurotensin-(8-13)8JPF-NTS1-Neurotensin-(8-13)-SBI-553
25.93Single8T3OTUG-8918T3O-FFA4-TUG-891-chim(NtGi2L-Gs-CtGq)/β1/γ2
25.93Single8XBES3E-Lysophosphatidylserine 8XBE-GPR34-S3E-Lysophosphatidylserine-Gi1/β1/γ1
25.93Single8XGSKisspeptin-18XGS-Kiss1-Kisspeptin-1-chim(NtGi1-Gq)/β1/γ2
25.93Single8XIOL7975918XIO-SST1-L797591-chim(NtGi1-Gs-CtGi1)/β1/γ2
25.93Single8XVUCXCL28XVU-CXCR2-CXCL2
25.93Single8XWFCXCL38XWF-CXCR2-CXCL3
25.93Single8XXHCXCL28XXH-CXCR2-CXCL2-Go/β1/γ2
25.93Single8ZPLHF511168ZPL-CXCR4-HF51116
25.93Single9AS02-bromo-LSD9AS0-5-HT2A-2-bromo-LSD-chim(NtGi1-Gs-CtGq)/β1/γ2
25.93Single9DYEBuspirone9DYE-5-HT1A-Buspirone-PtdIns4P-Go/β1/γ2
25.93Single9GE3Lysophosphatidylinositol9GE3-GPR55-Lysophosphatidylinositol-chim(NtGi1-G13)/β1/γ2
25.93Single9UYHChemerin-99UYH-CML2-Chemerin-9-Arrestin2
25.93Single9UYMChemerin-99UYM-CML2-Chemerin-9-chim(Arrestin3-CtArrestin2)
25.93Consensuschemerin_onOrthosteric Ligandcml1_on
25.93Consensusnk2_onOrthosteric Ligand7XWO-NK2-Neurokinin-A-chim(NtGi1-Gs-CtGq)/β1/γ2
25.93Consensusnucleotide_on_gpOrthosteric Ligandadenosine_on_gp p2y_on_gp
25.81Single6WI9Secretin6WI9-Secretin-Secretin-Gs/β1/γ2
25.81Single7FIMTirzepatide7FIM-GLP-1-Tirzepatide-Gs/β1/γ2
25.81Single7V9MSomatoliberin7V9M-GHRH (SV1)-Somatoliberin-Gs/β1/γ2
25.81Single7W57Neuromedin-S7W57-NMUR2-Neuromedin-S-chim(NtGi1-Gs-CtGq)/β1/γ2
25.81Single7WUIIP157WUI-ADGRG2-IP15-chim(NtGi1-Gs)/β1/γ2
25.81Single8WSTMCH8WST-MCH2-MCH-chim(NtGi1L-Gs-CtGq)/β1/γ2
25.81Single8YW3Retatrutide8YW3-GLP-1-Retatrutide-Gs/β1/γ2
25.81Consensusapelin_onOrthosteric Ligand8XZH-Apelin; Apelin-MM07-Gi1/β1/γ2 7W0M-Apelin-PubChem 122701908-Gi1/β1/γ2 8XZJ-Apelin; Apelin-WN353-Gi1/β1/γ2 8XZF-Apelin; Apelin-WN561-Gi1/β1/γ2 8XZG-Apelin; Apelin-Apelin-13-Gi1/β1/γ2
25.81Consensusapelin_on_gpOrthosteric Ligand8XZH-Apelin; Apelin-MM07-Gi1/β1/γ2 7W0M-Apelin-PubChem 122701908-Gi1/β1/γ2 8XZJ-Apelin; Apelin-WN353-Gi1/β1/γ2 8XZF-Apelin; Apelin-WN561-Gi1/β1/γ2 8XZG-Apelin; Apelin-Apelin-13-Gi1/β1/γ2
25.81Consensusmc5_on_gpOrthosteric Ligand8INR-MC5-α-MSH-Ca-chim(NtGi1-Gs)/β1/γ2 8IOD-MC5-PG-901-Ca-chim(NtGi1-Gs)/β1/γ2
25.81Consensusneuromedin-u_onOrthosteric Ligandnmur1_on nmur2_on
25.81Consensustachykinin_onOrthosteric Ligandnk1_on nk2_on nk3_on
25.71Consensusclass-a_class-b1_cons_onOrthosteric Ligandclass-a_on class-b1_on
25.00Single2Y01Dobutamine2Y01-β1-Dobutamine
25.00Single2Y04Salbutamol2Y04-β1-Salbutamol
25.00Single3ZPRPubChem 5987543ZPR-β1-PubChem 598754-Na
25.00Single4DAJTiotropium4DAJ-M3-Tiotropium
25.00Single4J4QOctyl Beta-D-Glucopyranoside4J4Q-Rhodopsin-Octyl β-D-Glucopyranoside-Gt(CT)
25.00Single4MQSIperoxo4MQS-M2-Iperoxo
25.00Single4QKXPubChem 762106284QKX-β2-PubChem 76210628
25.00Single4U14Tiotropium4U14-M3-Tiotropium
25.00Single4U16N-methyl-Scopolamine4U16-M3-N-methyl-Scopolamine
25.00Single5DHGC-355DHG-NOP-C-35
25.00Single5DHHSB-6121115DHH-NOP-SB-612111
25.00Single5NDDAZ8838; Na5NDD-PAR2-AZ8838; Na
25.00Single5YC8N-methyl-Scopolamine5YC8-M2-N-methyl-Scopolamine
25.00Single5YQZNNC17025YQZ-Glucagon-NNC1702
25.00Single5ZK8N-methyl-Scopolamine5ZK8-M2-N-methyl-Scopolamine
25.00Single5ZKCN-methyl-Scopolamine5ZKC-M2-N-methyl-Scopolamine
25.00Single6DRXLisuride6DRX-5-HT2B-Lisuride
25.00Single6DRZMethysergide6DRZ-5-HT2B-Methysergide
25.00Single6FKCPubChem 1324730396FKC-Rhodopsin-PubChem 132473039
25.00Single6KPFAM120336KPF-CB2-AM12033-Gi1/β1/γ2
25.00Single6LPBPACAP276LPB-PAC1-PACAP27-Gs/β1/γ1
25.00Single6WHADB139486WHA-5-HT2A-DB13948-chim(NtGi2L-Gs-CtGq)/β1/γ2
25.00Single7AUESetmelanotide7AUE-MC4-Setmelanotide-chim(NtGi1L-Gs)/β1/γ2
25.00Single7F9ZGHRP-67F9Z-Ghrelin-GHRP-6-chim(NtGi1-Gs-CtGq)/β1/γ2
25.00Single7FIHOrg435537FIH-LH-hCG-Org43553-chim(NtGi1-Gs)/β1/γ2
25.00Single7NA8Ibutamoren7NA8-Ghrelin-Ibutamoren-Gi1/β1/γ2
25.00Single7RMGSubstance-P7RMG-NK1-Substance-P-chim(Gs-CtGq)/β1/γ2
25.00Single7SCGFH2107SCG-μ-FH210-Gi1/β1/γ2
25.00Single7SK8CXCL127SK8-ACKR3-CXCL12-CCX662
25.00Single7T6VfMLFII7T6V-FPR2-ALX-fMLFII-Gi1/β1/γ2
25.00Single7TRPIperoxo7TRP-M4-Iperoxo-LY2033298-Gi1/β1/γ2
25.00Single7UM55-CT7UM5-5-HT5A-5-CT-chim(NtGi1-Go)/β1/γ2
25.00Single7VIFFTY720-P7VIF-S1P1-FTY720-P-Gi1/β1/γ2
25.00Single7VKTLTB47VKT-BLT1-LTB4-Gi1/β1/γ2
25.00Single7VL9CCL15(26-92)7VL9-CCR1-CCL15(26-92)-Gi1/β1/γ2
25.00Single7WBJPACAP277WBJ-VPAC1-PACAP27-Gs/β1/γ2
25.00Single7X8SWB4-247X8S-GLP-1-WB4-24-Gs/β1/γ2
25.00Single8A2OTheophylline8A2O-A2A-Theophylline-Na
25.00Single8DZSGR89,6968DZS-κ-GR89,696-chim(NtGi2-Gz)/β1/γ2
25.00Single8FLSAbaloparatide8FLS-PTH1-Abaloparatide-Gs/β1/γ2
25.00Single8FLULA-PTH Analog8FLU-PTH1-LA-PTH Analog-Gs/β1/γ2
25.00Single8FY85-MeO-DMT8FY8-5-HT1A-5-MeO-DMT-PtdIns4P-Gi1/β1/γ1
25.00Single8HNKCXCL118HNK-CXCR3-CXCL11-Gi1/β1/γ2
25.00Single8JD0NAM5638JD0-mGlu2; mGlu3-Glutamate-NAM563
25.00Single8K5DGSK2560738K5D-HCA2-GSK256073
25.00Single8UGYMianserin8UGY-5-HT1E-Mianserin-Gi1/β1/γ1
25.00Single8UH3Setiptiline8UH3-5-HT1E-Setiptiline-Gi1/β1/γ1
25.00Single8XZFWN5618XZF-Apelin; Apelin-WN561-Gi1/β1/γ2
25.00Single8YH5Riboprine8YH5-A3A-Riboprine-Gi1/β1/γ2
25.00Single8YN8Proxyfan8YN8-H3-Proxyfan-Go/β1/γ2
25.00Single8ZBEOctreotide8ZBE-SST5-Octreotide-Gi1/β1/γ1
25.00Single9AS1DMT9AS1-5-HT2A-DMT
25.00Single9CHUNorepinephrine9CHU-β2-Norepinephrine
25.00Single9D61JDTic9D61-κ-JDTic-Gi1/β1/γ2
25.00Single9E2AGLP-19E2A-GLP-1-GLP-1-Gs/β1/γ2
25.00Single9IZASCH9002719IZA-HCA2-SCH900271-Gi1/β1/γ2
25.00Single9JEAAtropine9JEA-M1-Atropine
25.00Single9KFTfMLFC9KFT-FPR1-ALX-fMLFC-Gi1/β1/γ2
25.00Single9KUXCMPD6449KUX-Apelin; Apelin-CMPD644-Arrestin2
25.00Single9MD1Buspirone9MD1-5-HT1A-Buspirone-PtdIns4P-Gz/β1/γ2
25.00Single9UAZAtropine9UAZ-M1-Atropine
25.00Single9V2NMacimorelin9V2N-Ghrelin-Macimorelin-chim(NtGi1-Gs-CtGq)/β1/γ2
25.00Consensus5ht2b_offOrthosteric Ligand6DRZ-5-HT2B-Methysergide
25.00Consensusalicarboxylic_on_gpOrthosteric Ligandsuccinate_on_gp hca_on_gp
25.00Consensusblt1_onOrthosteric Ligand7VKT-BLT1-LTB4-Gi1/β1/γ2
25.00Consensusblt1_on_gpOrthosteric Ligand7VKT-BLT1-LTB4-Gi1/β1/γ2
25.00Consensusblt_onOrthosteric Ligandblt1_on
25.00Consensusblt_on_gpOrthosteric Ligandblt1_on_gp
25.00Consensuscxcr4_offOrthosteric Ligand4RWS-CXCR4-vMIP-II 3OE0-CXCR4-CVX15 3OE6-CXCR4-IT1t
25.00Consensusgi_alicarboxylicOrthosteric Ligandgi_hca gi_succinate
25.00Consensusgi_leukotrieneOrthosteric Ligand7VKT-BLT1-LTB4-Gi1/β1/γ2
25.00Consensusgq_amineOrthosteric Ligandgq_muscarinic gq_histamine
25.00Consensusgs_histamineOrthosteric Ligand8POK-H2-Histamine-Gs/β1/γ2
25.00Consensush2_onOrthosteric Ligand8POK-H2-Histamine-Gs/β1/γ2
25.00Consensusleukotriene_onOrthosteric Ligandblt_on
25.00Consensusleukotriene_on_gpOrthosteric Ligandblt_on_gp
25.00Consensusneuromedin-u_on_gpOrthosteric Ligandnmur1_on_gp nmur2_on_gp
25.00Consensusnmur1_onOrthosteric Ligand7W53-NMUR1-Neuromedin-U-25-chim(NtGi1-Gs-CtGq)/β1/γ2
25.00Consensusp2y10_onOrthosteric Ligand8KGG-P2Y10-Lysophosphatidylserine (WJS)-chim(NtGi2-G13)/β1/γ2
24.32Single7VVMPTH7VVM-PTH1-PTH-Gs/β1/γ2
24.24Single7KI0Semaglutide7KI0-GLP-1-Semaglutide-Gs/β1/γ2
24.24Single7VABTirzepatide (non-acylated)7VAB-GIP-Tirzepatide (non-acylated)-chim(NtGi1-Gs)/β1/γ2
24.24Single7W3ZGastrin Releasing Peptide7W3Z-BB2-Gastrin Releasing Peptide-chim(NtGi1L-Gq)/β1/γ2
24.24Single9J1Pg1:Ox9J1P-GLP-1-g1:Ox-chim(NtGi1-Gs)/β1/γ2
24.24Consensuspac1_onOrthosteric Ligand8E3X-PAC1-PACAP27-Gs/β1/γ2 6M1H-PAC1-Maxadilan-Gs/β1/γ2
24.24Consensuspac1_on_gpOrthosteric Ligand8E3X-PAC1-PACAP27-Gs/β1/γ2 6M1H-PAC1-Maxadilan-Gs/β1/γ2
24.14Single5UNFPubChem 157800525UNF-AT2-PubChem 15780052
24.14Single6WIVPubChem 52923113; PubChem 529246456WIV-GABAB1, GABAB2-PubChem 52923113; PubChem 52924645
24.14Single7W2ZGhrelin7W2Z-Ghrelin-Ghrelin-Go/β1/γ2
24.14Single8INRAlpha-MSH8INR-MC5-α-MSH-Ca-chim(NtGi1-Gs)/β1/γ2
24.14Single8IZBLysophosphatidylserine (UBL)8IZB-GPR174-Lysophosphatidylserine (UBL)-Gs/β1/γ2
24.14Single8J6RMK68928J6R-HCA2-MK6892-Gi1/β1/γ2
24.14Single8WZ2Orexigenic Neuropeptide QRFP8WZ2-QRFP-Orexigenic Neuropeptide QRFP-chim(NtGi1L-Gs-CtGq)/β1/γ2
24.14Single8XBHPubChem 1626566368XBH-GPR34-PubChem 162656636-Gi1/β1/γ2
24.14Consensusgi_nucleotideOrthosteric Ligandgi_adenosine gi_p2y
24.14Consensussomatostatin_offOrthosteric Ligandsst2_off
24.00Single2Y00Dobutamine2Y00-β1-Dobutamine
24.00Single5XPRBosentan5XPR-ETB-Bosentan
24.00Single5YHLPubChem 1351213525YHL-EP4-PubChem 135121352
24.00Single5YWYONO-AE3-2085YWY-EP4-ONO-AE3-208
24.00Single6HLPNetupitant6HLP-NK1-Netupitant
24.00Single6PS6Timolol6PS6-β2-Timolol
24.00Single6RZ4Pranlukast6RZ4-CysLT1-Pranlukast-Na
24.00Single7BB7AVP7BB7-V2-AVP-Gs/β1/γ2
24.00Single7C4SS1P7C4S-S1P3-S1P
24.00Single7E9GJNJ-404118137E9G-mGlu2; mGlu2-Eglumetad-JNJ-40411813-Gi1/β1/γ2
24.00Single7EPFNAM5977EPF-mGlu2-NAM597
24.00Single7TRKIperoxo7TRK-M4-Iperoxo-Gi1/β1/γ2
24.00Single7VFXfMIFL7VFX-FPR1-ALX-fMIFL-Gi1/β1/γ2
24.00Single7VOEAripiprazole7VOE-5-HT2A-Aripiprazole
24.00Single7W41PD1762527W41-BB2-PD176252
24.00Single8E9ZIperoxo8E9Z-M3-Iperoxo-chim(NtGi2L-Gs-CtGq)/β1/γ2
24.00Single8EFBOliceridine8EFB-μ-Oliceridine-Gi1/β1/γ2
24.00Single8I7WGSK2560738I7W-HCA2-GSK256073-Gi1/β1/γ2
24.00Single8ID4Linoleic acid8ID4-FFA4-Linoleic acid-Gi1/β1/γ2
24.00Single8J6JGSK2560738J6J-HCA2-GSK256073-Gi1/β1/γ2
24.00Single8KFXLMD-0098KFX-CCR8-LMD-009-Gi1/β1/γ2
24.00Single8WGBVU01550418WGB-mGlu4; mGlu2-Glutamate-VU0155041-Gi3/β1/γ2
24.00Single9ARZ2-bromo-LSD9ARZ-5-HT2A-2-bromo-LSD
24.00Single9DYDAsenapine9DYD-5-HT1A-Asenapine-PtdIns4P-Go/β1/γ2
24.00Single9EE8Adenosine9EE8-A2A-Adenosine-Gs/β1/γ2
24.00Single9IYBPGD29IYB-DP2-PGD2-A1D5Q-Gi1/β1/γ2
24.00Single9KT6Acifran9KT6-HCA3-Acifran-Gi1/β1/γ2
24.00Single9KUTJR14a9KUT-C3aB-JR14a-Go/β1/γ2
24.00Single9M8POleic monoethanolamide9M8P-GPR3 ; GPR3-Oleic monoethanolamide-AF64394
24.00Single9U81Tolvaptan9U81-V2-Tolvaptan
24.00Consensusbb2_offOrthosteric Ligand7W41-BB2-PD176252
24.00Consensusbombesin_offOrthosteric Ligandbb2_off
24.00Consensusep4_offOrthosteric Ligand5YWY-EP4-ONO-AE3-208 5YHL-EP4-PubChem 135121352
24.00Consensusep_offOrthosteric Ligandep4_off
24.00Consensusfpr1-alx_onOrthosteric Ligand7VFX-FPR1-ALX-fMIFL-Gi1/β1/γ2
24.00Consensusfpr1-alx_on_gpOrthosteric Ligand7VFX-FPR1-ALX-fMIFL-Gi1/β1/γ2
24.00Consensuslpa1_onOrthosteric Ligand7TD1-LPA1-LPA-Gi1/β1/γ2 7YU3-LPA1-ONO-0740556-Gi1/β1/γ2
24.00Consensuslpa1_on_gpOrthosteric Ligand7TD1-LPA1-LPA-Gi1/β1/γ2 7YU3-LPA1-ONO-0740556-Gi1/β1/γ2
24.00Consensusm2_offOrthosteric Ligand5ZKC-M2-N-methyl-Scopolamine 5ZK3-M2-3-quinuclidinyl-benzilate 5ZKB-M2-AF-DX 384
24.00Consensusm3_onOrthosteric Ligand8E9Z-M3-Iperoxo-chim(NtGi2L-Gs-CtGq)/β1/γ2 8E9W-M3-2-Deoxycytidine-chim(NtGi2L-Gs-CtGq)/β1/γ2 8E9Y-M3-Clozapine-N-oxide-chim(NtGi2L-Gs-CtGq)/β1/γ2
24.00Consensusm3_on_gpOrthosteric Ligand8E9Z-M3-Iperoxo-chim(NtGi2L-Gs-CtGq)/β1/γ2 8E9W-M3-2-Deoxycytidine-chim(NtGi2L-Gs-CtGq)/β1/γ2 8E9Y-M3-Clozapine-N-oxide-chim(NtGi2L-Gs-CtGq)/β1/γ2
24.00Consensusnucleotide_onOrthosteric Ligandadenosine_on p2y_on
24.00Consensuss1p5_offOrthosteric Ligand7YXA-S1P5-ONO-5430608
24.00Consensuss1p_offOrthosteric Ligands1p1_off s1p5_off
23.81Single3OE6IT1t3OE6-CXCR4-IT1t
23.81Single4XNWMRS25004XNW-P2Y1-MRS2500
23.81Single6OIKLY21196206OIK-M2-Iperoxo-LY2119620-chim(NtGi1-Go)/β1/γ2
23.81Single7EJKOxymetazoline7EJK-α2a-Oxymetazoline-Go/β1/γ2
23.81Single7WC5Psilocin7WC5-5-HT2A-Psilocin
23.81Single8DPILorcaserin8DPI-5-HT2C-Lorcaserin-chim(NtGi2L-Gs-CtGq)/β1/γ2
23.81Single8GGEConstrained Epinephrine8GGE-β2-Constrained Epinephrine-GTP-Gs/β1/γ2
23.81Single8GGFConstrained Epinephrine8GGF-β2-Constrained Epinephrine-GTP-Gs/β1/γ2
23.81Single8GH1Constrained Epinephrine8GH1-β2-Constrained Epinephrine
23.81Single8J24Acetic acid8J24-FFA2-Acetic acid-Gi1/β1/γ2
23.81Single8POKHistamine8POK-H2-Histamine-Gs/β1/γ2
23.81Single8WC62-Phenylethylamine8WC6-TA1-2-Phenylethylamine-chim(NtGi1-Gs)/β1/γ2
23.81Single8WC9ZH86518WC9-TA1-ZH8651-chim(NtGi1-Gs-CtGq)/β1/γ2
23.81Single9IJRC179IJR-GPR52-C17-Arrestin2
23.81Single9KT93,5-DHBA9KT9-HCA1-3,5-DHBA-Gi1/β1/γ2
23.81Consensus5ht2_onOrthosteric Ligand5ht2b_on
23.81Consensus5ht2b_onOrthosteric Ligand7SRR-5-HT2B-LSD-chim(NtGi2L-Gs-CtGq)/β1/γ2
23.81Consensush2_on_gpOrthosteric Ligand8POK-H2-Histamine-Gs/β1/γ2
23.81Consensusp2y1_offOrthosteric Ligand4XNW-P2Y1-MRS2500
23.81Consensuspth_on_gpOrthosteric Ligandpth1_on_gp pth2_on_gp
23.68Single7Y36PTH7Y36-PTH1-PTH-Gs/β1/γ2
23.68Single8FLQPTH8FLQ-PTH1-PTH-Gs/β1/γ2
23.68Single9JR3PTH9JR3-PTH1-PTH-chim(NtGi1L-Gs-CtGq)/β1/γ2
23.53Single6B3JExendin-P56B3J-GLP-1-Exendin-P5-Gs/β1/γ2
23.53Single7S1MExendin-4-D-Ala7S1M-GLP-1-Exendin-4-D-Ala-Gs/β1/γ2
23.53Single7VVKPTH7VVK-PTH1-PTH-Gs/β1/γ2
23.53Single8HAOPTH8HAO-PTH1-PTH-chim(NtGi1-Gs)/β1/γ2
23.33Single7RMISubstance-P7RMI-NK1-Substance-P-chim(Gs-CtGq)/β1/γ2
23.33Single7VBITirzepatide (non-acylated)7VBI-GLP-1-Tirzepatide (non-acylated)-Gs/β1/γ2
23.33Single8IEBPubChem 1347468948IEB-GPR156; GPR156-PubChem 134746894
23.33Single8IOCGamma-MSH8IOC-MC3-γ-MSH-Ca-chim(NtGi1-Gs)/β1/γ2
23.33Single8JBHSubstance-P8JBH-NK3-Substance-P-chim(NtGi1-Gs-CtGq)/β1/γ2
23.33Single8KH5Lysophosphatidylserine8KH5-GPR174-Lysophosphatidylserine-Gs/β1/γ2
23.08Single4DJHJDTic4DJH-κ-JDTic
23.08Single5ZBHBMS-1938855ZBH-Y1-BMS-193885
23.08Single6E59L-7607356E59-NK1-L-760735
23.08Single6J20Aprepitant6J20-NK1-Aprepitant
23.08Single6O3CCholesterol6O3C-SMO-SAG21k-Cholesterol
23.08Single6RZ5Zafirlukast6RZ5-CysLT1-Zafirlukast-Na
23.08Single6Z8NSRI-98296Z8N-NTS1-SRI-9829
23.08Single7B6WCyclazosin7B6W-α1b-Cyclazosin
23.08Single7M8W15r-Methyl-PGD27M8W-DP2-15r-Methyl-PGD2-Na
23.08Single7SK7CXCL127SK7-ACKR3-CXCL12-CCX662
23.08Single7TRQIperoxo7TRQ-M4-Iperoxo-VU0467154-Gi1/β1/γ2
23.08Single7XWONeurokinin-A7XWO-NK2-Neurokinin-A-chim(NtGi1-Gs-CtGq)/β1/γ2
23.08Single8EA0Iperoxo8EA0-M3-Iperoxo
23.08Single8EF5Fentanyl8EF5-μ-Fentanyl-Gi1/β1/γ2
23.08Single8EFLSR170188EFL-μ-SR17018-Gi1/β1/γ2
23.08Single8GUSHU-3088GUS-CB2-HU-308-Gi1/β1/γ2
23.08Single8JXXClobenpropit8JXX-H4-Clobenpropit-Gi1/β1/γ2
23.08Single8JZPC5a8JZP-C5a1-C5a-Go/β1/γ2
23.08Single8X16Piclidenoson8X16-A3A-Piclidenoson-Gi1/β1/γ2
23.08Single8XVLZibotentan8XVL-ETA-Zibotentan
23.08Single8XX7CXCL58XX7-CXCR2-CXCL5-Go/β1/γ2
23.08Single8XZICMF-0198XZI-Apelin; Apelin-CMF-019-Gi1/β1/γ2
23.08Single9EGOZ85267113509EGO-CB1-Z8526711350-Gi1/β1/γ2
23.08Single9MENGp120 (V3 loop)9MEN-CXCR4-Gp120 (V3 loop)
23.08Single9UY3Anamorelin9UY3-Ghrelin-Anamorelin-chim(NtGi1-Gs-CtGq)/β1/γ2
23.08Consensus5ht_offOrthosteric Ligand5ht2_off 5ht1_off
23.08Consensusgi_relaxinOrthosteric Ligand7YK7-RXFP4-DC591053-Gi2/β1/γ2 7YJ4-RXFP4-INSL5-Gi2/β1/γ2 7YK6-RXFP4-PubChem 138319674-Gi2/β1/γ2
23.08Consensusglucagon_on_gpOrthosteric Ligandglp_on_gp gluc_on_gp secretin_on_gp gip_on_gp
23.08Consensuskop_offOrthosteric Ligand4DJH-κ-JDTic
23.08Consensusnk2_on_gpOrthosteric Ligand7XWO-NK2-Neurokinin-A-chim(NtGi1-Gs-CtGq)/β1/γ2
23.08Consensusrelaxin_onOrthosteric Ligandrxfp4_on
23.08Consensusrelaxin_on_gpOrthosteric Ligandrxfp4_on_gp
23.08Consensustachykinin_offOrthosteric Ligandnk1_off
22.86Single5VAIGLP-15VAI-GLP-1-GLP-1-Gs/β1/γ2
22.86Single7D68GLP-27D68-GLP-2-GLP-2-Gs/β1/γ2
22.86Single7TS0Urocortin7TS0-CRF2-Urocortin-chim(NtGi1L-Go)/β1/γ2
22.86Single8HAFPTHrP(1-36)8HAF-PTH1-PTHrP(1-36)-chim(NtGi1-Gs)/β1/γ2
22.86Consensuspth1_onOrthosteric Ligand6NBF-PTH1-LA-PTH Analog-Gs/β1/γ2 8HA0-PTH1-PTH-chim(NtGi1-Gs)/β1/γ2 8HAF-PTH1-PTHrP(1-36)-chim(NtGi1-Gs)/β1/γ2 7Y36-PTH1-PTH-Gs/β1/γ2 7Y35-PTH1-Abaloparatide-Gs/β1/γ2
22.73Single3OE9IT1t3OE9-CXCR4-IT1t
22.73Single3PBLEticlopride3PBL-D3-Eticlopride
22.73Single4O9RCyclopamine4O9R-SMO-Cyclopamine
22.73Single5L7IVismodegib5L7I-SMO-Vismodegib
22.73Single6PGSGeraniol6PGS-Rhodopsin-Geraniol-Gt(CT)
22.73Single6TP4ACT-4622066TP4-OX1-ACT-462206
22.73Single7DFLHistamine7DFL-H1-Histamine-chim(NtGi1L-Gq)/β1/γ2
22.73Single7VDHC48/807VDH-MRGPRX2-C48/80-Gi1/β1/γ2
22.73Single7VUIJNJ-635330547VUI-GPR139-JNJ-63533054-GTP-chim(Gs-CtGq)/β1/γ2
22.73Single7XP6Strychnine7XP6-TAS2R46-Strychnine-chim(Gs-CtGt3)/β1/γ2
22.73Single7YFCHistamine7YFC-H4-Histamine-chim(NtGi1-Gs-CtGq)/β1/γ2
22.73Single8A2PLUAA470708A2P-A2A-LUAA47070-Na
22.73Single8FX5Xanomeline8FX5-M4-Xanomeline-Xanomeline-Gi1/β1/γ2
22.73Single8GGYConstrained Epinephrine8GGY-β2-Constrained Epinephrine
22.73Single8IHIAcifran8IHI-HCA2-Acifran-Gi1/β1/γ2
22.73Single8RWHStilSwitch28RWH-A2A-StilSwitch2-Na
22.73Single8U4RREGN7663-Fab8U4R-CXCR4-REGN7663-Fab
22.73Single8UO3Constrained Epinephrine8UO3-β2-Constrained Epinephrine-GTP; Mg-Gs/β1/γ2
22.73Single8UO4Constrained Epinephrine8UO4-β2-Constrained Epinephrine-GTP; Mg-Gs/β1/γ2
22.73Single8W892-Phenylethylamine8W89-TA1-2-Phenylethylamine-chim(NtGi1L-Gs)/β1/γ2
22.73Single8YH3N-methyladenosine8YH3-A3A-N-methyladenosine-Gi1/β1/γ2
22.73Single8YN2Histamine8YN2-H1-Histamine-chim(NtGi1L-Gs-CtGq)/β1/γ2
22.73Single8YN5Histamine8YN5-H3-Histamine-Gi1/β1/γ2
22.73Single8YN6Imetit8YN6-H3-Imetit-Gi1/β1/γ2
22.73Single8YN7Immethridine8YN7-H3-Immethridine-Go/β1/γ2
22.73Single9AS2DMT9AS2-5-HT2A-DMT-chim(NtGi1-Gs-CtGq)/β1/γ2
22.73Single9AS7Psilocin9AS7-5-HT2A-Psilocin
22.73Single9IQTNiacin9IQT-HCA2-Niacin-Gi1/β1/γ2
22.73Single9U9VMETH9U9V-β2-METH-Gs/β1/γ2
22.73Consensusd3_offOrthosteric Ligand3PBL-D3-Eticlopride
22.73Consensush1_onOrthosteric Ligand7DFL-H1-Histamine-chim(NtGi1L-Gq)/β1/γ2
22.58Single8XZHMM078XZH-Apelin; Apelin-MM07-Gi1/β1/γ2
22.58Single9LXRLA-PTH Analog9LXR-PTH1-LA-PTH Analog-Arrestin2
22.58Consensusmc3_onOrthosteric Ligand8IOC-MC3-γ-MSH-Ca-chim(NtGi1-Gs)/β1/γ2
22.58Consensusmc3_on_gpOrthosteric Ligand8IOC-MC3-γ-MSH-Ca-chim(NtGi1-Gs)/β1/γ2
22.22Single3VW7Vorapaxar; Na3VW7-PAR1-Vorapaxar; Na
22.22Single4PXFOctyl-Beta-D-Glucopyranoside4PXF-Rhodopsin-Octyl-β-D-Glucopyranoside-Arrestin1 Finger Loop
22.22Single5UNHPubChem 1264564065UNH-AT2-PubChem 126456406
22.22Single6YVRNeurotensin-(6-13)6YVR-NTS1-Neurotensin-(6-13)
22.22Single6ZG4HTL00099366ZG4-M1-HTL0009936
22.22Single7EPENAM5637EPE-mGlu2-NAM563
22.22Single7JNIOlodanrigan7JNI-AT2-Olodanrigan
22.22Single7L0SNeurotensin-(8-13)7L0S-NTS1-Neurotensin-(8-13)-Gi1/β1/γ1
22.22Single7WQ4Galanin7WQ4-GAL2-Galanin-chim(NtGi1-Gs-CtGq)/β1/γ2
22.22Single7XW9TRH7XW9-TRH-TRH-chim(NtGi1L-Gs-CtGq)/β1/γ2
22.22Single8XQJJN2418XQJ-Apelin; Apelin-JN241
22.22Single8XWACXCL18XWA-CXCR2-CXCL1
22.22Single8XWMCXCL68XWM-CXCR2-CXCL6
22.22Single8XWSCXCL58XWS-CXCR2-CXCL5
22.22Single8XX3CXCL38XX3-CXCR2-CXCL3-Go/β1/γ2
22.22Single9EBIPiclidenoson9EBI-A3A-Piclidenoson-chim(NtGi1L-Gs-CtGi1)/β1/γ2
22.22Single9EK0Iperoxo9EK0-M5-Iperoxo-chim(NtGi1-Gs-CtGq)/β1/γ2
22.22Single9VJ6F-155999VJ6-5-HT1A-F-15599-Gi3/β1/γ2
22.22Single9WXMGPR15L(CT)9WXM-GPR15-GPR15L(CT)-Gi3/β1/γ2
22.22Single9YDUUDP-Glucose9YDU-P2Y14-UDP-Glucose-Gi1/β1/γ2
22.22Consensusleukotriene_offOrthosteric Ligandblt_off cyslt_off
22.22Consensustrh_onOrthosteric Ligand7XW9-TRH-TRH-chim(NtGi1L-Gs-CtGq)/β1/γ2
22.22Consensustrh_on_gpOrthosteric Ligand7XW9-TRH-TRH-chim(NtGi1L-Gs-CtGq)/β1/γ2
21.95Single7F16TIP397F16-PTH2-TIP39-Gs/β1/γ2
21.95Consensusclass-b1_onOrthosteric Ligandglucagon_on vip-pacap_on pth_on crf_on calcitonin_on
21.88Single8IEDPubChem 1347468948IED-GPR156; GPR156-PubChem 134746894-Go/β1/γ2
21.88Single8YW4Retatrutide8YW4-GIP-Retatrutide-chim(NtGi1-Gs)/β1/γ2
21.88Single9EBOGLP-1 (ACPC18)9EBO-GLP-1-GLP-1 (ACPC18)-Gs/β1/γ2
21.74Single3ODUIT1t3ODU-CXCR4-IT1t
21.74Single4BWBNeurotensin-(8-12)4BWB-NTS1-Neurotensin-(8-12)
21.74Single4QINSAG1.54QIN-SMO-SAG1.5
21.74Single4S0VSuvorexant4S0V-OX2-Suvorexant
21.74Single6B73MP11046B73-κ-MP1104
21.74Single6D9HAdenosine6D9H-A1-Adenosine-Gi2/β1/γ2
21.74Single6ME2Ramelteon6ME2-MT1-Ramelteon
21.74Single6O3CSAG21k6O3C-SMO-SAG21k-Cholesterol
21.74Single6TPJSuvorexant6TPJ-OX2-Suvorexant
21.74Single7EJ0Norepinephrine7EJ0-α2a-Norepinephrine-Go/β1/γ2
21.74Single7M3ECa; Ca; Tryptophan; NPS-21437M3E-CaS; CaS-Ca; Ca; Tryptophan; NPS-2143
21.74Single7M3ECa; Ca; Tryptophan; NPS-21437M3E-CaS; CaS-Ca; Ca; Tryptophan; NPS-2143
21.74Single7T6STC-FPR 437T6S-FPR2-ALX-TC-FPR 43-Gi1/β1/γ2
21.74Single7TUZ7-alpha,25-dihydroxycholesterol7TUZ-GPR183-7-α,25-dihydroxycholesterol-Gi1/β1/γ2
21.74Single7VDLCortistatin-147VDL-MRGPRX2-Cortistatin-14-Gi1/β1/γ2
21.74Single7VV5C48/807VV5-MRGPRX2-C48/80-Gi1/β1/γ2
21.74Single7WF7S1P7WF7-S1P1-S1P-Gi1/β1/γ2
21.74Single7XJJGalanin7XJJ-GAL1-Galanin-Go/β1/γ2
21.74Single7YM8Oxymetazoline7YM8-Alpha1A-Oxymetazoline-chim(Gs-CtGq)
21.74Single8FYXBuspirone8FYX-5-HT1A-Buspirone-PtdIns4P-Gi1/β1/γ1
21.74Single8HOCImetit8HOC-H4-Imetit-Gi1/β1/γ2
21.74Single8U4PAMD31008U4P-CXCR4-AMD3100-Gi1/β1/γ2
21.74Single8WPGTryptophan; Cinacalcet; PO4; Ca8WPG-CaS; CaS-Tryptophan; Cinacalcet; PO4; Ca
21.74Single8XXVIndomethacin8XXV-DP2-Indomethacin-A1D5Q-Gi1/β1/γ2
21.74Single8Y0HVUF114188Y0H-CXCR3-VUF11418
21.74Single8Y0NVUF114188Y0N-CXCR3-VUF11418-Go/β1/γ2
21.74Single8YNAImmepip8YNA-H4-Immepip-Gi1/β1/γ2
21.74Single8YUVImmepip8YUV-H3-Immepip-Gi1/β1/γ2
21.74Single9EBHAdenosine9EBH-A3A-Adenosine-Gi1/β1/γ2
21.74Single9H2XPubChem 1756706449H2X-A2A-PubChem 175670644-Na
21.74Single9LKDPL459LKD-OR5V1-PL45
21.74Single9M88Oleic monoethanolamide9M88-GPR3 ; GPR3-Oleic monoethanolamide-AF64394
21.74Single9PXUNaloxone9PXU-μ-Naloxone-Na
21.74Consensushistamine_onOrthosteric Ligandh1_on h2_on h3_on h4_on
21.74Consensushistamine_on_gpOrthosteric Ligandh1_on_gp h2_on_gp h3_on_gp h4_on_gp
21.62Single7TZFAmylin7TZF-CT (AMY3)-Amylin-Gs/β1/γ2; RAMP3
21.43Single7D7MPGE27D7M-EP4-PGE2-Gs/β1/γ1
21.43Single7SK7CCX6627SK7-ACKR3-CXCL12-CCX662
21.43Single7U2KC6-guano7U2K-μ-C6-guano-Gi1/β1/γ2
21.43Single7VVNPTH7VVN-PTH1-PTH-Gs/β1/γ2
21.43Single7XZ6APD6687XZ6-GPR119-APD668-Gs/β1/γ2
21.43Single8IJDMK68928IJD-HCA2-MK6892-Gi1/β1/γ2
21.43Single8XWVCXCL18XWV-CXCR2-CXCL1-Go/β1/γ2
21.43Single8ZX4Lysophosphatidylinositol 8ZX4-GPR55-Lysophosphatidylinositol-chim(NtGi1-G13)/β1/γ2
21.43Single9J0BUDP-Glucose9J0B-P2Y14-UDP-Glucose-Gi1/β1/γ2
21.43Single9L79AR2314539L79-GPR119-AR231453-chim(NtGi1-Gs)/β1/γ2
21.43Consensusfp-alpha_onOrthosteric Ligand8IUK-FP-alpha-PGF2-α-chim(NtGi1-Gs-CtGq)/β1/γ2 8IUL-FP-alpha-Latanoprost-chim(NtGi1-Gs-CtGq)/β1/γ2 8IUM-FP-alpha-Tafluprost acid-chim(NtGi1-Gs-CtGq)/β1/γ2
21.43Consensusfp-alpha_on_gpOrthosteric Ligand8IUK-FP-alpha-PGF2-α-chim(NtGi1-Gs-CtGq)/β1/γ2 8IUL-FP-alpha-Latanoprost-chim(NtGi1-Gs-CtGq)/β1/γ2 8IUM-FP-alpha-Tafluprost acid-chim(NtGi1-Gs-CtGq)/β1/γ2
21.43Consensusgal2_onOrthosteric Ligand7WQ4-GAL2-Galanin-chim(NtGi1-Gs-CtGq)/β1/γ2 7XJL-GAL2-Spexin-chim(NtGi2L-Gs-CtGq)/β1/γ2
21.43Consensusgal2_on_gpOrthosteric Ligand7WQ4-GAL2-Galanin-chim(NtGi1-Gs-CtGq)/β1/γ2 7XJL-GAL2-Spexin-chim(NtGi2L-Gs-CtGq)/β1/γ2
21.21Single7QBIAlpha-factor mating pheromone7QBI-STE2; STE2-α-factor mating pheromone
21.21Single7Y35Abaloparatide7Y35-PTH1-Abaloparatide-Gs/β1/γ2
21.21Consensusvpac_onOrthosteric Ligandvpac1_on vpac2_on
21.05Single6WPWZP37806WPW-Glucagon-ZP3780-Gs/β1/γ2
21.05Single8JIRSAR4258998JIR-GLP-1-SAR425899-chim(NtGi1-Gs)/β1/γ2
21.05Single8WCBCyclohexylammonium Ion8WCB-TA1-Cyclohexylammonium Ion-chim(NtGi1-Gs-CtGq)/β1/γ2
21.05Consensuscrf_on_gpOrthosteric Ligandcrf2_on_gp crf1_on_gp
21.05Consensusglp1_on_gpOrthosteric Ligand7S1M-GLP-1-Exendin-4-D-Ala-Gs/β1/γ2 7X8R-GLP-1-BOC5-Gs/β1/γ2 6X19-GLP-1-CHU-128-Gs/β1/γ2 6X1A-GLP-1-Danuglipron-Gs/β1/γ2 6X18-GLP-1-GLP-1-Gs/β1/γ2 8JIP-GLP-1-MEDI0382-chim(NtGi1-Gs)/β1/γ2 7C2E-GLP-1-PubChem 149050799-Gs/β1/γ2 7KI0-GLP-1-Semaglutide-Gs/β1/γ2 7KI1-GLP-1-Taspoglutide-Gs/β1/γ2 7X8S-GLP-1-WB4-24-Gs/β1/γ2 8JIS-GLP-1-Peptide-15-chim(NtGi1-Gs)/β1/γ2 7VBI-GLP-1-Tirzepatide (non-acylated)-Gs/β1/γ2
21.05Consensuspth1_on_gpOrthosteric Ligand6NBF-PTH1-LA-PTH Analog-Gs/β1/γ2 8HA0-PTH1-PTH-chim(NtGi1-Gs)/β1/γ2 8HAF-PTH1-PTHrP(1-36)-chim(NtGi1-Gs)/β1/γ2 7Y36-PTH1-PTH-Gs/β1/γ2 7Y35-PTH1-Abaloparatide-Gs/β1/γ2
20.83Single6FK8PubChem 1324730356FK8-Rhodopsin-PubChem 132473035
20.83Single6IQLL7458706IQL-D4-L745870
20.83Single6PELCitronellol6PEL-Rhodopsin-Citronellol-Gt(CT)
20.83Single6PS82-Phenylmelatonin6PS8-MT1-2-Phenylmelatonin
20.83Single6TP3Nemorexant6TP3-OX1-Nemorexant
20.83Single6V9SGTPL114036V9S-OX1-GTPL11403
20.83Single6VI4JDTic6VI4-κ-JDTic
20.83Single6WH4Methiothepin6WH4-5-HT2A-Methiothepin
20.83Single6XBLSAG6XBL-SMO-SAG-Cholesterol-Gi1/β1/γ2
20.83Single6ZFZ77-LH-28-16ZFZ-M1-77-LH-28-1
20.83Single7T94Acetylcholine7T94-M2-Acetylcholine-LY2119620-chim(NtGi1-Go)/β1/γ2
20.83Single7TRSAcetylcholine7TRS-M4-Acetylcholine-Gi1/β1/γ2
20.83Single7VODCariprazine7VOD-5-HT2A-Cariprazine
20.83Single7VUGJNJ-635330547VUG-GPR139-JNJ-63533054-Gi1/β1/γ2
20.83Single7VV6C48/807VV6-MRGPRX2-C48/80
20.83Single7WVUfMLF7WVU-FPR1-ALX-fMLF-Gi1/β1/γ2
20.83Single7XXH2MeSADP7XXH-P2Y1-2MeSADP-chim(NtGi1-G11)/β1/γ2
20.83Single7YK6PubChem 1383196747YK6-RXFP4-PubChem 138319674-Gi2/β1/γ2
20.83Single7ZI0SAG7ZI0-SMO-SAG-Cholesterol
20.83Single8DPGPsilocin8DPG-5-HT2C-Psilocin-chim(NtGi2L-Gs-CtGq)/β1/γ2
20.83Single8K2WAMG4878K2W-CXCR3-AMG487
20.83Single8K4NPubChem 1687197658K4N-GPR34-PubChem 168719765-Gi1/β1/γ2
20.83Single8W8BSEP-3638568W8B-5-HT1A-SEP-363856-Gi1/β1/γ2
20.83Single8WPUTryptophan; Cinacalcet; PO4; Ca8WPU-CaS; CaS-Tryptophan; Cinacalcet; PO4; Ca-chim(NtGi2L-Gs-CtGq)/β1/γ2
20.83Single8Y01All-trans-Retinal8Y01-Opsin1MW-All-trans-Retinal-Gi1/β1/γ2
20.83Single8Y62C16:0 Ceramide8Y62-FPR2-ALX-C16:0 Ceramide-Gi1/β1/γ2
20.83Single8ZPNAMD31008ZPN-CXCR4-AMD3100
20.83Single9ASBCa; Ca; Cyclomethyltryptophan; R-568; PO49ASB-CaS; CaS-Ca-Ca; Ca; Cyclomethyltryptophan; R-568; PO4-chim(NtGi1-Gs-CtGq)/β1/γ2
20.83Single9AVGCa; Ca; Cyclomethyltryptophan; R-568; PO49AVG-CaS; CaS-Ca-Ca; Ca; Cyclomethyltryptophan; R-568; PO4-chim(NtGi1-Gs)/β1/γ2
20.83Single9JKYAcifran9JKY-HCA2-Acifran-Gi1/β1/γ2
20.83Single9K1DButyric acid9K1D-FFA2-Butyric acid-Gi1/β1/γ2
20.83Single9KPDSalicin9KPD-TAS2R16-Salicin-chim(Gs-CtGt3)/β1/γ2
20.83Single9KXSEP679KXS-C5a1-EP67-Go/β1/γ2
20.83Single9LKBPL459LKB-OR5V1-PL45-chim(NtGi1-Gs)/β1
20.83Single9LRDHistamine9LRD-H1-Histamine-Gi1/β1/γ2
20.83Single9VJG8-OH-DPAT9VJG-5-HT1A-8-OH-DPAT-chim(NtGi2-Gz)/β1/γ2
20.83Consensuscb1_offOrthosteric Ligand5U09-CB1-Taranabant 5TGZ-CB1-AM6538
20.83Consensuscxcr3_offOrthosteric Ligand8K2W-CXCR3-AMG487
20.83Consensusghrelin_offOrthosteric Ligand6KO5-Ghrelin-PubChem 57400002 7F83-Ghrelin-PF-05190457
20.83Consensusp2y1_on_gpOrthosteric Ligand7XXH-P2Y1-2MeSADP-chim(NtGi1-G11)/β1/γ2
20.69Single6KNMJN241-96KNM-Apelin-JN241-9
20.69Single6OMMWKYMVX6OMM-FPR2-ALX-WKYMVX-Gi1/β1/γ2
20.69Single7S8LCortistatin-147S8L-MRGPRX2-Cortistatin-14-chim(NtGi2L-Gs-CtGq)/β1/γ2
20.69Single8IUMTafluprost acid8IUM-FP-alpha-Tafluprost acid-chim(NtGi1-Gs-CtGq)/β1/γ2
20.69Single8SAILysophosphatidylserine (S12)8SAI-GPR34-Lysophosphatidylserine (S12)-Gi1/β1/γ2
20.69Single8Z74JN241-98Z74-Apelin; Apelin-JN241-9
20.69Single8Z74JN241-98Z74-Apelin; Apelin-JN241-9
20.69Single9JH6C20:0 Ceramide9JH6-CysLT2-C20:0 Ceramide-chim(NtGi1-Gs-CtGq)/β1/γ2
20.69Consensuskiss1_onOrthosteric Ligand8ZJD-Kiss1-Kisspeptin-1-chim(NtGi1-Gq)/β1/γ1
20.69Consensuskisspeptin_onOrthosteric Ligandkiss1_on
20.59Single6NBILA-PTH Analog6NBI-PTH1-LA-PTH Analog-Gs/β1/γ2
20.59Single6P9YPACAP276P9Y-PAC1-PACAP27-Gs/β1/γ2
20.59Single7QBIAlpha-factor mating pheromone7QBI-STE2; STE2-α-factor mating pheromone
20.59Single7RA3GIP7RA3-GIP-GIP-chim(NtGi1-Gs)/β1/γ2
20.59Consensusvpac_on_gpOrthosteric Ligandvpac1_on_gp vpac2_on_gp
20.51Consensusglucagon_onOrthosteric Ligandglp_on gluc_on secretin_on gip_on
20.00Single4X1HNonyl-Beta-D-Glucopyranoside4X1H-Rhodopsin-Nonyl-β-D-Glucopyranoside-Gt(CT)
20.00Single5DSGTiotropium5DSG-M4-Tiotropium
20.00Single5MZJTheophylline5MZJ-A2A-Theophylline-Na
20.00Single5T04Neurotensin-(8-13)5T04-NTS1-Neurotensin-(8-13)
20.00Single5TGZAM65385TGZ-CB1-AM6538
20.00Single6FK7PubChem 1324730346FK7-Rhodopsin-PubChem 132473034
20.00Single6FKDPubChem 1373491836FKD-Rhodopsin-PubChem 137349183
20.00Single6GPSMK08126GPS-CCR2-MK0812
20.00Single6Z10PubChem 1545855546Z10-Succinate-PubChem 154585554
20.00Single7AD3Alpha-factor mating pheromone7AD3-STE2; STE2-α-factor mating pheromone-Gi1/STE4/γ2
20.00Single7DB6Ramelteon7DB6-MT1-Ramelteon-Gi1/β1/γ2
20.00Single7DTYGIP7DTY-GIP-GIP-Gs/β1/γ2
20.00Single7FIYTirzepatide7FIY-GIP-Tirzepatide-Gs/β1/γ2
20.00Single7LCKDanuglipron7LCK-GLP-1-Danuglipron
20.00Single7M3JNPS-2143; PO47M3J-CaS; CaS-NPS-2143; PO4
20.00Single7PP1Selatogrel7PP1-P2Y12-Selatogrel
20.00Single7QA8Antagonist Peptide7QA8-STE2; STE2-Antagonist Peptide
20.00Single7QA8Antagonist Peptide7QA8-STE2; STE2-Antagonist Peptide
20.00Single7QBCAlpha-factor mating pheromone7QBC-STE2; STE2-α-factor mating pheromone
20.00Single7S15PubChem 1346112237S15-GLP-1-PubChem 134611223
20.00Single7T6UCGEN-855A7T6U-FPR2-ALX-CGEN-855A-Gi1/β1/γ2
20.00Single7TYFAmylin7TYF-CT (AMY1)-Amylin-Gs/β1/γ2; RAMP1
20.00Single7V68LY21196207V68-M4-Iperoxo-LY2119620-Gi1/β1/γ2
20.00Single7VH0Ramelteon7VH0-MT2-Ramelteon-Gi1/β1/γ1
20.00Single7VLACCL15(27-92)7VLA-CCR1-CCL15(27-92)-Gi1/β1/γ2
20.00Single7VQXPACAP277VQX-VPAC1-PACAP27-Gs/β1/γ2
20.00Single7W56Neuromedin-S7W56-NMUR1-Neuromedin-S-chim(NtGi1-Gs-CtGq)/β1/γ2
20.00Single7XKEDehydroepiandrosterone7XKE-ADGRG2-Dehydroepiandrosterone-chim(NtGi1-Gs)/β1/γ2
20.00Single7YK7DC5910537YK7-RXFP4-DC591053-Gi2/β1/γ2
20.00Single7YXAONO-54306087YXA-S1P5-ONO-5430608
20.00Single8FU6ZP37808FU6-Glucagon-ZP3780-Gs/β1/γ2
20.00Single8IEBPubChem 1347468948IEB-GPR156; GPR156-PubChem 134746894
20.00Single8IEIPubChem 1347468948IEI-GPR156; GPR156-PubChem 134746894
20.00Single8IEIPubChem 1347468948IEI-GPR156; GPR156-PubChem 134746894
20.00Single8IEPPubChem 1347468948IEP-GPR156; GPR156-PubChem 134746894
20.00Single8IEPPubChem 1347468948IEP-GPR156; GPR156-PubChem 134746894
20.00Single8KEXDCA-3P8KEX-MRGPRX4-DCA-3P
20.00Single8KIGSHU91198KIG-MC3-SHU9119-Ca
20.00Single8PWNTheophylline8PWN-A2A-Theophylline
20.00Single8XBGS3E-Lysophosphatidylserine 8XBG-GPR34-S3E-Lysophosphatidylserine
20.00Single8ZJDKisspeptin-18ZJD-Kiss1-Kisspeptin-1-chim(NtGi1-Gq)/β1/γ1
20.00Single8ZQEGPR15L(CT)8ZQE-GPR15-GPR15L(CT)-Gi1/β1/γ1
20.00Single8ZYYNeurotensin-(8-13)8ZYY-NTS1-Neurotensin-(8-13)-SBI-553-Arrestin2
20.00Single9BQJRO769BQJ-μ-RO76-Gi1/β1/γ2
20.00Single9DYFAsenapine9DYF-5-HT1A-Asenapine-PtdIns4P-Gi1/β1/γ2
20.00Single9EPP11,20-Ethanoretinal9EPP-Rhodopsin-11,20-Ethanoretinal-chim(Gi1-CtGq)/β1/γ2
20.00Single9IV25alpha-DHT9IV2-ADGRD1-5α-DHT-chim(NtGi1-Gs)/β1/γ2
20.00Single9J0IUDP-Glucuronic acid9J0I-P2Y14-UDP-Glucuronic acid-Gi1/β1/γ2
20.00Single9JGKBalovaptan9JGK-5-HT2B-Balovaptan
20.00Single9METGp120; CD49MET-CXCR4-Gp120; CD4
20.00Single9UYLChemerin-99UYL-CML2-Chemerin-9-Arrestin2
20.00Consensusccr1_onOrthosteric Ligand7VLA-CCR1-CCL15(27-92)-Gi1/β1/γ2
20.00Consensusccr1_on_gpOrthosteric Ligand7VLA-CCR1-CCL15(27-92)-Gi1/β1/γ2
20.00Consensusccr2_offOrthosteric Ligand6GPS-CCR2-MK0812
20.00Consensusclass-b1_on_gpOrthosteric Ligandglucagon_on_gp vip-pacap_on_gp pth_on_gp crf_on_gp calcitonin_on_gp
20.00Consensusgq_kisspeptinOrthosteric Ligand8ZJD-Kiss1-Kisspeptin-1-chim(NtGi1-Gq)/β1/γ1
20.00Consensuskiss1_on_gpOrthosteric Ligand8ZJD-Kiss1-Kisspeptin-1-chim(NtGi1-Gq)/β1/γ1
20.00Consensuskisspeptin_on_gpOrthosteric Ligandkiss1_on_gp
20.00Consensusm4_offOrthosteric Ligand5DSG-M4-Tiotropium
20.00Consensusmuscarinic_onOrthosteric Ligandm2_on m3_on m4_on m1_on
20.00Consensusmuscarinic_on_gpOrthosteric Ligandm2_on_gp m3_on_gp m4_on_gp m1_on_gp
19.44Single6LMLGlucagon6LML-Glucagon-Glucagon-Gi1/β1/γ1
19.44Single6WZGSecretin6WZG-Secretin-Secretin-Gs/β1/γ2
19.44Single7QBCAlpha-factor mating pheromone7QBC-STE2; STE2-α-factor mating pheromone
19.44Single7VVJPTHrP(1-36)7VVJ-PTH1-PTHrP(1-36)-Gs/β1/γ2
19.44Single7VVLPTH7VVL-PTH1-PTH-Gs/β1/γ2
19.44Single8F0KPramlintide Analogue San3858F0K-CT (AMY3)-Pramlintide Analogue San385-Gs/β1/γ2; RAMP3
19.35Single9JFK(Pen5)-Urotensin II9JFK-UT-(Pen5)-Urotensin II-chim(NtGi2L-Gs-CtGq)/β1/γ2
19.23Single4NTJAZD12834NTJ-P2Y12-AZD1283
19.23Single5T1ABMS-6815T1A-CCR2-BMS-681-PubChem 12093170
19.23Single6GPXMK08126GPX-CCR2-MK0812
19.23Single6LUQHaloperidol6LUQ-D2-Haloperidol
19.23Single6OIKIperoxo6OIK-M2-Iperoxo-LY2119620-chim(NtGi1-Go)/β1/γ2
19.23Single7M3JNPS-2143; PO47M3J-CaS; CaS-NPS-2143; PO4
19.23Single7VV0PAMP-127VV0-MRGPRX2-PAMP-12
19.23Single7VV4Cortistatin-147VV4-MRGPRX2-Cortistatin-14
19.23Single8GD9Rivenprost8GD9-EP4-Rivenprost-Gs/β1/γ2
19.23Single8IZ4Lysophosphatidylserine (TJR)8IZ4-GPR34-Lysophosphatidylserine (TJR)-Gi1/β1/γ2
19.23Single8SZGCa; Ca; Tryptophan; Cinacalcet; PO4; Spermine8SZG-CaS; CaS-Ca; Ca; Tryptophan; Cinacalcet; PO4; Spermine-chim(NtGi1-Gq)/β1/γ2
19.23Single8TH4AT118-L Nanobody8TH4-AT1-Losartan-AT118-L Nanobody
19.23Single8YH0NECA8YH0-A3A-NECA-Gi1/β1/γ2
19.23Single8YNSSNAP-948478YNS-MCH1-SNAP-94847
19.23Single8ZMFPubChem 1719206738ZMF-5-HT2C-PubChem 171920673
19.23Single8ZRKGSK12922638ZRK-GPR119-GSK1292263-Gs/β1/γ2
19.23Single9AVLCa; Ca; Cyclomethyltryptophan; R-568; PO49AVL-CaS; CaS-Ca-Ca; Ca; Cyclomethyltryptophan; R-568; PO4-Gi3/β2/γ2
19.23Single9GE2ML1849GE2-GPR55-ML184-chim(NtGi1-G13)/β1/γ2
19.23Single9HAPTolvaptan9HAP-V2-Tolvaptan
19.23Single9JKSPubChem 442501769JKS-HCA3-PubChem 44250176-Gi1/β1/γ2
19.23Single9KPFSalicin9KPF-TAS2R16-Salicin-Gi1/β1/γ2
19.23Consensusblt1_offOrthosteric Ligand5X33-BLT1-BIIL260 7K15-BLT1-MKD046-Na
19.23Consensusblt_offOrthosteric Ligandblt1_off
19.23Consensuscyslt_offOrthosteric Ligandcyslt2_off cyslt1_off
19.23Consensusrxfp4_onOrthosteric Ligand7YK7-RXFP4-DC591053-Gi2/β1/γ2 7YJ4-RXFP4-INSL5-Gi2/β1/γ2 7YK6-RXFP4-PubChem 138319674-Gi2/β1/γ2
19.23Consensusrxfp4_on_gpOrthosteric Ligand7YK7-RXFP4-DC591053-Gi2/β1/γ2 7YJ4-RXFP4-INSL5-Gi2/β1/γ2 7YK6-RXFP4-PubChem 138319674-Gi2/β1/γ2
19.05Single3RFMCaffeine3RFM-A2A-Caffeine
19.05Single6OT025(S)-Epoxycholesterol6OT0-SMO-25(S)-Epoxycholesterol-Gi1/β1/γ2
19.05Single6OY9All-trans-Retinal6OY9-Rhodopsin-All-trans-Retinal-Gt/β1/γ1
19.05Single7DD5Ca; Ca; Tryptophan; NPS-21437DD5-CaS; CaS-Ca-Ca; Ca; Tryptophan; NPS-2143
19.05Single8DPHLorcaserin8DPH-5-HT2C-Lorcaserin-chim(NtGi2L-Gs-CtGq)/β1/γ2
19.05Single8GEIConstrained Epinephrine8GEI-β2-Constrained Epinephrine-Gs/β1/γ2
19.05Single8IWM2-Phenylethylamine8IWM-TAA9-2-Phenylethylamine
19.05Single8WC5Tetramethylammonium Ion8WC5-TA1-Tetramethylammonium Ion-chim(NtGi1-Gs)/β1/γ2
19.05Single8XOFLys058XOF-GPR30-Lys05-chim(NtGi1-Gs-CtGq)/β1/γ2
19.05Single8Z8ALactate8Z8A-HCA1-Lactate-Gi1/β1/γ2
19.05Single9EE9Adenosine9EE9-A2A-Adenosine-Gs/β1/γ2
19.05Consensusp2y_offOrthosteric Ligandp2y1_off
19.05Consensuspth2_on_gpOrthosteric Ligand7F16-PTH2-TIP39-Gs/β1/γ2
18.92Single7RBTTirzepatide7RBT-GIP-Tirzepatide-LSN3556672-chim(NtGi1-Gs)/β1/γ2
18.75Single8XZGApelin-138XZG-Apelin; Apelin-Apelin-13-Gi1/β1/γ2
18.75Single8YFOAc-LA-PTH Analog8YFO-PTH1-Ac-LA-PTH Analog-chim(NtGi1-Gs)/β1/γ2
18.75Single9B5YLA-PTH Analog9B5Y-PTH1-LA-PTH Analog-chim(NtGi1-Gq)/β1/γ2
18.75Consensusclass-b1_class-b2_cons_onOrthosteric Ligandclass-b1_on class-b2_on
18.75Consensusclass-b1_class-b2_cons_on_gpOrthosteric Ligandclass-b1_on_gp class-b2_on_gp
18.60Single8F0JPramlintide Analogue San458F0J-CT-Pramlintide Analogue San45-Gs/β1/γ2
18.52Single5V54Methiothepin5V54-5-HT1B-Methiothepin
18.52Single6KO5PubChem 574000026KO5-Ghrelin-PubChem 57400002
18.52Single6OIJIperoxo6OIJ-M1-Iperoxo-chim(NtGi1L-G11)/β1/γ2
18.52Single7EW4CYM-55417EW4-S1P3-CYM-5541-Gi1/β1/γ2
18.52Single7F1TCCL37F1T-CCR5-CCL3
18.52Single7S8MCortistatin-147S8M-MRGPRX2-Cortistatin-14-Gi1/β1/γ2
18.52Single8WJXADP8WJX-P2Y1-ADP-chim(Gs-CtGq)/β1/γ2
18.52Single8XBIPubChem 1626566368XBI-GPR34-PubChem 162656636
18.52Single8XJMLatanoprost8XJM-FP-alpha-Latanoprost-chim(NtGi2-Gs-CtGq)/β1/γ2
18.52Single8ZR5Firuglipel8ZR5-GPR119-Firuglipel-Gs/β1/γ2
18.52Single9AS9RS130-1809AS9-5-HT2A-RS130-180
18.52Single9ASARS130-1809ASA-5-HT2A-RS130-180-chim(NtGi1-Gs-CtGq)/β1/γ2
18.52Single9AYFCa; Ca; Ca; Cyclomethyltryptophan; R-568; PO49AYF-CaS; CaS-Ca-Ca; Ca; Ca; Cyclomethyltryptophan; R-568; PO4-Gi1/β1/γ2
18.52Single9UCPIperoxo9UCP-M1-Iperoxo-G11(CT)
18.52Consensus5ht1_offOrthosteric Ligand5ht1b_off
18.52Consensus5ht1b_offOrthosteric Ligand5V54-5-HT1B-Methiothepin
18.52Consensusffa_onOrthosteric Ligandffa2_on ffa3_on
18.52Consensusffa_on_gpOrthosteric Ligandffa2_on_gp ffa3_on_gp
18.52Consensusgi_ffaOrthosteric Ligand8J21-FFA3-Butyric acid-Gi1/β1/γ2 8J22-FFA2-TUG-1375-Gi1/β1/γ2
18.52Consensush4_on_gpOrthosteric Ligand8HN8-H4-Histamine-Gi1/β1/γ2 8HOC-H4-Imetit-Gi1/β1/γ2 8JXV-H4-Clozapine-Gi1/β1/γ2 8JXW-H4-VUF6884-Gi1/β1/γ2 8JXX-H4-Clobenpropit-Gi1/β1/γ2
18.52Consensusm1_on_gpOrthosteric Ligand6OIJ-M1-Iperoxo-chim(NtGi1L-G11)/β1/γ2
18.42Single7VBHPeptide-207VBH-GLP-1-Peptide-20-Gs/β1/γ2
18.42Consensusglp1_onOrthosteric Ligand7S1M-GLP-1-Exendin-4-D-Ala-Gs/β1/γ2 7X8R-GLP-1-BOC5-Gs/β1/γ2 6X19-GLP-1-CHU-128-Gs/β1/γ2 6X1A-GLP-1-Danuglipron-Gs/β1/γ2 6X18-GLP-1-GLP-1-Gs/β1/γ2 8JIP-GLP-1-MEDI0382-chim(NtGi1-Gs)/β1/γ2 7C2E-GLP-1-PubChem 149050799-Gs/β1/γ2 7KI0-GLP-1-Semaglutide-Gs/β1/γ2 7KI1-GLP-1-Taspoglutide-Gs/β1/γ2 7X8S-GLP-1-WB4-24-Gs/β1/γ2 8JIS-GLP-1-Peptide-15-chim(NtGi1-Gs)/β1/γ2 7VBI-GLP-1-Tirzepatide (non-acylated)-Gs/β1/γ2
18.18Single3UZAGTPL92363UZA-A2A-GTPL9236
18.18Single5WKTOctyl-Beta-D-Glucopyranoside5WKT-Rhodopsin-Octyl-β-D-Glucopyranoside-Gt(CT)
18.18Single6FK9PubChem 1324730366FK9-Rhodopsin-PubChem 132473036
18.18Single6ME5Agomelatine6ME5-MT1-Agomelatine
18.18Single6WIVPubChem 52923113; PubChem 529246456WIV-GABAB1, GABAB2-PubChem 52923113; PubChem 52924645
18.18Single7DD7Ca; Ca; Tryptophan; Evocalcet7DD7-CaS; CaS-Ca-Ca; Ca; Tryptophan; Evocalcet
18.18Single7F23Dopamine7F23-D1-Dopamine-GDP-Gs/β1/γ2
18.18Single7MT8All-trans-Retinal7MT8-Rhodopsin-All-trans-Retinal-GRK1
18.18Single8F2BPramlintide Analogue San458F2B-CT (AMY3)-Pramlintide Analogue San45-Gs/β1/γ2; RAMP3
18.18Single8HA0PTH8HA0-PTH1-PTH-chim(NtGi1-Gs)/β1/γ2
18.18Single8IEDPubChem 1347468948IED-GPR156; GPR156-PubChem 134746894-Go/β1/γ2
18.18Single8IW72-Phenylethylamine8IW7-TAA9-2-Phenylethylamine-chim(NtGi1-Gs)/β1/γ2
18.18Single8J21Butyric acid8J21-FFA3-Butyric acid-Gi1/β1/γ2
18.18Single8J6QBeta-Hydroxybutyrate8J6Q-HCA2-β-Hydroxybutyrate-PubChem 25101223-Gi1/β1/γ2
18.18Single8RQLFlufenamic acid8RQL-TAS2R14-Flufenamic acid-Flufenamic acid-chim(NtGi1-Gt3)/β1/γ2
18.18Single8Y63C20:0 Ceramide8Y63-FPR2-ALX-C20:0 Ceramide-Gi1/β1/γ2
18.18Single8YN9Histamine8YN9-H4-Histamine-Gi1/β1/γ2
18.18Single8YUUHistamine8YUU-H3-Histamine-Gi1/β1/γ1
18.18Single8YW5Retatrutide8YW5-Glucagon-Retatrutide-Gs/β1/γ2
18.18Single9IV15alpha-DHT9IV1-ADGRD1-5α-DHT-chim(NtGi1-Gs)/β1/γ2
18.18Single9JKT(2R)-2-hydroxy-3-phenylpropanoic acid9JKT-HCA3-(2R)-2-hydroxy-3-phenylpropanoic acid-Gi1/β1/γ2
18.18Single9LRCHistamine9LRC-H4-Histamine
18.18Single9LREHistamine9LRE-H4-Histamine-Gi1/β1/γ2
18.18Consensusffa3_onOrthosteric Ligand8J21-FFA3-Butyric acid-Gi1/β1/γ2
18.18Consensusffa3_on_gpOrthosteric Ligand8J21-FFA3-Butyric acid-Gi1/β1/γ2
18.18Consensush3_onOrthosteric Ligand8YUU-H3-Histamine-Gi1/β1/γ1
18.18Consensush3_on_gpOrthosteric Ligand8YUU-H3-Histamine-Gi1/β1/γ1
17.95Single7V35Peptide-207V35-Glucagon-Peptide-20-Gs/β1/γ2
17.95Single8JIPMEDI03828JIP-GLP-1-MEDI0382-chim(NtGi1-Gs)/β1/γ2
17.86Single4OR2FITM4OR2-mGlu1; mGlu1-FITM
17.86Single4PXZ2MeSADP4PXZ-P2Y12-2MeSADP
17.86Single5TZYMK8666; AP85TZY-FFA1-MK8666; AP8
17.86Single5X33BIIL2605X33-BLT1-BIIL260
17.86Single7WCMMBX-29827WCM-GPR119-MBX-2982-Gs/β1/γ2
17.86Single8GCPPGE28GCP-EP4-PGE2-Gi1/β1/γ2
17.86Single8JD3JNJ-404118138JD3-mGlu2; mGlu3-Glutamate-JNJ-40411813-Gi1/β1/γ2
17.86Single8JJPChemerin-98JJP-CML2-Chemerin-9-Gi1/β1/γ2
17.86Single8VHFMBX-29828VHF-GPR119-MBX-2982-Gs/β1/γ2
17.86Single8WRBLysophosphatidylserine (UBL)8WRB-GPR34-Lysophosphatidylserine (UBL)-Gi1/β1/γ2
17.86Single8XQSCholesterol8XQS-TAS2R14-Cholesterol-Flufenamic acid-Gi1/β1/γ1
17.86Single8Y6WTUG-13758Y6W-FFA2-TUG-1375-4-CMTB-Gi1/β1/γ2
17.86Single9BJKPubChem 1716420669BJK-μ-Naloxone-PubChem 171642066
17.86Single9GGGI-BOP9GGG-TXA2-I-BOP-chim(NtGi2L-Gs-CtGq)/β1/γ2
17.65Single8YG4LA-PTH Analog8YG4-PTH1-LA-PTH Analog-chim(NtGi1-Gs)/β1/γ2
17.65Consensuscalcitonin_onOrthosteric Ligandctlike_on
17.50Single7TYOCalcitonin7TYO-CT-Calcitonin-Gs/β1/γ2
17.50Consensuspth2_onOrthosteric Ligand7F16-PTH2-TIP39-Gs/β1/γ2
17.39Single6FK6PubChem 1324730336FK6-Rhodopsin-PubChem 132473033
17.39Single6HLLCP999946HLL-NK1-CP99994
17.39Single6I9K9-cis-Retinal6I9K-Rhodopsin-9-cis-Retinal
17.39Single6LI0C176LI0-GPR52-C17
17.39Single6PH7Nerol6PH7-Rhodopsin-Nerol-Gt(CT)
17.39Single6QNOAll-trans-Retinal6QNO-Rhodopsin-All-trans-Retinal-Gi1/β1/γ1
17.39Single6TQ4PubChem 160468446TQ4-OX1-PubChem 16046844-Na
17.39Single7D76Beclomethasone7D76-ADGRG3-Beclomethasone-Go/β1/γ2
17.39Single7DD5Ca; Ca; Tryptophan; NPS-21437DD5-CaS; CaS-Ca-Ca; Ca; Tryptophan; NPS-2143
17.39Single7DD7Ca; Ca; Tryptophan; Evocalcet7DD7-CaS; CaS-Ca-Ca; Ca; Tryptophan; Evocalcet
17.39Single7YFDImetit7YFD-H4-Imetit-chim(NtGi1-Gs-CtGq)/β1/γ2
17.39Single8HN8Histamine8HN8-H4-Histamine-Gi1/β1/γ2
17.39Single8JPNCis-Epoxysuccinic acid8JPN-Succinate-Cis-Epoxysuccinic acid-Gi1/β1/γ1
17.39Single8WP1Cis-Epoxysuccinic acid8WP1-Succinate-Cis-Epoxysuccinic acid-Gi1/β1/γ2
17.39Single8YKWSuccinic acid8YKW-Succinate-Succinic acid-Gi1/β1/γ1
17.39Single8ZYUNeurotensin-(8-13)8ZYU-NTS1-Neurotensin-(8-13)-SBI-553-Arrestin2
17.39Single9JEDHistamine9JED-H4-Histamine-PO4-Gi1/β1/γ2
17.39Single9JEQHistamine9JEQ-H3-Histamine-Gi1/β1/γ2
17.39Single9L42Histamine9L42-H4-Histamine-Gi1/β1/γ2
17.39Single9M88Oleic monoethanolamide9M88-GPR3 ; GPR3-Oleic monoethanolamide-AF64394
17.24Single4OR2FITM4OR2-mGlu1; mGlu1-FITM
17.24Single6K1QIRL25006K1Q-ETB-IRL2500
17.24Single6M1HMaxadilan6M1H-PAC1-Maxadilan-Gs/β1/γ2
17.24Single8XJKCloprosetnol8XJK-FP-alpha-Cloprosetnol-chim(NtGi1-Gs-CtGq)/β1/γ2
17.24Single8XVJMacitentan8XVJ-ETA-Macitentan
17.24Single9C0KExendin-49C0K-GLP-1-Exendin-4-Gs/β1/γ2
17.24Single9GG5U466199GG5-TXA2-U46619-chim(NtGi2L-Gs-CtGq)/β1/γ2
17.24Single9JH5C16:0 Ceramide9JH5-CysLT2-C16:0 Ceramide-chim(NtGi1-Gs-CtGq)/β1/γ2
17.24Single9M1HPGE29M1H-EP1-PGE2-chim(NtGi1-Gs-CtGq)/β1/γ2
17.14Single7CZ5Somatoliberin7CZ5-GHRH-Somatoliberin-Gs/β1/γ2
17.14Single7D3SSecretin7D3S-Secretin-Secretin-Gs/β1/γ2
17.14Single8FLRPTHrP(1-36)8FLR-PTH1-PTHrP(1-36)-Gs/β1/γ2
17.14Single9BP3Cagrilintide9BP3-CT (AMY1)-Cagrilintide-Gs/β1/γ2; RAMP1
17.14Consensuscalcitonin_on_gpOrthosteric Ligandctlike_on_gp
17.14Consensussecretin_onOrthosteric Ligand7D3S-Secretin-Secretin-Gs/β1/γ2
17.14Consensusvpac1_on_gpOrthosteric Ligand8E3Z-VPAC1-VIP-Gs/β1/γ2
17.07Single6E3YCalcitonin gene-related peptide-16E3Y-CT Like-Calcitonin gene-related peptide-1-Gs/β1/γ2; RAMP1
16.67Single2PED9-cis-Retinal2PED-Rhodopsin-9-cis-Retinal
16.67Single5NX2GLP-1 (Truncated)5NX2-GLP-1-GLP-1 (Truncated)
16.67Single5U09Taranabant5U09-CB1-Taranabant
16.67Single6FKBPubChem 1324730386FKB-Rhodopsin-PubChem 132473038
16.67Single6ME9Ramelteon6ME9-MT2-Ramelteon
16.67Single6OYAAll-trans-Retinal6OYA-Rhodopsin-All-trans-Retinal-Gt/β1/γ1
16.67Single6RNKNF-56-EJ406RNK-Succinate-NF-56-EJ40
16.67Single6RZ6ONO-25703666RZ6-CysLT2-ONO-2570366
16.67Single6TQ6PubChem 1457142836TQ6-OX1-PubChem 145714283
16.67Single6WWZCCL206WWZ-CCR6-CCL20-Go/β1/γ2
16.67Single6ZA8RTI-3a6ZA8-NTS1-RTI-3a
16.67Single7M3FCa; Ca; Tryptophan; Cinacalcet7M3F-CaS; CaS-Ca; Ca; Tryptophan; Cinacalcet
16.67Single7T8XAcetylcholine7T8X-M2-Acetylcholine-chim(NtGi1-Go)/β1/γ2
16.67Single7T90Acetylcholine7T90-M2-Acetylcholine-chim(NtGi1-Go)/β1/γ2
16.67Single7T96Acetylcholine7T96-M2-Acetylcholine-LY2119620-Go/β1/γ2
16.67Single7TYNCalcitonin-17TYN-CT-Calcitonin-1-Gs/β1/γ2
16.67Single7W0OElabela7W0O-Apelin-Elabela-Gi1/β1/γ2
16.67Single8GDAL9026888GDA-EP4-L902688-Gs/β1/γ2
16.67Single8HMPC178HMP-GPR52-C17-Gs/β1/γ2
16.67Single8IQ4Carboprost8IQ4-FP-alpha-Carboprost-chim(NtGi1-Gs-CtGq)/β1/γ2
16.67Single8IW4Spermidine8IW4-TAA9-Spermidine-chim(NtGi1-Gs)/β1/γ2
16.67Single8IWESpermidine8IWE-TAA9-Spermidine
16.67Single8J20Valeric acid8J20-FFA3-Valeric acid-AR420626-Gi1/β1/γ2
16.67Single8JPPSuccinic acid8JPP-Succinate-Succinic acid-chim(Gs-CtGq)/β1/γ1
16.67Single8T3SButyric acid8T3S-FFA2-Butyric acid-chim(NtGi2L-Gs-CtGq)/β1/γ2
16.67Single8WOGSuccinic acid8WOG-Succinate-Succinic acid-Gi1/β1/γ2
16.67Single8XXXCXCL68XXX-CXCR2-CXCL6-Go/β1/γ2
16.67Single8YKXMaleic acid8YKX-Succinate-Maleic acid-Gi1/β1/γ1
16.67Single8YNFCXCL88YNF-ACKR1-CXCL8
16.67Single9AVLCa; Ca; Cyclomethyltryptophan; R-568; PO49AVL-CaS; CaS-Ca-Ca; Ca; Cyclomethyltryptophan; R-568; PO4-Gi3/β2/γ2
16.67Single9BUCCagrilintide9BUC-CT-Cagrilintide-Gs/β1/γ2
16.67Single9C2FCa; Ca; Tryptophan; '54149; PO49C2F-CaS; CaS-Ca-Ca; Ca; Tryptophan; '54149; PO4
16.67Single9JF4PD1683689JF4-BB1-PD168368
16.67Single9K6LSalicin9K6L-TAS2R16-Salicin-Gi2/β1/γ2
16.67Single9KPESalicin9KPE-TAS2R16-Salicin-Gi1/β1/γ2
16.67Single9W49U-50488H9W49-κ-U-50488H-Gi1/β1/γ2
16.67Consensusccr6_onOrthosteric Ligand6WWZ-CCR6-CCL20-Go/β1/γ2
16.67Consensusccr6_on_gpOrthosteric Ligand6WWZ-CCR6-CCL20-Go/β1/γ2
16.67Consensuscrf_onOrthosteric Ligandcrf2_on crf1_on
16.67Consensusgi_succinateOrthosteric Ligand8YKW-Succinate-Succinic acid-Gi1/β1/γ1 8YKX-Succinate-Maleic acid-Gi1/β1/γ1
16.67Consensusm2_onOrthosteric Ligand7T8X-M2-Acetylcholine-chim(NtGi1-Go)/β1/γ2
16.67Consensusm2_on_gpOrthosteric Ligand7T8X-M2-Acetylcholine-chim(NtGi1-Go)/β1/γ2
16.67Consensusp2y1_onOrthosteric Ligand7XXH-P2Y1-2MeSADP-chim(NtGi1-G11)/β1/γ2
16.67Consensusrhodopsin_on_gpOrthosteric Ligand6OYA-Rhodopsin-All-trans-Retinal-Gt/β1/γ1
16.67Consensussecretin_on_gpOrthosteric Ligand7D3S-Secretin-Secretin-Gs/β1/γ2
16.67Consensussuccinate_onOrthosteric Ligand8YKW-Succinate-Succinic acid-Gi1/β1/γ1 8YKX-Succinate-Maleic acid-Gi1/β1/γ1
16.67Consensussuccinate_on_gpOrthosteric Ligand8YKW-Succinate-Succinic acid-Gi1/β1/γ1 8YKX-Succinate-Maleic acid-Gi1/β1/γ1
16.22Single6LMKGlucagon6LMK-Glucagon-Glucagon-Gs/β1/γ2
16.22Single7TYLAmylin7TYL-CT-Amylin-Gs/β1/γ2
16.22Single8FLTM-PTH(1-14)8FLT-PTH1-M-PTH(1-14)-Gs/β1/γ2
16.22Single9BQ3Cagrilintide9BQ3-CT (AMY2)-Cagrilintide-Gs/β1/γ2; RAMP2
16.22Consensusvpac2_onOrthosteric Ligand7VQX-VPAC1-PACAP27-Gs/β1/γ2
16.22Consensusvpac2_on_gpOrthosteric Ligand7VQX-VPAC1-PACAP27-Gs/β1/γ2
16.13Single6X19CHU-1286X19-GLP-1-CHU-128-Gs/β1/γ2
16.13Single7RTBPeptide-197RTB-GLP-1-Peptide-19-Gs/β1/γ2
16.13Single8DWGBAM8-228DWG-MRGPRX1-BAM8-22-ML382-chim(NtGi2L-Gs-CtGq)/β1/γ2
16.13Single8YWFRetatrutide8YWF-GLP-1-Retatrutide-chim(NtGi1-Gs)/β1/γ2
16.00Single1F8811-cis-Retinal1F88-Rhodopsin-11-cis-Retinal
16.00Single6FKAPubChem 1324730376FKA-Rhodopsin-PubChem 132473037
16.00Single6TPKRetosiban6TPK-OT-Retosiban
16.00Single6ZG9GSK10347026ZG9-M1-GSK1034702
16.00Single7C2EPubChem 1490507997C2E-GLP-1-PubChem 149050799-Gs/β1/γ2
16.00Single8FCZ11-cis-Retinal8FCZ-Rhodopsin-11-cis-Retinal
16.00Single8HQN9-S-HODE8HQN-GPR132-9-S-HODE-Gi1/β1/γ2
16.00Single8K4SDCA-3P8K4S-MRGPRX4-DCA-3P-chim(NtGi1L-Gs-CtGq)/β1/γ2
16.00Single8PM2DMCHA8PM2-TA7-DMCHA-Gs/β1/γ2
16.00Single8WPGTryptophan; Cinacalcet; PO4; Ca8WPG-CaS; CaS-Tryptophan; Cinacalcet; PO4; Ca
16.00Single8YKVPubChem 1375531688YKV-Succinate-PubChem 137553168-Gi1/β1/γ2
16.00Single8YRGFospropofol8YRG-MRGPRX4-Fospropofol-chim(NtGi1-Gs-CtGq)/β1/γ2
16.00Single9ASBCa; Ca; Cyclomethyltryptophan; R-568; PO49ASB-CaS; CaS-Ca-Ca; Ca; Cyclomethyltryptophan; R-568; PO4-chim(NtGi1-Gs-CtGq)/β1/γ2
16.00Single9AXFCa; Ca; Ca; Cyclomethyltryptophan; R-568; PO49AXF-CaS; CaS-Ca-Ca; Ca; Ca; Cyclomethyltryptophan; R-568; PO4-chim(NtGi1-Gs-CtGq)/β1/γ2
16.00Single9DQJEP-39459DQJ-MRGPRD-EP-3945-chim(NtGi1-Gs-CtGq)/β1/γ2
16.00Single9PY2Loperamide9PY2-μ-Loperamide-GDPβS-Gi1/β1/γ2
16.00Single9U80Conivaptan9U80-V2-Conivaptan
16.00Consensusopsins_offOrthosteric Ligandrhodopsin_off
16.00Consensusot_offOrthosteric Ligand6TPK-OT-Retosiban
16.00Consensussensory_offOrthosteric Ligandopsins_off
16.00Consensusvasop-oxy_offOrthosteric Ligandot_off
15.79Single6PB0Urocortin6PB0-CRF1-Urocortin-chim(NtGi1-Gs)/β1/γ2
15.79Single7TYXAmylin7TYX-CT (AMY2)-Amylin-Gs/β1/γ2; RAMP2
15.79Consensuscrf1_onOrthosteric Ligand6PB0-CRF1-Urocortin-chim(NtGi1-Gs)/β1/γ2 6P9X-CRF1-Corticoliberin-1-Gs/β1/γ2
15.79Consensusgip_onOrthosteric Ligand7FIN-GIP-Peptide-20; GGL-Gs/β1/γ2 7FIY-GIP-Tirzepatide-Gs/β1/γ2 7DTY-GIP-GIP-Gs/β1/γ2
15.79Consensusgip_on_gpOrthosteric Ligand7FIN-GIP-Peptide-20; GGL-Gs/β1/γ2 7FIY-GIP-Tirzepatide-Gs/β1/γ2 7DTY-GIP-GIP-Gs/β1/γ2
15.62Single6WHCGlu16 analog of GCG6WHC-Glucagon-Glu16 analog of GCG-Gs/β1/γ2
15.62Single7E14Orforglipron7E14-GLP-1-Orforglipron-PubChem 156022738-Gs/β1/γ2
15.38Single1HZX11-cis-Retinal1HZX-Rhodopsin-11-cis-Retinal
15.38Single4YAYZD-71554YAY-AT1-ZD-7155
15.38Single6X1ADanuglipron6X1A-GLP-1-Danuglipron-Gs/β1/γ2
15.38Single7LCIDanuglipron7LCI-GLP-1-Danuglipron-Gs/β1/γ2
15.38Single8F2APramlintide Analogue San3858F2A-CT (AMY3)-Pramlintide Analogue San385-Gs/β1/γ2; RAMP3
15.38Single8GCML-9026888GCM-EP4-L-902688-Gi1/β1/γ2
15.38Single8TH3AT118-H Nanobody8TH3-AT1-AT118-H Nanobody
15.38Single8X9TAP5038X9T-ADGRD1-AP503-chim(NtGi1-Gs)/β1/γ2
15.38Single8XJLPGF2-alpha8XJL-FP-alpha-PGF2-α-chim(NtGi2-Gs-CtGq)/β1/γ2
15.38Single9AUCCalcitonin gene-related peptide-19AUC-CT (AMY1)-Calcitonin gene-related peptide-1-Gs/β1/γ2; RAMP1
15.38Single9AVGCa; Ca; Cyclomethyltryptophan; R-568; PO49AVG-CaS; CaS-Ca-Ca; Ca; Cyclomethyltryptophan; R-568; PO4-chim(NtGi1-Gs)/β1/γ2
15.38Single9IMATalquetamab9IMA-GPRC5D; GPRC5D-Talquetamab
15.38Consensusalicarboxylic_offOrthosteric Ligandsuccinate_off
15.38Consensusgi_histamineOrthosteric Ligand8JXX-H4-Clobenpropit-Gi1/β1/γ2 8JXV-H4-Clozapine-Gi1/β1/γ2 8YUU-H3-Histamine-Gi1/β1/γ1 8HN8-H4-Histamine-Gi1/β1/γ2 8HOC-H4-Imetit-Gi1/β1/γ2 8JXW-H4-VUF6884-Gi1/β1/γ2
15.38Consensussuccinate_offOrthosteric Ligand6RNK-Succinate-NF-56-EJ40 6Z10-Succinate-PubChem 154585554
15.15Single6UUNAdrenomedullin6UUN-CT Like (AM1)-Adrenomedullin-Gs/β1/γ2; RAMP2
15.00Single5MZPCaffeine5MZP-A2A-Caffeine-Na
15.00Single8GEJConstrained Epinephrine8GEJ-β2-Constrained Epinephrine-Gs/β1/γ2
15.00Single8WCCCyclohexylammonium Ion8WCC-TA1-Cyclohexylammonium Ion
15.00Consensuscrf1_on_gpOrthosteric Ligand6PB0-CRF1-Urocortin-chim(NtGi1-Gs)/β1/γ2 6P9X-CRF1-Corticoliberin-1-Gs/β1/γ2
14.81Single5CGCHTL142425CGC-mGlu5-HTL14242
14.81Single6M9TMisoprostol-FA6M9T-EP3-Misoprostol-FA
14.81Single7SINNPS-21437SIN-CaS; CaS-NPS-2143
14.81Single7SINNPS-21437SIN-CaS; CaS-NPS-2143
14.81Single8GDCPGE28GDC-EP3-PGE2-Gi1/β1/γ2
14.81Single8TH4Losartan8TH4-AT1-Losartan-AT118-L Nanobody
14.81Single8X0DVU04244658X0D-mGlu5; mGlu5-Quisqualate-VU0424465
14.81Single8X0DVU04244658X0D-mGlu5; mGlu5-Quisqualate-VU0424465
14.81Single9AXFCa; Ca; Ca; Cyclomethyltryptophan; R-568; PO49AXF-CaS; CaS-Ca-Ca; Ca; Ca; Cyclomethyltryptophan; R-568; PO4-chim(NtGi1-Gs-CtGq)/β1/γ2
14.81Single9AYFCa; Ca; Ca; Cyclomethyltryptophan; R-568; PO49AYF-CaS; CaS-Ca-Ca; Ca; Ca; Cyclomethyltryptophan; R-568; PO4-Gi1/β1/γ2
14.81Single9DQHEP-28259DQH-MRGPRD-EP-2825-chim(NtGi1-Gs-CtGq)/β1/γ2
14.81Single9EAHOlmesartan9EAH-AT1-Olmesartan-Nanobody AT209
14.81Single9EAHNanobody AT2099EAH-AT1-Olmesartan-Nanobody AT209
14.81Consensusadgrg2_onOrthosteric Ligand7WUI-ADGRG2-IP15-chim(NtGi1-Gs)/β1/γ2 7WUQ-ADGRG2-Gs/β1/γ2 7XKF-ADGRG2-Dehydroepiandrosterone-Gs/β1/γ2
14.81Consensusadgrg2_on_gpOrthosteric Ligand7WUI-ADGRG2-IP15-chim(NtGi1-Gs)/β1/γ2 7WUQ-ADGRG2-Gs/β1/γ2 7XKF-ADGRG2-Dehydroepiandrosterone-Gs/β1/γ2
14.81Consensusgq_muscarinicOrthosteric Ligand6OIJ-M1-Iperoxo-chim(NtGi1L-G11)/β1/γ2
14.81Consensusm1_onOrthosteric Ligand6OIJ-M1-Iperoxo-chim(NtGi1L-G11)/β1/γ2
14.71Single6NIYCalcitonin-16NIY-CT-Calcitonin-1-Gs/β1/γ2
14.71Single7AD3Alpha-factor mating pheromone7AD3-STE2; STE2-α-factor mating pheromone-Gi1/STE4/γ2
14.71Single7FINPeptide-20; GGL7FIN-GIP-Peptide-20; GGL-Gs/β1/γ2
14.71Single7TYIAmylin7TYI-CT-Amylin-Gs/β1/γ2
14.71Single9BLCCagrilintide (non-acylated)9BLC-CT-Cagrilintide (non-acylated)-Gs/β1/γ2
14.71Single9BUDCagrilintide9BUD-CT-Cagrilintide-Gs/β1/γ2
14.63Single7TYYCalcitonin-17TYY-CT (AMY2)-Calcitonin-1-Gs/β1/γ2; RAMP2
14.29Single3PXOAll-trans-Retinal3PXO-Rhodopsin-All-trans-Retinal
14.29Single5DYSAll-trans-Retinal5DYS-Rhodopsin-All-trans-Retinal
14.29Single5TZRMK86665TZR-FFA1-MK8666
14.29Single7TYHCalcitonin7TYH-CT (AMY2)-Calcitonin-Gs/β1/γ2; RAMP2
14.29Single7WC4Serotonin7WC4-5-HT2A-Serotonin
14.29Single7XJLSpexin7XJL-GAL2-Spexin-chim(NtGi2L-Gs-CtGq)/β1/γ2
14.29Single7XKDDehydroepiandrosterone7XKD-ADGRG2-Dehydroepiandrosterone-Gs/β1/γ2
14.29Single8IUKPGF2-alpha8IUK-FP-alpha-PGF2-α-chim(NtGi1-Gs-CtGq)/β1/γ2
14.29Single8JD5JNJ-40411813; ADX881788JD5-mGlu2; mGlu4-Glutamate-JNJ-40411813; ADX88178-Gi1/β1/γ2
14.29Single8JGFBAM8-228JGF-MRGPRX1-BAM8-22-chim(NtGi1-Gs-CtGq)/β1/γ2
14.29Single8X0BVU04244658X0B-mGlu5; mGlu5-Quisqualate-VU0424465
14.29Single8X0FVU298X0F-mGlu5; mGlu5-Quisqualate-VU29
14.29Single8X79MRE-2698X79-I2-MRE-269-Gs/β1/γ2
14.29Single8YNTSNAP-948478YNT-MCH1-SNAP-94847
14.29Single8ZW0PGD28ZW0-DP1-PGD2-Gs/β1/γ2
14.29Single9E9SPGD29E9S-DP1-PGD2-Gs/β1/γ1
14.29Single9ITELPA9ITE-LPA6-LPA-chim(NtGi2-G13)/β1/γ2
14.29Single9YDVMRS29059YDV-P2Y14-MRS2905-Gi1/β1/γ2
14.29Consensusgluc_onOrthosteric Ligand6LMK-Glucagon-Glucagon-Gs/β1/γ2 8JIT-Glucagon-MEDI0382-Gs/β1/γ2 7V35-Glucagon-Peptide-20-Gs/β1/γ2
14.29Consensusvpac1_onOrthosteric Ligand8E3Z-VPAC1-VIP-Gs/β1/γ2
13.95Consensusgluc_on_gpOrthosteric Ligand6LMK-Glucagon-Glucagon-Gs/β1/γ2 8JIT-Glucagon-MEDI0382-Gs/β1/γ2 7V35-Glucagon-Peptide-20-Gs/β1/γ2
13.89Single9BLWCagrilintide (non-acylated)9BLW-CT (AMY1)-Cagrilintide (non-acylated)-Gs/β1/γ2; RAMP1
13.89Consensuscrf2_on_gpOrthosteric Ligand7TS0-CRF2-Urocortin-chim(NtGi1L-Go)/β1/γ2
13.89Consensusctlike_onOrthosteric Ligand6E3Y-CT Like-Calcitonin gene-related peptide-1-Gs/β1/γ2; RAMP1
13.79Single4PY02MeSATP4PY0-P2Y12-2MeSATP
13.79Single6AK3PGE26AK3-EP3-PGE2
13.79Single6RZ7ONO-25703666RZ7-CysLT2-ONO-2570366
13.79Single7T6BS1P7T6B-S1P2-S1P-chim(NtGi1L-G13)/β1/γ2
13.79Single8DWCBAM8-228DWC-MRGPRX1-BAM8-22-chim(NtGi2L-Gs-CtGq)/β1/γ2
13.79Single8IQ6Latanoprost8IQ6-FP-alpha-Latanoprost-chim(NtGi1-Gs-CtGq)/β1/γ2
13.79Single8XJNCloprosetnol8XJN-TXA2-Cloprosetnol-chim(NtGi1-Gs-CtGq)/β1/γ2
13.79Single8XQNCholesterol8XQN-TAS2R14-Cholesterol-Aristolochic acid A-Gi1/β1/γ1
13.79Single9AU0BW245C9AU0-DP1-BW245C-Gs/β1/γ2
13.79Single9CM3TUG-13759CM3-FFA2-TUG-1375-PubChem 118615810-chim(NtGi1L-Gs-CtGq)/β1/γ2
13.79Consensusffa2_on_gpOrthosteric Ligand8J22-FFA2-TUG-1375-Gi1/β1/γ2
13.64Single3OE8IT1t3OE8-CXCR4-IT1t
13.64Single6TQ9SB-4081246TQ9-OX1-SB-408124
13.64Single7MTBAll-trans-Retinal7MTB-Rhodopsin-All-trans-Retinal-GRK1
13.64Single7VDMSubstance-P7VDM-MRGPRX2-Substance-P-Gi1/β1/γ2
13.64Single8U4QREGN7663-Fab8U4Q-CXCR4-REGN7663-Fab-Gi1/β1/γ2
13.64Single9C2FCa; Ca; Tryptophan; '54149; PO49C2F-CaS; CaS-Ca-Ca; Ca; Tryptophan; '54149; PO4
13.64Single9M42A1L8O9M42-GPR139-A1L8O-chim(Gs-CtGq)/β1/γ2
13.64Consensusopsins_onOrthosteric Ligandrhodopsin_on opsin1lw_on
13.64Consensussensory_onOrthosteric Ligandopsins_on
13.51Single6P9XCorticoliberin-16P9X-CRF1-Corticoliberin-1-Gs/β1/γ2
13.51Consensusglp2_onOrthosteric Ligand7D68-GLP-2-GLP-2-Gs/β1/γ2
13.51Consensusglp2_on_gpOrthosteric Ligand7D68-GLP-2-GLP-2-Gs/β1/γ2
13.33Single5CGDHTL142425CGD-mGlu5-HTL14242
13.33Single6RZ9ONO-27703726RZ9-CysLT2-ONO-2770372
13.33Single8XJOU466198XJO-TXA2-U46619-chim(NtGi1-Gs-CtGq)/β1/γ2
13.33Single9EAILosartan9EAI-AT1-Losartan-Nanobody AT209
13.33Consensuscyslt2_offOrthosteric Ligand6RZ7-CysLT2-ONO-2570366 6RZ8-CysLT2-ONO-2080365 6RZ9-CysLT2-ONO-2770372
13.33Consensusprostanoid_onOrthosteric Ligandtp_on fp-alpha_on
13.33Consensusprostanoid_on_gpOrthosteric Ligandtp_on_gp fp-alpha_on_gp
13.33Consensustp_onOrthosteric Ligand8XJO-TXA2-U46619-chim(NtGi1-Gs-CtGq)/β1/γ2
13.33Consensustp_on_gpOrthosteric Ligand8XJO-TXA2-U46619-chim(NtGi1-Gs-CtGq)/β1/γ2
13.16Single6PB1Urocortin6PB1-CRF2-Urocortin-chim(NtGi1-Gs)/β1/γ2
13.16Consensusctlike_on_gpOrthosteric Ligand6E3Y-CT Like-Calcitonin gene-related peptide-1-Gs/β1/γ2; RAMP1
13.04Single2J4Y11-cis-Retinal2J4Y-Rhodopsin-11-cis-Retinal
13.04Single3PQRAll-trans-Retinal3PQR-Rhodopsin-All-trans-Retinal-Gt(CT)
13.04Single6D32Cyclopamine6D32-SMO-Cyclopamine-Cyclopamine
13.04Single6FUFAll-trans-Retinal6FUF-Rhodopsin-All-trans-Retinal-Go
13.04Single6PWCNeurotensin-(9-13)6PWC-NTS1-Neurotensin-(9-13)-Arrestin2
13.04Single7D77Hydrocortisone7D77-ADGRG3-Hydrocortisone-Go/β1/γ2
13.04Single7MT9All-trans-Retinal7MT9-Rhodopsin-All-trans-Retinal-GRK1
13.04Single7MTAAll-trans-Retinal7MTA-Rhodopsin-All-trans-Retinal-GRK1
13.04Single8EITDoconexent8EIT-FFA1-Doconexent-chim(NtGi1L-Gs-CtGq)/β1/γ2
13.04Single8ITFDMCHA8ITF-TAA9-DMCHA-chim(NtGi1-Gs)/β1/γ2
13.04Single8JPSCCL78JPS-ACKR1-CCL7
13.04Single8JRVGlucagon8JRV-Glucagon-Glucagon-Arrestin2
13.04Single8JXTHistamine8JXT-H4-Histamine-PO4-Gi1/β1/γ2
13.04Single8SZFCa; Ca; Tryptophan; Cinacalcet; PO4; Spermine8SZF-CaS; CaS-Ca; Ca; Tryptophan; Cinacalcet; PO4; Spermine
13.04Single9JG1Adriforant9JG1-H4-Adriforant
13.04Single9JHJC18:0 Ceramide9JHJ-FPR2-ALX-C18:0 Ceramide-Gi1/β1/γ2
13.04Consensusopsins_on_gpOrthosteric Ligandrhodopsin_on_gp opsin1lw_on_gp
13.04Consensusrhodopsin_onOrthosteric Ligand6OYA-Rhodopsin-All-trans-Retinal-Gt/β1/γ1
13.04Consensussensory_on_gpOrthosteric Ligandopsins_on_gp
12.90Single8J22TUG-13758J22-FFA2-TUG-1375-Gi1/β1/γ2
12.90Single8XQLCholesterol8XQL-TAS2R14-Cholesterol-Aristolochic acid A-Gt3/β1/γ1
12.90Single8XQOCholesterol8XQO-TAS2R14-Cholesterol-Aristolochic acid A-Gi1/β1/γ1
12.90Single9CM7TUG-13759CM7-FFA2-TUG-1375-AZ-1729-Gi1/β1/γ2
12.90Single9ITBLPA9ITB-LPA6-LPA-chim(NtGi1-Gs-CtGq)/β1/γ2
12.90Single9NS9TUG-13759NS9-FFA2-TUG-1375-PubChem 118615810-Gi1/β1/γ2
12.50Single1U1911-cis-Retinal1U19-Rhodopsin-11-cis-Retinal
12.50Single2G87All-trans-Retinal2G87-Rhodopsin-All-trans-Retinal
12.50Single2I3511-cis-Retinal2I35-Rhodopsin-11-cis-Retinal
12.50Single5TE520-Methanoretinal5TE5-Rhodopsin-20-Methanoretinal
12.50Single6RZ8ONO-20803656RZ8-CysLT2-ONO-2080365
12.50Single7S8OR-Zinc-35737S8O-MRGPRX2-R-Zinc-3573-Gi1/β1/γ2
12.50Single7UL2SR486927UL2-NTS1-SR48692-Na
12.50Single7V68Iperoxo7V68-M4-Iperoxo-LY2119620-Gi1/β1/γ2
12.50Single8JIQPeptide-158JIQ-Glucagon-Peptide-15-Gs/β1/γ2
12.50Single8WPUTryptophan; Cinacalcet; PO4; Ca8WPU-CaS; CaS-Tryptophan; Cinacalcet; PO4; Ca-chim(NtGi2L-Gs-CtGq)/β1/γ2
12.50Single9C1PCa; Tryptophan; '6218; PO49C1P-CaS; CaS-Ca-Ca; Tryptophan; '6218; PO4
12.50Single9EPRAll-trans-Retinal9EPR-Rhodopsin-All-trans-Retinal-Gi1/β1/γ2
12.50Single9YDAAll-trans-Retinal9YDA-Opsin1MW-All-trans-Retinal-chim(NtGi1L-Gs-CtGt)/β1/γ2
12.50Consensusadgrg_onOrthosteric Ligandadgrg2_on adgrg4_on
12.50Consensusadgrg_on_gpOrthosteric Ligandadgrg2_on_gp adgrg4_on_gp
12.50Consensusgq_nucleotideOrthosteric Ligandgq_p2y
12.50Consensusgq_p2yOrthosteric Ligand7XXH-P2Y1-2MeSADP-chim(NtGi1-G11)/β1/γ2
12.50Consensush4_onOrthosteric Ligand8HN8-H4-Histamine-Gi1/β1/γ2 8HOC-H4-Imetit-Gi1/β1/γ2 8JXV-H4-Clozapine-Gi1/β1/γ2 8JXW-H4-VUF6884-Gi1/β1/γ2 8JXX-H4-Clobenpropit-Gi1/β1/γ2
12.50Consensusneurotensin_offOrthosteric Ligandnts1_off
12.50Consensusnts1_offOrthosteric Ligand7UL2-NTS1-SR48692-Na
12.12Single7TRYUrocortin7TRY-CRF2-Urocortin-chim(NtGi1-G11)/β1/γ2
12.00Single1GZM11-cis-Retinal1GZM-Rhodopsin-11-cis-Retinal
12.00Single3C9L11-cis-Retinal3C9L-Rhodopsin-11-cis-Retinal
12.00Single7LCJDanuglipron7LCJ-GLP-1-Danuglipron
12.00Single7S8PMS471347S8P-MRGPRX4-MS47134-chim(NtGi2L-Gs-CtGq)/β1/γ2
12.00Single7SILCa; Ca; Ca; Cyclomethyltryptophan; R-568; PO47SIL-CaS; CaS-Ca-Ca; Ca; Ca; Cyclomethyltryptophan; R-568; PO4
12.00Single7SILCa; Ca; Ca; Cyclomethyltryptophan; R-568; PO47SIL-CaS; CaS-Ca-Ca; Ca; Ca; Cyclomethyltryptophan; R-568; PO4
12.00Single8DWHPubChem 1390305318DWH-MRGPRX1-PubChem 139030531-chim(NtGi2L-Gs-CtGq)/β1/γ2
12.00Single8U4SREGN7663-Fab8U4S-CXCR4-REGN7663-Fab
12.00Single8U4TREGN7663-Fab8U4T-CXCR4-REGN7663-Fab
12.00Single8U8FPalmitic Acid8U8F-GPR3-Palmitic Acid-Gs/β1/γ2
12.00Single8YYWAlpha-ketoglutarate8YYW-Oxoglutarate-α-ketoglutarate-α-ketoglutarate-chim(Gi1-CtGq)/β1/γ2
12.00Single9C1PCa; Tryptophan; '6218; PO49C1P-CaS; CaS-Ca-Ca; Tryptophan; '6218; PO4
12.00Single9PEEPF-07054894; OXM29PEE-CCR6-PF-07054894; OXM2
12.00Consensusangiotensin_offOrthosteric Ligandat1_off
12.00Consensusrhodopsin_offOrthosteric Ligand1U19-Rhodopsin-11-cis-Retinal 2PED-Rhodopsin-9-cis-Retinal 5TE5-Rhodopsin-20-Methanoretinal
12.00Consensussensory_offonOrthosteric Ligandsensory_off sensory_on
12.00Consensussensory_offon_gpOrthosteric Ligandsensory_on_gp sensory_on
11.90Single8JITMEDI03828JIT-Glucagon-MEDI0382-Gs/β1/γ2
11.90Single8JIUSAR4258998JIU-Glucagon-SAR425899-Gs/β1/γ2
11.54Single3OAX11-cis-Retinal3OAX-Rhodopsin-11-cis-Retinal
11.54Single4ZUDOlmesartan4ZUD-AT1-Olmesartan
11.54Single6ZINSR486926ZIN-NTS1-SR48692
11.54Single7ZBC11-cis-Retinal7ZBC-Rhodopsin-11-cis-Retinal
11.54Single7ZBE11-cis-Retinal7ZBE-Rhodopsin-11-cis-Retinal
11.54Single8ZBWQuin-C18ZBW-FPR2-ALX-Quin-C1-Gi2/β1/γ2
11.54Consensusat1_offOrthosteric Ligand4YAY-AT1-ZD-7155 4ZUD-AT1-Olmesartan
11.43Consensuscrf2_onOrthosteric Ligand7TS0-CRF2-Urocortin-chim(NtGi1L-Go)/β1/γ2
11.11Single6IIVDaltroban6IIV-TXA2-Daltroban
11.11Single6ORVTT-OAD26ORV-GLP-1-TT-OAD2-Gs/β1/γ2
11.11Single7F83PF-051904577F83-Ghrelin-PF-05190457
11.11Single7TYWCalcitonin-17TYW-CT (AMY1)-Calcitonin-1-Gs/β1/γ2; RAMP1
11.11Single8EJKTAK-8758EJK-FFA1-TAK-875-chim(NtGi1L-Gs-CtGq)/β1/γ2
11.11Single8KFYZK-7563268KFY-CCR8-ZK-756326-Gi1/β1/γ2
11.11Single9IVGGLP-1 (Truncated)9IVG-GLP-1-GLP-1 (Truncated)-chim(NtGi1-Gs)/β1/γ2
11.11Single9IYAONO-97105319IYA-GPR55-ONO-9710531
11.11Single9JQZGrapiprant 9JQZ-EP4-Grapiprant
10.81Single9BLBCagrilintide (non-acylated)9BLB-CT-Cagrilintide (non-acylated)-Gs/β1/γ2
10.81Single9BUBCagrilintide9BUB-CT-Cagrilintide-Gs/β1/γ2
10.71Single4PHUFasiglifam4PHU-FFA1-Fasiglifam
10.71Single4WW3All-trans-Retinal4WW3-Rhodopsin-All-trans-Retinal
10.71Single6Z4SSR486926Z4S-NTS1-SR48692
10.71Single8EJCTAK-8758EJC-FFA1-TAK-875-chim(NtGi1L-Gs-CtGq)/β1/γ2
10.71Single8JGGBAM8-228JGG-MRGPRX1-BAM8-22-Gi1/β1/γ2
10.71Single8X0BVU04244658X0B-mGlu5; mGlu5-Quisqualate-VU0424465
10.71Single8X0CVU04244658X0C-mGlu5; mGlu5-Quisqualate-VU0424465
10.71Single8X0CVU04244658X0C-mGlu5; mGlu5-Quisqualate-VU0424465
10.71Single8ZVZBW245C8ZVZ-DP1-BW245C-Gs/β1/γ2
10.71Single9EKHONO-30302979EKH-DP1-ONO-3030297
10.71Single9HC04YI9HC0-mGlu5-4YI
10.53Single6UVAAdrenomedullin-26UVA-CT Like (AM2)-Adrenomedullin-2-Gs/β1/γ2; RAMP3
10.34Single4OO9Mavoglurant4OO9-mGlu5-Mavoglurant
10.34Single7P2L4YI7P2L-mGlu5-4YI
10.34Single8GDBPGE28GDB-EP4-PGE2-Gs/β1/γ2
10.34Single9CLWTUG-13759CLW-FFA2-TUG-1375-4-CMTB-chim(NtGi1L-Gs-CtGq)/β1/γ2
10.34Consensusffa2_onOrthosteric Ligand8J22-FFA2-TUG-1375-Gi1/β1/γ2
10.34Consensusp2y12_onOrthosteric Ligand7XXI-P2Y12-2MeSADP-Gi2/β1/γ2
10.26Single6UUSAdrenomedullin6UUS-CT Like (AM2)-Adrenomedullin-Gs/β1/γ2; RAMP3
10.26Single9BTWCagrilintide9BTW-CT (AMY3)-Cagrilintide-Gs/β1/γ2; RAMP3
10.00Single6IIURamatroban6IIU-TXA2-Ramatroban
10.00Single6XOXOrforglipron6XOX-GLP-1-Orforglipron-chim(NtGi1-Gs)/β1/γ2
10.00Single7XXI2MeSADP7XXI-P2Y12-2MeSADP-Gi2/β1/γ2
10.00Single8SZGCa; Ca; Tryptophan; Cinacalcet; PO4; Spermine8SZG-CaS; CaS-Ca; Ca; Tryptophan; Cinacalcet; PO4; Spermine-chim(NtGi1-Gq)/β1/γ2
10.00Consensusgi_p2yOrthosteric Ligand7XXI-P2Y12-2MeSADP-Gi2/β1/γ2
10.00Consensusp2y12_on_gpOrthosteric Ligand7XXI-P2Y12-2MeSADP-Gi2/β1/γ2
9.68Single7CX4Evatanepag7CX4-EP2-Evatanepag-Gs/β1/γ2
9.52Single4A4MAll-trans-Retinal4A4M-Rhodopsin-All-trans-Retinal-Gt(CT)
9.52Single5EN0All-trans-Retinal5EN0-Rhodopsin-All-trans-Retinal-Gt(CT)
9.52Single8JGBConorfamide-Tx28JGB-MRGPRX1-Conorfamide-Tx2-Gi1/β1/γ2
9.38Single7CX2PGE27CX2-EP2-PGE2-Gs/β1/γ2
9.09Single7CX3Taprenepag7CX3-EP2-Taprenepag-Gs/β1/γ2
9.09Single8X9S5alpha-DHT8X9S-ADGRD1-5α-DHT-chim(NtGi1-Gs)/β1/γ2
9.09Single9BUECagrilintide9BUE-CT-Cagrilintide-Gs/β1/γ2
9.09Single9JIDNiacin9JID-HCA3-Niacin-Gi1/β1/γ2
9.09Single9JKVPubChem 27366909JKV-HCA3-PubChem 2736690-Gi1/β1/γ2
8.70Single6XBM25(S)-Epoxycholesterol6XBM-SMO-25(S)-Epoxycholesterol-Gi1/β1/γ2
8.70Single7Y14Beta-Alanine7Y14-MRGPRD-β-Alanine
8.70Single8Y02All-trans-Retinal8Y02-OPN1SW-All-trans-Retinal-Gi1/β1/γ2
8.33Single2ZIY11-cis-Retinal2ZIY-Rhodopsin-11-cis-Retinal
8.33Single3C9M11-cis-Retinal3C9M-Rhodopsin-11-cis-Retinal
8.33Single7Y12Beta-Alanine7Y12-MRGPRD-β-Alanine-Gi1/β1/γ2
8.33Single8F76Propanoic acid8F76-OR51E2-Propanoic acid-Gs/β1/γ2
8.33Single8IU2All-trans-Retinal8IU2-Opsin1LW-All-trans-Retinal-Gi1/β1/γ2
8.33Single8J6QPubChem 251012238J6Q-HCA2-β-Hydroxybutyrate-PubChem 25101223-Gi1/β1/γ2
8.33Single8X9UMetenolone8X9U-ADGRD1-Metenolone-chim(NtGi1-Gs)/β1/γ2
8.33Consensusgi_opsinsOrthosteric Ligand8IU2-Opsin1LW-All-trans-Retinal-Gi1/β1/γ2
8.33Consensusgi_sensoryOrthosteric Ligandgi_opsins
8.33Consensusopsin1lw_onOrthosteric Ligand8IU2-Opsin1LW-All-trans-Retinal-Gi1/β1/γ2
8.33Consensusopsin1lw_on_gpOrthosteric Ligand8IU2-Opsin1LW-All-trans-Retinal-Gi1/β1/γ2
8.00Single1L9H11-cis-Retinal1L9H-Rhodopsin-11-cis-Retinal
8.00Single7S8NR-Zinc-35737S8N-MRGPRX2-R-Zinc-3573-chim(NtGi2L-Gs-CtGq)/β1/γ2
8.00Single7XKFDehydroepiandrosterone7XKF-ADGRG2-Dehydroepiandrosterone-Gs/β1/γ2
8.00Single8J6PPubChem 251012238J6P-HCA2-Niacin-PubChem 25101223-Gi1/β1/γ2
8.00Single8JHYPubChem 251012238JHY-HCA2-PubChem 25101223-Gi1/β1/γ2
8.00Single8JIIPubChem 251012238JII-HCA2-Niacin-PubChem 25101223-Gi1/β1/γ2
8.00Single8SZFCa; Ca; Tryptophan; Cinacalcet; PO4; Spermine8SZF-CaS; CaS-Ca; Ca; Tryptophan; Cinacalcet; PO4; Spermine
8.00Single8X2KOleic monoethanolamide8X2K-GPR3-Oleic monoethanolamide-chim(NtGi1-Gs)/β1/γ2
8.00Single9MBCAZ122160529MBC-mGlu8; mGlu8-DCPG-AZ12216052
7.69Single2Z7311-cis-Retinal2Z73-Rhodopsin-11-cis-Retinal
7.69Single3AYN9-cis-Retinal3AYN-Rhodopsin-9-cis-Retinal
7.69Single7M3FCa; Ca; Tryptophan; Cinacalcet7M3F-CaS; CaS-Ca; Ca; Tryptophan; Cinacalcet
7.69Single8A6CAll-trans-Retinal8A6C-Rhodopsin-All-trans-Retinal
7.69Single8A6DAll-trans-Retinal8A6D-Rhodopsin-All-trans-Retinal
7.69Single8A6EAll-trans-Retinal8A6E-Rhodopsin-All-trans-Retinal
7.41Single6FFIMPEP6FFI-mGlu5-MPEP
7.41Single8HJ5PubChem 1390305318HJ5-MRGPRX1-PubChem 139030531-chim(NtGi1-Gs-CtGq)/β1/γ2
7.41Single8X7ATreprostinil8X7A-I2-Treprostinil-Gs/β1/γ2
7.41Single9IXXLTD49IXX-CysLT2-LTD4-chim(NtGi1-Gs-CtGq)/β1/γ2
7.14Single6FFHFenobam6FFH-mGlu5-Fenobam
6.90Single6Z4QSR142948A6Z4Q-NTS1-SR142948A
6.90Single7M3GCa; Ca; Tryptophan; Evocalcet; Etelcalcetide; PO47M3G-CaS; CaS-Ca; Ca; Tryptophan; Evocalcet; Etelcalcetide; PO4
6.90Single8XQPCholesterol8XQP-TAS2R14-Cholesterol-Aristolochic acid A-Gt3/β1/γ1
6.90Single9EE5ONO-25502899EE5-DP1-ONO-2550289
6.67Single8JD5JNJ-40411813; ADX881788JD5-mGlu2; mGlu4-Glutamate-JNJ-40411813; ADX88178-Gi1/β1/γ2
6.67Single8TAOCDPPB8TAO-mGlu5; mGlu5-Quisqualate-CDPPB
5.26Single6D32Cyclopamine6D32-SMO-Cyclopamine-Cyclopamine
5.26Single6D35Cholesterol6D35-SMO-Cholesterol
5.26Single6N51Quisqualate6N51-mGlu5; mGlu5-Quisqualate
5.26Single6N51Quisqualate6N51-mGlu5; mGlu5-Quisqualate
5.26Single6UO8SKF975416UO8-GABAB1, GABAB2-SKF97541-GS39783
5.26Single6UO9SKF975416UO9-GABAB1, GABAB2-SKF97541
5.26Single6W2XPubChem 53110426W2X-GABAB1, GABAB2-PubChem 5311042
5.26Single6W2YPubChem 53110426W2Y-GABAB1; GABAB1-PubChem 5311042
5.26Single6W2YPubChem 53110426W2Y-GABAB1; GABAB1-PubChem 5311042
5.26Single7C7QBaclofen7C7Q-GABAB1, GABAB2-Baclofen-BHFF
5.26Single7C7SCGP546267C7S-GABAB1, GABAB2-CGP54626
5.26Single7CUMCGP546267CUM-GABAB1, GABAB2-CGP54626
5.26Single7DD5Ca7DD5-CaS; CaS-Ca-Ca; Ca; Tryptophan; NPS-2143
5.26Single7DD5Ca; Ca; Tryptophan; NPS-21437DD5-CaS; CaS-Ca-Ca; Ca; Tryptophan; NPS-2143
5.26Single7DD5Ca7DD5-CaS; CaS-Ca-Ca; Ca; Tryptophan; NPS-2143
5.26Single7DD5Ca; Ca; Tryptophan; NPS-21437DD5-CaS; CaS-Ca-Ca; Ca; Tryptophan; NPS-2143
5.26Single7DGEQuisqualate7DGE-mGlu1; mGlu1-Quisqualate
5.26Single7DTTCa7DTT-CaS; CaS-Ca-Ca
5.26Single7DTTCa7DTT-CaS; CaS-Ca-Ca
5.26Single7DTUTryptophan7DTU-CaS; CaS-Tryptophan
5.26Single7DTUTryptophan7DTU-CaS; CaS-Tryptophan
5.26Single7DTVCa7DTV-CaS; CaS-Ca-Ca; Tryptophan
5.26Single7DTVCa; Tryptophan7DTV-CaS; CaS-Ca-Ca; Tryptophan
5.26Single7DTVCa7DTV-CaS; CaS-Ca-Ca; Tryptophan
5.26Single7DTVCa; Tryptophan7DTV-CaS; CaS-Ca-Ca; Tryptophan
5.26Single7E6TCa; Ca; Cyclomethyltryptophan; PO47E6T-CaS; CaS-Ca-Ca; Ca; Cyclomethyltryptophan; PO4
5.26Single7E6TCa7E6T-CaS; CaS-Ca-Ca; Ca; Cyclomethyltryptophan; PO4
5.26Single7E6TCa; Ca; Cyclomethyltryptophan; PO47E6T-CaS; CaS-Ca-Ca; Ca; Cyclomethyltryptophan; PO4
5.26Single7E6TCa7E6T-CaS; CaS-Ca-Ca; Ca; Cyclomethyltryptophan; PO4
5.26Single7E9GEglumetad7E9G-mGlu2; mGlu2-Eglumetad-JNJ-40411813-Gi1/β1/γ2
5.26Single7E9GEglumetad7E9G-mGlu2; mGlu2-Eglumetad-JNJ-40411813-Gi1/β1/γ2
5.26Single7E9HPhosphoserine7E9H-mGlu4; mGlu4-Phosphoserine-Gi3/β1/γ2
5.26Single7E9HPhosphoserine7E9H-mGlu4; mGlu4-Phosphoserine-Gi3/β1/γ2
5.26Single7EB2Baclofen7EB2-GABAB2; GABAB1-Baclofen-rac-BHFF-Gi1/β1/γ2
5.26Single7EPBEglumetad7EPB-mGlu2; mGlu2-Eglumetad
5.26Single7EPBEglumetad7EPB-mGlu2; mGlu2-Eglumetad
5.26Single7FD8Quisqualate7FD8-mGlu5; mGlu5-Quisqualate
5.26Single7FD8Quisqualate7FD8-mGlu5; mGlu5-Quisqualate
5.26Single7FD9LY3414957FD9-mGlu5; mGlu5-LY341495
5.26Single7FD9LY3414957FD9-mGlu5; mGlu5-LY341495
5.26Single7FIHhCG7FIH-LH-hCG-Org43553-chim(NtGi1-Gs)/β1/γ2
5.26Single7FIIhCG7FII-LH-hCG-chim(NtGi1-Gs)/β1/γ2
5.26Single7M3ECa; Ca; Tryptophan; NPS-21437M3E-CaS; CaS-Ca; Ca; Tryptophan; NPS-2143
5.26Single7M3ECa; Ca; Tryptophan; NPS-21437M3E-CaS; CaS-Ca; Ca; Tryptophan; NPS-2143
5.26Single7M3FCa; Ca; Tryptophan; Cinacalcet7M3F-CaS; CaS-Ca; Ca; Tryptophan; Cinacalcet
5.26Single7M3FCa; Ca; Tryptophan; Cinacalcet7M3F-CaS; CaS-Ca; Ca; Tryptophan; Cinacalcet
5.26Single7M3GCa; Ca; Tryptophan; Evocalcet; Etelcalcetide; PO47M3G-CaS; CaS-Ca; Ca; Tryptophan; Evocalcet; Etelcalcetide; PO4
5.26Single7M3GCa; Ca; Tryptophan; Evocalcet; Etelcalcetide; PO47M3G-CaS; CaS-Ca; Ca; Tryptophan; Evocalcet; Etelcalcetide; PO4
5.26Single7M3GCa; Ca; Tryptophan; Evocalcet; Etelcalcetide; PO47M3G-CaS; CaS-Ca; Ca; Tryptophan; Evocalcet; Etelcalcetide; PO4
5.26Single7M3GCa; Ca; Tryptophan; Evocalcet; Etelcalcetide; PO47M3G-CaS; CaS-Ca; Ca; Tryptophan; Evocalcet; Etelcalcetide; PO4
5.26Single7MTQLY3414957MTQ-mGlu2; mGlu2-LY341495
5.26Single7MTQLY3414957MTQ-mGlu2; mGlu2-LY341495
5.26Single7MTRGlutamate7MTR-mGlu2; mGlu2-Glutamate-ADX55164
5.26Single7MTRGlutamate7MTR-mGlu2; mGlu2-Glutamate-ADX55164
5.26Single7MTSGlutamate7MTS-mGlu2; mGlu2-Glutamate-ADX55164-Gi1/β1/γ2
5.26Single7MTSGlutamate7MTS-mGlu2; mGlu2-Glutamate-ADX55164-Gi1/β1/γ2
5.26Single7SILCa7SIL-CaS; CaS-Ca-Ca; Ca; Ca; Cyclomethyltryptophan; R-568; PO4
5.26Single7SILCa; Ca; Ca; Cyclomethyltryptophan; R-568; PO47SIL-CaS; CaS-Ca-Ca; Ca; Ca; Cyclomethyltryptophan; R-568; PO4
5.26Single7SILCa7SIL-CaS; CaS-Ca-Ca; Ca; Ca; Cyclomethyltryptophan; R-568; PO4
5.26Single7SILCa; Ca; Ca; Cyclomethyltryptophan; R-568; PO47SIL-CaS; CaS-Ca-Ca; Ca; Ca; Cyclomethyltryptophan; R-568; PO4
5.26Single7SIMCa; Ca; Cyclomethyltryptophan; PO47SIM-CaS; CaS-Ca-Ca; Ca; Cyclomethyltryptophan; PO4
5.26Single7SIMCa7SIM-CaS; CaS-Ca-Ca; Ca; Cyclomethyltryptophan; PO4
5.26Single7SIMCa; Ca; Cyclomethyltryptophan; PO47SIM-CaS; CaS-Ca-Ca; Ca; Cyclomethyltryptophan; PO4
5.26Single7SIMCa7SIM-CaS; CaS-Ca-Ca; Ca; Cyclomethyltryptophan; PO4
5.26Single7T9NM22 Fab7T9N-TSH-M22 Fab-DPPC-Gs/β1/γ2
5.26Single7WI6LY3414957WI6-mGlu3; mGlu3-LY341495
5.26Single7WI6LY3414957WI6-mGlu3; mGlu3-LY341495
5.26Single7WI8LY3414957WI8-mGlu3; mGlu3-LY341495
5.26Single7WI8LY3414957WI8-mGlu3; mGlu3-LY341495
5.26Single7WIHLY27941937WIH-mGlu3; mGlu3-LY2794193
5.26Single7WIHLY27941937WIH-mGlu3; mGlu3-LY2794193
5.26Single7XW6M22 Fab7XW6-TSH-M22 Fab-ML109-Gs/β1/γ2
5.26Single7XW7K1-707XW7-TSH-K1-70
5.26Single8JCULY3414958JCU-mGlu2; mGlu3-LY341495
5.26Single8JCULY3414958JCU-mGlu2; mGlu3-LY341495
5.26Single8JCVLY3414958JCV-mGlu2; mGlu3-LY341495
5.26Single8JCVLY3414958JCV-mGlu2; mGlu3-LY341495
5.26Single8JCWLY3414958JCW-mGlu2; mGlu3-LY341495
5.26Single8JCWLY3414958JCW-mGlu2; mGlu3-LY341495
5.26Single8JCXLY3414958JCX-mGlu2; mGlu3-LY341495
5.26Single8JCXLY3414958JCX-mGlu2; mGlu3-LY341495
5.26Single8JCYLY3414958JCY-mGlu2; mGlu3-LY341495
5.26Single8JCYLY3414958JCY-mGlu2; mGlu3-LY341495
5.26Single8JCZLY3414958JCZ-mGlu2; mGlu3-LY341495
5.26Single8JCZLY3414958JCZ-mGlu2; mGlu3-LY341495
5.26Single8JD0Glutamate8JD0-mGlu2; mGlu3-Glutamate-NAM563
5.26Single8JD1Glutamate8JD1-mGlu2; mGlu3-Glutamate
5.26Single8JD1Glutamate8JD1-mGlu2; mGlu3-Glutamate
5.26Single8JD2Glutamate8JD2-mGlu2; mGlu3-Glutamate
5.26Single8JD2Glutamate8JD2-mGlu2; mGlu3-Glutamate
5.26Single8JD3Glutamate8JD3-mGlu2; mGlu3-Glutamate-JNJ-40411813-Gi1/β1/γ2
5.26Single8JD3Glutamate8JD3-mGlu2; mGlu3-Glutamate-JNJ-40411813-Gi1/β1/γ2
5.26Single8JD4Glutamate8JD4-mGlu2; mGlu4-Glutamate
5.26Single8JD4Glutamate8JD4-mGlu2; mGlu4-Glutamate
5.26Single8JD5Glutamate8JD5-mGlu2; mGlu4-Glutamate-JNJ-40411813; ADX88178-Gi1/β1/γ2
5.26Single8JD5Glutamate8JD5-mGlu2; mGlu4-Glutamate-JNJ-40411813; ADX88178-Gi1/β1/γ2
5.26Single8JD6Phosphoserine8JD6-mGlu4; mGlu4-Phosphoserine-VU0364770-Gi3/β1/γ2
5.26Single8JD6Phosphoserine8JD6-mGlu4; mGlu4-Phosphoserine-VU0364770-Gi3/β1/γ2
5.26Single8SZFCa; Ca; Tryptophan; Cinacalcet; PO4; Spermine8SZF-CaS; CaS-Ca; Ca; Tryptophan; Cinacalcet; PO4; Spermine
5.26Single8SZFCa; Ca; Tryptophan; Cinacalcet; PO4; Spermine8SZF-CaS; CaS-Ca; Ca; Tryptophan; Cinacalcet; PO4; Spermine
5.26Single8SZGCa; Ca; Tryptophan; Cinacalcet; PO4; Spermine8SZG-CaS; CaS-Ca; Ca; Tryptophan; Cinacalcet; PO4; Spermine-chim(NtGi1-Gq)/β1/γ2
5.26Single8T7HQuisqualate8T7H-mGlu5; mGlu5-Quisqualate
5.26Single8T7HQuisqualate8T7H-mGlu5; mGlu5-Quisqualate
5.26Single8T8MQuisqualate8T8M-mGlu5; mGlu5-Quisqualate
5.26Single8T8MQuisqualate8T8M-mGlu5; mGlu5-Quisqualate
5.26Single8TAOQuisqualate8TAO-mGlu5; mGlu5-Quisqualate-CDPPB
5.26Single8TAOQuisqualate8TAO-mGlu5; mGlu5-Quisqualate-CDPPB
5.26Single8TQBCa; LY3792688TQB-mGlu3; mGlu3-Ca; LY379268-Ca
5.26Single8TQBCa; LY3792688TQB-mGlu3; mGlu3-Ca; LY379268-Ca
5.26Single8TR0LY3414958TR0-mGlu3; mGlu3-LY341495
5.26Single8TR0LY3414958TR0-mGlu3; mGlu3-LY341495
5.26Single8TR2Ca; LY3792688TR2-mGlu3; mGlu3-Ca; LY379268-Ca
5.26Single8TR2Ca; LY3792688TR2-mGlu3; mGlu3-Ca; LY379268-Ca
5.26Single8TRCLY3414958TRC-mGlu3; mGlu3-LY341495
5.26Single8TRCLY3414958TRC-mGlu3; mGlu3-LY341495
5.26Single8TRDLY3414958TRD-mGlu3; mGlu3-LY341495
5.26Single8TRDLY3414958TRD-mGlu3; mGlu3-LY341495
5.26Single8WG9PubChem 1793948WG9-mGlu4; mGlu2-PubChem 179394
5.26Single8WGBGlutamate8WGB-mGlu4; mGlu2-Glutamate-VU0155041-Gi3/β1/γ2
5.26Single8WGBGlutamate8WGB-mGlu4; mGlu2-Glutamate-VU0155041-Gi3/β1/γ2
5.26Single8WGCLY3792688WGC-mGlu2; mGlu4-LY379268
5.26Single8WGDLY341495; CPPG8WGD-mGlu4; mGlu2-LY341495; CPPG
5.26Single8WGDLY341495; CPPG8WGD-mGlu4; mGlu2-LY341495; CPPG
5.26Single8WPGTryptophan; Cinacalcet; PO4; Ca8WPG-CaS; CaS-Tryptophan; Cinacalcet; PO4; Ca
5.26Single8WPGTryptophan; Cinacalcet; PO4; Ca8WPG-CaS; CaS-Tryptophan; Cinacalcet; PO4; Ca
5.26Single8WPUTryptophan; Cinacalcet; PO4; Ca8WPU-CaS; CaS-Tryptophan; Cinacalcet; PO4; Ca-chim(NtGi2L-Gs-CtGq)/β1/γ2
5.26Single8WPUTryptophan; Cinacalcet; PO4; Ca8WPU-CaS; CaS-Tryptophan; Cinacalcet; PO4; Ca-chim(NtGi2L-Gs-CtGq)/β1/γ2
5.26Single8WVXNorrin8WVX-LGR4-Norrin
5.26Single8WVYNorrin8WVY-LGR4-Norrin
5.26Single8X0BQuisqualate8X0B-mGlu5; mGlu5-Quisqualate-VU0424465
5.26Single8X0BQuisqualate8X0B-mGlu5; mGlu5-Quisqualate-VU0424465
5.26Single8X0CQuisqualate8X0C-mGlu5; mGlu5-Quisqualate-VU0424465
5.26Single8X0CQuisqualate8X0C-mGlu5; mGlu5-Quisqualate-VU0424465
5.26Single8X0DQuisqualate8X0D-mGlu5; mGlu5-Quisqualate-VU0424465
5.26Single8X0DQuisqualate8X0D-mGlu5; mGlu5-Quisqualate-VU0424465
5.26Single8X0EQuisqualate8X0E-mGlu5; mGlu5-Quisqualate
5.26Single8X0EQuisqualate8X0E-mGlu5; mGlu5-Quisqualate
5.26Single8X0FQuisqualate8X0F-mGlu5; mGlu5-Quisqualate-VU29
5.26Single8X0FQuisqualate8X0F-mGlu5; mGlu5-Quisqualate-VU29
5.26Single8X0GQuisqualate8X0G-mGlu5; mGlu5-Quisqualate
5.26Single8X0GQuisqualate8X0G-mGlu5; mGlu5-Quisqualate
5.26Single8X0HQuisqualate8X0H-mGlu5; mGlu5-Quisqualate
5.26Single8X0HQuisqualate8X0H-mGlu5; mGlu5-Quisqualate
5.26Single8XUMR-spondin-28XUM-LGR4-R-spondin-2
5.26Single9ASBCa9ASB-CaS; CaS-Ca-Ca; Ca; Cyclomethyltryptophan; R-568; PO4-chim(NtGi1-Gs-CtGq)/β1/γ2
5.26Single9ASBCa; Ca; Cyclomethyltryptophan; R-568; PO49ASB-CaS; CaS-Ca-Ca; Ca; Cyclomethyltryptophan; R-568; PO4-chim(NtGi1-Gs-CtGq)/β1/γ2
5.26Single9AVGCa9AVG-CaS; CaS-Ca-Ca; Ca; Cyclomethyltryptophan; R-568; PO4-chim(NtGi1-Gs)/β1/γ2
5.26Single9AVGCa; Ca; Cyclomethyltryptophan; R-568; PO49AVG-CaS; CaS-Ca-Ca; Ca; Cyclomethyltryptophan; R-568; PO4-chim(NtGi1-Gs)/β1/γ2
5.26Single9AVLCa9AVL-CaS; CaS-Ca-Ca; Ca; Cyclomethyltryptophan; R-568; PO4-Gi3/β2/γ2
5.26Single9AVLCa; Ca; Cyclomethyltryptophan; R-568; PO49AVL-CaS; CaS-Ca-Ca; Ca; Cyclomethyltryptophan; R-568; PO4-Gi3/β2/γ2
5.26Single9AVLCa9AVL-CaS; CaS-Ca-Ca; Ca; Cyclomethyltryptophan; R-568; PO4-Gi3/β2/γ2
5.26Single9AVLCa; Ca; Cyclomethyltryptophan; R-568; PO49AVL-CaS; CaS-Ca-Ca; Ca; Cyclomethyltryptophan; R-568; PO4-Gi3/β2/γ2
5.26Single9AXFCa9AXF-CaS; CaS-Ca-Ca; Ca; Ca; Cyclomethyltryptophan; R-568; PO4-chim(NtGi1-Gs-CtGq)/β1/γ2
5.26Single9AXFCa; Ca; Ca; Cyclomethyltryptophan; R-568; PO49AXF-CaS; CaS-Ca-Ca; Ca; Ca; Cyclomethyltryptophan; R-568; PO4-chim(NtGi1-Gs-CtGq)/β1/γ2
5.26Single9AXFCa9AXF-CaS; CaS-Ca-Ca; Ca; Ca; Cyclomethyltryptophan; R-568; PO4-chim(NtGi1-Gs-CtGq)/β1/γ2
5.26Single9AXFCa; Ca; Ca; Cyclomethyltryptophan; R-568; PO49AXF-CaS; CaS-Ca-Ca; Ca; Ca; Cyclomethyltryptophan; R-568; PO4-chim(NtGi1-Gs-CtGq)/β1/γ2
5.26Single9AYFCa9AYF-CaS; CaS-Ca-Ca; Ca; Ca; Cyclomethyltryptophan; R-568; PO4-Gi1/β1/γ2
5.26Single9AYFCa; Ca; Ca; Cyclomethyltryptophan; R-568; PO49AYF-CaS; CaS-Ca-Ca; Ca; Ca; Cyclomethyltryptophan; R-568; PO4-Gi1/β1/γ2
5.26Single9C1PCa9C1P-CaS; CaS-Ca-Ca; Tryptophan; '6218; PO4
5.26Single9C1PCa; Tryptophan; '6218; PO49C1P-CaS; CaS-Ca-Ca; Tryptophan; '6218; PO4
5.26Single9C1PCa9C1P-CaS; CaS-Ca-Ca; Tryptophan; '6218; PO4
5.26Single9C1PCa; Tryptophan; '6218; PO49C1P-CaS; CaS-Ca-Ca; Tryptophan; '6218; PO4
5.26Single9C2FCa9C2F-CaS; CaS-Ca-Ca; Ca; Tryptophan; '54149; PO4
5.26Single9C2FCa; Ca; Tryptophan; '54149; PO49C2F-CaS; CaS-Ca-Ca; Ca; Tryptophan; '54149; PO4
5.26Single9C2FCa9C2F-CaS; CaS-Ca-Ca; Ca; Tryptophan; '54149; PO4
5.26Single9C2FCa; Ca; Tryptophan; '54149; PO49C2F-CaS; CaS-Ca-Ca; Ca; Tryptophan; '54149; PO4
5.26Single9II2Glutamate9II2-mGlu3; mGlu3-Glutamate-Arrestin2; Arrestin2
5.26Single9II2Glutamate9II2-mGlu3; mGlu3-Glutamate-Arrestin2; Arrestin2
5.26Single9II3Glutamate9II3-mGlu3; mGlu3-Glutamate-Arrestin2
5.26Single9II3Glutamate9II3-mGlu3; mGlu3-Glutamate-Arrestin2
5.26Single9KB7R-spondin-29KB7-LGR4-R-spondin-2
5.26Single9KGKNB189KGK-LGR4-NB18
5.26Single9KHHNorrin9KHH-LGR4-Norrin
5.26Single9MBAGlutamate9MBA-mGlu8; mGlu8-Glutamate-Arrestin2 ; Arrestin2
5.26Single9MBAGlutamate9MBA-mGlu8; mGlu8-Glutamate-Arrestin2 ; Arrestin2
5.26Single9MBBLY3414959MBB-mGlu8; mGlu8-LY341495
5.26Single9MBBLY3414959MBB-mGlu8; mGlu8-LY341495
5.26Single9MBCDCPG9MBC-mGlu8; mGlu8-DCPG-AZ12216052
5.26Single9MBCDCPG9MBC-mGlu8; mGlu8-DCPG-AZ12216052
5.26Single9S37NB219S37-LGR4-NB21
5.26Single9S38NB219S38-LGR4-NB21
5.26Single9UTBSucralose9UTB-TAS1R2; TAS1R3-Sucralose
5.00Single7DD6Ca7DD6-CaS; CaS-Ca-Ca; Ca; Tryptophan
5.00Single7DD6Ca; Ca; Tryptophan7DD6-CaS; CaS-Ca-Ca; Ca; Tryptophan
5.00Single7DD6Ca7DD6-CaS; CaS-Ca-Ca; Ca; Tryptophan
5.00Single7DD6Ca; Ca; Tryptophan7DD6-CaS; CaS-Ca-Ca; Ca; Tryptophan
5.00Single7DD7Ca7DD7-CaS; CaS-Ca-Ca; Ca; Tryptophan; Evocalcet
5.00Single7DD7Ca; Ca; Tryptophan; Evocalcet7DD7-CaS; CaS-Ca-Ca; Ca; Tryptophan; Evocalcet
5.00Single7DD7Ca7DD7-CaS; CaS-Ca-Ca; Ca; Tryptophan; Evocalcet
5.00Single7DD7Ca; Ca; Tryptophan; Evocalcet7DD7-CaS; CaS-Ca-Ca; Ca; Tryptophan; Evocalcet
5.00Single8SZFCa; Ca; Tryptophan; Cinacalcet; PO4; Spermine8SZF-CaS; CaS-Ca; Ca; Tryptophan; Cinacalcet; PO4; Spermine
5.00Single8SZFCa; Ca; Tryptophan; Cinacalcet; PO4; Spermine8SZF-CaS; CaS-Ca; Ca; Tryptophan; Cinacalcet; PO4; Spermine
5.00Single9ASBCa9ASB-CaS; CaS-Ca-Ca; Ca; Cyclomethyltryptophan; R-568; PO4-chim(NtGi1-Gs-CtGq)/β1/γ2
5.00Single9ASBCa; Ca; Cyclomethyltryptophan; R-568; PO49ASB-CaS; CaS-Ca-Ca; Ca; Cyclomethyltryptophan; R-568; PO4-chim(NtGi1-Gs-CtGq)/β1/γ2
5.00Single9AVGCa9AVG-CaS; CaS-Ca-Ca; Ca; Cyclomethyltryptophan; R-568; PO4-chim(NtGi1-Gs)/β1/γ2
5.00Single9AVGCa; Ca; Cyclomethyltryptophan; R-568; PO49AVG-CaS; CaS-Ca-Ca; Ca; Cyclomethyltryptophan; R-568; PO4-chim(NtGi1-Gs)/β1/γ2
5.00Single9AYFCa9AYF-CaS; CaS-Ca-Ca; Ca; Ca; Cyclomethyltryptophan; R-568; PO4-Gi1/β1/γ2
5.00Single9AYFCa; Ca; Ca; Cyclomethyltryptophan; R-568; PO49AYF-CaS; CaS-Ca-Ca; Ca; Ca; Cyclomethyltryptophan; R-568; PO4-Gi1/β1/γ2
5.00Consensusclass-b2_onOrthosteric Ligandadgrg_on adgrf_on adgrl_on adgre_on adgrd_on
5.00Consensusclass-b2_on_gpOrthosteric Ligandadgrg_on_gp adgrf_on_gp adgrl_on_gp adgre_on_gp adgrd_on_gp
4.76Single7KNUCalcitonin gene-related peptide-17KNU-CT Like-Calcitonin gene-related peptide-1-RAMP1
4.76Single7T9MCS-17 Antibody7T9M-TSH-CS-17 Antibody
4.76Single8TLMAnti-murine CCR8 antibody8TLM-CCR8-Anti-murine CCR8 antibody
4.55Single6O3CCholesterol6O3C-SMO-SAG21k-Cholesterol
4.55Single7FIGhCG7FIG-LH-hCG-chim(NtGi1L-Gs)/β1/γ2
4.55Single7UTZTSH7UTZ-TSH-TSH-DPPC-Gs/β1/γ2
4.55Single7XW5TSH7XW5-TSH-TSH-ML109-Gs/β1/γ2
4.55Single7ZI0Cholesterol7ZI0-SMO-SAG-Cholesterol
4.35Single5L7DCholesterol5L7D-SMO-Cholesterol
4.35Single7T9ITSH7T9I-TSH-TSH-Gs/β1/γ2
4.35Single8HQMNPGLY8HQM-GPR132-NPGLY-Gi1/β1/γ2
4.35Single8HVINOX-6-78HVI-GPR132-NOX-6-7-Gi1/β1/γ2
4.35Single8I2GFSH8I2G-FSH-FSH-PubChem 67530240-Gs/β1/γ2
4.17Single2HPYAll-trans-Retinal2HPY-Rhodopsin-All-trans-Retinal
4.17Single9IVMLSN33188399IVM-GLP-1-GLP-1 (Truncated)-LSN3318839-chim(NtGi1-Gs)/β2/γ2
4.00Single9MBCAZ122160529MBC-mGlu8; mGlu8-DCPG-AZ12216052
3.85Single3AYMAll-trans-Retinal3AYM-Rhodopsin-All-trans-Retinal
3.85Single9JCPLPC9JCP-GPR4-LPC-chim(NtGi1-Gs-CtGq)/β1/γ2
3.85Single9MNIdC2_059MNI-CTLike-dC2_05-RAMP1
3.70Single7VVOPTH7VVO-PTH1-PTH-Gs/β1/γ2
3.70Single8T3VDoconexent8T3V-FFA1-Doconexent-chim(NtGi2L-Gs-CtGq)/β1/γ2
3.57Single7M3GCa; Ca; Tryptophan; Evocalcet; Etelcalcetide; PO47M3G-CaS; CaS-Ca; Ca; Tryptophan; Evocalcet; Etelcalcetide; PO4
3.57Single8JD6VU03647708JD6-mGlu4; mGlu4-Phosphoserine-VU0364770-Gi3/β1/γ2
3.45Single9JROPF-044189489JRO-EP2-PF-04418948
3.33Single8T6JCDPPB8T6J-mGlu5; mGlu5-CDPPB
3.33Single8T6JCDPPB8T6J-mGlu5; mGlu5-CDPPB
3.33Single9JRTTG6-1299JRT-EP2-TG6-129
3.23Single8XQTCholesterol8XQT-TAS2R14-Cholesterol-Gi1/β1/γ1
2.94Single5TZYMK8666; AP85TZY-FFA1-MK8666; AP8
2.86Single8XFSR-spondin-28XFS-LGR4-R-spondin-2-ZNRF3; ZNRF3
2.86Single8XFTR-spondin-28XFT-LGR4-R-spondin-2-ZNRF3
2.86Single8Y69R-spondin-28Y69-LGR4; LGR4-R-spondin-2-ZNRF3
2.78Single8XFPR-spondin-28XFP-LGR4-R-spondin-2-ZNRF3; ZNRF3
2.78Single9KB8R-spondin-29KB8-LGR4-R-spondin-2-ZNRF3; ZNRF3
2.78Single9KB9R-spondin-29KB9-LGR4; LGR4-R-spondin-2-ZNRF3; ZNRF3
2.70Single8WVUR-spondin-18WVU-LGR4-R-spondin-1-RNF43
2.70Single8Y69R-spondin-28Y69-LGR4; LGR4-R-spondin-2-ZNRF3
2.70Single9KB9R-spondin-29KB9-LGR4; LGR4-R-spondin-2-ZNRF3; ZNRF3

PDB Summary
PDB 9U4W
Class A
SubFamily Peptide
Type Gonadotrophin Releasing Hormone
SubType GnRH1
Species Sus Scrofa
Ligand Gonadoliberin-1
Other Ligand(s) -
Protein Partners chim(NtGi1L-Gs-CtGq)/Beta1/Gamma2
PDB Resolution 3.18
Date 2025-06-11 
D.O.I. doi.org/10.1073/pnas.2500112122
Net Summary
Imin 2.11
Number of Linked Nodes 839
Number of Links 1148
Number of Hubs 239
Number of Links mediated by Hubs 836
Number of Communities 15
Number of Nodes involved in Communities 357
Number of Links involved in Communities 581
Path Summary
Number Of Nodes in MetaPath 384
Number Of Links MetaPath 383
Number of Shortest Paths 195493416
Length Of Smallest Path 3
Average Path Length 128
Length of Longest Path 72
Minimum Path Strength 1.21
Average Path Strength 8.04862
Maximum Path Strength 24.805
Minimum Path Correlation 0.7
Average Path Correlation 1
Maximum Path Correlation 1
Minimum % Of Corr. Nodes 2.12766
Average % Of Corr. Nodes 64.7517
Maximum % Of Corr. Nodes 100
Minimum Path Hubs % 0
Average Path Hubs % 128
Maximum Path Hubs % 100
AnnotationTypeLinks
Gene OntologyMolecular Function• protein binding   • binding   • enzyme binding   • GTPase binding   • protein-containing complex binding   • pyrophosphatase activity   • GTPase activity   • ribonucleoside triphosphate phosphatase activity   • hydrolase activity, acting on acid anhydrides, in phosphorus-containing anhydrides   • hydrolase activity   • hydrolase activity, acting on acid anhydrides   • catalytic activity   • signaling receptor complex adaptor activity   • protein-macromolecule adaptor activity   • molecular adaptor activity   • signaling adaptor activity   • multicellular organismal process   • system process   • sensory perception of chemical stimulus   • sensory perception   • nervous system process   • sensory perception of taste   • developmental process   • sensory organ development   • eye development   • animal organ development   • retina development in camera-type eye   • visual system development   • multicellular organism development   • camera-type eye development
Gene OntologyBiological Process• multicellular organismal process   • system process   • sensory perception of chemical stimulus   • sensory perception   • nervous system process   • sensory perception of taste   • developmental process   • sensory organ development   • eye development   • animal organ development   • retina development in camera-type eye   • visual system development   • multicellular organism development   • camera-type eye development   • anatomical structure development   • sensory system development   • system development   • cell population proliferation   • cellular process   • cellular response to stimulus   • regulation of biological process   • regulation of cellular process   • response to stimulus   • signaling   • biological regulation   • signal transduction   • cell communication   • response to ketone   • response to prostaglandin   • response to lipid   • response to endogenous stimulus   • response to alcohol   • cellular response to prostaglandin stimulus   • response to oxygen-containing compound   • cellular response to oxygen-containing compound   • cellular response to endogenous stimulus   • cellular response to prostaglandin E stimulus   • cellular response to chemical stimulus   • cellular response to alcohol   • response to hormone   • response to chemical   • cellular response to lipid   • response to prostaglandin E   • cellular response to ketone   • cellular response to hormone stimulus   • small GTPase-mediated signal transduction   • Ras protein signal transduction   • intracellular signal transduction   • intracellular signaling cassette   • phospholipase C-activating G protein-coupled receptor signaling pathway   • G protein-coupled receptor signaling pathway   • cellular response to nitrogen compound   • response to dopamine   • cellular response to dopamine   • response to monoamine   • response to catecholamine   • adenylate cyclase-activating dopamine receptor signaling pathway   • cellular response to catecholamine stimulus   • G protein-coupled dopamine receptor signaling pathway   • response to nitrogen compound   • adenylate cyclase-activating G protein-coupled receptor signaling pathway   • cellular response to monoamine stimulus   • adenylate cyclase-modulating G protein-coupled receptor signaling pathway   • synaptic signaling   • cellular response to acetylcholine   • cell-cell signaling   • acetylcholine receptor signaling pathway   • postsynaptic signal transduction   • G protein-coupled acetylcholine receptor signaling pathway   • response to acetylcholine   • cellular anatomical structure   • membrane   • protein-containing complex   • extrinsic component of plasma membrane   • catalytic complex   • plasma membrane protein complex   • cytoplasmic side of membrane   • plasma membrane   • membrane protein complex   • heterotrimeric G-protein complex   • side of membrane   • cell periphery   • cytoplasmic side of plasma membrane   • GTPase complex
Gene OntologyCellular Component• cellular anatomical structure   • membrane   • protein-containing complex   • extrinsic component of plasma membrane   • catalytic complex   • plasma membrane protein complex   • cytoplasmic side of membrane   • plasma membrane   • membrane protein complex   • heterotrimeric G-protein complex   • side of membrane   • cell periphery   • cytoplasmic side of plasma membrane   • GTPase complex   • extrinsic component of membrane   • extrinsic component of cytoplasmic side of plasma membrane   • extracellular exosome   • membrane-bounded organelle   • extracellular vesicle   • extracellular organelle   • extracellular region   • organelle   • extracellular space   • vesicle   • extracellular membrane-bounded organelle   • non-motile cilium   • 9+0 non-motile cilium   • cilium   • neuron projection   • photoreceptor disc membrane   • photoreceptor outer segment   • plasma membrane bounded cell projection   • cell projection   • photoreceptor cell cilium   • organelle membrane   • intracellular anatomical structure   • cytoplasm   • cytosol   • vacuolar membrane   • lytic vacuole   • vacuole   • intracellular membrane-bounded organelle   • intracellular organelle   • lytic vacuole membrane   • bounding membrane of organelle   • lysosomal membrane   • lysosome   • synapse   • cell junction   • hormone activity   • molecular function activator activity   • molecular function regulator activity   • signaling receptor regulator activity   • receptor ligand activity   • signaling receptor activator activity   • peptide hormone receptor binding   • protein binding   • binding   • signaling receptor binding   • gonadotropin-releasing hormone receptor binding   • hormone receptor binding   • gonadotropin hormone-releasing hormone activity   • regulation of signaling   • regulation of biological process   • signaling   • biological regulation   • ovulation cycle   • rhythmic process   • estrous cycle   • reproductive process   • multicellular organismal reproductive process   • multi-multicellular organism process   • multicellular organismal process   • female pregnancy   • multi-organism reproductive process   • developmental process   • multicellular organism development   • sex determination   • male sex determination   • anatomical structure development   • developmental process involved in reproduction   • regulation of cellular process   • negative regulation of programmed cell death   • regulation of apoptotic process   • negative regulation of biological process   • regulation of programmed cell death   • cell death   • negative regulation of apoptotic process   • negative regulation of cellular process   • cellular process   • apoptotic process   • programmed cell death   • response to ketone   • response to lipid   • response to stimulus   • response to chemical   • response to oxygen-containing compound   • response to testosterone   • regulation of biosynthetic process   • regulation of macromolecule metabolic process   • gene expression   • macromolecule biosynthetic process   • regulation of gene expression   • biosynthetic process   • regulation of macromolecule biosynthetic process   • metabolic process   • macromolecule metabolic process   • regulation of metabolic process   • cell-cell signaling   • cell communication   • response to potassium ion   • response to metal ion   • cellular response to stimulus   • signal transduction   • response to alcohol   • response to ethanol   • response to prostaglandin   • response to hormone   • response to endogenous stimulus   • response to prostaglandin E   • gonad development   • reproductive system development   • regulation of developmental process   • female gonad development   • sex differentiation   • animal organ development   • female sex differentiation   • development of primary female sexual characteristics   • regulation of ovarian follicle development   • development of primary sexual characteristics   • reproductive structure development   • ovarian follicle development   • system development   • response to steroid hormone   • negative regulation of locomotion   • regulation of cell motility   • cellular developmental process   • negative regulation of neuron migration   • regulation of neuron migration   • neurogenesis   • cell differentiation   • regulation of cell migration   • cell migration   • cell motility   • locomotion   • negative regulation of cell migration   • neuron migration   • nervous system development   • generation of neurons   • regulation of locomotion   • negative regulation of cell motility   • response to prolactin   • response to peptide hormone   • response to nitrogen compound   • negative regulation of lymphocyte proliferation   • regulation of leukocyte activation   • regulation of cell activation   • negative regulation of T cell proliferation   • negative regulation of cell adhesion   • negative regulation of leukocyte proliferation   • T cell activation   • lymphocyte proliferation   • regulation of immature T cell proliferation   • regulation of immune system process   • regulation of leukocyte proliferation   • cell population proliferation   • negative regulation of immature T cell proliferation   • negative regulation of T cell activation   • negative regulation of leukocyte cell-cell adhesion   • regulation of cell population proliferation   • mononuclear cell proliferation   • negative regulation of cell-cell adhesion   • regulation of leukocyte cell-cell adhesion   • negative regulation of multicellular organismal process   • negative regulation of leukocyte activation   • lymphocyte activation   • negative regulation of lymphocyte activation   • leukocyte proliferation   • leukocyte cell-cell adhesion   • leukocyte activation   • negative regulation of mononuclear cell proliferation   • cell adhesion   • cell-cell adhesion   • regulation of multicellular organismal process   • regulation of cell-cell adhesion   • T cell proliferation   • regulation of lymphocyte proliferation   • negative regulation of cell population proliferation   • regulation of cell adhesion   • cell activation   • regulation of T cell activation   • immature T cell proliferation   • negative regulation of cell activation   • regulation of T cell proliferation   • negative regulation of immune system process   • immune system process   • regulation of mononuclear cell proliferation   • regulation of lymphocyte activation   • biological process involved in interspecies interaction between organisms   • response to other organism   • response to external stimulus   • response to lipopolysaccharide   • response to biotic stimulus   • response to bacterium   • response to external biotic stimulus   • response to molecule of bacterial origin   • somatodendritic compartment   • cell body   • perikaryon   • neuronal cell body   • intracellular vesicle   • cytoplasmic vesicle   • Golgi-associated vesicle   • dendrite   • dendritic tree   • organelle subcompartment   • endomembrane system   • cytoplasmic side of rough endoplasmic reticulum membrane   • rough endoplasmic reticulum   • endoplasmic reticulum subcompartment   • rough endoplasmic reticulum membrane   • nuclear outer membrane-endoplasmic reticulum membrane network   • endoplasmic reticulum   • cytoplasmic side of endoplasmic reticulum membrane   • endoplasmic reticulum membrane   • granular vesicle   • neurosecretory vesicle   • axon   • axon terminus   • presynapse   • distal axon   • neuron projection terminus   • molecular transducer activity   • protein-hormone receptor activity   • G protein-coupled receptor activity   • transmembrane signaling receptor activity   • signaling receptor activity   • gonadotropin-releasing hormone receptor activity   • G protein-coupled receptor signaling pathway   • cellular response to endogenous stimulus   • cellular response to chemical stimulus   • cellular response to hormone stimulus   • G-protein beta-subunit binding   • fibroblast proliferation   • cellular response to nitrogen compound   • response to dopamine   • cellular response to dopamine   • response to monoamine   • response to catecholamine   • adenylate cyclase-activating dopamine receptor signaling pathway   • cellular response to catecholamine stimulus   • G protein-coupled dopamine receptor signaling pathway   • adenylate cyclase-activating G protein-coupled receptor signaling pathway   • cellular response to oxygen-containing compound   • cellular response to monoamine stimulus   • adenylate cyclase-modulating G protein-coupled receptor signaling pathway   • cellular response to prostaglandin stimulus   • cellular response to prostaglandin E stimulus   • cellular response to alcohol   • cellular response to lipid   • cellular response to ketone
SCOP2Domain Identifier• Transducin (heterotrimeric G protein), gamma chain
SCOP2Family Identifier• Transducin (heterotrimeric G protein), gamma chain
Membrane Protein Annotations-• Orientations of Proteins in Membranes database (OPM)   • Protein Data Bank of Transmembrane Proteins (PDBTM)   • MemProtMD


Details about the values in these tables can be found in the corresponding documentation page .
CodePCA
PDB ResiduesL:L:?1
Environment DetailsOpen EMBL-EBI Page
CodePCA
NamePidolic acid
Synonyms(S)-(−)-2-pyrrolidone-5-carboxylic acid
Identifier
FormulaC5 H7 N O3
Molecular Weight129.114
SMILES
PubChem7405
Formal Charge0
Total Atoms16
Total Chiral Atoms1
Total Bonds16
Total Aromatic Bonds0

CodeNH2
PDB ResiduesL:L:?11
Environment DetailsOpen EMBL-EBI Page
CodeNH2
NameAMINO GROUP
Synonyms
Identifier
FormulaH2 N
Molecular Weight16.023
SMILES
PubChem123329
Formal Charge0
Total Atoms3
Total Chiral Atoms0
Total Bonds2
Total Aromatic Bonds0

PDBsumOpen PDBsum Page
ChainA
ProteinG Protein α Sub unit
UniProtP63092
Sequence
>9U4W_Chain_A
EKAEKIKLD RTRLLLLGA SGKSTIVKI FETKFQVDK VNFHMFDVG 
GQRDERRKW IQCFNDVTA IIFVVSSYN RLQEALNFK SIWNNRWLR 
TISVILFLN KQDLLAEKV SKIEDYFPE FARYTTPED ATPEPGEDP 
RVTRAKYFI REFISTASG DGRHCYPHF TCAVDTENR RFNDCDIIM 
LRYLSADAA RSMDNREGE KARLDNDDD KVDIAIKLQ NEN


Click on each residue to open a popup with some information about it.

ConSurf Conservation Grade (See documentation): 

 n/a   1    2    3    4    5    6    7    8    9  

ChainB
ProteinG Protein β Sub unit
UniProtP62873
Sequence
>9U4W_Chain_B
ELDQLRQEA EQLKNQIRD ARKACADAT LSQITNNID PVGRIQMRT 
RRTLRGHLA KIYAMHWGT DSRLLVSAS QDGKLIIWD SYTTNKVHA 
IPLRSSWVM TCAYAPSGN YVACGGLDN ICSIYNLKT REGNVRVSR 
ELAGHTGYL SCCRFLDDN QIVTSSGDT TCALWDIET GQQTTTFTG 
HTGDVMSLS LAPDTRLFV SGACDASAK LWDVREGMC RQTFTGHES 
DINAICFFP NGNAFATGS DDATCRLFD LRADQELMT YSHDNIICG 
ITSVSFSKS GRLLLAGYD DFNCNVWDA LKADRAGVL AGHDNRVSC 
LGVTDDGMA VATGSWDSF LKIWN


Click on each residue to open a popup with some information about it.

ConSurf Conservation Grade (See documentation): 

 n/a   1    2    3    4    5    6    7    8    9  

ChainG
ProteinG Protein γ Sub unit
UniProtP59768
Sequence
>9U4W_Chain_G
TASIAQARK LVEQLKMEA NIDRIKVSK AAADLMAYC EAHAKEDPL 
LTPVPASEN PFR


Click on each residue to open a popup with some information about it.

ConSurf Conservation Grade (See documentation): 

 n/a   1    2    3    4    5    6    7    8    9  

ChainL
ProteinGonadoliberin-1
UniProtP01148
Sequence
>9U4W_Chain_L


Click on each residue to open a popup with some information about it.

ConSurf Conservation Grade (See documentation): 

 n/a   1    2    3    4    5    6    7    8    9  

ChainR
ProteinReceptor
UniProtP49922
Sequence
>9U4W_Chain_R
NLPTLTLSG KIRVTVTFF LFLLSTAFN ASFLLKLQK SRMKVLLKH 
LTLANLLET LIVMPLDGM WNITVQWYA GEFLCKVLS YLKLFSMYA 
PAFMMVVIS LDRSLAITR PLAVKSNSR LGRFMIGLA WLLSSIFAG 
PQLYIFRMI HLGFSQCVT HGSFPQWWH QAFYNFFTF SCLFIIPLL 
IMLICNAKI MFTLTRVLQ NNIPRARLR TLKMTVAFA ASFIVCWTP 
YYVLGIWYW FDPEMVNRV SDPVNHFFF LFAFLNPCF DPLIYGYFS 
L


Click on each residue to open a popup with some information about it.

ConSurf Conservation Grade (See documentation): 

 n/a   1    2    3    4    5    6    7    8    9  




This receptor, from the same or other species and bound to the same or other ligands, is also present in the following networks:
Show PDB Class SubFamily Type SubType Species Orthosteric Ligand Other Ligand(s) Protein Partners Resolution Date DOI
7BR3APeptideGonadotrophin Releasing HormoneGnRH1Homo sapiensElagolix--2.792020-10-07doi.org/10.1038/s41467-020-19109-w
9U4W (No Gprot) APeptideGonadotrophin Releasing HormoneGnRH1Sus scrofaGonadoliberin-1-3.182025-06-11doi.org/10.1073/pnas.2500112122
9U4YAPeptideGonadotrophin Releasing HormoneGnRH1Xenopus laevisGonadoliberin-1-chim(NtGi1L-Gs-CtGq)/β1/γ23.182025-06-11doi.org/10.1073/pnas.2500112122
9U4Y (No Gprot) APeptideGonadotrophin Releasing HormoneGnRH1Xenopus laevisGonadoliberin-1-3.182025-06-11doi.org/10.1073/pnas.2500112122




You can download a compressed (zip) file with structure(s), 3D outputs (as PyMol and VMD scripts) and numerical data files (as csv and plain text files).

Download 9U4W.zip



You can click to copy the link of this page to easily come back here later

or use this QR code to link and share this page.



You can also  read or  download a guide explaining the meaning of all files and numerical data.