Color ConSurf Grade
      No Conservation data available
      1
      2
      3
      4
      5
      6
      7
      8
      9

Index: hub id, click on each number to highlight the corresponding hub in the 3D visualization.

Hub: the hub being considered.

Avg Int. Strength: the average interaction strength of all the links of the corresponding hub.

Num Of Links: the number of links of the corresponding hub.

Community: the id of the community the link belong to, otherwise 0.

ConSurf: this column reports the ConSurf conservation grades of each hub.

Index Hub Avg Int. Strength Num Of Links Community ConSurf
1A:A:H41 6.40754116
2A:A:I56 2.5425407
3A:A:F219 7.095118
4A:A:F222 11.06407
5A:A:R228 9.8975419
6A:A:E230 8.664519
7A:A:R232 9.065418
8A:A:K233 5.90714719
9A:A:W234 5.834509
10A:A:F238 10.3325409
11A:A:D249 7.67468
12A:A:Y253 7.725408
13A:A:R265 6.042569
14A:A:W281 7.94857715
15A:A:I288 5.715459
16A:A:F290 5.192559
17A:A:L291 4.684588
18A:A:K293 9.1925469
19A:A:E309 4.29754164
20A:A:F312 4.27408
21A:A:F315 9.786506
22A:A:V334 3.5075404
23A:A:Y339 6.53403
24A:A:F340 11.44407
25A:A:R342 5.972584
26A:A:L346 4.775484
27A:A:S349 4.5475487
28A:A:Y358 5.2825454
29A:A:Y360 7.71143758
30A:A:F363 7.7375485
31A:A:F376 8.075118
32A:A:D381 8.3425458
33A:A:K385 6.8575455
34B:B:V40 5.7345103
35B:B:H54 8.33833649
36B:B:K57 12.8575419
37B:B:M61 5.5825446
38B:B:W63 6.23833647
39B:B:Q75 7.4575419
40B:B:D76 8.475409
41B:B:K78 4.836508
42B:B:I81 5.0054197
43B:B:W82 10.7843749
44B:B:D83 5.8875498
45B:B:Y85 8.2625494
46B:B:N88 6.285407
47B:B:K89 6.13667649
48B:B:W99 10.504509
49B:B:M101 5.8175419
50B:B:Y105 4.1554206
51B:B:Y124 5.8725406
52B:B:H142 8.46419
53B:B:Y145 5.65571718
54B:B:R150 7.58754186
55B:B:F151 5.185409
56B:B:T159 5.525419
57B:B:S161 7.07419
58B:B:D163 8.17409
59B:B:W169 9.076518
60B:B:F180 6.984577
61B:B:H183 9.034579
62B:B:D186 7.682519
63B:B:V187 4.3775479
64B:B:V200 6.53436
65B:B:C204 4.46714717
66B:B:K209 10.83476
67B:B:L210 5.2025435
68B:B:W211 9.08333678
69B:B:D212 5.28409
70B:B:C218 6.7625475
71B:B:F222 8.8775438
72B:B:H225 9.255639
73B:B:I232 4.386538
74B:B:F234 4.775405
75B:B:F235 7.9465136
76B:B:N237 10.4775405
77B:B:F241 7.33167636
78B:B:T243 6.065438
79B:B:R251 12.9375438
80B:B:F253 7.40333636
81B:B:D254 4.542509
82B:B:R256 5.805409
83B:B:D258 7.3075437
84B:B:M262 5.716504
85B:B:C271 4.6075415
86B:B:F278 9.074137
87B:B:Y289 6.89429717
88B:B:D290 7.4416
89B:B:N293 3.5925405
90B:B:V296 4.7475405
91B:B:L300 6.0645106
92B:B:K301 5.6075405
93B:B:H311 8.94754239
94B:B:R314 12.106518
95B:B:M325 5.716595
96B:B:W332 11.845619
97B:B:L336 5.83447
98B:B:W339 7.396509
99B:B:N340 5.3175499
100G:G:D48 5.538509
101G:G:L51 2.525406
102G:G:N59 6.615499
103G:G:P60 7.245499
104G:G:F61 4.62286798
105L:L:?1 7.666671520
106R:R:Y65 5.626506
107R:R:N76 5.2725429
108R:R:Y96 5.73429707
109R:R:N99 7.99254249
110R:R:D104 6.835429
111R:R:V115 2.5575406
112R:R:W123 8.45429728
113R:R:C130 5.4875429
114R:R:L134 4.2925425
115R:R:N140 6.68407
116R:R:F142 6.5865146
117R:R:Y146 6.3685145
118R:R:L148 4.7925428
119R:R:R155 7.588529
120R:R:Y156 7.50754258
121R:R:I189 3.76507
122R:R:F195 5.176505
123R:R:F223 6.835426
124R:R:F232 7.52754268
125R:R:Y243 9.208529
126R:R:M250 7.29254278
127R:R:V253 3.8406
128R:R:W259 5.928553
129R:R:Y276 11.554528
130R:R:F280 8.39429
131R:R:W284 9.554528
132R:R:M285 3.84254265
133R:R:F287 5.9375426
134R:R:V290 3.56404
135R:R:Y313 8.798527
136R:R:N315 11.195429
137R:R:Y323 11.5825429
138R:R:F330 6.65508
   

Color ConSurf Grade
      No Conservation data available
      1
      2
      3
      4
      5
      6
      7
      8
      9

Index: link id, click on each number to highlight the corresponding link in the 3D visualization.

Node1 Node2: the two nodes of the corresponding link.

Recurrence: the relative Recurrence in the pool of shortest paths.

Int. Strength: the interaction strength between the two nodes.

Hub1?, Hub2?: "Yes" if the corresponding node has more than 3 links, otherwise "No".

Community: the id of the community the link belong to, otherwise 0.

ConSurf1, ConSurf2: these columns report the ConSurf conservation grades of the two nodes involved in a link.

Index Node1 Node2 Recurrence Int. Strength Hub1? Hub2? Community ConSurf1 ConSurf2
1B:B:H54 B:B:W82 13.055113.75YesYes499
2B:B:H54 B:B:S74 12.13845.58YesNo099
3B:B:D76 B:B:S74 11.82978.83YesNo099
4B:B:M325 G:G:P49 25.83046.71YesNo057
5G:G:D48 G:G:P49 26.25394.83YesNo097
6G:G:D48 G:G:L51 26.95694.07YesYes096
7B:B:V40 G:G:L51 27.51682.98YesYes036
8B:B:L284 B:B:V40 29.29524.47NoYes1053
9B:B:L284 B:B:V296 29.58395.96NoYes055
10B:B:L286 B:B:V296 30.16045.96NoYes075
11B:B:L286 B:B:L318 30.21546.92NoNo1276
12B:B:C294 B:B:L318 31.25363.17NoNo1256
13B:B:C294 B:B:V315 31.37545.12NoNo1257
14B:B:T274 B:B:V315 31.66133.17NoNo087
15B:B:R314 B:B:T274 31.93245.17YesNo088
16B:B:R314 B:B:W332 18.00914.99YesYes189
17B:B:K57 B:B:W332 60.03818.57YesYes199
18B:B:K57 B:B:Q75 10018.98YesYes199
19A:A:D381 R:R:V253 77.11614.38YesYes086
20A:A:D381 R:R:W259 75.35677.82YesYes583
21R:R:K263 R:R:W259 84.8113.48NoYes023
22R:R:K263 R:R:Q260 84.934512.2NoNo021
23A:A:R342 R:R:Q260 85.05784.67YesNo041
24A:A:L346 A:A:R342 92.40114.86YesYes844
25A:A:L346 A:A:S349 92.38654.5YesYes847
26A:A:S349 A:A:W277 92.7698.65YesNo076
27A:A:H357 A:A:W277 93.768830.68NoNo076
28A:A:H357 A:A:R356 93.953311.28NoNo072
29A:A:R283 A:A:R356 94.332911.73NoNo032
30A:A:R280 A:A:R283 94.44533.2NoNo053
31A:A:R280 A:A:W281 82.05869NoYes155
32A:A:R280 B:B:D290 12.49867.15NoYes156
33B:B:D290 B:B:R314 15.28869.53YesYes168
34A:A:C237 B:B:Q75 48.20833.05NoYes189
35A:A:C237 B:B:M101 48.11664.86NoYes189
36B:B:M101 B:B:Y145 95.18663.59YesYes198
37B:B:Q75 B:B:Y59 48.20814.51YesNo198
38B:B:M101 B:B:Y59 48.11639.58YesNo198
39A:A:K233 B:B:Y145 84.77433.58YesYes198
40A:A:K233 B:B:D246 83.47634.15YesNo199
41A:A:N239 A:A:W281 41.37853.39NoYes185
42R:R:L151 R:R:R155 12.531313.36NoYes099
43R:R:R155 R:R:Y243 40.30937.2YesYes299
44R:R:S152 R:R:Y243 69.447311.45NoYes299
45R:R:C242 R:R:S152 70.75733.44NoNo079
46R:R:C242 R:R:Y156 71.31028.06NoYes078
47R:R:V160 R:R:Y156 71.69415.05NoYes2578
48R:R:K249 R:R:V160 71.99826.07NoNo067
49R:R:K249 R:R:V253 72.13543.04NoYes066
50B:B:D246 B:B:S227 83.28075.89NoNo096
51B:B:S227 B:B:S245 83.05963.26NoNo069
52B:B:H225 B:B:S245 81.95224.18YesNo099
53B:B:F253 B:B:H225 59.48124.53YesYes369
54B:B:F222 B:B:F253 23.045612.86YesYes386
55B:B:C271 B:B:D290 19.78866.22YesYes156
56B:B:C271 B:B:Y289 18.15014.03YesYes157
57B:B:W297 B:B:Y289 15.60685.79NoYes187
58B:B:W297 B:B:Y264 15.392511.58NoNo085
59B:B:M262 B:B:Y264 15.172910.78YesNo045
60B:B:L252 B:B:M262 12.37052.83NoYes074
61B:B:L70 B:B:W82 16.36194.56NoYes459
62B:B:L70 B:B:W63 16.64969.11NoYes457
63B:B:H225 B:B:T243 20.80598.21YesYes398
64B:B:I232 B:B:T243 20.57394.56YesYes388
65B:B:I232 B:B:V200 18.3834.61YesYes386
66B:B:L210 B:B:V200 33.38244.47YesYes356
67B:B:L198 B:B:L210 65.87185.54NoYes035
68B:B:D212 B:B:L198 63.91445.43YesNo093
69B:B:D212 B:B:E215 60.977110.39YesNo093
70B:B:E215 B:B:M217 59.99779.47NoNo033
71B:B:M217 G:G:M21 59.01824.33NoNo031
72G:G:M21 G:G:Q18 57.05884.08NoNo019
73B:B:C218 G:G:Q18 54.11124.58YesNo759
74B:B:C218 B:B:K209 18.69554.85YesYes756
75B:B:H183 B:B:K209 17.715318.34YesYes796
76B:B:H183 B:B:V187 21.65344.15YesYes799
77B:B:S160 B:B:V187 19.69894.85NoYes069
78B:B:L190 B:B:S160 17.72966.01NoNo056
79B:B:F241 B:B:F253 35.78768.57YesYes366
80B:B:F241 B:B:V200 18.405813.11YesYes366
81B:B:F222 B:B:Q220 17.03227.03YesNo387
82B:B:L210 B:B:Q220 16.78856.65YesNo357
83B:B:F241 B:B:L255 16.9254.87YesNo366
84B:B:L210 B:B:L255 16.68184.15YesNo356
85B:B:C218 B:B:W211 34.439213.06YesYes758
86B:B:H183 B:B:W211 17.72138.46YesYes798
87B:B:G162 B:B:Y145 11.32734.35NoYes198
88B:B:G162 B:B:S161 11.1013.71NoYes199
89B:B:F180 B:B:W211 13.785815.03YesYes778
90B:B:F180 B:B:T178 10.8475.19YesNo074
91R:R:R155 R:R:Y323 28.47066.17YesYes299
92R:R:L148 R:R:Y323 49.30445.86YesYes289
93R:R:F280 R:R:L148 47.62523.65YesYes298
94R:R:F280 R:R:W284 46.283619.04YesYes298
95L:L:?1 R:R:W284 45.32963.12YesYes208
96R:R:Y243 R:R:Y276 29.05629.93YesYes298
97R:R:Y276 R:R:Y323 27.966230.78YesYes289
98L:L:?1 R:R:L134 11.91264.74YesYes205
99B:B:M325 G:G:F61 10.70623.73YesYes958
100A:A:N239 B:B:K57 41.37474.2NoYes189
101A:A:W281 B:B:W332 42.22697.5YesYes159
102A:A:W281 B:B:D290 10.1226.7YesYes156
Download PSN data

2D representation of the global metapath, ligand(s) interactions and
histograms of path distribution according to several parameters
(click on the image to enlarge it 🔍):

A 2D representation of the global communication in the network.

ConSurf Conservation Grade (See documentation): 

 n/a   1    2    3    4    5    6    7    8    9  

Number of shortest communication paths as a function of the average residue correlation.

Number of shortest communication paths as a function of the average interaction strength of their links.

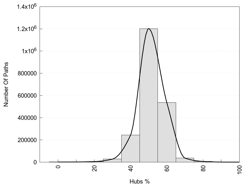
Number of shortest communication paths as a function of the % of hub nodes in each path.

Number of shortest communication paths as a function of the number of nodes in each path.

Number of shortest communication paths as a function of the % of correlated nodes in each path.


2D representation of the interactions of this orthosteric/allosteric ligand.


Links and nodes colored according to ConSurf Conservation Grade (See documentation): 

 n/a   1    2    3    4    5    6    7    8    9  

Node1 Node2 LinkStrength Comm IsNode1Hub? IsNode2Hub? Node1Cons Node2Cons Node1Shell Node2Shell
L:L:?1 R:R:L114 13.27 2 Yes No 0 6 0 1
L:L:?1 R:R:L134 4.74 2 Yes Yes 0 5 0 1
L:L:?1 R:R:D137 21.38 2 Yes No 0 6 0 1
L:L:?1 R:R:A138 3.24 2 Yes No 0 4 0 1
L:L:?1 R:R:M141 8.71 2 Yes No 0 7 0 1
L:L:?1 R:R:M210 4.84 2 Yes No 0 4 0 1
L:L:?1 R:R:F223 3.34 2 Yes Yes 0 6 0 1
L:L:?1 R:R:W284 3.12 2 Yes Yes 0 8 0 1
L:L:?1 R:R:F287 10.84 2 Yes Yes 0 6 0 1
L:L:?1 R:R:Q291 7.29 2 Yes No 0 6 0 1
L:L:?1 R:R:V309 5.1 2 Yes No 0 5 0 1
L:L:?1 R:R:Y313 23.29 2 Yes Yes 0 7 0 1
R:R:L114 R:R:Y65 3.52 0 No Yes 6 6 1 2
R:R:V309 R:R:Y65 6.31 2 No Yes 5 6 1 2
R:R:M108 R:R:Y313 3.59 0 No Yes 6 7 2 1
R:R:V111 R:R:Y313 7.57 2 No Yes 7 7 2 1
R:R:C130 R:R:L134 4.76 2 Yes Yes 9 5 2 1
R:R:C130 R:R:C208 7.28 2 Yes No 9 9 2 2
R:R:L134 R:R:S196 4.5 2 Yes No 5 5 1 2
R:R:C208 R:R:L134 3.17 2 No Yes 9 5 2 1
R:R:D137 R:R:Y313 5.75 2 No Yes 6 7 1 1
R:R:A138 R:R:I189 3.25 0 No Yes 4 7 1 2
R:R:M141 R:R:W284 6.98 2 No Yes 7 8 1 1
R:R:F223 R:R:I192 5.02 2 Yes No 6 5 1 2
R:R:F195 R:R:M210 3.73 0 Yes No 5 4 2 1
R:R:F223 R:R:M210 11.2 2 Yes No 6 4 1 1
R:R:L220 R:R:V295 8.94 0 No No 5 4 1 2
R:R:F223 R:R:T227 7.78 2 Yes No 6 5 1 2
R:R:T227 R:R:Y288 6.24 0 No No 5 7 2 2
R:R:F280 R:R:W284 19.04 2 Yes Yes 9 8 2 1
R:R:F280 R:R:N315 7.25 2 Yes Yes 9 9 2 2
R:R:N315 R:R:W284 15.82 2 Yes Yes 9 8 2 1
R:R:F287 R:R:Y288 3.09 2 Yes No 6 7 1 2
R:R:F287 R:R:Q291 5.86 2 Yes No 6 6 1 1
R:R:F287 R:R:S308 3.96 2 Yes No 6 6 1 2
R:R:V309 R:R:Y313 3.79 2 No Yes 5 7 1 1
R:R:G312 R:R:W284 2.81 0 No Yes 7 8 2 1
R:R:L211 R:R:N209 2.75 0 No No 4 5 2 1
L:L:?1 R:R:S110 2.06 2 Yes No 0 6 0 1
L:L:?1 R:R:L220 1.9 2 Yes No 0 5 0 1
L:L:?1 R:R:N209 1.88 2 Yes No 0 5 0 1
R:R:A216 R:R:L220 1.58 0 No No 3 5 2 1

Location and physicochemical properties of the interaction partners of this ligand

Interactions of this ligand

Similarities between the interactions of this ligand and those of other networks

ShowSimilarityNetwork TypeNameLigandDescription
61.90Single7T6TfMLFII7T6T-FPR1-ALX-fMLFII-Gi1/β1/γ2
61.11Single9V6ONalfurafine9V6O-κ-Nalfurafine-Gi1/β1/γ2
60.00Single7WKDTRH7WKD-TRH-TRH-chim(NtGi1-Gs-CtGq)/β1/γ2
58.82Single2YCWCarazolol2YCW-β1-Carazolol
58.82Single5D6LCarazolol5D6L-β2-Carazolol
58.82Single6PS6Timolol6PS6-β2-Timolol
55.56Single4DJHJDTic4DJH-κ-JDTic
55.56Single5A8E7-Methylcyanopindolol5A8E-β1-7-Methylcyanopindolol-Na
55.56Single5D5ACarazolol5D5A-β2-Carazolol
55.56Single5D5BCarazolol5D5B-β2-Carazolol
55.56Single6TQ7SB-3348676TQ7-OX1-SB-334867
55.56Single7U2LC5-guano7U2L-μ-C5-guano-Gi1/β1/γ2
55.56Single8DZPmomSalB8DZP-κ-momSalB-Gi1/β1/γ2
55.56Single9IK9Lanreotide9IK9-SST1-Lanreotide-Gi1/β1/γ2
55.56Consensusbeta1_offOrthosteric Ligand2VT4-β1-Cyanopindolol 2YCW-β1-Carazolol 2YCZ-β1-Iodocyanopindolol 5A8E-β1-7-Methylcyanopindolol-Na 3ZPQ-β1-PubChem 594590-Na 3ZPR-β1-PubChem 598754-Na
55.56Consensusclass-a_offOrthosteric Ligandsensory_off alicarboxylic_off amine_off lipid_off nucleotide_off peptide_off protein_off
55.56Consensuskop_offOrthosteric Ligand4DJH-κ-JDTic
53.33Single9U9VMETH9U9V-β2-METH-Gs/β1/γ2
52.94Single3NY8ICI118-5513NY8-β2-ICI118-551
52.94Single3NYAAlprenolol3NYA-β2-Alprenolol
52.94Single3ZPRPubChem 5987543ZPR-β1-PubChem 598754-Na
52.94Single4GBRCarazolol4GBR-β2-Carazolol
52.94Single6DRZMethysergide6DRZ-5-HT2B-Methysergide
52.94Single7UL4Alvimopan7UL4-μ-Alvimopan
52.94Single7VIES1P7VIE-S1P1-S1P-Gi1/β1/γ2
52.94Single8JJOAlprenolol8JJO-β2-Alprenolol
52.94Single8UH3Setiptiline8UH3-5-HT1E-Setiptiline-Gi1/β1/γ1
52.94Consensus5ht2b_offOrthosteric Ligand6DRZ-5-HT2B-Methysergide
52.94Consensusdopamine_offOrthosteric Ligandd2_off d3_off
52.63Single3D4STimolol3D4S-β2-Timolol
52.63Single4AMIBucindolol4AMI-β1-Bucindolol
52.63Single6H7OCyanopindolol6H7O-β1-Cyanopindolol
52.63Single7DFPSpiperone7DFP-D2-Spiperone
52.63Single7XW9TRH7XW9-TRH-TRH-chim(NtGi1L-Gs-CtGq)/β1/γ2
52.63Single7YITNalfurafine7YIT-κ-Nalfurafine
52.63Consensusmop_onOrthosteric Ligand8F7R-μ-Endomorphin-Gi1/β1/γ2 8EF5-μ-Fentanyl-Gi1/β1/γ2 7SCG-μ-FH210-Gi1/β1/γ2 7T2H-μ-Lofentanil-Gi1/β1/γ2 7T2G-μ-Mitragynine Pseudoindoxyl-Gi1/β1/γ2 8EF6-μ-Morphine-Gi1/β1/γ2 8EFB-μ-Oliceridine-Gi1/β1/γ2 7U2L-μ-C5-guano-Gi1/β1/γ2 8EFO-μ-PZM21-Gi1/β1/γ2 8EFL-μ-SR17018-Gi1/β1/γ2 8F7Q-μ-β-Endorphin-Gi1/β1/γ2 7U2K-μ-C6-guano-Gi1/β1/γ2 8EFQ-μ-DAMGO-Gi1/β1/γ2
52.63Consensusmop_on_gpOrthosteric Ligand8F7R-μ-Endomorphin-Gi1/β1/γ2 8EF5-μ-Fentanyl-Gi1/β1/γ2 7SCG-μ-FH210-Gi1/β1/γ2 7T2H-μ-Lofentanil-Gi1/β1/γ2 7T2G-μ-Mitragynine Pseudoindoxyl-Gi1/β1/γ2 8EF6-μ-Morphine-Gi1/β1/γ2 8EFB-μ-Oliceridine-Gi1/β1/γ2 7U2L-μ-C5-guano-Gi1/β1/γ2 8EFO-μ-PZM21-Gi1/β1/γ2 8EFL-μ-SR17018-Gi1/β1/γ2 8F7Q-μ-β-Endorphin-Gi1/β1/γ2 7U2K-μ-C6-guano-Gi1/β1/γ2 8EFQ-μ-DAMGO-Gi1/β1/γ2
52.63Consensusopioid_offOrthosteric Ligandmop_off nop_off dop_off kop_off
52.63Consensustrh_onOrthosteric Ligand7XW9-TRH-TRH-chim(NtGi1L-Gs-CtGq)/β1/γ2
52.63Consensustrh_on_gpOrthosteric Ligand7XW9-TRH-TRH-chim(NtGi1L-Gs-CtGq)/β1/γ2
52.38Single4AMJCarvedilol4AMJ-β1-Carvedilol
52.38Single7WVWfMYFINILTL7WVW-FPR2-ALX-fMYFINILTL-Gi2/β1/γ2
52.38Consensusclass-a_on_gpOrthosteric Ligandsensory_on_gp alicarboxylic_on_gp amine_on_gp lipid_on_gp nucleotide_on_gp peptide_on_gp protein_on_gp
52.38Consensusmop_offOrthosteric Ligand4DKL-μ-β-Funaltrexamine 8QOT-μ-Nanobody-E 7UL4-μ-Alvimopan
52.17Single8ZBISomatostatin-148ZBI-SST3-Somatostatin-14-Gi1/β1/γ2
52.00Single8ZH8QRFP268ZH8-QRFP-QRFP26-Gq/β1/γ1
50.00Single2RH1Carazolol2RH1-β2-Carazolol
50.00Single2YCZIodocyanopindolol2YCZ-β1-Iodocyanopindolol
50.00Single4BVNCyanopindolol4BVN-β1-Cyanopindolol-Na
50.00Single5X7DCarazolol5X7D-β2-Carazolol-PubChem 129318963
50.00Single5X93K-87945X93-ETB-K-8794
50.00Single5XPRBosentan5XPR-ETB-Bosentan
50.00Single6B73MP11046B73-κ-MP1104
50.00Single7C61Ergotamine7C61-5-HT1B-Ergotamine
50.00Single7LD4Adenosine7LD4-A1-Adenosine-Gi2/β1/γ2
50.00Single7W41PD1762527W41-BB2-PD176252
50.00Single7WVVfMLFII7WVV-FPR2-ALX-fMLFII-Gi2/β1/γ2
50.00Single7X1TTaltirelin7X1T-TRH-Taltirelin-chim(NtGi2L-Gs-CtGq)/β1/γ2
50.00Single7X1UTRH7X1U-TRH-TRH-chim(NtGi2L-Gs-CtGq)/β1/γ2
50.00Single7YM8Oxymetazoline7YM8-Alpha1A-Oxymetazoline-chim(Gs-CtGq)
50.00Single8DZQmomSalB8DZQ-κ-momSalB-Go/β1/γ2
50.00Single8DZRGR89,6968DZR-κ-GR89,696-chim(NtGi2-Gt3)/β1/γ2
50.00Single8E0GBU728E0G-μ-BU72
50.00Single8EFBOliceridine8EFB-μ-Oliceridine-Gi1/β1/γ2
50.00Single8EFOPZM218EFO-μ-PZM21-Gi1/β1/γ2
50.00Single8GGZConstrained Epinephrine8GGZ-β2-Constrained Epinephrine
50.00Single8S2TIsoprenaline8S2T-β1-Isoprenaline-chim(NtGi1-Gs)/β1/γ2
50.00Single8XGOTAK4488XGO-Kiss1-TAK448-chim(NtGi1-Gq)/β1/γ2
50.00Single8Y0HVUF114188Y0H-CXCR3-VUF11418
50.00Single8Y0NVUF114188Y0N-CXCR3-VUF11418-Go/β1/γ2
50.00Single9AS02-bromo-LSD9AS0-5-HT2A-2-bromo-LSD-chim(NtGi1-Gs-CtGq)/β1/γ2
50.00Single9AXFCa; Ca; Ca; Cyclomethyltryptophan; R-568; PO49AXF-CaS; CaS-Ca-Ca; Ca; Ca; Cyclomethyltryptophan; R-568; PO4-chim(NtGi1-Gs-CtGq)/β1/γ2
50.00Single9EE8Adenosine9EE8-A2A-Adenosine-Gs/β1/γ2
50.00Single9K07DSO-5a9K07-BB3-DSO-5a-chim(NtGi2L-Gs-CtGq)/β1/γ2
50.00Single9KUGEP679KUG-C5a1-EP67-Go/β1/γ2
50.00Single9MQJIsoquinuclidine9MQJ-μ-Isoquinuclidine
50.00Single9MQKIsoquinuclidine9MQK-κ-Isoquinuclidine
50.00Single9U81Tolvaptan9U81-V2-Tolvaptan
50.00Consensusa1_onOrthosteric Ligand7LD4-A1-Adenosine-Gi2/β1/γ2
50.00Consensusa1_on_gpOrthosteric Ligand7LD4-A1-Adenosine-Gi2/β1/γ2
50.00Consensusalpha2_offOrthosteric Ligandalpha2c_off
50.00Consensusamine_offOrthosteric Ligand5ht_off adrenergic_off dopamine_off histamine_off muscarinic_off
50.00Consensusamine_offonOrthosteric Ligandamine_off amine_on
50.00Consensusamine_offon_gpOrthosteric Ligandamine_on_gp amine_off
50.00Consensusamine_onOrthosteric Ligand5ht_on adrenergic_on dopamine_on histamine_on muscarinic_on trace-amine_on
50.00Consensusbb2_offOrthosteric Ligand7W41-BB2-PD176252
50.00Consensusbeta2_offOrthosteric Ligand2RH1-β2-Carazolol 6PS3-β2-Carvedilol 6PS5-β2-Propranolol 3D4S-β2-Timolol 3NY8-β2-ICI118-551 3NY9-β2-PubChem 913103 6PRZ-β2-Alprenolol
50.00Consensusbeta_offOrthosteric Ligandbeta1_off beta2_off
50.00Consensusbombesin_offOrthosteric Ligandbb2_off
50.00Consensusclass-a_onOrthosteric Ligandsensory_on alicarboxylic_on amine_on lipid_on nucleotide_on peptide_on protein_on
50.00Consensusd4_onOrthosteric Ligand8IRU-D4-Rotigotine-chim(NtGi1-Gs-CtGi1)/β1/γ2
50.00Consensusendothelin_offOrthosteric Ligandetb_off
50.00Consensusetb_offOrthosteric Ligand5X93-ETB-K-8794 5XPR-ETB-Bosentan 6K1Q-ETB-IRL2500
50.00Consensusgi_adrenergicOrthosteric Ligand7EJ0-α2a-Norepinephrine-Go/β1/γ2 7EJK-α2a-Oxymetazoline-Go/β1/γ2 7W7E-α2a-PubChem 164946676-Go/β1/γ2 7W6P-α2a-N-pyridin-4-ylisoquinolin-4-amine-Go/β1/γ2 7EJ8-α2a-Brimonidine-Go/β1/γ2 6K42-α2b-Dexmedetomidine-Gi1/β1/γ2 7EJA-α2a-Dexmedetomidine-Go/β1/γ2 7S0F-β1-Isoprenaline-Gi1/β1/γ2
47.83Single8XIQL7967788XIQ-SST3-L796778-chim(NtGi1-Gs-CtGi1)/β1/γ2
47.83Consensusgi_somatostatinOrthosteric Ligand7WIC-SST2-Somatostatin-14-Gi1/β1/γ2 7XMS-SST4-Somatostatin-14-Gi1/β1/γ2 8X8L-SST5-Cortistatin-14-chim(NtGi1-Gs-CtGi1)/β1/γ2 7XMT-SST4-J-2156-Gi1/β1/γ2 7WIG-SST2-L-054264-Gi1/β1/γ2 8X8N-SST5-Octreotide-chim(NtGi1-Gs-CtGi1)/β1/γ2 7YAE-SST2-Octreotide-Gi1/β1/γ2 7YAC-SST2-Paltusotine-Gi1/β1/γ2
47.83Consensussomatostatin_onOrthosteric Ligandsst2_on sst4_on sst5_on
47.83Consensussomatostatin_on_gpOrthosteric Ligandsst2_on_gp sst4_on_gp sst5_on_gp
47.62Single5ZTYAM102575ZTY-CB2-AM10257
47.62Single7XN9L-0545227XN9-SST2-L-054522
47.62Single8JLRA776368JLR-TA1-A77636-chim(NtGi1-Gs)/β1/γ2
47.62Single8Y72Peptide8Y72-μ-Peptide-BMS-986122-Gi1/β1/γ2
47.62Single9V2NMacimorelin9V2N-Ghrelin-Macimorelin-chim(NtGi1-Gs-CtGq)/β1/γ2
47.62Consensuscb2_offOrthosteric Ligand5ZTY-CB2-AM10257
47.37Single2YDVNECA2YDV-A2A-NECA
47.37Single4UHRCGS216804UHR-A2A-CGS21680
47.37Single5G53NECA5G53-A2A-NECA-Gs
47.37Single6GT3Imaradenant6GT3-A2A-Imaradenant-Na
47.37Single6H7JIsoprenaline6H7J-β1-Isoprenaline
47.37Single6J20Aprepitant6J20-NK1-Aprepitant
47.37Single6J21Aprepitant6J21-NK1-Aprepitant
47.37Single6KO5PubChem 574000026KO5-Ghrelin-PubChem 57400002
47.37Single6N48BI1671076N48-β2-BI167107-PubChem 138454256
47.37Single7B6WCyclazosin7B6W-α1b-Cyclazosin
47.37Single7EW7SEW28717EW7-S1P1-SEW2871-Gi1/β1/γ2
47.37Single7JJOIsoprenaline7JJO-β1-Isoprenaline-Gs/β1/γ2
47.37Single7T2HLofentanil7T2H-μ-Lofentanil-Gi1/β1/γ2
47.37Single7W6PN-pyridin-4-ylisoquinolin-4-amine7W6P-α2a-N-pyridin-4-ylisoquinolin-4-amine-Go/β1/γ2
47.37Single7W7EPubChem 1649466767W7E-α2a-PubChem 164946676-Go/β1/γ2
47.37Single8EF5Fentanyl8EF5-μ-Fentanyl-Gi1/β1/γ2
47.37Single8IRRRotigotine8IRR-D1-Rotigotine-Gs/β1/γ2
47.37Single8IRURotigotine8IRU-D4-Rotigotine-chim(NtGi1-Gs-CtGi1)/β1/γ2
47.37Single8IRVRotigotine8IRV-D5-Rotigotine-chim(NtGi1-Gs)/β1/γ2
47.37Single8T1VPubChem 1183102098T1V-GPR6-PubChem 118310209-Na
47.37Single8UGWCGS216808UGW-A2A-CGS21680
47.37Single8VVFJDTic8VVF-κ-JDTic-Gi1/β1/γ2
47.37Single8XIPPasireotide8XIP-SST1-Pasireotide-chim(NtGi1-Gs-CtGi1)/β1/γ2
47.37Single9BS9LSD9BS9-D2-LSD
47.37Single9BSBLSD9BSB-D2-LSD-chim(NtGi1-Go)/β1/γ2
47.37Single9KVPSB2901579KVP-C3aB-SB290157-Go/β1/γ2
47.37Single9PY3Loperamide9PY3-μ-Loperamide-GDPβS-Gi1/β1/γ2
47.37Single9PY4Loperamide9PY4-μ-Loperamide-GDPβS-Gi1/β1/γ2
47.37Consensusamine_on_gpOrthosteric Ligand5ht_on_gp adrenergic_on_gp dopamine_on_gp histamine_on_gp muscarinic_on_gp trace-amine_on_gp
47.37Consensusd1_on_gpOrthosteric Ligand7F0T-D1-Dopamine-Gs/β1/γ2 7CKY-D1-PW0464-Gs/β1/γ2 8IRR-D1-Rotigotine-Gs/β1/γ2 7JV5-D1-SKF81297-Gs/β1/γ2 7JVP-D1-SKF83959-Gs/β1/γ2 7X2D-D1-Tavapadon-Gs/β1/γ2 7CKX-D1-A77636-Gs/β1/γ2 7JVQ-D1-Apomorphine-Gs/β1/γ2 7CKW-D1-Fenoldopam-Gs/β1/γ2
47.37Consensusd4_on_gpOrthosteric Ligand8IRU-D4-Rotigotine-chim(NtGi1-Gs-CtGi1)/β1/γ2
47.37Consensusd5_on_gpOrthosteric Ligand8IRV-D5-Rotigotine-chim(NtGi1-Gs)/β1/γ2
47.37Consensusgi_dopamineOrthosteric Ligand7JVR-D2-Bromoergocryptine-Gi1/β1/γ2 7CMV-D3-PD128907-Gi1/β1/γ2 7CMU-D3-Pramipexole-Gi1/β1/γ2 8IRS-D2-Rotigotine-Gi1/β1/γ2 8IRT-D3-Rotigotine-Gi1/β1/γ2
47.37Consensusgs_dopamineOrthosteric Ligand7F0T-D1-Dopamine-Gs/β1/γ2 7CKW-D1-Fenoldopam-Gs/β1/γ2 7CKY-D1-PW0464-Gs/β1/γ2 8IRV-D5-Rotigotine-chim(NtGi1-Gs)/β1/γ2 8IRR-D1-Rotigotine-Gs/β1/γ2 7JV5-D1-SKF81297-Gs/β1/γ2 7JVP-D1-SKF83959-Gs/β1/γ2 7X2D-D1-Tavapadon-Gs/β1/γ2 7CKX-D1-A77636-Gs/β1/γ2 7JVQ-D1-Apomorphine-Gs/β1/γ2
47.06Single2YDOAdenosine2YDO-A2A-Adenosine
47.06Single4LDOEpinephrine4LDO-β2-Epinephrine
47.06Single4MBSMaraviroc4MBS-CCR5-Maraviroc
47.06Single4ZJCSB-6740424ZJC-OX1-SB-674042
47.06Single6K41Dexmedetomidine6K41-α2b-Dexmedetomidine-Go/β1/γ2
47.06Single6PS0Carazolol6PS0-β2-Carazolol
47.06Single6PS4ICI118-5516PS4-β2-ICI118-551
47.06Single6TPGEMPA6TPG-OX2-EMPA
47.06Single6V9SGTPL114036V9S-OX1-GTPL11403
47.06Single7EJADexmedetomidine7EJA-α2a-Dexmedetomidine-Go/β1/γ2
47.06Single7SR8TAK-9257SR8-OX2-TAK-925-chim(NtGi1L-Gs-CtGq)/β1/γ2
47.06Single8GGQConstrained Epinephrine8GGQ-β2-Constrained Epinephrine
47.06Single8GGXConstrained Epinephrine8GGX-β2-Constrained Epinephrine
47.06Single8IY9Niacin8IY9-HCA2-Niacin-Go/β1/γ2
47.06Single8JIMMonomethyl fumarate8JIM-HCA2-Monomethyl fumarate-Gi1/β1/γ2
47.06Single8JLNT1AM8JLN-TA1-T1AM-Gs/β1/γ2
47.06Single8K9KDAMGO8K9K-μ-DAMGO-Gi3/β1/γ1
47.06Single8THLEpinephrine8THL-Alpha1A-Epinephrine-chim(NtGi2L-Gs-CtGq)/β1/γ2
47.06Single8UO0Constrained Epinephrine8UO0-β2-Constrained Epinephrine-GTP-Gs/β1/γ2
47.06Single8W88SEP-3638568W88-TA1-SEP-363856-Gs/β1/γ2
47.06Single8YH2Adenosine8YH2-A3A-Adenosine-Gi1/β1/γ2
47.06Single9AS5Mescaline9AS5-5-HT2A-Mescaline
47.06Single9AS6Mescaline9AS6-5-HT2A-Mescaline-chim(NtGi1-Gs-CtGq)/β1/γ2
47.06Single9MQIIsoquinuclidine9MQI-μ-Isoquinuclidine
47.06Single9ODJMitragynine Pseudoindoxyl9ODJ-μ-Mitragynine Pseudoindoxyl-GTP; Mg-Gi1/β1/γ2
47.06Single9VNFPindolol9VNF-5-HT1A-Pindolol-Go/β1/γ2
47.06Consensusalpha1_onOrthosteric Ligandalpha1a_on
47.06Consensusalpha1_on_gpOrthosteric Ligandalpha1a_on_gp
47.06Consensusalpha1a_onOrthosteric Ligand7EJ0-α2a-Norepinephrine-Go/β1/γ2 7EJ8-α2a-Brimonidine-Go/β1/γ2 7EJA-α2a-Dexmedetomidine-Go/β1/γ2 7EJK-α2a-Oxymetazoline-Go/β1/γ2 7W6P-α2a-N-pyridin-4-ylisoquinolin-4-amine-Go/β1/γ2 7W7E-α2a-PubChem 164946676-Go/β1/γ2
47.06Consensusalpha1a_on_gpOrthosteric Ligand7EJ0-α2a-Norepinephrine-Go/β1/γ2 7EJ8-α2a-Brimonidine-Go/β1/γ2 7EJA-α2a-Dexmedetomidine-Go/β1/γ2 7EJK-α2a-Oxymetazoline-Go/β1/γ2 7W6P-α2a-N-pyridin-4-ylisoquinolin-4-amine-Go/β1/γ2 7W7E-α2a-PubChem 164946676-Go/β1/γ2
47.06Consensushca_onOrthosteric Ligandhca2_on
46.67Consensus5ht2_onOrthosteric Ligand5ht2b_on
46.67Consensus5ht2b_onOrthosteric Ligand7SRR-5-HT2B-LSD-chim(NtGi2L-Gs-CtGq)/β1/γ2
45.83Single7DW9AVP7DW9-V2-AVP-chim(NtGi1-Gs)/β1/γ2
45.83Consensusgi_class-aOrthosteric Ligandgi_peptide gi_sensory gi_alicarboxylic gi_amine gi_lipid gi_nucleotide gi_protein
45.83Consensusgs_vasop-oxyOrthosteric Ligand7DW9-V2-AVP-chim(NtGi1-Gs)/β1/γ2
45.83Consensusv2_onOrthosteric Ligand7DW9-V2-AVP-chim(NtGi1-Gs)/β1/γ2
45.83Consensusv2_on_gpOrthosteric Ligand7DW9-V2-AVP-chim(NtGi1-Gs)/β1/γ2
45.83Consensusvasop-oxy_onOrthosteric Ligandv2_on
45.83Consensusvasop-oxy_on_gpOrthosteric Ligandv2_on_gp
45.45Single7W0PElabela7W0P-Apelin-Elabela-Gi1/β1/γ2
45.45Single8PKMBefiradol8PKM-5-HT1A-Befiradol-Gi1/β1/γ1
45.45Single8WDTphotoNECA8WDT-A2A-photoNECA
45.45Single8ZBJSomatostatin-148ZBJ-SST5-Somatostatin-14-Gi1/β1/γ2
45.45Single8ZSPLSD8ZSP-TA1-LSD-chim(NtGi1L-Gs)/β1/γ2
45.45Single9M4TSilodosin9M4T-Alpha1A-Silodosin
45.45Consensusgi_opioidOrthosteric Ligand8F7R-μ-Endomorphin-Gi1/β1/γ2 8EF5-μ-Fentanyl-Gi1/β1/γ2 7SCG-μ-FH210-Gi1/β1/γ2 7T2H-μ-Lofentanil-Gi1/β1/γ2 7T2G-μ-Mitragynine Pseudoindoxyl-Gi1/β1/γ2 8DZP-κ-momSalB-Gi1/β1/γ2 8EF6-μ-Morphine-Gi1/β1/γ2 8F7X-NOP-Nociceptin-Gi1/β1/γ2 8EFB-μ-Oliceridine-Gi1/β1/γ2 7U2L-μ-C5-guano-Gi1/β1/γ2 8EFO-μ-PZM21-Gi1/β1/γ2 8EFL-μ-SR17018-Gi1/β1/γ2 8F7Q-μ-β-Endorphin-Gi1/β1/γ2 7U2K-μ-C6-guano-Gi1/β1/γ2 8EFQ-μ-DAMGO-Gi1/β1/γ2 8F7S-δ-Deltorphin-Gi1/β1/γ2 8F7W-κ-Dynorphin-Gi1/β1/γ2
45.00Single4LDEBI1671074LDE-β2-BI167107
45.00Single4RWADIPP-NH24RWA-δ-DIPP-NH2
45.00Single5F8UCyanopindolol5F8U-β1-Cyanopindolol
45.00Single5UNHPubChem 1264564065UNH-AT2-PubChem 126456406
45.00Single6A93Risperidone6A93-5-HT2A-Risperidone
45.00Single6DRYMethylergometrine6DRY-5-HT2B-Methylergometrine
45.00Single6VMSBromoergocryptine6VMS-D2-Bromoergocryptine-Gi1/β1/γ2
45.00Single6ZG4HTL00099366ZG4-M1-HTL0009936
45.00Single7JNIOlodanrigan7JNI-AT2-Olodanrigan
45.00Single7K15MKD0467K15-BLT1-MKD046-Na
45.00Single7L1VPubChem 1554910097L1V-OX2-PubChem 155491009-chim(NtGi1-Gs-CtGq)/β1/γ2
45.00Single7W0LPubChem 1227019087W0L-Apelin; Apelin-PubChem 122701908-Gi1/β1/γ2
45.00Single7WCNAR2314537WCN-GPR119-AR231453-Gs/β1/γ2
45.00Single7XMTJ-21567XMT-SST4-J-2156-Gi1/β1/γ2
45.00Single8FYE4-F,5-MeO-PyrT8FYE-5-HT1A-4-F,5-MeO-PyrT-PtdIns4P-Gi1/β1/γ1
45.00Single8FYTLSD8FYT-5-HT1A-LSD-PtdIns4P-Gi1/β1/γ1
45.00Single8IA8E7 peptide8IA8-C3aB-E7 peptide-Gi1/β1/γ2
45.00Single8IRSRotigotine8IRS-D2-Rotigotine-Gi1/β1/γ2
45.00Single9EBIPiclidenoson9EBI-A3A-Piclidenoson-chim(NtGi1L-Gs-CtGi1)/β1/γ2
45.00Single9GL2Befiradol9GL2-5-HT1A-Befiradol-Gs/β1/γ2
45.00Single9KVG5-MeO-DMT9KVG-5-HT1A-5-MeO-DMT-PtdIns4P-Gi1/β1/γ2
45.00Single9MQLIsoquinuclidine9MQL-κ-Isoquinuclidine
45.00Single9VJ6F-155999VJ6-5-HT1A-F-15599-Gi3/β1/γ2
45.00Single9WSVDAMGO9WSV-μ-DAMGO-Arrestin2
45.00Consensusd2_on_gpOrthosteric Ligand7JVR-D2-Bromoergocryptine-Gi1/β1/γ2 8IRS-D2-Rotigotine-Gi1/β1/γ2
45.00Consensusleukotriene_offOrthosteric Ligandblt_off cyslt_off
45.00Consensusnk1_offOrthosteric Ligand6HLP-NK1-Netupitant 6HLO-NK1-Aprepitant 6HLL-NK1-CP99994 6E59-NK1-L-760735
45.00Consensuss1p1_onOrthosteric Ligand7VIE-S1P1-S1P-Gi1/β1/γ2 7VIF-S1P1-FTY720-P-Gi1/β1/γ2 7VIG-S1P1-CBP-307-Gi1/β1/γ2 7EVY-S1P1-Siponimod-Gi1/β1/γ2 7EVZ-S1P1-Cenerimod-Gi1/β1/γ2 7EW0-S1P1-Ozanimod-Gi1/β1/γ2 7EW7-S1P1-SEW2871-Gi1/β1/γ2
45.00Consensuss1p1_on_gpOrthosteric Ligand7VIE-S1P1-S1P-Gi1/β1/γ2 7VIF-S1P1-FTY720-P-Gi1/β1/γ2 7VIG-S1P1-CBP-307-Gi1/β1/γ2 7EVY-S1P1-Siponimod-Gi1/β1/γ2 7EVZ-S1P1-Cenerimod-Gi1/β1/γ2 7EW0-S1P1-Ozanimod-Gi1/β1/γ2 7EW7-S1P1-SEW2871-Gi1/β1/γ2
44.44Single2VT4Cyanopindolol2VT4-β1-Cyanopindolol
44.44Single2Y04Salbutamol2Y04-β1-Salbutamol
44.44Single3ZPQPubChem 5945903ZPQ-β1-PubChem 594590-Na
44.44Single4EA3PubChem 102965614EA3-NOP-PubChem 10296561
44.44Single4EJ4Naltrindole4EJ4-δ-Naltrindole
44.44Single5OLZPubChem 1355666095OLZ-A2A-PubChem 135566609-Na
44.44Single5OM1PubChem 1355666095OM1-A2A-PubChem 135566609-Na
44.44Single6DRXLisuride6DRX-5-HT2B-Lisuride
44.44Single6K42Dexmedetomidine6K42-α2b-Dexmedetomidine-Gi1/β1/γ2
44.44Single6PS1Timolol6PS1-β2-Timolol
44.44Single6PS2Alprenolol6PS2-β2-Alprenolol
44.44Single6TOTLemborexant6TOT-OX1-Lemborexant
44.44Single7BTSEpinephrine7BTS-β1-Epinephrine
44.44Single7BU6Norepinephrine7BU6-β1-Norepinephrine
44.44Single7E32Serotonin7E32-5-HT1D-Serotonin-Gi1/β1/γ2
44.44Single7S0GIsoprenaline7S0G-β1-Isoprenaline-chim(Gi1-CtGs)/β1/γ2
44.44Single7T2GMitragynine Pseudoindoxyl7T2G-μ-Mitragynine Pseudoindoxyl-Gi1/β1/γ2
44.44Single7T6VfMLFII7T6V-FPR2-ALX-fMLFII-Gi1/β1/γ2
44.44Single7YACPaltusotine7YAC-SST2-Paltusotine-Gi1/β1/γ2
44.44Single8DZSGR89,6968DZS-κ-GR89,696-chim(NtGi2-Gz)/β1/γ2
44.44Single8GE2Constrained Epinephrine8GE2-β2-Constrained Epinephrine-Gs/β1/γ1
44.44Single8GE3Constrained Epinephrine8GE3-β2-Constrained Epinephrine-Gs/β1/γ2
44.44Single8GECConstrained Epinephrine8GEC-β2-Constrained Epinephrine-Gs/β1/γ2
44.44Single8GEEConstrained Epinephrine8GEE-β2-Constrained Epinephrine-Gs/β1/γ2
44.44Single8GEHConstrained Epinephrine8GEH-β2-Constrained Epinephrine-Gs/β1/γ2
44.44Single8GFVConstrained Epinephrine8GFV-β2-Constrained Epinephrine-GTP-Gs/β1/γ2
44.44Single8GFWConstrained Epinephrine8GFW-β2-Constrained Epinephrine-GTP-Gs/β1/γ2
44.44Single8GFXConstrained Epinephrine8GFX-β2-Constrained Epinephrine-GTP-Gs/β1/γ2
44.44Single8GFZConstrained Epinephrine8GFZ-β2-Constrained Epinephrine-GTP-Gs/β1/γ2
44.44Single8GG0Constrained Epinephrine8GG0-β2-Constrained Epinephrine-GTP-Gs/β1/γ2
44.44Single8GG1Constrained Epinephrine8GG1-β2-Constrained Epinephrine-GTP-Gs/β1/γ2
44.44Single8GG3Constrained Epinephrine8GG3-β2-Constrained Epinephrine-GTP-Gs/β1/γ2
44.44Single8GG4Constrained Epinephrine8GG4-β2-Constrained Epinephrine-GTP-Gs/β1/γ2
44.44Single8GG6Constrained Epinephrine8GG6-β2-Constrained Epinephrine-GTP-Gs/β1/γ2
44.44Single8GG9Constrained Epinephrine8GG9-β2-Constrained Epinephrine-GTP-Gs/β1/γ2
44.44Single8GGIConstrained Epinephrine8GGI-β2-Constrained Epinephrine
44.44Single8GGJConstrained Epinephrine8GGJ-β2-Constrained Epinephrine
44.44Single8GGKConstrained Epinephrine8GGK-β2-Constrained Epinephrine
44.44Single8GGNConstrained Epinephrine8GGN-β2-Constrained Epinephrine
44.44Single8GGOConstrained Epinephrine8GGO-β2-Constrained Epinephrine
44.44Single8GGUConstrained Epinephrine8GGU-β2-Constrained Epinephrine
44.44Single8J6PNiacin8J6P-HCA2-Niacin-PubChem 25101223-Gi1/β1/γ2
44.44Single8JIINiacin8JII-HCA2-Niacin-PubChem 25101223-Gi1/β1/γ2
44.44Single8K5DGSK2560738K5D-HCA2-GSK256073
44.44Single8UGYMianserin8UGY-5-HT1E-Mianserin-Gi1/β1/γ1
44.44Single8UNQConstrained Epinephrine8UNQ-β2-Constrained Epinephrine-GTP-Gs/β1/γ2
44.44Single8UNVConstrained Epinephrine8UNV-β2-Constrained Epinephrine-GTP-Gs/β1/γ2
44.44Single8UNYConstrained Epinephrine8UNY-β2-Constrained Epinephrine-GTP-Gs/β1/γ2
44.44Single8UNZConstrained Epinephrine8UNZ-β2-Constrained Epinephrine-GTP-Gs/β1/γ2
44.44Single8UO2Constrained Epinephrine8UO2-β2-Constrained Epinephrine-GTP-Gs/β1/γ2
44.44Single8VVGGB188VVG-κ-GB18-Gi1/β1/γ2
44.44Single8W8ARO52563908W8A-TA1-RO5256390-chim(NtGi1L-Gs)/β1/γ2
44.44Single8WWNMCH8WWN-MCH1-MCH-Gi1/β1/γ2
44.44Single8X17Namodenoson8X17-A3A-Namodenoson-Gi1/β1/γ2
44.44Single8XVKAmbrisentan8XVK-ETA-Ambrisentan
44.44Single8Y71A1D6F8Y71-δ-A1D6F-BMS986187-Gi1/β1/γ2
44.44Single8ZSSRO52633978ZSS-TA1-RO5263397-chim(NtGi1-Gs)/β1/γ2
44.44Single9CBMDexmedetomidine9CBM-α2a-Dexmedetomidine-Gi1/β1/γ2
44.44Single9CHXCarazolol9CHX-β2-Carazolol
44.44Single9D61JDTic9D61-κ-JDTic-Gi1/β1/γ2
44.44Single9JGKBalovaptan9JGK-5-HT2B-Balovaptan
44.44Single9PLNPubChem 1682595949PLN-α2a-PubChem 168259594
44.44Single9PLOPubChem 1682595949PLO-α2a-PubChem 168259594-Go/β1/γ2
44.44Single9VMYTMU41429VMY-5-HT1A-TMU4142-Go/β1/γ2
44.44Consensus5ht1d_onOrthosteric Ligand7E32-5-HT1D-Serotonin-Gi1/β1/γ2
44.44Consensus5ht1d_on_gpOrthosteric Ligand7E32-5-HT1D-Serotonin-Gi1/β1/γ2
44.44Consensusadenosine_on_gpOrthosteric Liganda1_on_gp a2_on_gp a3_on_gp
44.44Consensusadrenergic_onOrthosteric Ligandalpha_on beta_on
44.44Consensusalicarboxylic_on_gpOrthosteric Ligandsuccinate_on_gp hca_on_gp
44.44Consensusalpha2_onOrthosteric Ligandalpha2b_on
44.44Consensusalpha2_on_gpOrthosteric Ligandalpha2b_on_gp
44.44Consensusalpha2b_onOrthosteric Ligand6K42-α2b-Dexmedetomidine-Gi1/β1/γ2
44.44Consensusalpha2b_on_gpOrthosteric Ligand6K42-α2b-Dexmedetomidine-Gi1/β1/γ2
44.44Consensusalpha_onOrthosteric Ligandalpha1_on alpha2_on
44.44Consensusdop_offOrthosteric Ligand4EJ4-δ-Naltrindole
44.44Consensusdopamine_onOrthosteric Ligandd2_on d1_on d3_on d4_on d5_on
44.44Consensusdopamine_on_gpOrthosteric Ligandd2_on_gp d1_on_gp d3_on_gp d4_on_gp d5_on_gp
44.44Consensusgi_alicarboxylicOrthosteric Ligandgi_hca gi_succinate
44.44Consensusgi_hcaOrthosteric Ligand8J6R-HCA2-MK6892-Gi1/β1/γ2 8JIM-HCA2-Monomethyl fumarate-Gi1/β1/γ2 8IHI-HCA2-Acifran-Gi1/β1/γ2 8IHH-HCA2-LUF6283-Gi1/β1/γ2 8I7V-HCA2-Acipimox-Gi1/β1/γ2 8I7W-HCA2-GSK256073-Gi1/β1/γ2
44.44Consensushca2_onOrthosteric Ligand8J6R-HCA2-MK6892-Gi1/β1/γ2 8JIM-HCA2-Monomethyl fumarate-Gi1/β1/γ2 8I7V-HCA2-Acipimox-Gi1/β1/γ2 8I7W-HCA2-GSK256073-Gi1/β1/γ2 8IHH-HCA2-LUF6283-Gi1/β1/γ2 8IHI-HCA2-Acifran-Gi1/β1/γ2
44.44Consensushca2_on_gpOrthosteric Ligand8J6R-HCA2-MK6892-Gi1/β1/γ2 8IHI-HCA2-Acifran-Gi1/β1/γ2 8IHH-HCA2-LUF6283-Gi1/β1/γ2 8I7V-HCA2-Acipimox-Gi1/β1/γ2 8JIM-HCA2-Monomethyl fumarate-Gi1/β1/γ2 8I7W-HCA2-GSK256073-Gi1/β1/γ2
44.44Consensushca_on_gpOrthosteric Ligandhca2_on_gp
44.00Single8WWKMCH8WWK-MCH1-MCH-Gi1/β1/γ2
44.00Single8ZPSPrRP208ZPS-PrRP-PrRP20-chim(NtGi1-Gs-CtGi1)/β1/γ2
43.75Single9IQTNiacin9IQT-HCA2-Niacin-Gi1/β1/γ2
43.75Single9L42Histamine9L42-H4-Histamine-Gi1/β1/γ2
43.48Single3QAKUK-4320973QAK-A2A-UK-432097
43.48Single7XMSSomatostatin-147XMS-SST4-Somatostatin-14-Gi1/β1/γ2
43.48Single9IK8Pasireotide9IK8-SST1-Pasireotide-Gi1/β1/γ2
43.48Consensusgq_class-aOrthosteric Ligandgq_peptide gq_amine gq_nucleotide
42.86Single5TUDErgotamine5TUD-5-HT2B-Ergotamine
42.86Single5UNGPubChem 157800525UNG-AT2-PubChem 15780052
42.86Single6IBLArformoterol6IBL-β1-Arformoterol
42.86Single6TKOArformoterol6TKO-β1-Arformoterol-Arrestin2
42.86Single7EZCUK-4320977EZC-A2A-UK-432097
42.86Single7SK7CCX6627SK7-ACKR3-CXCL12-CCX662
42.86Single7U2KC6-guano7U2K-μ-C6-guano-Gi1/β1/γ2
42.86Single7X2DTavapadon7X2D-D1-Tavapadon-Gs/β1/γ2
42.86Single7XZ6APD6687XZ6-GPR119-APD668-Gs/β1/γ2
42.86Single7Y65C5a (C-terminal peptide)7Y65-C5a1-C5a (C-terminal peptide)-Gi1/β1/γ2
42.86Single8I95EP548I95-C3aB-EP54-Go/β1/γ2
42.86Single8XGSKisspeptin-18XGS-Kiss1-Kisspeptin-1-chim(NtGi1-Gq)/β1/γ2
42.86Single9DYEBuspirone9DYE-5-HT1A-Buspirone-PtdIns4P-Go/β1/γ2
42.86Single9L79AR2314539L79-GPR119-AR231453-chim(NtGi1-Gs)/β1/γ2
42.86Single9WP9S1P9WP9-S1P3-S1P-chim(NtGi2L-Gs-CtGq)/β1/γ2
42.86Consensusbb2_onOrthosteric Ligand7W40-BB2-Bombesin-chim(NtGi1L-Gq)/β1/γ2 7W3Z-BB2-Gastrin Releasing Peptide-chim(NtGi1L-Gq)/β1/γ2
42.86Consensusbb2_on_gpOrthosteric Ligand7W40-BB2-Bombesin-chim(NtGi1L-Gq)/β1/γ2 7W3Z-BB2-Gastrin Releasing Peptide-chim(NtGi1L-Gq)/β1/γ2
42.86Consensusbombesin_onOrthosteric Ligandbb2_on
42.86Consensusbombesin_on_gpOrthosteric Ligandbb2_on_gp
42.86Consensusd2_offOrthosteric Ligand6CM4-D2-Risperidone 6LUQ-D2-Haloperidol 7DFP-D2-Spiperone
42.86Consensusgi_s1pOrthosteric Ligand7VIE-S1P1-S1P-Gi1/β1/γ2 7EW3-S1P3-S1P-Gi1/β1/γ2 7EVY-S1P1-Siponimod-Gi1/β1/γ2 7EW1-S1P5-Siponimod-Gi1/β1/γ2 7VIF-S1P1-FTY720-P-Gi1/β1/γ2 7VIG-S1P1-CBP-307-Gi1/β1/γ2 7EVZ-S1P1-Cenerimod-Gi1/β1/γ2 7EW4-S1P3-CYM-5541-Gi1/β1/γ2 7EW2-S1P3-FTY720-P-Gi1/β1/γ2 7EW0-S1P1-Ozanimod-Gi1/β1/γ2 7EW7-S1P1-SEW2871-Gi1/β1/γ2
42.86Consensusgq_bombesinOrthosteric Ligand7W40-BB2-Bombesin-chim(NtGi1L-Gq)/β1/γ2 7W3Z-BB2-Gastrin Releasing Peptide-chim(NtGi1L-Gq)/β1/γ2
42.86Consensuskop_on_gpOrthosteric Ligand8F7W-κ-Dynorphin-Gi1/β1/γ2 8DZS-κ-GR89,696-chim(NtGi2-Gz)/β1/γ2 8DZP-κ-momSalB-Gi1/β1/γ2
42.86Consensuspeptide_offOrthosteric Ligandcck_off angiotensin_off bombesin_off endothelin_off ghrelin_off npy_off opioid_off orexin_off somatostatin_off tachykinin_off vasop-oxy_off neurotensin_off
42.11Single2Y03Isoprenaline2Y03-β1-Isoprenaline
42.11Single4RWDDIPP-NH24RWD-δ-DIPP-NH2-Na
42.11Single4ZJ8Suvorexant4ZJ8-OX1-Suvorexant
42.11Single5C1MBU725C1M-μ-BU72
42.11Single5JQHCarazolol5JQH-β2-Carazolol
42.11Single5OM4PubChem 1355666095OM4-A2A-PubChem 135566609-Na
42.11Single5TVNLSD5TVN-5-HT2B-LSD
42.11Single5WQCEMPA5WQC-OX2-EMPA
42.11Single6KUWPubChem 572132346KUW-α2c-PubChem 57213234
42.11Single6ME62-Phenylmelatonin6ME6-MT2-2-Phenylmelatonin
42.11Single6ME72-Phenylmelatonin6ME7-MT2-2-Phenylmelatonin
42.11Single6PS3Carvedilol6PS3-β2-Carvedilol
42.11Single6TO7Suvorexant6TO7-OX1-Suvorexant-Na
42.11Single6TP6Filorexant6TP6-OX1-Filorexant
42.11Single7BVQCarazolol7BVQ-β1-Carazolol
42.11Single7LD3Adenosine7LD3-A1-Adenosine-MIPS521-Gi2/β1/γ2
42.11Single7S0FIsoprenaline7S0F-β1-Isoprenaline-Gi1/β1/γ2
42.11Single7SBFPZM217SBF-μ-PZM21-Gi1/β1/γ2
42.11Single7SINNPS-21437SIN-CaS; CaS-NPS-2143
42.11Single7SINNPS-21437SIN-CaS; CaS-NPS-2143
42.11Single7WIGL-0542647WIG-SST2-L-054264-Gi1/β1/γ2
42.11Single7XK9Constrained Isoproterenol7XK9-β2-Constrained Isoproterenol-Na
42.11Single7XKAConstrained Epinephrine7XKA-β2-Constrained Epinephrine
42.11Single8C9WEtrumadenant8C9W-A2A-Etrumadenant
42.11Single8GDZConstrained Epinephrine8GDZ-β2-Constrained Epinephrine-Gs/β1/γ2
42.11Single8GEBConstrained Epinephrine8GEB-β2-Constrained Epinephrine-Gs/β1/γ2
42.11Single8GEGConstrained Epinephrine8GEG-β2-Constrained Epinephrine-Gs/β1/γ2
42.11Single8GFYConstrained Epinephrine8GFY-β2-Constrained Epinephrine-GTP-Gs/β1/γ2
42.11Single8GG2Constrained Epinephrine8GG2-β2-Constrained Epinephrine-GTP-Gs/β1/γ2
42.11Single8GGBConstrained Epinephrine8GGB-β2-Constrained Epinephrine-GTP-Gs/β1/γ2
42.11Single8I7WGSK2560738I7W-HCA2-GSK256073-Gi1/β1/γ2
42.11Single8J6JGSK2560738J6J-HCA2-GSK256073-Gi1/β1/γ2
42.11Single8UNNConstrained Epinephrine8UNN-β2-Constrained Epinephrine-GTP-Gs/β1/γ2
42.11Single8UNPConstrained Epinephrine8UNP-β2-Constrained Epinephrine-GTP-Gs/β1/γ2
42.11Single8UUJFCH-22964138UUJ-HCA2-FCH-2296413-Gi1/β1/γ2
42.11Single8YH0NECA8YH0-A3A-NECA-Gi1/β1/γ2
42.11Single8ZRKGSK12922638ZRK-GPR119-GSK1292263-Gs/β1/γ2
42.11Single9AVLCa; Ca; Cyclomethyltryptophan; R-568; PO49AVL-CaS; CaS-Ca-Ca; Ca; Cyclomethyltryptophan; R-568; PO4-Gi3/β2/γ2
42.11Single9CIBFCH-22964139CIB-HCA2-FCH-2296413
42.11Single9HAPTolvaptan9HAP-V2-Tolvaptan
42.11Single9I52A1IZU9I52-D1-A1IZU-Gs/β1/γ2
42.11Single9L74S1P d16:19L74-S1P3-S1P d16:1-chim(NtGi2L-Gs-CtGq)/β1/γ2
42.11Single9PXYNaloxone9PXY-μ-Naloxone-GDPβS-Gi1/β1/γ2
42.11Consensus5ht1_onOrthosteric Ligand5ht1a_on 5ht1d_on 5ht1e_on 5ht1f_on
42.11Consensus5ht1_on_gpOrthosteric Ligand5ht1a_on_gp 5ht1d_on_gp 5ht1e_on_gp 5ht1f_on_gp
42.11Consensus5ht1e_on_gpOrthosteric Ligand7E33-5-HT1E-BRL-54443-Gi1/β1/γ2 8UGY-5-HT1E-Mianserin-Gi1/β1/γ1 8UH3-5-HT1E-Setiptiline-Gi1/β1/γ1
42.11Consensus5ht2_offOrthosteric Ligand5ht2a_off 5ht2b_off 5ht2c_off
42.11Consensus5ht5_on_gpOrthosteric Ligand5ht5a_on_gp
42.11Consensus5ht5a_on_gpOrthosteric Ligand7X5H-5-HT5A-5-CT-Gi1/β1/γ2 7UM6-5-HT5A-Lisuride-chim(NtGi1-Go)/β1/γ2 7UM7-5-HT5A-Methylergometrine-chim(NtGi1-Go)/β1/γ2
42.11Consensusadrenergic_offOrthosteric Ligandalpha_off beta_off
42.11Consensusadrenergic_on_gpOrthosteric Ligandalpha_on_gp beta_on_gp
42.11Consensusalpha2c_offOrthosteric Ligand6KUW-α2c-PubChem 57213234
42.11Consensusalpha_offOrthosteric Ligandalpha1_off alpha2_off
42.11Consensusalpha_on_gpOrthosteric Ligandalpha1_on_gp alpha2_on_gp
42.11Consensusd1_onOrthosteric Ligand7F0T-D1-Dopamine-Gs/β1/γ2 7CKY-D1-PW0464-Gs/β1/γ2 8IRR-D1-Rotigotine-Gs/β1/γ2 7JV5-D1-SKF81297-Gs/β1/γ2 7JVP-D1-SKF83959-Gs/β1/γ2 7X2D-D1-Tavapadon-Gs/β1/γ2 7CKX-D1-A77636-Gs/β1/γ2 7JVQ-D1-Apomorphine-Gs/β1/γ2 7CKW-D1-Fenoldopam-Gs/β1/γ2
42.11Consensusd2_onOrthosteric Ligand7JVR-D2-Bromoergocryptine-Gi1/β1/γ2 8IRS-D2-Rotigotine-Gi1/β1/γ2
42.11Consensusgs_amineOrthosteric Ligandgs_5ht gs_adrenergic gs_dopamine gs_histamine gs_trace-amine
42.11Consensusta1_onOrthosteric Ligand8W87-TA1-METH-chim(NtGi1L-Gs)/β1/γ2 8W89-TA1-2-Phenylethylamine-chim(NtGi1L-Gs)/β1/γ2 8JLP-TA1-Ralmitaront-Gs/β1/γ2 8W8A-TA1-RO5256390-chim(NtGi1L-Gs)/β1/γ2 8W88-TA1-SEP-363856-Gs/β1/γ2 8JLO-TA1-Ulotaront-Gs/β1/γ2 8JLR-TA1-A77636-chim(NtGi1-Gs)/β1/γ2 8JSO-TA1-AMPH-chim(NtGi1-Gs)/β1/γ2 8ZSP-TA1-LSD-chim(NtGi1L-Gs)/β1/γ2
42.11Consensustrace-amine_onOrthosteric Ligandta1_on
41.67Single5WF5UK-4320975WF5-A2A-UK-432097
41.67Single8XGUTAK4488XGU-Kiss1-TAK448-Gi1/β1/γ2
41.67Single8XIRPasireotide8XIR-SST3-Pasireotide-chim(NtGi1-Gs-CtGi1)/β1/γ2
41.67Single8XZHMM078XZH-Apelin; Apelin-MM07-Gi1/β1/γ2
41.67Single9B54VIP369B54-CB1-VIP36-Gi1/β1/γ2
41.67Consensusfpr2-alx_onOrthosteric Ligand7WVX-FPR2-ALX-Humanin-Gi2/β1/γ2 7T6U-FPR2-ALX-CGEN-855A-Gi1/β1/γ2 7T6V-FPR2-ALX-fMLFII-Gi1/β1/γ2 7WVY-FPR2-ALX-Amyloid-β42-Gi2/β1/γ2 7T6S-FPR2-ALX-TC-FPR 43-Gi1/β1/γ2 6OMM-FPR2-ALX-WKYMVX-Gi1/β1/γ2
41.67Consensusgs_class-aOrthosteric Ligandgs_peptide gs_nucleotide gs_amine
41.18Single3V2WPubChem 518926453V2W-S1P1-PubChem 51892645
41.18Single4S0VSuvorexant4S0V-OX2-Suvorexant
41.18Single5WS3EMPA5WS3-OX2-EMPA
41.18Single6AKXA4R6AKX-CCR5-A4R
41.18Single6AKYMaraviroc6AKY-CCR5-Maraviroc
41.18Single6DS0LY2660976DS0-5-HT2B-LY266097
41.18Single6KUYPubChem 1457046436KUY-α2a-PubChem 145704643
41.18Single6TODEMPA6TOD-OX1-EMPA-Na
41.18Single6TPJSuvorexant6TPJ-OX2-Suvorexant
41.18Single7EJ0Norepinephrine7EJ0-α2a-Norepinephrine-Go/β1/γ2
41.18Single7SRRLSD7SRR-5-HT2B-LSD-chim(NtGi2L-Gs-CtGq)/β1/γ2
41.18Single7T8XAcetylcholine7T8X-M2-Acetylcholine-chim(NtGi1-Go)/β1/γ2
41.18Single7T90Acetylcholine7T90-M2-Acetylcholine-chim(NtGi1-Go)/β1/γ2
41.18Single7T96Acetylcholine7T96-M2-Acetylcholine-LY2119620-Go/β1/γ2
41.18Single7YMHNorepinephrine7YMH-Alpha1A-Norepinephrine-chim(Gs-CtGq)
41.18Single8GGAConstrained Epinephrine8GGA-β2-Constrained Epinephrine-GTP-Gs/β1/γ2
41.18Single8GGCConstrained Epinephrine8GGC-β2-Constrained Epinephrine-GTP-Gs/β1/γ2
41.18Single8GGRConstrained Epinephrine8GGR-β2-Constrained Epinephrine
41.18Single8GGWConstrained Epinephrine8GGW-β2-Constrained Epinephrine
41.18Single8GH0Constrained Epinephrine8GH0-β2-Constrained Epinephrine
41.18Single8HOCImetit8HOC-H4-Imetit-Gi1/β1/γ2
41.18Single8IJBAcipimox8IJB-HCA2-Acipimox-Gi1/β1/γ2
41.18Single8IW4Spermidine8IW4-TAA9-Spermidine-chim(NtGi1-Gs)/β1/γ2
41.18Single8IWESpermidine8IWE-TAA9-Spermidine
41.18Single8UNXConstrained Epinephrine8UNX-β2-Constrained Epinephrine-GTP-Gs/β1/γ2
41.18Single8WC3SEP-3638568WC3-TA1-SEP-363856-chim(NtGi1-Gs)/β1/γ2
41.18Single8WOGSuccinic acid8WOG-Succinate-Succinic acid-Gi1/β1/γ2
41.18Single8YKXMaleic acid8YKX-Succinate-Maleic acid-Gi1/β1/γ1
41.18Single8YNAImmepip8YNA-H4-Immepip-Gi1/β1/γ2
41.18Single8YYWAlpha-ketoglutarate8YYW-Oxoglutarate-α-ketoglutarate-α-ketoglutarate-chim(Gi1-CtGq)/β1/γ2
41.18Single9EBHAdenosine9EBH-A3A-Adenosine-Gi1/β1/γ2
41.18Single9EEAAdenosine9EEA-A2A-Adenosine-Gs/β1/γ2
41.18Single9JKXAcifran9JKX-HCA3-Acifran-Gi1/β1/γ2
41.18Single9KPESalicin9KPE-TAS2R16-Salicin-Gi1/β1/γ2
41.18Single9PXUNaloxone9PXU-μ-Naloxone-Na
41.18Single9VJEBuspirone9VJE-5-HT1A-Buspirone-Go/β1/γ2
41.18Single9W49U-50488H9W49-κ-U-50488H-Gi1/β1/γ2
41.18Consensus5ht1e_onOrthosteric Ligand7E33-5-HT1E-BRL-54443-Gi1/β1/γ2 8UGY-5-HT1E-Mianserin-Gi1/β1/γ1 8UH3-5-HT1E-Setiptiline-Gi1/β1/γ1
41.18Consensus5ht2_on_gpOrthosteric Ligand5ht2b_on_gp
41.18Consensus5ht2b_on_gpOrthosteric Ligand7SRR-5-HT2B-LSD-chim(NtGi2L-Gs-CtGq)/β1/γ2
41.18Consensusgi_succinateOrthosteric Ligand8YKW-Succinate-Succinic acid-Gi1/β1/γ1 8YKX-Succinate-Maleic acid-Gi1/β1/γ1
41.18Consensusm2_onOrthosteric Ligand7T8X-M2-Acetylcholine-chim(NtGi1-Go)/β1/γ2
41.18Consensusm2_on_gpOrthosteric Ligand7T8X-M2-Acetylcholine-chim(NtGi1-Go)/β1/γ2
41.18Consensusorexin_offOrthosteric Ligandox2_off ox1_off
41.18Consensusox1_offOrthosteric Ligand6TP6-OX1-Filorexant 6TP4-OX1-ACT-462206 6V9S-OX1-GTPL11403 6TOT-OX1-Lemborexant 6TP3-OX1-Nemorexant 6TQ6-OX1-PubChem 145714283 6TQ9-OX1-SB-408124 4ZJC-OX1-SB-674042 4ZJ8-OX1-Suvorexant 6TOD-OX1-EMPA-Na 6TOS-OX1-GSK1059865-Na 6TQ4-OX1-PubChem 16046844-Na
41.18Consensusox2_offOrthosteric Ligand5WQC-OX2-EMPA 6TPN-OX2-HTL6641 7XRR-OX2-Lemborexant 6TPJ-OX2-Suvorexant
41.18Consensuss1p1_offOrthosteric Ligand3V2W-S1P1-PubChem 51892645
41.18Consensussuccinate_onOrthosteric Ligand8YKW-Succinate-Succinic acid-Gi1/β1/γ1 8YKX-Succinate-Maleic acid-Gi1/β1/γ1
41.18Consensussuccinate_on_gpOrthosteric Ligand8YKW-Succinate-Succinic acid-Gi1/β1/γ1 8YKX-Succinate-Maleic acid-Gi1/β1/γ1
40.91Single3NY9PubChem 9131033NY9-β2-PubChem 913103
40.91Single4UG2CGS216804UG2-A2A-CGS21680
40.91Single7F2OBradykinin7F2O-BK2-Bradykinin-chim(NtGi1-Gs-CtGq)/β1/γ2
40.91Single7T11Octreotide7T11-SST2-Octreotide-Gi3/β1/γ2
40.91Single7YAEOctreotide7YAE-SST2-Octreotide-Gi1/β1/γ2
40.91Single8X5YAstemizole8X5Y-H1-Astemizole
40.91Single9KZ2EP679KZ2-C3aB-EP67-Go/β1/γ2
40.91Single9M0RNeuropeptide-VF9M0R-NPFF1-Neuropeptide-VF-Gi1/β1/γ2
40.91Single9MD1Buspirone9MD1-5-HT1A-Buspirone-PtdIns4P-Gz/β1/γ2
40.91Consensuscxcr3_onOrthosteric Ligand8HNK-CXCR3-CXCL11-Gi1/β1/γ2 8HNL-CXCR3-PS372424-Gi1/β1/γ2
40.91Consensuss1p_onOrthosteric Ligands1p1_on s1p3_on s1p5_on
40.91Consensuss1p_on_gpOrthosteric Ligands1p1_on_gp s1p3_on_gp s1p5_on_gp
40.91Consensussst2_onOrthosteric Ligand7WIC-SST2-Somatostatin-14-Gi1/β1/γ2 7WIG-SST2-L-054264-Gi1/β1/γ2 7YAE-SST2-Octreotide-Gi1/β1/γ2 7YAC-SST2-Paltusotine-Gi1/β1/γ2
40.91Consensussst2_on_gpOrthosteric Ligand7WIC-SST2-Somatostatin-14-Gi1/β1/γ2 7WIG-SST2-L-054264-Gi1/β1/γ2 7YAE-SST2-Octreotide-Gi1/β1/γ2 7YAC-SST2-Paltusotine-Gi1/β1/γ2
40.74Single7EIBKallidin-des-Arg107EIB-BK1-Kallidin-des-Arg10-chim(NtGi1-Gs-CtGq)/β1/γ2
40.74Single7XATSomatostatin-147XAT-SST2-Somatostatin-14-Gi1/β1/γ2
40.74Single8WWLMCH8WWL-MCH1-MCH-Gi1/β1/γ2
40.74Consensusgq_peptideOrthosteric Ligandgq_cck gq_kisspeptin gq_bradykinin gq_bombesin gq_angiotensin
40.00Single3SN6BI1671073SN6-β2-BI167107-Gs/β1/γ2
40.00Single6E59L-7607356E59-NK1-L-760735
40.00Single6WGTLSD6WGT-5-HT2A-LSD
40.00Single7CKYPW04647CKY-D1-PW0464-Gs/β1/γ2
40.00Single7JVPSKF839597JVP-D1-SKF83959-Gs/β1/γ2
40.00Single7XAVLanreotide7XAV-SST2-Lanreotide-Gi1/β1/γ2
40.00Single8DPHLorcaserin8DPH-5-HT2C-Lorcaserin-chim(NtGi2L-Gs-CtGq)/β1/γ2
40.00Single8EFLSR170188EFL-μ-SR17018-Gi1/β1/γ2
40.00Single8GEIConstrained Epinephrine8GEI-β2-Constrained Epinephrine-Gs/β1/γ2
40.00Single8IEDPubChem 1347468948IED-GPR156; GPR156-PubChem 134746894-Go/β1/γ2
40.00Single8IHBGSK2560738IHB-HCA2-GSK256073-Gi1/β1/γ2
40.00Single8IHHLUF62838IHH-HCA2-LUF6283-Gi1/β1/γ2
40.00Single8VVEnorBNI8VVE-κ-norBNI-Gi1/β1/γ2
40.00Single8WC5Tetramethylammonium Ion8WC5-TA1-Tetramethylammonium Ion-chim(NtGi1-Gs)/β1/γ2
40.00Single8XVLZibotentan8XVL-ETA-Zibotentan
40.00Single8YH6Namodenoson8YH6-A3A-Namodenoson-Gi1/β1/γ2
40.00Single8Z8ALactate8Z8A-HCA1-Lactate-Gi1/β1/γ2
40.00Single9ASTLymphotactin9AST-XCR1-Lymphotactin-Gi1/β1/γ2
40.00Single9AYFCa; Ca; Ca; Cyclomethyltryptophan; R-568; PO49AYF-CaS; CaS-Ca-Ca; Ca; Ca; Cyclomethyltryptophan; R-568; PO4-Gi1/β1/γ2
40.00Single9B65MDMB-Fubinaca9B65-CB1-MDMB-Fubinaca-Gi1/β1/γ2
40.00Single9BJKNaloxone9BJK-μ-Naloxone-PubChem 171642066
40.00Single9I54PubChem 1764520919I54-D1-PubChem 176452091-Gs/β1/γ2
40.00Single9IJDCarazolol9IJD-β3-Carazolol-chim(NtGi1-Gs)/β1/γ2
40.00Single9JMCDS-3801b9JMC-Motilin-DS-3801b-chim(Gs-CtGq)/β1/γ2
40.00Single9WSTDAMGO9WST-μ-DAMGO-chim(NtGi1-Gz)/β1/γ2
40.00Consensus5ht_offOrthosteric Ligand5ht2_off 5ht1_off
40.00Consensusapelin_onOrthosteric Ligand8XZH-Apelin; Apelin-MM07-Gi1/β1/γ2 7W0M-Apelin-PubChem 122701908-Gi1/β1/γ2 8XZJ-Apelin; Apelin-WN353-Gi1/β1/γ2 8XZF-Apelin; Apelin-WN561-Gi1/β1/γ2 8XZG-Apelin; Apelin-Apelin-13-Gi1/β1/γ2
40.00Consensusapelin_on_gpOrthosteric Ligand8XZH-Apelin; Apelin-MM07-Gi1/β1/γ2 7W0M-Apelin-PubChem 122701908-Gi1/β1/γ2 8XZJ-Apelin; Apelin-WN353-Gi1/β1/γ2 8XZF-Apelin; Apelin-WN561-Gi1/β1/γ2 8XZG-Apelin; Apelin-Apelin-13-Gi1/β1/γ2
40.00Consensusbeta2_onOrthosteric Ligand7DHI-β2-Salbutamol-Gs/β1/γ2 6NI3-β2-BI167107-Gs/β1/γ2
40.00Consensusbeta2_on_gpOrthosteric Ligand7DHI-β2-Salbutamol-Gs/β1/γ2 6NI3-β2-BI167107-Gs/β1/γ2
40.00Consensuscxcr3_on_gpOrthosteric Ligand8HNK-CXCR3-CXCL11-Gi1/β1/γ2 8HNL-CXCR3-PS372424-Gi1/β1/γ2
40.00Consensusfpr2-alx_on_gpOrthosteric Ligand7WVX-FPR2-ALX-Humanin-Gi2/β1/γ2 7T6U-FPR2-ALX-CGEN-855A-Gi1/β1/γ2 7T6V-FPR2-ALX-fMLFII-Gi1/β1/γ2 7WVY-FPR2-ALX-Amyloid-β42-Gi2/β1/γ2 7T6S-FPR2-ALX-TC-FPR 43-Gi1/β1/γ2 6OMM-FPR2-ALX-WKYMVX-Gi1/β1/γ2
40.00Consensusgi_5htOrthosteric Ligand8FYT-5-HT1A-LSD-PtdIns4P-Gi1/β1/γ1 7UM7-5-HT5A-Methylergometrine-chim(NtGi1-Go)/β1/γ2 8UGY-5-HT1E-Mianserin-Gi1/β1/γ1 8W8B-5-HT1A-SEP-363856-Gi1/β1/γ2 7E2Y-5-HT1A-Serotonin-PtdIns4P-Gi1/β1/γ2 7E32-5-HT1D-Serotonin-Gi1/β1/γ2 7XTA-5-HT4-Serotonin-Gi1/β1/γ2 8UH3-5-HT1E-Setiptiline-Gi1/β1/γ1 8JSP-5-HT1A-Ulotaront-Gi1/β1/γ2 8FYL-5-HT1A-Vilazodone-PtdIns4P-Gi1/β1/γ1 8JT6-5-HT1A-(R)-IHCH-7179-PtdIns4P-Gi1/β1/γ2 8FYE-5-HT1A-4-F,5-MeO-PyrT-PtdIns4P-Gi1/β1/γ1 7X5H-5-HT5A-5-CT-Gi1/β1/γ2 8FY8-5-HT1A-5-MeO-DMT-PtdIns4P-Gi1/β1/γ1 7E2Z-5-HT1A-Aripiprazole-PtdIns4P-Gi1/β1/γ2 7E33-5-HT1E-BRL-54443-Gi1/β1/γ2 8FYX-5-HT1A-Buspirone-PtdIns4P-Gi1/β1/γ1 7EXD-5-HT1F-Lasmiditan-Gi1/β1/γ2 7UM6-5-HT5A-Lisuride-chim(NtGi1-Go)/β1/γ2
40.00Consensusgi_formylpeptideOrthosteric Ligand7WVY-FPR2-ALX-Amyloid-β42-Gi2/β1/γ2 7T6U-FPR2-ALX-CGEN-855A-Gi1/β1/γ2 7VFX-FPR1-ALX-fMIFL-Gi1/β1/γ2 7T6V-FPR2-ALX-fMLFII-Gi1/β1/γ2 7WVX-FPR2-ALX-Humanin-Gi2/β1/γ2 7T6S-FPR2-ALX-TC-FPR 43-Gi1/β1/γ2 6OMM-FPR2-ALX-WKYMVX-Gi1/β1/γ2
40.00Consensusgs_peptideOrthosteric Ligandgs_cck gs_melanocortin gs_vasop-oxy
40.00Consensuspeptide_offon_gpOrthosteric Ligandpeptide_on_gp peptide_off
40.00Consensusta1_on_gpOrthosteric Ligand8W87-TA1-METH-chim(NtGi1L-Gs)/β1/γ2 8W89-TA1-2-Phenylethylamine-chim(NtGi1L-Gs)/β1/γ2 8JLP-TA1-Ralmitaront-Gs/β1/γ2 8W8A-TA1-RO5256390-chim(NtGi1L-Gs)/β1/γ2 8W88-TA1-SEP-363856-Gs/β1/γ2 8JLO-TA1-Ulotaront-Gs/β1/γ2 8JLR-TA1-A77636-chim(NtGi1-Gs)/β1/γ2 8JSO-TA1-AMPH-chim(NtGi1-Gs)/β1/γ2 8ZSP-TA1-LSD-chim(NtGi1L-Gs)/β1/γ2
40.00Consensustachykinin_offOrthosteric Ligandnk1_off
40.00Consensustrace-amine_on_gpOrthosteric Ligandta1_on_gp
39.13Single4IARErgotamine4IAR-5-HT1B-Ergotamine
39.13Single5UNFPubChem 157800525UNF-AT2-PubChem 15780052
39.13Single7T6UCGEN-855A7T6U-FPR2-ALX-CGEN-855A-Gi1/β1/γ2
39.13Single7XAUOctreotide7XAU-SST2-Octreotide-Gi1/β1/γ2
39.13Single8DCRDobutamine8DCR-β1-Dobutamine-Gs/β1/γ2
39.13Single8FYLVilazodone8FYL-5-HT1A-Vilazodone-PtdIns4P-Gi1/β1/γ1
39.13Single8WZ2Orexigenic Neuropeptide QRFP8WZ2-QRFP-Orexigenic Neuropeptide QRFP-chim(NtGi1L-Gs-CtGq)/β1/γ2
39.13Single9BUYLM1899BUY-β2-LM189-Gi1/β1/γ2
39.13Single9UYJChemerin-99UYJ-CML2-Chemerin-9-Arrestin2
39.13Consensusgi_nucleotideOrthosteric Ligandgi_adenosine gi_p2y
38.89Single3UZCPubChem 1355666093UZC-A2A-PubChem 135566609
38.89Single4DKLBeta-Funaltrexamine4DKL-μ-β-Funaltrexamine
38.89Single4N6HNaltrindole4N6H-δ-Naltrindole-Na
38.89Single6IQLL7458706IQL-D4-L745870
38.89Single6KUXRS799486KUX-α2a-RS79948
38.89Single6ME32-Phenylmelatonin6ME3-MT1-2-Phenylmelatonin
38.89Single6PS5Propranolol6PS5-β2-Propranolol
38.89Single6TOSGSK10598656TOS-OX1-GSK1059865-Na
38.89Single6TP3Nemorexant6TP3-OX1-Nemorexant
38.89Single6TPKRetosiban6TPK-OT-Retosiban
38.89Single6TPNHTL66416TPN-OX2-HTL6641
38.89Single6VI4JDTic6VI4-κ-JDTic
38.89Single6WH4Methiothepin6WH4-5-HT2A-Methiothepin
38.89Single6ZG9GSK10347026ZG9-M1-GSK1034702
38.89Single7CMUPramipexole7CMU-D3-Pramipexole-Gi1/β1/γ2
38.89Single7CMVPD1289077CMV-D3-PD128907-Gi1/β1/γ2
38.89Single7DHISalbutamol7DHI-β2-Salbutamol-Gs/β1/γ2
38.89Single7E33BRL-544437E33-5-HT1E-BRL-54443-Gi1/β1/γ2
38.89Single7EJ8Brimonidine7EJ8-α2a-Brimonidine-Go/β1/γ2
38.89Single7F61PF-036547467F61-H3-PF-03654746
38.89Single7RANPubChem 1645758477RAN-5-HT2A-PubChem 164575847-chim(NtGi2L-Gs-CtGq)/β1/γ2
38.89Single7T94Acetylcholine7T94-M2-Acetylcholine-LY2119620-chim(NtGi1-Go)/β1/γ2
38.89Single7TRSAcetylcholine7TRS-M4-Acetylcholine-Gi1/β1/γ2
38.89Single7UL3Famotidine7UL3-H2-Famotidine
38.89Single7WC9PubChem 1624213647WC9-5-HT2A-PubChem 162421364
38.89Single8GE1Constrained Epinephrine8GE1-β2-Constrained Epinephrine-Gs/β1/γ2
38.89Single8GE4Constrained Epinephrine8GE4-β2-Constrained Epinephrine-Gs/β1/γ2
38.89Single8GE5Constrained Epinephrine8GE5-β2-Constrained Epinephrine-Gs/β1/γ1
38.89Single8GE6Constrained Epinephrine8GE6-β2-Constrained Epinephrine-Gs/β1/γ2
38.89Single8GE7Constrained Epinephrine8GE7-β2-Constrained Epinephrine-Gs/β1/γ2
38.89Single8GE8Constrained Epinephrine8GE8-β2-Constrained Epinephrine-Gs/β1/γ2
38.89Single8GEDConstrained Epinephrine8GED-β2-Constrained Epinephrine-Gs/β1/γ2
38.89Single8GEFConstrained Epinephrine8GEF-β2-Constrained Epinephrine-Gs/β1/γ2
38.89Single8GG5Constrained Epinephrine8GG5-β2-Constrained Epinephrine-GTP-Gs/β1/γ2
38.89Single8GG7Constrained Epinephrine8GG7-β2-Constrained Epinephrine-GTP-Gs/β1/γ2
38.89Single8GGLConstrained Epinephrine8GGL-β2-Constrained Epinephrine
38.89Single8GGMConstrained Epinephrine8GGM-β2-Constrained Epinephrine
38.89Single8GGPConstrained Epinephrine8GGP-β2-Constrained Epinephrine
38.89Single8GGSConstrained Epinephrine8GGS-β2-Constrained Epinephrine
38.89Single8GGTConstrained Epinephrine8GGT-β2-Constrained Epinephrine
38.89Single8GGVConstrained Epinephrine8GGV-β2-Constrained Epinephrine
38.89Single8HNMVUF112228HNM-CXCR3-VUF11222-Gi1/β1/γ2
38.89Single8IHKAcifran8IHK-HCA3-Acifran
38.89Single8JEIPubChem 117155568JEI-HCAR3-PubChem 11715556-Gi1/β1/γ2
38.89Single8JERAcipimox8JER-HCA2-Acipimox-Go/β1/γ2
38.89Single8JLKUlotaront8JLK-TA1-Ulotaront-chim(NtGi1-Gs)/β1/γ2
38.89Single8JLQFenoldopam8JLQ-TA1-Fenoldopam-Gs/β1/γ2
38.89Single8K5CAcipimox8K5C-HCA2-Acipimox
38.89Single8PM2DMCHA8PM2-TA7-DMCHA-Gs/β1/γ2
38.89Single8RLNLUF58348RLN-A2A-LUF5834
38.89Single8THKA-616038THK-Alpha1A-A-61603-chim(NtGi2L-Gs-CtGq)/β1/γ2
38.89Single8U02Dopamine8U02-D2-Dopamine-Go/β1/γ2
38.89Single8UHBRO52563908UHB-TA1-RO5256390-Gs/β1/γ2
38.89Single8UNLConstrained Epinephrine8UNL-β2-Constrained Epinephrine-GTP-Gs/β1/γ2
38.89Single8UNMConstrained Epinephrine8UNM-β2-Constrained Epinephrine-GTP-Gs/β1/γ2
38.89Single8UNOConstrained Epinephrine8UNO-β2-Constrained Epinephrine-GTP-Gs/β1/γ2
38.89Single8UNWConstrained Epinephrine8UNW-β2-Constrained Epinephrine-GTP-Gs/β1/γ2
38.89Single8W8BSEP-3638568W8B-5-HT1A-SEP-363856-Gi1/β1/γ2
38.89Single8WC8ZH86518WC8-TA1-ZH8651-chim(NtGi1-Gs)/β1/γ2
38.89Single8Y45ADL58598Y45-δ-ADL5859-Gi2/β1/γ2
38.89Single8YN3Histamine8YN3-H2-Histamine-Gs/β1/γ2
38.89Single9AS3LSD9AS3-5-HT2A-LSD
38.89Single9AS4LSD9AS4-5-HT2A-LSD-chim(NtGi1-Gs-CtGq)/β1/γ2
38.89Single9ASBCa; Ca; Cyclomethyltryptophan; R-568; PO49ASB-CaS; CaS-Ca-Ca; Ca; Cyclomethyltryptophan; R-568; PO4-chim(NtGi1-Gs-CtGq)/β1/γ2
38.89Single9AXFCa; Ca; Ca; Cyclomethyltryptophan; R-568; PO49AXF-CaS; CaS-Ca-Ca; Ca; Ca; Cyclomethyltryptophan; R-568; PO4-chim(NtGi1-Gs-CtGq)/β1/γ2
38.89Single9L84Epinephrine9L84-β1-Epinephrine-Atazanavir-Gs/β1/γ2
38.89Single9LRDHistamine9LRD-H1-Histamine-Gi1/β1/γ2
38.89Single9ODLMitragynine Pseudoindoxyl9ODL-μ-Mitragynine Pseudoindoxyl-GTP; Mg-Gi1/β1/γ2
38.89Single9PXVNaloxone9PXV-μ-Naloxone-Gi1/β1/γ2
38.89Single9PY2Loperamide9PY2-μ-Loperamide-GDPβS-Gi1/β1/γ2
38.89Single9VJG8-OH-DPAT9VJG-5-HT1A-8-OH-DPAT-chim(NtGi2-Gz)/β1/γ2
38.89Single9W6W5-CT9W6W-5-HT5A-5-CT-Gi1/β1/γ2
38.89Consensus5ht2a_offOrthosteric Ligand6A94-5-HT2A-Zotepine 6A93-5-HT2A-Risperidone 7VOD-5-HT2A-Cariprazine 7WC8-5-HT2A-Lumateperone 8JT8-5-HT2A-(R)-IHCH-7179
38.89Consensus5ht_on_gpOrthosteric Ligand5ht1_on_gp 5ht2_on_gp 5ht4_on_gp 5ht5_on_gp 5ht6_on_gp 5ht7_on_gp
38.89Consensusadenosine_onOrthosteric Liganda1_on a2_on a3_on
38.89Consensusat1_offOrthosteric Ligand4YAY-AT1-ZD-7155 4ZUD-AT1-Olmesartan
38.89Consensusd3_onOrthosteric Ligand7CMV-D3-PD128907-Gi1/β1/γ2 8IRT-D3-Rotigotine-Gi1/β1/γ2 7CMU-D3-Pramipexole-Gi1/β1/γ2
38.89Consensusd3_on_gpOrthosteric Ligand7CMV-D3-PD128907-Gi1/β1/γ2 8IRT-D3-Rotigotine-Gi1/β1/γ2 7CMU-D3-Pramipexole-Gi1/β1/γ2
38.89Consensusghrelin_offOrthosteric Ligand6KO5-Ghrelin-PubChem 57400002 7F83-Ghrelin-PF-05190457
38.89Consensusgi_adenosineOrthosteric Ligand7LD4-A1-Adenosine-Gi2/β1/γ2 8X17-A3A-Namodenoson-Gi1/β1/γ2 8X16-A3A-Piclidenoson-Gi1/β1/γ2
38.89Consensusnop_offOrthosteric Ligand4EA3-NOP-PubChem 10296561 5DHG-NOP-C-35 5DHH-NOP-SB-612111
38.89Consensusot_offOrthosteric Ligand6TPK-OT-Retosiban
38.89Consensusvasop-oxy_offOrthosteric Ligandot_off
38.46Single7Y64C5a7Y64-C5a1-C5a-Gi1/β1/γ2
38.46Consensusgi_apelinOrthosteric Ligand8XZH-Apelin; Apelin-MM07-Gi1/β1/γ2 7W0M-Apelin-PubChem 122701908-Gi1/β1/γ2 8XZJ-Apelin; Apelin-WN353-Gi1/β1/γ2 8XZF-Apelin; Apelin-WN561-Gi1/β1/γ2 8XZG-Apelin; Apelin-Apelin-13-Gi1/β1/γ2
38.46Consensussst5_on_gpOrthosteric Ligand8X8L-SST5-Cortistatin-14-chim(NtGi1-Gs-CtGi1)/β1/γ2 8X8N-SST5-Octreotide-chim(NtGi1-Gs-CtGi1)/β1/γ2
38.10Single2YCXCyanopindolol2YCX-β1-Cyanopindolol
38.10Single6H7NXamoterol6H7N-β1-Xamoterol
38.10Single6MXTSalmeterol6MXT-β2-Salmeterol
38.10Single7EVYSiponimod7EVY-S1P1-Siponimod-Gi1/β1/γ2
38.10Single7EXDLasmiditan7EXD-5-HT1F-Lasmiditan-Gi1/β1/γ2
38.10Single7SUSPubChem 1227019087SUS-Apelin-PubChem 122701908
38.10Single7W0LPubChem 1227019087W0L-Apelin; Apelin-PubChem 122701908-Gi1/β1/γ2
38.10Single7YMJTamsulosin7YMJ-Alpha1A-Tamsulosin
38.10Single8E9W2-Deoxycytidine8E9W-M3-2-Deoxycytidine-chim(NtGi2L-Gs-CtGq)/β1/γ2
38.10Single8G056-OAU8G05-GPR84-6-OAU-Gi1/β1/γ2
38.10Single8IYWGSK2560738IYW-HCA2-GSK256073-Go/β1/γ2
38.10Single8JJ8Arformoterol8JJ8-β2-Arformoterol
38.10Single8JJLOlodaterol8JJL-β2-Olodaterol
38.10Single8JJPChemerin-98JJP-CML2-Chemerin-9-Gi1/β1/γ2
38.10Single8JWZEtrumadenant8JWZ-A2A-Etrumadenant-Na
38.10Single8JZ7MK68928JZ7-HCA2-MK6892-Gi1/β1/γ2
38.10Single8T3QDoconexent8T3Q-FFA4-Doconexent-chim(NtGi2L-Gs-CtGq)/β1/γ2
38.10Single8XYIVUF106618XYI-CXCR3-VUF10661
38.10Single9GYOP3959GYO-GPBA-P395-chim(NtGi1-Gs)/β1/γ2
38.10Single9M4QDoxazosin9M4Q-Alpha1A-Doxazosin
38.10Single9YDQDADLE9YDQ-δ-DADLE-MIPS3614-chim(NtGi1L-Gs-CtGi1)/β1/γ2
38.10Consensus5ht1f_onOrthosteric Ligand7EXD-5-HT1F-Lasmiditan-Gi1/β1/γ2
38.10Consensus5ht1f_on_gpOrthosteric Ligand7EXD-5-HT1F-Lasmiditan-Gi1/β1/γ2
38.10Consensusalpha1_offOrthosteric Ligandalpha1a_off
38.10Consensusalpha1a_offOrthosteric Ligand7YMJ-Alpha1A-Tamsulosin
38.10Consensusbeta_onOrthosteric Ligandbeta1_on beta2_on beta3_on
38.10Consensusbeta_on_gpOrthosteric Ligandbeta1_on_gp beta2_on_gp beta3_on_gp
38.10Consensusc3a_onOrthosteric Ligand8HK2-C3aB-C3a-Gi1/β1/γ2 8IA8-C3aB-E7 peptide-Gi1/β1/γ2
38.10Consensusgi_amineOrthosteric Ligandgi_5ht gi_muscarinic gi_adrenergic gi_dopamine gi_histamine
38.10Consensusgi_muscarinicOrthosteric Ligand8E9X-M4-2-Deoxycytidine-chim(NtGi1-Go)/β1/γ2 7T8X-M2-Acetylcholine-chim(NtGi1-Go)/β1/γ2 7TRS-M4-Acetylcholine-Gi1/β1/γ2 7TRK-M4-Iperoxo-Gi1/β1/γ2 7V6A-M4-PubChem 9864275-Gi1/β1/γ2
38.10Consensuskop_onOrthosteric Ligand8F7W-κ-Dynorphin-Gi1/β1/γ2 8DZS-κ-GR89,696-chim(NtGi2-Gz)/β1/γ2 8DZP-κ-momSalB-Gi1/β1/γ2
38.10Consensuslpl_offOrthosteric Ligands1p_off lpa_off
38.10Consensusorexin_onOrthosteric Ligandox2_on
37.50Single6HLOAprepitant6HLO-NK1-Aprepitant
37.50Single7EJKOxymetazoline7EJK-α2a-Oxymetazoline-Go/β1/γ2
37.50Single7WJ5Somatostatin-147WJ5-SST2-Somatostatin-14-Gi1/β1/γ2
37.50Single8GH1Constrained Epinephrine8GH1-β2-Constrained Epinephrine
37.50Single8J6QBeta-Hydroxybutyrate8J6Q-HCA2-β-Hydroxybutyrate-PubChem 25101223-Gi1/β1/γ2
37.50Single8JZZC5a-des-Arg8JZZ-C5a1-C5a-des-Arg-Go/β1/γ2
37.50Single8SG1Chemerin-98SG1-CML1-Chemerin-9-Gi1/β1/γ2
37.50Single8WC9ZH86518WC9-TA1-ZH8651-chim(NtGi1-Gs-CtGq)/β1/γ2
37.50Single8YN9Histamine8YN9-H4-Histamine-Gi1/β1/γ2
37.50Single8YUUHistamine8YUU-H3-Histamine-Gi1/β1/γ1
37.50Single9KT7MK68929KT7-HCA2-MK6892-Gi1/β1/γ2
37.50Single9LRCHistamine9LRC-H4-Histamine
37.50Single9LREHistamine9LRE-H4-Histamine-Gi1/β1/γ2
37.50Single9ME1CXCL129ME1-CXCR4-CXCL12
37.50Single9UMXEP549UMX-C5a1-EP54-Go/β1/γ2
37.50Consensuscompl-peptide_onOrthosteric Ligandc5a1_on c3a_on
37.50Consensusformylpeptide_on_gpOrthosteric Ligandfpr2-alx_on_gp fpr1-alx_on_gp
37.50Consensush3_onOrthosteric Ligand8YUU-H3-Histamine-Gi1/β1/γ1
37.50Consensush3_on_gpOrthosteric Ligand8YUU-H3-Histamine-Gi1/β1/γ1
37.50Consensuss1p3_on_gpOrthosteric Ligand7EW3-S1P3-S1P-Gi1/β1/γ2 7EW4-S1P3-CYM-5541-Gi1/β1/γ2 7EW2-S1P3-FTY720-P-Gi1/β1/γ2
37.50Consensussst4_onOrthosteric Ligand7XMS-SST4-Somatostatin-14-Gi1/β1/γ2 7XMT-SST4-J-2156-Gi1/β1/γ2
37.50Consensussst4_on_gpOrthosteric Ligand7XMS-SST4-Somatostatin-14-Gi1/β1/γ2 7XMT-SST4-J-2156-Gi1/β1/γ2
37.04Single7YKDChemerin-97YKD-CML1-Chemerin-9-Gi1/β1/γ2
37.04Single8XQFApelin-138XQF-Apelin-Apelin-13-Gi1/β1/γ2
37.04Single8XVEBQ30208XVE-ETB-BQ3020-chim(Gs-CtGq)/β1/γ2
37.04Consensusgi_compl-peptOrthosteric Ligand8HK5-C5a1-C5a-Gi1/β1/γ2 8IA8-C3aB-E7 peptide-Gi1/β1/γ2 7Y66-C5a1-BM213-Gi1/β1/γ2 7Y67-C5a1-C089 peptide-Gi1/β1/γ2 8HK2-C3aB-C3a-Gi1/β1/γ2 7Y64-C5a1-C5a-Gi1/β1/γ2
37.04Consensusgi_peptideOrthosteric Ligandgi_cck gi_apelin gi_compl-pept gi_endothelin gi_formylpeptide gi_galanin gi_ghrelin gi_npy gi_neurotensin gi_opioid gi_orexin gi_relaxin gi_somatostatin
36.84Single2Y02Carmoterol2Y02-β1-Carmoterol
36.84Single2YCYCyanopindolol2YCY-β1-Cyanopindolol
36.84Single4J4QOctyl Beta-D-Glucopyranoside4J4Q-Rhodopsin-Octyl β-D-Glucopyranoside-Gt(CT)
36.84Single4QKXPubChem 762106284QKX-β2-PubChem 76210628
36.84Single4U16N-methyl-Scopolamine4U16-M3-N-methyl-Scopolamine
36.84Single4X1HNonyl-Beta-D-Glucopyranoside4X1H-Rhodopsin-Nonyl-β-D-Glucopyranoside-Gt(CT)
36.84Single4YAYZD-71554YAY-AT1-ZD-7155
36.84Single5DHGC-355DHG-NOP-C-35
36.84Single5DHHSB-6121115DHH-NOP-SB-612111
36.84Single5YC8N-methyl-Scopolamine5YC8-M2-N-methyl-Scopolamine
36.84Single5ZK8N-methyl-Scopolamine5ZK8-M2-N-methyl-Scopolamine
36.84Single5ZKCN-methyl-Scopolamine5ZKC-M2-N-methyl-Scopolamine
36.84Single6H7MSalbutamol6H7M-β1-Salbutamol
36.84Single6PRZAlprenolol6PRZ-β2-Alprenolol
36.84Single7BU7BI1671077BU7-β1-BI167107
36.84Single7CRHSKF839597CRH-D1-SKF83959-Gs/β1/γ2
36.84Single7JOZPubChem 752020227JOZ-D1-PubChem 75202022-Gs/β1/γ2
36.84Single7JVQApomorphine7JVQ-D1-Apomorphine-Gs/β1/γ2
36.84Single7M3JNPS-2143; PO47M3J-CaS; CaS-NPS-2143; PO4
36.84Single7SCGFH2107SCG-μ-FH210-Gi1/β1/γ2
36.84Single7SQOTAK-9257SQO-OX2-TAK-925-Gi1/β1/γ2
36.84Single7UM55-CT7UM5-5-HT5A-5-CT-chim(NtGi1-Go)/β1/γ2
36.84Single7UM6Lisuride7UM6-5-HT5A-Lisuride-chim(NtGi1-Go)/β1/γ2
36.84Single7VIFFTY720-P7VIF-S1P1-FTY720-P-Gi1/β1/γ2
36.84Single7WC7Lisuride7WC7-5-HT2A-Lisuride
36.84Single7XJHIsoprenaline7XJH-β3-Isoprenaline-Gs/β1/γ2
36.84Single7XTC5-CT7XTC-5-HT7-5-CT-Gs/β1/γ2
36.84Single8CICEtrumadenant8CIC-A2A-Etrumadenant-Na
36.84Single8CU7LJ-45178CU7-A2A-LJ-4517-Na
36.84Single8FY85-MeO-DMT8FY8-5-HT1A-5-MeO-DMT-PtdIns4P-Gi1/β1/γ1
36.84Single8GE9Constrained Epinephrine8GE9-β2-Constrained Epinephrine-Gs/β1/γ2
36.84Single8I7VAcipimox8I7V-HCA2-Acipimox-Gi1/β1/γ2
36.84Single8IHJAcifran8IHJ-HCA3-Acifran-Gi1/β1/γ2
36.84Single8IRTRotigotine8IRT-D3-Rotigotine-Gi1/β1/γ2
36.84Single8JD0NAM5638JD0-mGlu2; mGlu3-Glutamate-NAM563
36.84Single8JHNMonomethyl fumarate8JHN-HCA2-Monomethyl fumarate-Go/β1/γ2
36.84Single8JLJT1AM8JLJ-TA1-T1AM-chim(NtGi1-Gs)/β1/γ2
36.84Single8JLZST19368JLZ-5-HT6-ST1936-Gs/β1/γ2
36.84Single8JXRLSD8JXR-D1-LSD
36.84Single8PJKST1718PJK-5-HT1A-ST171-Gi1/β1/γ1
36.84Single8T1WCVN4248T1W-GPR6-CVN424
36.84Single8UNRConstrained Epinephrine8UNR-β2-Constrained Epinephrine-GTP-Gs/β1/γ2
36.84Single8UNUConstrained Epinephrine8UNU-β2-Constrained Epinephrine-GTP-Gs/β1/γ2
36.84Single8W87METH8W87-TA1-METH-chim(NtGi1L-Gs)/β1/γ2
36.84Single8X63Mepyramine8X63-H1-Mepyramine
36.84Single8X64Desloratadine8X64-H1-Desloratadine
36.84Single9AS1DMT9AS1-5-HT2A-DMT
36.84Single9BQJRO769BQJ-μ-RO76-Gi1/β1/γ2
36.84Single9DYFAsenapine9DYF-5-HT1A-Asenapine-PtdIns4P-Gi1/β1/γ2
36.84Single9EPP11,20-Ethanoretinal9EPP-Rhodopsin-11,20-Ethanoretinal-chim(Gi1-CtGq)/β1/γ2
36.84Single9IZCMK19039IZC-HCA2-MK1903-Gi1/β1/γ2
36.84Single9JEAAtropine9JEA-M1-Atropine
36.84Single9KFJPubChem 1383196749KFJ-RXFP3-PubChem 138319674-Gi2/β1/γ2
36.84Single9KUXCMPD6449KUX-Apelin; Apelin-CMPD644-Arrestin2
36.84Single9LLAAriadne9LLA-5-HT2A-Ariadne-chim(NtGi1L-Gs-CtGq)/β1/γ2
36.84Single9PQDPubChem 1764919279PQD-α2a-PubChem 176491927
36.84Single9PXWNaloxone9PXW-μ-Naloxone-GDPβS-Gi1/β1/γ2
36.84Consensus5ht5_onOrthosteric Ligand5ht5a_on
36.84Consensus5ht5a_onOrthosteric Ligand7X5H-5-HT5A-5-CT-Gi1/β1/γ2 7UM6-5-HT5A-Lisuride-chim(NtGi1-Go)/β1/γ2 7UM7-5-HT5A-Methylergometrine-chim(NtGi1-Go)/β1/γ2
36.84Consensus5ht7_onOrthosteric Ligand7XTC-5-HT7-5-CT-Gs/β1/γ2
36.84Consensus5ht7_on_gpOrthosteric Ligand7XTC-5-HT7-5-CT-Gs/β1/γ2
36.84Consensusa3_onOrthosteric Liganda3a_on
36.84Consensusd5_onOrthosteric Ligand8IRV-D5-Rotigotine-chim(NtGi1-Gs)/β1/γ2
36.84Consensusgi_histamineOrthosteric Ligand8JXX-H4-Clobenpropit-Gi1/β1/γ2 8JXV-H4-Clozapine-Gi1/β1/γ2 8YUU-H3-Histamine-Gi1/β1/γ1 8HN8-H4-Histamine-Gi1/β1/γ2 8HOC-H4-Imetit-Gi1/β1/γ2 8JXW-H4-VUF6884-Gi1/β1/γ2
36.84Consensusgi_orexinOrthosteric Ligand7SQO-OX2-TAK-925-Gi1/β1/γ2
36.84Consensusgq_amineOrthosteric Ligandgq_muscarinic gq_histamine
36.84Consensusgs_trace-amineOrthosteric Ligand8W88-TA1-SEP-363856-Gs/β1/γ2 8JLJ-TA1-T1AM-chim(NtGi1-Gs)/β1/γ2 8JLO-TA1-Ulotaront-Gs/β1/γ2 8WC4-TA1-ZH8651-chim(NtGi1-Gs)/β1/γ2 8WC7-TA1-ZH8667-chim(NtGi1-Gs)/β1/γ2 8JLR-TA1-A77636-chim(NtGi1-Gs)/β1/γ2 8JSO-TA1-AMPH-chim(NtGi1-Gs)/β1/γ2 8W87-TA1-METH-chim(NtGi1L-Gs)/β1/γ2 8W89-TA1-2-Phenylethylamine-chim(NtGi1L-Gs)/β1/γ2 8JLP-TA1-Ralmitaront-Gs/β1/γ2 8W8A-TA1-RO5256390-chim(NtGi1L-Gs)/β1/γ2
36.84Consensushistamine_offOrthosteric Ligandh1_off
36.84Consensuslipid_offOrthosteric Ligandcannabinoid_off paf_off lpl_off prostanoid_off leukotriene_off
36.84Consensusmuscarinic_onOrthosteric Ligandm2_on m3_on m4_on m1_on
36.84Consensusmuscarinic_on_gpOrthosteric Ligandm2_on_gp m3_on_gp m4_on_gp m1_on_gp
36.36Single4NC3Ergotamine4NC3-5-HT2B-Ergotamine
36.36Single6BQGErgotamine6BQG-5-HT2C-Ergotamine
36.36Single6BQHRitanserin6BQH-5-HT2C-Ritanserin
36.36Single6DDFDAMGO6DDF-μ-DAMGO-Gi1/β1/γ2
36.36Single6H7LDobutamine6H7L-β1-Dobutamine
36.36Single7EVZCenerimod7EVZ-S1P1-Cenerimod-Gi1/β1/γ2
36.36Single7EW0Ozanimod7EW0-S1P1-Ozanimod-Gi1/β1/γ2
36.36Single7JVRBromoergocryptine7JVR-D2-Bromoergocryptine-Gi1/β1/γ2
36.36Single7MTSADX551647MTS-mGlu2; mGlu2-Glutamate-ADX55164-Gi1/β1/γ2
36.36Single7SK8CCX6627SK8-ACKR3-CXCL12-CCX662
36.36Single7UM4AS26747237UM4-5-HT5A-AS2674723
36.36Single7VGY2-Iodomelatonin7VGY-MT1-2-Iodomelatonin-Gi1/β1/γ2
36.36Single7XJISolabegron7XJI-β3-Solabegron-Gs/β1/γ2
36.36Single7XK2MK68927XK2-HCA2-MK6892-Gi1/β1/γ2
36.36Single7Y27Somatostatin-147Y27-SST2-Somatostatin-14-chim(NtGi2L-Gs-CtGq)/β1/γ2
36.36Single8E9X2-Deoxycytidine8E9X-M4-2-Deoxycytidine-chim(NtGi1-Go)/β1/γ2
36.36Single8E9YClozapine-N-oxide8E9Y-M3-Clozapine-N-oxide-chim(NtGi2L-Gs-CtGq)/β1/γ2
36.36Single8FX5Xanomeline8FX5-M4-Xanomeline-Xanomeline-Gi1/β1/γ2
36.36Single8GUTLEI-1028GUT-CB2-LEI-102-Gi1/β1/γ2
36.36Single8IJDMK68928IJD-HCA2-MK6892-Gi1/β1/γ2
36.36Single8K2XCXCL108K2X-CXCR3-CXCL10-Gi1/β1/γ2
36.36Single8T3OTUG-8918T3O-FFA4-TUG-891-chim(NtGi2L-Gs-CtGq)/β1/γ2
36.36Single8XVJMacitentan8XVJ-ETA-Macitentan
36.36Single9CGJC6-Quino9CGJ-δ-C6-Quino-Gi1/β1/γ2
36.36Single9EAILosartan9EAI-AT1-Losartan-Nanobody AT209
36.36Single9HYIDP819HYI-5-HT1A-DP81-Gi1/β1/γ2
36.36Single9KT8Acifran9KT8-HCA2-Acifran-Gi1/β1/γ2
36.36Single9M54Neuropeptide-VF9M54-NPFF2-Neuropeptide-VF-Gi1/β1/γ2
36.36Single9YDPDADLE9YDP-δ-DADLE-chim(NtGi1L-Gs-CtGi1)/β1/γ2
36.36Single9YDRDADLE9YDR-δ-DADLE-MIPS3983-chim(NtGi1L-Gs-CtGi1)/β1/γ2
36.36Consensus5ht2c_offOrthosteric Ligand6BQH-5-HT2C-Ritanserin
36.36Consensusbeta1_onOrthosteric Ligand8DCR-β1-Dobutamine-Gs/β1/γ2 7S0F-β1-Isoprenaline-Gi1/β1/γ2
36.36Consensusbeta1_on_gpOrthosteric Ligand8DCR-β1-Dobutamine-Gs/β1/γ2 7S0F-β1-Isoprenaline-Gi1/β1/γ2
36.36Consensusc3a_on_gpOrthosteric Ligand8HK2-C3aB-C3a-Gi1/β1/γ2 8IA8-C3aB-E7 peptide-Gi1/β1/γ2
36.36Consensuscb1_on_gpOrthosteric Ligand6KPG-CB1-AM841-Gi1/β1/γ2 8K8J-CB1-Fenofibrate-chim(Gs-CtGq)/β1/γ2
36.36Consensusnucleotide_on_gpOrthosteric Ligandadenosine_on_gp p2y_on_gp
36.36Consensusorexin_on_gpOrthosteric Ligandox2_on_gp
36.36Consensusprostanoid_offOrthosteric Ligandep_off dp_off
36.00Single6LW5WKYMVm6LW5-FPR2-ALX-WKYMVm
36.00Single6PT2KGCHM076PT2-δ-KGCHM07
36.00Single7TD0LPA7TD0-LPA1-LPA-Gi1/β1/γ2
36.00Single7TD2LPA7TD2-LPA1-LPA-Gi1/β1/γ2
36.00Single7XOUCholecystokinin-87XOU-CCKA-Cholecystokinin-8-Gs/β1/γ2
36.00Single9K27PrRP319K27-PrRP-PrRP31-chim(NtGi1-Gq)/β1/γ2
36.00Single9MEUCXCL129MEU-CXCR4-CXCL12
36.00Consensuscompl-peptide_on_gpOrthosteric Ligandc5a1_on_gp c3a_on_gp
36.00Consensuspeptide_offonOrthosteric Ligandpeptide_off peptide_on
35.71Single7WVYAmyloid-Beta427WVY-FPR2-ALX-Amyloid-β42-Gi2/β1/γ2
35.71Single7YOONeuropeptide-Y7YOO-Y2-Neuropeptide-Y-Gi1/β1/γ2
35.71Single8XWPEndothelin-18XWP-ETB-Endothelin-1-Gi1/β1/γ2
35.71Single9K26PrRP319K26-PrRP-PrRP31-Gi1/β1/γ2
35.71Consensusnpy2_onOrthosteric Ligand7YOO-Y2-Neuropeptide-Y-Gi1/β1/γ2
35.71Consensusnpy2_on_gpOrthosteric Ligand7YOO-Y2-Neuropeptide-Y-Gi1/β1/γ2
35.71Consensuspeptide_onOrthosteric Ligandcck_on angiotensin_on apelin_on bombesin_on bradykinin_on compl-peptide_on endothelin_on formylpeptide_on galanin_on ghrelin_on kisspeptin_on melanocortin_on motilin_on neuromedin-u_on npy_on neurotensin_on opioid_on orexin_on relaxin_on somatostatin_on tachykinin_on trh_on vasop-oxy_on
35.71Consensuspeptide_on_gpOrthosteric Ligandcck_on_gp angiotensin_on_gp apelin_on_gp bombesin_on_gp bradykinin_on_gp compl-peptide_on_gp endothelin_on_gp formylpeptide_on_gp galanin_on_gp ghrelin_on_gp kisspeptin_on_gp melanocortin_on_gp motilin_on_gp neuromedin-u_on_gp npy_on_gp neurotensin_on_gp opioid_on_gp orexin_on_gp relaxin_on_gp somatostatin_on_gp tachykinin_on_gp trh_on_gp vasop-oxy_on_gp
35.29Single3OE9IT1t3OE9-CXCR4-IT1t
35.29Single3PBLEticlopride3PBL-D3-Eticlopride
35.29Single5TE520-Methanoretinal5TE5-Rhodopsin-20-Methanoretinal
35.29Single7DD5Ca; Ca; Tryptophan; NPS-21437DD5-CaS; CaS-Ca-Ca; Ca; Tryptophan; NPS-2143
35.29Single7DD7Ca; Ca; Tryptophan; Evocalcet7DD7-CaS; CaS-Ca-Ca; Ca; Tryptophan; Evocalcet
35.29Single7SRQLSD7SRQ-5-HT2B-LSD
35.29Single7XT9Serotonin7XT9-5-HT4-Serotonin-Gs/β1/γ2
35.29Single7YFCHistamine7YFC-H4-Histamine-chim(NtGi1-Gs-CtGq)/β1/γ2
35.29Single7YFDImetit7YFD-H4-Imetit-chim(NtGi1-Gs-CtGq)/β1/γ2
35.29Single7YS6Serotonin7YS6-5-HT6-Serotonin-chim(NtGi1-Gs)/β1/γ2
35.29Single8GGYConstrained Epinephrine8GGY-β2-Constrained Epinephrine
35.29Single8H2GNiacin8H2G-HCA2-Niacin-Gi1/β1/γ2
35.29Single8HN8Histamine8HN8-H4-Histamine-Gi1/β1/γ2
35.29Single8JPNCis-Epoxysuccinic acid8JPN-Succinate-Cis-Epoxysuccinic acid-Gi1/β1/γ1
35.29Single8K5BNiacin8K5B-HCA2-Niacin
35.29Single8UO3Constrained Epinephrine8UO3-β2-Constrained Epinephrine-GTP; Mg-Gs/β1/γ2
35.29Single8W892-Phenylethylamine8W89-TA1-2-Phenylethylamine-chim(NtGi1L-Gs)/β1/γ2
35.29Single8WP1Cis-Epoxysuccinic acid8WP1-Succinate-Cis-Epoxysuccinic acid-Gi1/β1/γ2
35.29Single8YH3N-methyladenosine8YH3-A3A-N-methyladenosine-Gi1/β1/γ2
35.29Single8YKWSuccinic acid8YKW-Succinate-Succinic acid-Gi1/β1/γ1
35.29Single8YN4Histamine8YN4-H2-Histamine-chim(NtGi1L-Gs-CtGq)/β1/γ2
35.29Single8YN5Histamine8YN5-H3-Histamine-Gi1/β1/γ2
35.29Single8YN6Imetit8YN6-H3-Imetit-Gi1/β1/γ2
35.29Single8YN7Immethridine8YN7-H3-Immethridine-Go/β1/γ2
35.29Single8ZSVRO52633978ZSV-TA1-RO5263397-chim(NtGi1-Gs)/β1/γ2
35.29Single9AS2DMT9AS2-5-HT2A-DMT-chim(NtGi1-Gs-CtGq)/β1/γ2
35.29Single9IXJHistamine9IXJ-H2-Histamine-Gs/β1/γ2
35.29Single9IZDCHBA9IZD-HCA1-CHBA-Gi1/β1/γ2
35.29Single9JEDHistamine9JED-H4-Histamine-PO4-Gi1/β1/γ2
35.29Single9JEQHistamine9JEQ-H3-Histamine-Gi1/β1/γ2
35.29Consensusd3_offOrthosteric Ligand3PBL-D3-Eticlopride
35.29Consensush4_onOrthosteric Ligand8HN8-H4-Histamine-Gi1/β1/γ2 8HOC-H4-Imetit-Gi1/β1/γ2 8JXV-H4-Clozapine-Gi1/β1/γ2 8JXW-H4-VUF6884-Gi1/β1/γ2 8JXX-H4-Clobenpropit-Gi1/β1/γ2
35.00Single5WIUNemonapride5WIU-D4-Nemonapride
35.00Single5WIVNemonapride5WIV-D4-Nemonapride-Na
35.00Single6D26Fevipiprant6D26-DP2-Fevipiprant
35.00Single6E67BI1671076E67-β2-BI167107-Gs(CT)
35.00Single6GDGNECA6GDG-A2A-NECA-Gs/β1/γ1
35.00Single6ME82-Phenylmelatonin6ME8-MT2-2-Phenylmelatonin
35.00Single7C4SS1P7C4S-S1P3-S1P
35.00Single7CFNINT-7777CFN-GPBA-INT-777-Gs/β1/γ2
35.00Single7CKXA776367CKX-D1-A77636-Gs/β1/γ2
35.00Single7EO2FTY720-P7EO2-S1P1-FTY720-P-Gi1/β1/γ2
35.00Single7EUOfMLF7EUO-FPR1-ALX-fMLF-Gi1/β1/γ2
35.00Single7M3JNPS-2143; PO47M3J-CaS; CaS-NPS-2143; PO4
35.00Single7VFXfMIFL7VFX-FPR1-ALX-fMIFL-Gi1/β1/γ2
35.00Single7VOEAripiprazole7VOE-5-HT2A-Aripiprazole
35.00Single7VUHJNJ-635330547VUH-GPR139-JNJ-63533054-chim(Gs-CtGq)/β1/γ2
35.00Single7WC6LSD7WC6-5-HT2A-LSD
35.00Single7Y26Octreotide7Y26-SST2-Octreotide-chim(NtGi2L-Gs-CtGq)/β1/γ2
35.00Single8E9ZIperoxo8E9Z-M3-Iperoxo-chim(NtGi2L-Gs-CtGq)/β1/γ2
35.00Single8HNLPS3724248HNL-CXCR3-PS372424-Gi1/β1/γ2
35.00Single8ID4Linoleic acid8ID4-FFA4-Linoleic acid-Gi1/β1/γ2
35.00Single8S4DCMF-0198S4D-Apelin-CMF-019
35.00Single8SZGCa; Ca; Tryptophan; Cinacalcet; PO4; Spermine8SZG-CaS; CaS-Ca; Ca; Tryptophan; Cinacalcet; PO4; Spermine-chim(NtGi1-Gq)/β1/γ2
35.00Single8XYKVUF106618XYK-CXCR3-VUF10661-Go/β1/γ2
35.00Single8YICSAR2477998YIC-S1P1-SAR247799-Gi1/β1/γ2
35.00Single8ZMFPubChem 1719206738ZMF-5-HT2C-PubChem 171920673
35.00Single8ZPTPrRP208ZPT-PrRP-PrRP20-chim(NtGi1-Gs-CtGq)/β1/γ2
35.00Single9ARZ2-bromo-LSD9ARZ-5-HT2A-2-bromo-LSD
35.00Single9AYFCa; Ca; Ca; Cyclomethyltryptophan; R-568; PO49AYF-CaS; CaS-Ca-Ca; Ca; Ca; Cyclomethyltryptophan; R-568; PO4-Gi1/β1/γ2
35.00Single9DYDAsenapine9DYD-5-HT1A-Asenapine-PtdIns4P-Go/β1/γ2
35.00Single9F34FOB02-04A9F34-D3-FOB02-04A-Go/β1/γ2
35.00Single9KUTJR14a9KUT-C3aB-JR14a-Go/β1/γ2
35.00Single9KUVCMPD6449KUV-Apelin-CMPD644-Arrestin2
35.00Single9M8POleic monoethanolamide9M8P-GPR3 ; GPR3-Oleic monoethanolamide-AF64394
35.00Single9VJFBuspirone9VJF-5-HT1A-Buspirone-Gi3/β1/γ2
35.00Consensusa3_on_gpOrthosteric Liganda3a_on_gp
35.00Consensusa3a_onOrthosteric Ligand8X17-A3A-Namodenoson-Gi1/β1/γ2 8X16-A3A-Piclidenoson-Gi1/β1/γ2
35.00Consensusa3a_on_gpOrthosteric Ligand8X17-A3A-Namodenoson-Gi1/β1/γ2 8X16-A3A-Piclidenoson-Gi1/β1/γ2
35.00Consensusblt1_offOrthosteric Ligand5X33-BLT1-BIIL260 7K15-BLT1-MKD046-Na
35.00Consensusblt_offOrthosteric Ligandblt1_off
35.00Consensusdp2_offOrthosteric Ligand6D26-DP2-Fevipiprant
35.00Consensusdp_offOrthosteric Liganddp2_off
35.00Consensusfpr1-alx_onOrthosteric Ligand7VFX-FPR1-ALX-fMIFL-Gi1/β1/γ2
35.00Consensusfpr1-alx_on_gpOrthosteric Ligand7VFX-FPR1-ALX-fMIFL-Gi1/β1/γ2
35.00Consensusgq_muscarinicOrthosteric Ligand6OIJ-M1-Iperoxo-chim(NtGi1L-G11)/β1/γ2
35.00Consensush1_offOrthosteric Ligand8X63-H1-Mepyramine 3RZE-H1-Cidoxepin 8X5Y-H1-Astemizole
35.00Consensusm1_onOrthosteric Ligand6OIJ-M1-Iperoxo-chim(NtGi1L-G11)/β1/γ2
35.00Consensusm2_offOrthosteric Ligand5ZKC-M2-N-methyl-Scopolamine 5ZK3-M2-3-quinuclidinyl-benzilate 5ZKB-M2-AF-DX 384
35.00Consensusm3_onOrthosteric Ligand8E9Z-M3-Iperoxo-chim(NtGi2L-Gs-CtGq)/β1/γ2 8E9W-M3-2-Deoxycytidine-chim(NtGi2L-Gs-CtGq)/β1/γ2 8E9Y-M3-Clozapine-N-oxide-chim(NtGi2L-Gs-CtGq)/β1/γ2
35.00Consensusm3_on_gpOrthosteric Ligand8E9Z-M3-Iperoxo-chim(NtGi2L-Gs-CtGq)/β1/γ2 8E9W-M3-2-Deoxycytidine-chim(NtGi2L-Gs-CtGq)/β1/γ2 8E9Y-M3-Clozapine-N-oxide-chim(NtGi2L-Gs-CtGq)/β1/γ2
35.00Consensusrxfp4_onOrthosteric Ligand7YK7-RXFP4-DC591053-Gi2/β1/γ2 7YJ4-RXFP4-INSL5-Gi2/β1/γ2 7YK6-RXFP4-PubChem 138319674-Gi2/β1/γ2
35.00Consensusrxfp4_on_gpOrthosteric Ligand7YK7-RXFP4-DC591053-Gi2/β1/γ2 7YJ4-RXFP4-INSL5-Gi2/β1/γ2 7YK6-RXFP4-PubChem 138319674-Gi2/β1/γ2
35.00Consensuss1p_offOrthosteric Ligands1p1_off s1p5_off
34.78Single5WF6UK-4320975WF6-A2A-UK-432097
34.78Single6OMMWKYMVX6OMM-FPR2-ALX-WKYMVX-Gi1/β1/γ2
34.78Single6PT3DPI-2876PT3-δ-DPI-287
34.78Single7F8WGastrin-177F8W-CCKB-Gastrin-17-chim(NtGsL-Gq)/β1/γ2
34.78Single7F9ZGHRP-67F9Z-Ghrelin-GHRP-6-chim(NtGi1-Gs-CtGq)/β1/γ2
34.78Single7SK9CCX6627SK9-ACKR3-CCX662
34.78Single7XY6BAY 60-65837XY6-A2B-BAY 60-6583-chim(NtGi1-Gs)/β1/γ2
34.78Single7Y1FDynorphin7Y1F-κ-Dynorphin-Gi1/β1/γ2
34.78Single8IA7Cholecystokinin-88IA7-CCKB-Cholecystokinin-8-chim(NtGi1L-Gq)/β1/γ2
34.78Single8X3LXWD8X3L-CB2-XWD-Gi1/β1/γ2
34.78Single9CGKC5-Quino9CGK-δ-C5-Quino-Gi1/β1/γ2
34.78Single9IPVJR14a9IPV-C3aB-JR14a-Gi1/β1/γ2
34.78Single9JF4PD1683689JF4-BB1-PD168368
34.78Consensusformylpeptide_onOrthosteric Ligandfpr2-alx_on fpr1-alx_on
34.78Consensusox2_onOrthosteric Ligand7L1V-OX2-PubChem 155491009-chim(NtGi1-Gs-CtGq)/β1/γ2 7SQO-OX2-TAK-925-Gi1/β1/γ2 7L1U-OX2-Orexin-chim(NtGi1-Gs-CtGq)/β1/γ2
34.78Consensusox2_on_gpOrthosteric Ligand7L1V-OX2-PubChem 155491009-chim(NtGi1-Gs-CtGq)/β1/γ2 7SQO-OX2-TAK-925-Gi1/β1/γ2 7L1U-OX2-Orexin-chim(NtGi1-Gs-CtGq)/β1/γ2
34.62Single7KH0AVP7KH0-V2-AVP-chim(NtGi1-Gs)/β1/γ2
34.62Single7W40Bombesin7W40-BB2-Bombesin-chim(NtGi1L-Gq)/β1/γ2
34.62Single8H4KGW95088H4K-FFA4-GW9508-chim(NtGi1-Gs-CtGq)/β1/γ2
34.62Single8IHFMK68928IHF-HCA2-MK6892-Gi1/β1/γ2
34.62Single8J6IMK68928J6I-HCA2-MK6892-Gi1/β1/γ2
34.62Single8X8LCortistatin-148X8L-SST5-Cortistatin-14-chim(NtGi1-Gs-CtGi1)/β1/γ2
34.62Single8XWQEndothelin-18XWQ-ETB-Endothelin-1-Gi1/β1/γ2
34.62Single9BKKCholecystokinin-89BKK-CCKA-Cholecystokinin-8-chim(NtGi1-Gs-CtGq)/β1/γ2
34.62Consensusc5a1_on_gpOrthosteric Ligand8HK5-C5a1-C5a-Gi1/β1/γ2 7Y66-C5a1-BM213-Gi1/β1/γ2 7Y67-C5a1-C089 peptide-Gi1/β1/γ2 7Y64-C5a1-C5a-Gi1/β1/γ2
34.62Consensusp2y_on_gpOrthosteric Ligandp2y1_on_gp p2y10_on_gp p2y12_on_gp
34.48Single6IGLIRL16206IGL-ETB-IRL1620
34.48Single7VGXNeuropeptide-Y7VGX-Y1-Neuropeptide-Y-Gi1/β1/γ2
34.48Consensusbk2_onOrthosteric Ligand7F6H-BK2-Bradykinin-Gq/β1/γ2 7F6I-BK2-Kallidin-Gq/β1/γ2
34.48Consensusbk2_on_gpOrthosteric Ligand7F6H-BK2-Bradykinin-Gq/β1/γ2 7F6I-BK2-Kallidin-Gq/β1/γ2
34.48Consensusbradykinin_onOrthosteric Ligandbk2_on
34.48Consensusbradykinin_on_gpOrthosteric Ligandbk2_on_gp
34.48Consensusgq_bradykininOrthosteric Ligand7F6H-BK2-Bradykinin-Gq/β1/γ2 7F6I-BK2-Kallidin-Gq/β1/γ2
33.33Single2X72All-trans-Retinal2X72-Rhodopsin-All-trans-Retinal-Gt(CT)
33.33Single3P0GBI1671073P0G-β2-BI167107
33.33Single4IB4Ergotamine4IB4-5-HT2B-Ergotamine
33.33Single4LDLHydroxybenzyl Isoproterenol4LDL-β2-Hydroxybenzyl Isoproterenol
33.33Single4U15Tiotropium4U15-M3-Tiotropium
33.33Single4Z34ONO-97803074Z34-LPA1-ONO-9780307
33.33Single5GLHEndothelin-15GLH-ETB-Endothelin-1
33.33Single5OLVLUAA470705OLV-A2A-LUAA47070-Na
33.33Single5V54Methiothepin5V54-5-HT1B-Methiothepin
33.33Single5ZKBAF-DX 3845ZKB-M2-AF-DX 384
33.33Single6D9HAdenosine6D9H-A1-Adenosine-Gi2/β1/γ2
33.33Single6DDEDAMGO6DDE-μ-DAMGO-Gi1/β1/γ2
33.33Single6IGKEndothelin-36IGK-ETB-Endothelin-3
33.33Single6NI3BI1671076NI3-β2-BI167107-Gs/β1/γ2
33.33Single6NWEOctyl-Beta-D-Glucopyranoside6NWE-Rhodopsin-Octyl-β-D-Glucopyranoside-Gt(CT)
33.33Single6OBAAlprenolol6OBA-β2-Alprenolol-GTPL11074
33.33Single6OIJIperoxo6OIJ-M1-Iperoxo-chim(NtGi1L-G11)/β1/γ2
33.33Single6OL9Tiotropium6OL9-M5-Tiotropium
33.33Single7DHRIsoprenaline7DHR-β2-Isoprenaline-Gs/β1/γ2
33.33Single7EW1Siponimod7EW1-S1P5-Siponimod-Gi1/β1/γ2
33.33Single7F6HBradykinin7F6H-BK2-Bradykinin-Gq/β1/γ2
33.33Single7JV5SKF812977JV5-D1-SKF81297-Gs/β1/γ2
33.33Single7M3ECa; Ca; Tryptophan; NPS-21437M3E-CaS; CaS-Ca; Ca; Tryptophan; NPS-2143
33.33Single7M3ECa; Ca; Tryptophan; NPS-21437M3E-CaS; CaS-Ca; Ca; Tryptophan; NPS-2143
33.33Single7M3FCa; Ca; Tryptophan; Cinacalcet7M3F-CaS; CaS-Ca; Ca; Tryptophan; Cinacalcet
33.33Single7M8W15r-Methyl-PGD27M8W-DP2-15r-Methyl-PGD2-Na
33.33Single7R0CAVP7R0C-V2-AVP-Arrestin2
33.33Single7TRQIperoxo7TRQ-M4-Iperoxo-VU0467154-Gi1/β1/γ2
33.33Single7TUYGSK682753A7TUY-GPR183-GSK682753A
33.33Single7VIGCBP-3077VIG-S1P1-CBP-307-Gi1/β1/γ2
33.33Single7VIHCBP-3077VIH-S1P1-CBP-307-Gi1/β1/γ2
33.33Single7VUJJNJ-635330547VUJ-GPR139-JNJ-63533054-GDP-chim(Gs-CtGq)/β1/γ2
33.33Single7X5H5-CT7X5H-5-HT5A-5-CT-Gi1/β1/γ2
33.33Single7XRRLemborexant7XRR-OX2-Lemborexant
33.33Single7XT8Serotonin7XT8-5-HT4-Serotonin-Gs/β1/γ2
33.33Single7XY7NECA7XY7-A2B-NECA-chim(NtGi1-Gs)/β1/γ2
33.33Single8DCSCyanopindolol8DCS-β1-Cyanopindolol-Gs/β1/γ2
33.33Single8EA0Iperoxo8EA0-M3-Iperoxo
33.33Single8FYXBuspirone8FYX-5-HT1A-Buspirone-PtdIns4P-Gi1/β1/γ1
33.33Single8G59TUG-8918G59-FFA4-TUG-891-chim(Gi1-CtGq)/β1/γ2
33.33Single8GHVAMG3158GHV-CB1-AMG315-Gi1/β1/γ2
33.33Single8GNGIstradefylline8GNG-A2A-Istradefylline
33.33Single8HDPAdenosine8HDP-A2B-Adenosine-Gs/β1/γ2
33.33Single8HK5C5a8HK5-C5a1-C5a-Gi1/β1/γ2
33.33Single8HNKCXCL118HNK-CXCR3-CXCL11-Gi1/β1/γ2
33.33Single8I9LC3a8I9L-C3aB-C3a-Go/β1/γ2
33.33Single8IEBPubChem 1347468948IEB-GPR156; GPR156-PubChem 134746894
33.33Single8IJANiacin8IJA-HCA2-Niacin-Gi1/β1/γ2
33.33Single8J6LNiacin8J6L-HCA2-Niacin-Gi1/β1/γ2
33.33Single8J6RMK68928J6R-HCA2-MK6892-Gi1/β1/γ2
33.33Single8JPPSuccinic acid8JPP-Succinate-Succinic acid-chim(Gs-CtGq)/β1/γ1
33.33Single8JSRAnamorelin8JSR-Ghrelin-Anamorelin-chim(NtGi1-Gs-CtGq)/β1/γ2
33.33Single8JT6(R)-IHCH-71798JT6-5-HT1A-(R)-IHCH-7179-PtdIns4P-Gi1/β1/γ2
33.33Single8JXVClozapine8JXV-H4-Clozapine-Gi1/β1/γ2
33.33Single8JXXClobenpropit8JXX-H4-Clobenpropit-Gi1/β1/γ2
33.33Single8K3ZCXCL128K3Z-CXCR4-CXCL12-Gi1/β1/γ1
33.33Single8TZQDopamine8TZQ-D2-Dopamine-Go/β1/γ2
33.33Single8UNSConstrained Epinephrine8UNS-β2-Constrained Epinephrine-GTP-Gs/β1/γ2
33.33Single8UNTConstrained Epinephrine8UNT-β2-Constrained Epinephrine-GTP-Gs/β1/γ2
33.33Single8UTDMK19038UTD-HCA2-MK1903-Gi1/β1/γ2
33.33Single8WC4ZH86518WC4-TA1-ZH8651-chim(NtGi1-Gs)/β1/γ2
33.33Single8WCA2-Phenylethylamine8WCA-TA1-2-Phenylethylamine-chim(NtGi1-Gs)/β1/γ2
33.33Single8WU1MDMB-Fubinaca8WU1-CB1-MDMB-Fubinaca-Arrestin2
33.33Single8WWMMCH8WWM-MCH1-MCH-Gi1/β1/γ2
33.33Single8X16Piclidenoson8X16-A3A-Piclidenoson-Gi1/β1/γ2
33.33Single8XQEApelin-138XQE-Apelin; Apelin-Apelin-13-Gi1/β1/γ2
33.33Single8XVHEndothelin-18XVH-ETB-Endothelin-1-chim(Gs-CtGq)/β1/γ2
33.33Single8XVIEndothelin-18XVI-ETA-Endothelin-1-chim(Gs-CtGq)/β1/γ2
33.33Single8XXVIndomethacin8XXV-DP2-Indomethacin-A1D5Q-Gi1/β1/γ2
33.33Single8XZICMF-0198XZI-Apelin; Apelin-CMF-019-Gi1/β1/γ2
33.33Single8Y73Peptide8Y73-μ-Peptide-MPAM-15-Gi1/β1/γ2
33.33Single8YUVImmepip8YUV-H3-Immepip-Gi1/β1/γ2
33.33Single8Z87CHBA8Z87-HCA1-CHBA-Gi1/β1/γ2
33.33Single8ZRTEndothelin-18ZRT-ETB-Endothelin-1
33.33Single8ZWFJR14a8ZWF-C3aB-JR14a
33.33Single9C1PCa; Tryptophan; '6218; PO49C1P-CaS; CaS-Ca-Ca; Tryptophan; '6218; PO4
33.33Single9C2FCa; Ca; Tryptophan; '54149; PO49C2F-CaS; CaS-Ca-Ca; Ca; Tryptophan; '54149; PO4
33.33Single9HB3Mambaquaretin-19HB3-V2-Mambaquaretin-1
33.33Single9J5VCpY9J5V-LPA1-CpY-Gi1/β1/γ2
33.33Single9K6LSalicin9K6L-TAS2R16-Salicin-Gi2/β1/γ2
33.33Single9KVHCinobufotenine9KVH-5-HT1A-Cinobufotenine-PtdIns4P-Gi1/β1/γ2
33.33Single9KWGC5a9KWG-C5a1-C5a-Go/β1/γ2
33.33Single9L3YChemerin9L3Y-CML2-Chemerin-Gi1/β1/γ2
33.33Single9LL9DOI9LL9-5-HT2A-DOI-chim(NtGi1L-Gs-CtGq)/β1/γ2
33.33Single9LLBDOI-NBOMe9LLB-5-HT2A-DOI-NBOMe-chim(NtGi1L-Gs-CtGq)/β1/γ2
33.33Single9LRBHistamine9LRB-H1-Histamine-Gs/β1/γ2
33.33Single9VJ5Gepirone9VJ5-5-HT1A-Gepirone-Go/β1/γ2
33.33Consensus5ht1_offOrthosteric Ligand5ht1b_off
33.33Consensus5ht1b_offOrthosteric Ligand5V54-5-HT1B-Methiothepin
33.33Consensus5ht_onOrthosteric Ligand5ht1_on 5ht2_on 5ht4_on 5ht5_on 5ht6_on 5ht7_on
33.33Consensusa2_onOrthosteric Liganda2b_on
33.33Consensusa2_on_gpOrthosteric Liganda2b_on_gp
33.33Consensusa2b_onOrthosteric Ligand8HDP-A2B-Adenosine-Gs/β1/γ2 7XY6-A2B-BAY 60-6583-chim(NtGi1-Gs)/β1/γ2 7XY7-A2B-NECA-chim(NtGi1-Gs)/β1/γ2 8HDO-A2B-BAY 60-6583-Gs/β1/γ2
33.33Consensusa2b_on_gpOrthosteric Ligand8HDP-A2B-Adenosine-Gs/β1/γ2 7XY6-A2B-BAY 60-6583-chim(NtGi1-Gs)/β1/γ2 7XY7-A2B-NECA-chim(NtGi1-Gs)/β1/γ2 8HDO-A2B-BAY 60-6583-Gs/β1/γ2
33.33Consensusangiotensin_offOrthosteric Ligandat1_off
33.33Consensusccr5_on_gpOrthosteric Ligand7O7F-CCR5-6P4-CCL5-Gi1/β1/γ1 7F1Q-CCR5-CCL3-Gi1/β1/γ2
33.33Consensuscml1_on_gpOrthosteric Ligand7YKD-CML1-Chemerin-9-Gi1/β1/γ2
33.33Consensuscxcr4_onOrthosteric Ligand8K3Z-CXCR4-CXCL12-Gi1/β1/γ1
33.33Consensusgi_cannabinoidOrthosteric Ligand8GUR-CB2-CP55940-Gi1/β1/γ2 8GUS-CB2-HU-308-Gi1/β1/γ2 8GUT-CB2-LEI-102-Gi1/β1/γ2 8GUQ-CB2-Olorinab-Gi1/β1/γ2 6KPF-CB2-AM12033-Gi1/β1/γ2 6PT0-CB2-WIN 55212-2-Gi1/β1/γ2 6KPG-CB1-AM841-Gi1/β1/γ2
33.33Consensusgi_relaxinOrthosteric Ligand7YK7-RXFP4-DC591053-Gi2/β1/γ2 7YJ4-RXFP4-INSL5-Gi2/β1/γ2 7YK6-RXFP4-PubChem 138319674-Gi2/β1/γ2
33.33Consensusgq_histamineOrthosteric Ligand7DFL-H1-Histamine-chim(NtGi1L-Gq)/β1/γ2
33.33Consensusgs_5htOrthosteric Ligand7XTC-5-HT7-5-CT-Gs/β1/γ2 7XTB-5-HT6-Serotonin-Gs/β1/γ2 8JLZ-5-HT6-ST1936-Gs/β1/γ2 7XT8-5-HT4-Serotonin-Gs/β1/γ2
33.33Consensusgs_adenosineOrthosteric Ligand8HDP-A2B-Adenosine-Gs/β1/γ2 8HDO-A2B-BAY 60-6583-Gs/β1/γ2 7XY7-A2B-NECA-chim(NtGi1-Gs)/β1/γ2 7XY6-A2B-BAY 60-6583-chim(NtGi1-Gs)/β1/γ2
33.33Consensusgs_adrenergicOrthosteric Ligand7DHI-β2-Salbutamol-Gs/β1/γ2 7XJI-β3-Solabegron-Gs/β1/γ2 7JJO-β1-Isoprenaline-Gs/β1/γ2 6NI3-β2-BI167107-Gs/β1/γ2 8DCR-β1-Dobutamine-Gs/β1/γ2 7XJH-β3-Isoprenaline-Gs/β1/γ2 7DH5-β3-Mirabegron-Gs/β1/γ2
33.33Consensusgs_nucleotideOrthosteric Ligandgs_adenosine
33.33Consensush1_on_gpOrthosteric Ligand7DFL-H1-Histamine-chim(NtGi1L-Gq)/β1/γ2
33.33Consensush4_on_gpOrthosteric Ligand8HN8-H4-Histamine-Gi1/β1/γ2 8HOC-H4-Imetit-Gi1/β1/γ2 8JXV-H4-Clozapine-Gi1/β1/γ2 8JXW-H4-VUF6884-Gi1/β1/γ2 8JXX-H4-Clobenpropit-Gi1/β1/γ2
33.33Consensushistamine_onOrthosteric Ligandh1_on h2_on h3_on h4_on
33.33Consensushistamine_on_gpOrthosteric Ligandh1_on_gp h2_on_gp h3_on_gp h4_on_gp
33.33Consensusm1_on_gpOrthosteric Ligand6OIJ-M1-Iperoxo-chim(NtGi1L-G11)/β1/γ2
33.33Consensusm5_offOrthosteric Ligand6OL9-M5-Tiotropium
33.33Consensusmuscarinic_offOrthosteric Ligandm2_off m3_off m4_off m5_off m1_off
33.33Consensusopioid_onOrthosteric Ligandmop_on nop_on dop_on kop_on
33.33Consensusp2y_onOrthosteric Ligandp2y1_on p2y10_on p2y12_on
33.33Consensusrelaxin_onOrthosteric Ligandrxfp4_on
33.33Consensusrelaxin_on_gpOrthosteric Ligandrxfp4_on_gp
33.33Consensuss1p5_onOrthosteric Ligand7EW1-S1P5-Siponimod-Gi1/β1/γ2
33.33Consensuss1p5_on_gpOrthosteric Ligand7EW1-S1P5-Siponimod-Gi1/β1/γ2
33.33Consensussensory_offonOrthosteric Ligandsensory_off sensory_on
33.33Consensussensory_offon_gpOrthosteric Ligandsensory_on_gp sensory_on
33.33Consensussst5_onOrthosteric Ligand8X8L-SST5-Cortistatin-14-chim(NtGi1-Gs-CtGi1)/β1/γ2 8X8N-SST5-Octreotide-chim(NtGi1-Gs-CtGi1)/β1/γ2
32.14Single7W3ZGastrin Releasing Peptide7W3Z-BB2-Gastrin Releasing Peptide-chim(NtGi1L-Gq)/β1/γ2
32.14Single8H0PNMB308H0P-BB1-NMB30-chim(NtGi1-Gs-CtGq)/β1/γ2
32.14Single9KFKRelaxin-39KFK-RXFP4-Relaxin-3-Gi2/β1/γ2
32.14Consensusgi_proteinOrthosteric Ligandgi_chemokine gi_chemerin
32.14Consensusopioid_on_gpOrthosteric Ligandmop_on_gp nop_on_gp dop_on_gp kop_on_gp
32.14Consensusprotein_on_gpOrthosteric Ligandchemokine_on_gp chemerin_on_gp
32.00Single6DO1(Sar1,Ile8)-Angiotensin II6DO1-AT1-(Sar1,Ile8)-Angiotensin II
32.00Single7RKMCX3CL17RKM-US28-CX3CL1-Gi1/β1/γ2
32.00Single8F7WDynorphin8F7W-κ-Dynorphin-Gi1/β1/γ2
32.00Single9IQVMuscarinic toxin 39IQV-Alpha1A-Muscarinic toxin 3
32.00Single9JFK(Pen5)-Urotensin II9JFK-UT-(Pen5)-Urotensin II-chim(NtGi2L-Gs-CtGq)/β1/γ2
32.00Consensusghrelin_onOrthosteric Ligand7NA7-Ghrelin-Ghrelin-Gi1/β1/γ2 7F9Z-Ghrelin-GHRP-6-chim(NtGi1-Gs-CtGq)/β1/γ2 7NA8-Ghrelin-Ibutamoren-Gi1/β1/γ2
32.00Consensusghrelin_on_gpOrthosteric Ligand7NA7-Ghrelin-Ghrelin-Gi1/β1/γ2 7F9Z-Ghrelin-GHRP-6-chim(NtGi1-Gs-CtGq)/β1/γ2 7NA8-Ghrelin-Ibutamoren-Gi1/β1/γ2
31.82Single4Z36ONO-30805734Z36-LPA1-ONO-3080573
31.82Single5CXVTiotropium5CXV-M1-Tiotropium
31.82Single6CM4Risperidone6CM4-D2-Risperidone
31.82Single6XBLCholesterol6XBL-SMO-SAG-Cholesterol-Gi1/β1/γ2
31.82Single7BZ2Arformoterol7BZ2-β2-Arformoterol-Gs/β1/γ2
31.82Single7DH5Mirabegron7DH5-β3-Mirabegron-Gs/β1/γ2
31.82Single7EO4Siponimod7EO4-S1P1-Siponimod-Gi1/β1/γ2
31.82Single7EW2FTY720-P7EW2-S1P3-FTY720-P-Gi1/β1/γ2
31.82Single7MTRADX551647MTR-mGlu2; mGlu2-Glutamate-ADX55164
31.82Single7WCMMBX-29827WCM-GPR119-MBX-2982-Gs/β1/γ2
31.82Single7Y66BM2137Y66-C5a1-BM213-Gi1/β1/γ2
31.82Single8I9AEP548I9A-C3aB-EP54-chim(NtGi1-Gs-CtGq)/β1/γ2
31.82Single8ID9Icosapent8ID9-FFA4-Icosapent-Gi1/β1/γ2
31.82Single8JWY2-1188JWY-A2A-2-118
31.82Single8VHFMBX-29828VHF-GPR119-MBX-2982-Gs/β1/γ2
31.82Single8W1VPubChem 1717162658W1V-β2-PubChem 171716265
31.82Single8X8NOctreotide8X8N-SST5-Octreotide-chim(NtGi1-Gs-CtGi1)/β1/γ2
31.82Single9EK0Iperoxo9EK0-M5-Iperoxo-chim(NtGi1-Gs-CtGq)/β1/γ2
31.82Single9M8POleic monoethanolamide9M8P-GPR3 ; GPR3-Oleic monoethanolamide-AF64394
31.82Single9W32SSTR5 antagonist 19W32-SST5-SSTR5 antagonist 1
31.82Consensus5ht1a_onOrthosteric Ligand8FYT-5-HT1A-LSD-PtdIns4P-Gi1/β1/γ1 7E2Y-5-HT1A-Serotonin-PtdIns4P-Gi1/β1/γ2 7E2Z-5-HT1A-Aripiprazole-PtdIns4P-Gi1/β1/γ2 8FYX-5-HT1A-Buspirone-PtdIns4P-Gi1/β1/γ1 8JSP-5-HT1A-Ulotaront-Gi1/β1/γ2 8JT6-5-HT1A-(R)-IHCH-7179-PtdIns4P-Gi1/β1/γ2 8FY8-5-HT1A-5-MeO-DMT-PtdIns4P-Gi1/β1/γ1 8FYE-5-HT1A-4-F,5-MeO-PyrT-PtdIns4P-Gi1/β1/γ1 8FYL-5-HT1A-Vilazodone-PtdIns4P-Gi1/β1/γ1
31.82Consensus5ht1a_on_gpOrthosteric Ligand8FYT-5-HT1A-LSD-PtdIns4P-Gi1/β1/γ1 8FYX-5-HT1A-Buspirone-PtdIns4P-Gi1/β1/γ1 8JSP-5-HT1A-Ulotaront-Gi1/β1/γ2 8JT6-5-HT1A-(R)-IHCH-7179-PtdIns4P-Gi1/β1/γ2 7E2Y-5-HT1A-Serotonin-PtdIns4P-Gi1/β1/γ2 7E2Z-5-HT1A-Aripiprazole-PtdIns4P-Gi1/β1/γ2 8FY8-5-HT1A-5-MeO-DMT-PtdIns4P-Gi1/β1/γ1 8FYE-5-HT1A-4-F,5-MeO-PyrT-PtdIns4P-Gi1/β1/γ1 8FYL-5-HT1A-Vilazodone-PtdIns4P-Gi1/β1/γ1
31.82Consensusbeta3_onOrthosteric Ligand7DH5-β3-Mirabegron-Gs/β1/γ2 7XJH-β3-Isoprenaline-Gs/β1/γ2 7XJI-β3-Solabegron-Gs/β1/γ2
31.82Consensusbeta3_on_gpOrthosteric Ligand7DH5-β3-Mirabegron-Gs/β1/γ2 7XJH-β3-Isoprenaline-Gs/β1/γ2 7XJI-β3-Solabegron-Gs/β1/γ2
31.82Consensuscannabinoid_offOrthosteric Ligandcb2_off cb1_off
31.82Consensuscannabinoid_onOrthosteric Ligandcb2_on cb1_on
31.82Consensuscannabinoid_on_gpOrthosteric Ligandcb2_on_gp cb1_on_gp
31.82Consensuscb1_onOrthosteric Ligand6KPG-CB1-AM841-Gi1/β1/γ2 8K8J-CB1-Fenofibrate-chim(Gs-CtGq)/β1/γ2
31.82Consensusccr8_onOrthosteric Ligand8KFX-CCR8-LMD-009-Gi1/β1/γ2 8KFY-CCR8-ZK-756326-Gi1/β1/γ2 8U1U-CCR8-CCL1-Gi1/β1/γ2
31.82Consensusgi_lipidOrthosteric Ligandgi_cannabinoid gi_ffa gi_leukotriene gi_lpa gi_s1p
31.82Consensuslpa1_offOrthosteric Ligand4Z36-LPA1-ONO-3080573 4Z35-LPA1-ONO-9910539 4Z34-LPA1-ONO-9780307
31.82Consensuslpa_offOrthosteric Ligandlpa1_off
31.82Consensusm1_offOrthosteric Ligand5CXV-M1-Tiotropium
31.82Consensusm4_onOrthosteric Ligand7TRS-M4-Acetylcholine-Gi1/β1/γ2 7V6A-M4-PubChem 9864275-Gi1/β1/γ2 8E9X-M4-2-Deoxycytidine-chim(NtGi1-Go)/β1/γ2 7TRK-M4-Iperoxo-Gi1/β1/γ2
31.82Consensusm4_on_gpOrthosteric Ligand7TRS-M4-Acetylcholine-Gi1/β1/γ2 7V6A-M4-PubChem 9864275-Gi1/β1/γ2 8E9X-M4-2-Deoxycytidine-chim(NtGi1-Go)/β1/γ2 7TRK-M4-Iperoxo-Gi1/β1/γ2
31.82Consensuss1p3_onOrthosteric Ligand7EW3-S1P3-S1P-Gi1/β1/γ2 7EW4-S1P3-CYM-5541-Gi1/β1/γ2 7EW2-S1P3-FTY720-P-Gi1/β1/γ2
31.58Single3RZECidoxepin3RZE-H1-Cidoxepin
31.58Single3V2YPubChem 518926453V2Y-S1P1-PubChem 51892645
31.58Single4MQTIperoxo4MQT-M2-Iperoxo-LY2119620
31.58Single4ZUDOlmesartan4ZUD-AT1-Olmesartan
31.58Single5TE3Octyl-Beta-D-Glucopyranoside5TE3-Rhodopsin-Octyl-β-D-Glucopyranoside
31.58Single6A94Zotepine6A94-5-HT2A-Zotepine
31.58Single6MH8ZM-2413856MH8-A2A-ZM-241385
31.58Single6PS82-Phenylmelatonin6PS8-MT1-2-Phenylmelatonin
31.58Single6WJCAtropine6WJC-M1-Atropine-Muscarinic toxin 7
31.58Single6ZDVPubChem 9840736ZDV-A2A-PubChem 984073-Na
31.58Single6ZFZ77-LH-28-16ZFZ-M1-77-LH-28-1
31.58Single7BB6AVP7BB6-V2-AVP-Gs/β1/γ2
31.58Single7CKZDopamine7CKZ-D1-Dopamine-Mevidalen-Gs/β1/γ2
31.58Single7F0TDopamine7F0T-D1-Dopamine-Gs/β1/γ2
31.58Single7F1ZDopamine7F1Z-D1-Dopamine-GDP-Gs/β1/γ2
31.58Single7F24Dopamine7F24-D1-Dopamine-GDP-Gs/β1/γ2
31.58Single7UM7Methylergometrine7UM7-5-HT5A-Methylergometrine-chim(NtGi1-Go)/β1/γ2
31.58Single7VUGJNJ-635330547VUG-GPR139-JNJ-63533054-Gi1/β1/γ2
31.58Single7WVUfMLF7WVU-FPR1-ALX-fMLF-Gi1/β1/γ2
31.58Single7YK6PubChem 1383196747YK6-RXFP4-PubChem 138319674-Gi2/β1/γ2
31.58Single8DPGPsilocin8DPG-5-HT2C-Psilocin-chim(NtGi2L-Gs-CtGq)/β1/γ2
31.58Single8GEAConstrained Epinephrine8GEA-β2-Constrained Epinephrine-Gs/β1/γ2
31.58Single8GG8Constrained Epinephrine8GG8-β2-Constrained Epinephrine-GTP-Gs/β1/γ2
31.58Single8JSPUlotaront8JSP-5-HT1A-Ulotaront-Gi1/β1/γ2
31.58Single8K9LDAMGO8K9L-μ-DAMGO-BMS-986122-Gi3/β1/γ1
31.58Single8UO1Constrained Epinephrine8UO1-β2-Constrained Epinephrine-GTP; Mg-Gs/β1/γ2
31.58Single8V6UPubChem 1713924568V6U-5-HT2A-PubChem 171392456-chim(NtGi2-Gs-CtGq)/β1/γ2
31.58Single8WPGTryptophan; Cinacalcet; PO4; Ca8WPG-CaS; CaS-Tryptophan; Cinacalcet; PO4; Ca
31.58Single8Y53MK50468Y53-BB3-MK5046-chim(NtGi1-Gs-CtGq)/β1/γ2
31.58Single8YKVPubChem 1375531688YKV-Succinate-PubChem 137553168-Gi1/β1/γ2
31.58Single8ZBWQuin-C18ZBW-FPR2-ALX-Quin-C1-Gi2/β1/γ2
31.58Single8ZMGPimavanserin8ZMG-5-HT2A-Pimavanserin
31.58Single9AS8Psilocin9AS8-5-HT2A-Psilocin-chim(NtGi2L-Gs-CtGq)/β1/γ2
31.58Single9CBLEpinephrine9CBL-α2a-Epinephrine-Gi1/β1/γ2
31.58Single9EPQ11,20-Ethanoretinal9EPQ-Rhodopsin-11,20-Ethanoretinal-chim(Gi1-CtGq)/β1/γ2
31.58Single9JH3CMF-0199JH3-Apelin; Apelin-CMF-019-Gi1/β1/γ2
31.58Single9JKQMETH9JKQ-TA1-METH-Gs/β1/γ2
31.58Single9JKYAcifran9JKY-HCA2-Acifran-Gi1/β1/γ2
31.58Single9KPDSalicin9KPD-TAS2R16-Salicin-chim(Gs-CtGt3)/β1/γ2
31.58Single9KUWCMPD6449KUW-Apelin; Apelin-CMPD644-Arrestin2 ; Arrestin2
31.58Single9KVIBufotenin9KVI-5-HT1A-Bufotenin-PtdIns4P-Gi1/β1/γ2
31.58Single9LL8Psilocin9LL8-5-HT2A-Psilocin-Gi1/β1/γ2
31.58Single9M2FNeuropeptide-FF9M2F-NPFF1-Neuropeptide-FF-Gi1/β1/γ2
31.58Single9PXXNaloxone9PXX-μ-Naloxone-GDPβS-Gi1/β1/γ2
31.58Single9W33S5A19W33-SST5-S5A1
31.25Single6LRYSarafotoxin-B6LRY-ETB-Sarafotoxin-B
31.25Single7DD5Ca; Ca; Tryptophan; NPS-21437DD5-CaS; CaS-Ca-Ca; Ca; Tryptophan; NPS-2143
31.25Single8IWM2-Phenylethylamine8IWM-TAA9-2-Phenylethylamine
31.25Single9CHUNorepinephrine9CHU-β2-Norepinephrine
31.25Single9EE9Adenosine9EE9-A2A-Adenosine-Gs/β1/γ2
31.25Consensusopsins_onOrthosteric Ligandrhodopsin_on opsin1lw_on
31.25Consensussensory_onOrthosteric Ligandopsins_on
31.03Single7F4FAfamelanotide7F4F-MC1-Afamelanotide-chim(NtGi1-Gs)/β1/γ2
31.03Single8FEG(DNCP)-Beta-Naloxamine8FEG-κ-(DNCP)-β-Naloxamine-Gi1/β1/γ2
31.03Single9KDFRES-701-39KDF-ETB-RES-701-3
30.77Single6MEOGp160; CD46MEO-CCR5-Gp160; CD4
30.77Single7O7F6P4-CCL57O7F-CCR5-6P4-CCL5-Gi1/β1/γ1
30.77Single7RYCOxytocin7RYC-OT-Oxytocin-chim(NtGi2L-Gs-CtGq)/β1/γ2
30.77Single8XZGApelin-138XZG-Apelin; Apelin-Apelin-13-Gi1/β1/γ2
30.77Single9M1ONeuropeptide-FF9M1O-NPFF2-Neuropeptide-FF-Gi1/β1/γ2
30.77Single9UYIChemerin-99UYI-CML2-Chemerin-9-Arrestin2
30.77Consensusangiotensin_onOrthosteric Ligandat1_on
30.77Consensusat1_onOrthosteric Ligand7F6G-AT1-(Sar1)-Angiotensin II-Gq/β1/γ2
30.77Consensusc5a1_onOrthosteric Ligand8HK5-C5a1-C5a-Gi1/β1/γ2 7Y66-C5a1-BM213-Gi1/β1/γ2 7Y67-C5a1-C089 peptide-Gi1/β1/γ2 7Y64-C5a1-C5a-Gi1/β1/γ2
30.77Consensuscxcr4_on_gpOrthosteric Ligand8K3Z-CXCR4-CXCL12-Gi1/β1/γ1
30.77Consensusgs_cckOrthosteric Ligand7MBX-CCKA-Cholecystokinin-8-Gs/β1/γ1
30.43Single4Z35ONO-99105394Z35-LPA1-ONO-9910539
30.43Single6K1QIRL25006K1Q-ETB-IRL2500
30.43Single7QVMOxytocin7QVM-OT-Oxytocin-chim(NtGi1-Go-CtGq)/β1/γ2
30.43Single8GAGZ85267113508GAG-CB1-Z8526711350-Gi1/β1/γ2
30.43Single8ID8TUG-8918ID8-FFA4-TUG-891-Gi1/β1/γ2
30.43Single8IULLatanoprost8IUL-FP-alpha-Latanoprost-chim(NtGi1-Gs-CtGq)/β1/γ2
30.43Single8IYSTUG-8918IYS-FFA4-TUG-891-GDP-chim(NtGi1L-Gq)/β1/γ2
30.43Single8J19LY2378J19-GPR84-LY237-Gi1/β1/γ2
30.43Single8WRZAM8418WRZ-CB1-AM841-Arrestin2
30.43Single8ZWGJR14a8ZWG-C3aB-JR14a-Gi1/β1/γ2
30.00Single2Y01Dobutamine2Y01-β1-Dobutamine
30.00Single4DAJTiotropium4DAJ-M3-Tiotropium
30.00Single4MQSIperoxo4MQS-M2-Iperoxo
30.00Single4U14Tiotropium4U14-M3-Tiotropium
30.00Single5DSGTiotropium5DSG-M4-Tiotropium
30.00Single5NDDAZ8838; Na5NDD-PAR2-AZ8838; Na
30.00Single5TGZAM65385TGZ-CB1-AM6538
30.00Single6GPSMK08126GPS-CCR2-MK0812
30.00Single6WHADB139486WHA-5-HT2A-DB13948-chim(NtGi2L-Gs-CtGq)/β1/γ2
30.00Single6XBM25(S)-Epoxycholesterol6XBM-SMO-25(S)-Epoxycholesterol-Gi1/β1/γ2
30.00Single6Z10PubChem 1545855546Z10-Succinate-PubChem 154585554
30.00Single7DB6Ramelteon7DB6-MT1-Ramelteon-Gi1/β1/γ2
30.00Single7LJCSKF812977LJC-D1-SKF81297-Mevidalen-Gs/β1/γ2
30.00Single7NA8Ibutamoren7NA8-Ghrelin-Ibutamoren-Gi1/β1/γ2
30.00Single7TRPIperoxo7TRP-M4-Iperoxo-LY2033298-Gi1/β1/γ2
30.00Single7VGZRamelteon7VGZ-MT1-Ramelteon-Gi1/β1/γ2
30.00Single7VKTLTB47VKT-BLT1-LTB4-Gi1/β1/γ2
30.00Single7WC8Lumateperone7WC8-5-HT2A-Lumateperone
30.00Single7X2CFenoldopam7X2C-D1-Fenoldopam-Fenoldopam-Gs/β1/γ2
30.00Single7YK7DC5910537YK7-RXFP4-DC591053-Gi2/β1/γ2
30.00Single8CU6LJ-45178CU6-A2A-LJ-4517
30.00Single8EFQDAMGO8EFQ-μ-DAMGO-Gi1/β1/γ2
30.00Single8JT8(R)-IHCH-71798JT8-5-HT2A-(R)-IHCH-7179
30.00Single8KFYZK-7563268KFY-CCR8-ZK-756326-Gi1/β1/γ2
30.00Single8RW7StilSwitch18RW7-A2A-StilSwitch1-Na
30.00Single8UWLLisuride8UWL-5-HT2A-Lisuride-chim(NtGi2-Gs-CtGq)/β1/γ2
30.00Single8WC7ZH86678WC7-TA1-ZH8667-chim(NtGi1-Gs)/β1/γ2
30.00Single8YH5Riboprine8YH5-A3A-Riboprine-Gi1/β1/γ2
30.00Single8YN8Proxyfan8YN8-H3-Proxyfan-Go/β1/γ2
30.00Single9AVGCa; Ca; Cyclomethyltryptophan; R-568; PO49AVG-CaS; CaS-Ca-Ca; Ca; Cyclomethyltryptophan; R-568; PO4-chim(NtGi1-Gs)/β1/γ2
30.00Single9H37PubChem 1756706469H37-A2A-PubChem 175670646-Na
30.00Single9KFTfMLFC9KFT-FPR1-ALX-fMLFC-Gi1/β1/γ2
30.00Single9UAZAtropine9UAZ-M1-Atropine
30.00Consensus5ht6_onOrthosteric Ligand7XTB-5-HT6-Serotonin-Gs/β1/γ2 8JLZ-5-HT6-ST1936-Gs/β1/γ2
30.00Consensus5ht6_on_gpOrthosteric Ligand7XTB-5-HT6-Serotonin-Gs/β1/γ2 8JLZ-5-HT6-ST1936-Gs/β1/γ2
30.00Consensusblt1_onOrthosteric Ligand7VKT-BLT1-LTB4-Gi1/β1/γ2
30.00Consensusblt1_on_gpOrthosteric Ligand7VKT-BLT1-LTB4-Gi1/β1/γ2
30.00Consensusblt_onOrthosteric Ligandblt1_on
30.00Consensusblt_on_gpOrthosteric Ligandblt1_on_gp
30.00Consensusccr2_offOrthosteric Ligand6GPS-CCR2-MK0812
30.00Consensusendothelin_onOrthosteric Ligandetb_on eta_on
30.00Consensusgi_leukotrieneOrthosteric Ligand7VKT-BLT1-LTB4-Gi1/β1/γ2
30.00Consensusleukotriene_onOrthosteric Ligandblt_on
30.00Consensusleukotriene_on_gpOrthosteric Ligandblt_on_gp
30.00Consensusm4_offOrthosteric Ligand5DSG-M4-Tiotropium
29.63Single6JODAngiotensin II6JOD-AT2-Angiotensin II
29.63Single6METGp160; CD46MET-CCR5-Gp160; CD4
29.63Single7F6G(Sar1)-Angiotensin II7F6G-AT1-(Sar1)-Angiotensin II-Gq/β1/γ2
29.63Single7T10Somatostatin-147T10-SST2-Somatostatin-14-Gi3/β1/γ2
29.63Single7YONPeptide-YY(3-36)7YON-Y2-Peptide-YY(3-36)-Gi1/β1/γ2
29.63Single8WSTMCH8WST-MCH2-MCH-chim(NtGi1L-Gs-CtGq)/β1/γ2
29.63Single8XZJWN3538XZJ-Apelin; Apelin-WN353-Gi1/β1/γ2
29.63Consensusangiotensin_on_gpOrthosteric Ligandat1_on_gp
29.63Consensusat1_on_gpOrthosteric Ligand7F6G-AT1-(Sar1)-Angiotensin II-Gq/β1/γ2
29.63Consensusgq_angiotensinOrthosteric Ligand7F6G-AT1-(Sar1)-Angiotensin II-Gq/β1/γ2
29.63Consensusprotein_onOrthosteric Ligandchemokine_on chemerin_on
29.41Single2J4Y11-cis-Retinal2J4Y-Rhodopsin-11-cis-Retinal
29.41Single3C9M11-cis-Retinal3C9M-Rhodopsin-11-cis-Retinal
29.41Single3OE6IT1t3OE6-CXCR4-IT1t
29.41Single3UZAGTPL92363UZA-A2A-GTPL9236
29.41Single5WKTOctyl-Beta-D-Glucopyranoside5WKT-Rhodopsin-Octyl-β-D-Glucopyranoside-Gt(CT)
29.41Single6FUFAll-trans-Retinal6FUF-Rhodopsin-All-trans-Retinal-Go
29.41Single7DD7Ca; Ca; Tryptophan; Evocalcet7DD7-CaS; CaS-Ca-Ca; Ca; Tryptophan; Evocalcet
29.41Single7F23Dopamine7F23-D1-Dopamine-GDP-Gs/β1/γ2
29.41Single7WC5Psilocin7WC5-5-HT2A-Psilocin
29.41Single8GGEConstrained Epinephrine8GGE-β2-Constrained Epinephrine-GTP-Gs/β1/γ2
29.41Single8GGFConstrained Epinephrine8GGF-β2-Constrained Epinephrine-GTP-Gs/β1/γ2
29.41Single8ITFDMCHA8ITF-TAA9-DMCHA-chim(NtGi1-Gs)/β1/γ2
29.41Single8IU2All-trans-Retinal8IU2-Opsin1LW-All-trans-Retinal-Gi1/β1/γ2
29.41Single8IW72-Phenylethylamine8IW7-TAA9-2-Phenylethylamine-chim(NtGi1-Gs)/β1/γ2
29.41Single8JXTHistamine8JXT-H4-Histamine-PO4-Gi1/β1/γ2
29.41Single8POKHistamine8POK-H2-Histamine-Gs/β1/γ2
29.41Single8WC62-Phenylethylamine8WC6-TA1-2-Phenylethylamine-chim(NtGi1-Gs)/β1/γ2
29.41Single9JKT(2R)-2-hydroxy-3-phenylpropanoic acid9JKT-HCA3-(2R)-2-hydroxy-3-phenylpropanoic acid-Gi1/β1/γ2
29.41Single9KT93,5-DHBA9KT9-HCA1-3,5-DHBA-Gi1/β1/γ2
29.41Consensusgi_opsinsOrthosteric Ligand8IU2-Opsin1LW-All-trans-Retinal-Gi1/β1/γ2
29.41Consensusgi_sensoryOrthosteric Ligandgi_opsins
29.41Consensush2_on_gpOrthosteric Ligand8POK-H2-Histamine-Gs/β1/γ2
29.41Consensusopsin1lw_onOrthosteric Ligand8IU2-Opsin1LW-All-trans-Retinal-Gi1/β1/γ2
29.41Consensusopsin1lw_on_gpOrthosteric Ligand8IU2-Opsin1LW-All-trans-Retinal-Gi1/β1/γ2
29.41Consensusopsins_on_gpOrthosteric Ligandrhodopsin_on_gp opsin1lw_on_gp
29.41Consensusrhodopsin_onOrthosteric Ligand6OYA-Rhodopsin-All-trans-Retinal-Gt/β1/γ1
29.41Consensussensory_on_gpOrthosteric Ligandopsins_on_gp
29.17Single6C1QPMX536C1Q-C5a1-PMX53-NDT9513727
29.17Single6G79Donitriptan6G79-5-HT1B-Donitriptan-Go/β1/γ2
29.17Single6XBJCholesterol6XBJ-SMO-Cholesterol-Gi1/β1/γ2
29.17Single7RKFCX3CL17RKF-US28-CX3CL1-GDP-chim(NtGi1-G11)/β1/γ2
29.17Single7XBXCX3CL17XBX-CX3CR1-CX3CL1-Gi1/β1/γ2
29.17Single8F7REndomorphin8F7R-μ-Endomorphin-Gi1/β1/γ2
29.17Single8QJ2pN1628QJ2-MC4-pN162-Gs/β1/γ2
29.17Single8XZFWN5618XZF-Apelin; Apelin-WN561-Gi1/β1/γ2
29.17Single9IPYJR14a9IPY-C3aB-JR14a
29.17Single9IZASCH9002719IZA-HCA2-SCH900271-Gi1/β1/γ2
29.17Single9KZ8EP679KZ8-C3aB-EP67-Go/β1/γ2
29.17Single9UMJEP549UMJ-C3aB-EP54-Go/β1/γ2
29.17Consensuscxcr_on_gpOrthosteric Ligandcxcr3_on_gp cxcr4_on_gp cxcr1_on_gp cxcr2_on_gp
29.17Consensusdop_onOrthosteric Ligand8F7S-δ-Deltorphin-Gi1/β1/γ2
29.03Consensusgi_npyOrthosteric Ligand8K6M-Y1-Neuropeptide-Y-Gi2/β1/γ1 7X9C-Y4-Pancreatic Hormone-Gi1/β1/γ2 7YOO-Y2-Neuropeptide-Y-Gi1/β1/γ2
29.03Consensusnpy_onOrthosteric Ligandnpy1_on npy2_on npy4_on
29.03Consensusnpy_on_gpOrthosteric Ligandnpy1_on_gp npy2_on_gp npy4_on_gp
28.57Single2Y00Dobutamine2Y00-β1-Dobutamine
28.57Single4WW3All-trans-Retinal4WW3-Rhodopsin-All-trans-Retinal
28.57Single5CGCHTL142425CGC-mGlu5-HTL14242
28.57Single5N2RPSB365N2R-A2A-PSB36-Na
28.57Single5N2SPSB365N2S-A1-PSB36
28.57Single5NM2ZM-2413855NM2-A2A-ZM-241385-Na
28.57Single5ZK33-quinuclidinyl-benzilate5ZK3-M2-3-quinuclidinyl-benzilate
28.57Single6GPXMK08126GPX-CCR2-MK0812
28.57Single6HLPNetupitant6HLP-NK1-Netupitant
28.57Single6LUQHaloperidol6LUQ-D2-Haloperidol
28.57Single6OIKIperoxo6OIK-M2-Iperoxo-LY2119620-chim(NtGi1-Go)/β1/γ2
28.57Single7BB7AVP7BB7-V2-AVP-Gs/β1/γ2
28.57Single7EPFNAM5977EPF-mGlu2-NAM597
28.57Single7F6IKallidin7F6I-BK2-Kallidin-Gq/β1/γ2
28.57Single7TD3S1P7TD3-S1P1-S1P-Gi1/β1/γ2
28.57Single7TRKIperoxo7TRK-M4-Iperoxo-Gi1/β1/γ2
28.57Single8HCQEndothelin-18HCQ-ETA-Endothelin-1-chim(NtGi1-Gs-CtGq)/β1/γ2
28.57Single8IA2C5a8IA2-C5a1-C5a-Go/β1/γ2
28.57Single8J18(3R)-3-Hydroxydodecanoic acid8J18-GPR84-(3R)-3-Hydroxydodecanoic acid-Gi1/β1/γ2
28.57Single8JXSPF-61428JXS-D1-PF-6142
28.57Single8K8JFenofibrate8K8J-CB1-Fenofibrate-chim(Gs-CtGq)/β1/γ2
28.57Single8KFXLMD-0098KFX-CCR8-LMD-009-Gi1/β1/γ2
28.57Single8QOTNanobody-E8QOT-μ-Nanobody-E
28.57Single8TF5Oleic acid8TF5-GPR6-Oleic acid
28.57Single8TH4Losartan8TH4-AT1-Losartan-AT118-L Nanobody
28.57Single8WGBVU01550418WGB-mGlu4; mGlu2-Glutamate-VU0155041-Gi3/β1/γ2
28.57Single8X0DVU04244658X0D-mGlu5; mGlu5-Quisqualate-VU0424465
28.57Single8X0DVU04244658X0D-mGlu5; mGlu5-Quisqualate-VU0424465
28.57Single8YNSSNAP-948478YNS-MCH1-SNAP-94847
28.57Single9ARYSerotonin9ARY-5-HT2A-Serotonin-chim(NtGi1-Gs-CtGq)/β1/γ2
28.57Single9EAHOlmesartan9EAH-AT1-Olmesartan-Nanobody AT209
28.57Single9EHSLUF76029EHS-A3A-LUF7602
28.57Single9F33FOB02-04A9F33-D3-FOB02-04A-Go/β1/γ2
28.57Single9IYBPGD29IYB-DP2-PGD2-A1D5Q-Gi1/β1/γ2
28.57Single9JKSPubChem 442501769JKS-HCA3-PubChem 44250176-Gi1/β1/γ2
28.57Single9KPFSalicin9KPF-TAS2R16-Salicin-Gi1/β1/γ2
28.57Single9KT6Acifran9KT6-HCA3-Acifran-Gi1/β1/γ2
28.57Consensusa1_offOrthosteric Ligand5UEN-A1-DU172 5N2S-A1-PSB36
28.57Consensusadenosine_offOrthosteric Liganda1_off a2_off
28.57Consensuscb2_onOrthosteric Ligand8GUR-CB2-CP55940-Gi1/β1/γ2 8GUS-CB2-HU-308-Gi1/β1/γ2 8GUT-CB2-LEI-102-Gi1/β1/γ2 6KPF-CB2-AM12033-Gi1/β1/γ2 6PT0-CB2-WIN 55212-2-Gi1/β1/γ2 8GUQ-CB2-Olorinab-Gi1/β1/γ2
28.57Consensuscb2_on_gpOrthosteric Ligand8GUR-CB2-CP55940-Gi1/β1/γ2 8GUS-CB2-HU-308-Gi1/β1/γ2 8GUT-CB2-LEI-102-Gi1/β1/γ2 6KPF-CB2-AM12033-Gi1/β1/γ2 6PT0-CB2-WIN 55212-2-Gi1/β1/γ2 8GUQ-CB2-Olorinab-Gi1/β1/γ2
28.57Consensuschemokine_on_gpOrthosteric Ligandccr_on_gp cxcr_on_gp
28.57Consensuseta_onOrthosteric Ligand8HCQ-ETA-Endothelin-1-chim(NtGi1-Gs-CtGq)/β1/γ2
28.57Consensuseta_on_gpOrthosteric Ligand8HCQ-ETA-Endothelin-1-chim(NtGi1-Gs-CtGq)/β1/γ2
28.57Consensusgi_chemokineOrthosteric Ligand6WWZ-CCR6-CCL20-Go/β1/γ2 8HNK-CXCR3-CXCL11-Gi1/β1/γ2 8K3Z-CXCR4-CXCL12-Gi1/β1/γ1 8IC0-CXCR1-CXCL8-Gi1/β1/γ2 6LFM-CXCR2-CXCL8-Gi1/β1/γ2 8KFX-CCR8-LMD-009-Gi1/β1/γ2 7F1Q-CCR5-CCL3-Gi1/β1/γ2 8HNL-CXCR3-PS372424-Gi1/β1/γ2 8KFY-CCR8-ZK-756326-Gi1/β1/γ2 7O7F-CCR5-6P4-CCL5-Gi1/β1/γ1 8U1U-CCR8-CCL1-Gi1/β1/γ2 7VLA-CCR1-CCL15(27-92)-Gi1/β1/γ2 7XA3-CCR2-CCL2-Gi1/β1/γ2
28.57Consensusmc1_onOrthosteric Ligand7F4H-MC1-Afamelanotide-chim(NtGi1-Gs)/β1/γ2 7F4D-MC1-α-MSH-chim(NtGi1-Gs)/β1/γ2 7F4I-MC1-SHU9119-chim(NtGi1-Gs)/β1/γ2
28.57Consensusmc1_on_gpOrthosteric Ligand7F4H-MC1-Afamelanotide-chim(NtGi1-Gs)/β1/γ2 7F4D-MC1-α-MSH-chim(NtGi1-Gs)/β1/γ2 7F4I-MC1-SHU9119-chim(NtGi1-Gs)/β1/γ2
28.57Consensusnucleotide_onOrthosteric Ligandadenosine_on p2y_on
28.12Consensusendothelin_on_gpOrthosteric Ligandetb_on_gp eta_on_gp
28.00Single4XT1CX3CL14XT1-US28-CX3CL1
28.00Single7F4ISHU91197F4I-MC1-SHU9119-chim(NtGi1-Gs)/β1/γ2
28.00Single7F8XNN90567F8X-CCKA-NN9056
28.00Single7TD4Siponimod7TD4-S1P1-Siponimod-Gi1/β1/γ2
28.00Single7WICSomatostatin-147WIC-SST2-Somatostatin-14-Gi1/β1/γ2
28.00Single7XMRSomatostatin-147XMR-SST2-Somatostatin-14-Gi1/β1/γ2
28.00Single8WKYPG-9348WKY-MC4-PG-934
28.00Single9UMRC5a-pep9UMR-C5a1-C5a-pep-Go/β1/γ2
28.00Consensuschemerin_on_gpOrthosteric Ligandcml1_on_gp
28.00Consensuscml1_onOrthosteric Ligand7YKD-CML1-Chemerin-9-Gi1/β1/γ2
28.00Consensusgi_chemerinOrthosteric Ligand7YKD-CML1-Chemerin-9-Gi1/β1/γ2
28.00Consensuslpl_onOrthosteric Ligands1p_on lpa_on
28.00Consensuslpl_on_gpOrthosteric Ligands1p_on_gp lpa_on_gp
28.00Consensusnop_onOrthosteric Ligand8F7X-NOP-Nociceptin-Gi1/β1/γ2
28.00Consensusnop_on_gpOrthosteric Ligand8F7X-NOP-Nociceptin-Gi1/β1/γ2
27.78Single1L9H11-cis-Retinal1L9H-Rhodopsin-11-cis-Retinal
27.78Single1U1911-cis-Retinal1U19-Rhodopsin-11-cis-Retinal
27.78Single2G87All-trans-Retinal2G87-Rhodopsin-All-trans-Retinal
27.78Single2I3511-cis-Retinal2I35-Rhodopsin-11-cis-Retinal
27.78Single6HLLCP999946HLL-NK1-CP99994
27.78Single6I9K9-cis-Retinal6I9K-Rhodopsin-9-cis-Retinal
27.78Single6TQ4PubChem 160468446TQ4-OX1-PubChem 16046844-Na
27.78Single7DFLHistamine7DFL-H1-Histamine-chim(NtGi1L-Gq)/β1/γ2
27.78Single7E2YSerotonin7E2Y-5-HT1A-Serotonin-PtdIns4P-Gi1/β1/γ2
27.78Single7V68Iperoxo7V68-M4-Iperoxo-LY2119620-Gi1/β1/γ2
27.78Single7XP6Strychnine7XP6-TAS2R46-Strychnine-chim(Gs-CtGt3)/β1/γ2
27.78Single7XTASerotonin7XTA-5-HT4-Serotonin-Gi1/β1/γ2
27.78Single7XTBSerotonin7XTB-5-HT6-Serotonin-Gs/β1/γ2
27.78Single8A2PLUAA470708A2P-A2A-LUAA47070-Na
27.78Single8DPFLorcaserin8DPF-5-HT2C-Lorcaserin-chim(NtGi2L-Gs-CtGq)/β1/γ2
27.78Single8EF6Morphine8EF6-μ-Morphine-Gi1/β1/γ2
27.78Single8IHIAcifran8IHI-HCA2-Acifran-Gi1/β1/γ2
27.78Single8JILNiacin8JIL-HCA2-Niacin-Gi1/β1/γ2
27.78Single8JLOUlotaront8JLO-TA1-Ulotaront-Gs/β1/γ2
27.78Single8UO4Constrained Epinephrine8UO4-β2-Constrained Epinephrine-GTP; Mg-Gs/β1/γ2
27.78Single8WPUTryptophan; Cinacalcet; PO4; Ca8WPU-CaS; CaS-Tryptophan; Cinacalcet; PO4; Ca-chim(NtGi2L-Gs-CtGq)/β1/γ2
27.78Single9AS7Psilocin9AS7-5-HT2A-Psilocin
27.78Single9C1PCa; Tryptophan; '6218; PO49C1P-CaS; CaS-Ca-Ca; Tryptophan; '6218; PO4
27.78Single9IJEEpinephrine9IJE-β3-Epinephrine-chim(NtGi1-Gs)/β1/γ2
27.78Single9KUWCMPD6449KUW-Apelin; Apelin-CMPD644-Arrestin2 ; Arrestin2
27.78Consensus5ht4_onOrthosteric Ligand7XTA-5-HT4-Serotonin-Gi1/β1/γ2
27.78Consensus5ht4_on_gpOrthosteric Ligand7XTA-5-HT4-Serotonin-Gi1/β1/γ2
27.78Consensush1_onOrthosteric Ligand7DFL-H1-Histamine-chim(NtGi1L-Gq)/β1/γ2
27.59Single7F8VGastrin-177F8V-CCKB-Gastrin-17-Gi2/β1/γ2
27.27Single3PDSFAUC503PDS-β2-FAUC50
27.27Single3UON3-quinuclidinyl-benzilate3UON-M2-3-quinuclidinyl-benzilate
27.27Single4IAQDihydroergotamine4IAQ-5-HT1B-Dihydroergotamine
27.27Single5XR8AM120335XR8-CB1-AM12033
27.27Single6N4BMDMB-Fubinaca6N4B-CB1-MDMB-Fubinaca-Gi1/β1/γ2
27.27Single6O3CCholesterol6O3C-SMO-SAG21k-Cholesterol
27.27Single7E2ZAripiprazole7E2Z-5-HT1A-Aripiprazole-PtdIns4P-Gi1/β1/γ2
27.27Single7EW3S1P7EW3-S1P3-S1P-Gi1/β1/γ2
27.27Single7EW4CYM-55417EW4-S1P3-CYM-5541-Gi1/β1/γ2
27.27Single7F58THIQ7F58-MC4-THIQ-Gs/β1/γ2
27.27Single7FEECP559407FEE-CB1-CP55940-ZCZ011
27.27Single7PX4PSB-21137PX4-A2A-PSB-2113
27.27Single7WV9CP559407WV9-CB1-CP55940-ZCZ011-Gi2/β1/γ2
27.27Single7XTQR3997XTQ-GPBA-R399-Gs/β1/γ2
27.27Single7Y24Octreotide7Y24-SST2-Octreotide-Go/β1/γ2
27.27Single7Y67C089 peptide7Y67-C5a1-C089 peptide-Gi1/β1/γ2
27.27Single8HDOBAY 60-65838HDO-A2B-BAY 60-6583-Gs/β1/γ2
27.27Single8HPTC5a (C-terminal peptide)8HPT-C5a1-C5a (C-terminal peptide)-Go/β1/γ2
27.27Single8ID39-Hydroxystearic acid8ID3-FFA4-9-Hydroxystearic acid-Gi1/β1/γ2
27.27Single8ID6Oleic acid8ID6-FFA4-Oleic acid-Gi1/β1/γ2
27.27Single8IYHMK68928IYH-HCA2-MK6892-Go/β1/γ2
27.27Single8JXWVUF68848JXW-H4-VUF6884-Gi1/β1/γ2
27.27Single8X0FVU298X0F-mGlu5; mGlu5-Quisqualate-VU29
27.27Single8XJMLatanoprost8XJM-FP-alpha-Latanoprost-chim(NtGi2-Gs-CtGq)/β1/γ2
27.27Single8YNTSNAP-948478YNT-MCH1-SNAP-94847
27.27Single8ZR5Firuglipel8ZR5-GPR119-Firuglipel-Gs/β1/γ2
27.27Single9AS9RS130-1809AS9-5-HT2A-RS130-180
27.27Single9ASARS130-1809ASA-5-HT2A-RS130-180-chim(NtGi1-Gs-CtGq)/β1/γ2
27.27Single9KUXCMPD6449KUX-Apelin; Apelin-CMPD644-Arrestin2
27.27Single9RHGC4079RHG-FZD7-C407
27.27Single9UCPIperoxo9UCP-M1-Iperoxo-G11(CT)
27.27Single9UY3Anamorelin9UY3-Ghrelin-Anamorelin-chim(NtGi1-Gs-CtGq)/β1/γ2
27.27Consensusm3_offOrthosteric Ligand4U15-M3-Tiotropium 4U16-M3-N-methyl-Scopolamine 5ZHP-M3-PubChem 134828589
26.92Single5XJM(Sar1,Ile8)-Angiotensin II5XJM-AT2-(Sar1,Ile8)-Angiotensin II
26.92Single7DDZJNJ-310200287DDZ-Y2-JNJ-31020028
26.92Single7EZKCholecystokinin-87EZK-CCKA-Cholecystokinin-8-chim(NtGi1-Gs)/β1/γ2
26.92Single7W0NElabela7W0N-Apelin; Apelin-Elabela-Gi1/β1/γ2
26.92Single8F7SDeltorphin8F7S-δ-Deltorphin-Gi1/β1/γ2
26.92Single8WSSMCH8WSS-MCH1-MCH-Gi1/β1/γ1
26.92Single8XYDPlatelet Activating Factor8XYD-PAF-Platelet Activating Factor-Gi1/β1/γ2
26.92Single8Z7JJN241-98Z7J-Apelin-JN241-9-Gi1/β1/γ2
26.92Single9E82CXCL12 (fragment)9E82-ACKR3-CXCL12 (fragment)-Arrestin2
26.92Single9EAINanobody AT2099EAI-AT1-Losartan-Nanobody AT209
26.92Single9KV6TLQP219KV6-C3aB-TLQP21-Go/β1/γ2
26.92Single9L60Dynorphin9L60-κ-Dynorphin-MPAM-15-Gi1/β1/γ2
26.92Consensusccr8_on_gpOrthosteric Ligand8KFX-CCR8-LMD-009-Gi1/β1/γ2 8KFY-CCR8-ZK-756326-Gi1/β1/γ2 8U1U-CCR8-CCL1-Gi1/β1/γ2
26.92Consensusdop_on_gpOrthosteric Ligand8F7S-δ-Deltorphin-Gi1/β1/γ2
26.92Consensusgi_cckOrthosteric Ligand7EZH-CCKA-Cholecystokinin-8-Gi1/β1/γ2 7F8V-CCKB-Gastrin-17-Gi2/β1/γ2
26.92Consensusgi_ghrelinOrthosteric Ligand7NA7-Ghrelin-Ghrelin-Gi1/β1/γ2 7NA8-Ghrelin-Ibutamoren-Gi1/β1/γ2
26.92Consensusnpy2_offOrthosteric Ligand7DDZ-Y2-JNJ-31020028
26.67Single5MZPCaffeine5MZP-A2A-Caffeine-Na
26.67Single8GEJConstrained Epinephrine8GEJ-β2-Constrained Epinephrine-Gs/β1/γ2
26.67Single8ZJGChemerin8ZJG-CML1-Chemerin-Gi1/β1/γ2
26.67Single9BUCCagrilintide9BUC-CT-Cagrilintide-Gs/β1/γ2
26.32Single1GZM11-cis-Retinal1GZM-Rhodopsin-11-cis-Retinal
26.32Single2PED9-cis-Retinal2PED-Rhodopsin-9-cis-Retinal
26.32Single2Z7311-cis-Retinal2Z73-Rhodopsin-11-cis-Retinal
26.32Single3AYN9-cis-Retinal3AYN-Rhodopsin-9-cis-Retinal
26.32Single3C9L11-cis-Retinal3C9L-Rhodopsin-11-cis-Retinal
26.32Single3ODUIT1t3ODU-CXCR4-IT1t
26.32Single3VGAZM-2413853VGA-A2A-ZM-241385-Antibody
26.32Single6ME9Ramelteon6ME9-MT2-Ramelteon
26.32Single6OYAAll-trans-Retinal6OYA-Rhodopsin-All-trans-Retinal-Gt/β1/γ1
26.32Single6TQ6PubChem 1457142836TQ6-OX1-PubChem 145714283
26.32Single7F1ODopamine7F1O-D1-Dopamine-GDP; Mg-Gs/β1/γ2
26.32Single7LJDDopamine7LJD-D1-Dopamine-Mevidalen-Gs/β1/γ1
26.32Single7SILCa; Ca; Ca; Cyclomethyltryptophan; R-568; PO47SIL-CaS; CaS-Ca-Ca; Ca; Ca; Cyclomethyltryptophan; R-568; PO4
26.32Single7SILCa; Ca; Ca; Cyclomethyltryptophan; R-568; PO47SIL-CaS; CaS-Ca-Ca; Ca; Ca; Cyclomethyltryptophan; R-568; PO4
26.32Single7SRSLSD7SRS-5-HT2B-LSD-Arrestin2
26.32Single7T6STC-FPR 437T6S-FPR2-ALX-TC-FPR 43-Gi1/β1/γ2
26.32Single7W0MPubChem 1227019087W0M-Apelin-PubChem 122701908-Gi1/β1/γ2
26.32Single7WF7S1P7WF7-S1P1-S1P-Gi1/β1/γ2
26.32Single7X2FDopamine7X2F-D1-Dopamine-Mevidalen-Gs/β1/γ2
26.32Single8A6CAll-trans-Retinal8A6C-Rhodopsin-All-trans-Retinal
26.32Single8A6DAll-trans-Retinal8A6D-Rhodopsin-All-trans-Retinal
26.32Single8A6EAll-trans-Retinal8A6E-Rhodopsin-All-trans-Retinal
26.32Single8DU3PubChem 1055260648DU3-A2A-PubChem 105526064
26.32Single8DWGML3828DWG-MRGPRX1-BAM8-22-ML382-chim(NtGi2L-Gs-CtGq)/β1/γ2
26.32Single8JSOAMPH8JSO-TA1-AMPH-chim(NtGi1-Gs)/β1/γ2
26.32Single8RW0Istradefylline8RW0-A2A-Istradefylline-Na
26.32Single8RW4AzoSwitch28RW4-A2A-AzoSwitch2-Na
26.32Single8RWEStilSwitch48RWE-A2A-StilSwitch4-Na
26.32Single8WPGTryptophan; Cinacalcet; PO4; Ca8WPG-CaS; CaS-Tryptophan; Cinacalcet; PO4; Ca
26.32Single8YUTAmthamine8YUT-H2-Amthamine-Gs/β1/γ2
26.32Single9AVLCa; Ca; Cyclomethyltryptophan; R-568; PO49AVL-CaS; CaS-Ca-Ca; Ca; Cyclomethyltryptophan; R-568; PO4-Gi3/β2/γ2
26.32Single9FUPIstradefylline9FUP-A2A-Istradefylline-Na
26.32Single9H2XPubChem 1756706449H2X-A2A-PubChem 175670644-Na
26.32Single9LKDPL459LKD-OR5V1-PL45
26.32Consensusrhodopsin_offOrthosteric Ligand1U19-Rhodopsin-11-cis-Retinal 2PED-Rhodopsin-9-cis-Retinal 5TE5-Rhodopsin-20-Methanoretinal
26.32Consensusrhodopsin_on_gpOrthosteric Ligand6OYA-Rhodopsin-All-trans-Retinal-Gt/β1/γ1
26.09Single4N4WSANT-14N4W-SMO-SANT-1
26.09Single4OR2FITM4OR2-mGlu1; mGlu1-FITM
26.09Single5X33BIIL2605X33-BLT1-BIIL260
26.09Single6C1RPMX536C1R-C5a1-PMX53-Avacopan; Na
26.09Single6KQICP559406KQI-CB1-CP55940-Org27569
26.09Single6OS0Angiotensin II6OS0-AT1-Angiotensin II
26.09Single7EPENAM5637EPE-mGlu2-NAM563
26.09Single7XZ5Lysophosphatidylcholine7XZ5-GPR119-Lysophosphatidylcholine-Gs/β1/γ2
26.09Single8H0QGastrin Releasing Peptide8H0Q-BB2-Gastrin Releasing Peptide-chim(NtGi1-Gs-CtGq)/β1/γ2
26.09Single8HK2C3a8HK2-C3aB-C3a-Gi1/β1/γ2
26.09Single8JD3JNJ-404118138JD3-mGlu2; mGlu3-Glutamate-JNJ-40411813-Gi1/β1/γ2
26.09Single9DGIZ85267113509DGI-CB1-Z8526711350
26.09Single9GGGI-BOP9GGG-TXA2-I-BOP-chim(NtGi2L-Gs-CtGq)/β1/γ2
26.09Single9IZHLPA9IZH-LPA1-LPA-chim(NtGi2-G13)/β1/γ2
26.09Single9KZKC3a (fragment)9KZK-C3aB-C3a (fragment)-Go/β1/γ2
26.09Single9L3WChemerin9L3W-CML1-Chemerin-Gi1/β1/γ2
26.09Single9WSWEndomorphin9WSW-μ-Endomorphin-chim(NtGi1-Gz)/β1/γ2
26.09Single9WXMGPR15L(CT)9WXM-GPR15-GPR15L(CT)-Gi3/β1/γ2
26.09Consensuscxcr_onOrthosteric Ligandcxcr3_on cxcr4_on cxcr1_on cxcr2_on
26.09Consensuslipid_offonOrthosteric Ligandlipid_off lipid_on
26.09Consensuslipid_offon_gpOrthosteric Ligandlipid_on_gp lipid_off
25.93Single3OE0CVX153OE0-CXCR4-CVX15
25.93Single6W25SHU91196W25-MC4-SHU9119-Ca
25.93Single7MBXCholecystokinin-87MBX-CCKA-Cholecystokinin-8-Gs/β1/γ1
25.93Single7XA3CCL27XA3-CCR2-CCL2-Gi1/β1/γ2
25.93Single8WKZSBL-MC-318WKZ-MC4-SBL-MC-31
25.93Single9U4WGonadoliberin-19U4W-GnRH1-Gonadoliberin-1-chim(NtGi1L-Gs-CtGq)/β1/γ2
25.93Consensusccr2_onOrthosteric Ligand7XA3-CCR2-CCL2-Gi1/β1/γ2
25.93Consensusccr2_on_gpOrthosteric Ligand7XA3-CCR2-CCL2-Gi1/β1/γ2
25.81Single8IY6Endothelin-18IY6-ETB-Endothelin-1
25.81Single8KGGLysophosphatidylserine (WJS)8KGG-P2Y10-Lysophosphatidylserine (WJS)-chim(NtGi2-G13)/β1/γ2
25.81Single8Y52BA18Y52-BB3-BA1-chim(NtGi1-Gs-CtGq)/β1/γ2
25.00Single1F8811-cis-Retinal1F88-Rhodopsin-11-cis-Retinal
25.00Single3OAX11-cis-Retinal3OAX-Rhodopsin-11-cis-Retinal
25.00Single3PXOAll-trans-Retinal3PXO-Rhodopsin-All-trans-Retinal
25.00Single4OR2FITM4OR2-mGlu1; mGlu1-FITM
25.00Single5CGDHTL142425CGD-mGlu5-HTL14242
25.00Single5DYSAll-trans-Retinal5DYS-Rhodopsin-All-trans-Retinal
25.00Single5IU7Q274563465IU7-A2A-Q27456346-Na
25.00Single5JTBZM-2413855JTB-A2A-ZM-241385
25.00Single5K2BZM-2413855K2B-A2A-ZM-241385-Na
25.00Single5MZJTheophylline5MZJ-A2A-Theophylline-Na
25.00Single6AQFZM-2413856AQF-A2A-ZM-241385
25.00Single6KPGAM8416KPG-CB1-AM841-Gi1/β1/γ2
25.00Single6ME42-Iodomelatonin6ME4-MT1-2-Iodomelatonin
25.00Single6PT0WIN 55212-26PT0-CB2-WIN 55212-2-Gi1/β1/γ2
25.00Single6WIVPubChem 52923113; PubChem 529246456WIV-GABAB1, GABAB2-PubChem 52923113; PubChem 52924645
25.00Single6ZDRHMS1413f126ZDR-A2A-HMS1413f12-Na
25.00Single7AROLUF58337ARO-A2A-LUF5833-Na
25.00Single7CKWFenoldopam7CKW-D1-Fenoldopam-Gs/β1/γ2
25.00Single7F4HAfamelanotide7F4H-MC1-Afamelanotide-chim(NtGi1-Gs)/β1/γ2
25.00Single7MBYCholecystokinin-87MBY-CCKA-Cholecystokinin-8-chim(NtGi1L-Gs-CtGq)/β1/γ2
25.00Single7T32ZM-2413857T32-A2A-ZM-241385
25.00Single7VODCariprazine7VOD-5-HT2A-Cariprazine
25.00Single7WC4Serotonin7WC4-5-HT2A-Serotonin
25.00Single7WUIIP157WUI-ADGRG2-IP15-chim(NtGi1-Gs)/β1/γ2
25.00Single7XOVSR1461317XOV-CCKA-SR146131-Gs/β1/γ2
25.00Single7YU8ONO-07405567YU8-LPA1-ONO-0740556-Gi1/β1/γ2
25.00Single7ZBC11-cis-Retinal7ZBC-Rhodopsin-11-cis-Retinal
25.00Single7ZBE11-cis-Retinal7ZBE-Rhodopsin-11-cis-Retinal
25.00Single8FCZ11-cis-Retinal8FCZ-Rhodopsin-11-cis-Retinal
25.00Single8GUQOlorinab8GUQ-CB2-Olorinab-Gi1/β1/γ2
25.00Single8GURCP559408GUR-CB2-CP55940-Gi1/β1/γ2
25.00Single8H4LDoconexent8H4L-FFA4-Doconexent-chim(NtGi1-Gs-CtGq)/β1/γ2
25.00Single8IEDPubChem 1347468948IED-GPR156; GPR156-PubChem 134746894-Go/β1/γ2
25.00Single8PWNTheophylline8PWN-A2A-Theophylline
25.00Single8RQQZM-2413858RQQ-A2A-ZM-241385-Na
25.00Single8RWCStilSwitch28RWC-A2A-StilSwitch2-Na
25.00Single8RWDStilSwitch38RWD-A2A-StilSwitch3-Na
25.00Single8RWIStilSwitch28RWI-A2A-StilSwitch2-Na
25.00Single8WPUTryptophan; Cinacalcet; PO4; Ca8WPU-CaS; CaS-Tryptophan; Cinacalcet; PO4; Ca-chim(NtGi2L-Gs-CtGq)/β1/γ2
25.00Single8XJKCloprosetnol8XJK-FP-alpha-Cloprosetnol-chim(NtGi1-Gs-CtGq)/β1/γ2
25.00Single8Y01All-trans-Retinal8Y01-Opsin1MW-All-trans-Retinal-Gi1/β1/γ2
25.00Single8ZJETAK4488ZJE-Kiss1-TAK448-chim(NtGi1-Gq)/β1/γ1
25.00Single8ZPMAMD0708ZPM-CXCR4-AMD070
25.00Single9ARXSerotonin9ARX-5-HT2A-Serotonin
25.00Single9ASBCa; Ca; Cyclomethyltryptophan; R-568; PO49ASB-CaS; CaS-Ca-Ca; Ca; Cyclomethyltryptophan; R-568; PO4-chim(NtGi1-Gs-CtGq)/β1/γ2
25.00Single9AVGCa; Ca; Cyclomethyltryptophan; R-568; PO49AVG-CaS; CaS-Ca-Ca; Ca; Cyclomethyltryptophan; R-568; PO4-chim(NtGi1-Gs)/β1/γ2
25.00Single9IZFLPA9IZF-LPA1-LPA-Gi1/β1/γ2
25.00Single9JIDNiacin9JID-HCA3-Niacin-Gi1/β1/γ2
25.00Single9JKVPubChem 27366909JKV-HCA3-PubChem 2736690-Gi1/β1/γ2
25.00Single9JMDAzithromycin9JMD-Motilin-Azithromycin-chim(Gs-CtGq)/β1/γ2
25.00Single9KXSEP679KXS-C5a1-EP67-Go/β1/γ2
25.00Single9L8LBI1671079L8L-β2-BI167107-Atazanavir-Gs/β1/γ2 ; Arrestin2
25.00Single9LKBPL459LKB-OR5V1-PL45-chim(NtGi1-Gs)/β1
25.00Single9P1TZM-2413859P1T-A2A-ZM-241385
25.00Single9U80Conivaptan9U80-V2-Conivaptan
25.00Single9UYHChemerin-99UYH-CML2-Chemerin-9-Arrestin2
25.00Single9UYMChemerin-99UYM-CML2-Chemerin-9-chim(Arrestin3-CtArrestin2)
25.00Single9VI9RFRP-39VI9-NPFF1-RFRP-3-Gi1/β1/γ2
25.00Consensusa2_offOrthosteric Liganda2a_off
25.00Consensusa2a_offOrthosteric Ligand3RFM-A2A-Caffeine 8C9W-A2A-Etrumadenant 3UZA-A2A-GTPL9236 8GNG-A2A-Istradefylline 8CU6-A2A-LJ-4517 7PX4-A2A-PSB-2113 7PYR-A2A-PSB-2115 8DU3-A2A-PubChem 105526064 8JWY-A2A-2-118 8PWN-A2A-Theophylline 5IU4-A2A-ZM-241385-Na 5OLZ-A2A-PubChem 135566609-Na 6GT3-A2A-Imaradenant-Na 5OLV-A2A-LUAA47070-Na 5N2R-A2A-PSB36-Na 5IU7-A2A-Q27456346-Na 5OLH-A2A-Vipadenant-Na 5OLO-A2A-Tozadenant-Na 6ZDR-A2A-HMS1413f12-Na 8GNE-A2A-KW-6356-Na 8JWZ-A2A-Etrumadenant-Na 5IU8-A2A-Q27456347-Na 5IUB-A2A-Q27456344-Na 6ZDV-A2A-PubChem 984073-Na 5IUA-A2A-Q27456348-Na 8A2P-A2A-LUAA47070-Na
25.00Consensuscck_onOrthosteric Ligandccka_on cckb_on
25.00Consensuscck_on_gpOrthosteric Ligandccka_on_gp cckb_on_gp
25.00Consensuschemerin_onOrthosteric Ligandcml1_on
25.00Consensusgi_endothelinOrthosteric Ligand8IY5-ETB-Endothelin-1-Gi1/β1/γ2 8HBD-ETB-IRL1620-Gi1/β1/γ2
25.00Consensusopsins_offOrthosteric Ligandrhodopsin_off
25.00Consensussensory_offOrthosteric Ligandopsins_off
24.24Single8HBDIRL16208HBD-ETB-IRL1620-Gi1/β1/γ2
24.24Consensusetb_on_gpOrthosteric Ligand8IY5-ETB-Endothelin-1-Gi1/β1/γ2 8HBD-ETB-IRL1620-Gi1/β1/γ2
24.14Single7F9YGhrelin7F9Y-Ghrelin-Ghrelin-chim(NtGi1-Gs-CtGq)/β1/γ2
24.14Single7X9BNeuropeptide-Y7X9B-Y2-Neuropeptide-Y-Gi1/β1/γ2
24.14Single7X9CPancreatic Hormone7X9C-Y4-Pancreatic Hormone-Gi1/β1/γ2
24.14Single8E3ZVIP8E3Z-VPAC1-VIP-Gs/β1/γ2
24.14Single8IODPG-9018IOD-MC5-PG-901-Ca-chim(NtGi1-Gs)/β1/γ2
24.14Single9JFYNeuropeptide-SF9JFY-NPFF2-Neuropeptide-SF-Gi1/β1/γ2
24.14Consensusccr_on_gpOrthosteric Ligandccr6_on_gp ccr8_on_gp ccr2_on_gp ccr1_on_gp ccr5_on_gp
24.14Consensuschemokine_offOrthosteric Ligandccr_off cxcr_off
24.14Consensuscxcr_offOrthosteric Ligandcxcr3_off cxcr4_off
24.00Single5VBLAMG3054 5VBL-Apelin-AMG3054
24.00Single7YJ4INSL57YJ4-RXFP4-INSL5-Gi2/β1/γ2
24.00Single8H4IDoconexent8H4I-FFA4-Doconexent-chim(NtGi1-Gs)/β1/γ2
24.00Single8JBFSenktide8JBF-NK3-Senktide-chim(NtGi1-Gs-CtGq)/β1/γ2
24.00Single8Z74JN241-98Z74-Apelin; Apelin-JN241-9
24.00Single8Z74JN241-98Z74-Apelin; Apelin-JN241-9
24.00Single9NS9TUG-13759NS9-FFA2-TUG-1375-PubChem 118615810-Gi1/β1/γ2
24.00Single9WSXEndomorphin9WSX-μ-Endomorphin-Arrestin2
24.00Consensuscxcr4_offOrthosteric Ligand4RWS-CXCR4-vMIP-II 3OE0-CXCR4-CVX15 3OE6-CXCR4-IT1t
24.00Consensusgq_cckOrthosteric Ligand8IA7-CCKB-Cholecystokinin-8-chim(NtGi1L-Gq)/β1/γ2 7XOW-CCKB-Sulfated Gastrin-(10-17)-chim(NtGi1-Gq)/β1/γ2 7EZM-CCKA-Cholecystokinin-8-chim(NtGsL-Gq)/β1/γ2 7F8W-CCKB-Gastrin-17-chim(NtGsL-Gq)/β1/γ2
24.00Consensuskiss1_onOrthosteric Ligand8ZJD-Kiss1-Kisspeptin-1-chim(NtGi1-Gq)/β1/γ1
24.00Consensuskisspeptin_onOrthosteric Ligandkiss1_on
23.81Single1HZX11-cis-Retinal1HZX-Rhodopsin-11-cis-Retinal
23.81Single3EMLZM-2413853EML-A2A-ZM-241385
23.81Single4EIYZM-2413854EIY-A2A-ZM-241385-Na
23.81Single5IU8Q274563475IU8-A2A-Q27456347-Na
23.81Single5K2AZM-2413855K2A-A2A-ZM-241385-Na
23.81Single5OLGZM-2413855OLG-A2A-ZM-241385-Na
23.81Single5UENDU1725UEN-A1-DU172
23.81Single5UIGPubChem 1240811965UIG-A2A-PubChem 124081196
23.81Single5VRAZM-2413855VRA-A2A-ZM-241385-Na
23.81Single5ZKPSR274175ZKP-PAF-SR27417
23.81Single6D27CAY104716D27-DP2-CAY10471
23.81Single6S0LZM-2413856S0L-A2A-ZM-241385
23.81Single7F83PF-051904577F83-Ghrelin-PF-05190457
23.81Single7PP1Selatogrel7PP1-P2Y12-Selatogrel
23.81Single7PYRPSB-21157PYR-A2A-PSB-2115
23.81Single7V3ZCP559407V3Z-CB1-CP55940
23.81Single7VH0Ramelteon7VH0-MT2-Ramelteon-Gi1/β1/γ1
23.81Single7YXAONO-54306087YXA-S1P5-ONO-5430608
23.81Single8KEXDCA-3P8KEX-MRGPRX4-DCA-3P
23.81Single8RWXStilSwitch38RWX-A2A-StilSwitch3-Na
23.81Single8ZBEOctreotide8ZBE-SST5-Octreotide-Gi1/β1/γ1
23.81Single8ZQEGPR15L(CT)8ZQE-GPR15-GPR15L(CT)-Gi1/β1/γ1
23.81Single9P1SZM-2413859P1S-A2A-ZM-241385
23.81Consensusalicarboxylic_offOrthosteric Ligandsuccinate_off
23.81Consensuscck_offOrthosteric Ligandccka_off
23.81Consensusccka_offOrthosteric Ligand7F8Y-CCKA-Devazepide 7F8U-CCKA-Lintitript
23.81Consensusnucleotide_offonOrthosteric Ligandnucleotide_off nucleotide_on
23.81Consensusnucleotide_offon_gpOrthosteric Ligandnucleotide_on_gp nucleotide_off
23.81Consensussuccinate_offOrthosteric Ligand6RNK-Succinate-NF-56-EJ40 6Z10-Succinate-PubChem 154585554
23.53Single2HPYAll-trans-Retinal2HPY-Rhodopsin-All-trans-Retinal
23.53Single3OE8IT1t3OE8-CXCR4-IT1t
23.53Single3RFMCaffeine3RFM-A2A-Caffeine
23.53Single6OT025(S)-Epoxycholesterol6OT0-SMO-25(S)-Epoxycholesterol-Gi1/β1/γ2
23.53Single6OY9All-trans-Retinal6OY9-Rhodopsin-All-trans-Retinal-Gt/β1/γ1
23.53Single7MTBAll-trans-Retinal7MTB-Rhodopsin-All-trans-Retinal-GRK1
23.53Single8A2OTheophylline8A2O-A2A-Theophylline-Na
23.53Single8XOFLys058XOF-GPR30-Lys05-chim(NtGi1-Gs-CtGq)/β1/γ2
23.53Single9C2FCa; Ca; Tryptophan; '54149; PO49C2F-CaS; CaS-Ca-Ca; Ca; Tryptophan; '54149; PO4
23.53Single9L0HJR14a9L0H-C3aB-JR14a-Go/β1/γ2
23.53Single9M42A1L8O9M42-GPR139-A1L8O-chim(Gs-CtGq)/β1/γ2
23.53Consensusgs_histamineOrthosteric Ligand8POK-H2-Histamine-Gs/β1/γ2
23.53Consensush2_onOrthosteric Ligand8POK-H2-Histamine-Gs/β1/γ2
23.33Single4XT3CX3CL14XT3-US28-CX3CL1
23.33Single5UIW5P7-CCL55UIW-CCR5-5P7-CCL5
23.33Single9BLWCagrilintide (non-acylated)9BLW-CT (AMY1)-Cagrilintide (non-acylated)-Gs/β1/γ2; RAMP1
23.33Consensusccr5_offOrthosteric Ligand5UIW-CCR5-5P7-CCL5
23.33Consensusccr5_onOrthosteric Ligand7O7F-CCR5-6P4-CCL5-Gi1/β1/γ1 7F1Q-CCR5-CCL3-Gi1/β1/γ2
23.33Consensusccr_offOrthosteric Ligandccr2_off ccr5_off
23.33Consensusnpy4_onOrthosteric Ligand7X9C-Y4-Pancreatic Hormone-Gi1/β1/γ2
23.33Consensusnpy4_on_gpOrthosteric Ligand7X9C-Y4-Pancreatic Hormone-Gi1/β1/γ2
23.08Single6WIVPubChem 52923113; PubChem 529246456WIV-GABAB1, GABAB2-PubChem 52923113; PubChem 52924645
23.08Single7QA8Antagonist Peptide7QA8-STE2; STE2-Antagonist Peptide
23.08Single7QA8Antagonist Peptide7QA8-STE2; STE2-Antagonist Peptide
23.08Single7W53Neuromedin-U-257W53-NMUR1-Neuromedin-U-25-chim(NtGi1-Gs-CtGq)/β1/γ2
23.08Single8F7XNociceptin8F7X-NOP-Nociceptin-Gi1/β1/γ2
23.08Single8IEIPubChem 1347468948IEI-GPR156; GPR156-PubChem 134746894
23.08Single8IEIPubChem 1347468948IEI-GPR156; GPR156-PubChem 134746894
23.08Single8IEPPubChem 1347468948IEP-GPR156; GPR156-PubChem 134746894
23.08Single8IEPPubChem 1347468948IEP-GPR156; GPR156-PubChem 134746894
23.08Single8IZBLysophosphatidylserine (UBL)8IZB-GPR174-Lysophosphatidylserine (UBL)-Gs/β1/γ2
23.08Single8KIGSHU91198KIG-MC3-SHU9119-Ca
23.08Single8U4OCXCL128U4O-CXCR4-CXCL12-Gi1/β1/γ2
23.08Single8XBHPubChem 1626566368XBH-GPR34-PubChem 162656636-Gi1/β1/γ2
23.08Single8XGMChemerin8XGM-CML2-Chemerin-Gi1/β1/γ2
23.08Single8ZJDKisspeptin-18ZJD-Kiss1-Kisspeptin-1-chim(NtGi1-Gq)/β1/γ1
23.08Single9BKJCholecystokinin-89BKJ-CCKA-Cholecystokinin-8-chim(NtGi1-Gs-CtGq)/β1/γ2
23.08Single9MEJGp1209MEJ-CXCR4-Gp120
23.08Single9UYLChemerin-99UYL-CML2-Chemerin-9-Arrestin2
23.08Consensusgq_kisspeptinOrthosteric Ligand8ZJD-Kiss1-Kisspeptin-1-chim(NtGi1-Gq)/β1/γ1
23.08Consensuskiss1_on_gpOrthosteric Ligand8ZJD-Kiss1-Kisspeptin-1-chim(NtGi1-Gq)/β1/γ1
23.08Consensuskisspeptin_on_gpOrthosteric Ligandkiss1_on_gp
23.08Consensusmc4_onOrthosteric Ligand7AUE-MC4-Setmelanotide-chim(NtGi1L-Gs)/β1/γ2 7F58-MC4-THIQ-Gs/β1/γ2 7F54-MC4-Afamelanotide-Gs/β1/γ2 7F53-MC4-α-MSH-Gs/β1/γ2 7F55-MC4-Bremelanotide-Gs/β1/γ2
23.08Consensusnk3_onOrthosteric Ligand8JBF-NK3-Senktide-chim(NtGi1-Gs-CtGq)/β1/γ2
23.08Consensusnk3_on_gpOrthosteric Ligand8JBF-NK3-Senktide-chim(NtGi1-Gs-CtGq)/β1/γ2
23.08Consensusnmur1_on_gpOrthosteric Ligand7W53-NMUR1-Neuromedin-U-25-chim(NtGi1-Gs-CtGq)/β1/γ2
23.08Consensussomatostatin_offOrthosteric Ligandsst2_off
22.86Single7X9ANeuropeptide-Y7X9A-Y1-Neuropeptide-Y-Gi1/β1/γ2
22.86Consensusclass-a_class-b1_cons_on_gpOrthosteric Ligandclass-a_on_gp class-b1_on_gp
22.73Single5IUAQ274563485IUA-A2A-Q27456348-Na
22.73Single5T1ABMS-6815T1A-CCR2-BMS-681-PubChem 12093170
22.73Single6KPCAM120336KPC-CB2-AM12033
22.73Single6LPLZM-2413856LPL-A2A-ZM-241385-Na
22.73Single6S0QZM-2413856S0Q-A2A-ZM-241385
22.73Single6WQAZM-2413856WQA-A2A-ZM-241385-Na
22.73Single6XBKCholesterol6XBK-SMO-Cholesterol-Gi1/β1/γ2
22.73Single7RM5ZM-2413857RM5-A2A-ZM-241385-Na
22.73Single7VV4Cortistatin-147VV4-MRGPRX2-Cortistatin-14
22.73Single7YU6ONO-07405567YU6-LPA1-ONO-0740556-Gi1/β1/γ2
22.73Single8FYNZM-2413858FYN-A2A-ZM-241385-Na
22.73Single8GDCPGE28GDC-EP3-PGE2-Gi1/β1/γ2
22.73Single8GNEKW-63568GNE-A2A-KW-6356-Na
22.73Single8X0BVU04244658X0B-mGlu5; mGlu5-Quisqualate-VU0424465
22.73Single8X0CVU04244658X0C-mGlu5; mGlu5-Quisqualate-VU0424465
22.73Single9GE2ML1849GE2-GPR55-ML184-chim(NtGi1-G13)/β1/γ2
22.73Single9HC04YI9HC0-mGlu5-4YI
22.73Single9KO4CCL219KO4-CCR7-CCL21-Gi1/β1/γ2
22.73Consensuslipid_onOrthosteric Ligandcannabinoid_on ffa_on lpl_on prostanoid_on leukotriene_on
22.73Consensuslipid_on_gpOrthosteric Ligandcannabinoid_on_gp ffa_on_gp lpl_on_gp prostanoid_on_gp leukotriene_on_gp
22.73Consensuss1p5_offOrthosteric Ligand7YXA-S1P5-ONO-5430608
22.58Single7F53Alpha-MSH7F53-MC4-α-MSH-Gs/β1/γ2
22.58Single7TYFAmylin7TYF-CT (AMY1)-Amylin-Gs/β1/γ2; RAMP1
22.58Consensusp2y10_on_gpOrthosteric Ligand8KGG-P2Y10-Lysophosphatidylserine (WJS)-chim(NtGi2-G13)/β1/γ2
22.22Single3PQRAll-trans-Retinal3PQR-Rhodopsin-All-trans-Retinal-Gt(CT)
22.22Single6ME5Agomelatine6ME5-MT1-Agomelatine
22.22Single7C6A(Sar1,Ile8)-Angiotensin II7C6A-AT2-(Sar1,Ile8)-Angiotensin II
22.22Single7F1QCCL37F1Q-CCR5-CCL3-Gi1/β1/γ2
22.22Single7MT8All-trans-Retinal7MT8-Rhodopsin-All-trans-Retinal-GRK1
22.22Single7MT9All-trans-Retinal7MT9-Rhodopsin-All-trans-Retinal-GRK1
22.22Single7MTAAll-trans-Retinal7MTA-Rhodopsin-All-trans-Retinal-GRK1
22.22Single7XNACYN1548067XNA-SST2-CYN154806
22.22Single8DPILorcaserin8DPI-5-HT2C-Lorcaserin-chim(NtGi2L-Gs-CtGq)/β1/γ2
22.22Single8F7QBeta-Endorphin8F7Q-μ-β-Endorphin-Gi1/β1/γ2
22.22Single8IEBPubChem 1347468948IEB-GPR156; GPR156-PubChem 134746894
22.22Single8J24Acetic acid8J24-FFA2-Acetic acid-Gi1/β1/γ2
22.22Single8JBHSubstance-P8JBH-NK3-Substance-P-chim(NtGi1-Gs-CtGq)/β1/γ2
22.22Single8JEFPubChem 113671668JEF-HCA3-PubChem 11367166-Gi1/β1/γ2
22.22Single8KH5Lysophosphatidylserine8KH5-GPR174-Lysophosphatidylserine-Gs/β1/γ2
22.22Single8SZFCa; Ca; Tryptophan; Cinacalcet; PO4; Spermine8SZF-CaS; CaS-Ca; Ca; Tryptophan; Cinacalcet; PO4; Spermine
22.22Single8Y63C20:0 Ceramide8Y63-FPR2-ALX-C20:0 Ceramide-Gi1/β1/γ2
22.22Single9IQSMuscarinic toxin 39IQS-M4-Muscarinic toxin 3
22.22Single9IV15alpha-DHT9IV1-ADGRD1-5α-DHT-chim(NtGi1-Gs)/β1/γ2
22.22Single9JG1Adriforant9JG1-H4-Adriforant
22.22Single9KFIRelaxin-39KFI-RXFP3-Relaxin-3-Gi2/β1/γ2
22.22Consensusmc4_on_gpOrthosteric Ligand7AUE-MC4-Setmelanotide-chim(NtGi1L-Gs)/β1/γ2 7F58-MC4-THIQ-Gs/β1/γ2 7F54-MC4-Afamelanotide-Gs/β1/γ2 7F53-MC4-α-MSH-Gs/β1/γ2 7F55-MC4-Bremelanotide-Gs/β1/γ2
22.22Consensussst2_offOrthosteric Ligand7XNA-SST2-CYN154806
21.88Single8F0KPramlintide Analogue San3858F0K-CT (AMY3)-Pramlintide Analogue San385-Gs/β1/γ2; RAMP3
21.88Single8IY5Endothelin-18IY5-ETB-Endothelin-1-Gi1/β1/γ2
21.88Consensusetb_onOrthosteric Ligand8IY5-ETB-Endothelin-1-Gi1/β1/γ2 8HBD-ETB-IRL1620-Gi1/β1/γ2
21.74Single5XRAAM115425XRA-CB1-AM11542
21.74Single5ZHPPubChem 1348285895ZHP-M3-PubChem 134828589
21.74Single7P2L4YI7P2L-mGlu5-4YI
21.74Single7S8MCortistatin-147S8M-MRGPRX2-Cortistatin-14-Gi1/β1/γ2
21.74Single7T9NDPPC7T9N-TSH-M22 Fab-DPPC-Gs/β1/γ2
21.74Single7TD1LPA7TD1-LPA1-LPA-Gi1/β1/γ2
21.74Single7WVXHumanin7WVX-FPR2-ALX-Humanin-Gi2/β1/γ2
21.74Single7YU7ONO-07405567YU7-LPA1-ONO-0740556-Gi1/β1/γ2
21.74Single8GUSHU-3088GUS-CB2-HU-308-Gi1/β1/γ2
21.74Single8HQCC5a8HQC-C5a1-C5a-Go/β1/γ2
21.74Single8I2GPubChem 675302408I2G-FSH-FSH-PubChem 67530240-Gs/β1/γ2
21.74Single8JLPRalmitaront8JLP-TA1-Ralmitaront-Gs/β1/γ2
21.74Single8JZPC5a8JZP-C5a1-C5a-Go/β1/γ2
21.74Single8X0BVU04244658X0B-mGlu5; mGlu5-Quisqualate-VU0424465
21.74Single9CLWTUG-13759CLW-FFA2-TUG-1375-4-CMTB-chim(NtGi1L-Gs-CtGq)/β1/γ2
21.74Single9EGOZ85267113509EGO-CB1-Z8526711350-Gi1/β1/γ2
21.74Single9IZGLPA9IZG-LPA1-LPA-chim(NtGi1-Gs-CtGq)/β1/γ2
21.74Single9L16CCL219L16-CCR7-CCL21
21.74Consensuscyslt1_offOrthosteric Ligand6RZ5-CysLT1-Zafirlukast-Na 6RZ4-CysLT1-Pranlukast-Na
21.74Consensusffa2_onOrthosteric Ligand8J22-FFA2-TUG-1375-Gi1/β1/γ2
21.74Consensusffa_onOrthosteric Ligandffa2_on ffa3_on
21.74Consensusffa_on_gpOrthosteric Ligandffa2_on_gp ffa3_on_gp
21.74Consensusgi_ffaOrthosteric Ligand8J21-FFA3-Butyric acid-Gi1/β1/γ2 8J22-FFA2-TUG-1375-Gi1/β1/γ2
21.74Consensusmotilin_onOrthosteric Ligand8IBU-Motilin-Erythromycin-A-chim(NtGi1-Gs-CtGq)/β1/γ2
21.74Consensusnpy_offOrthosteric Ligandnpy1_off npy2_off
21.74Consensusp2y12_onOrthosteric Ligand7XXI-P2Y12-2MeSADP-Gi2/β1/γ2
21.74Consensusprotein_offOrthosteric Ligandchemokine_off grh_off
21.62Consensusmc2_onOrthosteric Ligand8GY7-MC2-Corticotropin-Ca-chim(NtGi1-Gs)/β1/γ2; MRAP1
21.62Consensusmc2_on_gpOrthosteric Ligand8GY7-MC2-Corticotropin-Ca-chim(NtGi1-Gs)/β1/γ2; MRAP1
21.43Single6UUNAdrenomedullin6UUN-CT Like (AM1)-Adrenomedullin-Gs/β1/γ2; RAMP2
21.43Single7F4DAlpha-MSH7F4D-MC1-α-MSH-chim(NtGi1-Gs)/β1/γ2
21.43Single8K6NNeuropeptide-Y8K6N-Y2-Neuropeptide-Y-Gi2/β1/γ1
21.43Consensusccr_onOrthosteric Ligandccr6_on ccr8_on ccr2_on ccr1_on ccr5_on
21.21Consensusclass-a_class-b1_cons_onOrthosteric Ligandclass-a_on class-b1_on
21.05Single3AYMAll-trans-Retinal3AYM-Rhodopsin-All-trans-Retinal
21.05Single6QNOAll-trans-Retinal6QNO-Rhodopsin-All-trans-Retinal-Gi1/β1/γ1
21.05Single6TP4ACT-4622066TP4-OX1-ACT-462206
21.05Single7D76Beclomethasone7D76-ADGRG3-Beclomethasone-Go/β1/γ2
21.05Single7VUIJNJ-635330547VUI-GPR139-JNJ-63533054-GTP-chim(Gs-CtGq)/β1/γ2
21.05Single8RWHStilSwitch28RWH-A2A-StilSwitch2-Na
21.05Single8SZFCa; Ca; Tryptophan; Cinacalcet; PO4; Spermine8SZF-CaS; CaS-Ca; Ca; Tryptophan; Cinacalcet; PO4; Spermine
21.05Single8YN2Histamine8YN2-H1-Histamine-chim(NtGi1L-Gs-CtGq)/β1/γ2
21.05Single8ZX5AM2518ZX5-GPR55-AM251-chim(NtGi1-G13)/β1/γ2
21.05Single9EPRAll-trans-Retinal9EPR-Rhodopsin-All-trans-Retinal-Gi1/β1/γ2
21.05Single9YDAAll-trans-Retinal9YDA-Opsin1MW-All-trans-Retinal-chim(NtGi1L-Gs-CtGt)/β1/γ2
20.83Single4PXFOctyl-Beta-D-Glucopyranoside4PXF-Rhodopsin-Octyl-β-D-Glucopyranoside-Arrestin1 Finger Loop
20.83Single4PXZ2MeSADP4PXZ-P2Y12-2MeSADP
20.83Single7F55Bremelanotide7F55-MC4-Bremelanotide-Gs/β1/γ2
20.83Single7L1UOrexin7L1U-OX2-Orexin-chim(NtGi1-Gs-CtGq)/β1/γ2
20.83Single7T6BS1P7T6B-S1P2-S1P-chim(NtGi1L-G13)/β1/γ2
20.83Single7W0NElabela7W0N-Apelin; Apelin-Elabela-Gi1/β1/γ2
20.83Single7XXI2MeSADP7XXI-P2Y12-2MeSADP-Gi2/β1/γ2
20.83Single8IBUErythromycin-A8IBU-Motilin-Erythromycin-A-chim(NtGi1-Gs-CtGq)/β1/γ2
20.83Single8IQ6Latanoprost8IQ6-FP-alpha-Latanoprost-chim(NtGi1-Gs-CtGq)/β1/γ2
20.83Single8J6DEP1418J6D-C3aB-EP141-Go/β1/γ2
20.83Single8U26Substance-P8U26-NK1-Substance-P-Gs/β1/γ2
20.83Single8XJNCloprosetnol8XJN-TXA2-Cloprosetnol-chim(NtGi1-Gs-CtGq)/β1/γ2
20.83Single8Y6WTUG-13758Y6W-FFA2-TUG-1375-4-CMTB-Gi1/β1/γ2
20.83Single9BJKPubChem 1716420669BJK-μ-Naloxone-PubChem 171642066
20.83Single9CM3TUG-13759CM3-FFA2-TUG-1375-PubChem 118615810-chim(NtGi1L-Gs-CtGq)/β1/γ2
20.83Single9YDUUDP-Glucose9YDU-P2Y14-UDP-Glucose-Gi1/β1/γ2
20.83Consensusffa2_on_gpOrthosteric Ligand8J22-FFA2-TUG-1375-Gi1/β1/γ2
20.83Consensusgi_p2yOrthosteric Ligand7XXI-P2Y12-2MeSADP-Gi2/β1/γ2
20.83Consensusmotilin_on_gpOrthosteric Ligand8IBU-Motilin-Erythromycin-A-chim(NtGi1-Gs-CtGq)/β1/γ2
20.83Consensusp2y12_on_gpOrthosteric Ligand7XXI-P2Y12-2MeSADP-Gi2/β1/γ2
20.69Single5WB2CX3CL1.355WB2-US28-CX3CL1.35
20.69Single7FIMTirzepatide7FIM-GLP-1-Tirzepatide-Gs/β1/γ2
20.69Single7V9MSomatoliberin7V9M-GHRH (SV1)-Somatoliberin-Gs/β1/γ2
20.69Single7XK8Neuromedin-U-257XK8-NMUR2-Neuromedin-U-25-Gi1/β1/γ2
20.69Consensusprotein_offonOrthosteric Ligandprotein_off protein_on
20.69Consensusprotein_offon_gpOrthosteric Ligandprotein_on_gp protein_off
20.59Single7TZFAmylin7TZF-CT (AMY3)-Amylin-Gs/β1/γ2; RAMP3
20.59Single8FLULA-PTH Analog8FLU-PTH1-LA-PTH Analog-Gs/β1/γ2
20.59Consensusmelanocortin_onOrthosteric Ligandmc1_on mc4_on mc2_on mc3_on mc5_on
20.59Consensusmelanocortin_on_gpOrthosteric Ligandmc1_on_gp mc4_on_gp mc2_on_gp mc3_on_gp mc5_on_gp
20.00Single3PWHZM-2413853PWH-A2A-ZM-241385
20.00Single3VG9ZM-2413853VG9-A2A-ZM-241385-Antibody
20.00Single5K2DZM-2413855K2D-A2A-ZM-241385-Na
20.00Single5OLHVipadenant5OLH-A2A-Vipadenant-Na
20.00Single5OLOTozadenant5OLO-A2A-Tozadenant-Na
20.00Single5ZKQABT-4915ZKQ-PAF-ABT-491
20.00Single6JZHZM-2413856JZH-A2A-ZM-241385-Na
20.00Single6ME2Ramelteon6ME2-MT1-Ramelteon
20.00Single6PS7ZM-2413856PS7-A2A-ZM-241385-Na
20.00Single6RNKNF-56-EJ406RNK-Succinate-NF-56-EJ40
20.00Single7BR3Elagolix7BR3-GnRH1-Elagolix
20.00Single7D7MPGE27D7M-EP4-PGE2-Gs/β1/γ1
20.00Single7EZHCholecystokinin-87EZH-CCKA-Cholecystokinin-8-Gi1/β1/γ2
20.00Single7EZMCholecystokinin-87EZM-CCKA-Cholecystokinin-8-chim(NtGsL-Gq)/β1/γ2
20.00Single7F8ULintitript7F8U-CCKA-Lintitript
20.00Single7F8YDevazepide7F8Y-CCKA-Devazepide
20.00Single7LLLExendin-47LLL-GLP-1-Exendin-4-Gs/β1/γ2
20.00Single7M3FCa; Ca; Tryptophan; Cinacalcet7M3F-CaS; CaS-Ca; Ca; Tryptophan; Cinacalcet
20.00Single7P00Substance-P7P00-NK1-Substance-P-chim(NtGi1-Gs-CtGq)/β1/γ2
20.00Single7QBIAlpha-factor mating pheromone7QBI-STE2; STE2-α-factor mating pheromone
20.00Single7W0OElabela7W0O-Apelin-Elabela-Gi1/β1/γ2
20.00Single7WBJPACAP277WBJ-VPAC1-PACAP27-Gs/β1/γ2
20.00Single7X8RBOC57X8R-GLP-1-BOC5-Gs/β1/γ2
20.00Single7XV3Lysophosphatidylserine (WJS)7XV3-GPR174-Lysophosphatidylserine (WJS)-chim(NtGi1-Gs)/β1/γ2
20.00Single8E3YPACAP278E3Y-VPAC1-PACAP27-Gs/β1/γ2
20.00Single8H8JLodoxamide8H8J-GPR35-Lodoxamide-Ca-chim(NtGi1L-G13)/β1/γ2
20.00Single8HCXEndothelin-18HCX-ETB-Endothelin-1-chim(NtGi2L-Gs-CtGq)/β1/γ2
20.00Single8RVWStilSwitch38RVW-A2A-StilSwitch3-Na
20.00Single8XJOU466198XJO-TXA2-U46619-chim(NtGi1-Gs-CtGq)/β1/γ2
20.00Single8ZPLHF511168ZPL-CXCR4-HF51116
20.00Single9E2AGLP-19E2A-GLP-1-GLP-1-Gs/β1/γ2
20.00Single9GG5U466199GG5-TXA2-U46619-chim(NtGi2L-Gs-CtGq)/β1/γ2
20.00Single9KWXC5a-des-Arg9KWX-C5a1-C5a-des-Arg-Go/β1/γ2
20.00Single9M88Oleic monoethanolamide9M88-GPR3 ; GPR3-Oleic monoethanolamide-AF64394
20.00Consensusccka_onOrthosteric Ligand7EZH-CCKA-Cholecystokinin-8-Gi1/β1/γ2
20.00Consensusccka_on_gpOrthosteric Ligand7EZH-CCKA-Cholecystokinin-8-Gi1/β1/γ2
20.00Consensuscrf_on_gpOrthosteric Ligandcrf2_on_gp crf1_on_gp
20.00Consensusfp-alpha_onOrthosteric Ligand8IUK-FP-alpha-PGF2-α-chim(NtGi1-Gs-CtGq)/β1/γ2 8IUL-FP-alpha-Latanoprost-chim(NtGi1-Gs-CtGq)/β1/γ2 8IUM-FP-alpha-Tafluprost acid-chim(NtGi1-Gs-CtGq)/β1/γ2
20.00Consensusfp-alpha_on_gpOrthosteric Ligand8IUK-FP-alpha-PGF2-α-chim(NtGi1-Gs-CtGq)/β1/γ2 8IUL-FP-alpha-Latanoprost-chim(NtGi1-Gs-CtGq)/β1/γ2 8IUM-FP-alpha-Tafluprost acid-chim(NtGi1-Gs-CtGq)/β1/γ2
20.00Consensusgal2_onOrthosteric Ligand7WQ4-GAL2-Galanin-chim(NtGi1-Gs-CtGq)/β1/γ2 7XJL-GAL2-Spexin-chim(NtGi2L-Gs-CtGq)/β1/γ2
20.00Consensusgal2_on_gpOrthosteric Ligand7WQ4-GAL2-Galanin-chim(NtGi1-Gs-CtGq)/β1/γ2 7XJL-GAL2-Spexin-chim(NtGi2L-Gs-CtGq)/β1/γ2
20.00Consensusgnrh1_offOrthosteric Ligand7BR3-GnRH1-Elagolix
20.00Consensusnk1_onOrthosteric Ligand7P00-NK1-Substance-P-chim(NtGi1-Gs-CtGq)/β1/γ2
20.00Consensusnk1_on_gpOrthosteric Ligand7P00-NK1-Substance-P-chim(NtGi1-Gs-CtGq)/β1/γ2
20.00Consensusp2y10_onOrthosteric Ligand8KGG-P2Y10-Lysophosphatidylserine (WJS)-chim(NtGi2-G13)/β1/γ2
20.00Consensuspaf_offOrthosteric Ligand5ZKQ-PAF-ABT-491
20.00Consensusprostanoid_onOrthosteric Ligandtp_on fp-alpha_on
20.00Consensusprostanoid_on_gpOrthosteric Ligandtp_on_gp fp-alpha_on_gp
20.00Consensustp_onOrthosteric Ligand8XJO-TXA2-U46619-chim(NtGi1-Gs-CtGq)/β1/γ2
20.00Consensustp_on_gpOrthosteric Ligand8XJO-TXA2-U46619-chim(NtGi1-Gs-CtGq)/β1/γ2
20.00Consensusvpac1_onOrthosteric Ligand8E3Z-VPAC1-VIP-Gs/β1/γ2
19.44Single7Y36PTH7Y36-PTH1-PTH-Gs/β1/γ2
19.44Single8FLQPTH8FLQ-PTH1-PTH-Gs/β1/γ2
19.35Single6FJ3PTH6FJ3-PTH1-PTH
19.35Single6P9YPACAP276P9Y-PAC1-PACAP27-Gs/β1/γ2
19.35Single7QBIAlpha-factor mating pheromone7QBI-STE2; STE2-α-factor mating pheromone
19.35Single7RGPTirzepatide7RGP-GLP-1-Tirzepatide-chim(NtGi1-Gs)/β1/γ2
19.35Single7SK3CXCL127SK3-ACKR3-CXCL12
19.35Single8E3XPACAP278E3X-PAC1-PACAP27-Gs/β1/γ2
19.35Single9BP3Cagrilintide9BP3-CT (AMY1)-Cagrilintide-Gs/β1/γ2; RAMP1
19.35Single9P92VIP9P92-PAC1-VIP-Gs/β1/γ2
19.35Consensuspac_on_gpOrthosteric Ligandpac1_on_gp
19.35Consensusvpac1_on_gpOrthosteric Ligand8E3Z-VPAC1-VIP-Gs/β1/γ2
19.23Single7RKNCX3CL17RKN-US28-CX3CL1-Gi1/β1/γ2
19.23Single7RMGSubstance-P7RMG-NK1-Substance-P-chim(Gs-CtGq)/β1/γ2
19.23Single7RMHSubstance-P7RMH-NK1-Substance-P-Gs/β1/γ2
19.23Single7S8LCortistatin-147S8L-MRGPRX2-Cortistatin-14-chim(NtGi2L-Gs-CtGq)/β1/γ2
19.23Single8IUMTafluprost acid8IUM-FP-alpha-Tafluprost acid-chim(NtGi1-Gs-CtGq)/β1/γ2
19.23Single8J22TUG-13758J22-FFA2-TUG-1375-Gi1/β1/γ2
19.23Single9CM7TUG-13759CM7-FFA2-TUG-1375-AZ-1729-Gi1/β1/γ2
19.23Single9EAJNanobody AT2099EAJ-AT1-Nanobody AT209
19.23Single9KX6C5a-des-Arg9KX6-C5a1-C5a-des-Arg-Go/β1/γ2
19.23Consensusnmur1_onOrthosteric Ligand7W53-NMUR1-Neuromedin-U-25-chim(NtGi1-Gs-CtGq)/β1/γ2
19.05Single3REYPubChem 56973REY-A2A-PubChem 5697
19.05Single5IU4ZM-2413855IU4-A2A-ZM-241385-Na
19.05Single5IUBQ274563445IUB-A2A-Q27456344-Na
19.05Single5K2CZM-2413855K2C-A2A-ZM-241385-Na
19.05Single5NLXZM-2413855NLX-A2A-ZM-241385-Na
19.05Single5NM4ZM-2413855NM4-A2A-ZM-241385-Na
19.05Single5UVIZM-2413855UVI-A2A-ZM-241385
19.05Single6FFIMPEP6FFI-mGlu5-MPEP
19.05Single7XXH2MeSADP7XXH-P2Y1-2MeSADP-chim(NtGi1-G11)/β1/γ2
19.05Single8K2WAMG4878K2W-CXCR3-AMG487
19.05Single8Y62C16:0 Ceramide8Y62-FPR2-ALX-C16:0 Ceramide-Gi1/β1/γ2
19.05Single8Y6YGLPG09748Y6Y-FFA2-GLPG0974
19.05Single8ZPNAMD31008ZPN-CXCR4-AMD3100
19.05Single9IXXLTD49IXX-CysLT2-LTD4-chim(NtGi1-Gs-CtGq)/β1/γ2
19.05Single9K1DButyric acid9K1D-FFA2-Butyric acid-Gi1/β1/γ2
19.05Consensuscxcr3_offOrthosteric Ligand8K2W-CXCR3-AMG487
19.05Consensusgrh_offOrthosteric Ligandgnrh1_off
19.05Consensusnucleotide_offOrthosteric Ligandadenosine_off p2y_off
19.05Consensusp2y1_on_gpOrthosteric Ligand7XXH-P2Y1-2MeSADP-chim(NtGi1-G11)/β1/γ2
18.92Consensuspth_onOrthosteric Ligandpth1_on pth2_on
18.75Single4A4MAll-trans-Retinal4A4M-Rhodopsin-All-trans-Retinal-Gt(CT)
18.75Single5EN0All-trans-Retinal5EN0-Rhodopsin-All-trans-Retinal-Gt(CT)
18.75Single6P9XCorticoliberin-16P9X-CRF1-Corticoliberin-1-Gs/β1/γ2
18.75Single6VCBGLP-16VCB-GLP-1-GLP-1-LSN3160440-Gs/β1/γ2
18.75Single7QBCAlpha-factor mating pheromone7QBC-STE2; STE2-α-factor mating pheromone
18.75Single8W8WAlpha-MSH8W8W-MC3-α-MSH-Ca-Gs/β1/γ2
18.75Single8WCCCyclohexylammonium Ion8WCC-TA1-Cyclohexylammonium Ion
18.75Consensusglp_onOrthosteric Ligandglp1_on glp2_on
18.75Consensusglp_on_gpOrthosteric Ligandglp1_on_gp glp2_on_gp
18.60Single8GY7Corticotropin8GY7-MC2-Corticotropin-Ca-chim(NtGi1-Gs)/β1/γ2; MRAP1
18.52Single6RZ8ONO-20803656RZ8-CysLT2-ONO-2080365
18.52Single7F54Afamelanotide7F54-MC4-Afamelanotide-Gs/β1/γ2
18.52Single7NA7Ghrelin7NA7-Ghrelin-Ghrelin-Gi1/β1/γ2
18.52Single7W56Neuromedin-S7W56-NMUR1-Neuromedin-S-chim(NtGi1-Gs-CtGq)/β1/γ2
18.52Single8ZCJPasireotide8ZCJ-SST5-Pasireotide-Gi1/β1/γ1
18.52Single9J0IUDP-Glucuronic acid9J0I-P2Y14-UDP-Glucuronic acid-Gi1/β1/γ2
18.52Consensuschemokine_onOrthosteric Ligandccr_on cxcr_on
18.18Single6FFHFenobam6FFH-mGlu5-Fenobam
18.18Single6IIVDaltroban6IIV-TXA2-Daltroban
18.18Single6KPFAM120336KPF-CB2-AM12033-Gi1/β1/γ2
18.18Single6LPJZM-2413856LPJ-A2A-ZM-241385-Na
18.18Single6LPKZM-2413856LPK-A2A-ZM-241385-Na
18.18Single6NBHLA-PTH Analog6NBH-PTH1-LA-PTH Analog-Gs/β1/γ2
18.18Single6PB1Urocortin6PB1-CRF2-Urocortin-chim(NtGi1-Gs)/β1/γ2
18.18Single6UUSAdrenomedullin6UUS-CT Like (AM2)-Adrenomedullin-Gs/β1/γ2; RAMP3
18.18Single6WZGSecretin6WZG-Secretin-Secretin-Gs/β1/γ2
18.18Single7CFMP3957CFM-GPBA-P395-Gs/β1/γ2
18.18Single7D68GLP-27D68-GLP-2-GLP-2-Gs/β1/γ2
18.18Single7KI1Taspoglutide7KI1-GLP-1-Taspoglutide-Gs/β1/γ2
18.18Single7QBCAlpha-factor mating pheromone7QBC-STE2; STE2-α-factor mating pheromone
18.18Single7TS0Urocortin7TS0-CRF2-Urocortin-chim(NtGi1L-Go)/β1/γ2
18.18Single7YU4ONO-07405567YU4-LPA1-ONO-0740556
18.18Single8HAFPTHrP(1-36)8HAF-PTH1-PTHrP(1-36)-chim(NtGi1-Gs)/β1/γ2
18.18Single8X9TAP5038X9T-ADGRD1-AP503-chim(NtGi1-Gs)/β1/γ2
18.18Single9BYOExendin-39BYO-GLP-1-Exendin-3-Gs/β1/γ2
18.18Single9IYAONO-97105319IYA-GPR55-ONO-9710531
18.18Single9P93VIP9P93-PAC1-VIP-Gs/β1/γ2
18.18Consensusgs_melanocortinOrthosteric Ligand7F4H-MC1-Afamelanotide-chim(NtGi1-Gs)/β1/γ2 7F54-MC4-Afamelanotide-Gs/β1/γ2 7F4D-MC1-α-MSH-chim(NtGi1-Gs)/β1/γ2 8INR-MC5-α-MSH-Ca-chim(NtGi1-Gs)/β1/γ2 7F53-MC4-α-MSH-Gs/β1/γ2 7F55-MC4-Bremelanotide-Gs/β1/γ2 8GY7-MC2-Corticotropin-Ca-chim(NtGi1-Gs)/β1/γ2; MRAP1 8IOC-MC3-γ-MSH-Ca-chim(NtGi1-Gs)/β1/γ2 8IOD-MC5-PG-901-Ca-chim(NtGi1-Gs)/β1/γ2 7AUE-MC4-Setmelanotide-chim(NtGi1L-Gs)/β1/γ2 7F4I-MC1-SHU9119-chim(NtGi1-Gs)/β1/γ2 7F58-MC4-THIQ-Gs/β1/γ2
18.18Consensusvip-pacap_onOrthosteric Ligandvpac_on pac_on
18.18Consensusvip-pacap_on_gpOrthosteric Ligandvpac_on_gp pac_on_gp
17.95Single7F16TIP397F16-PTH2-TIP39-Gs/β1/γ2
17.95Consensuspth2_on_gpOrthosteric Ligand7F16-PTH2-TIP39-Gs/β1/γ2
17.86Single7PIVAfamelanotide7PIV-MC4-Afamelanotide-Gs/β1/γ2
17.86Single7SK5CXCL127SK5-ACKR3-CXCL12
17.86Single7VBITirzepatide (non-acylated)7VBI-GLP-1-Tirzepatide (non-acylated)-Gs/β1/γ2
17.86Single8IBVMotilin8IBV-Motilin-Motilin-chim(NtGi1-Gs-CtGq)/β1/γ2
17.86Single8K6ONeuropeptide-Y8K6O-Y1-Neuropeptide-Y-Gi2/β1/γ1
17.86Single9IQRMuscarinic toxin 39IQR-α2a-Muscarinic toxin 3
17.86Single9J0FNADH9J0F-P2Y14-NADH-Gi1/β1/γ2
17.86Consensuscckb_onOrthosteric Ligand8IA7-CCKB-Cholecystokinin-8-chim(NtGi1L-Gq)/β1/γ2 7XOW-CCKB-Sulfated Gastrin-(10-17)-chim(NtGi1-Gq)/β1/γ2 7F8V-CCKB-Gastrin-17-Gi2/β1/γ2
17.86Consensusmc5_onOrthosteric Ligand8INR-MC5-α-MSH-Ca-chim(NtGi1-Gs)/β1/γ2 8IOD-MC5-PG-901-Ca-chim(NtGi1-Gs)/β1/γ2
17.86Consensustachykinin_on_gpOrthosteric Ligandnk1_on_gp nk2_on_gp nk3_on_gp
17.65Single6PB0Urocortin6PB0-CRF1-Urocortin-chim(NtGi1-Gs)/β1/γ2
17.65Single7DUQGLP-17DUQ-GLP-1-GLP-1-PubChem 156022738-Gs/β1/γ2
17.65Single7TYXAmylin7TYX-CT (AMY2)-Amylin-Gs/β1/γ2; RAMP2
17.65Single8U1UCCL18U1U-CCR8-CCL1-Gi1/β1/γ2
17.65Single9IV25alpha-DHT9IV2-ADGRD1-5α-DHT-chim(NtGi1-Gs)/β1/γ2
17.50Single8F0JPramlintide Analogue San458F0J-CT-Pramlintide Analogue San45-Gs/β1/γ2
17.39Single4NTJAZD12834NTJ-P2Y12-AZD1283
17.39Single5YHLPubChem 1351213525YHL-EP4-PubChem 135121352
17.39Single5YWYONO-AE3-2085YWY-EP4-ONO-AE3-208
17.39Single6LFMCXCL86LFM-CXCR2-CXCL8-Gi1/β1/γ2
17.39Single6RZ4Pranlukast6RZ4-CysLT1-Pranlukast-Na
17.39Single7E9GJNJ-404118137E9G-mGlu2; mGlu2-Eglumetad-JNJ-40411813-Gi1/β1/γ2
17.39Single7VV0PAMP-127VV0-MRGPRX2-PAMP-12
17.39Single7YU3ONO-07405567YU3-LPA1-ONO-0740556-Gi1/β1/γ2
17.39Single8EJCTAK-8758EJC-FFA1-TAK-875-chim(NtGi1L-Gs-CtGq)/β1/γ2
17.39Single8GD9Rivenprost8GD9-EP4-Rivenprost-Gs/β1/γ2
17.39Single8X0CVU04244658X0C-mGlu5; mGlu5-Quisqualate-VU0424465
17.39Single9ERXD9-THC analog9ERX-CB1-D9-THC analog-Gi1/β1/γ2
17.39Consensuscxcr2_on_gpOrthosteric Ligand6LFM-CXCR2-CXCL8-Gi1/β1/γ2
17.39Consensuscyslt_offOrthosteric Ligandcyslt2_off cyslt1_off
17.39Consensusep4_offOrthosteric Ligand5YWY-EP4-ONO-AE3-208 5YHL-EP4-PubChem 135121352
17.39Consensusep_offOrthosteric Ligandep4_off
17.39Consensuslpa1_onOrthosteric Ligand7TD1-LPA1-LPA-Gi1/β1/γ2 7YU3-LPA1-ONO-0740556-Gi1/β1/γ2
17.39Consensuslpa1_on_gpOrthosteric Ligand7TD1-LPA1-LPA-Gi1/β1/γ2 7YU3-LPA1-ONO-0740556-Gi1/β1/γ2
17.24Single6VN7PACAP276VN7-VPAC1-PACAP27-Gs/β1/γ2
17.24Single8K6MNeuropeptide-Y8K6M-Y1-Neuropeptide-Y-Gi2/β1/γ1
17.24Single9LXRLA-PTH Analog9LXR-PTH1-LA-PTH Analog-Arrestin2
17.24Consensuscckb_on_gpOrthosteric Ligand8IA7-CCKB-Cholecystokinin-8-chim(NtGi1L-Gq)/β1/γ2 7XOW-CCKB-Sulfated Gastrin-(10-17)-chim(NtGi1-Gq)/β1/γ2 7F8V-CCKB-Gastrin-17-Gi2/β1/γ2
17.24Consensusnpy1_onOrthosteric Ligand8K6M-Y1-Neuropeptide-Y-Gi2/β1/γ1
17.24Consensusnpy1_on_gpOrthosteric Ligand8K6M-Y1-Neuropeptide-Y-Gi2/β1/γ1
17.14Single6LPBPACAP276LPB-PAC1-PACAP27-Gs/β1/γ1
17.14Single7SK6CXCL12_LRHQ7SK6-ACKR3-CXCL12_LRHQ
17.14Single8FLSAbaloparatide8FLS-PTH1-Abaloparatide-Gs/β1/γ2
17.14Single9AUCCalcitonin gene-related peptide-19AUC-CT (AMY1)-Calcitonin gene-related peptide-1-Gs/β1/γ2; RAMP1
17.07Single8F2BPramlintide Analogue San458F2B-CT (AMY3)-Pramlintide Analogue San45-Gs/β1/γ2; RAMP3
17.07Consensuspth_on_gpOrthosteric Ligandpth1_on_gp pth2_on_gp
16.67Single4OO9Mavoglurant4OO9-mGlu5-Mavoglurant
16.67Single5TZRMK86665TZR-FFA1-MK8666
16.67Single6M1IPACAP276M1I-PAC1-PACAP27-Gs/β1/γ2
16.67Single6RZ5Zafirlukast6RZ5-CysLT1-Zafirlukast-Na
16.67Single6TQ9SB-4081246TQ9-OX1-SB-408124
16.67Single6WI9Secretin6WI9-Secretin-Secretin-Gs/β1/γ2
16.67Single7AD3Alpha-factor mating pheromone7AD3-STE2; STE2-α-factor mating pheromone-Gi1/STE4/γ2
16.67Single7VVMPTH7VVM-PTH1-PTH-Gs/β1/γ2
16.67Single7W57Neuromedin-S7W57-NMUR2-Neuromedin-S-chim(NtGi1-Gs-CtGq)/β1/γ2
16.67Single7XBDGalanin7XBD-GAL2-Galanin-chim(NtGi2L-Gs-CtGq)/β1/γ2
16.67Single7XOWSulfated Gastrin-(10-17)7XOW-CCKB-Sulfated Gastrin-(10-17)-chim(NtGi1-Gq)/β1/γ2
16.67Single7YU5ONO-07405567YU5-LPA1-ONO-0740556-Gi1/β1/γ2
16.67Single8FN1Neurotensin-(8-13)8FN1-NTS1-Neurotensin-(8-13)-chim(NtGi1-Go)/β1/γ2
16.67Single8IUKPGF2-alpha8IUK-FP-alpha-PGF2-α-chim(NtGi1-Gs-CtGq)/β1/γ2
16.67Single8JBGNeurokinin-B8JBG-NK3-Neurokinin-B-chim(NtGi1-Gs-CtGq)/β1/γ2
16.67Single8JD5JNJ-40411813; ADX881788JD5-mGlu2; mGlu4-Glutamate-JNJ-40411813; ADX88178-Gi1/β1/γ2
16.67Single8TAOCDPPB8TAO-mGlu5; mGlu5-Quisqualate-CDPPB
16.67Single8X79MRE-2698X79-I2-MRE-269-Gs/β1/γ2
16.67Single8XBIPubChem 1626566368XBI-GPR34-PubChem 162656636
16.67Single8Y02All-trans-Retinal8Y02-OPN1SW-All-trans-Retinal-Gi1/β1/γ2
16.67Single8YW3Retatrutide8YW3-GLP-1-Retatrutide-Gs/β1/γ2
16.67Single8YW4Retatrutide8YW4-GIP-Retatrutide-chim(NtGi1-Gs)/β1/γ2
16.67Single9BLCCagrilintide (non-acylated)9BLC-CT-Cagrilintide (non-acylated)-Gs/β1/γ2
16.67Single9BUDCagrilintide9BUD-CT-Cagrilintide-Gs/β1/γ2
16.67Single9EBOGLP-1 (ACPC18)9EBO-GLP-1-GLP-1 (ACPC18)-Gs/β1/γ2
16.67Single9YDVMRS29059YDV-P2Y14-MRS2905-Gi1/β1/γ2
16.67Consensuscrf1_on_gpOrthosteric Ligand6PB0-CRF1-Urocortin-chim(NtGi1-Gs)/β1/γ2 6P9X-CRF1-Corticoliberin-1-Gs/β1/γ2
16.67Consensusgi_lpaOrthosteric Ligand7TD1-LPA1-LPA-Gi1/β1/γ2 7YU3-LPA1-ONO-0740556-Gi1/β1/γ2
16.67Consensusglp1_on_gpOrthosteric Ligand7S1M-GLP-1-Exendin-4-D-Ala-Gs/β1/γ2 7X8R-GLP-1-BOC5-Gs/β1/γ2 6X19-GLP-1-CHU-128-Gs/β1/γ2 6X1A-GLP-1-Danuglipron-Gs/β1/γ2 6X18-GLP-1-GLP-1-Gs/β1/γ2 8JIP-GLP-1-MEDI0382-chim(NtGi1-Gs)/β1/γ2 7C2E-GLP-1-PubChem 149050799-Gs/β1/γ2 7KI0-GLP-1-Semaglutide-Gs/β1/γ2 7KI1-GLP-1-Taspoglutide-Gs/β1/γ2 7X8S-GLP-1-WB4-24-Gs/β1/γ2 8JIS-GLP-1-Peptide-15-chim(NtGi1-Gs)/β1/γ2 7VBI-GLP-1-Tirzepatide (non-acylated)-Gs/β1/γ2
16.67Consensuslpa_onOrthosteric Ligandlpa1_on
16.67Consensuslpa_on_gpOrthosteric Ligandlpa1_on_gp
16.67Consensusmc5_on_gpOrthosteric Ligand8INR-MC5-α-MSH-Ca-chim(NtGi1-Gs)/β1/γ2 8IOD-MC5-PG-901-Ca-chim(NtGi1-Gs)/β1/γ2
16.67Consensusneuromedin-u_onOrthosteric Ligandnmur1_on nmur2_on
16.67Consensusnpy1_offOrthosteric Ligand5ZBH-Y1-BMS-193885 5ZBQ-Y1-UR-MK-299
16.67Consensustachykinin_onOrthosteric Ligandnk1_on nk2_on nk3_on
16.22Single7TYYCalcitonin-17TYY-CT (AMY2)-Calcitonin-1-Gs/β1/γ2; RAMP2
16.22Single9JR3PTH9JR3-PTH1-PTH-chim(NtGi1L-Gs-CtGq)/β1/γ2
16.22Consensusglucagon_onOrthosteric Ligandglp_on gluc_on secretin_on gip_on
16.22Consensuspth2_onOrthosteric Ligand7F16-PTH2-TIP39-Gs/β1/γ2
16.13Single6X18GLP-16X18-GLP-1-GLP-1-Gs/β1/γ2
16.13Single7LLYOxyntomodulin7LLY-GLP-1-Oxyntomodulin-Gs/β1/γ2
16.13Single7P02Substance-P7P02-NK1-Substance-P-chim(NtGi1-Gs)/β1/γ2
16.13Single7VL9CCL15(26-92)7VL9-CCR1-CCL15(26-92)-Gi1/β1/γ2
16.13Consensusneuromedin-u_on_gpOrthosteric Ligandnmur1_on_gp nmur2_on_gp
16.13Consensuspac_onOrthosteric Ligandpac1_on
16.13Consensusvpac_onOrthosteric Ligandvpac1_on vpac2_on
16.00Single3VW7Vorapaxar; Na3VW7-PAR1-Vorapaxar; Na
16.00Single4PY02MeSATP4PY0-P2Y12-2MeSATP
16.00Single5TZYMK8666; AP85TZY-FFA1-MK8666; AP8
16.00Single6AK3PGE26AK3-EP3-PGE2
16.00Single6IIURamatroban6IIU-TXA2-Ramatroban
16.00Single6OS2TRV0266OS2-AT1-TRV026
16.00Single6RZ7ONO-25703666RZ7-CysLT2-ONO-2570366
16.00Single7WQ4Galanin7WQ4-GAL2-Galanin-chim(NtGi1-Gs-CtGq)/β1/γ2
16.00Single7XW5ML1097XW5-TSH-TSH-ML109-Gs/β1/γ2
16.00Single7XW6ML1097XW6-TSH-M22 Fab-ML109-Gs/β1/γ2
16.00Single8GCPPGE28GCP-EP4-PGE2-Gi1/β1/γ2
16.00Single8WRBLysophosphatidylserine (UBL)8WRB-GPR34-Lysophosphatidylserine (UBL)-Gi1/β1/γ2
16.00Single9ECJS-geranylgeranyl-L-glutathione9ECJ-P2Y8-S-geranylgeranyl-L-glutathione-G13/β1/γ2
16.00Single9VIFNeuropeptide-VF9VIF-NPFF1-Neuropeptide-VF-Gi1/β1/γ2
16.00Consensusgalanin_onOrthosteric Ligandgal2_on gal1_on
16.00Consensusgalanin_on_gpOrthosteric Ligandgal2_on_gp gal1_on_gp
15.79Single2ZIY11-cis-Retinal2ZIY-Rhodopsin-11-cis-Retinal
15.79Single7D77Hydrocortisone7D77-ADGRG3-Hydrocortisone-Go/β1/γ2
15.79Single7V6APubChem 98642757V6A-M4-PubChem 9864275-Gi1/β1/γ2
15.79Single8J21Butyric acid8J21-FFA3-Butyric acid-Gi1/β1/γ2
15.79Single8X9UMetenolone8X9U-ADGRD1-Metenolone-chim(NtGi1-Gs)/β1/γ2
15.79Single9JHJC18:0 Ceramide9JHJ-FPR2-ALX-C18:0 Ceramide-Gi1/β1/γ2
15.79Single9LL7DOI9LL7-5-HT2A-DOI-Gi1/β1/γ2
15.79Consensusffa3_onOrthosteric Ligand8J21-FFA3-Butyric acid-Gi1/β1/γ2
15.79Consensusffa3_on_gpOrthosteric Ligand8J21-FFA3-Butyric acid-Gi1/β1/γ2
15.79Consensusglucagon_on_gpOrthosteric Ligandglp_on_gp gluc_on_gp secretin_on_gp gip_on_gp
15.62Single6NBFLA-PTH Analog6NBF-PTH1-LA-PTH Analog-Gs/β1/γ2
15.62Single7CZ5Somatoliberin7CZ5-GHRH-Somatoliberin-Gs/β1/γ2
15.62Single7D3SSecretin7D3S-Secretin-Secretin-Gs/β1/γ2
15.62Single7KI0Semaglutide7KI0-GLP-1-Semaglutide-Gs/β1/γ2
15.62Single7RA3GIP7RA3-GIP-GIP-chim(NtGi1-Gs)/β1/γ2
15.62Single7SK4CXCL12_LRHQ7SK4-ACKR3-CXCL12_LRHQ
15.62Single7VABTirzepatide (non-acylated)7VAB-GIP-Tirzepatide (non-acylated)-chim(NtGi1-Gs)/β1/γ2
15.62Single8JISPeptide-158JIS-GLP-1-Peptide-15-chim(NtGi1-Gs)/β1/γ2
15.62Single9BLBCagrilintide (non-acylated)9BLB-CT-Cagrilintide (non-acylated)-Gs/β1/γ2
15.62Single9J1Pg1:Ox9J1P-GLP-1-g1:Ox-chim(NtGi1-Gs)/β1/γ2
15.62Consensuscrf2_on_gpOrthosteric Ligand7TS0-CRF2-Urocortin-chim(NtGi1L-Go)/β1/γ2
15.62Consensuspac1_onOrthosteric Ligand8E3X-PAC1-PACAP27-Gs/β1/γ2 6M1H-PAC1-Maxadilan-Gs/β1/γ2
15.62Consensuspac1_on_gpOrthosteric Ligand8E3X-PAC1-PACAP27-Gs/β1/γ2 6M1H-PAC1-Maxadilan-Gs/β1/γ2
15.62Consensussecretin_onOrthosteric Ligand7D3S-Secretin-Secretin-Gs/β1/γ2
15.62Consensusvpac_on_gpOrthosteric Ligandvpac1_on_gp vpac2_on_gp
15.38Single4RWSvMIP-II4RWS-CXCR4-vMIP-II
15.38Single6RZ9ONO-27703726RZ9-CysLT2-ONO-2770372
15.38Single7PIUSetmelanotide7PIU-MC4-Setmelanotide-Gs/β1/γ2
15.38Single7VVNPTH7VVN-PTH1-PTH-Gs/β1/γ2
15.38Single8HN1Toxin AdTx18HN1-Alpha1A-Toxin AdTx1
15.38Single8XBES3E-Lysophosphatidylserine 8XBE-GPR34-S3E-Lysophosphatidylserine-Gi1/β1/γ1
15.38Single8ZX4Lysophosphatidylinositol 8ZX4-GPR55-Lysophosphatidylinositol-chim(NtGi1-G13)/β1/γ2
15.38Single9C0KExendin-49C0K-GLP-1-Exendin-4-Gs/β1/γ2
15.38Single9GE3Lysophosphatidylinositol9GE3-GPR55-Lysophosphatidylinositol-chim(NtGi1-G13)/β1/γ2
15.38Single9J0BUDP-Glucose9J0B-P2Y14-UDP-Glucose-Gi1/β1/γ2
15.38Single9KV8TLQP219KV8-C3aB-TLQP21-Go/β1/γ2
15.38Single9M1HPGE29M1H-EP1-PGE2-chim(NtGi1-Gs-CtGq)/β1/γ2
15.38Consensuscyslt2_offOrthosteric Ligand6RZ7-CysLT2-ONO-2570366 6RZ8-CysLT2-ONO-2080365 6RZ9-CysLT2-ONO-2770372
15.38Consensusnk2_onOrthosteric Ligand7XWO-NK2-Neurokinin-A-chim(NtGi1-Gs-CtGq)/β1/γ2
15.15Single6B3JExendin-P56B3J-GLP-1-Exendin-P5-Gs/β1/γ2
15.15Single6UVAAdrenomedullin-26UVA-CT Like (AM2)-Adrenomedullin-2-Gs/β1/γ2; RAMP3
15.15Single7AD3Alpha-factor mating pheromone7AD3-STE2; STE2-α-factor mating pheromone-Gi1/STE4/γ2
15.15Single7DTYGIP7DTY-GIP-GIP-Gs/β1/γ2
15.15Single7FIYTirzepatide7FIY-GIP-Tirzepatide-Gs/β1/γ2
15.15Single7S1MExendin-4-D-Ala7S1M-GLP-1-Exendin-4-D-Ala-Gs/β1/γ2
15.15Single7VQXPACAP277VQX-VPAC1-PACAP27-Gs/β1/γ2
15.15Single8HAOPTH8HAO-PTH1-PTH-chim(NtGi1-Gs)/β1/γ2
15.15Single8W8XBeta-MSH8W8X-MC3-β-MSH-Ca-Gs/β1/γ2
15.15Single9P94PACAP279P94-PAC1-PACAP27-Gs/β1/γ2
15.15Consensuscrf_onOrthosteric Ligandcrf2_on crf1_on
15.15Consensussecretin_on_gpOrthosteric Ligand7D3S-Secretin-Secretin-Gs/β1/γ2
15.00Single6PH7Nerol6PH7-Rhodopsin-Nerol-Gt(CT)
15.00Single7T96LY21196207T96-M2-Acetylcholine-LY2119620-Go/β1/γ2
15.00Single7TRPLY20332987TRP-M4-Iperoxo-LY2033298-Gi1/β1/γ2
15.00Single8U4RREGN7663-Fab8U4R-CXCR4-REGN7663-Fab
15.00Single8X2KOleic monoethanolamide8X2K-GPR3-Oleic monoethanolamide-chim(NtGi1-Gs)/β1/γ2
15.00Single9B9YTaranabant9B9Y-CB1-Taranabant
15.00Single9JLCAVE 09919JLC-MAS1-AVE 0991-Gi1/β1/γ2
15.00Single9L3ZLRH7-C29L3Z-CML1-LRH7-C2
15.00Single9LMPNE52-QQ579LMP-GPR4-NE52-QQ57
15.00Single9M88Oleic monoethanolamide9M88-GPR3 ; GPR3-Oleic monoethanolamide-AF64394
15.00Consensusclass-b1_onOrthosteric Ligandglucagon_on vip-pacap_on pth_on crf_on calcitonin_on
15.00Consensusgq_nucleotideOrthosteric Ligandgq_p2y
15.00Consensusgq_p2yOrthosteric Ligand7XXH-P2Y1-2MeSADP-chim(NtGi1-G11)/β1/γ2
14.81Single6RZ6ONO-25703666RZ6-CysLT2-ONO-2570366
14.81Single7AUESetmelanotide7AUE-MC4-Setmelanotide-chim(NtGi1L-Gs)/β1/γ2
14.81Single8GDAL9026888GDA-EP4-L902688-Gs/β1/γ2
14.81Single8IQ4Carboprost8IQ4-FP-alpha-Carboprost-chim(NtGi1-Gs-CtGq)/β1/γ2
14.81Single8XQJJN2418XQJ-Apelin; Apelin-JN241
14.81Single9JH6C20:0 Ceramide9JH6-CysLT2-C20:0 Ceramide-chim(NtGi1-Gs-CtGq)/β1/γ2
14.71Single5VAIGLP-15VAI-GLP-1-GLP-1-Gs/β1/γ2
14.71Single6LMLGlucagon6LML-Glucagon-Glucagon-Gi1/β1/γ1
14.71Single7TYLAmylin7TYL-CT-Amylin-Gs/β1/γ2
14.71Single7VVJPTHrP(1-36)7VVJ-PTH1-PTHrP(1-36)-Gs/β1/γ2
14.71Single8FLTM-PTH(1-14)8FLT-PTH1-M-PTH(1-14)-Gs/β1/γ2
14.71Consensuspth1_onOrthosteric Ligand6NBF-PTH1-LA-PTH Analog-Gs/β1/γ2 8HA0-PTH1-PTH-chim(NtGi1-Gs)/β1/γ2 8HAF-PTH1-PTHrP(1-36)-chim(NtGi1-Gs)/β1/γ2 7Y36-PTH1-PTH-Gs/β1/γ2 7Y35-PTH1-Abaloparatide-Gs/β1/γ2
14.29Single4MQTLY21196204MQT-M2-Iperoxo-LY2119620
14.29Single6X19CHU-1286X19-GLP-1-CHU-128-Gs/β1/γ2
14.29Single7L0RNeurotensin-(8-13)7L0R-NTS1-Neurotensin-(8-13)-Gi1/β1/γ1
14.29Single7LCJDanuglipron7LCJ-GLP-1-Danuglipron
14.29Single7S8PMS471347S8P-MRGPRX4-MS47134-chim(NtGi2L-Gs-CtGq)/β1/γ2
14.29Single7TUZ7-alpha,25-dihydroxycholesterol7TUZ-GPR183-7-α,25-dihydroxycholesterol-Gi1/β1/γ2
14.29Single7VDLCortistatin-147VDL-MRGPRX2-Cortistatin-14-Gi1/β1/γ2
14.29Single7X2CFenoldopam7X2C-D1-Fenoldopam-Fenoldopam-Gs/β1/γ2
14.29Single7XJJGalanin7XJJ-GAL1-Galanin-Go/β1/γ2
14.29Single8DWHPubChem 1390305318DWH-MRGPRX1-PubChem 139030531-chim(NtGi2L-Gs-CtGq)/β1/γ2
14.29Single8J20Valeric acid8J20-FFA3-Valeric acid-AR420626-Gi1/β1/γ2
14.29Single8T3SButyric acid8T3S-FFA2-Butyric acid-chim(NtGi2L-Gs-CtGq)/β1/γ2
14.29Single8U4PAMD31008U4P-CXCR4-AMD3100-Gi1/β1/γ2
14.29Single8YWFRetatrutide8YWF-GLP-1-Retatrutide-chim(NtGi1-Gs)/β1/γ2
14.29Single8YYWAlpha-ketoglutarate8YYW-Oxoglutarate-α-ketoglutarate-α-ketoglutarate-chim(Gi1-CtGq)/β1/γ2
14.29Single9PEEPF-07054894; OXM29PEE-CCR6-PF-07054894; OXM2
14.29Consensuscrf1_onOrthosteric Ligand6PB0-CRF1-Urocortin-chim(NtGi1-Gs)/β1/γ2 6P9X-CRF1-Corticoliberin-1-Gs/β1/γ2
14.29Consensusp2y1_onOrthosteric Ligand7XXH-P2Y1-2MeSADP-chim(NtGi1-G11)/β1/γ2
13.89Single8F2APramlintide Analogue San3858F2A-CT (AMY3)-Pramlintide Analogue San385-Gs/β1/γ2; RAMP3
13.89Consensusglp1_onOrthosteric Ligand7S1M-GLP-1-Exendin-4-D-Ala-Gs/β1/γ2 7X8R-GLP-1-BOC5-Gs/β1/γ2 6X19-GLP-1-CHU-128-Gs/β1/γ2 6X1A-GLP-1-Danuglipron-Gs/β1/γ2 6X18-GLP-1-GLP-1-Gs/β1/γ2 8JIP-GLP-1-MEDI0382-chim(NtGi1-Gs)/β1/γ2 7C2E-GLP-1-PubChem 149050799-Gs/β1/γ2 7KI0-GLP-1-Semaglutide-Gs/β1/γ2 7KI1-GLP-1-Taspoglutide-Gs/β1/γ2 7X8S-GLP-1-WB4-24-Gs/β1/γ2 8JIS-GLP-1-Peptide-15-chim(NtGi1-Gs)/β1/γ2 7VBI-GLP-1-Tirzepatide (non-acylated)-Gs/β1/γ2
13.79Single7E14Orforglipron7E14-GLP-1-Orforglipron-PubChem 156022738-Gs/β1/γ2
13.79Single7RMISubstance-P7RMI-NK1-Substance-P-chim(Gs-CtGq)/β1/γ2
13.64Single6FKAPubChem 1324730376FKA-Rhodopsin-PubChem 132473037
13.64Single6PELCitronellol6PEL-Rhodopsin-Citronellol-Gt(CT)
13.64Single6U1NLY21196206U1N-M2-LY2119620-Arrestin2
13.64Single6WJCMuscarinic toxin 76WJC-M1-Atropine-Muscarinic toxin 7
13.64Single7M3GCa; Ca; Tryptophan; Evocalcet; Etelcalcetide; PO47M3G-CaS; CaS-Ca; Ca; Tryptophan; Evocalcet; Etelcalcetide; PO4
13.64Single7T94LY21196207T94-M2-Acetylcholine-LY2119620-chim(NtGi1-Go)/β1/γ2
13.64Single7UTZDPPC7UTZ-TSH-TSH-DPPC-Gs/β1/γ2
13.64Single8HJ5PubChem 1390305318HJ5-MRGPRX1-PubChem 139030531-chim(NtGi1-Gs-CtGq)/β1/γ2
13.64Single8K4NPubChem 1687197658K4N-GPR34-PubChem 168719765-Gi1/β1/γ2
13.64Single8K4SDCA-3P8K4S-MRGPRX4-DCA-3P-chim(NtGi1L-Gs-CtGq)/β1/γ2
13.64Single9BA0MRI-18919BA0-CB1-MRI-1891
13.64Single9JFUNE52-QQ579JFU-GPR4-NE52-QQ57
13.64Single9K0XATP9K0X-P2Y2-ATP-chim(NtGi1-Gs-CtGq)/β1/γ2
13.64Single9K20ATP9K20-P2Y2-ATP-chim(NtGi1-Go)/β1/γ2
13.64Consensuscb1_offOrthosteric Ligand5U09-CB1-Taranabant 5TGZ-CB1-AM6538
13.64Consensusclass-b1_on_gpOrthosteric Ligandglucagon_on_gp vip-pacap_on_gp pth_on_gp crf_on_gp calcitonin_on_gp
13.64Consensuscxcr2_onOrthosteric Ligand6LFM-CXCR2-CXCL8-Gi1/β1/γ2
13.51Single6WPWZP37806WPW-Glucagon-ZP3780-Gs/β1/γ2
13.51Single8JIPMEDI03828JIP-GLP-1-MEDI0382-chim(NtGi1-Gs)/β1/γ2
13.51Single8JIRSAR4258998JIR-GLP-1-SAR425899-chim(NtGi1-Gs)/β1/γ2
13.51Single9JR2PTH9JR2-PTH1-PTH-chim(NtGi1L-Gs-CtGq)/β1/γ2
13.51Consensuspth1_on_gpOrthosteric Ligand6NBF-PTH1-LA-PTH Analog-Gs/β1/γ2 8HA0-PTH1-PTH-chim(NtGi1-Gs)/β1/γ2 8HAF-PTH1-PTHrP(1-36)-chim(NtGi1-Gs)/β1/γ2 7Y36-PTH1-PTH-Gs/β1/γ2 7Y35-PTH1-Abaloparatide-Gs/β1/γ2
13.33Single7W55Neuromedin-U-257W55-NMUR2-Neuromedin-U-25-chim(NtGi1-Gs-CtGq)/β1/γ2
13.33Single8W8YGamma-MSH8W8Y-MC3-γ-MSH-Ca-Gs/β1/γ2
13.33Single9B5YLA-PTH Analog9B5Y-PTH1-LA-PTH Analog-chim(NtGi1-Gq)/β1/γ2
13.33Single9IVMGLP-1 (Truncated)9IVM-GLP-1-GLP-1 (Truncated)-LSN3318839-chim(NtGi1-Gs)/β2/γ2
13.33Consensusclass-b1_class-b2_cons_onOrthosteric Ligandclass-b1_on class-b2_on
13.33Consensusclass-b1_class-b2_cons_on_gpOrthosteric Ligandclass-b1_on_gp class-b2_on_gp
13.33Consensusmc3_onOrthosteric Ligand8IOC-MC3-γ-MSH-Ca-chim(NtGi1-Gs)/β1/γ2
13.33Consensusmc3_on_gpOrthosteric Ligand8IOC-MC3-γ-MSH-Ca-chim(NtGi1-Gs)/β1/γ2
13.33Consensusnmur2_onOrthosteric Ligand7W55-NMUR2-Neuromedin-U-25-chim(NtGi1-Gs-CtGq)/β1/γ2
13.33Consensusnmur2_on_gpOrthosteric Ligand7W55-NMUR2-Neuromedin-U-25-chim(NtGi1-Gs-CtGq)/β1/γ2
13.04Single4QIMANTA XV4QIM-SMO-ANTA XV
13.04Single6FKDPubChem 1373491836FKD-Rhodopsin-PubChem 137349183
13.04Single6ORVTT-OAD26ORV-GLP-1-TT-OAD2-Gs/β1/γ2
13.04Single6X1ADanuglipron6X1A-GLP-1-Danuglipron-Gs/β1/γ2
13.04Single7FIHOrg435537FIH-LH-hCG-Org43553-chim(NtGi1-Gs)/β1/γ2
13.04Single7LCIDanuglipron7LCI-GLP-1-Danuglipron-Gs/β1/γ2
13.04Single7LCKDanuglipron7LCK-GLP-1-Danuglipron
13.04Single7TRQVU04671547TRQ-M4-Iperoxo-VU0467154-Gi1/β1/γ2
13.04Single7WQ3Galanin7WQ3-GAL1-Galanin-Gi1/β1/γ2
13.04Single8EJKTAK-8758EJK-FFA1-TAK-875-chim(NtGi1L-Gs-CtGq)/β1/γ2
13.04Single8GCML-9026888GCM-EP4-L-902688-Gi1/β1/γ2
13.04Single8IC0CXCL88IC0-CXCR1-CXCL8-Gi1/β1/γ2
13.04Single8XBGS3E-Lysophosphatidylserine 8XBG-GPR34-S3E-Lysophosphatidylserine
13.04Single8XJLPGF2-alpha8XJL-FP-alpha-PGF2-α-chim(NtGi2-Gs-CtGq)/β1/γ2
13.04Single8ZYYNeurotensin-(8-13)8ZYY-NTS1-Neurotensin-(8-13)-SBI-553-Arrestin2
13.04Single9JQZGrapiprant 9JQZ-EP4-Grapiprant
13.04Single9METGp120; CD49MET-CXCR4-Gp120; CD4
13.04Consensuscxcr1_on_gpOrthosteric Ligand8IC0-CXCR1-CXCL8-Gi1/β1/γ2
13.04Consensusgal1_onOrthosteric Ligand7WQ3-GAL1-Galanin-Gi1/β1/γ2
13.04Consensusgal1_on_gpOrthosteric Ligand7WQ3-GAL1-Galanin-Gi1/β1/γ2
13.04Consensusgi_galaninOrthosteric Ligand7WQ3-GAL1-Galanin-Gi1/β1/γ2
12.90Single7FINPeptide-20; GGL7FIN-GIP-Peptide-20; GGL-Gs/β1/γ2
12.90Single7TYIAmylin7TYI-CT-Amylin-Gs/β1/γ2
12.90Single8HA0PTH8HA0-PTH1-PTH-chim(NtGi1-Gs)/β1/γ2
12.90Single8YW5Retatrutide8YW5-Glucagon-Retatrutide-Gs/β1/γ2
12.90Consensuscrf2_onOrthosteric Ligand7TS0-CRF2-Urocortin-chim(NtGi1L-Go)/β1/γ2
12.82Single6E3YCalcitonin gene-related peptide-16E3Y-CT Like-Calcitonin gene-related peptide-1-Gs/β1/γ2; RAMP1
12.50Single4PHUFasiglifam4PHU-FFA1-Fasiglifam
12.50Single5ZBQUR-MK-2995ZBQ-Y1-UR-MK-299
12.50Single6M9TMisoprostol-FA6M9T-EP3-Misoprostol-FA
12.50Single6Z4QSR142948A6Z4Q-NTS1-SR142948A
12.50Single7M3GCa; Ca; Tryptophan; Evocalcet; Etelcalcetide; PO47M3G-CaS; CaS-Ca; Ca; Tryptophan; Evocalcet; Etelcalcetide; PO4
12.50Single7TYWCalcitonin-17TYW-CT (AMY1)-Calcitonin-1-Gs/β1/γ2; RAMP1
12.50Single8IZ4Lysophosphatidylserine (TJR)8IZ4-GPR34-Lysophosphatidylserine (TJR)-Gi1/β1/γ2
12.50Single8YG4LA-PTH Analog8YG4-PTH1-LA-PTH Analog-chim(NtGi1-Gs)/β1/γ2
12.50Single8ZVZBW245C8ZVZ-DP1-BW245C-Gs/β1/γ2
12.50Single8ZYTNeurotensin-(8-13)8ZYT-NTS1-Neurotensin-(8-13)-SBI-553-Arrestin2
12.50Single9B9ZMRI-18679B9Z-CB1-MRI-1867
12.50Single9EAHNanobody AT2099EAH-AT1-Olmesartan-Nanobody AT209
12.50Single9EE5ONO-25502899EE5-DP1-ONO-2550289
12.50Single9EKHONO-30302979EKH-DP1-ONO-3030297
12.50Consensuscalcitonin_onOrthosteric Ligandctlike_on
12.12Single9BUBCagrilintide9BUB-CT-Cagrilintide-Gs/β1/γ2
12.12Consensuscalcitonin_on_gpOrthosteric Ligandctlike_on_gp
12.00Single5V56TC1145V56-SMO-TC114
12.00Single5ZBHBMS-1938855ZBH-Y1-BMS-193885
12.00Single6OS1TRV0266OS1-AT1-TRV026
12.00Single7F1TCCL37F1T-CCR5-CCL3
12.00Single7XJLSpexin7XJL-GAL2-Spexin-chim(NtGi2L-Gs-CtGq)/β1/γ2
12.00Single7XWONeurokinin-A7XWO-NK2-Neurokinin-A-chim(NtGi1-Gs-CtGq)/β1/γ2
12.00Single8GDBPGE28GDB-EP4-PGE2-Gs/β1/γ2
12.00Single8WJXADP8WJX-P2Y1-ADP-chim(Gs-CtGq)/β1/γ2
12.00Single8ZW0PGD28ZW0-DP1-PGD2-Gs/β1/γ2
12.00Single9E9SPGD29E9S-DP1-PGD2-Gs/β1/γ1
12.00Single9JCLADP9JCL-P2Y1-ADP-chim(Gs-CtGq)/β1/γ2
12.00Single9MENGp120 (V3 loop)9MEN-CXCR4-Gp120 (V3 loop)
12.00Consensusnk2_on_gpOrthosteric Ligand7XWO-NK2-Neurokinin-A-chim(NtGi1-Gs-CtGq)/β1/γ2
11.76Single7TYNCalcitonin-17TYN-CT-Calcitonin-1-Gs/β1/γ2
11.76Single7VVKPTH7VVK-PTH1-PTH-Gs/β1/γ2
11.76Single8FU6ZP37808FU6-Glucagon-ZP3780-Gs/β1/γ2
11.76Single8WCBCyclohexylammonium Ion8WCB-TA1-Cyclohexylammonium Ion-chim(NtGi1-Gs-CtGq)/β1/γ2
11.54Single4XEENeurotensin-(8-13)4XEE-NTS1-Neurotensin-(8-13)
11.54Single4XESNeurotensin-(8-13)4XES-NTS1-Neurotensin-(8-13)
11.54Single6OSAJMV4496OSA-NTS1-JMV449-Gi1/β1/γ2
11.54Single6XOXOrforglipron6XOX-GLP-1-Orforglipron-chim(NtGi1-Gs)/β1/γ2
11.54Single7L0SNeurotensin-(8-13)7L0S-NTS1-Neurotensin-(8-13)-Gi1/β1/γ1
11.54Single7XJKGalanin7XJK-GAL2-Galanin-chim(NtGi2L-Gs-CtGq)/β1/γ2
11.54Single8JPCNeurotensin-(8-13)8JPC-NTS1-Neurotensin-(8-13)-SBI-553; GDP; Mg-Gq; GRK2
11.54Single8XQJJN2418XQJ-Apelin; Apelin-JN241
11.54Single8XQSCholesterol8XQS-TAS2R14-Cholesterol-Flufenamic acid-Gi1/β1/γ1
11.54Single9AU0BW245C9AU0-DP1-BW245C-Gs/β1/γ2
11.54Consensusgi_neurotensinOrthosteric Ligand6OSA-NTS1-JMV449-Gi1/β1/γ2 7L0S-NTS1-Neurotensin-(8-13)-Gi1/β1/γ1
11.54Consensusneurotensin_on_gpOrthosteric Ligandnts1_on_gp
11.54Consensusnts1_on_gpOrthosteric Ligand6OSA-NTS1-JMV449-Gi1/β1/γ2 7L0S-NTS1-Neurotensin-(8-13)-Gi1/β1/γ1
11.43Single7VVLPTH7VVL-PTH1-PTH-Gs/β1/γ2
11.43Single9BQ3Cagrilintide9BQ3-CT (AMY2)-Cagrilintide-Gs/β1/γ2; RAMP2
11.43Single9BTWCagrilintide9BTW-CT (AMY3)-Cagrilintide-Gs/β1/γ2; RAMP3
11.43Consensusvpac2_onOrthosteric Ligand7VQX-VPAC1-PACAP27-Gs/β1/γ2
11.43Consensusvpac2_on_gpOrthosteric Ligand7VQX-VPAC1-PACAP27-Gs/β1/γ2
11.11Single4BUONeurotensin-(8-13)4BUO-NTS1-Neurotensin-(8-13)
11.11Single7RBTTirzepatide7RBT-GIP-Tirzepatide-LSN3556672-chim(NtGi1-Gs)/β1/γ2
11.11Single7V68LY21196207V68-M4-Iperoxo-LY2119620-Gi1/β1/γ2
11.11Single8FN0Neurotensin-(8-13)8FN0-NTS1-Neurotensin-(8-13)-SBI-553-chim(NtGi1-Go)/β1/γ2
11.11Single8K4OCXCL18K4O-KSHV-CXCL1-Gi1/β1/γ1
11.11Single8XVUCXCL28XVU-CXCR2-CXCL2
11.11Single8XXHCXCL28XXH-CXCR2-CXCL2-Go/β1/γ2
11.11Consensusgip_onOrthosteric Ligand7FIN-GIP-Peptide-20; GGL-Gs/β1/γ2 7FIY-GIP-Tirzepatide-Gs/β1/γ2 7DTY-GIP-GIP-Gs/β1/γ2
11.11Consensusgip_on_gpOrthosteric Ligand7FIN-GIP-Peptide-20; GGL-Gs/β1/γ2 7FIY-GIP-Tirzepatide-Gs/β1/γ2 7DTY-GIP-GIP-Gs/β1/γ2
10.81Single7VBHPeptide-207VBH-GLP-1-Peptide-20-Gs/β1/γ2
10.71Single6KNMJN241-96KNM-Apelin-JN241-9
10.71Single7X8SWB4-247X8S-GLP-1-WB4-24-Gs/β1/γ2
10.71Single8SAILysophosphatidylserine (S12)8SAI-GPR34-Lysophosphatidylserine (S12)-Gi1/β1/γ2
10.71Single8XQLCholesterol8XQL-TAS2R14-Cholesterol-Aristolochic acid A-Gt3/β1/γ1
10.71Single8XX6CXCL88XX6-CXCR2-CXCL8-Go/β1/γ2
10.71Single9ITBLPA9ITB-LPA6-LPA-chim(NtGi1-Gs-CtGq)/β1/γ2
10.53Single7V35Peptide-207V35-Glucagon-Peptide-20-Gs/β1/γ2
10.53Single7VDMSubstance-P7VDM-MRGPRX2-Substance-P-Gi1/β1/γ2
10.34Single7W2ZGhrelin7W2Z-Ghrelin-Ghrelin-Go/β1/γ2
10.34Single8INRAlpha-MSH8INR-MC5-α-MSH-Ca-chim(NtGi1-Gs)/β1/γ2
10.34Single8XWNCXCL88XWN-CXCR2-CXCL8
10.34Single9BUECagrilintide9BUE-CT-Cagrilintide-Gs/β1/γ2
10.26Single7TYOCalcitonin7TYO-CT-Calcitonin-Gs/β1/γ2
10.26Single8JIUSAR4258998JIU-Glucagon-SAR425899-Gs/β1/γ2
10.00Single6FK9PubChem 1324730366FK9-Rhodopsin-PubChem 132473036
10.00Single6OIKLY21196206OIK-M2-Iperoxo-LY2119620-chim(NtGi1-Go)/β1/γ2
10.00Single6WHCGlu16 analog of GCG6WHC-Glucagon-Glu16 analog of GCG-Gs/β1/γ2
10.00Single7TRYUrocortin7TRY-CRF2-Urocortin-chim(NtGi1-G11)/β1/γ2
10.00Single8EITDoconexent8EIT-FFA1-Doconexent-chim(NtGi1L-Gs-CtGq)/β1/γ2
10.00Single8F76Propanoic acid8F76-OR51E2-Propanoic acid-Gs/β1/γ2
10.00Single8IOCGamma-MSH8IOC-MC3-γ-MSH-Ca-chim(NtGi1-Gs)/β1/γ2
10.00Single8RQLFlufenamic acid8RQL-TAS2R14-Flufenamic acid-Flufenamic acid-chim(NtGi1-Gt3)/β1/γ2
10.00Single9IJRC179IJR-GPR52-C17-Arrestin2
9.68Single8YFOAc-LA-PTH Analog8YFO-PTH1-Ac-LA-PTH Analog-chim(NtGi1-Gs)/β1/γ2
9.52Single5L7IVismodegib5L7I-SMO-Vismodegib
9.52Single6FK6PubChem 1324730336FK6-Rhodopsin-PubChem 132473033
9.52Single6PGSGeraniol6PGS-Rhodopsin-Geraniol-Gt(CT)
9.52Single7S8NR-Zinc-35737S8N-MRGPRX2-R-Zinc-3573-chim(NtGi2L-Gs-CtGq)/β1/γ2
9.52Single7S8OR-Zinc-35737S8O-MRGPRX2-R-Zinc-3573-Gi1/β1/γ2
9.52Single7XKFDehydroepiandrosterone7XKF-ADGRG2-Dehydroepiandrosterone-Gs/β1/γ2
9.52Single8FX5Xanomeline8FX5-M4-Xanomeline-Xanomeline-Gi1/β1/γ2
9.52Single8YKDDehydroepiandrosterone8YKD-ADGRG2-Dehydroepiandrosterone-chim(NtGi1-Gs)/β1/γ2
9.52Consensusadgrg_onOrthosteric Ligandadgrg2_on adgrg4_on
9.52Consensusadgrg_on_gpOrthosteric Ligandadgrg2_on_gp adgrg4_on_gp
9.38Single6NIYCalcitonin-16NIY-CT-Calcitonin-1-Gs/β1/γ2
9.09Single5U09Taranabant5U09-CB1-Taranabant
9.09Single5YQZNNC17025YQZ-Glucagon-NNC1702
9.09Single6FKBPubChem 1324730386FKB-Rhodopsin-PubChem 132473038
9.09Single6LFOCXCL86LFO-CXCR2-CXCL8-Gi1/β1/γ2
9.09Single6ZA8RTI-3a6ZA8-NTS1-RTI-3a
9.09Single7TYHCalcitonin7TYH-CT (AMY2)-Calcitonin-Gs/β1/γ2; RAMP2
9.09Single7VV5C48/807VV5-MRGPRX2-C48/80-Gi1/β1/γ2
9.09Single7VVOPTH7VVO-PTH1-PTH-Gs/β1/γ2
9.09Single7Y35Abaloparatide7Y35-PTH1-Abaloparatide-Gs/β1/γ2
9.09Single8HMPC178HMP-GPR52-C17-Gs/β1/γ2
9.09Single8T3VDoconexent8T3V-FFA1-Doconexent-chim(NtGi2L-Gs-CtGq)/β1/γ2
9.09Single8U4SREGN7663-Fab8U4S-CXCR4-REGN7663-Fab
9.09Single8U4TREGN7663-Fab8U4T-CXCR4-REGN7663-Fab
9.09Single8XXXCXCL68XXX-CXCR2-CXCL6-Go/β1/γ2
9.09Single9KO2CCL199KO2-CCR7-CCL19-Gi1/β1
9.09Single9KO6CCL199KO6-CCR7-CCL19
9.09Consensuscxcr1_onOrthosteric Ligand8IC0-CXCR1-CXCL8-Gi1/β1/γ2
8.82Single6NBILA-PTH Analog6NBI-PTH1-LA-PTH Analog-Gs/β1/γ2
8.82Single8FLRPTHrP(1-36)8FLR-PTH1-PTHrP(1-36)-Gs/β1/γ2
8.82Consensusctlike_onOrthosteric Ligand6E3Y-CT Like-Calcitonin gene-related peptide-1-Gs/β1/γ2; RAMP1
8.70Single6FK8PubChem 1324730356FK8-Rhodopsin-PubChem 132473035
8.70Single6ZINSR486926ZIN-NTS1-SR48692
8.70Single7C2EPubChem 1490507997C2E-GLP-1-PubChem 149050799-Gs/β1/γ2
8.70Single7VV6C48/807VV6-MRGPRX2-C48/80
8.70Single8HQN9-S-HODE8HQN-GPR132-9-S-HODE-Gi1/β1/γ2
8.70Single8X7ATreprostinil8X7A-I2-Treprostinil-Gs/β1/γ2
8.70Single8YRGFospropofol8YRG-MRGPRX4-Fospropofol-chim(NtGi1-Gs-CtGq)/β1/γ2
8.70Single9DQJEP-39459DQJ-MRGPRD-EP-3945-chim(NtGi1-Gs-CtGq)/β1/γ2
8.70Single9K0KUTP9K0K-P2Y4-UTP-chim(NtGi1-Gs-CtGq)/β1/γ2
8.57Single5NX2GLP-1 (Truncated)5NX2-GLP-1-GLP-1 (Truncated)
8.57Consensusglp2_onOrthosteric Ligand7D68-GLP-2-GLP-2-Gs/β1/γ2
8.57Consensusglp2_on_gpOrthosteric Ligand7D68-GLP-2-GLP-2-Gs/β1/γ2
8.33Single6FK7PubChem 1324730346FK7-Rhodopsin-PubChem 132473034
8.33Single6FKCPubChem 1324730396FKC-Rhodopsin-PubChem 132473039
8.33Single6LMKGlucagon6LMK-Glucagon-Glucagon-Gs/β1/γ2
8.33Single6Z4VNeurotensin-(9-13)6Z4V-NTS1-Neurotensin-(9-13)
8.33Single7S15PubChem 1346112237S15-GLP-1-PubChem 134611223
8.33Consensusctlike_on_gpOrthosteric Ligand6E3Y-CT Like-Calcitonin gene-related peptide-1-Gs/β1/γ2; RAMP1
8.00Single4JKVTaladegib4JKV-SMO-Taladegib
8.00Single6Z4SSR486926Z4S-NTS1-SR48692
8.00Single8JGGBAM8-228JGG-MRGPRX1-BAM8-22-Gi1/β1/γ2
8.00Single8T6JCDPPB8T6J-mGlu5; mGlu5-CDPPB
8.00Single8T6JCDPPB8T6J-mGlu5; mGlu5-CDPPB
8.00Single9DQHEP-28259DQH-MRGPRD-EP-2825-chim(NtGi1-Gs-CtGq)/β1/γ2
8.00Consensusadgrg2_onOrthosteric Ligand7WUI-ADGRG2-IP15-chim(NtGi1-Gs)/β1/γ2 7WUQ-ADGRG2-Gs/β1/γ2 7XKF-ADGRG2-Dehydroepiandrosterone-Gs/β1/γ2
8.00Consensusadgrg2_on_gpOrthosteric Ligand7WUI-ADGRG2-IP15-chim(NtGi1-Gs)/β1/γ2 7WUQ-ADGRG2-Gs/β1/γ2 7XKF-ADGRG2-Dehydroepiandrosterone-Gs/β1/γ2
7.69Single3ZEVNeurotensin-(7-13)3ZEV-NTS1-Neurotensin-(7-13)
7.69Single4BV0Neurotensin-(7-13)4BV0-NTS1-Neurotensin-(7-13)
7.69Single5V57TC1145V57-SMO-TC114
7.69Single6Z8NSRI-98296Z8N-NTS1-SRI-9829
7.69Single7L0PNeurotensin-(8-13)7L0P-NTS1-Neurotensin-(8-13)-Gi1/β1/γ1
7.69Single7L0QNeurotensin-(8-13)7L0Q-NTS1-Neurotensin-(8-13)-Gi1/β1/γ1
7.69Single7SK7CXCL127SK7-ACKR3-CXCL12-CCX662
7.69Single8FMZNeurotensin-(8-13)8FMZ-NTS1-Neurotensin-(8-13)-chim(NtGi2L-Gs-CtGq)/β1/γ2
7.69Single8JGFBAM8-228JGF-MRGPRX1-BAM8-22-chim(NtGi1-Gs-CtGq)/β1/γ2
7.69Single8XQTCholesterol8XQT-TAS2R14-Cholesterol-Gi1/β1/γ1
7.69Single8XX7CXCL58XX7-CXCR2-CXCL5-Go/β1/γ2
7.69Consensusneurotensin_onOrthosteric Ligandnts1_on
7.69Consensusnts1_onOrthosteric Ligand6OSA-NTS1-JMV449-Gi1/β1/γ2 7L0S-NTS1-Neurotensin-(8-13)-Gi1/β1/γ1
7.50Single8JITMEDI03828JIT-Glucagon-MEDI0382-Gs/β1/γ2
7.41Single4GRVNeurotensin-(8-13)4GRV-NTS1-Neurotensin-(8-13)
7.41Single6YVRNeurotensin-(6-13)6YVR-NTS1-Neurotensin-(6-13)
7.41Single8JPBNeurotensin-(8-13)8JPB-NTS1-Neurotensin-(8-13)-SBI-553; GDP; Mg-Gq; GRK2
7.41Single8XQNCholesterol8XQN-TAS2R14-Cholesterol-Aristolochic acid A-Gi1/β1/γ1
7.41Single8XWACXCL18XWA-CXCR2-CXCL1
7.41Single8XWMCXCL68XWM-CXCR2-CXCL6
7.41Single8XWSCXCL58XWS-CXCR2-CXCL5
7.41Single8XX3CXCL38XX3-CXCR2-CXCL3-Go/β1/γ2
7.32Consensusgluc_onOrthosteric Ligand6LMK-Glucagon-Glucagon-Gs/β1/γ2 8JIT-Glucagon-MEDI0382-Gs/β1/γ2 7V35-Glucagon-Peptide-20-Gs/β1/γ2
7.14Single6UP7Neurotensin-(8-13)6UP7-NTS1-Neurotensin-(8-13)-Arrestin2
7.14Single7CX4Evatanepag7CX4-EP2-Evatanepag-Gs/β1/γ2
7.14Single8JPFNeurotensin-(8-13)8JPF-NTS1-Neurotensin-(8-13)-SBI-553
7.14Single8XWFCXCL38XWF-CXCR2-CXCL3
7.14Single8XWVCXCL18XWV-CXCR2-CXCL1-Go/β1/γ2
7.14Single9JH5C16:0 Ceramide9JH5-CysLT2-C16:0 Ceramide-chim(NtGi1-Gs-CtGq)/β1/γ2
7.14Consensusgluc_on_gpOrthosteric Ligand6LMK-Glucagon-Glucagon-Gs/β1/γ2 8JIT-Glucagon-MEDI0382-Gs/β1/γ2 7V35-Glucagon-Peptide-20-Gs/β1/γ2
6.90Single6OS9JMV4496OS9-NTS1-JMV449-Gi1/β1/γ2
6.90Single7CX2PGE27CX2-EP2-PGE2-Gs/β1/γ2
6.90Single8XQOCholesterol8XQO-TAS2R14-Cholesterol-Aristolochic acid A-Gi1/β1/γ1
6.67Single7CX3Taprenepag7CX3-EP2-Taprenepag-Gs/β1/γ2
6.67Single7RTBPeptide-197RTB-GLP-1-Peptide-19-Gs/β1/γ2
6.67Single7VLACCL15(27-92)7VLA-CCR1-CCL15(27-92)-Gi1/β1/γ2
6.67Single8DWGBAM8-228DWG-MRGPRX1-BAM8-22-ML382-chim(NtGi2L-Gs-CtGq)/β1/γ2
6.67Single8JIQPeptide-158JIQ-Glucagon-Peptide-15-Gs/β1/γ2
6.67Consensusccr1_onOrthosteric Ligand7VLA-CCR1-CCL15(27-92)-Gi1/β1/γ2
6.67Consensusccr1_on_gpOrthosteric Ligand7VLA-CCR1-CCL15(27-92)-Gi1/β1/γ2
5.56Single8JGBConorfamide-Tx28JGB-MRGPRX1-Conorfamide-Tx2-Gi1/β1/γ2
5.26Single7XKEDehydroepiandrosterone7XKE-ADGRG2-Dehydroepiandrosterone-chim(NtGi1-Gs)/β1/γ2
5.26Single8HQMNPGLY8HQM-GPR132-NPGLY-Gi1/β1/γ2
5.26Single8HVINOX-6-78HVI-GPR132-NOX-6-7-Gi1/β1/γ2
5.26Single8X9S5alpha-DHT8X9S-ADGRD1-5α-DHT-chim(NtGi1-Gs)/β1/γ2
5.00Single7Y14Beta-Alanine7Y14-MRGPRD-β-Alanine
5.00Single8IKGPubChem 7032058IKG-CB1-PubChem 703205-Gi1/β1/γ1
5.00Single8U4QREGN7663-Fab8U4Q-CXCR4-REGN7663-Fab-Gi1/β1/γ2
4.76Single6PWCNeurotensin-(9-13)6PWC-NTS1-Neurotensin-(9-13)-Arrestin2
4.76Single7Y12Beta-Alanine7Y12-MRGPRD-β-Alanine-Gi1/β1/γ2
4.55Single6LI0C176LI0-GPR52-C17
4.55Single7FEEZCZ0117FEE-CB1-CP55940-ZCZ011
4.55Single7VDHC48/807VDH-MRGPRX2-C48/80-Gi1/β1/γ2
4.55Single8IKHPubChem 1713935418IKH-CB1-PubChem 171393541-Gi1/β1/γ1
4.55Single9E7RGB889E7R-PAR2-GB88-chim(NtGi1L-Gs-CtGq)/β1/γ2
4.35Single4K5YCP-3763954K5Y-CRF1-CP-376395
4.35Single4XNVBPTU4XNV-P2Y1-BPTU
4.35Single7WV9ZCZ0117WV9-CB1-CP55940-ZCZ011-Gi2/β1/γ2
4.35Single8U8FPalmitic Acid8U8F-GPR3-Palmitic Acid-Gs/β1/γ2
4.35Single8YNFCXCL88YNF-ACKR1-CXCL8
4.17Single8IYXYL-3658IYX-GPR34-YL-365
4.17Single9JQYTG6-1299JQY-EP4-TG6-129
4.00Single4Z9GCP-3763954Z9G-CRF1-CP-376395
4.00Single5T04Neurotensin-(8-13)5T04-NTS1-Neurotensin-(8-13)
4.00Single7SK8CXCL127SK8-ACKR3-CXCL12-CCX662
4.00Single8GTIBMK-C2058GTI-CRF1-BMK-C205
4.00Single8TH3AT118-H Nanobody8TH3-AT1-AT118-H Nanobody
4.00Single9IVGGLP-1 (Truncated)9IVG-GLP-1-GLP-1 (Truncated)-chim(NtGi1-Gs)/β1/γ2
4.00Single9JROPF-044189489JRO-EP2-PF-04418948
3.85Single8GTGBMK-I1528GTG-CRF1-BMK-I152
3.85Single8TH4AT118-L Nanobody8TH4-AT1-Losartan-AT118-L Nanobody
3.85Single8XQPCholesterol8XQP-TAS2R14-Cholesterol-Aristolochic acid A-Gt3/β1/γ1
3.85Single9JRTTG6-1299JRT-EP2-TG6-129
3.70Single9ITELPA9ITE-LPA6-LPA-chim(NtGi2-G13)/β1/γ2
3.57Single8DWCBAM8-228DWC-MRGPRX1-BAM8-22-chim(NtGi2L-Gs-CtGq)/β1/γ2
3.57Single8GTMBMK-C2038GTM-CRF1-BMK-C203

PDB Summary
PDB 8XIO
Class A
SubFamily Peptide
Type Somatostatin
SubType SST1
Species Homo Sapiens
Ligand L797591
Other Ligand(s) -
Protein Partners chim(NtGi1-Gs-CtGi1)/Beta1/Gamma2
PDB Resolution 2.65
Date 2024-07-03
D.O.I. doi.org/10.1073/pnas.2400298121
Net Summary
Imin 3.04
Number of Linked Nodes 848
Number of Links 985
Number of Hubs 138
Number of Links mediated by Hubs 528
Number of Communities 28
Number of Nodes involved in Communities 224
Number of Links involved in Communities 309
Path Summary
Number Of Nodes in MetaPath 103
Number Of Links MetaPath 102
Number of Shortest Paths 2060320
Length Of Smallest Path 3
Average Path Length 39.4858
Length of Longest Path 67
Minimum Path Strength 1.335
Average Path Strength 7.26076
Maximum Path Strength 21.17
Minimum Path Correlation 0.7
Average Path Correlation 0.983578
Maximum Path Correlation 1
Minimum % Of Corr. Nodes 2.38095
Average % Of Corr. Nodes 35.2447
Maximum % Of Corr. Nodes 100
Minimum Path Hubs % 0
Average Path Hubs % 51.43
Maximum Path Hubs % 100
AnnotationTypeLinks
Gene OntologyMolecular Function
Gene OntologyBiological Process• fibroblast proliferation   • cell population proliferation   • cellular process   • cellular response to nitrogen compound   • cellular response to stimulus   • response to dopamine   • regulation of cellular process   • response to stimulus   • signaling   • cellular response to dopamine   • response to monoamine   • cell communication   • response to catecholamine   • adenylate cyclase-activating dopamine receptor signaling pathway   • cellular response to catecholamine stimulus   • signal transduction   • regulation of biological process   • G protein-coupled dopamine receptor signaling pathway   • biological regulation   • response to oxygen-containing compound   • response to nitrogen compound   • adenylate cyclase-activating G protein-coupled receptor signaling pathway   • cellular response to oxygen-containing compound   • cellular response to chemical stimulus   • cellular response to monoamine stimulus   • response to chemical   • adenylate cyclase-modulating G protein-coupled receptor signaling pathway   • G protein-coupled receptor signaling pathway   • response to ketone   • response to prostaglandin   • response to lipid   • response to endogenous stimulus   • response to alcohol   • cellular response to prostaglandin stimulus   • cellular response to endogenous stimulus   • cellular response to prostaglandin E stimulus   • cellular response to alcohol   • response to hormone   • cellular response to lipid   • response to prostaglandin E   • cellular response to ketone   • cellular response to hormone stimulus   • cellular anatomical structure   • membrane   • protein-containing complex   • extrinsic component of plasma membrane   • catalytic complex   • plasma membrane protein complex   • cytoplasmic side of membrane   • plasma membrane   • membrane protein complex   • heterotrimeric G-protein complex   • side of membrane   • cell periphery   • cytoplasmic side of plasma membrane   • GTPase complex
Gene OntologyCellular Component• cellular anatomical structure   • membrane   • protein-containing complex   • extrinsic component of plasma membrane   • catalytic complex   • plasma membrane protein complex   • cytoplasmic side of membrane   • plasma membrane   • membrane protein complex   • heterotrimeric G-protein complex   • side of membrane   • cell periphery   • cytoplasmic side of plasma membrane   • GTPase complex   • extrinsic component of membrane   • extrinsic component of cytoplasmic side of plasma membrane   • extracellular exosome   • membrane-bounded organelle   • extracellular vesicle   • extracellular organelle   • extracellular region   • organelle   • extracellular space   • vesicle   • extracellular membrane-bounded organelle   • synapse   • cell junction   • protein binding   • binding   • enzyme binding   • GTPase binding   • protein-containing complex binding   • pyrophosphatase activity   • GTPase activity   • ribonucleoside triphosphate phosphatase activity   • hydrolase activity, acting on acid anhydrides, in phosphorus-containing anhydrides   • hydrolase activity   • hydrolase activity, acting on acid anhydrides   • catalytic activity   • signaling receptor complex adaptor activity   • protein-macromolecule adaptor activity   • molecular adaptor activity   • signaling adaptor activity   • multicellular organismal process   • system process   • sensory perception of chemical stimulus   • sensory perception   • nervous system process   • sensory perception of taste   • developmental process   • sensory organ development   • eye development   • animal organ development   • retina development in camera-type eye   • visual system development   • multicellular organism development   • camera-type eye development   • anatomical structure development   • sensory system development   • system development   • cell population proliferation   • cellular process   • cellular response to stimulus   • regulation of biological process   • regulation of cellular process   • response to stimulus   • signaling   • biological regulation   • signal transduction   • cell communication   • response to ketone   • response to prostaglandin   • response to lipid   • response to endogenous stimulus   • response to alcohol   • cellular response to prostaglandin stimulus   • response to oxygen-containing compound   • cellular response to oxygen-containing compound   • cellular response to endogenous stimulus   • cellular response to prostaglandin E stimulus   • cellular response to chemical stimulus   • cellular response to alcohol   • response to hormone   • response to chemical   • cellular response to lipid   • response to prostaglandin E   • cellular response to ketone   • cellular response to hormone stimulus   • small GTPase-mediated signal transduction   • Ras protein signal transduction   • intracellular signal transduction   • intracellular signaling cassette   • phospholipase C-activating G protein-coupled receptor signaling pathway   • G protein-coupled receptor signaling pathway   • cellular response to nitrogen compound   • response to dopamine   • cellular response to dopamine   • response to monoamine   • response to catecholamine   • adenylate cyclase-activating dopamine receptor signaling pathway   • cellular response to catecholamine stimulus   • G protein-coupled dopamine receptor signaling pathway   • response to nitrogen compound   • adenylate cyclase-activating G protein-coupled receptor signaling pathway   • cellular response to monoamine stimulus   • adenylate cyclase-modulating G protein-coupled receptor signaling pathway   • synaptic signaling   • cellular response to acetylcholine   • cell-cell signaling   • acetylcholine receptor signaling pathway   • postsynaptic signal transduction   • G protein-coupled acetylcholine receptor signaling pathway   • response to acetylcholine   • non-motile cilium   • 9+0 non-motile cilium   • cilium   • neuron projection   • photoreceptor disc membrane   • photoreceptor outer segment   • plasma membrane bounded cell projection   • cell projection   • photoreceptor cell cilium   • organelle membrane   • intracellular anatomical structure   • cytoplasm   • cytosol   • vacuolar membrane   • lytic vacuole   • vacuole   • intracellular membrane-bounded organelle   • intracellular organelle   • lytic vacuole membrane   • bounding membrane of organelle   • lysosomal membrane   • lysosome   • peptide receptor activity   • molecular transducer activity   • G protein-coupled receptor activity   • G protein-coupled peptide receptor activity   • signaling receptor activity   • transmembrane signaling receptor activity   • somatostatin receptor activity   • neuropeptide receptor activity   • neuropeptide binding   • peptide binding   • neuropeptide signaling pathway   • head development   • forebrain development   • brain development   • nervous system development   • central nervous system development   • spermatogenesis   • sexual reproduction   • reproductive process   • multicellular organismal reproductive process   • developmental process involved in reproduction   • male gamete generation   • gamete generation   • negative regulation of cell population proliferation   • regulation of cell population proliferation   • negative regulation of cellular process   • negative regulation of biological process   • response to estradiol   • cellular response to estradiol stimulus   • cell surface receptor signaling pathway   • glutamate receptor signaling pathway   • cerebellum development   • metencephalon development   • hindbrain development   • response to peptide   • response to cytokine   • response to leukemia inhibitory factor   • cellular response to cytokine stimulus   • cellular response to leukemia inhibitory factor   • response to nutrient levels   • response to stress   • response to starvation   • G protein-coupled receptor signaling pathway, coupled to cyclic nucleotide second messenger
SCOP2Domain Identifier• Transducin (heterotrimeric G protein), gamma chain
SCOP2Family Identifier• Transducin (heterotrimeric G protein), gamma chain
Membrane Protein Annotations-• Orientations of Proteins in Membranes database (OPM)   • Protein Data Bank of Transmembrane Proteins (PDBTM)   • MemProtMD


Details about the values in these tables can be found in the corresponding documentation page .
Code_L_
PDB ResiduesL:L:?1
Environment DetailsOpen EMBL-EBI Page
Code_L_
Name
Synonyms
Identifier
Formula
Molecular Weight
SMILES
PubChem
Formal Charge
Total Atoms
Total Chiral Atoms
Total Bonds
Total Aromatic Bonds

PDBsumOpen PDBsum Page
ChainA
ProteinG Protein α Sub unit
UniProtP63092
Sequence
>8XIO_Chain_A
KIDTEAEKI EKQLQKDKQ VYRATHRLL LLGASGKST VKQMRIRVT 
SGIFETKFQ VDKVNFHMF DVGQRERRK WIQCFNDVT AIIFVVSSY 
NRQEALNFK SIWNNRWLR SVILFLNKQ DLLAEKVLA GKSKIEDYF 
PEFARYTTP EDATPEPGE DPRVTRAKY FIRDEFLRI STASGDGRH 
YCYPHFTCV DTENRRFND DIIMLRLAL DITLSADAV RSMDNKDDS 
AIVTIKNDC GF


Click on each residue to open a popup with some information about it.

ConSurf Conservation Grade (See documentation): 

 n/a   1    2    3    4    5    6    7    8    9  

ChainB
ProteinG Protein β Sub unit
UniProtP62873
Sequence
>8XIO_Chain_B
QLRQEAEQL KNQIRDARK ACADATLSQ ITNNIDPVG RIQMRTRRT 
LRGHLAKIY AMHWGTDSR LLVSASQDG KLIIWDSYT TNKVHAIPL 
RSSWVMTCA YAPSGNYVA CGGLDNICS IYNLKTREG NVRVSRELA 
GHTGYLSCC RFLDDNQIV TSSGDTTCA LWDIETGQQ TTTFTGHTG 
DVMSLSLAP DTRLFVSGA CDASAKLWD VREGMCRQT FTGHESDIN 
AICFFPNGN AFATGSDDA TCRLFDLRA DQELMTYSH DNIICGITS 
VSFSKSGRL LLAGYDDFN CNVWDALKA DRAGVLAGH DNRVSCLGV 
TDDGMAVAT GSWDSFLKI WN


Click on each residue to open a popup with some information about it.

ConSurf Conservation Grade (See documentation): 

 n/a   1    2    3    4    5    6    7    8    9  

ChainG
ProteinG Protein γ Sub unit
UniProtP59768
Sequence
>8XIO_Chain_G
SIAQARKLV EQLKMEANI DRIKVSKAA ADLMAYCEA HAKEDPLLT 
PVPASENPF R


Click on each residue to open a popup with some information about it.

ConSurf Conservation Grade (See documentation): 

 n/a   1    2    3    4    5    6    7    8    9  

ChainR
ProteinReceptor
UniProtP30872
Sequence
>8XIO_Chain_R
EGQGSAILI SFIYSVVCL VGLCGNSMV IYVILRYAK MKTATNIYI 
LNLAIADEL LMLSVPFLV TSTLLRHWP FGALLCRLV LSVDAVNMF 
TSIYCLTVL SVDRYVAVV HPIKAARYR RPTVAKVVN LGVWVLSLL 
VILPIVVFS RTAANSDGT VACNMLMPE PAQRWLVGF VLYTFLMGF 
LLPVGAICL CYVLIIAKM RMVALKAGW QQRKRSERK ITLMVMMVM 
VFVICWMPF YVVQLVNVF AEQDDATVS QLSVILGYA NSCANPILY 
GFLSDNFKR SFQRY


Click on each residue to open a popup with some information about it.

ConSurf Conservation Grade (See documentation): 

 n/a   1    2    3    4    5    6    7    8    9  




This receptor, from the same or other species and bound to the same or other ligands, is also present in the following networks:
Show PDB Class SubFamily Type SubType Species Orthosteric Ligand Other Ligand(s) Protein Partners Resolution Date DOI
8XIOAPeptideSomatostatinSST1Homo sapiensL797591-chim(NtGi1-Gs-CtGi1)/β1/γ22.652024-07-03doi.org/10.1073/pnas.2400298121
8XIO (No Gprot) APeptideSomatostatinSST1Homo sapiensL797591-2.652024-07-03doi.org/10.1073/pnas.2400298121
8XIPAPeptideSomatostatinSST1Homo sapiensPasireotide-chim(NtGi1-Gs-CtGi1)/β1/γ23.292024-07-03doi.org/10.1073/pnas.2400298121
8XIP (No Gprot) APeptideSomatostatinSST1Homo sapiensPasireotide-3.292024-07-03doi.org/10.1073/pnas.2400298121
9IK8APeptideSomatostatinSST1Homo sapiensPasireotide-Gi1/β1/γ22.822025-04-30doi.org/10.1016/j.apsb.2025.03.043
9IK8 (No Gprot) APeptideSomatostatinSST1Homo sapiensPasireotide-2.822025-04-30doi.org/10.1016/j.apsb.2025.03.043
9IK9APeptideSomatostatinSST1Homo sapiensLanreotide-Gi1/β1/γ23.372025-04-30doi.org/10.1016/j.apsb.2025.03.043
9IK9 (No Gprot) APeptideSomatostatinSST1Homo sapiensLanreotide-3.372025-04-30doi.org/10.1016/j.apsb.2025.03.043




You can download a compressed (zip) file with structure(s), 3D outputs (as PyMol and VMD scripts) and numerical data files (as csv and plain text files).

Download 8XIO.zip



You can click to copy the link of this page to easily come back here later

or use this QR code to link and share this page.



You can also  read or  download a guide explaining the meaning of all files and numerical data.