Color ConSurf Grade
      No Conservation data available
      1
      2
      3
      4
      5
      6
      7
      8
      9

Index: hub id, click on each number to highlight the corresponding hub in the 3D visualization.

Hub: the hub being considered.

Avg Int. Strength: the average interaction strength of all the links of the corresponding hub.

Num Of Links: the number of links of the corresponding hub.

Community: the id of the community the link belong to, otherwise 0.

ConSurf: this column reports the ConSurf conservation grades of each hub.

Index Hub Avg Int. Strength Num Of Links Community ConSurf
1R:R:V44 3.8875409
2R:R:F51 4.9925406
3R:R:T59 4.54438
4R:R:F62 6.165408
5R:R:L66 5.26167629
6R:R:D70 8.60667629
7R:R:M78 3.77333627
8R:R:K81 6.475626
9R:R:W90 6.15728
10R:R:W99 5.85857725
11R:R:D103 7.84427
12R:R:I104 6.265426
13R:R:S118 3.645408
14R:R:D120 7.4725439
15R:R:R121 7.37429
16R:R:Y122 7.5225408
17R:R:W123 5.4875434
18R:R:I125 4.12408
19R:R:F129 6.012577
20R:R:Y131 9.098537
21R:R:M135 7.235437
22R:R:F156 6.85525
23R:R:V159 6.5575425
24R:R:Q160 5.27425
25R:R:H164 10.295405
26R:R:L190 4.8775424
27R:R:Y194 5.674507
28R:R:F203 7.7528
29R:R:P206 3.4575409
30R:R:Y214 4.472509
31R:R:Y218 6.1125207
32R:R:Q224 7.9175487
33R:R:F281 4.66333629
34R:R:W285 6.1575828
35R:R:L286 4.2625406
36R:R:F288 8.382527
37R:R:F289 8.83333627
38R:R:N292 5.8075426
39R:R:F313 5.0625404
40R:R:W318 6.638525
41R:R:W321 6.85143727
42R:R:S325 3.1025406
43R:R:Y331 5.762529
44R:R:D336 6.19437
45R:R:F337 5.732539
46B:B:I37 4.975402
47B:B:V40 5.0454163
48B:B:H54 10.515409
49B:B:K57 11.935419
50B:B:W63 7.386507
51B:B:K78 5.08408
52B:B:I81 5.64254117
53B:B:W82 9.8456179
54B:B:D83 10.34188
55B:B:T86 8.27254186
56B:B:K89 6.63509
57B:B:L95 5.0554228
58B:B:W99 10.212519
59B:B:M101 3.7775419
60B:B:Y105 3.758577116
61B:B:Y111 5.4475444
62B:B:C114 3.81754228
63B:B:L117 4.384519
64B:B:I123 3.885446
65B:B:Y124 4.672506
66B:B:H142 7.186519
67B:B:Y145 5.5075818
68B:B:F151 4.62857749
69B:B:N155 5.3875443
70B:B:I157 5407
71B:B:T159 6.0875419
72B:B:S160 5.17254236
73B:B:D163 7.0825419
74B:B:W169 9.34667618
75B:B:I171 3.545446
76B:B:T173 5.11445
77B:B:F180 9.46457
78B:B:H183 7.07833659
79B:B:D186 5.7275419
80B:B:F199 8.1525459
81B:B:C204 6.478517
82B:B:D205 6.114559
83B:B:K209 8.22556
84B:B:W211 9.03667658
85B:B:D212 7.6775409
86B:B:C218 5.155455
87B:B:Q220 7.3125417
88B:B:F222 6.788518
89B:B:H225 9.07619
90B:B:D228 6.5525419
91B:B:I232 5.4775418
92B:B:F235 6.2356156
93B:B:P236 5.66754157
94B:B:F241 8.012516
95B:B:D247 6.618519
96B:B:R251 10.4275418
97B:B:F253 7.436516
98B:B:D258 8.5675417
99B:B:M262 6.145404
100B:B:Y264 7.34505
101B:B:C271 4.22495
102B:B:F278 5.365157
103B:B:R283 6.6345169
104B:B:Y289 7.20333697
105B:B:N295 6.5325496
106B:B:H311 7.8245129
107B:B:R314 10.152518
108B:B:W332 11.075619
109B:B:D333 7.97754129
110B:B:K337 5.5145126
111B:B:W339 9.6954129
112G:G:V16 4.4475407
113G:G:L19 2.7875409
114G:G:R27 6.8875408
115G:G:Y40 9.33754156
116G:G:D48 6.1525409
117G:G:P49 3.54407
118G:G:L51 5.77754166
119G:G:P60 6.33254149
120G:G:F61 5.148577148
121A:A:H41 7.6025476
122A:A:L45 5.95254268
123A:A:K53 6.424269
124A:A:E209 5.14167619
125A:A:N218 4.8825414
126A:A:F219 6.406508
127A:A:F222 10.058517
128A:A:R228 6.0625419
129A:A:R232 5.865408
130A:A:K233 5.32419
131A:A:W234 7.755619
132A:A:F238 6.46667619
133A:A:F246 4.9925409
134A:A:Y253 4.63754198
135A:A:N254 6.1685199
136A:A:F273 5.184569
137A:A:W277 8.0625466
138A:A:W281 8.236515
139A:A:L289 4.9175409
140A:A:F290 6.2645139
141A:A:K293 4.795109
142A:A:Q294 6.0775466
143A:A:Y311 5.90754196
144A:A:F315 10.84406
145A:A:Y318 8.9925406
146A:A:P321 5.666505
147A:A:Y339 5.905463
148A:A:F340 10.145407
149A:A:R342 6.36564
150A:A:D343 6.5403
151A:A:F345 8.6775408
152A:A:L346 3.7375464
153A:A:S349 4.226567
154A:A:Y358 6.1025484
155A:A:Y360 7.798588
156A:A:F363 6.038565
157A:A:N371 5.42754139
158A:A:R374 6.251676134
159A:A:F376 5.49167678
160A:A:D381 7.9125488
161A:A:R385 9.444585
162L:L:?1 7.561671220
   

Color ConSurf Grade
      No Conservation data available
      1
      2
      3
      4
      5
      6
      7
      8
      9

Index: link id, click on each number to highlight the corresponding link in the 3D visualization.

Node1 Node2: the two nodes of the corresponding link.

Recurrence: the relative Recurrence in the pool of shortest paths.

Int. Strength: the interaction strength between the two nodes.

Hub1?, Hub2?: "Yes" if the corresponding node has more than 3 links, otherwise "No".

Community: the id of the community the link belong to, otherwise 0.

ConSurf1, ConSurf2: these columns report the ConSurf conservation grades of the two nodes involved in a link.

Index Node1 Node2 Recurrence Int. Strength Hub1? Hub2? Community ConSurf1 ConSurf2
1A:A:W281 B:B:R314 19.5223YesYes158
2A:A:N279 A:A:W281 20.90083.39NoYes085
3A:A:I235 A:A:N279 21.12324.25NoNo098
4A:A:I235 A:A:W234 21.25194.7NoYes099
5A:A:R232 A:A:W234 76.791610YesYes089
6A:A:L272 A:A:R232 77.24114.86NoYes088
7A:A:F246 A:A:L272 77.35386.09YesNo098
8A:A:F246 A:A:F273 38.66615.36YesYes099
9A:A:F273 A:A:F345 52.62028.57YesYes098
10A:A:F345 A:A:L270 91.468810.96YesNo086
11A:A:E344 A:A:L270 91.63523.98NoNo056
12A:A:E344 A:A:F340 91.7034.66NoYes057
13A:A:F315 A:A:F340 95.409916.08YesYes067
14A:A:F315 A:A:I308 99.059613.82YesNo067
15A:A:I308 A:A:Y253 99.09044.84NoYes078
16A:A:N254 A:A:Y253 98.90994.65YesYes1998
17A:A:K300 A:A:N254 99.24538.39NoYes099
18A:A:K300 A:A:S251 99.27563.06NoNo099
19A:A:K293 A:A:S251 99.24524.59YesNo1099
20A:A:K293 A:A:N292 99.82064.2YesNo099
21A:A:N292 A:A:T364 1004.39NoNo099
22A:A:F290 A:A:T364 66.041210.38YesNo1399
23A:A:F290 A:A:I288 33.26523.77YesNo099
24A:A:D378 A:A:I288 33.240211.2NoNo079
25A:A:D378 A:A:Y360 99.663912.64NoYes078
26A:A:D381 A:A:Y360 49.19243.45YesYes888
27A:A:D381 R:R:Q224 49.01099.14YesYes887
28A:A:Q384 R:R:Q224 97.91633.84NoYes067
29A:A:Q384 R:R:I220 97.73456.86NoNo066
30R:R:I125 R:R:I220 97.55272.94YesNo086
31A:A:Y391 R:R:I125 82.29594.84NoYes048
32A:A:Y391 R:R:R121 81.928315.43NoYes049
33R:R:R121 R:R:Y331 80.23686.17YesYes299
34A:A:F246 A:A:L289 39.03143.65YesYes099
35A:A:F345 A:A:L289 38.75547.31YesYes089
36A:A:F290 A:A:H362 33.2337.92YesNo1399
37A:A:D378 A:A:H362 66.499611.35NoNo079
38A:A:R374 A:A:T364 33.98866.47YesNo1349
39A:A:H362 A:A:R374 33.310812.41NoYes1394
40A:A:R385 A:A:Y360 49.57459.26YesYes858
41A:A:R385 R:R:Q224 49.07778.18YesYes857
42L:L:?1 R:R:F289 29.05085.53YesYes207
43L:L:?1 R:R:S107 14.50133.41YesNo207
44R:R:S107 R:R:W285 15.28764.94NoYes278
45R:R:F281 R:R:W285 49.88026.01YesYes298
46R:R:S126 R:R:Y122 10.30998.9NoYes078
47R:R:S126 R:R:S127 10.11093.26NoNo076
48L:L:?1 R:R:F288 14.506112.91YesYes207
49R:R:F288 R:R:W285 17.78967.02YesYes278
50R:R:F289 R:R:W285 16.63035.01YesYes278
51R:R:F203 R:R:F289 16.609921.43YesYes287
52R:R:F203 R:R:F281 19.65353.22YesYes289
53R:R:F281 R:R:L114 71.6693.65YesNo299
54L:L:?1 R:R:I104 17.84414.05YesYes206
55R:R:W90 R:R:W99 10.06554.69YesYes285
56R:R:I125 R:R:I217 11.68594.42YesNo089
57R:R:I217 R:R:Y122 11.50213.63NoYes098
58B:B:F222 B:B:F253 11.72696.43YesYes186
59B:B:D247 B:B:H225 15.33937.56YesYes199
60B:B:D247 B:B:S227 16.0284.42YesNo196
61B:B:D228 B:B:S227 16.16094.42YesNo196
62A:A:K233 B:B:D228 16.37026.91YesYes199
63A:A:K233 B:B:Y145 16.63993.58YesYes198
64A:A:W234 B:B:Y145 29.09895.79YesYes198
65B:B:W297 B:B:Y264 10.136212.54NoYes085
66B:B:W297 B:B:Y289 10.26184.82NoYes087
67B:B:C271 B:B:Y289 11.79294.03YesYes957
68B:B:C271 B:B:D290 12.44433.11YesNo056
69B:B:D290 B:B:R314 12.57579.53NoYes068
70B:B:L70 B:B:W63 12.794712.53NoYes057
71B:B:L70 B:B:W82 13.18916.83NoYes059
72B:B:H54 B:B:S74 19.015712.55YesNo099
73B:B:D76 B:B:S74 19.21410.31NoNo099
74B:B:D76 B:B:L55 21.418410.86NoNo096
75A:A:Y37 B:B:L55 22.01193.52NoNo046
76A:A:R42 A:A:Y37 22.495116.46NoNo094
77A:A:F222 A:A:R42 22.68834.28YesNo079
78A:A:F222 A:A:F238 31.2713.22YesYes179
79A:A:F238 A:A:L44 13.101110.96YesNo099
80A:A:I244 A:A:L44 13.14745.71NoNo089
81A:A:I244 A:A:V287 13.1944.61NoNo086
82A:A:V287 A:A:W277 13.24064.9NoYes066
83A:A:F273 A:A:W277 13.65863.01YesYes696
84A:A:F238 A:A:W234 26.58374.01YesYes199
85B:B:S122 B:B:Y124 11.56343.82NoYes086
86B:B:E138 B:B:S122 11.94234.31NoNo068
87B:B:E138 B:B:I120 13.09555.47NoNo066
88B:B:D118 B:B:I120 14.25378.4NoNo096
89B:B:D118 B:B:S97 14.64128.83NoNo098
90A:A:E209 B:B:S97 15.03074.31YesNo098
91L:L:?1 R:R:W99 18.56637.76YesYes205
92R:R:L114 R:R:Y331 71.81357.03NoYes299
Download PSN data

2D representation of the global metapath, ligand(s) interactions and
histograms of path distribution according to several parameters
(click on the image to enlarge it 🔍):

A 2D representation of the global communication in the network.

ConSurf Conservation Grade (See documentation): 

 n/a   1    2    3    4    5    6    7    8    9  

Number of shortest communication paths as a function of the average residue correlation.

Number of shortest communication paths as a function of the average interaction strength of their links.

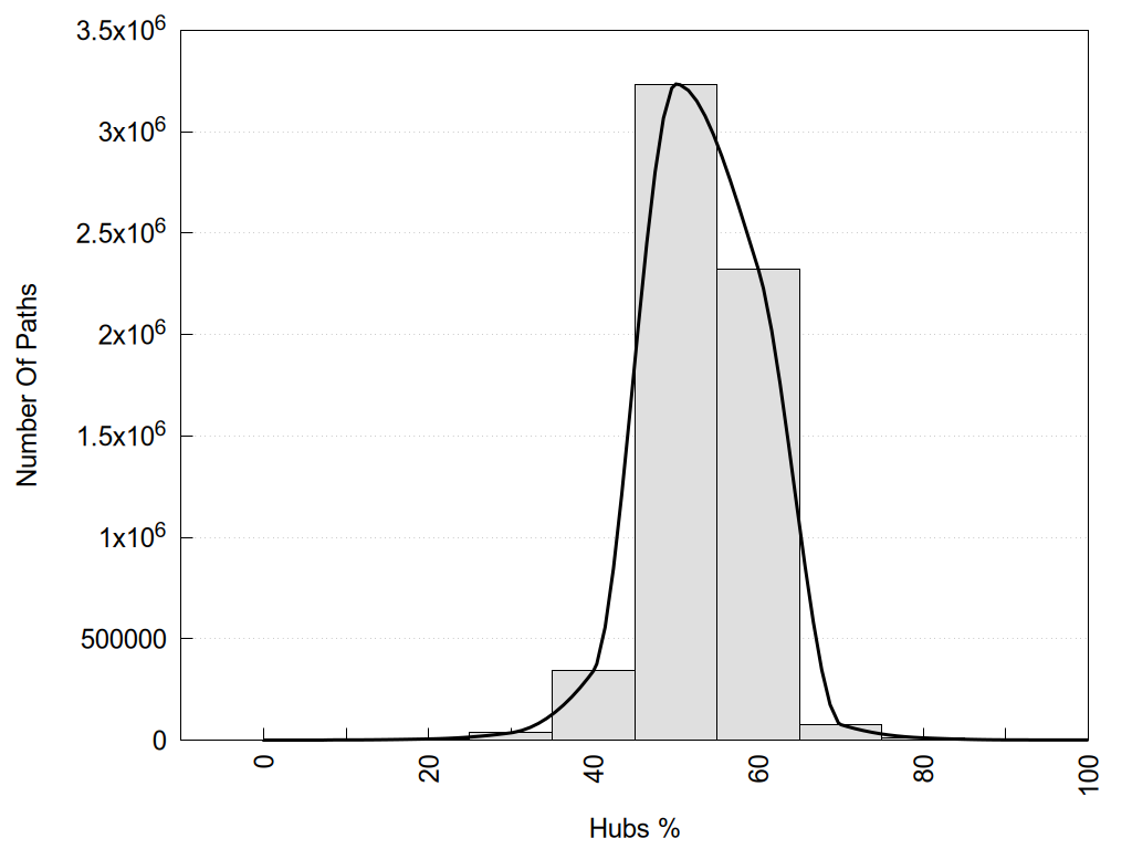
Number of shortest communication paths as a function of the % of hub nodes in each path.

Number of shortest communication paths as a function of the number of nodes in each path.

Number of shortest communication paths as a function of the % of correlated nodes in each path.


2D representation of the interactions of this orthosteric/allosteric ligand.


Links and nodes colored according to ConSurf Conservation Grade (See documentation): 

 n/a   1    2    3    4    5    6    7    8    9  

Node1 Node2 LinkStrength Comm IsNode1Hub? IsNode2Hub? Node1Cons Node2Cons Node1Shell Node2Shell
R:R:V77 R:R:W99 4.9 2 No Yes 8 5 2 1
R:R:D103 R:R:V77 4.38 2 Yes No 7 8 1 2
R:R:V77 R:R:W321 6.13 2 No Yes 8 7 2 2
R:R:F95 R:R:W80 5.01 2 No No 5 5 2 2
R:R:W80 R:R:W99 5.62 2 No Yes 5 5 2 1
R:R:E85 R:R:K81 5.4 2 No Yes 4 6 2 1
R:R:K81 R:R:W99 9.28 2 Yes Yes 6 5 1 1
R:R:D314 R:R:K81 8.3 2 No Yes 4 6 2 1
R:R:K81 R:R:W318 6.96 2 Yes Yes 6 5 1 2
R:R:K81 R:R:W321 4.64 2 Yes Yes 6 7 1 2
L:L:?1 R:R:K81 4.27 2 Yes Yes 0 6 0 1
R:R:D314 R:R:E85 7.8 2 No No 4 4 2 2
R:R:E85 R:R:W318 3.27 2 No Yes 4 5 2 2
R:R:W90 R:R:W99 4.69 2 Yes Yes 8 5 2 1
R:R:F95 R:R:W99 5.01 2 No Yes 5 5 2 1
R:R:W321 R:R:W99 3.75 2 Yes Yes 7 5 2 1
L:L:?1 R:R:W99 7.76 2 Yes Yes 0 5 0 1
R:R:I104 R:R:V100 3.07 2 Yes No 6 5 1 1
L:L:?1 R:R:V100 6.77 2 Yes No 0 5 0 1
R:R:D103 R:R:S107 4.42 2 Yes No 7 7 1 1
R:R:D103 R:R:W321 12.28 2 Yes Yes 7 7 1 2
L:L:?1 R:R:D103 10.28 2 Yes Yes 0 7 0 1
R:R:I104 R:R:S155 3.1 2 Yes No 6 7 1 2
R:R:I104 R:R:Y194 4.84 2 Yes Yes 6 7 1 2
L:L:?1 R:R:I104 14.05 2 Yes Yes 0 6 0 1
R:R:S107 R:R:W285 4.94 2 No Yes 7 8 1 2
L:L:?1 R:R:S107 3.41 2 Yes No 0 7 0 1
R:R:H164 R:R:L190 3.86 0 Yes Yes 5 4 2 1
R:R:H164 R:R:Y194 6.53 0 Yes Yes 5 7 2 2
R:R:A195 R:R:L190 3.15 0 No Yes 5 4 2 1
R:R:L190 R:R:N292 4.12 2 Yes Yes 4 6 1 1
L:L:?1 R:R:L190 8.38 2 Yes Yes 0 4 0 1
R:R:S198 R:R:Y194 10.17 0 No Yes 7 7 1 2
L:L:?1 R:R:S198 5.68 2 Yes No 0 7 0 1
R:R:F289 R:R:S199 5.28 2 Yes No 7 7 1 2
R:R:N292 R:R:S199 5.96 2 Yes No 6 7 1 2
R:R:F289 R:R:S202 3.96 2 Yes No 7 6 1 2
R:R:F203 R:R:W285 4.01 2 Yes Yes 8 8 2 2
R:R:F203 R:R:F289 21.43 2 Yes Yes 8 7 2 1
R:R:F288 R:R:W285 7.02 2 Yes Yes 7 8 1 2
R:R:F289 R:R:W285 5.01 2 Yes Yes 7 8 1 2
R:R:F288 R:R:F289 11.79 2 Yes Yes 7 7 1 1
R:R:F288 R:R:N292 4.83 2 Yes Yes 7 6 1 1
R:R:F288 R:R:F313 5.36 2 Yes Yes 7 4 1 2
L:L:?1 R:R:F288 12.91 2 Yes Yes 0 7 0 1
L:L:?1 R:R:F289 5.53 2 Yes Yes 0 7 0 1
L:L:?1 R:R:N292 8.32 2 Yes Yes 0 6 0 1
R:R:F313 R:R:V317 3.93 0 Yes No 4 6 2 1
R:R:V317 R:R:W321 7.36 0 No Yes 6 7 1 2
L:L:?1 R:R:V317 3.38 2 Yes No 0 6 0 1
R:R:W318 R:R:W321 10.31 2 Yes Yes 5 7 2 2

Location and physicochemical properties of the interaction partners of this ligand

Interactions of this ligand

Similarities between the interactions of this ligand and those of other networks

ShowSimilarityNetwork TypeNameLigandDescription
84.62Single9L74S1P d16:19L74-S1P3-S1P d16:1-chim(NtGi2L-Gs-CtGq)/β1/γ2
80.00Single7X2DTavapadon7X2D-D1-Tavapadon-Gs/β1/γ2
78.57Single7CKYPW04647CKY-D1-PW0464-Gs/β1/γ2
78.57Single9I54PubChem 1764520919I54-D1-PubChem 176452091-Gs/β1/γ2
73.33Single9WSVDAMGO9WSV-μ-DAMGO-Arrestin2
73.33Consensusopioid_offOrthosteric Ligandmop_off nop_off dop_off kop_off
71.43Single7SBFPZM217SBF-μ-PZM21-Gi1/β1/γ2
71.43Single8DZQmomSalB8DZQ-κ-momSalB-Go/β1/γ2
71.43Single8DZRGR89,6968DZR-κ-GR89,696-chim(NtGi2-Gt3)/β1/γ2
71.43Single8JXSPF-61428JXS-D1-PF-6142
71.43Consensusd1_onOrthosteric Ligand7F0T-D1-Dopamine-Gs/β1/γ2 7CKY-D1-PW0464-Gs/β1/γ2 8IRR-D1-Rotigotine-Gs/β1/γ2 7JV5-D1-SKF81297-Gs/β1/γ2 7JVP-D1-SKF83959-Gs/β1/γ2 7X2D-D1-Tavapadon-Gs/β1/γ2 7CKX-D1-A77636-Gs/β1/γ2 7JVQ-D1-Apomorphine-Gs/β1/γ2 7CKW-D1-Fenoldopam-Gs/β1/γ2
71.43Consensusd4_onOrthosteric Ligand8IRU-D4-Rotigotine-chim(NtGi1-Gs-CtGi1)/β1/γ2
69.23Single6TPGEMPA6TPG-OX2-EMPA
69.23Single7SR8TAK-9257SR8-OX2-TAK-925-chim(NtGi1L-Gs-CtGq)/β1/γ2
68.75Single5X93K-87945X93-ETB-K-8794
68.75Single6DDFDAMGO6DDF-μ-DAMGO-Gi1/β1/γ2
68.75Single8E0GBU728E0G-μ-BU72
66.67Single3SN6BI1671073SN6-β2-BI167107-Gs/β1/γ2
66.67Single6H7JIsoprenaline6H7J-β1-Isoprenaline
66.67Single7JJOIsoprenaline7JJO-β1-Isoprenaline-Gs/β1/γ2
66.67Single7JVPSKF839597JVP-D1-SKF83959-Gs/β1/γ2
66.67Single7XTASerotonin7XTA-5-HT4-Serotonin-Gi1/β1/γ2
66.67Single8DZPmomSalB8DZP-κ-momSalB-Gi1/β1/γ2
66.67Single8IRURotigotine8IRU-D4-Rotigotine-chim(NtGi1-Gs-CtGi1)/β1/γ2
66.67Consensus5ht4_onOrthosteric Ligand7XTA-5-HT4-Serotonin-Gi1/β1/γ2
66.67Consensus5ht4_on_gpOrthosteric Ligand7XTA-5-HT4-Serotonin-Gi1/β1/γ2
66.67Consensusd1_on_gpOrthosteric Ligand7F0T-D1-Dopamine-Gs/β1/γ2 7CKY-D1-PW0464-Gs/β1/γ2 8IRR-D1-Rotigotine-Gs/β1/γ2 7JV5-D1-SKF81297-Gs/β1/γ2 7JVP-D1-SKF83959-Gs/β1/γ2 7X2D-D1-Tavapadon-Gs/β1/γ2 7CKX-D1-A77636-Gs/β1/γ2 7JVQ-D1-Apomorphine-Gs/β1/γ2 7CKW-D1-Fenoldopam-Gs/β1/γ2
66.67Consensusd4_on_gpOrthosteric Ligand8IRU-D4-Rotigotine-chim(NtGi1-Gs-CtGi1)/β1/γ2
66.67Consensusgs_dopamineOrthosteric Ligand7F0T-D1-Dopamine-Gs/β1/γ2 7CKW-D1-Fenoldopam-Gs/β1/γ2 7CKY-D1-PW0464-Gs/β1/γ2 8IRV-D5-Rotigotine-chim(NtGi1-Gs)/β1/γ2 8IRR-D1-Rotigotine-Gs/β1/γ2 7JV5-D1-SKF81297-Gs/β1/γ2 7JVP-D1-SKF83959-Gs/β1/γ2 7X2D-D1-Tavapadon-Gs/β1/γ2 7CKX-D1-A77636-Gs/β1/γ2 7JVQ-D1-Apomorphine-Gs/β1/γ2
66.67Consensuss1p3_on_gpOrthosteric Ligand7EW3-S1P3-S1P-Gi1/β1/γ2 7EW4-S1P3-CYM-5541-Gi1/β1/γ2 7EW2-S1P3-FTY720-P-Gi1/β1/γ2
64.71Single8Y72Peptide8Y72-μ-Peptide-BMS-986122-Gi1/β1/γ2
64.29Single2Y04Salbutamol2Y04-β1-Salbutamol
64.29Single7CRHSKF839597CRH-D1-SKF83959-Gs/β1/γ2
64.29Single7JOZPubChem 752020227JOZ-D1-PubChem 75202022-Gs/β1/γ2
64.29Single7JVQApomorphine7JVQ-D1-Apomorphine-Gs/β1/γ2
64.29Single7S0GIsoprenaline7S0G-β1-Isoprenaline-chim(Gi1-CtGs)/β1/γ2
64.29Single7UM6Lisuride7UM6-5-HT5A-Lisuride-chim(NtGi1-Go)/β1/γ2
64.29Single7XJHIsoprenaline7XJH-β3-Isoprenaline-Gs/β1/γ2
64.29Single8XVKAmbrisentan8XVK-ETA-Ambrisentan
64.29Single9CHXCarazolol9CHX-β2-Carazolol
64.29Consensus5ht5_onOrthosteric Ligand5ht5a_on
64.29Consensus5ht5a_onOrthosteric Ligand7X5H-5-HT5A-5-CT-Gi1/β1/γ2 7UM6-5-HT5A-Lisuride-chim(NtGi1-Go)/β1/γ2 7UM7-5-HT5A-Methylergometrine-chim(NtGi1-Go)/β1/γ2
63.16Single9B54VIP369B54-CB1-VIP36-Gi1/β1/γ2
62.50Single4LDEBI1671074LDE-β2-BI167107
62.50Single5F8UCyanopindolol5F8U-β1-Cyanopindolol
62.50Single7EW2FTY720-P7EW2-S1P3-FTY720-P-Gi1/β1/γ2
62.50Single7YITNalfurafine7YIT-κ-Nalfurafine
62.50Single7YMJTamsulosin7YMJ-Alpha1A-Tamsulosin
62.50Single9V6ONalfurafine9V6O-κ-Nalfurafine-Gi1/β1/γ2
62.50Single9YDQDADLE9YDQ-δ-DADLE-MIPS3614-chim(NtGi1L-Gs-CtGi1)/β1/γ2
62.50Consensusalpha1_offOrthosteric Ligandalpha1a_off
62.50Consensusalpha1a_offOrthosteric Ligand7YMJ-Alpha1A-Tamsulosin
62.50Consensuskop_onOrthosteric Ligand8F7W-κ-Dynorphin-Gi1/β1/γ2 8DZS-κ-GR89,696-chim(NtGi2-Gz)/β1/γ2 8DZP-κ-momSalB-Gi1/β1/γ2
62.50Consensusmop_onOrthosteric Ligand8F7R-μ-Endomorphin-Gi1/β1/γ2 8EF5-μ-Fentanyl-Gi1/β1/γ2 7SCG-μ-FH210-Gi1/β1/γ2 7T2H-μ-Lofentanil-Gi1/β1/γ2 7T2G-μ-Mitragynine Pseudoindoxyl-Gi1/β1/γ2 8EF6-μ-Morphine-Gi1/β1/γ2 8EFB-μ-Oliceridine-Gi1/β1/γ2 7U2L-μ-C5-guano-Gi1/β1/γ2 8EFO-μ-PZM21-Gi1/β1/γ2 8EFL-μ-SR17018-Gi1/β1/γ2 8F7Q-μ-β-Endorphin-Gi1/β1/γ2 7U2K-μ-C6-guano-Gi1/β1/γ2 8EFQ-μ-DAMGO-Gi1/β1/γ2
62.50Consensusmop_on_gpOrthosteric Ligand8F7R-μ-Endomorphin-Gi1/β1/γ2 8EF5-μ-Fentanyl-Gi1/β1/γ2 7SCG-μ-FH210-Gi1/β1/γ2 7T2H-μ-Lofentanil-Gi1/β1/γ2 7T2G-μ-Mitragynine Pseudoindoxyl-Gi1/β1/γ2 8EF6-μ-Morphine-Gi1/β1/γ2 8EFB-μ-Oliceridine-Gi1/β1/γ2 7U2L-μ-C5-guano-Gi1/β1/γ2 8EFO-μ-PZM21-Gi1/β1/γ2 8EFL-μ-SR17018-Gi1/β1/γ2 8F7Q-μ-β-Endorphin-Gi1/β1/γ2 7U2K-μ-C6-guano-Gi1/β1/γ2 8EFQ-μ-DAMGO-Gi1/β1/γ2
61.54Single6AKXA4R6AKX-CCR5-A4R
61.54Single6OBAAlprenolol6OBA-β2-Alprenolol-GTPL11074
61.54Single7F1ODopamine7F1O-D1-Dopamine-GDP; Mg-Gs/β1/γ2
61.54Single7SRSLSD7SRS-5-HT2B-LSD-Arrestin2
61.54Single8EFOPZM218EFO-μ-PZM21-Gi1/β1/γ2
61.54Single8JSOAMPH8JSO-TA1-AMPH-chim(NtGi1-Gs)/β1/γ2
61.54Single8WC4ZH86518WC4-TA1-ZH8651-chim(NtGi1-Gs)/β1/γ2
61.54Single8WCA2-Phenylethylamine8WCA-TA1-2-Phenylethylamine-chim(NtGi1-Gs)/β1/γ2
61.54Consensusorexin_offOrthosteric Ligandox2_off ox1_off
61.54Consensusox2_offOrthosteric Ligand5WQC-OX2-EMPA 6TPN-OX2-HTL6641 7XRR-OX2-Lemborexant 6TPJ-OX2-Suvorexant
61.11Consensusgi_opioidOrthosteric Ligand8F7R-μ-Endomorphin-Gi1/β1/γ2 8EF5-μ-Fentanyl-Gi1/β1/γ2 7SCG-μ-FH210-Gi1/β1/γ2 7T2H-μ-Lofentanil-Gi1/β1/γ2 7T2G-μ-Mitragynine Pseudoindoxyl-Gi1/β1/γ2 8DZP-κ-momSalB-Gi1/β1/γ2 8EF6-μ-Morphine-Gi1/β1/γ2 8F7X-NOP-Nociceptin-Gi1/β1/γ2 8EFB-μ-Oliceridine-Gi1/β1/γ2 7U2L-μ-C5-guano-Gi1/β1/γ2 8EFO-μ-PZM21-Gi1/β1/γ2 8EFL-μ-SR17018-Gi1/β1/γ2 8F7Q-μ-β-Endorphin-Gi1/β1/γ2 7U2K-μ-C6-guano-Gi1/β1/γ2 8EFQ-μ-DAMGO-Gi1/β1/γ2 8F7S-δ-Deltorphin-Gi1/β1/γ2 8F7W-κ-Dynorphin-Gi1/β1/γ2
60.00Single2Y03Isoprenaline2Y03-β1-Isoprenaline
60.00Single4RWDDIPP-NH24RWD-δ-DIPP-NH2-Na
60.00Single5C1MBU725C1M-μ-BU72
60.00Single5JQHCarazolol5JQH-β2-Carazolol
60.00Single5TVNLSD5TVN-5-HT2B-LSD
60.00Single5WQCEMPA5WQC-OX2-EMPA
60.00Single6E67BI1671076E67-β2-BI167107-Gs(CT)
60.00Single6KUWPubChem 572132346KUW-α2c-PubChem 57213234
60.00Single6PS3Carvedilol6PS3-β2-Carvedilol
60.00Single6TP6Filorexant6TP6-OX1-Filorexant
60.00Single7BVQCarazolol7BVQ-β1-Carazolol
60.00Single7CKXA776367CKX-D1-A77636-Gs/β1/γ2
60.00Single7S0FIsoprenaline7S0F-β1-Isoprenaline-Gi1/β1/γ2
60.00Single7WC6LSD7WC6-5-HT2A-LSD
60.00Single7XK9Constrained Isoproterenol7XK9-β2-Constrained Isoproterenol-Na
60.00Single9MQKIsoquinuclidine9MQK-κ-Isoquinuclidine
60.00Single9VJFBuspirone9VJF-5-HT1A-Buspirone-Gi3/β1/γ2
60.00Consensus5ht5_on_gpOrthosteric Ligand5ht5a_on_gp
60.00Consensus5ht5a_on_gpOrthosteric Ligand7X5H-5-HT5A-5-CT-Gi1/β1/γ2 7UM6-5-HT5A-Lisuride-chim(NtGi1-Go)/β1/γ2 7UM7-5-HT5A-Methylergometrine-chim(NtGi1-Go)/β1/γ2
60.00Consensusadrenergic_offOrthosteric Ligandalpha_off beta_off
60.00Consensusadrenergic_on_gpOrthosteric Ligandalpha_on_gp beta_on_gp
60.00Consensusalpha2c_offOrthosteric Ligand6KUW-α2c-PubChem 57213234
60.00Consensusalpha_offOrthosteric Ligandalpha1_off alpha2_off
60.00Consensusgs_amineOrthosteric Ligandgs_5ht gs_adrenergic gs_dopamine gs_histamine gs_trace-amine
58.82Single2YCZIodocyanopindolol2YCZ-β1-Iodocyanopindolol
58.82Single8S2TIsoprenaline8S2T-β1-Isoprenaline-chim(NtGi1-Gs)/β1/γ2
58.82Single9WP9S1P9WP9-S1P3-S1P-chim(NtGi2L-Gs-CtGq)/β1/γ2
58.82Single9YDPDADLE9YDP-δ-DADLE-chim(NtGi1L-Gs-CtGi1)/β1/γ2
58.82Consensusendothelin_offOrthosteric Ligandetb_off
58.82Consensusetb_offOrthosteric Ligand5X93-ETB-K-8794 5XPR-ETB-Bosentan 6K1Q-ETB-IRL2500
58.82Consensusgi_s1pOrthosteric Ligand7VIE-S1P1-S1P-Gi1/β1/γ2 7EW3-S1P3-S1P-Gi1/β1/γ2 7EVY-S1P1-Siponimod-Gi1/β1/γ2 7EW1-S1P5-Siponimod-Gi1/β1/γ2 7VIF-S1P1-FTY720-P-Gi1/β1/γ2 7VIG-S1P1-CBP-307-Gi1/β1/γ2 7EVZ-S1P1-Cenerimod-Gi1/β1/γ2 7EW4-S1P3-CYM-5541-Gi1/β1/γ2 7EW2-S1P3-FTY720-P-Gi1/β1/γ2 7EW0-S1P1-Ozanimod-Gi1/β1/γ2 7EW7-S1P1-SEW2871-Gi1/β1/γ2
58.82Consensuskop_on_gpOrthosteric Ligand8F7W-κ-Dynorphin-Gi1/β1/γ2 8DZS-κ-GR89,696-chim(NtGi2-Gz)/β1/γ2 8DZP-κ-momSalB-Gi1/β1/γ2
57.14Single4LDOEpinephrine4LDO-β2-Epinephrine
57.14Single4MBSMaraviroc4MBS-CCR5-Maraviroc
57.14Single4ZJCSB-6740424ZJC-OX1-SB-674042
57.14Single6PS0Carazolol6PS0-β2-Carazolol
57.14Single6PS4ICI118-5516PS4-β2-ICI118-551
57.14Single6PS5Propranolol6PS5-β2-Propranolol
57.14Single6TPNHTL66416TPN-OX2-HTL6641
57.14Single7CKWFenoldopam7CKW-D1-Fenoldopam-Gs/β1/γ2
57.14Single7CKZDopamine7CKZ-D1-Dopamine-Mevidalen-Gs/β1/γ2
57.14Single7CMUPramipexole7CMU-D3-Pramipexole-Gi1/β1/γ2
57.14Single7F0TDopamine7F0T-D1-Dopamine-Gs/β1/γ2
57.14Single7RANPubChem 1645758477RAN-5-HT2A-PubChem 164575847-chim(NtGi2L-Gs-CtGq)/β1/γ2
57.14Single7UM7Methylergometrine7UM7-5-HT5A-Methylergometrine-chim(NtGi1-Go)/β1/γ2
57.14Single8GG7Constrained Epinephrine8GG7-β2-Constrained Epinephrine-GTP-Gs/β1/γ2
57.14Single8GGLConstrained Epinephrine8GGL-β2-Constrained Epinephrine
57.14Single8GGMConstrained Epinephrine8GGM-β2-Constrained Epinephrine
57.14Single8GGPConstrained Epinephrine8GGP-β2-Constrained Epinephrine
57.14Single8GGQConstrained Epinephrine8GGQ-β2-Constrained Epinephrine
57.14Single8GGXConstrained Epinephrine8GGX-β2-Constrained Epinephrine
57.14Single8JLQFenoldopam8JLQ-TA1-Fenoldopam-Gs/β1/γ2
57.14Single8K9KDAMGO8K9K-μ-DAMGO-Gi3/β1/γ1
57.14Single8THLEpinephrine8THL-Alpha1A-Epinephrine-chim(NtGi2L-Gs-CtGq)/β1/γ2
57.14Single8UNLConstrained Epinephrine8UNL-β2-Constrained Epinephrine-GTP-Gs/β1/γ2
57.14Single8UNOConstrained Epinephrine8UNO-β2-Constrained Epinephrine-GTP-Gs/β1/γ2
57.14Single8WC8ZH86518WC8-TA1-ZH8651-chim(NtGi1-Gs)/β1/γ2
57.14Single9L84Epinephrine9L84-β1-Epinephrine-Atazanavir-Gs/β1/γ2
57.14Single9ODJMitragynine Pseudoindoxyl9ODJ-μ-Mitragynine Pseudoindoxyl-GTP; Mg-Gi1/β1/γ2
57.14Single9ODLMitragynine Pseudoindoxyl9ODL-μ-Mitragynine Pseudoindoxyl-GTP; Mg-Gi1/β1/γ2
57.14Consensus5ht_on_gpOrthosteric Ligand5ht1_on_gp 5ht2_on_gp 5ht4_on_gp 5ht5_on_gp 5ht6_on_gp 5ht7_on_gp
57.14Consensusalpha1_onOrthosteric Ligandalpha1a_on
57.14Consensusalpha1_on_gpOrthosteric Ligandalpha1a_on_gp
57.14Consensusalpha1a_onOrthosteric Ligand7EJ0-α2a-Norepinephrine-Go/β1/γ2 7EJ8-α2a-Brimonidine-Go/β1/γ2 7EJA-α2a-Dexmedetomidine-Go/β1/γ2 7EJK-α2a-Oxymetazoline-Go/β1/γ2 7W6P-α2a-N-pyridin-4-ylisoquinolin-4-amine-Go/β1/γ2 7W7E-α2a-PubChem 164946676-Go/β1/γ2
57.14Consensusalpha1a_on_gpOrthosteric Ligand7EJ0-α2a-Norepinephrine-Go/β1/γ2 7EJ8-α2a-Brimonidine-Go/β1/γ2 7EJA-α2a-Dexmedetomidine-Go/β1/γ2 7EJK-α2a-Oxymetazoline-Go/β1/γ2 7W6P-α2a-N-pyridin-4-ylisoquinolin-4-amine-Go/β1/γ2 7W7E-α2a-PubChem 164946676-Go/β1/γ2
57.14Consensusd3_onOrthosteric Ligand7CMV-D3-PD128907-Gi1/β1/γ2 8IRT-D3-Rotigotine-Gi1/β1/γ2 7CMU-D3-Pramipexole-Gi1/β1/γ2
57.14Consensusd3_on_gpOrthosteric Ligand7CMV-D3-PD128907-Gi1/β1/γ2 8IRT-D3-Rotigotine-Gi1/β1/γ2 7CMU-D3-Pramipexole-Gi1/β1/γ2
57.14Consensusopioid_onOrthosteric Ligandmop_on nop_on dop_on kop_on
56.25Single2YDVNECA2YDV-A2A-NECA
56.25Single3P0GBI1671073P0G-β2-BI167107
56.25Single4DJHJDTic4DJH-κ-JDTic
56.25Single4UHRCGS216804UHR-A2A-CGS21680
56.25Single5A8E7-Methylcyanopindolol5A8E-β1-7-Methylcyanopindolol-Na
56.25Single5G53NECA5G53-A2A-NECA-Gs
56.25Single6DDEDAMGO6DDE-μ-DAMGO-Gi1/β1/γ2
56.25Single6N48BI1671076N48-β2-BI167107-PubChem 138454256
56.25Single6NI3BI1671076NI3-β2-BI167107-Gs/β1/γ2
56.25Single6TQ7SB-3348676TQ7-OX1-SB-334867
56.25Single6WGTLSD6WGT-5-HT2A-LSD
56.25Single7EW7SEW28717EW7-S1P1-SEW2871-Gi1/β1/γ2
56.25Single7JV5SKF812977JV5-D1-SKF81297-Gs/β1/γ2
56.25Single7U2LC5-guano7U2L-μ-C5-guano-Gi1/β1/γ2
56.25Single8DCSCyanopindolol8DCS-β1-Cyanopindolol-Gs/β1/γ2
56.25Single8EFLSR170188EFL-μ-SR17018-Gi1/β1/γ2
56.25Single8IRVRotigotine8IRV-D5-Rotigotine-chim(NtGi1-Gs)/β1/γ2
56.25Single8T1VPubChem 1183102098T1V-GPR6-PubChem 118310209-Na
56.25Single8VVFJDTic8VVF-κ-JDTic-Gi1/β1/γ2
56.25Single8Y73Peptide8Y73-μ-Peptide-MPAM-15-Gi1/β1/γ2
56.25Single9B65MDMB-Fubinaca9B65-CB1-MDMB-Fubinaca-Gi1/β1/γ2
56.25Single9BS9LSD9BS9-D2-LSD
56.25Single9BSBLSD9BSB-D2-LSD-chim(NtGi1-Go)/β1/γ2
56.25Single9IJDCarazolol9IJD-β3-Carazolol-chim(NtGi1-Gs)/β1/γ2
56.25Single9KVPSB2901579KVP-C3aB-SB290157-Go/β1/γ2
56.25Single9PY3Loperamide9PY3-μ-Loperamide-GDPβS-Gi1/β1/γ2
56.25Single9PY4Loperamide9PY4-μ-Loperamide-GDPβS-Gi1/β1/γ2
56.25Single9WSTDAMGO9WST-μ-DAMGO-chim(NtGi1-Gz)/β1/γ2
56.25Consensusbeta2_onOrthosteric Ligand7DHI-β2-Salbutamol-Gs/β1/γ2 6NI3-β2-BI167107-Gs/β1/γ2
56.25Consensusbeta2_on_gpOrthosteric Ligand7DHI-β2-Salbutamol-Gs/β1/γ2 6NI3-β2-BI167107-Gs/β1/γ2
56.25Consensusd5_on_gpOrthosteric Ligand8IRV-D5-Rotigotine-chim(NtGi1-Gs)/β1/γ2
56.25Consensuskop_offOrthosteric Ligand4DJH-κ-JDTic
55.56Single5ZTYAM102575ZTY-CB2-AM10257
55.56Single8X5YAstemizole8X5Y-H1-Astemizole
55.56Single9KZ2EP679KZ2-C3aB-EP67-Go/β1/γ2
55.56Consensuscb2_offOrthosteric Ligand5ZTY-CB2-AM10257
55.56Consensusox2_onOrthosteric Ligand7L1V-OX2-PubChem 155491009-chim(NtGi1-Gs-CtGq)/β1/γ2 7SQO-OX2-TAK-925-Gi1/β1/γ2 7L1U-OX2-Orexin-chim(NtGi1-Gs-CtGq)/β1/γ2
55.56Consensusox2_on_gpOrthosteric Ligand7L1V-OX2-PubChem 155491009-chim(NtGi1-Gs-CtGq)/β1/γ2 7SQO-OX2-TAK-925-Gi1/β1/γ2 7L1U-OX2-Orexin-chim(NtGi1-Gs-CtGq)/β1/γ2
55.56Consensuss1p_onOrthosteric Ligands1p1_on s1p3_on s1p5_on
55.56Consensuss1p_on_gpOrthosteric Ligands1p1_on_gp s1p3_on_gp s1p5_on_gp
55.00Single7TD0LPA7TD0-LPA1-LPA-Gi1/β1/γ2
55.00Consensusgs_class-aOrthosteric Ligandgs_peptide gs_nucleotide gs_amine
54.55Consensusopioid_on_gpOrthosteric Ligandmop_on_gp nop_on_gp dop_on_gp kop_on_gp
53.85Single6TP4ACT-4622066TP4-OX1-ACT-462206
53.85Single7XT9Serotonin7XT9-5-HT4-Serotonin-Gs/β1/γ2
53.85Single7XTBSerotonin7XTB-5-HT6-Serotonin-Gs/β1/γ2
53.85Single8EF6Morphine8EF6-μ-Morphine-Gi1/β1/γ2
53.85Single8JLOUlotaront8JLO-TA1-Ulotaront-Gs/β1/γ2
53.85Single8YN4Histamine8YN4-H2-Histamine-chim(NtGi1L-Gs-CtGq)/β1/γ2
53.85Single8ZSVRO52633978ZSV-TA1-RO5263397-chim(NtGi1-Gs)/β1/γ2
53.85Single9IJEEpinephrine9IJE-β3-Epinephrine-chim(NtGi1-Gs)/β1/γ2
53.85Single9IXJHistamine9IXJ-H2-Histamine-Gs/β1/γ2
53.33Single2Y02Carmoterol2Y02-β1-Carmoterol
53.33Single2YCYCyanopindolol2YCY-β1-Cyanopindolol
53.33Single3NY8ICI118-5513NY8-β2-ICI118-551
53.33Single3ZPQPubChem 5945903ZPQ-β1-PubChem 594590-Na
53.33Single4EA3PubChem 102965614EA3-NOP-PubChem 10296561
53.33Single4GBRCarazolol4GBR-β2-Carazolol
53.33Single6DRXLisuride6DRX-5-HT2B-Lisuride
53.33Single6H7MSalbutamol6H7M-β1-Salbutamol
53.33Single6PRZAlprenolol6PRZ-β2-Alprenolol
53.33Single6PS2Alprenolol6PS2-β2-Alprenolol
53.33Single6TOTLemborexant6TOT-OX1-Lemborexant
53.33Single7BTSEpinephrine7BTS-β1-Epinephrine
53.33Single7BU6Norepinephrine7BU6-β1-Norepinephrine
53.33Single7LJCSKF812977LJC-D1-SKF81297-Mevidalen-Gs/β1/γ2
53.33Single7SCGFH2107SCG-μ-FH210-Gi1/β1/γ2
53.33Single7SQOTAK-9257SQO-OX2-TAK-925-Gi1/β1/γ2
53.33Single7T2GMitragynine Pseudoindoxyl7T2G-μ-Mitragynine Pseudoindoxyl-Gi1/β1/γ2
53.33Single7UL4Alvimopan7UL4-μ-Alvimopan
53.33Single7VIES1P7VIE-S1P1-S1P-Gi1/β1/γ2
53.33Single7WC7Lisuride7WC7-5-HT2A-Lisuride
53.33Single7X2CFenoldopam7X2C-D1-Fenoldopam-Fenoldopam-Gs/β1/γ2
53.33Single8DZSGR89,6968DZS-κ-GR89,696-chim(NtGi2-Gz)/β1/γ2
53.33Single8EFQDAMGO8EFQ-μ-DAMGO-Gi1/β1/γ2
53.33Single8GE2Constrained Epinephrine8GE2-β2-Constrained Epinephrine-Gs/β1/γ1
53.33Single8GE3Constrained Epinephrine8GE3-β2-Constrained Epinephrine-Gs/β1/γ2
53.33Single8GECConstrained Epinephrine8GEC-β2-Constrained Epinephrine-Gs/β1/γ2
53.33Single8GEEConstrained Epinephrine8GEE-β2-Constrained Epinephrine-Gs/β1/γ2
53.33Single8GFVConstrained Epinephrine8GFV-β2-Constrained Epinephrine-GTP-Gs/β1/γ2
53.33Single8GFWConstrained Epinephrine8GFW-β2-Constrained Epinephrine-GTP-Gs/β1/γ2
53.33Single8GFXConstrained Epinephrine8GFX-β2-Constrained Epinephrine-GTP-Gs/β1/γ2
53.33Single8GFZConstrained Epinephrine8GFZ-β2-Constrained Epinephrine-GTP-Gs/β1/γ2
53.33Single8GG0Constrained Epinephrine8GG0-β2-Constrained Epinephrine-GTP-Gs/β1/γ2
53.33Single8GG1Constrained Epinephrine8GG1-β2-Constrained Epinephrine-GTP-Gs/β1/γ2
53.33Single8GG3Constrained Epinephrine8GG3-β2-Constrained Epinephrine-GTP-Gs/β1/γ2
53.33Single8GG4Constrained Epinephrine8GG4-β2-Constrained Epinephrine-GTP-Gs/β1/γ2
53.33Single8GG6Constrained Epinephrine8GG6-β2-Constrained Epinephrine-GTP-Gs/β1/γ2
53.33Single8GG9Constrained Epinephrine8GG9-β2-Constrained Epinephrine-GTP-Gs/β1/γ2
53.33Single8GGIConstrained Epinephrine8GGI-β2-Constrained Epinephrine
53.33Single8GGJConstrained Epinephrine8GGJ-β2-Constrained Epinephrine
53.33Single8GGKConstrained Epinephrine8GGK-β2-Constrained Epinephrine
53.33Single8GGNConstrained Epinephrine8GGN-β2-Constrained Epinephrine
53.33Single8GGOConstrained Epinephrine8GGO-β2-Constrained Epinephrine
53.33Single8GGUConstrained Epinephrine8GGU-β2-Constrained Epinephrine
53.33Single8IRTRotigotine8IRT-D3-Rotigotine-Gi1/β1/γ2
53.33Single8JLZST19368JLZ-5-HT6-ST1936-Gs/β1/γ2
53.33Single8JXRLSD8JXR-D1-LSD
53.33Single8T1WCVN4248T1W-GPR6-CVN424
53.33Single8UGYMianserin8UGY-5-HT1E-Mianserin-Gi1/β1/γ1
53.33Single8UH3Setiptiline8UH3-5-HT1E-Setiptiline-Gi1/β1/γ1
53.33Single8UNQConstrained Epinephrine8UNQ-β2-Constrained Epinephrine-GTP-Gs/β1/γ2
53.33Single8UNVConstrained Epinephrine8UNV-β2-Constrained Epinephrine-GTP-Gs/β1/γ2
53.33Single8UNYConstrained Epinephrine8UNY-β2-Constrained Epinephrine-GTP-Gs/β1/γ2
53.33Single8UNZConstrained Epinephrine8UNZ-β2-Constrained Epinephrine-GTP-Gs/β1/γ2
53.33Single8UO2Constrained Epinephrine8UO2-β2-Constrained Epinephrine-GTP-Gs/β1/γ2
53.33Single8VVGGB188VVG-κ-GB18-Gi1/β1/γ2
53.33Single8W87METH8W87-TA1-METH-chim(NtGi1L-Gs)/β1/γ2
53.33Single8ZSSRO52633978ZSS-TA1-RO5263397-chim(NtGi1-Gs)/β1/γ2
53.33Single9BQJRO769BQJ-μ-RO76-Gi1/β1/γ2
53.33Single9CBMDexmedetomidine9CBM-α2a-Dexmedetomidine-Gi1/β1/γ2
53.33Single9D61JDTic9D61-κ-JDTic-Gi1/β1/γ2
53.33Single9PLNPubChem 1682595949PLN-α2a-PubChem 168259594
53.33Single9PLOPubChem 1682595949PLO-α2a-PubChem 168259594-Go/β1/γ2
53.33Single9PQDPubChem 1764919279PQD-α2a-PubChem 176491927
53.33Consensus5ht6_onOrthosteric Ligand7XTB-5-HT6-Serotonin-Gs/β1/γ2 8JLZ-5-HT6-ST1936-Gs/β1/γ2
53.33Consensus5ht6_on_gpOrthosteric Ligand7XTB-5-HT6-Serotonin-Gs/β1/γ2 8JLZ-5-HT6-ST1936-Gs/β1/γ2
53.33Consensusadrenergic_onOrthosteric Ligandalpha_on beta_on
53.33Consensusalpha_onOrthosteric Ligandalpha1_on alpha2_on
53.33Consensusdopamine_offOrthosteric Ligandd2_off d3_off
53.33Consensusdopamine_onOrthosteric Ligandd2_on d1_on d3_on d4_on d5_on
53.33Consensusdopamine_on_gpOrthosteric Ligandd2_on_gp d1_on_gp d3_on_gp d4_on_gp d5_on_gp
53.33Consensusgi_orexinOrthosteric Ligand7SQO-OX2-TAK-925-Gi1/β1/γ2
53.33Consensusgs_trace-amineOrthosteric Ligand8W88-TA1-SEP-363856-Gs/β1/γ2 8JLJ-TA1-T1AM-chim(NtGi1-Gs)/β1/γ2 8JLO-TA1-Ulotaront-Gs/β1/γ2 8WC4-TA1-ZH8651-chim(NtGi1-Gs)/β1/γ2 8WC7-TA1-ZH8667-chim(NtGi1-Gs)/β1/γ2 8JLR-TA1-A77636-chim(NtGi1-Gs)/β1/γ2 8JSO-TA1-AMPH-chim(NtGi1-Gs)/β1/γ2 8W87-TA1-METH-chim(NtGi1L-Gs)/β1/γ2 8W89-TA1-2-Phenylethylamine-chim(NtGi1L-Gs)/β1/γ2 8JLP-TA1-Ralmitaront-Gs/β1/γ2 8W8A-TA1-RO5256390-chim(NtGi1L-Gs)/β1/γ2
52.94Single2YCXCyanopindolol2YCX-β1-Cyanopindolol
52.94Single4AMIBucindolol4AMI-β1-Bucindolol
52.94Single4RWADIPP-NH24RWA-δ-DIPP-NH2
52.94Single6H7OCyanopindolol6H7O-β1-Cyanopindolol
52.94Single7DH5Mirabegron7DH5-β3-Mirabegron-Gs/β1/γ2
52.94Single7EO4Siponimod7EO4-S1P1-Siponimod-Gi1/β1/γ2
52.94Single7L1VPubChem 1554910097L1V-OX2-PubChem 155491009-chim(NtGi1-Gs-CtGq)/β1/γ2
52.94Single8FYTLSD8FYT-5-HT1A-LSD-PtdIns4P-Gi1/β1/γ1
52.94Single8I9AEP548I9A-C3aB-EP54-chim(NtGi1-Gs-CtGq)/β1/γ2
52.94Single8IA8E7 peptide8IA8-C3aB-E7 peptide-Gi1/β1/γ2
52.94Single8JJ8Arformoterol8JJ8-β2-Arformoterol
52.94Single8JJLOlodaterol8JJL-β2-Olodaterol
52.94Single8W1VPubChem 1717162658W1V-β2-PubChem 171716265
52.94Single9DGIZ85267113509DGI-CB1-Z8526711350
52.94Single9GL2Befiradol9GL2-5-HT1A-Befiradol-Gs/β1/γ2
52.94Single9GYOP3959GYO-GPBA-P395-chim(NtGi1-Gs)/β1/γ2
52.94Single9IZHLPA9IZH-LPA1-LPA-chim(NtGi2-G13)/β1/γ2
52.94Single9M4QDoxazosin9M4Q-Alpha1A-Doxazosin
52.94Single9MQLIsoquinuclidine9MQL-κ-Isoquinuclidine
52.94Consensusbeta3_onOrthosteric Ligand7DH5-β3-Mirabegron-Gs/β1/γ2 7XJH-β3-Isoprenaline-Gs/β1/γ2 7XJI-β3-Solabegron-Gs/β1/γ2
52.94Consensusbeta3_on_gpOrthosteric Ligand7DH5-β3-Mirabegron-Gs/β1/γ2 7XJH-β3-Isoprenaline-Gs/β1/γ2 7XJI-β3-Solabegron-Gs/β1/γ2
52.94Consensusbeta_onOrthosteric Ligandbeta1_on beta2_on beta3_on
52.94Consensusbeta_on_gpOrthosteric Ligandbeta1_on_gp beta2_on_gp beta3_on_gp
52.94Consensusgi_lipidOrthosteric Ligandgi_cannabinoid gi_ffa gi_leukotriene gi_lpa gi_s1p
52.94Consensusorexin_onOrthosteric Ligandox2_on
52.94Consensuss1p1_onOrthosteric Ligand7VIE-S1P1-S1P-Gi1/β1/γ2 7VIF-S1P1-FTY720-P-Gi1/β1/γ2 7VIG-S1P1-CBP-307-Gi1/β1/γ2 7EVY-S1P1-Siponimod-Gi1/β1/γ2 7EVZ-S1P1-Cenerimod-Gi1/β1/γ2 7EW0-S1P1-Ozanimod-Gi1/β1/γ2 7EW7-S1P1-SEW2871-Gi1/β1/γ2
52.94Consensuss1p1_on_gpOrthosteric Ligand7VIE-S1P1-S1P-Gi1/β1/γ2 7VIF-S1P1-FTY720-P-Gi1/β1/γ2 7VIG-S1P1-CBP-307-Gi1/β1/γ2 7EVY-S1P1-Siponimod-Gi1/β1/γ2 7EVZ-S1P1-Cenerimod-Gi1/β1/γ2 7EW0-S1P1-Ozanimod-Gi1/β1/γ2 7EW7-S1P1-SEW2871-Gi1/β1/γ2
52.94Consensuss1p3_onOrthosteric Ligand7EW3-S1P3-S1P-Gi1/β1/γ2 7EW4-S1P3-CYM-5541-Gi1/β1/γ2 7EW2-S1P3-FTY720-P-Gi1/β1/γ2
52.63Single8DCRDobutamine8DCR-β1-Dobutamine-Gs/β1/γ2
52.63Single8F7XNociceptin8F7X-NOP-Nociceptin-Gi1/β1/γ2
52.63Single8PKMBefiradol8PKM-5-HT1A-Befiradol-Gi1/β1/γ1
52.63Consensusclass-a_on_gpOrthosteric Ligandsensory_on_gp alicarboxylic_on_gp amine_on_gp lipid_on_gp nucleotide_on_gp peptide_on_gp protein_on_gp
52.63Consensuslpl_onOrthosteric Ligands1p_on lpa_on
52.63Consensuslpl_on_gpOrthosteric Ligands1p_on_gp lpa_on_gp
52.63Consensusmop_offOrthosteric Ligand4DKL-μ-β-Funaltrexamine 8QOT-μ-Nanobody-E 7UL4-μ-Alvimopan
52.63Consensusnop_onOrthosteric Ligand8F7X-NOP-Nociceptin-Gi1/β1/γ2
52.63Consensusnop_on_gpOrthosteric Ligand8F7X-NOP-Nociceptin-Gi1/β1/γ2
50.00Single2RH1Carazolol2RH1-β2-Carazolol
50.00Single2YCWCarazolol2YCW-β1-Carazolol
50.00Single4BVNCyanopindolol4BVN-β1-Cyanopindolol-Na
50.00Single4Z35ONO-99105394Z35-LPA1-ONO-9910539
50.00Single4ZJ8Suvorexant4ZJ8-OX1-Suvorexant
50.00Single5D6LCarazolol5D6L-β2-Carazolol
50.00Single5WIUNemonapride5WIU-D4-Nemonapride
50.00Single5WIVNemonapride5WIV-D4-Nemonapride-Na
50.00Single5WS3EMPA5WS3-OX2-EMPA
50.00Single5X7DCarazolol5X7D-β2-Carazolol-PubChem 129318963
50.00Single5XPRBosentan5XPR-ETB-Bosentan
50.00Single6AKYMaraviroc6AKY-CCR5-Maraviroc
50.00Single6B73MP11046B73-κ-MP1104
50.00Single6H7LDobutamine6H7L-β1-Dobutamine
50.00Single6IBLArformoterol6IBL-β1-Arformoterol
50.00Single6ME82-Phenylmelatonin6ME8-MT2-2-Phenylmelatonin
50.00Single6TKOArformoterol6TKO-β1-Arformoterol-Arrestin2
50.00Single6TO7Suvorexant6TO7-OX1-Suvorexant-Na
50.00Single6TODEMPA6TOD-OX1-EMPA-Na
50.00Single7CFNINT-7777CFN-GPBA-INT-777-Gs/β1/γ2
50.00Single7EO2FTY720-P7EO2-S1P1-FTY720-P-Gi1/β1/γ2
50.00Single7EVZCenerimod7EVZ-S1P1-Cenerimod-Gi1/β1/γ2
50.00Single7EW0Ozanimod7EW0-S1P1-Ozanimod-Gi1/β1/γ2
50.00Single7LD4Adenosine7LD4-A1-Adenosine-Gi2/β1/γ2
50.00Single7MTSADX551647MTS-mGlu2; mGlu2-Glutamate-ADX55164-Gi1/β1/γ2
50.00Single7SRRLSD7SRR-5-HT2B-LSD-chim(NtGi2L-Gs-CtGq)/β1/γ2
50.00Single7TD3S1P7TD3-S1P1-S1P-Gi1/β1/γ2
50.00Single7U2KC6-guano7U2K-μ-C6-guano-Gi1/β1/γ2
50.00Single7WF7S1P7WF7-S1P1-S1P-Gi1/β1/γ2
50.00Single7X2FDopamine7X2F-D1-Dopamine-Mevidalen-Gs/β1/γ2
50.00Single7X5H5-CT7X5H-5-HT5A-5-CT-Gi1/β1/γ2
50.00Single7XJISolabegron7XJI-β3-Solabegron-Gs/β1/γ2
50.00Single7XKAConstrained Epinephrine7XKA-β2-Constrained Epinephrine
50.00Single7XRRLemborexant7XRR-OX2-Lemborexant
50.00Single7XT8Serotonin7XT8-5-HT4-Serotonin-Gs/β1/γ2
50.00Single7YMHNorepinephrine7YMH-Alpha1A-Norepinephrine-chim(Gs-CtGq)
50.00Single7YU6ONO-07405567YU6-LPA1-ONO-0740556-Gi1/β1/γ2
50.00Single7YU8ONO-07405567YU8-LPA1-ONO-0740556-Gi1/β1/γ2
50.00Single8E9X2-Deoxycytidine8E9X-M4-2-Deoxycytidine-chim(NtGi1-Go)/β1/γ2
50.00Single8EFBOliceridine8EFB-μ-Oliceridine-Gi1/β1/γ2
50.00Single8F7SDeltorphin8F7S-δ-Deltorphin-Gi1/β1/γ2
50.00Single8F7WDynorphin8F7W-κ-Dynorphin-Gi1/β1/γ2
50.00Single8FX5Xanomeline8FX5-M4-Xanomeline-Xanomeline-Gi1/β1/γ2
50.00Single8GAGZ85267113508GAG-CB1-Z8526711350-Gi1/β1/γ2
50.00Single8GDZConstrained Epinephrine8GDZ-β2-Constrained Epinephrine-Gs/β1/γ2
50.00Single8GEBConstrained Epinephrine8GEB-β2-Constrained Epinephrine-Gs/β1/γ2
50.00Single8GEGConstrained Epinephrine8GEG-β2-Constrained Epinephrine-Gs/β1/γ2
50.00Single8GFYConstrained Epinephrine8GFY-β2-Constrained Epinephrine-GTP-Gs/β1/γ2
50.00Single8GG2Constrained Epinephrine8GG2-β2-Constrained Epinephrine-GTP-Gs/β1/γ2
50.00Single8GGAConstrained Epinephrine8GGA-β2-Constrained Epinephrine-GTP-Gs/β1/γ2
50.00Single8GGBConstrained Epinephrine8GGB-β2-Constrained Epinephrine-GTP-Gs/β1/γ2
50.00Single8GGRConstrained Epinephrine8GGR-β2-Constrained Epinephrine
50.00Single8GGZConstrained Epinephrine8GGZ-β2-Constrained Epinephrine
50.00Single8GH0Constrained Epinephrine8GH0-β2-Constrained Epinephrine
50.00Single8GUTLEI-1028GUT-CB2-LEI-102-Gi1/β1/γ2
50.00Single8I95EP548I95-C3aB-EP54-Go/β1/γ2
50.00Single8K8JFenofibrate8K8J-CB1-Fenofibrate-chim(Gs-CtGq)/β1/γ2
50.00Single8TF5Oleic acid8TF5-GPR6-Oleic acid
50.00Single8TZQDopamine8TZQ-D2-Dopamine-Go/β1/γ2
50.00Single8UNNConstrained Epinephrine8UNN-β2-Constrained Epinephrine-GTP-Gs/β1/γ2
50.00Single8UNPConstrained Epinephrine8UNP-β2-Constrained Epinephrine-GTP-Gs/β1/γ2
50.00Single8UNSConstrained Epinephrine8UNS-β2-Constrained Epinephrine-GTP-Gs/β1/γ2
50.00Single8UNTConstrained Epinephrine8UNT-β2-Constrained Epinephrine-GTP-Gs/β1/γ2
50.00Single8UNXConstrained Epinephrine8UNX-β2-Constrained Epinephrine-GTP-Gs/β1/γ2
50.00Single8XGSKisspeptin-18XGS-Kiss1-Kisspeptin-1-chim(NtGi1-Gq)/β1/γ2
50.00Single8YICSAR2477998YIC-S1P1-SAR247799-Gi1/β1/γ2
50.00Single8YUTAmthamine8YUT-H2-Amthamine-Gs/β1/γ2
50.00Single8YYWAlpha-ketoglutarate8YYW-Oxoglutarate-α-ketoglutarate-α-ketoglutarate-chim(Gi1-CtGq)/β1/γ2
50.00Single9ARZ2-bromo-LSD9ARZ-5-HT2A-2-bromo-LSD
50.00Single9CHUNorepinephrine9CHU-β2-Norepinephrine
50.00Single9F33FOB02-04A9F33-D3-FOB02-04A-Go/β1/γ2
50.00Single9J5VCpY9J5V-LPA1-CpY-Gi1/β1/γ2
50.00Single9K07DSO-5a9K07-BB3-DSO-5a-chim(NtGi2L-Gs-CtGq)/β1/γ2
50.00Single9LLBDOI-NBOMe9LLB-5-HT2A-DOI-NBOMe-chim(NtGi1L-Gs-CtGq)/β1/γ2
50.00Single9MQJIsoquinuclidine9MQJ-μ-Isoquinuclidine
50.00Single9PXYNaloxone9PXY-μ-Naloxone-GDPβS-Gi1/β1/γ2
50.00Single9U81Tolvaptan9U81-V2-Tolvaptan
50.00Single9VJEBuspirone9VJE-5-HT1A-Buspirone-Go/β1/γ2
50.00Single9YDRDADLE9YDR-δ-DADLE-MIPS3983-chim(NtGi1L-Gs-CtGi1)/β1/γ2
50.00Consensus5ht1e_onOrthosteric Ligand7E33-5-HT1E-BRL-54443-Gi1/β1/γ2 8UGY-5-HT1E-Mianserin-Gi1/β1/γ1 8UH3-5-HT1E-Setiptiline-Gi1/β1/γ1
50.00Consensus5ht2_on_gpOrthosteric Ligand5ht2b_on_gp
50.00Consensus5ht2b_on_gpOrthosteric Ligand7SRR-5-HT2B-LSD-chim(NtGi2L-Gs-CtGq)/β1/γ2
50.00Consensus5ht_onOrthosteric Ligand5ht1_on 5ht2_on 5ht4_on 5ht5_on 5ht6_on 5ht7_on
50.00Consensusa1_onOrthosteric Ligand7LD4-A1-Adenosine-Gi2/β1/γ2
50.00Consensusa1_on_gpOrthosteric Ligand7LD4-A1-Adenosine-Gi2/β1/γ2
50.00Consensusalpha2_offOrthosteric Ligandalpha2c_off
50.00Consensusalpha_on_gpOrthosteric Ligandalpha1_on_gp alpha2_on_gp
50.00Consensusamine_offOrthosteric Ligand5ht_off adrenergic_off dopamine_off histamine_off muscarinic_off
50.00Consensusamine_offonOrthosteric Ligandamine_off amine_on
50.00Consensusamine_offon_gpOrthosteric Ligandamine_on_gp amine_off
50.00Consensusamine_onOrthosteric Ligand5ht_on adrenergic_on dopamine_on histamine_on muscarinic_on trace-amine_on
50.00Consensusbeta1_onOrthosteric Ligand8DCR-β1-Dobutamine-Gs/β1/γ2 7S0F-β1-Isoprenaline-Gi1/β1/γ2
50.00Consensusbeta1_on_gpOrthosteric Ligand8DCR-β1-Dobutamine-Gs/β1/γ2 7S0F-β1-Isoprenaline-Gi1/β1/γ2
50.00Consensusbeta2_offOrthosteric Ligand2RH1-β2-Carazolol 6PS3-β2-Carvedilol 6PS5-β2-Propranolol 3D4S-β2-Timolol 3NY8-β2-ICI118-551 3NY9-β2-PubChem 913103 6PRZ-β2-Alprenolol
50.00Consensusbeta_offOrthosteric Ligandbeta1_off beta2_off
50.00Consensuscb1_on_gpOrthosteric Ligand6KPG-CB1-AM841-Gi1/β1/γ2 8K8J-CB1-Fenofibrate-chim(Gs-CtGq)/β1/γ2
50.00Consensuscb2_onOrthosteric Ligand8GUR-CB2-CP55940-Gi1/β1/γ2 8GUS-CB2-HU-308-Gi1/β1/γ2 8GUT-CB2-LEI-102-Gi1/β1/γ2 6KPF-CB2-AM12033-Gi1/β1/γ2 6PT0-CB2-WIN 55212-2-Gi1/β1/γ2 8GUQ-CB2-Olorinab-Gi1/β1/γ2
50.00Consensuscb2_on_gpOrthosteric Ligand8GUR-CB2-CP55940-Gi1/β1/γ2 8GUS-CB2-HU-308-Gi1/β1/γ2 8GUT-CB2-LEI-102-Gi1/β1/γ2 6KPF-CB2-AM12033-Gi1/β1/γ2 6PT0-CB2-WIN 55212-2-Gi1/β1/γ2 8GUQ-CB2-Olorinab-Gi1/β1/γ2
50.00Consensusclass-a_onOrthosteric Ligandsensory_on alicarboxylic_on amine_on lipid_on nucleotide_on peptide_on protein_on
50.00Consensusdop_on_gpOrthosteric Ligand8F7S-δ-Deltorphin-Gi1/β1/γ2
50.00Consensusgi_adrenergicOrthosteric Ligand7EJ0-α2a-Norepinephrine-Go/β1/γ2 7EJK-α2a-Oxymetazoline-Go/β1/γ2 7W7E-α2a-PubChem 164946676-Go/β1/γ2 7W6P-α2a-N-pyridin-4-ylisoquinolin-4-amine-Go/β1/γ2 7EJ8-α2a-Brimonidine-Go/β1/γ2 6K42-α2b-Dexmedetomidine-Gi1/β1/γ2 7EJA-α2a-Dexmedetomidine-Go/β1/γ2 7S0F-β1-Isoprenaline-Gi1/β1/γ2
50.00Consensusgs_5htOrthosteric Ligand7XTC-5-HT7-5-CT-Gs/β1/γ2 7XTB-5-HT6-Serotonin-Gs/β1/γ2 8JLZ-5-HT6-ST1936-Gs/β1/γ2 7XT8-5-HT4-Serotonin-Gs/β1/γ2
50.00Consensusgs_histamineOrthosteric Ligand8POK-H2-Histamine-Gs/β1/γ2
50.00Consensush1_offOrthosteric Ligand8X63-H1-Mepyramine 3RZE-H1-Cidoxepin 8X5Y-H1-Astemizole
50.00Consensush2_onOrthosteric Ligand8POK-H2-Histamine-Gs/β1/γ2
50.00Consensusorexin_on_gpOrthosteric Ligandox2_on_gp
50.00Consensusox1_offOrthosteric Ligand6TP6-OX1-Filorexant 6TP4-OX1-ACT-462206 6V9S-OX1-GTPL11403 6TOT-OX1-Lemborexant 6TP3-OX1-Nemorexant 6TQ6-OX1-PubChem 145714283 6TQ9-OX1-SB-408124 4ZJC-OX1-SB-674042 4ZJ8-OX1-Suvorexant 6TOD-OX1-EMPA-Na 6TOS-OX1-GSK1059865-Na 6TQ4-OX1-PubChem 16046844-Na
50.00Consensusta1_onOrthosteric Ligand8W87-TA1-METH-chim(NtGi1L-Gs)/β1/γ2 8W89-TA1-2-Phenylethylamine-chim(NtGi1L-Gs)/β1/γ2 8JLP-TA1-Ralmitaront-Gs/β1/γ2 8W8A-TA1-RO5256390-chim(NtGi1L-Gs)/β1/γ2 8W88-TA1-SEP-363856-Gs/β1/γ2 8JLO-TA1-Ulotaront-Gs/β1/γ2 8JLR-TA1-A77636-chim(NtGi1-Gs)/β1/γ2 8JSO-TA1-AMPH-chim(NtGi1-Gs)/β1/γ2 8ZSP-TA1-LSD-chim(NtGi1L-Gs)/β1/γ2
50.00Consensustrace-amine_onOrthosteric Ligandta1_on
47.62Single7TD2LPA7TD2-LPA1-LPA-Gi1/β1/γ2
47.62Single8XGUTAK4488XGU-Kiss1-TAK448-Gi1/β1/γ2
47.62Single8XIQL7967788XIQ-SST3-L796778-chim(NtGi1-Gs-CtGi1)/β1/γ2
47.62Single8XIRPasireotide8XIR-SST3-Pasireotide-chim(NtGi1-Gs-CtGi1)/β1/γ2
47.62Consensuspeptide_offonOrthosteric Ligandpeptide_off peptide_on
47.37Single3NY9PubChem 9131033NY9-β2-PubChem 913103
47.37Single4UG2CGS216804UG2-A2A-CGS21680
47.37Single7XY6BAY 60-65837XY6-A2B-BAY 60-6583-chim(NtGi1-Gs)/β1/γ2
47.37Single8F7REndomorphin8F7R-μ-Endomorphin-Gi1/β1/γ2
47.37Single8JLRA776368JLR-TA1-A77636-chim(NtGi1-Gs)/β1/γ2
47.37Single8X3LXWD8X3L-CB2-XWD-Gi1/β1/γ2
47.37Single9IPVJR14a9IPV-C3aB-JR14a-Gi1/β1/γ2
47.37Single9KZ8EP679KZ8-C3aB-EP67-Go/β1/γ2
47.37Consensusdop_onOrthosteric Ligand8F7S-δ-Deltorphin-Gi1/β1/γ2
47.06Single3PDSFAUC503PDS-β2-FAUC50
47.06Single4LDLHydroxybenzyl Isoproterenol4LDL-β2-Hydroxybenzyl Isoproterenol
47.06Single4Z34ONO-97803074Z34-LPA1-ONO-9780307
47.06Single5D5ACarazolol5D5A-β2-Carazolol
47.06Single5D5BCarazolol5D5B-β2-Carazolol
47.06Single5ZKBAF-DX 3845ZKB-M2-AF-DX 384
47.06Single6GT3Imaradenant6GT3-A2A-Imaradenant-Na
47.06Single6J21Aprepitant6J21-NK1-Aprepitant
47.06Single7B6WCyclazosin7B6W-α1b-Cyclazosin
47.06Single7E2ZAripiprazole7E2Z-5-HT1A-Aripiprazole-PtdIns4P-Gi1/β1/γ2
47.06Single7EW1Siponimod7EW1-S1P5-Siponimod-Gi1/β1/γ2
47.06Single7EW3S1P7EW3-S1P3-S1P-Gi1/β1/γ2
47.06Single7T2HLofentanil7T2H-μ-Lofentanil-Gi1/β1/γ2
47.06Single7VIGCBP-3077VIG-S1P1-CBP-307-Gi1/β1/γ2
47.06Single7W6PN-pyridin-4-ylisoquinolin-4-amine7W6P-α2a-N-pyridin-4-ylisoquinolin-4-amine-Go/β1/γ2
47.06Single7W7EPubChem 1649466767W7E-α2a-PubChem 164946676-Go/β1/γ2
47.06Single7WV9CP559407WV9-CB1-CP55940-ZCZ011-Gi2/β1/γ2
47.06Single7YU7ONO-07405567YU7-LPA1-ONO-0740556-Gi1/β1/γ2
47.06Single8EF5Fentanyl8EF5-μ-Fentanyl-Gi1/β1/γ2
47.06Single8HPTC5a (C-terminal peptide)8HPT-C5a1-C5a (C-terminal peptide)-Go/β1/γ2
47.06Single8I9LC3a8I9L-C3aB-C3a-Go/β1/γ2
47.06Single8IRRRotigotine8IRR-D1-Rotigotine-Gs/β1/γ2
47.06Single8JLPRalmitaront8JLP-TA1-Ralmitaront-Gs/β1/γ2
47.06Single8JT6(R)-IHCH-71798JT6-5-HT1A-(R)-IHCH-7179-PtdIns4P-Gi1/β1/γ2
47.06Single8JXVClozapine8JXV-H4-Clozapine-Gi1/β1/γ2
47.06Single8WU1MDMB-Fubinaca8WU1-CB1-MDMB-Fubinaca-Arrestin2
47.06Single8XVLZibotentan8XVL-ETA-Zibotentan
47.06Single9BJKNaloxone9BJK-μ-Naloxone-PubChem 171642066
47.06Single9EGOZ85267113509EGO-CB1-Z8526711350-Gi1/β1/γ2
47.06Single9IZGLPA9IZG-LPA1-LPA-chim(NtGi1-Gs-CtGq)/β1/γ2
47.06Consensusamine_on_gpOrthosteric Ligand5ht_on_gp adrenergic_on_gp dopamine_on_gp histamine_on_gp muscarinic_on_gp trace-amine_on_gp
47.06Consensusbeta1_offOrthosteric Ligand2VT4-β1-Cyanopindolol 2YCW-β1-Carazolol 2YCZ-β1-Iodocyanopindolol 5A8E-β1-7-Methylcyanopindolol-Na 3ZPQ-β1-PubChem 594590-Na 3ZPR-β1-PubChem 598754-Na
47.06Consensusclass-a_offOrthosteric Ligandsensory_off alicarboxylic_off amine_off lipid_off nucleotide_off peptide_off protein_off
47.06Consensusgi_5htOrthosteric Ligand8FYT-5-HT1A-LSD-PtdIns4P-Gi1/β1/γ1 7UM7-5-HT5A-Methylergometrine-chim(NtGi1-Go)/β1/γ2 8UGY-5-HT1E-Mianserin-Gi1/β1/γ1 8W8B-5-HT1A-SEP-363856-Gi1/β1/γ2 7E2Y-5-HT1A-Serotonin-PtdIns4P-Gi1/β1/γ2 7E32-5-HT1D-Serotonin-Gi1/β1/γ2 7XTA-5-HT4-Serotonin-Gi1/β1/γ2 8UH3-5-HT1E-Setiptiline-Gi1/β1/γ1 8JSP-5-HT1A-Ulotaront-Gi1/β1/γ2 8FYL-5-HT1A-Vilazodone-PtdIns4P-Gi1/β1/γ1 8JT6-5-HT1A-(R)-IHCH-7179-PtdIns4P-Gi1/β1/γ2 8FYE-5-HT1A-4-F,5-MeO-PyrT-PtdIns4P-Gi1/β1/γ1 7X5H-5-HT5A-5-CT-Gi1/β1/γ2 8FY8-5-HT1A-5-MeO-DMT-PtdIns4P-Gi1/β1/γ1 7E2Z-5-HT1A-Aripiprazole-PtdIns4P-Gi1/β1/γ2 7E33-5-HT1E-BRL-54443-Gi1/β1/γ2 8FYX-5-HT1A-Buspirone-PtdIns4P-Gi1/β1/γ1 7EXD-5-HT1F-Lasmiditan-Gi1/β1/γ2 7UM6-5-HT5A-Lisuride-chim(NtGi1-Go)/β1/γ2
47.06Consensusgi_cannabinoidOrthosteric Ligand8GUR-CB2-CP55940-Gi1/β1/γ2 8GUS-CB2-HU-308-Gi1/β1/γ2 8GUT-CB2-LEI-102-Gi1/β1/γ2 8GUQ-CB2-Olorinab-Gi1/β1/γ2 6KPF-CB2-AM12033-Gi1/β1/γ2 6PT0-CB2-WIN 55212-2-Gi1/β1/γ2 6KPG-CB1-AM841-Gi1/β1/γ2
47.06Consensusgi_dopamineOrthosteric Ligand7JVR-D2-Bromoergocryptine-Gi1/β1/γ2 7CMV-D3-PD128907-Gi1/β1/γ2 7CMU-D3-Pramipexole-Gi1/β1/γ2 8IRS-D2-Rotigotine-Gi1/β1/γ2 8IRT-D3-Rotigotine-Gi1/β1/γ2
47.06Consensusgs_adrenergicOrthosteric Ligand7DHI-β2-Salbutamol-Gs/β1/γ2 7XJI-β3-Solabegron-Gs/β1/γ2 7JJO-β1-Isoprenaline-Gs/β1/γ2 6NI3-β2-BI167107-Gs/β1/γ2 8DCR-β1-Dobutamine-Gs/β1/γ2 7XJH-β3-Isoprenaline-Gs/β1/γ2 7DH5-β3-Mirabegron-Gs/β1/γ2
47.06Consensuss1p5_onOrthosteric Ligand7EW1-S1P5-Siponimod-Gi1/β1/γ2
47.06Consensuss1p5_on_gpOrthosteric Ligand7EW1-S1P5-Siponimod-Gi1/β1/γ2
47.06Consensusta1_on_gpOrthosteric Ligand8W87-TA1-METH-chim(NtGi1L-Gs)/β1/γ2 8W89-TA1-2-Phenylethylamine-chim(NtGi1L-Gs)/β1/γ2 8JLP-TA1-Ralmitaront-Gs/β1/γ2 8W8A-TA1-RO5256390-chim(NtGi1L-Gs)/β1/γ2 8W88-TA1-SEP-363856-Gs/β1/γ2 8JLO-TA1-Ulotaront-Gs/β1/γ2 8JLR-TA1-A77636-chim(NtGi1-Gs)/β1/γ2 8JSO-TA1-AMPH-chim(NtGi1-Gs)/β1/γ2 8ZSP-TA1-LSD-chim(NtGi1L-Gs)/β1/γ2
47.06Consensustrace-amine_on_gpOrthosteric Ligandta1_on_gp
46.67Single3V2YPubChem 518926453V2Y-S1P1-PubChem 51892645
46.67Single6IQLL7458706IQL-D4-L745870
46.67Single6K41Dexmedetomidine6K41-α2b-Dexmedetomidine-Go/β1/γ2
46.67Single6KUXRS799486KUX-α2a-RS79948
46.67Single6TOSGSK10598656TOS-OX1-GSK1059865-Na
46.67Single6TP3Nemorexant6TP3-OX1-Nemorexant
46.67Single7DHISalbutamol7DHI-β2-Salbutamol-Gs/β1/γ2
46.67Single7E33BRL-544437E33-5-HT1E-BRL-54443-Gi1/β1/γ2
46.67Single7EJ8Brimonidine7EJ8-α2a-Brimonidine-Go/β1/γ2
46.67Single7EJADexmedetomidine7EJA-α2a-Dexmedetomidine-Go/β1/γ2
46.67Single7F1ZDopamine7F1Z-D1-Dopamine-GDP-Gs/β1/γ2
46.67Single7F24Dopamine7F24-D1-Dopamine-GDP-Gs/β1/γ2
46.67Single7F61PF-036547467F61-H3-PF-03654746
46.67Single8GE1Constrained Epinephrine8GE1-β2-Constrained Epinephrine-Gs/β1/γ2
46.67Single8GE4Constrained Epinephrine8GE4-β2-Constrained Epinephrine-Gs/β1/γ2
46.67Single8GE5Constrained Epinephrine8GE5-β2-Constrained Epinephrine-Gs/β1/γ1
46.67Single8GE6Constrained Epinephrine8GE6-β2-Constrained Epinephrine-Gs/β1/γ2
46.67Single8GE7Constrained Epinephrine8GE7-β2-Constrained Epinephrine-Gs/β1/γ2
46.67Single8GE8Constrained Epinephrine8GE8-β2-Constrained Epinephrine-Gs/β1/γ2
46.67Single8GEDConstrained Epinephrine8GED-β2-Constrained Epinephrine-Gs/β1/γ2
46.67Single8GEFConstrained Epinephrine8GEF-β2-Constrained Epinephrine-Gs/β1/γ2
46.67Single8GG5Constrained Epinephrine8GG5-β2-Constrained Epinephrine-GTP-Gs/β1/γ2
46.67Single8GGSConstrained Epinephrine8GGS-β2-Constrained Epinephrine
46.67Single8GGTConstrained Epinephrine8GGT-β2-Constrained Epinephrine
46.67Single8GGVConstrained Epinephrine8GGV-β2-Constrained Epinephrine
46.67Single8GUQOlorinab8GUQ-CB2-Olorinab-Gi1/β1/γ2
46.67Single8GURCP559408GUR-CB2-CP55940-Gi1/β1/γ2
46.67Single8IHKAcifran8IHK-HCA3-Acifran
46.67Single8JLKUlotaront8JLK-TA1-Ulotaront-chim(NtGi1-Gs)/β1/γ2
46.67Single8K9LDAMGO8K9L-μ-DAMGO-BMS-986122-Gi3/β1/γ1
46.67Single8THKA-616038THK-Alpha1A-A-61603-chim(NtGi2L-Gs-CtGq)/β1/γ2
46.67Single8U02Dopamine8U02-D2-Dopamine-Go/β1/γ2
46.67Single8UNMConstrained Epinephrine8UNM-β2-Constrained Epinephrine-GTP-Gs/β1/γ2
46.67Single8UNWConstrained Epinephrine8UNW-β2-Constrained Epinephrine-GTP-Gs/β1/γ2
46.67Single8UO0Constrained Epinephrine8UO0-β2-Constrained Epinephrine-GTP-Gs/β1/γ2
46.67Single8UO1Constrained Epinephrine8UO1-β2-Constrained Epinephrine-GTP; Mg-Gs/β1/γ2
46.67Single8V6UPubChem 1713924568V6U-5-HT2A-PubChem 171392456-chim(NtGi2-Gs-CtGq)/β1/γ2
46.67Single8W88SEP-3638568W88-TA1-SEP-363856-Gs/β1/γ2
46.67Single8YN3Histamine8YN3-H2-Histamine-Gs/β1/γ2
46.67Single9ARXSerotonin9ARX-5-HT2A-Serotonin
46.67Single9AS3LSD9AS3-5-HT2A-LSD
46.67Single9AS4LSD9AS4-5-HT2A-LSD-chim(NtGi1-Gs-CtGq)/β1/γ2
46.67Single9AS5Mescaline9AS5-5-HT2A-Mescaline
46.67Single9AS6Mescaline9AS6-5-HT2A-Mescaline-chim(NtGi1-Gs-CtGq)/β1/γ2
46.67Single9CBLEpinephrine9CBL-α2a-Epinephrine-Gi1/β1/γ2
46.67Single9JKQMETH9JKQ-TA1-METH-Gs/β1/γ2
46.67Single9MQIIsoquinuclidine9MQI-μ-Isoquinuclidine
46.67Single9PXVNaloxone9PXV-μ-Naloxone-Gi1/β1/γ2
46.67Single9PXXNaloxone9PXX-μ-Naloxone-GDPβS-Gi1/β1/γ2
46.67Single9VNFPindolol9VNF-5-HT1A-Pindolol-Go/β1/γ2
46.67Single9W6W5-CT9W6W-5-HT5A-5-CT-Gi1/β1/γ2
46.67Consensusnop_offOrthosteric Ligand4EA3-NOP-PubChem 10296561 5DHG-NOP-C-35 5DHH-NOP-SB-612111
46.15Single7DD7Ca; Ca; Tryptophan; Evocalcet7DD7-CaS; CaS-Ca-Ca; Ca; Tryptophan; Evocalcet
46.15Single7EJKOxymetazoline7EJK-α2a-Oxymetazoline-Go/β1/γ2
46.15Single8GH1Constrained Epinephrine8GH1-β2-Constrained Epinephrine
46.15Single8POKHistamine8POK-H2-Histamine-Gs/β1/γ2
46.15Single8WC62-Phenylethylamine8WC6-TA1-2-Phenylethylamine-chim(NtGi1-Gs)/β1/γ2
46.15Single8WC9ZH86518WC9-TA1-ZH8651-chim(NtGi1-Gs-CtGq)/β1/γ2
46.15Consensus5ht2_onOrthosteric Ligand5ht2b_on
46.15Consensus5ht2b_onOrthosteric Ligand7SRR-5-HT2B-LSD-chim(NtGi2L-Gs-CtGq)/β1/γ2
46.15Consensush2_on_gpOrthosteric Ligand8POK-H2-Histamine-Gs/β1/γ2
45.83Single8FEG(DNCP)-Beta-Naloxamine8FEG-κ-(DNCP)-β-Naloxamine-Gi1/β1/γ2
45.45Single8XWQEndothelin-18XWQ-ETB-Endothelin-1-Gi1/β1/γ2
45.45Consensusgi_class-aOrthosteric Ligandgi_peptide gi_sensory gi_alicarboxylic gi_amine gi_lipid gi_nucleotide gi_protein
45.45Consensuspeptide_offon_gpOrthosteric Ligandpeptide_on_gp peptide_off
45.00Single4AMJCarvedilol4AMJ-β1-Carvedilol
45.00Single7F4ISHU91197F4I-MC1-SHU9119-chim(NtGi1-Gs)/β1/γ2
45.00Single7TD4Siponimod7TD4-S1P1-Siponimod-Gi1/β1/γ2
45.00Single8G59TUG-8918G59-FFA4-TUG-891-chim(Gi1-CtGq)/β1/γ2
45.00Single8GHVAMG3158GHV-CB1-AMG315-Gi1/β1/γ2
45.00Single8WDTphotoNECA8WDT-A2A-photoNECA
45.00Single8ZSPLSD8ZSP-TA1-LSD-chim(NtGi1L-Gs)/β1/γ2
45.00Single9BUYLM1899BUY-β2-LM189-Gi1/β1/γ2
45.00Single9UYJChemerin-99UYJ-CML2-Chemerin-9-Arrestin2
44.44Single3D4STimolol3D4S-β2-Timolol
44.44Single4Z36ONO-30805734Z36-LPA1-ONO-3080573
44.44Single5UNHPubChem 1264564065UNH-AT2-PubChem 126456406
44.44Single6H7NXamoterol6H7N-β1-Xamoterol
44.44Single6MXTSalmeterol6MXT-β2-Salmeterol
44.44Single6VMSBromoergocryptine6VMS-D2-Bromoergocryptine-Gi1/β1/γ2
44.44Single7BZ2Arformoterol7BZ2-β2-Arformoterol-Gs/β1/γ2
44.44Single7DFPSpiperone7DFP-D2-Spiperone
44.44Single7EVYSiponimod7EVY-S1P1-Siponimod-Gi1/β1/γ2
44.44Single7EXDLasmiditan7EXD-5-HT1F-Lasmiditan-Gi1/β1/γ2
44.44Single7JNIOlodanrigan7JNI-AT2-Olodanrigan
44.44Single7MTRADX551647MTR-mGlu2; mGlu2-Glutamate-ADX55164
44.44Single7XMTJ-21567XMT-SST4-J-2156-Gi1/β1/γ2
44.44Single8FYE4-F,5-MeO-PyrT8FYE-5-HT1A-4-F,5-MeO-PyrT-PtdIns4P-Gi1/β1/γ1
44.44Single8IRSRotigotine8IRS-D2-Rotigotine-Gi1/β1/γ2
44.44Single9KVG5-MeO-DMT9KVG-5-HT1A-5-MeO-DMT-PtdIns4P-Gi1/β1/γ2
44.44Single9M8POleic monoethanolamide9M8P-GPR3 ; GPR3-Oleic monoethanolamide-AF64394
44.44Single9VJ6F-155999VJ6-5-HT1A-F-15599-Gi3/β1/γ2
44.44Single9WSWEndomorphin9WSW-μ-Endomorphin-chim(NtGi1-Gz)/β1/γ2
44.44Consensus5ht1f_onOrthosteric Ligand7EXD-5-HT1F-Lasmiditan-Gi1/β1/γ2
44.44Consensus5ht1f_on_gpOrthosteric Ligand7EXD-5-HT1F-Lasmiditan-Gi1/β1/γ2
44.44Consensuscannabinoid_offOrthosteric Ligandcb2_off cb1_off
44.44Consensuscannabinoid_onOrthosteric Ligandcb2_on cb1_on
44.44Consensuscannabinoid_on_gpOrthosteric Ligandcb2_on_gp cb1_on_gp
44.44Consensuscb1_onOrthosteric Ligand6KPG-CB1-AM841-Gi1/β1/γ2 8K8J-CB1-Fenofibrate-chim(Gs-CtGq)/β1/γ2
44.44Consensusd2_on_gpOrthosteric Ligand7JVR-D2-Bromoergocryptine-Gi1/β1/γ2 8IRS-D2-Rotigotine-Gi1/β1/γ2
44.44Consensusgi_amineOrthosteric Ligandgi_5ht gi_muscarinic gi_adrenergic gi_dopamine gi_histamine
44.44Consensuslipid_offonOrthosteric Ligandlipid_off lipid_on
44.44Consensuslipid_offon_gpOrthosteric Ligandlipid_on_gp lipid_off
44.44Consensuslpa1_offOrthosteric Ligand4Z36-LPA1-ONO-3080573 4Z35-LPA1-ONO-9910539 4Z34-LPA1-ONO-9780307
44.44Consensuslpa_offOrthosteric Ligandlpa1_off
44.44Consensuslpl_offOrthosteric Ligands1p_off lpa_off
43.75Single2VT4Cyanopindolol2VT4-β1-Cyanopindolol
43.75Single2Y01Dobutamine2Y01-β1-Dobutamine
43.75Single3NYAAlprenolol3NYA-β2-Alprenolol
43.75Single3ZPRPubChem 5987543ZPR-β1-PubChem 598754-Na
43.75Single4EJ4Naltrindole4EJ4-δ-Naltrindole
43.75Single4QKXPubChem 762106284QKX-β2-PubChem 76210628
43.75Single5DHGC-355DHG-NOP-C-35
43.75Single5DHHSB-6121115DHH-NOP-SB-612111
43.75Single5OLZPubChem 1355666095OLZ-A2A-PubChem 135566609-Na
43.75Single5OM1PubChem 1355666095OM1-A2A-PubChem 135566609-Na
43.75Single6K42Dexmedetomidine6K42-α2b-Dexmedetomidine-Gi1/β1/γ2
43.75Single6PS1Timolol6PS1-β2-Timolol
43.75Single7BU7BI1671077BU7-β1-BI167107
43.75Single7E32Serotonin7E32-5-HT1D-Serotonin-Gi1/β1/γ2
43.75Single7T6VfMLFII7T6V-FPR2-ALX-fMLFII-Gi1/β1/γ2
43.75Single7UM55-CT7UM5-5-HT5A-5-CT-chim(NtGi1-Go)/β1/γ2
43.75Single7V3ZCP559407V3Z-CB1-CP55940
43.75Single7VGZRamelteon7VGZ-MT1-Ramelteon-Gi1/β1/γ2
43.75Single7XTC5-CT7XTC-5-HT7-5-CT-Gs/β1/γ2
43.75Single7YU4ONO-07405567YU4-LPA1-ONO-0740556
43.75Single8GE9Constrained Epinephrine8GE9-β2-Constrained Epinephrine-Gs/β1/γ2
43.75Single8GEHConstrained Epinephrine8GEH-β2-Constrained Epinephrine-Gs/β1/γ2
43.75Single8IHJAcifran8IHJ-HCA3-Acifran-Gi1/β1/γ2
43.75Single8JD0NAM5638JD0-mGlu2; mGlu3-Glutamate-NAM563
43.75Single8JJOAlprenolol8JJO-β2-Alprenolol
43.75Single8JLJT1AM8JLJ-TA1-T1AM-chim(NtGi1-Gs)/β1/γ2
43.75Single8PJKST1718PJK-5-HT1A-ST171-Gi1/β1/γ1
43.75Single8UNRConstrained Epinephrine8UNR-β2-Constrained Epinephrine-GTP-Gs/β1/γ2
43.75Single8UNUConstrained Epinephrine8UNU-β2-Constrained Epinephrine-GTP-Gs/β1/γ2
43.75Single8UWLLisuride8UWL-5-HT2A-Lisuride-chim(NtGi2-Gs-CtGq)/β1/γ2
43.75Single8W8ARO52563908W8A-TA1-RO5256390-chim(NtGi1L-Gs)/β1/γ2
43.75Single8WC7ZH86678WC7-TA1-ZH8667-chim(NtGi1-Gs)/β1/γ2
43.75Single8X63Mepyramine8X63-H1-Mepyramine
43.75Single8X64Desloratadine8X64-H1-Desloratadine
43.75Single8Y71A1D6F8Y71-δ-A1D6F-BMS986187-Gi1/β1/γ2
43.75Single9LLAAriadne9LLA-5-HT2A-Ariadne-chim(NtGi1L-Gs-CtGq)/β1/γ2
43.75Single9PXWNaloxone9PXW-μ-Naloxone-GDPβS-Gi1/β1/γ2
43.75Single9VMYTMU41429VMY-5-HT1A-TMU4142-Go/β1/γ2
43.75Consensus5ht1d_onOrthosteric Ligand7E32-5-HT1D-Serotonin-Gi1/β1/γ2
43.75Consensus5ht1d_on_gpOrthosteric Ligand7E32-5-HT1D-Serotonin-Gi1/β1/γ2
43.75Consensus5ht7_onOrthosteric Ligand7XTC-5-HT7-5-CT-Gs/β1/γ2
43.75Consensus5ht7_on_gpOrthosteric Ligand7XTC-5-HT7-5-CT-Gs/β1/γ2
43.75Consensusadenosine_on_gpOrthosteric Liganda1_on_gp a2_on_gp a3_on_gp
43.75Consensusalicarboxylic_on_gpOrthosteric Ligandsuccinate_on_gp hca_on_gp
43.75Consensusalpha2_onOrthosteric Ligandalpha2b_on
43.75Consensusalpha2_on_gpOrthosteric Ligandalpha2b_on_gp
43.75Consensusalpha2b_onOrthosteric Ligand6K42-α2b-Dexmedetomidine-Gi1/β1/γ2
43.75Consensusalpha2b_on_gpOrthosteric Ligand6K42-α2b-Dexmedetomidine-Gi1/β1/γ2
43.75Consensusd5_onOrthosteric Ligand8IRV-D5-Rotigotine-chim(NtGi1-Gs)/β1/γ2
43.75Consensusdop_offOrthosteric Ligand4EJ4-δ-Naltrindole
43.75Consensusgi_alicarboxylicOrthosteric Ligandgi_hca gi_succinate
43.75Consensushistamine_offOrthosteric Ligandh1_off
43.75Consensuslipid_offOrthosteric Ligandcannabinoid_off paf_off lpl_off prostanoid_off leukotriene_off
43.48Single8XGOTAK4488XGO-Kiss1-TAK448-chim(NtGi1-Gq)/β1/γ2
42.86Single3PBLEticlopride3PBL-D3-Eticlopride
42.86Single7DD7Ca; Ca; Tryptophan; Evocalcet7DD7-CaS; CaS-Ca-Ca; Ca; Tryptophan; Evocalcet
42.86Single7E2YSerotonin7E2Y-5-HT1A-Serotonin-PtdIns4P-Gi1/β1/γ2
42.86Single7SRQLSD7SRQ-5-HT2B-LSD
42.86Single7YS6Serotonin7YS6-5-HT6-Serotonin-chim(NtGi1-Gs)/β1/γ2
42.86Single8DPFLorcaserin8DPF-5-HT2C-Lorcaserin-chim(NtGi2L-Gs-CtGq)/β1/γ2
42.86Single8GGYConstrained Epinephrine8GGY-β2-Constrained Epinephrine
42.86Single8UO4Constrained Epinephrine8UO4-β2-Constrained Epinephrine-GTP; Mg-Gs/β1/γ2
42.86Single8W892-Phenylethylamine8W89-TA1-2-Phenylethylamine-chim(NtGi1L-Gs)/β1/γ2
42.86Single9L3ZLRH7-C29L3Z-CML1-LRH7-C2
42.86Single9L60Dynorphin9L60-κ-Dynorphin-MPAM-15-Gi1/β1/γ2
42.86Single9ME1CXCL129ME1-CXCR4-CXCL12
42.86Single9U9VMETH9U9V-β2-METH-Gs/β1/γ2
42.86Consensusd3_offOrthosteric Ligand3PBL-D3-Eticlopride
42.11Single5UNGPubChem 157800525UNG-AT2-PubChem 15780052
42.11Single6BQGErgotamine6BQG-5-HT2C-Ergotamine
42.11Single6K1QIRL25006K1Q-ETB-IRL2500
42.11Single7JVRBromoergocryptine7JVR-D2-Bromoergocryptine-Gi1/β1/γ2
42.11Single7SK7CCX6627SK7-ACKR3-CXCL12-CCX662
42.11Single7SK8CCX6627SK8-ACKR3-CXCL12-CCX662
42.11Single7UM4AS26747237UM4-5-HT5A-AS2674723
42.11Single7VGY2-Iodomelatonin7VGY-MT1-2-Iodomelatonin-Gi1/β1/γ2
42.11Single7XK2MK68927XK2-HCA2-MK6892-Gi1/β1/γ2
42.11Single8E9YClozapine-N-oxide8E9Y-M3-Clozapine-N-oxide-chim(NtGi2L-Gs-CtGq)/β1/γ2
42.11Single8IJDMK68928IJD-HCA2-MK6892-Gi1/β1/γ2
42.11Single8J19LY2378J19-GPR84-LY237-Gi1/β1/γ2
42.11Single8WRZAM8418WRZ-CB1-AM841-Arrestin2
42.11Single8XIOL7975918XIO-SST1-L797591-chim(NtGi1-Gs-CtGi1)/β1/γ2
42.11Single8ZWGJR14a8ZWG-C3aB-JR14a-Gi1/β1/γ2
42.11Single9AS02-bromo-LSD9AS0-5-HT2A-2-bromo-LSD-chim(NtGi1-Gs-CtGq)/β1/γ2
42.11Single9CGJC6-Quino9CGJ-δ-C6-Quino-Gi1/β1/γ2
42.11Single9DYEBuspirone9DYE-5-HT1A-Buspirone-PtdIns4P-Go/β1/γ2
42.11Single9HYIDP819HYI-5-HT1A-DP81-Gi1/β1/γ2
42.11Single9IZFLPA9IZF-LPA1-LPA-Gi1/β1/γ2
42.11Single9M54Neuropeptide-VF9M54-NPFF2-Neuropeptide-VF-Gi1/β1/γ2
42.11Consensuspeptide_offOrthosteric Ligandcck_off angiotensin_off bombesin_off endothelin_off ghrelin_off npy_off opioid_off orexin_off somatostatin_off tachykinin_off vasop-oxy_off neurotensin_off
41.67Single8XVEBQ30208XVE-ETB-BQ3020-chim(Gs-CtGq)/β1/γ2
41.67Consensusgi_peptideOrthosteric Ligandgi_cck gi_apelin gi_compl-pept gi_endothelin gi_formylpeptide gi_galanin gi_ghrelin gi_npy gi_neurotensin gi_opioid gi_orexin gi_relaxin gi_somatostatin
41.18Single2Y00Dobutamine2Y00-β1-Dobutamine
41.18Single5OM4PubChem 1355666095OM4-A2A-PubChem 135566609-Na
41.18Single5ZK33-quinuclidinyl-benzilate5ZK3-M2-3-quinuclidinyl-benzilate
41.18Single6ME62-Phenylmelatonin6ME6-MT2-2-Phenylmelatonin
41.18Single6ME72-Phenylmelatonin6ME7-MT2-2-Phenylmelatonin
41.18Single6PS6Timolol6PS6-β2-Timolol
41.18Single7C4SS1P7C4S-S1P3-S1P
41.18Single7C61Ergotamine7C61-5-HT1B-Ergotamine
41.18Single7EPFNAM5977EPF-mGlu2-NAM597
41.18Single7LD3Adenosine7LD3-A1-Adenosine-MIPS521-Gi2/β1/γ2
41.18Single7W41PD1762527W41-BB2-PD176252
41.18Single7X1TTaltirelin7X1T-TRH-Taltirelin-chim(NtGi2L-Gs-CtGq)/β1/γ2
41.18Single7YU3ONO-07405567YU3-LPA1-ONO-0740556-Gi1/β1/γ2
41.18Single8C9WEtrumadenant8C9W-A2A-Etrumadenant
41.18Single8J18(3R)-3-Hydroxydodecanoic acid8J18-GPR84-(3R)-3-Hydroxydodecanoic acid-Gi1/β1/γ2
41.18Single8J6JGSK2560738J6J-HCA2-GSK256073-Gi1/β1/γ2
41.18Single8KFXLMD-0098KFX-CCR8-LMD-009-Gi1/β1/γ2
41.18Single8S4DCMF-0198S4D-Apelin-CMF-019
41.18Single8SZGCa; Ca; Tryptophan; Cinacalcet; PO4; Spermine8SZG-CaS; CaS-Ca; Ca; Tryptophan; Cinacalcet; PO4; Spermine-chim(NtGi1-Gq)/β1/γ2
41.18Single8WGBVU01550418WGB-mGlu4; mGlu2-Glutamate-VU0155041-Gi3/β1/γ2
41.18Single9ARYSerotonin9ARY-5-HT2A-Serotonin-chim(NtGi1-Gs-CtGq)/β1/γ2
41.18Single9EE8Adenosine9EE8-A2A-Adenosine-Gs/β1/γ2
41.18Single9HAPTolvaptan9HAP-V2-Tolvaptan
41.18Single9KT6Acifran9KT6-HCA3-Acifran-Gi1/β1/γ2
41.18Single9M8POleic monoethanolamide9M8P-GPR3 ; GPR3-Oleic monoethanolamide-AF64394
41.18Consensus5ht1_onOrthosteric Ligand5ht1a_on 5ht1d_on 5ht1e_on 5ht1f_on
41.18Consensus5ht1_on_gpOrthosteric Ligand5ht1a_on_gp 5ht1d_on_gp 5ht1e_on_gp 5ht1f_on_gp
41.18Consensus5ht1e_on_gpOrthosteric Ligand7E33-5-HT1E-BRL-54443-Gi1/β1/γ2 8UGY-5-HT1E-Mianserin-Gi1/β1/γ1 8UH3-5-HT1E-Setiptiline-Gi1/β1/γ1
41.18Consensus5ht2_offOrthosteric Ligand5ht2a_off 5ht2b_off 5ht2c_off
41.18Consensusbb2_offOrthosteric Ligand7W41-BB2-PD176252
41.18Consensusbombesin_offOrthosteric Ligandbb2_off
41.18Consensusd2_onOrthosteric Ligand7JVR-D2-Bromoergocryptine-Gi1/β1/γ2 8IRS-D2-Rotigotine-Gi1/β1/γ2
41.18Consensuslipid_onOrthosteric Ligandcannabinoid_on ffa_on lpl_on prostanoid_on leukotriene_on
41.18Consensuslipid_on_gpOrthosteric Ligandcannabinoid_on_gp ffa_on_gp lpl_on_gp prostanoid_on_gp leukotriene_on_gp
41.18Consensuss1p_offOrthosteric Ligands1p1_off s1p5_off
40.91Single6PT2KGCHM076PT2-δ-KGCHM07
40.91Single9MEUCXCL129MEU-CXCR4-CXCL12
40.91Single9U4WGonadoliberin-19U4W-GnRH1-Gonadoliberin-1-chim(NtGi1L-Gs-CtGq)/β1/γ2
40.00Single2X72All-trans-Retinal2X72-Rhodopsin-All-trans-Retinal-Gt(CT)
40.00Single3V2WPubChem 518926453V2W-S1P1-PubChem 51892645
40.00Single3VGAZM-2413853VGA-A2A-ZM-241385-Antibody
40.00Single4S0VSuvorexant4S0V-OX2-Suvorexant
40.00Single6DS0LY2660976DS0-5-HT2B-LY266097
40.00Single6G79Donitriptan6G79-5-HT1B-Donitriptan-Go/β1/γ2
40.00Single6KUYPubChem 1457046436KUY-α2a-PubChem 145704643
40.00Single6ME2Ramelteon6ME2-MT1-Ramelteon
40.00Single6NWEOctyl-Beta-D-Glucopyranoside6NWE-Rhodopsin-Octyl-β-D-Glucopyranoside-Gt(CT)
40.00Single6PT3DPI-2876PT3-δ-DPI-287
40.00Single6TPJSuvorexant6TPJ-OX2-Suvorexant
40.00Single6TQ6PubChem 1457142836TQ6-OX1-PubChem 145714283
40.00Single7DHRIsoprenaline7DHR-β2-Isoprenaline-Gs/β1/γ2
40.00Single7EJ0Norepinephrine7EJ0-α2a-Norepinephrine-Go/β1/γ2
40.00Single7F4FAfamelanotide7F4F-MC1-Afamelanotide-chim(NtGi1-Gs)/β1/γ2
40.00Single7LJDDopamine7LJD-D1-Dopamine-Mevidalen-Gs/β1/γ1
40.00Single7M3ECa; Ca; Tryptophan; NPS-21437M3E-CaS; CaS-Ca; Ca; Tryptophan; NPS-2143
40.00Single7M3ECa; Ca; Tryptophan; NPS-21437M3E-CaS; CaS-Ca; Ca; Tryptophan; NPS-2143
40.00Single7M3FCa; Ca; Tryptophan; Cinacalcet7M3F-CaS; CaS-Ca; Ca; Tryptophan; Cinacalcet
40.00Single7SK9CCX6627SK9-ACKR3-CCX662
40.00Single7VIHCBP-3077VIH-S1P1-CBP-307-Gi1/β1/γ2
40.00Single7VUJJNJ-635330547VUJ-GPR139-JNJ-63533054-GDP-chim(Gs-CtGq)/β1/γ2
40.00Single7Y1FDynorphin7Y1F-κ-Dynorphin-Gi1/β1/γ2
40.00Single7YM8Oxymetazoline7YM8-Alpha1A-Oxymetazoline-chim(Gs-CtGq)
40.00Single8FYXBuspirone8FYX-5-HT1A-Buspirone-PtdIns4P-Gi1/β1/γ1
40.00Single8GGCConstrained Epinephrine8GGC-β2-Constrained Epinephrine-GTP-Gs/β1/γ2
40.00Single8GGWConstrained Epinephrine8GGW-β2-Constrained Epinephrine
40.00Single8HDPAdenosine8HDP-A2B-Adenosine-Gs/β1/γ2
40.00Single8QJ2pN1628QJ2-MC4-pN162-Gs/β1/γ2
40.00Single8WC3SEP-3638568WC3-TA1-SEP-363856-chim(NtGi1-Gs)/β1/γ2
40.00Single8WPGTryptophan; Cinacalcet; PO4; Ca8WPG-CaS; CaS-Tryptophan; Cinacalcet; PO4; Ca
40.00Single8Y0HVUF114188Y0H-CXCR3-VUF11418
40.00Single8Y0NVUF114188Y0N-CXCR3-VUF11418-Go/β1/γ2
40.00Single8ZH8QRFP268ZH8-QRFP-QRFP26-Gq/β1/γ1
40.00Single9CGKC5-Quino9CGK-δ-C5-Quino-Gi1/β1/γ2
40.00Single9IPYJR14a9IPY-C3aB-JR14a
40.00Single9JKXAcifran9JKX-HCA3-Acifran-Gi1/β1/γ2
40.00Single9K26PrRP319K26-PrRP-PrRP31-Gi1/β1/γ2
40.00Single9KDFRES-701-39KDF-ETB-RES-701-3
40.00Single9KPESalicin9KPE-TAS2R16-Salicin-Gi1/β1/γ2
40.00Single9KVHCinobufotenine9KVH-5-HT1A-Cinobufotenine-PtdIns4P-Gi1/β1/γ2
40.00Single9LL9DOI9LL9-5-HT2A-DOI-chim(NtGi1L-Gs-CtGq)/β1/γ2
40.00Single9LRBHistamine9LRB-H1-Histamine-Gs/β1/γ2
40.00Single9M0RNeuropeptide-VF9M0R-NPFF1-Neuropeptide-VF-Gi1/β1/γ2
40.00Single9MD1Buspirone9MD1-5-HT1A-Buspirone-PtdIns4P-Gz/β1/γ2
40.00Single9VJ5Gepirone9VJ5-5-HT1A-Gepirone-Go/β1/γ2
40.00Single9WSXEndomorphin9WSX-μ-Endomorphin-Arrestin2
40.00Consensuscxcr3_onOrthosteric Ligand8HNK-CXCR3-CXCL11-Gi1/β1/γ2 8HNL-CXCR3-PS372424-Gi1/β1/γ2
40.00Consensusgq_histamineOrthosteric Ligand7DFL-H1-Histamine-chim(NtGi1L-Gq)/β1/γ2
40.00Consensusgq_peptideOrthosteric Ligandgq_cck gq_kisspeptin gq_bradykinin gq_bombesin gq_angiotensin
40.00Consensush1_on_gpOrthosteric Ligand7DFL-H1-Histamine-chim(NtGi1L-Gq)/β1/γ2
40.00Consensushistamine_onOrthosteric Ligandh1_on h2_on h3_on h4_on
40.00Consensushistamine_on_gpOrthosteric Ligandh1_on_gp h2_on_gp h3_on_gp h4_on_gp
40.00Consensuskiss1_onOrthosteric Ligand8ZJD-Kiss1-Kisspeptin-1-chim(NtGi1-Gq)/β1/γ1
40.00Consensuskisspeptin_onOrthosteric Ligandkiss1_on
40.00Consensuspeptide_onOrthosteric Ligandcck_on angiotensin_on apelin_on bombesin_on bradykinin_on compl-peptide_on endothelin_on formylpeptide_on galanin_on ghrelin_on kisspeptin_on melanocortin_on motilin_on neuromedin-u_on npy_on neurotensin_on opioid_on orexin_on relaxin_on somatostatin_on tachykinin_on trh_on vasop-oxy_on
40.00Consensuspeptide_on_gpOrthosteric Ligandcck_on_gp angiotensin_on_gp apelin_on_gp bombesin_on_gp bradykinin_on_gp compl-peptide_on_gp endothelin_on_gp formylpeptide_on_gp galanin_on_gp ghrelin_on_gp kisspeptin_on_gp melanocortin_on_gp motilin_on_gp neuromedin-u_on_gp npy_on_gp neurotensin_on_gp opioid_on_gp orexin_on_gp relaxin_on_gp somatostatin_on_gp tachykinin_on_gp trh_on_gp vasop-oxy_on_gp
40.00Consensuss1p1_offOrthosteric Ligand3V2W-S1P1-PubChem 51892645
39.13Single7KH0AVP7KH0-V2-AVP-chim(NtGi1-Gs)/β1/γ2
39.13Single7W40Bombesin7W40-BB2-Bombesin-chim(NtGi1L-Gq)/β1/γ2
39.13Single8H4KGW95088H4K-FFA4-GW9508-chim(NtGi1-Gs-CtGq)/β1/γ2
39.13Single8ZBISomatostatin-148ZBI-SST3-Somatostatin-14-Gi1/β1/γ2
39.13Single9BKKCholecystokinin-89BKK-CCKA-Cholecystokinin-8-chim(NtGi1-Gs-CtGq)/β1/γ2
39.13Consensuscxcr3_on_gpOrthosteric Ligand8HNK-CXCR3-CXCL11-Gi1/β1/γ2 8HNL-CXCR3-PS372424-Gi1/β1/γ2
38.89Single3UON3-quinuclidinyl-benzilate3UON-M2-3-quinuclidinyl-benzilate
38.89Single4U15Tiotropium4U15-M3-Tiotropium
38.89Single5XR8AM120335XR8-CB1-AM12033
38.89Single5XRAAM115425XRA-CB1-AM11542
38.89Single5ZHPPubChem 1348285895ZHP-M3-PubChem 134828589
38.89Single6E59L-7607356E59-NK1-L-760735
38.89Single6J20Aprepitant6J20-NK1-Aprepitant
38.89Single6KO5PubChem 574000026KO5-Ghrelin-PubChem 57400002
38.89Single6OL9Tiotropium6OL9-M5-Tiotropium
38.89Single7FEECP559407FEE-CB1-CP55940-ZCZ011
38.89Single7TD1LPA7TD1-LPA1-LPA-Gi1/β1/γ2
38.89Single7TUYGSK682753A7TUY-GPR183-GSK682753A
38.89Single7XTQR3997XTQ-GPBA-R399-Gs/β1/γ2
38.89Single7YU5ONO-07405567YU5-LPA1-ONO-0740556-Gi1/β1/γ2
38.89Single8ID39-Hydroxystearic acid8ID3-FFA4-9-Hydroxystearic acid-Gi1/β1/γ2
38.89Single8ID6Oleic acid8ID6-FFA4-Oleic acid-Gi1/β1/γ2
38.89Single8IHBGSK2560738IHB-HCA2-GSK256073-Gi1/β1/γ2
38.89Single8JXWVUF68848JXW-H4-VUF6884-Gi1/β1/γ2
38.89Single8UGWCGS216808UGW-A2A-CGS21680
38.89Single8ZWFJR14a8ZWF-C3aB-JR14a
38.89Single9JMCDS-3801b9JMC-Motilin-DS-3801b-chim(Gs-CtGq)/β1/γ2
38.89Consensus5ht_offOrthosteric Ligand5ht2_off 5ht1_off
38.89Consensusa2_onOrthosteric Liganda2b_on
38.89Consensusa2_on_gpOrthosteric Liganda2b_on_gp
38.89Consensusa2b_onOrthosteric Ligand8HDP-A2B-Adenosine-Gs/β1/γ2 7XY6-A2B-BAY 60-6583-chim(NtGi1-Gs)/β1/γ2 7XY7-A2B-NECA-chim(NtGi1-Gs)/β1/γ2 8HDO-A2B-BAY 60-6583-Gs/β1/γ2
38.89Consensusa2b_on_gpOrthosteric Ligand8HDP-A2B-Adenosine-Gs/β1/γ2 7XY6-A2B-BAY 60-6583-chim(NtGi1-Gs)/β1/γ2 7XY7-A2B-NECA-chim(NtGi1-Gs)/β1/γ2 8HDO-A2B-BAY 60-6583-Gs/β1/γ2
38.89Consensusgi_lpaOrthosteric Ligand7TD1-LPA1-LPA-Gi1/β1/γ2 7YU3-LPA1-ONO-0740556-Gi1/β1/γ2
38.89Consensusgs_adenosineOrthosteric Ligand8HDP-A2B-Adenosine-Gs/β1/γ2 8HDO-A2B-BAY 60-6583-Gs/β1/γ2 7XY7-A2B-NECA-chim(NtGi1-Gs)/β1/γ2 7XY6-A2B-BAY 60-6583-chim(NtGi1-Gs)/β1/γ2
38.89Consensusgs_nucleotideOrthosteric Ligandgs_adenosine
38.89Consensuslpa_onOrthosteric Ligandlpa1_on
38.89Consensuslpa_on_gpOrthosteric Ligandlpa1_on_gp
38.89Consensusm3_offOrthosteric Ligand4U15-M3-Tiotropium 4U16-M3-N-methyl-Scopolamine 5ZHP-M3-PubChem 134828589
38.89Consensusm5_offOrthosteric Ligand6OL9-M5-Tiotropium
38.89Consensusmuscarinic_offOrthosteric Ligandm2_off m3_off m4_off m5_off m1_off
38.46Single6IGLIRL16206IGL-ETB-IRL1620
38.46Single8DPHLorcaserin8DPH-5-HT2C-Lorcaserin-chim(NtGi2L-Gs-CtGq)/β1/γ2
38.46Single8IWM2-Phenylethylamine8IWM-TAA9-2-Phenylethylamine
38.46Single9M42A1L8O9M42-GPR139-A1L8O-chim(Gs-CtGq)/β1/γ2
38.10Single4IARErgotamine4IAR-5-HT1B-Ergotamine
38.10Single4IB4Ergotamine4IB4-5-HT2B-Ergotamine
38.10Single5UNFPubChem 157800525UNF-AT2-PubChem 15780052
38.10Single7W0PElabela7W0P-Apelin-Elabela-Gi1/β1/γ2
38.10Single7WVWfMYFINILTL7WVW-FPR2-ALX-fMYFINILTL-Gi2/β1/γ2
38.10Single8FYLVilazodone8FYL-5-HT1A-Vilazodone-PtdIns4P-Gi1/β1/γ1
38.10Single8ZJDKisspeptin-18ZJD-Kiss1-Kisspeptin-1-chim(NtGi1-Gq)/β1/γ1
38.10Single9M4TSilodosin9M4T-Alpha1A-Silodosin
38.10Consensusgq_kisspeptinOrthosteric Ligand8ZJD-Kiss1-Kisspeptin-1-chim(NtGi1-Gq)/β1/γ1
38.10Consensuskiss1_on_gpOrthosteric Ligand8ZJD-Kiss1-Kisspeptin-1-chim(NtGi1-Gq)/β1/γ1
38.10Consensuskisspeptin_on_gpOrthosteric Ligandkiss1_on_gp
37.50Single1F8811-cis-Retinal1F88-Rhodopsin-11-cis-Retinal
37.50Single2YDOAdenosine2YDO-A2A-Adenosine
37.50Single3RZECidoxepin3RZE-H1-Cidoxepin
37.50Single4DKLBeta-Funaltrexamine4DKL-μ-β-Funaltrexamine
37.50Single4MQTIperoxo4MQT-M2-Iperoxo-LY2119620
37.50Single4N6HNaltrindole4N6H-δ-Naltrindole-Na
37.50Single5TE3Octyl-Beta-D-Glucopyranoside5TE3-Rhodopsin-Octyl-β-D-Glucopyranoside
37.50Single6A94Zotepine6A94-5-HT2A-Zotepine
37.50Single6ME32-Phenylmelatonin6ME3-MT1-2-Phenylmelatonin
37.50Single6ME42-Iodomelatonin6ME4-MT1-2-Iodomelatonin
37.50Single6PS82-Phenylmelatonin6PS8-MT1-2-Phenylmelatonin
37.50Single6PT0WIN 55212-26PT0-CB2-WIN 55212-2-Gi1/β1/γ2
37.50Single6V9SGTPL114036V9S-OX1-GTPL11403
37.50Single6VI4JDTic6VI4-κ-JDTic
37.50Single6WJCAtropine6WJC-M1-Atropine-Muscarinic toxin 7
37.50Single7CMVPD1289077CMV-D3-PD128907-Gi1/β1/γ2
37.50Single7UL3Famotidine7UL3-H2-Famotidine
37.50Single7VUGJNJ-635330547VUG-GPR139-JNJ-63533054-Gi1/β1/γ2
37.50Single7WC9PubChem 1624213647WC9-5-HT2A-PubChem 162421364
37.50Single7YK6PubChem 1383196747YK6-RXFP4-PubChem 138319674-Gi2/β1/γ2
37.50Single8FCZ11-cis-Retinal8FCZ-Rhodopsin-11-cis-Retinal
37.50Single8GEAConstrained Epinephrine8GEA-β2-Constrained Epinephrine-Gs/β1/γ2
37.50Single8GG8Constrained Epinephrine8GG8-β2-Constrained Epinephrine-GTP-Gs/β1/γ2
37.50Single8IY9Niacin8IY9-HCA2-Niacin-Go/β1/γ2
37.50Single8JIMMonomethyl fumarate8JIM-HCA2-Monomethyl fumarate-Gi1/β1/γ2
37.50Single8JLNT1AM8JLN-TA1-T1AM-Gs/β1/γ2
37.50Single8JSPUlotaront8JSP-5-HT1A-Ulotaront-Gi1/β1/γ2
37.50Single8K5CAcipimox8K5C-HCA2-Acipimox
37.50Single8UHBRO52563908UHB-TA1-RO5256390-Gs/β1/γ2
37.50Single8WPGTryptophan; Cinacalcet; PO4; Ca8WPG-CaS; CaS-Tryptophan; Cinacalcet; PO4; Ca
37.50Single8WPUTryptophan; Cinacalcet; PO4; Ca8WPU-CaS; CaS-Tryptophan; Cinacalcet; PO4; Ca-chim(NtGi2L-Gs-CtGq)/β1/γ2
37.50Single8Y45ADL58598Y45-δ-ADL5859-Gi2/β1/γ2
37.50Single8Y53MK50468Y53-BB3-MK5046-chim(NtGi1-Gs-CtGq)/β1/γ2
37.50Single8Y6YGLPG09748Y6Y-FFA2-GLPG0974
37.50Single8YH2Adenosine8YH2-A3A-Adenosine-Gi1/β1/γ2
37.50Single8YKVPubChem 1375531688YKV-Succinate-PubChem 137553168-Gi1/β1/γ2
37.50Single8ZMGPimavanserin8ZMG-5-HT2A-Pimavanserin
37.50Single8ZPSPrRP208ZPS-PrRP-PrRP20-chim(NtGi1-Gs-CtGi1)/β1/γ2
37.50Single8ZRTEndothelin-18ZRT-ETB-Endothelin-1
37.50Single9AS8Psilocin9AS8-5-HT2A-Psilocin-chim(NtGi2L-Gs-CtGq)/β1/γ2
37.50Single9ASBCa; Ca; Cyclomethyltryptophan; R-568; PO49ASB-CaS; CaS-Ca-Ca; Ca; Cyclomethyltryptophan; R-568; PO4-chim(NtGi1-Gs-CtGq)/β1/γ2
37.50Single9AVGCa; Ca; Cyclomethyltryptophan; R-568; PO49AVG-CaS; CaS-Ca-Ca; Ca; Cyclomethyltryptophan; R-568; PO4-chim(NtGi1-Gs)/β1/γ2
37.50Single9EPQ11,20-Ethanoretinal9EPQ-Rhodopsin-11,20-Ethanoretinal-chim(Gi1-CtGq)/β1/γ2
37.50Single9JKYAcifran9JKY-HCA2-Acifran-Gi1/β1/γ2
37.50Single9JMDAzithromycin9JMD-Motilin-Azithromycin-chim(Gs-CtGq)/β1/γ2
37.50Single9KPDSalicin9KPD-TAS2R16-Salicin-chim(Gs-CtGt3)/β1/γ2
37.50Single9KVIBufotenin9KVI-5-HT1A-Bufotenin-PtdIns4P-Gi1/β1/γ2
37.50Single9L8LBI1671079L8L-β2-BI167107-Atazanavir-Gs/β1/γ2 ; Arrestin2
37.50Single9LL8Psilocin9LL8-5-HT2A-Psilocin-Gi1/β1/γ2
37.50Single9M2FNeuropeptide-FF9M2F-NPFF1-Neuropeptide-FF-Gi1/β1/γ2
37.50Single9PY2Loperamide9PY2-μ-Loperamide-GDPβS-Gi1/β1/γ2
37.50Single9VJG8-OH-DPAT9VJG-5-HT1A-8-OH-DPAT-chim(NtGi2-Gz)/β1/γ2
37.50Single9W33S5A19W33-SST5-S5A1
37.50Consensus5ht2a_offOrthosteric Ligand6A94-5-HT2A-Zotepine 6A93-5-HT2A-Risperidone 7VOD-5-HT2A-Cariprazine 7WC8-5-HT2A-Lumateperone 8JT8-5-HT2A-(R)-IHCH-7179
37.50Consensusadenosine_onOrthosteric Liganda1_on a2_on a3_on
37.50Consensusghrelin_offOrthosteric Ligand6KO5-Ghrelin-PubChem 57400002 7F83-Ghrelin-PF-05190457
37.50Consensusgi_adenosineOrthosteric Ligand7LD4-A1-Adenosine-Gi2/β1/γ2 8X17-A3A-Namodenoson-Gi1/β1/γ2 8X16-A3A-Piclidenoson-Gi1/β1/γ2
37.50Consensushca_onOrthosteric Ligandhca2_on
37.50Consensusmc1_onOrthosteric Ligand7F4H-MC1-Afamelanotide-chim(NtGi1-Gs)/β1/γ2 7F4D-MC1-α-MSH-chim(NtGi1-Gs)/β1/γ2 7F4I-MC1-SHU9119-chim(NtGi1-Gs)/β1/γ2
37.50Consensusmc1_on_gpOrthosteric Ligand7F4H-MC1-Afamelanotide-chim(NtGi1-Gs)/β1/γ2 7F4D-MC1-α-MSH-chim(NtGi1-Gs)/β1/γ2 7F4I-MC1-SHU9119-chim(NtGi1-Gs)/β1/γ2
37.50Consensusopsins_offOrthosteric Ligandrhodopsin_off
37.50Consensussensory_offOrthosteric Ligandopsins_off
37.04Single8ZJETAK4488ZJE-Kiss1-TAK448-chim(NtGi1-Gq)/β1/γ1
37.04Consensusbb2_onOrthosteric Ligand7W40-BB2-Bombesin-chim(NtGi1L-Gq)/β1/γ2 7W3Z-BB2-Gastrin Releasing Peptide-chim(NtGi1L-Gq)/β1/γ2
37.04Consensusbb2_on_gpOrthosteric Ligand7W40-BB2-Bombesin-chim(NtGi1L-Gq)/β1/γ2 7W3Z-BB2-Gastrin Releasing Peptide-chim(NtGi1L-Gq)/β1/γ2
37.04Consensusbombesin_onOrthosteric Ligandbb2_on
37.04Consensusbombesin_on_gpOrthosteric Ligandbb2_on_gp
37.04Consensusgq_bombesinOrthosteric Ligand7W40-BB2-Bombesin-chim(NtGi1L-Gq)/β1/γ2 7W3Z-BB2-Gastrin Releasing Peptide-chim(NtGi1L-Gq)/β1/γ2
36.84Single4PXFOctyl-Beta-D-Glucopyranoside4PXF-Rhodopsin-Octyl-β-D-Glucopyranoside-Arrestin1 Finger Loop
36.84Single5CXVTiotropium5CXV-M1-Tiotropium
36.84Single6A93Risperidone6A93-5-HT2A-Risperidone
36.84Single6DRYMethylergometrine6DRY-5-HT2B-Methylergometrine
36.84Single6KQICP559406KQI-CB1-CP55940-Org27569
36.84Single6ZG4HTL00099366ZG4-M1-HTL0009936
36.84Single7EPENAM5637EPE-mGlu2-NAM563
36.84Single7SUSPubChem 1227019087SUS-Apelin-PubChem 122701908
36.84Single7W0LPubChem 1227019087W0L-Apelin; Apelin-PubChem 122701908-Gi1/β1/γ2
36.84Single8E9W2-Deoxycytidine8E9W-M3-2-Deoxycytidine-chim(NtGi2L-Gs-CtGq)/β1/γ2
36.84Single8G056-OAU8G05-GPR84-6-OAU-Gi1/β1/γ2
36.84Single8ID9Icosapent8ID9-FFA4-Icosapent-Gi1/β1/γ2
36.84Single8IYWGSK2560738IYW-HCA2-GSK256073-Go/β1/γ2
36.84Single8JWY2-1188JWY-A2A-2-118
36.84Single8JWZEtrumadenant8JWZ-A2A-Etrumadenant-Na
36.84Single8JZ7MK68928JZ7-HCA2-MK6892-Gi1/β1/γ2
36.84Single8XYIVUF106618XYI-CXCR3-VUF10661
36.84Single9EBIPiclidenoson9EBI-A3A-Piclidenoson-chim(NtGi1L-Gs-CtGi1)/β1/γ2
36.84Consensus5ht1a_onOrthosteric Ligand8FYT-5-HT1A-LSD-PtdIns4P-Gi1/β1/γ1 7E2Y-5-HT1A-Serotonin-PtdIns4P-Gi1/β1/γ2 7E2Z-5-HT1A-Aripiprazole-PtdIns4P-Gi1/β1/γ2 8FYX-5-HT1A-Buspirone-PtdIns4P-Gi1/β1/γ1 8JSP-5-HT1A-Ulotaront-Gi1/β1/γ2 8JT6-5-HT1A-(R)-IHCH-7179-PtdIns4P-Gi1/β1/γ2 8FY8-5-HT1A-5-MeO-DMT-PtdIns4P-Gi1/β1/γ1 8FYE-5-HT1A-4-F,5-MeO-PyrT-PtdIns4P-Gi1/β1/γ1 8FYL-5-HT1A-Vilazodone-PtdIns4P-Gi1/β1/γ1
36.84Consensus5ht1a_on_gpOrthosteric Ligand8FYT-5-HT1A-LSD-PtdIns4P-Gi1/β1/γ1 8FYX-5-HT1A-Buspirone-PtdIns4P-Gi1/β1/γ1 8JSP-5-HT1A-Ulotaront-Gi1/β1/γ2 8JT6-5-HT1A-(R)-IHCH-7179-PtdIns4P-Gi1/β1/γ2 7E2Y-5-HT1A-Serotonin-PtdIns4P-Gi1/β1/γ2 7E2Z-5-HT1A-Aripiprazole-PtdIns4P-Gi1/β1/γ2 8FY8-5-HT1A-5-MeO-DMT-PtdIns4P-Gi1/β1/γ1 8FYE-5-HT1A-4-F,5-MeO-PyrT-PtdIns4P-Gi1/β1/γ1 8FYL-5-HT1A-Vilazodone-PtdIns4P-Gi1/β1/γ1
36.84Consensusc3a_onOrthosteric Ligand8HK2-C3aB-C3a-Gi1/β1/γ2 8IA8-C3aB-E7 peptide-Gi1/β1/γ2
36.84Consensusccr8_onOrthosteric Ligand8KFX-CCR8-LMD-009-Gi1/β1/γ2 8KFY-CCR8-ZK-756326-Gi1/β1/γ2 8U1U-CCR8-CCL1-Gi1/β1/γ2
36.84Consensusleukotriene_offOrthosteric Ligandblt_off cyslt_off
36.84Consensusm1_offOrthosteric Ligand5CXV-M1-Tiotropium
36.84Consensusnk1_offOrthosteric Ligand6HLP-NK1-Netupitant 6HLO-NK1-Aprepitant 6HLL-NK1-CP99994 6E59-NK1-L-760735
36.36Single3QAKUK-4320973QAK-A2A-UK-432097
36.36Single6HLOAprepitant6HLO-NK1-Aprepitant
36.36Single7DDZJNJ-310200287DDZ-Y2-JNJ-31020028
36.36Single7XMSSomatostatin-147XMS-SST4-Somatostatin-14-Gi1/β1/γ2
36.36Single8F7QBeta-Endorphin8F7Q-μ-β-Endorphin-Gi1/β1/γ2
36.36Consensusccr8_on_gpOrthosteric Ligand8KFX-CCR8-LMD-009-Gi1/β1/γ2 8KFY-CCR8-ZK-756326-Gi1/β1/γ2 8U1U-CCR8-CCL1-Gi1/β1/γ2
36.36Consensusnpy2_offOrthosteric Ligand7DDZ-Y2-JNJ-31020028
36.36Consensussst4_onOrthosteric Ligand7XMS-SST4-Somatostatin-14-Gi1/β1/γ2 7XMT-SST4-J-2156-Gi1/β1/γ2
36.36Consensussst4_on_gpOrthosteric Ligand7XMS-SST4-Somatostatin-14-Gi1/β1/γ2 7XMT-SST4-J-2156-Gi1/β1/γ2
35.71Single2J4Y11-cis-Retinal2J4Y-Rhodopsin-11-cis-Retinal
35.71Single3OE6IT1t3OE6-CXCR4-IT1t
35.71Single7F23Dopamine7F23-D1-Dopamine-GDP-Gs/β1/γ2
35.71Single7WC5Psilocin7WC5-5-HT2A-Psilocin
35.71Single8DPILorcaserin8DPI-5-HT2C-Lorcaserin-chim(NtGi2L-Gs-CtGq)/β1/γ2
35.71Single8GGEConstrained Epinephrine8GGE-β2-Constrained Epinephrine-GTP-Gs/β1/γ2
35.71Single8GGFConstrained Epinephrine8GGF-β2-Constrained Epinephrine-GTP-Gs/β1/γ2
35.71Single8HBDIRL16208HBD-ETB-IRL1620-Gi1/β1/γ2
35.71Single8IW72-Phenylethylamine8IW7-TAA9-2-Phenylethylamine-chim(NtGi1-Gs)/β1/γ2
35.71Single8J6QBeta-Hydroxybutyrate8J6Q-HCA2-β-Hydroxybutyrate-PubChem 25101223-Gi1/β1/γ2
35.71Single8YN9Histamine8YN9-H4-Histamine-Gi1/β1/γ2
35.71Single8YUUHistamine8YUU-H3-Histamine-Gi1/β1/γ1
35.71Single9LL7DOI9LL7-5-HT2A-DOI-Gi1/β1/γ2
35.71Single9LRCHistamine9LRC-H4-Histamine
35.71Single9LREHistamine9LRE-H4-Histamine-Gi1/β1/γ2
35.71Consensush3_onOrthosteric Ligand8YUU-H3-Histamine-Gi1/β1/γ1
35.71Consensush3_on_gpOrthosteric Ligand8YUU-H3-Histamine-Gi1/β1/γ1
35.29Single1HZX11-cis-Retinal1HZX-Rhodopsin-11-cis-Retinal
35.29Single4DAJTiotropium4DAJ-M3-Tiotropium
35.29Single4J4QOctyl Beta-D-Glucopyranoside4J4Q-Rhodopsin-Octyl β-D-Glucopyranoside-Gt(CT)
35.29Single4MQSIperoxo4MQS-M2-Iperoxo
35.29Single4U14Tiotropium4U14-M3-Tiotropium
35.29Single4U16N-methyl-Scopolamine4U16-M3-N-methyl-Scopolamine
35.29Single4X1HNonyl-Beta-D-Glucopyranoside4X1H-Rhodopsin-Nonyl-β-D-Glucopyranoside-Gt(CT)
35.29Single5YC8N-methyl-Scopolamine5YC8-M2-N-methyl-Scopolamine
35.29Single5ZK8N-methyl-Scopolamine5ZK8-M2-N-methyl-Scopolamine
35.29Single5ZKCN-methyl-Scopolamine5ZKC-M2-N-methyl-Scopolamine
35.29Single6DRZMethysergide6DRZ-5-HT2B-Methysergide
35.29Single6KPFAM120336KPF-CB2-AM12033-Gi1/β1/γ2
35.29Single7CFMP3957CFM-GPBA-P395-Gs/β1/γ2
35.29Single7DB6Ramelteon7DB6-MT1-Ramelteon-Gi1/β1/γ2
35.29Single7M3JNPS-2143; PO47M3J-CaS; CaS-NPS-2143; PO4
35.29Single7TRPIperoxo7TRP-M4-Iperoxo-LY2033298-Gi1/β1/γ2
35.29Single7VIFFTY720-P7VIF-S1P1-FTY720-P-Gi1/β1/γ2
35.29Single7YACPaltusotine7YAC-SST2-Paltusotine-Gi1/β1/γ2
35.29Single8CICEtrumadenant8CIC-A2A-Etrumadenant-Na
35.29Single8CU6LJ-45178CU6-A2A-LJ-4517
35.29Single8CU7LJ-45178CU7-A2A-LJ-4517-Na
35.29Single8FY85-MeO-DMT8FY8-5-HT1A-5-MeO-DMT-PtdIns4P-Gi1/β1/γ1
35.29Single8I7VAcipimox8I7V-HCA2-Acipimox-Gi1/β1/γ2
35.29Single8J6PNiacin8J6P-HCA2-Niacin-PubChem 25101223-Gi1/β1/γ2
35.29Single8JIINiacin8JII-HCA2-Niacin-PubChem 25101223-Gi1/β1/γ2
35.29Single8X17Namodenoson8X17-A3A-Namodenoson-Gi1/β1/γ2
35.29Single8YN8Proxyfan8YN8-H3-Proxyfan-Go/β1/γ2
35.29Single9AS1DMT9AS1-5-HT2A-DMT
35.29Single9DYFAsenapine9DYF-5-HT1A-Asenapine-PtdIns4P-Gi1/β1/γ2
35.29Single9H37PubChem 1756706469H37-A2A-PubChem 175670646-Na
35.29Single9JEAAtropine9JEA-M1-Atropine
35.29Single9KFJPubChem 1383196749KFJ-RXFP3-PubChem 138319674-Gi2/β1/γ2
35.29Single9KFTfMLFC9KFT-FPR1-ALX-fMLFC-Gi1/β1/γ2
35.29Single9UAZAtropine9UAZ-M1-Atropine
35.29Consensus5ht2b_offOrthosteric Ligand6DRZ-5-HT2B-Methysergide
35.29Consensusa3_onOrthosteric Liganda3a_on
35.29Consensuscck_offOrthosteric Ligandccka_off
35.29Consensusccka_offOrthosteric Ligand7F8Y-CCKA-Devazepide 7F8U-CCKA-Lintitript
35.29Consensusgi_hcaOrthosteric Ligand8J6R-HCA2-MK6892-Gi1/β1/γ2 8JIM-HCA2-Monomethyl fumarate-Gi1/β1/γ2 8IHI-HCA2-Acifran-Gi1/β1/γ2 8IHH-HCA2-LUF6283-Gi1/β1/γ2 8I7V-HCA2-Acipimox-Gi1/β1/γ2 8I7W-HCA2-GSK256073-Gi1/β1/γ2
35.29Consensusgq_amineOrthosteric Ligandgq_muscarinic gq_histamine
35.29Consensushca2_onOrthosteric Ligand8J6R-HCA2-MK6892-Gi1/β1/γ2 8JIM-HCA2-Monomethyl fumarate-Gi1/β1/γ2 8I7V-HCA2-Acipimox-Gi1/β1/γ2 8I7W-HCA2-GSK256073-Gi1/β1/γ2 8IHH-HCA2-LUF6283-Gi1/β1/γ2 8IHI-HCA2-Acifran-Gi1/β1/γ2
35.29Consensushca2_on_gpOrthosteric Ligand8J6R-HCA2-MK6892-Gi1/β1/γ2 8IHI-HCA2-Acifran-Gi1/β1/γ2 8IHH-HCA2-LUF6283-Gi1/β1/γ2 8I7V-HCA2-Acipimox-Gi1/β1/γ2 8JIM-HCA2-Monomethyl fumarate-Gi1/β1/γ2 8I7W-HCA2-GSK256073-Gi1/β1/γ2
35.29Consensushca_on_gpOrthosteric Ligandhca2_on_gp
35.00Single5TUDErgotamine5TUD-5-HT2B-Ergotamine
35.00Single6BQHRitanserin6BQH-5-HT2C-Ritanserin
35.00Single6KPGAM8416KPG-CB1-AM841-Gi1/β1/γ2
35.00Single7EZCUK-4320977EZC-A2A-UK-432097
35.00Single7WVVfMLFII7WVV-FPR2-ALX-fMLFII-Gi2/β1/γ2
35.00Single7X1UTRH7X1U-TRH-TRH-chim(NtGi2L-Gs-CtGq)/β1/γ2
35.00Single7XZ6APD6687XZ6-GPR119-APD668-Gs/β1/γ2
35.00Single7Y65C5a (C-terminal peptide)7Y65-C5a1-C5a (C-terminal peptide)-Gi1/β1/γ2
35.00Single8ID8TUG-8918ID8-FFA4-TUG-891-Gi1/β1/γ2
35.00Single8IYSTUG-8918IYS-FFA4-TUG-891-GDP-chim(NtGi1L-Gq)/β1/γ2
35.00Single8T3OTUG-8918T3O-FFA4-TUG-891-chim(NtGi2L-Gs-CtGq)/β1/γ2
35.00Single9KT8Acifran9KT8-HCA2-Acifran-Gi1/β1/γ2
35.00Single9KUGEP679KUG-C5a1-EP67-Go/β1/γ2
35.00Consensus5ht2c_offOrthosteric Ligand6BQH-5-HT2C-Ritanserin
35.00Consensusc3a_on_gpOrthosteric Ligand8HK2-C3aB-C3a-Gi1/β1/γ2 8IA8-C3aB-E7 peptide-Gi1/β1/γ2
35.00Consensusd2_offOrthosteric Ligand6CM4-D2-Risperidone 6LUQ-D2-Haloperidol 7DFP-D2-Spiperone
35.00Consensusnucleotide_on_gpOrthosteric Ligandadenosine_on_gp p2y_on_gp
34.78Single5WF5UK-4320975WF5-A2A-UK-432097
34.78Single7MBXCholecystokinin-87MBX-CCKA-Cholecystokinin-8-Gs/β1/γ1
34.78Single7T6TfMLFII7T6T-FPR1-ALX-fMLFII-Gi1/β1/γ2
34.78Single9UYIChemerin-99UYI-CML2-Chemerin-9-Arrestin2
34.78Consensusangiotensin_onOrthosteric Ligandat1_on
34.78Consensusat1_onOrthosteric Ligand7F6G-AT1-(Sar1)-Angiotensin II-Gq/β1/γ2
34.78Consensusgi_somatostatinOrthosteric Ligand7WIC-SST2-Somatostatin-14-Gi1/β1/γ2 7XMS-SST4-Somatostatin-14-Gi1/β1/γ2 8X8L-SST5-Cortistatin-14-chim(NtGi1-Gs-CtGi1)/β1/γ2 7XMT-SST4-J-2156-Gi1/β1/γ2 7WIG-SST2-L-054264-Gi1/β1/γ2 8X8N-SST5-Octreotide-chim(NtGi1-Gs-CtGi1)/β1/γ2 7YAE-SST2-Octreotide-Gi1/β1/γ2 7YAC-SST2-Paltusotine-Gi1/β1/γ2
34.78Consensusgs_cckOrthosteric Ligand7MBX-CCKA-Cholecystokinin-8-Gs/β1/γ1
34.78Consensussomatostatin_onOrthosteric Ligandsst2_on sst4_on sst5_on
34.78Consensussomatostatin_on_gpOrthosteric Ligandsst2_on_gp sst4_on_gp sst5_on_gp
34.62Single8XWPEndothelin-18XWP-ETB-Endothelin-1-Gi1/β1/γ2
34.48Single6LRYSarafotoxin-B6LRY-ETB-Sarafotoxin-B
34.48Consensusgs_peptideOrthosteric Ligandgs_cck gs_melanocortin gs_vasop-oxy
33.33Single3OE9IT1t3OE9-CXCR4-IT1t
33.33Single5NM2ZM-2413855NM2-A2A-ZM-241385-Na
33.33Single5WF6UK-4320975WF6-A2A-UK-432097
33.33Single6D26Fevipiprant6D26-DP2-Fevipiprant
33.33Single6GDGNECA6GDG-A2A-NECA-Gs/β1/γ1
33.33Single6HLLCP999946HLL-NK1-CP99994
33.33Single6HLPNetupitant6HLP-NK1-Netupitant
33.33Single6KPCAM120336KPC-CB2-AM12033
33.33Single6PGSGeraniol6PGS-Rhodopsin-Geraniol-Gt(CT)
33.33Single6QNOAll-trans-Retinal6QNO-Rhodopsin-All-trans-Retinal-Gi1/β1/γ1
33.33Single6TQ4PubChem 160468446TQ4-OX1-PubChem 16046844-Na
33.33Single6WIVPubChem 52923113; PubChem 529246456WIV-GABAB1, GABAB2-PubChem 52923113; PubChem 52924645
33.33Single7DFLHistamine7DFL-H1-Histamine-chim(NtGi1L-Gq)/β1/γ2
33.33Single7DW9AVP7DW9-V2-AVP-chim(NtGi1-Gs)/β1/γ2
33.33Single7F4HAfamelanotide7F4H-MC1-Afamelanotide-chim(NtGi1-Gs)/β1/γ2
33.33Single7F6G(Sar1)-Angiotensin II7F6G-AT1-(Sar1)-Angiotensin II-Gq/β1/γ2
33.33Single7M3JNPS-2143; PO47M3J-CaS; CaS-NPS-2143; PO4
33.33Single7RKFCX3CL17RKF-US28-CX3CL1-GDP-chim(NtGi1-G11)/β1/γ2
33.33Single7TRKIperoxo7TRK-M4-Iperoxo-Gi1/β1/γ2
33.33Single7VOEAripiprazole7VOE-5-HT2A-Aripiprazole
33.33Single7VUHJNJ-635330547VUH-GPR139-JNJ-63533054-chim(Gs-CtGq)/β1/γ2
33.33Single7VUIJNJ-635330547VUI-GPR139-JNJ-63533054-GTP-chim(Gs-CtGq)/β1/γ2
33.33Single7WIGL-0542647WIG-SST2-L-054264-Gi1/β1/γ2
33.33Single7XP6Strychnine7XP6-TAS2R46-Strychnine-chim(Gs-CtGt3)/β1/γ2
33.33Single7YFCHistamine7YFC-H4-Histamine-chim(NtGi1-Gs-CtGq)/β1/γ2
33.33Single7YJ4INSL57YJ4-RXFP4-INSL5-Gi2/β1/γ2
33.33Single8E9ZIperoxo8E9Z-M3-Iperoxo-chim(NtGi2L-Gs-CtGq)/β1/γ2
33.33Single8H2GNiacin8H2G-HCA2-Niacin-Gi1/β1/γ2
33.33Single8H4IDoconexent8H4I-FFA4-Doconexent-chim(NtGi1-Gs)/β1/γ2
33.33Single8HNLPS3724248HNL-CXCR3-PS372424-Gi1/β1/γ2
33.33Single8IA7Cholecystokinin-88IA7-CCKB-Cholecystokinin-8-chim(NtGi1L-Gq)/β1/γ2
33.33Single8ID4Linoleic acid8ID4-FFA4-Linoleic acid-Gi1/β1/γ2
33.33Single8IHFMK68928IHF-HCA2-MK6892-Gi1/β1/γ2
33.33Single8IHIAcifran8IHI-HCA2-Acifran-Gi1/β1/γ2
33.33Single8J6IMK68928J6I-HCA2-MK6892-Gi1/β1/γ2
33.33Single8JPNCis-Epoxysuccinic acid8JPN-Succinate-Cis-Epoxysuccinic acid-Gi1/β1/γ1
33.33Single8K5BNiacin8K5B-HCA2-Niacin
33.33Single8UO3Constrained Epinephrine8UO3-β2-Constrained Epinephrine-GTP; Mg-Gs/β1/γ2
33.33Single8UUJFCH-22964138UUJ-HCA2-FCH-2296413-Gi1/β1/γ2
33.33Single8WCBCyclohexylammonium Ion8WCB-TA1-Cyclohexylammonium Ion-chim(NtGi1-Gs-CtGq)/β1/γ2
33.33Single8WCCCyclohexylammonium Ion8WCC-TA1-Cyclohexylammonium Ion
33.33Single8WP1Cis-Epoxysuccinic acid8WP1-Succinate-Cis-Epoxysuccinic acid-Gi1/β1/γ2
33.33Single8XYKVUF106618XYK-CXCR3-VUF10661-Go/β1/γ2
33.33Single8Y52BA18Y52-BB3-BA1-chim(NtGi1-Gs-CtGq)/β1/γ2
33.33Single8YKWSuccinic acid8YKW-Succinate-Succinic acid-Gi1/β1/γ1
33.33Single8YN2Histamine8YN2-H1-Histamine-chim(NtGi1L-Gs-CtGq)/β1/γ2
33.33Single8YN5Histamine8YN5-H3-Histamine-Gi1/β1/γ2
33.33Single8YN6Imetit8YN6-H3-Imetit-Gi1/β1/γ2
33.33Single8YN7Immethridine8YN7-H3-Immethridine-Go/β1/γ2
33.33Single8ZMFPubChem 1719206738ZMF-5-HT2C-PubChem 171920673
33.33Single8ZPTPrRP208ZPT-PrRP-PrRP20-chim(NtGi1-Gs-CtGq)/β1/γ2
33.33Single8ZRKGSK12922638ZRK-GPR119-GSK1292263-Gs/β1/γ2
33.33Single9AS2DMT9AS2-5-HT2A-DMT-chim(NtGi1-Gs-CtGq)/β1/γ2
33.33Single9AS7Psilocin9AS7-5-HT2A-Psilocin
33.33Single9AVLCa; Ca; Cyclomethyltryptophan; R-568; PO49AVL-CaS; CaS-Ca-Ca; Ca; Cyclomethyltryptophan; R-568; PO4-Gi3/β2/γ2
33.33Single9AXFCa; Ca; Ca; Cyclomethyltryptophan; R-568; PO49AXF-CaS; CaS-Ca-Ca; Ca; Ca; Cyclomethyltryptophan; R-568; PO4-chim(NtGi1-Gs-CtGq)/β1/γ2
33.33Single9AYFCa; Ca; Ca; Cyclomethyltryptophan; R-568; PO49AYF-CaS; CaS-Ca-Ca; Ca; Ca; Cyclomethyltryptophan; R-568; PO4-Gi1/β1/γ2
33.33Single9CIBFCH-22964139CIB-HCA2-FCH-2296413
33.33Single9DYDAsenapine9DYD-5-HT1A-Asenapine-PtdIns4P-Go/β1/γ2
33.33Single9EHSLUF76029EHS-A3A-LUF7602
33.33Single9ERXD9-THC analog9ERX-CB1-D9-THC analog-Gi1/β1/γ2
33.33Single9F34FOB02-04A9F34-D3-FOB02-04A-Go/β1/γ2
33.33Single9GE2ML1849GE2-GPR55-ML184-chim(NtGi1-G13)/β1/γ2
33.33Single9IQTNiacin9IQT-HCA2-Niacin-Gi1/β1/γ2
33.33Single9IYBPGD29IYB-DP2-PGD2-A1D5Q-Gi1/β1/γ2
33.33Single9IZASCH9002719IZA-HCA2-SCH900271-Gi1/β1/γ2
33.33Single9JEDHistamine9JED-H4-Histamine-PO4-Gi1/β1/γ2
33.33Single9JEQHistamine9JEQ-H3-Histamine-Gi1/β1/γ2
33.33Single9JF4PD1683689JF4-BB1-PD168368
33.33Single9KPFSalicin9KPF-TAS2R16-Salicin-Gi1/β1/γ2
33.33Single9KUTJR14a9KUT-C3aB-JR14a-Go/β1/γ2
33.33Single9KUVCMPD6449KUV-Apelin-CMPD644-Arrestin2
33.33Single9KUWCMPD6449KUW-Apelin; Apelin-CMPD644-Arrestin2 ; Arrestin2
33.33Single9L42Histamine9L42-H4-Histamine-Gi1/β1/γ2
33.33Single9V2NMacimorelin9V2N-Ghrelin-Macimorelin-chim(NtGi1-Gs-CtGq)/β1/γ2
33.33Consensusa3_on_gpOrthosteric Liganda3a_on_gp
33.33Consensusa3a_onOrthosteric Ligand8X17-A3A-Namodenoson-Gi1/β1/γ2 8X16-A3A-Piclidenoson-Gi1/β1/γ2
33.33Consensusa3a_on_gpOrthosteric Ligand8X17-A3A-Namodenoson-Gi1/β1/γ2 8X16-A3A-Piclidenoson-Gi1/β1/γ2
33.33Consensusadenosine_offOrthosteric Liganda1_off a2_off
33.33Consensusangiotensin_on_gpOrthosteric Ligandat1_on_gp
33.33Consensusat1_on_gpOrthosteric Ligand7F6G-AT1-(Sar1)-Angiotensin II-Gq/β1/γ2
33.33Consensusc5a1_on_gpOrthosteric Ligand8HK5-C5a1-C5a-Gi1/β1/γ2 7Y66-C5a1-BM213-Gi1/β1/γ2 7Y67-C5a1-C089 peptide-Gi1/β1/γ2 7Y64-C5a1-C5a-Gi1/β1/γ2
33.33Consensusdp2_offOrthosteric Ligand6D26-DP2-Fevipiprant
33.33Consensusdp_offOrthosteric Liganddp2_off
33.33Consensusgq_angiotensinOrthosteric Ligand7F6G-AT1-(Sar1)-Angiotensin II-Gq/β1/γ2
33.33Consensusgs_vasop-oxyOrthosteric Ligand7DW9-V2-AVP-chim(NtGi1-Gs)/β1/γ2
33.33Consensush1_onOrthosteric Ligand7DFL-H1-Histamine-chim(NtGi1L-Gq)/β1/γ2
33.33Consensuslpa1_onOrthosteric Ligand7TD1-LPA1-LPA-Gi1/β1/γ2 7YU3-LPA1-ONO-0740556-Gi1/β1/γ2
33.33Consensuslpa1_on_gpOrthosteric Ligand7TD1-LPA1-LPA-Gi1/β1/γ2 7YU3-LPA1-ONO-0740556-Gi1/β1/γ2
33.33Consensusm2_offOrthosteric Ligand5ZKC-M2-N-methyl-Scopolamine 5ZK3-M2-3-quinuclidinyl-benzilate 5ZKB-M2-AF-DX 384
33.33Consensusm3_onOrthosteric Ligand8E9Z-M3-Iperoxo-chim(NtGi2L-Gs-CtGq)/β1/γ2 8E9W-M3-2-Deoxycytidine-chim(NtGi2L-Gs-CtGq)/β1/γ2 8E9Y-M3-Clozapine-N-oxide-chim(NtGi2L-Gs-CtGq)/β1/γ2
33.33Consensusm3_on_gpOrthosteric Ligand8E9Z-M3-Iperoxo-chim(NtGi2L-Gs-CtGq)/β1/γ2 8E9W-M3-2-Deoxycytidine-chim(NtGi2L-Gs-CtGq)/β1/γ2 8E9Y-M3-Clozapine-N-oxide-chim(NtGi2L-Gs-CtGq)/β1/γ2
33.33Consensusnucleotide_onOrthosteric Ligandadenosine_on p2y_on
33.33Consensusprotein_onOrthosteric Ligandchemokine_on chemerin_on
33.33Consensuss1p5_offOrthosteric Ligand7YXA-S1P5-ONO-5430608
33.33Consensusv2_onOrthosteric Ligand7DW9-V2-AVP-chim(NtGi1-Gs)/β1/γ2
33.33Consensusv2_on_gpOrthosteric Ligand7DW9-V2-AVP-chim(NtGi1-Gs)/β1/γ2
33.33Consensusvasop-oxy_onOrthosteric Ligandv2_on
33.33Consensusvasop-oxy_on_gpOrthosteric Ligandv2_on_gp
32.14Single5GLHEndothelin-15GLH-ETB-Endothelin-1
32.14Single6IGKEndothelin-36IGK-ETB-Endothelin-3
32.14Consensusgi_endothelinOrthosteric Ligand8IY5-ETB-Endothelin-1-Gi1/β1/γ2 8HBD-ETB-IRL1620-Gi1/β1/γ2
32.00Single7QBIAlpha-factor mating pheromone7QBI-STE2; STE2-α-factor mating pheromone
32.00Single7X9CPancreatic Hormone7X9C-Y4-Pancreatic Hormone-Gi1/β1/γ2
32.00Single7Y64C5a7Y64-C5a1-C5a-Gi1/β1/γ2
32.00Single8IODPG-9018IOD-MC5-PG-901-Ca-chim(NtGi1-Gs)/β1/γ2
32.00Single9JFYNeuropeptide-SF9JFY-NPFF2-Neuropeptide-SF-Gi1/β1/γ2
32.00Consensussst5_on_gpOrthosteric Ligand8X8L-SST5-Cortistatin-14-chim(NtGi1-Gs-CtGi1)/β1/γ2 8X8N-SST5-Octreotide-chim(NtGi1-Gs-CtGi1)/β1/γ2
31.82Single6WIVPubChem 52923113; PubChem 529246456WIV-GABAB1, GABAB2-PubChem 52923113; PubChem 52924645
31.82Single7QA8Antagonist Peptide7QA8-STE2; STE2-Antagonist Peptide
31.82Single7QA8Antagonist Peptide7QA8-STE2; STE2-Antagonist Peptide
31.82Single7WKDTRH7WKD-TRH-TRH-chim(NtGi1-Gs-CtGq)/β1/γ2
31.82Single7XAUOctreotide7XAU-SST2-Octreotide-Gi1/β1/γ2
31.82Single8IEBPubChem 1347468948IEB-GPR156; GPR156-PubChem 134746894
31.82Single8J6RMK68928J6R-HCA2-MK6892-Gi1/β1/γ2
31.82Single8K3ZCXCL128K3Z-CXCR4-CXCL12-Gi1/β1/γ1
31.82Single8WKYPG-9348WKY-MC4-PG-934
31.82Single8WZ2Orexigenic Neuropeptide QRFP8WZ2-QRFP-Orexigenic Neuropeptide QRFP-chim(NtGi1L-Gs-CtGq)/β1/γ2
31.82Single9BKJCholecystokinin-89BKJ-CCKA-Cholecystokinin-8-chim(NtGi1-Gs-CtGq)/β1/γ2
31.82Single9KWGC5a9KWG-C5a1-C5a-Go/β1/γ2
31.82Single9UMRC5a-pep9UMR-C5a1-C5a-pep-Go/β1/γ2
31.82Consensuschemerin_on_gpOrthosteric Ligandcml1_on_gp
31.82Consensuscml1_onOrthosteric Ligand7YKD-CML1-Chemerin-9-Gi1/β1/γ2
31.82Consensuscxcr4_onOrthosteric Ligand8K3Z-CXCR4-CXCL12-Gi1/β1/γ1
31.82Consensusgi_chemerinOrthosteric Ligand7YKD-CML1-Chemerin-9-Gi1/β1/γ2
31.82Consensusgi_nucleotideOrthosteric Ligandgi_adenosine gi_p2y
31.58Single4IAQDihydroergotamine4IAQ-5-HT1B-Dihydroergotamine
31.58Single5V54Methiothepin5V54-5-HT1B-Methiothepin
31.58Single6N4BMDMB-Fubinaca6N4B-CB1-MDMB-Fubinaca-Gi1/β1/γ2
31.58Single7EW4CYM-55417EW4-S1P3-CYM-5541-Gi1/β1/γ2
31.58Single7F58THIQ7F58-MC4-THIQ-Gs/β1/γ2
31.58Single7M8W15r-Methyl-PGD27M8W-DP2-15r-Methyl-PGD2-Na
31.58Single7TRQIperoxo7TRQ-M4-Iperoxo-VU0467154-Gi1/β1/γ2
31.58Single7WVXHumanin7WVX-FPR2-ALX-Humanin-Gi2/β1/γ2
31.58Single7XY7NECA7XY7-A2B-NECA-chim(NtGi1-Gs)/β1/γ2
31.58Single7Y24Octreotide7Y24-SST2-Octreotide-Go/β1/γ2
31.58Single8EA0Iperoxo8EA0-M3-Iperoxo
31.58Single8GUSHU-3088GUS-CB2-HU-308-Gi1/β1/γ2
31.58Single8HDOBAY 60-65838HDO-A2B-BAY 60-6583-Gs/β1/γ2
31.58Single8HQCC5a8HQC-C5a1-C5a-Go/β1/γ2
31.58Single8IHHLUF62838IHH-HCA2-LUF6283-Gi1/β1/γ2
31.58Single8IYHMK68928IYH-HCA2-MK6892-Go/β1/γ2
31.58Single8JSRAnamorelin8JSR-Ghrelin-Anamorelin-chim(NtGi1-Gs-CtGq)/β1/γ2
31.58Single8JXXClobenpropit8JXX-H4-Clobenpropit-Gi1/β1/γ2
31.58Single8VVEnorBNI8VVE-κ-norBNI-Gi1/β1/γ2
31.58Single8YH6Namodenoson8YH6-A3A-Namodenoson-Gi1/β1/γ2
31.58Single9AYFCa; Ca; Ca; Cyclomethyltryptophan; R-568; PO49AYF-CaS; CaS-Ca-Ca; Ca; Ca; Cyclomethyltryptophan; R-568; PO4-Gi1/β1/γ2
31.58Single9IK9Lanreotide9IK9-SST1-Lanreotide-Gi1/β1/γ2
31.58Consensus5ht1_offOrthosteric Ligand5ht1b_off
31.58Consensus5ht1b_offOrthosteric Ligand5V54-5-HT1B-Methiothepin
31.58Consensuscyslt1_offOrthosteric Ligand6RZ5-CysLT1-Zafirlukast-Na 6RZ4-CysLT1-Pranlukast-Na
31.58Consensush4_on_gpOrthosteric Ligand8HN8-H4-Histamine-Gi1/β1/γ2 8HOC-H4-Imetit-Gi1/β1/γ2 8JXV-H4-Clozapine-Gi1/β1/γ2 8JXW-H4-VUF6884-Gi1/β1/γ2 8JXX-H4-Clobenpropit-Gi1/β1/γ2
31.58Consensusnpy_offOrthosteric Ligandnpy1_off npy2_off
31.58Consensustachykinin_offOrthosteric Ligandnk1_off
31.25Single1GZM11-cis-Retinal1GZM-Rhodopsin-11-cis-Retinal
31.25Single2PED9-cis-Retinal2PED-Rhodopsin-9-cis-Retinal
31.25Single3C9L11-cis-Retinal3C9L-Rhodopsin-11-cis-Retinal
31.25Single3ODUIT1t3ODU-CXCR4-IT1t
31.25Single5K2DZM-2413855K2D-A2A-ZM-241385-Na
31.25Single5OLOTozadenant5OLO-A2A-Tozadenant-Na
31.25Single5OLVLUAA470705OLV-A2A-LUAA47070-Na
31.25Single6D9HAdenosine6D9H-A1-Adenosine-Gi2/β1/γ2
31.25Single6JZHZM-2413856JZH-A2A-ZM-241385-Na
31.25Single6PS7ZM-2413856PS7-A2A-ZM-241385-Na
31.25Single7F8ULintitript7F8U-CCKA-Lintitript
31.25Single7T6STC-FPR 437T6S-FPR2-ALX-TC-FPR 43-Gi1/β1/γ2
31.25Single7T8XAcetylcholine7T8X-M2-Acetylcholine-chim(NtGi1-Go)/β1/γ2
31.25Single7T90Acetylcholine7T90-M2-Acetylcholine-chim(NtGi1-Go)/β1/γ2
31.25Single7T96Acetylcholine7T96-M2-Acetylcholine-LY2119620-Go/β1/γ2
31.25Single7TUZ7-alpha,25-dihydroxycholesterol7TUZ-GPR183-7-α,25-dihydroxycholesterol-Gi1/β1/γ2
31.25Single7W0MPubChem 1227019087W0M-Apelin-PubChem 122701908-Gi1/β1/γ2
31.25Single8DU3PubChem 1055260648DU3-A2A-PubChem 105526064
31.25Single8DWGML3828DWG-MRGPRX1-BAM8-22-ML382-chim(NtGi2L-Gs-CtGq)/β1/γ2
31.25Single8GNGIstradefylline8GNG-A2A-Istradefylline
31.25Single8HOCImetit8HOC-H4-Imetit-Gi1/β1/γ2
31.25Single8IJANiacin8IJA-HCA2-Niacin-Gi1/β1/γ2
31.25Single8IJBAcipimox8IJB-HCA2-Acipimox-Gi1/β1/γ2
31.25Single8IW4Spermidine8IW4-TAA9-Spermidine-chim(NtGi1-Gs)/β1/γ2
31.25Single8IWESpermidine8IWE-TAA9-Spermidine
31.25Single8J6LNiacin8J6L-HCA2-Niacin-Gi1/β1/γ2
31.25Single8JPPSuccinic acid8JPP-Succinate-Succinic acid-chim(Gs-CtGq)/β1/γ1
31.25Single8RW0Istradefylline8RW0-A2A-Istradefylline-Na
31.25Single8WOGSuccinic acid8WOG-Succinate-Succinic acid-Gi1/β1/γ2
31.25Single8YKXMaleic acid8YKX-Succinate-Maleic acid-Gi1/β1/γ1
31.25Single8YNAImmepip8YNA-H4-Immepip-Gi1/β1/γ2
31.25Single8YUVImmepip8YUV-H3-Immepip-Gi1/β1/γ2
31.25Single8Z87CHBA8Z87-HCA1-CHBA-Gi1/β1/γ2
31.25Single9AVLCa; Ca; Cyclomethyltryptophan; R-568; PO49AVL-CaS; CaS-Ca-Ca; Ca; Cyclomethyltryptophan; R-568; PO4-Gi3/β2/γ2
31.25Single9C1PCa; Tryptophan; '6218; PO49C1P-CaS; CaS-Ca-Ca; Tryptophan; '6218; PO4
31.25Single9C2FCa; Ca; Tryptophan; '54149; PO49C2F-CaS; CaS-Ca-Ca; Ca; Tryptophan; '54149; PO4
31.25Single9EBHAdenosine9EBH-A3A-Adenosine-Gi1/β1/γ2
31.25Single9EEAAdenosine9EEA-A2A-Adenosine-Gs/β1/γ2
31.25Single9H2XPubChem 1756706449H2X-A2A-PubChem 175670644-Na
31.25Single9K6LSalicin9K6L-TAS2R16-Salicin-Gi2/β1/γ2
31.25Single9LKDPL459LKD-OR5V1-PL45
31.25Single9M88Oleic monoethanolamide9M88-GPR3 ; GPR3-Oleic monoethanolamide-AF64394
31.25Single9PXUNaloxone9PXU-μ-Naloxone-Na
31.25Single9W49U-50488H9W49-κ-U-50488H-Gi1/β1/γ2
31.25Consensusgi_succinateOrthosteric Ligand8YKW-Succinate-Succinic acid-Gi1/β1/γ1 8YKX-Succinate-Maleic acid-Gi1/β1/γ1
31.25Consensusm2_onOrthosteric Ligand7T8X-M2-Acetylcholine-chim(NtGi1-Go)/β1/γ2
31.25Consensusm2_on_gpOrthosteric Ligand7T8X-M2-Acetylcholine-chim(NtGi1-Go)/β1/γ2
31.25Consensusrhodopsin_offOrthosteric Ligand1U19-Rhodopsin-11-cis-Retinal 2PED-Rhodopsin-9-cis-Retinal 5TE5-Rhodopsin-20-Methanoretinal
31.25Consensussuccinate_onOrthosteric Ligand8YKW-Succinate-Succinic acid-Gi1/β1/γ1 8YKX-Succinate-Maleic acid-Gi1/β1/γ1
31.25Consensussuccinate_on_gpOrthosteric Ligand8YKW-Succinate-Succinic acid-Gi1/β1/γ1 8YKX-Succinate-Maleic acid-Gi1/β1/γ1
31.03Consensusetb_on_gpOrthosteric Ligand8IY5-ETB-Endothelin-1-Gi1/β1/γ2 8HBD-ETB-IRL1620-Gi1/β1/γ2
31.03Consensusmelanocortin_onOrthosteric Ligandmc1_on mc4_on mc2_on mc3_on mc5_on
31.03Consensusmelanocortin_on_gpOrthosteric Ligandmc1_on_gp mc4_on_gp mc2_on_gp mc3_on_gp mc5_on_gp
30.77Single5MZJTheophylline5MZJ-A2A-Theophylline-Na
30.77Single7F8VGastrin-177F8V-CCKB-Gastrin-17-Gi2/β1/γ2
30.77Single7QBIAlpha-factor mating pheromone7QBI-STE2; STE2-α-factor mating pheromone
30.77Single7WC4Serotonin7WC4-5-HT2A-Serotonin
30.77Single7YKDChemerin-97YKD-CML1-Chemerin-9-Gi1/β1/γ2
30.77Single8H0PNMB308H0P-BB1-NMB30-chim(NtGi1-Gs-CtGq)/β1/γ2
30.77Single8PWNTheophylline8PWN-A2A-Theophylline
30.77Consensusgi_compl-peptOrthosteric Ligand8HK5-C5a1-C5a-Gi1/β1/γ2 8IA8-C3aB-E7 peptide-Gi1/β1/γ2 7Y66-C5a1-BM213-Gi1/β1/γ2 7Y67-C5a1-C089 peptide-Gi1/β1/γ2 8HK2-C3aB-C3a-Gi1/β1/γ2 7Y64-C5a1-C5a-Gi1/β1/γ2
30.77Consensusgi_proteinOrthosteric Ligandgi_chemokine gi_chemerin
30.77Consensusnpy4_onOrthosteric Ligand7X9C-Y4-Pancreatic Hormone-Gi1/β1/γ2
30.77Consensusnpy4_on_gpOrthosteric Ligand7X9C-Y4-Pancreatic Hormone-Gi1/β1/γ2
30.77Consensusprotein_on_gpOrthosteric Ligandchemokine_on_gp chemerin_on_gp
30.43Single5XJM(Sar1,Ile8)-Angiotensin II5XJM-AT2-(Sar1,Ile8)-Angiotensin II
30.43Single6DO1(Sar1,Ile8)-Angiotensin II6DO1-AT1-(Sar1,Ile8)-Angiotensin II
30.43Single7EZKCholecystokinin-87EZK-CCKA-Cholecystokinin-8-chim(NtGi1-Gs)/β1/γ2
30.43Single7WJ5Somatostatin-147WJ5-SST2-Somatostatin-14-Gi1/β1/γ2
30.43Single9E82CXCL12 (fragment)9E82-ACKR3-CXCL12 (fragment)-Arrestin2
30.43Single9IK8Pasireotide9IK8-SST1-Pasireotide-Gi1/β1/γ2
30.43Single9JFK(Pen5)-Urotensin II9JFK-UT-(Pen5)-Urotensin II-chim(NtGi2L-Gs-CtGq)/β1/γ2
30.43Single9KT7MK68929KT7-HCA2-MK6892-Gi1/β1/γ2
30.43Single9KV6TLQP219KV6-C3aB-TLQP21-Go/β1/γ2
30.43Single9UMXEP549UMX-C5a1-EP54-Go/β1/γ2
30.43Consensuscompl-peptide_onOrthosteric Ligandc5a1_on c3a_on
30.43Consensusformylpeptide_on_gpOrthosteric Ligandfpr2-alx_on_gp fpr1-alx_on_gp
30.43Consensusghrelin_onOrthosteric Ligand7NA7-Ghrelin-Ghrelin-Gi1/β1/γ2 7F9Z-Ghrelin-GHRP-6-chim(NtGi1-Gs-CtGq)/β1/γ2 7NA8-Ghrelin-Ibutamoren-Gi1/β1/γ2
30.43Consensusghrelin_on_gpOrthosteric Ligand7NA7-Ghrelin-Ghrelin-Gi1/β1/γ2 7F9Z-Ghrelin-GHRP-6-chim(NtGi1-Gs-CtGq)/β1/γ2 7NA8-Ghrelin-Ibutamoren-Gi1/β1/γ2
30.43Consensusgi_cckOrthosteric Ligand7EZH-CCKA-Cholecystokinin-8-Gi1/β1/γ2 7F8V-CCKB-Gastrin-17-Gi2/β1/γ2
30.43Consensusgi_ghrelinOrthosteric Ligand7NA7-Ghrelin-Ghrelin-Gi1/β1/γ2 7NA8-Ghrelin-Ibutamoren-Gi1/β1/γ2
30.43Consensusgq_class-aOrthosteric Ligandgq_peptide gq_amine gq_nucleotide
30.00Single4OR2FITM4OR2-mGlu1; mGlu1-FITM
30.00Single6CM4Risperidone6CM4-D2-Risperidone
30.00Single6OS0Angiotensin II6OS0-AT1-Angiotensin II
30.00Single6XBLCholesterol6XBL-SMO-SAG-Cholesterol-Gi1/β1/γ2
30.00Single7L1UOrexin7L1U-OX2-Orexin-chim(NtGi1-Gs-CtGq)/β1/γ2
30.00Single7T6BS1P7T6B-S1P2-S1P-chim(NtGi1L-G13)/β1/γ2
30.00Single7W0LPubChem 1227019087W0L-Apelin; Apelin-PubChem 122701908-Gi1/β1/γ2
30.00Single7WCNAR2314537WCN-GPR119-AR231453-Gs/β1/γ2
30.00Single7XW9TRH7XW9-TRH-TRH-chim(NtGi1L-Gs-CtGq)/β1/γ2
30.00Single7Y66BM2137Y66-C5a1-BM213-Gi1/β1/γ2
30.00Single8J6DEP1418J6D-C3aB-EP141-Go/β1/γ2
30.00Single8JD3JNJ-404118138JD3-mGlu2; mGlu3-Glutamate-JNJ-40411813-Gi1/β1/γ2
30.00Single8T3QDoconexent8T3Q-FFA4-Doconexent-chim(NtGi2L-Gs-CtGq)/β1/γ2
30.00Single8X8NOctreotide8X8N-SST5-Octreotide-chim(NtGi1-Gs-CtGi1)/β1/γ2
30.00Single9EK0Iperoxo9EK0-M5-Iperoxo-chim(NtGi1-Gs-CtGq)/β1/γ2
30.00Single9KZKC3a (fragment)9KZK-C3aB-C3a (fragment)-Go/β1/γ2
30.00Single9L3WChemerin9L3W-CML1-Chemerin-Gi1/β1/γ2
30.00Single9W32SSTR5 antagonist 19W32-SST5-SSTR5 antagonist 1
30.00Consensustrh_onOrthosteric Ligand7XW9-TRH-TRH-chim(NtGi1L-Gs-CtGq)/β1/γ2
30.00Consensustrh_on_gpOrthosteric Ligand7XW9-TRH-TRH-chim(NtGi1L-Gs-CtGq)/β1/γ2
29.63Single7AD3Alpha-factor mating pheromone7AD3-STE2; STE2-α-factor mating pheromone-Gi1/STE4/γ2
29.63Single7F53Alpha-MSH7F53-MC4-α-MSH-Gs/β1/γ2
29.63Single7QBCAlpha-factor mating pheromone7QBC-STE2; STE2-α-factor mating pheromone
29.63Single7WVYAmyloid-Beta427WVY-FPR2-ALX-Amyloid-β42-Gi2/β1/γ2
29.63Single7XATSomatostatin-147XAT-SST2-Somatostatin-14-Gi1/β1/γ2
29.41Single3OAX11-cis-Retinal3OAX-Rhodopsin-11-cis-Retinal
29.41Single3UZCPubChem 1355666093UZC-A2A-PubChem 135566609
29.41Single5IU4ZM-2413855IU4-A2A-ZM-241385-Na
29.41Single5IU7Q274563465IU7-A2A-Q27456346-Na
29.41Single5IUBQ274563445IUB-A2A-Q27456344-Na
29.41Single5JTBZM-2413855JTB-A2A-ZM-241385
29.41Single5K2BZM-2413855K2B-A2A-ZM-241385-Na
29.41Single5K2CZM-2413855K2C-A2A-ZM-241385-Na
29.41Single5NLXZM-2413855NLX-A2A-ZM-241385-Na
29.41Single5NM4ZM-2413855NM4-A2A-ZM-241385-Na
29.41Single6AQFZM-2413856AQF-A2A-ZM-241385
29.41Single6PELCitronellol6PEL-Rhodopsin-Citronellol-Gt(CT)
29.41Single6TPKRetosiban6TPK-OT-Retosiban
29.41Single6WH4Methiothepin6WH4-5-HT2A-Methiothepin
29.41Single6ZDRHMS1413f126ZDR-A2A-HMS1413f12-Na
29.41Single6ZDVPubChem 9840736ZDV-A2A-PubChem 984073-Na
29.41Single6ZFZ77-LH-28-16ZFZ-M1-77-LH-28-1
29.41Single6ZG9GSK10347026ZG9-M1-GSK1034702
29.41Single7AROLUF58337ARO-A2A-LUF5833-Na
29.41Single7T32ZM-2413857T32-A2A-ZM-241385
29.41Single7T94Acetylcholine7T94-M2-Acetylcholine-LY2119620-chim(NtGi1-Go)/β1/γ2
29.41Single7TRSAcetylcholine7TRS-M4-Acetylcholine-Gi1/β1/γ2
29.41Single7VODCariprazine7VOD-5-HT2A-Cariprazine
29.41Single7WVUfMLF7WVU-FPR1-ALX-fMLF-Gi1/β1/γ2
29.41Single7ZBC11-cis-Retinal7ZBC-Rhodopsin-11-cis-Retinal
29.41Single7ZBE11-cis-Retinal7ZBE-Rhodopsin-11-cis-Retinal
29.41Single8DPGPsilocin8DPG-5-HT2C-Psilocin-chim(NtGi2L-Gs-CtGq)/β1/γ2
29.41Single8HNMVUF112228HNM-CXCR3-VUF11222-Gi1/β1/γ2
29.41Single8JEIPubChem 117155568JEI-HCAR3-PubChem 11715556-Gi1/β1/γ2
29.41Single8JERAcipimox8JER-HCA2-Acipimox-Go/β1/γ2
29.41Single8PM2DMCHA8PM2-TA7-DMCHA-Gs/β1/γ2
29.41Single8RLNLUF58348RLN-A2A-LUF5834
29.41Single8RQQZM-2413858RQQ-A2A-ZM-241385-Na
29.41Single8RWCStilSwitch28RWC-A2A-StilSwitch2-Na
29.41Single8RWDStilSwitch38RWD-A2A-StilSwitch3-Na
29.41Single8RWIStilSwitch28RWI-A2A-StilSwitch2-Na
29.41Single8W8BSEP-3638568W8B-5-HT1A-SEP-363856-Gi1/β1/γ2
29.41Single8Y01All-trans-Retinal8Y01-Opsin1MW-All-trans-Retinal-Gi1/β1/γ2
29.41Single8Y62C16:0 Ceramide8Y62-FPR2-ALX-C16:0 Ceramide-Gi1/β1/γ2
29.41Single9ASBCa; Ca; Cyclomethyltryptophan; R-568; PO49ASB-CaS; CaS-Ca-Ca; Ca; Cyclomethyltryptophan; R-568; PO4-chim(NtGi1-Gs-CtGq)/β1/γ2
29.41Single9AXFCa; Ca; Ca; Cyclomethyltryptophan; R-568; PO49AXF-CaS; CaS-Ca-Ca; Ca; Ca; Cyclomethyltryptophan; R-568; PO4-chim(NtGi1-Gs-CtGq)/β1/γ2
29.41Single9JH3CMF-0199JH3-Apelin; Apelin-CMF-019-Gi1/β1/γ2
29.41Single9KUWCMPD6449KUW-Apelin; Apelin-CMPD644-Arrestin2 ; Arrestin2
29.41Single9KXSEP679KXS-C5a1-EP67-Go/β1/γ2
29.41Single9LKBPL459LKB-OR5V1-PL45-chim(NtGi1-Gs)/β1
29.41Single9LRDHistamine9LRD-H1-Histamine-Gi1/β1/γ2
29.41Single9P1TZM-2413859P1T-A2A-ZM-241385
29.41Consensusa2_offOrthosteric Liganda2a_off
29.41Consensusa2a_offOrthosteric Ligand3RFM-A2A-Caffeine 8C9W-A2A-Etrumadenant 3UZA-A2A-GTPL9236 8GNG-A2A-Istradefylline 8CU6-A2A-LJ-4517 7PX4-A2A-PSB-2113 7PYR-A2A-PSB-2115 8DU3-A2A-PubChem 105526064 8JWY-A2A-2-118 8PWN-A2A-Theophylline 5IU4-A2A-ZM-241385-Na 5OLZ-A2A-PubChem 135566609-Na 6GT3-A2A-Imaradenant-Na 5OLV-A2A-LUAA47070-Na 5N2R-A2A-PSB36-Na 5IU7-A2A-Q27456346-Na 5OLH-A2A-Vipadenant-Na 5OLO-A2A-Tozadenant-Na 6ZDR-A2A-HMS1413f12-Na 8GNE-A2A-KW-6356-Na 8JWZ-A2A-Etrumadenant-Na 5IU8-A2A-Q27456347-Na 5IUB-A2A-Q27456344-Na 6ZDV-A2A-PubChem 984073-Na 5IUA-A2A-Q27456348-Na 8A2P-A2A-LUAA47070-Na
29.41Consensusat1_offOrthosteric Ligand4YAY-AT1-ZD-7155 4ZUD-AT1-Olmesartan
29.41Consensusot_offOrthosteric Ligand6TPK-OT-Retosiban
29.41Consensusvasop-oxy_offOrthosteric Ligandot_off
29.17Single6W25SHU91196W25-MC4-SHU9119-Ca
29.17Single7F4DAlpha-MSH7F4D-MC1-α-MSH-chim(NtGi1-Gs)/β1/γ2
29.17Single7O7F6P4-CCL57O7F-CCR5-6P4-CCL5-Gi1/β1/γ1
29.17Single7XOUCholecystokinin-87XOU-CCKA-Cholecystokinin-8-Gs/β1/γ2
29.17Single8WKZSBL-MC-318WKZ-MC4-SBL-MC-31
29.17Single9K27PrRP319K27-PrRP-PrRP31-chim(NtGi1-Gq)/β1/γ2
29.17Single9M1ONeuropeptide-FF9M1O-NPFF2-Neuropeptide-FF-Gi1/β1/γ2
29.17Consensusc5a1_onOrthosteric Ligand8HK5-C5a1-C5a-Gi1/β1/γ2 7Y66-C5a1-BM213-Gi1/β1/γ2 7Y67-C5a1-C089 peptide-Gi1/β1/γ2 7Y64-C5a1-C5a-Gi1/β1/γ2
29.17Consensuscompl-peptide_on_gpOrthosteric Ligandc5a1_on_gp c3a_on_gp
29.17Consensuscxcr4_on_gpOrthosteric Ligand8K3Z-CXCR4-CXCL12-Gi1/β1/γ1
29.03Consensusclass-a_class-b1_cons_on_gpOrthosteric Ligandclass-a_on_gp class-b1_on_gp
28.57Single3OE8IT1t3OE8-CXCR4-IT1t
28.57Single4NC3Ergotamine4NC3-5-HT2B-Ergotamine
28.57Single4OR2FITM4OR2-mGlu1; mGlu1-FITM
28.57Single6OY9All-trans-Retinal6OY9-Rhodopsin-All-trans-Retinal-Gt/β1/γ1
28.57Single6TQ9SB-4081246TQ9-OX1-SB-408124
28.57Single7DD5Ca; Ca; Tryptophan; NPS-21437DD5-CaS; CaS-Ca-Ca; Ca; Tryptophan; NPS-2143
28.57Single7P00Substance-P7P00-NK1-Substance-P-chim(NtGi1-Gs-CtGq)/β1/γ2
28.57Single7QBCAlpha-factor mating pheromone7QBC-STE2; STE2-α-factor mating pheromone
28.57Single7VGXNeuropeptide-Y7VGX-Y1-Neuropeptide-Y-Gi1/β1/γ2
28.57Single7X8RBOC57X8R-GLP-1-BOC5-Gs/β1/γ2
28.57Single8A2OTheophylline8A2O-A2A-Theophylline-Na
28.57Single8GEIConstrained Epinephrine8GEI-β2-Constrained Epinephrine-Gs/β1/γ2
28.57Single8IY5Endothelin-18IY5-ETB-Endothelin-1-Gi1/β1/γ2
28.57Single8WC5Tetramethylammonium Ion8WC5-TA1-Tetramethylammonium Ion-chim(NtGi1-Gs)/β1/γ2
28.57Single8WWNMCH8WWN-MCH1-MCH-Gi1/β1/γ2
28.57Single8XVJMacitentan8XVJ-ETA-Macitentan
28.57Single8Z8ALactate8Z8A-HCA1-Lactate-Gi1/β1/γ2
28.57Single9C2FCa; Ca; Tryptophan; '54149; PO49C2F-CaS; CaS-Ca-Ca; Ca; Tryptophan; '54149; PO4
28.57Single9EAILosartan9EAI-AT1-Losartan-Nanobody AT209
28.57Single9KV8TLQP219KV8-C3aB-TLQP21-Go/β1/γ2
28.57Single9L0HJR14a9L0H-C3aB-JR14a-Go/β1/γ2
28.57Single9L79AR2314539L79-GPR119-AR231453-chim(NtGi1-Gs)/β1/γ2
28.57Consensusbk2_onOrthosteric Ligand7F6H-BK2-Bradykinin-Gq/β1/γ2 7F6I-BK2-Kallidin-Gq/β1/γ2
28.57Consensusbk2_on_gpOrthosteric Ligand7F6H-BK2-Bradykinin-Gq/β1/γ2 7F6I-BK2-Kallidin-Gq/β1/γ2
28.57Consensusbradykinin_onOrthosteric Ligandbk2_on
28.57Consensusbradykinin_on_gpOrthosteric Ligandbk2_on_gp
28.57Consensuscck_onOrthosteric Ligandccka_on cckb_on
28.57Consensuscck_on_gpOrthosteric Ligandccka_on_gp cckb_on_gp
28.57Consensuschemerin_onOrthosteric Ligandcml1_on
28.57Consensusendothelin_onOrthosteric Ligandetb_on eta_on
28.57Consensusetb_onOrthosteric Ligand8IY5-ETB-Endothelin-1-Gi1/β1/γ2 8HBD-ETB-IRL1620-Gi1/β1/γ2
28.57Consensusgq_bradykininOrthosteric Ligand7F6H-BK2-Bradykinin-Gq/β1/γ2 7F6I-BK2-Kallidin-Gq/β1/γ2
28.57Consensusgs_melanocortinOrthosteric Ligand7F4H-MC1-Afamelanotide-chim(NtGi1-Gs)/β1/γ2 7F54-MC4-Afamelanotide-Gs/β1/γ2 7F4D-MC1-α-MSH-chim(NtGi1-Gs)/β1/γ2 8INR-MC5-α-MSH-Ca-chim(NtGi1-Gs)/β1/γ2 7F53-MC4-α-MSH-Gs/β1/γ2 7F55-MC4-Bremelanotide-Gs/β1/γ2 8GY7-MC2-Corticotropin-Ca-chim(NtGi1-Gs)/β1/γ2; MRAP1 8IOC-MC3-γ-MSH-Ca-chim(NtGi1-Gs)/β1/γ2 8IOD-MC5-PG-901-Ca-chim(NtGi1-Gs)/β1/γ2 7AUE-MC4-Setmelanotide-chim(NtGi1L-Gs)/β1/γ2 7F4I-MC1-SHU9119-chim(NtGi1-Gs)/β1/γ2 7F58-MC4-THIQ-Gs/β1/γ2
28.57Consensusnk1_onOrthosteric Ligand7P00-NK1-Substance-P-chim(NtGi1-Gs-CtGq)/β1/γ2
28.57Consensusnk1_on_gpOrthosteric Ligand7P00-NK1-Substance-P-chim(NtGi1-Gs-CtGq)/β1/γ2
28.57Consensusprostanoid_offOrthosteric Ligandep_off dp_off
28.00Single6JODAngiotensin II6JOD-AT2-Angiotensin II
28.00Single7XK8Neuromedin-U-257XK8-NMUR2-Neuromedin-U-25-Gi1/β1/γ2
28.00Single8IEDPubChem 1347468948IED-GPR156; GPR156-PubChem 134746894-Go/β1/γ2
28.00Single8IEDPubChem 1347468948IED-GPR156; GPR156-PubChem 134746894-Go/β1/γ2
28.00Consensusfpr2-alx_on_gpOrthosteric Ligand7WVX-FPR2-ALX-Humanin-Gi2/β1/γ2 7T6U-FPR2-ALX-CGEN-855A-Gi1/β1/γ2 7T6V-FPR2-ALX-fMLFII-Gi1/β1/γ2 7WVY-FPR2-ALX-Amyloid-β42-Gi2/β1/γ2 7T6S-FPR2-ALX-TC-FPR 43-Gi1/β1/γ2 6OMM-FPR2-ALX-WKYMVX-Gi1/β1/γ2
28.00Consensusgi_formylpeptideOrthosteric Ligand7WVY-FPR2-ALX-Amyloid-β42-Gi2/β1/γ2 7T6U-FPR2-ALX-CGEN-855A-Gi1/β1/γ2 7VFX-FPR1-ALX-fMIFL-Gi1/β1/γ2 7T6V-FPR2-ALX-fMLFII-Gi1/β1/γ2 7WVX-FPR2-ALX-Humanin-Gi2/β1/γ2 7T6S-FPR2-ALX-TC-FPR 43-Gi1/β1/γ2 6OMM-FPR2-ALX-WKYMVX-Gi1/β1/γ2
27.78Single3EMLZM-2413853EML-A2A-ZM-241385
27.78Single4EIYZM-2413854EIY-A2A-ZM-241385-Na
27.78Single4YAYZD-71554YAY-AT1-ZD-7155
27.78Single5DSGTiotropium5DSG-M4-Tiotropium
27.78Single5IU8Q274563475IU8-A2A-Q27456347-Na
27.78Single5K2AZM-2413855K2A-A2A-ZM-241385-Na
27.78Single5OLGZM-2413855OLG-A2A-ZM-241385-Na
27.78Single5TGZAM65385TGZ-CB1-AM6538
27.78Single5UENDU1725UEN-A1-DU172
27.78Single5UIGPubChem 1240811965UIG-A2A-PubChem 124081196
27.78Single5VRAZM-2413855VRA-A2A-ZM-241385-Na
27.78Single5ZKPSR274175ZKP-PAF-SR27417
27.78Single6GPSMK08126GPS-CCR2-MK0812
27.78Single6LPJZM-2413856LPJ-A2A-ZM-241385-Na
27.78Single6LPKZM-2413856LPK-A2A-ZM-241385-Na
27.78Single6S0LZM-2413856S0L-A2A-ZM-241385
27.78Single6WHADB139486WHA-5-HT2A-DB13948-chim(NtGi2L-Gs-CtGq)/β1/γ2
27.78Single6XBM25(S)-Epoxycholesterol6XBM-SMO-25(S)-Epoxycholesterol-Gi1/β1/γ2
27.78Single6Z10PubChem 1545855546Z10-Succinate-PubChem 154585554
27.78Single7F83PF-051904577F83-Ghrelin-PF-05190457
27.78Single7NA8Ibutamoren7NA8-Ghrelin-Ibutamoren-Gi1/β1/γ2
27.78Single7PYRPSB-21157PYR-A2A-PSB-2115
27.78Single7VH0Ramelteon7VH0-MT2-Ramelteon-Gi1/β1/γ1
27.78Single7VKTLTB47VKT-BLT1-LTB4-Gi1/β1/γ2
27.78Single7WC8Lumateperone7WC8-5-HT2A-Lumateperone
27.78Single7YK7DC5910537YK7-RXFP4-DC591053-Gi2/β1/γ2
27.78Single7YXAONO-54306087YXA-S1P5-ONO-5430608
27.78Single8JHNMonomethyl fumarate8JHN-HCA2-Monomethyl fumarate-Go/β1/γ2
27.78Single8JT8(R)-IHCH-71798JT8-5-HT2A-(R)-IHCH-7179
27.78Single8K5DGSK2560738K5D-HCA2-GSK256073
27.78Single8KEXDCA-3P8KEX-MRGPRX4-DCA-3P
27.78Single8RW7StilSwitch18RW7-A2A-StilSwitch1-Na
27.78Single8RWXStilSwitch38RWX-A2A-StilSwitch3-Na
27.78Single8ZBEOctreotide8ZBE-SST5-Octreotide-Gi1/β1/γ1
27.78Single8ZQEGPR15L(CT)8ZQE-GPR15-GPR15L(CT)-Gi1/β1/γ1
27.78Single9AVGCa; Ca; Cyclomethyltryptophan; R-568; PO49AVG-CaS; CaS-Ca-Ca; Ca; Cyclomethyltryptophan; R-568; PO4-chim(NtGi1-Gs)/β1/γ2
27.78Single9EPP11,20-Ethanoretinal9EPP-Rhodopsin-11,20-Ethanoretinal-chim(Gi1-CtGq)/β1/γ2
27.78Single9IYAONO-97105319IYA-GPR55-ONO-9710531
27.78Single9IZCMK19039IZC-HCA2-MK1903-Gi1/β1/γ2
27.78Single9JGKBalovaptan9JGK-5-HT2B-Balovaptan
27.78Single9KUXCMPD6449KUX-Apelin; Apelin-CMPD644-Arrestin2
27.78Single9P1SZM-2413859P1S-A2A-ZM-241385
27.78Consensusblt1_onOrthosteric Ligand7VKT-BLT1-LTB4-Gi1/β1/γ2
27.78Consensusblt1_on_gpOrthosteric Ligand7VKT-BLT1-LTB4-Gi1/β1/γ2
27.78Consensusblt_onOrthosteric Ligandblt1_on
27.78Consensusblt_on_gpOrthosteric Ligandblt1_on_gp
27.78Consensusccr2_offOrthosteric Ligand6GPS-CCR2-MK0812
27.78Consensusgi_histamineOrthosteric Ligand8JXX-H4-Clobenpropit-Gi1/β1/γ2 8JXV-H4-Clozapine-Gi1/β1/γ2 8YUU-H3-Histamine-Gi1/β1/γ1 8HN8-H4-Histamine-Gi1/β1/γ2 8HOC-H4-Imetit-Gi1/β1/γ2 8JXW-H4-VUF6884-Gi1/β1/γ2
27.78Consensusgi_leukotrieneOrthosteric Ligand7VKT-BLT1-LTB4-Gi1/β1/γ2
27.78Consensusleukotriene_onOrthosteric Ligandblt_on
27.78Consensusleukotriene_on_gpOrthosteric Ligandblt_on_gp
27.78Consensusm4_offOrthosteric Ligand5DSG-M4-Tiotropium
27.78Consensusmuscarinic_onOrthosteric Ligandm2_on m3_on m4_on m1_on
27.78Consensusmuscarinic_on_gpOrthosteric Ligandm2_on_gp m3_on_gp m4_on_gp m1_on_gp
27.78Consensusnucleotide_offonOrthosteric Ligandnucleotide_off nucleotide_on
27.78Consensusnucleotide_offon_gpOrthosteric Ligandnucleotide_on_gp nucleotide_off
27.59Single8U1UCCL18U1U-CCR8-CCL1-Gi1/β1/γ2
27.59Consensusccr5_on_gpOrthosteric Ligand7O7F-CCR5-6P4-CCL5-Gi1/β1/γ1 7F1Q-CCR5-CCL3-Gi1/β1/γ2
27.59Consensusclass-a_class-b1_cons_onOrthosteric Ligandclass-a_on class-b1_on
27.27Single6C1QPMX536C1Q-C5a1-PMX53-NDT9513727
27.27Single6XBJCholesterol6XBJ-SMO-Cholesterol-Gi1/β1/γ2
27.27Single7F2OBradykinin7F2O-BK2-Bradykinin-chim(NtGi1-Gs-CtGq)/β1/γ2
27.27Single7F8WGastrin-177F8W-CCKB-Gastrin-17-chim(NtGsL-Gq)/β1/γ2
27.27Single7RMGSubstance-P7RMG-NK1-Substance-P-chim(Gs-CtGq)/β1/γ2
27.27Single7RMHSubstance-P7RMH-NK1-Substance-P-Gs/β1/γ2
27.27Single7S8LCortistatin-147S8L-MRGPRX2-Cortistatin-14-chim(NtGi2L-Gs-CtGq)/β1/γ2
27.27Single7T11Octreotide7T11-SST2-Octreotide-Gi3/β1/γ2
27.27Single7XBXCX3CL17XBX-CX3CR1-CX3CL1-Gi1/β1/γ2
27.27Single7XN9L-0545227XN9-SST2-L-054522
27.27Single9UMJEP549UMJ-C3aB-EP54-Go/β1/γ2
27.27Consensuscxcr_on_gpOrthosteric Ligandcxcr3_on_gp cxcr4_on_gp cxcr1_on_gp cxcr2_on_gp
27.27Consensusformylpeptide_onOrthosteric Ligandfpr2-alx_on fpr1-alx_on
27.27Consensusmc2_onOrthosteric Ligand8GY7-MC2-Corticotropin-Ca-chim(NtGi1-Gs)/β1/γ2; MRAP1
27.27Consensusmc2_on_gpOrthosteric Ligand8GY7-MC2-Corticotropin-Ca-chim(NtGi1-Gs)/β1/γ2; MRAP1
27.27Consensussst2_onOrthosteric Ligand7WIC-SST2-Somatostatin-14-Gi1/β1/γ2 7WIG-SST2-L-054264-Gi1/β1/γ2 7YAE-SST2-Octreotide-Gi1/β1/γ2 7YAC-SST2-Paltusotine-Gi1/β1/γ2
27.27Consensussst2_on_gpOrthosteric Ligand7WIC-SST2-Somatostatin-14-Gi1/β1/γ2 7WIG-SST2-L-054264-Gi1/β1/γ2 7YAE-SST2-Octreotide-Gi1/β1/γ2 7YAC-SST2-Paltusotine-Gi1/β1/γ2
26.92Single7F6HBradykinin7F6H-BK2-Bradykinin-Gq/β1/γ2
26.92Single7P02Substance-P7P02-NK1-Substance-P-chim(NtGi1-Gs)/β1/γ2
26.92Single7X9BNeuropeptide-Y7X9B-Y2-Neuropeptide-Y-Gi1/β1/γ2
26.92Single8E3ZVIP8E3Z-VPAC1-VIP-Gs/β1/γ2
26.92Single8HCQEndothelin-18HCQ-ETA-Endothelin-1-chim(NtGi1-Gs-CtGq)/β1/γ2
26.92Single8HCXEndothelin-18HCX-ETB-Endothelin-1-chim(NtGi2L-Gs-CtGq)/β1/γ2
26.92Single8HK5C5a8HK5-C5a1-C5a-Gi1/β1/γ2
26.92Single8HNKCXCL118HNK-CXCR3-CXCL11-Gi1/β1/γ2
26.92Single8IA2C5a8IA2-C5a1-C5a-Go/β1/γ2
26.92Single8WWKMCH8WWK-MCH1-MCH-Gi1/β1/γ2
26.92Single8XQEApelin-138XQE-Apelin; Apelin-Apelin-13-Gi1/β1/γ2
26.92Single8XVHEndothelin-18XVH-ETB-Endothelin-1-chim(Gs-CtGq)/β1/γ2
26.92Consensuscml1_on_gpOrthosteric Ligand7YKD-CML1-Chemerin-9-Gi1/β1/γ2
26.92Consensuseta_onOrthosteric Ligand8HCQ-ETA-Endothelin-1-chim(NtGi1-Gs-CtGq)/β1/γ2
26.92Consensuseta_on_gpOrthosteric Ligand8HCQ-ETA-Endothelin-1-chim(NtGi1-Gs-CtGq)/β1/γ2
26.67Single3C9M11-cis-Retinal3C9M-Rhodopsin-11-cis-Retinal
26.67Single3UZAGTPL92363UZA-A2A-GTPL9236
26.67Single5WKTOctyl-Beta-D-Glucopyranoside5WKT-Rhodopsin-Octyl-β-D-Glucopyranoside-Gt(CT)
26.67Single6FK9PubChem 1324730366FK9-Rhodopsin-PubChem 132473036
26.67Single6FUFAll-trans-Retinal6FUF-Rhodopsin-All-trans-Retinal-Go
26.67Single6ME5Agomelatine6ME5-MT1-Agomelatine
26.67Single7MT8All-trans-Retinal7MT8-Rhodopsin-All-trans-Retinal-GRK1
26.67Single8ITFDMCHA8ITF-TAA9-DMCHA-chim(NtGi1-Gs)/β1/γ2
26.67Single8J21Butyric acid8J21-FFA3-Butyric acid-Gi1/β1/γ2
26.67Single8J24Acetic acid8J24-FFA2-Acetic acid-Gi1/β1/γ2
26.67Single8JXTHistamine8JXT-H4-Histamine-PO4-Gi1/β1/γ2
26.67Single8SZFCa; Ca; Tryptophan; Cinacalcet; PO4; Spermine8SZF-CaS; CaS-Ca; Ca; Tryptophan; Cinacalcet; PO4; Spermine
26.67Single8Y63C20:0 Ceramide8Y63-FPR2-ALX-C20:0 Ceramide-Gi1/β1/γ2
26.67Single9IV15alpha-DHT9IV1-ADGRD1-5α-DHT-chim(NtGi1-Gs)/β1/γ2
26.67Single9JKT(2R)-2-hydroxy-3-phenylpropanoic acid9JKT-HCA3-(2R)-2-hydroxy-3-phenylpropanoic acid-Gi1/β1/γ2
26.67Single9KT93,5-DHBA9KT9-HCA1-3,5-DHBA-Gi1/β1/γ2
26.67Consensusendothelin_on_gpOrthosteric Ligandetb_on_gp eta_on_gp
26.67Consensusffa3_onOrthosteric Ligand8J21-FFA3-Butyric acid-Gi1/β1/γ2
26.67Consensusffa3_on_gpOrthosteric Ligand8J21-FFA3-Butyric acid-Gi1/β1/γ2
26.32Single5IUAQ274563485IUA-A2A-Q27456348-Na
26.32Single5N2RPSB365N2R-A2A-PSB36-Na
26.32Single5N2SPSB365N2S-A1-PSB36
26.32Single6GPXMK08126GPX-CCR2-MK0812
26.32Single6LPLZM-2413856LPL-A2A-ZM-241385-Na
26.32Single6LUQHaloperidol6LUQ-D2-Haloperidol
26.32Single6OIKIperoxo6OIK-M2-Iperoxo-LY2119620-chim(NtGi1-Go)/β1/γ2
26.32Single6RZ4Pranlukast6RZ4-CysLT1-Pranlukast-Na
26.32Single6S0QZM-2413856S0Q-A2A-ZM-241385
26.32Single6WQAZM-2413856WQA-A2A-ZM-241385-Na
26.32Single7EUOfMLF7EUO-FPR1-ALX-fMLF-Gi1/β1/γ2
26.32Single7RM5ZM-2413857RM5-A2A-ZM-241385-Na
26.32Single7SINNPS-21437SIN-CaS; CaS-NPS-2143
26.32Single7SINNPS-21437SIN-CaS; CaS-NPS-2143
26.32Single7VFXfMIFL7VFX-FPR1-ALX-fMIFL-Gi1/β1/γ2
26.32Single7VV4Cortistatin-147VV4-MRGPRX2-Cortistatin-14
26.32Single8FYNZM-2413858FYN-A2A-ZM-241385-Na
26.32Single8GNEKW-63568GNE-A2A-KW-6356-Na
26.32Single8I7WGSK2560738I7W-HCA2-GSK256073-Gi1/β1/γ2
26.32Single8QOTNanobody-E8QOT-μ-Nanobody-E
26.32Single8TH4Losartan8TH4-AT1-Losartan-AT118-L Nanobody
26.32Single8YH0NECA8YH0-A3A-NECA-Gi1/β1/γ2
26.32Single8YNSSNAP-948478YNS-MCH1-SNAP-94847
26.32Single9EAHOlmesartan9EAH-AT1-Olmesartan-Nanobody AT209
26.32Single9JKSPubChem 442501769JKS-HCA3-PubChem 44250176-Gi1/β1/γ2
26.32Consensusa1_offOrthosteric Ligand5UEN-A1-DU172 5N2S-A1-PSB36
26.32Consensusfpr1-alx_onOrthosteric Ligand7VFX-FPR1-ALX-fMIFL-Gi1/β1/γ2
26.32Consensusfpr1-alx_on_gpOrthosteric Ligand7VFX-FPR1-ALX-fMIFL-Gi1/β1/γ2
26.32Consensusgq_muscarinicOrthosteric Ligand6OIJ-M1-Iperoxo-chim(NtGi1L-G11)/β1/γ2
26.32Consensusm1_onOrthosteric Ligand6OIJ-M1-Iperoxo-chim(NtGi1L-G11)/β1/γ2
26.32Consensusrxfp4_onOrthosteric Ligand7YK7-RXFP4-DC591053-Gi2/β1/γ2 7YJ4-RXFP4-INSL5-Gi2/β1/γ2 7YK6-RXFP4-PubChem 138319674-Gi2/β1/γ2
26.32Consensusrxfp4_on_gpOrthosteric Ligand7YK7-RXFP4-DC591053-Gi2/β1/γ2 7YJ4-RXFP4-INSL5-Gi2/β1/γ2 7YK6-RXFP4-PubChem 138319674-Gi2/β1/γ2
26.09Single4XT1CX3CL14XT1-US28-CX3CL1
26.09Single7F54Afamelanotide7F54-MC4-Afamelanotide-Gs/β1/γ2
26.09Single7F8XNN90567F8X-CCKA-NN9056
26.09Single7T6UCGEN-855A7T6U-FPR2-ALX-CGEN-855A-Gi1/β1/γ2
26.09Single8IEIPubChem 1347468948IEI-GPR156; GPR156-PubChem 134746894
26.09Single8IEIPubChem 1347468948IEI-GPR156; GPR156-PubChem 134746894
26.09Single8IEPPubChem 1347468948IEP-GPR156; GPR156-PubChem 134746894
26.09Single8IEPPubChem 1347468948IEP-GPR156; GPR156-PubChem 134746894
26.09Single8IZBLysophosphatidylserine (UBL)8IZB-GPR174-Lysophosphatidylserine (UBL)-Gs/β1/γ2
26.09Single8XBHPubChem 1626566368XBH-GPR34-PubChem 162656636-Gi1/β1/γ2
26.09Single8XGMChemerin8XGM-CML2-Chemerin-Gi1/β1/γ2
26.09Single8ZBJSomatostatin-148ZBJ-SST5-Somatostatin-14-Gi1/β1/γ2
26.09Single9HB3Mambaquaretin-19HB3-V2-Mambaquaretin-1
26.09Single9J0IUDP-Glucuronic acid9J0I-P2Y14-UDP-Glucuronic acid-Gi1/β1/γ2
26.09Consensusmc4_onOrthosteric Ligand7AUE-MC4-Setmelanotide-chim(NtGi1L-Gs)/β1/γ2 7F58-MC4-THIQ-Gs/β1/γ2 7F54-MC4-Afamelanotide-Gs/β1/γ2 7F53-MC4-α-MSH-Gs/β1/γ2 7F55-MC4-Bremelanotide-Gs/β1/γ2
26.09Consensusp2y_onOrthosteric Ligandp2y1_on p2y10_on p2y12_on
26.09Consensussst5_onOrthosteric Ligand8X8L-SST5-Cortistatin-14-chim(NtGi1-Gs-CtGi1)/β1/γ2 8X8N-SST5-Octreotide-chim(NtGi1-Gs-CtGi1)/β1/γ2
25.93Single7RGPTirzepatide7RGP-GLP-1-Tirzepatide-chim(NtGi1-Gs)/β1/γ2
25.93Single8XQFApelin-138XQF-Apelin-Apelin-13-Gi1/β1/γ2
25.93Single9KFKRelaxin-39KFK-RXFP4-Relaxin-3-Gi2/β1/γ2
25.81Consensuscrf_on_gpOrthosteric Ligandcrf2_on_gp crf1_on_gp
25.00Single1L9H11-cis-Retinal1L9H-Rhodopsin-11-cis-Retinal
25.00Single1U1911-cis-Retinal1U19-Rhodopsin-11-cis-Retinal
25.00Single2G87All-trans-Retinal2G87-Rhodopsin-All-trans-Retinal
25.00Single2I3511-cis-Retinal2I35-Rhodopsin-11-cis-Retinal
25.00Single5TE520-Methanoretinal5TE5-Rhodopsin-20-Methanoretinal
25.00Single6FK6PubChem 1324730336FK6-Rhodopsin-PubChem 132473033
25.00Single6I9K9-cis-Retinal6I9K-Rhodopsin-9-cis-Retinal
25.00Single6O3CCholesterol6O3C-SMO-SAG21k-Cholesterol
25.00Single6OIJIperoxo6OIJ-M1-Iperoxo-chim(NtGi1L-G11)/β1/γ2
25.00Single6PH7Nerol6PH7-Rhodopsin-Nerol-Gt(CT)
25.00Single6RZ5Zafirlukast6RZ5-CysLT1-Zafirlukast-Na
25.00Single7DD5Ca; Ca; Tryptophan; NPS-21437DD5-CaS; CaS-Ca-Ca; Ca; Tryptophan; NPS-2143
25.00Single7EIBKallidin-des-Arg107EIB-BK1-Kallidin-des-Arg10-chim(NtGi1-Gs-CtGq)/β1/γ2
25.00Single7PIVAfamelanotide7PIV-MC4-Afamelanotide-Gs/β1/γ2
25.00Single7PX4PSB-21137PX4-A2A-PSB-2113
25.00Single7R0CAVP7R0C-V2-AVP-Arrestin2
25.00Single7RKMCX3CL17RKM-US28-CX3CL1-Gi1/β1/γ2
25.00Single7S8MCortistatin-147S8M-MRGPRX2-Cortistatin-14-Gi1/β1/γ2
25.00Single7V68Iperoxo7V68-M4-Iperoxo-LY2119620-Gi1/β1/γ2
25.00Single7X9ANeuropeptide-Y7X9A-Y1-Neuropeptide-Y-Gi1/β1/γ2
25.00Single7XAVLanreotide7XAV-SST2-Lanreotide-Gi1/β1/γ2
25.00Single7Y67C089 peptide7Y67-C5a1-C089 peptide-Gi1/β1/γ2
25.00Single7YFDImetit7YFD-H4-Imetit-chim(NtGi1-Gs-CtGq)/β1/γ2
25.00Single7YOONeuropeptide-Y7YOO-Y2-Neuropeptide-Y-Gi1/β1/γ2
25.00Single8A2PLUAA470708A2P-A2A-LUAA47070-Na
25.00Single8HN8Histamine8HN8-H4-Histamine-Gi1/β1/γ2
25.00Single8IEBPubChem 1347468948IEB-GPR156; GPR156-PubChem 134746894
25.00Single8JBHSubstance-P8JBH-NK3-Substance-P-chim(NtGi1-Gs-CtGq)/β1/γ2
25.00Single8JILNiacin8JIL-HCA2-Niacin-Gi1/β1/γ2
25.00Single8JZPC5a8JZP-C5a1-C5a-Go/β1/γ2
25.00Single8JZZC5a-des-Arg8JZZ-C5a1-C5a-des-Arg-Go/β1/γ2
25.00Single8RWHStilSwitch28RWH-A2A-StilSwitch2-Na
25.00Single8SG1Chemerin-98SG1-CML1-Chemerin-9-Gi1/β1/γ2
25.00Single8W8WAlpha-MSH8W8W-MC3-α-MSH-Ca-Gs/β1/γ2
25.00Single8WPUTryptophan; Cinacalcet; PO4; Ca8WPU-CaS; CaS-Tryptophan; Cinacalcet; PO4; Ca-chim(NtGi2L-Gs-CtGq)/β1/γ2
25.00Single8WWLMCH8WWL-MCH1-MCH-Gi1/β1/γ2
25.00Single8X16Piclidenoson8X16-A3A-Piclidenoson-Gi1/β1/γ2
25.00Single8XBIPubChem 1626566368XBI-GPR34-PubChem 162656636
25.00Single8XIPPasireotide8XIP-SST1-Pasireotide-chim(NtGi1-Gs-CtGi1)/β1/γ2
25.00Single8XJMLatanoprost8XJM-FP-alpha-Latanoprost-chim(NtGi2-Gs-CtGq)/β1/γ2
25.00Single8XYDPlatelet Activating Factor8XYD-PAF-Platelet Activating Factor-Gi1/β1/γ2
25.00Single8XZICMF-0198XZI-Apelin; Apelin-CMF-019-Gi1/β1/γ2
25.00Single8YH3N-methyladenosine8YH3-A3A-N-methyladenosine-Gi1/β1/γ2
25.00Single8ZX5AM2518ZX5-GPR55-AM251-chim(NtGi1-G13)/β1/γ2
25.00Single9AS9RS130-1809AS9-5-HT2A-RS130-180
25.00Single9ASARS130-1809ASA-5-HT2A-RS130-180-chim(NtGi1-Gs-CtGq)/β1/γ2
25.00Single9ASTLymphotactin9AST-XCR1-Lymphotactin-Gi1/β1/γ2
25.00Single9B9YTaranabant9B9Y-CB1-Taranabant
25.00Single9C1PCa; Tryptophan; '6218; PO49C1P-CaS; CaS-Ca-Ca; Tryptophan; '6218; PO4
25.00Single9IQRMuscarinic toxin 39IQR-α2a-Muscarinic toxin 3
25.00Single9IQSMuscarinic toxin 39IQS-M4-Muscarinic toxin 3
25.00Single9IQVMuscarinic toxin 39IQV-Alpha1A-Muscarinic toxin 3
25.00Single9IZDCHBA9IZD-HCA1-CHBA-Gi1/β1/γ2
25.00Single9J0FNADH9J0F-P2Y14-NADH-Gi1/β1/γ2
25.00Single9KFIRelaxin-39KFI-RXFP3-Relaxin-3-Gi2/β1/γ2
25.00Single9KUXCMPD6449KUX-Apelin; Apelin-CMPD644-Arrestin2
25.00Single9M88Oleic monoethanolamide9M88-GPR3 ; GPR3-Oleic monoethanolamide-AF64394
25.00Single9RHGC4079RHG-FZD7-C407
25.00Single9UCPIperoxo9UCP-M1-Iperoxo-G11(CT)
25.00Single9UY3Anamorelin9UY3-Ghrelin-Anamorelin-chim(NtGi1-Gs-CtGq)/β1/γ2
25.00Consensuscckb_onOrthosteric Ligand8IA7-CCKB-Cholecystokinin-8-chim(NtGi1L-Gq)/β1/γ2 7XOW-CCKB-Sulfated Gastrin-(10-17)-chim(NtGi1-Gq)/β1/γ2 7F8V-CCKB-Gastrin-17-Gi2/β1/γ2
25.00Consensusffa_onOrthosteric Ligandffa2_on ffa3_on
25.00Consensusffa_on_gpOrthosteric Ligandffa2_on_gp ffa3_on_gp
25.00Consensusgi_ffaOrthosteric Ligand8J21-FFA3-Butyric acid-Gi1/β1/γ2 8J22-FFA2-TUG-1375-Gi1/β1/γ2
25.00Consensusgi_relaxinOrthosteric Ligand7YK7-RXFP4-DC591053-Gi2/β1/γ2 7YJ4-RXFP4-INSL5-Gi2/β1/γ2 7YK6-RXFP4-PubChem 138319674-Gi2/β1/γ2
25.00Consensush4_onOrthosteric Ligand8HN8-H4-Histamine-Gi1/β1/γ2 8HOC-H4-Imetit-Gi1/β1/γ2 8JXV-H4-Clozapine-Gi1/β1/γ2 8JXW-H4-VUF6884-Gi1/β1/γ2 8JXX-H4-Clobenpropit-Gi1/β1/γ2
25.00Consensusm1_on_gpOrthosteric Ligand6OIJ-M1-Iperoxo-chim(NtGi1L-G11)/β1/γ2
25.00Consensusmc4_on_gpOrthosteric Ligand7AUE-MC4-Setmelanotide-chim(NtGi1L-Gs)/β1/γ2 7F58-MC4-THIQ-Gs/β1/γ2 7F54-MC4-Afamelanotide-Gs/β1/γ2 7F53-MC4-α-MSH-Gs/β1/γ2 7F55-MC4-Bremelanotide-Gs/β1/γ2
25.00Consensusmc5_onOrthosteric Ligand8INR-MC5-α-MSH-Ca-chim(NtGi1-Gs)/β1/γ2 8IOD-MC5-PG-901-Ca-chim(NtGi1-Gs)/β1/γ2
25.00Consensusmotilin_onOrthosteric Ligand8IBU-Motilin-Erythromycin-A-chim(NtGi1-Gs-CtGq)/β1/γ2
25.00Consensusnpy2_onOrthosteric Ligand7YOO-Y2-Neuropeptide-Y-Gi1/β1/γ2
25.00Consensusnpy2_on_gpOrthosteric Ligand7YOO-Y2-Neuropeptide-Y-Gi1/β1/γ2
25.00Consensusprotein_offOrthosteric Ligandchemokine_off grh_off
25.00Consensusrelaxin_onOrthosteric Ligandrxfp4_on
25.00Consensusrelaxin_on_gpOrthosteric Ligandrxfp4_on_gp
25.00Consensustachykinin_on_gpOrthosteric Ligandnk1_on_gp nk2_on_gp nk3_on_gp
24.24Consensuspth_onOrthosteric Ligandpth1_on pth2_on
24.14Single7TS0Urocortin7TS0-CRF2-Urocortin-chim(NtGi1L-Go)/β1/γ2
24.14Single8IY6Endothelin-18IY6-ETB-Endothelin-1
24.14Single8KGGLysophosphatidylserine (WJS)8KGG-P2Y10-Lysophosphatidylserine (WJS)-chim(NtGi2-G13)/β1/γ2
24.00Single6MEOGp160; CD46MEO-CCR5-Gp160; CD4
24.00Single7RYCOxytocin7RYC-OT-Oxytocin-chim(NtGi2L-Gs-CtGq)/β1/γ2
24.00Single8K6MNeuropeptide-Y8K6M-Y1-Neuropeptide-Y-Gi2/β1/γ1
24.00Single8K6NNeuropeptide-Y8K6N-Y2-Neuropeptide-Y-Gi2/β1/γ1
24.00Single8W8YGamma-MSH8W8Y-MC3-γ-MSH-Ca-Gs/β1/γ2
24.00Consensuscckb_on_gpOrthosteric Ligand8IA7-CCKB-Cholecystokinin-8-chim(NtGi1L-Gq)/β1/γ2 7XOW-CCKB-Sulfated Gastrin-(10-17)-chim(NtGi1-Gq)/β1/γ2 7F8V-CCKB-Gastrin-17-Gi2/β1/γ2
24.00Consensusfpr2-alx_onOrthosteric Ligand7WVX-FPR2-ALX-Humanin-Gi2/β1/γ2 7T6U-FPR2-ALX-CGEN-855A-Gi1/β1/γ2 7T6V-FPR2-ALX-fMLFII-Gi1/β1/γ2 7WVY-FPR2-ALX-Amyloid-β42-Gi2/β1/γ2 7T6S-FPR2-ALX-TC-FPR 43-Gi1/β1/γ2 6OMM-FPR2-ALX-WKYMVX-Gi1/β1/γ2
24.00Consensusnpy1_onOrthosteric Ligand8K6M-Y1-Neuropeptide-Y-Gi2/β1/γ1
24.00Consensusnpy1_on_gpOrthosteric Ligand8K6M-Y1-Neuropeptide-Y-Gi2/β1/γ1
23.81Single4N4WSANT-14N4W-SMO-SANT-1
23.81Single4PXZ2MeSADP4PXZ-P2Y12-2MeSADP
23.81Single5TZYMK8666; AP85TZY-FFA1-MK8666; AP8
23.81Single6C1RPMX536C1R-C5a1-PMX53-Avacopan; Na
23.81Single7F55Bremelanotide7F55-MC4-Bremelanotide-Gs/β1/γ2
23.81Single7K15MKD0467K15-BLT1-MKD046-Na
23.81Single7WCMMBX-29827WCM-GPR119-MBX-2982-Gs/β1/γ2
23.81Single8H0QGastrin Releasing Peptide8H0Q-BB2-Gastrin Releasing Peptide-chim(NtGi1-Gs-CtGq)/β1/γ2
23.81Single8HK2C3a8HK2-C3aB-C3a-Gi1/β1/γ2
23.81Single8IBUErythromycin-A8IBU-Motilin-Erythromycin-A-chim(NtGi1-Gs-CtGq)/β1/γ2
23.81Single8JJPChemerin-98JJP-CML2-Chemerin-9-Gi1/β1/γ2
23.81Single8U26Substance-P8U26-NK1-Substance-P-Gs/β1/γ2
23.81Single8VHFMBX-29828VHF-GPR119-MBX-2982-Gs/β1/γ2
23.81Single8XQSCholesterol8XQS-TAS2R14-Cholesterol-Flufenamic acid-Gi1/β1/γ1
23.81Single9BJKPubChem 1716420669BJK-μ-Naloxone-PubChem 171642066
23.81Single9VIFNeuropeptide-VF9VIF-NPFF1-Neuropeptide-VF-Gi1/β1/γ2
23.81Single9YDUUDP-Glucose9YDU-P2Y14-UDP-Glucose-Gi1/β1/γ2
23.81Consensuscxcr_onOrthosteric Ligandcxcr3_on cxcr4_on cxcr1_on cxcr2_on
23.81Consensusgi_muscarinicOrthosteric Ligand8E9X-M4-2-Deoxycytidine-chim(NtGi1-Go)/β1/γ2 7T8X-M2-Acetylcholine-chim(NtGi1-Go)/β1/γ2 7TRS-M4-Acetylcholine-Gi1/β1/γ2 7TRK-M4-Iperoxo-Gi1/β1/γ2 7V6A-M4-PubChem 9864275-Gi1/β1/γ2
23.81Consensusm4_onOrthosteric Ligand7TRS-M4-Acetylcholine-Gi1/β1/γ2 7V6A-M4-PubChem 9864275-Gi1/β1/γ2 8E9X-M4-2-Deoxycytidine-chim(NtGi1-Go)/β1/γ2 7TRK-M4-Iperoxo-Gi1/β1/γ2
23.81Consensusm4_on_gpOrthosteric Ligand7TRS-M4-Acetylcholine-Gi1/β1/γ2 7V6A-M4-PubChem 9864275-Gi1/β1/γ2 8E9X-M4-2-Deoxycytidine-chim(NtGi1-Go)/β1/γ2 7TRK-M4-Iperoxo-Gi1/β1/γ2
23.81Consensusmotilin_on_gpOrthosteric Ligand8IBU-Motilin-Erythromycin-A-chim(NtGi1-Gs-CtGq)/β1/γ2
23.53Single3PWHZM-2413853PWH-A2A-ZM-241385
23.53Single3VG9ZM-2413853VG9-A2A-ZM-241385-Antibody
23.53Single5OLHVipadenant5OLH-A2A-Vipadenant-Na
23.53Single5ZKQABT-4915ZKQ-PAF-ABT-491
23.53Single6FKBPubChem 1324730386FKB-Rhodopsin-PubChem 132473038
23.53Single6ME9Ramelteon6ME9-MT2-Ramelteon
23.53Single6OYAAll-trans-Retinal6OYA-Rhodopsin-All-trans-Retinal-Gt/β1/γ1
23.53Single6RNKNF-56-EJ406RNK-Succinate-NF-56-EJ40
23.53Single7BR3Elagolix7BR3-GnRH1-Elagolix
23.53Single7F8YDevazepide7F8Y-CCKA-Devazepide
23.53Single7M3FCa; Ca; Tryptophan; Cinacalcet7M3F-CaS; CaS-Ca; Ca; Tryptophan; Cinacalcet
23.53Single7S8PMS471347S8P-MRGPRX4-MS47134-chim(NtGi2L-Gs-CtGq)/β1/γ2
23.53Single7SILCa; Ca; Ca; Cyclomethyltryptophan; R-568; PO47SIL-CaS; CaS-Ca-Ca; Ca; Ca; Cyclomethyltryptophan; R-568; PO4
23.53Single7SILCa; Ca; Ca; Cyclomethyltryptophan; R-568; PO47SIL-CaS; CaS-Ca-Ca; Ca; Ca; Cyclomethyltryptophan; R-568; PO4
23.53Single7VDLCortistatin-147VDL-MRGPRX2-Cortistatin-14-Gi1/β1/γ2
23.53Single7W0OElabela7W0O-Apelin-Elabela-Gi1/β1/γ2
23.53Single7X2CFenoldopam7X2C-D1-Fenoldopam-Fenoldopam-Gs/β1/γ2
23.53Single8A6CAll-trans-Retinal8A6C-Rhodopsin-All-trans-Retinal
23.53Single8A6DAll-trans-Retinal8A6D-Rhodopsin-All-trans-Retinal
23.53Single8A6EAll-trans-Retinal8A6E-Rhodopsin-All-trans-Retinal
23.53Single8J20Valeric acid8J20-FFA3-Valeric acid-AR420626-Gi1/β1/γ2
23.53Single8RVWStilSwitch38RVW-A2A-StilSwitch3-Na
23.53Single8RW4AzoSwitch28RW4-A2A-AzoSwitch2-Na
23.53Single8RWEStilSwitch48RWE-A2A-StilSwitch4-Na
23.53Single8T3SButyric acid8T3S-FFA2-Butyric acid-chim(NtGi2L-Gs-CtGq)/β1/γ2
23.53Single8UTDMK19038UTD-HCA2-MK1903-Gi1/β1/γ2
23.53Single8XXVIndomethacin8XXV-DP2-Indomethacin-A1D5Q-Gi1/β1/γ2
23.53Single9FUPIstradefylline9FUP-A2A-Istradefylline-Na
23.53Single9PEEPF-07054894; OXM29PEE-CCR6-PF-07054894; OXM2
23.53Consensusangiotensin_offOrthosteric Ligandat1_off
23.53Consensusgnrh1_offOrthosteric Ligand7BR3-GnRH1-Elagolix
23.53Consensuspaf_offOrthosteric Ligand5ZKQ-PAF-ABT-491
23.53Consensusrhodopsin_on_gpOrthosteric Ligand6OYA-Rhodopsin-All-trans-Retinal-Gt/β1/γ1
23.53Consensussensory_offonOrthosteric Ligandsensory_off sensory_on
23.53Consensussensory_offon_gpOrthosteric Ligandsensory_on_gp sensory_on
23.33Single6PB0Urocortin6PB0-CRF1-Urocortin-chim(NtGi1-Gs)/β1/γ2
23.33Consensusgi_npyOrthosteric Ligand8K6M-Y1-Neuropeptide-Y-Gi2/β1/γ1 7X9C-Y4-Pancreatic Hormone-Gi1/β1/γ2 7YOO-Y2-Neuropeptide-Y-Gi1/β1/γ2
23.33Consensusnpy_onOrthosteric Ligandnpy1_on npy2_on npy4_on
23.33Consensusnpy_on_gpOrthosteric Ligandnpy1_on_gp npy2_on_gp npy4_on_gp
23.08Single5MZPCaffeine5MZP-A2A-Caffeine-Na
23.08Single5WB2CX3CL1.355WB2-US28-CX3CL1.35
23.08Single6METGp160; CD46MET-CCR5-Gp160; CD4
23.08Single6WI9Secretin6WI9-Secretin-Secretin-Gs/β1/γ2
23.08Single7AD3Alpha-factor mating pheromone7AD3-STE2; STE2-α-factor mating pheromone-Gi1/STE4/γ2
23.08Single7FIMTirzepatide7FIM-GLP-1-Tirzepatide-Gs/β1/γ2
23.08Single7T10Somatostatin-147T10-SST2-Somatostatin-14-Gi3/β1/γ2
23.08Single7V9MSomatoliberin7V9M-GHRH (SV1)-Somatoliberin-Gs/β1/γ2
23.08Single7WUIIP157WUI-ADGRG2-IP15-chim(NtGi1-Gs)/β1/γ2
23.08Single7YONPeptide-YY(3-36)7YON-Y2-Peptide-YY(3-36)-Gi1/β1/γ2
23.08Single8GEJConstrained Epinephrine8GEJ-β2-Constrained Epinephrine-Gs/β1/γ2
23.08Single8GY7Corticotropin8GY7-MC2-Corticotropin-Ca-chim(NtGi1-Gs)/β1/γ2; MRAP1
23.08Single8X8LCortistatin-148X8L-SST5-Cortistatin-14-chim(NtGi1-Gs-CtGi1)/β1/γ2
23.08Single8XZJWN3538XZJ-Apelin; Apelin-WN353-Gi1/β1/γ2
23.08Consensusapelin_onOrthosteric Ligand8XZH-Apelin; Apelin-MM07-Gi1/β1/γ2 7W0M-Apelin-PubChem 122701908-Gi1/β1/γ2 8XZJ-Apelin; Apelin-WN353-Gi1/β1/γ2 8XZF-Apelin; Apelin-WN561-Gi1/β1/γ2 8XZG-Apelin; Apelin-Apelin-13-Gi1/β1/γ2
23.08Consensusapelin_on_gpOrthosteric Ligand8XZH-Apelin; Apelin-MM07-Gi1/β1/γ2 7W0M-Apelin-PubChem 122701908-Gi1/β1/γ2 8XZJ-Apelin; Apelin-WN353-Gi1/β1/γ2 8XZF-Apelin; Apelin-WN561-Gi1/β1/γ2 8XZG-Apelin; Apelin-Apelin-13-Gi1/β1/γ2
23.08Consensusmc5_on_gpOrthosteric Ligand8INR-MC5-α-MSH-Ca-chim(NtGi1-Gs)/β1/γ2 8IOD-MC5-PG-901-Ca-chim(NtGi1-Gs)/β1/γ2
23.08Consensusp2y_on_gpOrthosteric Ligandp2y1_on_gp p2y10_on_gp p2y12_on_gp
23.08Consensusprotein_offonOrthosteric Ligandprotein_off protein_on
23.08Consensusprotein_offon_gpOrthosteric Ligandprotein_on_gp protein_off
23.08Consensustachykinin_onOrthosteric Ligandnk1_on nk2_on nk3_on
22.86Single7F16TIP397F16-PTH2-TIP39-Gs/β1/γ2
22.73Single4RWSvMIP-II4RWS-CXCR4-vMIP-II
22.73Single7EZHCholecystokinin-87EZH-CCKA-Cholecystokinin-8-Gi1/β1/γ2
22.73Single7EZMCholecystokinin-87EZM-CCKA-Cholecystokinin-8-chim(NtGsL-Gq)/β1/γ2
22.73Single7LLLExendin-47LLL-GLP-1-Exendin-4-Gs/β1/γ2
22.73Single7MBYCholecystokinin-87MBY-CCKA-Cholecystokinin-8-chim(NtGi1L-Gs-CtGq)/β1/γ2
22.73Single7QVMOxytocin7QVM-OT-Oxytocin-chim(NtGi1-Go-CtGq)/β1/γ2
22.73Single7Y27Somatostatin-147Y27-SST2-Somatostatin-14-chim(NtGi2L-Gs-CtGq)/β1/γ2
22.73Single8IULLatanoprost8IUL-FP-alpha-Latanoprost-chim(NtGi1-Gs-CtGq)/β1/γ2
22.73Single8K2XCXCL108K2X-CXCR3-CXCL10-Gi1/β1/γ2
22.73Single8XJKCloprosetnol8XJK-FP-alpha-Cloprosetnol-chim(NtGi1-Gs-CtGq)/β1/γ2
22.73Single8ZX4Lysophosphatidylinositol 8ZX4-GPR55-Lysophosphatidylinositol-chim(NtGi1-G13)/β1/γ2
22.73Single9GE3Lysophosphatidylinositol9GE3-GPR55-Lysophosphatidylinositol-chim(NtGi1-G13)/β1/γ2
22.73Single9J0BUDP-Glucose9J0B-P2Y14-UDP-Glucose-Gi1/β1/γ2
22.73Single9UYMChemerin-99UYM-CML2-Chemerin-9-chim(Arrestin3-CtArrestin2)
22.73Consensusccka_onOrthosteric Ligand7EZH-CCKA-Cholecystokinin-8-Gi1/β1/γ2
22.73Consensusccka_on_gpOrthosteric Ligand7EZH-CCKA-Cholecystokinin-8-Gi1/β1/γ2
22.73Consensusfp-alpha_onOrthosteric Ligand8IUK-FP-alpha-PGF2-α-chim(NtGi1-Gs-CtGq)/β1/γ2 8IUL-FP-alpha-Latanoprost-chim(NtGi1-Gs-CtGq)/β1/γ2 8IUM-FP-alpha-Tafluprost acid-chim(NtGi1-Gs-CtGq)/β1/γ2
22.73Consensusfp-alpha_on_gpOrthosteric Ligand8IUK-FP-alpha-PGF2-α-chim(NtGi1-Gs-CtGq)/β1/γ2 8IUL-FP-alpha-Latanoprost-chim(NtGi1-Gs-CtGq)/β1/γ2 8IUM-FP-alpha-Tafluprost acid-chim(NtGi1-Gs-CtGq)/β1/γ2
22.73Consensusnk2_onOrthosteric Ligand7XWO-NK2-Neurokinin-A-chim(NtGi1-Gs-CtGq)/β1/γ2
22.58Single6LPBPACAP276LPB-PAC1-PACAP27-Gs/β1/γ1
22.58Single8FLULA-PTH Analog8FLU-PTH1-LA-PTH Analog-Gs/β1/γ2
22.22Single3REYPubChem 56973REY-A2A-PubChem 5697
22.22Single4ZUDOlmesartan4ZUD-AT1-Olmesartan
22.22Single5UVIZM-2413855UVI-A2A-ZM-241385
22.22Single6FK8PubChem 1324730356FK8-Rhodopsin-PubChem 132473035
22.22Single6FKAPubChem 1324730376FKA-Rhodopsin-PubChem 132473037
22.22Single6MH8ZM-2413856MH8-A2A-ZM-241385
22.22Single7F6IKallidin7F6I-BK2-Kallidin-Gq/β1/γ2
22.22Single7F9YGhrelin7F9Y-Ghrelin-Ghrelin-chim(NtGi1-Gs-CtGq)/β1/γ2
22.22Single7WBJPACAP277WBJ-VPAC1-PACAP27-Gs/β1/γ2
22.22Single7XOVSR1461317XOV-CCKA-SR146131-Gs/β1/γ2
22.22Single7XV3Lysophosphatidylserine (WJS)7XV3-GPR174-Lysophosphatidylserine (WJS)-chim(NtGi1-Gs)/β1/γ2
22.22Single8E3YPACAP278E3Y-VPAC1-PACAP27-Gs/β1/γ2
22.22Single8H4LDoconexent8H4L-FFA4-Doconexent-chim(NtGi1-Gs-CtGq)/β1/γ2
22.22Single8HQN9-S-HODE8HQN-GPR132-9-S-HODE-Gi1/β1/γ2
22.22Single8K4NPubChem 1687197658K4N-GPR34-PubChem 168719765-Gi1/β1/γ2
22.22Single8K4SDCA-3P8K4S-MRGPRX4-DCA-3P-chim(NtGi1L-Gs-CtGq)/β1/γ2
22.22Single8XVIEndothelin-18XVI-ETA-Endothelin-1-chim(Gs-CtGq)/β1/γ2
22.22Single8ZBWQuin-C18ZBW-FPR2-ALX-Quin-C1-Gi2/β1/γ2
22.22Single9BA0MRI-18919BA0-CB1-MRI-1891
22.22Single9DQJEP-39459DQJ-MRGPRD-EP-3945-chim(NtGi1-Gs-CtGq)/β1/γ2
22.22Single9E2AGLP-19E2A-GLP-1-GLP-1-Gs/β1/γ2
22.22Single9K1DButyric acid9K1D-FFA2-Butyric acid-Gi1/β1/γ2
22.22Single9U80Conivaptan9U80-V2-Conivaptan
22.22Consensuscb1_offOrthosteric Ligand5U09-CB1-Taranabant 5TGZ-CB1-AM6538
22.22Consensuschemokine_on_gpOrthosteric Ligandccr_on_gp cxcr_on_gp
22.22Consensusgi_apelinOrthosteric Ligand8XZH-Apelin; Apelin-MM07-Gi1/β1/γ2 7W0M-Apelin-PubChem 122701908-Gi1/β1/γ2 8XZJ-Apelin; Apelin-WN353-Gi1/β1/γ2 8XZF-Apelin; Apelin-WN561-Gi1/β1/γ2 8XZG-Apelin; Apelin-Apelin-13-Gi1/β1/γ2
22.22Consensusgi_chemokineOrthosteric Ligand6WWZ-CCR6-CCL20-Go/β1/γ2 8HNK-CXCR3-CXCL11-Gi1/β1/γ2 8K3Z-CXCR4-CXCL12-Gi1/β1/γ1 8IC0-CXCR1-CXCL8-Gi1/β1/γ2 6LFM-CXCR2-CXCL8-Gi1/β1/γ2 8KFX-CCR8-LMD-009-Gi1/β1/γ2 7F1Q-CCR5-CCL3-Gi1/β1/γ2 8HNL-CXCR3-PS372424-Gi1/β1/γ2 8KFY-CCR8-ZK-756326-Gi1/β1/γ2 7O7F-CCR5-6P4-CCL5-Gi1/β1/γ1 8U1U-CCR8-CCL1-Gi1/β1/γ2 7VLA-CCR1-CCL15(27-92)-Gi1/β1/γ2 7XA3-CCR2-CCL2-Gi1/β1/γ2
22.22Consensusgrh_offOrthosteric Ligandgnrh1_off
22.22Consensusnucleotide_offOrthosteric Ligandadenosine_off p2y_off
21.74Single5VBLAMG3054 5VBL-Apelin-AMG3054
21.74Single7F9ZGHRP-67F9Z-Ghrelin-GHRP-6-chim(NtGi1-Gs-CtGq)/β1/γ2
21.74Single7RKNCX3CL17RKN-US28-CX3CL1-Gi1/β1/γ2
21.74Single7YAEOctreotide7YAE-SST2-Octreotide-Gi1/β1/γ2
21.74Single8IUMTafluprost acid8IUM-FP-alpha-Tafluprost acid-chim(NtGi1-Gs-CtGq)/β1/γ2
21.74Single8JBFSenktide8JBF-NK3-Senktide-chim(NtGi1-Gs-CtGq)/β1/γ2
21.74Single8XQLCholesterol8XQL-TAS2R14-Cholesterol-Aristolochic acid A-Gt3/β1/γ1
21.74Single8XZFWN5618XZF-Apelin; Apelin-WN561-Gi1/β1/γ2
21.74Single9KX6C5a-des-Arg9KX6-C5a1-C5a-des-Arg-Go/β1/γ2
21.74Consensuscxcr4_offOrthosteric Ligand4RWS-CXCR4-vMIP-II 3OE0-CXCR4-CVX15 3OE6-CXCR4-IT1t
21.74Consensusgq_cckOrthosteric Ligand8IA7-CCKB-Cholecystokinin-8-chim(NtGi1L-Gq)/β1/γ2 7XOW-CCKB-Sulfated Gastrin-(10-17)-chim(NtGi1-Gq)/β1/γ2 7EZM-CCKA-Cholecystokinin-8-chim(NtGsL-Gq)/β1/γ2 7F8W-CCKB-Gastrin-17-chim(NtGsL-Gq)/β1/γ2
21.62Consensuspth_on_gpOrthosteric Ligandpth1_on_gp pth2_on_gp
21.43Single3PXOAll-trans-Retinal3PXO-Rhodopsin-All-trans-Retinal
21.43Single4XT3CX3CL14XT3-US28-CX3CL1
21.43Single5DYSAll-trans-Retinal5DYS-Rhodopsin-All-trans-Retinal
21.43Single5UIW5P7-CCL55UIW-CCR5-5P7-CCL5
21.43Single6P9YPACAP276P9Y-PAC1-PACAP27-Gs/β1/γ2
21.43Single7SK4CXCL12_LRHQ7SK4-ACKR3-CXCL12_LRHQ
21.43Single7VABTirzepatide (non-acylated)7VAB-GIP-Tirzepatide (non-acylated)-chim(NtGi1-Gs)/β1/γ2
21.43Single7W3ZGastrin Releasing Peptide7W3Z-BB2-Gastrin Releasing Peptide-chim(NtGi1L-Gq)/β1/γ2
21.43Single8E3XPACAP278E3X-PAC1-PACAP27-Gs/β1/γ2
21.43Single9IV25alpha-DHT9IV2-ADGRD1-5α-DHT-chim(NtGi1-Gs)/β1/γ2
21.43Single9JIDNiacin9JID-HCA3-Niacin-Gi1/β1/γ2
21.43Single9JKVPubChem 27366909JKV-HCA3-PubChem 2736690-Gi1/β1/γ2
21.43Single9P92VIP9P92-PAC1-VIP-Gs/β1/γ2
21.43Consensusccr5_offOrthosteric Ligand5UIW-CCR5-5P7-CCL5
21.43Consensuspac_on_gpOrthosteric Ligandpac1_on_gp
21.21Single7Y36PTH7Y36-PTH1-PTH-Gs/β1/γ2
21.21Single8FLQPTH8FLQ-PTH1-PTH-Gs/β1/γ2
21.21Single9JR3PTH9JR3-PTH1-PTH-chim(NtGi1L-Gs-CtGq)/β1/γ2
21.05Single5NDDAZ8838; Na5NDD-PAR2-AZ8838; Na
21.05Single6FK7PubChem 1324730346FK7-Rhodopsin-PubChem 132473034
21.05Single6FKCPubChem 1324730396FKC-Rhodopsin-PubChem 132473039
21.05Single6FKDPubChem 1373491836FKD-Rhodopsin-PubChem 137349183
21.05Single7PP1Selatogrel7PP1-P2Y12-Selatogrel
21.05Single8EJKTAK-8758EJK-FFA1-TAK-875-chim(NtGi1L-Gs-CtGq)/β1/γ2
21.05Single8KFYZK-7563268KFY-CCR8-ZK-756326-Gi1/β1/γ2
21.05Single8YH5Riboprine8YH5-A3A-Riboprine-Gi1/β1/γ2
21.05Consensusalicarboxylic_offOrthosteric Ligandsuccinate_off
21.05Consensussuccinate_offOrthosteric Ligand6RNK-Succinate-NF-56-EJ40 6Z10-Succinate-PubChem 154585554
20.83Single6RZ8ONO-20803656RZ8-CysLT2-ONO-2080365
20.83Single7NA7Ghrelin7NA7-Ghrelin-Ghrelin-Gi1/β1/γ2
20.83Single7W53Neuromedin-U-257W53-NMUR1-Neuromedin-U-25-chim(NtGi1-Gs-CtGq)/β1/γ2
20.83Single7WICSomatostatin-147WIC-SST2-Somatostatin-14-Gi1/β1/γ2
20.83Single7XMRSomatostatin-147XMR-SST2-Somatostatin-14-Gi1/β1/γ2
20.83Single8KIGSHU91198KIG-MC3-SHU9119-Ca
20.83Single8U4OCXCL128U4O-CXCR4-CXCL12-Gi1/β1/γ2
20.83Single8ZCJPasireotide8ZCJ-SST5-Pasireotide-Gi1/β1/γ1
20.83Single9L3YChemerin9L3Y-CML2-Chemerin-Gi1/β1/γ2
20.83Single9MEJGp1209MEJ-CXCR4-Gp120
20.83Single9UYLChemerin-99UYL-CML2-Chemerin-9-Arrestin2
20.83Consensusnk3_onOrthosteric Ligand8JBF-NK3-Senktide-chim(NtGi1-Gs-CtGq)/β1/γ2
20.83Consensusnk3_on_gpOrthosteric Ligand8JBF-NK3-Senktide-chim(NtGi1-Gs-CtGq)/β1/γ2
20.83Consensusnmur1_on_gpOrthosteric Ligand7W53-NMUR1-Neuromedin-U-25-chim(NtGi1-Gs-CtGq)/β1/γ2
20.69Single6B3JExendin-P56B3J-GLP-1-Exendin-P5-Gs/β1/γ2
20.69Single6P9XCorticoliberin-16P9X-CRF1-Corticoliberin-1-Gs/β1/γ2
20.69Single6VCBGLP-16VCB-GLP-1-GLP-1-LSN3160440-Gs/β1/γ2
20.69Single8W8XBeta-MSH8W8X-MC3-β-MSH-Ca-Gs/β1/γ2
20.69Single8ZJGChemerin8ZJG-CML1-Chemerin-Gi1/β1/γ2
20.69Single9BUCCagrilintide9BUC-CT-Cagrilintide-Gs/β1/γ2
20.69Consensusglp_onOrthosteric Ligandglp1_on glp2_on
20.69Consensusglp_on_gpOrthosteric Ligandglp1_on_gp glp2_on_gp
20.69Consensusp2y10_on_gpOrthosteric Ligand8KGG-P2Y10-Lysophosphatidylserine (WJS)-chim(NtGi2-G13)/β1/γ2
20.00Single3RFMCaffeine3RFM-A2A-Caffeine
20.00Single4NTJAZD12834NTJ-P2Y12-AZD1283
20.00Single4PHUFasiglifam4PHU-FFA1-Fasiglifam
20.00Single4WW3All-trans-Retinal4WW3-Rhodopsin-All-trans-Retinal
20.00Single5CGCHTL142425CGC-mGlu5-HTL14242
20.00Single5T1ABMS-6815T1A-CCR2-BMS-681-PubChem 12093170
20.00Single5VAIGLP-15VAI-GLP-1-GLP-1-Gs/β1/γ2
20.00Single5YHLPubChem 1351213525YHL-EP4-PubChem 135121352
20.00Single5YWYONO-AE3-2085YWY-EP4-ONO-AE3-208
20.00Single5ZBQUR-MK-2995ZBQ-Y1-UR-MK-299
20.00Single6NBHLA-PTH Analog6NBH-PTH1-LA-PTH Analog-Gs/β1/γ2
20.00Single6OT025(S)-Epoxycholesterol6OT0-SMO-25(S)-Epoxycholesterol-Gi1/β1/γ2
20.00Single6PB1Urocortin6PB1-CRF2-Urocortin-chim(NtGi1-Gs)/β1/γ2
20.00Single6WZGSecretin6WZG-Secretin-Secretin-Gs/β1/γ2
20.00Single6XBKCholesterol6XBK-SMO-Cholesterol-Gi1/β1/γ2
20.00Single7BB7AVP7BB7-V2-AVP-Gs/β1/γ2
20.00Single7C6A(Sar1,Ile8)-Angiotensin II7C6A-AT2-(Sar1,Ile8)-Angiotensin II
20.00Single7D68GLP-27D68-GLP-2-GLP-2-Gs/β1/γ2
20.00Single7E9GJNJ-404118137E9G-mGlu2; mGlu2-Eglumetad-JNJ-40411813-Gi1/β1/γ2
20.00Single7KI1Taspoglutide7KI1-GLP-1-Taspoglutide-Gs/β1/γ2
20.00Single7MTBAll-trans-Retinal7MTB-Rhodopsin-All-trans-Retinal-GRK1
20.00Single7RMISubstance-P7RMI-NK1-Substance-P-chim(Gs-CtGq)/β1/γ2
20.00Single7VBITirzepatide (non-acylated)7VBI-GLP-1-Tirzepatide (non-acylated)-Gs/β1/γ2
20.00Single7VV0PAMP-127VV0-MRGPRX2-PAMP-12
20.00Single7W0NElabela7W0N-Apelin; Apelin-Elabela-Gi1/β1/γ2
20.00Single7Y26Octreotide7Y26-SST2-Octreotide-chim(NtGi2L-Gs-CtGq)/β1/γ2
20.00Single8EJCTAK-8758EJC-FFA1-TAK-875-chim(NtGi1L-Gs-CtGq)/β1/γ2
20.00Single8F0KPramlintide Analogue San3858F0K-CT (AMY3)-Pramlintide Analogue San385-Gs/β1/γ2; RAMP3
20.00Single8GD9Rivenprost8GD9-EP4-Rivenprost-Gs/β1/γ2
20.00Single8HAFPTHrP(1-36)8HAF-PTH1-PTHrP(1-36)-chim(NtGi1-Gs)/β1/γ2
20.00Single8IBVMotilin8IBV-Motilin-Motilin-chim(NtGi1-Gs-CtGq)/β1/γ2
20.00Single8IZ4Lysophosphatidylserine (TJR)8IZ4-GPR34-Lysophosphatidylserine (TJR)-Gi1/β1/γ2
20.00Single8KH5Lysophosphatidylserine8KH5-GPR174-Lysophosphatidylserine-Gs/β1/γ2
20.00Single8WSSMCH8WSS-MCH1-MCH-Gi1/β1/γ1
20.00Single8X0DVU04244658X0D-mGlu5; mGlu5-Quisqualate-VU0424465
20.00Single8X0DVU04244658X0D-mGlu5; mGlu5-Quisqualate-VU0424465
20.00Single8XOFLys058XOF-GPR30-Lys05-chim(NtGi1-Gs-CtGq)/β1/γ2
20.00Single8Z7JJN241-98Z7J-Apelin-JN241-9-Gi1/β1/γ2
20.00Single9B9ZMRI-18679B9Z-CB1-MRI-1867
20.00Single9BYOExendin-39BYO-GLP-1-Exendin-3-Gs/β1/γ2
20.00Single9DQHEP-28259DQH-MRGPRD-EP-2825-chim(NtGi1-Gs-CtGq)/β1/γ2
20.00Single9EAINanobody AT2099EAI-AT1-Losartan-Nanobody AT209
20.00Single9EE9Adenosine9EE9-A2A-Adenosine-Gs/β1/γ2
20.00Single9KO4CCL219KO4-CCR7-CCL21-Gi1/β1/γ2
20.00Single9P93VIP9P93-PAC1-VIP-Gs/β1/γ2
20.00Consensusblt1_offOrthosteric Ligand5X33-BLT1-BIIL260 7K15-BLT1-MKD046-Na
20.00Consensusblt_offOrthosteric Ligandblt1_off
20.00Consensuscyslt_offOrthosteric Ligandcyslt2_off cyslt1_off
20.00Consensusep4_offOrthosteric Ligand5YWY-EP4-ONO-AE3-208 5YHL-EP4-PubChem 135121352
20.00Consensusep_offOrthosteric Ligandep4_off
20.00Consensusopsins_onOrthosteric Ligandrhodopsin_on opsin1lw_on
20.00Consensussensory_onOrthosteric Ligandopsins_on
20.00Consensusvip-pacap_onOrthosteric Ligandvpac_on pac_on
20.00Consensusvip-pacap_on_gpOrthosteric Ligandvpac_on_gp pac_on_gp
19.44Consensusclass-b1_onOrthosteric Ligandglucagon_on vip-pacap_on pth_on crf_on calcitonin_on
19.35Single7DUQGLP-17DUQ-GLP-1-GLP-1-PubChem 156022738-Gs/β1/γ2
19.23Single3OE0CVX153OE0-CXCR4-CVX15
19.23Single6LW5WKYMVm6LW5-FPR2-ALX-WKYMVm
19.23Single6UUNAdrenomedullin6UUN-CT Like (AM1)-Adrenomedullin-Gs/β1/γ2; RAMP2
19.23Single6VN7PACAP276VN7-VPAC1-PACAP27-Gs/β1/γ2
19.23Single7XA3CCL27XA3-CCR2-CCL2-Gi1/β1/γ2
19.23Single8XZGApelin-138XZG-Apelin; Apelin-Apelin-13-Gi1/β1/γ2
19.23Single8XZHMM078XZH-Apelin; Apelin-MM07-Gi1/β1/γ2
19.23Single9B5YLA-PTH Analog9B5Y-PTH1-LA-PTH Analog-chim(NtGi1-Gq)/β1/γ2
19.23Single9LXRLA-PTH Analog9LXR-PTH1-LA-PTH Analog-Arrestin2
19.23Consensusccr2_onOrthosteric Ligand7XA3-CCR2-CCL2-Gi1/β1/γ2
19.23Consensusccr2_on_gpOrthosteric Ligand7XA3-CCR2-CCL2-Gi1/β1/γ2
19.23Consensusccr_onOrthosteric Ligandccr6_on ccr8_on ccr2_on ccr1_on ccr5_on
19.05Single5TZRMK86665TZR-FFA1-MK8666
19.05Single7T9NDPPC7T9N-TSH-M22 Fab-DPPC-Gs/β1/γ2
19.05Single7XOWSulfated Gastrin-(10-17)7XOW-CCKB-Sulfated Gastrin-(10-17)-chim(NtGi1-Gq)/β1/γ2
19.05Single7XWONeurokinin-A7XWO-NK2-Neurokinin-A-chim(NtGi1-Gs-CtGq)/β1/γ2
19.05Single8I2GPubChem 675302408I2G-FSH-FSH-PubChem 67530240-Gs/β1/γ2
19.05Single8JD5JNJ-40411813; ADX881788JD5-mGlu2; mGlu4-Glutamate-JNJ-40411813; ADX88178-Gi1/β1/γ2
19.05Single8X0BVU04244658X0B-mGlu5; mGlu5-Quisqualate-VU0424465
19.05Single8X0FVU298X0F-mGlu5; mGlu5-Quisqualate-VU29
19.05Single8X79MRE-2698X79-I2-MRE-269-Gs/β1/γ2
19.05Single8YNTSNAP-948478YNT-MCH1-SNAP-94847
19.05Single8ZR5Firuglipel8ZR5-GPR119-Firuglipel-Gs/β1/γ2
19.05Single9L16CCL219L16-CCR7-CCL21
19.05Single9YDVMRS29059YDV-P2Y14-MRS2905-Gi1/β1/γ2
19.05Consensusnk2_on_gpOrthosteric Ligand7XWO-NK2-Neurokinin-A-chim(NtGi1-Gs-CtGq)/β1/γ2
19.05Consensusnpy1_offOrthosteric Ligand5ZBH-Y1-BMS-193885 5ZBQ-Y1-UR-MK-299
18.75Single3PQRAll-trans-Retinal3PQR-Rhodopsin-All-trans-Retinal-Gt(CT)
18.75Single7MT9All-trans-Retinal7MT9-Rhodopsin-All-trans-Retinal-GRK1
18.75Single7MTAAll-trans-Retinal7MTA-Rhodopsin-All-trans-Retinal-GRK1
18.75Single7SK6CXCL12_LRHQ7SK6-ACKR3-CXCL12_LRHQ
18.75Single8EITDoconexent8EIT-FFA1-Doconexent-chim(NtGi1L-Gs-CtGq)/β1/γ2
18.75Single8FLSAbaloparatide8FLS-PTH1-Abaloparatide-Gs/β1/γ2
18.75Single8JEFPubChem 113671668JEF-HCA3-PubChem 11367166-Gi1/β1/γ2
18.75Single8RQLFlufenamic acid8RQL-TAS2R14-Flufenamic acid-Flufenamic acid-chim(NtGi1-Gt3)/β1/γ2
18.75Single9JG1Adriforant9JG1-H4-Adriforant
18.75Single9JHJC18:0 Ceramide9JHJ-FPR2-ALX-C18:0 Ceramide-Gi1/β1/γ2
18.75Consensusopsins_on_gpOrthosteric Ligandrhodopsin_on_gp opsin1lw_on_gp
18.75Consensusrhodopsin_onOrthosteric Ligand6OYA-Rhodopsin-All-trans-Retinal-Gt/β1/γ1
18.75Consensussensory_on_gpOrthosteric Ligandopsins_on_gp
18.52Single6M1IPACAP276M1I-PAC1-PACAP27-Gs/β1/γ2
18.52Single7W57Neuromedin-S7W57-NMUR2-Neuromedin-S-chim(NtGi1-Gs-CtGq)/β1/γ2
18.52Single8WSTMCH8WST-MCH2-MCH-chim(NtGi1L-Gs-CtGq)/β1/γ2
18.52Single8YW3Retatrutide8YW3-GLP-1-Retatrutide-Gs/β1/γ2
18.52Single8YW4Retatrutide8YW4-GIP-Retatrutide-chim(NtGi1-Gs)/β1/γ2
18.52Single9EBOGLP-1 (ACPC18)9EBO-GLP-1-GLP-1 (ACPC18)-Gs/β1/γ2
18.18Single4PY02MeSATP4PY0-P2Y12-2MeSATP
18.18Single5X33BIIL2605X33-BLT1-BIIL260
18.18Single6RZ7ONO-25703666RZ7-CysLT2-ONO-2570366
18.18Single7VVMPTH7VVM-PTH1-PTH-Gs/β1/γ2
18.18Single7W0NElabela7W0N-Apelin; Apelin-Elabela-Gi1/β1/γ2
18.18Single7XW5ML1097XW5-TSH-TSH-ML109-Gs/β1/γ2
18.18Single7XW6ML1097XW6-TSH-M22 Fab-ML109-Gs/β1/γ2
18.18Single8GCPPGE28GCP-EP4-PGE2-Gi1/β1/γ2
18.18Single8IQ6Latanoprost8IQ6-FP-alpha-Latanoprost-chim(NtGi1-Gs-CtGq)/β1/γ2
18.18Single8WRBLysophosphatidylserine (UBL)8WRB-GPR34-Lysophosphatidylserine (UBL)-Gi1/β1/γ2
18.18Single8XJNCloprosetnol8XJN-TXA2-Cloprosetnol-chim(NtGi1-Gs-CtGq)/β1/γ2
18.18Single8XQNCholesterol8XQN-TAS2R14-Cholesterol-Aristolochic acid A-Gi1/β1/γ1
18.18Single8Y6WTUG-13758Y6W-FFA2-TUG-1375-4-CMTB-Gi1/β1/γ2
18.18Single9ECJS-geranylgeranyl-L-glutathione9ECJ-P2Y8-S-geranylgeranyl-L-glutathione-G13/β1/γ2
18.18Single9GGGI-BOP9GGG-TXA2-I-BOP-chim(NtGi2L-Gs-CtGq)/β1/γ2
18.18Single9JR2PTH9JR2-PTH1-PTH-chim(NtGi1L-Gs-CtGq)/β1/γ2
18.18Single9WXMGPR15L(CT)9WXM-GPR15-GPR15L(CT)-Gi3/β1/γ2
18.18Consensusffa2_on_gpOrthosteric Ligand8J22-FFA2-TUG-1375-Gi1/β1/γ2
17.86Single6X18GLP-16X18-GLP-1-GLP-1-Gs/β1/γ2
17.86Single7LLYOxyntomodulin7LLY-GLP-1-Oxyntomodulin-Gs/β1/γ2
17.86Single8WWMMCH8WWM-MCH1-MCH-Gi1/β1/γ2
17.86Consensusccr_on_gpOrthosteric Ligandccr6_on_gp ccr8_on_gp ccr2_on_gp ccr1_on_gp ccr5_on_gp
17.86Consensuschemokine_offOrthosteric Ligandccr_off cxcr_off
17.86Consensuscxcr_offOrthosteric Ligandcxcr3_off cxcr4_off
17.86Consensusp2y10_onOrthosteric Ligand8KGG-P2Y10-Lysophosphatidylserine (WJS)-chim(NtGi2-G13)/β1/γ2
17.86Consensuspac_onOrthosteric Ligandpac1_on
17.86Consensusvpac1_onOrthosteric Ligand8E3Z-VPAC1-VIP-Gs/β1/γ2
17.86Consensusvpac_onOrthosteric Ligandvpac1_on vpac2_on
17.65Single6LI0C176LI0-GPR52-C17
17.65Single7T96LY21196207T96-M2-Acetylcholine-LY2119620-Go/β1/γ2
17.65Single7TRPLY20332987TRP-M4-Iperoxo-LY2033298-Gi1/β1/γ2
17.65Single8SZFCa; Ca; Tryptophan; Cinacalcet; PO4; Spermine8SZF-CaS; CaS-Ca; Ca; Tryptophan; Cinacalcet; PO4; Spermine
17.65Single8U4RREGN7663-Fab8U4R-CXCR4-REGN7663-Fab
17.65Single8X2KOleic monoethanolamide8X2K-GPR3-Oleic monoethanolamide-chim(NtGi1-Gs)/β1/γ2
17.65Single9EPRAll-trans-Retinal9EPR-Rhodopsin-All-trans-Retinal-Gi1/β1/γ2
17.65Single9JLCAVE 09919JLC-MAS1-AVE 0991-Gi1/β1/γ2
17.65Single9LMPNE52-QQ579LMP-GPR4-NE52-QQ57
17.65Single9YDAAll-trans-Retinal9YDA-Opsin1MW-All-trans-Retinal-chim(NtGi1L-Gs-CtGt)/β1/γ2
17.65Consensusglucagon_onOrthosteric Ligandglp_on gluc_on secretin_on gip_on
17.50Consensusclass-b1_on_gpOrthosteric Ligandglucagon_on_gp vip-pacap_on_gp pth_on_gp crf_on_gp calcitonin_on_gp
17.39Single5CGDHTL142425CGD-mGlu5-HTL14242
17.39Single6RZ9ONO-27703726RZ9-CysLT2-ONO-2770372
17.39Single7D7MPGE27D7M-EP4-PGE2-Gs/β1/γ1
17.39Single7PIUSetmelanotide7PIU-MC4-Setmelanotide-Gs/β1/γ2
17.39Single7VVNPTH7VVN-PTH1-PTH-Gs/β1/γ2
17.39Single8HN1Toxin AdTx18HN1-Alpha1A-Toxin AdTx1
17.39Single8K4OCXCL18K4O-KSHV-CXCL1-Gi1/β1/γ1
17.39Single8XBES3E-Lysophosphatidylserine 8XBE-GPR34-S3E-Lysophosphatidylserine-Gi1/β1/γ1
17.39Single8XJOU466198XJO-TXA2-U46619-chim(NtGi1-Gs-CtGq)/β1/γ2
17.39Single8ZPLHF511168ZPL-CXCR4-HF51116
17.39Single9KWXC5a-des-Arg9KWX-C5a1-C5a-des-Arg-Go/β1/γ2
17.39Single9M1HPGE29M1H-EP1-PGE2-chim(NtGi1-Gs-CtGq)/β1/γ2
17.39Single9UYHChemerin-99UYH-CML2-Chemerin-9-Arrestin2
17.39Single9VI9RFRP-39VI9-NPFF1-RFRP-3-Gi1/β1/γ2
17.39Consensuscyslt2_offOrthosteric Ligand6RZ7-CysLT2-ONO-2570366 6RZ8-CysLT2-ONO-2080365 6RZ9-CysLT2-ONO-2770372
17.39Consensusprostanoid_onOrthosteric Ligandtp_on fp-alpha_on
17.39Consensusprostanoid_on_gpOrthosteric Ligandtp_on_gp fp-alpha_on_gp
17.39Consensustp_onOrthosteric Ligand8XJO-TXA2-U46619-chim(NtGi1-Gs-CtGq)/β1/γ2
17.39Consensustp_on_gpOrthosteric Ligand8XJO-TXA2-U46619-chim(NtGi1-Gs-CtGq)/β1/γ2
17.24Single6FJ3PTH6FJ3-PTH1-PTH
17.24Single6NBFLA-PTH Analog6NBF-PTH1-LA-PTH Analog-Gs/β1/γ2
17.24Single7CZ5Somatoliberin7CZ5-GHRH-Somatoliberin-Gs/β1/γ2
17.24Single7D3SSecretin7D3S-Secretin-Secretin-Gs/β1/γ2
17.24Single7KI0Semaglutide7KI0-GLP-1-Semaglutide-Gs/β1/γ2
17.24Single7RA3GIP7RA3-GIP-GIP-chim(NtGi1-Gs)/β1/γ2
17.24Single7SK3CXCL127SK3-ACKR3-CXCL12
17.24Single8JISPeptide-158JIS-GLP-1-Peptide-15-chim(NtGi1-Gs)/β1/γ2
17.24Single9BLWCagrilintide (non-acylated)9BLW-CT (AMY1)-Cagrilintide (non-acylated)-Gs/β1/γ2; RAMP1
17.24Single9J1Pg1:Ox9J1P-GLP-1-g1:Ox-chim(NtGi1-Gs)/β1/γ2
17.24Consensusccr5_onOrthosteric Ligand7O7F-CCR5-6P4-CCL5-Gi1/β1/γ1 7F1Q-CCR5-CCL3-Gi1/β1/γ2
17.24Consensusccr_offOrthosteric Ligandccr2_off ccr5_off
17.24Consensusvpac1_on_gpOrthosteric Ligand8E3Z-VPAC1-VIP-Gs/β1/γ2
17.24Consensusvpac_on_gpOrthosteric Ligandvpac1_on_gp vpac2_on_gp
17.14Consensusglucagon_on_gpOrthosteric Ligandglp_on_gp gluc_on_gp secretin_on_gp gip_on_gp
16.67Single4MQTLY21196204MQT-M2-Iperoxo-LY2119620
16.67Single5U09Taranabant5U09-CB1-Taranabant
16.67Single6OMMWKYMVX6OMM-FPR2-ALX-WKYMVX-Gi1/β1/γ2
16.67Single6RZ6ONO-25703666RZ6-CysLT2-ONO-2570366
16.67Single6UVAAdrenomedullin-26UVA-CT Like (AM2)-Adrenomedullin-2-Gs/β1/γ2; RAMP3
16.67Single7AUESetmelanotide7AUE-MC4-Setmelanotide-chim(NtGi1L-Gs)/β1/γ2
16.67Single7DTYGIP7DTY-GIP-GIP-Gs/β1/γ2
16.67Single7FIYTirzepatide7FIY-GIP-Tirzepatide-Gs/β1/γ2
16.67Single7S1MExendin-4-D-Ala7S1M-GLP-1-Exendin-4-D-Ala-Gs/β1/γ2
16.67Single7TYFAmylin7TYF-CT (AMY1)-Amylin-Gs/β1/γ2; RAMP1
16.67Single7VQXPACAP277VQX-VPAC1-PACAP27-Gs/β1/γ2
16.67Single7VVKPTH7VVK-PTH1-PTH-Gs/β1/γ2
16.67Single7X8SWB4-247X8S-GLP-1-WB4-24-Gs/β1/γ2
16.67Single7XJJGalanin7XJJ-GAL1-Galanin-Go/β1/γ2
16.67Single8DWHPubChem 1390305318DWH-MRGPRX1-PubChem 139030531-chim(NtGi2L-Gs-CtGq)/β1/γ2
16.67Single8GDAL9026888GDA-EP4-L902688-Gs/β1/γ2
16.67Single8HAOPTH8HAO-PTH1-PTH-chim(NtGi1-Gs)/β1/γ2
16.67Single8HMPC178HMP-GPR52-C17-Gs/β1/γ2
16.67Single8IQ4Carboprost8IQ4-FP-alpha-Carboprost-chim(NtGi1-Gs-CtGq)/β1/γ2
16.67Single8J22TUG-13758J22-FFA2-TUG-1375-Gi1/β1/γ2
16.67Single8SAILysophosphatidylserine (S12)8SAI-GPR34-Lysophosphatidylserine (S12)-Gi1/β1/γ2
16.67Single8U4PAMD31008U4P-CXCR4-AMD3100-Gi1/β1/γ2
16.67Single8U8FPalmitic Acid8U8F-GPR3-Palmitic Acid-Gs/β1/γ2
16.67Single8XQOCholesterol8XQO-TAS2R14-Cholesterol-Aristolochic acid A-Gi1/β1/γ1
16.67Single8Z74JN241-98Z74-Apelin; Apelin-JN241-9
16.67Single8Z74JN241-98Z74-Apelin; Apelin-JN241-9
16.67Single9JH6C20:0 Ceramide9JH6-CysLT2-C20:0 Ceramide-chim(NtGi1-Gs-CtGq)/β1/γ2
16.67Single9NS9TUG-13759NS9-FFA2-TUG-1375-PubChem 118615810-Gi1/β1/γ2
16.67Single9P94PACAP279P94-PAC1-PACAP27-Gs/β1/γ2
16.67Consensuscrf_onOrthosteric Ligandcrf2_on crf1_on
16.67Consensusnmur1_onOrthosteric Ligand7W53-NMUR1-Neuromedin-U-25-chim(NtGi1-Gs-CtGq)/β1/γ2
16.22Consensuspth2_on_gpOrthosteric Ligand7F16-PTH2-TIP39-Gs/β1/γ2
16.13Single6LMLGlucagon6LML-Glucagon-Glucagon-Gi1/β1/γ1
16.13Single6UUSAdrenomedullin6UUS-CT Like (AM2)-Adrenomedullin-Gs/β1/γ2; RAMP3
16.13Single7VVJPTHrP(1-36)7VVJ-PTH1-PTHrP(1-36)-Gs/β1/γ2
16.13Single7VVLPTH7VVL-PTH1-PTH-Gs/β1/γ2
16.13Single8FLTM-PTH(1-14)8FLT-PTH1-M-PTH(1-14)-Gs/β1/γ2
16.13Consensuspth1_onOrthosteric Ligand6NBF-PTH1-LA-PTH Analog-Gs/β1/γ2 8HA0-PTH1-PTH-chim(NtGi1-Gs)/β1/γ2 8HAF-PTH1-PTHrP(1-36)-chim(NtGi1-Gs)/β1/γ2 7Y36-PTH1-PTH-Gs/β1/γ2 7Y35-PTH1-Abaloparatide-Gs/β1/γ2
16.00Single6X19CHU-1286X19-GLP-1-CHU-128-Gs/β1/γ2
16.00Single7W2ZGhrelin7W2Z-Ghrelin-Ghrelin-Go/β1/γ2
16.00Single7W56Neuromedin-S7W56-NMUR1-Neuromedin-S-chim(NtGi1-Gs-CtGq)/β1/γ2
16.00Single8INRAlpha-MSH8INR-MC5-α-MSH-Ca-chim(NtGi1-Gs)/β1/γ2
16.00Single8YWFRetatrutide8YWF-GLP-1-Retatrutide-chim(NtGi1-Gs)/β1/γ2
16.00Consensuschemokine_onOrthosteric Ligandccr_on cxcr_on
15.79Single6WJCMuscarinic toxin 76WJC-M1-Atropine-Muscarinic toxin 7
15.79Single7BB6AVP7BB6-V2-AVP-Gs/β1/γ2
15.79Single7T94LY21196207T94-M2-Acetylcholine-LY2119620-chim(NtGi1-Go)/β1/γ2
15.79Single7UTZDPPC7UTZ-TSH-TSH-DPPC-Gs/β1/γ2
15.79Single7XXH2MeSADP7XXH-P2Y1-2MeSADP-chim(NtGi1-G11)/β1/γ2
15.79Single8K2WAMG4878K2W-CXCR3-AMG487
15.79Single8X7ATreprostinil8X7A-I2-Treprostinil-Gs/β1/γ2
15.79Single8ZPMAMD0708ZPM-CXCR4-AMD070
15.79Single8ZPNAMD31008ZPN-CXCR4-AMD3100
15.79Single9JFUNE52-QQ579JFU-GPR4-NE52-QQ57
15.79Consensuscxcr3_offOrthosteric Ligand8K2W-CXCR3-AMG487
15.79Consensusp2y1_on_gpOrthosteric Ligand7XXH-P2Y1-2MeSADP-chim(NtGi1-G11)/β1/γ2
15.62Single7TYXAmylin7TYX-CT (AMY2)-Amylin-Gs/β1/γ2; RAMP2
15.62Consensuscrf1_onOrthosteric Ligand6PB0-CRF1-Urocortin-chim(NtGi1-Gs)/β1/γ2 6P9X-CRF1-Corticoliberin-1-Gs/β1/γ2
15.38Single7E14Orforglipron7E14-GLP-1-Orforglipron-PubChem 156022738-Gs/β1/γ2
15.38Single7F1QCCL37F1Q-CCR5-CCL3-Gi1/β1/γ2
15.38Single7XNACYN1548067XNA-SST2-CYN154806
15.38Single8K6ONeuropeptide-Y8K6O-Y1-Neuropeptide-Y-Gi2/β1/γ1
15.38Consensussst2_offOrthosteric Ligand7XNA-SST2-CYN154806
15.15Single7TZFAmylin7TZF-CT (AMY3)-Amylin-Gs/β1/γ2; RAMP3
15.15Single8F2APramlintide Analogue San3858F2A-CT (AMY3)-Pramlintide Analogue San385-Gs/β1/γ2; RAMP3
15.15Single9AUCCalcitonin gene-related peptide-19AUC-CT (AMY1)-Calcitonin gene-related peptide-1-Gs/β1/γ2; RAMP1
15.00Single4QIMANTA XV4QIM-SMO-ANTA XV
15.00Single6D27CAY104716D27-DP2-CAY10471
15.00Single6IIVDaltroban6IIV-TXA2-Daltroban
15.00Single6Z4VNeurotensin-(9-13)6Z4V-NTS1-Neurotensin-(9-13)
15.00Single7TRQVU04671547TRQ-M4-Iperoxo-VU0467154-Gi1/β1/γ2
15.00Single7WQ3Galanin7WQ3-GAL1-Galanin-Gi1/β1/γ2
15.00Single8GCML-9026888GCM-EP4-L-902688-Gi1/β1/γ2
15.00Single8X9TAP5038X9T-ADGRD1-AP503-chim(NtGi1-Gs)/β1/γ2
15.00Single8XBGS3E-Lysophosphatidylserine 8XBG-GPR34-S3E-Lysophosphatidylserine
15.00Single8XJLPGF2-alpha8XJL-FP-alpha-PGF2-α-chim(NtGi2-Gs-CtGq)/β1/γ2
15.00Single9JQZGrapiprant 9JQZ-EP4-Grapiprant
15.00Consensusgal1_onOrthosteric Ligand7WQ3-GAL1-Galanin-Gi1/β1/γ2
15.00Consensusgal1_on_gpOrthosteric Ligand7WQ3-GAL1-Galanin-Gi1/β1/γ2
15.00Consensusgi_galaninOrthosteric Ligand7WQ3-GAL1-Galanin-Gi1/β1/γ2
14.81Single7W55Neuromedin-U-257W55-NMUR2-Neuromedin-U-25-chim(NtGi1-Gs-CtGq)/β1/γ2
14.81Single9IVMGLP-1 (Truncated)9IVM-GLP-1-GLP-1 (Truncated)-LSN3318839-chim(NtGi1-Gs)/β2/γ2
14.81Consensusclass-b1_class-b2_cons_onOrthosteric Ligandclass-b1_on class-b2_on
14.81Consensusclass-b1_class-b2_cons_on_gpOrthosteric Ligandclass-b1_on_gp class-b2_on_gp
14.81Consensusmc3_onOrthosteric Ligand8IOC-MC3-γ-MSH-Ca-chim(NtGi1-Gs)/β1/γ2
14.81Consensusmc3_on_gpOrthosteric Ligand8IOC-MC3-γ-MSH-Ca-chim(NtGi1-Gs)/β1/γ2
14.81Consensusnmur2_onOrthosteric Ligand7W55-NMUR2-Neuromedin-U-25-chim(NtGi1-Gs-CtGq)/β1/γ2
14.81Consensusnmur2_on_gpOrthosteric Ligand7W55-NMUR2-Neuromedin-U-25-chim(NtGi1-Gs-CtGq)/β1/γ2
14.71Single6WPWZP37806WPW-Glucagon-ZP3780-Gs/β1/γ2
14.71Single8JIPMEDI03828JIP-GLP-1-MEDI0382-chim(NtGi1-Gs)/β1/γ2
14.71Single8JIRSAR4258998JIR-GLP-1-SAR425899-chim(NtGi1-Gs)/β1/γ2
14.71Consensuscrf1_on_gpOrthosteric Ligand6PB0-CRF1-Urocortin-chim(NtGi1-Gs)/β1/γ2 6P9X-CRF1-Corticoliberin-1-Gs/β1/γ2
14.71Consensusglp1_on_gpOrthosteric Ligand7S1M-GLP-1-Exendin-4-D-Ala-Gs/β1/γ2 7X8R-GLP-1-BOC5-Gs/β1/γ2 6X19-GLP-1-CHU-128-Gs/β1/γ2 6X1A-GLP-1-Danuglipron-Gs/β1/γ2 6X18-GLP-1-GLP-1-Gs/β1/γ2 8JIP-GLP-1-MEDI0382-chim(NtGi1-Gs)/β1/γ2 7C2E-GLP-1-PubChem 149050799-Gs/β1/γ2 7KI0-GLP-1-Semaglutide-Gs/β1/γ2 7KI1-GLP-1-Taspoglutide-Gs/β1/γ2 7X8S-GLP-1-WB4-24-Gs/β1/γ2 8JIS-GLP-1-Peptide-15-chim(NtGi1-Gs)/β1/γ2 7VBI-GLP-1-Tirzepatide (non-acylated)-Gs/β1/γ2
14.71Consensuspth1_on_gpOrthosteric Ligand6NBF-PTH1-LA-PTH Analog-Gs/β1/γ2 8HA0-PTH1-PTH-chim(NtGi1-Gs)/β1/γ2 8HAF-PTH1-PTHrP(1-36)-chim(NtGi1-Gs)/β1/γ2 7Y36-PTH1-PTH-Gs/β1/γ2 7Y35-PTH1-Abaloparatide-Gs/β1/γ2
14.29Single4A4MAll-trans-Retinal4A4M-Rhodopsin-All-trans-Retinal-Gt(CT)
14.29Single5EN0All-trans-Retinal5EN0-Rhodopsin-All-trans-Retinal-Gt(CT)
14.29Single6LFMCXCL86LFM-CXCR2-CXCL8-Gi1/β1/γ2
14.29Single6M9TMisoprostol-FA6M9T-EP3-Misoprostol-FA
14.29Single7FINPeptide-20; GGL7FIN-GIP-Peptide-20; GGL-Gs/β1/γ2
14.29Single7M3GCa; Ca; Tryptophan; Evocalcet; Etelcalcetide; PO47M3G-CaS; CaS-Ca; Ca; Tryptophan; Evocalcet; Etelcalcetide; PO4
14.29Single7TYIAmylin7TYI-CT-Amylin-Gs/β1/γ2
14.29Single8GDCPGE28GDC-EP3-PGE2-Gi1/β1/γ2
14.29Single8HA0PTH8HA0-PTH1-PTH-chim(NtGi1-Gs)/β1/γ2
14.29Single8X0BVU04244658X0B-mGlu5; mGlu5-Quisqualate-VU0424465
14.29Single8X0CVU04244658X0C-mGlu5; mGlu5-Quisqualate-VU0424465
14.29Single8X0CVU04244658X0C-mGlu5; mGlu5-Quisqualate-VU0424465
14.29Single8YW5Retatrutide8YW5-Glucagon-Retatrutide-Gs/β1/γ2
14.29Single8ZVZBW245C8ZVZ-DP1-BW245C-Gs/β1/γ2
14.29Single9BLCCagrilintide (non-acylated)9BLC-CT-Cagrilintide (non-acylated)-Gs/β1/γ2
14.29Single9EKHONO-30302979EKH-DP1-ONO-3030297
14.29Single9HC04YI9HC0-mGlu5-4YI
14.29Consensuscxcr2_on_gpOrthosteric Ligand6LFM-CXCR2-CXCL8-Gi1/β1/γ2
14.29Consensusneuromedin-u_onOrthosteric Ligandnmur1_on nmur2_on
14.29Consensuspth2_onOrthosteric Ligand7F16-PTH2-TIP39-Gs/β1/γ2
13.89Single6E3YCalcitonin gene-related peptide-16E3Y-CT Like-Calcitonin gene-related peptide-1-Gs/β1/γ2; RAMP1
13.79Single7VL9CCL15(26-92)7VL9-CCR1-CCL15(26-92)-Gi1/β1/γ2
13.79Single8YG4LA-PTH Analog8YG4-PTH1-LA-PTH Analog-chim(NtGi1-Gs)/β1/γ2
13.79Consensuscalcitonin_onOrthosteric Ligandctlike_on
13.79Consensusneuromedin-u_on_gpOrthosteric Ligandnmur1_on_gp nmur2_on_gp
13.64Single3ZEVNeurotensin-(7-13)3ZEV-NTS1-Neurotensin-(7-13)
13.64Single4BV0Neurotensin-(7-13)4BV0-NTS1-Neurotensin-(7-13)
13.64Single4OO9Mavoglurant4OO9-mGlu5-Mavoglurant
13.64Single5V56TC1145V56-SMO-TC114
13.64Single5ZBHBMS-1938855ZBH-Y1-BMS-193885
13.64Single6OS1TRV0266OS1-AT1-TRV026
13.64Single6Z8NSRI-98296Z8N-NTS1-SRI-9829
13.64Single7L0PNeurotensin-(8-13)7L0P-NTS1-Neurotensin-(8-13)-Gi1/β1/γ1
13.64Single7L0QNeurotensin-(8-13)7L0Q-NTS1-Neurotensin-(8-13)-Gi1/β1/γ1
13.64Single7P2L4YI7P2L-mGlu5-4YI
13.64Single7XBDGalanin7XBD-GAL2-Galanin-chim(NtGi2L-Gs-CtGq)/β1/γ2
13.64Single8FMZNeurotensin-(8-13)8FMZ-NTS1-Neurotensin-(8-13)-chim(NtGi2L-Gs-CtGq)/β1/γ2
13.64Single8FN1Neurotensin-(8-13)8FN1-NTS1-Neurotensin-(8-13)-chim(NtGi1-Go)/β1/γ2
13.64Single8IUKPGF2-alpha8IUK-FP-alpha-PGF2-α-chim(NtGi1-Gs-CtGq)/β1/γ2
13.64Single8JBGNeurokinin-B8JBG-NK3-Neurokinin-B-chim(NtGi1-Gs-CtGq)/β1/γ2
13.64Single8WJXADP8WJX-P2Y1-ADP-chim(Gs-CtGq)/β1/γ2
13.64Single8XQTCholesterol8XQT-TAS2R14-Cholesterol-Gi1/β1/γ1
13.64Single8ZW0PGD28ZW0-DP1-PGD2-Gs/β1/γ2
13.64Single9CLWTUG-13759CLW-FFA2-TUG-1375-4-CMTB-chim(NtGi1L-Gs-CtGq)/β1/γ2
13.64Single9E9SPGD29E9S-DP1-PGD2-Gs/β1/γ1
13.64Single9ITELPA9ITE-LPA6-LPA-chim(NtGi2-G13)/β1/γ2
13.64Single9JCLADP9JCL-P2Y1-ADP-chim(Gs-CtGq)/β1/γ2
13.64Single9MENGp120 (V3 loop)9MEN-CXCR4-Gp120 (V3 loop)
13.64Consensusffa2_onOrthosteric Ligand8J22-FFA2-TUG-1375-Gi1/β1/γ2
13.64Consensusneurotensin_onOrthosteric Ligandnts1_on
13.64Consensusnts1_onOrthosteric Ligand6OSA-NTS1-JMV449-Gi1/β1/γ2 7L0S-NTS1-Neurotensin-(8-13)-Gi1/β1/γ1
13.64Consensusp2y12_onOrthosteric Ligand7XXI-P2Y12-2MeSADP-Gi2/β1/γ2
13.33Single7XKEDehydroepiandrosterone7XKE-ADGRG2-Dehydroepiandrosterone-chim(NtGi1-Gs)/β1/γ2
13.33Single9BP3Cagrilintide9BP3-CT (AMY1)-Cagrilintide-Gs/β1/γ2; RAMP1
13.33Consensuscalcitonin_on_gpOrthosteric Ligandctlike_on_gp
13.33Consensuspac1_onOrthosteric Ligand8E3X-PAC1-PACAP27-Gs/β1/γ2 6M1H-PAC1-Maxadilan-Gs/β1/γ2
13.33Consensuspac1_on_gpOrthosteric Ligand8E3X-PAC1-PACAP27-Gs/β1/γ2 6M1H-PAC1-Maxadilan-Gs/β1/γ2
13.33Consensussecretin_onOrthosteric Ligand7D3S-Secretin-Secretin-Gs/β1/γ2
13.04Single3VW7Vorapaxar; Na3VW7-PAR1-Vorapaxar; Na
13.04Single4GRVNeurotensin-(8-13)4GRV-NTS1-Neurotensin-(8-13)
13.04Single4XEENeurotensin-(8-13)4XEE-NTS1-Neurotensin-(8-13)
13.04Single4XESNeurotensin-(8-13)4XES-NTS1-Neurotensin-(8-13)
13.04Single6AK3PGE26AK3-EP3-PGE2
13.04Single6IIURamatroban6IIU-TXA2-Ramatroban
13.04Single6OS2TRV0266OS2-AT1-TRV026
13.04Single6OSAJMV4496OSA-NTS1-JMV449-Gi1/β1/γ2
13.04Single6XOXOrforglipron6XOX-GLP-1-Orforglipron-chim(NtGi1-Gs)/β1/γ2
13.04Single7L0SNeurotensin-(8-13)7L0S-NTS1-Neurotensin-(8-13)-Gi1/β1/γ1
13.04Single7WQ4Galanin7WQ4-GAL2-Galanin-chim(NtGi1-Gs-CtGq)/β1/γ2
13.04Single7XJKGalanin7XJK-GAL2-Galanin-chim(NtGi2L-Gs-CtGq)/β1/γ2
13.04Single7XXI2MeSADP7XXI-P2Y12-2MeSADP-Gi2/β1/γ2
13.04Single7XZ5Lysophosphatidylcholine7XZ5-GPR119-Lysophosphatidylcholine-Gs/β1/γ2
13.04Single8JPBNeurotensin-(8-13)8JPB-NTS1-Neurotensin-(8-13)-SBI-553; GDP; Mg-Gq; GRK2
13.04Single9AU0BW245C9AU0-DP1-BW245C-Gs/β1/γ2
13.04Single9CM3TUG-13759CM3-FFA2-TUG-1375-PubChem 118615810-chim(NtGi1L-Gs-CtGq)/β1/γ2
13.04Consensusgalanin_onOrthosteric Ligandgal2_on gal1_on
13.04Consensusgalanin_on_gpOrthosteric Ligandgal2_on_gp gal1_on_gp
13.04Consensusgi_neurotensinOrthosteric Ligand6OSA-NTS1-JMV449-Gi1/β1/γ2 7L0S-NTS1-Neurotensin-(8-13)-Gi1/β1/γ1
13.04Consensusgi_p2yOrthosteric Ligand7XXI-P2Y12-2MeSADP-Gi2/β1/γ2
13.04Consensusneurotensin_on_gpOrthosteric Ligandnts1_on_gp
13.04Consensusnts1_on_gpOrthosteric Ligand6OSA-NTS1-JMV449-Gi1/β1/γ2 7L0S-NTS1-Neurotensin-(8-13)-Gi1/β1/γ1
13.04Consensusp2y12_on_gpOrthosteric Ligand7XXI-P2Y12-2MeSADP-Gi2/β1/γ2
12.90Single5NX2GLP-1 (Truncated)5NX2-GLP-1-GLP-1 (Truncated)
12.90Single8FU6ZP37808FU6-Glucagon-ZP3780-Gs/β1/γ2
12.90Consensussecretin_on_gpOrthosteric Ligand7D3S-Secretin-Secretin-Gs/β1/γ2
12.82Single8F0JPramlintide Analogue San458F0J-CT-Pramlintide Analogue San45-Gs/β1/γ2
12.50Single2HPYAll-trans-Retinal2HPY-Rhodopsin-All-trans-Retinal
12.50Single4BUONeurotensin-(8-13)4BUO-NTS1-Neurotensin-(8-13)
12.50Single7TYLAmylin7TYL-CT-Amylin-Gs/β1/γ2
12.50Single7VDMSubstance-P7VDM-MRGPRX2-Substance-P-Gi1/β1/γ2
12.50Single8F2BPramlintide Analogue San458F2B-CT (AMY3)-Pramlintide Analogue San45-Gs/β1/γ2; RAMP3
12.50Single8JPFNeurotensin-(8-13)8JPF-NTS1-Neurotensin-(8-13)-SBI-553
12.50Single8Y02All-trans-Retinal8Y02-OPN1SW-All-trans-Retinal-Gi1/β1/γ2
12.50Single9GG5U466199GG5-TXA2-U46619-chim(NtGi2L-Gs-CtGq)/β1/γ2
12.50Consensusgal2_onOrthosteric Ligand7WQ4-GAL2-Galanin-chim(NtGi1-Gs-CtGq)/β1/γ2 7XJL-GAL2-Spexin-chim(NtGi2L-Gs-CtGq)/β1/γ2
12.50Consensusgal2_on_gpOrthosteric Ligand7WQ4-GAL2-Galanin-chim(NtGi1-Gs-CtGq)/β1/γ2 7XJL-GAL2-Spexin-chim(NtGi2L-Gs-CtGq)/β1/γ2
12.12Single7RBTTirzepatide7RBT-GIP-Tirzepatide-LSN3556672-chim(NtGi1-Gs)/β1/γ2
12.00Single8XQJJN2418XQJ-Apelin; Apelin-JN241
12.00Single9CM7TUG-13759CM7-FFA2-TUG-1375-AZ-1729-Gi1/β1/γ2
12.00Single9EAJNanobody AT2099EAJ-AT1-Nanobody AT209
12.00Single9ITBLPA9ITB-LPA6-LPA-chim(NtGi1-Gs-CtGq)/β1/γ2
11.76Single2ZIY11-cis-Retinal2ZIY-Rhodopsin-11-cis-Retinal
11.76Single6OIKLY21196206OIK-M2-Iperoxo-LY2119620-chim(NtGi1-Go)/β1/γ2
11.76Single7V6APubChem 98642757V6A-M4-PubChem 9864275-Gi1/β1/γ2
11.76Single7VBHPeptide-207VBH-GLP-1-Peptide-20-Gs/β1/γ2
11.76Single8F76Propanoic acid8F76-OR51E2-Propanoic acid-Gs/β1/γ2
11.76Single8IU2All-trans-Retinal8IU2-Opsin1LW-All-trans-Retinal-Gi1/β1/γ2
11.76Single8X9UMetenolone8X9U-ADGRD1-Metenolone-chim(NtGi1-Gs)/β1/γ2
11.76Single9IJRC179IJR-GPR52-C17-Arrestin2
11.76Consensusgi_opsinsOrthosteric Ligand8IU2-Opsin1LW-All-trans-Retinal-Gi1/β1/γ2
11.76Consensusgi_sensoryOrthosteric Ligandgi_opsins
11.76Consensusglp1_onOrthosteric Ligand7S1M-GLP-1-Exendin-4-D-Ala-Gs/β1/γ2 7X8R-GLP-1-BOC5-Gs/β1/γ2 6X19-GLP-1-CHU-128-Gs/β1/γ2 6X1A-GLP-1-Danuglipron-Gs/β1/γ2 6X18-GLP-1-GLP-1-Gs/β1/γ2 8JIP-GLP-1-MEDI0382-chim(NtGi1-Gs)/β1/γ2 7C2E-GLP-1-PubChem 149050799-Gs/β1/γ2 7KI0-GLP-1-Semaglutide-Gs/β1/γ2 7KI1-GLP-1-Taspoglutide-Gs/β1/γ2 7X8S-GLP-1-WB4-24-Gs/β1/γ2 8JIS-GLP-1-Peptide-15-chim(NtGi1-Gs)/β1/γ2 7VBI-GLP-1-Tirzepatide (non-acylated)-Gs/β1/γ2
11.76Consensusopsin1lw_onOrthosteric Ligand8IU2-Opsin1LW-All-trans-Retinal-Gi1/β1/γ2
11.76Consensusopsin1lw_on_gpOrthosteric Ligand8IU2-Opsin1LW-All-trans-Retinal-Gi1/β1/γ2
11.54Single7L0RNeurotensin-(8-13)7L0R-NTS1-Neurotensin-(8-13)-Gi1/β1/γ1
11.54Single7RTBPeptide-197RTB-GLP-1-Peptide-19-Gs/β1/γ2
11.54Single8DWGBAM8-228DWG-MRGPRX1-BAM8-22-ML382-chim(NtGi2L-Gs-CtGq)/β1/γ2
11.54Single9BUECagrilintide9BUE-CT-Cagrilintide-Gs/β1/γ2
11.54Consensussomatostatin_offOrthosteric Ligandsst2_off
11.43Single7V35Peptide-207V35-Glucagon-Peptide-20-Gs/β1/γ2
11.11Single3AYMAll-trans-Retinal3AYM-Rhodopsin-All-trans-Retinal
11.11Single5L7IVismodegib5L7I-SMO-Vismodegib
11.11Single6WHCGlu16 analog of GCG6WHC-Glucagon-Glu16 analog of GCG-Gs/β1/γ2
11.11Single7D76Beclomethasone7D76-ADGRG3-Beclomethasone-Go/β1/γ2
11.11Single7S8NR-Zinc-35737S8N-MRGPRX2-R-Zinc-3573-chim(NtGi2L-Gs-CtGq)/β1/γ2
11.11Single7S8OR-Zinc-35737S8O-MRGPRX2-R-Zinc-3573-Gi1/β1/γ2
11.11Single7SK5CXCL127SK5-ACKR3-CXCL12
11.11Single7TYYCalcitonin-17TYY-CT (AMY2)-Calcitonin-1-Gs/β1/γ2; RAMP2
11.11Single7VDHC48/807VDH-MRGPRX2-C48/80-Gi1/β1/γ2
11.11Single8FX5Xanomeline8FX5-M4-Xanomeline-Xanomeline-Gi1/β1/γ2
11.11Single8IOCGamma-MSH8IOC-MC3-γ-MSH-Ca-chim(NtGi1-Gs)/β1/γ2
11.11Single8JIUSAR4258998JIU-Glucagon-SAR425899-Gs/β1/γ2
11.11Consensusadgrg_onOrthosteric Ligandadgrg2_on adgrg4_on
11.11Consensusadgrg_on_gpOrthosteric Ligandadgrg2_on_gp adgrg4_on_gp
11.11Consensusgq_nucleotideOrthosteric Ligandgq_p2y
11.11Consensusgq_p2yOrthosteric Ligand7XXH-P2Y1-2MeSADP-chim(NtGi1-G11)/β1/γ2
10.71Single8YFOAc-LA-PTH Analog8YFO-PTH1-Ac-LA-PTH Analog-chim(NtGi1-Gs)/β1/γ2
10.53Single2Z7311-cis-Retinal2Z73-Rhodopsin-11-cis-Retinal
10.53Single3AYN9-cis-Retinal3AYN-Rhodopsin-9-cis-Retinal
10.53Single6LFOCXCL86LFO-CXCR2-CXCL8-Gi1/β1/γ2
10.53Single6ZA8RTI-3a6ZA8-NTS1-RTI-3a
10.53Single7LCJDanuglipron7LCJ-GLP-1-Danuglipron
10.53Single7VV5C48/807VV5-MRGPRX2-C48/80-Gi1/β1/γ2
10.53Single8H8JLodoxamide8H8J-GPR35-Lodoxamide-Ca-chim(NtGi1L-G13)/β1/γ2
10.53Single8T3VDoconexent8T3V-FFA1-Doconexent-chim(NtGi2L-Gs-CtGq)/β1/γ2
10.53Single8YYWAlpha-ketoglutarate8YYW-Oxoglutarate-α-ketoglutarate-α-ketoglutarate-chim(Gi1-CtGq)/β1/γ2
10.53Single9KO2CCL199KO2-CCR7-CCL19-Gi1/β1
10.53Single9KO6CCL199KO6-CCR7-CCL19
10.53Consensuscxcr1_onOrthosteric Ligand8IC0-CXCR1-CXCL8-Gi1/β1/γ2
10.53Consensusp2y1_onOrthosteric Ligand7XXH-P2Y1-2MeSADP-chim(NtGi1-G11)/β1/γ2
10.34Single6NIYCalcitonin-16NIY-CT-Calcitonin-1-Gs/β1/γ2
10.34Single9BUDCagrilintide9BUD-CT-Cagrilintide-Gs/β1/γ2
10.34Consensuscrf2_onOrthosteric Ligand7TS0-CRF2-Urocortin-chim(NtGi1L-Go)/β1/γ2
10.00Single5YQZNNC17025YQZ-Glucagon-NNC1702
10.00Single6FFIMPEP6FFI-mGlu5-MPEP
10.00Single6U1NLY21196206U1N-M2-LY2119620-Arrestin2
10.00Single6ZINSR486926ZIN-NTS1-SR48692
10.00Single7M3GCa; Ca; Tryptophan; Evocalcet; Etelcalcetide; PO47M3G-CaS; CaS-Ca; Ca; Tryptophan; Evocalcet; Etelcalcetide; PO4
10.00Single7TYWCalcitonin-17TYW-CT (AMY1)-Calcitonin-1-Gs/β1/γ2; RAMP1
10.00Single7VV6C48/807VV6-MRGPRX2-C48/80
10.00Single7Y35Abaloparatide7Y35-PTH1-Abaloparatide-Gs/β1/γ2
10.00Single8HJ5PubChem 1390305318HJ5-MRGPRX1-PubChem 139030531-chim(NtGi1-Gs-CtGq)/β1/γ2
10.00Single8YRGFospropofol8YRG-MRGPRX4-Fospropofol-chim(NtGi1-Gs-CtGq)/β1/γ2
10.00Single9IXXLTD49IXX-CysLT2-LTD4-chim(NtGi1-Gs-CtGq)/β1/γ2
10.00Single9K0KUTP9K0K-P2Y4-UTP-chim(NtGi1-Gs-CtGq)/β1/γ2
10.00Single9K0XATP9K0X-P2Y2-ATP-chim(NtGi1-Gs-CtGq)/β1/γ2
10.00Single9K20ATP9K20-P2Y2-ATP-chim(NtGi1-Go)/β1/γ2
10.00Consensuscxcr2_onOrthosteric Ligand6LFM-CXCR2-CXCL8-Gi1/β1/γ2
9.68Single6NBILA-PTH Analog6NBI-PTH1-LA-PTH Analog-Gs/β1/γ2
9.68Single8FLRPTHrP(1-36)8FLR-PTH1-PTHrP(1-36)-Gs/β1/γ2
9.68Single9BLBCagrilintide (non-acylated)9BLB-CT-Cagrilintide (non-acylated)-Gs/β1/γ2
9.68Consensuscrf2_on_gpOrthosteric Ligand7TS0-CRF2-Urocortin-chim(NtGi1L-Go)/β1/γ2
9.52Single5T04Neurotensin-(8-13)5T04-NTS1-Neurotensin-(8-13)
9.52Single6FFHFenobam6FFH-mGlu5-Fenobam
9.52Single6ORVTT-OAD26ORV-GLP-1-TT-OAD2-Gs/β1/γ2
9.52Single6X1ADanuglipron6X1A-GLP-1-Danuglipron-Gs/β1/γ2
9.52Single7FIHOrg435537FIH-LH-hCG-Org43553-chim(NtGi1-Gs)/β1/γ2
9.52Single7LCIDanuglipron7LCI-GLP-1-Danuglipron-Gs/β1/γ2
9.52Single7LCKDanuglipron7LCK-GLP-1-Danuglipron
9.52Single7S15PubChem 1346112237S15-GLP-1-PubChem 134611223
9.52Single8IC0CXCL88IC0-CXCR1-CXCL8-Gi1/β1/γ2
9.52Single8ZYYNeurotensin-(8-13)8ZYY-NTS1-Neurotensin-(8-13)-SBI-553-Arrestin2
9.52Single9METGp120; CD49MET-CXCR4-Gp120; CD4
9.52Consensuscxcr1_on_gpOrthosteric Ligand8IC0-CXCR1-CXCL8-Gi1/β1/γ2
9.38Single7TYNCalcitonin-17TYN-CT-Calcitonin-1-Gs/β1/γ2
9.09Single4JKVTaladegib4JKV-SMO-Taladegib
9.09Single6LMKGlucagon6LMK-Glucagon-Glucagon-Gs/β1/γ2
9.09Single6Z4SSR486926Z4S-NTS1-SR48692
9.09Single8JGGBAM8-228JGG-MRGPRX1-BAM8-22-Gi1/β1/γ2
9.09Single8XQPCholesterol8XQP-TAS2R14-Cholesterol-Aristolochic acid A-Gt3/β1/γ1
9.09Single8ZYTNeurotensin-(8-13)8ZYT-NTS1-Neurotensin-(8-13)-SBI-553-Arrestin2
9.09Single9BQ3Cagrilintide9BQ3-CT (AMY2)-Cagrilintide-Gs/β1/γ2; RAMP2
9.09Single9EE5ONO-25502899EE5-DP1-ONO-2550289
9.09Consensusadgrg2_onOrthosteric Ligand7WUI-ADGRG2-IP15-chim(NtGi1-Gs)/β1/γ2 7WUQ-ADGRG2-Gs/β1/γ2 7XKF-ADGRG2-Dehydroepiandrosterone-Gs/β1/γ2
9.09Consensusadgrg2_on_gpOrthosteric Ligand7WUI-ADGRG2-IP15-chim(NtGi1-Gs)/β1/γ2 7WUQ-ADGRG2-Gs/β1/γ2 7XKF-ADGRG2-Dehydroepiandrosterone-Gs/β1/γ2
9.09Consensusvpac2_onOrthosteric Ligand7VQX-VPAC1-PACAP27-Gs/β1/γ2
9.09Consensusvpac2_on_gpOrthosteric Ligand7VQX-VPAC1-PACAP27-Gs/β1/γ2
8.82Consensusgip_onOrthosteric Ligand7FIN-GIP-Peptide-20; GGL-Gs/β1/γ2 7FIY-GIP-Tirzepatide-Gs/β1/γ2 7DTY-GIP-GIP-Gs/β1/γ2
8.82Consensusgip_on_gpOrthosteric Ligand7FIN-GIP-Peptide-20; GGL-Gs/β1/γ2 7FIY-GIP-Tirzepatide-Gs/β1/γ2 7DTY-GIP-GIP-Gs/β1/γ2
8.70Single5V57TC1145V57-SMO-TC114
8.70Single7F1TCCL37F1T-CCR5-CCL3
8.70Single7XJLSpexin7XJL-GAL2-Spexin-chim(NtGi2L-Gs-CtGq)/β1/γ2
8.70Single8GDBPGE28GDB-EP4-PGE2-Gs/β1/γ2
8.70Single8JGFBAM8-228JGF-MRGPRX1-BAM8-22-chim(NtGi1-Gs-CtGq)/β1/γ2
8.70Single8TAOCDPPB8TAO-mGlu5; mGlu5-Quisqualate-CDPPB
8.33Single6YVRNeurotensin-(6-13)6YVR-NTS1-Neurotensin-(6-13)
8.33Single8DWCBAM8-228DWC-MRGPRX1-BAM8-22-chim(NtGi2L-Gs-CtGq)/β1/γ2
8.33Single8JPCNeurotensin-(8-13)8JPC-NTS1-Neurotensin-(8-13)-SBI-553; GDP; Mg-Gq; GRK2
8.33Single8XQJJN2418XQJ-Apelin; Apelin-JN241
8.11Single7TYOCalcitonin7TYO-CT-Calcitonin-Gs/β1/γ2
8.11Single8JITMEDI03828JIT-Glucagon-MEDI0382-Gs/β1/γ2
8.00Single6M1HMaxadilan6M1H-PAC1-Maxadilan-Gs/β1/γ2
8.00Single6UP7Neurotensin-(8-13)6UP7-NTS1-Neurotensin-(8-13)-Arrestin2
8.00Single7CX4Evatanepag7CX4-EP2-Evatanepag-Gs/β1/γ2
8.00Single8FN0Neurotensin-(8-13)8FN0-NTS1-Neurotensin-(8-13)-SBI-553-chim(NtGi1-Go)/β1/γ2
8.00Single8XVUCXCL28XVU-CXCR2-CXCL2
8.00Single8XXHCXCL28XXH-CXCR2-CXCL2-Go/β1/γ2
8.00Single9C0KExendin-49C0K-GLP-1-Exendin-4-Gs/β1/γ2
8.00Single9JH5C16:0 Ceramide9JH5-CysLT2-C16:0 Ceramide-chim(NtGi1-Gs-CtGq)/β1/γ2
7.89Consensusgluc_onOrthosteric Ligand6LMK-Glucagon-Glucagon-Gs/β1/γ2 8JIT-Glucagon-MEDI0382-Gs/β1/γ2 7V35-Glucagon-Peptide-20-Gs/β1/γ2
7.69Single6KNMJN241-96KNM-Apelin-JN241-9
7.69Single6OS9JMV4496OS9-NTS1-JMV449-Gi1/β1/γ2
7.69Single7CX2PGE27CX2-EP2-PGE2-Gs/β1/γ2
7.69Single8XX6CXCL88XX6-CXCR2-CXCL8-Go/β1/γ2
7.69Consensusclass-b2_onOrthosteric Ligandadgrg_on adgrf_on adgrl_on adgre_on adgrd_on
7.69Consensusclass-b2_on_gpOrthosteric Ligandadgrg_on_gp adgrf_on_gp adgrl_on_gp adgre_on_gp adgrd_on_gp
7.69Consensusgluc_on_gpOrthosteric Ligand6LMK-Glucagon-Glucagon-Gs/β1/γ2 8JIT-Glucagon-MEDI0382-Gs/β1/γ2 7V35-Glucagon-Peptide-20-Gs/β1/γ2
7.41Single7CX3Taprenepag7CX3-EP2-Taprenepag-Gs/β1/γ2
7.41Single8JIQPeptide-158JIQ-Glucagon-Peptide-15-Gs/β1/γ2
7.41Single8XWNCXCL88XWN-CXCR2-CXCL8
7.14Single7TRYUrocortin7TRY-CRF2-Urocortin-chim(NtGi1-G11)/β1/γ2
7.14Single8TLMAnti-murine CCR8 antibody8TLM-CCR8-Anti-murine CCR8 antibody
6.67Single8JGBConorfamide-Tx28JGB-MRGPRX1-Conorfamide-Tx2-Gi1/β1/γ2
6.45Single7TYHCalcitonin7TYH-CT (AMY2)-Calcitonin-Gs/β1/γ2; RAMP2
6.25Single7V68LY21196207V68-M4-Iperoxo-LY2119620-Gi1/β1/γ2
6.25Single7XKDDehydroepiandrosterone7XKD-ADGRG2-Dehydroepiandrosterone-Gs/β1/γ2
6.25Single8HQMNPGLY8HQM-GPR132-NPGLY-Gi1/β1/γ2
6.25Single8HVINOX-6-78HVI-GPR132-NOX-6-7-Gi1/β1/γ2
6.25Single9BUBCagrilintide9BUB-CT-Cagrilintide-Gs/β1/γ2
6.25Consensusctlike_onOrthosteric Ligand6E3Y-CT Like-Calcitonin gene-related peptide-1-Gs/β1/γ2; RAMP1
6.06Consensusglp2_onOrthosteric Ligand7D68-GLP-2-GLP-2-Gs/β1/γ2
6.06Consensusglp2_on_gpOrthosteric Ligand7D68-GLP-2-GLP-2-Gs/β1/γ2
5.88Single6XBM25(S)-Epoxycholesterol6XBM-SMO-25(S)-Epoxycholesterol-Gi1/β1/γ2
5.88Single7Y14Beta-Alanine7Y14-MRGPRD-β-Alanine
5.88Single8U4QREGN7663-Fab8U4Q-CXCR4-REGN7663-Fab-Gi1/β1/γ2
5.88Single9BTWCagrilintide9BTW-CT (AMY3)-Cagrilintide-Gs/β1/γ2; RAMP3
5.88Consensusctlike_on_gpOrthosteric Ligand6E3Y-CT Like-Calcitonin gene-related peptide-1-Gs/β1/γ2; RAMP1
5.88Consensusp2y_offOrthosteric Ligandp2y1_off
5.56Single4XNWMRS25004XNW-P2Y1-MRS2500
5.56Single6D32Cyclopamine6D32-SMO-Cyclopamine-Cyclopamine
5.56Single6PWCNeurotensin-(9-13)6PWC-NTS1-Neurotensin-(9-13)-Arrestin2
5.56Single7D77Hydrocortisone7D77-ADGRG3-Hydrocortisone-Go/β1/γ2
5.56Single7Y12Beta-Alanine7Y12-MRGPRD-β-Alanine-Gi1/β1/γ2
5.56Single8J6QPubChem 251012238J6Q-HCA2-β-Hydroxybutyrate-PubChem 25101223-Gi1/β1/γ2
5.56Consensusp2y1_offOrthosteric Ligand4XNW-P2Y1-MRS2500
5.26Single4O9RCyclopamine4O9R-SMO-Cyclopamine
5.26Single7XKFDehydroepiandrosterone7XKF-ADGRG2-Dehydroepiandrosterone-Gs/β1/γ2
5.26Single8J6PPubChem 251012238J6P-HCA2-Niacin-PubChem 25101223-Gi1/β1/γ2
5.26Single8JHYPubChem 251012238JHY-HCA2-PubChem 25101223-Gi1/β1/γ2
5.26Single8JIIPubChem 251012238JII-HCA2-Niacin-PubChem 25101223-Gi1/β1/γ2
5.26Single8ZYUNeurotensin-(8-13)8ZYU-NTS1-Neurotensin-(8-13)-SBI-553-Arrestin2
5.26Single9E7RGB889E7R-PAR2-GB88-chim(NtGi1L-Gs-CtGq)/β1/γ2
5.00Single4BWBNeurotensin-(8-12)4BWB-NTS1-Neurotensin-(8-12)
5.00Single4QINSAG1.54QIN-SMO-SAG1.5
5.00Single4XNVBPTU4XNV-P2Y1-BPTU
5.00Single6O3CSAG21k6O3C-SMO-SAG21k-Cholesterol
5.00Single6WWZCCL206WWZ-CCR6-CCL20-Go/β1/γ2
5.00Single7VVOPTH7VVO-PTH1-PTH-Gs/β1/γ2
5.00Single7WV9ZCZ0117WV9-CB1-CP55940-ZCZ011-Gi2/β1/γ2
5.00Single8U4SREGN7663-Fab8U4S-CXCR4-REGN7663-Fab
5.00Single8U4TREGN7663-Fab8U4T-CXCR4-REGN7663-Fab
5.00Single8XXXCXCL68XXX-CXCR2-CXCL6-Go/β1/γ2
5.00Single8YNFCXCL88YNF-ACKR1-CXCL8
5.00Consensusccr6_onOrthosteric Ligand6WWZ-CCR6-CCL20-Go/β1/γ2
5.00Consensusccr6_on_gpOrthosteric Ligand6WWZ-CCR6-CCL20-Go/β1/γ2
4.76Single6XBLSAG6XBL-SMO-SAG-Cholesterol-Gi1/β1/γ2
4.76Single7C2EPubChem 1490507997C2E-GLP-1-PubChem 149050799-Gs/β1/γ2
4.76Single7ZI0SAG7ZI0-SMO-SAG-Cholesterol
4.76Single8IYXYL-3658IYX-GPR34-YL-365
4.76Single8JD6VU03647708JD6-mGlu4; mGlu4-Phosphoserine-VU0364770-Gi3/β1/γ2
4.55Single7SK8CXCL127SK8-ACKR3-CXCL12-CCX662
4.55Single8TH3AT118-H Nanobody8TH3-AT1-AT118-H Nanobody
4.55Single9IMATalquetamab9IMA-GPRC5D; GPRC5D-Talquetamab
4.55Single9IVGGLP-1 (Truncated)9IVG-GLP-1-GLP-1 (Truncated)-chim(NtGi1-Gs)/β1/γ2
4.55Single9JROPF-044189489JRO-EP2-PF-04418948
4.35Single6Z4QSR142948A6Z4Q-NTS1-SR142948A
4.35Single8T6JCDPPB8T6J-mGlu5; mGlu5-CDPPB
4.35Single8T6JCDPPB8T6J-mGlu5; mGlu5-CDPPB
4.35Single8TH4AT118-L Nanobody8TH4-AT1-Losartan-AT118-L Nanobody
4.35Single9EAHNanobody AT2099EAH-AT1-Olmesartan-Nanobody AT209
4.35Single9JRTTG6-1299JRT-EP2-TG6-129
4.17Single7SK7CXCL127SK7-ACKR3-CXCL12-CCX662
4.17Single8JD5JNJ-40411813; ADX881788JD5-mGlu2; mGlu4-Glutamate-JNJ-40411813; ADX88178-Gi1/β1/γ2
4.17Single8XX7CXCL58XX7-CXCR2-CXCL5-Go/β1/γ2
4.00Single8XWACXCL18XWA-CXCR2-CXCL1
4.00Single8XWMCXCL68XWM-CXCR2-CXCL6
4.00Single8XWSCXCL58XWS-CXCR2-CXCL5
4.00Single8XX3CXCL38XX3-CXCR2-CXCL3-Go/β1/γ2
3.85Single8XWFCXCL38XWF-CXCR2-CXCL3
3.85Single8XWVCXCL18XWV-CXCR2-CXCL1-Go/β1/γ2
3.57Single7VLACCL15(27-92)7VLA-CCR1-CCL15(27-92)-Gi1/β1/γ2
3.57Consensusccr1_onOrthosteric Ligand7VLA-CCR1-CCL15(27-92)-Gi1/β1/γ2
3.57Consensusccr1_on_gpOrthosteric Ligand7VLA-CCR1-CCL15(27-92)-Gi1/β1/γ2

PDB Summary
PDB 9I52
Class A
SubFamily Amine
Type Dopamine
SubType D1
Species Homo Sapiens
Ligand A1IZU
Other Ligand(s) -
Protein Partners Gs/Beta1/Gamma2
PDB Resolution 2.8
Date 2025-07-16
D.O.I. doi.org/10.1021/acs.jmedchem.5c00294
Net Summary
Imin 3
Number of Linked Nodes 847
Number of Links 1024
Number of Hubs 162
Number of Links mediated by Hubs 599
Number of Communities 26
Number of Nodes involved in Communities 233
Number of Links involved in Communities 333
Path Summary
Number Of Nodes in MetaPath 93
Number Of Links MetaPath 92
Number of Shortest Paths 6028445
Length Of Smallest Path 3
Average Path Length 42.7776
Length of Longest Path 65
Minimum Path Strength 1.27
Average Path Strength 7.05115
Maximum Path Strength 22.68
Minimum Path Correlation 0.7
Average Path Correlation 0.993268
Maximum Path Correlation 1
Minimum % Of Corr. Nodes 2.04082
Average % Of Corr. Nodes 27.3318
Maximum % Of Corr. Nodes 100
Minimum Path Hubs % 0
Average Path Hubs % 54.054
Maximum Path Hubs % 100
AnnotationTypeLinks
Gene OntologyMolecular Function• binding   • guanyl nucleotide binding   • GTP binding   • nucleotide binding   • guanyl ribonucleotide binding   • purine ribonucleotide binding   • purine ribonucleoside triphosphate binding   • nucleoside phosphate binding   • ion binding   • purine nucleotide binding   • anion binding   • heterocyclic compound binding   • carbohydrate derivative binding   • ribonucleotide binding   • small molecule binding   • D1 dopamine receptor binding   • protein binding   • signaling receptor binding   • G protein-coupled receptor binding   • dopamine receptor binding   • protein-containing complex binding   • G-protein beta/gamma-subunit complex binding   • pyrophosphatase activity   • GTPase activity   • G protein activity   • ribonucleoside triphosphate phosphatase activity   • molecular function regulator activity   • hydrolase activity, acting on acid anhydrides, in phosphorus-containing anhydrides   • hydrolase activity   • hydrolase activity, acting on acid anhydrides   • catalytic activity   • enzyme regulator activity   • cyclase regulator activity   • enzyme activator activity   • cyclase activator activity   • molecular function activator activity   • adenylate cyclase regulator activity   • adenylate cyclase activator activity   • cation binding   • metal ion binding   • developmental process   • multicellular organismal process   • epithelium development   • ectodermal placode morphogenesis   • epidermis development   • molting cycle process   • hair cycle   • animal organ development   • hair follicle placode formation   • tissue development   • ectodermal placode formation   • anatomical structure morphogenesis   • skin development   • skin epidermis development   • hair follicle development
Gene OntologyBiological Process• developmental process   • multicellular organismal process   • epithelium development   • ectodermal placode morphogenesis   • epidermis development   • molting cycle process   • hair cycle   • animal organ development   • hair follicle placode formation   • tissue development   • ectodermal placode formation   • anatomical structure morphogenesis   • skin development   • skin epidermis development   • hair follicle development   • molting cycle   • anatomical structure development   • anatomical structure formation involved in morphogenesis   • ectodermal placode development   • hair cycle process   • cellular homeostasis   • chemical homeostasis   • homeostatic process   • glucose homeostasis   • carbohydrate homeostasis   • intracellular chemical homeostasis   • intracellular glucose homeostasis   • system process   • regulation of biological process   • nervous system process   • neuromuscular process   • regulation of system process   • biological regulation   • skeletal muscle contraction   • muscle contraction   • muscle system process   • regulation of muscle system process   • striated muscle contraction   • multicellular organismal movement   • musculoskeletal movement   • regulation of striated muscle contraction   • regulation of muscle contraction   • regulation of skeletal muscle contraction   • regulation of multicellular organismal process   • sensory perception of chemical stimulus   • sensory perception   • sensory perception of smell   • cellular response to stimulus   • cellular response to nitrogen compound   • response to stimulus   • response to endogenous stimulus   • response to peptide hormone   • cellular response to peptide hormone stimulus   • response to oxygen-containing compound   • response to nitrogen compound   • response to glucagon   • cellular response to oxygen-containing compound   • cellular response to glucagon stimulus   • cellular response to endogenous stimulus   • cellular response to chemical stimulus   • response to hormone   • response to chemical   • cellular process   • cellular response to hormone stimulus   • multicellular organism development   • skeletal system development   • bone development   • system development   • response to pH   • cellular response to pH   • response to abiotic stimulus   • cellular response to acidic pH   • response to acidic pH   • cellular response to abiotic stimulus   • cellular response to environmental stimulus   • regulation of body fluid levels   • wound healing   • homotypic cell-cell adhesion   • cell activation   • hemostasis   • platelet aggregation   • blood coagulation   • cell adhesion   • cell-cell adhesion   • response to stress   • coagulation   • regulation of biological quality   • response to wounding   • platelet activation   • response to fluid shear stress   • vascular endothelial cell response to laminar fluid shear stress   • response to laminar fluid shear stress   • cellular response to stress   • cellular response to laminar fluid shear stress   • vascular endothelial cell response to fluid shear stress   • cellular response to fluid shear stress   • cognition   • developmental growth   • growth   • response to ketone   • response to prostaglandin   • response to lipid   • response to alcohol   • cellular response to prostaglandin stimulus   • cellular response to prostaglandin E stimulus   • cellular response to alcohol   • cellular response to lipid   • response to prostaglandin E   • cellular response to ketone   • regulation of cellular process   • signaling   • adenylate cyclase-activating G protein-coupled receptor signaling pathway   • cell communication   • adenylate cyclase-modulating G protein-coupled receptor signaling pathway   • G protein-coupled receptor signaling pathway   • signal transduction   • positive regulation of biological process   • adaptive thermogenesis   • multicellular organismal-level homeostasis   • regulation of cold-induced thermogenesis   • cold-induced thermogenesis   • temperature homeostasis   • positive regulation of cold-induced thermogenesis   • positive regulation of multicellular organismal process   • positive regulation of cell communication   • regulation of localization   • establishment of protein localization   • nitrogen compound transport   • positive regulation of establishment of protein localization   • localization   • establishment of localization in cell   • positive regulation of insulin secretion involved in cellular response to glucose stimulus   • positive regulation of insulin secretion   • intracellular protein localization   • regulation of peptide hormone secretion   • regulation of hormone levels   • positive regulation of peptide hormone secretion   • establishment of protein localization to extracellular region   • protein secretion   • establishment of localization   • regulation of protein secretion   • regulation of secretion   • cellular response to carbohydrate stimulus   • response to glucose   • positive regulation of protein localization   • insulin secretion involved in cellular response to glucose stimulus   • cellular localization   • regulation of hormone secretion   • regulation of protein localization   • regulation of peptide secretion   • transport   • positive regulation of secretion by cell   • hormone secretion   • protein localization to extracellular region   • positive regulation of protein transport   • peptide secretion   • regulation of secretion by cell   • secretion by cell   • positive regulation of hormone secretion   • response to monosaccharide   • response to carbohydrate   • positive regulation of secretion   • signal release   • cellular response to hexose stimulus   • cellular response to monosaccharide stimulus   • positive regulation of cellular process   • positive regulation of peptide secretion   • regulation of signaling   • regulation of transport   • secretion   • regulation of peptide transport   • regulation of establishment of protein localization   • export from cell   • cell-cell signaling   • cellular response to glucose stimulus   • regulation of protein transport   • positive regulation of protein secretion   • peptide transport   • response to hexose   • positive regulation of transport   • regulation of cellular localization   • protein transport   • regulation of insulin secretion   • peptide hormone secretion   • macromolecule localization   • regulation of insulin secretion involved in cellular response to glucose stimulus   • hormone transport   • regulation of cell communication   • insulin secretion   • positive regulation of signaling   • adenylate cyclase-activating adrenergic receptor signaling pathway   • adrenergic receptor signaling pathway   • response to dopamine   • cellular response to dopamine   • response to monoamine   • response to catecholamine   • cellular response to catecholamine stimulus   • serotonin receptor signaling pathway   • cellular response to monoamine stimulus   • adenylate cyclase-activating serotonin receptor signaling pathway   • intracellular transport   • regulation of defense response   • regulation of response to external stimulus   • negative regulation of inflammatory response   • negative regulation of biological process   • inflammatory response to antigenic stimulus   • regulation of response to stress   • regulation of immune system process   • negative regulation of inflammatory response to antigenic stimulus   • defense response   • immune response   • negative regulation of response to stimulus   • negative regulation of immune response   • regulation of inflammatory response to antigenic stimulus   • response to external stimulus   • regulation of inflammatory response   • regulation of response to stimulus   • negative regulation of immune system process   • immune system process   • negative regulation of response to external stimulus   • negative regulation of defense response   • regulation of immune response   • inflammatory response   • positive regulation of adenylate cyclase activity   • positive regulation of molecular function   • regulation of molecular function   • positive regulation of cyclase activity   • activation of adenylate cyclase activity   • regulation of adenylate cyclase activity   • regulation of catalytic activity   • positive regulation of catalytic activity   • positive regulation of lyase activity   • adenylate cyclase-activating dopamine receptor signaling pathway   • G protein-coupled dopamine receptor signaling pathway   • cell surface receptor signaling pathway   • bile acid signaling pathway   • adenylate cyclase-activating G protein-coupled bile acid receptor signaling pathway   • renal system process   • multicellular organismal-level water homeostasis   • multicellular organismal-level chemical homeostasis   • renal water homeostasis   • cellular anatomical structure   • membrane   • protein-containing complex   • extrinsic component of plasma membrane   • catalytic complex   • plasma membrane protein complex   • cytoplasmic side of membrane   • plasma membrane   • membrane protein complex   • heterotrimeric G-protein complex   • side of membrane   • cell periphery   • cytoplasmic side of plasma membrane   • GTPase complex
Gene OntologyCellular Component• cellular anatomical structure   • membrane   • protein-containing complex   • extrinsic component of plasma membrane   • catalytic complex   • plasma membrane protein complex   • cytoplasmic side of membrane   • plasma membrane   • membrane protein complex   • heterotrimeric G-protein complex   • side of membrane   • cell periphery   • cytoplasmic side of plasma membrane   • GTPase complex   • extrinsic component of membrane   • extrinsic component of cytoplasmic side of plasma membrane   • extracellular exosome   • membrane-bounded organelle   • extracellular vesicle   • extracellular organelle   • extracellular region   • organelle   • extracellular space   • vesicle   • extracellular membrane-bounded organelle   • intracellular anatomical structure   • cytoplasm   • cytosol   • Golgi apparatus subcompartment   • Golgi apparatus   • organelle subcompartment   • trans-Golgi network membrane   • intracellular membrane-bounded organelle   • endomembrane system   • intracellular organelle   • trans-Golgi network   • organelle membrane   • protein binding   • binding   • G-protein beta-subunit binding   • fibroblast proliferation   • cell population proliferation   • cellular process   • cellular response to nitrogen compound   • cellular response to stimulus   • response to dopamine   • regulation of cellular process   • response to stimulus   • signaling   • cellular response to dopamine   • response to monoamine   • cell communication   • response to catecholamine   • adenylate cyclase-activating dopamine receptor signaling pathway   • cellular response to catecholamine stimulus   • signal transduction   • regulation of biological process   • G protein-coupled dopamine receptor signaling pathway   • biological regulation   • response to oxygen-containing compound   • response to nitrogen compound   • adenylate cyclase-activating G protein-coupled receptor signaling pathway   • cellular response to oxygen-containing compound   • cellular response to chemical stimulus   • cellular response to monoamine stimulus   • response to chemical   • adenylate cyclase-modulating G protein-coupled receptor signaling pathway   • G protein-coupled receptor signaling pathway   • response to ketone   • response to prostaglandin   • response to lipid   • response to endogenous stimulus   • response to alcohol   • cellular response to prostaglandin stimulus   • cellular response to endogenous stimulus   • cellular response to prostaglandin E stimulus   • cellular response to alcohol   • response to hormone   • cellular response to lipid   • response to prostaglandin E   • cellular response to ketone   • cellular response to hormone stimulus   • synapse   • cell junction   • enzyme binding   • GTPase binding   • protein-containing complex binding   • pyrophosphatase activity   • GTPase activity   • ribonucleoside triphosphate phosphatase activity   • hydrolase activity, acting on acid anhydrides, in phosphorus-containing anhydrides   • hydrolase activity   • hydrolase activity, acting on acid anhydrides   • catalytic activity   • signaling receptor complex adaptor activity   • protein-macromolecule adaptor activity   • molecular adaptor activity   • signaling adaptor activity   • multicellular organismal process   • system process   • sensory perception of chemical stimulus   • sensory perception   • nervous system process   • sensory perception of taste   • developmental process   • sensory organ development   • eye development   • animal organ development   • retina development in camera-type eye   • visual system development   • multicellular organism development   • camera-type eye development   • anatomical structure development   • sensory system development   • system development   • small GTPase-mediated signal transduction   • Ras protein signal transduction   • intracellular signal transduction   • intracellular signaling cassette   • phospholipase C-activating G protein-coupled receptor signaling pathway   • synaptic signaling   • cellular response to acetylcholine   • cell-cell signaling   • acetylcholine receptor signaling pathway   • postsynaptic signal transduction   • G protein-coupled acetylcholine receptor signaling pathway   • response to acetylcholine   • non-motile cilium   • 9+0 non-motile cilium   • cilium   • neuron projection   • photoreceptor disc membrane   • photoreceptor outer segment   • plasma membrane bounded cell projection   • cell projection   • photoreceptor cell cilium   • vacuolar membrane   • lytic vacuole   • vacuole   • lytic vacuole membrane   • bounding membrane of organelle   • lysosomal membrane   • lysosome   • amyloid-beta binding   • peptide binding   • adenylate cyclase binding   • G protein-coupled amine receptor activity   • molecular transducer activity   • beta2-adrenergic receptor activity   • G protein-coupled receptor activity   • transmembrane signaling receptor activity   • signaling receptor activity   • beta-adrenergic receptor activity   • adrenergic receptor activity   • potassium channel regulator activity   • channel regulator activity   • ion channel regulator activity   • molecular function regulator activity   • transporter regulator activity   • identical protein binding   • protein homodimerization activity   • protein dimerization activity   • cation binding   • ion binding   • catecholamine binding   • norepinephrine binding   • small molecule binding   • arrestin family protein binding   • neurotransmitter receptor activity   • dopamine neurotransmitter receptor activity   • postsynaptic neurotransmitter receptor activity   • dopamine neurotransmitter receptor activity, coupled via Gs   • dopamine binding   • G-protein alpha-subunit binding   • heterotrimeric G-protein binding   • response to nutrient levels   • multicellular organismal-level homeostasis   • homeostatic process   • response to dietary excess   • diet induced thermogenesis   • temperature homeostasis   • energy homeostasis   • adaptive thermogenesis   • response to stress   • response to abiotic stimulus   • response to cold   • response to temperature stimulus   • adenylate cyclase-inhibiting G protein-coupled receptor signaling pathway   • adenylate cyclase-inhibiting adrenergic receptor signaling pathway   • adrenergic receptor signaling pathway   • regulation of developmental process   • positive regulation of biological process   • regulation of biomineral tissue development   • regulation of bone mineralization   • positive regulation of ossification   • positive regulation of developmental process   • positive regulation of biomineral tissue development   • ossification   • biomineral tissue development   • regulation of multicellular organismal process   • regulation of multicellular organismal development   • bone mineralization   • tissue development   • positive regulation of bone mineralization   • positive regulation of multicellular organismal process   • regulation of ossification   • regulation of multicellular organism growth   • regulation of growth   • regulation of developmental growth   • negative regulation of multicellular organism growth   • developmental growth   • negative regulation of developmental process   • growth   • negative regulation of biological process   • multicellular organism growth   • negative regulation of developmental growth   • negative regulation of growth   • negative regulation of multicellular organismal process   • adenylate cyclase-activating adrenergic receptor signaling pathway   • fat cell differentiation   • cellular developmental process   • brown fat cell differentiation   • cell differentiation   • negative regulation of cardiac muscle cell apoptotic process   • muscle cell apoptotic process   • negative regulation of programmed cell death   • regulation of apoptotic process   • regulation of cardiac muscle cell apoptotic process   • regulation of muscle cell apoptotic process   • regulation of programmed cell death   • cell death   • cardiac muscle cell apoptotic process   • negative regulation of apoptotic process   • regulation of striated muscle cell apoptotic process   • striated muscle cell apoptotic process   • negative regulation of muscle cell apoptotic process   • negative regulation of cellular process   • negative regulation of striated muscle cell apoptotic process   • apoptotic process   • programmed cell death   • regulation of system process   • muscle contraction   • muscle system process   • regulation of muscle system process   • negative regulation of muscle contraction   • smooth muscle contraction   • regulation of smooth muscle contraction   • regulation of muscle contraction   • negative regulation of smooth muscle contraction   • positive regulation of DNA-templated transcription   • RNA metabolic process   • positive regulation of macromolecule biosynthetic process   • regulation of primary metabolic process   • nucleobase-containing compound metabolic process   • RNA biosynthetic process   • nucleic acid biosynthetic process   • positive regulation of metabolic process   • DNA-templated transcription   • regulation of RNA metabolic process   • transcription by RNA polymerase II   • positive regulation of biosynthetic process   • positive regulation of macromolecule metabolic process   • regulation of nucleobase-containing compound metabolic process   • positive regulation of cellular process   • regulation of RNA biosynthetic process   • regulation of biosynthetic process   • regulation of transcription by RNA polymerase II   • primary metabolic process   • regulation of macromolecule metabolic process   • positive regulation of transcription by RNA polymerase II   • nucleobase-containing compound biosynthetic process   • gene expression   • macromolecule biosynthetic process   • nucleic acid metabolic process   • positive regulation of RNA metabolic process   • regulation of gene expression   • biosynthetic process   • positive regulation of RNA biosynthetic process   • metabolic process   • regulation of macromolecule biosynthetic process   • macromolecule metabolic process   • regulation of DNA-templated transcription   • regulation of metabolic process   • tissue remodeling   • bone remodeling   • anatomical structure homeostasis   • tissue homeostasis   • bone resorption   • localization   • import into cell   • transport   • receptor-mediated endocytosis   • endocytosis   • establishment of localization   • vesicle-mediated transport   • cellular localization   • endosome to lysosome transport   • intracellular transport   • lysosomal transport   • establishment of localization in cell   • vacuolar transport   • heart process   • regulation of actin filament-based process   • regulation of heart contraction   • cardiac muscle contraction   • striated muscle contraction   • circulatory system process   • actin filament-based process   • positive regulation of actin filament-based movement   • blood circulation   • cardiac muscle cell contraction   • regulation of cardiac muscle contraction   • positive regulation of cardiac muscle cell contraction   • actin filament-based movement   • regulation of blood circulation   • regulation of striated muscle contraction   • regulation of actin filament-based movement   • regulation of cardiac muscle cell contraction   • actin-mediated cell contraction   • heart contraction   • positive regulation of organelle organization   • catabolic process   • regulation of cellular component organization   • positive regulation of cellular component organization   • regulation of autophagosome maturation   • macroautophagy   • autophagy   • protein-containing complex disassembly   • regulation of autophagy   • regulation of protein-containing complex disassembly   • cellular component organization   • autophagosome maturation   • cellular component organization or biogenesis   • positive regulation of macroautophagy   • process utilizing autophagic mechanism   • positive regulation of protein-containing complex disassembly   • cellular component disassembly   • positive regulation of autophagy   • protein-containing complex organization   • regulation of catabolic process   • positive regulation of autophagosome maturation   • regulation of organelle organization   • positive regulation of catabolic process   • organelle organization   • regulation of macroautophagy   • positive regulation of cardiac muscle cell apoptotic process   • positive regulation of programmed cell death   • positive regulation of striated muscle cell apoptotic process   • positive regulation of apoptotic process   • positive regulation of muscle cell apoptotic process   • lipophagy   • positive regulation of lipophagy   • regulation of lipophagy   • response to psychosocial stress   • regulation of cold-induced thermogenesis   • cold-induced thermogenesis   • positive regulation of cold-induced thermogenesis   • positive regulation of cell communication   • positive regulation of signal transduction   • regulation of signal transduction   • positive regulation of response to stimulus   • regulation of intracellular signal transduction   • regulation of signaling   • positive regulation of MAPK cascade   • positive regulation of intracellular signal transduction   • regulation of MAPK cascade   • regulation of response to stimulus   • MAPK cascade   • regulation of cell communication   • positive regulation of signaling   • cell surface receptor signaling pathway   • ligand-gated ion channel signaling pathway   • ionotropic glutamate receptor signaling pathway   • glutamate receptor signaling pathway   • AMPA selective glutamate receptor signaling pathway   • regulation of tube diameter   • regulation of systemic arterial blood pressure mediated by a chemical signal   • regulation of blood pressure   • regulation of tube size   • norepinephrine-epinephrine-mediated vasodilation involved in regulation of systemic arterial blood pressure   • negative regulation of blood pressure   • regulation of systemic arterial blood pressure by norepinephrine-epinephrine   • regulation of systemic arterial blood pressure   • negative regulation of systemic arterial blood pressure   • vascular process in circulatory system   • regulation of biological quality   • blood vessel diameter maintenance   • vasodilation   • regulation of anatomical structure size   • negative regulation of signaling   • negative regulation of response to stimulus   • negative regulation of signal transduction   • negative regulation of G protein-coupled receptor signaling pathway   • negative regulation of cell communication   • regulation of G protein-coupled receptor signaling pathway   • positive regulation of cAMP/PKA signal transduction   • cAMP/PKA signal transduction   • regulation of cAMP/PKA signal transduction   • cellular response to amyloid-beta   • response to amyloid-beta   • regulation of localization   • regulation of transport   • regulation of monoatomic ion transport   • regulation of sodium ion transport   • metal ion transport   • monoatomic ion transport   • regulation of metal ion transport   • monoatomic cation transport   • sodium ion transport   • heat generation   • regulation of postsynaptic membrane potential   • modulation of chemical synaptic transmission   • positive regulation of excitatory postsynaptic potential   • chemical synaptic transmission, postsynaptic   • modulation of excitatory postsynaptic potential   • mini excitatory postsynaptic potential   • trans-synaptic signaling   • chemical synaptic transmission   • regulation of nervous system process   • regulation of mini excitatory postsynaptic potential   • positive regulation of mini excitatory postsynaptic potential   • regulation of trans-synaptic signaling   • anterograde trans-synaptic signaling   • excitatory postsynaptic potential   • regulation of membrane potential   • response to xenobiotic stimulus   • behavior   • learning   • learning or memory   • feeding behavior   • cognition   • associative learning   • conditioned taste aversion   • presynaptic modulation of chemical synaptic transmission   • regulation of amine metabolic process   • dopamine metabolic process   • catechol-containing compound metabolic process   • amine metabolic process   • catecholamine metabolic process   • phenol-containing compound metabolic process   • regulation of catecholamine metabolic process   • biogenic amine metabolic process   • regulation of dopamine metabolic process   • reproductive process   • multicellular organismal reproductive process   • reproductive behavior   • mating behavior   • nonassociative learning   • habituation   • memory   • establishment of protein localization   • nucleocytoplasmic transport   • nuclear transport   • protein localization to nucleus   • import into nucleus   • establishment of protein localization to organelle   • protein transport   • macromolecule localization   • protein localization to organelle   • protein import into nucleus   • intracellular protein localization   • intracellular protein transport   • forebrain development   • central nervous system neuron development   • cell development   • substrate-independent telencephalic tangential migration   • cerebral cortex GABAergic interneuron differentiation   • interneuron migration   • neurogenesis   • central nervous system neuron differentiation   • telencephalon cell migration   • forebrain cell migration   • neuron differentiation   • substrate-independent telencephalic tangential interneuron migration   • cerebral cortex GABAergic interneuron migration   • cell migration   • cell motility   • GABAergic neuron differentiation   • head development   • interneuron migration from the subpallium to the cortex   • neuron migration   • forebrain generation of neurons   • brain development   • nervous system development   • cerebral cortex GABAergic interneuron development   • generation of neurons   • forebrain neuron development   • central nervous system development   • neuron development   • telencephalon development   • cerebral cortex neuron differentiation   • forebrain neuron differentiation   • astrocyte differentiation   • glial cell development   • astrocyte development   • gliogenesis   • glial cell differentiation   • regulation of potassium ion transport   • positive regulation of potassium ion transport   • positive regulation of transport   • positive regulation of monoatomic ion transport   • potassium ion transport   • transmission of nerve impulse   • striatum development   • subpallium development   • adult walking behavior   • adult locomotory behavior   • adult behavior   • locomotory behavior   • walking behavior   • cellular component biogenesis   • cell junction organization   • cellular component assembly   • cell junction assembly   • synapse organization   • synapse assembly   • phospholipase C-activating dopamine receptor signaling pathway   • G protein-coupled receptor signaling pathway, coupled to cyclic nucleotide second messenger   • phasic smooth muscle contraction   • peristalsis   • modification of postsynaptic structure   • modification of synaptic structure   • behavioral response to cocaine   • response to cocaine   • response to alkaloid   • synaptic transmission, glutamatergic   • regulation of synaptic transmission, glutamatergic   • positive regulation of synaptic transmission   • positive regulation of synaptic transmission, glutamatergic   • maternal behavior   • parental behavior   • sensitization   • positive regulation of locomotion   • regulation of cell motility   • regulation of neuron migration   • positive regulation of cell migration   • positive regulation of cell motility   • regulation of cell migration   • locomotion   • regulation of locomotion   • positive regulation of neuron migration   • monoamine transport   • nitrogen compound transport   • organic hydroxy compound transport   • dopamine transport   • catecholamine uptake   • dopamine uptake involved in synaptic transmission   • catecholamine transport   • regulation of dopamine uptake involved in synaptic transmission   • neurotransmitter reuptake   • regulation of neurotransmitter uptake   • regulation of neurotransmitter transport   • neurotransmitter transport   • neurotransmitter uptake   • synaptic transmission, dopaminergic   • dopamine uptake   • response to light stimulus   • visual learning   • visual behavior   • response to radiation   • action potential   • neuronal action potential   • dentate gyrus development   • pallium development   • hippocampus development   • limbic system development   • regulation of calcium ion transport   • positive regulation of cation transmembrane transport   • positive regulation of calcium ion transport   • monoatomic ion transmembrane transport   • regulation of monoatomic ion transmembrane transport   • calcium ion transport   • regulation of calcium ion transmembrane transport   • monoatomic cation transmembrane transport   • positive regulation of calcium ion transmembrane transport   • positive regulation of transmembrane transport   • positive regulation of monoatomic ion transmembrane transport   • positive regulation of release of sequestered calcium ion into cytosol   • calcium ion transmembrane import into cytosol   • regulation of release of sequestered calcium ion into cytosol   • transmembrane transport   • release of sequestered calcium ion into cytosol   • regulation of transmembrane transport   • regulation of monoatomic cation transmembrane transport   • calcium ion transmembrane transport   • response to amine   • response to amphetamine   • behavioral defense response   • fear response   • behavioral fear response   • defense response   • multicellular organismal response to stress   • negative regulation of synaptic transmission   • regulation of synaptic plasticity   • long-term synaptic depression   • operant conditioning   • long-term synaptic potentiation   • grooming behavior   • dense core granule   • intracellular vesicle   • cytoplasmic vesicle   • secretory granule   • secretory vesicle   • neuronal dense core vesicle   • vesicle membrane   • clathrin-coated vesicle   • endocytic vesicle membrane   • coated vesicle   • endocytic vesicle   • clathrin-coated vesicle membrane   • clathrin-coated endocytic vesicle membrane   • clathrin-coated endocytic vesicle   • cytoplasmic vesicle membrane   • coated vesicle membrane   • receptor complex   • intercellular bridge   • endosome membrane   • endosome   • intracellular membraneless organelle   • ciliary basal body   • microtubule organizing center   • cytoskeleton   • membraneless organelle   • microtubule cytoskeleton   • apical part of cell   • plasma membrane region   • apical plasma membrane   • mitotic spindle   • spindle   • early endosome   • nucleus   • postsynapse   • postsynaptic membrane   • synaptic membrane   • plasma membrane signaling receptor complex   • G protein-coupled receptor complex   • presynapse   • presynaptic membrane   • glutamatergic synapse   • neuron spine   • dendritic spine   • somatodendritic compartment   • dendrite   • dendritic tree   • GABA-ergic synapse   • ciliary membrane   • cell projection membrane   • endoplasmic reticulum subcompartment   • nuclear outer membrane-endoplasmic reticulum membrane network   • endoplasmic reticulum   • endoplasmic reticulum membrane
SCOP2Domain Identifier• Transducin (heterotrimeric G protein), gamma chain   • G protein-coupled receptor-like
SCOP2Family Identifier• Transducin (heterotrimeric G protein), gamma chain   • G protein-coupled receptor-like
Membrane Protein Annotations-• Orientations of Proteins in Membranes database (OPM)   • Protein Data Bank of Transmembrane Proteins (PDBTM)   • MemProtMD


Details about the values in these tables can be found in the corresponding documentation page .
Code_L_
PDB ResiduesL:L:?1
Environment DetailsOpen EMBL-EBI Page
Code_L_
Name
Synonyms
Identifier
Formula
Molecular Weight
SMILES
PubChem
Formal Charge
Total Atoms
Total Chiral Atoms
Total Bonds
Total Aromatic Bonds

PDBsumOpen PDBsum Page
ChainR
ProteinReceptor
UniProtP21728
Sequence
>9I52_Chain_R
SVRILTACF LSLLILSTL LGNTLVCAA VIRFRHLRS KVTNFFVIS 
LAVSDLLVA VLVMPWKAV AEIAGFWPF GSFCNIWVA FDIMCSTAS 
ILNLCVISV DRYWAISSP FRYERKMTP KAAFILISV AWTLSVLIS 
FIPVQLSWH KAKPNCDSS LSRTYAISS SVISFYIPV AIMIVTYTR 
IYRIAQKQI RRIAALERA AVHAKNSFK RETKVLKTL SVIMGVFVC 
CWLPFFILN CILPFCCID SNTFDVFVW FGWANSSLN PIIYAFNAD 
FRKAFSTLL GCY


Click on each residue to open a popup with some information about it.

ConSurf Conservation Grade (See documentation): 

 n/a   1    2    3    4    5    6    7    8    9  

ChainB
ProteinG Protein β Sub unit
UniProtP62873
Sequence
>9I52_Chain_B
ELDQLRQEA EQLKNQIRD ARKACADAT LSQITNNID PVGRIQMRT 
RRTLRGHLA KIYAMHWGT DSRLLVSAS QDGKLIIWD SYTTNKVHA 
IPLRSSWVM TCAYAPSGN YVACGGLDN ICSIYNLKT REGNVRVSR 
ELAGHTGYL SCCRFLDDN QIVTSSGDT TCALWDIET GQQTTTFTG 
HTGDVMSLS LAPDTRLFV SGACDASAK LWDVREGMC RQTFTGHES 
DINAICFFP NGNAFATGS DDATCRLFD LRADQELMT YSHDNIICG 
ITSVSFSKS GRLLLAGYD DFNCNVWDA LKADRAGVL AGHDNRVSC 
LGVTDDGMA VATGSWDSF LKIWN


Click on each residue to open a popup with some information about it.

ConSurf Conservation Grade (See documentation): 

 n/a   1    2    3    4    5    6    7    8    9  

ChainG
ProteinG Protein γ Sub unit
UniProtP59768
Sequence
>9I52_Chain_G
TASIAQARK LVEQLKMEA NIDRIKVSK AAADLMAYC EAHAKEDPL 
LTPVPASEN PFR


Click on each residue to open a popup with some information about it.

ConSurf Conservation Grade (See documentation): 

 n/a   1    2    3    4    5    6    7    8    9  

ChainA
ProteinG Protein α Sub unit
UniProtP63092
Sequence
>9I52_Chain_A
TEDQRNEEK AQREANKKI EKQLQKDKQ VYRATHRLL LLGAGESGK 
STIVKQMRI SGIFETKFQ VDKVNFHMF DVGQRDERR KWIQCFNDV 
TAIIFVVAS SSYNMVTNR LQEALNLFK SIWNNRWLR TISVILFLN 
KQDLLAEKV LAGKSKIED YFPEFARYT TPEDATPEP GEDPRVTRA 
KYFIRDEFL RISTASGDG RHYCYPHFT CVDTENIRR VFNDCRDII 
QRMHLRQYE LLAS


Click on each residue to open a popup with some information about it.

ConSurf Conservation Grade (See documentation): 

 n/a   1    2    3    4    5    6    7    8    9  




This receptor, from the same or other species and bound to the same or other ligands, is also present in the following networks:
Show PDB Class SubFamily Type SubType Species Orthosteric Ligand Other Ligand(s) Protein Partners Resolution Date DOI
4NTJANucleotideP2YP2Y12Homo sapiensAZD1283--2.622014-03-26doi.org/10.1038/nature13083
7AD3D1Ste2-likeSTE2STE2; STE2Saccharomyces cerevisiaeα-factor mating pheromone-Gi1/STE4/γ23.32020-12-09doi.org/10.1038/s41586-020-2994-1
7AD3 (No Gprot) D1Ste2-likeSTE2STE2; STE2Saccharomyces cerevisiaeα-factor mating pheromone-3.32020-12-09doi.org/10.1038/s41586-020-2994-1
7JV5AAmineDopamineD1Homo sapiensSKF81297-Gs/β1/γ232021-02-24doi.org/10.1016/j.cell.2021.01.027
7JV5 (No Gprot) AAmineDopamineD1Homo sapiensSKF81297-32021-02-24doi.org/10.1016/j.cell.2021.01.027
7JVPAAmineDopamineD1Homo sapiensSKF83959-Gs/β1/γ22.92021-02-24doi.org/10.1016/j.cell.2021.01.027
7JVP (No Gprot) AAmineDopamineD1Homo sapiensSKF83959-2.92021-02-24doi.org/10.1016/j.cell.2021.01.027
7JVQAAmineDopamineD1Homo sapiensApomorphine-Gs/β1/γ232021-02-24doi.org/10.1016/j.cell.2021.01.027
7JVQ (No Gprot) AAmineDopamineD1Homo sapiensApomorphine-32021-02-24doi.org/10.1016/j.cell.2021.01.027
7CKWAAmineDopamineD1Homo sapiensFenoldopam-Gs/β1/γ23.222021-03-03doi.org/10.1016/j.cell.2021.01.028
7CKW (No Gprot) AAmineDopamineD1Homo sapiensFenoldopam-3.222021-03-03doi.org/10.1016/j.cell.2021.01.028
7CKXAAmineDopamineD1Homo sapiensA77636-Gs/β1/γ23.542021-03-03doi.org/10.1016/j.cell.2021.01.028
7CKX (No Gprot) AAmineDopamineD1Homo sapiensA77636-3.542021-03-03doi.org/10.1016/j.cell.2021.01.028
7CKYAAmineDopamineD1Homo sapiensPW0464-Gs/β1/γ23.22021-03-03doi.org/10.1016/j.cell.2021.01.028
7CKY (No Gprot) AAmineDopamineD1Homo sapiensPW0464-3.22021-03-03doi.org/10.1016/j.cell.2021.01.028
7CKZAAmineDopamineD1Homo sapiensDopamineMevidalenGs/β1/γ23.12021-03-03doi.org/10.1016/j.cell.2021.01.028
7CKZ (No Gprot) AAmineDopamineD1Homo sapiensDopamineMevidalen3.12021-03-03doi.org/10.1016/j.cell.2021.01.028
7CRHAAmineDopamineD1Homo sapiensSKF83959-Gs/β1/γ23.32021-03-03doi.org/10.1016/j.cell.2021.01.028
7CRH (No Gprot) AAmineDopamineD1Homo sapiensSKF83959-3.32021-03-03doi.org/10.1016/j.cell.2021.01.028
7LJCAAmineDopamineD1Homo sapiensSKF81297MevidalenGs/β1/γ232021-03-03doi.org/10.1038/s41422-021-00482-0
7LJC (No Gprot) AAmineDopamineD1Homo sapiensSKF81297Mevidalen32021-03-03doi.org/10.1038/s41422-021-00482-0
7LJDAAmineDopamineD1Homo sapiensDopamineMevidalenGs/β1/γ13.22021-03-03doi.org/10.1038/s41422-021-00482-0
7LJD (No Gprot) AAmineDopamineD1Homo sapiensDopamineMevidalen3.22021-03-03doi.org/10.1038/s41422-021-00482-0
7CMVAAmineDopamineD3Homo sapiensPD128907-Gi1/β1/γ22.72021-03-10doi.org/10.1016/j.molcel.2021.01.003
7CMV (No Gprot) AAmineDopamineD3Homo sapiensPD128907-2.72021-03-10doi.org/10.1016/j.molcel.2021.01.003
7JOZAAmineDopamineD1Homo sapiensPubChem 75202022-Gs/β1/γ23.82021-04-14doi.org/10.1038/s41467-021-23519-9
7JOZ (No Gprot) AAmineDopamineD1Homo sapiensPubChem 75202022-3.82021-04-14doi.org/10.1038/s41467-021-23519-9
7TD1ALipidLysophospholipidLPA1Homo sapiensLPA-Gi1/β1/γ23.082022-02-09doi.org/10.1038/s41467-022-28417-2
7TD1 (No Gprot) ALipidLysophospholipidLPA1Homo sapiensLPA-3.082022-02-09doi.org/10.1038/s41467-022-28417-2
7QA8D1Ste2-likeSTE2STE2; STE2Saccharomyces cerevisiaeAntagonist Peptide--2.72022-03-16doi.org/10.1038/s41586-022-04498-3
7QB9D1Ste2-likeSTE2STE2; STE2Saccharomyces cerevisiae---3.12022-03-16doi.org/10.1038/s41586-022-04498-3
7QBCD1Ste2-likeSTE2STE2; STE2Saccharomyces cerevisiaeα-factor mating pheromone--3.532022-03-16doi.org/10.1038/s41586-022-04498-3
7QBID1Ste2-likeSTE2STE2; STE2Saccharomyces cerevisiaeα-factor mating pheromone--3.462022-03-16doi.org/10.1038/s41586-022-04498-3
7WU2B2AdhesionAdhesionADGRD1Homo sapiens--Gs/β1/γ12.82022-04-27doi.org/10.1038/s41586-022-04580-w
7WU2 (No Gprot) B2AdhesionAdhesionADGRD1Homo sapiens--2.82022-04-27doi.org/10.1038/s41586-022-04580-w
7EPTB2AdhesionAdhesionADGRD1Homo sapiens--Gs/β1/γ232022-05-11doi.org/10.1038/s41586-022-04619-y
7EPT (No Gprot) B2AdhesionAdhesionADGRD1Homo sapiens--32022-05-11doi.org/10.1038/s41586-022-04619-y
7F0TAAmineDopamineD1Homo sapiensDopamine-Gs/β1/γ23.12022-06-15doi.org/10.1126/sciadv.abo4158
7F0T (No Gprot) AAmineDopamineD1Homo sapiensDopamine-3.12022-06-15doi.org/10.1126/sciadv.abo4158
7F1OAAmineDopamineD1Homo sapiensDopamineGDP; MgGs/β1/γ23.132022-06-15doi.org/10.1126/sciadv.abo4158
7F1O (No Gprot) AAmineDopamineD1Homo sapiensDopamineGDP; Mg3.132022-06-15doi.org/10.1126/sciadv.abo4158
7F1ZAAmineDopamineD1Homo sapiensDopamineGDPGs/β1/γ23.462022-06-15doi.org/10.1126/sciadv.abo4158
7F1Z (No Gprot) AAmineDopamineD1Homo sapiensDopamineGDP3.462022-06-15doi.org/10.1126/sciadv.abo4158
7F23AAmineDopamineD1Homo sapiensDopamineGDPGs/β1/γ23.582022-06-15doi.org/10.1126/sciadv.abo4158
7F23 (No Gprot) AAmineDopamineD1Homo sapiensDopamineGDP3.582022-06-15doi.org/10.1126/sciadv.abo4158
7F24AAmineDopamineD1Homo sapiensDopamineGDPGs/β1/γ24.162022-06-15doi.org/10.1126/sciadv.abo4158
7F24 (No Gprot) AAmineDopamineD1Homo sapiensDopamineGDP4.162022-06-15doi.org/10.1126/sciadv.abo4158
7X2DAAmineDopamineD1Homo sapiensTavapadon-Gs/β1/γ23.32022-06-15doi.org/10.1038/s41467-022-30929-w
7X2D (No Gprot) AAmineDopamineD1Homo sapiensTavapadon-3.32022-06-15doi.org/10.1038/s41467-022-30929-w
7X2FAAmineDopamineD1Homo sapiensDopamineMevidalenGs/β1/γ232022-06-15doi.org/10.1038/s41467-022-30929-w
7X2F (No Gprot) AAmineDopamineD1Homo sapiensDopamineMevidalen32022-06-15doi.org/10.1038/s41467-022-30929-w
7X2CAAmineDopamineD1Homo sapiensFenoldopamFenoldopamGs/β1/γ23.22022-06-29doi.org/10.1038/s41467-022-30929-w
7X2C (No Gprot) AAmineDopamineD1Homo sapiensFenoldopamFenoldopam3.22022-06-29doi.org/10.1038/s41467-022-30929-w
7W41APeptideBombesinBB2Homo sapiensPD176252--2.952023-02-22doi.org/10.1073/pnas.2216230120
8IRRAAmineDopamineD1Homo sapiensRotigotine-Gs/β1/γ23.22023-06-07doi.org/10.1038/s41422-023-00808-0
8IRR (No Gprot) AAmineDopamineD1Homo sapiensRotigotine-3.22023-06-07doi.org/10.1038/s41422-023-00808-0
8JD1CAminoacidMetabotropic GlutamatemGlu2; mGlu3Homo sapiensGlutamate--3.72023-06-21doi.org/10.1038/s41422-023-00830-2
8FD1ASensoryOpsinsRhodopsinBos taurus---4.252023-08-30doi.org/10.1038/s41467-023-40911-9
8JXRAAmineDopamineD1Homo sapiensLSD--3.572024-09-04doi.org/10.1016/j.neuron.2024.07.003
8JXSAAmineDopamineD1Homo sapiensPF-6142--32024-09-04doi.org/10.1016/j.neuron.2024.07.003
8X9SB2AdhesionAdhesionADGRD1Homo sapiens5α-DHT-chim(NtGi1-Gs)/β1/γ23.492025-02-12doi.org/10.1016/j.cell.2025.01.006
8X9S (No Gprot) B2AdhesionAdhesionADGRD1Homo sapiens5α-DHT-3.492025-02-12doi.org/10.1016/j.cell.2025.01.006
8X9TB2AdhesionAdhesionADGRD1Homo sapiensAP503-chim(NtGi1-Gs)/β1/γ22.752025-02-12doi.org/10.1016/j.cell.2025.01.006
8X9T (No Gprot) B2AdhesionAdhesionADGRD1Homo sapiensAP503-2.752025-02-12doi.org/10.1016/j.cell.2025.01.006
8X9UB2AdhesionAdhesionADGRD1Homo sapiensMetenolone-chim(NtGi1-Gs)/β1/γ22.882025-02-12doi.org/10.1016/j.cell.2025.01.006
8X9U (No Gprot) B2AdhesionAdhesionADGRD1Homo sapiensMetenolone-2.882025-02-12doi.org/10.1016/j.cell.2025.01.006
9IV1B2AdhesionAdhesionADGRD1Homo sapiens5α-DHT-chim(NtGi1-Gs)/β1/γ22.982025-02-12doi.org/10.1016/j.cell.2025.01.006
9IV1 (No Gprot) B2AdhesionAdhesionADGRD1Homo sapiens5α-DHT-2.982025-02-12doi.org/10.1016/j.cell.2025.01.006
9IV2B2AdhesionAdhesionADGRD1Homo sapiens5α-DHT-chim(NtGi1-Gs)/β1/γ23.532025-02-12doi.org/10.1016/j.cell.2025.01.006
9IV2 (No Gprot) B2AdhesionAdhesionADGRD1Homo sapiens5α-DHT-3.532025-02-12doi.org/10.1016/j.cell.2025.01.006
8ZD1AOrphanOrphanGPR4Xenopus tropicalis--chim(NtGi1-Gs)/β1/γ22.62025-02-26doi.org/10.1016/j.cell.2024.12.001
8ZD1 (No Gprot) AOrphanOrphanGPR4Xenopus tropicalis--2.62025-02-26doi.org/10.1016/j.cell.2024.12.001
9JF4APeptideBombesinBB1Homo sapiensPD168368--3.62025-07-09To be published
9I52 (No Gprot) AAmineDopamineD1Homo sapiensA1IZU-2.82025-07-16doi.org/10.1021/acs.jmedchem.5c00294
9I54AAmineDopamineD1Homo sapiensPubChem 176452091-Gs/β1/γ22.722025-07-16doi.org/10.1021/acs.jmedchem.5c00294
9I54 (No Gprot) AAmineDopamineD1Homo sapiensPubChem 176452091-2.722025-07-16doi.org/10.1021/acs.jmedchem.5c00294
9V0UB2AdhesionAdhesionADGRD1Homo sapiens--chim(NtGi1-G13)/β1/γ23.512025-07-30doi.org/10.1016/j.bbrc.2025.152165
9V0U (No Gprot) B2AdhesionAdhesionADGRD1Homo sapiens--3.512025-07-30doi.org/10.1016/j.bbrc.2025.152165
9MD1AAmine5-Hydroxytryptamine5-HT1AHomo sapiensBuspironePtdIns4PGz/β1/γ23.032025-08-13doi.org/10.1126/sciadv.adu9851
9MD1 (No Gprot) AAmine5-Hydroxytryptamine5-HT1AHomo sapiensBuspironePtdIns4P3.032025-08-13doi.org/10.1126/sciadv.adu9851




You can download a compressed (zip) file with structure(s), 3D outputs (as PyMol and VMD scripts) and numerical data files (as csv and plain text files).

Download 9I52.zip



You can click to copy the link of this page to easily come back here later

or use this QR code to link and share this page.



You can also  read or  download a guide explaining the meaning of all files and numerical data.