Color ConSurf Grade
      No Conservation data available
      1
      2
      3
      4
      5
      6
      7
      8
      9

Index: hub id, click on each number to highlight the corresponding hub in the 3D visualization.

Hub: the hub being considered.

Avg Int. Strength: the average interaction strength of all the links of the corresponding hub.

Num Of Links: the number of links of the corresponding hub.

Community: the id of the community the link belong to, otherwise 0.

ConSurf: this column reports the ConSurf conservation grades of each hub.

Index Hub Avg Int. Strength Num Of Links Community ConSurf
1A:A:L39 4.135409
2A:A:I184 3.4525409
3A:A:F191 5.5554195
4A:A:F196 6.56507
5A:A:F199 6.462515
6A:A:D200 3.5754189
7A:A:V201 4.0275419
8A:A:Q204 4.645419
9A:A:R208 3.554519
10A:A:K210 4.57714719
11A:A:W211 4.02125819
12A:A:I212 3.6825418
13A:A:H213 5.8175418
14A:A:F215 4.854519
15A:A:F223 4.976509
16A:A:V225 4.58477
17A:A:L227 5.4575477
18A:A:Y230 4.81778
19A:A:D231 7.615479
20A:A:L232 4.9875478
21A:A:F250 4.748336129
22A:A:W258 7.21333615
23A:A:F259 5.0425419
24A:A:I265 2.8925108
25A:A:L266 3.6409
26A:A:F267 4.0756109
27A:A:L268 5.255478
28A:A:N269 4.516509
29A:A:F274 6.575409
30A:A:S281 2.58477
31A:A:L283 4.2275407
32A:A:Y287 6.683336137
33A:A:Y290 7.8625407
34A:A:Y296 7.4525404
35A:A:Y302 9.68254136
36A:A:I303 3.14477
37A:A:F307 4.65667678
38A:A:L310 2.99404
39A:A:Y320 5.4325237
40A:A:H322 6.82754109
41A:A:F323 5.2025474
42A:A:T324 5.9265109
43A:A:C325 2.46407
44A:A:N331 8.08254108
45A:A:F336 4.8365198
46A:A:I343 2.68407
47A:A:K345 4.245405
48A:A:L348 3.6925409
49A:A:F354 4.585405
50B:B:I37 4.235112
51B:B:M45 4.4625434
52B:B:H54 6.536676149
53B:B:I58 4.74254149
54B:B:Y59 7.854518
55B:B:M61 3.715436
56B:B:W63 4.89333637
57B:B:D76 5.27754149
58B:B:K78 3.695408
59B:B:L79 4.015407
60B:B:I80 5.125408
61B:B:I81 4.26254177
62B:B:W82 8.95333609
63B:B:S84 3.965435
64B:B:Y85 9.595434
65B:B:N88 5.56407
66B:B:H91 4.92754175
67B:B:I93 5.3775407
68B:B:W99 6.062519
69B:B:Y105 3.3475406
70B:B:N110 5.834154
71B:B:Y111 4.7165154
72B:B:C114 2.7765258
73B:B:H142 6.16286799
74B:B:Y145 4.42111918
75B:B:R150 5.755456
76B:B:F151 3.56509
77B:B:L152 3.602553
78B:B:D163 6.04599
79B:B:T165 4.4375497
80B:B:L168 2.84456
81B:B:W169 7.08714798
82B:B:T173 6.544265
83B:B:F180 6.754557
84B:B:H183 5.99659
85B:B:V187 4.125459
86B:B:L190 3.832555
87B:B:L192 4.975455
88B:B:F199 5.94167659
89B:B:S201 4.915459
90B:B:K209 7.785456
91B:B:L210 3.528565
92B:B:W211 6.92286758
93B:B:R219 6.185465
94B:B:F222 4.54667668
95B:B:H225 8.26667669
96B:B:I232 4.6225408
97B:B:F235 6.03143746
98B:B:P236 5.3075447
99B:B:N237 7.565445
100B:B:F241 4.99566
101B:B:T243 4.57568
102B:B:D247 8.185409
103B:B:T249 5.67466
104B:B:R251 8.75333668
105B:B:F253 7.5675466
106B:B:D258 7.1375467
107B:B:Y264 6645
108B:B:I269 4.1525444
109B:B:F278 4.54167647
110B:B:R283 7.595119
111B:B:L285 4.78446
112B:B:Y289 6.46333647
113B:B:R304 6.246545
114B:B:H311 6.58539
115B:B:R314 11.5075418
116B:B:L318 3.20833606
117B:B:W332 11.2767619
118B:B:D333 7.4175439
119B:B:K337 3.7775436
120B:B:W339 5.26739
121B:B:N340 6.44439
122G:G:I28 3.405404
123G:G:Y40 6.25446
124G:G:D48 5.1075409
125G:G:P60 6.3925439
126G:G:F61 4.29714738
127L:L:?1 8.618181120
128R:R:Y75 7.355427
129R:R:I93 3.5445277
130R:R:Y106 4.414587
131R:R:F108 5.0354276
132R:R:L121 7.352527
133R:R:Q124 6.24426
134R:R:Y128 7.9175425
135R:R:W133 7.38143728
136R:R:F135 8.548507
137R:R:K141 3.186506
138R:R:I144 3.94425
139R:R:Y149 5.692584
140R:R:N150 6.5225488
141R:R:F152 3.275687
142R:R:T153 4.978587
143R:R:R165 5.2975429
144R:R:Y166 6.47754288
145R:R:R179 5.995406
146R:R:W192 8.75489
147R:R:S195 3.805488
148R:R:F221 3.136676295
149R:R:Y252 4.91833629
150R:R:L259 3.38508
151R:R:F289 4.674529
152R:R:W293 7.51528
153R:R:H297 6.1575408
154R:R:Y299 5.3375404
155R:R:Q314 4.86754304
156R:R:W318 5.894505
157R:R:H319 7.7875424
158R:R:I322 3.728505
159R:R:Y326 5.426527
160R:R:N332 6.16429
161R:R:Y336 4.87629
162R:R:D340 3.4425408
163R:R:F343 4.1725409
   

Color ConSurf Grade
      No Conservation data available
      1
      2
      3
      4
      5
      6
      7
      8
      9

Index: link id, click on each number to highlight the corresponding link in the 3D visualization.

Node1 Node2: the two nodes of the corresponding link.

Recurrence: the relative Recurrence in the pool of shortest paths.

Int. Strength: the interaction strength between the two nodes.

Hub1?, Hub2?: "Yes" if the corresponding node has more than 3 links, otherwise "No".

Community: the id of the community the link belong to, otherwise 0.

ConSurf1, ConSurf2: these columns report the ConSurf conservation grades of the two nodes involved in a link.

Index Node1 Node2 Recurrence Int. Strength Hub1? Hub2? Community ConSurf1 ConSurf2
1B:B:S84 B:B:W63 49.11444.94YesYes357
2B:B:L70 B:B:W63 49.99155.69NoYes357
3B:B:L70 B:B:W82 50.00283.42NoYes059
4B:B:I80 B:B:W82 97.47729.4YesYes089
5A:A:L23 B:B:I80 96.83932.85NoYes068
6A:A:L23 B:B:K78 96.74424.23NoYes068
7B:B:K78 B:B:P94 96.46445.02YesNo085
8B:B:I93 B:B:P94 96.36893.39YesNo075
9B:B:I93 B:B:V133 47.2356.14YesNo074
10B:B:H91 B:B:V133 47.13084.15YesNo054
11B:B:N340 G:G:F61 99.32934.83YesYes398
12B:B:M45 B:B:N340 1002.8YesYes349
13B:B:L308 B:B:M45 33.1248.48NoYes374
14B:B:C294 B:B:L308 33.10784.76NoNo057
15B:B:C294 B:B:L318 33.07593.17NoYes056
16B:B:L318 B:B:S275 98.81273YesNo068
17B:B:S275 B:B:T274 98.7264.8NoNo088
18B:B:D290 B:B:T274 98.64017.23NoNo068
19B:B:D290 B:B:R314 98.05922.63NoYes068
20A:A:W258 B:B:R314 95.68274YesYes158
21A:A:I212 A:A:W258 94.65522.35YesYes185
22A:A:I212 A:A:R208 90.38536.26YesYes189
23A:A:L249 A:A:R208 90.27382.43NoYes099
24A:A:F223 A:A:L249 90.18176.09YesNo099
25A:A:F223 A:A:G40 81.59133.01YesNo099
26A:A:G40 A:A:K46 81.49531.74NoNo099
27A:A:K46 A:A:L38 80.84947.05NoNo1898
28A:A:L38 A:A:M198 80.82274.24NoNo087
29A:A:F189 A:A:M198 80.43754.98NoNo097
30A:A:F189 A:A:F196 80.244712.86NoYes097
31A:A:F196 A:A:V339 75.66963.93YesNo078
32A:A:I343 A:A:V339 75.57133.07YesNo078
33B:B:M45 B:B:W339 66.92072.33YesYes349
34B:B:V327 B:B:W339 33.31123.68NoYes069
35B:B:L318 B:B:V327 33.21042.98YesNo066
36B:B:T329 B:B:W339 33.38127.28NoYes089
37B:B:L318 B:B:T329 33.34552.95YesNo068
38A:A:I343 A:A:N347 73.99422.83YesNo078
39A:A:D350 A:A:N347 73.89532.69NoNo048
40A:A:D350 R:R:R179 73.79635.96NoYes046
41R:R:D164 R:R:R179 73.49938.34NoYes086
42R:R:D164 R:R:Y106 73.40024.6NoYes087
43R:R:M161 R:R:Y106 34.74154.79NoYes087
44R:R:M161 R:R:Y336 34.63514.79NoYes089
45B:B:I93 B:B:L79 48.46627.14YesYes077
46B:B:L79 B:B:V71 47.01022.98YesNo078
47B:B:I81 B:B:V71 46.9063.07YesNo078
48B:B:I81 B:B:L126 93.50694.28YesNo075
49B:B:L126 B:B:V112 93.29054.47NoNo058
50B:B:V112 B:B:Y105 93.07412.52NoYes086
51B:B:H62 B:B:Y105 92.42472.18NoYes066
52B:B:H62 B:B:R150 92.208110.16NoYes066
53B:B:L190 B:B:R150 37.91872.43YesYes556
54B:B:F199 B:B:L190 36.57256.09YesYes595
55B:B:F199 B:B:W211 70.230811.02YesYes598
56B:B:C218 B:B:W211 35.14185.22NoYes558
57B:B:C218 G:G:Q18 34.69413.05NoNo059
58B:B:H91 B:B:I81 46.81086.63YesYes1757
59B:B:L192 B:B:R150 39.50534.86YesYes556
60B:B:F199 B:B:L192 36.36363.65YesYes595
61B:B:K209 B:B:W211 31.08575.8YesYes568
62B:B:K209 B:B:T221 30.65329.01YesNo067
63B:B:T221 G:G:E22 30.20398.47NoNo079
64B:B:I18 G:G:E22 59.5022.73NoNo079
65G:G:E22 G:G:Q18 30.19885.1NoNo099
66B:B:I18 B:B:R22 57.70133.76NoNo076
67B:B:D258 B:B:R22 53.1995.96YesNo076
68B:B:R49 G:G:F61 49.21935.34NoYes078
69B:B:R49 B:B:T87 49.14093.88NoNo075
70B:B:L51 B:B:T87 49.10142.95NoNo095
71B:B:C148 B:B:R150 14.65.57NoYes566
72B:B:C148 B:B:T102 14.59943.38NoNo068
73B:B:C149 B:B:T102 14.37253.38NoNo088
74B:B:D258 B:B:F222 43.28423.58YesYes678
75B:B:F222 B:B:L210 10.82812.44YesYes685
76B:B:F222 B:B:F253 20.74825.36YesYes686
77B:B:F253 B:B:R251 11.72866.41YesYes668
78R:R:T160 R:R:Y106 19.21237.49NoYes877
79R:R:N191 R:R:T160 19.10227.31NoNo877
80R:R:F156 R:R:N191 37.98114.83NoNo867
81R:R:F152 R:R:F156 34.18165.36YesNo876
82R:R:F152 R:R:M151 31.11832.49YesNo077
83L:L:?1 R:R:M151 30.899721.9YesNo007
84R:R:V187 R:R:Y106 19.21232.52NoYes857
85R:R:N191 R:R:V187 19.10222.96NoNo875
86R:R:L158 R:R:Y336 24.03113.52NoYes289
87R:R:F289 R:R:L158 23.96132.44YesNo298
88R:R:F289 R:R:W293 22.413112.03YesYes298
89L:L:?1 R:R:W293 15.74578.3YesYes208
90L:L:?1 R:R:I322 15.2822.6YesYes005
91R:R:I322 R:R:Y75 10.42293.63YesYes057
92R:R:F135 R:R:W133 13.240122.05YesYes078
93B:B:L51 B:B:W82 48.508722.78NoYes099
94B:B:S84 G:G:F61 48.98935.28YesYes358
Download PSN data

2D representation of the global metapath, ligand(s) interactions and
histograms of path distribution according to several parameters
(click on the image to enlarge it 🔍):

A 2D representation of the global communication in the network.

ConSurf Conservation Grade (See documentation): 

 n/a   1    2    3    4    5    6    7    8    9  

Number of shortest communication paths as a function of the average residue correlation.

Number of shortest communication paths as a function of the average interaction strength of their links.

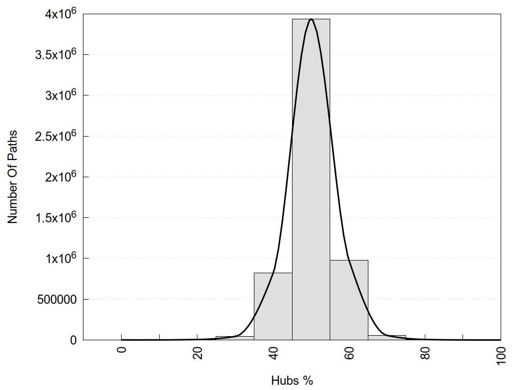
Number of shortest communication paths as a function of the % of hub nodes in each path.

Number of shortest communication paths as a function of the number of nodes in each path.

Number of shortest communication paths as a function of the % of correlated nodes in each path.


2D representation of the interactions of this orthosteric/allosteric ligand.


Links and nodes colored according to ConSurf Conservation Grade (See documentation): 

 n/a   1    2    3    4    5    6    7    8    9  

Node1 Node2 LinkStrength Comm IsNode1Hub? IsNode2Hub? Node1Cons Node2Cons Node1Shell Node2Shell
L:L:?1 R:R:Q124 13.34 2 Yes Yes 0 6 0 1
L:L:?1 R:R:N127 2.5 2 Yes No 0 6 0 1
L:L:?1 R:R:V143 2.72 2 Yes No 0 5 0 1
L:L:?1 R:R:I144 5.2 2 Yes Yes 0 5 0 1
L:L:?1 R:R:D147 14.84 2 Yes No 0 6 0 1
L:L:?1 R:R:Y148 11.75 2 Yes No 0 4 0 1
L:L:?1 R:R:M151 21.9 2 Yes No 0 7 0 1
L:L:?1 R:R:C217 5.79 2 Yes No 0 9 0 1
L:L:?1 R:R:W293 8.3 2 Yes Yes 0 8 0 1
L:L:?1 R:R:H297 5.86 2 Yes Yes 0 8 0 1
L:L:?1 R:R:I322 2.6 2 Yes Yes 0 5 0 1
R:R:L121 R:R:Y75 10.55 2 Yes Yes 7 7 2 2
R:R:I322 R:R:Y75 3.63 0 Yes Yes 5 7 1 2
R:R:Q124 R:R:T120 4.25 2 Yes No 6 6 1 2
R:R:L121 R:R:Q124 3.99 2 Yes Yes 7 6 2 1
R:R:L121 R:R:Y326 12.89 2 Yes Yes 7 7 2 2
R:R:Q124 R:R:Y326 3.38 2 Yes Yes 6 7 1 2
R:R:N127 R:R:W133 9.04 0 No Yes 6 8 1 2
R:R:C140 R:R:W133 6.53 2 No Yes 9 8 2 2
R:R:V143 R:R:W133 2.45 0 No Yes 5 8 1 2
R:R:C217 R:R:W133 7.84 2 No Yes 9 8 1 2
R:R:C140 R:R:I144 3.27 2 No Yes 9 5 2 1
R:R:C140 R:R:C217 5.46 2 No No 9 9 2 1
R:R:I144 R:R:Y148 2.42 2 Yes No 5 4 1 1
R:R:A206 R:R:I144 4.87 0 No Yes 4 5 2 1
R:R:D147 R:R:Y148 2.3 2 No No 6 4 1 1
R:R:D147 R:R:Y326 3.45 2 No Yes 6 7 1 2
R:R:F152 R:R:M151 2.49 8 Yes No 7 7 2 1
R:R:A240 R:R:F152 2.77 0 No Yes 6 7 2 2
R:R:F289 R:R:I155 3.77 2 Yes No 9 8 2 2
R:R:I155 R:R:W293 4.7 2 No Yes 8 8 2 1
R:R:F237 R:R:H297 4.53 0 No Yes 5 8 2 1
R:R:A240 R:R:H297 2.93 0 No Yes 6 8 2 1
R:R:F241 R:R:H297 11.31 0 No Yes 8 8 2 1
R:R:F289 R:R:W293 12.03 2 Yes Yes 9 8 2 1
R:R:I296 R:R:W293 2.35 0 No Yes 6 8 2 1
R:R:N328 R:R:W293 10.17 0 No Yes 9 8 2 1
R:R:I296 R:R:I322 2.94 0 No Yes 6 5 2 1
R:R:I322 R:R:W318 7.05 0 Yes Yes 5 5 1 2
R:R:I322 R:R:Y326 2.42 0 Yes Yes 5 7 1 2

Location and physicochemical properties of the interaction partners of this ligand

Interactions of this ligand

Similarities between the interactions of this ligand and those of other networks

ShowSimilarityNetwork TypeNameLigandDescription
66.67Single9GL2Befiradol9GL2-5-HT1A-Befiradol-Gs/β1/γ2
64.71Single8PKMBefiradol8PKM-5-HT1A-Befiradol-Gi1/β1/γ1
64.29Single8EFBOliceridine8EFB-μ-Oliceridine-Gi1/β1/γ2
62.50Single7X2DTavapadon7X2D-D1-Tavapadon-Gs/β1/γ2
61.54Single6ZG9GSK10347026ZG9-M1-GSK1034702
60.00Single4DJHJDTic4DJH-κ-JDTic
60.00Single8DZPmomSalB8DZP-κ-momSalB-Gi1/β1/γ2
60.00Single8EFLSR170188EFL-μ-SR17018-Gi1/β1/γ2
60.00Consensuskop_offOrthosteric Ligand4DJH-κ-JDTic
57.14Single4EA3PubChem 102965614EA3-NOP-PubChem 10296561
57.14Single5DHHSB-6121115DHH-NOP-SB-612111
57.14Single9D61JDTic9D61-κ-JDTic-Gi1/β1/γ2
56.25Single7DFPSpiperone7DFP-D2-Spiperone
56.25Consensusmop_onOrthosteric Ligand8F7R-μ-Endomorphin-Gi1/β1/γ2 8EF5-μ-Fentanyl-Gi1/β1/γ2 7SCG-μ-FH210-Gi1/β1/γ2 7T2H-μ-Lofentanil-Gi1/β1/γ2 7T2G-μ-Mitragynine Pseudoindoxyl-Gi1/β1/γ2 8EF6-μ-Morphine-Gi1/β1/γ2 8EFB-μ-Oliceridine-Gi1/β1/γ2 7U2L-μ-PubChem 163201242-Gi1/β1/γ2 8EFO-μ-PZM21-Gi1/β1/γ2 8EFL-μ-SR17018-Gi1/β1/γ2 8F7Q-μ-β-Endorphin-Gi1/β1/γ2 7U2K-μ-C6-guano-Gi1/β1/γ2 8EFQ-μ-Damgo-Gi1/β1/γ2
56.25Consensusmop_on_gpOrthosteric Ligand8F7R-μ-Endomorphin-Gi1/β1/γ2 8EF5-μ-Fentanyl-Gi1/β1/γ2 7SCG-μ-FH210-Gi1/β1/γ2 7T2H-μ-Lofentanil-Gi1/β1/γ2 7T2G-μ-Mitragynine Pseudoindoxyl-Gi1/β1/γ2 8EF6-μ-Morphine-Gi1/β1/γ2 8EFB-μ-Oliceridine-Gi1/β1/γ2 7U2L-μ-PubChem 163201242-Gi1/β1/γ2 8EFO-μ-PZM21-Gi1/β1/γ2 8EFL-μ-SR17018-Gi1/β1/γ2 8F7Q-μ-β-Endorphin-Gi1/β1/γ2 7U2K-μ-C6-guano-Gi1/β1/γ2 8EFQ-μ-Damgo-Gi1/β1/γ2
55.56Consensusgi_opioidOrthosteric Ligand8F7R-μ-Endomorphin-Gi1/β1/γ2 8EF5-μ-Fentanyl-Gi1/β1/γ2 7SCG-μ-FH210-Gi1/β1/γ2 7T2H-μ-Lofentanil-Gi1/β1/γ2 7T2G-μ-Mitragynine Pseudoindoxyl-Gi1/β1/γ2 8DZP-κ-momSalB-Gi1/β1/γ2 8EF6-μ-Morphine-Gi1/β1/γ2 8F7X-NOP-Nociceptin-Gi1/β1/γ2 8EFB-μ-Oliceridine-Gi1/β1/γ2 7U2L-μ-PubChem 163201242-Gi1/β1/γ2 8EFO-μ-PZM21-Gi1/β1/γ2 8EFL-μ-SR17018-Gi1/β1/γ2 8F7Q-μ-β-Endorphin-Gi1/β1/γ2 7U2K-μ-C6-guano-Gi1/β1/γ2 8EFQ-μ-Damgo-Gi1/β1/γ2 8F7S-δ-Deltorphin-Gi1/β1/γ2 8F7W-κ-Dynorphin-Gi1/β1/γ2
53.85Single3V2WPubChem 518926453V2W-S1P1-PubChem 51892645
53.85Consensuss1p1_offOrthosteric Ligand3V2W-S1P1-PubChem 51892645
53.33Single7C4SS1P7C4S-S1P3-S1P
53.33Single7SBFPZM217SBF-μ-PZM21-Gi1/β1/γ2
53.33Single8DZRGR89,6968DZR-κ-GR89,696-chim(NtGi2-Gt3)/β1/γ2
53.33Single9I52A1IZU9I52-D1-A1IZU-Gs/β1/γ2
53.33Single9MQKIsoquinuclidine9MQK-κ-Isoquinuclidine
52.94Single5X93K-87945X93-ETB-K-8794
52.94Single6DDFDamgo6DDF-μ-Damgo-Gi1/β1/γ2
52.94Single7SK7CCX6627SK7-ACKR3-CXCL12-CCX662
52.94Single7U2KC6-guano7U2K-μ-C6-guano-Gi1/β1/γ2
52.94Single9DYEBuspirone9DYE-5-HT1A-Buspirone-Go/β1/γ2
52.94Consensusendothelin_offOrthosteric Ligandetb_off
52.94Consensusetb_offOrthosteric Ligand5X93-ETB-K-8794 5XPR-ETB-Bosentan 6K1Q-ETB-IRL2500
52.94Consensuskop_on_gpOrthosteric Ligand8F7W-κ-Dynorphin-Gi1/β1/γ2 8DZS-κ-GR89,696-chim(NtGi2-Gz)/β1/γ2 8DZP-κ-momSalB-Gi1/β1/γ2
50.00Single3V2YPubChem 518926453V2Y-S1P1-PubChem 51892645
50.00Single6TQ7SB-3348676TQ7-OX1-SB-334867
50.00Single6ZFZ77-LH-28-16ZFZ-M1-77-LH-28-1
50.00Single7EW3S1P7EW3-S1P3-S1P-Gi1/β1/γ2
50.00Single7T2HLofentanil7T2H-μ-Lofentanil-Gi1/β1/γ2
50.00Single7U2LPubChem 1632012427U2L-μ-PubChem 163201242-Gi1/β1/γ2
50.00Single8EF5Fentanyl8EF5-μ-Fentanyl-Gi1/β1/γ2
50.00Single8IHKAcifran8IHK-HCA3-Acifran
50.00Single8JLQFenoldopam8JLQ-TA1-Fenoldopam-Gs/β1/γ2
50.00Single8VVFJDTic8VVF-κ-JDTic-Gi1/β1/γ2
50.00Single8X5YAstemizole8X5Y-H1-Astemizole
50.00Single8Y73Peptide8Y73-μ-Peptide-MPAM-15-Gi1/β1/γ2
50.00Single9MD1Buspirone9MD1-5-HT1A-Buspirone-Gz/β1/γ2
50.00Consensusnop_offOrthosteric Ligand4EA3-NOP-PubChem 10296561 5DHG-NOP-C-35 5DHH-NOP-SB-612111
47.06Single5F8UCyanopindolol5F8U-β1-Cyanopindolol
47.06Single5UNHPubChem 1264564065UNH-AT2-PubChem 126456406
47.06Single6ZG4HTL00099366ZG4-M1-HTL0009936
47.06Single7EW2Fingolimod7EW2-S1P3-Fingolimod-Gi1/β1/γ2
47.06Single7JNIOlodanrigan7JNI-AT2-Olodanrigan
47.06Single7YITNalfurafine7YIT-κ-Nalfurafine
47.06Single7YMJTamsulosin7YMJ-Alpha1A-Tamsulosin
47.06Single8FYTLSD8FYT-5-HT1A-LSD-Gi1/β1/γ1
47.06Single8IYWGSK2560738IYW-HCA2-GSK256073-Go/β1/γ2
47.06Single9M4QDoxazosin9M4Q-Alpha1A-Doxazosin
47.06Single9MQLIsoquinuclidine9MQL-κ-Isoquinuclidine
47.06Consensusalpha1_offOrthosteric Ligandalpha1a_off
47.06Consensusalpha1a_offOrthosteric Ligand7YMJ-Alpha1A-Tamsulosin
47.06Consensuskop_onOrthosteric Ligand8F7W-κ-Dynorphin-Gi1/β1/γ2 8DZS-κ-GR89,696-chim(NtGi2-Gz)/β1/γ2 8DZP-κ-momSalB-Gi1/β1/γ2
47.06Consensusopioid_offOrthosteric Ligandmop_off nop_off dop_off kop_off
47.06Consensuss1p3_onOrthosteric Ligand7EW3-S1P3-S1P-Gi1/β1/γ2 7EW4-S1P3-CYM5541-Gi1/β1/γ2 7EW2-S1P3-Fingolimod-Gi1/β1/γ2
46.67Single2Y04Salbutamol2Y04-β1-Salbutamol
46.67Single5DHGC-355DHG-NOP-C-35
46.67Single6DRXLisuride6DRX-5-HT2B-Lisuride
46.67Single7SCGFH2107SCG-μ-FH210-Gi1/β1/γ2
46.67Single7VIES1P7VIE-S1P1-S1P-Gi1/β1/γ2
46.67Single7WC7Lisuride7WC7-5-HT2A-Lisuride
46.67Single7XJHIsoproterenol7XJH-β3-Isoproterenol-Gs/β1/γ2
46.67Single8DZSGR89,6968DZS-κ-GR89,696-chim(NtGi2-Gz)/β1/γ2
46.67Single8IHJAcifran8IHJ-HCA3-Acifran-Gi1/β1/γ2
46.67Single8JXRLSD8JXR-D1-LSD
46.67Single8UH3Setiptiline8UH3-5-HT1E-Setiptiline-Gi1/β1/γ1
46.67Single8VVGGB188VVG-κ-GB18-Gi1/β1/γ2
46.67Single8XVKAmbrisentan8XVK-ETA-Ambrisentan
46.15Single7DD7Ca; Ca; Tryptophan; Evocalcet7DD7-CaS-Ca-Ca; Ca; Tryptophan; Evocalcet
46.15Single8ZSVRO52633978ZSV-TA1-RO5263397-chim(NtGi1-Gs)/β1/γ2
45.45Consensusopioid_onOrthosteric Ligandmop_on nop_on dop_on kop_on
45.00Single8F7SDeltorphin8F7S-δ-Deltorphin-Gi1/β1/γ2
45.00Consensusdop_on_gpOrthosteric Ligand8F7S-δ-Deltorphin-Gi1/β1/γ2
45.00Consensuss1p3_on_gpOrthosteric Ligand7EW3-S1P3-S1P-Gi1/β1/γ2 7EW4-S1P3-CYM5541-Gi1/β1/γ2 7EW2-S1P3-Fingolimod-Gi1/β1/γ2
44.44Single6K1QIRL25006K1Q-ETB-IRL2500
44.44Single7SK8CCX6627SK8-ACKR3-CXCL12-CCX662
44.44Single8S2TIsoprenaline8S2T-β1-Isoprenaline-chim(NtGi1-Gs)/β1/γ2
44.44Single9AS02-bromo-LSD9AS0-5-HT2A-2-bromo-LSD-chim(NtGi1-Gs-CtGq)/β1/γ2
44.44Single9M54Neuropeptide VF9M54-NPFF2-Neuropeptide VF-Gi1/β1/γ2
44.44Consensusd2_offOrthosteric Ligand6CM4-D2-Risperidone 6LUQ-D2-Haloperidol 7DFP-D2-Spiperone
43.75Single2Y03Isoprenaline2Y03-β1-Isoprenaline
43.75Single5WIUNemonapride5WIU-D4-Nemonapride
43.75Single5WIVNemonapride5WIV-D4-Nemonapride-Na
43.75Single7TD3S1P7TD3-S1P1-S1P-Gi1/β1/γ2
43.75Single8DZQmomSalB8DZQ-κ-momSalB-Go/β1/γ2
43.75Single8JXSPF-61428JXS-D1-PF-6142
43.75Single9ARZ2-bromo-LSD9ARZ-5-HT2A-2-bromo-LSD
43.75Single9F34FOB02-04A9F34-D3-FOB02-04A-Go/β1/γ2
43.75Consensusalpha_offOrthosteric Ligandalpha1_off alpha2_off
43.75Consensusd4_onOrthosteric Ligand8IRU-D4-Rotigotine-chim(NtGi1-Gs-CtGi1)/β1/γ2
43.75Consensuss1p_offOrthosteric Ligands1p1_off s1p5_off
43.48Consensusopioid_on_gpOrthosteric Ligandmop_on_gp nop_on_gp dop_on_gp kop_on_gp
42.86Single3ODUIT1t3ODU-CXCR4-IT1t
42.86Single6B73MP11046B73-κ-MP1104
42.86Single6KUYPubChem 1457046436KUY-α2a-PubChem 145704643
42.86Single6OBAS-Alprenolol6OBA-β2-S-Alprenolol-GTPL11074
42.86Single6PT2KGCHM076PT2-δ-KGCHM07
42.86Single7M3FCa; Ca; Tryptophan; Cinacalcet; PO47M3F-CaS-Ca; Ca; Tryptophan; Cinacalcet; PO4
42.86Single7WF7S1P7WF7-S1P1-S1P-Gi1/β1/γ2
42.86Single7YM8Oxymetazoline7YM8-Alpha1A-Oxymetazoline-chim(Gs-CtGq)
42.86Single8EFOPZM218EFO-μ-PZM21-Gi1/β1/γ2
42.86Single8FYXBuspirone8FYX-5-HT1A-Buspirone-Gi1/β1/γ1
42.86Single8WC3SEP-3638568WC3-TA1-SEP-363856-chim(NtGi1-Gs)/β1/γ2
42.86Single8Y0HVUF114188Y0H-CXCR3-VUF11418
42.86Single8Y0NVUF114188Y0N-CXCR3-VUF11418-Go/β1/γ2
42.86Single9B54A1AIW9B54-CB1-A1AIW-Gi1/β1/γ2
42.86Single9MQJIsoquinuclidine9MQJ-μ-Isoquinuclidine
42.11Single8F7REndomorphin8F7R-μ-Endomorphin-Gi1/β1/γ2
42.11Single8JLRA776368JLR-TA1-A77636-chim(NtGi1-Gs)/β1/γ2
42.11Single8Y72Peptide8Y72-μ-Peptide-BMS-986122-Gi1/β1/γ2
42.11Single9IZASCH9002719IZA-HCA2-SCH900271-Gi1/β1/γ2
42.11Consensusdop_onOrthosteric Ligand8F7S-δ-Deltorphin-Gi1/β1/γ2
41.67Single3OE8IT1t3OE8-CXCR4-IT1t
41.67Single9CHUNoradrenaline9CHU-β2-Noradrenaline
41.18Single3SN6BI1671073SN6-β2-BI167107-Gs/β1/γ2
41.18Single5ZKBAF-DX 3845ZKB-M2-AF-DX 384
41.18Single6DDEDamgo6DDE-μ-Damgo-Gi1/β1/γ2
41.18Single6H7JIsoprenaline6H7J-β1-Isoprenaline
41.18Single6NI3BI1671076NI3-β2-BI167107-Gs/β1/γ2
41.18Single7B6WCyclazosin7B6W-α1b-Cyclazosin
41.18Single7CKYPW04647CKY-D1-PW0464-Gs/β1/γ2
41.18Single7E2ZAripiprazole7E2Z-5-HT1A-Aripiprazole-Gi1/β1/γ2
41.18Single7EW7SEW28717EW7-S1P1-SEW2871-Gi1/β1/γ2
41.18Single7JJOIsoprenaline7JJO-β1-Isoprenaline-Gs/β1/γ2
41.18Single7M8W15r-Methyl-Prostaglandin D27M8W-DP2-15r-Methyl-Prostaglandin D2-Na
41.18Single7VIGCBP-3077VIG-S1P1-CBP-307-Gi1/β1/γ2
41.18Single8E0GBU728E0G-μ-BU72
41.18Single8IRURotigotine8IRU-D4-Rotigotine-chim(NtGi1-Gs-CtGi1)/β1/γ2
41.18Single8JT6(R)-IHCH-71798JT6-5-HT1A-(R)-IHCH-7179-Gi1/β1/γ2
41.18Single8XVLZibotentan8XVL-ETA-Zibotentan
41.18Single8ZWFJR14a8ZWF-C3aB-JR14a
41.18Single9I54A1IZV9I54-D1-A1IZV-Gs/β1/γ2
41.18Consensusbeta2_onOrthosteric Ligand7DHI-β2-Salbutamol-Gs/β1/γ2 6NI3-β2-BI167107-Gs/β1/γ2
41.18Consensusbeta2_on_gpOrthosteric Ligand7DHI-β2-Salbutamol-Gs/β1/γ2 6NI3-β2-BI167107-Gs/β1/γ2
41.18Consensusd4_on_gpOrthosteric Ligand8IRU-D4-Rotigotine-chim(NtGi1-Gs-CtGi1)/β1/γ2
40.00Single4AMJS-Carvedilol4AMJ-β1-S-Carvedilol
40.00Single4MQTIperoxo4MQT-M2-Iperoxo-LY2119620
40.00Single6IQLL7458706IQL-D4-L745870
40.00Single6K41Dexmedetomidine6K41-α2b-Dexmedetomidine-Go/β1/γ2
40.00Single6TPGEMPA6TPG-OX2-EMPA
40.00Single6TPNHTL66416TPN-OX2-HTL6641
40.00Single6WJCAtropine6WJC-M1-Atropine-Muscarinic toxin 7
40.00Single7F61PF-036547467F61-H3-PF-03654746
40.00Single7SR8TAK-9257SR8-OX2-TAK-925-chim(NtGi1L-Gs-CtGq)/β1/γ2
40.00Single7UM7Methylergometrine7UM7-5-HT5A-Methylergometrine-chim(NtGi1-Go)/β1/γ2
40.00Single8DCRDobutamine8DCR-β1-Dobutamine-Gs/β1/γ2
40.00Single8F7XNociceptin8F7X-NOP-Nociceptin-Gi1/β1/γ2
40.00Single8JLKUlotaront8JLK-TA1-Ulotaront-chim(NtGi1-Gs)/β1/γ2
40.00Single8JLNT1AM8JLN-TA1-T1AM-Gs/β1/γ2
40.00Single8K9KDamgo8K9K-μ-Damgo-Gi3/β1/γ1
40.00Single8K9LDamgo8K9L-μ-Damgo-BMS-986122-Gi3/β1/γ1
40.00Single8THKA616038THK-Alpha1A-A61603-chim(NtGi2L-Gs-CtGq)/β1/γ2
40.00Single8THLEpinephrine8THL-Alpha1A-Epinephrine-chim(NtGi2L-Gs-CtGq)/β1/γ2
40.00Single8W88SEP-3638568W88-TA1-SEP-363856-Gs/β1/γ2
40.00Single8WC8ZH86518WC8-TA1-ZH8651-chim(NtGi1-Gs)/β1/γ2
40.00Single8WPGTryptophan; Cinacalcet; PO4; Ca8WPG-CaS-Tryptophan; Cinacalcet; PO4; Ca
40.00Single8Y6YGLPG09748Y6Y-FFA2-GLPG0974
40.00Single8YKVPubChem 1375531688YKV-Succinate-PubChem 137553168-Gi1/β1/γ2
40.00Single8ZSPLSD8ZSP-TA1-LSD-chim(NtGi1L-Gs-CtGq)/β1/γ2
40.00Single9M4TSilodosin9M4T-Alpha1A-Silodosin
40.00Single9MQIIsoquinuclidine9MQI-μ-Isoquinuclidine
40.00Consensus5ht2a_offOrthosteric Ligand6A94-5-HT2A-Zotepine 6A93-5-HT2A-Risperidone 7VOD-5-HT2A-Cariprazine 7WC8-5-HT2A-Lumateperone 8JT8-5-HT2A-(R)-IHCH-7179
40.00Consensusalpha1_onOrthosteric Ligandalpha1a_on
40.00Consensusalpha1_on_gpOrthosteric Ligandalpha1a_on_gp
40.00Consensusalpha1a_onOrthosteric Ligand7EJ0-α2a-L-Norepinephrine-Go/β1/γ2 7EJ8-α2a-Brimonidine-Go/β1/γ2 7EJA-α2a-Dexmedetomidine-Go/β1/γ2 7EJK-α2a-Oxymetazoline-Go/β1/γ2 7W6P-α2a-N-pyridin-4-ylisoquinolin-4-amine-Go/β1/γ2 7W7E-α2a-PubChem 164946676-Go/β1/γ2
40.00Consensusalpha1a_on_gpOrthosteric Ligand7EJ0-α2a-L-Norepinephrine-Go/β1/γ2 7EJ8-α2a-Brimonidine-Go/β1/γ2 7EJA-α2a-Dexmedetomidine-Go/β1/γ2 7EJK-α2a-Oxymetazoline-Go/β1/γ2 7W6P-α2a-N-pyridin-4-ylisoquinolin-4-amine-Go/β1/γ2 7W7E-α2a-PubChem 164946676-Go/β1/γ2
40.00Consensusghrelin_offOrthosteric Ligand6KO5-Ghrelin-PubChem 57400002 7F83-Ghrelin-PF-05190457
40.00Consensusnop_onOrthosteric Ligand8F7X-NOP-Nociceptin-Gi1/β1/γ2
40.00Consensusnop_on_gpOrthosteric Ligand8F7X-NOP-Nociceptin-Gi1/β1/γ2
38.89Single4AMIBucindolol4AMI-β1-Bucindolol
38.89Single4LDEBI1671074LDE-β2-BI167107
38.89Single6A93Risperidone6A93-5-HT2A-Risperidone
38.89Single6H7NS-Xamoterol6H7N-β1-S-Xamoterol
38.89Single6H7OCyanopindolol6H7O-β1-Cyanopindolol
38.89Single7BZ2Arformoterol7BZ2-β2-Arformoterol-Gs/β1/γ2
38.89Single7L1VPubChem 1554910097L1V-OX2-PubChem 155491009-chim(NtGi1-Gs-CtGq)/β1/γ2
38.89Single8JJLOlodaterol8JJL-β2-Olodaterol
38.89Single8JWZAB9288JWZ-A2A-AB928-Na
38.89Single8W1VPubChem 1717162658W1V-β2-PubChem 171716265
38.89Single9DGIZ85267113509DGI-CB1-Z8526711350
38.89Consensusorexin_onOrthosteric Ligandox2_on
38.89Consensuss1p1_onOrthosteric Ligand7VIE-S1P1-S1P-Gi1/β1/γ2 7VIF-S1P1-S-FTY720-P-Gi1/β1/γ2 7VIG-S1P1-CBP-307-Gi1/β1/γ2 7EVY-S1P1-Siponimod-Gi1/β1/γ2 7EVZ-S1P1-Cenerimod-Gi1/β1/γ2 7EW0-S1P1-Ozanimod-Gi1/β1/γ2 7EW7-S1P1-SEW2871-Gi1/β1/γ2
38.89Consensuss1p1_on_gpOrthosteric Ligand7VIE-S1P1-S1P-Gi1/β1/γ2 7VIF-S1P1-S-FTY720-P-Gi1/β1/γ2 7VIG-S1P1-CBP-307-Gi1/β1/γ2 7EVY-S1P1-Siponimod-Gi1/β1/γ2 7EVZ-S1P1-Cenerimod-Gi1/β1/γ2 7EW0-S1P1-Ozanimod-Gi1/β1/γ2 7EW7-S1P1-SEW2871-Gi1/β1/γ2
38.46Single3OE6IT1t3OE6-CXCR4-IT1t
38.46Single7DD7Ca; Ca; Tryptophan; Evocalcet7DD7-CaS-Ca-Ca; Ca; Tryptophan; Evocalcet
38.46Single8POKHistamine8POK-H2-Histamine-Gs/β1/γ2
38.46Single8WC9ZH86518WC9-TA1-ZH8651-chim(NtGi1-Gs-CtGq)/β1/γ2
38.46Consensusbb2_onOrthosteric Ligand7W40-BB2-Bombesin-chim(NtGi1L-Gq)/β1/γ2 7W3Z-BB2-Gastrin Releasing Peptide-chim(NtGi1L-Gq)/β1/γ2
38.46Consensusbb2_on_gpOrthosteric Ligand7W40-BB2-Bombesin-chim(NtGi1L-Gq)/β1/γ2 7W3Z-BB2-Gastrin Releasing Peptide-chim(NtGi1L-Gq)/β1/γ2
38.46Consensusbombesin_onOrthosteric Ligandbb2_on
38.46Consensusbombesin_on_gpOrthosteric Ligandbb2_on_gp
38.46Consensusgq_bombesinOrthosteric Ligand7W40-BB2-Bombesin-chim(NtGi1L-Gq)/β1/γ2 7W3Z-BB2-Gastrin Releasing Peptide-chim(NtGi1L-Gq)/β1/γ2
38.46Consensush2_on_gpOrthosteric Ligand8POK-H2-Histamine-Gs/β1/γ2
38.10Single8F7WDynorphin8F7W-κ-Dynorphin-Gi1/β1/γ2
37.50Single3NY8ICI118-5513NY8-β2-ICI118-551
37.50Single3NYAS-Alprenolol3NYA-β2-S-Alprenolol
37.50Single3ZPQ4-(piperazin-1- yl)-1H-indole3ZPQ-β1-4-(piperazin-1- yl)-1H-indole-Na
37.50Single4DAJTiotropium4DAJ-M3-Tiotropium
37.50Single4GBRS-Carazolol4GBR-β2-S-Carazolol
37.50Single4MQSIperoxo4MQS-M2-Iperoxo
37.50Single4QKX35V4QKX-β2-35V
37.50Single4U14Tiotropium4U14-M3-Tiotropium
37.50Single4U16N-Methyl-Scopolamine4U16-M3-N-Methyl-Scopolamine
37.50Single5NDDAZ8838; Na5NDD-PAR2-AZ8838; Na
37.50Single5YC8N-Methyl-Scopolamine5YC8-M2-N-Methyl-Scopolamine
37.50Single5ZK8N-Methyl-Scopolamine5ZK8-M2-N-Methyl-Scopolamine
37.50Single5ZKCN-Methyl-Scopolamine5ZKC-M2-N-Methyl-Scopolamine
37.50Single6H7MSalbutamol6H7M-β1-Salbutamol
37.50Single6K42Dexmedetomidine6K42-α2b-Dexmedetomidine-Gi1/β1/γ2
37.50Single6PS2S-Alprenolol6PS2-β2-S-Alprenolol
37.50Single6TOTLemborexant6TOT-OX1-Lemborexant
37.50Single6Z10PubChem 1545855546Z10-Succinate-PubChem 154585554
37.50Single7F83PF-051904577F83-Ghrelin-PF-05190457
37.50Single7S0GIsoprenaline7S0G-β1-Isoprenaline-chim(Gi1-CtGs)/β1/γ2
37.50Single7SQOTAK-9257SQO-OX2-TAK-925-Gi1/β1/γ2
37.50Single7T2GMitragynine Pseudoindoxyl7T2G-μ-Mitragynine Pseudoindoxyl-Gi1/β1/γ2
37.50Single7TRPIperoxo7TRP-M4-Iperoxo-LY2033298-Gi1/β1/γ2
37.50Single7UM6Lisuride7UM6-5-HT5A-Lisuride-chim(NtGi1-Go)/β1/γ2
37.50Single7VIFS-FTY720-P7VIF-S1P1-S-FTY720-P-Gi1/β1/γ2
37.50Single8EFQDamgo8EFQ-μ-Damgo-Gi1/β1/γ2
37.50Single8IRTRotigotine8IRT-D3-Rotigotine-Gi1/β1/γ2
37.50Single8JD0NAM5638JD0-mGlu2; mGlu3-Glutamate-NAM563
37.50Single8JJOAlprenolol8JJO-β2-Alprenolol
37.50Single8JLJT1AM8JLJ-TA1-T1AM-chim(NtGi1-Gs)/β1/γ2
37.50Single8K5DGSK2560738K5D-HCA2-GSK256073
37.50Single8PJKST1718PJK-5-HT1A-ST171-Gi1/β1/γ1
37.50Single8T1WCVN4248T1W-GPR6-CVN424
37.50Single8UWLLisuride8UWL-5-HT2A-Lisuride-chim(NtGi2-Gs-CtGq)/β1/γ2
37.50Single8W87METH8W87-TA1-METH-chim(NtGi1L-Gs)/β1/γ2
37.50Single8W8ARO52563908W8A-TA1-RO5256390-chim(NtGi1L-Gs)/β1/γ2
37.50Single8X63Mepyramine8X63-H1-Mepyramine
37.50Single8ZSSRO52633978ZSS-TA1-RO5263397-chim(NtGi1-Gs)/β1/γ2
37.50Single9AS1DMT9AS1-5-HT2A-DMT
37.50Single9CBMDexmedetomidine9CBM-α2a-Dexmedetomidine-Gi1/β1/γ2
37.50Single9CHXS-Carazolol9CHX-β2-S-Carazolol
37.50Single9JEAAtropine9JEA-M1-Atropine
37.50Single9PLNN-(5-methylnaphthalen-1-yl)pyridin-4-amine9PLN-α2a-N-(5-methylnaphthalen-1-yl)pyridin-4-amine
37.50Single9PLON-(5-methylnaphthalen-1-yl)pyridin-4-amine9PLO-α2a-N-(5-methylnaphthalen-1-yl)pyridin-4-amine-Go/β1/γ2
37.50Consensus5ht5_onOrthosteric Ligand5ht5a_on
37.50Consensus5ht5a_onOrthosteric Ligand7X5H-5-HT5A-5-CT-Gi1/β1/γ2 7UM6-5-HT5A-Lisuride-chim(NtGi1-Go)/β1/γ2 7UM7-5-HT5A-Methylergometrine-chim(NtGi1-Go)/β1/γ2
37.50Consensusalicarboxylic_on_gpOrthosteric Ligandsuccinate_on_gp hca_on_gp
37.50Consensusalpha2_onOrthosteric Ligandalpha2b_on
37.50Consensusalpha2_on_gpOrthosteric Ligandalpha2b_on_gp
37.50Consensusalpha2b_onOrthosteric Ligand6K42-α2b-Dexmedetomidine-Gi1/β1/γ2
37.50Consensusalpha2b_on_gpOrthosteric Ligand6K42-α2b-Dexmedetomidine-Gi1/β1/γ2
37.50Consensusalpha_onOrthosteric Ligandalpha1_on alpha2_on
37.50Consensusdopamine_offOrthosteric Ligandd2_off d3_off
37.50Consensusgi_alicarboxylicOrthosteric Ligandgi_hca gi_succinate
37.50Consensusgi_orexinOrthosteric Ligand7SQO-OX2-TAK-925-Gi1/β1/γ2
37.50Consensusgq_amineOrthosteric Ligandgq_muscarinic gq_histamine
37.50Consensusgs_trace-amineOrthosteric Ligand8W88-TA1-SEP-363856-Gs/β1/γ2 8JLJ-TA1-T1AM-chim(NtGi1-Gs)/β1/γ2 8JLO-TA1-Ulotaront-Gs/β1/γ2 8WC4-TA1-ZH8651-chim(NtGi1-Gs)/β1/γ2 8WC7-TA1-ZH8667-chim(NtGi1-Gs)/β1/γ2 8JLR-TA1-A77636-chim(NtGi1-Gs)/β1/γ2 8JSO-TA1-AMPH-chim(NtGi1-Gs)/β1/γ2 8W87-TA1-METH-chim(NtGi1L-Gs)/β1/γ2 8W89-TA1-PEA-chim(NtGi1L-Gs)/β1/γ2 8JLP-TA1-Ralmitaront-Gs/β1/γ2 8W8A-TA1-RO5256390-chim(NtGi1L-Gs)/β1/γ2
37.50Consensushistamine_offOrthosteric Ligandh1_off
36.84Single2YCZIodocyanopindolol2YCZ-β1-Iodocyanopindolol
36.84Single5UNGPubChem 157800525UNG-AT2-PubChem 15780052
36.84Single6H7LDobutamine6H7L-β1-Dobutamine
36.84Single7XJISolabegron7XJI-β3-Solabegron-Gs/β1/γ2
36.84Single7XZ6APD6687XZ6-GPR119-APD668-Gs/β1/γ2
36.84Single8GAGPubChem 1708384908GAG-CB1-PubChem 170838490-Gi1/β1/γ2
36.84Single8GUTLEI-1028GUT-CB2-LEI-102-Gi1/β1/γ2
36.84Single8XGSMetastin8XGS-Kiss1-Metastin-chim(NtGi1-Gq)/β1/γ2
36.84Single8XIOL7975918XIO-SST1-L797591-chim(NtGi1-Gs-CtGi1)/β1/γ2
36.84Consensusbeta1_onOrthosteric Ligand8DCR-β1-Dobutamine-Gs/β1/γ2 7S0F-β1-Isoprenaline-Gi1/β1/γ2
36.84Consensusbeta1_on_gpOrthosteric Ligand8DCR-β1-Dobutamine-Gs/β1/γ2 7S0F-β1-Isoprenaline-Gi1/β1/γ2
36.84Consensusgi_s1pOrthosteric Ligand7VIE-S1P1-S1P-Gi1/β1/γ2 7EW3-S1P3-S1P-Gi1/β1/γ2 7EVY-S1P1-Siponimod-Gi1/β1/γ2 7EW1-S1P5-Siponimod-Gi1/β1/γ2 7VIF-S1P1-S-FTY720-P-Gi1/β1/γ2 7VIG-S1P1-CBP-307-Gi1/β1/γ2 7EVZ-S1P1-Cenerimod-Gi1/β1/γ2 7EW4-S1P3-CYM5541-Gi1/β1/γ2 7EW2-S1P3-Fingolimod-Gi1/β1/γ2 7EW0-S1P1-Ozanimod-Gi1/β1/γ2 7EW7-S1P1-SEW2871-Gi1/β1/γ2
36.84Consensusorexin_on_gpOrthosteric Ligandox2_on_gp
36.84Consensuspeptide_offOrthosteric Ligandcck_off angiotensin_off bombesin_off endothelin_off ghrelin_off npy_off opioid_off orexin_off somatostatin_off tachykinin_off vasop-oxy_off neurotensin_off
36.36Single8XGUTAK4488XGU-Kiss1-TAK448-Gi1/β1/γ2
36.36Single8XIQL7967788XIQ-SST3-L796778-chim(NtGi1-Gs-CtGi1)/β1/γ2
36.36Single8XIRPasireotide8XIR-SST3-Pasireotide-chim(NtGi1-Gs-CtGi1)/β1/γ2
36.36Consensusgs_cckOrthosteric Ligand7MBX-CCKA-Cholecystokinin-8-Gs/β1/γ1
36.00Single8FEG(DNCP)-Beta-Naloxamine8FEG-κ-(DNCP)-β-Naloxamine-Gi1/β1/γ2
36.00Single9KDFRES-701-39KDF-ETB-RES-701-3
35.71Single3OE9IT1t3OE9-CXCR4-IT1t
35.71Single7YFCHistamine7YFC-H4-Histamine-chim(NtGi1-Gs-CtGq)/β1/γ2
35.71Single7YFDImetit7YFD-H4-Imetit-chim(NtGi1-Gs-CtGq)/β1/γ2
35.71Single8DPFLorcaserin8DPF-5-HT2C-Lorcaserin-chim(NtGi2L-Gs-CtGq)/β1/γ2
35.71Single8HN8Histamine8HN8-H4-Histamine-Gi1/β1/γ2
35.71Single8IHIAcifran8IHI-HCA2-Acifran-Gi1/β1/γ2
35.71Single8JPNCis-Epoxysuccinic acid8JPN-Succinate-Cis-Epoxysuccinic acid-Gi1/β1/γ1
35.71Single8W89PEA8W89-TA1-PEA-chim(NtGi1L-Gs)/β1/γ2
35.71Single8WP1Cis-Epoxysuccinic acid8WP1-Succinate-Cis-Epoxysuccinic acid-Gi1/β1/γ2
35.71Single8YKWSuccinic acid8YKW-Succinate-Succinic acid-Gi1/β1/γ1
35.71Single9AS2DMT9AS2-5-HT2A-DMT-chim(NtGi1-Gs-CtGq)/β1/γ2
35.71Single9IJEEpinephrine9IJE-β3-Epinephrine-chim(NtGi1-Gs)/β1/γ2
35.71Consensush4_onOrthosteric Ligand8HN8-H4-Histamine-Gi1/β1/γ2 8HOC-H4-Imetit-Gi1/β1/γ2 8JXV-H4-Clozapine-Gi1/β1/γ2 8JXW-H4-VUF6884-Gi1/β1/γ2 8JXX-H4-Clobenpropit-Gi1/β1/γ2
35.29Single2RH1S-Carazolol2RH1-β2-S-Carazolol
35.29Single2Y00Dobutamine2Y00-β1-Dobutamine
35.29Single2YCWS-Carazolol2YCW-β1-S-Carazolol
35.29Single4RWDDIPP-NH24RWD-δ-DIPP-NH2-Na
35.29Single5C1MBU725C1M-μ-BU72
35.29Single5D6LS-Carazolol5D6L-β2-S-Carazolol
35.29Single5JQHS-Carazolol5JQH-β2-S-Carazolol
35.29Single5TVNLSD5TVN-5-HT2B-LSD
35.29Single5WQCEMPA5WQC-OX2-EMPA
35.29Single5X7DS-Carazolol5X7D-β2-S-Carazolol-Cmpd-15
35.29Single5XPRBosentan5XPR-ETB-Bosentan
35.29Single5ZK33-quinuclidinyl-benzilate5ZK3-M2-3-quinuclidinyl-benzilate
35.29Single6E67BI1671076E67-β2-BI167107-Gs(CT)
35.29Single6KUWPubChem 572132346KUW-α2c-PubChem 57213234
35.29Single6LUQHaloperidol6LUQ-D2-Haloperidol
35.29Single6PS3S-Carvedilol6PS3-β2-S-Carvedilol
35.29Single6PS6Timolol6PS6-β2-Timolol
35.29Single6TP6Filorexant6TP6-OX1-Filorexant
35.29Single7BVQS-Carazolol7BVQ-β1-S-Carazolol
35.29Single7EO2FTY720-P7EO2-S1P1-FTY720-P-Gi1/β1/γ2
35.29Single7S0FIsoprenaline7S0F-β1-Isoprenaline-Gi1/β1/γ2
35.29Single7TRKIperoxo7TRK-M4-Iperoxo-Gi1/β1/γ2
35.29Single7VOEAripiprazole7VOE-5-HT2A-Aripiprazole
35.29Single7WC6LSD7WC6-5-HT2A-LSD
35.29Single7XK9Constrained Isoproterenol7XK9-β2-Constrained Isoproterenol-Na
35.29Single8C9WEtrumadenant8C9W-A2A-Etrumadenant
35.29Single8E9ZIperoxo8E9Z-M3-Iperoxo-chim(NtGi2L-Gs-CtGq)/β1/γ2
35.29Single8I7WGSK2560738I7W-HCA2-GSK256073-Gi1/β1/γ2
35.29Single8J18(3R)-3-Hydroxydodecanoic acid8J18-GPR84-(3R)-3-Hydroxydodecanoic acid-Gi1/β1/γ2
35.29Single8J6JGSK2560738J6J-HCA2-GSK256073-Gi1/β1/γ2
35.29Single8WGBVU01550418WGB-mGlu4; mGlu2-Glutammate-VU0155041-Gi3/β1/γ2
35.29Single8YICSAR2477998YIC-S1P1-SAR247799-Gi1/β1/γ2
35.29Single8YNSSNAP-948478YNS-MCH1-SNAP-94847
35.29Single8ZRKGSK-12922638ZRK-GPR119-GSK-1292263-Gs/β1/γ2
35.29Single9F33FOB02-04A9F33-D3-FOB02-04A-Go/β1/γ2
35.29Single9IYBProstaglandin9IYB-DP2-Prostaglandin-A1D5Q-Gi1/β1/γ2
35.29Single9K07DSO-5a9K07-BB3-DSO-5a-chim(NtGi2L-Gs-CtGq)/β1/γ2
35.29Consensus5ht2_offOrthosteric Ligand5ht2a_off 5ht2b_off 5ht2c_off
35.29Consensus5ht5_on_gpOrthosteric Ligand5ht5a_on_gp
35.29Consensus5ht5a_on_gpOrthosteric Ligand7X5H-5-HT5A-5-CT-Gi1/β1/γ2 7UM6-5-HT5A-Lisuride-chim(NtGi1-Go)/β1/γ2 7UM7-5-HT5A-Methylergometrine-chim(NtGi1-Go)/β1/γ2
35.29Consensusadrenergic_offOrthosteric Ligandalpha_off beta_off
35.29Consensusadrenergic_on_gpOrthosteric Ligandalpha_on_gp beta_on_gp
35.29Consensusalpha2c_offOrthosteric Ligand6KUW-α2c-PubChem 57213234
35.29Consensusalpha_on_gpOrthosteric Ligandalpha1_on_gp alpha2_on_gp
35.29Consensusamine_offOrthosteric Ligand5ht_off adrenergic_off dopamine_off histamine_off muscarinic_off
35.29Consensusamine_offonOrthosteric Ligandamine_off amine_on
35.29Consensusamine_offon_gpOrthosteric Ligandamine_on_gp amine_off
35.29Consensusamine_onOrthosteric Ligand5ht_on adrenergic_on dopamine_on histamine_on muscarinic_on trace-amine_on
35.29Consensusbeta2_offOrthosteric Ligand2RH1-β2-S-Carazolol 6PS3-β2-S-Carvedilol 6PS5-β2-S-Propranolol 3D4S-β2-Timolol 3NY8-β2-ICI118-551 3NY9-β2-ICI118-551 6PRZ-β2-S-Alprenolol
35.29Consensusbeta_offOrthosteric Ligandbeta1_off beta2_off
35.29Consensuscb2_onOrthosteric Ligand8GUR-CB2-CP55,940-Gi1/β1/γ2 8GUS-CB2-HU-308-Gi1/β1/γ2 8GUT-CB2-LEI-102-Gi1/β1/γ2 6KPF-CB2-PubChem 145915889-Gi1/β1/γ2 6PT0-CB2-WIN 55212-2-Gi1/β1/γ2 8GUQ-CB2-Olorinab-Gi1/β1/γ2
35.29Consensuscb2_on_gpOrthosteric Ligand8GUR-CB2-CP55,940-Gi1/β1/γ2 8GUS-CB2-HU-308-Gi1/β1/γ2 8GUT-CB2-LEI-102-Gi1/β1/γ2 6KPF-CB2-PubChem 145915889-Gi1/β1/γ2 6PT0-CB2-WIN 55212-2-Gi1/β1/γ2 8GUQ-CB2-Olorinab-Gi1/β1/γ2
35.29Consensusd1_onOrthosteric Ligand7F0T-D1-Dopamine-Gs/β1/γ2 7CKY-D1-PW0464-Gs/β1/γ2 8IRR-D1-Rotigotine-Gs/β1/γ2 7JV5-D1-SKF81297-Gs/β1/γ2 7JVP-D1-SKF83959-Gs/β1/γ2 7X2D-D1-Tavapadon-Gs/β1/γ2 7CKX-D1-A77636-Gs/β1/γ2 7JVQ-D1-Apomorphine-Gs/β1/γ2 7CKW-D1-Fenoldopam-Gs/β1/γ2
35.29Consensusgi_adrenergicOrthosteric Ligand7EJ0-α2a-L-Norepinephrine-Go/β1/γ2 7EJK-α2a-Oxymetazoline-Go/β1/γ2 7W7E-α2a-PubChem 164946676-Go/β1/γ2 7W6P-α2a-N-pyridin-4-ylisoquinolin-4-amine-Go/β1/γ2 7EJ8-α2a-Brimonidine-Go/β1/γ2 6K42-α2b-Dexmedetomidine-Gi1/β1/γ2 7EJA-α2a-Dexmedetomidine-Go/β1/γ2 7S0F-β1-Isoprenaline-Gi1/β1/γ2
35.29Consensush1_offOrthosteric Ligand8X63-H1-Mepyramine 3RZE-H1-Cidoxepin 8X5Y-H1-Astemizole
35.29Consensusm2_offOrthosteric Ligand5ZKC-M2-N-Methyl-Scopolamine 5ZK3-M2-3-quinuclidinyl-benzilate 5ZKB-M2-AF-DX 384
35.29Consensusm3_onOrthosteric Ligand8E9Z-M3-Iperoxo-chim(NtGi2L-Gs-CtGq)/β1/γ2 8E9W-M3-2-Deoxycytidine-chim(NtGi2L-Gs-CtGq)/β1/γ2 8E9Y-M3-Clozapine-N-oxide-chim(NtGi2L-Gs-CtGq)/β1/γ2
35.29Consensusm3_on_gpOrthosteric Ligand8E9Z-M3-Iperoxo-chim(NtGi2L-Gs-CtGq)/β1/γ2 8E9W-M3-2-Deoxycytidine-chim(NtGi2L-Gs-CtGq)/β1/γ2 8E9Y-M3-Clozapine-N-oxide-chim(NtGi2L-Gs-CtGq)/β1/γ2
35.29Consensusta1_onOrthosteric Ligand8W87-TA1-METH-chim(NtGi1L-Gs)/β1/γ2 8W89-TA1-PEA-chim(NtGi1L-Gs)/β1/γ2 8JLP-TA1-Ralmitaront-Gs/β1/γ2 8W8A-TA1-RO5256390-chim(NtGi1L-Gs)/β1/γ2 8W88-TA1-SEP-363856-Gs/β1/γ2 8JLO-TA1-Ulotaront-Gs/β1/γ2 8JLR-TA1-A77636-chim(NtGi1-Gs)/β1/γ2 8JSO-TA1-AMPH-chim(NtGi1-Gs)/β1/γ2 8ZSP-TA1-LSD-chim(NtGi1L-Gs-CtGq)/β1/γ2
35.29Consensustrace-amine_onOrthosteric Ligandta1_on
35.00Single5ZTYAM102575ZTY-CB2-AM10257
35.00Single7SK9CCX6627SK9-ACKR3-CCX662
35.00Single7XY6BAY 60-65837XY6-A2B-BAY 60-6583-chim(NtGi1-Gs)/β1/γ2
35.00Single9IPVJR14a9IPV-C3aB-JR14a-Gi1/β1/γ2
35.00Single9JF4PD1683689JF4-BB1-PD168368
35.00Single9M0RNeuropeptide VF9M0R-NPFF1-Neuropeptide VF-Gi1/β1/γ2
35.00Consensuscb2_offOrthosteric Ligand5ZTY-CB2-AM10257
35.00Consensusox2_onOrthosteric Ligand7L1V-OX2-PubChem 155491009-chim(NtGi1-Gs-CtGq)/β1/γ2 7SQO-OX2-TAK-925-Gi1/β1/γ2 7L1U-OX2-Orexin-chim(NtGi1-Gs-CtGq)/β1/γ2
35.00Consensusox2_on_gpOrthosteric Ligand7L1V-OX2-PubChem 155491009-chim(NtGi1-Gs-CtGq)/β1/γ2 7SQO-OX2-TAK-925-Gi1/β1/γ2 7L1U-OX2-Orexin-chim(NtGi1-Gs-CtGq)/β1/γ2
35.00Consensuss1p_onOrthosteric Ligands1p1_on s1p3_on s1p5_on
35.00Consensuss1p_on_gpOrthosteric Ligands1p1_on_gp s1p3_on_gp s1p5_on_gp
34.78Single7W40Bombesin7W40-BB2-Bombesin-chim(NtGi1L-Gq)/β1/γ2
34.78Single8XWQEndothelin-18XWQ-ETB-Endothelin-1-Gi1/β1/γ2
34.78Single9BKKCholecystokinin-89BKK-CCKA-Cholecystokinin-8-chim(NtGi1-Gs-CtGq)/β1/γ2
33.33Single2YDVNECA2YDV-A2A-NECA
33.33Single3P0GBI1671073P0G-β2-BI167107
33.33Single3PDSHydroxybenzylisoproterenol3PDS-β2-Hydroxybenzylisoproterenol
33.33Single3UON3-quinuclidinyl-benzilate3UON-M2-3-quinuclidinyl-benzilate
33.33Single4LDLHydroxybenzylisoproterenol4LDL-β2-Hydroxybenzylisoproterenol
33.33Single4U15Tiotropium4U15-M3-Tiotropium
33.33Single4UHRCGS216804UHR-A2A-CGS21680
33.33Single4XT1Fractalkine4XT1-US28-Fractalkine
33.33Single4Z34ONO-97803074Z34-LPA1-ONO-9780307
33.33Single5A8E7-Methylcyanopindolol5A8E-β1-7-Methylcyanopindolol-Na
33.33Single5D5AS-Carazolol5D5A-β2-S-Carazolol
33.33Single5D5BS-Carazolol5D5B-β2-S-Carazolol
33.33Single5G53NECA5G53-A2A-NECA-Gs
33.33Single5UNFPubChem 157800525UNF-AT2-PubChem 15780052
33.33Single6AKXA4R6AKX-CCR5-A4R
33.33Single6AKYMaraviroc6AKY-CCR5-Maraviroc
33.33Single6E59L-7607356E59-NK1-L-760735
33.33Single6GT3Imaradenant6GT3-A2A-Imaradenant-Na
33.33Single6J20Aprepitant6J20-NK1-Aprepitant
33.33Single6KO5PubChem 574000026KO5-Ghrelin-PubChem 57400002
33.33Single6N48BI1671076N48-β2-BI167107-PubChem 138454256
33.33Single6OL9Tiotropium6OL9-M5-Tiotropium
33.33Single6WGTLSD6WGT-5-HT2A-LSD
33.33Single7EW1Siponimod7EW1-S1P5-Siponimod-Gi1/β1/γ2
33.33Single7JVPSKF839597JVP-D1-SKF83959-Gs/β1/γ2
33.33Single7M3ECa; Ca; Tryptophan; NPS-21437M3E-CaS-Ca; Ca; Tryptophan; NPS-2143
33.33Single7M3ECa; Ca; Tryptophan; NPS-21437M3E-CaS-Ca; Ca; Tryptophan; NPS-2143
33.33Single7SRRLSD7SRR-5-HT2B-LSD-chim(NtGi2L-Gs-CtGq)/β1/γ2
33.33Single7SRSLSD7SRS-5-HT2B-LSD-Arrestin2
33.33Single7T8XAcetylcholine7T8X-M2-Acetylcholine-chim(NtGi1-Go)/β1/γ2
33.33Single7T90Acetylcholine7T90-M2-Acetylcholine-chim(NtGi1-Go)/β1/γ2
33.33Single7T96Acetylcholine7T96-M2-Acetylcholine-LY2119620-Go/β1/γ2
33.33Single7TD4Siponimod7TD4-S1P1-Siponimod-Gi1/β1/γ2
33.33Single7TRQIperoxo7TRQ-M4-Iperoxo-VU0467154-Gi1/β1/γ2
33.33Single7VIHCBP-3077VIH-S1P1-CBP-307-Gi1/β1/γ2
33.33Single7W6PN-pyridin-4-ylisoquinolin-4-amine7W6P-α2a-N-pyridin-4-ylisoquinolin-4-amine-Go/β1/γ2
33.33Single7W7EPubChem 1649466767W7E-α2a-PubChem 164946676-Go/β1/γ2
33.33Single7XRRLemborexant7XRR-OX2-Lemborexant
33.33Single7YMHNorepinephrine7YMH-Alpha1A-Norepinephrine-chim(Gs-CtGq)
33.33Single8EA0Iperoxo8EA0-M3-Iperoxo
33.33Single8FYLVilazodone8FYL-5-HT1A-Vilazodone-Gi1/β1/γ1
33.33Single8GGAConstrained Epinephrine8GGA-β2-Constrained Epinephrine-GTP-Gs/β1/γ2
33.33Single8GGRConstrained Epinephrine8GGR-β2-Constrained Epinephrine
33.33Single8GH0Constrained Epinephrine8GH0-β2-Constrained Epinephrine
33.33Single8HDOBAY 60-65838HDO-A2B-BAY 60-6583-Gs/β1/γ2
33.33Single8HOCImetit8HOC-H4-Imetit-Gi1/β1/γ2
33.33Single8IHBGSK2560738IHB-HCA2-GSK256073-Gi1/β1/γ2
33.33Single8IHHLUF62838IHH-HCA2-LUF6283-Gi1/β1/γ2
33.33Single8IRRRotigotine8IRR-D1-Rotigotine-Gs/β1/γ2
33.33Single8IRVRotigotine8IRV-D5-Rotigotine-chim(NtGi1-Gs)/β1/γ2
33.33Single8JSOAMPH8JSO-TA1-AMPH-chim(NtGi1-Gs)/β1/γ2
33.33Single8JSRAnamorelin8JSR-Ghrelin-Anamorelin-chim(NtGi1-Gs-CtGq)/β1/γ2
33.33Single8T1VPubChem 1183102098T1V-GPR6-PubChem 118310209-Na
33.33Single8WC4ZH86518WC4-TA1-ZH8651-chim(NtGi1-Gs)/β1/γ2
33.33Single8WCA2-Phenylethylamine8WCA-TA1-2-Phenylethylamine-chim(NtGi1-Gs)/β1/γ2
33.33Single8WOGSuccinic acid8WOG-Succinate-Succinic acid-Gi1/β1/γ2
33.33Single8WPGTryptophan; Cinacalcet; PO4; Ca8WPG-CaS-Tryptophan; Cinacalcet; PO4; Ca
33.33Single8YKXMaleic acid8YKX-Succinate-Maleic acid-Gi1/β1/γ1
33.33Single8YNAImmepip8YNA-H4-Immepip-Gi1/β1/γ2
33.33Single8ZJETAK-4488ZJE-Kiss1-TAK-448-chim(NtGi1-Gq)/β1/γ1
33.33Single8ZRTET-18ZRT-ETB-ET-1
33.33Single9AVLCa; Ca; Cyclomethyltryptophan; 9IG; PO49AVL-CaS-Ca-Ca; Ca; Cyclomethyltryptophan; 9IG; PO4-Gi3/β2/γ2
33.33Single9B65KCA9B65-CB1-KCA-Gi1/β1/γ2
33.33Single9BJKNaloxone9BJK-μ-Naloxone-NAM
33.33Single9BKJCholecystokinin-89BKJ-CCKA-Cholecystokinin-8-chim(NtGi1-Gs-CtGq)/β1/γ2
33.33Single9EGOYVF9EGO-CB1-YVF-Gi1/β1/γ2
33.33Single9IJDCarazolol9IJD-β3-Carazolol-chim(NtGi1-Gs)/β1/γ2
33.33Single9J5VCpY9J5V-LPA1-CpY-Gi1/β1/γ2
33.33Single9KPESA09KPE-TAS2R16-SA0-Gi1/β1/γ2
33.33Single9LRBHistamine9LRB-H1-Histamine-Gs/β1/γ2
33.33Consensus5ht2_on_gpOrthosteric Ligand5ht2b_on_gp
33.33Consensus5ht2b_on_gpOrthosteric Ligand7SRR-5-HT2B-LSD-chim(NtGi2L-Gs-CtGq)/β1/γ2
33.33Consensus5ht_offOrthosteric Ligand5ht2_off 5ht1_off
33.33Consensusalpha2_offOrthosteric Ligandalpha2c_off
33.33Consensusamine_on_gpOrthosteric Ligand5ht_on_gp adrenergic_on_gp dopamine_on_gp histamine_on_gp muscarinic_on_gp trace-amine_on_gp
33.33Consensusbeta1_offOrthosteric Ligand2VT4-β1-Cyanopindolol 2YCW-β1-S-Carazolol 2YCZ-β1-Iodocyanopindolol 5A8E-β1-7-Methylcyanopindolol-Na 3ZPQ-β1-4-(piperazin-1- yl)-1H-indole-Na 3ZPR-β1-4-methyl-2-(piperazin-1-yl)-Na
33.33Consensusclass-a_offOrthosteric Ligandsensory_off alicarboxylic_off amine_off lipid_off nucleotide_off peptide_off protein_off
33.33Consensusd1_on_gpOrthosteric Ligand7F0T-D1-Dopamine-Gs/β1/γ2 7CKY-D1-PW0464-Gs/β1/γ2 8IRR-D1-Rotigotine-Gs/β1/γ2 7JV5-D1-SKF81297-Gs/β1/γ2 7JVP-D1-SKF83959-Gs/β1/γ2 7X2D-D1-Tavapadon-Gs/β1/γ2 7CKX-D1-A77636-Gs/β1/γ2 7JVQ-D1-Apomorphine-Gs/β1/γ2 7CKW-D1-Fenoldopam-Gs/β1/γ2
33.33Consensusd5_on_gpOrthosteric Ligand8IRV-D5-Rotigotine-chim(NtGi1-Gs)/β1/γ2
33.33Consensusgi_5htOrthosteric Ligand8FYT-5-HT1A-LSD-Gi1/β1/γ1 7UM7-5-HT5A-Methylergometrine-chim(NtGi1-Go)/β1/γ2 8UGY-5-HT1E-Mianserin-Gi1/β1/γ1 8W8B-5-HT1A-SEP-363856-Gi1/β1/γ2 7E2Y-5-HT1A-Serotonin-Gi1/β1/γ2 7E32-5-HT1D-Serotonin-Gi1/β1/γ2 7XTA-5-HT4-Serotonin-Gi1/β1/γ2 8UH3-5-HT1E-Setiptiline-Gi1/β1/γ1 8JSP-5-HT1A-Ulotaront-Gi1/β1/γ2 8FYL-5-HT1A-Vilazodone-Gi1/β1/γ1 8JT6-5-HT1A-(R)-IHCH-7179-Gi1/β1/γ2 8FYE-5-HT1A-4-F,5-MeO-PyrT-Gi1/β1/γ1 7X5H-5-HT5A-5-CT-Gi1/β1/γ2 8FY8-5-HT1A-5-MeO-DMT-Gi1/β1/γ1 7E2Z-5-HT1A-Aripiprazole-Gi1/β1/γ2 7E33-5-HT1E-BRL-54443-Gi1/β1/γ2 8FYX-5-HT1A-Buspirone-Gi1/β1/γ1 7EXD-5-HT1F-Lasmiditan-Gi1/β1/γ2 7UM6-5-HT5A-Lisuride-chim(NtGi1-Go)/β1/γ2
33.33Consensusgi_cannabinoidOrthosteric Ligand8GUR-CB2-CP55,940-Gi1/β1/γ2 8GUS-CB2-HU-308-Gi1/β1/γ2 8GUT-CB2-LEI-102-Gi1/β1/γ2 8GUQ-CB2-Olorinab-Gi1/β1/γ2 6KPF-CB2-PubChem 145915889-Gi1/β1/γ2 6PT0-CB2-WIN 55212-2-Gi1/β1/γ2 6KPG-CB1-AM841-Gi1/β1/γ2
33.33Consensusgi_succinateOrthosteric Ligand8YKW-Succinate-Succinic acid-Gi1/β1/γ1 8YKX-Succinate-Maleic acid-Gi1/β1/γ1
33.33Consensusgq_histamineOrthosteric Ligand7DFL-H1-Histamine-chim(NtGi1L-Gq)/β1/γ2
33.33Consensusgs_adrenergicOrthosteric Ligand7DHI-β2-Salbutamol-Gs/β1/γ2 7XJI-β3-Solabegron-Gs/β1/γ2 7JJO-β1-Isoprenaline-Gs/β1/γ2 6NI3-β2-BI167107-Gs/β1/γ2 8DCR-β1-Dobutamine-Gs/β1/γ2 7XJH-β3-Isoproterenol-Gs/β1/γ2 7DH5-β3-Mirabegron-Gs/β1/γ2
33.33Consensusgs_dopamineOrthosteric Ligand7F0T-D1-Dopamine-Gs/β1/γ2 7CKW-D1-Fenoldopam-Gs/β1/γ2 7CKY-D1-PW0464-Gs/β1/γ2 8IRV-D5-Rotigotine-chim(NtGi1-Gs)/β1/γ2 8IRR-D1-Rotigotine-Gs/β1/γ2 7JV5-D1-SKF81297-Gs/β1/γ2 7JVP-D1-SKF83959-Gs/β1/γ2 7X2D-D1-Tavapadon-Gs/β1/γ2 7CKX-D1-A77636-Gs/β1/γ2 7JVQ-D1-Apomorphine-Gs/β1/γ2
33.33Consensush1_on_gpOrthosteric Ligand7DFL-H1-Histamine-chim(NtGi1L-Gq)/β1/γ2
33.33Consensushistamine_onOrthosteric Ligandh1_on h2_on h3_on h4_on
33.33Consensushistamine_on_gpOrthosteric Ligandh1_on_gp h2_on_gp h3_on_gp h4_on_gp
33.33Consensusm2_onOrthosteric Ligand7T8X-M2-Acetylcholine-chim(NtGi1-Go)/β1/γ2
33.33Consensusm2_on_gpOrthosteric Ligand7T8X-M2-Acetylcholine-chim(NtGi1-Go)/β1/γ2
33.33Consensusm3_offOrthosteric Ligand4U15-M3-Tiotropium 4U16-M3-N-Methyl-Scopolamine 5ZHP-M3-PubChem 134828589
33.33Consensusm5_offOrthosteric Ligand6OL9-M5-Tiotropium
33.33Consensusmop_offOrthosteric Ligand4DKL-μ-β-Funaltrexamine 8QOT-μ-Nanobody-E 7UL4-μ-Alvimopan
33.33Consensusmuscarinic_offOrthosteric Ligandm2_off m3_off m4_off m5_off m1_off
33.33Consensusorexin_offOrthosteric Ligandox2_off ox1_off
33.33Consensusox2_offOrthosteric Ligand5WQC-OX2-EMPA 6TPN-OX2-HTL6641 7XRR-OX2-Lemborexant 6TPJ-OX2-Suvorexant
33.33Consensusrhodopsin_offOrthosteric Ligand1U19-Rhodopsin-11-cis-Retinal 2PED-Rhodopsin-9-cis-Retinal 5TE5-Rhodopsin-20-Methanoretinal
33.33Consensuss1p5_onOrthosteric Ligand7EW1-S1P5-Siponimod-Gi1/β1/γ2
33.33Consensuss1p5_on_gpOrthosteric Ligand7EW1-S1P5-Siponimod-Gi1/β1/γ2
33.33Consensussuccinate_onOrthosteric Ligand8YKW-Succinate-Succinic acid-Gi1/β1/γ1 8YKX-Succinate-Maleic acid-Gi1/β1/γ1
33.33Consensussuccinate_on_gpOrthosteric Ligand8YKW-Succinate-Succinic acid-Gi1/β1/γ1 8YKX-Succinate-Maleic acid-Gi1/β1/γ1
33.33Consensusta1_on_gpOrthosteric Ligand8W87-TA1-METH-chim(NtGi1L-Gs)/β1/γ2 8W89-TA1-PEA-chim(NtGi1L-Gs)/β1/γ2 8JLP-TA1-Ralmitaront-Gs/β1/γ2 8W8A-TA1-RO5256390-chim(NtGi1L-Gs)/β1/γ2 8W88-TA1-SEP-363856-Gs/β1/γ2 8JLO-TA1-Ulotaront-Gs/β1/γ2 8JLR-TA1-A77636-chim(NtGi1-Gs)/β1/γ2 8JSO-TA1-AMPH-chim(NtGi1-Gs)/β1/γ2 8ZSP-TA1-LSD-chim(NtGi1L-Gs-CtGq)/β1/γ2
33.33Consensustrace-amine_on_gpOrthosteric Ligandta1_on_gp
31.82Single7DDZJNJ-310200287DDZ-Y2-JNJ-31020028
31.82Consensusgi_cckOrthosteric Ligand7EZH-CCKA-Cholecystokinin-8-Gi1/β1/γ2 7F8V-CCKB-Gastrin-17-Gi2/β1/γ2
31.82Consensusgq_class-aOrthosteric Ligandgq_peptide gq_amine gq_nucleotide
31.82Consensusnpy2_offOrthosteric Ligand7DDZ-Y2-JNJ-31020028
31.58Single3D4STimolol3D4S-β2-Timolol
31.58Single4RWADIPP-NH24RWA-δ-DIPP-NH2
31.58Single5CXVTiotropium5CXV-M1-Tiotropium
31.58Single6CM4Risperidone6CM4-D2-Risperidone
31.58Single6VMSBromoergocryptine6VMS-D2-Bromoergocryptine-Gi1/β1/γ2
31.58Single7DH5Mirabegron7DH5-β3-Mirabegron-Gs/β1/γ2
31.58Single7EO4BAF3127EO4-S1P1-BAF312-Gi1/β1/γ2
31.58Single7EPENAM5637EPE-mGlu2; mGlu2-NAM563
31.58Single7EVYSiponimod7EVY-S1P1-Siponimod-Gi1/β1/γ2
31.58Single7T6BS1P7T6B-S1P2-S1P-chim(NtGi1L-G13)/β1/γ2
31.58Single7W0LPubChem 1227019087W0L-Apelin-PubChem 122701908-Gi1/β1/γ2
31.58Single7W0LPubChem 1227019087W0L-Apelin-PubChem 122701908-Gi1/β1/γ2
31.58Single7WCNAR2314537WCN-GPR119-AR231453-Gs/β1/γ2
31.58Single8E9W2-Deoxycytidine8E9W-M3-2-Deoxycytidine-chim(NtGi2L-Gs-CtGq)/β1/γ2
31.58Single8FYE4-F,5-MeO-PyrT8FYE-5-HT1A-4-F,5-MeO-PyrT-Gi1/β1/γ1
31.58Single8G056-OAU8G05-GPR84-6-OAU-Gi1/β1/γ2
31.58Single8I9AEP548I9A-C3aB-EP54-chim(NtGi1-Gs-CtGq)/β1/γ2
31.58Single8IA8E7 peptide8IA8-C3aB-E7 peptide-Gi1/β1/γ2
31.58Single8IRSRotigotine8IRS-D2-Rotigotine-Gi1/β1/γ2
31.58Single8JJ8Formoterol8JJ8-β2-Formoterol
31.58Single8JWY2-1188JWY-A2A-2-118
31.58Single9BJKNAM9BJK-μ-Naloxone-NAM
31.58Single9GYOP3959GYO-GPBA-P395-chim(NtGi1-Gs)/β1/γ2
31.58Consensus5ht1a_onOrthosteric Ligand8FYT-5-HT1A-LSD-Gi1/β1/γ1 7E2Y-5-HT1A-Serotonin-Gi1/β1/γ2 7E2Z-5-HT1A-Aripiprazole-Gi1/β1/γ2 8FYX-5-HT1A-Buspirone-Gi1/β1/γ1 8JSP-5-HT1A-Ulotaront-Gi1/β1/γ2 8JT6-5-HT1A-(R)-IHCH-7179-Gi1/β1/γ2 8FY8-5-HT1A-5-MeO-DMT-Gi1/β1/γ1 8FYE-5-HT1A-4-F,5-MeO-PyrT-Gi1/β1/γ1 8FYL-5-HT1A-Vilazodone-Gi1/β1/γ1
31.58Consensus5ht1a_on_gpOrthosteric Ligand8FYT-5-HT1A-LSD-Gi1/β1/γ1 8FYX-5-HT1A-Buspirone-Gi1/β1/γ1 8JSP-5-HT1A-Ulotaront-Gi1/β1/γ2 8JT6-5-HT1A-(R)-IHCH-7179-Gi1/β1/γ2 7E2Y-5-HT1A-Serotonin-Gi1/β1/γ2 7E2Z-5-HT1A-Aripiprazole-Gi1/β1/γ2 8FY8-5-HT1A-5-MeO-DMT-Gi1/β1/γ1 8FYE-5-HT1A-4-F,5-MeO-PyrT-Gi1/β1/γ1 8FYL-5-HT1A-Vilazodone-Gi1/β1/γ1
31.58Consensusbeta3_onOrthosteric Ligand7DH5-β3-Mirabegron-Gs/β1/γ2 7XJH-β3-Isoproterenol-Gs/β1/γ2 7XJI-β3-Solabegron-Gs/β1/γ2
31.58Consensusbeta3_on_gpOrthosteric Ligand7DH5-β3-Mirabegron-Gs/β1/γ2 7XJH-β3-Isoproterenol-Gs/β1/γ2 7XJI-β3-Solabegron-Gs/β1/γ2
31.58Consensusbeta_onOrthosteric Ligandbeta1_on beta2_on beta3_on
31.58Consensusbeta_on_gpOrthosteric Ligandbeta1_on_gp beta2_on_gp beta3_on_gp
31.58Consensuscannabinoid_offOrthosteric Ligandcb2_off cb1_off
31.58Consensuscannabinoid_onOrthosteric Ligandcb2_on cb1_on
31.58Consensuscannabinoid_on_gpOrthosteric Ligandcb2_on_gp cb1_on_gp
31.58Consensusgi_amineOrthosteric Ligandgi_5ht gi_muscarinic gi_adrenergic gi_dopamine gi_histamine
31.58Consensusleukotriene_offOrthosteric Ligandblt_off cyslt_off
31.58Consensuslpl_offOrthosteric Ligands1p_off lpa_off
31.58Consensusm1_offOrthosteric Ligand5CXV-M1-Tiotropium
31.25Single3RZECidoxepin3RZE-H1-Cidoxepin
31.25Single4LDOL-Epinephrine4LDO-β2-L-Epinephrine
31.25Single4MBSMaraviroc4MBS-CCR5-Maraviroc
31.25Single4ZJCSB-6740424ZJC-OX1-SB-674042
31.25Single6A94Zotepine6A94-5-HT2A-Zotepine
31.25Single6KUXRS-799486KUX-α2a-RS-79948
31.25Single6PS0S-Carazolol6PS0-β2-S-Carazolol
31.25Single6PS4ICI118-5516PS4-β2-ICI118-551
31.25Single6PS5S-Propranolol6PS5-β2-S-Propranolol
31.25Single6TP3Nemorexant6TP3-OX1-Nemorexant
31.25Single6VI4JDTic6VI4-κ-JDTic
31.25Single6WH4Methiothepin6WH4-5-HT2A-Methiothepin
31.25Single7CMUPramipexole7CMU-D3-Pramipexole-Gi1/β1/γ2
31.25Single7DHISalbutamol7DHI-β2-Salbutamol-Gs/β1/γ2
31.25Single7E33BRL-544437E33-5-HT1E-BRL-54443-Gi1/β1/γ2
31.25Single7EJ8Brimonidine7EJ8-α2a-Brimonidine-Go/β1/γ2
31.25Single7EJADexmedetomidine7EJA-α2a-Dexmedetomidine-Go/β1/γ2
31.25Single7RANPubChem 1645758477RAN-5-HT2A-PubChem 164575847-chim(NtGi2L-Gs-CtGq)/β1/γ2
31.25Single7T94Acetylcholine7T94-M2-Acetylcholine-LY2119620-chim(NtGi1-Go)/β1/γ2
31.25Single7TRSAcetylcholine7TRS-M4-Acetylcholine-Gi1/β1/γ2
31.25Single7VODCariprazine7VOD-5-HT2A-Cariprazine
31.25Single7WC9PubChem 1624213647WC9-5-HT2A-PubChem 162421364
31.25Single7YK6PubChem 1383196747YK6-RXFP4-PubChem 138319674-Gi2/β1/γ2
31.25Single8FCZ11-cis-Retinal8FCZ-Rhodopsin-11-cis-Retinal
31.25Single8GE1Constrained Epinephrine8GE1-β2-Constrained Epinephrine-Gs/β1/γ2
31.25Single8GE4Constrained Epinephrine8GE4-β2-Constrained Epinephrine-Gs/β1/γ2
31.25Single8GE6Constrained Epinephrine8GE6-β2-Constrained Epinephrine-Gs/β1/γ2
31.25Single8GE7Constrained Epinephrine8GE7-β2-Constrained Epinephrine-Gs/β1/γ2
31.25Single8GE8Constrained Epinephrine8GE8-β2-Constrained Epinephrine-Gs/β1/γ2
31.25Single8GEFConstrained Epinephrine8GEF-β2-Constrained Epinephrine-Gs/β1/γ2
31.25Single8GG7Constrained Epinephrine8GG7-β2-Constrained Epinephrine-GTP-Gs/β1/γ2
31.25Single8GGLConstrained Epinephrine8GGL-β2-Constrained Epinephrine
31.25Single8GGMConstrained Epinephrine8GGM-β2-Constrained Epinephrine
31.25Single8GGPConstrained Epinephrine8GGP-β2-Constrained Epinephrine
31.25Single8GGQConstrained Epinephrine8GGQ-β2-Constrained Epinephrine
31.25Single8GGSConstrained Epinephrine8GGS-β2-Constrained Epinephrine
31.25Single8GGTConstrained Epinephrine8GGT-β2-Constrained Epinephrine
31.25Single8GGVConstrained Epinephrine8GGV-β2-Constrained Epinephrine
31.25Single8GGXConstrained Epinephrine8GGX-β2-Constrained Epinephrine
31.25Single8GUQOlorinab8GUQ-CB2-Olorinab-Gi1/β1/γ2
31.25Single8GURCP55,9408GUR-CB2-CP55,940-Gi1/β1/γ2
31.25Single8HNMVUF112228HNM-CXCR3-VUF11222-Gi1/β1/γ2
31.25Single8IY9Niacin8IY9-HCA2-Niacin-Go/β1/γ2
31.25Single8JEI3-nitro-4-(propylamino)benzoic acid8JEI-HCAR3-3-nitro-4-(propylamino)benzoic acid-Gi1/β1/γ2
31.25Single8JIMMMF8JIM-HCA2-MMF-Gi1/β1/γ2
31.25Single8JSPUlotaront8JSP-5-HT1A-Ulotaront-Gi1/β1/γ2
31.25Single8K5CAcipimox8K5C-HCA2-Acipimox
31.25Single8PM2DMCH8PM2-TA7-DMCH-Gs/β1/γ2
31.25Single8U02L-Dopamine8U02-D2-L-Dopamine-Go/β1/γ2
31.25Single8UHBRO52563908UHB-TA1-RO5256390-Gs/β1/γ2
31.25Single8UNLConstrained Epinephrine8UNL-β2-Constrained Epinephrine-GTP-Gs/β1/γ2
31.25Single8UNOConstrained Epinephrine8UNO-β2-Constrained Epinephrine-GTP-Gs/β1/γ2
31.25Single8V6UPubChem 1713924568V6U-5-HT2A-PubChem 171392456-chim(NtGi2-Gs-CtGq)/β1/γ2
31.25Single8W8BSEP-3638568W8B-5-HT1A-SEP-363856-Gi1/β1/γ2
31.25Single8WPUTryptophan; Cinacalcet; PO4; Ca8WPU-CaS-Tryptophan; Cinacalcet; PO4; Ca-chim(NtGi2L-Gs-CtGq)/β1/γ2
31.25Single8YN3Histamine8YN3-H2-Histamine-Gs/β1/γ2
31.25Single8ZMGPimavanserin8ZMG-5-HT2A-Pimavanserin
31.25Single9AS3LSD9AS3-5-HT2A-LSD
31.25Single9AS4LSD9AS4-5-HT2A-LSD-chim(NtGi1-Gs-CtGq)/β1/γ2
31.25Single9AS5Mescaline9AS5-5-HT2A-Mescaline
31.25Single9AS6Mescaline9AS6-5-HT2A-Mescaline-chim(NtGi1-Gs-CtGq)/β1/γ2
31.25Single9ASBCa; Ca; Cyclomethyltryptophan; 9IG; PO49ASB-CaS-Ca-Ca; Ca; Cyclomethyltryptophan; 9IG; PO4-chim(NtGi1-Gs-CtGq)/β1/γ2
31.25Single9AVGCa; Ca; Cyclomethyltryptophan; 9IG; PO49AVG-CaS-Ca-Ca; Ca; Cyclomethyltryptophan; 9IG; PO4-chim(NtGi1-Gs)/β1/γ2
31.25Single9CBLEpinephrine9CBL-α2a-Epinephrine-Gi1/β1/γ2
31.25Single9JKQMETH9JKQ-TA1-METH-Gs/β1/γ2
31.25Single9JMDAzithromycin9JMD-Motilin-Azithromycin-chim(Gs-CtGq)/β1/γ2
31.25Single9KPDSA09KPD-TAS2R16-SA0-chim(Gs-CtGt3)/β1/γ2
31.25Consensus5ht_on_gpOrthosteric Ligand5ht1_on_gp 5ht2_on_gp 5ht4_on_gp 5ht5_on_gp 5ht6_on_gp 5ht7_on_gp
31.25Consensusat1_offOrthosteric Ligand4YAY-AT1-ZD-7155 4ZUD-AT1-Olmesartan
31.25Consensusd3_onOrthosteric Ligand7CMV-D3-PD128907-Gi1/β1/γ2 8IRT-D3-Rotigotine-Gi1/β1/γ2 7CMU-D3-Pramipexole-Gi1/β1/γ2
31.25Consensusd3_on_gpOrthosteric Ligand7CMV-D3-PD128907-Gi1/β1/γ2 8IRT-D3-Rotigotine-Gi1/β1/γ2 7CMU-D3-Pramipexole-Gi1/β1/γ2
31.25Consensushca_onOrthosteric Ligandhca2_on
31.25Consensusopsins_offOrthosteric Ligandrhodopsin_off
31.25Consensussensory_offOrthosteric Ligandopsins_off
30.77Single6TQ9SB-4081246TQ9-OX1-SB-408124
30.77Single8DPHLorcaserin8DPH-5-HT2C-Lorcaserin-chim(NtGi2L-Gs-CtGq)/β1/γ2
30.77Single8WC5Tetramethylammonium Ion8WC5-TA1-Tetramethylammonium Ion-chim(NtGi1-Gs)/β1/γ2
30.77Consensusgs_histamineOrthosteric Ligand8POK-H2-Histamine-Gs/β1/γ2
30.77Consensush2_onOrthosteric Ligand8POK-H2-Histamine-Gs/β1/γ2
30.43Single7MBXCholecystokinin-87MBX-CCKA-Cholecystokinin-8-Gs/β1/γ1
30.43Single7TD0LPA7TD0-LPA1-LPA-Gi1/β1/γ2
30.43Single7TD2LPA7TD2-LPA1-LPA-Gi1/β1/γ2
30.43Single9M1OMorphine-Modulating Neuropeptide B9M1O-NPFF2-Morphine-Modulating Neuropeptide B-Gi1/β1/γ2
30.43Consensusgs_class-aOrthosteric Ligandgs_peptide gs_nucleotide gs_amine
30.43Consensuspeptide_offonOrthosteric Ligandpeptide_off peptide_on
30.00Single4BVNCyanopindolol4BVN-β1-Cyanopindolol-Na
30.00Single4Z35ONO-99105394Z35-LPA1-ONO-9910539
30.00Single6BQHRitanserin6BQH-5-HT2C-Ritanserin
30.00Single6IBLArformoterol6IBL-β1-Arformoterol
30.00Single6TKOArformoterol6TKO-β1-Arformoterol-Arrestin2
30.00Single7EVZCenerimod7EVZ-S1P1-Cenerimod-Gi1/β1/γ2
30.00Single7EW0Ozanimod7EW0-S1P1-Ozanimod-Gi1/β1/γ2
30.00Single7JVRBromoergocryptine7JVR-D2-Bromoergocryptine-Gi1/β1/γ2
30.00Single7MTSADX551647MTS-mGlu2; mGlu2-Glutamate-ADX55164-Gi1/β1/γ2
30.00Single7VGY2-Iodomelatonin7VGY-MT1-2-Iodomelatonin-Gi1/β1/γ2
30.00Single7X8RBOC57X8R-GLP-1-BOC5-Gs/β1/γ2
30.00Single7XK2MK68927XK2-HCA2-MK6892-Gi1/β1/γ2
30.00Single8E9X2-Deoxycytidine8E9X-M4-2-Deoxycytidine-chim(NtGi1-Go)/β1/γ2
30.00Single8E9YClozapine-N-oxide8E9Y-M3-Clozapine-N-oxide-chim(NtGi2L-Gs-CtGq)/β1/γ2
30.00Single8FX5Xanomeline8FX5-M4-Xanomeline-Xanomeline-Gi1/β1/γ2
30.00Single8I95EP548I95-C3aB-EP54-Go/β1/γ2
30.00Single8IJDMK68928IJD-HCA2-MK6892-Gi1/β1/γ2
30.00Single8ZWGJR14a8ZWG-C3aB-JR14a-Gi1/β1/γ2
30.00Single9CGJC6-Quino9CGJ-δ-C6-Quino-Gi1/β1/γ2
30.00Single9EAILosartan9EAI-AT1-Losartan-Nanobody AT209
30.00Consensus5ht2c_offOrthosteric Ligand6BQH-5-HT2C-Ritanserin
30.00Consensuscb1_on_gpOrthosteric Ligand6KPG-CB1-AM841-Gi1/β1/γ2 8K8J-CB1-Fenofibrate-chim(Gs-CtGq)/β1/γ2
30.00Consensuscck_onOrthosteric Ligandccka_on cckb_on
30.00Consensuscck_on_gpOrthosteric Ligandccka_on_gp cckb_on_gp
30.00Consensusclass-a_onOrthosteric Ligandsensory_on alicarboxylic_on amine_on lipid_on nucleotide_on peptide_on protein_on
29.63Single6IGLIRL16206IGL-ETB-IRL1620
29.41Single1HZX11-cis-Retinal1HZX-Rhodopsin-11-cis-Retinal
29.41Single2Y01Dobutamine2Y01-β1-Dobutamine
29.41Single2Y02Carmoterol2Y02-β1-Carmoterol
29.41Single2YCYCyanopindolol2YCY-β1-Cyanopindolol
29.41Single3ZPR4-methyl-2-(piperazin-1-yl)3ZPR-β1-4-methyl-2-(piperazin-1-yl)-Na
29.41Single4EJ4Naltrindole4EJ4-δ-Naltrindole
29.41Single4YAYZD-71554YAY-AT1-ZD-7155
29.41Single5DSGTiotropium5DSG-M4-Tiotropium
29.41Single5OLZPubChem 1355666095OLZ-A2A-PubChem 135566609-Na
29.41Single5OM1PubChem 1355666095OM1-A2A-PubChem 135566609-Na
29.41Single6DRZMethysergide6DRZ-5-HT2B-Methysergide
29.41Single6GPSMK08126GPS-CCR2-MK0812
29.41Single6PRZS-Alprenolol6PRZ-β2-S-Alprenolol
29.41Single6PS1Timolol6PS1-β2-Timolol
29.41Single6WHADB139486WHA-5-HT2A-DB13948-chim(NtGi2L-Gs-CtGq)/β1/γ2
29.41Single7BTSL-Epinephrine7BTS-β1-L-Epinephrine
29.41Single7BU6L-Norepinephrine7BU6-β1-L-Norepinephrine
29.41Single7CRHSKF839597CRH-D1-SKF83959-Gs/β1/γ2
29.41Single7E32Serotonin7E32-5-HT1D-Serotonin-Gi1/β1/γ2
29.41Single7JOZVFP7JOZ-D1-VFP-Gs/β1/γ2
29.41Single7JVQApomorphine7JVQ-D1-Apomorphine-Gs/β1/γ2
29.41Single7M3JNPS-2143; PO47M3J-CaS-NPS-2143; PO4
29.41Single7NA8PubChem 1780247NA8-Ghrelin-PubChem 178024-Gi1/β1/γ2
29.41Single7T6VfMLFII7T6V-FPR2-ALX-fMLFII-Gi1/β1/γ2
29.41Single7UL4Alvimopan7UL4-μ-Alvimopan
29.41Single7V3ZCP559407V3Z-CB1-CP55940
29.41Single7VKTLTB47VKT-BLT1-LTB4-Gi1/β1/γ2
29.41Single7WC8Lumateperone7WC8-5-HT2A-Lumateperone
29.41Single7XTC5-CT7XTC-5-HT7-5-CT-Gs/β1/γ2
29.41Single7YACPaltusotine7YAC-SST2-Paltusotine-Gi1/β1/γ2
29.41Single7YXAONO-54306087YXA-S1P5-ONO-5430608
29.41Single8CICEtrumadenant8CIC-A2A-Etrumadenant-Na
29.41Single8CU6LJ-45178CU6-A2A-LJ-4517
29.41Single8FY85-MeO-DMT8FY8-5-HT1A-5-MeO-DMT-Gi1/β1/γ1
29.41Single8GE3Constrained Epinephrine8GE3-β2-Constrained Epinephrine-Gs/β1/γ2
29.41Single8GE9Constrained Epinephrine8GE9-β2-Constrained Epinephrine-Gs/β1/γ2
29.41Single8GECConstrained Epinephrine8GEC-β2-Constrained Epinephrine-Gs/β1/γ2
29.41Single8GEEConstrained Epinephrine8GEE-β2-Constrained Epinephrine-Gs/β1/γ2
29.41Single8GEHConstrained Epinephrine8GEH-β2-Constrained Epinephrine-Gs/β1/γ2
29.41Single8GFVConstrained Epinephrine8GFV-β2-Constrained Epinephrine-GTP-Gs/β1/γ2
29.41Single8GFWConstrained Epinephrine8GFW-β2-Constrained Epinephrine-GTP-Gs/β1/γ2
29.41Single8GFXConstrained Epinephrine8GFX-β2-Constrained Epinephrine-GTP-Gs/β1/γ2
29.41Single8GFZConstrained Epinephrine8GFZ-β2-Constrained Epinephrine-GTP-Gs/β1/γ2
29.41Single8GG0Constrained Epinephrine8GG0-β2-Constrained Epinephrine-GTP-Gs/β1/γ2
29.41Single8GG1Constrained Epinephrine8GG1-β2-Constrained Epinephrine-GTP-Gs/β1/γ2
29.41Single8GG3Constrained Epinephrine8GG3-β2-Constrained Epinephrine-GTP-Gs/β1/γ2
29.41Single8GG4Constrained Epinephrine8GG4-β2-Constrained Epinephrine-GTP-Gs/β1/γ2
29.41Single8GG6Constrained Epinephrine8GG6-β2-Constrained Epinephrine-GTP-Gs/β1/γ2
29.41Single8GG9Constrained Epinephrine8GG9-β2-Constrained Epinephrine-GTP-Gs/β1/γ2
29.41Single8GGIConstrained Epinephrine8GGI-β2-Constrained Epinephrine
29.41Single8GGJConstrained Epinephrine8GGJ-β2-Constrained Epinephrine
29.41Single8GGKConstrained Epinephrine8GGK-β2-Constrained Epinephrine
29.41Single8GGNConstrained Epinephrine8GGN-β2-Constrained Epinephrine
29.41Single8GGOConstrained Epinephrine8GGO-β2-Constrained Epinephrine
29.41Single8GGUConstrained Epinephrine8GGU-β2-Constrained Epinephrine
29.41Single8I7VAcipimox8I7V-HCA2-Acipimox-Gi1/β1/γ2
29.41Single8J6PNiacin8J6P-HCA2-Niacin-Compound 9n-Gi1/β1/γ2
29.41Single8JIINiacin8JII-HCA2-Niacin-Compound 9n-Gi1/β1/γ2
29.41Single8KFYZK-7563268KFY-CCR8-ZK-756326-Gi1/β1/γ2
29.41Single8UGYMianserin8UGY-5-HT1E-Mianserin-Gi1/β1/γ1
29.41Single8UNQConstrained Epinephrine8UNQ-β2-Constrained Epinephrine-GTP-Gs/β1/γ2
29.41Single8UNVConstrained Epinephrine8UNV-β2-Constrained Epinephrine-GTP-Gs/β1/γ2
29.41Single8UNYConstrained Epinephrine8UNY-β2-Constrained Epinephrine-GTP-Gs/β1/γ2
29.41Single8UNZConstrained Epinephrine8UNZ-β2-Constrained Epinephrine-GTP-Gs/β1/γ2
29.41Single8UO2Constrained Epinephrine8UO2-β2-Constrained Epinephrine-GTP-Gs/β1/γ2
29.41Single8WC7ZH86678WC7-TA1-ZH8667-chim(NtGi1-Gs)/β1/γ2
29.41Single8X64Desloratadine8X64-H1-Desloratadine
29.41Single8YN8Proxyfan8YN8-H3-Proxyfan-Go/β1/γ2
29.41Single9H37A1IR09H37-A2A-A1IR0-Na
29.41Single9KFJPubChem 1383196749KFJ-RXFP3-PubChem 138319674-Gi2/β1/γ2
29.41Single9PQD(6m)-1-methyl-6-(1,2,5,6-tetrahydropyridin-3-yl)-1h-indole9PQD-α2a-(6m)-1-methyl-6-(1,2,5,6-tetrahydropyridin-3-yl)-1h-indole
29.41Consensus5ht1d_onOrthosteric Ligand7E32-5-HT1D-Serotonin-Gi1/β1/γ2
29.41Consensus5ht1d_on_gpOrthosteric Ligand7E32-5-HT1D-Serotonin-Gi1/β1/γ2
29.41Consensus5ht2b_offOrthosteric Ligand6DRZ-5-HT2B-Methysergide
29.41Consensus5ht7_onOrthosteric Ligand7XTC-5-HT7-5-CT-Gs/β1/γ2
29.41Consensus5ht7_on_gpOrthosteric Ligand7XTC-5-HT7-5-CT-Gs/β1/γ2
29.41Consensusadrenergic_onOrthosteric Ligandalpha_on beta_on
29.41Consensusalicarboxylic_offOrthosteric Ligandsuccinate_off
29.41Consensusblt1_onOrthosteric Ligand7VKT-BLT1-LTB4-Gi1/β1/γ2
29.41Consensusblt1_on_gpOrthosteric Ligand7VKT-BLT1-LTB4-Gi1/β1/γ2
29.41Consensusblt_onOrthosteric Ligandblt1_on
29.41Consensusblt_on_gpOrthosteric Ligandblt1_on_gp
29.41Consensusccr2_offOrthosteric Ligand6GPS-CCR2-MK0812
29.41Consensusd5_onOrthosteric Ligand8IRV-D5-Rotigotine-chim(NtGi1-Gs)/β1/γ2
29.41Consensusdop_offOrthosteric Ligand4EJ4-δ-Naltrindole
29.41Consensusdopamine_onOrthosteric Ligandd2_on d1_on d3_on d4_on d5_on
29.41Consensusdopamine_on_gpOrthosteric Ligandd2_on_gp d1_on_gp d3_on_gp d4_on_gp d5_on_gp
29.41Consensusgi_hcaOrthosteric Ligand8J6R-HCA2-MK6892-Gi1/β1/γ2 8JIM-HCA2-MMF-Gi1/β1/γ2 8IHI-HCA2-Acifran-Gi1/β1/γ2 8IHH-HCA2-LUF6283-Gi1/β1/γ2 8I7V-HCA2-Acipimox-Gi1/β1/γ2 8I7W-HCA2-GSK256073-Gi1/β1/γ2
29.41Consensusgi_histamineOrthosteric Ligand8JXX-H4-Clobenpropit-Gi1/β1/γ2 8JXV-H4-Clozapine-Gi1/β1/γ2 8YUU-H3-Histamine-Gi1/β1/γ1 8HN8-H4-Histamine-Gi1/β1/γ2 8HOC-H4-Imetit-Gi1/β1/γ2 8JXW-H4-VUF6884-Gi1/β1/γ2
29.41Consensusgi_leukotrieneOrthosteric Ligand7VKT-BLT1-LTB4-Gi1/β1/γ2
29.41Consensushca2_onOrthosteric Ligand8J6R-HCA2-MK6892-Gi1/β1/γ2 8JIM-HCA2-MMF-Gi1/β1/γ2 8I7V-HCA2-Acipimox-Gi1/β1/γ2 8I7W-HCA2-GSK256073-Gi1/β1/γ2 8IHH-HCA2-LUF6283-Gi1/β1/γ2 8IHI-HCA2-Acifran-Gi1/β1/γ2
29.41Consensushca2_on_gpOrthosteric Ligand8J6R-HCA2-MK6892-Gi1/β1/γ2 8IHI-HCA2-Acifran-Gi1/β1/γ2 8IHH-HCA2-LUF6283-Gi1/β1/γ2 8I7V-HCA2-Acipimox-Gi1/β1/γ2 8JIM-HCA2-MMF-Gi1/β1/γ2 8I7W-HCA2-GSK256073-Gi1/β1/γ2
29.41Consensushca_on_gpOrthosteric Ligandhca2_on_gp
29.41Consensusleukotriene_onOrthosteric Ligandblt_on
29.41Consensusleukotriene_on_gpOrthosteric Ligandblt_on_gp
29.41Consensuslipid_offOrthosteric Ligandcannabinoid_off paf_off lpl_off prostanoid_off leukotriene_off
29.41Consensusm4_offOrthosteric Ligand5DSG-M4-Tiotropium
29.41Consensusmuscarinic_onOrthosteric Ligandm2_on m3_on m4_on m1_on
29.41Consensusmuscarinic_on_gpOrthosteric Ligandm2_on_gp m3_on_gp m4_on_gp m1_on_gp
29.41Consensussuccinate_offOrthosteric Ligand6RNK-Succinate-NF-56-EJ40 6Z10-Succinate-PubChem 154585554
29.17Single8H4KGW95088H4K-FFA4-GW9508-chim(NtGi1-Gs-CtGq)/β1/γ2
29.17Consensuspeptide_offon_gpOrthosteric Ligandpeptide_on_gp peptide_off
28.57Single2J4Y11-cis-Retinal2J4Y-Rhodopsin-11-cis-Retinal
28.57Single3C9M11-cis-Retinal3C9M-Rhodopsin-11-cis-Retinal
28.57Single3NY9ICI118-5513NY9-β2-ICI118-551
28.57Single4UG2CGS216804UG2-A2A-CGS21680
28.57Single6PT3DPI-2876PT3-δ-DPI-287
28.57Single7EJKOxymetazoline7EJK-α2a-Oxymetazoline-Go/β1/γ2
28.57Single7RKFFractalkine7RKF-US28-Fractalkine-GDP-chim(NtGi1-G11)/β1/γ2
28.57Single7YJ4INSL57YJ4-RXFP4-INSL5-Gi2/β1/γ2
28.57Single8DPILorcaserin8DPI-5-HT2C-Lorcaserin-chim(NtGi2L-Gs-CtGq)/β1/γ2
28.57Single8GGEConstrained Epinephrine8GGE-β2-Constrained Epinephrine-GTP-Gs/β1/γ2
28.57Single8GGFConstrained Epinephrine8GGF-β2-Constrained Epinephrine-GTP-Gs/β1/γ2
28.57Single8GH1Constrained Epinephrine8GH1-β2-Constrained Epinephrine
28.57Single8J6QBeta-Hydroxybutyrate8J6Q-HCA2-β-Hydroxybutyrate-Compound 9n-Gi1/β1/γ2
28.57Single8QJ2pN1628QJ2-MC4-pN162-Gs
28.57Single8SZFCa; Ca; Tryptophan; Cinacalcet; PO4; Spermine8SZF-CaS-Ca; Ca; Tryptophan; Cinacalcet; PO4; Spermine
28.57Single8WC62-Phenylethylamine8WC6-TA1-2-Phenylethylamine-chim(NtGi1-Gs)/β1/γ2
28.57Single8X3LXWD8X3L-CB2-XWD-Gi1/β1/γ2
28.57Single8YN9Histamine8YN9-H4-Histamine-Gi1/β1/γ2
28.57Single8YUUHistamine8YUU-H3-Histamine-Gi1/β1/γ1
28.57Single9CGKC5-Quino9CGK-δ-C5-Quino-Gi1/β1/γ2
28.57Single9IPYJR14a9IPY-C3aB-JR14a
28.57Single9LRCHistamine9LRC-H4-Histamine
28.57Single9LREHistamine9LRE-H4-Histamine-Gi1/β1/γ2
28.57Single9V2NMacimorelin9V2N-Ghrelin-Macimorelin-chim(NtGi1-Gs-CtGq)/β1/γ2
28.57Consensus5ht2_onOrthosteric Ligand5ht2b_on
28.57Consensus5ht2b_onOrthosteric Ligand7SRR-5-HT2B-LSD-chim(NtGi2L-Gs-CtGq)/β1/γ2
28.57Consensush3_onOrthosteric Ligand8YUU-H3-Histamine-Gi1/β1/γ1
28.57Consensush3_on_gpOrthosteric Ligand8YUU-H3-Histamine-Gi1/β1/γ1
28.00Single8XGOTAK4488XGO-Kiss1-TAK448-chim(NtGi1-Gq)/β1/γ2
28.00Consensusmc1_onOrthosteric Ligand7F4H-MC1-Afamelanotide-chim(NtGi1-Gs)/β1/γ2 7F4D-MC1-α-MSH-chim(NtGi1-Gs)/β1/γ2 7F4I-MC1-SHU9119-chim(NtGi1-Gs)/β1/γ2
28.00Consensusmc1_on_gpOrthosteric Ligand7F4H-MC1-Afamelanotide-chim(NtGi1-Gs)/β1/γ2 7F4D-MC1-α-MSH-chim(NtGi1-Gs)/β1/γ2 7F4I-MC1-SHU9119-chim(NtGi1-Gs)/β1/γ2
27.78Single4WW3All-trans-Retinal4WW3-Rhodopsin-All-trans-Retinal
27.78Single4ZJ8Suvorexant4ZJ8-OX1-Suvorexant
27.78Single5OM4PubChem 1355666095OM4-A2A-PubChem 135566609-Na
27.78Single6D26Fevipiprant6D26-DP2-Fevipiprant
27.78Single6GPXMK08126GPX-CCR2-MK0812
27.78Single6ME72-Phenylmelatonin6ME7-MT2-2-Phenylmelatonin
27.78Single6ME82-Phenylmelatonin6ME8-MT2-2-Phenylmelatonin
27.78Single6OIKIperoxo6OIK-M2-Iperoxo-LY2119620-chim(NtGi1-Go)/β1/γ2
27.78Single6TO7Suvorexant6TO7-OX1-Suvorexant-Na
27.78Single7C61Ergotamine7C61-5-HT1B-Ergotamine
27.78Single7CFNINT-7777CFN-GPBA-INT-777-Gs/β1/γ2
27.78Single7CKXA776367CKX-D1-A77636-Gs/β1/γ2
27.78Single7EPFNAM5977EPF-mGlu2; mGlu2-NAM597
27.78Single7M3JNPS-2143; PO47M3J-CaS-NPS-2143; PO4
27.78Single7W41PD1762527W41-BB2-PD176252
27.78Single7X1TTaltirelin7X1T-TRH-Taltirelin-chim(NtGi2L-Gs-CtGq)/β1/γ2
27.78Single7XKAConstrained Epinephrine7XKA-β2-Constrained Epinephrine
27.78Single7YU6ONO-07405567YU6-LPA1-ONO-0740556-Gi1/β1/γ2
27.78Single8GDZConstrained Epinephrine8GDZ-β2-Constrained Epinephrine-Gs/β1/γ2
27.78Single8GEBConstrained Epinephrine8GEB-β2-Constrained Epinephrine-Gs/β1/γ2
27.78Single8GEGConstrained Epinephrine8GEG-β2-Constrained Epinephrine-Gs/β1/γ2
27.78Single8GFYConstrained Epinephrine8GFY-β2-Constrained Epinephrine-GTP-Gs/β1/γ2
27.78Single8GG2Constrained Epinephrine8GG2-β2-Constrained Epinephrine-GTP-Gs/β1/γ2
27.78Single8GGBConstrained Epinephrine8GGB-β2-Constrained Epinephrine-GTP-Gs/β1/γ2
27.78Single8K8JFenofibrate8K8J-CB1-Fenofibrate-chim(Gs-CtGq)/β1/γ2
27.78Single8KFXLMD-0098KFX-CCR8-LMD-009-Gi1/β1/γ2
27.78Single8SZGCa; Ca; Tryptophan; Cinacalcet; PO4; Spermine8SZG-CaS-Ca; Ca; Tryptophan; Cinacalcet; PO4; Spermine-chim(NtGi1-Gq)/β1/γ2
27.78Single8TH4Losartan8TH4-AT1-Losartan-AT118-L Nanobody
27.78Single8UNNConstrained Epinephrine8UNN-β2-Constrained Epinephrine-GTP-Gs/β1/γ2
27.78Single8UNPConstrained Epinephrine8UNP-β2-Constrained Epinephrine-GTP-Gs/β1/γ2
27.78Single8UUJFCH-22964138UUJ-HCA2-FCH-2296413-Gi1/β1/γ2
27.78Single8ZMFA1L108ZMF-5-HT2C-A1L10
27.78Single9AXFCa; Ca; Ca; Cyclomethyltryptophan; 9IG; PO49AXF-CaS-Ca-Ca; Ca; Ca; Cyclomethyltryptophan; 9IG; PO4-chim(NtGi1-Gs-CtGq)/β1/γ2
27.78Single9AYFCa; Ca; Ca; Cyclomethyltryptophan; 9IG; PO49AYF-CaS-Ca-Ca; Ca; Ca; Cyclomethyltryptophan; 9IG; PO4-Gi1/β1/γ2
27.78Single9CIBFCH-22964139CIB-HCA2-FCH-2296413
27.78Single9DYDAsenapine9DYD-5-HT1A-Asenapine-Go/β1/γ2
27.78Single9DYFAsenapine9DYF-5-HT1A-Asenapine-Gi1/β1/γ2
27.78Single9EAHOlmesartan9EAH-AT1-Olmesartan-Nanobody AT209
27.78Single9EE8Adenosine9EE8-A2A-Adenosine-Gs/β1/γ2
27.78Single9KPFSA09KPF-TAS2R16-SA0-Gi1/β1/γ2
27.78Consensus5ht1_onOrthosteric Ligand5ht1a_on 5ht1d_on 5ht1e_on 5ht1f_on
27.78Consensus5ht1_on_gpOrthosteric Ligand5ht1a_on_gp 5ht1d_on_gp 5ht1e_on_gp 5ht1f_on_gp
27.78Consensus5ht1e_on_gpOrthosteric Ligand7E33-5-HT1E-BRL-54443-Gi1/β1/γ2 8UGY-5-HT1E-Mianserin-Gi1/β1/γ1 8UH3-5-HT1E-Setiptiline-Gi1/β1/γ1
27.78Consensusbb2_offOrthosteric Ligand7W41-BB2-PD176252
27.78Consensusblt1_offOrthosteric Ligand5X33-BLT1-BIIL260 7K15-BLT1-MKD046-Na
27.78Consensusblt_offOrthosteric Ligandblt1_off
27.78Consensusbombesin_offOrthosteric Ligandbb2_off
27.78Consensusd2_onOrthosteric Ligand7JVR-D2-Bromoergocryptine-Gi1/β1/γ2 8IRS-D2-Rotigotine-Gi1/β1/γ2
27.78Consensusdp2_offOrthosteric Ligand6D26-DP2-Fevipiprant
27.78Consensusdp_offOrthosteric Liganddp2_off
27.78Consensusgq_muscarinicOrthosteric Ligand6OIJ-M1-Iperoxo-chim(NtGi1L-G11)/β1/γ2
27.78Consensusgs_amineOrthosteric Ligandgs_5ht gs_adrenergic gs_dopamine gs_histamine gs_trace-amine
27.78Consensuslipid_onOrthosteric Ligandcannabinoid_on ffa_on lpl_on prostanoid_on leukotriene_on
27.78Consensuslipid_on_gpOrthosteric Ligandcannabinoid_on_gp ffa_on_gp lpl_on_gp prostanoid_on_gp leukotriene_on_gp
27.78Consensusm1_onOrthosteric Ligand6OIJ-M1-Iperoxo-chim(NtGi1L-G11)/β1/γ2
27.78Consensuss1p5_offOrthosteric Ligand7YXA-S1P5-ONO-5430608
27.59Single8HBDIRL16208HBD-ETB-IRL1620-Gi1/β1/γ2
27.27Single6WIVPubChem 52923113; PubChem 529246456WIV-GABAB1, GABAB2-PubChem 52923113; PubChem 52924645
27.27Single7WKDTRH7WKD-TRH-TRH-chim(NtGi1-Gs-CtGq)/β1/γ2
27.27Single7WVWfMYFINILTL7WVW-FPR2-ALX-fMYFINILTL-Gi2/β1/γ2
27.27Single8WDTphotoNECA8WDT-A2A-photoNECA
27.27Consensusclass-a_on_gpOrthosteric Ligandsensory_on_gp alicarboxylic_on_gp amine_on_gp lipid_on_gp nucleotide_on_gp peptide_on_gp protein_on_gp
27.27Consensuslpl_onOrthosteric Ligands1p_on lpa_on
27.27Consensuslpl_on_gpOrthosteric Ligands1p_on_gp lpa_on_gp
26.92Single4XT3Fractalkine4XT3-US28-Fractalkine
26.92Single7F8VGastrin-177F8V-CCKB-Gastrin-17-Gi2/β1/γ2
26.92Single8XVEBQ30208XVE-ETB-BQ3020-chim(Gs-CtGq)/β1/γ2
26.92Single9KFKRelaxin-39KFK-RXFP4-Relaxin-3-Gi2/β1/γ2
26.92Consensusgi_peptideOrthosteric Ligandgi_cck gi_apelin gi_compl-pept gi_endothelin gi_formylpeptide gi_galanin gi_ghrelin gi_npy gi_neurotensin gi_opioid gi_orexin gi_relaxin gi_somatostatin
26.67Single1L9H11-cis-Retinal1L9H-Rhodopsin-11-cis-Retinal
26.67Single1U1911-cis-Retinal1U19-Rhodopsin-11-cis-Retinal
26.67Single2G87All-trans-Retinal2G87-Rhodopsin-All-trans-Retinal
26.67Single2I3511-cis-Retinal2I35-Rhodopsin-11-cis-Retinal
26.67Single5TE520-Methanoretinal5TE5-Rhodopsin-20-Methanoretinal
26.67Single6TP4ACT-4622066TP4-OX1-ACT-462206
26.67Single7DFLHistamine7DFL-H1-Histamine-chim(NtGi1L-Gq)/β1/γ2
26.67Single7SRQLSD7SRQ-5-HT2B-LSD
26.67Single7V68Iperoxo7V68-M4-Iperoxo-LY2119620-Gi1/β1/γ2
26.67Single7XP6Strychnine7XP6-TAS2R46-Strychnine-chim(Gs-CtGt3)/β1/γ2
26.67Single7XT9Serotonin7XT9-5-HT4-Serotonin-Gs/β1/γ2
26.67Single7XTASerotonin7XTA-5-HT4-Serotonin-Gi1/β1/γ2
26.67Single7XTBSerotonin7XTB-5-HT6-Serotonin-Gs/β1/γ2
26.67Single7YS6Serotonin7YS6-5-HT6-Serotonin-chim(NtGi1-Gs)/β1/γ2
26.67Single8EF6Morphine8EF6-μ-Morphine-Gi1/β1/γ2
26.67Single8GGYConstrained Epinephrine8GGY-β2-Constrained Epinephrine
26.67Single8H2GNiacin8H2G-HCA2-Niacin-Gi1/β1/γ2
26.67Single8JLOUlotaront8JLO-TA1-Ulotaront-Gs/β1/γ2
26.67Single8K5BNiacin8K5B-HCA2-Niacin
26.67Single8UO4Constrained Epinephrine8UO4-β2-Constrained Epinephrine-GTP; Mg-Gs/β1/γ2
26.67Single8WPUTryptophan; Cinacalcet; PO4; Ca8WPU-CaS-Tryptophan; Cinacalcet; PO4; Ca-chim(NtGi2L-Gs-CtGq)/β1/γ2
26.67Single8YN2Histamine8YN2-H1-Histamine-chim(NtGi1L-Gs-CtGq)/β1/γ2
26.67Single8YN4Histamine8YN4-H2-Histamine-chim(NtGi1L-Gs-CtGq)/β1/γ2
26.67Single8YN5Histamine8YN5-H3-Histamine-Gi1/β1/γ2
26.67Single8YN6Imetit8YN6-H3-Imetit-Gi1/β1/γ2
26.67Single8YN7Immethridine8YN7-H3-Immethridine-Go/β1/γ2
26.67Single9AS7Psilocin9AS7-5-HT2A-Psilocin
26.67Single9C1PCa; Tryptophan; '6218; PO49C1P-CaS-Ca-Ca; Tryptophan; '6218; PO4
26.67Single9IQTNiacin9IQT-HCA2-Niacin-Gi1/β1/γ2
26.67Single9IXJHistamine9IXJ-H2-Histamine-Gs/β1/γ2
26.67Single9IZDCHBA9IZD-HCA1-CHBA-Gi1/β1/γ2
26.67Consensus5ht4_onOrthosteric Ligand7XTA-5-HT4-Serotonin-Gi1/β1/γ2
26.67Consensus5ht4_on_gpOrthosteric Ligand7XTA-5-HT4-Serotonin-Gi1/β1/γ2
26.67Consensush1_onOrthosteric Ligand7DFL-H1-Histamine-chim(NtGi1L-Gq)/β1/γ2
26.32Single5V54Methiothepin5V54-5-HT1B-Methiothepin
26.32Single5XR8AM8415XR8-CB1-AM841
26.32Single5ZHPPubChem 1348285895ZHP-M3-PubChem 134828589
26.32Single6J21Aprepitant6J21-NK1-Aprepitant
26.32Single6N4BMDMB-Fubinaca6N4B-CB1-MDMB-Fubinaca-Gi1/β1/γ2
26.32Single6OIJIperoxo6OIJ-M1-Iperoxo-chim(NtGi1L-G11)/β1/γ2
26.32Single7FEECP559407FEE-CB1-CP55940-ZCZ011
26.32Single7JV5SKF812977JV5-D1-SKF81297-Gs/β1/γ2
26.32Single7TD1LPA7TD1-LPA1-LPA-Gi1/β1/γ2
26.32Single7TUYGSK682753A7TUY-GPR183-GSK682753A
26.32Single7WV9CP559407WV9-CB1-CP55940-ZCZ011-Gi2/β1/γ2
26.32Single7XTQR3997XTQ-GPBA-R399-Gs/β1/γ2
26.32Single7YU7ONO-07405567YU7-LPA1-ONO-0740556-Gi1/β1/γ2
26.32Single8DCSCyanopindolol8DCS-β1-Cyanopindolol-Gs/β1/γ2
26.32Single8HPTC5a anaphylatoxin C-terminal peptide8HPT-C5a1-C5a anaphylatoxin C-terminal peptide-Go/β1/γ2
26.32Single8I9LC3a anaphylatoxin8I9L-C3aB-C3a anaphylatoxin-Go/β1/γ2
26.32Single8JLPRalmitaront8JLP-TA1-Ralmitaront-Gs/β1/γ2
26.32Single8JXXClobenpropit8JXX-H4-Clobenpropit-Gi1/β1/γ2
26.32Single8VVEnorBNI8VVE-κ-norBNI-Gi1/β1/γ2
26.32Single8WU1PubChem 1190256658WU1-CB1-PubChem 119025665-Arrestin2
26.32Single8XIPPasireotide8XIP-SST1-Pasireotide-chim(NtGi1-Gs-CtGi1)/β1/γ2
26.32Single8XZICMF-0198XZI-Apelin-CMF-019-Gi1/β1/γ2
26.32Single9AS9RS130-1809AS9-5-HT2A-RS130-180
26.32Single9ASARS130-1809ASA-5-HT2A-RS130-180-chim(NtGi1-Gs-CtGq)/β1/γ2
26.32Single9IZGNKP9IZG-LPA1-NKP-chim(NtGi1-Gs-CtGq)/β1/γ2
26.32Single9JMCDS-3801b9JMC-Motilin-DS-3801b-chim(Gs-CtGq)/β1/γ2
26.32Single9UY3Anamorelin9UY3-Ghrelin-Anamorelin-chim(NtGi1-Gs-CtGq)/β1/γ2
26.32Consensus5ht1_offOrthosteric Ligand5ht1b_off
26.32Consensus5ht1b_offOrthosteric Ligand5V54-5-HT1B-Methiothepin
26.32Consensusgi_dopamineOrthosteric Ligand7JVR-D2-Bromoergocryptine-Gi1/β1/γ2 7CMV-D3-PD128907-Gi1/β1/γ2 7CMU-D3-Pramipexole-Gi1/β1/γ2 8IRS-D2-Rotigotine-Gi1/β1/γ2 8IRT-D3-Rotigotine-Gi1/β1/γ2
26.32Consensush4_on_gpOrthosteric Ligand8HN8-H4-Histamine-Gi1/β1/γ2 8HOC-H4-Imetit-Gi1/β1/γ2 8JXV-H4-Clozapine-Gi1/β1/γ2 8JXW-H4-VUF6884-Gi1/β1/γ2 8JXX-H4-Clobenpropit-Gi1/β1/γ2
26.32Consensusm1_on_gpOrthosteric Ligand6OIJ-M1-Iperoxo-chim(NtGi1L-G11)/β1/γ2
26.32Consensusnpy_offOrthosteric Ligandnpy1_off npy2_off
26.09Single3QAKUK-4320973QAK-A2A-UK-432097
26.09Single7EZKCholecystokinin-87EZK-CCKA-Cholecystokinin-8-chim(NtGi1-Gs)/β1/γ2
26.09Single7RKMFractalkine7RKM-US28-Fractalkine-Gi1/β1/γ2
26.09Single9E82SDF-1-beta9E82-ACKR3-SDF-1-β-Arrestin2
26.09Consensuscckb_onOrthosteric Ligand8IA7-CCKB-Cholecystokinin-8-chim(NtGi1L-Gq)/β1/γ2 7XOW-CCKB-Gastrin-chim(NtGi1-Gq)/β1/γ2 7F8V-CCKB-Gastrin-17-Gi2/β1/γ2
26.09Consensusccr8_on_gpOrthosteric Ligand8KFX-CCR8-LMD-009-Gi1/β1/γ2 8KFY-CCR8-ZK-756326-Gi1/β1/γ2 8U1U-CCR8-CCL1-Gi1/β1/γ2
26.09Consensusghrelin_onOrthosteric Ligand7NA7-Ghrelin-Ghrelin-27-Gi1/β1/γ2 7F9Z-Ghrelin-GHRP-6-chim(NtGi1-Gs-CtGq)/β1/γ2 7NA8-Ghrelin-PubChem 178024-Gi1/β1/γ2
26.09Consensusghrelin_on_gpOrthosteric Ligand7NA7-Ghrelin-Ghrelin-27-Gi1/β1/γ2 7F9Z-Ghrelin-GHRP-6-chim(NtGi1-Gs-CtGq)/β1/γ2 7NA8-Ghrelin-PubChem 178024-Gi1/β1/γ2
25.93Single8XWPEndothelin-18XWP-ETB-Endothelin-1-Gi1/β1/γ2
25.93Single8ZH8QRF-Amide8ZH8-QRFP-QRF-Amide-Gq/β1/γ1
25.93Single9K26PrRP319K26-PrRP-PrRP31-Gi1/β1/γ2
25.93Consensusgq_peptideOrthosteric Ligandgq_cck gq_kisspeptin gq_bradykinin gq_bombesin gq_angiotensin
25.93Consensuspeptide_onOrthosteric Ligandcck_on angiotensin_on apelin_on bombesin_on bradykinin_on compl-peptide_on endothelin_on formylpeptide_on galanin_on ghrelin_on kisspeptin_on melanocortin_on motilin_on neuromedin-u_on npy_on neurotensin_on opioid_on orexin_on relaxin_on somatostatin_on tachykinin_on trh_on vasop-oxy_on
25.93Consensuspeptide_on_gpOrthosteric Ligandcck_on_gp angiotensin_on_gp apelin_on_gp bombesin_on_gp bradykinin_on_gp compl-peptide_on_gp endothelin_on_gp formylpeptide_on_gp galanin_on_gp ghrelin_on_gp kisspeptin_on_gp melanocortin_on_gp motilin_on_gp neuromedin-u_on_gp npy_on_gp neurotensin_on_gp opioid_on_gp orexin_on_gp relaxin_on_gp somatostatin_on_gp tachykinin_on_gp trh_on_gp vasop-oxy_on_gp
25.00Single1GZM11-cis-Retinal1GZM-Rhodopsin-11-cis-Retinal
25.00Single2PED9-cis-Retinal2PED-Rhodopsin-9-cis-Retinal
25.00Single2YCXCyanopindolol2YCX-β1-Cyanopindolol
25.00Single3C9L11-cis-Retinal3C9L-Rhodopsin-11-cis-Retinal
25.00Single4S0VSuvorexant4S0V-OX2-Suvorexant
25.00Single4Z36ONO-30805734Z36-LPA1-ONO-3080573
25.00Single5OLVLUAA410635OLV-A2A-LUAA41063-Na
25.00Single5WF5UK-4320975WF5-A2A-UK-432097
25.00Single5WS3EMPA5WS3-OX2-EMPA
25.00Single5X33BIIL2605X33-BLT1-BIIL260
25.00Single6DRYMethylergonovine6DRY-5-HT2B-Methylergonovine
25.00Single6DS0Ly2660976DS0-5-HT2B-Ly266097
25.00Single6KQICP559406KQI-CB1-CP55940-Org27569
25.00Single6MXTSalmeterol6MXT-β2-Salmeterol
25.00Single6RNKNF-56-EJ406RNK-Succinate-NF-56-EJ40
25.00Single6TODEMPA6TOD-OX1-EMPA-Na
25.00Single6TPJSuvorexant6TPJ-OX2-Suvorexant
25.00Single6TQ6PubChem 1457142836TQ6-OX1-PubChem 145714283
25.00Single7DHRIsoprenaline7DHR-β2-Isoprenaline-Gs/β1/γ2
25.00Single7EJ0L-Norepinephrine7EJ0-α2a-L-Norepinephrine-Go/β1/γ2
25.00Single7EXDLasmiditan7EXD-5-HT1F-Lasmiditan-Gi1/β1/γ2
25.00Single7F1ODopamine7F1O-D1-Dopamine-GDP; Mg-Gs/β1/γ2
25.00Single7K15MKD0467K15-BLT1-MKD046-Na
25.00Single7LD4Adenosine7LD4-A1-Adenosine-Gi2/β1/γ2
25.00Single7M3FCa; Ca; Tryptophan; Cinacalcet; PO47M3F-CaS-Ca; Ca; Tryptophan; Cinacalcet; PO4
25.00Single7MTRADX551647MTR-mGlu2; mGlu2-Glutamate-ADX55164
25.00Single7O7F6P4-CCL57O7F-CCR5-6P4-CCL5-Gi1/β1/γ1
25.00Single7S8PMS471347S8P-MRGPRX4-MS47134-chim(NtGi2L-Gs-CtGq)/β1/γ2
25.00Single7SILCa; Ca; Ca; Cyclomethyltryptophan; 9IG; PO47SIL-CaS-Ca-Ca; Ca; Ca; Cyclomethyltryptophan; 9IG; PO4
25.00Single7SILCa; Ca; Ca; Cyclomethyltryptophan; 9IG; PO47SIL-CaS-Ca-Ca; Ca; Ca; Cyclomethyltryptophan; 9IG; PO4
25.00Single7SUSPubChem 1227019087SUS-Apelin-PubChem 122701908
25.00Single7T6SPubChem 247763417T6S-FPR2-ALX-PubChem 24776341-Gi1/β1/γ2
25.00Single7T6TfMLFII7T6T-FPR1-ALX-fMLFII-Gi1/β1/γ2
25.00Single7VGXNeuropeptide-Y7VGX-Y1-Neuropeptide-Y-Gi1/β1/γ2
25.00Single7WCMMBX-29827WCM-GPR119-MBX-2982-Gs/β1/γ2
25.00Single7X2FDopamine7X2F-D1-Dopamine-Mevidalen-Gs/β1/γ2
25.00Single7X5H5-CT7X5H-5-HT5A-5-CT-Gi1/β1/γ2
25.00Single7XMTJ-21567XMT-SST4-J-2156-Gi1/β1/γ2
25.00Single7XOUCholecystokinin-87XOU-CCKA-Cholecystokinin-8-Gs/β1/γ2
25.00Single7XT8Serotonin7XT8-5-HT4-Serotonin-Gs/β1/γ2
25.00Single8A6CAll-trans-Retinal8A6C-Rhodopsin-All-trans-Retinal
25.00Single8A6DAll-trans-Retinal8A6D-Rhodopsin-All-trans-Retinal
25.00Single8A6EAll-trans-Retinal8A6E-Rhodopsin-All-trans-Retinal
25.00Single8GEJConstrained Epinephrine8GEJ-β2-Constrained Epinephrine-Gs/β1/γ2
25.00Single8GGCConstrained Epinephrine8GGC-β2-Constrained Epinephrine-GTP-Gs/β1/γ2
25.00Single8GGWConstrained Epinephrine8GGW-β2-Constrained Epinephrine
25.00Single8GGZConstrained Epinephrine8GGZ-β2-Constrained Epinephrine
25.00Single8IJANiacin8IJA-HCA2-Niacin-Gi1/β1/γ2
25.00Single8IJBAcipimox8IJB-HCA2-Acipimox-Gi1/β1/γ2
25.00Single8IW4Spermidine8IW4-TA9-Spermidine-chim(NtGi1-Gs)/β1/γ2
25.00Single8IWESpermidine8IWE-TA9-Spermidine
25.00Single8J6DEP1418J6D-C3aB-EP141-Go/β1/γ2
25.00Single8J6LNiacin8J6L-HCA2-Niacin-Gi1/β1/γ2
25.00Single8JPPSuccinic acid8JPP-Succinate-Succinic acid-chim(Gs-CtGq)/β1/γ1
25.00Single8JZ7MK68928JZ7-HCA2-MK6892-Gi1/β1/γ2
25.00Single8TZQL-Dopamine8TZQ-D2-L-Dopamine-Go/β1/γ2
25.00Single8UNSConstrained Epinephrine8UNS-β2-Constrained Epinephrine-GTP-Gs/β1/γ2
25.00Single8UNTConstrained Epinephrine8UNT-β2-Constrained Epinephrine-GTP-Gs/β1/γ2
25.00Single8UNXConstrained Epinephrine8UNX-β2-Constrained Epinephrine-GTP-Gs/β1/γ2
25.00Single8UTDMK19038UTD-HCA2-MK1903-Gi1/β1/γ2
25.00Single8VHFMBX-29828VHF-GPR119-MBX-2982-Gs/β1/γ2
25.00Single8XYIVUF106618XYI-CXCR3-VUF10661
25.00Single8Y52BA18Y52-BB3-BA1-chim(NtGi1-Gs-CtGq)/β1/γ2
25.00Single8YUTAmthamine8YUT-H2-Amthamine-Gs/β1/γ2
25.00Single8YUVImmepip8YUV-H3-Immepip-Gi1/β1/γ2
25.00Single8YYWAlpha-ketoglutarate8YYW-Oxoglutarate-α-ketoglutarate-α-ketoglutarate-chim(Gi1-CtGq)/β1/γ2
25.00Single9C1PCa; Tryptophan; '6218; PO49C1P-CaS-Ca-Ca; Tryptophan; '6218; PO4
25.00Single9C2FCa; Ca; Tryptophan; '54149; PO49C2F-CaS-Ca-Ca; Ca; Tryptophan; '54149; PO4
25.00Single9EBIPiclidenoson9EBI-A3A-Piclidenoson-chim(NtGi1L-Gs-CtGi1)/β1/γ2
25.00Single9EEAAdenosine9EEA-A2A-Adenosine-Gs/β1/γ2
25.00Single9H2XA1IR19H2X-A2A-A1IR1-Na
25.00Single9IZHLPA9IZH-LPA1-LPA-chim(NtGi2-G13)/β1/γ2
25.00Single9K6LSA09K6L-TAS2R16-SA0-Gi2/β1/γ2
25.00Consensus5ht1e_onOrthosteric Ligand7E33-5-HT1E-BRL-54443-Gi1/β1/γ2 8UGY-5-HT1E-Mianserin-Gi1/β1/γ1 8UH3-5-HT1E-Setiptiline-Gi1/β1/γ1
25.00Consensus5ht1f_onOrthosteric Ligand7EXD-5-HT1F-Lasmiditan-Gi1/β1/γ2
25.00Consensus5ht1f_on_gpOrthosteric Ligand7EXD-5-HT1F-Lasmiditan-Gi1/β1/γ2
25.00Consensus5ht_onOrthosteric Ligand5ht1_on 5ht2_on 5ht4_on 5ht5_on 5ht6_on 5ht7_on
25.00Consensusa1_onOrthosteric Ligand7LD4-A1-Adenosine-Gi2/β1/γ2
25.00Consensusa1_on_gpOrthosteric Ligand7LD4-A1-Adenosine-Gi2/β1/γ2
25.00Consensusangiotensin_offOrthosteric Ligandat1_off
25.00Consensusangiotensin_onOrthosteric Ligandat1_on
25.00Consensusat1_onOrthosteric Ligand7F6G-AT1-SAR1-AngII-Gq/β1/γ2
25.00Consensusc3a_onOrthosteric Ligand8HK2-C3aB-C3a anaphylatoxin-Gi1/β1/γ2 8IA8-C3aB-E7 peptide-Gi1/β1/γ2
25.00Consensuscb1_onOrthosteric Ligand6KPG-CB1-AM841-Gi1/β1/γ2 8K8J-CB1-Fenofibrate-chim(Gs-CtGq)/β1/γ2
25.00Consensuscckb_on_gpOrthosteric Ligand8IA7-CCKB-Cholecystokinin-8-chim(NtGi1L-Gq)/β1/γ2 7XOW-CCKB-Gastrin-chim(NtGi1-Gq)/β1/γ2 7F8V-CCKB-Gastrin-17-Gi2/β1/γ2
25.00Consensusd2_on_gpOrthosteric Ligand7JVR-D2-Bromoergocryptine-Gi1/β1/γ2 8IRS-D2-Rotigotine-Gi1/β1/γ2
25.00Consensusgi_lipidOrthosteric Ligandgi_cannabinoid gi_ffa gi_leukotriene gi_lpa gi_s1p
25.00Consensusgi_muscarinicOrthosteric Ligand8E9X-M4-2-Deoxycytidine-chim(NtGi1-Go)/β1/γ2 7T8X-M2-Acetylcholine-chim(NtGi1-Go)/β1/γ2 7TRS-M4-Acetylcholine-Gi1/β1/γ2 7TRK-M4-Iperoxo-Gi1/β1/γ2 7V6A-M4-PubChem 9864275-Gi1/β1/γ2
25.00Consensusgs_5htOrthosteric Ligand7XTC-5-HT7-5-CT-Gs/β1/γ2 7XTB-5-HT6-Serotonin-Gs/β1/γ2 8JLZ-5-HT6-ST1936-Gs/β1/γ2 7XT8-5-HT4-Serotonin-Gs/β1/γ2
25.00Consensuslipid_offonOrthosteric Ligandlipid_off lipid_on
25.00Consensuslipid_offon_gpOrthosteric Ligandlipid_on_gp lipid_off
25.00Consensuslpa1_offOrthosteric Ligand4Z36-LPA1-ONO-3080573 4Z35-LPA1-ONO-9910539 4Z34-LPA1-ONO-9780307
25.00Consensuslpa_offOrthosteric Ligandlpa1_off
25.00Consensusm4_onOrthosteric Ligand7TRS-M4-Acetylcholine-Gi1/β1/γ2 7V6A-M4-PubChem 9864275-Gi1/β1/γ2 8E9X-M4-2-Deoxycytidine-chim(NtGi1-Go)/β1/γ2 7TRK-M4-Iperoxo-Gi1/β1/γ2
25.00Consensusm4_on_gpOrthosteric Ligand7TRS-M4-Acetylcholine-Gi1/β1/γ2 7V6A-M4-PubChem 9864275-Gi1/β1/γ2 8E9X-M4-2-Deoxycytidine-chim(NtGi1-Go)/β1/γ2 7TRK-M4-Iperoxo-Gi1/β1/γ2
25.00Consensusnk1_offOrthosteric Ligand6HLP-NK1-Netupitant 6HLO-NK1-Aprepitant 6HLL-NK1-CP99994 6E59-NK1-L-760735
25.00Consensusox1_offOrthosteric Ligand6TP6-OX1-Filorexant 6TP4-OX1-ACT-462206 6V9S-OX1-GTPL11403 6TOT-OX1-Lemborexant 6TP3-OX1-Nemorexant 6TQ6-OX1-PubChem 145714283 6TQ9-OX1-SB-408124 4ZJC-OX1-SB-674042 4ZJ8-OX1-Suvorexant 6TOD-OX1-EMPA-Na 6TOS-OX1-GSK1059865-Na 6TQ4-OX1-PubChem 16046844-Na
24.14Single6IGKEndothelin-36IGK-ETB-Endothelin-3
24.14Single8U1UCCL18U1U-CCR8-CCL1-Gi1/β1/γ2
24.14Consensusgi_endothelinOrthosteric Ligand8IY5-ETB-Endothelin-1-Gi1/β1/γ2 8HBD-ETB-IRL1620-Gi1/β1/γ2
24.00Single6JODAngiotensin II6JOD-AT2-Angiotensin II
24.00Single6WIVPubChem 52923113; PubChem 529246456WIV-GABAB1, GABAB2-PubChem 52923113; PubChem 52924645
24.00Single7F4HAfamelanotide7F4H-MC1-Afamelanotide-chim(NtGi1-Gs)/β1/γ2
24.00Single7F6GSAR1-AngII7F6G-AT1-SAR1-AngII-Gq/β1/γ2
24.00Single7XK8Neuromedin-U-257XK8-NMUR2-Neuromedin-U-25-Gi1/β1/γ2
24.00Single8IHFMK68928IHF-HCA2-MK6892-Gi1/β1/γ2
24.00Single8J6IMK68928J6I-HCA2-MK6892-Gi1/β1/γ2
24.00Single8ZBISomatostatin-148ZBI-SST3-Somatostatin-14-Gi1/β1/γ2
24.00Consensusangiotensin_on_gpOrthosteric Ligandat1_on_gp
24.00Consensusat1_on_gpOrthosteric Ligand7F6G-AT1-SAR1-AngII-Gq/β1/γ2
24.00Consensuscxcr3_on_gpOrthosteric Ligand8HNK-CXCR3-CXCL11-Gi1/β1/γ2 8HNL-CXCR3-PS372424-Gi1/β1/γ2
24.00Consensusfpr2-alx_on_gpOrthosteric Ligand7WVX-FPR2-ALX-Humanin-Gi2/β1/γ2 7T6U-FPR2-ALX-CGEN-855A-Gi1/β1/γ2 7T6V-FPR2-ALX-fMLFII-Gi1/β1/γ2 7WVY-FPR2-ALX-Amyloid-β42-Gi2/β1/γ2 7T6S-FPR2-ALX-PubChem 24776341-Gi1/β1/γ2 6OMM-FPR2-ALX-WKYMVX-Gi1/β1/γ2
24.00Consensusgi_class-aOrthosteric Ligandgi_peptide gi_sensory gi_alicarboxylic gi_amine gi_lipid gi_nucleotide gi_protein
24.00Consensusgq_angiotensinOrthosteric Ligand7F6G-AT1-SAR1-AngII-Gq/β1/γ2
23.81Single4NC3Ergotamine4NC3-5-HT2B-Ergotamine
23.81Single4RWSvMIP-II4RWS-CXCR4-vMIP-II
23.81Single5TUDErgotamine5TUD-5-HT2B-Ergotamine
23.81Single6BQGErgotamine6BQG-5-HT2C-Ergotamine
23.81Single7EZCUKA7EZC-A2A-UKA
23.81Single7EZHCholecystokinin-87EZH-CCKA-Cholecystokinin-8-Gi1/β1/γ2
23.81Single7MBYCholecystokinin-87MBY-CCKA-Cholecystokinin-8-chim(NtGi1L-Gs-CtGq)/β1/γ2
23.81Single7UM4AS26747237UM4-5-HT5A-AS2674723
23.81Single7WVVfMLFII7WVV-FPR2-ALX-fMLFII-Gi2/β1/γ2
23.81Single7X1UTRH7X1U-TRH-TRH-chim(NtGi2L-Gs-CtGq)/β1/γ2
23.81Single7Y65C5a peptide7Y65-C5a1-C5a peptide-Gi1/β1/γ2
23.81Single7YU8ONO-07405567YU8-LPA1-ONO-0740556-Gi1/β1/γ2
23.81Single8J19LY2378J19-GPR84-LY237-Gi1/β1/γ2
23.81Single8T3OTUG-8918T3O-FFA4-TUG-891-chim(NtGi2L-Gs-CtGq)/β1/γ2
23.81Single8WRZPubChem 1023367048WRZ-CB1-PubChem 102336704-Arrestin2
23.81Single8XVJMacitentan8XVJ-ETA-Macitentan
23.81Single8ZPLHF511168ZPL-CXCR4-HF51116
23.81Single9IZFNKP9IZF-LPA1-NKP-Gi1/β1/γ2
23.81Consensusc3a_on_gpOrthosteric Ligand8HK2-C3aB-C3a anaphylatoxin-Gi1/β1/γ2 8IA8-C3aB-E7 peptide-Gi1/β1/γ2
23.81Consensusccka_onOrthosteric Ligand7EZH-CCKA-Cholecystokinin-8-Gi1/β1/γ2
23.81Consensusccka_on_gpOrthosteric Ligand7EZH-CCKA-Cholecystokinin-8-Gi1/β1/γ2
23.81Consensusprostanoid_offOrthosteric Ligandep_off dp_off
23.53Single1F8811-cis-Retinal1F88-Rhodopsin-11-cis-Retinal
23.53Single2YDOAdenosine2YDO-A2A-Adenosine
23.53Single3OAX11-cis-Retinal3OAX-Rhodopsin-11-cis-Retinal
23.53Single3UZC4-(3-amino-5-phenyl-1,2,4-triazin-6-yl)-2-chlorophenol3UZC-A2A-4-(3-amino-5-phenyl-1,2,4-triazin-6-yl)-2-chlorophenol
23.53Single4DKLBeta-Funaltrexamine4DKL-μ-β-Funaltrexamine
23.53Single4N6HNaltrindole4N6H-δ-Naltrindole-Na
23.53Single4ZUDOlmesartan4ZUD-AT1-Olmesartan
23.53Single6PT0WIN 55212-26PT0-CB2-WIN 55212-2-Gi1/β1/γ2
23.53Single6TOSGSK10598656TOS-OX1-GSK1059865-Na
23.53Single6TPKRetosiban6TPK-OT-Retosiban
23.53Single6V9SGTPL114036V9S-OX1-GTPL11403
23.53Single6ZDVChromone 5d6ZDV-A2A-Chromone 5d-Na
23.53Single7CKWFenoldopam7CKW-D1-Fenoldopam-Gs/β1/γ2
23.53Single7CKZDopamine7CKZ-D1-Dopamine-Mevidalen-Gs/β1/γ2
23.53Single7CMVPD1289077CMV-D3-PD128907-Gi1/β1/γ2
23.53Single7F0TDopamine7F0T-D1-Dopamine-Gs/β1/γ2
23.53Single7F24Dopamine7F24-D1-Dopamine-GDP-Gs/β1/γ2
23.53Single7T32ZM-2413857T32-A2A-ZM-241385
23.53Single7UL3Famotidine7UL3-H2-Famotidine
23.53Single7VUGJNJ-635330547VUG-GPR139-JNJ-63533054-Gi1/β1/γ2
23.53Single7WVUfMLF7WVU-FPR1-ALX-fMLF-Gi1/β1/γ2
23.53Single7ZBC11-cis-Retinal7ZBC-Rhodopsin-11-cis-Retinal
23.53Single7ZBE11-cis-Retinal7ZBE-Rhodopsin-11-cis-Retinal
23.53Single8GEAConstrained Epinephrine8GEA-β2-Constrained Epinephrine-Gs/β1/γ2
23.53Single8GEDConstrained Epinephrine8GED-β2-Constrained Epinephrine-Gs/β1/γ2
23.53Single8GG5Constrained Epinephrine8GG5-β2-Constrained Epinephrine-GTP-Gs/β1/γ2
23.53Single8GG8Constrained Epinephrine8GG8-β2-Constrained Epinephrine-GTP-Gs/β1/γ2
23.53Single8JERAcipimox8JER-HCA2-Acipimox-Go/β1/γ2
23.53Single8RLNLUF58348RLN-A2A-LUF5834
23.53Single8UNMConstrained Epinephrine8UNM-β2-Constrained Epinephrine-GTP-Gs/β1/γ2
23.53Single8UNWConstrained Epinephrine8UNW-β2-Constrained Epinephrine-GTP-Gs/β1/γ2
23.53Single8UO0Constrained Epinephrine8UO0-β2-Constrained Epinephrine-GTP-Gs/β1/γ2
23.53Single8UO1Constrained Epinephrine8UO1-β2-Constrained Epinephrine-GTP; Mg-Gs/β1/γ2
23.53Single8Y45ADL58598Y45-δ-ADL5859-Gi2/β1/γ2
23.53Single8Y53MK50468Y53-BB3-MK5046-chim(NtGi1-Gs-CtGq)/β1/γ2
23.53Single8YH2Adenosine8YH2-A3A-Adenosine-Gi1/β1/γ2
23.53Single8ZPMAMD0708ZPM-CXCR4-AMD070
23.53Single9ARXSerotonin9ARX-5-HT2A-Serotonin
23.53Single9ASBCa; Ca; Cyclomethyltryptophan; 9IG; PO49ASB-CaS-Ca-Ca; Ca; Cyclomethyltryptophan; 9IG; PO4-chim(NtGi1-Gs-CtGq)/β1/γ2
23.53Single9AXFCa; Ca; Ca; Cyclomethyltryptophan; 9IG; PO49AXF-CaS-Ca-Ca; Ca; Ca; Cyclomethyltryptophan; 9IG; PO4-chim(NtGi1-Gs-CtGq)/β1/γ2
23.53Single9JH3CMF-0199JH3-Apelin-CMF-019-Gi1/β1/γ2
23.53Single9LRDHistamine9LRD-H1-Histamine-Gi1/β1/γ2
23.53Single9M2FNeuropeptide FF9M2F-NPFF1-Neuropeptide FF-Gi1/β1/γ2
23.53Consensusot_offOrthosteric Ligand6TPK-OT-Retosiban
23.53Consensusvasop-oxy_offOrthosteric Ligandot_off
23.33Consensusetb_on_gpOrthosteric Ligand8IY5-ETB-Endothelin-1-Gi1/β1/γ2 8HBD-ETB-IRL1620-Gi1/β1/γ2
23.08Single7QBIAlpha-factor mating pheromone7QBI-STE2-α-factor mating pheromone
23.08Single7WC4Serotonin7WC4-5-HT2A-Serotonin
23.08Single7X9CPancreatic Hormone7X9C-Y4-Pancreatic Hormone-Gi1/β1/γ2
23.08Single8E3ZVIP8E3Z-VPAC1-VIP-Gs/β1/γ2
23.08Single8IODPG-9018IOD-MC5-PG-901-Ca-chim(NtGi1-Gs)/β1/γ2
23.08Single9JFYhNPSF9JFY-NPFF2-hNPSF-Gi1/β1/γ2
22.73Single6G79Donitriptan6G79-5-HT1B-Donitriptan-Go/β1/γ2
22.73Single7XBXCX3CL17XBX-CX3CR1-CX3CL1-Gi1/β1/γ2
22.73Single7Y1FDynorphin7Y1F-κ-Dynorphin-Gi1/β1/γ2
22.73Single8IA7Cholecystokinin-88IA7-CCKB-Cholecystokinin-8-chim(NtGi1L-Gq)/β1/γ2
22.73Consensuscxcr3_onOrthosteric Ligand8HNK-CXCR3-CXCL11-Gi1/β1/γ2 8HNL-CXCR3-PS372424-Gi1/β1/γ2
22.73Consensuscxcr4_offOrthosteric Ligand4RWS-CXCR4-vMIP-II 3OE0-CXCR4-CVX15 3OE6-CXCR4-IT1t
22.58Single6LRYSarafotoxin-B6LRY-ETB-Sarafotoxin-B
22.58Consensuscrf_on_gpOrthosteric Ligandcrf2_on_gp crf1_on_gp
22.22Single2VT4Cyanopindolol2VT4-β1-Cyanopindolol
22.22Single5TGZAM65385TGZ-CB1-AM6538
22.22Single5UIGCmpd-15UIG-A2A-Cmpd-1
22.22Single5ZKPForopafant (SR27417)5ZKP-PAF-Foropafant (SR27417)
22.22Single6KPFPubChem 1459158896KPF-CB2-PubChem 145915889-Gi1/β1/γ2
22.22Single7BU7BI1671077BU7-β1-BI167107
22.22Single7LJCSKF-812977LJC-D1-SKF-81297-Mevidalen-Gs/β1/γ2
22.22Single7QBIAlpha-factor mating pheromone7QBI-STE2-α-factor mating pheromone
22.22Single7UM55-CT7UM5-5-HT5A-5-CT-chim(NtGi1-Go)/β1/γ2
22.22Single7VGZRemalteon7VGZ-MT1-Remalteon-Gi1/β1/γ2
22.22Single7W3ZGastrin Releasing Peptide7W3Z-BB2-Gastrin Releasing Peptide-chim(NtGi1L-Gq)/β1/γ2
22.22Single7X2CFenoldopam7X2C-D1-Fenoldopam-Fenoldopam-Gs/β1/γ2
22.22Single7YU4ONO-07405567YU4-LPA1-ONO-0740556
22.22Single8CU7LJ-45178CU7-A2A-LJ-4517-Na
22.22Single8H0PNMB308H0P-BB1-NMB30-chim(NtGi1-Gs-CtGq)/β1/γ2
22.22Single8JHNMMF8JHN-HCA2-MMF-Go/β1/γ2
22.22Single8JLZST19368JLZ-5-HT6-ST1936-Gs/β1/γ2
22.22Single8JT8(R)-IHCH-71798JT8-5-HT2A-(R)-IHCH-7179
22.22Single8UNRConstrained Epinephrine8UNR-β2-Constrained Epinephrine-GTP-Gs/β1/γ2
22.22Single8UNUConstrained Epinephrine8UNU-β2-Constrained Epinephrine-GTP-Gs/β1/γ2
22.22Single8ZQEGPR15L(C11)8ZQE-GPR15-GPR15L(C11)-Gi1/β1/γ1
22.22Single9AVGCa; Ca; Cyclomethyltryptophan; 9IG; PO49AVG-CaS-Ca-Ca; Ca; Cyclomethyltryptophan; 9IG; PO4-chim(NtGi1-Gs)/β1/γ2
22.22Single9EPP11,20-Ethanoretinal9EPP-Rhodopsin-11,20-Ethanoretinal-chim(Gi1-CtGq)/β1/γ2
22.22Single9IZCMK19039IZC-HCA2-MK1903-Gi1/β1/γ2
22.22Single9JGKBalovaptan9JGK-5-HT2B-Balovaptan
22.22Consensus5ht6_onOrthosteric Ligand7XTB-5-HT6-Serotonin-Gs/β1/γ2 8JLZ-5-HT6-ST1936-Gs/β1/γ2
22.22Consensus5ht6_on_gpOrthosteric Ligand7XTB-5-HT6-Serotonin-Gs/β1/γ2 8JLZ-5-HT6-ST1936-Gs/β1/γ2
22.22Consensusadenosine_on_gpOrthosteric Liganda1_on_gp a2_on_gp a3_on_gp
22.22Consensuscck_offOrthosteric Ligandccka_off
22.22Consensusccka_offOrthosteric Ligand7F8Y-CCKA-Devazepide 7F8U-CCKA-Lintitript
22.22Consensusgi_compl-peptOrthosteric Ligand8HK5-C5a1-Complement C5-Gi1/β1/γ2 8IA8-C3aB-E7 peptide-Gi1/β1/γ2 7Y66-C5a1-BM213-Gi1/β1/γ2 7Y67-C5a1-C089 peptide-Gi1/β1/γ2 8HK2-C3aB-C3a anaphylatoxin-Gi1/β1/γ2 7Y64-C5a1-C5a anaphylatoxin-Gi1/β1/γ2
22.22Consensusnpy4_onOrthosteric Ligand7X9C-Y4-Pancreatic Hormone-Gi1/β1/γ2
22.22Consensusnpy4_on_gpOrthosteric Ligand7X9C-Y4-Pancreatic Hormone-Gi1/β1/γ2
21.74Single4IARErgotamine4IAR-5-HT1B-Ergotamine
21.74Single4IB4Ergotamine4IB4-5-HT2B-Ergotamine
21.74Single6X19CHU-1286X19-GLP-1-CHU-128-Gs/β1/γ2
21.74Single7F4ISHU91197F4I-MC1-SHU9119-chim(NtGi1-Gs)/β1/γ2
21.74Single7QA8Peptide7QA8-STE2-Peptide
21.74Single7QA8Peptide7QA8-STE2-Peptide
21.74Single7T6UCGEN-855A7T6U-FPR2-ALX-CGEN-855A-Gi1/β1/γ2
21.74Single7W0PElabela7W0P-Apelin-Elabela-Gi1/β1/γ2
21.74Single8G59TUG-8918G59-FFA4-TUG-891-chim(Gi1-CtGq)/β1/γ2
21.74Single8GHVAMG3158GHV-CB1-AMG315-Gi1/β1/γ2
21.74Single8J6RMK68928J6R-HCA2-MK6892-Gi1/β1/γ2
21.74Single8WKYPG-9348WKY-MC4-PG-934
21.74Single8WZ2Orexigenic Neuropeptide QRFP8WZ2-QRFP-Orexigenic Neuropeptide QRFP-chim(NtGi1L-Gs-CtGq)/β1/γ2
21.74Single8ZJDKisspeptin-108ZJD-Kiss1-Kisspeptin-10-chim(NtGi1-Gq)/β1/γ1
21.74Single9BUYLM1899BUY-β2-LM189-Gi1/β1/γ2
21.74Single9HB3Mambaquaretin-19HB3-V2-Mambaquaretin-1
21.74Consensusgq_kisspeptinOrthosteric Ligand8ZJD-Kiss1-Kisspeptin-10-chim(NtGi1-Gq)/β1/γ1
21.74Consensuskiss1_on_gpOrthosteric Ligand8ZJD-Kiss1-Kisspeptin-10-chim(NtGi1-Gq)/β1/γ1
21.74Consensuskisspeptin_on_gpOrthosteric Ligandkiss1_on_gp
21.74Consensussst5_onOrthosteric Ligand8X8L-SST5-Cortistatin-chim(NtGi1-Gs-CtGi1)/β1/γ2 8X8N-SST5-Octreotide-chim(NtGi1-Gs-CtGi1)/β1/γ2
21.43Single2HPYAll-trans-Retinal2HPY-Rhodopsin-All-trans-Retinal
21.43Single6P9XCorticoliberin6P9X-CRF1-Corticoliberin-Gs/β1/γ2
21.43Single7AD3Alpha-factor mating pheromone7AD3-STE2-α-factor mating pheromone-Gi1/STE4/γ2
21.43Single7DD5Ca; Ca; Tryptophan; NPS-21437DD5-CaS-Ca-Ca; Ca; Tryptophan; NPS-2143
21.43Single7F4FAfamelanotide7F4F-MC1-Afamelanotide-chim(NtGi1-Gs)/β1/γ2
21.43Single7F53Alpha-MSH7F53-MC4-α-MSH-Gs/β1/γ2
21.43Single7QBCAlpha-factor mating pheromone7QBC-STE2-α-factor mating pheromone
21.43Single7WVYAmyloid-Beta427WVY-FPR2-ALX-Amyloid-β42-Gi2/β1/γ2
21.43Single7YOONeuropeptide-Y7YOO-Y2-Neuropeptide-Y-Gi1/β1/γ2
21.43Single8GEIConstrained Epinephrine8GEI-β2-Constrained Epinephrine-Gs/β1/γ2
21.43Single8IWM2-Phenylethylamine8IWM-TA9-2-Phenylethylamine
21.43Single8XOFLys058XOF-GPR30-Lys05-chim(NtGi1-Gs-CtGq)/β1/γ2
21.43Single9BUCCagrilintide9BUC-CT-Cagrilintide-Gs/β1/γ2
21.43Single9C2FCa; Ca; Tryptophan; '54149; PO49C2F-CaS-Ca-Ca; Ca; Tryptophan; '54149; PO4
21.43Consensusnpy2_onOrthosteric Ligand7YOO-Y2-Neuropeptide-Y-Gi1/β1/γ2
21.43Consensusnpy2_on_gpOrthosteric Ligand7YOO-Y2-Neuropeptide-Y-Gi1/β1/γ2
21.05Single5CGCHTL142425CGC-mGlu5-HTL14242
21.05Single5N2SPSB365N2S-A1-PSB36
21.05Single5NM2ZM-2413855NM2-A2A-ZM-241385-Na
21.05Single5T1ABMS-6815T1A-CCR2-BMS-681-PubChem 12093170
21.05Single6GDGNECA6GDG-A2A-NECA-Gs/β1/γ1
21.05Single6HLPNetupitant6HLP-NK1-Netupitant
21.05Single6KPCPubChem 1459158896KPC-CB2-PubChem 145915889
21.05Single6ME62-Phenylmelatonin6ME6-MT2-2-Phenylmelatonin
21.05Single7BB7AVP7BB7-V2-AVP-Gs/β1/γ2
21.05Single7E9GJNJ-404118137E9G-mGlu2; mGlu2-Eglumetad-JNJ-40411813-Gi1/β1/γ2
21.05Single7EUOfMLF7EUO-FPR1-ALX-fMLF-Gi1/β1/γ2
21.05Single7LD3Adenosine7LD3-A1-Adenosine-MIPS521-Gi2/β1/γ2
21.05Single7SINNPS-21437SIN-CaS-NPS-2143
21.05Single7SINNPS-21437SIN-CaS-NPS-2143
21.05Single7VUHJNJ-635330547VUH-GPR139-JNJ-63533054-chim(Gs-CtGq)/β1/γ2
21.05Single7WIGL-054,2647WIG-SST2-L-054,264-Gi1/β1/γ2
21.05Single7YU3ONO-07405567YU3-LPA1-ONO-0740556-Gi1/β1/γ2
21.05Single8GNEKW-63568GNE-A2A-KW-6356-Na
21.05Single8HNLPS3724248HNL-CXCR3-PS372424-Gi1/β1/γ2
21.05Single8QOTNanobody-E8QOT-μ-Nanobody-E
21.05Single8S4DCMF-0198S4D-Apelin-CMF-019
21.05Single8TF5Oleic acid8TF5-GPR6-Oleic acid
21.05Single8X0CVU04244658X0C-mGlu5; mGlu5-Quisqualate-VU0424465
21.05Single8XYKVUF106618XYK-CXCR3-VUF10661-Go/β1/γ2
21.05Single8YH0NECA8YH0-A3A-NECA-Gi1/β1/γ2
21.05Single8ZPTPrRP208ZPT-PrRP-PrRP20-chim(NtGi1-Gs-CtGq)/β1/γ2
21.05Single9ARYSerotonin9ARY-5-HT2A-Serotonin-chim(NtGi1-Gs-CtGq)/β1/γ2
21.05Single9AVLCa; Ca; Cyclomethyltryptophan; 9IG; PO49AVL-CaS-Ca-Ca; Ca; Cyclomethyltryptophan; 9IG; PO4-Gi3/β2/γ2
21.05Single9EHSLUF76029EHS-A3A-LUF7602
21.05Single9ERXD9-THC analog9ERX-CB1-D9-THC analog-Gi1/β1/γ2
21.05Single9HAPTolvaptan9HAP-V2-Tolvaptan
21.05Consensusadenosine_offOrthosteric Liganda1_off a2_off
21.05Consensuslpa1_onOrthosteric Ligand7TD1-LPA1-LPA-Gi1/β1/γ2 7YU3-LPA1-ONO-0740556-Gi1/β1/γ2
21.05Consensuslpa1_on_gpOrthosteric Ligand7TD1-LPA1-LPA-Gi1/β1/γ2 7YU3-LPA1-ONO-0740556-Gi1/β1/γ2
21.05Consensusrxfp4_onOrthosteric Ligand7YK7-RXFP4-DC591053-Gi2/β1/γ2 7YJ4-RXFP4-INSL5-Gi2/β1/γ2 7YK6-RXFP4-PubChem 138319674-Gi2/β1/γ2
21.05Consensusrxfp4_on_gpOrthosteric Ligand7YK7-RXFP4-DC591053-Gi2/β1/γ2 7YJ4-RXFP4-INSL5-Gi2/β1/γ2 7YK6-RXFP4-PubChem 138319674-Gi2/β1/γ2
20.83Single5XJM(Sar1,Ile8)-Angiotensin II5XJM-AT2-(Sar1,Ile8)-Angiotensin II
20.83Single6DO1Angiotensin-like peptide S1I86DO1-AT1-Angiotensin-like peptide S1I8
20.83Single6HLOAprepitant6HLO-NK1-Aprepitant
20.83Single7E14Orforglipron7E14-GLP-1-Orforglipron-PubChem 156022738-Gs/β1/γ2
20.83Single7SK5CXCL127SK5-ACKR3-CXCL12
20.83Single7XMSSomatostatin-147XMS-SST4-Somatostatin-14-Gi1/β1/γ2
20.83Single8F7QBeta-Endorphin8F7Q-μ-β-Endorphin-Gi1/β1/γ2
20.83Single8JZZC5a-desArg8JZZ-C5a1-C5a-desArg-Go/β1/γ2
20.83Single9IK8SST analogue9IK8-SST1-SST analogue-Gi1/β1/γ2
20.83Single9IQSMuscarinic toxin 39IQS-M4-Muscarinic toxin 3
20.83Single9IQVMuscarinic toxin 39IQV-Alpha1A-Muscarinic toxin 3
20.83Single9KFIRelaxin-39KFI-RXFP3-Relaxin-3-Gi2/β1/γ2
20.83Consensuscompl-peptide_onOrthosteric Ligandc5a1_on c3a_on
20.83Consensusformylpeptide_on_gpOrthosteric Ligandfpr2-alx_on_gp fpr1-alx_on_gp
20.83Consensusgi_ghrelinOrthosteric Ligand7NA7-Ghrelin-Ghrelin-27-Gi1/β1/γ2 7NA8-Ghrelin-PubChem 178024-Gi1/β1/γ2
20.83Consensusmc5_onOrthosteric Ligand8INR-MC5-α-MSH-Ca-chim(NtGi1-Gs)/β1/γ2 8IOD-MC5-PG-901-Ca-chim(NtGi1-Gs)/β1/γ2
20.69Single6PB1Urocortin6PB1-CRF2-Urocortin-chim(NtGi1-Gs)/β1/γ2
20.69Single7QBCAlpha-factor mating pheromone7QBC-STE2-α-factor mating pheromone
20.69Single7TS0Urocortin7TS0-CRF2-Urocortin-chim(NtGi1L-Go)/β1/γ2
20.69Single8WWNMCH8WWN-MCH1-MCH-Gi1/β1/γ2
20.69Consensusetb_onOrthosteric Ligand8IY5-ETB-Endothelin-1-Gi1/β1/γ2 8HBD-ETB-IRL1620-Gi1/β1/γ2
20.00Single2ZIY11-cis-Retinal2ZIY-Rhodopsin-11-cis-Retinal
20.00Single4IAQDihydroergotamine4IAQ-5-HT1B-Dihydroergotamine
20.00Single5GLHEndothelin-15GLH-ETB-Endothelin-1
20.00Single5XRAAM115425XRA-CB1-AM11542
20.00Single6PB0Urocortin6PB0-CRF1-Urocortin-chim(NtGi1-Gs)/β1/γ2
20.00Single6W25SHU91196W25-MC4-SHU9119-Ca
20.00Single7EW4CYM55417EW4-S1P3-CYM5541-Gi1/β1/γ2
20.00Single7F23Dopamine7F23-D1-Dopamine-GDP-Gs/β1/γ2
20.00Single7F4DAlpha-MSH7F4D-MC1-α-MSH-chim(NtGi1-Gs)/β1/γ2
20.00Single7F58THIQ7F58-MC4-THIQ-Gs/β1/γ2
20.00Single7WC5Psilocin7WC5-5-HT2A-Psilocin
20.00Single7WVXHumanin7WVX-FPR2-ALX-Humanin-Gi2/β1/γ2
20.00Single7XA3CCL27XA3-CCR2-CCL2-Gi1/β1/γ2
20.00Single7XOWGastrin7XOW-CCKB-Gastrin-chim(NtGi1-Gq)/β1/γ2
20.00Single7XY7NECA7XY7-A2B-NECA-chim(NtGi1-Gs)/β1/γ2
20.00Single7YU5ONO-07405567YU5-LPA1-ONO-0740556-Gi1/β1/γ2
20.00Single8GUSHU-3088GUS-CB2-HU-308-Gi1/β1/γ2
20.00Single8HQCC5a anaphylatoxin8HQC-C5a1-C5a anaphylatoxin-Go/β1/γ2
20.00Single8ID39-Hydroxystearic acid8ID3-FFA4-9-Hydroxystearic acid-Gi1/β1/γ2
20.00Single8ITFDMCHA8ITF-TA9-DMCHA-chim(NtGi1-Gs)/β1/γ2
20.00Single8IW72-Phenylethylamine8IW7-TA9-2-Phenylethylamine-chim(NtGi1-Gs)/β1/γ2
20.00Single8IYHMK68928IYH-HCA2-MK6892-Go/β1/γ2
20.00Single8JD5JNJ-40411813; ADX881788JD5-mGlu2; mGlu4-Glutamate-JNJ-40411813; ADX88178-Gi1/β1/γ2
20.00Single8JXTHistamine8JXT-H4-Histamine-PO4-Gi1/β1/γ2
20.00Single8JXVClozapine8JXV-H4-Clozapine-Gi1/β1/γ2
20.00Single8JXWVUF68848JXW-H4-VUF6884-Gi1/β1/γ2
20.00Single8UGWPubChem 30865998UGW-A2A-PubChem 3086599
20.00Single8WKZSBL-MC-318WKZ-MC4-SBL-MC-31
20.00Single8X0BVU04244658X0B-mGlu5; mGlu5-Quisqualate-VU0424465
20.00Single8X16Piclidenoson8X16-A3A-Piclidenoson-Gi1/β1/γ2
20.00Single8XJMLatanoprost8XJM-FP-alpha-Latanoprost-chim(NtGi2-Gs-CtGq)/β1/γ2
20.00Single8YH6Namodenoson8YH6-A3A-Namodenoson-Gi1/β1/γ2
20.00Single8YNTSNAP-948478YNT-MCH1-SNAP-94847
20.00Single8ZR5Firuglipel8ZR5-GPR119-Firuglipel-Gs/β1/γ2
20.00Single9ASTLymphotactin9AST-XCR1-Lymphotactin-Gi1/β1/γ2
20.00Single9AYFCa; Ca; Ca; Cyclomethyltryptophan; 9IG; PO49AYF-CaS-Ca-Ca; Ca; Ca; Cyclomethyltryptophan; 9IG; PO4-Gi1/β1/γ2
20.00Single9IK9SST analogue9IK9-SST1-SST analogue-Gi1/β1/γ2
20.00Single9K27PrRP319K27-PrRP-PrRP31-chim(NtGi1-Gq)/β1/γ2
20.00Single9U4WGonadoliberin-19U4W-GnRH1-Gonadoliberin-1-chim(NtGi1L-Gs-CtGq)/β1/γ2
20.00Consensusa2_onOrthosteric Liganda2b_on
20.00Consensusa2_on_gpOrthosteric Liganda2b_on_gp
20.00Consensusa2b_onOrthosteric Ligand8HDP-A2B-Adenosine-Gs/β1/γ2 7XY6-A2B-BAY 60-6583-chim(NtGi1-Gs)/β1/γ2 7XY7-A2B-NECA-chim(NtGi1-Gs)/β1/γ2 8HDO-A2B-BAY 60-6583-Gs/β1/γ2
20.00Consensusa2b_on_gpOrthosteric Ligand8HDP-A2B-Adenosine-Gs/β1/γ2 7XY6-A2B-BAY 60-6583-chim(NtGi1-Gs)/β1/γ2 7XY7-A2B-NECA-chim(NtGi1-Gs)/β1/γ2 8HDO-A2B-BAY 60-6583-Gs/β1/γ2
20.00Consensusccr2_onOrthosteric Ligand7XA3-CCR2-CCL2-Gi1/β1/γ2
20.00Consensusccr2_on_gpOrthosteric Ligand7XA3-CCR2-CCL2-Gi1/β1/γ2
20.00Consensusccr5_on_gpOrthosteric Ligand7O7F-CCR5-6P4-CCL5-Gi1/β1/γ1 7F1Q-CCR5-MIP-1a-Gi1/β1/γ2
20.00Consensusccr_onOrthosteric Ligandccr6_on ccr8_on ccr2_on ccr1_on ccr5_on
20.00Consensusclass-a_class-b1_cons_onOrthosteric Ligandclass-a_on class-b1_on
20.00Consensuscompl-peptide_on_gpOrthosteric Ligandc5a1_on_gp c3a_on_gp
20.00Consensusfpr2-alx_onOrthosteric Ligand7WVX-FPR2-ALX-Humanin-Gi2/β1/γ2 7T6U-FPR2-ALX-CGEN-855A-Gi1/β1/γ2 7T6V-FPR2-ALX-fMLFII-Gi1/β1/γ2 7WVY-FPR2-ALX-Amyloid-β42-Gi2/β1/γ2 7T6S-FPR2-ALX-PubChem 24776341-Gi1/β1/γ2 6OMM-FPR2-ALX-WKYMVX-Gi1/β1/γ2
20.00Consensusgi_lpaOrthosteric Ligand7TD1-LPA1-LPA-Gi1/β1/γ2 7YU3-LPA1-ONO-0740556-Gi1/β1/γ2
20.00Consensusgi_relaxinOrthosteric Ligand7YK7-RXFP4-DC591053-Gi2/β1/γ2 7YJ4-RXFP4-INSL5-Gi2/β1/γ2 7YK6-RXFP4-PubChem 138319674-Gi2/β1/γ2
20.00Consensusgi_somatostatinOrthosteric Ligand7WIC-SST2-Somatostatin-14-Gi1/β1/γ2 7XMS-SST4-Somatostatin-14-Gi1/β1/γ2 8X8L-SST5-Cortistatin-chim(NtGi1-Gs-CtGi1)/β1/γ2 7XMT-SST4-J-2156-Gi1/β1/γ2 7WIG-SST2-L-054,264-Gi1/β1/γ2 8X8N-SST5-Octreotide-chim(NtGi1-Gs-CtGi1)/β1/γ2 7YAE-SST2-Octreotide-Gi1/β1/γ2 7YAC-SST2-Paltusotine-Gi1/β1/γ2
20.00Consensusgs_adenosineOrthosteric Ligand8HDP-A2B-Adenosine-Gs/β1/γ2 8HDO-A2B-BAY 60-6583-Gs/β1/γ2 7XY7-A2B-NECA-chim(NtGi1-Gs)/β1/γ2 7XY6-A2B-BAY 60-6583-chim(NtGi1-Gs)/β1/γ2
20.00Consensusgs_nucleotideOrthosteric Ligandgs_adenosine
20.00Consensuslpa_onOrthosteric Ligandlpa1_on
20.00Consensuslpa_on_gpOrthosteric Ligandlpa1_on_gp
20.00Consensusmotilin_onOrthosteric Ligand8IBU-Motilin-Erythromycin-A-chim(NtGi1-Gs-CtGq)/β1/γ2
20.00Consensusrelaxin_onOrthosteric Ligandrxfp4_on
20.00Consensusrelaxin_on_gpOrthosteric Ligandrxfp4_on_gp
20.00Consensussomatostatin_onOrthosteric Ligandsst2_on sst4_on sst5_on
20.00Consensussomatostatin_on_gpOrthosteric Ligandsst2_on_gp sst4_on_gp sst5_on_gp
20.00Consensustachykinin_offOrthosteric Ligandnk1_off
19.35Single8FLULong-Acting PTH8FLU-PTH1-Long-Acting PTH-Gs/β1/γ2
19.35Consensusendothelin_on_gpOrthosteric Ligandetb_on_gp eta_on_gp
19.35Consensusmelanocortin_onOrthosteric Ligandmc1_on mc4_on mc2_on mc3_on mc5_on
19.35Consensusmelanocortin_on_gpOrthosteric Ligandmc1_on_gp mc4_on_gp mc2_on_gp mc3_on_gp mc5_on_gp
19.23Single7AD3Alpha-factor mating pheromone7AD3-STE2-α-factor mating pheromone-Gi1/STE4/γ2
19.23Single7DW9AVP7DW9-V2-AVP-chim(NtGi1-Gs)/β1/γ2
19.23Single7FIMTirzepatide7FIM-GLP-1-Tirzepatide-Gs/β1/γ2
19.23Single7KH0AVP7KH0-V2-AVP-chim(NtGi1-Gs)/β1/γ2
19.23Single7V9MSomatoliberin7V9M-GHRH (SV1)-Somatoliberin-Gs/β1/γ2
19.23Single7YONPeptide-YY(3-36)7YON-Y2-Peptide-YY(3-36)-Gi1/β1/γ2
19.23Single8XZJWN3538XZJ-Apelin-WN353-Gi1/β1/γ2
19.23Consensusc5a1_on_gpOrthosteric Ligand8HK5-C5a1-Complement C5-Gi1/β1/γ2 7Y66-C5a1-BM213-Gi1/β1/γ2 7Y67-C5a1-C089 peptide-Gi1/β1/γ2 7Y64-C5a1-C5a anaphylatoxin-Gi1/β1/γ2
19.23Consensusgi_formylpeptideOrthosteric Ligand7WVY-FPR2-ALX-Amyloid-β42-Gi2/β1/γ2 7T6U-FPR2-ALX-CGEN-855A-Gi1/β1/γ2 7VFX-FPR1-ALX-fMLF-Gi1/β1/γ2 7T6V-FPR2-ALX-fMLFII-Gi1/β1/γ2 7WVX-FPR2-ALX-Humanin-Gi2/β1/γ2 7T6S-FPR2-ALX-PubChem 24776341-Gi1/β1/γ2 6OMM-FPR2-ALX-WKYMVX-Gi1/β1/γ2
19.23Consensusgs_vasop-oxyOrthosteric Ligand7DW9-V2-AVP-chim(NtGi1-Gs)/β1/γ2
19.23Consensusmc5_on_gpOrthosteric Ligand8INR-MC5-α-MSH-Ca-chim(NtGi1-Gs)/β1/γ2 8IOD-MC5-PG-901-Ca-chim(NtGi1-Gs)/β1/γ2
19.23Consensusp2y_on_gpOrthosteric Ligandp2y1_on_gp p2y10_on_gp p2y12_on_gp
19.23Consensusprotein_onOrthosteric Ligandchemokine_on chemerin_on
19.23Consensusv2_onOrthosteric Ligand7DW9-V2-AVP-chim(NtGi1-Gs)/β1/γ2
19.23Consensusv2_on_gpOrthosteric Ligand7DW9-V2-AVP-chim(NtGi1-Gs)/β1/γ2
19.23Consensusvasop-oxy_onOrthosteric Ligandv2_on
19.23Consensusvasop-oxy_on_gpOrthosteric Ligandv2_on_gp
19.05Single4OR2FITM4OR2-mGlu1; mGlu1-FITM
19.05Single6C1RPMX536C1R-C5a1-PMX53-Avacopan; Na
19.05Single6KPGAM8416KPG-CB1-AM841-Gi1/β1/γ2
19.05Single6OS0Angiotensinogen6OS0-AT1-Angiotensinogen
19.05Single6XOXOrforglipron6XOX-GLP-1-Orforglipron-chim(NtGi1-Gs)/β1/γ2
19.05Single7W0NElabela7W0N-Apelin-Elabela-Gi1/β1/γ2
19.05Single7XW9TRH7XW9-TRH-TRH-chim(NtGi1L-Gs-CtGq)/β1/γ2
19.05Single8IBUErythromycin-A8IBU-Motilin-Erythromycin-A-chim(NtGi1-Gs-CtGq)/β1/γ2
19.05Single8ID9Eicosapentaenoic acid8ID9-FFA4-Eicosapentaenoic acid-Gi1/β1/γ2
19.05Single8JD3JNJ-404118138JD3-mGlu2; mGlu3-Glutamate-JNJ-40411813-Gi1/β1/γ2
19.05Single8T3QDocosa-4,7,10,13,16,19-Hexaenoic acid8T3Q-FFA4-Docosa-4,7,10,13,16,19-Hexaenoic acid-chim(NtGi2L-Gs-CtGq)/β1/γ2
19.05Single8X8NOctreotide8X8N-SST5-Octreotide-chim(NtGi1-Gs-CtGi1)/β1/γ2
19.05Single8XJNCloprosetnol8XJN-TXA2-Cloprosetnol-chim(NtGi1-Gs-CtGq)/β1/γ2
19.05Single8XQSCholesterol8XQS-TAS2R14-Cholesterol-Flufenamic acid-Gi1/β1/γ1
19.05Single9GGGI-BOP9GGG-TXA2-I-BOP-chim(NtGi2L-Gs-CtGq)/β1/γ2
19.05Consensusccr8_onOrthosteric Ligand8KFX-CCR8-LMD-009-Gi1/β1/γ2 8KFY-CCR8-ZK-756326-Gi1/β1/γ2 8U1U-CCR8-CCL1-Gi1/β1/γ2
19.05Consensusmotilin_on_gpOrthosteric Ligand8IBU-Motilin-Erythromycin-A-chim(NtGi1-Gs-CtGq)/β1/γ2
19.05Consensustrh_onOrthosteric Ligand7XW9-TRH-TRH-chim(NtGi1L-Gs-CtGq)/β1/γ2
19.05Consensustrh_on_gpOrthosteric Ligand7XW9-TRH-TRH-chim(NtGi1L-Gs-CtGq)/β1/γ2
18.75Single3AYMAll-trans-Retinal3AYM-Rhodopsin-All-trans-Retinal
18.75Single3PBLEticlopride3PBL-D3-Eticlopride
18.75Single6I9K9-cis-Retinal6I9K-Rhodopsin-9-cis-Retinal
18.75Single7DD5Ca; Ca; Tryptophan; NPS-21437DD5-CaS-Ca-Ca; Ca; Tryptophan; NPS-2143
18.75Single7E2YSerotonin7E2Y-5-HT1A-Serotonin-Gi1/β1/γ2
18.75Single7T96LY21196207T96-M2-Acetylcholine-LY2119620-Go/β1/γ2
18.75Single7TRPLY20332987TRP-M4-Iperoxo-LY2033298-Gi1/β1/γ2
18.75Single8A2PLUAA470708A2P-A2A-LUAA47070-Na
18.75Single8JILNiacin8JIL-HCA2-Niacin-Gi1/β1/γ2
18.75Single8SZFCa; Ca; Tryptophan; Cinacalcet; PO4; Spermine8SZF-CaS-Ca; Ca; Tryptophan; Cinacalcet; PO4; Spermine
18.75Single8UO3Constrained Epinephrine8UO3-β2-Constrained Epinephrine-GTP; Mg-Gs/β1/γ2
18.75Single8X2KOleic monoethanolamide8X2K-GPR3-Oleic monoethanolamide-chim(NtGi1-Gs)/β1/γ2
18.75Single8ZX5AM2518ZX5-GPR55-AM251-chim(NtGi1-G13)/β1/γ2
18.75Single9LMPNE52-QQ579LMP-GPR4-NE52-QQ57
18.75Consensusd3_offOrthosteric Ligand3PBL-D3-Eticlopride
18.75Consensusgs_peptideOrthosteric Ligandgs_cck gs_melanocortin gs_vasop-oxy
18.52Single7F9YGhrelin-287F9Y-Ghrelin-Ghrelin-28-chim(NtGi1-Gs-CtGq)/β1/γ2
18.52Single7WBJPACAP277WBJ-VPAC1-PACAP27-Gs/β1/γ2
18.52Single7X9BNeuropeptide-Y7X9B-Y2-Neuropeptide-Y-Gi1/β1/γ2
18.52Single7Y64C5a anaphylatoxin7Y64-C5a1-C5a anaphylatoxin-Gi1/β1/γ2
18.52Single8E3YPACAP278E3Y-VPAC1-PACAP27-Gs/β1/γ2
18.52Single8HCQEndothelin-18HCQ-ETA-Endothelin-1-chim(NtGi1-Gs-CtGq)/β1/γ2
18.52Single8HCXEndothelin-18HCX-ETB-Endothelin-1-chim(NtGi2L-Gs-CtGq)/β1/γ2
18.52Single8IA2C5a anaphylatoxin8IA2-C5a1-C5a anaphylatoxin-Go/β1/γ2
18.52Single8WWKMCH8WWK-MCH1-MCH-Gi1/β1/γ2
18.52Single8XQEApelin-138XQE-Apelin-Apelin-13-Gi1/β1/γ2
18.52Single8XVHEndothelin-18XVH-ETB-Endothelin-1-chim(Gs-CtGq)/β1/γ2
18.52Single8ZPSPrRP208ZPS-PrRP-PrRP20-chim(NtGi1-Gs-CtGq)/β1/γ2
18.52Consensusccr_on_gpOrthosteric Ligandccr6_on_gp ccr8_on_gp ccr2_on_gp ccr1_on_gp ccr5_on_gp
18.52Consensuschemokine_offOrthosteric Ligandccr_off cxcr_off
18.52Consensuschemokine_on_gpOrthosteric Ligandccr_on_gp cxcr_on_gp
18.52Consensuscxcr_offOrthosteric Ligandcxcr3_off cxcr4_off
18.52Consensuseta_onOrthosteric Ligand8HCQ-ETA-Endothelin-1-chim(NtGi1-Gs-CtGq)/β1/γ2
18.52Consensuseta_on_gpOrthosteric Ligand8HCQ-ETA-Endothelin-1-chim(NtGi1-Gs-CtGq)/β1/γ2
18.52Consensusgi_chemokineOrthosteric Ligand6WWZ-CCR6-CCL20-Go/β1/γ2 8HNK-CXCR3-CXCL11-Gi1/β1/γ2 8K3Z-CXCR4-CXCL12-Gi1/β1/γ1 8IC0-CXCR1-Interleukin-8-Gi1/β1/γ2 6LFM-CXCR2-Interleukin-8-Gi1/β1/γ2 8KFX-CCR8-LMD-009-Gi1/β1/γ2 7F1Q-CCR5-MIP-1a-Gi1/β1/γ2 8HNL-CXCR3-PS372424-Gi1/β1/γ2 8KFY-CCR8-ZK-756326-Gi1/β1/γ2 7O7F-CCR5-6P4-CCL5-Gi1/β1/γ1 8U1U-CCR8-CCL1-Gi1/β1/γ2 7VLA-CCR1-CCL15(27-92)-Gi1/β1/γ2 7XA3-CCR2-CCL2-Gi1/β1/γ2
18.52Consensussst5_on_gpOrthosteric Ligand8X8L-SST5-Cortistatin-chim(NtGi1-Gs-CtGi1)/β1/γ2 8X8N-SST5-Octreotide-chim(NtGi1-Gs-CtGi1)/β1/γ2
18.18Single4OR2FITM4OR2-mGlu1; mGlu1-FITM
18.18Single5CGDHTL142425CGD-mGlu5-HTL14242
18.18Single7EZMCholecystokinin-87EZM-CCKA-Cholecystokinin-8-chim(NtGsL-Gq)/β1/γ2
18.18Single7LLLExendin-47LLL-GLP-1-Exendin-4-Gs/β1/γ2
18.18Single7VVNPTH7VVN-PTH1-PTH-Gs/β1/γ2
18.18Single7X9ANeuropeptide-Y7X9A-Y1-Neuropeptide-Y-Gi1/β1/γ2
18.18Single7Y36Teriparatide7Y36-PTH1-Teriparatide-Gs/β1/γ2
18.18Single8FLQPTH8FLQ-PTH1-PTH-Gs/β1/γ2
18.18Single8HN1Toxin AdTx18HN1-Alpha1A-Toxin AdTx1
18.18Single8IULLatanoprost8IUL-FP-alpha-Latanoprost-chim(NtGi1-Gs-CtGq)/β1/γ2
18.18Single8IYSTUG-8918IYS-FFA4-TUG-891-GDP-chim(NtGi1L-Gq)/β1/γ2
18.18Single8XJKCloprosetnol8XJK-FP-alpha-Cloprosetnol-chim(NtGi1-Gs-CtGq)/β1/γ2
18.18Single8XJOU466198XJO-TXA2-U46619-chim(NtGi1-Gs-CtGq)/β1/γ2
18.18Single9JR3PTH9JR3-PTH1-PTH-chim(NtGi1L-Gs-CtGq)/β1/γ2
18.18Consensusclass-a_class-b1_cons_on_gpOrthosteric Ligandclass-a_on_gp class-b1_on_gp
18.18Consensusnucleotide_on_gpOrthosteric Ligandadenosine_on_gp p2y_on_gp
18.18Consensusprostanoid_onOrthosteric Ligandtp_on fp-alpha_on
18.18Consensusprostanoid_on_gpOrthosteric Ligandtp_on_gp fp-alpha_on_gp
18.18Consensustp_onOrthosteric Ligand8XJO-TXA2-U46619-chim(NtGi1-Gs-CtGq)/β1/γ2
18.18Consensustp_on_gpOrthosteric Ligand8XJO-TXA2-U46619-chim(NtGi1-Gs-CtGq)/β1/γ2
17.86Single5UIW5P7-CCL55UIW-CCR5-5P7-CCL5
17.86Single6P9YPACAP6P9Y-PAC1-PACAP-Gs/β1/γ2
17.86Single7RGPTirzepatide7RGP-GLP-1-Tirzepatide-chim(NtGi1-Gs)/β1/γ2
17.86Single7SK3CXCL127SK3-ACKR3-CXCL12
17.86Single7SK4CXCL12_LRHQ7SK4-ACKR3-CXCL12_LRHQ
17.86Single7YKDChemerin-97YKD-CML1-Chemerin-9-Gi1/β1/γ2
17.86Single8E3XPACAP278E3X-PAC1-PACAP27-Gs/β1/γ2
17.86Single9BLWCagrilintide backbone (non-acylated)9BLW-CT (AMY1)-Cagrilintide backbone (non-acylated)-Gs/β1/γ2; RAMP1
17.86Consensusccr5_offOrthosteric Ligand5UIW-CCR5-5P7-CCL5
17.86Consensusgi_proteinOrthosteric Ligandgi_chemokine gi_chemerin
17.86Consensuspac_on_gpOrthosteric Ligandpac1_on_gp
17.86Consensusprotein_on_gpOrthosteric Ligandchemokine_on_gp chemerin_on_gp
17.65Single2Z7311-cis-Retinal2Z73-Rhodopsin-11-cis-Retinal
17.65Single3AYN9-cis-Retinal3AYN-Rhodopsin-9-cis-Retinal
17.65Single3VGAZM-2413853VGA-A2A-ZM-241385-Antibody
17.65Single4MQTLY21196204MQT-M2-Iperoxo-LY2119620
17.65Single5ZKQABT-4915ZKQ-PAF-ABT-491
17.65Single6ME2Ramelteon6ME2-MT1-Ramelteon
17.65Single6NWEOctyl-Beta-D-Glucopyranoside6NWE-Rhodopsin-Octyl-β-D-Glucopyranoside-Gt(CT)
17.65Single7F8ULintitript7F8U-CCKA-Lintitript
17.65Single7F8YDevazepide7F8Y-CCKA-Devazepide
17.65Single7LJDDopamine7LJD-D1-Dopamine-Mevidalen-Gs/β1/γ1
17.65Single7VUJJNJ-635330547VUJ-GPR139-JNJ-63533054-GDP-chim(Gs-CtGq)/β1/γ2
17.65Single7W0MPubChem 1227019087W0M-Apelin-PubChem 122701908-Gi1/β1/γ2
17.65Single7W0OElabela7W0O-Apelin-Elabela-Gi1/β1/γ2
17.65Single7X2CFenoldopam7X2C-D1-Fenoldopam-Fenoldopam-Gs/β1/γ2
17.65Single7XJJGalanin7XJJ-GAL1-Galanin-Go/β1/γ2
17.65Single8DU3PubChem 1055260648DU3-A2A-PubChem 105526064
17.65Single8DWGML3828DWG-MRGPRX1-Proenkephalin-A-ML382-chim(NtGi2L-Gs-CtGq)/β1/γ2
17.65Single8HDPAdenosine8HDP-A2B-Adenosine-Gs/β1/γ2
17.65Single8U4PAMD31008U4P-CXCR4-AMD3100-Gi1/β1/γ2
17.65Single8XXVIndomethacin8XXV-DP2-Indomethacin-A1D5Q-Gi1/β1/γ2
17.65Single9EBHAdenosine9EBH-A3A-Adenosine-Gi1/β1/γ2
17.65Consensuspaf_offOrthosteric Ligand5ZKQ-PAF-ABT-491
17.65Consensuspth_onOrthosteric Ligandpth1_on pth2_on
17.65Consensussensory_offonOrthosteric Ligandsensory_off sensory_on
17.65Consensussensory_offon_gpOrthosteric Ligandsensory_on_gp sensory_on
17.39Single5WF6UK-4320975WF6-A2A-UK-432097
17.39Single6C1QPMX536C1Q-C5a1-PMX53-NDT9513727
17.39Single6OMMWKYMVX6OMM-FPR2-ALX-WKYMVX-Gi1/β1/γ2
17.39Single7AUESetmelanotide7AUE-MC4-Setmelanotide-chim(NtGi1L-Gs)/β1/γ2
17.39Single7F8WGastrin-177F8W-CCKB-Gastrin-17-chim(NtGsL-Gq)/β1/γ2
17.39Single7F9ZGHRP-67F9Z-Ghrelin-GHRP-6-chim(NtGi1-Gs-CtGq)/β1/γ2
17.39Single7RKNFractalkine7RKN-US28-Fractalkine-Gi1/β1/γ2
17.39Single7RMGSubstance-P7RMG-NK1-Substance-P-chim(Gs-CtGq)/β1/γ2
17.39Single7S8LCortistatin-147S8L-MRGPRX2-Cortistatin-14-chim(NtGi2L-Gs-CtGq)/β1/γ2
17.39Single7XN9L-054,5227XN9-SST2-L-054,522
17.39Single8XQLCholesterol8XQL-TAS2R14-Cholesterol-Aristolochic acid A-Gt3/β1/γ1
17.39Single8XZFWN5618XZF-Apelin-WN561-Gi1/β1/γ2
17.39Consensusformylpeptide_onOrthosteric Ligandfpr2-alx_on fpr1-alx_on
17.39Consensusgq_cckOrthosteric Ligand8IA7-CCKB-Cholecystokinin-8-chim(NtGi1L-Gq)/β1/γ2 7XOW-CCKB-Gastrin-chim(NtGi1-Gq)/β1/γ2 7EZM-CCKA-Cholecystokinin-8-chim(NtGsL-Gq)/β1/γ2 7F8W-CCKB-Gastrin-17-chim(NtGsL-Gq)/β1/γ2
17.39Consensuskiss1_onOrthosteric Ligand8ZJD-Kiss1-Kisspeptin-10-chim(NtGi1-Gq)/β1/γ1
17.39Consensuskisspeptin_onOrthosteric Ligandkiss1_on
17.39Consensussst2_onOrthosteric Ligand7WIC-SST2-Somatostatin-14-Gi1/β1/γ2 7WIG-SST2-L-054,264-Gi1/β1/γ2 7YAE-SST2-Octreotide-Gi1/β1/γ2 7YAC-SST2-Paltusotine-Gi1/β1/γ2
17.39Consensussst2_on_gpOrthosteric Ligand7WIC-SST2-Somatostatin-14-Gi1/β1/γ2 7WIG-SST2-L-054,264-Gi1/β1/γ2 7YAE-SST2-Octreotide-Gi1/β1/γ2 7YAC-SST2-Paltusotine-Gi1/β1/γ2
17.24Single6B3JExendin-P56B3J-GLP-1-Exendin-P5-Gs/β1/γ2
17.24Single6VCBGLP-16VCB-GLP-1-GLP-1-LSN3160440-Gs/β1/γ2
17.24Single7EIBDes-Arg10-Kallidin7EIB-BK1-Des-Arg10-Kallidin-chim(NtGi1-Gs-CtGq)/β1/γ2
17.24Single7TYFAmylin7TYF-CT (AMY1)-Amylin-Gs/β1/γ2; RAMP1
17.24Single7XATSomatostatin-147XAT-SST2-Somatostatin-14-Gi1/β1/γ2
17.24Single8W8WAlpha-MSH8W8W-MC3-α-MSH-Ca-Gs/β1/γ2
17.24Single8WWLMCH8WWL-MCH1-MCH-Gi1/β1/γ2
17.24Consensuscrf_onOrthosteric Ligandcrf2_on crf1_on
17.24Consensusglp_onOrthosteric Ligandglp1_on glp2_on
17.24Consensusglp_on_gpOrthosteric Ligandglp1_on_gp glp2_on_gp
17.24Consensusp2y10_on_gpOrthosteric Ligand8KGG-P2Y10-LPS-chim(NtGi2-G13)/β1/γ2
17.14Consensusmc2_onOrthosteric Ligand8GY7-MC2-Corticotropin-Ca-chim(NtGi1-Gs)/β1/γ2; MRAP1
17.14Consensusmc2_on_gpOrthosteric Ligand8GY7-MC2-Corticotropin-Ca-chim(NtGi1-Gs)/β1/γ2; MRAP1
16.67Single5IU7Q274563465IU7-A2A-Q27456346-Na
16.67Single5JTBZM-2413855JTB-A2A-ZM-241385
16.67Single5K2BZM-2413855K2B-A2A-ZM-241385-Na
16.67Single5TE3Octyl-Beta-D-Glucopyranoside5TE3-Rhodopsin-Octyl-β-D-Glucopyranoside
16.67Single6AQFZM-2413856AQF-A2A-ZM-241385
16.67Single6ME32-Phenylmelatonin6ME3-MT1-2-Phenylmelatonin
16.67Single6ME42-Iodomelatonin6ME4-MT1-2-Iodomelatonin
16.67Single6NBHLong-Acting PTH Analog6NBH-PTH1-Long-Acting PTH Analog-Gs/β1/γ2
16.67Single6PS82-Phenylmelatonin6PS8-MT1-2-Phenylmelatonin
16.67Single6UUSAdrenomedullin6UUS-CT Like (AM2)-Adrenomedullin-Gs/β1/γ2; RAMP3
16.67Single6WJCMuscarinic toxin 76WJC-M1-Atropine-Muscarinic toxin 7
16.67Single6WZGSecretin6WZG-Secretin-Secretin-Gs/β1/γ2
16.67Single6ZDRHMS1413f126ZDR-A2A-HMS1413f12-Na
16.67Single7D68GLP-27D68-GLP-2-GLP-2-Gs/β1/γ2
16.67Single7F16TIP397F16-PTH2-TIP39-Gs/β1/γ2
16.67Single7F1ZDopamine7F1Z-D1-Dopamine-GDP-Gs/β1/γ2
16.67Single7F8XNN90567F8X-CCKA-NN9056
16.67Single7KI1Taspoglutide7KI1-GLP-1-Taspoglutide-Gs/β1/γ2
16.67Single7T94LY21196207T94-M2-Acetylcholine-LY2119620-chim(NtGi1-Go)/β1/γ2
16.67Single7W56Neuromedin-S7W56-NMUR1-Neuromedin-S-chim(NtGi1-Gs-CtGq)/β1/γ2
16.67Single7XAUOctreotide7XAU-SST2-Octreotide-Gi1/β1/γ2
16.67Single7XMRSomatostatin-147XMR-SST2-Somatostatin-14-Gi1/β1/γ2
16.67Single7XOVSR1461317XOV-CCKA-SR146131-Gs/β1/γ2
16.67Single7XXH2MeSADP7XXH-P2Y1-2MeSADP-chim(NtGi1-G11)/β1/γ2
16.67Single8DPGPsilocin8DPG-5-HT2C-Psilocin-chim(NtGi2L-Gs-CtGq)/β1/γ2
16.67Single8F0KPramlintide Analogue San3858F0K-CT (AMY3)-Pramlintide Analogue San385-Gs/β1/γ2; RAMP3
16.67Single8H4LDoconexent8H4L-FFA4-Doconexent-chim(NtGi1-Gs-CtGq)/β1/γ2
16.67Single8HAFPTHrP(1-36)8HAF-PTH1-PTHrP(1-36)-chim(NtGi1-Gs)/β1/γ2
16.67Single8IEBA1LYA8IEB-GPR156-A1LYA
16.67Single8IY6Endothelin-18IY6-ETB-Endothelin-1
16.67Single8IZBLysophosphatidylserine8IZB-GPR174-Lysophosphatidylserine-Gs/β1/γ2
16.67Single8K2WAMG4878K2W-CXCR3-AMG487
16.67Single8K3ZCXCL128K3Z-CXCR4-CXCL12-Gi1/β1/γ1
16.67Single8KGGLPS8KGG-P2Y10-LPS-chim(NtGi2-G13)/β1/γ2
16.67Single8KIGSHU91198KIG-MC3-SHU9119-Ca
16.67Single8RQQZM-2413858RQQ-A2A-ZM-241385-Na
16.67Single8U4OCXCL128U4O-CXCR4-CXCL12-Gi1/β1/γ2
16.67Single8XGMChemerin8XGM-CML2-Chemerin-Gi1/β1/γ2
16.67Single8Y01Retinal8Y01-Opsin1MW-Retinal-Gi1/β1/γ2
16.67Single8ZBJSomatostatin-148ZBJ-SST5-Somatostatin-14-Gi1/β1/γ2
16.67Single8ZPNAMD31008ZPN-CXCR4-AMD3100
16.67Single9BYOExendin-39BYO-GLP-1-Exendin-3-Gs/β1/γ2
16.67Single9EPQ11,20-Ethanoretinal9EPQ-Rhodopsin-11,20-Ethanoretinal-chim(Gi1-CtGq)/β1/γ2
16.67Single9J0IUDP-Glucuronic acid9J0I-P2Y14-UDP-Glucuronic acid-Gi1/β1/γ2
16.67Single9JFUNE52-QQ579JFU-GPR4-NE52-QQ57
16.67Consensusa2_offOrthosteric Liganda2a_off
16.67Consensusa2a_offOrthosteric Ligand3RFM-A2A-Caffeine 8C9W-A2A-Etrumadenant 3UZA-A2A-GTPL9236 8GNG-A2A-Istradefylline 8CU6-A2A-LJ-4517 7PX4-A2A-PSB-2113 7PYR-A2A-PSB-2115 8DU3-A2A-PubChem 105526064 8JWY-A2A-2-118 8PWN-A2A-Theophylline 5IU4-A2A-ZM-241385-Na 5OLZ-A2A-PubChem 135566609-Na 6GT3-A2A-Imaradenant-Na 5OLV-A2A-LUAA41063-Na 5N2R-A2A-PSB-36-Na 5IU7-A2A-Q27456346-Na 5OLH-A2A-Vipadenant-Na 5OLO-A2A-Tozadenant-Na 6ZDR-A2A-HMS1413f12-Na 8GNE-A2A-KW-6356-Na 8JWZ-A2A-AB928-Na 5IU8-A2A-Q27456347-Na 5IUB-A2A-Q27456344-Na 6ZDV-A2A-Chromone 5d-Na 5IUA-A2A-Q27456348-Na 8A2P-A2A-LUAA47070-Na
16.67Consensusadenosine_onOrthosteric Liganda1_on a2_on a3_on
16.67Consensuschemerin_on_gpOrthosteric Ligandcml1_on_gp
16.67Consensuschemokine_onOrthosteric Ligandccr_on cxcr_on
16.67Consensusclass-b1_onOrthosteric Ligandglucagon_on vip-pacap_on pth_on crf_on calcitonin_on
16.67Consensuscml1_onOrthosteric Ligand7YKD-CML1-Chemerin-9-Gi1/β1/γ2
16.67Consensuscxcr3_offOrthosteric Ligand8K2W-CXCR3-AMG487
16.67Consensuscxcr4_onOrthosteric Ligand8K3Z-CXCR4-CXCL12-Gi1/β1/γ1
16.67Consensusendothelin_onOrthosteric Ligandetb_on eta_on
16.67Consensusgi_adenosineOrthosteric Ligand7LD4-A1-Adenosine-Gi2/β1/γ2 8X17-A3A-Namodenoson-Gi1/β1/γ2 8X16-A3A-Piclidenoson-Gi1/β1/γ2
16.67Consensusgi_chemerinOrthosteric Ligand7YKD-CML1-Chemerin-9-Gi1/β1/γ2
16.67Consensusgi_nucleotideOrthosteric Ligandgi_adenosine gi_p2y
16.67Consensusgs_melanocortinOrthosteric Ligand7F4H-MC1-Afamelanotide-chim(NtGi1-Gs)/β1/γ2 7F54-MC4-Afamelanotide-Gs/β1/γ2 7F4D-MC1-α-MSH-chim(NtGi1-Gs)/β1/γ2 8INR-MC5-α-MSH-Ca-chim(NtGi1-Gs)/β1/γ2 7F53-MC4-α-MSH-Gs/β1/γ2 7F55-MC4-Bremelanotide-Gs/β1/γ2 8GY7-MC2-Corticotropin-Ca-chim(NtGi1-Gs)/β1/γ2; MRAP1 8IOC-MC3-γ-MSH-Ca-chim(NtGi1-Gs)/β1/γ2 8IOD-MC5-PG-901-Ca-chim(NtGi1-Gs)/β1/γ2 7AUE-MC4-Setmelanotide-chim(NtGi1L-Gs)/β1/γ2 7F4I-MC1-SHU9119-chim(NtGi1-Gs)/β1/γ2 7F58-MC4-THIQ-Gs/β1/γ2
16.67Consensusmc4_onOrthosteric Ligand7AUE-MC4-Setmelanotide-chim(NtGi1L-Gs)/β1/γ2 7F58-MC4-THIQ-Gs/β1/γ2 7F54-MC4-Afamelanotide-Gs/β1/γ2 7F53-MC4-α-MSH-Gs/β1/γ2 7F55-MC4-Bremelanotide-Gs/β1/γ2
16.67Consensusp2y1_on_gpOrthosteric Ligand7XXH-P2Y1-2MeSADP-chim(NtGi1-G11)/β1/γ2
16.67Consensusp2y_onOrthosteric Ligandp2y1_on p2y10_on p2y12_on
16.67Consensusvip-pacap_onOrthosteric Ligandvpac_on pac_on
16.67Consensusvip-pacap_on_gpOrthosteric Ligandvpac_on_gp pac_on_gp
16.13Single7DUQGLP-17DUQ-GLP-1-GLP-1-PubChem 156022738-Gs/β1/γ2
16.13Single7TYXAmylin7TYX-CT (AMY2)-Amylin-Gs/β1/γ2; RAMP2
16.13Consensusgi_npyOrthosteric Ligand8K6M-Y1-Neuropeptide-Y-Gi2/β1/γ1 7X9C-Y4-Pancreatic Hormone-Gi1/β1/γ2 7YOO-Y2-Neuropeptide-Y-Gi1/β1/γ2
16.13Consensusnpy_onOrthosteric Ligandnpy1_on npy2_on npy4_on
16.13Consensusnpy_on_gpOrthosteric Ligandnpy1_on_gp npy2_on_gp npy4_on_gp
16.00Single7VBINon-Acylated Tirzepatide7VBI-GLP-1-Non-Acylated Tirzepatide-Gs/β1/γ2
16.00Single7W0NElabela7W0N-Apelin-Elabela-Gi1/β1/γ2
16.00Single7WJ5Somatostatin-147WJ5-SST2-Somatostatin-14-Gi1/β1/γ2
16.00Single8KH5Lysophosphatidylserine8KH5-GPR174-Lysophosphatidylserine-Gs/β1/γ2
16.00Single8SG1Chemerin-98SG1-CML1-Chemerin-9-Gi1/β1/γ2
16.00Single8WSSPro-MCH8WSS-MCH1-Pro-MCH-Gi1/β1/γ1
16.00Single8XYDPlatelet Activating Factor8XYD-PAF-Platelet Activating Factor-Gi1/β1/γ2
16.00Single8Z7JAgonistic antibody8Z7J-Apelin-Agonistic antibody-Gi1/β1/γ2
16.00Single9IQRMuscarinic toxin 39IQR-α2a-Muscarinic toxin 3
16.00Single9J0FNADH9J0F-P2Y14-NADH-Gi1/β1/γ2
16.00Consensusmc4_on_gpOrthosteric Ligand7AUE-MC4-Setmelanotide-chim(NtGi1L-Gs)/β1/γ2 7F58-MC4-THIQ-Gs/β1/γ2 7F54-MC4-Afamelanotide-Gs/β1/γ2 7F53-MC4-α-MSH-Gs/β1/γ2 7F55-MC4-Bremelanotide-Gs/β1/γ2
16.00Consensussst4_onOrthosteric Ligand7XMS-SST4-Somatostatin-14-Gi1/β1/γ2 7XMT-SST4-J-2156-Gi1/β1/γ2
16.00Consensussst4_on_gpOrthosteric Ligand7XMS-SST4-Somatostatin-14-Gi1/β1/γ2 7XMT-SST4-J-2156-Gi1/β1/γ2
15.79Single3EMLZM-2413853EML-A2A-ZM-241385
15.79Single4EIYZM-2413854EIY-A2A-ZM-241385-Na
15.79Single4X1HNonyl-Beta-D-Glucopyranoside4X1H-Rhodopsin-Nonyl-β-D-Glucopyranoside-Gt(CT)
15.79Single5IU8Q274563475IU8-A2A-Q27456347-Na
15.79Single5K2AZM-2413855K2A-A2A-ZM-241385-Na
15.79Single5OLGZM-2413855OLG-A2A-ZM-241385-Na
15.79Single5VRAZM-2413855VRA-A2A-ZM-241385-Na
15.79Single6D27CAY104716D27-DP2-CAY10471
15.79Single6IIVDaltroban6IIV-TXA2-Daltroban
15.79Single6ORVTT-OAD26ORV-GLP-1-TT-OAD2-Gs/β1/γ2
15.79Single6S0LZM-2413856S0L-A2A-ZM-241385
15.79Single6X1ADanuglipron6X1A-GLP-1-Danuglipron-Gs/β1/γ2
15.79Single7CFMP3957CFM-GPBA-P395-Gs/β1/γ2
15.79Single7DB6Ramelteon7DB6-MT1-Ramelteon-Gi1/β1/γ2
15.79Single7LCIDanuglipron7LCI-GLP-1-Danuglipron-Gs/β1/γ2
15.79Single7PYRPSB-21157PYR-A2A-PSB-2115
15.79Single7TRQVU04671547TRQ-M4-Iperoxo-VU0467154-Gi1/β1/γ2
15.79Single7VH0Ramelteon7VH0-MT2-Ramelteon-Gi1/β1/γ1
15.79Single7WQ3Galanin7WQ3-GAL1-Galanin-Gi1/β1/γ2
15.79Single7YK7DC5910537YK7-RXFP4-DC591053-Gi2/β1/γ2
15.79Single8KEXDCA-3P8KEX-MRGPRX4-DCA-3P
15.79Single8X17Namodenoson8X17-A3A-Namodenoson-Gi1/β1/γ2
15.79Single8YH5Riboprine8YH5-A3A-Riboprine-Gi1/β1/γ2
15.79Single8ZBEOctreotide8ZBE-SST5-Octreotide-Gi1/β1/γ1
15.79Consensusa3_onOrthosteric Liganda3a_on
15.79Consensusgal1_onOrthosteric Ligand7WQ3-GAL1-Galanin-Gi1/β1/γ2
15.79Consensusgal1_on_gpOrthosteric Ligand7WQ3-GAL1-Galanin-Gi1/β1/γ2
15.79Consensusgi_galaninOrthosteric Ligand7WQ3-GAL1-Galanin-Gi1/β1/γ2
15.79Consensuspth_on_gpOrthosteric Ligandpth1_on_gp pth2_on_gp
15.62Single6LPBPACAP6LPB-PAC1-PACAP-Gs/β1/γ1
15.62Single7TZFAmylin7TZF-CT (AMY3)-Amylin-Gs/β1/γ2; RAMP3
15.62Single8F2APramlintide Analogue San3858F2A-CT (AMY3)-Pramlintide Analogue San385-Gs/β1/γ2; RAMP3
15.62Single8FLSAbaloparatide8FLS-PTH1-Abaloparatide-Gs/β1/γ2
15.62Single9AUCCalcitonin gene-related peptide-19AUC-CT (AMY1)-Calcitonin gene-related peptide-1-Gs/β1/γ2; RAMP1
15.38Single3OE0CVX153OE0-CXCR4-CVX15
15.38Single6LW5WKYMVm6LW5-FPR2-ALX-WKYMVm
15.38Single6MEOEnvelope Glycoprotein Gp160; T-Cell Surface Glycoprotein Cd46MEO-CCR5-Envelope Glycoprotein Gp160; T-Cell Surface Glycoprotein Cd4
15.38Single6UUNAdrenomedullin6UUN-CT Like (AM1)-Adrenomedullin-Gs/β1/γ2; RAMP2
15.38Single6VN7PACAP6VN7-VPAC1-PACAP-Gs/β1/γ2
15.38Single8K6MNeuropeptide-Y8K6M-Y1-Neuropeptide-Y-Gi2/β1/γ1
15.38Single8K6NPro-neuropeptide-Y8K6N-Y2-Pro-neuropeptide-Y-Gi2/β1/γ1
15.38Single8W8YGamma-MSH8W8Y-MC3-γ-MSH-Ca-Gs/β1/γ2
15.38Single8WCBCyclohexylammonium Ion8WCB-TA1-Cyclohexylammonium Ion-chim(NtGi1-Gs-CtGq)/β1/γ2
15.38Single8WCCCyclohexylammonium Ion8WCC-TA1-Cyclohexylammonium Ion
15.38Single8XZHMM078XZH-Apelin-MM07-Gi1/β1/γ2
15.38Single9B5YLong-Acting PTH9B5Y-PTH1-Long-Acting PTH-chim(NtGi1-Gq)/β1/γ2
15.38Consensusc5a1_onOrthosteric Ligand8HK5-C5a1-Complement C5-Gi1/β1/γ2 7Y66-C5a1-BM213-Gi1/β1/γ2 7Y67-C5a1-C089 peptide-Gi1/β1/γ2 7Y64-C5a1-C5a anaphylatoxin-Gi1/β1/γ2
15.38Consensuscxcr4_on_gpOrthosteric Ligand8K3Z-CXCR4-CXCL12-Gi1/β1/γ1
15.38Consensusnpy1_onOrthosteric Ligand8K6M-Y1-Neuropeptide-Y-Gi2/β1/γ1
15.38Consensusnpy1_on_gpOrthosteric Ligand8K6M-Y1-Neuropeptide-Y-Gi2/β1/γ1
15.15Single7VVMPTH7VVM-PTH1-PTH-Gs/β1/γ2
15.15Single9JR2PTH9JR2-PTH1-PTH-chim(NtGi1L-Gs-CtGq)/β1/γ2
15.00Single5IUAQ274563485IUA-A2A-Q27456348-Na
15.00Single5N2RPSB-365N2R-A2A-PSB-36-Na
15.00Single5YHLPubChem 1351213525YHL-EP4-PubChem 135121352
15.00Single5YWYONO-AE3-2085YWY-EP4-ONO-AE3-208
15.00Single6LPLZM-2413856LPL-A2A-ZM-241385-Na
15.00Single6S0QZM-2413856S0Q-A2A-ZM-241385
15.00Single6WQAZM-2413856WQA-A2A-ZM-241385-Na
15.00Single7RM5ZM-2413857RM5-A2A-ZM-241385-Na
15.00Single7VFXfMLF7VFX-FPR1-ALX-fMLF-Gi1/β1/γ2
15.00Single7VV4Cortistatin-147VV4-MRGPRX2-Cortistatin-14
15.00Single8FYNZM-2413858FYN-A2A-ZM-241385-Na
15.00Single8GD9Rivenprost8GD9-EP4-Rivenprost-Gs/β1/γ2
15.00Single8GDCPGE28GDC-EP3-PGE2-Gi1/β1/γ2
15.00Single8ID4Linoleic acid8ID4-FFA4-Linoleic acid-Gi1/β1/γ2
15.00Single8X0BVU04244658X0B-mGlu5; mGlu5-Quisqualate-VU0424465
15.00Single8X0CVU04244658X0C-mGlu5; mGlu5-Quisqualate-VU0424465
15.00Single8X0DVU04244658X0D-mGlu5; mGlu5-Quisqualate-VU0424465
15.00Single8X0DVU04244658X0D-mGlu5; mGlu5-Quisqualate-VU0424465
15.00Single9GE2ML1849GE2-GPR55-ML184-chim(NtGi1-G13)/β1/γ2
15.00Single9HC04YI9HC0-mGlu5-4YI
15.00Consensusa1_offOrthosteric Ligand5UEN-A1-DU172 5N2S-A1-PSB36
15.00Consensusa3_on_gpOrthosteric Liganda3a_on_gp
15.00Consensusa3a_onOrthosteric Ligand8X17-A3A-Namodenoson-Gi1/β1/γ2 8X16-A3A-Piclidenoson-Gi1/β1/γ2
15.00Consensusa3a_on_gpOrthosteric Ligand8X17-A3A-Namodenoson-Gi1/β1/γ2 8X16-A3A-Piclidenoson-Gi1/β1/γ2
15.00Consensusclass-b1_on_gpOrthosteric Ligandglucagon_on_gp vip-pacap_on_gp pth_on_gp crf_on_gp calcitonin_on_gp
15.00Consensusep4_offOrthosteric Ligand5YWY-EP4-ONO-AE3-208 5YHL-EP4-PubChem 135121352
15.00Consensusep_offOrthosteric Ligandep4_off
15.00Consensusfpr1-alx_onOrthosteric Ligand7VFX-FPR1-ALX-fMLF-Gi1/β1/γ2
15.00Consensusfpr1-alx_on_gpOrthosteric Ligand7VFX-FPR1-ALX-fMLF-Gi1/β1/γ2
15.00Consensusnucleotide_onOrthosteric Ligandadenosine_on p2y_on
14.81Single6M1IPACAP6M1I-PAC1-PACAP-Gs/β1/γ2
14.81Single6METEnvelope Glycoprotein Gp160; T-Cell Surface Glycoprotein Cd46MET-CCR5-Envelope Glycoprotein Gp160; T-Cell Surface Glycoprotein Cd4
14.81Single6WI9Secretin6WI9-Secretin-Secretin-Gs/β1/γ2
14.81Single7WUIIP157WUI-ADGRG2-IP15-chim(NtGi1-Gs)/β1/γ2
14.81Single8IEDA1LYA8IED-GPR156-A1LYA-Go/β1/γ2
14.81Single8IEDA1LYA8IED-GPR156-A1LYA-Go/β1/γ2
14.81Single8WSTPro-MCH8WST-MCH2-Pro-MCH-chim(NtGi1L-Gs-CtGq)/β1/γ2
14.81Single8X8LCortistatin8X8L-SST5-Cortistatin-chim(NtGi1-Gs-CtGi1)/β1/γ2
14.81Single8YW3Retatrutide8YW3-GLP-1-Retatrutide-Gs/β1/γ2
14.81Single8YW4Retatrutide8YW4-GIP-Retatrutide-chim(NtGi1-Gs)/β1/γ2
14.81Single9EBOGLP-1 (ACPC18)9EBO-GLP-1-GLP-1 (ACPC18)-Gs/β1/γ2
14.81Consensusapelin_onOrthosteric Ligand8XZH-Apelin-MM07-Gi1/β1/γ2 7W0M-Apelin-PubChem 122701908-Gi1/β1/γ2 8XZJ-Apelin-WN353-Gi1/β1/γ2 8XZF-Apelin-WN561-Gi1/β1/γ2 8XZG-Apelin-Apelin-13-Gi1/β1/γ2
14.81Consensusapelin_on_gpOrthosteric Ligand8XZH-Apelin-MM07-Gi1/β1/γ2 7W0M-Apelin-PubChem 122701908-Gi1/β1/γ2 8XZJ-Apelin-WN353-Gi1/β1/γ2 8XZF-Apelin-WN561-Gi1/β1/γ2 8XZG-Apelin-Apelin-13-Gi1/β1/γ2
14.81Consensustachykinin_onOrthosteric Ligandnk1_on nk2_on nk3_on
14.71Consensusglucagon_onOrthosteric Ligandglp_on gluc_on secretin_on gip_on
14.63Single8GY7Corticotropin8GY7-MC2-Corticotropin-Ca-chim(NtGi1-Gs)/β1/γ2; MRAP1
14.29Single3PXOAll-trans-Retinal3PXO-Rhodopsin-All-trans-Retinal
14.29Single5DYSAll-trans-Retinal5DYS-Rhodopsin-All-trans-Retinal
14.29Single6OS1TRV0266OS1-AT1-TRV026
14.29Single6X18GLP-16X18-GLP-1-GLP-1-Gs/β1/γ2
14.29Single7LLYOxyntomodulin7LLY-GLP-1-Oxyntomodulin-Gs/β1/γ2
14.29Single7P02Protachykinin-17P02-NK1-Protachykinin-1-chim(NtGi1-Gs)/β1/γ2
14.29Single7P2L4YI7P2L-mGlu5-4YI
14.29Single7PX4PSB-21137PX4-A2A-PSB-2113
14.29Single7R0CAVP7R0C-V2-AVP-Arrestin2
14.29Single7S8MCortistatin-147S8M-MRGPRX2-Cortistatin-14-Gi1/β1/γ2
14.29Single7VL9CCL15(26-92)7VL9-CCR1-CCL15(26-92)-Gi1/β1/γ2
14.29Single7XBDGalanin7XBD-GAL2-Galanin-chim(NtGi2L-Gs-CtGq)/β1/γ2
14.29Single8HK5Complement C58HK5-C5a1-Complement C5-Gi1/β1/γ2
14.29Single8HNKCXCL118HNK-CXCR3-CXCL11-Gi1/β1/γ2
14.29Single8ID6Oleic acid8ID6-FFA4-Oleic acid-Gi1/β1/γ2
14.29Single8IUKPGF2-alpha8IUK-FP-alpha-PGF2-α-chim(NtGi1-Gs-CtGq)/β1/γ2
14.29Single8JZPC5A anaphylatoxin8JZP-C5a1-C5A anaphylatoxin-Go/β1/γ2
14.29Single8WJXADP8WJX-P2Y1-ADP-chim(Gs-CtGq)/β1/γ2
14.29Single8WWMMCH8WWM-MCH1-MCH-Gi1/β1/γ2
14.29Single8X0FVU04244658X0F-mGlu5; mGlu5-Quisqualate-VU0424465
14.29Single8X79MRE-2698X79-I2-MRE-269-Gs/β1/γ2
14.29Single8XQTCholesterol8XQT-TAS2R14-Cholesterol-Gi1/β1/γ1
14.29Single8XVIEndothelin-18XVI-ETA-Endothelin-1-chim(Gs-CtGq)/β1/γ2
14.29Single9IV25alpha-DHT9IV2-ADGRD1-5α-DHT-chim(NtGi1-Gs)/β1/γ2
14.29Consensuscml1_on_gpOrthosteric Ligand7YKD-CML1-Chemerin-9-Gi1/β1/γ2
14.29Consensusgi_apelinOrthosteric Ligand8XZH-Apelin-MM07-Gi1/β1/γ2 7W0M-Apelin-PubChem 122701908-Gi1/β1/γ2 8XZJ-Apelin-WN353-Gi1/β1/γ2 8XZF-Apelin-WN561-Gi1/β1/γ2 8XZG-Apelin-Apelin-13-Gi1/β1/γ2
14.29Consensusglucagon_on_gpOrthosteric Ligandglp_on_gp gluc_on_gp secretin_on_gp gip_on_gp
14.29Consensusnpy1_offOrthosteric Ligand5ZBH-Y1-BMS-193885 5ZBQ-Y1-UR-MK-299
14.29Consensusp2y10_onOrthosteric Ligand8KGG-P2Y10-LPS-chim(NtGi2-G13)/β1/γ2
14.29Consensusp2y12_onOrthosteric Ligand7XXI-P2Y12-2MeSADP-Gi2/β1/γ2
14.29Consensuspac_onOrthosteric Ligandpac1_on
14.29Consensusprotein_offOrthosteric Ligandchemokine_off grh_off
14.29Consensusvpac1_onOrthosteric Ligand8E3Z-VPAC1-VIP-Gs/β1/γ2
14.29Consensusvpac_onOrthosteric Ligandvpac1_on vpac2_on
13.79Single6FJ3PTH6FJ3-PTH1-PTH
13.79Single6NBFLong-Acting PTH Analog6NBF-PTH1-Long-Acting PTH Analog-Gs/β1/γ2
13.79Single7CZ5Somatoliberin7CZ5-GHRH-Somatoliberin-Gs/β1/γ2
13.79Single7D3SSecretin7D3S-Secretin-Secretin-Gs/β1/γ2
13.79Single7KI0Semaglutide7KI0-GLP-1-Semaglutide-Gs/β1/γ2
13.79Single7RA3GIP7RA3-GIP-GIP-chim(NtGi1-Gs)/β1/γ2
13.79Single7VABNon-Acylated Tirzepatide7VAB-GIP-Non-Acylated Tirzepatide-chim(NtGi1-Gs)/β1/γ2
13.79Single8JISPeptide-158JIS-GLP-1-Peptide-15-chim(NtGi1-Gs)/β1/γ2
13.79Single9BP3Cagrilintide9BP3-CT (AMY1)-Cagrilintide-Gs/β1/γ2; RAMP1
13.79Single9J1Pg1:Ox9J1P-GLP-1-g1:Ox-chim(NtGi1-Gs)/β1/γ2
13.79Consensusccr5_onOrthosteric Ligand7O7F-CCR5-6P4-CCL5-Gi1/β1/γ1 7F1Q-CCR5-MIP-1a-Gi1/β1/γ2
13.79Consensusccr_offOrthosteric Ligandccr2_off ccr5_off
13.79Consensusvpac1_on_gpOrthosteric Ligand8E3Z-VPAC1-VIP-Gs/β1/γ2
13.79Consensusvpac_on_gpOrthosteric Ligandvpac1_on_gp vpac2_on_gp
13.64Single4PXZ2MeSADP4PXZ-P2Y12-2MeSADP
13.64Single4PY02MeSATP4PY0-P2Y12-2MeSATP
13.64Single6AK3Dinoprostone IPGE26AK3-EP3-Dinoprostone IPGE2
13.64Single6IIURamatroban6IIU-TXA2-Ramatroban
13.64Single6OS2TRV0266OS2-AT1-TRV026
13.64Single6XBLCholesterol6XBL-SMO-SAG-Cholesterol-Gi1/β1/γ2
13.64Single7F55Bremelanotide7F55-MC4-Bremelanotide-Gs/β1/γ2
13.64Single7WQ4Galanin7WQ4-GAL2-Galanin-chim(NtGi1-Gs-CtGq)/β1/γ2
13.64Single7XJKGalanin7XJK-GAL2-Galanin-chim(NtGi2L-Gs-CtGq)/β1/γ2
13.64Single7XXI2MeSADP7XXI-P2Y12-2MeSADP-Gi2/β1/γ2
13.64Single7XZ5Lysophosphatidylcholine7XZ5-GPR119-Lysophosphatidylcholine-Gs/β1/γ2
13.64Single7Y66BM2137Y66-C5a1-BM213-Gi1/β1/γ2
13.64Single8GCPPGE28GCP-EP4-PGE2-Gi1/β1/γ2
13.64Single8H0QGastrin Releasing Peptide8H0Q-BB2-Gastrin Releasing Peptide-chim(NtGi1-Gs-CtGq)/β1/γ2
13.64Single8HK2C3a anaphylatoxin8HK2-C3aB-C3a anaphylatoxin-Gi1/β1/γ2
13.64Single8IQ6Latanoprost8IQ6-FP-alpha-Latanoprost-chim(NtGi1-Gs-CtGq)/β1/γ2
13.64Single8JJPChemerin8JJP-CML2-Chemerin-Gi1/β1/γ2
13.64Single8XQNCholesterol8XQN-TAS2R14-Cholesterol-Aristolochic acid A-Gi1/β1/γ1
13.64Consensuscxcr_onOrthosteric Ligandcxcr3_on cxcr4_on cxcr1_on cxcr2_on
13.64Consensusgalanin_onOrthosteric Ligandgal2_on gal1_on
13.64Consensusgalanin_on_gpOrthosteric Ligandgal2_on_gp gal1_on_gp
13.64Consensusgi_p2yOrthosteric Ligand7XXI-P2Y12-2MeSADP-Gi2/β1/γ2
13.64Consensusp2y12_on_gpOrthosteric Ligand7XXI-P2Y12-2MeSADP-Gi2/β1/γ2
13.33Single5NX2GLP-1 (Truncated)5NX2-GLP-1-GLP-1 (Truncated)
13.33Single6OY9All-trans-Retinal6OY9-Rhodopsin-All-trans-Retinal-Gt/β1/γ1
13.33Single6UVAAdrenomedullin-26UVA-CT Like (AM2)-Adrenomedullin-2-Gs/β1/γ2; RAMP3
13.33Single7DTYGIP7DTY-GIP-GIP-Gs/β1/γ2
13.33Single7FIYTirzepatide7FIY-GIP-Tirzepatide-Gs/β1/γ2
13.33Single7S1MEx4-D-Ala7S1M-GLP-1-Ex4-D-Ala-Gs/β1/γ2
13.33Single7VQXPACAP277VQX-VPAC1-PACAP27-Gs/β1/γ2
13.33Single7VVKPTH7VVK-PTH1-PTH-Gs/β1/γ2
13.33Single8HAOPTH8HAO-PTH1-PTH-chim(NtGi1-Gs)/β1/γ2
13.33Single8W8XBeta-MSH8W8X-MC3-β-MSH-Ca-Gs/β1/γ2
13.33Single9EE9Adenosine9EE9-A2A-Adenosine-Gs/β1/γ2
13.33Consensusopsins_onOrthosteric Ligandrhodopsin_on opsin1lw_on
13.33Consensussensory_onOrthosteric Ligandopsins_on
13.16Single8F0JPramlintide Analogue San458F0J-CT-Pramlintide Analogue San45-Gs/β1/γ2
13.04Single7D7MDinoprostone7D7M-EP4-Dinoprostone-Gs/β1/γ1
13.04Single7P00Substance-P7P00-NK1-Substance-P-chim(NtGi1-Gs-CtGq)/β1/γ2
13.04Single7PIUSetmelanotide7PIU-MC4-Setmelanotide-Gs/β1/γ2
13.04Single8ID8TUG-8918ID8-FFA4-TUG-891-Gi1/β1/γ2
13.04Single8K2XCXCL108K2X-CXCR3-CXCL10-Gi1/β1/γ2
13.04Single8K4OCXCL18K4O-KSHV-CXCL1-Gi1/β1/γ1
13.04Single9C0KExendin-49C0K-GLP-1-Exendin-4-Gs/β1/γ2
13.04Single9GG5U466199GG5-TXA2-U46619-chim(NtGi2L-Gs-CtGq)/β1/γ2
13.04Single9M1HProstaglandin E29M1H-EP1-Prostaglandin E2-chim(NtGi1-Gs-CtGq)/β1/γ2
13.04Consensuschemerin_onOrthosteric Ligandcml1_on
13.04Consensusfp-alpha_onOrthosteric Ligand8IUK-FP-alpha-PGF2-α-chim(NtGi1-Gs-CtGq)/β1/γ2 8IUL-FP-alpha-Latanoprost-chim(NtGi1-Gs-CtGq)/β1/γ2 8IUM-FP-alpha-Tafluprost acid-chim(NtGi1-Gs-CtGq)/β1/γ2
13.04Consensusfp-alpha_on_gpOrthosteric Ligand8IUK-FP-alpha-PGF2-α-chim(NtGi1-Gs-CtGq)/β1/γ2 8IUL-FP-alpha-Latanoprost-chim(NtGi1-Gs-CtGq)/β1/γ2 8IUM-FP-alpha-Tafluprost acid-chim(NtGi1-Gs-CtGq)/β1/γ2
13.04Consensusgal2_onOrthosteric Ligand7WQ4-GAL2-Galanin-chim(NtGi1-Gs-CtGq)/β1/γ2 7XJL-GAL2-Spexin-chim(NtGi2L-Gs-CtGq)/β1/γ2
13.04Consensusgal2_on_gpOrthosteric Ligand7WQ4-GAL2-Galanin-chim(NtGi1-Gs-CtGq)/β1/γ2 7XJL-GAL2-Spexin-chim(NtGi2L-Gs-CtGq)/β1/γ2
13.04Consensusnk1_onOrthosteric Ligand7P00-NK1-Substance-P-chim(NtGi1-Gs-CtGq)/β1/γ2
13.04Consensusnk1_on_gpOrthosteric Ligand7P00-NK1-Substance-P-chim(NtGi1-Gs-CtGq)/β1/γ2
13.04Consensusnk2_onOrthosteric Ligand7XWO-NK2-Neurokinin-A-chim(NtGi1-Gs-CtGq)/β1/γ2
12.90Single5VAIGLP-15VAI-GLP-1-GLP-1-Gs/β1/γ2
12.90Single6LMLGlucagon6LML-Glucagon-Glucagon-Gi1/β1/γ1
12.90Single7TYLAmylin7TYL-CT-Amylin-Gs/β1/γ2
12.90Single7VVJPTHrP(1-36)7VVJ-PTH1-PTHrP(1-36)-Gs/β1/γ2
12.90Single7VVLPTH7VVL-PTH1-PTH-Gs/β1/γ2
12.90Single8FLTM-PTH(1-14)8FLT-PTH1-M-PTH(1-14)-Gs/β1/γ2
12.90Single8IY5Endothelin-18IY5-ETB-Endothelin-1-Gi1/β1/γ2
12.90Consensusbk2_onOrthosteric Ligand7F6H-BK2-Bradykinin-Gq/β1/γ2 7F6I-BK2-Kallidin-Gq/β1/γ2
12.90Consensusbk2_on_gpOrthosteric Ligand7F6H-BK2-Bradykinin-Gq/β1/γ2 7F6I-BK2-Kallidin-Gq/β1/γ2
12.90Consensusbradykinin_onOrthosteric Ligandbk2_on
12.90Consensusbradykinin_on_gpOrthosteric Ligandbk2_on_gp
12.90Consensusgq_bradykininOrthosteric Ligand7F6H-BK2-Bradykinin-Gq/β1/γ2 7F6I-BK2-Kallidin-Gq/β1/γ2
12.82Single8F2BPramlintide Analogue San458F2B-CT (AMY3)-Pramlintide Analogue San45-Gs/β1/γ2; RAMP3
12.50Single3PQRAll-trans-Retinal3PQR-Rhodopsin-All-trans-Retinal-Gt(CT)
12.50Single3UZAGTPL92363UZA-A2A-GTPL9236
12.50Single5WKTOctyl-Beta-D-Glucopyranoside5WKT-Rhodopsin-Octyl-β-D-Glucopyranoside-Gt(CT)
12.50Single6FUFAll-trans-Retinal6FUF-Rhodopsin-All-trans-Retinal-Go
12.50Single6OIKLY21196206OIK-M2-Iperoxo-LY2119620-chim(NtGi1-Go)/β1/γ2
12.50Single6XBJCholesterol6XBJ-SMO-Cholesterol-Gi1/β1/γ2
12.50Single7D77Hydrocortisone7D77-ADGRG3-Hydrocortisone-Go/β1/γ2
12.50Single7F2OBradykinin7F2O-BK2-Bradykinin-chim(NtGi1-Gs-CtGq)/β1/γ2
12.50Single7MT8All-trans-Retinal7MT8-Rhodopsin-All-trans-Retinal-GRK1
12.50Single7RMHSubstance-P7RMH-NK1-Substance-P-Gs/β1/γ2
12.50Single7T11Octreotide7T11-SST2-Octreotide-Gi3/β1/γ2
12.50Single7X8SWB4-247X8S-GLP-1-WB4-24-Gs/β1/γ2
12.50Single7YAEOctreotide7YAE-SST2-Octreotide-Gi1/β1/γ2
12.50Single8GDAL9026888GDA-EP4-L902688-Gs/β1/γ2
12.50Single8H4IDoconexent8H4I-FFA4-Doconexent-chim(NtGi1-Gs)/β1/γ2
12.50Single8IQ4Carboprost8IQ4-FP-alpha-Carboprost-chim(NtGi1-Gs-CtGq)/β1/γ2
12.50Single8IU2Retinal8IU2-Opsin1LW-Retinal-Gi1/β1/γ2
12.50Single8IUMTafluprost acid8IUM-FP-alpha-Tafluprost acid-chim(NtGi1-Gs-CtGq)/β1/γ2
12.50Single8JEF(3S)-3-hydroxyoctanoic acid8JEF-HCA3-(3S)-3-hydroxyoctanoic acid-Gi1/β1/γ2
12.50Single8RQLFlufenamic acid8RQL-TAS2R14-Flufenamic acid-Flufenamic acid-chim(NtGi1-Gt3)/β1/γ2
12.50Single8XQOCholesterol8XQO-TAS2R14-Cholesterol-Aristolochic acid A-Gi1/β1/γ1
12.50Single9EAJNanobody AT2099EAJ-AT1-Nanobody AT209
12.50Single9IV15alpha-DHT9IV1-ADGRD1-5α-DHT-chim(NtGi1-Gs)/β1/γ2
12.50Consensuscxcr_on_gpOrthosteric Ligandcxcr3_on_gp cxcr4_on_gp cxcr1_on_gp cxcr2_on_gp
12.50Consensusgi_opsinsOrthosteric Ligand8IU2-Opsin1LW-Retinal-Gi1/β1/γ2
12.50Consensusgi_sensoryOrthosteric Ligandgi_opsins
12.50Consensusnmur1_onOrthosteric Ligand7W53-NMUR1-Neuromedin-U-25-chim(NtGi1-Gs-CtGq)/β1/γ2
12.50Consensusopsin1lw_onOrthosteric Ligand8IU2-Opsin1LW-Retinal-Gi1/β1/γ2
12.50Consensusopsin1lw_on_gpOrthosteric Ligand8IU2-Opsin1LW-Retinal-Gi1/β1/γ2
12.50Consensusopsins_on_gpOrthosteric Ligandrhodopsin_on_gp opsin1lw_on_gp
12.50Consensusrhodopsin_onOrthosteric Ligand6OYA-Rhodopsin-All-trans-Retinal-Gt/β1/γ1
12.50Consensussensory_on_gpOrthosteric Ligandopsins_on_gp
12.12Single7SK6CXCL12_LRHQ7SK6-ACKR3-CXCL12_LRHQ
12.00Single7F54Afamelanotide7F54-MC4-Afamelanotide-Gs/β1/γ2
12.00Single7W53Neuromedin-U-257W53-NMUR1-Neuromedin-U-25-chim(NtGi1-Gs-CtGq)/β1/γ2
12.00Single7WICSomatostatin-147WIC-SST2-Somatostatin-14-Gi1/β1/γ2
12.00Single8IEIA1LYA8IEI-GPR156-A1LYA
12.00Single8IEIA1LYA8IEI-GPR156-A1LYA
12.00Single8IEPA1LYA8IEP-GPR156-A1LYA
12.00Single8IEPA1LYA8IEP-GPR156-A1LYA
12.00Single8INRAlpha-MSH8INR-MC5-α-MSH-Ca-chim(NtGi1-Gs)/β1/γ2
12.00Single8XBHS3E-LysoPS8XBH-GPR34-S3E-LysoPS-Gi1/β1/γ2
12.00Single8YWFRetatrutide8YWF-GLP-1-Retatrutide-chim(NtGi1-Gs)/β1/γ2
12.00Single8ZCJPasireotide8ZCJ-SST5-Pasireotide-Gi1/β1/γ1
12.00Single9L3YRetinoic acid receptor responder protein 29L3Y-CML2-Retinoic acid receptor responder protein 2-Gi1/β1/γ2
12.00Consensusnmur1_on_gpOrthosteric Ligand7W53-NMUR1-Neuromedin-U-25-chim(NtGi1-Gs-CtGq)/β1/γ2
12.00Consensussomatostatin_offOrthosteric Ligandsst2_off
11.76Single6HLLCP999946HLL-NK1-CP99994
11.76Single6LI0C176LI0-GPR52-C17
11.76Single6TQ4PubChem 160468446TQ4-OX1-PubChem 16046844-Na
11.76Single6WPWGlucagon derivative ZP37806WPW-Glucagon-Glucagon derivative ZP3780-Gs/β1/γ2
11.76Single7D76Beclomethasone7D76-ADGRG3-Beclomethasone-Go/β1/γ2
11.76Single7VUIJNJ-635330547VUI-GPR139-JNJ-63533054-GTP-chim(Gs-CtGq)/β1/γ2
11.76Single8FX5Xanomeline8FX5-M4-Xanomeline-Xanomeline-Gi1/β1/γ2
11.76Single8JIPMEDI03828JIP-GLP-1-MEDI0382-chim(NtGi1-Gs)/β1/γ2
11.76Single8JIRSAR4258998JIR-GLP-1-SAR425899-chim(NtGi1-Gs)/β1/γ2
11.76Single8YH3N-methyladenosine8YH3-A3A-N-methyladenosine-Gi1/β1/γ2
11.76Single9B9Y7DY9B9Y-CB1-7DY
11.76Single9EPRRetinal9EPR-Rhodopsin-Retinal-Gi1/β1/γ2
11.76Single9L3ZLRH7-C29L3Z-CML1-LRH7-C2
11.76Consensusglp1_on_gpOrthosteric Ligand7S1M-GLP-1-Ex4-D-Ala-Gs/β1/γ2 7X8R-GLP-1-BOC5-Gs/β1/γ2 6X19-GLP-1-CHU-128-Gs/β1/γ2 6X1A-GLP-1-Danuglipron-Gs/β1/γ2 6X18-GLP-1-GLP-1-Gs/β1/γ2 8JIP-GLP-1-MEDI0382-chim(NtGi1-Gs)/β1/γ2 7C2E-GLP-1-PubChem 149050799-Gs/β1/γ2 7KI0-GLP-1-Semaglutide-Gs/β1/γ2 7KI1-GLP-1-Taspoglutide-Gs/β1/γ2 7X8S-GLP-1-WB4-24-Gs/β1/γ2 8JIS-GLP-1-Peptide-15-chim(NtGi1-Gs)/β1/γ2 7VBI-GLP-1-Non-Acylated Tirzepatide-Gs/β1/γ2
11.76Consensusgq_nucleotideOrthosteric Ligandgq_p2y
11.76Consensusgq_p2yOrthosteric Ligand7XXH-P2Y1-2MeSADP-chim(NtGi1-G11)/β1/γ2
11.54Single7PIVSetmelanotide7PIV-MC4-Setmelanotide-Gs/β1/γ2
11.54Single7RMISubstance-P7RMI-NK1-Substance-P-chim(Gs-CtGq)/β1/γ2
11.54Single7TRYUrocortin7TRY-CRF2-Urocortin-chim(NtGi1-G11)/β1/γ2
11.54Single7XNACYN1548067XNA-SST2-CYN154806
11.54Single8IEBA1LYA8IEB-GPR156-A1LYA
11.54Single8JBHSubstance-P8JBH-NK3-Substance-P-chim(NtGi1-Gs-CtGq)/β1/γ2
11.54Single8K6OPro-neuropeptide-Y8K6O-Y1-Pro-neuropeptide-Y-Gi2/β1/γ1
11.54Consensussst2_offOrthosteric Ligand7XNA-SST2-CYN154806
11.54Consensustachykinin_on_gpOrthosteric Ligandnk1_on_gp nk2_on_gp nk3_on_gp
11.43Single7TYYCalcitonin-17TYY-CT (AMY2)-Calcitonin-1-Gs/β1/γ2; RAMP2
11.11Single2X72All-trans-Retinal2X72-Rhodopsin-All-trans-Retinal-Gt(CT)
11.11Single3VG9ZM-2413853VG9-A2A-ZM-241385-Antibody
11.11Single5K2DZM-2413855K2D-A2A-ZM-241385-Na
11.11Single5OLHVipadenant5OLH-A2A-Vipadenant-Na
11.11Single5OLOTozadenant5OLO-A2A-Tozadenant-Na
11.11Single5U09Taranabant5U09-CB1-Taranabant
11.11Single6D9HAdenosine6D9H-A1-Adenosine-Gi2/β1/γ2
11.11Single6E3YCalcitonin gene-related peptide-16E3Y-CT Like-Calcitonin gene-related peptide-1-Gs/β1/γ2; RAMP1
11.11Single6JZHZM-2413856JZH-A2A-ZM-241385-Na
11.11Single6OYAAll-trans-Retinal6OYA-Rhodopsin-All-trans-Retinal-Gt/β1/γ1
11.11Single6PS7ZM-2413856PS7-A2A-ZM-241385-Na
11.11Single7BR3Elagolix7BR3-GnRH1-Elagolix
11.11Single7LCJDanuglipron7LCJ-GLP-1-Danuglipron
11.11Single7RYCOxytocin7RYC-OT-Oxytocin-chim(NtGi2L-Gs-CtGq)/β1/γ2
11.11Single7TUZ7-alpha,25-dihydroxycholesterol7TUZ-GPR183-7-α,25-dihydroxycholesterol-Gi1/β1/γ2
11.11Single7VDLCortistatin-147VDL-MRGPRX2-Cortistatin-14-Gi1/β1/γ2
11.11Single7VVOPTH7VVO-PTH1-PTH-Gs/β1/γ2
11.11Single7W55Neuromedin-U-257W55-NMUR2-Neuromedin-U-25-chim(NtGi1-Gs-CtGq)/β1/γ2
11.11Single8DWHPubChem 1390305318DWH-MRGPRX1-PubChem 139030531-chim(NtGi2L-Gs-CtGq)/β1/γ2
11.11Single8GNGIstradefylline8GNG-A2A-Istradefylline
11.11Single8HMPC178HMP-GPR52-C17-Gs/β1/γ2
11.11Single8RW0Istradefylline8RW0-A2A-Istradefylline-Na
11.11Single8T3VDocosa-4,7,10,13,16,19-Hexaenoic acid8T3V-FFA1-Docosa-4,7,10,13,16,19-Hexaenoic acid-chim(NtGi2L-Gs-CtGq)/β1/γ2
11.11Single8XZGApelin-138XZG-Apelin-Apelin-13-Gi1/β1/γ2
11.11Single8YYWAlpha-ketoglutarate8YYW-Oxoglutarate-α-ketoglutarate-α-ketoglutarate-chim(Gi1-CtGq)/β1/γ2
11.11Single9IVMGLP-1 (Truncated)9IVM-GLP-1-GLP-1 (Truncated)-LSN3318839-chim(NtGi1-Gs)/β2/γ2
11.11Consensusclass-b1_class-b2_cons_onOrthosteric Ligandclass-b1_on class-b2_on
11.11Consensusclass-b1_class-b2_cons_on_gpOrthosteric Ligandclass-b1_on_gp class-b2_on_gp
11.11Consensusgnrh1_offOrthosteric Ligand7BR3-GnRH1-Elagolix
11.11Consensusmc3_onOrthosteric Ligand8IOC-MC3-γ-MSH-Ca-chim(NtGi1-Gs)/β1/γ2
11.11Consensusmc3_on_gpOrthosteric Ligand8IOC-MC3-γ-MSH-Ca-chim(NtGi1-Gs)/β1/γ2
11.11Consensusnmur2_onOrthosteric Ligand7W55-NMUR2-Neuromedin-U-25-chim(NtGi1-Gs-CtGq)/β1/γ2
11.11Consensusnmur2_on_gpOrthosteric Ligand7W55-NMUR2-Neuromedin-U-25-chim(NtGi1-Gs-CtGq)/β1/γ2
11.11Consensusp2y1_onOrthosteric Ligand7XXH-P2Y1-2MeSADP-chim(NtGi1-G11)/β1/γ2
11.11Consensusrhodopsin_on_gpOrthosteric Ligand6OYA-Rhodopsin-All-trans-Retinal-Gt/β1/γ1
10.71Single7FINPeptide-20; GGL7FIN-GIP-Peptide-20; GGL-Gs/β1/γ2
10.71Single7T10Somatostatin-147T10-SST2-Somatostatin-14-Gi3/β1/γ2
10.71Single7TYIAmylin7TYI-CT-Amylin-Gs/β1/γ2
10.71Single7W57Neuromedin-S7W57-NMUR2-Neuromedin-S-chim(NtGi1-Gs-CtGq)/β1/γ2
10.71Single8HA0PTH8HA0-PTH1-PTH-chim(NtGi1-Gs)/β1/γ2
10.71Single8YW5Retatrutide8YW5-Glucagon-Retatrutide-Gs/β1/γ2
10.71Single9BLCCagrilintide backbone (non-acylated)9BLC-CT-Cagrilintide backbone (non-acylated)-Gs/β1/γ2
10.71Single9BUDCagrilintide9BUD-CT-Cagrilintide-Gs/β1/γ2
10.71Consensusneuromedin-u_onOrthosteric Ligandnmur1_on nmur2_on
10.71Consensusprotein_offonOrthosteric Ligandprotein_off protein_on
10.71Consensusprotein_offon_gpOrthosteric Ligandprotein_on_gp protein_off
10.53Single3REYXAC3REY-A2A-XAC
10.53Single5IU4ZM-2413855IU4-A2A-ZM-241385-Na
10.53Single5IUBQ274563445IUB-A2A-Q27456344-Na
10.53Single5K2CZM-2413855K2C-A2A-ZM-241385-Na
10.53Single5NLXZM-2413855NLX-A2A-ZM-241385-Na
10.53Single5NM4ZM-2413855NM4-A2A-ZM-241385-Na
10.53Single5UVIZM-2413855UVI-A2A-ZM-241385
10.53Single6FFIMMPEP6FFI-mGlu5-MMPEP
10.53Single6MH8ZM-2413856MH8-A2A-ZM-241385
10.53Single6PELCitronellol6PEL-Rhodopsin-Citronellol-Gt(CT)
10.53Single6U1NLY21196206U1N-M2-LY2119620-Arrestin2
10.53Single7AROLUF58337ARO-A2A-LUF5833-Na
10.53Single7BB6AVP7BB6-V2-AVP-Gs/β1/γ2
10.53Single7C2EPubChem 1490507997C2E-GLP-1-PubChem 149050799-Gs/β1/γ2
10.53Single7M3GCa; Ca; Tryptophan; Evocalcet; Etelcalcetide; PO47M3G-CaS-Ca; Ca; Tryptophan; Evocalcet; Etelcalcetide; PO4
10.53Single8K4SDCA-3P8K4S-MRGPRX4-DCA-3P-chim(NtGi1L-Gs-CtGq)/β1/γ2
10.53Single8RWCStilSwitch28RWC-A2A-StilSwitch2-Na
10.53Single8RWDStilSwitch38RWD-A2A-StilSwitch3-Na
10.53Single8RWIStilSwitch28RWI-A2A-StilSwitch2-Na
10.53Single8X7ATreprostinil8X7A-I2-Treprostinil-Gs/β1/γ2
10.53Single8Y62C16:0 Ceramide8Y62-FPR2-ALX-C16:0 Ceramide-Gi1/β1/γ2
10.53Single8YRGFospropofol8YRG-MRGPRX4-Fospropofol-chim(NtGi1-Gs-CtGq)/β1/γ2
10.53Single9BA0A1AKN9BA0-CB1-A1AKN
10.53Single9DQJEP-39459DQJ-MRGPRD-EP-3945-chim(NtGi1-Gs-CtGq)/β1/γ2
10.53Consensuscb1_offOrthosteric Ligand5U09-CB1-Taranabant 5TGZ-CB1-AM6538
10.53Consensusgrh_offOrthosteric Ligandgnrh1_off
10.53Consensuspth2_on_gpOrthosteric Ligand7F16-PTH2-TIP39-Gs/β1/γ2
10.34Single7F6HBradykinin7F6H-BK2-Bradykinin-Gq/β1/γ2
10.34Single7F6IKallidin7F6I-BK2-Kallidin-Gq/β1/γ2
10.34Single7TYWCalcitonin-17TYW-CT (AMY1)-Calcitonin-1-Gs/β1/γ2; RAMP1
10.34Single7XV3Lysophosphatidylserine7XV3-GPR174-Lysophosphatidylserine-chim(NtGi1-Gs)/β1/γ2
10.34Consensuscalcitonin_onOrthosteric Ligandctlike_on
10.34Consensusneuromedin-u_on_gpOrthosteric Ligandnmur1_on_gp nmur2_on_gp
10.00Single4J4QOctyl Beta-D-Glucopyranoside4J4Q-Rhodopsin-Octyl β-D-Glucopyranoside-Gt(CT)
10.00Single5UENDU1725UEN-A1-DU172
10.00Single6FFHFenobam6FFH-mGlu5-Fenobam
10.00Single6LPJZM-2413856LPJ-A2A-ZM-241385-Na
10.00Single6LPKZM-2413856LPK-A2A-ZM-241385-Na
10.00Single6XBM5LWE6XBM-SMO-5LWE-Gi1/β1/γ2
10.00Single7LCKDanuglipron7LCK-GLP-1-Danuglipron
10.00Single7S15PubChem 1346112237S15-GLP-1-PubChem 134611223
10.00Single8EJKTAK-8758EJK-FFA1-TAK-875-chim(NtGi1L-Gs-CtGq)/β1/γ2
10.00Single8GCML9026888GCM-EP4-L902688-Gi1/β1/γ2
10.00Single8RW7StilSwitch18RW7-A2A-StilSwitch1-Na
10.00Single8RWXStilSwitch38RWX-A2A-StilSwitch3-Na
10.00Single8X9TAP5038X9T-ADGRD1-AP503-chim(NtGi1-Gs)/β1/γ2
10.00Single8XJLPGF2-alpha8XJL-FP-alpha-PGF2-α-chim(NtGi2-Gs-CtGq)/β1/γ2
10.00Single8XQFApelin-138XQF-Apelin-Apelin-13-Gi1/β1/γ2
10.00Single9BLBCagrilintide backbone (non-acylated)9BLB-CT-Cagrilintide backbone (non-acylated)-Gs/β1/γ2
10.00Single9IYAONO-97105319IYA-GPR55-ONO-9710531
10.00Consensuscalcitonin_on_gpOrthosteric Ligandctlike_on_gp
10.00Consensusnucleotide_offonOrthosteric Ligandnucleotide_off nucleotide_on
10.00Consensusnucleotide_offon_gpOrthosteric Ligandnucleotide_on_gp nucleotide_off
10.00Consensuspac1_onOrthosteric Ligand8E3X-PAC1-PACAP27-Gs/β1/γ2 6M1H-PAC1-Maxadilan-Gs/β1/γ2
10.00Consensuspac1_on_gpOrthosteric Ligand8E3X-PAC1-PACAP27-Gs/β1/γ2 6M1H-PAC1-Maxadilan-Gs/β1/γ2
10.00Consensussecretin_onOrthosteric Ligand7D3S-Secretin-Secretin-Gs/β1/γ2
9.68Single7TYNCalcitonin-17TYN-CT-Calcitonin-1-Gs/β1/γ2
9.68Single8FU6Glucagon derivative ZP37808FU6-Glucagon-Glucagon derivative ZP3780-Gs/β1/γ2
9.68Single8ZJGChemerin8ZJG-CML1-Chemerin-Gi1/β1/γ2
9.68Consensussecretin_on_gpOrthosteric Ligand7D3S-Secretin-Secretin-Gs/β1/γ2
9.52Single4PHUFasiglifam4PHU-FFA1-Fasiglifam
9.52Single5ZBQUR-MK-2995ZBQ-Y1-UR-MK-299
9.52Single6M9TMisoprostol-FA6M9T-EP3-Misoprostol-FA
9.52Single6RZ4Pranlukast6RZ4-CysLT1-Pranlukast-Na
9.52Single7M3GCa; Ca; Tryptophan; Evocalcet; Etelcalcetide; PO47M3G-CaS-Ca; Ca; Tryptophan; Evocalcet; Etelcalcetide; PO4
9.52Single7VV0PAMP-127VV0-MRGPRX2-PAMP-12
9.52Single8EJCTAK-8758EJC-FFA1-TAK-875-chim(NtGi1L-Gs-CtGq)/β1/γ2
9.52Single8XQPCholesterol8XQP-TAS2R14-Cholesterol-Aristolochic acid A-Gt3/β1/γ1
9.52Single8ZVZBW245C8ZVZ-DP1-BW245C-Gs/β1/γ2
9.52Single9B9ZA1AKO9B9Z-CB1-A1AKO
9.52Single9DQHEP-28259DQH-MRGPRD-EP-2825-chim(NtGi1-Gs-CtGq)/β1/γ2
9.38Single9BQ3Cagrilintide9BQ3-CT (AMY2)-Cagrilintide-Gs/β1/γ2; RAMP2
9.38Consensuspth1_onOrthosteric Ligand6NBF-PTH1-Long-Acting PTH Analog-Gs/β1/γ2 8HA0-PTH1-PTH-chim(NtGi1-Gs)/β1/γ2 8HAF-PTH1-PTHrP(1-36)-chim(NtGi1-Gs)/β1/γ2 7Y36-PTH1-Teriparatide-Gs/β1/γ2 7Y35-PTH1-Abaloparatide-Gs/β1/γ2
9.09Single4OO9Mavoglurant4OO9-mGlu5-Mavoglurant
9.09Single5TZRMK86665TZR-FFA1-MK8666
9.09Single5ZBHBMS-1938855ZBH-Y1-BMS-193885
9.09Single6O3CCholesterol6O3C-SMO-SAG21k-Cholesterol
9.09Single7RBTTirzepatide7RBT-GIP-Tirzepatide-LSN3556672-chim(NtGi1-Gs)/β1/γ2
9.09Single7XAVLanreotide7XAV-SST2-Lanreotide-Gi1/β1/γ2
9.09Single7XJLSpexin7XJL-GAL2-Spexin-chim(NtGi2L-Gs-CtGq)/β1/γ2
9.09Single7XWONeurokinin-A7XWO-NK2-Neurokinin-A-chim(NtGi1-Gs-CtGq)/β1/γ2
9.09Single7Y24Octreotide7Y24-SST2-Octreotide-Go/β1/γ2
9.09Single7Y67C089 peptide7Y67-C5a1-C089 peptide-Gi1/β1/γ2
9.09Single8GDBPGE28GDB-EP4-PGE2-Gs/β1/γ2
9.09Single8JBGNeurokinin-B8JBG-NK3-Neurokinin-B-chim(NtGi1-Gs-CtGq)/β1/γ2
9.09Single8TAOCDPPB8TAO-mGlu5; mGlu5-Quisqualate-CDPPB
9.09Single8XBIS3E-LysoPS8XBI-GPR34-S3E-LysoPS
9.09Single8ZW0PGD28ZW0-DP1-PGD2-Gs/β1/γ2
9.09Consensuscrf1_onOrthosteric Ligand6PB0-CRF1-Urocortin-chim(NtGi1-Gs)/β1/γ2 6P9X-CRF1-Corticoliberin-Gs/β1/γ2
9.09Consensuscyslt1_offOrthosteric Ligand6RZ5-CysLT1-Zafirlukast-Na 6RZ4-CysLT1-Pranlukast-Na
9.09Consensusnk2_on_gpOrthosteric Ligand7XWO-NK2-Neurokinin-A-chim(NtGi1-Gs-CtGq)/β1/γ2
8.82Single7VBHPeptide-207VBH-GLP-1-Peptide-20-Gs/β1/γ2
8.82Consensusglp1_onOrthosteric Ligand7S1M-GLP-1-Ex4-D-Ala-Gs/β1/γ2 7X8R-GLP-1-BOC5-Gs/β1/γ2 6X19-GLP-1-CHU-128-Gs/β1/γ2 6X1A-GLP-1-Danuglipron-Gs/β1/γ2 6X18-GLP-1-GLP-1-Gs/β1/γ2 8JIP-GLP-1-MEDI0382-chim(NtGi1-Gs)/β1/γ2 7C2E-GLP-1-PubChem 149050799-Gs/β1/γ2 7KI0-GLP-1-Semaglutide-Gs/β1/γ2 7KI1-GLP-1-Taspoglutide-Gs/β1/γ2 7X8S-GLP-1-WB4-24-Gs/β1/γ2 8JIS-GLP-1-Peptide-15-chim(NtGi1-Gs)/β1/γ2 7VBI-GLP-1-Non-Acylated Tirzepatide-Gs/β1/γ2
8.70Single4N4WSANT-14N4W-SMO-SANT-1
8.70Single5TZYMK8666; AP85TZY-FFA1-MK8666; AP8
8.70Single7L1UOrexin7L1U-OX2-Orexin-chim(NtGi1-Gs-CtGq)/β1/γ2
8.70Single8U26Protachykinin-18U26-NK1-Protachykinin-1-Gs/β1/γ2
8.70Single9AU0BW245C9AU0-DP1-BW245C-Gs/β1/γ2
8.70Single9L3WRetinoic acid receptor responder protein 29L3W-CML1-Retinoic acid receptor responder protein 2-Gi1/β1/γ2
8.57Single7V35Peptide-207V35-Glucagon-Peptide-20-Gs/β1/γ2
8.57Consensuscrf1_on_gpOrthosteric Ligand6PB0-CRF1-Urocortin-chim(NtGi1-Gs)/β1/γ2 6P9X-CRF1-Corticoliberin-Gs/β1/γ2
8.57Consensuspth1_on_gpOrthosteric Ligand6NBF-PTH1-Long-Acting PTH Analog-Gs/β1/γ2 8HA0-PTH1-PTH-chim(NtGi1-Gs)/β1/γ2 8HAF-PTH1-PTHrP(1-36)-chim(NtGi1-Gs)/β1/γ2 7Y36-PTH1-Teriparatide-Gs/β1/γ2 7Y35-PTH1-Abaloparatide-Gs/β1/γ2
8.33Single7QVMOxytocin7QVM-OT-Oxytocin-chim(NtGi1-Go-CtGq)/β1/γ2
8.33Single7TYOCalcitonin7TYO-CT-Calcitonin-Gs/β1/γ2
8.33Single8JIUSAR4258998JIU-Glucagon-SAR425899-Gs/β1/γ2
8.33Single8ZX4Lysophosphatidylinositol 8ZX4-GPR55-Lysophosphatidylinositol-chim(NtGi1-G13)/β1/γ2
8.33Single9GE3Lysophosphatidylinositol9GE3-GPR55-Lysophosphatidylinositol-chim(NtGi1-G13)/β1/γ2
8.33Consensuspth2_onOrthosteric Ligand7F16-PTH2-TIP39-Gs/β1/γ2
8.00Single5VBLApelin mimetic peptide agonist5VBL-Apelin-Apelin mimetic peptide agonist
8.00Single8JBFSenktide8JBF-NK3-Senktide-chim(NtGi1-Gs-CtGq)/β1/γ2
8.00Single9JH6C20:0 Ceramide9JH6-CysLT2-C20:0 Ceramide-chim(NtGi1-Gs-CtGq)/β1/γ2
8.00Single9NS9TUG-13759NS9-FFA2-TUG-1375-Compound 187-Gi1/β1/γ2
7.69Single6RZ8ONO-20803656RZ8-CysLT2-ONO-2080365
7.69Single7NA7Ghrelin-277NA7-Ghrelin-Ghrelin-27-Gi1/β1/γ2
7.69Single7RTBPeptide-197RTB-GLP-1-Peptide-19-Gs/β1/γ2
7.69Single7W2ZGhrelin7W2Z-Ghrelin-Ghrelin-Go/β1/γ2
7.69Single9BUECagrilintide9BUE-CT-Cagrilintide-Gs/β1/γ2
7.69Consensusnk3_onOrthosteric Ligand8JBF-NK3-Senktide-chim(NtGi1-Gs-CtGq)/β1/γ2
7.69Consensusnk3_on_gpOrthosteric Ligand8JBF-NK3-Senktide-chim(NtGi1-Gs-CtGq)/β1/γ2
7.41Single6WHCGlu16 analog of GCG6WHC-Glucagon-Glu16 analog of GCG-Gs/β1/γ2
7.41Single7C6A(Sar1,Ile8)-Angiotensin II7C6A-AT2-(Sar1,Ile8)-Angiotensin II
7.41Single7F1QMIP-1a7F1Q-CCR5-MIP-1a-Gi1/β1/γ2
7.41Single8IBVMotilin8IBV-Motilin-Motilin-chim(NtGi1-Gs-CtGq)/β1/γ2
7.41Single8IOCGamma-MSH8IOC-MC3-γ-MSH-Ca-chim(NtGi1-Gs)/β1/γ2
7.41Single9EAINanobody AT2099EAI-AT1-Losartan-Nanobody AT209
7.14Single4A4MAll-trans-Retinal4A4M-Rhodopsin-All-trans-Retinal-Gt(CT)
7.14Single5EN0All-trans-Retinal5EN0-Rhodopsin-All-trans-Retinal-Gt(CT)
7.14Single5MZPCaffeine5MZP-A2A-Caffeine-Na
6.90Single5WB2CX3CL1.355WB2-US28-CX3CL1.35
6.90Single6NIYAdrenomedullin6NIY-CT-Adrenomedullin-Gs/β1/γ2
6.90Consensuscrf2_onOrthosteric Ligand7TS0-CRF2-Urocortin-chim(NtGi1L-Go)/β1/γ2
6.67Single5MZJTheophylline5MZJ-A2A-Theophylline-Na
6.67Single7TYHCalcitonin-17TYH-CT (AMY2)-Calcitonin-1-Gs/β1/γ2; RAMP2
6.67Single7V68LY21196207V68-M4-Iperoxo-LY2119620-Gi1/β1/γ2
6.67Single7XKEBeta-Hydroxyandrosterone7XKE-ADGRG2-β-Hydroxyandrosterone-chim(NtGi1-Gs)/β1/γ2
6.67Single7Y35Abaloparatide7Y35-PTH1-Abaloparatide-Gs/β1/γ2
6.67Single8PWNTheophylline8PWN-A2A-Theophylline
6.45Single6NBILong-Acting PTH Analog6NBI-PTH1-Long-Acting PTH Analog-Gs/β1/γ2
6.45Single8FLRPTHrP(1-36)8FLR-PTH1-PTHrP(1-36)-Gs/β1/γ2
6.45Single9BUBCagrilintide9BUB-CT-Cagrilintide-Gs/β1/γ2
6.45Consensuscrf2_on_gpOrthosteric Ligand7TS0-CRF2-Urocortin-chim(NtGi1L-Go)/β1/γ2
6.25Single3RFMCaffeine3RFM-A2A-Caffeine
6.25Single6OT025(S)-Epoxycholesterol6OT0-SMO-25(S)-Epoxycholesterol-Gi1/β1/γ2
6.25Single7MTBAll-trans-Retinal7MTB-Rhodopsin-All-trans-Retinal-GRK1
6.25Single8A2OTheophylline8A2O-A2A-Theophylline-Na
6.25Single8Y02Retinal8Y02-OPN1SW-Retinal-Gi1/β1/γ2
6.06Single9BTWCagrilintide9BTW-CT (AMY3)-Cagrilintide-Gs/β1/γ2; RAMP3
6.06Consensusvpac2_onOrthosteric Ligand7VQX-VPAC1-PACAP27-Gs/β1/γ2
6.06Consensusvpac2_on_gpOrthosteric Ligand7VQX-VPAC1-PACAP27-Gs/β1/γ2
5.88Single6ME5Agomelatine6ME5-MT1-Agomelatine
5.88Single7MT9All-trans-Retinal7MT9-Rhodopsin-All-trans-Retinal-GRK1
5.88Single7MTAAll-trans-Retinal7MTA-Rhodopsin-All-trans-Retinal-GRK1
5.88Single8EITDoconexent8EIT-FFA1-Doconexent-chim(NtGi1L-Gs-CtGq)/β1/γ2
5.88Single8F76Propanoic acid8F76-OR51E2-Propanoic acid-Gs/β1/γ2
5.88Single8J21Butyric acid8J21-FFA3-Butyric acid-Gi1/β1/γ2
5.88Single8J24Acetic acid8J24-FFA2-Acetic acid-Gi1/β1/γ2
5.88Single8X9UMetenolone8X9U-ADGRD1-Metenolone-chim(NtGi1-Gs)/β1/γ2
5.88Single8Y63C20:0 Ceramide8Y63-FPR2-ALX-C20:0 Ceramide-Gi1/β1/γ2
5.88Single9JHJC18:0 Ceramide9JHJ-FPR2-ALX-C18:0 Ceramide-Gi1/β1/γ2
5.88Consensusffa3_onOrthosteric Ligand8J21-FFA3-Butyric acid-Gi1/β1/γ2
5.88Consensusffa3_on_gpOrthosteric Ligand8J21-FFA3-Butyric acid-Gi1/β1/γ2
5.88Consensusgip_onOrthosteric Ligand7FIN-GIP-Peptide-20; GGL-Gs/β1/γ2 7FIY-GIP-Tirzepatide-Gs/β1/γ2 7DTY-GIP-GIP-Gs/β1/γ2
5.88Consensusgip_on_gpOrthosteric Ligand7FIN-GIP-Peptide-20; GGL-Gs/β1/γ2 7FIY-GIP-Tirzepatide-Gs/β1/γ2 7DTY-GIP-GIP-Gs/β1/γ2
5.56Single5L7IVismodegib5L7I-SMO-Vismodegib
5.56Single6PGSGeraniol6PGS-Rhodopsin-Geraniol-Gt(CT)
5.56Single6PH7Nerol6PH7-Rhodopsin-Nerol-Gt(CT)
5.56Single6QNOAll-trans-Retinal6QNO-Rhodopsin-All-trans-Retinal-Gi1/β1/γ1
5.56Single7XKFBeta-Hydroxyandrosterone7XKF-ADGRG2-β-Hydroxyandrosterone-Gs/β1/γ2
5.56Single8RWHStilSwitch28RWH-A2A-StilSwitch2-Na
5.56Single8U4RREGN7663-Fab8U4R-CXCR4-REGN7663-Fab
5.56Single8YKDDehydroepiandrosterone8YKD-ADGRG2-Dehydroepiandrosterone-chim(NtGi1-Gs)/β1/γ2
5.41Single8JITMEDI03828JIT-Glucagon-MEDI0382-Gs/β1/γ2
5.26Single3PWHZM-2413853PWH-A2A-ZM-241385
5.26Single4K5YCP-3763954K5Y-CRF1-CP-376395
5.26Single4XNVBPTU4XNV-P2Y1-BPTU
5.26Single6LFOInterleukin-86LFO-CXCR2-Interleukin-8-Gi1/β1/γ2
5.26Single6ME9Ramelteon6ME9-MT2-Ramelteon
5.26Single6ZA8RTI-3a6ZA8-NTS1-RTI-3a
5.26Single7WV9ZCZ0117WV9-CB1-CP55940-ZCZ011-Gi2/β1/γ2
5.26Single8H8JLodoxamide8H8J-GPR35-Lodoxamide-Ca-chim(NtGi1L-G13)/β1/γ2
5.26Single8J20Valeric acid8J20-FFA3-Valeric acid-AR420626-Gi1/β1/γ2
5.26Single8RVWStilSwitch38RVW-A2A-StilSwitch3-Na
5.26Single8RW4AzoSwitch28RW4-A2A-AzoSwitch2-Na
5.26Single8RWEStilSwitch48RWE-A2A-StilSwitch4-Na
5.26Single8T3SButyric acid8T3S-FFA2-Butyric acid-chim(NtGi2L-Gs-CtGq)/β1/γ2
5.26Single9FUPIstradefylline9FUP-A2A-Istradefylline-Na
5.26Consensuscxcr1_onOrthosteric Ligand8IC0-CXCR1-Interleukin-8-Gi1/β1/γ2
5.00Single6FKAPubChem 1324730376FKA-Rhodopsin-PubChem 132473037
5.00Single6ZINSR486926ZIN-NTS1-SR48692
5.00Single8HJ5PubChem 1390305318HJ5-MRGPRX1-PubChem 139030531-chim(NtGi1-Gs-CtGq)/β1/γ2
5.00Single8HQN9-S-HODE8HQN-GPR132-9-S-HODE-Gi1/β1/γ2
5.00Single8IYXYL-3658IYX-GPR34-YL-365
5.00Single8JD6VU03647708JD6-mGlu4; mGlu4-Phosphoserine-VU0364770-Gi3/β1/γ2
5.00Single8K4NVF08K4N-GPR34-VF0-Gi1/β1/γ2
5.00Single9IXXLTD49IXX-CysLT2-LTD4-chim(NtGi1-Gs-CtGq)/β1/γ2
5.00Single9K0KUTP9K0K-P2Y4-UTP-chim(NtGi1-Gs-CtGq)/β1/γ2
5.00Single9K0XATP9K0X-P2Y2-ATP-chim(NtGi1-Gs-CtGq)/β1/γ2
5.00Single9K1DButanoic acid9K1D-FFA2-Butanoic acid-Gi1/β1/γ2
5.00Single9K20ATP9K20-P2Y2-ATP-chim(NtGi1-Go)/β1/γ2
5.00Consensuscxcr2_onOrthosteric Ligand6LFM-CXCR2-Interleukin-8-Gi1/β1/γ2
5.00Consensusnucleotide_offOrthosteric Ligandadenosine_off p2y_off
4.76Single4QIMANTA XV4QIM-SMO-ANTA XV
4.76Single4Z9GCP-3763954Z9G-CRF1-CP-376395
4.76Single5T04Neurotensin5T04-NTS1-Neurotensin
4.76Single6FKDPubChem 1373491836FKD-Rhodopsin-PubChem 137349183
4.76Single6Z4VNTS8-136Z4V-NTS1-NTS8-13
4.76Single7PP1Selatogrel7PP1-P2Y12-Selatogrel
4.76Single8GTIBMK-C2058GTI-CRF1-BMK-C205
4.76Single8IC0Interleukin-88IC0-CXCR1-Interleukin-8-Gi1/β1/γ2
4.76Single8XBGS3E-LysoPS8XBG-GPR34-S3E-LysoPS
4.76Single8ZYYNeurotensin peptide 8-138ZYY-NTS1-Neurotensin peptide 8-13-SBI-553-Arrestin2
4.76Single9IVGGLP-1 (Truncated)9IVG-GLP-1-GLP-1 (Truncated)-chim(NtGi1-Gs)/β1/γ2
4.76Consensuscxcr1_on_gpOrthosteric Ligand8IC0-CXCR1-Interleukin-8-Gi1/β1/γ2
4.55Single4JKVTaladegib4JKV-SMO-Taladegib
4.55Single4NTJAZD12834NTJ-P2Y12-AZD1283
4.55Single6LFMInterleukin-86LFM-CXCR2-Interleukin-8-Gi1/β1/γ2
4.55Single6XBKCholesterol6XBK-SMO-Cholesterol-Gi1/β1/γ2
4.55Single6Z4QSR142948A6Z4Q-NTS1-SR142948A
4.55Single6Z4SSR486926Z4S-NTS1-SR48692
4.55Single7Y26Octreotide7Y26-SST2-Octreotide-chim(NtGi2L-Gs-CtGq)/β1/γ2
4.55Single8GTGBMK-I1528GTG-CRF1-BMK-I152
4.55Single8IZ4Lysophosphatidylserine8IZ4-GPR34-Lysophosphatidylserine-Gi1/β1/γ2
4.55Single8JGGBAM8-228JGG-MRGPRX1-BAM8-22-Gi1/β1/γ2
4.55Single8T6JCDPPB8T6J-mGlu5; mGlu5-CDPPB
4.55Single8T6JCDPPB8T6J-mGlu5; mGlu5-CDPPB
4.55Consensuscxcr2_on_gpOrthosteric Ligand6LFM-CXCR2-Interleukin-8-Gi1/β1/γ2
4.55Consensuscyslt_offOrthosteric Ligandcyslt2_off cyslt1_off
4.35Single3ZEVNeurotensin3ZEV-NTS1-Neurotensin
4.35Single4BV0Neurotensin4BV0-NTS1-Neurotensin
4.35Single5V56TC1145V56-SMO-TC114
4.35Single5V57TC1145V57-SMO-TC114
4.35Single6RZ5Zafirlukast6RZ5-CysLT1-Zafirlukast-Na
4.35Single6Z8NSRI-98296Z8N-NTS1-SRI-9829
4.35Single7F1TMIP-1a7F1T-CCR5-MIP-1a
4.35Single7L0PNeurotensin7L0P-NTS1-Neurotensin-Gi1/β1/γ1
4.35Single7L0QNeurotensin7L0Q-NTS1-Neurotensin-Gi1/β1/γ1
4.35Single7T9NDPPC7T9N-TSH-M22 Fab-DPPC-Gs/β1/γ2
4.35Single8FMZNeurotensin/Neuromedin-N8FMZ-NTS1-Neurotensin/Neuromedin-N-chim(NtGi2L-Gs-CtGq)/β1/γ2
4.35Single8FN1Neurotensin/Neuromedin-N8FN1-NTS1-Neurotensin/Neuromedin-N-chim(NtGi1-Go)/β1/γ2
4.35Single8I2GCompound 7163408I2G-FSH-Glycoprotein hormones α chain-Compound 716340-Gs/β1/γ2
4.35Single8JD5JNJ-40411813; ADX881788JD5-mGlu2; mGlu4-Glutamate-JNJ-40411813; ADX88178-Gi1/β1/γ2
4.35Single8JGFBAM8-228JGF-MRGPRX1-BAM8-22-chim(NtGi1-Gs-CtGq)/β1/γ2
4.35Single9CLWTUG-13759CLW-FFA2-TUG-1375-4-CMTB-chim(NtGi1L-Gs-CtGq)/β1/γ2
4.35Single9ITELPA9ITE-LPA6-LPA-chim(NtGi2-G13)/β1/γ2
4.35Consensusffa2_onOrthosteric Ligand8J22-FFA2-TUG-1375-Gi1/β1/γ2
4.35Consensusffa_onOrthosteric Ligandffa2_on ffa3_on
4.35Consensusffa_on_gpOrthosteric Ligandffa2_on_gp ffa3_on_gp
4.35Consensusgi_ffaOrthosteric Ligand8J21-FFA3-Butyric acid-Gi1/β1/γ2 8J22-FFA2-TUG-1375-Gi1/β1/γ2
4.35Consensusneurotensin_onOrthosteric Ligandnts1_on
4.35Consensusnts1_onOrthosteric Ligand6OSA-NTS1-JMV449-Gi1/β1/γ2 7L0S-NTS1-Neurotensin-Gi1/β1/γ1
4.17Single3VW7Vorapaxar; Na3VW7-PAR1-Vorapaxar; Na
4.17Single4GRVNeurotensin-(8-13)4GRV-NTS1-Neurotensin-(8-13)
4.17Single4XEENeurotensin4XEE-NTS1-Neurotensin
4.17Single4XESNeurotensin4XES-NTS1-Neurotensin
4.17Single6OSAJMV4496OSA-NTS1-JMV449-Gi1/β1/γ2
4.17Single6RZ7ONO-25703666RZ7-CysLT2-ONO-2570366
4.17Single6YVRNTS8-136YVR-NTS1-NTS8-13
4.17Single7L0SNeurotensin7L0S-NTS1-Neurotensin-Gi1/β1/γ1
4.17Single8DWCProenkephalin-A8DWC-MRGPRX1-Proenkephalin-A-chim(NtGi2L-Gs-CtGq)/β1/γ2
4.17Single8GTMBMK-C2038GTM-CRF1-BMK-C203
4.17Single8JPBNeurotensin-(8-13)8JPB-NTS1-Neurotensin-(8-13)-SBI-553; GDP; Mg-Gq; GRK2
4.17Single8JPCNeurotensin-(8-13)8JPC-NTS1-Neurotensin-(8-13)-SBI-553; GDP; Mg-Gq; GRK2
4.17Single8WRBLysophosphatidylserine8WRB-GPR34-Lysophosphatidylserine-Gi1/β1/γ2
4.17Single8Y6WTUG-13758Y6W-FFA2-TUG-1375-4-CMTB-Gi1/β1/γ2
4.17Single9CM3TUG-13759CM3-FFA2-TUG-1375-Compound 187-chim(NtGi1L-Gs-CtGq)/β1/γ2
4.17Consensusffa2_on_gpOrthosteric Ligand8J22-FFA2-TUG-1375-Gi1/β1/γ2
4.17Consensusgi_neurotensinOrthosteric Ligand6OSA-NTS1-JMV449-Gi1/β1/γ2 7L0S-NTS1-Neurotensin-Gi1/β1/γ1
4.17Consensusneurotensin_on_gpOrthosteric Ligandnts1_on_gp
4.17Consensusnts1_on_gpOrthosteric Ligand6OSA-NTS1-JMV449-Gi1/β1/γ2 7L0S-NTS1-Neurotensin-Gi1/β1/γ1
4.00Single4BUONeurotensin4BUO-NTS1-Neurotensin
4.00Single6M1HMaxadilan6M1H-PAC1-Maxadilan-Gs/β1/γ2
4.00Single6RZ9ONO-27703726RZ9-CysLT2-ONO-2770372
4.00Single7CX4Evatanepag7CX4-EP2-Evatanepag-Gs/β1/γ2
4.00Single8JPFNeurotensin8JPF-NTS1-Neurotensin-SBI-553
4.00Single8XBES3E-LysoPS8XBE-GPR34-S3E-LysoPS-Gi1/β1/γ1
4.00Single8XVUCXCL28XVU-CXCR2-CXCL2
4.00Single8XXHCXCL28XXH-CXCR2-CXCL2-Go/β1/γ2
4.00Consensuscyslt2_offOrthosteric Ligand6RZ7-CysLT2-ONO-2570366 6RZ8-CysLT2-ONO-2080365 6RZ9-CysLT2-ONO-2770372
3.85Single6RZ6ONO-25703666RZ6-CysLT2-ONO-2570366
3.85Single7CX2PGE27CX2-EP2-PGE2-Gs/β1/γ2
3.85Single8J22TUG-13758J22-FFA2-TUG-1375-Gi1/β1/γ2
3.85Single8SAI1-Oleoyl-2-Hydroxy-Sn-Glycero-3-Phospho-L-Serine8SAI-GPR34-1-Oleoyl-2-Hydroxy-Sn-Glycero-3-Phospho-L-Serine-Gi1/β1/γ2
3.85Single8XX6CXCL88XX6-CXCR2-CXCL8-Go/β1/γ2
3.85Single8Z74Agonistic antibody8Z74-Apelin-Agonistic antibody
3.85Single8Z74Agonistic antibody8Z74-Apelin-Agonistic antibody
3.85Single9CM7TUG-13759CM7-FFA2-TUG-1375-AZ-1729-Gi1/β1/γ2
3.85Single9ITBLPA9ITB-LPA6-LPA-chim(NtGi1-Gs-CtGq)/β1/γ2
3.70Single7CX3Taprenepag7CX3-EP2-Taprenepag-Gs/β1/γ2
3.70Single7L0RNeurotensin7L0R-NTS1-Neurotensin-Gi1/β1/γ1
3.70Single7VLACCL15(27-92)7VLA-CCR1-CCL15(27-92)-Gi1/β1/γ2
3.70Single8DWGProenkephalin-A8DWG-MRGPRX1-Proenkephalin-A-ML382-chim(NtGi2L-Gs-CtGq)/β1/γ2
3.70Single8JIQPeptide-158JIQ-Glucagon-Peptide-15-Gs/β1/γ2
3.70Single8XWNCXCL88XWN-CXCR2-CXCL8
3.70Consensusccr1_onOrthosteric Ligand7VLA-CCR1-CCL15(27-92)-Gi1/β1/γ2
3.70Consensusccr1_on_gpOrthosteric Ligand7VLA-CCR1-CCL15(27-92)-Gi1/β1/γ2
3.23Single5YQZGlucagon analogue5YQZ-Glucagon-Glucagon analogue
3.12Consensusctlike_onOrthosteric Ligand6E3Y-CT Like-Calcitonin gene-related peptide-1-Gs/β1/γ2; RAMP1
3.03Consensusglp2_onOrthosteric Ligand7D68-GLP-2-GLP-2-Gs/β1/γ2
3.03Consensusglp2_on_gpOrthosteric Ligand7D68-GLP-2-GLP-2-Gs/β1/γ2
2.94Single6LMKGlucagon6LMK-Glucagon-Glucagon-Gs/β1/γ2
2.94Consensusctlike_on_gpOrthosteric Ligand6E3Y-CT Like-Calcitonin gene-related peptide-1-Gs/β1/γ2; RAMP1
2.56Consensusgluc_onOrthosteric Ligand6LMK-Glucagon-Glucagon-Gs/β1/γ2 8JIT-Glucagon-MEDI0382-Gs/β1/γ2 7V35-Glucagon-Peptide-20-Gs/β1/γ2
2.50Consensusgluc_on_gpOrthosteric Ligand6LMK-Glucagon-Glucagon-Gs/β1/γ2 8JIT-Glucagon-MEDI0382-Gs/β1/γ2 7V35-Glucagon-Peptide-20-Gs/β1/γ2

PDB Summary
PDB 9BQJ
Class A
SubFamily Peptide
Type Opioid
SubType MOP
Species Mus Musculus
Ligand RO76
Other Ligand(s) -
Protein Partners Gi1/Beta1/Gamma2
PDB Resolution 3.3
Date 2024-09-11
D.O.I. doi.org/10.1021/acscentsci.4c00525
Net Summary
Imin 2.18
Number of Linked Nodes 823
Number of Links 999
Number of Hubs 163
Number of Links mediated by Hubs 614
Number of Communities 30
Number of Nodes involved in Communities 244
Number of Links involved in Communities 344
Path Summary
Number Of Nodes in MetaPath 95
Number Of Links MetaPath 94
Number of Shortest Paths 5846549
Length Of Smallest Path 3
Average Path Length 53.1439
Length of Longest Path 76
Minimum Path Strength 1.255
Average Path Strength 5.61209
Maximum Path Strength 20.9433
Minimum Path Correlation 0.7
Average Path Correlation 0.992765
Maximum Path Correlation 1
Minimum % Of Corr. Nodes 1.92308
Average % Of Corr. Nodes 28.3618
Maximum % Of Corr. Nodes 100
Minimum Path Hubs % 0
Average Path Hubs % 49.6541
Maximum Path Hubs % 100
AnnotationTypeLinks
Gene OntologyMolecular Function• protein binding   • binding   • enzyme binding   • GTPase binding   • protein-containing complex binding   • pyrophosphatase activity   • GTPase activity   • ribonucleoside triphosphate phosphatase activity   • hydrolase activity, acting on acid anhydrides, in phosphorus-containing anhydrides   • hydrolase activity   • hydrolase activity, acting on acid anhydrides   • catalytic activity   • signaling receptor complex adaptor activity   • protein-macromolecule adaptor activity   • molecular adaptor activity   • signaling adaptor activity   • multicellular organismal process   • system process   • sensory perception of chemical stimulus   • sensory perception   • nervous system process   • sensory perception of taste   • developmental process   • sensory organ development   • eye development   • animal organ development   • retina development in camera-type eye   • visual system development   • multicellular organism development   • camera-type eye development
Gene OntologyBiological Process• multicellular organismal process   • system process   • sensory perception of chemical stimulus   • sensory perception   • nervous system process   • sensory perception of taste   • developmental process   • sensory organ development   • eye development   • animal organ development   • retina development in camera-type eye   • visual system development   • multicellular organism development   • camera-type eye development   • anatomical structure development   • sensory system development   • system development   • cell population proliferation   • cellular process   • cellular response to stimulus   • regulation of biological process   • regulation of cellular process   • response to stimulus   • signaling   • biological regulation   • signal transduction   • cell communication   • response to ketone   • response to prostaglandin   • response to lipid   • response to endogenous stimulus   • response to alcohol   • cellular response to prostaglandin stimulus   • response to oxygen-containing compound   • cellular response to oxygen-containing compound   • cellular response to endogenous stimulus   • cellular response to prostaglandin E stimulus   • cellular response to chemical stimulus   • cellular response to alcohol   • response to hormone   • response to chemical   • cellular response to lipid   • response to prostaglandin E   • cellular response to ketone   • cellular response to hormone stimulus   • small GTPase-mediated signal transduction   • Ras protein signal transduction   • intracellular signal transduction   • intracellular signaling cassette   • phospholipase C-activating G protein-coupled receptor signaling pathway   • G protein-coupled receptor signaling pathway   • cellular response to nitrogen compound   • response to dopamine   • cellular response to dopamine   • response to monoamine   • response to catecholamine   • adenylate cyclase-activating dopamine receptor signaling pathway   • cellular response to catecholamine stimulus   • G protein-coupled dopamine receptor signaling pathway   • response to nitrogen compound   • adenylate cyclase-activating G protein-coupled receptor signaling pathway   • cellular response to monoamine stimulus   • adenylate cyclase-modulating G protein-coupled receptor signaling pathway   • synaptic signaling   • cellular response to acetylcholine   • cell-cell signaling   • acetylcholine receptor signaling pathway   • postsynaptic signal transduction   • G protein-coupled acetylcholine receptor signaling pathway   • response to acetylcholine   • cellular anatomical structure   • membrane   • protein-containing complex   • extrinsic component of plasma membrane   • catalytic complex   • plasma membrane protein complex   • cytoplasmic side of membrane   • plasma membrane   • membrane protein complex   • heterotrimeric G-protein complex   • side of membrane   • cell periphery   • cytoplasmic side of plasma membrane   • GTPase complex
Gene OntologyCellular Component• cellular anatomical structure   • membrane   • protein-containing complex   • extrinsic component of plasma membrane   • catalytic complex   • plasma membrane protein complex   • cytoplasmic side of membrane   • plasma membrane   • membrane protein complex   • heterotrimeric G-protein complex   • side of membrane   • cell periphery   • cytoplasmic side of plasma membrane   • GTPase complex   • extrinsic component of membrane   • extrinsic component of cytoplasmic side of plasma membrane   • extracellular exosome   • membrane-bounded organelle   • extracellular vesicle   • extracellular organelle   • extracellular region   • organelle   • extracellular space   • vesicle   • extracellular membrane-bounded organelle   • non-motile cilium   • 9+0 non-motile cilium   • cilium   • neuron projection   • photoreceptor disc membrane   • photoreceptor outer segment   • plasma membrane bounded cell projection   • cell projection   • photoreceptor cell cilium   • organelle membrane   • intracellular anatomical structure   • cytoplasm   • cytosol   • vacuolar membrane   • lytic vacuole   • vacuole   • intracellular membrane-bounded organelle   • intracellular organelle   • lytic vacuole membrane   • bounding membrane of organelle   • lysosomal membrane   • lysosome   • synapse   • cell junction   • D2 dopamine receptor binding   • protein binding   • binding   • signaling receptor binding   • G protein-coupled receptor binding   • dopamine receptor binding   • enzyme regulator activity   • adenylate cyclase inhibitor activity   • cyclase regulator activity   • molecular function inhibitor activity   • cyclase inhibitor activity   • molecular function regulator activity   • enzyme inhibitor activity   • adenylate cyclase regulator activity   • guanyl nucleotide binding   • GTP binding   • nucleotide binding   • guanyl ribonucleotide binding   • purine ribonucleotide binding   • purine ribonucleoside triphosphate binding   • nucleoside phosphate binding   • ion binding   • purine nucleotide binding   • anion binding   • heterocyclic compound binding   • carbohydrate derivative binding   • ribonucleotide binding   • small molecule binding   • cation binding   • magnesium ion binding   • metal ion binding   • GDP binding   • G protein-coupled serotonin receptor binding   • protein-containing complex binding   • G-protein beta/gamma-subunit complex binding   • pyrophosphatase activity   • GTPase activity   • G protein activity   • ribonucleoside triphosphate phosphatase activity   • hydrolase activity, acting on acid anhydrides, in phosphorus-containing anhydrides   • hydrolase activity   • hydrolase activity, acting on acid anhydrides   • catalytic activity   • cellular response to stimulus   • regulation of biological process   • regulation of cellular process   • response to stimulus   • signaling   • biological regulation   • adenylate cyclase-inhibiting serotonin receptor signaling pathway   • G protein-coupled serotonin receptor signaling pathway   • cell communication   • adenylate cyclase-inhibiting G protein-coupled receptor signaling pathway   • adenylate cyclase-modulating G protein-coupled receptor signaling pathway   • G protein-coupled receptor signaling pathway   • cellular process   • signal transduction   • response to hormone   • response to chemical   • response to endogenous stimulus   • response to peptide hormone   • response to oxygen-containing compound   • response to nitrogen compound   • cell division   • leukocyte migration   • immune system process   • mononuclear cell migration   • lymphocyte migration   • cell migration   • T cell migration   • cell motility   • regulation of steroid biosynthetic process   • regulation of cholesterol biosynthetic process   • regulation of cholesterol metabolic process   • steroid metabolic process   • regulation of lipid metabolic process   • sterol metabolic process   • positive regulation of biological process   • cholesterol metabolic process   • lipid biosynthetic process   • alcohol metabolic process   • regulation of primary metabolic process   • positive regulation of metabolic process   • regulation of small molecule metabolic process   • positive regulation of biosynthetic process   • positive regulation of lipid metabolic process   • small molecule metabolic process   • steroid biosynthetic process   • positive regulation of cellular process   • regulation of biosynthetic process   • secondary alcohol biosynthetic process   • regulation of alcohol biosynthetic process   • small molecule biosynthetic process   • regulation of steroid metabolic process   • cholesterol biosynthetic process   • positive regulation of cholesterol biosynthetic process   • primary metabolic process   • secondary alcohol metabolic process   • positive regulation of steroid biosynthetic process   • biosynthetic process   • sterol biosynthetic process   • positive regulation of lipid biosynthetic process   • regulation of sterol biosynthetic process   • alcohol biosynthetic process   • positive regulation of cholesterol metabolic process   • positive regulation of steroid metabolic process   • metabolic process   • regulation of lipid biosynthetic process   • positive regulation of small molecule metabolic process   • regulation of metabolic process   • positive regulation of alcohol biosynthetic process   • positive regulation of sterol biosynthetic process   • lipid metabolic process   • negative regulation of protein transport   • regulation of localization   • establishment of protein localization   • nitrogen compound transport   • negative regulation of biological process   • negative regulation of transport   • localization   • negative regulation of secretion   • negative regulation of hormone secretion   • negative regulation of secretion by cell   • intracellular protein localization   • regulation of biological quality   • regulation of peptide hormone secretion   • negative regulation of peptide hormone secretion   • regulation of hormone levels   • establishment of protein localization to extracellular region   • negative regulation of establishment of protein localization   • protein secretion   • establishment of localization   • regulation of protein secretion   • regulation of secretion   • negative regulation of protein secretion   • regulation of hormone secretion   • regulation of protein localization   • regulation of peptide secretion   • transport   • negative regulation of signaling   • hormone secretion   • negative regulation of cell communication   • protein localization to extracellular region   • negative regulation of peptide secretion   • peptide secretion   • regulation of secretion by cell   • secretion by cell   • amide transport   • signal release   • negative regulation of cellular process   • negative regulation of protein localization   • regulation of signaling   • regulation of transport   • secretion   • regulation of peptide transport   • regulation of establishment of protein localization   • export from cell   • cell-cell signaling   • regulation of protein transport   • peptide transport   • negative regulation of insulin secretion   • protein transport   • regulation of insulin secretion   • peptide hormone secretion   • macromolecule localization   • hormone transport   • regulation of cell communication   • insulin secretion   • regulation of cytoskeleton organization   • regulation of cellular component organization   • microtubule cytoskeleton organization   • regulation of mitotic spindle organization   • mitotic cell cycle   • cellular component organization   • cell cycle   • cellular component organization or biogenesis   • regulation of cell cycle   • microtubule cytoskeleton organization involved in mitosis   • spindle organization   • cell cycle process   • regulation of cell cycle process   • regulation of microtubule-based process   • regulation of spindle organization   • regulation of organelle organization   • mitotic spindle organization   • organelle organization   • mitotic cell cycle process   • microtubule-based process   • cytoskeleton organization   • regulation of microtubule cytoskeleton organization   • positive regulation of protein localization to cell periphery   • protein localization to cell periphery   • positive regulation of protein localization to cell cortex   • regulation of protein localization to cell periphery   • regulation of protein localization to cell cortex   • positive regulation of protein localization   • protein localization to cell cortex   • response to ketone   • response to prostaglandin   • response to lipid   • response to alcohol   • response to prostaglandin E   • cellular response to forskolin   • cellular response to oxygen-containing compound   • cellular response to chemical stimulus   • cellular response to alcohol   • response to forskolin   • cellular response to lipid   • cellular response to ketone   • midbody   • nucleus   • membrane-enclosed lumen   • intracellular membraneless organelle   • nucleolus   • intracellular organelle lumen   • organelle lumen   • membraneless organelle   • nuclear lumen   • cell cortex   • centrosome   • microtubule organizing center   • cytoskeleton   • microtubule cytoskeleton   • centriolar satellite   • nucleoplasm   • Golgi apparatus   • endomembrane system   • ciliary basal body   • molecular transducer activity   • G protein-coupled receptor activity   • transmembrane signaling receptor activity   • signaling receptor activity   • G protein-coupled opioid receptor activity   • G-protein alpha-subunit binding   • peptide receptor activity   • beta-endorphin receptor activity   • G protein-coupled peptide receptor activity   • melanocortin receptor activity   • neuropeptide receptor activity   • morphine receptor activity   • behavior   • multicellular organismal process   • locomotory behavior   • cellular response to nitrogen compound   • synaptic signaling   • cellular response to acetylcholine   • acetylcholine receptor signaling pathway   • postsynaptic signal transduction   • G protein-coupled acetylcholine receptor signaling pathway   • response to acetylcholine   • adenylate cyclase-inhibiting G protein-coupled acetylcholine receptor signaling pathway   • trans-synaptic signaling   • modulation of chemical synaptic transmission   • presynaptic modulation of chemical synaptic transmission   • chemical synaptic transmission   • regulation of trans-synaptic signaling   • anterograde trans-synaptic signaling   • positive regulation of cell communication   • positive regulation of signal transduction   • regulation of signal transduction   • intracellular signal transduction   • positive regulation of response to stimulus   • positive regulation of ERK1 and ERK2 cascade   • regulation of intracellular signal transduction   • intracellular signaling cassette   • positive regulation of MAPK cascade   • positive regulation of intracellular signal transduction   • regulation of MAPK cascade   • regulation of response to stimulus   • MAPK cascade   • ERK1 and ERK2 cascade   • regulation of ERK1 and ERK2 cascade   • positive regulation of signaling   • regulation of signaling receptor activity   • regulation of transmembrane transporter activity   • regulation of NMDA receptor activity   • transmembrane transport   • regulation of molecular function   • regulation of transmembrane transport   • regulation of neurotransmitter receptor activity   • G protein-coupled opioid receptor signaling pathway   • regulation of nitric oxide biosynthetic process   • negative regulation of metabolic process   • reactive nitrogen species metabolic process   • nitric oxide metabolic process   • nitric oxide biosynthetic process   • negative regulation of nitric oxide biosynthetic process   • negative regulation of biosynthetic process   • regulation of nitric oxide metabolic process   • system process   • nervous system process   • transmission of nerve impulse   • phospholipase C-activating G protein-coupled receptor signaling pathway   • negative regulation of cytosolic calcium ion concentration   • positive regulation of nervous system development   • regulation of developmental process   • cellular developmental process   • cell development   • regulation of cell differentiation   • regulation of neurogenesis   • regulation of cell development   • regulation of nervous system development   • positive regulation of developmental process   • multicellular organism development   • neurogenesis   • positive regulation of cell differentiation   • cell differentiation   • anatomical structure development   • positive regulation of neurogenesis   • regulation of multicellular organismal process   • system development   • developmental process   • regulation of multicellular organismal development   • positive regulation of cell development   • nervous system development   • positive regulation of multicellular organismal process   • response to dopamine   • cellular response to dopamine   • response to monoamine   • response to catecholamine   • adenylate cyclase-activating dopamine receptor signaling pathway   • cellular response to catecholamine stimulus   • G protein-coupled dopamine receptor signaling pathway   • adenylate cyclase-activating G protein-coupled receptor signaling pathway   • cellular response to monoamine stimulus   • sensory perception   • sensory perception of pain   • negative regulation of Wnt protein secretion   • regulation of Wnt protein secretion   • Wnt protein secretion   • somatodendritic compartment   • cell body   • perikaryon   • neuronal cell body   • presynapse   • dendrite   • dendritic tree   • GABA-ergic synapse   • endosome   • intracellular vesicle   • cytoplasmic vesicle   • axon   • G-protein beta-subunit binding   • fibroblast proliferation   • cell population proliferation   • cellular response to prostaglandin stimulus   • cellular response to endogenous stimulus   • cellular response to prostaglandin E stimulus   • cellular response to hormone stimulus
SCOP2Domain Identifier• Ras-like P-loop GTPases   • G protein-coupled receptor-like   • Transducin (heterotrimeric G protein), gamma chain
SCOP2Family Identifier• Ras-like P-loop GTPases   • G protein-coupled receptor-like   • Transducin (heterotrimeric G protein), gamma chain
Membrane Protein Annotations-• Orientations of Proteins in Membranes database (OPM)   • Protein Data Bank of Transmembrane Proteins (PDBTM)   • MemProtMD


Details about the values in these tables can be found in the corresponding documentation page .
Code_L_
PDB ResiduesL:L:?1
Environment DetailsOpen EMBL-EBI Page
Code_L_
Name
Synonyms
Identifier
Formula
Molecular Weight
SMILES
PubChem
Formal Charge
Total Atoms
Total Chiral Atoms
Total Bonds
Total Aromatic Bonds

PDBsumOpen PDBsum Page
ChainA
ProteinG Protein α Sub unit
UniProtP63096
Sequence
>9BQJ_Chain_A
LSAEDKAAV ERSKMIDRN LREDGEKAA REVKLLLLG AGESGKSTI 
VKQMKITGI VETHFTFKD LHFKMFDVG GQRSERKKW IHCFEGVTA 
IIFCVALSD YDLVNRMHE SMKLFDSIC NNKWFTDTS IILFLNKKD 
LFEEKIKKS PLTICYPEY AGSNTYEEA AAYIQCQFE DLNKRKDTK 
EIYTHFTCA TDTKNVQFV FDAVTDVII KNNLKDCGL F


Click on each residue to open a popup with some information about it.

ConSurf Conservation Grade (See documentation): 

 n/a   1    2    3    4    5    6    7    8    9  

ChainB
ProteinG Protein β Sub unit
UniProtP62873
Sequence
>9BQJ_Chain_B
DQLRQEAEQ LKNQIRDAR KACADATLS QITNNIDPV GRIQMRTRR 
TLRGHLAKI YAMHWGTDS RLLVSASQD GKLIIWDSY TTNKVHAIP 
LRSSWVMTC AYAPSGNYV ACGGLDNIC SIYNLKTRE GNVRVSREL 
AGHTGYLSC CRFLDDNQI VTSSGDTTC ALWDIETGQ QTTTFTGHT 
GDVMSLSLA PDTRLFVSG ACDASAKLW DVREGMCRQ TFTGHESDI 
NAICFFPNG NAFATGSDD ATCRLFDLR ADQELMTYS HDNIICGIT 
SVSFSKSGR LLLAGYDDF NCNVWDALK ADRAGVLAG HDNRVSCLG 
VTDDGMAVA TGSWDSFLK IWN


Click on each residue to open a popup with some information about it.

ConSurf Conservation Grade (See documentation): 

 n/a   1    2    3    4    5    6    7    8    9  

ChainG
ProteinG Protein γ Sub unit
UniProtP59768
Sequence
>9BQJ_Chain_G
IAQARKLVE QLKMEANID RIKVSKAAA DLMAYCEAH AKEDPLLTP 
VPASENPF


Click on each residue to open a popup with some information about it.

ConSurf Conservation Grade (See documentation): 

 n/a   1    2    3    4    5    6    7    8    9  

ChainR
ProteinReceptor
UniProtP42866
Sequence
>9BQJ_Chain_R
MVTAITIMA LYSIVCVVG LFGNFLVMY VIVRYTKMK TATNIYIFN 
LALADALAT STLPFQSVN YLMGTWPFG NILCKIVIS IDYYNMFTS 
IFTLCTMSV DRYIAVCHP VKALDFRTP RNAKIVNVC NWILSSAIG 
LPVMFMATT KYRQGSIDC TLTFSHPTW YWENLLKIC VFIFAFIMP 
VLIITVCYG LMILRLKSV RMLSGSKEK DRNLRRITR MVLVVVAVF 
IVCWTPIHI YVIIKALIT IPETTFQTV SWHFCIALG YTNSCLNPV 
LYAFLDENF KRCFR


Click on each residue to open a popup with some information about it.

ConSurf Conservation Grade (See documentation): 

 n/a   1    2    3    4    5    6    7    8    9  




This receptor, from the same or other species and bound to the same or other ligands, is also present in the following networks:
Show PDB Class SubFamily Type SubType Species Orthosteric Ligand Other Ligand(s) Protein Partners Resolution Date DOI
9BJKAPeptideOpioidμMus musculusNaloxoneNAM-3.262024-07-17doi.org/10.1038/s41586-024-07587-7
8K9LAPeptideOpioidμHomo sapiensDamgoBMS-986122Gi3/β1/γ13.052024-05-29doi.org/10.1038/s41467-024-47792-6
8K9L (No Gprot) APeptideOpioidμHomo sapiensDamgoBMS-9861223.052024-05-29doi.org/10.1038/s41467-024-47792-6
7SBFAPeptideOpioidμMus musculusPZM21-Gi1/β1/γ22.92022-04-20doi.org/10.1002/anie.202200269
7SBF (No Gprot) APeptideOpioidμMus musculusPZM21-2.92022-04-20doi.org/10.1002/anie.202200269
7SCGAPeptideOpioidμMus musculusFH210-Gi1/β1/γ232022-04-20doi.org/10.1002/anie.202200269
7SCG (No Gprot) APeptideOpioidμMus musculusFH210-32022-04-20doi.org/10.1002/anie.202200269
8EF5APeptideOpioidμHomo sapiensFentanyl-Gi1/β1/γ23.32022-11-09doi.org/10.1016/j.cell.2022.09.041
8EF5 (No Gprot) APeptideOpioidμHomo sapiensFentanyl-3.32022-11-09doi.org/10.1016/j.cell.2022.09.041
8EF6APeptideOpioidμHomo sapiensMorphine-Gi1/β1/γ23.22022-11-09doi.org/10.1016/j.cell.2022.09.041
8EF6 (No Gprot) APeptideOpioidμHomo sapiensMorphine-3.22022-11-09doi.org/10.1016/j.cell.2022.09.041
8EFBAPeptideOpioidμHomo sapiensOliceridine-Gi1/β1/γ23.22022-11-09doi.org/10.1016/j.cell.2022.09.041
8EFB (No Gprot) APeptideOpioidμHomo sapiensOliceridine-3.22022-11-09doi.org/10.1016/j.cell.2022.09.041
8EFLAPeptideOpioidμHomo sapiensSR17018-Gi1/β1/γ23.22022-11-09doi.org/10.1016/j.cell.2022.09.041
8EFL (No Gprot) APeptideOpioidμHomo sapiensSR17018-3.22022-11-09doi.org/10.1016/j.cell.2022.09.041
8EFOAPeptideOpioidμHomo sapiensPZM21-Gi1/β1/γ22.82022-11-09doi.org/10.1016/j.cell.2022.09.041
8EFO (No Gprot) APeptideOpioidμHomo sapiensPZM21-2.82022-11-09doi.org/10.1016/j.cell.2022.09.041
8EFQAPeptideOpioidμHomo sapiensDamgo-Gi1/β1/γ23.32022-11-09doi.org/10.1016/j.cell.2022.09.041
8EFQ (No Gprot) APeptideOpioidμHomo sapiensDamgo-3.32022-11-09doi.org/10.1016/j.cell.2022.09.041
8F7QAPeptideOpioidμHomo sapiensβ-Endorphin-Gi1/β1/γ23.222022-12-14doi.org/10.1016/j.cell.2022.12.026
8F7Q (No Gprot) APeptideOpioidμHomo sapiensβ-Endorphin-3.222022-12-14doi.org/10.1016/j.cell.2022.12.026
8F7RAPeptideOpioidμHomo sapiensEndomorphin-Gi1/β1/γ23.282022-12-14doi.org/10.1016/j.cell.2022.12.026
8F7R (No Gprot) APeptideOpioidμHomo sapiensEndomorphin-3.282022-12-14doi.org/10.1016/j.cell.2022.12.026
9BQJ (No Gprot) APeptideOpioidμMus musculusRO76-3.32024-09-11doi.org/10.1021/acscentsci.4c00525
4DKLAPeptideOpioidμMus musculusβ-Funaltrexamine--2.82012-03-21doi.org/10.1038/nature10954
5C1MAPeptideOpioidμMus musculusBU72--2.072015-08-05doi.org/10.1038/nature14886
8K9KAPeptideOpioidμHomo sapiensDamgo-Gi3/β1/γ12.982024-05-29doi.org/10.1038/s41467-024-47792-6
8K9K (No Gprot) APeptideOpioidμHomo sapiensDamgo-2.982024-05-29doi.org/10.1038/s41467-024-47792-6
6DDEAPeptideOpioidμMus musculusDamgo-Gi1/β1/γ23.52018-06-13doi.org/10.1038/s41586-018-0219-7
6DDE (No Gprot) APeptideOpioidμMus musculusDamgo-3.52018-06-13doi.org/10.1038/s41586-018-0219-7
6DDFAPeptideOpioidμMus musculusDamgo-Gi1/β1/γ23.52018-06-13doi.org/10.1038/s41586-018-0219-7
6DDF (No Gprot) APeptideOpioidμMus musculusDamgo-3.52018-06-13doi.org/10.1038/s41586-018-0219-7
7U2LAPeptideOpioidμMus musculusPubChem 163201242-Gi1/β1/γ23.22022-05-04doi.org/10.1038/s41586-022-05588-y
7U2L (No Gprot) APeptideOpioidμMus musculusPubChem 163201242-3.22022-05-04doi.org/10.1038/s41586-022-05588-y
7U2KAPeptideOpioidμMus musculusC6-guano-Gi1/β1/γ23.32022-12-07doi.org/10.1038/s41586-022-05588-y
7U2K (No Gprot) APeptideOpioidμMus musculusC6-guano-3.32022-12-07doi.org/10.1038/s41586-022-05588-y
7T2GAPeptideOpioidμMus musculusMitragynine Pseudoindoxyl-Gi1/β1/γ22.52022-12-07doi.org/10.1038/s41589-022-01208-y
7T2G (No Gprot) APeptideOpioidμMus musculusMitragynine Pseudoindoxyl-2.52022-12-07doi.org/10.1038/s41589-022-01208-y
7T2HAPeptideOpioidμMus musculusLofentanil-Gi1/β1/γ22.52022-12-07doi.org/10.1038/s41589-022-01208-y
7T2H (No Gprot) APeptideOpioidμMus musculusLofentanil-2.52022-12-07doi.org/10.1038/s41589-022-01208-y
7UL4APeptideOpioidμMus musculusAlvimopan--2.82022-06-29doi.org/10.1038/s41594-022-00859-8
8QOTAPeptideOpioidμMus musculusNanobody-E--3.22023-12-27doi.org/10.1101/2023.12.06.570395
9MQHAPeptideOpioidμHomo sapiens---3.92025-02-12doi.org/10.1101/2025.01.09.632033
9MQIAPeptideOpioidμHomo sapiensIsoquinuclidine--3.32025-02-12doi.org/10.1101/2025.01.09.632033
9MQJAPeptideOpioidμHomo sapiensIsoquinuclidine--3.232025-02-12doi.org/10.1101/2025.01.09.632033
8E0GAPeptideOpioidμMus musculusBU72--2.12023-10-18doi.org/10.1186/s12915-023-01689-w
8Y73APeptideOpioidμHomo sapiensPeptideMPAM-15Gi1/β1/γ22.842025-08-06To be published
8Y73 (No Gprot) APeptideOpioidμHomo sapiensPeptideMPAM-152.842025-08-06To be published
8Y72APeptideOpioidμHomo sapiensPeptideBMS-986122Gi1/β1/γ22.652025-08-06To be published
8Y72 (No Gprot) APeptideOpioidμHomo sapiensPeptideBMS-9861222.652025-08-06To be published




You can download a compressed (zip) file with structure(s), 3D outputs (as PyMol and VMD scripts) and numerical data files (as csv and plain text files).

Download 9BQJ.zip



You can click to copy the link of this page to easily come back here later

or use this QR code to link and share this page.



You can also  read or  download a guide explaining the meaning of all files and numerical data.