Color ConSurf Grade
      No Conservation data available
      1
      2
      3
      4
      5
      6
      7
      8
      9

Index: hub id, click on each number to highlight the corresponding hub in the 3D visualization.

Hub: the hub being considered.

Avg Int. Strength: the average interaction strength of all the links of the corresponding hub.

Num Of Links: the number of links of the corresponding hub.

Community: the id of the community the link belong to, otherwise 0.

ConSurf: this column reports the ConSurf conservation grades of each hub.

Index Hub Avg Int. Strength Num Of Links Community ConSurf
1A:A:V34 5.26585
2A:A:K46 4.51833689
3A:A:I184 3.66459
4A:A:F189 9.27489
5A:A:F191 8.9125485
6A:A:L194 6.8725484
7A:A:F196 7.81333687
8A:A:K197 10.3975456
9A:A:M198 4.1175487
10A:A:F199 10.018555
11A:A:E207 5.152539
12A:A:R208 5.1275409
13A:A:K210 6.625839
14A:A:W211 7.44509
15A:A:H213 5.785458
16A:A:C214 5.3525457
17A:A:F215 7.596559
18A:A:F223 9.13409
19A:A:L227 5.54467
20A:A:D229 8.214198
21A:A:Y230 4.475668
22A:A:M243 4.0625468
23A:A:F250 7.4025409
24A:A:C254 4.3165205
25A:A:N255 6.2075408
26A:A:W258 8.79555
27A:A:F259 8.185459
28A:A:F267 5.68609
29A:A:L268 5.66568
30A:A:F274 5.246569
31A:A:I278 3.64466
32A:A:C286 6.268566
33A:A:Y287 6.65444967
34A:A:Y290 9.2225407
35A:A:Y296 4.576504
36A:A:I303 4.98467
37A:A:F307 4.6408
38A:A:E308 6.61463
39A:A:E318 6.0425104
40A:A:Y320 6.725107
41A:A:T321 10.055465
42A:A:H322 11.0565179
43A:A:F323 6.1725464
44A:A:C325 5.2275407
45A:A:D328 5.47254179
46A:A:N331 8.38254178
47A:A:F336 7.09167688
48A:A:V342 3.28754107
49A:A:K345 7.82254105
50A:A:F354 7.916105
51B:B:L7 3.14408
52B:B:I18 4.03447
53B:B:R22 6.0175446
54B:B:L30 6.1775405
55B:B:I37 5.3125402
56B:B:V40 5.6865153
57B:B:M45 5.105424
58B:B:L51 9.885429
59B:B:H54 10.5325409
60B:B:Y59 9.592558
61B:B:M61 4.6475426
62B:B:W63 6.43333627
63B:B:V71 4.4375498
64B:B:L79 4.406597
65B:B:W82 11.3867629
66B:B:N88 7.395407
67B:B:K89 8.796509
68B:B:H91 6.345495
69B:B:I93 5.4325497
70B:B:L95 5.0775498
71B:B:W99 8.82375859
72B:B:Y105 4.56857796
73B:B:Y111 7.084134
74B:B:V112 4.385498
75B:B:C121 3.34438
76B:B:I123 3.9865136
77B:B:Y124 5.41596
78B:B:L126 4.5575495
79B:B:T128 3.7185133
80B:B:V133 5.755494
81B:B:H142 8.312539
82B:B:Y145 6.67738
83B:B:C149 3.8275438
84B:B:F151 5.325609
85B:B:I157 5.41407
86B:B:T159 5.03539
87B:B:D163 8.7125439
88B:B:C166 4.2354118
89B:B:L168 3.9575406
90B:B:W169 8.62714738
91B:B:F180 8.3745117
92B:B:H183 7.451676119
93B:B:D186 6.342539
94B:B:V187 4.1485119
95B:B:F199 8.50254119
96B:B:V200 8.2825446
97B:B:S201 4.9154119
98B:B:C204 5.54667637
99B:B:D205 6.6854119
100B:B:K209 9.35254116
101B:B:L210 4.45405
102B:B:W211 8.746676118
103B:B:Q220 7.545447
104B:B:F222 7.996548
105B:B:H225 8.38749
106B:B:D228 8.4875439
107B:B:I232 5.8625448
108B:B:F234 5.755405
109B:B:F235 7.46186
110B:B:F241 8.33833646
111B:B:T243 5.685448
112B:B:D246 6.556539
113B:B:D247 8.366549
114B:B:T249 6.5675446
115B:B:R251 9.858548
116B:B:F253 7.165646
117B:B:D258 9.5475447
118B:B:T263 5.23441
119B:B:Y264 8.2025405
120B:B:I269 4.2754144
121B:B:R283 7.635159
122B:B:L284 4.80754155
123B:B:L285 5.375406
124B:B:L286 4.7154217
125B:B:Y289 7.247147147
126B:B:N295 6.6685146
127B:B:V296 3.8125405
128B:B:W297 4.73254148
129B:B:K301 4.65405
130B:B:V307 3.1403
131B:B:L308 9.6625427
132B:B:H311 8.57529
133B:B:L318 4.415216
134B:B:M325 8.2525425
135B:B:W332 11.4714759
136B:B:D333 8.185429
137B:B:L336 5.14333627
138B:B:K337 7.17426
139B:B:W339 8.06167629
140B:B:N340 7.1725429
141G:G:R27 5.76548
142G:G:Y40 9.964186
143G:G:D48 7.8575409
144G:G:L51 3.865156
145G:G:P60 8.65429
146G:G:F61 5.84875828
147R:R:D43 7.305407
148R:R:R49 6.5525167
149R:R:F54 5.902578
150R:R:N56 9.2875479
151R:R:L57 6.386579
152R:R:S60 3.8225479
153R:R:D61 6.95679
154R:R:F62 5.784228
155R:R:V64 5.35408
156R:R:I69 6.175418
157R:R:Y72 8.542517
158R:R:F82 8.826516
159R:R:W90 6.28417
160R:R:L91 3.6725416
161R:R:D94 8.128518
162R:R:Y95 9.96518
163R:R:T99 4.915418
164R:R:V102 5.285418
165R:R:Y103 4.98417
166R:R:N104 7.7175478
167R:R:R112 4.97579
168R:R:Y113 7.864129
169R:R:V116 4.29408
170R:R:Y122 8.25754168
171R:R:T127 5.164168
172R:R:V146 3.905417
173R:R:N147 7.246518
174R:R:G148 3.1054255
175R:R:P166 9.8075417
176R:R:F168 6.15143716
177R:R:F169 7.00857716
178R:R:L175 5.8775417
179R:R:E182 5.81418
180R:R:F193 6.725127
181R:R:W199 6.07254124
182R:R:E294 9.03254105
183R:R:R297 8.746107
184R:R:L301 6.1154108
185R:R:W316 10.882519
186R:R:Y319 7.83617
187R:R:F322 3.69406
188R:R:T323 7.49417
189R:R:Y340 8.38515
190R:R:F344 13.7725416
191R:R:W345 7.86518
192R:R:Q347 14.505418
193R:R:W348 9.00375818
194R:R:N354 8.57479
195R:R:Y358 7.335479
196R:R:H362 5.266579
197R:R:F365 6.948578
198R:R:I372 3.95254236
199L:L:?1 15.4414710
   

Color ConSurf Grade
      No Conservation data available
      1
      2
      3
      4
      5
      6
      7
      8
      9

Index: link id, click on each number to highlight the corresponding link in the 3D visualization.

Node1 Node2: the two nodes of the corresponding link.

Recurrence: the relative Recurrence in the pool of shortest paths.

Int. Strength: the interaction strength between the two nodes.

Hub1?, Hub2?: "Yes" if the corresponding node has more than 3 links, otherwise "No".

Community: the id of the community the link belong to, otherwise 0.

ConSurf1, ConSurf2: these columns report the ConSurf conservation grades of the two nodes involved in a link.

Index Node1 Node2 Recurrence Int. Strength Hub1? Hub2? Community ConSurf1 ConSurf2
1A:A:F223 A:A:G40 37.49734.52YesNo099
2A:A:G40 A:A:K46 37.23793.49NoYes899
3A:A:K46 A:A:L38 37.79694.23YesNo898
4A:A:L38 A:A:M198 38.1385.65NoYes887
5A:A:F189 A:A:M198 38.53044.98YesYes897
6A:A:F189 A:A:F196 39.024917.15YesYes897
7A:A:F196 A:A:V339 40.21133.93YesNo878
8A:A:I343 A:A:V339 41.4233.07NoNo078
9A:A:I343 A:A:N347 41.62144.25NoNo078
10A:A:N347 R:R:S115 41.74148.94NoNo088
11R:R:S115 R:R:Y122 78.85768.9NoYes088
12R:R:R49 R:R:Y122 39.78546.17YesYes1678
13R:R:F53 R:R:R49 40.04813.21NoYes1687
14R:R:F53 R:R:L107 79.284114.61NoNo088
15R:R:L107 R:R:V139 79.23432.98NoNo088
16R:R:N104 R:R:V139 78.75467.39YesNo788
17R:R:L57 R:R:N104 74.09918.24YesYes798
18R:R:I105 R:R:L57 79.79994.28NoYes799
19R:R:I105 R:R:Y358 90.56679.67NoYes799
20R:R:F54 R:R:Y358 89.41673.09YesYes789
21R:R:F365 R:R:F54 88.89388.57YesYes788
22R:R:F365 R:R:L46 1009.74YesNo789
23R:R:D43 R:R:L46 99.93469.5YesNo079
24R:R:D43 R:R:K371 99.63242.77YesNo075
25B:B:F335 R:R:K371 99.53142.48NoNo045
26B:B:F335 B:B:R52 28.29273.21NoNo047
27B:B:R52 B:B:T50 28.16710.35NoNo073
28B:B:K337 B:B:T50 28.04179.01YesNo063
29B:B:K337 B:B:W339 55.58525.8YesYes269
30B:B:M45 B:B:W339 41.72933.49YesYes249
31B:B:M45 B:B:N340 41.26884.21YesYes249
32B:B:N340 G:G:F61 35.52254.83YesYes298
33A:A:R208 A:A:W211 58.87288YesYes099
34A:A:L249 A:A:R208 62.13394.86NoYes099
35A:A:F223 A:A:L249 62.28437.31YesNo099
36R:R:D111 R:R:Y122 39.240710.34NoYes1698
37R:R:D111 R:R:F53 39.260910.75NoNo1698
38B:B:D333 B:B:F335 71.1398.36YesNo094
39B:B:D333 B:B:H311 70.780510.08YesYes299
40B:B:H311 B:B:K337 28.08047.86YesYes296
41B:B:H311 B:B:T329 42.39248.21YesNo098
42B:B:T329 B:B:W339 27.83198.49NoYes089
43A:A:E318 A:A:K345 34.43696.75YesYes1045
44A:A:F354 A:A:K345 37.23963.72YesYes1055
45A:A:F354 A:A:L348 37.24389.74YesNo059
46A:A:L348 R:R:V116 37.21414.47NoYes098
47R:R:S115 R:R:V116 37.33363.23NoYes088
48A:A:E318 R:R:R297 34.65993.49YesYes1047
49A:A:F354 R:R:R297 35.173410.69YesYes1057
50A:A:Q204 A:A:W211 54.005412.05NoYes099
51A:A:Q204 B:B:Y145 53.37193.38NoYes098
52B:B:G162 B:B:S161 33.79843.71NoNo399
53B:B:G162 B:B:Y145 33.88648.69NoYes398
54A:A:K210 B:B:Y145 18.95875.97YesYes398
55A:A:K210 B:B:D246 17.5714.15YesYes399
56A:A:F223 A:A:F250 30.694117.15YesYes099
57A:A:C254 A:A:F250 14.60665.59YesYes059
58A:A:C254 A:A:N311 16.19064.72YesNo058
59A:A:I319 A:A:N311 16.54835.66NoNo058
60A:A:E308 A:A:I319 16.73586.83YesNo035
61A:A:E308 R:R:R290 64.36113.49YesNo035
62A:A:E318 R:R:R290 64.51714.65YesNo045
63A:A:F250 A:A:F307 16.77373.22YesYes098
64A:A:F307 A:A:L266 20.93243.65YesNo089
65A:A:L266 A:A:T321 20.77111.79NoYes695
66A:A:E308 A:A:T321 31.18818.47YesYes635
67A:A:L268 A:A:T321 10.26052.95YesYes685
68A:A:F323 A:A:Q304 16.12058.2YesNo645
69A:A:E308 A:A:Q304 16.31927.65YesNo635
70A:A:I303 A:A:L227 10.0414.28YesYes677
71A:A:F274 A:A:Y230 10.89177.22YesYes698
72A:A:F354 R:R:L301 36.97097.31YesYes1058
73B:B:D246 B:B:S227 17.44252.94YesNo096
74B:B:D247 B:B:S227 17.26334.42YesNo096
75B:B:D247 B:B:H225 15.61935.04YesYes499
76B:B:F253 B:B:H225 12.14184.53YesYes469
77B:B:L308 B:B:V296 40.80932.98YesYes075
78B:B:L284 B:B:V296 29.09225.96YesYes055
79B:B:L284 B:B:V40 15.95872.98YesYes1553
80B:B:G306 B:B:V296 24.77091.84NoYes045
81B:B:G306 B:B:V307 24.22121.84NoYes043
82B:B:N295 B:B:V307 20.91594.43YesYes063
83B:B:N295 B:B:W297 11.53673.39YesYes1468
84B:B:W297 B:B:Y264 11.01816.75YesYes085
85B:B:L51 B:B:W82 14.128323.92YesYes299
86B:B:I338 B:B:L51 22.4334.28NoYes259
87B:B:H54 B:B:S74 10.032213.95YesNo099
88B:B:H142 B:B:S161 32.555315.34YesNo399
89B:B:H142 B:B:T159 18.8175.48YesYes399
90B:B:C149 B:B:T159 18.49573.38YesYes389
91B:B:C149 B:B:T102 18.59613.38YesNo088
92B:B:C148 B:B:T102 18.41863.38NoNo068
93B:B:C148 B:B:L190 18.2416.35NoNo065
94B:B:L190 B:B:V158 14.42434.47NoNo055
95B:B:L192 B:B:V158 10.65962.98NoNo055
96B:B:H142 B:B:W169 13.26214.23YesYes398
97B:B:L318 B:B:T329 14.472.95YesNo068
98B:B:L286 B:B:V296 13.54724.47YesYes075
99B:B:S279 G:G:D48 10.93938.83NoYes099
100B:B:L284 B:B:S279 11.48836.01YesNo059
101R:R:F365 R:R:F369 13.24126.43YesNo088
102R:R:F369 R:R:L360 12.14142.44NoNo086
103R:R:L356 R:R:L360 12.03122.77NoNo066
104R:R:F352 R:R:L356 12.09932.44NoNo066
105R:R:F352 R:R:I29 12.41293.77NoNo068
106R:R:D61 R:R:L57 15.54825.43YesYes799
107R:R:D61 R:R:S351 30.20895.89YesNo099
108R:R:S351 R:R:V64 29.9738.08NoYes098
109R:R:V64 R:R:W348 36.76353.68YesYes088
110R:R:I105 R:R:N354 10.85037.08NoYes799
111R:R:D61 R:R:N354 10.786610.77YesYes799
112R:R:G65 R:R:I29 11.48333.53NoNo088
113R:R:G65 R:R:V64 11.64113.68NoYes088
114R:R:I151 R:R:Y95 17.22254.84NoYes078
115R:R:F168 R:R:I151 10.61793.77YesNo067
116R:R:F168 R:R:S154 16.38736.61YesNo068
117L:L:?1 R:R:W348 19.134611.79YesYes108
118L:L:?1 R:R:Y95 12.879214.34YesYes108
119R:R:P166 R:R:Y95 14.19729.74YesYes178
120R:R:F168 R:R:P166 10.626810.11YesYes167
121R:R:N147 R:R:Y95 18.047816.28YesYes188
122L:L:?1 R:R:Q347 11.214126.31YesYes108
123R:R:Q347 R:R:W316 20.71221.9YesYes189
124R:R:V102 R:R:W316 25.58378.58YesYes189
125R:R:V102 R:R:Y103 10.91613.79YesYes187
126R:R:P186 R:R:V102 36.2413.53NoYes098
127R:R:P186 R:R:V106 36.1613.53NoNo097
128R:R:L189 R:R:V106 36.14492.98NoNo077
129R:R:F193 R:R:L189 36.12914.87YesNo077
130R:R:F193 R:R:S109 35.84023.96YesNo1279
131R:R:L301 R:R:L305 36.37935.54YesNo088
132R:R:L305 R:R:N194 36.212412.36NoNo089
133B:B:I338 G:G:F61 22.84296.28NoYes258
134B:B:L308 B:B:W339 40.897320.5YesYes279
135B:B:L286 B:B:L318 13.78216.92YesYes2176
136R:R:N194 R:R:S109 35.31212.98NoNo1299
Download PSN data

2D representation of the global metapath, ligand(s) interactions and
histograms of path distribution according to several parameters
(click on the image to enlarge it 🔍):

A 2D representation of the global communication in the network.

ConSurf Conservation Grade (See documentation): 

 n/a   1    2    3    4    5    6    7    8    9  

Number of shortest communication paths as a function of the average residue correlation.

Number of shortest communication paths as a function of the average interaction strength of their links.

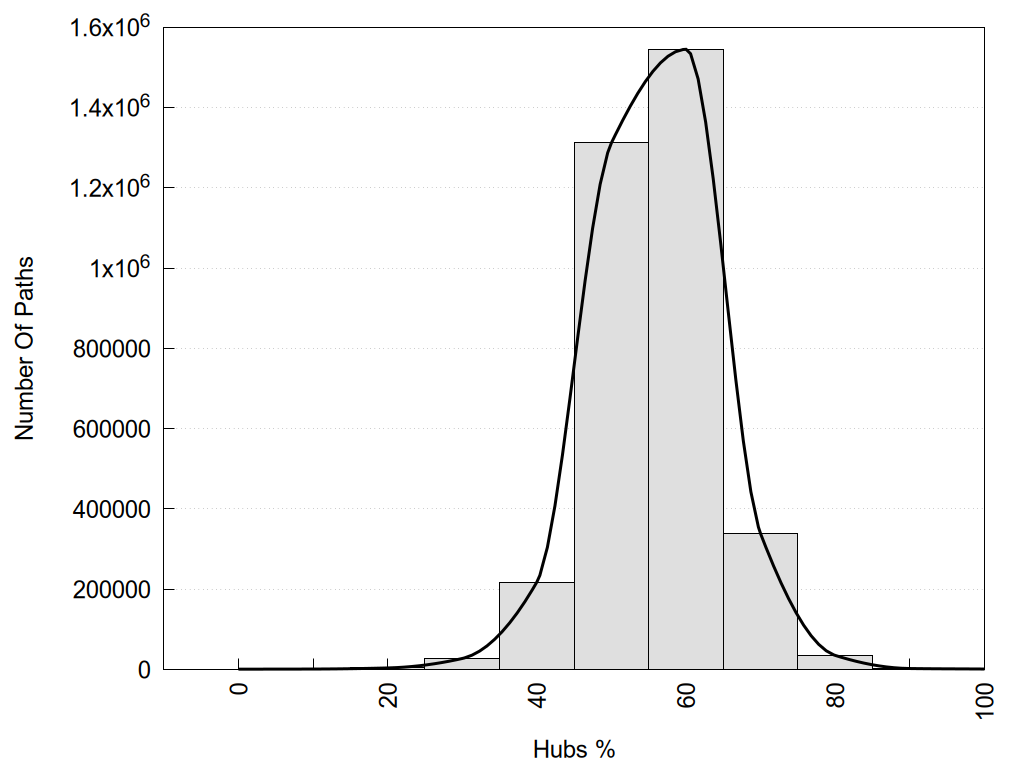
Number of shortest communication paths as a function of the % of hub nodes in each path.

Number of shortest communication paths as a function of the number of nodes in each path.

Number of shortest communication paths as a function of the % of correlated nodes in each path.


2D representation of the interactions of this orthosteric/allosteric ligand.


Links and nodes colored according to ConSurf Conservation Grade (See documentation): 

 n/a   1    2    3    4    5    6    7    8    9  

Node1 Node2 LinkStrength Comm IsNode1Hub? IsNode2Hub? Node1Cons Node2Cons Node1Shell Node2Shell
R:R:V64 R:R:W348 3.68 0 Yes Yes 8 8 2 1
R:R:D94 R:R:S68 8.83 1 Yes No 8 8 1 2
R:R:S68 R:R:W348 3.71 1 No Yes 8 8 2 1
R:R:I69 R:R:W345 3.52 1 Yes Yes 8 8 2 2
R:R:I69 R:R:W348 12.92 1 Yes Yes 8 8 2 1
R:R:F344 R:R:Y72 9.28 1 Yes Yes 6 7 1 2
R:R:W345 R:R:Y72 5.79 1 Yes Yes 8 7 2 2
R:R:W348 R:R:Y72 8.68 1 Yes Yes 8 7 1 2
R:R:D94 R:R:Y95 4.6 1 Yes Yes 8 8 1 1
R:R:C98 R:R:D94 3.11 1 No Yes 8 8 1 1
R:R:D94 R:R:W348 10.05 1 Yes Yes 8 8 1 1
L:L:?1 R:R:D94 14.05 1 Yes Yes 0 8 0 1
R:R:N147 R:R:Y95 16.28 1 Yes Yes 8 8 2 1
R:R:I151 R:R:Y95 4.84 0 No Yes 7 8 2 1
R:R:P166 R:R:Y95 9.74 1 Yes Yes 7 8 2 1
L:L:?1 R:R:Y95 14.34 1 Yes Yes 0 8 0 1
R:R:C98 R:R:Q347 3.05 1 No Yes 8 8 1 1
L:L:?1 R:R:C98 7.47 1 Yes No 0 8 0 1
R:R:Q347 R:R:W316 21.9 1 Yes Yes 8 9 1 2
R:R:T323 R:R:Y319 8.74 1 Yes Yes 7 7 2 1
R:R:Y319 R:R:Y340 12.91 1 Yes Yes 7 5 1 2
R:R:F344 R:R:Y319 9.28 1 Yes Yes 6 7 1 1
R:R:Q347 R:R:Y319 6.76 1 Yes Yes 8 7 1 1
L:L:?1 R:R:Y319 6.62 1 Yes Yes 0 7 0 1
R:R:T323 R:R:Y340 6.24 1 Yes Yes 7 5 2 2
R:R:F344 R:R:W348 9.02 1 Yes Yes 6 8 1 1
L:L:?1 R:R:F344 27.51 1 Yes Yes 0 6 0 1
R:R:W345 R:R:W348 12.18 1 Yes Yes 8 8 2 1
L:L:?1 R:R:Q347 26.31 1 Yes Yes 0 8 0 1
L:L:?1 R:R:W348 11.79 1 Yes Yes 0 8 0 1
R:R:A343 R:R:Y319 2.67 0 No Yes 5 7 2 1

Location and physicochemical properties of the interaction partners of this ligand

Interactions of this ligand

Similarities between the interactions of this ligand and those of other networks

ShowSimilarityNetwork TypeNameLigandDescription
100.00Single8YN9Histamine8YN9-H4-Histamine-Gi1/β1/γ2
100.00Single8YUUHistamine8YUU-H3-Histamine-Gi1/β1/γ1
100.00Single9LRCHistamine9LRC-H4-Histamine
100.00Consensush3_onOrthosteric Ligand8YUU-H3-Histamine-Gi1/β1/γ1
100.00Consensush3_on_gpOrthosteric Ligand8YUU-H3-Histamine-Gi1/β1/γ1
87.50Single8YN5Histamine8YN5-H3-Histamine-Gi1/β1/γ2
87.50Single8YN6Imetit8YN6-H3-Imetit-Gi1/β1/γ2
87.50Single8YN7Immethridine8YN7-H3-Immethridine-Go/β1/γ2
87.50Single9JEDHistamine9JED-H4-Histamine-PO4-Gi1/β1/γ2
87.50Single9JEQHistamine9JEQ-H3-Histamine-Gi1/β1/γ2
87.50Single9L42Histamine9L42-H4-Histamine-Gi1/β1/γ2
85.71Single8DPHLorcaserin8DPH-5-HT2C-Lorcaserin-chim(NtGi2L-Gs-CtGq)/β1/γ2
77.78Single7T8XAcetylcholine7T8X-M2-Acetylcholine-chim(NtGi1-Go)/β1/γ2
77.78Single7T90Acetylcholine7T90-M2-Acetylcholine-chim(NtGi1-Go)/β1/γ2
77.78Single7T96Acetylcholine7T96-M2-Acetylcholine-LY2119620-Go/β1/γ2
77.78Single8HOCImetit8HOC-H4-Imetit-Gi1/β1/γ2
77.78Single8IW4Spermidine8IW4-TAA9-Spermidine-chim(NtGi1-Gs)/β1/γ2
77.78Single8IWESpermidine8IWE-TAA9-Spermidine
77.78Single8YNAImmepip8YNA-H4-Immepip-Gi1/β1/γ2
77.78Single8YUVImmepip8YUV-H3-Immepip-Gi1/β1/γ2
77.78Consensushistamine_onOrthosteric Ligandh1_on h2_on h3_on h4_on
77.78Consensushistamine_on_gpOrthosteric Ligandh1_on_gp h2_on_gp h3_on_gp h4_on_gp
77.78Consensusm2_onOrthosteric Ligand7T8X-M2-Acetylcholine-chim(NtGi1-Go)/β1/γ2
77.78Consensusm2_on_gpOrthosteric Ligand7T8X-M2-Acetylcholine-chim(NtGi1-Go)/β1/γ2
75.00Single7EJKOxymetazoline7EJK-α2a-Oxymetazoline-Go/β1/γ2
75.00Single8ITFDMCHA8ITF-TAA9-DMCHA-chim(NtGi1-Gs)/β1/γ2
75.00Single8IW72-Phenylethylamine8IW7-TAA9-2-Phenylethylamine-chim(NtGi1-Gs)/β1/γ2
75.00Single8JXTHistamine8JXT-H4-Histamine-PO4-Gi1/β1/γ2
75.00Single8WC9ZH86518WC9-TA1-ZH8651-chim(NtGi1-Gs-CtGq)/β1/γ2
70.00Single7T94Acetylcholine7T94-M2-Acetylcholine-LY2119620-chim(NtGi1-Go)/β1/γ2
70.00Single7TRSAcetylcholine7TRS-M4-Acetylcholine-Gi1/β1/γ2
70.00Single8PM2DMCHA8PM2-TA7-DMCHA-Gs/β1/γ2
66.67Single7YFCHistamine7YFC-H4-Histamine-chim(NtGi1-Gs-CtGq)/β1/γ2
66.67Single7YFDImetit7YFD-H4-Imetit-chim(NtGi1-Gs-CtGq)/β1/γ2
66.67Single8HN8Histamine8HN8-H4-Histamine-Gi1/β1/γ2
66.67Single9U9VMETH9U9V-β2-METH-Gs/β1/γ2
66.67Consensush4_onOrthosteric Ligand8HN8-H4-Histamine-Gi1/β1/γ2 8HOC-H4-Imetit-Gi1/β1/γ2 8JXV-H4-Clozapine-Gi1/β1/γ2 8JXW-H4-VUF6884-Gi1/β1/γ2 8JXX-H4-Clobenpropit-Gi1/β1/γ2
63.64Single4U16N-methyl-Scopolamine4U16-M3-N-methyl-Scopolamine
63.64Single5YC8N-methyl-Scopolamine5YC8-M2-N-methyl-Scopolamine
63.64Single5ZK8N-methyl-Scopolamine5ZK8-M2-N-methyl-Scopolamine
63.64Single5ZKCN-methyl-Scopolamine5ZKC-M2-N-methyl-Scopolamine
63.64Single8YN8Proxyfan8YN8-H3-Proxyfan-Go/β1/γ2
63.64Single9JEAAtropine9JEA-M1-Atropine
63.64Consensusgi_histamineOrthosteric Ligand8JXX-H4-Clobenpropit-Gi1/β1/γ2 8JXV-H4-Clozapine-Gi1/β1/γ2 8YUU-H3-Histamine-Gi1/β1/γ1 8HN8-H4-Histamine-Gi1/β1/γ2 8HOC-H4-Imetit-Gi1/β1/γ2 8JXW-H4-VUF6884-Gi1/β1/γ2
63.64Consensusmuscarinic_onOrthosteric Ligandm2_on m3_on m4_on m1_on
63.64Consensusmuscarinic_on_gpOrthosteric Ligandm2_on_gp m3_on_gp m4_on_gp m1_on_gp
62.50Single8GEIConstrained Epinephrine8GEI-β2-Constrained Epinephrine-Gs/β1/γ2
62.50Single8IWM2-Phenylethylamine8IWM-TAA9-2-Phenylethylamine
62.50Single8WC5Tetramethylammonium Ion8WC5-TA1-Tetramethylammonium Ion-chim(NtGi1-Gs)/β1/γ2
62.50Single9CHUNorepinephrine9CHU-β2-Norepinephrine
60.00Single6KUYPubChem 1457046436KUY-α2a-PubChem 145704643
60.00Single7EJ0Norepinephrine7EJ0-α2a-Norepinephrine-Go/β1/γ2
60.00Single7LD4Adenosine7LD4-A1-Adenosine-Gi2/β1/γ2
60.00Single7YM8Oxymetazoline7YM8-Alpha1A-Oxymetazoline-chim(Gs-CtGq)
60.00Single7YMHNorepinephrine7YMH-Alpha1A-Norepinephrine-chim(Gs-CtGq)
60.00Single8FYXBuspirone8FYX-5-HT1A-Buspirone-PtdIns4P-Gi1/β1/γ1
60.00Single8GGAConstrained Epinephrine8GGA-β2-Constrained Epinephrine-GTP-Gs/β1/γ2
60.00Single8GGCConstrained Epinephrine8GGC-β2-Constrained Epinephrine-GTP-Gs/β1/γ2
60.00Single8GGRConstrained Epinephrine8GGR-β2-Constrained Epinephrine
60.00Single8GGWConstrained Epinephrine8GGW-β2-Constrained Epinephrine
60.00Single8GGZConstrained Epinephrine8GGZ-β2-Constrained Epinephrine
60.00Single8GH0Constrained Epinephrine8GH0-β2-Constrained Epinephrine
60.00Single8WC3SEP-3638568WC3-TA1-SEP-363856-chim(NtGi1-Gs)/β1/γ2
60.00Single8WC4ZH86518WC4-TA1-ZH8651-chim(NtGi1-Gs)/β1/γ2
60.00Single8WCA2-Phenylethylamine8WCA-TA1-2-Phenylethylamine-chim(NtGi1-Gs)/β1/γ2
60.00Single8Y0HVUF114188Y0H-CXCR3-VUF11418
60.00Single8Y0NVUF114188Y0N-CXCR3-VUF11418-Go/β1/γ2
60.00Single9EBHAdenosine9EBH-A3A-Adenosine-Gi1/β1/γ2
60.00Single9MQJIsoquinuclidine9MQJ-μ-Isoquinuclidine
60.00Single9VJ5Gepirone9VJ5-5-HT1A-Gepirone-Go/β1/γ2
60.00Single9VJEBuspirone9VJE-5-HT1A-Buspirone-Go/β1/γ2
60.00Consensusa1_onOrthosteric Ligand7LD4-A1-Adenosine-Gi2/β1/γ2
60.00Consensusa1_on_gpOrthosteric Ligand7LD4-A1-Adenosine-Gi2/β1/γ2
60.00Consensusalpha2_offOrthosteric Ligandalpha2c_off
60.00Consensusgq_histamineOrthosteric Ligand7DFL-H1-Histamine-chim(NtGi1L-Gq)/β1/γ2
60.00Consensush1_on_gpOrthosteric Ligand7DFL-H1-Histamine-chim(NtGi1L-Gq)/β1/γ2
58.33Single7LD3Adenosine7LD3-A1-Adenosine-MIPS521-Gi2/β1/γ2
58.33Single8E9ZIperoxo8E9Z-M3-Iperoxo-chim(NtGi2L-Gs-CtGq)/β1/γ2
58.33Single8EFBOliceridine8EFB-μ-Oliceridine-Gi1/β1/γ2
58.33Single9EE8Adenosine9EE8-A2A-Adenosine-Gs/β1/γ2
58.33Single9PXYNaloxone9PXY-μ-Naloxone-GDPβS-Gi1/β1/γ2
58.33Consensusgq_muscarinicOrthosteric Ligand6OIJ-M1-Iperoxo-chim(NtGi1L-G11)/β1/γ2
58.33Consensusm1_onOrthosteric Ligand6OIJ-M1-Iperoxo-chim(NtGi1L-G11)/β1/γ2
58.33Consensusm2_offOrthosteric Ligand5ZKC-M2-N-methyl-Scopolamine 5ZK3-M2-3-quinuclidinyl-benzilate 5ZKB-M2-AF-DX 384
58.33Consensusm3_onOrthosteric Ligand8E9Z-M3-Iperoxo-chim(NtGi2L-Gs-CtGq)/β1/γ2 8E9W-M3-2-Deoxycytidine-chim(NtGi2L-Gs-CtGq)/β1/γ2 8E9Y-M3-Clozapine-N-oxide-chim(NtGi2L-Gs-CtGq)/β1/γ2
58.33Consensusm3_on_gpOrthosteric Ligand8E9Z-M3-Iperoxo-chim(NtGi2L-Gs-CtGq)/β1/γ2 8E9W-M3-2-Deoxycytidine-chim(NtGi2L-Gs-CtGq)/β1/γ2 8E9Y-M3-Clozapine-N-oxide-chim(NtGi2L-Gs-CtGq)/β1/γ2
55.56Single7F23Dopamine7F23-D1-Dopamine-GDP-Gs/β1/γ2
55.56Single8GGFConstrained Epinephrine8GGF-β2-Constrained Epinephrine-GTP-Gs/β1/γ2
55.56Single8WC62-Phenylethylamine8WC6-TA1-2-Phenylethylamine-chim(NtGi1-Gs)/β1/γ2
55.56Single9JG1Adriforant9JG1-H4-Adriforant
55.56Consensus5ht2_onOrthosteric Ligand5ht2b_on
55.56Consensus5ht2b_onOrthosteric Ligand7SRR-5-HT2B-LSD-chim(NtGi2L-Gs-CtGq)/β1/γ2
54.55Single2YDOAdenosine2YDO-A2A-Adenosine
54.55Single4LDOEpinephrine4LDO-β2-Epinephrine
54.55Single6K41Dexmedetomidine6K41-α2b-Dexmedetomidine-Go/β1/γ2
54.55Single6PS0Carazolol6PS0-β2-Carazolol
54.55Single6PS4ICI118-5516PS4-β2-ICI118-551
54.55Single6WJCAtropine6WJC-M1-Atropine-Muscarinic toxin 7
54.55Single7CMUPramipexole7CMU-D3-Pramipexole-Gi1/β1/γ2
54.55Single7CMVPD1289077CMV-D3-PD128907-Gi1/β1/γ2
54.55Single7DHISalbutamol7DHI-β2-Salbutamol-Gs/β1/γ2
54.55Single7EJADexmedetomidine7EJA-α2a-Dexmedetomidine-Go/β1/γ2
54.55Single7RANPubChem 1645758477RAN-5-HT2A-PubChem 164575847-chim(NtGi2L-Gs-CtGq)/β1/γ2
54.55Single7UM7Methylergometrine7UM7-5-HT5A-Methylergometrine-chim(NtGi1-Go)/β1/γ2
54.55Single7VUGJNJ-635330547VUG-GPR139-JNJ-63533054-Gi1/β1/γ2
54.55Single8GE1Constrained Epinephrine8GE1-β2-Constrained Epinephrine-Gs/β1/γ2
54.55Single8GE4Constrained Epinephrine8GE4-β2-Constrained Epinephrine-Gs/β1/γ2
54.55Single8GE5Constrained Epinephrine8GE5-β2-Constrained Epinephrine-Gs/β1/γ1
54.55Single8GE6Constrained Epinephrine8GE6-β2-Constrained Epinephrine-Gs/β1/γ2
54.55Single8GE7Constrained Epinephrine8GE7-β2-Constrained Epinephrine-Gs/β1/γ2
54.55Single8GE8Constrained Epinephrine8GE8-β2-Constrained Epinephrine-Gs/β1/γ2
54.55Single8GEFConstrained Epinephrine8GEF-β2-Constrained Epinephrine-Gs/β1/γ2
54.55Single8GGQConstrained Epinephrine8GGQ-β2-Constrained Epinephrine
54.55Single8GGSConstrained Epinephrine8GGS-β2-Constrained Epinephrine
54.55Single8GGTConstrained Epinephrine8GGT-β2-Constrained Epinephrine
54.55Single8GGVConstrained Epinephrine8GGV-β2-Constrained Epinephrine
54.55Single8GGXConstrained Epinephrine8GGX-β2-Constrained Epinephrine
54.55Single8HNMVUF112228HNM-CXCR3-VUF11222-Gi1/β1/γ2
54.55Single8JLKUlotaront8JLK-TA1-Ulotaront-chim(NtGi1-Gs)/β1/γ2
54.55Single8JLNT1AM8JLN-TA1-T1AM-Gs/β1/γ2
54.55Single8THKA-616038THK-Alpha1A-A-61603-chim(NtGi2L-Gs-CtGq)/β1/γ2
54.55Single8THLEpinephrine8THL-Alpha1A-Epinephrine-chim(NtGi2L-Gs-CtGq)/β1/γ2
54.55Single8UO0Constrained Epinephrine8UO0-β2-Constrained Epinephrine-GTP-Gs/β1/γ2
54.55Single8W88SEP-3638568W88-TA1-SEP-363856-Gs/β1/γ2
54.55Single8WC8ZH86518WC8-TA1-ZH8651-chim(NtGi1-Gs)/β1/γ2
54.55Single8Y45ADL58598Y45-δ-ADL5859-Gi2/β1/γ2
54.55Single8YH2Adenosine8YH2-A3A-Adenosine-Gi1/β1/γ2
54.55Single9AS5Mescaline9AS5-5-HT2A-Mescaline
54.55Single9AS6Mescaline9AS6-5-HT2A-Mescaline-chim(NtGi1-Gs-CtGq)/β1/γ2
54.55Single9CBLEpinephrine9CBL-α2a-Epinephrine-Gi1/β1/γ2
54.55Single9MQIIsoquinuclidine9MQI-μ-Isoquinuclidine
54.55Single9ODJMitragynine Pseudoindoxyl9ODJ-μ-Mitragynine Pseudoindoxyl-GTP; Mg-Gi1/β1/γ2
54.55Single9PXXNaloxone9PXX-μ-Naloxone-GDPβS-Gi1/β1/γ2
54.55Single9VNFPindolol9VNF-5-HT1A-Pindolol-Go/β1/γ2
54.55Consensusalpha1_onOrthosteric Ligandalpha1a_on
54.55Consensusalpha1_on_gpOrthosteric Ligandalpha1a_on_gp
54.55Consensusalpha1a_onOrthosteric Ligand7EJ0-α2a-Norepinephrine-Go/β1/γ2 7EJ8-α2a-Brimonidine-Go/β1/γ2 7EJA-α2a-Dexmedetomidine-Go/β1/γ2 7EJK-α2a-Oxymetazoline-Go/β1/γ2 7W6P-α2a-N-pyridin-4-ylisoquinolin-4-amine-Go/β1/γ2 7W7E-α2a-PubChem 164946676-Go/β1/γ2
54.55Consensusalpha1a_on_gpOrthosteric Ligand7EJ0-α2a-Norepinephrine-Go/β1/γ2 7EJ8-α2a-Brimonidine-Go/β1/γ2 7EJA-α2a-Dexmedetomidine-Go/β1/γ2 7EJK-α2a-Oxymetazoline-Go/β1/γ2 7W6P-α2a-N-pyridin-4-ylisoquinolin-4-amine-Go/β1/γ2 7W7E-α2a-PubChem 164946676-Go/β1/γ2
54.55Consensusd3_onOrthosteric Ligand7CMV-D3-PD128907-Gi1/β1/γ2 8IRT-D3-Rotigotine-Gi1/β1/γ2 7CMU-D3-Pramipexole-Gi1/β1/γ2
54.55Consensusd3_on_gpOrthosteric Ligand7CMV-D3-PD128907-Gi1/β1/γ2 8IRT-D3-Rotigotine-Gi1/β1/γ2 7CMU-D3-Pramipexole-Gi1/β1/γ2
53.85Single2YDVNECA2YDV-A2A-NECA
53.85Single4U15Tiotropium4U15-M3-Tiotropium
53.85Single4UHRCGS216804UHR-A2A-CGS21680
53.85Single5G53NECA5G53-A2A-NECA-Gs
53.85Single5ZKBAF-DX 3845ZKB-M2-AF-DX 384
53.85Single6OIJIperoxo6OIJ-M1-Iperoxo-chim(NtGi1L-G11)/β1/γ2
53.85Single6OL9Tiotropium6OL9-M5-Tiotropium
53.85Single7T2HLofentanil7T2H-μ-Lofentanil-Gi1/β1/γ2
53.85Single7TRQIperoxo7TRQ-M4-Iperoxo-VU0467154-Gi1/β1/γ2
53.85Single8EA0Iperoxo8EA0-M3-Iperoxo
53.85Single8EF5Fentanyl8EF5-μ-Fentanyl-Gi1/β1/γ2
53.85Single8JXVClozapine8JXV-H4-Clozapine-Gi1/β1/γ2
53.85Single8JXWVUF68848JXW-H4-VUF6884-Gi1/β1/γ2
53.85Single8JXXClobenpropit8JXX-H4-Clobenpropit-Gi1/β1/γ2
53.85Consensush4_on_gpOrthosteric Ligand8HN8-H4-Histamine-Gi1/β1/γ2 8HOC-H4-Imetit-Gi1/β1/γ2 8JXV-H4-Clozapine-Gi1/β1/γ2 8JXW-H4-VUF6884-Gi1/β1/γ2 8JXX-H4-Clobenpropit-Gi1/β1/γ2
53.85Consensusm1_on_gpOrthosteric Ligand6OIJ-M1-Iperoxo-chim(NtGi1L-G11)/β1/γ2
53.85Consensusm5_offOrthosteric Ligand6OL9-M5-Tiotropium
53.85Consensusmuscarinic_offOrthosteric Ligandm2_off m3_off m4_off m5_off m1_off
50.00Single2Y04Salbutamol2Y04-β1-Salbutamol
50.00Single3NY8ICI118-5513NY8-β2-ICI118-551
50.00Single3NYAAlprenolol3NYA-β2-Alprenolol
50.00Single4DAJTiotropium4DAJ-M3-Tiotropium
50.00Single4EJ4Naltrindole4EJ4-δ-Naltrindole
50.00Single4GBRCarazolol4GBR-β2-Carazolol
50.00Single4MQSIperoxo4MQS-M2-Iperoxo
50.00Single4QKXPubChem 762106284QKX-β2-PubChem 76210628
50.00Single4U14Tiotropium4U14-M3-Tiotropium
50.00Single5CXVTiotropium5CXV-M1-Tiotropium
50.00Single5DSGTiotropium5DSG-M4-Tiotropium
50.00Single6DRZMethysergide6DRZ-5-HT2B-Methysergide
50.00Single6H7MSalbutamol6H7M-β1-Salbutamol
50.00Single6K42Dexmedetomidine6K42-α2b-Dexmedetomidine-Gi1/β1/γ2
50.00Single6PS1Timolol6PS1-β2-Timolol
50.00Single6TOTLemborexant6TOT-OX1-Lemborexant
50.00Single6WHADB139486WHA-5-HT2A-DB13948-chim(NtGi2L-Gs-CtGq)/β1/γ2
50.00Single7BTSEpinephrine7BTS-β1-Epinephrine
50.00Single7BU6Norepinephrine7BU6-β1-Norepinephrine
50.00Single7CRHSKF839597CRH-D1-SKF83959-Gs/β1/γ2
50.00Single7DFLHistamine7DFL-H1-Histamine-chim(NtGi1L-Gq)/β1/γ2
50.00Single7JVQApomorphine7JVQ-D1-Apomorphine-Gs/β1/γ2
50.00Single7S0GIsoprenaline7S0G-β1-Isoprenaline-chim(Gi1-CtGs)/β1/γ2
50.00Single7SRQLSD7SRQ-5-HT2B-LSD
50.00Single7T2GMitragynine Pseudoindoxyl7T2G-μ-Mitragynine Pseudoindoxyl-Gi1/β1/γ2
50.00Single7TRPIperoxo7TRP-M4-Iperoxo-LY2033298-Gi1/β1/γ2
50.00Single7W0LPubChem 1227019087W0L-Apelin; Apelin-PubChem 122701908-Gi1/β1/γ2
50.00Single8DPFLorcaserin8DPF-5-HT2C-Lorcaserin-chim(NtGi2L-Gs-CtGq)/β1/γ2
50.00Single8E9W2-Deoxycytidine8E9W-M3-2-Deoxycytidine-chim(NtGi2L-Gs-CtGq)/β1/γ2
50.00Single8G056-OAU8G05-GPR84-6-OAU-Gi1/β1/γ2
50.00Single8GE2Constrained Epinephrine8GE2-β2-Constrained Epinephrine-Gs/β1/γ1
50.00Single8GE3Constrained Epinephrine8GE3-β2-Constrained Epinephrine-Gs/β1/γ2
50.00Single8GE9Constrained Epinephrine8GE9-β2-Constrained Epinephrine-Gs/β1/γ2
50.00Single8GECConstrained Epinephrine8GEC-β2-Constrained Epinephrine-Gs/β1/γ2
50.00Single8GEEConstrained Epinephrine8GEE-β2-Constrained Epinephrine-Gs/β1/γ2
50.00Single8GEHConstrained Epinephrine8GEH-β2-Constrained Epinephrine-Gs/β1/γ2
50.00Single8GFVConstrained Epinephrine8GFV-β2-Constrained Epinephrine-GTP-Gs/β1/γ2
50.00Single8GFWConstrained Epinephrine8GFW-β2-Constrained Epinephrine-GTP-Gs/β1/γ2
50.00Single8GFXConstrained Epinephrine8GFX-β2-Constrained Epinephrine-GTP-Gs/β1/γ2
50.00Single8GFZConstrained Epinephrine8GFZ-β2-Constrained Epinephrine-GTP-Gs/β1/γ2
50.00Single8GG0Constrained Epinephrine8GG0-β2-Constrained Epinephrine-GTP-Gs/β1/γ2
50.00Single8GG1Constrained Epinephrine8GG1-β2-Constrained Epinephrine-GTP-Gs/β1/γ2
50.00Single8GG3Constrained Epinephrine8GG3-β2-Constrained Epinephrine-GTP-Gs/β1/γ2
50.00Single8GG4Constrained Epinephrine8GG4-β2-Constrained Epinephrine-GTP-Gs/β1/γ2
50.00Single8GG6Constrained Epinephrine8GG6-β2-Constrained Epinephrine-GTP-Gs/β1/γ2
50.00Single8GG9Constrained Epinephrine8GG9-β2-Constrained Epinephrine-GTP-Gs/β1/γ2
50.00Single8GGIConstrained Epinephrine8GGI-β2-Constrained Epinephrine
50.00Single8GGJConstrained Epinephrine8GGJ-β2-Constrained Epinephrine
50.00Single8GGKConstrained Epinephrine8GGK-β2-Constrained Epinephrine
50.00Single8GGNConstrained Epinephrine8GGN-β2-Constrained Epinephrine
50.00Single8GGOConstrained Epinephrine8GGO-β2-Constrained Epinephrine
50.00Single8GGUConstrained Epinephrine8GGU-β2-Constrained Epinephrine
50.00Single8GGYConstrained Epinephrine8GGY-β2-Constrained Epinephrine
50.00Single8IRTRotigotine8IRT-D3-Rotigotine-Gi1/β1/γ2
50.00Single8JJOAlprenolol8JJO-β2-Alprenolol
50.00Single8JLJT1AM8JLJ-TA1-T1AM-chim(NtGi1-Gs)/β1/γ2
50.00Single8JLOUlotaront8JLO-TA1-Ulotaront-Gs/β1/γ2
50.00Single8JXRLSD8JXR-D1-LSD
50.00Single8PJKST1718PJK-5-HT1A-ST171-Gi1/β1/γ1
50.00Single8UNQConstrained Epinephrine8UNQ-β2-Constrained Epinephrine-GTP-Gs/β1/γ2
50.00Single8UNVConstrained Epinephrine8UNV-β2-Constrained Epinephrine-GTP-Gs/β1/γ2
50.00Single8UNYConstrained Epinephrine8UNY-β2-Constrained Epinephrine-GTP-Gs/β1/γ2
50.00Single8UNZConstrained Epinephrine8UNZ-β2-Constrained Epinephrine-GTP-Gs/β1/γ2
50.00Single8UO2Constrained Epinephrine8UO2-β2-Constrained Epinephrine-GTP-Gs/β1/γ2
50.00Single8UO3Constrained Epinephrine8UO3-β2-Constrained Epinephrine-GTP; Mg-Gs/β1/γ2
50.00Single8W87METH8W87-TA1-METH-chim(NtGi1L-Gs)/β1/γ2
50.00Single8W892-Phenylethylamine8W89-TA1-2-Phenylethylamine-chim(NtGi1L-Gs)/β1/γ2
50.00Single8W8ARO52563908W8A-TA1-RO5256390-chim(NtGi1L-Gs)/β1/γ2
50.00Single8WC7ZH86678WC7-TA1-ZH8667-chim(NtGi1-Gs)/β1/γ2
50.00Single8XVKAmbrisentan8XVK-ETA-Ambrisentan
50.00Single8Y71A1D6F8Y71-δ-A1D6F-BMS986187-Gi1/β1/γ2
50.00Single8YN4Histamine8YN4-H2-Histamine-chim(NtGi1L-Gs-CtGq)/β1/γ2
50.00Single8ZSSRO52633978ZSS-TA1-RO5263397-chim(NtGi1-Gs)/β1/γ2
50.00Single8ZSVRO52633978ZSV-TA1-RO5263397-chim(NtGi1-Gs)/β1/γ2
50.00Single9CBMDexmedetomidine9CBM-α2a-Dexmedetomidine-Gi1/β1/γ2
50.00Single9EBIPiclidenoson9EBI-A3A-Piclidenoson-chim(NtGi1L-Gs-CtGi1)/β1/γ2
50.00Single9EK0Iperoxo9EK0-M5-Iperoxo-chim(NtGi1-Gs-CtGq)/β1/γ2
50.00Single9IJEEpinephrine9IJE-β3-Epinephrine-chim(NtGi1-Gs)/β1/γ2
50.00Single9IXJHistamine9IXJ-H2-Histamine-Gs/β1/γ2
50.00Single9PLNPubChem 1682595949PLN-α2a-PubChem 168259594
50.00Single9PLOPubChem 1682595949PLO-α2a-PubChem 168259594-Go/β1/γ2
50.00Single9PQDPubChem 1764919279PQD-α2a-PubChem 176491927
50.00Single9UAZAtropine9UAZ-M1-Atropine
50.00Single9VMYTMU41429VMY-5-HT1A-TMU4142-Go/β1/γ2
50.00Consensus5ht2b_offOrthosteric Ligand6DRZ-5-HT2B-Methysergide
50.00Consensusadenosine_on_gpOrthosteric Liganda1_on_gp a2_on_gp a3_on_gp
50.00Consensusadrenergic_onOrthosteric Ligandalpha_on beta_on
50.00Consensusalpha2_onOrthosteric Ligandalpha2b_on
50.00Consensusalpha2_on_gpOrthosteric Ligandalpha2b_on_gp
50.00Consensusalpha2b_onOrthosteric Ligand6K42-α2b-Dexmedetomidine-Gi1/β1/γ2
50.00Consensusalpha2b_on_gpOrthosteric Ligand6K42-α2b-Dexmedetomidine-Gi1/β1/γ2
50.00Consensusalpha_onOrthosteric Ligandalpha1_on alpha2_on
50.00Consensusd5_onOrthosteric Ligand8IRV-D5-Rotigotine-chim(NtGi1-Gs)/β1/γ2
50.00Consensusdop_offOrthosteric Ligand4EJ4-δ-Naltrindole
50.00Consensusdopamine_offOrthosteric Ligandd2_off d3_off
50.00Consensusdopamine_onOrthosteric Ligandd2_on d1_on d3_on d4_on d5_on
50.00Consensusdopamine_on_gpOrthosteric Ligandd2_on_gp d1_on_gp d3_on_gp d4_on_gp d5_on_gp
50.00Consensusgi_amineOrthosteric Ligandgi_5ht gi_muscarinic gi_adrenergic gi_dopamine gi_histamine
50.00Consensusgi_muscarinicOrthosteric Ligand8E9X-M4-2-Deoxycytidine-chim(NtGi1-Go)/β1/γ2 7T8X-M2-Acetylcholine-chim(NtGi1-Go)/β1/γ2 7TRS-M4-Acetylcholine-Gi1/β1/γ2 7TRK-M4-Iperoxo-Gi1/β1/γ2 7V6A-M4-PubChem 9864275-Gi1/β1/γ2
50.00Consensusgq_amineOrthosteric Ligandgq_muscarinic gq_histamine
50.00Consensusgs_trace-amineOrthosteric Ligand8W88-TA1-SEP-363856-Gs/β1/γ2 8JLJ-TA1-T1AM-chim(NtGi1-Gs)/β1/γ2 8JLO-TA1-Ulotaront-Gs/β1/γ2 8WC4-TA1-ZH8651-chim(NtGi1-Gs)/β1/γ2 8WC7-TA1-ZH8667-chim(NtGi1-Gs)/β1/γ2 8JLR-TA1-A77636-chim(NtGi1-Gs)/β1/γ2 8JSO-TA1-AMPH-chim(NtGi1-Gs)/β1/γ2 8W87-TA1-METH-chim(NtGi1L-Gs)/β1/γ2 8W89-TA1-2-Phenylethylamine-chim(NtGi1L-Gs)/β1/γ2 8JLP-TA1-Ralmitaront-Gs/β1/γ2 8W8A-TA1-RO5256390-chim(NtGi1L-Gs)/β1/γ2
50.00Consensush1_onOrthosteric Ligand7DFL-H1-Histamine-chim(NtGi1L-Gq)/β1/γ2
50.00Consensusm1_offOrthosteric Ligand5CXV-M1-Tiotropium
50.00Consensusm4_offOrthosteric Ligand5DSG-M4-Tiotropium
46.67Single7U2KC6-guano7U2K-μ-C6-guano-Gi1/β1/γ2
46.67Single8E9X2-Deoxycytidine8E9X-M4-2-Deoxycytidine-chim(NtGi1-Go)/β1/γ2
46.67Single8E9YClozapine-N-oxide8E9Y-M3-Clozapine-N-oxide-chim(NtGi2L-Gs-CtGq)/β1/γ2
46.67Single8FX5Xanomeline8FX5-M4-Xanomeline-Xanomeline-Gi1/β1/γ2
46.67Single8J19LY2378J19-GPR84-LY237-Gi1/β1/γ2
46.15Single2RH1Carazolol2RH1-β2-Carazolol
46.15Single2Y03Isoprenaline2Y03-β1-Isoprenaline
46.15Single2YCWCarazolol2YCW-β1-Carazolol
46.15Single4ZJ8Suvorexant4ZJ8-OX1-Suvorexant
46.15Single5C1MBU725C1M-μ-BU72
46.15Single5D6LCarazolol5D6L-β2-Carazolol
46.15Single5JQHCarazolol5JQH-β2-Carazolol
46.15Single5X7DCarazolol5X7D-β2-Carazolol-PubChem 129318963
46.15Single5ZK33-quinuclidinyl-benzilate5ZK3-M2-3-quinuclidinyl-benzilate
46.15Single6KUWPubChem 572132346KUW-α2c-PubChem 57213234
46.15Single6ME72-Phenylmelatonin6ME7-MT2-2-Phenylmelatonin
46.15Single6OIKIperoxo6OIK-M2-Iperoxo-LY2119620-chim(NtGi1-Go)/β1/γ2
46.15Single6PS3Carvedilol6PS3-β2-Carvedilol
46.15Single6PS6Timolol6PS6-β2-Timolol
46.15Single6TO7Suvorexant6TO7-OX1-Suvorexant-Na
46.15Single6TP6Filorexant6TP6-OX1-Filorexant
46.15Single7BVQCarazolol7BVQ-β1-Carazolol
46.15Single7C61Ergotamine7C61-5-HT1B-Ergotamine
46.15Single7S0FIsoprenaline7S0F-β1-Isoprenaline-Gi1/β1/γ2
46.15Single7TRKIperoxo7TRK-M4-Iperoxo-Gi1/β1/γ2
46.15Single7WC6LSD7WC6-5-HT2A-LSD
46.15Single7X1TTaltirelin7X1T-TRH-Taltirelin-chim(NtGi2L-Gs-CtGq)/β1/γ2
46.15Single7XK9Constrained Isoproterenol7XK9-β2-Constrained Isoproterenol-Na
46.15Single7XKAConstrained Epinephrine7XKA-β2-Constrained Epinephrine
46.15Single8DZQmomSalB8DZQ-κ-momSalB-Go/β1/γ2
46.15Single8DZRGR89,6968DZR-κ-GR89,696-chim(NtGi2-Gt3)/β1/γ2
46.15Single8GDZConstrained Epinephrine8GDZ-β2-Constrained Epinephrine-Gs/β1/γ2
46.15Single8GEBConstrained Epinephrine8GEB-β2-Constrained Epinephrine-Gs/β1/γ2
46.15Single8GEGConstrained Epinephrine8GEG-β2-Constrained Epinephrine-Gs/β1/γ2
46.15Single8GFYConstrained Epinephrine8GFY-β2-Constrained Epinephrine-GTP-Gs/β1/γ2
46.15Single8GG2Constrained Epinephrine8GG2-β2-Constrained Epinephrine-GTP-Gs/β1/γ2
46.15Single8GGBConstrained Epinephrine8GGB-β2-Constrained Epinephrine-GTP-Gs/β1/γ2
46.15Single8J18(3R)-3-Hydroxydodecanoic acid8J18-GPR84-(3R)-3-Hydroxydodecanoic acid-Gi1/β1/γ2
46.15Single8UNNConstrained Epinephrine8UNN-β2-Constrained Epinephrine-GTP-Gs/β1/γ2
46.15Single8UNPConstrained Epinephrine8UNP-β2-Constrained Epinephrine-GTP-Gs/β1/γ2
46.15Single9ARZ2-bromo-LSD9ARZ-5-HT2A-2-bromo-LSD
46.15Single9F33FOB02-04A9F33-D3-FOB02-04A-Go/β1/γ2
46.15Single9F34FOB02-04A9F34-D3-FOB02-04A-Go/β1/γ2
46.15Single9KUVCMPD6449KUV-Apelin-CMPD644-Arrestin2
46.15Single9MQKIsoquinuclidine9MQK-κ-Isoquinuclidine
46.15Single9VJFBuspirone9VJF-5-HT1A-Buspirone-Gi3/β1/γ2
46.15Consensus5ht2_offOrthosteric Ligand5ht2a_off 5ht2b_off 5ht2c_off
46.15Consensus5ht5_on_gpOrthosteric Ligand5ht5a_on_gp
46.15Consensus5ht5a_on_gpOrthosteric Ligand7X5H-5-HT5A-5-CT-Gi1/β1/γ2 7UM6-5-HT5A-Lisuride-chim(NtGi1-Go)/β1/γ2 7UM7-5-HT5A-Methylergometrine-chim(NtGi1-Go)/β1/γ2
46.15Consensusadrenergic_offOrthosteric Ligandalpha_off beta_off
46.15Consensusadrenergic_on_gpOrthosteric Ligandalpha_on_gp beta_on_gp
46.15Consensusalpha2c_offOrthosteric Ligand6KUW-α2c-PubChem 57213234
46.15Consensusalpha_offOrthosteric Ligandalpha1_off alpha2_off
46.15Consensusalpha_on_gpOrthosteric Ligandalpha1_on_gp alpha2_on_gp
46.15Consensusamine_offOrthosteric Ligand5ht_off adrenergic_off dopamine_off histamine_off muscarinic_off
46.15Consensusamine_offonOrthosteric Ligandamine_off amine_on
46.15Consensusamine_offon_gpOrthosteric Ligandamine_on_gp amine_off
46.15Consensusamine_onOrthosteric Ligand5ht_on adrenergic_on dopamine_on histamine_on muscarinic_on trace-amine_on
46.15Consensusbeta2_offOrthosteric Ligand2RH1-β2-Carazolol 6PS3-β2-Carvedilol 6PS5-β2-Propranolol 3D4S-β2-Timolol 3NY8-β2-ICI118-551 3NY9-β2-PubChem 913103 6PRZ-β2-Alprenolol
46.15Consensusbeta_offOrthosteric Ligandbeta1_off beta2_off
46.15Consensusd2_onOrthosteric Ligand7JVR-D2-Bromoergocryptine-Gi1/β1/γ2 8IRS-D2-Rotigotine-Gi1/β1/γ2
46.15Consensusd4_onOrthosteric Ligand8IRU-D4-Rotigotine-chim(NtGi1-Gs-CtGi1)/β1/γ2
46.15Consensusgi_adrenergicOrthosteric Ligand7EJ0-α2a-Norepinephrine-Go/β1/γ2 7EJK-α2a-Oxymetazoline-Go/β1/γ2 7W7E-α2a-PubChem 164946676-Go/β1/γ2 7W6P-α2a-N-pyridin-4-ylisoquinolin-4-amine-Go/β1/γ2 7EJ8-α2a-Brimonidine-Go/β1/γ2 6K42-α2b-Dexmedetomidine-Gi1/β1/γ2 7EJA-α2a-Dexmedetomidine-Go/β1/γ2 7S0F-β1-Isoprenaline-Gi1/β1/γ2
46.15Consensusgs_amineOrthosteric Ligandgs_5ht gs_adrenergic gs_dopamine gs_histamine gs_trace-amine
46.15Consensusta1_onOrthosteric Ligand8W87-TA1-METH-chim(NtGi1L-Gs)/β1/γ2 8W89-TA1-2-Phenylethylamine-chim(NtGi1L-Gs)/β1/γ2 8JLP-TA1-Ralmitaront-Gs/β1/γ2 8W8A-TA1-RO5256390-chim(NtGi1L-Gs)/β1/γ2 8W88-TA1-SEP-363856-Gs/β1/γ2 8JLO-TA1-Ulotaront-Gs/β1/γ2 8JLR-TA1-A77636-chim(NtGi1-Gs)/β1/γ2 8JSO-TA1-AMPH-chim(NtGi1-Gs)/β1/γ2 8ZSP-TA1-LSD-chim(NtGi1L-Gs)/β1/γ2
46.15Consensustrace-amine_onOrthosteric Ligandta1_on
45.45Single4S0VSuvorexant4S0V-OX2-Suvorexant
45.45Single6AKXA4R6AKX-CCR5-A4R
45.45Single6AKYMaraviroc6AKY-CCR5-Maraviroc
45.45Single6D9HAdenosine6D9H-A1-Adenosine-Gi2/β1/γ2
45.45Single6OBAAlprenolol6OBA-β2-Alprenolol-GTPL11074
45.45Single6TODEMPA6TOD-OX1-EMPA-Na
45.45Single6TPJSuvorexant6TPJ-OX2-Suvorexant
45.45Single7SRRLSD7SRR-5-HT2B-LSD-chim(NtGi2L-Gs-CtGq)/β1/γ2
45.45Single7VUJJNJ-635330547VUJ-GPR139-JNJ-63533054-GDP-chim(Gs-CtGq)/β1/γ2
45.45Single8EFOPZM218EFO-μ-PZM21-Gi1/β1/γ2
45.45Single8JSOAMPH8JSO-TA1-AMPH-chim(NtGi1-Gs)/β1/γ2
45.45Single8TZQDopamine8TZQ-D2-Dopamine-Go/β1/γ2
45.45Single8UNXConstrained Epinephrine8UNX-β2-Constrained Epinephrine-GTP-Gs/β1/γ2
45.45Single9EEAAdenosine9EEA-A2A-Adenosine-Gs/β1/γ2
45.45Single9JKXAcifran9JKX-HCA3-Acifran-Gi1/β1/γ2
45.45Single9KPESalicin9KPE-TAS2R16-Salicin-Gi1/β1/γ2
45.45Single9KVHCinobufotenine9KVH-5-HT1A-Cinobufotenine-PtdIns4P-Gi1/β1/γ2
45.45Single9LLBDOI-NBOMe9LLB-5-HT2A-DOI-NBOMe-chim(NtGi1L-Gs-CtGq)/β1/γ2
45.45Single9PXUNaloxone9PXU-μ-Naloxone-Na
45.45Single9W49U-50488H9W49-κ-U-50488H-Gi1/β1/γ2
45.45Consensus5ht1e_onOrthosteric Ligand7E33-5-HT1E-BRL-54443-Gi1/β1/γ2 8UGY-5-HT1E-Mianserin-Gi1/β1/γ1 8UH3-5-HT1E-Setiptiline-Gi1/β1/γ1
45.45Consensus5ht2_on_gpOrthosteric Ligand5ht2b_on_gp
45.45Consensus5ht2b_on_gpOrthosteric Ligand7SRR-5-HT2B-LSD-chim(NtGi2L-Gs-CtGq)/β1/γ2
44.44Single8Y02All-trans-Retinal8Y02-OPN1SW-All-trans-Retinal-Gi1/β1/γ2
44.44Single8Z8ALactate8Z8A-HCA1-Lactate-Gi1/β1/γ2
44.44Single9EE9Adenosine9EE9-A2A-Adenosine-Gs/β1/γ2
44.44Consensusgs_histamineOrthosteric Ligand8POK-H2-Histamine-Gs/β1/γ2
44.44Consensush2_onOrthosteric Ligand8POK-H2-Histamine-Gs/β1/γ2
43.75Single4UG2CGS216804UG2-A2A-CGS21680
43.75Single7SK9CCX6627SK9-ACKR3-CCX662
42.86Single3UON3-quinuclidinyl-benzilate3UON-M2-3-quinuclidinyl-benzilate
42.86Single4LDLHydroxybenzyl Isoproterenol4LDL-β2-Hydroxybenzyl Isoproterenol
42.86Single5A8E7-Methylcyanopindolol5A8E-β1-7-Methylcyanopindolol-Na
42.86Single5D5ACarazolol5D5A-β2-Carazolol
42.86Single5D5BCarazolol5D5B-β2-Carazolol
42.86Single6H7JIsoprenaline6H7J-β1-Isoprenaline
42.86Single6KO5PubChem 574000026KO5-Ghrelin-PubChem 57400002
42.86Single6N48BI1671076N48-β2-BI167107-PubChem 138454256
42.86Single6TQ7SB-3348676TQ7-OX1-SB-334867
42.86Single7E2ZAripiprazole7E2Z-5-HT1A-Aripiprazole-PtdIns4P-Gi1/β1/γ2
42.86Single7JJOIsoprenaline7JJO-β1-Isoprenaline-Gs/β1/γ2
42.86Single7U2LC5-guano7U2L-μ-C5-guano-Gi1/β1/γ2
42.86Single7W6PN-pyridin-4-ylisoquinolin-4-amine7W6P-α2a-N-pyridin-4-ylisoquinolin-4-amine-Go/β1/γ2
42.86Single7W7EPubChem 1649466767W7E-α2a-PubChem 164946676-Go/β1/γ2
42.86Single8DZPmomSalB8DZP-κ-momSalB-Gi1/β1/γ2
42.86Single8IRRRotigotine8IRR-D1-Rotigotine-Gs/β1/γ2
42.86Single8IRURotigotine8IRU-D4-Rotigotine-chim(NtGi1-Gs-CtGi1)/β1/γ2
42.86Single8IRVRotigotine8IRV-D5-Rotigotine-chim(NtGi1-Gs)/β1/γ2
42.86Single8T1VPubChem 1183102098T1V-GPR6-PubChem 118310209-Na
42.86Single8VVFJDTic8VVF-κ-JDTic-Gi1/β1/γ2
42.86Single8XZICMF-0198XZI-Apelin; Apelin-CMF-019-Gi1/β1/γ2
42.86Single9AS9RS130-1809AS9-5-HT2A-RS130-180
42.86Single9ASARS130-1809ASA-5-HT2A-RS130-180-chim(NtGi1-Gs-CtGq)/β1/γ2
42.86Single9BJKNaloxone9BJK-μ-Naloxone-PubChem 171642066
42.86Single9BS9LSD9BS9-D2-LSD
42.86Single9BSBLSD9BSB-D2-LSD-chim(NtGi1-Go)/β1/γ2
42.86Single9IJDCarazolol9IJD-β3-Carazolol-chim(NtGi1-Gs)/β1/γ2
42.86Single9PY3Loperamide9PY3-μ-Loperamide-GDPβS-Gi1/β1/γ2
42.86Single9UCPIperoxo9UCP-M1-Iperoxo-G11(CT)
42.86Consensus5ht_offOrthosteric Ligand5ht2_off 5ht1_off
42.86Consensusamine_on_gpOrthosteric Ligand5ht_on_gp adrenergic_on_gp dopamine_on_gp histamine_on_gp muscarinic_on_gp trace-amine_on_gp
42.86Consensusbeta1_offOrthosteric Ligand2VT4-β1-Cyanopindolol 2YCW-β1-Carazolol 2YCZ-β1-Iodocyanopindolol 5A8E-β1-7-Methylcyanopindolol-Na 3ZPQ-β1-PubChem 594590-Na 3ZPR-β1-PubChem 598754-Na
42.86Consensusbeta2_onOrthosteric Ligand7DHI-β2-Salbutamol-Gs/β1/γ2 6NI3-β2-BI167107-Gs/β1/γ2
42.86Consensusbeta2_on_gpOrthosteric Ligand7DHI-β2-Salbutamol-Gs/β1/γ2 6NI3-β2-BI167107-Gs/β1/γ2
42.86Consensusd1_on_gpOrthosteric Ligand7F0T-D1-Dopamine-Gs/β1/γ2 7CKY-D1-PW0464-Gs/β1/γ2 8IRR-D1-Rotigotine-Gs/β1/γ2 7JV5-D1-SKF81297-Gs/β1/γ2 7JVP-D1-SKF83959-Gs/β1/γ2 7X2D-D1-Tavapadon-Gs/β1/γ2 7CKX-D1-A77636-Gs/β1/γ2 7JVQ-D1-Apomorphine-Gs/β1/γ2 7CKW-D1-Fenoldopam-Gs/β1/γ2
42.86Consensusd4_on_gpOrthosteric Ligand8IRU-D4-Rotigotine-chim(NtGi1-Gs-CtGi1)/β1/γ2
42.86Consensusd5_on_gpOrthosteric Ligand8IRV-D5-Rotigotine-chim(NtGi1-Gs)/β1/γ2
42.86Consensusgi_5htOrthosteric Ligand8FYT-5-HT1A-LSD-PtdIns4P-Gi1/β1/γ1 7UM7-5-HT5A-Methylergometrine-chim(NtGi1-Go)/β1/γ2 8UGY-5-HT1E-Mianserin-Gi1/β1/γ1 8W8B-5-HT1A-SEP-363856-Gi1/β1/γ2 7E2Y-5-HT1A-Serotonin-PtdIns4P-Gi1/β1/γ2 7E32-5-HT1D-Serotonin-Gi1/β1/γ2 7XTA-5-HT4-Serotonin-Gi1/β1/γ2 8UH3-5-HT1E-Setiptiline-Gi1/β1/γ1 8JSP-5-HT1A-Ulotaront-Gi1/β1/γ2 8FYL-5-HT1A-Vilazodone-PtdIns4P-Gi1/β1/γ1 8JT6-5-HT1A-(R)-IHCH-7179-PtdIns4P-Gi1/β1/γ2 8FYE-5-HT1A-4-F,5-MeO-PyrT-PtdIns4P-Gi1/β1/γ1 7X5H-5-HT5A-5-CT-Gi1/β1/γ2 8FY8-5-HT1A-5-MeO-DMT-PtdIns4P-Gi1/β1/γ1 7E2Z-5-HT1A-Aripiprazole-PtdIns4P-Gi1/β1/γ2 7E33-5-HT1E-BRL-54443-Gi1/β1/γ2 8FYX-5-HT1A-Buspirone-PtdIns4P-Gi1/β1/γ1 7EXD-5-HT1F-Lasmiditan-Gi1/β1/γ2 7UM6-5-HT5A-Lisuride-chim(NtGi1-Go)/β1/γ2
42.86Consensusgi_dopamineOrthosteric Ligand7JVR-D2-Bromoergocryptine-Gi1/β1/γ2 7CMV-D3-PD128907-Gi1/β1/γ2 7CMU-D3-Pramipexole-Gi1/β1/γ2 8IRS-D2-Rotigotine-Gi1/β1/γ2 8IRT-D3-Rotigotine-Gi1/β1/γ2
42.86Consensusgs_adrenergicOrthosteric Ligand7DHI-β2-Salbutamol-Gs/β1/γ2 7XJI-β3-Solabegron-Gs/β1/γ2 7JJO-β1-Isoprenaline-Gs/β1/γ2 6NI3-β2-BI167107-Gs/β1/γ2 8DCR-β1-Dobutamine-Gs/β1/γ2 7XJH-β3-Isoprenaline-Gs/β1/γ2 7DH5-β3-Mirabegron-Gs/β1/γ2
42.86Consensusgs_dopamineOrthosteric Ligand7F0T-D1-Dopamine-Gs/β1/γ2 7CKW-D1-Fenoldopam-Gs/β1/γ2 7CKY-D1-PW0464-Gs/β1/γ2 8IRV-D5-Rotigotine-chim(NtGi1-Gs)/β1/γ2 8IRR-D1-Rotigotine-Gs/β1/γ2 7JV5-D1-SKF81297-Gs/β1/γ2 7JVP-D1-SKF83959-Gs/β1/γ2 7X2D-D1-Tavapadon-Gs/β1/γ2 7CKX-D1-A77636-Gs/β1/γ2 7JVQ-D1-Apomorphine-Gs/β1/γ2
42.86Consensusm3_offOrthosteric Ligand4U15-M3-Tiotropium 4U16-M3-N-methyl-Scopolamine 5ZHP-M3-PubChem 134828589
42.86Consensusta1_on_gpOrthosteric Ligand8W87-TA1-METH-chim(NtGi1L-Gs)/β1/γ2 8W89-TA1-2-Phenylethylamine-chim(NtGi1L-Gs)/β1/γ2 8JLP-TA1-Ralmitaront-Gs/β1/γ2 8W8A-TA1-RO5256390-chim(NtGi1L-Gs)/β1/γ2 8W88-TA1-SEP-363856-Gs/β1/γ2 8JLO-TA1-Ulotaront-Gs/β1/γ2 8JLR-TA1-A77636-chim(NtGi1-Gs)/β1/γ2 8JSO-TA1-AMPH-chim(NtGi1-Gs)/β1/γ2 8ZSP-TA1-LSD-chim(NtGi1L-Gs)/β1/γ2
42.86Consensustrace-amine_on_gpOrthosteric Ligandta1_on_gp
41.67Single4DKLBeta-Funaltrexamine4DKL-μ-β-Funaltrexamine
41.67Single4MBSMaraviroc4MBS-CCR5-Maraviroc
41.67Single4MQTIperoxo4MQT-M2-Iperoxo-LY2119620
41.67Single4N6HNaltrindole4N6H-δ-Naltrindole-Na
41.67Single4ZJCSB-6740424ZJC-OX1-SB-674042
41.67Single6KUXRS799486KUX-α2a-RS79948
41.67Single6ME32-Phenylmelatonin6ME3-MT1-2-Phenylmelatonin
41.67Single6PS5Propranolol6PS5-β2-Propranolol
41.67Single6PS82-Phenylmelatonin6PS8-MT1-2-Phenylmelatonin
41.67Single6TOSGSK10598656TOS-OX1-GSK1059865-Na
41.67Single6TP3Nemorexant6TP3-OX1-Nemorexant
41.67Single6TPGEMPA6TPG-OX2-EMPA
41.67Single6VI4JDTic6VI4-κ-JDTic
41.67Single6WH4Methiothepin6WH4-5-HT2A-Methiothepin
41.67Single6ZFZ77-LH-28-16ZFZ-M1-77-LH-28-1
41.67Single7CKZDopamine7CKZ-D1-Dopamine-Mevidalen-Gs/β1/γ2
41.67Single7E33BRL-544437E33-5-HT1E-BRL-54443-Gi1/β1/γ2
41.67Single7EJ8Brimonidine7EJ8-α2a-Brimonidine-Go/β1/γ2
41.67Single7F0TDopamine7F0T-D1-Dopamine-Gs/β1/γ2
41.67Single7F1ZDopamine7F1Z-D1-Dopamine-GDP-Gs/β1/γ2
41.67Single7F24Dopamine7F24-D1-Dopamine-GDP-Gs/β1/γ2
41.67Single7F61PF-036547467F61-H3-PF-03654746
41.67Single7SR8TAK-9257SR8-OX2-TAK-925-chim(NtGi1L-Gs-CtGq)/β1/γ2
41.67Single7UL3Famotidine7UL3-H2-Famotidine
41.67Single8DPGPsilocin8DPG-5-HT2C-Psilocin-chim(NtGi2L-Gs-CtGq)/β1/γ2
41.67Single8GEAConstrained Epinephrine8GEA-β2-Constrained Epinephrine-Gs/β1/γ2
41.67Single8GEDConstrained Epinephrine8GED-β2-Constrained Epinephrine-Gs/β1/γ2
41.67Single8GG5Constrained Epinephrine8GG5-β2-Constrained Epinephrine-GTP-Gs/β1/γ2
41.67Single8GG7Constrained Epinephrine8GG7-β2-Constrained Epinephrine-GTP-Gs/β1/γ2
41.67Single8GG8Constrained Epinephrine8GG8-β2-Constrained Epinephrine-GTP-Gs/β1/γ2
41.67Single8GGLConstrained Epinephrine8GGL-β2-Constrained Epinephrine
41.67Single8GGMConstrained Epinephrine8GGM-β2-Constrained Epinephrine
41.67Single8GGPConstrained Epinephrine8GGP-β2-Constrained Epinephrine
41.67Single8JLQFenoldopam8JLQ-TA1-Fenoldopam-Gs/β1/γ2
41.67Single8U02Dopamine8U02-D2-Dopamine-Go/β1/γ2
41.67Single8UHBRO52563908UHB-TA1-RO5256390-Gs/β1/γ2
41.67Single8UNLConstrained Epinephrine8UNL-β2-Constrained Epinephrine-GTP-Gs/β1/γ2
41.67Single8UNMConstrained Epinephrine8UNM-β2-Constrained Epinephrine-GTP-Gs/β1/γ2
41.67Single8UNOConstrained Epinephrine8UNO-β2-Constrained Epinephrine-GTP-Gs/β1/γ2
41.67Single8UNWConstrained Epinephrine8UNW-β2-Constrained Epinephrine-GTP-Gs/β1/γ2
41.67Single8V6UPubChem 1713924568V6U-5-HT2A-PubChem 171392456-chim(NtGi2-Gs-CtGq)/β1/γ2
41.67Single8W8BSEP-3638568W8B-5-HT1A-SEP-363856-Gi1/β1/γ2
41.67Single8YN3Histamine8YN3-H2-Histamine-Gs/β1/γ2
41.67Single9AS3LSD9AS3-5-HT2A-LSD
41.67Single9AS4LSD9AS4-5-HT2A-LSD-chim(NtGi1-Gs-CtGq)/β1/γ2
41.67Single9AS8Psilocin9AS8-5-HT2A-Psilocin-chim(NtGi2L-Gs-CtGq)/β1/γ2
41.67Single9AXFCa; Ca; Ca; Cyclomethyltryptophan; R-568; PO49AXF-CaS; CaS-Ca-Ca; Ca; Ca; Cyclomethyltryptophan; R-568; PO4-chim(NtGi1-Gs-CtGq)/β1/γ2
41.67Single9JH3CMF-0199JH3-Apelin; Apelin-CMF-019-Gi1/β1/γ2
41.67Single9JKQMETH9JKQ-TA1-METH-Gs/β1/γ2
41.67Single9KVIBufotenin9KVI-5-HT1A-Bufotenin-PtdIns4P-Gi1/β1/γ2
41.67Single9L84Epinephrine9L84-β1-Epinephrine-Atazanavir-Gs/β1/γ2
41.67Single9LRDHistamine9LRD-H1-Histamine-Gi1/β1/γ2
41.67Single9ODLMitragynine Pseudoindoxyl9ODL-μ-Mitragynine Pseudoindoxyl-GTP; Mg-Gi1/β1/γ2
41.67Single9PXVNaloxone9PXV-μ-Naloxone-Gi1/β1/γ2
41.67Single9VJG8-OH-DPAT9VJG-5-HT1A-8-OH-DPAT-chim(NtGi2-Gz)/β1/γ2
41.67Single9W6W5-CT9W6W-5-HT5A-5-CT-Gi1/β1/γ2
41.67Consensus5ht2a_offOrthosteric Ligand6A94-5-HT2A-Zotepine 6A93-5-HT2A-Risperidone 7VOD-5-HT2A-Cariprazine 7WC8-5-HT2A-Lumateperone 8JT8-5-HT2A-(R)-IHCH-7179
41.67Consensus5ht_on_gpOrthosteric Ligand5ht1_on_gp 5ht2_on_gp 5ht4_on_gp 5ht5_on_gp 5ht6_on_gp 5ht7_on_gp
41.67Consensusadenosine_onOrthosteric Liganda1_on a2_on a3_on
41.67Consensusgi_adenosineOrthosteric Ligand7LD4-A1-Adenosine-Gi2/β1/γ2 8X17-A3A-Namodenoson-Gi1/β1/γ2 8X16-A3A-Piclidenoson-Gi1/β1/γ2
41.18Single7WKDTRH7WKD-TRH-TRH-chim(NtGi1-Gs-CtGq)/β1/γ2
41.18Single8WDTphotoNECA8WDT-A2A-photoNECA
40.00Single2J4Y11-cis-Retinal2J4Y-Rhodopsin-11-cis-Retinal
40.00Single3C9M11-cis-Retinal3C9M-Rhodopsin-11-cis-Retinal
40.00Single3D4STimolol3D4S-β2-Timolol
40.00Single4AMIBucindolol4AMI-β1-Bucindolol
40.00Single4LDEBI1671074LDE-β2-BI167107
40.00Single4RWADIPP-NH24RWA-δ-DIPP-NH2
40.00Single6A93Risperidone6A93-5-HT2A-Risperidone
40.00Single6CM4Risperidone6CM4-D2-Risperidone
40.00Single6DRYMethylergometrine6DRY-5-HT2B-Methylergometrine
40.00Single6FUFAll-trans-Retinal6FUF-Rhodopsin-All-trans-Retinal-Go
40.00Single6H7NXamoterol6H7N-β1-Xamoterol
40.00Single6H7OCyanopindolol6H7O-β1-Cyanopindolol
40.00Single6VMSBromoergocryptine6VMS-D2-Bromoergocryptine-Gi1/β1/γ2
40.00Single6ZG4HTL00099366ZG4-M1-HTL0009936
40.00Single7DFPSpiperone7DFP-D2-Spiperone
40.00Single7JNIOlodanrigan7JNI-AT2-Olodanrigan
40.00Single7SUSPubChem 1227019087SUS-Apelin-PubChem 122701908
40.00Single7YITNalfurafine7YIT-κ-Nalfurafine
40.00Single7YMJTamsulosin7YMJ-Alpha1A-Tamsulosin
40.00Single8DPILorcaserin8DPI-5-HT2C-Lorcaserin-chim(NtGi2L-Gs-CtGq)/β1/γ2
40.00Single8FYE4-F,5-MeO-PyrT8FYE-5-HT1A-4-F,5-MeO-PyrT-PtdIns4P-Gi1/β1/γ1
40.00Single8FYTLSD8FYT-5-HT1A-LSD-PtdIns4P-Gi1/β1/γ1
40.00Single8GGEConstrained Epinephrine8GGE-β2-Constrained Epinephrine-GTP-Gs/β1/γ2
40.00Single8GH1Constrained Epinephrine8GH1-β2-Constrained Epinephrine
40.00Single8IRSRotigotine8IRS-D2-Rotigotine-Gi1/β1/γ2
40.00Single8J6QBeta-Hydroxybutyrate8J6Q-HCA2-β-Hydroxybutyrate-PubChem 25101223-Gi1/β1/γ2
40.00Single8JJ8Arformoterol8JJ8-β2-Arformoterol
40.00Single8POKHistamine8POK-H2-Histamine-Gs/β1/γ2
40.00Single9GL2Befiradol9GL2-5-HT1A-Befiradol-Gs/β1/γ2
40.00Single9KVG5-MeO-DMT9KVG-5-HT1A-5-MeO-DMT-PtdIns4P-Gi1/β1/γ2
40.00Single9MQLIsoquinuclidine9MQL-κ-Isoquinuclidine
40.00Single9V6ONalfurafine9V6O-κ-Nalfurafine-Gi1/β1/γ2
40.00Single9VJ6F-155999VJ6-5-HT1A-F-15599-Gi3/β1/γ2
40.00Consensus5ht1a_onOrthosteric Ligand8FYT-5-HT1A-LSD-PtdIns4P-Gi1/β1/γ1 7E2Y-5-HT1A-Serotonin-PtdIns4P-Gi1/β1/γ2 7E2Z-5-HT1A-Aripiprazole-PtdIns4P-Gi1/β1/γ2 8FYX-5-HT1A-Buspirone-PtdIns4P-Gi1/β1/γ1 8JSP-5-HT1A-Ulotaront-Gi1/β1/γ2 8JT6-5-HT1A-(R)-IHCH-7179-PtdIns4P-Gi1/β1/γ2 8FY8-5-HT1A-5-MeO-DMT-PtdIns4P-Gi1/β1/γ1 8FYE-5-HT1A-4-F,5-MeO-PyrT-PtdIns4P-Gi1/β1/γ1 8FYL-5-HT1A-Vilazodone-PtdIns4P-Gi1/β1/γ1
40.00Consensus5ht1a_on_gpOrthosteric Ligand8FYT-5-HT1A-LSD-PtdIns4P-Gi1/β1/γ1 8FYX-5-HT1A-Buspirone-PtdIns4P-Gi1/β1/γ1 8JSP-5-HT1A-Ulotaront-Gi1/β1/γ2 8JT6-5-HT1A-(R)-IHCH-7179-PtdIns4P-Gi1/β1/γ2 7E2Y-5-HT1A-Serotonin-PtdIns4P-Gi1/β1/γ2 7E2Z-5-HT1A-Aripiprazole-PtdIns4P-Gi1/β1/γ2 8FY8-5-HT1A-5-MeO-DMT-PtdIns4P-Gi1/β1/γ1 8FYE-5-HT1A-4-F,5-MeO-PyrT-PtdIns4P-Gi1/β1/γ1 8FYL-5-HT1A-Vilazodone-PtdIns4P-Gi1/β1/γ1
40.00Consensusalpha1_offOrthosteric Ligandalpha1a_off
40.00Consensusalpha1a_offOrthosteric Ligand7YMJ-Alpha1A-Tamsulosin
40.00Consensusbeta3_onOrthosteric Ligand7DH5-β3-Mirabegron-Gs/β1/γ2 7XJH-β3-Isoprenaline-Gs/β1/γ2 7XJI-β3-Solabegron-Gs/β1/γ2
40.00Consensusbeta3_on_gpOrthosteric Ligand7DH5-β3-Mirabegron-Gs/β1/γ2 7XJH-β3-Isoprenaline-Gs/β1/γ2 7XJI-β3-Solabegron-Gs/β1/γ2
40.00Consensusbeta_onOrthosteric Ligandbeta1_on beta2_on beta3_on
40.00Consensusbeta_on_gpOrthosteric Ligandbeta1_on_gp beta2_on_gp beta3_on_gp
40.00Consensuscannabinoid_offOrthosteric Ligandcb2_off cb1_off
40.00Consensusd2_on_gpOrthosteric Ligand7JVR-D2-Bromoergocryptine-Gi1/β1/γ2 8IRS-D2-Rotigotine-Gi1/β1/γ2
40.00Consensush2_on_gpOrthosteric Ligand8POK-H2-Histamine-Gs/β1/γ2
40.00Consensusm4_onOrthosteric Ligand7TRS-M4-Acetylcholine-Gi1/β1/γ2 7V6A-M4-PubChem 9864275-Gi1/β1/γ2 8E9X-M4-2-Deoxycytidine-chim(NtGi1-Go)/β1/γ2 7TRK-M4-Iperoxo-Gi1/β1/γ2
40.00Consensusm4_on_gpOrthosteric Ligand7TRS-M4-Acetylcholine-Gi1/β1/γ2 7V6A-M4-PubChem 9864275-Gi1/β1/γ2 8E9X-M4-2-Deoxycytidine-chim(NtGi1-Go)/β1/γ2 7TRK-M4-Iperoxo-Gi1/β1/γ2
40.00Consensusmop_onOrthosteric Ligand8F7R-μ-Endomorphin-Gi1/β1/γ2 8EF5-μ-Fentanyl-Gi1/β1/γ2 7SCG-μ-FH210-Gi1/β1/γ2 7T2H-μ-Lofentanil-Gi1/β1/γ2 7T2G-μ-Mitragynine Pseudoindoxyl-Gi1/β1/γ2 8EF6-μ-Morphine-Gi1/β1/γ2 8EFB-μ-Oliceridine-Gi1/β1/γ2 7U2L-μ-C5-guano-Gi1/β1/γ2 8EFO-μ-PZM21-Gi1/β1/γ2 8EFL-μ-SR17018-Gi1/β1/γ2 8F7Q-μ-β-Endorphin-Gi1/β1/γ2 7U2K-μ-C6-guano-Gi1/β1/γ2 8EFQ-μ-DAMGO-Gi1/β1/γ2
40.00Consensusmop_on_gpOrthosteric Ligand8F7R-μ-Endomorphin-Gi1/β1/γ2 8EF5-μ-Fentanyl-Gi1/β1/γ2 7SCG-μ-FH210-Gi1/β1/γ2 7T2H-μ-Lofentanil-Gi1/β1/γ2 7T2G-μ-Mitragynine Pseudoindoxyl-Gi1/β1/γ2 8EF6-μ-Morphine-Gi1/β1/γ2 8EFB-μ-Oliceridine-Gi1/β1/γ2 7U2L-μ-C5-guano-Gi1/β1/γ2 8EFO-μ-PZM21-Gi1/β1/γ2 8EFL-μ-SR17018-Gi1/β1/γ2 8F7Q-μ-β-Endorphin-Gi1/β1/γ2 7U2K-μ-C6-guano-Gi1/β1/γ2 8EFQ-μ-DAMGO-Gi1/β1/γ2
40.00Consensusopioid_offOrthosteric Ligandmop_off nop_off dop_off kop_off
38.89Single3QAKUK-4320973QAK-A2A-UK-432097
38.46Single2VT4Cyanopindolol2VT4-β1-Cyanopindolol
38.46Single2Y01Dobutamine2Y01-β1-Dobutamine
38.46Single2YCYCyanopindolol2YCY-β1-Cyanopindolol
38.46Single3ZPQPubChem 5945903ZPQ-β1-PubChem 594590-Na
38.46Single3ZPRPubChem 5987543ZPR-β1-PubChem 598754-Na
38.46Single4EA3PubChem 102965614EA3-NOP-PubChem 10296561
38.46Single4J4QOctyl Beta-D-Glucopyranoside4J4Q-Rhodopsin-Octyl β-D-Glucopyranoside-Gt(CT)
38.46Single5DHHSB-6121115DHH-NOP-SB-612111
38.46Single5TGZAM65385TGZ-CB1-AM6538
38.46Single6DRXLisuride6DRX-5-HT2B-Lisuride
38.46Single6PRZAlprenolol6PRZ-β2-Alprenolol
38.46Single6PS2Alprenolol6PS2-β2-Alprenolol
38.46Single7BU7BI1671077BU7-β1-BI167107
38.46Single7E32Serotonin7E32-5-HT1D-Serotonin-Gi1/β1/γ2
38.46Single7LJCSKF812977LJC-D1-SKF81297-Mevidalen-Gs/β1/γ2
38.46Single7M3JNPS-2143; PO47M3J-CaS; CaS-NPS-2143; PO4
38.46Single7SCGFH2107SCG-μ-FH210-Gi1/β1/γ2
38.46Single7SQOTAK-9257SQO-OX2-TAK-925-Gi1/β1/γ2
38.46Single7UL4Alvimopan7UL4-μ-Alvimopan
38.46Single7UM55-CT7UM5-5-HT5A-5-CT-chim(NtGi1-Go)/β1/γ2
38.46Single7UM6Lisuride7UM6-5-HT5A-Lisuride-chim(NtGi1-Go)/β1/γ2
38.46Single7VIES1P7VIE-S1P1-S1P-Gi1/β1/γ2
38.46Single7WC7Lisuride7WC7-5-HT2A-Lisuride
38.46Single7X2CFenoldopam7X2C-D1-Fenoldopam-Fenoldopam-Gs/β1/γ2
38.46Single7XJHIsoprenaline7XJH-β3-Isoprenaline-Gs/β1/γ2
38.46Single7YACPaltusotine7YAC-SST2-Paltusotine-Gi1/β1/γ2
38.46Single8FY85-MeO-DMT8FY8-5-HT1A-5-MeO-DMT-PtdIns4P-Gi1/β1/γ1
38.46Single8JD0NAM5638JD0-mGlu2; mGlu3-Glutamate-NAM563
38.46Single8JLZST19368JLZ-5-HT6-ST1936-Gs/β1/γ2
38.46Single8T1WCVN4248T1W-GPR6-CVN424
38.46Single8UGYMianserin8UGY-5-HT1E-Mianserin-Gi1/β1/γ1
38.46Single8UH3Setiptiline8UH3-5-HT1E-Setiptiline-Gi1/β1/γ1
38.46Single8UNRConstrained Epinephrine8UNR-β2-Constrained Epinephrine-GTP-Gs/β1/γ2
38.46Single8UNUConstrained Epinephrine8UNU-β2-Constrained Epinephrine-GTP-Gs/β1/γ2
38.46Single8UWLLisuride8UWL-5-HT2A-Lisuride-chim(NtGi2-Gs-CtGq)/β1/γ2
38.46Single8VVGGB188VVG-κ-GB18-Gi1/β1/γ2
38.46Single8X17Namodenoson8X17-A3A-Namodenoson-Gi1/β1/γ2
38.46Single8X63Mepyramine8X63-H1-Mepyramine
38.46Single8X64Desloratadine8X64-H1-Desloratadine
38.46Single9AS1DMT9AS1-5-HT2A-DMT
38.46Single9CHXCarazolol9CHX-β2-Carazolol
38.46Single9D61JDTic9D61-κ-JDTic-Gi1/β1/γ2
38.46Single9DYFAsenapine9DYF-5-HT1A-Asenapine-PtdIns4P-Gi1/β1/γ2
38.46Single9KFJPubChem 1383196749KFJ-RXFP3-PubChem 138319674-Gi2/β1/γ2
38.46Single9KUXCMPD6449KUX-Apelin; Apelin-CMPD644-Arrestin2
38.46Single9PXWNaloxone9PXW-μ-Naloxone-GDPβS-Gi1/β1/γ2
38.46Consensus5ht1d_onOrthosteric Ligand7E32-5-HT1D-Serotonin-Gi1/β1/γ2
38.46Consensus5ht1d_on_gpOrthosteric Ligand7E32-5-HT1D-Serotonin-Gi1/β1/γ2
38.46Consensus5ht5_onOrthosteric Ligand5ht5a_on
38.46Consensus5ht5a_onOrthosteric Ligand7X5H-5-HT5A-5-CT-Gi1/β1/γ2 7UM6-5-HT5A-Lisuride-chim(NtGi1-Go)/β1/γ2 7UM7-5-HT5A-Methylergometrine-chim(NtGi1-Go)/β1/γ2
38.46Consensusa3_onOrthosteric Liganda3a_on
38.46Consensusalicarboxylic_on_gpOrthosteric Ligandsuccinate_on_gp hca_on_gp
38.46Consensusgi_alicarboxylicOrthosteric Ligandgi_hca gi_succinate
38.46Consensusgi_orexinOrthosteric Ligand7SQO-OX2-TAK-925-Gi1/β1/γ2
38.46Consensushistamine_offOrthosteric Ligandh1_off
37.50Single2YCZIodocyanopindolol2YCZ-β1-Iodocyanopindolol
37.50Single4BVNCyanopindolol4BVN-β1-Cyanopindolol-Na
37.50Single5TUDErgotamine5TUD-5-HT2B-Ergotamine
37.50Single5UNGPubChem 157800525UNG-AT2-PubChem 15780052
37.50Single5X93K-87945X93-ETB-K-8794
37.50Single6BQHRitanserin6BQH-5-HT2C-Ritanserin
37.50Single6H7LDobutamine6H7L-β1-Dobutamine
37.50Single6IBLArformoterol6IBL-β1-Arformoterol
37.50Single6TKOArformoterol6TKO-β1-Arformoterol-Arrestin2
37.50Single7JVRBromoergocryptine7JVR-D2-Bromoergocryptine-Gi1/β1/γ2
37.50Single7SK7CCX6627SK7-ACKR3-CXCL12-CCX662
37.50Single7SK8CCX6627SK8-ACKR3-CXCL12-CCX662
37.50Single7XJISolabegron7XJI-β3-Solabegron-Gs/β1/γ2
37.50Single8E0GBU728E0G-μ-BU72
37.50Single8GEJConstrained Epinephrine8GEJ-β2-Constrained Epinephrine-Gs/β1/γ2
37.50Single8S2TIsoprenaline8S2T-β1-Isoprenaline-chim(NtGi1-Gs)/β1/γ2
37.50Single8WCCCyclohexylammonium Ion8WCC-TA1-Cyclohexylammonium Ion
37.50Single8XIOL7975918XIO-SST1-L797591-chim(NtGi1-Gs-CtGi1)/β1/γ2
37.50Single9AS02-bromo-LSD9AS0-5-HT2A-2-bromo-LSD-chim(NtGi1-Gs-CtGq)/β1/γ2
37.50Single9CGJC6-Quino9CGJ-δ-C6-Quino-Gi1/β1/γ2
37.50Single9DYEBuspirone9DYE-5-HT1A-Buspirone-PtdIns4P-Go/β1/γ2
37.50Single9HYIDP819HYI-5-HT1A-DP81-Gi1/β1/γ2
37.50Consensus5ht2c_offOrthosteric Ligand6BQH-5-HT2C-Ritanserin
37.50Consensusbeta1_onOrthosteric Ligand8DCR-β1-Dobutamine-Gs/β1/γ2 7S0F-β1-Isoprenaline-Gi1/β1/γ2
37.50Consensusbeta1_on_gpOrthosteric Ligand8DCR-β1-Dobutamine-Gs/β1/γ2 7S0F-β1-Isoprenaline-Gi1/β1/γ2
37.50Consensusclass-a_onOrthosteric Ligandsensory_on alicarboxylic_on amine_on lipid_on nucleotide_on peptide_on protein_on
37.50Consensusd2_offOrthosteric Ligand6CM4-D2-Risperidone 6LUQ-D2-Haloperidol 7DFP-D2-Spiperone
37.50Consensusendothelin_offOrthosteric Ligandetb_off
37.50Consensusetb_offOrthosteric Ligand5X93-ETB-K-8794 5XPR-ETB-Bosentan 6K1Q-ETB-IRL2500
36.84Single5WF5UK-4320975WF5-A2A-UK-432097
36.36Single1L9H11-cis-Retinal1L9H-Rhodopsin-11-cis-Retinal
36.36Single1U1911-cis-Retinal1U19-Rhodopsin-11-cis-Retinal
36.36Single2G87All-trans-Retinal2G87-Rhodopsin-All-trans-Retinal
36.36Single2I3511-cis-Retinal2I35-Rhodopsin-11-cis-Retinal
36.36Single3PBLEticlopride3PBL-D3-Eticlopride
36.36Single5TE520-Methanoretinal5TE5-Rhodopsin-20-Methanoretinal
36.36Single7DD5Ca; Ca; Tryptophan; NPS-21437DD5-CaS; CaS-Ca-Ca; Ca; Tryptophan; NPS-2143
36.36Single7E2YSerotonin7E2Y-5-HT1A-Serotonin-PtdIns4P-Gi1/β1/γ2
36.36Single7V68Iperoxo7V68-M4-Iperoxo-LY2119620-Gi1/β1/γ2
36.36Single7XT9Serotonin7XT9-5-HT4-Serotonin-Gs/β1/γ2
36.36Single7XTASerotonin7XTA-5-HT4-Serotonin-Gi1/β1/γ2
36.36Single7XTBSerotonin7XTB-5-HT6-Serotonin-Gs/β1/γ2
36.36Single7YS6Serotonin7YS6-5-HT6-Serotonin-chim(NtGi1-Gs)/β1/γ2
36.36Single8EF6Morphine8EF6-μ-Morphine-Gi1/β1/γ2
36.36Single8H2GNiacin8H2G-HCA2-Niacin-Gi1/β1/γ2
36.36Single8K5BNiacin8K5B-HCA2-Niacin
36.36Single8UO4Constrained Epinephrine8UO4-β2-Constrained Epinephrine-GTP; Mg-Gs/β1/γ2
36.36Single8YH3N-methyladenosine8YH3-A3A-N-methyladenosine-Gi1/β1/γ2
36.36Single8YKWSuccinic acid8YKW-Succinate-Succinic acid-Gi1/β1/γ1
36.36Single8YN2Histamine8YN2-H1-Histamine-chim(NtGi1L-Gs-CtGq)/β1/γ2
36.36Single9AS2DMT9AS2-5-HT2A-DMT-chim(NtGi1-Gs-CtGq)/β1/γ2
36.36Single9AS7Psilocin9AS7-5-HT2A-Psilocin
36.36Single9EPRAll-trans-Retinal9EPR-Rhodopsin-All-trans-Retinal-Gi1/β1/γ2
36.36Single9KUWCMPD6449KUW-Apelin; Apelin-CMPD644-Arrestin2 ; Arrestin2
36.36Consensus5ht4_onOrthosteric Ligand7XTA-5-HT4-Serotonin-Gi1/β1/γ2
36.36Consensus5ht4_on_gpOrthosteric Ligand7XTA-5-HT4-Serotonin-Gi1/β1/γ2
36.36Consensusd3_offOrthosteric Ligand3PBL-D3-Eticlopride
35.71Single2Y00Dobutamine2Y00-β1-Dobutamine
35.71Single4RWDDIPP-NH24RWD-δ-DIPP-NH2-Na
35.71Single5CGCHTL142425CGC-mGlu5-HTL14242
35.71Single5TVNLSD5TVN-5-HT2B-LSD
35.71Single5WIUNemonapride5WIU-D4-Nemonapride
35.71Single5WIVNemonapride5WIV-D4-Nemonapride-Na
35.71Single5WQCEMPA5WQC-OX2-EMPA
35.71Single6E67BI1671076E67-β2-BI167107-Gs(CT)
35.71Single6GDGNECA6GDG-A2A-NECA-Gs/β1/γ1
35.71Single6ME62-Phenylmelatonin6ME6-MT2-2-Phenylmelatonin
35.71Single6ME82-Phenylmelatonin6ME8-MT2-2-Phenylmelatonin
35.71Single7EO2FTY720-P7EO2-S1P1-FTY720-P-Gi1/β1/γ2
35.71Single7EPFNAM5977EPF-mGlu2-NAM597
35.71Single7M3JNPS-2143; PO47M3J-CaS; CaS-NPS-2143; PO4
35.71Single7SBFPZM217SBF-μ-PZM21-Gi1/β1/γ2
35.71Single7VOEAripiprazole7VOE-5-HT2A-Aripiprazole
35.71Single7VUHJNJ-635330547VUH-GPR139-JNJ-63533054-chim(Gs-CtGq)/β1/γ2
35.71Single7WIGL-0542647WIG-SST2-L-054264-Gi1/β1/γ2
35.71Single8C9WEtrumadenant8C9W-A2A-Etrumadenant
35.71Single8HNLPS3724248HNL-CXCR3-PS372424-Gi1/β1/γ2
35.71Single8J6JGSK2560738J6J-HCA2-GSK256073-Gi1/β1/γ2
35.71Single8S4DCMF-0198S4D-Apelin-CMF-019
35.71Single8X0CVU04244658X0C-mGlu5; mGlu5-Quisqualate-VU0424465
35.71Single8X0DVU04244658X0D-mGlu5; mGlu5-Quisqualate-VU0424465
35.71Single8X0DVU04244658X0D-mGlu5; mGlu5-Quisqualate-VU0424465
35.71Single8XYKVUF106618XYK-CXCR3-VUF10661-Go/β1/γ2
35.71Single8YH0NECA8YH0-A3A-NECA-Gi1/β1/γ2
35.71Single8YICSAR2477998YIC-S1P1-SAR247799-Gi1/β1/γ2
35.71Single8ZMFPubChem 1719206738ZMF-5-HT2C-PubChem 171920673
35.71Single8ZRKGSK12922638ZRK-GPR119-GSK1292263-Gs/β1/γ2
35.71Single9AXFCa; Ca; Ca; Cyclomethyltryptophan; R-568; PO49AXF-CaS; CaS-Ca-Ca; Ca; Ca; Cyclomethyltryptophan; R-568; PO4-chim(NtGi1-Gs-CtGq)/β1/γ2
35.71Single9DYDAsenapine9DYD-5-HT1A-Asenapine-PtdIns4P-Go/β1/γ2
35.71Single9HAPTolvaptan9HAP-V2-Tolvaptan
35.71Single9I52A1IZU9I52-D1-A1IZU-Gs/β1/γ2
35.71Single9K07DSO-5a9K07-BB3-DSO-5a-chim(NtGi2L-Gs-CtGq)/β1/γ2
35.71Single9L74S1P d16:19L74-S1P3-S1P d16:1-chim(NtGi2L-Gs-CtGq)/β1/γ2
35.71Single9U81Tolvaptan9U81-V2-Tolvaptan
35.71Consensus5ht1_onOrthosteric Ligand5ht1a_on 5ht1d_on 5ht1e_on 5ht1f_on
35.71Consensus5ht1_on_gpOrthosteric Ligand5ht1a_on_gp 5ht1d_on_gp 5ht1e_on_gp 5ht1f_on_gp
35.71Consensus5ht1e_on_gpOrthosteric Ligand7E33-5-HT1E-BRL-54443-Gi1/β1/γ2 8UGY-5-HT1E-Mianserin-Gi1/β1/γ1 8UH3-5-HT1E-Setiptiline-Gi1/β1/γ1
35.71Consensusa3_on_gpOrthosteric Liganda3a_on_gp
35.71Consensusa3a_onOrthosteric Ligand8X17-A3A-Namodenoson-Gi1/β1/γ2 8X16-A3A-Piclidenoson-Gi1/β1/γ2
35.71Consensusa3a_on_gpOrthosteric Ligand8X17-A3A-Namodenoson-Gi1/β1/γ2 8X16-A3A-Piclidenoson-Gi1/β1/γ2
35.71Consensusd1_onOrthosteric Ligand7F0T-D1-Dopamine-Gs/β1/γ2 7CKY-D1-PW0464-Gs/β1/γ2 8IRR-D1-Rotigotine-Gs/β1/γ2 7JV5-D1-SKF81297-Gs/β1/γ2 7JVP-D1-SKF83959-Gs/β1/γ2 7X2D-D1-Tavapadon-Gs/β1/γ2 7CKX-D1-A77636-Gs/β1/γ2 7JVQ-D1-Apomorphine-Gs/β1/γ2 7CKW-D1-Fenoldopam-Gs/β1/γ2
35.71Consensush1_offOrthosteric Ligand8X63-H1-Mepyramine 3RZE-H1-Cidoxepin 8X5Y-H1-Astemizole
35.29Single3NY9PubChem 9131033NY9-β2-PubChem 913103
35.29Single5ZTYAM102575ZTY-CB2-AM10257
35.29Single6PT3DPI-2876PT3-δ-DPI-287
35.29Single8IUMTafluprost acid8IUM-FP-alpha-Tafluprost acid-chim(NtGi1-Gs-CtGq)/β1/γ2
35.29Single8JLRA776368JLR-TA1-A77636-chim(NtGi1-Gs)/β1/γ2
35.29Single8X5YAstemizole8X5Y-H1-Astemizole
35.29Single9CGKC5-Quino9CGK-δ-C5-Quino-Gi1/β1/γ2
35.29Single9MD1Buspirone9MD1-5-HT1A-Buspirone-PtdIns4P-Gz/β1/γ2
35.29Consensuscb2_offOrthosteric Ligand5ZTY-CB2-AM10257
33.33Single1GZM11-cis-Retinal1GZM-Rhodopsin-11-cis-Retinal
33.33Single2PED9-cis-Retinal2PED-Rhodopsin-9-cis-Retinal
33.33Single3C9L11-cis-Retinal3C9L-Rhodopsin-11-cis-Retinal
33.33Single3P0GBI1671073P0G-β2-BI167107
33.33Single3PXOAll-trans-Retinal3PXO-Rhodopsin-All-trans-Retinal
33.33Single3SN6BI1671073SN6-β2-BI167107-Gs/β1/γ2
33.33Single3V2WPubChem 518926453V2W-S1P1-PubChem 51892645
33.33Single4AMJCarvedilol4AMJ-β1-Carvedilol
33.33Single4DJHJDTic4DJH-κ-JDTic
33.33Single4IARErgotamine4IAR-5-HT1B-Ergotamine
33.33Single4OO9Mavoglurant4OO9-mGlu5-Mavoglurant
33.33Single5DYSAll-trans-Retinal5DYS-Rhodopsin-All-trans-Retinal
33.33Single5UNFPubChem 157800525UNF-AT2-PubChem 15780052
33.33Single5V54Methiothepin5V54-5-HT1B-Methiothepin
33.33Single5WS3EMPA5WS3-OX2-EMPA
33.33Single5ZHPPubChem 1348285895ZHP-M3-PubChem 134828589
33.33Single6B73MP11046B73-κ-MP1104
33.33Single6DS0LY2660976DS0-5-HT2B-LY266097
33.33Single6GT3Imaradenant6GT3-A2A-Imaradenant-Na
33.33Single6J21Aprepitant6J21-NK1-Aprepitant
33.33Single6NI3BI1671076NI3-β2-BI167107-Gs/β1/γ2
33.33Single6WGTLSD6WGT-5-HT2A-LSD
33.33Single7B6WCyclazosin7B6W-α1b-Cyclazosin
33.33Single7DHRIsoprenaline7DHR-β2-Isoprenaline-Gs/β1/γ2
33.33Single7EW1Siponimod7EW1-S1P5-Siponimod-Gi1/β1/γ2
33.33Single7EW7SEW28717EW7-S1P1-SEW2871-Gi1/β1/γ2
33.33Single7F1ODopamine7F1O-D1-Dopamine-GDP; Mg-Gs/β1/γ2
33.33Single7JVPSKF839597JVP-D1-SKF83959-Gs/β1/γ2
33.33Single7LJDDopamine7LJD-D1-Dopamine-Mevidalen-Gs/β1/γ1
33.33Single7SRSLSD7SRS-5-HT2B-LSD-Arrestin2
33.33Single7VIHCBP-3077VIH-S1P1-CBP-307-Gi1/β1/γ2
33.33Single7W0PElabela7W0P-Apelin-Elabela-Gi1/β1/γ2
33.33Single7WC4Serotonin7WC4-5-HT2A-Serotonin
33.33Single7X2FDopamine7X2F-D1-Dopamine-Mevidalen-Gs/β1/γ2
33.33Single7X5H5-CT7X5H-5-HT5A-5-CT-Gi1/β1/γ2
33.33Single7XT8Serotonin7XT8-5-HT4-Serotonin-Gs/β1/γ2
33.33Single7XTQR3997XTQ-GPBA-R399-Gs/β1/γ2
33.33Single7XY7NECA7XY7-A2B-NECA-chim(NtGi1-Gs)/β1/γ2
33.33Single8A6CAll-trans-Retinal8A6C-Rhodopsin-All-trans-Retinal
33.33Single8A6DAll-trans-Retinal8A6D-Rhodopsin-All-trans-Retinal
33.33Single8A6EAll-trans-Retinal8A6E-Rhodopsin-All-trans-Retinal
33.33Single8DCRDobutamine8DCR-β1-Dobutamine-Gs/β1/γ2
33.33Single8DCSCyanopindolol8DCS-β1-Cyanopindolol-Gs/β1/γ2
33.33Single8EFLSR170188EFL-μ-SR17018-Gi1/β1/γ2
33.33Single8FYLVilazodone8FYL-5-HT1A-Vilazodone-PtdIns4P-Gi1/β1/γ1
33.33Single8HDPAdenosine8HDP-A2B-Adenosine-Gs/β1/γ2
33.33Single8IJANiacin8IJA-HCA2-Niacin-Gi1/β1/γ2
33.33Single8IUKPGF2-alpha8IUK-FP-alpha-PGF2-α-chim(NtGi1-Gs-CtGq)/β1/γ2
33.33Single8J6LNiacin8J6L-HCA2-Niacin-Gi1/β1/γ2
33.33Single8JLPRalmitaront8JLP-TA1-Ralmitaront-Gs/β1/γ2
33.33Single8JT6(R)-IHCH-71798JT6-5-HT1A-(R)-IHCH-7179-PtdIns4P-Gi1/β1/γ2
33.33Single8PKMBefiradol8PKM-5-HT1A-Befiradol-Gi1/β1/γ1
33.33Single8UGWCGS216808UGW-A2A-CGS21680
33.33Single8UNSConstrained Epinephrine8UNS-β2-Constrained Epinephrine-GTP-Gs/β1/γ2
33.33Single8UNTConstrained Epinephrine8UNT-β2-Constrained Epinephrine-GTP-Gs/β1/γ2
33.33Single8VVEnorBNI8VVE-κ-norBNI-Gi1/β1/γ2
33.33Single8WOGSuccinic acid8WOG-Succinate-Succinic acid-Gi1/β1/γ2
33.33Single8WU1MDMB-Fubinaca8WU1-CB1-MDMB-Fubinaca-Arrestin2
33.33Single8X79MRE-2698X79-I2-MRE-269-Gs/β1/γ2
33.33Single8XJMLatanoprost8XJM-FP-alpha-Latanoprost-chim(NtGi2-Gs-CtGq)/β1/γ2
33.33Single8XVLZibotentan8XVL-ETA-Zibotentan
33.33Single8YH6Namodenoson8YH6-A3A-Namodenoson-Gi1/β1/γ2
33.33Single8YKXMaleic acid8YKX-Succinate-Maleic acid-Gi1/β1/γ1
33.33Single8YUTAmthamine8YUT-H2-Amthamine-Gs/β1/γ2
33.33Single8YYWAlpha-ketoglutarate8YYW-Oxoglutarate-α-ketoglutarate-α-ketoglutarate-chim(Gi1-CtGq)/β1/γ2
33.33Single8Z87CHBA8Z87-HCA1-CHBA-Gi1/β1/γ2
33.33Single8ZSPLSD8ZSP-TA1-LSD-chim(NtGi1L-Gs)/β1/γ2
33.33Single9BUYLM1899BUY-β2-LM189-Gi1/β1/γ2
33.33Single9IK9Lanreotide9IK9-SST1-Lanreotide-Gi1/β1/γ2
33.33Single9JIDNiacin9JID-HCA3-Niacin-Gi1/β1/γ2
33.33Single9JMCDS-3801b9JMC-Motilin-DS-3801b-chim(Gs-CtGq)/β1/γ2
33.33Single9K6LSalicin9K6L-TAS2R16-Salicin-Gi2/β1/γ2
33.33Single9KUXCMPD6449KUX-Apelin; Apelin-CMPD644-Arrestin2
33.33Single9KVPSB2901579KVP-C3aB-SB290157-Go/β1/γ2
33.33Single9LL9DOI9LL9-5-HT2A-DOI-chim(NtGi1L-Gs-CtGq)/β1/γ2
33.33Single9LRBHistamine9LRB-H1-Histamine-Gs/β1/γ2
33.33Single9M4TSilodosin9M4T-Alpha1A-Silodosin
33.33Single9M88Oleic monoethanolamide9M88-GPR3 ; GPR3-Oleic monoethanolamide-AF64394
33.33Single9PY4Loperamide9PY4-μ-Loperamide-GDPβS-Gi1/β1/γ2
33.33Single9WSTDAMGO9WST-μ-DAMGO-chim(NtGi1-Gz)/β1/γ2
33.33Consensus5ht1_offOrthosteric Ligand5ht1b_off
33.33Consensus5ht1b_offOrthosteric Ligand5V54-5-HT1B-Methiothepin
33.33Consensus5ht_onOrthosteric Ligand5ht1_on 5ht2_on 5ht4_on 5ht5_on 5ht6_on 5ht7_on
33.33Consensusangiotensin_offOrthosteric Ligandat1_off
33.33Consensusclass-a_offOrthosteric Ligandsensory_off alicarboxylic_off amine_off lipid_off nucleotide_off peptide_off protein_off
33.33Consensusclass-a_on_gpOrthosteric Ligandsensory_on_gp alicarboxylic_on_gp amine_on_gp lipid_on_gp nucleotide_on_gp peptide_on_gp protein_on_gp
33.33Consensusgi_opioidOrthosteric Ligand8F7R-μ-Endomorphin-Gi1/β1/γ2 8EF5-μ-Fentanyl-Gi1/β1/γ2 7SCG-μ-FH210-Gi1/β1/γ2 7T2H-μ-Lofentanil-Gi1/β1/γ2 7T2G-μ-Mitragynine Pseudoindoxyl-Gi1/β1/γ2 8DZP-κ-momSalB-Gi1/β1/γ2 8EF6-μ-Morphine-Gi1/β1/γ2 8F7X-NOP-Nociceptin-Gi1/β1/γ2 8EFB-μ-Oliceridine-Gi1/β1/γ2 7U2L-μ-C5-guano-Gi1/β1/γ2 8EFO-μ-PZM21-Gi1/β1/γ2 8EFL-μ-SR17018-Gi1/β1/γ2 8F7Q-μ-β-Endorphin-Gi1/β1/γ2 7U2K-μ-C6-guano-Gi1/β1/γ2 8EFQ-μ-DAMGO-Gi1/β1/γ2 8F7S-δ-Deltorphin-Gi1/β1/γ2 8F7W-κ-Dynorphin-Gi1/β1/γ2
33.33Consensusgi_succinateOrthosteric Ligand8YKW-Succinate-Succinic acid-Gi1/β1/γ1 8YKX-Succinate-Maleic acid-Gi1/β1/γ1
33.33Consensusgs_5htOrthosteric Ligand7XTC-5-HT7-5-CT-Gs/β1/γ2 7XTB-5-HT6-Serotonin-Gs/β1/γ2 8JLZ-5-HT6-ST1936-Gs/β1/γ2 7XT8-5-HT4-Serotonin-Gs/β1/γ2
33.33Consensuskop_offOrthosteric Ligand4DJH-κ-JDTic
33.33Consensusmop_offOrthosteric Ligand4DKL-μ-β-Funaltrexamine 8QOT-μ-Nanobody-E 7UL4-μ-Alvimopan
33.33Consensusorexin_offOrthosteric Ligandox2_off ox1_off
33.33Consensusox1_offOrthosteric Ligand6TP6-OX1-Filorexant 6TP4-OX1-ACT-462206 6V9S-OX1-GTPL11403 6TOT-OX1-Lemborexant 6TP3-OX1-Nemorexant 6TQ6-OX1-PubChem 145714283 6TQ9-OX1-SB-408124 4ZJC-OX1-SB-674042 4ZJ8-OX1-Suvorexant 6TOD-OX1-EMPA-Na 6TOS-OX1-GSK1059865-Na 6TQ4-OX1-PubChem 16046844-Na
33.33Consensusox2_offOrthosteric Ligand5WQC-OX2-EMPA 6TPN-OX2-HTL6641 7XRR-OX2-Lemborexant 6TPJ-OX2-Suvorexant
33.33Consensusrhodopsin_offOrthosteric Ligand1U19-Rhodopsin-11-cis-Retinal 2PED-Rhodopsin-9-cis-Retinal 5TE5-Rhodopsin-20-Methanoretinal
33.33Consensuss1p1_offOrthosteric Ligand3V2W-S1P1-PubChem 51892645
33.33Consensuss1p5_onOrthosteric Ligand7EW1-S1P5-Siponimod-Gi1/β1/γ2
33.33Consensuss1p5_on_gpOrthosteric Ligand7EW1-S1P5-Siponimod-Gi1/β1/γ2
33.33Consensussensory_offonOrthosteric Ligandsensory_off sensory_on
33.33Consensussensory_offon_gpOrthosteric Ligandsensory_on_gp sensory_on
33.33Consensussuccinate_onOrthosteric Ligand8YKW-Succinate-Succinic acid-Gi1/β1/γ1 8YKX-Succinate-Maleic acid-Gi1/β1/γ1
33.33Consensussuccinate_on_gpOrthosteric Ligand8YKW-Succinate-Succinic acid-Gi1/β1/γ1 8YKX-Succinate-Maleic acid-Gi1/β1/γ1
31.58Consensusgq_class-aOrthosteric Ligandgq_peptide gq_amine gq_nucleotide
31.25Single2YCXCyanopindolol2YCX-β1-Cyanopindolol
31.25Single5F8UCyanopindolol5F8U-β1-Cyanopindolol
31.25Single5UNHPubChem 1264564065UNH-AT2-PubChem 126456406
31.25Single6MXTSalmeterol6MXT-β2-Salmeterol
31.25Single7BZ2Arformoterol7BZ2-β2-Arformoterol-Gs/β1/γ2
31.25Single7DH5Mirabegron7DH5-β3-Mirabegron-Gs/β1/γ2
31.25Single7EPENAM5637EPE-mGlu2-NAM563
31.25Single7EVYSiponimod7EVY-S1P1-Siponimod-Gi1/β1/γ2
31.25Single7EXDLasmiditan7EXD-5-HT1F-Lasmiditan-Gi1/β1/γ2
31.25Single7K15MKD0467K15-BLT1-MKD046-Na
31.25Single7L1VPubChem 1554910097L1V-OX2-PubChem 155491009-chim(NtGi1-Gs-CtGq)/β1/γ2
31.25Single7W0LPubChem 1227019087W0L-Apelin; Apelin-PubChem 122701908-Gi1/β1/γ2
31.25Single7WCNAR2314537WCN-GPR119-AR231453-Gs/β1/γ2
31.25Single7XW9TRH7XW9-TRH-TRH-chim(NtGi1L-Gs-CtGq)/β1/γ2
31.25Single8JJLOlodaterol8JJL-β2-Olodaterol
31.25Single8JZ7MK68928JZ7-HCA2-MK6892-Gi1/β1/γ2
31.25Single8W1VPubChem 1717162658W1V-β2-PubChem 171716265
31.25Single8XYIVUF106618XYI-CXCR3-VUF10661
31.25Single9M4QDoxazosin9M4Q-Alpha1A-Doxazosin
31.25Single9WSVDAMGO9WSV-μ-DAMGO-Arrestin2
31.25Single9YDQDADLE9YDQ-δ-DADLE-MIPS3614-chim(NtGi1L-Gs-CtGi1)/β1/γ2
31.25Consensus5ht1f_onOrthosteric Ligand7EXD-5-HT1F-Lasmiditan-Gi1/β1/γ2
31.25Consensus5ht1f_on_gpOrthosteric Ligand7EXD-5-HT1F-Lasmiditan-Gi1/β1/γ2
31.25Consensuskop_onOrthosteric Ligand8F7W-κ-Dynorphin-Gi1/β1/γ2 8DZS-κ-GR89,696-chim(NtGi2-Gz)/β1/γ2 8DZP-κ-momSalB-Gi1/β1/γ2
31.25Consensusnk1_offOrthosteric Ligand6HLP-NK1-Netupitant 6HLO-NK1-Aprepitant 6HLL-NK1-CP99994 6E59-NK1-L-760735
31.25Consensusorexin_onOrthosteric Ligandox2_on
31.25Consensuss1p1_onOrthosteric Ligand7VIE-S1P1-S1P-Gi1/β1/γ2 7VIF-S1P1-FTY720-P-Gi1/β1/γ2 7VIG-S1P1-CBP-307-Gi1/β1/γ2 7EVY-S1P1-Siponimod-Gi1/β1/γ2 7EVZ-S1P1-Cenerimod-Gi1/β1/γ2 7EW0-S1P1-Ozanimod-Gi1/β1/γ2 7EW7-S1P1-SEW2871-Gi1/β1/γ2
31.25Consensuss1p1_on_gpOrthosteric Ligand7VIE-S1P1-S1P-Gi1/β1/γ2 7VIF-S1P1-FTY720-P-Gi1/β1/γ2 7VIG-S1P1-CBP-307-Gi1/β1/γ2 7EVY-S1P1-Siponimod-Gi1/β1/γ2 7EVZ-S1P1-Cenerimod-Gi1/β1/γ2 7EW0-S1P1-Ozanimod-Gi1/β1/γ2 7EW7-S1P1-SEW2871-Gi1/β1/γ2
31.25Consensustrh_onOrthosteric Ligand7XW9-TRH-TRH-chim(NtGi1L-Gs-CtGq)/β1/γ2
31.25Consensustrh_on_gpOrthosteric Ligand7XW9-TRH-TRH-chim(NtGi1L-Gs-CtGq)/β1/γ2
30.77Single1F8811-cis-Retinal1F88-Rhodopsin-11-cis-Retinal
30.77Single3OAX11-cis-Retinal3OAX-Rhodopsin-11-cis-Retinal
30.77Single3RZECidoxepin3RZE-H1-Cidoxepin
30.77Single3UZCPubChem 1355666093UZC-A2A-PubChem 135566609
30.77Single3V2YPubChem 518926453V2Y-S1P1-PubChem 51892645
30.77Single4ZUDOlmesartan4ZUD-AT1-Olmesartan
30.77Single6A94Zotepine6A94-5-HT2A-Zotepine
30.77Single6FFIMPEP6FFI-mGlu5-MPEP
30.77Single6IQLL7458706IQL-D4-L745870
30.77Single6TPNHTL66416TPN-OX2-HTL6641
30.77Single6V9SGTPL114036V9S-OX1-GTPL11403
30.77Single6ZG9GSK10347026ZG9-M1-GSK1034702
30.77Single7CKWFenoldopam7CKW-D1-Fenoldopam-Gs/β1/γ2
30.77Single7WC9PubChem 1624213647WC9-5-HT2A-PubChem 162421364
30.77Single7ZBC11-cis-Retinal7ZBC-Rhodopsin-11-cis-Retinal
30.77Single7ZBE11-cis-Retinal7ZBE-Rhodopsin-11-cis-Retinal
30.77Single8FCZ11-cis-Retinal8FCZ-Rhodopsin-11-cis-Retinal
30.77Single8GURCP559408GUR-CB2-CP55940-Gi1/β1/γ2
30.77Single8IHKAcifran8IHK-HCA3-Acifran
30.77Single8IY9Niacin8IY9-HCA2-Niacin-Go/β1/γ2
30.77Single8JERAcipimox8JER-HCA2-Acipimox-Go/β1/γ2
30.77Single8JIMMonomethyl fumarate8JIM-HCA2-Monomethyl fumarate-Gi1/β1/γ2
30.77Single8JSPUlotaront8JSP-5-HT1A-Ulotaront-Gi1/β1/γ2
30.77Single8K5CAcipimox8K5C-HCA2-Acipimox
30.77Single8K9KDAMGO8K9K-μ-DAMGO-Gi3/β1/γ1
30.77Single8RLNLUF58348RLN-A2A-LUF5834
30.77Single8UO1Constrained Epinephrine8UO1-β2-Constrained Epinephrine-GTP; Mg-Gs/β1/γ2
30.77Single8Y01All-trans-Retinal8Y01-Opsin1MW-All-trans-Retinal-Gi1/β1/γ2
30.77Single8Y53MK50468Y53-BB3-MK5046-chim(NtGi1-Gs-CtGq)/β1/γ2
30.77Single8ZBWQuin-C18ZBW-FPR2-ALX-Quin-C1-Gi2/β1/γ2
30.77Single8ZMGPimavanserin8ZMG-5-HT2A-Pimavanserin
30.77Single9ARXSerotonin9ARX-5-HT2A-Serotonin
30.77Single9KUWCMPD6449KUW-Apelin; Apelin-CMPD644-Arrestin2 ; Arrestin2
30.77Single9L8LBI1671079L8L-β2-BI167107-Atazanavir-Gs/β1/γ2 ; Arrestin2
30.77Single9LL8Psilocin9LL8-5-HT2A-Psilocin-Gi1/β1/γ2
30.77Single9PY2Loperamide9PY2-μ-Loperamide-GDPβS-Gi1/β1/γ2
30.77Consensusat1_offOrthosteric Ligand4YAY-AT1-ZD-7155 4ZUD-AT1-Olmesartan
30.77Consensuscb1_offOrthosteric Ligand5U09-CB1-Taranabant 5TGZ-CB1-AM6538
30.77Consensusghrelin_offOrthosteric Ligand6KO5-Ghrelin-PubChem 57400002 7F83-Ghrelin-PF-05190457
30.77Consensushca_onOrthosteric Ligandhca2_on
30.77Consensusnop_offOrthosteric Ligand4EA3-NOP-PubChem 10296561 5DHG-NOP-C-35 5DHH-NOP-SB-612111
30.77Consensusopsins_offOrthosteric Ligandrhodopsin_off
30.77Consensussensory_offOrthosteric Ligandopsins_off
30.43Single7EIBKallidin-des-Arg107EIB-BK1-Kallidin-des-Arg10-chim(NtGi1-Gs-CtGq)/β1/γ2
30.43Single8FEG(DNCP)-Beta-Naloxamine8FEG-κ-(DNCP)-β-Naloxamine-Gi1/β1/γ2
30.00Single2HPYAll-trans-Retinal2HPY-Rhodopsin-All-trans-Retinal
30.00Single6PT2KGCHM076PT2-δ-KGCHM07
30.00Single7DD5Ca; Ca; Tryptophan; NPS-21437DD5-CaS; CaS-Ca-Ca; Ca; Tryptophan; NPS-2143
30.00Single7MTBAll-trans-Retinal7MTB-Rhodopsin-All-trans-Retinal-GRK1
30.00Single8XGUTAK4488XGU-Kiss1-TAK448-Gi1/β1/γ2
30.00Single8XIQL7967788XIQ-SST3-L796778-chim(NtGi1-Gs-CtGi1)/β1/γ2
30.00Single8XOFLys058XOF-GPR30-Lys05-chim(NtGi1-Gs-CtGq)/β1/γ2
30.00Single9B54VIP369B54-CB1-VIP36-Gi1/β1/γ2
30.00Consensusopsins_onOrthosteric Ligandrhodopsin_on opsin1lw_on
30.00Consensussensory_onOrthosteric Ligandopsins_on
29.41Single4NC3Ergotamine4NC3-5-HT2B-Ergotamine
29.41Single5CGDHTL142425CGD-mGlu5-HTL14242
29.41Single6BQGErgotamine6BQG-5-HT2C-Ergotamine
29.41Single6DDFDAMGO6DDF-μ-DAMGO-Gi1/β1/γ2
29.41Single7EVZCenerimod7EVZ-S1P1-Cenerimod-Gi1/β1/γ2
29.41Single7EW0Ozanimod7EW0-S1P1-Ozanimod-Gi1/β1/γ2
29.41Single7EZCUK-4320977EZC-A2A-UK-432097
29.41Single7MTSADX551647MTS-mGlu2; mGlu2-Glutamate-ADX55164-Gi1/β1/γ2
29.41Single7UM4AS26747237UM4-5-HT5A-AS2674723
29.41Single7VGY2-Iodomelatonin7VGY-MT1-2-Iodomelatonin-Gi1/β1/γ2
29.41Single7X1UTRH7X1U-TRH-TRH-chim(NtGi2L-Gs-CtGq)/β1/γ2
29.41Single7X2DTavapadon7X2D-D1-Tavapadon-Gs/β1/γ2
29.41Single7XK2MK68927XK2-HCA2-MK6892-Gi1/β1/γ2
29.41Single7XZ6APD6687XZ6-GPR119-APD668-Gs/β1/γ2
29.41Single8ID8TUG-8918ID8-FFA4-TUG-891-Gi1/β1/γ2
29.41Single8IJDMK68928IJD-HCA2-MK6892-Gi1/β1/γ2
29.41Single8IULLatanoprost8IUL-FP-alpha-Latanoprost-chim(NtGi1-Gs-CtGq)/β1/γ2
29.41Single8XGSKisspeptin-18XGS-Kiss1-Kisspeptin-1-chim(NtGi1-Gq)/β1/γ2
29.41Single8XJKCloprosetnol8XJK-FP-alpha-Cloprosetnol-chim(NtGi1-Gs-CtGq)/β1/γ2
29.41Single8XVJMacitentan8XVJ-ETA-Macitentan
29.41Single9IZFLPA9IZF-LPA1-LPA-Gi1/β1/γ2
29.41Single9KUGEP679KUG-C5a1-EP67-Go/β1/γ2
29.41Single9L79AR2314539L79-GPR119-AR231453-chim(NtGi1-Gs)/β1/γ2
29.41Single9M54Neuropeptide-VF9M54-NPFF2-Neuropeptide-VF-Gi1/β1/γ2
29.41Single9WP9S1P9WP9-S1P3-S1P-chim(NtGi2L-Gs-CtGq)/β1/γ2
29.41Single9YDPDADLE9YDP-δ-DADLE-chim(NtGi1L-Gs-CtGi1)/β1/γ2
29.41Consensusfp-alpha_onOrthosteric Ligand8IUK-FP-alpha-PGF2-α-chim(NtGi1-Gs-CtGq)/β1/γ2 8IUL-FP-alpha-Latanoprost-chim(NtGi1-Gs-CtGq)/β1/γ2 8IUM-FP-alpha-Tafluprost acid-chim(NtGi1-Gs-CtGq)/β1/γ2
29.41Consensusfp-alpha_on_gpOrthosteric Ligand8IUK-FP-alpha-PGF2-α-chim(NtGi1-Gs-CtGq)/β1/γ2 8IUL-FP-alpha-Latanoprost-chim(NtGi1-Gs-CtGq)/β1/γ2 8IUM-FP-alpha-Tafluprost acid-chim(NtGi1-Gs-CtGq)/β1/γ2
29.41Consensusgi_s1pOrthosteric Ligand7VIE-S1P1-S1P-Gi1/β1/γ2 7EW3-S1P3-S1P-Gi1/β1/γ2 7EVY-S1P1-Siponimod-Gi1/β1/γ2 7EW1-S1P5-Siponimod-Gi1/β1/γ2 7VIF-S1P1-FTY720-P-Gi1/β1/γ2 7VIG-S1P1-CBP-307-Gi1/β1/γ2 7EVZ-S1P1-Cenerimod-Gi1/β1/γ2 7EW4-S1P3-CYM-5541-Gi1/β1/γ2 7EW2-S1P3-FTY720-P-Gi1/β1/γ2 7EW0-S1P1-Ozanimod-Gi1/β1/γ2 7EW7-S1P1-SEW2871-Gi1/β1/γ2
29.41Consensuskop_on_gpOrthosteric Ligand8F7W-κ-Dynorphin-Gi1/β1/γ2 8DZS-κ-GR89,696-chim(NtGi2-Gz)/β1/γ2 8DZP-κ-momSalB-Gi1/β1/γ2
29.41Consensusnucleotide_on_gpOrthosteric Ligandadenosine_on_gp p2y_on_gp
29.41Consensusorexin_on_gpOrthosteric Ligandox2_on_gp
29.41Consensuspeptide_offOrthosteric Ligandcck_off angiotensin_off bombesin_off endothelin_off ghrelin_off npy_off opioid_off orexin_off somatostatin_off tachykinin_off vasop-oxy_off neurotensin_off
29.41Consensusprostanoid_offOrthosteric Ligandep_off dp_off
28.57Single1HZX11-cis-Retinal1HZX-Rhodopsin-11-cis-Retinal
28.57Single2Y02Carmoterol2Y02-β1-Carmoterol
28.57Single4X1HNonyl-Beta-D-Glucopyranoside4X1H-Rhodopsin-Nonyl-β-D-Glucopyranoside-Gt(CT)
28.57Single4YAYZD-71554YAY-AT1-ZD-7155
28.57Single5DHGC-355DHG-NOP-C-35
28.57Single5OLZPubChem 1355666095OLZ-A2A-PubChem 135566609-Na
28.57Single5OM1PubChem 1355666095OM1-A2A-PubChem 135566609-Na
28.57Single6FFHFenobam6FFH-mGlu5-Fenobam
28.57Single6GPSMK08126GPS-CCR2-MK0812
28.57Single6XBM25(S)-Epoxycholesterol6XBM-SMO-25(S)-Epoxycholesterol-Gi1/β1/γ2
28.57Single6Z10PubChem 1545855546Z10-Succinate-PubChem 154585554
28.57Single7JOZPubChem 752020227JOZ-D1-PubChem 75202022-Gs/β1/γ2
28.57Single7T6VfMLFII7T6V-FPR2-ALX-fMLFII-Gi1/β1/γ2
28.57Single7VGZRamelteon7VGZ-MT1-Ramelteon-Gi1/β1/γ2
28.57Single7VIFFTY720-P7VIF-S1P1-FTY720-P-Gi1/β1/γ2
28.57Single7VKTLTB47VKT-BLT1-LTB4-Gi1/β1/γ2
28.57Single7WC8Lumateperone7WC8-5-HT2A-Lumateperone
28.57Single7XTC5-CT7XTC-5-HT7-5-CT-Gs/β1/γ2
28.57Single8CICEtrumadenant8CIC-A2A-Etrumadenant-Na
28.57Single8CU7LJ-45178CU7-A2A-LJ-4517-Na
28.57Single8DZSGR89,6968DZS-κ-GR89,696-chim(NtGi2-Gz)/β1/γ2
28.57Single8I7VAcipimox8I7V-HCA2-Acipimox-Gi1/β1/γ2
28.57Single8IHJAcifran8IHJ-HCA3-Acifran-Gi1/β1/γ2
28.57Single8J6PNiacin8J6P-HCA2-Niacin-PubChem 25101223-Gi1/β1/γ2
28.57Single8JHNMonomethyl fumarate8JHN-HCA2-Monomethyl fumarate-Go/β1/γ2
28.57Single8JIINiacin8JII-HCA2-Niacin-PubChem 25101223-Gi1/β1/γ2
28.57Single8K5DGSK2560738K5D-HCA2-GSK256073
28.57Single8YH5Riboprine8YH5-A3A-Riboprine-Gi1/β1/γ2
28.57Single8ZQEGPR15L(CT)8ZQE-GPR15-GPR15L(CT)-Gi1/β1/γ1
28.57Single9BQJRO769BQJ-μ-RO76-Gi1/β1/γ2
28.57Single9EPP11,20-Ethanoretinal9EPP-Rhodopsin-11,20-Ethanoretinal-chim(Gi1-CtGq)/β1/γ2
28.57Single9JGKBalovaptan9JGK-5-HT2B-Balovaptan
28.57Single9JQZGrapiprant 9JQZ-EP4-Grapiprant
28.57Single9LLAAriadne9LLA-5-HT2A-Ariadne-chim(NtGi1L-Gs-CtGq)/β1/γ2
28.57Consensus5ht6_onOrthosteric Ligand7XTB-5-HT6-Serotonin-Gs/β1/γ2 8JLZ-5-HT6-ST1936-Gs/β1/γ2
28.57Consensus5ht6_on_gpOrthosteric Ligand7XTB-5-HT6-Serotonin-Gs/β1/γ2 8JLZ-5-HT6-ST1936-Gs/β1/γ2
28.57Consensus5ht7_onOrthosteric Ligand7XTC-5-HT7-5-CT-Gs/β1/γ2
28.57Consensus5ht7_on_gpOrthosteric Ligand7XTC-5-HT7-5-CT-Gs/β1/γ2
28.57Consensusblt1_onOrthosteric Ligand7VKT-BLT1-LTB4-Gi1/β1/γ2
28.57Consensusblt1_on_gpOrthosteric Ligand7VKT-BLT1-LTB4-Gi1/β1/γ2
28.57Consensusblt_onOrthosteric Ligandblt1_on
28.57Consensusblt_on_gpOrthosteric Ligandblt1_on_gp
28.57Consensusccr2_offOrthosteric Ligand6GPS-CCR2-MK0812
28.57Consensuscxcr3_on_gpOrthosteric Ligand8HNK-CXCR3-CXCL11-Gi1/β1/γ2 8HNL-CXCR3-PS372424-Gi1/β1/γ2
28.57Consensusgi_class-aOrthosteric Ligandgi_peptide gi_sensory gi_alicarboxylic gi_amine gi_lipid gi_nucleotide gi_protein
28.57Consensusgi_hcaOrthosteric Ligand8J6R-HCA2-MK6892-Gi1/β1/γ2 8JIM-HCA2-Monomethyl fumarate-Gi1/β1/γ2 8IHI-HCA2-Acifran-Gi1/β1/γ2 8IHH-HCA2-LUF6283-Gi1/β1/γ2 8I7V-HCA2-Acipimox-Gi1/β1/γ2 8I7W-HCA2-GSK256073-Gi1/β1/γ2
28.57Consensusgi_leukotrieneOrthosteric Ligand7VKT-BLT1-LTB4-Gi1/β1/γ2
28.57Consensushca2_onOrthosteric Ligand8J6R-HCA2-MK6892-Gi1/β1/γ2 8JIM-HCA2-Monomethyl fumarate-Gi1/β1/γ2 8I7V-HCA2-Acipimox-Gi1/β1/γ2 8I7W-HCA2-GSK256073-Gi1/β1/γ2 8IHH-HCA2-LUF6283-Gi1/β1/γ2 8IHI-HCA2-Acifran-Gi1/β1/γ2
28.57Consensushca2_on_gpOrthosteric Ligand8J6R-HCA2-MK6892-Gi1/β1/γ2 8IHI-HCA2-Acifran-Gi1/β1/γ2 8IHH-HCA2-LUF6283-Gi1/β1/γ2 8I7V-HCA2-Acipimox-Gi1/β1/γ2 8JIM-HCA2-Monomethyl fumarate-Gi1/β1/γ2 8I7W-HCA2-GSK256073-Gi1/β1/γ2
28.57Consensushca_on_gpOrthosteric Ligandhca2_on_gp
28.57Consensusleukotriene_onOrthosteric Ligandblt_on
28.57Consensusleukotriene_on_gpOrthosteric Ligandblt_on_gp
27.78Single5WF6UK-4320975WF6-A2A-UK-432097
27.78Single7XN9L-0545227XN9-SST2-L-054522
27.78Single7YJ4INSL57YJ4-RXFP4-INSL5-Gi2/β1/γ2
27.78Single8IA7Cholecystokinin-88IA7-CCKB-Cholecystokinin-8-chim(NtGi1L-Gq)/β1/γ2
27.78Single8X3LXWD8X3L-CB2-XWD-Gi1/β1/γ2
27.78Single8Y72Peptide8Y72-μ-Peptide-BMS-986122-Gi1/β1/γ2
27.78Single9M0RNeuropeptide-VF9M0R-NPFF1-Neuropeptide-VF-Gi1/β1/γ2
27.78Single9UMJEP549UMJ-C3aB-EP54-Go/β1/γ2
27.78Single9V2NMacimorelin9V2N-Ghrelin-Macimorelin-chim(NtGi1-Gs-CtGq)/β1/γ2
27.78Consensuscxcr3_onOrthosteric Ligand8HNK-CXCR3-CXCL11-Gi1/β1/γ2 8HNL-CXCR3-PS372424-Gi1/β1/γ2
27.78Consensusox2_onOrthosteric Ligand7L1V-OX2-PubChem 155491009-chim(NtGi1-Gs-CtGq)/β1/γ2 7SQO-OX2-TAK-925-Gi1/β1/γ2 7L1U-OX2-Orexin-chim(NtGi1-Gs-CtGq)/β1/γ2
27.78Consensusox2_on_gpOrthosteric Ligand7L1V-OX2-PubChem 155491009-chim(NtGi1-Gs-CtGq)/β1/γ2 7SQO-OX2-TAK-925-Gi1/β1/γ2 7L1U-OX2-Orexin-chim(NtGi1-Gs-CtGq)/β1/γ2
27.78Consensuss1p_onOrthosteric Ligands1p1_on s1p3_on s1p5_on
27.78Consensuss1p_on_gpOrthosteric Ligands1p1_on_gp s1p3_on_gp s1p5_on_gp
27.27Single3PQRAll-trans-Retinal3PQR-Rhodopsin-All-trans-Retinal-Gt(CT)
27.27Single3UZAGTPL92363UZA-A2A-GTPL9236
27.27Single7DD7Ca; Ca; Tryptophan; Evocalcet7DD7-CaS; CaS-Ca-Ca; Ca; Tryptophan; Evocalcet
27.27Single7MT8All-trans-Retinal7MT8-Rhodopsin-All-trans-Retinal-GRK1
27.27Single7WC5Psilocin7WC5-5-HT2A-Psilocin
27.27Single8IU2All-trans-Retinal8IU2-Opsin1LW-All-trans-Retinal-Gi1/β1/γ2
27.27Single8XGOTAK4488XGO-Kiss1-TAK448-chim(NtGi1-Gq)/β1/γ2
27.27Single9JKT(2R)-2-hydroxy-3-phenylpropanoic acid9JKT-HCA3-(2R)-2-hydroxy-3-phenylpropanoic acid-Gi1/β1/γ2
27.27Single9KT93,5-DHBA9KT9-HCA1-3,5-DHBA-Gi1/β1/γ2
27.27Single9LL7DOI9LL7-5-HT2A-DOI-Gi1/β1/γ2
27.27Consensuscml1_on_gpOrthosteric Ligand7YKD-CML1-Chemerin-9-Gi1/β1/γ2
27.27Consensusgi_opsinsOrthosteric Ligand8IU2-Opsin1LW-All-trans-Retinal-Gi1/β1/γ2
27.27Consensusgi_sensoryOrthosteric Ligandgi_opsins
27.27Consensusopioid_onOrthosteric Ligandmop_on nop_on dop_on kop_on
27.27Consensusopsin1lw_onOrthosteric Ligand8IU2-Opsin1LW-All-trans-Retinal-Gi1/β1/γ2
27.27Consensusopsin1lw_on_gpOrthosteric Ligand8IU2-Opsin1LW-All-trans-Retinal-Gi1/β1/γ2
27.27Consensusopsins_on_gpOrthosteric Ligandrhodopsin_on_gp opsin1lw_on_gp
27.27Consensusrhodopsin_onOrthosteric Ligand6OYA-Rhodopsin-All-trans-Retinal-Gt/β1/γ1
27.27Consensussensory_on_gpOrthosteric Ligandopsins_on_gp
26.67Single5OM4PubChem 1355666095OM4-A2A-PubChem 135566609-Na
26.67Single5XPRBosentan5XPR-ETB-Bosentan
26.67Single6D26Fevipiprant6D26-DP2-Fevipiprant
26.67Single6GPXMK08126GPX-CCR2-MK0812
26.67Single6HLPNetupitant6HLP-NK1-Netupitant
26.67Single6LUQHaloperidol6LUQ-D2-Haloperidol
26.67Single7C4SS1P7C4S-S1P3-S1P
26.67Single7CFNINT-7777CFN-GPBA-INT-777-Gs/β1/γ2
26.67Single7CKXA776367CKX-D1-A77636-Gs/β1/γ2
26.67Single7EUOfMLF7EUO-FPR1-ALX-fMLF-Gi1/β1/γ2
26.67Single7SINNPS-21437SIN-CaS; CaS-NPS-2143
26.67Single7SINNPS-21437SIN-CaS; CaS-NPS-2143
26.67Single7TD3S1P7TD3-S1P1-S1P-Gi1/β1/γ2
26.67Single8GD9Rivenprost8GD9-EP4-Rivenprost-Gs/β1/γ2
26.67Single8I7WGSK2560738I7W-HCA2-GSK256073-Gi1/β1/γ2
26.67Single8JXSPF-61428JXS-D1-PF-6142
26.67Single8KFXLMD-0098KFX-CCR8-LMD-009-Gi1/β1/γ2
26.67Single8SZGCa; Ca; Tryptophan; Cinacalcet; PO4; Spermine8SZG-CaS; CaS-Ca; Ca; Tryptophan; Cinacalcet; PO4; Spermine-chim(NtGi1-Gq)/β1/γ2
26.67Single8TF5Oleic acid8TF5-GPR6-Oleic acid
26.67Single8TH4Losartan8TH4-AT1-Losartan-AT118-L Nanobody
26.67Single8UUJFCH-22964138UUJ-HCA2-FCH-2296413-Gi1/β1/γ2
26.67Single8X0BVU04244658X0B-mGlu5; mGlu5-Quisqualate-VU0424465
26.67Single8X0CVU04244658X0C-mGlu5; mGlu5-Quisqualate-VU0424465
26.67Single8YNSSNAP-948478YNS-MCH1-SNAP-94847
26.67Single8ZPTPrRP208ZPT-PrRP-PrRP20-chim(NtGi1-Gs-CtGq)/β1/γ2
26.67Single8ZVZBW245C8ZVZ-DP1-BW245C-Gs/β1/γ2
26.67Single9ARYSerotonin9ARY-5-HT2A-Serotonin-chim(NtGi1-Gs-CtGq)/β1/γ2
26.67Single9AVLCa; Ca; Cyclomethyltryptophan; R-568; PO49AVL-CaS; CaS-Ca-Ca; Ca; Cyclomethyltryptophan; R-568; PO4-Gi3/β2/γ2
26.67Single9AYFCa; Ca; Ca; Cyclomethyltryptophan; R-568; PO49AYF-CaS; CaS-Ca-Ca; Ca; Ca; Cyclomethyltryptophan; R-568; PO4-Gi1/β1/γ2
26.67Single9B9ZMRI-18679B9Z-CB1-MRI-1867
26.67Single9CIBFCH-22964139CIB-HCA2-FCH-2296413
26.67Single9EAHOlmesartan9EAH-AT1-Olmesartan-Nanobody AT209
26.67Single9EHSLUF76029EHS-A3A-LUF7602
26.67Single9KT6Acifran9KT6-HCA3-Acifran-Gi1/β1/γ2
26.67Single9M8POleic monoethanolamide9M8P-GPR3 ; GPR3-Oleic monoethanolamide-AF64394
26.67Consensuscb2_onOrthosteric Ligand8GUR-CB2-CP55940-Gi1/β1/γ2 8GUS-CB2-HU-308-Gi1/β1/γ2 8GUT-CB2-LEI-102-Gi1/β1/γ2 6KPF-CB2-AM12033-Gi1/β1/γ2 6PT0-CB2-WIN 55212-2-Gi1/β1/γ2 8GUQ-CB2-Olorinab-Gi1/β1/γ2
26.67Consensuscb2_on_gpOrthosteric Ligand8GUR-CB2-CP55940-Gi1/β1/γ2 8GUS-CB2-HU-308-Gi1/β1/γ2 8GUT-CB2-LEI-102-Gi1/β1/γ2 6KPF-CB2-AM12033-Gi1/β1/γ2 6PT0-CB2-WIN 55212-2-Gi1/β1/γ2 8GUQ-CB2-Olorinab-Gi1/β1/γ2
26.67Consensusdp2_offOrthosteric Ligand6D26-DP2-Fevipiprant
26.67Consensusdp_offOrthosteric Liganddp2_off
26.67Consensusnucleotide_onOrthosteric Ligandadenosine_on p2y_on
26.67Consensuss1p_offOrthosteric Ligands1p1_off s1p5_off
26.32Single4IB4Ergotamine4IB4-5-HT2B-Ergotamine
26.32Single7QA8Antagonist Peptide7QA8-STE2; STE2-Antagonist Peptide
26.32Single7QA8Antagonist Peptide7QA8-STE2; STE2-Antagonist Peptide
26.32Single7WVWfMYFINILTL7WVW-FPR2-ALX-fMYFINILTL-Gi2/β1/γ2
26.32Single8J6RMK68928J6R-HCA2-MK6892-Gi1/β1/γ2
26.32Single9UYJChemerin-99UYJ-CML2-Chemerin-9-Arrestin2
26.32Consensuschemerin_on_gpOrthosteric Ligandcml1_on_gp
26.32Consensuscml1_onOrthosteric Ligand7YKD-CML1-Chemerin-9-Gi1/β1/γ2
26.32Consensusgi_chemerinOrthosteric Ligand7YKD-CML1-Chemerin-9-Gi1/β1/γ2
26.32Consensusgi_nucleotideOrthosteric Ligandgi_adenosine gi_p2y
26.32Consensussst5_onOrthosteric Ligand8X8L-SST5-Cortistatin-14-chim(NtGi1-Gs-CtGi1)/β1/γ2 8X8N-SST5-Octreotide-chim(NtGi1-Gs-CtGi1)/β1/γ2
26.09Single7YKDChemerin-97YKD-CML1-Chemerin-9-Gi1/β1/γ2
26.09Consensusopioid_on_gpOrthosteric Ligandmop_on_gp nop_on_gp dop_on_gp kop_on_gp
25.00Single3PDSFAUC503PDS-β2-FAUC50
25.00Single4IAQDihydroergotamine4IAQ-5-HT1B-Dihydroergotamine
25.00Single4Z34ONO-97803074Z34-LPA1-ONO-9780307
25.00Single5XJM(Sar1,Ile8)-Angiotensin II5XJM-AT2-(Sar1,Ile8)-Angiotensin II
25.00Single5XR8AM120335XR8-CB1-AM12033
25.00Single5XRAAM115425XRA-CB1-AM11542
25.00Single6DDEDAMGO6DDE-μ-DAMGO-Gi1/β1/γ2
25.00Single6DO1(Sar1,Ile8)-Angiotensin II6DO1-AT1-(Sar1,Ile8)-Angiotensin II
25.00Single6E59L-7607356E59-NK1-L-760735
25.00Single6HLLCP999946HLL-NK1-CP99994
25.00Single6HLOAprepitant6HLO-NK1-Aprepitant
25.00Single6I9K9-cis-Retinal6I9K-Rhodopsin-9-cis-Retinal
25.00Single6J20Aprepitant6J20-NK1-Aprepitant
25.00Single6N4BMDMB-Fubinaca6N4B-CB1-MDMB-Fubinaca-Gi1/β1/γ2
25.00Single6O3CCholesterol6O3C-SMO-SAG21k-Cholesterol
25.00Single6QNOAll-trans-Retinal6QNO-Rhodopsin-All-trans-Retinal-Gi1/β1/γ1
25.00Single7CKYPW04647CKY-D1-PW0464-Gs/β1/γ2
25.00Single7D76Beclomethasone7D76-ADGRG3-Beclomethasone-Go/β1/γ2
25.00Single7DD7Ca; Ca; Tryptophan; Evocalcet7DD7-CaS; CaS-Ca-Ca; Ca; Tryptophan; Evocalcet
25.00Single7EW3S1P7EW3-S1P3-S1P-Gi1/β1/γ2
25.00Single7EW4CYM-55417EW4-S1P3-CYM-5541-Gi1/β1/γ2
25.00Single7JV5SKF812977JV5-D1-SKF81297-Gs/β1/γ2
25.00Single7M8W15r-Methyl-PGD27M8W-DP2-15r-Methyl-PGD2-Na
25.00Single7P2L4YI7P2L-mGlu5-4YI
25.00Single7TUYGSK682753A7TUY-GPR183-GSK682753A
25.00Single7VIGCBP-3077VIG-S1P1-CBP-307-Gi1/β1/γ2
25.00Single7VUIJNJ-635330547VUI-GPR139-JNJ-63533054-GTP-chim(Gs-CtGq)/β1/γ2
25.00Single7WJ5Somatostatin-147WJ5-SST2-Somatostatin-14-Gi1/β1/γ2
25.00Single7WV9CP559407WV9-CB1-CP55940-ZCZ011-Gi2/β1/γ2
25.00Single7XAVLanreotide7XAV-SST2-Lanreotide-Gi1/β1/γ2
25.00Single8HPTC5a (C-terminal peptide)8HPT-C5a1-C5a (C-terminal peptide)-Go/β1/γ2
25.00Single8ID6Oleic acid8ID6-FFA4-Oleic acid-Gi1/β1/γ2
25.00Single8IHBGSK2560738IHB-HCA2-GSK256073-Gi1/β1/γ2
25.00Single8IHHLUF62838IHH-HCA2-LUF6283-Gi1/β1/γ2
25.00Single8IHIAcifran8IHI-HCA2-Acifran-Gi1/β1/γ2
25.00Single8IYHMK68928IYH-HCA2-MK6892-Go/β1/γ2
25.00Single8JILNiacin8JIL-HCA2-Niacin-Gi1/β1/γ2
25.00Single8JPNCis-Epoxysuccinic acid8JPN-Succinate-Cis-Epoxysuccinic acid-Gi1/β1/γ1
25.00Single8JZZC5a-des-Arg8JZZ-C5a1-C5a-des-Arg-Go/β1/γ2
25.00Single8SG1Chemerin-98SG1-CML1-Chemerin-9-Gi1/β1/γ2
25.00Single8TAOCDPPB8TAO-mGlu5; mGlu5-Quisqualate-CDPPB
25.00Single8WP1Cis-Epoxysuccinic acid8WP1-Succinate-Cis-Epoxysuccinic acid-Gi1/β1/γ2
25.00Single8X0BVU04244658X0B-mGlu5; mGlu5-Quisqualate-VU0424465
25.00Single8X0FVU298X0F-mGlu5; mGlu5-Quisqualate-VU29
25.00Single8X16Piclidenoson8X16-A3A-Piclidenoson-Gi1/β1/γ2
25.00Single8YNTSNAP-948478YNT-MCH1-SNAP-94847
25.00Single8ZH8QRFP268ZH8-QRFP-QRFP26-Gq/β1/γ1
25.00Single8ZR5Firuglipel8ZR5-GPR119-Firuglipel-Gs/β1/γ2
25.00Single8ZW0PGD28ZW0-DP1-PGD2-Gs/β1/γ2
25.00Single8ZWFJR14a8ZWF-C3aB-JR14a
25.00Single9AYFCa; Ca; Ca; Cyclomethyltryptophan; R-568; PO49AYF-CaS; CaS-Ca-Ca; Ca; Ca; Cyclomethyltryptophan; R-568; PO4-Gi1/β1/γ2
25.00Single9B65MDMB-Fubinaca9B65-CB1-MDMB-Fubinaca-Gi1/β1/γ2
25.00Single9B9YTaranabant9B9Y-CB1-Taranabant
25.00Single9E9SPGD29E9S-DP1-PGD2-Gs/β1/γ1
25.00Single9I54PubChem 1764520919I54-D1-PubChem 176452091-Gs/β1/γ2
25.00Single9IQTNiacin9IQT-HCA2-Niacin-Gi1/β1/γ2
25.00Single9IQVMuscarinic toxin 39IQV-Alpha1A-Muscarinic toxin 3
25.00Single9IZDCHBA9IZD-HCA1-CHBA-Gi1/β1/γ2
25.00Single9KT7MK68929KT7-HCA2-MK6892-Gi1/β1/γ2
25.00Single9M88Oleic monoethanolamide9M88-GPR3 ; GPR3-Oleic monoethanolamide-AF64394
25.00Single9ME1CXCL129ME1-CXCR4-CXCL12
25.00Single9RHGC4079RHG-FZD7-C407
25.00Consensusa2_onOrthosteric Liganda2b_on
25.00Consensusa2_on_gpOrthosteric Liganda2b_on_gp
25.00Consensusa2b_onOrthosteric Ligand8HDP-A2B-Adenosine-Gs/β1/γ2 7XY6-A2B-BAY 60-6583-chim(NtGi1-Gs)/β1/γ2 7XY7-A2B-NECA-chim(NtGi1-Gs)/β1/γ2 8HDO-A2B-BAY 60-6583-Gs/β1/γ2
25.00Consensusa2b_on_gpOrthosteric Ligand8HDP-A2B-Adenosine-Gs/β1/γ2 7XY6-A2B-BAY 60-6583-chim(NtGi1-Gs)/β1/γ2 7XY7-A2B-NECA-chim(NtGi1-Gs)/β1/γ2 8HDO-A2B-BAY 60-6583-Gs/β1/γ2
25.00Consensusgi_cannabinoidOrthosteric Ligand8GUR-CB2-CP55940-Gi1/β1/γ2 8GUS-CB2-HU-308-Gi1/β1/γ2 8GUT-CB2-LEI-102-Gi1/β1/γ2 8GUQ-CB2-Olorinab-Gi1/β1/γ2 6KPF-CB2-AM12033-Gi1/β1/γ2 6PT0-CB2-WIN 55212-2-Gi1/β1/γ2 6KPG-CB1-AM841-Gi1/β1/γ2
25.00Consensusgq_peptideOrthosteric Ligandgq_cck gq_kisspeptin gq_bradykinin gq_bombesin gq_angiotensin
25.00Consensusgs_adenosineOrthosteric Ligand8HDP-A2B-Adenosine-Gs/β1/γ2 8HDO-A2B-BAY 60-6583-Gs/β1/γ2 7XY7-A2B-NECA-chim(NtGi1-Gs)/β1/γ2 7XY6-A2B-BAY 60-6583-chim(NtGi1-Gs)/β1/γ2
25.00Consensusgs_nucleotideOrthosteric Ligandgs_adenosine
25.00Consensusprotein_offOrthosteric Ligandchemokine_off grh_off
25.00Consensuss1p3_on_gpOrthosteric Ligand7EW3-S1P3-S1P-Gi1/β1/γ2 7EW4-S1P3-CYM-5541-Gi1/β1/γ2 7EW2-S1P3-FTY720-P-Gi1/β1/γ2
25.00Consensustachykinin_offOrthosteric Ligandnk1_off
23.81Single7T6TfMLFII7T6T-FPR1-ALX-fMLFII-Gi1/β1/γ2
23.81Single7TD0LPA7TD0-LPA1-LPA-Gi1/β1/γ2
23.81Single7TD2LPA7TD2-LPA1-LPA-Gi1/β1/γ2
23.81Single7XOUCholecystokinin-87XOU-CCKA-Cholecystokinin-8-Gs/β1/γ2
23.81Single9MEUCXCL129MEU-CXCR4-CXCL12
23.81Single9UYIChemerin-99UYI-CML2-Chemerin-9-Arrestin2
23.81Consensusangiotensin_onOrthosteric Ligandat1_on
23.81Consensusat1_onOrthosteric Ligand7F6G-AT1-(Sar1)-Angiotensin II-Gq/β1/γ2
23.81Consensusgi_somatostatinOrthosteric Ligand7WIC-SST2-Somatostatin-14-Gi1/β1/γ2 7XMS-SST4-Somatostatin-14-Gi1/β1/γ2 8X8L-SST5-Cortistatin-14-chim(NtGi1-Gs-CtGi1)/β1/γ2 7XMT-SST4-J-2156-Gi1/β1/γ2 7WIG-SST2-L-054264-Gi1/β1/γ2 8X8N-SST5-Octreotide-chim(NtGi1-Gs-CtGi1)/β1/γ2 7YAE-SST2-Octreotide-Gi1/β1/γ2 7YAC-SST2-Paltusotine-Gi1/β1/γ2
23.81Consensusgs_class-aOrthosteric Ligandgs_peptide gs_nucleotide gs_amine
23.81Consensuspeptide_offonOrthosteric Ligandpeptide_off peptide_on
23.81Consensussomatostatin_onOrthosteric Ligandsst2_on sst4_on sst5_on
23.81Consensussomatostatin_on_gpOrthosteric Ligandsst2_on_gp sst4_on_gp sst5_on_gp
23.53Single4N4WSANT-14N4W-SMO-SANT-1
23.53Single4OR2FITM4OR2-mGlu1; mGlu1-FITM
23.53Single4Z36ONO-30805734Z36-LPA1-ONO-3080573
23.53Single6XBLCholesterol6XBL-SMO-SAG-Cholesterol-Gi1/β1/γ2
23.53Single7EO4Siponimod7EO4-S1P1-Siponimod-Gi1/β1/γ2
23.53Single7EW2FTY720-P7EW2-S1P3-FTY720-P-Gi1/β1/γ2
23.53Single7MTRADX551647MTR-mGlu2; mGlu2-Glutamate-ADX55164
23.53Single7WCMMBX-29827WCM-GPR119-MBX-2982-Gs/β1/γ2
23.53Single7XMTJ-21567XMT-SST4-J-2156-Gi1/β1/γ2
23.53Single8GCPPGE28GCP-EP4-PGE2-Gi1/β1/γ2
23.53Single8I9AEP548I9A-C3aB-EP54-chim(NtGi1-Gs-CtGq)/β1/γ2
23.53Single8IA8E7 peptide8IA8-C3aB-E7 peptide-Gi1/β1/γ2
23.53Single8IQ6Latanoprost8IQ6-FP-alpha-Latanoprost-chim(NtGi1-Gs-CtGq)/β1/γ2
23.53Single8IYWGSK2560738IYW-HCA2-GSK256073-Go/β1/γ2
23.53Single8J6DEP1418J6D-C3aB-EP141-Go/β1/γ2
23.53Single8JD3JNJ-404118138JD3-mGlu2; mGlu3-Glutamate-JNJ-40411813-Gi1/β1/γ2
23.53Single8JJPChemerin-98JJP-CML2-Chemerin-9-Gi1/β1/γ2
23.53Single8JWY2-1188JWY-A2A-2-118
23.53Single8JWZEtrumadenant8JWZ-A2A-Etrumadenant-Na
23.53Single8T3QDoconexent8T3Q-FFA4-Doconexent-chim(NtGi2L-Gs-CtGq)/β1/γ2
23.53Single8VHFMBX-29828VHF-GPR119-MBX-2982-Gs/β1/γ2
23.53Single8X8NOctreotide8X8N-SST5-Octreotide-chim(NtGi1-Gs-CtGi1)/β1/γ2
23.53Single8XJNCloprosetnol8XJN-TXA2-Cloprosetnol-chim(NtGi1-Gs-CtGq)/β1/γ2
23.53Single9AU0BW245C9AU0-DP1-BW245C-Gs/β1/γ2
23.53Single9DGIZ85267113509DGI-CB1-Z8526711350
23.53Single9GGGI-BOP9GGG-TXA2-I-BOP-chim(NtGi2L-Gs-CtGq)/β1/γ2
23.53Single9GYOP3959GYO-GPBA-P395-chim(NtGi1-Gs)/β1/γ2
23.53Single9M8POleic monoethanolamide9M8P-GPR3 ; GPR3-Oleic monoethanolamide-AF64394
23.53Single9WSWEndomorphin9WSW-μ-Endomorphin-chim(NtGi1-Gz)/β1/γ2
23.53Single9WXMGPR15L(CT)9WXM-GPR15-GPR15L(CT)-Gi3/β1/γ2
23.53Consensuscannabinoid_onOrthosteric Ligandcb2_on cb1_on
23.53Consensuscannabinoid_on_gpOrthosteric Ligandcb2_on_gp cb1_on_gp
23.53Consensusccr8_onOrthosteric Ligand8KFX-CCR8-LMD-009-Gi1/β1/γ2 8KFY-CCR8-ZK-756326-Gi1/β1/γ2 8U1U-CCR8-CCL1-Gi1/β1/γ2
23.53Consensusgi_lipidOrthosteric Ligandgi_cannabinoid gi_ffa gi_leukotriene gi_lpa gi_s1p
23.53Consensusleukotriene_offOrthosteric Ligandblt_off cyslt_off
23.53Consensuslpa1_offOrthosteric Ligand4Z36-LPA1-ONO-3080573 4Z35-LPA1-ONO-9910539 4Z34-LPA1-ONO-9780307
23.53Consensuslpa_offOrthosteric Ligandlpa1_off
23.53Consensuslpl_offOrthosteric Ligands1p_off lpa_off
23.53Consensuss1p3_onOrthosteric Ligand7EW3-S1P3-S1P-Gi1/β1/γ2 7EW4-S1P3-CYM-5541-Gi1/β1/γ2 7EW2-S1P3-FTY720-P-Gi1/β1/γ2
23.08Single2X72All-trans-Retinal2X72-Rhodopsin-All-trans-Retinal-Gt(CT)
23.08Single3VGAZM-2413853VGA-A2A-ZM-241385-Antibody
23.08Single5U09Taranabant5U09-CB1-Taranabant
23.08Single6ME2Ramelteon6ME2-MT1-Ramelteon
23.08Single6OYAAll-trans-Retinal6OYA-Rhodopsin-All-trans-Retinal-Gt/β1/γ1
23.08Single7F8ULintitript7F8U-CCKA-Lintitript
23.08Single7M3ECa; Ca; Tryptophan; NPS-21437M3E-CaS; CaS-Ca; Ca; Tryptophan; NPS-2143
23.08Single7M3ECa; Ca; Tryptophan; NPS-21437M3E-CaS; CaS-Ca; Ca; Tryptophan; NPS-2143
23.08Single7M3FCa; Ca; Tryptophan; Cinacalcet7M3F-CaS; CaS-Ca; Ca; Tryptophan; Cinacalcet
23.08Single7T6STC-FPR 437T6S-FPR2-ALX-TC-FPR 43-Gi1/β1/γ2
23.08Single7TUZ7-alpha,25-dihydroxycholesterol7TUZ-GPR183-7-α,25-dihydroxycholesterol-Gi1/β1/γ2
23.08Single7W0MPubChem 1227019087W0M-Apelin-PubChem 122701908-Gi1/β1/γ2
23.08Single7WF7S1P7WF7-S1P1-S1P-Gi1/β1/γ2
23.08Single7XRRLemborexant7XRR-OX2-Lemborexant
23.08Single8DWGML3828DWG-MRGPRX1-BAM8-22-ML382-chim(NtGi2L-Gs-CtGq)/β1/γ2
23.08Single8GNGIstradefylline8GNG-A2A-Istradefylline
23.08Single8IJBAcipimox8IJB-HCA2-Acipimox-Gi1/β1/γ2
23.08Single8JPPSuccinic acid8JPP-Succinate-Succinic acid-chim(Gs-CtGq)/β1/γ1
23.08Single8RW0Istradefylline8RW0-A2A-Istradefylline-Na
23.08Single8UTDMK19038UTD-HCA2-MK1903-Gi1/β1/γ2
23.08Single8XXVIndomethacin8XXV-DP2-Indomethacin-A1D5Q-Gi1/β1/γ2
23.08Single9C1PCa; Tryptophan; '6218; PO49C1P-CaS; CaS-Ca-Ca; Tryptophan; '6218; PO4
23.08Single9C2FCa; Ca; Tryptophan; '54149; PO49C2F-CaS; CaS-Ca-Ca; Ca; Tryptophan; '54149; PO4
23.08Single9J5VCpY9J5V-LPA1-CpY-Gi1/β1/γ2
23.08Single9LKDPL459LKD-OR5V1-PL45
23.08Single9PEEPF-07054894; OXM29PEE-CCR6-PF-07054894; OXM2
23.08Consensusbb2_onOrthosteric Ligand7W40-BB2-Bombesin-chim(NtGi1L-Gq)/β1/γ2 7W3Z-BB2-Gastrin Releasing Peptide-chim(NtGi1L-Gq)/β1/γ2
23.08Consensusbb2_on_gpOrthosteric Ligand7W40-BB2-Bombesin-chim(NtGi1L-Gq)/β1/γ2 7W3Z-BB2-Gastrin Releasing Peptide-chim(NtGi1L-Gq)/β1/γ2
23.08Consensusbombesin_onOrthosteric Ligandbb2_on
23.08Consensusbombesin_on_gpOrthosteric Ligandbb2_on_gp
23.08Consensusgq_bombesinOrthosteric Ligand7W40-BB2-Bombesin-chim(NtGi1L-Gq)/β1/γ2 7W3Z-BB2-Gastrin Releasing Peptide-chim(NtGi1L-Gq)/β1/γ2
23.08Consensusrhodopsin_on_gpOrthosteric Ligand6OYA-Rhodopsin-All-trans-Retinal-Gt/β1/γ1
22.73Single7DW9AVP7DW9-V2-AVP-chim(NtGi1-Gs)/β1/γ2
22.73Single7F6G(Sar1)-Angiotensin II7F6G-AT1-(Sar1)-Angiotensin II-Gq/β1/γ2
22.73Single7KH0AVP7KH0-V2-AVP-chim(NtGi1-Gs)/β1/γ2
22.73Single7W40Bombesin7W40-BB2-Bombesin-chim(NtGi1L-Gq)/β1/γ2
22.73Single8IHFMK68928IHF-HCA2-MK6892-Gi1/β1/γ2
22.73Single8J6IMK68928J6I-HCA2-MK6892-Gi1/β1/γ2
22.73Single8WSTMCH8WST-MCH2-MCH-chim(NtGi1L-Gs-CtGq)/β1/γ2
22.73Single8X8LCortistatin-148X8L-SST5-Cortistatin-14-chim(NtGi1-Gs-CtGi1)/β1/γ2
22.73Single8ZBISomatostatin-148ZBI-SST3-Somatostatin-14-Gi1/β1/γ2
22.73Single9BKKCholecystokinin-89BKK-CCKA-Cholecystokinin-8-chim(NtGi1-Gs-CtGq)/β1/γ2
22.73Consensusangiotensin_on_gpOrthosteric Ligandat1_on_gp
22.73Consensusapelin_onOrthosteric Ligand8XZH-Apelin; Apelin-MM07-Gi1/β1/γ2 7W0M-Apelin-PubChem 122701908-Gi1/β1/γ2 8XZJ-Apelin; Apelin-WN353-Gi1/β1/γ2 8XZF-Apelin; Apelin-WN561-Gi1/β1/γ2 8XZG-Apelin; Apelin-Apelin-13-Gi1/β1/γ2
22.73Consensusapelin_on_gpOrthosteric Ligand8XZH-Apelin; Apelin-MM07-Gi1/β1/γ2 7W0M-Apelin-PubChem 122701908-Gi1/β1/γ2 8XZJ-Apelin; Apelin-WN353-Gi1/β1/γ2 8XZF-Apelin; Apelin-WN561-Gi1/β1/γ2 8XZG-Apelin; Apelin-Apelin-13-Gi1/β1/γ2
22.73Consensusat1_on_gpOrthosteric Ligand7F6G-AT1-(Sar1)-Angiotensin II-Gq/β1/γ2
22.73Consensusgq_angiotensinOrthosteric Ligand7F6G-AT1-(Sar1)-Angiotensin II-Gq/β1/γ2
22.73Consensusgs_vasop-oxyOrthosteric Ligand7DW9-V2-AVP-chim(NtGi1-Gs)/β1/γ2
22.73Consensuspeptide_offon_gpOrthosteric Ligandpeptide_on_gp peptide_off
22.73Consensusprotein_onOrthosteric Ligandchemokine_on chemerin_on
22.73Consensusv2_onOrthosteric Ligand7DW9-V2-AVP-chim(NtGi1-Gs)/β1/γ2
22.73Consensusv2_on_gpOrthosteric Ligand7DW9-V2-AVP-chim(NtGi1-Gs)/β1/γ2
22.73Consensusvasop-oxy_onOrthosteric Ligandv2_on
22.73Consensusvasop-oxy_on_gpOrthosteric Ligandv2_on_gp
22.22Single4A4MAll-trans-Retinal4A4M-Rhodopsin-All-trans-Retinal-Gt(CT)
22.22Single4OR2FITM4OR2-mGlu1; mGlu1-FITM
22.22Single4Z35ONO-99105394Z35-LPA1-ONO-9910539
22.22Single5EN0All-trans-Retinal5EN0-Rhodopsin-All-trans-Retinal-Gt(CT)
22.22Single5MZPCaffeine5MZP-A2A-Caffeine-Na
22.22Single6KPGAM8416KPG-CB1-AM841-Gi1/β1/γ2
22.22Single7WVVfMLFII7WVV-FPR2-ALX-fMLFII-Gi2/β1/γ2
22.22Single7Y65C5a (C-terminal peptide)7Y65-C5a1-C5a (C-terminal peptide)-Gi1/β1/γ2
22.22Single8GAGZ85267113508GAG-CB1-Z8526711350-Gi1/β1/γ2
22.22Single8I95EP548I95-C3aB-EP54-Go/β1/γ2
22.22Single8IYSTUG-8918IYS-FFA4-TUG-891-GDP-chim(NtGi1L-Gq)/β1/γ2
22.22Single8K2XCXCL108K2X-CXCR3-CXCL10-Gi1/β1/γ2
22.22Single8WCBCyclohexylammonium Ion8WCB-TA1-Cyclohexylammonium Ion-chim(NtGi1-Gs-CtGq)/β1/γ2
22.22Single8XJOU466198XJO-TXA2-U46619-chim(NtGi1-Gs-CtGq)/β1/γ2
22.22Single8ZWGJR14a8ZWG-C3aB-JR14a-Gi1/β1/γ2
22.22Single9EAILosartan9EAI-AT1-Losartan-Nanobody AT209
22.22Single9KT8Acifran9KT8-HCA2-Acifran-Gi1/β1/γ2
22.22Single9M1HPGE29M1H-EP1-PGE2-chim(NtGi1-Gs-CtGq)/β1/γ2
22.22Single9YDRDADLE9YDR-δ-DADLE-MIPS3983-chim(NtGi1L-Gs-CtGi1)/β1/γ2
22.22Consensuscb1_on_gpOrthosteric Ligand6KPG-CB1-AM841-Gi1/β1/γ2 8K8J-CB1-Fenofibrate-chim(Gs-CtGq)/β1/γ2
22.22Consensuschemerin_onOrthosteric Ligandcml1_on
22.22Consensusprostanoid_onOrthosteric Ligandtp_on fp-alpha_on
22.22Consensusprostanoid_on_gpOrthosteric Ligandtp_on_gp fp-alpha_on_gp
22.22Consensustp_onOrthosteric Ligand8XJO-TXA2-U46619-chim(NtGi1-Gs-CtGq)/β1/γ2
22.22Consensustp_on_gpOrthosteric Ligand8XJO-TXA2-U46619-chim(NtGi1-Gs-CtGq)/β1/γ2
21.74Single8WWKMCH8WWK-MCH1-MCH-Gi1/β1/γ2
21.74Single8WWMMCH8WWM-MCH1-MCH-Gi1/β1/γ2
21.74Single8XQEApelin-138XQE-Apelin; Apelin-Apelin-13-Gi1/β1/γ2
21.74Single8ZPSPrRP208ZPS-PrRP-PrRP20-chim(NtGi1-Gs-CtGi1)/β1/γ2
21.74Consensusgi_apelinOrthosteric Ligand8XZH-Apelin; Apelin-MM07-Gi1/β1/γ2 7W0M-Apelin-PubChem 122701908-Gi1/β1/γ2 8XZJ-Apelin; Apelin-WN353-Gi1/β1/γ2 8XZF-Apelin; Apelin-WN561-Gi1/β1/γ2 8XZG-Apelin; Apelin-Apelin-13-Gi1/β1/γ2
21.74Consensusmc1_onOrthosteric Ligand7F4H-MC1-Afamelanotide-chim(NtGi1-Gs)/β1/γ2 7F4D-MC1-α-MSH-chim(NtGi1-Gs)/β1/γ2 7F4I-MC1-SHU9119-chim(NtGi1-Gs)/β1/γ2
21.74Consensusmc1_on_gpOrthosteric Ligand7F4H-MC1-Afamelanotide-chim(NtGi1-Gs)/β1/γ2 7F4D-MC1-α-MSH-chim(NtGi1-Gs)/β1/γ2 7F4I-MC1-SHU9119-chim(NtGi1-Gs)/β1/γ2
21.74Consensussst5_on_gpOrthosteric Ligand8X8L-SST5-Cortistatin-14-chim(NtGi1-Gs-CtGi1)/β1/γ2 8X8N-SST5-Octreotide-chim(NtGi1-Gs-CtGi1)/β1/γ2
21.74Consensusvpac1_onOrthosteric Ligand8E3Z-VPAC1-VIP-Gs/β1/γ2
21.43Single6ME42-Iodomelatonin6ME4-MT1-2-Iodomelatonin
21.43Single6TPKRetosiban6TPK-OT-Retosiban
21.43Single7AROLUF58337ARO-A2A-LUF5833-Na
21.43Single7BB6AVP7BB6-V2-AVP-Gs/β1/γ2
21.43Single7T32ZM-2413857T32-A2A-ZM-241385
21.43Single7VODCariprazine7VOD-5-HT2A-Cariprazine
21.43Single7WVUfMLF7WVU-FPR1-ALX-fMLF-Gi1/β1/γ2
21.43Single7XOVSR1461317XOV-CCKA-SR146131-Gs/β1/γ2
21.43Single7YK6PubChem 1383196747YK6-RXFP4-PubChem 138319674-Gi2/β1/γ2
21.43Single8GUQOlorinab8GUQ-CB2-Olorinab-Gi1/β1/γ2
21.43Single8JEIPubChem 117155568JEI-HCAR3-PubChem 11715556-Gi1/β1/γ2
21.43Single8RWCStilSwitch28RWC-A2A-StilSwitch2-Na
21.43Single8RWDStilSwitch38RWD-A2A-StilSwitch3-Na
21.43Single8RWIStilSwitch28RWI-A2A-StilSwitch2-Na
21.43Single8WPGTryptophan; Cinacalcet; PO4; Ca8WPG-CaS; CaS-Tryptophan; Cinacalcet; PO4; Ca
21.43Single8Y62C16:0 Ceramide8Y62-FPR2-ALX-C16:0 Ceramide-Gi1/β1/γ2
21.43Single8Y6YGLPG09748Y6Y-FFA2-GLPG0974
21.43Single8YKVPubChem 1375531688YKV-Succinate-PubChem 137553168-Gi1/β1/γ2
21.43Single8ZPMAMD0708ZPM-CXCR4-AMD070
21.43Single8ZPNAMD31008ZPN-CXCR4-AMD3100
21.43Single9ASBCa; Ca; Cyclomethyltryptophan; R-568; PO49ASB-CaS; CaS-Ca-Ca; Ca; Cyclomethyltryptophan; R-568; PO4-chim(NtGi1-Gs-CtGq)/β1/γ2
21.43Single9BA0MRI-18919BA0-CB1-MRI-1891
21.43Single9EPQ11,20-Ethanoretinal9EPQ-Rhodopsin-11,20-Ethanoretinal-chim(Gi1-CtGq)/β1/γ2
21.43Single9JKYAcifran9JKY-HCA2-Acifran-Gi1/β1/γ2
21.43Single9JMDAzithromycin9JMD-Motilin-Azithromycin-chim(Gs-CtGq)/β1/γ2
21.43Single9KPDSalicin9KPD-TAS2R16-Salicin-chim(Gs-CtGt3)/β1/γ2
21.43Single9LKBPL459LKB-OR5V1-PL45-chim(NtGi1-Gs)/β1
21.43Single9M2FNeuropeptide-FF9M2F-NPFF1-Neuropeptide-FF-Gi1/β1/γ2
21.43Consensusot_offOrthosteric Ligand6TPK-OT-Retosiban
21.43Consensusvasop-oxy_offOrthosteric Ligandot_off
21.05Single6G79Donitriptan6G79-5-HT1B-Donitriptan-Go/β1/γ2
21.05Single6XBJCholesterol6XBJ-SMO-Cholesterol-Gi1/β1/γ2
21.05Single7F2OBradykinin7F2O-BK2-Bradykinin-chim(NtGi1-Gs-CtGq)/β1/γ2
21.05Single7F8WGastrin-177F8W-CCKB-Gastrin-17-chim(NtGsL-Gq)/β1/γ2
21.05Single7RKFCX3CL17RKF-US28-CX3CL1-GDP-chim(NtGi1-G11)/β1/γ2
21.05Single7T11Octreotide7T11-SST2-Octreotide-Gi3/β1/γ2
21.05Single7XY6BAY 60-65837XY6-A2B-BAY 60-6583-chim(NtGi1-Gs)/β1/γ2
21.05Single7YAEOctreotide7YAE-SST2-Octreotide-Gi1/β1/γ2
21.05Single8F7REndomorphin8F7R-μ-Endomorphin-Gi1/β1/γ2
21.05Single8GDAL9026888GDA-EP4-L902688-Gs/β1/γ2
21.05Single8IQ4Carboprost8IQ4-FP-alpha-Carboprost-chim(NtGi1-Gs-CtGq)/β1/γ2
21.05Single8QJ2pN1628QJ2-MC4-pN162-Gs/β1/γ2
21.05Single8XZFWN5618XZF-Apelin; Apelin-WN561-Gi1/β1/γ2
21.05Single9IPVJR14a9IPV-C3aB-JR14a-Gi1/β1/γ2
21.05Single9IZASCH9002719IZA-HCA2-SCH900271-Gi1/β1/γ2
21.05Single9KZ2EP679KZ2-C3aB-EP67-Go/β1/γ2
21.05Single9KZ8EP679KZ8-C3aB-EP67-Go/β1/γ2
21.05Consensuscxcr_on_gpOrthosteric Ligandcxcr3_on_gp cxcr4_on_gp cxcr1_on_gp cxcr2_on_gp
21.05Consensussst2_onOrthosteric Ligand7WIC-SST2-Somatostatin-14-Gi1/β1/γ2 7WIG-SST2-L-054264-Gi1/β1/γ2 7YAE-SST2-Octreotide-Gi1/β1/γ2 7YAC-SST2-Paltusotine-Gi1/β1/γ2
21.05Consensussst2_on_gpOrthosteric Ligand7WIC-SST2-Somatostatin-14-Gi1/β1/γ2 7WIG-SST2-L-054264-Gi1/β1/γ2 7YAE-SST2-Octreotide-Gi1/β1/γ2 7YAC-SST2-Paltusotine-Gi1/β1/γ2
20.83Single8XVEBQ30208XVE-ETB-BQ3020-chim(Gs-CtGq)/β1/γ2
20.83Single9BLWCagrilintide (non-acylated)9BLW-CT (AMY1)-Cagrilintide (non-acylated)-Gs/β1/γ2; RAMP1
20.83Single9KFKRelaxin-39KFK-RXFP4-Relaxin-3-Gi2/β1/γ2
20.83Consensusgi_peptideOrthosteric Ligandgi_cck gi_apelin gi_compl-pept gi_endothelin gi_formylpeptide gi_galanin gi_ghrelin gi_npy gi_neurotensin gi_opioid gi_orexin gi_relaxin gi_somatostatin
20.83Consensusgi_proteinOrthosteric Ligandgi_chemokine gi_chemerin
20.83Consensusprotein_on_gpOrthosteric Ligandchemokine_on_gp chemerin_on_gp
20.83Consensusvpac1_on_gpOrthosteric Ligand8E3Z-VPAC1-VIP-Gs/β1/γ2
20.00Single5MZJTheophylline5MZJ-A2A-Theophylline-Na
20.00Single5UENDU1725UEN-A1-DU172
20.00Single5UIGPubChem 1240811965UIG-A2A-PubChem 124081196
20.00Single5ZKPSR274175ZKP-PAF-SR27417
20.00Single6D27CAY104716D27-DP2-CAY10471
20.00Single6IIVDaltroban6IIV-TXA2-Daltroban
20.00Single6KPFAM120336KPF-CB2-AM12033-Gi1/β1/γ2
20.00Single7CFMP3957CFM-GPBA-P395-Gs/β1/γ2
20.00Single7DB6Ramelteon7DB6-MT1-Ramelteon-Gi1/β1/γ2
20.00Single7F4FAfamelanotide7F4F-MC1-Afamelanotide-chim(NtGi1-Gs)/β1/γ2
20.00Single7F4ISHU91197F4I-MC1-SHU9119-chim(NtGi1-Gs)/β1/γ2
20.00Single7F83PF-051904577F83-Ghrelin-PF-05190457
20.00Single7F8XNN90567F8X-CCKA-NN9056
20.00Single7V3ZCP559407V3Z-CB1-CP55940
20.00Single7VH0Ramelteon7VH0-MT2-Ramelteon-Gi1/β1/γ1
20.00Single7WICSomatostatin-147WIC-SST2-Somatostatin-14-Gi1/β1/γ2
20.00Single7XAUOctreotide7XAU-SST2-Octreotide-Gi1/β1/γ2
20.00Single7YXAONO-54306087YXA-S1P5-ONO-5430608
20.00Single8CU6LJ-45178CU6-A2A-LJ-4517
20.00Single8EFQDAMGO8EFQ-μ-DAMGO-Gi1/β1/γ2
20.00Single8G59TUG-8918G59-FFA4-TUG-891-chim(Gi1-CtGq)/β1/γ2
20.00Single8GCML-9026888GCM-EP4-L-902688-Gi1/β1/γ2
20.00Single8GHVAMG3158GHV-CB1-AMG315-Gi1/β1/γ2
20.00Single8IEBPubChem 1347468948IEB-GPR156; GPR156-PubChem 134746894
20.00Single8JT8(R)-IHCH-71798JT8-5-HT2A-(R)-IHCH-7179
20.00Single8K3ZCXCL128K3Z-CXCR4-CXCL12-Gi1/β1/γ1
20.00Single8KFYZK-7563268KFY-CCR8-ZK-756326-Gi1/β1/γ2
20.00Single8PWNTheophylline8PWN-A2A-Theophylline
20.00Single8RW7StilSwitch18RW7-A2A-StilSwitch1-Na
20.00Single8RWXStilSwitch38RWX-A2A-StilSwitch3-Na
20.00Single8WKYPG-9348WKY-MC4-PG-934
20.00Single8WWLMCH8WWL-MCH1-MCH-Gi1/β1/γ2
20.00Single8WZ2Orexigenic Neuropeptide QRFP8WZ2-QRFP-Orexigenic Neuropeptide QRFP-chim(NtGi1L-Gs-CtGq)/β1/γ2
20.00Single8XGMChemerin8XGM-CML2-Chemerin-Gi1/β1/γ2
20.00Single8XJLPGF2-alpha8XJL-FP-alpha-PGF2-α-chim(NtGi2-Gs-CtGq)/β1/γ2
20.00Single8ZBJSomatostatin-148ZBJ-SST5-Somatostatin-14-Gi1/β1/γ2
20.00Single8ZCJPasireotide8ZCJ-SST5-Pasireotide-Gi1/β1/γ1
20.00Single8ZJGChemerin8ZJG-CML1-Chemerin-Gi1/β1/γ2
20.00Single9BUCCagrilintide9BUC-CT-Cagrilintide-Gs/β1/γ2
20.00Single9IV25alpha-DHT9IV2-ADGRD1-5α-DHT-chim(NtGi1-Gs)/β1/γ2
20.00Single9IZCMK19039IZC-HCA2-MK1903-Gi1/β1/γ2
20.00Single9JKVPubChem 27366909JKV-HCA3-PubChem 2736690-Gi1/β1/γ2
20.00Single9K26PrRP319K26-PrRP-PrRP31-Gi1/β1/γ2
20.00Single9KDFRES-701-39KDF-ETB-RES-701-3
20.00Single9L3YChemerin9L3Y-CML2-Chemerin-Gi1/β1/γ2
20.00Consensusalicarboxylic_offOrthosteric Ligandsuccinate_off
20.00Consensuscxcr4_onOrthosteric Ligand8K3Z-CXCR4-CXCL12-Gi1/β1/γ1
20.00Consensuslipid_offOrthosteric Ligandcannabinoid_off paf_off lpl_off prostanoid_off leukotriene_off
20.00Consensuslpl_onOrthosteric Ligands1p_on lpa_on
20.00Consensuslpl_on_gpOrthosteric Ligands1p_on_gp lpa_on_gp
20.00Consensusnucleotide_offonOrthosteric Ligandnucleotide_off nucleotide_on
20.00Consensusnucleotide_offon_gpOrthosteric Ligandnucleotide_on_gp nucleotide_off
20.00Consensuspeptide_onOrthosteric Ligandcck_on angiotensin_on apelin_on bombesin_on bradykinin_on compl-peptide_on endothelin_on formylpeptide_on galanin_on ghrelin_on kisspeptin_on melanocortin_on motilin_on neuromedin-u_on npy_on neurotensin_on opioid_on orexin_on relaxin_on somatostatin_on tachykinin_on trh_on vasop-oxy_on
20.00Consensuspeptide_on_gpOrthosteric Ligandcck_on_gp angiotensin_on_gp apelin_on_gp bombesin_on_gp bradykinin_on_gp compl-peptide_on_gp endothelin_on_gp formylpeptide_on_gp galanin_on_gp ghrelin_on_gp kisspeptin_on_gp melanocortin_on_gp motilin_on_gp neuromedin-u_on_gp npy_on_gp neurotensin_on_gp opioid_on_gp orexin_on_gp relaxin_on_gp somatostatin_on_gp tachykinin_on_gp trh_on_gp vasop-oxy_on_gp
20.00Consensussuccinate_offOrthosteric Ligand6RNK-Succinate-NF-56-EJ40 6Z10-Succinate-PubChem 154585554
19.23Single6IGLIRL16206IGL-ETB-IRL1620
19.23Single7TYLAmylin7TYL-CT-Amylin-Gs/β1/γ2
19.23Single8F0KPramlintide Analogue San3858F0K-CT (AMY3)-Pramlintide Analogue San385-Gs/β1/γ2; RAMP3
19.23Single8WWNMCH8WWN-MCH1-MCH-Gi1/β1/γ2
19.23Consensusbk2_onOrthosteric Ligand7F6H-BK2-Bradykinin-Gq/β1/γ2 7F6I-BK2-Kallidin-Gq/β1/γ2
19.23Consensusbk2_on_gpOrthosteric Ligand7F6H-BK2-Bradykinin-Gq/β1/γ2 7F6I-BK2-Kallidin-Gq/β1/γ2
19.23Consensusbradykinin_onOrthosteric Ligandbk2_on
19.23Consensusbradykinin_on_gpOrthosteric Ligandbk2_on_gp
19.23Consensusgq_bradykininOrthosteric Ligand7F6H-BK2-Bradykinin-Gq/β1/γ2 7F6I-BK2-Kallidin-Gq/β1/γ2
19.05Single7DDZJNJ-310200287DDZ-Y2-JNJ-31020028
19.05Single7RKMCX3CL17RKM-US28-CX3CL1-Gi1/β1/γ2
19.05Single7W0NElabela7W0N-Apelin; Apelin-Elabela-Gi1/β1/γ2
19.05Single7XMSSomatostatin-147XMS-SST4-Somatostatin-14-Gi1/β1/γ2
19.05Single8F7WDynorphin8F7W-κ-Dynorphin-Gi1/β1/γ2
19.05Single8Z7JJN241-98Z7J-Apelin-JN241-9-Gi1/β1/γ2
19.05Single9IK8Pasireotide9IK8-SST1-Pasireotide-Gi1/β1/γ2
19.05Single9JFK(Pen5)-Urotensin II9JFK-UT-(Pen5)-Urotensin II-chim(NtGi2L-Gs-CtGq)/β1/γ2
19.05Single9KFIRelaxin-39KFI-RXFP3-Relaxin-3-Gi2/β1/γ2
19.05Single9UMXEP549UMX-C5a1-EP54-Go/β1/γ2
19.05Consensusccr8_on_gpOrthosteric Ligand8KFX-CCR8-LMD-009-Gi1/β1/γ2 8KFY-CCR8-ZK-756326-Gi1/β1/γ2 8U1U-CCR8-CCL1-Gi1/β1/γ2
19.05Consensusghrelin_onOrthosteric Ligand7NA7-Ghrelin-Ghrelin-Gi1/β1/γ2 7F9Z-Ghrelin-GHRP-6-chim(NtGi1-Gs-CtGq)/β1/γ2 7NA8-Ghrelin-Ibutamoren-Gi1/β1/γ2
19.05Consensusghrelin_on_gpOrthosteric Ligand7NA7-Ghrelin-Ghrelin-Gi1/β1/γ2 7F9Z-Ghrelin-GHRP-6-chim(NtGi1-Gs-CtGq)/β1/γ2 7NA8-Ghrelin-Ibutamoren-Gi1/β1/γ2
19.05Consensusgi_ghrelinOrthosteric Ligand7NA7-Ghrelin-Ghrelin-Gi1/β1/γ2 7NA8-Ghrelin-Ibutamoren-Gi1/β1/γ2
19.05Consensusnpy2_offOrthosteric Ligand7DDZ-Y2-JNJ-31020028
19.05Consensussst4_onOrthosteric Ligand7XMS-SST4-Somatostatin-14-Gi1/β1/γ2 7XMT-SST4-J-2156-Gi1/β1/γ2
19.05Consensussst4_on_gpOrthosteric Ligand7XMS-SST4-Somatostatin-14-Gi1/β1/γ2 7XMT-SST4-J-2156-Gi1/β1/γ2
18.75Single4WW3All-trans-Retinal4WW3-Rhodopsin-All-trans-Retinal
18.75Single5N2RPSB365N2R-A2A-PSB36-Na
18.75Single5N2SPSB365N2S-A1-PSB36
18.75Single5NM2ZM-2413855NM2-A2A-ZM-241385-Na
18.75Single5T1ABMS-6815T1A-CCR2-BMS-681-PubChem 12093170
18.75Single5YHLPubChem 1351213525YHL-EP4-PubChem 135121352
18.75Single5YWYONO-AE3-2085YWY-EP4-ONO-AE3-208
18.75Single6KPCAM120336KPC-CB2-AM12033
18.75Single6M9TMisoprostol-FA6M9T-EP3-Misoprostol-FA
18.75Single6XBKCholesterol6XBK-SMO-Cholesterol-Gi1/β1/γ2
18.75Single7BB7AVP7BB7-V2-AVP-Gs/β1/γ2
18.75Single7M3GCa; Ca; Tryptophan; Evocalcet; Etelcalcetide; PO47M3G-CaS; CaS-Ca; Ca; Tryptophan; Evocalcet; Etelcalcetide; PO4
18.75Single7VFXfMIFL7VFX-FPR1-ALX-fMIFL-Gi1/β1/γ2
18.75Single7W41PD1762527W41-BB2-PD176252
18.75Single8GDCPGE28GDC-EP3-PGE2-Gi1/β1/γ2
18.75Single8ID4Linoleic acid8ID4-FFA4-Linoleic acid-Gi1/β1/γ2
18.75Single8K8JFenofibrate8K8J-CB1-Fenofibrate-chim(Gs-CtGq)/β1/γ2
18.75Single8T6JCDPPB8T6J-mGlu5; mGlu5-CDPPB
18.75Single8T6JCDPPB8T6J-mGlu5; mGlu5-CDPPB
18.75Single9EE5ONO-25502899EE5-DP1-ONO-2550289
18.75Single9EKHONO-30302979EKH-DP1-ONO-3030297
18.75Single9ERXD9-THC analog9ERX-CB1-D9-THC analog-Gi1/β1/γ2
18.75Single9HC04YI9HC0-mGlu5-4YI
18.75Single9IYBPGD29IYB-DP2-PGD2-A1D5Q-Gi1/β1/γ2
18.75Single9JKSPubChem 442501769JKS-HCA3-PubChem 44250176-Gi1/β1/γ2
18.75Single9KPFSalicin9KPF-TAS2R16-Salicin-Gi1/β1/γ2
18.75Single9KUTJR14a9KUT-C3aB-JR14a-Go/β1/γ2
18.75Consensusa1_offOrthosteric Ligand5UEN-A1-DU172 5N2S-A1-PSB36
18.75Consensusadenosine_offOrthosteric Liganda1_off a2_off
18.75Consensusbb2_offOrthosteric Ligand7W41-BB2-PD176252
18.75Consensusblt1_offOrthosteric Ligand5X33-BLT1-BIIL260 7K15-BLT1-MKD046-Na
18.75Consensusblt_offOrthosteric Ligandblt1_off
18.75Consensusbombesin_offOrthosteric Ligandbb2_off
18.75Consensusep4_offOrthosteric Ligand5YWY-EP4-ONO-AE3-208 5YHL-EP4-PubChem 135121352
18.75Consensusep_offOrthosteric Ligandep4_off
18.75Consensusfpr1-alx_onOrthosteric Ligand7VFX-FPR1-ALX-fMIFL-Gi1/β1/γ2
18.75Consensusfpr1-alx_on_gpOrthosteric Ligand7VFX-FPR1-ALX-fMIFL-Gi1/β1/γ2
18.75Consensuslipid_onOrthosteric Ligandcannabinoid_on ffa_on lpl_on prostanoid_on leukotriene_on
18.75Consensuslipid_on_gpOrthosteric Ligandcannabinoid_on_gp ffa_on_gp lpl_on_gp prostanoid_on_gp leukotriene_on_gp
18.75Consensuss1p5_offOrthosteric Ligand7YXA-S1P5-ONO-5430608
18.52Single8ZJETAK4488ZJE-Kiss1-TAK448-chim(NtGi1-Gq)/β1/γ1
18.52Consensuscrf1_onOrthosteric Ligand6PB0-CRF1-Urocortin-chim(NtGi1-Gs)/β1/γ2 6P9X-CRF1-Corticoliberin-1-Gs/β1/γ2
18.18Single3OE8IT1t3OE8-CXCR4-IT1t
18.18Single3RFMCaffeine3RFM-A2A-Caffeine
18.18Single6OT025(S)-Epoxycholesterol6OT0-SMO-25(S)-Epoxycholesterol-Gi1/β1/γ2
18.18Single6OY9All-trans-Retinal6OY9-Rhodopsin-All-trans-Retinal-Gt/β1/γ1
18.18Single6TQ9SB-4081246TQ9-OX1-SB-408124
18.18Single6UUNAdrenomedullin6UUN-CT Like (AM1)-Adrenomedullin-Gs/β1/γ2; RAMP2
18.18Single6VN7PACAP276VN7-VPAC1-PACAP27-Gs/β1/γ2
18.18Single6W25SHU91196W25-MC4-SHU9119-Ca
18.18Single7RYCOxytocin7RYC-OT-Oxytocin-chim(NtGi2L-Gs-CtGq)/β1/γ2
18.18Single8A2OTheophylline8A2O-A2A-Theophylline-Na
18.18Single8WKZSBL-MC-318WKZ-MC4-SBL-MC-31
18.18Single8XIRPasireotide8XIR-SST3-Pasireotide-chim(NtGi1-Gs-CtGi1)/β1/γ2
18.18Single8XZGApelin-138XZG-Apelin; Apelin-Apelin-13-Gi1/β1/γ2
18.18Single8XZHMM078XZH-Apelin; Apelin-MM07-Gi1/β1/γ2
18.18Single9C2FCa; Ca; Tryptophan; '54149; PO49C2F-CaS; CaS-Ca-Ca; Ca; Tryptophan; '54149; PO4
18.18Single9L0HJR14a9L0H-C3aB-JR14a-Go/β1/γ2
18.18Single9LXRLA-PTH Analog9LXR-PTH1-LA-PTH Analog-Arrestin2
18.18Single9M1ONeuropeptide-FF9M1O-NPFF2-Neuropeptide-FF-Gi1/β1/γ2
18.18Single9M42A1L8O9M42-GPR139-A1L8O-chim(Gs-CtGq)/β1/γ2
18.18Single9U4WGonadoliberin-19U4W-GnRH1-Gonadoliberin-1-chim(NtGi1L-Gs-CtGq)/β1/γ2
18.18Consensusc5a1_onOrthosteric Ligand8HK5-C5a1-C5a-Gi1/β1/γ2 7Y66-C5a1-BM213-Gi1/β1/γ2 7Y67-C5a1-C089 peptide-Gi1/β1/γ2 7Y64-C5a1-C5a-Gi1/β1/γ2
18.18Consensuscxcr4_on_gpOrthosteric Ligand8K3Z-CXCR4-CXCL12-Gi1/β1/γ1
17.86Single8FLSAbaloparatide8FLS-PTH1-Abaloparatide-Gs/β1/γ2
17.65Single7F58THIQ7F58-MC4-THIQ-Gs/β1/γ2
17.65Single7T9NDPPC7T9N-TSH-M22 Fab-DPPC-Gs/β1/γ2
17.65Single7TD1LPA7TD1-LPA1-LPA-Gi1/β1/γ2
17.65Single7WVXHumanin7WVX-FPR2-ALX-Humanin-Gi2/β1/γ2
17.65Single7Y24Octreotide7Y24-SST2-Octreotide-Go/β1/γ2
17.65Single8GDBPGE28GDB-EP4-PGE2-Gs/β1/γ2
17.65Single8GUSHU-3088GUS-CB2-HU-308-Gi1/β1/γ2
17.65Single8HDOBAY 60-65838HDO-A2B-BAY 60-6583-Gs/β1/γ2
17.65Single8I2GPubChem 675302408I2G-FSH-FSH-PubChem 67530240-Gs/β1/γ2
17.65Single8I9LC3a8I9L-C3aB-C3a-Go/β1/γ2
17.65Single8ID39-Hydroxystearic acid8ID3-FFA4-9-Hydroxystearic acid-Gi1/β1/γ2
17.65Single8JSRAnamorelin8JSR-Ghrelin-Anamorelin-chim(NtGi1-Gs-CtGq)/β1/γ2
17.65Single8XIPPasireotide8XIP-SST1-Pasireotide-chim(NtGi1-Gs-CtGi1)/β1/γ2
17.65Single8Y73Peptide8Y73-μ-Peptide-MPAM-15-Gi1/β1/γ2
17.65Single9EGOZ85267113509EGO-CB1-Z8526711350-Gi1/β1/γ2
17.65Consensuscyslt1_offOrthosteric Ligand6RZ5-CysLT1-Zafirlukast-Na 6RZ4-CysLT1-Pranlukast-Na
17.65Consensusnpy_offOrthosteric Ligandnpy1_off npy2_off
17.39Single5WB2CX3CL1.355WB2-US28-CX3CL1.35
17.39Single6JODAngiotensin II6JOD-AT2-Angiotensin II
17.39Single6WI9Secretin6WI9-Secretin-Secretin-Gs/β1/γ2
17.39Single6WIVPubChem 52923113; PubChem 529246456WIV-GABAB1, GABAB2-PubChem 52923113; PubChem 52924645
17.39Single7AD3Alpha-factor mating pheromone7AD3-STE2; STE2-α-factor mating pheromone-Gi1/STE4/γ2
17.39Single7F4HAfamelanotide7F4H-MC1-Afamelanotide-chim(NtGi1-Gs)/β1/γ2
17.39Single7FIMTirzepatide7FIM-GLP-1-Tirzepatide-Gs/β1/γ2
17.39Single7T10Somatostatin-147T10-SST2-Somatostatin-14-Gi3/β1/γ2
17.39Single7TYIAmylin7TYI-CT-Amylin-Gs/β1/γ2
17.39Single7V9MSomatoliberin7V9M-GHRH (SV1)-Somatoliberin-Gs/β1/γ2
17.39Single7W57Neuromedin-S7W57-NMUR2-Neuromedin-S-chim(NtGi1-Gs-CtGq)/β1/γ2
17.39Single7WUIIP157WUI-ADGRG2-IP15-chim(NtGi1-Gs)/β1/γ2
17.39Single7XK8Neuromedin-U-257XK8-NMUR2-Neuromedin-U-25-Gi1/β1/γ2
17.39Single8H4KGW95088H4K-FFA4-GW9508-chim(NtGi1-Gs-CtGq)/β1/γ2
17.39Single8IEDPubChem 1347468948IED-GPR156; GPR156-PubChem 134746894-Go/β1/γ2
17.39Single8XWQEndothelin-18XWQ-ETB-Endothelin-1-Gi1/β1/γ2
17.39Single8YW5Retatrutide8YW5-Glucagon-Retatrutide-Gs/β1/γ2
17.39Single9BLCCagrilintide (non-acylated)9BLC-CT-Cagrilintide (non-acylated)-Gs/β1/γ2
17.39Single9EBOGLP-1 (ACPC18)9EBO-GLP-1-GLP-1 (ACPC18)-Gs/β1/γ2
17.39Consensusc5a1_on_gpOrthosteric Ligand8HK5-C5a1-C5a-Gi1/β1/γ2 7Y66-C5a1-BM213-Gi1/β1/γ2 7Y67-C5a1-C089 peptide-Gi1/β1/γ2 7Y64-C5a1-C5a-Gi1/β1/γ2
17.39Consensuscrf2_onOrthosteric Ligand7TS0-CRF2-Urocortin-chim(NtGi1L-Go)/β1/γ2
17.24Single7VVMPTH7VVM-PTH1-PTH-Gs/β1/γ2
17.24Consensuscrf1_on_gpOrthosteric Ligand6PB0-CRF1-Urocortin-chim(NtGi1-Gs)/β1/γ2 6P9X-CRF1-Corticoliberin-1-Gs/β1/γ2
17.24Consensusglp1_on_gpOrthosteric Ligand7S1M-GLP-1-Exendin-4-D-Ala-Gs/β1/γ2 7X8R-GLP-1-BOC5-Gs/β1/γ2 6X19-GLP-1-CHU-128-Gs/β1/γ2 6X1A-GLP-1-Danuglipron-Gs/β1/γ2 6X18-GLP-1-GLP-1-Gs/β1/γ2 8JIP-GLP-1-MEDI0382-chim(NtGi1-Gs)/β1/γ2 7C2E-GLP-1-PubChem 149050799-Gs/β1/γ2 7KI0-GLP-1-Semaglutide-Gs/β1/γ2 7KI1-GLP-1-Taspoglutide-Gs/β1/γ2 7X8S-GLP-1-WB4-24-Gs/β1/γ2 8JIS-GLP-1-Peptide-15-chim(NtGi1-Gs)/β1/γ2 7VBI-GLP-1-Tirzepatide (non-acylated)-Gs/β1/γ2
17.24Consensusgs_peptideOrthosteric Ligandgs_cck gs_melanocortin gs_vasop-oxy
16.67Single3OE6IT1t3OE6-CXCR4-IT1t
16.67Single4PXFOctyl-Beta-D-Glucopyranoside4PXF-Rhodopsin-Octyl-β-D-Glucopyranoside-Arrestin1 Finger Loop
16.67Single5WKTOctyl-Beta-D-Glucopyranoside5WKT-Rhodopsin-Octyl-β-D-Glucopyranoside-Gt(CT)
16.67Single5X33BIIL2605X33-BLT1-BIIL260
16.67Single6AK3PGE26AK3-EP3-PGE2
16.67Single6IIURamatroban6IIU-TXA2-Ramatroban
16.67Single6ME5Agomelatine6ME5-MT1-Agomelatine
16.67Single6OS0Angiotensin II6OS0-AT1-Angiotensin II
16.67Single7D77Hydrocortisone7D77-ADGRG3-Hydrocortisone-Go/β1/γ2
16.67Single7F6HBradykinin7F6H-BK2-Bradykinin-Gq/β1/γ2
16.67Single7F6IKallidin7F6I-BK2-Kallidin-Gq/β1/γ2
16.67Single7L1UOrexin7L1U-OX2-Orexin-chim(NtGi1-Gs-CtGq)/β1/γ2
16.67Single7MT9All-trans-Retinal7MT9-Rhodopsin-All-trans-Retinal-GRK1
16.67Single7MTAAll-trans-Retinal7MTA-Rhodopsin-All-trans-Retinal-GRK1
16.67Single7QBIAlpha-factor mating pheromone7QBI-STE2; STE2-α-factor mating pheromone
16.67Single7W0NElabela7W0N-Apelin; Apelin-Elabela-Gi1/β1/γ2
16.67Single7WBJPACAP277WBJ-VPAC1-PACAP27-Gs/β1/γ2
16.67Single7XZ5Lysophosphatidylcholine7XZ5-GPR119-Lysophosphatidylcholine-Gs/β1/γ2
16.67Single7Y36PTH7Y36-PTH1-PTH-Gs/β1/γ2
16.67Single7Y64C5a7Y64-C5a1-C5a-Gi1/β1/γ2
16.67Single7Y66BM2137Y66-C5a1-BM213-Gi1/β1/γ2
16.67Single8E3YPACAP278E3Y-VPAC1-PACAP27-Gs/β1/γ2
16.67Single8E3ZVIP8E3Z-VPAC1-VIP-Gs/β1/γ2
16.67Single8EITDoconexent8EIT-FFA1-Doconexent-chim(NtGi1L-Gs-CtGq)/β1/γ2
16.67Single8FLQPTH8FLQ-PTH1-PTH-Gs/β1/γ2
16.67Single8HNKCXCL118HNK-CXCR3-CXCL11-Gi1/β1/γ2
16.67Single8ID9Icosapent8ID9-FFA4-Icosapent-Gi1/β1/γ2
16.67Single8IODPG-9018IOD-MC5-PG-901-Ca-chim(NtGi1-Gs)/β1/γ2
16.67Single8J21Butyric acid8J21-FFA3-Butyric acid-Gi1/β1/γ2
16.67Single8J24Acetic acid8J24-FFA2-Acetic acid-Gi1/β1/γ2
16.67Single8JEFPubChem 113671668JEF-HCA3-PubChem 11367166-Gi1/β1/γ2
16.67Single8XQSCholesterol8XQS-TAS2R14-Cholesterol-Flufenamic acid-Gi1/β1/γ1
16.67Single8XVHEndothelin-18XVH-ETB-Endothelin-1-chim(Gs-CtGq)/β1/γ2
16.67Single8Y63C20:0 Ceramide8Y63-FPR2-ALX-C20:0 Ceramide-Gi1/β1/γ2
16.67Single8ZRTEndothelin-18ZRT-ETB-Endothelin-1
16.67Single9BJKPubChem 1716420669BJK-μ-Naloxone-PubChem 171642066
16.67Single9E2AGLP-19E2A-GLP-1-GLP-1-Gs/β1/γ2
16.67Single9IV15alpha-DHT9IV1-ADGRD1-5α-DHT-chim(NtGi1-Gs)/β1/γ2
16.67Single9IZHLPA9IZH-LPA1-LPA-chim(NtGi2-G13)/β1/γ2
16.67Single9JR3PTH9JR3-PTH1-PTH-chim(NtGi1L-Gs-CtGq)/β1/γ2
16.67Single9KZKC3a (fragment)9KZK-C3aB-C3a (fragment)-Go/β1/γ2
16.67Single9L3WChemerin9L3W-CML1-Chemerin-Gi1/β1/γ2
16.67Consensusc3a_onOrthosteric Ligand8HK2-C3aB-C3a-Gi1/β1/γ2 8IA8-C3aB-E7 peptide-Gi1/β1/γ2
16.67Consensuscalcitonin_onOrthosteric Ligandctlike_on
16.67Consensuscb1_onOrthosteric Ligand6KPG-CB1-AM841-Gi1/β1/γ2 8K8J-CB1-Fenofibrate-chim(Gs-CtGq)/β1/γ2
16.67Consensusclass-a_class-b1_cons_on_gpOrthosteric Ligandclass-a_on_gp class-b1_on_gp
16.67Consensuscxcr_onOrthosteric Ligandcxcr3_on cxcr4_on cxcr1_on cxcr2_on
16.67Consensusffa3_onOrthosteric Ligand8J21-FFA3-Butyric acid-Gi1/β1/γ2
16.67Consensusffa3_on_gpOrthosteric Ligand8J21-FFA3-Butyric acid-Gi1/β1/γ2
16.67Consensuslipid_offonOrthosteric Ligandlipid_off lipid_on
16.67Consensuslipid_offon_gpOrthosteric Ligandlipid_on_gp lipid_off
16.13Single6E3YCalcitonin gene-related peptide-16E3Y-CT Like-Calcitonin gene-related peptide-1-Gs/β1/γ2; RAMP1
16.00Single6FJ3PTH6FJ3-PTH1-PTH
16.00Single6P9YPACAP276P9Y-PAC1-PACAP27-Gs/β1/γ2
16.00Single7F8VGastrin-177F8V-CCKB-Gastrin-17-Gi2/β1/γ2
16.00Single7KI0Semaglutide7KI0-GLP-1-Semaglutide-Gs/β1/γ2
16.00Single7QBIAlpha-factor mating pheromone7QBI-STE2; STE2-α-factor mating pheromone
16.00Single7RA3GIP7RA3-GIP-GIP-chim(NtGi1-Gs)/β1/γ2
16.00Single7RGPTirzepatide7RGP-GLP-1-Tirzepatide-chim(NtGi1-Gs)/β1/γ2
16.00Single8E3XPACAP278E3X-PAC1-PACAP27-Gs/β1/γ2
16.00Single8H0PNMB308H0P-BB1-NMB30-chim(NtGi1-Gs-CtGq)/β1/γ2
16.00Single9BLBCagrilintide (non-acylated)9BLB-CT-Cagrilintide (non-acylated)-Gs/β1/γ2
16.00Single9P92VIP9P92-PAC1-VIP-Gs/β1/γ2
16.00Consensuscalcitonin_on_gpOrthosteric Ligandctlike_on_gp
16.00Consensuscrf2_on_gpOrthosteric Ligand7TS0-CRF2-Urocortin-chim(NtGi1L-Go)/β1/γ2
16.00Consensusgi_compl-peptOrthosteric Ligand8HK5-C5a1-C5a-Gi1/β1/γ2 8IA8-C3aB-E7 peptide-Gi1/β1/γ2 7Y66-C5a1-BM213-Gi1/β1/γ2 7Y67-C5a1-C089 peptide-Gi1/β1/γ2 8HK2-C3aB-C3a-Gi1/β1/γ2 7Y64-C5a1-C5a-Gi1/β1/γ2
16.00Consensuspac1_onOrthosteric Ligand8E3X-PAC1-PACAP27-Gs/β1/γ2 6M1H-PAC1-Maxadilan-Gs/β1/γ2
16.00Consensuspac1_on_gpOrthosteric Ligand8E3X-PAC1-PACAP27-Gs/β1/γ2 6M1H-PAC1-Maxadilan-Gs/β1/γ2
16.00Consensuspac_on_gpOrthosteric Ligandpac1_on_gp
16.00Consensussecretin_onOrthosteric Ligand7D3S-Secretin-Secretin-Gs/β1/γ2
15.79Single6K1QIRL25006K1Q-ETB-IRL2500
15.79Single7D7MPGE27D7M-EP4-PGE2-Gs/β1/γ1
15.79Single7LLLExendin-47LLL-GLP-1-Exendin-4-Gs/β1/γ2
15.79Single7VVNPTH7VVN-PTH1-PTH-Gs/β1/γ2
15.79Single7Y27Somatostatin-147Y27-SST2-Somatostatin-14-chim(NtGi2L-Gs-CtGq)/β1/γ2
15.79Single7YU8ONO-07405567YU8-LPA1-ONO-0740556-Gi1/β1/γ2
15.79Single8GUTLEI-1028GUT-CB2-LEI-102-Gi1/β1/γ2
15.79Single8T3OTUG-8918T3O-FFA4-TUG-891-chim(NtGi2L-Gs-CtGq)/β1/γ2
15.79Single8WRZAM8418WRZ-CB1-AM841-Arrestin2
15.79Single9GG5U466199GG5-TXA2-U46619-chim(NtGi2L-Gs-CtGq)/β1/γ2
15.79Single9KV8TLQP219KV8-C3aB-TLQP21-Go/β1/γ2
15.79Single9UYMChemerin-99UYM-CML2-Chemerin-9-chim(Arrestin3-CtArrestin2)
15.79Consensusc3a_on_gpOrthosteric Ligand8HK2-C3aB-C3a-Gi1/β1/γ2 8IA8-C3aB-E7 peptide-Gi1/β1/γ2
15.79Consensuscck_onOrthosteric Ligandccka_on cckb_on
15.79Consensuscck_on_gpOrthosteric Ligandccka_on_gp cckb_on_gp
15.79Consensusnk2_onOrthosteric Ligand7XWO-NK2-Neurokinin-A-chim(NtGi1-Gs-CtGq)/β1/γ2
15.38Single3AYMAll-trans-Retinal3AYM-Rhodopsin-All-trans-Retinal
15.38Single3OE9IT1t3OE9-CXCR4-IT1t
15.38Single5L7IVismodegib5L7I-SMO-Vismodegib
15.38Single6B3JExendin-P56B3J-GLP-1-Exendin-P5-Gs/β1/γ2
15.38Single6P9XCorticoliberin-16P9X-CRF1-Corticoliberin-1-Gs/β1/γ2
15.38Single6TP4ACT-4622066TP4-OX1-ACT-462206
15.38Single6TQ4PubChem 160468446TQ4-OX1-PubChem 16046844-Na
15.38Single6UVAAdrenomedullin-26UVA-CT Like (AM2)-Adrenomedullin-2-Gs/β1/γ2; RAMP3
15.38Single6VCBGLP-16VCB-GLP-1-GLP-1-LSN3160440-Gs/β1/γ2
15.38Single7AD3Alpha-factor mating pheromone7AD3-STE2; STE2-α-factor mating pheromone-Gi1/STE4/γ2
15.38Single7DTYGIP7DTY-GIP-GIP-Gs/β1/γ2
15.38Single7F53Alpha-MSH7F53-MC4-α-MSH-Gs/β1/γ2
15.38Single7FIYTirzepatide7FIY-GIP-Tirzepatide-Gs/β1/γ2
15.38Single7QBCAlpha-factor mating pheromone7QBC-STE2; STE2-α-factor mating pheromone
15.38Single7TYFAmylin7TYF-CT (AMY1)-Amylin-Gs/β1/γ2; RAMP1
15.38Single7WVYAmyloid-Beta427WVY-FPR2-ALX-Amyloid-β42-Gi2/β1/γ2
15.38Single7XATSomatostatin-147XAT-SST2-Somatostatin-14-Gi1/β1/γ2
15.38Single7XP6Strychnine7XP6-TAS2R46-Strychnine-chim(Gs-CtGt3)/β1/γ2
15.38Single7YOONeuropeptide-Y7YOO-Y2-Neuropeptide-Y-Gi1/β1/γ2
15.38Single8A2PLUAA470708A2P-A2A-LUAA47070-Na
15.38Single8RWHStilSwitch28RWH-A2A-StilSwitch2-Na
15.38Single8U4RREGN7663-Fab8U4R-CXCR4-REGN7663-Fab
15.38Single8WPUTryptophan; Cinacalcet; PO4; Ca8WPU-CaS; CaS-Tryptophan; Cinacalcet; PO4; Ca-chim(NtGi2L-Gs-CtGq)/β1/γ2
15.38Single8XWPEndothelin-18XWP-ETB-Endothelin-1-Gi1/β1/γ2
15.38Single8ZX5AM2518ZX5-GPR55-AM251-chim(NtGi1-G13)/β1/γ2
15.38Single9C1PCa; Tryptophan; '6218; PO49C1P-CaS; CaS-Ca-Ca; Tryptophan; '6218; PO4
15.38Single9L3ZLRH7-C29L3Z-CML1-LRH7-C2
15.38Single9YDAAll-trans-Retinal9YDA-Opsin1MW-All-trans-Retinal-chim(NtGi1L-Gs-CtGt)/β1/γ2
15.38Consensuscrf_onOrthosteric Ligandcrf2_on crf1_on
15.38Consensusglp_onOrthosteric Ligandglp1_on glp2_on
15.38Consensusglp_on_gpOrthosteric Ligandglp1_on_gp glp2_on_gp
15.38Consensusnpy2_onOrthosteric Ligand7YOO-Y2-Neuropeptide-Y-Gi1/β1/γ2
15.38Consensusnpy2_on_gpOrthosteric Ligand7YOO-Y2-Neuropeptide-Y-Gi1/β1/γ2
15.38Consensussecretin_on_gpOrthosteric Ligand7D3S-Secretin-Secretin-Gs/β1/γ2
15.15Consensuspth2_on_gpOrthosteric Ligand7F16-PTH2-TIP39-Gs/β1/γ2
15.00Single5VBLAMG3054 5VBL-Apelin-AMG3054
15.00Single7XBXCX3CL17XBX-CX3CR1-CX3CL1-Gi1/β1/γ2
15.00Single7Y1FDynorphin7Y1F-κ-Dynorphin-Gi1/β1/γ2
15.00Single8H4IDoconexent8H4I-FFA4-Doconexent-chim(NtGi1-Gs)/β1/γ2
15.00Single9IPYJR14a9IPY-C3aB-JR14a
15.00Single9KX6C5a-des-Arg9KX6-C5a1-C5a-des-Arg-Go/β1/γ2
15.00Single9WSXEndomorphin9WSX-μ-Endomorphin-Arrestin2
15.00Consensusdop_onOrthosteric Ligand8F7S-δ-Deltorphin-Gi1/β1/γ2
15.00Consensusformylpeptide_onOrthosteric Ligandfpr2-alx_on fpr1-alx_on
15.00Consensusgq_cckOrthosteric Ligand8IA7-CCKB-Cholecystokinin-8-chim(NtGi1L-Gq)/β1/γ2 7XOW-CCKB-Sulfated Gastrin-(10-17)-chim(NtGi1-Gq)/β1/γ2 7EZM-CCKA-Cholecystokinin-8-chim(NtGsL-Gq)/β1/γ2 7F8W-CCKB-Gastrin-17-chim(NtGsL-Gq)/β1/γ2
15.00Consensuskiss1_onOrthosteric Ligand8ZJD-Kiss1-Kisspeptin-1-chim(NtGi1-Gq)/β1/γ1
15.00Consensuskisspeptin_onOrthosteric Ligandkiss1_on
14.81Single6LMLGlucagon6LML-Glucagon-Glucagon-Gi1/β1/γ1
14.81Single6UUSAdrenomedullin6UUS-CT Like (AM2)-Adrenomedullin-Gs/β1/γ2; RAMP3
14.81Single6WZGSecretin6WZG-Secretin-Secretin-Gs/β1/γ2
14.81Single7D68GLP-27D68-GLP-2-GLP-2-Gs/β1/γ2
14.81Single7KI1Taspoglutide7KI1-GLP-1-Taspoglutide-Gs/β1/γ2
14.81Single7QBCAlpha-factor mating pheromone7QBC-STE2; STE2-α-factor mating pheromone
14.81Single7TS0Urocortin7TS0-CRF2-Urocortin-chim(NtGi1L-Go)/β1/γ2
14.81Single7VGXNeuropeptide-Y7VGX-Y1-Neuropeptide-Y-Gi1/β1/γ2
14.81Single7VVJPTHrP(1-36)7VVJ-PTH1-PTHrP(1-36)-Gs/β1/γ2
14.81Single7VVLPTH7VVL-PTH1-PTH-Gs/β1/γ2
14.81Single8FLTM-PTH(1-14)8FLT-PTH1-M-PTH(1-14)-Gs/β1/γ2
14.81Single8IY5Endothelin-18IY5-ETB-Endothelin-1-Gi1/β1/γ2
14.81Single8Y52BA18Y52-BB3-BA1-chim(NtGi1-Gs-CtGq)/β1/γ2
14.81Single9BYOExendin-39BYO-GLP-1-Exendin-3-Gs/β1/γ2
14.81Single9P93VIP9P93-PAC1-VIP-Gs/β1/γ2
14.81Consensusendothelin_onOrthosteric Ligandetb_on eta_on
14.81Consensuspth1_onOrthosteric Ligand6NBF-PTH1-LA-PTH Analog-Gs/β1/γ2 8HA0-PTH1-PTH-chim(NtGi1-Gs)/β1/γ2 8HAF-PTH1-PTHrP(1-36)-chim(NtGi1-Gs)/β1/γ2 7Y36-PTH1-PTH-Gs/β1/γ2 7Y35-PTH1-Abaloparatide-Gs/β1/γ2
14.81Consensusvip-pacap_onOrthosteric Ligandvpac_on pac_on
14.81Consensusvip-pacap_on_gpOrthosteric Ligandvpac_on_gp pac_on_gp
14.29Single2Z7311-cis-Retinal2Z73-Rhodopsin-11-cis-Retinal
14.29Single3AYN9-cis-Retinal3AYN-Rhodopsin-9-cis-Retinal
14.29Single3ODUIT1t3ODU-CXCR4-IT1t
14.29Single3PWHZM-2413853PWH-A2A-ZM-241385
14.29Single4XT1CX3CL14XT1-US28-CX3CL1
14.29Single5GLHEndothelin-15GLH-ETB-Endothelin-1
14.29Single5K2DZM-2413855K2D-A2A-ZM-241385-Na
14.29Single5OLHVipadenant5OLH-A2A-Vipadenant-Na
14.29Single5OLOTozadenant5OLO-A2A-Tozadenant-Na
14.29Single5OLVLUAA470705OLV-A2A-LUAA47070-Na
14.29Single5ZKQABT-4915ZKQ-PAF-ABT-491
14.29Single6IGKEndothelin-36IGK-ETB-Endothelin-3
14.29Single6JZHZM-2413856JZH-A2A-ZM-241385-Na
14.29Single6ME9Ramelteon6ME9-MT2-Ramelteon
14.29Single6NWEOctyl-Beta-D-Glucopyranoside6NWE-Rhodopsin-Octyl-β-D-Glucopyranoside-Gt(CT)
14.29Single6PB0Urocortin6PB0-CRF1-Urocortin-chim(NtGi1-Gs)/β1/γ2
14.29Single6PS7ZM-2413856PS7-A2A-ZM-241385-Na
14.29Single6RNKNF-56-EJ406RNK-Succinate-NF-56-EJ40
14.29Single6TQ6PubChem 1457142836TQ6-OX1-PubChem 145714283
14.29Single6WIVPubChem 52923113; PubChem 529246456WIV-GABAB1, GABAB2-PubChem 52923113; PubChem 52924645
14.29Single7BR3Elagolix7BR3-GnRH1-Elagolix
14.29Single7DUQGLP-17DUQ-GLP-1-GLP-1-PubChem 156022738-Gs/β1/γ2
14.29Single7M3FCa; Ca; Tryptophan; Cinacalcet7M3F-CaS; CaS-Ca; Ca; Tryptophan; Cinacalcet
14.29Single7NA7Ghrelin7NA7-Ghrelin-Ghrelin-Gi1/β1/γ2
14.29Single7SILCa; Ca; Ca; Cyclomethyltryptophan; R-568; PO47SIL-CaS; CaS-Ca-Ca; Ca; Ca; Cyclomethyltryptophan; R-568; PO4
14.29Single7SILCa; Ca; Ca; Cyclomethyltryptophan; R-568; PO47SIL-CaS; CaS-Ca-Ca; Ca; Ca; Cyclomethyltryptophan; R-568; PO4
14.29Single7T6UCGEN-855A7T6U-FPR2-ALX-CGEN-855A-Gi1/β1/γ2
14.29Single7TD4Siponimod7TD4-S1P1-Siponimod-Gi1/β1/γ2
14.29Single7W0OElabela7W0O-Apelin-Elabela-Gi1/β1/γ2
14.29Single7W2ZGhrelin7W2Z-Ghrelin-Ghrelin-Go/β1/γ2
14.29Single7W53Neuromedin-U-257W53-NMUR1-Neuromedin-U-25-chim(NtGi1-Gs-CtGq)/β1/γ2
14.29Single7W56Neuromedin-S7W56-NMUR1-Neuromedin-S-chim(NtGi1-Gs-CtGq)/β1/γ2
14.29Single7XMRSomatostatin-147XMR-SST2-Somatostatin-14-Gi1/β1/γ2
14.29Single8DU3PubChem 1055260648DU3-A2A-PubChem 105526064
14.29Single8F7XNociceptin8F7X-NOP-Nociceptin-Gi1/β1/γ2
14.29Single8HMPC178HMP-GPR52-C17-Gs/β1/γ2
14.29Single8J20Valeric acid8J20-FFA3-Valeric acid-AR420626-Gi1/β1/γ2
14.29Single8KIGSHU91198KIG-MC3-SHU9119-Ca
14.29Single8RVWStilSwitch38RVW-A2A-StilSwitch3-Na
14.29Single8RW4AzoSwitch28RW4-A2A-AzoSwitch2-Na
14.29Single8RWEStilSwitch48RWE-A2A-StilSwitch4-Na
14.29Single8T3SButyric acid8T3S-FFA2-Butyric acid-chim(NtGi2L-Gs-CtGq)/β1/γ2
14.29Single8U4OCXCL128U4O-CXCR4-CXCL12-Gi1/β1/γ2
14.29Single8U4PAMD31008U4P-CXCR4-AMD3100-Gi1/β1/γ2
14.29Single8WPGTryptophan; Cinacalcet; PO4; Ca8WPG-CaS; CaS-Tryptophan; Cinacalcet; PO4; Ca
14.29Single8YWFRetatrutide8YWF-GLP-1-Retatrutide-chim(NtGi1-Gs)/β1/γ2
14.29Single8ZJDKisspeptin-18ZJD-Kiss1-Kisspeptin-1-chim(NtGi1-Gq)/β1/γ1
14.29Single9AVLCa; Ca; Cyclomethyltryptophan; R-568; PO49AVL-CaS; CaS-Ca-Ca; Ca; Cyclomethyltryptophan; R-568; PO4-Gi3/β2/γ2
14.29Single9BKJCholecystokinin-89BKJ-CCKA-Cholecystokinin-8-chim(NtGi1-Gs-CtGq)/β1/γ2
14.29Single9FUPIstradefylline9FUP-A2A-Istradefylline-Na
14.29Single9H2XPubChem 1756706449H2X-A2A-PubChem 175670644-Na
14.29Single9KWGC5a9KWG-C5a1-C5a-Go/β1/γ2
14.29Single9UMRC5a-pep9UMR-C5a1-C5a-pep-Go/β1/γ2
14.29Consensusccr5_on_gpOrthosteric Ligand7O7F-CCR5-6P4-CCL5-Gi1/β1/γ1 7F1Q-CCR5-CCL3-Gi1/β1/γ2
14.29Consensusclass-a_class-b1_cons_onOrthosteric Ligandclass-a_on class-b1_on
14.29Consensusgi_endothelinOrthosteric Ligand8IY5-ETB-Endothelin-1-Gi1/β1/γ2 8HBD-ETB-IRL1620-Gi1/β1/γ2
14.29Consensusgnrh1_offOrthosteric Ligand7BR3-GnRH1-Elagolix
14.29Consensusgq_kisspeptinOrthosteric Ligand8ZJD-Kiss1-Kisspeptin-1-chim(NtGi1-Gq)/β1/γ1
14.29Consensuskiss1_on_gpOrthosteric Ligand8ZJD-Kiss1-Kisspeptin-1-chim(NtGi1-Gq)/β1/γ1
14.29Consensuskisspeptin_on_gpOrthosteric Ligandkiss1_on_gp
14.29Consensusmc4_onOrthosteric Ligand7AUE-MC4-Setmelanotide-chim(NtGi1L-Gs)/β1/γ2 7F58-MC4-THIQ-Gs/β1/γ2 7F54-MC4-Afamelanotide-Gs/β1/γ2 7F53-MC4-α-MSH-Gs/β1/γ2 7F55-MC4-Bremelanotide-Gs/β1/γ2
14.29Consensusnmur1_on_gpOrthosteric Ligand7W53-NMUR1-Neuromedin-U-25-chim(NtGi1-Gs-CtGq)/β1/γ2
14.29Consensusnop_onOrthosteric Ligand8F7X-NOP-Nociceptin-Gi1/β1/γ2
14.29Consensusnop_on_gpOrthosteric Ligand8F7X-NOP-Nociceptin-Gi1/β1/γ2
14.29Consensuspaf_offOrthosteric Ligand5ZKQ-PAF-ABT-491
14.29Consensuspth_on_gpOrthosteric Ligandpth1_on_gp pth2_on_gp
13.79Single6LPBPACAP276LPB-PAC1-PACAP27-Gs/β1/γ1
13.79Single7TZFAmylin7TZF-CT (AMY3)-Amylin-Gs/β1/γ2; RAMP3
13.79Single8FLULA-PTH Analog8FLU-PTH1-LA-PTH Analog-Gs/β1/γ2
13.79Single9AUCCalcitonin gene-related peptide-19AUC-CT (AMY1)-Calcitonin gene-related peptide-1-Gs/β1/γ2; RAMP1
13.79Consensusendothelin_on_gpOrthosteric Ligandetb_on_gp eta_on_gp
13.79Consensusetb_on_gpOrthosteric Ligand8IY5-ETB-Endothelin-1-Gi1/β1/γ2 8HBD-ETB-IRL1620-Gi1/β1/γ2
13.79Consensusglp1_onOrthosteric Ligand7S1M-GLP-1-Exendin-4-D-Ala-Gs/β1/γ2 7X8R-GLP-1-BOC5-Gs/β1/γ2 6X19-GLP-1-CHU-128-Gs/β1/γ2 6X1A-GLP-1-Danuglipron-Gs/β1/γ2 6X18-GLP-1-GLP-1-Gs/β1/γ2 8JIP-GLP-1-MEDI0382-chim(NtGi1-Gs)/β1/γ2 7C2E-GLP-1-PubChem 149050799-Gs/β1/γ2 7KI0-GLP-1-Semaglutide-Gs/β1/γ2 7KI1-GLP-1-Taspoglutide-Gs/β1/γ2 7X8S-GLP-1-WB4-24-Gs/β1/γ2 8JIS-GLP-1-Peptide-15-chim(NtGi1-Gs)/β1/γ2 7VBI-GLP-1-Tirzepatide (non-acylated)-Gs/β1/γ2
13.79Consensusmelanocortin_onOrthosteric Ligandmc1_on mc4_on mc2_on mc3_on mc5_on
13.79Consensusmelanocortin_on_gpOrthosteric Ligandmc1_on_gp mc4_on_gp mc2_on_gp mc3_on_gp mc5_on_gp
13.64Single7C6A(Sar1,Ile8)-Angiotensin II7C6A-AT2-(Sar1,Ile8)-Angiotensin II
13.64Single7EZKCholecystokinin-87EZK-CCKA-Cholecystokinin-8-chim(NtGi1-Gs)/β1/γ2
13.64Single7VBITirzepatide (non-acylated)7VBI-GLP-1-Tirzepatide (non-acylated)-Gs/β1/γ2
13.64Single8F7QBeta-Endorphin8F7Q-μ-β-Endorphin-Gi1/β1/γ2
13.64Single8F7SDeltorphin8F7S-δ-Deltorphin-Gi1/β1/γ2
13.64Single8WSSMCH8WSS-MCH1-MCH-Gi1/β1/γ1
13.64Single8XYDPlatelet Activating Factor8XYD-PAF-Platelet Activating Factor-Gi1/β1/γ2
13.64Single9E82CXCL12 (fragment)9E82-ACKR3-CXCL12 (fragment)-Arrestin2
13.64Single9IQRMuscarinic toxin 39IQR-α2a-Muscarinic toxin 3
13.64Single9IQSMuscarinic toxin 39IQS-M4-Muscarinic toxin 3
13.64Single9KV6TLQP219KV6-C3aB-TLQP21-Go/β1/γ2
13.64Single9L60Dynorphin9L60-κ-Dynorphin-MPAM-15-Gi1/β1/γ2
13.64Consensuscckb_onOrthosteric Ligand8IA7-CCKB-Cholecystokinin-8-chim(NtGi1L-Gq)/β1/γ2 7XOW-CCKB-Sulfated Gastrin-(10-17)-chim(NtGi1-Gq)/β1/γ2 7F8V-CCKB-Gastrin-17-Gi2/β1/γ2
13.64Consensuscompl-peptide_onOrthosteric Ligandc5a1_on c3a_on
13.64Consensusdop_on_gpOrthosteric Ligand8F7S-δ-Deltorphin-Gi1/β1/γ2
13.64Consensusformylpeptide_on_gpOrthosteric Ligandfpr2-alx_on_gp fpr1-alx_on_gp
13.64Consensusgi_cckOrthosteric Ligand7EZH-CCKA-Cholecystokinin-8-Gi1/β1/γ2 7F8V-CCKB-Gastrin-17-Gi2/β1/γ2
13.64Consensusmc4_on_gpOrthosteric Ligand7AUE-MC4-Setmelanotide-chim(NtGi1L-Gs)/β1/γ2 7F58-MC4-THIQ-Gs/β1/γ2 7F54-MC4-Afamelanotide-Gs/β1/γ2 7F53-MC4-α-MSH-Gs/β1/γ2 7F55-MC4-Bremelanotide-Gs/β1/γ2
13.64Consensusmc5_onOrthosteric Ligand8INR-MC5-α-MSH-Ca-chim(NtGi1-Gs)/β1/γ2 8IOD-MC5-PG-901-Ca-chim(NtGi1-Gs)/β1/γ2
13.51Consensusclass-b1_on_gpOrthosteric Ligandglucagon_on_gp vip-pacap_on_gp pth_on_gp crf_on_gp calcitonin_on_gp
13.33Single3REYPubChem 56973REY-A2A-PubChem 5697
13.33Single5IU4ZM-2413855IU4-A2A-ZM-241385-Na
13.33Single5IU7Q274563465IU7-A2A-Q27456346-Na
13.33Single5IUBQ274563445IUB-A2A-Q27456344-Na
13.33Single5JTBZM-2413855JTB-A2A-ZM-241385
13.33Single5K2BZM-2413855K2B-A2A-ZM-241385-Na
13.33Single5K2CZM-2413855K2C-A2A-ZM-241385-Na
13.33Single5NLXZM-2413855NLX-A2A-ZM-241385-Na
13.33Single5NM4ZM-2413855NM4-A2A-ZM-241385-Na
13.33Single5TE3Octyl-Beta-D-Glucopyranoside5TE3-Rhodopsin-Octyl-β-D-Glucopyranoside
13.33Single6AQFZM-2413856AQF-A2A-ZM-241385
13.33Single6LRYSarafotoxin-B6LRY-ETB-Sarafotoxin-B
13.33Single6MH8ZM-2413856MH8-A2A-ZM-241385
13.33Single6PT0WIN 55212-26PT0-CB2-WIN 55212-2-Gi1/β1/γ2
13.33Single6WPWZP37806WPW-Glucagon-ZP3780-Gs/β1/γ2
13.33Single6ZDRHMS1413f126ZDR-A2A-HMS1413f12-Na
13.33Single6ZDVPubChem 9840736ZDV-A2A-PubChem 984073-Na
13.33Single7M3GCa; Ca; Tryptophan; Evocalcet; Etelcalcetide; PO47M3G-CaS; CaS-Ca; Ca; Tryptophan; Evocalcet; Etelcalcetide; PO4
13.33Single7UTZDPPC7UTZ-TSH-TSH-DPPC-Gs/β1/γ2
13.33Single8H4LDoconexent8H4L-FFA4-Doconexent-chim(NtGi1-Gs-CtGq)/β1/γ2
13.33Single8HQN9-S-HODE8HQN-GPR132-9-S-HODE-Gi1/β1/γ2
13.33Single8K2WAMG4878K2W-CXCR3-AMG487
13.33Single8K9LDAMGO8K9L-μ-DAMGO-BMS-986122-Gi3/β1/γ1
13.33Single8RQQZM-2413858RQQ-A2A-ZM-241385-Na
13.33Single8WPUTryptophan; Cinacalcet; PO4; Ca8WPU-CaS; CaS-Tryptophan; Cinacalcet; PO4; Ca-chim(NtGi2L-Gs-CtGq)/β1/γ2
13.33Single8X7ATreprostinil8X7A-I2-Treprostinil-Gs/β1/γ2
13.33Single9ASBCa; Ca; Cyclomethyltryptophan; R-568; PO49ASB-CaS; CaS-Ca-Ca; Ca; Cyclomethyltryptophan; R-568; PO4-chim(NtGi1-Gs-CtGq)/β1/γ2
13.33Single9AVGCa; Ca; Cyclomethyltryptophan; R-568; PO49AVG-CaS; CaS-Ca-Ca; Ca; Cyclomethyltryptophan; R-568; PO4-chim(NtGi1-Gs)/β1/γ2
13.33Single9JR2PTH9JR2-PTH1-PTH-chim(NtGi1L-Gs-CtGq)/β1/γ2
13.33Single9K1DButyric acid9K1D-FFA2-Butyric acid-Gi1/β1/γ2
13.33Single9KXSEP679KXS-C5a1-EP67-Go/β1/γ2
13.33Single9P1TZM-2413859P1T-A2A-ZM-241385
13.33Single9W33S5A19W33-SST5-S5A1
13.33Consensusa2_offOrthosteric Liganda2a_off
13.33Consensusa2a_offOrthosteric Ligand3RFM-A2A-Caffeine 8C9W-A2A-Etrumadenant 3UZA-A2A-GTPL9236 8GNG-A2A-Istradefylline 8CU6-A2A-LJ-4517 7PX4-A2A-PSB-2113 7PYR-A2A-PSB-2115 8DU3-A2A-PubChem 105526064 8JWY-A2A-2-118 8PWN-A2A-Theophylline 5IU4-A2A-ZM-241385-Na 5OLZ-A2A-PubChem 135566609-Na 6GT3-A2A-Imaradenant-Na 5OLV-A2A-LUAA47070-Na 5N2R-A2A-PSB36-Na 5IU7-A2A-Q27456346-Na 5OLH-A2A-Vipadenant-Na 5OLO-A2A-Tozadenant-Na 6ZDR-A2A-HMS1413f12-Na 8GNE-A2A-KW-6356-Na 8JWZ-A2A-Etrumadenant-Na 5IU8-A2A-Q27456347-Na 5IUB-A2A-Q27456344-Na 6ZDV-A2A-PubChem 984073-Na 5IUA-A2A-Q27456348-Na 8A2P-A2A-LUAA47070-Na
13.33Consensuscrf_on_gpOrthosteric Ligandcrf2_on_gp crf1_on_gp
13.33Consensuscxcr3_offOrthosteric Ligand8K2W-CXCR3-AMG487
13.33Consensusgrh_offOrthosteric Ligandgnrh1_off
13.33Consensusnucleotide_offOrthosteric Ligandadenosine_off p2y_off
13.33Consensuspth1_on_gpOrthosteric Ligand6NBF-PTH1-LA-PTH Analog-Gs/β1/γ2 8HA0-PTH1-PTH-chim(NtGi1-Gs)/β1/γ2 8HAF-PTH1-PTHrP(1-36)-chim(NtGi1-Gs)/β1/γ2 7Y36-PTH1-PTH-Gs/β1/γ2 7Y35-PTH1-Abaloparatide-Gs/β1/γ2
13.04Single3OE0CVX153OE0-CXCR4-CVX15
13.04Single6LW5WKYMVm6LW5-FPR2-ALX-WKYMVm
13.04Single6MEOGp160; CD46MEO-CCR5-Gp160; CD4
13.04Single7F4DAlpha-MSH7F4D-MC1-α-MSH-chim(NtGi1-Gs)/β1/γ2
13.04Single7O7F6P4-CCL57O7F-CCR5-6P4-CCL5-Gi1/β1/γ1
13.04Single8W8YGamma-MSH8W8Y-MC3-γ-MSH-Ca-Gs/β1/γ2
13.04Single9K27PrRP319K27-PrRP-PrRP31-chim(NtGi1-Gq)/β1/γ2
13.04Consensuscckb_on_gpOrthosteric Ligand8IA7-CCKB-Cholecystokinin-8-chim(NtGi1L-Gq)/β1/γ2 7XOW-CCKB-Sulfated Gastrin-(10-17)-chim(NtGi1-Gq)/β1/γ2 7F8V-CCKB-Gastrin-17-Gi2/β1/γ2
13.04Consensusclass-b1_class-b2_cons_onOrthosteric Ligandclass-b1_on class-b2_on
13.04Consensusclass-b1_class-b2_cons_on_gpOrthosteric Ligandclass-b1_on_gp class-b2_on_gp
13.04Consensuscompl-peptide_on_gpOrthosteric Ligandc5a1_on_gp c3a_on_gp
13.04Consensusfpr2-alx_onOrthosteric Ligand7WVX-FPR2-ALX-Humanin-Gi2/β1/γ2 7T6U-FPR2-ALX-CGEN-855A-Gi1/β1/γ2 7T6V-FPR2-ALX-fMLFII-Gi1/β1/γ2 7WVY-FPR2-ALX-Amyloid-β42-Gi2/β1/γ2 7T6S-FPR2-ALX-TC-FPR 43-Gi1/β1/γ2 6OMM-FPR2-ALX-WKYMVX-Gi1/β1/γ2
13.04Consensusgs_cckOrthosteric Ligand7MBX-CCKA-Cholecystokinin-8-Gs/β1/γ1
13.04Consensusmc3_onOrthosteric Ligand8IOC-MC3-γ-MSH-Ca-chim(NtGi1-Gs)/β1/γ2
13.04Consensusmc3_on_gpOrthosteric Ligand8IOC-MC3-γ-MSH-Ca-chim(NtGi1-Gs)/β1/γ2
12.90Consensusglucagon_onOrthosteric Ligandglp_on gluc_on secretin_on gip_on
12.90Consensuspth2_onOrthosteric Ligand7F16-PTH2-TIP39-Gs/β1/γ2
12.50Single3EMLZM-2413853EML-A2A-ZM-241385
12.50Single4EIYZM-2413854EIY-A2A-ZM-241385-Na
12.50Single5IU8Q274563475IU8-A2A-Q27456347-Na
12.50Single5K2AZM-2413855K2A-A2A-ZM-241385-Na
12.50Single5NDDAZ8838; Na5NDD-PAR2-AZ8838; Na
12.50Single5OLGZM-2413855OLG-A2A-ZM-241385-Na
12.50Single5VRAZM-2413855VRA-A2A-ZM-241385-Na
12.50Single6LPJZM-2413856LPJ-A2A-ZM-241385-Na
12.50Single6LPKZM-2413856LPK-A2A-ZM-241385-Na
12.50Single6M1IPACAP276M1I-PAC1-PACAP27-Gs/β1/γ2
12.50Single6METGp160; CD46MET-CCR5-Gp160; CD4
12.50Single6S0LZM-2413856S0L-A2A-ZM-241385
12.50Single7NA8Ibutamoren7NA8-Ghrelin-Ibutamoren-Gi1/β1/γ2
12.50Single7PP1Selatogrel7PP1-P2Y12-Selatogrel
12.50Single7PYRPSB-21157PYR-A2A-PSB-2115
12.50Single7YK7DC5910537YK7-RXFP4-DC591053-Gi2/β1/γ2
12.50Single7YONPeptide-YY(3-36)7YON-Y2-Peptide-YY(3-36)-Gi1/β1/γ2
12.50Single7YU4ONO-07405567YU4-LPA1-ONO-0740556
12.50Single8HA0PTH8HA0-PTH1-PTH-chim(NtGi1-Gs)/β1/γ2
12.50Single8IEDPubChem 1347468948IED-GPR156; GPR156-PubChem 134746894-Go/β1/γ2
12.50Single8KEXDCA-3P8KEX-MRGPRX4-DCA-3P
12.50Single8X9TAP5038X9T-ADGRD1-AP503-chim(NtGi1-Gs)/β1/γ2
12.50Single8YW3Retatrutide8YW3-GLP-1-Retatrutide-Gs/β1/γ2
12.50Single8YW4Retatrutide8YW4-GIP-Retatrutide-chim(NtGi1-Gs)/β1/γ2
12.50Single8ZBEOctreotide8ZBE-SST5-Octreotide-Gi1/β1/γ1
12.50Single9AVGCa; Ca; Cyclomethyltryptophan; R-568; PO49AVG-CaS; CaS-Ca-Ca; Ca; Cyclomethyltryptophan; R-568; PO4-chim(NtGi1-Gs)/β1/γ2
12.50Single9BUDCagrilintide9BUD-CT-Cagrilintide-Gs/β1/γ2
12.50Single9H37PubChem 1756706469H37-A2A-PubChem 175670646-Na
12.50Single9KFTfMLFC9KFT-FPR1-ALX-fMLFC-Gi1/β1/γ2
12.50Single9P1SZM-2413859P1S-A2A-ZM-241385
12.50Consensuscck_offOrthosteric Ligandccka_off
12.50Consensusccka_offOrthosteric Ligand7F8Y-CCKA-Devazepide 7F8U-CCKA-Lintitript
12.50Consensusfpr2-alx_on_gpOrthosteric Ligand7WVX-FPR2-ALX-Humanin-Gi2/β1/γ2 7T6U-FPR2-ALX-CGEN-855A-Gi1/β1/γ2 7T6V-FPR2-ALX-fMLFII-Gi1/β1/γ2 7WVY-FPR2-ALX-Amyloid-β42-Gi2/β1/γ2 7T6S-FPR2-ALX-TC-FPR 43-Gi1/β1/γ2 6OMM-FPR2-ALX-WKYMVX-Gi1/β1/γ2
12.50Consensusgi_formylpeptideOrthosteric Ligand7WVY-FPR2-ALX-Amyloid-β42-Gi2/β1/γ2 7T6U-FPR2-ALX-CGEN-855A-Gi1/β1/γ2 7VFX-FPR1-ALX-fMIFL-Gi1/β1/γ2 7T6V-FPR2-ALX-fMLFII-Gi1/β1/γ2 7WVX-FPR2-ALX-Humanin-Gi2/β1/γ2 7T6S-FPR2-ALX-TC-FPR 43-Gi1/β1/γ2 6OMM-FPR2-ALX-WKYMVX-Gi1/β1/γ2
12.50Consensusglucagon_on_gpOrthosteric Ligandglp_on_gp gluc_on_gp secretin_on_gp gip_on_gp
12.50Consensusmc5_on_gpOrthosteric Ligand8INR-MC5-α-MSH-Ca-chim(NtGi1-Gs)/β1/γ2 8IOD-MC5-PG-901-Ca-chim(NtGi1-Gs)/β1/γ2
12.50Consensusprotein_offonOrthosteric Ligandprotein_off protein_on
12.50Consensusprotein_offon_gpOrthosteric Ligandprotein_on_gp protein_off
12.50Consensuspth_onOrthosteric Ligandpth1_on pth2_on
12.12Consensusmc2_onOrthosteric Ligand8GY7-MC2-Corticotropin-Ca-chim(NtGi1-Gs)/β1/γ2; MRAP1
12.12Consensusmc2_on_gpOrthosteric Ligand8GY7-MC2-Corticotropin-Ca-chim(NtGi1-Gs)/β1/γ2; MRAP1
12.00Single6X18GLP-16X18-GLP-1-GLP-1-Gs/β1/γ2
12.00Single7F9YGhrelin7F9Y-Ghrelin-Ghrelin-chim(NtGi1-Gs-CtGq)/β1/γ2
12.00Single7LLYOxyntomodulin7LLY-GLP-1-Oxyntomodulin-Gs/β1/γ2
12.00Single7VL9CCL15(26-92)7VL9-CCR1-CCL15(26-92)-Gi1/β1/γ2
12.00Single7X9CPancreatic Hormone7X9C-Y4-Pancreatic Hormone-Gi1/β1/γ2
12.00Single7Y35Abaloparatide7Y35-PTH1-Abaloparatide-Gs/β1/γ2
12.00Single8HCQEndothelin-18HCQ-ETA-Endothelin-1-chim(NtGi1-Gs-CtGq)/β1/γ2
12.00Single8HCXEndothelin-18HCX-ETB-Endothelin-1-chim(NtGi2L-Gs-CtGq)/β1/γ2
12.00Single8HK5C5a8HK5-C5a1-C5a-Gi1/β1/γ2
12.00Single8IA2C5a8IA2-C5a1-C5a-Go/β1/γ2
12.00Single8YG4LA-PTH Analog8YG4-PTH1-LA-PTH Analog-chim(NtGi1-Gs)/β1/γ2
12.00Single9JFYNeuropeptide-SF9JFY-NPFF2-Neuropeptide-SF-Gi1/β1/γ2
12.00Consensuschemokine_offOrthosteric Ligandccr_off cxcr_off
12.00Consensuschemokine_on_gpOrthosteric Ligandccr_on_gp cxcr_on_gp
12.00Consensuscxcr_offOrthosteric Ligandcxcr3_off cxcr4_off
12.00Consensuseta_onOrthosteric Ligand8HCQ-ETA-Endothelin-1-chim(NtGi1-Gs-CtGq)/β1/γ2
12.00Consensuseta_on_gpOrthosteric Ligand8HCQ-ETA-Endothelin-1-chim(NtGi1-Gs-CtGq)/β1/γ2
12.00Consensusgi_chemokineOrthosteric Ligand6WWZ-CCR6-CCL20-Go/β1/γ2 8HNK-CXCR3-CXCL11-Gi1/β1/γ2 8K3Z-CXCR4-CXCL12-Gi1/β1/γ1 8IC0-CXCR1-CXCL8-Gi1/β1/γ2 6LFM-CXCR2-CXCL8-Gi1/β1/γ2 8KFX-CCR8-LMD-009-Gi1/β1/γ2 7F1Q-CCR5-CCL3-Gi1/β1/γ2 8HNL-CXCR3-PS372424-Gi1/β1/γ2 8KFY-CCR8-ZK-756326-Gi1/β1/γ2 7O7F-CCR5-6P4-CCL5-Gi1/β1/γ1 8U1U-CCR8-CCL1-Gi1/β1/γ2 7VLA-CCR1-CCL15(27-92)-Gi1/β1/γ2 7XA3-CCR2-CCL2-Gi1/β1/γ2
12.00Consensuspac_onOrthosteric Ligandpac1_on
12.00Consensusvpac_onOrthosteric Ligandvpac1_on vpac2_on
11.76Single4NTJAZD12834NTJ-P2Y12-AZD1283
11.76Single4PHUFasiglifam4PHU-FFA1-Fasiglifam
11.76Single5IUAQ274563485IUA-A2A-Q27456348-Na
11.76Single5ZBQUR-MK-2995ZBQ-Y1-UR-MK-299
11.76Single6LFMCXCL86LFM-CXCR2-CXCL8-Gi1/β1/γ2
11.76Single6LPLZM-2413856LPL-A2A-ZM-241385-Na
11.76Single6RZ4Pranlukast6RZ4-CysLT1-Pranlukast-Na
11.76Single6S0QZM-2413856S0Q-A2A-ZM-241385
11.76Single6WQAZM-2413856WQA-A2A-ZM-241385-Na
11.76Single7E9GJNJ-404118137E9G-mGlu2; mGlu2-Eglumetad-JNJ-40411813-Gi1/β1/γ2
11.76Single7F16TIP397F16-PTH2-TIP39-Gs/β1/γ2
11.76Single7RM5ZM-2413857RM5-A2A-ZM-241385-Na
11.76Single7Y26Octreotide7Y26-SST2-Octreotide-chim(NtGi2L-Gs-CtGq)/β1/γ2
11.76Single7YU3ONO-07405567YU3-LPA1-ONO-0740556-Gi1/β1/γ2
11.76Single7YU6ONO-07405567YU6-LPA1-ONO-0740556-Gi1/β1/γ2
11.76Single8EJCTAK-8758EJC-FFA1-TAK-875-chim(NtGi1L-Gs-CtGq)/β1/γ2
11.76Single8FYNZM-2413858FYN-A2A-ZM-241385-Na
11.76Single8GNEKW-63568GNE-A2A-KW-6356-Na
11.76Single8QOTNanobody-E8QOT-μ-Nanobody-E
11.76Single8WGBVU01550418WGB-mGlu4; mGlu2-Glutamate-VU0155041-Gi3/β1/γ2
11.76Single9GE2ML1849GE2-GPR55-ML184-chim(NtGi1-G13)/β1/γ2
11.76Consensusclass-b1_onOrthosteric Ligandglucagon_on vip-pacap_on pth_on crf_on calcitonin_on
11.76Consensuscxcr2_on_gpOrthosteric Ligand6LFM-CXCR2-CXCL8-Gi1/β1/γ2
11.76Consensuslpa1_onOrthosteric Ligand7TD1-LPA1-LPA-Gi1/β1/γ2 7YU3-LPA1-ONO-0740556-Gi1/β1/γ2
11.76Consensuslpa1_on_gpOrthosteric Ligand7TD1-LPA1-LPA-Gi1/β1/γ2 7YU3-LPA1-ONO-0740556-Gi1/β1/γ2
11.76Consensusrxfp4_onOrthosteric Ligand7YK7-RXFP4-DC591053-Gi2/β1/γ2 7YJ4-RXFP4-INSL5-Gi2/β1/γ2 7YK6-RXFP4-PubChem 138319674-Gi2/β1/γ2
11.76Consensusrxfp4_on_gpOrthosteric Ligand7YK7-RXFP4-DC591053-Gi2/β1/γ2 7YJ4-RXFP4-INSL5-Gi2/β1/γ2 7YK6-RXFP4-PubChem 138319674-Gi2/β1/γ2
11.54Single4XT3CX3CL14XT3-US28-CX3CL1
11.54Single6NBFLA-PTH Analog6NBF-PTH1-LA-PTH Analog-Gs/β1/γ2
11.54Single7CZ5Somatoliberin7CZ5-GHRH-Somatoliberin-Gs/β1/γ2
11.54Single7D3SSecretin7D3S-Secretin-Secretin-Gs/β1/γ2
11.54Single7VABTirzepatide (non-acylated)7VAB-GIP-Tirzepatide (non-acylated)-chim(NtGi1-Gs)/β1/γ2
11.54Single7W3ZGastrin Releasing Peptide7W3Z-BB2-Gastrin Releasing Peptide-chim(NtGi1L-Gq)/β1/γ2
11.54Single8FLRPTHrP(1-36)8FLR-PTH1-PTHrP(1-36)-Gs/β1/γ2
11.54Single8JISPeptide-158JIS-GLP-1-Peptide-15-chim(NtGi1-Gs)/β1/γ2
11.54Single8XQFApelin-138XQF-Apelin-Apelin-13-Gi1/β1/γ2
11.54Single9BP3Cagrilintide9BP3-CT (AMY1)-Cagrilintide-Gs/β1/γ2; RAMP1
11.54Single9J1Pg1:Ox9J1P-GLP-1-g1:Ox-chim(NtGi1-Gs)/β1/γ2
11.54Consensusccr_offOrthosteric Ligandccr2_off ccr5_off
11.54Consensusctlike_onOrthosteric Ligand6E3Y-CT Like-Calcitonin gene-related peptide-1-Gs/β1/γ2; RAMP1
11.54Consensusnpy4_onOrthosteric Ligand7X9C-Y4-Pancreatic Hormone-Gi1/β1/γ2
11.54Consensusnpy4_on_gpOrthosteric Ligand7X9C-Y4-Pancreatic Hormone-Gi1/β1/γ2
11.54Consensusvpac_on_gpOrthosteric Ligandvpac1_on_gp vpac2_on_gp
11.43Single8F0JPramlintide Analogue San458F0J-CT-Pramlintide Analogue San45-Gs/β1/γ2
11.11Single5TZRMK86665TZR-FFA1-MK8666
11.11Single6RZ5Zafirlukast6RZ5-CysLT1-Zafirlukast-Na
11.11Single7FEECP559407FEE-CB1-CP55940-ZCZ011
11.11Single7PX4PSB-21137PX4-A2A-PSB-2113
11.11Single7R0CAVP7R0C-V2-AVP-Arrestin2
11.11Single7S1MExendin-4-D-Ala7S1M-GLP-1-Exendin-4-D-Ala-Gs/β1/γ2
11.11Single7VQXPACAP277VQX-VPAC1-PACAP27-Gs/β1/γ2
11.11Single7XOWSulfated Gastrin-(10-17)7XOW-CCKB-Sulfated Gastrin-(10-17)-chim(NtGi1-Gq)/β1/γ2
11.11Single7XWONeurokinin-A7XWO-NK2-Neurokinin-A-chim(NtGi1-Gs-CtGq)/β1/γ2
11.11Single7Y67C089 peptide7Y67-C5a1-C089 peptide-Gi1/β1/γ2
11.11Single7YU5ONO-07405567YU5-LPA1-ONO-0740556-Gi1/β1/γ2
11.11Single7YU7ONO-07405567YU7-LPA1-ONO-0740556-Gi1/β1/γ2
11.11Single8F2BPramlintide Analogue San458F2B-CT (AMY3)-Pramlintide Analogue San45-Gs/β1/γ2; RAMP3
11.11Single8FU6ZP37808FU6-Glucagon-ZP3780-Gs/β1/γ2
11.11Single8HQCC5a8HQC-C5a1-C5a-Go/β1/γ2
11.11Single8JD5JNJ-40411813; ADX881788JD5-mGlu2; mGlu4-Glutamate-JNJ-40411813; ADX88178-Gi1/β1/γ2
11.11Single8JZPC5a8JZP-C5a1-C5a-Go/β1/γ2
11.11Single8W8WAlpha-MSH8W8W-MC3-α-MSH-Ca-Gs/β1/γ2
11.11Single8XQTCholesterol8XQT-TAS2R14-Cholesterol-Gi1/β1/γ1
11.11Single9ASTLymphotactin9AST-XCR1-Lymphotactin-Gi1/β1/γ2
11.11Single9CLWTUG-13759CLW-FFA2-TUG-1375-4-CMTB-chim(NtGi1L-Gs-CtGq)/β1/γ2
11.11Single9IZGLPA9IZG-LPA1-LPA-chim(NtGi1-Gs-CtGq)/β1/γ2
11.11Single9P94PACAP279P94-PAC1-PACAP27-Gs/β1/γ2
11.11Single9UY3Anamorelin9UY3-Ghrelin-Anamorelin-chim(NtGi1-Gs-CtGq)/β1/γ2
11.11Consensusffa2_onOrthosteric Ligand8J22-FFA2-TUG-1375-Gi1/β1/γ2
11.11Consensusffa_onOrthosteric Ligandffa2_on ffa3_on
11.11Consensusffa_on_gpOrthosteric Ligandffa2_on_gp ffa3_on_gp
11.11Consensusgi_ffaOrthosteric Ligand8J21-FFA3-Butyric acid-Gi1/β1/γ2 8J22-FFA2-TUG-1375-Gi1/β1/γ2
11.11Consensusgi_lpaOrthosteric Ligand7TD1-LPA1-LPA-Gi1/β1/γ2 7YU3-LPA1-ONO-0740556-Gi1/β1/γ2
11.11Consensusgi_relaxinOrthosteric Ligand7YK7-RXFP4-DC591053-Gi2/β1/γ2 7YJ4-RXFP4-INSL5-Gi2/β1/γ2 7YK6-RXFP4-PubChem 138319674-Gi2/β1/γ2
11.11Consensusglp2_onOrthosteric Ligand7D68-GLP-2-GLP-2-Gs/β1/γ2
11.11Consensusglp2_on_gpOrthosteric Ligand7D68-GLP-2-GLP-2-Gs/β1/γ2
11.11Consensuslpa_onOrthosteric Ligandlpa1_on
11.11Consensuslpa_on_gpOrthosteric Ligandlpa1_on_gp
11.11Consensusmotilin_onOrthosteric Ligand8IBU-Motilin-Erythromycin-A-chim(NtGi1-Gs-CtGq)/β1/γ2
11.11Consensusnk2_on_gpOrthosteric Ligand7XWO-NK2-Neurokinin-A-chim(NtGi1-Gs-CtGq)/β1/γ2
11.11Consensusnpy1_offOrthosteric Ligand5ZBH-Y1-BMS-193885 5ZBQ-Y1-UR-MK-299
11.11Consensusp2y10_on_gpOrthosteric Ligand8KGG-P2Y10-Lysophosphatidylserine (WJS)-chim(NtGi2-G13)/β1/γ2
11.11Consensusrelaxin_onOrthosteric Ligandrxfp4_on
11.11Consensusrelaxin_on_gpOrthosteric Ligandrxfp4_on_gp
10.71Single5VAIGLP-15VAI-GLP-1-GLP-1-Gs/β1/γ2
10.71Single6NBHLA-PTH Analog6NBH-PTH1-LA-PTH Analog-Gs/β1/γ2
10.71Single6PB1Urocortin6PB1-CRF2-Urocortin-chim(NtGi1-Gs)/β1/γ2
10.71Single8HAFPTHrP(1-36)8HAF-PTH1-PTHrP(1-36)-chim(NtGi1-Gs)/β1/γ2
10.71Single8IY6Endothelin-18IY6-ETB-Endothelin-1
10.71Single8KGGLysophosphatidylserine (WJS)8KGG-P2Y10-Lysophosphatidylserine (WJS)-chim(NtGi2-G13)/β1/γ2
10.71Single9BTWCagrilintide9BTW-CT (AMY3)-Cagrilintide-Gs/β1/γ2; RAMP3
10.71Consensusctlike_on_gpOrthosteric Ligand6E3Y-CT Like-Calcitonin gene-related peptide-1-Gs/β1/γ2; RAMP1
10.71Consensusetb_onOrthosteric Ligand8IY5-ETB-Endothelin-1-Gi1/β1/γ2 8HBD-ETB-IRL1620-Gi1/β1/γ2
10.71Consensusgs_melanocortinOrthosteric Ligand7F4H-MC1-Afamelanotide-chim(NtGi1-Gs)/β1/γ2 7F54-MC4-Afamelanotide-Gs/β1/γ2 7F4D-MC1-α-MSH-chim(NtGi1-Gs)/β1/γ2 8INR-MC5-α-MSH-Ca-chim(NtGi1-Gs)/β1/γ2 7F53-MC4-α-MSH-Gs/β1/γ2 7F55-MC4-Bremelanotide-Gs/β1/γ2 8GY7-MC2-Corticotropin-Ca-chim(NtGi1-Gs)/β1/γ2; MRAP1 8IOC-MC3-γ-MSH-Ca-chim(NtGi1-Gs)/β1/γ2 8IOD-MC5-PG-901-Ca-chim(NtGi1-Gs)/β1/γ2 7AUE-MC4-Setmelanotide-chim(NtGi1L-Gs)/β1/γ2 7F4I-MC1-SHU9119-chim(NtGi1-Gs)/β1/γ2 7F58-MC4-THIQ-Gs/β1/γ2
10.71Consensusvpac2_onOrthosteric Ligand7VQX-VPAC1-PACAP27-Gs/β1/γ2
10.71Consensusvpac2_on_gpOrthosteric Ligand7VQX-VPAC1-PACAP27-Gs/β1/γ2
10.53Single5TZYMK8666; AP85TZY-FFA1-MK8666; AP8
10.53Single6C1RPMX536C1R-C5a1-PMX53-Avacopan; Na
10.53Single6KQICP559406KQI-CB1-CP55940-Org27569
10.53Single7F55Bremelanotide7F55-MC4-Bremelanotide-Gs/β1/γ2
10.53Single7T6BS1P7T6B-S1P2-S1P-chim(NtGi1L-G13)/β1/γ2
10.53Single7XW6ML1097XW6-TSH-M22 Fab-ML109-Gs/β1/γ2
10.53Single8H0QGastrin Releasing Peptide8H0Q-BB2-Gastrin Releasing Peptide-chim(NtGi1-Gs-CtGq)/β1/γ2
10.53Single8HK2C3a8HK2-C3aB-C3a-Gi1/β1/γ2
10.53Single8IBUErythromycin-A8IBU-Motilin-Erythromycin-A-chim(NtGi1-Gs-CtGq)/β1/γ2
10.53Single8U26Substance-P8U26-NK1-Substance-P-Gs/β1/γ2
10.53Single8XQNCholesterol8XQN-TAS2R14-Cholesterol-Aristolochic acid A-Gi1/β1/γ1
10.53Single8Y6WTUG-13758Y6W-FFA2-TUG-1375-4-CMTB-Gi1/β1/γ2
10.53Single9CM3TUG-13759CM3-FFA2-TUG-1375-PubChem 118615810-chim(NtGi1L-Gs-CtGq)/β1/γ2
10.53Single9VIFNeuropeptide-VF9VIF-NPFF1-Neuropeptide-VF-Gi1/β1/γ2
10.53Single9W32SSTR5 antagonist 19W32-SST5-SSTR5 antagonist 1
10.53Consensusffa2_on_gpOrthosteric Ligand8J22-FFA2-TUG-1375-Gi1/β1/γ2
10.53Consensusmotilin_on_gpOrthosteric Ligand8IBU-Motilin-Erythromycin-A-chim(NtGi1-Gs-CtGq)/β1/γ2
10.34Single7RBTTirzepatide7RBT-GIP-Tirzepatide-LSN3556672-chim(NtGi1-Gs)/β1/γ2
10.34Single7TYXAmylin7TYX-CT (AMY2)-Amylin-Gs/β1/γ2; RAMP2
10.34Single8U1UCCL18U1U-CCR8-CCL1-Gi1/β1/γ2
10.34Consensusgi_npyOrthosteric Ligand8K6M-Y1-Neuropeptide-Y-Gi2/β1/γ1 7X9C-Y4-Pancreatic Hormone-Gi1/β1/γ2 7YOO-Y2-Neuropeptide-Y-Gi1/β1/γ2
10.34Consensusgip_onOrthosteric Ligand7FIN-GIP-Peptide-20; GGL-Gs/β1/γ2 7FIY-GIP-Tirzepatide-Gs/β1/γ2 7DTY-GIP-GIP-Gs/β1/γ2
10.34Consensusgip_on_gpOrthosteric Ligand7FIN-GIP-Peptide-20; GGL-Gs/β1/γ2 7FIY-GIP-Tirzepatide-Gs/β1/γ2 7DTY-GIP-GIP-Gs/β1/γ2
10.34Consensusnpy_onOrthosteric Ligandnpy1_on npy2_on npy4_on
10.34Consensusnpy_on_gpOrthosteric Ligandnpy1_on_gp npy2_on_gp npy4_on_gp
10.26Single8GY7Corticotropin8GY7-MC2-Corticotropin-Ca-chim(NtGi1-Gs)/β1/γ2; MRAP1
10.00Single7CX4Evatanepag7CX4-EP2-Evatanepag-Gs/β1/γ2
10.00Single7EZHCholecystokinin-87EZH-CCKA-Cholecystokinin-8-Gi1/β1/γ2
10.00Single7EZMCholecystokinin-87EZM-CCKA-Cholecystokinin-8-chim(NtGsL-Gq)/β1/γ2
10.00Single7MBYCholecystokinin-87MBY-CCKA-Cholecystokinin-8-chim(NtGi1L-Gs-CtGq)/β1/γ2
10.00Single7P00Substance-P7P00-NK1-Substance-P-chim(NtGi1-Gs-CtGq)/β1/γ2
10.00Single7PIUSetmelanotide7PIU-MC4-Setmelanotide-Gs/β1/γ2
10.00Single7QVMOxytocin7QVM-OT-Oxytocin-chim(NtGi1-Go-CtGq)/β1/γ2
10.00Single7X8RBOC57X8R-GLP-1-BOC5-Gs/β1/γ2
10.00Single8F2APramlintide Analogue San3858F2A-CT (AMY3)-Pramlintide Analogue San385-Gs/β1/γ2; RAMP3
10.00Single8HBDIRL16208HBD-ETB-IRL1620-Gi1/β1/γ2
10.00Single8HN1Toxin AdTx18HN1-Alpha1A-Toxin AdTx1
10.00Single8K4OCXCL18K4O-KSHV-CXCL1-Gi1/β1/γ1
10.00Single8ZX4Lysophosphatidylinositol 8ZX4-GPR55-Lysophosphatidylinositol-chim(NtGi1-G13)/β1/γ2
10.00Single9C0KExendin-49C0K-GLP-1-Exendin-4-Gs/β1/γ2
10.00Single9GE3Lysophosphatidylinositol9GE3-GPR55-Lysophosphatidylinositol-chim(NtGi1-G13)/β1/γ2
10.00Single9UYHChemerin-99UYH-CML2-Chemerin-9-Arrestin2
10.00Consensusccka_onOrthosteric Ligand7EZH-CCKA-Cholecystokinin-8-Gi1/β1/γ2
10.00Consensusccka_on_gpOrthosteric Ligand7EZH-CCKA-Cholecystokinin-8-Gi1/β1/γ2
10.00Consensusnk1_onOrthosteric Ligand7P00-NK1-Substance-P-chim(NtGi1-Gs-CtGq)/β1/γ2
10.00Consensusnk1_on_gpOrthosteric Ligand7P00-NK1-Substance-P-chim(NtGi1-Gs-CtGq)/β1/γ2
9.68Single7V35Peptide-207V35-Glucagon-Peptide-20-Gs/β1/γ2
9.68Single8JIPMEDI03828JIP-GLP-1-MEDI0382-chim(NtGi1-Gs)/β1/γ2
9.68Single8JIRSAR4258998JIR-GLP-1-SAR425899-chim(NtGi1-Gs)/β1/γ2
9.52Single6C1QPMX536C1Q-C5a1-PMX53-NDT9513727
9.52Single6OMMWKYMVX6OMM-FPR2-ALX-WKYMVX-Gi1/β1/γ2
9.52Single7AUESetmelanotide7AUE-MC4-Setmelanotide-chim(NtGi1L-Gs)/β1/γ2
9.52Single7CX2PGE27CX2-EP2-PGE2-Gs/β1/γ2
9.52Single7F9ZGHRP-67F9Z-Ghrelin-GHRP-6-chim(NtGi1-Gs-CtGq)/β1/γ2
9.52Single7RKNCX3CL17RKN-US28-CX3CL1-Gi1/β1/γ2
9.52Single7RMGSubstance-P7RMG-NK1-Substance-P-chim(Gs-CtGq)/β1/γ2
9.52Single7RMHSubstance-P7RMH-NK1-Substance-P-Gs/β1/γ2
9.52Single8J22TUG-13758J22-FFA2-TUG-1375-Gi1/β1/γ2
9.52Single8JBFSenktide8JBF-NK3-Senktide-chim(NtGi1-Gs-CtGq)/β1/γ2
9.52Single8XQLCholesterol8XQL-TAS2R14-Cholesterol-Aristolochic acid A-Gt3/β1/γ1
9.52Single8XQOCholesterol8XQO-TAS2R14-Cholesterol-Aristolochic acid A-Gi1/β1/γ1
9.52Single8Z74JN241-98Z74-Apelin; Apelin-JN241-9
9.52Single8Z74JN241-98Z74-Apelin; Apelin-JN241-9
9.52Single9CM7TUG-13759CM7-FFA2-TUG-1375-AZ-1729-Gi1/β1/γ2
9.52Single9JF4PD1683689JF4-BB1-PD168368
9.52Single9JH6C20:0 Ceramide9JH6-CysLT2-C20:0 Ceramide-chim(NtGi1-Gs-CtGq)/β1/γ2
9.52Single9NS9TUG-13759NS9-FFA2-TUG-1375-PubChem 118615810-Gi1/β1/γ2
9.52Consensuscxcr4_offOrthosteric Ligand4RWS-CXCR4-vMIP-II 3OE0-CXCR4-CVX15 3OE6-CXCR4-IT1t
9.52Consensusnmur1_onOrthosteric Ligand7W53-NMUR1-Neuromedin-U-25-chim(NtGi1-Gs-CtGq)/β1/γ2
9.38Single7TYYCalcitonin-17TYY-CT (AMY2)-Calcitonin-1-Gs/β1/γ2; RAMP2
9.38Single7X9ANeuropeptide-Y7X9A-Y1-Neuropeptide-Y-Gi1/β1/γ2
9.38Single8JIUSAR4258998JIU-Glucagon-SAR425899-Gs/β1/γ2
9.09Single7CX3Taprenepag7CX3-EP2-Taprenepag-Gs/β1/γ2
9.09Single7F54Afamelanotide7F54-MC4-Afamelanotide-Gs/β1/γ2
9.09Single7RTBPeptide-197RTB-GLP-1-Peptide-19-Gs/β1/γ2
9.09Single7V68LY21196207V68-M4-Iperoxo-LY2119620-Gi1/β1/γ2
9.09Single7XKEDehydroepiandrosterone7XKE-ADGRG2-Dehydroepiandrosterone-chim(NtGi1-Gs)/β1/γ2
9.09Single8IEIPubChem 1347468948IEI-GPR156; GPR156-PubChem 134746894
9.09Single8IEIPubChem 1347468948IEI-GPR156; GPR156-PubChem 134746894
9.09Single8IEPPubChem 1347468948IEP-GPR156; GPR156-PubChem 134746894
9.09Single8IEPPubChem 1347468948IEP-GPR156; GPR156-PubChem 134746894
9.09Single8IZBLysophosphatidylserine (UBL)8IZB-GPR174-Lysophosphatidylserine (UBL)-Gs/β1/γ2
9.09Single8X9S5alpha-DHT8X9S-ADGRD1-5α-DHT-chim(NtGi1-Gs)/β1/γ2
9.09Single8XBHPubChem 1626566368XBH-GPR34-PubChem 162656636-Gi1/β1/γ2
9.09Single9HB3Mambaquaretin-19HB3-V2-Mambaquaretin-1
9.09Single9MEJGp1209MEJ-CXCR4-Gp120
9.09Single9UYLChemerin-99UYL-CML2-Chemerin-9-Arrestin2
9.09Consensuschemokine_onOrthosteric Ligandccr_on cxcr_on
9.09Consensusgluc_onOrthosteric Ligand6LMK-Glucagon-Glucagon-Gs/β1/γ2 8JIT-Glucagon-MEDI0382-Gs/β1/γ2 7V35-Glucagon-Peptide-20-Gs/β1/γ2
9.09Consensusnk3_onOrthosteric Ligand8JBF-NK3-Senktide-chim(NtGi1-Gs-CtGq)/β1/γ2
9.09Consensusnk3_on_gpOrthosteric Ligand8JBF-NK3-Senktide-chim(NtGi1-Gs-CtGq)/β1/γ2
9.09Consensusp2y_onOrthosteric Ligandp2y1_on p2y10_on p2y12_on
9.09Consensussomatostatin_offOrthosteric Ligandsst2_off
8.82Consensusgluc_on_gpOrthosteric Ligand6LMK-Glucagon-Glucagon-Gs/β1/γ2 8JIT-Glucagon-MEDI0382-Gs/β1/γ2 7V35-Glucagon-Peptide-20-Gs/β1/γ2
8.70Single6WHCGlu16 analog of GCG6WHC-Glucagon-Glu16 analog of GCG-Gs/β1/γ2
8.70Single7PIVAfamelanotide7PIV-MC4-Afamelanotide-Gs/β1/γ2
8.70Single7RMISubstance-P7RMI-NK1-Substance-P-chim(Gs-CtGq)/β1/γ2
8.70Single7SK5CXCL127SK5-ACKR3-CXCL12
8.70Single7TRYUrocortin7TRY-CRF2-Urocortin-chim(NtGi1-G11)/β1/γ2
8.70Single7XNACYN1548067XNA-SST2-CYN154806
8.70Single8IBVMotilin8IBV-Motilin-Motilin-chim(NtGi1-Gs-CtGq)/β1/γ2
8.70Single8IEBPubChem 1347468948IEB-GPR156; GPR156-PubChem 134746894
8.70Single8IOCGamma-MSH8IOC-MC3-γ-MSH-Ca-chim(NtGi1-Gs)/β1/γ2
8.70Single8JBHSubstance-P8JBH-NK3-Substance-P-chim(NtGi1-Gs-CtGq)/β1/γ2
8.70Single8KH5Lysophosphatidylserine8KH5-GPR174-Lysophosphatidylserine-Gs/β1/γ2
8.70Single9EAINanobody AT2099EAI-AT1-Losartan-Nanobody AT209
8.70Consensussst2_offOrthosteric Ligand7XNA-SST2-CYN154806
8.70Consensustachykinin_on_gpOrthosteric Ligandnk1_on_gp nk2_on_gp nk3_on_gp
8.33Single7MBXCholecystokinin-87MBX-CCKA-Cholecystokinin-8-Gs/β1/γ1
8.33Single7XA3CCL27XA3-CCR2-CCL2-Gi1/β1/γ2
8.33Single8YFOAc-LA-PTH Analog8YFO-PTH1-Ac-LA-PTH Analog-chim(NtGi1-Gs)/β1/γ2
8.33Single9B5YLA-PTH Analog9B5Y-PTH1-LA-PTH Analog-chim(NtGi1-Gq)/β1/γ2
8.33Consensusccr2_onOrthosteric Ligand7XA3-CCR2-CCL2-Gi1/β1/γ2
8.33Consensusccr2_on_gpOrthosteric Ligand7XA3-CCR2-CCL2-Gi1/β1/γ2
8.33Consensusccr_onOrthosteric Ligandccr6_on ccr8_on ccr2_on ccr1_on ccr5_on
8.00Single6NIYCalcitonin-16NIY-CT-Calcitonin-1-Gs/β1/γ2
8.00Single7FINPeptide-20; GGL7FIN-GIP-Peptide-20; GGL-Gs/β1/γ2
8.00Single8XZJWN3538XZJ-Apelin; Apelin-WN353-Gi1/β1/γ2
8.00Consensusneuromedin-u_onOrthosteric Ligandnmur1_on nmur2_on
8.00Consensusp2y_on_gpOrthosteric Ligandp2y1_on_gp p2y10_on_gp p2y12_on_gp
8.00Consensustachykinin_onOrthosteric Ligandnk1_on nk2_on nk3_on
7.69Single2ZIY11-cis-Retinal2ZIY-Rhodopsin-11-cis-Retinal
7.69Single6FK9PubChem 1324730366FK9-Rhodopsin-PubChem 132473036
7.69Single7P02Substance-P7P02-NK1-Substance-P-chim(NtGi1-Gs)/β1/γ2
7.69Single7TYWCalcitonin-17TYW-CT (AMY1)-Calcitonin-1-Gs/β1/γ2; RAMP1
7.69Single7V6APubChem 98642757V6A-M4-PubChem 9864275-Gi1/β1/γ2
7.69Single7X9BNeuropeptide-Y7X9B-Y2-Neuropeptide-Y-Gi1/β1/γ2
7.69Single7XV3Lysophosphatidylserine (WJS)7XV3-GPR174-Lysophosphatidylserine (WJS)-chim(NtGi1-Gs)/β1/γ2
7.69Single8F76Propanoic acid8F76-OR51E2-Propanoic acid-Gs/β1/γ2
7.69Single8RQLFlufenamic acid8RQL-TAS2R14-Flufenamic acid-Flufenamic acid-chim(NtGi1-Gt3)/β1/γ2
7.69Single8SZFCa; Ca; Tryptophan; Cinacalcet; PO4; Spermine8SZF-CaS; CaS-Ca; Ca; Tryptophan; Cinacalcet; PO4; Spermine
7.69Single8X9UMetenolone8X9U-ADGRD1-Metenolone-chim(NtGi1-Gs)/β1/γ2
7.69Single8XVIEndothelin-18XVI-ETA-Endothelin-1-chim(Gs-CtGq)/β1/γ2
7.69Single9IJRC179IJR-GPR52-C17-Arrestin2
7.69Single9JHJC18:0 Ceramide9JHJ-FPR2-ALX-C18:0 Ceramide-Gi1/β1/γ2
7.69Single9MBCAZ122160529MBC-mGlu8; mGlu8-DCPG-AZ12216052
7.69Consensusccr_on_gpOrthosteric Ligandccr6_on_gp ccr8_on_gp ccr2_on_gp ccr1_on_gp ccr5_on_gp
7.69Consensusneuromedin-u_on_gpOrthosteric Ligandnmur1_on_gp nmur2_on_gp
7.69Consensusp2y10_onOrthosteric Ligand8KGG-P2Y10-Lysophosphatidylserine (WJS)-chim(NtGi2-G13)/β1/γ2
7.41Single5UIW5P7-CCL55UIW-CCR5-5P7-CCL5
7.41Single6NBILA-PTH Analog6NBI-PTH1-LA-PTH Analog-Gs/β1/γ2
7.41Single7SK3CXCL127SK3-ACKR3-CXCL12
7.41Single7SK4CXCL12_LRHQ7SK4-ACKR3-CXCL12_LRHQ
7.41Single9BUBCagrilintide9BUB-CT-Cagrilintide-Gs/β1/γ2
7.41Consensusccr5_offOrthosteric Ligand5UIW-CCR5-5P7-CCL5
7.14Single5NX2GLP-1 (Truncated)5NX2-GLP-1-GLP-1 (Truncated)
7.14Single6FK6PubChem 1324730336FK6-Rhodopsin-PubChem 132473033
7.14Single6LI0C176LI0-GPR52-C17
7.14Single6PGSGeraniol6PGS-Rhodopsin-Geraniol-Gt(CT)
7.14Single6PH7Nerol6PH7-Rhodopsin-Nerol-Gt(CT)
7.14Single7T96LY21196207T96-M2-Acetylcholine-LY2119620-Go/β1/γ2
7.14Single7TRPLY20332987TRP-M4-Iperoxo-LY2033298-Gi1/β1/γ2
7.14Single7TYNCalcitonin-17TYN-CT-Calcitonin-1-Gs/β1/γ2
7.14Single7VVKPTH7VVK-PTH1-PTH-Gs/β1/γ2
7.14Single7XKFDehydroepiandrosterone7XKF-ADGRG2-Dehydroepiandrosterone-Gs/β1/γ2
7.14Single8HAOPTH8HAO-PTH1-PTH-chim(NtGi1-Gs)/β1/γ2
7.14Single8SZFCa; Ca; Tryptophan; Cinacalcet; PO4; Spermine8SZF-CaS; CaS-Ca; Ca; Tryptophan; Cinacalcet; PO4; Spermine
7.14Single8W8XBeta-MSH8W8X-MC3-β-MSH-Ca-Gs/β1/γ2
7.14Single8X2KOleic monoethanolamide8X2K-GPR3-Oleic monoethanolamide-chim(NtGi1-Gs)/β1/γ2
7.14Single8YKDDehydroepiandrosterone8YKD-ADGRG2-Dehydroepiandrosterone-chim(NtGi1-Gs)/β1/γ2
7.14Single9JLCAVE 09919JLC-MAS1-AVE 0991-Gi1/β1/γ2
7.14Single9LMPNE52-QQ579LMP-GPR4-NE52-QQ57
7.14Single9MBCAZ122160529MBC-mGlu8; mGlu8-DCPG-AZ12216052
6.90Single6LMKGlucagon6LMK-Glucagon-Glucagon-Gs/β1/γ2
6.90Single9BQ3Cagrilintide9BQ3-CT (AMY2)-Cagrilintide-Gs/β1/γ2; RAMP2
6.67Single3VG9ZM-2413853VG9-A2A-ZM-241385-Antibody
6.67Single4MQTLY21196204MQT-M2-Iperoxo-LY2119620
6.67Single6FKBPubChem 1324730386FKB-Rhodopsin-PubChem 132473038
6.67Single7F8YDevazepide7F8Y-CCKA-Devazepide
6.67Single7S8PMS471347S8P-MRGPRX4-MS47134-chim(NtGi2L-Gs-CtGq)/β1/γ2
6.67Single7VDLCortistatin-147VDL-MRGPRX2-Cortistatin-14-Gi1/β1/γ2
6.67Single7VVOPTH7VVO-PTH1-PTH-Gs/β1/γ2
6.67Single7X2CFenoldopam7X2C-D1-Fenoldopam-Fenoldopam-Gs/β1/γ2
6.67Single8H8JLodoxamide8H8J-GPR35-Lodoxamide-Ca-chim(NtGi1L-G13)/β1/γ2
6.67Single8T3VDoconexent8T3V-FFA1-Doconexent-chim(NtGi2L-Gs-CtGq)/β1/γ2
6.67Single8U8FPalmitic Acid8U8F-GPR3-Palmitic Acid-Gs/β1/γ2
6.67Single9KO2CCL199KO2-CCR7-CCL19-Gi1/β1
6.67Single9KO6CCL199KO6-CCR7-CCL19
6.67Consensuscxcr1_onOrthosteric Ligand8IC0-CXCR1-CXCL8-Gi1/β1/γ2
6.45Single7SK6CXCL12_LRHQ7SK6-ACKR3-CXCL12_LRHQ
6.45Single7VBHPeptide-207VBH-GLP-1-Peptide-20-Gs/β1/γ2
6.25Single5UVIZM-2413855UVI-A2A-ZM-241385
6.25Single6FK8PubChem 1324730356FK8-Rhodopsin-PubChem 132473035
6.25Single6FKAPubChem 1324730376FKA-Rhodopsin-PubChem 132473037
6.25Single6PELCitronellol6PEL-Rhodopsin-Citronellol-Gt(CT)
6.25Single6WJCMuscarinic toxin 76WJC-M1-Atropine-Muscarinic toxin 7
6.25Single7T94LY21196207T94-M2-Acetylcholine-LY2119620-chim(NtGi1-Go)/β1/γ2
6.25Single7XXH2MeSADP7XXH-P2Y1-2MeSADP-chim(NtGi1-G11)/β1/γ2
6.25Single8IYXYL-3658IYX-GPR34-YL-365
6.25Single8JD6VU03647708JD6-mGlu4; mGlu4-Phosphoserine-VU0364770-Gi3/β1/γ2
6.25Single8K4NPubChem 1687197658K4N-GPR34-PubChem 168719765-Gi1/β1/γ2
6.25Single8K4SDCA-3P8K4S-MRGPRX4-DCA-3P-chim(NtGi1L-Gs-CtGq)/β1/γ2
6.25Single9DQJEP-39459DQJ-MRGPRD-EP-3945-chim(NtGi1-Gs-CtGq)/β1/γ2
6.25Single9IXXLTD49IXX-CysLT2-LTD4-chim(NtGi1-Gs-CtGq)/β1/γ2
6.25Single9JFUNE52-QQ579JFU-GPR4-NE52-QQ57
6.25Single9JQYTG6-1299JQY-EP4-TG6-129
6.25Single9K0KUTP9K0K-P2Y4-UTP-chim(NtGi1-Gs-CtGq)/β1/γ2
6.25Single9K0XATP9K0X-P2Y2-ATP-chim(NtGi1-Gs-CtGq)/β1/γ2
6.25Single9K20ATP9K20-P2Y2-ATP-chim(NtGi1-Go)/β1/γ2
6.25Single9U80Conivaptan9U80-V2-Conivaptan
6.25Consensuscxcr2_onOrthosteric Ligand6LFM-CXCR2-CXCL8-Gi1/β1/γ2
6.25Consensusp2y1_on_gpOrthosteric Ligand7XXH-P2Y1-2MeSADP-chim(NtGi1-G11)/β1/γ2
6.06Single7TYOCalcitonin7TYO-CT-Calcitonin-Gs/β1/γ2
6.06Single8JITMEDI03828JIT-Glucagon-MEDI0382-Gs/β1/γ2
5.88Single4QIMANTA XV4QIM-SMO-ANTA XV
5.88Single6FK7PubChem 1324730346FK7-Rhodopsin-PubChem 132473034
5.88Single6FKCPubChem 1324730396FKC-Rhodopsin-PubChem 132473039
5.88Single6FKDPubChem 1373491836FKD-Rhodopsin-PubChem 137349183
5.88Single7FIHOrg435537FIH-LH-hCG-Org43553-chim(NtGi1-Gs)/β1/γ2
5.88Single7TRQVU04671547TRQ-M4-Iperoxo-VU0467154-Gi1/β1/γ2
5.88Single8EJKTAK-8758EJK-FFA1-TAK-875-chim(NtGi1L-Gs-CtGq)/β1/γ2
5.88Single8IC0CXCL88IC0-CXCR1-CXCL8-Gi1/β1/γ2
5.88Single8XBGS3E-Lysophosphatidylserine 8XBG-GPR34-S3E-Lysophosphatidylserine
5.88Single9IYAONO-97105319IYA-GPR55-ONO-9710531
5.88Single9JROPF-044189489JRO-EP2-PF-04418948
5.88Consensuscxcr1_on_gpOrthosteric Ligand8IC0-CXCR1-CXCL8-Gi1/β1/γ2
5.56Single4JKVTaladegib4JKV-SMO-Taladegib
5.56Single7VV0PAMP-127VV0-MRGPRX2-PAMP-12
5.56Single7VV4Cortistatin-147VV4-MRGPRX2-Cortistatin-14
5.56Single8IZ4Lysophosphatidylserine (TJR)8IZ4-GPR34-Lysophosphatidylserine (TJR)-Gi1/β1/γ2
5.56Single8XQPCholesterol8XQP-TAS2R14-Cholesterol-Aristolochic acid A-Gt3/β1/γ1
5.56Single9DQHEP-28259DQH-MRGPRD-EP-2825-chim(NtGi1-Gs-CtGq)/β1/γ2
5.56Single9JRTTG6-1299JRT-EP2-TG6-129
5.56Single9KO4CCL219KO4-CCR7-CCL21-Gi1/β1/γ2
5.56Consensusadgrg2_onOrthosteric Ligand7WUI-ADGRG2-IP15-chim(NtGi1-Gs)/β1/γ2 7WUQ-ADGRG2-Gs/β1/γ2 7XKF-ADGRG2-Dehydroepiandrosterone-Gs/β1/γ2
5.56Consensusadgrg2_on_gpOrthosteric Ligand7WUI-ADGRG2-IP15-chim(NtGi1-Gs)/β1/γ2 7WUQ-ADGRG2-Gs/β1/γ2 7XKF-ADGRG2-Dehydroepiandrosterone-Gs/β1/γ2
5.56Consensuscyslt_offOrthosteric Ligandcyslt2_off cyslt1_off
5.26Single5V56TC1145V56-SMO-TC114
5.26Single5V57TC1145V57-SMO-TC114
5.26Single5ZBHBMS-1938855ZBH-Y1-BMS-193885
5.26Single6OS1TRV0266OS1-AT1-TRV026
5.26Single7F1TCCL37F1T-CCR5-CCL3
5.26Single7S8MCortistatin-147S8M-MRGPRX2-Cortistatin-14-Gi1/β1/γ2
5.26Single8JBGNeurokinin-B8JBG-NK3-Neurokinin-B-chim(NtGi1-Gs-CtGq)/β1/γ2
5.26Single8JD5JNJ-40411813; ADX881788JD5-mGlu2; mGlu4-Glutamate-JNJ-40411813; ADX88178-Gi1/β1/γ2
5.26Single8WJXADP8WJX-P2Y1-ADP-chim(Gs-CtGq)/β1/γ2
5.26Single8XBIPubChem 1626566368XBI-GPR34-PubChem 162656636
5.26Single9ITELPA9ITE-LPA6-LPA-chim(NtGi2-G13)/β1/γ2
5.26Single9JCLADP9JCL-P2Y1-ADP-chim(Gs-CtGq)/β1/γ2
5.26Single9L16CCL219L16-CCR7-CCL21
5.26Single9MENGp120 (V3 loop)9MEN-CXCR4-Gp120 (V3 loop)
5.26Single9YDVMRS29059YDV-P2Y14-MRS2905-Gi1/β1/γ2
5.26Consensusp2y12_onOrthosteric Ligand7XXI-P2Y12-2MeSADP-Gi2/β1/γ2
5.00Single3VW7Vorapaxar; Na3VW7-PAR1-Vorapaxar; Na
5.00Single4PXZ2MeSADP4PXZ-P2Y12-2MeSADP
5.00Single4PY02MeSATP4PY0-P2Y12-2MeSATP
5.00Single6OS2TRV0266OS2-AT1-TRV026
5.00Single6RZ7ONO-25703666RZ7-CysLT2-ONO-2570366
5.00Single7XW5ML1097XW5-TSH-TSH-ML109-Gs/β1/γ2
5.00Single7XXI2MeSADP7XXI-P2Y12-2MeSADP-Gi2/β1/γ2
5.00Single8WRBLysophosphatidylserine (UBL)8WRB-GPR34-Lysophosphatidylserine (UBL)-Gi1/β1/γ2
5.00Single9ECJS-geranylgeranyl-L-glutathione9ECJ-P2Y8-S-geranylgeranyl-L-glutathione-G13/β1/γ2
5.00Single9YDUUDP-Glucose9YDU-P2Y14-UDP-Glucose-Gi1/β1/γ2
5.00Consensusgi_p2yOrthosteric Ligand7XXI-P2Y12-2MeSADP-Gi2/β1/γ2
5.00Consensusp2y12_on_gpOrthosteric Ligand7XXI-P2Y12-2MeSADP-Gi2/β1/γ2
4.76Single4RWSvMIP-II4RWS-CXCR4-vMIP-II
4.76Single6RZ9ONO-27703726RZ9-CysLT2-ONO-2770372
4.76Single8XBES3E-Lysophosphatidylserine 8XBE-GPR34-S3E-Lysophosphatidylserine-Gi1/β1/γ1
4.76Single8XVUCXCL28XVU-CXCR2-CXCL2
4.76Single8XXHCXCL28XXH-CXCR2-CXCL2-Go/β1/γ2
4.76Single8ZPLHF511168ZPL-CXCR4-HF51116
4.76Single9J0BUDP-Glucose9J0B-P2Y14-UDP-Glucose-Gi1/β1/γ2
4.76Single9KWXC5a-des-Arg9KWX-C5a1-C5a-des-Arg-Go/β1/γ2
4.76Single9VI9RFRP-39VI9-NPFF1-RFRP-3-Gi1/β1/γ2
4.76Consensuscyslt2_offOrthosteric Ligand6RZ7-CysLT2-ONO-2570366 6RZ8-CysLT2-ONO-2080365 6RZ9-CysLT2-ONO-2770372
4.55Single6KNMJN241-96KNM-Apelin-JN241-9
4.55Single6RZ6ONO-25703666RZ6-CysLT2-ONO-2570366
4.55Single7S8LCortistatin-147S8L-MRGPRX2-Cortistatin-14-chim(NtGi2L-Gs-CtGq)/β1/γ2
4.55Single7X8SWB4-247X8S-GLP-1-WB4-24-Gs/β1/γ2
4.55Single8SAILysophosphatidylserine (S12)8SAI-GPR34-Lysophosphatidylserine (S12)-Gi1/β1/γ2
4.55Single8XQJJN2418XQJ-Apelin; Apelin-JN241
4.55Single8XX6CXCL88XX6-CXCR2-CXCL8-Go/β1/γ2
4.55Single9EAJNanobody AT2099EAJ-AT1-Nanobody AT209
4.55Single9ITBLPA9ITB-LPA6-LPA-chim(NtGi1-Gs-CtGq)/β1/γ2
4.35Single6RZ8ONO-20803656RZ8-CysLT2-ONO-2080365
4.35Single6X19CHU-1286X19-GLP-1-CHU-128-Gs/β1/γ2
4.35Single8INRAlpha-MSH8INR-MC5-α-MSH-Ca-chim(NtGi1-Gs)/β1/γ2
4.35Single8JIQPeptide-158JIQ-Glucagon-Peptide-15-Gs/β1/γ2
4.35Single8XWNCXCL88XWN-CXCR2-CXCL8
4.35Single9BUECagrilintide9BUE-CT-Cagrilintide-Gs/β1/γ2
4.35Single9J0IUDP-Glucuronic acid9J0I-P2Y14-UDP-Glucuronic acid-Gi1/β1/γ2
4.17Single7E14Orforglipron7E14-GLP-1-Orforglipron-PubChem 156022738-Gs/β1/γ2
4.17Single7F1QCCL37F1Q-CCR5-CCL3-Gi1/β1/γ2
4.17Single8K6ONeuropeptide-Y8K6O-Y1-Neuropeptide-Y-Gi2/β1/γ1
4.17Single9J0FNADH9J0F-P2Y14-NADH-Gi1/β1/γ2
4.00Single7W55Neuromedin-U-257W55-NMUR2-Neuromedin-U-25-chim(NtGi1-Gs-CtGq)/β1/γ2
4.00Single8K6MNeuropeptide-Y8K6M-Y1-Neuropeptide-Y-Gi2/β1/γ1
4.00Single8K6NNeuropeptide-Y8K6N-Y2-Neuropeptide-Y-Gi2/β1/γ1
4.00Single9IVMGLP-1 (Truncated)9IVM-GLP-1-GLP-1 (Truncated)-LSN3318839-chim(NtGi1-Gs)/β2/γ2
4.00Consensusnmur2_onOrthosteric Ligand7W55-NMUR2-Neuromedin-U-25-chim(NtGi1-Gs-CtGq)/β1/γ2
4.00Consensusnmur2_on_gpOrthosteric Ligand7W55-NMUR2-Neuromedin-U-25-chim(NtGi1-Gs-CtGq)/β1/γ2
4.00Consensusnpy1_onOrthosteric Ligand8K6M-Y1-Neuropeptide-Y-Gi2/β1/γ1
4.00Consensusnpy1_on_gpOrthosteric Ligand8K6M-Y1-Neuropeptide-Y-Gi2/β1/γ1
3.70Single5YQZNNC17025YQZ-Glucagon-NNC1702
3.70Single7TYHCalcitonin7TYH-CT (AMY2)-Calcitonin-Gs/β1/γ2; RAMP2
3.57Consensusccr5_onOrthosteric Ligand7O7F-CCR5-6P4-CCL5-Gi1/β1/γ1 7F1Q-CCR5-CCL3-Gi1/β1/γ2

PDB Summary
PDB 9LRE
Class A
SubFamily Amine
Type Histamine
SubType H4
Species Homo Sapiens
Ligand Histamine
Other Ligand(s) -
Protein Partners Gi1/Beta1/Gamma2
PDB Resolution 2.84
Date 2025-06-11
D.O.I. doi.org/10.1038/s42003-025-08363-7
Net Summary
Imin 2.95
Number of Linked Nodes 837
Number of Links 1073
Number of Hubs 199
Number of Links mediated by Hubs 695
Number of Communities 25
Number of Nodes involved in Communities 290
Number of Links involved in Communities 446
Path Summary
Number Of Nodes in MetaPath 137
Number Of Links MetaPath 136
Number of Shortest Paths 3485448
Length Of Smallest Path 3
Average Path Length 35.5219
Length of Longest Path 74
Minimum Path Strength 1.235
Average Path Strength 6.67267
Maximum Path Strength 26.91
Minimum Path Correlation 0.7
Average Path Correlation 0.99187
Maximum Path Correlation 1
Minimum % Of Corr. Nodes 2.43902
Average % Of Corr. Nodes 36.8111
Maximum % Of Corr. Nodes 100
Minimum Path Hubs % 0
Average Path Hubs % 55.7929
Maximum Path Hubs % 100
AnnotationTypeLinks
Gene OntologyMolecular Function• D2 dopamine receptor binding   • protein binding   • binding   • signaling receptor binding   • G protein-coupled receptor binding   • dopamine receptor binding   • enzyme regulator activity   • adenylate cyclase inhibitor activity   • cyclase regulator activity   • molecular function inhibitor activity   • cyclase inhibitor activity   • molecular function regulator activity   • enzyme inhibitor activity   • adenylate cyclase regulator activity   • guanyl nucleotide binding   • GTP binding   • nucleotide binding   • guanyl ribonucleotide binding   • purine ribonucleotide binding   • purine ribonucleoside triphosphate binding   • nucleoside phosphate binding   • ion binding   • purine nucleotide binding   • anion binding   • heterocyclic compound binding   • carbohydrate derivative binding   • ribonucleotide binding   • small molecule binding   • cation binding   • magnesium ion binding   • metal ion binding   • GDP binding   • G protein-coupled serotonin receptor binding   • protein-containing complex binding   • G-protein beta/gamma-subunit complex binding   • pyrophosphatase activity   • GTPase activity   • G protein activity   • ribonucleoside triphosphate phosphatase activity   • hydrolase activity, acting on acid anhydrides, in phosphorus-containing anhydrides   • hydrolase activity   • hydrolase activity, acting on acid anhydrides   • catalytic activity   • cellular response to stimulus   • regulation of biological process   • regulation of cellular process   • response to stimulus   • signaling   • biological regulation   • cell communication   • G protein-coupled receptor signaling pathway   • cellular process   • signal transduction   • neuropeptide signaling pathway   • adenylate cyclase-inhibiting serotonin receptor signaling pathway   • G protein-coupled serotonin receptor signaling pathway   • adenylate cyclase-inhibiting G protein-coupled receptor signaling pathway
Gene OntologyBiological Process• cellular response to stimulus   • regulation of biological process   • regulation of cellular process   • response to stimulus   • signaling   • biological regulation   • cell communication   • G protein-coupled receptor signaling pathway   • cellular process   • signal transduction   • neuropeptide signaling pathway   • adenylate cyclase-inhibiting serotonin receptor signaling pathway   • G protein-coupled serotonin receptor signaling pathway   • adenylate cyclase-inhibiting G protein-coupled receptor signaling pathway   • adenylate cyclase-modulating G protein-coupled receptor signaling pathway   • response to hormone   • response to chemical   • response to endogenous stimulus   • response to peptide hormone   • response to oxygen-containing compound   • response to nitrogen compound   • cell division   • leukocyte migration   • immune system process   • mononuclear cell migration   • lymphocyte migration   • cell migration   • T cell migration   • cell motility   • regulation of steroid biosynthetic process   • regulation of cholesterol biosynthetic process   • regulation of cholesterol metabolic process   • steroid metabolic process   • regulation of lipid metabolic process   • sterol metabolic process   • positive regulation of biological process   • cholesterol metabolic process   • lipid biosynthetic process   • alcohol metabolic process   • regulation of primary metabolic process   • positive regulation of metabolic process   • regulation of small molecule metabolic process   • positive regulation of biosynthetic process   • positive regulation of lipid metabolic process   • small molecule metabolic process   • steroid biosynthetic process   • positive regulation of cellular process   • regulation of biosynthetic process   • secondary alcohol biosynthetic process   • regulation of alcohol biosynthetic process   • small molecule biosynthetic process   • regulation of steroid metabolic process   • cholesterol biosynthetic process   • positive regulation of cholesterol biosynthetic process   • primary metabolic process   • secondary alcohol metabolic process   • positive regulation of steroid biosynthetic process   • biosynthetic process   • sterol biosynthetic process   • positive regulation of lipid biosynthetic process   • regulation of sterol biosynthetic process   • alcohol biosynthetic process   • positive regulation of cholesterol metabolic process   • positive regulation of steroid metabolic process   • metabolic process   • regulation of lipid biosynthetic process   • positive regulation of small molecule metabolic process   • regulation of metabolic process   • positive regulation of alcohol biosynthetic process   • positive regulation of sterol biosynthetic process   • lipid metabolic process   • cell surface receptor signaling pathway   • response to cytokine   • response to chemokine   • cytokine-mediated signaling pathway   • cellular response to chemokine   • chemokine-mediated signaling pathway   • response to peptide   • cellular response to cytokine stimulus   • multicellular organismal process   • system process   • relaxation of smooth muscle   • regulation of system process   • regulation of muscle system process   • muscle system process   • relaxation of muscle   • positive regulation of relaxation of smooth muscle   • positive regulation of relaxation of muscle   • positive regulation of multicellular organismal process   • regulation of multicellular organismal process   • regulation of relaxation of smooth muscle   • regulation of relaxation of muscle   • negative regulation of protein transport   • regulation of localization   • establishment of protein localization   • nitrogen compound transport   • negative regulation of biological process   • negative regulation of transport   • localization   • negative regulation of secretion   • negative regulation of hormone secretion   • negative regulation of secretion by cell   • intracellular protein localization   • regulation of biological quality   • regulation of peptide hormone secretion   • negative regulation of peptide hormone secretion   • regulation of hormone levels   • establishment of protein localization to extracellular region   • negative regulation of establishment of protein localization   • protein secretion   • establishment of localization   • regulation of protein secretion   • regulation of secretion   • negative regulation of protein secretion   • regulation of hormone secretion   • regulation of protein localization   • regulation of peptide secretion   • transport   • negative regulation of signaling   • hormone secretion   • negative regulation of cell communication   • protein localization to extracellular region   • negative regulation of peptide secretion   • peptide secretion   • regulation of secretion by cell   • secretion by cell   • signal release   • negative regulation of cellular process   • negative regulation of protein localization   • regulation of signaling   • regulation of transport   • secretion   • regulation of peptide transport   • regulation of establishment of protein localization   • export from cell   • cell-cell signaling   • regulation of protein transport   • peptide transport   • negative regulation of insulin secretion   • protein transport   • regulation of insulin secretion   • peptide hormone secretion   • macromolecule localization   • hormone transport   • regulation of cell communication   • insulin secretion   • adenylate cyclase-activating G protein-coupled receptor signaling pathway   • regulation of cytoskeleton organization   • regulation of cellular component organization   • microtubule cytoskeleton organization   • regulation of mitotic spindle organization   • mitotic cell cycle   • cellular component organization   • cell cycle   • cellular component organization or biogenesis   • regulation of cell cycle   • microtubule cytoskeleton organization involved in mitosis   • spindle organization   • cell cycle process   • regulation of cell cycle process   • regulation of microtubule-based process   • regulation of spindle organization   • regulation of organelle organization   • mitotic spindle organization   • organelle organization   • mitotic cell cycle process   • microtubule-based process   • cytoskeleton organization   • regulation of microtubule cytoskeleton organization   • positive regulation of protein localization to cell periphery   • protein localization to cell periphery   • positive regulation of protein localization to cell cortex   • regulation of protein localization to cell periphery   • regulation of protein localization to cell cortex   • positive regulation of protein localization   • protein localization to cell cortex   • response to ketone   • response to prostaglandin   • response to lipid   • response to alcohol   • response to prostaglandin E   • cellular response to forskolin   • cellular response to oxygen-containing compound   • cellular response to chemical stimulus   • cellular response to alcohol   • response to forskolin   • cellular response to lipid   • cellular response to ketone   • midbody   • cellular anatomical structure   • membrane-bounded organelle   • intracellular anatomical structure   • nucleus   • membrane-enclosed lumen   • intracellular membraneless organelle   • intracellular membrane-bounded organelle   • nucleolus   • intracellular organelle lumen   • intracellular organelle   • organelle lumen   • organelle   • membraneless organelle
Gene OntologyCellular Component• midbody   • cellular anatomical structure   • membrane-bounded organelle   • intracellular anatomical structure   • nucleus   • membrane-enclosed lumen   • intracellular membraneless organelle   • intracellular membrane-bounded organelle   • nucleolus   • intracellular organelle lumen   • intracellular organelle   • organelle lumen   • organelle   • membraneless organelle   • nuclear lumen   • cell periphery   • cell cortex   • cytoplasm   • protein-containing complex   • extrinsic component of plasma membrane   • catalytic complex   • plasma membrane protein complex   • cytoplasmic side of membrane   • membrane   • plasma membrane   • membrane protein complex   • heterotrimeric G-protein complex   • side of membrane   • cytoplasmic side of plasma membrane   • GTPase complex   • extrinsic component of membrane   • extrinsic component of cytoplasmic side of plasma membrane   • extracellular exosome   • extracellular vesicle   • extracellular organelle   • extracellular region   • extracellular space   • vesicle   • extracellular membrane-bounded organelle   • centrosome   • microtubule organizing center   • cytoskeleton   • microtubule cytoskeleton   • centriolar satellite   • cytosol   • cell projection   • sperm principal piece   • cilium   • 9+2 motile cilium   • sperm flagellum   • motile cilium   • plasma membrane bounded cell projection   • nucleoplasm   • vacuolar membrane   • lytic vacuole   • vacuole   • lytic vacuole membrane   • bounding membrane of organelle   • lysosomal membrane   • organelle membrane   • lysosome   • Golgi apparatus   • endomembrane system   • ciliary basal body   • cytoskeletal protein binding   • spectrin binding   • protein-containing complex binding   • protein binding   • binding   • enzyme binding   • GTPase binding   • phosphoric ester hydrolase activity   • alkylglycerophosphoethanolamine phosphodiesterase activity   • hydrolase activity, acting on ester bonds   • phosphoric diester hydrolase activity   • hydrolase activity   • catalytic activity   • pyrophosphatase activity   • GTPase activity   • ribonucleoside triphosphate phosphatase activity   • hydrolase activity, acting on acid anhydrides, in phosphorus-containing anhydrides   • hydrolase activity, acting on acid anhydrides   • signaling receptor complex adaptor activity   • protein-macromolecule adaptor activity   • molecular adaptor activity   • signaling adaptor activity   • positive regulation of cytosolic calcium ion concentration   • biological regulation   • regulation of biological quality   • multicellular organismal process   • system process   • sensory perception of chemical stimulus   • sensory perception   • nervous system process   • sensory perception of taste   • developmental process   • sensory organ development   • eye development   • animal organ development   • retina development in camera-type eye   • visual system development   • multicellular organism development   • camera-type eye development   • anatomical structure development   • sensory system development   • system development   • response to decreased oxygen levels   • cellular response to stimulus   • response to stimulus   • cellular response to oxygen levels   • cellular response to hypoxia   • cellular response to decreased oxygen levels   • cellular response to chemical stimulus   • cellular response to stress   • response to hypoxia   • response to stress   • response to chemical   • response to oxygen levels   • response to abiotic stimulus   • cellular process   • cell population proliferation   • regulation of biological process   • regulation of cellular process   • signaling   • phospholipase C-activating G protein-coupled receptor signaling pathway   • cell communication   • G protein-coupled receptor signaling pathway   • signal transduction   • muscle cell apoptotic process   • striated muscle cell apoptotic process   • apoptotic process   • cell death   • programmed cell death   • cardiac muscle cell apoptotic process   • photoreceptor inner segment   • somatodendritic compartment   • dendrite   • dendritic tree   • neuron projection   • non-motile cilium   • 9+0 non-motile cilium   • photoreceptor outer segment   • photoreceptor cell cilium   • ciliary membrane   • photoreceptor outer segment membrane   • plasma membrane region   • cell projection membrane   • synapse   • cell junction   • cell body   • neurotransmitter receptor activity   • molecular transducer activity   • signaling receptor activity   • G protein-coupled amine receptor activity   • G protein-coupled receptor activity   • transmembrane signaling receptor activity   • histamine receptor activity   • cellular response to nitrogen compound   • synaptic signaling   • cellular response to acetylcholine   • response to oxygen-containing compound   • cell-cell signaling   • response to nitrogen compound   • acetylcholine receptor signaling pathway   • postsynaptic signal transduction   • cellular response to oxygen-containing compound   • adenylate cyclase-inhibiting G protein-coupled receptor signaling pathway   • G protein-coupled acetylcholine receptor signaling pathway   • adenylate cyclase-modulating G protein-coupled receptor signaling pathway   • response to acetylcholine   • adenylate cyclase-inhibiting G protein-coupled acetylcholine receptor signaling pathway   • trans-synaptic signaling   • anterograde trans-synaptic signaling   • chemical synaptic transmission   • regulation of signaling   • regulation of signal transduction   • regulation of MAPK cascade   • intracellular signal transduction   • regulation of intracellular signal transduction   • regulation of response to stimulus   • intracellular signaling cassette   • MAPK cascade   • regulation of cell communication   • defense response   • inflammatory response   • G protein-coupled receptor signaling pathway, coupled to cyclic nucleotide second messenger   • G-protein beta-subunit binding   • response to dopamine   • cellular response to dopamine   • response to monoamine   • response to catecholamine   • adenylate cyclase-activating dopamine receptor signaling pathway   • cellular response to catecholamine stimulus   • G protein-coupled dopamine receptor signaling pathway   • adenylate cyclase-activating G protein-coupled receptor signaling pathway   • cellular response to monoamine stimulus   • response to ketone   • response to prostaglandin   • response to lipid   • response to endogenous stimulus   • response to alcohol   • cellular response to prostaglandin stimulus   • cellular response to endogenous stimulus   • cellular response to prostaglandin E stimulus   • cellular response to alcohol   • response to hormone   • cellular response to lipid   • response to prostaglandin E   • cellular response to ketone   • cellular response to hormone stimulus
SCOP2Domain Identifier• Ras-like P-loop GTPases   • Transducin (heterotrimeric G protein), gamma chain
SCOP2Family Identifier• Ras-like P-loop GTPases   • Transducin (heterotrimeric G protein), gamma chain
Membrane Protein Annotations-• Orientations of Proteins in Membranes database (OPM)   • Protein Data Bank of Transmembrane Proteins (PDBTM)   • MemProtMD


Details about the values in these tables can be found in the corresponding documentation page .
CodeHSM
PDB ResiduesL:L:?1
Environment DetailsOpen EMBL-EBI Page
CodeHSM
NameHistamine
Synonymsbeta-aminoethylglyoxaline
Identifier
FormulaC5 H9 N3
Molecular Weight111.145
SMILES
PubChem774
Formal Charge0
Total Atoms17
Total Chiral Atoms0
Total Bonds17
Total Aromatic Bonds5

PDBsumOpen PDBsum Page
ChainA
ProteinG Protein α Sub unit
UniProtP63096
Sequence
>9LRE_Chain_A
AAVERSKMI DRNLREDGE KAAREVKLL LLGSGKTIV KQMKIIGIV 
ETHFTFKDL HFKMFDVGQ RSERKKWIH CFEGVTAII FCVALSDYD 
LVMNRMHSM KLFDSICNN KWFTDTSII LFLNKKDLF EEKIKKSPL 
TICYPEYAG SNTYEEAAA YIQCQFEDL NKRKDTKEI YTHFTCTDT 
KNVQFVFDA VTDVIIKNN LKDCGLFNA AS


Click on each residue to open a popup with some information about it.

ConSurf Conservation Grade (See documentation): 

 n/a   1    2    3    4    5    6    7    8    9  

ChainB
ProteinG Protein β Sub unit
UniProtP54311
Sequence
>9LRE_Chain_B
ELDQLRQEA EQLKNQIRD ARKACADAT LSQITNNID PVGRIQMRT 
RRTLRGHLA KIYAMHWGT DSRLLVSAS QDGKLIIWD SYTTNKVHA 
IPLRSSWVM TCAYAPSGN YVACGGLDN ICSIYNLKT REGNVRVSR 
ELAGHTGYL SCCRFLDDN QIVTSSGDT TCALWDIET GQQTTTFTG 
HTGDVMSLS LAPDTRLFV SGACDASAK LWDVREGMC RQTFTGHES 
DINAICFFP NGNAFATGS DDATCRLFD LRADQELMT YSHDNIICG 
ITSVSFSKS GRLLLAGYD DFNCNVWDA LKADRAGVL AGHDNRVSC 
LGVTDDGMA VATGSWDSF LKIWN


Click on each residue to open a popup with some information about it.

ConSurf Conservation Grade (See documentation): 

 n/a   1    2    3    4    5    6    7    8    9  

ChainG
ProteinG Protein γ Sub unit
UniProtP63212
Sequence
>9LRE_Chain_G
TASIAQARK LVEQLKMEA NIDRIKVSK AAADLMAYC EAHAKEDPL 
LTPVPASEN PFR


Click on each residue to open a popup with some information about it.

ConSurf Conservation Grade (See documentation): 

 n/a   1    2    3    4    5    6    7    8    9  

ChainR
ProteinReceptor
UniProtQ9H3N8
Sequence
>9LRE_Chain_R
LSLSTRVTL AFFMSLVAF AIMLGNALV ILAFVVDKN LRHRSSYFF 
LNLAISDFF VGVISIPLY IPHTLFEWD FGKEICVFW LTTDYLLCT 
ASVYNIVLI SYDRYLSVS NAVSYRTQH TGVLKIVTL MVAVWVLAF 
LVNGPMILV SESWKDEGS ECEPGFFSE WYILAITSF LEFVIPVIL 
VAYFNMNIY WSLWKRDQR EHVELLRAR RLAKSLAIL LGVFAVCWA 
PYSLFTIVL SFYSSATGP KSVWYRIAF WLQWFNSFV NPLLYPLCH 
KRFQKAFLK IFC


Click on each residue to open a popup with some information about it.

ConSurf Conservation Grade (See documentation): 

 n/a   1    2    3    4    5    6    7    8    9  




This receptor, from the same or other species and bound to the same or other ligands, is also present in the following networks:
Show PDB Class SubFamily Type SubType Species Orthosteric Ligand Other Ligand(s) Protein Partners Resolution Date DOI
6WH4AAmine5-Hydroxytryptamine5-HT2AHomo sapiensMethiothepin--3.42020-09-23doi.org/10.1016/j.cell.2020.08.024
8H4IALipidFree Fatty AcidFFA4Homo sapiensDoconexent-chim(NtGi1-Gs)/β1/γ23.062023-06-21doi.org/10.1038/s41422-023-00835-x
8H4I (No Gprot) ALipidFree Fatty AcidFFA4Homo sapiensDoconexent-3.062023-06-21doi.org/10.1038/s41422-023-00835-x
8H4KALipidFree Fatty AcidFFA4Homo sapiensGW9508-chim(NtGi1-Gs-CtGq)/β1/γ23.12023-06-21doi.org/10.1038/s41422-023-00835-x
8H4K (No Gprot) ALipidFree Fatty AcidFFA4Homo sapiensGW9508-3.12023-06-21doi.org/10.1038/s41422-023-00835-x
8H4LALipidFree Fatty AcidFFA4Homo sapiensDoconexent-chim(NtGi1-Gs-CtGq)/β1/γ23.072023-06-21doi.org/10.1038/s41422-023-00835-x
8H4L (No Gprot) ALipidFree Fatty AcidFFA4Homo sapiensDoconexent-3.072023-06-21doi.org/10.1038/s41422-023-00835-x
8KH4AOrphanOrphanGPR161Homo sapiens--Gs/β1/γ23.12023-10-11doi.org/10.1038/s41467-023-41654-3
8KH4 (No Gprot) AOrphanOrphanGPR161Homo sapiens--3.12023-10-11doi.org/10.1038/s41467-023-41654-3
7YFCAAmineHistamineH4Homo sapiensHistamine-chim(NtGi1-Gs-CtGq)/β1/γ232023-10-25doi.org/10.1038/s41467-023-42260-z
7YFC (No Gprot) AAmineHistamineH4Homo sapiensHistamine-32023-10-25doi.org/10.1038/s41467-023-42260-z
7YFDAAmineHistamineH4Homo sapiensImetit-chim(NtGi1-Gs-CtGq)/β1/γ23.12023-10-25doi.org/10.1038/s41467-023-42260-z
7YFD (No Gprot) AAmineHistamineH4Homo sapiensImetit-3.12023-10-25doi.org/10.1038/s41467-023-42260-z
8HN8AAmineHistamineH4Homo sapiensHistamine-Gi1/β1/γ232023-12-20To be published
8HN8 (No Gprot) AAmineHistamineH4Homo sapiensHistamine-32023-12-20To be published
8HOCAAmineHistamineH4Homo sapiensImetit-Gi1/β1/γ232023-12-20To be published
8HOC (No Gprot) AAmineHistamineH4Homo sapiensImetit-32023-12-20To be published
8TH4APeptideAngiotensinAT1Homo sapiensLosartanAT118-L Nanobody-3.32024-05-22doi.org/10.1038/s41589-024-01620-6
8YN9AAmineHistamineH4Homo sapiensHistamine-Gi1/β1/γ22.32024-10-09doi.org/10.1038/s41467-024-52585-y
8YN9 (No Gprot) AAmineHistamineH4Homo sapiensHistamine-2.32024-10-09doi.org/10.1038/s41467-024-52585-y
8YNAAAmineHistamineH4Homo sapiensImmepip-Gi1/β1/γ22.632024-10-16doi.org/10.2210/pdb8YN7/pdb
8YNA (No Gprot) AAmineHistamineH4Homo sapiensImmepip-2.632024-10-16doi.org/10.2210/pdb8YN7/pdb
9JEDAAmineHistamineH4Homo sapiensHistaminePO4Gi1/β1/γ22.582025-09-10doi.org/10.1038/s41401-025-01633-4
9JED (No Gprot) AAmineHistamineH4Homo sapiensHistaminePO42.582025-09-10doi.org/10.1038/s41401-025-01633-4
9L42AAmineHistamineH4Homo sapiensHistamine-Gi1/β1/γ22.92025-10-22doi.org/10.3390/ph18030292
9L42 (No Gprot) AAmineHistamineH4Homo sapiensHistamine-2.92025-10-22doi.org/10.3390/ph18030292
8JXTAAmineHistamineH4Homo sapiensHistaminePO4Gi1/β1/γ23.072024-03-20doi.org/10.1038/s41467-024-46840-5
8JXT (No Gprot) AAmineHistamineH4Homo sapiensHistaminePO43.072024-03-20doi.org/10.1038/s41467-024-46840-5
8JXVAAmineHistamineH4Homo sapiensClozapine-Gi1/β1/γ23.212024-03-20doi.org/10.1038/s41467-024-46840-5
8JXV (No Gprot) AAmineHistamineH4Homo sapiensClozapine-3.212024-03-20doi.org/10.1038/s41467-024-46840-5
8JXWAAmineHistamineH4Homo sapiensVUF6884-Gi1/β1/γ23.012024-03-20doi.org/10.1038/s41467-024-46840-5
8JXW (No Gprot) AAmineHistamineH4Homo sapiensVUF6884-3.012024-03-20doi.org/10.1038/s41467-024-46840-5
8JXXAAmineHistamineH4Homo sapiensClobenpropit-Gi1/β1/γ23.062024-03-20doi.org/10.1038/s41467-024-46840-5
8JXX (No Gprot) AAmineHistamineH4Homo sapiensClobenpropit-3.062024-03-20doi.org/10.1038/s41467-024-46840-5
9LRCAAmineHistamineH4Homo sapiensHistamine--2.842025-06-11doi.org/10.1038/s42003-025-08363-7
9LRE (No Gprot) AAmineHistamineH4Homo sapiensHistamine-2.842025-06-11doi.org/10.1038/s42003-025-08363-7
9JG1AAmineHistamineH4Homo sapiensAdriforant--3.622025-12-0310.1038/s41401-025-01633-4
9JG1 (No Gprot) AAmineHistamineH4Homo sapiensAdriforant-3.622025-12-0310.1038/s41401-025-01633-4




You can download a compressed (zip) file with structure(s), 3D outputs (as PyMol and VMD scripts) and numerical data files (as csv and plain text files).

Download 9LRE.zip



You can click to copy the link of this page to easily come back here later

or use this QR code to link and share this page.



You can also  read or  download a guide explaining the meaning of all files and numerical data.