Color ConSurf Grade
      No Conservation data available
      1
      2
      3
      4
      5
      6
      7
      8
      9

Index: hub id, click on each number to highlight the corresponding hub in the 3D visualization.

Hub: the hub being considered.

Avg Int. Strength: the average interaction strength of all the links of the corresponding hub.

Num Of Links: the number of links of the corresponding hub.

Community: the id of the community the link belong to, otherwise 0.

ConSurf: this column reports the ConSurf conservation grades of each hub.

Index Hub Avg Int. Strength Num Of Links Community ConSurf
1A:A:V34 5.2965155
2A:A:L38 4.924248
3A:A:I49 4.0275477
4A:A:F191 7.6154255
5A:A:L194 6.59754154
6A:A:F196 7.355157
7A:A:K197 7.634516
8A:A:F199 8.266515
9A:A:D200 4.57254249
10A:A:Q204 3.94833619
11A:A:S206 4.6418
12A:A:E207 5.432519
13A:A:K210 5.78719
14A:A:W211 4.43167619
15A:A:F215 6.07519
16A:A:F223 5.6425409
17A:A:V225 3.472567
18A:A:Y230 9.1065198
19A:A:F250 5.67669
20A:A:C254 3.46465
21A:A:F259 5.7865269
22A:A:I265 2.7875478
23A:A:L266 4.694569
24A:A:F267 3.58833679
25A:A:L268 6.498568
26A:A:K277 8.31254199
27A:A:P282 3.8875405
28A:A:Y287 4.798577277
29A:A:Y290 8.0675407
30A:A:E298 3.805404
31A:A:F307 6.688568
32A:A:R313 3.53404
33A:A:Y320 6.4775407
34A:A:H322 6.7575479
35A:A:N331 6.1175478
36A:A:F334 6.165473
37A:A:F336 3.5225408
38A:A:D341 8.04254208
39A:A:L348 3.83754289
40A:A:L353 2.224287
41B:B:I18 2.7425407
42B:B:L30 4.975405
43B:B:T34 3.892505
44B:B:V40 4.065113
45B:B:M45 4.11584
46B:B:L51 8.7325449
47B:B:R52 4.2965177
48B:B:H54 7.1509
49B:B:Y59 5.5945168
50B:B:W63 7.038507
51B:B:I80 5.8448
52B:B:I81 4.26254107
53B:B:W82 8.52749
54B:B:N88 5.094237
55B:B:K89 6.09286749
56B:B:H91 4.92754105
57B:B:W99 6.66167619
58B:B:Y105 3.783336106
59B:B:Y111 7.264504
60B:B:L117 4.16519
61B:B:Y124 4.655406
62B:B:L126 4.55754105
63B:B:T128 2.855323
64B:B:H142 6.93167619
65B:B:Y145 5.61875818
66B:B:L146 3.7175417
67B:B:F151 3.81833609
68B:B:L152 4.2585333
69B:B:V158 3.7254335
70B:B:T159 4.414519
71B:B:D163 7.848519
72B:B:C166 4.0475458
73B:B:W169 12.115418
74B:B:I171 3.175406
75B:B:Q176 6.9825414
76B:B:F180 7.556557
77B:B:H183 6.79167659
78B:B:D186 3.656519
79B:B:V187 5.415459
80B:B:M188 4.502518
81B:B:F199 6.79459
82B:B:S201 4.0675459
83B:B:C204 5.642517
84B:B:D205 5.576559
85B:B:K209 7.376556
86B:B:W211 7.85714758
87B:B:F222 6.494538
88B:B:H225 9.12167639
89B:B:D228 6.812519
90B:B:I232 5.185438
91B:B:F235 7.178336186
92B:B:N237 9.0654185
93B:B:F241 6.476536
94B:B:T243 4.828538
95B:B:D246 4.23519
96B:B:T249 5.345436
97B:B:R251 9.03833638
98B:B:F253 6.54536
99B:B:R256 6.062509
100B:B:D258 9.0125437
101B:B:F278 5.1554187
102B:B:R283 7.2585119
103B:B:Y289 6.40667697
104B:B:D290 8.42406
105B:B:N293 3.55495
106B:B:N295 6.166596
107B:B:W297 6.7725498
108B:B:L300 3.7375406
109B:B:K301 4.8405
110B:B:R304 6.7175495
111B:B:H311 8.57489
112B:B:L318 4.362506
113B:B:W332 12.955169
114B:B:K337 6.5525486
115B:B:I338 3.4425445
116B:B:W339 8.04667689
117B:B:N340 6.1409
118G:G:Y40 5.43254186
119G:G:D48 7.97254119
120G:G:L51 4.821676116
121G:G:F61 4.83857748
122L:L:?1 5.891181720
123R:R:M36 3.74254215
124R:R:M40 3.6785216
125R:R:F61 4.8545176
126R:R:R63 5.8025176
127R:R:N69 5.32754129
128R:R:F71 4.0645138
129R:R:L75 4.2925429
130R:R:D79 7.036529
131R:R:M82 3.6325427
132R:R:H93 3.35254224
133R:R:W99 8.9665227
134R:R:F101 9.4875405
135R:R:W109 5.185405
136R:R:T118 5.78754366
137R:R:E122 3.75365
138R:R:L124 5.475428
139R:R:D130 5.25754138
140R:R:R131 4.17429
141R:R:Y132 6.104508
142R:R:F139 5.252506
143R:R:Y141 7.1945137
144R:R:W158 4.484509
145R:R:S161 3.63754368
146R:R:I169 4.9125145
147R:R:C191 7.784229
148R:R:Y199 4.797146
149R:R:F208 7.696528
150R:R:Y219 5.034509
151R:R:R221 7.39254375
152R:R:Q229 4.7425207
153R:R:E268 4.554387
154R:R:M279 2.7975408
155R:R:F282 4.268529
156R:R:W286 7.904528
157R:R:L287 3.855406
158R:R:F289 7.38167626
159R:R:F290 7.062527
160R:R:N293 4.7575425
161R:R:I294 3.455406
162R:R:H296 5.786523
163R:R:Y308 8.1325425
164R:R:W313 5.044505
165R:R:Y316 7.91626
166R:R:Y326 5.515429
167R:R:F332 6.321437129
168R:R:I334 3.045404
169R:R:F336 4.48254127
   

Color ConSurf Grade
      No Conservation data available
      1
      2
      3
      4
      5
      6
      7
      8
      9

Index: link id, click on each number to highlight the corresponding link in the 3D visualization.

Node1 Node2: the two nodes of the corresponding link.

Recurrence: the relative Recurrence in the pool of shortest paths.

Int. Strength: the interaction strength between the two nodes.

Hub1?, Hub2?: "Yes" if the corresponding node has more than 3 links, otherwise "No".

Community: the id of the community the link belong to, otherwise 0.

ConSurf1, ConSurf2: these columns report the ConSurf conservation grades of the two nodes involved in a link.

Index Node1 Node2 Recurrence Int. Strength Hub1? Hub2? Community ConSurf1 ConSurf2
1B:B:M45 B:B:W339 10.82783.49YesYes849
2B:B:K337 B:B:W339 39.59564.64YesYes869
3B:B:K337 B:B:T50 70.3189.01YesNo063
4B:B:R52 B:B:T50 70.275.17YesNo073
5B:B:R52 R:R:R63 69.42513.2YesYes1776
6R:R:D331 R:R:R63 1008.34NoYes076
7R:R:D331 R:R:L64 99.91622.71NoNo078
8R:R:F332 R:R:L64 99.49049.74YesNo1298
9R:R:F332 R:R:I58 49.54975.02YesNo097
10R:R:I58 R:R:V54 49.35033.07NoNo079
11R:R:A76 R:R:V54 98.60523.39NoNo099
12R:R:A76 R:R:I55 98.39113.25NoNo097
13R:R:I55 R:R:L80 98.1774.28NoNo077
14R:R:L80 R:R:N51 97.74864.12NoNo079
15R:R:D79 R:R:N51 96.847416.16YesNo299
16R:R:D79 R:R:M82 96.00342.77YesYes297
17R:R:M82 R:R:Y316 94.95722.39YesYes276
18L:L:?1 R:R:Y316 72.8682.52YesYes206
19L:L:?1 R:R:V114 14.03137.46YesNo005
20R:R:C327 R:R:F332 49.43488.38NoYes1279
21R:R:C327 R:R:V54 49.46893.42NoNo079
22B:B:W332 B:B:Y59 28.59583.86YesYes1698
23B:B:Q75 B:B:Y59 28.596712.4NoYes098
24B:B:Q75 B:B:W99 28.5444.38NoYes099
25A:A:F215 B:B:W99 26.433512.03YesYes199
26A:A:F215 A:A:L37 54.12356.09YesNo099
27A:A:L37 A:A:L39 53.91664.15NoNo099
28A:A:I253 A:A:L39 53.70974.28NoNo089
29A:A:F223 A:A:I253 81.03552.51YesNo098
30A:A:F223 A:A:V225 71.2492.62YesYes097
31A:A:L268 A:A:V225 59.49372.98YesYes687
32A:A:L227 A:A:L268 55.76528.3NoYes078
33A:A:F274 A:A:L227 55.45469.74NoNo097
34A:A:F274 A:A:Y230 54.81045.16NoYes098
35A:A:K277 A:A:Y230 52.65319.55YesYes1998
36A:A:K277 A:A:L273 51.04115.64YesNo096
37A:A:L273 A:A:S228 50.43886.01NoNo069
38A:A:K270 A:A:S228 50.11434.59NoNo099
39A:A:K270 A:A:N269 48.81572.8NoNo099
40A:A:I49 A:A:N269 46.84154.25YesNo779
41A:A:F267 A:A:I49 45.56453.77YesYes797
42A:A:F267 A:A:F334 40.64033.22YesYes793
43A:A:F334 A:A:Y320 40.36033.09YesYes037
44A:A:D341 A:A:Y320 39.40459.2YesYes087
45A:A:D341 R:R:Q229 38.4159.14YesYes2087
46A:A:I344 R:R:Q229 32.84982.74NoYes067
47A:A:I344 A:A:T340 31.52643.04NoNo066
48A:A:T340 R:R:F139 19.58225.19NoYes066
49A:A:F336 A:A:T340 11.61743.89YesNo086
50A:A:F196 A:A:L194 11.29018.53YesYes1574
51A:A:I222 A:A:L36 13.94812.85NoNo077
52A:A:I222 A:A:L38 11.95562.85NoYes078
53A:A:D200 A:A:L38 11.95642.71YesYes2498
54A:A:F215 A:A:W211 28.27164.01YesYes199
55B:B:L318 B:B:S275 96.03453YesNo068
56B:B:S275 B:B:T274 95.96464.8NoNo088
57B:B:D290 B:B:T274 95.89554.34YesNo068
58B:B:D290 B:B:G272 66.77241.68YesNo064
59B:B:D246 B:B:G272 66.69491.68YesNo094
60A:A:K210 B:B:D246 65.60625.53YesYes199
61A:A:K210 B:B:Y145 65.04613.58YesYes198
62A:A:R208 A:A:W211 28.47653NoYes099
63A:A:I212 A:A:R208 28.24662.51NoNo089
64A:A:F259 A:A:I212 28.13115.02YesNo098
65A:A:F259 A:A:I253 27.69152.51YesNo098
66B:B:R314 B:B:W332 27.178125.99NoYes089
67R:R:R131 R:R:Y326 18.2174.12YesYes299
68R:R:L124 R:R:Y326 22.4245.86YesYes289
69R:R:F282 R:R:L124 11.94433.65YesYes298
70R:R:F208 R:R:F282 16.81726.43YesYes289
71R:R:F208 R:R:F290 21.688617.15YesYes287
72R:R:F289 R:R:F290 14.86893.22YesYes267
73L:L:?1 R:R:F289 16.40126.97YesYes206
74R:R:L124 R:R:N322 11.8868.24YesNo289
75R:R:N318 R:R:N322 14.692910.9NoNo099
76R:R:N318 R:R:W286 20.2837.91NoYes098
77R:R:F289 R:R:W286 14.40587.02YesYes268
78R:R:F289 R:R:N312 16.097712.08YesNo265
79R:R:N312 R:R:Y316 16.325117.44NoYes256
80B:B:G162 B:B:Y145 20.550710.14NoYes198
81B:B:G162 B:B:S161 20.51933.71NoNo199
82B:B:H142 B:B:S161 19.42915.34YesNo199
83B:B:H142 B:B:T159 17.64982.74YesYes199
84B:B:I157 B:B:T159 17.15493.04NoYes079
85B:B:I157 B:B:I171 14.224.42NoYes076
86B:B:I171 B:B:N155 12.27972.83YesNo063
87B:B:D170 B:B:N155 12.05342.69NoNo093
88B:B:D170 B:B:T177 11.60244.34NoNo094
89B:B:T177 B:B:T178 11.49394.71NoNo044
90B:B:F180 B:B:T178 10.04563.89YesNo074
91B:B:T329 B:B:W339 32.94257.28NoYes089
92B:B:H311 B:B:T329 61.40426.85YesNo098
93B:B:H311 B:B:K337 30.80336.55YesYes896
94B:B:H311 B:B:S331 30.62515.34YesNo899
95B:B:D333 B:B:S331 30.63665.89NoNo099
96R:R:R131 R:R:Y219 14.01453.09YesYes099
97B:B:L318 B:B:T329 94.22312.95YesNo068
98B:B:D333 B:B:F335 30.453513.14NoNo094
99B:B:D290 B:B:R314 27.671421.44YesNo068
100B:B:F335 R:R:R63 30.44538.55NoYes1746
101A:A:W211 B:B:Y145 56.76073.86YesYes198
Download PSN data

2D representation of the global metapath, ligand(s) interactions and
histograms of path distribution according to several parameters
(click on the image to enlarge it 🔍):

A 2D representation of the global communication in the network.

ConSurf Conservation Grade (See documentation): 

 n/a   1    2    3    4    5    6    7    8    9  

Number of shortest communication paths as a function of the average residue correlation.

Number of shortest communication paths as a function of the average interaction strength of their links.

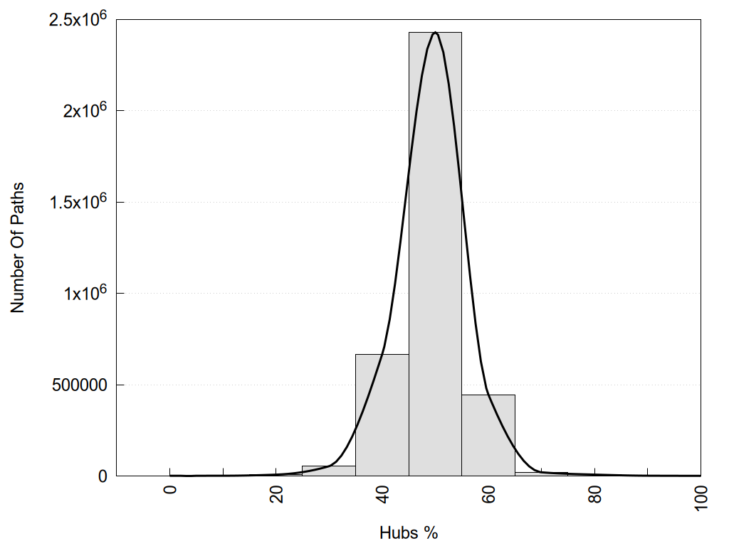
Number of shortest communication paths as a function of the % of hub nodes in each path.

Number of shortest communication paths as a function of the number of nodes in each path.

Number of shortest communication paths as a function of the % of correlated nodes in each path.


2D representation of the interactions of this orthosteric/allosteric ligand.


Links and nodes colored according to ConSurf Conservation Grade (See documentation): 

 n/a   1    2    3    4    5    6    7    8    9  

Node1 Node2 LinkStrength Comm IsNode1Hub? IsNode2Hub? Node1Cons Node2Cons Node1Shell Node2Shell
L:L:?1 R:R:W109 4.89 2 Yes Yes 0 5 0 1
L:L:?1 R:R:D113 9.71 2 Yes No 0 7 0 1
L:L:?1 R:R:V114 7.46 2 Yes No 0 5 0 1
L:L:?1 R:R:V117 5.33 2 Yes No 0 6 0 1
L:L:?1 R:R:D192 5.83 2 Yes No 0 3 0 1
L:L:?1 R:R:F193 2.62 2 Yes No 0 4 0 1
L:L:?1 R:R:F194 3.49 2 Yes No 0 1 0 1
L:L:?1 R:R:S203 7.52 2 Yes No 0 5 0 1
L:L:?1 R:R:S207 3.22 2 Yes No 0 5 0 1
L:L:?1 R:R:F289 6.97 2 Yes Yes 0 6 0 1
L:L:?1 R:R:N293 4.91 2 Yes Yes 0 5 0 1
L:L:?1 R:R:H296 2.76 2 Yes Yes 0 3 0 1
L:L:?1 R:R:K305 3.03 2 Yes No 0 2 0 1
L:L:?1 R:R:Y308 10.07 2 Yes Yes 0 5 0 1
L:L:?1 R:R:I309 4.09 2 Yes No 0 3 0 1
L:L:?1 R:R:N312 15.73 2 Yes No 0 5 0 1
L:L:?1 R:R:Y316 2.52 2 Yes Yes 0 6 0 1
R:R:D113 R:R:V86 10.22 2 No No 7 7 1 2
R:R:V86 R:R:Y316 3.79 2 No Yes 7 6 2 1
R:R:F89 R:R:W109 9.02 0 No Yes 5 5 2 1
R:R:G90 R:R:W109 4.22 0 No Yes 7 5 2 1
R:R:C191 R:R:H93 2.95 22 Yes Yes 9 4 2 2
R:R:D192 R:R:H93 2.52 0 No Yes 3 4 1 2
R:R:C191 R:R:W109 2.61 22 Yes Yes 9 5 2 1
R:R:F193 R:R:T110 5.19 0 No No 4 4 1 2
R:R:D113 R:R:Y316 12.64 2 No Yes 7 6 1 1
R:R:S165 R:R:V114 6.46 0 No No 7 5 2 1
R:R:V114 R:R:Y199 3.79 0 No Yes 5 6 1 2
R:R:V117 R:R:W286 4.9 0 No Yes 6 8 1 2
R:R:S207 R:R:T118 6.4 0 No Yes 5 6 1 2
R:R:E180 R:R:F194 5.83 0 No No 3 1 2 1
R:R:C184 R:R:C190 7.28 0 No No 1 3 2 2
R:R:C184 R:R:F194 2.79 0 No No 1 1 2 1
R:R:C190 R:R:D192 4.67 0 No No 3 3 2 1
R:R:F193 R:R:Y199 6.19 0 No Yes 4 6 1 2
R:R:S203 R:R:Y199 2.54 0 No Yes 5 6 1 2
R:R:F290 R:R:S204 5.28 2 Yes No 7 5 2 2
R:R:N293 R:R:S204 2.98 2 Yes No 5 5 1 2
R:R:F290 R:R:S207 2.64 2 Yes No 7 5 2 1
R:R:F289 R:R:W286 7.02 2 Yes Yes 6 8 1 2
R:R:F290 R:R:W286 7.02 2 Yes Yes 7 8 2 2
R:R:F289 R:R:F290 3.22 2 Yes Yes 6 7 1 2
R:R:F289 R:R:Y308 11.35 2 Yes Yes 6 5 1 1
R:R:F289 R:R:L311 3.65 2 Yes No 6 5 1 2
R:R:F289 R:R:N312 12.08 2 Yes No 6 5 1 1
R:R:H296 R:R:N293 7.65 2 Yes Yes 3 5 1 1
R:R:N293 R:R:Y308 3.49 2 Yes Yes 5 5 1 1
R:R:H296 R:R:V297 6.92 2 Yes No 3 5 1 2
R:R:H296 R:R:I303 3.98 2 Yes No 3 3 1 2
R:R:H296 R:R:Y308 7.62 2 Yes Yes 3 5 1 1
R:R:N312 R:R:Y316 17.44 2 No Yes 5 6 1 1
R:R:W313 R:R:Y316 8.68 0 Yes Yes 5 6 2 1
R:R:M82 R:R:Y316 2.39 2 Yes Yes 7 6 2 1
R:R:E306 R:R:K305 1.35 0 No No 2 2 2 1

Location and physicochemical properties of the interaction partners of this ligand

Interactions of this ligand

Similarities between the interactions of this ligand and those of other networks

ShowSimilarityNetwork TypeNameLigandDescription
78.95Single4IARErgotamine4IAR-5-HT1B-Ergotamine
77.78Single6IBLArformoterol6IBL-β1-Arformoterol
77.78Single6TKOArformoterol6TKO-β1-Arformoterol-Arrestin2
72.22Single6MXTSalmeterol6MXT-β2-Salmeterol
72.22Single7DH5Mirabegron7DH5-β3-Mirabegron-Gs/β1/γ2
72.22Single8JJ8Arformoterol8JJ8-β2-Arformoterol
72.22Consensusbeta3_onOrthosteric Ligand7DH5-β3-Mirabegron-Gs/β1/γ2 7XJH-β3-Isoprenaline-Gs/β1/γ2 7XJI-β3-Solabegron-Gs/β1/γ2
72.22Consensusbeta3_on_gpOrthosteric Ligand7DH5-β3-Mirabegron-Gs/β1/γ2 7XJH-β3-Isoprenaline-Gs/β1/γ2 7XJI-β3-Solabegron-Gs/β1/γ2
72.22Consensusbeta_onOrthosteric Ligandbeta1_on beta2_on beta3_on
72.22Consensusbeta_on_gpOrthosteric Ligandbeta1_on_gp beta2_on_gp beta3_on_gp
70.00Single4IB4Ergotamine4IB4-5-HT2B-Ergotamine
70.00Single8WDTphotoNECA8WDT-A2A-photoNECA
68.42Single6BQGErgotamine6BQG-5-HT2C-Ergotamine
68.42Single7XJISolabegron7XJI-β3-Solabegron-Gs/β1/γ2
66.67Single3P0GBI1671073P0G-β2-BI167107
66.67Single4LDLHydroxybenzyl Isoproterenol4LDL-β2-Hydroxybenzyl Isoproterenol
66.67Consensusgi_dopamineOrthosteric Ligand7JVR-D2-Bromoergocryptine-Gi1/β1/γ2 7CMV-D3-PD128907-Gi1/β1/γ2 7CMU-D3-Pramipexole-Gi1/β1/γ2 8IRS-D2-Rotigotine-Gi1/β1/γ2 8IRT-D3-Rotigotine-Gi1/β1/γ2
66.67Consensusgs_adrenergicOrthosteric Ligand7DHI-β2-Salbutamol-Gs/β1/γ2 7XJI-β3-Solabegron-Gs/β1/γ2 7JJO-β1-Isoprenaline-Gs/β1/γ2 6NI3-β2-BI167107-Gs/β1/γ2 8DCR-β1-Dobutamine-Gs/β1/γ2 7XJH-β3-Isoprenaline-Gs/β1/γ2 7DH5-β3-Mirabegron-Gs/β1/γ2
64.71Single7BU7BI1671077BU7-β1-BI167107
63.16Single4AMIBucindolol4AMI-β1-Bucindolol
63.16Single4LDEBI1671074LDE-β2-BI167107
63.16Single6VMSBromoergocryptine6VMS-D2-Bromoergocryptine-Gi1/β1/γ2
63.16Single7BZ2Arformoterol7BZ2-β2-Arformoterol-Gs/β1/γ2
63.16Single8JJLOlodaterol8JJL-β2-Olodaterol
63.16Single8W1VPubChem 1717162658W1V-β2-PubChem 171716265
63.16Consensusd2_on_gpOrthosteric Ligand7JVR-D2-Bromoergocryptine-Gi1/β1/γ2 8IRS-D2-Rotigotine-Gi1/β1/γ2
61.90Single7W0PElabela7W0P-Apelin-Elabela-Gi1/β1/γ2
61.90Consensusclass-a_on_gpOrthosteric Ligandsensory_on_gp alicarboxylic_on_gp amine_on_gp lipid_on_gp nucleotide_on_gp peptide_on_gp protein_on_gp
61.11Single6E67BI1671076E67-β2-BI167107-Gs(CT)
61.11Single6KUWPubChem 572132346KUW-α2c-PubChem 57213234
61.11Single6PS3Carvedilol6PS3-β2-Carvedilol
61.11Single7BVQCarazolol7BVQ-β1-Carazolol
61.11Single7C61Ergotamine7C61-5-HT1B-Ergotamine
61.11Single7S0FIsoprenaline7S0F-β1-Isoprenaline-Gi1/β1/γ2
61.11Single7XK9Constrained Isoproterenol7XK9-β2-Constrained Isoproterenol-Na
61.11Single7XKAConstrained Epinephrine7XKA-β2-Constrained Epinephrine
61.11Single8GDZConstrained Epinephrine8GDZ-β2-Constrained Epinephrine-Gs/β1/γ2
61.11Single8GEBConstrained Epinephrine8GEB-β2-Constrained Epinephrine-Gs/β1/γ2
61.11Single8GEGConstrained Epinephrine8GEG-β2-Constrained Epinephrine-Gs/β1/γ2
61.11Single8GGBConstrained Epinephrine8GGB-β2-Constrained Epinephrine-GTP-Gs/β1/γ2
61.11Single8UNNConstrained Epinephrine8UNN-β2-Constrained Epinephrine-GTP-Gs/β1/γ2
61.11Single8UNPConstrained Epinephrine8UNP-β2-Constrained Epinephrine-GTP-Gs/β1/γ2
61.11Consensusadrenergic_offOrthosteric Ligandalpha_off beta_off
61.11Consensusadrenergic_on_gpOrthosteric Ligandalpha_on_gp beta_on_gp
61.11Consensusalpha2c_offOrthosteric Ligand6KUW-α2c-PubChem 57213234
61.11Consensusd2_onOrthosteric Ligand7JVR-D2-Bromoergocryptine-Gi1/β1/γ2 8IRS-D2-Rotigotine-Gi1/β1/γ2
61.11Consensusgs_amineOrthosteric Ligandgs_5ht gs_adrenergic gs_dopamine gs_histamine gs_trace-amine
60.00Single2YCZIodocyanopindolol2YCZ-β1-Iodocyanopindolol
60.00Single5TUDErgotamine5TUD-5-HT2B-Ergotamine
60.00Single6H7LDobutamine6H7L-β1-Dobutamine
60.00Single7EZCUK-4320977EZC-A2A-UK-432097
60.00Single7JVRBromoergocryptine7JVR-D2-Bromoergocryptine-Gi1/β1/γ2
60.00Consensusbeta1_onOrthosteric Ligand8DCR-β1-Dobutamine-Gs/β1/γ2 7S0F-β1-Isoprenaline-Gi1/β1/γ2
60.00Consensusbeta1_on_gpOrthosteric Ligand8DCR-β1-Dobutamine-Gs/β1/γ2 7S0F-β1-Isoprenaline-Gi1/β1/γ2
59.09Single3QAKUK-4320973QAK-A2A-UK-432097
59.09Single6DO1(Sar1,Ile8)-Angiotensin II6DO1-AT1-(Sar1,Ile8)-Angiotensin II
58.82Single8UO0Constrained Epinephrine8UO0-β2-Constrained Epinephrine-GTP-Gs/β1/γ2
57.89Single3SN6BI1671073SN6-β2-BI167107-Gs/β1/γ2
57.89Single4IAQDihydroergotamine4IAQ-5-HT1B-Dihydroergotamine
57.89Single6H7JIsoprenaline6H7J-β1-Isoprenaline
57.89Single6N48BI1671076N48-β2-BI167107-PubChem 138454256
57.89Single6WGTLSD6WGT-5-HT2A-LSD
57.89Single7JJOIsoprenaline7JJO-β1-Isoprenaline-Gs/β1/γ2
57.89Single7JVPSKF839597JVP-D1-SKF83959-Gs/β1/γ2
57.89Single8DCSCyanopindolol8DCS-β1-Cyanopindolol-Gs/β1/γ2
57.89Single8IRRRotigotine8IRR-D1-Rotigotine-Gs/β1/γ2
57.89Single8IRVRotigotine8IRV-D5-Rotigotine-chim(NtGi1-Gs)/β1/γ2
57.89Single8UGWCGS216808UGW-A2A-CGS21680
57.89Single9BS9LSD9BS9-D2-LSD
57.89Single9BSBLSD9BSB-D2-LSD-chim(NtGi1-Go)/β1/γ2
57.89Consensusbeta2_onOrthosteric Ligand7DHI-β2-Salbutamol-Gs/β1/γ2 6NI3-β2-BI167107-Gs/β1/γ2
57.89Consensusbeta2_on_gpOrthosteric Ligand7DHI-β2-Salbutamol-Gs/β1/γ2 6NI3-β2-BI167107-Gs/β1/γ2
57.89Consensusd1_on_gpOrthosteric Ligand7F0T-D1-Dopamine-Gs/β1/γ2 7CKY-D1-PW0464-Gs/β1/γ2 8IRR-D1-Rotigotine-Gs/β1/γ2 7JV5-D1-SKF81297-Gs/β1/γ2 7JVP-D1-SKF83959-Gs/β1/γ2 7X2D-D1-Tavapadon-Gs/β1/γ2 7CKX-D1-A77636-Gs/β1/γ2 7JVQ-D1-Apomorphine-Gs/β1/γ2 7CKW-D1-Fenoldopam-Gs/β1/γ2
57.89Consensusd5_on_gpOrthosteric Ligand8IRV-D5-Rotigotine-chim(NtGi1-Gs)/β1/γ2
57.89Consensusgs_dopamineOrthosteric Ligand7F0T-D1-Dopamine-Gs/β1/γ2 7CKW-D1-Fenoldopam-Gs/β1/γ2 7CKY-D1-PW0464-Gs/β1/γ2 8IRV-D5-Rotigotine-chim(NtGi1-Gs)/β1/γ2 8IRR-D1-Rotigotine-Gs/β1/γ2 7JV5-D1-SKF81297-Gs/β1/γ2 7JVP-D1-SKF83959-Gs/β1/γ2 7X2D-D1-Tavapadon-Gs/β1/γ2 7CKX-D1-A77636-Gs/β1/γ2 7JVQ-D1-Apomorphine-Gs/β1/γ2
57.14Single3NY9PubChem 9131033NY9-β2-PubChem 913103
57.14Single5WF6UK-4320975WF6-A2A-UK-432097
57.14Single6G79Donitriptan6G79-5-HT1B-Donitriptan-Go/β1/γ2
56.52Single5WF5UK-4320975WF5-A2A-UK-432097
56.52Consensusangiotensin_onOrthosteric Ligandat1_on
56.52Consensusat1_onOrthosteric Ligand7F6G-AT1-(Sar1)-Angiotensin II-Gq/β1/γ2
55.56Single2Y02Carmoterol2Y02-β1-Carmoterol
55.56Single2YCYCyanopindolol2YCY-β1-Cyanopindolol
55.56Single4QKXPubChem 762106284QKX-β2-PubChem 76210628
55.56Single6H7MSalbutamol6H7M-β1-Salbutamol
55.56Single6PRZAlprenolol6PRZ-β2-Alprenolol
55.56Single6PS1Timolol6PS1-β2-Timolol
55.56Single7BTSEpinephrine7BTS-β1-Epinephrine
55.56Single7BU6Norepinephrine7BU6-β1-Norepinephrine
55.56Single7CRHSKF839597CRH-D1-SKF83959-Gs/β1/γ2
55.56Single7JVQApomorphine7JVQ-D1-Apomorphine-Gs/β1/γ2
55.56Single7LJCSKF812977LJC-D1-SKF81297-Mevidalen-Gs/β1/γ2
55.56Single7S0GIsoprenaline7S0G-β1-Isoprenaline-chim(Gi1-CtGs)/β1/γ2
55.56Single8GE2Constrained Epinephrine8GE2-β2-Constrained Epinephrine-Gs/β1/γ1
55.56Single8GE3Constrained Epinephrine8GE3-β2-Constrained Epinephrine-Gs/β1/γ2
55.56Single8GE9Constrained Epinephrine8GE9-β2-Constrained Epinephrine-Gs/β1/γ2
55.56Single8GECConstrained Epinephrine8GEC-β2-Constrained Epinephrine-Gs/β1/γ2
55.56Single8GEEConstrained Epinephrine8GEE-β2-Constrained Epinephrine-Gs/β1/γ2
55.56Single8GEHConstrained Epinephrine8GEH-β2-Constrained Epinephrine-Gs/β1/γ2
55.56Single8GFVConstrained Epinephrine8GFV-β2-Constrained Epinephrine-GTP-Gs/β1/γ2
55.56Single8GFWConstrained Epinephrine8GFW-β2-Constrained Epinephrine-GTP-Gs/β1/γ2
55.56Single8GFXConstrained Epinephrine8GFX-β2-Constrained Epinephrine-GTP-Gs/β1/γ2
55.56Single8GFZConstrained Epinephrine8GFZ-β2-Constrained Epinephrine-GTP-Gs/β1/γ2
55.56Single8GG0Constrained Epinephrine8GG0-β2-Constrained Epinephrine-GTP-Gs/β1/γ2
55.56Single8GG1Constrained Epinephrine8GG1-β2-Constrained Epinephrine-GTP-Gs/β1/γ2
55.56Single8GG3Constrained Epinephrine8GG3-β2-Constrained Epinephrine-GTP-Gs/β1/γ2
55.56Single8GG4Constrained Epinephrine8GG4-β2-Constrained Epinephrine-GTP-Gs/β1/γ2
55.56Single8GG6Constrained Epinephrine8GG6-β2-Constrained Epinephrine-GTP-Gs/β1/γ2
55.56Single8GG9Constrained Epinephrine8GG9-β2-Constrained Epinephrine-GTP-Gs/β1/γ2
55.56Single8GGIConstrained Epinephrine8GGI-β2-Constrained Epinephrine
55.56Single8GGJConstrained Epinephrine8GGJ-β2-Constrained Epinephrine
55.56Single8GGKConstrained Epinephrine8GGK-β2-Constrained Epinephrine
55.56Single8GGNConstrained Epinephrine8GGN-β2-Constrained Epinephrine
55.56Single8GGOConstrained Epinephrine8GGO-β2-Constrained Epinephrine
55.56Single8GGUConstrained Epinephrine8GGU-β2-Constrained Epinephrine
55.56Single8RW7StilSwitch18RW7-A2A-StilSwitch1-Na
55.56Single8UNQConstrained Epinephrine8UNQ-β2-Constrained Epinephrine-GTP-Gs/β1/γ2
55.56Single8UNRConstrained Epinephrine8UNR-β2-Constrained Epinephrine-GTP-Gs/β1/γ2
55.56Single8UNUConstrained Epinephrine8UNU-β2-Constrained Epinephrine-GTP-Gs/β1/γ2
55.56Single8UNVConstrained Epinephrine8UNV-β2-Constrained Epinephrine-GTP-Gs/β1/γ2
55.56Single8UNYConstrained Epinephrine8UNY-β2-Constrained Epinephrine-GTP-Gs/β1/γ2
55.56Single8UNZConstrained Epinephrine8UNZ-β2-Constrained Epinephrine-GTP-Gs/β1/γ2
55.56Single8UO2Constrained Epinephrine8UO2-β2-Constrained Epinephrine-GTP-Gs/β1/γ2
55.56Single8X17Namodenoson8X17-A3A-Namodenoson-Gi1/β1/γ2
55.56Consensusa3_onOrthosteric Liganda3a_on
55.56Consensusadenosine_on_gpOrthosteric Liganda1_on_gp a2_on_gp a3_on_gp
55.56Consensusadrenergic_onOrthosteric Ligandalpha_on beta_on
55.56Consensusd5_onOrthosteric Ligand8IRV-D5-Rotigotine-chim(NtGi1-Gs)/β1/γ2
55.56Consensusdopamine_onOrthosteric Ligandd2_on d1_on d3_on d4_on d5_on
55.56Consensusdopamine_on_gpOrthosteric Ligandd2_on_gp d1_on_gp d3_on_gp d4_on_gp d5_on_gp
55.00Single2YCXCyanopindolol2YCX-β1-Cyanopindolol
55.00Single4RWADIPP-NH24RWA-δ-DIPP-NH2
55.00Single6DRYMethylergometrine6DRY-5-HT2B-Methylergometrine
55.00Single6H7NXamoterol6H7N-β1-Xamoterol
55.00Single6H7OCyanopindolol6H7O-β1-Cyanopindolol
55.00Single8I9AEP548I9A-C3aB-EP54-chim(NtGi1-Gs-CtGq)/β1/γ2
55.00Single8IRSRotigotine8IRS-D2-Rotigotine-Gi1/β1/γ2
55.00Single9L3WChemerin9L3W-CML1-Chemerin-Gi1/β1/γ2
54.55Single4AMJCarvedilol4AMJ-β1-Carvedilol
54.55Single8DCRDobutamine8DCR-β1-Dobutamine-Gs/β1/γ2
54.55Single8ZSPLSD8ZSP-TA1-LSD-chim(NtGi1L-Gs)/β1/γ2
54.55Single9UYJChemerin-99UYJ-CML2-Chemerin-9-Arrestin2
54.55Consensuschemerin_on_gpOrthosteric Ligandcml1_on_gp
54.55Consensuscml1_onOrthosteric Ligand7YKD-CML1-Chemerin-9-Gi1/β1/γ2
54.55Consensusgi_chemerinOrthosteric Ligand7YKD-CML1-Chemerin-9-Gi1/β1/γ2
54.17Single7F6G(Sar1)-Angiotensin II7F6G-AT1-(Sar1)-Angiotensin II-Gq/β1/γ2
54.17Single8XWQEndothelin-18XWQ-ETB-Endothelin-1-Gi1/β1/γ2
54.17Consensusangiotensin_on_gpOrthosteric Ligandat1_on_gp
54.17Consensusat1_on_gpOrthosteric Ligand7F6G-AT1-(Sar1)-Angiotensin II-Gq/β1/γ2
54.17Consensusgi_class-aOrthosteric Ligandgi_peptide gi_sensory gi_alicarboxylic gi_amine gi_lipid gi_nucleotide gi_protein
54.17Consensusgq_angiotensinOrthosteric Ligand7F6G-AT1-(Sar1)-Angiotensin II-Gq/β1/γ2
54.17Consensuspeptide_offon_gpOrthosteric Ligandpeptide_on_gp peptide_off
53.85Single9KDFRES-701-39KDF-ETB-RES-701-3
53.85Consensusgq_peptideOrthosteric Ligandgq_cck gq_kisspeptin gq_bradykinin gq_bombesin gq_angiotensin
52.94Single7LD4Adenosine7LD4-A1-Adenosine-Gi2/β1/γ2
52.94Single8GGCConstrained Epinephrine8GGC-β2-Constrained Epinephrine-GTP-Gs/β1/γ2
52.94Single8GGWConstrained Epinephrine8GGW-β2-Constrained Epinephrine
52.94Single8GGZConstrained Epinephrine8GGZ-β2-Constrained Epinephrine
52.94Single8GNGIstradefylline8GNG-A2A-Istradefylline
52.94Single8RW0Istradefylline8RW0-A2A-Istradefylline-Na
52.94Consensusa1_onOrthosteric Ligand7LD4-A1-Adenosine-Gi2/β1/γ2
52.94Consensusa1_on_gpOrthosteric Ligand7LD4-A1-Adenosine-Gi2/β1/γ2
52.63Single2RH1Carazolol2RH1-β2-Carazolol
52.63Single2Y03Isoprenaline2Y03-β1-Isoprenaline
52.63Single4RWDDIPP-NH24RWD-δ-DIPP-NH2-Na
52.63Single5JQHCarazolol5JQH-β2-Carazolol
52.63Single7CKXA776367CKX-D1-A77636-Gs/β1/γ2
52.63Single7LD3Adenosine7LD3-A1-Adenosine-MIPS521-Gi2/β1/γ2
52.63Single7WC6LSD7WC6-5-HT2A-LSD
52.63Single7X1TTaltirelin7X1T-TRH-Taltirelin-chim(NtGi2L-Gs-CtGq)/β1/γ2
52.63Single8DZQmomSalB8DZQ-κ-momSalB-Go/β1/γ2
52.63Single8GFYConstrained Epinephrine8GFY-β2-Constrained Epinephrine-GTP-Gs/β1/γ2
52.63Single8GG2Constrained Epinephrine8GG2-β2-Constrained Epinephrine-GTP-Gs/β1/γ2
52.63Consensus5ht5_on_gpOrthosteric Ligand5ht5a_on_gp
52.63Consensus5ht5a_on_gpOrthosteric Ligand7X5H-5-HT5A-5-CT-Gi1/β1/γ2 7UM6-5-HT5A-Lisuride-chim(NtGi1-Go)/β1/γ2 7UM7-5-HT5A-Methylergometrine-chim(NtGi1-Go)/β1/γ2
52.63Consensusa3_on_gpOrthosteric Liganda3a_on_gp
52.63Consensusa3a_onOrthosteric Ligand8X17-A3A-Namodenoson-Gi1/β1/γ2 8X16-A3A-Piclidenoson-Gi1/β1/γ2
52.63Consensusa3a_on_gpOrthosteric Ligand8X17-A3A-Namodenoson-Gi1/β1/γ2 8X16-A3A-Piclidenoson-Gi1/β1/γ2
52.63Consensusalpha_offOrthosteric Ligandalpha1_off alpha2_off
52.63Consensusamine_offOrthosteric Ligand5ht_off adrenergic_off dopamine_off histamine_off muscarinic_off
52.63Consensusamine_offonOrthosteric Ligandamine_off amine_on
52.63Consensusamine_offon_gpOrthosteric Ligandamine_on_gp amine_off
52.63Consensusamine_onOrthosteric Ligand5ht_on adrenergic_on dopamine_on histamine_on muscarinic_on trace-amine_on
52.63Consensusbeta2_offOrthosteric Ligand2RH1-β2-Carazolol 6PS3-β2-Carvedilol 6PS5-β2-Propranolol 3D4S-β2-Timolol 3NY8-β2-ICI118-551 3NY9-β2-PubChem 913103 6PRZ-β2-Alprenolol
52.63Consensusbeta_offOrthosteric Ligandbeta1_off beta2_off
52.63Consensusd1_onOrthosteric Ligand7F0T-D1-Dopamine-Gs/β1/γ2 7CKY-D1-PW0464-Gs/β1/γ2 8IRR-D1-Rotigotine-Gs/β1/γ2 7JV5-D1-SKF81297-Gs/β1/γ2 7JVP-D1-SKF83959-Gs/β1/γ2 7X2D-D1-Tavapadon-Gs/β1/γ2 7CKX-D1-A77636-Gs/β1/γ2 7JVQ-D1-Apomorphine-Gs/β1/γ2 7CKW-D1-Fenoldopam-Gs/β1/γ2
52.63Consensusgi_adrenergicOrthosteric Ligand7EJ0-α2a-Norepinephrine-Go/β1/γ2 7EJK-α2a-Oxymetazoline-Go/β1/γ2 7W7E-α2a-PubChem 164946676-Go/β1/γ2 7W6P-α2a-N-pyridin-4-ylisoquinolin-4-amine-Go/β1/γ2 7EJ8-α2a-Brimonidine-Go/β1/γ2 6K42-α2b-Dexmedetomidine-Gi1/β1/γ2 7EJA-α2a-Dexmedetomidine-Go/β1/γ2 7S0F-β1-Isoprenaline-Gi1/β1/γ2
52.63Consensusta1_onOrthosteric Ligand8W87-TA1-METH-chim(NtGi1L-Gs)/β1/γ2 8W89-TA1-2-Phenylethylamine-chim(NtGi1L-Gs)/β1/γ2 8JLP-TA1-Ralmitaront-Gs/β1/γ2 8W8A-TA1-RO5256390-chim(NtGi1L-Gs)/β1/γ2 8W88-TA1-SEP-363856-Gs/β1/γ2 8JLO-TA1-Ulotaront-Gs/β1/γ2 8JLR-TA1-A77636-chim(NtGi1-Gs)/β1/γ2 8JSO-TA1-AMPH-chim(NtGi1-Gs)/β1/γ2 8ZSP-TA1-LSD-chim(NtGi1L-Gs)/β1/γ2
52.63Consensustrace-amine_onOrthosteric Ligandta1_on
52.38Single4BVNCyanopindolol4BVN-β1-Cyanopindolol-Na
52.38Single4NC3Ergotamine4NC3-5-HT2B-Ergotamine
52.38Single8E0GBU728E0G-μ-BU72
52.38Single8I95EP548I95-C3aB-EP54-Go/β1/γ2
52.38Single8S2TIsoprenaline8S2T-β1-Isoprenaline-chim(NtGi1-Gs)/β1/γ2
52.38Consensusclass-a_onOrthosteric Ligandsensory_on alicarboxylic_on amine_on lipid_on nucleotide_on peptide_on protein_on
52.17Single5XJM(Sar1,Ile8)-Angiotensin II5XJM-AT2-(Sar1,Ile8)-Angiotensin II
52.17Single7XMSSomatostatin-147XMS-SST4-Somatostatin-14-Gi1/β1/γ2
52.17Single8F7WDynorphin8F7W-κ-Dynorphin-Gi1/β1/γ2
52.17Single9ME1CXCL129ME1-CXCR4-CXCL12
52.00Single7F6HBradykinin7F6H-BK2-Bradykinin-Gq/β1/γ2
52.00Single8ZPSPrRP208ZPS-PrRP-PrRP20-chim(NtGi1-Gs-CtGi1)/β1/γ2
52.00Consensuscml1_on_gpOrthosteric Ligand7YKD-CML1-Chemerin-9-Gi1/β1/γ2
51.85Consensusbk2_onOrthosteric Ligand7F6H-BK2-Bradykinin-Gq/β1/γ2 7F6I-BK2-Kallidin-Gq/β1/γ2
51.85Consensusbk2_on_gpOrthosteric Ligand7F6H-BK2-Bradykinin-Gq/β1/γ2 7F6I-BK2-Kallidin-Gq/β1/γ2
51.85Consensusbradykinin_onOrthosteric Ligandbk2_on
51.85Consensusbradykinin_on_gpOrthosteric Ligandbk2_on_gp
51.85Consensusgq_bradykininOrthosteric Ligand7F6H-BK2-Bradykinin-Gq/β1/γ2 7F6I-BK2-Kallidin-Gq/β1/γ2
50.00Single2YDVNECA2YDV-A2A-NECA
50.00Single3PDSFAUC503PDS-β2-FAUC50
50.00Single4LDOEpinephrine4LDO-β2-Epinephrine
50.00Single4UG2CGS216804UG2-A2A-CGS21680
50.00Single4UHRCGS216804UHR-A2A-CGS21680
50.00Single5A8E7-Methylcyanopindolol5A8E-β1-7-Methylcyanopindolol-Na
50.00Single5D5ACarazolol5D5A-β2-Carazolol
50.00Single5D5BCarazolol5D5B-β2-Carazolol
50.00Single5G53NECA5G53-A2A-NECA-Gs
50.00Single6KUXRS799486KUX-α2a-RS79948
50.00Single6ME32-Phenylmelatonin6ME3-MT1-2-Phenylmelatonin
50.00Single6NI3BI1671076NI3-β2-BI167107-Gs/β1/γ2
50.00Single6PS0Carazolol6PS0-β2-Carazolol
50.00Single6PS4ICI118-5516PS4-β2-ICI118-551
50.00Single6PS5Propranolol6PS5-β2-Propranolol
50.00Single7AROLUF58337ARO-A2A-LUF5833-Na
50.00Single7CKZDopamine7CKZ-D1-Dopamine-Mevidalen-Gs/β1/γ2
50.00Single7CMUPramipexole7CMU-D3-Pramipexole-Gi1/β1/γ2
50.00Single7DHISalbutamol7DHI-β2-Salbutamol-Gs/β1/γ2
50.00Single7E2ZAripiprazole7E2Z-5-HT1A-Aripiprazole-PtdIns4P-Gi1/β1/γ2
50.00Single7EJADexmedetomidine7EJA-α2a-Dexmedetomidine-Go/β1/γ2
50.00Single7F1ZDopamine7F1Z-D1-Dopamine-GDP-Gs/β1/γ2
50.00Single7F2OBradykinin7F2O-BK2-Bradykinin-chim(NtGi1-Gs-CtGq)/β1/γ2
50.00Single7JV5SKF812977JV5-D1-SKF81297-Gs/β1/γ2
50.00Single7RANPubChem 1645758477RAN-5-HT2A-PubChem 164575847-chim(NtGi2L-Gs-CtGq)/β1/γ2
50.00Single7UL3Famotidine7UL3-H2-Famotidine
50.00Single7W6PN-pyridin-4-ylisoquinolin-4-amine7W6P-α2a-N-pyridin-4-ylisoquinolin-4-amine-Go/β1/γ2
50.00Single7W7EPubChem 1649466767W7E-α2a-PubChem 164946676-Go/β1/γ2
50.00Single7XN9L-0545227XN9-SST2-L-054522
50.00Single7Y24Octreotide7Y24-SST2-Octreotide-Go/β1/γ2
50.00Single7YAEOctreotide7YAE-SST2-Octreotide-Gi1/β1/γ2
50.00Single7YKDChemerin-97YKD-CML1-Chemerin-9-Gi1/β1/γ2
50.00Single8GE1Constrained Epinephrine8GE1-β2-Constrained Epinephrine-Gs/β1/γ2
50.00Single8GE4Constrained Epinephrine8GE4-β2-Constrained Epinephrine-Gs/β1/γ2
50.00Single8GE5Constrained Epinephrine8GE5-β2-Constrained Epinephrine-Gs/β1/γ1
50.00Single8GE6Constrained Epinephrine8GE6-β2-Constrained Epinephrine-Gs/β1/γ2
50.00Single8GE7Constrained Epinephrine8GE7-β2-Constrained Epinephrine-Gs/β1/γ2
50.00Single8GE8Constrained Epinephrine8GE8-β2-Constrained Epinephrine-Gs/β1/γ2
50.00Single8GEAConstrained Epinephrine8GEA-β2-Constrained Epinephrine-Gs/β1/γ2
50.00Single8GEDConstrained Epinephrine8GED-β2-Constrained Epinephrine-Gs/β1/γ2
50.00Single8GEFConstrained Epinephrine8GEF-β2-Constrained Epinephrine-Gs/β1/γ2
50.00Single8GG5Constrained Epinephrine8GG5-β2-Constrained Epinephrine-GTP-Gs/β1/γ2
50.00Single8GG7Constrained Epinephrine8GG7-β2-Constrained Epinephrine-GTP-Gs/β1/γ2
50.00Single8GG8Constrained Epinephrine8GG8-β2-Constrained Epinephrine-GTP-Gs/β1/γ2
50.00Single8GGLConstrained Epinephrine8GGL-β2-Constrained Epinephrine
50.00Single8GGMConstrained Epinephrine8GGM-β2-Constrained Epinephrine
50.00Single8GGPConstrained Epinephrine8GGP-β2-Constrained Epinephrine
50.00Single8GGQConstrained Epinephrine8GGQ-β2-Constrained Epinephrine
50.00Single8GGSConstrained Epinephrine8GGS-β2-Constrained Epinephrine
50.00Single8GGTConstrained Epinephrine8GGT-β2-Constrained Epinephrine
50.00Single8GGVConstrained Epinephrine8GGV-β2-Constrained Epinephrine
50.00Single8GGXConstrained Epinephrine8GGX-β2-Constrained Epinephrine
50.00Single8JLRA776368JLR-TA1-A77636-chim(NtGi1-Gs)/β1/γ2
50.00Single8JXVClozapine8JXV-H4-Clozapine-Gi1/β1/γ2
50.00Single8RWIStilSwitch28RWI-A2A-StilSwitch2-Na
50.00Single8UNLConstrained Epinephrine8UNL-β2-Constrained Epinephrine-GTP-Gs/β1/γ2
50.00Single8UNMConstrained Epinephrine8UNM-β2-Constrained Epinephrine-GTP-Gs/β1/γ2
50.00Single8UNOConstrained Epinephrine8UNO-β2-Constrained Epinephrine-GTP-Gs/β1/γ2
50.00Single8UNWConstrained Epinephrine8UNW-β2-Constrained Epinephrine-GTP-Gs/β1/γ2
50.00Single8UO1Constrained Epinephrine8UO1-β2-Constrained Epinephrine-GTP; Mg-Gs/β1/γ2
50.00Single8X5YAstemizole8X5Y-H1-Astemizole
50.00Single8XIRPasireotide8XIR-SST3-Pasireotide-chim(NtGi1-Gs-CtGi1)/β1/γ2
50.00Single8XVEBQ30208XVE-ETB-BQ3020-chim(Gs-CtGq)/β1/γ2
50.00Single8Y45ADL58598Y45-δ-ADL5859-Gi2/β1/γ2
50.00Single8Y72Peptide8Y72-μ-Peptide-BMS-986122-Gi1/β1/γ2
50.00Single8YH2Adenosine8YH2-A3A-Adenosine-Gi1/β1/γ2
50.00Single8YH6Namodenoson8YH6-A3A-Namodenoson-Gi1/β1/γ2
50.00Single9AS3LSD9AS3-5-HT2A-LSD
50.00Single9AS4LSD9AS4-5-HT2A-LSD-chim(NtGi1-Gs-CtGq)/β1/γ2
50.00Single9AS5Mescaline9AS5-5-HT2A-Mescaline
50.00Single9AS6Mescaline9AS6-5-HT2A-Mescaline-chim(NtGi1-Gs-CtGq)/β1/γ2
50.00Single9I54PubChem 1764520919I54-D1-PubChem 176452091-Gs/β1/γ2
50.00Single9KVPSB2901579KVP-C3aB-SB290157-Go/β1/γ2
50.00Single9KZ2EP679KZ2-C3aB-EP67-Go/β1/γ2
50.00Single9KZ8EP679KZ8-C3aB-EP67-Go/β1/γ2
50.00Single9L84Epinephrine9L84-β1-Epinephrine-Atazanavir-Gs/β1/γ2
50.00Single9L8LBI1671079L8L-β2-BI167107-Atazanavir-Gs/β1/γ2 ; Arrestin2
50.00Single9MEUCXCL129MEU-CXCR4-CXCL12
50.00Single9U4WGonadoliberin-19U4W-GnRH1-Gonadoliberin-1-chim(NtGi1L-Gs-CtGq)/β1/γ2
50.00Single9UMJEP549UMJ-C3aB-EP54-Go/β1/γ2
50.00Consensus5ht_on_gpOrthosteric Ligand5ht1_on_gp 5ht2_on_gp 5ht4_on_gp 5ht5_on_gp 5ht6_on_gp 5ht7_on_gp
50.00Consensusadenosine_onOrthosteric Liganda1_on a2_on a3_on
50.00Consensusamine_on_gpOrthosteric Ligand5ht_on_gp adrenergic_on_gp dopamine_on_gp histamine_on_gp muscarinic_on_gp trace-amine_on_gp
50.00Consensusbeta1_offOrthosteric Ligand2VT4-β1-Cyanopindolol 2YCW-β1-Carazolol 2YCZ-β1-Iodocyanopindolol 5A8E-β1-7-Methylcyanopindolol-Na 3ZPQ-β1-PubChem 594590-Na 3ZPR-β1-PubChem 598754-Na
50.00Consensusd3_onOrthosteric Ligand7CMV-D3-PD128907-Gi1/β1/γ2 8IRT-D3-Rotigotine-Gi1/β1/γ2 7CMU-D3-Pramipexole-Gi1/β1/γ2
50.00Consensusd3_on_gpOrthosteric Ligand7CMV-D3-PD128907-Gi1/β1/γ2 8IRT-D3-Rotigotine-Gi1/β1/γ2 7CMU-D3-Pramipexole-Gi1/β1/γ2
50.00Consensusgi_5htOrthosteric Ligand8FYT-5-HT1A-LSD-PtdIns4P-Gi1/β1/γ1 7UM7-5-HT5A-Methylergometrine-chim(NtGi1-Go)/β1/γ2 8UGY-5-HT1E-Mianserin-Gi1/β1/γ1 8W8B-5-HT1A-SEP-363856-Gi1/β1/γ2 7E2Y-5-HT1A-Serotonin-PtdIns4P-Gi1/β1/γ2 7E32-5-HT1D-Serotonin-Gi1/β1/γ2 7XTA-5-HT4-Serotonin-Gi1/β1/γ2 8UH3-5-HT1E-Setiptiline-Gi1/β1/γ1 8JSP-5-HT1A-Ulotaront-Gi1/β1/γ2 8FYL-5-HT1A-Vilazodone-PtdIns4P-Gi1/β1/γ1 8JT6-5-HT1A-(R)-IHCH-7179-PtdIns4P-Gi1/β1/γ2 8FYE-5-HT1A-4-F,5-MeO-PyrT-PtdIns4P-Gi1/β1/γ1 7X5H-5-HT5A-5-CT-Gi1/β1/γ2 8FY8-5-HT1A-5-MeO-DMT-PtdIns4P-Gi1/β1/γ1 7E2Z-5-HT1A-Aripiprazole-PtdIns4P-Gi1/β1/γ2 7E33-5-HT1E-BRL-54443-Gi1/β1/γ2 8FYX-5-HT1A-Buspirone-PtdIns4P-Gi1/β1/γ1 7EXD-5-HT1F-Lasmiditan-Gi1/β1/γ2 7UM6-5-HT5A-Lisuride-chim(NtGi1-Go)/β1/γ2
50.00Consensusgi_adenosineOrthosteric Ligand7LD4-A1-Adenosine-Gi2/β1/γ2 8X17-A3A-Namodenoson-Gi1/β1/γ2 8X16-A3A-Piclidenoson-Gi1/β1/γ2
50.00Consensusgi_peptideOrthosteric Ligandgi_cck gi_apelin gi_compl-pept gi_endothelin gi_formylpeptide gi_galanin gi_ghrelin gi_npy gi_neurotensin gi_opioid gi_orexin gi_relaxin gi_somatostatin
50.00Consensusgi_somatostatinOrthosteric Ligand7WIC-SST2-Somatostatin-14-Gi1/β1/γ2 7XMS-SST4-Somatostatin-14-Gi1/β1/γ2 8X8L-SST5-Cortistatin-14-chim(NtGi1-Gs-CtGi1)/β1/γ2 7XMT-SST4-J-2156-Gi1/β1/γ2 7WIG-SST2-L-054264-Gi1/β1/γ2 8X8N-SST5-Octreotide-chim(NtGi1-Gs-CtGi1)/β1/γ2 7YAE-SST2-Octreotide-Gi1/β1/γ2 7YAC-SST2-Paltusotine-Gi1/β1/γ2
50.00Consensuspeptide_offonOrthosteric Ligandpeptide_off peptide_on
50.00Consensussomatostatin_onOrthosteric Ligandsst2_on sst4_on sst5_on
50.00Consensussomatostatin_on_gpOrthosteric Ligandsst2_on_gp sst4_on_gp sst5_on_gp
50.00Consensussst2_onOrthosteric Ligand7WIC-SST2-Somatostatin-14-Gi1/β1/γ2 7WIG-SST2-L-054264-Gi1/β1/γ2 7YAE-SST2-Octreotide-Gi1/β1/γ2 7YAC-SST2-Paltusotine-Gi1/β1/γ2
50.00Consensussst2_on_gpOrthosteric Ligand7WIC-SST2-Somatostatin-14-Gi1/β1/γ2 7WIG-SST2-L-054264-Gi1/β1/γ2 7YAE-SST2-Octreotide-Gi1/β1/γ2 7YAC-SST2-Paltusotine-Gi1/β1/γ2
50.00Consensusta1_on_gpOrthosteric Ligand8W87-TA1-METH-chim(NtGi1L-Gs)/β1/γ2 8W89-TA1-2-Phenylethylamine-chim(NtGi1L-Gs)/β1/γ2 8JLP-TA1-Ralmitaront-Gs/β1/γ2 8W8A-TA1-RO5256390-chim(NtGi1L-Gs)/β1/γ2 8W88-TA1-SEP-363856-Gs/β1/γ2 8JLO-TA1-Ulotaront-Gs/β1/γ2 8JLR-TA1-A77636-chim(NtGi1-Gs)/β1/γ2 8JSO-TA1-AMPH-chim(NtGi1-Gs)/β1/γ2 8ZSP-TA1-LSD-chim(NtGi1L-Gs)/β1/γ2
50.00Consensustrace-amine_on_gpOrthosteric Ligandta1_on_gp
48.15Single7XATSomatostatin-147XAT-SST2-Somatostatin-14-Gi1/β1/γ2
48.15Single8FEG(DNCP)-Beta-Naloxamine8FEG-κ-(DNCP)-β-Naloxamine-Gi1/β1/γ2
48.15Single8XWPEndothelin-18XWP-ETB-Endothelin-1-Gi1/β1/γ2
48.15Consensuspeptide_onOrthosteric Ligandcck_on angiotensin_on apelin_on bombesin_on bradykinin_on compl-peptide_on endothelin_on formylpeptide_on galanin_on ghrelin_on kisspeptin_on melanocortin_on motilin_on neuromedin-u_on npy_on neurotensin_on opioid_on orexin_on relaxin_on somatostatin_on tachykinin_on trh_on vasop-oxy_on
48.15Consensuspeptide_on_gpOrthosteric Ligandcck_on_gp angiotensin_on_gp apelin_on_gp bombesin_on_gp bradykinin_on_gp compl-peptide_on_gp endothelin_on_gp formylpeptide_on_gp galanin_on_gp ghrelin_on_gp kisspeptin_on_gp melanocortin_on_gp motilin_on_gp neuromedin-u_on_gp npy_on_gp neurotensin_on_gp opioid_on_gp orexin_on_gp relaxin_on_gp somatostatin_on_gp tachykinin_on_gp trh_on_gp vasop-oxy_on_gp
48.00Single6JODAngiotensin II6JOD-AT2-Angiotensin II
48.00Single8X8LCortistatin-148X8L-SST5-Cortistatin-14-chim(NtGi1-Gs-CtGi1)/β1/γ2
48.00Single8ZBISomatostatin-148ZBI-SST3-Somatostatin-14-Gi1/β1/γ2
48.00Single9BKKCholecystokinin-89BKK-CCKA-Cholecystokinin-8-chim(NtGi1-Gs-CtGq)/β1/γ2
48.00Consensusprotein_onOrthosteric Ligandchemokine_on chemerin_on
47.83Single7WICSomatostatin-147WIC-SST2-Somatostatin-14-Gi1/β1/γ2
47.83Single7WKDTRH7WKD-TRH-TRH-chim(NtGi1-Gs-CtGq)/β1/γ2
47.83Single8ZBJSomatostatin-148ZBJ-SST5-Somatostatin-14-Gi1/β1/γ2
47.83Single9UMRC5a-pep9UMR-C5a1-C5a-pep-Go/β1/γ2
47.83Consensusmop_offOrthosteric Ligand4DKL-μ-β-Funaltrexamine 8QOT-μ-Nanobody-E 7UL4-μ-Alvimopan
47.62Single3D4STimolol3D4S-β2-Timolol
47.62Single5F8UCyanopindolol5F8U-β1-Cyanopindolol
47.62Single6OS0Angiotensin II6OS0-AT1-Angiotensin II
47.62Single7L1UOrexin7L1U-OX2-Orexin-chim(NtGi1-Gs-CtGq)/β1/γ2
47.62Single7YMJTamsulosin7YMJ-Alpha1A-Tamsulosin
47.62Single8FYE4-F,5-MeO-PyrT8FYE-5-HT1A-4-F,5-MeO-PyrT-PtdIns4P-Gi1/β1/γ1
47.62Single8FYTLSD8FYT-5-HT1A-LSD-PtdIns4P-Gi1/β1/γ1
47.62Single8IA8E7 peptide8IA8-C3aB-E7 peptide-Gi1/β1/γ2
47.62Single9KVG5-MeO-DMT9KVG-5-HT1A-5-MeO-DMT-PtdIns4P-Gi1/β1/γ2
47.62Single9M4QDoxazosin9M4Q-Alpha1A-Doxazosin
47.62Single9V6ONalfurafine9V6O-κ-Nalfurafine-Gi1/β1/γ2
47.62Single9WSVDAMGO9WSV-μ-DAMGO-Arrestin2
47.62Consensus5ht1a_onOrthosteric Ligand8FYT-5-HT1A-LSD-PtdIns4P-Gi1/β1/γ1 7E2Y-5-HT1A-Serotonin-PtdIns4P-Gi1/β1/γ2 7E2Z-5-HT1A-Aripiprazole-PtdIns4P-Gi1/β1/γ2 8FYX-5-HT1A-Buspirone-PtdIns4P-Gi1/β1/γ1 8JSP-5-HT1A-Ulotaront-Gi1/β1/γ2 8JT6-5-HT1A-(R)-IHCH-7179-PtdIns4P-Gi1/β1/γ2 8FY8-5-HT1A-5-MeO-DMT-PtdIns4P-Gi1/β1/γ1 8FYE-5-HT1A-4-F,5-MeO-PyrT-PtdIns4P-Gi1/β1/γ1 8FYL-5-HT1A-Vilazodone-PtdIns4P-Gi1/β1/γ1
47.62Consensus5ht1a_on_gpOrthosteric Ligand8FYT-5-HT1A-LSD-PtdIns4P-Gi1/β1/γ1 8FYX-5-HT1A-Buspirone-PtdIns4P-Gi1/β1/γ1 8JSP-5-HT1A-Ulotaront-Gi1/β1/γ2 8JT6-5-HT1A-(R)-IHCH-7179-PtdIns4P-Gi1/β1/γ2 7E2Y-5-HT1A-Serotonin-PtdIns4P-Gi1/β1/γ2 7E2Z-5-HT1A-Aripiprazole-PtdIns4P-Gi1/β1/γ2 8FY8-5-HT1A-5-MeO-DMT-PtdIns4P-Gi1/β1/γ1 8FYE-5-HT1A-4-F,5-MeO-PyrT-PtdIns4P-Gi1/β1/γ1 8FYL-5-HT1A-Vilazodone-PtdIns4P-Gi1/β1/γ1
47.62Consensusalpha1_offOrthosteric Ligandalpha1a_off
47.62Consensusalpha1a_offOrthosteric Ligand7YMJ-Alpha1A-Tamsulosin
47.62Consensusgi_muscarinicOrthosteric Ligand8E9X-M4-2-Deoxycytidine-chim(NtGi1-Go)/β1/γ2 7T8X-M2-Acetylcholine-chim(NtGi1-Go)/β1/γ2 7TRS-M4-Acetylcholine-Gi1/β1/γ2 7TRK-M4-Iperoxo-Gi1/β1/γ2 7V6A-M4-PubChem 9864275-Gi1/β1/γ2
47.62Consensuskop_onOrthosteric Ligand8F7W-κ-Dynorphin-Gi1/β1/γ2 8DZS-κ-GR89,696-chim(NtGi2-Gz)/β1/γ2 8DZP-κ-momSalB-Gi1/β1/γ2
47.37Single2VT4Cyanopindolol2VT4-β1-Cyanopindolol
47.37Single2Y01Dobutamine2Y01-β1-Dobutamine
47.37Single2Y04Salbutamol2Y04-β1-Salbutamol
47.37Single3NY8ICI118-5513NY8-β2-ICI118-551
47.37Single3NYAAlprenolol3NYA-β2-Alprenolol
47.37Single3ZPQPubChem 5945903ZPQ-β1-PubChem 594590-Na
47.37Single4EJ4Naltrindole4EJ4-δ-Naltrindole
47.37Single4GBRCarazolol4GBR-β2-Carazolol
47.37Single4J4QOctyl Beta-D-Glucopyranoside4J4Q-Rhodopsin-Octyl β-D-Glucopyranoside-Gt(CT)
47.37Single6PS2Alprenolol6PS2-β2-Alprenolol
47.37Single6XBM25(S)-Epoxycholesterol6XBM-SMO-25(S)-Epoxycholesterol-Gi1/β1/γ2
47.37Single7E32Serotonin7E32-5-HT1D-Serotonin-Gi1/β1/γ2
47.37Single7JOZPubChem 752020227JOZ-D1-PubChem 75202022-Gs/β1/γ2
47.37Single7UM6Lisuride7UM6-5-HT5A-Lisuride-chim(NtGi1-Go)/β1/γ2
47.37Single7WC7Lisuride7WC7-5-HT2A-Lisuride
47.37Single7X2CFenoldopam7X2C-D1-Fenoldopam-Fenoldopam-Gs/β1/γ2
47.37Single7XJHIsoprenaline7XJH-β3-Isoprenaline-Gs/β1/γ2
47.37Single7YACPaltusotine7YAC-SST2-Paltusotine-Gi1/β1/γ2
47.37Single8IRTRotigotine8IRT-D3-Rotigotine-Gi1/β1/γ2
47.37Single8JJOAlprenolol8JJO-β2-Alprenolol
47.37Single8JXRLSD8JXR-D1-LSD
47.37Single8RWXStilSwitch38RWX-A2A-StilSwitch3-Na
47.37Single8W87METH8W87-TA1-METH-chim(NtGi1L-Gs)/β1/γ2
47.37Single8W8ARO52563908W8A-TA1-RO5256390-chim(NtGi1L-Gs)/β1/γ2
47.37Single8XVKAmbrisentan8XVK-ETA-Ambrisentan
47.37Single8ZSSRO52633978ZSS-TA1-RO5263397-chim(NtGi1-Gs)/β1/γ2
47.37Single9CBMDexmedetomidine9CBM-α2a-Dexmedetomidine-Gi1/β1/γ2
47.37Single9CHXCarazolol9CHX-β2-Carazolol
47.37Single9PLNPubChem 1682595949PLN-α2a-PubChem 168259594
47.37Single9PLOPubChem 1682595949PLO-α2a-PubChem 168259594-Go/β1/γ2
47.37Single9PQDPubChem 1764919279PQD-α2a-PubChem 176491927
47.37Single9VMYTMU41429VMY-5-HT1A-TMU4142-Go/β1/γ2
47.37Consensus5ht1d_onOrthosteric Ligand7E32-5-HT1D-Serotonin-Gi1/β1/γ2
47.37Consensus5ht1d_on_gpOrthosteric Ligand7E32-5-HT1D-Serotonin-Gi1/β1/γ2
47.37Consensus5ht5_onOrthosteric Ligand5ht5a_on
47.37Consensus5ht5a_onOrthosteric Ligand7X5H-5-HT5A-5-CT-Gi1/β1/γ2 7UM6-5-HT5A-Lisuride-chim(NtGi1-Go)/β1/γ2 7UM7-5-HT5A-Methylergometrine-chim(NtGi1-Go)/β1/γ2
47.37Consensusalpha_onOrthosteric Ligandalpha1_on alpha2_on
47.37Consensusdop_offOrthosteric Ligand4EJ4-δ-Naltrindole
47.37Consensusdopamine_offOrthosteric Ligandd2_off d3_off
47.37Consensusgs_trace-amineOrthosteric Ligand8W88-TA1-SEP-363856-Gs/β1/γ2 8JLJ-TA1-T1AM-chim(NtGi1-Gs)/β1/γ2 8JLO-TA1-Ulotaront-Gs/β1/γ2 8WC4-TA1-ZH8651-chim(NtGi1-Gs)/β1/γ2 8WC7-TA1-ZH8667-chim(NtGi1-Gs)/β1/γ2 8JLR-TA1-A77636-chim(NtGi1-Gs)/β1/γ2 8JSO-TA1-AMPH-chim(NtGi1-Gs)/β1/γ2 8W87-TA1-METH-chim(NtGi1L-Gs)/β1/γ2 8W89-TA1-2-Phenylethylamine-chim(NtGi1L-Gs)/β1/γ2 8JLP-TA1-Ralmitaront-Gs/β1/γ2 8W8A-TA1-RO5256390-chim(NtGi1L-Gs)/β1/γ2
47.37Consensusnucleotide_offonOrthosteric Ligandnucleotide_off nucleotide_on
47.37Consensusnucleotide_offon_gpOrthosteric Ligandnucleotide_on_gp nucleotide_off
47.06Single8UO3Constrained Epinephrine8UO3-β2-Constrained Epinephrine-GTP; Mg-Gs/β1/γ2
47.06Single8UO4Constrained Epinephrine8UO4-β2-Constrained Epinephrine-GTP; Mg-Gs/β1/γ2
47.06Single9U9VMETH9U9V-β2-METH-Gs/β1/γ2
46.67Single6LRYSarafotoxin-B6LRY-ETB-Sarafotoxin-B
46.43Single6IGLIRL16206IGL-ETB-IRL1620
46.15Single7F6IKallidin7F6I-BK2-Kallidin-Gq/β1/γ2
46.15Single7Y64C5a7Y64-C5a1-C5a-Gi1/β1/γ2
46.15Single8XGOTAK4488XGO-Kiss1-TAK448-chim(NtGi1-Gq)/β1/γ2
46.15Consensusopioid_onOrthosteric Ligandmop_on nop_on dop_on kop_on
46.15Consensussst5_on_gpOrthosteric Ligand8X8L-SST5-Cortistatin-14-chim(NtGi1-Gs-CtGi1)/β1/γ2 8X8N-SST5-Octreotide-chim(NtGi1-Gs-CtGi1)/β1/γ2
45.83Single7W0NElabela7W0N-Apelin; Apelin-Elabela-Gi1/β1/γ2
45.83Single8F7SDeltorphin8F7S-δ-Deltorphin-Gi1/β1/γ2
45.83Single8SG1Chemerin-98SG1-CML1-Chemerin-9-Gi1/β1/γ2
45.83Single9IQRMuscarinic toxin 39IQR-α2a-Muscarinic toxin 3
45.83Single9IQSMuscarinic toxin 39IQS-M4-Muscarinic toxin 3
45.83Single9L60Dynorphin9L60-κ-Dynorphin-MPAM-15-Gi1/β1/γ2
45.83Consensusdop_on_gpOrthosteric Ligand8F7S-δ-Deltorphin-Gi1/β1/γ2
45.83Consensusgq_class-aOrthosteric Ligandgq_peptide gq_amine gq_nucleotide
45.83Consensussst4_onOrthosteric Ligand7XMS-SST4-Somatostatin-14-Gi1/β1/γ2 7XMT-SST4-J-2156-Gi1/β1/γ2
45.83Consensussst4_on_gpOrthosteric Ligand7XMS-SST4-Somatostatin-14-Gi1/β1/γ2 7XMT-SST4-J-2156-Gi1/β1/γ2
45.45Single4Z35ONO-99105394Z35-LPA1-ONO-9910539
45.45Single6DDFDAMGO6DDF-μ-DAMGO-Gi1/β1/γ2
45.45Single7WVVfMLFII7WVV-FPR2-ALX-fMLFII-Gi2/β1/γ2
45.45Single7X2DTavapadon7X2D-D1-Tavapadon-Gs/β1/γ2
45.45Single7Y27Somatostatin-147Y27-SST2-Somatostatin-14-chim(NtGi2L-Gs-CtGq)/β1/γ2
45.45Single8E9X2-Deoxycytidine8E9X-M4-2-Deoxycytidine-chim(NtGi1-Go)/β1/γ2
45.45Single8FX5Xanomeline8FX5-M4-Xanomeline-Xanomeline-Gi1/β1/γ2
45.45Single8J19LY2378J19-GPR84-LY237-Gi1/β1/γ2
45.45Single9AS02-bromo-LSD9AS0-5-HT2A-2-bromo-LSD-chim(NtGi1-Gs-CtGq)/β1/γ2
45.45Single9KUGEP679KUG-C5a1-EP67-Go/β1/γ2
45.45Consensuschemerin_onOrthosteric Ligandcml1_on
45.45Consensuskop_on_gpOrthosteric Ligand8F7W-κ-Dynorphin-Gi1/β1/γ2 8DZS-κ-GR89,696-chim(NtGi2-Gz)/β1/γ2 8DZP-κ-momSalB-Gi1/β1/γ2
45.45Consensusprostanoid_offOrthosteric Ligandep_off dp_off
45.00Single2Y00Dobutamine2Y00-β1-Dobutamine
45.00Single2YCWCarazolol2YCW-β1-Carazolol
45.00Single5C1MBU725C1M-μ-BU72
45.00Single5D6LCarazolol5D6L-β2-Carazolol
45.00Single5N2RPSB365N2R-A2A-PSB36-Na
45.00Single5TVNLSD5TVN-5-HT2B-LSD
45.00Single5WIUNemonapride5WIU-D4-Nemonapride
45.00Single5WIVNemonapride5WIV-D4-Nemonapride-Na
45.00Single5X7DCarazolol5X7D-β2-Carazolol-PubChem 129318963
45.00Single6D26Fevipiprant6D26-DP2-Fevipiprant
45.00Single6ME62-Phenylmelatonin6ME6-MT2-2-Phenylmelatonin
45.00Single6ME72-Phenylmelatonin6ME7-MT2-2-Phenylmelatonin
45.00Single7CFNINT-7777CFN-GPBA-INT-777-Gs/β1/γ2
45.00Single7VUHJNJ-635330547VUH-GPR139-JNJ-63533054-chim(Gs-CtGq)/β1/γ2
45.00Single7Y26Octreotide7Y26-SST2-Octreotide-chim(NtGi2L-Gs-CtGq)/β1/γ2
45.00Single8JXSPF-61428JXS-D1-PF-6142
45.00Single8S4DCMF-0198S4D-Apelin-CMF-019
45.00Single8TF5Oleic acid8TF5-GPR6-Oleic acid
45.00Single9EE8Adenosine9EE8-A2A-Adenosine-Gs/β1/γ2
45.00Single9EHSLUF76029EHS-A3A-LUF7602
45.00Single9F33FOB02-04A9F33-D3-FOB02-04A-Go/β1/γ2
45.00Single9F34FOB02-04A9F34-D3-FOB02-04A-Go/β1/γ2
45.00Single9I52A1IZU9I52-D1-A1IZU-Gs/β1/γ2
45.00Single9K07DSO-5a9K07-BB3-DSO-5a-chim(NtGi2L-Gs-CtGq)/β1/γ2
45.00Single9KUVCMPD6449KUV-Apelin-CMPD644-Arrestin2
45.00Single9PXYNaloxone9PXY-μ-Naloxone-GDPβS-Gi1/β1/γ2
45.00Consensus5ht1_onOrthosteric Ligand5ht1a_on 5ht1d_on 5ht1e_on 5ht1f_on
45.00Consensus5ht1_on_gpOrthosteric Ligand5ht1a_on_gp 5ht1d_on_gp 5ht1e_on_gp 5ht1f_on_gp
45.00Consensus5ht1e_on_gpOrthosteric Ligand7E33-5-HT1E-BRL-54443-Gi1/β1/γ2 8UGY-5-HT1E-Mianserin-Gi1/β1/γ1 8UH3-5-HT1E-Setiptiline-Gi1/β1/γ1
45.00Consensusa1_offOrthosteric Ligand5UEN-A1-DU172 5N2S-A1-PSB36
45.00Consensusalpha_on_gpOrthosteric Ligandalpha1_on_gp alpha2_on_gp
45.00Consensusd4_onOrthosteric Ligand8IRU-D4-Rotigotine-chim(NtGi1-Gs-CtGi1)/β1/γ2
45.00Consensusdp2_offOrthosteric Ligand6D26-DP2-Fevipiprant
45.00Consensusdp_offOrthosteric Liganddp2_off
44.83Single5GLHEndothelin-15GLH-ETB-Endothelin-1
44.44Single2X72All-trans-Retinal2X72-Rhodopsin-All-trans-Retinal-Gt(CT)
44.44Single6DS0LY2660976DS0-5-HT2B-LY266097
44.44Single6OBAAlprenolol6OBA-β2-Alprenolol-GTPL11074
44.44Single7DHRIsoprenaline7DHR-β2-Isoprenaline-Gs/β1/γ2
44.44Single7F8VGastrin-177F8V-CCKB-Gastrin-17-Gi2/β1/γ2
44.44Single7SRRLSD7SRR-5-HT2B-LSD-chim(NtGi2L-Gs-CtGq)/β1/γ2
44.44Single7SRSLSD7SRS-5-HT2B-LSD-Arrestin2
44.44Single7VUJJNJ-635330547VUJ-GPR139-JNJ-63533054-GDP-chim(Gs-CtGq)/β1/γ2
44.44Single7X5H5-CT7X5H-5-HT5A-5-CT-Gi1/β1/γ2
44.44Single7XT8Serotonin7XT8-5-HT4-Serotonin-Gs/β1/γ2
44.44Single7YMHNorepinephrine7YMH-Alpha1A-Norepinephrine-chim(Gs-CtGq)
44.44Single8GGAConstrained Epinephrine8GGA-β2-Constrained Epinephrine-GTP-Gs/β1/γ2
44.44Single8GGRConstrained Epinephrine8GGR-β2-Constrained Epinephrine
44.44Single8GH0Constrained Epinephrine8GH0-β2-Constrained Epinephrine
44.44Single8H8JLodoxamide8H8J-GPR35-Lodoxamide-Ca-chim(NtGi1L-G13)/β1/γ2
44.44Single8RW4AzoSwitch28RW4-A2A-AzoSwitch2-Na
44.44Single8RWEStilSwitch48RWE-A2A-StilSwitch4-Na
44.44Single8TZQDopamine8TZQ-D2-Dopamine-Go/β1/γ2
44.44Single8UNSConstrained Epinephrine8UNS-β2-Constrained Epinephrine-GTP-Gs/β1/γ2
44.44Single8UNTConstrained Epinephrine8UNT-β2-Constrained Epinephrine-GTP-Gs/β1/γ2
44.44Single8UNXConstrained Epinephrine8UNX-β2-Constrained Epinephrine-GTP-Gs/β1/γ2
44.44Single8WC4ZH86518WC4-TA1-ZH8651-chim(NtGi1-Gs)/β1/γ2
44.44Single8WCA2-Phenylethylamine8WCA-TA1-2-Phenylethylamine-chim(NtGi1-Gs)/β1/γ2
44.44Single8YYWAlpha-ketoglutarate8YYW-Oxoglutarate-α-ketoglutarate-α-ketoglutarate-chim(Gi1-CtGq)/β1/γ2
44.44Single9EBHAdenosine9EBH-A3A-Adenosine-Gi1/β1/γ2
44.44Single9FUPIstradefylline9FUP-A2A-Istradefylline-Na
44.44Consensus5ht1e_onOrthosteric Ligand7E33-5-HT1E-BRL-54443-Gi1/β1/γ2 8UGY-5-HT1E-Mianserin-Gi1/β1/γ1 8UH3-5-HT1E-Setiptiline-Gi1/β1/γ1
44.44Consensus5ht2_on_gpOrthosteric Ligand5ht2b_on_gp
44.44Consensus5ht2b_on_gpOrthosteric Ligand7SRR-5-HT2B-LSD-chim(NtGi2L-Gs-CtGq)/β1/γ2
44.44Consensus5ht_onOrthosteric Ligand5ht1_on 5ht2_on 5ht4_on 5ht5_on 5ht6_on 5ht7_on
44.44Consensusalpha2_offOrthosteric Ligandalpha2c_off
44.44Consensusgi_proteinOrthosteric Ligandgi_chemokine gi_chemerin
44.44Consensusgs_5htOrthosteric Ligand7XTC-5-HT7-5-CT-Gs/β1/γ2 7XTB-5-HT6-Serotonin-Gs/β1/γ2 8JLZ-5-HT6-ST1936-Gs/β1/γ2 7XT8-5-HT4-Serotonin-Gs/β1/γ2
44.44Consensusopioid_on_gpOrthosteric Ligandmop_on_gp nop_on_gp dop_on_gp kop_on_gp
44.44Consensusprotein_on_gpOrthosteric Ligandchemokine_on_gp chemerin_on_gp
44.00Single7TD0LPA7TD0-LPA1-LPA-Gi1/β1/γ2
44.00Single8XIQL7967788XIQ-SST3-L796778-chim(NtGi1-Gs-CtGi1)/β1/γ2
44.00Consensusgs_class-aOrthosteric Ligandgs_peptide gs_nucleotide gs_amine
43.48Single6PT3DPI-2876PT3-δ-DPI-287
43.48Single7F8WGastrin-177F8W-CCKB-Gastrin-17-chim(NtGsL-Gq)/β1/γ2
43.48Single7T11Octreotide7T11-SST2-Octreotide-Gi3/β1/γ2
43.48Single7XY6BAY 60-65837XY6-A2B-BAY 60-6583-chim(NtGi1-Gs)/β1/γ2
43.48Single8IA7Cholecystokinin-88IA7-CCKB-Cholecystokinin-8-chim(NtGi1L-Gq)/β1/γ2
43.48Single9CGKC5-Quino9CGK-δ-C5-Quino-Gi1/β1/γ2
43.48Single9IPVJR14a9IPV-C3aB-JR14a-Gi1/β1/γ2
43.48Single9M0RNeuropeptide-VF9M0R-NPFF1-Neuropeptide-VF-Gi1/β1/γ2
43.48Consensuscxcr_on_gpOrthosteric Ligandcxcr3_on_gp cxcr4_on_gp cxcr1_on_gp cxcr2_on_gp
43.48Consensusformylpeptide_onOrthosteric Ligandfpr2-alx_on fpr1-alx_on
43.48Consensusox2_onOrthosteric Ligand7L1V-OX2-PubChem 155491009-chim(NtGi1-Gs-CtGq)/β1/γ2 7SQO-OX2-TAK-925-Gi1/β1/γ2 7L1U-OX2-Orexin-chim(NtGi1-Gs-CtGq)/β1/γ2
43.48Consensusox2_on_gpOrthosteric Ligand7L1V-OX2-PubChem 155491009-chim(NtGi1-Gs-CtGq)/β1/γ2 7SQO-OX2-TAK-925-Gi1/β1/γ2 7L1U-OX2-Orexin-chim(NtGi1-Gs-CtGq)/β1/γ2
42.86Single5ZKBAF-DX 3845ZKB-M2-AF-DX 384
42.86Single6GT3Imaradenant6GT3-A2A-Imaradenant-Na
42.86Single6J21Aprepitant6J21-NK1-Aprepitant
42.86Single7B6WCyclazosin7B6W-α1b-Cyclazosin
42.86Single7CKYPW04647CKY-D1-PW0464-Gs/β1/γ2
42.86Single7EIBKallidin-des-Arg107EIB-BK1-Kallidin-des-Arg10-chim(NtGi1-Gs-CtGq)/β1/γ2
42.86Single7M8W15r-Methyl-PGD27M8W-DP2-15r-Methyl-PGD2-Na
42.86Single7WVYAmyloid-Beta427WVY-FPR2-ALX-Amyloid-β42-Gi2/β1/γ2
42.86Single7XAVLanreotide7XAV-SST2-Lanreotide-Gi1/β1/γ2
42.86Single8DZPmomSalB8DZP-κ-momSalB-Gi1/β1/γ2
42.86Single8HPTC5a (C-terminal peptide)8HPT-C5a1-C5a (C-terminal peptide)-Go/β1/γ2
42.86Single8ID39-Hydroxystearic acid8ID3-FFA4-9-Hydroxystearic acid-Gi1/β1/γ2
42.86Single8ID6Oleic acid8ID6-FFA4-Oleic acid-Gi1/β1/γ2
42.86Single8IHBGSK2560738IHB-HCA2-GSK256073-Gi1/β1/γ2
42.86Single8IRURotigotine8IRU-D4-Rotigotine-chim(NtGi1-Gs-CtGi1)/β1/γ2
42.86Single8JT6(R)-IHCH-71798JT6-5-HT1A-(R)-IHCH-7179-PtdIns4P-Gi1/β1/γ2
42.86Single8JXWVUF68848JXW-H4-VUF6884-Gi1/β1/γ2
42.86Single8T1VPubChem 1183102098T1V-GPR6-PubChem 118310209-Na
42.86Single8VVEnorBNI8VVE-κ-norBNI-Gi1/β1/γ2
42.86Single8X16Piclidenoson8X16-A3A-Piclidenoson-Gi1/β1/γ2
42.86Single8ZJGChemerin8ZJG-CML1-Chemerin-Gi1/β1/γ2
42.86Single8ZWFJR14a8ZWF-C3aB-JR14a
42.86Single9BJKNaloxone9BJK-μ-Naloxone-PubChem 171642066
42.86Single9IJDCarazolol9IJD-β3-Carazolol-chim(NtGi1-Gs)/β1/γ2
42.86Single9WSTDAMGO9WST-μ-DAMGO-chim(NtGi1-Gz)/β1/γ2
42.86Consensusa2_onOrthosteric Liganda2b_on
42.86Consensusa2_on_gpOrthosteric Liganda2b_on_gp
42.86Consensusa2b_onOrthosteric Ligand8HDP-A2B-Adenosine-Gs/β1/γ2 7XY6-A2B-BAY 60-6583-chim(NtGi1-Gs)/β1/γ2 7XY7-A2B-NECA-chim(NtGi1-Gs)/β1/γ2 8HDO-A2B-BAY 60-6583-Gs/β1/γ2
42.86Consensusa2b_on_gpOrthosteric Ligand8HDP-A2B-Adenosine-Gs/β1/γ2 7XY6-A2B-BAY 60-6583-chim(NtGi1-Gs)/β1/γ2 7XY7-A2B-NECA-chim(NtGi1-Gs)/β1/γ2 8HDO-A2B-BAY 60-6583-Gs/β1/γ2
42.86Consensusd4_on_gpOrthosteric Ligand8IRU-D4-Rotigotine-chim(NtGi1-Gs-CtGi1)/β1/γ2
42.86Consensusgs_adenosineOrthosteric Ligand8HDP-A2B-Adenosine-Gs/β1/γ2 8HDO-A2B-BAY 60-6583-Gs/β1/γ2 7XY7-A2B-NECA-chim(NtGi1-Gs)/β1/γ2 7XY6-A2B-BAY 60-6583-chim(NtGi1-Gs)/β1/γ2
42.86Consensusgs_nucleotideOrthosteric Ligandgs_adenosine
42.31Single5WB2CX3CL1.355WB2-US28-CX3CL1.35
42.31Single8IHFMK68928IHF-HCA2-MK6892-Gi1/β1/γ2
42.31Single8J6IMK68928J6I-HCA2-MK6892-Gi1/β1/γ2
42.31Consensusprotein_offonOrthosteric Ligandprotein_off protein_on
42.31Consensusprotein_offon_gpOrthosteric Ligandprotein_on_gp protein_off
42.11Single2YDOAdenosine2YDO-A2A-Adenosine
42.11Single4DKLBeta-Funaltrexamine4DKL-μ-β-Funaltrexamine
42.11Single4N6HNaltrindole4N6H-δ-Naltrindole-Na
42.11Single6K41Dexmedetomidine6K41-α2b-Dexmedetomidine-Go/β1/γ2
42.11Single6MH8ZM-2413856MH8-A2A-ZM-241385
42.11Single6PS82-Phenylmelatonin6PS8-MT1-2-Phenylmelatonin
42.11Single7CKWFenoldopam7CKW-D1-Fenoldopam-Gs/β1/γ2
42.11Single7CMVPD1289077CMV-D3-PD128907-Gi1/β1/γ2
42.11Single7E33BRL-544437E33-5-HT1E-BRL-54443-Gi1/β1/γ2
42.11Single7EJ8Brimonidine7EJ8-α2a-Brimonidine-Go/β1/γ2
42.11Single7F0TDopamine7F0T-D1-Dopamine-Gs/β1/γ2
42.11Single7F24Dopamine7F24-D1-Dopamine-GDP-Gs/β1/γ2
42.11Single7F61PF-036547467F61-H3-PF-03654746
42.11Single7UM7Methylergometrine7UM7-5-HT5A-Methylergometrine-chim(NtGi1-Go)/β1/γ2
42.11Single8IY9Niacin8IY9-HCA2-Niacin-Go/β1/γ2
42.11Single8JERAcipimox8JER-HCA2-Acipimox-Go/β1/γ2
42.11Single8JLKUlotaront8JLK-TA1-Ulotaront-chim(NtGi1-Gs)/β1/γ2
42.11Single8JLNT1AM8JLN-TA1-T1AM-Gs/β1/γ2
42.11Single8K9KDAMGO8K9K-μ-DAMGO-Gi3/β1/γ1
42.11Single8RWCStilSwitch28RWC-A2A-StilSwitch2-Na
42.11Single8RWDStilSwitch38RWD-A2A-StilSwitch3-Na
42.11Single8THKA-616038THK-Alpha1A-A-61603-chim(NtGi2L-Gs-CtGq)/β1/γ2
42.11Single8THLEpinephrine8THL-Alpha1A-Epinephrine-chim(NtGi2L-Gs-CtGq)/β1/γ2
42.11Single8U02Dopamine8U02-D2-Dopamine-Go/β1/γ2
42.11Single8UHBRO52563908UHB-TA1-RO5256390-Gs/β1/γ2
42.11Single8V6UPubChem 1713924568V6U-5-HT2A-PubChem 171392456-chim(NtGi2-Gs-CtGq)/β1/γ2
42.11Single8W88SEP-3638568W88-TA1-SEP-363856-Gs/β1/γ2
42.11Single8WC8ZH86518WC8-TA1-ZH8651-chim(NtGi1-Gs)/β1/γ2
42.11Single9CBLEpinephrine9CBL-α2a-Epinephrine-Gi1/β1/γ2
42.11Single9JH3CMF-0199JH3-Apelin; Apelin-CMF-019-Gi1/β1/γ2
42.11Single9JKQMETH9JKQ-TA1-METH-Gs/β1/γ2
42.11Single9KUWCMPD6449KUW-Apelin; Apelin-CMPD644-Arrestin2 ; Arrestin2
42.11Single9PXVNaloxone9PXV-μ-Naloxone-Gi1/β1/γ2
42.11Single9PXXNaloxone9PXX-μ-Naloxone-GDPβS-Gi1/β1/γ2
42.11Single9VNFPindolol9VNF-5-HT1A-Pindolol-Go/β1/γ2
42.11Single9W6W5-CT9W6W-5-HT5A-5-CT-Gi1/β1/γ2
42.11Consensusalpha1_onOrthosteric Ligandalpha1a_on
42.11Consensusalpha1_on_gpOrthosteric Ligandalpha1a_on_gp
42.11Consensusalpha1a_onOrthosteric Ligand7EJ0-α2a-Norepinephrine-Go/β1/γ2 7EJ8-α2a-Brimonidine-Go/β1/γ2 7EJA-α2a-Dexmedetomidine-Go/β1/γ2 7EJK-α2a-Oxymetazoline-Go/β1/γ2 7W6P-α2a-N-pyridin-4-ylisoquinolin-4-amine-Go/β1/γ2 7W7E-α2a-PubChem 164946676-Go/β1/γ2
42.11Consensusalpha1a_on_gpOrthosteric Ligand7EJ0-α2a-Norepinephrine-Go/β1/γ2 7EJ8-α2a-Brimonidine-Go/β1/γ2 7EJA-α2a-Dexmedetomidine-Go/β1/γ2 7EJK-α2a-Oxymetazoline-Go/β1/γ2 7W6P-α2a-N-pyridin-4-ylisoquinolin-4-amine-Go/β1/γ2 7W7E-α2a-PubChem 164946676-Go/β1/γ2
42.11Consensusnucleotide_offOrthosteric Ligandadenosine_off p2y_off
41.94Consensusgs_peptideOrthosteric Ligandgs_cck gs_melanocortin gs_vasop-oxy
41.67Single7F8XNN90567F8X-CCKA-NN9056
41.67Single7WVWfMYFINILTL7WVW-FPR2-ALX-fMYFINILTL-Gi2/β1/γ2
41.67Single7XAUOctreotide7XAU-SST2-Octreotide-Gi1/β1/γ2
41.67Single8FYLVilazodone8FYL-5-HT1A-Vilazodone-PtdIns4P-Gi1/β1/γ1
41.67Single8GHVAMG3158GHV-CB1-AMG315-Gi1/β1/γ2
41.67Single8K3ZCXCL128K3Z-CXCR4-CXCL12-Gi1/β1/γ1
41.67Single8PKMBefiradol8PKM-5-HT1A-Befiradol-Gi1/β1/γ1
41.67Single9M4TSilodosin9M4T-Alpha1A-Silodosin
41.67Consensusgi_nucleotideOrthosteric Ligandgi_adenosine gi_p2y
41.67Consensusgi_opioidOrthosteric Ligand8F7R-μ-Endomorphin-Gi1/β1/γ2 8EF5-μ-Fentanyl-Gi1/β1/γ2 7SCG-μ-FH210-Gi1/β1/γ2 7T2H-μ-Lofentanil-Gi1/β1/γ2 7T2G-μ-Mitragynine Pseudoindoxyl-Gi1/β1/γ2 8DZP-κ-momSalB-Gi1/β1/γ2 8EF6-μ-Morphine-Gi1/β1/γ2 8F7X-NOP-Nociceptin-Gi1/β1/γ2 8EFB-μ-Oliceridine-Gi1/β1/γ2 7U2L-μ-C5-guano-Gi1/β1/γ2 8EFO-μ-PZM21-Gi1/β1/γ2 8EFL-μ-SR17018-Gi1/β1/γ2 8F7Q-μ-β-Endorphin-Gi1/β1/γ2 7U2K-μ-C6-guano-Gi1/β1/γ2 8EFQ-μ-DAMGO-Gi1/β1/γ2 8F7S-δ-Deltorphin-Gi1/β1/γ2 8F7W-κ-Dynorphin-Gi1/β1/γ2
41.67Consensuslpl_onOrthosteric Ligands1p_on lpa_on
41.67Consensuslpl_on_gpOrthosteric Ligands1p_on_gp lpa_on_gp
41.67Consensusnop_onOrthosteric Ligand8F7X-NOP-Nociceptin-Gi1/β1/γ2
41.67Consensusnop_on_gpOrthosteric Ligand8F7X-NOP-Nociceptin-Gi1/β1/γ2
41.38Single7VGXNeuropeptide-Y7VGX-Y1-Neuropeptide-Y-Gi1/β1/γ2
41.38Single8IY5Endothelin-18IY5-ETB-Endothelin-1-Gi1/β1/γ2
41.38Consensusendothelin_onOrthosteric Ligandetb_on eta_on
41.18Single7EJKOxymetazoline7EJK-α2a-Oxymetazoline-Go/β1/γ2
41.18Single7WC5Psilocin7WC5-5-HT2A-Psilocin
41.18Single8GGEConstrained Epinephrine8GGE-β2-Constrained Epinephrine-GTP-Gs/β1/γ2
41.18Single8GH1Constrained Epinephrine8GH1-β2-Constrained Epinephrine
40.91Single4Z36ONO-30805734Z36-LPA1-ONO-3080573
40.91Single6A93Risperidone6A93-5-HT2A-Risperidone
40.91Single6CM4Risperidone6CM4-D2-Risperidone
40.91Single7EXDLasmiditan7EXD-5-HT1F-Lasmiditan-Gi1/β1/γ2
40.91Single7SUSPubChem 1227019087SUS-Apelin-PubChem 122701908
40.91Single7W0LPubChem 1227019087W0L-Apelin; Apelin-PubChem 122701908-Gi1/β1/γ2
40.91Single7XW9TRH7XW9-TRH-TRH-chim(NtGi1L-Gs-CtGq)/β1/γ2
40.91Single7YITNalfurafine7YIT-κ-Nalfurafine
40.91Single8G056-OAU8G05-GPR84-6-OAU-Gi1/β1/γ2
40.91Single8HK2C3a8HK2-C3aB-C3a-Gi1/β1/γ2
40.91Single8ID9Icosapent8ID9-FFA4-Icosapent-Gi1/β1/γ2
40.91Single8IYWGSK2560738IYW-HCA2-GSK256073-Go/β1/γ2
40.91Single8J6DEP1418J6D-C3aB-EP141-Go/β1/γ2
40.91Single8JJPChemerin-98JJP-CML2-Chemerin-9-Gi1/β1/γ2
40.91Single8JZ7MK68928JZ7-HCA2-MK6892-Gi1/β1/γ2
40.91Single9EBIPiclidenoson9EBI-A3A-Piclidenoson-chim(NtGi1L-Gs-CtGi1)/β1/γ2
40.91Single9GL2Befiradol9GL2-5-HT1A-Befiradol-Gs/β1/γ2
40.91Single9MQLIsoquinuclidine9MQL-κ-Isoquinuclidine
40.91Consensus5ht1f_onOrthosteric Ligand7EXD-5-HT1F-Lasmiditan-Gi1/β1/γ2
40.91Consensus5ht1f_on_gpOrthosteric Ligand7EXD-5-HT1F-Lasmiditan-Gi1/β1/γ2
40.91Consensusc3a_onOrthosteric Ligand8HK2-C3aB-C3a-Gi1/β1/γ2 8IA8-C3aB-E7 peptide-Gi1/β1/γ2
40.91Consensusgi_lipidOrthosteric Ligandgi_cannabinoid gi_ffa gi_leukotriene gi_lpa gi_s1p
40.91Consensuslpa1_offOrthosteric Ligand4Z36-LPA1-ONO-3080573 4Z35-LPA1-ONO-9910539 4Z34-LPA1-ONO-9780307
40.91Consensuslpa_offOrthosteric Ligandlpa1_off
40.91Consensusm4_onOrthosteric Ligand7TRS-M4-Acetylcholine-Gi1/β1/γ2 7V6A-M4-PubChem 9864275-Gi1/β1/γ2 8E9X-M4-2-Deoxycytidine-chim(NtGi1-Go)/β1/γ2 7TRK-M4-Iperoxo-Gi1/β1/γ2
40.91Consensusm4_on_gpOrthosteric Ligand7TRS-M4-Acetylcholine-Gi1/β1/γ2 7V6A-M4-PubChem 9864275-Gi1/β1/γ2 8E9X-M4-2-Deoxycytidine-chim(NtGi1-Go)/β1/γ2 7TRK-M4-Iperoxo-Gi1/β1/γ2
40.91Consensusnk1_offOrthosteric Ligand6HLP-NK1-Netupitant 6HLO-NK1-Aprepitant 6HLL-NK1-CP99994 6E59-NK1-L-760735
40.91Consensusopioid_offOrthosteric Ligandmop_off nop_off dop_off kop_off
40.91Consensustrh_onOrthosteric Ligand7XW9-TRH-TRH-chim(NtGi1L-Gs-CtGq)/β1/γ2
40.91Consensustrh_on_gpOrthosteric Ligand7XW9-TRH-TRH-chim(NtGi1L-Gs-CtGq)/β1/γ2
40.74Single7X9CPancreatic Hormone7X9C-Y4-Pancreatic Hormone-Gi1/β1/γ2
40.74Single8HCXEndothelin-18HCX-ETB-Endothelin-1-chim(NtGi2L-Gs-CtGq)/β1/γ2
40.74Single8XQEApelin-138XQE-Apelin; Apelin-Apelin-13-Gi1/β1/γ2
40.74Single8ZRTEndothelin-18ZRT-ETB-Endothelin-1
40.62Single7X9ANeuropeptide-Y7X9A-Y1-Neuropeptide-Y-Gi1/β1/γ2
40.00Single3ZPRPubChem 5987543ZPR-β1-PubChem 598754-Na
40.00Single4X1HNonyl-Beta-D-Glucopyranoside4X1H-Rhodopsin-Nonyl-β-D-Glucopyranoside-Gt(CT)
40.00Single5UENDU1725UEN-A1-DU172
40.00Single6D27CAY104716D27-DP2-CAY10471
40.00Single6DRZMethysergide6DRZ-5-HT2B-Methysergide
40.00Single6HLOAprepitant6HLO-NK1-Aprepitant
40.00Single6IGKEndothelin-36IGK-ETB-Endothelin-3
40.00Single6K42Dexmedetomidine6K42-α2b-Dexmedetomidine-Gi1/β1/γ2
40.00Single6LPJZM-2413856LPJ-A2A-ZM-241385-Na
40.00Single6LPKZM-2413856LPK-A2A-ZM-241385-Na
40.00Single7C6A(Sar1,Ile8)-Angiotensin II7C6A-AT2-(Sar1,Ile8)-Angiotensin II
40.00Single7RKMCX3CL17RKM-US28-CX3CL1-Gi1/β1/γ2
40.00Single7SCGFH2107SCG-μ-FH210-Gi1/β1/γ2
40.00Single7SQOTAK-9257SQO-OX2-TAK-925-Gi1/β1/γ2
40.00Single7T2GMitragynine Pseudoindoxyl7T2G-μ-Mitragynine Pseudoindoxyl-Gi1/β1/γ2
40.00Single7UL4Alvimopan7UL4-μ-Alvimopan
40.00Single7UM55-CT7UM5-5-HT5A-5-CT-chim(NtGi1-Go)/β1/γ2
40.00Single7VGZRamelteon7VGZ-MT1-Ramelteon-Gi1/β1/γ2
40.00Single7WJ5Somatostatin-147WJ5-SST2-Somatostatin-14-Gi1/β1/γ2
40.00Single7XTC5-CT7XTC-5-HT7-5-CT-Gs/β1/γ2
40.00Single7YU4ONO-07405567YU4-LPA1-ONO-0740556
40.00Single8CU7LJ-45178CU7-A2A-LJ-4517-Na
40.00Single8EFQDAMGO8EFQ-μ-DAMGO-Gi1/β1/γ2
40.00Single8FY85-MeO-DMT8FY8-5-HT1A-5-MeO-DMT-PtdIns4P-Gi1/β1/γ1
40.00Single8IHJAcifran8IHJ-HCA3-Acifran-Gi1/β1/γ2
40.00Single8JHNMonomethyl fumarate8JHN-HCA2-Monomethyl fumarate-Go/β1/γ2
40.00Single8JIINiacin8JII-HCA2-Niacin-PubChem 25101223-Gi1/β1/γ2
40.00Single8JLJT1AM8JLJ-TA1-T1AM-chim(NtGi1-Gs)/β1/γ2
40.00Single8JLZST19368JLZ-5-HT6-ST1936-Gs/β1/γ2
40.00Single8JZZC5a-des-Arg8JZZ-C5a1-C5a-des-Arg-Go/β1/γ2
40.00Single8PJKST1718PJK-5-HT1A-ST171-Gi1/β1/γ1
40.00Single8UGYMianserin8UGY-5-HT1E-Mianserin-Gi1/β1/γ1
40.00Single8UWLLisuride8UWL-5-HT2A-Lisuride-chim(NtGi2-Gs-CtGq)/β1/γ2
40.00Single8WC7ZH86678WC7-TA1-ZH8667-chim(NtGi1-Gs)/β1/γ2
40.00Single8WSSMCH8WSS-MCH1-MCH-Gi1/β1/γ1
40.00Single8X64Desloratadine8X64-H1-Desloratadine
40.00Single8Y71A1D6F8Y71-δ-A1D6F-BMS986187-Gi1/β1/γ2
40.00Single8YH5Riboprine8YH5-A3A-Riboprine-Gi1/β1/γ2
40.00Single9EAINanobody AT2099EAI-AT1-Losartan-Nanobody AT209
40.00Single9EPP11,20-Ethanoretinal9EPP-Rhodopsin-11,20-Ethanoretinal-chim(Gi1-CtGq)/β1/γ2
40.00Single9JFK(Pen5)-Urotensin II9JFK-UT-(Pen5)-Urotensin II-chim(NtGi2L-Gs-CtGq)/β1/γ2
40.00Single9JGKBalovaptan9JGK-5-HT2B-Balovaptan
40.00Single9KT7MK68929KT7-HCA2-MK6892-Gi1/β1/γ2
40.00Single9KUXCMPD6449KUX-Apelin; Apelin-CMPD644-Arrestin2
40.00Single9KV6TLQP219KV6-C3aB-TLQP21-Go/β1/γ2
40.00Single9PXWNaloxone9PXW-μ-Naloxone-GDPβS-Gi1/β1/γ2
40.00Single9UMXEP549UMX-C5a1-EP54-Go/β1/γ2
40.00Consensus5ht2b_offOrthosteric Ligand6DRZ-5-HT2B-Methysergide
40.00Consensus5ht6_onOrthosteric Ligand7XTB-5-HT6-Serotonin-Gs/β1/γ2 8JLZ-5-HT6-ST1936-Gs/β1/γ2
40.00Consensus5ht6_on_gpOrthosteric Ligand7XTB-5-HT6-Serotonin-Gs/β1/γ2 8JLZ-5-HT6-ST1936-Gs/β1/γ2
40.00Consensus5ht7_onOrthosteric Ligand7XTC-5-HT7-5-CT-Gs/β1/γ2
40.00Consensus5ht7_on_gpOrthosteric Ligand7XTC-5-HT7-5-CT-Gs/β1/γ2
40.00Consensusalpha2_onOrthosteric Ligandalpha2b_on
40.00Consensusalpha2_on_gpOrthosteric Ligandalpha2b_on_gp
40.00Consensusalpha2b_onOrthosteric Ligand6K42-α2b-Dexmedetomidine-Gi1/β1/γ2
40.00Consensusalpha2b_on_gpOrthosteric Ligand6K42-α2b-Dexmedetomidine-Gi1/β1/γ2
40.00Consensusccr5_on_gpOrthosteric Ligand7O7F-CCR5-6P4-CCL5-Gi1/β1/γ1 7F1Q-CCR5-CCL3-Gi1/β1/γ2
40.00Consensuscompl-peptide_onOrthosteric Ligandc5a1_on c3a_on
40.00Consensusformylpeptide_on_gpOrthosteric Ligandfpr2-alx_on_gp fpr1-alx_on_gp
40.00Consensusgi_cckOrthosteric Ligand7EZH-CCKA-Cholecystokinin-8-Gi1/β1/γ2 7F8V-CCKB-Gastrin-17-Gi2/β1/γ2
40.00Consensusgi_endothelinOrthosteric Ligand8IY5-ETB-Endothelin-1-Gi1/β1/γ2 8HBD-ETB-IRL1620-Gi1/β1/γ2
40.00Consensusgi_ghrelinOrthosteric Ligand7NA7-Ghrelin-Ghrelin-Gi1/β1/γ2 7NA8-Ghrelin-Ibutamoren-Gi1/β1/γ2
40.00Consensusgi_npyOrthosteric Ligand8K6M-Y1-Neuropeptide-Y-Gi2/β1/γ1 7X9C-Y4-Pancreatic Hormone-Gi1/β1/γ2 7YOO-Y2-Neuropeptide-Y-Gi1/β1/γ2
40.00Consensusgi_orexinOrthosteric Ligand7SQO-OX2-TAK-925-Gi1/β1/γ2
40.00Consensusnpy_onOrthosteric Ligandnpy1_on npy2_on npy4_on
40.00Consensusnpy_on_gpOrthosteric Ligandnpy1_on_gp npy2_on_gp npy4_on_gp
39.29Single8H0PNMB308H0P-BB1-NMB30-chim(NtGi1-Gs-CtGq)/β1/γ2
39.29Consensusgi_compl-peptOrthosteric Ligand8HK5-C5a1-C5a-Gi1/β1/γ2 8IA8-C3aB-E7 peptide-Gi1/β1/γ2 7Y66-C5a1-BM213-Gi1/β1/γ2 7Y67-C5a1-C089 peptide-Gi1/β1/γ2 8HK2-C3aB-C3a-Gi1/β1/γ2 7Y64-C5a1-C5a-Gi1/β1/γ2
39.29Consensusnpy4_onOrthosteric Ligand7X9C-Y4-Pancreatic Hormone-Gi1/β1/γ2
39.29Consensusnpy4_on_gpOrthosteric Ligand7X9C-Y4-Pancreatic Hormone-Gi1/β1/γ2
39.13Single5X93K-87945X93-ETB-K-8794
39.13Single6BQHRitanserin6BQH-5-HT2C-Ritanserin
39.13Single7EW0Ozanimod7EW0-S1P1-Ozanimod-Gi1/β1/γ2
39.13Single7UM4AS26747237UM4-5-HT5A-AS2674723
39.13Single7VGY2-Iodomelatonin7VGY-MT1-2-Iodomelatonin-Gi1/β1/γ2
39.13Single7X1UTRH7X1U-TRH-TRH-chim(NtGi2L-Gs-CtGq)/β1/γ2
39.13Single7XK2MK68927XK2-HCA2-MK6892-Gi1/β1/γ2
39.13Single7YU8ONO-07405567YU8-LPA1-ONO-0740556-Gi1/β1/γ2
39.13Single8E9YClozapine-N-oxide8E9Y-M3-Clozapine-N-oxide-chim(NtGi2L-Gs-CtGq)/β1/γ2
39.13Single8IYSTUG-8918IYS-FFA4-TUG-891-GDP-chim(NtGi1L-Gq)/β1/γ2
39.13Single8K4OCXCL18K4O-KSHV-CXCL1-Gi1/β1/γ1
39.13Single8XIOL7975918XIO-SST1-L797591-chim(NtGi1-Gs-CtGi1)/β1/γ2
39.13Single8ZWGJR14a8ZWG-C3aB-JR14a-Gi1/β1/γ2
39.13Single9CGJC6-Quino9CGJ-δ-C6-Quino-Gi1/β1/γ2
39.13Single9DYEBuspirone9DYE-5-HT1A-Buspirone-PtdIns4P-Go/β1/γ2
39.13Single9GE3Lysophosphatidylinositol9GE3-GPR55-Lysophosphatidylinositol-chim(NtGi1-G13)/β1/γ2
39.13Single9HYIDP819HYI-5-HT1A-DP81-Gi1/β1/γ2
39.13Single9IZFLPA9IZF-LPA1-LPA-Gi1/β1/γ2
39.13Single9KT8Acifran9KT8-HCA2-Acifran-Gi1/β1/γ2
39.13Single9M54Neuropeptide-VF9M54-NPFF2-Neuropeptide-VF-Gi1/β1/γ2
39.13Consensus5ht2c_offOrthosteric Ligand6BQH-5-HT2C-Ritanserin
39.13Consensusc3a_on_gpOrthosteric Ligand8HK2-C3aB-C3a-Gi1/β1/γ2 8IA8-C3aB-E7 peptide-Gi1/β1/γ2
39.13Consensuscck_onOrthosteric Ligandccka_on cckb_on
39.13Consensuscck_on_gpOrthosteric Ligandccka_on_gp cckb_on_gp
39.13Consensusd2_offOrthosteric Ligand6CM4-D2-Risperidone 6LUQ-D2-Haloperidol 7DFP-D2-Spiperone
39.13Consensusnucleotide_on_gpOrthosteric Ligandadenosine_on_gp p2y_on_gp
39.13Consensusorexin_on_gpOrthosteric Ligandox2_on_gp
38.89Single3PBLEticlopride3PBL-D3-Eticlopride
38.89Single6I9K9-cis-Retinal6I9K-Rhodopsin-9-cis-Retinal
38.89Single7E2YSerotonin7E2Y-5-HT1A-Serotonin-PtdIns4P-Gi1/β1/γ2
38.89Single7SRQLSD7SRQ-5-HT2B-LSD
38.89Single7XT9Serotonin7XT9-5-HT4-Serotonin-Gs/β1/γ2
38.89Single7XTASerotonin7XTA-5-HT4-Serotonin-Gi1/β1/γ2
38.89Single7XTBSerotonin7XTB-5-HT6-Serotonin-Gs/β1/γ2
38.89Single7YS6Serotonin7YS6-5-HT6-Serotonin-chim(NtGi1-Gs)/β1/γ2
38.89Single8EF6Morphine8EF6-μ-Morphine-Gi1/β1/γ2
38.89Single8GGYConstrained Epinephrine8GGY-β2-Constrained Epinephrine
38.89Single8JLOUlotaront8JLO-TA1-Ulotaront-Gs/β1/γ2
38.89Single8RWHStilSwitch28RWH-A2A-StilSwitch2-Na
38.89Single8YH3N-methyladenosine8YH3-A3A-N-methyladenosine-Gi1/β1/γ2
38.89Single8YN4Histamine8YN4-H2-Histamine-chim(NtGi1L-Gs-CtGq)/β1/γ2
38.89Single8YN5Histamine8YN5-H3-Histamine-Gi1/β1/γ2
38.89Single8YN6Imetit8YN6-H3-Imetit-Gi1/β1/γ2
38.89Single8YN7Immethridine8YN7-H3-Immethridine-Go/β1/γ2
38.89Single9IJEEpinephrine9IJE-β3-Epinephrine-chim(NtGi1-Gs)/β1/γ2
38.89Single9IXJHistamine9IXJ-H2-Histamine-Gs/β1/γ2
38.89Consensus5ht4_onOrthosteric Ligand7XTA-5-HT4-Serotonin-Gi1/β1/γ2
38.89Consensus5ht4_on_gpOrthosteric Ligand7XTA-5-HT4-Serotonin-Gi1/β1/γ2
38.89Consensusd3_offOrthosteric Ligand3PBL-D3-Eticlopride
38.71Single8HBDIRL16208HBD-ETB-IRL1620-Gi1/β1/γ2
38.71Consensusendothelin_on_gpOrthosteric Ligandetb_on_gp eta_on_gp
38.71Consensusetb_on_gpOrthosteric Ligand8IY5-ETB-Endothelin-1-Gi1/β1/γ2 8HBD-ETB-IRL1620-Gi1/β1/γ2
38.46Single3OE0CVX153OE0-CXCR4-CVX15
38.46Single6PT2KGCHM076PT2-δ-KGCHM07
38.46Single7T6TfMLFII7T6T-FPR1-ALX-fMLFII-Gi1/β1/γ2
38.46Single7TD2LPA7TD2-LPA1-LPA-Gi1/β1/γ2
38.46Single7XOUCholecystokinin-87XOU-CCKA-Cholecystokinin-8-Gs/β1/γ2
38.46Single8K6MNeuropeptide-Y8K6M-Y1-Neuropeptide-Y-Gi2/β1/γ1
38.46Single8XGUTAK4488XGU-Kiss1-TAK448-Gi1/β1/γ2
38.46Single9K27PrRP319K27-PrRP-PrRP31-chim(NtGi1-Gq)/β1/γ2
38.46Consensusc5a1_onOrthosteric Ligand8HK5-C5a1-C5a-Gi1/β1/γ2 7Y66-C5a1-BM213-Gi1/β1/γ2 7Y67-C5a1-C089 peptide-Gi1/β1/γ2 7Y64-C5a1-C5a-Gi1/β1/γ2
38.46Consensuscompl-peptide_on_gpOrthosteric Ligandc5a1_on_gp c3a_on_gp
38.46Consensuscxcr4_on_gpOrthosteric Ligand8K3Z-CXCR4-CXCL12-Gi1/β1/γ1
38.46Consensusnpy1_onOrthosteric Ligand8K6M-Y1-Neuropeptide-Y-Gi2/β1/γ1
38.46Consensusnpy1_on_gpOrthosteric Ligand8K6M-Y1-Neuropeptide-Y-Gi2/β1/γ1
38.10Single5IUAQ274563485IUA-A2A-Q27456348-Na
38.10Single5N2SPSB365N2S-A1-PSB36
38.10Single5NM2ZM-2413855NM2-A2A-ZM-241385-Na
38.10Single5OM4PubChem 1355666095OM4-A2A-PubChem 135566609-Na
38.10Single6GDGNECA6GDG-A2A-NECA-Gs/β1/γ1
38.10Single6LPLZM-2413856LPL-A2A-ZM-241385-Na
38.10Single6ME82-Phenylmelatonin6ME8-MT2-2-Phenylmelatonin
38.10Single6PS6Timolol6PS6-β2-Timolol
38.10Single6S0QZM-2413856S0Q-A2A-ZM-241385
38.10Single6TP6Filorexant6TP6-OX1-Filorexant
38.10Single6WQAZM-2413856WQA-A2A-ZM-241385-Na
38.10Single6XBKCholesterol6XBK-SMO-Cholesterol-Gi1/β1/γ2
38.10Single7EUOfMLF7EUO-FPR1-ALX-fMLF-Gi1/β1/γ2
38.10Single7RM5ZM-2413857RM5-A2A-ZM-241385-Na
38.10Single7SBFPZM217SBF-μ-PZM21-Gi1/β1/γ2
38.10Single7VFXfMIFL7VFX-FPR1-ALX-fMIFL-Gi1/β1/γ2
38.10Single7WIGL-0542647WIG-SST2-L-054264-Gi1/β1/γ2
38.10Single7YU3ONO-07405567YU3-LPA1-ONO-0740556-Gi1/β1/γ2
38.10Single7YU6ONO-07405567YU6-LPA1-ONO-0740556-Gi1/β1/γ2
38.10Single8DZRGR89,6968DZR-κ-GR89,696-chim(NtGi2-Gt3)/β1/γ2
38.10Single8FYNZM-2413858FYN-A2A-ZM-241385-Na
38.10Single8HNLPS3724248HNL-CXCR3-PS372424-Gi1/β1/γ2
38.10Single8UUJFCH-22964138UUJ-HCA2-FCH-2296413-Gi1/β1/γ2
38.10Single8YH0NECA8YH0-A3A-NECA-Gi1/β1/γ2
38.10Single8ZPTPrRP208ZPT-PrRP-PrRP20-chim(NtGi1-Gs-CtGq)/β1/γ2
38.10Single9ARYSerotonin9ARY-5-HT2A-Serotonin-chim(NtGi1-Gs-CtGq)/β1/γ2
38.10Single9ARZ2-bromo-LSD9ARZ-5-HT2A-2-bromo-LSD
38.10Single9CIBFCH-22964139CIB-HCA2-FCH-2296413
38.10Single9DYDAsenapine9DYD-5-HT1A-Asenapine-PtdIns4P-Go/β1/γ2
38.10Single9IYBPGD29IYB-DP2-PGD2-A1D5Q-Gi1/β1/γ2
38.10Single9L74S1P d16:19L74-S1P3-S1P d16:1-chim(NtGi2L-Gs-CtGq)/β1/γ2
38.10Single9MQKIsoquinuclidine9MQK-κ-Isoquinuclidine
38.10Single9VJFBuspirone9VJF-5-HT1A-Buspirone-Gi3/β1/γ2
38.10Consensus5ht2_offOrthosteric Ligand5ht2a_off 5ht2b_off 5ht2c_off
38.10Consensusadenosine_offOrthosteric Liganda1_off a2_off
38.10Consensusfpr1-alx_onOrthosteric Ligand7VFX-FPR1-ALX-fMIFL-Gi1/β1/γ2
38.10Consensusfpr1-alx_on_gpOrthosteric Ligand7VFX-FPR1-ALX-fMIFL-Gi1/β1/γ2
38.10Consensush1_offOrthosteric Ligand8X63-H1-Mepyramine 3RZE-H1-Cidoxepin 8X5Y-H1-Astemizole
38.10Consensusnucleotide_onOrthosteric Ligandadenosine_on p2y_on
37.93Single7YOONeuropeptide-Y7YOO-Y2-Neuropeptide-Y-Gi1/β1/γ2
37.93Single8WWLMCH8WWL-MCH1-MCH-Gi1/β1/γ2
37.93Single8ZH8QRFP268ZH8-QRFP-QRFP26-Gq/β1/γ1
37.93Single9K26PrRP319K26-PrRP-PrRP31-Gi1/β1/γ2
37.93Consensusnpy2_onOrthosteric Ligand7YOO-Y2-Neuropeptide-Y-Gi1/β1/γ2
37.93Consensusnpy2_on_gpOrthosteric Ligand7YOO-Y2-Neuropeptide-Y-Gi1/β1/γ2
37.50Single6XBJCholesterol6XBJ-SMO-Cholesterol-Gi1/β1/γ2
37.50Single7Y1FDynorphin7Y1F-κ-Dynorphin-Gi1/β1/γ2
37.50Single7YJ4INSL57YJ4-RXFP4-INSL5-Gi2/β1/γ2
37.50Single8F7REndomorphin8F7R-μ-Endomorphin-Gi1/β1/γ2
37.50Single8Z74JN241-98Z74-Apelin; Apelin-JN241-9
37.50Single8Z74JN241-98Z74-Apelin; Apelin-JN241-9
37.50Single9IPYJR14a9IPY-C3aB-JR14a
37.50Single9KX6C5a-des-Arg9KX6-C5a1-C5a-des-Arg-Go/β1/γ2
37.50Single9MD1Buspirone9MD1-5-HT1A-Buspirone-PtdIns4P-Gz/β1/γ2
37.50Consensusdop_onOrthosteric Ligand8F7S-δ-Deltorphin-Gi1/β1/γ2
37.50Consensusgq_cckOrthosteric Ligand8IA7-CCKB-Cholecystokinin-8-chim(NtGi1L-Gq)/β1/γ2 7XOW-CCKB-Sulfated Gastrin-(10-17)-chim(NtGi1-Gq)/β1/γ2 7EZM-CCKA-Cholecystokinin-8-chim(NtGsL-Gq)/β1/γ2 7F8W-CCKB-Gastrin-17-chim(NtGsL-Gq)/β1/γ2
37.04Single7DW9AVP7DW9-V2-AVP-chim(NtGi1-Gs)/β1/γ2
37.04Single7KH0AVP7KH0-V2-AVP-chim(NtGi1-Gs)/β1/γ2
37.04Single7T10Somatostatin-147T10-SST2-Somatostatin-14-Gi3/β1/γ2
37.04Single7W40Bombesin7W40-BB2-Bombesin-chim(NtGi1L-Gq)/β1/γ2
37.04Single8H4KGW95088H4K-FFA4-GW9508-chim(NtGi1-Gs-CtGq)/β1/γ2
37.04Consensusapelin_onOrthosteric Ligand8XZH-Apelin; Apelin-MM07-Gi1/β1/γ2 7W0M-Apelin-PubChem 122701908-Gi1/β1/γ2 8XZJ-Apelin; Apelin-WN353-Gi1/β1/γ2 8XZF-Apelin; Apelin-WN561-Gi1/β1/γ2 8XZG-Apelin; Apelin-Apelin-13-Gi1/β1/γ2
37.04Consensusapelin_on_gpOrthosteric Ligand8XZH-Apelin; Apelin-MM07-Gi1/β1/γ2 7W0M-Apelin-PubChem 122701908-Gi1/β1/γ2 8XZJ-Apelin; Apelin-WN353-Gi1/β1/γ2 8XZF-Apelin; Apelin-WN561-Gi1/β1/γ2 8XZG-Apelin; Apelin-Apelin-13-Gi1/β1/γ2
37.04Consensusc5a1_on_gpOrthosteric Ligand8HK5-C5a1-C5a-Gi1/β1/γ2 7Y66-C5a1-BM213-Gi1/β1/γ2 7Y67-C5a1-C089 peptide-Gi1/β1/γ2 7Y64-C5a1-C5a-Gi1/β1/γ2
37.04Consensusgi_formylpeptideOrthosteric Ligand7WVY-FPR2-ALX-Amyloid-β42-Gi2/β1/γ2 7T6U-FPR2-ALX-CGEN-855A-Gi1/β1/γ2 7VFX-FPR1-ALX-fMIFL-Gi1/β1/γ2 7T6V-FPR2-ALX-fMLFII-Gi1/β1/γ2 7WVX-FPR2-ALX-Humanin-Gi2/β1/γ2 7T6S-FPR2-ALX-TC-FPR 43-Gi1/β1/γ2 6OMM-FPR2-ALX-WKYMVX-Gi1/β1/γ2
37.04Consensusgs_vasop-oxyOrthosteric Ligand7DW9-V2-AVP-chim(NtGi1-Gs)/β1/γ2
37.04Consensusv2_onOrthosteric Ligand7DW9-V2-AVP-chim(NtGi1-Gs)/β1/γ2
37.04Consensusv2_on_gpOrthosteric Ligand7DW9-V2-AVP-chim(NtGi1-Gs)/β1/γ2
37.04Consensusvasop-oxy_onOrthosteric Ligandv2_on
37.04Consensusvasop-oxy_on_gpOrthosteric Ligandv2_on_gp
36.84Single3PWHZM-2413853PWH-A2A-ZM-241385
36.84Single3VGAZM-2413853VGA-A2A-ZM-241385-Antibody
36.84Single5OLOTozadenant5OLO-A2A-Tozadenant-Na
36.84Single6AKXA4R6AKX-CCR5-A4R
36.84Single6D9HAdenosine6D9H-A1-Adenosine-Gi2/β1/γ2
36.84Single6KUYPubChem 1457046436KUY-α2a-PubChem 145704643
36.84Single6NWEOctyl-Beta-D-Glucopyranoside6NWE-Rhodopsin-Octyl-β-D-Glucopyranoside-Gt(CT)
36.84Single6TODEMPA6TOD-OX1-EMPA-Na
36.84Single7EJ0Norepinephrine7EJ0-α2a-Norepinephrine-Go/β1/γ2
36.84Single7F1ODopamine7F1O-D1-Dopamine-GDP; Mg-Gs/β1/γ2
36.84Single7LJDDopamine7LJD-D1-Dopamine-Mevidalen-Gs/β1/γ1
36.84Single7W0MPubChem 1227019087W0M-Apelin-PubChem 122701908-Gi1/β1/γ2
36.84Single7X2CFenoldopam7X2C-D1-Fenoldopam-Fenoldopam-Gs/β1/γ2
36.84Single7X2FDopamine7X2F-D1-Dopamine-Mevidalen-Gs/β1/γ2
36.84Single8EFOPZM218EFO-μ-PZM21-Gi1/β1/γ2
36.84Single8HDPAdenosine8HDP-A2B-Adenosine-Gs/β1/γ2
36.84Single8HOCImetit8HOC-H4-Imetit-Gi1/β1/γ2
36.84Single8IJANiacin8IJA-HCA2-Niacin-Gi1/β1/γ2
36.84Single8IJBAcipimox8IJB-HCA2-Acipimox-Gi1/β1/γ2
36.84Single8IW4Spermidine8IW4-TAA9-Spermidine-chim(NtGi1-Gs)/β1/γ2
36.84Single8IWESpermidine8IWE-TAA9-Spermidine
36.84Single8J6LNiacin8J6L-HCA2-Niacin-Gi1/β1/γ2
36.84Single8JSOAMPH8JSO-TA1-AMPH-chim(NtGi1-Gs)/β1/γ2
36.84Single8RVWStilSwitch38RVW-A2A-StilSwitch3-Na
36.84Single8WC3SEP-3638568WC3-TA1-SEP-363856-chim(NtGi1-Gs)/β1/γ2
36.84Single8XXVIndomethacin8XXV-DP2-Indomethacin-A1D5Q-Gi1/β1/γ2
36.84Single8YNAImmepip8YNA-H4-Immepip-Gi1/β1/γ2
36.84Single8YUTAmthamine8YUT-H2-Amthamine-Gs/β1/γ2
36.84Single8YUVImmepip8YUV-H3-Immepip-Gi1/β1/γ2
36.84Single8Z87CHBA8Z87-HCA1-CHBA-Gi1/β1/γ2
36.84Single9EEAAdenosine9EEA-A2A-Adenosine-Gs/β1/γ2
36.84Single9J5VCpY9J5V-LPA1-CpY-Gi1/β1/γ2
36.84Single9KVHCinobufotenine9KVH-5-HT1A-Cinobufotenine-PtdIns4P-Gi1/β1/γ2
36.84Single9LL9DOI9LL9-5-HT2A-DOI-chim(NtGi1L-Gs-CtGq)/β1/γ2
36.84Single9MQJIsoquinuclidine9MQJ-μ-Isoquinuclidine
36.84Single9PXUNaloxone9PXU-μ-Naloxone-Na
36.84Consensusgq_histamineOrthosteric Ligand7DFL-H1-Histamine-chim(NtGi1L-Gq)/β1/γ2
36.84Consensush1_on_gpOrthosteric Ligand7DFL-H1-Histamine-chim(NtGi1L-Gq)/β1/γ2
36.67Single8IY6Endothelin-18IY6-ETB-Endothelin-1
36.67Consensusetb_onOrthosteric Ligand8IY5-ETB-Endothelin-1-Gi1/β1/γ2 8HBD-ETB-IRL1620-Gi1/β1/γ2
36.36Single4DJHJDTic4DJH-κ-JDTic
36.36Single4U15Tiotropium4U15-M3-Tiotropium
36.36Single4Z34ONO-97803074Z34-LPA1-ONO-9780307
36.36Single6DDEDAMGO6DDE-μ-DAMGO-Gi1/β1/γ2
36.36Single6OL9Tiotropium6OL9-M5-Tiotropium
36.36Single6TQ7SB-3348676TQ7-OX1-SB-334867
36.36Single7PX4PSB-21137PX4-A2A-PSB-2113
36.36Single7TD1LPA7TD1-LPA1-LPA-Gi1/β1/γ2
36.36Single7TUYGSK682753A7TUY-GPR183-GSK682753A
36.36Single7XTQR3997XTQ-GPBA-R399-Gs/β1/γ2
36.36Single7XY7NECA7XY7-A2B-NECA-chim(NtGi1-Gs)/β1/γ2
36.36Single7YU5ONO-07405567YU5-LPA1-ONO-0740556-Gi1/β1/γ2
36.36Single7YU7ONO-07405567YU7-LPA1-ONO-0740556-Gi1/β1/γ2
36.36Single8I9LC3a8I9L-C3aB-C3a-Go/β1/γ2
36.36Single8IHHLUF62838IHH-HCA2-LUF6283-Gi1/β1/γ2
36.36Single8IYHMK68928IYH-HCA2-MK6892-Go/β1/γ2
36.36Single8JLPRalmitaront8JLP-TA1-Ralmitaront-Gs/β1/γ2
36.36Single8JXXClobenpropit8JXX-H4-Clobenpropit-Gi1/β1/γ2
36.36Single8VVFJDTic8VVF-κ-JDTic-Gi1/β1/γ2
36.36Single8WU1MDMB-Fubinaca8WU1-CB1-MDMB-Fubinaca-Arrestin2
36.36Single8XIPPasireotide8XIP-SST1-Pasireotide-chim(NtGi1-Gs-CtGi1)/β1/γ2
36.36Single8XZICMF-0198XZI-Apelin; Apelin-CMF-019-Gi1/β1/γ2
36.36Single8Y73Peptide8Y73-μ-Peptide-MPAM-15-Gi1/β1/γ2
36.36Single9IK9Lanreotide9IK9-SST1-Lanreotide-Gi1/β1/γ2
36.36Single9IZGLPA9IZG-LPA1-LPA-chim(NtGi1-Gs-CtGq)/β1/γ2
36.36Single9JMCDS-3801b9JMC-Motilin-DS-3801b-chim(Gs-CtGq)/β1/γ2
36.36Single9KUXCMPD6449KUX-Apelin; Apelin-CMPD644-Arrestin2
36.36Single9RHGC4079RHG-FZD7-C407
36.36Consensus5ht_offOrthosteric Ligand5ht2_off 5ht1_off
36.36Consensusclass-a_offOrthosteric Ligandsensory_off alicarboxylic_off amine_off lipid_off nucleotide_off peptide_off protein_off
36.36Consensuscyslt1_offOrthosteric Ligand6RZ5-CysLT1-Zafirlukast-Na 6RZ4-CysLT1-Pranlukast-Na
36.36Consensusgi_lpaOrthosteric Ligand7TD1-LPA1-LPA-Gi1/β1/γ2 7YU3-LPA1-ONO-0740556-Gi1/β1/γ2
36.36Consensuskop_offOrthosteric Ligand4DJH-κ-JDTic
36.36Consensuslpa_onOrthosteric Ligandlpa1_on
36.36Consensuslpa_on_gpOrthosteric Ligandlpa1_on_gp
36.36Consensusm5_offOrthosteric Ligand6OL9-M5-Tiotropium
36.36Consensusmuscarinic_offOrthosteric Ligandm2_off m3_off m4_off m5_off m1_off
36.36Consensustachykinin_offOrthosteric Ligandnk1_off
36.00Single7NA7Ghrelin7NA7-Ghrelin-Ghrelin-Gi1/β1/γ2
36.00Single7W53Neuromedin-U-257W53-NMUR1-Neuromedin-U-25-chim(NtGi1-Gs-CtGq)/β1/γ2
36.00Single8F7XNociceptin8F7X-NOP-Nociceptin-Gi1/β1/γ2
36.00Single8G59TUG-8918G59-FFA4-TUG-891-chim(Gi1-CtGq)/β1/γ2
36.00Single8J6RMK68928J6R-HCA2-MK6892-Gi1/β1/γ2
36.00Single8XGMChemerin8XGM-CML2-Chemerin-Gi1/β1/γ2
36.00Single9HB3Mambaquaretin-19HB3-V2-Mambaquaretin-1
36.00Single9KWGC5a9KWG-C5a1-C5a-Go/β1/γ2
36.00Single9L3YChemerin9L3Y-CML2-Chemerin-Gi1/β1/γ2
36.00Consensuscxcr4_onOrthosteric Ligand8K3Z-CXCR4-CXCL12-Gi1/β1/γ1
36.00Consensusnmur1_on_gpOrthosteric Ligand7W53-NMUR1-Neuromedin-U-25-chim(NtGi1-Gs-CtGq)/β1/γ2
36.00Consensusp2y_onOrthosteric Ligandp2y1_on p2y10_on p2y12_on
36.00Consensussst5_onOrthosteric Ligand8X8L-SST5-Cortistatin-14-chim(NtGi1-Gs-CtGi1)/β1/γ2 8X8N-SST5-Octreotide-chim(NtGi1-Gs-CtGi1)/β1/γ2
35.71Single7X9BNeuropeptide-Y7X9B-Y2-Neuropeptide-Y-Gi1/β1/γ2
35.71Single8HCQEndothelin-18HCQ-ETA-Endothelin-1-chim(NtGi1-Gs-CtGq)/β1/γ2
35.71Single8HK5C5a8HK5-C5a1-C5a-Gi1/β1/γ2
35.71Single8WWKMCH8WWK-MCH1-MCH-Gi1/β1/γ2
35.71Single8XVHEndothelin-18XVH-ETB-Endothelin-1-chim(Gs-CtGq)/β1/γ2
35.71Single8XVIEndothelin-18XVI-ETA-Endothelin-1-chim(Gs-CtGq)/β1/γ2
35.71Consensuschemokine_on_gpOrthosteric Ligandccr_on_gp cxcr_on_gp
35.71Consensuscxcr_offOrthosteric Ligandcxcr3_off cxcr4_off
35.71Consensuseta_onOrthosteric Ligand8HCQ-ETA-Endothelin-1-chim(NtGi1-Gs-CtGq)/β1/γ2
35.71Consensuseta_on_gpOrthosteric Ligand8HCQ-ETA-Endothelin-1-chim(NtGi1-Gs-CtGq)/β1/γ2
35.71Consensusgi_apelinOrthosteric Ligand8XZH-Apelin; Apelin-MM07-Gi1/β1/γ2 7W0M-Apelin-PubChem 122701908-Gi1/β1/γ2 8XZJ-Apelin; Apelin-WN353-Gi1/β1/γ2 8XZF-Apelin; Apelin-WN561-Gi1/β1/γ2 8XZG-Apelin; Apelin-Apelin-13-Gi1/β1/γ2
35.48Single8U1UCCL18U1U-CCR8-CCL1-Gi1/β1/γ2
35.48Single8ZJETAK4488ZJE-Kiss1-TAK448-chim(NtGi1-Gq)/β1/γ1
35.29Single8A2OTheophylline8A2O-A2A-Theophylline-Na
35.29Single8DPHLorcaserin8DPH-5-HT2C-Lorcaserin-chim(NtGi2L-Gs-CtGq)/β1/γ2
35.29Single8GEIConstrained Epinephrine8GEI-β2-Constrained Epinephrine-Gs/β1/γ2
35.29Single8IWM2-Phenylethylamine8IWM-TAA9-2-Phenylethylamine
35.29Single9EE9Adenosine9EE9-A2A-Adenosine-Gs/β1/γ2
35.00Single1F8811-cis-Retinal1F88-Rhodopsin-11-cis-Retinal
35.00Single3REYPubChem 56973REY-A2A-PubChem 5697
35.00Single3UZCPubChem 1355666093UZC-A2A-PubChem 135566609
35.00Single4MBSMaraviroc4MBS-CCR5-Maraviroc
35.00Single4ZJCSB-6740424ZJC-OX1-SB-674042
35.00Single5IU4ZM-2413855IU4-A2A-ZM-241385-Na
35.00Single5IUBQ274563445IUB-A2A-Q27456344-Na
35.00Single5K2BZM-2413855K2B-A2A-ZM-241385-Na
35.00Single5K2CZM-2413855K2C-A2A-ZM-241385-Na
35.00Single5NLXZM-2413855NLX-A2A-ZM-241385-Na
35.00Single5NM4ZM-2413855NM4-A2A-ZM-241385-Na
35.00Single5TE3Octyl-Beta-D-Glucopyranoside5TE3-Rhodopsin-Octyl-β-D-Glucopyranoside
35.00Single6A94Zotepine6A94-5-HT2A-Zotepine
35.00Single6AQFZM-2413856AQF-A2A-ZM-241385
35.00Single6ME42-Iodomelatonin6ME4-MT1-2-Iodomelatonin
35.00Single6TPGEMPA6TPG-OX2-EMPA
35.00Single6U1NLY21196206U1N-M2-LY2119620-Arrestin2
35.00Single6VI4JDTic6VI4-κ-JDTic
35.00Single6WH4Methiothepin6WH4-5-HT2A-Methiothepin
35.00Single7BB6AVP7BB6-V2-AVP-Gs/β1/γ2
35.00Single7SR8TAK-9257SR8-OX2-TAK-925-chim(NtGi1L-Gs-CtGq)/β1/γ2
35.00Single7T32ZM-2413857T32-A2A-ZM-241385
35.00Single7T94Acetylcholine7T94-M2-Acetylcholine-LY2119620-chim(NtGi1-Go)/β1/γ2
35.00Single7T94LY21196207T94-M2-Acetylcholine-LY2119620-chim(NtGi1-Go)/β1/γ2
35.00Single7TRSAcetylcholine7TRS-M4-Acetylcholine-Gi1/β1/γ2
35.00Single7VUGJNJ-635330547VUG-GPR139-JNJ-63533054-Gi1/β1/γ2
35.00Single7WC9PubChem 1624213647WC9-5-HT2A-PubChem 162421364
35.00Single8DPGPsilocin8DPG-5-HT2C-Psilocin-chim(NtGi2L-Gs-CtGq)/β1/γ2
35.00Single8GURCP559408GUR-CB2-CP55940-Gi1/β1/γ2
35.00Single8IHKAcifran8IHK-HCA3-Acifran
35.00Single8JIMMonomethyl fumarate8JIM-HCA2-Monomethyl fumarate-Gi1/β1/γ2
35.00Single8JLQFenoldopam8JLQ-TA1-Fenoldopam-Gs/β1/γ2
35.00Single8JSPUlotaront8JSP-5-HT1A-Ulotaront-Gi1/β1/γ2
35.00Single8K5CAcipimox8K5C-HCA2-Acipimox
35.00Single8K9LDAMGO8K9L-μ-DAMGO-BMS-986122-Gi3/β1/γ1
35.00Single8RLNLUF58348RLN-A2A-LUF5834
35.00Single8W8BSEP-3638568W8B-5-HT1A-SEP-363856-Gi1/β1/γ2
35.00Single8YN3Histamine8YN3-H2-Histamine-Gs/β1/γ2
35.00Single8ZPMAMD0708ZPM-CXCR4-AMD070
35.00Single9ARXSerotonin9ARX-5-HT2A-Serotonin
35.00Single9EPQ11,20-Ethanoretinal9EPQ-Rhodopsin-11,20-Ethanoretinal-chim(Gi1-CtGq)/β1/γ2
35.00Single9JKYAcifran9JKY-HCA2-Acifran-Gi1/β1/γ2
35.00Single9KVIBufotenin9KVI-5-HT1A-Bufotenin-PtdIns4P-Gi1/β1/γ2
35.00Single9LL8Psilocin9LL8-5-HT2A-Psilocin-Gi1/β1/γ2
35.00Single9LRDHistamine9LRD-H1-Histamine-Gi1/β1/γ2
35.00Single9MQIIsoquinuclidine9MQI-μ-Isoquinuclidine
35.00Single9ODJMitragynine Pseudoindoxyl9ODJ-μ-Mitragynine Pseudoindoxyl-GTP; Mg-Gi1/β1/γ2
35.00Single9ODLMitragynine Pseudoindoxyl9ODL-μ-Mitragynine Pseudoindoxyl-GTP; Mg-Gi1/β1/γ2
35.00Single9P1TZM-2413859P1T-A2A-ZM-241385
35.00Single9VJG8-OH-DPAT9VJG-5-HT1A-8-OH-DPAT-chim(NtGi2-Gz)/β1/γ2
35.00Consensushca_onOrthosteric Ligandhca2_on
34.78Single4N4WSANT-14N4W-SMO-SANT-1
34.78Single5CXVTiotropium5CXV-M1-Tiotropium
34.78Single6OS2TRV0266OS2-AT1-TRV026
34.78Single6XBLCholesterol6XBL-SMO-SAG-Cholesterol-Gi1/β1/γ2
34.78Single7L1VPubChem 1554910097L1V-OX2-PubChem 155491009-chim(NtGi1-Gs-CtGq)/β1/γ2
34.78Single7W0LPubChem 1227019087W0L-Apelin; Apelin-PubChem 122701908-Gi1/β1/γ2
34.78Single7WCNAR2314537WCN-GPR119-AR231453-Gs/β1/γ2
34.78Single7XMTJ-21567XMT-SST4-J-2156-Gi1/β1/γ2
34.78Single7Y66BM2137Y66-C5a1-BM213-Gi1/β1/γ2
34.78Single8E9W2-Deoxycytidine8E9W-M3-2-Deoxycytidine-chim(NtGi2L-Gs-CtGq)/β1/γ2
34.78Single8JWY2-1188JWY-A2A-2-118
34.78Single8T3QDoconexent8T3Q-FFA4-Doconexent-chim(NtGi2L-Gs-CtGq)/β1/γ2
34.78Single8X8NOctreotide8X8N-SST5-Octreotide-chim(NtGi1-Gs-CtGi1)/β1/γ2
34.78Single9ECJS-geranylgeranyl-L-glutathione9ECJ-P2Y8-S-geranylgeranyl-L-glutathione-G13/β1/γ2
34.78Single9GYOP3959GYO-GPBA-P395-chim(NtGi1-Gs)/β1/γ2
34.78Single9IZHLPA9IZH-LPA1-LPA-chim(NtGi2-G13)/β1/γ2
34.78Single9WXMGPR15L(CT)9WXM-GPR15-GPR15L(CT)-Gi3/β1/γ2
34.78Single9YDQDADLE9YDQ-δ-DADLE-MIPS3614-chim(NtGi1L-Gs-CtGi1)/β1/γ2
34.78Consensusccr8_onOrthosteric Ligand8KFX-CCR8-LMD-009-Gi1/β1/γ2 8KFY-CCR8-ZK-756326-Gi1/β1/γ2 8U1U-CCR8-CCL1-Gi1/β1/γ2
34.78Consensuscxcr_onOrthosteric Ligandcxcr3_on cxcr4_on cxcr1_on cxcr2_on
34.78Consensusgi_amineOrthosteric Ligandgi_5ht gi_muscarinic gi_adrenergic gi_dopamine gi_histamine
34.78Consensuslipid_offonOrthosteric Ligandlipid_off lipid_on
34.78Consensuslipid_offon_gpOrthosteric Ligandlipid_on_gp lipid_off
34.78Consensuslpl_offOrthosteric Ligands1p_off lpa_off
34.78Consensusm1_offOrthosteric Ligand5CXV-M1-Tiotropium
34.78Consensusmop_onOrthosteric Ligand8F7R-μ-Endomorphin-Gi1/β1/γ2 8EF5-μ-Fentanyl-Gi1/β1/γ2 7SCG-μ-FH210-Gi1/β1/γ2 7T2H-μ-Lofentanil-Gi1/β1/γ2 7T2G-μ-Mitragynine Pseudoindoxyl-Gi1/β1/γ2 8EF6-μ-Morphine-Gi1/β1/γ2 8EFB-μ-Oliceridine-Gi1/β1/γ2 7U2L-μ-C5-guano-Gi1/β1/γ2 8EFO-μ-PZM21-Gi1/β1/γ2 8EFL-μ-SR17018-Gi1/β1/γ2 8F7Q-μ-β-Endorphin-Gi1/β1/γ2 7U2K-μ-C6-guano-Gi1/β1/γ2 8EFQ-μ-DAMGO-Gi1/β1/γ2
34.78Consensusmop_on_gpOrthosteric Ligand8F7R-μ-Endomorphin-Gi1/β1/γ2 8EF5-μ-Fentanyl-Gi1/β1/γ2 7SCG-μ-FH210-Gi1/β1/γ2 7T2H-μ-Lofentanil-Gi1/β1/γ2 7T2G-μ-Mitragynine Pseudoindoxyl-Gi1/β1/γ2 8EF6-μ-Morphine-Gi1/β1/γ2 8EFB-μ-Oliceridine-Gi1/β1/γ2 7U2L-μ-C5-guano-Gi1/β1/γ2 8EFO-μ-PZM21-Gi1/β1/γ2 8EFL-μ-SR17018-Gi1/β1/γ2 8F7Q-μ-β-Endorphin-Gi1/β1/γ2 7U2K-μ-C6-guano-Gi1/β1/γ2 8EFQ-μ-DAMGO-Gi1/β1/γ2
34.78Consensusorexin_onOrthosteric Ligandox2_on
34.62Single7EZKCholecystokinin-87EZK-CCKA-Cholecystokinin-8-chim(NtGi1-Gs)/β1/γ2
34.62Single8Z7JJN241-98Z7J-Apelin-JN241-9-Gi1/β1/γ2
34.62Single9IK8Pasireotide9IK8-SST1-Pasireotide-Gi1/β1/γ2
34.62Single9IQVMuscarinic toxin 39IQV-Alpha1A-Muscarinic toxin 3
34.62Single9KFIRelaxin-39KFI-RXFP3-Relaxin-3-Gi2/β1/γ2
34.62Consensuscckb_onOrthosteric Ligand8IA7-CCKB-Cholecystokinin-8-chim(NtGi1L-Gq)/β1/γ2 7XOW-CCKB-Sulfated Gastrin-(10-17)-chim(NtGi1-Gq)/β1/γ2 7F8V-CCKB-Gastrin-17-Gi2/β1/γ2
34.62Consensusccr8_on_gpOrthosteric Ligand8KFX-CCR8-LMD-009-Gi1/β1/γ2 8KFY-CCR8-ZK-756326-Gi1/β1/γ2 8U1U-CCR8-CCL1-Gi1/β1/γ2
34.62Consensuss1p3_on_gpOrthosteric Ligand7EW3-S1P3-S1P-Gi1/β1/γ2 7EW4-S1P3-CYM-5541-Gi1/β1/γ2 7EW2-S1P3-FTY720-P-Gi1/β1/γ2
34.48Single8XQFApelin-138XQF-Apelin-Apelin-13-Gi1/β1/γ2
34.48Single9KFKRelaxin-39KFK-RXFP4-Relaxin-3-Gi2/β1/γ2
33.33Single2J4Y11-cis-Retinal2J4Y-Rhodopsin-11-cis-Retinal
33.33Single3EMLZM-2413853EML-A2A-ZM-241385
33.33Single4EA3PubChem 102965614EA3-NOP-PubChem 10296561
33.33Single4EIYZM-2413854EIY-A2A-ZM-241385-Na
33.33Single4U16N-methyl-Scopolamine4U16-M3-N-methyl-Scopolamine
33.33Single5IU8Q274563475IU8-A2A-Q27456347-Na
33.33Single5K2AZM-2413855K2A-A2A-ZM-241385-Na
33.33Single5OLGZM-2413855OLG-A2A-ZM-241385-Na
33.33Single5OLZPubChem 1355666095OLZ-A2A-PubChem 135566609-Na
33.33Single5OM1PubChem 1355666095OM1-A2A-PubChem 135566609-Na
33.33Single5UIGPubChem 1240811965UIG-A2A-PubChem 124081196
33.33Single5UNGPubChem 157800525UNG-AT2-PubChem 15780052
33.33Single5VRAZM-2413855VRA-A2A-ZM-241385-Na
33.33Single5WKTOctyl-Beta-D-Glucopyranoside5WKT-Rhodopsin-Octyl-β-D-Glucopyranoside-Gt(CT)
33.33Single5YC8N-methyl-Scopolamine5YC8-M2-N-methyl-Scopolamine
33.33Single5ZK8N-methyl-Scopolamine5ZK8-M2-N-methyl-Scopolamine
33.33Single5ZKCN-methyl-Scopolamine5ZKC-M2-N-methyl-Scopolamine
33.33Single6DRXLisuride6DRX-5-HT2B-Lisuride
33.33Single6FUFAll-trans-Retinal6FUF-Rhodopsin-All-trans-Retinal-Go
33.33Single6LW5WKYMVm6LW5-FPR2-ALX-WKYMVm
33.33Single6ME5Agomelatine6ME5-MT1-Agomelatine
33.33Single6MEOGp160; CD46MEO-CCR5-Gp160; CD4
33.33Single6S0LZM-2413856S0L-A2A-ZM-241385
33.33Single6TOTLemborexant6TOT-OX1-Lemborexant
33.33Single7DB6Ramelteon7DB6-MT1-Ramelteon-Gi1/β1/γ2
33.33Single7EVZCenerimod7EVZ-S1P1-Cenerimod-Gi1/β1/γ2
33.33Single7EZHCholecystokinin-87EZH-CCKA-Cholecystokinin-8-Gi1/β1/γ2
33.33Single7EZMCholecystokinin-87EZM-CCKA-Cholecystokinin-8-chim(NtGsL-Gq)/β1/γ2
33.33Single7F23Dopamine7F23-D1-Dopamine-GDP-Gs/β1/γ2
33.33Single7F4FAfamelanotide7F4F-MC1-Afamelanotide-chim(NtGi1-Gs)/β1/γ2
33.33Single7MBXCholecystokinin-87MBX-CCKA-Cholecystokinin-8-Gs/β1/γ1
33.33Single7MBYCholecystokinin-87MBY-CCKA-Cholecystokinin-8-chim(NtGi1L-Gs-CtGq)/β1/γ2
33.33Single7MTSADX551647MTS-mGlu2; mGlu2-Glutamate-ADX55164-Gi1/β1/γ2
33.33Single7PYRPSB-21157PYR-A2A-PSB-2115
33.33Single7SK8CCX6627SK8-ACKR3-CXCL12-CCX662
33.33Single7T6VfMLFII7T6V-FPR2-ALX-fMLFII-Gi1/β1/γ2
33.33Single7TRQVU04671547TRQ-M4-Iperoxo-VU0467154-Gi1/β1/γ2
33.33Single7V6APubChem 98642757V6A-M4-PubChem 9864275-Gi1/β1/γ2
33.33Single7Y65C5a (C-terminal peptide)7Y65-C5a1-C5a (C-terminal peptide)-Gi1/β1/γ2
33.33Single8CU6LJ-45178CU6-A2A-LJ-4517
33.33Single8DZSGR89,6968DZS-κ-GR89,696-chim(NtGi2-Gz)/β1/γ2
33.33Single8GGFConstrained Epinephrine8GGF-β2-Constrained Epinephrine-GTP-Gs/β1/γ2
33.33Single8GUTLEI-1028GUT-CB2-LEI-102-Gi1/β1/γ2
33.33Single8HN1Toxin AdTx18HN1-Alpha1A-Toxin AdTx1
33.33Single8I7VAcipimox8I7V-HCA2-Acipimox-Gi1/β1/γ2
33.33Single8ID8TUG-8918ID8-FFA4-TUG-891-Gi1/β1/γ2
33.33Single8IJDMK68928IJD-HCA2-MK6892-Gi1/β1/γ2
33.33Single8IULLatanoprost8IUL-FP-alpha-Latanoprost-chim(NtGi1-Gs-CtGq)/β1/γ2
33.33Single8IW72-Phenylethylamine8IW7-TAA9-2-Phenylethylamine-chim(NtGi1-Gs)/β1/γ2
33.33Single8J24Acetic acid8J24-FFA2-Acetic acid-Gi1/β1/γ2
33.33Single8J6PNiacin8J6P-HCA2-Niacin-PubChem 25101223-Gi1/β1/γ2
33.33Single8J6QBeta-Hydroxybutyrate8J6Q-HCA2-β-Hydroxybutyrate-PubChem 25101223-Gi1/β1/γ2
33.33Single8K2XCXCL108K2X-CXCR3-CXCL10-Gi1/β1/γ2
33.33Single8T1WCVN4248T1W-GPR6-CVN424
33.33Single8T3OTUG-8918T3O-FFA4-TUG-891-chim(NtGi2L-Gs-CtGq)/β1/γ2
33.33Single8UH3Setiptiline8UH3-5-HT1E-Setiptiline-Gi1/β1/γ1
33.33Single8VVGGB188VVG-κ-GB18-Gi1/β1/γ2
33.33Single8WC62-Phenylethylamine8WC6-TA1-2-Phenylethylamine-chim(NtGi1-Gs)/β1/γ2
33.33Single8WC9ZH86518WC9-TA1-ZH8651-chim(NtGi1-Gs-CtGq)/β1/γ2
33.33Single8WRZAM8418WRZ-CB1-AM841-Arrestin2
33.33Single8X63Mepyramine8X63-H1-Mepyramine
33.33Single8XBES3E-Lysophosphatidylserine 8XBE-GPR34-S3E-Lysophosphatidylserine-Gi1/β1/γ1
33.33Single8XGSKisspeptin-18XGS-Kiss1-Kisspeptin-1-chim(NtGi1-Gq)/β1/γ2
33.33Single8Y63C20:0 Ceramide8Y63-FPR2-ALX-C20:0 Ceramide-Gi1/β1/γ2
33.33Single8YN8Proxyfan8YN8-H3-Proxyfan-Go/β1/γ2
33.33Single8YN9Histamine8YN9-H4-Histamine-Gi1/β1/γ2
33.33Single8YUUHistamine8YUU-H3-Histamine-Gi1/β1/γ1
33.33Single9AS1DMT9AS1-5-HT2A-DMT
33.33Single9B54VIP369B54-CB1-VIP36-Gi1/β1/γ2
33.33Single9DYFAsenapine9DYF-5-HT1A-Asenapine-PtdIns4P-Gi1/β1/γ2
33.33Single9IV15alpha-DHT9IV1-ADGRD1-5α-DHT-chim(NtGi1-Gs)/β1/γ2
33.33Single9IZCMK19039IZC-HCA2-MK1903-Gi1/β1/γ2
33.33Single9J0BUDP-Glucose9J0B-P2Y14-UDP-Glucose-Gi1/β1/γ2
33.33Single9JEAAtropine9JEA-M1-Atropine
33.33Single9KFJPubChem 1383196749KFJ-RXFP3-PubChem 138319674-Gi2/β1/γ2
33.33Single9KV8TLQP219KV8-C3aB-TLQP21-Go/β1/γ2
33.33Single9L79AR2314539L79-GPR119-AR231453-chim(NtGi1-Gs)/β1/γ2
33.33Single9LLAAriadne9LLA-5-HT2A-Ariadne-chim(NtGi1L-Gs-CtGq)/β1/γ2
33.33Single9LRCHistamine9LRC-H4-Histamine
33.33Single9LREHistamine9LRE-H4-Histamine-Gi1/β1/γ2
33.33Single9P1SZM-2413859P1S-A2A-ZM-241385
33.33Single9UAZAtropine9UAZ-M1-Atropine
33.33Single9UYHChemerin-99UYH-CML2-Chemerin-9-Arrestin2
33.33Single9UYIChemerin-99UYI-CML2-Chemerin-9-Arrestin2
33.33Single9UYMChemerin-99UYM-CML2-Chemerin-9-chim(Arrestin3-CtArrestin2)
33.33Single9YDPDADLE9YDP-δ-DADLE-chim(NtGi1L-Gs-CtGi1)/β1/γ2
33.33Consensus5ht2_onOrthosteric Ligand5ht2b_on
33.33Consensus5ht2b_onOrthosteric Ligand7SRR-5-HT2B-LSD-chim(NtGi2L-Gs-CtGq)/β1/γ2
33.33Consensusalicarboxylic_on_gpOrthosteric Ligandsuccinate_on_gp hca_on_gp
33.33Consensuscb1_on_gpOrthosteric Ligand6KPG-CB1-AM841-Gi1/β1/γ2 8K8J-CB1-Fenofibrate-chim(Gs-CtGq)/β1/γ2
33.33Consensusccka_onOrthosteric Ligand7EZH-CCKA-Cholecystokinin-8-Gi1/β1/γ2
33.33Consensusccka_on_gpOrthosteric Ligand7EZH-CCKA-Cholecystokinin-8-Gi1/β1/γ2
33.33Consensuscckb_on_gpOrthosteric Ligand8IA7-CCKB-Cholecystokinin-8-chim(NtGi1L-Gq)/β1/γ2 7XOW-CCKB-Sulfated Gastrin-(10-17)-chim(NtGi1-Gq)/β1/γ2 7F8V-CCKB-Gastrin-17-Gi2/β1/γ2
33.33Consensusendothelin_offOrthosteric Ligandetb_off
33.33Consensusetb_offOrthosteric Ligand5X93-ETB-K-8794 5XPR-ETB-Bosentan 6K1Q-ETB-IRL2500
33.33Consensusfpr2-alx_onOrthosteric Ligand7WVX-FPR2-ALX-Humanin-Gi2/β1/γ2 7T6U-FPR2-ALX-CGEN-855A-Gi1/β1/γ2 7T6V-FPR2-ALX-fMLFII-Gi1/β1/γ2 7WVY-FPR2-ALX-Amyloid-β42-Gi2/β1/γ2 7T6S-FPR2-ALX-TC-FPR 43-Gi1/β1/γ2 6OMM-FPR2-ALX-WKYMVX-Gi1/β1/γ2
33.33Consensusgi_alicarboxylicOrthosteric Ligandgi_hca gi_succinate
33.33Consensusgi_hcaOrthosteric Ligand8J6R-HCA2-MK6892-Gi1/β1/γ2 8JIM-HCA2-Monomethyl fumarate-Gi1/β1/γ2 8IHI-HCA2-Acifran-Gi1/β1/γ2 8IHH-HCA2-LUF6283-Gi1/β1/γ2 8I7V-HCA2-Acipimox-Gi1/β1/γ2 8I7W-HCA2-GSK256073-Gi1/β1/γ2
33.33Consensusgi_s1pOrthosteric Ligand7VIE-S1P1-S1P-Gi1/β1/γ2 7EW3-S1P3-S1P-Gi1/β1/γ2 7EVY-S1P1-Siponimod-Gi1/β1/γ2 7EW1-S1P5-Siponimod-Gi1/β1/γ2 7VIF-S1P1-FTY720-P-Gi1/β1/γ2 7VIG-S1P1-CBP-307-Gi1/β1/γ2 7EVZ-S1P1-Cenerimod-Gi1/β1/γ2 7EW4-S1P3-CYM-5541-Gi1/β1/γ2 7EW2-S1P3-FTY720-P-Gi1/β1/γ2 7EW0-S1P1-Ozanimod-Gi1/β1/γ2 7EW7-S1P1-SEW2871-Gi1/β1/γ2
33.33Consensusgq_amineOrthosteric Ligandgq_muscarinic gq_histamine
33.33Consensusgs_cckOrthosteric Ligand7MBX-CCKA-Cholecystokinin-8-Gs/β1/γ1
33.33Consensush3_onOrthosteric Ligand8YUU-H3-Histamine-Gi1/β1/γ1
33.33Consensush3_on_gpOrthosteric Ligand8YUU-H3-Histamine-Gi1/β1/γ1
33.33Consensushca2_onOrthosteric Ligand8J6R-HCA2-MK6892-Gi1/β1/γ2 8JIM-HCA2-Monomethyl fumarate-Gi1/β1/γ2 8I7V-HCA2-Acipimox-Gi1/β1/γ2 8I7W-HCA2-GSK256073-Gi1/β1/γ2 8IHH-HCA2-LUF6283-Gi1/β1/γ2 8IHI-HCA2-Acifran-Gi1/β1/γ2
33.33Consensushca2_on_gpOrthosteric Ligand8J6R-HCA2-MK6892-Gi1/β1/γ2 8IHI-HCA2-Acifran-Gi1/β1/γ2 8IHH-HCA2-LUF6283-Gi1/β1/γ2 8I7V-HCA2-Acipimox-Gi1/β1/γ2 8JIM-HCA2-Monomethyl fumarate-Gi1/β1/γ2 8I7W-HCA2-GSK256073-Gi1/β1/γ2
33.33Consensushca_on_gpOrthosteric Ligandhca2_on_gp
33.33Consensushistamine_offOrthosteric Ligandh1_off
33.33Consensusmuscarinic_onOrthosteric Ligandm2_on m3_on m4_on m1_on
33.33Consensusmuscarinic_on_gpOrthosteric Ligandm2_on_gp m3_on_gp m4_on_gp m1_on_gp
33.33Consensuspeptide_offOrthosteric Ligandcck_off angiotensin_off bombesin_off endothelin_off ghrelin_off npy_off opioid_off orexin_off somatostatin_off tachykinin_off vasop-oxy_off neurotensin_off
32.26Single8WWNMCH8WWN-MCH1-MCH-Gi1/β1/γ2
32.26Single8Y52BA18Y52-BB3-BA1-chim(NtGi1-Gs-CtGq)/β1/γ2
32.14Single6METGp160; CD46MET-CCR5-Gp160; CD4
32.14Single7YONPeptide-YY(3-36)7YON-Y2-Peptide-YY(3-36)-Gi1/β1/γ2
32.14Single8WSTMCH8WST-MCH2-MCH-chim(NtGi1L-Gs-CtGq)/β1/γ2
32.14Single8XZJWN3538XZJ-Apelin; Apelin-WN353-Gi1/β1/γ2
32.14Consensuscxcr3_on_gpOrthosteric Ligand8HNK-CXCR3-CXCL11-Gi1/β1/γ2 8HNL-CXCR3-PS372424-Gi1/β1/γ2
32.14Consensusfpr2-alx_on_gpOrthosteric Ligand7WVX-FPR2-ALX-Humanin-Gi2/β1/γ2 7T6U-FPR2-ALX-CGEN-855A-Gi1/β1/γ2 7T6V-FPR2-ALX-fMLFII-Gi1/β1/γ2 7WVY-FPR2-ALX-Amyloid-β42-Gi2/β1/γ2 7T6S-FPR2-ALX-TC-FPR 43-Gi1/β1/γ2 6OMM-FPR2-ALX-WKYMVX-Gi1/β1/γ2
32.14Consensusp2y_on_gpOrthosteric Ligandp2y1_on_gp p2y10_on_gp p2y12_on_gp
32.00Single5ZTYAM102575ZTY-CB2-AM10257
32.00Single6C1QPMX536C1Q-C5a1-PMX53-NDT9513727
32.00Single6OMMWKYMVX6OMM-FPR2-ALX-WKYMVX-Gi1/β1/γ2
32.00Single7F9ZGHRP-67F9Z-Ghrelin-GHRP-6-chim(NtGi1-Gs-CtGq)/β1/γ2
32.00Single7RKFCX3CL17RKF-US28-CX3CL1-GDP-chim(NtGi1-G11)/β1/γ2
32.00Single7RKNCX3CL17RKN-US28-CX3CL1-Gi1/β1/γ2
32.00Single7RMGSubstance-P7RMG-NK1-Substance-P-chim(Gs-CtGq)/β1/γ2
32.00Single7RMHSubstance-P7RMH-NK1-Substance-P-Gs/β1/γ2
32.00Single7SK9CCX6627SK9-ACKR3-CCX662
32.00Single8H4IDoconexent8H4I-FFA4-Doconexent-chim(NtGi1-Gs)/β1/γ2
32.00Single8QJ2pN1628QJ2-MC4-pN162-Gs/β1/γ2
32.00Single8X3LXWD8X3L-CB2-XWD-Gi1/β1/γ2
32.00Single8XZFWN5618XZF-Apelin; Apelin-WN561-Gi1/β1/γ2
32.00Single9EAJNanobody AT2099EAJ-AT1-Nanobody AT209
32.00Single9IZASCH9002719IZA-HCA2-SCH900271-Gi1/β1/γ2
32.00Single9V2NMacimorelin9V2N-Ghrelin-Macimorelin-chim(NtGi1-Gs-CtGq)/β1/γ2
32.00Single9WSXEndomorphin9WSX-μ-Endomorphin-Arrestin2
32.00Consensuscb2_offOrthosteric Ligand5ZTY-CB2-AM10257
32.00Consensuscxcr3_onOrthosteric Ligand8HNK-CXCR3-CXCL11-Gi1/β1/γ2 8HNL-CXCR3-PS372424-Gi1/β1/γ2
32.00Consensuskiss1_onOrthosteric Ligand8ZJD-Kiss1-Kisspeptin-1-chim(NtGi1-Gq)/β1/γ1
32.00Consensuskisspeptin_onOrthosteric Ligandkiss1_on
32.00Consensusnmur1_onOrthosteric Ligand7W53-NMUR1-Neuromedin-U-25-chim(NtGi1-Gs-CtGq)/β1/γ2
32.00Consensuss1p_onOrthosteric Ligands1p1_on s1p3_on s1p5_on
32.00Consensuss1p_on_gpOrthosteric Ligands1p1_on_gp s1p3_on_gp s1p5_on_gp
31.82Single4ZJ8Suvorexant4ZJ8-OX1-Suvorexant
31.82Single5WQCEMPA5WQC-OX2-EMPA
31.82Single5ZK33-quinuclidinyl-benzilate5ZK3-M2-3-quinuclidinyl-benzilate
31.82Single6LUQHaloperidol6LUQ-D2-Haloperidol
31.82Single6TO7Suvorexant6TO7-OX1-Suvorexant-Na
31.82Single7BB7AVP7BB7-V2-AVP-Gs/β1/γ2
31.82Single7EPFNAM5977EPF-mGlu2-NAM597
31.82Single8C9WEtrumadenant8C9W-A2A-Etrumadenant
31.82Single8E9ZIperoxo8E9Z-M3-Iperoxo-chim(NtGi2L-Gs-CtGq)/β1/γ2
31.82Single8GNEKW-63568GNE-A2A-KW-6356-Na
31.82Single8ID4Linoleic acid8ID4-FFA4-Linoleic acid-Gi1/β1/γ2
31.82Single8J18(3R)-3-Hydroxydodecanoic acid8J18-GPR84-(3R)-3-Hydroxydodecanoic acid-Gi1/β1/γ2
31.82Single8J6JGSK2560738J6J-HCA2-GSK256073-Gi1/β1/γ2
31.82Single8KFXLMD-0098KFX-CCR8-LMD-009-Gi1/β1/γ2
31.82Single8QOTNanobody-E8QOT-μ-Nanobody-E
31.82Single8WGBVU01550418WGB-mGlu4; mGlu2-Glutamate-VU0155041-Gi3/β1/γ2
31.82Single8XYKVUF106618XYK-CXCR3-VUF10661-Go/β1/γ2
31.82Single8ZMFPubChem 1719206738ZMF-5-HT2C-PubChem 171920673
31.82Single8ZRKGSK12922638ZRK-GPR119-GSK1292263-Gs/β1/γ2
31.82Single9AVLCa; Ca; Cyclomethyltryptophan; R-568; PO49AVL-CaS; CaS-Ca-Ca; Ca; Cyclomethyltryptophan; R-568; PO4-Gi3/β2/γ2
31.82Single9AXFCa; Ca; Ca; Cyclomethyltryptophan; R-568; PO49AXF-CaS; CaS-Ca-Ca; Ca; Ca; Cyclomethyltryptophan; R-568; PO4-chim(NtGi1-Gs-CtGq)/β1/γ2
31.82Single9HAPTolvaptan9HAP-V2-Tolvaptan
31.82Single9KT6Acifran9KT6-HCA3-Acifran-Gi1/β1/γ2
31.82Single9KUTJR14a9KUT-C3aB-JR14a-Go/β1/γ2
31.82Single9U81Tolvaptan9U81-V2-Tolvaptan
31.82Consensuscb2_onOrthosteric Ligand8GUR-CB2-CP55940-Gi1/β1/γ2 8GUS-CB2-HU-308-Gi1/β1/γ2 8GUT-CB2-LEI-102-Gi1/β1/γ2 6KPF-CB2-AM12033-Gi1/β1/γ2 6PT0-CB2-WIN 55212-2-Gi1/β1/γ2 8GUQ-CB2-Olorinab-Gi1/β1/γ2
31.82Consensuscb2_on_gpOrthosteric Ligand8GUR-CB2-CP55940-Gi1/β1/γ2 8GUS-CB2-HU-308-Gi1/β1/γ2 8GUT-CB2-LEI-102-Gi1/β1/γ2 6KPF-CB2-AM12033-Gi1/β1/γ2 6PT0-CB2-WIN 55212-2-Gi1/β1/γ2 8GUQ-CB2-Olorinab-Gi1/β1/γ2
31.82Consensuslipid_onOrthosteric Ligandcannabinoid_on ffa_on lpl_on prostanoid_on leukotriene_on
31.82Consensuslipid_on_gpOrthosteric Ligandcannabinoid_on_gp ffa_on_gp lpl_on_gp prostanoid_on_gp leukotriene_on_gp
31.82Consensuslpa1_onOrthosteric Ligand7TD1-LPA1-LPA-Gi1/β1/γ2 7YU3-LPA1-ONO-0740556-Gi1/β1/γ2
31.82Consensuslpa1_on_gpOrthosteric Ligand7TD1-LPA1-LPA-Gi1/β1/γ2 7YU3-LPA1-ONO-0740556-Gi1/β1/γ2
31.82Consensusm2_offOrthosteric Ligand5ZKC-M2-N-methyl-Scopolamine 5ZK3-M2-3-quinuclidinyl-benzilate 5ZKB-M2-AF-DX 384
31.82Consensusm3_onOrthosteric Ligand8E9Z-M3-Iperoxo-chim(NtGi2L-Gs-CtGq)/β1/γ2 8E9W-M3-2-Deoxycytidine-chim(NtGi2L-Gs-CtGq)/β1/γ2 8E9Y-M3-Clozapine-N-oxide-chim(NtGi2L-Gs-CtGq)/β1/γ2
31.82Consensusm3_on_gpOrthosteric Ligand8E9Z-M3-Iperoxo-chim(NtGi2L-Gs-CtGq)/β1/γ2 8E9W-M3-2-Deoxycytidine-chim(NtGi2L-Gs-CtGq)/β1/γ2 8E9Y-M3-Clozapine-N-oxide-chim(NtGi2L-Gs-CtGq)/β1/γ2
31.82Consensuss1p_offOrthosteric Ligands1p1_off s1p5_off
31.58Single5TE520-Methanoretinal5TE5-Rhodopsin-20-Methanoretinal
31.58Single6HLLCP999946HLL-NK1-CP99994
31.58Single6QNOAll-trans-Retinal6QNO-Rhodopsin-All-trans-Retinal-Gi1/β1/γ1
31.58Single7DFLHistamine7DFL-H1-Histamine-chim(NtGi1L-Gq)/β1/γ2
31.58Single7T96LY21196207T96-M2-Acetylcholine-LY2119620-Go/β1/γ2
31.58Single7TRPLY20332987TRP-M4-Iperoxo-LY2033298-Gi1/β1/γ2
31.58Single7VUIJNJ-635330547VUI-GPR139-JNJ-63533054-GTP-chim(Gs-CtGq)/β1/γ2
31.58Single7YFCHistamine7YFC-H4-Histamine-chim(NtGi1-Gs-CtGq)/β1/γ2
31.58Single7YFDImetit7YFD-H4-Imetit-chim(NtGi1-Gs-CtGq)/β1/γ2
31.58Single8DPFLorcaserin8DPF-5-HT2C-Lorcaserin-chim(NtGi2L-Gs-CtGq)/β1/γ2
31.58Single8H2GNiacin8H2G-HCA2-Niacin-Gi1/β1/γ2
31.58Single8HN8Histamine8HN8-H4-Histamine-Gi1/β1/γ2
31.58Single8JILNiacin8JIL-HCA2-Niacin-Gi1/β1/γ2
31.58Single8K5BNiacin8K5B-HCA2-Niacin
31.58Single8W892-Phenylethylamine8W89-TA1-2-Phenylethylamine-chim(NtGi1L-Gs)/β1/γ2
31.58Single8ZSVRO52633978ZSV-TA1-RO5263397-chim(NtGi1-Gs)/β1/γ2
31.58Single8ZX5AM2518ZX5-GPR55-AM251-chim(NtGi1-G13)/β1/γ2
31.58Single9AS2DMT9AS2-5-HT2A-DMT-chim(NtGi1-Gs-CtGq)/β1/γ2
31.58Single9IQTNiacin9IQT-HCA2-Niacin-Gi1/β1/γ2
31.58Single9JEDHistamine9JED-H4-Histamine-PO4-Gi1/β1/γ2
31.58Single9JEQHistamine9JEQ-H3-Histamine-Gi1/β1/γ2
31.58Single9KUWCMPD6449KUW-Apelin; Apelin-CMPD644-Arrestin2 ; Arrestin2
31.58Single9L3ZLRH7-C29L3Z-CML1-LRH7-C2
31.58Single9L42Histamine9L42-H4-Histamine-Gi1/β1/γ2
31.58Consensush1_onOrthosteric Ligand7DFL-H1-Histamine-chim(NtGi1L-Gq)/β1/γ2
31.25Consensusbb2_onOrthosteric Ligand7W40-BB2-Bombesin-chim(NtGi1L-Gq)/β1/γ2 7W3Z-BB2-Gastrin Releasing Peptide-chim(NtGi1L-Gq)/β1/γ2
31.25Consensusbb2_on_gpOrthosteric Ligand7W40-BB2-Bombesin-chim(NtGi1L-Gq)/β1/γ2 7W3Z-BB2-Gastrin Releasing Peptide-chim(NtGi1L-Gq)/β1/γ2
31.25Consensusbombesin_onOrthosteric Ligandbb2_on
31.25Consensusbombesin_on_gpOrthosteric Ligandbb2_on_gp
31.25Consensusgq_bombesinOrthosteric Ligand7W40-BB2-Bombesin-chim(NtGi1L-Gq)/β1/γ2 7W3Z-BB2-Gastrin Releasing Peptide-chim(NtGi1L-Gq)/β1/γ2
31.03Single7F9YGhrelin7F9Y-Ghrelin-Ghrelin-chim(NtGi1-Gs-CtGq)/β1/γ2
31.03Single7P02Substance-P7P02-NK1-Substance-P-chim(NtGi1-Gs)/β1/γ2
31.03Single8WWMMCH8WWM-MCH1-MCH-Gi1/β1/γ2
31.03Single9JFYNeuropeptide-SF9JFY-NPFF2-Neuropeptide-SF-Gi1/β1/γ2
31.03Consensuschemokine_offOrthosteric Ligandccr_off cxcr_off
31.03Consensusgi_chemokineOrthosteric Ligand6WWZ-CCR6-CCL20-Go/β1/γ2 8HNK-CXCR3-CXCL11-Gi1/β1/γ2 8K3Z-CXCR4-CXCL12-Gi1/β1/γ1 8IC0-CXCR1-CXCL8-Gi1/β1/γ2 6LFM-CXCR2-CXCL8-Gi1/β1/γ2 8KFX-CCR8-LMD-009-Gi1/β1/γ2 7F1Q-CCR5-CCL3-Gi1/β1/γ2 8HNL-CXCR3-PS372424-Gi1/β1/γ2 8KFY-CCR8-ZK-756326-Gi1/β1/γ2 7O7F-CCR5-6P4-CCL5-Gi1/β1/γ1 8U1U-CCR8-CCL1-Gi1/β1/γ2 7VLA-CCR1-CCL15(27-92)-Gi1/β1/γ2 7XA3-CCR2-CCL2-Gi1/β1/γ2
30.77Single5UNFPubChem 157800525UNF-AT2-PubChem 15780052
30.77Single7F4ISHU91197F4I-MC1-SHU9119-chim(NtGi1-Gs)/β1/γ2
30.77Single7T6UCGEN-855A7T6U-FPR2-ALX-CGEN-855A-Gi1/β1/γ2
30.77Single7XMRSomatostatin-147XMR-SST2-Somatostatin-14-Gi1/β1/γ2
30.77Single8WZ2Orexigenic Neuropeptide QRFP8WZ2-QRFP-Orexigenic Neuropeptide QRFP-chim(NtGi1L-Gs-CtGq)/β1/γ2
30.77Single8XBHPubChem 1626566368XBH-GPR34-PubChem 162656636-Gi1/β1/γ2
30.77Single8ZCJPasireotide8ZCJ-SST5-Pasireotide-Gi1/β1/γ1
30.77Single8ZJDKisspeptin-18ZJD-Kiss1-Kisspeptin-1-chim(NtGi1-Gq)/β1/γ1
30.77Single9BKJCholecystokinin-89BKJ-CCKA-Cholecystokinin-8-chim(NtGi1-Gs-CtGq)/β1/γ2
30.77Single9MEJGp1209MEJ-CXCR4-Gp120
30.77Consensusgq_kisspeptinOrthosteric Ligand8ZJD-Kiss1-Kisspeptin-1-chim(NtGi1-Gq)/β1/γ1
30.77Consensuskiss1_on_gpOrthosteric Ligand8ZJD-Kiss1-Kisspeptin-1-chim(NtGi1-Gq)/β1/γ1
30.77Consensuskisspeptin_on_gpOrthosteric Ligandkiss1_on_gp
30.56Consensusmc2_onOrthosteric Ligand8GY7-MC2-Corticotropin-Ca-chim(NtGi1-Gs)/β1/γ2; MRAP1
30.56Consensusmc2_on_gpOrthosteric Ligand8GY7-MC2-Corticotropin-Ca-chim(NtGi1-Gs)/β1/γ2; MRAP1
30.43Single3UON3-quinuclidinyl-benzilate3UON-M2-3-quinuclidinyl-benzilate
30.43Single5V54Methiothepin5V54-5-HT1B-Methiothepin
30.43Single5XR8AM120335XR8-CB1-AM12033
30.43Single5XRAAM115425XRA-CB1-AM11542
30.43Single5ZHPPubChem 1348285895ZHP-M3-PubChem 134828589
30.43Single6J20Aprepitant6J20-NK1-Aprepitant
30.43Single6KO5PubChem 574000026KO5-Ghrelin-PubChem 57400002
30.43Single6O3CCholesterol6O3C-SMO-SAG21k-Cholesterol
30.43Single6OIJIperoxo6OIJ-M1-Iperoxo-chim(NtGi1L-G11)/β1/γ2
30.43Single6OS1TRV0266OS1-AT1-TRV026
30.43Single6RZ5Zafirlukast6RZ5-CysLT1-Zafirlukast-Na
30.43Single7EW1Siponimod7EW1-S1P5-Siponimod-Gi1/β1/γ2
30.43Single7EW7SEW28717EW7-S1P1-SEW2871-Gi1/β1/γ2
30.43Single7F1TCCL37F1T-CCR5-CCL3
30.43Single7F58THIQ7F58-MC4-THIQ-Gs/β1/γ2
30.43Single7T2HLofentanil7T2H-μ-Lofentanil-Gi1/β1/γ2
30.43Single7T9NDPPC7T9N-TSH-M22 Fab-DPPC-Gs/β1/γ2
30.43Single7TRQIperoxo7TRQ-M4-Iperoxo-VU0467154-Gi1/β1/γ2
30.43Single7U2LC5-guano7U2L-μ-C5-guano-Gi1/β1/γ2
30.43Single7WV9CP559407WV9-CB1-CP55940-ZCZ011-Gi2/β1/γ2
30.43Single7XOWSulfated Gastrin-(10-17)7XOW-CCKB-Sulfated Gastrin-(10-17)-chim(NtGi1-Gq)/β1/γ2
30.43Single7Y67C089 peptide7Y67-C5a1-C089 peptide-Gi1/β1/γ2
30.43Single8EA0Iperoxo8EA0-M3-Iperoxo
30.43Single8EF5Fentanyl8EF5-μ-Fentanyl-Gi1/β1/γ2
30.43Single8EFLSR170188EFL-μ-SR17018-Gi1/β1/γ2
30.43Single8HDOBAY 60-65838HDO-A2B-BAY 60-6583-Gs/β1/γ2
30.43Single8HQCC5a8HQC-C5a1-C5a-Go/β1/γ2
30.43Single8I2GPubChem 675302408I2G-FSH-FSH-PubChem 67530240-Gs/β1/γ2
30.43Single8JZPC5a8JZP-C5a1-C5a-Go/β1/γ2
30.43Single8XVLZibotentan8XVL-ETA-Zibotentan
30.43Single9AYFCa; Ca; Ca; Cyclomethyltryptophan; R-568; PO49AYF-CaS; CaS-Ca-Ca; Ca; Ca; Cyclomethyltryptophan; R-568; PO4-Gi1/β1/γ2
30.43Single9B65MDMB-Fubinaca9B65-CB1-MDMB-Fubinaca-Gi1/β1/γ2
30.43Single9MENGp120 (V3 loop)9MEN-CXCR4-Gp120 (V3 loop)
30.43Single9PY3Loperamide9PY3-μ-Loperamide-GDPβS-Gi1/β1/γ2
30.43Single9PY4Loperamide9PY4-μ-Loperamide-GDPβS-Gi1/β1/γ2
30.43Single9UY3Anamorelin9UY3-Ghrelin-Anamorelin-chim(NtGi1-Gs-CtGq)/β1/γ2
30.43Consensus5ht1_offOrthosteric Ligand5ht1b_off
30.43Consensus5ht1b_offOrthosteric Ligand5V54-5-HT1B-Methiothepin
30.43Consensusgi_cannabinoidOrthosteric Ligand8GUR-CB2-CP55940-Gi1/β1/γ2 8GUS-CB2-HU-308-Gi1/β1/γ2 8GUT-CB2-LEI-102-Gi1/β1/γ2 8GUQ-CB2-Olorinab-Gi1/β1/γ2 6KPF-CB2-AM12033-Gi1/β1/γ2 6PT0-CB2-WIN 55212-2-Gi1/β1/γ2 6KPG-CB1-AM841-Gi1/β1/γ2
30.43Consensush4_on_gpOrthosteric Ligand8HN8-H4-Histamine-Gi1/β1/γ2 8HOC-H4-Imetit-Gi1/β1/γ2 8JXV-H4-Clozapine-Gi1/β1/γ2 8JXW-H4-VUF6884-Gi1/β1/γ2 8JXX-H4-Clobenpropit-Gi1/β1/γ2
30.43Consensusm1_on_gpOrthosteric Ligand6OIJ-M1-Iperoxo-chim(NtGi1L-G11)/β1/γ2
30.43Consensusm3_offOrthosteric Ligand4U15-M3-Tiotropium 4U16-M3-N-methyl-Scopolamine 5ZHP-M3-PubChem 134828589
30.43Consensusmotilin_onOrthosteric Ligand8IBU-Motilin-Erythromycin-A-chim(NtGi1-Gs-CtGq)/β1/γ2
30.43Consensusprotein_offOrthosteric Ligandchemokine_off grh_off
30.43Consensuss1p5_onOrthosteric Ligand7EW1-S1P5-Siponimod-Gi1/β1/γ2
30.43Consensuss1p5_on_gpOrthosteric Ligand7EW1-S1P5-Siponimod-Gi1/β1/γ2
30.30Consensusmelanocortin_onOrthosteric Ligandmc1_on mc4_on mc2_on mc3_on mc5_on
30.30Consensusmelanocortin_on_gpOrthosteric Ligandmc1_on_gp mc4_on_gp mc2_on_gp mc3_on_gp mc5_on_gp
30.00Single1GZM11-cis-Retinal1GZM-Rhodopsin-11-cis-Retinal
30.00Single3C9L11-cis-Retinal3C9L-Rhodopsin-11-cis-Retinal
30.00Single3VG9ZM-2413853VG9-A2A-ZM-241385-Antibody
30.00Single4MQTLY21196204MQT-M2-Iperoxo-LY2119620
30.00Single4XT3CX3CL14XT3-US28-CX3CL1
30.00Single5K2DZM-2413855K2D-A2A-ZM-241385-Na
30.00Single5OLHVipadenant5OLH-A2A-Vipadenant-Na
30.00Single5UIW5P7-CCL55UIW-CCR5-5P7-CCL5
30.00Single5WS3EMPA5WS3-OX2-EMPA
30.00Single6AKYMaraviroc6AKY-CCR5-Maraviroc
30.00Single6B73MP11046B73-κ-MP1104
30.00Single6JZHZM-2413856JZH-A2A-ZM-241385-Na
30.00Single6ME2Ramelteon6ME2-MT1-Ramelteon
30.00Single6ME9Ramelteon6ME9-MT2-Ramelteon
30.00Single6OYAAll-trans-Retinal6OYA-Rhodopsin-All-trans-Retinal-Gt/β1/γ1
30.00Single6PS7ZM-2413856PS7-A2A-ZM-241385-Na
30.00Single7F8ULintitript7F8U-CCKA-Lintitript
30.00Single7T8XAcetylcholine7T8X-M2-Acetylcholine-chim(NtGi1-Go)/β1/γ2
30.00Single7T90Acetylcholine7T90-M2-Acetylcholine-chim(NtGi1-Go)/β1/γ2
30.00Single7T96Acetylcholine7T96-M2-Acetylcholine-LY2119620-Go/β1/γ2
30.00Single7TUZ7-alpha,25-dihydroxycholesterol7TUZ-GPR183-7-α,25-dihydroxycholesterol-Gi1/β1/γ2
30.00Single7W0OElabela7W0O-Apelin-Elabela-Gi1/β1/γ2
30.00Single7YM8Oxymetazoline7YM8-Alpha1A-Oxymetazoline-chim(Gs-CtGq)
30.00Single8DU3PubChem 1055260648DU3-A2A-PubChem 105526064
30.00Single8FYXBuspirone8FYX-5-HT1A-Buspirone-PtdIns4P-Gi1/β1/γ1
30.00Single9JKXAcifran9JKX-HCA3-Acifran-Gi1/β1/γ2
30.00Single9KO2CCL199KO2-CCR7-CCL19-Gi1/β1
30.00Single9KO6CCL199KO6-CCR7-CCL19
30.00Single9LLBDOI-NBOMe9LLB-5-HT2A-DOI-NBOMe-chim(NtGi1L-Gs-CtGq)/β1/γ2
30.00Single9LRBHistamine9LRB-H1-Histamine-Gs/β1/γ2
30.00Single9VJ5Gepirone9VJ5-5-HT1A-Gepirone-Go/β1/γ2
30.00Single9VJEBuspirone9VJE-5-HT1A-Buspirone-Go/β1/γ2
30.00Consensusccr5_offOrthosteric Ligand5UIW-CCR5-5P7-CCL5
30.00Consensusccr5_onOrthosteric Ligand7O7F-CCR5-6P4-CCL5-Gi1/β1/γ1 7F1Q-CCR5-CCL3-Gi1/β1/γ2
30.00Consensusccr_offOrthosteric Ligandccr2_off ccr5_off
30.00Consensuscxcr1_onOrthosteric Ligand8IC0-CXCR1-CXCL8-Gi1/β1/γ2
30.00Consensushistamine_onOrthosteric Ligandh1_on h2_on h3_on h4_on
30.00Consensushistamine_on_gpOrthosteric Ligandh1_on_gp h2_on_gp h3_on_gp h4_on_gp
30.00Consensusm2_onOrthosteric Ligand7T8X-M2-Acetylcholine-chim(NtGi1-Go)/β1/γ2
30.00Consensusm2_on_gpOrthosteric Ligand7T8X-M2-Acetylcholine-chim(NtGi1-Go)/β1/γ2
30.00Consensusorexin_offOrthosteric Ligandox2_off ox1_off
30.00Consensusox1_offOrthosteric Ligand6TP6-OX1-Filorexant 6TP4-OX1-ACT-462206 6V9S-OX1-GTPL11403 6TOT-OX1-Lemborexant 6TP3-OX1-Nemorexant 6TQ6-OX1-PubChem 145714283 6TQ9-OX1-SB-408124 4ZJC-OX1-SB-674042 4ZJ8-OX1-Suvorexant 6TOD-OX1-EMPA-Na 6TOS-OX1-GSK1059865-Na 6TQ4-OX1-PubChem 16046844-Na
30.00Consensusox2_offOrthosteric Ligand5WQC-OX2-EMPA 6TPN-OX2-HTL6641 7XRR-OX2-Lemborexant 6TPJ-OX2-Suvorexant
30.00Consensusrhodopsin_on_gpOrthosteric Ligand6OYA-Rhodopsin-All-trans-Retinal-Gt/β1/γ1
30.00Consensussensory_offonOrthosteric Ligandsensory_off sensory_on
30.00Consensussensory_offon_gpOrthosteric Ligandsensory_on_gp sensory_on
29.63Single7DDZJNJ-310200287DDZ-Y2-JNJ-31020028
29.63Single7RMISubstance-P7RMI-NK1-Substance-P-chim(Gs-CtGq)/β1/γ2
29.63Single7XNACYN1548067XNA-SST2-CYN154806
29.63Single8F7QBeta-Endorphin8F7Q-μ-β-Endorphin-Gi1/β1/γ2
29.63Single8IBVMotilin8IBV-Motilin-Motilin-chim(NtGi1-Gs-CtGq)/β1/γ2
29.63Single8JBHSubstance-P8JBH-NK3-Substance-P-chim(NtGi1-Gs-CtGq)/β1/γ2
29.63Single8K6ONeuropeptide-Y8K6O-Y1-Neuropeptide-Y-Gi2/β1/γ1
29.63Single8XYDPlatelet Activating Factor8XYD-PAF-Platelet Activating Factor-Gi1/β1/γ2
29.63Single9E82CXCL12 (fragment)9E82-ACKR3-CXCL12 (fragment)-Arrestin2
29.63Single9J0FNADH9J0F-P2Y14-NADH-Gi1/β1/γ2
29.63Consensusghrelin_onOrthosteric Ligand7NA7-Ghrelin-Ghrelin-Gi1/β1/γ2 7F9Z-Ghrelin-GHRP-6-chim(NtGi1-Gs-CtGq)/β1/γ2 7NA8-Ghrelin-Ibutamoren-Gi1/β1/γ2
29.63Consensusghrelin_on_gpOrthosteric Ligand7NA7-Ghrelin-Ghrelin-Gi1/β1/γ2 7F9Z-Ghrelin-GHRP-6-chim(NtGi1-Gs-CtGq)/β1/γ2 7NA8-Ghrelin-Ibutamoren-Gi1/β1/γ2
29.63Consensusnpy2_offOrthosteric Ligand7DDZ-Y2-JNJ-31020028
29.63Consensussst2_offOrthosteric Ligand7XNA-SST2-CYN154806
29.63Consensustachykinin_on_gpOrthosteric Ligandnk1_on_gp nk2_on_gp nk3_on_gp
29.41Single5MZJTheophylline5MZJ-A2A-Theophylline-Na
29.41Single7WC4Serotonin7WC4-5-HT2A-Serotonin
29.41Single8PWNTheophylline8PWN-A2A-Theophylline
29.17Single3VW7Vorapaxar; Na3VW7-PAR1-Vorapaxar; Na
29.17Single4OR2FITM4OR2-mGlu1; mGlu1-FITM
29.17Single5UNHPubChem 1264564065UNH-AT2-PubChem 126456406
29.17Single6C1RPMX536C1R-C5a1-PMX53-Avacopan; Na
29.17Single6ZG4HTL00099366ZG4-M1-HTL0009936
29.17Single7DFPSpiperone7DFP-D2-Spiperone
29.17Single7EO4Siponimod7EO4-S1P1-Siponimod-Gi1/β1/γ2
29.17Single7EVYSiponimod7EVY-S1P1-Siponimod-Gi1/β1/γ2
29.17Single7EW2FTY720-P7EW2-S1P3-FTY720-P-Gi1/β1/γ2
29.17Single7JNIOlodanrigan7JNI-AT2-Olodanrigan
29.17Single7K15MKD0467K15-BLT1-MKD046-Na
29.17Single7MTRADX551647MTR-mGlu2; mGlu2-Glutamate-ADX55164
29.17Single7W0NElabela7W0N-Apelin; Apelin-Elabela-Gi1/β1/γ2
29.17Single7XW5ML1097XW5-TSH-TSH-ML109-Gs/β1/γ2
29.17Single7XW6ML1097XW6-TSH-M22 Fab-ML109-Gs/β1/γ2
29.17Single7XZ5Lysophosphatidylcholine7XZ5-GPR119-Lysophosphatidylcholine-Gs/β1/γ2
29.17Single8H0QGastrin Releasing Peptide8H0Q-BB2-Gastrin Releasing Peptide-chim(NtGi1-Gs-CtGq)/β1/γ2
29.17Single8IBUErythromycin-A8IBU-Motilin-Erythromycin-A-chim(NtGi1-Gs-CtGq)/β1/γ2
29.17Single8JWZEtrumadenant8JWZ-A2A-Etrumadenant-Na
29.17Single8U26Substance-P8U26-NK1-Substance-P-Gs/β1/γ2
29.17Single8XYIVUF106618XYI-CXCR3-VUF10661
29.17Single9DGIZ85267113509DGI-CB1-Z8526711350
29.17Single9EK0Iperoxo9EK0-M5-Iperoxo-chim(NtGi1-Gs-CtGq)/β1/γ2
29.17Single9KZKC3a (fragment)9KZK-C3aB-C3a (fragment)-Go/β1/γ2
29.17Single9VJ6F-155999VJ6-5-HT1A-F-15599-Gi3/β1/γ2
29.17Single9WSWEndomorphin9WSW-μ-Endomorphin-chim(NtGi1-Gz)/β1/γ2
29.17Consensuscannabinoid_offOrthosteric Ligandcb2_off cb1_off
29.17Consensuscannabinoid_onOrthosteric Ligandcb2_on cb1_on
29.17Consensuscannabinoid_on_gpOrthosteric Ligandcb2_on_gp cb1_on_gp
29.17Consensuscb1_onOrthosteric Ligand6KPG-CB1-AM841-Gi1/β1/γ2 8K8J-CB1-Fenofibrate-chim(Gs-CtGq)/β1/γ2
29.17Consensusleukotriene_offOrthosteric Ligandblt_off cyslt_off
29.17Consensusmotilin_on_gpOrthosteric Ligand8IBU-Motilin-Erythromycin-A-chim(NtGi1-Gs-CtGq)/β1/γ2
29.17Consensuss1p1_onOrthosteric Ligand7VIE-S1P1-S1P-Gi1/β1/γ2 7VIF-S1P1-FTY720-P-Gi1/β1/γ2 7VIG-S1P1-CBP-307-Gi1/β1/γ2 7EVY-S1P1-Siponimod-Gi1/β1/γ2 7EVZ-S1P1-Cenerimod-Gi1/β1/γ2 7EW0-S1P1-Ozanimod-Gi1/β1/γ2 7EW7-S1P1-SEW2871-Gi1/β1/γ2
29.17Consensuss1p1_on_gpOrthosteric Ligand7VIE-S1P1-S1P-Gi1/β1/γ2 7VIF-S1P1-FTY720-P-Gi1/β1/γ2 7VIG-S1P1-CBP-307-Gi1/β1/γ2 7EVY-S1P1-Siponimod-Gi1/β1/γ2 7EVZ-S1P1-Cenerimod-Gi1/β1/γ2 7EW0-S1P1-Ozanimod-Gi1/β1/γ2 7EW7-S1P1-SEW2871-Gi1/β1/γ2
29.03Single7F53Alpha-MSH7F53-MC4-α-MSH-Gs/β1/γ2
28.57Single3OAX11-cis-Retinal3OAX-Rhodopsin-11-cis-Retinal
28.57Single3RZECidoxepin3RZE-H1-Cidoxepin
28.57Single3V2YPubChem 518926453V2Y-S1P1-PubChem 51892645
28.57Single4MQTIperoxo4MQT-M2-Iperoxo-LY2119620
28.57Single5IU7Q274563465IU7-A2A-Q27456346-Na
28.57Single5JTBZM-2413855JTB-A2A-ZM-241385
28.57Single5UVIZM-2413855UVI-A2A-ZM-241385
28.57Single6TOSGSK10598656TOS-OX1-GSK1059865-Na
28.57Single6TP3Nemorexant6TP3-OX1-Nemorexant
28.57Single6TPNHTL66416TPN-OX2-HTL6641
28.57Single6V9SGTPL114036V9S-OX1-GTPL11403
28.57Single6WJCAtropine6WJC-M1-Atropine-Muscarinic toxin 7
28.57Single6WJCMuscarinic toxin 76WJC-M1-Atropine-Muscarinic toxin 7
28.57Single6ZDRHMS1413f126ZDR-A2A-HMS1413f12-Na
28.57Single6ZFZ77-LH-28-16ZFZ-M1-77-LH-28-1
28.57Single7O7F6P4-CCL57O7F-CCR5-6P4-CCL5-Gi1/β1/γ1
28.57Single7RYCOxytocin7RYC-OT-Oxytocin-chim(NtGi2L-Gs-CtGq)/β1/γ2
28.57Single7XA3CCL27XA3-CCR2-CCL2-Gi1/β1/γ2
28.57Single7XOVSR1461317XOV-CCKA-SR146131-Gs/β1/γ2
28.57Single7YK6PubChem 1383196747YK6-RXFP4-PubChem 138319674-Gi2/β1/γ2
28.57Single7ZBC11-cis-Retinal7ZBC-Rhodopsin-11-cis-Retinal
28.57Single7ZBE11-cis-Retinal7ZBE-Rhodopsin-11-cis-Retinal
28.57Single8FCZ11-cis-Retinal8FCZ-Rhodopsin-11-cis-Retinal
28.57Single8JEIPubChem 117155568JEI-HCAR3-PubChem 11715556-Gi1/β1/γ2
28.57Single8K4NPubChem 1687197658K4N-GPR34-PubChem 168719765-Gi1/β1/γ2
28.57Single8K6NNeuropeptide-Y8K6N-Y2-Neuropeptide-Y-Gi2/β1/γ1
28.57Single8PM2DMCHA8PM2-TA7-DMCHA-Gs/β1/γ2
28.57Single8RQQZM-2413858RQQ-A2A-ZM-241385-Na
28.57Single8WKZSBL-MC-318WKZ-MC4-SBL-MC-31
28.57Single8XZGApelin-138XZG-Apelin; Apelin-Apelin-13-Gi1/β1/γ2
28.57Single8XZHMM078XZH-Apelin; Apelin-MM07-Gi1/β1/γ2
28.57Single8Y62C16:0 Ceramide8Y62-FPR2-ALX-C16:0 Ceramide-Gi1/β1/γ2
28.57Single8Y6YGLPG09748Y6Y-FFA2-GLPG0974
28.57Single8ZMGPimavanserin8ZMG-5-HT2A-Pimavanserin
28.57Single8ZPNAMD31008ZPN-CXCR4-AMD3100
28.57Single9AS8Psilocin9AS8-5-HT2A-Psilocin-chim(NtGi2L-Gs-CtGq)/β1/γ2
28.57Single9JMDAzithromycin9JMD-Motilin-Azithromycin-chim(Gs-CtGq)/β1/γ2
28.57Single9K0XATP9K0X-P2Y2-ATP-chim(NtGi1-Gs-CtGq)/β1/γ2
28.57Single9K1DButyric acid9K1D-FFA2-Butyric acid-Gi1/β1/γ2
28.57Single9K20ATP9K20-P2Y2-ATP-chim(NtGi1-Go)/β1/γ2
28.57Single9M1ONeuropeptide-FF9M1O-NPFF2-Neuropeptide-FF-Gi1/β1/γ2
28.57Consensus5ht2a_offOrthosteric Ligand6A94-5-HT2A-Zotepine 6A93-5-HT2A-Risperidone 7VOD-5-HT2A-Cariprazine 7WC8-5-HT2A-Lumateperone 8JT8-5-HT2A-(R)-IHCH-7179
28.57Consensusa2_offOrthosteric Liganda2a_off
28.57Consensusa2a_offOrthosteric Ligand3RFM-A2A-Caffeine 8C9W-A2A-Etrumadenant 3UZA-A2A-GTPL9236 8GNG-A2A-Istradefylline 8CU6-A2A-LJ-4517 7PX4-A2A-PSB-2113 7PYR-A2A-PSB-2115 8DU3-A2A-PubChem 105526064 8JWY-A2A-2-118 8PWN-A2A-Theophylline 5IU4-A2A-ZM-241385-Na 5OLZ-A2A-PubChem 135566609-Na 6GT3-A2A-Imaradenant-Na 5OLV-A2A-LUAA47070-Na 5N2R-A2A-PSB36-Na 5IU7-A2A-Q27456346-Na 5OLH-A2A-Vipadenant-Na 5OLO-A2A-Tozadenant-Na 6ZDR-A2A-HMS1413f12-Na 8GNE-A2A-KW-6356-Na 8JWZ-A2A-Etrumadenant-Na 5IU8-A2A-Q27456347-Na 5IUB-A2A-Q27456344-Na 6ZDV-A2A-PubChem 984073-Na 5IUA-A2A-Q27456348-Na 8A2P-A2A-LUAA47070-Na
28.57Consensusccr2_onOrthosteric Ligand7XA3-CCR2-CCL2-Gi1/β1/γ2
28.57Consensusccr2_on_gpOrthosteric Ligand7XA3-CCR2-CCL2-Gi1/β1/γ2
28.57Consensusccr_onOrthosteric Ligandccr6_on ccr8_on ccr2_on ccr1_on ccr5_on
28.57Consensusnop_offOrthosteric Ligand4EA3-NOP-PubChem 10296561 5DHG-NOP-C-35 5DHH-NOP-SB-612111
28.57Consensusopsins_offOrthosteric Ligandrhodopsin_off
28.57Consensussensory_offOrthosteric Ligandopsins_off
28.12Consensusgs_melanocortinOrthosteric Ligand7F4H-MC1-Afamelanotide-chim(NtGi1-Gs)/β1/γ2 7F54-MC4-Afamelanotide-Gs/β1/γ2 7F4D-MC1-α-MSH-chim(NtGi1-Gs)/β1/γ2 8INR-MC5-α-MSH-Ca-chim(NtGi1-Gs)/β1/γ2 7F53-MC4-α-MSH-Gs/β1/γ2 7F55-MC4-Bremelanotide-Gs/β1/γ2 8GY7-MC2-Corticotropin-Ca-chim(NtGi1-Gs)/β1/γ2; MRAP1 8IOC-MC3-γ-MSH-Ca-chim(NtGi1-Gs)/β1/γ2 8IOD-MC5-PG-901-Ca-chim(NtGi1-Gs)/β1/γ2 7AUE-MC4-Setmelanotide-chim(NtGi1L-Gs)/β1/γ2 7F4I-MC1-SHU9119-chim(NtGi1-Gs)/β1/γ2 7F58-MC4-THIQ-Gs/β1/γ2
28.00Single4OR2FITM4OR2-mGlu1; mGlu1-FITM
28.00Single4RWSvMIP-II4RWS-CXCR4-vMIP-II
28.00Single7P00Substance-P7P00-NK1-Substance-P-chim(NtGi1-Gs-CtGq)/β1/γ2
28.00Single7QVMOxytocin7QVM-OT-Oxytocin-chim(NtGi1-Go-CtGq)/β1/γ2
28.00Single7U2KC6-guano7U2K-μ-C6-guano-Gi1/β1/γ2
28.00Single8GAGZ85267113508GAG-CB1-Z8526711350-Gi1/β1/γ2
28.00Single8XVJMacitentan8XVJ-ETA-Macitentan
28.00Single8ZPLHF511168ZPL-CXCR4-HF51116
28.00Single8ZX4Lysophosphatidylinositol 8ZX4-GPR55-Lysophosphatidylinositol-chim(NtGi1-G13)/β1/γ2
28.00Single9KWXC5a-des-Arg9KWX-C5a1-C5a-des-Arg-Go/β1/γ2
28.00Single9VI9RFRP-39VI9-NPFF1-RFRP-3-Gi1/β1/γ2
28.00Single9WP9S1P9WP9-S1P3-S1P-chim(NtGi2L-Gs-CtGq)/β1/γ2
28.00Single9YDRDADLE9YDR-δ-DADLE-MIPS3983-chim(NtGi1L-Gs-CtGi1)/β1/γ2
28.00Consensusfp-alpha_onOrthosteric Ligand8IUK-FP-alpha-PGF2-α-chim(NtGi1-Gs-CtGq)/β1/γ2 8IUL-FP-alpha-Latanoprost-chim(NtGi1-Gs-CtGq)/β1/γ2 8IUM-FP-alpha-Tafluprost acid-chim(NtGi1-Gs-CtGq)/β1/γ2
28.00Consensusfp-alpha_on_gpOrthosteric Ligand8IUK-FP-alpha-PGF2-α-chim(NtGi1-Gs-CtGq)/β1/γ2 8IUL-FP-alpha-Latanoprost-chim(NtGi1-Gs-CtGq)/β1/γ2 8IUM-FP-alpha-Tafluprost acid-chim(NtGi1-Gs-CtGq)/β1/γ2
28.00Consensusnk1_onOrthosteric Ligand7P00-NK1-Substance-P-chim(NtGi1-Gs-CtGq)/β1/γ2
28.00Consensusnk1_on_gpOrthosteric Ligand7P00-NK1-Substance-P-chim(NtGi1-Gs-CtGq)/β1/γ2
28.00Consensusnk2_onOrthosteric Ligand7XWO-NK2-Neurokinin-A-chim(NtGi1-Gs-CtGq)/β1/γ2
27.78Single3RFMCaffeine3RFM-A2A-Caffeine
27.78Single6OT025(S)-Epoxycholesterol6OT0-SMO-25(S)-Epoxycholesterol-Gi1/β1/γ2
27.78Single7MTBAll-trans-Retinal7MTB-Rhodopsin-All-trans-Retinal-GRK1
27.78Single8WC5Tetramethylammonium Ion8WC5-TA1-Tetramethylammonium Ion-chim(NtGi1-Gs)/β1/γ2
27.78Single8Z8ALactate8Z8A-HCA1-Lactate-Gi1/β1/γ2
27.78Single9CHUNorepinephrine9CHU-β2-Norepinephrine
27.78Single9L0HJR14a9L0H-C3aB-JR14a-Go/β1/γ2
27.78Consensusgs_histamineOrthosteric Ligand8POK-H2-Histamine-Gs/β1/γ2
27.78Consensush2_onOrthosteric Ligand8POK-H2-Histamine-Gs/β1/γ2
27.78Consensusopsins_onOrthosteric Ligandrhodopsin_on opsin1lw_on
27.78Consensussensory_onOrthosteric Ligandopsins_on
27.59Single6WI9Secretin6WI9-Secretin-Secretin-Gs/β1/γ2
27.59Single7W57Neuromedin-S7W57-NMUR2-Neuromedin-S-chim(NtGi1-Gs-CtGq)/β1/γ2
27.59Single7XK8Neuromedin-U-257XK8-NMUR2-Neuromedin-U-25-Gi1/β1/γ2
27.59Single8IEDPubChem 1347468948IED-GPR156; GPR156-PubChem 134746894-Go/β1/γ2
27.59Single8IEDPubChem 1347468948IED-GPR156; GPR156-PubChem 134746894-Go/β1/γ2
27.59Consensusneuromedin-u_onOrthosteric Ligandnmur1_on nmur2_on
27.59Consensustachykinin_onOrthosteric Ligandnk1_on nk2_on nk3_on
27.27Single1HZX11-cis-Retinal1HZX-Rhodopsin-11-cis-Retinal
27.27Single4DAJTiotropium4DAJ-M3-Tiotropium
27.27Single4MQSIperoxo4MQS-M2-Iperoxo
27.27Single4QIMANTA XV4QIM-SMO-ANTA XV
27.27Single4U14Tiotropium4U14-M3-Tiotropium
27.27Single5DHGC-355DHG-NOP-C-35
27.27Single5DHHSB-6121115DHH-NOP-SB-612111
27.27Single5DSGTiotropium5DSG-M4-Tiotropium
27.27Single5ZKPSR274175ZKP-PAF-SR27417
27.27Single6FKCPubChem 1324730396FKC-Rhodopsin-PubChem 132473039
27.27Single6WHADB139486WHA-5-HT2A-DB13948-chim(NtGi2L-Gs-CtGq)/β1/γ2
27.27Single7CFMP3957CFM-GPBA-P395-Gs/β1/γ2
27.27Single7NA8Ibutamoren7NA8-Ghrelin-Ibutamoren-Gi1/β1/γ2
27.27Single7TRPIperoxo7TRP-M4-Iperoxo-LY2033298-Gi1/β1/γ2
27.27Single7V3ZCP559407V3Z-CB1-CP55940
27.27Single7VH0Ramelteon7VH0-MT2-Ramelteon-Gi1/β1/γ1
27.27Single7VIES1P7VIE-S1P1-S1P-Gi1/β1/γ2
27.27Single7VKTLTB47VKT-BLT1-LTB4-Gi1/β1/γ2
27.27Single7WC8Lumateperone7WC8-5-HT2A-Lumateperone
27.27Single7YK7DC5910537YK7-RXFP4-DC591053-Gi2/β1/γ2
27.27Single8CICEtrumadenant8CIC-A2A-Etrumadenant-Na
27.27Single8IC0CXCL88IC0-CXCR1-CXCL8-Gi1/β1/γ2
27.27Single8JD0NAM5638JD0-mGlu2; mGlu3-Glutamate-NAM563
27.27Single8JT8(R)-IHCH-71798JT8-5-HT2A-(R)-IHCH-7179
27.27Single8K5DGSK2560738K5D-HCA2-GSK256073
27.27Single8XBGS3E-Lysophosphatidylserine 8XBG-GPR34-S3E-Lysophosphatidylserine
27.27Single8ZBEOctreotide8ZBE-SST5-Octreotide-Gi1/β1/γ1
27.27Single8ZQEGPR15L(CT)8ZQE-GPR15-GPR15L(CT)-Gi1/β1/γ1
27.27Single9D61JDTic9D61-κ-JDTic-Gi1/β1/γ2
27.27Single9H37PubChem 1756706469H37-A2A-PubChem 175670646-Na
27.27Consensusblt1_onOrthosteric Ligand7VKT-BLT1-LTB4-Gi1/β1/γ2
27.27Consensusblt1_on_gpOrthosteric Ligand7VKT-BLT1-LTB4-Gi1/β1/γ2
27.27Consensusblt_onOrthosteric Ligandblt1_on
27.27Consensusblt_on_gpOrthosteric Ligandblt1_on_gp
27.27Consensuscxcr1_on_gpOrthosteric Ligand8IC0-CXCR1-CXCL8-Gi1/β1/γ2
27.27Consensusgi_histamineOrthosteric Ligand8JXX-H4-Clobenpropit-Gi1/β1/γ2 8JXV-H4-Clozapine-Gi1/β1/γ2 8YUU-H3-Histamine-Gi1/β1/γ1 8HN8-H4-Histamine-Gi1/β1/γ2 8HOC-H4-Imetit-Gi1/β1/γ2 8JXW-H4-VUF6884-Gi1/β1/γ2
27.27Consensusgi_leukotrieneOrthosteric Ligand7VKT-BLT1-LTB4-Gi1/β1/γ2
27.27Consensusleukotriene_onOrthosteric Ligandblt_on
27.27Consensusleukotriene_on_gpOrthosteric Ligandblt_on_gp
27.27Consensuslipid_offOrthosteric Ligandcannabinoid_off paf_off lpl_off prostanoid_off leukotriene_off
27.27Consensusm4_offOrthosteric Ligand5DSG-M4-Tiotropium
26.92Single5VBLAMG3054 5VBL-Apelin-AMG3054
26.92Single7XBXCX3CL17XBX-CX3CR1-CX3CL1-Gi1/β1/γ2
26.92Single8IUMTafluprost acid8IUM-FP-alpha-Tafluprost acid-chim(NtGi1-Gs-CtGq)/β1/γ2
26.92Single8JBFSenktide8JBF-NK3-Senktide-chim(NtGi1-Gs-CtGq)/β1/γ2
26.92Single8XQJJN2418XQJ-Apelin; Apelin-JN241
26.92Single8XX6CXCL88XX6-CXCR2-CXCL8-Go/β1/γ2
26.92Consensuscxcr4_offOrthosteric Ligand4RWS-CXCR4-vMIP-II 3OE0-CXCR4-CVX15 3OE6-CXCR4-IT1t
26.67Single8HNKCXCL118HNK-CXCR3-CXCL11-Gi1/β1/γ2
26.67Single8IA2C5a8IA2-C5a1-C5a-Go/β1/γ2
26.67Single8IODPG-9018IOD-MC5-PG-901-Ca-chim(NtGi1-Gs)/β1/γ2
26.67Consensusccr_on_gpOrthosteric Ligandccr6_on_gp ccr8_on_gp ccr2_on_gp ccr1_on_gp ccr5_on_gp
26.67Consensusmc1_onOrthosteric Ligand7F4H-MC1-Afamelanotide-chim(NtGi1-Gs)/β1/γ2 7F4D-MC1-α-MSH-chim(NtGi1-Gs)/β1/γ2 7F4I-MC1-SHU9119-chim(NtGi1-Gs)/β1/γ2
26.67Consensusmc1_on_gpOrthosteric Ligand7F4H-MC1-Afamelanotide-chim(NtGi1-Gs)/β1/γ2 7F4D-MC1-α-MSH-chim(NtGi1-Gs)/β1/γ2 7F4I-MC1-SHU9119-chim(NtGi1-Gs)/β1/γ2
26.67Consensusneuromedin-u_on_gpOrthosteric Ligandnmur1_on_gp nmur2_on_gp
26.47Single7SK6CXCL12_LRHQ7SK6-ACKR3-CXCL12_LRHQ
26.32Single3C9M11-cis-Retinal3C9M-Rhodopsin-11-cis-Retinal
26.32Single3UZAGTPL92363UZA-A2A-GTPL9236
26.32Single7MT8All-trans-Retinal7MT8-Rhodopsin-All-trans-Retinal-GRK1
26.32Single7MT9All-trans-Retinal7MT9-Rhodopsin-All-trans-Retinal-GRK1
26.32Single7MTAAll-trans-Retinal7MTA-Rhodopsin-All-trans-Retinal-GRK1
26.32Single8DPILorcaserin8DPI-5-HT2C-Lorcaserin-chim(NtGi2L-Gs-CtGq)/β1/γ2
26.32Single8ITFDMCHA8ITF-TAA9-DMCHA-chim(NtGi1-Gs)/β1/γ2
26.32Single8J21Butyric acid8J21-FFA3-Butyric acid-Gi1/β1/γ2
26.32Single8JEFPubChem 113671668JEF-HCA3-PubChem 11367166-Gi1/β1/γ2
26.32Single8JXTHistamine8JXT-H4-Histamine-PO4-Gi1/β1/γ2
26.32Single8POKHistamine8POK-H2-Histamine-Gs/β1/γ2
26.32Single9JG1Adriforant9JG1-H4-Adriforant
26.32Single9KT93,5-DHBA9KT9-HCA1-3,5-DHBA-Gi1/β1/γ2
26.32Single9LL7DOI9LL7-5-HT2A-DOI-Gi1/β1/γ2
26.32Consensusffa3_onOrthosteric Ligand8J21-FFA3-Butyric acid-Gi1/β1/γ2
26.32Consensusffa3_on_gpOrthosteric Ligand8J21-FFA3-Butyric acid-Gi1/β1/γ2
26.32Consensush2_on_gpOrthosteric Ligand8POK-H2-Histamine-Gs/β1/γ2
26.32Consensusopsins_on_gpOrthosteric Ligandrhodopsin_on_gp opsin1lw_on_gp
26.32Consensusrhodopsin_onOrthosteric Ligand6OYA-Rhodopsin-All-trans-Retinal-Gt/β1/γ1
26.32Consensussensory_on_gpOrthosteric Ligandopsins_on_gp
26.19Single8GY7Corticotropin8GY7-MC2-Corticotropin-Ca-chim(NtGi1-Gs)/β1/γ2; MRAP1
26.09Single4NTJAZD12834NTJ-P2Y12-AZD1283
26.09Single4WW3All-trans-Retinal4WW3-Rhodopsin-All-trans-Retinal
26.09Single5XPRBosentan5XPR-ETB-Bosentan
26.09Single5ZBQUR-MK-2995ZBQ-Y1-UR-MK-299
26.09Single6HLPNetupitant6HLP-NK1-Netupitant
26.09Single6KPCAM120336KPC-CB2-AM12033
26.09Single6LFMCXCL86LFM-CXCR2-CXCL8-Gi1/β1/γ2
26.09Single6OIKIperoxo6OIK-M2-Iperoxo-LY2119620-chim(NtGi1-Go)/β1/γ2
26.09Single6RZ4Pranlukast6RZ4-CysLT1-Pranlukast-Na
26.09Single7EO2FTY720-P7EO2-S1P1-FTY720-P-Gi1/β1/γ2
26.09Single7SINNPS-21437SIN-CaS; CaS-NPS-2143
26.09Single7SINNPS-21437SIN-CaS; CaS-NPS-2143
26.09Single7TD3S1P7TD3-S1P1-S1P-Gi1/β1/γ2
26.09Single7TRKIperoxo7TRK-M4-Iperoxo-Gi1/β1/γ2
26.09Single7VOEAripiprazole7VOE-5-HT2A-Aripiprazole
26.09Single7W41PD1762527W41-BB2-PD176252
26.09Single8EFBOliceridine8EFB-μ-Oliceridine-Gi1/β1/γ2
26.09Single8GD9Rivenprost8GD9-EP4-Rivenprost-Gs/β1/γ2
26.09Single8I7WGSK2560738I7W-HCA2-GSK256073-Gi1/β1/γ2
26.09Single8IZ4Lysophosphatidylserine (TJR)8IZ4-GPR34-Lysophosphatidylserine (TJR)-Gi1/β1/γ2
26.09Single8K8JFenofibrate8K8J-CB1-Fenofibrate-chim(Gs-CtGq)/β1/γ2
26.09Single8SZGCa; Ca; Tryptophan; Cinacalcet; PO4; Spermine8SZG-CaS; CaS-Ca; Ca; Tryptophan; Cinacalcet; PO4; Spermine-chim(NtGi1-Gq)/β1/γ2
26.09Single8TH4Losartan8TH4-AT1-Losartan-AT118-L Nanobody
26.09Single8YICSAR2477998YIC-S1P1-SAR247799-Gi1/β1/γ2
26.09Single8ZYTNeurotensin-(8-13)8ZYT-NTS1-Neurotensin-(8-13)-SBI-553-Arrestin2
26.09Single9AYFCa; Ca; Ca; Cyclomethyltryptophan; R-568; PO49AYF-CaS; CaS-Ca-Ca; Ca; Ca; Cyclomethyltryptophan; R-568; PO4-Gi1/β1/γ2
26.09Single9EAHOlmesartan9EAH-AT1-Olmesartan-Nanobody AT209
26.09Single9EAHNanobody AT2099EAH-AT1-Olmesartan-Nanobody AT209
26.09Single9ERXD9-THC analog9ERX-CB1-D9-THC analog-Gi1/β1/γ2
26.09Single9GE2ML1849GE2-GPR55-ML184-chim(NtGi1-G13)/β1/γ2
26.09Single9JKSPubChem 442501769JKS-HCA3-PubChem 44250176-Gi1/β1/γ2
26.09Consensusbb2_offOrthosteric Ligand7W41-BB2-PD176252
26.09Consensusbombesin_offOrthosteric Ligandbb2_off
26.09Consensuscxcr2_on_gpOrthosteric Ligand6LFM-CXCR2-CXCL8-Gi1/β1/γ2
26.09Consensusgq_muscarinicOrthosteric Ligand6OIJ-M1-Iperoxo-chim(NtGi1L-G11)/β1/γ2
26.09Consensusm1_onOrthosteric Ligand6OIJ-M1-Iperoxo-chim(NtGi1L-G11)/β1/γ2
26.09Consensusrxfp4_onOrthosteric Ligand7YK7-RXFP4-DC591053-Gi2/β1/γ2 7YJ4-RXFP4-INSL5-Gi2/β1/γ2 7YK6-RXFP4-PubChem 138319674-Gi2/β1/γ2
26.09Consensusrxfp4_on_gpOrthosteric Ligand7YK7-RXFP4-DC591053-Gi2/β1/γ2 7YJ4-RXFP4-INSL5-Gi2/β1/γ2 7YK6-RXFP4-PubChem 138319674-Gi2/β1/γ2
26.09Consensuss1p5_offOrthosteric Ligand7YXA-S1P5-ONO-5430608
25.93Single4XT1CX3CL14XT1-US28-CX3CL1
25.93Single6WIVPubChem 52923113; PubChem 529246456WIV-GABAB1, GABAB2-PubChem 52923113; PubChem 52924645
25.93Single7F54Afamelanotide7F54-MC4-Afamelanotide-Gs/β1/γ2
25.93Single7L0RNeurotensin-(8-13)7L0R-NTS1-Neurotensin-(8-13)-Gi1/β1/γ1
25.93Single7TD4Siponimod7TD4-S1P1-Siponimod-Gi1/β1/γ2
25.93Single7W2ZGhrelin7W2Z-Ghrelin-Ghrelin-Go/β1/γ2
25.93Single8IEBPubChem 1347468948IEB-GPR156; GPR156-PubChem 134746894
25.93Single8U4OCXCL128U4O-CXCR4-CXCL12-Gi1/β1/γ2
25.93Single8WKYPG-9348WKY-MC4-PG-934
25.93Single8XWNCXCL88XWN-CXCR2-CXCL8
25.93Single9J0IUDP-Glucuronic acid9J0I-P2Y14-UDP-Glucuronic acid-Gi1/β1/γ2
25.93Consensuschemokine_onOrthosteric Ligandccr_on cxcr_on
25.93Consensusmc4_onOrthosteric Ligand7AUE-MC4-Setmelanotide-chim(NtGi1L-Gs)/β1/γ2 7F58-MC4-THIQ-Gs/β1/γ2 7F54-MC4-Afamelanotide-Gs/β1/γ2 7F53-MC4-α-MSH-Gs/β1/γ2 7F55-MC4-Bremelanotide-Gs/β1/γ2
25.93Consensusnk3_onOrthosteric Ligand8JBF-NK3-Senktide-chim(NtGi1-Gs-CtGq)/β1/γ2
25.93Consensusnk3_on_gpOrthosteric Ligand8JBF-NK3-Senktide-chim(NtGi1-Gs-CtGq)/β1/γ2
25.93Consensussomatostatin_offOrthosteric Ligandsst2_off
25.81Single7RGPTirzepatide7RGP-GLP-1-Tirzepatide-chim(NtGi1-Gs)/β1/γ2
25.81Single7W3ZGastrin Releasing Peptide7W3Z-BB2-Gastrin Releasing Peptide-chim(NtGi1L-Gq)/β1/γ2
25.81Consensuspac_on_gpOrthosteric Ligandpac1_on_gp
25.00Single1L9H11-cis-Retinal1L9H-Rhodopsin-11-cis-Retinal
25.00Single3OE9IT1t3OE9-CXCR4-IT1t
25.00Single5L7IVismodegib5L7I-SMO-Vismodegib
25.00Single6E59L-7607356E59-NK1-L-760735
25.00Single6N4BMDMB-Fubinaca6N4B-CB1-MDMB-Fubinaca-Gi1/β1/γ2
25.00Single6TP4ACT-4622066TP4-OX1-ACT-462206
25.00Single6TQ4PubChem 160468446TQ4-OX1-PubChem 16046844-Na
25.00Single7DD5Ca; Ca; Tryptophan; NPS-21437DD5-CaS; CaS-Ca-Ca; Ca; Tryptophan; NPS-2143
25.00Single7EW4CYM-55417EW4-S1P3-CYM-5541-Gi1/β1/γ2
25.00Single7F1QCCL37F1Q-CCR5-CCL3-Gi1/β1/γ2
25.00Single7FEECP559407FEE-CB1-CP55940-ZCZ011
25.00Single7PIVAfamelanotide7PIV-MC4-Afamelanotide-Gs/β1/γ2
25.00Single7SK5CXCL127SK5-ACKR3-CXCL12
25.00Single7VIGCBP-3077VIG-S1P1-CBP-307-Gi1/β1/γ2
25.00Single7WVXHumanin7WVX-FPR2-ALX-Humanin-Gi2/β1/γ2
25.00Single7XBDGalanin7XBD-GAL2-Galanin-chim(NtGi2L-Gs-CtGq)/β1/γ2
25.00Single7XWONeurokinin-A7XWO-NK2-Neurokinin-A-chim(NtGi1-Gs-CtGq)/β1/γ2
25.00Single8A2PLUAA470708A2P-A2A-LUAA47070-Na
25.00Single8FN1Neurotensin-(8-13)8FN1-NTS1-Neurotensin-(8-13)-chim(NtGi1-Go)/β1/γ2
25.00Single8GUSHU-3088GUS-CB2-HU-308-Gi1/β1/γ2
25.00Single8IEBPubChem 1347468948IEB-GPR156; GPR156-PubChem 134746894
25.00Single8IHIAcifran8IHI-HCA2-Acifran-Gi1/β1/γ2
25.00Single8JSRAnamorelin8JSR-Ghrelin-Anamorelin-chim(NtGi1-Gs-CtGq)/β1/γ2
25.00Single8W8XBeta-MSH8W8X-MC3-β-MSH-Ca-Gs/β1/γ2
25.00Single8XBIPubChem 1626566368XBI-GPR34-PubChem 162656636
25.00Single8XJMLatanoprost8XJM-FP-alpha-Latanoprost-chim(NtGi2-Gs-CtGq)/β1/γ2
25.00Single8YN2Histamine8YN2-H1-Histamine-chim(NtGi1L-Gs-CtGq)/β1/γ2
25.00Single8ZR5Firuglipel8ZR5-GPR119-Firuglipel-Gs/β1/γ2
25.00Single9AS7Psilocin9AS7-5-HT2A-Psilocin
25.00Single9AS9RS130-1809AS9-5-HT2A-RS130-180
25.00Single9ASARS130-1809ASA-5-HT2A-RS130-180-chim(NtGi1-Gs-CtGq)/β1/γ2
25.00Single9EGOZ85267113509EGO-CB1-Z8526711350-Gi1/β1/γ2
25.00Single9IZDCHBA9IZD-HCA1-CHBA-Gi1/β1/γ2
25.00Single9L16CCL219L16-CCR7-CCL21
25.00Single9UCPIperoxo9UCP-M1-Iperoxo-G11(CT)
25.00Single9YDVMRS29059YDV-P2Y14-MRS2905-Gi1/β1/γ2
25.00Consensusclass-a_class-b1_cons_on_gpOrthosteric Ligandclass-a_on_gp class-b1_on_gp
25.00Consensusffa_onOrthosteric Ligandffa2_on ffa3_on
25.00Consensusffa_on_gpOrthosteric Ligandffa2_on_gp ffa3_on_gp
25.00Consensusgi_ffaOrthosteric Ligand8J21-FFA3-Butyric acid-Gi1/β1/γ2 8J22-FFA2-TUG-1375-Gi1/β1/γ2
25.00Consensusgi_relaxinOrthosteric Ligand7YK7-RXFP4-DC591053-Gi2/β1/γ2 7YJ4-RXFP4-INSL5-Gi2/β1/γ2 7YK6-RXFP4-PubChem 138319674-Gi2/β1/γ2
25.00Consensush4_onOrthosteric Ligand8HN8-H4-Histamine-Gi1/β1/γ2 8HOC-H4-Imetit-Gi1/β1/γ2 8JXV-H4-Clozapine-Gi1/β1/γ2 8JXW-H4-VUF6884-Gi1/β1/γ2 8JXX-H4-Clobenpropit-Gi1/β1/γ2
25.00Consensusmc4_on_gpOrthosteric Ligand7AUE-MC4-Setmelanotide-chim(NtGi1L-Gs)/β1/γ2 7F58-MC4-THIQ-Gs/β1/γ2 7F54-MC4-Afamelanotide-Gs/β1/γ2 7F53-MC4-α-MSH-Gs/β1/γ2 7F55-MC4-Bremelanotide-Gs/β1/γ2
25.00Consensusnk2_on_gpOrthosteric Ligand7XWO-NK2-Neurokinin-A-chim(NtGi1-Gs-CtGq)/β1/γ2
25.00Consensusnpy1_offOrthosteric Ligand5ZBH-Y1-BMS-193885 5ZBQ-Y1-UR-MK-299
25.00Consensusnpy_offOrthosteric Ligandnpy1_off npy2_off
25.00Consensusrelaxin_onOrthosteric Ligandrxfp4_on
25.00Consensusrelaxin_on_gpOrthosteric Ligandrxfp4_on_gp
24.24Single5VAIGLP-15VAI-GLP-1-GLP-1-Gs/β1/γ2
24.24Single8KGGLysophosphatidylserine (WJS)8KGG-P2Y10-Lysophosphatidylserine (WJS)-chim(NtGi2-G13)/β1/γ2
24.14Single6VN7PACAP276VN7-VPAC1-PACAP27-Gs/β1/γ2
24.14Single6W25SHU91196W25-MC4-SHU9119-Ca
24.14Single7W55Neuromedin-U-257W55-NMUR2-Neuromedin-U-25-chim(NtGi1-Gs-CtGq)/β1/γ2
24.14Single8W8YGamma-MSH8W8Y-MC3-γ-MSH-Ca-Gs/β1/γ2
24.14Consensusnmur2_onOrthosteric Ligand7W55-NMUR2-Neuromedin-U-25-chim(NtGi1-Gs-CtGq)/β1/γ2
24.14Consensusnmur2_on_gpOrthosteric Ligand7W55-NMUR2-Neuromedin-U-25-chim(NtGi1-Gs-CtGq)/β1/γ2
24.00Single4PXFOctyl-Beta-D-Glucopyranoside4PXF-Rhodopsin-Octyl-β-D-Glucopyranoside-Arrestin1 Finger Loop
24.00Single4PXZ2MeSADP4PXZ-P2Y12-2MeSADP
24.00Single4XEENeurotensin-(8-13)4XEE-NTS1-Neurotensin-(8-13)
24.00Single4XESNeurotensin-(8-13)4XES-NTS1-Neurotensin-(8-13)
24.00Single5TZYMK8666; AP85TZY-FFA1-MK8666; AP8
24.00Single6KQICP559406KQI-CB1-CP55940-Org27569
24.00Single6OSAJMV4496OSA-NTS1-JMV449-Gi1/β1/γ2
24.00Single7EPENAM5637EPE-mGlu2-NAM563
24.00Single7F55Bremelanotide7F55-MC4-Bremelanotide-Gs/β1/γ2
24.00Single7L0SNeurotensin-(8-13)7L0S-NTS1-Neurotensin-(8-13)-Gi1/β1/γ1
24.00Single7WCMMBX-29827WCM-GPR119-MBX-2982-Gs/β1/γ2
24.00Single8GCPPGE28GCP-EP4-PGE2-Gi1/β1/γ2
24.00Single8JD3JNJ-404118138JD3-mGlu2; mGlu3-Glutamate-JNJ-40411813-Gi1/β1/γ2
24.00Single8JPCNeurotensin-(8-13)8JPC-NTS1-Neurotensin-(8-13)-SBI-553; GDP; Mg-Gq; GRK2
24.00Single8VHFMBX-29828VHF-GPR119-MBX-2982-Gs/β1/γ2
24.00Single8WRBLysophosphatidylserine (UBL)8WRB-GPR34-Lysophosphatidylserine (UBL)-Gi1/β1/γ2
24.00Single8XQJJN2418XQJ-Apelin; Apelin-JN241
24.00Single8XX3CXCL38XX3-CXCR2-CXCL3-Go/β1/γ2
24.00Single8Y6WTUG-13758Y6W-FFA2-TUG-1375-4-CMTB-Gi1/β1/γ2
24.00Single9GGGI-BOP9GGG-TXA2-I-BOP-chim(NtGi2L-Gs-CtGq)/β1/γ2
24.00Single9M8POleic monoethanolamide9M8P-GPR3 ; GPR3-Oleic monoethanolamide-AF64394
24.00Single9VIFNeuropeptide-VF9VIF-NPFF1-Neuropeptide-VF-Gi1/β1/γ2
24.00Consensusffa2_on_gpOrthosteric Ligand8J22-FFA2-TUG-1375-Gi1/β1/γ2
24.00Consensusgalanin_onOrthosteric Ligandgal2_on gal1_on
24.00Consensusgalanin_on_gpOrthosteric Ligandgal2_on_gp gal1_on_gp
24.00Consensusgi_neurotensinOrthosteric Ligand6OSA-NTS1-JMV449-Gi1/β1/γ2 7L0S-NTS1-Neurotensin-(8-13)-Gi1/β1/γ1
24.00Consensusneurotensin_on_gpOrthosteric Ligandnts1_on_gp
24.00Consensusnts1_on_gpOrthosteric Ligand6OSA-NTS1-JMV449-Gi1/β1/γ2 7L0S-NTS1-Neurotensin-(8-13)-Gi1/β1/γ1
24.00Consensuss1p3_onOrthosteric Ligand7EW3-S1P3-S1P-Gi1/β1/γ2 7EW4-S1P3-CYM-5541-Gi1/β1/γ2 7EW2-S1P3-FTY720-P-Gi1/β1/γ2
23.81Single2PED9-cis-Retinal2PED-Rhodopsin-9-cis-Retinal
23.81Single3V2WPubChem 518926453V2W-S1P1-PubChem 51892645
23.81Single4S0VSuvorexant4S0V-OX2-Suvorexant
23.81Single5OLVLUAA470705OLV-A2A-LUAA47070-Na
23.81Single6TPJSuvorexant6TPJ-OX2-Suvorexant
23.81Single6TQ6PubChem 1457142836TQ6-OX1-PubChem 145714283
23.81Single7BR3Elagolix7BR3-GnRH1-Elagolix
23.81Single7T6STC-FPR 437T6S-FPR2-ALX-TC-FPR 43-Gi1/β1/γ2
23.81Single7WF7S1P7WF7-S1P1-S1P-Gi1/β1/γ2
23.81Single7XRRLemborexant7XRR-OX2-Lemborexant
23.81Single8A6CAll-trans-Retinal8A6C-Rhodopsin-All-trans-Retinal
23.81Single8A6DAll-trans-Retinal8A6D-Rhodopsin-All-trans-Retinal
23.81Single8A6EAll-trans-Retinal8A6E-Rhodopsin-All-trans-Retinal
23.81Single8DWGML3828DWG-MRGPRX1-BAM8-22-ML382-chim(NtGi2L-Gs-CtGq)/β1/γ2
23.81Single8HMPC178HMP-GPR52-C17-Gs/β1/γ2
23.81Single8J20Valeric acid8J20-FFA3-Valeric acid-AR420626-Gi1/β1/γ2
23.81Single8JPPSuccinic acid8JPP-Succinate-Succinic acid-chim(Gs-CtGq)/β1/γ1
23.81Single8T3SButyric acid8T3S-FFA2-Butyric acid-chim(NtGi2L-Gs-CtGq)/β1/γ2
23.81Single8U4PAMD31008U4P-CXCR4-AMD3100-Gi1/β1/γ2
23.81Single8UTDMK19038UTD-HCA2-MK1903-Gi1/β1/γ2
23.81Single8WOGSuccinic acid8WOG-Succinate-Succinic acid-Gi1/β1/γ2
23.81Single8Y0HVUF114188Y0H-CXCR3-VUF11418
23.81Single8Y0NVUF114188Y0N-CXCR3-VUF11418-Go/β1/γ2
23.81Single8YKXMaleic acid8YKX-Succinate-Maleic acid-Gi1/β1/γ1
23.81Single9H2XPubChem 1756706449H2X-A2A-PubChem 175670644-Na
23.81Single9K6LSalicin9K6L-TAS2R16-Salicin-Gi2/β1/γ2
23.81Single9KPESalicin9KPE-TAS2R16-Salicin-Gi1/β1/γ2
23.81Single9M88Oleic monoethanolamide9M88-GPR3 ; GPR3-Oleic monoethanolamide-AF64394
23.81Single9W49U-50488H9W49-κ-U-50488H-Gi1/β1/γ2
23.81Consensusangiotensin_offOrthosteric Ligandat1_off
23.81Consensusgi_succinateOrthosteric Ligand8YKW-Succinate-Succinic acid-Gi1/β1/γ1 8YKX-Succinate-Maleic acid-Gi1/β1/γ1
23.81Consensusgnrh1_offOrthosteric Ligand7BR3-GnRH1-Elagolix
23.81Consensusrhodopsin_offOrthosteric Ligand1U19-Rhodopsin-11-cis-Retinal 2PED-Rhodopsin-9-cis-Retinal 5TE5-Rhodopsin-20-Methanoretinal
23.81Consensuss1p1_offOrthosteric Ligand3V2W-S1P1-PubChem 51892645
23.81Consensussuccinate_onOrthosteric Ligand8YKW-Succinate-Succinic acid-Gi1/β1/γ1 8YKX-Succinate-Maleic acid-Gi1/β1/γ1
23.81Consensussuccinate_on_gpOrthosteric Ligand8YKW-Succinate-Succinic acid-Gi1/β1/γ1 8YKX-Succinate-Maleic acid-Gi1/β1/γ1
23.53Single5MZPCaffeine5MZP-A2A-Caffeine-Na
23.53Single8GEJConstrained Epinephrine8GEJ-β2-Constrained Epinephrine-Gs/β1/γ2
23.53Single8WCCCyclohexylammonium Ion8WCC-TA1-Cyclohexylammonium Ion
23.53Consensusclass-a_class-b1_cons_onOrthosteric Ligandclass-a_on class-b1_on
23.53Consensuscrf1_onOrthosteric Ligand6PB0-CRF1-Urocortin-chim(NtGi1-Gs)/β1/γ2 6P9X-CRF1-Corticoliberin-1-Gs/β1/γ2
23.33Single6WIVPubChem 52923113; PubChem 529246456WIV-GABAB1, GABAB2-PubChem 52923113; PubChem 52924645
23.33Single7F4HAfamelanotide7F4H-MC1-Afamelanotide-chim(NtGi1-Gs)/β1/γ2
23.33Single7FIMTirzepatide7FIM-GLP-1-Tirzepatide-Gs/β1/γ2
23.33Single7V9MSomatoliberin7V9M-GHRH (SV1)-Somatoliberin-Gs/β1/γ2
23.33Single7WUIIP157WUI-ADGRG2-IP15-chim(NtGi1-Gs)/β1/γ2
23.08Single4BUONeurotensin-(8-13)4BUO-NTS1-Neurotensin-(8-13)
23.08Single6K1QIRL25006K1Q-ETB-IRL2500
23.08Single6KPGAM8416KPG-CB1-AM841-Gi1/β1/γ2
23.08Single6UP7Neurotensin-(8-13)6UP7-NTS1-Neurotensin-(8-13)-Arrestin2
23.08Single7LLLExendin-47LLL-GLP-1-Exendin-4-Gs/β1/γ2
23.08Single7SK7CCX6627SK7-ACKR3-CXCL12-CCX662
23.08Single7X8RBOC57X8R-GLP-1-BOC5-Gs/β1/γ2
23.08Single7XZ6APD6687XZ6-GPR119-APD668-Gs/β1/γ2
23.08Single8FN0Neurotensin-(8-13)8FN0-NTS1-Neurotensin-(8-13)-SBI-553-chim(NtGi1-Go)/β1/γ2
23.08Single8XJKCloprosetnol8XJK-FP-alpha-Cloprosetnol-chim(NtGi1-Gs-CtGq)/β1/γ2
23.08Single8XVUCXCL28XVU-CXCR2-CXCL2
23.08Single8XWFCXCL38XWF-CXCR2-CXCL3
23.08Single8XXHCXCL28XXH-CXCR2-CXCL2-Go/β1/γ2
23.08Single9EAILosartan9EAI-AT1-Losartan-Nanobody AT209
23.08Single9GG5U466199GG5-TXA2-U46619-chim(NtGi2L-Gs-CtGq)/β1/γ2
23.08Single9M1HPGE29M1H-EP1-PGE2-chim(NtGi1-Gs-CtGq)/β1/γ2
22.86Single6LPBPACAP276LPB-PAC1-PACAP27-Gs/β1/γ1
22.73Single4ZUDOlmesartan4ZUD-AT1-Olmesartan
22.73Single6FK8PubChem 1324730356FK8-Rhodopsin-PubChem 132473035
22.73Single6IQLL7458706IQL-D4-L745870
22.73Single6PT0WIN 55212-26PT0-CB2-WIN 55212-2-Gi1/β1/γ2
22.73Single6ZDVPubChem 9840736ZDV-A2A-PubChem 984073-Na
22.73Single7UTZDPPC7UTZ-TSH-TSH-DPPC-Gs/β1/γ2
22.73Single7VODCariprazine7VOD-5-HT2A-Cariprazine
22.73Single7WVUfMLF7WVU-FPR1-ALX-fMLF-Gi1/β1/γ2
22.73Single7XXH2MeSADP7XXH-P2Y1-2MeSADP-chim(NtGi1-G11)/β1/γ2
22.73Single8GUQOlorinab8GUQ-CB2-Olorinab-Gi1/β1/γ2
22.73Single8H4LDoconexent8H4L-FFA4-Doconexent-chim(NtGi1-Gs-CtGq)/β1/γ2
22.73Single8HNMVUF112228HNM-CXCR3-VUF11222-Gi1/β1/γ2
22.73Single8HQN9-S-HODE8HQN-GPR132-9-S-HODE-Gi1/β1/γ2
22.73Single8Y01All-trans-Retinal8Y01-Opsin1MW-All-trans-Retinal-Gi1/β1/γ2
22.73Single8Y53MK50468Y53-BB3-MK5046-chim(NtGi1-Gs-CtGq)/β1/γ2
22.73Single8YKVPubChem 1375531688YKV-Succinate-PubChem 137553168-Gi1/β1/γ2
22.73Single8ZBWQuin-C18ZBW-FPR2-ALX-Quin-C1-Gi2/β1/γ2
22.73Single9ASBCa; Ca; Cyclomethyltryptophan; R-568; PO49ASB-CaS; CaS-Ca-Ca; Ca; Cyclomethyltryptophan; R-568; PO4-chim(NtGi1-Gs-CtGq)/β1/γ2
22.73Single9AXFCa; Ca; Ca; Cyclomethyltryptophan; R-568; PO49AXF-CaS; CaS-Ca-Ca; Ca; Ca; Cyclomethyltryptophan; R-568; PO4-chim(NtGi1-Gs-CtGq)/β1/γ2
22.73Single9BA0MRI-18919BA0-CB1-MRI-1891
22.73Single9K0KUTP9K0K-P2Y4-UTP-chim(NtGi1-Gs-CtGq)/β1/γ2
22.73Single9M2FNeuropeptide-FF9M2F-NPFF1-Neuropeptide-FF-Gi1/β1/γ2
22.73Single9PY2Loperamide9PY2-μ-Loperamide-GDPβS-Gi1/β1/γ2
22.73Consensusat1_offOrthosteric Ligand4YAY-AT1-ZD-7155 4ZUD-AT1-Olmesartan
22.73Consensuscxcr2_onOrthosteric Ligand6LFM-CXCR2-CXCL8-Gi1/β1/γ2
22.73Consensusgrh_offOrthosteric Ligandgnrh1_off
22.73Consensusp2y1_on_gpOrthosteric Ligand7XXH-P2Y1-2MeSADP-chim(NtGi1-G11)/β1/γ2
22.58Single7VL9CCL15(26-92)7VL9-CCR1-CCL15(26-92)-Gi1/β1/γ2
22.58Single7WBJPACAP277WBJ-VPAC1-PACAP27-Gs/β1/γ2
22.58Single7XV3Lysophosphatidylserine (WJS)7XV3-GPR174-Lysophosphatidylserine (WJS)-chim(NtGi1-Gs)/β1/γ2
22.58Single8E3YPACAP278E3Y-VPAC1-PACAP27-Gs/β1/γ2
22.58Single8E3ZVIP8E3Z-VPAC1-VIP-Gs/β1/γ2
22.58Consensuspac_onOrthosteric Ligandpac1_on
22.22Single3PXOAll-trans-Retinal3PXO-Rhodopsin-All-trans-Retinal
22.22Single5DYSAll-trans-Retinal5DYS-Rhodopsin-All-trans-Retinal
22.22Single6KNMJN241-96KNM-Apelin-JN241-9
22.22Single6OS9JMV4496OS9-NTS1-JMV449-Gi1/β1/γ2
22.22Single6RZ6ONO-25703666RZ6-CysLT2-ONO-2570366
22.22Single7V68LY21196207V68-M4-Iperoxo-LY2119620-Gi1/β1/γ2
22.22Single7X8SWB4-247X8S-GLP-1-WB4-24-Gs/β1/γ2
22.22Single8GDAL9026888GDA-EP4-L902688-Gs/β1/γ2
22.22Single8IQ4Carboprost8IQ4-FP-alpha-Carboprost-chim(NtGi1-Gs-CtGq)/β1/γ2
22.22Single8J22TUG-13758J22-FFA2-TUG-1375-Gi1/β1/γ2
22.22Single8SAILysophosphatidylserine (S12)8SAI-GPR34-Lysophosphatidylserine (S12)-Gi1/β1/γ2
22.22Single9IV25alpha-DHT9IV2-ADGRD1-5α-DHT-chim(NtGi1-Gs)/β1/γ2
22.22Single9JF4PD1683689JF4-BB1-PD168368
22.22Consensuscrf1_on_gpOrthosteric Ligand6PB0-CRF1-Urocortin-chim(NtGi1-Gs)/β1/γ2 6P9X-CRF1-Corticoliberin-1-Gs/β1/γ2
22.22Consensusglp1_on_gpOrthosteric Ligand7S1M-GLP-1-Exendin-4-D-Ala-Gs/β1/γ2 7X8R-GLP-1-BOC5-Gs/β1/γ2 6X19-GLP-1-CHU-128-Gs/β1/γ2 6X1A-GLP-1-Danuglipron-Gs/β1/γ2 6X18-GLP-1-GLP-1-Gs/β1/γ2 8JIP-GLP-1-MEDI0382-chim(NtGi1-Gs)/β1/γ2 7C2E-GLP-1-PubChem 149050799-Gs/β1/γ2 7KI0-GLP-1-Semaglutide-Gs/β1/γ2 7KI1-GLP-1-Taspoglutide-Gs/β1/γ2 7X8S-GLP-1-WB4-24-Gs/β1/γ2 8JIS-GLP-1-Peptide-15-chim(NtGi1-Gs)/β1/γ2 7VBI-GLP-1-Tirzepatide (non-acylated)-Gs/β1/γ2
21.88Single6FJ3PTH6FJ3-PTH1-PTH
21.88Single7SK3CXCL127SK3-ACKR3-CXCL12
21.88Single7SK4CXCL12_LRHQ7SK4-ACKR3-CXCL12_LRHQ
21.88Single7VABTirzepatide (non-acylated)7VAB-GIP-Tirzepatide (non-acylated)-chim(NtGi1-Gs)/β1/γ2
21.88Single8E3XPACAP278E3X-PAC1-PACAP27-Gs/β1/γ2
21.88Single9P92VIP9P92-PAC1-VIP-Gs/β1/γ2
21.88Consensuspac1_onOrthosteric Ligand8E3X-PAC1-PACAP27-Gs/β1/γ2 6M1H-PAC1-Maxadilan-Gs/β1/γ2
21.88Consensuspac1_on_gpOrthosteric Ligand8E3X-PAC1-PACAP27-Gs/β1/γ2 6M1H-PAC1-Maxadilan-Gs/β1/γ2
21.74Single4YAYZD-71554YAY-AT1-ZD-7155
21.74Single5NDDAZ8838; Na5NDD-PAR2-AZ8838; Na
21.74Single5TGZAM65385TGZ-CB1-AM6538
21.74Single6FK7PubChem 1324730346FK7-Rhodopsin-PubChem 132473034
21.74Single6FKDPubChem 1373491836FKD-Rhodopsin-PubChem 137349183
21.74Single6GPSMK08126GPS-CCR2-MK0812
21.74Single6KPFAM120336KPF-CB2-AM12033-Gi1/β1/γ2
21.74Single7FIHOrg435537FIH-LH-hCG-Org43553-chim(NtGi1-Gs)/β1/γ2
21.74Single7M3JNPS-2143; PO47M3J-CaS; CaS-NPS-2143; PO4
21.74Single7PP1Selatogrel7PP1-P2Y12-Selatogrel
21.74Single7WQ3Galanin7WQ3-GAL1-Galanin-Gi1/β1/γ2
21.74Single7YXAONO-54306087YXA-S1P5-ONO-5430608
21.74Single8XJLPGF2-alpha8XJL-FP-alpha-PGF2-α-chim(NtGi2-Gs-CtGq)/β1/γ2
21.74Single9AVGCa; Ca; Cyclomethyltryptophan; R-568; PO49AVG-CaS; CaS-Ca-Ca; Ca; Cyclomethyltryptophan; R-568; PO4-chim(NtGi1-Gs)/β1/γ2
21.74Single9BQJRO769BQJ-μ-RO76-Gi1/β1/γ2
21.74Single9IYAONO-97105319IYA-GPR55-ONO-9710531
21.74Single9KFTfMLFC9KFT-FPR1-ALX-fMLFC-Gi1/β1/γ2
21.74Single9METGp120; CD49MET-CXCR4-Gp120; CD4
21.74Consensuscck_offOrthosteric Ligandccka_off
21.74Consensusccka_offOrthosteric Ligand7F8Y-CCKA-Devazepide 7F8U-CCKA-Lintitript
21.74Consensusccr2_offOrthosteric Ligand6GPS-CCR2-MK0812
21.74Consensusgal1_onOrthosteric Ligand7WQ3-GAL1-Galanin-Gi1/β1/γ2
21.74Consensusgal1_on_gpOrthosteric Ligand7WQ3-GAL1-Galanin-Gi1/β1/γ2
21.74Consensusgi_galaninOrthosteric Ligand7WQ3-GAL1-Galanin-Gi1/β1/γ2
21.43Single7QA8Antagonist Peptide7QA8-STE2; STE2-Antagonist Peptide
21.43Single7QA8Antagonist Peptide7QA8-STE2; STE2-Antagonist Peptide
21.43Single7W56Neuromedin-S7W56-NMUR1-Neuromedin-S-chim(NtGi1-Gs-CtGq)/β1/γ2
21.43Single8IEIPubChem 1347468948IEI-GPR156; GPR156-PubChem 134746894
21.43Single8IEIPubChem 1347468948IEI-GPR156; GPR156-PubChem 134746894
21.43Single8IEPPubChem 1347468948IEP-GPR156; GPR156-PubChem 134746894
21.43Single8IEPPubChem 1347468948IEP-GPR156; GPR156-PubChem 134746894
21.43Single8YWFRetatrutide8YWF-GLP-1-Retatrutide-chim(NtGi1-Gs)/β1/γ2
21.21Single6B3JExendin-P56B3J-GLP-1-Exendin-P5-Gs/β1/γ2
21.21Single6VCBGLP-16VCB-GLP-1-GLP-1-LSN3160440-Gs/β1/γ2
21.21Single8W8WAlpha-MSH8W8W-MC3-α-MSH-Ca-Gs/β1/γ2
21.21Single9BUCCagrilintide9BUC-CT-Cagrilintide-Gs/β1/γ2
21.21Consensusglp_onOrthosteric Ligandglp1_on glp2_on
21.21Consensusglp_on_gpOrthosteric Ligandglp1_on_gp glp2_on_gp
21.21Consensusp2y10_on_gpOrthosteric Ligand8KGG-P2Y10-Lysophosphatidylserine (WJS)-chim(NtGi2-G13)/β1/γ2
21.05Single6OY9All-trans-Retinal6OY9-Rhodopsin-All-trans-Retinal-Gt/β1/γ1
21.05Single7DD5Ca; Ca; Tryptophan; NPS-21437DD5-CaS; CaS-Ca-Ca; Ca; Tryptophan; NPS-2143
21.05Single8XOFLys058XOF-GPR30-Lys05-chim(NtGi1-Gs-CtGq)/β1/γ2
21.05Single9M42A1L8O9M42-GPR139-A1L8O-chim(Gs-CtGq)/β1/γ2
21.05Consensusp2y_offOrthosteric Ligandp2y1_off
21.05Consensuspth_onOrthosteric Ligandpth1_on pth2_on
20.83Single5CGCHTL142425CGC-mGlu5-HTL14242
20.83Single5YHLPubChem 1351213525YHL-EP4-PubChem 135121352
20.83Single5YWYONO-AE3-2085YWY-EP4-ONO-AE3-208
20.83Single6GPXMK08126GPX-CCR2-MK0812
20.83Single6M9TMisoprostol-FA6M9T-EP3-Misoprostol-FA
20.83Single7C4SS1P7C4S-S1P3-S1P
20.83Single7M3JNPS-2143; PO47M3J-CaS; CaS-NPS-2143; PO4
20.83Single8GDCPGE28GDC-EP3-PGE2-Gi1/β1/γ2
20.83Single8TH4AT118-L Nanobody8TH4-AT1-Losartan-AT118-L Nanobody
20.83Single8X0DVU04244658X0D-mGlu5; mGlu5-Quisqualate-VU0424465
20.83Single8X0DVU04244658X0D-mGlu5; mGlu5-Quisqualate-VU0424465
20.83Single9B9ZMRI-18679B9Z-CB1-MRI-1867
20.83Single9KO4CCL219KO4-CCR7-CCL21-Gi1/β1/γ2
20.83Single9M8POleic monoethanolamide9M8P-GPR3 ; GPR3-Oleic monoethanolamide-AF64394
20.83Consensusblt1_offOrthosteric Ligand5X33-BLT1-BIIL260 7K15-BLT1-MKD046-Na
20.83Consensusblt_offOrthosteric Ligandblt1_off
20.83Consensuscyslt_offOrthosteric Ligandcyslt2_off cyslt1_off
20.83Consensusep4_offOrthosteric Ligand5YWY-EP4-ONO-AE3-208 5YHL-EP4-PubChem 135121352
20.83Consensusep_offOrthosteric Ligandep4_off
20.69Single8KH5Lysophosphatidylserine8KH5-GPR174-Lysophosphatidylserine-Gs/β1/γ2
20.69Consensusmc5_onOrthosteric Ligand8INR-MC5-α-MSH-Ca-chim(NtGi1-Gs)/β1/γ2 8IOD-MC5-PG-901-Ca-chim(NtGi1-Gs)/β1/γ2
20.59Single6LMLGlucagon6LML-Glucagon-Glucagon-Gi1/β1/γ1
20.59Single6WZGSecretin6WZG-Secretin-Secretin-Gs/β1/γ2
20.59Single7KI1Taspoglutide7KI1-GLP-1-Taspoglutide-Gs/β1/γ2
20.59Single7TS0Urocortin7TS0-CRF2-Urocortin-chim(NtGi1L-Go)/β1/γ2
20.59Single8F0KPramlintide Analogue San3858F0K-CT (AMY3)-Pramlintide Analogue San385-Gs/β1/γ2; RAMP3
20.59Single9BYOExendin-39BYO-GLP-1-Exendin-3-Gs/β1/γ2
20.59Single9P93VIP9P93-PAC1-VIP-Gs/β1/γ2
20.59Consensuspth1_onOrthosteric Ligand6NBF-PTH1-LA-PTH Analog-Gs/β1/γ2 8HA0-PTH1-PTH-chim(NtGi1-Gs)/β1/γ2 8HAF-PTH1-PTHrP(1-36)-chim(NtGi1-Gs)/β1/γ2 7Y36-PTH1-PTH-Gs/β1/γ2 7Y35-PTH1-Abaloparatide-Gs/β1/γ2
20.59Consensusvip-pacap_onOrthosteric Ligandvpac_on pac_on
20.59Consensusvip-pacap_on_gpOrthosteric Ligandvpac_on_gp pac_on_gp
20.00Single3OE6IT1t3OE6-CXCR4-IT1t
20.00Single3PQRAll-trans-Retinal3PQR-Rhodopsin-All-trans-Retinal-Gt(CT)
20.00Single3ZEVNeurotensin-(7-13)3ZEV-NTS1-Neurotensin-(7-13)
20.00Single4XNWMRS25004XNW-P2Y1-MRS2500
20.00Single5TZRMK86665TZR-FFA1-MK8666
20.00Single5V56TC1145V56-SMO-TC114
20.00Single6FK9PubChem 1324730366FK9-Rhodopsin-PubChem 132473036
20.00Single6OIKLY21196206OIK-M2-Iperoxo-LY2119620-chim(NtGi1-Go)/β1/γ2
20.00Single6PB0Urocortin6PB0-CRF1-Urocortin-chim(NtGi1-Gs)/β1/γ2
20.00Single6UUNAdrenomedullin6UUN-CT Like (AM1)-Adrenomedullin-Gs/β1/γ2; RAMP2
20.00Single6Z8NSRI-98296Z8N-NTS1-SRI-9829
20.00Single7DD7Ca; Ca; Tryptophan; Evocalcet7DD7-CaS; CaS-Ca-Ca; Ca; Tryptophan; Evocalcet
20.00Single7DUQGLP-17DUQ-GLP-1-GLP-1-PubChem 156022738-Gs/β1/γ2
20.00Single7EW3S1P7EW3-S1P3-S1P-Gi1/β1/γ2
20.00Single7F16TIP397F16-PTH2-TIP39-Gs/β1/γ2
20.00Single7F4DAlpha-MSH7F4D-MC1-α-MSH-chim(NtGi1-Gs)/β1/γ2
20.00Single7L0PNeurotensin-(8-13)7L0P-NTS1-Neurotensin-(8-13)-Gi1/β1/γ1
20.00Single7L0QNeurotensin-(8-13)7L0Q-NTS1-Neurotensin-(8-13)-Gi1/β1/γ1
20.00Single7R0CAVP7R0C-V2-AVP-Arrestin2
20.00Single7SK7CXCL127SK7-ACKR3-CXCL12-CCX662
20.00Single8EITDoconexent8EIT-FFA1-Doconexent-chim(NtGi1L-Gs-CtGq)/β1/γ2
20.00Single8FMZNeurotensin-(8-13)8FMZ-NTS1-Neurotensin-(8-13)-chim(NtGi2L-Gs-CtGq)/β1/γ2
20.00Single8IU2All-trans-Retinal8IU2-Opsin1LW-All-trans-Retinal-Gi1/β1/γ2
20.00Single8IUKPGF2-alpha8IUK-FP-alpha-PGF2-α-chim(NtGi1-Gs-CtGq)/β1/γ2
20.00Single8JBGNeurokinin-B8JBG-NK3-Neurokinin-B-chim(NtGi1-Gs-CtGq)/β1/γ2
20.00Single8WJXADP8WJX-P2Y1-ADP-chim(Gs-CtGq)/β1/γ2
20.00Single8X0FVU298X0F-mGlu5; mGlu5-Quisqualate-VU29
20.00Single8X79MRE-2698X79-I2-MRE-269-Gs/β1/γ2
20.00Single8X9UMetenolone8X9U-ADGRD1-Metenolone-chim(NtGi1-Gs)/β1/γ2
20.00Single8XX7CXCL58XX7-CXCR2-CXCL5-Go/β1/γ2
20.00Single8ZW0PGD28ZW0-DP1-PGD2-Gs/β1/γ2
20.00Single9ASTLymphotactin9AST-XCR1-Lymphotactin-Gi1/β1/γ2
20.00Single9E9SPGD29E9S-DP1-PGD2-Gs/β1/γ1
20.00Single9IJRC179IJR-GPR52-C17-Arrestin2
20.00Single9ITELPA9ITE-LPA6-LPA-chim(NtGi2-G13)/β1/γ2
20.00Single9JCLADP9JCL-P2Y1-ADP-chim(Gs-CtGq)/β1/γ2
20.00Single9JHJC18:0 Ceramide9JHJ-FPR2-ALX-C18:0 Ceramide-Gi1/β1/γ2
20.00Single9LXRLA-PTH Analog9LXR-PTH1-LA-PTH Analog-Arrestin2
20.00Consensusclass-b1_class-b2_cons_onOrthosteric Ligandclass-b1_on class-b2_on
20.00Consensusclass-b1_class-b2_cons_on_gpOrthosteric Ligandclass-b1_on_gp class-b2_on_gp
20.00Consensusffa2_onOrthosteric Ligand8J22-FFA2-TUG-1375-Gi1/β1/γ2
20.00Consensusgi_opsinsOrthosteric Ligand8IU2-Opsin1LW-All-trans-Retinal-Gi1/β1/γ2
20.00Consensusgi_sensoryOrthosteric Ligandgi_opsins
20.00Consensusneurotensin_onOrthosteric Ligandnts1_on
20.00Consensusnts1_onOrthosteric Ligand6OSA-NTS1-JMV449-Gi1/β1/γ2 7L0S-NTS1-Neurotensin-(8-13)-Gi1/β1/γ1
20.00Consensusopsin1lw_onOrthosteric Ligand8IU2-Opsin1LW-All-trans-Retinal-Gi1/β1/γ2
20.00Consensusopsin1lw_on_gpOrthosteric Ligand8IU2-Opsin1LW-All-trans-Retinal-Gi1/β1/γ2
20.00Consensusp2y1_offOrthosteric Ligand4XNW-P2Y1-MRS2500
20.00Consensuspth2_on_gpOrthosteric Ligand7F16-PTH2-TIP39-Gs/β1/γ2
19.44Single8FLSAbaloparatide8FLS-PTH1-Abaloparatide-Gs/β1/γ2
19.44Single8FLULA-PTH Analog8FLU-PTH1-LA-PTH Analog-Gs/β1/γ2
19.44Consensusglp1_onOrthosteric Ligand7S1M-GLP-1-Exendin-4-D-Ala-Gs/β1/γ2 7X8R-GLP-1-BOC5-Gs/β1/γ2 6X19-GLP-1-CHU-128-Gs/β1/γ2 6X1A-GLP-1-Danuglipron-Gs/β1/γ2 6X18-GLP-1-GLP-1-Gs/β1/γ2 8JIP-GLP-1-MEDI0382-chim(NtGi1-Gs)/β1/γ2 7C2E-GLP-1-PubChem 149050799-Gs/β1/γ2 7KI0-GLP-1-Semaglutide-Gs/β1/γ2 7KI1-GLP-1-Taspoglutide-Gs/β1/γ2 7X8S-GLP-1-WB4-24-Gs/β1/γ2 8JIS-GLP-1-Peptide-15-chim(NtGi1-Gs)/β1/γ2 7VBI-GLP-1-Tirzepatide (non-acylated)-Gs/β1/γ2
19.35Single6M1IPACAP276M1I-PAC1-PACAP27-Gs/β1/γ2
19.35Single8HA0PTH8HA0-PTH1-PTH-chim(NtGi1-Gs)/β1/γ2
19.35Single8YW4Retatrutide8YW4-GIP-Retatrutide-chim(NtGi1-Gs)/β1/γ2
19.35Single9BLCCagrilintide (non-acylated)9BLC-CT-Cagrilintide (non-acylated)-Gs/β1/γ2
19.35Consensusmc5_on_gpOrthosteric Ligand8INR-MC5-α-MSH-Ca-chim(NtGi1-Gs)/β1/γ2 8IOD-MC5-PG-901-Ca-chim(NtGi1-Gs)/β1/γ2
19.23Single4GRVNeurotensin-(8-13)4GRV-NTS1-Neurotensin-(8-13)
19.23Single4PY02MeSATP4PY0-P2Y12-2MeSATP
19.23Single6AK3PGE26AK3-EP3-PGE2
19.23Single6RZ7ONO-25703666RZ7-CysLT2-ONO-2570366
19.23Single6YVRNeurotensin-(6-13)6YVR-NTS1-Neurotensin-(6-13)
19.23Single7T6BS1P7T6B-S1P2-S1P-chim(NtGi1L-G13)/β1/γ2
19.23Single7XJKGalanin7XJK-GAL2-Galanin-chim(NtGi2L-Gs-CtGq)/β1/γ2
19.23Single8IQ6Latanoprost8IQ6-FP-alpha-Latanoprost-chim(NtGi1-Gs-CtGq)/β1/γ2
19.23Single8XJNCloprosetnol8XJN-TXA2-Cloprosetnol-chim(NtGi1-Gs-CtGq)/β1/γ2
19.23Single8XQSCholesterol8XQS-TAS2R14-Cholesterol-Flufenamic acid-Gi1/β1/γ1
19.23Single8XWACXCL18XWA-CXCR2-CXCL1
19.23Single8XWMCXCL68XWM-CXCR2-CXCL6
19.23Single8XWSCXCL58XWS-CXCR2-CXCL5
19.23Single9AU0BW245C9AU0-DP1-BW245C-Gs/β1/γ2
19.23Single9BJKPubChem 1716420669BJK-μ-Naloxone-PubChem 171642066
19.23Single9CM3TUG-13759CM3-FFA2-TUG-1375-PubChem 118615810-chim(NtGi1L-Gs-CtGq)/β1/γ2
19.23Single9W32SSTR5 antagonist 19W32-SST5-SSTR5 antagonist 1
19.23Single9YDUUDP-Glucose9YDU-P2Y14-UDP-Glucose-Gi1/β1/γ2
19.05Single1U1911-cis-Retinal1U19-Rhodopsin-11-cis-Retinal
19.05Single2G87All-trans-Retinal2G87-Rhodopsin-All-trans-Retinal
19.05Single2I3511-cis-Retinal2I35-Rhodopsin-11-cis-Retinal
19.05Single6FK6PubChem 1324730336FK6-Rhodopsin-PubChem 132473033
19.05Single6LI0C176LI0-GPR52-C17
19.05Single6PGSGeraniol6PGS-Rhodopsin-Geraniol-Gt(CT)
19.05Single6PH7Nerol6PH7-Rhodopsin-Nerol-Gt(CT)
19.05Single7DD7Ca; Ca; Tryptophan; Evocalcet7DD7-CaS; CaS-Ca-Ca; Ca; Tryptophan; Evocalcet
19.05Single7V68Iperoxo7V68-M4-Iperoxo-LY2119620-Gi1/β1/γ2
19.05Single8FX5Xanomeline8FX5-M4-Xanomeline-Xanomeline-Gi1/β1/γ2
19.05Single8JPNCis-Epoxysuccinic acid8JPN-Succinate-Cis-Epoxysuccinic acid-Gi1/β1/γ1
19.05Single8U4RREGN7663-Fab8U4R-CXCR4-REGN7663-Fab
19.05Single8WP1Cis-Epoxysuccinic acid8WP1-Succinate-Cis-Epoxysuccinic acid-Gi1/β1/γ2
19.05Single8YKWSuccinic acid8YKW-Succinate-Succinic acid-Gi1/β1/γ1
19.05Single9B9YTaranabant9B9Y-CB1-Taranabant
19.05Single9E7RGB889E7R-PAR2-GB88-chim(NtGi1L-Gs-CtGq)/β1/γ2
19.05Single9EPRAll-trans-Retinal9EPR-Rhodopsin-All-trans-Retinal-Gi1/β1/γ2
19.05Single9JLCAVE 09919JLC-MAS1-AVE 0991-Gi1/β1/γ2
19.05Single9LMPNE52-QQ579LMP-GPR4-NE52-QQ57
19.05Single9M88Oleic monoethanolamide9M88-GPR3 ; GPR3-Oleic monoethanolamide-AF64394
19.05Single9YDAAll-trans-Retinal9YDA-Opsin1MW-All-trans-Retinal-chim(NtGi1L-Gs-CtGt)/β1/γ2
19.05Consensusgq_nucleotideOrthosteric Ligandgq_p2y
19.05Consensusgq_p2yOrthosteric Ligand7XXH-P2Y1-2MeSADP-chim(NtGi1-G11)/β1/γ2
19.05Consensuspth_on_gpOrthosteric Ligandpth1_on_gp pth2_on_gp
18.92Single6WPWZP37806WPW-Glucagon-ZP3780-Gs/β1/γ2
18.92Single7VVMPTH7VVM-PTH1-PTH-Gs/β1/γ2
18.92Consensuscrf_on_gpOrthosteric Ligandcrf2_on_gp crf1_on_gp
18.92Consensuspth1_on_gpOrthosteric Ligand6NBF-PTH1-LA-PTH Analog-Gs/β1/γ2 8HA0-PTH1-PTH-chim(NtGi1-Gs)/β1/γ2 8HAF-PTH1-PTHrP(1-36)-chim(NtGi1-Gs)/β1/γ2 7Y36-PTH1-PTH-Gs/β1/γ2 7Y35-PTH1-Abaloparatide-Gs/β1/γ2
18.75Single6X18GLP-16X18-GLP-1-GLP-1-Gs/β1/γ2
18.75Single7LLYOxyntomodulin7LLY-GLP-1-Oxyntomodulin-Gs/β1/γ2
18.75Single7QBIAlpha-factor mating pheromone7QBI-STE2; STE2-α-factor mating pheromone
18.75Single9E2AGLP-19E2A-GLP-1-GLP-1-Gs/β1/γ2
18.75Consensusp2y10_onOrthosteric Ligand8KGG-P2Y10-Lysophosphatidylserine (WJS)-chim(NtGi2-G13)/β1/γ2
18.75Consensusvpac1_onOrthosteric Ligand8E3Z-VPAC1-VIP-Gs/β1/γ2
18.75Consensusvpac_onOrthosteric Ligandvpac1_on vpac2_on
18.52Single5CGDHTL142425CGD-mGlu5-HTL14242
18.52Single6RZ9ONO-27703726RZ9-CysLT2-ONO-2770372
18.52Single7D7MPGE27D7M-EP4-PGE2-Gs/β1/γ1
18.52Single7PIUSetmelanotide7PIU-MC4-Setmelanotide-Gs/β1/γ2
18.52Single8JPFNeurotensin-(8-13)8JPF-NTS1-Neurotensin-(8-13)-SBI-553
18.52Single8XJOU466198XJO-TXA2-U46619-chim(NtGi1-Gs-CtGq)/β1/γ2
18.52Single8XWVCXCL18XWV-CXCR2-CXCL1-Go/β1/γ2
18.52Consensuscyslt2_offOrthosteric Ligand6RZ7-CysLT2-ONO-2570366 6RZ8-CysLT2-ONO-2080365 6RZ9-CysLT2-ONO-2770372
18.52Consensusgal2_onOrthosteric Ligand7WQ4-GAL2-Galanin-chim(NtGi1-Gs-CtGq)/β1/γ2 7XJL-GAL2-Spexin-chim(NtGi2L-Gs-CtGq)/β1/γ2
18.52Consensusgal2_on_gpOrthosteric Ligand7WQ4-GAL2-Galanin-chim(NtGi1-Gs-CtGq)/β1/γ2 7XJL-GAL2-Spexin-chim(NtGi2L-Gs-CtGq)/β1/γ2
18.52Consensusprostanoid_onOrthosteric Ligandtp_on fp-alpha_on
18.52Consensusprostanoid_on_gpOrthosteric Ligandtp_on_gp fp-alpha_on_gp
18.52Consensustp_onOrthosteric Ligand8XJO-TXA2-U46619-chim(NtGi1-Gs-CtGq)/β1/γ2
18.52Consensustp_on_gpOrthosteric Ligand8XJO-TXA2-U46619-chim(NtGi1-Gs-CtGq)/β1/γ2
18.42Single7Y36PTH7Y36-PTH1-PTH-Gs/β1/γ2
18.42Single8FLQPTH8FLQ-PTH1-PTH-Gs/β1/γ2
18.42Consensusglucagon_onOrthosteric Ligandglp_on gluc_on secretin_on gip_on
18.42Consensuspth2_onOrthosteric Ligand7F16-PTH2-TIP39-Gs/β1/γ2
18.18Single2Z7311-cis-Retinal2Z73-Rhodopsin-11-cis-Retinal
18.18Single3AYN9-cis-Retinal3AYN-Rhodopsin-9-cis-Retinal
18.18Single3ODUIT1t3ODU-CXCR4-IT1t
18.18Single5ZKQABT-4915ZKQ-PAF-ABT-491
18.18Single6FKBPubChem 1324730386FKB-Rhodopsin-PubChem 132473038
18.18Single6LFOCXCL86LFO-CXCR2-CXCL8-Gi1/β1/γ2
18.18Single6NBFLA-PTH Analog6NBF-PTH1-LA-PTH Analog-Gs/β1/γ2
18.18Single6P9YPACAP276P9Y-PAC1-PACAP27-Gs/β1/γ2
18.18Single6ZA8RTI-3a6ZA8-NTS1-RTI-3a
18.18Single7D3SSecretin7D3S-Secretin-Secretin-Gs/β1/γ2
18.18Single7F8YDevazepide7F8Y-CCKA-Devazepide
18.18Single7M3ECa; Ca; Tryptophan; NPS-21437M3E-CaS; CaS-Ca; Ca; Tryptophan; NPS-2143
18.18Single7M3ECa; Ca; Tryptophan; NPS-21437M3E-CaS; CaS-Ca; Ca; Tryptophan; NPS-2143
18.18Single7M3FCa; Ca; Tryptophan; Cinacalcet7M3F-CaS; CaS-Ca; Ca; Tryptophan; Cinacalcet
18.18Single7QBIAlpha-factor mating pheromone7QBI-STE2; STE2-α-factor mating pheromone
18.18Single7RA3GIP7RA3-GIP-GIP-chim(NtGi1-Gs)/β1/γ2
18.18Single7VDLCortistatin-147VDL-MRGPRX2-Cortistatin-14-Gi1/β1/γ2
18.18Single7VIHCBP-3077VIH-S1P1-CBP-307-Gi1/β1/γ2
18.18Single7XJJGalanin7XJJ-GAL1-Galanin-Go/β1/γ2
18.18Single8JISPeptide-158JIS-GLP-1-Peptide-15-chim(NtGi1-Gs)/β1/γ2
18.18Single8WPGTryptophan; Cinacalcet; PO4; Ca8WPG-CaS; CaS-Tryptophan; Cinacalcet; PO4; Ca
18.18Single8YNFCXCL88YNF-ACKR1-CXCL8
18.18Single8YYWAlpha-ketoglutarate8YYW-Oxoglutarate-α-ketoglutarate-α-ketoglutarate-chim(Gi1-CtGq)/β1/γ2
18.18Single9BLWCagrilintide (non-acylated)9BLW-CT (AMY1)-Cagrilintide (non-acylated)-Gs/β1/γ2; RAMP1
18.18Single9C1PCa; Tryptophan; '6218; PO49C1P-CaS; CaS-Ca-Ca; Tryptophan; '6218; PO4
18.18Single9C2FCa; Ca; Tryptophan; '54149; PO49C2F-CaS; CaS-Ca-Ca; Ca; Tryptophan; '54149; PO4
18.18Single9J1Pg1:Ox9J1P-GLP-1-g1:Ox-chim(NtGi1-Gs)/β1/γ2
18.18Single9LKDPL459LKD-OR5V1-PL45
18.18Consensusp2y1_onOrthosteric Ligand7XXH-P2Y1-2MeSADP-chim(NtGi1-G11)/β1/γ2
18.18Consensuspaf_offOrthosteric Ligand5ZKQ-PAF-ABT-491
18.18Consensussecretin_onOrthosteric Ligand7D3S-Secretin-Secretin-Gs/β1/γ2
18.18Consensusvpac1_on_gpOrthosteric Ligand8E3Z-VPAC1-VIP-Gs/β1/γ2
18.18Consensusvpac_on_gpOrthosteric Ligandvpac1_on_gp vpac2_on_gp
17.95Single6E3YCalcitonin gene-related peptide-16E3Y-CT Like-Calcitonin gene-related peptide-1-Gs/β1/γ2; RAMP1
17.95Consensusglucagon_on_gpOrthosteric Ligandglp_on_gp gluc_on_gp secretin_on_gp gip_on_gp
17.86Single7S8LCortistatin-147S8L-MRGPRX2-Cortistatin-14-chim(NtGi2L-Gs-CtGq)/β1/γ2
17.86Single9CM7TUG-13759CM7-FFA2-TUG-1375-AZ-1729-Gi1/β1/γ2
17.86Single9ITBLPA9ITB-LPA6-LPA-chim(NtGi1-Gs-CtGq)/β1/γ2
17.86Single9JH6C20:0 Ceramide9JH6-CysLT2-C20:0 Ceramide-chim(NtGi1-Gs-CtGq)/β1/γ2
17.86Single9NS9TUG-13759NS9-FFA2-TUG-1375-PubChem 118615810-Gi1/β1/γ2
17.65Single7DTYGIP7DTY-GIP-GIP-Gs/β1/γ2
17.65Single7FIYTirzepatide7FIY-GIP-Tirzepatide-Gs/β1/γ2
17.65Single7QBCAlpha-factor mating pheromone7QBC-STE2; STE2-α-factor mating pheromone
17.65Single7S1MExendin-4-D-Ala7S1M-GLP-1-Exendin-4-D-Ala-Gs/β1/γ2
17.65Single7TYFAmylin7TYF-CT (AMY1)-Amylin-Gs/β1/γ2; RAMP1
17.65Single7VQXPACAP277VQX-VPAC1-PACAP27-Gs/β1/γ2
17.65Single8FU6ZP37808FU6-Glucagon-ZP3780-Gs/β1/γ2
17.65Single9P94PACAP279P94-PAC1-PACAP27-Gs/β1/γ2
17.65Consensuscrf_onOrthosteric Ligandcrf2_on crf1_on
17.65Consensussecretin_on_gpOrthosteric Ligand7D3S-Secretin-Secretin-Gs/β1/γ2
17.39Single6FKAPubChem 1324730376FKA-Rhodopsin-PubChem 132473037
17.39Single6PELCitronellol6PEL-Rhodopsin-Citronellol-Gt(CT)
17.39Single6TPKRetosiban6TPK-OT-Retosiban
17.39Single6ZG9GSK10347026ZG9-M1-GSK1034702
17.39Single6ZINSR486926ZIN-NTS1-SR48692
17.39Single7C2EPubChem 1490507997C2E-GLP-1-PubChem 149050799-Gs/β1/γ2
17.39Single8K2WAMG4878K2W-CXCR3-AMG487
17.39Single8K4SDCA-3P8K4S-MRGPRX4-DCA-3P-chim(NtGi1L-Gs-CtGq)/β1/γ2
17.39Single8WPGTryptophan; Cinacalcet; PO4; Ca8WPG-CaS; CaS-Tryptophan; Cinacalcet; PO4; Ca
17.39Single8WPUTryptophan; Cinacalcet; PO4; Ca8WPU-CaS; CaS-Tryptophan; Cinacalcet; PO4; Ca-chim(NtGi2L-Gs-CtGq)/β1/γ2
17.39Single8X7ATreprostinil8X7A-I2-Treprostinil-Gs/β1/γ2
17.39Single9ASBCa; Ca; Cyclomethyltryptophan; R-568; PO49ASB-CaS; CaS-Ca-Ca; Ca; Cyclomethyltryptophan; R-568; PO4-chim(NtGi1-Gs-CtGq)/β1/γ2
17.39Single9AVGCa; Ca; Cyclomethyltryptophan; R-568; PO49AVG-CaS; CaS-Ca-Ca; Ca; Cyclomethyltryptophan; R-568; PO4-chim(NtGi1-Gs)/β1/γ2
17.39Single9IXXLTD49IXX-CysLT2-LTD4-chim(NtGi1-Gs-CtGq)/β1/γ2
17.39Single9JFUNE52-QQ579JFU-GPR4-NE52-QQ57
17.39Single9KPDSalicin9KPD-TAS2R16-Salicin-chim(Gs-CtGt3)/β1/γ2
17.39Single9KXSEP679KXS-C5a1-EP67-Go/β1/γ2
17.39Single9LKBPL459LKB-OR5V1-PL45-chim(NtGi1-Gs)/β1
17.39Single9U80Conivaptan9U80-V2-Conivaptan
17.39Single9W33S5A19W33-SST5-S5A1
17.39Consensuscb1_offOrthosteric Ligand5U09-CB1-Taranabant 5TGZ-CB1-AM6538
17.39Consensuscxcr3_offOrthosteric Ligand8K2W-CXCR3-AMG487
17.39Consensusghrelin_offOrthosteric Ligand6KO5-Ghrelin-PubChem 57400002 7F83-Ghrelin-PF-05190457
17.39Consensusot_offOrthosteric Ligand6TPK-OT-Retosiban
17.39Consensusvasop-oxy_offOrthosteric Ligandot_off
17.24Single6RZ8ONO-20803656RZ8-CysLT2-ONO-2080365
17.24Single7VLACCL15(27-92)7VLA-CCR1-CCL15(27-92)-Gi1/β1/γ2
17.24Single8IZBLysophosphatidylserine (UBL)8IZB-GPR174-Lysophosphatidylserine (UBL)-Gs/β1/γ2
17.24Consensusccr1_onOrthosteric Ligand7VLA-CCR1-CCL15(27-92)-Gi1/β1/γ2
17.24Consensusccr1_on_gpOrthosteric Ligand7VLA-CCR1-CCL15(27-92)-Gi1/β1/γ2
17.14Single6NBHLA-PTH Analog6NBH-PTH1-LA-PTH Analog-Gs/β1/γ2
17.14Single7D68GLP-27D68-GLP-2-GLP-2-Gs/β1/γ2
17.14Single7QBCAlpha-factor mating pheromone7QBC-STE2; STE2-α-factor mating pheromone
17.14Single7VVJPTHrP(1-36)7VVJ-PTH1-PTHrP(1-36)-Gs/β1/γ2
17.14Single8FLTM-PTH(1-14)8FLT-PTH1-M-PTH(1-14)-Gs/β1/γ2
17.14Single8HAFPTHrP(1-36)8HAF-PTH1-PTHrP(1-36)-chim(NtGi1-Gs)/β1/γ2
17.07Consensusclass-b1_onOrthosteric Ligandglucagon_on vip-pacap_on pth_on crf_on calcitonin_on
16.67Single4A4MAll-trans-Retinal4A4M-Rhodopsin-All-trans-Retinal-Gt(CT)
16.67Single5EN0All-trans-Retinal5EN0-Rhodopsin-All-trans-Retinal-Gt(CT)
16.67Single6IIVDaltroban6IIV-TXA2-Daltroban
16.67Single6Z10PubChem 1545855546Z10-Succinate-PubChem 154585554
16.67Single6Z4VNeurotensin-(9-13)6Z4V-NTS1-Neurotensin-(9-13)
16.67Single7LCKDanuglipron7LCK-GLP-1-Danuglipron
16.67Single7SK8CXCL127SK8-ACKR3-CXCL12-CCX662
16.67Single7VBITirzepatide (non-acylated)7VBI-GLP-1-Tirzepatide (non-acylated)-Gs/β1/γ2
16.67Single7VIFFTY720-P7VIF-S1P1-FTY720-P-Gi1/β1/γ2
16.67Single8EJKTAK-8758EJK-FFA1-TAK-875-chim(NtGi1L-Gs-CtGq)/β1/γ2
16.67Single8GCML-9026888GCM-EP4-L-902688-Gi1/β1/γ2
16.67Single8KEXDCA-3P8KEX-MRGPRX4-DCA-3P
16.67Single8TH3AT118-H Nanobody8TH3-AT1-AT118-H Nanobody
16.67Single8WCBCyclohexylammonium Ion8WCB-TA1-Cyclohexylammonium Ion-chim(NtGi1-Gs-CtGq)/β1/γ2
16.67Single8X9TAP5038X9T-ADGRD1-AP503-chim(NtGi1-Gs)/β1/γ2
16.67Single8ZYYNeurotensin-(8-13)8ZYY-NTS1-Neurotensin-(8-13)-SBI-553-Arrestin2
16.67Single9JQZGrapiprant 9JQZ-EP4-Grapiprant
16.22Single7TZFAmylin7TZF-CT (AMY3)-Amylin-Gs/β1/γ2; RAMP3
16.13Single8YFOAc-LA-PTH Analog8YFO-PTH1-Ac-LA-PTH Analog-chim(NtGi1-Gs)/β1/γ2
16.13Consensusmc3_onOrthosteric Ligand8IOC-MC3-γ-MSH-Ca-chim(NtGi1-Gs)/β1/γ2
16.13Consensusmc3_on_gpOrthosteric Ligand8IOC-MC3-γ-MSH-Ca-chim(NtGi1-Gs)/β1/γ2
16.00Single4JKVTaladegib4JKV-SMO-Taladegib
16.00Single4PHUFasiglifam4PHU-FFA1-Fasiglifam
16.00Single5T1ABMS-6815T1A-CCR2-BMS-681-PubChem 12093170
16.00Single6Z4SSR486926Z4S-NTS1-SR48692
16.00Single7E9GJNJ-404118137E9G-mGlu2; mGlu2-Eglumetad-JNJ-40411813-Gi1/β1/γ2
16.00Single7VV4Cortistatin-147VV4-MRGPRX2-Cortistatin-14
16.00Single8EJCTAK-8758EJC-FFA1-TAK-875-chim(NtGi1L-Gs-CtGq)/β1/γ2
16.00Single8X0BVU04244658X0B-mGlu5; mGlu5-Quisqualate-VU0424465
16.00Single8X0CVU04244658X0C-mGlu5; mGlu5-Quisqualate-VU0424465
16.00Single8YNSSNAP-948478YNS-MCH1-SNAP-94847
16.00Single8ZVZBW245C8ZVZ-DP1-BW245C-Gs/β1/γ2
16.00Single9EKHONO-30302979EKH-DP1-ONO-3030297
16.00Single9HC04YI9HC0-mGlu5-4YI
16.00Single9KPFSalicin9KPF-TAS2R16-Salicin-Gi1/β1/γ2
15.79Single7V35Peptide-207V35-Glucagon-Peptide-20-Gs/β1/γ2
15.79Single7XKEDehydroepiandrosterone7XKE-ADGRG2-Dehydroepiandrosterone-chim(NtGi1-Gs)/β1/γ2
15.79Single8HQMNPGLY8HQM-GPR132-NPGLY-Gi1/β1/γ2
15.79Single8HVINOX-6-78HVI-GPR132-NOX-6-7-Gi1/β1/γ2
15.79Single8JIPMEDI03828JIP-GLP-1-MEDI0382-chim(NtGi1-Gs)/β1/γ2
15.79Single8JIRSAR4258998JIR-GLP-1-SAR425899-chim(NtGi1-Gs)/β1/γ2
15.79Single9JIDNiacin9JID-HCA3-Niacin-Gi1/β1/γ2
15.79Single9JR2PTH9JR2-PTH1-PTH-chim(NtGi1L-Gs-CtGq)/β1/γ2
15.62Single7TYIAmylin7TYI-CT-Amylin-Gs/β1/γ2
15.62Single8YW3Retatrutide8YW3-GLP-1-Retatrutide-Gs/β1/γ2
15.62Single8YW5Retatrutide8YW5-Glucagon-Retatrutide-Gs/β1/γ2
15.62Single9BUDCagrilintide9BUD-CT-Cagrilintide-Gs/β1/γ2
15.62Single9EBOGLP-1 (ACPC18)9EBO-GLP-1-GLP-1 (ACPC18)-Gs/β1/γ2
15.62Consensuscrf2_onOrthosteric Ligand7TS0-CRF2-Urocortin-chim(NtGi1L-Go)/β1/γ2
15.56Consensusclass-b1_on_gpOrthosteric Ligandglucagon_on_gp vip-pacap_on_gp pth_on_gp crf_on_gp calcitonin_on_gp
15.38Single4BV0Neurotensin-(7-13)4BV0-NTS1-Neurotensin-(7-13)
15.38Single4OO9Mavoglurant4OO9-mGlu5-Mavoglurant
15.38Single5V57TC1145V57-SMO-TC114
15.38Single5ZBHBMS-1938855ZBH-Y1-BMS-193885
15.38Single7P2L4YI7P2L-mGlu5-4YI
15.38Single7S8MCortistatin-147S8M-MRGPRX2-Cortistatin-14-Gi1/β1/γ2
15.38Single7XJLSpexin7XJL-GAL2-Spexin-chim(NtGi2L-Gs-CtGq)/β1/γ2
15.38Single8GDBPGE28GDB-EP4-PGE2-Gs/β1/γ2
15.38Single8JIUSAR4258998JIU-Glucagon-SAR425899-Gs/β1/γ2
15.38Single8X0BVU04244658X0B-mGlu5; mGlu5-Quisqualate-VU0424465
15.38Single8YNTSNAP-948478YNT-MCH1-SNAP-94847
15.38Single9CLWTUG-13759CLW-FFA2-TUG-1375-4-CMTB-chim(NtGi1L-Gs-CtGq)/β1/γ2
15.38Single9JR3PTH9JR3-PTH1-PTH-chim(NtGi1L-Gs-CtGq)/β1/γ2
15.38Consensusp2y12_onOrthosteric Ligand7XXI-P2Y12-2MeSADP-Gi2/β1/γ2
15.15Single5YQZNNC17025YQZ-Glucagon-NNC1702
15.15Single7Y35Abaloparatide7Y35-PTH1-Abaloparatide-Gs/β1/γ2
15.15Single8YG4LA-PTH Analog8YG4-PTH1-LA-PTH Analog-chim(NtGi1-Gs)/β1/γ2
15.15Consensuscalcitonin_onOrthosteric Ligandctlike_on
15.00Single2HPYAll-trans-Retinal2HPY-Rhodopsin-All-trans-Retinal
15.00Single6TQ9SB-4081246TQ9-OX1-SB-408124
15.00Single8Y02All-trans-Retinal8Y02-OPN1SW-All-trans-Retinal-Gi1/β1/γ2
15.00Single9C2FCa; Ca; Tryptophan; '54149; PO49C2F-CaS; CaS-Ca-Ca; Ca; Tryptophan; '54149; PO4
15.00Consensusgluc_onOrthosteric Ligand6LMK-Glucagon-Glucagon-Gs/β1/γ2 8JIT-Glucagon-MEDI0382-Gs/β1/γ2 7V35-Glucagon-Peptide-20-Gs/β1/γ2
14.81Single5X33BIIL2605X33-BLT1-BIIL260
14.81Single6IIURamatroban6IIU-TXA2-Ramatroban
14.81Single7WQ4Galanin7WQ4-GAL2-Galanin-chim(NtGi1-Gs-CtGq)/β1/γ2
14.81Single7XXI2MeSADP7XXI-P2Y12-2MeSADP-Gi2/β1/γ2
14.81Single8JPBNeurotensin-(8-13)8JPB-NTS1-Neurotensin-(8-13)-SBI-553; GDP; Mg-Gq; GRK2
14.81Single8XQNCholesterol8XQN-TAS2R14-Cholesterol-Aristolochic acid A-Gi1/β1/γ1
14.81Consensusgi_p2yOrthosteric Ligand7XXI-P2Y12-2MeSADP-Gi2/β1/γ2
14.81Consensusp2y12_on_gpOrthosteric Ligand7XXI-P2Y12-2MeSADP-Gi2/β1/γ2
14.71Single6NBILA-PTH Analog6NBI-PTH1-LA-PTH Analog-Gs/β1/γ2
14.71Single7CZ5Somatoliberin7CZ5-GHRH-Somatoliberin-Gs/β1/γ2
14.71Single7KI0Semaglutide7KI0-GLP-1-Semaglutide-Gs/β1/γ2
14.71Single8FLRPTHrP(1-36)8FLR-PTH1-PTHrP(1-36)-Gs/β1/γ2
14.71Single9BLBCagrilintide (non-acylated)9BLB-CT-Cagrilintide (non-acylated)-Gs/β1/γ2
14.71Single9BP3Cagrilintide9BP3-CT (AMY1)-Cagrilintide-Gs/β1/γ2; RAMP1
14.71Consensuscalcitonin_on_gpOrthosteric Ligandctlike_on_gp
14.71Consensuscrf2_on_gpOrthosteric Ligand7TS0-CRF2-Urocortin-chim(NtGi1L-Go)/β1/γ2
14.71Consensusctlike_onOrthosteric Ligand6E3Y-CT Like-Calcitonin gene-related peptide-1-Gs/β1/γ2; RAMP1
14.63Consensusgluc_on_gpOrthosteric Ligand6LMK-Glucagon-Glucagon-Gs/β1/γ2 8JIT-Glucagon-MEDI0382-Gs/β1/γ2 7V35-Glucagon-Peptide-20-Gs/β1/γ2
14.29Single2ZIY11-cis-Retinal2ZIY-Rhodopsin-11-cis-Retinal
14.29Single6P9XCorticoliberin-16P9X-CRF1-Corticoliberin-1-Gs/β1/γ2
14.29Single6PWCNeurotensin-(9-13)6PWC-NTS1-Neurotensin-(9-13)-Arrestin2
14.29Single6UVAAdrenomedullin-26UVA-CT Like (AM2)-Adrenomedullin-2-Gs/β1/γ2; RAMP3
14.29Single7AD3Alpha-factor mating pheromone7AD3-STE2; STE2-α-factor mating pheromone-Gi1/STE4/γ2
14.29Single7CX4Evatanepag7CX4-EP2-Evatanepag-Gs/β1/γ2
14.29Single8F76Propanoic acid8F76-OR51E2-Propanoic acid-Gs/β1/γ2
14.29Single8HAOPTH8HAO-PTH1-PTH-chim(NtGi1-Gs)/β1/γ2
14.29Single8RQLFlufenamic acid8RQL-TAS2R14-Flufenamic acid-Flufenamic acid-chim(NtGi1-Gt3)/β1/γ2
14.29Single9C0KExendin-49C0K-GLP-1-Exendin-4-Gs/β1/γ2
14.29Single9JKT(2R)-2-hydroxy-3-phenylpropanoic acid9JKT-HCA3-(2R)-2-hydroxy-3-phenylpropanoic acid-Gi1/β1/γ2
14.29Consensusglp2_onOrthosteric Ligand7D68-GLP-2-GLP-2-Gs/β1/γ2
14.29Consensusglp2_on_gpOrthosteric Ligand7D68-GLP-2-GLP-2-Gs/β1/γ2
13.95Single8F0JPramlintide Analogue San458F0J-CT-Pramlintide Analogue San45-Gs/β1/γ2
13.89Single6LMKGlucagon6LMK-Glucagon-Glucagon-Gs/β1/γ2
13.89Single6PB1Urocortin6PB1-CRF2-Urocortin-chim(NtGi1-Gs)/β1/γ2
13.89Single6UUSAdrenomedullin6UUS-CT Like (AM2)-Adrenomedullin-Gs/β1/γ2; RAMP3
13.89Single7TYLAmylin7TYL-CT-Amylin-Gs/β1/γ2
13.89Single7VVLPTH7VVL-PTH1-PTH-Gs/β1/γ2
13.89Consensusctlike_on_gpOrthosteric Ligand6E3Y-CT Like-Calcitonin gene-related peptide-1-Gs/β1/γ2; RAMP1
13.89Consensusvpac2_onOrthosteric Ligand7VQX-VPAC1-PACAP27-Gs/β1/γ2
13.89Consensusvpac2_on_gpOrthosteric Ligand7VQX-VPAC1-PACAP27-Gs/β1/γ2
13.79Single7AUESetmelanotide7AUE-MC4-Setmelanotide-chim(NtGi1L-Gs)/β1/γ2
13.79Single7CX2PGE27CX2-EP2-PGE2-Gs/β1/γ2
13.79Single8XQLCholesterol8XQL-TAS2R14-Cholesterol-Aristolochic acid A-Gt3/β1/γ1
13.79Single8XQOCholesterol8XQO-TAS2R14-Cholesterol-Aristolochic acid A-Gi1/β1/γ1
13.64Single3AYMAll-trans-Retinal3AYM-Rhodopsin-All-trans-Retinal
13.64Single4O9RCyclopamine4O9R-SMO-Cyclopamine
13.64Single7D76Beclomethasone7D76-ADGRG3-Beclomethasone-Go/β1/γ2
13.64Single7XP6Strychnine7XP6-TAS2R46-Strychnine-chim(Gs-CtGt3)/β1/γ2
13.64Single8F2BPramlintide Analogue San458F2B-CT (AMY3)-Pramlintide Analogue San45-Gs/β1/γ2; RAMP3
13.64Single8WPUTryptophan; Cinacalcet; PO4; Ca8WPU-CaS; CaS-Tryptophan; Cinacalcet; PO4; Ca-chim(NtGi2L-Gs-CtGq)/β1/γ2
13.64Single9C1PCa; Tryptophan; '6218; PO49C1P-CaS; CaS-Ca-Ca; Tryptophan; '6218; PO4
13.64Consensusadgrg_onOrthosteric Ligandadgrg2_on adgrg4_on
13.64Consensusadgrg_on_gpOrthosteric Ligandadgrg2_on_gp adgrg4_on_gp
13.51Single7RBTTirzepatide7RBT-GIP-Tirzepatide-LSN3556672-chim(NtGi1-Gs)/β1/γ2
13.51Single7TYXAmylin7TYX-CT (AMY2)-Amylin-Gs/β1/γ2; RAMP2
13.51Consensusgip_onOrthosteric Ligand7FIN-GIP-Peptide-20; GGL-Gs/β1/γ2 7FIY-GIP-Tirzepatide-Gs/β1/γ2 7DTY-GIP-GIP-Gs/β1/γ2
13.51Consensusgip_on_gpOrthosteric Ligand7FIN-GIP-Peptide-20; GGL-Gs/β1/γ2 7FIY-GIP-Tirzepatide-Gs/β1/γ2 7DTY-GIP-GIP-Gs/β1/γ2
13.33Single7CX3Taprenepag7CX3-EP2-Taprenepag-Gs/β1/γ2
13.33Single8INRAlpha-MSH8INR-MC5-α-MSH-Ca-chim(NtGi1-Gs)/β1/γ2
13.33Single8KIGSHU91198KIG-MC3-SHU9119-Ca
13.33Single9UYLChemerin-99UYL-CML2-Chemerin-9-Arrestin2
13.16Single7VBHPeptide-207VBH-GLP-1-Peptide-20-Gs/β1/γ2
13.16Single9AUCCalcitonin gene-related peptide-19AUC-CT (AMY1)-Calcitonin gene-related peptide-1-Gs/β1/γ2; RAMP1
13.04Single4BWBNeurotensin-(8-12)4BWB-NTS1-Neurotensin-(8-12)
13.04Single4QINSAG1.54QIN-SMO-SAG1.5
13.04Single5U09Taranabant5U09-CB1-Taranabant
13.04Single6O3CSAG21k6O3C-SMO-SAG21k-Cholesterol
13.04Single6WWZCCL206WWZ-CCR6-CCL20-Go/β1/γ2
13.04Single7M3FCa; Ca; Tryptophan; Cinacalcet7M3F-CaS; CaS-Ca; Ca; Tryptophan; Cinacalcet
13.04Single7S8PMS471347S8P-MRGPRX4-MS47134-chim(NtGi2L-Gs-CtGq)/β1/γ2
13.04Single7SILCa; Ca; Ca; Cyclomethyltryptophan; R-568; PO47SIL-CaS; CaS-Ca-Ca; Ca; Ca; Cyclomethyltryptophan; R-568; PO4
13.04Single7SILCa; Ca; Ca; Cyclomethyltryptophan; R-568; PO47SIL-CaS; CaS-Ca-Ca; Ca; Ca; Cyclomethyltryptophan; R-568; PO4
13.04Single8U8FPalmitic Acid8U8F-GPR3-Palmitic Acid-Gs/β1/γ2
13.04Single8XXXCXCL68XXX-CXCR2-CXCL6-Go/β1/γ2
13.04Single9AVLCa; Ca; Cyclomethyltryptophan; R-568; PO49AVL-CaS; CaS-Ca-Ca; Ca; Cyclomethyltryptophan; R-568; PO4-Gi3/β2/γ2
13.04Single9PEEPF-07054894; OXM29PEE-CCR6-PF-07054894; OXM2
13.04Consensusccr6_onOrthosteric Ligand6WWZ-CCR6-CCL20-Go/β1/γ2
13.04Consensusccr6_on_gpOrthosteric Ligand6WWZ-CCR6-CCL20-Go/β1/γ2
12.90Single6WHCGlu16 analog of GCG6WHC-Glucagon-Glu16 analog of GCG-Gs/β1/γ2
12.90Single7TRYUrocortin7TRY-CRF2-Urocortin-chim(NtGi1-G11)/β1/γ2
12.90Single8IOCGamma-MSH8IOC-MC3-γ-MSH-Ca-chim(NtGi1-Gs)/β1/γ2
12.50Single6FFIMPEP6FFI-mGlu5-MPEP
12.50Single6XBLSAG6XBL-SMO-SAG-Cholesterol-Gi1/β1/γ2
12.50Single7M3GCa; Ca; Tryptophan; Evocalcet; Etelcalcetide; PO47M3G-CaS; CaS-Ca; Ca; Tryptophan; Evocalcet; Etelcalcetide; PO4
12.50Single7TYYCalcitonin-17TYY-CT (AMY2)-Calcitonin-1-Gs/β1/γ2; RAMP2
12.50Single7ZI0SAG7ZI0-SMO-SAG-Cholesterol
12.50Single8JITMEDI03828JIT-Glucagon-MEDI0382-Gs/β1/γ2
12.50Single9B5YLA-PTH Analog9B5Y-PTH1-LA-PTH Analog-chim(NtGi1-Gq)/β1/γ2
12.50Single9DQJEP-39459DQJ-MRGPRD-EP-3945-chim(NtGi1-Gs-CtGq)/β1/γ2
12.50Single9IVMGLP-1 (Truncated)9IVM-GLP-1-GLP-1 (Truncated)-LSN3318839-chim(NtGi1-Gs)/β2/γ2
12.12Single7AD3Alpha-factor mating pheromone7AD3-STE2; STE2-α-factor mating pheromone-Gi1/STE4/γ2
12.12Single7FINPeptide-20; GGL7FIN-GIP-Peptide-20; GGL-Gs/β1/γ2
12.00Single6FFHFenobam6FFH-mGlu5-Fenobam
12.00Single6X1ADanuglipron6X1A-GLP-1-Danuglipron-Gs/β1/γ2
12.00Single7F83PF-051904577F83-Ghrelin-PF-05190457
12.00Single7LCIDanuglipron7LCI-GLP-1-Danuglipron-Gs/β1/γ2
12.00Single7S15PubChem 1346112237S15-GLP-1-PubChem 134611223
12.00Single8KFYZK-7563268KFY-CCR8-ZK-756326-Gi1/β1/γ2
12.00Single9IMATalquetamab9IMA-GPRC5D; GPRC5D-Talquetamab
12.00Consensusalicarboxylic_offOrthosteric Ligandsuccinate_off
12.00Consensussuccinate_offOrthosteric Ligand6RNK-Succinate-NF-56-EJ40 6Z10-Succinate-PubChem 154585554
11.76Single7TYWCalcitonin-17TYW-CT (AMY1)-Calcitonin-1-Gs/β1/γ2; RAMP1
11.54Single6Z4QSR142948A6Z4Q-NTS1-SR142948A
11.54Single7M3GCa; Ca; Tryptophan; Evocalcet; Etelcalcetide; PO47M3G-CaS; CaS-Ca; Ca; Tryptophan; Evocalcet; Etelcalcetide; PO4
11.54Single7VV0PAMP-127VV0-MRGPRX2-PAMP-12
11.54Single8X0CVU04244658X0C-mGlu5; mGlu5-Quisqualate-VU0424465
11.54Single8XQPCholesterol8XQP-TAS2R14-Cholesterol-Aristolochic acid A-Gt3/β1/γ1
11.54Single9DQHEP-28259DQH-MRGPRD-EP-2825-chim(NtGi1-Gs-CtGq)/β1/γ2
11.54Single9EE5ONO-25502899EE5-DP1-ONO-2550289
11.54Consensusadgrg2_onOrthosteric Ligand7WUI-ADGRG2-IP15-chim(NtGi1-Gs)/β1/γ2 7WUQ-ADGRG2-Gs/β1/γ2 7XKF-ADGRG2-Dehydroepiandrosterone-Gs/β1/γ2
11.54Consensusadgrg2_on_gpOrthosteric Ligand7WUI-ADGRG2-IP15-chim(NtGi1-Gs)/β1/γ2 7WUQ-ADGRG2-Gs/β1/γ2 7XKF-ADGRG2-Dehydroepiandrosterone-Gs/β1/γ2
11.43Single9BUBCagrilintide9BUB-CT-Cagrilintide-Gs/β1/γ2
11.11Single7TYNCalcitonin-17TYN-CT-Calcitonin-1-Gs/β1/γ2
11.11Single7VVKPTH7VVK-PTH1-PTH-Gs/β1/γ2
11.11Single8JD5JNJ-40411813; ADX881788JD5-mGlu2; mGlu4-Glutamate-JNJ-40411813; ADX88178-Gi1/β1/γ2
11.11Single8TAOCDPPB8TAO-mGlu5; mGlu5-Quisqualate-CDPPB
10.81Single9BTWCagrilintide9BTW-CT (AMY3)-Cagrilintide-Gs/β1/γ2; RAMP3
10.34Single6M1HMaxadilan6M1H-PAC1-Maxadilan-Gs/β1/γ2
10.34Single7VVNPTH7VVN-PTH1-PTH-Gs/β1/γ2
10.34Single9JH5C16:0 Ceramide9JH5-CysLT2-C16:0 Ceramide-chim(NtGi1-Gs-CtGq)/β1/γ2
10.26Single8F2APramlintide Analogue San3858F2A-CT (AMY3)-Pramlintide Analogue San385-Gs/β1/γ2; RAMP3
10.00Single7XKDDehydroepiandrosterone7XKD-ADGRG2-Dehydroepiandrosterone-Gs/β1/γ2
10.00Single9JKVPubChem 27366909JKV-HCA3-PubChem 2736690-Gi1/β1/γ2
9.76Single7TYOCalcitonin7TYO-CT-Calcitonin-Gs/β1/γ2
9.68Single6X19CHU-1286X19-GLP-1-CHU-128-Gs/β1/γ2
9.68Single8DWGBAM8-228DWG-MRGPRX1-BAM8-22-ML382-chim(NtGi2L-Gs-CtGq)/β1/γ2
9.68Single8JIQPeptide-158JIQ-Glucagon-Peptide-15-Gs/β1/γ2
9.68Single9BUECagrilintide9BUE-CT-Cagrilintide-Gs/β1/γ2
9.52Single3OE8IT1t3OE8-CXCR4-IT1t
9.52Single7VDMSubstance-P7VDM-MRGPRX2-Substance-P-Gi1/β1/γ2
9.52Single8U4QREGN7663-Fab8U4Q-CXCR4-REGN7663-Fab-Gi1/β1/γ2
9.38Single7E14Orforglipron7E14-GLP-1-Orforglipron-PubChem 156022738-Gs/β1/γ2
9.09Single6D32Cyclopamine6D32-SMO-Cyclopamine-Cyclopamine
9.09Single7D77Hydrocortisone7D77-ADGRG3-Hydrocortisone-Go/β1/γ2
9.09Single8SZFCa; Ca; Tryptophan; Cinacalcet; PO4; Spermine8SZF-CaS; CaS-Ca; Ca; Tryptophan; Cinacalcet; PO4; Spermine
8.82Single6NIYCalcitonin-16NIY-CT-Calcitonin-1-Gs/β1/γ2
8.70Single7S8NR-Zinc-35737S8N-MRGPRX2-R-Zinc-3573-chim(NtGi2L-Gs-CtGq)/β1/γ2
8.70Single7S8OR-Zinc-35737S8O-MRGPRX2-R-Zinc-3573-Gi1/β1/γ2
8.70Single7UL2SR486927UL2-NTS1-SR48692-Na
8.70Single7VDHC48/807VDH-MRGPRX2-C48/80-Gi1/β1/γ2
8.70Single7XKFDehydroepiandrosterone7XKF-ADGRG2-Dehydroepiandrosterone-Gs/β1/γ2
8.70Single8SZFCa; Ca; Tryptophan; Cinacalcet; PO4; Spermine8SZF-CaS; CaS-Ca; Ca; Tryptophan; Cinacalcet; PO4; Spermine
8.70Single8X2KOleic monoethanolamide8X2K-GPR3-Oleic monoethanolamide-chim(NtGi1-Gs)/β1/γ2
8.70Single8ZYUNeurotensin-(8-13)8ZYU-NTS1-Neurotensin-(8-13)-SBI-553-Arrestin2
8.70Consensusneurotensin_offOrthosteric Ligandnts1_off
8.70Consensusnts1_offOrthosteric Ligand7UL2-NTS1-SR48692-Na
8.57Single7TYHCalcitonin7TYH-CT (AMY2)-Calcitonin-Gs/β1/γ2; RAMP2
8.33Single6RNKNF-56-EJ406RNK-Succinate-NF-56-EJ40
8.33Single7LCJDanuglipron7LCJ-GLP-1-Danuglipron
8.33Single7VV5C48/807VV5-MRGPRX2-C48/80-Gi1/β1/γ2
8.33Single8T3VDoconexent8T3V-FFA1-Doconexent-chim(NtGi2L-Gs-CtGq)/β1/γ2
8.33Single8U4SREGN7663-Fab8U4S-CXCR4-REGN7663-Fab
8.33Single8U4TREGN7663-Fab8U4T-CXCR4-REGN7663-Fab
8.11Single5NX2GLP-1 (Truncated)5NX2-GLP-1-GLP-1 (Truncated)
8.00Single7VV6C48/807VV6-MRGPRX2-C48/80
7.89Single9BQ3Cagrilintide9BQ3-CT (AMY2)-Cagrilintide-Gs/β1/γ2; RAMP2
7.69Single5T04Neurotensin-(8-13)5T04-NTS1-Neurotensin-(8-13)
7.69Single9JROPF-044189489JRO-EP2-PF-04418948
7.41Single8JGGBAM8-228JGG-MRGPRX1-BAM8-22-Gi1/β1/γ2
7.41Single8T6JCDPPB8T6J-mGlu5; mGlu5-CDPPB
7.41Single8T6JCDPPB8T6J-mGlu5; mGlu5-CDPPB
7.41Single9JRTTG6-1299JRT-EP2-TG6-129
7.14Single8JGFBAM8-228JGF-MRGPRX1-BAM8-22-chim(NtGi1-Gs-CtGq)/β1/γ2
7.14Single8XQTCholesterol8XQT-TAS2R14-Cholesterol-Gi1/β1/γ1
6.90Single6XOXOrforglipron6XOX-GLP-1-Orforglipron-chim(NtGi1-Gs)/β1/γ2
6.90Single8DWCBAM8-228DWC-MRGPRX1-BAM8-22-chim(NtGi2L-Gs-CtGq)/β1/γ2
6.25Single7RTBPeptide-197RTB-GLP-1-Peptide-19-Gs/β1/γ2
5.56Consensusclass-b2_onOrthosteric Ligandadgrg_on adgrf_on adgrl_on adgre_on adgrd_on
5.56Consensusclass-b2_on_gpOrthosteric Ligandadgrg_on_gp adgrf_on_gp adgrl_on_gp adgre_on_gp adgrd_on_gp
5.26Single8SZGCa; Ca; Tryptophan; Cinacalcet; PO4; Spermine8SZG-CaS; CaS-Ca; Ca; Tryptophan; Cinacalcet; PO4; Spermine-chim(NtGi1-Gq)/β1/γ2
5.26Single8TLMAnti-murine CCR8 antibody8TLM-CCR8-Anti-murine CCR8 antibody
5.00Single8JGBConorfamide-Tx28JGB-MRGPRX1-Conorfamide-Tx2-Gi1/β1/γ2
4.76Single8X9S5alpha-DHT8X9S-ADGRD1-5α-DHT-chim(NtGi1-Gs)/β1/γ2
4.55Single6XBM25(S)-Epoxycholesterol6XBM-SMO-25(S)-Epoxycholesterol-Gi1/β1/γ2
4.55Single7Y14Beta-Alanine7Y14-MRGPRD-β-Alanine
4.35Single7Y12Beta-Alanine7Y12-MRGPRD-β-Alanine-Gi1/β1/γ2
4.35Single8J6QPubChem 251012238J6Q-HCA2-β-Hydroxybutyrate-PubChem 25101223-Gi1/β1/γ2
4.35Single8JPSCCL78JPS-ACKR1-CCL7
4.35Single8JRVGlucagon8JRV-Glucagon-Glucagon-Arrestin2
4.17Single8J6PPubChem 251012238J6P-HCA2-Niacin-PubChem 25101223-Gi1/β1/γ2
4.17Single8JHYPubChem 251012238JHY-HCA2-PubChem 25101223-Gi1/β1/γ2
4.17Single8JIIPubChem 251012238JII-HCA2-Niacin-PubChem 25101223-Gi1/β1/γ2
4.17Single8YKDDehydroepiandrosterone8YKD-ADGRG2-Dehydroepiandrosterone-chim(NtGi1-Gs)/β1/γ2
4.17Single9JCPLPC9JCP-GPR4-LPC-chim(NtGi1-Gs-CtGq)/β1/γ2
4.17Single9MBCAZ122160529MBC-mGlu8; mGlu8-DCPG-AZ12216052
4.00Single4XNVBPTU4XNV-P2Y1-BPTU
4.00Single7VVOPTH7VVO-PTH1-PTH-Gs/β1/γ2
4.00Single7WV9ZCZ0117WV9-CB1-CP55940-ZCZ011-Gi2/β1/γ2
4.00Single8DWHPubChem 1390305318DWH-MRGPRX1-PubChem 139030531-chim(NtGi2L-Gs-CtGq)/β1/γ2
3.85Single8HJ5PubChem 1390305318HJ5-MRGPRX1-PubChem 139030531-chim(NtGi1-Gs-CtGq)/β1/γ2
3.85Single8IYXYL-3658IYX-GPR34-YL-365
3.85Single8YRGFospropofol8YRG-MRGPRX4-Fospropofol-chim(NtGi1-Gs-CtGq)/β1/γ2
3.85Single9JQYTG6-1299JQY-EP4-TG6-129
3.70Single6ORVTT-OAD26ORV-GLP-1-TT-OAD2-Gs/β1/γ2
3.12Single5TZYMK8666; AP85TZY-FFA1-MK8666; AP8

PDB Summary
PDB 9BUY
Class A
SubFamily Amine
Type Adrenergic
SubType Beta2
Species Homo Sapiens
Ligand LM189
Other Ligand(s) -
Protein Partners Gi1/Beta1/Gamma2
PDB Resolution 2.9
Date 2025-05-28
D.O.I. doi.org/10.1126/sciadv.adq3971
Net Summary
Imin 2.51
Number of Linked Nodes 822
Number of Links 1029
Number of Hubs 169
Number of Links mediated by Hubs 641
Number of Communities 38
Number of Nodes involved in Communities 253
Number of Links involved in Communities 353
Path Summary
Number Of Nodes in MetaPath 102
Number Of Links MetaPath 101
Number of Shortest Paths 3634460
Length Of Smallest Path 3
Average Path Length 43.8516
Length of Longest Path 77
Minimum Path Strength 1.195
Average Path Strength 5.55705
Maximum Path Strength 24.02
Minimum Path Correlation 0.7
Average Path Correlation 0.984802
Maximum Path Correlation 1
Minimum % Of Corr. Nodes 1.75439
Average % Of Corr. Nodes 28.5365
Maximum % Of Corr. Nodes 100
Minimum Path Hubs % 0
Average Path Hubs % 49.0358
Maximum Path Hubs % 100
AnnotationTypeLinks
Gene OntologyMolecular Function• amyloid-beta binding   • binding   • peptide binding   • protein binding   • enzyme binding   • adenylate cyclase binding   • G protein-coupled amine receptor activity   • molecular transducer activity   • beta2-adrenergic receptor activity   • G protein-coupled receptor activity   • transmembrane signaling receptor activity   • signaling receptor activity   • beta-adrenergic receptor activity   • adrenergic receptor activity   • protein-containing complex binding   • potassium channel regulator activity   • channel regulator activity   • ion channel regulator activity   • molecular function regulator activity   • transporter regulator activity   • identical protein binding   • protein homodimerization activity   • protein dimerization activity   • cation binding   • ion binding   • catecholamine binding   • norepinephrine binding   • small molecule binding   • multicellular organismal process   • response to nutrient levels   • multicellular organismal-level homeostasis   • response to stimulus   • homeostatic process   • response to dietary excess   • diet induced thermogenesis   • temperature homeostasis   • energy homeostasis   • adaptive thermogenesis   • response to stress   • response to abiotic stimulus   • response to cold   • response to temperature stimulus
Gene OntologyBiological Process• multicellular organismal process   • response to nutrient levels   • multicellular organismal-level homeostasis   • response to stimulus   • homeostatic process   • response to dietary excess   • diet induced thermogenesis   • temperature homeostasis   • energy homeostasis   • adaptive thermogenesis   • response to stress   • response to abiotic stimulus   • response to cold   • response to temperature stimulus   • cellular response to stimulus   • regulation of biological process   • regulation of cellular process   • signaling   • biological regulation   • cell communication   • adenylate cyclase-inhibiting G protein-coupled receptor signaling pathway   • adenylate cyclase-inhibiting adrenergic receptor signaling pathway   • adenylate cyclase-modulating G protein-coupled receptor signaling pathway   • adrenergic receptor signaling pathway   • G protein-coupled receptor signaling pathway   • cellular process   • signal transduction   • regulation of developmental process   • positive regulation of biological process   • regulation of biomineral tissue development   • regulation of bone mineralization   • positive regulation of ossification   • positive regulation of developmental process   • multicellular organism development   • positive regulation of biomineral tissue development   • ossification   • anatomical structure development   • biomineral tissue development   • regulation of multicellular organismal process   • developmental process   • regulation of multicellular organismal development   • bone mineralization   • animal organ development   • tissue development   • positive regulation of bone mineralization   • positive regulation of multicellular organismal process   • regulation of ossification   • regulation of multicellular organism growth   • regulation of growth   • regulation of developmental growth   • negative regulation of multicellular organism growth   • developmental growth   • negative regulation of developmental process   • growth   • negative regulation of biological process   • multicellular organism growth   • negative regulation of developmental growth   • negative regulation of growth   • negative regulation of multicellular organismal process   • adenylate cyclase-activating adrenergic receptor signaling pathway   • adenylate cyclase-activating G protein-coupled receptor signaling pathway   • fat cell differentiation   • cellular developmental process   • brown fat cell differentiation   • cell differentiation   • negative regulation of cardiac muscle cell apoptotic process   • muscle cell apoptotic process   • negative regulation of programmed cell death   • regulation of apoptotic process   • regulation of cardiac muscle cell apoptotic process   • regulation of muscle cell apoptotic process   • regulation of programmed cell death   • cell death   • cardiac muscle cell apoptotic process   • negative regulation of apoptotic process   • regulation of striated muscle cell apoptotic process   • striated muscle cell apoptotic process   • negative regulation of muscle cell apoptotic process   • negative regulation of cellular process   • negative regulation of striated muscle cell apoptotic process   • apoptotic process   • programmed cell death   • system process   • regulation of system process   • muscle contraction   • muscle system process   • regulation of muscle system process   • negative regulation of muscle contraction   • smooth muscle contraction   • regulation of smooth muscle contraction   • regulation of muscle contraction   • negative regulation of smooth muscle contraction   • positive regulation of DNA-templated transcription   • RNA metabolic process   • positive regulation of macromolecule biosynthetic process   • regulation of primary metabolic process   • nucleobase-containing compound metabolic process   • RNA biosynthetic process   • nucleic acid biosynthetic process   • positive regulation of metabolic process   • DNA-templated transcription   • regulation of RNA metabolic process   • transcription by RNA polymerase II   • positive regulation of biosynthetic process   • positive regulation of macromolecule metabolic process   • regulation of nucleobase-containing compound metabolic process   • positive regulation of cellular process   • regulation of RNA biosynthetic process   • regulation of biosynthetic process   • regulation of transcription by RNA polymerase II   • primary metabolic process   • regulation of macromolecule metabolic process   • positive regulation of transcription by RNA polymerase II   • nucleobase-containing compound biosynthetic process   • gene expression   • macromolecule biosynthetic process   • nucleic acid metabolic process   • positive regulation of RNA metabolic process   • regulation of gene expression   • biosynthetic process   • positive regulation of RNA biosynthetic process   • metabolic process   • regulation of macromolecule biosynthetic process   • macromolecule metabolic process   • regulation of DNA-templated transcription   • regulation of metabolic process   • tissue remodeling   • bone remodeling   • anatomical structure homeostasis   • tissue homeostasis   • bone resorption   • localization   • import into cell   • transport   • receptor-mediated endocytosis   • endocytosis   • establishment of localization   • vesicle-mediated transport   • cellular localization   • endosome to lysosome transport   • intracellular transport   • lysosomal transport   • establishment of localization in cell   • vacuolar transport   • heart process   • regulation of actin filament-based process   • regulation of heart contraction   • cardiac muscle contraction   • striated muscle contraction   • circulatory system process   • actin filament-based process   • positive regulation of actin filament-based movement   • blood circulation   • cardiac muscle cell contraction   • regulation of cardiac muscle contraction   • positive regulation of cardiac muscle cell contraction   • actin filament-based movement   • regulation of blood circulation   • regulation of striated muscle contraction   • regulation of actin filament-based movement   • regulation of cardiac muscle cell contraction   • actin-mediated cell contraction   • heart contraction   • positive regulation of organelle organization   • catabolic process   • regulation of cellular component organization   • positive regulation of cellular component organization   • regulation of autophagosome maturation   • macroautophagy   • autophagy   • protein-containing complex disassembly   • regulation of autophagy   • regulation of protein-containing complex disassembly   • cellular component organization   • autophagosome maturation   • cellular component organization or biogenesis   • positive regulation of macroautophagy   • process utilizing autophagic mechanism   • positive regulation of protein-containing complex disassembly   • cellular component disassembly   • positive regulation of autophagy   • protein-containing complex organization   • regulation of catabolic process   • positive regulation of autophagosome maturation   • regulation of organelle organization   • positive regulation of catabolic process   • organelle organization   • regulation of macroautophagy   • positive regulation of cardiac muscle cell apoptotic process   • positive regulation of programmed cell death   • positive regulation of striated muscle cell apoptotic process   • positive regulation of apoptotic process   • positive regulation of muscle cell apoptotic process   • lipophagy   • positive regulation of lipophagy   • regulation of lipophagy   • response to psychosocial stress   • regulation of cold-induced thermogenesis   • cold-induced thermogenesis   • positive regulation of cold-induced thermogenesis   • positive regulation of cell communication   • positive regulation of signal transduction   • regulation of signal transduction   • intracellular signal transduction   • positive regulation of response to stimulus   • regulation of intracellular signal transduction   • intracellular signaling cassette   • regulation of signaling   • positive regulation of MAPK cascade   • positive regulation of intracellular signal transduction   • regulation of MAPK cascade   • regulation of response to stimulus   • MAPK cascade   • regulation of cell communication   • positive regulation of signaling   • cell surface receptor signaling pathway   • ligand-gated ion channel signaling pathway   • ionotropic glutamate receptor signaling pathway   • glutamate receptor signaling pathway   • AMPA selective glutamate receptor signaling pathway   • regulation of tube diameter   • regulation of systemic arterial blood pressure mediated by a chemical signal   • regulation of blood pressure   • regulation of tube size   • norepinephrine-epinephrine-mediated vasodilation involved in regulation of systemic arterial blood pressure   • negative regulation of blood pressure   • regulation of systemic arterial blood pressure by norepinephrine-epinephrine   • regulation of systemic arterial blood pressure   • negative regulation of systemic arterial blood pressure   • vascular process in circulatory system   • regulation of biological quality   • blood vessel diameter maintenance   • vasodilation   • regulation of anatomical structure size   • negative regulation of signaling   • negative regulation of response to stimulus   • negative regulation of signal transduction   • negative regulation of G protein-coupled receptor signaling pathway   • negative regulation of cell communication   • regulation of G protein-coupled receptor signaling pathway   • positive regulation of cAMP/PKA signal transduction   • cAMP/PKA signal transduction   • regulation of cAMP/PKA signal transduction   • cellular response to nitrogen compound   • response to oxygen-containing compound   • response to nitrogen compound   • cellular response to amyloid-beta   • cellular response to oxygen-containing compound   • cellular response to chemical stimulus   • response to chemical   • response to amyloid-beta   • regulation of localization   • regulation of transport   • regulation of monoatomic ion transport   • regulation of sodium ion transport   • metal ion transport   • monoatomic ion transport   • regulation of metal ion transport   • monoatomic cation transport   • sodium ion transport   • heat generation   • regulation of postsynaptic membrane potential   • modulation of chemical synaptic transmission   • positive regulation of excitatory postsynaptic potential   • chemical synaptic transmission, postsynaptic   • synaptic signaling   • modulation of excitatory postsynaptic potential   • mini excitatory postsynaptic potential   • trans-synaptic signaling   • nervous system process   • cell-cell signaling   • chemical synaptic transmission   • regulation of nervous system process   • regulation of mini excitatory postsynaptic potential   • positive regulation of mini excitatory postsynaptic potential   • regulation of trans-synaptic signaling   • anterograde trans-synaptic signaling   • excitatory postsynaptic potential   • regulation of membrane potential   • cellular anatomical structure   • membrane   • membrane-bounded organelle   • intracellular anatomical structure   • dense core granule   • intracellular vesicle   • intracellular membrane-bounded organelle   • endomembrane system   • intracellular organelle   • cytoplasmic vesicle   • organelle   • secretory granule   • secretory vesicle   • cytoplasm
Gene OntologyCellular Component• cellular anatomical structure   • membrane   • membrane-bounded organelle   • intracellular anatomical structure   • dense core granule   • intracellular vesicle   • intracellular membrane-bounded organelle   • endomembrane system   • intracellular organelle   • cytoplasmic vesicle   • organelle   • secretory granule   • secretory vesicle   • cytoplasm   • vesicle   • neuronal dense core vesicle   • bounding membrane of organelle   • vesicle membrane   • clathrin-coated vesicle   • endocytic vesicle membrane   • coated vesicle   • endocytic vesicle   • clathrin-coated vesicle membrane   • clathrin-coated endocytic vesicle membrane   • clathrin-coated endocytic vesicle   • cytoplasmic vesicle membrane   • coated vesicle membrane   • organelle membrane   • protein-containing complex   • receptor complex   • intercellular bridge   • Golgi apparatus   • endosome membrane   • endosome   • intracellular membraneless organelle   • cilium   • plasma membrane bounded cell projection   • ciliary basal body   • cell projection   • microtubule organizing center   • cytoskeleton   • membraneless organelle   • microtubule cytoskeleton   • cell periphery   • apical part of cell   • plasma membrane   • plasma membrane region   • apical plasma membrane   • mitotic spindle   • spindle   • lytic vacuole   • vacuole   • lysosome   • early endosome   • nucleus   • protein binding   • binding   • G-protein beta-subunit binding   • fibroblast proliferation   • cell population proliferation   • cellular process   • cellular response to nitrogen compound   • cellular response to stimulus   • response to dopamine   • regulation of cellular process   • response to stimulus   • signaling   • cellular response to dopamine   • response to monoamine   • cell communication   • response to catecholamine   • adenylate cyclase-activating dopamine receptor signaling pathway   • cellular response to catecholamine stimulus   • signal transduction   • regulation of biological process   • G protein-coupled dopamine receptor signaling pathway   • biological regulation   • response to oxygen-containing compound   • response to nitrogen compound   • adenylate cyclase-activating G protein-coupled receptor signaling pathway   • cellular response to oxygen-containing compound   • cellular response to chemical stimulus   • cellular response to monoamine stimulus   • response to chemical   • adenylate cyclase-modulating G protein-coupled receptor signaling pathway   • G protein-coupled receptor signaling pathway   • response to ketone   • response to prostaglandin   • response to lipid   • response to endogenous stimulus   • response to alcohol   • cellular response to prostaglandin stimulus   • cellular response to endogenous stimulus   • cellular response to prostaglandin E stimulus   • cellular response to alcohol   • response to hormone   • cellular response to lipid   • response to prostaglandin E   • cellular response to ketone   • cellular response to hormone stimulus   • extrinsic component of plasma membrane   • catalytic complex   • plasma membrane protein complex   • cytoplasmic side of membrane   • membrane protein complex   • heterotrimeric G-protein complex   • side of membrane   • cytoplasmic side of plasma membrane   • GTPase complex   • extrinsic component of membrane   • extrinsic component of cytoplasmic side of plasma membrane   • extracellular exosome   • extracellular vesicle   • extracellular organelle   • extracellular region   • extracellular space   • extracellular membrane-bounded organelle   • synapse   • cell junction   • enzyme binding   • GTPase binding   • protein-containing complex binding   • pyrophosphatase activity   • GTPase activity   • ribonucleoside triphosphate phosphatase activity   • hydrolase activity, acting on acid anhydrides, in phosphorus-containing anhydrides   • hydrolase activity   • hydrolase activity, acting on acid anhydrides   • catalytic activity   • signaling receptor complex adaptor activity   • protein-macromolecule adaptor activity   • molecular adaptor activity   • signaling adaptor activity   • multicellular organismal process   • system process   • sensory perception of chemical stimulus   • sensory perception   • nervous system process   • sensory perception of taste   • developmental process   • sensory organ development   • eye development   • animal organ development   • retina development in camera-type eye   • visual system development   • multicellular organism development   • camera-type eye development   • anatomical structure development   • sensory system development   • system development   • small GTPase-mediated signal transduction   • Ras protein signal transduction   • intracellular signal transduction   • intracellular signaling cassette   • phospholipase C-activating G protein-coupled receptor signaling pathway   • synaptic signaling   • cellular response to acetylcholine   • cell-cell signaling   • acetylcholine receptor signaling pathway   • postsynaptic signal transduction   • G protein-coupled acetylcholine receptor signaling pathway   • response to acetylcholine   • non-motile cilium   • 9+0 non-motile cilium   • neuron projection   • photoreceptor disc membrane   • photoreceptor outer segment   • photoreceptor cell cilium   • cytosol   • vacuolar membrane   • lytic vacuole membrane   • lysosomal membrane   • D2 dopamine receptor binding   • signaling receptor binding   • G protein-coupled receptor binding   • dopamine receptor binding   • enzyme regulator activity   • adenylate cyclase inhibitor activity   • cyclase regulator activity   • molecular function inhibitor activity   • cyclase inhibitor activity   • molecular function regulator activity   • enzyme inhibitor activity   • adenylate cyclase regulator activity   • guanyl nucleotide binding   • GTP binding   • nucleotide binding   • guanyl ribonucleotide binding   • purine ribonucleotide binding   • purine ribonucleoside triphosphate binding   • nucleoside phosphate binding   • ion binding   • purine nucleotide binding   • anion binding   • heterocyclic compound binding   • carbohydrate derivative binding   • ribonucleotide binding   • small molecule binding   • cation binding   • magnesium ion binding   • metal ion binding   • GDP binding   • G protein-coupled serotonin receptor binding   • G-protein beta/gamma-subunit complex binding   • G protein activity   • neuropeptide signaling pathway   • adenylate cyclase-inhibiting serotonin receptor signaling pathway   • G protein-coupled serotonin receptor signaling pathway   • adenylate cyclase-inhibiting G protein-coupled receptor signaling pathway   • response to peptide hormone   • cell division   • leukocyte migration   • immune system process   • mononuclear cell migration   • lymphocyte migration   • cell migration   • T cell migration   • cell motility   • regulation of steroid biosynthetic process   • regulation of cholesterol biosynthetic process   • regulation of cholesterol metabolic process   • steroid metabolic process   • regulation of lipid metabolic process   • sterol metabolic process   • positive regulation of biological process   • cholesterol metabolic process   • lipid biosynthetic process   • alcohol metabolic process   • regulation of primary metabolic process   • positive regulation of metabolic process   • regulation of small molecule metabolic process   • positive regulation of biosynthetic process   • positive regulation of lipid metabolic process   • small molecule metabolic process   • steroid biosynthetic process   • positive regulation of cellular process   • regulation of biosynthetic process   • secondary alcohol biosynthetic process   • regulation of alcohol biosynthetic process   • small molecule biosynthetic process   • regulation of steroid metabolic process   • cholesterol biosynthetic process   • positive regulation of cholesterol biosynthetic process   • primary metabolic process   • secondary alcohol metabolic process   • positive regulation of steroid biosynthetic process   • biosynthetic process   • sterol biosynthetic process   • positive regulation of lipid biosynthetic process   • regulation of sterol biosynthetic process   • alcohol biosynthetic process   • positive regulation of cholesterol metabolic process   • positive regulation of steroid metabolic process   • metabolic process   • regulation of lipid biosynthetic process   • positive regulation of small molecule metabolic process   • regulation of metabolic process   • positive regulation of alcohol biosynthetic process   • positive regulation of sterol biosynthetic process   • lipid metabolic process   • cell surface receptor signaling pathway   • response to cytokine   • response to chemokine   • cytokine-mediated signaling pathway   • cellular response to chemokine   • chemokine-mediated signaling pathway   • response to peptide   • cellular response to cytokine stimulus   • relaxation of smooth muscle   • regulation of system process   • regulation of muscle system process   • muscle system process   • relaxation of muscle   • positive regulation of relaxation of smooth muscle   • positive regulation of relaxation of muscle   • positive regulation of multicellular organismal process   • regulation of multicellular organismal process   • regulation of relaxation of smooth muscle   • regulation of relaxation of muscle   • negative regulation of protein transport   • regulation of localization   • establishment of protein localization   • nitrogen compound transport   • negative regulation of biological process   • negative regulation of transport   • localization   • negative regulation of secretion   • negative regulation of hormone secretion   • negative regulation of secretion by cell   • intracellular protein localization   • regulation of biological quality   • regulation of peptide hormone secretion   • negative regulation of peptide hormone secretion   • regulation of hormone levels   • establishment of protein localization to extracellular region   • negative regulation of establishment of protein localization   • protein secretion   • establishment of localization   • regulation of protein secretion   • regulation of secretion   • negative regulation of protein secretion   • regulation of hormone secretion   • regulation of protein localization   • regulation of peptide secretion   • transport   • negative regulation of signaling   • hormone secretion   • negative regulation of cell communication   • protein localization to extracellular region   • negative regulation of peptide secretion   • peptide secretion   • regulation of secretion by cell   • secretion by cell   • signal release   • negative regulation of cellular process   • negative regulation of protein localization   • regulation of signaling   • regulation of transport   • secretion   • regulation of peptide transport   • regulation of establishment of protein localization   • export from cell   • regulation of protein transport   • peptide transport   • negative regulation of insulin secretion   • protein transport   • regulation of insulin secretion   • peptide hormone secretion   • macromolecule localization   • hormone transport   • regulation of cell communication   • insulin secretion   • regulation of cytoskeleton organization   • regulation of cellular component organization   • microtubule cytoskeleton organization   • regulation of mitotic spindle organization   • mitotic cell cycle   • cellular component organization   • cell cycle   • cellular component organization or biogenesis   • regulation of cell cycle   • microtubule cytoskeleton organization involved in mitosis   • spindle organization   • cell cycle process   • regulation of cell cycle process   • regulation of microtubule-based process   • regulation of spindle organization   • regulation of organelle organization   • mitotic spindle organization   • organelle organization   • mitotic cell cycle process   • microtubule-based process   • cytoskeleton organization   • regulation of microtubule cytoskeleton organization   • positive regulation of protein localization to cell periphery   • protein localization to cell periphery   • positive regulation of protein localization to cell cortex   • regulation of protein localization to cell periphery   • regulation of protein localization to cell cortex   • positive regulation of protein localization   • protein localization to cell cortex   • cellular response to forskolin   • response to forskolin   • midbody   • membrane-enclosed lumen   • nucleolus   • intracellular organelle lumen   • organelle lumen   • nuclear lumen   • cell cortex   • centrosome   • centriolar satellite   • sperm principal piece   • 9+2 motile cilium   • sperm flagellum   • motile cilium   • nucleoplasm
SCOP2Domain Identifier• G protein-coupled receptor-like   • Transducin (heterotrimeric G protein), gamma chain   • Ras-like P-loop GTPases
SCOP2Family Identifier• G protein-coupled receptor-like   • Transducin (heterotrimeric G protein), gamma chain   • Ras-like P-loop GTPases
Membrane Protein Annotations-• Orientations of Proteins in Membranes database (OPM)   • Protein Data Bank of Transmembrane Proteins (PDBTM)   • MemProtMD


Details about the values in these tables can be found in the corresponding documentation page .
Code_L_
PDB ResiduesL:L:?1
Environment DetailsOpen EMBL-EBI Page
Code_L_
Name
Synonyms
Identifier
Formula
Molecular Weight
SMILES
PubChem
Formal Charge
Total Atoms
Total Chiral Atoms
Total Bonds
Total Aromatic Bonds

PDBsumOpen PDBsum Page
ChainA
ProteinG Protein α Sub unit
UniProtP63096
Sequence
>9BUY_Chain_A
SAEDKAAVE RSKMIDRNL REDGEKAAR EVKLLLLGA GESGKSTIV 
KQMKITGIV ETHFTFKDL HFKMFDVGG QRSERKKWI HCFEGVTAI 
IFCVALSDY DLVNRMHES MKLFDSICN NKWFTDTSI ILFLNKKDL 
FEEKIKKSP LTICYPEYA GSNTYEEAA AYIQCQFED LNKRKDTKE 
IYTHFTCAT DTKNVQFVF DAVTDVIIK NNLKDCGLF


Click on each residue to open a popup with some information about it.

ConSurf Conservation Grade (See documentation): 

 n/a   1    2    3    4    5    6    7    8    9  

ChainB
ProteinG Protein β Sub unit
UniProtP62873
Sequence
>9BUY_Chain_B
DQLRQEAEQ LKNQIRDAR KACADATLS QITNNIDPV GRIQMRTRR 
TLRGHLAKI YAMHWGTDS RLLVSASQD GKLIIWDSY TTNKVHAIP 
LRSSWVMTC AYAPSGNYV ACGGLDNIC SIYNLKTRE GNVRVSREL 
AGHTGYLSC CRFLDDNQI VTSSGDTTC ALWDIETGQ QTTTFTGHT 
GDVMSLSLA PDTRLFVSG ACDASAKLW DVREGMCRQ TFTGHESDI 
NAICFFPNG NAFATGSDD ATCRLFDLR ADQELMTYS HDNIICGIT 
SVSFSKSGR LLLAGYDDF NCNVWDALK ADRAGVLAG HDNRVSCLG 
VTDDGMAVA TGSWDSFLK IWN


Click on each residue to open a popup with some information about it.

ConSurf Conservation Grade (See documentation): 

 n/a   1    2    3    4    5    6    7    8    9  

ChainG
ProteinG Protein γ Sub unit
UniProtP59768
Sequence
>9BUY_Chain_G
IAQARKLVE QLKMEANID RIKVSKAAA DLMAYCEAH AKEDPLLTP 
VPASENPF


Click on each residue to open a popup with some information about it.

ConSurf Conservation Grade (See documentation): 

 n/a   1    2    3    4    5    6    7    8    9  

ChainR
ProteinReceptor
UniProtP07550
Sequence
>9BUY_Chain_R
WVVGMGIVM SLIVLAIVF GNVLVITAI AKFERLQTV TNYFITSLA 
CADLVMGLA VVPFGAAHI LKWTFGNFW CEFWTSIDV LCVTASIET 
LCVIAVDRY FAITSPFKY QSLLTKNKA RVIILMVWI VSGLTSFLP 
IQMHWYRAT HQEAINCYA ETCCDFFTN QAYAIASSI VSFYVPLVI 
MVFVYSRVF QEAKRQLQK IDCLKEHKA LKTLGIIMG TFTLCWLPF 
FIVNIVHVI QDNLIRKEV YILLNWIGY VNSGFNPLI YCRSPDFRI 
AFQELLCTT E


Click on each residue to open a popup with some information about it.

ConSurf Conservation Grade (See documentation): 

 n/a   1    2    3    4    5    6    7    8    9  




This receptor, from the same or other species and bound to the same or other ligands, is also present in the following networks:
Show PDB Class SubFamily Type SubType Species Orthosteric Ligand Other Ligand(s) Protein Partners Resolution Date DOI
2RH1AAmineAdrenergicβ2Homo sapiensCarazolol--2.42007-10-30doi.org/10.1126/science.1150577
2R4RAAmineAdrenergicβ2Homo sapiens---3.42007-11-06doi.org/10.1038/nature06325
2R4SAAmineAdrenergicβ2Homo sapiens---3.42007-11-06doi.org/10.1038/nature06325
3D4SAAmineAdrenergicβ2Homo sapiensTimolol--2.82008-06-17doi.org/10.1016/j.str.2008.05.001
3KJ6AAmineAdrenergicβ2Homo sapiens---3.42010-02-16doi.org/10.1038/nature08650
3NY8AAmineAdrenergicβ2Homo sapiensICI118-551--2.842010-08-11doi.org/10.1021/ja105108q
3NY9AAmineAdrenergicβ2Homo sapiensPubChem 913103--2.842010-08-11doi.org/10.1021/ja105108q
3NYAAAmineAdrenergicβ2Homo sapiensAlprenolol--3.162010-08-11doi.org/10.1021/ja105108q
3PDSAAmineAdrenergicβ2Homo sapiensFAUC50--3.52011-01-12doi.org/10.1038/nature09665
3P0GAAmineAdrenergicβ2Homo sapiensBI167107--3.52011-01-19doi.org/10.1038/nature09648
3SN6AAmineAdrenergicβ2Homo sapiensBI167107-Gs/β1/γ23.22011-07-20doi.org/10.1038/nature10361
3SN6 (No Gprot) AAmineAdrenergicβ2Homo sapiensBI167107-3.22011-07-20doi.org/10.1038/nature10361
4GBRAAmineAdrenergicβ2Homo sapiensCarazolol--3.992012-10-24doi.org/10.1371/journal.pone.0046039
4LDEAAmineAdrenergicβ2Homo sapiensBI167107--2.792013-09-25doi.org/10.1038/nature12572
4LDLAAmineAdrenergicβ2Homo sapiensHydroxybenzyl Isoproterenol--3.12013-09-25doi.org/10.1038/nature12572
4LDOAAmineAdrenergicβ2Homo sapiensEpinephrine--3.22013-09-25doi.org/10.1038/nature12572
4QKXAAmineAdrenergicβ2Homo sapiensPubChem 76210628--3.32014-07-23doi.org/10.1073/pnas.1410415111
5D5AAAmineAdrenergicβ2Homo sapiensCarazolol--2.482016-01-13doi.org/10.1107/S2059798315021683
5D5BAAmineAdrenergicβ2Homo sapiensCarazolol--3.82016-01-13doi.org/10.1107/S2059798315021683
5JQHAAmineAdrenergicβ2Homo sapiensCarazolol--3.22016-07-13doi.org/10.1038/nature18636
5D6LAAmineAdrenergicβ2Homo sapiensCarazolol--3.22016-08-17doi.org/10.1038/nprot.2017.057
5X7DAAmineAdrenergicβ2Homo sapiensCarazololPubChem 129318963-2.72017-08-16doi.org/10.1038/nature23652
6MXTAAmineAdrenergicβ2Homo sapiensSalmeterol--2.962018-11-14doi.org/10.1038/s41589-018-0145-x
6E67AAmineAdrenergicβ2Homo sapiensBI167107-Gs(CT)3.72019-06-05doi.org/10.1016/j.cell.2019.04.021
6E67 (No Gprot) AAmineAdrenergicβ2Homo sapiensBI167107-3.72019-06-05doi.org/10.1016/j.cell.2019.04.021
6N48AAmineAdrenergicβ2Homo sapiensBI167107PubChem 138454256-3.22019-06-26doi.org/10.1126/science.aaw8981
6PRZAAmineAdrenergicβ2Homo sapiensAlprenolol--2.82019-11-13doi.org/10.1107/S2052252519013137
6PS0AAmineAdrenergicβ2Homo sapiensCarazolol--3.42019-11-13doi.org/10.1107/S2052252519013137
6PS1AAmineAdrenergicβ2Homo sapiensTimolol--3.22019-11-13doi.org/10.1107/S2052252519013137
6PS2AAmineAdrenergicβ2Homo sapiensAlprenolol--2.42019-11-13doi.org/10.1107/S2052252519013137
6PS3AAmineAdrenergicβ2Homo sapiensCarvedilol--2.52019-11-13doi.org/10.1107/S2052252519013137
6PS4AAmineAdrenergicβ2Homo sapiensICI118-551--2.62019-11-13doi.org/10.1107/S2052252519013137
6PS5AAmineAdrenergicβ2Homo sapiensPropranolol--2.92019-11-13doi.org/10.1107/S2052252519013137
6PS6AAmineAdrenergicβ2Homo sapiensTimolol--2.72019-11-13doi.org/10.1107/S2052252519013137
6NI3AAmineAdrenergicβ2Homo sapiensBI167107-Gs/β1/γ23.82019-11-20doi.org/10.1038/s41594-019-0330-y
6NI3 (No Gprot) AAmineAdrenergicβ2Homo sapiensBI167107-3.82019-11-20doi.org/10.1038/s41594-019-0330-y
6OBAAAmineAdrenergicβ2Homo sapiensAlprenololGTPL11074-3.12020-03-25doi.org/10.1038/s41589-020-0549-2
7BZ2AAmineAdrenergicβ2Homo sapiensArformoterol-Gs/β1/γ23.822020-08-05doi.org/10.1038/s41421-020-0176-9
7BZ2 (No Gprot) AAmineAdrenergicβ2Homo sapiensArformoterol-3.822020-08-05doi.org/10.1038/s41421-020-0176-9
7DHIAAmineAdrenergicβ2Homo sapiensSalbutamol-Gs/β1/γ23.262020-12-16doi.org/10.1093/nsr/nwaa284
7DHI (No Gprot) AAmineAdrenergicβ2Homo sapiensSalbutamol-3.262020-12-16doi.org/10.1093/nsr/nwaa284
7DHRAAmineAdrenergicβ2Homo sapiensIsoprenaline-Gs/β1/γ23.82020-12-16doi.org/10.1093/nsr/nwaa284
7DHR (No Gprot) AAmineAdrenergicβ2Homo sapiensIsoprenaline-3.82020-12-16doi.org/10.1093/nsr/nwaa284
7XKAAAmineAdrenergicβ2Homo sapiensConstrained Epinephrine--3.12023-04-26doi.org/10.1038/s41467-023-37808-y
8JJ8AAmineAdrenergicβ2Homo sapiensArformoterol--3.22023-09-06doi.org/10.1038/s41589-023-01389-0
8JJLAAmineAdrenergicβ2Homo sapiensOlodaterol--3.22023-09-06doi.org/10.1038/s41589-023-01389-0
8JJOAAmineAdrenergicβ2Homo sapiensAlprenolol--3.42023-09-06doi.org/10.1038/s41589-023-01389-0
8GE2AAmineAdrenergicβ2Homo sapiensConstrained Epinephrine-Gs/β1/γ13.32024-03-06doi.org/10.1038/s41586-024-07153-1
8GE2 (No Gprot) AAmineAdrenergicβ2Homo sapiensConstrained Epinephrine-3.32024-03-06doi.org/10.1038/s41586-024-07153-1
8GE5AAmineAdrenergicβ2Homo sapiensConstrained Epinephrine-Gs/β1/γ13.22024-03-06doi.org/10.1038/s41586-024-07153-1
8GE5 (No Gprot) AAmineAdrenergicβ2Homo sapiensConstrained Epinephrine-3.22024-03-06doi.org/10.1038/s41586-024-07153-1
9CHUAAmineAdrenergicβ2Homo sapiensNorepinephrine--3.492024-11-13doi.org/10.1073/pnas.2414544121
9CHVAAmineAdrenergicβ2Homo sapiens---3.952024-11-13doi.org/10.1073/pnas.2414544121
9U9VAAmineAdrenergicβ2Homo sapiensMETH-Gs/β1/γ22.852025-09-03To be published
9U9V (No Gprot) AAmineAdrenergicβ2Homo sapiensMETH-2.852025-09-03To be published
7XK9AAmineAdrenergicβ2Homo sapiensConstrained IsoproterenolNa-3.42023-04-26doi.org/10.1038/s41467-023-37808-y
8GDZAAmineAdrenergicβ2Homo sapiensConstrained Epinephrine-Gs/β1/γ23.52024-03-06doi.org/10.1038/s41586-024-07153-1
8GDZ (No Gprot) AAmineAdrenergicβ2Homo sapiensConstrained Epinephrine-3.52024-03-06doi.org/10.1038/s41586-024-07153-1
8GE1AAmineAdrenergicβ2Homo sapiensConstrained Epinephrine-Gs/β1/γ23.42024-03-06doi.org/10.1038/s41586-024-07153-1
8GE1 (No Gprot) AAmineAdrenergicβ2Homo sapiensConstrained Epinephrine-3.42024-03-06doi.org/10.1038/s41586-024-07153-1
8GE3AAmineAdrenergicβ2Homo sapiensConstrained Epinephrine-Gs/β1/γ23.32024-03-06doi.org/10.1038/s41586-024-07153-1
8GE3 (No Gprot) AAmineAdrenergicβ2Homo sapiensConstrained Epinephrine-3.32024-03-06doi.org/10.1038/s41586-024-07153-1
8GE4AAmineAdrenergicβ2Homo sapiensConstrained Epinephrine-Gs/β1/γ23.32024-03-06doi.org/10.1038/s41586-024-07153-1
8GE4 (No Gprot) AAmineAdrenergicβ2Homo sapiensConstrained Epinephrine-3.32024-03-06doi.org/10.1038/s41586-024-07153-1
8GE6AAmineAdrenergicβ2Homo sapiensConstrained Epinephrine-Gs/β1/γ23.42024-03-06doi.org/10.1038/s41586-024-07153-1
8GE6 (No Gprot) AAmineAdrenergicβ2Homo sapiensConstrained Epinephrine-3.42024-03-06doi.org/10.1038/s41586-024-07153-1
8GE7AAmineAdrenergicβ2Homo sapiensConstrained Epinephrine-Gs/β1/γ23.42024-03-06doi.org/10.1038/s41586-024-07153-1
8GE7 (No Gprot) AAmineAdrenergicβ2Homo sapiensConstrained Epinephrine-3.42024-03-06doi.org/10.1038/s41586-024-07153-1
8GE8AAmineAdrenergicβ2Homo sapiensConstrained Epinephrine-Gs/β1/γ23.42024-03-06doi.org/10.1038/s41586-024-07153-1
8GE8 (No Gprot) AAmineAdrenergicβ2Homo sapiensConstrained Epinephrine-3.42024-03-06doi.org/10.1038/s41586-024-07153-1
8GE9AAmineAdrenergicβ2Homo sapiensConstrained Epinephrine-Gs/β1/γ23.52024-03-06doi.org/10.1038/s41586-024-07153-1
8GE9 (No Gprot) AAmineAdrenergicβ2Homo sapiensConstrained Epinephrine-3.52024-03-06doi.org/10.1038/s41586-024-07153-1
8GEAAAmineAdrenergicβ2Homo sapiensConstrained Epinephrine-Gs/β1/γ23.52024-03-06doi.org/10.1038/s41586-024-07153-1
8GEA (No Gprot) AAmineAdrenergicβ2Homo sapiensConstrained Epinephrine-3.52024-03-06doi.org/10.1038/s41586-024-07153-1
8GEBAAmineAdrenergicβ2Homo sapiensConstrained Epinephrine-Gs/β1/γ23.62024-03-06doi.org/10.1038/s41586-024-07153-1
8GEB (No Gprot) AAmineAdrenergicβ2Homo sapiensConstrained Epinephrine-3.62024-03-06doi.org/10.1038/s41586-024-07153-1
8GECAAmineAdrenergicβ2Homo sapiensConstrained Epinephrine-Gs/β1/γ23.52024-03-06doi.org/10.1038/s41586-024-07153-1
8GEC (No Gprot) AAmineAdrenergicβ2Homo sapiensConstrained Epinephrine-3.52024-03-06doi.org/10.1038/s41586-024-07153-1
8GEDAAmineAdrenergicβ2Homo sapiensConstrained Epinephrine-Gs/β1/γ23.52024-03-06doi.org/10.1038/s41586-024-07153-1
8GED (No Gprot) AAmineAdrenergicβ2Homo sapiensConstrained Epinephrine-3.52024-03-06doi.org/10.1038/s41586-024-07153-1
8GEEAAmineAdrenergicβ2Homo sapiensConstrained Epinephrine-Gs/β1/γ23.72024-03-06doi.org/10.1038/s41586-024-07153-1
8GEE (No Gprot) AAmineAdrenergicβ2Homo sapiensConstrained Epinephrine-3.72024-03-06doi.org/10.1038/s41586-024-07153-1
8GEFAAmineAdrenergicβ2Homo sapiensConstrained Epinephrine-Gs/β1/γ23.82024-03-06doi.org/10.1038/s41586-024-07153-1
8GEF (No Gprot) AAmineAdrenergicβ2Homo sapiensConstrained Epinephrine-3.82024-03-06doi.org/10.1038/s41586-024-07153-1
8GEGAAmineAdrenergicβ2Homo sapiensConstrained Epinephrine-Gs/β1/γ23.82024-03-06doi.org/10.1038/s41586-024-07153-1
8GEG (No Gprot) AAmineAdrenergicβ2Homo sapiensConstrained Epinephrine-3.82024-03-06doi.org/10.1038/s41586-024-07153-1
8GEHAAmineAdrenergicβ2Homo sapiensConstrained Epinephrine-Gs/β1/γ242024-03-06doi.org/10.1038/s41586-024-07153-1
8GEH (No Gprot) AAmineAdrenergicβ2Homo sapiensConstrained Epinephrine-42024-03-06doi.org/10.1038/s41586-024-07153-1
8GEIAAmineAdrenergicβ2Homo sapiensConstrained Epinephrine-Gs/β1/γ24.12024-03-06doi.org/10.1038/s41586-024-07153-1
8GEI (No Gprot) AAmineAdrenergicβ2Homo sapiensConstrained Epinephrine-4.12024-03-06doi.org/10.1038/s41586-024-07153-1
8GEJAAmineAdrenergicβ2Homo sapiensConstrained Epinephrine-Gs/β1/γ24.22024-03-06doi.org/10.1038/s41586-024-07153-1
8GEJ (No Gprot) AAmineAdrenergicβ2Homo sapiensConstrained Epinephrine-4.22024-03-06doi.org/10.1038/s41586-024-07153-1
8GFVAAmineAdrenergicβ2Homo sapiensConstrained EpinephrineGTPGs/β1/γ23.12024-03-06doi.org/10.1038/s41586-024-07153-1
8GFV (No Gprot) AAmineAdrenergicβ2Homo sapiensConstrained EpinephrineGTP3.12024-03-06doi.org/10.1038/s41586-024-07153-1
8GFWAAmineAdrenergicβ2Homo sapiensConstrained EpinephrineGTPGs/β1/γ232024-03-06doi.org/10.1038/s41586-024-07153-1
8GFW (No Gprot) AAmineAdrenergicβ2Homo sapiensConstrained EpinephrineGTP32024-03-06doi.org/10.1038/s41586-024-07153-1
8GFXAAmineAdrenergicβ2Homo sapiensConstrained EpinephrineGTPGs/β1/γ232024-03-06doi.org/10.1038/s41586-024-07153-1
8GFX (No Gprot) AAmineAdrenergicβ2Homo sapiensConstrained EpinephrineGTP32024-03-06doi.org/10.1038/s41586-024-07153-1
8GFYAAmineAdrenergicβ2Homo sapiensConstrained EpinephrineGTPGs/β1/γ232024-03-06doi.org/10.1038/s41586-024-07153-1
8GFY (No Gprot) AAmineAdrenergicβ2Homo sapiensConstrained EpinephrineGTP32024-03-06doi.org/10.1038/s41586-024-07153-1
8GFZAAmineAdrenergicβ2Homo sapiensConstrained EpinephrineGTPGs/β1/γ232024-03-06doi.org/10.1038/s41586-024-07153-1
8GFZ (No Gprot) AAmineAdrenergicβ2Homo sapiensConstrained EpinephrineGTP32024-03-06doi.org/10.1038/s41586-024-07153-1
8GG0AAmineAdrenergicβ2Homo sapiensConstrained EpinephrineGTPGs/β1/γ22.92024-03-06doi.org/10.1038/s41586-024-07153-1
8GG0 (No Gprot) AAmineAdrenergicβ2Homo sapiensConstrained EpinephrineGTP2.92024-03-06doi.org/10.1038/s41586-024-07153-1
8GG1AAmineAdrenergicβ2Homo sapiensConstrained EpinephrineGTPGs/β1/γ232024-03-06doi.org/10.1038/s41586-024-07153-1
8GG1 (No Gprot) AAmineAdrenergicβ2Homo sapiensConstrained EpinephrineGTP32024-03-06doi.org/10.1038/s41586-024-07153-1
8GG2AAmineAdrenergicβ2Homo sapiensConstrained EpinephrineGTPGs/β1/γ232024-03-06doi.org/10.1038/s41586-024-07153-1
8GG2 (No Gprot) AAmineAdrenergicβ2Homo sapiensConstrained EpinephrineGTP32024-03-06doi.org/10.1038/s41586-024-07153-1
8GG3AAmineAdrenergicβ2Homo sapiensConstrained EpinephrineGTPGs/β1/γ23.12024-03-06doi.org/10.1038/s41586-024-07153-1
8GG3 (No Gprot) AAmineAdrenergicβ2Homo sapiensConstrained EpinephrineGTP3.12024-03-06doi.org/10.1038/s41586-024-07153-1
8GG4AAmineAdrenergicβ2Homo sapiensConstrained EpinephrineGTPGs/β1/γ23.22024-03-06doi.org/10.1038/s41586-024-07153-1
8GG4 (No Gprot) AAmineAdrenergicβ2Homo sapiensConstrained EpinephrineGTP3.22024-03-06doi.org/10.1038/s41586-024-07153-1
8GG5AAmineAdrenergicβ2Homo sapiensConstrained EpinephrineGTPGs/β1/γ23.22024-03-06doi.org/10.1038/s41586-024-07153-1
8GG5 (No Gprot) AAmineAdrenergicβ2Homo sapiensConstrained EpinephrineGTP3.22024-03-06doi.org/10.1038/s41586-024-07153-1
8GG6AAmineAdrenergicβ2Homo sapiensConstrained EpinephrineGTPGs/β1/γ23.32024-03-06doi.org/10.1038/s41586-024-07153-1
8GG6 (No Gprot) AAmineAdrenergicβ2Homo sapiensConstrained EpinephrineGTP3.32024-03-06doi.org/10.1038/s41586-024-07153-1
8GG7AAmineAdrenergicβ2Homo sapiensConstrained EpinephrineGTPGs/β1/γ23.32024-03-06doi.org/10.1038/s41586-024-07153-1
8GG7 (No Gprot) AAmineAdrenergicβ2Homo sapiensConstrained EpinephrineGTP3.32024-03-06doi.org/10.1038/s41586-024-07153-1
8GG8AAmineAdrenergicβ2Homo sapiensConstrained EpinephrineGTPGs/β1/γ23.32024-03-06doi.org/10.1038/s41586-024-07153-1
8GG8 (No Gprot) AAmineAdrenergicβ2Homo sapiensConstrained EpinephrineGTP3.32024-03-06doi.org/10.1038/s41586-024-07153-1
8GG9AAmineAdrenergicβ2Homo sapiensConstrained EpinephrineGTPGs/β1/γ23.42024-03-06doi.org/10.1038/s41586-024-07153-1
8GG9 (No Gprot) AAmineAdrenergicβ2Homo sapiensConstrained EpinephrineGTP3.42024-03-06doi.org/10.1038/s41586-024-07153-1
8GGAAAmineAdrenergicβ2Homo sapiensConstrained EpinephrineGTPGs/β1/γ23.52024-03-06doi.org/10.1038/s41586-024-07153-1
8GGA (No Gprot) AAmineAdrenergicβ2Homo sapiensConstrained EpinephrineGTP3.52024-03-06doi.org/10.1038/s41586-024-07153-1
8GGBAAmineAdrenergicβ2Homo sapiensConstrained EpinephrineGTPGs/β1/γ23.52024-03-06doi.org/10.1038/s41586-024-07153-1
8GGB (No Gprot) AAmineAdrenergicβ2Homo sapiensConstrained EpinephrineGTP3.52024-03-06doi.org/10.1038/s41586-024-07153-1
8GGCAAmineAdrenergicβ2Homo sapiensConstrained EpinephrineGTPGs/β1/γ23.42024-03-06doi.org/10.1038/s41586-024-07153-1
8GGC (No Gprot) AAmineAdrenergicβ2Homo sapiensConstrained EpinephrineGTP3.42024-03-06doi.org/10.1038/s41586-024-07153-1
8GGEAAmineAdrenergicβ2Homo sapiensConstrained EpinephrineGTPGs/β1/γ23.52024-03-06doi.org/10.1038/s41586-024-07153-1
8GGE (No Gprot) AAmineAdrenergicβ2Homo sapiensConstrained EpinephrineGTP3.52024-03-06doi.org/10.1038/s41586-024-07153-1
8GGFAAmineAdrenergicβ2Homo sapiensConstrained EpinephrineGTPGs/β1/γ23.62024-03-06doi.org/10.1038/s41586-024-07153-1
8GGF (No Gprot) AAmineAdrenergicβ2Homo sapiensConstrained EpinephrineGTP3.62024-03-06doi.org/10.1038/s41586-024-07153-1
8GGIAAmineAdrenergicβ2Homo sapiensConstrained Epinephrine--3.52024-03-06doi.org/10.1038/s41586-024-07153-1
8GGJAAmineAdrenergicβ2Homo sapiensConstrained Epinephrine--3.52024-03-06doi.org/10.1038/s41586-024-07153-1
8GGKAAmineAdrenergicβ2Homo sapiensConstrained Epinephrine--3.32024-03-06doi.org/10.1038/s41586-024-07153-1
8GGLAAmineAdrenergicβ2Homo sapiensConstrained Epinephrine--3.22024-03-06doi.org/10.1038/s41586-024-07153-1
8GGMAAmineAdrenergicβ2Homo sapiensConstrained Epinephrine--3.22024-03-06doi.org/10.1038/s41586-024-07153-1
8GGNAAmineAdrenergicβ2Homo sapiensConstrained Epinephrine--3.32024-03-06doi.org/10.1038/s41586-024-07153-1
8GGOAAmineAdrenergicβ2Homo sapiensConstrained Epinephrine--3.22024-03-06doi.org/10.1038/s41586-024-07153-1
8GGPAAmineAdrenergicβ2Homo sapiensConstrained Epinephrine--3.22024-03-06doi.org/10.1038/s41586-024-07153-1
8GGQAAmineAdrenergicβ2Homo sapiensConstrained Epinephrine--3.42024-03-06doi.org/10.1038/s41586-024-07153-1
8GGRAAmineAdrenergicβ2Homo sapiensConstrained Epinephrine--3.42024-03-06doi.org/10.1038/s41586-024-07153-1
8GGSAAmineAdrenergicβ2Homo sapiensConstrained Epinephrine--3.52024-03-06doi.org/10.1038/s41586-024-07153-1
8GGTAAmineAdrenergicβ2Homo sapiensConstrained Epinephrine--3.52024-03-06doi.org/10.1038/s41586-024-07153-1
8GGUAAmineAdrenergicβ2Homo sapiensConstrained Epinephrine--3.42024-03-06doi.org/10.1038/s41586-024-07153-1
8GGVAAmineAdrenergicβ2Homo sapiensConstrained Epinephrine--3.52024-03-06doi.org/10.1038/s41586-024-07153-1
8GGWAAmineAdrenergicβ2Homo sapiensConstrained Epinephrine--3.62024-03-06doi.org/10.1038/s41586-024-07153-1
8GGXAAmineAdrenergicβ2Homo sapiensConstrained Epinephrine--3.62024-03-06doi.org/10.1038/s41586-024-07153-1
8GGYAAmineAdrenergicβ2Homo sapiensConstrained Epinephrine--3.92024-03-06doi.org/10.1038/s41586-024-07153-1
8GGZAAmineAdrenergicβ2Homo sapiensConstrained Epinephrine--3.92024-03-06doi.org/10.1038/s41586-024-07153-1
8GH0AAmineAdrenergicβ2Homo sapiensConstrained Epinephrine--42024-03-06doi.org/10.1038/s41586-024-07153-1
8GH1AAmineAdrenergicβ2Homo sapiensConstrained Epinephrine--4.12024-03-06doi.org/10.1038/s41586-024-07153-1
8UNLAAmineAdrenergicβ2Homo sapiensConstrained EpinephrineGTPGs/β1/γ23.32024-03-06doi.org/10.1038/s41586-024-07153-1
8UNL (No Gprot) AAmineAdrenergicβ2Homo sapiensConstrained EpinephrineGTP3.32024-03-06doi.org/10.1038/s41586-024-07153-1
8UNMAAmineAdrenergicβ2Homo sapiensConstrained EpinephrineGTPGs/β1/γ23.42024-03-06doi.org/10.1038/s41586-024-07153-1
8UNM (No Gprot) AAmineAdrenergicβ2Homo sapiensConstrained EpinephrineGTP3.42024-03-06doi.org/10.1038/s41586-024-07153-1
8UNNAAmineAdrenergicβ2Homo sapiensConstrained EpinephrineGTPGs/β1/γ23.42024-03-06doi.org/10.1038/s41586-024-07153-1
8UNN (No Gprot) AAmineAdrenergicβ2Homo sapiensConstrained EpinephrineGTP3.42024-03-06doi.org/10.1038/s41586-024-07153-1
8UNOAAmineAdrenergicβ2Homo sapiensConstrained EpinephrineGTPGs/β1/γ23.32024-03-06doi.org/10.1038/s41586-024-07153-1
8UNO (No Gprot) AAmineAdrenergicβ2Homo sapiensConstrained EpinephrineGTP3.32024-03-06doi.org/10.1038/s41586-024-07153-1
8UNPAAmineAdrenergicβ2Homo sapiensConstrained EpinephrineGTPGs/β1/γ23.32024-03-06doi.org/10.1038/s41586-024-07153-1
8UNP (No Gprot) AAmineAdrenergicβ2Homo sapiensConstrained EpinephrineGTP3.32024-03-06doi.org/10.1038/s41586-024-07153-1
8UNQAAmineAdrenergicβ2Homo sapiensConstrained EpinephrineGTPGs/β1/γ23.32024-03-06doi.org/10.1038/s41586-024-07153-1
8UNQ (No Gprot) AAmineAdrenergicβ2Homo sapiensConstrained EpinephrineGTP3.32024-03-06doi.org/10.1038/s41586-024-07153-1
8UNRAAmineAdrenergicβ2Homo sapiensConstrained EpinephrineGTPGs/β1/γ23.42024-03-06doi.org/10.1038/s41586-024-07153-1
8UNR (No Gprot) AAmineAdrenergicβ2Homo sapiensConstrained EpinephrineGTP3.42024-03-06doi.org/10.1038/s41586-024-07153-1
8UNSAAmineAdrenergicβ2Homo sapiensConstrained EpinephrineGTPGs/β1/γ23.42024-03-06doi.org/10.1038/s41586-024-07153-1
8UNS (No Gprot) AAmineAdrenergicβ2Homo sapiensConstrained EpinephrineGTP3.42024-03-06doi.org/10.1038/s41586-024-07153-1
8UNTAAmineAdrenergicβ2Homo sapiensConstrained EpinephrineGTPGs/β1/γ23.42024-03-06doi.org/10.1038/s41586-024-07153-1
8UNT (No Gprot) AAmineAdrenergicβ2Homo sapiensConstrained EpinephrineGTP3.42024-03-06doi.org/10.1038/s41586-024-07153-1
8UNUAAmineAdrenergicβ2Homo sapiensConstrained EpinephrineGTPGs/β1/γ23.52024-03-06doi.org/10.1038/s41586-024-07153-1
8UNU (No Gprot) AAmineAdrenergicβ2Homo sapiensConstrained EpinephrineGTP3.52024-03-06doi.org/10.1038/s41586-024-07153-1
8UNVAAmineAdrenergicβ2Homo sapiensConstrained EpinephrineGTPGs/β1/γ23.32024-03-06doi.org/10.1038/s41586-024-07153-1
8UNV (No Gprot) AAmineAdrenergicβ2Homo sapiensConstrained EpinephrineGTP3.32024-03-06doi.org/10.1038/s41586-024-07153-1
8UNWAAmineAdrenergicβ2Homo sapiensConstrained EpinephrineGTPGs/β1/γ23.42024-03-06doi.org/10.1038/s41586-024-07153-1
8UNW (No Gprot) AAmineAdrenergicβ2Homo sapiensConstrained EpinephrineGTP3.42024-03-06doi.org/10.1038/s41586-024-07153-1
8UNXAAmineAdrenergicβ2Homo sapiensConstrained EpinephrineGTPGs/β1/γ23.62024-03-06doi.org/10.1038/s41586-024-07153-1
8UNX (No Gprot) AAmineAdrenergicβ2Homo sapiensConstrained EpinephrineGTP3.62024-03-06doi.org/10.1038/s41586-024-07153-1
8UNYAAmineAdrenergicβ2Homo sapiensConstrained EpinephrineGTPGs/β1/γ23.62024-03-06doi.org/10.1038/s41586-024-07153-1
8UNY (No Gprot) AAmineAdrenergicβ2Homo sapiensConstrained EpinephrineGTP3.62024-03-06doi.org/10.1038/s41586-024-07153-1
8UNZAAmineAdrenergicβ2Homo sapiensConstrained EpinephrineGTPGs/β1/γ23.82024-03-06doi.org/10.1038/s41586-024-07153-1
8UNZ (No Gprot) AAmineAdrenergicβ2Homo sapiensConstrained EpinephrineGTP3.82024-03-06doi.org/10.1038/s41586-024-07153-1
8UO0AAmineAdrenergicβ2Homo sapiensConstrained EpinephrineGTPGs/β1/γ23.52024-03-06doi.org/10.1038/s41586-024-07153-1
8UO0 (No Gprot) AAmineAdrenergicβ2Homo sapiensConstrained EpinephrineGTP3.52024-03-06doi.org/10.1038/s41586-024-07153-1
8UO1AAmineAdrenergicβ2Homo sapiensConstrained EpinephrineGTP; MgGs/β1/γ23.62024-03-06doi.org/10.1038/s41586-024-07153-1
8UO1 (No Gprot) AAmineAdrenergicβ2Homo sapiensConstrained EpinephrineGTP; Mg3.62024-03-06doi.org/10.1038/s41586-024-07153-1
8UO2AAmineAdrenergicβ2Homo sapiensConstrained EpinephrineGTPGs/β1/γ23.62024-03-06doi.org/10.1038/s41586-024-07153-1
8UO2 (No Gprot) AAmineAdrenergicβ2Homo sapiensConstrained EpinephrineGTP3.62024-03-06doi.org/10.1038/s41586-024-07153-1
8UO3AAmineAdrenergicβ2Homo sapiensConstrained EpinephrineGTP; MgGs/β1/γ23.52024-03-06doi.org/10.1038/s41586-024-07153-1
8UO3 (No Gprot) AAmineAdrenergicβ2Homo sapiensConstrained EpinephrineGTP; Mg3.52024-03-06doi.org/10.1038/s41586-024-07153-1
8UO4AAmineAdrenergicβ2Homo sapiensConstrained EpinephrineGTP; MgGs/β1/γ242024-03-06doi.org/10.1038/s41586-024-07153-1
8UO4 (No Gprot) AAmineAdrenergicβ2Homo sapiensConstrained EpinephrineGTP; Mg42024-03-06doi.org/10.1038/s41586-024-07153-1
8W1VAAmineAdrenergicβ2Homo sapiensPubChem 171716265--32024-07-17doi.org/10.1021/acs.jmedchem.4c00578
9CHXAAmineAdrenergicβ2Homo sapiensCarazolol--3.52024-11-13doi.org/10.1073/pnas.2414544121
9BUY (No Gprot) AAmineAdrenergicβ2Homo sapiensLM189-2.92025-05-28doi.org/10.1126/sciadv.adq3971
9M55AAmineAdrenergicOct-Beta2Ixodes scapularisDPMF-chim(NtGi1-Gs)/β1/γ23.392025-12-1710.1093/pnasnexus/pgaf376
9M55 (No Gprot) AAmineAdrenergicOct-Beta2Ixodes scapularisDPMF-3.392025-12-1710.1093/pnasnexus/pgaf376
9M57AAmineAdrenergicOct-Beta2Ixodes scapularisOctopamine-chim(NtGi1-Gs)/β1/γ23.652025-12-1710.1093/pnasnexus/pgaf376
9M57 (No Gprot) AAmineAdrenergicOct-Beta2Ixodes scapularisOctopamine-3.652025-12-1710.1093/pnasnexus/pgaf376
9L8LAAmineAdrenergicβ2Homo sapiensBI167107AtazanavirGs/β1/γ2 ; Arrestin23.222025-12-31To be published
9L8L (No Gprot) AAmineAdrenergicβ2Homo sapiensBI167107Atazanavir3.222025-12-31To be published




You can download a compressed (zip) file with structure(s), 3D outputs (as PyMol and VMD scripts) and numerical data files (as csv and plain text files).

Download 9BUY.zip



You can click to copy the link of this page to easily come back here later

or use this QR code to link and share this page.



You can also  read or  download a guide explaining the meaning of all files and numerical data.