Color ConSurf Grade
      No Conservation data available
      1
      2
      3
      4
      5
      6
      7
      8
      9

Index: hub id, click on each number to highlight the corresponding hub in the 3D visualization.

Hub: the hub being considered.

Avg Int. Strength: the average interaction strength of all the links of the corresponding hub.

Num Of Links: the number of links of the corresponding hub.

Community: the id of the community the link belong to, otherwise 0.

ConSurf: this column reports the ConSurf conservation grades of each hub.

Index Hub Avg Int. Strength Num Of Links Community ConSurf
1A:A:L30 3.545475
2A:A:L41 4.764136
3A:A:L44 6.4675419
4A:A:K53 7.505409
5A:A:I56 4.9154107
6A:A:F212 6.645409
7A:A:V217 4.45754135
8A:A:F219 7.393336138
9A:A:H220 7.91417
10A:A:M221 3.334168
11A:A:F222 6.056517
12A:A:V224 8.0925419
13A:A:R232 4.885418
14A:A:K233 6.53333619
15A:A:W234 8.09619
16A:A:C237 3.15418
17A:A:F238 6.42429719
18A:A:D240 7.03416
19A:A:I244 3.78518
20A:A:I245 3.264167
21A:A:F246 5.004509
22A:A:V247 4.58754107
23A:A:Y253 7.9465158
24A:A:L270 6.74406
25A:A:F273 4.765689
26A:A:I276 4.55408
27A:A:W277 9.945486
28A:A:N279 5.6325418
29A:A:W281 6.86515
30A:A:L289 4.265409
31A:A:F290 4.936109
32A:A:K293 4.66754109
33A:A:L297 3.824158
34A:A:F315 8.915406
35A:A:K338 6.9825485
36A:A:F340 6.81507
37A:A:R342 4.905484
38A:A:F345 7.29588
39A:A:V346 3.105484
40A:A:S349 3.244587
41A:A:C359 3.3525485
42A:A:Y360 10.8245178
43A:A:F363 8.435485
44A:A:D368 7.13754109
45A:A:N371 6.1845109
46A:A:F376 4.968336138
47A:A:D378 12.255407
48A:A:L384 3.93406
49A:A:Y391 9.8075464
50B:B:I18 3.0665187
51B:B:R22 4.695406
52B:B:V40 6.0585123
53B:B:I43 4.0465123
54B:B:M45 3.9575404
55B:B:L51 6.04479
56B:B:H54 9.02679
57B:B:K57 6.628519
58B:B:Y59 6.2075418
59B:B:W63 4.49677
60B:B:L70 4.18475
61B:B:V71 4.1645118
62B:B:Q75 7.345419
63B:B:D76 6.24479
64B:B:L79 3.974117
65B:B:I80 6.876578
66B:B:I81 3.9854117
67B:B:W82 6.93714779
68B:B:T86 7.1775496
69B:B:N88 5.6407
70B:B:K89 6.29143779
71B:B:H91 5.64754115
72B:B:I93 5.04754117
73B:B:L95 3.3825408
74B:B:W99 6.15125819
75B:B:Y105 5.211676116
76B:B:N110 6.875414
77B:B:Y111 7.802514
78B:B:V112 4.5185118
79B:B:L117 3.958519
80B:B:C121 2.885418
81B:B:I123 4.36416
82B:B:Y124 4.126116
83B:B:V133 5.68754114
84B:B:L139 5.8325409
85B:B:H142 6.15571719
86B:B:Y145 5.58571718
87B:B:L146 4.67417
88B:B:F151 4.85619
89B:B:L152 4.454523
90B:B:I157 5.9125417
91B:B:T159 6.18419
92B:B:S160 4.4475406
93B:B:S161 5.976519
94B:B:D163 8.4275419
95B:B:W169 8.555618
96B:B:Q176 7.53414
97B:B:F180 8.056527
98B:B:H183 7.03729
99B:B:V187 5.024529
100B:B:L190 3.93425
101B:B:L198 6.835433
102B:B:F199 6.89833629
103B:B:V200 5.5475436
104B:B:S201 4.46529
105B:B:D205 5.9475429
106B:B:S207 3.908525
107B:B:K209 7.95626
108B:B:L210 6.23435
109B:B:W211 7.87143728
110B:B:Q220 7.03437
111B:B:F222 8.3125438
112B:B:H225 8.67833639
113B:B:D228 7.47333619
114B:B:I232 5.095438
115B:B:F234 6.415405
116B:B:F235 5.23571746
117B:B:P236 6.03447
118B:B:F241 6.09667636
119B:B:T243 4.49538
120B:B:G244 3.1975405
121B:B:D246 8.575419
122B:B:D247 7.1525439
123B:B:T249 6.23536
124B:B:R251 8.38738
125B:B:F253 6.45333636
126B:B:D258 8.2725437
127B:B:Q259 4.12406
128B:B:M262 6.685444
129B:B:Y264 5.68714745
130B:B:I269 3.38544
131B:B:T274 5.0175418
132B:B:F278 4.99167647
133B:B:R283 7.875129
134B:B:L284 3.69754125
135B:B:Y289 7.2547
136B:B:C294 4.2425405
137B:B:N295 7.06333646
138B:B:V296 5.27254125
139B:B:W297 5.13548
140B:B:L300 5.4506
141B:B:K301 4.1385125
142B:B:R304 5.758545
143B:B:V307 3.295443
144B:B:L308 6.6375407
145B:B:H311 9.4345149
146B:B:R314 13.26418
147B:B:L318 3.2845126
148B:B:M325 5.8075405
149B:B:V327 3.6345126
150B:B:W332 10.7133619
151B:B:D333 6.58754149
152B:B:L336 4.06477
153B:B:K337 9.3254146
154B:B:W339 6.9245149
155B:B:N340 5.8375499
156G:G:K20 1.7375406
157G:G:Y40 9.485446
158G:G:D48 6.458509
159G:G:L51 3.2625406
160G:G:V54 4.2496
161G:G:N59 5.734599
162G:G:P60 6.6925499
163G:G:F61 4.75857798
164L:L:?1 9.4061050
165R:R:I85 3.428506
166R:R:N92 6.315409
167R:R:V95 3.135409
168R:R:F112 6.402568
169R:R:D120 6.48509
170R:R:V127 5.73458
171R:R:M128 7.715408
172R:R:W141 6.588557
173R:R:W151 8.76333655
174R:R:I152 3.0325455
175R:R:D155 10.9375458
176R:R:L157 4.654216
177R:R:F158 6.395407
178R:R:H165 7.23857768
179R:R:L166 6.305408
180R:R:R173 7.1425469
181R:R:I177 3.2775409
182R:R:H183 5.6875467
183R:R:K195 5.415466
184R:R:W200 5.635669
185R:R:I210 4.4125406
186R:R:C227 6.23459
187R:R:L229 4.5375454
188R:R:F234 5.3225407
189R:R:F243 8.14658
190R:R:P246 3.895409
191R:R:L256 3.4425405
192R:R:I258 4.5925405
193R:R:L325 3.7025468
194R:R:F332 4.886559
195R:R:M335 3.3475408
196R:R:W336 4.655658
197R:R:F339 6.994557
198R:R:F340 9.548557
199R:R:W367 6.495456
200R:R:Y370 8.15857757
201R:R:Y380 5.908569
202R:R:Y387 8.4245208
   

Color ConSurf Grade
      No Conservation data available
      1
      2
      3
      4
      5
      6
      7
      8
      9

Index: link id, click on each number to highlight the corresponding link in the 3D visualization.

Node1 Node2: the two nodes of the corresponding link.

Recurrence: the relative Recurrence in the pool of shortest paths.

Int. Strength: the interaction strength between the two nodes.

Hub1?, Hub2?: "Yes" if the corresponding node has more than 3 links, otherwise "No".

Community: the id of the community the link belong to, otherwise 0.

ConSurf1, ConSurf2: these columns report the ConSurf conservation grades of the two nodes involved in a link.

Index Node1 Node2 Recurrence Int. Strength Hub1? Hub2? Community ConSurf1 ConSurf2
1A:A:I276 A:A:L46 12.37182.85YesNo088
2A:A:F246 A:A:I276 25.14547.54YesYes098
3A:A:F246 A:A:L289 49.33313.65YesYes099
4A:A:L289 A:A:L291 83.86994.15YesNo098
5A:A:F363 A:A:L291 82.56310.96YesNo058
6A:A:F363 A:A:Q294 1004.68YesNo856
7A:A:C365 A:A:Q294 1003.05NoNo086
8A:A:C365 A:A:D295 1001.56NoNo089
9A:A:D295 A:A:E299 1002.6NoNo096
10A:A:E299 A:A:L296 1003.98NoNo066
11A:A:K293 A:A:L296 1002.82YesNo1096
12A:A:K293 A:A:N292 1004.2YesNo1099
13A:A:I56 A:A:N292 96.94184.25YesNo1079
14A:A:F290 A:A:I56 96.12045.02YesYes1097
15A:A:R231 A:A:W234 25.62437NoYes099
16A:A:I276 A:A:R231 12.81816.26YesNo089
17A:A:D272 A:A:R231 12.803911.91NoNo089
18A:A:D272 A:A:F246 12.79554.78NoYes089
19B:B:C294 B:B:L308 50.61114.76YesYes057
20B:B:C294 B:B:V315 50.80255.12YesNo057
21B:B:T274 B:B:V315 52.45913.17YesNo087
22B:B:D290 B:B:T274 51.91264.34NoYes168
23A:A:W281 B:B:D290 51.95593.35YesNo156
24A:A:N279 A:A:W281 1004.52YesYes185
25A:A:L282 A:A:N279 81.0244.12NoYes198
26A:A:I244 A:A:L282 81.04925.71YesNo189
27B:B:L318 B:B:S275 52.95374.5YesNo068
28B:B:S275 B:B:T274 53.04924.8NoYes088
29B:B:R314 B:B:T274 53.68817.76YesYes188
30A:A:W281 B:B:R314 51.98665YesYes158
31A:A:I235 A:A:N279 23.06154.25NoYes198
32A:A:F290 A:A:I288 46.62963.77YesNo099
33A:A:I244 A:A:V287 69.76863.07YesNo086
34A:A:F273 A:A:V287 46.67752.62YesNo096
35A:A:F273 A:A:F345 11.81386.43YesYes898
36A:A:F273 A:A:S349 11.59352.64YesYes897
37A:A:V287 A:A:W277 23.10954.9NoYes066
38A:A:S349 A:A:W277 11.57183.71YesYes876
39A:A:C359 A:A:F273 11.54194.19YesYes859
40A:A:C359 A:A:W277 11.53052.61YesYes856
41A:A:D378 A:A:I288 46.393311.2YesNo079
42A:A:D378 A:A:Y360 92.318718.39YesYes078
43A:A:F290 A:A:H362 46.50935.66YesNo099
44A:A:D378 A:A:H362 46.402511.35YesNo079
45A:A:S349 A:A:V346 23.11423.23YesYes874
46A:A:R342 A:A:V346 23.00882.62YesYes844
47A:A:D381 A:A:Y360 91.365312.64NoYes088
48A:A:D381 A:A:Q385 91.12723.92NoNo085
49A:A:L384 A:A:Q385 89.93673.99YesNo065
50A:A:L384 A:A:L388 86.91184.15YesNo068
51A:A:L388 R:R:I177 86.67332.85NoYes089
52A:A:L393 R:R:I177 79.93992.85NoYes089
53A:A:L393 R:R:R173 79.460214.58NoYes689
54R:R:R173 R:R:Y380 73.46884.12YesYes699
55R:R:L166 R:R:Y380 72.047210.55YesYes089
56R:R:L116 R:R:L166 13.75684.15NoYes098
57R:R:D120 R:R:L116 13.51865.43YesNo099
58R:R:D120 R:R:N92 19.79156.73YesYes099
59R:R:N92 R:R:P377 12.574711.4YesNo099
60R:R:P377 R:R:V95 12.09121.77NoYes099
61R:R:L166 R:R:N376 16.15096.87YesNo089
62R:R:D120 R:R:N376 13.50924.04YesNo099
63B:B:F235 B:B:F278 89.17116.43YesYes467
64B:B:F278 B:B:L252 45.13463.65YesNo077
65B:B:L252 B:B:Y264 43.54587.03NoYes075
66B:B:C250 B:B:Y264 75.11014.03NoYes085
67B:B:C250 B:B:I273 74.71176.55NoNo086
68B:B:G244 B:B:I273 74.33435.29YesNo056
69B:B:G244 B:B:S245 73.13863.71YesNo059
70B:B:H225 B:B:S245 69.14311.16YesNo099
71B:B:F253 B:B:H225 49.56233.39YesYes369
72B:B:F222 B:B:F253 41.17669.65YesYes386
73B:B:D258 B:B:F222 35.98674.78YesYes378
74B:B:D258 B:B:R22 34.39867.15YesYes076
75B:B:I18 B:B:R22 30.80283.76YesYes076
76B:B:F278 B:B:L285 43.73668.53YesNo476
77B:B:L285 B:B:Y264 43.53954.69NoYes465
78B:B:I18 G:G:E22 22.40892.73YesNo079
79B:B:R283 B:B:V40 93.57877.85YesYes1293
80B:B:L300 B:B:R283 92.401510.93YesYes069
81B:B:L284 B:B:V40 95.53994.47YesYes1253
82B:B:L308 B:B:V296 48.23224.47YesYes075
83B:B:T221 G:G:E22 22.00919.88NoNo079
84B:B:K209 B:B:T221 15.20649.01YesNo267
85B:B:H225 B:B:T243 15.58816.85YesYes398
86B:B:F241 B:B:V200 13.59382.62YesYes366
87B:B:L210 B:B:V200 11.99484.47YesYes356
88B:B:L198 B:B:L210 14.39615.54YesYes335
89B:B:L198 B:B:R197 11.196814.58YesNo335
90B:B:L300 G:G:C41 90.45174.76YesNo067
91R:R:F332 R:R:L166 41.95753.65YesYes098
92R:R:F243 R:R:F332 20.0154.29YesYes589
93R:R:F243 R:R:F340 18.816924.65YesYes587
94L:L:?1 R:R:F340 29.43797.62YesYes507
95R:R:F332 R:R:W336 19.2884.01YesYes598
96R:R:F340 R:R:W336 18.82464.01YesYes578
97A:A:I235 A:A:W234 23.06074.7NoYes199
98B:B:L286 B:B:L318 48.23512.77NoYes1276
99B:B:L286 B:B:V296 48.1454.47NoYes1275
100B:B:L284 B:B:V296 95.58824.47YesYes1255
101B:B:F235 G:G:C41 90.25592.79YesNo067
102A:A:I244 A:A:L46 11.5642.85YesNo188
103A:A:F246 A:A:F273 11.59416.43YesYes099
104A:A:F345 A:A:L289 11.60866.09YesYes089
105A:A:C359 A:A:L289 23.04773.17YesYes059
106A:A:F363 A:A:R342 22.67013.21YesYes854
Download PSN data

2D representation of the global metapath, ligand(s) interactions and
histograms of path distribution according to several parameters
(click on the image to enlarge it 🔍):

A 2D representation of the global communication in the network.

ConSurf Conservation Grade (See documentation): 

 n/a   1    2    3    4    5    6    7    8    9  

Number of shortest communication paths as a function of the average residue correlation.

Number of shortest communication paths as a function of the average interaction strength of their links.

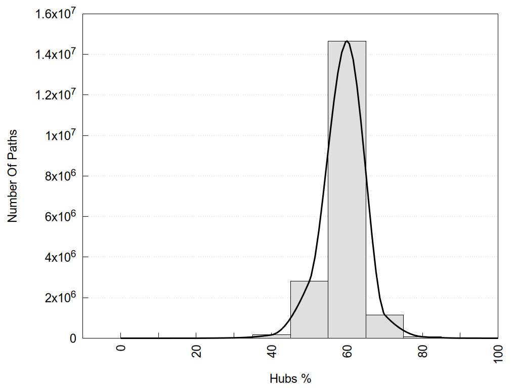
Number of shortest communication paths as a function of the % of hub nodes in each path.

Number of shortest communication paths as a function of the number of nodes in each path.

Number of shortest communication paths as a function of the % of correlated nodes in each path.


2D representation of the interactions of this orthosteric/allosteric ligand.


Links and nodes colored according to ConSurf Conservation Grade (See documentation): 

 n/a   1    2    3    4    5    6    7    8    9  

Node1 Node2 LinkStrength Comm IsNode1Hub? IsNode2Hub? Node1Cons Node2Cons Node1Shell Node2Shell
L:L:?1 R:R:W151 10.68 5 Yes Yes 0 5 0 1
L:L:?1 R:R:D155 25.46 5 Yes Yes 0 8 0 1
L:L:?1 R:R:V156 12.81 5 Yes No 0 6 0 1
L:L:?1 R:R:S159 9.39 5 Yes No 0 7 0 1
L:L:?1 R:R:L229 3.25 5 Yes Yes 0 4 0 1
L:L:?1 R:R:S242 4.7 5 Yes No 0 6 0 1
L:L:?1 R:R:F339 11.43 5 Yes Yes 0 7 0 1
L:L:?1 R:R:F340 7.62 5 Yes Yes 0 7 0 1
L:L:?1 R:R:N343 3.22 5 Yes No 0 7 0 1
L:L:?1 R:R:Y370 5.5 5 Yes Yes 0 7 0 1
R:R:V127 R:R:W151 7.36 5 Yes Yes 8 5 2 1
R:R:D155 R:R:V127 7.3 5 Yes Yes 8 8 1 2
R:R:V127 R:R:Y370 3.79 5 Yes Yes 8 7 2 1
R:R:M128 R:R:Y370 11.97 0 Yes Yes 8 7 2 1
R:R:V130 R:R:W151 12.26 0 No Yes 4 5 2 1
R:R:S131 R:R:W151 6.18 5 No Yes 7 5 2 1
R:R:S131 R:R:W367 3.71 5 No Yes 7 6 2 2
R:R:S131 R:R:Y370 5.09 5 No Yes 7 7 2 1
R:R:W141 R:R:W151 12.18 5 Yes Yes 7 5 2 1
R:R:C227 R:R:W141 10.45 5 Yes Yes 9 7 2 2
R:R:C227 R:R:W151 3.92 5 Yes Yes 9 5 2 1
R:R:I152 R:R:I210 2.94 5 Yes Yes 5 6 2 2
R:R:I152 R:R:V221 3.07 5 Yes No 5 3 2 2
R:R:C227 R:R:I152 3.27 5 Yes Yes 9 5 2 2
R:R:I152 R:R:L229 2.85 5 Yes Yes 5 4 2 1
R:R:D155 R:R:S159 2.94 5 Yes No 8 7 1 1
R:R:D155 R:R:Y370 8.05 5 Yes Yes 8 7 1 1
R:R:S207 R:R:V156 3.23 21 No No 7 6 2 1
R:R:I210 R:R:V156 4.61 0 Yes No 6 6 2 1
R:R:S242 R:R:T160 7.99 0 No No 6 7 1 2
R:R:F234 R:R:I210 5.02 0 Yes Yes 7 6 2 2
R:R:L229 R:R:V221 5.96 5 Yes No 4 3 1 2
R:R:F234 R:R:L229 6.09 0 Yes Yes 7 4 2 1
R:R:N343 R:R:V235 2.96 5 No No 7 6 1 2
R:R:F340 R:R:S239 3.96 5 Yes No 7 6 1 2
R:R:F243 R:R:W336 3.01 5 Yes Yes 8 8 2 2
R:R:F243 R:R:F340 24.65 5 Yes Yes 8 7 2 1
R:R:F340 R:R:W336 4.01 5 Yes Yes 7 8 1 2
R:R:F339 R:R:F340 7.5 5 Yes Yes 7 7 1 1
R:R:F339 R:R:N343 9.67 5 Yes No 7 7 1 1
R:R:F339 R:R:V366 3.93 5 Yes No 7 6 1 2
R:R:V366 R:R:Y370 6.31 0 No Yes 6 7 2 1
R:R:W367 R:R:Y370 16.4 5 Yes Yes 6 7 2 1
R:R:F339 R:R:L362 2.44 5 Yes No 7 3 1 2

Location and physicochemical properties of the interaction partners of this ligand

Interactions of this ligand

Similarities between the interactions of this ligand and those of other networks

ShowSimilarityNetwork TypeNameLigandDescription
100.00Single9AS3LSD9AS3-5-HT2A-LSD
83.33Single6KUWPubChem 572132346KUW-α2c-PubChem 57213234
83.33Single6PS3Carvedilol6PS3-β2-Carvedilol
83.33Single7BVQCarazolol7BVQ-β1-Carazolol
83.33Single7S0FIsoprenaline7S0F-β1-Isoprenaline-Gi1/β1/γ2
83.33Single7XK9Constrained Isoproterenol7XK9-β2-Constrained Isoproterenol-Na
83.33Consensusadrenergic_offOrthosteric Ligandalpha_off beta_off
83.33Consensusadrenergic_on_gpOrthosteric Ligandalpha_on_gp beta_on_gp
83.33Consensusalpha2c_offOrthosteric Ligand6KUW-α2c-PubChem 57213234
81.82Single9AS5Mescaline9AS5-5-HT2A-Mescaline
81.82Single9AS6Mescaline9AS6-5-HT2A-Mescaline-chim(NtGi1-Gs-CtGq)/β1/γ2
80.00Single7YS6Serotonin7YS6-5-HT6-Serotonin-chim(NtGi1-Gs)/β1/γ2
76.92Single6H7JIsoprenaline6H7J-β1-Isoprenaline
76.92Single7JJOIsoprenaline7JJO-β1-Isoprenaline-Gs/β1/γ2
76.92Single9BS9LSD9BS9-D2-LSD
76.92Single9BSBLSD9BSB-D2-LSD-chim(NtGi1-Go)/β1/γ2
76.92Consensusbeta2_onOrthosteric Ligand7DHI-β2-Salbutamol-Gs/β1/γ2 6NI3-β2-BI167107-Gs/β1/γ2
76.92Consensusbeta2_on_gpOrthosteric Ligand7DHI-β2-Salbutamol-Gs/β1/γ2 6NI3-β2-BI167107-Gs/β1/γ2
75.00Single2YCYCyanopindolol2YCY-β1-Cyanopindolol
75.00Single3NYAAlprenolol3NYA-β2-Alprenolol
75.00Single6H7MSalbutamol6H7M-β1-Salbutamol
75.00Single6PRZAlprenolol6PRZ-β2-Alprenolol
75.00Single6PS1Timolol6PS1-β2-Timolol
75.00Single7BTSEpinephrine7BTS-β1-Epinephrine
75.00Single7BU6Norepinephrine7BU6-β1-Norepinephrine
75.00Single7E32Serotonin7E32-5-HT1D-Serotonin-Gi1/β1/γ2
75.00Single7S0GIsoprenaline7S0G-β1-Isoprenaline-chim(Gi1-CtGs)/β1/γ2
75.00Single8GE2Constrained Epinephrine8GE2-β2-Constrained Epinephrine-Gs/β1/γ1
75.00Single8GE3Constrained Epinephrine8GE3-β2-Constrained Epinephrine-Gs/β1/γ2
75.00Single8GECConstrained Epinephrine8GEC-β2-Constrained Epinephrine-Gs/β1/γ2
75.00Single8GEEConstrained Epinephrine8GEE-β2-Constrained Epinephrine-Gs/β1/γ2
75.00Single8GEHConstrained Epinephrine8GEH-β2-Constrained Epinephrine-Gs/β1/γ2
75.00Single8GFVConstrained Epinephrine8GFV-β2-Constrained Epinephrine-GTP-Gs/β1/γ2
75.00Single8GFWConstrained Epinephrine8GFW-β2-Constrained Epinephrine-GTP-Gs/β1/γ2
75.00Single8GFXConstrained Epinephrine8GFX-β2-Constrained Epinephrine-GTP-Gs/β1/γ2
75.00Single8GFZConstrained Epinephrine8GFZ-β2-Constrained Epinephrine-GTP-Gs/β1/γ2
75.00Single8GG0Constrained Epinephrine8GG0-β2-Constrained Epinephrine-GTP-Gs/β1/γ2
75.00Single8GG1Constrained Epinephrine8GG1-β2-Constrained Epinephrine-GTP-Gs/β1/γ2
75.00Single8GG3Constrained Epinephrine8GG3-β2-Constrained Epinephrine-GTP-Gs/β1/γ2
75.00Single8GG4Constrained Epinephrine8GG4-β2-Constrained Epinephrine-GTP-Gs/β1/γ2
75.00Single8GG6Constrained Epinephrine8GG6-β2-Constrained Epinephrine-GTP-Gs/β1/γ2
75.00Single8GG9Constrained Epinephrine8GG9-β2-Constrained Epinephrine-GTP-Gs/β1/γ2
75.00Single8GGIConstrained Epinephrine8GGI-β2-Constrained Epinephrine
75.00Single8GGJConstrained Epinephrine8GGJ-β2-Constrained Epinephrine
75.00Single8GGKConstrained Epinephrine8GGK-β2-Constrained Epinephrine
75.00Single8GGNConstrained Epinephrine8GGN-β2-Constrained Epinephrine
75.00Single8GGOConstrained Epinephrine8GGO-β2-Constrained Epinephrine
75.00Single8GGUConstrained Epinephrine8GGU-β2-Constrained Epinephrine
75.00Single8JJOAlprenolol8JJO-β2-Alprenolol
75.00Single8UNQConstrained Epinephrine8UNQ-β2-Constrained Epinephrine-GTP-Gs/β1/γ2
75.00Single8UNYConstrained Epinephrine8UNY-β2-Constrained Epinephrine-GTP-Gs/β1/γ2
75.00Consensus5ht1d_onOrthosteric Ligand7E32-5-HT1D-Serotonin-Gi1/β1/γ2
75.00Consensus5ht1d_on_gpOrthosteric Ligand7E32-5-HT1D-Serotonin-Gi1/β1/γ2
75.00Consensusadrenergic_onOrthosteric Ligandalpha_on beta_on
75.00Consensusdopamine_onOrthosteric Ligandd2_on d1_on d3_on d4_on d5_on
75.00Consensusdopamine_on_gpOrthosteric Ligandd2_on_gp d1_on_gp d3_on_gp d4_on_gp d5_on_gp
72.73Single7X5H5-CT7X5H-5-HT5A-5-CT-Gi1/β1/γ2
72.73Single7XT8Serotonin7XT8-5-HT4-Serotonin-Gs/β1/γ2
72.73Single8TZQDopamine8TZQ-D2-Dopamine-Go/β1/γ2
72.73Single9LL9DOI9LL9-5-HT2A-DOI-chim(NtGi1L-Gs-CtGq)/β1/γ2
72.73Consensus5ht1e_onOrthosteric Ligand7E33-5-HT1E-BRL-54443-Gi1/β1/γ2 8UGY-5-HT1E-Mianserin-Gi1/β1/γ1 8UH3-5-HT1E-Setiptiline-Gi1/β1/γ1
72.73Consensus5ht_onOrthosteric Ligand5ht1_on 5ht2_on 5ht4_on 5ht5_on 5ht6_on 5ht7_on
72.73Consensusalpha2_offOrthosteric Ligandalpha2c_off
72.73Consensusgs_5htOrthosteric Ligand7XTC-5-HT7-5-CT-Gs/β1/γ2 7XTB-5-HT6-Serotonin-Gs/β1/γ2 8JLZ-5-HT6-ST1936-Gs/β1/γ2 7XT8-5-HT4-Serotonin-Gs/β1/γ2
71.43Single4AMIBucindolol4AMI-β1-Bucindolol
71.43Single4LDEBI1671074LDE-β2-BI167107
71.43Single6H7OCyanopindolol6H7O-β1-Cyanopindolol
71.43Single6VMSBromoergocryptine6VMS-D2-Bromoergocryptine-Gi1/β1/γ2
71.43Single8JJ8Arformoterol8JJ8-β2-Arformoterol
71.43Consensusbeta_onOrthosteric Ligandbeta1_on beta2_on beta3_on
71.43Consensusbeta_on_gpOrthosteric Ligandbeta1_on_gp beta2_on_gp beta3_on_gp
69.23Single2RH1Carazolol2RH1-β2-Carazolol
69.23Single2Y03Isoprenaline2Y03-β1-Isoprenaline
69.23Single5JQHCarazolol5JQH-β2-Carazolol
69.23Single5WIUNemonapride5WIU-D4-Nemonapride
69.23Single5WIVNemonapride5WIV-D4-Nemonapride-Na
69.23Single6E67BI1671076E67-β2-BI167107-Gs(CT)
69.23Single7WC6LSD7WC6-5-HT2A-LSD
69.23Single7XKAConstrained Epinephrine7XKA-β2-Constrained Epinephrine
69.23Single8GDZConstrained Epinephrine8GDZ-β2-Constrained Epinephrine-Gs/β1/γ2
69.23Single8GEBConstrained Epinephrine8GEB-β2-Constrained Epinephrine-Gs/β1/γ2
69.23Single8GEGConstrained Epinephrine8GEG-β2-Constrained Epinephrine-Gs/β1/γ2
69.23Single8GFYConstrained Epinephrine8GFY-β2-Constrained Epinephrine-GTP-Gs/β1/γ2
69.23Single8GG2Constrained Epinephrine8GG2-β2-Constrained Epinephrine-GTP-Gs/β1/γ2
69.23Single8GGBConstrained Epinephrine8GGB-β2-Constrained Epinephrine-GTP-Gs/β1/γ2
69.23Single8UNNConstrained Epinephrine8UNN-β2-Constrained Epinephrine-GTP-Gs/β1/γ2
69.23Single8UNPConstrained Epinephrine8UNP-β2-Constrained Epinephrine-GTP-Gs/β1/γ2
69.23Consensus5ht1_onOrthosteric Ligand5ht1a_on 5ht1d_on 5ht1e_on 5ht1f_on
69.23Consensus5ht1_on_gpOrthosteric Ligand5ht1a_on_gp 5ht1d_on_gp 5ht1e_on_gp 5ht1f_on_gp
69.23Consensus5ht1e_on_gpOrthosteric Ligand7E33-5-HT1E-BRL-54443-Gi1/β1/γ2 8UGY-5-HT1E-Mianserin-Gi1/β1/γ1 8UH3-5-HT1E-Setiptiline-Gi1/β1/γ1
69.23Consensus5ht5_on_gpOrthosteric Ligand5ht5a_on_gp
69.23Consensus5ht5a_on_gpOrthosteric Ligand7X5H-5-HT5A-5-CT-Gi1/β1/γ2 7UM6-5-HT5A-Lisuride-chim(NtGi1-Go)/β1/γ2 7UM7-5-HT5A-Methylergometrine-chim(NtGi1-Go)/β1/γ2
69.23Consensusalpha_offOrthosteric Ligandalpha1_off alpha2_off
69.23Consensusamine_offOrthosteric Ligand5ht_off adrenergic_off dopamine_off histamine_off muscarinic_off
69.23Consensusamine_offonOrthosteric Ligandamine_off amine_on
69.23Consensusamine_offon_gpOrthosteric Ligandamine_on_gp amine_off
69.23Consensusamine_onOrthosteric Ligand5ht_on adrenergic_on dopamine_on histamine_on muscarinic_on trace-amine_on
69.23Consensusbeta2_offOrthosteric Ligand2RH1-β2-Carazolol 6PS3-β2-Carvedilol 6PS5-β2-Propranolol 3D4S-β2-Timolol 3NY8-β2-ICI118-551 3NY9-β2-PubChem 913103 6PRZ-β2-Alprenolol
69.23Consensusbeta_offOrthosteric Ligandbeta1_off beta2_off
69.23Consensusgi_adrenergicOrthosteric Ligand7EJ0-α2a-Norepinephrine-Go/β1/γ2 7EJK-α2a-Oxymetazoline-Go/β1/γ2 7W7E-α2a-PubChem 164946676-Go/β1/γ2 7W6P-α2a-N-pyridin-4-ylisoquinolin-4-amine-Go/β1/γ2 7EJ8-α2a-Brimonidine-Go/β1/γ2 6K42-α2b-Dexmedetomidine-Gi1/β1/γ2 7EJA-α2a-Dexmedetomidine-Go/β1/γ2 7S0F-β1-Isoprenaline-Gi1/β1/γ2
69.23Consensusgs_amineOrthosteric Ligandgs_5ht gs_adrenergic gs_dopamine gs_histamine gs_trace-amine
66.67Single2YCZIodocyanopindolol2YCZ-β1-Iodocyanopindolol
66.67Single4LDOEpinephrine4LDO-β2-Epinephrine
66.67Single6H7LDobutamine6H7L-β1-Dobutamine
66.67Single6IBLArformoterol6IBL-β1-Arformoterol
66.67Single6K41Dexmedetomidine6K41-α2b-Dexmedetomidine-Go/β1/γ2
66.67Single6PS0Carazolol6PS0-β2-Carazolol
66.67Single6PS4ICI118-5516PS4-β2-ICI118-551
66.67Single6PS5Propranolol6PS5-β2-Propranolol
66.67Single6TKOArformoterol6TKO-β1-Arformoterol-Arrestin2
66.67Single6WH4Methiothepin6WH4-5-HT2A-Methiothepin
66.67Single7CKZDopamine7CKZ-D1-Dopamine-Mevidalen-Gs/β1/γ2
66.67Single7CMUPramipexole7CMU-D3-Pramipexole-Gi1/β1/γ2
66.67Single7DHISalbutamol7DHI-β2-Salbutamol-Gs/β1/γ2
66.67Single7E33BRL-544437E33-5-HT1E-BRL-54443-Gi1/β1/γ2
66.67Single7F24Dopamine7F24-D1-Dopamine-GDP-Gs/β1/γ2
66.67Single7RANPubChem 1645758477RAN-5-HT2A-PubChem 164575847-chim(NtGi2L-Gs-CtGq)/β1/γ2
66.67Single8GE1Constrained Epinephrine8GE1-β2-Constrained Epinephrine-Gs/β1/γ2
66.67Single8GE4Constrained Epinephrine8GE4-β2-Constrained Epinephrine-Gs/β1/γ2
66.67Single8GE5Constrained Epinephrine8GE5-β2-Constrained Epinephrine-Gs/β1/γ1
66.67Single8GE6Constrained Epinephrine8GE6-β2-Constrained Epinephrine-Gs/β1/γ2
66.67Single8GE7Constrained Epinephrine8GE7-β2-Constrained Epinephrine-Gs/β1/γ2
66.67Single8GE8Constrained Epinephrine8GE8-β2-Constrained Epinephrine-Gs/β1/γ2
66.67Single8GEDConstrained Epinephrine8GED-β2-Constrained Epinephrine-Gs/β1/γ2
66.67Single8GEFConstrained Epinephrine8GEF-β2-Constrained Epinephrine-Gs/β1/γ2
66.67Single8GG5Constrained Epinephrine8GG5-β2-Constrained Epinephrine-GTP-Gs/β1/γ2
66.67Single8GG7Constrained Epinephrine8GG7-β2-Constrained Epinephrine-GTP-Gs/β1/γ2
66.67Single8GGLConstrained Epinephrine8GGL-β2-Constrained Epinephrine
66.67Single8GGMConstrained Epinephrine8GGM-β2-Constrained Epinephrine
66.67Single8GGPConstrained Epinephrine8GGP-β2-Constrained Epinephrine
66.67Single8GGQConstrained Epinephrine8GGQ-β2-Constrained Epinephrine
66.67Single8GGVConstrained Epinephrine8GGV-β2-Constrained Epinephrine
66.67Single8GGXConstrained Epinephrine8GGX-β2-Constrained Epinephrine
66.67Single8JLNT1AM8JLN-TA1-T1AM-Gs/β1/γ2
66.67Single8S2TIsoprenaline8S2T-β1-Isoprenaline-chim(NtGi1-Gs)/β1/γ2
66.67Single8U02Dopamine8U02-D2-Dopamine-Go/β1/γ2
66.67Single8UHBRO52563908UHB-TA1-RO5256390-Gs/β1/γ2
66.67Single8UNLConstrained Epinephrine8UNL-β2-Constrained Epinephrine-GTP-Gs/β1/γ2
66.67Single8UNMConstrained Epinephrine8UNM-β2-Constrained Epinephrine-GTP-Gs/β1/γ2
66.67Single8UNOConstrained Epinephrine8UNO-β2-Constrained Epinephrine-GTP-Gs/β1/γ2
66.67Single8UNWConstrained Epinephrine8UNW-β2-Constrained Epinephrine-GTP-Gs/β1/γ2
66.67Single8W8BSEP-3638568W8B-5-HT1A-SEP-363856-Gi1/β1/γ2
66.67Single9L84Epinephrine9L84-β1-Epinephrine-Atazanavir-Gs/β1/γ2
66.67Single9W6W5-CT9W6W-5-HT5A-5-CT-Gi1/β1/γ2
66.67Consensus5ht_on_gpOrthosteric Ligand5ht1_on_gp 5ht2_on_gp 5ht4_on_gp 5ht5_on_gp 5ht6_on_gp 5ht7_on_gp
66.67Consensusbeta1_onOrthosteric Ligand8DCR-β1-Dobutamine-Gs/β1/γ2 7S0F-β1-Isoprenaline-Gi1/β1/γ2
66.67Consensusbeta1_on_gpOrthosteric Ligand8DCR-β1-Dobutamine-Gs/β1/γ2 7S0F-β1-Isoprenaline-Gi1/β1/γ2
66.67Consensusd3_onOrthosteric Ligand7CMV-D3-PD128907-Gi1/β1/γ2 8IRT-D3-Rotigotine-Gi1/β1/γ2 7CMU-D3-Pramipexole-Gi1/β1/γ2
66.67Consensusd3_on_gpOrthosteric Ligand7CMV-D3-PD128907-Gi1/β1/γ2 8IRT-D3-Rotigotine-Gi1/β1/γ2 7CMU-D3-Pramipexole-Gi1/β1/γ2
64.29Single3P0GBI1671073P0G-β2-BI167107
64.29Single3SN6BI1671073SN6-β2-BI167107-Gs/β1/γ2
64.29Single4LDLHydroxybenzyl Isoproterenol4LDL-β2-Hydroxybenzyl Isoproterenol
64.29Single5D5ACarazolol5D5A-β2-Carazolol
64.29Single5D5BCarazolol5D5B-β2-Carazolol
64.29Single6N48BI1671076N48-β2-BI167107-PubChem 138454256
64.29Single6WGTLSD6WGT-5-HT2A-LSD
64.29Single7W6PN-pyridin-4-ylisoquinolin-4-amine7W6P-α2a-N-pyridin-4-ylisoquinolin-4-amine-Go/β1/γ2
64.29Single7W7EPubChem 1649466767W7E-α2a-PubChem 164946676-Go/β1/γ2
64.29Single8DCSCyanopindolol8DCS-β1-Cyanopindolol-Gs/β1/γ2
64.29Single8IRRRotigotine8IRR-D1-Rotigotine-Gs/β1/γ2
64.29Single8IRVRotigotine8IRV-D5-Rotigotine-chim(NtGi1-Gs)/β1/γ2
64.29Single9I54PubChem 1764520919I54-D1-PubChem 176452091-Gs/β1/γ2
64.29Consensusamine_on_gpOrthosteric Ligand5ht_on_gp adrenergic_on_gp dopamine_on_gp histamine_on_gp muscarinic_on_gp trace-amine_on_gp
64.29Consensusbeta1_offOrthosteric Ligand2VT4-β1-Cyanopindolol 2YCW-β1-Carazolol 2YCZ-β1-Iodocyanopindolol 5A8E-β1-7-Methylcyanopindolol-Na 3ZPQ-β1-PubChem 594590-Na 3ZPR-β1-PubChem 598754-Na
64.29Consensusd1_on_gpOrthosteric Ligand7F0T-D1-Dopamine-Gs/β1/γ2 7CKY-D1-PW0464-Gs/β1/γ2 8IRR-D1-Rotigotine-Gs/β1/γ2 7JV5-D1-SKF81297-Gs/β1/γ2 7JVP-D1-SKF83959-Gs/β1/γ2 7X2D-D1-Tavapadon-Gs/β1/γ2 7CKX-D1-A77636-Gs/β1/γ2 7JVQ-D1-Apomorphine-Gs/β1/γ2 7CKW-D1-Fenoldopam-Gs/β1/γ2
64.29Consensusd5_on_gpOrthosteric Ligand8IRV-D5-Rotigotine-chim(NtGi1-Gs)/β1/γ2
64.29Consensusgi_5htOrthosteric Ligand8FYT-5-HT1A-LSD-PtdIns4P-Gi1/β1/γ1 7UM7-5-HT5A-Methylergometrine-chim(NtGi1-Go)/β1/γ2 8UGY-5-HT1E-Mianserin-Gi1/β1/γ1 8W8B-5-HT1A-SEP-363856-Gi1/β1/γ2 7E2Y-5-HT1A-Serotonin-PtdIns4P-Gi1/β1/γ2 7E32-5-HT1D-Serotonin-Gi1/β1/γ2 7XTA-5-HT4-Serotonin-Gi1/β1/γ2 8UH3-5-HT1E-Setiptiline-Gi1/β1/γ1 8JSP-5-HT1A-Ulotaront-Gi1/β1/γ2 8FYL-5-HT1A-Vilazodone-PtdIns4P-Gi1/β1/γ1 8JT6-5-HT1A-(R)-IHCH-7179-PtdIns4P-Gi1/β1/γ2 8FYE-5-HT1A-4-F,5-MeO-PyrT-PtdIns4P-Gi1/β1/γ1 7X5H-5-HT5A-5-CT-Gi1/β1/γ2 8FY8-5-HT1A-5-MeO-DMT-PtdIns4P-Gi1/β1/γ1 7E2Z-5-HT1A-Aripiprazole-PtdIns4P-Gi1/β1/γ2 7E33-5-HT1E-BRL-54443-Gi1/β1/γ2 8FYX-5-HT1A-Buspirone-PtdIns4P-Gi1/β1/γ1 7EXD-5-HT1F-Lasmiditan-Gi1/β1/γ2 7UM6-5-HT5A-Lisuride-chim(NtGi1-Go)/β1/γ2
64.29Consensusgi_dopamineOrthosteric Ligand7JVR-D2-Bromoergocryptine-Gi1/β1/γ2 7CMV-D3-PD128907-Gi1/β1/γ2 7CMU-D3-Pramipexole-Gi1/β1/γ2 8IRS-D2-Rotigotine-Gi1/β1/γ2 8IRT-D3-Rotigotine-Gi1/β1/γ2
64.29Consensusgs_adrenergicOrthosteric Ligand7DHI-β2-Salbutamol-Gs/β1/γ2 7XJI-β3-Solabegron-Gs/β1/γ2 7JJO-β1-Isoprenaline-Gs/β1/γ2 6NI3-β2-BI167107-Gs/β1/γ2 8DCR-β1-Dobutamine-Gs/β1/γ2 7XJH-β3-Isoprenaline-Gs/β1/γ2 7DH5-β3-Mirabegron-Gs/β1/γ2
64.29Consensusgs_dopamineOrthosteric Ligand7F0T-D1-Dopamine-Gs/β1/γ2 7CKW-D1-Fenoldopam-Gs/β1/γ2 7CKY-D1-PW0464-Gs/β1/γ2 8IRV-D5-Rotigotine-chim(NtGi1-Gs)/β1/γ2 8IRR-D1-Rotigotine-Gs/β1/γ2 7JV5-D1-SKF81297-Gs/β1/γ2 7JVP-D1-SKF83959-Gs/β1/γ2 7X2D-D1-Tavapadon-Gs/β1/γ2 7CKX-D1-A77636-Gs/β1/γ2 7JVQ-D1-Apomorphine-Gs/β1/γ2
63.64Single3PBLEticlopride3PBL-D3-Eticlopride
63.64Single7DFLHistamine7DFL-H1-Histamine-chim(NtGi1L-Gq)/β1/γ2
63.64Single7E2YSerotonin7E2Y-5-HT1A-Serotonin-PtdIns4P-Gi1/β1/γ2
63.64Single7XT9Serotonin7XT9-5-HT4-Serotonin-Gs/β1/γ2
63.64Single7XTBSerotonin7XTB-5-HT6-Serotonin-Gs/β1/γ2
63.64Single8UO4Constrained Epinephrine8UO4-β2-Constrained Epinephrine-GTP; Mg-Gs/β1/γ2
63.64Single8YN4Histamine8YN4-H2-Histamine-chim(NtGi1L-Gs-CtGq)/β1/γ2
63.64Single9AS2DMT9AS2-5-HT2A-DMT-chim(NtGi1-Gs-CtGq)/β1/γ2
63.64Single9IXJHistamine9IXJ-H2-Histamine-Gs/β1/γ2
63.64Single9U9VMETH9U9V-β2-METH-Gs/β1/γ2
63.64Consensusd3_offOrthosteric Ligand3PBL-D3-Eticlopride
63.64Consensush1_onOrthosteric Ligand7DFL-H1-Histamine-chim(NtGi1L-Gq)/β1/γ2
61.54Single2VT4Cyanopindolol2VT4-β1-Cyanopindolol
61.54Single2Y02Carmoterol2Y02-β1-Carmoterol
61.54Single2Y04Salbutamol2Y04-β1-Salbutamol
61.54Single3NY8ICI118-5513NY8-β2-ICI118-551
61.54Single3ZPQPubChem 5945903ZPQ-β1-PubChem 594590-Na
61.54Single4GBRCarazolol4GBR-β2-Carazolol
61.54Single4QKXPubChem 762106284QKX-β2-PubChem 76210628
61.54Single6K42Dexmedetomidine6K42-α2b-Dexmedetomidine-Gi1/β1/γ2
61.54Single6PS2Alprenolol6PS2-β2-Alprenolol
61.54Single7BU7BI1671077BU7-β1-BI167107
61.54Single7JVQApomorphine7JVQ-D1-Apomorphine-Gs/β1/γ2
61.54Single7LJCSKF812977LJC-D1-SKF81297-Mevidalen-Gs/β1/γ2
61.54Single7UM55-CT7UM5-5-HT5A-5-CT-chim(NtGi1-Go)/β1/γ2
61.54Single7UM6Lisuride7UM6-5-HT5A-Lisuride-chim(NtGi1-Go)/β1/γ2
61.54Single7WC7Lisuride7WC7-5-HT2A-Lisuride
61.54Single7X2CFenoldopam7X2C-D1-Fenoldopam-Fenoldopam-Gs/β1/γ2
61.54Single7XJHIsoprenaline7XJH-β3-Isoprenaline-Gs/β1/γ2
61.54Single7XTC5-CT7XTC-5-HT7-5-CT-Gs/β1/γ2
61.54Single8FY85-MeO-DMT8FY8-5-HT1A-5-MeO-DMT-PtdIns4P-Gi1/β1/γ1
61.54Single8GE9Constrained Epinephrine8GE9-β2-Constrained Epinephrine-Gs/β1/γ2
61.54Single8IRTRotigotine8IRT-D3-Rotigotine-Gi1/β1/γ2
61.54Single8UGYMianserin8UGY-5-HT1E-Mianserin-Gi1/β1/γ1
61.54Single8UNRConstrained Epinephrine8UNR-β2-Constrained Epinephrine-GTP-Gs/β1/γ2
61.54Single8UNUConstrained Epinephrine8UNU-β2-Constrained Epinephrine-GTP-Gs/β1/γ2
61.54Single8UNVConstrained Epinephrine8UNV-β2-Constrained Epinephrine-GTP-Gs/β1/γ2
61.54Single8UNZConstrained Epinephrine8UNZ-β2-Constrained Epinephrine-GTP-Gs/β1/γ2
61.54Single8UO2Constrained Epinephrine8UO2-β2-Constrained Epinephrine-GTP-Gs/β1/γ2
61.54Single8W8ARO52563908W8A-TA1-RO5256390-chim(NtGi1L-Gs)/β1/γ2
61.54Single8X64Desloratadine8X64-H1-Desloratadine
61.54Single8XVKAmbrisentan8XVK-ETA-Ambrisentan
61.54Single9CBMDexmedetomidine9CBM-α2a-Dexmedetomidine-Gi1/β1/γ2
61.54Single9PLNPubChem 1682595949PLN-α2a-PubChem 168259594
61.54Single9PLOPubChem 1682595949PLO-α2a-PubChem 168259594-Go/β1/γ2
61.54Single9PQDPubChem 1764919279PQD-α2a-PubChem 176491927
61.54Consensus5ht5_onOrthosteric Ligand5ht5a_on
61.54Consensus5ht5a_onOrthosteric Ligand7X5H-5-HT5A-5-CT-Gi1/β1/γ2 7UM6-5-HT5A-Lisuride-chim(NtGi1-Go)/β1/γ2 7UM7-5-HT5A-Methylergometrine-chim(NtGi1-Go)/β1/γ2
61.54Consensus5ht7_onOrthosteric Ligand7XTC-5-HT7-5-CT-Gs/β1/γ2
61.54Consensus5ht7_on_gpOrthosteric Ligand7XTC-5-HT7-5-CT-Gs/β1/γ2
61.54Consensusalpha2_onOrthosteric Ligandalpha2b_on
61.54Consensusalpha2_on_gpOrthosteric Ligandalpha2b_on_gp
61.54Consensusalpha2b_onOrthosteric Ligand6K42-α2b-Dexmedetomidine-Gi1/β1/γ2
61.54Consensusalpha2b_on_gpOrthosteric Ligand6K42-α2b-Dexmedetomidine-Gi1/β1/γ2
61.54Consensusalpha_onOrthosteric Ligandalpha1_on alpha2_on
61.54Consensusd5_onOrthosteric Ligand8IRV-D5-Rotigotine-chim(NtGi1-Gs)/β1/γ2
61.54Consensusdopamine_offOrthosteric Ligandd2_off d3_off
60.00Single2YCXCyanopindolol2YCX-β1-Cyanopindolol
60.00Single3D4STimolol3D4S-β2-Timolol
60.00Single5F8UCyanopindolol5F8U-β1-Cyanopindolol
60.00Single6H7NXamoterol6H7N-β1-Xamoterol
60.00Single7YMJTamsulosin7YMJ-Alpha1A-Tamsulosin
60.00Single8FYE4-F,5-MeO-PyrT8FYE-5-HT1A-4-F,5-MeO-PyrT-PtdIns4P-Gi1/β1/γ1
60.00Single8FYTLSD8FYT-5-HT1A-LSD-PtdIns4P-Gi1/β1/γ1
60.00Single9GL2Befiradol9GL2-5-HT1A-Befiradol-Gs/β1/γ2
60.00Single9KVG5-MeO-DMT9KVG-5-HT1A-5-MeO-DMT-PtdIns4P-Gi1/β1/γ2
60.00Consensusalpha1_offOrthosteric Ligandalpha1a_off
60.00Consensusalpha1a_offOrthosteric Ligand7YMJ-Alpha1A-Tamsulosin
60.00Consensusbeta3_onOrthosteric Ligand7DH5-β3-Mirabegron-Gs/β1/γ2 7XJH-β3-Isoprenaline-Gs/β1/γ2 7XJI-β3-Solabegron-Gs/β1/γ2
60.00Consensusbeta3_on_gpOrthosteric Ligand7DH5-β3-Mirabegron-Gs/β1/γ2 7XJH-β3-Isoprenaline-Gs/β1/γ2 7XJI-β3-Solabegron-Gs/β1/γ2
60.00Consensusd2_on_gpOrthosteric Ligand7JVR-D2-Bromoergocryptine-Gi1/β1/γ2 8IRS-D2-Rotigotine-Gi1/β1/γ2
60.00Consensusnk1_offOrthosteric Ligand6HLP-NK1-Netupitant 6HLO-NK1-Aprepitant 6HLL-NK1-CP99994 6E59-NK1-L-760735
58.82Single4AMJCarvedilol4AMJ-β1-Carvedilol
58.82Single8DCRDobutamine8DCR-β1-Dobutamine-Gs/β1/γ2
58.82Single9M4TSilodosin9M4T-Alpha1A-Silodosin
58.33Single6KUYPubChem 1457046436KUY-α2a-PubChem 145704643
58.33Single6OBAAlprenolol6OBA-β2-Alprenolol-GTPL11074
58.33Single7DHRIsoprenaline7DHR-β2-Isoprenaline-Gs/β1/γ2
58.33Single7LD4Adenosine7LD4-A1-Adenosine-Gi2/β1/γ2
58.33Single7LJDDopamine7LJD-D1-Dopamine-Mevidalen-Gs/β1/γ1
58.33Single7SRRLSD7SRR-5-HT2B-LSD-chim(NtGi2L-Gs-CtGq)/β1/γ2
58.33Single7SRSLSD7SRS-5-HT2B-LSD-Arrestin2
58.33Single7X2FDopamine7X2F-D1-Dopamine-Mevidalen-Gs/β1/γ2
58.33Single7YMHNorepinephrine7YMH-Alpha1A-Norepinephrine-chim(Gs-CtGq)
58.33Single8GGAConstrained Epinephrine8GGA-β2-Constrained Epinephrine-GTP-Gs/β1/γ2
58.33Single8GGRConstrained Epinephrine8GGR-β2-Constrained Epinephrine
58.33Single8GGWConstrained Epinephrine8GGW-β2-Constrained Epinephrine
58.33Single8GGZConstrained Epinephrine8GGZ-β2-Constrained Epinephrine
58.33Single8GH0Constrained Epinephrine8GH0-β2-Constrained Epinephrine
58.33Single8UNSConstrained Epinephrine8UNS-β2-Constrained Epinephrine-GTP-Gs/β1/γ2
58.33Single8UNTConstrained Epinephrine8UNT-β2-Constrained Epinephrine-GTP-Gs/β1/γ2
58.33Single8UNXConstrained Epinephrine8UNX-β2-Constrained Epinephrine-GTP-Gs/β1/γ2
58.33Single8WC3SEP-3638568WC3-TA1-SEP-363856-chim(NtGi1-Gs)/β1/γ2
58.33Single8YUTAmthamine8YUT-H2-Amthamine-Gs/β1/γ2
58.33Single9KVHCinobufotenine9KVH-5-HT1A-Cinobufotenine-PtdIns4P-Gi1/β1/γ2
58.33Single9LRBHistamine9LRB-H1-Histamine-Gs/β1/γ2
58.33Single9MQJIsoquinuclidine9MQJ-μ-Isoquinuclidine
58.33Consensus5ht2_on_gpOrthosteric Ligand5ht2b_on_gp
58.33Consensus5ht2b_on_gpOrthosteric Ligand7SRR-5-HT2B-LSD-chim(NtGi2L-Gs-CtGq)/β1/γ2
58.33Consensusa1_onOrthosteric Ligand7LD4-A1-Adenosine-Gi2/β1/γ2
58.33Consensusa1_on_gpOrthosteric Ligand7LD4-A1-Adenosine-Gi2/β1/γ2
58.33Consensusgq_histamineOrthosteric Ligand7DFL-H1-Histamine-chim(NtGi1L-Gq)/β1/γ2
58.33Consensush1_on_gpOrthosteric Ligand7DFL-H1-Histamine-chim(NtGi1L-Gq)/β1/γ2
57.14Single2YCWCarazolol2YCW-β1-Carazolol
57.14Single5D6LCarazolol5D6L-β2-Carazolol
57.14Single5TVNLSD5TVN-5-HT2B-LSD
57.14Single5X7DCarazolol5X7D-β2-Carazolol-PubChem 129318963
57.14Single6PS6Timolol6PS6-β2-Timolol
57.14Single7C61Ergotamine7C61-5-HT1B-Ergotamine
57.14Single7CKXA776367CKX-D1-A77636-Gs/β1/γ2
57.14Single9ARYSerotonin9ARY-5-HT2A-Serotonin-chim(NtGi1-Gs-CtGq)/β1/γ2
57.14Single9ARZ2-bromo-LSD9ARZ-5-HT2A-2-bromo-LSD
57.14Single9DYDAsenapine9DYD-5-HT1A-Asenapine-PtdIns4P-Go/β1/γ2
57.14Single9F33FOB02-04A9F33-D3-FOB02-04A-Go/β1/γ2
57.14Single9K07DSO-5a9K07-BB3-DSO-5a-chim(NtGi2L-Gs-CtGq)/β1/γ2
57.14Consensusalpha_on_gpOrthosteric Ligandalpha1_on_gp alpha2_on_gp
57.14Consensusd1_onOrthosteric Ligand7F0T-D1-Dopamine-Gs/β1/γ2 7CKY-D1-PW0464-Gs/β1/γ2 8IRR-D1-Rotigotine-Gs/β1/γ2 7JV5-D1-SKF81297-Gs/β1/γ2 7JVP-D1-SKF83959-Gs/β1/γ2 7X2D-D1-Tavapadon-Gs/β1/γ2 7CKX-D1-A77636-Gs/β1/γ2 7JVQ-D1-Apomorphine-Gs/β1/γ2 7CKW-D1-Fenoldopam-Gs/β1/γ2
57.14Consensusd2_onOrthosteric Ligand7JVR-D2-Bromoergocryptine-Gi1/β1/γ2 8IRS-D2-Rotigotine-Gi1/β1/γ2
57.14Consensusd4_onOrthosteric Ligand8IRU-D4-Rotigotine-chim(NtGi1-Gs-CtGi1)/β1/γ2
57.14Consensusta1_onOrthosteric Ligand8W87-TA1-METH-chim(NtGi1L-Gs)/β1/γ2 8W89-TA1-2-Phenylethylamine-chim(NtGi1L-Gs)/β1/γ2 8JLP-TA1-Ralmitaront-Gs/β1/γ2 8W8A-TA1-RO5256390-chim(NtGi1L-Gs)/β1/γ2 8W88-TA1-SEP-363856-Gs/β1/γ2 8JLO-TA1-Ulotaront-Gs/β1/γ2 8JLR-TA1-A77636-chim(NtGi1-Gs)/β1/γ2 8JSO-TA1-AMPH-chim(NtGi1-Gs)/β1/γ2 8ZSP-TA1-LSD-chim(NtGi1L-Gs)/β1/γ2
57.14Consensustrace-amine_onOrthosteric Ligandta1_on
56.25Single4BVNCyanopindolol4BVN-β1-Cyanopindolol-Na
56.25Single7JVRBromoergocryptine7JVR-D2-Bromoergocryptine-Gi1/β1/γ2
56.25Single9AS02-bromo-LSD9AS0-5-HT2A-2-bromo-LSD-chim(NtGi1-Gs-CtGq)/β1/γ2
56.25Single9DYEBuspirone9DYE-5-HT1A-Buspirone-PtdIns4P-Go/β1/γ2
54.55Single8DPILorcaserin8DPI-5-HT2C-Lorcaserin-chim(NtGi2L-Gs-CtGq)/β1/γ2
54.55Single8WC62-Phenylethylamine8WC6-TA1-2-Phenylethylamine-chim(NtGi1-Gs)/β1/γ2
54.55Single8WC9ZH86518WC9-TA1-ZH8651-chim(NtGi1-Gs-CtGq)/β1/γ2
53.85Single3RZECidoxepin3RZE-H1-Cidoxepin
53.85Single6A94Zotepine6A94-5-HT2A-Zotepine
53.85Single6KUXRS799486KUX-α2a-RS79948
53.85Single7CKWFenoldopam7CKW-D1-Fenoldopam-Gs/β1/γ2
53.85Single7CMVPD1289077CMV-D3-PD128907-Gi1/β1/γ2
53.85Single7EJ8Brimonidine7EJ8-α2a-Brimonidine-Go/β1/γ2
53.85Single7EJADexmedetomidine7EJA-α2a-Dexmedetomidine-Go/β1/γ2
53.85Single7F0TDopamine7F0T-D1-Dopamine-Gs/β1/γ2
53.85Single7F1ZDopamine7F1Z-D1-Dopamine-GDP-Gs/β1/γ2
53.85Single7UM7Methylergometrine7UM7-5-HT5A-Methylergometrine-chim(NtGi1-Go)/β1/γ2
53.85Single8GEAConstrained Epinephrine8GEA-β2-Constrained Epinephrine-Gs/β1/γ2
53.85Single8GG8Constrained Epinephrine8GG8-β2-Constrained Epinephrine-GTP-Gs/β1/γ2
53.85Single8GGSConstrained Epinephrine8GGS-β2-Constrained Epinephrine
53.85Single8GGTConstrained Epinephrine8GGT-β2-Constrained Epinephrine
53.85Single8JLKUlotaront8JLK-TA1-Ulotaront-chim(NtGi1-Gs)/β1/γ2
53.85Single8JSPUlotaront8JSP-5-HT1A-Ulotaront-Gi1/β1/γ2
53.85Single8THKA-616038THK-Alpha1A-A-61603-chim(NtGi2L-Gs-CtGq)/β1/γ2
53.85Single8THLEpinephrine8THL-Alpha1A-Epinephrine-chim(NtGi2L-Gs-CtGq)/β1/γ2
53.85Single8UO0Constrained Epinephrine8UO0-β2-Constrained Epinephrine-GTP-Gs/β1/γ2
53.85Single8UO1Constrained Epinephrine8UO1-β2-Constrained Epinephrine-GTP; Mg-Gs/β1/γ2
53.85Single8W88SEP-3638568W88-TA1-SEP-363856-Gs/β1/γ2
53.85Single8YH2Adenosine8YH2-A3A-Adenosine-Gi1/β1/γ2
53.85Single8YN3Histamine8YN3-H2-Histamine-Gs/β1/γ2
53.85Single9ARXSerotonin9ARX-5-HT2A-Serotonin
53.85Single9CBLEpinephrine9CBL-α2a-Epinephrine-Gi1/β1/γ2
53.85Single9JKQMETH9JKQ-TA1-METH-Gs/β1/γ2
53.85Single9KVIBufotenin9KVI-5-HT1A-Bufotenin-PtdIns4P-Gi1/β1/γ2
53.85Single9LL8Psilocin9LL8-5-HT2A-Psilocin-Gi1/β1/γ2
53.85Single9LRDHistamine9LRD-H1-Histamine-Gi1/β1/γ2
53.85Single9MQIIsoquinuclidine9MQI-μ-Isoquinuclidine
53.85Single9ODJMitragynine Pseudoindoxyl9ODJ-μ-Mitragynine Pseudoindoxyl-GTP; Mg-Gi1/β1/γ2
53.85Single9VJG8-OH-DPAT9VJG-5-HT1A-8-OH-DPAT-chim(NtGi2-Gz)/β1/γ2
53.85Single9VNFPindolol9VNF-5-HT1A-Pindolol-Go/β1/γ2
53.85Consensusalpha1_onOrthosteric Ligandalpha1a_on
53.85Consensusalpha1_on_gpOrthosteric Ligandalpha1a_on_gp
53.85Consensusalpha1a_onOrthosteric Ligand7EJ0-α2a-Norepinephrine-Go/β1/γ2 7EJ8-α2a-Brimonidine-Go/β1/γ2 7EJA-α2a-Dexmedetomidine-Go/β1/γ2 7EJK-α2a-Oxymetazoline-Go/β1/γ2 7W6P-α2a-N-pyridin-4-ylisoquinolin-4-amine-Go/β1/γ2 7W7E-α2a-PubChem 164946676-Go/β1/γ2
53.85Consensusalpha1a_on_gpOrthosteric Ligand7EJ0-α2a-Norepinephrine-Go/β1/γ2 7EJ8-α2a-Brimonidine-Go/β1/γ2 7EJA-α2a-Dexmedetomidine-Go/β1/γ2 7EJK-α2a-Oxymetazoline-Go/β1/γ2 7W6P-α2a-N-pyridin-4-ylisoquinolin-4-amine-Go/β1/γ2 7W7E-α2a-PubChem 164946676-Go/β1/γ2
53.85Consensusnop_offOrthosteric Ligand4EA3-NOP-PubChem 10296561 5DHG-NOP-C-35 5DHH-NOP-SB-612111
53.33Single2YDVNECA2YDV-A2A-NECA
53.33Single3PDSFAUC503PDS-β2-FAUC50
53.33Single4UHRCGS216804UHR-A2A-CGS21680
53.33Single5A8E7-Methylcyanopindolol5A8E-β1-7-Methylcyanopindolol-Na
53.33Single5G53NECA5G53-A2A-NECA-Gs
53.33Single5ZKBAF-DX 3845ZKB-M2-AF-DX 384
53.33Single6J20Aprepitant6J20-NK1-Aprepitant
53.33Single6J21Aprepitant6J21-NK1-Aprepitant
53.33Single6NI3BI1671076NI3-β2-BI167107-Gs/β1/γ2
53.33Single6TQ7SB-3348676TQ7-OX1-SB-334867
53.33Single7CKYPW04647CKY-D1-PW0464-Gs/β1/γ2
53.33Single7E2ZAripiprazole7E2Z-5-HT1A-Aripiprazole-PtdIns4P-Gi1/β1/γ2
53.33Single7JV5SKF812977JV5-D1-SKF81297-Gs/β1/γ2
53.33Single7JVPSKF839597JVP-D1-SKF83959-Gs/β1/γ2
53.33Single8DZPmomSalB8DZP-κ-momSalB-Gi1/β1/γ2
53.33Single8EFLSR170188EFL-μ-SR17018-Gi1/β1/γ2
53.33Single8IRURotigotine8IRU-D4-Rotigotine-chim(NtGi1-Gs-CtGi1)/β1/γ2
53.33Single8JT6(R)-IHCH-71798JT6-5-HT1A-(R)-IHCH-7179-PtdIns4P-Gi1/β1/γ2
53.33Single9IJDCarazolol9IJD-β3-Carazolol-chim(NtGi1-Gs)/β1/γ2
53.33Consensusd4_on_gpOrthosteric Ligand8IRU-D4-Rotigotine-chim(NtGi1-Gs-CtGi1)/β1/γ2
53.33Consensusta1_on_gpOrthosteric Ligand8W87-TA1-METH-chim(NtGi1L-Gs)/β1/γ2 8W89-TA1-2-Phenylethylamine-chim(NtGi1L-Gs)/β1/γ2 8JLP-TA1-Ralmitaront-Gs/β1/γ2 8W8A-TA1-RO5256390-chim(NtGi1L-Gs)/β1/γ2 8W88-TA1-SEP-363856-Gs/β1/γ2 8JLO-TA1-Ulotaront-Gs/β1/γ2 8JLR-TA1-A77636-chim(NtGi1-Gs)/β1/γ2 8JSO-TA1-AMPH-chim(NtGi1-Gs)/β1/γ2 8ZSP-TA1-LSD-chim(NtGi1L-Gs)/β1/γ2
53.33Consensustachykinin_offOrthosteric Ligandnk1_off
53.33Consensustrace-amine_on_gpOrthosteric Ligandta1_on_gp
52.94Single3NY9PubChem 9131033NY9-β2-PubChem 913103
52.94Single8X5YAstemizole8X5Y-H1-Astemizole
52.94Single9MD1Buspirone9MD1-5-HT1A-Buspirone-PtdIns4P-Gz/β1/γ2
50.00Single2Y01Dobutamine2Y01-β1-Dobutamine
50.00Single3ZPRPubChem 5987543ZPR-β1-PubChem 598754-Na
50.00Single4EA3PubChem 102965614EA3-NOP-PubChem 10296561
50.00Single4IARErgotamine4IAR-5-HT1B-Ergotamine
50.00Single4U16N-methyl-Scopolamine4U16-M3-N-methyl-Scopolamine
50.00Single5DHGC-355DHG-NOP-C-35
50.00Single5YC8N-methyl-Scopolamine5YC8-M2-N-methyl-Scopolamine
50.00Single5ZK8N-methyl-Scopolamine5ZK8-M2-N-methyl-Scopolamine
50.00Single5ZKCN-methyl-Scopolamine5ZKC-M2-N-methyl-Scopolamine
50.00Single6DRYMethylergometrine6DRY-5-HT2B-Methylergometrine
50.00Single6DRZMethysergide6DRZ-5-HT2B-Methysergide
50.00Single6MXTSalmeterol6MXT-β2-Salmeterol
50.00Single7BZ2Arformoterol7BZ2-β2-Arformoterol-Gs/β1/γ2
50.00Single7CRHSKF839597CRH-D1-SKF83959-Gs/β1/γ2
50.00Single7DH5Mirabegron7DH5-β3-Mirabegron-Gs/β1/γ2
50.00Single7EXDLasmiditan7EXD-5-HT1F-Lasmiditan-Gi1/β1/γ2
50.00Single7JOZPubChem 752020227JOZ-D1-PubChem 75202022-Gs/β1/γ2
50.00Single7SCGFH2107SCG-μ-FH210-Gi1/β1/γ2
50.00Single7SRQLSD7SRQ-5-HT2B-LSD
50.00Single7T2GMitragynine Pseudoindoxyl7T2G-μ-Mitragynine Pseudoindoxyl-Gi1/β1/γ2
50.00Single7XTASerotonin7XTA-5-HT4-Serotonin-Gi1/β1/γ2
50.00Single8DPFLorcaserin8DPF-5-HT2C-Lorcaserin-chim(NtGi2L-Gs-CtGq)/β1/γ2
50.00Single8DZSGR89,6968DZS-κ-GR89,696-chim(NtGi2-Gz)/β1/γ2
50.00Single8E9W2-Deoxycytidine8E9W-M3-2-Deoxycytidine-chim(NtGi2L-Gs-CtGq)/β1/γ2
50.00Single8EF6Morphine8EF6-μ-Morphine-Gi1/β1/γ2
50.00Single8FYLVilazodone8FYL-5-HT1A-Vilazodone-PtdIns4P-Gi1/β1/γ1
50.00Single8GGYConstrained Epinephrine8GGY-β2-Constrained Epinephrine
50.00Single8IRSRotigotine8IRS-D2-Rotigotine-Gi1/β1/γ2
50.00Single8JJLOlodaterol8JJL-β2-Olodaterol
50.00Single8JLJT1AM8JLJ-TA1-T1AM-chim(NtGi1-Gs)/β1/γ2
50.00Single8JLOUlotaront8JLO-TA1-Ulotaront-Gs/β1/γ2
50.00Single8JLZST19368JLZ-5-HT6-ST1936-Gs/β1/γ2
50.00Single8JXRLSD8JXR-D1-LSD
50.00Single8PJKST1718PJK-5-HT1A-ST171-Gi1/β1/γ1
50.00Single8PKMBefiradol8PKM-5-HT1A-Befiradol-Gi1/β1/γ1
50.00Single8UH3Setiptiline8UH3-5-HT1E-Setiptiline-Gi1/β1/γ1
50.00Single8UWLLisuride8UWL-5-HT2A-Lisuride-chim(NtGi2-Gs-CtGq)/β1/γ2
50.00Single8W87METH8W87-TA1-METH-chim(NtGi1L-Gs)/β1/γ2
50.00Single8W892-Phenylethylamine8W89-TA1-2-Phenylethylamine-chim(NtGi1L-Gs)/β1/γ2
50.00Single8WC7ZH86678WC7-TA1-ZH8667-chim(NtGi1-Gs)/β1/γ2
50.00Single8X63Mepyramine8X63-H1-Mepyramine
50.00Single8Y71A1D6F8Y71-δ-A1D6F-BMS986187-Gi1/β1/γ2
50.00Single8YN2Histamine8YN2-H1-Histamine-chim(NtGi1L-Gs-CtGq)/β1/γ2
50.00Single8YN5Histamine8YN5-H3-Histamine-Gi1/β1/γ2
50.00Single8YN6Imetit8YN6-H3-Imetit-Gi1/β1/γ2
50.00Single8YN7Immethridine8YN7-H3-Immethridine-Go/β1/γ2
50.00Single8YN8Proxyfan8YN8-H3-Proxyfan-Go/β1/γ2
50.00Single8ZSSRO52633978ZSS-TA1-RO5263397-chim(NtGi1-Gs)/β1/γ2
50.00Single9AS1DMT9AS1-5-HT2A-DMT
50.00Single9AS7Psilocin9AS7-5-HT2A-Psilocin
50.00Single9BUYLM1899BUY-β2-LM189-Gi1/β1/γ2
50.00Single9CHXCarazolol9CHX-β2-Carazolol
50.00Single9DYFAsenapine9DYF-5-HT1A-Asenapine-PtdIns4P-Gi1/β1/γ2
50.00Single9IJEEpinephrine9IJE-β3-Epinephrine-chim(NtGi1-Gs)/β1/γ2
50.00Single9JEAAtropine9JEA-M1-Atropine
50.00Single9LLAAriadne9LLA-5-HT2A-Ariadne-chim(NtGi1L-Gs-CtGq)/β1/γ2
50.00Single9VMYTMU41429VMY-5-HT1A-TMU4142-Go/β1/γ2
50.00Consensus5ht1a_onOrthosteric Ligand8FYT-5-HT1A-LSD-PtdIns4P-Gi1/β1/γ1 7E2Y-5-HT1A-Serotonin-PtdIns4P-Gi1/β1/γ2 7E2Z-5-HT1A-Aripiprazole-PtdIns4P-Gi1/β1/γ2 8FYX-5-HT1A-Buspirone-PtdIns4P-Gi1/β1/γ1 8JSP-5-HT1A-Ulotaront-Gi1/β1/γ2 8JT6-5-HT1A-(R)-IHCH-7179-PtdIns4P-Gi1/β1/γ2 8FY8-5-HT1A-5-MeO-DMT-PtdIns4P-Gi1/β1/γ1 8FYE-5-HT1A-4-F,5-MeO-PyrT-PtdIns4P-Gi1/β1/γ1 8FYL-5-HT1A-Vilazodone-PtdIns4P-Gi1/β1/γ1
50.00Consensus5ht1a_on_gpOrthosteric Ligand8FYT-5-HT1A-LSD-PtdIns4P-Gi1/β1/γ1 8FYX-5-HT1A-Buspirone-PtdIns4P-Gi1/β1/γ1 8JSP-5-HT1A-Ulotaront-Gi1/β1/γ2 8JT6-5-HT1A-(R)-IHCH-7179-PtdIns4P-Gi1/β1/γ2 7E2Y-5-HT1A-Serotonin-PtdIns4P-Gi1/β1/γ2 7E2Z-5-HT1A-Aripiprazole-PtdIns4P-Gi1/β1/γ2 8FY8-5-HT1A-5-MeO-DMT-PtdIns4P-Gi1/β1/γ1 8FYE-5-HT1A-4-F,5-MeO-PyrT-PtdIns4P-Gi1/β1/γ1 8FYL-5-HT1A-Vilazodone-PtdIns4P-Gi1/β1/γ1
50.00Consensus5ht1f_onOrthosteric Ligand7EXD-5-HT1F-Lasmiditan-Gi1/β1/γ2
50.00Consensus5ht1f_on_gpOrthosteric Ligand7EXD-5-HT1F-Lasmiditan-Gi1/β1/γ2
50.00Consensus5ht2b_offOrthosteric Ligand6DRZ-5-HT2B-Methysergide
50.00Consensus5ht4_onOrthosteric Ligand7XTA-5-HT4-Serotonin-Gi1/β1/γ2
50.00Consensus5ht4_on_gpOrthosteric Ligand7XTA-5-HT4-Serotonin-Gi1/β1/γ2
50.00Consensus5ht6_onOrthosteric Ligand7XTB-5-HT6-Serotonin-Gs/β1/γ2 8JLZ-5-HT6-ST1936-Gs/β1/γ2
50.00Consensus5ht6_on_gpOrthosteric Ligand7XTB-5-HT6-Serotonin-Gs/β1/γ2 8JLZ-5-HT6-ST1936-Gs/β1/γ2
50.00Consensusadenosine_on_gpOrthosteric Liganda1_on_gp a2_on_gp a3_on_gp
50.00Consensusgq_amineOrthosteric Ligandgq_muscarinic gq_histamine
50.00Consensusgs_trace-amineOrthosteric Ligand8W88-TA1-SEP-363856-Gs/β1/γ2 8JLJ-TA1-T1AM-chim(NtGi1-Gs)/β1/γ2 8JLO-TA1-Ulotaront-Gs/β1/γ2 8WC4-TA1-ZH8651-chim(NtGi1-Gs)/β1/γ2 8WC7-TA1-ZH8667-chim(NtGi1-Gs)/β1/γ2 8JLR-TA1-A77636-chim(NtGi1-Gs)/β1/γ2 8JSO-TA1-AMPH-chim(NtGi1-Gs)/β1/γ2 8W87-TA1-METH-chim(NtGi1L-Gs)/β1/γ2 8W89-TA1-2-Phenylethylamine-chim(NtGi1L-Gs)/β1/γ2 8JLP-TA1-Ralmitaront-Gs/β1/γ2 8W8A-TA1-RO5256390-chim(NtGi1L-Gs)/β1/γ2
50.00Consensushistamine_offOrthosteric Ligandh1_off
47.06Single5TUDErgotamine5TUD-5-HT2B-Ergotamine
47.06Single5X93K-87945X93-ETB-K-8794
47.06Single7UM4AS26747237UM4-5-HT5A-AS2674723
47.06Single7X2DTavapadon7X2D-D1-Tavapadon-Gs/β1/γ2
47.06Single7XJISolabegron7XJI-β3-Solabegron-Gs/β1/γ2
47.06Single8E9X2-Deoxycytidine8E9X-M4-2-Deoxycytidine-chim(NtGi1-Go)/β1/γ2
47.06Single8E9YClozapine-N-oxide8E9Y-M3-Clozapine-N-oxide-chim(NtGi2L-Gs-CtGq)/β1/γ2
47.06Single8FX5Xanomeline8FX5-M4-Xanomeline-Xanomeline-Gi1/β1/γ2
47.06Single9HYIDP819HYI-5-HT1A-DP81-Gi1/β1/γ2
47.06Consensusd2_offOrthosteric Ligand6CM4-D2-Risperidone 6LUQ-D2-Haloperidol 7DFP-D2-Spiperone
46.67Single2Y00Dobutamine2Y00-β1-Dobutamine
46.67Single5C1MBU725C1M-μ-BU72
46.67Single6LUQHaloperidol6LUQ-D2-Haloperidol
46.67Single6ME72-Phenylmelatonin6ME7-MT2-2-Phenylmelatonin
46.67Single7LD3Adenosine7LD3-A1-Adenosine-MIPS521-Gi2/β1/γ2
46.67Single7SBFPZM217SBF-μ-PZM21-Gi1/β1/γ2
46.67Single7X1TTaltirelin7X1T-TRH-Taltirelin-chim(NtGi2L-Gs-CtGq)/β1/γ2
46.67Single8C9WEtrumadenant8C9W-A2A-Etrumadenant
46.67Single8DZQmomSalB8DZQ-κ-momSalB-Go/β1/γ2
46.67Single8DZRGR89,6968DZR-κ-GR89,696-chim(NtGi2-Gt3)/β1/γ2
46.67Single8E9ZIperoxo8E9Z-M3-Iperoxo-chim(NtGi2L-Gs-CtGq)/β1/γ2
46.67Single8JXSPF-61428JXS-D1-PF-6142
46.67Single8ZMFPubChem 1719206738ZMF-5-HT2C-PubChem 171920673
46.67Single9EE8Adenosine9EE8-A2A-Adenosine-Gs/β1/γ2
46.67Single9F34FOB02-04A9F34-D3-FOB02-04A-Go/β1/γ2
46.67Single9I52A1IZU9I52-D1-A1IZU-Gs/β1/γ2
46.67Single9L74S1P d16:19L74-S1P3-S1P d16:1-chim(NtGi2L-Gs-CtGq)/β1/γ2
46.67Single9MQKIsoquinuclidine9MQK-κ-Isoquinuclidine
46.67Single9PXYNaloxone9PXY-μ-Naloxone-GDPβS-Gi1/β1/γ2
46.67Single9VJFBuspirone9VJF-5-HT1A-Buspirone-Gi3/β1/γ2
46.67Consensush1_offOrthosteric Ligand8X63-H1-Mepyramine 3RZE-H1-Cidoxepin 8X5Y-H1-Astemizole
46.67Consensusm2_offOrthosteric Ligand5ZKC-M2-N-methyl-Scopolamine 5ZK3-M2-3-quinuclidinyl-benzilate 5ZKB-M2-AF-DX 384
46.67Consensusm3_onOrthosteric Ligand8E9Z-M3-Iperoxo-chim(NtGi2L-Gs-CtGq)/β1/γ2 8E9W-M3-2-Deoxycytidine-chim(NtGi2L-Gs-CtGq)/β1/γ2 8E9Y-M3-Clozapine-N-oxide-chim(NtGi2L-Gs-CtGq)/β1/γ2
46.67Consensusm3_on_gpOrthosteric Ligand8E9Z-M3-Iperoxo-chim(NtGi2L-Gs-CtGq)/β1/γ2 8E9W-M3-2-Deoxycytidine-chim(NtGi2L-Gs-CtGq)/β1/γ2 8E9Y-M3-Clozapine-N-oxide-chim(NtGi2L-Gs-CtGq)/β1/γ2
46.15Single6D9HAdenosine6D9H-A1-Adenosine-Gi2/β1/γ2
46.15Single7EJ0Norepinephrine7EJ0-α2a-Norepinephrine-Go/β1/γ2
46.15Single7F1ODopamine7F1O-D1-Dopamine-GDP; Mg-Gs/β1/γ2
46.15Single7YM8Oxymetazoline7YM8-Alpha1A-Oxymetazoline-chim(Gs-CtGq)
46.15Single8FYXBuspirone8FYX-5-HT1A-Buspirone-PtdIns4P-Gi1/β1/γ1
46.15Single8GGCConstrained Epinephrine8GGC-β2-Constrained Epinephrine-GTP-Gs/β1/γ2
46.15Single8HDPAdenosine8HDP-A2B-Adenosine-Gs/β1/γ2
46.15Single8HOCImetit8HOC-H4-Imetit-Gi1/β1/γ2
46.15Single8IW4Spermidine8IW4-TAA9-Spermidine-chim(NtGi1-Gs)/β1/γ2
46.15Single8IWESpermidine8IWE-TAA9-Spermidine
46.15Single8WC4ZH86518WC4-TA1-ZH8651-chim(NtGi1-Gs)/β1/γ2
46.15Single8WCA2-Phenylethylamine8WCA-TA1-2-Phenylethylamine-chim(NtGi1-Gs)/β1/γ2
46.15Single8YNAImmepip8YNA-H4-Immepip-Gi1/β1/γ2
46.15Single8YUVImmepip8YUV-H3-Immepip-Gi1/β1/γ2
46.15Single9EBHAdenosine9EBH-A3A-Adenosine-Gi1/β1/γ2
46.15Single9LLBDOI-NBOMe9LLB-5-HT2A-DOI-NBOMe-chim(NtGi1L-Gs-CtGq)/β1/γ2
46.15Single9VJ5Gepirone9VJ5-5-HT1A-Gepirone-Go/β1/γ2
46.15Single9VJEBuspirone9VJE-5-HT1A-Buspirone-Go/β1/γ2
46.15Consensushistamine_onOrthosteric Ligandh1_on h2_on h3_on h4_on
46.15Consensushistamine_on_gpOrthosteric Ligandh1_on_gp h2_on_gp h3_on_gp h4_on_gp
46.15Consensusrhodopsin_offOrthosteric Ligand1U19-Rhodopsin-11-cis-Retinal 2PED-Rhodopsin-9-cis-Retinal 5TE5-Rhodopsin-20-Methanoretinal
45.45Single8DPHLorcaserin8DPH-5-HT2C-Lorcaserin-chim(NtGi2L-Gs-CtGq)/β1/γ2
45.45Single8GEIConstrained Epinephrine8GEI-β2-Constrained Epinephrine-Gs/β1/γ2
45.45Single8IWM2-Phenylethylamine8IWM-TAA9-2-Phenylethylamine
45.45Single9CHUNorepinephrine9CHU-β2-Norepinephrine
45.45Consensusgs_histamineOrthosteric Ligand8POK-H2-Histamine-Gs/β1/γ2
45.45Consensush2_onOrthosteric Ligand8POK-H2-Histamine-Gs/β1/γ2
44.44Single4UG2CGS216804UG2-A2A-CGS21680
44.44Single6G79Donitriptan6G79-5-HT1B-Donitriptan-Go/β1/γ2
44.44Single8JLRA776368JLR-TA1-A77636-chim(NtGi1-Gs)/β1/γ2
44.44Single8Y72Peptide8Y72-μ-Peptide-BMS-986122-Gi1/β1/γ2
43.75Single4U15Tiotropium4U15-M3-Tiotropium
43.75Single5V54Methiothepin5V54-5-HT1B-Methiothepin
43.75Single6E59L-7607356E59-NK1-L-760735
43.75Single6GT3Imaradenant6GT3-A2A-Imaradenant-Na
43.75Single6OL9Tiotropium6OL9-M5-Tiotropium
43.75Single7B6WCyclazosin7B6W-α1b-Cyclazosin
43.75Single7TRQIperoxo7TRQ-M4-Iperoxo-VU0467154-Gi1/β1/γ2
43.75Single7U2LC5-guano7U2L-μ-C5-guano-Gi1/β1/γ2
43.75Single8EA0Iperoxo8EA0-M3-Iperoxo
43.75Single8JXVClozapine8JXV-H4-Clozapine-Gi1/β1/γ2
43.75Single8VVEnorBNI8VVE-κ-norBNI-Gi1/β1/γ2
43.75Single8VVFJDTic8VVF-κ-JDTic-Gi1/β1/γ2
43.75Single9AS9RS130-1809AS9-5-HT2A-RS130-180
43.75Single9ASARS130-1809ASA-5-HT2A-RS130-180-chim(NtGi1-Gs-CtGq)/β1/γ2
43.75Single9BJKNaloxone9BJK-μ-Naloxone-PubChem 171642066
43.75Single9PY3Loperamide9PY3-μ-Loperamide-GDPβS-Gi1/β1/γ2
43.75Single9PY4Loperamide9PY4-μ-Loperamide-GDPβS-Gi1/β1/γ2
43.75Consensus5ht1_offOrthosteric Ligand5ht1b_off
43.75Consensus5ht1b_offOrthosteric Ligand5V54-5-HT1B-Methiothepin
43.75Consensus5ht_offOrthosteric Ligand5ht2_off 5ht1_off
43.75Consensusm5_offOrthosteric Ligand6OL9-M5-Tiotropium
43.75Consensusmuscarinic_offOrthosteric Ligandm2_off m3_off m4_off m5_off m1_off
42.86Single2YDOAdenosine2YDO-A2A-Adenosine
42.86Single3UZCPubChem 1355666093UZC-A2A-PubChem 135566609
42.86Single4DKLBeta-Funaltrexamine4DKL-μ-β-Funaltrexamine
42.86Single4MQTIperoxo4MQT-M2-Iperoxo-LY2119620
42.86Single4N6HNaltrindole4N6H-δ-Naltrindole-Na
42.86Single6IQLL7458706IQL-D4-L745870
42.86Single6TPGEMPA6TPG-OX2-EMPA
42.86Single6TPNHTL66416TPN-OX2-HTL6641
42.86Single6WJCAtropine6WJC-M1-Atropine-Muscarinic toxin 7
42.86Single7T94Acetylcholine7T94-M2-Acetylcholine-LY2119620-chim(NtGi1-Go)/β1/γ2
42.86Single7TRSAcetylcholine7TRS-M4-Acetylcholine-Gi1/β1/γ2
42.86Single7UL3Famotidine7UL3-H2-Famotidine
42.86Single8DPGPsilocin8DPG-5-HT2C-Psilocin-chim(NtGi2L-Gs-CtGq)/β1/γ2
42.86Single8FCZ11-cis-Retinal8FCZ-Rhodopsin-11-cis-Retinal
42.86Single8JLQFenoldopam8JLQ-TA1-Fenoldopam-Gs/β1/γ2
42.86Single8V6UPubChem 1713924568V6U-5-HT2A-PubChem 171392456-chim(NtGi2-Gs-CtGq)/β1/γ2
42.86Single8WC8ZH86518WC8-TA1-ZH8651-chim(NtGi1-Gs)/β1/γ2
42.86Single8Y45ADL58598Y45-δ-ADL5859-Gi2/β1/γ2
42.86Single8ZMGPimavanserin8ZMG-5-HT2A-Pimavanserin
42.86Single9AS8Psilocin9AS8-5-HT2A-Psilocin-chim(NtGi2L-Gs-CtGq)/β1/γ2
42.86Single9L8LBI1671079L8L-β2-BI167107-Atazanavir-Gs/β1/γ2 ; Arrestin2
42.86Single9ODLMitragynine Pseudoindoxyl9ODL-μ-Mitragynine Pseudoindoxyl-GTP; Mg-Gi1/β1/γ2
42.86Single9PXVNaloxone9PXV-μ-Naloxone-Gi1/β1/γ2
42.86Single9PXXNaloxone9PXX-μ-Naloxone-GDPβS-Gi1/β1/γ2
42.86Consensusadenosine_onOrthosteric Liganda1_on a2_on a3_on
42.86Consensusgi_adenosineOrthosteric Ligand7LD4-A1-Adenosine-Gi2/β1/γ2 8X17-A3A-Namodenoson-Gi1/β1/γ2 8X16-A3A-Piclidenoson-Gi1/β1/γ2
42.86Consensusopsins_offOrthosteric Ligandrhodopsin_off
42.86Consensussensory_offOrthosteric Ligandopsins_off
42.11Single4IB4Ergotamine4IB4-5-HT2B-Ergotamine
42.11Single8WDTphotoNECA8WDT-A2A-photoNECA
42.11Single8ZSPLSD8ZSP-TA1-LSD-chim(NtGi1L-Gs)/β1/γ2
42.11Consensusmop_offOrthosteric Ligand4DKL-μ-β-Funaltrexamine 8QOT-μ-Nanobody-E 7UL4-μ-Alvimopan
41.67Single2J4Y11-cis-Retinal2J4Y-Rhodopsin-11-cis-Retinal
41.67Single3C9M11-cis-Retinal3C9M-Rhodopsin-11-cis-Retinal
41.67Single3UZAGTPL92363UZA-A2A-GTPL9236
41.67Single6FUFAll-trans-Retinal6FUF-Rhodopsin-All-trans-Retinal-Go
41.67Single7EJKOxymetazoline7EJK-α2a-Oxymetazoline-Go/β1/γ2
41.67Single7F23Dopamine7F23-D1-Dopamine-GDP-Gs/β1/γ2
41.67Single7WC5Psilocin7WC5-5-HT2A-Psilocin
41.67Single8GH1Constrained Epinephrine8GH1-β2-Constrained Epinephrine
41.67Single8IW72-Phenylethylamine8IW7-TAA9-2-Phenylethylamine-chim(NtGi1-Gs)/β1/γ2
41.67Single8POKHistamine8POK-H2-Histamine-Gs/β1/γ2
41.67Single8YN9Histamine8YN9-H4-Histamine-Gi1/β1/γ2
41.67Single8YUUHistamine8YUU-H3-Histamine-Gi1/β1/γ1
41.67Single9LL7DOI9LL7-5-HT2A-DOI-Gi1/β1/γ2
41.67Single9LRCHistamine9LRC-H4-Histamine
41.67Single9LREHistamine9LRE-H4-Histamine-Gi1/β1/γ2
41.67Consensus5ht2_onOrthosteric Ligand5ht2b_on
41.67Consensus5ht2b_onOrthosteric Ligand7SRR-5-HT2B-LSD-chim(NtGi2L-Gs-CtGq)/β1/γ2
41.67Consensush2_on_gpOrthosteric Ligand8POK-H2-Histamine-Gs/β1/γ2
41.67Consensush3_onOrthosteric Ligand8YUU-H3-Histamine-Gi1/β1/γ1
41.67Consensush3_on_gpOrthosteric Ligand8YUU-H3-Histamine-Gi1/β1/γ1
41.18Single4RWADIPP-NH24RWA-δ-DIPP-NH2
41.18Single5CXVTiotropium5CXV-M1-Tiotropium
41.18Single6CM4Risperidone6CM4-D2-Risperidone
41.18Single7XMTJ-21567XMT-SST4-J-2156-Gi1/β1/γ2
41.18Single7XW9TRH7XW9-TRH-TRH-chim(NtGi1L-Gs-CtGq)/β1/γ2
41.18Single7YITNalfurafine7YIT-κ-Nalfurafine
41.18Single8G056-OAU8G05-GPR84-6-OAU-Gi1/β1/γ2
41.18Single8W1VPubChem 1717162658W1V-β2-PubChem 171716265
41.18Single9EBIPiclidenoson9EBI-A3A-Piclidenoson-chim(NtGi1L-Gs-CtGi1)/β1/γ2
41.18Single9EK0Iperoxo9EK0-M5-Iperoxo-chim(NtGi1-Gs-CtGq)/β1/γ2
41.18Single9M4QDoxazosin9M4Q-Alpha1A-Doxazosin
41.18Single9MQLIsoquinuclidine9MQL-κ-Isoquinuclidine
41.18Single9V6ONalfurafine9V6O-κ-Nalfurafine-Gi1/β1/γ2
41.18Single9VJ6F-155999VJ6-5-HT1A-F-15599-Gi3/β1/γ2
41.18Single9WSVDAMGO9WSV-μ-DAMGO-Arrestin2
41.18Consensusgi_amineOrthosteric Ligandgi_5ht gi_muscarinic gi_adrenergic gi_dopamine gi_histamine
41.18Consensuskop_onOrthosteric Ligand8F7W-κ-Dynorphin-Gi1/β1/γ2 8DZS-κ-GR89,696-chim(NtGi2-Gz)/β1/γ2 8DZP-κ-momSalB-Gi1/β1/γ2
41.18Consensusm1_offOrthosteric Ligand5CXV-M1-Tiotropium
41.18Consensusmop_onOrthosteric Ligand8F7R-μ-Endomorphin-Gi1/β1/γ2 8EF5-μ-Fentanyl-Gi1/β1/γ2 7SCG-μ-FH210-Gi1/β1/γ2 7T2H-μ-Lofentanil-Gi1/β1/γ2 7T2G-μ-Mitragynine Pseudoindoxyl-Gi1/β1/γ2 8EF6-μ-Morphine-Gi1/β1/γ2 8EFB-μ-Oliceridine-Gi1/β1/γ2 7U2L-μ-C5-guano-Gi1/β1/γ2 8EFO-μ-PZM21-Gi1/β1/γ2 8EFL-μ-SR17018-Gi1/β1/γ2 8F7Q-μ-β-Endorphin-Gi1/β1/γ2 7U2K-μ-C6-guano-Gi1/β1/γ2 8EFQ-μ-DAMGO-Gi1/β1/γ2
41.18Consensusmop_on_gpOrthosteric Ligand8F7R-μ-Endomorphin-Gi1/β1/γ2 8EF5-μ-Fentanyl-Gi1/β1/γ2 7SCG-μ-FH210-Gi1/β1/γ2 7T2H-μ-Lofentanil-Gi1/β1/γ2 7T2G-μ-Mitragynine Pseudoindoxyl-Gi1/β1/γ2 8EF6-μ-Morphine-Gi1/β1/γ2 8EFB-μ-Oliceridine-Gi1/β1/γ2 7U2L-μ-C5-guano-Gi1/β1/γ2 8EFO-μ-PZM21-Gi1/β1/γ2 8EFL-μ-SR17018-Gi1/β1/γ2 8F7Q-μ-β-Endorphin-Gi1/β1/γ2 7U2K-μ-C6-guano-Gi1/β1/γ2 8EFQ-μ-DAMGO-Gi1/β1/γ2
41.18Consensusopioid_offOrthosteric Ligandmop_off nop_off dop_off kop_off
41.18Consensustrh_onOrthosteric Ligand7XW9-TRH-TRH-chim(NtGi1L-Gs-CtGq)/β1/γ2
41.18Consensustrh_on_gpOrthosteric Ligand7XW9-TRH-TRH-chim(NtGi1L-Gs-CtGq)/β1/γ2
40.00Single1HZX11-cis-Retinal1HZX-Rhodopsin-11-cis-Retinal
40.00Single3QAKUK-4320973QAK-A2A-UK-432097
40.00Single4DAJTiotropium4DAJ-M3-Tiotropium
40.00Single4EJ4Naltrindole4EJ4-δ-Naltrindole
40.00Single4J4QOctyl Beta-D-Glucopyranoside4J4Q-Rhodopsin-Octyl β-D-Glucopyranoside-Gt(CT)
40.00Single4MQSIperoxo4MQS-M2-Iperoxo
40.00Single4U14Tiotropium4U14-M3-Tiotropium
40.00Single4X1HNonyl-Beta-D-Glucopyranoside4X1H-Rhodopsin-Nonyl-β-D-Glucopyranoside-Gt(CT)
40.00Single5DHHSB-6121115DHH-NOP-SB-612111
40.00Single5DSGTiotropium5DSG-M4-Tiotropium
40.00Single5OLZPubChem 1355666095OLZ-A2A-PubChem 135566609-Na
40.00Single5OM1PubChem 1355666095OM1-A2A-PubChem 135566609-Na
40.00Single6DRXLisuride6DRX-5-HT2B-Lisuride
40.00Single6HLOAprepitant6HLO-NK1-Aprepitant
40.00Single6WHADB139486WHA-5-HT2A-DB13948-chim(NtGi2L-Gs-CtGq)/β1/γ2
40.00Single7SQOTAK-9257SQO-OX2-TAK-925-Gi1/β1/γ2
40.00Single7TRPIperoxo7TRP-M4-Iperoxo-LY2033298-Gi1/β1/γ2
40.00Single7UL4Alvimopan7UL4-μ-Alvimopan
40.00Single8CICEtrumadenant8CIC-A2A-Etrumadenant-Na
40.00Single8CU7LJ-45178CU7-A2A-LJ-4517-Na
40.00Single8JD0NAM5638JD0-mGlu2; mGlu3-Glutamate-NAM563
40.00Single8VVGGB188VVG-κ-GB18-Gi1/β1/γ2
40.00Single8X17Namodenoson8X17-A3A-Namodenoson-Gi1/β1/γ2
40.00Single9D61JDTic9D61-κ-JDTic-Gi1/β1/γ2
40.00Single9JGKBalovaptan9JGK-5-HT2B-Balovaptan
40.00Single9PXWNaloxone9PXW-μ-Naloxone-GDPβS-Gi1/β1/γ2
40.00Single9UAZAtropine9UAZ-M1-Atropine
40.00Consensusa3_onOrthosteric Liganda3a_on
40.00Consensusdop_offOrthosteric Ligand4EJ4-δ-Naltrindole
40.00Consensusgi_orexinOrthosteric Ligand7SQO-OX2-TAK-925-Gi1/β1/γ2
40.00Consensusm4_offOrthosteric Ligand5DSG-M4-Tiotropium
40.00Consensusmuscarinic_onOrthosteric Ligandm2_on m3_on m4_on m1_on
40.00Consensusmuscarinic_on_gpOrthosteric Ligandm2_on_gp m3_on_gp m4_on_gp m1_on_gp
38.89Single6BQGErgotamine6BQG-5-HT2C-Ergotamine
38.89Single6DDFDAMGO6DDF-μ-DAMGO-Gi1/β1/γ2
38.89Single7EZCUK-4320977EZC-A2A-UK-432097
38.89Single7SK8CCX6627SK8-ACKR3-CXCL12-CCX662
38.89Single7U2KC6-guano7U2K-μ-C6-guano-Gi1/β1/γ2
38.89Single7VGY2-Iodomelatonin7VGY-MT1-2-Iodomelatonin-Gi1/β1/γ2
38.89Single8E0GBU728E0G-μ-BU72
38.89Single8J19LY2378J19-GPR84-LY237-Gi1/β1/γ2
38.89Single8T3OTUG-8918T3O-FFA4-TUG-891-chim(NtGi2L-Gs-CtGq)/β1/γ2
38.89Single8XIOL7975918XIO-SST1-L797591-chim(NtGi1-Gs-CtGi1)/β1/γ2
38.89Single9CGJC6-Quino9CGJ-δ-C6-Quino-Gi1/β1/γ2
38.89Consensusendothelin_offOrthosteric Ligandetb_off
38.89Consensusetb_offOrthosteric Ligand5X93-ETB-K-8794 5XPR-ETB-Bosentan 6K1Q-ETB-IRL2500
38.89Consensuskop_on_gpOrthosteric Ligand8F7W-κ-Dynorphin-Gi1/β1/γ2 8DZS-κ-GR89,696-chim(NtGi2-Gz)/β1/γ2 8DZP-κ-momSalB-Gi1/β1/γ2
38.46Single1L9H11-cis-Retinal1L9H-Rhodopsin-11-cis-Retinal
38.46Single1U1911-cis-Retinal1U19-Rhodopsin-11-cis-Retinal
38.46Single2G87All-trans-Retinal2G87-Rhodopsin-All-trans-Retinal
38.46Single2I3511-cis-Retinal2I35-Rhodopsin-11-cis-Retinal
38.46Single5TE520-Methanoretinal5TE5-Rhodopsin-20-Methanoretinal
38.46Single6HLLCP999946HLL-NK1-CP99994
38.46Single6I9K9-cis-Retinal6I9K-Rhodopsin-9-cis-Retinal
38.46Single6TP4ACT-4622066TP4-OX1-ACT-462206
38.46Single7YFCHistamine7YFC-H4-Histamine-chim(NtGi1-Gs-CtGq)/β1/γ2
38.46Single7YFDImetit7YFD-H4-Imetit-chim(NtGi1-Gs-CtGq)/β1/γ2
38.46Single8HN8Histamine8HN8-H4-Histamine-Gi1/β1/γ2
38.46Single8UO3Constrained Epinephrine8UO3-β2-Constrained Epinephrine-GTP; Mg-Gs/β1/γ2
38.46Single8YH3N-methyladenosine8YH3-A3A-N-methyladenosine-Gi1/β1/γ2
38.46Single8ZSVRO52633978ZSV-TA1-RO5263397-chim(NtGi1-Gs)/β1/γ2
38.46Single9JEDHistamine9JED-H4-Histamine-PO4-Gi1/β1/γ2
38.46Single9JEQHistamine9JEQ-H3-Histamine-Gi1/β1/γ2
38.46Single9L42Histamine9L42-H4-Histamine-Gi1/β1/γ2
38.10Single5WF5UK-4320975WF5-A2A-UK-432097
38.10Single8XIQL7967788XIQ-SST3-L796778-chim(NtGi1-Gs-CtGi1)/β1/γ2
37.50Single4RWDDIPP-NH24RWD-δ-DIPP-NH2-Na
37.50Single4WW3All-trans-Retinal4WW3-Rhodopsin-All-trans-Retinal
37.50Single5OM4PubChem 1355666095OM4-A2A-PubChem 135566609-Na
37.50Single5WQCEMPA5WQC-OX2-EMPA
37.50Single5ZK33-quinuclidinyl-benzilate5ZK3-M2-3-quinuclidinyl-benzilate
37.50Single6GDGNECA6GDG-A2A-NECA-Gs/β1/γ1
37.50Single6HLPNetupitant6HLP-NK1-Netupitant
37.50Single6ME82-Phenylmelatonin6ME8-MT2-2-Phenylmelatonin
37.50Single6OIKIperoxo6OIK-M2-Iperoxo-LY2119620-chim(NtGi1-Go)/β1/γ2
37.50Single6TP6Filorexant6TP6-OX1-Filorexant
37.50Single7TRKIperoxo7TRK-M4-Iperoxo-Gi1/β1/γ2
37.50Single8EFBOliceridine8EFB-μ-Oliceridine-Gi1/β1/γ2
37.50Single8J18(3R)-3-Hydroxydodecanoic acid8J18-GPR84-(3R)-3-Hydroxydodecanoic acid-Gi1/β1/γ2
37.50Single8YH0NECA8YH0-A3A-NECA-Gi1/β1/γ2
37.50Single9AXFCa; Ca; Ca; Cyclomethyltryptophan; R-568; PO49AXF-CaS; CaS-Ca-Ca; Ca; Ca; Cyclomethyltryptophan; R-568; PO4-chim(NtGi1-Gs-CtGq)/β1/γ2
37.50Consensus5ht2_offOrthosteric Ligand5ht2a_off 5ht2b_off 5ht2c_off
37.50Consensusa3_on_gpOrthosteric Liganda3a_on_gp
37.50Consensusa3a_onOrthosteric Ligand8X17-A3A-Namodenoson-Gi1/β1/γ2 8X16-A3A-Piclidenoson-Gi1/β1/γ2
37.50Consensusa3a_on_gpOrthosteric Ligand8X17-A3A-Namodenoson-Gi1/β1/γ2 8X16-A3A-Piclidenoson-Gi1/β1/γ2
36.84Single6PT3DPI-2876PT3-δ-DPI-287
36.84Single9CGKC5-Quino9CGK-δ-C5-Quino-Gi1/β1/γ2
36.84Single9M0RNeuropeptide-VF9M0R-NPFF1-Neuropeptide-VF-Gi1/β1/γ2
36.36Single7W40Bombesin7W40-BB2-Bombesin-chim(NtGi1L-Gq)/β1/γ2
36.36Single7WC4Serotonin7WC4-5-HT2A-Serotonin
35.71Single1GZM11-cis-Retinal1GZM-Rhodopsin-11-cis-Retinal
35.71Single2PED9-cis-Retinal2PED-Rhodopsin-9-cis-Retinal
35.71Single2X72All-trans-Retinal2X72-Rhodopsin-All-trans-Retinal-Gt(CT)
35.71Single3C9L11-cis-Retinal3C9L-Rhodopsin-11-cis-Retinal
35.71Single3VGAZM-2413853VGA-A2A-ZM-241385-Antibody
35.71Single6AKXA4R6AKX-CCR5-A4R
35.71Single6B73MP11046B73-κ-MP1104
35.71Single6DS0LY2660976DS0-5-HT2B-LY266097
35.71Single6ME2Ramelteon6ME2-MT1-Ramelteon
35.71Single6NWEOctyl-Beta-D-Glucopyranoside6NWE-Rhodopsin-Octyl-β-D-Glucopyranoside-Gt(CT)
35.71Single6TODEMPA6TOD-OX1-EMPA-Na
35.71Single7T8XAcetylcholine7T8X-M2-Acetylcholine-chim(NtGi1-Go)/β1/γ2
35.71Single7T90Acetylcholine7T90-M2-Acetylcholine-chim(NtGi1-Go)/β1/γ2
35.71Single7T96Acetylcholine7T96-M2-Acetylcholine-LY2119620-Go/β1/γ2
35.71Single7VUJJNJ-635330547VUJ-GPR139-JNJ-63533054-GDP-chim(Gs-CtGq)/β1/γ2
35.71Single8A6CAll-trans-Retinal8A6C-Rhodopsin-All-trans-Retinal
35.71Single8A6DAll-trans-Retinal8A6D-Rhodopsin-All-trans-Retinal
35.71Single8A6EAll-trans-Retinal8A6E-Rhodopsin-All-trans-Retinal
35.71Single8EFOPZM218EFO-μ-PZM21-Gi1/β1/γ2
35.71Single8JSOAMPH8JSO-TA1-AMPH-chim(NtGi1-Gs)/β1/γ2
35.71Single8XXVIndomethacin8XXV-DP2-Indomethacin-A1D5Q-Gi1/β1/γ2
35.71Single8YYWAlpha-ketoglutarate8YYW-Oxoglutarate-α-ketoglutarate-α-ketoglutarate-chim(Gi1-CtGq)/β1/γ2
35.71Single9EEAAdenosine9EEA-A2A-Adenosine-Gs/β1/γ2
35.71Single9PXUNaloxone9PXU-μ-Naloxone-Na
35.71Consensusm2_onOrthosteric Ligand7T8X-M2-Acetylcholine-chim(NtGi1-Go)/β1/γ2
35.71Consensusm2_on_gpOrthosteric Ligand7T8X-M2-Acetylcholine-chim(NtGi1-Go)/β1/γ2
35.71Consensussensory_offonOrthosteric Ligandsensory_off sensory_on
35.71Consensussensory_offon_gpOrthosteric Ligandsensory_on_gp sensory_on
35.29Single3UON3-quinuclidinyl-benzilate3UON-M2-3-quinuclidinyl-benzilate
35.29Single4DJHJDTic4DJH-κ-JDTic
35.29Single6KO5PubChem 574000026KO5-Ghrelin-PubChem 57400002
35.29Single6OIJIperoxo6OIJ-M1-Iperoxo-chim(NtGi1L-G11)/β1/γ2
35.29Single7T2HLofentanil7T2H-μ-Lofentanil-Gi1/β1/γ2
35.29Single7XY7NECA7XY7-A2B-NECA-chim(NtGi1-Gs)/β1/γ2
35.29Single8ID39-Hydroxystearic acid8ID3-FFA4-9-Hydroxystearic acid-Gi1/β1/γ2
35.29Single8IYHMK68928IYH-HCA2-MK6892-Go/β1/γ2
35.29Single8JLPRalmitaront8JLP-TA1-Ralmitaront-Gs/β1/γ2
35.29Single8JXWVUF68848JXW-H4-VUF6884-Gi1/β1/γ2
35.29Single8JXXClobenpropit8JXX-H4-Clobenpropit-Gi1/β1/γ2
35.29Single8T1VPubChem 1183102098T1V-GPR6-PubChem 118310209-Na
35.29Single8UGWCGS216808UGW-A2A-CGS21680
35.29Single8XVLZibotentan8XVL-ETA-Zibotentan
35.29Single8YH6Namodenoson8YH6-A3A-Namodenoson-Gi1/β1/γ2
35.29Single8ZWFJR14a8ZWF-C3aB-JR14a
35.29Single9KVPSB2901579KVP-C3aB-SB290157-Go/β1/γ2
35.29Single9UCPIperoxo9UCP-M1-Iperoxo-G11(CT)
35.29Consensusa2_onOrthosteric Liganda2b_on
35.29Consensusa2_on_gpOrthosteric Liganda2b_on_gp
35.29Consensusa2b_onOrthosteric Ligand8HDP-A2B-Adenosine-Gs/β1/γ2 7XY6-A2B-BAY 60-6583-chim(NtGi1-Gs)/β1/γ2 7XY7-A2B-NECA-chim(NtGi1-Gs)/β1/γ2 8HDO-A2B-BAY 60-6583-Gs/β1/γ2
35.29Consensusa2b_on_gpOrthosteric Ligand8HDP-A2B-Adenosine-Gs/β1/γ2 7XY6-A2B-BAY 60-6583-chim(NtGi1-Gs)/β1/γ2 7XY7-A2B-NECA-chim(NtGi1-Gs)/β1/γ2 8HDO-A2B-BAY 60-6583-Gs/β1/γ2
35.29Consensusclass-a_offOrthosteric Ligandsensory_off alicarboxylic_off amine_off lipid_off nucleotide_off peptide_off protein_off
35.29Consensusgs_adenosineOrthosteric Ligand8HDP-A2B-Adenosine-Gs/β1/γ2 8HDO-A2B-BAY 60-6583-Gs/β1/γ2 7XY7-A2B-NECA-chim(NtGi1-Gs)/β1/γ2 7XY6-A2B-BAY 60-6583-chim(NtGi1-Gs)/β1/γ2
35.29Consensusgs_nucleotideOrthosteric Ligandgs_adenosine
35.29Consensuskop_offOrthosteric Ligand4DJH-κ-JDTic
35.29Consensusm1_on_gpOrthosteric Ligand6OIJ-M1-Iperoxo-chim(NtGi1L-G11)/β1/γ2
35.29Consensusm3_offOrthosteric Ligand4U15-M3-Tiotropium 4U16-M3-N-methyl-Scopolamine 5ZHP-M3-PubChem 134828589
35.00Single7W0PElabela7W0P-Apelin-Elabela-Gi1/β1/γ2
35.00Single7WKDTRH7WKD-TRH-TRH-chim(NtGi1-Gs-CtGq)/β1/γ2
35.00Single7WVWfMYFINILTL7WVW-FPR2-ALX-fMYFINILTL-Gi2/β1/γ2
35.00Consensusclass-a_on_gpOrthosteric Ligandsensory_on_gp alicarboxylic_on_gp amine_on_gp lipid_on_gp nucleotide_on_gp peptide_on_gp protein_on_gp
35.00Consensusgi_opioidOrthosteric Ligand8F7R-μ-Endomorphin-Gi1/β1/γ2 8EF5-μ-Fentanyl-Gi1/β1/γ2 7SCG-μ-FH210-Gi1/β1/γ2 7T2H-μ-Lofentanil-Gi1/β1/γ2 7T2G-μ-Mitragynine Pseudoindoxyl-Gi1/β1/γ2 8DZP-κ-momSalB-Gi1/β1/γ2 8EF6-μ-Morphine-Gi1/β1/γ2 8F7X-NOP-Nociceptin-Gi1/β1/γ2 8EFB-μ-Oliceridine-Gi1/β1/γ2 7U2L-μ-C5-guano-Gi1/β1/γ2 8EFO-μ-PZM21-Gi1/β1/γ2 8EFL-μ-SR17018-Gi1/β1/γ2 8F7Q-μ-β-Endorphin-Gi1/β1/γ2 7U2K-μ-C6-guano-Gi1/β1/γ2 8EFQ-μ-DAMGO-Gi1/β1/γ2 8F7S-δ-Deltorphin-Gi1/β1/γ2 8F7W-κ-Dynorphin-Gi1/β1/γ2
34.78Consensusopioid_onOrthosteric Ligandmop_on nop_on dop_on kop_on
33.33Single1F8811-cis-Retinal1F88-Rhodopsin-11-cis-Retinal
33.33Single3OAX11-cis-Retinal3OAX-Rhodopsin-11-cis-Retinal
33.33Single4MBSMaraviroc4MBS-CCR5-Maraviroc
33.33Single4ZJCSB-6740424ZJC-OX1-SB-674042
33.33Single5TE3Octyl-Beta-D-Glucopyranoside5TE3-Rhodopsin-Octyl-β-D-Glucopyranoside
33.33Single6A93Risperidone6A93-5-HT2A-Risperidone
33.33Single6ME32-Phenylmelatonin6ME3-MT1-2-Phenylmelatonin
33.33Single6ME42-Iodomelatonin6ME4-MT1-2-Iodomelatonin
33.33Single6OY9All-trans-Retinal6OY9-Rhodopsin-All-trans-Retinal-Gt/β1/γ1
33.33Single6PS82-Phenylmelatonin6PS8-MT1-2-Phenylmelatonin
33.33Single6TP3Nemorexant6TP3-OX1-Nemorexant
33.33Single6V9SGTPL114036V9S-OX1-GTPL11403
33.33Single6VI4JDTic6VI4-κ-JDTic
33.33Single6ZFZ77-LH-28-16ZFZ-M1-77-LH-28-1
33.33Single6ZG4HTL00099366ZG4-M1-HTL0009936
33.33Single7DFPSpiperone7DFP-D2-Spiperone
33.33Single7EW2FTY720-P7EW2-S1P3-FTY720-P-Gi1/β1/γ2
33.33Single7MTBAll-trans-Retinal7MTB-Rhodopsin-All-trans-Retinal-GRK1
33.33Single7SR8TAK-9257SR8-OX2-TAK-925-chim(NtGi1L-Gs-CtGq)/β1/γ2
33.33Single7VODCariprazine7VOD-5-HT2A-Cariprazine
33.33Single7VUGJNJ-635330547VUG-GPR139-JNJ-63533054-Gi1/β1/γ2
33.33Single7WC9PubChem 1624213647WC9-5-HT2A-PubChem 162421364
33.33Single7ZBC11-cis-Retinal7ZBC-Rhodopsin-11-cis-Retinal
33.33Single7ZBE11-cis-Retinal7ZBE-Rhodopsin-11-cis-Retinal
33.33Single8I9AEP548I9A-C3aB-EP54-chim(NtGi1-Gs-CtGq)/β1/γ2
33.33Single8IA8E7 peptide8IA8-C3aB-E7 peptide-Gi1/β1/γ2
33.33Single8JWY2-1188JWY-A2A-2-118
33.33Single8JWZEtrumadenant8JWZ-A2A-Etrumadenant-Na
33.33Single8PM2DMCHA8PM2-TA7-DMCHA-Gs/β1/γ2
33.33Single8RLNLUF58348RLN-A2A-LUF5834
33.33Single8T3QDoconexent8T3Q-FFA4-Doconexent-chim(NtGi2L-Gs-CtGq)/β1/γ2
33.33Single8WC5Tetramethylammonium Ion8WC5-TA1-Tetramethylammonium Ion-chim(NtGi1-Gs)/β1/γ2
33.33Single8Y01All-trans-Retinal8Y01-Opsin1MW-All-trans-Retinal-Gi1/β1/γ2
33.33Single8Y53MK50468Y53-BB3-MK5046-chim(NtGi1-Gs-CtGq)/β1/γ2
33.33Single8Z8ALactate8Z8A-HCA1-Lactate-Gi1/β1/γ2
33.33Single9EE9Adenosine9EE9-A2A-Adenosine-Gs/β1/γ2
33.33Single9EPQ11,20-Ethanoretinal9EPQ-Rhodopsin-11,20-Ethanoretinal-chim(Gi1-CtGq)/β1/γ2
33.33Single9GYOP3959GYO-GPBA-P395-chim(NtGi1-Gs)/β1/γ2
33.33Single9JKYAcifran9JKY-HCA2-Acifran-Gi1/β1/γ2
33.33Single9YDQDADLE9YDQ-δ-DADLE-MIPS3614-chim(NtGi1L-Gs-CtGi1)/β1/γ2
33.33Consensus5ht2a_offOrthosteric Ligand6A94-5-HT2A-Zotepine 6A93-5-HT2A-Risperidone 7VOD-5-HT2A-Cariprazine 7WC8-5-HT2A-Lumateperone 8JT8-5-HT2A-(R)-IHCH-7179
33.33Consensusgi_muscarinicOrthosteric Ligand8E9X-M4-2-Deoxycytidine-chim(NtGi1-Go)/β1/γ2 7T8X-M2-Acetylcholine-chim(NtGi1-Go)/β1/γ2 7TRS-M4-Acetylcholine-Gi1/β1/γ2 7TRK-M4-Iperoxo-Gi1/β1/γ2 7V6A-M4-PubChem 9864275-Gi1/β1/γ2
33.33Consensusopioid_on_gpOrthosteric Ligandmop_on_gp nop_on_gp dop_on_gp kop_on_gp
33.33Consensusopsins_onOrthosteric Ligandrhodopsin_on opsin1lw_on
33.33Consensuss1p3_onOrthosteric Ligand7EW3-S1P3-S1P-Gi1/β1/γ2 7EW4-S1P3-CYM-5541-Gi1/β1/γ2 7EW2-S1P3-FTY720-P-Gi1/β1/γ2
33.33Consensuss1p3_on_gpOrthosteric Ligand7EW3-S1P3-S1P-Gi1/β1/γ2 7EW4-S1P3-CYM-5541-Gi1/β1/γ2 7EW2-S1P3-FTY720-P-Gi1/β1/γ2
33.33Consensussensory_onOrthosteric Ligandopsins_on
31.82Single6PT2KGCHM076PT2-δ-KGCHM07
31.82Single7T6TfMLFII7T6T-FPR1-ALX-fMLFII-Gi1/β1/γ2
31.82Single9B54VIP369B54-CB1-VIP36-Gi1/β1/γ2
31.82Consensusgs_class-aOrthosteric Ligandgs_peptide gs_nucleotide gs_amine
31.58Single4NC3Ergotamine4NC3-5-HT2B-Ergotamine
31.58Single5UNGPubChem 157800525UNG-AT2-PubChem 15780052
31.58Single6BQHRitanserin6BQH-5-HT2C-Ritanserin
31.58Single7MBYCholecystokinin-87MBY-CCKA-Cholecystokinin-8-chim(NtGi1L-Gs-CtGq)/β1/γ2
31.58Single7SK7CCX6627SK7-ACKR3-CXCL12-CCX662
31.58Single7WVVfMLFII7WVV-FPR2-ALX-fMLFII-Gi2/β1/γ2
31.58Single7X1UTRH7X1U-TRH-TRH-chim(NtGi2L-Gs-CtGq)/β1/γ2
31.58Single8I95EP548I95-C3aB-EP54-Go/β1/γ2
31.58Single8XGSKisspeptin-18XGS-Kiss1-Kisspeptin-1-chim(NtGi1-Gq)/β1/γ2
31.58Single8ZWGJR14a8ZWG-C3aB-JR14a-Gi1/β1/γ2
31.58Single9KUGEP679KUG-C5a1-EP67-Go/β1/γ2
31.58Single9M54Neuropeptide-VF9M54-NPFF2-Neuropeptide-VF-Gi1/β1/γ2
31.58Single9WP9S1P9WP9-S1P3-S1P-chim(NtGi2L-Gs-CtGq)/β1/γ2
31.58Single9YDPDADLE9YDP-δ-DADLE-chim(NtGi1L-Gs-CtGi1)/β1/γ2
31.58Consensus5ht2c_offOrthosteric Ligand6BQH-5-HT2C-Ritanserin
31.58Consensusclass-a_onOrthosteric Ligandsensory_on alicarboxylic_on amine_on lipid_on nucleotide_on peptide_on protein_on
31.58Consensusnucleotide_on_gpOrthosteric Ligandadenosine_on_gp p2y_on_gp
31.58Consensusorexin_on_gpOrthosteric Ligandox2_on_gp
31.25Single5UIGPubChem 1240811965UIG-A2A-PubChem 124081196
31.25Single6TOTLemborexant6TOT-OX1-Lemborexant
31.25Single7DB6Ramelteon7DB6-MT1-Ramelteon-Gi1/β1/γ2
31.25Single7M3JNPS-2143; PO47M3J-CaS; CaS-NPS-2143; PO4
31.25Single7T6VfMLFII7T6V-FPR2-ALX-fMLFII-Gi1/β1/γ2
31.25Single7VGZRamelteon7VGZ-MT1-Ramelteon-Gi1/β1/γ2
31.25Single7VH0Ramelteon7VH0-MT2-Ramelteon-Gi1/β1/γ1
31.25Single7VIES1P7VIE-S1P1-S1P-Gi1/β1/γ2
31.25Single7YACPaltusotine7YAC-SST2-Paltusotine-Gi1/β1/γ2
31.25Single8CU6LJ-45178CU6-A2A-LJ-4517
31.25Single8EFQDAMGO8EFQ-μ-DAMGO-Gi1/β1/γ2
31.25Single8JT8(R)-IHCH-71798JT8-5-HT2A-(R)-IHCH-7179
31.25Single8T1WCVN4248T1W-GPR6-CVN424
31.25Single8YH5Riboprine8YH5-A3A-Riboprine-Gi1/β1/γ2
31.25Single9BQJRO769BQJ-μ-RO76-Gi1/β1/γ2
31.25Single9EPP11,20-Ethanoretinal9EPP-Rhodopsin-11,20-Ethanoretinal-chim(Gi1-CtGq)/β1/γ2
31.25Single9KUXCMPD6449KUX-Apelin; Apelin-CMPD644-Arrestin2
31.25Consensusalicarboxylic_on_gpOrthosteric Ligandsuccinate_on_gp hca_on_gp
31.25Consensusgi_alicarboxylicOrthosteric Ligandgi_hca gi_succinate
31.25Consensusgi_histamineOrthosteric Ligand8JXX-H4-Clobenpropit-Gi1/β1/γ2 8JXV-H4-Clozapine-Gi1/β1/γ2 8YUU-H3-Histamine-Gi1/β1/γ1 8HN8-H4-Histamine-Gi1/β1/γ2 8HOC-H4-Imetit-Gi1/β1/γ2 8JXW-H4-VUF6884-Gi1/β1/γ2
30.77Single7DD7Ca; Ca; Tryptophan; Evocalcet7DD7-CaS; CaS-Ca-Ca; Ca; Tryptophan; Evocalcet
30.77Single8GGEConstrained Epinephrine8GGE-β2-Constrained Epinephrine-GTP-Gs/β1/γ2
30.77Single8GGFConstrained Epinephrine8GGF-β2-Constrained Epinephrine-GTP-Gs/β1/γ2
30.77Single8ITFDMCHA8ITF-TAA9-DMCHA-chim(NtGi1-Gs)/β1/γ2
30.77Single8IU2All-trans-Retinal8IU2-Opsin1LW-All-trans-Retinal-Gi1/β1/γ2
30.77Single8J6QBeta-Hydroxybutyrate8J6Q-HCA2-β-Hydroxybutyrate-PubChem 25101223-Gi1/β1/γ2
30.77Single8JXTHistamine8JXT-H4-Histamine-PO4-Gi1/β1/γ2
30.77Single9JG1Adriforant9JG1-H4-Adriforant
30.77Consensusgi_opsinsOrthosteric Ligand8IU2-Opsin1LW-All-trans-Retinal-Gi1/β1/γ2
30.77Consensusgi_sensoryOrthosteric Ligandgi_opsins
30.77Consensusopsin1lw_onOrthosteric Ligand8IU2-Opsin1LW-All-trans-Retinal-Gi1/β1/γ2
30.77Consensusopsin1lw_on_gpOrthosteric Ligand8IU2-Opsin1LW-All-trans-Retinal-Gi1/β1/γ2
30.77Consensusopsins_on_gpOrthosteric Ligandrhodopsin_on_gp opsin1lw_on_gp
30.77Consensusrhodopsin_onOrthosteric Ligand6OYA-Rhodopsin-All-trans-Retinal-Gt/β1/γ1
30.77Consensussensory_on_gpOrthosteric Ligandopsins_on_gp
30.43Single9BKKCholecystokinin-89BKK-CCKA-Cholecystokinin-8-chim(NtGi1-Gs-CtGq)/β1/γ2
30.43Consensusgi_class-aOrthosteric Ligandgi_peptide gi_sensory gi_alicarboxylic gi_amine gi_lipid gi_nucleotide gi_protein
30.00Single5WF6UK-4320975WF6-A2A-UK-432097
30.00Single7SK9CCX6627SK9-ACKR3-CCX662
30.00Single7T11Octreotide7T11-SST2-Octreotide-Gi3/β1/γ2
30.00Single7XN9L-0545227XN9-SST2-L-054522
30.00Single7XY6BAY 60-65837XY6-A2B-BAY 60-6583-chim(NtGi1-Gs)/β1/γ2
30.00Single7YAEOctreotide7YAE-SST2-Octreotide-Gi1/β1/γ2
30.00Single8IA7Cholecystokinin-88IA7-CCKB-Cholecystokinin-8-chim(NtGi1L-Gq)/β1/γ2
30.00Single9IPVJR14a9IPV-C3aB-JR14a-Gi1/β1/γ2
30.00Single9JF4PD1683689JF4-BB1-PD168368
30.00Single9KZ2EP679KZ2-C3aB-EP67-Go/β1/γ2
30.00Consensusox2_onOrthosteric Ligand7L1V-OX2-PubChem 155491009-chim(NtGi1-Gs-CtGq)/β1/γ2 7SQO-OX2-TAK-925-Gi1/β1/γ2 7L1U-OX2-Orexin-chim(NtGi1-Gs-CtGq)/β1/γ2
30.00Consensusox2_on_gpOrthosteric Ligand7L1V-OX2-PubChem 155491009-chim(NtGi1-Gs-CtGq)/β1/γ2 7SQO-OX2-TAK-925-Gi1/β1/γ2 7L1U-OX2-Orexin-chim(NtGi1-Gs-CtGq)/β1/γ2
30.00Consensussst2_onOrthosteric Ligand7WIC-SST2-Somatostatin-14-Gi1/β1/γ2 7WIG-SST2-L-054264-Gi1/β1/γ2 7YAE-SST2-Octreotide-Gi1/β1/γ2 7YAC-SST2-Paltusotine-Gi1/β1/γ2
30.00Consensussst2_on_gpOrthosteric Ligand7WIC-SST2-Somatostatin-14-Gi1/β1/γ2 7WIG-SST2-L-054264-Gi1/β1/γ2 7YAE-SST2-Octreotide-Gi1/β1/γ2 7YAC-SST2-Paltusotine-Gi1/β1/γ2
29.63Consensusbb2_onOrthosteric Ligand7W40-BB2-Bombesin-chim(NtGi1L-Gq)/β1/γ2 7W3Z-BB2-Gastrin Releasing Peptide-chim(NtGi1L-Gq)/β1/γ2
29.63Consensusbb2_on_gpOrthosteric Ligand7W40-BB2-Bombesin-chim(NtGi1L-Gq)/β1/γ2 7W3Z-BB2-Gastrin Releasing Peptide-chim(NtGi1L-Gq)/β1/γ2
29.63Consensusbombesin_onOrthosteric Ligandbb2_on
29.63Consensusbombesin_on_gpOrthosteric Ligandbb2_on_gp
29.63Consensusgq_bombesinOrthosteric Ligand7W40-BB2-Bombesin-chim(NtGi1L-Gq)/β1/γ2 7W3Z-BB2-Gastrin Releasing Peptide-chim(NtGi1L-Gq)/β1/γ2
29.41Single4ZJ8Suvorexant4ZJ8-OX1-Suvorexant
29.41Single5NM2ZM-2413855NM2-A2A-ZM-241385-Na
29.41Single5XPRBosentan5XPR-ETB-Bosentan
29.41Single5ZBQUR-MK-2995ZBQ-Y1-UR-MK-299
29.41Single6ME62-Phenylmelatonin6ME6-MT2-2-Phenylmelatonin
29.41Single6TO7Suvorexant6TO7-OX1-Suvorexant-Na
29.41Single7CFNINT-7777CFN-GPBA-INT-777-Gs/β1/γ2
29.41Single7EUOfMLF7EUO-FPR1-ALX-fMLF-Gi1/β1/γ2
29.41Single7M3JNPS-2143; PO47M3J-CaS; CaS-NPS-2143; PO4
29.41Single7SINNPS-21437SIN-CaS; CaS-NPS-2143
29.41Single7SINNPS-21437SIN-CaS; CaS-NPS-2143
29.41Single7VOEAripiprazole7VOE-5-HT2A-Aripiprazole
29.41Single7VUHJNJ-635330547VUH-GPR139-JNJ-63533054-chim(Gs-CtGq)/β1/γ2
29.41Single7W41PD1762527W41-BB2-PD176252
29.41Single7WIGL-0542647WIG-SST2-L-054264-Gi1/β1/γ2
29.41Single8HNLPS3724248HNL-CXCR3-PS372424-Gi1/β1/γ2
29.41Single8ID4Linoleic acid8ID4-FFA4-Linoleic acid-Gi1/β1/γ2
29.41Single8J6JGSK2560738J6J-HCA2-GSK256073-Gi1/β1/γ2
29.41Single8KFXLMD-0098KFX-CCR8-LMD-009-Gi1/β1/γ2
29.41Single8QOTNanobody-E8QOT-μ-Nanobody-E
29.41Single8S4DCMF-0198S4D-Apelin-CMF-019
29.41Single8XYKVUF106618XYK-CXCR3-VUF10661-Go/β1/γ2
29.41Single8ZRKGSK12922638ZRK-GPR119-GSK1292263-Gs/β1/γ2
29.41Single9AVLCa; Ca; Cyclomethyltryptophan; R-568; PO49AVL-CaS; CaS-Ca-Ca; Ca; Cyclomethyltryptophan; R-568; PO4-Gi3/β2/γ2
29.41Single9EHSLUF76029EHS-A3A-LUF7602
29.41Single9HAPTolvaptan9HAP-V2-Tolvaptan
29.41Single9IYBPGD29IYB-DP2-PGD2-A1D5Q-Gi1/β1/γ2
29.41Single9KUTJR14a9KUT-C3aB-JR14a-Go/β1/γ2
29.41Single9KUVCMPD6449KUV-Apelin-CMPD644-Arrestin2
29.41Single9U81Tolvaptan9U81-V2-Tolvaptan
29.41Consensusadenosine_offOrthosteric Liganda1_off a2_off
29.41Consensusbb2_offOrthosteric Ligand7W41-BB2-PD176252
29.41Consensusbombesin_offOrthosteric Ligandbb2_off
29.41Consensusgq_muscarinicOrthosteric Ligand6OIJ-M1-Iperoxo-chim(NtGi1L-G11)/β1/γ2
29.41Consensusm1_onOrthosteric Ligand6OIJ-M1-Iperoxo-chim(NtGi1L-G11)/β1/γ2
29.41Consensusnucleotide_onOrthosteric Ligandadenosine_on p2y_on
29.17Single8XGOTAK4488XGO-Kiss1-TAK448-chim(NtGi1-Gq)/β1/γ2
28.57Single3AYMAll-trans-Retinal3AYM-Rhodopsin-All-trans-Retinal
28.57Single5UNFPubChem 157800525UNF-AT2-PubChem 15780052
28.57Single6QNOAll-trans-Retinal6QNO-Rhodopsin-All-trans-Retinal-Gi1/β1/γ1
28.57Single6TQ4PubChem 160468446TQ4-OX1-PubChem 16046844-Na
28.57Single7DD5Ca; Ca; Tryptophan; NPS-21437DD5-CaS; CaS-Ca-Ca; Ca; Tryptophan; NPS-2143
28.57Single7DD7Ca; Ca; Tryptophan; Evocalcet7DD7-CaS; CaS-Ca-Ca; Ca; Tryptophan; Evocalcet
28.57Single7F8XNN90567F8X-CCKA-NN9056
28.57Single7V68Iperoxo7V68-M4-Iperoxo-LY2119620-Gi1/β1/γ2
28.57Single8A2PLUAA470708A2P-A2A-LUAA47070-Na
28.57Single8F7XNociceptin8F7X-NOP-Nociceptin-Gi1/β1/γ2
28.57Single8G59TUG-8918G59-FFA4-TUG-891-chim(Gi1-CtGq)/β1/γ2
28.57Single8H2GNiacin8H2G-HCA2-Niacin-Gi1/β1/γ2
28.57Single8K5BNiacin8K5B-HCA2-Niacin
28.57Single8WZ2Orexigenic Neuropeptide QRFP8WZ2-QRFP-Orexigenic Neuropeptide QRFP-chim(NtGi1L-Gs-CtGq)/β1/γ2
28.57Single8ZBJSomatostatin-148ZBJ-SST5-Somatostatin-14-Gi1/β1/γ2
28.57Single9IQTNiacin9IQT-HCA2-Niacin-Gi1/β1/γ2
28.57Single9L3ZLRH7-C29L3Z-CML1-LRH7-C2
28.57Consensusgi_nucleotideOrthosteric Ligandgi_adenosine gi_p2y
28.57Consensush4_onOrthosteric Ligand8HN8-H4-Histamine-Gi1/β1/γ2 8HOC-H4-Imetit-Gi1/β1/γ2 8JXV-H4-Clozapine-Gi1/β1/γ2 8JXW-H4-VUF6884-Gi1/β1/γ2 8JXX-H4-Clobenpropit-Gi1/β1/γ2
28.57Consensusnop_onOrthosteric Ligand8F7X-NOP-Nociceptin-Gi1/β1/γ2
28.57Consensusnop_on_gpOrthosteric Ligand8F7X-NOP-Nociceptin-Gi1/β1/γ2
28.00Single8H0PNMB308H0P-BB1-NMB30-chim(NtGi1-Gs-CtGq)/β1/γ2
27.78Single4IAQDihydroergotamine4IAQ-5-HT1B-Dihydroergotamine
27.78Single4Z34ONO-97803074Z34-LPA1-ONO-9780307
27.78Single5ZHPPubChem 1348285895ZHP-M3-PubChem 134828589
27.78Single6DDEDAMGO6DDE-μ-DAMGO-Gi1/β1/γ2
27.78Single7EW3S1P7EW3-S1P3-S1P-Gi1/β1/γ2
27.78Single7EW4CYM-55417EW4-S1P3-CYM-5541-Gi1/β1/γ2
27.78Single7EW7SEW28717EW7-S1P1-SEW2871-Gi1/β1/γ2
27.78Single7M8W15r-Methyl-PGD27M8W-DP2-15r-Methyl-PGD2-Na
27.78Single7TUYGSK682753A7TUY-GPR183-GSK682753A
27.78Single7Y24Octreotide7Y24-SST2-Octreotide-Go/β1/γ2
27.78Single8EF5Fentanyl8EF5-μ-Fentanyl-Gi1/β1/γ2
27.78Single8HDOBAY 60-65838HDO-A2B-BAY 60-6583-Gs/β1/γ2
27.78Single8ID6Oleic acid8ID6-FFA4-Oleic acid-Gi1/β1/γ2
27.78Single8IHBGSK2560738IHB-HCA2-GSK256073-Gi1/β1/γ2
27.78Single8X16Piclidenoson8X16-A3A-Piclidenoson-Gi1/β1/γ2
27.78Single8XIPPasireotide8XIP-SST1-Pasireotide-chim(NtGi1-Gs-CtGi1)/β1/γ2
27.78Single8Y73Peptide8Y73-μ-Peptide-MPAM-15-Gi1/β1/γ2
27.78Single9AYFCa; Ca; Ca; Cyclomethyltryptophan; R-568; PO49AYF-CaS; CaS-Ca-Ca; Ca; Ca; Cyclomethyltryptophan; R-568; PO4-Gi1/β1/γ2
27.78Single9IK9Lanreotide9IK9-SST1-Lanreotide-Gi1/β1/γ2
27.78Single9JMCDS-3801b9JMC-Motilin-DS-3801b-chim(Gs-CtGq)/β1/γ2
27.78Single9WSTDAMGO9WST-μ-DAMGO-chim(NtGi1-Gz)/β1/γ2
27.78Consensush4_on_gpOrthosteric Ligand8HN8-H4-Histamine-Gi1/β1/γ2 8HOC-H4-Imetit-Gi1/β1/γ2 8JXV-H4-Clozapine-Gi1/β1/γ2 8JXW-H4-VUF6884-Gi1/β1/γ2 8JXX-H4-Clobenpropit-Gi1/β1/γ2
27.78Consensusnpy1_offOrthosteric Ligand5ZBH-Y1-BMS-193885 5ZBQ-Y1-UR-MK-299
27.27Single5MZPCaffeine5MZP-A2A-Caffeine-Na
27.27Single7EZKCholecystokinin-87EZK-CCKA-Cholecystokinin-8-chim(NtGi1-Gs)/β1/γ2
27.27Single8F7SDeltorphin8F7S-δ-Deltorphin-Gi1/β1/γ2
27.27Single8GEJConstrained Epinephrine8GEJ-β2-Constrained Epinephrine-Gs/β1/γ2
27.27Single8WCBCyclohexylammonium Ion8WCB-TA1-Cyclohexylammonium Ion-chim(NtGi1-Gs-CtGq)/β1/γ2
27.27Single8WCCCyclohexylammonium Ion8WCC-TA1-Cyclohexylammonium Ion
27.27Single9ME1CXCL129ME1-CXCR4-CXCL12
27.27Single9UMXEP549UMX-C5a1-EP54-Go/β1/γ2
27.27Consensusdop_on_gpOrthosteric Ligand8F7S-δ-Deltorphin-Gi1/β1/γ2
27.27Consensusgq_class-aOrthosteric Ligandgq_peptide gq_amine gq_nucleotide
27.27Consensussst4_onOrthosteric Ligand7XMS-SST4-Somatostatin-14-Gi1/β1/γ2 7XMT-SST4-J-2156-Gi1/β1/γ2
27.27Consensussst4_on_gpOrthosteric Ligand7XMS-SST4-Somatostatin-14-Gi1/β1/γ2 7XMT-SST4-J-2156-Gi1/β1/γ2
26.92Single7WVYAmyloid-Beta427WVY-FPR2-ALX-Amyloid-β42-Gi2/β1/γ2
26.92Single8FEG(DNCP)-Beta-Naloxamine8FEG-κ-(DNCP)-β-Naloxamine-Gi1/β1/γ2
26.92Single8ZH8QRFP268ZH8-QRFP-QRFP26-Gq/β1/γ1
26.92Single9KDFRES-701-39KDF-ETB-RES-701-3
26.92Consensusgq_peptideOrthosteric Ligandgq_cck gq_kisspeptin gq_bradykinin gq_bombesin gq_angiotensin
26.67Single2Z7311-cis-Retinal2Z73-Rhodopsin-11-cis-Retinal
26.67Single3AYN9-cis-Retinal3AYN-Rhodopsin-9-cis-Retinal
26.67Single3VG9ZM-2413853VG9-A2A-ZM-241385-Antibody
26.67Single4S0VSuvorexant4S0V-OX2-Suvorexant
26.67Single5K2DZM-2413855K2D-A2A-ZM-241385-Na
26.67Single5OLHVipadenant5OLH-A2A-Vipadenant-Na
26.67Single5OLOTozadenant5OLO-A2A-Tozadenant-Na
26.67Single5OLVLUAA470705OLV-A2A-LUAA47070-Na
26.67Single5WS3EMPA5WS3-OX2-EMPA
26.67Single6AKYMaraviroc6AKY-CCR5-Maraviroc
26.67Single6JZHZM-2413856JZH-A2A-ZM-241385-Na
26.67Single6OYAAll-trans-Retinal6OYA-Rhodopsin-All-trans-Retinal-Gt/β1/γ1
26.67Single6PS7ZM-2413856PS7-A2A-ZM-241385-Na
26.67Single6TPJSuvorexant6TPJ-OX2-Suvorexant
26.67Single6TQ6PubChem 1457142836TQ6-OX1-PubChem 145714283
26.67Single7F8ULintitript7F8U-CCKA-Lintitript
26.67Single7M3ECa; Ca; Tryptophan; NPS-21437M3E-CaS; CaS-Ca; Ca; Tryptophan; NPS-2143
26.67Single7M3ECa; Ca; Tryptophan; NPS-21437M3E-CaS; CaS-Ca; Ca; Tryptophan; NPS-2143
26.67Single7M3FCa; Ca; Tryptophan; Cinacalcet7M3F-CaS; CaS-Ca; Ca; Tryptophan; Cinacalcet
26.67Single7T6STC-FPR 437T6S-FPR2-ALX-TC-FPR 43-Gi1/β1/γ2
26.67Single7W0MPubChem 1227019087W0M-Apelin-PubChem 122701908-Gi1/β1/γ2
26.67Single8DU3PubChem 1055260648DU3-A2A-PubChem 105526064
26.67Single8GNGIstradefylline8GNG-A2A-Istradefylline
26.67Single8IJANiacin8IJA-HCA2-Niacin-Gi1/β1/γ2
26.67Single8IJBAcipimox8IJB-HCA2-Acipimox-Gi1/β1/γ2
26.67Single8RW0Istradefylline8RW0-A2A-Istradefylline-Na
26.67Single8WOGSuccinic acid8WOG-Succinate-Succinic acid-Gi1/β1/γ2
26.67Single8Y0HVUF114188Y0H-CXCR3-VUF11418
26.67Single8Y0NVUF114188Y0N-CXCR3-VUF11418-Go/β1/γ2
26.67Single8YKXMaleic acid8YKX-Succinate-Maleic acid-Gi1/β1/γ1
26.67Single8Z87CHBA8Z87-HCA1-CHBA-Gi1/β1/γ2
26.67Single9C1PCa; Tryptophan; '6218; PO49C1P-CaS; CaS-Ca-Ca; Tryptophan; '6218; PO4
26.67Single9H2XPubChem 1756706449H2X-A2A-PubChem 175670644-Na
26.67Single9K6LSalicin9K6L-TAS2R16-Salicin-Gi2/β1/γ2
26.67Single9KPESalicin9KPE-TAS2R16-Salicin-Gi1/β1/γ2
26.67Single9PEEPF-07054894; OXM29PEE-CCR6-PF-07054894; OXM2
26.67Single9W49U-50488H9W49-κ-U-50488H-Gi1/β1/γ2
26.67Consensusangiotensin_offOrthosteric Ligandat1_off
26.67Consensusgi_succinateOrthosteric Ligand8YKW-Succinate-Succinic acid-Gi1/β1/γ1 8YKX-Succinate-Maleic acid-Gi1/β1/γ1
26.67Consensusorexin_offOrthosteric Ligandox2_off ox1_off
26.67Consensusox1_offOrthosteric Ligand6TP6-OX1-Filorexant 6TP4-OX1-ACT-462206 6V9S-OX1-GTPL11403 6TOT-OX1-Lemborexant 6TP3-OX1-Nemorexant 6TQ6-OX1-PubChem 145714283 6TQ9-OX1-SB-408124 4ZJC-OX1-SB-674042 4ZJ8-OX1-Suvorexant 6TOD-OX1-EMPA-Na 6TOS-OX1-GSK1059865-Na 6TQ4-OX1-PubChem 16046844-Na
26.67Consensusox2_offOrthosteric Ligand5WQC-OX2-EMPA 6TPN-OX2-HTL6641 7XRR-OX2-Lemborexant 6TPJ-OX2-Suvorexant
26.67Consensusrhodopsin_on_gpOrthosteric Ligand6OYA-Rhodopsin-All-trans-Retinal-Gt/β1/γ1
26.67Consensussuccinate_onOrthosteric Ligand8YKW-Succinate-Succinic acid-Gi1/β1/γ1 8YKX-Succinate-Maleic acid-Gi1/β1/γ1
26.67Consensussuccinate_on_gpOrthosteric Ligand8YKW-Succinate-Succinic acid-Gi1/β1/γ1 8YKX-Succinate-Maleic acid-Gi1/β1/γ1
26.32Single4OR2FITM4OR2-mGlu1; mGlu1-FITM
26.32Single4PXFOctyl-Beta-D-Glucopyranoside4PXF-Rhodopsin-Octyl-β-D-Glucopyranoside-Arrestin1 Finger Loop
26.32Single5UNHPubChem 1264564065UNH-AT2-PubChem 126456406
26.32Single7EPENAM5637EPE-mGlu2-NAM563
26.32Single7EVYSiponimod7EVY-S1P1-Siponimod-Gi1/β1/γ2
26.32Single7JNIOlodanrigan7JNI-AT2-Olodanrigan
26.32Single7L1VPubChem 1554910097L1V-OX2-PubChem 155491009-chim(NtGi1-Gs-CtGq)/β1/γ2
26.32Single7SUSPubChem 1227019087SUS-Apelin-PubChem 122701908
26.32Single7W0LPubChem 1227019087W0L-Apelin; Apelin-PubChem 122701908-Gi1/β1/γ2
26.32Single7W0LPubChem 1227019087W0L-Apelin; Apelin-PubChem 122701908-Gi1/β1/γ2
26.32Single7WCNAR2314537WCN-GPR119-AR231453-Gs/β1/γ2
26.32Single8ID9Icosapent8ID9-FFA4-Icosapent-Gi1/β1/γ2
26.32Single8IYWGSK2560738IYW-HCA2-GSK256073-Go/β1/γ2
26.32Single8JD3JNJ-404118138JD3-mGlu2; mGlu3-Glutamate-JNJ-40411813-Gi1/β1/γ2
26.32Single8JJPChemerin-98JJP-CML2-Chemerin-9-Gi1/β1/γ2
26.32Single8JZ7MK68928JZ7-HCA2-MK6892-Gi1/β1/γ2
26.32Single8XYIVUF106618XYI-CXCR3-VUF10661
26.32Single9VIFNeuropeptide-VF9VIF-NPFF1-Neuropeptide-VF-Gi1/β1/γ2
26.32Consensusm4_onOrthosteric Ligand7TRS-M4-Acetylcholine-Gi1/β1/γ2 7V6A-M4-PubChem 9864275-Gi1/β1/γ2 8E9X-M4-2-Deoxycytidine-chim(NtGi1-Go)/β1/γ2 7TRK-M4-Iperoxo-Gi1/β1/γ2
26.32Consensusm4_on_gpOrthosteric Ligand7TRS-M4-Acetylcholine-Gi1/β1/γ2 7V6A-M4-PubChem 9864275-Gi1/β1/γ2 8E9X-M4-2-Deoxycytidine-chim(NtGi1-Go)/β1/γ2 7TRK-M4-Iperoxo-Gi1/β1/γ2
26.32Consensusorexin_onOrthosteric Ligandox2_on
26.32Consensuss1p1_onOrthosteric Ligand7VIE-S1P1-S1P-Gi1/β1/γ2 7VIF-S1P1-FTY720-P-Gi1/β1/γ2 7VIG-S1P1-CBP-307-Gi1/β1/γ2 7EVY-S1P1-Siponimod-Gi1/β1/γ2 7EVZ-S1P1-Cenerimod-Gi1/β1/γ2 7EW0-S1P1-Ozanimod-Gi1/β1/γ2 7EW7-S1P1-SEW2871-Gi1/β1/γ2
26.32Consensuss1p1_on_gpOrthosteric Ligand7VIE-S1P1-S1P-Gi1/β1/γ2 7VIF-S1P1-FTY720-P-Gi1/β1/γ2 7VIG-S1P1-CBP-307-Gi1/β1/γ2 7EVY-S1P1-Siponimod-Gi1/β1/γ2 7EVZ-S1P1-Cenerimod-Gi1/β1/γ2 7EW0-S1P1-Ozanimod-Gi1/β1/γ2 7EW7-S1P1-SEW2871-Gi1/β1/γ2
26.09Single7TD0LPA7TD0-LPA1-LPA-Gi1/β1/γ2
26.09Single8XGUTAK4488XGU-Kiss1-TAK448-Gi1/β1/γ2
26.09Single8XIRPasireotide8XIR-SST3-Pasireotide-chim(NtGi1-Gs-CtGi1)/β1/γ2
26.09Single9MEUCXCL129MEU-CXCR4-CXCL12
26.09Single9U4WGonadoliberin-19U4W-GnRH1-Gonadoliberin-1-chim(NtGi1L-Gs-CtGq)/β1/γ2
26.09Consensusgi_somatostatinOrthosteric Ligand7WIC-SST2-Somatostatin-14-Gi1/β1/γ2 7XMS-SST4-Somatostatin-14-Gi1/β1/γ2 8X8L-SST5-Cortistatin-14-chim(NtGi1-Gs-CtGi1)/β1/γ2 7XMT-SST4-J-2156-Gi1/β1/γ2 7WIG-SST2-L-054264-Gi1/β1/γ2 8X8N-SST5-Octreotide-chim(NtGi1-Gs-CtGi1)/β1/γ2 7YAE-SST2-Octreotide-Gi1/β1/γ2 7YAC-SST2-Paltusotine-Gi1/β1/γ2
26.09Consensusgs_cckOrthosteric Ligand7MBX-CCKA-Cholecystokinin-8-Gs/β1/γ1
26.09Consensuspeptide_offonOrthosteric Ligandpeptide_off peptide_on
26.09Consensussomatostatin_onOrthosteric Ligandsst2_on sst4_on sst5_on
26.09Consensussomatostatin_on_gpOrthosteric Ligandsst2_on_gp sst4_on_gp sst5_on_gp
25.93Single7VGXNeuropeptide-Y7VGX-Y1-Neuropeptide-Y-Gi1/β1/γ2
25.00Single3PXOAll-trans-Retinal3PXO-Rhodopsin-All-trans-Retinal
25.00Single3REYPubChem 56973REY-A2A-PubChem 5697
25.00Single3V2YPubChem 518926453V2Y-S1P1-PubChem 51892645
25.00Single4OR2FITM4OR2-mGlu1; mGlu1-FITM
25.00Single4Z35ONO-99105394Z35-LPA1-ONO-9910539
25.00Single4ZUDOlmesartan4ZUD-AT1-Olmesartan
25.00Single5DYSAll-trans-Retinal5DYS-Rhodopsin-All-trans-Retinal
25.00Single5IU4ZM-2413855IU4-A2A-ZM-241385-Na
25.00Single5IU7Q274563465IU7-A2A-Q27456346-Na
25.00Single5IUBQ274563445IUB-A2A-Q27456344-Na
25.00Single5JTBZM-2413855JTB-A2A-ZM-241385
25.00Single5K2BZM-2413855K2B-A2A-ZM-241385-Na
25.00Single5K2CZM-2413855K2C-A2A-ZM-241385-Na
25.00Single5MZJTheophylline5MZJ-A2A-Theophylline-Na
25.00Single5NLXZM-2413855NLX-A2A-ZM-241385-Na
25.00Single5NM4ZM-2413855NM4-A2A-ZM-241385-Na
25.00Single5UVIZM-2413855UVI-A2A-ZM-241385
25.00Single6AQFZM-2413856AQF-A2A-ZM-241385
25.00Single6K1QIRL25006K1Q-ETB-IRL2500
25.00Single6TOSGSK10598656TOS-OX1-GSK1059865-Na
25.00Single6TPKRetosiban6TPK-OT-Retosiban
25.00Single6WIVPubChem 52923113; PubChem 529246456WIV-GABAB1, GABAB2-PubChem 52923113; PubChem 52924645
25.00Single6ZDRHMS1413f126ZDR-A2A-HMS1413f12-Na
25.00Single6ZDVPubChem 9840736ZDV-A2A-PubChem 984073-Na
25.00Single7AROLUF58337ARO-A2A-LUF5833-Na
25.00Single7BB6AVP7BB6-V2-AVP-Gs/β1/γ2
25.00Single7DW9AVP7DW9-V2-AVP-chim(NtGi1-Gs)/β1/γ2
25.00Single7EVZCenerimod7EVZ-S1P1-Cenerimod-Gi1/β1/γ2
25.00Single7EW0Ozanimod7EW0-S1P1-Ozanimod-Gi1/β1/γ2
25.00Single7EZHCholecystokinin-87EZH-CCKA-Cholecystokinin-8-Gi1/β1/γ2
25.00Single7EZMCholecystokinin-87EZM-CCKA-Cholecystokinin-8-chim(NtGsL-Gq)/β1/γ2
25.00Single7F61PF-036547467F61-H3-PF-03654746
25.00Single7MTSADX551647MTS-mGlu2; mGlu2-Glutamate-ADX55164-Gi1/β1/γ2
25.00Single7T32ZM-2413857T32-A2A-ZM-241385
25.00Single7XK2MK68927XK2-HCA2-MK6892-Gi1/β1/γ2
25.00Single7XZ6APD6687XZ6-GPR119-APD668-Gs/β1/γ2
25.00Single8H4KGW95088H4K-FFA4-GW9508-chim(NtGi1-Gs-CtGq)/β1/γ2
25.00Single8HNMVUF112228HNM-CXCR3-VUF11222-Gi1/β1/γ2
25.00Single8IEDPubChem 1347468948IED-GPR156; GPR156-PubChem 134746894-Go/β1/γ2
25.00Single8IHFMK68928IHF-HCA2-MK6892-Gi1/β1/γ2
25.00Single8IHKAcifran8IHK-HCA3-Acifran
25.00Single8IJDMK68928IJD-HCA2-MK6892-Gi1/β1/γ2
25.00Single8IY9Niacin8IY9-HCA2-Niacin-Go/β1/γ2
25.00Single8J6IMK68928J6I-HCA2-MK6892-Gi1/β1/γ2
25.00Single8JEIPubChem 117155568JEI-HCAR3-PubChem 11715556-Gi1/β1/γ2
25.00Single8JERAcipimox8JER-HCA2-Acipimox-Go/β1/γ2
25.00Single8JIMMonomethyl fumarate8JIM-HCA2-Monomethyl fumarate-Gi1/β1/γ2
25.00Single8K5CAcipimox8K5C-HCA2-Acipimox
25.00Single8K9KDAMGO8K9K-μ-DAMGO-Gi3/β1/γ1
25.00Single8K9LDAMGO8K9L-μ-DAMGO-BMS-986122-Gi3/β1/γ1
25.00Single8PWNTheophylline8PWN-A2A-Theophylline
25.00Single8RQQZM-2413858RQQ-A2A-ZM-241385-Na
25.00Single8RWCStilSwitch28RWC-A2A-StilSwitch2-Na
25.00Single8RWDStilSwitch38RWD-A2A-StilSwitch3-Na
25.00Single8RWIStilSwitch28RWI-A2A-StilSwitch2-Na
25.00Single8WPGTryptophan; Cinacalcet; PO4; Ca8WPG-CaS; CaS-Tryptophan; Cinacalcet; PO4; Ca
25.00Single8XVJMacitentan8XVJ-ETA-Macitentan
25.00Single8XWQEndothelin-18XWQ-ETB-Endothelin-1-Gi1/β1/γ2
25.00Single8YKVPubChem 1375531688YKV-Succinate-PubChem 137553168-Gi1/β1/γ2
25.00Single8ZBISomatostatin-148ZBI-SST3-Somatostatin-14-Gi1/β1/γ2
25.00Single8ZBWQuin-C18ZBW-FPR2-ALX-Quin-C1-Gi2/β1/γ2
25.00Single9ASBCa; Ca; Cyclomethyltryptophan; R-568; PO49ASB-CaS; CaS-Ca-Ca; Ca; Cyclomethyltryptophan; R-568; PO4-chim(NtGi1-Gs-CtGq)/β1/γ2
25.00Single9AXFCa; Ca; Ca; Cyclomethyltryptophan; R-568; PO49AXF-CaS; CaS-Ca-Ca; Ca; Ca; Cyclomethyltryptophan; R-568; PO4-chim(NtGi1-Gs-CtGq)/β1/γ2
25.00Single9IZFLPA9IZF-LPA1-LPA-Gi1/β1/γ2
25.00Single9JH3CMF-0199JH3-Apelin; Apelin-CMF-019-Gi1/β1/γ2
25.00Single9JIDNiacin9JID-HCA3-Niacin-Gi1/β1/γ2
25.00Single9KT8Acifran9KT8-HCA2-Acifran-Gi1/β1/γ2
25.00Single9KUWCMPD6449KUW-Apelin; Apelin-CMPD644-Arrestin2 ; Arrestin2
25.00Single9L79AR2314539L79-GPR119-AR231453-chim(NtGi1-Gs)/β1/γ2
25.00Single9P1TZM-2413859P1T-A2A-ZM-241385
25.00Single9PY2Loperamide9PY2-μ-Loperamide-GDPβS-Gi1/β1/γ2
25.00Single9YDRDADLE9YDR-δ-DADLE-MIPS3983-chim(NtGi1L-Gs-CtGi1)/β1/γ2
25.00Consensusa2_offOrthosteric Liganda2a_off
25.00Consensusa2a_offOrthosteric Ligand3RFM-A2A-Caffeine 8C9W-A2A-Etrumadenant 3UZA-A2A-GTPL9236 8GNG-A2A-Istradefylline 8CU6-A2A-LJ-4517 7PX4-A2A-PSB-2113 7PYR-A2A-PSB-2115 8DU3-A2A-PubChem 105526064 8JWY-A2A-2-118 8PWN-A2A-Theophylline 5IU4-A2A-ZM-241385-Na 5OLZ-A2A-PubChem 135566609-Na 6GT3-A2A-Imaradenant-Na 5OLV-A2A-LUAA47070-Na 5N2R-A2A-PSB36-Na 5IU7-A2A-Q27456346-Na 5OLH-A2A-Vipadenant-Na 5OLO-A2A-Tozadenant-Na 6ZDR-A2A-HMS1413f12-Na 8GNE-A2A-KW-6356-Na 8JWZ-A2A-Etrumadenant-Na 5IU8-A2A-Q27456347-Na 5IUB-A2A-Q27456344-Na 6ZDV-A2A-PubChem 984073-Na 5IUA-A2A-Q27456348-Na 8A2P-A2A-LUAA47070-Na
25.00Consensusat1_offOrthosteric Ligand4YAY-AT1-ZD-7155 4ZUD-AT1-Olmesartan
25.00Consensuscck_onOrthosteric Ligandccka_on cckb_on
25.00Consensuscck_on_gpOrthosteric Ligandccka_on_gp cckb_on_gp
25.00Consensusccka_onOrthosteric Ligand7EZH-CCKA-Cholecystokinin-8-Gi1/β1/γ2
25.00Consensusccka_on_gpOrthosteric Ligand7EZH-CCKA-Cholecystokinin-8-Gi1/β1/γ2
25.00Consensuschemerin_onOrthosteric Ligandcml1_on
25.00Consensuscxcr3_on_gpOrthosteric Ligand8HNK-CXCR3-CXCL11-Gi1/β1/γ2 8HNL-CXCR3-PS372424-Gi1/β1/γ2
25.00Consensusgi_s1pOrthosteric Ligand7VIE-S1P1-S1P-Gi1/β1/γ2 7EW3-S1P3-S1P-Gi1/β1/γ2 7EVY-S1P1-Siponimod-Gi1/β1/γ2 7EW1-S1P5-Siponimod-Gi1/β1/γ2 7VIF-S1P1-FTY720-P-Gi1/β1/γ2 7VIG-S1P1-CBP-307-Gi1/β1/γ2 7EVZ-S1P1-Cenerimod-Gi1/β1/γ2 7EW4-S1P3-CYM-5541-Gi1/β1/γ2 7EW2-S1P3-FTY720-P-Gi1/β1/γ2 7EW0-S1P1-Ozanimod-Gi1/β1/γ2 7EW7-S1P1-SEW2871-Gi1/β1/γ2
25.00Consensusgs_vasop-oxyOrthosteric Ligand7DW9-V2-AVP-chim(NtGi1-Gs)/β1/γ2
25.00Consensushca_onOrthosteric Ligandhca2_on
25.00Consensusot_offOrthosteric Ligand6TPK-OT-Retosiban
25.00Consensuspeptide_offOrthosteric Ligandcck_off angiotensin_off bombesin_off endothelin_off ghrelin_off npy_off opioid_off orexin_off somatostatin_off tachykinin_off vasop-oxy_off neurotensin_off
25.00Consensuspeptide_offon_gpOrthosteric Ligandpeptide_on_gp peptide_off
25.00Consensusprostanoid_offOrthosteric Ligandep_off dp_off
25.00Consensusv2_onOrthosteric Ligand7DW9-V2-AVP-chim(NtGi1-Gs)/β1/γ2
25.00Consensusv2_on_gpOrthosteric Ligand7DW9-V2-AVP-chim(NtGi1-Gs)/β1/γ2
25.00Consensusvasop-oxy_offOrthosteric Ligandot_off
25.00Consensusvasop-oxy_onOrthosteric Ligandv2_on
25.00Consensusvasop-oxy_on_gpOrthosteric Ligandv2_on_gp
24.00Single8WWKMCH8WWK-MCH1-MCH-Gi1/β1/γ2
24.00Single8ZPSPrRP208ZPS-PrRP-PrRP20-chim(NtGi1-Gs-CtGi1)/β1/γ2
24.00Consensuscml1_on_gpOrthosteric Ligand7YKD-CML1-Chemerin-9-Gi1/β1/γ2
24.00Consensussst5_on_gpOrthosteric Ligand8X8L-SST5-Cortistatin-14-chim(NtGi1-Gs-CtGi1)/β1/γ2 8X8N-SST5-Octreotide-chim(NtGi1-Gs-CtGi1)/β1/γ2
23.81Single5ZTYAM102575ZTY-CB2-AM10257
23.81Single7F2OBradykinin7F2O-BK2-Bradykinin-chim(NtGi1-Gs-CtGq)/β1/γ2
23.81Single7F8WGastrin-177F8W-CCKB-Gastrin-17-chim(NtGsL-Gq)/β1/γ2
23.81Single8F7REndomorphin8F7R-μ-Endomorphin-Gi1/β1/γ2
23.81Single8H4IDoconexent8H4I-FFA4-Doconexent-chim(NtGi1-Gs)/β1/γ2
23.81Single9IPYJR14a9IPY-C3aB-JR14a
23.81Single9IZASCH9002719IZA-HCA2-SCH900271-Gi1/β1/γ2
23.81Single9UMJEP549UMJ-C3aB-EP54-Go/β1/γ2
23.81Single9V2NMacimorelin9V2N-Ghrelin-Macimorelin-chim(NtGi1-Gs-CtGq)/β1/γ2
23.81Consensuscb2_offOrthosteric Ligand5ZTY-CB2-AM10257
23.81Consensuscxcr3_onOrthosteric Ligand8HNK-CXCR3-CXCL11-Gi1/β1/γ2 8HNL-CXCR3-PS372424-Gi1/β1/γ2
23.81Consensusdop_onOrthosteric Ligand8F7S-δ-Deltorphin-Gi1/β1/γ2
23.81Consensuskiss1_onOrthosteric Ligand8ZJD-Kiss1-Kisspeptin-1-chim(NtGi1-Gq)/β1/γ1
23.81Consensuskisspeptin_onOrthosteric Ligandkiss1_on
23.81Consensuss1p_onOrthosteric Ligands1p1_on s1p3_on s1p5_on
23.81Consensuss1p_on_gpOrthosteric Ligands1p1_on_gp s1p3_on_gp s1p5_on_gp
23.53Single3EMLZM-2413853EML-A2A-ZM-241385
23.53Single4EIYZM-2413854EIY-A2A-ZM-241385-Na
23.53Single4YAYZD-71554YAY-AT1-ZD-7155
23.53Single5IU8Q274563475IU8-A2A-Q27456347-Na
23.53Single5K2AZM-2413855K2A-A2A-ZM-241385-Na
23.53Single5OLGZM-2413855OLG-A2A-ZM-241385-Na
23.53Single5UENDU1725UEN-A1-DU172
23.53Single5VRAZM-2413855VRA-A2A-ZM-241385-Na
23.53Single6LPJZM-2413856LPJ-A2A-ZM-241385-Na
23.53Single6LPKZM-2413856LPK-A2A-ZM-241385-Na
23.53Single6S0LZM-2413856S0L-A2A-ZM-241385
23.53Single6XBM25(S)-Epoxycholesterol6XBM-SMO-25(S)-Epoxycholesterol-Gi1/β1/γ2
23.53Single7PYRPSB-21157PYR-A2A-PSB-2115
23.53Single7WC8Lumateperone7WC8-5-HT2A-Lumateperone
23.53Single8I7VAcipimox8I7V-HCA2-Acipimox-Gi1/β1/γ2
23.53Single8IHJAcifran8IHJ-HCA3-Acifran-Gi1/β1/γ2
23.53Single8J6PNiacin8J6P-HCA2-Niacin-PubChem 25101223-Gi1/β1/γ2
23.53Single8JHNMonomethyl fumarate8JHN-HCA2-Monomethyl fumarate-Go/β1/γ2
23.53Single8JIINiacin8JII-HCA2-Niacin-PubChem 25101223-Gi1/β1/γ2
23.53Single8K5DGSK2560738K5D-HCA2-GSK256073
23.53Single8RW7StilSwitch18RW7-A2A-StilSwitch1-Na
23.53Single8RWXStilSwitch38RWX-A2A-StilSwitch3-Na
23.53Single8ZQEGPR15L(CT)8ZQE-GPR15-GPR15L(CT)-Gi1/β1/γ1
23.53Single9H37PubChem 1756706469H37-A2A-PubChem 175670646-Na
23.53Single9IZCMK19039IZC-HCA2-MK1903-Gi1/β1/γ2
23.53Single9KFJPubChem 1383196749KFJ-RXFP3-PubChem 138319674-Gi2/β1/γ2
23.53Single9P1SZM-2413859P1S-A2A-ZM-241385
23.53Consensuscck_offOrthosteric Ligandccka_off
23.53Consensusccka_offOrthosteric Ligand7F8Y-CCKA-Devazepide 7F8U-CCKA-Lintitript
23.53Consensusgi_hcaOrthosteric Ligand8J6R-HCA2-MK6892-Gi1/β1/γ2 8JIM-HCA2-Monomethyl fumarate-Gi1/β1/γ2 8IHI-HCA2-Acifran-Gi1/β1/γ2 8IHH-HCA2-LUF6283-Gi1/β1/γ2 8I7V-HCA2-Acipimox-Gi1/β1/γ2 8I7W-HCA2-GSK256073-Gi1/β1/γ2
23.53Consensushca2_onOrthosteric Ligand8J6R-HCA2-MK6892-Gi1/β1/γ2 8JIM-HCA2-Monomethyl fumarate-Gi1/β1/γ2 8I7V-HCA2-Acipimox-Gi1/β1/γ2 8I7W-HCA2-GSK256073-Gi1/β1/γ2 8IHH-HCA2-LUF6283-Gi1/β1/γ2 8IHI-HCA2-Acifran-Gi1/β1/γ2
23.53Consensushca2_on_gpOrthosteric Ligand8J6R-HCA2-MK6892-Gi1/β1/γ2 8IHI-HCA2-Acifran-Gi1/β1/γ2 8IHH-HCA2-LUF6283-Gi1/β1/γ2 8I7V-HCA2-Acipimox-Gi1/β1/γ2 8JIM-HCA2-Monomethyl fumarate-Gi1/β1/γ2 8I7W-HCA2-GSK256073-Gi1/β1/γ2
23.53Consensushca_on_gpOrthosteric Ligandhca2_on_gp
23.53Consensusnucleotide_offonOrthosteric Ligandnucleotide_off nucleotide_on
23.53Consensusnucleotide_offon_gpOrthosteric Ligandnucleotide_on_gp nucleotide_off
23.08Single2HPYAll-trans-Retinal2HPY-Rhodopsin-All-trans-Retinal
23.08Single3RFMCaffeine3RFM-A2A-Caffeine
23.08Single7DD5Ca; Ca; Tryptophan; NPS-21437DD5-CaS; CaS-Ca-Ca; Ca; Tryptophan; NPS-2143
23.08Single7F8VGastrin-177F8V-CCKB-Gastrin-17-Gi2/β1/γ2
23.08Single7YKDChemerin-97YKD-CML1-Chemerin-9-Gi1/β1/γ2
23.08Single8A2OTheophylline8A2O-A2A-Theophylline-Na
23.08Single9M42A1L8O9M42-GPR139-A1L8O-chim(Gs-CtGq)/β1/γ2
23.08Consensusgi_peptideOrthosteric Ligandgi_cck gi_apelin gi_compl-pept gi_endothelin gi_formylpeptide gi_galanin gi_ghrelin gi_npy gi_neurotensin gi_opioid gi_orexin gi_relaxin gi_somatostatin
22.73Single6WIVPubChem 52923113; PubChem 529246456WIV-GABAB1, GABAB2-PubChem 52923113; PubChem 52924645
22.73Single7WICSomatostatin-147WIC-SST2-Somatostatin-14-Gi1/β1/γ2
22.73Single7XAUOctreotide7XAU-SST2-Octreotide-Gi1/β1/γ2
22.73Single8IEBPubChem 1347468948IEB-GPR156; GPR156-PubChem 134746894
22.73Single8J6RMK68928J6R-HCA2-MK6892-Gi1/β1/γ2
22.73Single8ZJDKisspeptin-18ZJD-Kiss1-Kisspeptin-1-chim(NtGi1-Gq)/β1/γ1
22.73Single9L3YChemerin9L3Y-CML2-Chemerin-Gi1/β1/γ2
22.73Single9UMRC5a-pep9UMR-C5a1-C5a-pep-Go/β1/γ2
22.73Single9UYJChemerin-99UYJ-CML2-Chemerin-9-Arrestin2
22.73Consensuschemerin_on_gpOrthosteric Ligandcml1_on_gp
22.73Consensuscml1_onOrthosteric Ligand7YKD-CML1-Chemerin-9-Gi1/β1/γ2
22.73Consensusgi_chemerinOrthosteric Ligand7YKD-CML1-Chemerin-9-Gi1/β1/γ2
22.73Consensusgq_kisspeptinOrthosteric Ligand8ZJD-Kiss1-Kisspeptin-1-chim(NtGi1-Gq)/β1/γ1
22.73Consensuskiss1_on_gpOrthosteric Ligand8ZJD-Kiss1-Kisspeptin-1-chim(NtGi1-Gq)/β1/γ1
22.73Consensuskisspeptin_on_gpOrthosteric Ligandkiss1_on_gp
22.73Consensuslpl_onOrthosteric Ligands1p_on lpa_on
22.73Consensuslpl_on_gpOrthosteric Ligands1p_on_gp lpa_on_gp
22.22Single5CGCHTL142425CGC-mGlu5-HTL14242
22.22Single5IUAQ274563485IUA-A2A-Q27456348-Na
22.22Single5N2RPSB365N2R-A2A-PSB36-Na
22.22Single5N2SPSB365N2S-A1-PSB36
22.22Single6D26Fevipiprant6D26-DP2-Fevipiprant
22.22Single6LPLZM-2413856LPL-A2A-ZM-241385-Na
22.22Single6S0QZM-2413856S0Q-A2A-ZM-241385
22.22Single6WQAZM-2413856WQA-A2A-ZM-241385-Na
22.22Single7BB7AVP7BB7-V2-AVP-Gs/β1/γ2
22.22Single7C4SS1P7C4S-S1P3-S1P
22.22Single7E9GJNJ-404118137E9G-mGlu2; mGlu2-Eglumetad-JNJ-40411813-Gi1/β1/γ2
22.22Single7EIBKallidin-des-Arg107EIB-BK1-Kallidin-des-Arg10-chim(NtGi1-Gs-CtGq)/β1/γ2
22.22Single7EO2FTY720-P7EO2-S1P1-FTY720-P-Gi1/β1/γ2
22.22Single7EPFNAM5977EPF-mGlu2-NAM597
22.22Single7RM5ZM-2413857RM5-A2A-ZM-241385-Na
22.22Single7TD3S1P7TD3-S1P1-S1P-Gi1/β1/γ2
22.22Single7VFXfMIFL7VFX-FPR1-ALX-fMIFL-Gi1/β1/γ2
22.22Single7Y26Octreotide7Y26-SST2-Octreotide-chim(NtGi2L-Gs-CtGq)/β1/γ2
22.22Single8FYNZM-2413858FYN-A2A-ZM-241385-Na
22.22Single8GNEKW-63568GNE-A2A-KW-6356-Na
22.22Single8I7WGSK2560738I7W-HCA2-GSK256073-Gi1/β1/γ2
22.22Single8K8JFenofibrate8K8J-CB1-Fenofibrate-chim(Gs-CtGq)/β1/γ2
22.22Single8SZGCa; Ca; Tryptophan; Cinacalcet; PO4; Spermine8SZG-CaS; CaS-Ca; Ca; Tryptophan; Cinacalcet; PO4; Spermine-chim(NtGi1-Gq)/β1/γ2
22.22Single8TF5Oleic acid8TF5-GPR6-Oleic acid
22.22Single8TH4Losartan8TH4-AT1-Losartan-AT118-L Nanobody
22.22Single8UUJFCH-22964138UUJ-HCA2-FCH-2296413-Gi1/β1/γ2
22.22Single8WGBVU01550418WGB-mGlu4; mGlu2-Glutamate-VU0155041-Gi3/β1/γ2
22.22Single8WWLMCH8WWL-MCH1-MCH-Gi1/β1/γ2
22.22Single8X0DVU04244658X0D-mGlu5; mGlu5-Quisqualate-VU0424465
22.22Single8X0DVU04244658X0D-mGlu5; mGlu5-Quisqualate-VU0424465
22.22Single8YICSAR2477998YIC-S1P1-SAR247799-Gi1/β1/γ2
22.22Single8YNSSNAP-948478YNS-MCH1-SNAP-94847
22.22Single8ZPTPrRP208ZPT-PrRP-PrRP20-chim(NtGi1-Gs-CtGq)/β1/γ2
22.22Single9AYFCa; Ca; Ca; Cyclomethyltryptophan; R-568; PO49AYF-CaS; CaS-Ca-Ca; Ca; Ca; Cyclomethyltryptophan; R-568; PO4-Gi1/β1/γ2
22.22Single9CIBFCH-22964139CIB-HCA2-FCH-2296413
22.22Single9EAHOlmesartan9EAH-AT1-Olmesartan-Nanobody AT209
22.22Single9K26PrRP319K26-PrRP-PrRP31-Gi1/β1/γ2
22.22Single9KT6Acifran9KT6-HCA3-Acifran-Gi1/β1/γ2
22.22Consensusa1_offOrthosteric Ligand5UEN-A1-DU172 5N2S-A1-PSB36
22.22Consensusdp2_offOrthosteric Ligand6D26-DP2-Fevipiprant
22.22Consensusdp_offOrthosteric Liganddp2_off
22.22Consensusfpr1-alx_onOrthosteric Ligand7VFX-FPR1-ALX-fMIFL-Gi1/β1/γ2
22.22Consensusfpr1-alx_on_gpOrthosteric Ligand7VFX-FPR1-ALX-fMIFL-Gi1/β1/γ2
22.22Consensuspeptide_onOrthosteric Ligandcck_on angiotensin_on apelin_on bombesin_on bradykinin_on compl-peptide_on endothelin_on formylpeptide_on galanin_on ghrelin_on kisspeptin_on melanocortin_on motilin_on neuromedin-u_on npy_on neurotensin_on opioid_on orexin_on relaxin_on somatostatin_on tachykinin_on trh_on vasop-oxy_on
22.22Consensuspeptide_on_gpOrthosteric Ligandcck_on_gp angiotensin_on_gp apelin_on_gp bombesin_on_gp bradykinin_on_gp compl-peptide_on_gp endothelin_on_gp formylpeptide_on_gp galanin_on_gp ghrelin_on_gp kisspeptin_on_gp melanocortin_on_gp motilin_on_gp neuromedin-u_on_gp npy_on_gp neurotensin_on_gp opioid_on_gp orexin_on_gp relaxin_on_gp somatostatin_on_gp tachykinin_on_gp trh_on_gp vasop-oxy_on_gp
22.22Consensuss1p_offOrthosteric Ligands1p1_off s1p5_off
21.74Single6DO1(Sar1,Ile8)-Angiotensin II6DO1-AT1-(Sar1,Ile8)-Angiotensin II
21.74Single7DDZJNJ-310200287DDZ-Y2-JNJ-31020028
21.74Single7XMSSomatostatin-147XMS-SST4-Somatostatin-14-Gi1/β1/γ2
21.74Single8F7WDynorphin8F7W-κ-Dynorphin-Gi1/β1/γ2
21.74Single8JZZC5a-des-Arg8JZZ-C5a1-C5a-des-Arg-Go/β1/γ2
21.74Single8SG1Chemerin-98SG1-CML1-Chemerin-9-Gi1/β1/γ2
21.74Single9IK8Pasireotide9IK8-SST1-Pasireotide-Gi1/β1/γ2
21.74Single9JFK(Pen5)-Urotensin II9JFK-UT-(Pen5)-Urotensin II-chim(NtGi2L-Gs-CtGq)/β1/γ2
21.74Single9KT7MK68929KT7-HCA2-MK6892-Gi1/β1/γ2
21.74Single9L60Dynorphin9L60-κ-Dynorphin-MPAM-15-Gi1/β1/γ2
21.74Consensuscckb_onOrthosteric Ligand8IA7-CCKB-Cholecystokinin-8-chim(NtGi1L-Gq)/β1/γ2 7XOW-CCKB-Sulfated Gastrin-(10-17)-chim(NtGi1-Gq)/β1/γ2 7F8V-CCKB-Gastrin-17-Gi2/β1/γ2
21.74Consensusccr8_on_gpOrthosteric Ligand8KFX-CCR8-LMD-009-Gi1/β1/γ2 8KFY-CCR8-ZK-756326-Gi1/β1/γ2 8U1U-CCR8-CCL1-Gi1/β1/γ2
21.74Consensusgi_cckOrthosteric Ligand7EZH-CCKA-Cholecystokinin-8-Gi1/β1/γ2 7F8V-CCKB-Gastrin-17-Gi2/β1/γ2
21.74Consensusnpy2_offOrthosteric Ligand7DDZ-Y2-JNJ-31020028
21.43Single2ZIY11-cis-Retinal2ZIY-Rhodopsin-11-cis-Retinal
21.43Single3PQRAll-trans-Retinal3PQR-Rhodopsin-All-trans-Retinal-Gt(CT)
21.43Single5WKTOctyl-Beta-D-Glucopyranoside5WKT-Rhodopsin-Octyl-β-D-Glucopyranoside-Gt(CT)
21.43Single6ME5Agomelatine6ME5-MT1-Agomelatine
21.43Single7MT8All-trans-Retinal7MT8-Rhodopsin-All-trans-Retinal-GRK1
21.43Single7MT9All-trans-Retinal7MT9-Rhodopsin-All-trans-Retinal-GRK1
21.43Single7MTAAll-trans-Retinal7MTA-Rhodopsin-All-trans-Retinal-GRK1
21.43Single8J21Butyric acid8J21-FFA3-Butyric acid-Gi1/β1/γ2
21.43Single8J24Acetic acid8J24-FFA2-Acetic acid-Gi1/β1/γ2
21.43Single8SZFCa; Ca; Tryptophan; Cinacalcet; PO4; Spermine8SZF-CaS; CaS-Ca; Ca; Tryptophan; Cinacalcet; PO4; Spermine
21.43Single8WWNMCH8WWN-MCH1-MCH-Gi1/β1/γ2
21.43Single8Y52BA18Y52-BB3-BA1-chim(NtGi1-Gs-CtGq)/β1/γ2
21.43Single8Y63C20:0 Ceramide8Y63-FPR2-ALX-C20:0 Ceramide-Gi1/β1/γ2
21.43Single9IV15alpha-DHT9IV1-ADGRD1-5α-DHT-chim(NtGi1-Gs)/β1/γ2
21.43Single9JKT(2R)-2-hydroxy-3-phenylpropanoic acid9JKT-HCA3-(2R)-2-hydroxy-3-phenylpropanoic acid-Gi1/β1/γ2
21.43Single9KT93,5-DHBA9KT9-HCA1-3,5-DHBA-Gi1/β1/γ2
21.43Consensusbk2_onOrthosteric Ligand7F6H-BK2-Bradykinin-Gq/β1/γ2 7F6I-BK2-Kallidin-Gq/β1/γ2
21.43Consensusbk2_on_gpOrthosteric Ligand7F6H-BK2-Bradykinin-Gq/β1/γ2 7F6I-BK2-Kallidin-Gq/β1/γ2
21.43Consensusbradykinin_onOrthosteric Ligandbk2_on
21.43Consensusbradykinin_on_gpOrthosteric Ligandbk2_on_gp
21.43Consensusffa3_onOrthosteric Ligand8J21-FFA3-Butyric acid-Gi1/β1/γ2
21.43Consensusffa3_on_gpOrthosteric Ligand8J21-FFA3-Butyric acid-Gi1/β1/γ2
21.43Consensusgq_bradykininOrthosteric Ligand7F6H-BK2-Bradykinin-Gq/β1/γ2 7F6I-BK2-Kallidin-Gq/β1/γ2
21.05Single4OO9Mavoglurant4OO9-mGlu5-Mavoglurant
21.05Single5ZBHBMS-1938855ZBH-Y1-BMS-193885
21.05Single6O3CCholesterol6O3C-SMO-SAG21k-Cholesterol
21.05Single7EW1Siponimod7EW1-S1P5-Siponimod-Gi1/β1/γ2
21.05Single7PX4PSB-21137PX4-A2A-PSB-2113
21.05Single7T9NDPPC7T9N-TSH-M22 Fab-DPPC-Gs/β1/γ2
21.05Single7TD1LPA7TD1-LPA1-LPA-Gi1/β1/γ2
21.05Single7VIGCBP-3077VIG-S1P1-CBP-307-Gi1/β1/γ2
21.05Single7WV9CP559407WV9-CB1-CP55940-ZCZ011-Gi2/β1/γ2
21.05Single7WVXHumanin7WVX-FPR2-ALX-Humanin-Gi2/β1/γ2
21.05Single7XAVLanreotide7XAV-SST2-Lanreotide-Gi1/β1/γ2
21.05Single7XTQR3997XTQ-GPBA-R399-Gs/β1/γ2
21.05Single8HPTC5a (C-terminal peptide)8HPT-C5a1-C5a (C-terminal peptide)-Go/β1/γ2
21.05Single8I2GPubChem 675302408I2G-FSH-FSH-PubChem 67530240-Gs/β1/γ2
21.05Single8I9LC3a8I9L-C3aB-C3a-Go/β1/γ2
21.05Single8IHHLUF62838IHH-HCA2-LUF6283-Gi1/β1/γ2
21.05Single8JD5JNJ-40411813; ADX881788JD5-mGlu2; mGlu4-Glutamate-JNJ-40411813; ADX88178-Gi1/β1/γ2
21.05Single8JZPC5a8JZP-C5a1-C5a-Go/β1/γ2
21.05Single8WU1MDMB-Fubinaca8WU1-CB1-MDMB-Fubinaca-Arrestin2
21.05Single8X0BVU04244658X0B-mGlu5; mGlu5-Quisqualate-VU0424465
21.05Single8X0FVU298X0F-mGlu5; mGlu5-Quisqualate-VU29
21.05Single8XJMLatanoprost8XJM-FP-alpha-Latanoprost-chim(NtGi2-Gs-CtGq)/β1/γ2
21.05Single8XZICMF-0198XZI-Apelin; Apelin-CMF-019-Gi1/β1/γ2
21.05Single8YNTSNAP-948478YNT-MCH1-SNAP-94847
21.05Single8ZR5Firuglipel8ZR5-GPR119-Firuglipel-Gs/β1/γ2
21.05Single9B65MDMB-Fubinaca9B65-CB1-MDMB-Fubinaca-Gi1/β1/γ2
21.05Single9KUXCMPD6449KUX-Apelin; Apelin-CMPD644-Arrestin2
21.05Single9RHGC4079RHG-FZD7-C407
21.05Single9UY3Anamorelin9UY3-Ghrelin-Anamorelin-chim(NtGi1-Gs-CtGq)/β1/γ2
21.05Consensusnpy_offOrthosteric Ligandnpy1_off npy2_off
21.05Consensuss1p5_onOrthosteric Ligand7EW1-S1P5-Siponimod-Gi1/β1/γ2
21.05Consensuss1p5_on_gpOrthosteric Ligand7EW1-S1P5-Siponimod-Gi1/β1/γ2
20.83Single7MBXCholecystokinin-87MBX-CCKA-Cholecystokinin-8-Gs/β1/γ1
20.83Single7TD2LPA7TD2-LPA1-LPA-Gi1/β1/γ2
20.83Single7XOUCholecystokinin-87XOU-CCKA-Cholecystokinin-8-Gs/β1/γ2
20.83Single8XZGApelin-138XZG-Apelin; Apelin-Apelin-13-Gi1/β1/γ2
20.83Single8XZHMM078XZH-Apelin; Apelin-MM07-Gi1/β1/γ2
20.83Single9M1ONeuropeptide-FF9M1O-NPFF2-Neuropeptide-FF-Gi1/β1/γ2
20.83Consensusangiotensin_onOrthosteric Ligandat1_on
20.83Consensusat1_onOrthosteric Ligand7F6G-AT1-(Sar1)-Angiotensin II-Gq/β1/γ2
20.83Consensuscckb_on_gpOrthosteric Ligand8IA7-CCKB-Cholecystokinin-8-chim(NtGi1L-Gq)/β1/γ2 7XOW-CCKB-Sulfated Gastrin-(10-17)-chim(NtGi1-Gq)/β1/γ2 7F8V-CCKB-Gastrin-17-Gi2/β1/γ2
20.69Single8ZJETAK4488ZJE-Kiss1-TAK448-chim(NtGi1-Gq)/β1/γ1
20.00Single4N4WSANT-14N4W-SMO-SANT-1
20.00Single4Z36ONO-30805734Z36-LPA1-ONO-3080573
20.00Single6PGSGeraniol6PGS-Rhodopsin-Geraniol-Gt(CT)
20.00Single6XBLCholesterol6XBL-SMO-SAG-Cholesterol-Gi1/β1/γ2
20.00Single7EO4Siponimod7EO4-S1P1-Siponimod-Gi1/β1/γ2
20.00Single7F4HAfamelanotide7F4H-MC1-Afamelanotide-chim(NtGi1-Gs)/β1/γ2
20.00Single7F6G(Sar1)-Angiotensin II7F6G-AT1-(Sar1)-Angiotensin II-Gq/β1/γ2
20.00Single7K15MKD0467K15-BLT1-MKD046-Na
20.00Single7KH0AVP7KH0-V2-AVP-chim(NtGi1-Gs)/β1/γ2
20.00Single7L1UOrexin7L1U-OX2-Orexin-chim(NtGi1-Gs-CtGq)/β1/γ2
20.00Single7MTRADX551647MTR-mGlu2; mGlu2-Glutamate-ADX55164
20.00Single7VUIJNJ-635330547VUI-GPR139-JNJ-63533054-GTP-chim(Gs-CtGq)/β1/γ2
20.00Single7WCMMBX-29827WCM-GPR119-MBX-2982-Gs/β1/γ2
20.00Single7WUIIP157WUI-ADGRG2-IP15-chim(NtGi1-Gs)/β1/γ2
20.00Single7Y66BM2137Y66-C5a1-BM213-Gi1/β1/γ2
20.00Single8H0QGastrin Releasing Peptide8H0Q-BB2-Gastrin Releasing Peptide-chim(NtGi1-Gs-CtGq)/β1/γ2
20.00Single8HBDIRL16208HBD-ETB-IRL1620-Gi1/β1/γ2
20.00Single8IHIAcifran8IHI-HCA2-Acifran-Gi1/β1/γ2
20.00Single8JILNiacin8JIL-HCA2-Niacin-Gi1/β1/γ2
20.00Single8JPNCis-Epoxysuccinic acid8JPN-Succinate-Cis-Epoxysuccinic acid-Gi1/β1/γ1
20.00Single8RWHStilSwitch28RWH-A2A-StilSwitch2-Na
20.00Single8VHFMBX-29828VHF-GPR119-MBX-2982-Gs/β1/γ2
20.00Single8WP1Cis-Epoxysuccinic acid8WP1-Succinate-Cis-Epoxysuccinic acid-Gi1/β1/γ2
20.00Single8WSTMCH8WST-MCH2-MCH-chim(NtGi1L-Gs-CtGq)/β1/γ2
20.00Single8X8LCortistatin-148X8L-SST5-Cortistatin-14-chim(NtGi1-Gs-CtGi1)/β1/γ2
20.00Single8YKWSuccinic acid8YKW-Succinate-Succinic acid-Gi1/β1/γ1
20.00Single9DGIZ85267113509DGI-CB1-Z8526711350
20.00Single9IZDCHBA9IZD-HCA1-CHBA-Gi1/β1/γ2
20.00Single9IZHLPA9IZH-LPA1-LPA-chim(NtGi2-G13)/β1/γ2
20.00Single9KUWCMPD6449KUW-Apelin; Apelin-CMPD644-Arrestin2 ; Arrestin2
20.00Single9L3WChemerin9L3W-CML1-Chemerin-Gi1/β1/γ2
20.00Single9W32SSTR5 antagonist 19W32-SST5-SSTR5 antagonist 1
20.00Single9WSWEndomorphin9WSW-μ-Endomorphin-chim(NtGi1-Gz)/β1/γ2
20.00Single9WXMGPR15L(CT)9WXM-GPR15-GPR15L(CT)-Gi3/β1/γ2
20.00Single9YDAAll-trans-Retinal9YDA-Opsin1MW-All-trans-Retinal-chim(NtGi1L-Gs-CtGt)/β1/γ2
20.00Consensusangiotensin_on_gpOrthosteric Ligandat1_on_gp
20.00Consensusapelin_onOrthosteric Ligand8XZH-Apelin; Apelin-MM07-Gi1/β1/γ2 7W0M-Apelin-PubChem 122701908-Gi1/β1/γ2 8XZJ-Apelin; Apelin-WN353-Gi1/β1/γ2 8XZF-Apelin; Apelin-WN561-Gi1/β1/γ2 8XZG-Apelin; Apelin-Apelin-13-Gi1/β1/γ2
20.00Consensusapelin_on_gpOrthosteric Ligand8XZH-Apelin; Apelin-MM07-Gi1/β1/γ2 7W0M-Apelin-PubChem 122701908-Gi1/β1/γ2 8XZJ-Apelin; Apelin-WN353-Gi1/β1/γ2 8XZF-Apelin; Apelin-WN561-Gi1/β1/γ2 8XZG-Apelin; Apelin-Apelin-13-Gi1/β1/γ2
20.00Consensusat1_on_gpOrthosteric Ligand7F6G-AT1-(Sar1)-Angiotensin II-Gq/β1/γ2
20.00Consensusc3a_onOrthosteric Ligand8HK2-C3aB-C3a-Gi1/β1/γ2 8IA8-C3aB-E7 peptide-Gi1/β1/γ2
20.00Consensuscannabinoid_offOrthosteric Ligandcb2_off cb1_off
20.00Consensuscb1_onOrthosteric Ligand6KPG-CB1-AM841-Gi1/β1/γ2 8K8J-CB1-Fenofibrate-chim(Gs-CtGq)/β1/γ2
20.00Consensusccr8_onOrthosteric Ligand8KFX-CCR8-LMD-009-Gi1/β1/γ2 8KFY-CCR8-ZK-756326-Gi1/β1/γ2 8U1U-CCR8-CCL1-Gi1/β1/γ2
20.00Consensusfpr2-alx_on_gpOrthosteric Ligand7WVX-FPR2-ALX-Humanin-Gi2/β1/γ2 7T6U-FPR2-ALX-CGEN-855A-Gi1/β1/γ2 7T6V-FPR2-ALX-fMLFII-Gi1/β1/γ2 7WVY-FPR2-ALX-Amyloid-β42-Gi2/β1/γ2 7T6S-FPR2-ALX-TC-FPR 43-Gi1/β1/γ2 6OMM-FPR2-ALX-WKYMVX-Gi1/β1/γ2
20.00Consensusgi_lipidOrthosteric Ligandgi_cannabinoid gi_ffa gi_leukotriene gi_lpa gi_s1p
20.00Consensusgq_angiotensinOrthosteric Ligand7F6G-AT1-(Sar1)-Angiotensin II-Gq/β1/γ2
20.00Consensusleukotriene_offOrthosteric Ligandblt_off cyslt_off
20.00Consensuslpa1_offOrthosteric Ligand4Z36-LPA1-ONO-3080573 4Z35-LPA1-ONO-9910539 4Z34-LPA1-ONO-9780307
20.00Consensuslpa_offOrthosteric Ligandlpa1_off
20.00Consensuslpl_offOrthosteric Ligands1p_off lpa_off
20.00Consensusprotein_onOrthosteric Ligandchemokine_on chemerin_on
19.35Single6LRYSarafotoxin-B6LRY-ETB-Sarafotoxin-B
19.35Consensusgs_peptideOrthosteric Ligandgs_cck gs_melanocortin gs_vasop-oxy
19.23Single7F6HBradykinin7F6H-BK2-Bradykinin-Gq/β1/γ2
19.23Single7F6IKallidin7F6I-BK2-Kallidin-Gq/β1/γ2
19.23Single7QBIAlpha-factor mating pheromone7QBI-STE2; STE2-α-factor mating pheromone
19.23Single7X9CPancreatic Hormone7X9C-Y4-Pancreatic Hormone-Gi1/β1/γ2
19.23Single7XV3Lysophosphatidylserine (WJS)7XV3-GPR174-Lysophosphatidylserine (WJS)-chim(NtGi1-Gs)/β1/γ2
19.23Single7Y64C5a7Y64-C5a1-C5a-Gi1/β1/γ2
19.23Single8HK5C5a8HK5-C5a1-C5a-Gi1/β1/γ2
19.23Single8HNKCXCL118HNK-CXCR3-CXCL11-Gi1/β1/γ2
19.23Single8WWMMCH8WWM-MCH1-MCH-Gi1/β1/γ2
19.23Single8XQEApelin-138XQE-Apelin; Apelin-Apelin-13-Gi1/β1/γ2
19.23Single8XVHEndothelin-18XVH-ETB-Endothelin-1-chim(Gs-CtGq)/β1/γ2
19.23Single9JFYNeuropeptide-SF9JFY-NPFF2-Neuropeptide-SF-Gi1/β1/γ2
19.23Consensusgi_apelinOrthosteric Ligand8XZH-Apelin; Apelin-MM07-Gi1/β1/γ2 7W0M-Apelin-PubChem 122701908-Gi1/β1/γ2 8XZJ-Apelin; Apelin-WN353-Gi1/β1/γ2 8XZF-Apelin; Apelin-WN561-Gi1/β1/γ2 8XZG-Apelin; Apelin-Apelin-13-Gi1/β1/γ2
19.23Consensusmc1_onOrthosteric Ligand7F4H-MC1-Afamelanotide-chim(NtGi1-Gs)/β1/γ2 7F4D-MC1-α-MSH-chim(NtGi1-Gs)/β1/γ2 7F4I-MC1-SHU9119-chim(NtGi1-Gs)/β1/γ2
19.23Consensusmc1_on_gpOrthosteric Ligand7F4H-MC1-Afamelanotide-chim(NtGi1-Gs)/β1/γ2 7F4D-MC1-α-MSH-chim(NtGi1-Gs)/β1/γ2 7F4I-MC1-SHU9119-chim(NtGi1-Gs)/β1/γ2
19.05Single5CGDHTL142425CGD-mGlu5-HTL14242
19.05Single7P00Substance-P7P00-NK1-Substance-P-chim(NtGi1-Gs-CtGq)/β1/γ2
19.05Single7Y27Somatostatin-147Y27-SST2-Somatostatin-14-chim(NtGi2L-Gs-CtGq)/β1/γ2
19.05Single7Y65C5a (C-terminal peptide)7Y65-C5a1-C5a (C-terminal peptide)-Gi1/β1/γ2
19.05Single7YU8ONO-07405567YU8-LPA1-ONO-0740556-Gi1/β1/γ2
19.05Single8GAGZ85267113508GAG-CB1-Z8526711350-Gi1/β1/γ2
19.05Single8GUTLEI-1028GUT-CB2-LEI-102-Gi1/β1/γ2
19.05Single8ID8TUG-8918ID8-FFA4-TUG-891-Gi1/β1/γ2
19.05Single8IULLatanoprost8IUL-FP-alpha-Latanoprost-chim(NtGi1-Gs-CtGq)/β1/γ2
19.05Single8IYSTUG-8918IYS-FFA4-TUG-891-GDP-chim(NtGi1L-Gq)/β1/γ2
19.05Single8K2XCXCL108K2X-CXCR3-CXCL10-Gi1/β1/γ2
19.05Single8XJKCloprosetnol8XJK-FP-alpha-Cloprosetnol-chim(NtGi1-Gs-CtGq)/β1/γ2
19.05Single9EAILosartan9EAI-AT1-Losartan-Nanobody AT209
19.05Single9VI9RFRP-39VI9-NPFF1-RFRP-3-Gi1/β1/γ2
19.05Consensusc3a_on_gpOrthosteric Ligand8HK2-C3aB-C3a-Gi1/β1/γ2 8IA8-C3aB-E7 peptide-Gi1/β1/γ2
19.05Consensuscb1_on_gpOrthosteric Ligand6KPG-CB1-AM841-Gi1/β1/γ2 8K8J-CB1-Fenofibrate-chim(Gs-CtGq)/β1/γ2
19.05Consensusfp-alpha_onOrthosteric Ligand8IUK-FP-alpha-PGF2-α-chim(NtGi1-Gs-CtGq)/β1/γ2 8IUL-FP-alpha-Latanoprost-chim(NtGi1-Gs-CtGq)/β1/γ2 8IUM-FP-alpha-Tafluprost acid-chim(NtGi1-Gs-CtGq)/β1/γ2
19.05Consensusfp-alpha_on_gpOrthosteric Ligand8IUK-FP-alpha-PGF2-α-chim(NtGi1-Gs-CtGq)/β1/γ2 8IUL-FP-alpha-Latanoprost-chim(NtGi1-Gs-CtGq)/β1/γ2 8IUM-FP-alpha-Tafluprost acid-chim(NtGi1-Gs-CtGq)/β1/γ2
19.05Consensusnk1_onOrthosteric Ligand7P00-NK1-Substance-P-chim(NtGi1-Gs-CtGq)/β1/γ2
19.05Consensusnk1_on_gpOrthosteric Ligand7P00-NK1-Substance-P-chim(NtGi1-Gs-CtGq)/β1/γ2
19.05Consensusnk2_onOrthosteric Ligand7XWO-NK2-Neurokinin-A-chim(NtGi1-Gs-CtGq)/β1/γ2
18.75Single3PWHZM-2413853PWH-A2A-ZM-241385
18.75Single3V2WPubChem 518926453V2W-S1P1-PubChem 51892645
18.75Single6ME9Ramelteon6ME9-MT2-Ramelteon
18.75Single7BR3Elagolix7BR3-GnRH1-Elagolix
18.75Single7VIHCBP-3077VIH-S1P1-CBP-307-Gi1/β1/γ2
18.75Single7W0OElabela7W0O-Apelin-Elabela-Gi1/β1/γ2
18.75Single7WF7S1P7WF7-S1P1-S1P-Gi1/β1/γ2
18.75Single7X9ANeuropeptide-Y7X9A-Y1-Neuropeptide-Y-Gi1/β1/γ2
18.75Single7XRRLemborexant7XRR-OX2-Lemborexant
18.75Single8DWGML3828DWG-MRGPRX1-BAM8-22-ML382-chim(NtGi2L-Gs-CtGq)/β1/γ2
18.75Single8J20Valeric acid8J20-FFA3-Valeric acid-AR420626-Gi1/β1/γ2
18.75Single8J6LNiacin8J6L-HCA2-Niacin-Gi1/β1/γ2
18.75Single8JPPSuccinic acid8JPP-Succinate-Succinic acid-chim(Gs-CtGq)/β1/γ1
18.75Single8RVWStilSwitch38RVW-A2A-StilSwitch3-Na
18.75Single8RW4AzoSwitch28RW4-A2A-AzoSwitch2-Na
18.75Single8RWEStilSwitch48RWE-A2A-StilSwitch4-Na
18.75Single8T3SButyric acid8T3S-FFA2-Butyric acid-chim(NtGi2L-Gs-CtGq)/β1/γ2
18.75Single8UTDMK19038UTD-HCA2-MK1903-Gi1/β1/γ2
18.75Single8WPGTryptophan; Cinacalcet; PO4; Ca8WPG-CaS; CaS-Tryptophan; Cinacalcet; PO4; Ca
18.75Single9AVLCa; Ca; Cyclomethyltryptophan; R-568; PO49AVL-CaS; CaS-Ca-Ca; Ca; Cyclomethyltryptophan; R-568; PO4-Gi3/β2/γ2
18.75Single9C2FCa; Ca; Tryptophan; '54149; PO49C2F-CaS; CaS-Ca-Ca; Ca; Tryptophan; '54149; PO4
18.75Single9FUPIstradefylline9FUP-A2A-Istradefylline-Na
18.75Single9J5VCpY9J5V-LPA1-CpY-Gi1/β1/γ2
18.75Single9JKXAcifran9JKX-HCA3-Acifran-Gi1/β1/γ2
18.75Single9LKDPL459LKD-OR5V1-PL45
18.75Single9M88Oleic monoethanolamide9M88-GPR3 ; GPR3-Oleic monoethanolamide-AF64394
18.75Consensusgnrh1_offOrthosteric Ligand7BR3-GnRH1-Elagolix
18.75Consensuss1p1_offOrthosteric Ligand3V2W-S1P1-PubChem 51892645
18.52Single7QBIAlpha-factor mating pheromone7QBI-STE2; STE2-α-factor mating pheromone
18.52Single8XQFApelin-138XQF-Apelin-Apelin-13-Gi1/β1/γ2
18.52Single8XVEBQ30208XVE-ETB-BQ3020-chim(Gs-CtGq)/β1/γ2
18.52Consensusgi_compl-peptOrthosteric Ligand8HK5-C5a1-C5a-Gi1/β1/γ2 8IA8-C3aB-E7 peptide-Gi1/β1/γ2 7Y66-C5a1-BM213-Gi1/β1/γ2 7Y67-C5a1-C089 peptide-Gi1/β1/γ2 8HK2-C3aB-C3a-Gi1/β1/γ2 7Y64-C5a1-C5a-Gi1/β1/γ2
18.52Consensusgi_proteinOrthosteric Ligandgi_chemokine gi_chemerin
18.52Consensusnpy4_onOrthosteric Ligand7X9C-Y4-Pancreatic Hormone-Gi1/β1/γ2
18.52Consensusnpy4_on_gpOrthosteric Ligand7X9C-Y4-Pancreatic Hormone-Gi1/β1/γ2
18.52Consensusprotein_on_gpOrthosteric Ligandchemokine_on_gp chemerin_on_gp
18.18Single6XBJCholesterol6XBJ-SMO-Cholesterol-Gi1/β1/γ2
18.18Single7RMGSubstance-P7RMG-NK1-Substance-P-chim(Gs-CtGq)/β1/γ2
18.18Single7RMHSubstance-P7RMH-NK1-Substance-P-Gs/β1/γ2
18.18Single7YJ4INSL57YJ4-RXFP4-INSL5-Gi2/β1/γ2
18.18Single8IUMTafluprost acid8IUM-FP-alpha-Tafluprost acid-chim(NtGi1-Gs-CtGq)/β1/γ2
18.18Single8JBFSenktide8JBF-NK3-Senktide-chim(NtGi1-Gs-CtGq)/β1/γ2
18.18Single8QJ2pN1628QJ2-MC4-pN162-Gs/β1/γ2
18.18Single8X3LXWD8X3L-CB2-XWD-Gi1/β1/γ2
18.18Single8XZFWN5618XZF-Apelin; Apelin-WN561-Gi1/β1/γ2
18.18Single8Z74JN241-98Z74-Apelin; Apelin-JN241-9
18.18Single8Z74JN241-98Z74-Apelin; Apelin-JN241-9
18.18Single9KZ8EP679KZ8-C3aB-EP67-Go/β1/γ2
18.18Single9WSXEndomorphin9WSX-μ-Endomorphin-Arrestin2
18.18Consensusformylpeptide_onOrthosteric Ligandfpr2-alx_on fpr1-alx_on
18.18Consensusgq_cckOrthosteric Ligand8IA7-CCKB-Cholecystokinin-8-chim(NtGi1L-Gq)/β1/γ2 7XOW-CCKB-Sulfated Gastrin-(10-17)-chim(NtGi1-Gq)/β1/γ2 7EZM-CCKA-Cholecystokinin-8-chim(NtGsL-Gq)/β1/γ2 7F8W-CCKB-Gastrin-17-chim(NtGsL-Gq)/β1/γ2
17.86Single6B3JExendin-P56B3J-GLP-1-Exendin-P5-Gs/β1/γ2
17.86Single7F4FAfamelanotide7F4F-MC1-Afamelanotide-chim(NtGi1-Gs)/β1/γ2
17.86Single7QBCAlpha-factor mating pheromone7QBC-STE2; STE2-α-factor mating pheromone
17.86Single7XATSomatostatin-147XAT-SST2-Somatostatin-14-Gi1/β1/γ2
17.86Single7YOONeuropeptide-Y7YOO-Y2-Neuropeptide-Y-Gi1/β1/γ2
17.86Single8XWPEndothelin-18XWP-ETB-Endothelin-1-Gi1/β1/γ2
17.86Single8ZJGChemerin8ZJG-CML1-Chemerin-Gi1/β1/γ2
17.86Single9BUCCagrilintide9BUC-CT-Cagrilintide-Gs/β1/γ2
17.86Consensusnpy2_onOrthosteric Ligand7YOO-Y2-Neuropeptide-Y-Gi1/β1/γ2
17.86Consensusnpy2_on_gpOrthosteric Ligand7YOO-Y2-Neuropeptide-Y-Gi1/β1/γ2
17.65Single6FFIMPEP6FFI-mGlu5-MPEP
17.65Single6MH8ZM-2413856MH8-A2A-ZM-241385
17.65Single6PELCitronellol6PEL-Rhodopsin-Citronellol-Gt(CT)
17.65Single6ZG9GSK10347026ZG9-M1-GSK1034702
17.65Single7M3GCa; Ca; Tryptophan; Evocalcet; Etelcalcetide; PO47M3G-CaS; CaS-Ca; Ca; Tryptophan; Evocalcet; Etelcalcetide; PO4
17.65Single7WVUfMLF7WVU-FPR1-ALX-fMLF-Gi1/β1/γ2
17.65Single8GURCP559408GUR-CB2-CP55940-Gi1/β1/γ2
17.65Single8H4LDoconexent8H4L-FFA4-Doconexent-chim(NtGi1-Gs-CtGq)/β1/γ2
17.65Single8WPUTryptophan; Cinacalcet; PO4; Ca8WPU-CaS; CaS-Tryptophan; Cinacalcet; PO4; Ca-chim(NtGi2L-Gs-CtGq)/β1/γ2
17.65Single8Y62C16:0 Ceramide8Y62-FPR2-ALX-C16:0 Ceramide-Gi1/β1/γ2
17.65Single8Y6YGLPG09748Y6Y-FFA2-GLPG0974
17.65Single9ASBCa; Ca; Cyclomethyltryptophan; R-568; PO49ASB-CaS; CaS-Ca-Ca; Ca; Cyclomethyltryptophan; R-568; PO4-chim(NtGi1-Gs-CtGq)/β1/γ2
17.65Single9AVGCa; Ca; Cyclomethyltryptophan; R-568; PO49AVG-CaS; CaS-Ca-Ca; Ca; Cyclomethyltryptophan; R-568; PO4-chim(NtGi1-Gs)/β1/γ2
17.65Single9DQJEP-39459DQJ-MRGPRD-EP-3945-chim(NtGi1-Gs-CtGq)/β1/γ2
17.65Single9K1DButyric acid9K1D-FFA2-Butyric acid-Gi1/β1/γ2
17.65Single9KPDSalicin9KPD-TAS2R16-Salicin-chim(Gs-CtGt3)/β1/γ2
17.65Single9LKBPL459LKB-OR5V1-PL45-chim(NtGi1-Gs)/β1
17.65Single9M2FNeuropeptide-FF9M2F-NPFF1-Neuropeptide-FF-Gi1/β1/γ2
17.65Single9W33S5A19W33-SST5-S5A1
17.65Consensusghrelin_offOrthosteric Ligand6KO5-Ghrelin-PubChem 57400002 7F83-Ghrelin-PF-05190457
17.65Consensusgrh_offOrthosteric Ligandgnrh1_off
17.65Consensusnucleotide_offOrthosteric Ligandadenosine_off p2y_off
17.39Single7F4ISHU91197F4I-MC1-SHU9119-chim(NtGi1-Gs)/β1/γ2
17.39Single7QA8Antagonist Peptide7QA8-STE2; STE2-Antagonist Peptide
17.39Single7QA8Antagonist Peptide7QA8-STE2; STE2-Antagonist Peptide
17.39Single7T6UCGEN-855A7T6U-FPR2-ALX-CGEN-855A-Gi1/β1/γ2
17.39Single7TD4Siponimod7TD4-S1P1-Siponimod-Gi1/β1/γ2
17.39Single8GHVAMG3158GHV-CB1-AMG315-Gi1/β1/γ2
17.39Single8K3ZCXCL128K3Z-CXCR4-CXCL12-Gi1/β1/γ1
17.39Single8WKYPG-9348WKY-MC4-PG-934
17.39Single8ZCJPasireotide8ZCJ-SST5-Pasireotide-Gi1/β1/γ1
17.39Single9BKJCholecystokinin-89BKJ-CCKA-Cholecystokinin-8-chim(NtGi1-Gs-CtGq)/β1/γ2
17.39Single9KWGC5a9KWG-C5a1-C5a-Go/β1/γ2
17.39Consensuscxcr4_onOrthosteric Ligand8K3Z-CXCR4-CXCL12-Gi1/β1/γ1
17.39Consensusnk3_onOrthosteric Ligand8JBF-NK3-Senktide-chim(NtGi1-Gs-CtGq)/β1/γ2
17.39Consensusnk3_on_gpOrthosteric Ligand8JBF-NK3-Senktide-chim(NtGi1-Gs-CtGq)/β1/γ2
17.39Consensussst5_onOrthosteric Ligand8X8L-SST5-Cortistatin-14-chim(NtGi1-Gs-CtGi1)/β1/γ2 8X8N-SST5-Octreotide-chim(NtGi1-Gs-CtGi1)/β1/γ2
17.24Single6IGLIRL16206IGL-ETB-IRL1620
17.24Single7QBCAlpha-factor mating pheromone7QBC-STE2; STE2-α-factor mating pheromone
17.24Single8F0KPramlintide Analogue San3858F0K-CT (AMY3)-Pramlintide Analogue San385-Gs/β1/γ2; RAMP3
17.24Single8IY5Endothelin-18IY5-ETB-Endothelin-1-Gi1/β1/γ2
17.24Consensusetb_onOrthosteric Ligand8IY5-ETB-Endothelin-1-Gi1/β1/γ2 8HBD-ETB-IRL1620-Gi1/β1/γ2
16.67Single4A4MAll-trans-Retinal4A4M-Rhodopsin-All-trans-Retinal-Gt(CT)
16.67Single5EN0All-trans-Retinal5EN0-Rhodopsin-All-trans-Retinal-Gt(CT)
16.67Single5GLHEndothelin-15GLH-ETB-Endothelin-1
16.67Single5TGZAM65385TGZ-CB1-AM6538
16.67Single5XJM(Sar1,Ile8)-Angiotensin II5XJM-AT2-(Sar1,Ile8)-Angiotensin II
16.67Single6D27CAY104716D27-DP2-CAY10471
16.67Single6FFHFenobam6FFH-mGlu5-Fenobam
16.67Single6GPSMK08126GPS-CCR2-MK0812
16.67Single6IGKEndothelin-36IGK-ETB-Endothelin-3
16.67Single6Z10PubChem 1545855546Z10-Succinate-PubChem 154585554
16.67Single7CFMP3957CFM-GPBA-P395-Gs/β1/γ2
16.67Single7F83PF-051904577F83-Ghrelin-PF-05190457
16.67Single7NA8Ibutamoren7NA8-Ghrelin-Ibutamoren-Gi1/β1/γ2
16.67Single7PP1Selatogrel7PP1-P2Y12-Selatogrel
16.67Single7RKMCX3CL17RKM-US28-CX3CL1-Gi1/β1/γ2
16.67Single7RMISubstance-P7RMI-NK1-Substance-P-chim(Gs-CtGq)/β1/γ2
16.67Single7VIFFTY720-P7VIF-S1P1-FTY720-P-Gi1/β1/γ2
16.67Single7VKTLTB47VKT-BLT1-LTB4-Gi1/β1/γ2
16.67Single7W0NElabela7W0N-Apelin; Apelin-Elabela-Gi1/β1/γ2
16.67Single7WJ5Somatostatin-147WJ5-SST2-Somatostatin-14-Gi1/β1/γ2
16.67Single7YU4ONO-07405567YU4-LPA1-ONO-0740556
16.67Single7YXAONO-54306087YXA-S1P5-ONO-5430608
16.67Single8JBHSubstance-P8JBH-NK3-Substance-P-chim(NtGi1-Gs-CtGq)/β1/γ2
16.67Single8KEXDCA-3P8KEX-MRGPRX4-DCA-3P
16.67Single8WSSMCH8WSS-MCH1-MCH-Gi1/β1/γ1
16.67Single8Z7JJN241-98Z7J-Apelin-JN241-9-Gi1/β1/γ2
16.67Single9AVGCa; Ca; Cyclomethyltryptophan; R-568; PO49AVG-CaS; CaS-Ca-Ca; Ca; Cyclomethyltryptophan; R-568; PO4-chim(NtGi1-Gs)/β1/γ2
16.67Single9IQRMuscarinic toxin 39IQR-α2a-Muscarinic toxin 3
16.67Single9IQSMuscarinic toxin 39IQS-M4-Muscarinic toxin 3
16.67Single9IQVMuscarinic toxin 39IQV-Alpha1A-Muscarinic toxin 3
16.67Single9IYAONO-97105319IYA-GPR55-ONO-9710531
16.67Single9KFTfMLFC9KFT-FPR1-ALX-fMLFC-Gi1/β1/γ2
16.67Consensusblt1_onOrthosteric Ligand7VKT-BLT1-LTB4-Gi1/β1/γ2
16.67Consensusblt1_on_gpOrthosteric Ligand7VKT-BLT1-LTB4-Gi1/β1/γ2
16.67Consensusblt_onOrthosteric Ligandblt1_on
16.67Consensusblt_on_gpOrthosteric Ligandblt1_on_gp
16.67Consensusccr2_offOrthosteric Ligand6GPS-CCR2-MK0812
16.67Consensusccr5_on_gpOrthosteric Ligand7O7F-CCR5-6P4-CCL5-Gi1/β1/γ1 7F1Q-CCR5-CCL3-Gi1/β1/γ2
16.67Consensuscompl-peptide_onOrthosteric Ligandc5a1_on c3a_on
16.67Consensusformylpeptide_on_gpOrthosteric Ligandfpr2-alx_on_gp fpr1-alx_on_gp
16.67Consensusghrelin_onOrthosteric Ligand7NA7-Ghrelin-Ghrelin-Gi1/β1/γ2 7F9Z-Ghrelin-GHRP-6-chim(NtGi1-Gs-CtGq)/β1/γ2 7NA8-Ghrelin-Ibutamoren-Gi1/β1/γ2
16.67Consensusghrelin_on_gpOrthosteric Ligand7NA7-Ghrelin-Ghrelin-Gi1/β1/γ2 7F9Z-Ghrelin-GHRP-6-chim(NtGi1-Gs-CtGq)/β1/γ2 7NA8-Ghrelin-Ibutamoren-Gi1/β1/γ2
16.67Consensusgi_endothelinOrthosteric Ligand8IY5-ETB-Endothelin-1-Gi1/β1/γ2 8HBD-ETB-IRL1620-Gi1/β1/γ2
16.67Consensusgi_ghrelinOrthosteric Ligand7NA7-Ghrelin-Ghrelin-Gi1/β1/γ2 7NA8-Ghrelin-Ibutamoren-Gi1/β1/γ2
16.67Consensusgi_leukotrieneOrthosteric Ligand7VKT-BLT1-LTB4-Gi1/β1/γ2
16.67Consensusgi_npyOrthosteric Ligand8K6M-Y1-Neuropeptide-Y-Gi2/β1/γ1 7X9C-Y4-Pancreatic Hormone-Gi1/β1/γ2 7YOO-Y2-Neuropeptide-Y-Gi1/β1/γ2
16.67Consensusleukotriene_onOrthosteric Ligandblt_on
16.67Consensusleukotriene_on_gpOrthosteric Ligandblt_on_gp
16.67Consensuslipid_offOrthosteric Ligandcannabinoid_off paf_off lpl_off prostanoid_off leukotriene_off
16.67Consensusnpy_onOrthosteric Ligandnpy1_on npy2_on npy4_on
16.67Consensusnpy_on_gpOrthosteric Ligandnpy1_on_gp npy2_on_gp npy4_on_gp
16.67Consensustachykinin_on_gpOrthosteric Ligandnk1_on_gp nk2_on_gp nk3_on_gp
16.13Consensusetb_on_gpOrthosteric Ligand8IY5-ETB-Endothelin-1-Gi1/β1/γ2 8HBD-ETB-IRL1620-Gi1/β1/γ2
16.00Single6LW5WKYMVm6LW5-FPR2-ALX-WKYMVm
16.00Single6UUNAdrenomedullin6UUN-CT Like (AM1)-Adrenomedullin-Gs/β1/γ2; RAMP2
16.00Single6VN7PACAP276VN7-VPAC1-PACAP27-Gs/β1/γ2
16.00Single6W25SHU91196W25-MC4-SHU9119-Ca
16.00Single7F4DAlpha-MSH7F4D-MC1-α-MSH-chim(NtGi1-Gs)/β1/γ2
16.00Single8K6MNeuropeptide-Y8K6M-Y1-Neuropeptide-Y-Gi2/β1/γ1
16.00Single8K6NNeuropeptide-Y8K6N-Y2-Neuropeptide-Y-Gi2/β1/γ1
16.00Single8WKZSBL-MC-318WKZ-MC4-SBL-MC-31
16.00Single9K27PrRP319K27-PrRP-PrRP31-chim(NtGi1-Gq)/β1/γ2
16.00Single9UYIChemerin-99UYI-CML2-Chemerin-9-Arrestin2
16.00Consensusc5a1_onOrthosteric Ligand8HK5-C5a1-C5a-Gi1/β1/γ2 7Y66-C5a1-BM213-Gi1/β1/γ2 7Y67-C5a1-C089 peptide-Gi1/β1/γ2 7Y64-C5a1-C5a-Gi1/β1/γ2
16.00Consensuscompl-peptide_on_gpOrthosteric Ligandc5a1_on_gp c3a_on_gp
16.00Consensuscxcr4_on_gpOrthosteric Ligand8K3Z-CXCR4-CXCL12-Gi1/β1/γ1
16.00Consensusfpr2-alx_onOrthosteric Ligand7WVX-FPR2-ALX-Humanin-Gi2/β1/γ2 7T6U-FPR2-ALX-CGEN-855A-Gi1/β1/γ2 7T6V-FPR2-ALX-fMLFII-Gi1/β1/γ2 7WVY-FPR2-ALX-Amyloid-β42-Gi2/β1/γ2 7T6S-FPR2-ALX-TC-FPR 43-Gi1/β1/γ2 6OMM-FPR2-ALX-WKYMVX-Gi1/β1/γ2
16.00Consensusnpy1_onOrthosteric Ligand8K6M-Y1-Neuropeptide-Y-Gi2/β1/γ1
16.00Consensusnpy1_on_gpOrthosteric Ligand8K6M-Y1-Neuropeptide-Y-Gi2/β1/γ1
15.79Single4NTJAZD12834NTJ-P2Y12-AZD1283
15.79Single6GPXMK08126GPX-CCR2-MK0812
15.79Single6M9TMisoprostol-FA6M9T-EP3-Misoprostol-FA
15.79Single6XBKCholesterol6XBK-SMO-Cholesterol-Gi1/β1/γ2
15.79Single7M3GCa; Ca; Tryptophan; Evocalcet; Etelcalcetide; PO47M3G-CaS; CaS-Ca; Ca; Tryptophan; Evocalcet; Etelcalcetide; PO4
15.79Single7YU3ONO-07405567YU3-LPA1-ONO-0740556-Gi1/β1/γ2
15.79Single7YU6ONO-07405567YU6-LPA1-ONO-0740556-Gi1/β1/γ2
15.79Single8GD9Rivenprost8GD9-EP4-Rivenprost-Gs/β1/γ2
15.79Single8GDCPGE28GDC-EP3-PGE2-Gi1/β1/γ2
15.79Single8X0BVU04244658X0B-mGlu5; mGlu5-Quisqualate-VU0424465
15.79Single8X0CVU04244658X0C-mGlu5; mGlu5-Quisqualate-VU0424465
15.79Single8X0CVU04244658X0C-mGlu5; mGlu5-Quisqualate-VU0424465
15.79Single8ZVZBW245C8ZVZ-DP1-BW245C-Gs/β1/γ2
15.79Single9DQHEP-28259DQH-MRGPRD-EP-2825-chim(NtGi1-Gs-CtGq)/β1/γ2
15.79Single9EE5ONO-25502899EE5-DP1-ONO-2550289
15.79Single9EKHONO-30302979EKH-DP1-ONO-3030297
15.79Single9HC04YI9HC0-mGlu5-4YI
15.79Single9JKSPubChem 442501769JKS-HCA3-PubChem 44250176-Gi1/β1/γ2
15.79Single9KPFSalicin9KPF-TAS2R16-Salicin-Gi1/β1/γ2
15.79Single9M8POleic monoethanolamide9M8P-GPR3 ; GPR3-Oleic monoethanolamide-AF64394
15.79Consensusblt1_offOrthosteric Ligand5X33-BLT1-BIIL260 7K15-BLT1-MKD046-Na
15.79Consensusblt_offOrthosteric Ligandblt1_off
15.79Consensuscb2_onOrthosteric Ligand8GUR-CB2-CP55940-Gi1/β1/γ2 8GUS-CB2-HU-308-Gi1/β1/γ2 8GUT-CB2-LEI-102-Gi1/β1/γ2 6KPF-CB2-AM12033-Gi1/β1/γ2 6PT0-CB2-WIN 55212-2-Gi1/β1/γ2 8GUQ-CB2-Olorinab-Gi1/β1/γ2
15.79Consensuscb2_on_gpOrthosteric Ligand8GUR-CB2-CP55940-Gi1/β1/γ2 8GUS-CB2-HU-308-Gi1/β1/γ2 8GUT-CB2-LEI-102-Gi1/β1/γ2 6KPF-CB2-AM12033-Gi1/β1/γ2 6PT0-CB2-WIN 55212-2-Gi1/β1/γ2 8GUQ-CB2-Olorinab-Gi1/β1/γ2
15.79Consensuslpa1_onOrthosteric Ligand7TD1-LPA1-LPA-Gi1/β1/γ2 7YU3-LPA1-ONO-0740556-Gi1/β1/γ2
15.79Consensuslpa1_on_gpOrthosteric Ligand7TD1-LPA1-LPA-Gi1/β1/γ2 7YU3-LPA1-ONO-0740556-Gi1/β1/γ2
15.79Consensuss1p5_offOrthosteric Ligand7YXA-S1P5-ONO-5430608
15.38Single5WB2CX3CL1.355WB2-US28-CX3CL1.35
15.38Single6JODAngiotensin II6JOD-AT2-Angiotensin II
15.38Single6WI9Secretin6WI9-Secretin-Secretin-Gs/β1/γ2
15.38Single7AD3Alpha-factor mating pheromone7AD3-STE2; STE2-α-factor mating pheromone-Gi1/STE4/γ2
15.38Single7FIMTirzepatide7FIM-GLP-1-Tirzepatide-Gs/β1/γ2
15.38Single7V9MSomatoliberin7V9M-GHRH (SV1)-Somatoliberin-Gs/β1/γ2
15.38Single7YONPeptide-YY(3-36)7YON-Y2-Peptide-YY(3-36)-Gi1/β1/γ2
15.38Single8IEDPubChem 1347468948IED-GPR156; GPR156-PubChem 134746894-Go/β1/γ2
15.38Single9BLCCagrilintide (non-acylated)9BLC-CT-Cagrilintide (non-acylated)-Gs/β1/γ2
15.38Single9IV25alpha-DHT9IV2-ADGRD1-5α-DHT-chim(NtGi1-Gs)/β1/γ2
15.38Single9JKVPubChem 27366909JKV-HCA3-PubChem 2736690-Gi1/β1/γ2
15.38Consensusc5a1_on_gpOrthosteric Ligand8HK5-C5a1-C5a-Gi1/β1/γ2 7Y66-C5a1-BM213-Gi1/β1/γ2 7Y67-C5a1-C089 peptide-Gi1/β1/γ2 7Y64-C5a1-C5a-Gi1/β1/γ2
15.38Consensusgi_formylpeptideOrthosteric Ligand7WVY-FPR2-ALX-Amyloid-β42-Gi2/β1/γ2 7T6U-FPR2-ALX-CGEN-855A-Gi1/β1/γ2 7VFX-FPR1-ALX-fMIFL-Gi1/β1/γ2 7T6V-FPR2-ALX-fMLFII-Gi1/β1/γ2 7WVX-FPR2-ALX-Humanin-Gi2/β1/γ2 7T6S-FPR2-ALX-TC-FPR 43-Gi1/β1/γ2 6OMM-FPR2-ALX-WKYMVX-Gi1/β1/γ2
15.38Consensustachykinin_onOrthosteric Ligandnk1_on nk2_on nk3_on
15.15Consensusclass-a_class-b1_cons_on_gpOrthosteric Ligandclass-a_on_gp class-b1_on_gp
15.00Single5XR8AM120335XR8-CB1-AM12033
15.00Single5XRAAM115425XRA-CB1-AM11542
15.00Single6N4BMDMB-Fubinaca6N4B-CB1-MDMB-Fubinaca-Gi1/β1/γ2
15.00Single6RZ5Zafirlukast6RZ5-CysLT1-Zafirlukast-Na
15.00Single7F58THIQ7F58-MC4-THIQ-Gs/β1/γ2
15.00Single7P2L4YI7P2L-mGlu5-4YI
15.00Single7R0CAVP7R0C-V2-AVP-Arrestin2
15.00Single7XOWSulfated Gastrin-(10-17)7XOW-CCKB-Sulfated Gastrin-(10-17)-chim(NtGi1-Gq)/β1/γ2
15.00Single7XWONeurokinin-A7XWO-NK2-Neurokinin-A-chim(NtGi1-Gs-CtGq)/β1/γ2
15.00Single7YU5ONO-07405567YU5-LPA1-ONO-0740556-Gi1/β1/γ2
15.00Single7YU7ONO-07405567YU7-LPA1-ONO-0740556-Gi1/β1/γ2
15.00Single8IUKPGF2-alpha8IUK-FP-alpha-PGF2-α-chim(NtGi1-Gs-CtGq)/β1/γ2
15.00Single8JSRAnamorelin8JSR-Ghrelin-Anamorelin-chim(NtGi1-Gs-CtGq)/β1/γ2
15.00Single8TAOCDPPB8TAO-mGlu5; mGlu5-Quisqualate-CDPPB
15.00Single8X79MRE-2698X79-I2-MRE-269-Gs/β1/γ2
15.00Single9E9SPGD29E9S-DP1-PGD2-Gs/β1/γ1
15.00Single9EGOZ85267113509EGO-CB1-Z8526711350-Gi1/β1/γ2
15.00Single9IZGLPA9IZG-LPA1-LPA-chim(NtGi1-Gs-CtGq)/β1/γ2
15.00Consensuscyslt1_offOrthosteric Ligand6RZ5-CysLT1-Zafirlukast-Na 6RZ4-CysLT1-Pranlukast-Na
15.00Consensusffa2_onOrthosteric Ligand8J22-FFA2-TUG-1375-Gi1/β1/γ2
15.00Consensusffa_onOrthosteric Ligandffa2_on ffa3_on
15.00Consensusffa_on_gpOrthosteric Ligandffa2_on_gp ffa3_on_gp
15.00Consensusgi_cannabinoidOrthosteric Ligand8GUR-CB2-CP55940-Gi1/β1/γ2 8GUS-CB2-HU-308-Gi1/β1/γ2 8GUT-CB2-LEI-102-Gi1/β1/γ2 8GUQ-CB2-Olorinab-Gi1/β1/γ2 6KPF-CB2-AM12033-Gi1/β1/γ2 6PT0-CB2-WIN 55212-2-Gi1/β1/γ2 6KPG-CB1-AM841-Gi1/β1/γ2
15.00Consensusgi_ffaOrthosteric Ligand8J21-FFA3-Butyric acid-Gi1/β1/γ2 8J22-FFA2-TUG-1375-Gi1/β1/γ2
15.00Consensusgi_lpaOrthosteric Ligand7TD1-LPA1-LPA-Gi1/β1/γ2 7YU3-LPA1-ONO-0740556-Gi1/β1/γ2
15.00Consensuslpa_onOrthosteric Ligandlpa1_on
15.00Consensuslpa_on_gpOrthosteric Ligandlpa1_on_gp
15.00Consensusnk2_on_gpOrthosteric Ligand7XWO-NK2-Neurokinin-A-chim(NtGi1-Gs-CtGq)/β1/γ2
15.00Consensusprotein_offOrthosteric Ligandchemokine_off grh_off
14.81Single7P02Substance-P7P02-NK1-Substance-P-chim(NtGi1-Gs)/β1/γ2
14.81Single7WBJPACAP277WBJ-VPAC1-PACAP27-Gs/β1/γ2
14.81Single7X9BNeuropeptide-Y7X9B-Y2-Neuropeptide-Y-Gi1/β1/γ2
14.81Single8E3YPACAP278E3Y-VPAC1-PACAP27-Gs/β1/γ2
14.81Single8E3ZVIP8E3Z-VPAC1-VIP-Gs/β1/γ2
14.81Single8HCXEndothelin-18HCX-ETB-Endothelin-1-chim(NtGi2L-Gs-CtGq)/β1/γ2
14.81Single8IA2C5a8IA2-C5a1-C5a-Go/β1/γ2
14.81Single8IODPG-9018IOD-MC5-PG-901-Ca-chim(NtGi1-Gs)/β1/γ2
14.81Single8XVIEndothelin-18XVI-ETA-Endothelin-1-chim(Gs-CtGq)/β1/γ2
14.81Single8ZRTEndothelin-18ZRT-ETB-Endothelin-1
14.81Single9E2AGLP-19E2A-GLP-1-GLP-1-Gs/β1/γ2
14.81Consensusvpac1_onOrthosteric Ligand8E3Z-VPAC1-VIP-Gs/β1/γ2
14.29Single6OS0Angiotensin II6OS0-AT1-Angiotensin II
14.29Single6OT025(S)-Epoxycholesterol6OT0-SMO-25(S)-Epoxycholesterol-Gi1/β1/γ2
14.29Single6P9YPACAP276P9Y-PAC1-PACAP27-Gs/β1/γ2
14.29Single6TQ9SB-4081246TQ9-OX1-SB-408124
14.29Single7F55Bremelanotide7F55-MC4-Bremelanotide-Gs/β1/γ2
14.29Single7RGPTirzepatide7RGP-GLP-1-Tirzepatide-chim(NtGi1-Gs)/β1/γ2
14.29Single7W3ZGastrin Releasing Peptide7W3Z-BB2-Gastrin Releasing Peptide-chim(NtGi1L-Gq)/β1/γ2
14.29Single7XW5ML1097XW5-TSH-TSH-ML109-Gs/β1/γ2
14.29Single7XW6ML1097XW6-TSH-M22 Fab-ML109-Gs/β1/γ2
14.29Single7XZ5Lysophosphatidylcholine7XZ5-GPR119-Lysophosphatidylcholine-Gs/β1/γ2
14.29Single8E3XPACAP278E3X-PAC1-PACAP27-Gs/β1/γ2
14.29Single8GCPPGE28GCP-EP4-PGE2-Gi1/β1/γ2
14.29Single8HK2C3a8HK2-C3aB-C3a-Gi1/β1/γ2
14.29Single8IQ6Latanoprost8IQ6-FP-alpha-Latanoprost-chim(NtGi1-Gs-CtGq)/β1/γ2
14.29Single8J6DEP1418J6D-C3aB-EP141-Go/β1/γ2
14.29Single8U26Substance-P8U26-NK1-Substance-P-Gs/β1/γ2
14.29Single8X8NOctreotide8X8N-SST5-Octreotide-chim(NtGi1-Gs-CtGi1)/β1/γ2
14.29Single8XJNCloprosetnol8XJN-TXA2-Cloprosetnol-chim(NtGi1-Gs-CtGq)/β1/γ2
14.29Single8XOFLys058XOF-GPR30-Lys05-chim(NtGi1-Gs-CtGq)/β1/γ2
14.29Single8Y02All-trans-Retinal8Y02-OPN1SW-All-trans-Retinal-Gi1/β1/γ2
14.29Single9AU0BW245C9AU0-DP1-BW245C-Gs/β1/γ2
14.29Single9BJKPubChem 1716420669BJK-μ-Naloxone-PubChem 171642066
14.29Single9BLWCagrilintide (non-acylated)9BLW-CT (AMY1)-Cagrilintide (non-acylated)-Gs/β1/γ2; RAMP1
14.29Single9C2FCa; Ca; Tryptophan; '54149; PO49C2F-CaS; CaS-Ca-Ca; Ca; Tryptophan; '54149; PO4
14.29Single9GGGI-BOP9GGG-TXA2-I-BOP-chim(NtGi2L-Gs-CtGq)/β1/γ2
14.29Single9KFKRelaxin-39KFK-RXFP4-Relaxin-3-Gi2/β1/γ2
14.29Single9KZKC3a (fragment)9KZK-C3aB-C3a (fragment)-Go/β1/γ2
14.29Single9L0HJR14a9L0H-C3aB-JR14a-Go/β1/γ2
14.29Single9M8POleic monoethanolamide9M8P-GPR3 ; GPR3-Oleic monoethanolamide-AF64394
14.29Single9P92VIP9P92-PAC1-VIP-Gs/β1/γ2
14.29Consensuscannabinoid_onOrthosteric Ligandcb2_on cb1_on
14.29Consensuscannabinoid_on_gpOrthosteric Ligandcb2_on_gp cb1_on_gp
14.29Consensusffa2_on_gpOrthosteric Ligand8J22-FFA2-TUG-1375-Gi1/β1/γ2
14.29Consensuslipid_offonOrthosteric Ligandlipid_off lipid_on
14.29Consensuslipid_offon_gpOrthosteric Ligandlipid_on_gp lipid_off
14.29Consensuspac_on_gpOrthosteric Ligandpac1_on_gp
14.29Consensusvpac1_on_gpOrthosteric Ligand8E3Z-VPAC1-VIP-Gs/β1/γ2
13.89Consensusclass-b1_onOrthosteric Ligandglucagon_on vip-pacap_on pth_on crf_on calcitonin_on
13.79Single6P9XCorticoliberin-16P9X-CRF1-Corticoliberin-1-Gs/β1/γ2
13.79Single6VCBGLP-16VCB-GLP-1-GLP-1-LSN3160440-Gs/β1/γ2
13.79Single7AD3Alpha-factor mating pheromone7AD3-STE2; STE2-α-factor mating pheromone-Gi1/STE4/γ2
13.79Single7F53Alpha-MSH7F53-MC4-α-MSH-Gs/β1/γ2
13.79Single7TYFAmylin7TYF-CT (AMY1)-Amylin-Gs/β1/γ2; RAMP1
13.79Consensuscrf_onOrthosteric Ligandcrf2_on crf1_on
13.79Consensusglp_onOrthosteric Ligandglp1_on glp2_on
13.79Consensusglp_on_gpOrthosteric Ligandglp1_on_gp glp2_on_gp
13.64Single7LLLExendin-47LLL-GLP-1-Exendin-4-Gs/β1/γ2
13.64Single7QVMOxytocin7QVM-OT-Oxytocin-chim(NtGi1-Go-CtGq)/β1/γ2
13.64Single7X8RBOC57X8R-GLP-1-BOC5-Gs/β1/γ2
13.64Single8HN1Toxin AdTx18HN1-Alpha1A-Toxin AdTx1
13.64Single8WRZAM8418WRZ-CB1-AM841-Arrestin2
13.64Single8XJOU466198XJO-TXA2-U46619-chim(NtGi1-Gs-CtGq)/β1/γ2
13.64Single8ZX4Lysophosphatidylinositol 8ZX4-GPR55-Lysophosphatidylinositol-chim(NtGi1-G13)/β1/γ2
13.64Single9GE3Lysophosphatidylinositol9GE3-GPR55-Lysophosphatidylinositol-chim(NtGi1-G13)/β1/γ2
13.64Single9GG5U466199GG5-TXA2-U46619-chim(NtGi2L-Gs-CtGq)/β1/γ2
13.64Single9M1HPGE29M1H-EP1-PGE2-chim(NtGi1-Gs-CtGq)/β1/γ2
13.64Single9UYMChemerin-99UYM-CML2-Chemerin-9-chim(Arrestin3-CtArrestin2)
13.64Consensusprostanoid_onOrthosteric Ligandtp_on fp-alpha_on
13.64Consensusprostanoid_on_gpOrthosteric Ligandtp_on_gp fp-alpha_on_gp
13.64Consensustp_onOrthosteric Ligand8XJO-TXA2-U46619-chim(NtGi1-Gs-CtGq)/β1/γ2
13.64Consensustp_on_gpOrthosteric Ligand8XJO-TXA2-U46619-chim(NtGi1-Gs-CtGq)/β1/γ2
13.33Single6FK9PubChem 1324730366FK9-Rhodopsin-PubChem 132473036
13.33Single6LMLGlucagon6LML-Glucagon-Glucagon-Gi1/β1/γ1
13.33Single6PB1Urocortin6PB1-CRF2-Urocortin-chim(NtGi1-Gs)/β1/γ2
13.33Single6WZGSecretin6WZG-Secretin-Secretin-Gs/β1/γ2
13.33Single7D68GLP-27D68-GLP-2-GLP-2-Gs/β1/γ2
13.33Single7KI1Taspoglutide7KI1-GLP-1-Taspoglutide-Gs/β1/γ2
13.33Single7TS0Urocortin7TS0-CRF2-Urocortin-chim(NtGi1L-Go)/β1/γ2
13.33Single7V6APubChem 98642757V6A-M4-PubChem 9864275-Gi1/β1/γ2
13.33Single8EITDoconexent8EIT-FFA1-Doconexent-chim(NtGi1L-Gs-CtGq)/β1/γ2
13.33Single8F76Propanoic acid8F76-OR51E2-Propanoic acid-Gs/β1/γ2
13.33Single8IY6Endothelin-18IY6-ETB-Endothelin-1
13.33Single8JEFPubChem 113671668JEF-HCA3-PubChem 11367166-Gi1/β1/γ2
13.33Single8X9UMetenolone8X9U-ADGRD1-Metenolone-chim(NtGi1-Gs)/β1/γ2
13.33Single9BYOExendin-39BYO-GLP-1-Exendin-3-Gs/β1/γ2
13.33Single9P93VIP9P93-PAC1-VIP-Gs/β1/γ2
13.33Consensusendothelin_onOrthosteric Ligandetb_on eta_on
13.33Consensusvip-pacap_onOrthosteric Ligandvpac_on pac_on
13.33Consensusvip-pacap_on_gpOrthosteric Ligandvpac_on_gp pac_on_gp
13.04Single5VBLAMG3054 5VBL-Apelin-AMG3054
13.04Single6C1QPMX536C1Q-C5a1-PMX53-NDT9513727
13.04Single6OMMWKYMVX6OMM-FPR2-ALX-WKYMVX-Gi1/β1/γ2
13.04Single7F9ZGHRP-67F9Z-Ghrelin-GHRP-6-chim(NtGi1-Gs-CtGq)/β1/γ2
13.04Single7RKFCX3CL17RKF-US28-CX3CL1-GDP-chim(NtGi1-G11)/β1/γ2
13.04Single7S8LCortistatin-147S8L-MRGPRX2-Cortistatin-14-chim(NtGi2L-Gs-CtGq)/β1/γ2
13.04Single7Y1FDynorphin7Y1F-κ-Dynorphin-Gi1/β1/γ2
13.04Single8GDAL9026888GDA-EP4-L902688-Gs/β1/γ2
13.04Single8IQ4Carboprost8IQ4-FP-alpha-Carboprost-chim(NtGi1-Gs-CtGq)/β1/γ2
13.04Single8J22TUG-13758J22-FFA2-TUG-1375-Gi1/β1/γ2
13.04Single9KX6C5a-des-Arg9KX6-C5a1-C5a-des-Arg-Go/β1/γ2
13.04Consensuscxcr_on_gpOrthosteric Ligandcxcr3_on_gp cxcr4_on_gp cxcr1_on_gp cxcr2_on_gp
12.90Single6PB0Urocortin6PB0-CRF1-Urocortin-chim(NtGi1-Gs)/β1/γ2
12.90Single7DUQGLP-17DUQ-GLP-1-GLP-1-PubChem 156022738-Gs/β1/γ2
12.90Single8U1UCCL18U1U-CCR8-CCL1-Gi1/β1/γ2
12.90Consensusclass-a_class-b1_cons_onOrthosteric Ligandclass-a_on class-b1_on
12.90Consensuscrf1_onOrthosteric Ligand6PB0-CRF1-Urocortin-chim(NtGi1-Gs)/β1/γ2 6P9X-CRF1-Corticoliberin-1-Gs/β1/γ2
12.50Single3OE9IT1t3OE9-CXCR4-IT1t
12.50Single4XT1CX3CL14XT1-US28-CX3CL1
12.50Single6FK6PubChem 1324730336FK6-Rhodopsin-PubChem 132473033
12.50Single6LPBPACAP276LPB-PAC1-PACAP27-Gs/β1/γ1
12.50Single6PH7Nerol6PH7-Rhodopsin-Nerol-Gt(CT)
12.50Single6X19CHU-1286X19-GLP-1-CHU-128-Gs/β1/γ2
12.50Single7D76Beclomethasone7D76-ADGRG3-Beclomethasone-Go/β1/γ2
12.50Single7F54Afamelanotide7F54-MC4-Afamelanotide-Gs/β1/γ2
12.50Single7NA7Ghrelin7NA7-Ghrelin-Ghrelin-Gi1/β1/γ2
12.50Single7TZFAmylin7TZF-CT (AMY3)-Amylin-Gs/β1/γ2; RAMP3
12.50Single7W2ZGhrelin7W2Z-Ghrelin-Ghrelin-Go/β1/γ2
12.50Single7W53Neuromedin-U-257W53-NMUR1-Neuromedin-U-25-chim(NtGi1-Gs-CtGq)/β1/γ2
12.50Single7XMRSomatostatin-147XMR-SST2-Somatostatin-14-Gi1/β1/γ2
12.50Single7XP6Strychnine7XP6-TAS2R46-Strychnine-chim(Gs-CtGt3)/β1/γ2
12.50Single8FLSAbaloparatide8FLS-PTH1-Abaloparatide-Gs/β1/γ2
12.50Single8FLULA-PTH Analog8FLU-PTH1-LA-PTH Analog-Gs/β1/γ2
12.50Single8IEIPubChem 1347468948IEI-GPR156; GPR156-PubChem 134746894
12.50Single8IEIPubChem 1347468948IEI-GPR156; GPR156-PubChem 134746894
12.50Single8IEPPubChem 1347468948IEP-GPR156; GPR156-PubChem 134746894
12.50Single8IEPPubChem 1347468948IEP-GPR156; GPR156-PubChem 134746894
12.50Single8IZBLysophosphatidylserine (UBL)8IZB-GPR174-Lysophosphatidylserine (UBL)-Gs/β1/γ2
12.50Single8SZFCa; Ca; Tryptophan; Cinacalcet; PO4; Spermine8SZF-CaS; CaS-Ca; Ca; Tryptophan; Cinacalcet; PO4; Spermine
12.50Single8WPUTryptophan; Cinacalcet; PO4; Ca8WPU-CaS; CaS-Tryptophan; Cinacalcet; PO4; Ca-chim(NtGi2L-Gs-CtGq)/β1/γ2
12.50Single8XGMChemerin8XGM-CML2-Chemerin-Gi1/β1/γ2
12.50Single8YWFRetatrutide8YWF-GLP-1-Retatrutide-chim(NtGi1-Gs)/β1/γ2
12.50Single9B9YTaranabant9B9Y-CB1-Taranabant
12.50Single9C1PCa; Tryptophan; '6218; PO49C1P-CaS; CaS-Ca-Ca; Tryptophan; '6218; PO4
12.50Single9EPRAll-trans-Retinal9EPR-Rhodopsin-All-trans-Retinal-Gi1/β1/γ2
12.50Single9HB3Mambaquaretin-19HB3-V2-Mambaquaretin-1
12.50Single9M88Oleic monoethanolamide9M88-GPR3 ; GPR3-Oleic monoethanolamide-AF64394
12.50Consensusclass-b1_on_gpOrthosteric Ligandglucagon_on_gp vip-pacap_on_gp pth_on_gp crf_on_gp calcitonin_on_gp
12.50Consensusendothelin_on_gpOrthosteric Ligandetb_on_gp eta_on_gp
12.50Consensusmc4_onOrthosteric Ligand7AUE-MC4-Setmelanotide-chim(NtGi1L-Gs)/β1/γ2 7F58-MC4-THIQ-Gs/β1/γ2 7F54-MC4-Afamelanotide-Gs/β1/γ2 7F53-MC4-α-MSH-Gs/β1/γ2 7F55-MC4-Bremelanotide-Gs/β1/γ2
12.50Consensusmelanocortin_onOrthosteric Ligandmc1_on mc4_on mc2_on mc3_on mc5_on
12.50Consensusmelanocortin_on_gpOrthosteric Ligandmc1_on_gp mc4_on_gp mc2_on_gp mc3_on_gp mc5_on_gp
12.50Consensusnmur1_on_gpOrthosteric Ligand7W53-NMUR1-Neuromedin-U-25-chim(NtGi1-Gs-CtGq)/β1/γ2
12.50Consensusp2y_onOrthosteric Ligandp2y1_on p2y10_on p2y12_on
12.50Consensussomatostatin_offOrthosteric Ligandsst2_off
12.12Single6WPWZP37806WPW-Glucagon-ZP3780-Gs/β1/γ2
12.12Single7VVMPTH7VVM-PTH1-PTH-Gs/β1/γ2
12.12Consensuscrf1_on_gpOrthosteric Ligand6PB0-CRF1-Urocortin-chim(NtGi1-Gs)/β1/γ2 6P9X-CRF1-Corticoliberin-1-Gs/β1/γ2
12.12Consensuscrf_on_gpOrthosteric Ligandcrf2_on_gp crf1_on_gp
12.12Consensusglp1_on_gpOrthosteric Ligand7S1M-GLP-1-Exendin-4-D-Ala-Gs/β1/γ2 7X8R-GLP-1-BOC5-Gs/β1/γ2 6X19-GLP-1-CHU-128-Gs/β1/γ2 6X1A-GLP-1-Danuglipron-Gs/β1/γ2 6X18-GLP-1-GLP-1-Gs/β1/γ2 8JIP-GLP-1-MEDI0382-chim(NtGi1-Gs)/β1/γ2 7C2E-GLP-1-PubChem 149050799-Gs/β1/γ2 7KI0-GLP-1-Semaglutide-Gs/β1/γ2 7KI1-GLP-1-Taspoglutide-Gs/β1/γ2 7X8S-GLP-1-WB4-24-Gs/β1/γ2 8JIS-GLP-1-Peptide-15-chim(NtGi1-Gs)/β1/γ2 7VBI-GLP-1-Tirzepatide (non-acylated)-Gs/β1/γ2
12.00Single7E14Orforglipron7E14-GLP-1-Orforglipron-PubChem 156022738-Gs/β1/γ2
12.00Single7PIVAfamelanotide7PIV-MC4-Afamelanotide-Gs/β1/γ2
12.00Single7VBITirzepatide (non-acylated)7VBI-GLP-1-Tirzepatide (non-acylated)-Gs/β1/γ2
12.00Single7XNACYN1548067XNA-SST2-CYN154806
12.00Single8F7QBeta-Endorphin8F7Q-μ-β-Endorphin-Gi1/β1/γ2
12.00Single8IEBPubChem 1347468948IEB-GPR156; GPR156-PubChem 134746894
12.00Single8K6ONeuropeptide-Y8K6O-Y1-Neuropeptide-Y-Gi2/β1/γ1
12.00Single8KH5Lysophosphatidylserine8KH5-GPR174-Lysophosphatidylserine-Gs/β1/γ2
12.00Single9E82CXCL12 (fragment)9E82-ACKR3-CXCL12 (fragment)-Arrestin2
12.00Single9EAINanobody AT2099EAI-AT1-Losartan-Nanobody AT209
12.00Single9KFIRelaxin-39KFI-RXFP3-Relaxin-3-Gi2/β1/γ2
12.00Single9KV6TLQP219KV6-C3aB-TLQP21-Go/β1/γ2
12.00Consensusmc4_on_gpOrthosteric Ligand7AUE-MC4-Setmelanotide-chim(NtGi1L-Gs)/β1/γ2 7F58-MC4-THIQ-Gs/β1/γ2 7F54-MC4-Afamelanotide-Gs/β1/γ2 7F53-MC4-α-MSH-Gs/β1/γ2 7F55-MC4-Bremelanotide-Gs/β1/γ2
12.00Consensussst2_offOrthosteric Ligand7XNA-SST2-CYN154806
11.76Single6FKBPubChem 1324730386FKB-Rhodopsin-PubChem 132473038
11.76Single7F8YDevazepide7F8Y-CCKA-Devazepide
11.76Single7M3FCa; Ca; Tryptophan; Cinacalcet7M3F-CaS; CaS-Ca; Ca; Tryptophan; Cinacalcet
11.76Single7S8PMS471347S8P-MRGPRX4-MS47134-chim(NtGi2L-Gs-CtGq)/β1/γ2
11.76Single7SILCa; Ca; Ca; Cyclomethyltryptophan; R-568; PO47SIL-CaS; CaS-Ca-Ca; Ca; Ca; Cyclomethyltryptophan; R-568; PO4
11.76Single7SILCa; Ca; Ca; Cyclomethyltryptophan; R-568; PO47SIL-CaS; CaS-Ca-Ca; Ca; Ca; Cyclomethyltryptophan; R-568; PO4
11.76Single7TUZ7-alpha,25-dihydroxycholesterol7TUZ-GPR183-7-α,25-dihydroxycholesterol-Gi1/β1/γ2
11.76Single7VDLCortistatin-147VDL-MRGPRX2-Cortistatin-14-Gi1/β1/γ2
11.76Single7X2CFenoldopam7X2C-D1-Fenoldopam-Fenoldopam-Gs/β1/γ2
11.76Single7Y36PTH7Y36-PTH1-PTH-Gs/β1/γ2
11.76Single8FLQPTH8FLQ-PTH1-PTH-Gs/β1/γ2
11.76Single8H8JLodoxamide8H8J-GPR35-Lodoxamide-Ca-chim(NtGi1L-G13)/β1/γ2
11.76Single8HMPC178HMP-GPR52-C17-Gs/β1/γ2
11.76Consensusglucagon_onOrthosteric Ligandglp_on gluc_on secretin_on gip_on
11.76Consensuspth2_onOrthosteric Ligand7F16-PTH2-TIP39-Gs/β1/γ2
11.54Single3OE0CVX153OE0-CXCR4-CVX15
11.54Single6MEOGp160; CD46MEO-CCR5-Gp160; CD4
11.54Single7O7F6P4-CCL57O7F-CCR5-6P4-CCL5-Gi1/β1/γ1
11.54Single7RYCOxytocin7RYC-OT-Oxytocin-chim(NtGi2L-Gs-CtGq)/β1/γ2
11.54Single9LXRLA-PTH Analog9LXR-PTH1-LA-PTH Analog-Arrestin2
11.54Consensusclass-b1_class-b2_cons_onOrthosteric Ligandclass-b1_on class-b2_on
11.54Consensusclass-b1_class-b2_cons_on_gpOrthosteric Ligandclass-b1_on_gp class-b2_on_gp
11.54Consensusmc3_onOrthosteric Ligand8IOC-MC3-γ-MSH-Ca-chim(NtGi1-Gs)/β1/γ2
11.54Consensusmc3_on_gpOrthosteric Ligand8IOC-MC3-γ-MSH-Ca-chim(NtGi1-Gs)/β1/γ2
11.43Single6E3YCalcitonin gene-related peptide-16E3Y-CT Like-Calcitonin gene-related peptide-1-Gs/β1/γ2; RAMP1
11.43Consensusglucagon_on_gpOrthosteric Ligandglp_on_gp gluc_on_gp secretin_on_gp gip_on_gp
11.43Consensuspth_onOrthosteric Ligandpth1_on pth2_on
11.11Single6FK8PubChem 1324730356FK8-Rhodopsin-PubChem 132473035
11.11Single6FKAPubChem 1324730376FKA-Rhodopsin-PubChem 132473037
11.11Single6M1IPACAP276M1I-PAC1-PACAP27-Gs/β1/γ2
11.11Single6METGp160; CD46MET-CCR5-Gp160; CD4
11.11Single7T10Somatostatin-147T10-SST2-Somatostatin-14-Gi3/β1/γ2
11.11Single7TYIAmylin7TYI-CT-Amylin-Gs/β1/γ2
11.11Single7UTZDPPC7UTZ-TSH-TSH-DPPC-Gs/β1/γ2
11.11Single7W57Neuromedin-S7W57-NMUR2-Neuromedin-S-chim(NtGi1-Gs-CtGq)/β1/γ2
11.11Single7XK8Neuromedin-U-257XK8-NMUR2-Neuromedin-U-25-Gi1/β1/γ2
11.11Single7XOVSR1461317XOV-CCKA-SR146131-Gs/β1/γ2
11.11Single7YK6PubChem 1383196747YK6-RXFP4-PubChem 138319674-Gi2/β1/γ2
11.11Single8GUQOlorinab8GUQ-CB2-Olorinab-Gi1/β1/γ2
11.11Single8HA0PTH8HA0-PTH1-PTH-chim(NtGi1-Gs)/β1/γ2
11.11Single8HQN9-S-HODE8HQN-GPR132-9-S-HODE-Gi1/β1/γ2
11.11Single8K4NPubChem 1687197658K4N-GPR34-PubChem 168719765-Gi1/β1/γ2
11.11Single8K4SDCA-3P8K4S-MRGPRX4-DCA-3P-chim(NtGi1L-Gs-CtGq)/β1/γ2
11.11Single8X7ATreprostinil8X7A-I2-Treprostinil-Gs/β1/γ2
11.11Single8XZJWN3538XZJ-Apelin; Apelin-WN353-Gi1/β1/γ2
11.11Single8YW3Retatrutide8YW3-GLP-1-Retatrutide-Gs/β1/γ2
11.11Single8YW4Retatrutide8YW4-GIP-Retatrutide-chim(NtGi1-Gs)/β1/γ2
11.11Single8YW5Retatrutide8YW5-Glucagon-Retatrutide-Gs/β1/γ2
11.11Single8ZPMAMD0708ZPM-CXCR4-AMD070
11.11Single8ZPNAMD31008ZPN-CXCR4-AMD3100
11.11Single9BA0MRI-18919BA0-CB1-MRI-1891
11.11Single9BUDCagrilintide9BUD-CT-Cagrilintide-Gs/β1/γ2
11.11Single9EBOGLP-1 (ACPC18)9EBO-GLP-1-GLP-1 (ACPC18)-Gs/β1/γ2
11.11Single9IXXLTD49IXX-CysLT2-LTD4-chim(NtGi1-Gs-CtGq)/β1/γ2
11.11Single9JMDAzithromycin9JMD-Motilin-Azithromycin-chim(Gs-CtGq)/β1/γ2
11.11Single9KXSEP679KXS-C5a1-EP67-Go/β1/γ2
11.11Single9U80Conivaptan9U80-V2-Conivaptan
11.11Consensuscb1_offOrthosteric Ligand5U09-CB1-Taranabant 5TGZ-CB1-AM6538
11.11Consensuscrf2_onOrthosteric Ligand7TS0-CRF2-Urocortin-chim(NtGi1L-Go)/β1/γ2
11.11Consensusmc2_onOrthosteric Ligand8GY7-MC2-Corticotropin-Ca-chim(NtGi1-Gs)/β1/γ2; MRAP1
11.11Consensusmc2_on_gpOrthosteric Ligand8GY7-MC2-Corticotropin-Ca-chim(NtGi1-Gs)/β1/γ2; MRAP1
11.11Consensusp2y_on_gpOrthosteric Ligandp2y1_on_gp p2y10_on_gp p2y12_on_gp
11.11Consensusprotein_offonOrthosteric Ligandprotein_off protein_on
11.11Consensusprotein_offon_gpOrthosteric Ligandprotein_on_gp protein_off
10.81Single7F16TIP397F16-PTH2-TIP39-Gs/β1/γ2
10.81Consensuspth2_on_gpOrthosteric Ligand7F16-PTH2-TIP39-Gs/β1/γ2
10.71Single6X18GLP-16X18-GLP-1-GLP-1-Gs/β1/γ2
10.71Single7F9YGhrelin7F9Y-Ghrelin-Ghrelin-chim(NtGi1-Gs-CtGq)/β1/γ2
10.71Single7LLYOxyntomodulin7LLY-GLP-1-Oxyntomodulin-Gs/β1/γ2
10.71Single8HCQEndothelin-18HCQ-ETA-Endothelin-1-chim(NtGi1-Gs-CtGq)/β1/γ2
10.71Consensuscalcitonin_onOrthosteric Ligandctlike_on
10.71Consensuschemokine_offOrthosteric Ligandccr_off cxcr_off
10.71Consensuschemokine_on_gpOrthosteric Ligandccr_on_gp cxcr_on_gp
10.71Consensuscxcr_offOrthosteric Ligandcxcr3_off cxcr4_off
10.71Consensuseta_onOrthosteric Ligand8HCQ-ETA-Endothelin-1-chim(NtGi1-Gs-CtGq)/β1/γ2
10.71Consensuseta_on_gpOrthosteric Ligand8HCQ-ETA-Endothelin-1-chim(NtGi1-Gs-CtGq)/β1/γ2
10.71Consensusgi_chemokineOrthosteric Ligand6WWZ-CCR6-CCL20-Go/β1/γ2 8HNK-CXCR3-CXCL11-Gi1/β1/γ2 8K3Z-CXCR4-CXCL12-Gi1/β1/γ1 8IC0-CXCR1-CXCL8-Gi1/β1/γ2 6LFM-CXCR2-CXCL8-Gi1/β1/γ2 8KFX-CCR8-LMD-009-Gi1/β1/γ2 7F1Q-CCR5-CCL3-Gi1/β1/γ2 8HNL-CXCR3-PS372424-Gi1/β1/γ2 8KFY-CCR8-ZK-756326-Gi1/β1/γ2 7O7F-CCR5-6P4-CCL5-Gi1/β1/γ1 8U1U-CCR8-CCL1-Gi1/β1/γ2 7VLA-CCR1-CCL15(27-92)-Gi1/β1/γ2 7XA3-CCR2-CCL2-Gi1/β1/γ2
10.71Consensuspac_onOrthosteric Ligandpac1_on
10.71Consensusvpac_onOrthosteric Ligandvpac1_on vpac2_on
10.53Single5NDDAZ8838; Na5NDD-PAR2-AZ8838; Na
10.53Single5ZKPSR274175ZKP-PAF-SR27417
10.53Single6FK7PubChem 1324730346FK7-Rhodopsin-PubChem 132473034
10.53Single6FKCPubChem 1324730396FKC-Rhodopsin-PubChem 132473039
10.53Single6FKDPubChem 1373491836FKD-Rhodopsin-PubChem 137349183
10.53Single6IIVDaltroban6IIV-TXA2-Daltroban
10.53Single6KPFAM120336KPF-CB2-AM12033-Gi1/β1/γ2
10.53Single7FIHOrg435537FIH-LH-hCG-Org43553-chim(NtGi1-Gs)/β1/γ2
10.53Single7V3ZCP559407V3Z-CB1-CP55940
10.53Single7YK7DC5910537YK7-RXFP4-DC591053-Gi2/β1/γ2
10.53Single8F0JPramlintide Analogue San458F0J-CT-Pramlintide Analogue San45-Gs/β1/γ2
10.53Single8GCML-9026888GCM-EP4-L-902688-Gi1/β1/γ2
10.53Single8KFYZK-7563268KFY-CCR8-ZK-756326-Gi1/β1/γ2
10.53Single8X9TAP5038X9T-ADGRD1-AP503-chim(NtGi1-Gs)/β1/γ2
10.53Single8XBGS3E-Lysophosphatidylserine 8XBG-GPR34-S3E-Lysophosphatidylserine
10.53Single8XJLPGF2-alpha8XJL-FP-alpha-PGF2-α-chim(NtGi2-Gs-CtGq)/β1/γ2
10.53Single8ZBEOctreotide8ZBE-SST5-Octreotide-Gi1/β1/γ1
10.53Single8ZYYNeurotensin-(8-13)8ZYY-NTS1-Neurotensin-(8-13)-SBI-553-Arrestin2
10.53Single9JQZGrapiprant 9JQZ-EP4-Grapiprant
10.53Consensusalicarboxylic_offOrthosteric Ligandsuccinate_off
10.53Consensussuccinate_offOrthosteric Ligand6RNK-Succinate-NF-56-EJ40 6Z10-Succinate-PubChem 154585554
10.34Single4XT3CX3CL14XT3-US28-CX3CL1
10.34Single5UIW5P7-CCL55UIW-CCR5-5P7-CCL5
10.34Single6FJ3PTH6FJ3-PTH1-PTH
10.34Single6NBFLA-PTH Analog6NBF-PTH1-LA-PTH Analog-Gs/β1/γ2
10.34Single6NBILA-PTH Analog6NBI-PTH1-LA-PTH Analog-Gs/β1/γ2
10.34Single7CZ5Somatoliberin7CZ5-GHRH-Somatoliberin-Gs/β1/γ2
10.34Single7D3SSecretin7D3S-Secretin-Secretin-Gs/β1/γ2
10.34Single7KI0Semaglutide7KI0-GLP-1-Semaglutide-Gs/β1/γ2
10.34Single7RA3GIP7RA3-GIP-GIP-chim(NtGi1-Gs)/β1/γ2
10.34Single7VABTirzepatide (non-acylated)7VAB-GIP-Tirzepatide (non-acylated)-chim(NtGi1-Gs)/β1/γ2
10.34Single8JISPeptide-158JIS-GLP-1-Peptide-15-chim(NtGi1-Gs)/β1/γ2
10.34Single9BLBCagrilintide (non-acylated)9BLB-CT-Cagrilintide (non-acylated)-Gs/β1/γ2
10.34Single9BP3Cagrilintide9BP3-CT (AMY1)-Cagrilintide-Gs/β1/γ2; RAMP1
10.34Single9J1Pg1:Ox9J1P-GLP-1-g1:Ox-chim(NtGi1-Gs)/β1/γ2
10.34Consensuscalcitonin_on_gpOrthosteric Ligandctlike_on_gp
10.34Consensusccr5_offOrthosteric Ligand5UIW-CCR5-5P7-CCL5
10.34Consensusccr5_onOrthosteric Ligand7O7F-CCR5-6P4-CCL5-Gi1/β1/γ1 7F1Q-CCR5-CCL3-Gi1/β1/γ2
10.34Consensusccr_offOrthosteric Ligandccr2_off ccr5_off
10.34Consensuscrf2_on_gpOrthosteric Ligand7TS0-CRF2-Urocortin-chim(NtGi1L-Go)/β1/γ2
10.34Consensusctlike_onOrthosteric Ligand6E3Y-CT Like-Calcitonin gene-related peptide-1-Gs/β1/γ2; RAMP1
10.34Consensuspac1_onOrthosteric Ligand8E3X-PAC1-PACAP27-Gs/β1/γ2 6M1H-PAC1-Maxadilan-Gs/β1/γ2
10.34Consensuspac1_on_gpOrthosteric Ligand8E3X-PAC1-PACAP27-Gs/β1/γ2 6M1H-PAC1-Maxadilan-Gs/β1/γ2
10.34Consensussecretin_onOrthosteric Ligand7D3S-Secretin-Secretin-Gs/β1/γ2
10.34Consensusvpac_on_gpOrthosteric Ligandvpac1_on_gp vpac2_on_gp
10.26Single8F2BPramlintide Analogue San458F2B-CT (AMY3)-Pramlintide Analogue San45-Gs/β1/γ2; RAMP3
10.26Consensuspth_on_gpOrthosteric Ligandpth1_on_gp pth2_on_gp
10.00Single4PHUFasiglifam4PHU-FFA1-Fasiglifam
10.00Single5T1ABMS-6815T1A-CCR2-BMS-681-PubChem 12093170
10.00Single5YHLPubChem 1351213525YHL-EP4-PubChem 135121352
10.00Single5YWYONO-AE3-2085YWY-EP4-ONO-AE3-208
10.00Single6KPCAM120336KPC-CB2-AM12033
10.00Single6RZ4Pranlukast6RZ4-CysLT1-Pranlukast-Na
10.00Single6UVAAdrenomedullin-26UVA-CT Like (AM2)-Adrenomedullin-2-Gs/β1/γ2; RAMP3
10.00Single7DTYGIP7DTY-GIP-GIP-Gs/β1/γ2
10.00Single7FIYTirzepatide7FIY-GIP-Tirzepatide-Gs/β1/γ2
10.00Single7S1MExendin-4-D-Ala7S1M-GLP-1-Exendin-4-D-Ala-Gs/β1/γ2
10.00Single7TYNCalcitonin-17TYN-CT-Calcitonin-1-Gs/β1/γ2
10.00Single7VQXPACAP277VQX-VPAC1-PACAP27-Gs/β1/γ2
10.00Single7VV0PAMP-127VV0-MRGPRX2-PAMP-12
10.00Single7VV4Cortistatin-147VV4-MRGPRX2-Cortistatin-14
10.00Single8EJCTAK-8758EJC-FFA1-TAK-875-chim(NtGi1L-Gs-CtGq)/β1/γ2
10.00Single8FU6ZP37808FU6-Glucagon-ZP3780-Gs/β1/γ2
10.00Single8IZ4Lysophosphatidylserine (TJR)8IZ4-GPR34-Lysophosphatidylserine (TJR)-Gi1/β1/γ2
10.00Single8T6JCDPPB8T6J-mGlu5; mGlu5-CDPPB
10.00Single8T6JCDPPB8T6J-mGlu5; mGlu5-CDPPB
10.00Single8W8WAlpha-MSH8W8W-MC3-α-MSH-Ca-Gs/β1/γ2
10.00Single8XQPCholesterol8XQP-TAS2R14-Cholesterol-Aristolochic acid A-Gt3/β1/γ1
10.00Single8ZYTNeurotensin-(8-13)8ZYT-NTS1-Neurotensin-(8-13)-SBI-553-Arrestin2
10.00Single9B9ZMRI-18679B9Z-CB1-MRI-1867
10.00Single9ERXD9-THC analog9ERX-CB1-D9-THC analog-Gi1/β1/γ2
10.00Single9GE2ML1849GE2-GPR55-ML184-chim(NtGi1-G13)/β1/γ2
10.00Single9KO4CCL219KO4-CCR7-CCL21-Gi1/β1/γ2
10.00Single9P94PACAP279P94-PAC1-PACAP27-Gs/β1/γ2
10.00Consensuscyslt_offOrthosteric Ligandcyslt2_off cyslt1_off
10.00Consensusep4_offOrthosteric Ligand5YWY-EP4-ONO-AE3-208 5YHL-EP4-PubChem 135121352
10.00Consensusep_offOrthosteric Ligandep4_off
10.00Consensusglp2_onOrthosteric Ligand7D68-GLP-2-GLP-2-Gs/β1/γ2
10.00Consensusglp2_on_gpOrthosteric Ligand7D68-GLP-2-GLP-2-Gs/β1/γ2
10.00Consensuslipid_onOrthosteric Ligandcannabinoid_on ffa_on lpl_on prostanoid_on leukotriene_on
10.00Consensuslipid_on_gpOrthosteric Ligandcannabinoid_on_gp ffa_on_gp lpl_on_gp prostanoid_on_gp leukotriene_on_gp
10.00Consensusrxfp4_onOrthosteric Ligand7YK7-RXFP4-DC591053-Gi2/β1/γ2 7YJ4-RXFP4-INSL5-Gi2/β1/γ2 7YK6-RXFP4-PubChem 138319674-Gi2/β1/γ2
10.00Consensusrxfp4_on_gpOrthosteric Ligand7YK7-RXFP4-DC591053-Gi2/β1/γ2 7YJ4-RXFP4-INSL5-Gi2/β1/γ2 7YK6-RXFP4-PubChem 138319674-Gi2/β1/γ2
10.00Consensussecretin_on_gpOrthosteric Ligand7D3S-Secretin-Secretin-Gs/β1/γ2
9.68Single5VAIGLP-15VAI-GLP-1-GLP-1-Gs/β1/γ2
9.68Single6LMKGlucagon6LMK-Glucagon-Glucagon-Gs/β1/γ2
9.68Single6NBHLA-PTH Analog6NBH-PTH1-LA-PTH Analog-Gs/β1/γ2
9.68Single6UUSAdrenomedullin6UUS-CT Like (AM2)-Adrenomedullin-Gs/β1/γ2; RAMP3
9.68Single7TYLAmylin7TYL-CT-Amylin-Gs/β1/γ2
9.68Single7VVJPTHrP(1-36)7VVJ-PTH1-PTHrP(1-36)-Gs/β1/γ2
9.68Single8FLTM-PTH(1-14)8FLT-PTH1-M-PTH(1-14)-Gs/β1/γ2
9.68Single8HAFPTHrP(1-36)8HAF-PTH1-PTHrP(1-36)-chim(NtGi1-Gs)/β1/γ2
9.68Single8KGGLysophosphatidylserine (WJS)8KGG-P2Y10-Lysophosphatidylserine (WJS)-chim(NtGi2-G13)/β1/γ2
9.68Consensusctlike_on_gpOrthosteric Ligand6E3Y-CT Like-Calcitonin gene-related peptide-1-Gs/β1/γ2; RAMP1
9.68Consensusgs_melanocortinOrthosteric Ligand7F4H-MC1-Afamelanotide-chim(NtGi1-Gs)/β1/γ2 7F54-MC4-Afamelanotide-Gs/β1/γ2 7F4D-MC1-α-MSH-chim(NtGi1-Gs)/β1/γ2 8INR-MC5-α-MSH-Ca-chim(NtGi1-Gs)/β1/γ2 7F53-MC4-α-MSH-Gs/β1/γ2 7F55-MC4-Bremelanotide-Gs/β1/γ2 8GY7-MC2-Corticotropin-Ca-chim(NtGi1-Gs)/β1/γ2; MRAP1 8IOC-MC3-γ-MSH-Ca-chim(NtGi1-Gs)/β1/γ2 8IOD-MC5-PG-901-Ca-chim(NtGi1-Gs)/β1/γ2 7AUE-MC4-Setmelanotide-chim(NtGi1L-Gs)/β1/γ2 7F4I-MC1-SHU9119-chim(NtGi1-Gs)/β1/γ2 7F58-MC4-THIQ-Gs/β1/γ2
9.68Consensuspth1_onOrthosteric Ligand6NBF-PTH1-LA-PTH Analog-Gs/β1/γ2 8HA0-PTH1-PTH-chim(NtGi1-Gs)/β1/γ2 8HAF-PTH1-PTHrP(1-36)-chim(NtGi1-Gs)/β1/γ2 7Y36-PTH1-PTH-Gs/β1/γ2 7Y35-PTH1-Abaloparatide-Gs/β1/γ2
9.52Single5TZRMK86665TZR-FFA1-MK8666
9.52Single7F1TCCL37F1T-CCR5-CCL3
9.52Single7FEECP559407FEE-CB1-CP55940-ZCZ011
9.52Single7S8MCortistatin-147S8M-MRGPRX2-Cortistatin-14-Gi1/β1/γ2
9.52Single7Y67C089 peptide7Y67-C5a1-C089 peptide-Gi1/β1/γ2
9.52Single8FN1Neurotensin-(8-13)8FN1-NTS1-Neurotensin-(8-13)-chim(NtGi1-Go)/β1/γ2
9.52Single8GDBPGE28GDB-EP4-PGE2-Gs/β1/γ2
9.52Single8GUSHU-3088GUS-CB2-HU-308-Gi1/β1/γ2
9.52Single8GY7Corticotropin8GY7-MC2-Corticotropin-Ca-chim(NtGi1-Gs)/β1/γ2; MRAP1
9.52Single8HQCC5a8HQC-C5a1-C5a-Go/β1/γ2
9.52Single8JBGNeurokinin-B8JBG-NK3-Neurokinin-B-chim(NtGi1-Gs-CtGq)/β1/γ2
9.52Single8XBIPubChem 1626566368XBI-GPR34-PubChem 162656636
9.52Single8XQTCholesterol8XQT-TAS2R14-Cholesterol-Gi1/β1/γ1
9.52Single8ZW0PGD28ZW0-DP1-PGD2-Gs/β1/γ2
9.52Single9ASTLymphotactin9AST-XCR1-Lymphotactin-Gi1/β1/γ2
9.52Single9CLWTUG-13759CLW-FFA2-TUG-1375-4-CMTB-chim(NtGi1L-Gs-CtGq)/β1/γ2
9.52Single9L16CCL219L16-CCR7-CCL21
9.52Single9YDVMRS29059YDV-P2Y14-MRS2905-Gi1/β1/γ2
9.52Consensusgi_relaxinOrthosteric Ligand7YK7-RXFP4-DC591053-Gi2/β1/γ2 7YJ4-RXFP4-INSL5-Gi2/β1/γ2 7YK6-RXFP4-PubChem 138319674-Gi2/β1/γ2
9.52Consensusp2y12_onOrthosteric Ligand7XXI-P2Y12-2MeSADP-Gi2/β1/γ2
9.52Consensusrelaxin_onOrthosteric Ligandrxfp4_on
9.52Consensusrelaxin_on_gpOrthosteric Ligandrxfp4_on_gp
9.38Single7TYXAmylin7TYX-CT (AMY2)-Amylin-Gs/β1/γ2; RAMP2
9.09Single3VW7Vorapaxar; Na3VW7-PAR1-Vorapaxar; Na
9.09Single4PXZ2MeSADP4PXZ-P2Y12-2MeSADP
9.09Single4XEENeurotensin-(8-13)4XEE-NTS1-Neurotensin-(8-13)
9.09Single4XESNeurotensin-(8-13)4XES-NTS1-Neurotensin-(8-13)
9.09Single5TZYMK8666; AP85TZY-FFA1-MK8666; AP8
9.09Single5X33BIIL2605X33-BLT1-BIIL260
9.09Single6AK3PGE26AK3-EP3-PGE2
9.09Single6C1RPMX536C1R-C5a1-PMX53-Avacopan; Na
9.09Single6IIURamatroban6IIU-TXA2-Ramatroban
9.09Single6KQICP559406KQI-CB1-CP55940-Org27569
9.09Single6RZ7ONO-25703666RZ7-CysLT2-ONO-2570366
9.09Single6XOXOrforglipron6XOX-GLP-1-Orforglipron-chim(NtGi1-Gs)/β1/γ2
9.09Single7L0SNeurotensin-(8-13)7L0S-NTS1-Neurotensin-(8-13)-Gi1/β1/γ1
9.09Single7T6BS1P7T6B-S1P2-S1P-chim(NtGi1L-G13)/β1/γ2
9.09Single7W0NElabela7W0N-Apelin; Apelin-Elabela-Gi1/β1/γ2
9.09Single7XXI2MeSADP7XXI-P2Y12-2MeSADP-Gi2/β1/γ2
9.09Single8WRBLysophosphatidylserine (UBL)8WRB-GPR34-Lysophosphatidylserine (UBL)-Gi1/β1/γ2
9.09Single8XQNCholesterol8XQN-TAS2R14-Cholesterol-Aristolochic acid A-Gi1/β1/γ1
9.09Single8XQSCholesterol8XQS-TAS2R14-Cholesterol-Flufenamic acid-Gi1/β1/γ1
9.09Single8Y6WTUG-13758Y6W-FFA2-TUG-1375-4-CMTB-Gi1/β1/γ2
9.09Single9AUCCalcitonin gene-related peptide-19AUC-CT (AMY1)-Calcitonin gene-related peptide-1-Gs/β1/γ2; RAMP1
9.09Single9CM3TUG-13759CM3-FFA2-TUG-1375-PubChem 118615810-chim(NtGi1L-Gs-CtGq)/β1/γ2
9.09Single9ECJS-geranylgeranyl-L-glutathione9ECJ-P2Y8-S-geranylgeranyl-L-glutathione-G13/β1/γ2
9.09Single9YDUUDP-Glucose9YDU-P2Y14-UDP-Glucose-Gi1/β1/γ2
9.09Consensuscxcr_onOrthosteric Ligandcxcr3_on cxcr4_on cxcr1_on cxcr2_on
9.09Consensusgi_p2yOrthosteric Ligand7XXI-P2Y12-2MeSADP-Gi2/β1/γ2
9.09Consensusglp1_onOrthosteric Ligand7S1M-GLP-1-Exendin-4-D-Ala-Gs/β1/γ2 7X8R-GLP-1-BOC5-Gs/β1/γ2 6X19-GLP-1-CHU-128-Gs/β1/γ2 6X1A-GLP-1-Danuglipron-Gs/β1/γ2 6X18-GLP-1-GLP-1-Gs/β1/γ2 8JIP-GLP-1-MEDI0382-chim(NtGi1-Gs)/β1/γ2 7C2E-GLP-1-PubChem 149050799-Gs/β1/γ2 7KI0-GLP-1-Semaglutide-Gs/β1/γ2 7KI1-GLP-1-Taspoglutide-Gs/β1/γ2 7X8S-GLP-1-WB4-24-Gs/β1/γ2 8JIS-GLP-1-Peptide-15-chim(NtGi1-Gs)/β1/γ2 7VBI-GLP-1-Tirzepatide (non-acylated)-Gs/β1/γ2
9.09Consensusp2y12_on_gpOrthosteric Ligand7XXI-P2Y12-2MeSADP-Gi2/β1/γ2
8.82Single7V35Peptide-207V35-Glucagon-Peptide-20-Gs/β1/γ2
8.82Single8JIPMEDI03828JIP-GLP-1-MEDI0382-chim(NtGi1-Gs)/β1/γ2
8.82Single8JIRSAR4258998JIR-GLP-1-SAR425899-chim(NtGi1-Gs)/β1/γ2
8.82Single9JR2PTH9JR2-PTH1-PTH-chim(NtGi1L-Gs-CtGq)/β1/γ2
8.82Consensuspth1_on_gpOrthosteric Ligand6NBF-PTH1-LA-PTH Analog-Gs/β1/γ2 8HA0-PTH1-PTH-chim(NtGi1-Gs)/β1/γ2 8HAF-PTH1-PTHrP(1-36)-chim(NtGi1-Gs)/β1/γ2 7Y36-PTH1-PTH-Gs/β1/γ2 7Y35-PTH1-Abaloparatide-Gs/β1/γ2
8.70Single4BUONeurotensin-(8-13)4BUO-NTS1-Neurotensin-(8-13)
8.70Single6KPGAM8416KPG-CB1-AM841-Gi1/β1/γ2
8.70Single6RZ9ONO-27703726RZ9-CysLT2-ONO-2770372
8.70Single7CX4Evatanepag7CX4-EP2-Evatanepag-Gs/β1/γ2
8.70Single7D7MPGE27D7M-EP4-PGE2-Gs/β1/γ1
8.70Single7PIUSetmelanotide7PIU-MC4-Setmelanotide-Gs/β1/γ2
8.70Single7VVNPTH7VVN-PTH1-PTH-Gs/β1/γ2
8.70Single8FN0Neurotensin-(8-13)8FN0-NTS1-Neurotensin-(8-13)-SBI-553-chim(NtGi1-Go)/β1/γ2
8.70Single8K4OCXCL18K4O-KSHV-CXCL1-Gi1/β1/γ1
8.70Single8XBES3E-Lysophosphatidylserine 8XBE-GPR34-S3E-Lysophosphatidylserine-Gi1/β1/γ1
8.70Single9C0KExendin-49C0K-GLP-1-Exendin-4-Gs/β1/γ2
8.70Single9J0BUDP-Glucose9J0B-P2Y14-UDP-Glucose-Gi1/β1/γ2
8.70Single9KV8TLQP219KV8-C3aB-TLQP21-Go/β1/γ2
8.70Single9UYHChemerin-99UYH-CML2-Chemerin-9-Arrestin2
8.70Consensuscyslt2_offOrthosteric Ligand6RZ7-CysLT2-ONO-2570366 6RZ8-CysLT2-ONO-2080365 6RZ9-CysLT2-ONO-2770372
8.57Single7TYYCalcitonin-17TYY-CT (AMY2)-Calcitonin-1-Gs/β1/γ2; RAMP2
8.57Single8JIUSAR4258998JIU-Glucagon-SAR425899-Gs/β1/γ2
8.57Single9JR3PTH9JR3-PTH1-PTH-chim(NtGi1L-Gs-CtGq)/β1/γ2
8.33Single6RZ6ONO-25703666RZ6-CysLT2-ONO-2570366
8.33Single7CX2PGE27CX2-EP2-PGE2-Gs/β1/γ2
8.33Single7RKNCX3CL17RKN-US28-CX3CL1-Gi1/β1/γ2
8.33Single7X8SWB4-247X8S-GLP-1-WB4-24-Gs/β1/γ2
8.33Single7XBXCX3CL17XBX-CX3CR1-CX3CL1-Gi1/β1/γ2
8.33Single8SAILysophosphatidylserine (S12)8SAI-GPR34-Lysophosphatidylserine (S12)-Gi1/β1/γ2
8.33Single8XQJJN2418XQJ-Apelin; Apelin-JN241
8.33Single8XQLCholesterol8XQL-TAS2R14-Cholesterol-Aristolochic acid A-Gt3/β1/γ1
8.33Single8XQOCholesterol8XQO-TAS2R14-Cholesterol-Aristolochic acid A-Gi1/β1/γ1
8.33Single9CM7TUG-13759CM7-FFA2-TUG-1375-AZ-1729-Gi1/β1/γ2
8.33Single9JH6C20:0 Ceramide9JH6-CysLT2-C20:0 Ceramide-chim(NtGi1-Gs-CtGq)/β1/γ2
8.33Single9NS9TUG-13759NS9-FFA2-TUG-1375-PubChem 118615810-Gi1/β1/γ2
8.33Consensuscxcr4_offOrthosteric Ligand4RWS-CXCR4-vMIP-II 3OE0-CXCR4-CVX15 3OE6-CXCR4-IT1t
8.33Consensusnmur1_onOrthosteric Ligand7W53-NMUR1-Neuromedin-U-25-chim(NtGi1-Gs-CtGq)/β1/γ2
8.00Single6RZ8ONO-20803656RZ8-CysLT2-ONO-2080365
8.00Single7CX3Taprenepag7CX3-EP2-Taprenepag-Gs/β1/γ2
8.00Single7L0RNeurotensin-(8-13)7L0R-NTS1-Neurotensin-(8-13)-Gi1/β1/γ1
8.00Single7W56Neuromedin-S7W56-NMUR1-Neuromedin-S-chim(NtGi1-Gs-CtGq)/β1/γ2
8.00Single8KIGSHU91198KIG-MC3-SHU9119-Ca
8.00Single8U4OCXCL128U4O-CXCR4-CXCL12-Gi1/β1/γ2
8.00Single8XBHPubChem 1626566368XBH-GPR34-PubChem 162656636-Gi1/β1/γ2
8.00Single9J0IUDP-Glucuronic acid9J0I-P2Y14-UDP-Glucuronic acid-Gi1/β1/γ2
8.00Single9MEJGp1209MEJ-CXCR4-Gp120
8.00Single9UYLChemerin-99UYL-CML2-Chemerin-9-Arrestin2
7.69Single6WHCGlu16 analog of GCG6WHC-Glucagon-Glu16 analog of GCG-Gs/β1/γ2
7.69Single7C6A(Sar1,Ile8)-Angiotensin II7C6A-AT2-(Sar1,Ile8)-Angiotensin II
7.69Single7F1QCCL37F1Q-CCR5-CCL3-Gi1/β1/γ2
7.69Single7SK5CXCL127SK5-ACKR3-CXCL12
7.69Single7TRYUrocortin7TRY-CRF2-Urocortin-chim(NtGi1-G11)/β1/γ2
7.69Single8IBVMotilin8IBV-Motilin-Motilin-chim(NtGi1-Gs-CtGq)/β1/γ2
7.69Single8IOCGamma-MSH8IOC-MC3-γ-MSH-Ca-chim(NtGi1-Gs)/β1/γ2
7.69Single8JGBConorfamide-Tx28JGB-MRGPRX1-Conorfamide-Tx2-Gi1/β1/γ2
7.69Single8XYDPlatelet Activating Factor8XYD-PAF-Platelet Activating Factor-Gi1/β1/γ2
7.69Single9J0FNADH9J0F-P2Y14-NADH-Gi1/β1/γ2
7.69Consensusmc5_onOrthosteric Ligand8INR-MC5-α-MSH-Ca-chim(NtGi1-Gs)/β1/γ2 8IOD-MC5-PG-901-Ca-chim(NtGi1-Gs)/β1/γ2
7.41Single7XA3CCL27XA3-CCR2-CCL2-Gi1/β1/γ2
7.41Single8W8YGamma-MSH8W8Y-MC3-γ-MSH-Ca-Gs/β1/γ2
7.41Single8YFOAc-LA-PTH Analog8YFO-PTH1-Ac-LA-PTH Analog-chim(NtGi1-Gs)/β1/γ2
7.41Consensusccr2_onOrthosteric Ligand7XA3-CCR2-CCL2-Gi1/β1/γ2
7.41Consensusccr2_on_gpOrthosteric Ligand7XA3-CCR2-CCL2-Gi1/β1/γ2
7.41Consensusccr_onOrthosteric Ligandccr6_on ccr8_on ccr2_on ccr1_on ccr5_on
7.14Single7FINPeptide-20; GGL7FIN-GIP-Peptide-20; GGL-Gs/β1/γ2
7.14Single8HQMNPGLY8HQM-GPR132-NPGLY-Gi1/β1/γ2
7.14Single8HVINOX-6-78HVI-GPR132-NOX-6-7-Gi1/β1/γ2
7.14Consensusmc5_on_gpOrthosteric Ligand8INR-MC5-α-MSH-Ca-chim(NtGi1-Gs)/β1/γ2 8IOD-MC5-PG-901-Ca-chim(NtGi1-Gs)/β1/γ2
7.14Consensusneuromedin-u_onOrthosteric Ligandnmur1_on nmur2_on
6.90Single5YQZNNC17025YQZ-Glucagon-NNC1702
6.90Single7TYWCalcitonin-17TYW-CT (AMY1)-Calcitonin-1-Gs/β1/γ2; RAMP1
6.90Single7VL9CCL15(26-92)7VL9-CCR1-CCL15(26-92)-Gi1/β1/γ2
6.90Single7Y35Abaloparatide7Y35-PTH1-Abaloparatide-Gs/β1/γ2
6.90Single8YG4LA-PTH Analog8YG4-PTH1-LA-PTH Analog-chim(NtGi1-Gs)/β1/γ2
6.90Consensusccr_on_gpOrthosteric Ligandccr6_on_gp ccr8_on_gp ccr2_on_gp ccr1_on_gp ccr5_on_gp
6.90Consensusneuromedin-u_on_gpOrthosteric Ligandnmur1_on_gp nmur2_on_gp
6.67Single3OE8IT1t3OE8-CXCR4-IT1t
6.67Single7VDMSubstance-P7VDM-MRGPRX2-Substance-P-Gi1/β1/γ2
6.67Single7Y14Beta-Alanine7Y14-MRGPRD-β-Alanine
6.67Single8FLRPTHrP(1-36)8FLR-PTH1-PTHrP(1-36)-Gs/β1/γ2
6.67Single9BUBCagrilintide9BUB-CT-Cagrilintide-Gs/β1/γ2
6.45Single8HAOPTH8HAO-PTH1-PTH-chim(NtGi1-Gs)/β1/γ2
6.45Single8W8XBeta-MSH8W8X-MC3-β-MSH-Ca-Gs/β1/γ2
6.45Consensusp2y10_on_gpOrthosteric Ligand8KGG-P2Y10-Lysophosphatidylserine (WJS)-chim(NtGi2-G13)/β1/γ2
6.25Single3OE6IT1t3OE6-CXCR4-IT1t
6.25Single6PWCNeurotensin-(9-13)6PWC-NTS1-Neurotensin-(9-13)-Arrestin2
6.25Single7D77Hydrocortisone7D77-ADGRG3-Hydrocortisone-Go/β1/γ2
6.25Single7VVLPTH7VVL-PTH1-PTH-Gs/β1/γ2
6.25Single7Y12Beta-Alanine7Y12-MRGPRD-β-Alanine-Gi1/β1/γ2
6.25Single8RQLFlufenamic acid8RQL-TAS2R14-Flufenamic acid-Flufenamic acid-chim(NtGi1-Gt3)/β1/γ2
6.25Single9BTWCagrilintide9BTW-CT (AMY3)-Cagrilintide-Gs/β1/γ2; RAMP3
6.25Single9JHJC18:0 Ceramide9JHJ-FPR2-ALX-C18:0 Ceramide-Gi1/β1/γ2
6.25Consensusvpac2_onOrthosteric Ligand7VQX-VPAC1-PACAP27-Gs/β1/γ2
6.25Consensusvpac2_on_gpOrthosteric Ligand7VQX-VPAC1-PACAP27-Gs/β1/γ2
6.06Single7RBTTirzepatide7RBT-GIP-Tirzepatide-LSN3556672-chim(NtGi1-Gs)/β1/γ2
6.06Consensusgip_onOrthosteric Ligand7FIN-GIP-Peptide-20; GGL-Gs/β1/γ2 7FIY-GIP-Tirzepatide-Gs/β1/γ2 7DTY-GIP-GIP-Gs/β1/γ2
6.06Consensusgip_on_gpOrthosteric Ligand7FIN-GIP-Peptide-20; GGL-Gs/β1/γ2 7FIY-GIP-Tirzepatide-Gs/β1/γ2 7DTY-GIP-GIP-Gs/β1/γ2
5.88Single5L7IVismodegib5L7I-SMO-Vismodegib
5.88Single6LI0C176LI0-GPR52-C17
5.88Single7S8NR-Zinc-35737S8N-MRGPRX2-R-Zinc-3573-chim(NtGi2L-Gs-CtGq)/β1/γ2
5.88Single7S8OR-Zinc-35737S8O-MRGPRX2-R-Zinc-3573-Gi1/β1/γ2
5.88Single7VBHPeptide-207VBH-GLP-1-Peptide-20-Gs/β1/γ2
5.88Single7VDHC48/807VDH-MRGPRX2-C48/80-Gi1/β1/γ2
5.88Single7XKFDehydroepiandrosterone7XKF-ADGRG2-Dehydroepiandrosterone-Gs/β1/γ2
5.88Single8F2APramlintide Analogue San3858F2A-CT (AMY3)-Pramlintide Analogue San385-Gs/β1/γ2; RAMP3
5.88Single8U4RREGN7663-Fab8U4R-CXCR4-REGN7663-Fab
5.88Single8X2KOleic monoethanolamide8X2K-GPR3-Oleic monoethanolamide-chim(NtGi1-Gs)/β1/γ2
5.88Single8YKDDehydroepiandrosterone8YKD-ADGRG2-Dehydroepiandrosterone-chim(NtGi1-Gs)/β1/γ2
5.88Single8ZX5AM2518ZX5-GPR55-AM251-chim(NtGi1-G13)/β1/γ2
5.88Single9JCPLPC9JCP-GPR4-LPC-chim(NtGi1-Gs-CtGq)/β1/γ2
5.88Consensusadgrg_onOrthosteric Ligandadgrg2_on adgrg4_on
5.88Consensusadgrg_on_gpOrthosteric Ligandadgrg2_on_gp adgrg4_on_gp
5.88Consensusgq_nucleotideOrthosteric Ligandgq_p2y
5.88Consensusgq_p2yOrthosteric Ligand7XXH-P2Y1-2MeSADP-chim(NtGi1-G11)/β1/γ2
5.56Single3ODUIT1t3ODU-CXCR4-IT1t
5.56Single4XNVBPTU4XNV-P2Y1-BPTU
5.56Single5U09Taranabant5U09-CB1-Taranabant
5.56Single5ZKQABT-4915ZKQ-PAF-ABT-491
5.56Single6RNKNF-56-EJ406RNK-Succinate-NF-56-EJ40
5.56Single6ZA8RTI-3a6ZA8-NTS1-RTI-3a
5.56Single7LCJDanuglipron7LCJ-GLP-1-Danuglipron
5.56Single7VV5C48/807VV5-MRGPRX2-C48/80-Gi1/β1/γ2
5.56Single7VVOPTH7VVO-PTH1-PTH-Gs/β1/γ2
5.56Single7WV9ZCZ0117WV9-CB1-CP55940-ZCZ011-Gi2/β1/γ2
5.56Single8JITMEDI03828JIT-Glucagon-MEDI0382-Gs/β1/γ2
5.56Single8T3VDoconexent8T3V-FFA1-Doconexent-chim(NtGi2L-Gs-CtGq)/β1/γ2
5.56Single8U4PAMD31008U4P-CXCR4-AMD3100-Gi1/β1/γ2
5.56Single8U8FPalmitic Acid8U8F-GPR3-Palmitic Acid-Gs/β1/γ2
5.56Single8YYWAlpha-ketoglutarate8YYW-Oxoglutarate-α-ketoglutarate-α-ketoglutarate-chim(Gi1-CtGq)/β1/γ2
5.56Single9KO2CCL199KO2-CCR7-CCL19-Gi1/β1
5.56Single9KO6CCL199KO6-CCR7-CCL19
5.56Consensusp2y1_onOrthosteric Ligand7XXH-P2Y1-2MeSADP-chim(NtGi1-G11)/β1/γ2
5.56Consensuspaf_offOrthosteric Ligand5ZKQ-PAF-ABT-491
5.41Consensusgluc_onOrthosteric Ligand6LMK-Glucagon-Glucagon-Gs/β1/γ2 8JIT-Glucagon-MEDI0382-Gs/β1/γ2 7V35-Glucagon-Peptide-20-Gs/β1/γ2
5.26Single6PT0WIN 55212-26PT0-CB2-WIN 55212-2-Gi1/β1/γ2
5.26Single6U1NLY21196206U1N-M2-LY2119620-Arrestin2
5.26Single6ZINSR486926ZIN-NTS1-SR48692
5.26Single7C2EPubChem 1490507997C2E-GLP-1-PubChem 149050799-Gs/β1/γ2
5.26Single7VV6C48/807VV6-MRGPRX2-C48/80
5.26Single7XXH2MeSADP7XXH-P2Y1-2MeSADP-chim(NtGi1-G11)/β1/γ2
5.26Single8HJ5PubChem 1390305318HJ5-MRGPRX1-PubChem 139030531-chim(NtGi1-Gs-CtGq)/β1/γ2
5.26Single8IYXYL-3658IYX-GPR34-YL-365
5.26Single8JD6VU03647708JD6-mGlu4; mGlu4-Phosphoserine-VU0364770-Gi3/β1/γ2
5.26Single8K2WAMG4878K2W-CXCR3-AMG487
5.26Single9JQYTG6-1299JQY-EP4-TG6-129
5.26Single9K0KUTP9K0K-P2Y4-UTP-chim(NtGi1-Gs-CtGq)/β1/γ2
5.26Single9K0XATP9K0X-P2Y2-ATP-chim(NtGi1-Gs-CtGq)/β1/γ2
5.26Single9K20ATP9K20-P2Y2-ATP-chim(NtGi1-Go)/β1/γ2
5.26Consensuscxcr3_offOrthosteric Ligand8K2W-CXCR3-AMG487
5.26Consensusgluc_on_gpOrthosteric Ligand6LMK-Glucagon-Glucagon-Gs/β1/γ2 8JIT-Glucagon-MEDI0382-Gs/β1/γ2 7V35-Glucagon-Peptide-20-Gs/β1/γ2
5.26Consensusp2y1_on_gpOrthosteric Ligand7XXH-P2Y1-2MeSADP-chim(NtGi1-G11)/β1/γ2
5.00Single4QIMANTA XV4QIM-SMO-ANTA XV
5.00Single6X1ADanuglipron6X1A-GLP-1-Danuglipron-Gs/β1/γ2
5.00Single6Z4VNeurotensin-(9-13)6Z4V-NTS1-Neurotensin-(9-13)
5.00Single7LCIDanuglipron7LCI-GLP-1-Danuglipron-Gs/β1/γ2
5.00Single7LCKDanuglipron7LCK-GLP-1-Danuglipron
5.00Single8EJKTAK-8758EJK-FFA1-TAK-875-chim(NtGi1L-Gs-CtGq)/β1/γ2
5.00Single9JROPF-044189489JRO-EP2-PF-04418948
5.00Single9METGp120; CD49MET-CXCR4-Gp120; CD4
4.76Single6LFMCXCL86LFM-CXCR2-CXCL8-Gi1/β1/γ2
4.76Single6Z4QSR142948A6Z4Q-NTS1-SR142948A
4.76Single6Z4SSR486926Z4S-NTS1-SR48692
4.76Single8JGGBAM8-228JGG-MRGPRX1-BAM8-22-Gi1/β1/γ2
4.76Single9EAHNanobody AT2099EAH-AT1-Olmesartan-Nanobody AT209
4.76Single9JRTTG6-1299JRT-EP2-TG6-129
4.76Consensuscxcr2_on_gpOrthosteric Ligand6LFM-CXCR2-CXCL8-Gi1/β1/γ2
4.55Single3ZEVNeurotensin-(7-13)3ZEV-NTS1-Neurotensin-(7-13)
4.55Single4BV0Neurotensin-(7-13)4BV0-NTS1-Neurotensin-(7-13)
4.55Single5V56TC1145V56-SMO-TC114
4.55Single6OS1TRV0266OS1-AT1-TRV026
4.55Single6Z8NSRI-98296Z8N-NTS1-SRI-9829
4.55Single7L0PNeurotensin-(8-13)7L0P-NTS1-Neurotensin-(8-13)-Gi1/β1/γ1
4.55Single7L0QNeurotensin-(8-13)7L0Q-NTS1-Neurotensin-(8-13)-Gi1/β1/γ1
4.55Single7XBDGalanin7XBD-GAL2-Galanin-chim(NtGi2L-Gs-CtGq)/β1/γ2
4.55Single7XJLSpexin7XJL-GAL2-Spexin-chim(NtGi2L-Gs-CtGq)/β1/γ2
4.55Single8FMZNeurotensin-(8-13)8FMZ-NTS1-Neurotensin-(8-13)-chim(NtGi2L-Gs-CtGq)/β1/γ2
4.55Single8JD5JNJ-40411813; ADX881788JD5-mGlu2; mGlu4-Glutamate-JNJ-40411813; ADX88178-Gi1/β1/γ2
4.55Single8JGFBAM8-228JGF-MRGPRX1-BAM8-22-chim(NtGi1-Gs-CtGq)/β1/γ2
4.55Single8WJXADP8WJX-P2Y1-ADP-chim(Gs-CtGq)/β1/γ2
4.55Single9ITELPA9ITE-LPA6-LPA-chim(NtGi2-G13)/β1/γ2
4.55Single9MENGp120 (V3 loop)9MEN-CXCR4-Gp120 (V3 loop)
4.55Consensusmotilin_onOrthosteric Ligand8IBU-Motilin-Erythromycin-A-chim(NtGi1-Gs-CtGq)/β1/γ2
4.55Consensusneurotensin_onOrthosteric Ligandnts1_on
4.55Consensusnts1_onOrthosteric Ligand6OSA-NTS1-JMV449-Gi1/β1/γ2 7L0S-NTS1-Neurotensin-(8-13)-Gi1/β1/γ1
4.35Single4GRVNeurotensin-(8-13)4GRV-NTS1-Neurotensin-(8-13)
4.35Single4PY02MeSATP4PY0-P2Y12-2MeSATP
4.35Single6OS2TRV0266OS2-AT1-TRV026
4.35Single6OSAJMV4496OSA-NTS1-JMV449-Gi1/β1/γ2
4.35Single6YVRNeurotensin-(6-13)6YVR-NTS1-Neurotensin-(6-13)
4.35Single8IBUErythromycin-A8IBU-Motilin-Erythromycin-A-chim(NtGi1-Gs-CtGq)/β1/γ2
4.35Single8JPBNeurotensin-(8-13)8JPB-NTS1-Neurotensin-(8-13)-SBI-553; GDP; Mg-Gq; GRK2
4.35Single8JPCNeurotensin-(8-13)8JPC-NTS1-Neurotensin-(8-13)-SBI-553; GDP; Mg-Gq; GRK2
4.35Single8XQJJN2418XQJ-Apelin; Apelin-JN241
4.35Consensusgalanin_onOrthosteric Ligandgal2_on gal1_on
4.35Consensusgalanin_on_gpOrthosteric Ligandgal2_on_gp gal1_on_gp
4.35Consensusgi_neurotensinOrthosteric Ligand6OSA-NTS1-JMV449-Gi1/β1/γ2 7L0S-NTS1-Neurotensin-(8-13)-Gi1/β1/γ1
4.35Consensusmotilin_on_gpOrthosteric Ligand8IBU-Motilin-Erythromycin-A-chim(NtGi1-Gs-CtGq)/β1/γ2
4.35Consensusneurotensin_on_gpOrthosteric Ligandnts1_on_gp
4.35Consensusnts1_on_gpOrthosteric Ligand6OSA-NTS1-JMV449-Gi1/β1/γ2 7L0S-NTS1-Neurotensin-(8-13)-Gi1/β1/γ1
4.17Single4RWSvMIP-II4RWS-CXCR4-vMIP-II
4.17Single6M1HMaxadilan6M1H-PAC1-Maxadilan-Gs/β1/γ2
4.17Single6UP7Neurotensin-(8-13)6UP7-NTS1-Neurotensin-(8-13)-Arrestin2
4.17Single8JPFNeurotensin-(8-13)8JPF-NTS1-Neurotensin-(8-13)-SBI-553
4.17Single9JH5C16:0 Ceramide9JH5-CysLT2-C16:0 Ceramide-chim(NtGi1-Gs-CtGq)/β1/γ2
4.17Single9KWXC5a-des-Arg9KWX-C5a1-C5a-des-Arg-Go/β1/γ2
4.17Consensusgal2_onOrthosteric Ligand7WQ4-GAL2-Galanin-chim(NtGi1-Gs-CtGq)/β1/γ2 7XJL-GAL2-Spexin-chim(NtGi2L-Gs-CtGq)/β1/γ2
4.17Consensusgal2_on_gpOrthosteric Ligand7WQ4-GAL2-Galanin-chim(NtGi1-Gs-CtGq)/β1/γ2 7XJL-GAL2-Spexin-chim(NtGi2L-Gs-CtGq)/β1/γ2
4.00Single5TZYMK8666; AP85TZY-FFA1-MK8666; AP8
4.00Single6KNMJN241-96KNM-Apelin-JN241-9
4.00Single6OS9JMV4496OS9-NTS1-JMV449-Gi1/β1/γ2
4.00Single7AUESetmelanotide7AUE-MC4-Setmelanotide-chim(NtGi1L-Gs)/β1/γ2
4.00Single9EAJNanobody AT2099EAJ-AT1-Nanobody AT209
4.00Single9ITBLPA9ITB-LPA6-LPA-chim(NtGi1-Gs-CtGq)/β1/γ2
3.85Single8DWGBAM8-228DWG-MRGPRX1-BAM8-22-ML382-chim(NtGi2L-Gs-CtGq)/β1/γ2
3.85Single8INRAlpha-MSH8INR-MC5-α-MSH-Ca-chim(NtGi1-Gs)/β1/γ2
3.85Single8JIQPeptide-158JIQ-Glucagon-Peptide-15-Gs/β1/γ2
3.85Single9BUECagrilintide9BUE-CT-Cagrilintide-Gs/β1/γ2
3.85Consensuschemokine_onOrthosteric Ligandccr_on cxcr_on
3.57Single7W55Neuromedin-U-257W55-NMUR2-Neuromedin-U-25-chim(NtGi1-Gs-CtGq)/β1/γ2
3.57Single9B5YLA-PTH Analog9B5Y-PTH1-LA-PTH Analog-chim(NtGi1-Gq)/β1/γ2
3.57Single9IVMGLP-1 (Truncated)9IVM-GLP-1-GLP-1 (Truncated)-LSN3318839-chim(NtGi1-Gs)/β2/γ2
3.57Consensusnmur2_onOrthosteric Ligand7W55-NMUR2-Neuromedin-U-25-chim(NtGi1-Gs-CtGq)/β1/γ2
3.57Consensusnmur2_on_gpOrthosteric Ligand7W55-NMUR2-Neuromedin-U-25-chim(NtGi1-Gs-CtGq)/β1/γ2
3.45Single6NIYCalcitonin-16NIY-CT-Calcitonin-1-Gs/β1/γ2
3.33Single7TYHCalcitonin7TYH-CT (AMY2)-Calcitonin-Gs/β1/γ2; RAMP2
3.33Consensusp2y10_onOrthosteric Ligand8KGG-P2Y10-Lysophosphatidylserine (WJS)-chim(NtGi2-G13)/β1/γ2
3.23Single7SK3CXCL127SK3-ACKR3-CXCL12
3.23Single7SK4CXCL12_LRHQ7SK4-ACKR3-CXCL12_LRHQ
3.12Single5NX2GLP-1 (Truncated)5NX2-GLP-1-GLP-1 (Truncated)
3.12Single7VVKPTH7VVK-PTH1-PTH-Gs/β1/γ2
3.03Single9BQ3Cagrilintide9BQ3-CT (AMY2)-Cagrilintide-Gs/β1/γ2; RAMP2
2.86Single7SK6CXCL12_LRHQ7SK6-ACKR3-CXCL12_LRHQ
2.70Single7TYOCalcitonin7TYO-CT-Calcitonin-Gs/β1/γ2

PDB Summary
PDB 9AS4
Class A
SubFamily Amine
Type 5-Hydroxytryptamine
SubType 5-HT2A
Species Homo Sapiens
Ligand LSD
Other Ligand(s) -
Protein Partners chim(NtGi1-Gs-CtGq)/Beta1/Gamma2
PDB Resolution 3.06
Date 2025-04-02
D.O.I. doi.org/10.1038/s41467-025-57956-7
Net Summary
Imin 2.52
Number of Linked Nodes 806
Number of Links 1058
Number of Hubs 202
Number of Links mediated by Hubs 712
Number of Communities 21
Number of Nodes involved in Communities 282
Number of Links involved in Communities 443
Path Summary
Number Of Nodes in MetaPath 107
Number Of Links MetaPath 106
Number of Shortest Paths 18876448
Length Of Smallest Path 3
Average Path Length 63.1336
Length of Longest Path 77
Minimum Path Strength 1.25
Average Path Strength 6.83769
Maximum Path Strength 20.14
Minimum Path Correlation 0.7
Average Path Correlation 1
Maximum Path Correlation 1
Minimum % Of Corr. Nodes 1.49254
Average % Of Corr. Nodes 31.3642
Maximum % Of Corr. Nodes 100
Minimum Path Hubs % 0
Average Path Hubs % 64.7225
Maximum Path Hubs % 100
AnnotationTypeLinks
Gene OntologyMolecular Function• protein tyrosine kinase activator activity   • enzyme regulator activity   • kinase activator activity   • enzyme activator activity   • molecular function activator activity   • molecular function regulator activity   • protein kinase activator activity   • protein kinase regulator activity   • kinase regulator activity   • neurotransmitter receptor activity   • molecular transducer activity   • signaling receptor activity   • serotonin receptor activity   • transmembrane signaling receptor activity   • G protein-coupled amine receptor activity   • G protein-coupled serotonin receptor activity   • G protein-coupled receptor activity   • Gq/11-coupled serotonin receptor activity   • protein-containing complex binding   • binding   • identical protein binding   • protein binding   • cation binding   • ion binding   • serotonin binding   • amine binding   • heterocyclic compound binding   • small molecule binding   • virus receptor activity   • exogenous protein binding   • 1-(4-iodo-2,5-dimethoxyphenyl)propan-2-amine binding   • response to stimulus   • response to chemical   • response to xenobiotic stimulus   • cellular response to stimulus   • regulation of biological process   • regulation of cellular process   • signaling   • biological regulation   • phospholipase C-activating serotonin receptor signaling pathway   • G protein-coupled serotonin receptor signaling pathway   • cell communication   • phospholipase C-activating G protein-coupled receptor signaling pathway   • G protein-coupled receptor signaling pathway   • cellular process
Gene OntologyBiological Process• response to stimulus   • response to chemical   • response to xenobiotic stimulus   • cellular response to stimulus   • regulation of biological process   • regulation of cellular process   • signaling   • biological regulation   • phospholipase C-activating serotonin receptor signaling pathway   • G protein-coupled serotonin receptor signaling pathway   • cell communication   • phospholipase C-activating G protein-coupled receptor signaling pathway   • G protein-coupled receptor signaling pathway   • cellular process   • signal transduction   • trans-synaptic signaling   • regulation of signaling   • modulation of chemical synaptic transmission   • cell-cell signaling   • presynaptic modulation of chemical synaptic transmission   • chemical synaptic transmission   • synaptic signaling   • regulation of trans-synaptic signaling   • anterograde trans-synaptic signaling   • regulation of cell communication   • regulation of defense response   • regulation of response to external stimulus   • defense response   • positive regulation of biological process   • response to external stimulus   • regulation of inflammatory response   • positive regulation of response to stimulus   • positive regulation of response to external stimulus   • positive regulation of inflammatory response   • regulation of response to stimulus   • regulation of response to stress   • response to stress   • positive regulation of defense response   • inflammatory response   • regulation of tube diameter   • multicellular organismal process   • system process   • regulation of tube size   • regulation of system process   • positive regulation of vasoconstriction   • circulatory system process   • regulation of blood circulation   • vascular process in circulatory system   • regulation of vasoconstriction   • positive regulation of multicellular organismal process   • regulation of multicellular organismal process   • blood vessel diameter maintenance   • regulation of biological quality   • vasoconstriction   • blood circulation   • regulation of anatomical structure size   • localization   • protein localization to cytoskeleton   • protein localization to organelle   • macromolecule localization   • intracellular protein localization   • regulation of lipid metabolic process   • glycerophospholipid metabolic process   • lipid biosynthetic process   • positive regulation of phosphate metabolic process   • regulation of primary metabolic process   • phospholipid metabolic process   • positive regulation of metabolic process   • positive regulation of biosynthetic process   • phosphate-containing compound metabolic process   • positive regulation of lipid metabolic process   • positive regulation of phosphatidylinositol biosynthetic process   • phosphorus metabolic process   • positive regulation of cellular process   • regulation of phosphatidylinositol biosynthetic process   • regulation of biosynthetic process   • phosphatidylinositol metabolic process   • positive regulation of phosphorus metabolic process   • glycerophospholipid biosynthetic process   • positive regulation of phospholipid biosynthetic process   • regulation of phospholipid metabolic process   • primary metabolic process   • phospholipid biosynthetic process   • regulation of phospholipid biosynthetic process   • phosphatidylinositol biosynthetic process   • positive regulation of phospholipid metabolic process   • biosynthetic process   • positive regulation of lipid biosynthetic process   • glycerolipid biosynthetic process   • organophosphate metabolic process   • organophosphate biosynthetic process   • metabolic process   • regulation of phosphorus metabolic process   • glycerolipid metabolic process   • regulation of lipid biosynthetic process   • regulation of metabolic process   • lipid metabolic process   • neuron apoptotic process   • positive regulation of programmed cell death   • regulation of apoptotic process   • regulation of programmed cell death   • cell death   • positive regulation of apoptotic process   • apoptotic process   • positive regulation of neuron apoptotic process   • programmed cell death   • regulation of neuron apoptotic process   • behavior   • learning or memory   • nervous system process   • cognition   • memory   • inorganic ion homeostasis   • intracellular calcium ion homeostasis   • homeostatic process   • calcium ion homeostasis   • cellular homeostasis   • chemical homeostasis   • intracellular monoatomic cation homeostasis   • monoatomic ion homeostasis   • intracellular chemical homeostasis   • monoatomic cation homeostasis   • intracellular monoatomic ion homeostasis   • regulation of execution phase of apoptosis   • positive regulation of execution phase of apoptosis   • execution phase of apoptosis   • regulation of body fluid levels   • homotypic cell-cell adhesion   • regulation of cell activation   • positive regulation of cell-cell adhesion   • cell adhesion   • cell-cell adhesion   • coagulation   • regulation of cell-cell adhesion   • response to wounding   • wound healing   • regulation of homotypic cell-cell adhesion   • positive regulation of cell adhesion   • regulation of cell adhesion   • cell activation   • hemostasis   • platelet aggregation   • blood coagulation   • regulation of platelet activation   • regulation of platelet aggregation   • positive regulation of homotypic cell-cell adhesion   • positive regulation of platelet aggregation   • platelet activation   • ribonucleotide catabolic process   • pyridine nucleotide catabolic process   • aerobic respiration   • oxoacid metabolic process   • carbohydrate catabolic process   • carbohydrate derivative metabolic process   • organophosphate catabolic process   • nucleoside phosphate catabolic process   • organic acid metabolic process   • nucleobase-containing compound metabolic process   • glycolytic process   • pyridine-containing compound metabolic process   • small molecule metabolic process   • purine ribonucleotide catabolic process   • nucleoside phosphate metabolic process   • nicotinamide nucleotide metabolic process   • pyruvate metabolic process   • purine nucleoside diphosphate metabolic process   • purine-containing compound catabolic process   • nucleotide metabolic process   • nucleobase-containing compound catabolic process   • nucleoside diphosphate metabolic process   • purine nucleoside diphosphate catabolic process   • nucleoside diphosphate catabolic process   • nucleoside triphosphate metabolic process   • monocarboxylic acid metabolic process   • purine ribonucleotide metabolic process   • pyridine-containing compound catabolic process   • ribose phosphate metabolic process   • cellular respiration   • catabolic process   • ATP metabolic process   • energy derivation by oxidation of organic compounds   • purine nucleotide metabolic process   • ribonucleotide metabolic process   • nucleobase-containing small molecule metabolic process   • purine ribonucleoside triphosphate metabolic process   • ribonucleoside diphosphate metabolic process   • ribonucleoside diphosphate catabolic process   • nucleotide catabolic process   • purine nucleoside triphosphate metabolic process   • purine nucleotide catabolic process   • carbohydrate metabolic process   • carbohydrate derivative catabolic process   • ADP catabolic process   • carboxylic acid metabolic process   • generation of precursor metabolites and energy   • purine-containing compound metabolic process   • ADP metabolic process   • purine ribonucleoside diphosphate metabolic process   • purine ribonucleoside diphosphate catabolic process   • detection of external stimulus   • sensory perception of temperature stimulus   • sensory perception of pain   • detection of temperature stimulus involved in sensory perception   • response to temperature stimulus   • detection of abiotic stimulus   • detection of stimulus   • sensory perception   • detection of temperature stimulus   • response to abiotic stimulus   • detection of stimulus involved in sensory perception   • detection of temperature stimulus involved in sensory perception of pain   • negative regulation of signaling   • synaptic transmission, glutamatergic   • negative regulation of biological process   • regulation of synaptic transmission, glutamatergic   • negative regulation of synaptic transmission   • negative regulation of cell communication   • negative regulation of cellular process   • negative regulation of synaptic transmission, glutamatergic   • smooth muscle contraction   • urinary bladder smooth muscle contraction   • urinary tract smooth muscle contraction   • muscle contraction   • muscle system process   • developmental process   • fat cell differentiation   • positive regulation of fat cell differentiation   • regulation of developmental process   • cellular developmental process   • regulation of cell differentiation   • positive regulation of developmental process   • positive regulation of cell differentiation   • cell differentiation   • regulation of fat cell differentiation   • G protein-coupled receptor signaling pathway, coupled to cyclic nucleotide second messenger   • negative regulation of potassium ion transport   • regulation of localization   • regulation of potassium ion transport   • transport   • regulation of transport   • negative regulation of monoatomic ion transport   • regulation of monoatomic ion transport   • negative regulation of transport   • establishment of localization   • metal ion transport   • monoatomic ion transport   • potassium ion transport   • monoatomic cation transport   • regulation of metal ion transport   • positive regulation of cytosolic calcium ion concentration   • regulation of heat generation   • positive regulation of heat generation   • heat generation   • multicellular organismal-level homeostasis   • temperature homeostasis   • regulation of generation of precursor metabolites and energy   • regulation of ATP metabolic process   • regulation of purine nucleotide catabolic process   • positive regulation of nucleotide catabolic process   • regulation of small molecule metabolic process   • regulation of nucleotide metabolic process   • regulation of nucleobase-containing compound metabolic process   • regulation of carbohydrate catabolic process   • regulation of purine nucleotide metabolic process   • positive regulation of ATP metabolic process   • regulation of nucleotide catabolic process   • positive regulation of carbohydrate metabolic process   • positive regulation of nucleotide metabolic process   • positive regulation of purine nucleotide catabolic process   • regulation of carbohydrate metabolic process   • positive regulation of glycolytic process   • regulation of catabolic process   • regulation of glycolytic process   • positive regulation of purine nucleotide metabolic process   • positive regulation of catabolic process   • positive regulation of small molecule metabolic process   • adult behavior   • behavioral response to cocaine   • response to oxygen-containing compound   • response to nitrogen compound   • response to cocaine   • response to alkaloid   • detection of mechanical stimulus involved in sensory perception of pain   • response to mechanical stimulus   • detection of mechanical stimulus involved in sensory perception   • sensory perception of mechanical stimulus   • detection of mechanical stimulus   • positive regulation of cell communication   • positive regulation of signal transduction   • regulation of signal transduction   • intracellular signal transduction   • positive regulation of ERK1 and ERK2 cascade   • regulation of intracellular signal transduction   • intracellular signaling cassette   • positive regulation of MAPK cascade   • positive regulation of intracellular signal transduction   • regulation of MAPK cascade   • MAPK cascade   • ERK1 and ERK2 cascade   • regulation of ERK1 and ERK2 cascade   • positive regulation of signaling   • learning   • nonassociative learning   • sensitization   • monoamine transport   • nitrogen compound transport   • regulation of catecholamine secretion   • organic hydroxy compound transport   • dopamine transport   • secretion by cell   • regulation of secretion by cell   • catecholamine transport   • signal release   • secretion   • export from cell   • dopamine secretion   • regulation of secretion   • catecholamine secretion   • amine transport   • regulation of amine transport   • regulation of dopamine secretion   • cellular response to nitrogen compound   • response to dopamine   • serotonin receptor signaling pathway   • cellular response to dopamine   • response to monoamine   • cellular response to oxygen-containing compound   • cellular response to chemical stimulus   • response to catecholamine   • cellular response to monoamine stimulus   • cellular response to catecholamine stimulus   • cell population proliferation   • positive regulation of cell population proliferation   • regulation of cell population proliferation   • calcium ion transmembrane import into cytosol   • monoatomic ion transmembrane transport   • calcium ion transport   • monoatomic cation transmembrane transport   • transmembrane transport   • release of sequestered calcium ion into cytosol   • calcium ion transmembrane transport   • vascular associated smooth muscle contraction   • artery smooth muscle contraction   • tonic smooth muscle contraction   • regulation of DNA biosynthetic process   • positive regulation of macromolecule biosynthetic process   • nucleic acid biosynthetic process   • positive regulation of macromolecule metabolic process   • positive regulation of DNA biosynthetic process   • regulation of macromolecule metabolic process   • DNA metabolic process   • nucleobase-containing compound biosynthetic process   • macromolecule biosynthetic process   • nucleic acid metabolic process   • positive regulation of DNA metabolic process   • regulation of macromolecule biosynthetic process   • macromolecule metabolic process   • DNA biosynthetic process   • regulation of DNA metabolic process   • regulation of immune effector process   • cytokine production   • regulation of cytokine production   • positive regulation of immune effector process   • regulation of immune system process   • cytokine production involved in immune response   • positive regulation of immune system process   • production of molecular mediator of immune response   • regulation of cytokine production involved in immune response   • immune response   • gene expression   • immune effector process   • regulation of gene expression   • positive regulation of gene expression   • immune system process   • positive regulation of cytokine production involved in immune response   • positive regulation of production of molecular mediator of immune response   • regulation of production of molecular mediator of immune response   • positive regulation of cytokine production   • cell periphery   • postsynapse   • cellular anatomical structure   • postsynaptic membrane   • synapse   • cell junction   • membrane   • plasma membrane   • plasma membrane region   • synaptic membrane   • protein-containing complex   • G protein-coupled serotonin receptor complex   • receptor complex   • presynapse
Gene OntologyCellular Component• cell periphery   • postsynapse   • cellular anatomical structure   • postsynaptic membrane   • synapse   • cell junction   • membrane   • plasma membrane   • plasma membrane region   • synaptic membrane   • protein-containing complex   • G protein-coupled serotonin receptor complex   • receptor complex   • presynapse   • presynaptic membrane   • somatodendritic compartment   • cell projection   • dendrite   • dendritic tree   • neuron projection   • plasma membrane bounded cell projection   • glutamatergic synapse   • dendritic shaft   • cell body   • neuronal cell body   • axon   • membrane microdomain   • membrane raft   • plasma membrane raft   • caveola   • cell body fiber   • membrane-bounded organelle   • intracellular organelle   • intracellular anatomical structure   • cytoplasmic vesicle   • organelle   • intracellular vesicle   • cytoplasm   • intracellular membrane-bounded organelle   • vesicle   • polymeric cytoskeletal fiber   • neurofilament   • intracellular membraneless organelle   • intermediate filament cytoskeleton   • cytoskeleton   • membraneless organelle   • intermediate filament   • supramolecular fiber   • supramolecular polymer   • supramolecular complex   • protein binding   • binding   • enzyme binding   • GTPase binding   • protein-containing complex binding   • pyrophosphatase activity   • GTPase activity   • ribonucleoside triphosphate phosphatase activity   • hydrolase activity, acting on acid anhydrides, in phosphorus-containing anhydrides   • hydrolase activity   • hydrolase activity, acting on acid anhydrides   • catalytic activity   • signaling receptor complex adaptor activity   • protein-macromolecule adaptor activity   • molecular adaptor activity   • signaling adaptor activity   • multicellular organismal process   • system process   • sensory perception of chemical stimulus   • sensory perception   • nervous system process   • sensory perception of taste   • developmental process   • sensory organ development   • eye development   • animal organ development   • retina development in camera-type eye   • visual system development   • multicellular organism development   • camera-type eye development   • anatomical structure development   • sensory system development   • system development   • cell population proliferation   • cellular process   • cellular response to stimulus   • regulation of biological process   • regulation of cellular process   • response to stimulus   • signaling   • biological regulation   • signal transduction   • cell communication   • response to ketone   • response to prostaglandin   • response to lipid   • response to endogenous stimulus   • response to alcohol   • cellular response to prostaglandin stimulus   • response to oxygen-containing compound   • cellular response to oxygen-containing compound   • cellular response to endogenous stimulus   • cellular response to prostaglandin E stimulus   • cellular response to chemical stimulus   • cellular response to alcohol   • response to hormone   • response to chemical   • cellular response to lipid   • response to prostaglandin E   • cellular response to ketone   • cellular response to hormone stimulus   • small GTPase-mediated signal transduction   • Ras protein signal transduction   • intracellular signal transduction   • intracellular signaling cassette   • phospholipase C-activating G protein-coupled receptor signaling pathway   • G protein-coupled receptor signaling pathway   • cellular response to nitrogen compound   • response to dopamine   • cellular response to dopamine   • response to monoamine   • response to catecholamine   • adenylate cyclase-activating dopamine receptor signaling pathway   • cellular response to catecholamine stimulus   • G protein-coupled dopamine receptor signaling pathway   • response to nitrogen compound   • adenylate cyclase-activating G protein-coupled receptor signaling pathway   • cellular response to monoamine stimulus   • adenylate cyclase-modulating G protein-coupled receptor signaling pathway   • synaptic signaling   • cellular response to acetylcholine   • cell-cell signaling   • acetylcholine receptor signaling pathway   • postsynaptic signal transduction   • G protein-coupled acetylcholine receptor signaling pathway   • response to acetylcholine   • extrinsic component of plasma membrane   • catalytic complex   • plasma membrane protein complex   • cytoplasmic side of membrane   • membrane protein complex   • heterotrimeric G-protein complex   • side of membrane   • cytoplasmic side of plasma membrane   • GTPase complex   • extrinsic component of membrane   • extrinsic component of cytoplasmic side of plasma membrane   • extracellular exosome   • extracellular vesicle   • extracellular organelle   • extracellular region   • extracellular space   • extracellular membrane-bounded organelle   • non-motile cilium   • 9+0 non-motile cilium   • cilium   • photoreceptor disc membrane   • photoreceptor outer segment   • photoreceptor cell cilium   • organelle membrane   • cytosol   • vacuolar membrane   • lytic vacuole   • vacuole   • lytic vacuole membrane   • bounding membrane of organelle   • lysosomal membrane   • lysosome   • G-protein beta-subunit binding   • fibroblast proliferation
SCOP2Domain Identifier• G protein-coupled receptor-like   • Transducin (heterotrimeric G protein), gamma chain
SCOP2Family Identifier• G protein-coupled receptor-like   • Transducin (heterotrimeric G protein), gamma chain
Membrane Protein Annotations-• Orientations of Proteins in Membranes database (OPM)   • Protein Data Bank of Transmembrane Proteins (PDBTM)   • MemProtMD


Details about the values in these tables can be found in the corresponding documentation page .
Code7LD
PDB ResiduesL:L:?1
Environment DetailsOpen EMBL-EBI Page
Code7LD
NameLysergic acid diethylamide
SynonymsLysergsäurediäthylamid
Identifier
FormulaC20 H25 N3 O
Molecular Weight323.432
SMILES
PubChem5761
Formal Charge0
Total Atoms49
Total Chiral Atoms2
Total Bonds52
Total Aromatic Bonds10

PDBsumOpen PDBsum Page
ChainA
ProteinG Protein α Sub unit
UniProtP63092
Sequence
>9AS4_Chain_A
EKAEKIKLD RTRLLLLGA SGKSTIVKQ MRTSGIFET KFQVDKVNF 
HMFDVGGQR DERRKWIQC FNDVTAIIF VVSSYNRLQ EALNFKSIW 
NNRWLRTIS VILFLNKQD LLAEKVLAG KSKIEDYFP EFARYTTPE 
DPRVTRAKY FIREFISTA SGDGRHCYP HFTCAVDTE NRRFNDCDI 
IMLRYLTVS ADAARSMDN REGEKARLD NDDDKVDIA IKLQNENV


Click on each residue to open a popup with some information about it.

ConSurf Conservation Grade (See documentation): 

 n/a   1    2    3    4    5    6    7    8    9  

ChainB
ProteinG Protein β Sub unit
UniProtP62873
Sequence
>9AS4_Chain_B
EAEQLKNQI RDARKACAD ATLSQITNN IDPVGRIQM RTRRTLRGH 
LAKIYAMHW GTDSRLLVS ASQDGKLII WDSYTTNKV HAIPLRSSW 
VMTCAYAPS GNYVACGGL DNICSIYNL KTREGNVRV SRELAGHTG 
YLSCCRFLD DNQIVTSSG DTTCALWDI ETGQQTTTF TGHTGDVMS 
LSLAPDTRL FVSGACDAS AKLWDVREG MCRQTFTGH ESDINAICF 
FPNGNAFAT GSDDATCRL FDLRADQEL MTYSHDNII CGITSVSFS 
KSGRLLLAG YDDFNCNVW DALKADRAG VLAGHDNRV SCLGVTDDG 
MAVATGSWD SFLKIWN


Click on each residue to open a popup with some information about it.

ConSurf Conservation Grade (See documentation): 

 n/a   1    2    3    4    5    6    7    8    9  

ChainG
ProteinG Protein γ Sub unit
UniProtP59768
Sequence
>9AS4_Chain_G
ARKLVEQLK MEANIDRIK VSKAAADLM AYCEAHAKE DPLLTPVPA 
SENPF


Click on each residue to open a popup with some information about it.

ConSurf Conservation Grade (See documentation): 

 n/a   1    2    3    4    5    6    7    8    9  

ChainR
ProteinReceptor
UniProtP28223
Sequence
>9AS4_Chain_R
VIILTIAGN ILVIMAVLQ NATNYFLMS LAIADMLLG FLVMPVSML 
TILYGYRWP SKLCAVWIY LDVLFSTAS IMHLCAISL DRYVAIQNP 
IHHSRFNSR TKAFLKIIA VWTISVGIS MPIPVFGLQ DDSKVFKEG 
SCLLADDNF VLIGSFVSF FIPLTIMVI TYFLTIKSL QISNEQKAC 
KVLGIVFFL FVVMWCPFF ITNIMAVNE DVIGALLNV FVWIGYLSS 
AVNPLVYTL FNKTYRSAF SR


Click on each residue to open a popup with some information about it.

ConSurf Conservation Grade (See documentation): 

 n/a   1    2    3    4    5    6    7    8    9  




This receptor, from the same or other species and bound to the same or other ligands, is also present in the following networks:
Show PDB Class SubFamily Type SubType Species Orthosteric Ligand Other Ligand(s) Protein Partners Resolution Date DOI
6A93AAmine5-Hydroxytryptamine5-HT2AHomo sapiensRisperidone--32019-02-13doi.org/10.1038/s41594-018-0180-z
6A94AAmine5-Hydroxytryptamine5-HT2AHomo sapiensZotepine--2.92019-02-13doi.org/10.1038/s41594-018-0180-z
6WGTAAmine5-Hydroxytryptamine5-HT2AHomo sapiensLSD--3.42020-09-23doi.org/10.1016/j.cell.2020.08.024
6WH4AAmine5-Hydroxytryptamine5-HT2AHomo sapiensMethiothepin--3.42020-09-23doi.org/10.1016/j.cell.2020.08.024
6WHAAAmine5-Hydroxytryptamine5-HT2AHomo sapiensDB13948-chim(NtGi2L-Gs-CtGq)/β1/γ23.362020-09-23doi.org/10.1016/j.cell.2020.08.024
6WHA (No Gprot) AAmine5-Hydroxytryptamine5-HT2AHomo sapiensDB13948-3.362020-09-23doi.org/10.1016/j.cell.2020.08.024
7VODAAmine5-Hydroxytryptamine5-HT2AHomo sapiensCariprazine--3.32021-12-22doi.org/10.1038/s41593-021-00971-w
7VOEAAmine5-Hydroxytryptamine5-HT2AHomo sapiensAripiprazole--2.92021-12-22doi.org/10.1038/s41593-021-00971-w
7WC4AAmine5-Hydroxytryptamine5-HT2AHomo sapiensSerotonin--3.22022-01-26doi.org/10.1126/science.abl8615
7WC5AAmine5-Hydroxytryptamine5-HT2AHomo sapiensPsilocin--3.22022-01-26doi.org/10.1126/science.abl8615
7WC6AAmine5-Hydroxytryptamine5-HT2AHomo sapiensLSD--2.62022-01-26doi.org/10.1126/science.abl8615
7WC7AAmine5-Hydroxytryptamine5-HT2AHomo sapiensLisuride--2.62022-01-26doi.org/10.1126/science.abl8615
7WC8AAmine5-Hydroxytryptamine5-HT2AHomo sapiensLumateperone--2.452022-01-26doi.org/10.1126/science.abl8615
7WC9AAmine5-Hydroxytryptamine5-HT2AHomo sapiensPubChem 162421364--2.52022-01-26doi.org/10.1126/science.abl8615
7RANAAmine5-Hydroxytryptamine5-HT2AHomo sapiensPubChem 164575847-chim(NtGi2L-Gs-CtGq)/β1/γ23.452022-07-06doi.org/10.1038/s41586-022-05258-z
7RAN (No Gprot) AAmine5-Hydroxytryptamine5-HT2AHomo sapiensPubChem 164575847-3.452022-07-06doi.org/10.1038/s41586-022-05258-z
8UWLAAmine5-Hydroxytryptamine5-HT2AHomo sapiensLisuride-chim(NtGi2-Gs-CtGq)/β1/γ22.82024-05-29doi.org/10.1126/science.adn6354
8UWL (No Gprot) AAmine5-Hydroxytryptamine5-HT2AHomo sapiensLisuride-2.82024-05-29doi.org/10.1126/science.adn6354
8V6UAAmine5-Hydroxytryptamine5-HT2AHomo sapiensPubChem 171392456-chim(NtGi2-Gs-CtGq)/β1/γ232024-05-29doi.org/10.1126/science.adn6354
8V6U (No Gprot) AAmine5-Hydroxytryptamine5-HT2AHomo sapiensPubChem 171392456-32024-05-29doi.org/10.1126/science.adn6354
8ZMGAAmine5-Hydroxytryptamine5-HT2AHomo sapiensPimavanserin--3.42024-08-28doi.org/10.1021/acs.jmedchem.4c01244
8JT8AAmine5-Hydroxytryptamine5-HT2AHomo sapiens(R)-IHCH-7179--2.72024-02-28doi.org/10.1016/j.cell.2024.02.034
9ARXAAmine5-Hydroxytryptamine5-HT2AHomo sapiensSerotonin--3.242025-04-02doi.org/10.1038/s41467-025-57956-7
9ARYAAmine5-Hydroxytryptamine5-HT2AHomo sapiensSerotonin-chim(NtGi1-Gs-CtGq)/β1/γ23.272025-04-02doi.org/10.1038/s41467-025-57956-7
9ARY (No Gprot) AAmine5-Hydroxytryptamine5-HT2AHomo sapiensSerotonin-3.272025-04-02doi.org/10.1038/s41467-025-57956-7
9ARZAAmine5-Hydroxytryptamine5-HT2AHomo sapiens2-bromo-LSD--3.372025-04-02doi.org/10.1038/s41467-025-57956-7
9AS0AAmine5-Hydroxytryptamine5-HT2AHomo sapiens2-bromo-LSD-chim(NtGi1-Gs-CtGq)/β1/γ23.382025-04-02doi.org/10.1038/s41467-025-57956-7
9AS0 (No Gprot) AAmine5-Hydroxytryptamine5-HT2AHomo sapiens2-bromo-LSD-3.382025-04-02doi.org/10.1038/s41467-025-57956-7
9AS1AAmine5-Hydroxytryptamine5-HT2AHomo sapiensDMT--3.382025-04-02doi.org/10.1038/s41467-025-57956-7
9AS2AAmine5-Hydroxytryptamine5-HT2AHomo sapiensDMT-chim(NtGi1-Gs-CtGq)/β1/γ23.212025-04-02doi.org/10.1038/s41467-025-57956-7
9AS2 (No Gprot) AAmine5-Hydroxytryptamine5-HT2AHomo sapiensDMT-3.212025-04-02doi.org/10.1038/s41467-025-57956-7
9AS3AAmine5-Hydroxytryptamine5-HT2AHomo sapiensLSD--3.182025-04-02doi.org/10.1038/s41467-025-57956-7
9AS4 (No Gprot) AAmine5-Hydroxytryptamine5-HT2AHomo sapiensLSD-3.062025-04-02doi.org/10.1038/s41467-025-57956-7
9AS5AAmine5-Hydroxytryptamine5-HT2AHomo sapiensMescaline--3.342025-04-02doi.org/10.1038/s41467-025-57956-7
9AS6AAmine5-Hydroxytryptamine5-HT2AHomo sapiensMescaline-chim(NtGi1-Gs-CtGq)/β1/γ23.072025-04-02doi.org/10.1038/s41467-025-57956-7
9AS6 (No Gprot) AAmine5-Hydroxytryptamine5-HT2AHomo sapiensMescaline-3.072025-04-02doi.org/10.1038/s41467-025-57956-7
9AS7AAmine5-Hydroxytryptamine5-HT2AHomo sapiensPsilocin--2.722025-04-02doi.org/10.1038/s41467-025-57956-7
9AS9AAmine5-Hydroxytryptamine5-HT2AHomo sapiensRS130-180--3.472025-04-02doi.org/10.1038/s41467-025-57956-7
9ASAAAmine5-Hydroxytryptamine5-HT2AHomo sapiensRS130-180-chim(NtGi1-Gs-CtGq)/β1/γ23.122025-04-02doi.org/10.1038/s41467-025-57956-7
9ASA (No Gprot) AAmine5-Hydroxytryptamine5-HT2AHomo sapiensRS130-180-3.122025-04-02doi.org/10.1038/s41467-025-57956-7
9AS8AAmine5-Hydroxytryptamine5-HT2AHomo sapiensPsilocin-chim(NtGi2L-Gs-CtGq)/β1/γ22.542025-04-0210.1038/s41467-025-57956-7
9AS8 (No Gprot) AAmine5-Hydroxytryptamine5-HT2AHomo sapiensPsilocin-2.542025-04-0210.1038/s41467-025-57956-7
9LL9AAmine5-Hydroxytryptamine5-HT2AHomo sapiensDOI-chim(NtGi1L-Gs-CtGq)/β1/γ22.762026-01-14To be published
9LL9 (No Gprot) AAmine5-Hydroxytryptamine5-HT2AHomo sapiensDOI-2.762026-01-14To be published
9LLAAAmine5-Hydroxytryptamine5-HT2AHomo sapiensAriadne-chim(NtGi1L-Gs-CtGq)/β1/γ23.272026-01-14To be published
9LLA (No Gprot) AAmine5-Hydroxytryptamine5-HT2AHomo sapiensAriadne-3.272026-01-14To be published
9LLBAAmine5-Hydroxytryptamine5-HT2AHomo sapiensDOI-NBOMe-chim(NtGi1L-Gs-CtGq)/β1/γ22.982026-01-14To be published
9LLB (No Gprot) AAmine5-Hydroxytryptamine5-HT2AHomo sapiensDOI-NBOMe-2.982026-01-14To be published
9LL7AAmine5-Hydroxytryptamine5-HT2AHomo sapiensDOI-Gi1/β1/γ22.842026-01-14To be published
9LL7 (No Gprot) AAmine5-Hydroxytryptamine5-HT2AHomo sapiensDOI-2.842026-01-14To be published
9LL8AAmine5-Hydroxytryptamine5-HT2AHomo sapiensPsilocin-Gi1/β1/γ22.622026-01-14To be published
9LL8 (No Gprot) AAmine5-Hydroxytryptamine5-HT2AHomo sapiensPsilocin-2.622026-01-14To be published




You can download a compressed (zip) file with structure(s), 3D outputs (as PyMol and VMD scripts) and numerical data files (as csv and plain text files).

Download 9AS4.zip



You can click to copy the link of this page to easily come back here later

or use this QR code to link and share this page.



You can also  read or  download a guide explaining the meaning of all files and numerical data.