Color ConSurf Grade
      No Conservation data available
      1
      2
      3
      4
      5
      6
      7
      8
      9

Index: hub id, click on each number to highlight the corresponding hub in the 3D visualization.

Hub: the hub being considered.

Avg Int. Strength: the average interaction strength of all the links of the corresponding hub.

Num Of Links: the number of links of the corresponding hub.

Community: the id of the community the link belong to, otherwise 0.

ConSurf: this column reports the ConSurf conservation grades of each hub.

Index Hub Avg Int. Strength Num Of Links Community ConSurf
1A:A:E33 5.852516
2A:A:V34 6.2535
3A:A:K35 5.0475419
4A:A:L36 5.84437
5A:A:L37 5.94419
6A:A:L39 5.08419
7A:A:K46 4.79754169
8A:A:I49 4.4225147
9A:A:M53 5.725408
10A:A:F191 9.3325435
11A:A:L194 7.63434
12A:A:H195 6.7375414
13A:A:F196 8.976537
14A:A:K197 9.365416
15A:A:F199 8.174515
16A:A:D200 5.25254169
17A:A:V201 4.3125419
18A:A:Q204 5.71419
19A:A:R208 4.98519
20A:A:K210 7.25714719
21A:A:W211 5.40714719
22A:A:I212 4.43518
23A:A:H213 8.205418
24A:A:C214 3.655417
25A:A:F215 6.525619
26A:A:I221 4.398518
27A:A:F223 6.706519
28A:A:V225 4.34417
29A:A:Y230 5.87286778
30A:A:D231 8.41479
31A:A:M243 3.49478
32A:A:F250 7.14143719
33A:A:I253 3.824518
34A:A:C254 4.6625415
35A:A:W258 10.3283615
36A:A:F259 7.1675419
37A:A:I265 3.5325438
38A:A:L266 4.942519
39A:A:L268 6.685408
40A:A:F274 5.9875409
41A:A:K277 5.3925479
42A:A:S281 4.34477
43A:A:C286 4.3425476
44A:A:Y287 6.965677
45A:A:Y290 8.33577
46A:A:Y296 6.641676184
47A:A:Y302 13.74476
48A:A:Q306 8.69475
49A:A:F307 7.755418
50A:A:N311 6.79418
51A:A:R313 4.0975404
52A:A:E318 8.746534
53A:A:Y320 7.31333637
54A:A:T321 7.875405
55A:A:H322 9.944149
56A:A:F323 5.71254184
57A:A:T324 5.3945149
58A:A:N331 9.824148
59A:A:F336 9.302538
60A:A:V339 4.5475438
61A:A:T340 7.4975436
62A:A:V342 3.845437
63A:A:K345 5.99571735
64A:A:L353 5.575427
65A:A:F354 8.092505
66B:B:L4 2.8025404
67B:B:L7 2.4325408
68B:B:R22 6.275446
69B:B:L30 4.572565
70B:B:V40 4.82833663
71B:B:I43 3.7375463
72B:B:M45 4.718564
73B:B:H54 9.606599
74B:B:Y59 8.72833618
75B:B:W63 10.935407
76B:B:L79 5.935487
77B:B:I80 11.2575498
78B:B:I81 5.142587
79B:B:W82 9.26286799
80B:B:N88 7.0325407
81B:B:K89 7.39699
82B:B:H91 7.2525485
83B:B:I93 4.912587
84B:B:L95 5.344588
85B:B:W99 8.015819
86B:B:M101 3.4775419
87B:B:C103 3.0025408
88B:B:Y105 5.082506
89B:B:N110 7.56414
90B:B:Y111 6.19833614
91B:B:C114 4.9775488
92B:B:L117 5.245419
93B:B:C121 4.135418
94B:B:I123 5.002516
95B:B:Y124 5.40833686
96B:B:L126 4.4775405
97B:B:T128 4.9125413
98B:B:V133 5.6875484
99B:B:H142 8.884519
100B:B:Y145 6.2725818
101B:B:C149 4.2625418
102B:B:F151 4.96857719
103B:B:L152 3.964503
104B:B:Q156 5.27555
105B:B:I157 5.11517
106B:B:V158 4.99405
107B:B:T159 5.82333619
108B:B:S160 4.7975456
109B:B:D163 10.0575419
110B:B:C166 4.235458
111B:B:L168 5.178556
112B:B:W169 9.555618
113B:B:D170 6.815459
114B:B:F180 8.374557
115B:B:H183 9.26167659
116B:B:D186 7.4275419
117B:B:V187 4.702559
118B:B:F199 7.856559
119B:B:V200 7.76546
120B:B:S201 5.2625459
121B:B:C204 7.095417
122B:B:D205 6.5775459
123B:B:K209 11.6475456
124B:B:L210 5.535405
125B:B:W211 8.13667658
126B:B:F222 9.4375448
127B:B:H225 9.76667649
128B:B:D228 7.344519
129B:B:I229 5.45447
130B:B:I232 5.8625448
131B:B:F235 7.583336156
132B:B:F241 9.11546
133B:B:T243 6.9625448
134B:B:D246 6.8125419
135B:B:D247 8.846549
136B:B:T249 8.4325446
137B:B:R251 11.525648
138B:B:F253 8.506546
139B:B:R256 8.1975409
140B:B:D258 9.584547
141B:B:M262 6.715404
142B:B:T263 5.5525441
143B:B:Y264 6.702515
144B:B:I269 5.174514
145B:B:R283 7.942569
146B:B:L284 4.936565
147B:B:L285 5.4925416
148B:B:Y289 7.14286717
149B:B:D290 9.945416
150B:B:N293 4.9325415
151B:B:C294 4.1525405
152B:B:N295 7.08616
153B:B:W297 6.465418
154B:B:L300 6.16466
155B:B:R304 7.676515
156B:B:H311 9.618569
157B:B:R314 13.625418
158B:B:M325 5.5754115
159B:B:V327 3.476566
160B:B:W332 12.51719
161B:B:D333 9.6725469
162B:B:L336 7.0475497
163B:B:K337 9.23466
164B:B:W339 8.97833669
165B:B:N340 9.1785129
166G:G:E22 4.608549
167G:G:Y40 9.7154156
168G:G:D48 7.248509
169G:G:L51 4.81333666
170G:G:V54 3.7525116
171G:G:N59 5.33409
172G:G:F61 6.696676128
173L:L:?1 9.83556920
174R:R:I14 4.79424
175R:R:M18 7.45405
176R:R:F40 5.9856107
177R:R:W47 8.6654106
178R:R:P49 3.2825207
179R:R:Y53 6.554207
180R:R:F55 7.1345106
181R:R:L57 5.59429
182R:R:D61 8.044529
183R:R:F62 5.1225407
184R:R:L64 4.5675427
185R:R:M65 3.76426
186R:R:Y74 8.27625
187R:R:Y75 9.04833625
188R:R:R79 6.5675425
189R:R:W81 8.1528
190R:R:C88 4.994529
191R:R:L95 5.275426
192R:R:M97 6.5125426
193R:R:R99 7.475428
194R:R:I103 6.53428
195R:R:F105 7.894217
196R:R:R113 5.614529
197R:R:Y114 8.643336139
198R:R:K116 10.26408
199R:R:V118 7.30254137
200R:R:H119 5.9354137
201R:R:H121 8.924536
202R:R:V136 5.01407
203R:R:L139 3.46407
204R:R:T147 3.925426
205R:R:Y149 9.2575427
206R:R:H155 5.49424
207R:R:L156 5.34833625
208R:R:C165 5.7625429
209R:R:F168 12.195624
210R:R:M170 5.3425423
211R:R:H177 11.772525
212R:R:D178 7.7075424
213R:R:F181 6.455625
214R:R:Q182 5.6925425
215R:R:F185 5.98333628
216R:R:L189 3.934526
217R:R:V200 4.025425
218R:R:L209 6.44833632
219R:R:Q212 6.5925433
220R:R:I222 4.832527
221R:R:F229 6.6125429
222R:R:Y233 8.48167629
223R:R:L234 3.805405
224R:R:R240 8.25833625
225R:R:H257 9.85667624
226R:R:H261 11.785425
227R:R:Y268 8.1075427
228R:R:N270 8.5525409
229R:R:S271 4.54429
230R:R:M272 4.4275408
231R:R:D274 8.8225429
232R:R:Y278 6.01714729
233R:R:Y279 8.254107
234R:R:S282 5.9354108
235R:R:F285 9.54109
   

Color ConSurf Grade
      No Conservation data available
      1
      2
      3
      4
      5
      6
      7
      8
      9

Index: link id, click on each number to highlight the corresponding link in the 3D visualization.

Node1 Node2: the two nodes of the corresponding link.

Recurrence: the relative Recurrence in the pool of shortest paths.

Int. Strength: the interaction strength between the two nodes.

Hub1?, Hub2?: "Yes" if the corresponding node has more than 3 links, otherwise "No".

Community: the id of the community the link belong to, otherwise 0.

ConSurf1, ConSurf2: these columns report the ConSurf conservation grades of the two nodes involved in a link.

Index Node1 Node2 Recurrence Int. Strength Hub1? Hub2? Community ConSurf1 ConSurf2
1B:B:E138 B:B:S122 10.16757.19NoNo068
2B:B:E138 B:B:I120 10.92335.47NoNo066
3B:B:D118 B:B:I120 11.67854.2NoNo096
4B:B:D118 B:B:S97 11.930511.78NoNo098
5B:B:S97 B:B:W99 12.18283.71NoYes089
6B:B:C317 B:B:M61 10.18139.73NoNo076
7B:B:C317 B:B:S316 10.47653.44NoNo079
8B:B:S316 B:B:W332 10.62464.94NoYes099
9A:A:W258 B:B:W332 11.2194.69YesYes159
10A:A:N256 A:A:W258 37.875810.17NoYes185
11A:A:I212 A:A:N256 25.35275.66YesNo188
12A:A:I212 A:A:I253 72.362.94YesYes188
13A:A:F223 A:A:I253 1003.77YesYes198
14A:A:F223 A:A:F250 10013.93YesYes199
15A:A:F250 A:A:F307 66.46069.65YesYes198
16A:A:F307 A:A:M247 1009.95YesNo086
17A:A:M247 A:A:Y287 1004.79NoYes067
18A:A:L283 A:A:Y287 95.24274.69NoYes077
19A:A:L283 A:A:Y230 95.01063.52NoYes078
20A:A:K277 A:A:Y230 1004.78YesYes798
21A:A:K277 A:A:S228 1003.06YesNo099
22A:A:K270 A:A:S228 1003.06NoNo099
23A:A:G45 A:A:K270 1001.74NoNo099
24A:A:G45 A:A:N269 1006.79NoNo099
25A:A:C224 A:A:N269 1007.87NoNo079
26A:A:C224 A:A:I49 1004.91NoYes077
27A:A:I49 A:A:M53 1005.83YesYes078
28A:A:F189 A:A:M53 1009.95NoYes098
29A:A:F189 A:A:F196 10017.15NoYes097
30A:A:F259 A:A:N256 12.67059.67YesNo198
31A:A:F259 A:A:I221 12.74818.79YesYes198
32A:A:I221 A:A:I264 17.31942.94YesNo186
33A:A:F250 A:A:I264 17.20395.02YesNo196
34A:A:F223 A:A:L266 1003.65YesYes199
35A:A:F307 A:A:L266 57.69474.87YesYes189
36A:A:F250 A:A:L310 66.50914.87YesNo094
37A:A:L310 A:A:M247 66.66147.07NoNo046
38A:A:C286 A:A:Y287 95.10195.38YesYes767
39A:A:C286 A:A:Y230 94.94984.03YesYes768
40A:A:L266 A:A:V225 28.94892.98YesYes197
41A:A:L268 A:A:V225 28.94432.98YesYes087
42A:A:L227 A:A:L268 57.60611.07NoYes078
43A:A:F274 A:A:L227 57.5326.09YesNo097
44A:A:F274 A:A:Y230 57.61716.19YesYes098
45A:A:L266 A:A:T321 29.09235.9YesYes095
46A:A:L268 A:A:T321 28.96722.95YesYes085
47A:A:N269 A:A:T324 1004.39NoYes099
48A:A:I49 A:A:T324 1003.04YesYes1479
49A:A:F196 A:A:V34 1009.18YesYes375
50A:A:T219 A:A:V34 1006.35NoYes375
51A:A:F196 A:A:V339 1003.93YesYes378
52A:A:T219 A:A:V339 1003.17NoYes378
53A:A:F215 B:B:W99 14.424812.03YesYes199
54A:A:F215 A:A:L37 12.992910.96YesYes199
55A:A:I212 A:A:W211 46.9913.52YesYes189
56A:A:V201 A:A:W211 46.93997.36YesYes199
57A:A:W211 B:B:Y145 1005.79YesYes198
58A:A:K210 B:B:Y145 1003.58YesYes198
59A:A:L249 A:A:R208 47.09734.86NoYes099
60A:A:K210 B:B:D246 1005.53YesYes199
61A:A:T219 A:A:V342 1003.17NoYes377
62A:A:K345 A:A:V342 1004.55YesYes357
63A:A:F354 A:A:K345 1007.44YesYes055
64A:A:F354 A:A:L348 1009.74YesNo059
65A:A:L348 A:A:L353 1004.15NoYes097
66A:A:L353 R:R:R113 1004.86YesYes279
67A:A:C351 R:R:R113 17.78154.18NoYes049
68A:A:C351 R:R:K116 17.28694.85NoYes048
69R:R:D112 R:R:Y53 14.81419.2NoYes087
70R:R:D112 R:R:K116 15.803115.21NoYes088
71R:R:R113 R:R:V109 14.78747.85YesNo099
72R:R:L54 R:R:V109 14.29474.47NoNo089
73R:R:F40 R:R:L54 27.62724.87YesNo078
74R:R:R113 R:R:Y278 1006.17YesYes299
75R:R:L54 R:R:Y278 14.32354.69NoYes089
76A:A:L353 R:R:I222 15.26648.56YesYes277
77B:B:I18 B:B:R22 40.66685.01NoYes476
78B:B:I18 G:G:A23 78.16523.25NoNo078
79B:B:Q17 G:G:A23 71.91233.03NoNo048
80B:B:L14 B:B:Q17 65.65933.99NoNo084
81B:B:L14 G:G:K20 56.27974.23NoNo086
82B:B:E10 G:G:K20 50.02662.7NoNo086
83B:B:E10 G:G:V16 46.94.28NoNo087
84B:B:L7 G:G:V16 40.64681.49YesNo087
85B:B:L7 G:G:A12 25.01373.15YesNo085
86B:B:R8 G:G:A12 21.8874.15NoNo035
87B:B:L4 B:B:R8 15.63362.43YesNo043
88B:B:D258 B:B:R22 45.362813.1YesYes476
89B:B:G162 B:B:Y145 62.949210.14NoYes198
90B:B:G162 B:B:S161 62.56333.71NoNo199
91B:B:H142 B:B:S161 60.203416.74YesNo199
92B:B:H142 B:B:T159 41.71386.85YesYes199
93B:B:C149 B:B:T159 31.09153.38YesYes189
94B:B:C149 B:B:T102 30.71616.76YesNo088
95B:B:C148 B:B:T102 30.32273.38NoNo068
96B:B:F151 B:B:I157 15.752811.3YesYes197
97B:B:H142 B:B:W169 16.92145.29YesYes198
98B:B:F151 B:B:Y111 10.23933.09YesYes194
99B:B:C148 B:B:S160 13.78333.44NoYes566
100B:B:C148 B:B:L190 16.14614.76NoNo565
101B:B:L190 B:B:V158 15.75335.96NoYes055
102B:B:S160 B:B:V187 12.99654.85YesYes569
103B:B:D246 B:B:S227 1002.94YesNo096
104B:B:D247 B:B:S227 1005.89YesNo096
105B:B:D247 B:B:H225 60.17587.56YesYes499
106B:B:H225 B:B:T243 32.437710.95YesYes498
107B:B:D258 B:B:F222 93.77825.97YesYes478
108B:B:F222 B:B:F253 96.889210.72YesYes486
109B:B:H225 B:B:R251 26.177211.28YesYes498
110B:B:D247 B:B:E226 26.56610.39YesNo093
111B:B:E226 B:B:R251 26.17523.49NoYes038
112B:B:D247 B:B:T249 27.741211.56YesYes496
113B:B:R251 B:B:T249 26.176414.23YesYes486
114B:B:D290 B:B:R314 13.850322.63YesYes168
115B:B:C271 B:B:D290 13.5667.78NoYes156
116B:B:C271 B:B:Y289 12.82714.03NoYes157
117B:B:R314 B:B:T274 11.91883.88YesNo188
118B:B:S275 B:B:T274 11.78153.2NoNo088
119B:B:L318 B:B:S275 11.63369.01NoNo068
120R:R:D274 R:R:Y278 1005.75YesYes299
121R:R:D274 R:R:N270 1009.42YesYes099
122R:R:N270 R:R:Y233 10013.96YesYes099
123R:R:R99 R:R:Y233 78.38784.12YesYes289
124L:L:?1 R:R:R99 71.9910.14YesYes208
125L:L:?1 R:R:R71 13.828813.52YesNo206
126L:L:?1 R:R:Y75 20.74784.35YesYes205
127R:R:L57 R:R:Y278 33.02337.03YesYes299
128R:R:D61 R:R:L57 18.7316.79YesYes299
129R:R:D61 R:R:S271 26.63268.83YesYes299
130R:R:L64 R:R:S271 14.80253YesYes279
131R:R:L64 R:R:L95 11.8885.54YesYes276
132R:R:D274 R:R:D61 18.734211.98YesYes299
133R:R:L57 R:R:S102 13.8023YesNo299
134R:R:S102 R:R:S271 13.31023.26NoYes299
135L:L:?1 R:R:S167 11.85728.36YesNo204
136L:L:?1 R:R:F168 16.305814.68YesYes204
137R:R:R71 R:R:Y74 13.334716.46NoYes265
138R:R:Y74 R:R:Y75 13.33687.94YesYes255
139R:R:H177 R:R:S167 11.363412.55YesNo254
140R:R:F168 R:R:H177 11.375824.89YesYes245
141R:R:M65 R:R:S271 23.66243.07YesYes269
142R:R:G29 R:R:M65 14.81513.49NoYes086
143R:R:G29 R:R:M272 13.33373.49NoYes088
144R:R:C67 R:R:L95 10.36283.17NoYes066
145R:R:W81 R:R:Y74 19.75767.72YesYes285
146R:R:L156 R:R:W81 10.86715.69YesYes258
147R:R:H177 R:R:Y149 14.84418.71YesYes257
148R:R:I199 R:R:I222 10.39454.42NoYes087
149R:R:E184 R:R:F181 10.84954.66NoYes055
150A:A:F223 A:A:L39 64.46216.09YesYes199
151A:A:L39 A:A:V201 55.63562.98YesYes199
152A:A:R208 A:A:W211 93.84256YesYes199
153B:B:F253 B:B:T243 25.39837.78YesYes468
154B:B:F253 B:B:R251 76.18276.41YesYes468
155A:A:I253 A:A:R208 47.12683.76YesYes189
156B:B:D258 G:G:E22 43.75046.5YesYes479
157B:B:I18 G:G:E22 40.62486.83NoYes479
158A:A:F223 A:A:L249 47.18916.09YesNo099
159A:A:W258 B:B:R314 25.64536YesYes158
Download PSN data

2D representation of the global metapath, ligand(s) interactions and
histograms of path distribution according to several parameters
(click on the image to enlarge it 🔍):

A 2D representation of the global communication in the network.

ConSurf Conservation Grade (See documentation): 

 n/a   1    2    3    4    5    6    7    8    9  

Number of shortest communication paths as a function of the average residue correlation.

Number of shortest communication paths as a function of the average interaction strength of their links.

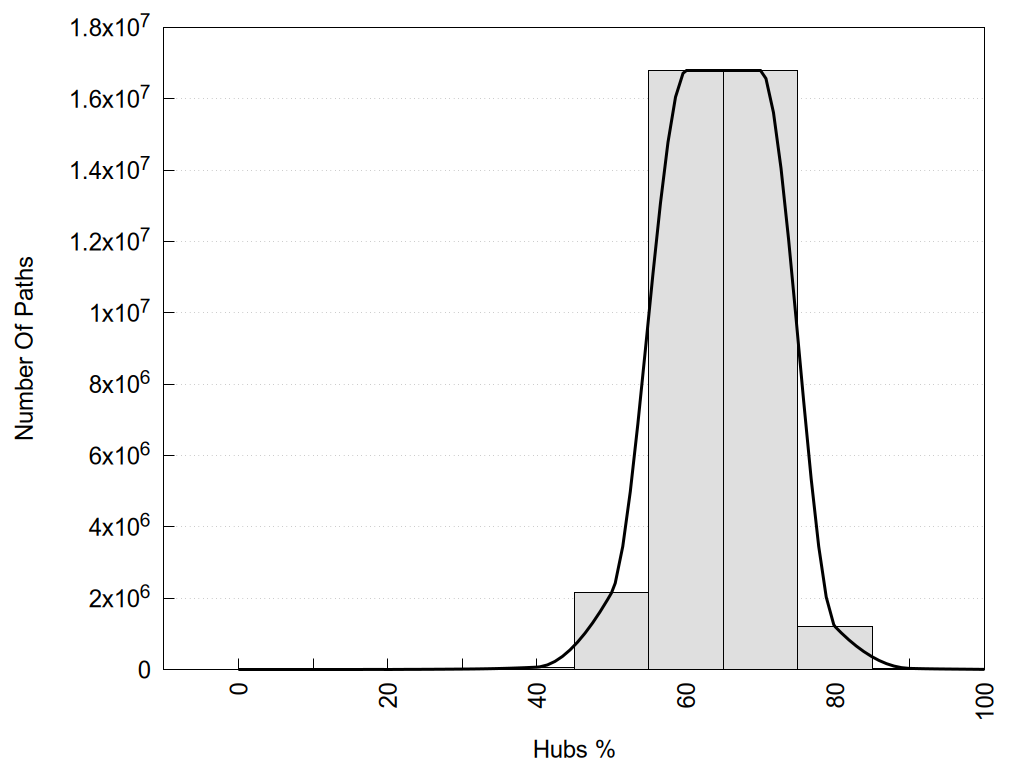
Number of shortest communication paths as a function of the % of hub nodes in each path.

Number of shortest communication paths as a function of the number of nodes in each path.

Number of shortest communication paths as a function of the % of correlated nodes in each path.


2D representation of the interactions of this orthosteric/allosteric ligand.


Links and nodes colored according to ConSurf Conservation Grade (See documentation): 

 n/a   1    2    3    4    5    6    7    8    9  

Node1 Node2 LinkStrength Comm IsNode1Hub? IsNode2Hub? Node1Cons Node2Cons Node1Shell Node2Shell
L:L:?1 R:R:R71 13.52 2 Yes No 0 6 0 1
L:L:?1 R:R:Y75 4.35 2 Yes Yes 0 5 0 1
L:L:?1 R:R:L95 7.7 2 Yes Yes 0 6 0 1
L:L:?1 R:R:R99 10.14 2 Yes Yes 0 8 0 1
L:L:?1 R:R:S167 8.36 2 Yes No 0 4 0 1
L:L:?1 R:R:F168 14.68 2 Yes Yes 0 4 0 1
L:L:?1 R:R:H261 7.15 2 Yes Yes 0 5 0 1
L:L:?1 R:R:L264 12.84 2 Yes No 0 6 0 1
L:L:?1 R:R:Y268 9.78 2 Yes Yes 0 7 0 1
R:R:M18 R:R:Y75 16.76 0 Yes Yes 5 5 2 1
R:R:L64 R:R:L95 5.54 2 Yes Yes 7 6 2 1
R:R:C67 R:R:L95 3.17 0 No Yes 6 6 2 1
R:R:L68 R:R:Y268 11.72 0 No Yes 8 7 2 1
R:R:R71 R:R:Y74 16.46 2 No Yes 6 5 1 2
R:R:R71 R:R:Y75 11.32 2 No Yes 6 5 1 1
R:R:Y74 R:R:Y75 7.94 2 Yes Yes 5 5 2 1
R:R:R79 R:R:Y74 8.23 2 Yes Yes 5 5 2 2
R:R:E166 R:R:Y74 6.73 0 No Yes 4 5 2 2
R:R:R79 R:R:Y75 4.12 2 Yes Yes 5 5 2 1
R:R:H261 R:R:Y75 9.8 2 Yes Yes 5 5 1 1
R:R:H257 R:R:R79 10.16 2 Yes Yes 4 5 2 2
R:R:L95 R:R:Y268 4.69 2 Yes Yes 6 7 1 1
R:R:E184 R:R:R99 10.47 0 No Yes 5 8 2 1
R:R:R99 R:R:Y233 4.12 2 Yes Yes 8 9 1 2
R:R:R99 R:R:T267 5.17 2 Yes No 8 8 1 2
R:R:E166 R:R:H261 11.08 0 No Yes 4 5 2 1
R:R:F168 R:R:S167 3.96 2 Yes No 4 4 1 1
R:R:H177 R:R:S167 12.55 2 Yes No 5 4 2 1
R:R:F168 R:R:H177 24.89 2 Yes Yes 4 5 1 2
R:R:F168 R:R:F181 15 2 Yes Yes 4 5 1 2
R:R:F168 R:R:R240 8.55 2 Yes Yes 4 5 1 2
R:R:F168 R:R:L264 6.09 2 Yes No 4 6 1 1
R:R:E184 R:R:F181 4.66 0 No Yes 5 5 2 2
R:R:F181 R:R:R240 4.28 2 Yes Yes 5 5 2 2
R:R:F181 R:R:L264 3.65 2 Yes No 5 6 2 1
R:R:T267 R:R:Y233 7.49 2 No Yes 8 9 2 2
R:R:H257 R:R:H261 19.11 2 Yes Yes 4 5 2 1
R:R:T267 R:R:Y268 6.24 2 No Yes 8 7 2 1

Location and physicochemical properties of the interaction partners of this ligand

Interactions of this ligand

Similarities between the interactions of this ligand and those of other networks

ShowSimilarityNetwork TypeNameLigandDescription
90.00Single8K5CAcipimox8K5C-HCA2-Acipimox
88.89Single8H2GNiacin8H2G-HCA2-Niacin-Gi1/β1/γ2
88.89Single8K5BNiacin8K5B-HCA2-Niacin
81.82Single8I7VAcipimox8I7V-HCA2-Acipimox-Gi1/β1/γ2
81.82Single8JHNMonomethyl fumarate8JHN-HCA2-Monomethyl fumarate-Go/β1/γ2
81.82Single8JIINiacin8JII-HCA2-Niacin-PubChem 25101223-Gi1/β1/γ2
80.00Single8IJANiacin8IJA-HCA2-Niacin-Gi1/β1/γ2
80.00Single8J6LNiacin8J6L-HCA2-Niacin-Gi1/β1/γ2
77.78Single9KT93,5-DHBA9KT9-HCA1-3,5-DHBA-Gi1/β1/γ2
75.00Single8UUJFCH-22964138UUJ-HCA2-FCH-2296413-Gi1/β1/γ2
75.00Single9CIBFCH-22964139CIB-HCA2-FCH-2296413
72.73Single8IY9Niacin8IY9-HCA2-Niacin-Go/β1/γ2
72.73Single8JERAcipimox8JER-HCA2-Acipimox-Go/β1/γ2
72.73Single8JIMMonomethyl fumarate8JIM-HCA2-Monomethyl fumarate-Gi1/β1/γ2
72.73Consensushca_onOrthosteric Ligandhca2_on
70.00Single8JILNiacin8JIL-HCA2-Niacin-Gi1/β1/γ2
69.23Single8IHBGSK2560738IHB-HCA2-GSK256073-Gi1/β1/γ2
69.23Single8IHHLUF62838IHH-HCA2-LUF6283-Gi1/β1/γ2
66.67Single8J6PNiacin8J6P-HCA2-Niacin-PubChem 25101223-Gi1/β1/γ2
66.67Single8Z8ALactate8Z8A-HCA1-Lactate-Gi1/β1/γ2
66.67Single9IZCMK19039IZC-HCA2-MK1903-Gi1/β1/γ2
66.67Consensusalicarboxylic_on_gpOrthosteric Ligandsuccinate_on_gp hca_on_gp
66.67Consensusgi_alicarboxylicOrthosteric Ligandgi_hca gi_succinate
66.67Consensusgi_hcaOrthosteric Ligand8J6R-HCA2-MK6892-Gi1/β1/γ2 8JIM-HCA2-Monomethyl fumarate-Gi1/β1/γ2 8IHI-HCA2-Acifran-Gi1/β1/γ2 8IHH-HCA2-LUF6283-Gi1/β1/γ2 8I7V-HCA2-Acipimox-Gi1/β1/γ2 8I7W-HCA2-GSK256073-Gi1/β1/γ2
66.67Consensushca2_onOrthosteric Ligand8J6R-HCA2-MK6892-Gi1/β1/γ2 8JIM-HCA2-Monomethyl fumarate-Gi1/β1/γ2 8I7V-HCA2-Acipimox-Gi1/β1/γ2 8I7W-HCA2-GSK256073-Gi1/β1/γ2 8IHH-HCA2-LUF6283-Gi1/β1/γ2 8IHI-HCA2-Acifran-Gi1/β1/γ2
66.67Consensushca2_on_gpOrthosteric Ligand8J6R-HCA2-MK6892-Gi1/β1/γ2 8IHI-HCA2-Acifran-Gi1/β1/γ2 8IHH-HCA2-LUF6283-Gi1/β1/γ2 8I7V-HCA2-Acipimox-Gi1/β1/γ2 8JIM-HCA2-Monomethyl fumarate-Gi1/β1/γ2 8I7W-HCA2-GSK256073-Gi1/β1/γ2
66.67Consensushca_on_gpOrthosteric Ligandhca2_on_gp
64.29Single8IYWGSK2560738IYW-HCA2-GSK256073-Go/β1/γ2
63.64Single8IJBAcipimox8IJB-HCA2-Acipimox-Gi1/β1/γ2
61.54Single8HNLPS3724248HNL-CXCR3-PS372424-Gi1/β1/γ2
61.54Single8J6JGSK2560738J6J-HCA2-GSK256073-Gi1/β1/γ2
60.00Single8J6QBeta-Hydroxybutyrate8J6Q-HCA2-β-Hydroxybutyrate-PubChem 25101223-Gi1/β1/γ2
60.00Single9KT8Acifran9KT8-HCA2-Acifran-Gi1/β1/γ2
58.33Single8JEIPubChem 117155568JEI-HCAR3-PubChem 11715556-Gi1/β1/γ2
58.33Single9JKYAcifran9JKY-HCA2-Acifran-Gi1/β1/γ2
56.25Single9IZASCH9002719IZA-HCA2-SCH900271-Gi1/β1/γ2
54.55Single8IHIAcifran8IHI-HCA2-Acifran-Gi1/β1/γ2
54.55Single9IQTNiacin9IQT-HCA2-Niacin-Gi1/β1/γ2
54.55Single9IZDCHBA9IZD-HCA1-CHBA-Gi1/β1/γ2
53.85Single8IHJAcifran8IHJ-HCA3-Acifran-Gi1/β1/γ2
53.85Single8K5DGSK2560738K5D-HCA2-GSK256073
50.00Single5YHLPubChem 1351213525YHL-EP4-PubChem 135121352
50.00Single5YWYONO-AE3-2085YWY-EP4-ONO-AE3-208
50.00Single7LD4Adenosine7LD4-A1-Adenosine-Gi2/β1/γ2
50.00Single7XK2MK68927XK2-HCA2-MK6892-Gi1/β1/γ2
50.00Single8GEIConstrained Epinephrine8GEI-β2-Constrained Epinephrine-Gs/β1/γ2
50.00Single8I7WGSK2560738I7W-HCA2-GSK256073-Gi1/β1/γ2
50.00Single8JPPSuccinic acid8JPP-Succinate-Succinic acid-chim(Gs-CtGq)/β1/γ1
50.00Single8UTDMK19038UTD-HCA2-MK1903-Gi1/β1/γ2
50.00Single8WOGSuccinic acid8WOG-Succinate-Succinic acid-Gi1/β1/γ2
50.00Single8XYKVUF106618XYK-CXCR3-VUF10661-Go/β1/γ2
50.00Single8YKXMaleic acid8YKX-Succinate-Maleic acid-Gi1/β1/γ1
50.00Single9JKSPubChem 442501769JKS-HCA3-PubChem 44250176-Gi1/β1/γ2
50.00Single9JKXAcifran9JKX-HCA3-Acifran-Gi1/β1/γ2
50.00Single9KT6Acifran9KT6-HCA3-Acifran-Gi1/β1/γ2
50.00Consensusa1_onOrthosteric Ligand7LD4-A1-Adenosine-Gi2/β1/γ2
50.00Consensusa1_on_gpOrthosteric Ligand7LD4-A1-Adenosine-Gi2/β1/γ2
50.00Consensusblt1_offOrthosteric Ligand5X33-BLT1-BIIL260 7K15-BLT1-MKD046-Na
50.00Consensusblt_offOrthosteric Ligandblt1_off
50.00Consensusclass-a_onOrthosteric Ligandsensory_on alicarboxylic_on amine_on lipid_on nucleotide_on peptide_on protein_on
50.00Consensusep4_offOrthosteric Ligand5YWY-EP4-ONO-AE3-208 5YHL-EP4-PubChem 135121352
50.00Consensusep_offOrthosteric Ligandep4_off
50.00Consensusgi_succinateOrthosteric Ligand8YKW-Succinate-Succinic acid-Gi1/β1/γ1 8YKX-Succinate-Maleic acid-Gi1/β1/γ1
50.00Consensusprostanoid_offOrthosteric Ligandep_off dp_off
50.00Consensussuccinate_onOrthosteric Ligand8YKW-Succinate-Succinic acid-Gi1/β1/γ1 8YKX-Succinate-Maleic acid-Gi1/β1/γ1
50.00Consensussuccinate_on_gpOrthosteric Ligand8YKW-Succinate-Succinic acid-Gi1/β1/γ1 8YKX-Succinate-Maleic acid-Gi1/β1/γ1
47.06Single7F8WGastrin-177F8W-CCKB-Gastrin-17-chim(NtGsL-Gq)/β1/γ2
47.06Single7XY6BAY 60-65837XY6-A2B-BAY 60-6583-chim(NtGi1-Gs)/β1/γ2
47.06Single9M0RNeuropeptide-VF9M0R-NPFF1-Neuropeptide-VF-Gi1/β1/γ2
46.67Single8IYHMK68928IYH-HCA2-MK6892-Go/β1/γ2
46.15Single2YDOAdenosine2YDO-A2A-Adenosine
46.15Single3V2YPubChem 518926453V2Y-S1P1-PubChem 51892645
46.15Single7F61PF-036547467F61-H3-PF-03654746
46.15Single8HNMVUF112228HNM-CXCR3-VUF11222-Gi1/β1/γ2
46.15Single8IHKAcifran8IHK-HCA3-Acifran
46.15Single8RWIStilSwitch28RWI-A2A-StilSwitch2-Na
46.15Single8W88SEP-3638568W88-TA1-SEP-363856-Gs/β1/γ2
45.45Single8JEFPubChem 113671668JEF-HCA3-PubChem 11367166-Gi1/β1/γ2
45.45Single9JKT(2R)-2-hydroxy-3-phenylpropanoic acid9JKT-HCA3-(2R)-2-hydroxy-3-phenylpropanoic acid-Gi1/β1/γ2
45.00Single8J6IMK68928J6I-HCA2-MK6892-Gi1/β1/γ2
44.44Single7W0PElabela7W0P-Apelin-Elabela-Gi1/β1/γ2
44.44Single8DCRDobutamine8DCR-β1-Dobutamine-Gs/β1/γ2
44.44Single8GEJConstrained Epinephrine8GEJ-β2-Constrained Epinephrine-Gs/β1/γ2
44.44Consensusclass-a_on_gpOrthosteric Ligandsensory_on_gp alicarboxylic_on_gp amine_on_gp lipid_on_gp nucleotide_on_gp peptide_on_gp protein_on_gp
43.75Single7K15MKD0467K15-BLT1-MKD046-Na
43.75Single8JZ7MK68928JZ7-HCA2-MK6892-Gi1/β1/γ2
43.75Single8XYIVUF106618XYI-CXCR3-VUF10661
43.75Consensusbeta3_onOrthosteric Ligand7DH5-β3-Mirabegron-Gs/β1/γ2 7XJH-β3-Isoprenaline-Gs/β1/γ2 7XJI-β3-Solabegron-Gs/β1/γ2
43.75Consensusbeta3_on_gpOrthosteric Ligand7DH5-β3-Mirabegron-Gs/β1/γ2 7XJH-β3-Isoprenaline-Gs/β1/γ2 7XJI-β3-Solabegron-Gs/β1/γ2
42.86Single4YAYZD-71554YAY-AT1-ZD-7155
42.86Single5NDDAZ8838; Na5NDD-PAR2-AZ8838; Na
42.86Single5OLZPubChem 1355666095OLZ-A2A-PubChem 135566609-Na
42.86Single5OM1PubChem 1355666095OM1-A2A-PubChem 135566609-Na
42.86Single7T2GMitragynine Pseudoindoxyl7T2G-μ-Mitragynine Pseudoindoxyl-Gi1/β1/γ2
42.86Single7UL4Alvimopan7UL4-μ-Alvimopan
42.86Single7VKTLTB47VKT-BLT1-LTB4-Gi1/β1/γ2
42.86Single7YACPaltusotine7YAC-SST2-Paltusotine-Gi1/β1/γ2
42.86Single8PJKST1718PJK-5-HT1A-ST171-Gi1/β1/γ1
42.86Single8RWXStilSwitch38RWX-A2A-StilSwitch3-Na
42.86Single8T1WCVN4248T1W-GPR6-CVN424
42.86Single8W8ARO52563908W8A-TA1-RO5256390-chim(NtGi1L-Gs)/β1/γ2
42.86Single8ZSSRO52633978ZSS-TA1-RO5263397-chim(NtGi1-Gs)/β1/γ2
42.86Consensusadenosine_on_gpOrthosteric Liganda1_on_gp a2_on_gp a3_on_gp
42.86Consensusblt1_onOrthosteric Ligand7VKT-BLT1-LTB4-Gi1/β1/γ2
42.86Consensusblt1_on_gpOrthosteric Ligand7VKT-BLT1-LTB4-Gi1/β1/γ2
42.86Consensusblt_onOrthosteric Ligandblt1_on
42.86Consensusblt_on_gpOrthosteric Ligandblt1_on_gp
42.86Consensusgi_leukotrieneOrthosteric Ligand7VKT-BLT1-LTB4-Gi1/β1/γ2
42.86Consensusleukotriene_onOrthosteric Ligandblt_on
42.86Consensusleukotriene_on_gpOrthosteric Ligandblt_on_gp
42.11Single6DO1(Sar1,Ile8)-Angiotensin II6DO1-AT1-(Sar1,Ile8)-Angiotensin II
42.11Single7RKMCX3CL17RKM-US28-CX3CL1-Gi1/β1/γ2
42.11Single7W0NElabela7W0N-Apelin; Apelin-Elabela-Gi1/β1/γ2
42.11Single9KT7MK68929KT7-HCA2-MK6892-Gi1/β1/γ2
41.67Single3OE9IT1t3OE9-CXCR4-IT1t
41.67Single8JPNCis-Epoxysuccinic acid8JPN-Succinate-Cis-Epoxysuccinic acid-Gi1/β1/γ1
41.67Single8WP1Cis-Epoxysuccinic acid8WP1-Succinate-Cis-Epoxysuccinic acid-Gi1/β1/γ2
41.67Single8YKWSuccinic acid8YKW-Succinate-Succinic acid-Gi1/β1/γ1
41.67Single8ZX5AM2518ZX5-GPR55-AM251-chim(NtGi1-G13)/β1/γ2
41.67Single9LMPNE52-QQ579LMP-GPR4-NE52-QQ57
41.67Single9U9VMETH9U9V-β2-METH-Gs/β1/γ2
41.18Single5UNGPubChem 157800525UNG-AT2-PubChem 15780052
41.18Single7D7MPGE27D7M-EP4-PGE2-Gs/β1/γ1
41.18Single7XJISolabegron7XJI-β3-Solabegron-Gs/β1/γ2
41.18Single8IJDMK68928IJD-HCA2-MK6892-Gi1/β1/γ2
41.18Single9HYIDP819HYI-5-HT1A-DP81-Gi1/β1/γ2
40.00Single5OM4PubChem 1355666095OM4-A2A-PubChem 135566609-Na
40.00Single6D26Fevipiprant6D26-DP2-Fevipiprant
40.00Single6ME72-Phenylmelatonin6ME7-MT2-2-Phenylmelatonin
40.00Single7C61Ergotamine7C61-5-HT1B-Ergotamine
40.00Single7EO2FTY720-P7EO2-S1P1-FTY720-P-Gi1/β1/γ2
40.00Single7LD3Adenosine7LD3-A1-Adenosine-MIPS521-Gi2/β1/γ2
40.00Single7TD3S1P7TD3-S1P1-S1P-Gi1/β1/γ2
40.00Single7X1TTaltirelin7X1T-TRH-Taltirelin-chim(NtGi2L-Gs-CtGq)/β1/γ2
40.00Single8GD9Rivenprost8GD9-EP4-Rivenprost-Gs/β1/γ2
40.00Single8TF5Oleic acid8TF5-GPR6-Oleic acid
40.00Single8WGBVU01550418WGB-mGlu4; mGlu2-Glutamate-VU0155041-Gi3/β1/γ2
40.00Single8YICSAR2477998YIC-S1P1-SAR247799-Gi1/β1/γ2
40.00Single8ZPTPrRP208ZPT-PrRP-PrRP20-chim(NtGi1-Gs-CtGq)/β1/γ2
40.00Single9EE8Adenosine9EE8-A2A-Adenosine-Gs/β1/γ2
40.00Single9EHSLUF76029EHS-A3A-LUF7602
40.00Single9L74S1P d16:19L74-S1P3-S1P d16:1-chim(NtGi2L-Gs-CtGq)/β1/γ2
40.00Consensuscb2_onOrthosteric Ligand8GUR-CB2-CP55940-Gi1/β1/γ2 8GUS-CB2-HU-308-Gi1/β1/γ2 8GUT-CB2-LEI-102-Gi1/β1/γ2 6KPF-CB2-AM12033-Gi1/β1/γ2 6PT0-CB2-WIN 55212-2-Gi1/β1/γ2 8GUQ-CB2-Olorinab-Gi1/β1/γ2
40.00Consensuscb2_on_gpOrthosteric Ligand8GUR-CB2-CP55940-Gi1/β1/γ2 8GUS-CB2-HU-308-Gi1/β1/γ2 8GUT-CB2-LEI-102-Gi1/β1/γ2 6KPF-CB2-AM12033-Gi1/β1/γ2 6PT0-CB2-WIN 55212-2-Gi1/β1/γ2 8GUQ-CB2-Olorinab-Gi1/β1/γ2
40.00Consensusdp2_offOrthosteric Ligand6D26-DP2-Fevipiprant
40.00Consensusdp_offOrthosteric Liganddp2_off
40.00Consensusgs_amineOrthosteric Ligandgs_5ht gs_adrenergic gs_dopamine gs_histamine gs_trace-amine
40.00Consensuslipid_onOrthosteric Ligandcannabinoid_on ffa_on lpl_on prostanoid_on leukotriene_on
40.00Consensuslipid_on_gpOrthosteric Ligandcannabinoid_on_gp ffa_on_gp lpl_on_gp prostanoid_on_gp leukotriene_on_gp
40.00Consensuss1p5_offOrthosteric Ligand7YXA-S1P5-ONO-5430608
40.00Consensuss1p_offOrthosteric Ligands1p1_off s1p5_off
40.00Consensusta1_onOrthosteric Ligand8W87-TA1-METH-chim(NtGi1L-Gs)/β1/γ2 8W89-TA1-2-Phenylethylamine-chim(NtGi1L-Gs)/β1/γ2 8JLP-TA1-Ralmitaront-Gs/β1/γ2 8W8A-TA1-RO5256390-chim(NtGi1L-Gs)/β1/γ2 8W88-TA1-SEP-363856-Gs/β1/γ2 8JLO-TA1-Ulotaront-Gs/β1/γ2 8JLR-TA1-A77636-chim(NtGi1-Gs)/β1/γ2 8JSO-TA1-AMPH-chim(NtGi1-Gs)/β1/γ2 8ZSP-TA1-LSD-chim(NtGi1L-Gs)/β1/γ2
40.00Consensustrace-amine_onOrthosteric Ligandta1_on
38.89Single4UG2CGS216804UG2-A2A-CGS21680
38.89Single7SK9CCX6627SK9-ACKR3-CCX662
38.89Single8XZFWN5618XZF-Apelin; Apelin-WN561-Gi1/β1/γ2
38.89Consensuscxcr3_onOrthosteric Ligand8HNK-CXCR3-CXCL11-Gi1/β1/γ2 8HNL-CXCR3-PS372424-Gi1/β1/γ2
38.46Single3PWHZM-2413853PWH-A2A-ZM-241385
38.46Single3V2WPubChem 518926453V2W-S1P1-PubChem 51892645
38.46Single5ZKQABT-4915ZKQ-PAF-ABT-491
38.46Single6D9HAdenosine6D9H-A1-Adenosine-Gi2/β1/γ2
38.46Single7DHRIsoprenaline7DHR-β2-Isoprenaline-Gs/β1/γ2
38.46Single7YMHNorepinephrine7YMH-Alpha1A-Norepinephrine-chim(Gs-CtGq)
38.46Single8EFOPZM218EFO-μ-PZM21-Gi1/β1/γ2
38.46Single8GGAConstrained Epinephrine8GGA-β2-Constrained Epinephrine-GTP-Gs/β1/γ2
38.46Single8GGCConstrained Epinephrine8GGC-β2-Constrained Epinephrine-GTP-Gs/β1/γ2
38.46Single8GGRConstrained Epinephrine8GGR-β2-Constrained Epinephrine
38.46Single8GGWConstrained Epinephrine8GGW-β2-Constrained Epinephrine
38.46Single8GGZConstrained Epinephrine8GGZ-β2-Constrained Epinephrine
38.46Single8GH0Constrained Epinephrine8GH0-β2-Constrained Epinephrine
38.46Single8HDPAdenosine8HDP-A2B-Adenosine-Gs/β1/γ2
38.46Single8IW4Spermidine8IW4-TAA9-Spermidine-chim(NtGi1-Gs)/β1/γ2
38.46Single8IWESpermidine8IWE-TAA9-Spermidine
38.46Single8RW0Istradefylline8RW0-A2A-Istradefylline-Na
38.46Single8UNXConstrained Epinephrine8UNX-β2-Constrained Epinephrine-GTP-Gs/β1/γ2
38.46Single8WC4ZH86518WC4-TA1-ZH8651-chim(NtGi1-Gs)/β1/γ2
38.46Single8WCA2-Phenylethylamine8WCA-TA1-2-Phenylethylamine-chim(NtGi1-Gs)/β1/γ2
38.46Single8Y0HVUF114188Y0H-CXCR3-VUF11418
38.46Single8Y0NVUF114188Y0N-CXCR3-VUF11418-Go/β1/γ2
38.46Single9VJ5Gepirone9VJ5-5-HT1A-Gepirone-Go/β1/γ2
38.46Single9VJEBuspirone9VJE-5-HT1A-Buspirone-Go/β1/γ2
38.46Single9W49U-50488H9W49-κ-U-50488H-Gi1/β1/γ2
38.46Consensusalpha2_offOrthosteric Ligandalpha2c_off
38.46Consensusangiotensin_offOrthosteric Ligandat1_off
38.46Consensuspaf_offOrthosteric Ligand5ZKQ-PAF-ABT-491
38.46Consensuss1p1_offOrthosteric Ligand3V2W-S1P1-PubChem 51892645
38.10Single8IHFMK68928IHF-HCA2-MK6892-Gi1/β1/γ2
38.10Single8X8LCortistatin-148X8L-SST5-Cortistatin-14-chim(NtGi1-Gs-CtGi1)/β1/γ2
38.10Consensuscxcr3_on_gpOrthosteric Ligand8HNK-CXCR3-CXCL11-Gi1/β1/γ2 8HNL-CXCR3-PS372424-Gi1/β1/γ2
38.10Consensusgi_class-aOrthosteric Ligandgi_peptide gi_sensory gi_alicarboxylic gi_amine gi_lipid gi_nucleotide gi_protein
37.50Single2YDVNECA2YDV-A2A-NECA
37.50Single4LDLHydroxybenzyl Isoproterenol4LDL-β2-Hydroxybenzyl Isoproterenol
37.50Single4UHRCGS216804UHR-A2A-CGS21680
37.50Single5A8E7-Methylcyanopindolol5A8E-β1-7-Methylcyanopindolol-Na
37.50Single5G53NECA5G53-A2A-NECA-Gs
37.50Single6GT3Imaradenant6GT3-A2A-Imaradenant-Na
37.50Single6N48BI1671076N48-β2-BI167107-PubChem 138454256
37.50Single6N4BMDMB-Fubinaca6N4B-CB1-MDMB-Fubinaca-Gi1/β1/γ2
37.50Single7TUYGSK682753A7TUY-GPR183-GSK682753A
37.50Single8IRRRotigotine8IRR-D1-Rotigotine-Gs/β1/γ2
37.50Single8IRVRotigotine8IRV-D5-Rotigotine-chim(NtGi1-Gs)/β1/γ2
37.50Single8JT6(R)-IHCH-71798JT6-5-HT1A-(R)-IHCH-7179-PtdIns4P-Gi1/β1/γ2
37.50Single8T1VPubChem 1183102098T1V-GPR6-PubChem 118310209-Na
37.50Single8XIPPasireotide8XIP-SST1-Pasireotide-chim(NtGi1-Gs-CtGi1)/β1/γ2
37.50Single9ASTLymphotactin9AST-XCR1-Lymphotactin-Gi1/β1/γ2
37.50Single9KVPSB2901579KVP-C3aB-SB290157-Go/β1/γ2
37.50Single9RHGC4079RHG-FZD7-C407
37.50Consensusa2_onOrthosteric Liganda2b_on
37.50Consensusa2_on_gpOrthosteric Liganda2b_on_gp
37.50Consensusa2b_onOrthosteric Ligand8HDP-A2B-Adenosine-Gs/β1/γ2 7XY6-A2B-BAY 60-6583-chim(NtGi1-Gs)/β1/γ2 7XY7-A2B-NECA-chim(NtGi1-Gs)/β1/γ2 8HDO-A2B-BAY 60-6583-Gs/β1/γ2
37.50Consensusa2b_on_gpOrthosteric Ligand8HDP-A2B-Adenosine-Gs/β1/γ2 7XY6-A2B-BAY 60-6583-chim(NtGi1-Gs)/β1/γ2 7XY7-A2B-NECA-chim(NtGi1-Gs)/β1/γ2 8HDO-A2B-BAY 60-6583-Gs/β1/γ2
37.50Consensusclass-a_offOrthosteric Ligandsensory_off alicarboxylic_off amine_off lipid_off nucleotide_off peptide_off protein_off
37.50Consensusd1_on_gpOrthosteric Ligand7F0T-D1-Dopamine-Gs/β1/γ2 7CKY-D1-PW0464-Gs/β1/γ2 8IRR-D1-Rotigotine-Gs/β1/γ2 7JV5-D1-SKF81297-Gs/β1/γ2 7JVP-D1-SKF83959-Gs/β1/γ2 7X2D-D1-Tavapadon-Gs/β1/γ2 7CKX-D1-A77636-Gs/β1/γ2 7JVQ-D1-Apomorphine-Gs/β1/γ2 7CKW-D1-Fenoldopam-Gs/β1/γ2
37.50Consensusd5_on_gpOrthosteric Ligand8IRV-D5-Rotigotine-chim(NtGi1-Gs)/β1/γ2
37.50Consensusgi_cannabinoidOrthosteric Ligand8GUR-CB2-CP55940-Gi1/β1/γ2 8GUS-CB2-HU-308-Gi1/β1/γ2 8GUT-CB2-LEI-102-Gi1/β1/γ2 8GUQ-CB2-Olorinab-Gi1/β1/γ2 6KPF-CB2-AM12033-Gi1/β1/γ2 6PT0-CB2-WIN 55212-2-Gi1/β1/γ2 6KPG-CB1-AM841-Gi1/β1/γ2
37.50Consensusgs_adenosineOrthosteric Ligand8HDP-A2B-Adenosine-Gs/β1/γ2 8HDO-A2B-BAY 60-6583-Gs/β1/γ2 7XY7-A2B-NECA-chim(NtGi1-Gs)/β1/γ2 7XY6-A2B-BAY 60-6583-chim(NtGi1-Gs)/β1/γ2
37.50Consensusgs_adrenergicOrthosteric Ligand7DHI-β2-Salbutamol-Gs/β1/γ2 7XJI-β3-Solabegron-Gs/β1/γ2 7JJO-β1-Isoprenaline-Gs/β1/γ2 6NI3-β2-BI167107-Gs/β1/γ2 8DCR-β1-Dobutamine-Gs/β1/γ2 7XJH-β3-Isoprenaline-Gs/β1/γ2 7DH5-β3-Mirabegron-Gs/β1/γ2
37.50Consensusgs_dopamineOrthosteric Ligand7F0T-D1-Dopamine-Gs/β1/γ2 7CKW-D1-Fenoldopam-Gs/β1/γ2 7CKY-D1-PW0464-Gs/β1/γ2 8IRV-D5-Rotigotine-chim(NtGi1-Gs)/β1/γ2 8IRR-D1-Rotigotine-Gs/β1/γ2 7JV5-D1-SKF81297-Gs/β1/γ2 7JVP-D1-SKF83959-Gs/β1/γ2 7X2D-D1-Tavapadon-Gs/β1/γ2 7CKX-D1-A77636-Gs/β1/γ2 7JVQ-D1-Apomorphine-Gs/β1/γ2
37.50Consensusgs_nucleotideOrthosteric Ligandgs_adenosine
37.50Consensusprotein_offOrthosteric Ligandchemokine_off grh_off
37.50Consensusta1_on_gpOrthosteric Ligand8W87-TA1-METH-chim(NtGi1L-Gs)/β1/γ2 8W89-TA1-2-Phenylethylamine-chim(NtGi1L-Gs)/β1/γ2 8JLP-TA1-Ralmitaront-Gs/β1/γ2 8W8A-TA1-RO5256390-chim(NtGi1L-Gs)/β1/γ2 8W88-TA1-SEP-363856-Gs/β1/γ2 8JLO-TA1-Ulotaront-Gs/β1/γ2 8JLR-TA1-A77636-chim(NtGi1-Gs)/β1/γ2 8JSO-TA1-AMPH-chim(NtGi1-Gs)/β1/γ2 8ZSP-TA1-LSD-chim(NtGi1L-Gs)/β1/γ2
37.50Consensustrace-amine_on_gpOrthosteric Ligandta1_on_gp
36.84Single5UNFPubChem 157800525UNF-AT2-PubChem 15780052
36.84Single8J6RMK68928J6R-HCA2-MK6892-Gi1/β1/γ2
36.84Single8K3ZCXCL128K3Z-CXCR4-CXCL12-Gi1/β1/γ1
36.84Single8WDTphotoNECA8WDT-A2A-photoNECA
36.84Single8ZBJSomatostatin-148ZBJ-SST5-Somatostatin-14-Gi1/β1/γ2
36.84Single9BUYLM1899BUY-β2-LM189-Gi1/β1/γ2
36.84Single9KWGC5a9KWG-C5a1-C5a-Go/β1/γ2
36.84Consensuscxcr4_onOrthosteric Ligand8K3Z-CXCR4-CXCL12-Gi1/β1/γ1
36.84Consensusmop_offOrthosteric Ligand4DKL-μ-β-Funaltrexamine 8QOT-μ-Nanobody-E 7UL4-μ-Alvimopan
36.84Consensussst5_onOrthosteric Ligand8X8L-SST5-Cortistatin-14-chim(NtGi1-Gs-CtGi1)/β1/γ2 8X8N-SST5-Octreotide-chim(NtGi1-Gs-CtGi1)/β1/γ2
36.36Single8DPHLorcaserin8DPH-5-HT2C-Lorcaserin-chim(NtGi2L-Gs-CtGq)/β1/γ2
36.36Single8WC5Tetramethylammonium Ion8WC5-TA1-Tetramethylammonium Ion-chim(NtGi1-Gs)/β1/γ2
36.36Single8XGOTAK4488XGO-Kiss1-TAK448-chim(NtGi1-Gq)/β1/γ2
36.36Single8ZPSPrRP208ZPS-PrRP-PrRP20-chim(NtGi1-Gs-CtGi1)/β1/γ2
36.36Single9EE9Adenosine9EE9-A2A-Adenosine-Gs/β1/γ2
36.36Consensussst5_on_gpOrthosteric Ligand8X8L-SST5-Cortistatin-14-chim(NtGi1-Gs-CtGi1)/β1/γ2 8X8N-SST5-Octreotide-chim(NtGi1-Gs-CtGi1)/β1/γ2
35.71Single4LDOEpinephrine4LDO-β2-Epinephrine
35.71Single4ZJCSB-6740424ZJC-OX1-SB-674042
35.71Single4ZUDOlmesartan4ZUD-AT1-Olmesartan
35.71Single6ME32-Phenylmelatonin6ME3-MT1-2-Phenylmelatonin
35.71Single6PS0Carazolol6PS0-β2-Carazolol
35.71Single6PS4ICI118-5516PS4-β2-ICI118-551
35.71Single6PS82-Phenylmelatonin6PS8-MT1-2-Phenylmelatonin
35.71Single6TPGEMPA6TPG-OX2-EMPA
35.71Single6V9SGTPL114036V9S-OX1-GTPL11403
35.71Single6ZFZ77-LH-28-16ZFZ-M1-77-LH-28-1
35.71Single6ZG9GSK10347026ZG9-M1-GSK1034702
35.71Single7AROLUF58337ARO-A2A-LUF5833-Na
35.71Single7DHISalbutamol7DHI-β2-Salbutamol-Gs/β1/γ2
35.71Single7VUGJNJ-635330547VUG-GPR139-JNJ-63533054-Gi1/β1/γ2
35.71Single8GE1Constrained Epinephrine8GE1-β2-Constrained Epinephrine-Gs/β1/γ2
35.71Single8GE4Constrained Epinephrine8GE4-β2-Constrained Epinephrine-Gs/β1/γ2
35.71Single8GE5Constrained Epinephrine8GE5-β2-Constrained Epinephrine-Gs/β1/γ1
35.71Single8GE6Constrained Epinephrine8GE6-β2-Constrained Epinephrine-Gs/β1/γ2
35.71Single8GE7Constrained Epinephrine8GE7-β2-Constrained Epinephrine-Gs/β1/γ2
35.71Single8GE8Constrained Epinephrine8GE8-β2-Constrained Epinephrine-Gs/β1/γ2
35.71Single8GEAConstrained Epinephrine8GEA-β2-Constrained Epinephrine-Gs/β1/γ2
35.71Single8GEDConstrained Epinephrine8GED-β2-Constrained Epinephrine-Gs/β1/γ2
35.71Single8GEFConstrained Epinephrine8GEF-β2-Constrained Epinephrine-Gs/β1/γ2
35.71Single8GG8Constrained Epinephrine8GG8-β2-Constrained Epinephrine-GTP-Gs/β1/γ2
35.71Single8GGQConstrained Epinephrine8GGQ-β2-Constrained Epinephrine
35.71Single8GGSConstrained Epinephrine8GGS-β2-Constrained Epinephrine
35.71Single8GGTConstrained Epinephrine8GGT-β2-Constrained Epinephrine
35.71Single8GGVConstrained Epinephrine8GGV-β2-Constrained Epinephrine
35.71Single8GGXConstrained Epinephrine8GGX-β2-Constrained Epinephrine
35.71Single8GUQOlorinab8GUQ-CB2-Olorinab-Gi1/β1/γ2
35.71Single8GURCP559408GUR-CB2-CP55940-Gi1/β1/γ2
35.71Single8JLKUlotaront8JLK-TA1-Ulotaront-chim(NtGi1-Gs)/β1/γ2
35.71Single8JLNT1AM8JLN-TA1-T1AM-Gs/β1/γ2
35.71Single8JLQFenoldopam8JLQ-TA1-Fenoldopam-Gs/β1/γ2
35.71Single8RLNLUF58348RLN-A2A-LUF5834
35.71Single8UHBRO52563908UHB-TA1-RO5256390-Gs/β1/γ2
35.71Single8UNMConstrained Epinephrine8UNM-β2-Constrained Epinephrine-GTP-Gs/β1/γ2
35.71Single8UNWConstrained Epinephrine8UNW-β2-Constrained Epinephrine-GTP-Gs/β1/γ2
35.71Single8UO0Constrained Epinephrine8UO0-β2-Constrained Epinephrine-GTP-Gs/β1/γ2
35.71Single8WC8ZH86518WC8-TA1-ZH8651-chim(NtGi1-Gs)/β1/γ2
35.71Single8YH2Adenosine8YH2-A3A-Adenosine-Gi1/β1/γ2
35.71Single8YKVPubChem 1375531688YKV-Succinate-PubChem 137553168-Gi1/β1/γ2
35.71Single8ZPMAMD0708ZPM-CXCR4-AMD070
35.71Single9AS5Mescaline9AS5-5-HT2A-Mescaline
35.71Single9AS6Mescaline9AS6-5-HT2A-Mescaline-chim(NtGi1-Gs-CtGq)/β1/γ2
35.71Single9JFUNE52-QQ579JFU-GPR4-NE52-QQ57
35.71Single9JKQMETH9JKQ-TA1-METH-Gs/β1/γ2
35.71Single9K0KUTP9K0K-P2Y4-UTP-chim(NtGi1-Gs-CtGq)/β1/γ2
35.71Single9K0XATP9K0X-P2Y2-ATP-chim(NtGi1-Gs-CtGq)/β1/γ2
35.71Single9K20ATP9K20-P2Y2-ATP-chim(NtGi1-Go)/β1/γ2
35.71Single9L8LBI1671079L8L-β2-BI167107-Atazanavir-Gs/β1/γ2 ; Arrestin2
35.71Single9MQIIsoquinuclidine9MQI-μ-Isoquinuclidine
35.71Single9ODJMitragynine Pseudoindoxyl9ODJ-μ-Mitragynine Pseudoindoxyl-GTP; Mg-Gi1/β1/γ2
35.71Single9ODLMitragynine Pseudoindoxyl9ODL-μ-Mitragynine Pseudoindoxyl-GTP; Mg-Gi1/β1/γ2
35.71Single9VNFPindolol9VNF-5-HT1A-Pindolol-Go/β1/γ2
35.71Consensusadenosine_onOrthosteric Liganda1_on a2_on a3_on
35.71Consensusat1_offOrthosteric Ligand4YAY-AT1-ZD-7155 4ZUD-AT1-Olmesartan
35.71Consensusgi_adenosineOrthosteric Ligand7LD4-A1-Adenosine-Gi2/β1/γ2 8X17-A3A-Namodenoson-Gi1/β1/γ2 8X16-A3A-Piclidenoson-Gi1/β1/γ2
35.29Single4LDEBI1671074LDE-β2-BI167107
35.29Single5X33BIIL2605X33-BLT1-BIIL260
35.29Single6A93Risperidone6A93-5-HT2A-Risperidone
35.29Single6H7NXamoterol6H7N-β1-Xamoterol
35.29Single7BZ2Arformoterol7BZ2-β2-Arformoterol-Gs/β1/γ2
35.29Single7DH5Mirabegron7DH5-β3-Mirabegron-Gs/β1/γ2
35.29Single7EO4Siponimod7EO4-S1P1-Siponimod-Gi1/β1/γ2
35.29Single7EW2FTY720-P7EW2-S1P3-FTY720-P-Gi1/β1/γ2
35.29Single7YMJTamsulosin7YMJ-Alpha1A-Tamsulosin
35.29Single8GCPPGE28GCP-EP4-PGE2-Gi1/β1/γ2
35.29Single8IA8E7 peptide8IA8-C3aB-E7 peptide-Gi1/β1/γ2
35.29Single8J6DEP1418J6D-C3aB-EP141-Go/β1/γ2
35.29Single8JJ8Arformoterol8JJ8-β2-Arformoterol
35.29Single8JWY2-1188JWY-A2A-2-118
35.29Single8JWZEtrumadenant8JWZ-A2A-Etrumadenant-Na
35.29Single8X8NOctreotide8X8N-SST5-Octreotide-chim(NtGi1-Gs-CtGi1)/β1/γ2
35.29Single9BJKPubChem 1716420669BJK-μ-Naloxone-PubChem 171642066
35.29Single9DGIZ85267113509DGI-CB1-Z8526711350
35.29Single9EBIPiclidenoson9EBI-A3A-Piclidenoson-chim(NtGi1L-Gs-CtGi1)/β1/γ2
35.29Single9GL2Befiradol9GL2-5-HT1A-Befiradol-Gs/β1/γ2
35.29Single9VJ6F-155999VJ6-5-HT1A-F-15599-Gi3/β1/γ2
35.29Consensus5ht1a_onOrthosteric Ligand8FYT-5-HT1A-LSD-PtdIns4P-Gi1/β1/γ1 7E2Y-5-HT1A-Serotonin-PtdIns4P-Gi1/β1/γ2 7E2Z-5-HT1A-Aripiprazole-PtdIns4P-Gi1/β1/γ2 8FYX-5-HT1A-Buspirone-PtdIns4P-Gi1/β1/γ1 8JSP-5-HT1A-Ulotaront-Gi1/β1/γ2 8JT6-5-HT1A-(R)-IHCH-7179-PtdIns4P-Gi1/β1/γ2 8FY8-5-HT1A-5-MeO-DMT-PtdIns4P-Gi1/β1/γ1 8FYE-5-HT1A-4-F,5-MeO-PyrT-PtdIns4P-Gi1/β1/γ1 8FYL-5-HT1A-Vilazodone-PtdIns4P-Gi1/β1/γ1
35.29Consensus5ht1a_on_gpOrthosteric Ligand8FYT-5-HT1A-LSD-PtdIns4P-Gi1/β1/γ1 8FYX-5-HT1A-Buspirone-PtdIns4P-Gi1/β1/γ1 8JSP-5-HT1A-Ulotaront-Gi1/β1/γ2 8JT6-5-HT1A-(R)-IHCH-7179-PtdIns4P-Gi1/β1/γ2 7E2Y-5-HT1A-Serotonin-PtdIns4P-Gi1/β1/γ2 7E2Z-5-HT1A-Aripiprazole-PtdIns4P-Gi1/β1/γ2 8FY8-5-HT1A-5-MeO-DMT-PtdIns4P-Gi1/β1/γ1 8FYE-5-HT1A-4-F,5-MeO-PyrT-PtdIns4P-Gi1/β1/γ1 8FYL-5-HT1A-Vilazodone-PtdIns4P-Gi1/β1/γ1
35.29Consensusalpha1_offOrthosteric Ligandalpha1a_off
35.29Consensusalpha1a_offOrthosteric Ligand7YMJ-Alpha1A-Tamsulosin
35.29Consensusbeta_onOrthosteric Ligandbeta1_on beta2_on beta3_on
35.29Consensusbeta_on_gpOrthosteric Ligandbeta1_on_gp beta2_on_gp beta3_on_gp
35.29Consensuscannabinoid_onOrthosteric Ligandcb2_on cb1_on
35.29Consensuscannabinoid_on_gpOrthosteric Ligandcb2_on_gp cb1_on_gp
35.29Consensusgi_lipidOrthosteric Ligandgi_cannabinoid gi_ffa gi_leukotriene gi_lpa gi_s1p
35.29Consensusleukotriene_offOrthosteric Ligandblt_off cyslt_off
35.29Consensuslipid_offonOrthosteric Ligandlipid_off lipid_on
35.29Consensuslipid_offon_gpOrthosteric Ligandlipid_on_gp lipid_off
35.29Consensusopioid_offOrthosteric Ligandmop_off nop_off dop_off kop_off
35.29Consensuss1p1_onOrthosteric Ligand7VIE-S1P1-S1P-Gi1/β1/γ2 7VIF-S1P1-FTY720-P-Gi1/β1/γ2 7VIG-S1P1-CBP-307-Gi1/β1/γ2 7EVY-S1P1-Siponimod-Gi1/β1/γ2 7EVZ-S1P1-Cenerimod-Gi1/β1/γ2 7EW0-S1P1-Ozanimod-Gi1/β1/γ2 7EW7-S1P1-SEW2871-Gi1/β1/γ2
35.29Consensuss1p1_on_gpOrthosteric Ligand7VIE-S1P1-S1P-Gi1/β1/γ2 7VIF-S1P1-FTY720-P-Gi1/β1/γ2 7VIG-S1P1-CBP-307-Gi1/β1/γ2 7EVY-S1P1-Siponimod-Gi1/β1/γ2 7EVZ-S1P1-Cenerimod-Gi1/β1/γ2 7EW0-S1P1-Ozanimod-Gi1/β1/γ2 7EW7-S1P1-SEW2871-Gi1/β1/γ2
35.00Single3QAKUK-4320973QAK-A2A-UK-432097
35.00Single5XJM(Sar1,Ile8)-Angiotensin II5XJM-AT2-(Sar1,Ile8)-Angiotensin II
35.00Single7XMSSomatostatin-147XMS-SST4-Somatostatin-14-Gi1/β1/γ2
35.00Single8JZZC5a-des-Arg8JZZ-C5a1-C5a-des-Arg-Go/β1/γ2
35.00Single9IQVMuscarinic toxin 39IQV-Alpha1A-Muscarinic toxin 3
35.00Consensusgi_cckOrthosteric Ligand7EZH-CCKA-Cholecystokinin-8-Gi1/β1/γ2 7F8V-CCKB-Gastrin-17-Gi2/β1/γ2
35.00Consensusgq_class-aOrthosteric Ligandgq_peptide gq_amine gq_nucleotide
34.78Single7F8VGastrin-177F8V-CCKB-Gastrin-17-Gi2/β1/γ2
33.33Single2Y01Dobutamine2Y01-β1-Dobutamine
33.33Single2Y04Salbutamol2Y04-β1-Salbutamol
33.33Single2YCZIodocyanopindolol2YCZ-β1-Iodocyanopindolol
33.33Single3NY8ICI118-5513NY8-β2-ICI118-551
33.33Single3NYAAlprenolol3NYA-β2-Alprenolol
33.33Single3OE6IT1t3OE6-CXCR4-IT1t
33.33Single4BVNCyanopindolol4BVN-β1-Cyanopindolol-Na
33.33Single4EA3PubChem 102965614EA3-NOP-PubChem 10296561
33.33Single4GBRCarazolol4GBR-β2-Carazolol
33.33Single4QKXPubChem 762106284QKX-β2-PubChem 76210628
33.33Single5DHHSB-6121115DHH-NOP-SB-612111
33.33Single5TUDErgotamine5TUD-5-HT2B-Ergotamine
33.33Single5UENDU1725UEN-A1-DU172
33.33Single5WF5UK-4320975WF5-A2A-UK-432097
33.33Single6DRZMethysergide6DRZ-5-HT2B-Methysergide
33.33Single6GPSMK08126GPS-CCR2-MK0812
33.33Single6H7LDobutamine6H7L-β1-Dobutamine
33.33Single6H7MSalbutamol6H7M-β1-Salbutamol
33.33Single6IBLArformoterol6IBL-β1-Arformoterol
33.33Single6KPFAM120336KPF-CB2-AM12033-Gi1/β1/γ2
33.33Single6PS1Timolol6PS1-β2-Timolol
33.33Single6TKOArformoterol6TKO-β1-Arformoterol-Arrestin2
33.33Single6TOTLemborexant6TOT-OX1-Lemborexant
33.33Single6XBM25(S)-Epoxycholesterol6XBM-SMO-25(S)-Epoxycholesterol-Gi1/β1/γ2
33.33Single6Z10PubChem 1545855546Z10-Succinate-PubChem 154585554
33.33Single7BTSEpinephrine7BTS-β1-Epinephrine
33.33Single7BU6Norepinephrine7BU6-β1-Norepinephrine
33.33Single7BU7BI1671077BU7-β1-BI167107
33.33Single7CRHSKF839597CRH-D1-SKF83959-Gs/β1/γ2
33.33Single7EIBKallidin-des-Arg107EIB-BK1-Kallidin-des-Arg10-chim(NtGi1-Gs-CtGq)/β1/γ2
33.33Single7EJKOxymetazoline7EJK-α2a-Oxymetazoline-Go/β1/γ2
33.33Single7EZCUK-4320977EZC-A2A-UK-432097
33.33Single7F23Dopamine7F23-D1-Dopamine-GDP-Gs/β1/γ2
33.33Single7JVQApomorphine7JVQ-D1-Apomorphine-Gs/β1/γ2
33.33Single7LLLExendin-47LLL-GLP-1-Exendin-4-Gs/β1/γ2
33.33Single7S0GIsoprenaline7S0G-β1-Isoprenaline-chim(Gi1-CtGs)/β1/γ2
33.33Single7TRQVU04671547TRQ-M4-Iperoxo-VU0467154-Gi1/β1/γ2
33.33Single7V3ZCP559407V3Z-CB1-CP55940
33.33Single7VIES1P7VIE-S1P1-S1P-Gi1/β1/γ2
33.33Single7X8RBOC57X8R-GLP-1-BOC5-Gs/β1/γ2
33.33Single7XATSomatostatin-147XAT-SST2-Somatostatin-14-Gi1/β1/γ2
33.33Single7XZ6APD6687XZ6-GPR119-APD668-Gs/β1/γ2
33.33Single7YK7DC5910537YK7-RXFP4-DC591053-Gi2/β1/γ2
33.33Single7YXAONO-54306087YXA-S1P5-ONO-5430608
33.33Single8CU7LJ-45178CU7-A2A-LJ-4517-Na
33.33Single8E0GBU728E0G-μ-BU72
33.33Single8GAGZ85267113508GAG-CB1-Z8526711350-Gi1/β1/γ2
33.33Single8GCML-9026888GCM-EP4-L-902688-Gi1/β1/γ2
33.33Single8GE2Constrained Epinephrine8GE2-β2-Constrained Epinephrine-Gs/β1/γ1
33.33Single8GE3Constrained Epinephrine8GE3-β2-Constrained Epinephrine-Gs/β1/γ2
33.33Single8GE9Constrained Epinephrine8GE9-β2-Constrained Epinephrine-Gs/β1/γ2
33.33Single8GECConstrained Epinephrine8GEC-β2-Constrained Epinephrine-Gs/β1/γ2
33.33Single8GEEConstrained Epinephrine8GEE-β2-Constrained Epinephrine-Gs/β1/γ2
33.33Single8GEHConstrained Epinephrine8GEH-β2-Constrained Epinephrine-Gs/β1/γ2
33.33Single8GFVConstrained Epinephrine8GFV-β2-Constrained Epinephrine-GTP-Gs/β1/γ2
33.33Single8GFWConstrained Epinephrine8GFW-β2-Constrained Epinephrine-GTP-Gs/β1/γ2
33.33Single8GFXConstrained Epinephrine8GFX-β2-Constrained Epinephrine-GTP-Gs/β1/γ2
33.33Single8GFZConstrained Epinephrine8GFZ-β2-Constrained Epinephrine-GTP-Gs/β1/γ2
33.33Single8GG0Constrained Epinephrine8GG0-β2-Constrained Epinephrine-GTP-Gs/β1/γ2
33.33Single8GG1Constrained Epinephrine8GG1-β2-Constrained Epinephrine-GTP-Gs/β1/γ2
33.33Single8GG3Constrained Epinephrine8GG3-β2-Constrained Epinephrine-GTP-Gs/β1/γ2
33.33Single8GG4Constrained Epinephrine8GG4-β2-Constrained Epinephrine-GTP-Gs/β1/γ2
33.33Single8GG6Constrained Epinephrine8GG6-β2-Constrained Epinephrine-GTP-Gs/β1/γ2
33.33Single8GG9Constrained Epinephrine8GG9-β2-Constrained Epinephrine-GTP-Gs/β1/γ2
33.33Single8GGEConstrained Epinephrine8GGE-β2-Constrained Epinephrine-GTP-Gs/β1/γ2
33.33Single8GGIConstrained Epinephrine8GGI-β2-Constrained Epinephrine
33.33Single8GGJConstrained Epinephrine8GGJ-β2-Constrained Epinephrine
33.33Single8GGKConstrained Epinephrine8GGK-β2-Constrained Epinephrine
33.33Single8GGNConstrained Epinephrine8GGN-β2-Constrained Epinephrine
33.33Single8GGOConstrained Epinephrine8GGO-β2-Constrained Epinephrine
33.33Single8GGUConstrained Epinephrine8GGU-β2-Constrained Epinephrine
33.33Single8GH1Constrained Epinephrine8GH1-β2-Constrained Epinephrine
33.33Single8IULLatanoprost8IUL-FP-alpha-Latanoprost-chim(NtGi1-Gs-CtGq)/β1/γ2
33.33Single8JJOAlprenolol8JJO-β2-Alprenolol
33.33Single8RW7StilSwitch18RW7-A2A-StilSwitch1-Na
33.33Single8UNQConstrained Epinephrine8UNQ-β2-Constrained Epinephrine-GTP-Gs/β1/γ2
33.33Single8UNRConstrained Epinephrine8UNR-β2-Constrained Epinephrine-GTP-Gs/β1/γ2
33.33Single8UNUConstrained Epinephrine8UNU-β2-Constrained Epinephrine-GTP-Gs/β1/γ2
33.33Single8UNVConstrained Epinephrine8UNV-β2-Constrained Epinephrine-GTP-Gs/β1/γ2
33.33Single8UNYConstrained Epinephrine8UNY-β2-Constrained Epinephrine-GTP-Gs/β1/γ2
33.33Single8UNZConstrained Epinephrine8UNZ-β2-Constrained Epinephrine-GTP-Gs/β1/γ2
33.33Single8UO2Constrained Epinephrine8UO2-β2-Constrained Epinephrine-GTP-Gs/β1/γ2
33.33Single8W87METH8W87-TA1-METH-chim(NtGi1L-Gs)/β1/γ2
33.33Single8WC62-Phenylethylamine8WC6-TA1-2-Phenylethylamine-chim(NtGi1-Gs)/β1/γ2
33.33Single8WC9ZH86518WC9-TA1-ZH8651-chim(NtGi1-Gs-CtGq)/β1/γ2
33.33Single8WRZAM8418WRZ-CB1-AM841-Arrestin2
33.33Single8X17Namodenoson8X17-A3A-Namodenoson-Gi1/β1/γ2
33.33Single8XGSKisspeptin-18XGS-Kiss1-Kisspeptin-1-chim(NtGi1-Gq)/β1/γ2
33.33Single8XIOL7975918XIO-SST1-L797591-chim(NtGi1-Gs-CtGi1)/β1/γ2
33.33Single8XIQL7967788XIQ-SST3-L796778-chim(NtGi1-Gs-CtGi1)/β1/γ2
33.33Single8XJLPGF2-alpha8XJL-FP-alpha-PGF2-α-chim(NtGi2-Gs-CtGq)/β1/γ2
33.33Single8YN9Histamine8YN9-H4-Histamine-Gi1/β1/γ2
33.33Single8YUUHistamine8YUU-H3-Histamine-Gi1/β1/γ1
33.33Single9CHXCarazolol9CHX-β2-Carazolol
33.33Single9D61JDTic9D61-κ-JDTic-Gi1/β1/γ2
33.33Single9DYEBuspirone9DYE-5-HT1A-Buspirone-PtdIns4P-Go/β1/γ2
33.33Single9JGKBalovaptan9JGK-5-HT2B-Balovaptan
33.33Single9KFJPubChem 1383196749KFJ-RXFP3-PubChem 138319674-Gi2/β1/γ2
33.33Single9KUGEP679KUG-C5a1-EP67-Go/β1/γ2
33.33Single9KUXCMPD6449KUX-Apelin; Apelin-CMPD644-Arrestin2
33.33Single9KWXC5a-des-Arg9KWX-C5a1-C5a-des-Arg-Go/β1/γ2
33.33Single9LRCHistamine9LRC-H4-Histamine
33.33Single9LREHistamine9LRE-H4-Histamine-Gi1/β1/γ2
33.33Single9M1HPGE29M1H-EP1-PGE2-chim(NtGi1-Gs-CtGq)/β1/γ2
33.33Single9M54Neuropeptide-VF9M54-NPFF2-Neuropeptide-VF-Gi1/β1/γ2
33.33Single9U4WGonadoliberin-19U4W-GnRH1-Gonadoliberin-1-chim(NtGi1L-Gs-CtGq)/β1/γ2
33.33Single9VMYTMU41429VMY-5-HT1A-TMU4142-Go/β1/γ2
33.33Single9WP9S1P9WP9-S1P3-S1P-chim(NtGi2L-Gs-CtGq)/β1/γ2
33.33Consensus5ht2b_offOrthosteric Ligand6DRZ-5-HT2B-Methysergide
33.33Consensusa3_onOrthosteric Liganda3a_on
33.33Consensusadrenergic_onOrthosteric Ligandalpha_on beta_on
33.33Consensusalicarboxylic_offOrthosteric Ligandsuccinate_off
33.33Consensusangiotensin_onOrthosteric Ligandat1_on
33.33Consensusat1_onOrthosteric Ligand7F6G-AT1-(Sar1)-Angiotensin II-Gq/β1/γ2
33.33Consensusbeta1_onOrthosteric Ligand8DCR-β1-Dobutamine-Gs/β1/γ2 7S0F-β1-Isoprenaline-Gi1/β1/γ2
33.33Consensusbeta1_on_gpOrthosteric Ligand8DCR-β1-Dobutamine-Gs/β1/γ2 7S0F-β1-Isoprenaline-Gi1/β1/γ2
33.33Consensuscb1_on_gpOrthosteric Ligand6KPG-CB1-AM841-Gi1/β1/γ2 8K8J-CB1-Fenofibrate-chim(Gs-CtGq)/β1/γ2
33.33Consensuscck_onOrthosteric Ligandccka_on cckb_on
33.33Consensuscck_on_gpOrthosteric Ligandccka_on_gp cckb_on_gp
33.33Consensusccr2_offOrthosteric Ligand6GPS-CCR2-MK0812
33.33Consensuscxcr4_on_gpOrthosteric Ligand8K3Z-CXCR4-CXCL12-Gi1/β1/γ1
33.33Consensusd2_offOrthosteric Ligand6CM4-D2-Risperidone 6LUQ-D2-Haloperidol 7DFP-D2-Spiperone
33.33Consensusd5_onOrthosteric Ligand8IRV-D5-Rotigotine-chim(NtGi1-Gs)/β1/γ2
33.33Consensusdopamine_offOrthosteric Ligandd2_off d3_off
33.33Consensusdopamine_onOrthosteric Ligandd2_on d1_on d3_on d4_on d5_on
33.33Consensusdopamine_on_gpOrthosteric Ligandd2_on_gp d1_on_gp d3_on_gp d4_on_gp d5_on_gp
33.33Consensusfp-alpha_onOrthosteric Ligand8IUK-FP-alpha-PGF2-α-chim(NtGi1-Gs-CtGq)/β1/γ2 8IUL-FP-alpha-Latanoprost-chim(NtGi1-Gs-CtGq)/β1/γ2 8IUM-FP-alpha-Tafluprost acid-chim(NtGi1-Gs-CtGq)/β1/γ2
33.33Consensusfp-alpha_on_gpOrthosteric Ligand8IUK-FP-alpha-PGF2-α-chim(NtGi1-Gs-CtGq)/β1/γ2 8IUL-FP-alpha-Latanoprost-chim(NtGi1-Gs-CtGq)/β1/γ2 8IUM-FP-alpha-Tafluprost acid-chim(NtGi1-Gs-CtGq)/β1/γ2
33.33Consensusgi_s1pOrthosteric Ligand7VIE-S1P1-S1P-Gi1/β1/γ2 7EW3-S1P3-S1P-Gi1/β1/γ2 7EVY-S1P1-Siponimod-Gi1/β1/γ2 7EW1-S1P5-Siponimod-Gi1/β1/γ2 7VIF-S1P1-FTY720-P-Gi1/β1/γ2 7VIG-S1P1-CBP-307-Gi1/β1/γ2 7EVZ-S1P1-Cenerimod-Gi1/β1/γ2 7EW4-S1P3-CYM-5541-Gi1/β1/γ2 7EW2-S1P3-FTY720-P-Gi1/β1/γ2 7EW0-S1P1-Ozanimod-Gi1/β1/γ2 7EW7-S1P1-SEW2871-Gi1/β1/γ2
33.33Consensusgi_somatostatinOrthosteric Ligand7WIC-SST2-Somatostatin-14-Gi1/β1/γ2 7XMS-SST4-Somatostatin-14-Gi1/β1/γ2 8X8L-SST5-Cortistatin-14-chim(NtGi1-Gs-CtGi1)/β1/γ2 7XMT-SST4-J-2156-Gi1/β1/γ2 7WIG-SST2-L-054264-Gi1/β1/γ2 8X8N-SST5-Octreotide-chim(NtGi1-Gs-CtGi1)/β1/γ2 7YAE-SST2-Octreotide-Gi1/β1/γ2 7YAC-SST2-Paltusotine-Gi1/β1/γ2
33.33Consensusgq_peptideOrthosteric Ligandgq_cck gq_kisspeptin gq_bradykinin gq_bombesin gq_angiotensin
33.33Consensusgs_trace-amineOrthosteric Ligand8W88-TA1-SEP-363856-Gs/β1/γ2 8JLJ-TA1-T1AM-chim(NtGi1-Gs)/β1/γ2 8JLO-TA1-Ulotaront-Gs/β1/γ2 8WC4-TA1-ZH8651-chim(NtGi1-Gs)/β1/γ2 8WC7-TA1-ZH8667-chim(NtGi1-Gs)/β1/γ2 8JLR-TA1-A77636-chim(NtGi1-Gs)/β1/γ2 8JSO-TA1-AMPH-chim(NtGi1-Gs)/β1/γ2 8W87-TA1-METH-chim(NtGi1L-Gs)/β1/γ2 8W89-TA1-2-Phenylethylamine-chim(NtGi1L-Gs)/β1/γ2 8JLP-TA1-Ralmitaront-Gs/β1/γ2 8W8A-TA1-RO5256390-chim(NtGi1L-Gs)/β1/γ2
33.33Consensush3_onOrthosteric Ligand8YUU-H3-Histamine-Gi1/β1/γ1
33.33Consensush3_on_gpOrthosteric Ligand8YUU-H3-Histamine-Gi1/β1/γ1
33.33Consensuslipid_offOrthosteric Ligandcannabinoid_off paf_off lpl_off prostanoid_off leukotriene_off
33.33Consensusnucleotide_on_gpOrthosteric Ligandadenosine_on_gp p2y_on_gp
33.33Consensussomatostatin_onOrthosteric Ligandsst2_on sst4_on sst5_on
33.33Consensussomatostatin_on_gpOrthosteric Ligandsst2_on_gp sst4_on_gp sst5_on_gp
33.33Consensussuccinate_offOrthosteric Ligand6RNK-Succinate-NF-56-EJ40 6Z10-Succinate-PubChem 154585554
32.00Single8WWNMCH8WWN-MCH1-MCH-Gi1/β1/γ2
32.00Consensusbk2_onOrthosteric Ligand7F6H-BK2-Bradykinin-Gq/β1/γ2 7F6I-BK2-Kallidin-Gq/β1/γ2
32.00Consensusbk2_on_gpOrthosteric Ligand7F6H-BK2-Bradykinin-Gq/β1/γ2 7F6I-BK2-Kallidin-Gq/β1/γ2
32.00Consensusbradykinin_onOrthosteric Ligandbk2_on
32.00Consensusbradykinin_on_gpOrthosteric Ligandbk2_on_gp
32.00Consensusgq_bradykininOrthosteric Ligand7F6H-BK2-Bradykinin-Gq/β1/γ2 7F6I-BK2-Kallidin-Gq/β1/γ2
31.82Single6JODAngiotensin II6JOD-AT2-Angiotensin II
31.82Single6M1IPACAP276M1I-PAC1-PACAP27-Gs/β1/γ2
31.82Single7F6G(Sar1)-Angiotensin II7F6G-AT1-(Sar1)-Angiotensin II-Gq/β1/γ2
31.82Single7FIMTirzepatide7FIM-GLP-1-Tirzepatide-Gs/β1/γ2
31.82Single7V9MSomatoliberin7V9M-GHRH (SV1)-Somatoliberin-Gs/β1/γ2
31.82Single8WSTMCH8WST-MCH2-MCH-chim(NtGi1L-Gs-CtGq)/β1/γ2
31.82Single8XWQEndothelin-18XWQ-ETB-Endothelin-1-Gi1/β1/γ2
31.82Single8ZBISomatostatin-148ZBI-SST3-Somatostatin-14-Gi1/β1/γ2
31.82Single9BKKCholecystokinin-89BKK-CCKA-Cholecystokinin-8-chim(NtGi1-Gs-CtGq)/β1/γ2
31.82Consensusangiotensin_on_gpOrthosteric Ligandat1_on_gp
31.82Consensusat1_on_gpOrthosteric Ligand7F6G-AT1-(Sar1)-Angiotensin II-Gq/β1/γ2
31.82Consensusgq_angiotensinOrthosteric Ligand7F6G-AT1-(Sar1)-Angiotensin II-Gq/β1/γ2
31.58Single3NY9PubChem 9131033NY9-β2-PubChem 913103
31.58Single5WF6UK-4320975WF6-A2A-UK-432097
31.58Single5ZTYAM102575ZTY-CB2-AM10257
31.58Single7F2OBradykinin7F2O-BK2-Bradykinin-chim(NtGi1-Gs-CtGq)/β1/γ2
31.58Single7RKFCX3CL17RKF-US28-CX3CL1-GDP-chim(NtGi1-G11)/β1/γ2
31.58Single7YJ4INSL57YJ4-RXFP4-INSL5-Gi2/β1/γ2
31.58Single8GDAL9026888GDA-EP4-L902688-Gs/β1/γ2
31.58Single8IA7Cholecystokinin-88IA7-CCKB-Cholecystokinin-8-chim(NtGi1L-Gq)/β1/γ2
31.58Single8IQ4Carboprost8IQ4-FP-alpha-Carboprost-chim(NtGi1-Gs-CtGq)/β1/γ2
31.58Single8IUMTafluprost acid8IUM-FP-alpha-Tafluprost acid-chim(NtGi1-Gs-CtGq)/β1/γ2
31.58Single8JLRA776368JLR-TA1-A77636-chim(NtGi1-Gs)/β1/γ2
31.58Single8X3LXWD8X3L-CB2-XWD-Gi1/β1/γ2
31.58Single8X5YAstemizole8X5Y-H1-Astemizole
31.58Single9EAJNanobody AT2099EAJ-AT1-Nanobody AT209
31.58Single9KZ2EP679KZ2-C3aB-EP67-Go/β1/γ2
31.58Single9MD1Buspirone9MD1-5-HT1A-Buspirone-PtdIns4P-Gz/β1/γ2
31.58Single9UMJEP549UMJ-C3aB-EP54-Go/β1/γ2
31.58Consensuscb2_offOrthosteric Ligand5ZTY-CB2-AM10257
31.58Consensuscxcr_on_gpOrthosteric Ligandcxcr3_on_gp cxcr4_on_gp cxcr1_on_gp cxcr2_on_gp
31.58Consensusgq_cckOrthosteric Ligand8IA7-CCKB-Cholecystokinin-8-chim(NtGi1L-Gq)/β1/γ2 7XOW-CCKB-Sulfated Gastrin-(10-17)-chim(NtGi1-Gq)/β1/γ2 7EZM-CCKA-Cholecystokinin-8-chim(NtGsL-Gq)/β1/γ2 7F8W-CCKB-Gastrin-17-chim(NtGsL-Gq)/β1/γ2
31.58Consensuss1p_onOrthosteric Ligands1p1_on s1p3_on s1p5_on
31.58Consensuss1p_on_gpOrthosteric Ligands1p1_on_gp s1p3_on_gp s1p5_on_gp
31.25Single2RH1Carazolol2RH1-β2-Carazolol
31.25Single2Y00Dobutamine2Y00-β1-Dobutamine
31.25Single2Y03Isoprenaline2Y03-β1-Isoprenaline
31.25Single2YCWCarazolol2YCW-β1-Carazolol
31.25Single4ZJ8Suvorexant4ZJ8-OX1-Suvorexant
31.25Single5C1MBU725C1M-μ-BU72
31.25Single5D6LCarazolol5D6L-β2-Carazolol
31.25Single5JQHCarazolol5JQH-β2-Carazolol
31.25Single5N2RPSB365N2R-A2A-PSB36-Na
31.25Single5T1ABMS-6815T1A-CCR2-BMS-681-PubChem 12093170
31.25Single5WIUNemonapride5WIU-D4-Nemonapride
31.25Single5WIVNemonapride5WIV-D4-Nemonapride-Na
31.25Single5WQCEMPA5WQC-OX2-EMPA
31.25Single5X7DCarazolol5X7D-β2-Carazolol-PubChem 129318963
31.25Single6E67BI1671076E67-β2-BI167107-Gs(CT)
31.25Single6GDGNECA6GDG-A2A-NECA-Gs/β1/γ1
31.25Single6GPXMK08126GPX-CCR2-MK0812
31.25Single6KPCAM120336KPC-CB2-AM12033
31.25Single6KUWPubChem 572132346KUW-α2c-PubChem 57213234
31.25Single6M9TMisoprostol-FA6M9T-EP3-Misoprostol-FA
31.25Single6ME62-Phenylmelatonin6ME6-MT2-2-Phenylmelatonin
31.25Single6ME82-Phenylmelatonin6ME8-MT2-2-Phenylmelatonin
31.25Single6PS3Carvedilol6PS3-β2-Carvedilol
31.25Single6PS6Timolol6PS6-β2-Timolol
31.25Single6TO7Suvorexant6TO7-OX1-Suvorexant-Na
31.25Single6TP6Filorexant6TP6-OX1-Filorexant
31.25Single7BVQCarazolol7BVQ-β1-Carazolol
31.25Single7C4SS1P7C4S-S1P3-S1P
31.25Single7CFNINT-7777CFN-GPBA-INT-777-Gs/β1/γ2
31.25Single7S0FIsoprenaline7S0F-β1-Isoprenaline-Gi1/β1/γ2
31.25Single7SBFPZM217SBF-μ-PZM21-Gi1/β1/γ2
31.25Single7XK9Constrained Isoproterenol7XK9-β2-Constrained Isoproterenol-Na
31.25Single7XKAConstrained Epinephrine7XKA-β2-Constrained Epinephrine
31.25Single8C9WEtrumadenant8C9W-A2A-Etrumadenant
31.25Single8DZQmomSalB8DZQ-κ-momSalB-Go/β1/γ2
31.25Single8DZRGR89,6968DZR-κ-GR89,696-chim(NtGi2-Gt3)/β1/γ2
31.25Single8EFBOliceridine8EFB-μ-Oliceridine-Gi1/β1/γ2
31.25Single8GDZConstrained Epinephrine8GDZ-β2-Constrained Epinephrine-Gs/β1/γ2
31.25Single8GEBConstrained Epinephrine8GEB-β2-Constrained Epinephrine-Gs/β1/γ2
31.25Single8GEGConstrained Epinephrine8GEG-β2-Constrained Epinephrine-Gs/β1/γ2
31.25Single8GFYConstrained Epinephrine8GFY-β2-Constrained Epinephrine-GTP-Gs/β1/γ2
31.25Single8GG2Constrained Epinephrine8GG2-β2-Constrained Epinephrine-GTP-Gs/β1/γ2
31.25Single8GGBConstrained Epinephrine8GGB-β2-Constrained Epinephrine-GTP-Gs/β1/γ2
31.25Single8K8JFenofibrate8K8J-CB1-Fenofibrate-chim(Gs-CtGq)/β1/γ2
31.25Single8S4DCMF-0198S4D-Apelin-CMF-019
31.25Single8TH4Losartan8TH4-AT1-Losartan-AT118-L Nanobody
31.25Single8UNNConstrained Epinephrine8UNN-β2-Constrained Epinephrine-GTP-Gs/β1/γ2
31.25Single8UNPConstrained Epinephrine8UNP-β2-Constrained Epinephrine-GTP-Gs/β1/γ2
31.25Single8YNSSNAP-948478YNS-MCH1-SNAP-94847
31.25Single9EAHOlmesartan9EAH-AT1-Olmesartan-Nanobody AT209
31.25Single9F33FOB02-04A9F33-D3-FOB02-04A-Go/β1/γ2
31.25Single9I52A1IZU9I52-D1-A1IZU-Gs/β1/γ2
31.25Single9KUVCMPD6449KUV-Apelin-CMPD644-Arrestin2
31.25Single9MQKIsoquinuclidine9MQK-κ-Isoquinuclidine
31.25Single9VJFBuspirone9VJF-5-HT1A-Buspirone-Gi3/β1/γ2
31.25Consensus5ht5_on_gpOrthosteric Ligand5ht5a_on_gp
31.25Consensus5ht5a_on_gpOrthosteric Ligand7X5H-5-HT5A-5-CT-Gi1/β1/γ2 7UM6-5-HT5A-Lisuride-chim(NtGi1-Go)/β1/γ2 7UM7-5-HT5A-Methylergometrine-chim(NtGi1-Go)/β1/γ2
31.25Consensusa1_offOrthosteric Ligand5UEN-A1-DU172 5N2S-A1-PSB36
31.25Consensusa3_on_gpOrthosteric Liganda3a_on_gp
31.25Consensusa3a_onOrthosteric Ligand8X17-A3A-Namodenoson-Gi1/β1/γ2 8X16-A3A-Piclidenoson-Gi1/β1/γ2
31.25Consensusa3a_on_gpOrthosteric Ligand8X17-A3A-Namodenoson-Gi1/β1/γ2 8X16-A3A-Piclidenoson-Gi1/β1/γ2
31.25Consensusadenosine_offOrthosteric Liganda1_off a2_off
31.25Consensusadrenergic_offOrthosteric Ligandalpha_off beta_off
31.25Consensusadrenergic_on_gpOrthosteric Ligandalpha_on_gp beta_on_gp
31.25Consensusalpha2c_offOrthosteric Ligand6KUW-α2c-PubChem 57213234
31.25Consensusalpha_offOrthosteric Ligandalpha1_off alpha2_off
31.25Consensusamine_offOrthosteric Ligand5ht_off adrenergic_off dopamine_off histamine_off muscarinic_off
31.25Consensusamine_offonOrthosteric Ligandamine_off amine_on
31.25Consensusamine_offon_gpOrthosteric Ligandamine_on_gp amine_off
31.25Consensusamine_onOrthosteric Ligand5ht_on adrenergic_on dopamine_on histamine_on muscarinic_on trace-amine_on
31.25Consensusbeta2_offOrthosteric Ligand2RH1-β2-Carazolol 6PS3-β2-Carvedilol 6PS5-β2-Propranolol 3D4S-β2-Timolol 3NY8-β2-ICI118-551 3NY9-β2-PubChem 913103 6PRZ-β2-Alprenolol
31.25Consensusbeta_offOrthosteric Ligandbeta1_off beta2_off
31.25Consensusd1_onOrthosteric Ligand7F0T-D1-Dopamine-Gs/β1/γ2 7CKY-D1-PW0464-Gs/β1/γ2 8IRR-D1-Rotigotine-Gs/β1/γ2 7JV5-D1-SKF81297-Gs/β1/γ2 7JVP-D1-SKF83959-Gs/β1/γ2 7X2D-D1-Tavapadon-Gs/β1/γ2 7CKX-D1-A77636-Gs/β1/γ2 7JVQ-D1-Apomorphine-Gs/β1/γ2 7CKW-D1-Fenoldopam-Gs/β1/γ2
31.25Consensusd2_onOrthosteric Ligand7JVR-D2-Bromoergocryptine-Gi1/β1/γ2 8IRS-D2-Rotigotine-Gi1/β1/γ2
31.25Consensusd4_onOrthosteric Ligand8IRU-D4-Rotigotine-chim(NtGi1-Gs-CtGi1)/β1/γ2
31.25Consensusgi_adrenergicOrthosteric Ligand7EJ0-α2a-Norepinephrine-Go/β1/γ2 7EJK-α2a-Oxymetazoline-Go/β1/γ2 7W7E-α2a-PubChem 164946676-Go/β1/γ2 7W6P-α2a-N-pyridin-4-ylisoquinolin-4-amine-Go/β1/γ2 7EJ8-α2a-Brimonidine-Go/β1/γ2 6K42-α2b-Dexmedetomidine-Gi1/β1/γ2 7EJA-α2a-Dexmedetomidine-Go/β1/γ2 7S0F-β1-Isoprenaline-Gi1/β1/γ2
31.25Consensusrxfp4_onOrthosteric Ligand7YK7-RXFP4-DC591053-Gi2/β1/γ2 7YJ4-RXFP4-INSL5-Gi2/β1/γ2 7YK6-RXFP4-PubChem 138319674-Gi2/β1/γ2
31.25Consensusrxfp4_on_gpOrthosteric Ligand7YK7-RXFP4-DC591053-Gi2/β1/γ2 7YJ4-RXFP4-INSL5-Gi2/β1/γ2 7YK6-RXFP4-PubChem 138319674-Gi2/β1/γ2
30.77Single5L7IVismodegib5L7I-SMO-Vismodegib
30.77Single7T96LY21196207T96-M2-Acetylcholine-LY2119620-Go/β1/γ2
30.77Single7XT9Serotonin7XT9-5-HT4-Serotonin-Gs/β1/γ2
30.77Single7YFDImetit7YFD-H4-Imetit-chim(NtGi1-Gs-CtGq)/β1/γ2
30.77Single8FX5Xanomeline8FX5-M4-Xanomeline-Xanomeline-Gi1/β1/γ2
30.77Single8GGYConstrained Epinephrine8GGY-β2-Constrained Epinephrine
30.77Single8HN8Histamine8HN8-H4-Histamine-Gi1/β1/γ2
30.77Single8JLOUlotaront8JLO-TA1-Ulotaront-Gs/β1/γ2
30.77Single8UO3Constrained Epinephrine8UO3-β2-Constrained Epinephrine-GTP; Mg-Gs/β1/γ2
30.77Single8W892-Phenylethylamine8W89-TA1-2-Phenylethylamine-chim(NtGi1L-Gs)/β1/γ2
30.77Single8YH3N-methyladenosine8YH3-A3A-N-methyladenosine-Gi1/β1/γ2
30.77Single8YN5Histamine8YN5-H3-Histamine-Gi1/β1/γ2
30.77Single8YN6Imetit8YN6-H3-Imetit-Gi1/β1/γ2
30.77Single8YN7Immethridine8YN7-H3-Immethridine-Go/β1/γ2
30.77Single8ZSVRO52633978ZSV-TA1-RO5263397-chim(NtGi1-Gs)/β1/γ2
30.77Single9JEDHistamine9JED-H4-Histamine-PO4-Gi1/β1/γ2
30.77Single9JEQHistamine9JEQ-H3-Histamine-Gi1/β1/γ2
30.77Single9JLCAVE 09919JLC-MAS1-AVE 0991-Gi1/β1/γ2
30.77Single9L42Histamine9L42-H4-Histamine-Gi1/β1/γ2
30.77Consensusbb2_onOrthosteric Ligand7W40-BB2-Bombesin-chim(NtGi1L-Gq)/β1/γ2 7W3Z-BB2-Gastrin Releasing Peptide-chim(NtGi1L-Gq)/β1/γ2
30.77Consensusbb2_on_gpOrthosteric Ligand7W40-BB2-Bombesin-chim(NtGi1L-Gq)/β1/γ2 7W3Z-BB2-Gastrin Releasing Peptide-chim(NtGi1L-Gq)/β1/γ2
30.77Consensusbombesin_onOrthosteric Ligandbb2_on
30.77Consensusbombesin_on_gpOrthosteric Ligandbb2_on_gp
30.77Consensusgq_bombesinOrthosteric Ligand7W40-BB2-Bombesin-chim(NtGi1L-Gq)/β1/γ2 7W3Z-BB2-Gastrin Releasing Peptide-chim(NtGi1L-Gq)/β1/γ2
30.77Consensush4_onOrthosteric Ligand8HN8-H4-Histamine-Gi1/β1/γ2 8HOC-H4-Imetit-Gi1/β1/γ2 8JXV-H4-Clozapine-Gi1/β1/γ2 8JXW-H4-VUF6884-Gi1/β1/γ2 8JXX-H4-Clobenpropit-Gi1/β1/γ2
30.43Single7F6HBradykinin7F6H-BK2-Bradykinin-Gq/β1/γ2
30.43Single7F6IKallidin7F6I-BK2-Kallidin-Gq/β1/γ2
30.43Single7Y64C5a7Y64-C5a1-C5a-Gi1/β1/γ2
30.43Single8WWKMCH8WWK-MCH1-MCH-Gi1/β1/γ2
30.43Single8WWMMCH8WWM-MCH1-MCH-Gi1/β1/γ2
30.43Single8XQEApelin-138XQE-Apelin; Apelin-Apelin-13-Gi1/β1/γ2
30.43Single8XVHEndothelin-18XVH-ETB-Endothelin-1-chim(Gs-CtGq)/β1/γ2
30.43Consensuschemokine_offOrthosteric Ligandccr_off cxcr_off
30.43Consensuscxcr_offOrthosteric Ligandcxcr3_off cxcr4_off
30.00Single4IARErgotamine4IAR-5-HT1B-Ergotamine
30.00Single4XT1CX3CL14XT1-US28-CX3CL1
30.00Single7F8XNN90567F8X-CCKA-NN9056
30.00Single7WVWfMYFINILTL7WVW-FPR2-ALX-fMYFINILTL-Gi2/β1/γ2
30.00Single7XAUOctreotide7XAU-SST2-Octreotide-Gi1/β1/γ2
30.00Single8FYLVilazodone8FYL-5-HT1A-Vilazodone-PtdIns4P-Gi1/β1/γ1
30.00Single8GHVAMG3158GHV-CB1-AMG315-Gi1/β1/γ2
30.00Single8PKMBefiradol8PKM-5-HT1A-Befiradol-Gi1/β1/γ1
30.00Single8U4OCXCL128U4O-CXCR4-CXCL12-Gi1/β1/γ2
30.00Single8ZSPLSD8ZSP-TA1-LSD-chim(NtGi1L-Gs)/β1/γ2
30.00Single9M4TSilodosin9M4T-Alpha1A-Silodosin
30.00Single9UYJChemerin-99UYJ-CML2-Chemerin-9-Arrestin2
30.00Consensusgi_opioidOrthosteric Ligand8F7R-μ-Endomorphin-Gi1/β1/γ2 8EF5-μ-Fentanyl-Gi1/β1/γ2 7SCG-μ-FH210-Gi1/β1/γ2 7T2H-μ-Lofentanil-Gi1/β1/γ2 7T2G-μ-Mitragynine Pseudoindoxyl-Gi1/β1/γ2 8DZP-κ-momSalB-Gi1/β1/γ2 8EF6-μ-Morphine-Gi1/β1/γ2 8F7X-NOP-Nociceptin-Gi1/β1/γ2 8EFB-μ-Oliceridine-Gi1/β1/γ2 7U2L-μ-C5-guano-Gi1/β1/γ2 8EFO-μ-PZM21-Gi1/β1/γ2 8EFL-μ-SR17018-Gi1/β1/γ2 8F7Q-μ-β-Endorphin-Gi1/β1/γ2 7U2K-μ-C6-guano-Gi1/β1/γ2 8EFQ-μ-DAMGO-Gi1/β1/γ2 8F7S-δ-Deltorphin-Gi1/β1/γ2 8F7W-κ-Dynorphin-Gi1/β1/γ2
30.00Consensuslpl_onOrthosteric Ligands1p_on lpa_on
30.00Consensuslpl_on_gpOrthosteric Ligands1p_on_gp lpa_on_gp
29.41Single3P0GBI1671073P0G-β2-BI167107
29.41Single4DJHJDTic4DJH-κ-JDTic
29.41Single5D5ACarazolol5D5A-β2-Carazolol
29.41Single5D5BCarazolol5D5B-β2-Carazolol
29.41Single5XR8AM120335XR8-CB1-AM12033
29.41Single6H7JIsoprenaline6H7J-β1-Isoprenaline
29.41Single6J21Aprepitant6J21-NK1-Aprepitant
29.41Single6KO5PubChem 574000026KO5-Ghrelin-PubChem 57400002
29.41Single6TQ7SB-3348676TQ7-OX1-SB-334867
29.41Single7CKYPW04647CKY-D1-PW0464-Gs/β1/γ2
29.41Single7E2ZAripiprazole7E2Z-5-HT1A-Aripiprazole-PtdIns4P-Gi1/β1/γ2
29.41Single7EW3S1P7EW3-S1P3-S1P-Gi1/β1/γ2
29.41Single7EW7SEW28717EW7-S1P1-SEW2871-Gi1/β1/γ2
29.41Single7JJOIsoprenaline7JJO-β1-Isoprenaline-Gs/β1/γ2
29.41Single7JVPSKF839597JVP-D1-SKF83959-Gs/β1/γ2
29.41Single7T2HLofentanil7T2H-μ-Lofentanil-Gi1/β1/γ2
29.41Single7U2LC5-guano7U2L-μ-C5-guano-Gi1/β1/γ2
29.41Single7VIGCBP-3077VIG-S1P1-CBP-307-Gi1/β1/γ2
29.41Single7W6PN-pyridin-4-ylisoquinolin-4-amine7W6P-α2a-N-pyridin-4-ylisoquinolin-4-amine-Go/β1/γ2
29.41Single7W7EPubChem 1649466767W7E-α2a-PubChem 164946676-Go/β1/γ2
29.41Single7WV9CP559407WV9-CB1-CP55940-ZCZ011-Gi2/β1/γ2
29.41Single7XTQR3997XTQ-GPBA-R399-Gs/β1/γ2
29.41Single8DCSCyanopindolol8DCS-β1-Cyanopindolol-Gs/β1/γ2
29.41Single8DZPmomSalB8DZP-κ-momSalB-Gi1/β1/γ2
29.41Single8EF5Fentanyl8EF5-μ-Fentanyl-Gi1/β1/γ2
29.41Single8I9LC3a8I9L-C3aB-C3a-Go/β1/γ2
29.41Single8IRURotigotine8IRU-D4-Rotigotine-chim(NtGi1-Gs-CtGi1)/β1/γ2
29.41Single8IUKPGF2-alpha8IUK-FP-alpha-PGF2-α-chim(NtGi1-Gs-CtGq)/β1/γ2
29.41Single8JXVClozapine8JXV-H4-Clozapine-Gi1/β1/γ2
29.41Single8JXWVUF68848JXW-H4-VUF6884-Gi1/β1/γ2
29.41Single8UGWCGS216808UGW-A2A-CGS21680
29.41Single8VVFJDTic8VVF-κ-JDTic-Gi1/β1/γ2
29.41Single8X16Piclidenoson8X16-A3A-Piclidenoson-Gi1/β1/γ2
29.41Single8X79MRE-2698X79-I2-MRE-269-Gs/β1/γ2
29.41Single8XJMLatanoprost8XJM-FP-alpha-Latanoprost-chim(NtGi2-Gs-CtGq)/β1/γ2
29.41Single8YH6Namodenoson8YH6-A3A-Namodenoson-Gi1/β1/γ2
29.41Single8ZW0PGD28ZW0-DP1-PGD2-Gs/β1/γ2
29.41Single8ZWFJR14a8ZWF-C3aB-JR14a
29.41Single9B65MDMB-Fubinaca9B65-CB1-MDMB-Fubinaca-Gi1/β1/γ2
29.41Single9BS9LSD9BS9-D2-LSD
29.41Single9BSBLSD9BSB-D2-LSD-chim(NtGi1-Go)/β1/γ2
29.41Single9E9SPGD29E9S-DP1-PGD2-Gs/β1/γ1
29.41Single9EGOZ85267113509EGO-CB1-Z8526711350-Gi1/β1/γ2
29.41Single9I54PubChem 1764520919I54-D1-PubChem 176452091-Gs/β1/γ2
29.41Single9IK9Lanreotide9IK9-SST1-Lanreotide-Gi1/β1/γ2
29.41Single9KUXCMPD6449KUX-Apelin; Apelin-CMPD644-Arrestin2
29.41Consensus5ht_offOrthosteric Ligand5ht2_off 5ht1_off
29.41Consensusamine_on_gpOrthosteric Ligand5ht_on_gp adrenergic_on_gp dopamine_on_gp histamine_on_gp muscarinic_on_gp trace-amine_on_gp
29.41Consensusbeta1_offOrthosteric Ligand2VT4-β1-Cyanopindolol 2YCW-β1-Carazolol 2YCZ-β1-Iodocyanopindolol 5A8E-β1-7-Methylcyanopindolol-Na 3ZPQ-β1-PubChem 594590-Na 3ZPR-β1-PubChem 598754-Na
29.41Consensusbeta2_onOrthosteric Ligand7DHI-β2-Salbutamol-Gs/β1/γ2 6NI3-β2-BI167107-Gs/β1/γ2
29.41Consensusbeta2_on_gpOrthosteric Ligand7DHI-β2-Salbutamol-Gs/β1/γ2 6NI3-β2-BI167107-Gs/β1/γ2
29.41Consensusd4_on_gpOrthosteric Ligand8IRU-D4-Rotigotine-chim(NtGi1-Gs-CtGi1)/β1/γ2
29.41Consensusgi_5htOrthosteric Ligand8FYT-5-HT1A-LSD-PtdIns4P-Gi1/β1/γ1 7UM7-5-HT5A-Methylergometrine-chim(NtGi1-Go)/β1/γ2 8UGY-5-HT1E-Mianserin-Gi1/β1/γ1 8W8B-5-HT1A-SEP-363856-Gi1/β1/γ2 7E2Y-5-HT1A-Serotonin-PtdIns4P-Gi1/β1/γ2 7E32-5-HT1D-Serotonin-Gi1/β1/γ2 7XTA-5-HT4-Serotonin-Gi1/β1/γ2 8UH3-5-HT1E-Setiptiline-Gi1/β1/γ1 8JSP-5-HT1A-Ulotaront-Gi1/β1/γ2 8FYL-5-HT1A-Vilazodone-PtdIns4P-Gi1/β1/γ1 8JT6-5-HT1A-(R)-IHCH-7179-PtdIns4P-Gi1/β1/γ2 8FYE-5-HT1A-4-F,5-MeO-PyrT-PtdIns4P-Gi1/β1/γ1 7X5H-5-HT5A-5-CT-Gi1/β1/γ2 8FY8-5-HT1A-5-MeO-DMT-PtdIns4P-Gi1/β1/γ1 7E2Z-5-HT1A-Aripiprazole-PtdIns4P-Gi1/β1/γ2 7E33-5-HT1E-BRL-54443-Gi1/β1/γ2 8FYX-5-HT1A-Buspirone-PtdIns4P-Gi1/β1/γ1 7EXD-5-HT1F-Lasmiditan-Gi1/β1/γ2 7UM6-5-HT5A-Lisuride-chim(NtGi1-Go)/β1/γ2
29.41Consensusgi_dopamineOrthosteric Ligand7JVR-D2-Bromoergocryptine-Gi1/β1/γ2 7CMV-D3-PD128907-Gi1/β1/γ2 7CMU-D3-Pramipexole-Gi1/β1/γ2 8IRS-D2-Rotigotine-Gi1/β1/γ2 8IRT-D3-Rotigotine-Gi1/β1/γ2
29.41Consensusgi_relaxinOrthosteric Ligand7YK7-RXFP4-DC591053-Gi2/β1/γ2 7YJ4-RXFP4-INSL5-Gi2/β1/γ2 7YK6-RXFP4-PubChem 138319674-Gi2/β1/γ2
29.41Consensuskop_offOrthosteric Ligand4DJH-κ-JDTic
29.41Consensusrelaxin_onOrthosteric Ligandrxfp4_on
29.41Consensusrelaxin_on_gpOrthosteric Ligandrxfp4_on_gp
29.17Single4XT3CX3CL14XT3-US28-CX3CL1
29.17Single6FJ3PTH6FJ3-PTH1-PTH
29.17Single7RGPTirzepatide7RGP-GLP-1-Tirzepatide-chim(NtGi1-Gs)/β1/γ2
29.17Single7YKDChemerin-97YKD-CML1-Chemerin-9-Gi1/β1/γ2
29.17Consensusccr_offOrthosteric Ligandccr2_off ccr5_off
29.17Consensusgi_peptideOrthosteric Ligandgi_cck gi_apelin gi_compl-pept gi_endothelin gi_formylpeptide gi_galanin gi_ghrelin gi_npy gi_neurotensin gi_opioid gi_orexin gi_relaxin gi_somatostatin
29.17Consensuspac1_onOrthosteric Ligand8E3X-PAC1-PACAP27-Gs/β1/γ2 6M1H-PAC1-Maxadilan-Gs/β1/γ2
29.17Consensuspac1_on_gpOrthosteric Ligand8E3X-PAC1-PACAP27-Gs/β1/γ2 6M1H-PAC1-Maxadilan-Gs/β1/γ2
29.17Consensussecretin_onOrthosteric Ligand7D3S-Secretin-Secretin-Gs/β1/γ2
28.57Single3ODUIT1t3ODU-CXCR4-IT1t
28.57Single4S0VSuvorexant4S0V-OX2-Suvorexant
28.57Single5WS3EMPA5WS3-OX2-EMPA
28.57Single6AKXA4R6AKX-CCR5-A4R
28.57Single6AKYMaraviroc6AKY-CCR5-Maraviroc
28.57Single6B73MP11046B73-κ-MP1104
28.57Single6KUYPubChem 1457046436KUY-α2a-PubChem 145704643
28.57Single6OBAAlprenolol6OBA-β2-Alprenolol-GTPL11074
28.57Single6OYAAll-trans-Retinal6OYA-Rhodopsin-All-trans-Retinal-Gt/β1/γ1
28.57Single6RNKNF-56-EJ406RNK-Succinate-NF-56-EJ40
28.57Single6TODEMPA6TOD-OX1-EMPA-Na
28.57Single6TPJSuvorexant6TPJ-OX2-Suvorexant
28.57Single7C6A(Sar1,Ile8)-Angiotensin II7C6A-AT2-(Sar1,Ile8)-Angiotensin II
28.57Single7EJ0Norepinephrine7EJ0-α2a-Norepinephrine-Go/β1/γ2
28.57Single7EZKCholecystokinin-87EZK-CCKA-Cholecystokinin-8-chim(NtGi1-Gs)/β1/γ2
28.57Single7T8XAcetylcholine7T8X-M2-Acetylcholine-chim(NtGi1-Go)/β1/γ2
28.57Single7T90Acetylcholine7T90-M2-Acetylcholine-chim(NtGi1-Go)/β1/γ2
28.57Single7T96Acetylcholine7T96-M2-Acetylcholine-LY2119620-Go/β1/γ2
28.57Single7VIHCBP-3077VIH-S1P1-CBP-307-Gi1/β1/γ2
28.57Single7VUJJNJ-635330547VUJ-GPR139-JNJ-63533054-GDP-chim(Gs-CtGq)/β1/γ2
28.57Single7W0OElabela7W0O-Apelin-Elabela-Gi1/β1/γ2
28.57Single7WF7S1P7WF7-S1P1-S1P-Gi1/β1/γ2
28.57Single7X2CFenoldopam7X2C-D1-Fenoldopam-Fenoldopam-Gs/β1/γ2
28.57Single7XNACYN1548067XNA-SST2-CYN154806
28.57Single7XT8Serotonin7XT8-5-HT4-Serotonin-Gs/β1/γ2
28.57Single7YM8Oxymetazoline7YM8-Alpha1A-Oxymetazoline-chim(Gs-CtGq)
28.57Single8F7SDeltorphin8F7S-δ-Deltorphin-Gi1/β1/γ2
28.57Single8F7WDynorphin8F7W-κ-Dynorphin-Gi1/β1/γ2
28.57Single8FYXBuspirone8FYX-5-HT1A-Buspirone-PtdIns4P-Gi1/β1/γ1
28.57Single8GNGIstradefylline8GNG-A2A-Istradefylline
28.57Single8HMPC178HMP-GPR52-C17-Gs/β1/γ2
28.57Single8HOCImetit8HOC-H4-Imetit-Gi1/β1/γ2
28.57Single8JSOAMPH8JSO-TA1-AMPH-chim(NtGi1-Gs)/β1/γ2
28.57Single8SG1Chemerin-98SG1-CML1-Chemerin-9-Gi1/β1/γ2
28.57Single8UNSConstrained Epinephrine8UNS-β2-Constrained Epinephrine-GTP-Gs/β1/γ2
28.57Single8UNTConstrained Epinephrine8UNT-β2-Constrained Epinephrine-GTP-Gs/β1/γ2
28.57Single8WC3SEP-3638568WC3-TA1-SEP-363856-chim(NtGi1-Gs)/β1/γ2
28.57Single8WSSMCH8WSS-MCH1-MCH-Gi1/β1/γ1
28.57Single8XXVIndomethacin8XXV-DP2-Indomethacin-A1D5Q-Gi1/β1/γ2
28.57Single8YNAImmepip8YNA-H4-Immepip-Gi1/β1/γ2
28.57Single8YUVImmepip8YUV-H3-Immepip-Gi1/β1/γ2
28.57Single8YYWAlpha-ketoglutarate8YYW-Oxoglutarate-α-ketoglutarate-α-ketoglutarate-chim(Gi1-CtGq)/β1/γ2
28.57Single8Z7JJN241-98Z7J-Apelin-JN241-9-Gi1/β1/γ2
28.57Single9EBHAdenosine9EBH-A3A-Adenosine-Gi1/β1/γ2
28.57Single9EEAAdenosine9EEA-A2A-Adenosine-Gs/β1/γ2
28.57Single9JFK(Pen5)-Urotensin II9JFK-UT-(Pen5)-Urotensin II-chim(NtGi2L-Gs-CtGq)/β1/γ2
28.57Single9K6LSalicin9K6L-TAS2R16-Salicin-Gi2/β1/γ2
28.57Single9KPESalicin9KPE-TAS2R16-Salicin-Gi1/β1/γ2
28.57Single9LKDPL459LKD-OR5V1-PL45
28.57Single9ME1CXCL129ME1-CXCR4-CXCL12
28.57Single9MQJIsoquinuclidine9MQJ-μ-Isoquinuclidine
28.57Consensus5ht1e_onOrthosteric Ligand7E33-5-HT1E-BRL-54443-Gi1/β1/γ2 8UGY-5-HT1E-Mianserin-Gi1/β1/γ1 8UH3-5-HT1E-Setiptiline-Gi1/β1/γ1
28.57Consensuscckb_onOrthosteric Ligand8IA7-CCKB-Cholecystokinin-8-chim(NtGi1L-Gq)/β1/γ2 7XOW-CCKB-Sulfated Gastrin-(10-17)-chim(NtGi1-Gq)/β1/γ2 7F8V-CCKB-Gastrin-17-Gi2/β1/γ2
28.57Consensuscompl-peptide_onOrthosteric Ligandc5a1_on c3a_on
28.57Consensusdop_on_gpOrthosteric Ligand8F7S-δ-Deltorphin-Gi1/β1/γ2
28.57Consensusgq_histamineOrthosteric Ligand7DFL-H1-Histamine-chim(NtGi1L-Gq)/β1/γ2
28.57Consensusgs_peptideOrthosteric Ligandgs_cck gs_melanocortin gs_vasop-oxy
28.57Consensush1_on_gpOrthosteric Ligand7DFL-H1-Histamine-chim(NtGi1L-Gq)/β1/γ2
28.57Consensushistamine_onOrthosteric Ligandh1_on h2_on h3_on h4_on
28.57Consensushistamine_on_gpOrthosteric Ligandh1_on_gp h2_on_gp h3_on_gp h4_on_gp
28.57Consensusm2_onOrthosteric Ligand7T8X-M2-Acetylcholine-chim(NtGi1-Go)/β1/γ2
28.57Consensusm2_on_gpOrthosteric Ligand7T8X-M2-Acetylcholine-chim(NtGi1-Go)/β1/γ2
28.57Consensusorexin_offOrthosteric Ligandox2_off ox1_off
28.57Consensusox1_offOrthosteric Ligand6TP6-OX1-Filorexant 6TP4-OX1-ACT-462206 6V9S-OX1-GTPL11403 6TOT-OX1-Lemborexant 6TP3-OX1-Nemorexant 6TQ6-OX1-PubChem 145714283 6TQ9-OX1-SB-408124 4ZJC-OX1-SB-674042 4ZJ8-OX1-Suvorexant 6TOD-OX1-EMPA-Na 6TOS-OX1-GSK1059865-Na 6TQ4-OX1-PubChem 16046844-Na
28.57Consensusox2_offOrthosteric Ligand5WQC-OX2-EMPA 6TPN-OX2-HTL6641 7XRR-OX2-Lemborexant 6TPJ-OX2-Suvorexant
28.57Consensusrhodopsin_on_gpOrthosteric Ligand6OYA-Rhodopsin-All-trans-Retinal-Gt/β1/γ1
28.57Consensuss1p3_on_gpOrthosteric Ligand7EW3-S1P3-S1P-Gi1/β1/γ2 7EW4-S1P3-CYM-5541-Gi1/β1/γ2 7EW2-S1P3-FTY720-P-Gi1/β1/γ2
28.57Consensussst2_offOrthosteric Ligand7XNA-SST2-CYN154806
28.57Consensussst4_onOrthosteric Ligand7XMS-SST4-Somatostatin-14-Gi1/β1/γ2 7XMT-SST4-J-2156-Gi1/β1/γ2
28.57Consensussst4_on_gpOrthosteric Ligand7XMS-SST4-Somatostatin-14-Gi1/β1/γ2 7XMT-SST4-J-2156-Gi1/β1/γ2
28.00Single7F4FAfamelanotide7F4F-MC1-Afamelanotide-chim(NtGi1-Gs)/β1/γ2
28.00Single7TYFAmylin7TYF-CT (AMY1)-Amylin-Gs/β1/γ2; RAMP1
28.00Single7YOONeuropeptide-Y7YOO-Y2-Neuropeptide-Y-Gi1/β1/γ2
28.00Single8WWLMCH8WWL-MCH1-MCH-Gi1/β1/γ2
28.00Single8XWPEndothelin-18XWP-ETB-Endothelin-1-Gi1/β1/γ2
28.00Single8ZH8QRFP268ZH8-QRFP-QRFP26-Gq/β1/γ1
28.00Single9BUCCagrilintide9BUC-CT-Cagrilintide-Gs/β1/γ2
28.00Consensusglp_onOrthosteric Ligandglp1_on glp2_on
28.00Consensusglp_on_gpOrthosteric Ligandglp1_on_gp glp2_on_gp
28.00Consensusnpy2_onOrthosteric Ligand7YOO-Y2-Neuropeptide-Y-Gi1/β1/γ2
28.00Consensusnpy2_on_gpOrthosteric Ligand7YOO-Y2-Neuropeptide-Y-Gi1/β1/γ2
28.00Consensuspeptide_onOrthosteric Ligandcck_on angiotensin_on apelin_on bombesin_on bradykinin_on compl-peptide_on endothelin_on formylpeptide_on galanin_on ghrelin_on kisspeptin_on melanocortin_on motilin_on neuromedin-u_on npy_on neurotensin_on opioid_on orexin_on relaxin_on somatostatin_on tachykinin_on trh_on vasop-oxy_on
28.00Consensuspeptide_on_gpOrthosteric Ligandcck_on_gp angiotensin_on_gp apelin_on_gp bombesin_on_gp bradykinin_on_gp compl-peptide_on_gp endothelin_on_gp formylpeptide_on_gp galanin_on_gp ghrelin_on_gp kisspeptin_on_gp melanocortin_on_gp motilin_on_gp neuromedin-u_on_gp npy_on_gp neurotensin_on_gp opioid_on_gp orexin_on_gp relaxin_on_gp somatostatin_on_gp tachykinin_on_gp trh_on_gp vasop-oxy_on_gp
28.00Consensussecretin_on_gpOrthosteric Ligand7D3S-Secretin-Secretin-Gs/β1/γ2
27.78Single2YCXCyanopindolol2YCX-β1-Cyanopindolol
27.78Single3D4STimolol3D4S-β2-Timolol
27.78Single4AMIBucindolol4AMI-β1-Bucindolol
27.78Single4N4WSANT-14N4W-SMO-SANT-1
27.78Single5UNHPubChem 1264564065UNH-AT2-PubChem 126456406
27.78Single6AK3PGE26AK3-EP3-PGE2
27.78Single6C1RPMX536C1R-C5a1-PMX53-Avacopan; Na
27.78Single6CM4Risperidone6CM4-D2-Risperidone
27.78Single6DRYMethylergometrine6DRY-5-HT2B-Methylergometrine
27.78Single6H7OCyanopindolol6H7O-β1-Cyanopindolol
27.78Single6MXTSalmeterol6MXT-β2-Salmeterol
27.78Single6OS0Angiotensin II6OS0-AT1-Angiotensin II
27.78Single6OS2TRV0266OS2-AT1-TRV026
27.78Single6VMSBromoergocryptine6VMS-D2-Bromoergocryptine-Gi1/β1/γ2
27.78Single6ZG4HTL00099366ZG4-M1-HTL0009936
27.78Single7DFPSpiperone7DFP-D2-Spiperone
27.78Single7EXDLasmiditan7EXD-5-HT1F-Lasmiditan-Gi1/β1/γ2
27.78Single7JNIOlodanrigan7JNI-AT2-Olodanrigan
27.78Single7MTRADX551647MTR-mGlu2; mGlu2-Glutamate-ADX55164
27.78Single7W0LPubChem 1227019087W0L-Apelin; Apelin-PubChem 122701908-Gi1/β1/γ2
27.78Single7W0NElabela7W0N-Apelin; Apelin-Elabela-Gi1/β1/γ2
27.78Single7WCNAR2314537WCN-GPR119-AR231453-Gs/β1/γ2
27.78Single7XMTJ-21567XMT-SST4-J-2156-Gi1/β1/γ2
27.78Single7XZ5Lysophosphatidylcholine7XZ5-GPR119-Lysophosphatidylcholine-Gs/β1/γ2
27.78Single7YITNalfurafine7YIT-κ-Nalfurafine
27.78Single8FYE4-F,5-MeO-PyrT8FYE-5-HT1A-4-F,5-MeO-PyrT-PtdIns4P-Gi1/β1/γ1
27.78Single8FYTLSD8FYT-5-HT1A-LSD-PtdIns4P-Gi1/β1/γ1
27.78Single8G056-OAU8G05-GPR84-6-OAU-Gi1/β1/γ2
27.78Single8HK2C3a8HK2-C3aB-C3a-Gi1/β1/γ2
27.78Single8JJLOlodaterol8JJL-β2-Olodaterol
27.78Single8XJNCloprosetnol8XJN-TXA2-Cloprosetnol-chim(NtGi1-Gs-CtGq)/β1/γ2
27.78Single9AU0BW245C9AU0-DP1-BW245C-Gs/β1/γ2
27.78Single9GGGI-BOP9GGG-TXA2-I-BOP-chim(NtGi2L-Gs-CtGq)/β1/γ2
27.78Single9GYOP3959GYO-GPBA-P395-chim(NtGi1-Gs)/β1/γ2
27.78Single9KVG5-MeO-DMT9KVG-5-HT1A-5-MeO-DMT-PtdIns4P-Gi1/β1/γ2
27.78Single9KZKC3a (fragment)9KZK-C3aB-C3a (fragment)-Go/β1/γ2
27.78Single9M4QDoxazosin9M4Q-Alpha1A-Doxazosin
27.78Single9M8POleic monoethanolamide9M8P-GPR3 ; GPR3-Oleic monoethanolamide-AF64394
27.78Single9MQLIsoquinuclidine9MQL-κ-Isoquinuclidine
27.78Single9V6ONalfurafine9V6O-κ-Nalfurafine-Gi1/β1/γ2
27.78Consensus5ht1f_onOrthosteric Ligand7EXD-5-HT1F-Lasmiditan-Gi1/β1/γ2
27.78Consensus5ht1f_on_gpOrthosteric Ligand7EXD-5-HT1F-Lasmiditan-Gi1/β1/γ2
27.78Consensusc3a_onOrthosteric Ligand8HK2-C3aB-C3a-Gi1/β1/γ2 8IA8-C3aB-E7 peptide-Gi1/β1/γ2
27.78Consensuscannabinoid_offOrthosteric Ligandcb2_off cb1_off
27.78Consensuscb1_onOrthosteric Ligand6KPG-CB1-AM841-Gi1/β1/γ2 8K8J-CB1-Fenofibrate-chim(Gs-CtGq)/β1/γ2
27.78Consensuscxcr_onOrthosteric Ligandcxcr3_on cxcr4_on cxcr1_on cxcr2_on
27.78Consensusd2_on_gpOrthosteric Ligand7JVR-D2-Bromoergocryptine-Gi1/β1/γ2 8IRS-D2-Rotigotine-Gi1/β1/γ2
27.78Consensuskop_onOrthosteric Ligand8F7W-κ-Dynorphin-Gi1/β1/γ2 8DZS-κ-GR89,696-chim(NtGi2-Gz)/β1/γ2 8DZP-κ-momSalB-Gi1/β1/γ2
27.78Consensuslpl_offOrthosteric Ligands1p_off lpa_off
27.78Consensusmop_onOrthosteric Ligand8F7R-μ-Endomorphin-Gi1/β1/γ2 8EF5-μ-Fentanyl-Gi1/β1/γ2 7SCG-μ-FH210-Gi1/β1/γ2 7T2H-μ-Lofentanil-Gi1/β1/γ2 7T2G-μ-Mitragynine Pseudoindoxyl-Gi1/β1/γ2 8EF6-μ-Morphine-Gi1/β1/γ2 8EFB-μ-Oliceridine-Gi1/β1/γ2 7U2L-μ-C5-guano-Gi1/β1/γ2 8EFO-μ-PZM21-Gi1/β1/γ2 8EFL-μ-SR17018-Gi1/β1/γ2 8F7Q-μ-β-Endorphin-Gi1/β1/γ2 7U2K-μ-C6-guano-Gi1/β1/γ2 8EFQ-μ-DAMGO-Gi1/β1/γ2
27.78Consensusmop_on_gpOrthosteric Ligand8F7R-μ-Endomorphin-Gi1/β1/γ2 8EF5-μ-Fentanyl-Gi1/β1/γ2 7SCG-μ-FH210-Gi1/β1/γ2 7T2H-μ-Lofentanil-Gi1/β1/γ2 7T2G-μ-Mitragynine Pseudoindoxyl-Gi1/β1/γ2 8EF6-μ-Morphine-Gi1/β1/γ2 8EFB-μ-Oliceridine-Gi1/β1/γ2 7U2L-μ-C5-guano-Gi1/β1/γ2 8EFO-μ-PZM21-Gi1/β1/γ2 8EFL-μ-SR17018-Gi1/β1/γ2 8F7Q-μ-β-Endorphin-Gi1/β1/γ2 7U2K-μ-C6-guano-Gi1/β1/γ2 8EFQ-μ-DAMGO-Gi1/β1/γ2
27.78Consensuss1p3_onOrthosteric Ligand7EW3-S1P3-S1P-Gi1/β1/γ2 7EW4-S1P3-CYM-5541-Gi1/β1/γ2 7EW2-S1P3-FTY720-P-Gi1/β1/γ2
27.27Single5MZJTheophylline5MZJ-A2A-Theophylline-Na
27.27Single6VN7PACAP276VN7-VPAC1-PACAP27-Gs/β1/γ2
27.27Single7TD0LPA7TD0-LPA1-LPA-Gi1/β1/γ2
27.27Single7XA3CCL27XA3-CCR2-CCL2-Gi1/β1/γ2
27.27Single8PWNTheophylline8PWN-A2A-Theophylline
27.27Single8XGUTAK4488XGU-Kiss1-TAK448-Gi1/β1/γ2
27.27Single8XIRPasireotide8XIR-SST3-Pasireotide-chim(NtGi1-Gs-CtGi1)/β1/γ2
27.27Single9B54VIP369B54-CB1-VIP36-Gi1/β1/γ2
27.27Single9JIDNiacin9JID-HCA3-Niacin-Gi1/β1/γ2
27.27Single9JKVPubChem 27366909JKV-HCA3-PubChem 2736690-Gi1/β1/γ2
27.27Single9K27PrRP319K27-PrRP-PrRP31-chim(NtGi1-Gq)/β1/γ2
27.27Single9MEUCXCL129MEU-CXCR4-CXCL12
27.27Consensusc5a1_onOrthosteric Ligand8HK5-C5a1-C5a-Gi1/β1/γ2 7Y66-C5a1-BM213-Gi1/β1/γ2 7Y67-C5a1-C089 peptide-Gi1/β1/γ2 7Y64-C5a1-C5a-Gi1/β1/γ2
27.27Consensuscckb_on_gpOrthosteric Ligand8IA7-CCKB-Cholecystokinin-8-chim(NtGi1L-Gq)/β1/γ2 7XOW-CCKB-Sulfated Gastrin-(10-17)-chim(NtGi1-Gq)/β1/γ2 7F8V-CCKB-Gastrin-17-Gi2/β1/γ2
27.27Consensusccr2_onOrthosteric Ligand7XA3-CCR2-CCL2-Gi1/β1/γ2
27.27Consensusccr2_on_gpOrthosteric Ligand7XA3-CCR2-CCL2-Gi1/β1/γ2
27.27Consensusccr_onOrthosteric Ligandccr6_on ccr8_on ccr2_on ccr1_on ccr5_on
27.27Consensuscompl-peptide_on_gpOrthosteric Ligandc5a1_on_gp c3a_on_gp
27.27Consensusgs_class-aOrthosteric Ligandgs_peptide gs_nucleotide gs_amine
27.27Consensuspeptide_offonOrthosteric Ligandpeptide_off peptide_on
26.92Single5VAIGLP-15VAI-GLP-1-GLP-1-Gs/β1/γ2
26.92Single6NBHLA-PTH Analog6NBH-PTH1-LA-PTH Analog-Gs/β1/γ2
26.92Single7D68GLP-27D68-GLP-2-GLP-2-Gs/β1/γ2
26.92Single7KI1Taspoglutide7KI1-GLP-1-Taspoglutide-Gs/β1/γ2
26.92Single8F0KPramlintide Analogue San3858F0K-CT (AMY3)-Pramlintide Analogue San385-Gs/β1/γ2; RAMP3
26.92Single9BYOExendin-39BYO-GLP-1-Exendin-3-Gs/β1/γ2
26.67Single3REYPubChem 56973REY-A2A-PubChem 5697
26.67Single3UZCPubChem 1355666093UZC-A2A-PubChem 135566609
26.67Single4MBSMaraviroc4MBS-CCR5-Maraviroc
26.67Single5IU4ZM-2413855IU4-A2A-ZM-241385-Na
26.67Single5IUBQ274563445IUB-A2A-Q27456344-Na
26.67Single5K2CZM-2413855K2C-A2A-ZM-241385-Na
26.67Single5NM4ZM-2413855NM4-A2A-ZM-241385-Na
26.67Single6AQFZM-2413856AQF-A2A-ZM-241385
26.67Single6K41Dexmedetomidine6K41-α2b-Dexmedetomidine-Go/β1/γ2
26.67Single6KUXRS799486KUX-α2a-RS79948
26.67Single6PS5Propranolol6PS5-β2-Propranolol
26.67Single6PT0WIN 55212-26PT0-CB2-WIN 55212-2-Gi1/β1/γ2
26.67Single6TOSGSK10598656TOS-OX1-GSK1059865-Na
26.67Single6TP3Nemorexant6TP3-OX1-Nemorexant
26.67Single6U1NLY21196206U1N-M2-LY2119620-Arrestin2
26.67Single6VI4JDTic6VI4-κ-JDTic
26.67Single6WH4Methiothepin6WH4-5-HT2A-Methiothepin
26.67Single6WJCMuscarinic toxin 76WJC-M1-Atropine-Muscarinic toxin 7
26.67Single7BB6AVP7BB6-V2-AVP-Gs/β1/γ2
26.67Single7CKZDopamine7CKZ-D1-Dopamine-Mevidalen-Gs/β1/γ2
26.67Single7CMUPramipexole7CMU-D3-Pramipexole-Gi1/β1/γ2
26.67Single7EJADexmedetomidine7EJA-α2a-Dexmedetomidine-Go/β1/γ2
26.67Single7F0TDopamine7F0T-D1-Dopamine-Gs/β1/γ2
26.67Single7F1ZDopamine7F1Z-D1-Dopamine-GDP-Gs/β1/γ2
26.67Single7RANPubChem 1645758477RAN-5-HT2A-PubChem 164575847-chim(NtGi2L-Gs-CtGq)/β1/γ2
26.67Single7SR8TAK-9257SR8-OX2-TAK-925-chim(NtGi1L-Gs-CtGq)/β1/γ2
26.67Single7T32ZM-2413857T32-A2A-ZM-241385
26.67Single7T94Acetylcholine7T94-M2-Acetylcholine-LY2119620-chim(NtGi1-Go)/β1/γ2
26.67Single7T94LY21196207T94-M2-Acetylcholine-LY2119620-chim(NtGi1-Go)/β1/γ2
26.67Single7TRSAcetylcholine7TRS-M4-Acetylcholine-Gi1/β1/γ2
26.67Single7UL3Famotidine7UL3-H2-Famotidine
26.67Single7UM7Methylergometrine7UM7-5-HT5A-Methylergometrine-chim(NtGi1-Go)/β1/γ2
26.67Single7XXH2MeSADP7XXH-P2Y1-2MeSADP-chim(NtGi1-G11)/β1/γ2
26.67Single7YK6PubChem 1383196747YK6-RXFP4-PubChem 138319674-Gi2/β1/γ2
26.67Single8GG5Constrained Epinephrine8GG5-β2-Constrained Epinephrine-GTP-Gs/β1/γ2
26.67Single8GG7Constrained Epinephrine8GG7-β2-Constrained Epinephrine-GTP-Gs/β1/γ2
26.67Single8GGLConstrained Epinephrine8GGL-β2-Constrained Epinephrine
26.67Single8GGMConstrained Epinephrine8GGM-β2-Constrained Epinephrine
26.67Single8GGPConstrained Epinephrine8GGP-β2-Constrained Epinephrine
26.67Single8K2WAMG4878K2W-CXCR3-AMG487
26.67Single8K9KDAMGO8K9K-μ-DAMGO-Gi3/β1/γ1
26.67Single8PM2DMCHA8PM2-TA7-DMCHA-Gs/β1/γ2
26.67Single8RWCStilSwitch28RWC-A2A-StilSwitch2-Na
26.67Single8RWDStilSwitch38RWD-A2A-StilSwitch3-Na
26.67Single8THKA-616038THK-Alpha1A-A-61603-chim(NtGi2L-Gs-CtGq)/β1/γ2
26.67Single8THLEpinephrine8THL-Alpha1A-Epinephrine-chim(NtGi2L-Gs-CtGq)/β1/γ2
26.67Single8UNLConstrained Epinephrine8UNL-β2-Constrained Epinephrine-GTP-Gs/β1/γ2
26.67Single8UNOConstrained Epinephrine8UNO-β2-Constrained Epinephrine-GTP-Gs/β1/γ2
26.67Single8UO1Constrained Epinephrine8UO1-β2-Constrained Epinephrine-GTP; Mg-Gs/β1/γ2
26.67Single8W8BSEP-3638568W8B-5-HT1A-SEP-363856-Gi1/β1/γ2
26.67Single8Y45ADL58598Y45-δ-ADL5859-Gi2/β1/γ2
26.67Single8Y6YGLPG09748Y6Y-FFA2-GLPG0974
26.67Single8ZPNAMD31008ZPN-CXCR4-AMD3100
26.67Single9AS3LSD9AS3-5-HT2A-LSD
26.67Single9AS4LSD9AS4-5-HT2A-LSD-chim(NtGi1-Gs-CtGq)/β1/γ2
26.67Single9BA0MRI-18919BA0-CB1-MRI-1891
26.67Single9CBLEpinephrine9CBL-α2a-Epinephrine-Gi1/β1/γ2
26.67Single9JH3CMF-0199JH3-Apelin; Apelin-CMF-019-Gi1/β1/γ2
26.67Single9JMDAzithromycin9JMD-Motilin-Azithromycin-chim(Gs-CtGq)/β1/γ2
26.67Single9KUWCMPD6449KUW-Apelin; Apelin-CMPD644-Arrestin2 ; Arrestin2
26.67Single9L84Epinephrine9L84-β1-Epinephrine-Atazanavir-Gs/β1/γ2
26.67Single9LKBPL459LKB-OR5V1-PL45-chim(NtGi1-Gs)/β1
26.67Single9M2FNeuropeptide-FF9M2F-NPFF1-Neuropeptide-FF-Gi1/β1/γ2
26.67Single9PY2Loperamide9PY2-μ-Loperamide-GDPβS-Gi1/β1/γ2
26.67Single9VJG8-OH-DPAT9VJG-5-HT1A-8-OH-DPAT-chim(NtGi2-Gz)/β1/γ2
26.67Single9W33S5A19W33-SST5-S5A1
26.67Single9W6W5-CT9W6W-5-HT5A-5-CT-Gi1/β1/γ2
26.67Consensus5ht_on_gpOrthosteric Ligand5ht1_on_gp 5ht2_on_gp 5ht4_on_gp 5ht5_on_gp 5ht6_on_gp 5ht7_on_gp
26.67Consensusalpha1_onOrthosteric Ligandalpha1a_on
26.67Consensusalpha1_on_gpOrthosteric Ligandalpha1a_on_gp
26.67Consensusalpha1a_onOrthosteric Ligand7EJ0-α2a-Norepinephrine-Go/β1/γ2 7EJ8-α2a-Brimonidine-Go/β1/γ2 7EJA-α2a-Dexmedetomidine-Go/β1/γ2 7EJK-α2a-Oxymetazoline-Go/β1/γ2 7W6P-α2a-N-pyridin-4-ylisoquinolin-4-amine-Go/β1/γ2 7W7E-α2a-PubChem 164946676-Go/β1/γ2
26.67Consensusalpha1a_on_gpOrthosteric Ligand7EJ0-α2a-Norepinephrine-Go/β1/γ2 7EJ8-α2a-Brimonidine-Go/β1/γ2 7EJA-α2a-Dexmedetomidine-Go/β1/γ2 7EJK-α2a-Oxymetazoline-Go/β1/γ2 7W6P-α2a-N-pyridin-4-ylisoquinolin-4-amine-Go/β1/γ2 7W7E-α2a-PubChem 164946676-Go/β1/γ2
26.67Consensuscxcr3_offOrthosteric Ligand8K2W-CXCR3-AMG487
26.67Consensusd3_onOrthosteric Ligand7CMV-D3-PD128907-Gi1/β1/γ2 8IRT-D3-Rotigotine-Gi1/β1/γ2 7CMU-D3-Pramipexole-Gi1/β1/γ2
26.67Consensusd3_on_gpOrthosteric Ligand7CMV-D3-PD128907-Gi1/β1/γ2 8IRT-D3-Rotigotine-Gi1/β1/γ2 7CMU-D3-Pramipexole-Gi1/β1/γ2
26.67Consensusnop_offOrthosteric Ligand4EA3-NOP-PubChem 10296561 5DHG-NOP-C-35 5DHH-NOP-SB-612111
26.67Consensusp2y1_on_gpOrthosteric Ligand7XXH-P2Y1-2MeSADP-chim(NtGi1-G11)/β1/γ2
26.32Single4NC3Ergotamine4NC3-5-HT2B-Ergotamine
26.32Single5X93K-87945X93-ETB-K-8794
26.32Single6BQGErgotamine6BQG-5-HT2C-Ergotamine
26.32Single6BQHRitanserin6BQH-5-HT2C-Ritanserin
26.32Single7EW0Ozanimod7EW0-S1P1-Ozanimod-Gi1/β1/γ2
26.32Single7EZHCholecystokinin-87EZH-CCKA-Cholecystokinin-8-Gi1/β1/γ2
26.32Single7EZMCholecystokinin-87EZM-CCKA-Cholecystokinin-8-chim(NtGsL-Gq)/β1/γ2
26.32Single7JVRBromoergocryptine7JVR-D2-Bromoergocryptine-Gi1/β1/γ2
26.32Single7MTSADX551647MTS-mGlu2; mGlu2-Glutamate-ADX55164-Gi1/β1/γ2
26.32Single7SK7CCX6627SK7-ACKR3-CXCL12-CCX662
26.32Single7SK8CCX6627SK8-ACKR3-CXCL12-CCX662
26.32Single7U2KC6-guano7U2K-μ-C6-guano-Gi1/β1/γ2
26.32Single7UM4AS26747237UM4-5-HT5A-AS2674723
26.32Single7VGY2-Iodomelatonin7VGY-MT1-2-Iodomelatonin-Gi1/β1/γ2
26.32Single7X1UTRH7X1U-TRH-TRH-chim(NtGi2L-Gs-CtGq)/β1/γ2
26.32Single7X2DTavapadon7X2D-D1-Tavapadon-Gs/β1/γ2
26.32Single7Y27Somatostatin-147Y27-SST2-Somatostatin-14-chim(NtGi2L-Gs-CtGq)/β1/γ2
26.32Single7Y65C5a (C-terminal peptide)7Y65-C5a1-C5a (C-terminal peptide)-Gi1/β1/γ2
26.32Single8E9X2-Deoxycytidine8E9X-M4-2-Deoxycytidine-chim(NtGi1-Go)/β1/γ2
26.32Single8FX5Xanomeline8FX5-M4-Xanomeline-Xanomeline-Gi1/β1/γ2
26.32Single8GUTLEI-1028GUT-CB2-LEI-102-Gi1/β1/γ2
26.32Single8HN1Toxin AdTx18HN1-Alpha1A-Toxin AdTx1
26.32Single8I95EP548I95-C3aB-EP54-Go/β1/γ2
26.32Single8J19LY2378J19-GPR84-LY237-Gi1/β1/γ2
26.32Single8K2XCXCL108K2X-CXCR3-CXCL10-Gi1/β1/γ2
26.32Single8S2TIsoprenaline8S2T-β1-Isoprenaline-chim(NtGi1-Gs)/β1/γ2
26.32Single8XJKCloprosetnol8XJK-FP-alpha-Cloprosetnol-chim(NtGi1-Gs-CtGq)/β1/γ2
26.32Single8XJOU466198XJO-TXA2-U46619-chim(NtGi1-Gs-CtGq)/β1/γ2
26.32Single8ZWGJR14a8ZWG-C3aB-JR14a-Gi1/β1/γ2
26.32Single9AS02-bromo-LSD9AS0-5-HT2A-2-bromo-LSD-chim(NtGi1-Gs-CtGq)/β1/γ2
26.32Single9EAILosartan9EAI-AT1-Losartan-Nanobody AT209
26.32Single9GG5U466199GG5-TXA2-U46619-chim(NtGi2L-Gs-CtGq)/β1/γ2
26.32Single9KV8TLQP219KV8-C3aB-TLQP21-Go/β1/γ2
26.32Single9L79AR2314539L79-GPR119-AR231453-chim(NtGi1-Gs)/β1/γ2
26.32Single9UYHChemerin-99UYH-CML2-Chemerin-9-Arrestin2
26.32Consensus5ht2c_offOrthosteric Ligand6BQH-5-HT2C-Ritanserin
26.32Consensusc3a_on_gpOrthosteric Ligand8HK2-C3aB-C3a-Gi1/β1/γ2 8IA8-C3aB-E7 peptide-Gi1/β1/γ2
26.32Consensusccka_onOrthosteric Ligand7EZH-CCKA-Cholecystokinin-8-Gi1/β1/γ2
26.32Consensusccka_on_gpOrthosteric Ligand7EZH-CCKA-Cholecystokinin-8-Gi1/β1/γ2
26.32Consensusendothelin_offOrthosteric Ligandetb_off
26.32Consensusetb_offOrthosteric Ligand5X93-ETB-K-8794 5XPR-ETB-Bosentan 6K1Q-ETB-IRL2500
26.32Consensuskop_on_gpOrthosteric Ligand8F7W-κ-Dynorphin-Gi1/β1/γ2 8DZS-κ-GR89,696-chim(NtGi2-Gz)/β1/γ2 8DZP-κ-momSalB-Gi1/β1/γ2
26.32Consensusprostanoid_onOrthosteric Ligandtp_on fp-alpha_on
26.32Consensusprostanoid_on_gpOrthosteric Ligandtp_on_gp fp-alpha_on_gp
26.32Consensustp_onOrthosteric Ligand8XJO-TXA2-U46619-chim(NtGi1-Gs-CtGq)/β1/γ2
26.32Consensustp_on_gpOrthosteric Ligand8XJO-TXA2-U46619-chim(NtGi1-Gs-CtGq)/β1/γ2
26.09Single5WB2CX3CL1.355WB2-US28-CX3CL1.35
26.09Single7DW9AVP7DW9-V2-AVP-chim(NtGi1-Gs)/β1/γ2
26.09Single7KH0AVP7KH0-V2-AVP-chim(NtGi1-Gs)/β1/γ2
26.09Single7W40Bombesin7W40-BB2-Bombesin-chim(NtGi1L-Gq)/β1/γ2
26.09Single7YONPeptide-YY(3-36)7YON-Y2-Peptide-YY(3-36)-Gi1/β1/γ2
26.09Single8XZJWN3538XZJ-Apelin; Apelin-WN353-Gi1/β1/γ2
26.09Single8YW3Retatrutide8YW3-GLP-1-Retatrutide-Gs/β1/γ2
26.09Single8YW5Retatrutide8YW5-Glucagon-Retatrutide-Gs/β1/γ2
26.09Single9BLCCagrilintide (non-acylated)9BLC-CT-Cagrilintide (non-acylated)-Gs/β1/γ2
26.09Consensusapelin_onOrthosteric Ligand8XZH-Apelin; Apelin-MM07-Gi1/β1/γ2 7W0M-Apelin-PubChem 122701908-Gi1/β1/γ2 8XZJ-Apelin; Apelin-WN353-Gi1/β1/γ2 8XZF-Apelin; Apelin-WN561-Gi1/β1/γ2 8XZG-Apelin; Apelin-Apelin-13-Gi1/β1/γ2
26.09Consensusapelin_on_gpOrthosteric Ligand8XZH-Apelin; Apelin-MM07-Gi1/β1/γ2 7W0M-Apelin-PubChem 122701908-Gi1/β1/γ2 8XZJ-Apelin; Apelin-WN353-Gi1/β1/γ2 8XZF-Apelin; Apelin-WN561-Gi1/β1/γ2 8XZG-Apelin; Apelin-Apelin-13-Gi1/β1/γ2
26.09Consensusc5a1_on_gpOrthosteric Ligand8HK5-C5a1-C5a-Gi1/β1/γ2 7Y66-C5a1-BM213-Gi1/β1/γ2 7Y67-C5a1-C089 peptide-Gi1/β1/γ2 7Y64-C5a1-C5a-Gi1/β1/γ2
26.09Consensusgs_vasop-oxyOrthosteric Ligand7DW9-V2-AVP-chim(NtGi1-Gs)/β1/γ2
26.09Consensuspeptide_offon_gpOrthosteric Ligandpeptide_on_gp peptide_off
26.09Consensusprotein_offonOrthosteric Ligandprotein_off protein_on
26.09Consensusprotein_offon_gpOrthosteric Ligandprotein_on_gp protein_off
26.09Consensusprotein_onOrthosteric Ligandchemokine_on chemerin_on
26.09Consensusv2_onOrthosteric Ligand7DW9-V2-AVP-chim(NtGi1-Gs)/β1/γ2
26.09Consensusv2_on_gpOrthosteric Ligand7DW9-V2-AVP-chim(NtGi1-Gs)/β1/γ2
26.09Consensusvasop-oxy_onOrthosteric Ligandv2_on
26.09Consensusvasop-oxy_on_gpOrthosteric Ligandv2_on_gp
25.93Single7DUQGLP-17DUQ-GLP-1-GLP-1-PubChem 156022738-Gs/β1/γ2
25.93Consensusgi_npyOrthosteric Ligand8K6M-Y1-Neuropeptide-Y-Gi2/β1/γ1 7X9C-Y4-Pancreatic Hormone-Gi1/β1/γ2 7YOO-Y2-Neuropeptide-Y-Gi1/β1/γ2
25.93Consensusnpy_onOrthosteric Ligandnpy1_on npy2_on npy4_on
25.93Consensusnpy_on_gpOrthosteric Ligandnpy1_on_gp npy2_on_gp npy4_on_gp
25.00Single2VT4Cyanopindolol2VT4-β1-Cyanopindolol
25.00Single2YCYCyanopindolol2YCY-β1-Cyanopindolol
25.00Single3OE8IT1t3OE8-CXCR4-IT1t
25.00Single3ZPQPubChem 5945903ZPQ-β1-PubChem 594590-Na
25.00Single3ZPRPubChem 5987543ZPR-β1-PubChem 598754-Na
25.00Single4EIYZM-2413854EIY-A2A-ZM-241385-Na
25.00Single4EJ4Naltrindole4EJ4-δ-Naltrindole
25.00Single4J4QOctyl Beta-D-Glucopyranoside4J4Q-Rhodopsin-Octyl β-D-Glucopyranoside-Gt(CT)
25.00Single4U16N-methyl-Scopolamine4U16-M3-N-methyl-Scopolamine
25.00Single4X1HNonyl-Beta-D-Glucopyranoside4X1H-Rhodopsin-Nonyl-β-D-Glucopyranoside-Gt(CT)
25.00Single5DHGC-355DHG-NOP-C-35
25.00Single5IU8Q274563475IU8-A2A-Q27456347-Na
25.00Single5OLGZM-2413855OLG-A2A-ZM-241385-Na
25.00Single5TGZAM65385TGZ-CB1-AM6538
25.00Single5UIGPubChem 1240811965UIG-A2A-PubChem 124081196
25.00Single5VBLAMG3054 5VBL-Apelin-AMG3054
25.00Single5YC8N-methyl-Scopolamine5YC8-M2-N-methyl-Scopolamine
25.00Single5ZK8N-methyl-Scopolamine5ZK8-M2-N-methyl-Scopolamine
25.00Single5ZKCN-methyl-Scopolamine5ZKC-M2-N-methyl-Scopolamine
25.00Single5ZKPSR274175ZKP-PAF-SR27417
25.00Single6C1QPMX536C1Q-C5a1-PMX53-NDT9513727
25.00Single6D27CAY104716D27-DP2-CAY10471
25.00Single6IIVDaltroban6IIV-TXA2-Daltroban
25.00Single6K42Dexmedetomidine6K42-α2b-Dexmedetomidine-Gi1/β1/γ2
25.00Single6LPJZM-2413856LPJ-A2A-ZM-241385-Na
25.00Single6LPKZM-2413856LPK-A2A-ZM-241385-Na
25.00Single6OT025(S)-Epoxycholesterol6OT0-SMO-25(S)-Epoxycholesterol-Gi1/β1/γ2
25.00Single6PRZAlprenolol6PRZ-β2-Alprenolol
25.00Single6PS2Alprenolol6PS2-β2-Alprenolol
25.00Single6WHADB139486WHA-5-HT2A-DB13948-chim(NtGi2L-Gs-CtGq)/β1/γ2
25.00Single6X18GLP-16X18-GLP-1-GLP-1-Gs/β1/γ2
25.00Single6X1ADanuglipron6X1A-GLP-1-Danuglipron-Gs/β1/γ2
25.00Single6XBJCholesterol6XBJ-SMO-Cholesterol-Gi1/β1/γ2
25.00Single7CFMP3957CFM-GPBA-P395-Gs/β1/γ2
25.00Single7E32Serotonin7E32-5-HT1D-Serotonin-Gi1/β1/γ2
25.00Single7LCKDanuglipron7LCK-GLP-1-Danuglipron
25.00Single7LJCSKF812977LJC-D1-SKF81297-Mevidalen-Gs/β1/γ2
25.00Single7LLYOxyntomodulin7LLY-GLP-1-Oxyntomodulin-Gs/β1/γ2
25.00Single7MTBAll-trans-Retinal7MTB-Rhodopsin-All-trans-Retinal-GRK1
25.00Single7PYRPSB-21157PYR-A2A-PSB-2115
25.00Single7RKNCX3CL17RKN-US28-CX3CL1-Gi1/β1/γ2
25.00Single7SCGFH2107SCG-μ-FH210-Gi1/β1/γ2
25.00Single7T11Octreotide7T11-SST2-Octreotide-Gi3/β1/γ2
25.00Single7T6VfMLFII7T6V-FPR2-ALX-fMLFII-Gi1/β1/γ2
25.00Single7TZFAmylin7TZF-CT (AMY3)-Amylin-Gs/β1/γ2; RAMP3
25.00Single7UM55-CT7UM5-5-HT5A-5-CT-chim(NtGi1-Go)/β1/γ2
25.00Single7UM6Lisuride7UM6-5-HT5A-Lisuride-chim(NtGi1-Go)/β1/γ2
25.00Single7VGZRamelteon7VGZ-MT1-Ramelteon-Gi1/β1/γ2
25.00Single7VIFFTY720-P7VIF-S1P1-FTY720-P-Gi1/β1/γ2
25.00Single7VL9CCL15(26-92)7VL9-CCR1-CCL15(26-92)-Gi1/β1/γ2
25.00Single7WBJPACAP277WBJ-VPAC1-PACAP27-Gs/β1/γ2
25.00Single7WC7Lisuride7WC7-5-HT2A-Lisuride
25.00Single7WC8Lumateperone7WC8-5-HT2A-Lumateperone
25.00Single7X2CFenoldopam7X2C-D1-Fenoldopam-Fenoldopam-Gs/β1/γ2
25.00Single7X8SWB4-247X8S-GLP-1-WB4-24-Gs/β1/γ2
25.00Single7XBXCX3CL17XBX-CX3CR1-CX3CL1-Gi1/β1/γ2
25.00Single7XJHIsoprenaline7XJH-β3-Isoprenaline-Gs/β1/γ2
25.00Single7XN9L-0545227XN9-SST2-L-054522
25.00Single7YAEOctreotide7YAE-SST2-Octreotide-Gi1/β1/γ2
25.00Single8A2OTheophylline8A2O-A2A-Theophylline-Na
25.00Single8CICEtrumadenant8CIC-A2A-Etrumadenant-Na
25.00Single8CU6LJ-45178CU6-A2A-LJ-4517
25.00Single8DZSGR89,6968DZS-κ-GR89,696-chim(NtGi2-Gz)/β1/γ2
25.00Single8E3YPACAP278E3Y-VPAC1-PACAP27-Gs/β1/γ2
25.00Single8E3ZVIP8E3Z-VPAC1-VIP-Gs/β1/γ2
25.00Single8F7REndomorphin8F7R-μ-Endomorphin-Gi1/β1/γ2
25.00Single8FY85-MeO-DMT8FY8-5-HT1A-5-MeO-DMT-PtdIns4P-Gi1/β1/γ1
25.00Single8HK5C5a8HK5-C5a1-C5a-Gi1/β1/γ2
25.00Single8HNKCXCL118HNK-CXCR3-CXCL11-Gi1/β1/γ2
25.00Single8IA2C5a8IA2-C5a1-C5a-Go/β1/γ2
25.00Single8IRTRotigotine8IRT-D3-Rotigotine-Gi1/β1/γ2
25.00Single8IWM2-Phenylethylamine8IWM-TAA9-2-Phenylethylamine
25.00Single8JLJT1AM8JLJ-TA1-T1AM-chim(NtGi1-Gs)/β1/γ2
25.00Single8JLZST19368JLZ-5-HT6-ST1936-Gs/β1/γ2
25.00Single8JXRLSD8JXR-D1-LSD
25.00Single8UGYMianserin8UGY-5-HT1E-Mianserin-Gi1/β1/γ1
25.00Single8UH3Setiptiline8UH3-5-HT1E-Setiptiline-Gi1/β1/γ1
25.00Single8WC7ZH86678WC7-TA1-ZH8667-chim(NtGi1-Gs)/β1/γ2
25.00Single8XVKAmbrisentan8XVK-ETA-Ambrisentan
25.00Single8Y71A1D6F8Y71-δ-A1D6F-BMS986187-Gi1/β1/γ2
25.00Single8Y72Peptide8Y72-μ-Peptide-BMS-986122-Gi1/β1/γ2
25.00Single8YH5Riboprine8YH5-A3A-Riboprine-Gi1/β1/γ2
25.00Single8YN8Proxyfan8YN8-H3-Proxyfan-Go/β1/γ2
25.00Single8ZQEGPR15L(CT)8ZQE-GPR15-GPR15L(CT)-Gi1/β1/γ1
25.00Single8ZRTEndothelin-18ZRT-ETB-Endothelin-1
25.00Single9AS1DMT9AS1-5-HT2A-DMT
25.00Single9BQJRO769BQJ-μ-RO76-Gi1/β1/γ2
25.00Single9CBMDexmedetomidine9CBM-α2a-Dexmedetomidine-Gi1/β1/γ2
25.00Single9CHUNorepinephrine9CHU-β2-Norepinephrine
25.00Single9DYFAsenapine9DYF-5-HT1A-Asenapine-PtdIns4P-Gi1/β1/γ2
25.00Single9E2AGLP-19E2A-GLP-1-GLP-1-Gs/β1/γ2
25.00Single9EPP11,20-Ethanoretinal9EPP-Rhodopsin-11,20-Ethanoretinal-chim(Gi1-CtGq)/β1/γ2
25.00Single9H37PubChem 1756706469H37-A2A-PubChem 175670646-Na
25.00Single9IPVJR14a9IPV-C3aB-JR14a-Gi1/β1/γ2
25.00Single9IPYJR14a9IPY-C3aB-JR14a
25.00Single9JEAAtropine9JEA-M1-Atropine
25.00Single9JFYNeuropeptide-SF9JFY-NPFF2-Neuropeptide-SF-Gi1/β1/γ2
25.00Single9JQZGrapiprant 9JQZ-EP4-Grapiprant
25.00Single9KZ8EP679KZ8-C3aB-EP67-Go/β1/γ2
25.00Single9L0HJR14a9L0H-C3aB-JR14a-Go/β1/γ2
25.00Single9PLNPubChem 1682595949PLN-α2a-PubChem 168259594
25.00Single9PLOPubChem 1682595949PLO-α2a-PubChem 168259594-Go/β1/γ2
25.00Single9PQDPubChem 1764919279PQD-α2a-PubChem 176491927
25.00Single9WSXEndomorphin9WSX-μ-Endomorphin-Arrestin2
25.00Consensus5ht1d_onOrthosteric Ligand7E32-5-HT1D-Serotonin-Gi1/β1/γ2
25.00Consensus5ht1d_on_gpOrthosteric Ligand7E32-5-HT1D-Serotonin-Gi1/β1/γ2
25.00Consensus5ht5_onOrthosteric Ligand5ht5a_on
25.00Consensus5ht5a_onOrthosteric Ligand7X5H-5-HT5A-5-CT-Gi1/β1/γ2 7UM6-5-HT5A-Lisuride-chim(NtGi1-Go)/β1/γ2 7UM7-5-HT5A-Methylergometrine-chim(NtGi1-Go)/β1/γ2
25.00Consensusalpha2_onOrthosteric Ligandalpha2b_on
25.00Consensusalpha2_on_gpOrthosteric Ligandalpha2b_on_gp
25.00Consensusalpha2b_onOrthosteric Ligand6K42-α2b-Dexmedetomidine-Gi1/β1/γ2
25.00Consensusalpha2b_on_gpOrthosteric Ligand6K42-α2b-Dexmedetomidine-Gi1/β1/γ2
25.00Consensusalpha_onOrthosteric Ligandalpha1_on alpha2_on
25.00Consensusccr_on_gpOrthosteric Ligandccr6_on_gp ccr8_on_gp ccr2_on_gp ccr1_on_gp ccr5_on_gp
25.00Consensuschemokine_on_gpOrthosteric Ligandccr_on_gp cxcr_on_gp
25.00Consensuscml1_on_gpOrthosteric Ligand7YKD-CML1-Chemerin-9-Gi1/β1/γ2
25.00Consensuscxcr4_offOrthosteric Ligand4RWS-CXCR4-vMIP-II 3OE0-CXCR4-CVX15 3OE6-CXCR4-IT1t
25.00Consensusdop_offOrthosteric Ligand4EJ4-δ-Naltrindole
25.00Consensusdop_onOrthosteric Ligand8F7S-δ-Deltorphin-Gi1/β1/γ2
25.00Consensusgi_apelinOrthosteric Ligand8XZH-Apelin; Apelin-MM07-Gi1/β1/γ2 7W0M-Apelin-PubChem 122701908-Gi1/β1/γ2 8XZJ-Apelin; Apelin-WN353-Gi1/β1/γ2 8XZF-Apelin; Apelin-WN561-Gi1/β1/γ2 8XZG-Apelin; Apelin-Apelin-13-Gi1/β1/γ2
25.00Consensusgi_chemokineOrthosteric Ligand6WWZ-CCR6-CCL20-Go/β1/γ2 8HNK-CXCR3-CXCL11-Gi1/β1/γ2 8K3Z-CXCR4-CXCL12-Gi1/β1/γ1 8IC0-CXCR1-CXCL8-Gi1/β1/γ2 6LFM-CXCR2-CXCL8-Gi1/β1/γ2 8KFX-CCR8-LMD-009-Gi1/β1/γ2 7F1Q-CCR5-CCL3-Gi1/β1/γ2 8HNL-CXCR3-PS372424-Gi1/β1/γ2 8KFY-CCR8-ZK-756326-Gi1/β1/γ2 7O7F-CCR5-6P4-CCL5-Gi1/β1/γ1 8U1U-CCR8-CCL1-Gi1/β1/γ2 7VLA-CCR1-CCL15(27-92)-Gi1/β1/γ2 7XA3-CCR2-CCL2-Gi1/β1/γ2
25.00Consensusgi_histamineOrthosteric Ligand8JXX-H4-Clobenpropit-Gi1/β1/γ2 8JXV-H4-Clozapine-Gi1/β1/γ2 8YUU-H3-Histamine-Gi1/β1/γ1 8HN8-H4-Histamine-Gi1/β1/γ2 8HOC-H4-Imetit-Gi1/β1/γ2 8JXW-H4-VUF6884-Gi1/β1/γ2
25.00Consensusgq_amineOrthosteric Ligandgq_muscarinic gq_histamine
25.00Consensusmc1_onOrthosteric Ligand7F4H-MC1-Afamelanotide-chim(NtGi1-Gs)/β1/γ2 7F4D-MC1-α-MSH-chim(NtGi1-Gs)/β1/γ2 7F4I-MC1-SHU9119-chim(NtGi1-Gs)/β1/γ2
25.00Consensusmc1_on_gpOrthosteric Ligand7F4H-MC1-Afamelanotide-chim(NtGi1-Gs)/β1/γ2 7F4D-MC1-α-MSH-chim(NtGi1-Gs)/β1/γ2 7F4I-MC1-SHU9119-chim(NtGi1-Gs)/β1/γ2
25.00Consensusmuscarinic_onOrthosteric Ligandm2_on m3_on m4_on m1_on
25.00Consensusmuscarinic_on_gpOrthosteric Ligandm2_on_gp m3_on_gp m4_on_gp m1_on_gp
25.00Consensusopioid_onOrthosteric Ligandmop_on nop_on dop_on kop_on
25.00Consensusopsins_onOrthosteric Ligandrhodopsin_on opsin1lw_on
25.00Consensusox2_onOrthosteric Ligand7L1V-OX2-PubChem 155491009-chim(NtGi1-Gs-CtGq)/β1/γ2 7SQO-OX2-TAK-925-Gi1/β1/γ2 7L1U-OX2-Orexin-chim(NtGi1-Gs-CtGq)/β1/γ2
25.00Consensusox2_on_gpOrthosteric Ligand7L1V-OX2-PubChem 155491009-chim(NtGi1-Gs-CtGq)/β1/γ2 7SQO-OX2-TAK-925-Gi1/β1/γ2 7L1U-OX2-Orexin-chim(NtGi1-Gs-CtGq)/β1/γ2
25.00Consensuspac_onOrthosteric Ligandpac1_on
25.00Consensussensory_onOrthosteric Ligandopsins_on
25.00Consensussst2_onOrthosteric Ligand7WIC-SST2-Somatostatin-14-Gi1/β1/γ2 7WIG-SST2-L-054264-Gi1/β1/γ2 7YAE-SST2-Octreotide-Gi1/β1/γ2 7YAC-SST2-Paltusotine-Gi1/β1/γ2
25.00Consensussst2_on_gpOrthosteric Ligand7WIC-SST2-Somatostatin-14-Gi1/β1/γ2 7WIG-SST2-L-054264-Gi1/β1/γ2 7YAE-SST2-Octreotide-Gi1/β1/γ2 7YAC-SST2-Paltusotine-Gi1/β1/γ2
25.00Consensusvpac1_onOrthosteric Ligand8E3Z-VPAC1-VIP-Gs/β1/γ2
24.14Consensusglp1_on_gpOrthosteric Ligand7S1M-GLP-1-Exendin-4-D-Ala-Gs/β1/γ2 7X8R-GLP-1-BOC5-Gs/β1/γ2 6X19-GLP-1-CHU-128-Gs/β1/γ2 6X1A-GLP-1-Danuglipron-Gs/β1/γ2 6X18-GLP-1-GLP-1-Gs/β1/γ2 8JIP-GLP-1-MEDI0382-chim(NtGi1-Gs)/β1/γ2 7C2E-GLP-1-PubChem 149050799-Gs/β1/γ2 7KI0-GLP-1-Semaglutide-Gs/β1/γ2 7KI1-GLP-1-Taspoglutide-Gs/β1/γ2 7X8S-GLP-1-WB4-24-Gs/β1/γ2 8JIS-GLP-1-Peptide-15-chim(NtGi1-Gs)/β1/γ2 7VBI-GLP-1-Tirzepatide (non-acylated)-Gs/β1/γ2
24.00Single5UIW5P7-CCL55UIW-CCR5-5P7-CCL5
24.00Single6NBFLA-PTH Analog6NBF-PTH1-LA-PTH Analog-Gs/β1/γ2
24.00Single6P9YPACAP276P9Y-PAC1-PACAP27-Gs/β1/γ2
24.00Single7KI0Semaglutide7KI0-GLP-1-Semaglutide-Gs/β1/γ2
24.00Single7W3ZGastrin Releasing Peptide7W3Z-BB2-Gastrin Releasing Peptide-chim(NtGi1L-Gq)/β1/γ2
24.00Single8E3XPACAP278E3X-PAC1-PACAP27-Gs/β1/γ2
24.00Single8H0PNMB308H0P-BB1-NMB30-chim(NtGi1-Gs-CtGq)/β1/γ2
24.00Single8JISPeptide-158JIS-GLP-1-Peptide-15-chim(NtGi1-Gs)/β1/γ2
24.00Single8XVEBQ30208XVE-ETB-BQ3020-chim(Gs-CtGq)/β1/γ2
24.00Single9BLWCagrilintide (non-acylated)9BLW-CT (AMY1)-Cagrilintide (non-acylated)-Gs/β1/γ2; RAMP1
24.00Single9BP3Cagrilintide9BP3-CT (AMY1)-Cagrilintide-Gs/β1/γ2; RAMP1
24.00Single9KFKRelaxin-39KFK-RXFP4-Relaxin-3-Gi2/β1/γ2
24.00Single9P92VIP9P92-PAC1-VIP-Gs/β1/γ2
24.00Consensusccr5_offOrthosteric Ligand5UIW-CCR5-5P7-CCL5
24.00Consensuscrf2_on_gpOrthosteric Ligand7TS0-CRF2-Urocortin-chim(NtGi1L-Go)/β1/γ2
24.00Consensusgi_compl-peptOrthosteric Ligand8HK5-C5a1-C5a-Gi1/β1/γ2 8IA8-C3aB-E7 peptide-Gi1/β1/γ2 7Y66-C5a1-BM213-Gi1/β1/γ2 7Y67-C5a1-C089 peptide-Gi1/β1/γ2 8HK2-C3aB-C3a-Gi1/β1/γ2 7Y64-C5a1-C5a-Gi1/β1/γ2
24.00Consensusgi_proteinOrthosteric Ligandgi_chemokine gi_chemerin
24.00Consensusnpy4_onOrthosteric Ligand7X9C-Y4-Pancreatic Hormone-Gi1/β1/γ2
24.00Consensusnpy4_on_gpOrthosteric Ligand7X9C-Y4-Pancreatic Hormone-Gi1/β1/γ2
24.00Consensusopioid_on_gpOrthosteric Ligandmop_on_gp nop_on_gp dop_on_gp kop_on_gp
24.00Consensuspac_on_gpOrthosteric Ligandpac1_on_gp
24.00Consensusprotein_on_gpOrthosteric Ligandchemokine_on_gp chemerin_on_gp
24.00Consensusvpac1_on_gpOrthosteric Ligand8E3Z-VPAC1-VIP-Gs/β1/γ2
23.81Single4AMJCarvedilol4AMJ-β1-Carvedilol
23.81Single4IB4Ergotamine4IB4-5-HT2B-Ergotamine
23.81Single7F4ISHU91197F4I-MC1-SHU9119-chim(NtGi1-Gs)/β1/γ2
23.81Single7QA8Antagonist Peptide7QA8-STE2; STE2-Antagonist Peptide
23.81Single7QA8Antagonist Peptide7QA8-STE2; STE2-Antagonist Peptide
23.81Single7T6UCGEN-855A7T6U-FPR2-ALX-CGEN-855A-Gi1/β1/γ2
23.81Single7TD4Siponimod7TD4-S1P1-Siponimod-Gi1/β1/γ2
23.81Single7WICSomatostatin-147WIC-SST2-Somatostatin-14-Gi1/β1/γ2
23.81Single7WKDTRH7WKD-TRH-TRH-chim(NtGi1-Gs-CtGq)/β1/γ2
23.81Single7XMRSomatostatin-147XMR-SST2-Somatostatin-14-Gi1/β1/γ2
23.81Single9BKJCholecystokinin-89BKJ-CCKA-Cholecystokinin-8-chim(NtGi1-Gs-CtGq)/β1/γ2
23.81Single9HB3Mambaquaretin-19HB3-V2-Mambaquaretin-1
23.81Consensuschemerin_on_gpOrthosteric Ligandcml1_on_gp
23.81Consensuschemokine_onOrthosteric Ligandccr_on cxcr_on
23.81Consensuscml1_onOrthosteric Ligand7YKD-CML1-Chemerin-9-Gi1/β1/γ2
23.81Consensusgi_chemerinOrthosteric Ligand7YKD-CML1-Chemerin-9-Gi1/β1/γ2
23.81Consensusgi_nucleotideOrthosteric Ligandgi_adenosine gi_p2y
23.81Consensusmc4_onOrthosteric Ligand7AUE-MC4-Setmelanotide-chim(NtGi1L-Gs)/β1/γ2 7F58-MC4-THIQ-Gs/β1/γ2 7F54-MC4-Afamelanotide-Gs/β1/γ2 7F53-MC4-α-MSH-Gs/β1/γ2 7F55-MC4-Bremelanotide-Gs/β1/γ2
23.81Consensusp2y_onOrthosteric Ligandp2y1_on p2y10_on p2y12_on
23.81Consensussomatostatin_offOrthosteric Ligandsst2_off
23.53Single5CGCHTL142425CGC-mGlu5-HTL14242
23.53Single5IUAQ274563485IUA-A2A-Q27456348-Na
23.53Single5N2SPSB365N2S-A1-PSB36
23.53Single5NM2ZM-2413855NM2-A2A-ZM-241385-Na
23.53Single5TVNLSD5TVN-5-HT2B-LSD
23.53Single5ZK33-quinuclidinyl-benzilate5ZK3-M2-3-quinuclidinyl-benzilate
23.53Single6LPLZM-2413856LPL-A2A-ZM-241385-Na
23.53Single6LUQHaloperidol6LUQ-D2-Haloperidol
23.53Single6S0QZM-2413856S0Q-A2A-ZM-241385
23.53Single6WQAZM-2413856WQA-A2A-ZM-241385-Na
23.53Single6XBKCholesterol6XBK-SMO-Cholesterol-Gi1/β1/γ2
23.53Single7BB7AVP7BB7-V2-AVP-Gs/β1/γ2
23.53Single7CKXA776367CKX-D1-A77636-Gs/β1/γ2
23.53Single7EPFNAM5977EPF-mGlu2-NAM597
23.53Single7RM5ZM-2413857RM5-A2A-ZM-241385-Na
23.53Single7SINNPS-21437SIN-CaS; CaS-NPS-2143
23.53Single7SINNPS-21437SIN-CaS; CaS-NPS-2143
23.53Single7VUHJNJ-635330547VUH-GPR139-JNJ-63533054-chim(Gs-CtGq)/β1/γ2
23.53Single7W41PD1762527W41-BB2-PD176252
23.53Single7WC6LSD7WC6-5-HT2A-LSD
23.53Single7WIGL-0542647WIG-SST2-L-054264-Gi1/β1/γ2
23.53Single7YU6ONO-07405567YU6-LPA1-ONO-0740556-Gi1/β1/γ2
23.53Single8E9ZIperoxo8E9Z-M3-Iperoxo-chim(NtGi2L-Gs-CtGq)/β1/γ2
23.53Single8FYNZM-2413858FYN-A2A-ZM-241385-Na
23.53Single8GDCPGE28GDC-EP3-PGE2-Gi1/β1/γ2
23.53Single8J18(3R)-3-Hydroxydodecanoic acid8J18-GPR84-(3R)-3-Hydroxydodecanoic acid-Gi1/β1/γ2
23.53Single8JXSPF-61428JXS-D1-PF-6142
23.53Single8YH0NECA8YH0-A3A-NECA-Gi1/β1/γ2
23.53Single8ZMFPubChem 1719206738ZMF-5-HT2C-PubChem 171920673
23.53Single8ZRKGSK12922638ZRK-GPR119-GSK1292263-Gs/β1/γ2
23.53Single8ZVZBW245C8ZVZ-DP1-BW245C-Gs/β1/γ2
23.53Single9ARZ2-bromo-LSD9ARZ-5-HT2A-2-bromo-LSD
23.53Single9AVLCa; Ca; Cyclomethyltryptophan; R-568; PO49AVL-CaS; CaS-Ca-Ca; Ca; Cyclomethyltryptophan; R-568; PO4-Gi3/β2/γ2
23.53Single9AXFCa; Ca; Ca; Cyclomethyltryptophan; R-568; PO49AXF-CaS; CaS-Ca-Ca; Ca; Ca; Cyclomethyltryptophan; R-568; PO4-chim(NtGi1-Gs-CtGq)/β1/γ2
23.53Single9B9ZMRI-18679B9Z-CB1-MRI-1867
23.53Single9DYDAsenapine9DYD-5-HT1A-Asenapine-PtdIns4P-Go/β1/γ2
23.53Single9EKHONO-30302979EKH-DP1-ONO-3030297
23.53Single9ERXD9-THC analog9ERX-CB1-D9-THC analog-Gi1/β1/γ2
23.53Single9F34FOB02-04A9F34-D3-FOB02-04A-Go/β1/γ2
23.53Single9IYBPGD29IYB-DP2-PGD2-A1D5Q-Gi1/β1/γ2
23.53Single9K07DSO-5a9K07-BB3-DSO-5a-chim(NtGi2L-Gs-CtGq)/β1/γ2
23.53Single9KO4CCL219KO4-CCR7-CCL21-Gi1/β1/γ2
23.53Single9KUTJR14a9KUT-C3aB-JR14a-Go/β1/γ2
23.53Single9M8POleic monoethanolamide9M8P-GPR3 ; GPR3-Oleic monoethanolamide-AF64394
23.53Single9PXYNaloxone9PXY-μ-Naloxone-GDPβS-Gi1/β1/γ2
23.53Consensus5ht1_onOrthosteric Ligand5ht1a_on 5ht1d_on 5ht1e_on 5ht1f_on
23.53Consensus5ht1_on_gpOrthosteric Ligand5ht1a_on_gp 5ht1d_on_gp 5ht1e_on_gp 5ht1f_on_gp
23.53Consensus5ht1e_on_gpOrthosteric Ligand7E33-5-HT1E-BRL-54443-Gi1/β1/γ2 8UGY-5-HT1E-Mianserin-Gi1/β1/γ1 8UH3-5-HT1E-Setiptiline-Gi1/β1/γ1
23.53Consensus5ht2_offOrthosteric Ligand5ht2a_off 5ht2b_off 5ht2c_off
23.53Consensusalpha_on_gpOrthosteric Ligandalpha1_on_gp alpha2_on_gp
23.53Consensusbb2_offOrthosteric Ligand7W41-BB2-PD176252
23.53Consensusbombesin_offOrthosteric Ligandbb2_off
23.53Consensusgq_muscarinicOrthosteric Ligand6OIJ-M1-Iperoxo-chim(NtGi1L-G11)/β1/γ2
23.53Consensusm1_onOrthosteric Ligand6OIJ-M1-Iperoxo-chim(NtGi1L-G11)/β1/γ2
23.53Consensusm2_offOrthosteric Ligand5ZKC-M2-N-methyl-Scopolamine 5ZK3-M2-3-quinuclidinyl-benzilate 5ZKB-M2-AF-DX 384
23.53Consensusm3_onOrthosteric Ligand8E9Z-M3-Iperoxo-chim(NtGi2L-Gs-CtGq)/β1/γ2 8E9W-M3-2-Deoxycytidine-chim(NtGi2L-Gs-CtGq)/β1/γ2 8E9Y-M3-Clozapine-N-oxide-chim(NtGi2L-Gs-CtGq)/β1/γ2
23.53Consensusm3_on_gpOrthosteric Ligand8E9Z-M3-Iperoxo-chim(NtGi2L-Gs-CtGq)/β1/γ2 8E9W-M3-2-Deoxycytidine-chim(NtGi2L-Gs-CtGq)/β1/γ2 8E9Y-M3-Clozapine-N-oxide-chim(NtGi2L-Gs-CtGq)/β1/γ2
23.53Consensusnucleotide_onOrthosteric Ligandadenosine_on p2y_on
23.08Single2J4Y11-cis-Retinal2J4Y-Rhodopsin-11-cis-Retinal
23.08Single3UZAGTPL92363UZA-A2A-GTPL9236
23.08Single6B3JExendin-P56B3J-GLP-1-Exendin-P5-Gs/β1/γ2
23.08Single6FUFAll-trans-Retinal6FUF-Rhodopsin-All-trans-Retinal-Go
23.08Single6OIKLY21196206OIK-M2-Iperoxo-LY2119620-chim(NtGi1-Go)/β1/γ2
23.08Single6VCBGLP-16VCB-GLP-1-GLP-1-LSN3160440-Gs/β1/γ2
23.08Single7F53Alpha-MSH7F53-MC4-α-MSH-Gs/β1/γ2
23.08Single7MT8All-trans-Retinal7MT8-Rhodopsin-All-trans-Retinal-GRK1
23.08Single7MT9All-trans-Retinal7MT9-Rhodopsin-All-trans-Retinal-GRK1
23.08Single7MTAAll-trans-Retinal7MTA-Rhodopsin-All-trans-Retinal-GRK1
23.08Single7WVYAmyloid-Beta427WVY-FPR2-ALX-Amyloid-β42-Gi2/β1/γ2
23.08Single8FEG(DNCP)-Beta-Naloxamine8FEG-κ-(DNCP)-β-Naloxamine-Gi1/β1/γ2
23.08Single8GGFConstrained Epinephrine8GGF-β2-Constrained Epinephrine-GTP-Gs/β1/γ2
23.08Single8HAOPTH8HAO-PTH1-PTH-chim(NtGi1-Gs)/β1/γ2
23.08Single8ITFDMCHA8ITF-TAA9-DMCHA-chim(NtGi1-Gs)/β1/γ2
23.08Single8IU2All-trans-Retinal8IU2-Opsin1LW-All-trans-Retinal-Gi1/β1/γ2
23.08Single8IW72-Phenylethylamine8IW7-TAA9-2-Phenylethylamine-chim(NtGi1-Gs)/β1/γ2
23.08Single8JXTHistamine8JXT-H4-Histamine-PO4-Gi1/β1/γ2
23.08Single8RQLFlufenamic acid8RQL-TAS2R14-Flufenamic acid-Flufenamic acid-chim(NtGi1-Gt3)/β1/γ2
23.08Single9IJRC179IJR-GPR52-C17-Arrestin2
23.08Single9IV15alpha-DHT9IV1-ADGRD1-5α-DHT-chim(NtGi1-Gs)/β1/γ2
23.08Single9JG1Adriforant9JG1-H4-Adriforant
23.08Single9K26PrRP319K26-PrRP-PrRP31-Gi1/β1/γ2
23.08Single9P94PACAP279P94-PAC1-PACAP27-Gs/β1/γ2
23.08Consensus5ht2_onOrthosteric Ligand5ht2b_on
23.08Consensus5ht2b_onOrthosteric Ligand7SRR-5-HT2B-LSD-chim(NtGi2L-Gs-CtGq)/β1/γ2
23.08Consensusgi_opsinsOrthosteric Ligand8IU2-Opsin1LW-All-trans-Retinal-Gi1/β1/γ2
23.08Consensusgi_sensoryOrthosteric Ligandgi_opsins
23.08Consensusopsin1lw_onOrthosteric Ligand8IU2-Opsin1LW-All-trans-Retinal-Gi1/β1/γ2
23.08Consensusopsin1lw_on_gpOrthosteric Ligand8IU2-Opsin1LW-All-trans-Retinal-Gi1/β1/γ2
23.08Consensusopsins_on_gpOrthosteric Ligandrhodopsin_on_gp opsin1lw_on_gp
23.08Consensusrhodopsin_onOrthosteric Ligand6OYA-Rhodopsin-All-trans-Retinal-Gt/β1/γ1
23.08Consensussensory_on_gpOrthosteric Ligandopsins_on_gp
22.73Single6HLOAprepitant6HLO-NK1-Aprepitant
22.73Single6WHCGlu16 analog of GCG6WHC-Glucagon-Glu16 analog of GCG-Gs/β1/γ2
22.73Single7DDZJNJ-310200287DDZ-Y2-JNJ-31020028
22.73Single7SK5CXCL127SK5-ACKR3-CXCL12
22.73Single7VBITirzepatide (non-acylated)7VBI-GLP-1-Tirzepatide (non-acylated)-Gs/β1/γ2
22.73Single7WJ5Somatostatin-147WJ5-SST2-Somatostatin-14-Gi1/β1/γ2
22.73Single8XYDPlatelet Activating Factor8XYD-PAF-Platelet Activating Factor-Gi1/β1/γ2
22.73Single9E82CXCL12 (fragment)9E82-ACKR3-CXCL12 (fragment)-Arrestin2
22.73Single9IQSMuscarinic toxin 39IQS-M4-Muscarinic toxin 3
22.73Single9KFIRelaxin-39KFI-RXFP3-Relaxin-3-Gi2/β1/γ2
22.73Single9KV6TLQP219KV6-C3aB-TLQP21-Go/β1/γ2
22.73Single9L60Dynorphin9L60-κ-Dynorphin-MPAM-15-Gi1/β1/γ2
22.73Single9UMXEP549UMX-C5a1-EP54-Go/β1/γ2
22.73Consensusgi_ghrelinOrthosteric Ligand7NA7-Ghrelin-Ghrelin-Gi1/β1/γ2 7NA8-Ghrelin-Ibutamoren-Gi1/β1/γ2
22.73Consensusmc4_on_gpOrthosteric Ligand7AUE-MC4-Setmelanotide-chim(NtGi1L-Gs)/β1/γ2 7F58-MC4-THIQ-Gs/β1/γ2 7F54-MC4-Afamelanotide-Gs/β1/γ2 7F53-MC4-α-MSH-Gs/β1/γ2 7F55-MC4-Bremelanotide-Gs/β1/γ2
22.73Consensusmc5_onOrthosteric Ligand8INR-MC5-α-MSH-Ca-chim(NtGi1-Gs)/β1/γ2 8IOD-MC5-PG-901-Ca-chim(NtGi1-Gs)/β1/γ2
22.73Consensusnpy2_offOrthosteric Ligand7DDZ-Y2-JNJ-31020028
22.58Consensusglucagon_on_gpOrthosteric Ligandglp_on_gp gluc_on_gp secretin_on_gp gip_on_gp
22.58Consensuspth_onOrthosteric Ligandpth1_on pth2_on
22.22Single3PDSFAUC503PDS-β2-FAUC50
22.22Single3SN6BI1671073SN6-β2-BI167107-Gs/β1/γ2
22.22Single3UON3-quinuclidinyl-benzilate3UON-M2-3-quinuclidinyl-benzilate
22.22Single4IAQDihydroergotamine4IAQ-5-HT1B-Dihydroergotamine
22.22Single4U15Tiotropium4U15-M3-Tiotropium
22.22Single5V54Methiothepin5V54-5-HT1B-Methiothepin
22.22Single5XRAAM115425XRA-CB1-AM11542
22.22Single5ZKBAF-DX 3845ZKB-M2-AF-DX 384
22.22Single6IGLIRL16206IGL-ETB-IRL1620
22.22Single6NI3BI1671076NI3-β2-BI167107-Gs/β1/γ2
22.22Single6O3CCholesterol6O3C-SMO-SAG21k-Cholesterol
22.22Single6OIJIperoxo6OIJ-M1-Iperoxo-chim(NtGi1L-G11)/β1/γ2
22.22Single6OL9Tiotropium6OL9-M5-Tiotropium
22.22Single6WGTLSD6WGT-5-HT2A-LSD
22.22Single6WZGSecretin6WZG-Secretin-Secretin-Gs/β1/γ2
22.22Single7B6WCyclazosin7B6W-α1b-Cyclazosin
22.22Single7EW1Siponimod7EW1-S1P5-Siponimod-Gi1/β1/γ2
22.22Single7F58THIQ7F58-MC4-THIQ-Gs/β1/γ2
22.22Single7FEECP559407FEE-CB1-CP55940-ZCZ011
22.22Single7JV5SKF812977JV5-D1-SKF81297-Gs/β1/γ2
22.22Single7M8W15r-Methyl-PGD27M8W-DP2-15r-Methyl-PGD2-Na
22.22Single7PX4PSB-21137PX4-A2A-PSB-2113
22.22Single7TRQIperoxo7TRQ-M4-Iperoxo-VU0467154-Gi1/β1/γ2
22.22Single7VGXNeuropeptide-Y7VGX-Y1-Neuropeptide-Y-Gi1/β1/γ2
22.22Single7XBDGalanin7XBD-GAL2-Galanin-chim(NtGi2L-Gs-CtGq)/β1/γ2
22.22Single7XOWSulfated Gastrin-(10-17)7XOW-CCKB-Sulfated Gastrin-(10-17)-chim(NtGi1-Gq)/β1/γ2
22.22Single7XY7NECA7XY7-A2B-NECA-chim(NtGi1-Gs)/β1/γ2
22.22Single7Y24Octreotide7Y24-SST2-Octreotide-Go/β1/γ2
22.22Single7Y67C089 peptide7Y67-C5a1-C089 peptide-Gi1/β1/γ2
22.22Single7YU7ONO-07405567YU7-LPA1-ONO-0740556-Gi1/β1/γ2
22.22Single8EA0Iperoxo8EA0-M3-Iperoxo
22.22Single8EFLSR170188EFL-μ-SR17018-Gi1/β1/γ2
22.22Single8GDBPGE28GDB-EP4-PGE2-Gs/β1/γ2
22.22Single8GUSHU-3088GUS-CB2-HU-308-Gi1/β1/γ2
22.22Single8HDOBAY 60-65838HDO-A2B-BAY 60-6583-Gs/β1/γ2
22.22Single8HPTC5a (C-terminal peptide)8HPT-C5a1-C5a (C-terminal peptide)-Go/β1/γ2
22.22Single8HQCC5a8HQC-C5a1-C5a-Go/β1/γ2
22.22Single8JLPRalmitaront8JLP-TA1-Ralmitaront-Gs/β1/γ2
22.22Single8JSRAnamorelin8JSR-Ghrelin-Anamorelin-chim(NtGi1-Gs-CtGq)/β1/γ2
22.22Single8JXXClobenpropit8JXX-H4-Clobenpropit-Gi1/β1/γ2
22.22Single8WJXADP8WJX-P2Y1-ADP-chim(Gs-CtGq)/β1/γ2
22.22Single8WU1MDMB-Fubinaca8WU1-CB1-MDMB-Fubinaca-Arrestin2
22.22Single8XZICMF-0198XZI-Apelin; Apelin-CMF-019-Gi1/β1/γ2
22.22Single8Y52BA18Y52-BB3-BA1-chim(NtGi1-Gs-CtGq)/β1/γ2
22.22Single8YNTSNAP-948478YNT-MCH1-SNAP-94847
22.22Single8ZR5Firuglipel8ZR5-GPR119-Firuglipel-Gs/β1/γ2
22.22Single9AYFCa; Ca; Ca; Cyclomethyltryptophan; R-568; PO49AYF-CaS; CaS-Ca-Ca; Ca; Ca; Cyclomethyltryptophan; R-568; PO4-Gi1/β1/γ2
22.22Single9BJKNaloxone9BJK-μ-Naloxone-PubChem 171642066
22.22Single9IJDCarazolol9IJD-β3-Carazolol-chim(NtGi1-Gs)/β1/γ2
22.22Single9IZGLPA9IZG-LPA1-LPA-chim(NtGi1-Gs-CtGq)/β1/γ2
22.22Single9JMCDS-3801b9JMC-Motilin-DS-3801b-chim(Gs-CtGq)/β1/γ2
22.22Single9L16CCL219L16-CCR7-CCL21
22.22Single9P93VIP9P93-PAC1-VIP-Gs/β1/γ2
22.22Single9PY3Loperamide9PY3-μ-Loperamide-GDPβS-Gi1/β1/γ2
22.22Single9PY4Loperamide9PY4-μ-Loperamide-GDPβS-Gi1/β1/γ2
22.22Single9UY3Anamorelin9UY3-Ghrelin-Anamorelin-chim(NtGi1-Gs-CtGq)/β1/γ2
22.22Single9WSTDAMGO9WST-μ-DAMGO-chim(NtGi1-Gz)/β1/γ2
22.22Consensus5ht1_offOrthosteric Ligand5ht1b_off
22.22Consensus5ht1b_offOrthosteric Ligand5V54-5-HT1B-Methiothepin
22.22Consensusgs_melanocortinOrthosteric Ligand7F4H-MC1-Afamelanotide-chim(NtGi1-Gs)/β1/γ2 7F54-MC4-Afamelanotide-Gs/β1/γ2 7F4D-MC1-α-MSH-chim(NtGi1-Gs)/β1/γ2 8INR-MC5-α-MSH-Ca-chim(NtGi1-Gs)/β1/γ2 7F53-MC4-α-MSH-Gs/β1/γ2 7F55-MC4-Bremelanotide-Gs/β1/γ2 8GY7-MC2-Corticotropin-Ca-chim(NtGi1-Gs)/β1/γ2; MRAP1 8IOC-MC3-γ-MSH-Ca-chim(NtGi1-Gs)/β1/γ2 8IOD-MC5-PG-901-Ca-chim(NtGi1-Gs)/β1/γ2 7AUE-MC4-Setmelanotide-chim(NtGi1L-Gs)/β1/γ2 7F4I-MC1-SHU9119-chim(NtGi1-Gs)/β1/γ2 7F58-MC4-THIQ-Gs/β1/γ2
22.22Consensush4_on_gpOrthosteric Ligand8HN8-H4-Histamine-Gi1/β1/γ2 8HOC-H4-Imetit-Gi1/β1/γ2 8JXV-H4-Clozapine-Gi1/β1/γ2 8JXW-H4-VUF6884-Gi1/β1/γ2 8JXX-H4-Clobenpropit-Gi1/β1/γ2
22.22Consensusm1_on_gpOrthosteric Ligand6OIJ-M1-Iperoxo-chim(NtGi1L-G11)/β1/γ2
22.22Consensusm5_offOrthosteric Ligand6OL9-M5-Tiotropium
22.22Consensusmotilin_onOrthosteric Ligand8IBU-Motilin-Erythromycin-A-chim(NtGi1-Gs-CtGq)/β1/γ2
22.22Consensusmuscarinic_offOrthosteric Ligandm2_off m3_off m4_off m5_off m1_off
22.22Consensusnpy_offOrthosteric Ligandnpy1_off npy2_off
22.22Consensuspth1_onOrthosteric Ligand6NBF-PTH1-LA-PTH Analog-Gs/β1/γ2 8HA0-PTH1-PTH-chim(NtGi1-Gs)/β1/γ2 8HAF-PTH1-PTHrP(1-36)-chim(NtGi1-Gs)/β1/γ2 7Y36-PTH1-PTH-Gs/β1/γ2 7Y35-PTH1-Abaloparatide-Gs/β1/γ2
22.22Consensuss1p5_onOrthosteric Ligand7EW1-S1P5-Siponimod-Gi1/β1/γ2
22.22Consensuss1p5_on_gpOrthosteric Ligand7EW1-S1P5-Siponimod-Gi1/β1/γ2
22.22Consensusvip-pacap_onOrthosteric Ligandvpac_on pac_on
22.22Consensusvip-pacap_on_gpOrthosteric Ligandvpac_on_gp pac_on_gp
22.22Consensusvpac2_onOrthosteric Ligand7VQX-VPAC1-PACAP27-Gs/β1/γ2
22.22Consensusvpac2_on_gpOrthosteric Ligand7VQX-VPAC1-PACAP27-Gs/β1/γ2
21.74Single3OE0CVX153OE0-CXCR4-CVX15
21.74Single6LW5WKYMVm6LW5-FPR2-ALX-WKYMVm
21.74Single6MEOGp160; CD46MEO-CCR5-Gp160; CD4
21.74Single6PT2KGCHM076PT2-δ-KGCHM07
21.74Single6UUNAdrenomedullin6UUN-CT Like (AM1)-Adrenomedullin-Gs/β1/γ2; RAMP2
21.74Single7F4DAlpha-MSH7F4D-MC1-α-MSH-chim(NtGi1-Gs)/β1/γ2
21.74Single7O7F6P4-CCL57O7F-CCR5-6P4-CCL5-Gi1/β1/γ1
21.74Single7T6TfMLFII7T6T-FPR1-ALX-fMLFII-Gi1/β1/γ2
21.74Single7TD2LPA7TD2-LPA1-LPA-Gi1/β1/γ2
21.74Single8K6NNeuropeptide-Y8K6N-Y2-Neuropeptide-Y-Gi2/β1/γ1
21.74Single8WKZSBL-MC-318WKZ-MC4-SBL-MC-31
21.74Single8XZGApelin-138XZG-Apelin; Apelin-Apelin-13-Gi1/β1/γ2
21.74Single9IVMGLP-1 (Truncated)9IVM-GLP-1-GLP-1 (Truncated)-LSN3318839-chim(NtGi1-Gs)/β2/γ2
21.74Single9LXRLA-PTH Analog9LXR-PTH1-LA-PTH Analog-Arrestin2
21.74Single9UYIChemerin-99UYI-CML2-Chemerin-9-Arrestin2
21.74Consensusclass-b1_class-b2_cons_onOrthosteric Ligandclass-b1_on class-b2_on
21.74Consensusclass-b1_class-b2_cons_on_gpOrthosteric Ligandclass-b1_on_gp class-b2_on_gp
21.74Consensusgs_cckOrthosteric Ligand7MBX-CCKA-Cholecystokinin-8-Gs/β1/γ1
21.43Single3PBLEticlopride3PBL-D3-Eticlopride
21.43Single5GLHEndothelin-15GLH-ETB-Endothelin-1
21.43Single6IGKEndothelin-36IGK-ETB-Endothelin-3
21.43Single6LI0C176LI0-GPR52-C17
21.43Single7DD5Ca; Ca; Tryptophan; NPS-21437DD5-CaS; CaS-Ca-Ca; Ca; Tryptophan; NPS-2143
21.43Single7DFLHistamine7DFL-H1-Histamine-chim(NtGi1L-Gq)/β1/γ2
21.43Single7E2YSerotonin7E2Y-5-HT1A-Serotonin-PtdIns4P-Gi1/β1/γ2
21.43Single7SRQLSD7SRQ-5-HT2B-LSD
21.43Single7TRPLY20332987TRP-M4-Iperoxo-LY2033298-Gi1/β1/γ2
21.43Single7XP6Strychnine7XP6-TAS2R46-Strychnine-chim(Gs-CtGt3)/β1/γ2
21.43Single7XTASerotonin7XTA-5-HT4-Serotonin-Gi1/β1/γ2
21.43Single7YFCHistamine7YFC-H4-Histamine-chim(NtGi1-Gs-CtGq)/β1/γ2
21.43Single7YS6Serotonin7YS6-5-HT6-Serotonin-chim(NtGi1-Gs)/β1/γ2
21.43Single8DPFLorcaserin8DPF-5-HT2C-Lorcaserin-chim(NtGi2L-Gs-CtGq)/β1/γ2
21.43Single8RWHStilSwitch28RWH-A2A-StilSwitch2-Na
21.43Single8UO4Constrained Epinephrine8UO4-β2-Constrained Epinephrine-GTP; Mg-Gs/β1/γ2
21.43Single8YN4Histamine8YN4-H2-Histamine-chim(NtGi1L-Gs-CtGq)/β1/γ2
21.43Single9AS2DMT9AS2-5-HT2A-DMT-chim(NtGi1-Gs-CtGq)/β1/γ2
21.43Single9B9YTaranabant9B9Y-CB1-Taranabant
21.43Single9IJEEpinephrine9IJE-β3-Epinephrine-chim(NtGi1-Gs)/β1/γ2
21.43Single9IXJHistamine9IXJ-H2-Histamine-Gs/β1/γ2
21.43Single9KUWCMPD6449KUW-Apelin; Apelin-CMPD644-Arrestin2 ; Arrestin2
21.43Consensus5ht4_onOrthosteric Ligand7XTA-5-HT4-Serotonin-Gi1/β1/γ2
21.43Consensus5ht4_on_gpOrthosteric Ligand7XTA-5-HT4-Serotonin-Gi1/β1/γ2
21.43Consensusccr5_on_gpOrthosteric Ligand7O7F-CCR5-6P4-CCL5-Gi1/β1/γ1 7F1Q-CCR5-CCL3-Gi1/β1/γ2
21.43Consensusclass-a_class-b1_cons_onOrthosteric Ligandclass-a_on class-b1_on
21.43Consensuscrf1_onOrthosteric Ligand6PB0-CRF1-Urocortin-chim(NtGi1-Gs)/β1/γ2 6P9X-CRF1-Corticoliberin-1-Gs/β1/γ2
21.43Consensusd3_offOrthosteric Ligand3PBL-D3-Eticlopride
21.43Consensusgip_onOrthosteric Ligand7FIN-GIP-Peptide-20; GGL-Gs/β1/γ2 7FIY-GIP-Tirzepatide-Gs/β1/γ2 7DTY-GIP-GIP-Gs/β1/γ2
21.43Consensusgip_on_gpOrthosteric Ligand7FIN-GIP-Peptide-20; GGL-Gs/β1/γ2 7FIY-GIP-Tirzepatide-Gs/β1/γ2 7DTY-GIP-GIP-Gs/β1/γ2
21.43Consensusgq_nucleotideOrthosteric Ligandgq_p2y
21.43Consensusgq_p2yOrthosteric Ligand7XXH-P2Y1-2MeSADP-chim(NtGi1-G11)/β1/γ2
21.43Consensush1_onOrthosteric Ligand7DFL-H1-Histamine-chim(NtGi1L-Gq)/β1/γ2
21.21Single7F16TIP397F16-PTH2-TIP39-Gs/β1/γ2
21.21Consensuspth2_on_gpOrthosteric Ligand7F16-PTH2-TIP39-Gs/β1/γ2
21.05Single4RWADIPP-NH24RWA-δ-DIPP-NH2
21.05Single4Z36ONO-30805734Z36-LPA1-ONO-3080573
21.05Single5CXVTiotropium5CXV-M1-Tiotropium
21.05Single5F8UCyanopindolol5F8U-β1-Cyanopindolol
21.05Single6IIURamatroban6IIU-TXA2-Ramatroban
21.05Single6KQICP559406KQI-CB1-CP55940-Org27569
21.05Single6XBLCholesterol6XBL-SMO-SAG-Cholesterol-Gi1/β1/γ2
21.05Single7EVYSiponimod7EVY-S1P1-Siponimod-Gi1/β1/γ2
21.05Single7F55Bremelanotide7F55-MC4-Bremelanotide-Gs/β1/γ2
21.05Single7L1VPubChem 1554910097L1V-OX2-PubChem 155491009-chim(NtGi1-Gs-CtGq)/β1/γ2
21.05Single7SUSPubChem 1227019087SUS-Apelin-PubChem 122701908
21.05Single7T6BS1P7T6B-S1P2-S1P-chim(NtGi1L-G13)/β1/γ2
21.05Single7W0LPubChem 1227019087W0L-Apelin; Apelin-PubChem 122701908-Gi1/β1/γ2
21.05Single7XW9TRH7XW9-TRH-TRH-chim(NtGi1L-Gs-CtGq)/β1/γ2
21.05Single8E9W2-Deoxycytidine8E9W-M3-2-Deoxycytidine-chim(NtGi2L-Gs-CtGq)/β1/γ2
21.05Single8H0QGastrin Releasing Peptide8H0Q-BB2-Gastrin Releasing Peptide-chim(NtGi1-Gs-CtGq)/β1/γ2
21.05Single8I9AEP548I9A-C3aB-EP54-chim(NtGi1-Gs-CtGq)/β1/γ2
21.05Single8IBUErythromycin-A8IBU-Motilin-Erythromycin-A-chim(NtGi1-Gs-CtGq)/β1/γ2
21.05Single8ID9Icosapent8ID9-FFA4-Icosapent-Gi1/β1/γ2
21.05Single8IQ6Latanoprost8IQ6-FP-alpha-Latanoprost-chim(NtGi1-Gs-CtGq)/β1/γ2
21.05Single8IRSRotigotine8IRS-D2-Rotigotine-Gi1/β1/γ2
21.05Single8JJPChemerin-98JJP-CML2-Chemerin-9-Gi1/β1/γ2
21.05Single8VHFMBX-29828VHF-GPR119-MBX-2982-Gs/β1/γ2
21.05Single8W1VPubChem 1717162658W1V-β2-PubChem 171716265
21.05Single8XQSCholesterol8XQS-TAS2R14-Cholesterol-Flufenamic acid-Gi1/β1/γ1
21.05Single9EK0Iperoxo9EK0-M5-Iperoxo-chim(NtGi1-Gs-CtGq)/β1/γ2
21.05Single9L3WChemerin9L3W-CML1-Chemerin-Gi1/β1/γ2
21.05Single9VIFNeuropeptide-VF9VIF-NPFF1-Neuropeptide-VF-Gi1/β1/γ2
21.05Single9WSVDAMGO9WSV-μ-DAMGO-Arrestin2
21.05Single9WSWEndomorphin9WSW-μ-Endomorphin-chim(NtGi1-Gz)/β1/γ2
21.05Single9YDQDADLE9YDQ-δ-DADLE-MIPS3614-chim(NtGi1L-Gs-CtGi1)/β1/γ2
21.05Consensusccr8_onOrthosteric Ligand8KFX-CCR8-LMD-009-Gi1/β1/γ2 8KFY-CCR8-ZK-756326-Gi1/β1/γ2 8U1U-CCR8-CCL1-Gi1/β1/γ2
21.05Consensusgalanin_onOrthosteric Ligandgal2_on gal1_on
21.05Consensusgalanin_on_gpOrthosteric Ligandgal2_on_gp gal1_on_gp
21.05Consensusgi_amineOrthosteric Ligandgi_5ht gi_muscarinic gi_adrenergic gi_dopamine gi_histamine
21.05Consensusgi_muscarinicOrthosteric Ligand8E9X-M4-2-Deoxycytidine-chim(NtGi1-Go)/β1/γ2 7T8X-M2-Acetylcholine-chim(NtGi1-Go)/β1/γ2 7TRS-M4-Acetylcholine-Gi1/β1/γ2 7TRK-M4-Iperoxo-Gi1/β1/γ2 7V6A-M4-PubChem 9864275-Gi1/β1/γ2
21.05Consensuslpa1_offOrthosteric Ligand4Z36-LPA1-ONO-3080573 4Z35-LPA1-ONO-9910539 4Z34-LPA1-ONO-9780307
21.05Consensuslpa_offOrthosteric Ligandlpa1_off
21.05Consensusm1_offOrthosteric Ligand5CXV-M1-Tiotropium
21.05Consensusmotilin_on_gpOrthosteric Ligand8IBU-Motilin-Erythromycin-A-chim(NtGi1-Gs-CtGq)/β1/γ2
21.05Consensusnk1_offOrthosteric Ligand6HLP-NK1-Netupitant 6HLO-NK1-Aprepitant 6HLL-NK1-CP99994 6E59-NK1-L-760735
21.05Consensusorexin_onOrthosteric Ligandox2_on
21.05Consensustrh_onOrthosteric Ligand7XW9-TRH-TRH-chim(NtGi1L-Gs-CtGq)/β1/γ2
21.05Consensustrh_on_gpOrthosteric Ligand7XW9-TRH-TRH-chim(NtGi1L-Gs-CtGq)/β1/γ2
20.83Single6METGp160; CD46MET-CCR5-Gp160; CD4
20.83Single6WI9Secretin6WI9-Secretin-Secretin-Gs/β1/γ2
20.83Single7F4HAfamelanotide7F4H-MC1-Afamelanotide-chim(NtGi1-Gs)/β1/γ2
20.83Single7FINPeptide-20; GGL7FIN-GIP-Peptide-20; GGL-Gs/β1/γ2
20.83Single7XK8Neuromedin-U-257XK8-NMUR2-Neuromedin-U-25-Gi1/β1/γ2
20.83Single8H4KGW95088H4K-FFA4-GW9508-chim(NtGi1-Gs-CtGq)/β1/γ2
20.83Single8YW4Retatrutide8YW4-GIP-Retatrutide-chim(NtGi1-Gs)/β1/γ2
20.83Single9BUDCagrilintide9BUD-CT-Cagrilintide-Gs/β1/γ2
20.83Single9EBOGLP-1 (ACPC18)9EBO-GLP-1-GLP-1 (ACPC18)-Gs/β1/γ2
20.83Consensuscrf2_onOrthosteric Ligand7TS0-CRF2-Urocortin-chim(NtGi1L-Go)/β1/γ2
20.83Consensusgi_formylpeptideOrthosteric Ligand7WVY-FPR2-ALX-Amyloid-β42-Gi2/β1/γ2 7T6U-FPR2-ALX-CGEN-855A-Gi1/β1/γ2 7VFX-FPR1-ALX-fMIFL-Gi1/β1/γ2 7T6V-FPR2-ALX-fMLFII-Gi1/β1/γ2 7WVX-FPR2-ALX-Humanin-Gi2/β1/γ2 7T6S-FPR2-ALX-TC-FPR 43-Gi1/β1/γ2 6OMM-FPR2-ALX-WKYMVX-Gi1/β1/γ2
20.83Consensusmc5_on_gpOrthosteric Ligand8INR-MC5-α-MSH-Ca-chim(NtGi1-Gs)/β1/γ2 8IOD-MC5-PG-901-Ca-chim(NtGi1-Gs)/β1/γ2
20.83Consensusp2y_on_gpOrthosteric Ligandp2y1_on_gp p2y10_on_gp p2y12_on_gp
20.69Single6LPBPACAP276LPB-PAC1-PACAP27-Gs/β1/γ1
20.69Single8FLSAbaloparatide8FLS-PTH1-Abaloparatide-Gs/β1/γ2
20.69Single8FLULA-PTH Analog8FLU-PTH1-LA-PTH Analog-Gs/β1/γ2
20.69Single9AUCCalcitonin gene-related peptide-19AUC-CT (AMY1)-Calcitonin gene-related peptide-1-Gs/β1/γ2; RAMP1
20.69Consensusglp1_onOrthosteric Ligand7S1M-GLP-1-Exendin-4-D-Ala-Gs/β1/γ2 7X8R-GLP-1-BOC5-Gs/β1/γ2 6X19-GLP-1-CHU-128-Gs/β1/γ2 6X1A-GLP-1-Danuglipron-Gs/β1/γ2 6X18-GLP-1-GLP-1-Gs/β1/γ2 8JIP-GLP-1-MEDI0382-chim(NtGi1-Gs)/β1/γ2 7C2E-GLP-1-PubChem 149050799-Gs/β1/γ2 7KI0-GLP-1-Semaglutide-Gs/β1/γ2 7KI1-GLP-1-Taspoglutide-Gs/β1/γ2 7X8S-GLP-1-WB4-24-Gs/β1/γ2 8JIS-GLP-1-Peptide-15-chim(NtGi1-Gs)/β1/γ2 7VBI-GLP-1-Tirzepatide (non-acylated)-Gs/β1/γ2
20.69Consensusmelanocortin_onOrthosteric Ligandmc1_on mc4_on mc2_on mc3_on mc5_on
20.69Consensusmelanocortin_on_gpOrthosteric Ligandmc1_on_gp mc4_on_gp mc2_on_gp mc3_on_gp mc5_on_gp
20.59Single8F0JPramlintide Analogue San458F0J-CT-Pramlintide Analogue San45-Gs/β1/γ2
20.00Single2X72All-trans-Retinal2X72-Rhodopsin-All-trans-Retinal-Gt(CT)
20.00Single3VG9ZM-2413853VG9-A2A-ZM-241385-Antibody
20.00Single3VGAZM-2413853VGA-A2A-ZM-241385-Antibody
20.00Single4MQTLY21196204MQT-M2-Iperoxo-LY2119620
20.00Single4RWSvMIP-II4RWS-CXCR4-vMIP-II
20.00Single4Z35ONO-99105394Z35-LPA1-ONO-9910539
20.00Single5CGDHTL142425CGD-mGlu5-HTL14242
20.00Single5K2DZM-2413855K2D-A2A-ZM-241385-Na
20.00Single5OLHVipadenant5OLH-A2A-Vipadenant-Na
20.00Single5OLOTozadenant5OLO-A2A-Tozadenant-Na
20.00Single5OLVLUAA470705OLV-A2A-LUAA47070-Na
20.00Single5U09Taranabant5U09-CB1-Taranabant
20.00Single6DDFDAMGO6DDF-μ-DAMGO-Gi1/β1/γ2
20.00Single6DS0LY2660976DS0-5-HT2B-LY266097
20.00Single6JZHZM-2413856JZH-A2A-ZM-241385-Na
20.00Single6KPGAM8416KPG-CB1-AM841-Gi1/β1/γ2
20.00Single6LFOCXCL86LFO-CXCR2-CXCL8-Gi1/β1/γ2
20.00Single6LRYSarafotoxin-B6LRY-ETB-Sarafotoxin-B
20.00Single6ME2Ramelteon6ME2-MT1-Ramelteon
20.00Single6PS7ZM-2413856PS7-A2A-ZM-241385-Na
20.00Single6WPWZP37806WPW-Glucagon-ZP3780-Gs/β1/γ2
20.00Single7CX4Evatanepag7CX4-EP2-Evatanepag-Gs/β1/γ2
20.00Single7EVZCenerimod7EVZ-S1P1-Cenerimod-Gi1/β1/γ2
20.00Single7F1ODopamine7F1O-D1-Dopamine-GDP; Mg-Gs/β1/γ2
20.00Single7LCJDanuglipron7LCJ-GLP-1-Danuglipron
20.00Single7LJDDopamine7LJD-D1-Dopamine-Mevidalen-Gs/β1/γ1
20.00Single7PIUSetmelanotide7PIU-MC4-Setmelanotide-Gs/β1/γ2
20.00Single7QBIAlpha-factor mating pheromone7QBI-STE2; STE2-α-factor mating pheromone
20.00Single7SRRLSD7SRR-5-HT2B-LSD-chim(NtGi2L-Gs-CtGq)/β1/γ2
20.00Single7SRSLSD7SRS-5-HT2B-LSD-Arrestin2
20.00Single7VVMPTH7VVM-PTH1-PTH-Gs/β1/γ2
20.00Single7VVNPTH7VVN-PTH1-PTH-Gs/β1/γ2
20.00Single7X5H5-CT7X5H-5-HT5A-5-CT-Gi1/β1/γ2
20.00Single7X9BNeuropeptide-Y7X9B-Y2-Neuropeptide-Y-Gi1/β1/γ2
20.00Single7X9CPancreatic Hormone7X9C-Y4-Pancreatic Hormone-Gi1/β1/γ2
20.00Single7XRRLemborexant7XRR-OX2-Lemborexant
20.00Single7YU8ONO-07405567YU8-LPA1-ONO-0740556-Gi1/β1/γ2
20.00Single8DU3PubChem 1055260648DU3-A2A-PubChem 105526064
20.00Single8DWGML3828DWG-MRGPRX1-BAM8-22-ML382-chim(NtGi2L-Gs-CtGq)/β1/γ2
20.00Single8E9YClozapine-N-oxide8E9Y-M3-Clozapine-N-oxide-chim(NtGi2L-Gs-CtGq)/β1/γ2
20.00Single8F2BPramlintide Analogue San458F2B-CT (AMY3)-Pramlintide Analogue San45-Gs/β1/γ2; RAMP3
20.00Single8H8JLodoxamide8H8J-GPR35-Lodoxamide-Ca-chim(NtGi1L-G13)/β1/γ2
20.00Single8IODPG-9018IOD-MC5-PG-901-Ca-chim(NtGi1-Gs)/β1/γ2
20.00Single8K4OCXCL18K4O-KSHV-CXCL1-Gi1/β1/γ1
20.00Single8RVWStilSwitch38RVW-A2A-StilSwitch3-Na
20.00Single8RW4AzoSwitch28RW4-A2A-AzoSwitch2-Na
20.00Single8RWEStilSwitch48RWE-A2A-StilSwitch4-Na
20.00Single8TZQDopamine8TZQ-D2-Dopamine-Go/β1/γ2
20.00Single8U4PAMD31008U4P-CXCR4-AMD3100-Gi1/β1/γ2
20.00Single8XVIEndothelin-18XVI-ETA-Endothelin-1-chim(Gs-CtGq)/β1/γ2
20.00Single8XVJMacitentan8XVJ-ETA-Macitentan
20.00Single8ZPLHF511168ZPL-CXCR4-HF51116
20.00Single9C0KExendin-49C0K-GLP-1-Exendin-4-Gs/β1/γ2
20.00Single9CGJC6-Quino9CGJ-δ-C6-Quino-Gi1/β1/γ2
20.00Single9FUPIstradefylline9FUP-A2A-Istradefylline-Na
20.00Single9H2XPubChem 1756706449H2X-A2A-PubChem 175670644-Na
20.00Single9J5VCpY9J5V-LPA1-CpY-Gi1/β1/γ2
20.00Single9JR2PTH9JR2-PTH1-PTH-chim(NtGi1L-Gs-CtGq)/β1/γ2
20.00Single9KO2CCL199KO2-CCR7-CCL19-Gi1/β1
20.00Single9KO6CCL199KO6-CCR7-CCL19
20.00Single9KVHCinobufotenine9KVH-5-HT1A-Cinobufotenine-PtdIns4P-Gi1/β1/γ2
20.00Single9LL9DOI9LL9-5-HT2A-DOI-chim(NtGi1L-Gs-CtGq)/β1/γ2
20.00Single9M88Oleic monoethanolamide9M88-GPR3 ; GPR3-Oleic monoethanolamide-AF64394
20.00Single9PXUNaloxone9PXU-μ-Naloxone-Na
20.00Single9UYMChemerin-99UYM-CML2-Chemerin-9-chim(Arrestin3-CtArrestin2)
20.00Single9YDPDADLE9YDP-δ-DADLE-chim(NtGi1L-Gs-CtGi1)/β1/γ2
20.00Consensus5ht2_on_gpOrthosteric Ligand5ht2b_on_gp
20.00Consensus5ht2b_on_gpOrthosteric Ligand7SRR-5-HT2B-LSD-chim(NtGi2L-Gs-CtGq)/β1/γ2
20.00Consensus5ht_onOrthosteric Ligand5ht1_on 5ht2_on 5ht4_on 5ht5_on 5ht6_on 5ht7_on
20.00Consensuscalcitonin_onOrthosteric Ligandctlike_on
20.00Consensuschemerin_onOrthosteric Ligandcml1_on
20.00Consensuscrf1_on_gpOrthosteric Ligand6PB0-CRF1-Urocortin-chim(NtGi1-Gs)/β1/γ2 6P9X-CRF1-Corticoliberin-1-Gs/β1/γ2
20.00Consensuscxcr1_onOrthosteric Ligand8IC0-CXCR1-CXCL8-Gi1/β1/γ2
20.00Consensusgal2_onOrthosteric Ligand7WQ4-GAL2-Galanin-chim(NtGi1-Gs-CtGq)/β1/γ2 7XJL-GAL2-Spexin-chim(NtGi2L-Gs-CtGq)/β1/γ2
20.00Consensusgal2_on_gpOrthosteric Ligand7WQ4-GAL2-Galanin-chim(NtGi1-Gs-CtGq)/β1/γ2 7XJL-GAL2-Spexin-chim(NtGi2L-Gs-CtGq)/β1/γ2
20.00Consensusgs_5htOrthosteric Ligand7XTC-5-HT7-5-CT-Gs/β1/γ2 7XTB-5-HT6-Serotonin-Gs/β1/γ2 8JLZ-5-HT6-ST1936-Gs/β1/γ2 7XT8-5-HT4-Serotonin-Gs/β1/γ2
20.00Consensusorexin_on_gpOrthosteric Ligandox2_on_gp
20.00Consensusp2y1_onOrthosteric Ligand7XXH-P2Y1-2MeSADP-chim(NtGi1-G11)/β1/γ2
20.00Consensuspeptide_offOrthosteric Ligandcck_off angiotensin_off bombesin_off endothelin_off ghrelin_off npy_off opioid_off orexin_off somatostatin_off tachykinin_off vasop-oxy_off neurotensin_off
20.00Consensuspth1_on_gpOrthosteric Ligand6NBF-PTH1-LA-PTH Analog-Gs/β1/γ2 8HA0-PTH1-PTH-chim(NtGi1-Gs)/β1/γ2 8HAF-PTH1-PTHrP(1-36)-chim(NtGi1-Gs)/β1/γ2 7Y36-PTH1-PTH-Gs/β1/γ2 7Y35-PTH1-Abaloparatide-Gs/β1/γ2
20.00Consensuspth_on_gpOrthosteric Ligandpth1_on_gp pth2_on_gp
20.00Consensussensory_offonOrthosteric Ligandsensory_off sensory_on
20.00Consensussensory_offon_gpOrthosteric Ligandsensory_on_gp sensory_on
20.00Consensusvpac_onOrthosteric Ligandvpac1_on vpac2_on
19.35Single7TYYCalcitonin-17TYY-CT (AMY2)-Calcitonin-1-Gs/β1/γ2; RAMP2
19.35Single7X9ANeuropeptide-Y7X9A-Y1-Neuropeptide-Y-Gi1/β1/γ2
19.35Single7Y36PTH7Y36-PTH1-PTH-Gs/β1/γ2
19.35Single8FLQPTH8FLQ-PTH1-PTH-Gs/β1/γ2
19.35Single9JR3PTH9JR3-PTH1-PTH-chim(NtGi1L-Gs-CtGq)/β1/γ2
19.35Consensusclass-a_class-b1_cons_on_gpOrthosteric Ligandclass-a_on_gp class-b1_on_gp
19.35Consensusglucagon_onOrthosteric Ligandglp_on gluc_on secretin_on gip_on
19.35Consensuspth2_onOrthosteric Ligand7F16-PTH2-TIP39-Gs/β1/γ2
19.23Single6NBILA-PTH Analog6NBI-PTH1-LA-PTH Analog-Gs/β1/γ2
19.23Single7CZ5Somatoliberin7CZ5-GHRH-Somatoliberin-Gs/β1/γ2
19.23Single7D3SSecretin7D3S-Secretin-Secretin-Gs/β1/γ2
19.23Single7QBIAlpha-factor mating pheromone7QBI-STE2; STE2-α-factor mating pheromone
19.23Single7RA3GIP7RA3-GIP-GIP-chim(NtGi1-Gs)/β1/γ2
19.23Single7SK3CXCL127SK3-ACKR3-CXCL12
19.23Single7VABTirzepatide (non-acylated)7VAB-GIP-Tirzepatide (non-acylated)-chim(NtGi1-Gs)/β1/γ2
19.23Single9J1Pg1:Ox9J1P-GLP-1-g1:Ox-chim(NtGi1-Gs)/β1/γ2
19.23Consensuscalcitonin_on_gpOrthosteric Ligandctlike_on_gp
19.23Consensusccr5_onOrthosteric Ligand7O7F-CCR5-6P4-CCL5-Gi1/β1/γ1 7F1Q-CCR5-CCL3-Gi1/β1/γ2
19.23Consensusvpac_on_gpOrthosteric Ligandvpac1_on_gp vpac2_on_gp
19.05Single6G79Donitriptan6G79-5-HT1B-Donitriptan-Go/β1/γ2
19.05Single6PT3DPI-2876PT3-δ-DPI-287
19.05Single7AUESetmelanotide7AUE-MC4-Setmelanotide-chim(NtGi1L-Gs)/β1/γ2
19.05Single7CX2PGE27CX2-EP2-PGE2-Gs/β1/γ2
19.05Single7F9ZGHRP-67F9Z-Ghrelin-GHRP-6-chim(NtGi1-Gs-CtGq)/β1/γ2
19.05Single7S8LCortistatin-147S8L-MRGPRX2-Cortistatin-14-chim(NtGi2L-Gs-CtGq)/β1/γ2
19.05Single7Y1FDynorphin7Y1F-κ-Dynorphin-Gi1/β1/γ2
19.05Single8QJ2pN1628QJ2-MC4-pN162-Gs/β1/γ2
19.05Single8XX6CXCL88XX6-CXCR2-CXCL8-Go/β1/γ2
19.05Single9CGKC5-Quino9CGK-δ-C5-Quino-Gi1/β1/γ2
19.05Single9JF4PD1683689JF4-BB1-PD168368
19.05Single9KX6C5a-des-Arg9KX6-C5a1-C5a-des-Arg-Go/β1/γ2
19.05Single9V2NMacimorelin9V2N-Ghrelin-Macimorelin-chim(NtGi1-Gs-CtGq)/β1/γ2
19.05Consensusnmur1_onOrthosteric Ligand7W53-NMUR1-Neuromedin-U-25-chim(NtGi1-Gs-CtGq)/β1/γ2
18.75Single1F8811-cis-Retinal1F88-Rhodopsin-11-cis-Retinal
18.75Single4DKLBeta-Funaltrexamine4DKL-μ-β-Funaltrexamine
18.75Single4MQTIperoxo4MQT-M2-Iperoxo-LY2119620
18.75Single4N6HNaltrindole4N6H-δ-Naltrindole-Na
18.75Single5IU7Q274563465IU7-A2A-Q27456346-Na
18.75Single5JTBZM-2413855JTB-A2A-ZM-241385
18.75Single5K2BZM-2413855K2B-A2A-ZM-241385-Na
18.75Single5NLXZM-2413855NLX-A2A-ZM-241385-Na
18.75Single6A94Zotepine6A94-5-HT2A-Zotepine
18.75Single6IQLL7458706IQL-D4-L745870
18.75Single6ME42-Iodomelatonin6ME4-MT1-2-Iodomelatonin
18.75Single6MH8ZM-2413856MH8-A2A-ZM-241385
18.75Single6WJCAtropine6WJC-M1-Atropine-Muscarinic toxin 7
18.75Single6ZDRHMS1413f126ZDR-A2A-HMS1413f12-Na
18.75Single6ZDVPubChem 9840736ZDV-A2A-PubChem 984073-Na
18.75Single7C2EPubChem 1490507997C2E-GLP-1-PubChem 149050799-Gs/β1/γ2
18.75Single7CKWFenoldopam7CKW-D1-Fenoldopam-Gs/β1/γ2
18.75Single7CMVPD1289077CMV-D3-PD128907-Gi1/β1/γ2
18.75Single7E33BRL-544437E33-5-HT1E-BRL-54443-Gi1/β1/γ2
18.75Single7EJ8Brimonidine7EJ8-α2a-Brimonidine-Go/β1/γ2
18.75Single7F24Dopamine7F24-D1-Dopamine-GDP-Gs/β1/γ2
18.75Single7WC9PubChem 1624213647WC9-5-HT2A-PubChem 162421364
18.75Single7XOVSR1461317XOV-CCKA-SR146131-Gs/β1/γ2
18.75Single8DPGPsilocin8DPG-5-HT2C-Psilocin-chim(NtGi2L-Gs-CtGq)/β1/γ2
18.75Single8JSPUlotaront8JSP-5-HT1A-Ulotaront-Gi1/β1/γ2
18.75Single8RQQZM-2413858RQQ-A2A-ZM-241385-Na
18.75Single8U02Dopamine8U02-D2-Dopamine-Go/β1/γ2
18.75Single8V6UPubChem 1713924568V6U-5-HT2A-PubChem 171392456-chim(NtGi2-Gs-CtGq)/β1/γ2
18.75Single8X7ATreprostinil8X7A-I2-Treprostinil-Gs/β1/γ2
18.75Single8YN3Histamine8YN3-H2-Histamine-Gs/β1/γ2
18.75Single8ZBWQuin-C18ZBW-FPR2-ALX-Quin-C1-Gi2/β1/γ2
18.75Single9AS8Psilocin9AS8-5-HT2A-Psilocin-chim(NtGi2L-Gs-CtGq)/β1/γ2
18.75Single9ASBCa; Ca; Cyclomethyltryptophan; R-568; PO49ASB-CaS; CaS-Ca-Ca; Ca; Cyclomethyltryptophan; R-568; PO4-chim(NtGi1-Gs-CtGq)/β1/γ2
18.75Single9AXFCa; Ca; Ca; Cyclomethyltryptophan; R-568; PO49AXF-CaS; CaS-Ca-Ca; Ca; Ca; Cyclomethyltryptophan; R-568; PO4-chim(NtGi1-Gs-CtGq)/β1/γ2
18.75Single9EPQ11,20-Ethanoretinal9EPQ-Rhodopsin-11,20-Ethanoretinal-chim(Gi1-CtGq)/β1/γ2
18.75Single9KPDSalicin9KPD-TAS2R16-Salicin-chim(Gs-CtGt3)/β1/γ2
18.75Single9KVIBufotenin9KVI-5-HT1A-Bufotenin-PtdIns4P-Gi1/β1/γ2
18.75Single9KXSEP679KXS-C5a1-EP67-Go/β1/γ2
18.75Single9LL8Psilocin9LL8-5-HT2A-Psilocin-Gi1/β1/γ2
18.75Single9LRDHistamine9LRD-H1-Histamine-Gi1/β1/γ2
18.75Single9P1TZM-2413859P1T-A2A-ZM-241385
18.75Single9PXVNaloxone9PXV-μ-Naloxone-Gi1/β1/γ2
18.75Single9PXXNaloxone9PXX-μ-Naloxone-GDPβS-Gi1/β1/γ2
18.75Consensus5ht2a_offOrthosteric Ligand6A94-5-HT2A-Zotepine 6A93-5-HT2A-Risperidone 7VOD-5-HT2A-Cariprazine 7WC8-5-HT2A-Lumateperone 8JT8-5-HT2A-(R)-IHCH-7179
18.75Consensusa2_offOrthosteric Liganda2a_off
18.75Consensusa2a_offOrthosteric Ligand3RFM-A2A-Caffeine 8C9W-A2A-Etrumadenant 3UZA-A2A-GTPL9236 8GNG-A2A-Istradefylline 8CU6-A2A-LJ-4517 7PX4-A2A-PSB-2113 7PYR-A2A-PSB-2115 8DU3-A2A-PubChem 105526064 8JWY-A2A-2-118 8PWN-A2A-Theophylline 5IU4-A2A-ZM-241385-Na 5OLZ-A2A-PubChem 135566609-Na 6GT3-A2A-Imaradenant-Na 5OLV-A2A-LUAA47070-Na 5N2R-A2A-PSB36-Na 5IU7-A2A-Q27456346-Na 5OLH-A2A-Vipadenant-Na 5OLO-A2A-Tozadenant-Na 6ZDR-A2A-HMS1413f12-Na 8GNE-A2A-KW-6356-Na 8JWZ-A2A-Etrumadenant-Na 5IU8-A2A-Q27456347-Na 5IUB-A2A-Q27456344-Na 6ZDV-A2A-PubChem 984073-Na 5IUA-A2A-Q27456348-Na 8A2P-A2A-LUAA47070-Na
18.75Consensuscb1_offOrthosteric Ligand5U09-CB1-Taranabant 5TGZ-CB1-AM6538
18.75Consensusghrelin_offOrthosteric Ligand6KO5-Ghrelin-PubChem 57400002 7F83-Ghrelin-PF-05190457
18.75Consensusnucleotide_offOrthosteric Ligandadenosine_off p2y_off
18.75Consensusopsins_offOrthosteric Ligandrhodopsin_off
18.75Consensussensory_offOrthosteric Ligandopsins_off
18.52Single5NX2GLP-1 (Truncated)5NX2-GLP-1-GLP-1 (Truncated)
18.52Single7DTYGIP7DTY-GIP-GIP-Gs/β1/γ2
18.52Single7FIYTirzepatide7FIY-GIP-Tirzepatide-Gs/β1/γ2
18.52Single7QBCAlpha-factor mating pheromone7QBC-STE2; STE2-α-factor mating pheromone
18.52Single7S1MExendin-4-D-Ala7S1M-GLP-1-Exendin-4-D-Ala-Gs/β1/γ2
18.52Single7VQXPACAP277VQX-VPAC1-PACAP27-Gs/β1/γ2
18.52Single8FU6ZP37808FU6-Glucagon-ZP3780-Gs/β1/γ2
18.52Single8W8WAlpha-MSH8W8W-MC3-α-MSH-Ca-Gs/β1/γ2
18.52Single8W8XBeta-MSH8W8X-MC3-β-MSH-Ca-Gs/β1/γ2
18.52Single8ZJGChemerin8ZJG-CML1-Chemerin-Gi1/β1/γ2
18.52Single9KDFRES-701-39KDF-ETB-RES-701-3
18.52Consensusglp2_onOrthosteric Ligand7D68-GLP-2-GLP-2-Gs/β1/γ2
18.52Consensusglp2_on_gpOrthosteric Ligand7D68-GLP-2-GLP-2-Gs/β1/γ2
18.18Single5MZPCaffeine5MZP-A2A-Caffeine-Na
18.18Single6WIVPubChem 52923113; PubChem 529246456WIV-GABAB1, GABAB2-PubChem 52923113; PubChem 52924645
18.18Single6X19CHU-1286X19-GLP-1-CHU-128-Gs/β1/γ2
18.18Single7CX3Taprenepag7CX3-EP2-Taprenepag-Gs/β1/γ2
18.18Single7F54Afamelanotide7F54-MC4-Afamelanotide-Gs/β1/γ2
18.18Single7NA7Ghrelin7NA7-Ghrelin-Ghrelin-Gi1/β1/γ2
18.18Single7W53Neuromedin-U-257W53-NMUR1-Neuromedin-U-25-chim(NtGi1-Gs-CtGq)/β1/γ2
18.18Single7W56Neuromedin-S7W56-NMUR1-Neuromedin-S-chim(NtGi1-Gs-CtGq)/β1/γ2
18.18Single8G59TUG-8918G59-FFA4-TUG-891-chim(Gi1-CtGq)/β1/γ2
18.18Single8INRAlpha-MSH8INR-MC5-α-MSH-Ca-chim(NtGi1-Gs)/β1/γ2
18.18Single8JIQPeptide-158JIQ-Glucagon-Peptide-15-Gs/β1/γ2
18.18Single8KIGSHU91198KIG-MC3-SHU9119-Ca
18.18Single8WCBCyclohexylammonium Ion8WCB-TA1-Cyclohexylammonium Ion-chim(NtGi1-Gs-CtGq)/β1/γ2
18.18Single8WCCCyclohexylammonium Ion8WCC-TA1-Cyclohexylammonium Ion
18.18Single8WKYPG-9348WKY-MC4-PG-934
18.18Single8WZ2Orexigenic Neuropeptide QRFP8WZ2-QRFP-Orexigenic Neuropeptide QRFP-chim(NtGi1L-Gs-CtGq)/β1/γ2
18.18Single8XGMChemerin8XGM-CML2-Chemerin-Gi1/β1/γ2
18.18Single8XWNCXCL88XWN-CXCR2-CXCL8
18.18Single8YWFRetatrutide8YWF-GLP-1-Retatrutide-chim(NtGi1-Gs)/β1/γ2
18.18Single9L3YChemerin9L3Y-CML2-Chemerin-Gi1/β1/γ2
18.18Single9MEJGp1209MEJ-CXCR4-Gp120
18.18Single9UMRC5a-pep9UMR-C5a1-C5a-pep-Go/β1/γ2
18.18Consensusmc2_onOrthosteric Ligand8GY7-MC2-Corticotropin-Ca-chim(NtGi1-Gs)/β1/γ2; MRAP1
18.18Consensusmc2_on_gpOrthosteric Ligand8GY7-MC2-Corticotropin-Ca-chim(NtGi1-Gs)/β1/γ2; MRAP1
18.18Consensusnmur1_on_gpOrthosteric Ligand7W53-NMUR1-Neuromedin-U-25-chim(NtGi1-Gs-CtGq)/β1/γ2
17.86Single6LMLGlucagon6LML-Glucagon-Glucagon-Gi1/β1/γ1
17.86Single7QBCAlpha-factor mating pheromone7QBC-STE2; STE2-α-factor mating pheromone
17.86Single7TS0Urocortin7TS0-CRF2-Urocortin-chim(NtGi1L-Go)/β1/γ2
17.86Single7VVJPTHrP(1-36)7VVJ-PTH1-PTHrP(1-36)-Gs/β1/γ2
17.86Single8FLTM-PTH(1-14)8FLT-PTH1-M-PTH(1-14)-Gs/β1/γ2
17.86Single8HAFPTHrP(1-36)8HAF-PTH1-PTHrP(1-36)-chim(NtGi1-Gs)/β1/γ2
17.86Consensusendothelin_onOrthosteric Ligandetb_on eta_on
17.65Single2Y02Carmoterol2Y02-β1-Carmoterol
17.65Single3EMLZM-2413853EML-A2A-ZM-241385
17.65Single4DAJTiotropium4DAJ-M3-Tiotropium
17.65Single4MQSIperoxo4MQS-M2-Iperoxo
17.65Single4QIMANTA XV4QIM-SMO-ANTA XV
17.65Single4U14Tiotropium4U14-M3-Tiotropium
17.65Single5DSGTiotropium5DSG-M4-Tiotropium
17.65Single5K2AZM-2413855K2A-A2A-ZM-241385-Na
17.65Single5VRAZM-2413855VRA-A2A-ZM-241385-Na
17.65Single6DRXLisuride6DRX-5-HT2B-Lisuride
17.65Single6S0LZM-2413856S0L-A2A-ZM-241385
17.65Single7DB6Ramelteon7DB6-MT1-Ramelteon-Gi1/β1/γ2
17.65Single7JOZPubChem 752020227JOZ-D1-PubChem 75202022-Gs/β1/γ2
17.65Single7LCIDanuglipron7LCI-GLP-1-Danuglipron-Gs/β1/γ2
17.65Single7M3JNPS-2143; PO47M3J-CaS; CaS-NPS-2143; PO4
17.65Single7NA8Ibutamoren7NA8-Ghrelin-Ibutamoren-Gi1/β1/γ2
17.65Single7S15PubChem 1346112237S15-GLP-1-PubChem 134611223
17.65Single7SQOTAK-9257SQO-OX2-TAK-925-Gi1/β1/γ2
17.65Single7TRPIperoxo7TRP-M4-Iperoxo-LY2033298-Gi1/β1/γ2
17.65Single7WQ3Galanin7WQ3-GAL1-Galanin-Gi1/β1/γ2
17.65Single7XTC5-CT7XTC-5-HT7-5-CT-Gs/β1/γ2
17.65Single7YU4ONO-07405567YU4-LPA1-ONO-0740556
17.65Single8EFQDAMGO8EFQ-μ-DAMGO-Gi1/β1/γ2
17.65Single8IC0CXCL88IC0-CXCR1-CXCL8-Gi1/β1/γ2
17.65Single8JD0NAM5638JD0-mGlu2; mGlu3-Glutamate-NAM563
17.65Single8KFYZK-7563268KFY-CCR8-ZK-756326-Gi1/β1/γ2
17.65Single8UWLLisuride8UWL-5-HT2A-Lisuride-chim(NtGi2-Gs-CtGq)/β1/γ2
17.65Single8VVGGB188VVG-κ-GB18-Gi1/β1/γ2
17.65Single8X63Mepyramine8X63-H1-Mepyramine
17.65Single8X64Desloratadine8X64-H1-Desloratadine
17.65Single9AVGCa; Ca; Cyclomethyltryptophan; R-568; PO49AVG-CaS; CaS-Ca-Ca; Ca; Cyclomethyltryptophan; R-568; PO4-chim(NtGi1-Gs)/β1/γ2
17.65Single9METGp120; CD49MET-CXCR4-Gp120; CD4
17.65Single9P1SZM-2413859P1S-A2A-ZM-241385
17.65Single9PXWNaloxone9PXW-μ-Naloxone-GDPβS-Gi1/β1/γ2
17.65Single9UAZAtropine9UAZ-M1-Atropine
17.65Consensus5ht6_onOrthosteric Ligand7XTB-5-HT6-Serotonin-Gs/β1/γ2 8JLZ-5-HT6-ST1936-Gs/β1/γ2
17.65Consensus5ht6_on_gpOrthosteric Ligand7XTB-5-HT6-Serotonin-Gs/β1/γ2 8JLZ-5-HT6-ST1936-Gs/β1/γ2
17.65Consensus5ht7_onOrthosteric Ligand7XTC-5-HT7-5-CT-Gs/β1/γ2
17.65Consensus5ht7_on_gpOrthosteric Ligand7XTC-5-HT7-5-CT-Gs/β1/γ2
17.65Consensusclass-b1_onOrthosteric Ligandglucagon_on vip-pacap_on pth_on crf_on calcitonin_on
17.65Consensuscxcr1_on_gpOrthosteric Ligand8IC0-CXCR1-CXCL8-Gi1/β1/γ2
17.65Consensusgal1_onOrthosteric Ligand7WQ3-GAL1-Galanin-Gi1/β1/γ2
17.65Consensusgal1_on_gpOrthosteric Ligand7WQ3-GAL1-Galanin-Gi1/β1/γ2
17.65Consensusgi_galaninOrthosteric Ligand7WQ3-GAL1-Galanin-Gi1/β1/γ2
17.65Consensusgi_orexinOrthosteric Ligand7SQO-OX2-TAK-925-Gi1/β1/γ2
17.65Consensushistamine_offOrthosteric Ligandh1_off
17.65Consensusm4_offOrthosteric Ligand5DSG-M4-Tiotropium
17.65Consensusnucleotide_offonOrthosteric Ligandnucleotide_off nucleotide_on
17.65Consensusnucleotide_offon_gpOrthosteric Ligandnucleotide_on_gp nucleotide_off
17.39Single7E14Orforglipron7E14-GLP-1-Orforglipron-PubChem 156022738-Gs/β1/γ2
17.39Single7F1QCCL37F1Q-CCR5-CCL3-Gi1/β1/γ2
17.39Single7PIVAfamelanotide7PIV-MC4-Afamelanotide-Gs/β1/γ2
17.39Single8F7QBeta-Endorphin8F7Q-μ-β-Endorphin-Gi1/β1/γ2
17.39Single8KH5Lysophosphatidylserine8KH5-GPR174-Lysophosphatidylserine-Gs/β1/γ2
17.39Single9EAINanobody AT2099EAI-AT1-Losartan-Nanobody AT209
17.39Single9IK8Pasireotide9IK8-SST1-Pasireotide-Gi1/β1/γ2
17.39Single9IQRMuscarinic toxin 39IQR-α2a-Muscarinic toxin 3
17.39Single9J0FNADH9J0F-P2Y14-NADH-Gi1/β1/γ2
17.39Consensusccr8_on_gpOrthosteric Ligand8KFX-CCR8-LMD-009-Gi1/β1/γ2 8KFY-CCR8-ZK-756326-Gi1/β1/γ2 8U1U-CCR8-CCL1-Gi1/β1/γ2
17.39Consensusformylpeptide_on_gpOrthosteric Ligandfpr2-alx_on_gp fpr1-alx_on_gp
17.39Consensusghrelin_onOrthosteric Ligand7NA7-Ghrelin-Ghrelin-Gi1/β1/γ2 7F9Z-Ghrelin-GHRP-6-chim(NtGi1-Gs-CtGq)/β1/γ2 7NA8-Ghrelin-Ibutamoren-Gi1/β1/γ2
17.39Consensusghrelin_on_gpOrthosteric Ligand7NA7-Ghrelin-Ghrelin-Gi1/β1/γ2 7F9Z-Ghrelin-GHRP-6-chim(NtGi1-Gs-CtGq)/β1/γ2 7NA8-Ghrelin-Ibutamoren-Gi1/β1/γ2
17.24Single7RBTTirzepatide7RBT-GIP-Tirzepatide-LSN3556672-chim(NtGi1-Gs)/β1/γ2
17.24Single7TYXAmylin7TYX-CT (AMY2)-Amylin-Gs/β1/γ2; RAMP2
17.24Single8U1UCCL18U1U-CCR8-CCL1-Gi1/β1/γ2
17.24Consensusgi_endothelinOrthosteric Ligand8IY5-ETB-Endothelin-1-Gi1/β1/γ2 8HBD-ETB-IRL1620-Gi1/β1/γ2
16.67Single3PXOAll-trans-Retinal3PXO-Rhodopsin-All-trans-Retinal
16.67Single4JKVTaladegib4JKV-SMO-Taladegib
16.67Single4RWDDIPP-NH24RWD-δ-DIPP-NH2-Na
16.67Single4WW3All-trans-Retinal4WW3-Rhodopsin-All-trans-Retinal
16.67Single5DYSAll-trans-Retinal5DYS-Rhodopsin-All-trans-Retinal
16.67Single6OIKIperoxo6OIK-M2-Iperoxo-LY2119620-chim(NtGi1-Go)/β1/γ2
16.67Single6W25SHU91196W25-MC4-SHU9119-Ca
16.67Single7M3JNPS-2143; PO47M3J-CaS; CaS-NPS-2143; PO4
16.67Single7MBXCholecystokinin-87MBX-CCKA-Cholecystokinin-8-Gs/β1/γ1
16.67Single7RYCOxytocin7RYC-OT-Oxytocin-chim(NtGi2L-Gs-CtGq)/β1/γ2
16.67Single7TRKIperoxo7TRK-M4-Iperoxo-Gi1/β1/γ2
16.67Single7VBHPeptide-207VBH-GLP-1-Peptide-20-Gs/β1/γ2
16.67Single7VOEAripiprazole7VOE-5-HT2A-Aripiprazole
16.67Single7VV4Cortistatin-147VV4-MRGPRX2-Cortistatin-14
16.67Single7W55Neuromedin-U-257W55-NMUR2-Neuromedin-U-25-chim(NtGi1-Gs-CtGq)/β1/γ2
16.67Single7XKEDehydroepiandrosterone7XKE-ADGRG2-Dehydroepiandrosterone-chim(NtGi1-Gs)/β1/γ2
16.67Single7XOUCholecystokinin-87XOU-CCKA-Cholecystokinin-8-Gs/β1/γ2
16.67Single7Y26Octreotide7Y26-SST2-Octreotide-chim(NtGi2L-Gs-CtGq)/β1/γ2
16.67Single7YU3ONO-07405567YU3-LPA1-ONO-0740556-Gi1/β1/γ2
16.67Single8GNEKW-63568GNE-A2A-KW-6356-Na
16.67Single8HQMNPGLY8HQM-GPR132-NPGLY-Gi1/β1/γ2
16.67Single8HVINOX-6-78HVI-GPR132-NOX-6-7-Gi1/β1/γ2
16.67Single8KFXLMD-0098KFX-CCR8-LMD-009-Gi1/β1/γ2
16.67Single8QOTNanobody-E8QOT-μ-Nanobody-E
16.67Single8W8YGamma-MSH8W8Y-MC3-γ-MSH-Ca-Gs/β1/γ2
16.67Single8X0BVU04244658X0B-mGlu5; mGlu5-Quisqualate-VU0424465
16.67Single8X0CVU04244658X0C-mGlu5; mGlu5-Quisqualate-VU0424465
16.67Single8X0CVU04244658X0C-mGlu5; mGlu5-Quisqualate-VU0424465
16.67Single8X0DVU04244658X0D-mGlu5; mGlu5-Quisqualate-VU0424465
16.67Single8X0DVU04244658X0D-mGlu5; mGlu5-Quisqualate-VU0424465
16.67Single8XZHMM078XZH-Apelin; Apelin-MM07-Gi1/β1/γ2
16.67Single8YFOAc-LA-PTH Analog8YFO-PTH1-Ac-LA-PTH Analog-chim(NtGi1-Gs)/β1/γ2
16.67Single9ARYSerotonin9ARY-5-HT2A-Serotonin-chim(NtGi1-Gs-CtGq)/β1/γ2
16.67Single9AYFCa; Ca; Ca; Cyclomethyltryptophan; R-568; PO49AYF-CaS; CaS-Ca-Ca; Ca; Ca; Cyclomethyltryptophan; R-568; PO4-Gi1/β1/γ2
16.67Single9B5YLA-PTH Analog9B5Y-PTH1-LA-PTH Analog-chim(NtGi1-Gq)/β1/γ2
16.67Single9EAHNanobody AT2099EAH-AT1-Olmesartan-Nanobody AT209
16.67Single9EE5ONO-25502899EE5-DP1-ONO-2550289
16.67Single9HAPTolvaptan9HAP-V2-Tolvaptan
16.67Single9HC04YI9HC0-mGlu5-4YI
16.67Single9KPFSalicin9KPF-TAS2R16-Salicin-Gi1/β1/γ2
16.67Single9M1ONeuropeptide-FF9M1O-NPFF2-Neuropeptide-FF-Gi1/β1/γ2
16.67Single9U81Tolvaptan9U81-V2-Tolvaptan
16.67Consensusendothelin_on_gpOrthosteric Ligandetb_on_gp eta_on_gp
16.67Consensusetb_on_gpOrthosteric Ligand8IY5-ETB-Endothelin-1-Gi1/β1/γ2 8HBD-ETB-IRL1620-Gi1/β1/γ2
16.67Consensusfpr2-alx_onOrthosteric Ligand7WVX-FPR2-ALX-Humanin-Gi2/β1/γ2 7T6U-FPR2-ALX-CGEN-855A-Gi1/β1/γ2 7T6V-FPR2-ALX-fMLFII-Gi1/β1/γ2 7WVY-FPR2-ALX-Amyloid-β42-Gi2/β1/γ2 7T6S-FPR2-ALX-TC-FPR 43-Gi1/β1/γ2 6OMM-FPR2-ALX-WKYMVX-Gi1/β1/γ2
16.67Consensush1_offOrthosteric Ligand8X63-H1-Mepyramine 3RZE-H1-Cidoxepin 8X5Y-H1-Astemizole
16.67Consensusnmur2_onOrthosteric Ligand7W55-NMUR2-Neuromedin-U-25-chim(NtGi1-Gs-CtGq)/β1/γ2
16.67Consensusnmur2_on_gpOrthosteric Ligand7W55-NMUR2-Neuromedin-U-25-chim(NtGi1-Gs-CtGq)/β1/γ2
16.13Single7V35Peptide-207V35-Glucagon-Peptide-20-Gs/β1/γ2
16.13Single8JIPMEDI03828JIP-GLP-1-MEDI0382-chim(NtGi1-Gs)/β1/γ2
16.13Single8JIRSAR4258998JIR-GLP-1-SAR425899-chim(NtGi1-Gs)/β1/γ2
16.13Consensuscrf_on_gpOrthosteric Ligandcrf2_on_gp crf1_on_gp
16.00Single6NIYCalcitonin-16NIY-CT-Calcitonin-1-Gs/β1/γ2
16.00Single6WIVPubChem 52923113; PubChem 529246456WIV-GABAB1, GABAB2-PubChem 52923113; PubChem 52924645
16.00Single7T10Somatostatin-147T10-SST2-Somatostatin-14-Gi3/β1/γ2
16.00Single7TYIAmylin7TYI-CT-Amylin-Gs/β1/γ2
16.00Single7W57Neuromedin-S7W57-NMUR2-Neuromedin-S-chim(NtGi1-Gs-CtGq)/β1/γ2
16.00Single7WUIIP157WUI-ADGRG2-IP15-chim(NtGi1-Gs)/β1/γ2
16.00Single8HA0PTH8HA0-PTH1-PTH-chim(NtGi1-Gs)/β1/γ2
16.00Single8IEDPubChem 1347468948IED-GPR156; GPR156-PubChem 134746894-Go/β1/γ2
16.00Consensusfpr2-alx_on_gpOrthosteric Ligand7WVX-FPR2-ALX-Humanin-Gi2/β1/γ2 7T6U-FPR2-ALX-CGEN-855A-Gi1/β1/γ2 7T6V-FPR2-ALX-fMLFII-Gi1/β1/γ2 7WVY-FPR2-ALX-Amyloid-β42-Gi2/β1/γ2 7T6S-FPR2-ALX-TC-FPR 43-Gi1/β1/γ2 6OMM-FPR2-ALX-WKYMVX-Gi1/β1/γ2
16.00Consensusneuromedin-u_onOrthosteric Ligandnmur1_on nmur2_on
15.79Single4OO9Mavoglurant4OO9-mGlu5-Mavoglurant
15.79Single4Z34ONO-97803074Z34-LPA1-ONO-9780307
15.79Single5V56TC1145V56-SMO-TC114
15.79Single5V57TC1145V57-SMO-TC114
15.79Single5ZHPPubChem 1348285895ZHP-M3-PubChem 134828589
15.79Single6DDEDAMGO6DDE-μ-DAMGO-Gi1/β1/γ2
15.79Single6J20Aprepitant6J20-NK1-Aprepitant
15.79Single6OS1TRV0266OS1-AT1-TRV026
15.79Single7F1TCCL37F1T-CCR5-CCL3
15.79Single7P2L4YI7P2L-mGlu5-4YI
15.79Single7S8MCortistatin-147S8M-MRGPRX2-Cortistatin-14-Gi1/β1/γ2
15.79Single7T9NDPPC7T9N-TSH-M22 Fab-DPPC-Gs/β1/γ2
15.79Single7TD1LPA7TD1-LPA1-LPA-Gi1/β1/γ2
15.79Single7XAVLanreotide7XAV-SST2-Lanreotide-Gi1/β1/γ2
15.79Single7XJLSpexin7XJL-GAL2-Spexin-chim(NtGi2L-Gs-CtGq)/β1/γ2
15.79Single7YU5ONO-07405567YU5-LPA1-ONO-0740556-Gi1/β1/γ2
15.79Single8FN1Neurotensin-(8-13)8FN1-NTS1-Neurotensin-(8-13)-chim(NtGi1-Go)/β1/γ2
15.79Single8I2GPubChem 675302408I2G-FSH-FSH-PubChem 67530240-Gs/β1/γ2
15.79Single8ID39-Hydroxystearic acid8ID3-FFA4-9-Hydroxystearic acid-Gi1/β1/γ2
15.79Single8ID6Oleic acid8ID6-FFA4-Oleic acid-Gi1/β1/γ2
15.79Single8JZPC5a8JZP-C5a1-C5a-Go/β1/γ2
15.79Single8VVEnorBNI8VVE-κ-norBNI-Gi1/β1/γ2
15.79Single8X0BVU04244658X0B-mGlu5; mGlu5-Quisqualate-VU0424465
15.79Single8X0FVU298X0F-mGlu5; mGlu5-Quisqualate-VU29
15.79Single8XVLZibotentan8XVL-ETA-Zibotentan
15.79Single8Y73Peptide8Y73-μ-Peptide-MPAM-15-Gi1/β1/γ2
15.79Single9AS9RS130-1809AS9-5-HT2A-RS130-180
15.79Single9ASARS130-1809ASA-5-HT2A-RS130-180-chim(NtGi1-Gs-CtGq)/β1/γ2
15.79Single9JCLADP9JCL-P2Y1-ADP-chim(Gs-CtGq)/β1/γ2
15.79Single9MENGp120 (V3 loop)9MEN-CXCR4-Gp120 (V3 loop)
15.79Single9UCPIperoxo9UCP-M1-Iperoxo-G11(CT)
15.79Consensusclass-b1_on_gpOrthosteric Ligandglucagon_on_gp vip-pacap_on_gp pth_on_gp crf_on_gp calcitonin_on_gp
15.79Consensusgi_lpaOrthosteric Ligand7TD1-LPA1-LPA-Gi1/β1/γ2 7YU3-LPA1-ONO-0740556-Gi1/β1/γ2
15.79Consensuslpa_onOrthosteric Ligandlpa1_on
15.79Consensuslpa_on_gpOrthosteric Ligandlpa1_on_gp
15.79Consensusm3_offOrthosteric Ligand4U15-M3-Tiotropium 4U16-M3-N-methyl-Scopolamine 5ZHP-M3-PubChem 134828589
15.79Consensusnpy1_offOrthosteric Ligand5ZBH-Y1-BMS-193885 5ZBQ-Y1-UR-MK-299
15.79Consensustachykinin_offOrthosteric Ligandnk1_off
15.38Single2HPYAll-trans-Retinal2HPY-Rhodopsin-All-trans-Retinal
15.38Single3RFMCaffeine3RFM-A2A-Caffeine
15.38Single5YQZNNC17025YQZ-Glucagon-NNC1702
15.38Single6TQ9SB-4081246TQ9-OX1-SB-408124
15.38Single7DD5Ca; Ca; Tryptophan; NPS-21437DD5-CaS; CaS-Ca-Ca; Ca; Tryptophan; NPS-2143
15.38Single7F9YGhrelin7F9Y-Ghrelin-Ghrelin-chim(NtGi1-Gs-CtGq)/β1/γ2
15.38Single7TYWCalcitonin-17TYW-CT (AMY1)-Calcitonin-1-Gs/β1/γ2; RAMP1
15.38Single7Y35Abaloparatide7Y35-PTH1-Abaloparatide-Gs/β1/γ2
15.38Single8GY7Corticotropin8GY7-MC2-Corticotropin-Ca-chim(NtGi1-Gs)/β1/γ2; MRAP1
15.38Single8HCQEndothelin-18HCQ-ETA-Endothelin-1-chim(NtGi1-Gs-CtGq)/β1/γ2
15.38Single8HCXEndothelin-18HCX-ETB-Endothelin-1-chim(NtGi2L-Gs-CtGq)/β1/γ2
15.38Single8XOFLys058XOF-GPR30-Lys05-chim(NtGi1-Gs-CtGq)/β1/γ2
15.38Single8Y02All-trans-Retinal8Y02-OPN1SW-All-trans-Retinal-Gi1/β1/γ2
15.38Single8YG4LA-PTH Analog8YG4-PTH1-LA-PTH Analog-chim(NtGi1-Gs)/β1/γ2
15.38Single9C2FCa; Ca; Tryptophan; '54149; PO49C2F-CaS; CaS-Ca-Ca; Ca; Tryptophan; '54149; PO4
15.38Consensuseta_onOrthosteric Ligand8HCQ-ETA-Endothelin-1-chim(NtGi1-Gs-CtGq)/β1/γ2
15.38Consensuseta_on_gpOrthosteric Ligand8HCQ-ETA-Endothelin-1-chim(NtGi1-Gs-CtGq)/β1/γ2
15.38Consensusgs_histamineOrthosteric Ligand8POK-H2-Histamine-Gs/β1/γ2
15.38Consensush2_onOrthosteric Ligand8POK-H2-Histamine-Gs/β1/γ2
15.38Consensusneuromedin-u_on_gpOrthosteric Ligandnmur1_on_gp nmur2_on_gp
15.15Single6E3YCalcitonin gene-related peptide-16E3Y-CT Like-Calcitonin gene-related peptide-1-Gs/β1/γ2; RAMP1
15.15Consensusgluc_onOrthosteric Ligand6LMK-Glucagon-Glucagon-Gs/β1/γ2 8JIT-Glucagon-MEDI0382-Gs/β1/γ2 7V35-Glucagon-Peptide-20-Gs/β1/γ2
15.00Single4OR2FITM4OR2-mGlu1; mGlu1-FITM
15.00Single4XEENeurotensin-(8-13)4XEE-NTS1-Neurotensin-(8-13)
15.00Single4XESNeurotensin-(8-13)4XES-NTS1-Neurotensin-(8-13)
15.00Single6XOXOrforglipron6XOX-GLP-1-Orforglipron-chim(NtGi1-Gs)/β1/γ2
15.00Single6YVRNeurotensin-(6-13)6YVR-NTS1-Neurotensin-(6-13)
15.00Single7EPENAM5637EPE-mGlu2-NAM563
15.00Single7L1UOrexin7L1U-OX2-Orexin-chim(NtGi1-Gs-CtGq)/β1/γ2
15.00Single7WCMMBX-29827WCM-GPR119-MBX-2982-Gs/β1/γ2
15.00Single7WQ4Galanin7WQ4-GAL2-Galanin-chim(NtGi1-Gs-CtGq)/β1/γ2
15.00Single7XJKGalanin7XJK-GAL2-Galanin-chim(NtGi2L-Gs-CtGq)/β1/γ2
15.00Single7Y66BM2137Y66-C5a1-BM213-Gi1/β1/γ2
15.00Single8JPCNeurotensin-(8-13)8JPC-NTS1-Neurotensin-(8-13)-SBI-553; GDP; Mg-Gq; GRK2
15.00Single8T3QDoconexent8T3Q-FFA4-Doconexent-chim(NtGi2L-Gs-CtGq)/β1/γ2
15.00Single8XQNCholesterol8XQN-TAS2R14-Cholesterol-Aristolochic acid A-Gi1/β1/γ1
15.00Single9IZHLPA9IZH-LPA1-LPA-chim(NtGi2-G13)/β1/γ2
15.00Single9W32SSTR5 antagonist 19W32-SST5-SSTR5 antagonist 1
15.00Single9WXMGPR15L(CT)9WXM-GPR15-GPR15L(CT)-Gi3/β1/γ2
15.00Consensusm4_onOrthosteric Ligand7TRS-M4-Acetylcholine-Gi1/β1/γ2 7V6A-M4-PubChem 9864275-Gi1/β1/γ2 8E9X-M4-2-Deoxycytidine-chim(NtGi1-Go)/β1/γ2 7TRK-M4-Iperoxo-Gi1/β1/γ2
15.00Consensusm4_on_gpOrthosteric Ligand7TRS-M4-Acetylcholine-Gi1/β1/γ2 7V6A-M4-PubChem 9864275-Gi1/β1/γ2 8E9X-M4-2-Deoxycytidine-chim(NtGi1-Go)/β1/γ2 7TRK-M4-Iperoxo-Gi1/β1/γ2
14.81Single7SK4CXCL12_LRHQ7SK4-ACKR3-CXCL12_LRHQ
14.81Single8XQFApelin-138XQF-Apelin-Apelin-13-Gi1/β1/γ2
14.81Single9BLBCagrilintide (non-acylated)9BLB-CT-Cagrilintide (non-acylated)-Gs/β1/γ2
14.81Single9BUBCagrilintide9BUB-CT-Cagrilintide-Gs/β1/γ2
14.81Consensusctlike_onOrthosteric Ligand6E3Y-CT Like-Calcitonin gene-related peptide-1-Gs/β1/γ2; RAMP1
14.71Consensusgluc_on_gpOrthosteric Ligand6LMK-Glucagon-Glucagon-Gs/β1/γ2 8JIT-Glucagon-MEDI0382-Gs/β1/γ2 7V35-Glucagon-Peptide-20-Gs/β1/γ2
14.29Single3C9M11-cis-Retinal3C9M-Rhodopsin-11-cis-Retinal
14.29Single3PQRAll-trans-Retinal3PQR-Rhodopsin-All-trans-Retinal-Gt(CT)
14.29Single4BUONeurotensin-(8-13)4BUO-NTS1-Neurotensin-(8-13)
14.29Single4OR2FITM4OR2-mGlu1; mGlu1-FITM
14.29Single5WKTOctyl-Beta-D-Glucopyranoside5WKT-Rhodopsin-Octyl-β-D-Glucopyranoside-Gt(CT)
14.29Single6D32Cyclopamine6D32-SMO-Cyclopamine-Cyclopamine
14.29Single6K1QIRL25006K1Q-ETB-IRL2500
14.29Single6ME5Agomelatine6ME5-MT1-Agomelatine
14.29Single6P9XCorticoliberin-16P9X-CRF1-Corticoliberin-1-Gs/β1/γ2
14.29Single6PWCNeurotensin-(9-13)6PWC-NTS1-Neurotensin-(9-13)-Arrestin2
14.29Single6UVAAdrenomedullin-26UVA-CT Like (AM2)-Adrenomedullin-2-Gs/β1/γ2; RAMP3
14.29Single7AD3Alpha-factor mating pheromone7AD3-STE2; STE2-α-factor mating pheromone-Gi1/STE4/γ2
14.29Single7DD7Ca; Ca; Tryptophan; Evocalcet7DD7-CaS; CaS-Ca-Ca; Ca; Tryptophan; Evocalcet
14.29Single7MBYCholecystokinin-87MBY-CCKA-Cholecystokinin-8-chim(NtGi1L-Gs-CtGq)/β1/γ2
14.29Single7QVMOxytocin7QVM-OT-Oxytocin-chim(NtGi1-Go-CtGq)/β1/γ2
14.29Single7TYNCalcitonin-17TYN-CT-Calcitonin-1-Gs/β1/γ2
14.29Single7VVKPTH7VVK-PTH1-PTH-Gs/β1/γ2
14.29Single7WC5Psilocin7WC5-5-HT2A-Psilocin
14.29Single7WVVfMLFII7WVV-FPR2-ALX-fMLFII-Gi2/β1/γ2
14.29Single8DPILorcaserin8DPI-5-HT2C-Lorcaserin-chim(NtGi2L-Gs-CtGq)/β1/γ2
14.29Single8F76Propanoic acid8F76-OR51E2-Propanoic acid-Gs/β1/γ2
14.29Single8FN0Neurotensin-(8-13)8FN0-NTS1-Neurotensin-(8-13)-SBI-553-chim(NtGi1-Go)/β1/γ2
14.29Single8ID8TUG-8918ID8-FFA4-TUG-891-Gi1/β1/γ2
14.29Single8IYSTUG-8918IYS-FFA4-TUG-891-GDP-chim(NtGi1L-Gq)/β1/γ2
14.29Single8POKHistamine8POK-H2-Histamine-Gs/β1/γ2
14.29Single8Y63C20:0 Ceramide8Y63-FPR2-ALX-C20:0 Ceramide-Gi1/β1/γ2
14.29Single8ZX4Lysophosphatidylinositol 8ZX4-GPR55-Lysophosphatidylinositol-chim(NtGi1-G13)/β1/γ2
14.29Single9GE3Lysophosphatidylinositol9GE3-GPR55-Lysophosphatidylinositol-chim(NtGi1-G13)/β1/γ2
14.29Single9IZFLPA9IZF-LPA1-LPA-Gi1/β1/γ2
14.29Single9LL7DOI9LL7-5-HT2A-DOI-Gi1/β1/γ2
14.29Single9VI9RFRP-39VI9-NPFF1-RFRP-3-Gi1/β1/γ2
14.29Single9YDRDADLE9YDR-δ-DADLE-MIPS3983-chim(NtGi1L-Gs-CtGi1)/β1/γ2
14.29Consensuscrf_onOrthosteric Ligandcrf2_on crf1_on
14.29Consensush2_on_gpOrthosteric Ligand8POK-H2-Histamine-Gs/β1/γ2
14.29Consensusnk2_onOrthosteric Ligand7XWO-NK2-Neurokinin-A-chim(NtGi1-Gs-CtGq)/β1/γ2
14.29Consensusp2y10_on_gpOrthosteric Ligand8KGG-P2Y10-Lysophosphatidylserine (WJS)-chim(NtGi2-G13)/β1/γ2
13.79Single6PB1Urocortin6PB1-CRF2-Urocortin-chim(NtGi1-Gs)/β1/γ2
13.79Single6UUSAdrenomedullin6UUS-CT Like (AM2)-Adrenomedullin-Gs/β1/γ2; RAMP3
13.79Single7TYLAmylin7TYL-CT-Amylin-Gs/β1/γ2
13.79Single7VVLPTH7VVL-PTH1-PTH-Gs/β1/γ2
13.79Single8IY5Endothelin-18IY5-ETB-Endothelin-1-Gi1/β1/γ2
13.79Single8IY6Endothelin-18IY6-ETB-Endothelin-1
13.79Single8KGGLysophosphatidylserine (WJS)8KGG-P2Y10-Lysophosphatidylserine (WJS)-chim(NtGi2-G13)/β1/γ2
13.79Single9BQ3Cagrilintide9BQ3-CT (AMY2)-Cagrilintide-Gs/β1/γ2; RAMP2
13.79Single9BTWCagrilintide9BTW-CT (AMY3)-Cagrilintide-Gs/β1/γ2; RAMP3
13.79Consensusctlike_on_gpOrthosteric Ligand6E3Y-CT Like-Calcitonin gene-related peptide-1-Gs/β1/γ2; RAMP1
13.79Consensusetb_onOrthosteric Ligand8IY5-ETB-Endothelin-1-Gi1/β1/γ2 8HBD-ETB-IRL1620-Gi1/β1/γ2
13.64Single6OMMWKYMVX6OMM-FPR2-ALX-WKYMVX-Gi1/β1/γ2
13.64Single8JBFSenktide8JBF-NK3-Senktide-chim(NtGi1-Gs-CtGq)/β1/γ2
13.64Single8XQLCholesterol8XQL-TAS2R14-Cholesterol-Aristolochic acid A-Gt3/β1/γ1
13.64Single8XQOCholesterol8XQO-TAS2R14-Cholesterol-Aristolochic acid A-Gi1/β1/γ1
13.64Consensusformylpeptide_onOrthosteric Ligandfpr2-alx_on fpr1-alx_on
13.33Single1L9H11-cis-Retinal1L9H-Rhodopsin-11-cis-Retinal
13.33Single1U1911-cis-Retinal1U19-Rhodopsin-11-cis-Retinal
13.33Single2G87All-trans-Retinal2G87-Rhodopsin-All-trans-Retinal
13.33Single2I3511-cis-Retinal2I35-Rhodopsin-11-cis-Retinal
13.33Single3AYMAll-trans-Retinal3AYM-Rhodopsin-All-trans-Retinal
13.33Single4O9RCyclopamine4O9R-SMO-Cyclopamine
13.33Single5TE520-Methanoretinal5TE5-Rhodopsin-20-Methanoretinal
13.33Single6HLLCP999946HLL-NK1-CP99994
13.33Single6PB0Urocortin6PB0-CRF1-Urocortin-chim(NtGi1-Gs)/β1/γ2
13.33Single6QNOAll-trans-Retinal6QNO-Rhodopsin-All-trans-Retinal-Gi1/β1/γ1
13.33Single6TQ4PubChem 160468446TQ4-OX1-PubChem 16046844-Na
13.33Single7DD7Ca; Ca; Tryptophan; Evocalcet7DD7-CaS; CaS-Ca-Ca; Ca; Tryptophan; Evocalcet
13.33Single7V68Iperoxo7V68-M4-Iperoxo-LY2119620-Gi1/β1/γ2
13.33Single7VUIJNJ-635330547VUI-GPR139-JNJ-63533054-GTP-chim(Gs-CtGq)/β1/γ2
13.33Single7XKFDehydroepiandrosterone7XKF-ADGRG2-Dehydroepiandrosterone-Gs/β1/γ2
13.33Single7XTBSerotonin7XTB-5-HT6-Serotonin-Gs/β1/γ2
13.33Single8A2PLUAA470708A2P-A2A-LUAA47070-Na
13.33Single8EF6Morphine8EF6-μ-Morphine-Gi1/β1/γ2
13.33Single8U4RREGN7663-Fab8U4R-CXCR4-REGN7663-Fab
13.33Single8WPUTryptophan; Cinacalcet; PO4; Ca8WPU-CaS; CaS-Tryptophan; Cinacalcet; PO4; Ca-chim(NtGi2L-Gs-CtGq)/β1/γ2
13.33Single8YN2Histamine8YN2-H1-Histamine-chim(NtGi1L-Gs-CtGq)/β1/γ2
13.33Single8ZJETAK4488ZJE-Kiss1-TAK448-chim(NtGi1-Gq)/β1/γ1
13.33Single8ZYUNeurotensin-(8-13)8ZYU-NTS1-Neurotensin-(8-13)-SBI-553-Arrestin2
13.33Single9AS7Psilocin9AS7-5-HT2A-Psilocin
13.33Single9C1PCa; Tryptophan; '6218; PO49C1P-CaS; CaS-Ca-Ca; Tryptophan; '6218; PO4
13.33Single9EPRAll-trans-Retinal9EPR-Rhodopsin-All-trans-Retinal-Gi1/β1/γ2
13.33Single9L3ZLRH7-C29L3Z-CML1-LRH7-C2
13.33Single9M88Oleic monoethanolamide9M88-GPR3 ; GPR3-Oleic monoethanolamide-AF64394
13.04Single7L0RNeurotensin-(8-13)7L0R-NTS1-Neurotensin-(8-13)-Gi1/β1/γ1
13.04Single7RTBPeptide-197RTB-GLP-1-Peptide-19-Gs/β1/γ2
13.04Single7VLACCL15(27-92)7VLA-CCR1-CCL15(27-92)-Gi1/β1/γ2
13.04Single7W2ZGhrelin7W2Z-Ghrelin-Ghrelin-Go/β1/γ2
13.04Single8F7XNociceptin8F7X-NOP-Nociceptin-Gi1/β1/γ2
13.04Single8IEBPubChem 1347468948IEB-GPR156; GPR156-PubChem 134746894
13.04Single8IEIPubChem 1347468948IEI-GPR156; GPR156-PubChem 134746894
13.04Single8IEIPubChem 1347468948IEI-GPR156; GPR156-PubChem 134746894
13.04Single8IEPPubChem 1347468948IEP-GPR156; GPR156-PubChem 134746894
13.04Single8IEPPubChem 1347468948IEP-GPR156; GPR156-PubChem 134746894
13.04Single8ZCJPasireotide8ZCJ-SST5-Pasireotide-Gi1/β1/γ1
13.04Single9BUECagrilintide9BUE-CT-Cagrilintide-Gs/β1/γ2
13.04Single9UYLChemerin-99UYL-CML2-Chemerin-9-Arrestin2
13.04Consensusccr1_onOrthosteric Ligand7VLA-CCR1-CCL15(27-92)-Gi1/β1/γ2
13.04Consensusccr1_on_gpOrthosteric Ligand7VLA-CCR1-CCL15(27-92)-Gi1/β1/γ2
13.04Consensusnk3_onOrthosteric Ligand8JBF-NK3-Senktide-chim(NtGi1-Gs-CtGq)/β1/γ2
13.04Consensusnk3_on_gpOrthosteric Ligand8JBF-NK3-Senktide-chim(NtGi1-Gs-CtGq)/β1/γ2
13.04Consensusnop_onOrthosteric Ligand8F7X-NOP-Nociceptin-Gi1/β1/γ2
13.04Consensusnop_on_gpOrthosteric Ligand8F7X-NOP-Nociceptin-Gi1/β1/γ2
12.90Single7SK6CXCL12_LRHQ7SK6-ACKR3-CXCL12_LRHQ
12.90Single8F2APramlintide Analogue San3858F2A-CT (AMY3)-Pramlintide Analogue San385-Gs/β1/γ2; RAMP3
12.90Single8HBDIRL16208HBD-ETB-IRL1620-Gi1/β1/γ2
12.50Single1GZM11-cis-Retinal1GZM-Rhodopsin-11-cis-Retinal
12.50Single2PED9-cis-Retinal2PED-Rhodopsin-9-cis-Retinal
12.50Single2Z7311-cis-Retinal2Z73-Rhodopsin-11-cis-Retinal
12.50Single3AYN9-cis-Retinal3AYN-Rhodopsin-9-cis-Retinal
12.50Single3C9L11-cis-Retinal3C9L-Rhodopsin-11-cis-Retinal
12.50Single4BWBNeurotensin-(8-12)4BWB-NTS1-Neurotensin-(8-12)
12.50Single4QINSAG1.54QIN-SMO-SAG1.5
12.50Single6ME9Ramelteon6ME9-MT2-Ramelteon
12.50Single6NWEOctyl-Beta-D-Glucopyranoside6NWE-Rhodopsin-Octyl-β-D-Glucopyranoside-Gt(CT)
12.50Single6O3CSAG21k6O3C-SMO-SAG21k-Cholesterol
12.50Single7BR3Elagolix7BR3-GnRH1-Elagolix
12.50Single7F8ULintitript7F8U-CCKA-Lintitript
12.50Single7F8YDevazepide7F8Y-CCKA-Devazepide
12.50Single7M3ECa; Ca; Tryptophan; NPS-21437M3E-CaS; CaS-Ca; Ca; Tryptophan; NPS-2143
12.50Single7M3ECa; Ca; Tryptophan; NPS-21437M3E-CaS; CaS-Ca; Ca; Tryptophan; NPS-2143
12.50Single7M3FCa; Ca; Tryptophan; Cinacalcet7M3F-CaS; CaS-Ca; Ca; Tryptophan; Cinacalcet
12.50Single7S8PMS471347S8P-MRGPRX4-MS47134-chim(NtGi2L-Gs-CtGq)/β1/γ2
12.50Single7SILCa; Ca; Ca; Cyclomethyltryptophan; R-568; PO47SIL-CaS; CaS-Ca-Ca; Ca; Ca; Cyclomethyltryptophan; R-568; PO4
12.50Single7SILCa; Ca; Ca; Cyclomethyltryptophan; R-568; PO47SIL-CaS; CaS-Ca-Ca; Ca; Ca; Cyclomethyltryptophan; R-568; PO4
12.50Single7TRYUrocortin7TRY-CRF2-Urocortin-chim(NtGi1-G11)/β1/γ2
12.50Single7TUZ7-alpha,25-dihydroxycholesterol7TUZ-GPR183-7-α,25-dihydroxycholesterol-Gi1/β1/γ2
12.50Single7VDLCortistatin-147VDL-MRGPRX2-Cortistatin-14-Gi1/β1/γ2
12.50Single7W0MPubChem 1227019087W0M-Apelin-PubChem 122701908-Gi1/β1/γ2
12.50Single7X2FDopamine7X2F-D1-Dopamine-Mevidalen-Gs/β1/γ2
12.50Single7XJJGalanin7XJJ-GAL1-Galanin-Go/β1/γ2
12.50Single8A6CAll-trans-Retinal8A6C-Rhodopsin-All-trans-Retinal
12.50Single8A6DAll-trans-Retinal8A6D-Rhodopsin-All-trans-Retinal
12.50Single8A6EAll-trans-Retinal8A6E-Rhodopsin-All-trans-Retinal
12.50Single8DWHPubChem 1390305318DWH-MRGPRX1-PubChem 139030531-chim(NtGi2L-Gs-CtGq)/β1/γ2
12.50Single8IEBPubChem 1347468948IEB-GPR156; GPR156-PubChem 134746894
12.50Single8K6ONeuropeptide-Y8K6O-Y1-Neuropeptide-Y-Gi2/β1/γ1
12.50Single8WPGTryptophan; Cinacalcet; PO4; Ca8WPG-CaS; CaS-Tryptophan; Cinacalcet; PO4; Ca
12.50Single8YUTAmthamine8YUT-H2-Amthamine-Gs/β1/γ2
12.50Single8YYWAlpha-ketoglutarate8YYW-Oxoglutarate-α-ketoglutarate-α-ketoglutarate-chim(Gi1-CtGq)/β1/γ2
12.50Single9AVLCa; Ca; Cyclomethyltryptophan; R-568; PO49AVL-CaS; CaS-Ca-Ca; Ca; Cyclomethyltryptophan; R-568; PO4-Gi3/β2/γ2
12.50Single9C2FCa; Ca; Tryptophan; '54149; PO49C2F-CaS; CaS-Ca-Ca; Ca; Tryptophan; '54149; PO4
12.50Single9LLBDOI-NBOMe9LLB-5-HT2A-DOI-NBOMe-chim(NtGi1L-Gs-CtGq)/β1/γ2
12.50Single9LRBHistamine9LRB-H1-Histamine-Gs/β1/γ2
12.50Single9PEEPF-07054894; OXM29PEE-CCR6-PF-07054894; OXM2
12.50Consensusgnrh1_offOrthosteric Ligand7BR3-GnRH1-Elagolix
12.50Consensusrhodopsin_offOrthosteric Ligand1U19-Rhodopsin-11-cis-Retinal 2PED-Rhodopsin-9-cis-Retinal 5TE5-Rhodopsin-20-Methanoretinal
12.12Single7TYOCalcitonin7TYO-CT-Calcitonin-Gs/β1/γ2
12.12Single8JITMEDI03828JIT-Glucagon-MEDI0382-Gs/β1/γ2
12.12Single8JIUSAR4258998JIU-Glucagon-SAR425899-Gs/β1/γ2
12.00Single8K6MNeuropeptide-Y8K6M-Y1-Neuropeptide-Y-Gi2/β1/γ1
12.00Consensusnpy1_onOrthosteric Ligand8K6M-Y1-Neuropeptide-Y-Gi2/β1/γ1
12.00Consensusnpy1_on_gpOrthosteric Ligand8K6M-Y1-Neuropeptide-Y-Gi2/β1/γ1
11.76Single3OAX11-cis-Retinal3OAX-Rhodopsin-11-cis-Retinal
11.76Single3RZECidoxepin3RZE-H1-Cidoxepin
11.76Single5TE3Octyl-Beta-D-Glucopyranoside5TE3-Rhodopsin-Octyl-β-D-Glucopyranoside
11.76Single5UVIZM-2413855UVI-A2A-ZM-241385
11.76Single6FFIMPEP6FFI-mGlu5-MPEP
11.76Single6TPKRetosiban6TPK-OT-Retosiban
11.76Single6TPNHTL66416TPN-OX2-HTL6641
11.76Single6XBLSAG6XBL-SMO-SAG-Cholesterol-Gi1/β1/γ2
11.76Single7M3GCa; Ca; Tryptophan; Evocalcet; Etelcalcetide; PO47M3G-CaS; CaS-Ca; Ca; Tryptophan; Evocalcet; Etelcalcetide; PO4
11.76Single7VODCariprazine7VOD-5-HT2A-Cariprazine
11.76Single7ZBC11-cis-Retinal7ZBC-Rhodopsin-11-cis-Retinal
11.76Single7ZBE11-cis-Retinal7ZBE-Rhodopsin-11-cis-Retinal
11.76Single7ZI0SAG7ZI0-SMO-SAG-Cholesterol
11.76Single8FCZ11-cis-Retinal8FCZ-Rhodopsin-11-cis-Retinal
11.76Single8H4LDoconexent8H4L-FFA4-Doconexent-chim(NtGi1-Gs-CtGq)/β1/γ2
11.76Single8K9LDAMGO8K9L-μ-DAMGO-BMS-986122-Gi3/β1/γ1
11.76Single8WPGTryptophan; Cinacalcet; PO4; Ca8WPG-CaS; CaS-Tryptophan; Cinacalcet; PO4; Ca
11.76Single8WPUTryptophan; Cinacalcet; PO4; Ca8WPU-CaS; CaS-Tryptophan; Cinacalcet; PO4; Ca-chim(NtGi2L-Gs-CtGq)/β1/γ2
11.76Single8Y01All-trans-Retinal8Y01-Opsin1MW-All-trans-Retinal-Gi1/β1/γ2
11.76Single8Y53MK50468Y53-BB3-MK5046-chim(NtGi1-Gs-CtGq)/β1/γ2
11.76Single8Y62C16:0 Ceramide8Y62-FPR2-ALX-C16:0 Ceramide-Gi1/β1/γ2
11.76Single8YRGFospropofol8YRG-MRGPRX4-Fospropofol-chim(NtGi1-Gs-CtGq)/β1/γ2
11.76Single8ZMGPimavanserin8ZMG-5-HT2A-Pimavanserin
11.76Single9ARXSerotonin9ARX-5-HT2A-Serotonin
11.76Single9ASBCa; Ca; Cyclomethyltryptophan; R-568; PO49ASB-CaS; CaS-Ca-Ca; Ca; Cyclomethyltryptophan; R-568; PO4-chim(NtGi1-Gs-CtGq)/β1/γ2
11.76Single9AVGCa; Ca; Cyclomethyltryptophan; R-568; PO49AVG-CaS; CaS-Ca-Ca; Ca; Cyclomethyltryptophan; R-568; PO4-chim(NtGi1-Gs)/β1/γ2
11.76Consensuscxcr2_onOrthosteric Ligand6LFM-CXCR2-CXCL8-Gi1/β1/γ2
11.76Consensusgrh_offOrthosteric Ligandgnrh1_off
11.76Consensusot_offOrthosteric Ligand6TPK-OT-Retosiban
11.76Consensusvasop-oxy_offOrthosteric Ligandot_off
11.54Single7AD3Alpha-factor mating pheromone7AD3-STE2; STE2-α-factor mating pheromone-Gi1/STE4/γ2
11.54Single8IEDPubChem 1347468948IED-GPR156; GPR156-PubChem 134746894-Go/β1/γ2
11.11Single1HZX11-cis-Retinal1HZX-Rhodopsin-11-cis-Retinal
11.11Single5T04Neurotensin-(8-13)5T04-NTS1-Neurotensin-(8-13)
11.11Single6FFHFenobam6FFH-mGlu5-Fenobam
11.11Single6ORVTT-OAD26ORV-GLP-1-TT-OAD2-Gs/β1/γ2
11.11Single6Z4VNeurotensin-(9-13)6Z4V-NTS1-Neurotensin-(9-13)
11.11Single7F83PF-051904577F83-Ghrelin-PF-05190457
11.11Single7FIHOrg435537FIH-LH-hCG-Org43553-chim(NtGi1-Gs)/β1/γ2
11.11Single7TYHCalcitonin7TYH-CT (AMY2)-Calcitonin-Gs/β1/γ2; RAMP2
11.11Single7VH0Ramelteon7VH0-MT2-Ramelteon-Gi1/β1/γ1
11.11Single7XV3Lysophosphatidylserine (WJS)7XV3-GPR174-Lysophosphatidylserine (WJS)-chim(NtGi1-Gs)/β1/γ2
11.11Single8JT8(R)-IHCH-71798JT8-5-HT2A-(R)-IHCH-7179
11.11Single8TH3AT118-H Nanobody8TH3-AT1-AT118-H Nanobody
11.11Single8ZBEOctreotide8ZBE-SST5-Octreotide-Gi1/β1/γ1
11.11Single8ZYYNeurotensin-(8-13)8ZYY-NTS1-Neurotensin-(8-13)-SBI-553-Arrestin2
11.11Single9IMATalquetamab9IMA-GPRC5D; GPRC5D-Talquetamab
11.11Single9IVGGLP-1 (Truncated)9IVG-GLP-1-GLP-1 (Truncated)-chim(NtGi1-Gs)/β1/γ2
11.11Single9IYAONO-97105319IYA-GPR55-ONO-9710531
11.11Single9JROPF-044189489JRO-EP2-PF-04418948
11.11Single9LLAAriadne9LLA-5-HT2A-Ariadne-chim(NtGi1L-Gs-CtGq)/β1/γ2
11.11Consensuscck_offOrthosteric Ligandccka_off
11.11Consensusccka_offOrthosteric Ligand7F8Y-CCKA-Devazepide 7F8U-CCKA-Lintitript
11.11Consensusp2y10_onOrthosteric Ligand8KGG-P2Y10-Lysophosphatidylserine (WJS)-chim(NtGi2-G13)/β1/γ2
10.71Single8FLRPTHrP(1-36)8FLR-PTH1-PTHrP(1-36)-Gs/β1/γ2
10.53Single5XPRBosentan5XPR-ETB-Bosentan
10.53Single6HLPNetupitant6HLP-NK1-Netupitant
10.53Single6LFMCXCL86LFM-CXCR2-CXCL8-Gi1/β1/γ2
10.53Single6RZ4Pranlukast6RZ4-CysLT1-Pranlukast-Na
10.53Single7E9GJNJ-404118137E9G-mGlu2; mGlu2-Eglumetad-JNJ-40411813-Gi1/β1/γ2
10.53Single7EUOfMLF7EUO-FPR1-ALX-fMLF-Gi1/β1/γ2
10.53Single7VFXfMIFL7VFX-FPR1-ALX-fMIFL-Gi1/β1/γ2
10.53Single7VV0PAMP-127VV0-MRGPRX2-PAMP-12
10.53Single8ID4Linoleic acid8ID4-FFA4-Linoleic acid-Gi1/β1/γ2
10.53Single8SZGCa; Ca; Tryptophan; Cinacalcet; PO4; Spermine8SZG-CaS; CaS-Ca; Ca; Tryptophan; Cinacalcet; PO4; Spermine-chim(NtGi1-Gq)/β1/γ2
10.53Single8T6JCDPPB8T6J-mGlu5; mGlu5-CDPPB
10.53Single8T6JCDPPB8T6J-mGlu5; mGlu5-CDPPB
10.53Single8TH4AT118-L Nanobody8TH4-AT1-Losartan-AT118-L Nanobody
10.53Single8ZYTNeurotensin-(8-13)8ZYT-NTS1-Neurotensin-(8-13)-SBI-553-Arrestin2
10.53Single9GE2ML1849GE2-GPR55-ML184-chim(NtGi1-G13)/β1/γ2
10.53Single9JRTTG6-1299JRT-EP2-TG6-129
10.53Consensusadgrg2_onOrthosteric Ligand7WUI-ADGRG2-IP15-chim(NtGi1-Gs)/β1/γ2 7WUQ-ADGRG2-Gs/β1/γ2 7XKF-ADGRG2-Dehydroepiandrosterone-Gs/β1/γ2
10.53Consensusadgrg2_on_gpOrthosteric Ligand7WUI-ADGRG2-IP15-chim(NtGi1-Gs)/β1/γ2 7WUQ-ADGRG2-Gs/β1/γ2 7XKF-ADGRG2-Dehydroepiandrosterone-Gs/β1/γ2
10.53Consensuscxcr2_on_gpOrthosteric Ligand6LFM-CXCR2-CXCL8-Gi1/β1/γ2
10.53Consensusfpr1-alx_onOrthosteric Ligand7VFX-FPR1-ALX-fMIFL-Gi1/β1/γ2
10.53Consensusfpr1-alx_on_gpOrthosteric Ligand7VFX-FPR1-ALX-fMIFL-Gi1/β1/γ2
10.53Consensuslpa1_onOrthosteric Ligand7TD1-LPA1-LPA-Gi1/β1/γ2 7YU3-LPA1-ONO-0740556-Gi1/β1/γ2
10.53Consensuslpa1_on_gpOrthosteric Ligand7TD1-LPA1-LPA-Gi1/β1/γ2 7YU3-LPA1-ONO-0740556-Gi1/β1/γ2
10.00Single3ZEVNeurotensin-(7-13)3ZEV-NTS1-Neurotensin-(7-13)
10.00Single4BV0Neurotensin-(7-13)4BV0-NTS1-Neurotensin-(7-13)
10.00Single5ZBHBMS-1938855ZBH-Y1-BMS-193885
10.00Single6E59L-7607356E59-NK1-L-760735
10.00Single6LMKGlucagon6LMK-Glucagon-Glucagon-Gs/β1/γ2
10.00Single6Z8NSRI-98296Z8N-NTS1-SRI-9829
10.00Single7EW4CYM-55417EW4-S1P3-CYM-5541-Gi1/β1/γ2
10.00Single7L0PNeurotensin-(8-13)7L0P-NTS1-Neurotensin-(8-13)-Gi1/β1/γ1
10.00Single7L0QNeurotensin-(8-13)7L0Q-NTS1-Neurotensin-(8-13)-Gi1/β1/γ1
10.00Single7R0CAVP7R0C-V2-AVP-Arrestin2
10.00Single7WVXHumanin7WVX-FPR2-ALX-Humanin-Gi2/β1/γ2
10.00Single7XWONeurokinin-A7XWO-NK2-Neurokinin-A-chim(NtGi1-Gs-CtGq)/β1/γ2
10.00Single8FMZNeurotensin-(8-13)8FMZ-NTS1-Neurotensin-(8-13)-chim(NtGi2L-Gs-CtGq)/β1/γ2
10.00Single8JD5JNJ-40411813; ADX881788JD5-mGlu2; mGlu4-Glutamate-JNJ-40411813; ADX88178-Gi1/β1/γ2
10.00Single8TAOCDPPB8TAO-mGlu5; mGlu5-Quisqualate-CDPPB
10.00Consensusclass-b2_onOrthosteric Ligandadgrg_on adgrf_on adgrl_on adgre_on adgrd_on
10.00Consensusclass-b2_on_gpOrthosteric Ligandadgrg_on_gp adgrf_on_gp adgrl_on_gp adgre_on_gp adgrd_on_gp
10.00Consensuscyslt1_offOrthosteric Ligand6RZ5-CysLT1-Zafirlukast-Na 6RZ4-CysLT1-Pranlukast-Na
10.00Consensusffa2_onOrthosteric Ligand8J22-FFA2-TUG-1375-Gi1/β1/γ2
10.00Consensusneurotensin_onOrthosteric Ligandnts1_on
10.00Consensusnk2_on_gpOrthosteric Ligand7XWO-NK2-Neurokinin-A-chim(NtGi1-Gs-CtGq)/β1/γ2
10.00Consensusnts1_onOrthosteric Ligand6OSA-NTS1-JMV449-Gi1/β1/γ2 7L0S-NTS1-Neurotensin-(8-13)-Gi1/β1/γ1
9.52Single4GRVNeurotensin-(8-13)4GRV-NTS1-Neurotensin-(8-13)
9.52Single4PXFOctyl-Beta-D-Glucopyranoside4PXF-Rhodopsin-Octyl-β-D-Glucopyranoside-Arrestin1 Finger Loop
9.52Single6OSAJMV4496OSA-NTS1-JMV449-Gi1/β1/γ2
9.52Single7L0SNeurotensin-(8-13)7L0S-NTS1-Neurotensin-(8-13)-Gi1/β1/γ1
9.52Single7XW5ML1097XW5-TSH-TSH-ML109-Gs/β1/γ2
9.52Single7XW6ML1097XW6-TSH-M22 Fab-ML109-Gs/β1/γ2
9.52Single8JD3JNJ-404118138JD3-mGlu2; mGlu3-Glutamate-JNJ-40411813-Gi1/β1/γ2
9.52Single8JPBNeurotensin-(8-13)8JPB-NTS1-Neurotensin-(8-13)-SBI-553; GDP; Mg-Gq; GRK2
9.52Single8U26Substance-P8U26-NK1-Substance-P-Gs/β1/γ2
9.52Single8XX3CXCL38XX3-CXCR2-CXCL3-Go/β1/γ2
9.52Single9YDUUDP-Glucose9YDU-P2Y14-UDP-Glucose-Gi1/β1/γ2
9.52Consensusffa2_on_gpOrthosteric Ligand8J22-FFA2-TUG-1375-Gi1/β1/γ2
9.52Consensusgi_neurotensinOrthosteric Ligand6OSA-NTS1-JMV449-Gi1/β1/γ2 7L0S-NTS1-Neurotensin-(8-13)-Gi1/β1/γ1
9.52Consensusneurotensin_on_gpOrthosteric Ligandnts1_on_gp
9.52Consensusnts1_on_gpOrthosteric Ligand6OSA-NTS1-JMV449-Gi1/β1/γ2 7L0S-NTS1-Neurotensin-(8-13)-Gi1/β1/γ1
9.09Single6UP7Neurotensin-(8-13)6UP7-NTS1-Neurotensin-(8-13)-Arrestin2
9.09Single7P00Substance-P7P00-NK1-Substance-P-chim(NtGi1-Gs-CtGq)/β1/γ2
9.09Single8JPFNeurotensin-(8-13)8JPF-NTS1-Neurotensin-(8-13)-SBI-553
9.09Single8T3OTUG-8918T3O-FFA4-TUG-891-chim(NtGi2L-Gs-CtGq)/β1/γ2
9.09Single8TLMAnti-murine CCR8 antibody8TLM-CCR8-Anti-murine CCR8 antibody
9.09Single8XBES3E-Lysophosphatidylserine 8XBE-GPR34-S3E-Lysophosphatidylserine-Gi1/β1/γ1
9.09Single8XVUCXCL28XVU-CXCR2-CXCL2
9.09Single8XWFCXCL38XWF-CXCR2-CXCL3
9.09Single8XXHCXCL28XXH-CXCR2-CXCL2-Go/β1/γ2
9.09Single9J0BUDP-Glucose9J0B-P2Y14-UDP-Glucose-Gi1/β1/γ2
9.09Consensusnk1_onOrthosteric Ligand7P00-NK1-Substance-P-chim(NtGi1-Gs-CtGq)/β1/γ2
9.09Consensusnk1_on_gpOrthosteric Ligand7P00-NK1-Substance-P-chim(NtGi1-Gs-CtGq)/β1/γ2
8.70Single6OS9JMV4496OS9-NTS1-JMV449-Gi1/β1/γ2
8.70Single7RMGSubstance-P7RMG-NK1-Substance-P-chim(Gs-CtGq)/β1/γ2
8.70Single7RMHSubstance-P7RMH-NK1-Substance-P-Gs/β1/γ2
8.70Single8H4IDoconexent8H4I-FFA4-Doconexent-chim(NtGi1-Gs)/β1/γ2
8.70Single8J22TUG-13758J22-FFA2-TUG-1375-Gi1/β1/γ2
8.70Single8Z74JN241-98Z74-Apelin; Apelin-JN241-9
8.70Single8Z74JN241-98Z74-Apelin; Apelin-JN241-9
8.70Single9JH6C20:0 Ceramide9JH6-CysLT2-C20:0 Ceramide-chim(NtGi1-Gs-CtGq)/β1/γ2
8.70Consensuskiss1_onOrthosteric Ligand8ZJD-Kiss1-Kisspeptin-1-chim(NtGi1-Gq)/β1/γ1
8.70Consensuskisspeptin_onOrthosteric Ligandkiss1_on
8.33Single4A4MAll-trans-Retinal4A4M-Rhodopsin-All-trans-Retinal-Gt(CT)
8.33Single5EN0All-trans-Retinal5EN0-Rhodopsin-All-trans-Retinal-Gt(CT)
8.33Single8IZBLysophosphatidylserine (UBL)8IZB-GPR174-Lysophosphatidylserine (UBL)-Gs/β1/γ2
8.33Single8XBHPubChem 1626566368XBH-GPR34-PubChem 162656636-Gi1/β1/γ2
8.33Single8ZJDKisspeptin-18ZJD-Kiss1-Kisspeptin-1-chim(NtGi1-Gq)/β1/γ1
8.33Single9J0IUDP-Glucuronic acid9J0I-P2Y14-UDP-Glucuronic acid-Gi1/β1/γ2
8.33Consensusgq_kisspeptinOrthosteric Ligand8ZJD-Kiss1-Kisspeptin-1-chim(NtGi1-Gq)/β1/γ1
8.33Consensuskiss1_on_gpOrthosteric Ligand8ZJD-Kiss1-Kisspeptin-1-chim(NtGi1-Gq)/β1/γ1
8.33Consensuskisspeptin_on_gpOrthosteric Ligandkiss1_on_gp
8.00Single7RMISubstance-P7RMI-NK1-Substance-P-chim(Gs-CtGq)/β1/γ2
8.00Single8IBVMotilin8IBV-Motilin-Motilin-chim(NtGi1-Gs-CtGq)/β1/γ2
8.00Single8IOCGamma-MSH8IOC-MC3-γ-MSH-Ca-chim(NtGi1-Gs)/β1/γ2
8.00Single8JBHSubstance-P8JBH-NK3-Substance-P-chim(NtGi1-Gs-CtGq)/β1/γ2
8.00Consensustachykinin_on_gpOrthosteric Ligandnk1_on_gp nk2_on_gp nk3_on_gp
7.69Single7V68LY21196207V68-M4-Iperoxo-LY2119620-Gi1/β1/γ2
7.69Single7WC4Serotonin7WC4-5-HT2A-Serotonin
7.69Single7XKDDehydroepiandrosterone7XKD-ADGRG2-Dehydroepiandrosterone-Gs/β1/γ2
7.69Single9IV25alpha-DHT9IV2-ADGRD1-5α-DHT-chim(NtGi1-Gs)/β1/γ2
7.69Consensusmc3_onOrthosteric Ligand8IOC-MC3-γ-MSH-Ca-chim(NtGi1-Gs)/β1/γ2
7.69Consensusmc3_on_gpOrthosteric Ligand8IOC-MC3-γ-MSH-Ca-chim(NtGi1-Gs)/β1/γ2
7.41Consensustachykinin_onOrthosteric Ligandnk1_on nk2_on nk3_on
7.14Single6OY9All-trans-Retinal6OY9-Rhodopsin-All-trans-Retinal-Gt/β1/γ1
7.14Single6XBM25(S)-Epoxycholesterol6XBM-SMO-25(S)-Epoxycholesterol-Gi1/β1/γ2
7.14Single7P02Substance-P7P02-NK1-Substance-P-chim(NtGi1-Gs)/β1/γ2
7.14Single7VDMSubstance-P7VDM-MRGPRX2-Substance-P-Gi1/β1/γ2
7.14Single8U4QREGN7663-Fab8U4Q-CXCR4-REGN7663-Fab-Gi1/β1/γ2
7.14Single9IVMLSN33188399IVM-GLP-1-GLP-1 (Truncated)-LSN3318839-chim(NtGi1-Gs)/β2/γ2
7.14Single9M42A1L8O9M42-GPR139-A1L8O-chim(Gs-CtGq)/β1/γ2
7.14Consensusp2y_offOrthosteric Ligandp2y1_off
6.67Single2ZIY11-cis-Retinal2ZIY-Rhodopsin-11-cis-Retinal
6.67Single4XNWMRS25004XNW-P2Y1-MRS2500
6.67Single6FK9PubChem 1324730366FK9-Rhodopsin-PubChem 132473036
6.67Single7D77Hydrocortisone7D77-ADGRG3-Hydrocortisone-Go/β1/γ2
6.67Single8J6QPubChem 251012238J6Q-HCA2-β-Hydroxybutyrate-PubChem 25101223-Gi1/β1/γ2
6.67Single8JRVGlucagon8JRV-Glucagon-Glucagon-Arrestin2
6.67Single8SZFCa; Ca; Tryptophan; Cinacalcet; PO4; Spermine8SZF-CaS; CaS-Ca; Ca; Tryptophan; Cinacalcet; PO4; Spermine
6.67Single8X9UMetenolone8X9U-ADGRD1-Metenolone-chim(NtGi1-Gs)/β1/γ2
6.67Single9JHJC18:0 Ceramide9JHJ-FPR2-ALX-C18:0 Ceramide-Gi1/β1/γ2
6.67Consensusp2y1_offOrthosteric Ligand4XNW-P2Y1-MRS2500
6.25Single6FK6PubChem 1324730336FK6-Rhodopsin-PubChem 132473033
6.25Single6I9K9-cis-Retinal6I9K-Rhodopsin-9-cis-Retinal
6.25Single6PGSGeraniol6PGS-Rhodopsin-Geraniol-Gt(CT)
6.25Single6PH7Nerol6PH7-Rhodopsin-Nerol-Gt(CT)
6.25Single6TP4ACT-4622066TP4-OX1-ACT-462206
6.25Single7D76Beclomethasone7D76-ADGRG3-Beclomethasone-Go/β1/γ2
6.25Single7S8NR-Zinc-35737S8N-MRGPRX2-R-Zinc-3573-chim(NtGi2L-Gs-CtGq)/β1/γ2
6.25Single7S8OR-Zinc-35737S8O-MRGPRX2-R-Zinc-3573-Gi1/β1/γ2
6.25Single7VDHC48/807VDH-MRGPRX2-C48/80-Gi1/β1/γ2
6.25Single8J6PPubChem 251012238J6P-HCA2-Niacin-PubChem 25101223-Gi1/β1/γ2
6.25Single8JHYPubChem 251012238JHY-HCA2-PubChem 25101223-Gi1/β1/γ2
6.25Single8JIIPubChem 251012238JII-HCA2-Niacin-PubChem 25101223-Gi1/β1/γ2
6.25Single8SZFCa; Ca; Tryptophan; Cinacalcet; PO4; Spermine8SZF-CaS; CaS-Ca; Ca; Tryptophan; Cinacalcet; PO4; Spermine
6.25Single8X2KOleic monoethanolamide8X2K-GPR3-Oleic monoethanolamide-chim(NtGi1-Gs)/β1/γ2
6.25Single8YKDDehydroepiandrosterone8YKD-ADGRG2-Dehydroepiandrosterone-chim(NtGi1-Gs)/β1/γ2
6.25Single9E7RGB889E7R-PAR2-GB88-chim(NtGi1L-Gs-CtGq)/β1/γ2
6.25Single9YDAAll-trans-Retinal9YDA-Opsin1MW-All-trans-Retinal-chim(NtGi1L-Gs-CtGt)/β1/γ2
6.25Consensusadgrg_onOrthosteric Ligandadgrg2_on adgrg4_on
6.25Consensusadgrg_on_gpOrthosteric Ligandadgrg2_on_gp adgrg4_on_gp
5.88Single6FKBPubChem 1324730386FKB-Rhodopsin-PubChem 132473038
5.88Single6TQ6PubChem 1457142836TQ6-OX1-PubChem 145714283
5.88Single6WWZCCL206WWZ-CCR6-CCL20-Go/β1/γ2
5.88Single6ZA8RTI-3a6ZA8-NTS1-RTI-3a
5.88Single7M3FCa; Ca; Tryptophan; Cinacalcet7M3F-CaS; CaS-Ca; Ca; Tryptophan; Cinacalcet
5.88Single7T6STC-FPR 437T6S-FPR2-ALX-TC-FPR 43-Gi1/β1/γ2
5.88Single7VV5C48/807VV5-MRGPRX2-C48/80-Gi1/β1/γ2
5.88Single7VVOPTH7VVO-PTH1-PTH-Gs/β1/γ2
5.88Single8U4SREGN7663-Fab8U4S-CXCR4-REGN7663-Fab
5.88Single8U4TREGN7663-Fab8U4T-CXCR4-REGN7663-Fab
5.88Single8U8FPalmitic Acid8U8F-GPR3-Palmitic Acid-Gs/β1/γ2
5.88Single8XXXCXCL68XXX-CXCR2-CXCL6-Go/β1/γ2
5.88Single8YNFCXCL88YNF-ACKR1-CXCL8
5.88Single9C1PCa; Tryptophan; '6218; PO49C1P-CaS; CaS-Ca-Ca; Tryptophan; '6218; PO4
5.88Consensusccr6_onOrthosteric Ligand6WWZ-CCR6-CCL20-Go/β1/γ2
5.88Consensusccr6_on_gpOrthosteric Ligand6WWZ-CCR6-CCL20-Go/β1/γ2
5.56Single6FK8PubChem 1324730356FK8-Rhodopsin-PubChem 132473035
5.56Single6FKAPubChem 1324730376FKA-Rhodopsin-PubChem 132473037
5.56Single6PELCitronellol6PEL-Rhodopsin-Citronellol-Gt(CT)
5.56Single7UTZDPPC7UTZ-TSH-TSH-DPPC-Gs/β1/γ2
5.56Single7VV6C48/807VV6-MRGPRX2-C48/80
5.56Single7WVUfMLF7WVU-FPR1-ALX-fMLF-Gi1/β1/γ2
5.56Single8HQN9-S-HODE8HQN-GPR132-9-S-HODE-Gi1/β1/γ2
5.56Single8K4NPubChem 1687197658K4N-GPR34-PubChem 168719765-Gi1/β1/γ2
5.56Single9DQJEP-39459DQJ-MRGPRD-EP-3945-chim(NtGi1-Gs-CtGq)/β1/γ2
5.56Single9JQYTG6-1299JQY-EP4-TG6-129
5.26Single6FK7PubChem 1324730346FK7-Rhodopsin-PubChem 132473034
5.26Single6FKCPubChem 1324730396FKC-Rhodopsin-PubChem 132473039
5.26Single6FKDPubChem 1373491836FKD-Rhodopsin-PubChem 137349183
5.26Single7SK8CXCL127SK8-ACKR3-CXCL12-CCX662
5.26Single8EJKTAK-8758EJK-FFA1-TAK-875-chim(NtGi1L-Gs-CtGq)/β1/γ2
5.26Single8KEXDCA-3P8KEX-MRGPRX4-DCA-3P
5.26Single8X9TAP5038X9T-ADGRD1-AP503-chim(NtGi1-Gs)/β1/γ2
5.26Single9KFTfMLFC9KFT-FPR1-ALX-fMLFC-Gi1/β1/γ2
5.00Single4PHUFasiglifam4PHU-FFA1-Fasiglifam
5.00Single5ZBQUR-MK-2995ZBQ-Y1-UR-MK-299
5.00Single6Z4QSR142948A6Z4Q-NTS1-SR142948A
5.00Single7M3GCa; Ca; Tryptophan; Evocalcet; Etelcalcetide; PO47M3G-CaS; CaS-Ca; Ca; Tryptophan; Evocalcet; Etelcalcetide; PO4
5.00Single8EJCTAK-8758EJC-FFA1-TAK-875-chim(NtGi1L-Gs-CtGq)/β1/γ2
5.00Single8IZ4Lysophosphatidylserine (TJR)8IZ4-GPR34-Lysophosphatidylserine (TJR)-Gi1/β1/γ2
5.00Single8XQPCholesterol8XQP-TAS2R14-Cholesterol-Aristolochic acid A-Gt3/β1/γ1
5.00Single9DQHEP-28259DQH-MRGPRD-EP-2825-chim(NtGi1-Gs-CtGq)/β1/γ2
5.00Consensuscyslt_offOrthosteric Ligandcyslt2_off cyslt1_off
4.76Single5TZRMK86665TZR-FFA1-MK8666
4.76Single6RZ5Zafirlukast6RZ5-CysLT1-Zafirlukast-Na
4.76Single7SK7CXCL127SK7-ACKR3-CXCL12-CCX662
4.76Single8JBGNeurokinin-B8JBG-NK3-Neurokinin-B-chim(NtGi1-Gs-CtGq)/β1/γ2
4.76Single8XBIPubChem 1626566368XBI-GPR34-PubChem 162656636
4.76Single8XQTCholesterol8XQT-TAS2R14-Cholesterol-Gi1/β1/γ1
4.76Single8XX7CXCL58XX7-CXCR2-CXCL5-Go/β1/γ2
4.76Single9ITELPA9ITE-LPA6-LPA-chim(NtGi2-G13)/β1/γ2
4.76Consensusffa_onOrthosteric Ligandffa2_on ffa3_on
4.76Consensusffa_on_gpOrthosteric Ligandffa2_on_gp ffa3_on_gp
4.76Consensusgi_ffaOrthosteric Ligand8J21-FFA3-Butyric acid-Gi1/β1/γ2 8J22-FFA2-TUG-1375-Gi1/β1/γ2
4.55Single3VW7Vorapaxar; Na3VW7-PAR1-Vorapaxar; Na
4.55Single4PXZ2MeSADP4PXZ-P2Y12-2MeSADP
4.55Single4PY02MeSATP4PY0-P2Y12-2MeSATP
4.55Single5TZYMK8666; AP85TZY-FFA1-MK8666; AP8
4.55Single6RZ7ONO-25703666RZ7-CysLT2-ONO-2570366
4.55Single8DWCBAM8-228DWC-MRGPRX1-BAM8-22-chim(NtGi2L-Gs-CtGq)/β1/γ2
4.55Single8WRBLysophosphatidylserine (UBL)8WRB-GPR34-Lysophosphatidylserine (UBL)-Gi1/β1/γ2
4.55Single8XQJJN2418XQJ-Apelin; Apelin-JN241
4.55Single8XWACXCL18XWA-CXCR2-CXCL1
4.55Single8XWMCXCL68XWM-CXCR2-CXCL6
4.55Single8XWSCXCL58XWS-CXCR2-CXCL5
4.55Single8Y6WTUG-13758Y6W-FFA2-TUG-1375-4-CMTB-Gi1/β1/γ2
4.55Single9ECJS-geranylgeranyl-L-glutathione9ECJ-P2Y8-S-geranylgeranyl-L-glutathione-G13/β1/γ2
4.35Single6M1HMaxadilan6M1H-PAC1-Maxadilan-Gs/β1/γ2
4.35Single6RZ9ONO-27703726RZ9-CysLT2-ONO-2770372
4.35Single8XWVCXCL18XWV-CXCR2-CXCL1-Go/β1/γ2
4.35Consensuscyslt2_offOrthosteric Ligand6RZ7-CysLT2-ONO-2570366 6RZ8-CysLT2-ONO-2080365 6RZ9-CysLT2-ONO-2770372
4.17Single6KNMJN241-96KNM-Apelin-JN241-9
4.17Single6RZ6ONO-25703666RZ6-CysLT2-ONO-2570366
4.17Single8SAILysophosphatidylserine (S12)8SAI-GPR34-Lysophosphatidylserine (S12)-Gi1/β1/γ2
4.17Single8XQJJN2418XQJ-Apelin; Apelin-JN241
4.17Single9ITBLPA9ITB-LPA6-LPA-chim(NtGi1-Gs-CtGq)/β1/γ2
4.00Single6RZ8ONO-20803656RZ8-CysLT2-ONO-2080365
4.00Single8DWGBAM8-228DWG-MRGPRX1-BAM8-22-ML382-chim(NtGi2L-Gs-CtGq)/β1/γ2

PDB Summary
PDB 8Z87
Class A
SubFamily Alicarboxylic acid
Type Hydroxycarboxylic Acid
SubType HCA1
Species Homo Sapiens
Ligand CHBA
Other Ligand(s) -
Protein Partners Gi1/Beta1/Gamma2
PDB Resolution 2.73
Date 2025-11-05
D.O.I. To be published
Net Summary
Imin 2.92
Number of Linked Nodes 853
Number of Links 1143
Number of Hubs 235
Number of Links mediated by Hubs 808
Number of Communities 21
Number of Nodes involved in Communities 333
Number of Links involved in Communities 532
Path Summary
Number Of Nodes in MetaPath 160
Number Of Links MetaPath 159
Number of Shortest Paths 42420909
Length Of Smallest Path 3
Average Path Length 64
Length of Longest Path 67
Minimum Path Strength 1.235
Average Path Strength 8.03548
Maximum Path Strength 26.08
Minimum Path Correlation 0.7
Average Path Correlation 1
Maximum Path Correlation 1
Minimum % Of Corr. Nodes 2.17391
Average % Of Corr. Nodes 44.6705
Maximum % Of Corr. Nodes 100
Minimum Path Hubs % 0
Average Path Hubs % 128
Maximum Path Hubs % 100
AnnotationTypeLinks
Gene OntologyMolecular Function
Gene OntologyBiological Process• fibroblast proliferation   • cell population proliferation   • cellular process   • cellular response to nitrogen compound   • cellular response to stimulus   • response to dopamine   • regulation of cellular process   • response to stimulus   • signaling   • cellular response to dopamine   • response to monoamine   • cell communication   • response to catecholamine   • adenylate cyclase-activating dopamine receptor signaling pathway   • cellular response to catecholamine stimulus   • signal transduction   • regulation of biological process   • G protein-coupled dopamine receptor signaling pathway   • biological regulation   • response to oxygen-containing compound   • response to nitrogen compound   • adenylate cyclase-activating G protein-coupled receptor signaling pathway   • cellular response to oxygen-containing compound   • cellular response to chemical stimulus   • cellular response to monoamine stimulus   • response to chemical   • adenylate cyclase-modulating G protein-coupled receptor signaling pathway   • G protein-coupled receptor signaling pathway   • response to ketone   • response to prostaglandin   • response to lipid   • response to endogenous stimulus   • response to alcohol   • cellular response to prostaglandin stimulus   • cellular response to endogenous stimulus   • cellular response to prostaglandin E stimulus   • cellular response to alcohol   • response to hormone   • cellular response to lipid   • response to prostaglandin E   • cellular response to ketone   • cellular response to hormone stimulus   • cellular anatomical structure   • membrane   • protein-containing complex   • extrinsic component of plasma membrane   • catalytic complex   • plasma membrane protein complex   • cytoplasmic side of membrane   • plasma membrane   • membrane protein complex   • heterotrimeric G-protein complex   • side of membrane   • cell periphery   • cytoplasmic side of plasma membrane   • GTPase complex
Gene OntologyCellular Component• cellular anatomical structure   • membrane   • protein-containing complex   • extrinsic component of plasma membrane   • catalytic complex   • plasma membrane protein complex   • cytoplasmic side of membrane   • plasma membrane   • membrane protein complex   • heterotrimeric G-protein complex   • side of membrane   • cell periphery   • cytoplasmic side of plasma membrane   • GTPase complex   • extrinsic component of membrane   • extrinsic component of cytoplasmic side of plasma membrane   • extracellular exosome   • membrane-bounded organelle   • extracellular vesicle   • extracellular organelle   • extracellular region   • organelle   • extracellular space   • vesicle   • extracellular membrane-bounded organelle   • synapse   • cell junction   • protein binding   • binding   • enzyme binding   • GTPase binding   • protein-containing complex binding   • pyrophosphatase activity   • GTPase activity   • ribonucleoside triphosphate phosphatase activity   • hydrolase activity, acting on acid anhydrides, in phosphorus-containing anhydrides   • hydrolase activity   • hydrolase activity, acting on acid anhydrides   • catalytic activity   • signaling receptor complex adaptor activity   • protein-macromolecule adaptor activity   • molecular adaptor activity   • signaling adaptor activity   • multicellular organismal process   • system process   • sensory perception of chemical stimulus   • sensory perception   • nervous system process   • sensory perception of taste   • developmental process   • sensory organ development   • eye development   • animal organ development   • retina development in camera-type eye   • visual system development   • multicellular organism development   • camera-type eye development   • anatomical structure development   • sensory system development   • system development   • cell population proliferation   • cellular process   • cellular response to stimulus   • regulation of biological process   • regulation of cellular process   • response to stimulus   • signaling   • biological regulation   • signal transduction   • cell communication   • response to ketone   • response to prostaglandin   • response to lipid   • response to endogenous stimulus   • response to alcohol   • cellular response to prostaglandin stimulus   • response to oxygen-containing compound   • cellular response to oxygen-containing compound   • cellular response to endogenous stimulus   • cellular response to prostaglandin E stimulus   • cellular response to chemical stimulus   • cellular response to alcohol   • response to hormone   • response to chemical   • cellular response to lipid   • response to prostaglandin E   • cellular response to ketone   • cellular response to hormone stimulus   • small GTPase-mediated signal transduction   • Ras protein signal transduction   • intracellular signal transduction   • intracellular signaling cassette   • phospholipase C-activating G protein-coupled receptor signaling pathway   • G protein-coupled receptor signaling pathway   • cellular response to nitrogen compound   • response to dopamine   • cellular response to dopamine   • response to monoamine   • response to catecholamine   • adenylate cyclase-activating dopamine receptor signaling pathway   • cellular response to catecholamine stimulus   • G protein-coupled dopamine receptor signaling pathway   • response to nitrogen compound   • adenylate cyclase-activating G protein-coupled receptor signaling pathway   • cellular response to monoamine stimulus   • adenylate cyclase-modulating G protein-coupled receptor signaling pathway   • synaptic signaling   • cellular response to acetylcholine   • cell-cell signaling   • acetylcholine receptor signaling pathway   • postsynaptic signal transduction   • G protein-coupled acetylcholine receptor signaling pathway   • response to acetylcholine   • non-motile cilium   • 9+0 non-motile cilium   • cilium   • neuron projection   • photoreceptor disc membrane   • photoreceptor outer segment   • plasma membrane bounded cell projection   • cell projection   • photoreceptor cell cilium   • organelle membrane   • intracellular anatomical structure   • cytoplasm   • cytosol   • vacuolar membrane   • lytic vacuole   • vacuole   • intracellular membrane-bounded organelle   • intracellular organelle   • lytic vacuole membrane   • bounding membrane of organelle   • lysosomal membrane   • lysosome   • D2 dopamine receptor binding   • signaling receptor binding   • G protein-coupled receptor binding   • dopamine receptor binding   • enzyme regulator activity   • adenylate cyclase inhibitor activity   • cyclase regulator activity   • molecular function inhibitor activity   • cyclase inhibitor activity   • molecular function regulator activity   • enzyme inhibitor activity   • adenylate cyclase regulator activity   • guanyl nucleotide binding   • GTP binding   • nucleotide binding   • guanyl ribonucleotide binding   • purine ribonucleotide binding   • purine ribonucleoside triphosphate binding   • nucleoside phosphate binding   • ion binding   • purine nucleotide binding   • anion binding   • heterocyclic compound binding   • carbohydrate derivative binding   • ribonucleotide binding   • small molecule binding   • cation binding   • magnesium ion binding   • metal ion binding   • GDP binding   • G protein-coupled serotonin receptor binding   • G-protein beta/gamma-subunit complex binding   • G protein activity   • neuropeptide signaling pathway   • adenylate cyclase-inhibiting serotonin receptor signaling pathway   • G protein-coupled serotonin receptor signaling pathway   • adenylate cyclase-inhibiting G protein-coupled receptor signaling pathway   • response to peptide hormone   • cell division   • leukocyte migration   • immune system process   • mononuclear cell migration   • lymphocyte migration   • cell migration   • T cell migration   • cell motility   • regulation of steroid biosynthetic process   • regulation of cholesterol biosynthetic process   • regulation of cholesterol metabolic process   • steroid metabolic process   • regulation of lipid metabolic process   • sterol metabolic process   • positive regulation of biological process   • cholesterol metabolic process   • lipid biosynthetic process   • alcohol metabolic process   • regulation of primary metabolic process   • positive regulation of metabolic process   • regulation of small molecule metabolic process   • positive regulation of biosynthetic process   • positive regulation of lipid metabolic process   • small molecule metabolic process   • steroid biosynthetic process   • positive regulation of cellular process   • regulation of biosynthetic process   • secondary alcohol biosynthetic process   • regulation of alcohol biosynthetic process   • small molecule biosynthetic process   • regulation of steroid metabolic process   • cholesterol biosynthetic process   • positive regulation of cholesterol biosynthetic process   • primary metabolic process   • secondary alcohol metabolic process   • positive regulation of steroid biosynthetic process   • biosynthetic process   • sterol biosynthetic process   • positive regulation of lipid biosynthetic process   • regulation of sterol biosynthetic process   • alcohol biosynthetic process   • positive regulation of cholesterol metabolic process   • positive regulation of steroid metabolic process   • metabolic process   • regulation of lipid biosynthetic process   • positive regulation of small molecule metabolic process   • regulation of metabolic process   • positive regulation of alcohol biosynthetic process   • positive regulation of sterol biosynthetic process   • lipid metabolic process   • cell surface receptor signaling pathway   • response to cytokine   • response to chemokine   • cytokine-mediated signaling pathway   • cellular response to chemokine   • chemokine-mediated signaling pathway   • response to peptide   • cellular response to cytokine stimulus   • relaxation of smooth muscle   • regulation of system process   • regulation of muscle system process   • muscle system process   • relaxation of muscle   • positive regulation of relaxation of smooth muscle   • positive regulation of relaxation of muscle   • positive regulation of multicellular organismal process   • regulation of multicellular organismal process   • regulation of relaxation of smooth muscle   • regulation of relaxation of muscle   • negative regulation of protein transport   • regulation of localization   • establishment of protein localization   • nitrogen compound transport   • negative regulation of biological process   • negative regulation of transport   • localization   • negative regulation of secretion   • negative regulation of hormone secretion   • negative regulation of secretion by cell   • intracellular protein localization   • regulation of biological quality   • regulation of peptide hormone secretion   • negative regulation of peptide hormone secretion   • regulation of hormone levels   • establishment of protein localization to extracellular region   • negative regulation of establishment of protein localization   • protein secretion   • establishment of localization   • regulation of protein secretion   • regulation of secretion   • negative regulation of protein secretion   • regulation of hormone secretion   • regulation of protein localization   • regulation of peptide secretion   • transport   • negative regulation of signaling   • hormone secretion   • negative regulation of cell communication   • protein localization to extracellular region   • negative regulation of peptide secretion   • peptide secretion   • regulation of secretion by cell   • secretion by cell   • signal release   • negative regulation of cellular process   • negative regulation of protein localization   • regulation of signaling   • regulation of transport   • secretion   • regulation of peptide transport   • regulation of establishment of protein localization   • export from cell   • regulation of protein transport   • peptide transport   • negative regulation of insulin secretion   • protein transport   • regulation of insulin secretion   • peptide hormone secretion   • macromolecule localization   • hormone transport   • regulation of cell communication   • insulin secretion   • regulation of cytoskeleton organization   • regulation of cellular component organization   • microtubule cytoskeleton organization   • regulation of mitotic spindle organization   • mitotic cell cycle   • cellular component organization   • cell cycle   • cellular component organization or biogenesis   • regulation of cell cycle   • microtubule cytoskeleton organization involved in mitosis   • spindle organization   • cell cycle process   • regulation of cell cycle process   • regulation of microtubule-based process   • regulation of spindle organization   • regulation of organelle organization   • mitotic spindle organization   • organelle organization   • mitotic cell cycle process   • microtubule-based process   • cytoskeleton organization   • regulation of microtubule cytoskeleton organization   • positive regulation of protein localization to cell periphery   • protein localization to cell periphery   • positive regulation of protein localization to cell cortex   • regulation of protein localization to cell periphery   • regulation of protein localization to cell cortex   • positive regulation of protein localization   • protein localization to cell cortex   • cellular response to forskolin   • response to forskolin   • midbody   • nucleus   • membrane-enclosed lumen   • intracellular membraneless organelle   • nucleolus   • intracellular organelle lumen   • organelle lumen   • membraneless organelle   • nuclear lumen   • cell cortex   • centrosome   • microtubule organizing center   • cytoskeleton   • microtubule cytoskeleton   • centriolar satellite   • sperm principal piece   • 9+2 motile cilium   • sperm flagellum   • motile cilium   • nucleoplasm   • Golgi apparatus   • endomembrane system   • ciliary basal body   • molecular transducer activity   • G protein-coupled receptor activity   • transmembrane signaling receptor activity   • signaling receptor activity   • negative regulation of catabolic process   • lipid catabolic process   • catabolic process   • negative regulation of metabolic process   • regulation of catabolic process   • regulation of lipid catabolic process   • negative regulation of lipid metabolic process   • negative regulation of lipid catabolic process
SCOP2Domain Identifier• Transducin (heterotrimeric G protein), gamma chain   • Ras-like P-loop GTPases
SCOP2Family Identifier• Transducin (heterotrimeric G protein), gamma chain   • Ras-like P-loop GTPases
Membrane Protein Annotations-• Orientations of Proteins in Membranes database (OPM)   • Protein Data Bank of Transmembrane Proteins (PDBTM)   • MemProtMD


Details about the values in these tables can be found in the corresponding documentation page .
Code_L_
PDB ResiduesL:L:?1
Environment DetailsOpen EMBL-EBI Page
Code_L_
Name
Synonyms
Identifier
Formula
Molecular Weight
SMILES
PubChem
Formal Charge
Total Atoms
Total Chiral Atoms
Total Bonds
Total Aromatic Bonds

PDBsumOpen PDBsum Page
ChainA
ProteinG Protein α Sub unit
UniProtP63096
Sequence
>8Z87_Chain_A
CTLSAEDKA AVERSKMID RNLREDGEK AAREVKLLL LGAGESGKT 
IVKQMKTGI VETHFTFKD LHFKMFDVG QRSERKKWI HCFEGVTAI 
IFCVALSDY DLVLAEDEE MNRMHSMKL FDSICNNKW FTDTSIILF 
LNKKDLFEE KIKKSPLTI CYPEYAGSN TYEEAAAYI QCQFEDLNK 
RKDTKEIYT HFTCTDTKN VQFVFDAVT DVIIKNNLK DCGLFNAAS


Click on each residue to open a popup with some information about it.

ConSurf Conservation Grade (See documentation): 

 n/a   1    2    3    4    5    6    7    8    9  

ChainB
ProteinG Protein β Sub unit
UniProtP62873
Sequence
>8Z87_Chain_B
SELDQLRQE AEQLKNQIR DARKACADA TLSQITNNI DPVGRIQMR 
TRRTLRGHL AKIYAMHWG TDSRLLVSA SQDGKLIIW DSYTTNKVH 
AIPLRSSWV MTCAYAPSG NYVACGGLD NICSIYNLK TREGNVRVS 
RELAGHTGY LSCCRFLDD NQIVTSSGD TTCALWDIE TGQQTTTFT 
GHTGDVMSL SLAPDTRLF VSGACDASA KLWDVREGM CRQTFTGHE 
SDINAICFF PNGNAFATG SDDATCRLF DLRADQELM TYSHDNIIC 
GITSVSFSK SGRLLLAGY DDFNCNVWD ALKADRAGV LAGHDNRVS 
CLGVTDDGM AVATGSWDS FLKIWN


Click on each residue to open a popup with some information about it.

ConSurf Conservation Grade (See documentation): 

 n/a   1    2    3    4    5    6    7    8    9  

ChainG
ProteinG Protein γ Sub unit
UniProtP59768
Sequence
>8Z87_Chain_G
NTASIAQAR KLVEQLKME ANIDRIKVS KAAADLMAY CEAHAKEDP 
LLTPVPASE NPFR


Click on each residue to open a popup with some information about it.

ConSurf Conservation Grade (See documentation): 

 n/a   1    2    3    4    5    6    7    8    9  

ChainR
ProteinReceptor
UniProtQ9BXC0
Sequence
>8Z87_Chain_R
CCRIEGDTI SQVMPPLLI VAFVLGALG NGVALCGFC FHMKTWKPS 
TVYLFNLAV ADFLLMICL PFRTDYYLR RRHWAFGDI PCRVGLFTL 
AMNRAGSIV FLTVVAADR YFKVVHPHH AVNTISTRV AAGIVCTLW 
ALVILGTVY LLLENHLCV QETAVSCES FIMESANGW HDIMFQLEF 
FMPLGIILF CSFKIVWSL RRRQQLARQ ARMKKATRF IMVVAIVFI 
TCYLPSVSA RLYFLWTVP SSACDPSVH GALHITLSF TYMNSMLDP 
LVYYFSSPS FP


Click on each residue to open a popup with some information about it.

ConSurf Conservation Grade (See documentation): 

 n/a   1    2    3    4    5    6    7    8    9  




This receptor, from the same or other species and bound to the same or other ligands, is also present in the following networks:
Show PDB Class SubFamily Type SubType Species Orthosteric Ligand Other Ligand(s) Protein Partners Resolution Date DOI
9IZDAAlicarboxylic acidHydroxycarboxylic AcidHCA1Homo sapiensCHBA-Gi1/β1/γ23.162025-04-02doi.org/10.1371/journal.pbio.3003126
9IZD (No Gprot) AAlicarboxylic acidHydroxycarboxylic AcidHCA1Homo sapiensCHBA-3.162025-04-02doi.org/10.1371/journal.pbio.3003126
9J8ZAAlicarboxylic acidHydroxycarboxylic AcidHCA1Homo sapiens--Gi1/β1/γ23.362025-04-02doi.org/10.1371/journal.pbio.3003126
9J8Z (No Gprot) AAlicarboxylic acidHydroxycarboxylic AcidHCA1Homo sapiens--3.362025-04-02doi.org/10.1371/journal.pbio.3003126
8Z8AAAlicarboxylic acidHydroxycarboxylic AcidHCA1Homo sapiensLactate-Gi1/β1/γ22.822025-10-29To be published
8Z8A (No Gprot) AAlicarboxylic acidHydroxycarboxylic AcidHCA1Homo sapiensLactate-2.822025-10-29To be published
8Z8BAAlicarboxylic acidHydroxycarboxylic AcidHCA1Homo sapiens--Gi1/β1/γ22.652025-10-29To be published
8Z8B (No Gprot) AAlicarboxylic acidHydroxycarboxylic AcidHCA1Homo sapiens--2.652025-10-29To be published
8Z87 (No Gprot) AAlicarboxylic acidHydroxycarboxylic AcidHCA1Homo sapiensCHBA-2.732025-11-05To be published
9KT9AAlicarboxylic acidHydroxycarboxylic AcidHCA1Homo sapiens3,5-DHBA-Gi1/β1/γ22.72025-12-1010.1021/acs.jmedchem.4c02567
9KT9 (No Gprot) AAlicarboxylic acidHydroxycarboxylic AcidHCA1Homo sapiens3,5-DHBA-2.72025-12-1010.1021/acs.jmedchem.4c02567




You can download a compressed (zip) file with structure(s), 3D outputs (as PyMol and VMD scripts) and numerical data files (as csv and plain text files).

Download 8Z87.zip



You can click to copy the link of this page to easily come back here later

or use this QR code to link and share this page.



You can also  read or  download a guide explaining the meaning of all files and numerical data.