Color ConSurf Grade
      No Conservation data available
      1
      2
      3
      4
      5
      6
      7
      8
      9

Index: hub id, click on each number to highlight the corresponding hub in the 3D visualization.

Hub: the hub being considered.

Avg Int. Strength: the average interaction strength of all the links of the corresponding hub.

Num Of Links: the number of links of the corresponding hub.

Community: the id of the community the link belong to, otherwise 0.

ConSurf: this column reports the ConSurf conservation grades of each hub.

Index Hub Avg Int. Strength Num Of Links Community ConSurf
1A:A:L5 3.04402
2A:A:I19 3.6075429
3A:A:E33 2.81416
4A:A:V34 4.845455
5A:A:L36 3.74457
6A:A:L37 4.985419
7A:A:K46 4.474559
8A:A:I49 4.3875457
9A:A:I184 3.805419
10A:A:F191 7.9354235
11A:A:F196 7.212557
12A:A:K197 5.2375416
13A:A:M198 3.1407
14A:A:F199 6.62167615
15A:A:V201 4.0275419
16A:A:R208 3.94519
17A:A:K210 6.57833619
18A:A:W211 3.84819
19A:A:I212 3.035418
20A:A:H213 5.8075418
21A:A:F215 4.96143719
22A:A:I222 3.13557
23A:A:F223 4.672509
24A:A:D229 5.03254208
25A:A:Y230 4.91508
26A:A:L232 5.2754208
27A:A:R242 6.274209
28A:A:H244 3.5354104
29A:A:F250 4.5465139
30A:A:C254 4.66254135
31A:A:W258 6.08429715
32A:A:F259 5.0625419
33A:A:I265 2.818558
34A:A:F267 3.99167659
35A:A:N269 4.186559
36A:A:F274 4.206509
37A:A:P282 2.595405
38A:A:L283 4.234107
39A:A:C286 3.5654106
40A:A:Y287 4.947147107
41A:A:Y290 5.8185107
42A:A:Y296 9.545404
43A:A:Y302 9.24754106
44A:A:F307 4.05508
45A:A:N311 5.0765138
46A:A:R313 4.10254134
47A:A:T316 4.254133
48A:A:K317 5.70254137
49A:A:Y320 5.5507
50A:A:H322 8.16459
51A:A:F323 4.64754184
52A:A:N331 6.46667658
53A:A:F334 6.2025453
54A:A:F336 7.0145238
55A:A:C351 3.2375404
56A:A:L353 4.9075407
57A:A:F354 6.851676115
58B:B:L7 3.24408
59B:B:L30 4.015495
60B:B:T34 4.83495
61B:B:I37 3.5492
62B:B:V40 3.762593
63B:B:R48 2.8775427
64B:B:H54 6.645829
65B:B:Y59 7.744518
66B:B:W63 6.43833627
67B:B:R68 10.785425
68B:B:D76 5.12529
69B:B:K78 5.1675428
70B:B:L79 4.07407
71B:B:W82 8.91429729
72B:B:S84 3.85425
73B:B:Y85 10.625424
74B:B:N88 4.8125407
75B:B:K89 5.94571729
76B:B:H91 4.3275405
77B:B:I93 4.66254197
78B:B:L95 4.265408
79B:B:W99 6.16625819
80B:B:Y105 4.325717196
81B:B:N110 4.7725484
82B:B:Y111 6.234584
83B:B:L117 2.89519
84B:B:N119 4.9625409
85B:B:I120 4.2525406
86B:B:I123 3.3525486
87B:B:Y124 4.468577196
88B:B:E138 3.74406
89B:B:H142 6.41619
90B:B:Y145 4.4461018
91B:B:R150 5.0354286
92B:B:F151 3.96689
93B:B:L152 4.49463
94B:B:I157 4.0025407
95B:B:V158 2.89405
96B:B:T159 6.155419
97B:B:S161 7.4575419
98B:B:D163 8.7575419
99B:B:L168 4.6175466
100B:B:W169 8.64429718
101B:B:I171 3.175486
102B:B:F180 7.48567
103B:B:H183 7.18857769
104B:B:D186 5.064519
105B:B:V187 3.9125469
106B:B:L190 3.66754285
107B:B:F199 5.856569
108B:B:S201 4.058569
109B:B:C204 4.498517
110B:B:D205 7.015469
111B:B:K209 8.524566
112B:B:L210 4.165405
113B:B:W211 7.66714768
114B:B:D212 7.4854219
115B:B:Q220 6.4125447
116B:B:F222 6.444548
117B:B:H225 6.3525849
118B:B:D228 6.776519
119B:B:I232 4.3275448
120B:B:F234 3.35167645
121B:B:F235 4.957147126
122B:B:P236 5.68254127
123B:B:F241 5.4725846
124B:B:T243 4.49548
125B:B:D247 8.64449
126B:B:T249 6.0675446
127B:B:C250 3.2525418
128B:B:R251 9.878548
129B:B:F253 5.73646
130B:B:L255 2.8675446
131B:B:D258 8.19547
132B:B:Y264 3.625605
133B:B:I269 3.165414
134B:B:C271 3.83415
135B:B:F278 5.2956127
136B:B:R283 7.596599
137B:B:Y289 7.32617
138B:B:N295 7.655416
139B:B:W297 5.456518
140B:B:L300 5.15496
141B:B:R304 7.875415
142B:B:V307 3.5275413
143B:B:H311 8.3185149
144B:B:R314 11.66418
145B:B:M325 4.695405
146B:B:W332 10.01719
147B:B:D333 6.15254149
148B:B:L336 5.035427
149B:B:K337 6.1245146
150B:B:W339 7.432867149
151B:B:N340 4.466529
152G:G:L19 2.7325409
153G:G:R27 6.8375448
154G:G:Y40 7.084126
155G:G:D48 7.52599
156G:G:L51 4.95833696
157G:G:V54 4.2426
158G:G:N59 4.98529
159G:G:P60 5.985429
160G:G:F61 4.21667928
161L:L:?1 7.853331230
162R:R:F21 5.435433
163R:R:L30 3.796536
164R:R:F38 5.391676156
165R:R:L42 4.21754156
166R:R:N45 3.6525409
167R:R:I51 2.9145317
168R:R:F52 4.69254317
169R:R:L69 4.11833679
170R:R:D73 5.302579
171R:R:I77 4.1625155
172R:R:M84 3.53754157
173R:R:Y86 6.9275435
174R:R:Y87 7.1575435
175R:R:W93 6.11333639
176R:R:F105 7.4975475
177R:R:F107 7.6725436
178R:R:M109 4.585675
179R:R:R111 5.0275407
180R:R:Q112 7.245227
181R:R:F117 7.616577
182R:R:Y126 5.7656178
183R:R:F127 4.6025175
184R:R:R128 5.3485268
185R:R:V130 5.7154177
186R:R:H131 3.43754176
187R:R:H133 8.72405
188R:R:H134 3.024175
189R:R:W152 5.04579
190R:R:L162 5.0225433
191R:R:F180 6.405634
192R:R:M192 3.974225
193R:R:F193 3.422535
194R:R:F197 4.491676168
195R:R:L201 3.4845166
196R:R:R210 4.03754174
197R:R:R218 6.234116
198R:R:M220 4.7454113
199R:R:F240 2.7756169
200R:R:C243 2.5065168
201R:R:F244 3.968336169
202R:R:R251 5.244536
203R:R:Y269 3.84634
204R:R:V272 2.835434
205R:R:F276 5.29833634
206R:R:F277 2.64405
207R:R:L280 4.56435
208R:R:V293 2.635477
209R:R:Y294 4.78679
210R:R:Y295 5.648505
   

Color ConSurf Grade
      No Conservation data available
      1
      2
      3
      4
      5
      6
      7
      8
      9

Index: link id, click on each number to highlight the corresponding link in the 3D visualization.

Node1 Node2: the two nodes of the corresponding link.

Recurrence: the relative Recurrence in the pool of shortest paths.

Int. Strength: the interaction strength between the two nodes.

Hub1?, Hub2?: "Yes" if the corresponding node has more than 3 links, otherwise "No".

Community: the id of the community the link belong to, otherwise 0.

ConSurf1, ConSurf2: these columns report the ConSurf conservation grades of the two nodes involved in a link.

Index Node1 Node2 Recurrence Int. Strength Hub1? Hub2? Community ConSurf1 ConSurf2
1B:B:C317 B:B:M61 12.78454.86NoNo076
2B:B:C317 B:B:S316 14.61093.44NoNo079
3B:B:S316 B:B:W332 14.76374.94NoYes099
4A:A:W258 B:B:W332 15.4462.81YesYes159
5A:A:I212 A:A:W258 38.8362.35YesYes185
6A:A:I212 A:A:R208 38.5153.76YesYes189
7A:A:L249 A:A:R208 86.47544.86NoYes099
8A:A:F223 A:A:L249 86.6134.87YesNo099
9A:A:F223 A:A:V225 59.16642.62YesNo097
10A:A:L268 A:A:V225 19.70342.98NoNo087
11A:A:L227 A:A:L268 19.70185.54NoNo1878
12A:A:F274 A:A:L227 20.01718.53YesNo097
13A:A:F274 A:A:Y230 59.47324.13YesYes098
14A:A:D231 A:A:Y230 10011.49NoYes098
15A:A:D231 A:A:L232 99.92694.07NoYes2098
16A:A:D229 A:A:L232 99.62758.14YesYes2088
17A:A:D229 A:A:S228 99.75622.94YesNo089
18A:A:K270 A:A:S228 99.71157.65NoNo099
19A:A:G45 A:A:K270 99.68911.74NoNo099
20A:A:G45 A:A:N269 99.16493.39NoYes099
21A:A:I49 A:A:N269 91.37137.08YesYes579
22A:A:I49 A:A:M53 86.39314.37YesNo078
23A:A:M198 A:A:M53 86.26654.33YesNo078
24A:A:L36 A:A:M198 57.24662.83YesYes077
25A:A:F307 A:A:V225 39.54327.87YesNo087
26A:A:F307 A:A:I303 39.62442.51YesNo087
27A:A:F274 A:A:I303 39.59142.51YesNo097
28A:A:F223 A:A:L266 39.52323.65YesNo099
29A:A:F307 A:A:L266 39.60253.65YesNo089
30A:A:F307 A:A:M243 39.3032.49YesNo088
31A:A:C286 A:A:M243 39.31153.24YesNo068
32A:A:C286 A:A:Y230 40.52392.69YesYes068
33A:A:L36 A:A:V34 28.52092.98YesYes575
34A:A:F196 A:A:L36 29.09714.87YesYes577
35A:A:F189 A:A:F196 28.889317.15NoYes097
36A:A:F189 A:A:M198 28.93123.73NoYes097
37A:A:V339 A:A:V34 28.43514.81NoYes585
38A:A:F196 A:A:V339 56.63843.93YesNo578
39A:A:F215 A:A:L37 10.99528.53YesYes199
40A:A:L37 A:A:L39 12.00874.15YesNo099
41B:B:S147 B:B:S160 31.32854.89NoNo096
42B:B:S147 B:B:Y145 31.47692.54NoYes098
43A:A:W211 B:B:Y145 45.49111.93YesYes198
44A:A:F334 A:A:Y320 11.07732.06YesYes037
45A:A:I343 A:A:V339 84.92713.07NoNo078
46A:A:I343 A:A:N347 85.53034.25NoNo078
47A:A:N347 R:R:R128 85.22566.03NoYes2688
48A:A:C351 R:R:R128 84.33522.79YesYes048
49A:A:C351 A:A:L353 79.85774.76YesYes047
50A:A:L353 R:R:R125 78.96277.29YesNo079
51B:B:S160 B:B:V187 28.4134.85NoYes069
52B:B:S201 B:B:V187 21.51893.23YesYes699
53B:B:G202 B:B:S201 21.69441.86NoYes069
54B:B:D258 B:B:F222 10.60942.39YesYes478
55B:B:G202 B:B:I229 14.74043.53NoNo067
56B:B:G162 B:B:Y145 10.87284.35NoYes198
57B:B:G162 B:B:S161 10.72763.71NoYes199
58B:B:D290 B:B:R314 14.895219.06NoYes168
59B:B:C271 B:B:D290 14.75413.11YesNo156
60B:B:C271 B:B:Y289 13.21984.03YesYes157
61B:B:W297 B:B:Y264 10.02685.79YesYes085
62R:R:R125 R:R:Y294 77.40284.12NoYes799
63R:R:L118 R:R:Y294 60.83995.86NoYes089
64R:R:F240 R:R:L118 51.61342.44YesNo098
65R:R:F240 R:R:F244 43.76812.14YesYes1699
66R:R:F244 R:R:R111 42.24833.21YesYes097
67L:L:?1 R:R:R111 27.238.52YesYes007
68R:R:F193 R:R:R111 14.3993.21YesYes057
69R:R:I254 R:R:V272 27.75033.07NoYes354
70R:R:V272 R:R:Y269 21.09192.52YesYes344
71R:R:F276 R:R:I254 24.76133.77YesNo345
72R:R:D290 R:R:Y294 14.26732.3NoYes799
73R:R:F117 R:R:L69 17.95826.09YesYes779
74A:A:F223 A:A:L39 12.28913.65YesNo099
75B:B:W297 B:B:Y289 10.28936.75YesYes187
76A:A:R208 A:A:W211 47.70486YesYes199
77A:A:W258 B:B:R314 22.35773YesYes158
Download PSN data

2D representation of the global metapath, ligand(s) interactions and
histograms of path distribution according to several parameters
(click on the image to enlarge it 🔍):

A 2D representation of the global communication in the network.

ConSurf Conservation Grade (See documentation): 

 n/a   1    2    3    4    5    6    7    8    9  

Number of shortest communication paths as a function of the average residue correlation.

Number of shortest communication paths as a function of the average interaction strength of their links.

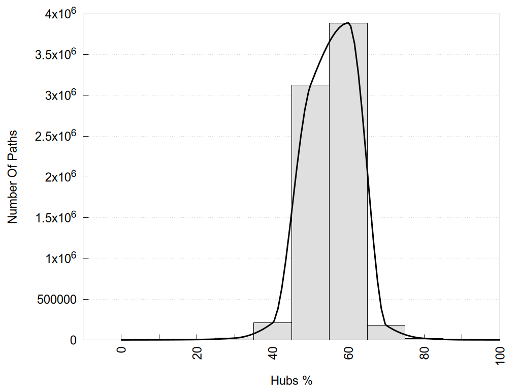
Number of shortest communication paths as a function of the % of hub nodes in each path.

Number of shortest communication paths as a function of the number of nodes in each path.

Number of shortest communication paths as a function of the % of correlated nodes in each path.


2D representation of the interactions of this orthosteric/allosteric ligand.


Links and nodes colored according to ConSurf Conservation Grade (See documentation): 

 n/a   1    2    3    4    5    6    7    8    9  

Node1 Node2 LinkStrength Comm IsNode1Hub? IsNode2Hub? Node1Cons Node2Cons Node1Shell Node2Shell
L:L:?1 R:R:V83 13.06 3 Yes No 0 6 0 1
L:L:?1 R:R:Y86 9.25 3 Yes Yes 0 5 0 1
L:L:?1 R:R:W93 2 3 Yes Yes 0 9 0 1
L:L:?1 R:R:V103 2.61 3 Yes No 0 5 0 1
L:L:?1 R:R:L104 13.35 3 Yes No 0 5 0 1
L:L:?1 R:R:F107 16.02 3 Yes Yes 0 6 0 1
L:L:?1 R:R:R111 8.52 3 Yes Yes 0 7 0 1
L:L:?1 R:R:C177 4.17 3 Yes No 0 9 0 1
L:L:?1 R:R:F180 6.41 3 Yes Yes 0 4 0 1
L:L:?1 R:R:F277 2.14 3 Yes Yes 0 5 0 1
L:L:?1 R:R:L280 8.49 3 Yes Yes 0 5 0 1
L:L:?1 R:R:Y284 8.22 3 Yes No 0 7 0 1
R:R:I26 R:R:Y87 13.3 3 No Yes 4 5 2 2
R:R:F277 R:R:I26 2.51 0 Yes No 5 4 1 2
R:R:L76 R:R:Y284 2.34 0 No No 6 7 2 1
R:R:C79 R:R:F107 4.19 0 No Yes 6 6 2 1
R:R:V83 R:R:Y87 2.52 3 No Yes 6 5 1 2
R:R:F107 R:R:V83 5.24 3 Yes No 6 6 1 1
R:R:Y86 R:R:Y87 6.95 3 Yes Yes 5 5 1 2
R:R:W93 R:R:Y86 7.72 3 Yes Yes 9 5 1 1
R:R:V176 R:R:Y86 3.79 0 No Yes 1 5 2 1
R:R:C100 R:R:W93 6.53 3 No Yes 9 9 2 1
R:R:V103 R:R:W93 2.45 3 No Yes 5 9 1 1
R:R:C177 R:R:W93 16.98 3 No Yes 9 9 1 1
R:R:C100 R:R:C177 7.28 3 No No 9 9 2 1
R:R:F107 R:R:V103 5.24 3 Yes No 6 5 1 1
R:R:L104 R:R:L167 2.77 0 No No 5 4 1 2
R:R:L104 R:R:S179 3 0 No No 5 5 1 2
R:R:F193 R:R:R111 3.21 3 Yes Yes 5 7 2 1
R:R:F244 R:R:R111 3.21 16 Yes Yes 9 7 2 1
R:R:R111 R:R:T283 5.17 0 Yes No 7 8 1 2
R:R:F277 R:R:I178 3.77 0 Yes No 5 3 1 2
R:R:H189 R:R:S179 9.76 3 No No 5 5 2 2
R:R:F180 R:R:H189 6.79 3 Yes No 4 5 1 2
R:R:F180 R:R:F193 5.36 3 Yes Yes 4 5 1 2
R:R:F180 R:R:R251 4.28 3 Yes Yes 4 6 1 2
R:R:F180 R:R:F276 10.72 3 Yes Yes 4 4 1 2
R:R:F180 R:R:L280 4.87 3 Yes Yes 4 5 1 1
R:R:F193 R:R:R251 2.14 3 Yes Yes 5 6 2 2
R:R:F193 R:R:L280 2.44 3 Yes Yes 5 5 2 1
R:R:F276 R:R:R251 7.48 3 Yes Yes 4 6 2 2
R:R:F276 R:R:F277 2.14 3 Yes Yes 4 5 2 1
R:R:F276 R:R:L280 2.44 3 Yes Yes 4 5 2 1
R:R:T283 R:R:Y284 7.49 0 No No 8 7 2 1
R:R:F82 R:R:W93 1 0 No Yes 6 9 2 1

Location and physicochemical properties of the interaction partners of this ligand

Interactions of this ligand

Similarities between the interactions of this ligand and those of other networks

ShowSimilarityNetwork TypeNameLigandDescription
76.92Single8IHJAcifran8IHJ-HCA3-Acifran-Gi1/β1/γ2
75.00Single9IZASCH9002719IZA-HCA2-SCH900271-Gi1/β1/γ2
73.33Single8IYWGSK2560738IYW-HCA2-GSK256073-Go/β1/γ2
71.43Single9JKSPubChem 442501769JKS-HCA3-PubChem 44250176-Gi1/β1/γ2
69.23Single6ZG9GSK10347026ZG9-M1-GSK1034702
69.23Single8IHKAcifran8IHK-HCA3-Acifran
69.23Single9JKYAcifran9JKY-HCA2-Acifran-Gi1/β1/γ2
68.75Single9KT8Acifran9KT8-HCA2-Acifran-Gi1/β1/γ2
66.67Single8IHIAcifran8IHI-HCA2-Acifran-Gi1/β1/γ2
57.14Single6ZFZ77-LH-28-16ZFZ-M1-77-LH-28-1
57.14Single8IY9Niacin8IY9-HCA2-Niacin-Go/β1/γ2
57.14Single8K5CAcipimox8K5C-HCA2-Acipimox
56.25Single8EFLSR170188EFL-μ-SR17018-Gi1/β1/γ2
56.25Single8IHBGSK2560738IHB-HCA2-GSK256073-Gi1/β1/γ2
56.25Single8IHHLUF62838IHH-HCA2-LUF6283-Gi1/β1/γ2
53.33Single5DHHSB-6121115DHH-NOP-SB-612111
53.33Single6Z10PubChem 1545855546Z10-Succinate-PubChem 154585554
53.33Single8I7VAcipimox8I7V-HCA2-Acipimox-Gi1/β1/γ2
53.33Single8JIINiacin8JII-HCA2-Niacin-PubChem 25101223-Gi1/β1/γ2
53.33Single9BQJRO769BQJ-μ-RO76-Gi1/β1/γ2
52.94Single9GL2Befiradol9GL2-5-HT1A-Befiradol-Gs/β1/γ2
52.94Single9VJ6F-155999VJ6-5-HT1A-F-15599-Gi3/β1/γ2
52.63Single8PKMBefiradol8PKM-5-HT1A-Befiradol-Gi1/β1/γ1
50.00Single3ODUIT1t3ODU-CXCR4-IT1t
50.00Single3OE8IT1t3OE8-CXCR4-IT1t
50.00Single7TD3S1P7TD3-S1P1-S1P-Gi1/β1/γ2
50.00Single7WF7S1P7WF7-S1P1-S1P-Gi1/β1/γ2
50.00Single8F7SDeltorphin8F7S-δ-Deltorphin-Gi1/β1/γ2
50.00Single8I7WGSK2560738I7W-HCA2-GSK256073-Gi1/β1/γ2
50.00Single8IJANiacin8IJA-HCA2-Niacin-Gi1/β1/γ2
50.00Single8IJBAcipimox8IJB-HCA2-Acipimox-Gi1/β1/γ2
50.00Single8J6LNiacin8J6L-HCA2-Niacin-Gi1/β1/γ2
50.00Single8UUJFCH-22964138UUJ-HCA2-FCH-2296413-Gi1/β1/γ2
50.00Single8WGBVU01550418WGB-mGlu4; mGlu2-Glutamate-VU0155041-Gi3/β1/γ2
50.00Single8Z87CHBA8Z87-HCA1-CHBA-Gi1/β1/γ2
50.00Single9CIBFCH-22964139CIB-HCA2-FCH-2296413
50.00Single9JKXAcifran9JKX-HCA3-Acifran-Gi1/β1/γ2
50.00Single9VJFBuspirone9VJF-5-HT1A-Buspirone-Gi3/β1/γ2
50.00Single9W49U-50488H9W49-κ-U-50488H-Gi1/β1/γ2
50.00Consensusdop_on_gpOrthosteric Ligand8F7S-δ-Deltorphin-Gi1/β1/γ2
50.00Consensuss1p5_offOrthosteric Ligand7YXA-S1P5-ONO-5430608
50.00Consensuss1p_offOrthosteric Ligands1p1_off s1p5_off
47.83Consensusopioid_on_gpOrthosteric Ligandmop_on_gp nop_on_gp dop_on_gp kop_on_gp
47.62Single8XIRPasireotide8XIR-SST3-Pasireotide-chim(NtGi1-Gs-CtGi1)/β1/γ2
47.37Single8F7REndomorphin8F7R-μ-Endomorphin-Gi1/β1/γ2
47.37Single9MD1Buspirone9MD1-5-HT1A-Buspirone-PtdIns4P-Gz/β1/γ2
47.37Single9WSXEndomorphin9WSX-μ-Endomorphin-Arrestin2
47.06Single4DJHJDTic4DJH-κ-JDTic
47.06Single8EF5Fentanyl8EF5-μ-Fentanyl-Gi1/β1/γ2
47.06Single9WSTDAMGO9WST-μ-DAMGO-chim(NtGi1-Gz)/β1/γ2
47.06Consensuskop_offOrthosteric Ligand4DJH-κ-JDTic
46.67Single3V2YPubChem 518926453V2Y-S1P1-PubChem 51892645
46.67Single7F61PF-036547467F61-H3-PF-03654746
46.67Single8JEIPubChem 117155568JEI-HCAR3-PubChem 11715556-Gi1/β1/γ2
46.67Single8JERAcipimox8JER-HCA2-Acipimox-Go/β1/γ2
46.67Single8JIMMonomethyl fumarate8JIM-HCA2-Monomethyl fumarate-Gi1/β1/γ2
46.67Single8Y6YGLPG09748Y6Y-FFA2-GLPG0974
46.67Consensushca_onOrthosteric Ligandhca2_on
46.15Single3OE6IT1t3OE6-CXCR4-IT1t
46.15Single8J6QBeta-Hydroxybutyrate8J6Q-HCA2-β-Hydroxybutyrate-PubChem 25101223-Gi1/β1/γ2
46.15Single9JKT(2R)-2-hydroxy-3-phenylpropanoic acid9JKT-HCA3-(2R)-2-hydroxy-3-phenylpropanoic acid-Gi1/β1/γ2
45.83Single8FEG(DNCP)-Beta-Naloxamine8FEG-κ-(DNCP)-β-Naloxamine-Gi1/β1/γ2
45.45Single8XWQEndothelin-18XWQ-ETB-Endothelin-1-Gi1/β1/γ2
45.00Consensusgi_opioidOrthosteric Ligand8F7R-μ-Endomorphin-Gi1/β1/γ2 8EF5-μ-Fentanyl-Gi1/β1/γ2 7SCG-μ-FH210-Gi1/β1/γ2 7T2H-μ-Lofentanil-Gi1/β1/γ2 7T2G-μ-Mitragynine Pseudoindoxyl-Gi1/β1/γ2 8DZP-κ-momSalB-Gi1/β1/γ2 8EF6-μ-Morphine-Gi1/β1/γ2 8F7X-NOP-Nociceptin-Gi1/β1/γ2 8EFB-μ-Oliceridine-Gi1/β1/γ2 7U2L-μ-C5-guano-Gi1/β1/γ2 8EFO-μ-PZM21-Gi1/β1/γ2 8EFL-μ-SR17018-Gi1/β1/γ2 8F7Q-μ-β-Endorphin-Gi1/β1/γ2 7U2K-μ-C6-guano-Gi1/β1/γ2 8EFQ-μ-DAMGO-Gi1/β1/γ2 8F7S-δ-Deltorphin-Gi1/β1/γ2 8F7W-κ-Dynorphin-Gi1/β1/γ2
44.44Single6ZG4HTL00099366ZG4-M1-HTL0009936
44.44Single7EW2FTY720-P7EW2-S1P3-FTY720-P-Gi1/β1/γ2
44.44Single9BJKPubChem 1716420669BJK-μ-Naloxone-PubChem 171642066
44.44Single9WSWEndomorphin9WSW-μ-Endomorphin-chim(NtGi1-Gz)/β1/γ2
43.75Single4EA3PubChem 102965614EA3-NOP-PubChem 10296561
43.75Single5DHGC-355DHG-NOP-C-35
43.75Single5NDDAZ8838; Na5NDD-PAR2-AZ8838; Na
43.75Single6TOTLemborexant6TOT-OX1-Lemborexant
43.75Single7SCGFH2107SCG-μ-FH210-Gi1/β1/γ2
43.75Single7UL4Alvimopan7UL4-μ-Alvimopan
43.75Single7YXAONO-54306087YXA-S1P5-ONO-5430608
43.75Single8J6PNiacin8J6P-HCA2-Niacin-PubChem 25101223-Gi1/β1/γ2
43.75Single8JHNMonomethyl fumarate8JHN-HCA2-Monomethyl fumarate-Go/β1/γ2
43.75Single8K5DGSK2560738K5D-HCA2-GSK256073
43.75Single9D61JDTic9D61-κ-JDTic-Gi1/β1/γ2
43.75Single9IZCMK19039IZC-HCA2-MK1903-Gi1/β1/γ2
43.75Consensusalicarboxylic_offOrthosteric Ligandsuccinate_off
43.75Consensusalicarboxylic_on_gpOrthosteric Ligandsuccinate_on_gp hca_on_gp
43.75Consensusgi_alicarboxylicOrthosteric Ligandgi_hca gi_succinate
43.75Consensusgi_hcaOrthosteric Ligand8J6R-HCA2-MK6892-Gi1/β1/γ2 8JIM-HCA2-Monomethyl fumarate-Gi1/β1/γ2 8IHI-HCA2-Acifran-Gi1/β1/γ2 8IHH-HCA2-LUF6283-Gi1/β1/γ2 8I7V-HCA2-Acipimox-Gi1/β1/γ2 8I7W-HCA2-GSK256073-Gi1/β1/γ2
43.75Consensushca2_onOrthosteric Ligand8J6R-HCA2-MK6892-Gi1/β1/γ2 8JIM-HCA2-Monomethyl fumarate-Gi1/β1/γ2 8I7V-HCA2-Acipimox-Gi1/β1/γ2 8I7W-HCA2-GSK256073-Gi1/β1/γ2 8IHH-HCA2-LUF6283-Gi1/β1/γ2 8IHI-HCA2-Acifran-Gi1/β1/γ2
43.75Consensushca2_on_gpOrthosteric Ligand8J6R-HCA2-MK6892-Gi1/β1/γ2 8IHI-HCA2-Acifran-Gi1/β1/γ2 8IHH-HCA2-LUF6283-Gi1/β1/γ2 8I7V-HCA2-Acipimox-Gi1/β1/γ2 8JIM-HCA2-Monomethyl fumarate-Gi1/β1/γ2 8I7W-HCA2-GSK256073-Gi1/β1/γ2
43.75Consensushca_on_gpOrthosteric Ligandhca2_on_gp
43.75Consensussuccinate_offOrthosteric Ligand6RNK-Succinate-NF-56-EJ40 6Z10-Succinate-PubChem 154585554
43.48Consensusopioid_onOrthosteric Ligandmop_on nop_on dop_on kop_on
42.86Single3OE9IT1t3OE9-CXCR4-IT1t
42.86Single8F7WDynorphin8F7W-κ-Dynorphin-Gi1/β1/γ2
42.86Single8H2GNiacin8H2G-HCA2-Niacin-Gi1/β1/γ2
42.86Single8JILNiacin8JIL-HCA2-Niacin-Gi1/β1/γ2
42.86Single8K5BNiacin8K5B-HCA2-Niacin
42.86Single9IQTNiacin9IQT-HCA2-Niacin-Gi1/β1/γ2
42.86Single9IZDCHBA9IZD-HCA1-CHBA-Gi1/β1/γ2
42.11Single4RWSvMIP-II4RWS-CXCR4-vMIP-II
42.11Single6DDFDAMGO6DDF-μ-DAMGO-Gi1/β1/γ2
42.11Single7X2DTavapadon7X2D-D1-Tavapadon-Gs/β1/γ2
42.11Single7XK2MK68927XK2-HCA2-MK6892-Gi1/β1/γ2
42.11Single8I95EP548I95-C3aB-EP54-Go/β1/γ2
42.11Single8XGSKisspeptin-18XGS-Kiss1-Kisspeptin-1-chim(NtGi1-Gq)/β1/γ2
42.11Single9DYEBuspirone9DYE-5-HT1A-Buspirone-PtdIns4P-Go/β1/γ2
42.11Single9M54Neuropeptide-VF9M54-NPFF2-Neuropeptide-VF-Gi1/β1/γ2
42.11Single9YDPDADLE9YDP-δ-DADLE-chim(NtGi1L-Gs-CtGi1)/β1/γ2
41.67Single9JIDNiacin9JID-HCA3-Niacin-Gi1/β1/γ2
41.67Single9JKVPubChem 27366909JKV-HCA3-PubChem 2736690-Gi1/β1/γ2
41.18Single4ZJ8Suvorexant4ZJ8-OX1-Suvorexant
41.18Single6TP6Filorexant6TP6-OX1-Filorexant
41.18Single7C4SS1P7C4S-S1P3-S1P
41.18Single7EO2FTY720-P7EO2-S1P1-FTY720-P-Gi1/β1/γ2
41.18Single7SBFPZM217SBF-μ-PZM21-Gi1/β1/γ2
41.18Single8DZQmomSalB8DZQ-κ-momSalB-Go/β1/γ2
41.18Single8DZRGR89,6968DZR-κ-GR89,696-chim(NtGi2-Gt3)/β1/γ2
41.18Single8EFBOliceridine8EFB-μ-Oliceridine-Gi1/β1/γ2
41.18Single8J6JGSK2560738J6J-HCA2-GSK256073-Gi1/β1/γ2
41.18Single9I52A1IZU9I52-D1-A1IZU-Gs/β1/γ2
41.18Single9L74S1P d16:19L74-S1P3-S1P d16:1-chim(NtGi2L-Gs-CtGq)/β1/γ2
40.91Single7TD0LPA7TD0-LPA1-LPA-Gi1/β1/γ2
40.91Single8XGUTAK4488XGU-Kiss1-TAK448-Gi1/β1/γ2
40.91Single8XIQL7967788XIQ-SST3-L796778-chim(NtGi1-Gs-CtGi1)/β1/γ2
40.00Single3V2WPubChem 518926453V2W-S1P1-PubChem 51892645
40.00Single7YJ4INSL57YJ4-RXFP4-INSL5-Gi2/β1/γ2
40.00Single8EFOPZM218EFO-μ-PZM21-Gi1/β1/γ2
40.00Single8FYXBuspirone8FYX-5-HT1A-Buspirone-PtdIns4P-Gi1/β1/γ1
40.00Single8UTDMK19038UTD-HCA2-MK1903-Gi1/β1/γ2
40.00Single8X5YAstemizole8X5Y-H1-Astemizole
40.00Single8Y0HVUF114188Y0H-CXCR3-VUF11418
40.00Single8Y0NVUF114188Y0N-CXCR3-VUF11418-Go/β1/γ2
40.00Single9KZ2EP679KZ2-C3aB-EP67-Go/β1/γ2
40.00Single9VJEBuspirone9VJE-5-HT1A-Buspirone-Go/β1/γ2
40.00Consensusdop_onOrthosteric Ligand8F7S-δ-Deltorphin-Gi1/β1/γ2
40.00Consensuss1p1_offOrthosteric Ligand3V2W-S1P1-PubChem 51892645
39.13Single9BKKCholecystokinin-89BKK-CCKA-Cholecystokinin-8-chim(NtGi1-Gs-CtGq)/β1/γ2
38.89Single7EW3S1P7EW3-S1P3-S1P-Gi1/β1/γ2
38.89Single7M8W15r-Methyl-PGD27M8W-DP2-15r-Methyl-PGD2-Na
38.89Single7T2HLofentanil7T2H-μ-Lofentanil-Gi1/β1/γ2
38.89Single7U2LC5-guano7U2L-μ-C5-guano-Gi1/β1/γ2
38.89Single7VIGCBP-3077VIG-S1P1-CBP-307-Gi1/β1/γ2
38.89Single8DZPmomSalB8DZP-κ-momSalB-Gi1/β1/γ2
38.89Single8I9LC3a8I9L-C3aB-C3a-Go/β1/γ2
38.89Single8JT6(R)-IHCH-71798JT6-5-HT1A-(R)-IHCH-7179-PtdIns4P-Gi1/β1/γ2
38.89Single8VVFJDTic8VVF-κ-JDTic-Gi1/β1/γ2
38.89Single8XIPPasireotide8XIP-SST1-Pasireotide-chim(NtGi1-Gs-CtGi1)/β1/γ2
38.89Single8ZWFJR14a8ZWF-C3aB-JR14a
38.89Single9IZGLPA9IZG-LPA1-LPA-chim(NtGi1-Gs-CtGq)/β1/γ2
38.89Single9KVPSB2901579KVP-C3aB-SB290157-Go/β1/γ2
38.46Single8Z8ALactate8Z8A-HCA1-Lactate-Gi1/β1/γ2
38.10Single8DCRDobutamine8DCR-β1-Dobutamine-Gs/β1/γ2
38.10Single8F7XNociceptin8F7X-NOP-Nociceptin-Gi1/β1/γ2
38.10Consensuslpl_onOrthosteric Ligands1p_on lpa_on
38.10Consensuslpl_on_gpOrthosteric Ligands1p_on_gp lpa_on_gp
37.50Single4ZJCSB-6740424ZJC-OX1-SB-674042
37.50Single6IQLL7458706IQL-D4-L745870
37.50Single6TP3Nemorexant6TP3-OX1-Nemorexant
37.50Single6TPGEMPA6TPG-OX2-EMPA
37.50Single6V9SGTPL114036V9S-OX1-GTPL11403
37.50Single6VI4JDTic6VI4-κ-JDTic
37.50Single7SR8TAK-9257SR8-OX2-TAK-925-chim(NtGi1L-Gs-CtGq)/β1/γ2
37.50Single7YK6PubChem 1383196747YK6-RXFP4-PubChem 138319674-Gi2/β1/γ2
37.50Single8JLQFenoldopam8JLQ-TA1-Fenoldopam-Gs/β1/γ2
37.50Single8YKVPubChem 1375531688YKV-Succinate-PubChem 137553168-Gi1/β1/γ2
37.50Single8ZPMAMD0708ZPM-CXCR4-AMD070
37.50Single8ZRTEndothelin-18ZRT-ETB-Endothelin-1
37.50Single9PY2Loperamide9PY2-μ-Loperamide-GDPβS-Gi1/β1/γ2
37.50Consensusnop_offOrthosteric Ligand4EA3-NOP-PubChem 10296561 5DHG-NOP-C-35 5DHH-NOP-SB-612111
37.04Consensusbb2_onOrthosteric Ligand7W40-BB2-Bombesin-chim(NtGi1L-Gq)/β1/γ2 7W3Z-BB2-Gastrin Releasing Peptide-chim(NtGi1L-Gq)/β1/γ2
37.04Consensusbb2_on_gpOrthosteric Ligand7W40-BB2-Bombesin-chim(NtGi1L-Gq)/β1/γ2 7W3Z-BB2-Gastrin Releasing Peptide-chim(NtGi1L-Gq)/β1/γ2
37.04Consensusbombesin_onOrthosteric Ligandbb2_on
37.04Consensusbombesin_on_gpOrthosteric Ligandbb2_on_gp
37.04Consensusgq_bombesinOrthosteric Ligand7W40-BB2-Bombesin-chim(NtGi1L-Gq)/β1/γ2 7W3Z-BB2-Gastrin Releasing Peptide-chim(NtGi1L-Gq)/β1/γ2
36.84Single4LDEBI1671074LDE-β2-BI167107
36.84Single7BZ2Arformoterol7BZ2-β2-Arformoterol-Gs/β1/γ2
36.84Single7DFPSpiperone7DFP-D2-Spiperone
36.84Single7JNIOlodanrigan7JNI-AT2-Olodanrigan
36.84Single7L1VPubChem 1554910097L1V-OX2-PubChem 155491009-chim(NtGi1-Gs-CtGq)/β1/γ2
36.84Single7YMJTamsulosin7YMJ-Alpha1A-Tamsulosin
36.84Single8IA8E7 peptide8IA8-C3aB-E7 peptide-Gi1/β1/γ2
36.84Single8J6DEP1418J6D-C3aB-EP141-Go/β1/γ2
36.84Single9DGIZ85267113509DGI-CB1-Z8526711350
36.84Single9M4QDoxazosin9M4Q-Alpha1A-Doxazosin
36.84Single9WSVDAMGO9WSV-μ-DAMGO-Arrestin2
36.84Single9YDQDADLE9YDQ-δ-DADLE-MIPS3614-chim(NtGi1L-Gs-CtGi1)/β1/γ2
36.84Consensusalpha1_offOrthosteric Ligandalpha1a_off
36.84Consensusalpha1a_offOrthosteric Ligand7YMJ-Alpha1A-Tamsulosin
36.84Consensusbeta3_onOrthosteric Ligand7DH5-β3-Mirabegron-Gs/β1/γ2 7XJH-β3-Isoprenaline-Gs/β1/γ2 7XJI-β3-Solabegron-Gs/β1/γ2
36.84Consensusbeta3_on_gpOrthosteric Ligand7DH5-β3-Mirabegron-Gs/β1/γ2 7XJH-β3-Isoprenaline-Gs/β1/γ2 7XJI-β3-Solabegron-Gs/β1/γ2
36.84Consensuskop_onOrthosteric Ligand8F7W-κ-Dynorphin-Gi1/β1/γ2 8DZS-κ-GR89,696-chim(NtGi2-Gz)/β1/γ2 8DZP-κ-momSalB-Gi1/β1/γ2
36.84Consensusleukotriene_offOrthosteric Ligandblt_off cyslt_off
36.84Consensusmop_onOrthosteric Ligand8F7R-μ-Endomorphin-Gi1/β1/γ2 8EF5-μ-Fentanyl-Gi1/β1/γ2 7SCG-μ-FH210-Gi1/β1/γ2 7T2H-μ-Lofentanil-Gi1/β1/γ2 7T2G-μ-Mitragynine Pseudoindoxyl-Gi1/β1/γ2 8EF6-μ-Morphine-Gi1/β1/γ2 8EFB-μ-Oliceridine-Gi1/β1/γ2 7U2L-μ-C5-guano-Gi1/β1/γ2 8EFO-μ-PZM21-Gi1/β1/γ2 8EFL-μ-SR17018-Gi1/β1/γ2 8F7Q-μ-β-Endorphin-Gi1/β1/γ2 7U2K-μ-C6-guano-Gi1/β1/γ2 8EFQ-μ-DAMGO-Gi1/β1/γ2
36.84Consensusmop_on_gpOrthosteric Ligand8F7R-μ-Endomorphin-Gi1/β1/γ2 8EF5-μ-Fentanyl-Gi1/β1/γ2 7SCG-μ-FH210-Gi1/β1/γ2 7T2H-μ-Lofentanil-Gi1/β1/γ2 7T2G-μ-Mitragynine Pseudoindoxyl-Gi1/β1/γ2 8EF6-μ-Morphine-Gi1/β1/γ2 8EFB-μ-Oliceridine-Gi1/β1/γ2 7U2L-μ-C5-guano-Gi1/β1/γ2 8EFO-μ-PZM21-Gi1/β1/γ2 8EFL-μ-SR17018-Gi1/β1/γ2 8F7Q-μ-β-Endorphin-Gi1/β1/γ2 7U2K-μ-C6-guano-Gi1/β1/γ2 8EFQ-μ-DAMGO-Gi1/β1/γ2
36.84Consensusopioid_offOrthosteric Ligandmop_off nop_off dop_off kop_off
36.84Consensuss1p3_onOrthosteric Ligand7EW3-S1P3-S1P-Gi1/β1/γ2 7EW4-S1P3-CYM-5541-Gi1/β1/γ2 7EW2-S1P3-FTY720-P-Gi1/β1/γ2
36.36Single5XJM(Sar1,Ile8)-Angiotensin II5XJM-AT2-(Sar1,Ile8)-Angiotensin II
36.36Single6DO1(Sar1,Ile8)-Angiotensin II6DO1-AT1-(Sar1,Ile8)-Angiotensin II
36.36Single7RKMCX3CL17RKM-US28-CX3CL1-Gi1/β1/γ2
36.36Consensuss1p3_on_gpOrthosteric Ligand7EW3-S1P3-S1P-Gi1/β1/γ2 7EW4-S1P3-CYM-5541-Gi1/β1/γ2 7EW2-S1P3-FTY720-P-Gi1/β1/γ2
35.71Single8JEFPubChem 113671668JEF-HCA3-PubChem 11367166-Gi1/β1/γ2
35.71Single9KT93,5-DHBA9KT9-HCA1-3,5-DHBA-Gi1/β1/γ2
35.29Single2Y04Salbutamol2Y04-β1-Salbutamol
35.29Single4QKXPubChem 762106284QKX-β2-PubChem 76210628
35.29Single6GPSMK08126GPS-CCR2-MK0812
35.29Single7T2GMitragynine Pseudoindoxyl7T2G-μ-Mitragynine Pseudoindoxyl-Gi1/β1/γ2
35.29Single7YACPaltusotine7YAC-SST2-Paltusotine-Gi1/β1/γ2
35.29Single8T1WCVN4248T1W-GPR6-CVN424
35.29Consensusccr2_offOrthosteric Ligand6GPS-CCR2-MK0812
35.00Single4Z35ONO-99105394Z35-LPA1-ONO-9910539
35.00Single5UNGPubChem 157800525UNG-AT2-PubChem 15780052
35.00Single5X93K-87945X93-ETB-K-8794
35.00Single6H7LDobutamine6H7L-β1-Dobutamine
35.00Single7SK7CCX6627SK7-ACKR3-CXCL12-CCX662
35.00Single7U2KC6-guano7U2K-μ-C6-guano-Gi1/β1/γ2
35.00Single7X8RBOC57X8R-GLP-1-BOC5-Gs/β1/γ2
35.00Single7XJISolabegron7XJI-β3-Solabegron-Gs/β1/γ2
35.00Single7YU8ONO-07405567YU8-LPA1-ONO-0740556-Gi1/β1/γ2
35.00Single8E0GBU728E0G-μ-BU72
35.00Single8GAGZ85267113508GAG-CB1-Z8526711350-Gi1/β1/γ2
35.00Single8IJDMK68928IJD-HCA2-MK6892-Gi1/β1/γ2
35.00Single8ZPLHF511168ZPL-CXCR4-HF51116
35.00Single9KV8TLQP219KV8-C3aB-TLQP21-Go/β1/γ2
35.00Single9KWXC5a-des-Arg9KWX-C5a1-C5a-des-Arg-Go/β1/γ2
35.00Single9WP9S1P9WP9-S1P3-S1P-chim(NtGi2L-Gs-CtGq)/β1/γ2
35.00Single9YDRDADLE9YDR-δ-DADLE-MIPS3983-chim(NtGi1L-Gs-CtGi1)/β1/γ2
35.00Consensusbeta1_onOrthosteric Ligand8DCR-β1-Dobutamine-Gs/β1/γ2 7S0F-β1-Isoprenaline-Gi1/β1/γ2
35.00Consensusbeta1_on_gpOrthosteric Ligand8DCR-β1-Dobutamine-Gs/β1/γ2 7S0F-β1-Isoprenaline-Gi1/β1/γ2
35.00Consensusclass-a_onOrthosteric Ligandsensory_on alicarboxylic_on amine_on lipid_on nucleotide_on peptide_on protein_on
35.00Consensusendothelin_offOrthosteric Ligandetb_off
35.00Consensusetb_offOrthosteric Ligand5X93-ETB-K-8794 5XPR-ETB-Bosentan 6K1Q-ETB-IRL2500
35.00Consensuskop_on_gpOrthosteric Ligand8F7W-κ-Dynorphin-Gi1/β1/γ2 8DZS-κ-GR89,696-chim(NtGi2-Gz)/β1/γ2 8DZP-κ-momSalB-Gi1/β1/γ2
35.00Consensusprostanoid_offOrthosteric Ligandep_off dp_off
34.78Single6PT2KGCHM076PT2-δ-KGCHM07
34.78Single7TD2LPA7TD2-LPA1-LPA-Gi1/β1/γ2
34.78Single7XOUCholecystokinin-87XOU-CCKA-Cholecystokinin-8-Gs/β1/γ2
34.78Consensusgs_cckOrthosteric Ligand7MBX-CCKA-Cholecystokinin-8-Gs/β1/γ1
34.62Single8XWPEndothelin-18XWP-ETB-Endothelin-1-Gi1/β1/γ2
34.62Single8ZH8QRFP268ZH8-QRFP-QRFP26-Gq/β1/γ1
34.62Single9KDFRES-701-39KDF-ETB-RES-701-3
33.33Single2Y00Dobutamine2Y00-β1-Dobutamine
33.33Single2Y03Isoprenaline2Y03-β1-Isoprenaline
33.33Single5T1ABMS-6815T1A-CCR2-BMS-681-PubChem 12093170
33.33Single5WIUNemonapride5WIU-D4-Nemonapride
33.33Single5WIVNemonapride5WIV-D4-Nemonapride-Na
33.33Single5WQCEMPA5WQC-OX2-EMPA
33.33Single5YHLPubChem 1351213525YHL-EP4-PubChem 135121352
33.33Single5YWYONO-AE3-2085YWY-EP4-ONO-AE3-208
33.33Single6D26Fevipiprant6D26-DP2-Fevipiprant
33.33Single6GPXMK08126GPX-CCR2-MK0812
33.33Single6TO7Suvorexant6TO7-OX1-Suvorexant-Na
33.33Single7F8WGastrin-177F8W-CCKB-Gastrin-17-chim(NtGsL-Gq)/β1/γ2
33.33Single7RKFCX3CL17RKF-US28-CX3CL1-GDP-chim(NtGi1-G11)/β1/γ2
33.33Single7T96LY21196207T96-M2-Acetylcholine-LY2119620-Go/β1/γ2
33.33Single7W40Bombesin7W40-BB2-Bombesin-chim(NtGi1L-Gq)/β1/γ2
33.33Single7YU6ONO-07405567YU6-LPA1-ONO-0740556-Gi1/β1/γ2
33.33Single8GD9Rivenprost8GD9-EP4-Rivenprost-Gs/β1/γ2
33.33Single8HNLPS3724248HNL-CXCR3-PS372424-Gi1/β1/γ2
33.33Single8IA7Cholecystokinin-88IA7-CCKB-Cholecystokinin-8-chim(NtGi1L-Gq)/β1/γ2
33.33Single8IHFMK68928IHF-HCA2-MK6892-Gi1/β1/γ2
33.33Single8J6IMK68928J6I-HCA2-MK6892-Gi1/β1/γ2
33.33Single8JLRA776368JLR-TA1-A77636-chim(NtGi1-Gs)/β1/γ2
33.33Single8JXSPF-61428JXS-D1-PF-6142
33.33Single8TF5Oleic acid8TF5-GPR6-Oleic acid
33.33Single8XZFWN5618XZF-Apelin; Apelin-WN561-Gi1/β1/γ2
33.33Single8Y72Peptide8Y72-μ-Peptide-BMS-986122-Gi1/β1/γ2
33.33Single8YICSAR2477998YIC-S1P1-SAR247799-Gi1/β1/γ2
33.33Single8YKWSuccinic acid8YKW-Succinate-Succinic acid-Gi1/β1/γ1
33.33Single8ZBISomatostatin-148ZBI-SST3-Somatostatin-14-Gi1/β1/γ2
33.33Single8ZX5AM2518ZX5-GPR55-AM251-chim(NtGi1-G13)/β1/γ2
33.33Single9ARZ2-bromo-LSD9ARZ-5-HT2A-2-bromo-LSD
33.33Single9IPVJR14a9IPV-C3aB-JR14a-Gi1/β1/γ2
33.33Single9IPYJR14a9IPY-C3aB-JR14a
33.33Single9IYBPGD29IYB-DP2-PGD2-A1D5Q-Gi1/β1/γ2
33.33Single9KZ8EP679KZ8-C3aB-EP67-Go/β1/γ2
33.33Single9LMPNE52-QQ579LMP-GPR4-NE52-QQ57
33.33Single9M0RNeuropeptide-VF9M0R-NPFF1-Neuropeptide-VF-Gi1/β1/γ2
33.33Single9MQKIsoquinuclidine9MQK-κ-Isoquinuclidine
33.33Single9UMJEP549UMJ-C3aB-EP54-Go/β1/γ2
33.33Consensusalpha_offOrthosteric Ligandalpha1_off alpha2_off
33.33Consensusblt1_offOrthosteric Ligand5X33-BLT1-BIIL260 7K15-BLT1-MKD046-Na
33.33Consensusblt_offOrthosteric Ligandblt1_off
33.33Consensuscb2_onOrthosteric Ligand8GUR-CB2-CP55940-Gi1/β1/γ2 8GUS-CB2-HU-308-Gi1/β1/γ2 8GUT-CB2-LEI-102-Gi1/β1/γ2 6KPF-CB2-AM12033-Gi1/β1/γ2 6PT0-CB2-WIN 55212-2-Gi1/β1/γ2 8GUQ-CB2-Olorinab-Gi1/β1/γ2
33.33Consensuscb2_on_gpOrthosteric Ligand8GUR-CB2-CP55940-Gi1/β1/γ2 8GUS-CB2-HU-308-Gi1/β1/γ2 8GUT-CB2-LEI-102-Gi1/β1/γ2 6KPF-CB2-AM12033-Gi1/β1/γ2 6PT0-CB2-WIN 55212-2-Gi1/β1/γ2 8GUQ-CB2-Olorinab-Gi1/β1/γ2
33.33Consensuscxcr3_onOrthosteric Ligand8HNK-CXCR3-CXCL11-Gi1/β1/γ2 8HNL-CXCR3-PS372424-Gi1/β1/γ2
33.33Consensusd4_onOrthosteric Ligand8IRU-D4-Rotigotine-chim(NtGi1-Gs-CtGi1)/β1/γ2
33.33Consensusdp2_offOrthosteric Ligand6D26-DP2-Fevipiprant
33.33Consensusdp_offOrthosteric Liganddp2_off
33.33Consensusep4_offOrthosteric Ligand5YWY-EP4-ONO-AE3-208 5YHL-EP4-PubChem 135121352
33.33Consensusep_offOrthosteric Ligandep4_off
33.33Consensuslipid_onOrthosteric Ligandcannabinoid_on ffa_on lpl_on prostanoid_on leukotriene_on
33.33Consensuslipid_on_gpOrthosteric Ligandcannabinoid_on_gp ffa_on_gp lpl_on_gp prostanoid_on_gp leukotriene_on_gp
33.33Consensusox2_onOrthosteric Ligand7L1V-OX2-PubChem 155491009-chim(NtGi1-Gs-CtGq)/β1/γ2 7SQO-OX2-TAK-925-Gi1/β1/γ2 7L1U-OX2-Orexin-chim(NtGi1-Gs-CtGq)/β1/γ2
33.33Consensusox2_on_gpOrthosteric Ligand7L1V-OX2-PubChem 155491009-chim(NtGi1-Gs-CtGq)/β1/γ2 7SQO-OX2-TAK-925-Gi1/β1/γ2 7L1U-OX2-Orexin-chim(NtGi1-Gs-CtGq)/β1/γ2
33.33Consensusrxfp4_onOrthosteric Ligand7YK7-RXFP4-DC591053-Gi2/β1/γ2 7YJ4-RXFP4-INSL5-Gi2/β1/γ2 7YK6-RXFP4-PubChem 138319674-Gi2/β1/γ2
33.33Consensusrxfp4_on_gpOrthosteric Ligand7YK7-RXFP4-DC591053-Gi2/β1/γ2 7YJ4-RXFP4-INSL5-Gi2/β1/γ2 7YK6-RXFP4-PubChem 138319674-Gi2/β1/γ2
32.00Single8XGOTAK4488XGO-Kiss1-TAK448-chim(NtGi1-Gq)/β1/γ2
32.00Consensuschemokine_offOrthosteric Ligandccr_off cxcr_off
32.00Consensuscxcr_offOrthosteric Ligandcxcr3_off cxcr4_off
31.82Single4XT1CX3CL14XT1-US28-CX3CL1
31.82Single5UNFPubChem 157800525UNF-AT2-PubChem 15780052
31.82Single7TD4Siponimod7TD4-S1P1-Siponimod-Gi1/β1/γ2
31.82Single7W0PElabela7W0P-Apelin-Elabela-Gi1/β1/γ2
31.82Single8K3ZCXCL128K3Z-CXCR4-CXCL12-Gi1/β1/γ1
31.82Single8U4OCXCL128U4O-CXCR4-CXCL12-Gi1/β1/γ2
31.82Single8ZSPLSD8ZSP-TA1-LSD-chim(NtGi1L-Gs)/β1/γ2
31.82Single9BUYLM1899BUY-β2-LM189-Gi1/β1/γ2
31.82Single9KWGC5a9KWG-C5a1-C5a-Go/β1/γ2
31.82Consensusclass-a_on_gpOrthosteric Ligandsensory_on_gp alicarboxylic_on_gp amine_on_gp lipid_on_gp nucleotide_on_gp peptide_on_gp protein_on_gp
31.82Consensuscxcr4_onOrthosteric Ligand8K3Z-CXCR4-CXCL12-Gi1/β1/γ1
31.82Consensusnop_onOrthosteric Ligand8F7X-NOP-Nociceptin-Gi1/β1/γ2
31.82Consensusnop_on_gpOrthosteric Ligand8F7X-NOP-Nociceptin-Gi1/β1/γ2
31.82Consensussst5_onOrthosteric Ligand8X8L-SST5-Cortistatin-14-chim(NtGi1-Gs-CtGi1)/β1/γ2 8X8N-SST5-Octreotide-chim(NtGi1-Gs-CtGi1)/β1/γ2
31.58Single4LDLHydroxybenzyl Isoproterenol4LDL-β2-Hydroxybenzyl Isoproterenol
31.58Single4Z34ONO-97803074Z34-LPA1-ONO-9780307
31.58Single6DDEDAMGO6DDE-μ-DAMGO-Gi1/β1/γ2
31.58Single6H7JIsoprenaline6H7J-β1-Isoprenaline
31.58Single6KO5PubChem 574000026KO5-Ghrelin-PubChem 57400002
31.58Single6N48BI1671076N48-β2-BI167107-PubChem 138454256
31.58Single6TQ7SB-3348676TQ7-OX1-SB-334867
31.58Single7CKYPW04647CKY-D1-PW0464-Gs/β1/γ2
31.58Single7E2ZAripiprazole7E2Z-5-HT1A-Aripiprazole-PtdIns4P-Gi1/β1/γ2
31.58Single7EW7SEW28717EW7-S1P1-SEW2871-Gi1/β1/γ2
31.58Single7JJOIsoprenaline7JJO-β1-Isoprenaline-Gs/β1/γ2
31.58Single7TD1LPA7TD1-LPA1-LPA-Gi1/β1/γ2
31.58Single7TUYGSK682753A7TUY-GPR183-GSK682753A
31.58Single7XOWSulfated Gastrin-(10-17)7XOW-CCKB-Sulfated Gastrin-(10-17)-chim(NtGi1-Gq)/β1/γ2
31.58Single7XTQR3997XTQ-GPBA-R399-Gs/β1/γ2
31.58Single7YU5ONO-07405567YU5-LPA1-ONO-0740556-Gi1/β1/γ2
31.58Single7YU7ONO-07405567YU7-LPA1-ONO-0740556-Gi1/β1/γ2
31.58Single8HQCC5a8HQC-C5a1-C5a-Go/β1/γ2
31.58Single8IRURotigotine8IRU-D4-Rotigotine-chim(NtGi1-Gs-CtGi1)/β1/γ2
31.58Single8T1VPubChem 1183102098T1V-GPR6-PubChem 118310209-Na
31.58Single8XVLZibotentan8XVL-ETA-Zibotentan
31.58Single8Y73Peptide8Y73-μ-Peptide-MPAM-15-Gi1/β1/γ2
31.58Single9B65MDMB-Fubinaca9B65-CB1-MDMB-Fubinaca-Gi1/β1/γ2
31.58Single9EGOZ85267113509EGO-CB1-Z8526711350-Gi1/β1/γ2
31.58Single9I54PubChem 1764520919I54-D1-PubChem 176452091-Gs/β1/γ2
31.58Single9KUXCMPD6449KUX-Apelin; Apelin-CMPD644-Arrestin2
31.58Single9PY3Loperamide9PY3-μ-Loperamide-GDPβS-Gi1/β1/γ2
31.58Single9PY4Loperamide9PY4-μ-Loperamide-GDPβS-Gi1/β1/γ2
31.58Single9RHGC4079RHG-FZD7-C407
31.58Consensusbeta2_onOrthosteric Ligand7DHI-β2-Salbutamol-Gs/β1/γ2 6NI3-β2-BI167107-Gs/β1/γ2
31.58Consensusbeta2_on_gpOrthosteric Ligand7DHI-β2-Salbutamol-Gs/β1/γ2 6NI3-β2-BI167107-Gs/β1/γ2
31.58Consensusclass-a_offOrthosteric Ligandsensory_off alicarboxylic_off amine_off lipid_off nucleotide_off peptide_off protein_off
31.58Consensusd1_on_gpOrthosteric Ligand7F0T-D1-Dopamine-Gs/β1/γ2 7CKY-D1-PW0464-Gs/β1/γ2 8IRR-D1-Rotigotine-Gs/β1/γ2 7JV5-D1-SKF81297-Gs/β1/γ2 7JVP-D1-SKF83959-Gs/β1/γ2 7X2D-D1-Tavapadon-Gs/β1/γ2 7CKX-D1-A77636-Gs/β1/γ2 7JVQ-D1-Apomorphine-Gs/β1/γ2 7CKW-D1-Fenoldopam-Gs/β1/γ2
31.58Consensusd4_on_gpOrthosteric Ligand8IRU-D4-Rotigotine-chim(NtGi1-Gs-CtGi1)/β1/γ2
31.58Consensusgi_cannabinoidOrthosteric Ligand8GUR-CB2-CP55940-Gi1/β1/γ2 8GUS-CB2-HU-308-Gi1/β1/γ2 8GUT-CB2-LEI-102-Gi1/β1/γ2 8GUQ-CB2-Olorinab-Gi1/β1/γ2 6KPF-CB2-AM12033-Gi1/β1/γ2 6PT0-CB2-WIN 55212-2-Gi1/β1/γ2 6KPG-CB1-AM841-Gi1/β1/γ2
31.58Consensusgi_lpaOrthosteric Ligand7TD1-LPA1-LPA-Gi1/β1/γ2 7YU3-LPA1-ONO-0740556-Gi1/β1/γ2
31.58Consensusgi_relaxinOrthosteric Ligand7YK7-RXFP4-DC591053-Gi2/β1/γ2 7YJ4-RXFP4-INSL5-Gi2/β1/γ2 7YK6-RXFP4-PubChem 138319674-Gi2/β1/γ2
31.58Consensusgs_adrenergicOrthosteric Ligand7DHI-β2-Salbutamol-Gs/β1/γ2 7XJI-β3-Solabegron-Gs/β1/γ2 7JJO-β1-Isoprenaline-Gs/β1/γ2 6NI3-β2-BI167107-Gs/β1/γ2 8DCR-β1-Dobutamine-Gs/β1/γ2 7XJH-β3-Isoprenaline-Gs/β1/γ2 7DH5-β3-Mirabegron-Gs/β1/γ2
31.58Consensusgs_dopamineOrthosteric Ligand7F0T-D1-Dopamine-Gs/β1/γ2 7CKW-D1-Fenoldopam-Gs/β1/γ2 7CKY-D1-PW0464-Gs/β1/γ2 8IRV-D5-Rotigotine-chim(NtGi1-Gs)/β1/γ2 8IRR-D1-Rotigotine-Gs/β1/γ2 7JV5-D1-SKF81297-Gs/β1/γ2 7JVP-D1-SKF83959-Gs/β1/γ2 7X2D-D1-Tavapadon-Gs/β1/γ2 7CKX-D1-A77636-Gs/β1/γ2 7JVQ-D1-Apomorphine-Gs/β1/γ2
31.58Consensuslpa_onOrthosteric Ligandlpa1_on
31.58Consensuslpa_on_gpOrthosteric Ligandlpa1_on_gp
31.58Consensusprotein_offOrthosteric Ligandchemokine_off grh_off
31.58Consensusrelaxin_onOrthosteric Ligandrxfp4_on
31.58Consensusrelaxin_on_gpOrthosteric Ligandrxfp4_on_gp
31.25Single4S0VSuvorexant4S0V-OX2-Suvorexant
31.25Single5WS3EMPA5WS3-OX2-EMPA
31.25Single6B73MP11046B73-κ-MP1104
31.25Single6RNKNF-56-EJ406RNK-Succinate-NF-56-EJ40
31.25Single6TODEMPA6TOD-OX1-EMPA-Na
31.25Single6TPJSuvorexant6TPJ-OX2-Suvorexant
31.25Single7LD4Adenosine7LD4-A1-Adenosine-Gi2/β1/γ2
31.25Single7X2CFenoldopam7X2C-D1-Fenoldopam-Fenoldopam-Gs/β1/γ2
31.25Single7XRRLemborexant7XRR-OX2-Lemborexant
31.25Single8HMPC178HMP-GPR52-C17-Gs/β1/γ2
31.25Single8JPPSuccinic acid8JPP-Succinate-Succinic acid-chim(Gs-CtGq)/β1/γ1
31.25Single8WC4ZH86518WC4-TA1-ZH8651-chim(NtGi1-Gs)/β1/γ2
31.25Single8WCA2-Phenylethylamine8WCA-TA1-2-Phenylethylamine-chim(NtGi1-Gs)/β1/γ2
31.25Single8WOGSuccinic acid8WOG-Succinate-Succinic acid-Gi1/β1/γ2
31.25Single8YKXMaleic acid8YKX-Succinate-Maleic acid-Gi1/β1/γ1
31.25Single9KPESalicin9KPE-TAS2R16-Salicin-Gi1/β1/γ2
31.25Single9VJ5Gepirone9VJ5-5-HT1A-Gepirone-Go/β1/γ2
31.25Consensusa1_onOrthosteric Ligand7LD4-A1-Adenosine-Gi2/β1/γ2
31.25Consensusa1_on_gpOrthosteric Ligand7LD4-A1-Adenosine-Gi2/β1/γ2
31.25Consensusgi_succinateOrthosteric Ligand8YKW-Succinate-Succinic acid-Gi1/β1/γ1 8YKX-Succinate-Maleic acid-Gi1/β1/γ1
31.25Consensusorexin_offOrthosteric Ligandox2_off ox1_off
31.25Consensusox1_offOrthosteric Ligand6TP6-OX1-Filorexant 6TP4-OX1-ACT-462206 6V9S-OX1-GTPL11403 6TOT-OX1-Lemborexant 6TP3-OX1-Nemorexant 6TQ6-OX1-PubChem 145714283 6TQ9-OX1-SB-408124 4ZJC-OX1-SB-674042 4ZJ8-OX1-Suvorexant 6TOD-OX1-EMPA-Na 6TOS-OX1-GSK1059865-Na 6TQ4-OX1-PubChem 16046844-Na
31.25Consensusox2_offOrthosteric Ligand5WQC-OX2-EMPA 6TPN-OX2-HTL6641 7XRR-OX2-Lemborexant 6TPJ-OX2-Suvorexant
31.25Consensussuccinate_onOrthosteric Ligand8YKW-Succinate-Succinic acid-Gi1/β1/γ1 8YKX-Succinate-Maleic acid-Gi1/β1/γ1
31.25Consensussuccinate_on_gpOrthosteric Ligand8YKW-Succinate-Succinic acid-Gi1/β1/γ1 8YKX-Succinate-Maleic acid-Gi1/β1/γ1
30.77Single4XT3CX3CL14XT3-US28-CX3CL1
30.77Single7F8VGastrin-177F8V-CCKB-Gastrin-17-Gi2/β1/γ2
30.77Single7SK3CXCL127SK3-ACKR3-CXCL12
30.77Single7W3ZGastrin Releasing Peptide7W3Z-BB2-Gastrin Releasing Peptide-chim(NtGi1L-Gq)/β1/γ2
30.77Single8XVEBQ30208XVE-ETB-BQ3020-chim(Gs-CtGq)/β1/γ2
30.43Single7DDZJNJ-310200287DDZ-Y2-JNJ-31020028
30.43Single7XMSSomatostatin-147XMS-SST4-Somatostatin-14-Gi1/β1/γ2
30.43Single9E82CXCL12 (fragment)9E82-ACKR3-CXCL12 (fragment)-Arrestin2
30.43Single9IQVMuscarinic toxin 39IQV-Alpha1A-Muscarinic toxin 3
30.43Single9JFK(Pen5)-Urotensin II9JFK-UT-(Pen5)-Urotensin II-chim(NtGi2L-Gs-CtGq)/β1/γ2
30.43Single9KFIRelaxin-39KFI-RXFP3-Relaxin-3-Gi2/β1/γ2
30.43Single9KT7MK68929KT7-HCA2-MK6892-Gi1/β1/γ2
30.43Single9KV6TLQP219KV6-C3aB-TLQP21-Go/β1/γ2
30.43Single9UMXEP549UMX-C5a1-EP54-Go/β1/γ2
30.43Consensusccr8_on_gpOrthosteric Ligand8KFX-CCR8-LMD-009-Gi1/β1/γ2 8KFY-CCR8-ZK-756326-Gi1/β1/γ2 8U1U-CCR8-CCL1-Gi1/β1/γ2
30.43Consensuscompl-peptide_onOrthosteric Ligandc5a1_on c3a_on
30.43Consensusgi_cckOrthosteric Ligand7EZH-CCKA-Cholecystokinin-8-Gi1/β1/γ2 7F8V-CCKB-Gastrin-17-Gi2/β1/γ2
30.43Consensusgq_class-aOrthosteric Ligandgq_peptide gq_amine gq_nucleotide
30.43Consensusnpy2_offOrthosteric Ligand7DDZ-Y2-JNJ-31020028
30.43Consensussst4_onOrthosteric Ligand7XMS-SST4-Somatostatin-14-Gi1/β1/γ2 7XMT-SST4-J-2156-Gi1/β1/γ2
30.43Consensussst4_on_gpOrthosteric Ligand7XMS-SST4-Somatostatin-14-Gi1/β1/γ2 7XMT-SST4-J-2156-Gi1/β1/γ2
30.00Single5UNHPubChem 1264564065UNH-AT2-PubChem 126456406
30.00Single5X33BIIL2605X33-BLT1-BIIL260
30.00Single6A93Risperidone6A93-5-HT2A-Risperidone
30.00Single6CM4Risperidone6CM4-D2-Risperidone
30.00Single6H7NXamoterol6H7N-β1-Xamoterol
30.00Single7DH5Mirabegron7DH5-β3-Mirabegron-Gs/β1/γ2
30.00Single7EO4Siponimod7EO4-S1P1-Siponimod-Gi1/β1/γ2
30.00Single7K15MKD0467K15-BLT1-MKD046-Na
30.00Single7T6BS1P7T6B-S1P2-S1P-chim(NtGi1L-G13)/β1/γ2
30.00Single7XMTJ-21567XMT-SST4-J-2156-Gi1/β1/γ2
30.00Single7YITNalfurafine7YIT-κ-Nalfurafine
30.00Single8FYTLSD8FYT-5-HT1A-LSD-PtdIns4P-Gi1/β1/γ1
30.00Single8GCPPGE28GCP-EP4-PGE2-Gi1/β1/γ2
30.00Single8HK2C3a8HK2-C3aB-C3a-Gi1/β1/γ2
30.00Single8I9AEP548I9A-C3aB-EP54-chim(NtGi1-Gs-CtGq)/β1/γ2
30.00Single8JJ8Arformoterol8JJ8-β2-Arformoterol
30.00Single8JJLOlodaterol8JJL-β2-Olodaterol
30.00Single8JZ7MK68928JZ7-HCA2-MK6892-Gi1/β1/γ2
30.00Single8W1VPubChem 1717162658W1V-β2-PubChem 171716265
30.00Single8XYIVUF106618XYI-CXCR3-VUF10661
30.00Single9GYOP3959GYO-GPBA-P395-chim(NtGi1-Gs)/β1/γ2
30.00Single9IZHLPA9IZH-LPA1-LPA-chim(NtGi2-G13)/β1/γ2
30.00Single9KZKC3a (fragment)9KZK-C3aB-C3a (fragment)-Go/β1/γ2
30.00Single9M8POleic monoethanolamide9M8P-GPR3 ; GPR3-Oleic monoethanolamide-AF64394
30.00Single9MQLIsoquinuclidine9MQL-κ-Isoquinuclidine
30.00Single9V6ONalfurafine9V6O-κ-Nalfurafine-Gi1/β1/γ2
30.00Consensusbeta_onOrthosteric Ligandbeta1_on beta2_on beta3_on
30.00Consensusbeta_on_gpOrthosteric Ligandbeta1_on_gp beta2_on_gp beta3_on_gp
30.00Consensusc3a_onOrthosteric Ligand8HK2-C3aB-C3a-Gi1/β1/γ2 8IA8-C3aB-E7 peptide-Gi1/β1/γ2
30.00Consensuscannabinoid_onOrthosteric Ligandcb2_on cb1_on
30.00Consensuscannabinoid_on_gpOrthosteric Ligandcb2_on_gp cb1_on_gp
30.00Consensusgi_lipidOrthosteric Ligandgi_cannabinoid gi_ffa gi_leukotriene gi_lpa gi_s1p
30.00Consensuslipid_offonOrthosteric Ligandlipid_off lipid_on
30.00Consensuslipid_offon_gpOrthosteric Ligandlipid_on_gp lipid_off
30.00Consensuslpl_offOrthosteric Ligands1p_off lpa_off
30.00Consensusorexin_onOrthosteric Ligandox2_on
30.00Consensuss1p1_onOrthosteric Ligand7VIE-S1P1-S1P-Gi1/β1/γ2 7VIF-S1P1-FTY720-P-Gi1/β1/γ2 7VIG-S1P1-CBP-307-Gi1/β1/γ2 7EVY-S1P1-Siponimod-Gi1/β1/γ2 7EVZ-S1P1-Cenerimod-Gi1/β1/γ2 7EW0-S1P1-Ozanimod-Gi1/β1/γ2 7EW7-S1P1-SEW2871-Gi1/β1/γ2
30.00Consensuss1p1_on_gpOrthosteric Ligand7VIE-S1P1-S1P-Gi1/β1/γ2 7VIF-S1P1-FTY720-P-Gi1/β1/γ2 7VIG-S1P1-CBP-307-Gi1/β1/γ2 7EVY-S1P1-Siponimod-Gi1/β1/γ2 7EVZ-S1P1-Cenerimod-Gi1/β1/γ2 7EW0-S1P1-Ozanimod-Gi1/β1/γ2 7EW7-S1P1-SEW2871-Gi1/β1/γ2
29.63Single7XATSomatostatin-147XAT-SST2-Somatostatin-14-Gi1/β1/γ2
29.63Consensusgq_peptideOrthosteric Ligandgq_cck gq_kisspeptin gq_bradykinin gq_bombesin gq_angiotensin
29.41Single2YDOAdenosine2YDO-A2A-Adenosine
29.41Single6TOSGSK10598656TOS-OX1-GSK1059865-Na
29.41Single6WJCMuscarinic toxin 76WJC-M1-Atropine-Muscarinic toxin 7
29.41Single7T94LY21196207T94-M2-Acetylcholine-LY2119620-chim(NtGi1-Go)/β1/γ2
29.41Single7UM7Methylergometrine7UM7-5-HT5A-Methylergometrine-chim(NtGi1-Go)/β1/γ2
29.41Single7VUGJNJ-635330547VUG-GPR139-JNJ-63533054-Gi1/β1/γ2
29.41Single8GUQOlorinab8GUQ-CB2-Olorinab-Gi1/β1/γ2
29.41Single8GURCP559408GUR-CB2-CP55940-Gi1/β1/γ2
29.41Single8HNMVUF112228HNM-CXCR3-VUF11222-Gi1/β1/γ2
29.41Single8JLKUlotaront8JLK-TA1-Ulotaront-chim(NtGi1-Gs)/β1/γ2
29.41Single8K2WAMG4878K2W-CXCR3-AMG487
29.41Single8K9KDAMGO8K9K-μ-DAMGO-Gi3/β1/γ1
29.41Single8K9LDAMGO8K9L-μ-DAMGO-BMS-986122-Gi3/β1/γ1
29.41Single8W88SEP-3638568W88-TA1-SEP-363856-Gs/β1/γ2
29.41Single8WC8ZH86518WC8-TA1-ZH8651-chim(NtGi1-Gs)/β1/γ2
29.41Single9JFUNE52-QQ579JFU-GPR4-NE52-QQ57
29.41Single9JMDAzithromycin9JMD-Motilin-Azithromycin-chim(Gs-CtGq)/β1/γ2
29.41Single9ODJMitragynine Pseudoindoxyl9ODJ-μ-Mitragynine Pseudoindoxyl-GTP; Mg-Gi1/β1/γ2
29.41Single9ODLMitragynine Pseudoindoxyl9ODL-μ-Mitragynine Pseudoindoxyl-GTP; Mg-Gi1/β1/γ2
29.41Single9W33S5A19W33-SST5-S5A1
29.41Consensusat1_offOrthosteric Ligand4YAY-AT1-ZD-7155 4ZUD-AT1-Olmesartan
29.41Consensuscxcr3_offOrthosteric Ligand8K2W-CXCR3-AMG487
29.41Consensusghrelin_offOrthosteric Ligand6KO5-Ghrelin-PubChem 57400002 7F83-Ghrelin-PF-05190457
29.17Single7MBXCholecystokinin-87MBX-CCKA-Cholecystokinin-8-Gs/β1/γ1
29.17Single7O7F6P4-CCL57O7F-CCR5-6P4-CCL5-Gi1/β1/γ1
29.17Single7XA3CCL27XA3-CCR2-CCL2-Gi1/β1/γ2
29.17Single9B54VIP369B54-CB1-VIP36-Gi1/β1/γ2
29.17Single9UYIChemerin-99UYI-CML2-Chemerin-9-Arrestin2
29.17Consensusangiotensin_onOrthosteric Ligandat1_on
29.17Consensusat1_onOrthosteric Ligand7F6G-AT1-(Sar1)-Angiotensin II-Gq/β1/γ2
29.17Consensuscckb_on_gpOrthosteric Ligand8IA7-CCKB-Cholecystokinin-8-chim(NtGi1L-Gq)/β1/γ2 7XOW-CCKB-Sulfated Gastrin-(10-17)-chim(NtGi1-Gq)/β1/γ2 7F8V-CCKB-Gastrin-17-Gi2/β1/γ2
29.17Consensusccr2_onOrthosteric Ligand7XA3-CCR2-CCL2-Gi1/β1/γ2
29.17Consensusccr2_on_gpOrthosteric Ligand7XA3-CCR2-CCL2-Gi1/β1/γ2
29.17Consensusccr_onOrthosteric Ligandccr6_on ccr8_on ccr2_on ccr1_on ccr5_on
29.17Consensuscompl-peptide_on_gpOrthosteric Ligandc5a1_on_gp c3a_on_gp
29.17Consensuscxcr4_on_gpOrthosteric Ligand8K3Z-CXCR4-CXCL12-Gi1/β1/γ1
29.17Consensusgi_somatostatinOrthosteric Ligand7WIC-SST2-Somatostatin-14-Gi1/β1/γ2 7XMS-SST4-Somatostatin-14-Gi1/β1/γ2 8X8L-SST5-Cortistatin-14-chim(NtGi1-Gs-CtGi1)/β1/γ2 7XMT-SST4-J-2156-Gi1/β1/γ2 7WIG-SST2-L-054264-Gi1/β1/γ2 8X8N-SST5-Octreotide-chim(NtGi1-Gs-CtGi1)/β1/γ2 7YAE-SST2-Octreotide-Gi1/β1/γ2 7YAC-SST2-Paltusotine-Gi1/β1/γ2
29.17Consensuspeptide_offonOrthosteric Ligandpeptide_off peptide_on
29.17Consensussomatostatin_onOrthosteric Ligandsst2_on sst4_on sst5_on
29.17Consensussomatostatin_on_gpOrthosteric Ligandsst2_on_gp sst4_on_gp sst5_on_gp
28.57Single2YCZIodocyanopindolol2YCZ-β1-Iodocyanopindolol
28.57Single6IBLArformoterol6IBL-β1-Arformoterol
28.57Single6IGLIRL16206IGL-ETB-IRL1620
28.57Single6K1QIRL25006K1Q-ETB-IRL2500
28.57Single6TKOArformoterol6TKO-β1-Arformoterol-Arrestin2
28.57Single7D7MPGE27D7M-EP4-PGE2-Gs/β1/γ1
28.57Single7EW0Ozanimod7EW0-S1P1-Ozanimod-Gi1/β1/γ2
28.57Single7SK8CCX6627SK8-ACKR3-CXCL12-CCX662
28.57Single8DPHLorcaserin8DPH-5-HT2C-Lorcaserin-chim(NtGi2L-Gs-CtGq)/β1/γ2
28.57Single8GEIConstrained Epinephrine8GEI-β2-Constrained Epinephrine-Gs/β1/γ2
28.57Single8GUTLEI-1028GUT-CB2-LEI-102-Gi1/β1/γ2
28.57Single8IULLatanoprost8IUL-FP-alpha-Latanoprost-chim(NtGi1-Gs-CtGq)/β1/γ2
28.57Single8S2TIsoprenaline8S2T-β1-Isoprenaline-chim(NtGi1-Gs)/β1/γ2
28.57Single8WC5Tetramethylammonium Ion8WC5-TA1-Tetramethylammonium Ion-chim(NtGi1-Gs)/β1/γ2
28.57Single8WRZAM8418WRZ-CB1-AM841-Arrestin2
28.57Single8WWNMCH8WWN-MCH1-MCH-Gi1/β1/γ2
28.57Single8XIOL7975918XIO-SST1-L797591-chim(NtGi1-Gs-CtGi1)/β1/γ2
28.57Single8ZWGJR14a8ZWG-C3aB-JR14a-Gi1/β1/γ2
28.57Single9AS02-bromo-LSD9AS0-5-HT2A-2-bromo-LSD-chim(NtGi1-Gs-CtGq)/β1/γ2
28.57Single9EAILosartan9EAI-AT1-Losartan-Nanobody AT209
28.57Single9HYIDP819HYI-5-HT1A-DP81-Gi1/β1/γ2
28.57Single9IZFLPA9IZF-LPA1-LPA-Gi1/β1/γ2
28.57Single9KUGEP679KUG-C5a1-EP67-Go/β1/γ2
28.57Single9M1HPGE29M1H-EP1-PGE2-chim(NtGi1-Gs-CtGq)/β1/γ2
28.57Consensusc3a_on_gpOrthosteric Ligand8HK2-C3aB-C3a-Gi1/β1/γ2 8IA8-C3aB-E7 peptide-Gi1/β1/γ2
28.57Consensuscb1_on_gpOrthosteric Ligand6KPG-CB1-AM841-Gi1/β1/γ2 8K8J-CB1-Fenofibrate-chim(Gs-CtGq)/β1/γ2
28.57Consensuscck_onOrthosteric Ligandccka_on cckb_on
28.57Consensuscck_on_gpOrthosteric Ligandccka_on_gp cckb_on_gp
28.57Consensusd2_offOrthosteric Ligand6CM4-D2-Risperidone 6LUQ-D2-Haloperidol 7DFP-D2-Spiperone
28.57Consensusfp-alpha_onOrthosteric Ligand8IUK-FP-alpha-PGF2-α-chim(NtGi1-Gs-CtGq)/β1/γ2 8IUL-FP-alpha-Latanoprost-chim(NtGi1-Gs-CtGq)/β1/γ2 8IUM-FP-alpha-Tafluprost acid-chim(NtGi1-Gs-CtGq)/β1/γ2
28.57Consensusfp-alpha_on_gpOrthosteric Ligand8IUK-FP-alpha-PGF2-α-chim(NtGi1-Gs-CtGq)/β1/γ2 8IUL-FP-alpha-Latanoprost-chim(NtGi1-Gs-CtGq)/β1/γ2 8IUM-FP-alpha-Tafluprost acid-chim(NtGi1-Gs-CtGq)/β1/γ2
28.57Consensusgi_s1pOrthosteric Ligand7VIE-S1P1-S1P-Gi1/β1/γ2 7EW3-S1P3-S1P-Gi1/β1/γ2 7EVY-S1P1-Siponimod-Gi1/β1/γ2 7EW1-S1P5-Siponimod-Gi1/β1/γ2 7VIF-S1P1-FTY720-P-Gi1/β1/γ2 7VIG-S1P1-CBP-307-Gi1/β1/γ2 7EVZ-S1P1-Cenerimod-Gi1/β1/γ2 7EW4-S1P3-CYM-5541-Gi1/β1/γ2 7EW2-S1P3-FTY720-P-Gi1/β1/γ2 7EW0-S1P1-Ozanimod-Gi1/β1/γ2 7EW7-S1P1-SEW2871-Gi1/β1/γ2
28.57Consensusorexin_on_gpOrthosteric Ligandox2_on_gp
28.00Single7F6G(Sar1)-Angiotensin II7F6G-AT1-(Sar1)-Angiotensin II-Gq/β1/γ2
28.00Single8X8LCortistatin-148X8L-SST5-Cortistatin-14-chim(NtGi1-Gs-CtGi1)/β1/γ2
28.00Single8XZJWN3538XZJ-Apelin; Apelin-WN353-Gi1/β1/γ2
28.00Consensusangiotensin_on_gpOrthosteric Ligandat1_on_gp
28.00Consensusat1_on_gpOrthosteric Ligand7F6G-AT1-(Sar1)-Angiotensin II-Gq/β1/γ2
28.00Consensuscxcr3_on_gpOrthosteric Ligand8HNK-CXCR3-CXCL11-Gi1/β1/γ2 8HNL-CXCR3-PS372424-Gi1/β1/γ2
28.00Consensusgi_class-aOrthosteric Ligandgi_peptide gi_sensory gi_alicarboxylic gi_amine gi_lipid gi_nucleotide gi_protein
28.00Consensusgq_angiotensinOrthosteric Ligand7F6G-AT1-(Sar1)-Angiotensin II-Gq/β1/γ2
28.00Consensuspeptide_offon_gpOrthosteric Ligandpeptide_on_gp peptide_off
27.78Single2Y01Dobutamine2Y01-β1-Dobutamine
27.78Single4YAYZD-71554YAY-AT1-ZD-7155
27.78Single5OLZPubChem 1355666095OLZ-A2A-PubChem 135566609-Na
27.78Single5OM1PubChem 1355666095OM1-A2A-PubChem 135566609-Na
27.78Single5TGZAM65385TGZ-CB1-AM6538
27.78Single6DRXLisuride6DRX-5-HT2B-Lisuride
27.78Single6H7MSalbutamol6H7M-β1-Salbutamol
27.78Single6XBM25(S)-Epoxycholesterol6XBM-SMO-25(S)-Epoxycholesterol-Gi1/β1/γ2
27.78Single7BU7BI1671077BU7-β1-BI167107
27.78Single7CRHSKF839597CRH-D1-SKF83959-Gs/β1/γ2
27.78Single7F83PF-051904577F83-Ghrelin-PF-05190457
27.78Single7JVQApomorphine7JVQ-D1-Apomorphine-Gs/β1/γ2
27.78Single7S0GIsoprenaline7S0G-β1-Isoprenaline-chim(Gi1-CtGs)/β1/γ2
27.78Single7SQOTAK-9257SQO-OX2-TAK-925-Gi1/β1/γ2
27.78Single7TRQVU04671547TRQ-M4-Iperoxo-VU0467154-Gi1/β1/γ2
27.78Single7V3ZCP559407V3Z-CB1-CP55940
27.78Single7VIES1P7VIE-S1P1-S1P-Gi1/β1/γ2
27.78Single7VIFFTY720-P7VIF-S1P1-FTY720-P-Gi1/β1/γ2
27.78Single7VKTLTB47VKT-BLT1-LTB4-Gi1/β1/γ2
27.78Single7XJHIsoprenaline7XJH-β3-Isoprenaline-Gs/β1/γ2
27.78Single7YK7DC5910537YK7-RXFP4-DC591053-Gi2/β1/γ2
27.78Single7YU4ONO-07405567YU4-LPA1-ONO-0740556
27.78Single8DZSGR89,6968DZS-κ-GR89,696-chim(NtGi2-Gz)/β1/γ2
27.78Single8EFQDAMGO8EFQ-μ-DAMGO-Gi1/β1/γ2
27.78Single8IRTRotigotine8IRT-D3-Rotigotine-Gi1/β1/γ2
27.78Single8JXRLSD8JXR-D1-LSD
27.78Single8KFYZK-7563268KFY-CCR8-ZK-756326-Gi1/β1/γ2
27.78Single8PJKST1718PJK-5-HT1A-ST171-Gi1/β1/γ1
27.78Single8W87METH8W87-TA1-METH-chim(NtGi1L-Gs)/β1/γ2
27.78Single8W8ARO52563908W8A-TA1-RO5256390-chim(NtGi1L-Gs)/β1/γ2
27.78Single8XJLPGF2-alpha8XJL-FP-alpha-PGF2-α-chim(NtGi2-Gs-CtGq)/β1/γ2
27.78Single8XVKAmbrisentan8XVK-ETA-Ambrisentan
27.78Single8ZSSRO52633978ZSS-TA1-RO5263397-chim(NtGi1-Gs)/β1/γ2
27.78Single9JGKBalovaptan9JGK-5-HT2B-Balovaptan
27.78Single9KFJPubChem 1383196749KFJ-RXFP3-PubChem 138319674-Gi2/β1/γ2
27.78Consensusadenosine_on_gpOrthosteric Liganda1_on_gp a2_on_gp a3_on_gp
27.78Consensusblt1_onOrthosteric Ligand7VKT-BLT1-LTB4-Gi1/β1/γ2
27.78Consensusblt1_on_gpOrthosteric Ligand7VKT-BLT1-LTB4-Gi1/β1/γ2
27.78Consensusblt_onOrthosteric Ligandblt1_on
27.78Consensusblt_on_gpOrthosteric Ligandblt1_on_gp
27.78Consensusgi_leukotrieneOrthosteric Ligand7VKT-BLT1-LTB4-Gi1/β1/γ2
27.78Consensusgi_orexinOrthosteric Ligand7SQO-OX2-TAK-925-Gi1/β1/γ2
27.78Consensusgs_trace-amineOrthosteric Ligand8W88-TA1-SEP-363856-Gs/β1/γ2 8JLJ-TA1-T1AM-chim(NtGi1-Gs)/β1/γ2 8JLO-TA1-Ulotaront-Gs/β1/γ2 8WC4-TA1-ZH8651-chim(NtGi1-Gs)/β1/γ2 8WC7-TA1-ZH8667-chim(NtGi1-Gs)/β1/γ2 8JLR-TA1-A77636-chim(NtGi1-Gs)/β1/γ2 8JSO-TA1-AMPH-chim(NtGi1-Gs)/β1/γ2 8W87-TA1-METH-chim(NtGi1L-Gs)/β1/γ2 8W89-TA1-2-Phenylethylamine-chim(NtGi1L-Gs)/β1/γ2 8JLP-TA1-Ralmitaront-Gs/β1/γ2 8W8A-TA1-RO5256390-chim(NtGi1L-Gs)/β1/γ2
27.78Consensusleukotriene_onOrthosteric Ligandblt_on
27.78Consensusleukotriene_on_gpOrthosteric Ligandblt_on_gp
27.78Consensuslipid_offOrthosteric Ligandcannabinoid_off paf_off lpl_off prostanoid_off leukotriene_off
27.59Single8U1UCCL18U1U-CCR8-CCL1-Gi1/β1/γ2
27.59Single8ZJETAK4488ZJE-Kiss1-TAK448-chim(NtGi1-Gq)/β1/γ1
27.27Single5ZTYAM102575ZTY-CB2-AM10257
27.27Single6C1QPMX536C1Q-C5a1-PMX53-NDT9513727
27.27Single7RKNCX3CL17RKN-US28-CX3CL1-Gi1/β1/γ2
27.27Single7SK9CCX6627SK9-ACKR3-CCX662
27.27Single7XY6BAY 60-65837XY6-A2B-BAY 60-6583-chim(NtGi1-Gs)/β1/γ2
27.27Single8GDAL9026888GDA-EP4-L902688-Gs/β1/γ2
27.27Single8IQ4Carboprost8IQ4-FP-alpha-Carboprost-chim(NtGi1-Gs-CtGq)/β1/γ2
27.27Single8IUMTafluprost acid8IUM-FP-alpha-Tafluprost acid-chim(NtGi1-Gs-CtGq)/β1/γ2
27.27Single8QJ2pN1628QJ2-MC4-pN162-Gs/β1/γ2
27.27Single8X3LXWD8X3L-CB2-XWD-Gi1/β1/γ2
27.27Single9JF4PD1683689JF4-BB1-PD168368
27.27Consensuscb2_offOrthosteric Ligand5ZTY-CB2-AM10257
27.27Consensuscxcr4_offOrthosteric Ligand4RWS-CXCR4-vMIP-II 3OE0-CXCR4-CVX15 3OE6-CXCR4-IT1t
27.27Consensuscxcr_on_gpOrthosteric Ligandcxcr3_on_gp cxcr4_on_gp cxcr1_on_gp cxcr2_on_gp
27.27Consensusgq_cckOrthosteric Ligand8IA7-CCKB-Cholecystokinin-8-chim(NtGi1L-Gq)/β1/γ2 7XOW-CCKB-Sulfated Gastrin-(10-17)-chim(NtGi1-Gq)/β1/γ2 7EZM-CCKA-Cholecystokinin-8-chim(NtGsL-Gq)/β1/γ2 7F8W-CCKB-Gastrin-17-chim(NtGsL-Gq)/β1/γ2
27.27Consensuss1p_onOrthosteric Ligands1p1_on s1p3_on s1p5_on
27.27Consensuss1p_on_gpOrthosteric Ligands1p1_on_gp s1p3_on_gp s1p5_on_gp
26.92Single7Y64C5a7Y64-C5a1-C5a-Gi1/β1/γ2
26.92Single8IA2C5a8IA2-C5a1-C5a-Go/β1/γ2
26.92Single8WWKMCH8WWK-MCH1-MCH-Gi1/β1/γ2
26.92Single8XVHEndothelin-18XVH-ETB-Endothelin-1-chim(Gs-CtGq)/β1/γ2
26.92Single9JFYNeuropeptide-SF9JFY-NPFF2-Neuropeptide-SF-Gi1/β1/γ2
26.92Consensusccr_on_gpOrthosteric Ligandccr6_on_gp ccr8_on_gp ccr2_on_gp ccr1_on_gp ccr5_on_gp
26.92Consensuschemokine_on_gpOrthosteric Ligandccr_on_gp cxcr_on_gp
26.92Consensusgi_chemokineOrthosteric Ligand6WWZ-CCR6-CCL20-Go/β1/γ2 8HNK-CXCR3-CXCL11-Gi1/β1/γ2 8K3Z-CXCR4-CXCL12-Gi1/β1/γ1 8IC0-CXCR1-CXCL8-Gi1/β1/γ2 6LFM-CXCR2-CXCL8-Gi1/β1/γ2 8KFX-CCR8-LMD-009-Gi1/β1/γ2 7F1Q-CCR5-CCL3-Gi1/β1/γ2 8HNL-CXCR3-PS372424-Gi1/β1/γ2 8KFY-CCR8-ZK-756326-Gi1/β1/γ2 7O7F-CCR5-6P4-CCL5-Gi1/β1/γ1 8U1U-CCR8-CCL1-Gi1/β1/γ2 7VLA-CCR1-CCL15(27-92)-Gi1/β1/γ2 7XA3-CCR2-CCL2-Gi1/β1/γ2
26.92Consensusmc1_onOrthosteric Ligand7F4H-MC1-Afamelanotide-chim(NtGi1-Gs)/β1/γ2 7F4D-MC1-α-MSH-chim(NtGi1-Gs)/β1/γ2 7F4I-MC1-SHU9119-chim(NtGi1-Gs)/β1/γ2
26.92Consensusmc1_on_gpOrthosteric Ligand7F4H-MC1-Afamelanotide-chim(NtGi1-Gs)/β1/γ2 7F4D-MC1-α-MSH-chim(NtGi1-Gs)/β1/γ2 7F4I-MC1-SHU9119-chim(NtGi1-Gs)/β1/γ2
26.92Consensussst5_on_gpOrthosteric Ligand8X8L-SST5-Cortistatin-14-chim(NtGi1-Gs-CtGi1)/β1/γ2 8X8N-SST5-Octreotide-chim(NtGi1-Gs-CtGi1)/β1/γ2
26.67Single2J4Y11-cis-Retinal2J4Y-Rhodopsin-11-cis-Retinal
26.67Single7EJKOxymetazoline7EJK-α2a-Oxymetazoline-Go/β1/γ2
26.67Single7F23Dopamine7F23-D1-Dopamine-GDP-Gs/β1/γ2
26.67Single8HBDIRL16208HBD-ETB-IRL1620-Gi1/β1/γ2
26.67Single8WC62-Phenylethylamine8WC6-TA1-2-Phenylethylamine-chim(NtGi1-Gs)/β1/γ2
26.67Single8WC9ZH86518WC9-TA1-ZH8651-chim(NtGi1-Gs-CtGq)/β1/γ2
26.67Single8YN9Histamine8YN9-H4-Histamine-Gi1/β1/γ2
26.67Single8YUUHistamine8YUU-H3-Histamine-Gi1/β1/γ1
26.67Single9LRCHistamine9LRC-H4-Histamine
26.67Single9LREHistamine9LRE-H4-Histamine-Gi1/β1/γ2
26.67Consensush3_onOrthosteric Ligand8YUU-H3-Histamine-Gi1/β1/γ1
26.67Consensush3_on_gpOrthosteric Ligand8YUU-H3-Histamine-Gi1/β1/γ1
26.32Single5C1MBU725C1M-μ-BU72
26.32Single5JQHCarazolol5JQH-β2-Carazolol
26.32Single5OM4PubChem 1355666095OM4-A2A-PubChem 135566609-Na
26.32Single6E67BI1671076E67-β2-BI167107-Gs(CT)
26.32Single6KUWPubChem 572132346KUW-α2c-PubChem 57213234
26.32Single6LUQHaloperidol6LUQ-D2-Haloperidol
26.32Single6M9TMisoprostol-FA6M9T-EP3-Misoprostol-FA
26.32Single6ME72-Phenylmelatonin6ME7-MT2-2-Phenylmelatonin
26.32Single6PS3Carvedilol6PS3-β2-Carvedilol
26.32Single7BVQCarazolol7BVQ-β1-Carazolol
26.32Single7C61Ergotamine7C61-5-HT1B-Ergotamine
26.32Single7CFNINT-7777CFN-GPBA-INT-777-Gs/β1/γ2
26.32Single7LD3Adenosine7LD3-A1-Adenosine-MIPS521-Gi2/β1/γ2
26.32Single7S0FIsoprenaline7S0F-β1-Isoprenaline-Gi1/β1/γ2
26.32Single7WC6LSD7WC6-5-HT2A-LSD
26.32Single7WIGL-0542647WIG-SST2-L-054264-Gi1/β1/γ2
26.32Single7X1TTaltirelin7X1T-TRH-Taltirelin-chim(NtGi2L-Gs-CtGq)/β1/γ2
26.32Single7XK9Constrained Isoproterenol7XK9-β2-Constrained Isoproterenol-Na
26.32Single7YU3ONO-07405567YU3-LPA1-ONO-0740556-Gi1/β1/γ2
26.32Single8K8JFenofibrate8K8J-CB1-Fenofibrate-chim(Gs-CtGq)/β1/γ2
26.32Single8S4DCMF-0198S4D-Apelin-CMF-019
26.32Single8TH4Losartan8TH4-AT1-Losartan-AT118-L Nanobody
26.32Single8XYKVUF106618XYK-CXCR3-VUF10661-Go/β1/γ2
26.32Single8YNSSNAP-948478YNS-MCH1-SNAP-94847
26.32Single9EAHOlmesartan9EAH-AT1-Olmesartan-Nanobody AT209
26.32Single9EE8Adenosine9EE8-A2A-Adenosine-Gs/β1/γ2
26.32Single9EHSLUF76029EHS-A3A-LUF7602
26.32Single9F33FOB02-04A9F33-D3-FOB02-04A-Go/β1/γ2
26.32Single9F34FOB02-04A9F34-D3-FOB02-04A-Go/β1/γ2
26.32Single9KUTJR14a9KUT-C3aB-JR14a-Go/β1/γ2
26.32Single9KUVCMPD6449KUV-Apelin-CMPD644-Arrestin2
26.32Single9M8POleic monoethanolamide9M8P-GPR3 ; GPR3-Oleic monoethanolamide-AF64394
26.32Consensus5ht5_on_gpOrthosteric Ligand5ht5a_on_gp
26.32Consensus5ht5a_on_gpOrthosteric Ligand7X5H-5-HT5A-5-CT-Gi1/β1/γ2 7UM6-5-HT5A-Lisuride-chim(NtGi1-Go)/β1/γ2 7UM7-5-HT5A-Methylergometrine-chim(NtGi1-Go)/β1/γ2
26.32Consensusadrenergic_offOrthosteric Ligandalpha_off beta_off
26.32Consensusadrenergic_on_gpOrthosteric Ligandalpha_on_gp beta_on_gp
26.32Consensusalpha2c_offOrthosteric Ligand6KUW-α2c-PubChem 57213234
26.32Consensusd1_onOrthosteric Ligand7F0T-D1-Dopamine-Gs/β1/γ2 7CKY-D1-PW0464-Gs/β1/γ2 8IRR-D1-Rotigotine-Gs/β1/γ2 7JV5-D1-SKF81297-Gs/β1/γ2 7JVP-D1-SKF83959-Gs/β1/γ2 7X2D-D1-Tavapadon-Gs/β1/γ2 7CKX-D1-A77636-Gs/β1/γ2 7JVQ-D1-Apomorphine-Gs/β1/γ2 7CKW-D1-Fenoldopam-Gs/β1/γ2
26.32Consensusgs_amineOrthosteric Ligandgs_5ht gs_adrenergic gs_dopamine gs_histamine gs_trace-amine
26.32Consensuslpa1_onOrthosteric Ligand7TD1-LPA1-LPA-Gi1/β1/γ2 7YU3-LPA1-ONO-0740556-Gi1/β1/γ2
26.32Consensuslpa1_on_gpOrthosteric Ligand7TD1-LPA1-LPA-Gi1/β1/γ2 7YU3-LPA1-ONO-0740556-Gi1/β1/γ2
26.32Consensusta1_onOrthosteric Ligand8W87-TA1-METH-chim(NtGi1L-Gs)/β1/γ2 8W89-TA1-2-Phenylethylamine-chim(NtGi1L-Gs)/β1/γ2 8JLP-TA1-Ralmitaront-Gs/β1/γ2 8W8A-TA1-RO5256390-chim(NtGi1L-Gs)/β1/γ2 8W88-TA1-SEP-363856-Gs/β1/γ2 8JLO-TA1-Ulotaront-Gs/β1/γ2 8JLR-TA1-A77636-chim(NtGi1-Gs)/β1/γ2 8JSO-TA1-AMPH-chim(NtGi1-Gs)/β1/γ2 8ZSP-TA1-LSD-chim(NtGi1L-Gs)/β1/γ2
26.32Consensustrace-amine_onOrthosteric Ligandta1_on
26.09Single4AMJCarvedilol4AMJ-β1-Carvedilol
26.09Single6WIVPubChem 52923113; PubChem 529246456WIV-GABAB1, GABAB2-PubChem 52923113; PubChem 52924645
26.09Single7F8XNN90567F8X-CCKA-NN9056
26.09Single7QA8Antagonist Peptide7QA8-STE2; STE2-Antagonist Peptide
26.09Single7QA8Antagonist Peptide7QA8-STE2; STE2-Antagonist Peptide
26.09Single7WKDTRH7WKD-TRH-TRH-chim(NtGi1-Gs-CtGq)/β1/γ2
26.09Single7XAUOctreotide7XAU-SST2-Octreotide-Gi1/β1/γ2
26.09Single7XMRSomatostatin-147XMR-SST2-Somatostatin-14-Gi1/β1/γ2
26.09Single8GHVAMG3158GHV-CB1-AMG315-Gi1/β1/γ2
26.09Single8J6RMK68928J6R-HCA2-MK6892-Gi1/β1/γ2
26.09Single8WDTphotoNECA8WDT-A2A-photoNECA
26.09Single8WZ2Orexigenic Neuropeptide QRFP8WZ2-QRFP-Orexigenic Neuropeptide QRFP-chim(NtGi1L-Gs-CtGq)/β1/γ2
26.09Single8ZBJSomatostatin-148ZBJ-SST5-Somatostatin-14-Gi1/β1/γ2
26.09Single9BKJCholecystokinin-89BKJ-CCKA-Cholecystokinin-8-chim(NtGi1-Gs-CtGq)/β1/γ2
26.09Single9HB3Mambaquaretin-19HB3-V2-Mambaquaretin-1
26.09Single9M4TSilodosin9M4T-Alpha1A-Silodosin
26.09Single9UYJChemerin-99UYJ-CML2-Chemerin-9-Arrestin2
26.09Consensuschemokine_onOrthosteric Ligandccr_on cxcr_on
26.09Consensusmop_offOrthosteric Ligand4DKL-μ-β-Funaltrexamine 8QOT-μ-Nanobody-E 7UL4-μ-Alvimopan
25.93Single5UIW5P7-CCL55UIW-CCR5-5P7-CCL5
25.93Single8H0PNMB308H0P-BB1-NMB30-chim(NtGi1-Gs-CtGq)/β1/γ2
25.93Single9KFKRelaxin-39KFK-RXFP4-Relaxin-3-Gi2/β1/γ2
25.93Consensusccr5_offOrthosteric Ligand5UIW-CCR5-5P7-CCL5
25.93Consensusccr_offOrthosteric Ligandccr2_off ccr5_off
25.93Consensusgi_compl-peptOrthosteric Ligand8HK5-C5a1-C5a-Gi1/β1/γ2 8IA8-C3aB-E7 peptide-Gi1/β1/γ2 7Y66-C5a1-BM213-Gi1/β1/γ2 7Y67-C5a1-C089 peptide-Gi1/β1/γ2 8HK2-C3aB-C3a-Gi1/β1/γ2 7Y64-C5a1-C5a-Gi1/β1/γ2
25.93Consensusgi_peptideOrthosteric Ligandgi_cck gi_apelin gi_compl-pept gi_endothelin gi_formylpeptide gi_galanin gi_ghrelin gi_npy gi_neurotensin gi_opioid gi_orexin gi_relaxin gi_somatostatin
25.00Single2YDVNECA2YDV-A2A-NECA
25.00Single3P0GBI1671073P0G-β2-BI167107
25.00Single3PDSFAUC503PDS-β2-FAUC50
25.00Single3QAKUK-4320973QAK-A2A-UK-432097
25.00Single3SN6BI1671073SN6-β2-BI167107-Gs/β1/γ2
25.00Single4UHRCGS216804UHR-A2A-CGS21680
25.00Single5A8E7-Methylcyanopindolol5A8E-β1-7-Methylcyanopindolol-Na
25.00Single5G53NECA5G53-A2A-NECA-Gs
25.00Single5L7IVismodegib5L7I-SMO-Vismodegib
25.00Single5XR8AM120335XR8-CB1-AM12033
25.00Single5ZKBAF-DX 3845ZKB-M2-AF-DX 384
25.00Single6GT3Imaradenant6GT3-A2A-Imaradenant-Na
25.00Single6LI0C176LI0-GPR52-C17
25.00Single6N4BMDMB-Fubinaca6N4B-CB1-MDMB-Fubinaca-Gi1/β1/γ2
25.00Single6NI3BI1671076NI3-β2-BI167107-Gs/β1/γ2
25.00Single7B6WCyclazosin7B6W-α1b-Cyclazosin
25.00Single7EIBKallidin-des-Arg107EIB-BK1-Kallidin-des-Arg10-chim(NtGi1-Gs-CtGq)/β1/γ2
25.00Single7EW1Siponimod7EW1-S1P5-Siponimod-Gi1/β1/γ2
25.00Single7EZKCholecystokinin-87EZK-CCKA-Cholecystokinin-8-chim(NtGi1-Gs)/β1/γ2
25.00Single7F4FAfamelanotide7F4F-MC1-Afamelanotide-chim(NtGi1-Gs)/β1/γ2
25.00Single7F58THIQ7F58-MC4-THIQ-Gs/β1/γ2
25.00Single7JVPSKF839597JVP-D1-SKF83959-Gs/β1/γ2
25.00Single7SK5CXCL127SK5-ACKR3-CXCL12
25.00Single7TRPLY20332987TRP-M4-Iperoxo-LY2033298-Gi1/β1/γ2
25.00Single7W0NElabela7W0N-Apelin; Apelin-Elabela-Gi1/β1/γ2
25.00Single7WJ5Somatostatin-147WJ5-SST2-Somatostatin-14-Gi1/β1/γ2
25.00Single7WV9CP559407WV9-CB1-CP55940-ZCZ011-Gi2/β1/γ2
25.00Single7X9ANeuropeptide-Y7X9A-Y1-Neuropeptide-Y-Gi1/β1/γ2
25.00Single7XP6Strychnine7XP6-TAS2R46-Strychnine-chim(Gs-CtGt3)/β1/γ2
25.00Single7YFDImetit7YFD-H4-Imetit-chim(NtGi1-Gs-CtGq)/β1/γ2
25.00Single8DCSCyanopindolol8DCS-β1-Cyanopindolol-Gs/β1/γ2
25.00Single8FX5Xanomeline8FX5-M4-Xanomeline-Xanomeline-Gi1/β1/γ2
25.00Single8HN8Histamine8HN8-H4-Histamine-Gi1/β1/γ2
25.00Single8HPTC5a (C-terminal peptide)8HPT-C5a1-C5a (C-terminal peptide)-Go/β1/γ2
25.00Single8IRRRotigotine8IRR-D1-Rotigotine-Gs/β1/γ2
25.00Single8IRVRotigotine8IRV-D5-Rotigotine-chim(NtGi1-Gs)/β1/γ2
25.00Single8IUKPGF2-alpha8IUK-FP-alpha-PGF2-α-chim(NtGi1-Gs-CtGq)/β1/γ2
25.00Single8IYHMK68928IYH-HCA2-MK6892-Go/β1/γ2
25.00Single8JLOUlotaront8JLO-TA1-Ulotaront-Gs/β1/γ2
25.00Single8JPNCis-Epoxysuccinic acid8JPN-Succinate-Cis-Epoxysuccinic acid-Gi1/β1/γ1
25.00Single8JSRAnamorelin8JSR-Ghrelin-Anamorelin-chim(NtGi1-Gs-CtGq)/β1/γ2
25.00Single8JXVClozapine8JXV-H4-Clozapine-Gi1/β1/γ2
25.00Single8JXWVUF68848JXW-H4-VUF6884-Gi1/β1/γ2
25.00Single8JZZC5a-des-Arg8JZZ-C5a1-C5a-des-Arg-Go/β1/γ2
25.00Single8W892-Phenylethylamine8W89-TA1-2-Phenylethylamine-chim(NtGi1L-Gs)/β1/γ2
25.00Single8WP1Cis-Epoxysuccinic acid8WP1-Succinate-Cis-Epoxysuccinic acid-Gi1/β1/γ2
25.00Single8WU1MDMB-Fubinaca8WU1-CB1-MDMB-Fubinaca-Arrestin2
25.00Single8WWLMCH8WWL-MCH1-MCH-Gi1/β1/γ2
25.00Single8X79MRE-2698X79-I2-MRE-269-Gs/β1/γ2
25.00Single8XJMLatanoprost8XJM-FP-alpha-Latanoprost-chim(NtGi2-Gs-CtGq)/β1/γ2
25.00Single8YN5Histamine8YN5-H3-Histamine-Gi1/β1/γ2
25.00Single8YN6Imetit8YN6-H3-Imetit-Gi1/β1/γ2
25.00Single8YN7Immethridine8YN7-H3-Immethridine-Go/β1/γ2
25.00Single8ZSVRO52633978ZSV-TA1-RO5263397-chim(NtGi1-Gs)/β1/γ2
25.00Single8ZW0PGD28ZW0-DP1-PGD2-Gs/β1/γ2
25.00Single9ASTLymphotactin9AST-XCR1-Lymphotactin-Gi1/β1/γ2
25.00Single9BS9LSD9BS9-D2-LSD
25.00Single9BSBLSD9BSB-D2-LSD-chim(NtGi1-Go)/β1/γ2
25.00Single9E9SPGD29E9S-DP1-PGD2-Gs/β1/γ1
25.00Single9IJDCarazolol9IJD-β3-Carazolol-chim(NtGi1-Gs)/β1/γ2
25.00Single9IK8Pasireotide9IK8-SST1-Pasireotide-Gi1/β1/γ2
25.00Single9IK9Lanreotide9IK9-SST1-Lanreotide-Gi1/β1/γ2
25.00Single9IQRMuscarinic toxin 39IQR-α2a-Muscarinic toxin 3
25.00Single9IQSMuscarinic toxin 39IQS-M4-Muscarinic toxin 3
25.00Single9JEDHistamine9JED-H4-Histamine-PO4-Gi1/β1/γ2
25.00Single9JEQHistamine9JEQ-H3-Histamine-Gi1/β1/γ2
25.00Single9JLCAVE 09919JLC-MAS1-AVE 0991-Gi1/β1/γ2
25.00Single9L42Histamine9L42-H4-Histamine-Gi1/β1/γ2
25.00Single9L60Dynorphin9L60-κ-Dynorphin-MPAM-15-Gi1/β1/γ2
25.00Single9U9VMETH9U9V-β2-METH-Gs/β1/γ2
25.00Consensuscckb_onOrthosteric Ligand8IA7-CCKB-Cholecystokinin-8-chim(NtGi1L-Gq)/β1/γ2 7XOW-CCKB-Sulfated Gastrin-(10-17)-chim(NtGi1-Gq)/β1/γ2 7F8V-CCKB-Gastrin-17-Gi2/β1/γ2
25.00Consensusd5_on_gpOrthosteric Ligand8IRV-D5-Rotigotine-chim(NtGi1-Gs)/β1/γ2
25.00Consensusgi_5htOrthosteric Ligand8FYT-5-HT1A-LSD-PtdIns4P-Gi1/β1/γ1 7UM7-5-HT5A-Methylergometrine-chim(NtGi1-Go)/β1/γ2 8UGY-5-HT1E-Mianserin-Gi1/β1/γ1 8W8B-5-HT1A-SEP-363856-Gi1/β1/γ2 7E2Y-5-HT1A-Serotonin-PtdIns4P-Gi1/β1/γ2 7E32-5-HT1D-Serotonin-Gi1/β1/γ2 7XTA-5-HT4-Serotonin-Gi1/β1/γ2 8UH3-5-HT1E-Setiptiline-Gi1/β1/γ1 8JSP-5-HT1A-Ulotaront-Gi1/β1/γ2 8FYL-5-HT1A-Vilazodone-PtdIns4P-Gi1/β1/γ1 8JT6-5-HT1A-(R)-IHCH-7179-PtdIns4P-Gi1/β1/γ2 8FYE-5-HT1A-4-F,5-MeO-PyrT-PtdIns4P-Gi1/β1/γ1 7X5H-5-HT5A-5-CT-Gi1/β1/γ2 8FY8-5-HT1A-5-MeO-DMT-PtdIns4P-Gi1/β1/γ1 7E2Z-5-HT1A-Aripiprazole-PtdIns4P-Gi1/β1/γ2 7E33-5-HT1E-BRL-54443-Gi1/β1/γ2 8FYX-5-HT1A-Buspirone-PtdIns4P-Gi1/β1/γ1 7EXD-5-HT1F-Lasmiditan-Gi1/β1/γ2 7UM6-5-HT5A-Lisuride-chim(NtGi1-Go)/β1/γ2
25.00Consensusgi_ghrelinOrthosteric Ligand7NA7-Ghrelin-Ghrelin-Gi1/β1/γ2 7NA8-Ghrelin-Ibutamoren-Gi1/β1/γ2
25.00Consensush4_onOrthosteric Ligand8HN8-H4-Histamine-Gi1/β1/γ2 8HOC-H4-Imetit-Gi1/β1/γ2 8JXV-H4-Clozapine-Gi1/β1/γ2 8JXW-H4-VUF6884-Gi1/β1/γ2 8JXX-H4-Clobenpropit-Gi1/β1/γ2
25.00Consensusmc5_onOrthosteric Ligand8INR-MC5-α-MSH-Ca-chim(NtGi1-Gs)/β1/γ2 8IOD-MC5-PG-901-Ca-chim(NtGi1-Gs)/β1/γ2
25.00Consensusmotilin_onOrthosteric Ligand8IBU-Motilin-Erythromycin-A-chim(NtGi1-Gs-CtGq)/β1/γ2
25.00Consensuspeptide_onOrthosteric Ligandcck_on angiotensin_on apelin_on bombesin_on bradykinin_on compl-peptide_on endothelin_on formylpeptide_on galanin_on ghrelin_on kisspeptin_on melanocortin_on motilin_on neuromedin-u_on npy_on neurotensin_on opioid_on orexin_on relaxin_on somatostatin_on tachykinin_on trh_on vasop-oxy_on
25.00Consensuspeptide_on_gpOrthosteric Ligandcck_on_gp angiotensin_on_gp apelin_on_gp bombesin_on_gp bradykinin_on_gp compl-peptide_on_gp endothelin_on_gp formylpeptide_on_gp galanin_on_gp ghrelin_on_gp kisspeptin_on_gp melanocortin_on_gp motilin_on_gp neuromedin-u_on_gp npy_on_gp neurotensin_on_gp opioid_on_gp orexin_on_gp relaxin_on_gp somatostatin_on_gp tachykinin_on_gp trh_on_gp vasop-oxy_on_gp
25.00Consensuss1p5_onOrthosteric Ligand7EW1-S1P5-Siponimod-Gi1/β1/γ2
25.00Consensuss1p5_on_gpOrthosteric Ligand7EW1-S1P5-Siponimod-Gi1/β1/γ2
25.00Consensusta1_on_gpOrthosteric Ligand8W87-TA1-METH-chim(NtGi1L-Gs)/β1/γ2 8W89-TA1-2-Phenylethylamine-chim(NtGi1L-Gs)/β1/γ2 8JLP-TA1-Ralmitaront-Gs/β1/γ2 8W8A-TA1-RO5256390-chim(NtGi1L-Gs)/β1/γ2 8W88-TA1-SEP-363856-Gs/β1/γ2 8JLO-TA1-Ulotaront-Gs/β1/γ2 8JLR-TA1-A77636-chim(NtGi1-Gs)/β1/γ2 8JSO-TA1-AMPH-chim(NtGi1-Gs)/β1/γ2 8ZSP-TA1-LSD-chim(NtGi1L-Gs)/β1/γ2
25.00Consensustrace-amine_on_gpOrthosteric Ligandta1_on_gp
24.14Single7VGXNeuropeptide-Y7VGX-Y1-Neuropeptide-Y-Gi1/β1/γ2
24.14Single8Y52BA18Y52-BB3-BA1-chim(NtGi1-Gs-CtGq)/β1/γ2
24.14Consensusbk2_onOrthosteric Ligand7F6H-BK2-Bradykinin-Gq/β1/γ2 7F6I-BK2-Kallidin-Gq/β1/γ2
24.14Consensusbk2_on_gpOrthosteric Ligand7F6H-BK2-Bradykinin-Gq/β1/γ2 7F6I-BK2-Kallidin-Gq/β1/γ2
24.14Consensusbradykinin_onOrthosteric Ligandbk2_on
24.14Consensusbradykinin_on_gpOrthosteric Ligandbk2_on_gp
24.14Consensusgq_bradykininOrthosteric Ligand7F6H-BK2-Bradykinin-Gq/β1/γ2 7F6I-BK2-Kallidin-Gq/β1/γ2
24.14Consensusgs_melanocortinOrthosteric Ligand7F4H-MC1-Afamelanotide-chim(NtGi1-Gs)/β1/γ2 7F54-MC4-Afamelanotide-Gs/β1/γ2 7F4D-MC1-α-MSH-chim(NtGi1-Gs)/β1/γ2 8INR-MC5-α-MSH-Ca-chim(NtGi1-Gs)/β1/γ2 7F53-MC4-α-MSH-Gs/β1/γ2 7F55-MC4-Bremelanotide-Gs/β1/γ2 8GY7-MC2-Corticotropin-Ca-chim(NtGi1-Gs)/β1/γ2; MRAP1 8IOC-MC3-γ-MSH-Ca-chim(NtGi1-Gs)/β1/γ2 8IOD-MC5-PG-901-Ca-chim(NtGi1-Gs)/β1/γ2 7AUE-MC4-Setmelanotide-chim(NtGi1L-Gs)/β1/γ2 7F4I-MC1-SHU9119-chim(NtGi1-Gs)/β1/γ2 7F58-MC4-THIQ-Gs/β1/γ2
24.00Single5WF5UK-4320975WF5-A2A-UK-432097
24.00Single6MEOGp160; CD46MEO-CCR5-Gp160; CD4
24.00Single7F4DAlpha-MSH7F4D-MC1-α-MSH-chim(NtGi1-Gs)/β1/γ2
24.00Single8K6MNeuropeptide-Y8K6M-Y1-Neuropeptide-Y-Gi2/β1/γ1
24.00Single9K27PrRP319K27-PrRP-PrRP31-chim(NtGi1-Gq)/β1/γ2
24.00Single9M1ONeuropeptide-FF9M1O-NPFF2-Neuropeptide-FF-Gi1/β1/γ2
24.00Single9U4WGonadoliberin-19U4W-GnRH1-Gonadoliberin-1-chim(NtGi1L-Gs-CtGq)/β1/γ2
24.00Consensusgs_class-aOrthosteric Ligandgs_peptide gs_nucleotide gs_amine
24.00Consensusnpy1_onOrthosteric Ligand8K6M-Y1-Neuropeptide-Y-Gi2/β1/γ1
24.00Consensusnpy1_on_gpOrthosteric Ligand8K6M-Y1-Neuropeptide-Y-Gi2/β1/γ1
23.81Single2YCXCyanopindolol2YCX-β1-Cyanopindolol
23.81Single4AMIBucindolol4AMI-β1-Bucindolol
23.81Single4N4WSANT-14N4W-SMO-SANT-1
23.81Single4RWADIPP-NH24RWA-δ-DIPP-NH2
23.81Single4Z36ONO-30805734Z36-LPA1-ONO-3080573
23.81Single5F8UCyanopindolol5F8U-β1-Cyanopindolol
23.81Single6AK3PGE26AK3-EP3-PGE2
23.81Single6C1RPMX536C1R-C5a1-PMX53-Avacopan; Na
23.81Single6H7OCyanopindolol6H7O-β1-Cyanopindolol
23.81Single6OS2TRV0266OS2-AT1-TRV026
23.81Single6VMSBromoergocryptine6VMS-D2-Bromoergocryptine-Gi1/β1/γ2
23.81Single7EVYSiponimod7EVY-S1P1-Siponimod-Gi1/β1/γ2
23.81Single7MTRADX551647MTR-mGlu2; mGlu2-Glutamate-ADX55164
23.81Single7SUSPubChem 1227019087SUS-Apelin-PubChem 122701908
23.81Single7W0LPubChem 1227019087W0L-Apelin; Apelin-PubChem 122701908-Gi1/β1/γ2
23.81Single7W0LPubChem 1227019087W0L-Apelin; Apelin-PubChem 122701908-Gi1/β1/γ2
23.81Single8G056-OAU8G05-GPR84-6-OAU-Gi1/β1/γ2
23.81Single8H0QGastrin Releasing Peptide8H0Q-BB2-Gastrin Releasing Peptide-chim(NtGi1-Gs-CtGq)/β1/γ2
23.81Single8IBUErythromycin-A8IBU-Motilin-Erythromycin-A-chim(NtGi1-Gs-CtGq)/β1/γ2
23.81Single8JWY2-1188JWY-A2A-2-118
23.81Single8JWZEtrumadenant8JWZ-A2A-Etrumadenant-Na
23.81Single8X8NOctreotide8X8N-SST5-Octreotide-chim(NtGi1-Gs-CtGi1)/β1/γ2
23.81Single8XJNCloprosetnol8XJN-TXA2-Cloprosetnol-chim(NtGi1-Gs-CtGq)/β1/γ2
23.81Single8XQSCholesterol8XQS-TAS2R14-Cholesterol-Flufenamic acid-Gi1/β1/γ1
23.81Single9AU0BW245C9AU0-DP1-BW245C-Gs/β1/γ2
23.81Single9EBIPiclidenoson9EBI-A3A-Piclidenoson-chim(NtGi1L-Gs-CtGi1)/β1/γ2
23.81Single9GGGI-BOP9GGG-TXA2-I-BOP-chim(NtGi2L-Gs-CtGq)/β1/γ2
23.81Consensus5ht1a_onOrthosteric Ligand8FYT-5-HT1A-LSD-PtdIns4P-Gi1/β1/γ1 7E2Y-5-HT1A-Serotonin-PtdIns4P-Gi1/β1/γ2 7E2Z-5-HT1A-Aripiprazole-PtdIns4P-Gi1/β1/γ2 8FYX-5-HT1A-Buspirone-PtdIns4P-Gi1/β1/γ1 8JSP-5-HT1A-Ulotaront-Gi1/β1/γ2 8JT6-5-HT1A-(R)-IHCH-7179-PtdIns4P-Gi1/β1/γ2 8FY8-5-HT1A-5-MeO-DMT-PtdIns4P-Gi1/β1/γ1 8FYE-5-HT1A-4-F,5-MeO-PyrT-PtdIns4P-Gi1/β1/γ1 8FYL-5-HT1A-Vilazodone-PtdIns4P-Gi1/β1/γ1
23.81Consensus5ht1a_on_gpOrthosteric Ligand8FYT-5-HT1A-LSD-PtdIns4P-Gi1/β1/γ1 8FYX-5-HT1A-Buspirone-PtdIns4P-Gi1/β1/γ1 8JSP-5-HT1A-Ulotaront-Gi1/β1/γ2 8JT6-5-HT1A-(R)-IHCH-7179-PtdIns4P-Gi1/β1/γ2 7E2Y-5-HT1A-Serotonin-PtdIns4P-Gi1/β1/γ2 7E2Z-5-HT1A-Aripiprazole-PtdIns4P-Gi1/β1/γ2 8FY8-5-HT1A-5-MeO-DMT-PtdIns4P-Gi1/β1/γ1 8FYE-5-HT1A-4-F,5-MeO-PyrT-PtdIns4P-Gi1/β1/γ1 8FYL-5-HT1A-Vilazodone-PtdIns4P-Gi1/β1/γ1
23.81Consensuscannabinoid_offOrthosteric Ligandcb2_off cb1_off
23.81Consensuscb1_onOrthosteric Ligand6KPG-CB1-AM841-Gi1/β1/γ2 8K8J-CB1-Fenofibrate-chim(Gs-CtGq)/β1/γ2
23.81Consensuscxcr_onOrthosteric Ligandcxcr3_on cxcr4_on cxcr1_on cxcr2_on
23.81Consensuslpa1_offOrthosteric Ligand4Z36-LPA1-ONO-3080573 4Z35-LPA1-ONO-9910539 4Z34-LPA1-ONO-9780307
23.81Consensuslpa_offOrthosteric Ligandlpa1_off
23.81Consensusmotilin_on_gpOrthosteric Ligand8IBU-Motilin-Erythromycin-A-chim(NtGi1-Gs-CtGq)/β1/γ2
23.53Single4MQTLY21196204MQT-M2-Iperoxo-LY2119620
23.53Single5ZKQABT-4915ZKQ-PAF-ABT-491
23.53Single6AKXA4R6AKX-CCR5-A4R
23.53Single6AKYMaraviroc6AKY-CCR5-Maraviroc
23.53Single6D9HAdenosine6D9H-A1-Adenosine-Gi2/β1/γ2
23.53Single6DS0LY2660976DS0-5-HT2B-LY266097
23.53Single6KUYPubChem 1457046436KUY-α2a-PubChem 145704643
23.53Single6OBAAlprenolol6OBA-β2-Alprenolol-GTPL11074
23.53Single7DHRIsoprenaline7DHR-β2-Isoprenaline-Gs/β1/γ2
23.53Single7EJ0Norepinephrine7EJ0-α2a-Norepinephrine-Go/β1/γ2
23.53Single7S8PMS471347S8P-MRGPRX4-MS47134-chim(NtGi2L-Gs-CtGq)/β1/γ2
23.53Single7SRRLSD7SRR-5-HT2B-LSD-chim(NtGi2L-Gs-CtGq)/β1/γ2
23.53Single7SRSLSD7SRS-5-HT2B-LSD-Arrestin2
23.53Single7T8XAcetylcholine7T8X-M2-Acetylcholine-chim(NtGi1-Go)/β1/γ2
23.53Single7T90Acetylcholine7T90-M2-Acetylcholine-chim(NtGi1-Go)/β1/γ2
23.53Single7T96Acetylcholine7T96-M2-Acetylcholine-LY2119620-Go/β1/γ2
23.53Single7VIHCBP-3077VIH-S1P1-CBP-307-Gi1/β1/γ2
23.53Single7VUJJNJ-635330547VUJ-GPR139-JNJ-63533054-GDP-chim(Gs-CtGq)/β1/γ2
23.53Single7XJJGalanin7XJJ-GAL1-Galanin-Go/β1/γ2
23.53Single7YM8Oxymetazoline7YM8-Alpha1A-Oxymetazoline-chim(Gs-CtGq)
23.53Single7YMHNorepinephrine7YMH-Alpha1A-Norepinephrine-chim(Gs-CtGq)
23.53Single8GGAConstrained Epinephrine8GGA-β2-Constrained Epinephrine-GTP-Gs/β1/γ2
23.53Single8GGCConstrained Epinephrine8GGC-β2-Constrained Epinephrine-GTP-Gs/β1/γ2
23.53Single8GGRConstrained Epinephrine8GGR-β2-Constrained Epinephrine
23.53Single8GGWConstrained Epinephrine8GGW-β2-Constrained Epinephrine
23.53Single8GGZConstrained Epinephrine8GGZ-β2-Constrained Epinephrine
23.53Single8GH0Constrained Epinephrine8GH0-β2-Constrained Epinephrine
23.53Single8HDPAdenosine8HDP-A2B-Adenosine-Gs/β1/γ2
23.53Single8HOCImetit8HOC-H4-Imetit-Gi1/β1/γ2
23.53Single8IW4Spermidine8IW4-TAA9-Spermidine-chim(NtGi1-Gs)/β1/γ2
23.53Single8IWESpermidine8IWE-TAA9-Spermidine
23.53Single8JSOAMPH8JSO-TA1-AMPH-chim(NtGi1-Gs)/β1/γ2
23.53Single8RW0Istradefylline8RW0-A2A-Istradefylline-Na
23.53Single8UNXConstrained Epinephrine8UNX-β2-Constrained Epinephrine-GTP-Gs/β1/γ2
23.53Single8WC3SEP-3638568WC3-TA1-SEP-363856-chim(NtGi1-Gs)/β1/γ2
23.53Single8XXVIndomethacin8XXV-DP2-Indomethacin-A1D5Q-Gi1/β1/γ2
23.53Single8YNAImmepip8YNA-H4-Immepip-Gi1/β1/γ2
23.53Single8YUVImmepip8YUV-H3-Immepip-Gi1/β1/γ2
23.53Single8YYWAlpha-ketoglutarate8YYW-Oxoglutarate-α-ketoglutarate-α-ketoglutarate-chim(Gi1-CtGq)/β1/γ2
23.53Single9J5VCpY9J5V-LPA1-CpY-Gi1/β1/γ2
23.53Single9K6LSalicin9K6L-TAS2R16-Salicin-Gi2/β1/γ2
23.53Single9LKDPL459LKD-OR5V1-PL45
23.53Single9MQJIsoquinuclidine9MQJ-μ-Isoquinuclidine
23.53Consensus5ht2_on_gpOrthosteric Ligand5ht2b_on_gp
23.53Consensus5ht2b_on_gpOrthosteric Ligand7SRR-5-HT2B-LSD-chim(NtGi2L-Gs-CtGq)/β1/γ2
23.53Consensusalpha2_offOrthosteric Ligandalpha2c_off
23.53Consensusangiotensin_offOrthosteric Ligandat1_off
23.53Consensusgq_histamineOrthosteric Ligand7DFL-H1-Histamine-chim(NtGi1L-Gq)/β1/γ2
23.53Consensush1_on_gpOrthosteric Ligand7DFL-H1-Histamine-chim(NtGi1L-Gq)/β1/γ2
23.53Consensushistamine_onOrthosteric Ligandh1_on h2_on h3_on h4_on
23.53Consensushistamine_on_gpOrthosteric Ligandh1_on_gp h2_on_gp h3_on_gp h4_on_gp
23.53Consensusm2_onOrthosteric Ligand7T8X-M2-Acetylcholine-chim(NtGi1-Go)/β1/γ2
23.53Consensusm2_on_gpOrthosteric Ligand7T8X-M2-Acetylcholine-chim(NtGi1-Go)/β1/γ2
23.53Consensuspaf_offOrthosteric Ligand5ZKQ-PAF-ABT-491
23.33Single6IGKEndothelin-36IGK-ETB-Endothelin-3
23.33Consensusccr5_on_gpOrthosteric Ligand7O7F-CCR5-6P4-CCL5-Gi1/β1/γ1 7F1Q-CCR5-CCL3-Gi1/β1/γ2
23.33Consensusgi_endothelinOrthosteric Ligand8IY5-ETB-Endothelin-1-Gi1/β1/γ2 8HBD-ETB-IRL1620-Gi1/β1/γ2
23.08Single6JODAngiotensin II6JOD-AT2-Angiotensin II
23.08Single6METGp160; CD46MET-CCR5-Gp160; CD4
23.08Single6WIVPubChem 52923113; PubChem 529246456WIV-GABAB1, GABAB2-PubChem 52923113; PubChem 52924645
23.08Single7F4HAfamelanotide7F4H-MC1-Afamelanotide-chim(NtGi1-Gs)/β1/γ2
23.08Single7XK8Neuromedin-U-257XK8-NMUR2-Neuromedin-U-25-Gi1/β1/γ2
23.08Single8GEJConstrained Epinephrine8GEJ-β2-Constrained Epinephrine-Gs/β1/γ2
23.08Single8WSTMCH8WST-MCH2-MCH-chim(NtGi1L-Gs-CtGq)/β1/γ2
23.08Consensusc5a1_on_gpOrthosteric Ligand8HK5-C5a1-C5a-Gi1/β1/γ2 7Y66-C5a1-BM213-Gi1/β1/γ2 7Y67-C5a1-C089 peptide-Gi1/β1/γ2 7Y64-C5a1-C5a-Gi1/β1/γ2
23.08Consensusmc5_on_gpOrthosteric Ligand8INR-MC5-α-MSH-Ca-chim(NtGi1-Gs)/β1/γ2 8IOD-MC5-PG-901-Ca-chim(NtGi1-Gs)/β1/γ2
22.73Single4BVNCyanopindolol4BVN-β1-Cyanopindolol-Na
22.73Single5TUDErgotamine5TUD-5-HT2B-Ergotamine
22.73Single6BQHRitanserin6BQH-5-HT2C-Ritanserin
22.73Single7EVZCenerimod7EVZ-S1P1-Cenerimod-Gi1/β1/γ2
22.73Single7EZCUK-4320977EZC-A2A-UK-432097
22.73Single7EZHCholecystokinin-87EZH-CCKA-Cholecystokinin-8-Gi1/β1/γ2
22.73Single7JVRBromoergocryptine7JVR-D2-Bromoergocryptine-Gi1/β1/γ2
22.73Single7LLLExendin-47LLL-GLP-1-Exendin-4-Gs/β1/γ2
22.73Single7MTSADX551647MTS-mGlu2; mGlu2-Glutamate-ADX55164-Gi1/β1/γ2
22.73Single7X1UTRH7X1U-TRH-TRH-chim(NtGi2L-Gs-CtGq)/β1/γ2
22.73Single7XZ6APD6687XZ6-GPR119-APD668-Gs/β1/γ2
22.73Single7Y27Somatostatin-147Y27-SST2-Somatostatin-14-chim(NtGi2L-Gs-CtGq)/β1/γ2
22.73Single7Y65C5a (C-terminal peptide)7Y65-C5a1-C5a (C-terminal peptide)-Gi1/β1/γ2
22.73Single8E9X2-Deoxycytidine8E9X-M4-2-Deoxycytidine-chim(NtGi1-Go)/β1/γ2
22.73Single8FX5Xanomeline8FX5-M4-Xanomeline-Xanomeline-Gi1/β1/γ2
22.73Single8HN1Toxin AdTx18HN1-Alpha1A-Toxin AdTx1
22.73Single8J19LY2378J19-GPR84-LY237-Gi1/β1/γ2
22.73Single8K4OCXCL18K4O-KSHV-CXCL1-Gi1/β1/γ1
22.73Single8XJKCloprosetnol8XJK-FP-alpha-Cloprosetnol-chim(NtGi1-Gs-CtGq)/β1/γ2
22.73Single8XJOU466198XJO-TXA2-U46619-chim(NtGi1-Gs-CtGq)/β1/γ2
22.73Single9GG5U466199GG5-TXA2-U46619-chim(NtGi2L-Gs-CtGq)/β1/γ2
22.73Single9L79AR2314539L79-GPR119-AR231453-chim(NtGi1-Gs)/β1/γ2
22.73Single9UYHChemerin-99UYH-CML2-Chemerin-9-Arrestin2
22.73Single9UYMChemerin-99UYM-CML2-Chemerin-9-chim(Arrestin3-CtArrestin2)
22.73Consensus5ht2c_offOrthosteric Ligand6BQH-5-HT2C-Ritanserin
22.73Consensusccka_onOrthosteric Ligand7EZH-CCKA-Cholecystokinin-8-Gi1/β1/γ2
22.73Consensusccka_on_gpOrthosteric Ligand7EZH-CCKA-Cholecystokinin-8-Gi1/β1/γ2
22.73Consensusnucleotide_on_gpOrthosteric Ligandadenosine_on_gp p2y_on_gp
22.73Consensuspeptide_offOrthosteric Ligandcck_off angiotensin_off bombesin_off endothelin_off ghrelin_off npy_off opioid_off orexin_off somatostatin_off tachykinin_off vasop-oxy_off neurotensin_off
22.73Consensusprostanoid_onOrthosteric Ligandtp_on fp-alpha_on
22.73Consensusprostanoid_on_gpOrthosteric Ligandtp_on_gp fp-alpha_on_gp
22.73Consensustp_onOrthosteric Ligand8XJO-TXA2-U46619-chim(NtGi1-Gs-CtGq)/β1/γ2
22.73Consensustp_on_gpOrthosteric Ligand8XJO-TXA2-U46619-chim(NtGi1-Gs-CtGq)/β1/γ2
22.58Consensusendothelin_on_gpOrthosteric Ligandetb_on_gp eta_on_gp
22.58Consensusetb_on_gpOrthosteric Ligand8IY5-ETB-Endothelin-1-Gi1/β1/γ2 8HBD-ETB-IRL1620-Gi1/β1/γ2
22.58Consensusmelanocortin_onOrthosteric Ligandmc1_on mc4_on mc2_on mc3_on mc5_on
22.58Consensusmelanocortin_on_gpOrthosteric Ligandmc1_on_gp mc4_on_gp mc2_on_gp mc3_on_gp mc5_on_gp
22.22Single1F8811-cis-Retinal1F88-Rhodopsin-11-cis-Retinal
22.22Single4LDOEpinephrine4LDO-β2-Epinephrine
22.22Single4MBSMaraviroc4MBS-CCR5-Maraviroc
22.22Single4ZUDOlmesartan4ZUD-AT1-Olmesartan
22.22Single6K41Dexmedetomidine6K41-α2b-Dexmedetomidine-Go/β1/γ2
22.22Single6KUXRS799486KUX-α2a-RS79948
22.22Single6ME32-Phenylmelatonin6ME3-MT1-2-Phenylmelatonin
22.22Single6PS0Carazolol6PS0-β2-Carazolol
22.22Single6PS4ICI118-5516PS4-β2-ICI118-551
22.22Single6PS82-Phenylmelatonin6PS8-MT1-2-Phenylmelatonin
22.22Single6PT0WIN 55212-26PT0-CB2-WIN 55212-2-Gi1/β1/γ2
22.22Single6U1NLY21196206U1N-M2-LY2119620-Arrestin2
22.22Single7AROLUF58337ARO-A2A-LUF5833-Na
22.22Single7CKZDopamine7CKZ-D1-Dopamine-Mevidalen-Gs/β1/γ2
22.22Single7CMUPramipexole7CMU-D3-Pramipexole-Gi1/β1/γ2
22.22Single7DHISalbutamol7DHI-β2-Salbutamol-Gs/β1/γ2
22.22Single7EJADexmedetomidine7EJA-α2a-Dexmedetomidine-Go/β1/γ2
22.22Single7F0TDopamine7F0T-D1-Dopamine-Gs/β1/γ2
22.22Single7F1ZDopamine7F1Z-D1-Dopamine-GDP-Gs/β1/γ2
22.22Single7F6HBradykinin7F6H-BK2-Bradykinin-Gq/β1/γ2
22.22Single7F6IKallidin7F6I-BK2-Kallidin-Gq/β1/γ2
22.22Single7QBIAlpha-factor mating pheromone7QBI-STE2; STE2-α-factor mating pheromone
22.22Single7RANPubChem 1645758477RAN-5-HT2A-PubChem 164575847-chim(NtGi2L-Gs-CtGq)/β1/γ2
22.22Single7T94Acetylcholine7T94-M2-Acetylcholine-LY2119620-chim(NtGi1-Go)/β1/γ2
22.22Single7TRSAcetylcholine7TRS-M4-Acetylcholine-Gi1/β1/γ2
22.22Single7VL9CCL15(26-92)7VL9-CCR1-CCL15(26-92)-Gi1/β1/γ2
22.22Single7X9CPancreatic Hormone7X9C-Y4-Pancreatic Hormone-Gi1/β1/γ2
22.22Single7XXH2MeSADP7XXH-P2Y1-2MeSADP-chim(NtGi1-G11)/β1/γ2
22.22Single8E3ZVIP8E3Z-VPAC1-VIP-Gs/β1/γ2
22.22Single8GE1Constrained Epinephrine8GE1-β2-Constrained Epinephrine-Gs/β1/γ2
22.22Single8GE4Constrained Epinephrine8GE4-β2-Constrained Epinephrine-Gs/β1/γ2
22.22Single8GE5Constrained Epinephrine8GE5-β2-Constrained Epinephrine-Gs/β1/γ1
22.22Single8GE6Constrained Epinephrine8GE6-β2-Constrained Epinephrine-Gs/β1/γ2
22.22Single8GE7Constrained Epinephrine8GE7-β2-Constrained Epinephrine-Gs/β1/γ2
22.22Single8GE8Constrained Epinephrine8GE8-β2-Constrained Epinephrine-Gs/β1/γ2
22.22Single8GEAConstrained Epinephrine8GEA-β2-Constrained Epinephrine-Gs/β1/γ2
22.22Single8GEDConstrained Epinephrine8GED-β2-Constrained Epinephrine-Gs/β1/γ2
22.22Single8GEFConstrained Epinephrine8GEF-β2-Constrained Epinephrine-Gs/β1/γ2
22.22Single8GG8Constrained Epinephrine8GG8-β2-Constrained Epinephrine-GTP-Gs/β1/γ2
22.22Single8GGQConstrained Epinephrine8GGQ-β2-Constrained Epinephrine
22.22Single8GGSConstrained Epinephrine8GGS-β2-Constrained Epinephrine
22.22Single8GGTConstrained Epinephrine8GGT-β2-Constrained Epinephrine
22.22Single8GGVConstrained Epinephrine8GGV-β2-Constrained Epinephrine
22.22Single8GGXConstrained Epinephrine8GGX-β2-Constrained Epinephrine
22.22Single8HCXEndothelin-18HCX-ETB-Endothelin-1-chim(NtGi2L-Gs-CtGq)/β1/γ2
22.22Single8HNKCXCL118HNK-CXCR3-CXCL11-Gi1/β1/γ2
22.22Single8IODPG-9018IOD-MC5-PG-901-Ca-chim(NtGi1-Gs)/β1/γ2
22.22Single8JLNT1AM8JLN-TA1-T1AM-Gs/β1/γ2
22.22Single8PM2DMCHA8PM2-TA7-DMCHA-Gs/β1/γ2
22.22Single8RWIStilSwitch28RWI-A2A-StilSwitch2-Na
22.22Single8THKA-616038THK-Alpha1A-A-61603-chim(NtGi2L-Gs-CtGq)/β1/γ2
22.22Single8THLEpinephrine8THL-Alpha1A-Epinephrine-chim(NtGi2L-Gs-CtGq)/β1/γ2
22.22Single8UHBRO52563908UHB-TA1-RO5256390-Gs/β1/γ2
22.22Single8UNMConstrained Epinephrine8UNM-β2-Constrained Epinephrine-GTP-Gs/β1/γ2
22.22Single8UNWConstrained Epinephrine8UNW-β2-Constrained Epinephrine-GTP-Gs/β1/γ2
22.22Single8UO0Constrained Epinephrine8UO0-β2-Constrained Epinephrine-GTP-Gs/β1/γ2
22.22Single8WWMMCH8WWM-MCH1-MCH-Gi1/β1/γ2
22.22Single8X7ATreprostinil8X7A-I2-Treprostinil-Gs/β1/γ2
22.22Single8XQEApelin-138XQE-Apelin; Apelin-Apelin-13-Gi1/β1/γ2
22.22Single8XVIEndothelin-18XVI-ETA-Endothelin-1-chim(Gs-CtGq)/β1/γ2
22.22Single8Y45ADL58598Y45-δ-ADL5859-Gi2/β1/γ2
22.22Single8YH2Adenosine8YH2-A3A-Adenosine-Gi1/β1/γ2
22.22Single8ZPNAMD31008ZPN-CXCR4-AMD3100
22.22Single8ZPSPrRP208ZPS-PrRP-PrRP20-chim(NtGi1-Gs-CtGi1)/β1/γ2
22.22Single9AS3LSD9AS3-5-HT2A-LSD
22.22Single9AS4LSD9AS4-5-HT2A-LSD-chim(NtGi1-Gs-CtGq)/β1/γ2
22.22Single9AS5Mescaline9AS5-5-HT2A-Mescaline
22.22Single9AS6Mescaline9AS6-5-HT2A-Mescaline-chim(NtGi1-Gs-CtGq)/β1/γ2
22.22Single9AXFCa; Ca; Ca; Cyclomethyltryptophan; R-568; PO49AXF-CaS; CaS-Ca-Ca; Ca; Ca; Cyclomethyltryptophan; R-568; PO4-chim(NtGi1-Gs-CtGq)/β1/γ2
22.22Single9BA0MRI-18919BA0-CB1-MRI-1891
22.22Single9CBLEpinephrine9CBL-α2a-Epinephrine-Gi1/β1/γ2
22.22Single9JH3CMF-0199JH3-Apelin; Apelin-CMF-019-Gi1/β1/γ2
22.22Single9JKQMETH9JKQ-TA1-METH-Gs/β1/γ2
22.22Single9KPDSalicin9KPD-TAS2R16-Salicin-chim(Gs-CtGt3)/β1/γ2
22.22Single9KXSEP679KXS-C5a1-EP67-Go/β1/γ2
22.22Single9L8LBI1671079L8L-β2-BI167107-Atazanavir-Gs/β1/γ2 ; Arrestin2
22.22Single9LKBPL459LKB-OR5V1-PL45-chim(NtGi1-Gs)/β1
22.22Single9M2FNeuropeptide-FF9M2F-NPFF1-Neuropeptide-FF-Gi1/β1/γ2
22.22Single9MQIIsoquinuclidine9MQI-μ-Isoquinuclidine
22.22Single9VNFPindolol9VNF-5-HT1A-Pindolol-Go/β1/γ2
22.22Consensusadenosine_onOrthosteric Liganda1_on a2_on a3_on
22.22Consensusalpha1_onOrthosteric Ligandalpha1a_on
22.22Consensusalpha1_on_gpOrthosteric Ligandalpha1a_on_gp
22.22Consensusalpha1a_onOrthosteric Ligand7EJ0-α2a-Norepinephrine-Go/β1/γ2 7EJ8-α2a-Brimonidine-Go/β1/γ2 7EJA-α2a-Dexmedetomidine-Go/β1/γ2 7EJK-α2a-Oxymetazoline-Go/β1/γ2 7W6P-α2a-N-pyridin-4-ylisoquinolin-4-amine-Go/β1/γ2 7W7E-α2a-PubChem 164946676-Go/β1/γ2
22.22Consensusalpha1a_on_gpOrthosteric Ligand7EJ0-α2a-Norepinephrine-Go/β1/γ2 7EJ8-α2a-Brimonidine-Go/β1/γ2 7EJA-α2a-Dexmedetomidine-Go/β1/γ2 7EJK-α2a-Oxymetazoline-Go/β1/γ2 7W6P-α2a-N-pyridin-4-ylisoquinolin-4-amine-Go/β1/γ2 7W7E-α2a-PubChem 164946676-Go/β1/γ2
22.22Consensusd3_onOrthosteric Ligand7CMV-D3-PD128907-Gi1/β1/γ2 8IRT-D3-Rotigotine-Gi1/β1/γ2 7CMU-D3-Pramipexole-Gi1/β1/γ2
22.22Consensusd3_on_gpOrthosteric Ligand7CMV-D3-PD128907-Gi1/β1/γ2 8IRT-D3-Rotigotine-Gi1/β1/γ2 7CMU-D3-Pramipexole-Gi1/β1/γ2
22.22Consensusgi_adenosineOrthosteric Ligand7LD4-A1-Adenosine-Gi2/β1/γ2 8X17-A3A-Namodenoson-Gi1/β1/γ2 8X16-A3A-Piclidenoson-Gi1/β1/γ2
22.22Consensusopsins_offOrthosteric Ligandrhodopsin_off
22.22Consensusp2y1_on_gpOrthosteric Ligand7XXH-P2Y1-2MeSADP-chim(NtGi1-G11)/β1/γ2
22.22Consensussensory_offOrthosteric Ligandopsins_off
21.88Single6LRYSarafotoxin-B6LRY-ETB-Sarafotoxin-B
21.88Consensusgs_peptideOrthosteric Ligandgs_cck gs_melanocortin gs_vasop-oxy
21.74Single3NY9PubChem 9131033NY9-β2-PubChem 913103
21.74Single4UG2CGS216804UG2-A2A-CGS21680
21.74Single5WF6UK-4320975WF6-A2A-UK-432097
21.74Single6XBJCholesterol6XBJ-SMO-Cholesterol-Gi1/β1/γ2
21.74Single7F2OBradykinin7F2O-BK2-Bradykinin-chim(NtGi1-Gs-CtGq)/β1/γ2
21.74Single7S8LCortistatin-147S8L-MRGPRX2-Cortistatin-14-chim(NtGi2L-Gs-CtGq)/β1/γ2
21.74Single7T11Octreotide7T11-SST2-Octreotide-Gi3/β1/γ2
21.74Single7XBXCX3CL17XBX-CX3CR1-CX3CL1-Gi1/β1/γ2
21.74Single7XN9L-0545227XN9-SST2-L-054522
21.74Single7Y1FDynorphin7Y1F-κ-Dynorphin-Gi1/β1/γ2
21.74Single7YAEOctreotide7YAE-SST2-Octreotide-Gi1/β1/γ2
21.74Single8XQLCholesterol8XQL-TAS2R14-Cholesterol-Aristolochic acid A-Gt3/β1/γ1
21.74Single9EAJNanobody AT2099EAJ-AT1-Nanobody AT209
21.74Single9V2NMacimorelin9V2N-Ghrelin-Macimorelin-chim(NtGi1-Gs-CtGq)/β1/γ2
21.74Consensusnmur1_onOrthosteric Ligand7W53-NMUR1-Neuromedin-U-25-chim(NtGi1-Gs-CtGq)/β1/γ2
21.74Consensussst2_onOrthosteric Ligand7WIC-SST2-Somatostatin-14-Gi1/β1/γ2 7WIG-SST2-L-054264-Gi1/β1/γ2 7YAE-SST2-Octreotide-Gi1/β1/γ2 7YAC-SST2-Paltusotine-Gi1/β1/γ2
21.74Consensussst2_on_gpOrthosteric Ligand7WIC-SST2-Somatostatin-14-Gi1/β1/γ2 7WIG-SST2-L-054264-Gi1/β1/γ2 7YAE-SST2-Octreotide-Gi1/β1/γ2 7YAC-SST2-Paltusotine-Gi1/β1/γ2
21.43Single7QBIAlpha-factor mating pheromone7QBI-STE2; STE2-α-factor mating pheromone
21.43Single7SK4CXCL12_LRHQ7SK4-ACKR3-CXCL12_LRHQ
21.43Single7YKDChemerin-97YKD-CML1-Chemerin-9-Gi1/β1/γ2
21.43Consensusccr5_onOrthosteric Ligand7O7F-CCR5-6P4-CCL5-Gi1/β1/γ1 7F1Q-CCR5-CCL3-Gi1/β1/γ2
21.43Consensusnpy4_onOrthosteric Ligand7X9C-Y4-Pancreatic Hormone-Gi1/β1/γ2
21.43Consensusnpy4_on_gpOrthosteric Ligand7X9C-Y4-Pancreatic Hormone-Gi1/β1/γ2
21.43Consensuspac1_onOrthosteric Ligand8E3X-PAC1-PACAP27-Gs/β1/γ2 6M1H-PAC1-Maxadilan-Gs/β1/γ2
21.43Consensuspac1_on_gpOrthosteric Ligand8E3X-PAC1-PACAP27-Gs/β1/γ2 6M1H-PAC1-Maxadilan-Gs/β1/γ2
21.05Single2YCYCyanopindolol2YCY-β1-Cyanopindolol
21.05Single3NY8ICI118-5513NY8-β2-ICI118-551
21.05Single3NYAAlprenolol3NYA-β2-Alprenolol
21.05Single4EJ4Naltrindole4EJ4-δ-Naltrindole
21.05Single4GBRCarazolol4GBR-β2-Carazolol
21.05Single4U16N-methyl-Scopolamine4U16-M3-N-methyl-Scopolamine
21.05Single5UENDU1725UEN-A1-DU172
21.05Single5YC8N-methyl-Scopolamine5YC8-M2-N-methyl-Scopolamine
21.05Single5ZK8N-methyl-Scopolamine5ZK8-M2-N-methyl-Scopolamine
21.05Single5ZKCN-methyl-Scopolamine5ZKC-M2-N-methyl-Scopolamine
21.05Single6D27CAY104716D27-DP2-CAY10471
21.05Single6DRZMethysergide6DRZ-5-HT2B-Methysergide
21.05Single6IIVDaltroban6IIV-TXA2-Daltroban
21.05Single6K42Dexmedetomidine6K42-α2b-Dexmedetomidine-Gi1/β1/γ2
21.05Single6KPFAM120336KPF-CB2-AM12033-Gi1/β1/γ2
21.05Single6PRZAlprenolol6PRZ-β2-Alprenolol
21.05Single6PS1Timolol6PS1-β2-Timolol
21.05Single6WHADB139486WHA-5-HT2A-DB13948-chim(NtGi2L-Gs-CtGq)/β1/γ2
21.05Single6X1ADanuglipron6X1A-GLP-1-Danuglipron-Gs/β1/γ2
21.05Single7BTSEpinephrine7BTS-β1-Epinephrine
21.05Single7BU6Norepinephrine7BU6-β1-Norepinephrine
21.05Single7CFMP3957CFM-GPBA-P395-Gs/β1/γ2
21.05Single7JOZPubChem 752020227JOZ-D1-PubChem 75202022-Gs/β1/γ2
21.05Single7LJCSKF812977LJC-D1-SKF81297-Mevidalen-Gs/β1/γ2
21.05Single7M3JNPS-2143; PO47M3J-CaS; CaS-NPS-2143; PO4
21.05Single7NA8Ibutamoren7NA8-Ghrelin-Ibutamoren-Gi1/β1/γ2
21.05Single7T6VfMLFII7T6V-FPR2-ALX-fMLFII-Gi1/β1/γ2
21.05Single7UM6Lisuride7UM6-5-HT5A-Lisuride-chim(NtGi1-Go)/β1/γ2
21.05Single7WC7Lisuride7WC7-5-HT2A-Lisuride
21.05Single7WC8Lumateperone7WC8-5-HT2A-Lumateperone
21.05Single7WQ3Galanin7WQ3-GAL1-Galanin-Gi1/β1/γ2
21.05Single7X2CFenoldopam7X2C-D1-Fenoldopam-Fenoldopam-Gs/β1/γ2
21.05Single8CU6LJ-45178CU6-A2A-LJ-4517
21.05Single8CU7LJ-45178CU7-A2A-LJ-4517-Na
21.05Single8GCML-9026888GCM-EP4-L-902688-Gi1/β1/γ2
21.05Single8GE2Constrained Epinephrine8GE2-β2-Constrained Epinephrine-Gs/β1/γ1
21.05Single8GE3Constrained Epinephrine8GE3-β2-Constrained Epinephrine-Gs/β1/γ2
21.05Single8GE9Constrained Epinephrine8GE9-β2-Constrained Epinephrine-Gs/β1/γ2
21.05Single8GECConstrained Epinephrine8GEC-β2-Constrained Epinephrine-Gs/β1/γ2
21.05Single8GEEConstrained Epinephrine8GEE-β2-Constrained Epinephrine-Gs/β1/γ2
21.05Single8GEHConstrained Epinephrine8GEH-β2-Constrained Epinephrine-Gs/β1/γ2
21.05Single8GFVConstrained Epinephrine8GFV-β2-Constrained Epinephrine-GTP-Gs/β1/γ2
21.05Single8GFWConstrained Epinephrine8GFW-β2-Constrained Epinephrine-GTP-Gs/β1/γ2
21.05Single8GFXConstrained Epinephrine8GFX-β2-Constrained Epinephrine-GTP-Gs/β1/γ2
21.05Single8GFZConstrained Epinephrine8GFZ-β2-Constrained Epinephrine-GTP-Gs/β1/γ2
21.05Single8GG0Constrained Epinephrine8GG0-β2-Constrained Epinephrine-GTP-Gs/β1/γ2
21.05Single8GG1Constrained Epinephrine8GG1-β2-Constrained Epinephrine-GTP-Gs/β1/γ2
21.05Single8GG3Constrained Epinephrine8GG3-β2-Constrained Epinephrine-GTP-Gs/β1/γ2
21.05Single8GG4Constrained Epinephrine8GG4-β2-Constrained Epinephrine-GTP-Gs/β1/γ2
21.05Single8GG6Constrained Epinephrine8GG6-β2-Constrained Epinephrine-GTP-Gs/β1/γ2
21.05Single8GG9Constrained Epinephrine8GG9-β2-Constrained Epinephrine-GTP-Gs/β1/γ2
21.05Single8GGIConstrained Epinephrine8GGI-β2-Constrained Epinephrine
21.05Single8GGJConstrained Epinephrine8GGJ-β2-Constrained Epinephrine
21.05Single8GGKConstrained Epinephrine8GGK-β2-Constrained Epinephrine
21.05Single8GGNConstrained Epinephrine8GGN-β2-Constrained Epinephrine
21.05Single8GGOConstrained Epinephrine8GGO-β2-Constrained Epinephrine
21.05Single8GGUConstrained Epinephrine8GGU-β2-Constrained Epinephrine
21.05Single8JJOAlprenolol8JJO-β2-Alprenolol
21.05Single8JLJT1AM8JLJ-TA1-T1AM-chim(NtGi1-Gs)/β1/γ2
21.05Single8JLZST19368JLZ-5-HT6-ST1936-Gs/β1/γ2
21.05Single8RW7StilSwitch18RW7-A2A-StilSwitch1-Na
21.05Single8RWXStilSwitch38RWX-A2A-StilSwitch3-Na
21.05Single8UGYMianserin8UGY-5-HT1E-Mianserin-Gi1/β1/γ1
21.05Single8UH3Setiptiline8UH3-5-HT1E-Setiptiline-Gi1/β1/γ1
21.05Single8UNQConstrained Epinephrine8UNQ-β2-Constrained Epinephrine-GTP-Gs/β1/γ2
21.05Single8UNRConstrained Epinephrine8UNR-β2-Constrained Epinephrine-GTP-Gs/β1/γ2
21.05Single8UNUConstrained Epinephrine8UNU-β2-Constrained Epinephrine-GTP-Gs/β1/γ2
21.05Single8UNVConstrained Epinephrine8UNV-β2-Constrained Epinephrine-GTP-Gs/β1/γ2
21.05Single8UNYConstrained Epinephrine8UNY-β2-Constrained Epinephrine-GTP-Gs/β1/γ2
21.05Single8UNZConstrained Epinephrine8UNZ-β2-Constrained Epinephrine-GTP-Gs/β1/γ2
21.05Single8UO2Constrained Epinephrine8UO2-β2-Constrained Epinephrine-GTP-Gs/β1/γ2
21.05Single8UWLLisuride8UWL-5-HT2A-Lisuride-chim(NtGi2-Gs-CtGq)/β1/γ2
21.05Single8VVGGB188VVG-κ-GB18-Gi1/β1/γ2
21.05Single8WC7ZH86678WC7-TA1-ZH8667-chim(NtGi1-Gs)/β1/γ2
21.05Single8X17Namodenoson8X17-A3A-Namodenoson-Gi1/β1/γ2
21.05Single8Y71A1D6F8Y71-δ-A1D6F-BMS986187-Gi1/β1/γ2
21.05Single8YH5Riboprine8YH5-A3A-Riboprine-Gi1/β1/γ2
21.05Single8YN8Proxyfan8YN8-H3-Proxyfan-Go/β1/γ2
21.05Single8ZBEOctreotide8ZBE-SST5-Octreotide-Gi1/β1/γ1
21.05Single8ZQEGPR15L(CT)8ZQE-GPR15-GPR15L(CT)-Gi1/β1/γ1
21.05Single9CBMDexmedetomidine9CBM-α2a-Dexmedetomidine-Gi1/β1/γ2
21.05Single9CHXCarazolol9CHX-β2-Carazolol
21.05Single9EPP11,20-Ethanoretinal9EPP-Rhodopsin-11,20-Ethanoretinal-chim(Gi1-CtGq)/β1/γ2
21.05Single9H37PubChem 1756706469H37-A2A-PubChem 175670646-Na
21.05Single9JEAAtropine9JEA-M1-Atropine
21.05Single9JQZGrapiprant 9JQZ-EP4-Grapiprant
21.05Single9KUXCMPD6449KUX-Apelin; Apelin-CMPD644-Arrestin2
21.05Single9PLNPubChem 1682595949PLN-α2a-PubChem 168259594
21.05Single9PLOPubChem 1682595949PLO-α2a-PubChem 168259594-Go/β1/γ2
21.05Single9PQDPubChem 1764919279PQD-α2a-PubChem 176491927
21.05Single9VMYTMU41429VMY-5-HT1A-TMU4142-Go/β1/γ2
21.05Consensus5ht2b_offOrthosteric Ligand6DRZ-5-HT2B-Methysergide
21.05Consensus5ht5_onOrthosteric Ligand5ht5a_on
21.05Consensus5ht5a_onOrthosteric Ligand7X5H-5-HT5A-5-CT-Gi1/β1/γ2 7UM6-5-HT5A-Lisuride-chim(NtGi1-Go)/β1/γ2 7UM7-5-HT5A-Methylergometrine-chim(NtGi1-Go)/β1/γ2
21.05Consensusa3_onOrthosteric Liganda3a_on
21.05Consensusadrenergic_onOrthosteric Ligandalpha_on beta_on
21.05Consensusalpha2_onOrthosteric Ligandalpha2b_on
21.05Consensusalpha2_on_gpOrthosteric Ligandalpha2b_on_gp
21.05Consensusalpha2b_onOrthosteric Ligand6K42-α2b-Dexmedetomidine-Gi1/β1/γ2
21.05Consensusalpha2b_on_gpOrthosteric Ligand6K42-α2b-Dexmedetomidine-Gi1/β1/γ2
21.05Consensusalpha_onOrthosteric Ligandalpha1_on alpha2_on
21.05Consensusd5_onOrthosteric Ligand8IRV-D5-Rotigotine-chim(NtGi1-Gs)/β1/γ2
21.05Consensusdop_offOrthosteric Ligand4EJ4-δ-Naltrindole
21.05Consensusdopamine_offOrthosteric Ligandd2_off d3_off
21.05Consensusdopamine_onOrthosteric Ligandd2_on d1_on d3_on d4_on d5_on
21.05Consensusdopamine_on_gpOrthosteric Ligandd2_on_gp d1_on_gp d3_on_gp d4_on_gp d5_on_gp
21.05Consensusgal1_onOrthosteric Ligand7WQ3-GAL1-Galanin-Gi1/β1/γ2
21.05Consensusgal1_on_gpOrthosteric Ligand7WQ3-GAL1-Galanin-Gi1/β1/γ2
21.05Consensusgi_galaninOrthosteric Ligand7WQ3-GAL1-Galanin-Gi1/β1/γ2
21.05Consensusgi_histamineOrthosteric Ligand8JXX-H4-Clobenpropit-Gi1/β1/γ2 8JXV-H4-Clozapine-Gi1/β1/γ2 8YUU-H3-Histamine-Gi1/β1/γ1 8HN8-H4-Histamine-Gi1/β1/γ2 8HOC-H4-Imetit-Gi1/β1/γ2 8JXW-H4-VUF6884-Gi1/β1/γ2
21.05Consensusgq_amineOrthosteric Ligandgq_muscarinic gq_histamine
21.05Consensusmuscarinic_onOrthosteric Ligandm2_on m3_on m4_on m1_on
21.05Consensusmuscarinic_on_gpOrthosteric Ligandm2_on_gp m3_on_gp m4_on_gp m1_on_gp
20.83Single4IARErgotamine4IAR-5-HT1B-Ergotamine
20.83Single6X19CHU-1286X19-GLP-1-CHU-128-Gs/β1/γ2
20.83Single7F4ISHU91197F4I-MC1-SHU9119-chim(NtGi1-Gs)/β1/γ2
20.83Single7T6UCGEN-855A7T6U-FPR2-ALX-CGEN-855A-Gi1/β1/γ2
20.83Single7W53Neuromedin-U-257W53-NMUR1-Neuromedin-U-25-chim(NtGi1-Gs-CtGq)/β1/γ2
20.83Single7W56Neuromedin-S7W56-NMUR1-Neuromedin-S-chim(NtGi1-Gs-CtGq)/β1/γ2
20.83Single7WICSomatostatin-147WIC-SST2-Somatostatin-14-Gi1/β1/γ2
20.83Single7WVWfMYFINILTL7WVW-FPR2-ALX-fMYFINILTL-Gi2/β1/γ2
20.83Single8FYLVilazodone8FYL-5-HT1A-Vilazodone-PtdIns4P-Gi1/β1/γ1
20.83Single8ZJDKisspeptin-18ZJD-Kiss1-Kisspeptin-1-chim(NtGi1-Gq)/β1/γ1
20.83Single9UMRC5a-pep9UMR-C5a1-C5a-pep-Go/β1/γ2
20.83Single9UYLChemerin-99UYL-CML2-Chemerin-9-Arrestin2
20.83Consensusgi_nucleotideOrthosteric Ligandgi_adenosine gi_p2y
20.83Consensusgq_kisspeptinOrthosteric Ligand8ZJD-Kiss1-Kisspeptin-1-chim(NtGi1-Gq)/β1/γ1
20.83Consensuskiss1_on_gpOrthosteric Ligand8ZJD-Kiss1-Kisspeptin-1-chim(NtGi1-Gq)/β1/γ1
20.83Consensuskisspeptin_on_gpOrthosteric Ligandkiss1_on_gp
20.83Consensusmc4_onOrthosteric Ligand7AUE-MC4-Setmelanotide-chim(NtGi1L-Gs)/β1/γ2 7F58-MC4-THIQ-Gs/β1/γ2 7F54-MC4-Afamelanotide-Gs/β1/γ2 7F53-MC4-α-MSH-Gs/β1/γ2 7F55-MC4-Bremelanotide-Gs/β1/γ2
20.83Consensusnmur1_on_gpOrthosteric Ligand7W53-NMUR1-Neuromedin-U-25-chim(NtGi1-Gs-CtGq)/β1/γ2
20.69Single7F53Alpha-MSH7F53-MC4-α-MSH-Gs/β1/γ2
20.69Single7QBCAlpha-factor mating pheromone7QBC-STE2; STE2-α-factor mating pheromone
20.69Single7TYFAmylin7TYF-CT (AMY1)-Amylin-Gs/β1/γ2; RAMP1
20.69Single7WVYAmyloid-Beta427WVY-FPR2-ALX-Amyloid-β42-Gi2/β1/γ2
20.69Single7YOONeuropeptide-Y7YOO-Y2-Neuropeptide-Y-Gi1/β1/γ2
20.69Single8W8WAlpha-MSH8W8W-MC3-α-MSH-Ca-Gs/β1/γ2
20.69Single8W8XBeta-MSH8W8X-MC3-β-MSH-Ca-Gs/β1/γ2
20.69Single9BUCCagrilintide9BUC-CT-Cagrilintide-Gs/β1/γ2
20.69Single9K26PrRP319K26-PrRP-PrRP31-Gi1/β1/γ2
20.69Consensusnpy2_onOrthosteric Ligand7YOO-Y2-Neuropeptide-Y-Gi1/β1/γ2
20.69Consensusnpy2_on_gpOrthosteric Ligand7YOO-Y2-Neuropeptide-Y-Gi1/β1/γ2
20.00Single2RH1Carazolol2RH1-β2-Carazolol
20.00Single2YCWCarazolol2YCW-β1-Carazolol
20.00Single4RWDDIPP-NH24RWD-δ-DIPP-NH2-Na
20.00Single5CGCHTL142425CGC-mGlu5-HTL14242
20.00Single5D6LCarazolol5D6L-β2-Carazolol
20.00Single5N2RPSB365N2R-A2A-PSB36-Na
20.00Single5N2SPSB365N2S-A1-PSB36
20.00Single5TVNLSD5TVN-5-HT2B-LSD
20.00Single5X7DCarazolol5X7D-β2-Carazolol-PubChem 129318963
20.00Single5ZK33-quinuclidinyl-benzilate5ZK3-M2-3-quinuclidinyl-benzilate
20.00Single6GDGNECA6GDG-A2A-NECA-Gs/β1/γ1
20.00Single6KPCAM120336KPC-CB2-AM12033
20.00Single6ME62-Phenylmelatonin6ME6-MT2-2-Phenylmelatonin
20.00Single6ME82-Phenylmelatonin6ME8-MT2-2-Phenylmelatonin
20.00Single6NBHLA-PTH Analog6NBH-PTH1-LA-PTH Analog-Gs/β1/γ2
20.00Single6OT025(S)-Epoxycholesterol6OT0-SMO-25(S)-Epoxycholesterol-Gi1/β1/γ2
20.00Single6PS6Timolol6PS6-β2-Timolol
20.00Single6TQ9SB-4081246TQ9-OX1-SB-408124
20.00Single6XBKCholesterol6XBK-SMO-Cholesterol-Gi1/β1/γ2
20.00Single7C6A(Sar1,Ile8)-Angiotensin II7C6A-AT2-(Sar1,Ile8)-Angiotensin II
20.00Single7CKXA776367CKX-D1-A77636-Gs/β1/γ2
20.00Single7E14Orforglipron7E14-GLP-1-Orforglipron-PubChem 156022738-Gs/β1/γ2
20.00Single7EPFNAM5977EPF-mGlu2-NAM597
20.00Single7M3JNPS-2143; PO47M3J-CaS; CaS-NPS-2143; PO4
20.00Single7QBCAlpha-factor mating pheromone7QBC-STE2; STE2-α-factor mating pheromone
20.00Single7SINNPS-21437SIN-CaS; CaS-NPS-2143
20.00Single7SINNPS-21437SIN-CaS; CaS-NPS-2143
20.00Single7VUHJNJ-635330547VUH-GPR139-JNJ-63533054-chim(Gs-CtGq)/β1/γ2
20.00Single7VV4Cortistatin-147VV4-MRGPRX2-Cortistatin-14
20.00Single7W41PD1762527W41-BB2-PD176252
20.00Single7XKAConstrained Epinephrine7XKA-β2-Constrained Epinephrine
20.00Single7XNACYN1548067XNA-SST2-CYN154806
20.00Single8E9ZIperoxo8E9Z-M3-Iperoxo-chim(NtGi2L-Gs-CtGq)/β1/γ2
20.00Single8F0KPramlintide Analogue San3858F0K-CT (AMY3)-Pramlintide Analogue San385-Gs/β1/γ2; RAMP3
20.00Single8F7QBeta-Endorphin8F7Q-μ-β-Endorphin-Gi1/β1/γ2
20.00Single8GDCPGE28GDC-EP3-PGE2-Gi1/β1/γ2
20.00Single8GDZConstrained Epinephrine8GDZ-β2-Constrained Epinephrine-Gs/β1/γ2
20.00Single8GEBConstrained Epinephrine8GEB-β2-Constrained Epinephrine-Gs/β1/γ2
20.00Single8GEGConstrained Epinephrine8GEG-β2-Constrained Epinephrine-Gs/β1/γ2
20.00Single8GFYConstrained Epinephrine8GFY-β2-Constrained Epinephrine-GTP-Gs/β1/γ2
20.00Single8GG2Constrained Epinephrine8GG2-β2-Constrained Epinephrine-GTP-Gs/β1/γ2
20.00Single8GGBConstrained Epinephrine8GGB-β2-Constrained Epinephrine-GTP-Gs/β1/γ2
20.00Single8IWM2-Phenylethylamine8IWM-TAA9-2-Phenylethylamine
20.00Single8IY6Endothelin-18IY6-ETB-Endothelin-1
20.00Single8J18(3R)-3-Hydroxydodecanoic acid8J18-GPR84-(3R)-3-Hydroxydodecanoic acid-Gi1/β1/γ2
20.00Single8KFXLMD-0098KFX-CCR8-LMD-009-Gi1/β1/γ2
20.00Single8SG1Chemerin-98SG1-CML1-Chemerin-9-Gi1/β1/γ2
20.00Single8UNNConstrained Epinephrine8UNN-β2-Constrained Epinephrine-GTP-Gs/β1/γ2
20.00Single8UNPConstrained Epinephrine8UNP-β2-Constrained Epinephrine-GTP-Gs/β1/γ2
20.00Single8WSSMCH8WSS-MCH1-MCH-Gi1/β1/γ1
20.00Single8Z7JJN241-98Z7J-Apelin-JN241-9-Gi1/β1/γ2
20.00Single8ZPTPrRP208ZPT-PrRP-PrRP20-chim(NtGi1-Gs-CtGq)/β1/γ2
20.00Single8ZRKGSK12922638ZRK-GPR119-GSK1292263-Gs/β1/γ2
20.00Single8ZVZBW245C8ZVZ-DP1-BW245C-Gs/β1/γ2
20.00Single9AVLCa; Ca; Cyclomethyltryptophan; R-568; PO49AVL-CaS; CaS-Ca-Ca; Ca; Cyclomethyltryptophan; R-568; PO4-Gi3/β2/γ2
20.00Single9AXFCa; Ca; Ca; Cyclomethyltryptophan; R-568; PO49AXF-CaS; CaS-Ca-Ca; Ca; Ca; Cyclomethyltryptophan; R-568; PO4-chim(NtGi1-Gs-CtGq)/β1/γ2
20.00Single9AYFCa; Ca; Ca; Cyclomethyltryptophan; R-568; PO49AYF-CaS; CaS-Ca-Ca; Ca; Ca; Cyclomethyltryptophan; R-568; PO4-Gi1/β1/γ2
20.00Single9B9ZMRI-18679B9Z-CB1-MRI-1867
20.00Single9C2FCa; Ca; Tryptophan; '54149; PO49C2F-CaS; CaS-Ca-Ca; Ca; Tryptophan; '54149; PO4
20.00Single9CHUNorepinephrine9CHU-β2-Norepinephrine
20.00Single9EE9Adenosine9EE9-A2A-Adenosine-Gs/β1/γ2
20.00Single9EKHONO-30302979EKH-DP1-ONO-3030297
20.00Single9ERXD9-THC analog9ERX-CB1-D9-THC analog-Gi1/β1/γ2
20.00Single9HAPTolvaptan9HAP-V2-Tolvaptan
20.00Single9J0FNADH9J0F-P2Y14-NADH-Gi1/β1/γ2
20.00Single9KO4CCL219KO4-CCR7-CCL21-Gi1/β1/γ2
20.00Single9KPFSalicin9KPF-TAS2R16-Salicin-Gi1/β1/γ2
20.00Single9L0HJR14a9L0H-C3aB-JR14a-Go/β1/γ2
20.00Single9ME1CXCL129ME1-CXCR4-CXCL12
20.00Single9PXYNaloxone9PXY-μ-Naloxone-GDPβS-Gi1/β1/γ2
20.00Single9U81Tolvaptan9U81-V2-Tolvaptan
20.00Consensus5ht2_offOrthosteric Ligand5ht2a_off 5ht2b_off 5ht2c_off
20.00Consensusa1_offOrthosteric Ligand5UEN-A1-DU172 5N2S-A1-PSB36
20.00Consensusa3_on_gpOrthosteric Liganda3a_on_gp
20.00Consensusa3a_onOrthosteric Ligand8X17-A3A-Namodenoson-Gi1/β1/γ2 8X16-A3A-Piclidenoson-Gi1/β1/γ2
20.00Consensusa3a_on_gpOrthosteric Ligand8X17-A3A-Namodenoson-Gi1/β1/γ2 8X16-A3A-Piclidenoson-Gi1/β1/γ2
20.00Consensusadenosine_offOrthosteric Liganda1_off a2_off
20.00Consensusalpha_on_gpOrthosteric Ligandalpha1_on_gp alpha2_on_gp
20.00Consensusamine_offOrthosteric Ligand5ht_off adrenergic_off dopamine_off histamine_off muscarinic_off
20.00Consensusamine_offonOrthosteric Ligandamine_off amine_on
20.00Consensusamine_offon_gpOrthosteric Ligandamine_on_gp amine_off
20.00Consensusamine_onOrthosteric Ligand5ht_on adrenergic_on dopamine_on histamine_on muscarinic_on trace-amine_on
20.00Consensusbb2_offOrthosteric Ligand7W41-BB2-PD176252
20.00Consensusbeta2_offOrthosteric Ligand2RH1-β2-Carazolol 6PS3-β2-Carvedilol 6PS5-β2-Propranolol 3D4S-β2-Timolol 3NY8-β2-ICI118-551 3NY9-β2-PubChem 913103 6PRZ-β2-Alprenolol
20.00Consensusbeta_offOrthosteric Ligandbeta1_off beta2_off
20.00Consensusbombesin_offOrthosteric Ligandbb2_off
20.00Consensusd2_onOrthosteric Ligand7JVR-D2-Bromoergocryptine-Gi1/β1/γ2 8IRS-D2-Rotigotine-Gi1/β1/γ2
20.00Consensusendothelin_onOrthosteric Ligandetb_on eta_on
20.00Consensusetb_onOrthosteric Ligand8IY5-ETB-Endothelin-1-Gi1/β1/γ2 8HBD-ETB-IRL1620-Gi1/β1/γ2
20.00Consensusghrelin_onOrthosteric Ligand7NA7-Ghrelin-Ghrelin-Gi1/β1/γ2 7F9Z-Ghrelin-GHRP-6-chim(NtGi1-Gs-CtGq)/β1/γ2 7NA8-Ghrelin-Ibutamoren-Gi1/β1/γ2
20.00Consensusghrelin_on_gpOrthosteric Ligand7NA7-Ghrelin-Ghrelin-Gi1/β1/γ2 7F9Z-Ghrelin-GHRP-6-chim(NtGi1-Gs-CtGq)/β1/γ2 7NA8-Ghrelin-Ibutamoren-Gi1/β1/γ2
20.00Consensusgi_adrenergicOrthosteric Ligand7EJ0-α2a-Norepinephrine-Go/β1/γ2 7EJK-α2a-Oxymetazoline-Go/β1/γ2 7W7E-α2a-PubChem 164946676-Go/β1/γ2 7W6P-α2a-N-pyridin-4-ylisoquinolin-4-amine-Go/β1/γ2 7EJ8-α2a-Brimonidine-Go/β1/γ2 6K42-α2b-Dexmedetomidine-Gi1/β1/γ2 7EJA-α2a-Dexmedetomidine-Go/β1/γ2 7S0F-β1-Isoprenaline-Gi1/β1/γ2
20.00Consensusgq_muscarinicOrthosteric Ligand6OIJ-M1-Iperoxo-chim(NtGi1L-G11)/β1/γ2
20.00Consensusm1_onOrthosteric Ligand6OIJ-M1-Iperoxo-chim(NtGi1L-G11)/β1/γ2
20.00Consensusm2_offOrthosteric Ligand5ZKC-M2-N-methyl-Scopolamine 5ZK3-M2-3-quinuclidinyl-benzilate 5ZKB-M2-AF-DX 384
20.00Consensusm3_onOrthosteric Ligand8E9Z-M3-Iperoxo-chim(NtGi2L-Gs-CtGq)/β1/γ2 8E9W-M3-2-Deoxycytidine-chim(NtGi2L-Gs-CtGq)/β1/γ2 8E9Y-M3-Clozapine-N-oxide-chim(NtGi2L-Gs-CtGq)/β1/γ2
20.00Consensusm3_on_gpOrthosteric Ligand8E9Z-M3-Iperoxo-chim(NtGi2L-Gs-CtGq)/β1/γ2 8E9W-M3-2-Deoxycytidine-chim(NtGi2L-Gs-CtGq)/β1/γ2 8E9Y-M3-Clozapine-N-oxide-chim(NtGi2L-Gs-CtGq)/β1/γ2
20.00Consensusmc2_onOrthosteric Ligand8GY7-MC2-Corticotropin-Ca-chim(NtGi1-Gs)/β1/γ2; MRAP1
20.00Consensusmc2_on_gpOrthosteric Ligand8GY7-MC2-Corticotropin-Ca-chim(NtGi1-Gs)/β1/γ2; MRAP1
20.00Consensusmc4_on_gpOrthosteric Ligand7AUE-MC4-Setmelanotide-chim(NtGi1L-Gs)/β1/γ2 7F58-MC4-THIQ-Gs/β1/γ2 7F54-MC4-Afamelanotide-Gs/β1/γ2 7F53-MC4-α-MSH-Gs/β1/γ2 7F55-MC4-Bremelanotide-Gs/β1/γ2
20.00Consensussst2_offOrthosteric Ligand7XNA-SST2-CYN154806
19.35Single5GLHEndothelin-15GLH-ETB-Endothelin-1
19.35Consensusclass-a_class-b1_cons_onOrthosteric Ligandclass-a_on class-b1_on
19.35Consensusgi_npyOrthosteric Ligand8K6M-Y1-Neuropeptide-Y-Gi2/β1/γ1 7X9C-Y4-Pancreatic Hormone-Gi1/β1/γ2 7YOO-Y2-Neuropeptide-Y-Gi1/β1/γ2
19.35Consensusnpy_onOrthosteric Ligandnpy1_on npy2_on npy4_on
19.35Consensusnpy_on_gpOrthosteric Ligandnpy1_on_gp npy2_on_gp npy4_on_gp
19.23Single3OE0CVX153OE0-CXCR4-CVX15
19.23Single6LW5WKYMVm6LW5-FPR2-ALX-WKYMVm
19.23Single7T6TfMLFII7T6T-FPR1-ALX-fMLFII-Gi1/β1/γ2
19.23Single8W8YGamma-MSH8W8Y-MC3-γ-MSH-Ca-Gs/β1/γ2
19.23Single8WKZSBL-MC-318WKZ-MC4-SBL-MC-31
19.23Single9B5YLA-PTH Analog9B5Y-PTH1-LA-PTH Analog-chim(NtGi1-Gq)/β1/γ2
19.23Single9LXRLA-PTH Analog9LXR-PTH1-LA-PTH Analog-Arrestin2
19.23Single9MEUCXCL129MEU-CXCR4-CXCL12
19.23Consensusc5a1_onOrthosteric Ligand8HK5-C5a1-C5a-Gi1/β1/γ2 7Y66-C5a1-BM213-Gi1/β1/γ2 7Y67-C5a1-C089 peptide-Gi1/β1/γ2 7Y64-C5a1-C5a-Gi1/β1/γ2
19.05Single3UON3-quinuclidinyl-benzilate3UON-M2-3-quinuclidinyl-benzilate
19.05Single4U15Tiotropium4U15-M3-Tiotropium
19.05Single5D5ACarazolol5D5A-β2-Carazolol
19.05Single5D5BCarazolol5D5B-β2-Carazolol
19.05Single5XRAAM115425XRA-CB1-AM11542
19.05Single6J21Aprepitant6J21-NK1-Aprepitant
19.05Single6O3CCholesterol6O3C-SMO-SAG21k-Cholesterol
19.05Single6OIJIperoxo6OIJ-M1-Iperoxo-chim(NtGi1L-G11)/β1/γ2
19.05Single6OL9Tiotropium6OL9-M5-Tiotropium
19.05Single6OS1TRV0266OS1-AT1-TRV026
19.05Single6WGTLSD6WGT-5-HT2A-LSD
19.05Single7FEECP559407FEE-CB1-CP55940-ZCZ011
19.05Single7JV5SKF812977JV5-D1-SKF81297-Gs/β1/γ2
19.05Single7S8MCortistatin-147S8M-MRGPRX2-Cortistatin-14-Gi1/β1/γ2
19.05Single7TRQIperoxo7TRQ-M4-Iperoxo-VU0467154-Gi1/β1/γ2
19.05Single7W6PN-pyridin-4-ylisoquinolin-4-amine7W6P-α2a-N-pyridin-4-ylisoquinolin-4-amine-Go/β1/γ2
19.05Single7W7EPubChem 1649466767W7E-α2a-PubChem 164946676-Go/β1/γ2
19.05Single7XBDGalanin7XBD-GAL2-Galanin-chim(NtGi2L-Gs-CtGq)/β1/γ2
19.05Single8EA0Iperoxo8EA0-M3-Iperoxo
19.05Single8GDBPGE28GDB-EP4-PGE2-Gs/β1/γ2
19.05Single8GUSHU-3088GUS-CB2-HU-308-Gi1/β1/γ2
19.05Single8JLPRalmitaront8JLP-TA1-Ralmitaront-Gs/β1/γ2
19.05Single8JXXClobenpropit8JXX-H4-Clobenpropit-Gi1/β1/γ2
19.05Single8JZPC5a8JZP-C5a1-C5a-Go/β1/γ2
19.05Single8UGWCGS216808UGW-A2A-CGS21680
19.05Single8WJXADP8WJX-P2Y1-ADP-chim(Gs-CtGq)/β1/γ2
19.05Single8X16Piclidenoson8X16-A3A-Piclidenoson-Gi1/β1/γ2
19.05Single8XZICMF-0198XZI-Apelin; Apelin-CMF-019-Gi1/β1/γ2
19.05Single8YH6Namodenoson8YH6-A3A-Namodenoson-Gi1/β1/γ2
19.05Single8YNTSNAP-948478YNT-MCH1-SNAP-94847
19.05Single9AYFCa; Ca; Ca; Cyclomethyltryptophan; R-568; PO49AYF-CaS; CaS-Ca-Ca; Ca; Ca; Cyclomethyltryptophan; R-568; PO4-Gi1/β1/γ2
19.05Single9BJKNaloxone9BJK-μ-Naloxone-PubChem 171642066
19.05Single9JCLADP9JCL-P2Y1-ADP-chim(Gs-CtGq)/β1/γ2
19.05Single9JMCDS-3801b9JMC-Motilin-DS-3801b-chim(Gs-CtGq)/β1/γ2
19.05Single9L16CCL219L16-CCR7-CCL21
19.05Single9UY3Anamorelin9UY3-Ghrelin-Anamorelin-chim(NtGi1-Gs-CtGq)/β1/γ2
19.05Consensus5ht_offOrthosteric Ligand5ht2_off 5ht1_off
19.05Consensusa2_onOrthosteric Liganda2b_on
19.05Consensusa2_on_gpOrthosteric Liganda2b_on_gp
19.05Consensusa2b_onOrthosteric Ligand8HDP-A2B-Adenosine-Gs/β1/γ2 7XY6-A2B-BAY 60-6583-chim(NtGi1-Gs)/β1/γ2 7XY7-A2B-NECA-chim(NtGi1-Gs)/β1/γ2 8HDO-A2B-BAY 60-6583-Gs/β1/γ2
19.05Consensusa2b_on_gpOrthosteric Ligand8HDP-A2B-Adenosine-Gs/β1/γ2 7XY6-A2B-BAY 60-6583-chim(NtGi1-Gs)/β1/γ2 7XY7-A2B-NECA-chim(NtGi1-Gs)/β1/γ2 8HDO-A2B-BAY 60-6583-Gs/β1/γ2
19.05Consensusamine_on_gpOrthosteric Ligand5ht_on_gp adrenergic_on_gp dopamine_on_gp histamine_on_gp muscarinic_on_gp trace-amine_on_gp
19.05Consensusbeta1_offOrthosteric Ligand2VT4-β1-Cyanopindolol 2YCW-β1-Carazolol 2YCZ-β1-Iodocyanopindolol 5A8E-β1-7-Methylcyanopindolol-Na 3ZPQ-β1-PubChem 594590-Na 3ZPR-β1-PubChem 598754-Na
19.05Consensusgi_dopamineOrthosteric Ligand7JVR-D2-Bromoergocryptine-Gi1/β1/γ2 7CMV-D3-PD128907-Gi1/β1/γ2 7CMU-D3-Pramipexole-Gi1/β1/γ2 8IRS-D2-Rotigotine-Gi1/β1/γ2 8IRT-D3-Rotigotine-Gi1/β1/γ2
19.05Consensusgs_adenosineOrthosteric Ligand8HDP-A2B-Adenosine-Gs/β1/γ2 8HDO-A2B-BAY 60-6583-Gs/β1/γ2 7XY7-A2B-NECA-chim(NtGi1-Gs)/β1/γ2 7XY6-A2B-BAY 60-6583-chim(NtGi1-Gs)/β1/γ2
19.05Consensusgs_nucleotideOrthosteric Ligandgs_adenosine
19.05Consensush4_on_gpOrthosteric Ligand8HN8-H4-Histamine-Gi1/β1/γ2 8HOC-H4-Imetit-Gi1/β1/γ2 8JXV-H4-Clozapine-Gi1/β1/γ2 8JXW-H4-VUF6884-Gi1/β1/γ2 8JXX-H4-Clobenpropit-Gi1/β1/γ2
19.05Consensusm1_on_gpOrthosteric Ligand6OIJ-M1-Iperoxo-chim(NtGi1L-G11)/β1/γ2
19.05Consensusm5_offOrthosteric Ligand6OL9-M5-Tiotropium
19.05Consensusmuscarinic_offOrthosteric Ligandm2_off m3_off m4_off m5_off m1_off
19.05Consensusnpy_offOrthosteric Ligandnpy1_off npy2_off
18.75Single3C9M11-cis-Retinal3C9M-Rhodopsin-11-cis-Retinal
18.75Single6OIKLY21196206OIK-M2-Iperoxo-LY2119620-chim(NtGi1-Go)/β1/γ2
18.75Single7DD7Ca; Ca; Tryptophan; Evocalcet7DD7-CaS; CaS-Ca-Ca; Ca; Tryptophan; Evocalcet
18.75Single7MT8All-trans-Retinal7MT8-Rhodopsin-All-trans-Retinal-GRK1
18.75Single7SK6CXCL12_LRHQ7SK6-ACKR3-CXCL12_LRHQ
18.75Single7TZFAmylin7TZF-CT (AMY3)-Amylin-Gs/β1/γ2; RAMP3
18.75Single7WC5Psilocin7WC5-5-HT2A-Psilocin
18.75Single8FLULA-PTH Analog8FLU-PTH1-LA-PTH Analog-Gs/β1/γ2
18.75Single8GGEConstrained Epinephrine8GGE-β2-Constrained Epinephrine-GTP-Gs/β1/γ2
18.75Single8GGFConstrained Epinephrine8GGF-β2-Constrained Epinephrine-GTP-Gs/β1/γ2
18.75Single8GH1Constrained Epinephrine8GH1-β2-Constrained Epinephrine
18.75Single8ITFDMCHA8ITF-TAA9-DMCHA-chim(NtGi1-Gs)/β1/γ2
18.75Single8IW72-Phenylethylamine8IW7-TAA9-2-Phenylethylamine-chim(NtGi1-Gs)/β1/γ2
18.75Single8JXTHistamine8JXT-H4-Histamine-PO4-Gi1/β1/γ2
18.75Single8RQLFlufenamic acid8RQL-TAS2R14-Flufenamic acid-Flufenamic acid-chim(NtGi1-Gt3)/β1/γ2
18.75Single9IJRC179IJR-GPR52-C17-Arrestin2
18.75Single9JG1Adriforant9JG1-H4-Adriforant
18.75Consensus5ht2_onOrthosteric Ligand5ht2b_on
18.75Consensus5ht2b_onOrthosteric Ligand7SRR-5-HT2B-LSD-chim(NtGi2L-Gs-CtGq)/β1/γ2
18.52Single5WB2CX3CL1.355WB2-US28-CX3CL1.35
18.52Single6M1IPACAP276M1I-PAC1-PACAP27-Gs/β1/γ2
18.52Single7DW9AVP7DW9-V2-AVP-chim(NtGi1-Gs)/β1/γ2
18.52Single7FIMTirzepatide7FIM-GLP-1-Tirzepatide-Gs/β1/γ2
18.52Single7KH0AVP7KH0-V2-AVP-chim(NtGi1-Gs)/β1/γ2
18.52Single7T10Somatostatin-147T10-SST2-Somatostatin-14-Gi3/β1/γ2
18.52Single7V9MSomatoliberin7V9M-GHRH (SV1)-Somatoliberin-Gs/β1/γ2
18.52Single7W57Neuromedin-S7W57-NMUR2-Neuromedin-S-chim(NtGi1-Gs-CtGq)/β1/γ2
18.52Single7YONPeptide-YY(3-36)7YON-Y2-Peptide-YY(3-36)-Gi1/β1/γ2
18.52Single8H4KGW95088H4K-FFA4-GW9508-chim(NtGi1-Gs-CtGq)/β1/γ2
18.52Single9BLCCagrilintide (non-acylated)9BLC-CT-Cagrilintide (non-acylated)-Gs/β1/γ2
18.52Consensusapelin_onOrthosteric Ligand8XZH-Apelin; Apelin-MM07-Gi1/β1/γ2 7W0M-Apelin-PubChem 122701908-Gi1/β1/γ2 8XZJ-Apelin; Apelin-WN353-Gi1/β1/γ2 8XZF-Apelin; Apelin-WN561-Gi1/β1/γ2 8XZG-Apelin; Apelin-Apelin-13-Gi1/β1/γ2
18.52Consensusapelin_on_gpOrthosteric Ligand8XZH-Apelin; Apelin-MM07-Gi1/β1/γ2 7W0M-Apelin-PubChem 122701908-Gi1/β1/γ2 8XZJ-Apelin; Apelin-WN353-Gi1/β1/γ2 8XZF-Apelin; Apelin-WN561-Gi1/β1/γ2 8XZG-Apelin; Apelin-Apelin-13-Gi1/β1/γ2
18.52Consensusgi_formylpeptideOrthosteric Ligand7WVY-FPR2-ALX-Amyloid-β42-Gi2/β1/γ2 7T6U-FPR2-ALX-CGEN-855A-Gi1/β1/γ2 7VFX-FPR1-ALX-fMIFL-Gi1/β1/γ2 7T6V-FPR2-ALX-fMLFII-Gi1/β1/γ2 7WVX-FPR2-ALX-Humanin-Gi2/β1/γ2 7T6S-FPR2-ALX-TC-FPR 43-Gi1/β1/γ2 6OMM-FPR2-ALX-WKYMVX-Gi1/β1/γ2
18.52Consensusgs_vasop-oxyOrthosteric Ligand7DW9-V2-AVP-chim(NtGi1-Gs)/β1/γ2
18.52Consensusneuromedin-u_onOrthosteric Ligandnmur1_on nmur2_on
18.52Consensusp2y_on_gpOrthosteric Ligandp2y1_on_gp p2y10_on_gp p2y12_on_gp
18.52Consensusprotein_offonOrthosteric Ligandprotein_off protein_on
18.52Consensusprotein_offon_gpOrthosteric Ligandprotein_on_gp protein_off
18.52Consensusprotein_onOrthosteric Ligandchemokine_on chemerin_on
18.52Consensusv2_onOrthosteric Ligand7DW9-V2-AVP-chim(NtGi1-Gs)/β1/γ2
18.52Consensusv2_on_gpOrthosteric Ligand7DW9-V2-AVP-chim(NtGi1-Gs)/β1/γ2
18.52Consensusvasop-oxy_onOrthosteric Ligandv2_on
18.52Consensusvasop-oxy_on_gpOrthosteric Ligandv2_on_gp
18.18Single3D4STimolol3D4S-β2-Timolol
18.18Single5CXVTiotropium5CXV-M1-Tiotropium
18.18Single6DRYMethylergometrine6DRY-5-HT2B-Methylergometrine
18.18Single6IIURamatroban6IIU-TXA2-Ramatroban
18.18Single6KQICP559406KQI-CB1-CP55940-Org27569
18.18Single6MXTSalmeterol6MXT-β2-Salmeterol
18.18Single6OS0Angiotensin II6OS0-AT1-Angiotensin II
18.18Single6XBLCholesterol6XBL-SMO-SAG-Cholesterol-Gi1/β1/γ2
18.18Single6XOXOrforglipron6XOX-GLP-1-Orforglipron-chim(NtGi1-Gs)/β1/γ2
18.18Single7EXDLasmiditan7EXD-5-HT1F-Lasmiditan-Gi1/β1/γ2
18.18Single7F55Bremelanotide7F55-MC4-Bremelanotide-Gs/β1/γ2
18.18Single7L1UOrexin7L1U-OX2-Orexin-chim(NtGi1-Gs-CtGq)/β1/γ2
18.18Single7W0NElabela7W0N-Apelin; Apelin-Elabela-Gi1/β1/γ2
18.18Single7WCNAR2314537WCN-GPR119-AR231453-Gs/β1/γ2
18.18Single7WQ4Galanin7WQ4-GAL2-Galanin-chim(NtGi1-Gs-CtGq)/β1/γ2
18.18Single7XJKGalanin7XJK-GAL2-Galanin-chim(NtGi2L-Gs-CtGq)/β1/γ2
18.18Single7XW9TRH7XW9-TRH-TRH-chim(NtGi1L-Gs-CtGq)/β1/γ2
18.18Single8E9W2-Deoxycytidine8E9W-M3-2-Deoxycytidine-chim(NtGi2L-Gs-CtGq)/β1/γ2
18.18Single8FYE4-F,5-MeO-PyrT8FYE-5-HT1A-4-F,5-MeO-PyrT-PtdIns4P-Gi1/β1/γ1
18.18Single8ID9Icosapent8ID9-FFA4-Icosapent-Gi1/β1/γ2
18.18Single8IQ6Latanoprost8IQ6-FP-alpha-Latanoprost-chim(NtGi1-Gs-CtGq)/β1/γ2
18.18Single8IRSRotigotine8IRS-D2-Rotigotine-Gi1/β1/γ2
18.18Single8JJPChemerin-98JJP-CML2-Chemerin-9-Gi1/β1/γ2
18.18Single8XQNCholesterol8XQN-TAS2R14-Cholesterol-Aristolochic acid A-Gi1/β1/γ1
18.18Single9EK0Iperoxo9EK0-M5-Iperoxo-chim(NtGi1-Gs-CtGq)/β1/γ2
18.18Single9KVG5-MeO-DMT9KVG-5-HT1A-5-MeO-DMT-PtdIns4P-Gi1/β1/γ2
18.18Single9VIFNeuropeptide-VF9VIF-NPFF1-Neuropeptide-VF-Gi1/β1/γ2
18.18Single9WXMGPR15L(CT)9WXM-GPR15-GPR15L(CT)-Gi3/β1/γ2
18.18Consensus5ht1f_onOrthosteric Ligand7EXD-5-HT1F-Lasmiditan-Gi1/β1/γ2
18.18Consensus5ht1f_on_gpOrthosteric Ligand7EXD-5-HT1F-Lasmiditan-Gi1/β1/γ2
18.18Consensusccr8_onOrthosteric Ligand8KFX-CCR8-LMD-009-Gi1/β1/γ2 8KFY-CCR8-ZK-756326-Gi1/β1/γ2 8U1U-CCR8-CCL1-Gi1/β1/γ2
18.18Consensusd2_on_gpOrthosteric Ligand7JVR-D2-Bromoergocryptine-Gi1/β1/γ2 8IRS-D2-Rotigotine-Gi1/β1/γ2
18.18Consensusgalanin_onOrthosteric Ligandgal2_on gal1_on
18.18Consensusgalanin_on_gpOrthosteric Ligandgal2_on_gp gal1_on_gp
18.18Consensusgi_amineOrthosteric Ligandgi_5ht gi_muscarinic gi_adrenergic gi_dopamine gi_histamine
18.18Consensusgi_muscarinicOrthosteric Ligand8E9X-M4-2-Deoxycytidine-chim(NtGi1-Go)/β1/γ2 7T8X-M2-Acetylcholine-chim(NtGi1-Go)/β1/γ2 7TRS-M4-Acetylcholine-Gi1/β1/γ2 7TRK-M4-Iperoxo-Gi1/β1/γ2 7V6A-M4-PubChem 9864275-Gi1/β1/γ2
18.18Consensusglp1_on_gpOrthosteric Ligand7S1M-GLP-1-Exendin-4-D-Ala-Gs/β1/γ2 7X8R-GLP-1-BOC5-Gs/β1/γ2 6X19-GLP-1-CHU-128-Gs/β1/γ2 6X1A-GLP-1-Danuglipron-Gs/β1/γ2 6X18-GLP-1-GLP-1-Gs/β1/γ2 8JIP-GLP-1-MEDI0382-chim(NtGi1-Gs)/β1/γ2 7C2E-GLP-1-PubChem 149050799-Gs/β1/γ2 7KI0-GLP-1-Semaglutide-Gs/β1/γ2 7KI1-GLP-1-Taspoglutide-Gs/β1/γ2 7X8S-GLP-1-WB4-24-Gs/β1/γ2 8JIS-GLP-1-Peptide-15-chim(NtGi1-Gs)/β1/γ2 7VBI-GLP-1-Tirzepatide (non-acylated)-Gs/β1/γ2
18.18Consensusm1_offOrthosteric Ligand5CXV-M1-Tiotropium
18.18Consensustrh_onOrthosteric Ligand7XW9-TRH-TRH-chim(NtGi1L-Gs-CtGq)/β1/γ2
18.18Consensustrh_on_gpOrthosteric Ligand7XW9-TRH-TRH-chim(NtGi1L-Gs-CtGq)/β1/γ2
17.86Single7F9YGhrelin7F9Y-Ghrelin-Ghrelin-chim(NtGi1-Gs-CtGq)/β1/γ2
17.86Single7P02Substance-P7P02-NK1-Substance-P-chim(NtGi1-Gs)/β1/γ2
17.86Single7WBJPACAP277WBJ-VPAC1-PACAP27-Gs/β1/γ2
17.86Single7X9BNeuropeptide-Y7X9B-Y2-Neuropeptide-Y-Gi1/β1/γ2
17.86Single8E3YPACAP278E3Y-VPAC1-PACAP27-Gs/β1/γ2
17.86Single8HK5C5a8HK5-C5a1-C5a-Gi1/β1/γ2
17.86Single9E2AGLP-19E2A-GLP-1-GLP-1-Gs/β1/γ2
17.86Consensuscml1_on_gpOrthosteric Ligand7YKD-CML1-Chemerin-9-Gi1/β1/γ2
17.86Consensusgi_apelinOrthosteric Ligand8XZH-Apelin; Apelin-MM07-Gi1/β1/γ2 7W0M-Apelin-PubChem 122701908-Gi1/β1/γ2 8XZJ-Apelin; Apelin-WN353-Gi1/β1/γ2 8XZF-Apelin; Apelin-WN561-Gi1/β1/γ2 8XZG-Apelin; Apelin-Apelin-13-Gi1/β1/γ2
17.86Consensusneuromedin-u_on_gpOrthosteric Ligandnmur1_on_gp nmur2_on_gp
17.86Consensuspac_onOrthosteric Ligandpac1_on
17.86Consensusvpac1_onOrthosteric Ligand8E3Z-VPAC1-VIP-Gs/β1/γ2
17.65Single1L9H11-cis-Retinal1L9H-Rhodopsin-11-cis-Retinal
17.65Single5TE520-Methanoretinal5TE5-Rhodopsin-20-Methanoretinal
17.65Single6TP4ACT-4622066TP4-OX1-ACT-462206
17.65Single7DD5Ca; Ca; Tryptophan; NPS-21437DD5-CaS; CaS-Ca-Ca; Ca; Tryptophan; NPS-2143
17.65Single7DD7Ca; Ca; Tryptophan; Evocalcet7DD7-CaS; CaS-Ca-Ca; Ca; Tryptophan; Evocalcet
17.65Single7DFLHistamine7DFL-H1-Histamine-chim(NtGi1L-Gq)/β1/γ2
17.65Single7E2YSerotonin7E2Y-5-HT1A-Serotonin-PtdIns4P-Gi1/β1/γ2
17.65Single7SRQLSD7SRQ-5-HT2B-LSD
17.65Single7XT9Serotonin7XT9-5-HT4-Serotonin-Gs/β1/γ2
17.65Single7XTASerotonin7XTA-5-HT4-Serotonin-Gi1/β1/γ2
17.65Single7Y36PTH7Y36-PTH1-PTH-Gs/β1/γ2
17.65Single7YFCHistamine7YFC-H4-Histamine-chim(NtGi1-Gs-CtGq)/β1/γ2
17.65Single8DPFLorcaserin8DPF-5-HT2C-Lorcaserin-chim(NtGi2L-Gs-CtGq)/β1/γ2
17.65Single8FLQPTH8FLQ-PTH1-PTH-Gs/β1/γ2
17.65Single8GGYConstrained Epinephrine8GGY-β2-Constrained Epinephrine
17.65Single8UO3Constrained Epinephrine8UO3-β2-Constrained Epinephrine-GTP; Mg-Gs/β1/γ2
17.65Single8UO4Constrained Epinephrine8UO4-β2-Constrained Epinephrine-GTP; Mg-Gs/β1/γ2
17.65Single8WPUTryptophan; Cinacalcet; PO4; Ca8WPU-CaS; CaS-Tryptophan; Cinacalcet; PO4; Ca-chim(NtGi2L-Gs-CtGq)/β1/γ2
17.65Single8YH3N-methyladenosine8YH3-A3A-N-methyladenosine-Gi1/β1/γ2
17.65Single8YN4Histamine8YN4-H2-Histamine-chim(NtGi1L-Gs-CtGq)/β1/γ2
17.65Single9B9YTaranabant9B9Y-CB1-Taranabant
17.65Single9C1PCa; Tryptophan; '6218; PO49C1P-CaS; CaS-Ca-Ca; Tryptophan; '6218; PO4
17.65Single9IJEEpinephrine9IJE-β3-Epinephrine-chim(NtGi1-Gs)/β1/γ2
17.65Single9IXJHistamine9IXJ-H2-Histamine-Gs/β1/γ2
17.65Single9JR3PTH9JR3-PTH1-PTH-chim(NtGi1L-Gs-CtGq)/β1/γ2
17.65Single9KUWCMPD6449KUW-Apelin; Apelin-CMPD644-Arrestin2 ; Arrestin2
17.65Consensus5ht4_onOrthosteric Ligand7XTA-5-HT4-Serotonin-Gi1/β1/γ2
17.65Consensus5ht4_on_gpOrthosteric Ligand7XTA-5-HT4-Serotonin-Gi1/β1/γ2
17.65Consensusclass-a_class-b1_cons_on_gpOrthosteric Ligandclass-a_on_gp class-b1_on_gp
17.65Consensusgq_nucleotideOrthosteric Ligandgq_p2y
17.65Consensusgq_p2yOrthosteric Ligand7XXH-P2Y1-2MeSADP-chim(NtGi1-G11)/β1/γ2
17.65Consensush1_onOrthosteric Ligand7DFL-H1-Histamine-chim(NtGi1L-Gq)/β1/γ2
17.39Single4NC3Ergotamine4NC3-5-HT2B-Ergotamine
17.39Single5CGDHTL142425CGD-mGlu5-HTL14242
17.39Single6BQGErgotamine6BQG-5-HT2C-Ergotamine
17.39Single6KPGAM8416KPG-CB1-AM841-Gi1/β1/γ2
17.39Single7CX4Evatanepag7CX4-EP2-Evatanepag-Gs/β1/γ2
17.39Single7EZMCholecystokinin-87EZM-CCKA-Cholecystokinin-8-chim(NtGsL-Gq)/β1/γ2
17.39Single7PIUSetmelanotide7PIU-MC4-Setmelanotide-Gs/β1/γ2
17.39Single7VGY2-Iodomelatonin7VGY-MT1-2-Iodomelatonin-Gi1/β1/γ2
17.39Single7VVNPTH7VVN-PTH1-PTH-Gs/β1/γ2
17.39Single8E9YClozapine-N-oxide8E9Y-M3-Clozapine-N-oxide-chim(NtGi2L-Gs-CtGq)/β1/γ2
17.39Single8K2XCXCL108K2X-CXCR3-CXCL10-Gi1/β1/γ2
17.39Single8XVJMacitentan8XVJ-ETA-Macitentan
17.39Single9CGJC6-Quino9CGJ-δ-C6-Quino-Gi1/β1/γ2
17.39Consensusgal2_onOrthosteric Ligand7WQ4-GAL2-Galanin-chim(NtGi1-Gs-CtGq)/β1/γ2 7XJL-GAL2-Spexin-chim(NtGi2L-Gs-CtGq)/β1/γ2
17.39Consensusgal2_on_gpOrthosteric Ligand7WQ4-GAL2-Galanin-chim(NtGi1-Gs-CtGq)/β1/γ2 7XJL-GAL2-Spexin-chim(NtGi2L-Gs-CtGq)/β1/γ2
17.24Single6FJ3PTH6FJ3-PTH1-PTH
17.24Single6NBFLA-PTH Analog6NBF-PTH1-LA-PTH Analog-Gs/β1/γ2
17.24Single6P9YPACAP276P9Y-PAC1-PACAP27-Gs/β1/γ2
17.24Single7RGPTirzepatide7RGP-GLP-1-Tirzepatide-chim(NtGi1-Gs)/β1/γ2
17.24Single8E3XPACAP278E3X-PAC1-PACAP27-Gs/β1/γ2
17.24Single9BLWCagrilintide (non-acylated)9BLW-CT (AMY1)-Cagrilintide (non-acylated)-Gs/β1/γ2; RAMP1
17.24Single9BP3Cagrilintide9BP3-CT (AMY1)-Cagrilintide-Gs/β1/γ2; RAMP1
17.24Single9P92VIP9P92-PAC1-VIP-Gs/β1/γ2
17.24Consensusgi_proteinOrthosteric Ligandgi_chemokine gi_chemerin
17.24Consensuspac_on_gpOrthosteric Ligandpac1_on_gp
17.24Consensusprotein_on_gpOrthosteric Ligandchemokine_on_gp chemerin_on_gp
17.24Consensussecretin_onOrthosteric Ligand7D3S-Secretin-Secretin-Gs/β1/γ2
17.24Consensusvpac1_on_gpOrthosteric Ligand8E3Z-VPAC1-VIP-Gs/β1/γ2
17.14Consensuspth_onOrthosteric Ligandpth1_on pth2_on
17.07Single8GY7Corticotropin8GY7-MC2-Corticotropin-Ca-chim(NtGi1-Gs)/β1/γ2; MRAP1
16.67Single1GZM11-cis-Retinal1GZM-Rhodopsin-11-cis-Retinal
16.67Single3C9L11-cis-Retinal3C9L-Rhodopsin-11-cis-Retinal
16.67Single3PWHZM-2413853PWH-A2A-ZM-241385
16.67Single5NX2GLP-1 (Truncated)5NX2-GLP-1-GLP-1 (Truncated)
16.67Single5OLVLUAA470705OLV-A2A-LUAA47070-Na
16.67Single5U09Taranabant5U09-CB1-Taranabant
16.67Single5VBLAMG3054 5VBL-Apelin-AMG3054
16.67Single6OYAAll-trans-Retinal6OYA-Rhodopsin-All-trans-Retinal-Gt/β1/γ1
16.67Single6PT3DPI-2876PT3-δ-DPI-287
16.67Single6TQ6PubChem 1457142836TQ6-OX1-PubChem 145714283
16.67Single6VCBGLP-16VCB-GLP-1-GLP-1-LSN3160440-Gs/β1/γ2
16.67Single7AD3Alpha-factor mating pheromone7AD3-STE2; STE2-α-factor mating pheromone-Gi1/STE4/γ2
16.67Single7AUESetmelanotide7AUE-MC4-Setmelanotide-chim(NtGi1L-Gs)/β1/γ2
16.67Single7CX2PGE27CX2-EP2-PGE2-Gs/β1/γ2
16.67Single7F1ODopamine7F1O-D1-Dopamine-GDP; Mg-Gs/β1/γ2
16.67Single7F8YDevazepide7F8Y-CCKA-Devazepide
16.67Single7LJDDopamine7LJD-D1-Dopamine-Mevidalen-Gs/β1/γ1
16.67Single7M3ECa; Ca; Tryptophan; NPS-21437M3E-CaS; CaS-Ca; Ca; Tryptophan; NPS-2143
16.67Single7M3ECa; Ca; Tryptophan; NPS-21437M3E-CaS; CaS-Ca; Ca; Tryptophan; NPS-2143
16.67Single7M3FCa; Ca; Tryptophan; Cinacalcet7M3F-CaS; CaS-Ca; Ca; Tryptophan; Cinacalcet
16.67Single7RMGSubstance-P7RMG-NK1-Substance-P-chim(Gs-CtGq)/β1/γ2
16.67Single7SILCa; Ca; Ca; Cyclomethyltryptophan; R-568; PO47SIL-CaS; CaS-Ca-Ca; Ca; Ca; Cyclomethyltryptophan; R-568; PO4
16.67Single7SILCa; Ca; Ca; Cyclomethyltryptophan; R-568; PO47SIL-CaS; CaS-Ca-Ca; Ca; Ca; Cyclomethyltryptophan; R-568; PO4
16.67Single7VDLCortistatin-147VDL-MRGPRX2-Cortistatin-14-Gi1/β1/γ2
16.67Single7VVKPTH7VVK-PTH1-PTH-Gs/β1/γ2
16.67Single7W0OElabela7W0O-Apelin-Elabela-Gi1/β1/γ2
16.67Single7X8SWB4-247X8S-GLP-1-WB4-24-Gs/β1/γ2
16.67Single7XT8Serotonin7XT8-5-HT4-Serotonin-Gs/β1/γ2
16.67Single8A6CAll-trans-Retinal8A6C-Rhodopsin-All-trans-Retinal
16.67Single8A6DAll-trans-Retinal8A6D-Rhodopsin-All-trans-Retinal
16.67Single8A6EAll-trans-Retinal8A6E-Rhodopsin-All-trans-Retinal
16.67Single8DWGML3828DWG-MRGPRX1-BAM8-22-ML382-chim(NtGi2L-Gs-CtGq)/β1/γ2
16.67Single8DWHPubChem 1390305318DWH-MRGPRX1-PubChem 139030531-chim(NtGi2L-Gs-CtGq)/β1/γ2
16.67Single8GNGIstradefylline8GNG-A2A-Istradefylline
16.67Single8HAOPTH8HAO-PTH1-PTH-chim(NtGi1-Gs)/β1/γ2
16.67Single8TZQDopamine8TZQ-D2-Dopamine-Go/β1/γ2
16.67Single8U4PAMD31008U4P-CXCR4-AMD3100-Gi1/β1/γ2
16.67Single8UNSConstrained Epinephrine8UNS-β2-Constrained Epinephrine-GTP-Gs/β1/γ2
16.67Single8UNTConstrained Epinephrine8UNT-β2-Constrained Epinephrine-GTP-Gs/β1/γ2
16.67Single8WPGTryptophan; Cinacalcet; PO4; Ca8WPG-CaS; CaS-Tryptophan; Cinacalcet; PO4; Ca
16.67Single8XQOCholesterol8XQO-TAS2R14-Cholesterol-Aristolochic acid A-Gi1/β1/γ1
16.67Single8YYWAlpha-ketoglutarate8YYW-Oxoglutarate-α-ketoglutarate-α-ketoglutarate-chim(Gi1-CtGq)/β1/γ2
16.67Single9AVLCa; Ca; Cyclomethyltryptophan; R-568; PO49AVL-CaS; CaS-Ca-Ca; Ca; Cyclomethyltryptophan; R-568; PO4-Gi3/β2/γ2
16.67Single9C2FCa; Ca; Tryptophan; '54149; PO49C2F-CaS; CaS-Ca-Ca; Ca; Tryptophan; '54149; PO4
16.67Single9CGKC5-Quino9CGK-δ-C5-Quino-Gi1/β1/γ2
16.67Single9EBHAdenosine9EBH-A3A-Adenosine-Gi1/β1/γ2
16.67Single9EEAAdenosine9EEA-A2A-Adenosine-Gs/β1/γ2
16.67Single9H2XPubChem 1756706449H2X-A2A-PubChem 175670644-Na
16.67Single9KO2CCL199KO2-CCR7-CCL19-Gi1/β1
16.67Single9KO6CCL199KO6-CCR7-CCL19
16.67Single9KVHCinobufotenine9KVH-5-HT1A-Cinobufotenine-PtdIns4P-Gi1/β1/γ2
16.67Single9KX6C5a-des-Arg9KX6-C5a1-C5a-des-Arg-Go/β1/γ2
16.67Single9M88Oleic monoethanolamide9M88-GPR3 ; GPR3-Oleic monoethanolamide-AF64394
16.67Single9P94PACAP279P94-PAC1-PACAP27-Gs/β1/γ2
16.67Single9PXUNaloxone9PXU-μ-Naloxone-Na
16.67Consensus5ht1e_onOrthosteric Ligand7E33-5-HT1E-BRL-54443-Gi1/β1/γ2 8UGY-5-HT1E-Mianserin-Gi1/β1/γ1 8UH3-5-HT1E-Setiptiline-Gi1/β1/γ1
16.67Consensuscxcr1_onOrthosteric Ligand8IC0-CXCR1-CXCL8-Gi1/β1/γ2
16.67Consensusglp_onOrthosteric Ligandglp1_on glp2_on
16.67Consensusglp_on_gpOrthosteric Ligandglp1_on_gp glp2_on_gp
16.67Consensuskiss1_onOrthosteric Ligand8ZJD-Kiss1-Kisspeptin-1-chim(NtGi1-Gq)/β1/γ1
16.67Consensuskisspeptin_onOrthosteric Ligandkiss1_on
16.67Consensusp2y1_onOrthosteric Ligand7XXH-P2Y1-2MeSADP-chim(NtGi1-G11)/β1/γ2
16.67Consensusrhodopsin_offOrthosteric Ligand1U19-Rhodopsin-11-cis-Retinal 2PED-Rhodopsin-9-cis-Retinal 5TE5-Rhodopsin-20-Methanoretinal
16.67Consensusrhodopsin_on_gpOrthosteric Ligand6OYA-Rhodopsin-All-trans-Retinal-Gt/β1/γ1
16.67Consensussecretin_on_gpOrthosteric Ligand7D3S-Secretin-Secretin-Gs/β1/γ2
16.22Single7F16TIP397F16-PTH2-TIP39-Gs/β1/γ2
16.13Single5VAIGLP-15VAI-GLP-1-GLP-1-Gs/β1/γ2
16.13Single6WZGSecretin6WZG-Secretin-Secretin-Gs/β1/γ2
16.13Single7D68GLP-27D68-GLP-2-GLP-2-Gs/β1/γ2
16.13Single7KI1Taspoglutide7KI1-GLP-1-Taspoglutide-Gs/β1/γ2
16.13Single8FLTM-PTH(1-14)8FLT-PTH1-M-PTH(1-14)-Gs/β1/γ2
16.13Single8HAFPTHrP(1-36)8HAF-PTH1-PTHrP(1-36)-chim(NtGi1-Gs)/β1/γ2
16.13Single8IY5Endothelin-18IY5-ETB-Endothelin-1-Gi1/β1/γ2
16.13Single9BYOExendin-39BYO-GLP-1-Exendin-3-Gs/β1/γ2
16.13Single9P93VIP9P93-PAC1-VIP-Gs/β1/γ2
16.13Consensuspth1_onOrthosteric Ligand6NBF-PTH1-LA-PTH Analog-Gs/β1/γ2 8HA0-PTH1-PTH-chim(NtGi1-Gs)/β1/γ2 8HAF-PTH1-PTHrP(1-36)-chim(NtGi1-Gs)/β1/γ2 7Y36-PTH1-PTH-Gs/β1/γ2 7Y35-PTH1-Abaloparatide-Gs/β1/γ2
16.13Consensusvip-pacap_onOrthosteric Ligandvpac_on pac_on
16.13Consensusvip-pacap_on_gpOrthosteric Ligandvpac_on_gp pac_on_gp
16.00Single4IB4Ergotamine4IB4-5-HT2B-Ergotamine
16.00Single7CX3Taprenepag7CX3-EP2-Taprenepag-Gs/β1/γ2
16.00Single7F54Afamelanotide7F54-MC4-Afamelanotide-Gs/β1/γ2
16.00Single8G59TUG-8918G59-FFA4-TUG-891-chim(Gi1-CtGq)/β1/γ2
16.00Single8IEBPubChem 1347468948IEB-GPR156; GPR156-PubChem 134746894
16.00Single8IEIPubChem 1347468948IEI-GPR156; GPR156-PubChem 134746894
16.00Single8IEIPubChem 1347468948IEI-GPR156; GPR156-PubChem 134746894
16.00Single8IEPPubChem 1347468948IEP-GPR156; GPR156-PubChem 134746894
16.00Single8IEPPubChem 1347468948IEP-GPR156; GPR156-PubChem 134746894
16.00Single8INRAlpha-MSH8INR-MC5-α-MSH-Ca-chim(NtGi1-Gs)/β1/γ2
16.00Single8KIGSHU91198KIG-MC3-SHU9119-Ca
16.00Single8WKYPG-9348WKY-MC4-PG-934
16.00Single8XGMChemerin8XGM-CML2-Chemerin-Gi1/β1/γ2
16.00Single8ZCJPasireotide8ZCJ-SST5-Pasireotide-Gi1/β1/γ1
16.00Single9J0IUDP-Glucuronic acid9J0I-P2Y14-UDP-Glucuronic acid-Gi1/β1/γ2
16.00Single9L3YChemerin9L3Y-CML2-Chemerin-Gi1/β1/γ2
16.00Consensuschemerin_on_gpOrthosteric Ligandcml1_on_gp
16.00Consensuscml1_onOrthosteric Ligand7YKD-CML1-Chemerin-9-Gi1/β1/γ2
16.00Consensusgi_chemerinOrthosteric Ligand7YKD-CML1-Chemerin-9-Gi1/β1/γ2
16.00Consensusp2y_onOrthosteric Ligandp2y1_on p2y10_on p2y12_on
16.00Consensussomatostatin_offOrthosteric Ligandsst2_off
15.79Single3OAX11-cis-Retinal3OAX-Rhodopsin-11-cis-Retinal
15.79Single3UZCPubChem 1355666093UZC-A2A-PubChem 135566609
15.79Single4DKLBeta-Funaltrexamine4DKL-μ-β-Funaltrexamine
15.79Single4MQTIperoxo4MQT-M2-Iperoxo-LY2119620
15.79Single4N6HNaltrindole4N6H-δ-Naltrindole-Na
15.79Single5IU4ZM-2413855IU4-A2A-ZM-241385-Na
15.79Single5IUBQ274563445IUB-A2A-Q27456344-Na
15.79Single5K2CZM-2413855K2C-A2A-ZM-241385-Na
15.79Single5NM4ZM-2413855NM4-A2A-ZM-241385-Na
15.79Single6AQFZM-2413856AQF-A2A-ZM-241385
15.79Single6PS5Propranolol6PS5-β2-Propranolol
15.79Single6TPKRetosiban6TPK-OT-Retosiban
15.79Single6TPNHTL66416TPN-OX2-HTL6641
15.79Single6WH4Methiothepin6WH4-5-HT2A-Methiothepin
15.79Single6WJCAtropine6WJC-M1-Atropine-Muscarinic toxin 7
15.79Single6ZDVPubChem 9840736ZDV-A2A-PubChem 984073-Na
15.79Single7BB6AVP7BB6-V2-AVP-Gs/β1/γ2
15.79Single7C2EPubChem 1490507997C2E-GLP-1-PubChem 149050799-Gs/β1/γ2
15.79Single7CKWFenoldopam7CKW-D1-Fenoldopam-Gs/β1/γ2
15.79Single7CMVPD1289077CMV-D3-PD128907-Gi1/β1/γ2
15.79Single7E33BRL-544437E33-5-HT1E-BRL-54443-Gi1/β1/γ2
15.79Single7EJ8Brimonidine7EJ8-α2a-Brimonidine-Go/β1/γ2
15.79Single7F24Dopamine7F24-D1-Dopamine-GDP-Gs/β1/γ2
15.79Single7T32ZM-2413857T32-A2A-ZM-241385
15.79Single7UL3Famotidine7UL3-H2-Famotidine
15.79Single7VODCariprazine7VOD-5-HT2A-Cariprazine
15.79Single7WC9PubChem 1624213647WC9-5-HT2A-PubChem 162421364
15.79Single7XOVSR1461317XOV-CCKA-SR146131-Gs/β1/γ2
15.79Single7ZBC11-cis-Retinal7ZBC-Rhodopsin-11-cis-Retinal
15.79Single7ZBE11-cis-Retinal7ZBE-Rhodopsin-11-cis-Retinal
15.79Single8DPGPsilocin8DPG-5-HT2C-Psilocin-chim(NtGi2L-Gs-CtGq)/β1/γ2
15.79Single8F0JPramlintide Analogue San458F0J-CT-Pramlintide Analogue San45-Gs/β1/γ2
15.79Single8FCZ11-cis-Retinal8FCZ-Rhodopsin-11-cis-Retinal
15.79Single8GG5Constrained Epinephrine8GG5-β2-Constrained Epinephrine-GTP-Gs/β1/γ2
15.79Single8GG7Constrained Epinephrine8GG7-β2-Constrained Epinephrine-GTP-Gs/β1/γ2
15.79Single8GGLConstrained Epinephrine8GGL-β2-Constrained Epinephrine
15.79Single8GGMConstrained Epinephrine8GGM-β2-Constrained Epinephrine
15.79Single8GGPConstrained Epinephrine8GGP-β2-Constrained Epinephrine
15.79Single8RLNLUF58348RLN-A2A-LUF5834
15.79Single8RWCStilSwitch28RWC-A2A-StilSwitch2-Na
15.79Single8RWDStilSwitch38RWD-A2A-StilSwitch3-Na
15.79Single8U02Dopamine8U02-D2-Dopamine-Go/β1/γ2
15.79Single8UNLConstrained Epinephrine8UNL-β2-Constrained Epinephrine-GTP-Gs/β1/γ2
15.79Single8UNOConstrained Epinephrine8UNO-β2-Constrained Epinephrine-GTP-Gs/β1/γ2
15.79Single8UO1Constrained Epinephrine8UO1-β2-Constrained Epinephrine-GTP; Mg-Gs/β1/γ2
15.79Single8V6UPubChem 1713924568V6U-5-HT2A-PubChem 171392456-chim(NtGi2-Gs-CtGq)/β1/γ2
15.79Single8W8BSEP-3638568W8B-5-HT1A-SEP-363856-Gi1/β1/γ2
15.79Single8WPGTryptophan; Cinacalcet; PO4; Ca8WPG-CaS; CaS-Tryptophan; Cinacalcet; PO4; Ca
15.79Single8WPUTryptophan; Cinacalcet; PO4; Ca8WPU-CaS; CaS-Tryptophan; Cinacalcet; PO4; Ca-chim(NtGi2L-Gs-CtGq)/β1/γ2
15.79Single8YN3Histamine8YN3-H2-Histamine-Gs/β1/γ2
15.79Single8ZBWQuin-C18ZBW-FPR2-ALX-Quin-C1-Gi2/β1/γ2
15.79Single9AS8Psilocin9AS8-5-HT2A-Psilocin-chim(NtGi2L-Gs-CtGq)/β1/γ2
15.79Single9ASBCa; Ca; Cyclomethyltryptophan; R-568; PO49ASB-CaS; CaS-Ca-Ca; Ca; Cyclomethyltryptophan; R-568; PO4-chim(NtGi1-Gs-CtGq)/β1/γ2
15.79Single9ASBCa; Ca; Cyclomethyltryptophan; R-568; PO49ASB-CaS; CaS-Ca-Ca; Ca; Cyclomethyltryptophan; R-568; PO4-chim(NtGi1-Gs-CtGq)/β1/γ2
15.79Single9AVGCa; Ca; Cyclomethyltryptophan; R-568; PO49AVG-CaS; CaS-Ca-Ca; Ca; Cyclomethyltryptophan; R-568; PO4-chim(NtGi1-Gs)/β1/γ2
15.79Single9EPQ11,20-Ethanoretinal9EPQ-Rhodopsin-11,20-Ethanoretinal-chim(Gi1-CtGq)/β1/γ2
15.79Single9K0KUTP9K0K-P2Y4-UTP-chim(NtGi1-Gs-CtGq)/β1/γ2
15.79Single9K0XATP9K0X-P2Y2-ATP-chim(NtGi1-Gs-CtGq)/β1/γ2
15.79Single9K20ATP9K20-P2Y2-ATP-chim(NtGi1-Go)/β1/γ2
15.79Single9KUWCMPD6449KUW-Apelin; Apelin-CMPD644-Arrestin2 ; Arrestin2
15.79Single9KVIBufotenin9KVI-5-HT1A-Bufotenin-PtdIns4P-Gi1/β1/γ2
15.79Single9L84Epinephrine9L84-β1-Epinephrine-Atazanavir-Gs/β1/γ2
15.79Single9LRDHistamine9LRD-H1-Histamine-Gi1/β1/γ2
15.79Single9PXVNaloxone9PXV-μ-Naloxone-Gi1/β1/γ2
15.79Single9PXXNaloxone9PXX-μ-Naloxone-GDPβS-Gi1/β1/γ2
15.79Single9VJG8-OH-DPAT9VJG-5-HT1A-8-OH-DPAT-chim(NtGi2-Gz)/β1/γ2
15.79Single9W6W5-CT9W6W-5-HT5A-5-CT-Gi1/β1/γ2
15.79Consensus5ht2a_offOrthosteric Ligand6A94-5-HT2A-Zotepine 6A93-5-HT2A-Risperidone 7VOD-5-HT2A-Cariprazine 7WC8-5-HT2A-Lumateperone 8JT8-5-HT2A-(R)-IHCH-7179
15.79Consensus5ht_on_gpOrthosteric Ligand5ht1_on_gp 5ht2_on_gp 5ht4_on_gp 5ht5_on_gp 5ht6_on_gp 5ht7_on_gp
15.79Consensuscb1_offOrthosteric Ligand5U09-CB1-Taranabant 5TGZ-CB1-AM6538
15.79Consensusot_offOrthosteric Ligand6TPK-OT-Retosiban
15.79Consensusvasop-oxy_offOrthosteric Ligandot_off
15.62Single7DUQGLP-17DUQ-GLP-1-GLP-1-PubChem 156022738-Gs/β1/γ2
15.38Single6HLOAprepitant6HLO-NK1-Aprepitant
15.38Single7F1QCCL37F1Q-CCR5-CCL3-Gi1/β1/γ2
15.38Single7PIVAfamelanotide7PIV-MC4-Afamelanotide-Gs/β1/γ2
15.38Single7RMISubstance-P7RMI-NK1-Substance-P-chim(Gs-CtGq)/β1/γ2
15.38Single7VBITirzepatide (non-acylated)7VBI-GLP-1-Tirzepatide (non-acylated)-Gs/β1/γ2
15.38Single8F2BPramlintide Analogue San458F2B-CT (AMY3)-Pramlintide Analogue San45-Gs/β1/γ2; RAMP3
15.38Single8IEBPubChem 1347468948IEB-GPR156; GPR156-PubChem 134746894
15.38Single8K6ONeuropeptide-Y8K6O-Y1-Neuropeptide-Y-Gi2/β1/γ1
15.38Single8XYDPlatelet Activating Factor8XYD-PAF-Platelet Activating Factor-Gi1/β1/γ2
15.38Single9EAINanobody AT2099EAI-AT1-Losartan-Nanobody AT209
15.38Consensusformylpeptide_on_gpOrthosteric Ligandfpr2-alx_on_gp fpr1-alx_on_gp
15.38Consensuspth_on_gpOrthosteric Ligandpth1_on_gp pth2_on_gp
15.15Single6LPBPACAP276LPB-PAC1-PACAP27-Gs/β1/γ1
15.15Single8FLSAbaloparatide8FLS-PTH1-Abaloparatide-Gs/β1/γ2
15.15Single9AUCCalcitonin gene-related peptide-19AUC-CT (AMY1)-Calcitonin gene-related peptide-1-Gs/β1/γ2; RAMP1
15.15Consensusglp1_onOrthosteric Ligand7S1M-GLP-1-Exendin-4-D-Ala-Gs/β1/γ2 7X8R-GLP-1-BOC5-Gs/β1/γ2 6X19-GLP-1-CHU-128-Gs/β1/γ2 6X1A-GLP-1-Danuglipron-Gs/β1/γ2 6X18-GLP-1-GLP-1-Gs/β1/γ2 8JIP-GLP-1-MEDI0382-chim(NtGi1-Gs)/β1/γ2 7C2E-GLP-1-PubChem 149050799-Gs/β1/γ2 7KI0-GLP-1-Semaglutide-Gs/β1/γ2 7KI1-GLP-1-Taspoglutide-Gs/β1/γ2 7X8S-GLP-1-WB4-24-Gs/β1/γ2 8JIS-GLP-1-Peptide-15-chim(NtGi1-Gs)/β1/γ2 7VBI-GLP-1-Tirzepatide (non-acylated)-Gs/β1/γ2
15.00Single1HZX11-cis-Retinal1HZX-Rhodopsin-11-cis-Retinal
15.00Single2VT4Cyanopindolol2VT4-β1-Cyanopindolol
15.00Single2Y02Carmoterol2Y02-β1-Carmoterol
15.00Single3ZPQPubChem 5945903ZPQ-β1-PubChem 594590-Na
15.00Single3ZPRPubChem 5987543ZPR-β1-PubChem 598754-Na
15.00Single4DAJTiotropium4DAJ-M3-Tiotropium
15.00Single4EIYZM-2413854EIY-A2A-ZM-241385-Na
15.00Single4J4QOctyl Beta-D-Glucopyranoside4J4Q-Rhodopsin-Octyl β-D-Glucopyranoside-Gt(CT)
15.00Single4MQSIperoxo4MQS-M2-Iperoxo
15.00Single4QIMANTA XV4QIM-SMO-ANTA XV
15.00Single4U14Tiotropium4U14-M3-Tiotropium
15.00Single4X1HNonyl-Beta-D-Glucopyranoside4X1H-Rhodopsin-Nonyl-β-D-Glucopyranoside-Gt(CT)
15.00Single5DSGTiotropium5DSG-M4-Tiotropium
15.00Single5IU8Q274563475IU8-A2A-Q27456347-Na
15.00Single5OLGZM-2413855OLG-A2A-ZM-241385-Na
15.00Single5UIGPubChem 1240811965UIG-A2A-PubChem 124081196
15.00Single5ZKPSR274175ZKP-PAF-SR27417
15.00Single6LPJZM-2413856LPJ-A2A-ZM-241385-Na
15.00Single6LPKZM-2413856LPK-A2A-ZM-241385-Na
15.00Single6ORVTT-OAD26ORV-GLP-1-TT-OAD2-Gs/β1/γ2
15.00Single6PS2Alprenolol6PS2-β2-Alprenolol
15.00Single7E32Serotonin7E32-5-HT1D-Serotonin-Gi1/β1/γ2
15.00Single7LCIDanuglipron7LCI-GLP-1-Danuglipron-Gs/β1/γ2
15.00Single7LCKDanuglipron7LCK-GLP-1-Danuglipron
15.00Single7PYRPSB-21157PYR-A2A-PSB-2115
15.00Single7S15PubChem 1346112237S15-GLP-1-PubChem 134611223
15.00Single7TRPIperoxo7TRP-M4-Iperoxo-LY2033298-Gi1/β1/γ2
15.00Single7UM55-CT7UM5-5-HT5A-5-CT-chim(NtGi1-Go)/β1/γ2
15.00Single7VGZRamelteon7VGZ-MT1-Ramelteon-Gi1/β1/γ2
15.00Single8FY85-MeO-DMT8FY8-5-HT1A-5-MeO-DMT-PtdIns4P-Gi1/β1/γ1
15.00Single8IC0CXCL88IC0-CXCR1-CXCL8-Gi1/β1/γ2
15.00Single8JD0NAM5638JD0-mGlu2; mGlu3-Glutamate-NAM563
15.00Single8X63Mepyramine8X63-H1-Mepyramine
15.00Single8X64Desloratadine8X64-H1-Desloratadine
15.00Single9AS1DMT9AS1-5-HT2A-DMT
15.00Single9AVGCa; Ca; Cyclomethyltryptophan; R-568; PO49AVG-CaS; CaS-Ca-Ca; Ca; Cyclomethyltryptophan; R-568; PO4-chim(NtGi1-Gs)/β1/γ2
15.00Single9DYFAsenapine9DYF-5-HT1A-Asenapine-PtdIns4P-Gi1/β1/γ2
15.00Single9PXWNaloxone9PXW-μ-Naloxone-GDPβS-Gi1/β1/γ2
15.00Single9UAZAtropine9UAZ-M1-Atropine
15.00Consensus5ht1d_onOrthosteric Ligand7E32-5-HT1D-Serotonin-Gi1/β1/γ2
15.00Consensus5ht1d_on_gpOrthosteric Ligand7E32-5-HT1D-Serotonin-Gi1/β1/γ2
15.00Consensus5ht6_onOrthosteric Ligand7XTB-5-HT6-Serotonin-Gs/β1/γ2 8JLZ-5-HT6-ST1936-Gs/β1/γ2
15.00Consensus5ht6_on_gpOrthosteric Ligand7XTB-5-HT6-Serotonin-Gs/β1/γ2 8JLZ-5-HT6-ST1936-Gs/β1/γ2
15.00Consensuscck_offOrthosteric Ligandccka_off
15.00Consensusccka_offOrthosteric Ligand7F8Y-CCKA-Devazepide 7F8U-CCKA-Lintitript
15.00Consensuscxcr1_on_gpOrthosteric Ligand8IC0-CXCR1-CXCL8-Gi1/β1/γ2
15.00Consensushistamine_offOrthosteric Ligandh1_off
15.00Consensusm4_offOrthosteric Ligand5DSG-M4-Tiotropium
14.81Single6UUNAdrenomedullin6UUN-CT Like (AM1)-Adrenomedullin-Gs/β1/γ2; RAMP2
14.81Single6VN7PACAP276VN7-VPAC1-PACAP27-Gs/β1/γ2
14.81Single6W25SHU91196W25-MC4-SHU9119-Ca
14.81Single7RYCOxytocin7RYC-OT-Oxytocin-chim(NtGi2L-Gs-CtGq)/β1/γ2
14.81Single7W55Neuromedin-U-257W55-NMUR2-Neuromedin-U-25-chim(NtGi1-Gs-CtGq)/β1/γ2
14.81Single8K6NNeuropeptide-Y8K6N-Y2-Neuropeptide-Y-Gi2/β1/γ1
14.81Single8XZGApelin-138XZG-Apelin; Apelin-Apelin-13-Gi1/β1/γ2
14.81Single8XZHMM078XZH-Apelin; Apelin-MM07-Gi1/β1/γ2
14.81Single9IVMGLP-1 (Truncated)9IVM-GLP-1-GLP-1 (Truncated)-LSN3318839-chim(NtGi1-Gs)/β2/γ2
14.81Consensusclass-b1_class-b2_cons_onOrthosteric Ligandclass-b1_on class-b2_on
14.81Consensusclass-b1_class-b2_cons_on_gpOrthosteric Ligandclass-b1_on_gp class-b2_on_gp
14.81Consensusfpr2-alx_onOrthosteric Ligand7WVX-FPR2-ALX-Humanin-Gi2/β1/γ2 7T6U-FPR2-ALX-CGEN-855A-Gi1/β1/γ2 7T6V-FPR2-ALX-fMLFII-Gi1/β1/γ2 7WVY-FPR2-ALX-Amyloid-β42-Gi2/β1/γ2 7T6S-FPR2-ALX-TC-FPR 43-Gi1/β1/γ2 6OMM-FPR2-ALX-WKYMVX-Gi1/β1/γ2
14.81Consensusnmur2_onOrthosteric Ligand7W55-NMUR2-Neuromedin-U-25-chim(NtGi1-Gs-CtGq)/β1/γ2
14.81Consensusnmur2_on_gpOrthosteric Ligand7W55-NMUR2-Neuromedin-U-25-chim(NtGi1-Gs-CtGq)/β1/γ2
14.71Single7VVMPTH7VVM-PTH1-PTH-Gs/β1/γ2
14.71Single9JR2PTH9JR2-PTH1-PTH-chim(NtGi1L-Gs-CtGq)/β1/γ2
14.71Consensuscrf_on_gpOrthosteric Ligandcrf2_on_gp crf1_on_gp
14.71Consensuspth1_on_gpOrthosteric Ligand6NBF-PTH1-LA-PTH Analog-Gs/β1/γ2 8HA0-PTH1-PTH-chim(NtGi1-Gs)/β1/γ2 8HAF-PTH1-PTHrP(1-36)-chim(NtGi1-Gs)/β1/γ2 7Y36-PTH1-PTH-Gs/β1/γ2 7Y35-PTH1-Abaloparatide-Gs/β1/γ2
14.29Single4JKVTaladegib4JKV-SMO-Taladegib
14.29Single4WW3All-trans-Retinal4WW3-Rhodopsin-All-trans-Retinal
14.29Single5IUAQ274563485IUA-A2A-Q27456348-Na
14.29Single5NM2ZM-2413855NM2-A2A-ZM-241385-Na
14.29Single5XPRBosentan5XPR-ETB-Bosentan
14.29Single6LPLZM-2413856LPL-A2A-ZM-241385-Na
14.29Single6OIKIperoxo6OIK-M2-Iperoxo-LY2119620-chim(NtGi1-Go)/β1/γ2
14.29Single6S0QZM-2413856S0Q-A2A-ZM-241385
14.29Single6WI9Secretin6WI9-Secretin-Secretin-Gs/β1/γ2
14.29Single6WQAZM-2413856WQA-A2A-ZM-241385-Na
14.29Single7AD3Alpha-factor mating pheromone7AD3-STE2; STE2-α-factor mating pheromone-Gi1/STE4/γ2
14.29Single7BB7AVP7BB7-V2-AVP-Gs/β1/γ2
14.29Single7FINPeptide-20; GGL7FIN-GIP-Peptide-20; GGL-Gs/β1/γ2
14.29Single7RM5ZM-2413857RM5-A2A-ZM-241385-Na
14.29Single7TRKIperoxo7TRK-M4-Iperoxo-Gi1/β1/γ2
14.29Single7TYIAmylin7TYI-CT-Amylin-Gs/β1/γ2
14.29Single7TYYCalcitonin-17TYY-CT (AMY2)-Calcitonin-1-Gs/β1/γ2; RAMP2
14.29Single7VOEAripiprazole7VOE-5-HT2A-Aripiprazole
14.29Single7VV0PAMP-127VV0-MRGPRX2-PAMP-12
14.29Single7WUIIP157WUI-ADGRG2-IP15-chim(NtGi1-Gs)/β1/γ2
14.29Single8C9WEtrumadenant8C9W-A2A-Etrumadenant
14.29Single8FYNZM-2413858FYN-A2A-ZM-241385-Na
14.29Single8GNEKW-63568GNE-A2A-KW-6356-Na
14.29Single8IEDPubChem 1347468948IED-GPR156; GPR156-PubChem 134746894-Go/β1/γ2
14.29Single8IEDPubChem 1347468948IED-GPR156; GPR156-PubChem 134746894-Go/β1/γ2
14.29Single8SZGCa; Ca; Tryptophan; Cinacalcet; PO4; Spermine8SZG-CaS; CaS-Ca; Ca; Tryptophan; Cinacalcet; PO4; Spermine-chim(NtGi1-Gq)/β1/γ2
14.29Single8WCBCyclohexylammonium Ion8WCB-TA1-Cyclohexylammonium Ion-chim(NtGi1-Gs-CtGq)/β1/γ2
14.29Single8WCCCyclohexylammonium Ion8WCC-TA1-Cyclohexylammonium Ion
14.29Single8X0BVU04244658X0B-mGlu5; mGlu5-Quisqualate-VU0424465
14.29Single8X0CVU04244658X0C-mGlu5; mGlu5-Quisqualate-VU0424465
14.29Single8X0CVU04244658X0C-mGlu5; mGlu5-Quisqualate-VU0424465
14.29Single8X0DVU04244658X0D-mGlu5; mGlu5-Quisqualate-VU0424465
14.29Single8X0DVU04244658X0D-mGlu5; mGlu5-Quisqualate-VU0424465
14.29Single8YH0NECA8YH0-A3A-NECA-Gi1/β1/γ2
14.29Single8YW3Retatrutide8YW3-GLP-1-Retatrutide-Gs/β1/γ2
14.29Single8YW4Retatrutide8YW4-GIP-Retatrutide-chim(NtGi1-Gs)/β1/γ2
14.29Single8YW5Retatrutide8YW5-Glucagon-Retatrutide-Gs/β1/γ2
14.29Single8ZMFPubChem 1719206738ZMF-5-HT2C-PubChem 171920673
14.29Single9BUDCagrilintide9BUD-CT-Cagrilintide-Gs/β1/γ2
14.29Single9DYDAsenapine9DYD-5-HT1A-Asenapine-PtdIns4P-Go/β1/γ2
14.29Single9EBOGLP-1 (ACPC18)9EBO-GLP-1-GLP-1 (ACPC18)-Gs/β1/γ2
14.29Single9EE5ONO-25502899EE5-DP1-ONO-2550289
14.29Single9GE2ML1849GE2-GPR55-ML184-chim(NtGi1-G13)/β1/γ2
14.29Single9HC04YI9HC0-mGlu5-4YI
14.29Single9K07DSO-5a9K07-BB3-DSO-5a-chim(NtGi2L-Gs-CtGq)/β1/γ2
14.29Consensus5ht1_onOrthosteric Ligand5ht1a_on 5ht1d_on 5ht1e_on 5ht1f_on
14.29Consensus5ht1_on_gpOrthosteric Ligand5ht1a_on_gp 5ht1d_on_gp 5ht1e_on_gp 5ht1f_on_gp
14.29Consensus5ht1e_on_gpOrthosteric Ligand7E33-5-HT1E-BRL-54443-Gi1/β1/γ2 8UGY-5-HT1E-Mianserin-Gi1/β1/γ1 8UH3-5-HT1E-Setiptiline-Gi1/β1/γ1
14.29Consensuscrf2_onOrthosteric Ligand7TS0-CRF2-Urocortin-chim(NtGi1L-Go)/β1/γ2
14.29Consensusfpr2-alx_on_gpOrthosteric Ligand7WVX-FPR2-ALX-Humanin-Gi2/β1/γ2 7T6U-FPR2-ALX-CGEN-855A-Gi1/β1/γ2 7T6V-FPR2-ALX-fMLFII-Gi1/β1/γ2 7WVY-FPR2-ALX-Amyloid-β42-Gi2/β1/γ2 7T6S-FPR2-ALX-TC-FPR 43-Gi1/β1/γ2 6OMM-FPR2-ALX-WKYMVX-Gi1/β1/γ2
14.29Consensusglucagon_onOrthosteric Ligandglp_on gluc_on secretin_on gip_on
14.29Consensush1_offOrthosteric Ligand8X63-H1-Mepyramine 3RZE-H1-Cidoxepin 8X5Y-H1-Astemizole
14.29Consensusnucleotide_onOrthosteric Ligandadenosine_on p2y_on
14.29Consensustachykinin_onOrthosteric Ligandnk1_on nk2_on nk3_on
13.89Consensusglucagon_on_gpOrthosteric Ligandglp_on_gp gluc_on_gp secretin_on_gp gip_on_gp
13.79Single6X18GLP-16X18-GLP-1-GLP-1-Gs/β1/γ2
13.79Single7LLYOxyntomodulin7LLY-GLP-1-Oxyntomodulin-Gs/β1/γ2
13.79Single8HCQEndothelin-18HCQ-ETA-Endothelin-1-chim(NtGi1-Gs-CtGq)/β1/γ2
13.79Single8YG4LA-PTH Analog8YG4-PTH1-LA-PTH Analog-chim(NtGi1-Gs)/β1/γ2
13.79Consensuscalcitonin_onOrthosteric Ligandctlike_on
13.79Consensuseta_onOrthosteric Ligand8HCQ-ETA-Endothelin-1-chim(NtGi1-Gs-CtGq)/β1/γ2
13.79Consensuseta_on_gpOrthosteric Ligand8HCQ-ETA-Endothelin-1-chim(NtGi1-Gs-CtGq)/β1/γ2
13.79Consensusvpac_onOrthosteric Ligandvpac1_on vpac2_on
13.64Single4IAQDihydroergotamine4IAQ-5-HT1B-Dihydroergotamine
13.64Single4OO9Mavoglurant4OO9-mGlu5-Mavoglurant
13.64Single5V54Methiothepin5V54-5-HT1B-Methiothepin
13.64Single5V56TC1145V56-SMO-TC114
13.64Single5V57TC1145V57-SMO-TC114
13.64Single5ZHPPubChem 1348285895ZHP-M3-PubChem 134828589
13.64Single6E59L-7607356E59-NK1-L-760735
13.64Single6J20Aprepitant6J20-NK1-Aprepitant
13.64Single7P2L4YI7P2L-mGlu5-4YI
13.64Single7PX4PSB-21137PX4-A2A-PSB-2113
13.64Single7XAVLanreotide7XAV-SST2-Lanreotide-Gi1/β1/γ2
13.64Single7XJLSpexin7XJL-GAL2-Spexin-chim(NtGi2L-Gs-CtGq)/β1/γ2
13.64Single7XY7NECA7XY7-A2B-NECA-chim(NtGi1-Gs)/β1/γ2
13.64Single7Y24Octreotide7Y24-SST2-Octreotide-Go/β1/γ2
13.64Single7Y67C089 peptide7Y67-C5a1-C089 peptide-Gi1/β1/γ2
13.64Single8HDOBAY 60-65838HDO-A2B-BAY 60-6583-Gs/β1/γ2
13.64Single8ID6Oleic acid8ID6-FFA4-Oleic acid-Gi1/β1/γ2
13.64Single8VVEnorBNI8VVE-κ-norBNI-Gi1/β1/γ2
13.64Single8X0BVU04244658X0B-mGlu5; mGlu5-Quisqualate-VU0424465
13.64Single8X0FVU298X0F-mGlu5; mGlu5-Quisqualate-VU29
13.64Single8XQTCholesterol8XQT-TAS2R14-Cholesterol-Gi1/β1/γ1
13.64Single8ZR5Firuglipel8ZR5-GPR119-Firuglipel-Gs/β1/γ2
13.64Single9AS9RS130-1809AS9-5-HT2A-RS130-180
13.64Single9ASARS130-1809ASA-5-HT2A-RS130-180-chim(NtGi1-Gs-CtGq)/β1/γ2
13.64Single9UCPIperoxo9UCP-M1-Iperoxo-G11(CT)
13.64Consensus5ht1_offOrthosteric Ligand5ht1b_off
13.64Consensus5ht1b_offOrthosteric Ligand5V54-5-HT1B-Methiothepin
13.64Consensusm3_offOrthosteric Ligand4U15-M3-Tiotropium 4U16-M3-N-methyl-Scopolamine 5ZHP-M3-PubChem 134828589
13.33Single3PXOAll-trans-Retinal3PXO-Rhodopsin-All-trans-Retinal
13.33Single5DYSAll-trans-Retinal5DYS-Rhodopsin-All-trans-Retinal
13.33Single5MZJTheophylline5MZJ-A2A-Theophylline-Na
13.33Single7CZ5Somatoliberin7CZ5-GHRH-Somatoliberin-Gs/β1/γ2
13.33Single7D3SSecretin7D3S-Secretin-Secretin-Gs/β1/γ2
13.33Single7KI0Semaglutide7KI0-GLP-1-Semaglutide-Gs/β1/γ2
13.33Single7RA3GIP7RA3-GIP-GIP-chim(NtGi1-Gs)/β1/γ2
13.33Single7VABTirzepatide (non-acylated)7VAB-GIP-Tirzepatide (non-acylated)-chim(NtGi1-Gs)/β1/γ2
13.33Single7WC4Serotonin7WC4-5-HT2A-Serotonin
13.33Single7XKEDehydroepiandrosterone7XKE-ADGRG2-Dehydroepiandrosterone-chim(NtGi1-Gs)/β1/γ2
13.33Single8HVINOX-6-78HVI-GPR132-NOX-6-7-Gi1/β1/γ2
13.33Single8JISPeptide-158JIS-GLP-1-Peptide-15-chim(NtGi1-Gs)/β1/γ2
13.33Single8PWNTheophylline8PWN-A2A-Theophylline
13.33Single8XQFApelin-138XQF-Apelin-Apelin-13-Gi1/β1/γ2
13.33Single9J1Pg1:Ox9J1P-GLP-1-g1:Ox-chim(NtGi1-Gs)/β1/γ2
13.33Consensuscalcitonin_on_gpOrthosteric Ligandctlike_on_gp
13.33Consensuscrf2_on_gpOrthosteric Ligand7TS0-CRF2-Urocortin-chim(NtGi1L-Go)/β1/γ2
13.33Consensusvpac_on_gpOrthosteric Ligandvpac1_on_gp vpac2_on_gp
13.16Consensusclass-b1_onOrthosteric Ligandglucagon_on vip-pacap_on pth_on crf_on calcitonin_on
13.16Consensuspth2_on_gpOrthosteric Ligand7F16-PTH2-TIP39-Gs/β1/γ2
13.04Single4OR2FITM4OR2-mGlu1; mGlu1-FITM
13.04Single4PXZ2MeSADP4PXZ-P2Y12-2MeSADP
13.04Single4PY02MeSATP4PY0-P2Y12-2MeSATP
13.04Single7EPENAM5637EPE-mGlu2-NAM563
13.04Single7WCMMBX-29827WCM-GPR119-MBX-2982-Gs/β1/γ2
13.04Single7XZ5Lysophosphatidylcholine7XZ5-GPR119-Lysophosphatidylcholine-Gs/β1/γ2
13.04Single7Y66BM2137Y66-C5a1-BM213-Gi1/β1/γ2
13.04Single8VHFMBX-29828VHF-GPR119-MBX-2982-Gs/β1/γ2
13.04Single9L3WChemerin9L3W-CML1-Chemerin-Gi1/β1/γ2
13.04Single9W32SSTR5 antagonist 19W32-SST5-SSTR5 antagonist 1
13.04Single9YDUUDP-Glucose9YDU-P2Y14-UDP-Glucose-Gi1/β1/γ2
13.04Consensusm4_onOrthosteric Ligand7TRS-M4-Acetylcholine-Gi1/β1/γ2 7V6A-M4-PubChem 9864275-Gi1/β1/γ2 8E9X-M4-2-Deoxycytidine-chim(NtGi1-Go)/β1/γ2 7TRK-M4-Iperoxo-Gi1/β1/γ2
13.04Consensusm4_on_gpOrthosteric Ligand7TRS-M4-Acetylcholine-Gi1/β1/γ2 7V6A-M4-PubChem 9864275-Gi1/β1/γ2 8E9X-M4-2-Deoxycytidine-chim(NtGi1-Go)/β1/γ2 7TRK-M4-Iperoxo-Gi1/β1/γ2
13.04Consensusnk1_offOrthosteric Ligand6HLP-NK1-Netupitant 6HLO-NK1-Aprepitant 6HLL-NK1-CP99994 6E59-NK1-L-760735
12.90Single6B3JExendin-P56B3J-GLP-1-Exendin-P5-Gs/β1/γ2
12.90Single6P9XCorticoliberin-16P9X-CRF1-Corticoliberin-1-Gs/β1/γ2
12.90Single6UVAAdrenomedullin-26UVA-CT Like (AM2)-Adrenomedullin-2-Gs/β1/γ2; RAMP3
12.90Single7DTYGIP7DTY-GIP-GIP-Gs/β1/γ2
12.90Single7FIYTirzepatide7FIY-GIP-Tirzepatide-Gs/β1/γ2
12.90Single7S1MExendin-4-D-Ala7S1M-GLP-1-Exendin-4-D-Ala-Gs/β1/γ2
12.90Single7VQXPACAP277VQX-VPAC1-PACAP27-Gs/β1/γ2
12.90Single8ZJGChemerin8ZJG-CML1-Chemerin-Gi1/β1/γ2
12.90Consensusp2y10_on_gpOrthosteric Ligand8KGG-P2Y10-Lysophosphatidylserine (WJS)-chim(NtGi2-G13)/β1/γ2
12.50Single2HPYAll-trans-Retinal2HPY-Rhodopsin-All-trans-Retinal
12.50Single4OR2FITM4OR2-mGlu1; mGlu1-FITM
12.50Single6LMLGlucagon6LML-Glucagon-Glucagon-Gi1/β1/γ1
12.50Single6PB1Urocortin6PB1-CRF2-Urocortin-chim(NtGi1-Gs)/β1/γ2
12.50Single6UUSAdrenomedullin6UUS-CT Like (AM2)-Adrenomedullin-Gs/β1/γ2; RAMP3
12.50Single7DD5Ca; Ca; Tryptophan; NPS-21437DD5-CaS; CaS-Ca-Ca; Ca; Tryptophan; NPS-2143
12.50Single7MBYCholecystokinin-87MBY-CCKA-Cholecystokinin-8-chim(NtGi1L-Gs-CtGq)/β1/γ2
12.50Single7MTBAll-trans-Retinal7MTB-Rhodopsin-All-trans-Retinal-GRK1
12.50Single7P00Substance-P7P00-NK1-Substance-P-chim(NtGi1-Gs-CtGq)/β1/γ2
12.50Single7QVMOxytocin7QVM-OT-Oxytocin-chim(NtGi1-Go-CtGq)/β1/γ2
12.50Single7TS0Urocortin7TS0-CRF2-Urocortin-chim(NtGi1L-Go)/β1/γ2
12.50Single7TYLAmylin7TYL-CT-Amylin-Gs/β1/γ2
12.50Single7UM4AS26747237UM4-5-HT5A-AS2674723
12.50Single7VVJPTHrP(1-36)7VVJ-PTH1-PTHrP(1-36)-Gs/β1/γ2
12.50Single7VVLPTH7VVL-PTH1-PTH-Gs/β1/γ2
12.50Single7WVVfMLFII7WVV-FPR2-ALX-fMLFII-Gi2/β1/γ2
12.50Single8A2OTheophylline8A2O-A2A-Theophylline-Na
12.50Single8ID8TUG-8918ID8-FFA4-TUG-891-Gi1/β1/γ2
12.50Single8IYSTUG-8918IYS-FFA4-TUG-891-GDP-chim(NtGi1L-Gq)/β1/γ2
12.50Single8KGGLysophosphatidylserine (WJS)8KGG-P2Y10-Lysophosphatidylserine (WJS)-chim(NtGi2-G13)/β1/γ2
12.50Single8XOFLys058XOF-GPR30-Lys05-chim(NtGi1-Gs-CtGq)/β1/γ2
12.50Single8Y02All-trans-Retinal8Y02-OPN1SW-All-trans-Retinal-Gi1/β1/γ2
12.50Single9BQ3Cagrilintide9BQ3-CT (AMY2)-Cagrilintide-Gs/β1/γ2; RAMP2
12.50Single9J0BUDP-Glucose9J0B-P2Y14-UDP-Glucose-Gi1/β1/γ2
12.50Single9M42A1L8O9M42-GPR139-A1L8O-chim(Gs-CtGq)/β1/γ2
12.50Single9VI9RFRP-39VI9-NPFF1-RFRP-3-Gi1/β1/γ2
12.50Consensuschemerin_onOrthosteric Ligandcml1_on
12.50Consensusgs_histamineOrthosteric Ligand8POK-H2-Histamine-Gs/β1/γ2
12.50Consensush2_onOrthosteric Ligand8POK-H2-Histamine-Gs/β1/γ2
12.50Consensusnk1_onOrthosteric Ligand7P00-NK1-Substance-P-chim(NtGi1-Gs-CtGq)/β1/γ2
12.50Consensusnk1_on_gpOrthosteric Ligand7P00-NK1-Substance-P-chim(NtGi1-Gs-CtGq)/β1/γ2
12.50Consensusnk2_onOrthosteric Ligand7XWO-NK2-Neurokinin-A-chim(NtGi1-Gs-CtGq)/β1/γ2
12.50Consensusopsins_onOrthosteric Ligandrhodopsin_on opsin1lw_on
12.50Consensussensory_onOrthosteric Ligandopsins_on
12.50Consensusvpac2_onOrthosteric Ligand7VQX-VPAC1-PACAP27-Gs/β1/γ2
12.50Consensusvpac2_on_gpOrthosteric Ligand7VQX-VPAC1-PACAP27-Gs/β1/γ2
12.12Single6PB0Urocortin6PB0-CRF1-Urocortin-chim(NtGi1-Gs)/β1/γ2
12.12Single7RBTTirzepatide7RBT-GIP-Tirzepatide-LSN3556672-chim(NtGi1-Gs)/β1/γ2
12.12Single7TYXAmylin7TYX-CT (AMY2)-Amylin-Gs/β1/γ2; RAMP2
12.12Consensuscrf1_onOrthosteric Ligand6PB0-CRF1-Urocortin-chim(NtGi1-Gs)/β1/γ2 6P9X-CRF1-Corticoliberin-1-Gs/β1/γ2
12.12Consensusgip_onOrthosteric Ligand7FIN-GIP-Peptide-20; GGL-Gs/β1/γ2 7FIY-GIP-Tirzepatide-Gs/β1/γ2 7DTY-GIP-GIP-Gs/β1/γ2
12.12Consensusgip_on_gpOrthosteric Ligand7FIN-GIP-Peptide-20; GGL-Gs/β1/γ2 7FIY-GIP-Tirzepatide-Gs/β1/γ2 7DTY-GIP-GIP-Gs/β1/γ2
12.00Single6G79Donitriptan6G79-5-HT1B-Donitriptan-Go/β1/γ2
12.00Single6OMMWKYMVX6OMM-FPR2-ALX-WKYMVX-Gi1/β1/γ2
12.00Single7F9ZGHRP-67F9Z-Ghrelin-GHRP-6-chim(NtGi1-Gs-CtGq)/β1/γ2
12.00Single7RMHSubstance-P7RMH-NK1-Substance-P-Gs/β1/γ2
12.00Single8H4IDoconexent8H4I-FFA4-Doconexent-chim(NtGi1-Gs)/β1/γ2
12.00Single8XX6CXCL88XX6-CXCR2-CXCL8-Go/β1/γ2
12.00Consensusformylpeptide_onOrthosteric Ligandfpr2-alx_on fpr1-alx_on
11.90Consensusclass-b1_on_gpOrthosteric Ligandglucagon_on_gp vip-pacap_on_gp pth_on_gp crf_on_gp calcitonin_on_gp
11.76Single2ZIY11-cis-Retinal2ZIY-Rhodopsin-11-cis-Retinal
11.76Single3PQRAll-trans-Retinal3PQR-Rhodopsin-All-trans-Retinal-Gt(CT)
11.76Single3UZAGTPL92363UZA-A2A-GTPL9236
11.76Single6D32Cyclopamine6D32-SMO-Cyclopamine-Cyclopamine
11.76Single6FUFAll-trans-Retinal6FUF-Rhodopsin-All-trans-Retinal-Go
11.76Single7MT9All-trans-Retinal7MT9-Rhodopsin-All-trans-Retinal-GRK1
11.76Single7MTAAll-trans-Retinal7MTA-Rhodopsin-All-trans-Retinal-GRK1
11.76Single8DPILorcaserin8DPI-5-HT2C-Lorcaserin-chim(NtGi2L-Gs-CtGq)/β1/γ2
11.76Single8F2APramlintide Analogue San3858F2A-CT (AMY3)-Pramlintide Analogue San385-Gs/β1/γ2; RAMP3
11.76Single8IU2All-trans-Retinal8IU2-Opsin1LW-All-trans-Retinal-Gi1/β1/γ2
11.76Single8POKHistamine8POK-H2-Histamine-Gs/β1/γ2
11.76Single8SZFCa; Ca; Tryptophan; Cinacalcet; PO4; Spermine8SZF-CaS; CaS-Ca; Ca; Tryptophan; Cinacalcet; PO4; Spermine
11.76Single9IV15alpha-DHT9IV1-ADGRD1-5α-DHT-chim(NtGi1-Gs)/β1/γ2
11.76Single9LL7DOI9LL7-5-HT2A-DOI-Gi1/β1/γ2
11.76Consensusgi_opsinsOrthosteric Ligand8IU2-Opsin1LW-All-trans-Retinal-Gi1/β1/γ2
11.76Consensusgi_sensoryOrthosteric Ligandgi_opsins
11.76Consensush2_on_gpOrthosteric Ligand8POK-H2-Histamine-Gs/β1/γ2
11.76Consensusopsin1lw_onOrthosteric Ligand8IU2-Opsin1LW-All-trans-Retinal-Gi1/β1/γ2
11.76Consensusopsin1lw_on_gpOrthosteric Ligand8IU2-Opsin1LW-All-trans-Retinal-Gi1/β1/γ2
11.76Consensusopsins_on_gpOrthosteric Ligandrhodopsin_on_gp opsin1lw_on_gp
11.76Consensusrhodopsin_onOrthosteric Ligand6OYA-Rhodopsin-All-trans-Retinal-Gt/β1/γ1
11.76Consensussensory_on_gpOrthosteric Ligandopsins_on_gp
11.54Single7NA7Ghrelin7NA7-Ghrelin-Ghrelin-Gi1/β1/γ2
11.54Single7RTBPeptide-197RTB-GLP-1-Peptide-19-Gs/β1/γ2
11.54Single7VLACCL15(27-92)7VLA-CCR1-CCL15(27-92)-Gi1/β1/γ2
11.54Single8IZBLysophosphatidylserine (UBL)8IZB-GPR174-Lysophosphatidylserine (UBL)-Gs/β1/γ2
11.54Single8XBHPubChem 1626566368XBH-GPR34-PubChem 162656636-Gi1/β1/γ2
11.54Single8XWNCXCL88XWN-CXCR2-CXCL8
11.54Single8YWFRetatrutide8YWF-GLP-1-Retatrutide-chim(NtGi1-Gs)/β1/γ2
11.54Single9BUECagrilintide9BUE-CT-Cagrilintide-Gs/β1/γ2
11.54Single9MEJGp1209MEJ-CXCR4-Gp120
11.54Consensusccr1_onOrthosteric Ligand7VLA-CCR1-CCL15(27-92)-Gi1/β1/γ2
11.54Consensusccr1_on_gpOrthosteric Ligand7VLA-CCR1-CCL15(27-92)-Gi1/β1/γ2
11.43Single6WPWZP37806WPW-Glucagon-ZP3780-Gs/β1/γ2
11.43Single8JIPMEDI03828JIP-GLP-1-MEDI0382-chim(NtGi1-Gs)/β1/γ2
11.43Single8JIRSAR4258998JIR-GLP-1-SAR425899-chim(NtGi1-Gs)/β1/γ2
11.43Consensuscrf1_on_gpOrthosteric Ligand6PB0-CRF1-Urocortin-chim(NtGi1-Gs)/β1/γ2 6P9X-CRF1-Corticoliberin-1-Gs/β1/γ2
11.11Single1U1911-cis-Retinal1U19-Rhodopsin-11-cis-Retinal
11.11Single2G87All-trans-Retinal2G87-Rhodopsin-All-trans-Retinal
11.11Single2I3511-cis-Retinal2I35-Rhodopsin-11-cis-Retinal
11.11Single3PBLEticlopride3PBL-D3-Eticlopride
11.11Single4O9RCyclopamine4O9R-SMO-Cyclopamine
11.11Single6I9K9-cis-Retinal6I9K-Rhodopsin-9-cis-Retinal
11.11Single6QNOAll-trans-Retinal6QNO-Rhodopsin-All-trans-Retinal-Gi1/β1/γ1
11.11Single6TQ4PubChem 160468446TQ4-OX1-PubChem 16046844-Na
11.11Single6WHCGlu16 analog of GCG6WHC-Glucagon-Glu16 analog of GCG-Gs/β1/γ2
11.11Single7TRYUrocortin7TRY-CRF2-Urocortin-chim(NtGi1-G11)/β1/γ2
11.11Single7V68Iperoxo7V68-M4-Iperoxo-LY2119620-Gi1/β1/γ2
11.11Single7VUIJNJ-635330547VUI-GPR139-JNJ-63533054-GTP-chim(Gs-CtGq)/β1/γ2
11.11Single7XKFDehydroepiandrosterone7XKF-ADGRG2-Dehydroepiandrosterone-Gs/β1/γ2
11.11Single7XTBSerotonin7XTB-5-HT6-Serotonin-Gs/β1/γ2
11.11Single7YS6Serotonin7YS6-5-HT6-Serotonin-chim(NtGi1-Gs)/β1/γ2
11.11Single8A2PLUAA470708A2P-A2A-LUAA47070-Na
11.11Single8EF6Morphine8EF6-μ-Morphine-Gi1/β1/γ2
11.11Single8IBVMotilin8IBV-Motilin-Motilin-chim(NtGi1-Gs-CtGq)/β1/γ2
11.11Single8JBHSubstance-P8JBH-NK3-Substance-P-chim(NtGi1-Gs-CtGq)/β1/γ2
11.11Single8KH5Lysophosphatidylserine8KH5-GPR174-Lysophosphatidylserine-Gs/β1/γ2
11.11Single8RWHStilSwitch28RWH-A2A-StilSwitch2-Na
11.11Single8SZFCa; Ca; Tryptophan; Cinacalcet; PO4; Spermine8SZF-CaS; CaS-Ca; Ca; Tryptophan; Cinacalcet; PO4; Spermine
11.11Single8U4RREGN7663-Fab8U4R-CXCR4-REGN7663-Fab
11.11Single8X2KOleic monoethanolamide8X2K-GPR3-Oleic monoethanolamide-chim(NtGi1-Gs)/β1/γ2
11.11Single8YN2Histamine8YN2-H1-Histamine-chim(NtGi1L-Gs-CtGq)/β1/γ2
11.11Single9AS2DMT9AS2-5-HT2A-DMT-chim(NtGi1-Gs-CtGq)/β1/γ2
11.11Single9AS7Psilocin9AS7-5-HT2A-Psilocin
11.11Single9EPRAll-trans-Retinal9EPR-Rhodopsin-All-trans-Retinal-Gi1/β1/γ2
11.11Single9L3ZLRH7-C29L3Z-CML1-LRH7-C2
11.11Single9M88Oleic monoethanolamide9M88-GPR3 ; GPR3-Oleic monoethanolamide-AF64394
11.11Consensusd3_offOrthosteric Ligand3PBL-D3-Eticlopride
11.11Consensuspth2_onOrthosteric Ligand7F16-PTH2-TIP39-Gs/β1/γ2
11.11Consensustachykinin_on_gpOrthosteric Ligandnk1_on_gp nk2_on_gp nk3_on_gp
10.81Single6E3YCalcitonin gene-related peptide-16E3Y-CT Like-Calcitonin gene-related peptide-1-Gs/β1/γ2; RAMP1
10.71Single8YFOAc-LA-PTH Analog8YFO-PTH1-Ac-LA-PTH Analog-chim(NtGi1-Gs)/β1/γ2
10.53Single2PED9-cis-Retinal2PED-Rhodopsin-9-cis-Retinal
10.53Single2X72All-trans-Retinal2X72-Rhodopsin-All-trans-Retinal-Gt(CT)
10.53Single3VG9ZM-2413853VG9-A2A-ZM-241385-Antibody
10.53Single3VGAZM-2413853VGA-A2A-ZM-241385-Antibody
10.53Single4QINSAG1.54QIN-SMO-SAG1.5
10.53Single5K2DZM-2413855K2D-A2A-ZM-241385-Na
10.53Single5OLHVipadenant5OLH-A2A-Vipadenant-Na
10.53Single5OLOTozadenant5OLO-A2A-Tozadenant-Na
10.53Single6JZHZM-2413856JZH-A2A-ZM-241385-Na
10.53Single6LFOCXCL86LFO-CXCR2-CXCL8-Gi1/β1/γ2
10.53Single6ME2Ramelteon6ME2-MT1-Ramelteon
10.53Single6O3CSAG21k6O3C-SMO-SAG21k-Cholesterol
10.53Single6PS7ZM-2413856PS7-A2A-ZM-241385-Na
10.53Single7BR3Elagolix7BR3-GnRH1-Elagolix
10.53Single7F8ULintitript7F8U-CCKA-Lintitript
10.53Single7LCJDanuglipron7LCJ-GLP-1-Danuglipron
10.53Single7M3FCa; Ca; Tryptophan; Cinacalcet7M3F-CaS; CaS-Ca; Ca; Tryptophan; Cinacalcet
10.53Single7TUZ7-alpha,25-dihydroxycholesterol7TUZ-GPR183-7-α,25-dihydroxycholesterol-Gi1/β1/γ2
10.53Single7W0MPubChem 1227019087W0M-Apelin-PubChem 122701908-Gi1/β1/γ2
10.53Single7X2FDopamine7X2F-D1-Dopamine-Mevidalen-Gs/β1/γ2
10.53Single7X5H5-CT7X5H-5-HT5A-5-CT-Gi1/β1/γ2
10.53Single8DU3PubChem 1055260648DU3-A2A-PubChem 105526064
10.53Single8H8JLodoxamide8H8J-GPR35-Lodoxamide-Ca-chim(NtGi1L-G13)/β1/γ2
10.53Single8RVWStilSwitch38RVW-A2A-StilSwitch3-Na
10.53Single8RW4AzoSwitch28RW4-A2A-AzoSwitch2-Na
10.53Single8RWEStilSwitch48RWE-A2A-StilSwitch4-Na
10.53Single8YUTAmthamine8YUT-H2-Amthamine-Gs/β1/γ2
10.53Single9C1PCa; Tryptophan; '6218; PO49C1P-CaS; CaS-Ca-Ca; Tryptophan; '6218; PO4
10.53Single9FUPIstradefylline9FUP-A2A-Istradefylline-Na
10.53Single9LL9DOI9LL9-5-HT2A-DOI-chim(NtGi1L-Gs-CtGq)/β1/γ2
10.53Single9LLBDOI-NBOMe9LLB-5-HT2A-DOI-NBOMe-chim(NtGi1L-Gs-CtGq)/β1/γ2
10.53Single9LRBHistamine9LRB-H1-Histamine-Gs/β1/γ2
10.53Single9PEEPF-07054894; OXM29PEE-CCR6-PF-07054894; OXM2
10.53Consensus5ht_onOrthosteric Ligand5ht1_on 5ht2_on 5ht4_on 5ht5_on 5ht6_on 5ht7_on
10.53Consensusgnrh1_offOrthosteric Ligand7BR3-GnRH1-Elagolix
10.53Consensusgs_5htOrthosteric Ligand7XTC-5-HT7-5-CT-Gs/β1/γ2 7XTB-5-HT6-Serotonin-Gs/β1/γ2 8JLZ-5-HT6-ST1936-Gs/β1/γ2 7XT8-5-HT4-Serotonin-Gs/β1/γ2
10.53Consensussensory_offonOrthosteric Ligandsensory_off sensory_on
10.53Consensussensory_offon_gpOrthosteric Ligandsensory_on_gp sensory_on
10.34Single6NIYCalcitonin-16NIY-CT-Calcitonin-1-Gs/β1/γ2
10.34Single8HA0PTH8HA0-PTH1-PTH-chim(NtGi1-Gs)/β1/γ2
10.00Single3REYPubChem 56973REY-A2A-PubChem 5697
10.00Single3RZECidoxepin3RZE-H1-Cidoxepin
10.00Single5IU7Q274563465IU7-A2A-Q27456346-Na
10.00Single5JTBZM-2413855JTB-A2A-ZM-241385
10.00Single5K2BZM-2413855K2B-A2A-ZM-241385-Na
10.00Single5NLXZM-2413855NLX-A2A-ZM-241385-Na
10.00Single6A94Zotepine6A94-5-HT2A-Zotepine
10.00Single6FFIMPEP6FFI-mGlu5-MPEP
10.00Single6ME42-Iodomelatonin6ME4-MT1-2-Iodomelatonin
10.00Single6MH8ZM-2413856MH8-A2A-ZM-241385
10.00Single6XBLSAG6XBL-SMO-SAG-Cholesterol-Gi1/β1/γ2
10.00Single6ZDRHMS1413f126ZDR-A2A-HMS1413f12-Na
10.00Single7TYWCalcitonin-17TYW-CT (AMY1)-Calcitonin-1-Gs/β1/γ2; RAMP1
10.00Single7WVUfMLF7WVU-FPR1-ALX-fMLF-Gi1/β1/γ2
10.00Single7Y35Abaloparatide7Y35-PTH1-Abaloparatide-Gs/β1/γ2
10.00Single7ZI0SAG7ZI0-SMO-SAG-Cholesterol
10.00Single8H4LDoconexent8H4L-FFA4-Doconexent-chim(NtGi1-Gs-CtGq)/β1/γ2
10.00Single8JSPUlotaront8JSP-5-HT1A-Ulotaront-Gi1/β1/γ2
10.00Single8RQQZM-2413858RQQ-A2A-ZM-241385-Na
10.00Single8Y01All-trans-Retinal8Y01-Opsin1MW-All-trans-Retinal-Gi1/β1/γ2
10.00Single8Y53MK50468Y53-BB3-MK5046-chim(NtGi1-Gs-CtGq)/β1/γ2
10.00Single8Y62C16:0 Ceramide8Y62-FPR2-ALX-C16:0 Ceramide-Gi1/β1/γ2
10.00Single8YRGFospropofol8YRG-MRGPRX4-Fospropofol-chim(NtGi1-Gs-CtGq)/β1/γ2
10.00Single8ZMGPimavanserin8ZMG-5-HT2A-Pimavanserin
10.00Single9ARXSerotonin9ARX-5-HT2A-Serotonin
10.00Single9LL8Psilocin9LL8-5-HT2A-Psilocin-Gi1/β1/γ2
10.00Single9P1TZM-2413859P1T-A2A-ZM-241385
10.00Single9U80Conivaptan9U80-V2-Conivaptan
10.00Consensusa2_offOrthosteric Liganda2a_off
10.00Consensusa2a_offOrthosteric Ligand3RFM-A2A-Caffeine 8C9W-A2A-Etrumadenant 3UZA-A2A-GTPL9236 8GNG-A2A-Istradefylline 8CU6-A2A-LJ-4517 7PX4-A2A-PSB-2113 7PYR-A2A-PSB-2115 8DU3-A2A-PubChem 105526064 8JWY-A2A-2-118 8PWN-A2A-Theophylline 5IU4-A2A-ZM-241385-Na 5OLZ-A2A-PubChem 135566609-Na 6GT3-A2A-Imaradenant-Na 5OLV-A2A-LUAA47070-Na 5N2R-A2A-PSB36-Na 5IU7-A2A-Q27456346-Na 5OLH-A2A-Vipadenant-Na 5OLO-A2A-Tozadenant-Na 6ZDR-A2A-HMS1413f12-Na 8GNE-A2A-KW-6356-Na 8JWZ-A2A-Etrumadenant-Na 5IU8-A2A-Q27456347-Na 5IUB-A2A-Q27456344-Na 6ZDV-A2A-PubChem 984073-Na 5IUA-A2A-Q27456348-Na 8A2P-A2A-LUAA47070-Na
10.00Consensuscxcr2_onOrthosteric Ligand6LFM-CXCR2-CXCL8-Gi1/β1/γ2
10.00Consensusgrh_offOrthosteric Ligandgnrh1_off
10.00Consensusnucleotide_offOrthosteric Ligandadenosine_off p2y_off
10.00Consensusp2y10_onOrthosteric Ligand8KGG-P2Y10-Lysophosphatidylserine (WJS)-chim(NtGi2-G13)/β1/γ2
9.68Single6NBILA-PTH Analog6NBI-PTH1-LA-PTH Analog-Gs/β1/γ2
9.68Single9BLBCagrilintide (non-acylated)9BLB-CT-Cagrilintide (non-acylated)-Gs/β1/γ2
9.68Single9BUBCagrilintide9BUB-CT-Cagrilintide-Gs/β1/γ2
9.68Consensusctlike_onOrthosteric Ligand6E3Y-CT Like-Calcitonin gene-related peptide-1-Gs/β1/γ2; RAMP1
9.52Single3EMLZM-2413853EML-A2A-ZM-241385
9.52Single5K2AZM-2413855K2A-A2A-ZM-241385-Na
9.52Single5T04Neurotensin-(8-13)5T04-NTS1-Neurotensin-(8-13)
9.52Single5VRAZM-2413855VRA-A2A-ZM-241385-Na
9.52Single6FFHFenobam6FFH-mGlu5-Fenobam
9.52Single6S0LZM-2413856S0L-A2A-ZM-241385
9.52Single6Z4VNeurotensin-(9-13)6Z4V-NTS1-Neurotensin-(9-13)
9.52Single7DB6Ramelteon7DB6-MT1-Ramelteon-Gi1/β1/γ2
9.52Single7XTC5-CT7XTC-5-HT7-5-CT-Gs/β1/γ2
9.52Single8CICEtrumadenant8CIC-A2A-Etrumadenant-Na
9.52Single8EJKTAK-8758EJK-FFA1-TAK-875-chim(NtGi1L-Gs-CtGq)/β1/γ2
9.52Single8JT8(R)-IHCH-71798JT8-5-HT2A-(R)-IHCH-7179
9.52Single8KEXDCA-3P8KEX-MRGPRX4-DCA-3P
9.52Single8TH3AT118-H Nanobody8TH3-AT1-AT118-H Nanobody
9.52Single9IMATalquetamab9IMA-GPRC5D; GPRC5D-Talquetamab
9.52Single9IYAONO-97105319IYA-GPR55-ONO-9710531
9.52Single9JROPF-044189489JRO-EP2-PF-04418948
9.52Single9KFTfMLFC9KFT-FPR1-ALX-fMLFC-Gi1/β1/γ2
9.52Single9LLAAriadne9LLA-5-HT2A-Ariadne-chim(NtGi1L-Gs-CtGq)/β1/γ2
9.52Single9METGp120; CD49MET-CXCR4-Gp120; CD4
9.52Single9P1SZM-2413859P1S-A2A-ZM-241385
9.52Consensus5ht7_onOrthosteric Ligand7XTC-5-HT7-5-CT-Gs/β1/γ2
9.52Consensus5ht7_on_gpOrthosteric Ligand7XTC-5-HT7-5-CT-Gs/β1/γ2
9.52Consensusnucleotide_offonOrthosteric Ligandnucleotide_off nucleotide_on
9.52Consensusnucleotide_offon_gpOrthosteric Ligandnucleotide_on_gp nucleotide_off
9.38Single7TYNCalcitonin-17TYN-CT-Calcitonin-1-Gs/β1/γ2
9.38Single8FU6ZP37808FU6-Glucagon-ZP3780-Gs/β1/γ2
9.38Consensuscrf_onOrthosteric Ligandcrf2_on crf1_on
9.38Consensusglp2_onOrthosteric Ligand7D68-GLP-2-GLP-2-Gs/β1/γ2
9.38Consensusglp2_on_gpOrthosteric Ligand7D68-GLP-2-GLP-2-Gs/β1/γ2
9.09Single4PHUFasiglifam4PHU-FFA1-Fasiglifam
9.09Single6HLPNetupitant6HLP-NK1-Netupitant
9.09Single6LFMCXCL86LFM-CXCR2-CXCL8-Gi1/β1/γ2
9.09Single6RZ4Pranlukast6RZ4-CysLT1-Pranlukast-Na
9.09Single7E9GJNJ-404118137E9G-mGlu2; mGlu2-Eglumetad-JNJ-40411813-Gi1/β1/γ2
9.09Single7EUOfMLF7EUO-FPR1-ALX-fMLF-Gi1/β1/γ2
9.09Single7VFXfMIFL7VFX-FPR1-ALX-fMIFL-Gi1/β1/γ2
9.09Single7Y26Octreotide7Y26-SST2-Octreotide-chim(NtGi2L-Gs-CtGq)/β1/γ2
9.09Single8EJCTAK-8758EJC-FFA1-TAK-875-chim(NtGi1L-Gs-CtGq)/β1/γ2
9.09Single8ID4Linoleic acid8ID4-FFA4-Linoleic acid-Gi1/β1/γ2
9.09Single8QOTNanobody-E8QOT-μ-Nanobody-E
9.09Single8T6JCDPPB8T6J-mGlu5; mGlu5-CDPPB
9.09Single8T6JCDPPB8T6J-mGlu5; mGlu5-CDPPB
9.09Single8TH4AT118-L Nanobody8TH4-AT1-Losartan-AT118-L Nanobody
9.09Single8XQPCholesterol8XQP-TAS2R14-Cholesterol-Aristolochic acid A-Gt3/β1/γ1
9.09Single9ARYSerotonin9ARY-5-HT2A-Serotonin-chim(NtGi1-Gs-CtGq)/β1/γ2
9.09Single9BTWCagrilintide9BTW-CT (AMY3)-Cagrilintide-Gs/β1/γ2; RAMP3
9.09Single9EAHNanobody AT2099EAH-AT1-Olmesartan-Nanobody AT209
9.09Single9JRTTG6-1299JRT-EP2-TG6-129
9.09Consensusctlike_on_gpOrthosteric Ligand6E3Y-CT Like-Calcitonin gene-related peptide-1-Gs/β1/γ2; RAMP1
9.09Consensuscxcr2_on_gpOrthosteric Ligand6LFM-CXCR2-CXCL8-Gi1/β1/γ2
9.09Consensusfpr1-alx_onOrthosteric Ligand7VFX-FPR1-ALX-fMIFL-Gi1/β1/γ2
9.09Consensusfpr1-alx_on_gpOrthosteric Ligand7VFX-FPR1-ALX-fMIFL-Gi1/β1/γ2
8.70Single3ZEVNeurotensin-(7-13)3ZEV-NTS1-Neurotensin-(7-13)
8.70Single4BV0Neurotensin-(7-13)4BV0-NTS1-Neurotensin-(7-13)
8.70Single5TZRMK86665TZR-FFA1-MK8666
8.70Single6Z8NSRI-98296Z8N-NTS1-SRI-9829
8.70Single7EW4CYM-55417EW4-S1P3-CYM-5541-Gi1/β1/γ2
8.70Single7F1TCCL37F1T-CCR5-CCL3
8.70Single7L0PNeurotensin-(8-13)7L0P-NTS1-Neurotensin-(8-13)-Gi1/β1/γ1
8.70Single7L0QNeurotensin-(8-13)7L0Q-NTS1-Neurotensin-(8-13)-Gi1/β1/γ1
8.70Single7R0CAVP7R0C-V2-AVP-Arrestin2
8.70Single7T9NDPPC7T9N-TSH-M22 Fab-DPPC-Gs/β1/γ2
8.70Single7WVXHumanin7WVX-FPR2-ALX-Humanin-Gi2/β1/γ2
8.70Single7XWONeurokinin-A7XWO-NK2-Neurokinin-A-chim(NtGi1-Gs-CtGq)/β1/γ2
8.70Single8FMZNeurotensin-(8-13)8FMZ-NTS1-Neurotensin-(8-13)-chim(NtGi2L-Gs-CtGq)/β1/γ2
8.70Single8FN1Neurotensin-(8-13)8FN1-NTS1-Neurotensin-(8-13)-chim(NtGi1-Go)/β1/γ2
8.70Single8I2GPubChem 675302408I2G-FSH-FSH-PubChem 67530240-Gs/β1/γ2
8.70Single8ID39-Hydroxystearic acid8ID3-FFA4-9-Hydroxystearic acid-Gi1/β1/γ2
8.70Single8JBGNeurokinin-B8JBG-NK3-Neurokinin-B-chim(NtGi1-Gs-CtGq)/β1/γ2
8.70Single8JD5JNJ-40411813; ADX881788JD5-mGlu2; mGlu4-Glutamate-JNJ-40411813; ADX88178-Gi1/β1/γ2
8.70Single8TAOCDPPB8TAO-mGlu5; mGlu5-Quisqualate-CDPPB
8.70Single8XBIPubChem 1626566368XBI-GPR34-PubChem 162656636
8.70Single9MENGp120 (V3 loop)9MEN-CXCR4-Gp120 (V3 loop)
8.70Single9YDVMRS29059YDV-P2Y14-MRS2905-Gi1/β1/γ2
8.70Consensuscyslt1_offOrthosteric Ligand6RZ5-CysLT1-Zafirlukast-Na 6RZ4-CysLT1-Pranlukast-Na
8.70Consensusneurotensin_onOrthosteric Ligandnts1_on
8.70Consensusnk2_on_gpOrthosteric Ligand7XWO-NK2-Neurokinin-A-chim(NtGi1-Gs-CtGq)/β1/γ2
8.70Consensusnpy1_offOrthosteric Ligand5ZBH-Y1-BMS-193885 5ZBQ-Y1-UR-MK-299
8.70Consensusnts1_onOrthosteric Ligand6OSA-NTS1-JMV449-Gi1/β1/γ2 7L0S-NTS1-Neurotensin-(8-13)-Gi1/β1/γ1
8.70Consensusp2y12_onOrthosteric Ligand7XXI-P2Y12-2MeSADP-Gi2/β1/γ2
8.70Consensustachykinin_offOrthosteric Ligandnk1_off
8.57Single7VBHPeptide-207VBH-GLP-1-Peptide-20-Gs/β1/γ2
8.33Single4GRVNeurotensin-(8-13)4GRV-NTS1-Neurotensin-(8-13)
8.33Single4PXFOctyl-Beta-D-Glucopyranoside4PXF-Rhodopsin-Octyl-β-D-Glucopyranoside-Arrestin1 Finger Loop
8.33Single4XEENeurotensin-(8-13)4XEE-NTS1-Neurotensin-(8-13)
8.33Single4XESNeurotensin-(8-13)4XES-NTS1-Neurotensin-(8-13)
8.33Single5TZYMK8666; AP85TZY-FFA1-MK8666; AP8
8.33Single6OSAJMV4496OSA-NTS1-JMV449-Gi1/β1/γ2
8.33Single6YVRNeurotensin-(6-13)6YVR-NTS1-Neurotensin-(6-13)
8.33Single7L0SNeurotensin-(8-13)7L0S-NTS1-Neurotensin-(8-13)-Gi1/β1/γ1
8.33Single7V35Peptide-207V35-Glucagon-Peptide-20-Gs/β1/γ2
8.33Single7XXI2MeSADP7XXI-P2Y12-2MeSADP-Gi2/β1/γ2
8.33Single8DWCBAM8-228DWC-MRGPRX1-BAM8-22-chim(NtGi2L-Gs-CtGq)/β1/γ2
8.33Single8JD3JNJ-404118138JD3-mGlu2; mGlu3-Glutamate-JNJ-40411813-Gi1/β1/γ2
8.33Single8JPBNeurotensin-(8-13)8JPB-NTS1-Neurotensin-(8-13)-SBI-553; GDP; Mg-Gq; GRK2
8.33Single8JPCNeurotensin-(8-13)8JPC-NTS1-Neurotensin-(8-13)-SBI-553; GDP; Mg-Gq; GRK2
8.33Single8T3QDoconexent8T3Q-FFA4-Doconexent-chim(NtGi2L-Gs-CtGq)/β1/γ2
8.33Single8U26Substance-P8U26-NK1-Substance-P-Gs/β1/γ2
8.33Single8XX3CXCL38XX3-CXCR2-CXCL3-Go/β1/γ2
8.33Consensusgi_neurotensinOrthosteric Ligand6OSA-NTS1-JMV449-Gi1/β1/γ2 7L0S-NTS1-Neurotensin-(8-13)-Gi1/β1/γ1
8.33Consensusgi_p2yOrthosteric Ligand7XXI-P2Y12-2MeSADP-Gi2/β1/γ2
8.33Consensusneurotensin_on_gpOrthosteric Ligandnts1_on_gp
8.33Consensusnts1_on_gpOrthosteric Ligand6OSA-NTS1-JMV449-Gi1/β1/γ2 7L0S-NTS1-Neurotensin-(8-13)-Gi1/β1/γ1
8.33Consensusp2y12_on_gpOrthosteric Ligand7XXI-P2Y12-2MeSADP-Gi2/β1/γ2
8.11Single7TYOCalcitonin7TYO-CT-Calcitonin-Gs/β1/γ2
8.11Single8JITMEDI03828JIT-Glucagon-MEDI0382-Gs/β1/γ2
8.11Single8JIUSAR4258998JIU-Glucagon-SAR425899-Gs/β1/γ2
8.00Single4BUONeurotensin-(8-13)4BUO-NTS1-Neurotensin-(8-13)
8.00Single8JPFNeurotensin-(8-13)8JPF-NTS1-Neurotensin-(8-13)-SBI-553
8.00Single8T3OTUG-8918T3O-FFA4-TUG-891-chim(NtGi2L-Gs-CtGq)/β1/γ2
8.00Single8XBES3E-Lysophosphatidylserine 8XBE-GPR34-S3E-Lysophosphatidylserine-Gi1/β1/γ1
8.00Single8XVUCXCL28XVU-CXCR2-CXCL2
8.00Single8XWFCXCL38XWF-CXCR2-CXCL3
8.00Single8XXHCXCL28XXH-CXCR2-CXCL2-Go/β1/γ2
8.00Single8ZX4Lysophosphatidylinositol 8ZX4-GPR55-Lysophosphatidylinositol-chim(NtGi1-G13)/β1/γ2
8.00Single9C0KExendin-49C0K-GLP-1-Exendin-4-Gs/β1/γ2
8.00Single9GE3Lysophosphatidylinositol9GE3-GPR55-Lysophosphatidylinositol-chim(NtGi1-G13)/β1/γ2
7.89Consensusgluc_onOrthosteric Ligand6LMK-Glucagon-Glucagon-Gs/β1/γ2 8JIT-Glucagon-MEDI0382-Gs/β1/γ2 7V35-Glucagon-Peptide-20-Gs/β1/γ2
7.69Single8JBFSenktide8JBF-NK3-Senktide-chim(NtGi1-Gs-CtGq)/β1/γ2
7.69Consensusclass-b2_onOrthosteric Ligandadgrg_on adgrf_on adgrl_on adgre_on adgrd_on
7.69Consensusclass-b2_on_gpOrthosteric Ligandadgrg_on_gp adgrf_on_gp adgrl_on_gp adgre_on_gp adgrd_on_gp
7.69Consensusgluc_on_gpOrthosteric Ligand6LMK-Glucagon-Glucagon-Gs/β1/γ2 8JIT-Glucagon-MEDI0382-Gs/β1/γ2 7V35-Glucagon-Peptide-20-Gs/β1/γ2
7.41Single6RZ8ONO-20803656RZ8-CysLT2-ONO-2080365
7.41Single7L0RNeurotensin-(8-13)7L0R-NTS1-Neurotensin-(8-13)-Gi1/β1/γ1
7.41Single7W2ZGhrelin7W2Z-Ghrelin-Ghrelin-Go/β1/γ2
7.41Single8DWGBAM8-228DWG-MRGPRX1-BAM8-22-ML382-chim(NtGi2L-Gs-CtGq)/β1/γ2
7.41Single8JIQPeptide-158JIQ-Glucagon-Peptide-15-Gs/β1/γ2
7.41Consensusnk3_onOrthosteric Ligand8JBF-NK3-Senktide-chim(NtGi1-Gs-CtGq)/β1/γ2
7.41Consensusnk3_on_gpOrthosteric Ligand8JBF-NK3-Senktide-chim(NtGi1-Gs-CtGq)/β1/γ2
7.14Single8IOCGamma-MSH8IOC-MC3-γ-MSH-Ca-chim(NtGi1-Gs)/β1/γ2
7.14Single8TLMAnti-murine CCR8 antibody8TLM-CCR8-Anti-murine CCR8 antibody
6.90Consensusmc3_onOrthosteric Ligand8IOC-MC3-γ-MSH-Ca-chim(NtGi1-Gs)/β1/γ2
6.90Consensusmc3_on_gpOrthosteric Ligand8IOC-MC3-γ-MSH-Ca-chim(NtGi1-Gs)/β1/γ2
6.67Single4A4MAll-trans-Retinal4A4M-Rhodopsin-All-trans-Retinal-Gt(CT)
6.67Single5EN0All-trans-Retinal5EN0-Rhodopsin-All-trans-Retinal-Gt(CT)
6.67Single5MZPCaffeine5MZP-A2A-Caffeine-Na
6.45Single5YQZNNC17025YQZ-Glucagon-NNC1702
6.45Single7TYHCalcitonin7TYH-CT (AMY2)-Calcitonin-Gs/β1/γ2; RAMP2
6.45Single7XV3Lysophosphatidylserine (WJS)7XV3-GPR174-Lysophosphatidylserine (WJS)-chim(NtGi1-Gs)/β1/γ2
6.25Single7V68LY21196207V68-M4-Iperoxo-LY2119620-Gi1/β1/γ2
6.25Single7XKDDehydroepiandrosterone7XKD-ADGRG2-Dehydroepiandrosterone-Gs/β1/γ2
6.25Single8FLRPTHrP(1-36)8FLR-PTH1-PTHrP(1-36)-Gs/β1/γ2
6.25Single8HQMNPGLY8HQM-GPR132-NPGLY-Gi1/β1/γ2
6.25Single9IV25alpha-DHT9IV2-ADGRD1-5α-DHT-chim(NtGi1-Gs)/β1/γ2
5.88Single3RFMCaffeine3RFM-A2A-Caffeine
5.88Single6LMKGlucagon6LMK-Glucagon-Glucagon-Gs/β1/γ2
5.88Single6OY9All-trans-Retinal6OY9-Rhodopsin-All-trans-Retinal-Gt/β1/γ1
5.88Single6XBM25(S)-Epoxycholesterol6XBM-SMO-25(S)-Epoxycholesterol-Gi1/β1/γ2
5.88Single7VDMSubstance-P7VDM-MRGPRX2-Substance-P-Gi1/β1/γ2
5.88Single8U4QREGN7663-Fab8U4Q-CXCR4-REGN7663-Fab-Gi1/β1/γ2
5.88Consensusp2y_offOrthosteric Ligandp2y1_off
5.56Single4XNWMRS25004XNW-P2Y1-MRS2500
5.56Single5WKTOctyl-Beta-D-Glucopyranoside5WKT-Rhodopsin-Octyl-β-D-Glucopyranoside-Gt(CT)
5.56Single6FK9PubChem 1324730366FK9-Rhodopsin-PubChem 132473036
5.56Single6ME5Agomelatine6ME5-MT1-Agomelatine
5.56Single6PWCNeurotensin-(9-13)6PWC-NTS1-Neurotensin-(9-13)-Arrestin2
5.56Single7D77Hydrocortisone7D77-ADGRG3-Hydrocortisone-Go/β1/γ2
5.56Single8F76Propanoic acid8F76-OR51E2-Propanoic acid-Gs/β1/γ2
5.56Single8J6QPubChem 251012238J6Q-HCA2-β-Hydroxybutyrate-PubChem 25101223-Gi1/β1/γ2
5.56Single8Y63C20:0 Ceramide8Y63-FPR2-ALX-C20:0 Ceramide-Gi1/β1/γ2
5.56Single9JHJC18:0 Ceramide9JHJ-FPR2-ALX-C18:0 Ceramide-Gi1/β1/γ2
5.56Consensusp2y1_offOrthosteric Ligand4XNW-P2Y1-MRS2500
5.26Single3AYMAll-trans-Retinal3AYM-Rhodopsin-All-trans-Retinal
5.26Single6FK6PubChem 1324730336FK6-Rhodopsin-PubChem 132473033
5.26Single6HLLCP999946HLL-NK1-CP99994
5.26Single6PGSGeraniol6PGS-Rhodopsin-Geraniol-Gt(CT)
5.26Single6PH7Nerol6PH7-Rhodopsin-Nerol-Gt(CT)
5.26Single7D76Beclomethasone7D76-ADGRG3-Beclomethasone-Go/β1/γ2
5.26Single7S8NR-Zinc-35737S8N-MRGPRX2-R-Zinc-3573-chim(NtGi2L-Gs-CtGq)/β1/γ2
5.26Single7S8OR-Zinc-35737S8O-MRGPRX2-R-Zinc-3573-Gi1/β1/γ2
5.26Single7VDHC48/807VDH-MRGPRX2-C48/80-Gi1/β1/γ2
5.26Single8J6PPubChem 251012238J6P-HCA2-Niacin-PubChem 25101223-Gi1/β1/γ2
5.26Single8JHYPubChem 251012238JHY-HCA2-PubChem 25101223-Gi1/β1/γ2
5.26Single8JIIPubChem 251012238JII-HCA2-Niacin-PubChem 25101223-Gi1/β1/γ2
5.26Single8YKDDehydroepiandrosterone8YKD-ADGRG2-Dehydroepiandrosterone-chim(NtGi1-Gs)/β1/γ2
5.26Single8ZYUNeurotensin-(8-13)8ZYU-NTS1-Neurotensin-(8-13)-SBI-553-Arrestin2
5.26Single9E7RGB889E7R-PAR2-GB88-chim(NtGi1L-Gs-CtGq)/β1/γ2
5.26Single9YDAAll-trans-Retinal9YDA-Opsin1MW-All-trans-Retinal-chim(NtGi1L-Gs-CtGt)/β1/γ2
5.26Consensusadgrg_onOrthosteric Ligandadgrg2_on adgrg4_on
5.26Consensusadgrg_on_gpOrthosteric Ligandadgrg2_on_gp adgrg4_on_gp
5.00Single2Z7311-cis-Retinal2Z73-Rhodopsin-11-cis-Retinal
5.00Single3AYN9-cis-Retinal3AYN-Rhodopsin-9-cis-Retinal
5.00Single4BWBNeurotensin-(8-12)4BWB-NTS1-Neurotensin-(8-12)
5.00Single4XNVBPTU4XNV-P2Y1-BPTU
5.00Single6FKBPubChem 1324730386FKB-Rhodopsin-PubChem 132473038
5.00Single6ME9Ramelteon6ME9-MT2-Ramelteon
5.00Single6NWEOctyl-Beta-D-Glucopyranoside6NWE-Rhodopsin-Octyl-β-D-Glucopyranoside-Gt(CT)
5.00Single6WWZCCL206WWZ-CCR6-CCL20-Go/β1/γ2
5.00Single6ZA8RTI-3a6ZA8-NTS1-RTI-3a
5.00Single7T6STC-FPR 437T6S-FPR2-ALX-TC-FPR 43-Gi1/β1/γ2
5.00Single7VV5C48/807VV5-MRGPRX2-C48/80-Gi1/β1/γ2
5.00Single7VVOPTH7VVO-PTH1-PTH-Gs/β1/γ2
5.00Single7WV9ZCZ0117WV9-CB1-CP55940-ZCZ011-Gi2/β1/γ2
5.00Single8T3VDoconexent8T3V-FFA1-Doconexent-chim(NtGi2L-Gs-CtGq)/β1/γ2
5.00Single8U4SREGN7663-Fab8U4S-CXCR4-REGN7663-Fab
5.00Single8U4TREGN7663-Fab8U4T-CXCR4-REGN7663-Fab
5.00Single8U8FPalmitic Acid8U8F-GPR3-Palmitic Acid-Gs/β1/γ2
5.00Single8XXXCXCL68XXX-CXCR2-CXCL6-Go/β1/γ2
5.00Single8YNFCXCL88YNF-ACKR1-CXCL8
5.00Consensusccr6_onOrthosteric Ligand6WWZ-CCR6-CCL20-Go/β1/γ2
5.00Consensusccr6_on_gpOrthosteric Ligand6WWZ-CCR6-CCL20-Go/β1/γ2
4.76Single5TE3Octyl-Beta-D-Glucopyranoside5TE3-Rhodopsin-Octyl-β-D-Glucopyranoside
4.76Single5UVIZM-2413855UVI-A2A-ZM-241385
4.76Single6FK8PubChem 1324730356FK8-Rhodopsin-PubChem 132473035
4.76Single6FKAPubChem 1324730376FKA-Rhodopsin-PubChem 132473037
4.76Single6PELCitronellol6PEL-Rhodopsin-Citronellol-Gt(CT)
4.76Single6ZINSR486926ZIN-NTS1-SR48692
4.76Single7M3GCa; Ca; Tryptophan; Evocalcet; Etelcalcetide; PO47M3G-CaS; CaS-Ca; Ca; Tryptophan; Evocalcet; Etelcalcetide; PO4
4.76Single7UTZDPPC7UTZ-TSH-TSH-DPPC-Gs/β1/γ2
4.76Single7VV6C48/807VV6-MRGPRX2-C48/80
4.76Single8HJ5PubChem 1390305318HJ5-MRGPRX1-PubChem 139030531-chim(NtGi1-Gs-CtGq)/β1/γ2
4.76Single8HQN9-S-HODE8HQN-GPR132-9-S-HODE-Gi1/β1/γ2
4.76Single8K4NPubChem 1687197658K4N-GPR34-PubChem 168719765-Gi1/β1/γ2
4.76Single8K4SDCA-3P8K4S-MRGPRX4-DCA-3P-chim(NtGi1L-Gs-CtGq)/β1/γ2
4.76Single9DQJEP-39459DQJ-MRGPRD-EP-3945-chim(NtGi1-Gs-CtGq)/β1/γ2
4.76Single9JQYTG6-1299JQY-EP4-TG6-129
4.55Single6FK7PubChem 1324730346FK7-Rhodopsin-PubChem 132473034
4.55Single6FKCPubChem 1324730396FKC-Rhodopsin-PubChem 132473039
4.55Single6FKDPubChem 1373491836FKD-Rhodopsin-PubChem 137349183
4.55Single7FIHOrg435537FIH-LH-hCG-Org43553-chim(NtGi1-Gs)/β1/γ2
4.55Single7SK8CXCL127SK8-ACKR3-CXCL12-CCX662
4.55Single7VH0Ramelteon7VH0-MT2-Ramelteon-Gi1/β1/γ1
4.55Single8X9TAP5038X9T-ADGRD1-AP503-chim(NtGi1-Gs)/β1/γ2
4.55Single8ZYYNeurotensin-(8-13)8ZYY-NTS1-Neurotensin-(8-13)-SBI-553-Arrestin2
4.55Single9IVGGLP-1 (Truncated)9IVG-GLP-1-GLP-1 (Truncated)-chim(NtGi1-Gs)/β1/γ2
4.35Single5ZBQUR-MK-2995ZBQ-Y1-UR-MK-299
4.35Single6Z4QSR142948A6Z4Q-NTS1-SR142948A
4.35Single6Z4SSR486926Z4S-NTS1-SR48692
4.35Single7M3GCa; Ca; Tryptophan; Evocalcet; Etelcalcetide; PO47M3G-CaS; CaS-Ca; Ca; Tryptophan; Evocalcet; Etelcalcetide; PO4
4.35Single8IZ4Lysophosphatidylserine (TJR)8IZ4-GPR34-Lysophosphatidylserine (TJR)-Gi1/β1/γ2
4.35Single8JGGBAM8-228JGG-MRGPRX1-BAM8-22-Gi1/β1/γ2
4.35Single8ZYTNeurotensin-(8-13)8ZYT-NTS1-Neurotensin-(8-13)-SBI-553-Arrestin2
4.35Single9DQHEP-28259DQH-MRGPRD-EP-2825-chim(NtGi1-Gs-CtGq)/β1/γ2
4.35Consensusadgrg2_onOrthosteric Ligand7WUI-ADGRG2-IP15-chim(NtGi1-Gs)/β1/γ2 7WUQ-ADGRG2-Gs/β1/γ2 7XKF-ADGRG2-Dehydroepiandrosterone-Gs/β1/γ2
4.35Consensusadgrg2_on_gpOrthosteric Ligand7WUI-ADGRG2-IP15-chim(NtGi1-Gs)/β1/γ2 7WUQ-ADGRG2-Gs/β1/γ2 7XKF-ADGRG2-Dehydroepiandrosterone-Gs/β1/γ2
4.35Consensuscyslt_offOrthosteric Ligandcyslt2_off cyslt1_off
4.17Single5ZBHBMS-1938855ZBH-Y1-BMS-193885
4.17Single6RZ5Zafirlukast6RZ5-CysLT1-Zafirlukast-Na
4.17Single7SK7CXCL127SK7-ACKR3-CXCL12-CCX662
4.17Single8JGFBAM8-228JGF-MRGPRX1-BAM8-22-chim(NtGi1-Gs-CtGq)/β1/γ2
4.17Single8XX7CXCL58XX7-CXCR2-CXCL5-Go/β1/γ2
4.17Single9ITELPA9ITE-LPA6-LPA-chim(NtGi2-G13)/β1/γ2
4.17Consensusffa2_onOrthosteric Ligand8J22-FFA2-TUG-1375-Gi1/β1/γ2
4.17Consensusffa_onOrthosteric Ligandffa2_on ffa3_on
4.17Consensusffa_on_gpOrthosteric Ligandffa2_on_gp ffa3_on_gp
4.17Consensusgi_ffaOrthosteric Ligand8J21-FFA3-Butyric acid-Gi1/β1/γ2 8J22-FFA2-TUG-1375-Gi1/β1/γ2
4.00Single3VW7Vorapaxar; Na3VW7-PAR1-Vorapaxar; Na
4.00Single6RZ7ONO-25703666RZ7-CysLT2-ONO-2570366
4.00Single7XW5ML1097XW5-TSH-TSH-ML109-Gs/β1/γ2
4.00Single7XW6ML1097XW6-TSH-M22 Fab-ML109-Gs/β1/γ2
4.00Single8WRBLysophosphatidylserine (UBL)8WRB-GPR34-Lysophosphatidylserine (UBL)-Gi1/β1/γ2
4.00Single8XQJJN2418XQJ-Apelin; Apelin-JN241
4.00Single8XWACXCL18XWA-CXCR2-CXCL1
4.00Single8XWMCXCL68XWM-CXCR2-CXCL6
4.00Single8XWSCXCL58XWS-CXCR2-CXCL5
4.00Single8Y6WTUG-13758Y6W-FFA2-TUG-1375-4-CMTB-Gi1/β1/γ2
4.00Single9ECJS-geranylgeranyl-L-glutathione9ECJ-P2Y8-S-geranylgeranyl-L-glutathione-G13/β1/γ2
4.00Consensusffa2_on_gpOrthosteric Ligand8J22-FFA2-TUG-1375-Gi1/β1/γ2
3.85Single6M1HMaxadilan6M1H-PAC1-Maxadilan-Gs/β1/γ2
3.85Single6RZ9ONO-27703726RZ9-CysLT2-ONO-2770372
3.85Single6UP7Neurotensin-(8-13)6UP7-NTS1-Neurotensin-(8-13)-Arrestin2
3.85Single8FN0Neurotensin-(8-13)8FN0-NTS1-Neurotensin-(8-13)-SBI-553-chim(NtGi1-Go)/β1/γ2
3.85Single8XWVCXCL18XWV-CXCR2-CXCL1-Go/β1/γ2
3.85Consensuscyslt2_offOrthosteric Ligand6RZ7-CysLT2-ONO-2570366 6RZ8-CysLT2-ONO-2080365 6RZ9-CysLT2-ONO-2770372
3.70Single6KNMJN241-96KNM-Apelin-JN241-9
3.70Single6OS9JMV4496OS9-NTS1-JMV449-Gi1/β1/γ2
3.70Single6RZ6ONO-25703666RZ6-CysLT2-ONO-2570366
3.70Single8J22TUG-13758J22-FFA2-TUG-1375-Gi1/β1/γ2
3.70Single8SAILysophosphatidylserine (S12)8SAI-GPR34-Lysophosphatidylserine (S12)-Gi1/β1/γ2
3.70Single8XQJJN2418XQJ-Apelin; Apelin-JN241
3.70Single8Z74JN241-98Z74-Apelin; Apelin-JN241-9
3.70Single8Z74JN241-98Z74-Apelin; Apelin-JN241-9
3.70Single9ITBLPA9ITB-LPA6-LPA-chim(NtGi1-Gs-CtGq)/β1/γ2
3.70Single9JH6C20:0 Ceramide9JH6-CysLT2-C20:0 Ceramide-chim(NtGi1-Gs-CtGq)/β1/γ2
3.70Single9NS9TUG-13759NS9-FFA2-TUG-1375-PubChem 118615810-Gi1/β1/γ2

PDB Summary
PDB 9KT6
Class A
SubFamily Alicarboxylic acid
Type Hydroxycarboxylic Acid
SubType HCA3
Species Homo Sapiens
Ligand Acifran
Other Ligand(s) -
Protein Partners Gi1/Beta1/Gamma2
PDB Resolution 3.01
Date 2025-12-10
D.O.I. 10.1021/acs.jmedchem.4c02567
Net Summary
Imin 1.86
Number of Linked Nodes 862
Number of Links 1164
Number of Hubs 210
Number of Links mediated by Hubs 773
Number of Communities 32
Number of Nodes involved in Communities 347
Number of Links involved in Communities 520
Path Summary
Number Of Nodes in MetaPath 78
Number Of Links MetaPath 77
Number of Shortest Paths 7457585
Length Of Smallest Path 3
Average Path Length 41.1256
Length of Longest Path 64
Minimum Path Strength 1.29
Average Path Strength 4.68236
Maximum Path Strength 23.76
Minimum Path Correlation 0.7
Average Path Correlation 0.995419
Maximum Path Correlation 1
Minimum % Of Corr. Nodes 2.32558
Average % Of Corr. Nodes 31.0002
Maximum % Of Corr. Nodes 100
Minimum Path Hubs % 0
Average Path Hubs % 57.6046
Maximum Path Hubs % 100
AnnotationTypeLinks
Gene OntologyMolecular Function
Gene OntologyBiological Process• cellular response to stimulus   • regulation of biological process   • regulation of cellular process   • response to stimulus   • signaling   • biological regulation   • G protein-coupled receptor signaling pathway   • cellular process   • signal transduction   • cell communication   • negative regulation of catabolic process   • lipid catabolic process   • catabolic process   • regulation of lipid metabolic process   • negative regulation of metabolic process   • negative regulation of biological process   • primary metabolic process   • regulation of catabolic process   • regulation of lipid catabolic process   • regulation of primary metabolic process   • negative regulation of cellular process   • metabolic process   • regulation of metabolic process   • negative regulation of lipid metabolic process   • negative regulation of lipid catabolic process   • lipid metabolic process   • adenylate cyclase-inhibiting G protein-coupled receptor signaling pathway   • adenylate cyclase-modulating G protein-coupled receptor signaling pathway   • cellular anatomical structure   • cell junction   • cell periphery   • plasma membrane   • membrane   • protein binding   • binding   • G-protein beta-subunit binding   • fibroblast proliferation   • cell population proliferation   • cellular response to nitrogen compound   • response to dopamine   • cellular response to dopamine   • response to monoamine   • response to catecholamine   • adenylate cyclase-activating dopamine receptor signaling pathway   • cellular response to catecholamine stimulus   • G protein-coupled dopamine receptor signaling pathway   • response to oxygen-containing compound   • response to nitrogen compound   • adenylate cyclase-activating G protein-coupled receptor signaling pathway   • cellular response to oxygen-containing compound   • cellular response to chemical stimulus   • cellular response to monoamine stimulus   • response to chemical   • response to ketone   • response to prostaglandin   • response to lipid   • response to endogenous stimulus   • response to alcohol   • cellular response to prostaglandin stimulus   • cellular response to endogenous stimulus   • cellular response to prostaglandin E stimulus   • cellular response to alcohol   • response to hormone   • cellular response to lipid   • response to prostaglandin E   • cellular response to ketone   • cellular response to hormone stimulus   • protein-containing complex   • extrinsic component of plasma membrane   • catalytic complex   • plasma membrane protein complex   • cytoplasmic side of membrane   • membrane protein complex   • heterotrimeric G-protein complex   • side of membrane   • cytoplasmic side of plasma membrane   • GTPase complex   • extrinsic component of membrane   • extrinsic component of cytoplasmic side of plasma membrane   • extracellular exosome   • membrane-bounded organelle   • extracellular vesicle   • extracellular organelle   • extracellular region   • organelle   • extracellular space   • vesicle   • extracellular membrane-bounded organelle   • synapse   • enzyme binding   • GTPase binding   • protein-containing complex binding   • pyrophosphatase activity   • GTPase activity   • ribonucleoside triphosphate phosphatase activity   • hydrolase activity, acting on acid anhydrides, in phosphorus-containing anhydrides   • hydrolase activity   • hydrolase activity, acting on acid anhydrides   • catalytic activity   • signaling receptor complex adaptor activity   • protein-macromolecule adaptor activity   • molecular adaptor activity   • signaling adaptor activity   • multicellular organismal process   • system process   • sensory perception of chemical stimulus   • sensory perception   • nervous system process   • sensory perception of taste   • developmental process   • sensory organ development   • eye development   • animal organ development   • retina development in camera-type eye   • visual system development   • multicellular organism development   • camera-type eye development   • anatomical structure development   • sensory system development   • system development   • small GTPase-mediated signal transduction   • Ras protein signal transduction   • intracellular signal transduction   • intracellular signaling cassette   • phospholipase C-activating G protein-coupled receptor signaling pathway   • synaptic signaling   • cellular response to acetylcholine   • cell-cell signaling   • acetylcholine receptor signaling pathway   • postsynaptic signal transduction   • G protein-coupled acetylcholine receptor signaling pathway   • response to acetylcholine   • non-motile cilium   • 9+0 non-motile cilium   • cilium   • neuron projection   • photoreceptor disc membrane   • photoreceptor outer segment   • plasma membrane bounded cell projection   • cell projection   • photoreceptor cell cilium   • organelle membrane   • intracellular anatomical structure   • cytoplasm   • cytosol   • vacuolar membrane   • lytic vacuole   • vacuole   • intracellular membrane-bounded organelle   • intracellular organelle   • lytic vacuole membrane   • bounding membrane of organelle   • lysosomal membrane   • lysosome   • D2 dopamine receptor binding   • signaling receptor binding   • G protein-coupled receptor binding   • dopamine receptor binding   • enzyme regulator activity   • adenylate cyclase inhibitor activity   • cyclase regulator activity   • molecular function inhibitor activity   • cyclase inhibitor activity   • molecular function regulator activity   • enzyme inhibitor activity   • adenylate cyclase regulator activity   • guanyl nucleotide binding   • GTP binding   • nucleotide binding   • guanyl ribonucleotide binding   • purine ribonucleotide binding   • purine ribonucleoside triphosphate binding   • nucleoside phosphate binding   • ion binding   • purine nucleotide binding   • anion binding   • heterocyclic compound binding   • carbohydrate derivative binding   • ribonucleotide binding   • small molecule binding   • cation binding   • magnesium ion binding   • metal ion binding   • GDP binding   • G protein-coupled serotonin receptor binding   • G-protein beta/gamma-subunit complex binding   • G protein activity   • neuropeptide signaling pathway   • adenylate cyclase-inhibiting serotonin receptor signaling pathway   • G protein-coupled serotonin receptor signaling pathway   • response to peptide hormone   • cell division   • leukocyte migration   • immune system process   • mononuclear cell migration   • lymphocyte migration   • cell migration   • T cell migration   • cell motility   • regulation of steroid biosynthetic process   • regulation of cholesterol biosynthetic process   • regulation of cholesterol metabolic process   • steroid metabolic process   • sterol metabolic process   • positive regulation of biological process   • cholesterol metabolic process   • lipid biosynthetic process   • alcohol metabolic process   • positive regulation of metabolic process   • regulation of small molecule metabolic process   • positive regulation of biosynthetic process   • positive regulation of lipid metabolic process   • small molecule metabolic process   • steroid biosynthetic process   • positive regulation of cellular process   • regulation of biosynthetic process   • secondary alcohol biosynthetic process   • regulation of alcohol biosynthetic process   • small molecule biosynthetic process   • regulation of steroid metabolic process   • cholesterol biosynthetic process   • positive regulation of cholesterol biosynthetic process   • secondary alcohol metabolic process   • positive regulation of steroid biosynthetic process   • biosynthetic process   • sterol biosynthetic process   • positive regulation of lipid biosynthetic process   • regulation of sterol biosynthetic process   • alcohol biosynthetic process   • positive regulation of cholesterol metabolic process   • positive regulation of steroid metabolic process   • regulation of lipid biosynthetic process   • positive regulation of small molecule metabolic process   • positive regulation of alcohol biosynthetic process   • positive regulation of sterol biosynthetic process   • cell surface receptor signaling pathway   • response to cytokine   • response to chemokine   • cytokine-mediated signaling pathway   • cellular response to chemokine   • chemokine-mediated signaling pathway   • response to peptide   • cellular response to cytokine stimulus   • relaxation of smooth muscle   • regulation of system process   • regulation of muscle system process   • muscle system process   • relaxation of muscle   • positive regulation of relaxation of smooth muscle   • positive regulation of relaxation of muscle   • positive regulation of multicellular organismal process   • regulation of multicellular organismal process   • regulation of relaxation of smooth muscle   • regulation of relaxation of muscle   • negative regulation of protein transport   • regulation of localization   • establishment of protein localization   • nitrogen compound transport   • negative regulation of transport   • localization   • negative regulation of secretion   • negative regulation of hormone secretion   • negative regulation of secretion by cell   • intracellular protein localization   • regulation of biological quality   • regulation of peptide hormone secretion   • negative regulation of peptide hormone secretion   • regulation of hormone levels   • establishment of protein localization to extracellular region   • negative regulation of establishment of protein localization   • protein secretion   • establishment of localization   • regulation of protein secretion   • regulation of secretion   • negative regulation of protein secretion   • regulation of hormone secretion   • regulation of protein localization   • regulation of peptide secretion   • transport   • negative regulation of signaling   • hormone secretion   • negative regulation of cell communication   • protein localization to extracellular region   • negative regulation of peptide secretion   • peptide secretion   • regulation of secretion by cell   • secretion by cell   • signal release   • negative regulation of protein localization   • regulation of signaling   • regulation of transport   • secretion   • regulation of peptide transport   • regulation of establishment of protein localization   • export from cell   • regulation of protein transport   • peptide transport   • negative regulation of insulin secretion   • protein transport   • regulation of insulin secretion   • peptide hormone secretion   • macromolecule localization   • hormone transport   • regulation of cell communication   • insulin secretion   • regulation of cytoskeleton organization   • regulation of cellular component organization   • microtubule cytoskeleton organization   • regulation of mitotic spindle organization   • mitotic cell cycle   • cellular component organization   • cell cycle   • cellular component organization or biogenesis   • regulation of cell cycle   • microtubule cytoskeleton organization involved in mitosis   • spindle organization   • cell cycle process   • regulation of cell cycle process   • regulation of microtubule-based process   • regulation of spindle organization   • regulation of organelle organization   • mitotic spindle organization   • organelle organization   • mitotic cell cycle process   • microtubule-based process   • cytoskeleton organization   • regulation of microtubule cytoskeleton organization   • positive regulation of protein localization to cell periphery   • protein localization to cell periphery   • positive regulation of protein localization to cell cortex   • regulation of protein localization to cell periphery   • regulation of protein localization to cell cortex   • positive regulation of protein localization   • protein localization to cell cortex   • cellular response to forskolin   • response to forskolin   • midbody   • nucleus   • membrane-enclosed lumen   • intracellular membraneless organelle   • nucleolus   • intracellular organelle lumen   • organelle lumen   • membraneless organelle   • nuclear lumen   • cell cortex   • centrosome   • microtubule organizing center   • cytoskeleton   • microtubule cytoskeleton   • centriolar satellite   • sperm principal piece   • 9+2 motile cilium   • sperm flagellum   • motile cilium   • nucleoplasm   • Golgi apparatus   • endomembrane system   • ciliary basal body
Gene OntologyCellular Component
SCOP2Domain Identifier• Transducin (heterotrimeric G protein), gamma chain   • Ras-like P-loop GTPases
SCOP2Family Identifier• Transducin (heterotrimeric G protein), gamma chain   • Ras-like P-loop GTPases
Membrane Protein Annotations-• Orientations of Proteins in Membranes database (OPM)   • Protein Data Bank of Transmembrane Proteins (PDBTM)   • MemProtMD


Details about the values in these tables can be found in the corresponding documentation page .
CodeP9X
PDB ResiduesL:L:?1
Environment DetailsOpen EMBL-EBI Page
CodeP9X
Name(5~{S})-5-methyl-4-oxidanylidene-5-phenyl-furan-2-carboxylic acid
SynonymsAcifran
Identifier
FormulaC12 H10 O4
Molecular Weight218.205
SMILES
PubChem76969700
Formal Charge0
Total Atoms26
Total Chiral Atoms1
Total Bonds27
Total Aromatic Bonds6

PDBsumOpen PDBsum Page
ChainA
ProteinG Protein α Sub unit
UniProtP63096
Sequence
>9KT6_Chain_A
GCTLSAEDK AAVERSKMI DRNLREDGE KAAREVKLL LLGAGESGK 
TIVKQMKIT TGIVETHFT FKDLHFKMF DVGQRSERK KWIHCFEGV 
TAIIFCVAL SDYDLVLAE DEEMNRMHS MKLFDSICN NKWFTDTSI 
ILFLNKKDL FEEKIKKSP LTICYPEYA GSNTYEEAA AYIQCQFED 
LNKRKDTKE IYTHFTCTD TKNVQFVFD AVTDVIIKN NLKDCGLFN 
AAS


Click on each residue to open a popup with some information about it.

ConSurf Conservation Grade (See documentation): 

 n/a   1    2    3    4    5    6    7    8    9  

ChainB
ProteinG Protein β Sub unit
UniProtP62873
Sequence
>9KT6_Chain_B
SELDQLRQE AEQLKNQIR DARKACADA TLSQITNNI DPVGRIQMR 
TRRTLRGHL AKIYAMHWG TDSRLLVSA SQDGKLIIW DSYTTNKVH 
AIPLRSSWV MTCAYAPSG NYVACGGLD NICSIYNLK TREGNVRVS 
RELAGHTGY LSCCRFLDD NQIVTSSGD TTCALWDIE TGQQTTTFT 
GHTGDVMSL SLAPDTRLF VSGACDASA KLWDVREGM CRQTFTGHE 
SDINAICFF PNGNAFATG SDDATCRLF DLRADQELM TYSHDNIIC 
GITSVSFSK SGRLLLAGY DDFNCNVWD ALKADRAGV LAGHDNRVS 
CLGVTDDGM AVATGSWDS FLKIWNQ


Click on each residue to open a popup with some information about it.

ConSurf Conservation Grade (See documentation): 

 n/a   1    2    3    4    5    6    7    8    9  

ChainG
ProteinG Protein γ Sub unit
UniProtP59768
Sequence
>9KT6_Chain_G
TASIAQARK LVEQLKMEA NIDRIKVSK AAADLMAYC EAHAKEDPL 
LTPVPASEN PFR


Click on each residue to open a popup with some information about it.

ConSurf Conservation Grade (See documentation): 

 n/a   1    2    3    4    5    6    7    8    9  

ChainR
ProteinReceptor
UniProtP49019
Sequence
>9KT6_Chain_R
LEIDKKNCC VFRDDFIAK VLPPVLGLE FIFGLLGNG LALWIFCFH 
LKSWKSSRI FLFNLAVAD FLLIICLPF VMDYYVRRS DWKFGDIPC 
RLVLFMFAM NRQGSIIFL TVVAVDRYF RVVHPHHAL NKISNWTAA 
IISCLLWGI TVGLTVHLL KKKLLIQNG TANVCISFS ICHTFRWHE 
AMFLLEFFL PLGIILFCS ARIIWSLRQ RQMDRHAKI KRAITFIMV 
VAIVFVICF LPSVVVRIH IFWLLHTSG TQNCEVYRS VDLAFFITL 
SFTYMNSML DPVVYYFSS PSF


Click on each residue to open a popup with some information about it.

ConSurf Conservation Grade (See documentation): 

 n/a   1    2    3    4    5    6    7    8    9  




This receptor, from the same or other species and bound to the same or other ligands, is also present in the following networks:
Show PDB Class SubFamily Type SubType Species Orthosteric Ligand Other Ligand(s) Protein Partners Resolution Date DOI
8IHJAAlicarboxylic acidHydroxycarboxylic AcidHCA3Homo sapiensAcifran-Gi1/β1/γ23.072023-08-30doi.org/10.1038/s41467-023-41650-7
8IHJ (No Gprot) AAlicarboxylic acidHydroxycarboxylic AcidHCA3Homo sapiensAcifran-3.072023-08-30doi.org/10.1038/s41467-023-41650-7
8IHKAAlicarboxylic acidHydroxycarboxylic AcidHCA3Homo sapiensAcifran--3.212023-08-30doi.org/10.1038/s41467-023-41650-7
9JKSAAlicarboxylic acidHydroxycarboxylic AcidHCA3Homo sapiensPubChem 44250176-Gi1/β1/γ23.312025-10-29To be published
9JKS (No Gprot) AAlicarboxylic acidHydroxycarboxylic AcidHCA3Homo sapiensPubChem 44250176-3.312025-10-29To be published
9JKTAAlicarboxylic acidHydroxycarboxylic AcidHCA3Homo sapiens(2R)-2-hydroxy-3-phenylpropanoic acid-Gi1/β1/γ23.052025-10-29To be published
9JKT (No Gprot) AAlicarboxylic acidHydroxycarboxylic AcidHCA3Homo sapiens(2R)-2-hydroxy-3-phenylpropanoic acid-3.052025-10-29To be published
9JKVAAlicarboxylic acidHydroxycarboxylic AcidHCA3Homo sapiensPubChem 2736690-Gi1/β1/γ23.262025-10-29To be published
9JKV (No Gprot) AAlicarboxylic acidHydroxycarboxylic AcidHCA3Homo sapiensPubChem 2736690-3.262025-10-29To be published
9JKXAAlicarboxylic acidHydroxycarboxylic AcidHCA3Homo sapiensAcifran-Gi1/β1/γ23.182025-10-29To be published
9JKX (No Gprot) AAlicarboxylic acidHydroxycarboxylic AcidHCA3Homo sapiensAcifran-3.182025-10-29To be published
8JEFAAlicarboxylic acidHydroxycarboxylic AcidHCA3Homo sapiensPubChem 11367166-Gi1/β1/γ22.962024-12-18doi.org/10.1016/j.celrep.2024.114895
8JEF (No Gprot) AAlicarboxylic acidHydroxycarboxylic AcidHCA3Homo sapiensPubChem 11367166-2.962024-12-18doi.org/10.1016/j.celrep.2024.114895
9KT6 (No Gprot) AAlicarboxylic acidHydroxycarboxylic AcidHCA3Homo sapiensAcifran-3.012025-12-1010.1021/acs.jmedchem.4c02567
9JICAAlicarboxylic acidHydroxycarboxylic AcidHCA3Homo sapiens--Gi1/β1/γ23.42025-12-1710.1016/j.celrep.2024.114895
9JIC (No Gprot) AAlicarboxylic acidHydroxycarboxylic AcidHCA3Homo sapiens--3.42025-12-1710.1016/j.celrep.2024.114895
9JIDAAlicarboxylic acidHydroxycarboxylic AcidHCA3Homo sapiensNiacin-Gi1/β1/γ22.782025-12-1710.1016/j.celrep.2024.114895
9JID (No Gprot) AAlicarboxylic acidHydroxycarboxylic AcidHCA3Homo sapiensNiacin-2.782025-12-1710.1016/j.celrep.2024.114895




You can download a compressed (zip) file with structure(s), 3D outputs (as PyMol and VMD scripts) and numerical data files (as csv and plain text files).

Download 9KT6.zip



You can click to copy the link of this page to easily come back here later

or use this QR code to link and share this page.



You can also  read or  download a guide explaining the meaning of all files and numerical data.