Color ConSurf Grade
      No Conservation data available
      1
      2
      3
      4
      5
      6
      7
      8
      9

Index: hub id, click on each number to highlight the corresponding hub in the 3D visualization.

Hub: the hub being considered.

Avg Int. Strength: the average interaction strength of all the links of the corresponding hub.

Num Of Links: the number of links of the corresponding hub.

Community: the id of the community the link belong to, otherwise 0.

ConSurf: this column reports the ConSurf conservation grades of each hub.

Index Hub Avg Int. Strength Num Of Links Community ConSurf
1A:A:R32 4.6825404
2A:A:V34 6.3675445
3A:A:L36 5.4725447
4A:A:L37 5.55519
5A:A:L38 3.8475449
6A:A:L39 3.4925409
7A:A:K46 3.916549
8A:A:I49 3.7547
9A:A:I185 5.2925418
10A:A:F192 8.248545
11A:A:L195 4.5975444
12A:A:F197 6.38143747
13A:A:K198 8.2075417
14A:A:M199 4.385447
15A:A:F200 7.51333616
16A:A:V202 4.0275419
17A:A:Q205 5.59519
18A:A:S207 5.3375418
19A:A:K211 3.94833619
20A:A:W212 5.2275819
21A:A:I213 3.7225418
22A:A:H214 7.2425418
23A:A:C215 4.58833617
24A:A:F216 5.89222919
25A:A:T220 3.99447
26A:A:I222 4.405417
27A:A:I223 4.272548
28A:A:F224 5.016519
29A:A:C225 2.8425447
30A:A:V226 4.83417
31A:A:L228 6.58416
32A:A:Y231 5.47833618
33A:A:D232 7.1425419
34A:A:R243 3.815409
35A:A:M248 4.1825406
36A:A:F251 6.26857719
37A:A:N256 7.94754118
38A:A:N257 6.005418
39A:A:W259 7.24715
40A:A:F260 5.78519
41A:A:I266 3.04648
42A:A:L267 4.46667619
43A:A:F268 4.13625849
44A:A:L269 6.0725419
45A:A:N270 5.27549
46A:A:F275 7.266518
47A:A:K278 6.098519
48A:A:S282 6.208516
49A:A:L284 6.7325417
50A:A:C287 5.32515
51A:A:F288 4.85143718
52A:A:Y291 6.20857716
53A:A:N295 5.66414
54A:A:E299 6.66405
55A:A:A300 3.2875417
56A:A:F308 4.11718
57A:A:I320 4.944516
58A:A:Y321 6.76748
59A:A:H323 6.95449
60A:A:F324 3.706515
61A:A:T325 6.08449
62A:A:N332 4.6275448
63A:A:Q334 7.22445
64A:A:V336 3.18549
65A:A:F337 4.70429748
66A:A:V340 4.215448
67A:A:V343 3.7775446
68A:A:L349 4.8475458
69A:A:L354 4.932557
70A:A:F355 5.408507
71B:B:L14 3.45254148
72B:B:R22 5.6025416
73B:B:L30 5.44405
74B:B:I33 3.1025403
75B:B:I37 4.615402
76B:B:V40 5.7225433
77B:B:I43 3.85754153
78B:B:M45 4.1075434
79B:B:R48 3.605437
80B:B:R49 4.48437
81B:B:L51 8.778539
82B:B:H54 9.994539
83B:B:I58 5.3225439
84B:B:Y59 10.14618
85B:B:M61 2.92536
86B:B:W63 5.33429737
87B:B:L70 6.585435
88B:B:V71 3.775468
89B:B:S72 6.03439
90B:B:D76 6.6375439
91B:B:K78 5.705408
92B:B:L79 2.84833667
93B:B:I80 6.098538
94B:B:I81 3.342567
95B:B:W82 10.0083639
96B:B:Y85 13.4675434
97B:B:N88 5.485437
98B:B:K89 7.07857739
99B:B:H91 4.474565
100B:B:I93 5.98467
101B:B:L95 4.276568
102B:B:W99 7.63444919
103B:B:M101 2.9925419
104B:B:Y105 4.11866
105B:B:S108 4.2275416
106B:B:N110 6.515414
107B:B:Y111 6.21833614
108B:B:V112 3.295468
109B:B:A113 2.8425419
110B:B:C114 3.518568
111B:B:G115 1.9409
112B:B:L117 4.45857719
113B:B:C121 3.306518
114B:B:I123 4.168516
115B:B:Y124 4.93429766
116B:B:L126 3.8275465
117B:B:T128 4.845413
118B:B:V133 6.445464
119B:B:R137 2.665415
120B:B:L139 7.9975409
121B:B:H142 8.11286719
122B:B:Y145 5.29918
123B:B:L146 3.2425417
124B:B:C148 3.9225416
125B:B:C149 3.5418
126B:B:R150 4.894516
127B:B:F151 4.08619
128B:B:L152 4.03429713
129B:B:V158 5.035415
130B:B:T159 6.025419
131B:B:S160 4.804516
132B:B:D163 7.808519
133B:B:T165 4.455417
134B:B:C166 3.6175418
135B:B:L168 3.53616
136B:B:W169 9.52718
137B:B:D170 7.4875419
138B:B:I171 4.515416
139B:B:T178 5.0075414
140B:B:F180 6.91167617
141B:B:H183 7.21286719
142B:B:D186 4.224519
143B:B:V187 4.47519
144B:B:M188 3.84418
145B:B:L190 5.722515
146B:B:L192 5.405415
147B:B:F199 6.855619
148B:B:S201 4.565419
149B:B:D205 5.066519
150B:B:S207 3.3675415
151B:B:K209 10.394516
152B:B:L210 4.53515
153B:B:W211 8.13167618
154B:B:R219 5.6925415
155B:B:Q220 6.69417
156B:B:F222 8.5175418
157B:B:H225 8.44625819
158B:B:D228 7.818519
159B:B:I229 6.27417
160B:B:I232 4.738518
161B:B:F234 6.275405
162B:B:F235 8.52333676
163B:B:P236 7.0875477
164B:B:F241 5.94857716
165B:B:T243 4.92618
166B:B:G244 2.554515
167B:B:S245 7.67419
168B:B:D246 6.634519
169B:B:D247 7.1825419
170B:B:T249 5.955416
171B:B:C250 2.884518
172B:B:R251 8.41167618
173B:B:F253 7.83167616
174B:B:D258 8.895417
175B:B:Q259 4.415406
176B:B:Y264 5.848505
177B:B:H266 7.86414
178B:B:N268 7.1225414
179B:B:I269 3.23667614
180B:B:C271 4.61415
181B:B:V276 2.5875416
182B:B:F278 4.89677
183B:B:R283 7.965639
184B:B:L285 5.375476
185B:B:Y289 5.86857717
186B:B:D290 7.995416
187B:B:N295 7.97416
188B:B:W297 5.99833618
189B:B:K301 4.362535
190B:B:R304 6.35167615
191B:B:H311 8.298539
192B:B:R314 14.0075418
193B:B:G319 2.0325435
194B:B:T321 5.2775437
195B:B:G324 3.2575409
196B:B:M325 5.53333635
197B:B:V327 5.3725436
198B:B:T329 5.68438
199B:B:W332 11.8257719
200B:B:D333 10.045439
201B:B:F335 7.25434
202B:B:L336 5.13167637
203B:B:K337 5.26167636
204B:B:I338 3.1825435
205B:B:W339 8.26667639
206B:B:N340 5.88539
207G:G:R27 4.355418
208G:G:Y40 11.055476
209G:G:D48 6.19639
210G:G:P49 4.36437
211G:G:L50 4.005439
212G:G:L51 5.42636
213G:G:V54 4.58436
214G:G:N59 6.285439
215G:G:P60 7.3875439
216G:G:F61 5.14111938
217L:L:S7 4.495480
218L:L:E19 10.894580
219L:L:I20 5.9275480
220N:N:R12 5.816520
221N:N:F14 11.208580
222N:N:R16 6.958520
223N:N:F20 7.186520
224N:N:S25 6.295420
225N:N:R26 8.106520
226N:N:W27 5.76444920
227R:R:F35 4.352523
228R:R:R39 8.424524
229R:R:Y46 3.39714708
230R:R:V60 4.59754129
231R:R:W62 7.108336183
232R:R:F79 3.67833607
233R:R:F81 3.3725406
234R:R:N82 6.46409
235R:R:L83 4.595659
236R:R:D87 7.31559
237R:R:L90 5.3507
238R:R:L94 5.418528
239R:R:W97 7.09833627
240R:R:E100 5.854525
241R:R:D104 8.94424
242R:R:F105 7.79424
243R:R:W107 6.445629
244R:R:F109 7.65427
245R:R:L118 4.0775425
246R:R:N124 3.81754108
247R:R:Y126 4.62667627
248R:R:I132 5.94458
249R:R:R139 6.9075459
250R:R:Y140 7.29407
251R:R:W141 4.3525495
252R:R:P149 3.0775445
253R:R:H152 5.995493
254R:R:W157 4.334193
255R:R:T162 5.6425406
256R:R:W166 4.7965109
257R:R:T173 3.6525407
258R:R:E182 4.6025424
259R:R:G183 3.6175421
260R:R:C186 3.76402
261R:R:V188 6.05333623
262R:R:L193 3.865425
263R:R:R194 5.298524
264R:R:W200 10.53522
265R:R:L201 5.4375424
266R:R:Y204 7.005405
267R:R:Q205 4.4075425
268R:R:Q207 5.1425422
269R:R:R208 5.535625
270R:R:F213 6.65333629
271R:R:L217 2.99405
272R:R:I220 4.4075458
273R:R:Y224 7.02333659
274R:R:L227 3.6475408
275R:R:F230 5.75555
276R:R:L231 5.33167658
277R:R:R234 4.3675455
278R:R:R237 5.48625853
279R:R:V244 4.0075407
280R:R:F255 3.975429
281R:R:W259 5.73929
282R:R:F260 10.1925426
283R:R:N262 4.13333627
284R:R:H263 8.9325428
285R:R:V272 4.01667623
286R:R:K273 5.93423
287R:R:W279 4.958521
288R:R:T282 4.916523
289R:R:F283 6.316521
290R:R:Q287 12.7775423
291R:R:F291 5.29143724
292R:R:T294 3.6675427
293R:R:T295 5.11426
294R:R:H299 8.1125427
295R:R:N305 6.338559
296R:R:L308 3.79458
297R:R:Y309 5.81857759
298R:R:C310 4.325127
299R:R:R313 6.5625408
   

Color ConSurf Grade
      No Conservation data available
      1
      2
      3
      4
      5
      6
      7
      8
      9

Index: link id, click on each number to highlight the corresponding link in the 3D visualization.

Node1 Node2: the two nodes of the corresponding link.

Recurrence: the relative Recurrence in the pool of shortest paths.

Int. Strength: the interaction strength between the two nodes.

Hub1?, Hub2?: "Yes" if the corresponding node has more than 3 links, otherwise "No".

Community: the id of the community the link belong to, otherwise 0.

ConSurf1, ConSurf2: these columns report the ConSurf conservation grades of the two nodes involved in a link.

Index Node1 Node2 Recurrence Int. Strength Hub1? Hub2? Community ConSurf1 ConSurf2
1A:A:F197 A:A:L36 13.3956.09YesYes477
2A:A:K46 A:A:L38 87.72922.82YesYes499
3A:A:G40 A:A:K46 93.99293.49NoYes099
4A:A:G40 A:A:L39 1001.71NoYes099
5A:A:L37 A:A:L39 58.02315.54YesYes099
6A:A:F216 A:A:L37 48.65213.4YesYes199
7A:A:I223 A:A:L38 80.3452.85YesYes489
8A:A:I223 A:A:I266 65.66942.94YesYes488
9A:A:I266 A:A:Y321 65.79442.42YesYes488
10A:A:F224 A:A:L39 40.96542.44YesYes099
11A:A:I254 A:A:L39 49.03324.28NoYes089
12A:A:I254 A:A:R209 13.37312.51NoNo089
13A:A:R209 A:A:W212 13.38135NoYes099
14A:A:F216 A:A:W212 15.54394.01YesYes199
15A:A:W212 B:B:Y145 28.42134.82YesYes198
16B:B:D186 B:B:Y145 20.64195.75YesYes198
17A:A:N257 A:A:W259 22.205113.56YesYes185
18A:A:W259 B:B:W332 15.5773.75YesYes159
19A:A:F260 A:A:I213 24.00225.02YesYes198
20A:A:F260 A:A:I222 10.68258.79YesYes197
21A:A:I222 A:A:I265 16.54412.94YesNo176
22A:A:F224 A:A:V226 13.76752.62YesYes197
23A:A:F224 A:A:F251 12.851213.93YesYes199
24A:A:F251 A:A:I265 15.08513.77YesNo196
25A:A:F224 A:A:L267 14.08423.65YesYes199
26A:A:F251 A:A:F308 20.53453.22YesYes198
27A:A:K278 A:A:L233 10.20991.41YesNo098
28A:A:K278 A:A:Y231 12.06137.17YesYes198
29A:A:F275 A:A:Y231 11.05726.19YesYes188
30A:A:F275 A:A:I304 11.91713.77YesNo187
31A:A:F308 A:A:I304 12.34352.51YesNo187
32A:A:F308 A:A:M244 17.13282.49YesNo188
33A:A:F288 A:A:M248 11.90014.98YesYes086
34A:A:D342 A:A:Y321 64.87059.2NoYes078
35A:A:D342 R:R:R237 64.74673.57NoYes073
36A:A:L349 R:R:R237 59.87893.64YesYes583
37A:A:L349 A:A:L354 59.5664.15YesYes587
38A:A:L354 R:R:R139 56.17844.86YesYes579
39B:B:D290 B:B:R314 32.712122.63YesYes168
40B:B:C271 B:B:D290 29.1923.11YesYes156
41B:B:C271 B:B:Y289 32.82284.03YesYes157
42B:B:I273 B:B:Y289 20.79599.67NoYes167
43B:B:G244 B:B:I273 20.10855.29YesNo156
44B:B:G244 B:B:T243 18.2931.82YesYes158
45B:B:D258 B:B:F222 10.3022.39YesYes178
46B:B:T321 B:B:W63 13.15038.49YesYes377
47B:B:G324 B:B:T321 11.42143.64YesYes097
48B:B:M61 B:B:W63 17.41862.33YesYes367
49B:B:C317 B:B:M61 24.0694.86NoYes076
50B:B:H142 B:B:W169 11.06788.46YesYes198
51B:B:H142 B:B:S161 13.543215.34YesNo199
52B:B:G162 B:B:Y145 15.93697.24NoYes198
53B:B:G162 B:B:S161 15.68611.86NoNo199
54B:B:D186 B:B:G185 35.72671.68YesNo095
55B:B:H183 B:B:W211 19.92612.12YesYes198
56B:B:D205 B:B:H183 26.21838.82YesYes199
57B:B:S316 B:B:W332 29.52684.94NoYes099
58R:R:R139 R:R:Y309 57.21984.12YesYes599
59R:R:N305 R:R:Y309 44.10526.98YesYes599
60R:R:N301 R:R:N305 38.94215.45NoYes099
61R:R:N301 R:R:W259 38.51489.04NoYes099
62N:N:W27 R:R:W259 23.8782.81YesYes209
63N:N:R26 N:N:W27 12.95618YesYes200
64R:R:N262 R:R:W259 10.02485.65YesYes279
65B:B:C317 B:B:S316 29.33015.16NoNo079
66A:A:C215 A:A:F216 13.48342.79YesYes179
67A:A:I213 A:A:W259 22.6313.52YesYes185
68A:A:F260 A:A:I254 35.67533.77YesNo098
69A:A:F260 A:A:N257 22.4324.83YesYes198
70A:A:V202 A:A:W212 15.08516.13YesYes199
71A:A:S207 A:A:W212 14.75854.94YesYes189
72B:B:D205 B:B:G185 34.65931.68YesNo095
73A:A:L37 A:A:V202 15.13292.98YesYes199
74A:A:F216 B:B:L117 14.9432.44YesYes199
75B:B:L117 B:B:Y145 10.15533.52YesYes198
76A:A:S207 B:B:D186 14.55665.89YesYes189
77A:A:W259 B:B:R314 29.6973YesYes158
78B:B:F180 B:B:W211 11.013712.03YesYes178
Download PSN data

2D representation of the global metapath, ligand(s) interactions and
histograms of path distribution according to several parameters
(click on the image to enlarge it 🔍):

A 2D representation of the global communication in the network.

ConSurf Conservation Grade (See documentation): 

 n/a   1    2    3    4    5    6    7    8    9  

Number of shortest communication paths as a function of the average residue correlation.

Number of shortest communication paths as a function of the average interaction strength of their links.

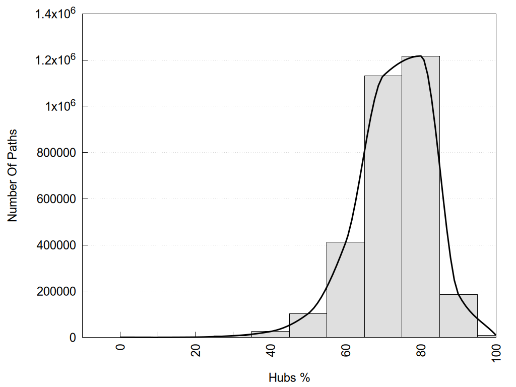
Number of shortest communication paths as a function of the % of hub nodes in each path.

Number of shortest communication paths as a function of the number of nodes in each path.

Number of shortest communication paths as a function of the % of correlated nodes in each path.


2D representation of the interactions of this orthosteric/allosteric ligand.


Links and nodes colored according to ConSurf Conservation Grade (See documentation): 

 n/a   1    2    3    4    5    6    7    8    9  

Node1 Node2 LinkStrength Comm IsNode1Hub? IsNode2Hub? Node1Cons Node2Cons Node1Shell Node2Shell
L:L:L3 R:R:G183 1.71 2 No Yes 0 1 0 1
L:L:L3 R:R:V185 4.47 2 No No 0 2 0 1
L:L:L3 R:R:R194 6.07 2 No Yes 0 4 0 1
L:L:A4 R:R:C186 1.81 0 No Yes 0 2 0 1
L:L:S7 R:R:V185 3.23 8 Yes No 0 2 0 1
L:L:S7 R:R:C186 5.16 8 Yes Yes 0 2 0 1
L:L:S8 R:R:C186 1.72 0 No Yes 0 2 0 1
L:L:C24 R:R:R194 8.36 0 No Yes 0 4 0 1
L:L:C24 R:R:S197 3.44 0 No No 0 2 0 1
N:N:L9 R:R:C186 6.35 0 No Yes 0 2 0 1
N:N:R12 R:R:F35 2.14 2 Yes Yes 0 3 0 1
N:N:R12 R:R:D104 9.53 2 Yes Yes 0 4 0 1
N:N:R12 R:R:H106 2.26 2 Yes No 0 4 0 1
N:N:R12 R:R:V188 2.62 2 Yes Yes 0 3 0 1
N:N:I15 R:R:V188 7.68 2 No Yes 0 3 0 1
N:N:R16 R:R:F35 3.21 2 Yes Yes 0 3 0 1
N:N:R16 R:R:R39 14.93 2 Yes Yes 0 4 0 1
N:N:R16 R:R:D104 5.96 2 Yes Yes 0 4 0 1
N:N:R16 R:R:F105 4.28 2 Yes Yes 0 4 0 1
N:N:I19 R:R:L190 7.14 0 No No 0 3 0 1
N:N:F20 R:R:Q287 15.23 2 Yes Yes 0 3 0 1
N:N:F20 R:R:T288 2.59 2 Yes No 0 4 0 1
N:N:T21 R:R:W279 2.43 0 No Yes 0 1 0 1
N:N:C22 R:R:L192 6.35 0 No No 0 3 0 1
N:N:G23 R:R:L201 3.42 0 No Yes 0 4 0 1
N:N:S25 R:R:Q287 10.11 2 Yes Yes 0 3 0 1
N:N:S25 R:R:F291 5.28 2 Yes Yes 0 4 0 1
N:N:R26 R:R:W97 20.99 2 Yes Yes 0 7 0 1
N:N:R26 R:R:E100 5.82 2 Yes Yes 0 5 0 1
N:N:R26 R:R:F291 3.21 2 Yes Yes 0 4 0 1
N:N:W27 R:R:T121 8.49 2 Yes No 0 6 0 1
N:N:W27 R:R:V122 4.9 2 Yes No 0 4 0 1
N:N:W27 R:R:V125 8.58 2 Yes No 0 7 0 1
N:N:W27 R:R:Q205 4.38 2 Yes Yes 0 5 0 1
N:N:W27 R:R:R208 7 2 Yes Yes 0 5 0 1
N:N:W27 R:R:W259 2.81 2 Yes Yes 0 9 0 1
N:N:W27 R:R:T295 2.43 2 Yes Yes 0 6 0 1
N:N:W27 R:R:H299 5.29 2 Yes Yes 0 7 0 1
R:R:F35 R:R:L36 3.65 2 Yes No 3 3 1 2
R:R:F35 R:R:R39 3.21 2 Yes Yes 3 4 1 1
R:R:D104 R:R:F35 9.55 2 Yes Yes 4 3 1 1
R:R:L38 R:R:R39 3.64 0 No Yes 4 4 2 1
R:R:D104 R:R:R39 10.72 2 Yes Yes 4 4 1 1
R:R:F105 R:R:R39 9.62 2 Yes Yes 4 4 1 1
R:R:L94 R:R:Y46 2.34 2 Yes Yes 8 8 2 2
R:R:W97 R:R:Y46 1.93 2 Yes Yes 7 8 1 2
R:R:T295 R:R:Y46 7.49 2 Yes Yes 6 8 1 2
R:R:L90 R:R:T121 2.95 0 Yes No 7 6 2 1
R:R:L90 R:R:V125 4.47 0 Yes No 7 7 2 1
R:R:H299 R:R:L90 7.71 2 Yes Yes 7 7 1 2
R:R:H299 R:R:L94 16.71 2 Yes Yes 7 8 1 2
R:R:E100 R:R:W97 5.45 2 Yes Yes 5 7 1 1
R:R:V117 R:R:W97 3.68 0 No Yes 5 7 2 1
R:R:L118 R:R:W97 5.69 2 Yes Yes 5 7 2 1
R:R:T121 R:R:W97 4.85 0 No Yes 6 7 1 1
R:R:E100 R:R:S101 4.31 2 Yes No 5 4 1 2
R:R:E100 R:R:F105 9.33 2 Yes Yes 5 4 1 1
R:R:E100 R:R:W107 4.36 2 Yes Yes 5 9 1 2
R:R:F105 R:R:S101 7.93 2 Yes No 4 4 1 2
R:R:H106 R:R:V188 17.99 2 No Yes 4 3 1 1
R:R:L118 R:R:L193 4.15 2 Yes Yes 5 5 2 2
R:R:T173 R:R:V122 4.76 0 Yes No 7 4 2 1
R:R:T176 R:R:V122 4.76 0 No No 4 4 2 1
R:R:V125 R:R:W259 4.9 2 No Yes 7 9 1 1
R:R:T173 R:R:Y126 3.75 0 Yes Yes 7 7 2 2
R:R:R208 R:R:Y126 7.2 2 Yes Yes 5 7 1 2
R:R:F255 R:R:I129 5.02 2 Yes No 9 8 2 2
R:R:I129 R:R:W259 8.22 2 No Yes 8 9 2 1
R:R:T176 R:R:Y204 8.74 0 No Yes 4 5 2 2
R:R:R194 R:R:V181 3.92 2 Yes No 4 4 1 2
R:R:E182 R:R:G183 6.55 2 Yes Yes 4 1 2 1
R:R:G183 R:R:L192 1.71 2 Yes No 1 3 1 1
R:R:G183 R:R:R194 4.5 2 Yes Yes 1 4 1 1
R:R:V185 R:R:V188 3.21 0 No Yes 2 3 1 1
R:R:G187 R:R:V188 1.84 0 No Yes 5 3 2 1
R:R:L190 R:R:V188 2.98 0 No Yes 3 3 1 1
R:R:L192 R:R:R194 3.64 2 No Yes 3 4 1 1
R:R:L193 R:R:W200 6.83 2 Yes Yes 5 2 2 2
R:R:L193 R:R:L201 2.77 2 Yes Yes 5 4 2 1
R:R:L201 R:R:W200 5.69 2 Yes Yes 4 2 1 2
R:R:K273 R:R:L201 9.87 2 Yes Yes 3 4 2 1
R:R:Q205 R:R:Y204 4.51 2 Yes Yes 5 5 1 2
R:R:Q205 R:R:R208 4.67 2 Yes Yes 5 5 1 1
R:R:K273 R:R:Q205 4.07 2 Yes Yes 3 5 2 1
R:R:N262 R:R:R208 4.82 2 Yes Yes 7 5 2 1
R:R:H263 R:R:R208 5.64 2 Yes Yes 8 5 2 1
R:R:R208 R:R:T266 3.88 2 Yes No 5 5 1 2
R:R:F213 R:R:F255 3.22 2 Yes Yes 9 9 2 2
R:R:F213 R:R:W259 2 2 Yes Yes 9 9 2 1
R:R:F213 R:R:H263 14.71 2 Yes Yes 9 8 2 2
R:R:F255 R:R:W259 4.01 2 Yes Yes 9 9 2 1
R:R:N262 R:R:W259 5.65 2 Yes Yes 7 9 2 1
R:R:H263 R:R:W259 8.46 2 Yes Yes 8 9 2 1
R:R:A298 R:R:W259 6.48 2 No Yes 8 9 2 1
R:R:N301 R:R:W259 9.04 0 No Yes 9 9 2 1
R:R:N262 R:R:T266 4.39 2 Yes No 7 5 2 2
R:R:F291 R:R:N262 2.42 2 Yes Yes 4 7 1 2
R:R:N262 R:R:T294 4.39 2 Yes Yes 7 7 2 2
R:R:A298 R:R:N262 3.13 2 No Yes 8 7 2 2
R:R:F291 R:R:V265 2.62 2 Yes No 4 4 1 2
R:R:V272 R:R:V277 4.81 2 Yes No 3 1 2 2
R:R:V272 R:R:W279 8.58 2 Yes Yes 3 1 2 1
R:R:T282 R:R:V272 3.17 2 Yes Yes 3 3 2 2
R:R:F283 R:R:V272 3.93 2 Yes Yes 1 3 2 2
R:R:V277 R:R:W279 6.13 2 No Yes 1 1 2 1
R:R:T282 R:R:W279 3.64 2 Yes Yes 3 1 2 1
R:R:F283 R:R:W279 4.01 2 Yes Yes 1 1 2 1
R:R:F283 R:R:T282 3.89 2 Yes Yes 1 3 2 2
R:R:F283 R:R:Q287 15.23 2 Yes Yes 1 3 2 1
R:R:F291 R:R:Q287 10.54 2 Yes Yes 4 3 1 1
R:R:F291 R:R:T294 5.19 2 Yes Yes 4 7 1 2
R:R:F291 R:R:T295 7.78 2 Yes Yes 4 6 1 1
R:R:H299 R:R:T295 2.74 2 Yes Yes 7 6 1 1

Location and physicochemical properties of the interaction partners of this ligand

Interactions of this ligand

Similarities between the interactions of this ligand and those of other networks

ShowSimilarityNetwork TypeNameLigandDescription
65.22Single7YJ4INSL57YJ4-RXFP4-INSL5-Gi2/β1/γ2
57.69Consensussomatostatin_onOrthosteric Ligandsst2_on sst4_on sst5_on
57.69Consensussomatostatin_on_gpOrthosteric Ligandsst2_on_gp sst4_on_gp sst5_on_gp
56.00Consensussst5_onOrthosteric Ligand8X8L-SST5-Cortistatin-14-chim(NtGi1-Gs-CtGi1)/β1/γ2 8X8N-SST5-Octreotide-chim(NtGi1-Gs-CtGi1)/β1/γ2
55.56Single8ZBISomatostatin-148ZBI-SST3-Somatostatin-14-Gi1/β1/γ2
53.57Consensussst5_on_gpOrthosteric Ligand8X8L-SST5-Cortistatin-14-chim(NtGi1-Gs-CtGi1)/β1/γ2 8X8N-SST5-Octreotide-chim(NtGi1-Gs-CtGi1)/β1/γ2
52.00Single7Y1FDynorphin7Y1F-κ-Dynorphin-Gi1/β1/γ2
51.85Consensusgi_somatostatinOrthosteric Ligand7WIC-SST2-Somatostatin-14-Gi1/β1/γ2 7XMS-SST4-Somatostatin-14-Gi1/β1/γ2 8X8L-SST5-Cortistatin-14-chim(NtGi1-Gs-CtGi1)/β1/γ2 7XMT-SST4-J-2156-Gi1/β1/γ2 7WIG-SST2-L-054264-Gi1/β1/γ2 8X8N-SST5-Octreotide-chim(NtGi1-Gs-CtGi1)/β1/γ2 7YAE-SST2-Octreotide-Gi1/β1/γ2 7YAC-SST2-Paltusotine-Gi1/β1/γ2
50.00Single8X8LCortistatin-148X8L-SST5-Cortistatin-14-chim(NtGi1-Gs-CtGi1)/β1/γ2
50.00Consensusmop_offOrthosteric Ligand4DKL-μ-β-Funaltrexamine 8QOT-μ-Nanobody-E 7UL4-μ-Alvimopan
48.28Single7X9CPancreatic Hormone7X9C-Y4-Pancreatic Hormone-Gi1/β1/γ2
48.28Single8ZRTEndothelin-18ZRT-ETB-Endothelin-1
48.15Single7XMSSomatostatin-147XMS-SST4-Somatostatin-14-Gi1/β1/γ2
48.15Single9IQVMuscarinic toxin 39IQV-Alpha1A-Muscarinic toxin 3
48.15Single9KFIRelaxin-39KFI-RXFP3-Relaxin-3-Gi2/β1/γ2
48.15Consensusgq_class-aOrthosteric Ligandgq_peptide gq_amine gq_nucleotide
46.88Consensusgi_npyOrthosteric Ligand8K6M-Y1-Neuropeptide-Y-Gi2/β1/γ1 7X9C-Y4-Pancreatic Hormone-Gi1/β1/γ2 7YOO-Y2-Neuropeptide-Y-Gi1/β1/γ2
46.88Consensusnpy_onOrthosteric Ligandnpy1_on npy2_on npy4_on
46.88Consensusnpy_on_gpOrthosteric Ligandnpy1_on_gp npy2_on_gp npy4_on_gp
46.67Single7YKDChemerin-97YKD-CML1-Chemerin-9-Gi1/β1/γ2
46.67Consensusgi_proteinOrthosteric Ligandgi_chemokine gi_chemerin
46.67Consensusnpy4_onOrthosteric Ligand7X9C-Y4-Pancreatic Hormone-Gi1/β1/γ2
46.67Consensusnpy4_on_gpOrthosteric Ligand7X9C-Y4-Pancreatic Hormone-Gi1/β1/γ2
46.67Consensusprotein_on_gpOrthosteric Ligandchemokine_on_gp chemerin_on_gp
46.15Single9M0RNeuropeptide-VF9M0R-NPFF1-Neuropeptide-VF-Gi1/β1/γ2
45.16Single7XATSomatostatin-147XAT-SST2-Somatostatin-14-Gi1/β1/γ2
45.16Consensusgq_peptideOrthosteric Ligandgq_cck gq_kisspeptin gq_bradykinin gq_bombesin gq_angiotensin
44.83Single8WSTMCH8WST-MCH2-MCH-chim(NtGi1L-Gs-CtGq)/β1/γ2
44.83Single9BKKCholecystokinin-89BKK-CCKA-Cholecystokinin-8-chim(NtGi1-Gs-CtGq)/β1/γ2
44.83Consensuspeptide_offon_gpOrthosteric Ligandpeptide_on_gp peptide_off
44.83Consensusprotein_onOrthosteric Ligandchemokine_on chemerin_on
44.44Single7WICSomatostatin-147WIC-SST2-Somatostatin-14-Gi1/β1/γ2
44.44Single7WVWfMYFINILTL7WVW-FPR2-ALX-fMYFINILTL-Gi2/β1/γ2
44.44Single7XMRSomatostatin-147XMR-SST2-Somatostatin-14-Gi1/β1/γ2
44.44Single9UYJChemerin-99UYJ-CML2-Chemerin-9-Arrestin2
44.44Consensuschemokine_onOrthosteric Ligandccr_on cxcr_on
44.00Single8J6DEP1418J6D-C3aB-EP141-Go/β1/γ2
44.00Single8X8NOctreotide8X8N-SST5-Octreotide-chim(NtGi1-Gs-CtGi1)/β1/γ2
43.75Single6IGLIRL16206IGL-ETB-IRL1620
43.75Single7VGXNeuropeptide-Y7VGX-Y1-Neuropeptide-Y-Gi1/β1/γ2
43.75Single8IY6Endothelin-18IY6-ETB-Endothelin-1
43.48Single9KFJPubChem 1383196749KFJ-RXFP3-PubChem 138319674-Gi2/β1/γ2
43.33Single8HCQEndothelin-18HCQ-ETA-Endothelin-1-chim(NtGi1-Gs-CtGq)/β1/γ2
43.33Single8XGOTAK4488XGO-Kiss1-TAK448-chim(NtGi1-Gq)/β1/γ2
43.33Single9JFYNeuropeptide-SF9JFY-NPFF2-Neuropeptide-SF-Gi1/β1/γ2
43.33Consensuscml1_on_gpOrthosteric Ligand7YKD-CML1-Chemerin-9-Gi1/β1/γ2
43.33Consensuseta_onOrthosteric Ligand8HCQ-ETA-Endothelin-1-chim(NtGi1-Gs-CtGq)/β1/γ2
43.33Consensuseta_on_gpOrthosteric Ligand8HCQ-ETA-Endothelin-1-chim(NtGi1-Gs-CtGq)/β1/γ2
43.33Consensusopioid_onOrthosteric Ligandmop_on nop_on dop_on kop_on
42.86Single5XJM(Sar1,Ile8)-Angiotensin II5XJM-AT2-(Sar1,Ile8)-Angiotensin II
42.86Single6DO1(Sar1,Ile8)-Angiotensin II6DO1-AT1-(Sar1,Ile8)-Angiotensin II
42.86Single7X9ANeuropeptide-Y7X9A-Y1-Neuropeptide-Y-Gi1/β1/γ2
42.86Single8JZZC5a-des-Arg8JZZ-C5a1-C5a-des-Arg-Go/β1/γ2
42.86Single8K6ONeuropeptide-Y8K6O-Y1-Neuropeptide-Y-Gi2/β1/γ1
42.86Single8SG1Chemerin-98SG1-CML1-Chemerin-9-Gi1/β1/γ2
42.86Single9IK8Pasireotide9IK8-SST1-Pasireotide-Gi1/β1/γ2
42.86Single9L60Dynorphin9L60-κ-Dynorphin-MPAM-15-Gi1/β1/γ2
42.86Consensussst4_onOrthosteric Ligand7XMS-SST4-Somatostatin-14-Gi1/β1/γ2 7XMT-SST4-J-2156-Gi1/β1/γ2
42.86Consensussst4_on_gpOrthosteric Ligand7XMS-SST4-Somatostatin-14-Gi1/β1/γ2 7XMT-SST4-J-2156-Gi1/β1/γ2
42.42Single6IGKEndothelin-36IGK-ETB-Endothelin-3
42.31Single9M54Neuropeptide-VF9M54-NPFF2-Neuropeptide-VF-Gi1/β1/γ2
42.31Consensusgal2_onOrthosteric Ligand7WQ4-GAL2-Galanin-chim(NtGi1-Gs-CtGq)/β1/γ2 7XJL-GAL2-Spexin-chim(NtGi2L-Gs-CtGq)/β1/γ2
42.31Consensusgal2_on_gpOrthosteric Ligand7WQ4-GAL2-Galanin-chim(NtGi1-Gs-CtGq)/β1/γ2 7XJL-GAL2-Spexin-chim(NtGi2L-Gs-CtGq)/β1/γ2
41.94Single7F8VGastrin-177F8V-CCKB-Gastrin-17-Gi2/β1/γ2
41.94Consensusgi_peptideOrthosteric Ligandgi_cck gi_apelin gi_compl-pept gi_endothelin gi_formylpeptide gi_galanin gi_ghrelin gi_npy gi_neurotensin gi_opioid gi_orexin gi_relaxin gi_somatostatin
41.94Consensusopioid_on_gpOrthosteric Ligandmop_on_gp nop_on_gp dop_on_gp kop_on_gp
41.38Single6PT2KGCHM076PT2-δ-KGCHM07
41.38Single8K6MNeuropeptide-Y8K6M-Y1-Neuropeptide-Y-Gi2/β1/γ1
41.38Single8XGUTAK4488XGU-Kiss1-TAK448-Gi1/β1/γ2
41.38Single8XIRPasireotide8XIR-SST3-Pasireotide-chim(NtGi1-Gs-CtGi1)/β1/γ2
41.38Consensusangiotensin_onOrthosteric Ligandat1_on
41.38Consensusat1_onOrthosteric Ligand7F6G-AT1-(Sar1)-Angiotensin II-Gq/β1/γ2
41.38Consensusgs_class-aOrthosteric Ligandgs_peptide gs_nucleotide gs_amine
41.38Consensusnpy1_onOrthosteric Ligand8K6M-Y1-Neuropeptide-Y-Gi2/β1/γ1
41.38Consensusnpy1_on_gpOrthosteric Ligand8K6M-Y1-Neuropeptide-Y-Gi2/β1/γ1
41.38Consensuspeptide_offonOrthosteric Ligandpeptide_off peptide_on
41.18Consensusendothelin_on_gpOrthosteric Ligandetb_on_gp eta_on_gp
41.18Consensusetb_on_gpOrthosteric Ligand8IY5-ETB-Endothelin-1-Gi1/β1/γ2 8HBD-ETB-IRL1620-Gi1/β1/γ2
40.74Single7T11Octreotide7T11-SST2-Octreotide-Gi3/β1/γ2
40.74Consensussst2_onOrthosteric Ligand7WIC-SST2-Somatostatin-14-Gi1/β1/γ2 7WIG-SST2-L-054264-Gi1/β1/γ2 7YAE-SST2-Octreotide-Gi1/β1/γ2 7YAC-SST2-Paltusotine-Gi1/β1/γ2
40.74Consensussst2_on_gpOrthosteric Ligand7WIC-SST2-Somatostatin-14-Gi1/β1/γ2 7WIG-SST2-L-054264-Gi1/β1/γ2 7YAE-SST2-Octreotide-Gi1/β1/γ2 7YAC-SST2-Paltusotine-Gi1/β1/γ2
40.62Single7YOONeuropeptide-Y7YOO-Y2-Neuropeptide-Y-Gi1/β1/γ2
40.62Single8FEG(DNCP)-Beta-Naloxamine8FEG-κ-(DNCP)-β-Naloxamine-Gi1/β1/γ2
40.62Single8WWLMCH8WWL-MCH1-MCH-Gi1/β1/γ2
40.62Single8XWPEndothelin-18XWP-ETB-Endothelin-1-Gi1/β1/γ2
40.62Single8ZH8QRFP268ZH8-QRFP-QRFP26-Gq/β1/γ1
40.62Single8ZJGChemerin8ZJG-CML1-Chemerin-Gi1/β1/γ2
40.62Consensusnpy2_onOrthosteric Ligand7YOO-Y2-Neuropeptide-Y-Gi1/β1/γ2
40.62Consensusnpy2_on_gpOrthosteric Ligand7YOO-Y2-Neuropeptide-Y-Gi1/β1/γ2
40.62Consensuspeptide_onOrthosteric Ligandcck_on angiotensin_on apelin_on bombesin_on bradykinin_on compl-peptide_on endothelin_on formylpeptide_on galanin_on ghrelin_on kisspeptin_on melanocortin_on motilin_on neuromedin-u_on npy_on neurotensin_on opioid_on orexin_on relaxin_on somatostatin_on tachykinin_on trh_on vasop-oxy_on
40.62Consensuspeptide_on_gpOrthosteric Ligandcck_on_gp angiotensin_on_gp apelin_on_gp bombesin_on_gp bradykinin_on_gp compl-peptide_on_gp endothelin_on_gp formylpeptide_on_gp galanin_on_gp ghrelin_on_gp kisspeptin_on_gp melanocortin_on_gp motilin_on_gp neuromedin-u_on_gp npy_on_gp neurotensin_on_gp opioid_on_gp orexin_on_gp relaxin_on_gp somatostatin_on_gp tachykinin_on_gp trh_on_gp vasop-oxy_on_gp
40.00Single6JODAngiotensin II6JOD-AT2-Angiotensin II
40.00Single7DW9AVP7DW9-V2-AVP-chim(NtGi1-Gs)/β1/γ2
40.00Single7F6G(Sar1)-Angiotensin II7F6G-AT1-(Sar1)-Angiotensin II-Gq/β1/γ2
40.00Single7T10Somatostatin-147T10-SST2-Somatostatin-14-Gi3/β1/γ2
40.00Single7XTQR3997XTQ-GPBA-R399-Gs/β1/γ2
40.00Single8T1VPubChem 1183102098T1V-GPR6-PubChem 118310209-Na
40.00Single8UGWCGS216808UGW-A2A-CGS21680
40.00Single9IK9Lanreotide9IK9-SST1-Lanreotide-Gi1/β1/γ2
40.00Consensusangiotensin_on_gpOrthosteric Ligandat1_on_gp
40.00Consensusat1_on_gpOrthosteric Ligand7F6G-AT1-(Sar1)-Angiotensin II-Gq/β1/γ2
40.00Consensusgi_formylpeptideOrthosteric Ligand7WVY-FPR2-ALX-Amyloid-β42-Gi2/β1/γ2 7T6U-FPR2-ALX-CGEN-855A-Gi1/β1/γ2 7VFX-FPR1-ALX-fMIFL-Gi1/β1/γ2 7T6V-FPR2-ALX-fMLFII-Gi1/β1/γ2 7WVX-FPR2-ALX-Humanin-Gi2/β1/γ2 7T6S-FPR2-ALX-TC-FPR 43-Gi1/β1/γ2 6OMM-FPR2-ALX-WKYMVX-Gi1/β1/γ2
40.00Consensusgi_relaxinOrthosteric Ligand7YK7-RXFP4-DC591053-Gi2/β1/γ2 7YJ4-RXFP4-INSL5-Gi2/β1/γ2 7YK6-RXFP4-PubChem 138319674-Gi2/β1/γ2
40.00Consensusgq_angiotensinOrthosteric Ligand7F6G-AT1-(Sar1)-Angiotensin II-Gq/β1/γ2
40.00Consensusgs_vasop-oxyOrthosteric Ligand7DW9-V2-AVP-chim(NtGi1-Gs)/β1/γ2
40.00Consensusrelaxin_onOrthosteric Ligandrxfp4_on
40.00Consensusrelaxin_on_gpOrthosteric Ligandrxfp4_on_gp
40.00Consensusv2_onOrthosteric Ligand7DW9-V2-AVP-chim(NtGi1-Gs)/β1/γ2
40.00Consensusv2_on_gpOrthosteric Ligand7DW9-V2-AVP-chim(NtGi1-Gs)/β1/γ2
40.00Consensusvasop-oxy_onOrthosteric Ligandv2_on
40.00Consensusvasop-oxy_on_gpOrthosteric Ligandv2_on_gp
39.39Single8WWNMCH8WWN-MCH1-MCH-Gi1/β1/γ2
39.39Consensusbk2_onOrthosteric Ligand7F6H-BK2-Bradykinin-Gq/β1/γ2 7F6I-BK2-Kallidin-Gq/β1/γ2
39.39Consensusbk2_on_gpOrthosteric Ligand7F6H-BK2-Bradykinin-Gq/β1/γ2 7F6I-BK2-Kallidin-Gq/β1/γ2
39.39Consensusbradykinin_onOrthosteric Ligandbk2_on
39.39Consensusbradykinin_on_gpOrthosteric Ligandbk2_on_gp
39.39Consensusendothelin_onOrthosteric Ligandetb_on eta_on
39.39Consensusetb_onOrthosteric Ligand8IY5-ETB-Endothelin-1-Gi1/β1/γ2 8HBD-ETB-IRL1620-Gi1/β1/γ2
39.39Consensusgq_bradykininOrthosteric Ligand7F6H-BK2-Bradykinin-Gq/β1/γ2 7F6I-BK2-Kallidin-Gq/β1/γ2
39.29Single7T6UCGEN-855A7T6U-FPR2-ALX-CGEN-855A-Gi1/β1/γ2
39.29Single8WDTphotoNECA8WDT-A2A-photoNECA
39.29Single8ZSPLSD8ZSP-TA1-LSD-chim(NtGi1L-Gs)/β1/γ2
39.29Single9BKJCholecystokinin-89BKJ-CCKA-Cholecystokinin-8-chim(NtGi1-Gs-CtGq)/β1/γ2
39.29Single9HB3Mambaquaretin-19HB3-V2-Mambaquaretin-1
39.29Consensuschemerin_on_gpOrthosteric Ligandcml1_on_gp
39.29Consensuscml1_onOrthosteric Ligand7YKD-CML1-Chemerin-9-Gi1/β1/γ2
39.29Consensusgi_chemerinOrthosteric Ligand7YKD-CML1-Chemerin-9-Gi1/β1/γ2
39.29Consensusgi_opioidOrthosteric Ligand8F7R-μ-Endomorphin-Gi1/β1/γ2 8EF5-μ-Fentanyl-Gi1/β1/γ2 7SCG-μ-FH210-Gi1/β1/γ2 7T2H-μ-Lofentanil-Gi1/β1/γ2 7T2G-μ-Mitragynine Pseudoindoxyl-Gi1/β1/γ2 8DZP-κ-momSalB-Gi1/β1/γ2 8EF6-μ-Morphine-Gi1/β1/γ2 8F7X-NOP-Nociceptin-Gi1/β1/γ2 8EFB-μ-Oliceridine-Gi1/β1/γ2 7U2L-μ-C5-guano-Gi1/β1/γ2 8EFO-μ-PZM21-Gi1/β1/γ2 8EFL-μ-SR17018-Gi1/β1/γ2 8F7Q-μ-β-Endorphin-Gi1/β1/γ2 7U2K-μ-C6-guano-Gi1/β1/γ2 8EFQ-μ-DAMGO-Gi1/β1/γ2 8F7S-δ-Deltorphin-Gi1/β1/γ2 8F7W-κ-Dynorphin-Gi1/β1/γ2
39.13Single7YK6PubChem 1383196747YK6-RXFP4-PubChem 138319674-Gi2/β1/γ2
38.71Single7F6HBradykinin7F6H-BK2-Bradykinin-Gq/β1/γ2
38.71Single8WWKMCH8WWK-MCH1-MCH-Gi1/β1/γ2
38.71Single8WWMMCH8WWM-MCH1-MCH-Gi1/β1/γ2
38.71Consensusccr_on_gpOrthosteric Ligandccr6_on_gp ccr8_on_gp ccr2_on_gp ccr1_on_gp ccr5_on_gp
38.71Consensuschemokine_on_gpOrthosteric Ligandccr_on_gp cxcr_on_gp
38.71Consensusgi_chemokineOrthosteric Ligand6WWZ-CCR6-CCL20-Go/β1/γ2 8HNK-CXCR3-CXCL11-Gi1/β1/γ2 8K3Z-CXCR4-CXCL12-Gi1/β1/γ1 8IC0-CXCR1-CXCL8-Gi1/β1/γ2 6LFM-CXCR2-CXCL8-Gi1/β1/γ2 8KFX-CCR8-LMD-009-Gi1/β1/γ2 7F1Q-CCR5-CCL3-Gi1/β1/γ2 8HNL-CXCR3-PS372424-Gi1/β1/γ2 8KFY-CCR8-ZK-756326-Gi1/β1/γ2 7O7F-CCR5-6P4-CCL5-Gi1/β1/γ1 8U1U-CCR8-CCL1-Gi1/β1/γ2 7VLA-CCR1-CCL15(27-92)-Gi1/β1/γ2 7XA3-CCR2-CCL2-Gi1/β1/γ2
38.71Consensusneuromedin-u_on_gpOrthosteric Ligandnmur1_on_gp nmur2_on_gp
38.46Single6OS0Angiotensin II6OS0-AT1-Angiotensin II
38.46Single7BZ2Arformoterol7BZ2-β2-Arformoterol-Gs/β1/γ2
38.46Single7WQ4Galanin7WQ4-GAL2-Galanin-chim(NtGi1-Gs-CtGq)/β1/γ2
38.46Single7XJKGalanin7XJK-GAL2-Galanin-chim(NtGi2L-Gs-CtGq)/β1/γ2
38.46Single7Y66BM2137Y66-C5a1-BM213-Gi1/β1/γ2
38.46Single7YITNalfurafine7YIT-κ-Nalfurafine
38.46Single8JZ7MK68928JZ7-HCA2-MK6892-Gi1/β1/γ2
38.46Single9MQLIsoquinuclidine9MQL-κ-Isoquinuclidine
38.46Single9V6ONalfurafine9V6O-κ-Nalfurafine-Gi1/β1/γ2
38.46Consensusopioid_offOrthosteric Ligandmop_off nop_off dop_off kop_off
38.24Consensusbb2_onOrthosteric Ligand7W40-BB2-Bombesin-chim(NtGi1L-Gq)/β1/γ2 7W3Z-BB2-Gastrin Releasing Peptide-chim(NtGi1L-Gq)/β1/γ2
38.24Consensusbb2_on_gpOrthosteric Ligand7W40-BB2-Bombesin-chim(NtGi1L-Gq)/β1/γ2 7W3Z-BB2-Gastrin Releasing Peptide-chim(NtGi1L-Gq)/β1/γ2
38.24Consensusbombesin_onOrthosteric Ligandbb2_on
38.24Consensusbombesin_on_gpOrthosteric Ligandbb2_on_gp
38.24Consensusccr5_on_gpOrthosteric Ligand7O7F-CCR5-6P4-CCL5-Gi1/β1/γ1 7F1Q-CCR5-CCL3-Gi1/β1/γ2
38.24Consensusclass-a_class-b1_cons_onOrthosteric Ligandclass-a_on class-b1_on
38.24Consensusgi_endothelinOrthosteric Ligand8IY5-ETB-Endothelin-1-Gi1/β1/γ2 8HBD-ETB-IRL1620-Gi1/β1/γ2
38.24Consensusgq_bombesinOrthosteric Ligand7W40-BB2-Bombesin-chim(NtGi1L-Gq)/β1/γ2 7W3Z-BB2-Gastrin Releasing Peptide-chim(NtGi1L-Gq)/β1/γ2
37.93Single3QAKUK-4320973QAK-A2A-UK-432097
37.93Single7RKMCX3CL17RKM-US28-CX3CL1-Gi1/β1/γ2
37.93Single7WJ5Somatostatin-147WJ5-SST2-Somatostatin-14-Gi1/β1/γ2
37.93Single7XNACYN1548067XNA-SST2-CYN154806
37.93Single8WSSMCH8WSS-MCH1-MCH-Gi1/β1/γ1
37.93Single8Z7JJN241-98Z7J-Apelin-JN241-9-Gi1/β1/γ2
37.93Single9ME1CXCL129ME1-CXCR4-CXCL12
37.93Consensuscompl-peptide_onOrthosteric Ligandc5a1_on c3a_on
37.93Consensusformylpeptide_on_gpOrthosteric Ligandfpr2-alx_on_gp fpr1-alx_on_gp
37.93Consensussst2_offOrthosteric Ligand7XNA-SST2-CYN154806
37.50Single7RGPTirzepatide7RGP-GLP-1-Tirzepatide-chim(NtGi1-Gs)/β1/γ2
37.50Single7YACPaltusotine7YAC-SST2-Paltusotine-Gi1/β1/γ2
37.50Single8E3XPACAP278E3X-PAC1-PACAP27-Gs/β1/γ2
37.50Single8H0PNMB308H0P-BB1-NMB30-chim(NtGi1-Gs-CtGq)/β1/γ2
37.50Single9P92VIP9P92-PAC1-VIP-Gs/β1/γ2
37.50Consensusgi_compl-peptOrthosteric Ligand8HK5-C5a1-C5a-Gi1/β1/γ2 8IA8-C3aB-E7 peptide-Gi1/β1/γ2 7Y66-C5a1-BM213-Gi1/β1/γ2 7Y67-C5a1-C089 peptide-Gi1/β1/γ2 8HK2-C3aB-C3a-Gi1/β1/γ2 7Y64-C5a1-C5a-Gi1/β1/γ2
37.50Consensuspac_on_gpOrthosteric Ligandpac1_on_gp
37.14Single7SK6CXCL12_LRHQ7SK6-ACKR3-CXCL12_LRHQ
37.14Single8HBDIRL16208HBD-ETB-IRL1620-Gi1/β1/γ2
37.04Single7SK8CCX6627SK8-ACKR3-CXCL12-CCX662
37.04Single7XJISolabegron7XJI-β3-Solabegron-Gs/β1/γ2
37.04Single7Y27Somatostatin-147Y27-SST2-Somatostatin-14-chim(NtGi2L-Gs-CtGq)/β1/γ2
37.04Single7Y65C5a (C-terminal peptide)7Y65-C5a1-C5a (C-terminal peptide)-Gi1/β1/γ2
37.04Single8E0GBU728E0G-μ-BU72
37.04Single8HN1Toxin AdTx18HN1-Alpha1A-Toxin AdTx1
37.04Single8IJDMK68928IJD-HCA2-MK6892-Gi1/β1/γ2
37.04Single9KUGEP679KUG-C5a1-EP67-Go/β1/γ2
37.04Single9UYHChemerin-99UYH-CML2-Chemerin-9-Arrestin2
37.04Consensusc3a_on_gpOrthosteric Ligand8HK2-C3aB-C3a-Gi1/β1/γ2 8IA8-C3aB-E7 peptide-Gi1/β1/γ2
37.04Consensusclass-a_onOrthosteric Ligandsensory_on alicarboxylic_on amine_on lipid_on nucleotide_on peptide_on protein_on
36.67Single6LW5WKYMVm6LW5-FPR2-ALX-WKYMVm
36.67Single7MBXCholecystokinin-87MBX-CCKA-Cholecystokinin-8-Gs/β1/γ1
36.67Single7O7F6P4-CCL57O7F-CCR5-6P4-CCL5-Gi1/β1/γ1
36.67Single9K27PrRP319K27-PrRP-PrRP31-chim(NtGi1-Gq)/β1/γ2
36.67Single9M1ONeuropeptide-FF9M1O-NPFF2-Neuropeptide-FF-Gi1/β1/γ2
36.67Single9MEUCXCL129MEU-CXCR4-CXCL12
36.67Single9UYIChemerin-99UYI-CML2-Chemerin-9-Arrestin2
36.67Consensusccr_onOrthosteric Ligandccr6_on ccr8_on ccr2_on ccr1_on ccr5_on
36.67Consensuscompl-peptide_on_gpOrthosteric Ligandc5a1_on_gp c3a_on_gp
36.67Consensusfpr2-alx_onOrthosteric Ligand7WVX-FPR2-ALX-Humanin-Gi2/β1/γ2 7T6U-FPR2-ALX-CGEN-855A-Gi1/β1/γ2 7T6V-FPR2-ALX-fMLFII-Gi1/β1/γ2 7WVY-FPR2-ALX-Amyloid-β42-Gi2/β1/γ2 7T6S-FPR2-ALX-TC-FPR 43-Gi1/β1/γ2 6OMM-FPR2-ALX-WKYMVX-Gi1/β1/γ2
36.67Consensusgs_cckOrthosteric Ligand7MBX-CCKA-Cholecystokinin-8-Gs/β1/γ1
36.36Single7EIBKallidin-des-Arg107EIB-BK1-Kallidin-des-Arg10-chim(NtGi1-Gs-CtGq)/β1/γ2
36.36Single7WVYAmyloid-Beta427WVY-FPR2-ALX-Amyloid-β42-Gi2/β1/γ2
36.36Single9K26PrRP319K26-PrRP-PrRP31-Gi1/β1/γ2
36.36Single9KDFRES-701-39KDF-ETB-RES-701-3
36.11Single6LRYSarafotoxin-B6LRY-ETB-Sarafotoxin-B
36.11Consensusgs_peptideOrthosteric Ligandgs_cck gs_melanocortin gs_vasop-oxy
36.00Single8J6JGSK2560738J6J-HCA2-GSK256073-Gi1/β1/γ2
36.00Single9F34FOB02-04A9F34-D3-FOB02-04A-Go/β1/γ2
36.00Single9MQKIsoquinuclidine9MQK-κ-Isoquinuclidine
36.00Consensusrxfp4_onOrthosteric Ligand7YK7-RXFP4-DC591053-Gi2/β1/γ2 7YJ4-RXFP4-INSL5-Gi2/β1/γ2 7YK6-RXFP4-PubChem 138319674-Gi2/β1/γ2
36.00Consensusrxfp4_on_gpOrthosteric Ligand7YK7-RXFP4-DC591053-Gi2/β1/γ2 7YJ4-RXFP4-INSL5-Gi2/β1/γ2 7YK6-RXFP4-PubChem 138319674-Gi2/β1/γ2
35.71Single3NY9PubChem 9131033NY9-β2-PubChem 913103
35.71Single4UG2CGS216804UG2-A2A-CGS21680
35.71Single6OMMWKYMVX6OMM-FPR2-ALX-WKYMVX-Gi1/β1/γ2
35.71Single7F2OBradykinin7F2O-BK2-Bradykinin-chim(NtGi1-Gs-CtGq)/β1/γ2
35.71Single7RKNCX3CL17RKN-US28-CX3CL1-Gi1/β1/γ2
35.71Single7XBXCX3CL17XBX-CX3CR1-CX3CL1-Gi1/β1/γ2
35.71Single7XN9L-0545227XN9-SST2-L-054522
35.71Single7XY6BAY 60-65837XY6-A2B-BAY 60-6583-chim(NtGi1-Gs)/β1/γ2
35.71Single7YAEOctreotide7YAE-SST2-Octreotide-Gi1/β1/γ2
35.71Single8JLRA776368JLR-TA1-A77636-chim(NtGi1-Gs)/β1/γ2
35.71Single9KX6C5a-des-Arg9KX6-C5a1-C5a-des-Arg-Go/β1/γ2
35.71Single9KZ2EP679KZ2-C3aB-EP67-Go/β1/γ2
35.71Single9KZ8EP679KZ8-C3aB-EP67-Go/β1/γ2
35.71Single9UMJEP549UMJ-C3aB-EP54-Go/β1/γ2
35.71Consensusformylpeptide_onOrthosteric Ligandfpr2-alx_on fpr1-alx_on
35.71Consensusnmur1_onOrthosteric Ligand7W53-NMUR1-Neuromedin-U-25-chim(NtGi1-Gs-CtGq)/β1/γ2
35.71Consensusox2_onOrthosteric Ligand7L1V-OX2-PubChem 155491009-chim(NtGi1-Gs-CtGq)/β1/γ2 7SQO-OX2-TAK-925-Gi1/β1/γ2 7L1U-OX2-Orexin-chim(NtGi1-Gs-CtGq)/β1/γ2
35.71Consensusox2_on_gpOrthosteric Ligand7L1V-OX2-PubChem 155491009-chim(NtGi1-Gs-CtGq)/β1/γ2 7SQO-OX2-TAK-925-Gi1/β1/γ2 7L1U-OX2-Orexin-chim(NtGi1-Gs-CtGq)/β1/γ2
35.48Single7V9MSomatoliberin7V9M-GHRH (SV1)-Somatoliberin-Gs/β1/γ2
35.48Single7XK8Neuromedin-U-257XK8-NMUR2-Neuromedin-U-25-Gi1/β1/γ2
35.48Single7YONPeptide-YY(3-36)7YON-Y2-Peptide-YY(3-36)-Gi1/β1/γ2
35.48Single8IHFMK68928IHF-HCA2-MK6892-Gi1/β1/γ2
35.48Single8XWQEndothelin-18XWQ-ETB-Endothelin-1-Gi1/β1/γ2
35.48Consensuscxcr3_on_gpOrthosteric Ligand8HNK-CXCR3-CXCL11-Gi1/β1/γ2 8HNL-CXCR3-PS372424-Gi1/β1/γ2
35.48Consensusfpr2-alx_on_gpOrthosteric Ligand7WVX-FPR2-ALX-Humanin-Gi2/β1/γ2 7T6U-FPR2-ALX-CGEN-855A-Gi1/β1/γ2 7T6V-FPR2-ALX-fMLFII-Gi1/β1/γ2 7WVY-FPR2-ALX-Amyloid-β42-Gi2/β1/γ2 7T6S-FPR2-ALX-TC-FPR 43-Gi1/β1/γ2 6OMM-FPR2-ALX-WKYMVX-Gi1/β1/γ2
35.48Consensusgi_class-aOrthosteric Ligandgi_peptide gi_sensory gi_alicarboxylic gi_amine gi_lipid gi_nucleotide gi_protein
35.48Consensusneuromedin-u_onOrthosteric Ligandnmur1_on nmur2_on
35.48Consensusprotein_offonOrthosteric Ligandprotein_off protein_on
35.48Consensusprotein_offon_gpOrthosteric Ligandprotein_on_gp protein_off
35.29Single9P93VIP9P93-PAC1-VIP-Gs/β1/γ2
35.14Consensusclass-a_class-b1_cons_on_gpOrthosteric Ligandclass-a_on_gp class-b1_on_gp
34.78Single4MQTLY21196204MQT-M2-Iperoxo-LY2119620
34.78Single7XJJGalanin7XJJ-GAL1-Galanin-Go/β1/γ2
34.78Single9W49U-50488H9W49-κ-U-50488H-Gi1/β1/γ2
34.62Single6GT3Imaradenant6GT3-A2A-Imaradenant-Na
34.62Single6J21Aprepitant6J21-NK1-Aprepitant
34.62Single7XJLSpexin7XJL-GAL2-Spexin-chim(NtGi2L-Gs-CtGq)/β1/γ2
34.62Single8EF5Fentanyl8EF5-μ-Fentanyl-Gi1/β1/γ2
34.62Single8HPTC5a (C-terminal peptide)8HPT-C5a1-C5a (C-terminal peptide)-Go/β1/γ2
34.62Single8IHHLUF62838IHH-HCA2-LUF6283-Gi1/β1/γ2
34.62Single8VVFJDTic8VVF-κ-JDTic-Gi1/β1/γ2
34.62Single8XIPPasireotide8XIP-SST1-Pasireotide-chim(NtGi1-Gs-CtGi1)/β1/γ2
34.62Single8Y73Peptide8Y73-μ-Peptide-MPAM-15-Gi1/β1/γ2
34.62Single9BJKNaloxone9BJK-μ-Naloxone-PubChem 171642066
34.48Single7W0PElabela7W0P-Apelin-Elabela-Gi1/β1/γ2
34.48Single7W53Neuromedin-U-257W53-NMUR1-Neuromedin-U-25-chim(NtGi1-Gs-CtGq)/β1/γ2
34.48Single7XAUOctreotide7XAU-SST2-Octreotide-Gi1/β1/γ2
34.48Single8J6RMK68928J6R-HCA2-MK6892-Gi1/β1/γ2
34.48Single8XGMChemerin8XGM-CML2-Chemerin-Gi1/β1/γ2
34.48Single8ZBJSomatostatin-148ZBJ-SST5-Somatostatin-14-Gi1/β1/γ2
34.48Single9BUYLM1899BUY-β2-LM189-Gi1/β1/γ2
34.48Single9UMRC5a-pep9UMR-C5a1-C5a-pep-Go/β1/γ2
34.48Consensusclass-a_on_gpOrthosteric Ligandsensory_on_gp alicarboxylic_on_gp amine_on_gp lipid_on_gp nucleotide_on_gp peptide_on_gp protein_on_gp
34.48Consensusnmur1_on_gpOrthosteric Ligand7W53-NMUR1-Neuromedin-U-25-chim(NtGi1-Gs-CtGq)/β1/γ2
34.48Consensusnop_onOrthosteric Ligand8F7X-NOP-Nociceptin-Gi1/β1/γ2
34.48Consensusnop_on_gpOrthosteric Ligand8F7X-NOP-Nociceptin-Gi1/β1/γ2
34.48Consensussomatostatin_offOrthosteric Ligandsst2_off
34.38Single7VL9CCL15(26-92)7VL9-CCR1-CCL15(26-92)-Gi1/β1/γ2
34.38Single7X9BNeuropeptide-Y7X9B-Y2-Neuropeptide-Y-Gi1/β1/γ2
34.38Single8E3YPACAP278E3Y-VPAC1-PACAP27-Gs/β1/γ2
34.38Single8HCXEndothelin-18HCX-ETB-Endothelin-1-chim(NtGi2L-Gs-CtGq)/β1/γ2
34.38Single8XQEApelin-138XQE-Apelin; Apelin-Apelin-13-Gi1/β1/γ2
34.38Single8XVHEndothelin-18XVH-ETB-Endothelin-1-chim(Gs-CtGq)/β1/γ2
34.38Consensuschemokine_offOrthosteric Ligandccr_off cxcr_off
34.38Consensuspac_onOrthosteric Ligandpac1_on
34.29Single5GLHEndothelin-15GLH-ETB-Endothelin-1
33.33Single4DKLBeta-Funaltrexamine4DKL-μ-β-Funaltrexamine
33.33Single4RWADIPP-NH24RWA-δ-DIPP-NH2
33.33Single5UIW5P7-CCL55UIW-CCR5-5P7-CCL5
33.33Single5UNHPubChem 1264564065UNH-AT2-PubChem 126456406
33.33Single6A93Risperidone6A93-5-HT2A-Risperidone
33.33Single6LPBPACAP276LPB-PAC1-PACAP27-Gs/β1/γ1
33.33Single6OS2TRV0266OS2-AT1-TRV026
33.33Single7C6A(Sar1,Ile8)-Angiotensin II7C6A-AT2-(Sar1,Ile8)-Angiotensin II
33.33Single7EZKCholecystokinin-87EZK-CCKA-Cholecystokinin-8-chim(NtGi1-Gs)/β1/γ2
33.33Single7F61PF-036547467F61-H3-PF-03654746
33.33Single7JNIOlodanrigan7JNI-AT2-Olodanrigan
33.33Single7SK4CXCL12_LRHQ7SK4-ACKR3-CXCL12_LRHQ
33.33Single7T94LY21196207T94-M2-Acetylcholine-LY2119620-chim(NtGi1-Go)/β1/γ2
33.33Single7W0NElabela7W0N-Apelin; Apelin-Elabela-Gi1/β1/γ2
33.33Single8F7QBeta-Endorphin8F7Q-μ-β-Endorphin-Gi1/β1/γ2
33.33Single8F7WDynorphin8F7W-κ-Dynorphin-Gi1/β1/γ2
33.33Single8IHKAcifran8IHK-HCA3-Acifran
33.33Single8IRSRotigotine8IRS-D2-Rotigotine-Gi1/β1/γ2
33.33Single8K9KDAMGO8K9K-μ-DAMGO-Gi3/β1/γ1
33.33Single8W1VPubChem 1717162658W1V-β2-PubChem 171716265
33.33Single8WC8ZH86518WC8-TA1-ZH8651-chim(NtGi1-Gs)/β1/γ2
33.33Single8XVEBQ30208XVE-ETB-BQ3020-chim(Gs-CtGq)/β1/γ2
33.33Single8XYDPlatelet Activating Factor8XYD-PAF-Platelet Activating Factor-Gi1/β1/γ2
33.33Single8ZPMAMD0708ZPM-CXCR4-AMD070
33.33Single9EAINanobody AT2099EAI-AT1-Losartan-Nanobody AT209
33.33Single9ECJS-geranylgeranyl-L-glutathione9ECJ-P2Y8-S-geranylgeranyl-L-glutathione-G13/β1/γ2
33.33Single9GYOP3959GYO-GPBA-P395-chim(NtGi1-Gs)/β1/γ2
33.33Single9IQSMuscarinic toxin 39IQS-M4-Muscarinic toxin 3
33.33Single9JFK(Pen5)-Urotensin II9JFK-UT-(Pen5)-Urotensin II-chim(NtGi2L-Gs-CtGq)/β1/γ2
33.33Single9L3WChemerin9L3W-CML1-Chemerin-Gi1/β1/γ2
33.33Single9WSVDAMGO9WSV-μ-DAMGO-Arrestin2
33.33Single9WXMGPR15L(CT)9WXM-GPR15-GPR15L(CT)-Gi3/β1/γ2
33.33Consensusc3a_onOrthosteric Ligand8HK2-C3aB-C3a-Gi1/β1/γ2 8IA8-C3aB-E7 peptide-Gi1/β1/γ2
33.33Consensusccr5_offOrthosteric Ligand5UIW-CCR5-5P7-CCL5
33.33Consensusccr5_onOrthosteric Ligand7O7F-CCR5-6P4-CCL5-Gi1/β1/γ1 7F1Q-CCR5-CCL3-Gi1/β1/γ2
33.33Consensusccr_offOrthosteric Ligandccr2_off ccr5_off
33.33Consensusgalanin_onOrthosteric Ligandgal2_on gal1_on
33.33Consensusgalanin_on_gpOrthosteric Ligandgal2_on_gp gal1_on_gp
33.33Consensusgi_cckOrthosteric Ligand7EZH-CCKA-Cholecystokinin-8-Gi1/β1/γ2 7F8V-CCKB-Gastrin-17-Gi2/β1/γ2
33.33Consensusgi_muscarinicOrthosteric Ligand8E9X-M4-2-Deoxycytidine-chim(NtGi1-Go)/β1/γ2 7T8X-M2-Acetylcholine-chim(NtGi1-Go)/β1/γ2 7TRS-M4-Acetylcholine-Gi1/β1/γ2 7TRK-M4-Iperoxo-Gi1/β1/γ2 7V6A-M4-PubChem 9864275-Gi1/β1/γ2
33.33Consensusm4_onOrthosteric Ligand7TRS-M4-Acetylcholine-Gi1/β1/γ2 7V6A-M4-PubChem 9864275-Gi1/β1/γ2 8E9X-M4-2-Deoxycytidine-chim(NtGi1-Go)/β1/γ2 7TRK-M4-Iperoxo-Gi1/β1/γ2
33.33Consensusm4_on_gpOrthosteric Ligand7TRS-M4-Acetylcholine-Gi1/β1/γ2 7V6A-M4-PubChem 9864275-Gi1/β1/γ2 8E9X-M4-2-Deoxycytidine-chim(NtGi1-Go)/β1/γ2 7TRK-M4-Iperoxo-Gi1/β1/γ2
33.33Consensusmop_onOrthosteric Ligand8F7R-μ-Endomorphin-Gi1/β1/γ2 8EF5-μ-Fentanyl-Gi1/β1/γ2 7SCG-μ-FH210-Gi1/β1/γ2 7T2H-μ-Lofentanil-Gi1/β1/γ2 7T2G-μ-Mitragynine Pseudoindoxyl-Gi1/β1/γ2 8EF6-μ-Morphine-Gi1/β1/γ2 8EFB-μ-Oliceridine-Gi1/β1/γ2 7U2L-μ-C5-guano-Gi1/β1/γ2 8EFO-μ-PZM21-Gi1/β1/γ2 8EFL-μ-SR17018-Gi1/β1/γ2 8F7Q-μ-β-Endorphin-Gi1/β1/γ2 7U2K-μ-C6-guano-Gi1/β1/γ2 8EFQ-μ-DAMGO-Gi1/β1/γ2
33.33Consensusmop_on_gpOrthosteric Ligand8F7R-μ-Endomorphin-Gi1/β1/γ2 8EF5-μ-Fentanyl-Gi1/β1/γ2 7SCG-μ-FH210-Gi1/β1/γ2 7T2H-μ-Lofentanil-Gi1/β1/γ2 7T2G-μ-Mitragynine Pseudoindoxyl-Gi1/β1/γ2 8EF6-μ-Morphine-Gi1/β1/γ2 8EFB-μ-Oliceridine-Gi1/β1/γ2 7U2L-μ-C5-guano-Gi1/β1/γ2 8EFO-μ-PZM21-Gi1/β1/γ2 8EFL-μ-SR17018-Gi1/β1/γ2 8F7Q-μ-β-Endorphin-Gi1/β1/γ2 7U2K-μ-C6-guano-Gi1/β1/γ2 8EFQ-μ-DAMGO-Gi1/β1/γ2
33.33Consensusorexin_onOrthosteric Ligandox2_on
32.35Single6VCBGLP-16VCB-GLP-1-GLP-1-LSN3160440-Gs/β1/γ2
32.35Single7TYFAmylin7TYF-CT (AMY1)-Amylin-Gs/β1/γ2; RAMP1
32.35Single9BUCCagrilintide9BUC-CT-Cagrilintide-Gs/β1/γ2
32.35Single9P94PACAP279P94-PAC1-PACAP27-Gs/β1/γ2
32.26Single5WF5UK-4320975WF5-A2A-UK-432097
32.26Single7T6TfMLFII7T6T-FPR1-ALX-fMLFII-Gi1/β1/γ2
32.26Single7TD2LPA7TD2-LPA1-LPA-Gi1/β1/γ2
32.26Single7XA3CCL27XA3-CCR2-CCL2-Gi1/β1/γ2
32.26Single7XOUCholecystokinin-87XOU-CCKA-Cholecystokinin-8-Gs/β1/γ2
32.26Single8K6NNeuropeptide-Y8K6N-Y2-Neuropeptide-Y-Gi2/β1/γ1
32.26Single8XIQL7967788XIQ-SST3-L796778-chim(NtGi1-Gs-CtGi1)/β1/γ2
32.26Consensusc5a1_onOrthosteric Ligand8HK5-C5a1-C5a-Gi1/β1/γ2 7Y66-C5a1-BM213-Gi1/β1/γ2 7Y67-C5a1-C089 peptide-Gi1/β1/γ2 7Y64-C5a1-C5a-Gi1/β1/γ2
32.26Consensusccr2_onOrthosteric Ligand7XA3-CCR2-CCL2-Gi1/β1/γ2
32.26Consensusccr2_on_gpOrthosteric Ligand7XA3-CCR2-CCL2-Gi1/β1/γ2
32.14Single5TUDErgotamine5TUD-5-HT2B-Ergotamine
32.14Single7EZCUK-4320977EZC-A2A-UK-432097
32.14Single7EZMCholecystokinin-87EZM-CCKA-Cholecystokinin-8-chim(NtGsL-Gq)/β1/γ2
32.14Single7JVRBromoergocryptine7JVR-D2-Bromoergocryptine-Gi1/β1/γ2
32.14Single7MBYCholecystokinin-87MBY-CCKA-Cholecystokinin-8-chim(NtGi1L-Gs-CtGq)/β1/γ2
32.14Single7MTSADX551647MTS-mGlu2; mGlu2-Glutamate-ADX55164-Gi1/β1/γ2
32.14Single7SK7CCX6627SK7-ACKR3-CXCL12-CCX662
32.14Single7XK2MK68927XK2-HCA2-MK6892-Gi1/β1/γ2
32.14Single8I95EP548I95-C3aB-EP54-Go/β1/γ2
32.14Single8IYSTUG-8918IYS-FFA4-TUG-891-GDP-chim(NtGi1L-Gq)/β1/γ2
32.14Single8XGSKisspeptin-18XGS-Kiss1-Kisspeptin-1-chim(NtGi1-Gq)/β1/γ2
32.14Single8XIOL7975918XIO-SST1-L797591-chim(NtGi1-Gs-CtGi1)/β1/γ2
32.14Single8XVUCXCL28XVU-CXCR2-CXCL2
32.14Single8XXHCXCL28XXH-CXCR2-CXCL2-Go/β1/γ2
32.14Single8ZPLHF511168ZPL-CXCR4-HF51116
32.14Single9KT8Acifran9KT8-HCA2-Acifran-Gi1/β1/γ2
32.14Single9UYMChemerin-99UYM-CML2-Chemerin-9-chim(Arrestin3-CtArrestin2)
32.14Consensuschemerin_onOrthosteric Ligandcml1_on
32.14Consensusd2_offOrthosteric Ligand6CM4-D2-Risperidone 6LUQ-D2-Haloperidol 7DFP-D2-Spiperone
32.14Consensusendothelin_offOrthosteric Ligandetb_off
32.14Consensusetb_offOrthosteric Ligand5X93-ETB-K-8794 5XPR-ETB-Bosentan 6K1Q-ETB-IRL2500
32.14Consensuskop_on_gpOrthosteric Ligand8F7W-κ-Dynorphin-Gi1/β1/γ2 8DZS-κ-GR89,696-chim(NtGi2-Gz)/β1/γ2 8DZP-κ-momSalB-Gi1/β1/γ2
32.14Consensusorexin_on_gpOrthosteric Ligandox2_on_gp
32.14Consensuspeptide_offOrthosteric Ligandcck_off angiotensin_off bombesin_off endothelin_off ghrelin_off npy_off opioid_off orexin_off somatostatin_off tachykinin_off vasop-oxy_off neurotensin_off
32.14Consensusprostanoid_offOrthosteric Ligandep_off dp_off
32.00Single4EJ4Naltrindole4EJ4-δ-Naltrindole
32.00Single5ZKPSR274175ZKP-PAF-SR27417
32.00Single7CRHSKF839597CRH-D1-SKF83959-Gs/β1/γ2
32.00Single7YK7DC5910537YK7-RXFP4-DC591053-Gi2/β1/γ2
32.00Single8IHJAcifran8IHJ-HCA3-Acifran-Gi1/β1/γ2
32.00Single8J6PNiacin8J6P-HCA2-Niacin-PubChem 25101223-Gi1/β1/γ2
32.00Single8JHNMonomethyl fumarate8JHN-HCA2-Monomethyl fumarate-Go/β1/γ2
32.00Single8JXRLSD8JXR-D1-LSD
32.00Single8K5DGSK2560738K5D-HCA2-GSK256073
32.00Single8T1WCVN4248T1W-GPR6-CVN424
32.00Single8W87METH8W87-TA1-METH-chim(NtGi1L-Gs)/β1/γ2
32.00Single8X17Namodenoson8X17-A3A-Namodenoson-Gi1/β1/γ2
32.00Single8ZSSRO52633978ZSS-TA1-RO5263397-chim(NtGi1-Gs)/β1/γ2
32.00Single9D61JDTic9D61-κ-JDTic-Gi1/β1/γ2
32.00Single9PXWNaloxone9PXW-μ-Naloxone-GDPβS-Gi1/β1/γ2
32.00Single9VMYTMU41429VMY-5-HT1A-TMU4142-Go/β1/γ2
32.00Consensusadenosine_on_gpOrthosteric Liganda1_on_gp a2_on_gp a3_on_gp
32.00Consensusdop_offOrthosteric Ligand4EJ4-δ-Naltrindole
32.00Consensusgi_hcaOrthosteric Ligand8J6R-HCA2-MK6892-Gi1/β1/γ2 8JIM-HCA2-Monomethyl fumarate-Gi1/β1/γ2 8IHI-HCA2-Acifran-Gi1/β1/γ2 8IHH-HCA2-LUF6283-Gi1/β1/γ2 8I7V-HCA2-Acipimox-Gi1/β1/γ2 8I7W-HCA2-GSK256073-Gi1/β1/γ2
32.00Consensusgs_trace-amineOrthosteric Ligand8W88-TA1-SEP-363856-Gs/β1/γ2 8JLJ-TA1-T1AM-chim(NtGi1-Gs)/β1/γ2 8JLO-TA1-Ulotaront-Gs/β1/γ2 8WC4-TA1-ZH8651-chim(NtGi1-Gs)/β1/γ2 8WC7-TA1-ZH8667-chim(NtGi1-Gs)/β1/γ2 8JLR-TA1-A77636-chim(NtGi1-Gs)/β1/γ2 8JSO-TA1-AMPH-chim(NtGi1-Gs)/β1/γ2 8W87-TA1-METH-chim(NtGi1L-Gs)/β1/γ2 8W89-TA1-2-Phenylethylamine-chim(NtGi1L-Gs)/β1/γ2 8JLP-TA1-Ralmitaront-Gs/β1/γ2 8W8A-TA1-RO5256390-chim(NtGi1L-Gs)/β1/γ2
32.00Consensushca2_onOrthosteric Ligand8J6R-HCA2-MK6892-Gi1/β1/γ2 8JIM-HCA2-Monomethyl fumarate-Gi1/β1/γ2 8I7V-HCA2-Acipimox-Gi1/β1/γ2 8I7W-HCA2-GSK256073-Gi1/β1/γ2 8IHH-HCA2-LUF6283-Gi1/β1/γ2 8IHI-HCA2-Acifran-Gi1/β1/γ2
32.00Consensushca2_on_gpOrthosteric Ligand8J6R-HCA2-MK6892-Gi1/β1/γ2 8IHI-HCA2-Acifran-Gi1/β1/γ2 8IHH-HCA2-LUF6283-Gi1/β1/γ2 8I7V-HCA2-Acipimox-Gi1/β1/γ2 8JIM-HCA2-Monomethyl fumarate-Gi1/β1/γ2 8I7W-HCA2-GSK256073-Gi1/β1/γ2
32.00Consensushca_on_gpOrthosteric Ligandhca2_on_gp
31.43Single6WZGSecretin6WZG-Secretin-Secretin-Gs/β1/γ2
31.43Single7KI1Taspoglutide7KI1-GLP-1-Taspoglutide-Gs/β1/γ2
31.43Single8F0KPramlintide Analogue San3858F0K-CT (AMY3)-Pramlintide Analogue San385-Gs/β1/γ2; RAMP3
31.43Single8IY5Endothelin-18IY5-ETB-Endothelin-1-Gi1/β1/γ2
31.43Single9BYOExendin-39BYO-GLP-1-Exendin-3-Gs/β1/γ2
31.43Consensusvip-pacap_onOrthosteric Ligandvpac_on pac_on
31.43Consensusvip-pacap_on_gpOrthosteric Ligandvpac_on_gp pac_on_gp
31.25Single5WB2CX3CL1.355WB2-US28-CX3CL1.35
31.25Single6WI9Secretin6WI9-Secretin-Secretin-Gs/β1/γ2
31.25Single7FIMTirzepatide7FIM-GLP-1-Tirzepatide-Gs/β1/γ2
31.25Single7KH0AVP7KH0-V2-AVP-chim(NtGi1-Gs)/β1/γ2
31.25Single8H4KGW95088H4K-FFA4-GW9508-chim(NtGi1-Gs-CtGq)/β1/γ2
31.25Single8J6IMK68928J6I-HCA2-MK6892-Gi1/β1/γ2
31.25Consensusapelin_onOrthosteric Ligand8XZH-Apelin; Apelin-MM07-Gi1/β1/γ2 7W0M-Apelin-PubChem 122701908-Gi1/β1/γ2 8XZJ-Apelin; Apelin-WN353-Gi1/β1/γ2 8XZF-Apelin; Apelin-WN561-Gi1/β1/γ2 8XZG-Apelin; Apelin-Apelin-13-Gi1/β1/γ2
31.25Consensusapelin_on_gpOrthosteric Ligand8XZH-Apelin; Apelin-MM07-Gi1/β1/γ2 7W0M-Apelin-PubChem 122701908-Gi1/β1/γ2 8XZJ-Apelin; Apelin-WN353-Gi1/β1/γ2 8XZF-Apelin; Apelin-WN561-Gi1/β1/γ2 8XZG-Apelin; Apelin-Apelin-13-Gi1/β1/γ2
31.25Consensusc5a1_on_gpOrthosteric Ligand8HK5-C5a1-C5a-Gi1/β1/γ2 7Y66-C5a1-BM213-Gi1/β1/γ2 7Y67-C5a1-C089 peptide-Gi1/β1/γ2 7Y64-C5a1-C5a-Gi1/β1/γ2
31.03Single5VBLAMG3054 5VBL-Apelin-AMG3054
31.03Single5WF6UK-4320975WF6-A2A-UK-432097
31.03Single6G79Donitriptan6G79-5-HT1B-Donitriptan-Go/β1/γ2
31.03Single6PT3DPI-2876PT3-δ-DPI-287
31.03Single7F8WGastrin-177F8W-CCKB-Gastrin-17-chim(NtGsL-Gq)/β1/γ2
31.03Single7SK9CCX6627SK9-ACKR3-CCX662
31.03Single8QJ2pN1628QJ2-MC4-pN162-Gs/β1/γ2
31.03Single8X3LXWD8X3L-CB2-XWD-Gi1/β1/γ2
31.03Single8X5YAstemizole8X5Y-H1-Astemizole
31.03Single9EAJNanobody AT2099EAJ-AT1-Nanobody AT209
31.03Single9IZASCH9002719IZA-HCA2-SCH900271-Gi1/β1/γ2
31.03Consensuscxcr3_onOrthosteric Ligand8HNK-CXCR3-CXCL11-Gi1/β1/γ2 8HNL-CXCR3-PS372424-Gi1/β1/γ2
31.03Consensuscxcr_on_gpOrthosteric Ligandcxcr3_on_gp cxcr4_on_gp cxcr1_on_gp cxcr2_on_gp
31.03Consensusdop_onOrthosteric Ligand8F7S-δ-Deltorphin-Gi1/β1/γ2
31.03Consensusgq_cckOrthosteric Ligand8IA7-CCKB-Cholecystokinin-8-chim(NtGi1L-Gq)/β1/γ2 7XOW-CCKB-Sulfated Gastrin-(10-17)-chim(NtGi1-Gq)/β1/γ2 7EZM-CCKA-Cholecystokinin-8-chim(NtGsL-Gq)/β1/γ2 7F8W-CCKB-Gastrin-17-chim(NtGsL-Gq)/β1/γ2
30.77Single5C1MBU725C1M-μ-BU72
30.77Single5N2SPSB365N2S-A1-PSB36
30.77Single5OM4PubChem 1355666095OM4-A2A-PubChem 135566609-Na
30.77Single5X7DCarazolol5X7D-β2-Carazolol-PubChem 129318963
30.77Single6D26Fevipiprant6D26-DP2-Fevipiprant
30.77Single7BB7AVP7BB7-V2-AVP-Gs/β1/γ2
30.77Single7CFNINT-7777CFN-GPBA-INT-777-Gs/β1/γ2
30.77Single7EPFNAM5977EPF-mGlu2-NAM597
30.77Single7LD3Adenosine7LD3-A1-Adenosine-MIPS521-Gi2/β1/γ2
30.77Single7SBFPZM217SBF-μ-PZM21-Gi1/β1/γ2
30.77Single8DZQmomSalB8DZQ-κ-momSalB-Go/β1/γ2
30.77Single8I7WGSK2560738I7W-HCA2-GSK256073-Gi1/β1/γ2
30.77Single8QOTNanobody-E8QOT-μ-Nanobody-E
30.77Single8UUJFCH-22964138UUJ-HCA2-FCH-2296413-Gi1/β1/γ2
30.77Single9CIBFCH-22964139CIB-HCA2-FCH-2296413
30.77Single9EAHOlmesartan9EAH-AT1-Olmesartan-Nanobody AT209
30.77Single9EE8Adenosine9EE8-A2A-Adenosine-Gs/β1/γ2
30.77Single9KUVCMPD6449KUV-Apelin-CMPD644-Arrestin2
30.77Single9PXYNaloxone9PXY-μ-Naloxone-GDPβS-Gi1/β1/γ2
30.77Single9VJFBuspirone9VJF-5-HT1A-Buspirone-Gi3/β1/γ2
30.77Consensus5ht2_offOrthosteric Ligand5ht2a_off 5ht2b_off 5ht2c_off
30.77Consensuscb2_onOrthosteric Ligand8GUR-CB2-CP55940-Gi1/β1/γ2 8GUS-CB2-HU-308-Gi1/β1/γ2 8GUT-CB2-LEI-102-Gi1/β1/γ2 6KPF-CB2-AM12033-Gi1/β1/γ2 6PT0-CB2-WIN 55212-2-Gi1/β1/γ2 8GUQ-CB2-Olorinab-Gi1/β1/γ2
30.77Consensuscb2_on_gpOrthosteric Ligand8GUR-CB2-CP55940-Gi1/β1/γ2 8GUS-CB2-HU-308-Gi1/β1/γ2 8GUT-CB2-LEI-102-Gi1/β1/γ2 6KPF-CB2-AM12033-Gi1/β1/γ2 6PT0-CB2-WIN 55212-2-Gi1/β1/γ2 8GUQ-CB2-Olorinab-Gi1/β1/γ2
30.77Consensusd2_onOrthosteric Ligand7JVR-D2-Bromoergocryptine-Gi1/β1/γ2 8IRS-D2-Rotigotine-Gi1/β1/γ2
30.77Consensusdp2_offOrthosteric Ligand6D26-DP2-Fevipiprant
30.77Consensusdp_offOrthosteric Liganddp2_off
30.77Consensuslipid_onOrthosteric Ligandcannabinoid_on ffa_on lpl_on prostanoid_on leukotriene_on
30.77Consensuslipid_on_gpOrthosteric Ligandcannabinoid_on_gp ffa_on_gp lpl_on_gp prostanoid_on_gp leukotriene_on_gp
30.77Consensuspth_onOrthosteric Ligandpth1_on pth2_on
30.77Consensusta1_onOrthosteric Ligand8W87-TA1-METH-chim(NtGi1L-Gs)/β1/γ2 8W89-TA1-2-Phenylethylamine-chim(NtGi1L-Gs)/β1/γ2 8JLP-TA1-Ralmitaront-Gs/β1/γ2 8W8A-TA1-RO5256390-chim(NtGi1L-Gs)/β1/γ2 8W88-TA1-SEP-363856-Gs/β1/γ2 8JLO-TA1-Ulotaront-Gs/β1/γ2 8JLR-TA1-A77636-chim(NtGi1-Gs)/β1/γ2 8JSO-TA1-AMPH-chim(NtGi1-Gs)/β1/γ2 8ZSP-TA1-LSD-chim(NtGi1L-Gs)/β1/γ2
30.77Consensustrace-amine_onOrthosteric Ligandta1_on
30.56Single7DUQGLP-17DUQ-GLP-1-GLP-1-PubChem 156022738-Gs/β1/γ2
30.56Single8U1UCCL18U1U-CCR8-CCL1-Gi1/β1/γ2
30.56Single8ZJETAK4488ZJE-Kiss1-TAK448-chim(NtGi1-Gq)/β1/γ1
30.43Single7TRPLY20332987TRP-M4-Iperoxo-LY2033298-Gi1/β1/γ2
30.30Single6X18GLP-16X18-GLP-1-GLP-1-Gs/β1/γ2
30.30Single7F6IKallidin7F6I-BK2-Kallidin-Gq/β1/γ2
30.30Single7WBJPACAP277WBJ-VPAC1-PACAP27-Gs/β1/γ2
30.30Single7Y64C5a7Y64-C5a1-C5a-Gi1/β1/γ2
30.30Single8E3ZVIP8E3Z-VPAC1-VIP-Gs/β1/γ2
30.30Single8HNKCXCL118HNK-CXCR3-CXCL11-Gi1/β1/γ2
30.30Single9E2AGLP-19E2A-GLP-1-GLP-1-Gs/β1/γ2
30.30Consensuscxcr_offOrthosteric Ligandcxcr3_off cxcr4_off
30.30Consensusgi_apelinOrthosteric Ligand8XZH-Apelin; Apelin-MM07-Gi1/β1/γ2 7W0M-Apelin-PubChem 122701908-Gi1/β1/γ2 8XZJ-Apelin; Apelin-WN353-Gi1/β1/γ2 8XZF-Apelin; Apelin-WN561-Gi1/β1/γ2 8XZG-Apelin; Apelin-Apelin-13-Gi1/β1/γ2
30.30Consensusmc1_onOrthosteric Ligand7F4H-MC1-Afamelanotide-chim(NtGi1-Gs)/β1/γ2 7F4D-MC1-α-MSH-chim(NtGi1-Gs)/β1/γ2 7F4I-MC1-SHU9119-chim(NtGi1-Gs)/β1/γ2
30.30Consensusmc1_on_gpOrthosteric Ligand7F4H-MC1-Afamelanotide-chim(NtGi1-Gs)/β1/γ2 7F4D-MC1-α-MSH-chim(NtGi1-Gs)/β1/γ2 7F4I-MC1-SHU9119-chim(NtGi1-Gs)/β1/γ2
30.00Single4AMJCarvedilol4AMJ-β1-Carvedilol
30.00Single4IARErgotamine4IAR-5-HT1B-Ergotamine
30.00Single4IB4Ergotamine4IB4-5-HT2B-Ergotamine
30.00Single4XT1CX3CL14XT1-US28-CX3CL1
30.00Single7F8XNN90567F8X-CCKA-NN9056
30.00Single7QA8Antagonist Peptide7QA8-STE2; STE2-Antagonist Peptide
30.00Single7QA8Antagonist Peptide7QA8-STE2; STE2-Antagonist Peptide
30.00Single8F7XNociceptin8F7X-NOP-Nociceptin-Gi1/β1/γ2
30.00Single8FYLVilazodone8FYL-5-HT1A-Vilazodone-PtdIns4P-Gi1/β1/γ1
30.00Single8PKMBefiradol8PKM-5-HT1A-Befiradol-Gi1/β1/γ1
30.00Single8ZCJPasireotide8ZCJ-SST5-Pasireotide-Gi1/β1/γ1
30.00Single9L3YChemerin9L3Y-CML2-Chemerin-Gi1/β1/γ2
29.73Single7TZFAmylin7TZF-CT (AMY3)-Amylin-Gs/β1/γ2; RAMP3
29.73Single8FLSAbaloparatide8FLS-PTH1-Abaloparatide-Gs/β1/γ2
29.63Single2YDVNECA2YDV-A2A-NECA
29.63Single4DJHJDTic4DJH-κ-JDTic
29.63Single4UHRCGS216804UHR-A2A-CGS21680
29.63Single5A8E7-Methylcyanopindolol5A8E-β1-7-Methylcyanopindolol-Na
29.63Single5G53NECA5G53-A2A-NECA-Gs
29.63Single6N4BMDMB-Fubinaca6N4B-CB1-MDMB-Fubinaca-Gi1/β1/γ2
29.63Single6OS1TRV0266OS1-AT1-TRV026
29.63Single7E2ZAripiprazole7E2Z-5-HT1A-Aripiprazole-PtdIns4P-Gi1/β1/γ2
29.63Single7PX4PSB-21137PX4-A2A-PSB-2113
29.63Single7T2HLofentanil7T2H-μ-Lofentanil-Gi1/β1/γ2
29.63Single7WVXHumanin7WVX-FPR2-ALX-Humanin-Gi2/β1/γ2
29.63Single7XAVLanreotide7XAV-SST2-Lanreotide-Gi1/β1/γ2
29.63Single7XBDGalanin7XBD-GAL2-Galanin-chim(NtGi2L-Gs-CtGq)/β1/γ2
29.63Single7Y24Octreotide7Y24-SST2-Octreotide-Go/β1/γ2
29.63Single7Y67C089 peptide7Y67-C5a1-C089 peptide-Gi1/β1/γ2
29.63Single7YU7ONO-07405567YU7-LPA1-ONO-0740556-Gi1/β1/γ2
29.63Single8DZPmomSalB8DZP-κ-momSalB-Gi1/β1/γ2
29.63Single8HDOBAY 60-65838HDO-A2B-BAY 60-6583-Gs/β1/γ2
29.63Single8I9LC3a8I9L-C3aB-C3a-Go/β1/γ2
29.63Single8ID6Oleic acid8ID6-FFA4-Oleic acid-Gi1/β1/γ2
29.63Single8IHBGSK2560738IHB-HCA2-GSK256073-Gi1/β1/γ2
29.63Single8IRVRotigotine8IRV-D5-Rotigotine-chim(NtGi1-Gs)/β1/γ2
29.63Single8IYHMK68928IYH-HCA2-MK6892-Go/β1/γ2
29.63Single8JSRAnamorelin8JSR-Ghrelin-Anamorelin-chim(NtGi1-Gs-CtGq)/β1/γ2
29.63Single8JXXClobenpropit8JXX-H4-Clobenpropit-Gi1/β1/γ2
29.63Single8VVEnorBNI8VVE-κ-norBNI-Gi1/β1/γ2
29.63Single8WU1MDMB-Fubinaca8WU1-CB1-MDMB-Fubinaca-Arrestin2
29.63Single8X16Piclidenoson8X16-A3A-Piclidenoson-Gi1/β1/γ2
29.63Single8XZICMF-0198XZI-Apelin; Apelin-CMF-019-Gi1/β1/γ2
29.63Single8YH6Namodenoson8YH6-A3A-Namodenoson-Gi1/β1/γ2
29.63Single9B65MDMB-Fubinaca9B65-CB1-MDMB-Fubinaca-Gi1/β1/γ2
29.63Single9KVPSB2901579KVP-C3aB-SB290157-Go/β1/γ2
29.63Single9WSTDAMGO9WST-μ-DAMGO-chim(NtGi1-Gz)/β1/γ2
29.63Consensusa2_onOrthosteric Liganda2b_on
29.63Consensusa2_on_gpOrthosteric Liganda2b_on_gp
29.63Consensusa2b_onOrthosteric Ligand8HDP-A2B-Adenosine-Gs/β1/γ2 7XY6-A2B-BAY 60-6583-chim(NtGi1-Gs)/β1/γ2 7XY7-A2B-NECA-chim(NtGi1-Gs)/β1/γ2 8HDO-A2B-BAY 60-6583-Gs/β1/γ2
29.63Consensusa2b_on_gpOrthosteric Ligand8HDP-A2B-Adenosine-Gs/β1/γ2 7XY6-A2B-BAY 60-6583-chim(NtGi1-Gs)/β1/γ2 7XY7-A2B-NECA-chim(NtGi1-Gs)/β1/γ2 8HDO-A2B-BAY 60-6583-Gs/β1/γ2
29.63Consensusd5_on_gpOrthosteric Ligand8IRV-D5-Rotigotine-chim(NtGi1-Gs)/β1/γ2
29.63Consensusgi_cannabinoidOrthosteric Ligand8GUR-CB2-CP55940-Gi1/β1/γ2 8GUS-CB2-HU-308-Gi1/β1/γ2 8GUT-CB2-LEI-102-Gi1/β1/γ2 8GUQ-CB2-Olorinab-Gi1/β1/γ2 6KPF-CB2-AM12033-Gi1/β1/γ2 6PT0-CB2-WIN 55212-2-Gi1/β1/γ2 6KPG-CB1-AM841-Gi1/β1/γ2
29.63Consensusgi_dopamineOrthosteric Ligand7JVR-D2-Bromoergocryptine-Gi1/β1/γ2 7CMV-D3-PD128907-Gi1/β1/γ2 7CMU-D3-Pramipexole-Gi1/β1/γ2 8IRS-D2-Rotigotine-Gi1/β1/γ2 8IRT-D3-Rotigotine-Gi1/β1/γ2
29.63Consensusgs_adenosineOrthosteric Ligand8HDP-A2B-Adenosine-Gs/β1/γ2 8HDO-A2B-BAY 60-6583-Gs/β1/γ2 7XY7-A2B-NECA-chim(NtGi1-Gs)/β1/γ2 7XY6-A2B-BAY 60-6583-chim(NtGi1-Gs)/β1/γ2
29.63Consensusgs_nucleotideOrthosteric Ligandgs_adenosine
29.63Consensuskop_offOrthosteric Ligand4DJH-κ-JDTic
29.63Consensusta1_on_gpOrthosteric Ligand8W87-TA1-METH-chim(NtGi1L-Gs)/β1/γ2 8W89-TA1-2-Phenylethylamine-chim(NtGi1L-Gs)/β1/γ2 8JLP-TA1-Ralmitaront-Gs/β1/γ2 8W8A-TA1-RO5256390-chim(NtGi1L-Gs)/β1/γ2 8W88-TA1-SEP-363856-Gs/β1/γ2 8JLO-TA1-Ulotaront-Gs/β1/γ2 8JLR-TA1-A77636-chim(NtGi1-Gs)/β1/γ2 8JSO-TA1-AMPH-chim(NtGi1-Gs)/β1/γ2 8ZSP-TA1-LSD-chim(NtGi1L-Gs)/β1/γ2
29.63Consensustrace-amine_on_gpOrthosteric Ligandta1_on_gp
29.41Single4XT3CX3CL14XT3-US28-CX3CL1
29.41Single6FJ3PTH6FJ3-PTH1-PTH
29.41Single6P9YPACAP276P9Y-PAC1-PACAP27-Gs/β1/γ2
29.41Single7CZ5Somatoliberin7CZ5-GHRH-Somatoliberin-Gs/β1/γ2
29.41Single7D3SSecretin7D3S-Secretin-Secretin-Gs/β1/γ2
29.41Single7RA3GIP7RA3-GIP-GIP-chim(NtGi1-Gs)/β1/γ2
29.41Single7W3ZGastrin Releasing Peptide7W3Z-BB2-Gastrin Releasing Peptide-chim(NtGi1L-Gq)/β1/γ2
29.41Single8JISPeptide-158JIS-GLP-1-Peptide-15-chim(NtGi1-Gs)/β1/γ2
29.41Single8XQFApelin-138XQF-Apelin-Apelin-13-Gi1/β1/γ2
29.41Single9BLWCagrilintide (non-acylated)9BLW-CT (AMY1)-Cagrilintide (non-acylated)-Gs/β1/γ2; RAMP1
29.41Single9J1Pg1:Ox9J1P-GLP-1-g1:Ox-chim(NtGi1-Gs)/β1/γ2
29.27Single7F16TIP397F16-PTH2-TIP39-Gs/β1/γ2
29.27Consensusclass-b1_onOrthosteric Ligandglucagon_on vip-pacap_on pth_on crf_on calcitonin_on
29.27Consensuspth2_on_gpOrthosteric Ligand7F16-PTH2-TIP39-Gs/β1/γ2
29.17Single6AKYMaraviroc6AKY-CCR5-Maraviroc
29.17Single6B73MP11046B73-κ-MP1104
29.17Single8EFOPZM218EFO-μ-PZM21-Gi1/β1/γ2
29.17Single8GGCConstrained Epinephrine8GGC-β2-Constrained Epinephrine-GTP-Gs/β1/γ2
29.17Single8IJANiacin8IJA-HCA2-Niacin-Gi1/β1/γ2
29.17Single8J6LNiacin8J6L-HCA2-Niacin-Gi1/β1/γ2
29.17Single8WC4ZH86518WC4-TA1-ZH8651-chim(NtGi1-Gs)/β1/γ2
29.17Single8WCA2-Phenylethylamine8WCA-TA1-2-Phenylethylamine-chim(NtGi1-Gs)/β1/γ2
29.17Single9J5VCpY9J5V-LPA1-CpY-Gi1/β1/γ2
29.17Single9JKXAcifran9JKX-HCA3-Acifran-Gi1/β1/γ2
29.17Single9PXUNaloxone9PXU-μ-Naloxone-Na
29.17Single9VJEBuspirone9VJE-5-HT1A-Buspirone-Go/β1/γ2
29.03Single6HLOAprepitant6HLO-NK1-Aprepitant
29.03Single7DDZJNJ-310200287DDZ-Y2-JNJ-31020028
29.03Single7VBITirzepatide (non-acylated)7VBI-GLP-1-Tirzepatide (non-acylated)-Gs/β1/γ2
29.03Single8F7SDeltorphin8F7S-δ-Deltorphin-Gi1/β1/γ2
29.03Single8IBVMotilin8IBV-Motilin-Motilin-chim(NtGi1-Gs-CtGq)/β1/γ2
29.03Single9E82CXCL12 (fragment)9E82-ACKR3-CXCL12 (fragment)-Arrestin2
29.03Single9KT7MK68929KT7-HCA2-MK6892-Gi1/β1/γ2
29.03Single9KV6TLQP219KV6-C3aB-TLQP21-Go/β1/γ2
29.03Single9UMXEP549UMX-C5a1-EP54-Go/β1/γ2
29.03Consensuscckb_onOrthosteric Ligand8IA7-CCKB-Cholecystokinin-8-chim(NtGi1L-Gq)/β1/γ2 7XOW-CCKB-Sulfated Gastrin-(10-17)-chim(NtGi1-Gq)/β1/γ2 7F8V-CCKB-Gastrin-17-Gi2/β1/γ2
29.03Consensusdop_on_gpOrthosteric Ligand8F7S-δ-Deltorphin-Gi1/β1/γ2
29.03Consensusghrelin_onOrthosteric Ligand7NA7-Ghrelin-Ghrelin-Gi1/β1/γ2 7F9Z-Ghrelin-GHRP-6-chim(NtGi1-Gs-CtGq)/β1/γ2 7NA8-Ghrelin-Ibutamoren-Gi1/β1/γ2
29.03Consensusghrelin_on_gpOrthosteric Ligand7NA7-Ghrelin-Ghrelin-Gi1/β1/γ2 7F9Z-Ghrelin-GHRP-6-chim(NtGi1-Gs-CtGq)/β1/γ2 7NA8-Ghrelin-Ibutamoren-Gi1/β1/γ2
29.03Consensusgi_ghrelinOrthosteric Ligand7NA7-Ghrelin-Ghrelin-Gi1/β1/γ2 7NA8-Ghrelin-Ibutamoren-Gi1/β1/γ2
29.03Consensusnpy2_offOrthosteric Ligand7DDZ-Y2-JNJ-31020028
28.95Single7VVMPTH7VVM-PTH1-PTH-Gs/β1/γ2
28.95Single9JR2PTH9JR2-PTH1-PTH-chim(NtGi1L-Gs-CtGq)/β1/γ2
28.95Consensuspth1_on_gpOrthosteric Ligand6NBF-PTH1-LA-PTH Analog-Gs/β1/γ2 8HA0-PTH1-PTH-chim(NtGi1-Gs)/β1/γ2 8HAF-PTH1-PTHrP(1-36)-chim(NtGi1-Gs)/β1/γ2 7Y36-PTH1-PTH-Gs/β1/γ2 7Y35-PTH1-Abaloparatide-Gs/β1/γ2
28.57Single4AMIBucindolol4AMI-β1-Bucindolol
28.57Single4Z36ONO-30805734Z36-LPA1-ONO-3080573
28.57Single6C1RPMX536C1R-C5a1-PMX53-Avacopan; Na
28.57Single6DRYMethylergometrine6DRY-5-HT2B-Methylergometrine
28.57Single6ZG4HTL00099366ZG4-M1-HTL0009936
28.57Single7DFPSpiperone7DFP-D2-Spiperone
28.57Single7DH5Mirabegron7DH5-β3-Mirabegron-Gs/β1/γ2
28.57Single7EXDLasmiditan7EXD-5-HT1F-Lasmiditan-Gi1/β1/γ2
28.57Single7F4FAfamelanotide7F4F-MC1-Afamelanotide-chim(NtGi1-Gs)/β1/γ2
28.57Single7FIYTirzepatide7FIY-GIP-Tirzepatide-Gs/β1/γ2
28.57Single7L1UOrexin7L1U-OX2-Orexin-chim(NtGi1-Gs-CtGq)/β1/γ2
28.57Single7L1VPubChem 1554910097L1V-OX2-PubChem 155491009-chim(NtGi1-Gs-CtGq)/β1/γ2
28.57Single7MTRADX551647MTR-mGlu2; mGlu2-Glutamate-ADX55164
28.57Single7S1MExendin-4-D-Ala7S1M-GLP-1-Exendin-4-D-Ala-Gs/β1/γ2
28.57Single7VQXPACAP277VQX-VPAC1-PACAP27-Gs/β1/γ2
28.57Single7W0LPubChem 1227019087W0L-Apelin; Apelin-PubChem 122701908-Gi1/β1/γ2
28.57Single7W0LPubChem 1227019087W0L-Apelin; Apelin-PubChem 122701908-Gi1/β1/γ2
28.57Single7W0NElabela7W0N-Apelin; Apelin-Elabela-Gi1/β1/γ2
28.57Single7WCNAR2314537WCN-GPR119-AR231453-Gs/β1/γ2
28.57Single7YMJTamsulosin7YMJ-Alpha1A-Tamsulosin
28.57Single8G056-OAU8G05-GPR84-6-OAU-Gi1/β1/γ2
28.57Single8HK2C3a8HK2-C3aB-C3a-Gi1/β1/γ2
28.57Single8I9AEP548I9A-C3aB-EP54-chim(NtGi1-Gs-CtGq)/β1/γ2
28.57Single8IA8E7 peptide8IA8-C3aB-E7 peptide-Gi1/β1/γ2
28.57Single8IYWGSK2560738IYW-HCA2-GSK256073-Go/β1/γ2
28.57Single8JJLOlodaterol8JJL-β2-Olodaterol
28.57Single8JJPChemerin-98JJP-CML2-Chemerin-9-Gi1/β1/γ2
28.57Single8W8XBeta-MSH8W8X-MC3-β-MSH-Ca-Gs/β1/γ2
28.57Single8XWMCXCL68XWM-CXCR2-CXCL6
28.57Single8XWSCXCL58XWS-CXCR2-CXCL5
28.57Single9DGIZ85267113509DGI-CB1-Z8526711350
28.57Single9EBIPiclidenoson9EBI-A3A-Piclidenoson-chim(NtGi1L-Gs-CtGi1)/β1/γ2
28.57Single9IZHLPA9IZH-LPA1-LPA-chim(NtGi2-G13)/β1/γ2
28.57Single9KVG5-MeO-DMT9KVG-5-HT1A-5-MeO-DMT-PtdIns4P-Gi1/β1/γ2
28.57Single9KZKC3a (fragment)9KZK-C3aB-C3a (fragment)-Go/β1/γ2
28.57Single9YDQDADLE9YDQ-δ-DADLE-MIPS3614-chim(NtGi1L-Gs-CtGi1)/β1/γ2
28.57Consensus5ht1a_onOrthosteric Ligand8FYT-5-HT1A-LSD-PtdIns4P-Gi1/β1/γ1 7E2Y-5-HT1A-Serotonin-PtdIns4P-Gi1/β1/γ2 7E2Z-5-HT1A-Aripiprazole-PtdIns4P-Gi1/β1/γ2 8FYX-5-HT1A-Buspirone-PtdIns4P-Gi1/β1/γ1 8JSP-5-HT1A-Ulotaront-Gi1/β1/γ2 8JT6-5-HT1A-(R)-IHCH-7179-PtdIns4P-Gi1/β1/γ2 8FY8-5-HT1A-5-MeO-DMT-PtdIns4P-Gi1/β1/γ1 8FYE-5-HT1A-4-F,5-MeO-PyrT-PtdIns4P-Gi1/β1/γ1 8FYL-5-HT1A-Vilazodone-PtdIns4P-Gi1/β1/γ1
28.57Consensus5ht1a_on_gpOrthosteric Ligand8FYT-5-HT1A-LSD-PtdIns4P-Gi1/β1/γ1 8FYX-5-HT1A-Buspirone-PtdIns4P-Gi1/β1/γ1 8JSP-5-HT1A-Ulotaront-Gi1/β1/γ2 8JT6-5-HT1A-(R)-IHCH-7179-PtdIns4P-Gi1/β1/γ2 7E2Y-5-HT1A-Serotonin-PtdIns4P-Gi1/β1/γ2 7E2Z-5-HT1A-Aripiprazole-PtdIns4P-Gi1/β1/γ2 8FY8-5-HT1A-5-MeO-DMT-PtdIns4P-Gi1/β1/γ1 8FYE-5-HT1A-4-F,5-MeO-PyrT-PtdIns4P-Gi1/β1/γ1 8FYL-5-HT1A-Vilazodone-PtdIns4P-Gi1/β1/γ1
28.57Consensus5ht1f_onOrthosteric Ligand7EXD-5-HT1F-Lasmiditan-Gi1/β1/γ2
28.57Consensus5ht1f_on_gpOrthosteric Ligand7EXD-5-HT1F-Lasmiditan-Gi1/β1/γ2
28.57Consensusalpha1_offOrthosteric Ligandalpha1a_off
28.57Consensusalpha1a_offOrthosteric Ligand7YMJ-Alpha1A-Tamsulosin
28.57Consensusbeta3_onOrthosteric Ligand7DH5-β3-Mirabegron-Gs/β1/γ2 7XJH-β3-Isoprenaline-Gs/β1/γ2 7XJI-β3-Solabegron-Gs/β1/γ2
28.57Consensusbeta3_on_gpOrthosteric Ligand7DH5-β3-Mirabegron-Gs/β1/γ2 7XJH-β3-Isoprenaline-Gs/β1/γ2 7XJI-β3-Solabegron-Gs/β1/γ2
28.57Consensuscannabinoid_onOrthosteric Ligandcb2_on cb1_on
28.57Consensuscannabinoid_on_gpOrthosteric Ligandcb2_on_gp cb1_on_gp
28.57Consensusd2_on_gpOrthosteric Ligand7JVR-D2-Bromoergocryptine-Gi1/β1/γ2 8IRS-D2-Rotigotine-Gi1/β1/γ2
28.57Consensusgi_lipidOrthosteric Ligandgi_cannabinoid gi_ffa gi_leukotriene gi_lpa gi_s1p
28.57Consensusglp_onOrthosteric Ligandglp1_on glp2_on
28.57Consensusglp_on_gpOrthosteric Ligandglp1_on_gp glp2_on_gp
28.57Consensuskop_onOrthosteric Ligand8F7W-κ-Dynorphin-Gi1/β1/γ2 8DZS-κ-GR89,696-chim(NtGi2-Gz)/β1/γ2 8DZP-κ-momSalB-Gi1/β1/γ2
28.57Consensuslpa1_offOrthosteric Ligand4Z36-LPA1-ONO-3080573 4Z35-LPA1-ONO-9910539 4Z34-LPA1-ONO-9780307
28.57Consensuslpa_offOrthosteric Ligandlpa1_off
28.57Consensuslpl_offOrthosteric Ligands1p_off lpa_off
28.57Consensusnk1_offOrthosteric Ligand6HLP-NK1-Netupitant 6HLO-NK1-Aprepitant 6HLL-NK1-CP99994 6E59-NK1-L-760735
28.21Single7Y36PTH7Y36-PTH1-PTH-Gs/β1/γ2
28.21Single8FLQPTH8FLQ-PTH1-PTH-Gs/β1/γ2
28.21Consensuspth2_onOrthosteric Ligand7F16-PTH2-TIP39-Gs/β1/γ2
28.12Single3OE0CVX153OE0-CXCR4-CVX15
28.12Single6MEOGp160; CD46MEO-CCR5-Gp160; CD4
28.12Single6VN7PACAP276VN7-VPAC1-PACAP27-Gs/β1/γ2
28.12Single7RYCOxytocin7RYC-OT-Oxytocin-chim(NtGi2L-Gs-CtGq)/β1/γ2
28.12Single7TD0LPA7TD0-LPA1-LPA-Gi1/β1/γ2
28.12Single7W55Neuromedin-U-257W55-NMUR2-Neuromedin-U-25-chim(NtGi1-Gs-CtGq)/β1/γ2
28.12Single9B54VIP369B54-CB1-VIP36-Gi1/β1/γ2
28.12Single9B5YLA-PTH Analog9B5Y-PTH1-LA-PTH Analog-chim(NtGi1-Gq)/β1/γ2
28.12Single9LXRLA-PTH Analog9LXR-PTH1-LA-PTH Analog-Arrestin2
28.12Single9U4WGonadoliberin-19U4W-GnRH1-Gonadoliberin-1-chim(NtGi1L-Gs-CtGq)/β1/γ2
28.12Consensuscckb_on_gpOrthosteric Ligand8IA7-CCKB-Cholecystokinin-8-chim(NtGi1L-Gq)/β1/γ2 7XOW-CCKB-Sulfated Gastrin-(10-17)-chim(NtGi1-Gq)/β1/γ2 7F8V-CCKB-Gastrin-17-Gi2/β1/γ2
28.12Consensusnmur2_onOrthosteric Ligand7W55-NMUR2-Neuromedin-U-25-chim(NtGi1-Gs-CtGq)/β1/γ2
28.12Consensusnmur2_on_gpOrthosteric Ligand7W55-NMUR2-Neuromedin-U-25-chim(NtGi1-Gs-CtGq)/β1/γ2
28.00Single4MBSMaraviroc4MBS-CCR5-Maraviroc
28.00Single4N6HNaltrindole4N6H-δ-Naltrindole-Na
28.00Single6ME32-Phenylmelatonin6ME3-MT1-2-Phenylmelatonin
28.00Single6MH8ZM-2413856MH8-A2A-ZM-241385
28.00Single6U1NLY21196206U1N-M2-LY2119620-Arrestin2
28.00Single6WJCMuscarinic toxin 76WJC-M1-Atropine-Muscarinic toxin 7
28.00Single6ZFZ77-LH-28-16ZFZ-M1-77-LH-28-1
28.00Single6ZG9GSK10347026ZG9-M1-GSK1034702
28.00Single7EJADexmedetomidine7EJA-α2a-Dexmedetomidine-Go/β1/γ2
28.00Single7VUGJNJ-635330547VUG-GPR139-JNJ-63533054-Gi1/β1/γ2
28.00Single8GGSConstrained Epinephrine8GGS-β2-Constrained Epinephrine
28.00Single8GGTConstrained Epinephrine8GGT-β2-Constrained Epinephrine
28.00Single8GUQOlorinab8GUQ-CB2-Olorinab-Gi1/β1/γ2
28.00Single8GURCP559408GUR-CB2-CP55940-Gi1/β1/γ2
28.00Single8IY9Niacin8IY9-HCA2-Niacin-Go/β1/γ2
28.00Single8JEIPubChem 117155568JEI-HCAR3-PubChem 11715556-Gi1/β1/γ2
28.00Single8JIMMonomethyl fumarate8JIM-HCA2-Monomethyl fumarate-Gi1/β1/γ2
28.00Single8JLKUlotaront8JLK-TA1-Ulotaront-chim(NtGi1-Gs)/β1/γ2
28.00Single8RWCStilSwitch28RWC-A2A-StilSwitch2-Na
28.00Single8RWDStilSwitch38RWD-A2A-StilSwitch3-Na
28.00Single8THKA-616038THK-Alpha1A-A-61603-chim(NtGi2L-Gs-CtGq)/β1/γ2
28.00Single8THLEpinephrine8THL-Alpha1A-Epinephrine-chim(NtGi2L-Gs-CtGq)/β1/γ2
28.00Single8UO0Constrained Epinephrine8UO0-β2-Constrained Epinephrine-GTP-Gs/β1/γ2
28.00Single8W88SEP-3638568W88-TA1-SEP-363856-Gs/β1/γ2
28.00Single8Y45ADL58598Y45-δ-ADL5859-Gi2/β1/γ2
28.00Single8YH2Adenosine8YH2-A3A-Adenosine-Gi1/β1/γ2
28.00Single8ZPNAMD31008ZPN-CXCR4-AMD3100
28.00Single9JH3CMF-0199JH3-Apelin; Apelin-CMF-019-Gi1/β1/γ2
28.00Single9PXVNaloxone9PXV-μ-Naloxone-Gi1/β1/γ2
28.00Single9PY2Loperamide9PY2-μ-Loperamide-GDPβS-Gi1/β1/γ2
28.00Single9VNFPindolol9VNF-5-HT1A-Pindolol-Go/β1/γ2
28.00Consensusadenosine_onOrthosteric Liganda1_on a2_on a3_on
28.00Consensusalpha1_onOrthosteric Ligandalpha1a_on
28.00Consensusalpha1_on_gpOrthosteric Ligandalpha1a_on_gp
28.00Consensusalpha1a_onOrthosteric Ligand7EJ0-α2a-Norepinephrine-Go/β1/γ2 7EJ8-α2a-Brimonidine-Go/β1/γ2 7EJA-α2a-Dexmedetomidine-Go/β1/γ2 7EJK-α2a-Oxymetazoline-Go/β1/γ2 7W6P-α2a-N-pyridin-4-ylisoquinolin-4-amine-Go/β1/γ2 7W7E-α2a-PubChem 164946676-Go/β1/γ2
28.00Consensusalpha1a_on_gpOrthosteric Ligand7EJ0-α2a-Norepinephrine-Go/β1/γ2 7EJ8-α2a-Brimonidine-Go/β1/γ2 7EJA-α2a-Dexmedetomidine-Go/β1/γ2 7EJK-α2a-Oxymetazoline-Go/β1/γ2 7W6P-α2a-N-pyridin-4-ylisoquinolin-4-amine-Go/β1/γ2 7W7E-α2a-PubChem 164946676-Go/β1/γ2
28.00Consensuscxcr2_onOrthosteric Ligand6LFM-CXCR2-CXCL8-Gi1/β1/γ2
28.00Consensusgi_adenosineOrthosteric Ligand7LD4-A1-Adenosine-Gi2/β1/γ2 8X17-A3A-Namodenoson-Gi1/β1/γ2 8X16-A3A-Piclidenoson-Gi1/β1/γ2
28.00Consensushca_onOrthosteric Ligandhca2_on
27.91Consensuspth_on_gpOrthosteric Ligandpth1_on_gp pth2_on_gp
27.78Single6NBHLA-PTH Analog6NBH-PTH1-LA-PTH Analog-Gs/β1/γ2
27.78Single7D68GLP-27D68-GLP-2-GLP-2-Gs/β1/γ2
27.78Single7TS0Urocortin7TS0-CRF2-Urocortin-chim(NtGi1L-Go)/β1/γ2
27.78Single7TYLAmylin7TYL-CT-Amylin-Gs/β1/γ2
27.78Single7VVJPTHrP(1-36)7VVJ-PTH1-PTHrP(1-36)-Gs/β1/γ2
27.78Single7VVLPTH7VVL-PTH1-PTH-Gs/β1/γ2
27.78Single8HAFPTHrP(1-36)8HAF-PTH1-PTHrP(1-36)-chim(NtGi1-Gs)/β1/γ2
27.78Single8Y52BA18Y52-BB3-BA1-chim(NtGi1-Gs-CtGq)/β1/γ2
27.78Consensuspth1_onOrthosteric Ligand6NBF-PTH1-LA-PTH Analog-Gs/β1/γ2 8HA0-PTH1-PTH-chim(NtGi1-Gs)/β1/γ2 8HAF-PTH1-PTHrP(1-36)-chim(NtGi1-Gs)/β1/γ2 7Y36-PTH1-PTH-Gs/β1/γ2 7Y35-PTH1-Abaloparatide-Gs/β1/γ2
27.59Single2YCZIodocyanopindolol2YCZ-β1-Iodocyanopindolol
27.59Single4BVNCyanopindolol4BVN-β1-Cyanopindolol-Na
27.59Single4NC3Ergotamine4NC3-5-HT2B-Ergotamine
27.59Single4Z35ONO-99105394Z35-LPA1-ONO-9910539
27.59Single5UNGPubChem 157800525UNG-AT2-PubChem 15780052
27.59Single5X93K-87945X93-ETB-K-8794
27.59Single6BQGErgotamine6BQG-5-HT2C-Ergotamine
27.59Single6BQHRitanserin6BQH-5-HT2C-Ritanserin
27.59Single6IBLArformoterol6IBL-β1-Arformoterol
27.59Single6TKOArformoterol6TKO-β1-Arformoterol-Arrestin2
27.59Single6UP7Neurotensin-(8-13)6UP7-NTS1-Neurotensin-(8-13)-Arrestin2
27.59Single7EZHCholecystokinin-87EZH-CCKA-Cholecystokinin-8-Gi1/β1/γ2
27.59Single7LLLExendin-47LLL-GLP-1-Exendin-4-Gs/β1/γ2
27.59Single7WVVfMLFII7WVV-FPR2-ALX-fMLFII-Gi2/β1/γ2
27.59Single7X2DTavapadon7X2D-D1-Tavapadon-Gs/β1/γ2
27.59Single7YU8ONO-07405567YU8-LPA1-ONO-0740556-Gi1/β1/γ2
27.59Single8E9X2-Deoxycytidine8E9X-M4-2-Deoxycytidine-chim(NtGi1-Go)/β1/γ2
27.59Single8E9YClozapine-N-oxide8E9Y-M3-Clozapine-N-oxide-chim(NtGi2L-Gs-CtGq)/β1/γ2
27.59Single8FX5Xanomeline8FX5-M4-Xanomeline-Xanomeline-Gi1/β1/γ2
27.59Single8GAGZ85267113508GAG-CB1-Z8526711350-Gi1/β1/γ2
27.59Single8GUTLEI-1028GUT-CB2-LEI-102-Gi1/β1/γ2
27.59Single8J19LY2378J19-GPR84-LY237-Gi1/β1/γ2
27.59Single8K2XCXCL108K2X-CXCR3-CXCL10-Gi1/β1/γ2
27.59Single8WRZAM8418WRZ-CB1-AM841-Arrestin2
27.59Single8XWFCXCL38XWF-CXCR2-CXCL3
27.59Single8XWVCXCL18XWV-CXCR2-CXCL1-Go/β1/γ2
27.59Single9CGJC6-Quino9CGJ-δ-C6-Quino-Gi1/β1/γ2
27.59Single9HYIDP819HYI-5-HT1A-DP81-Gi1/β1/γ2
27.59Single9KV8TLQP219KV8-C3aB-TLQP21-Go/β1/γ2
27.59Single9KWXC5a-des-Arg9KWX-C5a1-C5a-des-Arg-Go/β1/γ2
27.59Single9VI9RFRP-39VI9-NPFF1-RFRP-3-Gi1/β1/γ2
27.59Single9YDPDADLE9YDP-δ-DADLE-chim(NtGi1L-Gs-CtGi1)/β1/γ2
27.59Single9YDRDADLE9YDR-δ-DADLE-MIPS3983-chim(NtGi1L-Gs-CtGi1)/β1/γ2
27.59Consensus5ht2c_offOrthosteric Ligand6BQH-5-HT2C-Ritanserin
27.59Consensuscb1_on_gpOrthosteric Ligand6KPG-CB1-AM841-Gi1/β1/γ2 8K8J-CB1-Fenofibrate-chim(Gs-CtGq)/β1/γ2
27.59Consensuscck_onOrthosteric Ligandccka_on cckb_on
27.59Consensuscck_on_gpOrthosteric Ligandccka_on_gp cckb_on_gp
27.59Consensusccka_onOrthosteric Ligand7EZH-CCKA-Cholecystokinin-8-Gi1/β1/γ2
27.59Consensusccka_on_gpOrthosteric Ligand7EZH-CCKA-Cholecystokinin-8-Gi1/β1/γ2
27.59Consensusgi_s1pOrthosteric Ligand7VIE-S1P1-S1P-Gi1/β1/γ2 7EW3-S1P3-S1P-Gi1/β1/γ2 7EVY-S1P1-Siponimod-Gi1/β1/γ2 7EW1-S1P5-Siponimod-Gi1/β1/γ2 7VIF-S1P1-FTY720-P-Gi1/β1/γ2 7VIG-S1P1-CBP-307-Gi1/β1/γ2 7EVZ-S1P1-Cenerimod-Gi1/β1/γ2 7EW4-S1P3-CYM-5541-Gi1/β1/γ2 7EW2-S1P3-FTY720-P-Gi1/β1/γ2 7EW0-S1P1-Ozanimod-Gi1/β1/γ2 7EW7-S1P1-SEW2871-Gi1/β1/γ2
27.59Consensusnk2_onOrthosteric Ligand7XWO-NK2-Neurokinin-A-chim(NtGi1-Gs-CtGq)/β1/γ2
27.27Single6M1IPACAP276M1I-PAC1-PACAP27-Gs/β1/γ2
27.27Single6METGp160; CD46MET-CCR5-Gp160; CD4
27.27Single7F4HAfamelanotide7F4H-MC1-Afamelanotide-chim(NtGi1-Gs)/β1/γ2
27.27Single7W40Bombesin7W40-BB2-Bombesin-chim(NtGi1L-Gq)/β1/γ2
27.27Single7W57Neuromedin-S7W57-NMUR2-Neuromedin-S-chim(NtGi1-Gs-CtGq)/β1/γ2
27.27Single8HA0PTH8HA0-PTH1-PTH-chim(NtGi1-Gs)/β1/γ2
27.27Single8XZJWN3538XZJ-Apelin; Apelin-WN353-Gi1/β1/γ2
27.27Single9EBOGLP-1 (ACPC18)9EBO-GLP-1-GLP-1 (ACPC18)-Gs/β1/γ2
27.27Consensusp2y_on_gpOrthosteric Ligandp2y1_on_gp p2y10_on_gp p2y12_on_gp
27.03Single7TYXAmylin7TYX-CT (AMY2)-Amylin-Gs/β1/γ2; RAMP2
26.92Single3EMLZM-2413853EML-A2A-ZM-241385
26.92Single3NY8ICI118-5513NY8-β2-ICI118-551
26.92Single4EA3PubChem 102965614EA3-NOP-PubChem 10296561
26.92Single4GBRCarazolol4GBR-β2-Carazolol
26.92Single4QKXPubChem 762106284QKX-β2-PubChem 76210628
26.92Single5DHHSB-6121115DHH-NOP-SB-612111
26.92Single5K2AZM-2413855K2A-A2A-ZM-241385-Na
26.92Single5OLZPubChem 1355666095OLZ-A2A-PubChem 135566609-Na
26.92Single5OM1PubChem 1355666095OM1-A2A-PubChem 135566609-Na
26.92Single5VRAZM-2413855VRA-A2A-ZM-241385-Na
26.92Single6KPFAM120336KPF-CB2-AM12033-Gi1/β1/γ2
26.92Single6S0LZM-2413856S0L-A2A-ZM-241385
26.92Single6TOTLemborexant6TOT-OX1-Lemborexant
26.92Single7CFMP3957CFM-GPBA-P395-Gs/β1/γ2
26.92Single7JVQApomorphine7JVQ-D1-Apomorphine-Gs/β1/γ2
26.92Single7LJCSKF812977LJC-D1-SKF81297-Mevidalen-Gs/β1/γ2
26.92Single7SCGFH2107SCG-μ-FH210-Gi1/β1/γ2
26.92Single7TRQVU04671547TRQ-M4-Iperoxo-VU0467154-Gi1/β1/γ2
26.92Single7V3ZCP559407V3Z-CB1-CP55940
26.92Single7VKTLTB47VKT-BLT1-LTB4-Gi1/β1/γ2
26.92Single7WQ3Galanin7WQ3-GAL1-Galanin-Gi1/β1/γ2
26.92Single8CU6LJ-45178CU6-A2A-LJ-4517
26.92Single8CU7LJ-45178CU7-A2A-LJ-4517-Na
26.92Single8DZSGR89,6968DZS-κ-GR89,696-chim(NtGi2-Gz)/β1/γ2
26.92Single8EFQDAMGO8EFQ-μ-DAMGO-Gi1/β1/γ2
26.92Single8GE9Constrained Epinephrine8GE9-β2-Constrained Epinephrine-Gs/β1/γ2
26.92Single8I7VAcipimox8I7V-HCA2-Acipimox-Gi1/β1/γ2
26.92Single8IRTRotigotine8IRT-D3-Rotigotine-Gi1/β1/γ2
26.92Single8JIINiacin8JII-HCA2-Niacin-PubChem 25101223-Gi1/β1/γ2
26.92Single8JLJT1AM8JLJ-TA1-T1AM-chim(NtGi1-Gs)/β1/γ2
26.92Single8PJKST1718PJK-5-HT1A-ST171-Gi1/β1/γ1
26.92Single8RW7StilSwitch18RW7-A2A-StilSwitch1-Na
26.92Single8UNVConstrained Epinephrine8UNV-β2-Constrained Epinephrine-GTP-Gs/β1/γ2
26.92Single8UNZConstrained Epinephrine8UNZ-β2-Constrained Epinephrine-GTP-Gs/β1/γ2
26.92Single8UO2Constrained Epinephrine8UO2-β2-Constrained Epinephrine-GTP-Gs/β1/γ2
26.92Single8W8ARO52563908W8A-TA1-RO5256390-chim(NtGi1L-Gs)/β1/γ2
26.92Single8XVKAmbrisentan8XVK-ETA-Ambrisentan
26.92Single8Y71A1D6F8Y71-δ-A1D6F-BMS986187-Gi1/β1/γ2
26.92Single8ZBEOctreotide8ZBE-SST5-Octreotide-Gi1/β1/γ1
26.92Single9BQJRO769BQJ-μ-RO76-Gi1/β1/γ2
26.92Single9CBMDexmedetomidine9CBM-α2a-Dexmedetomidine-Gi1/β1/γ2
26.92Single9CHXCarazolol9CHX-β2-Carazolol
26.92Single9EPP11,20-Ethanoretinal9EPP-Rhodopsin-11,20-Ethanoretinal-chim(Gi1-CtGq)/β1/γ2
26.92Single9H37PubChem 1756706469H37-A2A-PubChem 175670646-Na
26.92Single9IZCMK19039IZC-HCA2-MK1903-Gi1/β1/γ2
26.92Single9P1SZM-2413859P1S-A2A-ZM-241385
26.92Single9PLNPubChem 1682595949PLN-α2a-PubChem 168259594
26.92Single9PLOPubChem 1682595949PLO-α2a-PubChem 168259594-Go/β1/γ2
26.92Consensusa3_onOrthosteric Liganda3a_on
26.92Consensusalicarboxylic_on_gpOrthosteric Ligandsuccinate_on_gp hca_on_gp
26.92Consensusalpha_onOrthosteric Ligandalpha1_on alpha2_on
26.92Consensusblt1_onOrthosteric Ligand7VKT-BLT1-LTB4-Gi1/β1/γ2
26.92Consensusblt1_on_gpOrthosteric Ligand7VKT-BLT1-LTB4-Gi1/β1/γ2
26.92Consensusblt_onOrthosteric Ligandblt1_on
26.92Consensusblt_on_gpOrthosteric Ligandblt1_on_gp
26.92Consensusd5_onOrthosteric Ligand8IRV-D5-Rotigotine-chim(NtGi1-Gs)/β1/γ2
26.92Consensusdopamine_offOrthosteric Ligandd2_off d3_off
26.92Consensusgal1_onOrthosteric Ligand7WQ3-GAL1-Galanin-Gi1/β1/γ2
26.92Consensusgal1_on_gpOrthosteric Ligand7WQ3-GAL1-Galanin-Gi1/β1/γ2
26.92Consensusgi_alicarboxylicOrthosteric Ligandgi_hca gi_succinate
26.92Consensusgi_galaninOrthosteric Ligand7WQ3-GAL1-Galanin-Gi1/β1/γ2
26.92Consensusgi_leukotrieneOrthosteric Ligand7VKT-BLT1-LTB4-Gi1/β1/γ2
26.92Consensusleukotriene_onOrthosteric Ligandblt_on
26.92Consensusleukotriene_on_gpOrthosteric Ligandblt_on_gp
26.83Consensusmc2_onOrthosteric Ligand8GY7-MC2-Corticotropin-Ca-chim(NtGi1-Gs)/β1/γ2; MRAP1
26.83Consensusmc2_on_gpOrthosteric Ligand8GY7-MC2-Corticotropin-Ca-chim(NtGi1-Gs)/β1/γ2; MRAP1
26.67Single5ZTYAM102575ZTY-CB2-AM10257
26.67Single6C1QPMX536C1Q-C5a1-PMX53-NDT9513727
26.67Single6OS9JMV4496OS9-NTS1-JMV449-Gi1/β1/γ2
26.67Single8IA7Cholecystokinin-88IA7-CCKB-Cholecystokinin-8-chim(NtGi1L-Gq)/β1/γ2
26.67Single8XX6CXCL88XX6-CXCR2-CXCL8-Go/β1/γ2
26.67Single8XZFWN5618XZF-Apelin; Apelin-WN561-Gi1/β1/γ2
26.67Single8Y72Peptide8Y72-μ-Peptide-BMS-986122-Gi1/β1/γ2
26.67Single9CGKC5-Quino9CGK-δ-C5-Quino-Gi1/β1/γ2
26.67Single9V2NMacimorelin9V2N-Ghrelin-Macimorelin-chim(NtGi1-Gs-CtGq)/β1/γ2
26.67Consensuscb2_offOrthosteric Ligand5ZTY-CB2-AM10257
26.67Consensusclass-b1_on_gpOrthosteric Ligandglucagon_on_gp vip-pacap_on_gp pth_on_gp crf_on_gp calcitonin_on_gp
26.67Consensuscxcr4_offOrthosteric Ligand4RWS-CXCR4-vMIP-II 3OE0-CXCR4-CVX15 3OE6-CXCR4-IT1t
26.67Consensuss1p_onOrthosteric Ligands1p1_on s1p3_on s1p5_on
26.67Consensuss1p_on_gpOrthosteric Ligands1p1_on_gp s1p3_on_gp s1p5_on_gp
26.47Single7F9YGhrelin7F9Y-Ghrelin-Ghrelin-chim(NtGi1-Gs-CtGq)/β1/γ2
26.47Single7LLYOxyntomodulin7LLY-GLP-1-Oxyntomodulin-Gs/β1/γ2
26.47Single7P02Substance-P7P02-NK1-Substance-P-chim(NtGi1-Gs)/β1/γ2
26.47Single7QBIAlpha-factor mating pheromone7QBI-STE2; STE2-α-factor mating pheromone
26.47Single8HK5C5a8HK5-C5a1-C5a-Gi1/β1/γ2
26.47Single8XVIEndothelin-18XVI-ETA-Endothelin-1-chim(Gs-CtGq)/β1/γ2
26.47Single8ZPSPrRP208ZPS-PrRP-PrRP20-chim(NtGi1-Gs-CtGi1)/β1/γ2
26.47Consensusvpac_onOrthosteric Ligandvpac1_on vpac2_on
26.32Single8F2APramlintide Analogue San3858F2A-CT (AMY3)-Pramlintide Analogue San385-Gs/β1/γ2; RAMP3
26.32Single8FLULA-PTH Analog8FLU-PTH1-LA-PTH Analog-Gs/β1/γ2
26.32Consensusmelanocortin_onOrthosteric Ligandmc1_on mc4_on mc2_on mc3_on mc5_on
26.32Consensusmelanocortin_on_gpOrthosteric Ligandmc1_on_gp mc4_on_gp mc2_on_gp mc3_on_gp mc5_on_gp
26.09Single3OE6IT1t3OE6-CXCR4-IT1t
26.09Single6OIKLY21196206OIK-M2-Iperoxo-LY2119620-chim(NtGi1-Go)/β1/γ2
26.09Single7EJKOxymetazoline7EJK-α2a-Oxymetazoline-Go/β1/γ2
26.09Single8GGEConstrained Epinephrine8GGE-β2-Constrained Epinephrine-GTP-Gs/β1/γ2
25.93Single2RH1Carazolol2RH1-β2-Carazolol
25.93Single2YCWCarazolol2YCW-β1-Carazolol
25.93Single4RWDDIPP-NH24RWD-δ-DIPP-NH2-Na
25.93Single5D6LCarazolol5D6L-β2-Carazolol
25.93Single5IUAQ274563485IUA-A2A-Q27456348-Na
25.93Single5NM2ZM-2413855NM2-A2A-ZM-241385-Na
25.93Single5WIUNemonapride5WIU-D4-Nemonapride
25.93Single5WIVNemonapride5WIV-D4-Nemonapride-Na
25.93Single6GDGNECA6GDG-A2A-NECA-Gs/β1/γ1
25.93Single6KPCAM120336KPC-CB2-AM12033
25.93Single6LFMCXCL86LFM-CXCR2-CXCL8-Gi1/β1/γ2
25.93Single6LPLZM-2413856LPL-A2A-ZM-241385-Na
25.93Single6ME62-Phenylmelatonin6ME6-MT2-2-Phenylmelatonin
25.93Single6ME72-Phenylmelatonin6ME7-MT2-2-Phenylmelatonin
25.93Single6S0QZM-2413856S0Q-A2A-ZM-241385
25.93Single6TO7Suvorexant6TO7-OX1-Suvorexant-Na
25.93Single6WQAZM-2413856WQA-A2A-ZM-241385-Na
25.93Single7C61Ergotamine7C61-5-HT1B-Ergotamine
25.93Single7EUOfMLF7EUO-FPR1-ALX-fMLF-Gi1/β1/γ2
25.93Single7RM5ZM-2413857RM5-A2A-ZM-241385-Na
25.93Single7VUHJNJ-635330547VUH-GPR139-JNJ-63533054-chim(Gs-CtGq)/β1/γ2
25.93Single7VV4Cortistatin-147VV4-MRGPRX2-Cortistatin-14
25.93Single7WC6LSD7WC6-5-HT2A-LSD
25.93Single7WIGL-0542647WIG-SST2-L-054264-Gi1/β1/γ2
25.93Single7X1TTaltirelin7X1T-TRH-Taltirelin-chim(NtGi2L-Gs-CtGq)/β1/γ2
25.93Single7XKAConstrained Epinephrine7XKA-β2-Constrained Epinephrine
25.93Single7Y26Octreotide7Y26-SST2-Octreotide-chim(NtGi2L-Gs-CtGq)/β1/γ2
25.93Single7YU3ONO-07405567YU3-LPA1-ONO-0740556-Gi1/β1/γ2
25.93Single7YU6ONO-07405567YU6-LPA1-ONO-0740556-Gi1/β1/γ2
25.93Single8DZRGR89,6968DZR-κ-GR89,696-chim(NtGi2-Gt3)/β1/γ2
25.93Single8EFBOliceridine8EFB-μ-Oliceridine-Gi1/β1/γ2
25.93Single8FYNZM-2413858FYN-A2A-ZM-241385-Na
25.93Single8GDZConstrained Epinephrine8GDZ-β2-Constrained Epinephrine-Gs/β1/γ2
25.93Single8GEBConstrained Epinephrine8GEB-β2-Constrained Epinephrine-Gs/β1/γ2
25.93Single8GEGConstrained Epinephrine8GEG-β2-Constrained Epinephrine-Gs/β1/γ2
25.93Single8GGBConstrained Epinephrine8GGB-β2-Constrained Epinephrine-GTP-Gs/β1/γ2
25.93Single8GNEKW-63568GNE-A2A-KW-6356-Na
25.93Single8JXSPF-61428JXS-D1-PF-6142
25.93Single8S4DCMF-0198S4D-Apelin-CMF-019
25.93Single8TF5Oleic acid8TF5-GPR6-Oleic acid
25.93Single8TH4Losartan8TH4-AT1-Losartan-AT118-L Nanobody
25.93Single8UNNConstrained Epinephrine8UNN-β2-Constrained Epinephrine-GTP-Gs/β1/γ2
25.93Single8UNPConstrained Epinephrine8UNP-β2-Constrained Epinephrine-GTP-Gs/β1/γ2
25.93Single8XYKVUF106618XYK-CXCR3-VUF10661-Go/β1/γ2
25.93Single8YH0NECA8YH0-A3A-NECA-Gi1/β1/γ2
25.93Single8YICSAR2477998YIC-S1P1-SAR247799-Gi1/β1/γ2
25.93Single8ZPTPrRP208ZPT-PrRP-PrRP20-chim(NtGi1-Gs-CtGq)/β1/γ2
25.93Single9AYFCa; Ca; Ca; Cyclomethyltryptophan; R-568; PO49AYF-CaS; CaS-Ca-Ca; Ca; Ca; Cyclomethyltryptophan; R-568; PO4-Gi1/β1/γ2
25.93Single9F33FOB02-04A9F33-D3-FOB02-04A-Go/β1/γ2
25.93Single9I52A1IZU9I52-D1-A1IZU-Gs/β1/γ2
25.93Single9IYBPGD29IYB-DP2-PGD2-A1D5Q-Gi1/β1/γ2
25.93Single9KT6Acifran9KT6-HCA3-Acifran-Gi1/β1/γ2
25.93Consensusa3_on_gpOrthosteric Liganda3a_on_gp
25.93Consensusa3a_onOrthosteric Ligand8X17-A3A-Namodenoson-Gi1/β1/γ2 8X16-A3A-Piclidenoson-Gi1/β1/γ2
25.93Consensusa3a_on_gpOrthosteric Ligand8X17-A3A-Namodenoson-Gi1/β1/γ2 8X16-A3A-Piclidenoson-Gi1/β1/γ2
25.93Consensusadenosine_offOrthosteric Liganda1_off a2_off
25.93Consensusalpha_offOrthosteric Ligandalpha1_off alpha2_off
25.93Consensusalpha_on_gpOrthosteric Ligandalpha1_on_gp alpha2_on_gp
25.93Consensusamine_offOrthosteric Ligand5ht_off adrenergic_off dopamine_off histamine_off muscarinic_off
25.93Consensusamine_offonOrthosteric Ligandamine_off amine_on
25.93Consensusamine_offon_gpOrthosteric Ligandamine_on_gp amine_off
25.93Consensusamine_onOrthosteric Ligand5ht_on adrenergic_on dopamine_on histamine_on muscarinic_on trace-amine_on
25.93Consensusbeta2_offOrthosteric Ligand2RH1-β2-Carazolol 6PS3-β2-Carvedilol 6PS5-β2-Propranolol 3D4S-β2-Timolol 3NY8-β2-ICI118-551 3NY9-β2-PubChem 913103 6PRZ-β2-Alprenolol
25.93Consensusbeta_offOrthosteric Ligandbeta1_off beta2_off
25.93Consensuscxcr2_on_gpOrthosteric Ligand6LFM-CXCR2-CXCL8-Gi1/β1/γ2
25.93Consensusd4_onOrthosteric Ligand8IRU-D4-Rotigotine-chim(NtGi1-Gs-CtGi1)/β1/γ2
25.93Consensusgi_adrenergicOrthosteric Ligand7EJ0-α2a-Norepinephrine-Go/β1/γ2 7EJK-α2a-Oxymetazoline-Go/β1/γ2 7W7E-α2a-PubChem 164946676-Go/β1/γ2 7W6P-α2a-N-pyridin-4-ylisoquinolin-4-amine-Go/β1/γ2 7EJ8-α2a-Brimonidine-Go/β1/γ2 6K42-α2b-Dexmedetomidine-Gi1/β1/γ2 7EJA-α2a-Dexmedetomidine-Go/β1/γ2 7S0F-β1-Isoprenaline-Gi1/β1/γ2
25.93Consensusgs_amineOrthosteric Ligandgs_5ht gs_adrenergic gs_dopamine gs_histamine gs_trace-amine
25.93Consensuss1p_offOrthosteric Ligands1p1_off s1p5_off
25.81Single5UNFPubChem 157800525UNF-AT2-PubChem 15780052
25.81Single7F4ISHU91197F4I-MC1-SHU9119-chim(NtGi1-Gs)/β1/γ2
25.81Single7L0RNeurotensin-(8-13)7L0R-NTS1-Neurotensin-(8-13)-Gi1/β1/γ1
25.81Single7VLACCL15(27-92)7VLA-CCR1-CCL15(27-92)-Gi1/β1/γ2
25.81Single7W2ZGhrelin7W2Z-Ghrelin-Ghrelin-Go/β1/γ2
25.81Single8DCRDobutamine8DCR-β1-Dobutamine-Gs/β1/γ2
25.81Single8GHVAMG3158GHV-CB1-AMG315-Gi1/β1/γ2
25.81Single8XWNCXCL88XWN-CXCR2-CXCL8
25.81Single8YWFRetatrutide8YWF-GLP-1-Retatrutide-chim(NtGi1-Gs)/β1/γ2
25.81Single8ZJDKisspeptin-18ZJD-Kiss1-Kisspeptin-1-chim(NtGi1-Gq)/β1/γ1
25.81Single9J0IUDP-Glucuronic acid9J0I-P2Y14-UDP-Glucuronic acid-Gi1/β1/γ2
25.81Single9M4TSilodosin9M4T-Alpha1A-Silodosin
25.81Single9MEJGp1209MEJ-CXCR4-Gp120
25.81Consensusccr1_onOrthosteric Ligand7VLA-CCR1-CCL15(27-92)-Gi1/β1/γ2
25.81Consensusccr1_on_gpOrthosteric Ligand7VLA-CCR1-CCL15(27-92)-Gi1/β1/γ2
25.81Consensusgi_nucleotideOrthosteric Ligandgi_adenosine gi_p2y
25.81Consensusgq_kisspeptinOrthosteric Ligand8ZJD-Kiss1-Kisspeptin-1-chim(NtGi1-Gq)/β1/γ1
25.81Consensuskiss1_on_gpOrthosteric Ligand8ZJD-Kiss1-Kisspeptin-1-chim(NtGi1-Gq)/β1/γ1
25.81Consensuskisspeptin_on_gpOrthosteric Ligandkiss1_on_gp
25.81Consensuslpl_onOrthosteric Ligands1p_on lpa_on
25.81Consensuslpl_on_gpOrthosteric Ligands1p_on_gp lpa_on_gp
25.81Consensusp2y_onOrthosteric Ligandp2y1_on p2y10_on p2y12_on
25.71Single7KI0Semaglutide7KI0-GLP-1-Semaglutide-Gs/β1/γ2
25.71Single7QBIAlpha-factor mating pheromone7QBI-STE2; STE2-α-factor mating pheromone
25.71Single7SK3CXCL127SK3-ACKR3-CXCL12
25.71Single7VABTirzepatide (non-acylated)7VAB-GIP-Tirzepatide (non-acylated)-chim(NtGi1-Gs)/β1/γ2
25.71Single9BLBCagrilintide (non-acylated)9BLB-CT-Cagrilintide (non-acylated)-Gs/β1/γ2
25.71Single9BP3Cagrilintide9BP3-CT (AMY1)-Cagrilintide-Gs/β1/γ2; RAMP1
25.71Consensuspac1_onOrthosteric Ligand8E3X-PAC1-PACAP27-Gs/β1/γ2 6M1H-PAC1-Maxadilan-Gs/β1/γ2
25.71Consensuspac1_on_gpOrthosteric Ligand8E3X-PAC1-PACAP27-Gs/β1/γ2 6M1H-PAC1-Maxadilan-Gs/β1/γ2
25.71Consensusvpac1_on_gpOrthosteric Ligand8E3Z-VPAC1-VIP-Gs/β1/γ2
25.71Consensusvpac_on_gpOrthosteric Ligandvpac1_on_gp vpac2_on_gp
25.64Single6WPWZP37806WPW-Glucagon-ZP3780-Gs/β1/γ2
25.64Single8JIRSAR4258998JIR-GLP-1-SAR425899-chim(NtGi1-Gs)/β1/γ2
25.64Consensuscrf_on_gpOrthosteric Ligandcrf2_on_gp crf1_on_gp
25.64Consensusglp1_on_gpOrthosteric Ligand7S1M-GLP-1-Exendin-4-D-Ala-Gs/β1/γ2 7X8R-GLP-1-BOC5-Gs/β1/γ2 6X19-GLP-1-CHU-128-Gs/β1/γ2 6X1A-GLP-1-Danuglipron-Gs/β1/γ2 6X18-GLP-1-GLP-1-Gs/β1/γ2 8JIP-GLP-1-MEDI0382-chim(NtGi1-Gs)/β1/γ2 7C2E-GLP-1-PubChem 149050799-Gs/β1/γ2 7KI0-GLP-1-Semaglutide-Gs/β1/γ2 7KI1-GLP-1-Taspoglutide-Gs/β1/γ2 7X8S-GLP-1-WB4-24-Gs/β1/γ2 8JIS-GLP-1-Peptide-15-chim(NtGi1-Gs)/β1/γ2 7VBI-GLP-1-Tirzepatide (non-acylated)-Gs/β1/γ2
25.00Single3OE9IT1t3OE9-CXCR4-IT1t
25.00Single4IAQDihydroergotamine4IAQ-5-HT1B-Dihydroergotamine
25.00Single4LDLHydroxybenzyl Isoproterenol4LDL-β2-Hydroxybenzyl Isoproterenol
25.00Single4U15Tiotropium4U15-M3-Tiotropium
25.00Single4Z34ONO-97803074Z34-LPA1-ONO-9780307
25.00Single5D5ACarazolol5D5A-β2-Carazolol
25.00Single5D5BCarazolol5D5B-β2-Carazolol
25.00Single5V54Methiothepin5V54-5-HT1B-Methiothepin
25.00Single5XR8AM120335XR8-CB1-AM12033
25.00Single5ZKBAF-DX 3845ZKB-M2-AF-DX 384
25.00Single6B3JExendin-P56B3J-GLP-1-Exendin-P5-Gs/β1/γ2
25.00Single6NI3BI1671076NI3-β2-BI167107-Gs/β1/γ2
25.00Single6OL9Tiotropium6OL9-M5-Tiotropium
25.00Single6TQ7SB-3348676TQ7-OX1-SB-334867
25.00Single6Z8NSRI-98296Z8N-NTS1-SRI-9829
25.00Single7DTYGIP7DTY-GIP-GIP-Gs/β1/γ2
25.00Single7EW1Siponimod7EW1-S1P5-Siponimod-Gi1/β1/γ2
25.00Single7EW7SEW28717EW7-S1P1-SEW2871-Gi1/β1/γ2
25.00Single7F53Alpha-MSH7F53-MC4-α-MSH-Gs/β1/γ2
25.00Single7FEECP559407FEE-CB1-CP55940-ZCZ011
25.00Single7JVPSKF839597JVP-D1-SKF83959-Gs/β1/γ2
25.00Single7QBCAlpha-factor mating pheromone7QBC-STE2; STE2-α-factor mating pheromone
25.00Single7S8MCortistatin-147S8M-MRGPRX2-Cortistatin-14-Gi1/β1/γ2
25.00Single7T96LY21196207T96-M2-Acetylcholine-LY2119620-Go/β1/γ2
25.00Single7TD1LPA7TD1-LPA1-LPA-Gi1/β1/γ2
25.00Single7TUYGSK682753A7TUY-GPR183-GSK682753A
25.00Single7TYYCalcitonin-17TYY-CT (AMY2)-Calcitonin-1-Gs/β1/γ2; RAMP2
25.00Single7U2LC5-guano7U2L-μ-C5-guano-Gi1/β1/γ2
25.00Single7VVKPTH7VVK-PTH1-PTH-Gs/β1/γ2
25.00Single7W6PN-pyridin-4-ylisoquinolin-4-amine7W6P-α2a-N-pyridin-4-ylisoquinolin-4-amine-Go/β1/γ2
25.00Single7W7EPubChem 1649466767W7E-α2a-PubChem 164946676-Go/β1/γ2
25.00Single7WV9CP559407WV9-CB1-CP55940-ZCZ011-Gi2/β1/γ2
25.00Single7XOWSulfated Gastrin-(10-17)7XOW-CCKB-Sulfated Gastrin-(10-17)-chim(NtGi1-Gq)/β1/γ2
25.00Single7XWONeurokinin-A7XWO-NK2-Neurokinin-A-chim(NtGi1-Gs-CtGq)/β1/γ2
25.00Single7XY7NECA7XY7-A2B-NECA-chim(NtGi1-Gs)/β1/γ2
25.00Single7YFDImetit7YFD-H4-Imetit-chim(NtGi1-Gs-CtGq)/β1/γ2
25.00Single7YU5ONO-07405567YU5-LPA1-ONO-0740556-Gi1/β1/γ2
25.00Single8DCSCyanopindolol8DCS-β1-Cyanopindolol-Gs/β1/γ2
25.00Single8F2BPramlintide Analogue San458F2B-CT (AMY3)-Pramlintide Analogue San45-Gs/β1/γ2; RAMP3
25.00Single8FU6ZP37808FU6-Glucagon-ZP3780-Gs/β1/γ2
25.00Single8H2GNiacin8H2G-HCA2-Niacin-Gi1/β1/γ2
25.00Single8HAOPTH8HAO-PTH1-PTH-chim(NtGi1-Gs)/β1/γ2
25.00Single8HN8Histamine8HN8-H4-Histamine-Gi1/β1/γ2
25.00Single8ID39-Hydroxystearic acid8ID3-FFA4-9-Hydroxystearic acid-Gi1/β1/γ2
25.00Single8IHIAcifran8IHI-HCA2-Acifran-Gi1/β1/γ2
25.00Single8IRRRotigotine8IRR-D1-Rotigotine-Gs/β1/γ2
25.00Single8IRURotigotine8IRU-D4-Rotigotine-chim(NtGi1-Gs-CtGi1)/β1/γ2
25.00Single8JBHSubstance-P8JBH-NK3-Substance-P-chim(NtGi1-Gs-CtGq)/β1/γ2
25.00Single8JILNiacin8JIL-HCA2-Niacin-Gi1/β1/γ2
25.00Single8JLOUlotaront8JLO-TA1-Ulotaront-Gs/β1/γ2
25.00Single8JXVClozapine8JXV-H4-Clozapine-Gi1/β1/γ2
25.00Single8JXWVUF68848JXW-H4-VUF6884-Gi1/β1/γ2
25.00Single8K5BNiacin8K5B-HCA2-Niacin
25.00Single8UO3Constrained Epinephrine8UO3-β2-Constrained Epinephrine-GTP; Mg-Gs/β1/γ2
25.00Single8W892-Phenylethylamine8W89-TA1-2-Phenylethylamine-chim(NtGi1L-Gs)/β1/γ2
25.00Single8XVLZibotentan8XVL-ETA-Zibotentan
25.00Single8XX7CXCL58XX7-CXCR2-CXCL5-Go/β1/γ2
25.00Single8ZSVRO52633978ZSV-TA1-RO5263397-chim(NtGi1-Gs)/β1/γ2
25.00Single9BS9LSD9BS9-D2-LSD
25.00Single9BSBLSD9BSB-D2-LSD-chim(NtGi1-Go)/β1/γ2
25.00Single9EGOZ85267113509EGO-CB1-Z8526711350-Gi1/β1/γ2
25.00Single9IJDCarazolol9IJD-β3-Carazolol-chim(NtGi1-Gs)/β1/γ2
25.00Single9IQRMuscarinic toxin 39IQR-α2a-Muscarinic toxin 3
25.00Single9IQTNiacin9IQT-HCA2-Niacin-Gi1/β1/γ2
25.00Single9IZGLPA9IZG-LPA1-LPA-chim(NtGi1-Gs-CtGq)/β1/γ2
25.00Single9J0FNADH9J0F-P2Y14-NADH-Gi1/β1/γ2
25.00Single9JR3PTH9JR3-PTH1-PTH-chim(NtGi1L-Gs-CtGq)/β1/γ2
25.00Single9KUXCMPD6449KUX-Apelin; Apelin-CMPD644-Arrestin2
25.00Single9L16CCL219L16-CCR7-CCL21
25.00Single9L42Histamine9L42-H4-Histamine-Gi1/β1/γ2
25.00Single9PY3Loperamide9PY3-μ-Loperamide-GDPβS-Gi1/β1/γ2
25.00Single9PY4Loperamide9PY4-μ-Loperamide-GDPβS-Gi1/β1/γ2
25.00Single9UY3Anamorelin9UY3-Ghrelin-Anamorelin-chim(NtGi1-Gs-CtGq)/β1/γ2
25.00Consensus5ht1_offOrthosteric Ligand5ht1b_off
25.00Consensus5ht1b_offOrthosteric Ligand5V54-5-HT1B-Methiothepin
25.00Consensus5ht_offOrthosteric Ligand5ht2_off 5ht1_off
25.00Consensusamine_on_gpOrthosteric Ligand5ht_on_gp adrenergic_on_gp dopamine_on_gp histamine_on_gp muscarinic_on_gp trace-amine_on_gp
25.00Consensusbeta1_offOrthosteric Ligand2VT4-β1-Cyanopindolol 2YCW-β1-Carazolol 2YCZ-β1-Iodocyanopindolol 5A8E-β1-7-Methylcyanopindolol-Na 3ZPQ-β1-PubChem 594590-Na 3ZPR-β1-PubChem 598754-Na
25.00Consensusbeta2_onOrthosteric Ligand7DHI-β2-Salbutamol-Gs/β1/γ2 6NI3-β2-BI167107-Gs/β1/γ2
25.00Consensusbeta2_on_gpOrthosteric Ligand7DHI-β2-Salbutamol-Gs/β1/γ2 6NI3-β2-BI167107-Gs/β1/γ2
25.00Consensusclass-a_offOrthosteric Ligandsensory_off alicarboxylic_off amine_off lipid_off nucleotide_off peptide_off protein_off
25.00Consensusd1_on_gpOrthosteric Ligand7F0T-D1-Dopamine-Gs/β1/γ2 7CKY-D1-PW0464-Gs/β1/γ2 8IRR-D1-Rotigotine-Gs/β1/γ2 7JV5-D1-SKF81297-Gs/β1/γ2 7JVP-D1-SKF83959-Gs/β1/γ2 7X2D-D1-Tavapadon-Gs/β1/γ2 7CKX-D1-A77636-Gs/β1/γ2 7JVQ-D1-Apomorphine-Gs/β1/γ2 7CKW-D1-Fenoldopam-Gs/β1/γ2
25.00Consensusd4_on_gpOrthosteric Ligand8IRU-D4-Rotigotine-chim(NtGi1-Gs-CtGi1)/β1/γ2
25.00Consensusgi_5htOrthosteric Ligand8FYT-5-HT1A-LSD-PtdIns4P-Gi1/β1/γ1 7UM7-5-HT5A-Methylergometrine-chim(NtGi1-Go)/β1/γ2 8UGY-5-HT1E-Mianserin-Gi1/β1/γ1 8W8B-5-HT1A-SEP-363856-Gi1/β1/γ2 7E2Y-5-HT1A-Serotonin-PtdIns4P-Gi1/β1/γ2 7E32-5-HT1D-Serotonin-Gi1/β1/γ2 7XTA-5-HT4-Serotonin-Gi1/β1/γ2 8UH3-5-HT1E-Setiptiline-Gi1/β1/γ1 8JSP-5-HT1A-Ulotaront-Gi1/β1/γ2 8FYL-5-HT1A-Vilazodone-PtdIns4P-Gi1/β1/γ1 8JT6-5-HT1A-(R)-IHCH-7179-PtdIns4P-Gi1/β1/γ2 8FYE-5-HT1A-4-F,5-MeO-PyrT-PtdIns4P-Gi1/β1/γ1 7X5H-5-HT5A-5-CT-Gi1/β1/γ2 8FY8-5-HT1A-5-MeO-DMT-PtdIns4P-Gi1/β1/γ1 7E2Z-5-HT1A-Aripiprazole-PtdIns4P-Gi1/β1/γ2 7E33-5-HT1E-BRL-54443-Gi1/β1/γ2 8FYX-5-HT1A-Buspirone-PtdIns4P-Gi1/β1/γ1 7EXD-5-HT1F-Lasmiditan-Gi1/β1/γ2 7UM6-5-HT5A-Lisuride-chim(NtGi1-Go)/β1/γ2
25.00Consensusgi_lpaOrthosteric Ligand7TD1-LPA1-LPA-Gi1/β1/γ2 7YU3-LPA1-ONO-0740556-Gi1/β1/γ2
25.00Consensusglucagon_onOrthosteric Ligandglp_on gluc_on secretin_on gip_on
25.00Consensusgs_adrenergicOrthosteric Ligand7DHI-β2-Salbutamol-Gs/β1/γ2 7XJI-β3-Solabegron-Gs/β1/γ2 7JJO-β1-Isoprenaline-Gs/β1/γ2 6NI3-β2-BI167107-Gs/β1/γ2 8DCR-β1-Dobutamine-Gs/β1/γ2 7XJH-β3-Isoprenaline-Gs/β1/γ2 7DH5-β3-Mirabegron-Gs/β1/γ2
25.00Consensusgs_dopamineOrthosteric Ligand7F0T-D1-Dopamine-Gs/β1/γ2 7CKW-D1-Fenoldopam-Gs/β1/γ2 7CKY-D1-PW0464-Gs/β1/γ2 8IRV-D5-Rotigotine-chim(NtGi1-Gs)/β1/γ2 8IRR-D1-Rotigotine-Gs/β1/γ2 7JV5-D1-SKF81297-Gs/β1/γ2 7JVP-D1-SKF83959-Gs/β1/γ2 7X2D-D1-Tavapadon-Gs/β1/γ2 7CKX-D1-A77636-Gs/β1/γ2 7JVQ-D1-Apomorphine-Gs/β1/γ2
25.00Consensush4_onOrthosteric Ligand8HN8-H4-Histamine-Gi1/β1/γ2 8HOC-H4-Imetit-Gi1/β1/γ2 8JXV-H4-Clozapine-Gi1/β1/γ2 8JXW-H4-VUF6884-Gi1/β1/γ2 8JXX-H4-Clobenpropit-Gi1/β1/γ2
25.00Consensush4_on_gpOrthosteric Ligand8HN8-H4-Histamine-Gi1/β1/γ2 8HOC-H4-Imetit-Gi1/β1/γ2 8JXV-H4-Clozapine-Gi1/β1/γ2 8JXW-H4-VUF6884-Gi1/β1/γ2 8JXX-H4-Clobenpropit-Gi1/β1/γ2
25.00Consensuslpa_onOrthosteric Ligandlpa1_on
25.00Consensuslpa_on_gpOrthosteric Ligandlpa1_on_gp
25.00Consensusm5_offOrthosteric Ligand6OL9-M5-Tiotropium
25.00Consensusmotilin_onOrthosteric Ligand8IBU-Motilin-Erythromycin-A-chim(NtGi1-Gs-CtGq)/β1/γ2
25.00Consensusmuscarinic_offOrthosteric Ligandm2_off m3_off m4_off m5_off m1_off
25.00Consensusnk2_on_gpOrthosteric Ligand7XWO-NK2-Neurokinin-A-chim(NtGi1-Gs-CtGq)/β1/γ2
25.00Consensusprotein_offOrthosteric Ligandchemokine_off grh_off
25.00Consensuss1p3_on_gpOrthosteric Ligand7EW3-S1P3-S1P-Gi1/β1/γ2 7EW4-S1P3-CYM-5541-Gi1/β1/γ2 7EW2-S1P3-FTY720-P-Gi1/β1/γ2
25.00Consensuss1p5_onOrthosteric Ligand7EW1-S1P5-Siponimod-Gi1/β1/γ2
25.00Consensuss1p5_on_gpOrthosteric Ligand7EW1-S1P5-Siponimod-Gi1/β1/γ2
25.00Consensussecretin_on_gpOrthosteric Ligand7D3S-Secretin-Secretin-Gs/β1/γ2
25.00Consensustachykinin_offOrthosteric Ligandnk1_off
24.39Single6E3YCalcitonin gene-related peptide-16E3Y-CT Like-Calcitonin gene-related peptide-1-Gs/β1/γ2; RAMP1
24.39Consensusglucagon_on_gpOrthosteric Ligandglp_on_gp gluc_on_gp secretin_on_gp gip_on_gp
24.32Single5VAIGLP-15VAI-GLP-1-GLP-1-Gs/β1/γ2
24.32Single6LMLGlucagon6LML-Glucagon-Glucagon-Gi1/β1/γ1
24.32Single7QBCAlpha-factor mating pheromone7QBC-STE2; STE2-α-factor mating pheromone
24.32Single8FLTM-PTH(1-14)8FLT-PTH1-M-PTH(1-14)-Gs/β1/γ2
24.32Single9BQ3Cagrilintide9BQ3-CT (AMY2)-Cagrilintide-Gs/β1/γ2; RAMP2
24.32Consensusgs_melanocortinOrthosteric Ligand7F4H-MC1-Afamelanotide-chim(NtGi1-Gs)/β1/γ2 7F54-MC4-Afamelanotide-Gs/β1/γ2 7F4D-MC1-α-MSH-chim(NtGi1-Gs)/β1/γ2 8INR-MC5-α-MSH-Ca-chim(NtGi1-Gs)/β1/γ2 7F53-MC4-α-MSH-Gs/β1/γ2 7F55-MC4-Bremelanotide-Gs/β1/γ2 8GY7-MC2-Corticotropin-Ca-chim(NtGi1-Gs)/β1/γ2; MRAP1 8IOC-MC3-γ-MSH-Ca-chim(NtGi1-Gs)/β1/γ2 8IOD-MC5-PG-901-Ca-chim(NtGi1-Gs)/β1/γ2 7AUE-MC4-Setmelanotide-chim(NtGi1L-Gs)/β1/γ2 7F4I-MC1-SHU9119-chim(NtGi1-Gs)/β1/γ2 7F58-MC4-THIQ-Gs/β1/γ2
24.24Single6UUNAdrenomedullin6UUN-CT Like (AM1)-Adrenomedullin-Gs/β1/γ2; RAMP2
24.24Single7F4DAlpha-MSH7F4D-MC1-α-MSH-chim(NtGi1-Gs)/β1/γ2
24.24Single8XZGApelin-138XZG-Apelin; Apelin-Apelin-13-Gi1/β1/γ2
24.24Single8XZHMM078XZH-Apelin; Apelin-MM07-Gi1/β1/γ2
24.24Single8YFOAc-LA-PTH Analog8YFO-PTH1-Ac-LA-PTH Analog-chim(NtGi1-Gs)/β1/γ2
24.24Single9IVMGLP-1 (Truncated)9IVM-GLP-1-GLP-1 (Truncated)-LSN3318839-chim(NtGi1-Gs)/β2/γ2
24.14Single2YCXCyanopindolol2YCX-β1-Cyanopindolol
24.14Single3D4STimolol3D4S-β2-Timolol
24.14Single5CXVTiotropium5CXV-M1-Tiotropium
24.14Single5F8UCyanopindolol5F8U-β1-Cyanopindolol
24.14Single6CM4Risperidone6CM4-D2-Risperidone
24.14Single6H7NXamoterol6H7N-β1-Xamoterol
24.14Single6H7OCyanopindolol6H7O-β1-Cyanopindolol
24.14Single6KQICP559406KQI-CB1-CP55940-Org27569
24.14Single6MXTSalmeterol6MXT-β2-Salmeterol
24.14Single6OSAJMV4496OSA-NTS1-JMV449-Gi1/β1/γ2
24.14Single6VMSBromoergocryptine6VMS-D2-Bromoergocryptine-Gi1/β1/γ2
24.14Single6XBLCholesterol6XBL-SMO-SAG-Cholesterol-Gi1/β1/γ2
24.14Single7EO4Siponimod7EO4-S1P1-Siponimod-Gi1/β1/γ2
24.14Single7SUSPubChem 1227019087SUS-Apelin-PubChem 122701908
24.14Single7XMTJ-21567XMT-SST4-J-2156-Gi1/β1/γ2
24.14Single8FYE4-F,5-MeO-PyrT8FYE-5-HT1A-4-F,5-MeO-PyrT-PtdIns4P-Gi1/β1/γ1
24.14Single8FYTLSD8FYT-5-HT1A-LSD-PtdIns4P-Gi1/β1/γ1
24.14Single8IBUErythromycin-A8IBU-Motilin-Erythromycin-A-chim(NtGi1-Gs-CtGq)/β1/γ2
24.14Single8ID9Icosapent8ID9-FFA4-Icosapent-Gi1/β1/γ2
24.14Single8JJ8Arformoterol8JJ8-β2-Arformoterol
24.14Single8JPCNeurotensin-(8-13)8JPC-NTS1-Neurotensin-(8-13)-SBI-553; GDP; Mg-Gq; GRK2
24.14Single8JWY2-1188JWY-A2A-2-118
24.14Single8JWZEtrumadenant8JWZ-A2A-Etrumadenant-Na
24.14Single8T3QDoconexent8T3Q-FFA4-Doconexent-chim(NtGi2L-Gs-CtGq)/β1/γ2
24.14Single8U26Substance-P8U26-NK1-Substance-P-Gs/β1/γ2
24.14Single8XWACXCL18XWA-CXCR2-CXCL1
24.14Single8XX3CXCL38XX3-CXCR2-CXCL3-Go/β1/γ2
24.14Single8XYIVUF106618XYI-CXCR3-VUF10661
24.14Single8Y6WTUG-13758Y6W-FFA2-TUG-1375-4-CMTB-Gi1/β1/γ2
24.14Single9GGGI-BOP9GGG-TXA2-I-BOP-chim(NtGi2L-Gs-CtGq)/β1/γ2
24.14Single9GL2Befiradol9GL2-5-HT1A-Befiradol-Gs/β1/γ2
24.14Single9M4QDoxazosin9M4Q-Alpha1A-Doxazosin
24.14Single9M8POleic monoethanolamide9M8P-GPR3 ; GPR3-Oleic monoethanolamide-AF64394
24.14Single9VJ6F-155999VJ6-5-HT1A-F-15599-Gi3/β1/γ2
24.14Single9WSWEndomorphin9WSW-μ-Endomorphin-chim(NtGi1-Gz)/β1/γ2
24.14Consensusbeta_onOrthosteric Ligandbeta1_on beta2_on beta3_on
24.14Consensusbeta_on_gpOrthosteric Ligandbeta1_on_gp beta2_on_gp beta3_on_gp
24.14Consensuscannabinoid_offOrthosteric Ligandcb2_off cb1_off
24.14Consensuscb1_onOrthosteric Ligand6KPG-CB1-AM841-Gi1/β1/γ2 8K8J-CB1-Fenofibrate-chim(Gs-CtGq)/β1/γ2
24.14Consensusccr8_onOrthosteric Ligand8KFX-CCR8-LMD-009-Gi1/β1/γ2 8KFY-CCR8-ZK-756326-Gi1/β1/γ2 8U1U-CCR8-CCL1-Gi1/β1/γ2
24.14Consensuscxcr_onOrthosteric Ligandcxcr3_on cxcr4_on cxcr1_on cxcr2_on
24.14Consensusgi_amineOrthosteric Ligandgi_5ht gi_muscarinic gi_adrenergic gi_dopamine gi_histamine
24.14Consensusgi_neurotensinOrthosteric Ligand6OSA-NTS1-JMV449-Gi1/β1/γ2 7L0S-NTS1-Neurotensin-(8-13)-Gi1/β1/γ1
24.14Consensusleukotriene_offOrthosteric Ligandblt_off cyslt_off
24.14Consensuslipid_offonOrthosteric Ligandlipid_off lipid_on
24.14Consensuslipid_offon_gpOrthosteric Ligandlipid_on_gp lipid_off
24.14Consensusm1_offOrthosteric Ligand5CXV-M1-Tiotropium
24.14Consensusmotilin_on_gpOrthosteric Ligand8IBU-Motilin-Erythromycin-A-chim(NtGi1-Gs-CtGq)/β1/γ2
24.14Consensusneurotensin_on_gpOrthosteric Ligandnts1_on_gp
24.14Consensusnts1_on_gpOrthosteric Ligand6OSA-NTS1-JMV449-Gi1/β1/γ2 7L0S-NTS1-Neurotensin-(8-13)-Gi1/β1/γ1
24.14Consensuss1p1_onOrthosteric Ligand7VIE-S1P1-S1P-Gi1/β1/γ2 7VIF-S1P1-FTY720-P-Gi1/β1/γ2 7VIG-S1P1-CBP-307-Gi1/β1/γ2 7EVY-S1P1-Siponimod-Gi1/β1/γ2 7EVZ-S1P1-Cenerimod-Gi1/β1/γ2 7EW0-S1P1-Ozanimod-Gi1/β1/γ2 7EW7-S1P1-SEW2871-Gi1/β1/γ2
24.14Consensuss1p1_on_gpOrthosteric Ligand7VIE-S1P1-S1P-Gi1/β1/γ2 7VIF-S1P1-FTY720-P-Gi1/β1/γ2 7VIG-S1P1-CBP-307-Gi1/β1/γ2 7EVY-S1P1-Siponimod-Gi1/β1/γ2 7EVZ-S1P1-Cenerimod-Gi1/β1/γ2 7EW0-S1P1-Ozanimod-Gi1/β1/γ2 7EW7-S1P1-SEW2871-Gi1/β1/γ2
24.00Single3ODUIT1t3ODU-CXCR4-IT1t
24.00Single3V2WPubChem 518926453V2W-S1P1-PubChem 51892645
24.00Single4BWBNeurotensin-(8-12)4BWB-NTS1-Neurotensin-(8-12)
24.00Single5ZKQABT-4915ZKQ-PAF-ABT-491
24.00Single6AKXA4R6AKX-CCR5-A4R
24.00Single6KUYPubChem 1457046436KUY-α2a-PubChem 145704643
24.00Single7LD4Adenosine7LD4-A1-Adenosine-Gi2/β1/γ2
24.00Single7T8XAcetylcholine7T8X-M2-Acetylcholine-chim(NtGi1-Go)/β1/γ2
24.00Single7T90Acetylcholine7T90-M2-Acetylcholine-chim(NtGi1-Go)/β1/γ2
24.00Single7T96Acetylcholine7T96-M2-Acetylcholine-LY2119620-Go/β1/γ2
24.00Single7TUZ7-alpha,25-dihydroxycholesterol7TUZ-GPR183-7-α,25-dihydroxycholesterol-Gi1/β1/γ2
24.00Single7W0OElabela7W0O-Apelin-Elabela-Gi1/β1/γ2
24.00Single7X2CFenoldopam7X2C-D1-Fenoldopam-Fenoldopam-Gs/β1/γ2
24.00Single7YM8Oxymetazoline7YM8-Alpha1A-Oxymetazoline-chim(Gs-CtGq)
24.00Single7YMHNorepinephrine7YMH-Alpha1A-Norepinephrine-chim(Gs-CtGq)
24.00Single8FYXBuspirone8FYX-5-HT1A-Buspirone-PtdIns4P-Gi1/β1/γ1
24.00Single8GGAConstrained Epinephrine8GGA-β2-Constrained Epinephrine-GTP-Gs/β1/γ2
24.00Single8GGRConstrained Epinephrine8GGR-β2-Constrained Epinephrine
24.00Single8GGWConstrained Epinephrine8GGW-β2-Constrained Epinephrine
24.00Single8GGZConstrained Epinephrine8GGZ-β2-Constrained Epinephrine
24.00Single8GH0Constrained Epinephrine8GH0-β2-Constrained Epinephrine
24.00Single8GNGIstradefylline8GNG-A2A-Istradefylline
24.00Single8HOCImetit8HOC-H4-Imetit-Gi1/β1/γ2
24.00Single8IJBAcipimox8IJB-HCA2-Acipimox-Gi1/β1/γ2
24.00Single8JSOAMPH8JSO-TA1-AMPH-chim(NtGi1-Gs)/β1/γ2
24.00Single8RVWStilSwitch38RVW-A2A-StilSwitch3-Na
24.00Single8RW4AzoSwitch28RW4-A2A-AzoSwitch2-Na
24.00Single8RWEStilSwitch48RWE-A2A-StilSwitch4-Na
24.00Single8UTDMK19038UTD-HCA2-MK1903-Gi1/β1/γ2
24.00Single8WC3SEP-3638568WC3-TA1-SEP-363856-chim(NtGi1-Gs)/β1/γ2
24.00Single8XXXCXCL68XXX-CXCR2-CXCL6-Go/β1/γ2
24.00Single8Y0HVUF114188Y0H-CXCR3-VUF11418
24.00Single8Y0NVUF114188Y0N-CXCR3-VUF11418-Go/β1/γ2
24.00Single8YNAImmepip8YNA-H4-Immepip-Gi1/β1/γ2
24.00Single8Z87CHBA8Z87-HCA1-CHBA-Gi1/β1/γ2
24.00Single9FUPIstradefylline9FUP-A2A-Istradefylline-Na
24.00Single9KVHCinobufotenine9KVH-5-HT1A-Cinobufotenine-PtdIns4P-Gi1/β1/γ2
24.00Single9MQJIsoquinuclidine9MQJ-μ-Isoquinuclidine
24.00Single9VJ5Gepirone9VJ5-5-HT1A-Gepirone-Go/β1/γ2
24.00Consensusa1_onOrthosteric Ligand7LD4-A1-Adenosine-Gi2/β1/γ2
24.00Consensusa1_on_gpOrthosteric Ligand7LD4-A1-Adenosine-Gi2/β1/γ2
24.00Consensusm2_onOrthosteric Ligand7T8X-M2-Acetylcholine-chim(NtGi1-Go)/β1/γ2
24.00Consensusm2_on_gpOrthosteric Ligand7T8X-M2-Acetylcholine-chim(NtGi1-Go)/β1/γ2
24.00Consensuspaf_offOrthosteric Ligand5ZKQ-PAF-ABT-491
24.00Consensuss1p1_offOrthosteric Ligand3V2W-S1P1-PubChem 51892645
23.53Single7WUIIP157WUI-ADGRG2-IP15-chim(NtGi1-Gs)/β1/γ2
23.53Single8IEDPubChem 1347468948IED-GPR156; GPR156-PubChem 134746894-Go/β1/γ2
23.53Single8YW3Retatrutide8YW3-GLP-1-Retatrutide-Gs/β1/γ2
23.53Single8YW4Retatrutide8YW4-GIP-Retatrutide-chim(NtGi1-Gs)/β1/γ2
23.40Single8GY7Corticotropin8GY7-MC2-Corticotropin-Ca-chim(NtGi1-Gs)/β1/γ2; MRAP1
23.33Single6DDFDAMGO6DDF-μ-DAMGO-Gi1/β1/γ2
23.33Single6H7LDobutamine6H7L-β1-Dobutamine
23.33Single6K1QIRL25006K1Q-ETB-IRL2500
23.33Single7EVZCenerimod7EVZ-S1P1-Cenerimod-Gi1/β1/γ2
23.33Single7EW0Ozanimod7EW0-S1P1-Ozanimod-Gi1/β1/γ2
23.33Single7U2KC6-guano7U2K-μ-C6-guano-Gi1/β1/γ2
23.33Single7VGY2-Iodomelatonin7VGY-MT1-2-Iodomelatonin-Gi1/β1/γ2
23.33Single7VVNPTH7VVN-PTH1-PTH-Gs/β1/γ2
23.33Single7X8RBOC57X8R-GLP-1-BOC5-Gs/β1/γ2
23.33Single8ID8TUG-8918ID8-FFA4-TUG-891-Gi1/β1/γ2
23.33Single8IULLatanoprost8IUL-FP-alpha-Latanoprost-chim(NtGi1-Gs-CtGq)/β1/γ2
23.33Single8JPFNeurotensin-(8-13)8JPF-NTS1-Neurotensin-(8-13)-SBI-553
23.33Single8K4OCXCL18K4O-KSHV-CXCL1-Gi1/β1/γ1
23.33Single8S2TIsoprenaline8S2T-β1-Isoprenaline-chim(NtGi1-Gs)/β1/γ2
23.33Single8XVJMacitentan8XVJ-ETA-Macitentan
23.33Single8ZWGJR14a8ZWG-C3aB-JR14a-Gi1/β1/γ2
23.33Single9AS02-bromo-LSD9AS0-5-HT2A-2-bromo-LSD-chim(NtGi1-Gs-CtGq)/β1/γ2
23.33Single9DYEBuspirone9DYE-5-HT1A-Buspirone-PtdIns4P-Go/β1/γ2
23.33Single9EAILosartan9EAI-AT1-Losartan-Nanobody AT209
23.33Single9IZFLPA9IZF-LPA1-LPA-Gi1/β1/γ2
23.33Single9J0BUDP-Glucose9J0B-P2Y14-UDP-Glucose-Gi1/β1/γ2
23.33Single9WP9S1P9WP9-S1P3-S1P-chim(NtGi2L-Gs-CtGq)/β1/γ2
23.33Consensusbeta1_onOrthosteric Ligand8DCR-β1-Dobutamine-Gs/β1/γ2 7S0F-β1-Isoprenaline-Gi1/β1/γ2
23.33Consensusbeta1_on_gpOrthosteric Ligand8DCR-β1-Dobutamine-Gs/β1/γ2 7S0F-β1-Isoprenaline-Gi1/β1/γ2
23.33Consensusnucleotide_on_gpOrthosteric Ligandadenosine_on_gp p2y_on_gp
23.08Single1F8811-cis-Retinal1F88-Rhodopsin-11-cis-Retinal
23.08Single2YDOAdenosine2YDO-A2A-Adenosine
23.08Single3UZCPubChem 1355666093UZC-A2A-PubChem 135566609
23.08Single4LDOEpinephrine4LDO-β2-Epinephrine
23.08Single4ZJCSB-6740424ZJC-OX1-SB-674042
23.08Single4ZUDOlmesartan4ZUD-AT1-Olmesartan
23.08Single5IU7Q274563465IU7-A2A-Q27456346-Na
23.08Single5JTBZM-2413855JTB-A2A-ZM-241385
23.08Single5K2BZM-2413855K2B-A2A-ZM-241385-Na
23.08Single5NLXZM-2413855NLX-A2A-ZM-241385-Na
23.08Single5UVIZM-2413855UVI-A2A-ZM-241385
23.08Single6K41Dexmedetomidine6K41-α2b-Dexmedetomidine-Go/β1/γ2
23.08Single6KUXRS799486KUX-α2a-RS79948
23.08Single6PS0Carazolol6PS0-β2-Carazolol
23.08Single6PS4ICI118-5516PS4-β2-ICI118-551
23.08Single6PS82-Phenylmelatonin6PS8-MT1-2-Phenylmelatonin
23.08Single6PT0WIN 55212-26PT0-CB2-WIN 55212-2-Gi1/β1/γ2
23.08Single6TPGEMPA6TPG-OX2-EMPA
23.08Single6VI4JDTic6VI4-κ-JDTic
23.08Single6WH4Methiothepin6WH4-5-HT2A-Methiothepin
23.08Single6ZDRHMS1413f126ZDR-A2A-HMS1413f12-Na
23.08Single7AROLUF58337ARO-A2A-LUF5833-Na
23.08Single7BB6AVP7BB6-V2-AVP-Gs/β1/γ2
23.08Single7CKZDopamine7CKZ-D1-Dopamine-Mevidalen-Gs/β1/γ2
23.08Single7CMUPramipexole7CMU-D3-Pramipexole-Gi1/β1/γ2
23.08Single7CMVPD1289077CMV-D3-PD128907-Gi1/β1/γ2
23.08Single7DHISalbutamol7DHI-β2-Salbutamol-Gs/β1/γ2
23.08Single7E33BRL-544437E33-5-HT1E-BRL-54443-Gi1/β1/γ2
23.08Single7EJ8Brimonidine7EJ8-α2a-Brimonidine-Go/β1/γ2
23.08Single7F0TDopamine7F0T-D1-Dopamine-Gs/β1/γ2
23.08Single7F1ZDopamine7F1Z-D1-Dopamine-GDP-Gs/β1/γ2
23.08Single7RANPubChem 1645758477RAN-5-HT2A-PubChem 164575847-chim(NtGi2L-Gs-CtGq)/β1/γ2
23.08Single7SR8TAK-9257SR8-OX2-TAK-925-chim(NtGi1L-Gs-CtGq)/β1/γ2
23.08Single7T32ZM-2413857T32-A2A-ZM-241385
23.08Single7T94Acetylcholine7T94-M2-Acetylcholine-LY2119620-chim(NtGi1-Go)/β1/γ2
23.08Single7TRSAcetylcholine7TRS-M4-Acetylcholine-Gi1/β1/γ2
23.08Single7UL3Famotidine7UL3-H2-Famotidine
23.08Single7UM7Methylergometrine7UM7-5-HT5A-Methylergometrine-chim(NtGi1-Go)/β1/γ2
23.08Single7VBHPeptide-207VBH-GLP-1-Peptide-20-Gs/β1/γ2
23.08Single7WC9PubChem 1624213647WC9-5-HT2A-PubChem 162421364
23.08Single7XOVSR1461317XOV-CCKA-SR146131-Gs/β1/γ2
23.08Single8GE1Constrained Epinephrine8GE1-β2-Constrained Epinephrine-Gs/β1/γ2
23.08Single8GE4Constrained Epinephrine8GE4-β2-Constrained Epinephrine-Gs/β1/γ2
23.08Single8GE5Constrained Epinephrine8GE5-β2-Constrained Epinephrine-Gs/β1/γ1
23.08Single8GE6Constrained Epinephrine8GE6-β2-Constrained Epinephrine-Gs/β1/γ2
23.08Single8GE7Constrained Epinephrine8GE7-β2-Constrained Epinephrine-Gs/β1/γ2
23.08Single8GE8Constrained Epinephrine8GE8-β2-Constrained Epinephrine-Gs/β1/γ2
23.08Single8GEAConstrained Epinephrine8GEA-β2-Constrained Epinephrine-Gs/β1/γ2
23.08Single8GEFConstrained Epinephrine8GEF-β2-Constrained Epinephrine-Gs/β1/γ2
23.08Single8GG8Constrained Epinephrine8GG8-β2-Constrained Epinephrine-GTP-Gs/β1/γ2
23.08Single8GGQConstrained Epinephrine8GGQ-β2-Constrained Epinephrine
23.08Single8GGVConstrained Epinephrine8GGV-β2-Constrained Epinephrine
23.08Single8GGXConstrained Epinephrine8GGX-β2-Constrained Epinephrine
23.08Single8H4LDoconexent8H4L-FFA4-Doconexent-chim(NtGi1-Gs-CtGq)/β1/γ2
23.08Single8HNMVUF112228HNM-CXCR3-VUF11222-Gi1/β1/γ2
23.08Single8JERAcipimox8JER-HCA2-Acipimox-Go/β1/γ2
23.08Single8JLNT1AM8JLN-TA1-T1AM-Gs/β1/γ2
23.08Single8JLQFenoldopam8JLQ-TA1-Fenoldopam-Gs/β1/γ2
23.08Single8K5CAcipimox8K5C-HCA2-Acipimox
23.08Single8K9LDAMGO8K9L-μ-DAMGO-BMS-986122-Gi3/β1/γ1
23.08Single8PM2DMCHA8PM2-TA7-DMCHA-Gs/β1/γ2
23.08Single8RQQZM-2413858RQQ-A2A-ZM-241385-Na
23.08Single8U02Dopamine8U02-D2-Dopamine-Go/β1/γ2
23.08Single8UHBRO52563908UHB-TA1-RO5256390-Gs/β1/γ2
23.08Single8V6UPubChem 1713924568V6U-5-HT2A-PubChem 171392456-chim(NtGi2-Gs-CtGq)/β1/γ2
23.08Single8Y62C16:0 Ceramide8Y62-FPR2-ALX-C16:0 Ceramide-Gi1/β1/γ2
23.08Single8Y6YGLPG09748Y6Y-FFA2-GLPG0974
23.08Single8YN3Histamine8YN3-H2-Histamine-Gs/β1/γ2
23.08Single8ZBWQuin-C18ZBW-FPR2-ALX-Quin-C1-Gi2/β1/γ2
23.08Single9CBLEpinephrine9CBL-α2a-Epinephrine-Gi1/β1/γ2
23.08Single9EPQ11,20-Ethanoretinal9EPQ-Rhodopsin-11,20-Ethanoretinal-chim(Gi1-CtGq)/β1/γ2
23.08Single9JFUNE52-QQ579JFU-GPR4-NE52-QQ57
23.08Single9JMDAzithromycin9JMD-Motilin-Azithromycin-chim(Gs-CtGq)/β1/γ2
23.08Single9KUWCMPD6449KUW-Apelin; Apelin-CMPD644-Arrestin2 ; Arrestin2
23.08Single9KVIBufotenin9KVI-5-HT1A-Bufotenin-PtdIns4P-Gi1/β1/γ2
23.08Single9MQIIsoquinuclidine9MQI-μ-Isoquinuclidine
23.08Single9ODJMitragynine Pseudoindoxyl9ODJ-μ-Mitragynine Pseudoindoxyl-GTP; Mg-Gi1/β1/γ2
23.08Single9P1TZM-2413859P1T-A2A-ZM-241385
23.08Single9PXXNaloxone9PXX-μ-Naloxone-GDPβS-Gi1/β1/γ2
23.08Single9VJG8-OH-DPAT9VJG-5-HT1A-8-OH-DPAT-chim(NtGi2-Gz)/β1/γ2
23.08Consensus5ht2a_offOrthosteric Ligand6A94-5-HT2A-Zotepine 6A93-5-HT2A-Risperidone 7VOD-5-HT2A-Cariprazine 7WC8-5-HT2A-Lumateperone 8JT8-5-HT2A-(R)-IHCH-7179
23.08Consensusa2_offOrthosteric Liganda2a_off
23.08Consensusa2a_offOrthosteric Ligand3RFM-A2A-Caffeine 8C9W-A2A-Etrumadenant 3UZA-A2A-GTPL9236 8GNG-A2A-Istradefylline 8CU6-A2A-LJ-4517 7PX4-A2A-PSB-2113 7PYR-A2A-PSB-2115 8DU3-A2A-PubChem 105526064 8JWY-A2A-2-118 8PWN-A2A-Theophylline 5IU4-A2A-ZM-241385-Na 5OLZ-A2A-PubChem 135566609-Na 6GT3-A2A-Imaradenant-Na 5OLV-A2A-LUAA47070-Na 5N2R-A2A-PSB36-Na 5IU7-A2A-Q27456346-Na 5OLH-A2A-Vipadenant-Na 5OLO-A2A-Tozadenant-Na 6ZDR-A2A-HMS1413f12-Na 8GNE-A2A-KW-6356-Na 8JWZ-A2A-Etrumadenant-Na 5IU8-A2A-Q27456347-Na 5IUB-A2A-Q27456344-Na 6ZDV-A2A-PubChem 984073-Na 5IUA-A2A-Q27456348-Na 8A2P-A2A-LUAA47070-Na
23.08Consensusd3_onOrthosteric Ligand7CMV-D3-PD128907-Gi1/β1/γ2 8IRT-D3-Rotigotine-Gi1/β1/γ2 7CMU-D3-Pramipexole-Gi1/β1/γ2
23.08Consensusd3_on_gpOrthosteric Ligand7CMV-D3-PD128907-Gi1/β1/γ2 8IRT-D3-Rotigotine-Gi1/β1/γ2 7CMU-D3-Pramipexole-Gi1/β1/γ2
23.08Consensusglp1_onOrthosteric Ligand7S1M-GLP-1-Exendin-4-D-Ala-Gs/β1/γ2 7X8R-GLP-1-BOC5-Gs/β1/γ2 6X19-GLP-1-CHU-128-Gs/β1/γ2 6X1A-GLP-1-Danuglipron-Gs/β1/γ2 6X18-GLP-1-GLP-1-Gs/β1/γ2 8JIP-GLP-1-MEDI0382-chim(NtGi1-Gs)/β1/γ2 7C2E-GLP-1-PubChem 149050799-Gs/β1/γ2 7KI0-GLP-1-Semaglutide-Gs/β1/γ2 7KI1-GLP-1-Taspoglutide-Gs/β1/γ2 7X8S-GLP-1-WB4-24-Gs/β1/γ2 8JIS-GLP-1-Peptide-15-chim(NtGi1-Gs)/β1/γ2 7VBI-GLP-1-Tirzepatide (non-acylated)-Gs/β1/γ2
23.08Consensusnop_offOrthosteric Ligand4EA3-NOP-PubChem 10296561 5DHG-NOP-C-35 5DHH-NOP-SB-612111
22.86Single5YQZNNC17025YQZ-Glucagon-NNC1702
22.86Single7Y35Abaloparatide7Y35-PTH1-Abaloparatide-Gs/β1/γ2
22.86Single8IA2C5a8IA2-C5a1-C5a-Go/β1/γ2
22.86Single8IODPG-9018IOD-MC5-PG-901-Ca-chim(NtGi1-Gs)/β1/γ2
22.86Consensusvpac1_onOrthosteric Ligand8E3Z-VPAC1-VIP-Gs/β1/γ2
22.73Single7V68LY21196207V68-M4-Iperoxo-LY2119620-Gi1/β1/γ2
22.73Single8F0JPramlintide Analogue San458F0J-CT-Pramlintide Analogue San45-Gs/β1/γ2
22.58Single6RZ6ONO-25703666RZ6-CysLT2-ONO-2570366
22.58Single6XBJCholesterol6XBJ-SMO-Cholesterol-Gi1/β1/γ2
22.58Single7F9ZGHRP-67F9Z-Ghrelin-GHRP-6-chim(NtGi1-Gs-CtGq)/β1/γ2
22.58Single7RKFCX3CL17RKF-US28-CX3CL1-GDP-chim(NtGi1-G11)/β1/γ2
22.58Single7S8LCortistatin-147S8L-MRGPRX2-Cortistatin-14-chim(NtGi2L-Gs-CtGq)/β1/γ2
22.58Single7X8SWB4-247X8S-GLP-1-WB4-24-Gs/β1/γ2
22.58Single8F7REndomorphin8F7R-μ-Endomorphin-Gi1/β1/γ2
22.58Single8H4IDoconexent8H4I-FFA4-Doconexent-chim(NtGi1-Gs)/β1/γ2
22.58Single8JBFSenktide8JBF-NK3-Senktide-chim(NtGi1-Gs-CtGq)/β1/γ2
22.58Single8XQJJN2418XQJ-Apelin; Apelin-JN241
22.58Single8Z74JN241-98Z74-Apelin; Apelin-JN241-9
22.58Single8Z74JN241-98Z74-Apelin; Apelin-JN241-9
22.58Single9IPVJR14a9IPV-C3aB-JR14a-Gi1/β1/γ2
22.58Single9MD1Buspirone9MD1-5-HT1A-Buspirone-PtdIns4P-Gz/β1/γ2
22.58Single9WSXEndomorphin9WSX-μ-Endomorphin-Arrestin2
22.58Consensuskiss1_onOrthosteric Ligand8ZJD-Kiss1-Kisspeptin-1-chim(NtGi1-Gq)/β1/γ1
22.58Consensuskisspeptin_onOrthosteric Ligandkiss1_on
22.50Single8JIPMEDI03828JIP-GLP-1-MEDI0382-chim(NtGi1-Gs)/β1/γ2
22.22Single2Y04Salbutamol2Y04-β1-Salbutamol
22.22Single3NYAAlprenolol3NYA-β2-Alprenolol
22.22Single3ZPQPubChem 5945903ZPQ-β1-PubChem 594590-Na
22.22Single3ZPRPubChem 5987543ZPR-β1-PubChem 598754-Na
22.22Single4EIYZM-2413854EIY-A2A-ZM-241385-Na
22.22Single4J4QOctyl Beta-D-Glucopyranoside4J4Q-Rhodopsin-Octyl β-D-Glucopyranoside-Gt(CT)
22.22Single4U16N-methyl-Scopolamine4U16-M3-N-methyl-Scopolamine
22.22Single4X1HNonyl-Beta-D-Glucopyranoside4X1H-Rhodopsin-Nonyl-β-D-Glucopyranoside-Gt(CT)
22.22Single5DHGC-355DHG-NOP-C-35
22.22Single5IU8Q274563475IU8-A2A-Q27456347-Na
22.22Single5OLGZM-2413855OLG-A2A-ZM-241385-Na
22.22Single5YC8N-methyl-Scopolamine5YC8-M2-N-methyl-Scopolamine
22.22Single5ZK8N-methyl-Scopolamine5ZK8-M2-N-methyl-Scopolamine
22.22Single5ZKCN-methyl-Scopolamine5ZKC-M2-N-methyl-Scopolamine
22.22Single6D27CAY104716D27-DP2-CAY10471
22.22Single6DRZMethysergide6DRZ-5-HT2B-Methysergide
22.22Single6H7MSalbutamol6H7M-β1-Salbutamol
22.22Single6K42Dexmedetomidine6K42-α2b-Dexmedetomidine-Gi1/β1/γ2
22.22Single6LPJZM-2413856LPJ-A2A-ZM-241385-Na
22.22Single6LPKZM-2413856LPK-A2A-ZM-241385-Na
22.22Single6NBFLA-PTH Analog6NBF-PTH1-LA-PTH Analog-Gs/β1/γ2
22.22Single6PS1Timolol6PS1-β2-Timolol
22.22Single6PS2Alprenolol6PS2-β2-Alprenolol
22.22Single6WHADB139486WHA-5-HT2A-DB13948-chim(NtGi2L-Gs-CtGq)/β1/γ2
22.22Single6XBM25(S)-Epoxycholesterol6XBM-SMO-25(S)-Epoxycholesterol-Gi1/β1/γ2
22.22Single7BTSEpinephrine7BTS-β1-Epinephrine
22.22Single7BU6Norepinephrine7BU6-β1-Norepinephrine
22.22Single7E32Serotonin7E32-5-HT1D-Serotonin-Gi1/β1/γ2
22.22Single7JOZPubChem 752020227JOZ-D1-PubChem 75202022-Gs/β1/γ2
22.22Single7NA8Ibutamoren7NA8-Ghrelin-Ibutamoren-Gi1/β1/γ2
22.22Single7PYRPSB-21157PYR-A2A-PSB-2115
22.22Single7S0GIsoprenaline7S0G-β1-Isoprenaline-chim(Gi1-CtGs)/β1/γ2
22.22Single7S15PubChem 1346112237S15-GLP-1-PubChem 134611223
22.22Single7SQOTAK-9257SQO-OX2-TAK-925-Gi1/β1/γ2
22.22Single7T2GMitragynine Pseudoindoxyl7T2G-μ-Mitragynine Pseudoindoxyl-Gi1/β1/γ2
22.22Single7T6VfMLFII7T6V-FPR2-ALX-fMLFII-Gi1/β1/γ2
22.22Single7UL4Alvimopan7UL4-μ-Alvimopan
22.22Single7VGZRamelteon7VGZ-MT1-Ramelteon-Gi1/β1/γ2
22.22Single7VIES1P7VIE-S1P1-S1P-Gi1/β1/γ2
22.22Single7WC7Lisuride7WC7-5-HT2A-Lisuride
22.22Single7X2CFenoldopam7X2C-D1-Fenoldopam-Fenoldopam-Gs/β1/γ2
22.22Single7XTC5-CT7XTC-5-HT7-5-CT-Gs/β1/γ2
22.22Single7YU4ONO-07405567YU4-LPA1-ONO-0740556
22.22Single8FY85-MeO-DMT8FY8-5-HT1A-5-MeO-DMT-PtdIns4P-Gi1/β1/γ1
22.22Single8GE2Constrained Epinephrine8GE2-β2-Constrained Epinephrine-Gs/β1/γ1
22.22Single8GE3Constrained Epinephrine8GE3-β2-Constrained Epinephrine-Gs/β1/γ2
22.22Single8GECConstrained Epinephrine8GEC-β2-Constrained Epinephrine-Gs/β1/γ2
22.22Single8GEEConstrained Epinephrine8GEE-β2-Constrained Epinephrine-Gs/β1/γ2
22.22Single8GEHConstrained Epinephrine8GEH-β2-Constrained Epinephrine-Gs/β1/γ2
22.22Single8GFVConstrained Epinephrine8GFV-β2-Constrained Epinephrine-GTP-Gs/β1/γ2
22.22Single8GFWConstrained Epinephrine8GFW-β2-Constrained Epinephrine-GTP-Gs/β1/γ2
22.22Single8GFXConstrained Epinephrine8GFX-β2-Constrained Epinephrine-GTP-Gs/β1/γ2
22.22Single8GFZConstrained Epinephrine8GFZ-β2-Constrained Epinephrine-GTP-Gs/β1/γ2
22.22Single8GG0Constrained Epinephrine8GG0-β2-Constrained Epinephrine-GTP-Gs/β1/γ2
22.22Single8GG1Constrained Epinephrine8GG1-β2-Constrained Epinephrine-GTP-Gs/β1/γ2
22.22Single8GG3Constrained Epinephrine8GG3-β2-Constrained Epinephrine-GTP-Gs/β1/γ2
22.22Single8GG4Constrained Epinephrine8GG4-β2-Constrained Epinephrine-GTP-Gs/β1/γ2
22.22Single8GG6Constrained Epinephrine8GG6-β2-Constrained Epinephrine-GTP-Gs/β1/γ2
22.22Single8GG9Constrained Epinephrine8GG9-β2-Constrained Epinephrine-GTP-Gs/β1/γ2
22.22Single8GGIConstrained Epinephrine8GGI-β2-Constrained Epinephrine
22.22Single8GGJConstrained Epinephrine8GGJ-β2-Constrained Epinephrine
22.22Single8GGKConstrained Epinephrine8GGK-β2-Constrained Epinephrine
22.22Single8GGNConstrained Epinephrine8GGN-β2-Constrained Epinephrine
22.22Single8GGOConstrained Epinephrine8GGO-β2-Constrained Epinephrine
22.22Single8GGUConstrained Epinephrine8GGU-β2-Constrained Epinephrine
22.22Single8IC0CXCL88IC0-CXCR1-CXCL8-Gi1/β1/γ2
22.22Single8JD0NAM5638JD0-mGlu2; mGlu3-Glutamate-NAM563
22.22Single8JJOAlprenolol8JJO-β2-Alprenolol
22.22Single8JLZST19368JLZ-5-HT6-ST1936-Gs/β1/γ2
22.22Single8KFYZK-7563268KFY-CCR8-ZK-756326-Gi1/β1/γ2
22.22Single8TH3AT118-H Nanobody8TH3-AT1-AT118-H Nanobody
22.22Single8UNQConstrained Epinephrine8UNQ-β2-Constrained Epinephrine-GTP-Gs/β1/γ2
22.22Single8UNRConstrained Epinephrine8UNR-β2-Constrained Epinephrine-GTP-Gs/β1/γ2
22.22Single8UNUConstrained Epinephrine8UNU-β2-Constrained Epinephrine-GTP-Gs/β1/γ2
22.22Single8UNYConstrained Epinephrine8UNY-β2-Constrained Epinephrine-GTP-Gs/β1/γ2
22.22Single8VVGGB188VVG-κ-GB18-Gi1/β1/γ2
22.22Single8WC7ZH86678WC7-TA1-ZH8667-chim(NtGi1-Gs)/β1/γ2
22.22Single8X64Desloratadine8X64-H1-Desloratadine
22.22Single8YH5Riboprine8YH5-A3A-Riboprine-Gi1/β1/γ2
22.22Single8ZQEGPR15L(CT)8ZQE-GPR15-GPR15L(CT)-Gi1/β1/γ1
22.22Single9DYFAsenapine9DYF-5-HT1A-Asenapine-PtdIns4P-Gi1/β1/γ2
22.22Single9JEAAtropine9JEA-M1-Atropine
22.22Single9KUXCMPD6449KUX-Apelin; Apelin-CMPD644-Arrestin2
22.22Single9PQDPubChem 1764919279PQD-α2a-PubChem 176491927
22.22Single9UAZAtropine9UAZ-M1-Atropine
22.22Consensus5ht1d_onOrthosteric Ligand7E32-5-HT1D-Serotonin-Gi1/β1/γ2
22.22Consensus5ht1d_on_gpOrthosteric Ligand7E32-5-HT1D-Serotonin-Gi1/β1/γ2
22.22Consensus5ht2b_offOrthosteric Ligand6DRZ-5-HT2B-Methysergide
22.22Consensus5ht7_onOrthosteric Ligand7XTC-5-HT7-5-CT-Gs/β1/γ2
22.22Consensus5ht7_on_gpOrthosteric Ligand7XTC-5-HT7-5-CT-Gs/β1/γ2
22.22Consensusadrenergic_onOrthosteric Ligandalpha_on beta_on
22.22Consensusalpha2_onOrthosteric Ligandalpha2b_on
22.22Consensusalpha2_on_gpOrthosteric Ligandalpha2b_on_gp
22.22Consensusalpha2b_onOrthosteric Ligand6K42-α2b-Dexmedetomidine-Gi1/β1/γ2
22.22Consensusalpha2b_on_gpOrthosteric Ligand6K42-α2b-Dexmedetomidine-Gi1/β1/γ2
22.22Consensuscalcitonin_on_gpOrthosteric Ligandctlike_on_gp
22.22Consensuscxcr1_on_gpOrthosteric Ligand8IC0-CXCR1-CXCL8-Gi1/β1/γ2
22.22Consensusdopamine_onOrthosteric Ligandd2_on d1_on d3_on d4_on d5_on
22.22Consensusdopamine_on_gpOrthosteric Ligandd2_on_gp d1_on_gp d3_on_gp d4_on_gp d5_on_gp
22.22Consensusgi_histamineOrthosteric Ligand8JXX-H4-Clobenpropit-Gi1/β1/γ2 8JXV-H4-Clozapine-Gi1/β1/γ2 8YUU-H3-Histamine-Gi1/β1/γ1 8HN8-H4-Histamine-Gi1/β1/γ2 8HOC-H4-Imetit-Gi1/β1/γ2 8JXW-H4-VUF6884-Gi1/β1/γ2
22.22Consensusgi_orexinOrthosteric Ligand7SQO-OX2-TAK-925-Gi1/β1/γ2
22.22Consensusgq_amineOrthosteric Ligandgq_muscarinic gq_histamine
22.22Consensuslipid_offOrthosteric Ligandcannabinoid_off paf_off lpl_off prostanoid_off leukotriene_off
22.22Consensusmuscarinic_onOrthosteric Ligandm2_on m3_on m4_on m1_on
22.22Consensusmuscarinic_on_gpOrthosteric Ligandm2_on_gp m3_on_gp m4_on_gp m1_on_gp
22.22Consensussecretin_onOrthosteric Ligand7D3S-Secretin-Secretin-Gs/β1/γ2
21.95Single8JIUSAR4258998JIU-Glucagon-SAR425899-Gs/β1/γ2
21.88Single6WIVPubChem 52923113; PubChem 529246456WIV-GABAB1, GABAB2-PubChem 52923113; PubChem 52924645
21.88Single7NA7Ghrelin7NA7-Ghrelin-Ghrelin-Gi1/β1/γ2
21.88Single7TD4Siponimod7TD4-S1P1-Siponimod-Gi1/β1/γ2
21.88Single7W56Neuromedin-S7W56-NMUR1-Neuromedin-S-chim(NtGi1-Gs-CtGq)/β1/γ2
21.88Single7WKDTRH7WKD-TRH-TRH-chim(NtGi1-Gs-CtGq)/β1/γ2
21.88Single8G59TUG-8918G59-FFA4-TUG-891-chim(Gi1-CtGq)/β1/γ2
21.88Single8IEBPubChem 1347468948IEB-GPR156; GPR156-PubChem 134746894
21.88Single8IEIPubChem 1347468948IEI-GPR156; GPR156-PubChem 134746894
21.88Single8IEPPubChem 1347468948IEP-GPR156; GPR156-PubChem 134746894
21.88Single8IEPPubChem 1347468948IEP-GPR156; GPR156-PubChem 134746894
21.88Single8K3ZCXCL128K3Z-CXCR4-CXCL12-Gi1/β1/γ1
21.88Single8U4OCXCL128U4O-CXCR4-CXCL12-Gi1/β1/γ2
21.88Single8XBHPubChem 1626566368XBH-GPR34-PubChem 162656636-Gi1/β1/γ2
21.88Single9KWGC5a9KWG-C5a1-C5a-Go/β1/γ2
21.88Single9UYLChemerin-99UYL-CML2-Chemerin-9-Arrestin2
21.88Consensusnk3_onOrthosteric Ligand8JBF-NK3-Senktide-chim(NtGi1-Gs-CtGq)/β1/γ2
21.88Consensusnk3_on_gpOrthosteric Ligand8JBF-NK3-Senktide-chim(NtGi1-Gs-CtGq)/β1/γ2
21.74Single6OT025(S)-Epoxycholesterol6OT0-SMO-25(S)-Epoxycholesterol-Gi1/β1/γ2
21.74Single6TQ9SB-4081246TQ9-OX1-SB-408124
21.74Single8DPHLorcaserin8DPH-5-HT2C-Lorcaserin-chim(NtGi2L-Gs-CtGq)/β1/γ2
21.74Single8IWM2-Phenylethylamine8IWM-TAA9-2-Phenylethylamine
21.74Single8WC5Tetramethylammonium Ion8WC5-TA1-Tetramethylammonium Ion-chim(NtGi1-Gs)/β1/γ2
21.74Single8Z8ALactate8Z8A-HCA1-Lactate-Gi1/β1/γ2
21.62Single5NX2GLP-1 (Truncated)5NX2-GLP-1-GLP-1 (Truncated)
21.62Single7AD3Alpha-factor mating pheromone7AD3-STE2; STE2-α-factor mating pheromone-Gi1/STE4/γ2
21.62Single7TYNCalcitonin-17TYN-CT-Calcitonin-1-Gs/β1/γ2
21.62Single8W8WAlpha-MSH8W8W-MC3-α-MSH-Ca-Gs/β1/γ2
21.62Consensuscrf_onOrthosteric Ligandcrf2_on crf1_on
21.43Single2Y00Dobutamine2Y00-β1-Dobutamine
21.43Single2Y03Isoprenaline2Y03-β1-Isoprenaline
21.43Single4ZJ8Suvorexant4ZJ8-OX1-Suvorexant
21.43Single5JQHCarazolol5JQH-β2-Carazolol
21.43Single5N2RPSB365N2R-A2A-PSB36-Na
21.43Single5WQCEMPA5WQC-OX2-EMPA
21.43Single5ZK33-quinuclidinyl-benzilate5ZK3-M2-3-quinuclidinyl-benzilate
21.43Single6HLPNetupitant6HLP-NK1-Netupitant
21.43Single6KUWPubChem 572132346KUW-α2c-PubChem 57213234
21.43Single6LUQHaloperidol6LUQ-D2-Haloperidol
21.43Single6ME82-Phenylmelatonin6ME8-MT2-2-Phenylmelatonin
21.43Single6PS3Carvedilol6PS3-β2-Carvedilol
21.43Single6PS6Timolol6PS6-β2-Timolol
21.43Single6TP6Filorexant6TP6-OX1-Filorexant
21.43Single7BVQCarazolol7BVQ-β1-Carazolol
21.43Single7C4SS1P7C4S-S1P3-S1P
21.43Single7CKXA776367CKX-D1-A77636-Gs/β1/γ2
21.43Single7EO2FTY720-P7EO2-S1P1-FTY720-P-Gi1/β1/γ2
21.43Single7S0FIsoprenaline7S0F-β1-Isoprenaline-Gi1/β1/γ2
21.43Single7TD3S1P7TD3-S1P1-S1P-Gi1/β1/γ2
21.43Single7VOEAripiprazole7VOE-5-HT2A-Aripiprazole
21.43Single7VV0PAMP-127VV0-MRGPRX2-PAMP-12
21.43Single7XK9Constrained Isoproterenol7XK9-β2-Constrained Isoproterenol-Na
21.43Single8C9WEtrumadenant8C9W-A2A-Etrumadenant
21.43Single8E9ZIperoxo8E9Z-M3-Iperoxo-chim(NtGi2L-Gs-CtGq)/β1/γ2
21.43Single8GDCPGE28GDC-EP3-PGE2-Gi1/β1/γ2
21.43Single8GFYConstrained Epinephrine8GFY-β2-Constrained Epinephrine-GTP-Gs/β1/γ2
21.43Single8GG2Constrained Epinephrine8GG2-β2-Constrained Epinephrine-GTP-Gs/β1/γ2
21.43Single8HNLPS3724248HNL-CXCR3-PS372424-Gi1/β1/γ2
21.43Single8J18(3R)-3-Hydroxydodecanoic acid8J18-GPR84-(3R)-3-Hydroxydodecanoic acid-Gi1/β1/γ2
21.43Single8K8JFenofibrate8K8J-CB1-Fenofibrate-chim(Gs-CtGq)/β1/γ2
21.43Single8SZGCa; Ca; Tryptophan; Cinacalcet; PO4; Spermine8SZG-CaS; CaS-Ca; Ca; Tryptophan; Cinacalcet; PO4; Spermine-chim(NtGi1-Gq)/β1/γ2
21.43Single8TH4AT118-L Nanobody8TH4-AT1-Losartan-AT118-L Nanobody
21.43Single8YNSSNAP-948478YNS-MCH1-SNAP-94847
21.43Single8ZMFPubChem 1719206738ZMF-5-HT2C-PubChem 171920673
21.43Single8ZRKGSK12922638ZRK-GPR119-GSK1292263-Gs/β1/γ2
21.43Single9AVLCa; Ca; Cyclomethyltryptophan; R-568; PO49AVL-CaS; CaS-Ca-Ca; Ca; Cyclomethyltryptophan; R-568; PO4-Gi3/β2/γ2
21.43Single9AXFCa; Ca; Ca; Cyclomethyltryptophan; R-568; PO49AXF-CaS; CaS-Ca-Ca; Ca; Ca; Cyclomethyltryptophan; R-568; PO4-chim(NtGi1-Gs-CtGq)/β1/γ2
21.43Single9DYDAsenapine9DYD-5-HT1A-Asenapine-PtdIns4P-Go/β1/γ2
21.43Single9EHSLUF76029EHS-A3A-LUF7602
21.43Single9ERXD9-THC analog9ERX-CB1-D9-THC analog-Gi1/β1/γ2
21.43Single9GE2ML1849GE2-GPR55-ML184-chim(NtGi1-G13)/β1/γ2
21.43Single9HAPTolvaptan9HAP-V2-Tolvaptan
21.43Single9JKSPubChem 442501769JKS-HCA3-PubChem 44250176-Gi1/β1/γ2
21.43Single9K07DSO-5a9K07-BB3-DSO-5a-chim(NtGi2L-Gs-CtGq)/β1/γ2
21.43Single9KO4CCL219KO4-CCR7-CCL21-Gi1/β1/γ2
21.43Single9L74S1P d16:19L74-S1P3-S1P d16:1-chim(NtGi2L-Gs-CtGq)/β1/γ2
21.43Single9M8POleic monoethanolamide9M8P-GPR3 ; GPR3-Oleic monoethanolamide-AF64394
21.43Single9U81Tolvaptan9U81-V2-Tolvaptan
21.43Consensus5ht1_onOrthosteric Ligand5ht1a_on 5ht1d_on 5ht1e_on 5ht1f_on
21.43Consensus5ht1_on_gpOrthosteric Ligand5ht1a_on_gp 5ht1d_on_gp 5ht1e_on_gp 5ht1f_on_gp
21.43Consensus5ht1e_on_gpOrthosteric Ligand7E33-5-HT1E-BRL-54443-Gi1/β1/γ2 8UGY-5-HT1E-Mianserin-Gi1/β1/γ1 8UH3-5-HT1E-Setiptiline-Gi1/β1/γ1
21.43Consensus5ht5_on_gpOrthosteric Ligand5ht5a_on_gp
21.43Consensus5ht5a_on_gpOrthosteric Ligand7X5H-5-HT5A-5-CT-Gi1/β1/γ2 7UM6-5-HT5A-Lisuride-chim(NtGi1-Go)/β1/γ2 7UM7-5-HT5A-Methylergometrine-chim(NtGi1-Go)/β1/γ2
21.43Consensusa1_offOrthosteric Ligand5UEN-A1-DU172 5N2S-A1-PSB36
21.43Consensusadrenergic_offOrthosteric Ligandalpha_off beta_off
21.43Consensusadrenergic_on_gpOrthosteric Ligandalpha_on_gp beta_on_gp
21.43Consensusalpha2c_offOrthosteric Ligand6KUW-α2c-PubChem 57213234
21.43Consensusd1_onOrthosteric Ligand7F0T-D1-Dopamine-Gs/β1/γ2 7CKY-D1-PW0464-Gs/β1/γ2 8IRR-D1-Rotigotine-Gs/β1/γ2 7JV5-D1-SKF81297-Gs/β1/γ2 7JVP-D1-SKF83959-Gs/β1/γ2 7X2D-D1-Tavapadon-Gs/β1/γ2 7CKX-D1-A77636-Gs/β1/γ2 7JVQ-D1-Apomorphine-Gs/β1/γ2 7CKW-D1-Fenoldopam-Gs/β1/γ2
21.43Consensusgq_muscarinicOrthosteric Ligand6OIJ-M1-Iperoxo-chim(NtGi1L-G11)/β1/γ2
21.43Consensush1_offOrthosteric Ligand8X63-H1-Mepyramine 3RZE-H1-Cidoxepin 8X5Y-H1-Astemizole
21.43Consensuslpa1_onOrthosteric Ligand7TD1-LPA1-LPA-Gi1/β1/γ2 7YU3-LPA1-ONO-0740556-Gi1/β1/γ2
21.43Consensuslpa1_on_gpOrthosteric Ligand7TD1-LPA1-LPA-Gi1/β1/γ2 7YU3-LPA1-ONO-0740556-Gi1/β1/γ2
21.43Consensusm1_onOrthosteric Ligand6OIJ-M1-Iperoxo-chim(NtGi1L-G11)/β1/γ2
21.43Consensusm2_offOrthosteric Ligand5ZKC-M2-N-methyl-Scopolamine 5ZK3-M2-3-quinuclidinyl-benzilate 5ZKB-M2-AF-DX 384
21.43Consensusm3_onOrthosteric Ligand8E9Z-M3-Iperoxo-chim(NtGi2L-Gs-CtGq)/β1/γ2 8E9W-M3-2-Deoxycytidine-chim(NtGi2L-Gs-CtGq)/β1/γ2 8E9Y-M3-Clozapine-N-oxide-chim(NtGi2L-Gs-CtGq)/β1/γ2
21.43Consensusm3_on_gpOrthosteric Ligand8E9Z-M3-Iperoxo-chim(NtGi2L-Gs-CtGq)/β1/γ2 8E9W-M3-2-Deoxycytidine-chim(NtGi2L-Gs-CtGq)/β1/γ2 8E9Y-M3-Clozapine-N-oxide-chim(NtGi2L-Gs-CtGq)/β1/γ2
21.43Consensusnucleotide_onOrthosteric Ligandadenosine_on p2y_on
21.21Single7RMISubstance-P7RMI-NK1-Substance-P-chim(Gs-CtGq)/β1/γ2
21.21Single7SK5CXCL127SK5-ACKR3-CXCL12
21.21Single7TRYUrocortin7TRY-CRF2-Urocortin-chim(NtGi1-G11)/β1/γ2
21.21Single8IEBPubChem 1347468948IEB-GPR156; GPR156-PubChem 134746894
21.21Consensusccr8_on_gpOrthosteric Ligand8KFX-CCR8-LMD-009-Gi1/β1/γ2 8KFY-CCR8-ZK-756326-Gi1/β1/γ2 8U1U-CCR8-CCL1-Gi1/β1/γ2
21.21Consensusmc5_onOrthosteric Ligand8INR-MC5-α-MSH-Ca-chim(NtGi1-Gs)/β1/γ2 8IOD-MC5-PG-901-Ca-chim(NtGi1-Gs)/β1/γ2
21.21Consensustachykinin_on_gpOrthosteric Ligandnk1_on_gp nk2_on_gp nk3_on_gp
21.05Single6PB1Urocortin6PB1-CRF2-Urocortin-chim(NtGi1-Gs)/β1/γ2
21.05Consensusvpac2_onOrthosteric Ligand7VQX-VPAC1-PACAP27-Gs/β1/γ2
21.05Consensusvpac2_on_gpOrthosteric Ligand7VQX-VPAC1-PACAP27-Gs/β1/γ2
20.83Single2J4Y11-cis-Retinal2J4Y-Rhodopsin-11-cis-Retinal
20.83Single5WKTOctyl-Beta-D-Glucopyranoside5WKT-Rhodopsin-Octyl-β-D-Glucopyranoside-Gt(CT)
20.83Single7F23Dopamine7F23-D1-Dopamine-GDP-Gs/β1/γ2
20.83Single7MT8All-trans-Retinal7MT8-Rhodopsin-All-trans-Retinal-GRK1
20.83Single8GGFConstrained Epinephrine8GGF-β2-Constrained Epinephrine-GTP-Gs/β1/γ2
20.83Single8GH1Constrained Epinephrine8GH1-β2-Constrained Epinephrine
20.83Single8IW72-Phenylethylamine8IW7-TAA9-2-Phenylethylamine-chim(NtGi1-Gs)/β1/γ2
20.83Single8J24Acetic acid8J24-FFA2-Acetic acid-Gi1/β1/γ2
20.83Single8J6QBeta-Hydroxybutyrate8J6Q-HCA2-β-Hydroxybutyrate-PubChem 25101223-Gi1/β1/γ2
20.83Single8JEFPubChem 113671668JEF-HCA3-PubChem 11367166-Gi1/β1/γ2
20.83Single8POKHistamine8POK-H2-Histamine-Gs/β1/γ2
20.83Single8RQLFlufenamic acid8RQL-TAS2R14-Flufenamic acid-Flufenamic acid-chim(NtGi1-Gt3)/β1/γ2
20.83Single8WC62-Phenylethylamine8WC6-TA1-2-Phenylethylamine-chim(NtGi1-Gs)/β1/γ2
20.83Single8WC9ZH86518WC9-TA1-ZH8651-chim(NtGi1-Gs-CtGq)/β1/γ2
20.83Single8YN9Histamine8YN9-H4-Histamine-Gi1/β1/γ2
20.83Single8YUUHistamine8YUU-H3-Histamine-Gi1/β1/γ1
20.83Single9IV15alpha-DHT9IV1-ADGRD1-5α-DHT-chim(NtGi1-Gs)/β1/γ2
20.83Single9JHJC18:0 Ceramide9JHJ-FPR2-ALX-C18:0 Ceramide-Gi1/β1/γ2
20.83Single9JKT(2R)-2-hydroxy-3-phenylpropanoic acid9JKT-HCA3-(2R)-2-hydroxy-3-phenylpropanoic acid-Gi1/β1/γ2
20.83Single9KT93,5-DHBA9KT9-HCA1-3,5-DHBA-Gi1/β1/γ2
20.83Single9LRCHistamine9LRC-H4-Histamine
20.83Single9LREHistamine9LRE-H4-Histamine-Gi1/β1/γ2
20.83Consensush2_on_gpOrthosteric Ligand8POK-H2-Histamine-Gs/β1/γ2
20.83Consensush3_onOrthosteric Ligand8YUU-H3-Histamine-Gi1/β1/γ1
20.83Consensush3_on_gpOrthosteric Ligand8YUU-H3-Histamine-Gi1/β1/γ1
20.69Single3P0GBI1671073P0G-β2-BI167107
20.69Single3SN6BI1671073SN6-β2-BI167107-Gs/β1/γ2
20.69Single3UON3-quinuclidinyl-benzilate3UON-M2-3-quinuclidinyl-benzilate
20.69Single3ZEVNeurotensin-(7-13)3ZEV-NTS1-Neurotensin-(7-13)
20.69Single5XRAAM115425XRA-CB1-AM11542
20.69Single5ZHPPubChem 1348285895ZHP-M3-PubChem 134828589
20.69Single6DDEDAMGO6DDE-μ-DAMGO-Gi1/β1/γ2
20.69Single6E59L-7607356E59-NK1-L-760735
20.69Single6H7JIsoprenaline6H7J-β1-Isoprenaline
20.69Single6J20Aprepitant6J20-NK1-Aprepitant
20.69Single6KO5PubChem 574000026KO5-Ghrelin-PubChem 57400002
20.69Single6N48BI1671076N48-β2-BI167107-PubChem 138454256
20.69Single6OIJIperoxo6OIJ-M1-Iperoxo-chim(NtGi1L-G11)/β1/γ2
20.69Single6WGTLSD6WGT-5-HT2A-LSD
20.69Single7B6WCyclazosin7B6W-α1b-Cyclazosin
20.69Single7CKYPW04647CKY-D1-PW0464-Gs/β1/γ2
20.69Single7F1TCCL37F1T-CCR5-CCL3
20.69Single7JJOIsoprenaline7JJO-β1-Isoprenaline-Gs/β1/γ2
20.69Single7JV5SKF812977JV5-D1-SKF81297-Gs/β1/γ2
20.69Single7L0PNeurotensin-(8-13)7L0P-NTS1-Neurotensin-(8-13)-Gi1/β1/γ1
20.69Single7L0QNeurotensin-(8-13)7L0Q-NTS1-Neurotensin-(8-13)-Gi1/β1/γ1
20.69Single7M8W15r-Methyl-PGD27M8W-DP2-15r-Methyl-PGD2-Na
20.69Single7SK7CXCL127SK7-ACKR3-CXCL12-CCX662
20.69Single7TRQIperoxo7TRQ-M4-Iperoxo-VU0467154-Gi1/β1/γ2
20.69Single7VIGCBP-3077VIG-S1P1-CBP-307-Gi1/β1/γ2
20.69Single8EA0Iperoxo8EA0-M3-Iperoxo
20.69Single8EFLSR170188EFL-μ-SR17018-Gi1/β1/γ2
20.69Single8FMZNeurotensin-(8-13)8FMZ-NTS1-Neurotensin-(8-13)-chim(NtGi2L-Gs-CtGq)/β1/γ2
20.69Single8GUSHU-3088GUS-CB2-HU-308-Gi1/β1/γ2
20.69Single8HQCC5a8HQC-C5a1-C5a-Go/β1/γ2
20.69Single8JLPRalmitaront8JLP-TA1-Ralmitaront-Gs/β1/γ2
20.69Single8JT6(R)-IHCH-71798JT6-5-HT1A-(R)-IHCH-7179-PtdIns4P-Gi1/β1/γ2
20.69Single8JZPC5a8JZP-C5a1-C5a-Go/β1/γ2
20.69Single8XJMLatanoprost8XJM-FP-alpha-Latanoprost-chim(NtGi2-Gs-CtGq)/β1/γ2
20.69Single8ZWFJR14a8ZWF-C3aB-JR14a
20.69Single9ASTLymphotactin9AST-XCR1-Lymphotactin-Gi1/β1/γ2
20.69Single9AYFCa; Ca; Ca; Cyclomethyltryptophan; R-568; PO49AYF-CaS; CaS-Ca-Ca; Ca; Ca; Cyclomethyltryptophan; R-568; PO4-Gi1/β1/γ2
20.69Single9I54PubChem 1764520919I54-D1-PubChem 176452091-Gs/β1/γ2
20.69Single9JCLADP9JCL-P2Y1-ADP-chim(Gs-CtGq)/β1/γ2
20.69Single9MENGp120 (V3 loop)9MEN-CXCR4-Gp120 (V3 loop)
20.69Single9RHGC4079RHG-FZD7-C407
20.69Single9YDVMRS29059YDV-P2Y14-MRS2905-Gi1/β1/γ2
20.69Consensusffa_onOrthosteric Ligandffa2_on ffa3_on
20.69Consensusffa_on_gpOrthosteric Ligandffa2_on_gp ffa3_on_gp
20.69Consensusgi_ffaOrthosteric Ligand8J21-FFA3-Butyric acid-Gi1/β1/γ2 8J22-FFA2-TUG-1375-Gi1/β1/γ2
20.69Consensusm1_on_gpOrthosteric Ligand6OIJ-M1-Iperoxo-chim(NtGi1L-G11)/β1/γ2
20.69Consensusm3_offOrthosteric Ligand4U15-M3-Tiotropium 4U16-M3-N-methyl-Scopolamine 5ZHP-M3-PubChem 134828589
20.69Consensusneurotensin_onOrthosteric Ligandnts1_on
20.69Consensusnpy_offOrthosteric Ligandnpy1_off npy2_off
20.69Consensusnts1_onOrthosteric Ligand6OSA-NTS1-JMV449-Gi1/β1/γ2 7L0S-NTS1-Neurotensin-(8-13)-Gi1/β1/γ1
20.59Single8W8YGamma-MSH8W8Y-MC3-γ-MSH-Ca-Gs/β1/γ2
20.59Single8WKZSBL-MC-318WKZ-MC4-SBL-MC-31
20.59Consensusclass-b1_class-b2_cons_onOrthosteric Ligandclass-b1_on class-b2_on
20.59Consensusclass-b1_class-b2_cons_on_gpOrthosteric Ligandclass-b1_on_gp class-b2_on_gp
20.59Consensuscxcr4_on_gpOrthosteric Ligand8K3Z-CXCR4-CXCL12-Gi1/β1/γ1
20.51Single6PB0Urocortin6PB0-CRF1-Urocortin-chim(NtGi1-Gs)/β1/γ2
20.51Single7RBTTirzepatide7RBT-GIP-Tirzepatide-LSN3556672-chim(NtGi1-Gs)/β1/γ2
20.51Consensuscrf1_onOrthosteric Ligand6PB0-CRF1-Urocortin-chim(NtGi1-Gs)/β1/γ2 6P9X-CRF1-Corticoliberin-1-Gs/β1/γ2
20.00Single3VW7Vorapaxar; Na3VW7-PAR1-Vorapaxar; Na
20.00Single4GRVNeurotensin-(8-13)4GRV-NTS1-Neurotensin-(8-13)
20.00Single4LDEBI1671074LDE-β2-BI167107
20.00Single4PXZ2MeSADP4PXZ-P2Y12-2MeSADP
20.00Single4PY02MeSATP4PY0-P2Y12-2MeSATP
20.00Single4XEENeurotensin-(8-13)4XEE-NTS1-Neurotensin-(8-13)
20.00Single4XESNeurotensin-(8-13)4XES-NTS1-Neurotensin-(8-13)
20.00Single5TE520-Methanoretinal5TE5-Rhodopsin-20-Methanoretinal
20.00Single5TZYMK8666; AP85TZY-FFA1-MK8666; AP8
20.00Single6I9K9-cis-Retinal6I9K-Rhodopsin-9-cis-Retinal
20.00Single6QNOAll-trans-Retinal6QNO-Rhodopsin-All-trans-Retinal-Gi1/β1/γ1
20.00Single6RZ7ONO-25703666RZ7-CysLT2-ONO-2570366
20.00Single6WIVPubChem 52923113; PubChem 529246456WIV-GABAB1, GABAB2-PubChem 52923113; PubChem 52924645
20.00Single6YVRNeurotensin-(6-13)6YVR-NTS1-Neurotensin-(6-13)
20.00Single7AD3Alpha-factor mating pheromone7AD3-STE2; STE2-α-factor mating pheromone-Gi1/STE4/γ2
20.00Single7DD5Ca; Ca; Tryptophan; NPS-21437DD5-CaS; CaS-Ca-Ca; Ca; Tryptophan; NPS-2143
20.00Single7EPENAM5637EPE-mGlu2-NAM563
20.00Single7EVYSiponimod7EVY-S1P1-Siponimod-Gi1/β1/γ2
20.00Single7EW2FTY720-P7EW2-S1P3-FTY720-P-Gi1/β1/γ2
20.00Single7FINPeptide-20; GGL7FIN-GIP-Peptide-20; GGL-Gs/β1/γ2
20.00Single7K15MKD0467K15-BLT1-MKD046-Na
20.00Single7L0SNeurotensin-(8-13)7L0S-NTS1-Neurotensin-(8-13)-Gi1/β1/γ1
20.00Single7T6BS1P7T6B-S1P2-S1P-chim(NtGi1L-G13)/β1/γ2
20.00Single7TYIAmylin7TYI-CT-Amylin-Gs/β1/γ2
20.00Single7XTASerotonin7XTA-5-HT4-Serotonin-Gi1/β1/γ2
20.00Single7XW6ML1097XW6-TSH-M22 Fab-ML109-Gs/β1/γ2
20.00Single7YFCHistamine7YFC-H4-Histamine-chim(NtGi1-Gs-CtGq)/β1/γ2
20.00Single8E9W2-Deoxycytidine8E9W-M3-2-Deoxycytidine-chim(NtGi2L-Gs-CtGq)/β1/γ2
20.00Single8EF6Morphine8EF6-μ-Morphine-Gi1/β1/γ2
20.00Single8FX5Xanomeline8FX5-M4-Xanomeline-Xanomeline-Gi1/β1/γ2
20.00Single8GGYConstrained Epinephrine8GGY-β2-Constrained Epinephrine
20.00Single8H0QGastrin Releasing Peptide8H0Q-BB2-Gastrin Releasing Peptide-chim(NtGi1-Gs-CtGq)/β1/γ2
20.00Single8IEDPubChem 1347468948IED-GPR156; GPR156-PubChem 134746894-Go/β1/γ2
20.00Single8JD3JNJ-404118138JD3-mGlu2; mGlu3-Glutamate-JNJ-40411813-Gi1/β1/γ2
20.00Single8JPBNeurotensin-(8-13)8JPB-NTS1-Neurotensin-(8-13)-SBI-553; GDP; Mg-Gq; GRK2
20.00Single8RWHStilSwitch28RWH-A2A-StilSwitch2-Na
20.00Single8VHFMBX-29828VHF-GPR119-MBX-2982-Gs/β1/γ2
20.00Single8WRBLysophosphatidylserine (UBL)8WRB-GPR34-Lysophosphatidylserine (UBL)-Gi1/β1/γ2
20.00Single8XJNCloprosetnol8XJN-TXA2-Cloprosetnol-chim(NtGi1-Gs-CtGq)/β1/γ2
20.00Single8XQJJN2418XQJ-Apelin; Apelin-JN241
20.00Single8XQSCholesterol8XQS-TAS2R14-Cholesterol-Flufenamic acid-Gi1/β1/γ1
20.00Single8YH3N-methyladenosine8YH3-A3A-N-methyladenosine-Gi1/β1/γ2
20.00Single8YKWSuccinic acid8YKW-Succinate-Succinic acid-Gi1/β1/γ1
20.00Single8YN4Histamine8YN4-H2-Histamine-chim(NtGi1L-Gs-CtGq)/β1/γ2
20.00Single8YN5Histamine8YN5-H3-Histamine-Gi1/β1/γ2
20.00Single8YN6Imetit8YN6-H3-Imetit-Gi1/β1/γ2
20.00Single8YN7Immethridine8YN7-H3-Immethridine-Go/β1/γ2
20.00Single8ZX5AM2518ZX5-GPR55-AM251-chim(NtGi1-G13)/β1/γ2
20.00Single9AUCCalcitonin gene-related peptide-19AUC-CT (AMY1)-Calcitonin gene-related peptide-1-Gs/β1/γ2; RAMP1
20.00Single9BLCCagrilintide (non-acylated)9BLC-CT-Cagrilintide (non-acylated)-Gs/β1/γ2
20.00Single9BUDCagrilintide9BUD-CT-Cagrilintide-Gs/β1/γ2
20.00Single9CM3TUG-13759CM3-FFA2-TUG-1375-PubChem 118615810-chim(NtGi1L-Gs-CtGq)/β1/γ2
20.00Single9EK0Iperoxo9EK0-M5-Iperoxo-chim(NtGi1-Gs-CtGq)/β1/γ2
20.00Single9IJEEpinephrine9IJE-β3-Epinephrine-chim(NtGi1-Gs)/β1/γ2
20.00Single9IXJHistamine9IXJ-H2-Histamine-Gs/β1/γ2
20.00Single9IZDCHBA9IZD-HCA1-CHBA-Gi1/β1/γ2
20.00Single9JEDHistamine9JED-H4-Histamine-PO4-Gi1/β1/γ2
20.00Single9JEQHistamine9JEQ-H3-Histamine-Gi1/β1/γ2
20.00Single9KUWCMPD6449KUW-Apelin; Apelin-CMPD644-Arrestin2 ; Arrestin2
20.00Single9LMPNE52-QQ579LMP-GPR4-NE52-QQ57
20.00Single9U9VMETH9U9V-β2-METH-Gs/β1/γ2
20.00Single9VIFNeuropeptide-VF9VIF-NPFF1-Neuropeptide-VF-Gi1/β1/γ2
20.00Single9YDUUDP-Glucose9YDU-P2Y14-UDP-Glucose-Gi1/β1/γ2
20.00Consensus5ht4_onOrthosteric Ligand7XTA-5-HT4-Serotonin-Gi1/β1/γ2
20.00Consensus5ht4_on_gpOrthosteric Ligand7XTA-5-HT4-Serotonin-Gi1/β1/γ2
20.00Consensuscrf2_onOrthosteric Ligand7TS0-CRF2-Urocortin-chim(NtGi1L-Go)/β1/γ2
20.00Consensusffa2_on_gpOrthosteric Ligand8J22-FFA2-TUG-1375-Gi1/β1/γ2
20.00Consensusmc5_on_gpOrthosteric Ligand8INR-MC5-α-MSH-Ca-chim(NtGi1-Gs)/β1/γ2 8IOD-MC5-PG-901-Ca-chim(NtGi1-Gs)/β1/γ2
20.00Consensustachykinin_onOrthosteric Ligandnk1_on nk2_on nk3_on
19.51Single7V35Peptide-207V35-Glucagon-Peptide-20-Gs/β1/γ2
19.51Consensuscrf1_on_gpOrthosteric Ligand6PB0-CRF1-Urocortin-chim(NtGi1-Gs)/β1/γ2 6P9X-CRF1-Corticoliberin-1-Gs/β1/γ2
19.44Single7TYWCalcitonin-17TYW-CT (AMY1)-Calcitonin-1-Gs/β1/γ2; RAMP1
19.44Single8YG4LA-PTH Analog8YG4-PTH1-LA-PTH Analog-chim(NtGi1-Gs)/β1/γ2
19.44Consensuscalcitonin_onOrthosteric Ligandctlike_on
19.35Single4BUONeurotensin-(8-13)4BUO-NTS1-Neurotensin-(8-13)
19.35Single4RWSvMIP-II4RWS-CXCR4-vMIP-II
19.35Single6KPGAM8416KPG-CB1-AM841-Gi1/β1/γ2
19.35Single6RZ9ONO-27703726RZ9-CysLT2-ONO-2770372
19.35Single7QVMOxytocin7QVM-OT-Oxytocin-chim(NtGi1-Go-CtGq)/β1/γ2
19.35Single7UM4AS26747237UM4-5-HT5A-AS2674723
19.35Single7X1UTRH7X1U-TRH-TRH-chim(NtGi2L-Gs-CtGq)/β1/γ2
19.35Single7XZ6APD6687XZ6-GPR119-APD668-Gs/β1/γ2
19.35Single8FN0Neurotensin-(8-13)8FN0-NTS1-Neurotensin-(8-13)-SBI-553-chim(NtGi1-Go)/β1/γ2
19.35Single8T3OTUG-8918T3O-FFA4-TUG-891-chim(NtGi2L-Gs-CtGq)/β1/γ2
19.35Single8XBES3E-Lysophosphatidylserine 8XBE-GPR34-S3E-Lysophosphatidylserine-Gi1/β1/γ1
19.35Single8XJKCloprosetnol8XJK-FP-alpha-Cloprosetnol-chim(NtGi1-Gs-CtGq)/β1/γ2
19.35Single8XJOU466198XJO-TXA2-U46619-chim(NtGi1-Gs-CtGq)/β1/γ2
19.35Single9C0KExendin-49C0K-GLP-1-Exendin-4-Gs/β1/γ2
19.35Single9GE3Lysophosphatidylinositol9GE3-GPR55-Lysophosphatidylinositol-chim(NtGi1-G13)/β1/γ2
19.35Single9GG5U466199GG5-TXA2-U46619-chim(NtGi2L-Gs-CtGq)/β1/γ2
19.35Single9L79AR2314539L79-GPR119-AR231453-chim(NtGi1-Gs)/β1/γ2
19.35Consensuscyslt2_offOrthosteric Ligand6RZ7-CysLT2-ONO-2570366 6RZ8-CysLT2-ONO-2080365 6RZ9-CysLT2-ONO-2770372
19.35Consensusprostanoid_onOrthosteric Ligandtp_on fp-alpha_on
19.35Consensusprostanoid_on_gpOrthosteric Ligandtp_on_gp fp-alpha_on_gp
19.35Consensustp_onOrthosteric Ligand8XJO-TXA2-U46619-chim(NtGi1-Gs-CtGq)/β1/γ2
19.35Consensustp_on_gpOrthosteric Ligand8XJO-TXA2-U46619-chim(NtGi1-Gs-CtGq)/β1/γ2
19.23Single1GZM11-cis-Retinal1GZM-Rhodopsin-11-cis-Retinal
19.23Single2PED9-cis-Retinal2PED-Rhodopsin-9-cis-Retinal
19.23Single2X72All-trans-Retinal2X72-Rhodopsin-All-trans-Retinal-Gt(CT)
19.23Single3C9L11-cis-Retinal3C9L-Rhodopsin-11-cis-Retinal
19.23Single3VGAZM-2413853VGA-A2A-ZM-241385-Antibody
19.23Single5K2DZM-2413855K2D-A2A-ZM-241385-Na
19.23Single5OLVLUAA470705OLV-A2A-LUAA47070-Na
19.23Single5WS3EMPA5WS3-OX2-EMPA
19.23Single6D9HAdenosine6D9H-A1-Adenosine-Gi2/β1/γ2
19.23Single6JZHZM-2413856JZH-A2A-ZM-241385-Na
19.23Single6NWEOctyl-Beta-D-Glucopyranoside6NWE-Rhodopsin-Octyl-β-D-Glucopyranoside-Gt(CT)
19.23Single6OBAAlprenolol6OBA-β2-Alprenolol-GTPL11074
19.23Single6OYAAll-trans-Retinal6OYA-Rhodopsin-All-trans-Retinal-Gt/β1/γ1
19.23Single6PS7ZM-2413856PS7-A2A-ZM-241385-Na
19.23Single6TODEMPA6TOD-OX1-EMPA-Na
19.23Single7DHRIsoprenaline7DHR-β2-Isoprenaline-Gs/β1/γ2
19.23Single7EJ0Norepinephrine7EJ0-α2a-Norepinephrine-Go/β1/γ2
19.23Single7F1ODopamine7F1O-D1-Dopamine-GDP; Mg-Gs/β1/γ2
19.23Single7M3FCa; Ca; Tryptophan; Cinacalcet7M3F-CaS; CaS-Ca; Ca; Tryptophan; Cinacalcet
19.23Single7T6STC-FPR 437T6S-FPR2-ALX-TC-FPR 43-Gi1/β1/γ2
19.23Single7VDLCortistatin-147VDL-MRGPRX2-Cortistatin-14-Gi1/β1/γ2
19.23Single7VUJJNJ-635330547VUJ-GPR139-JNJ-63533054-GDP-chim(Gs-CtGq)/β1/γ2
19.23Single7W0MPubChem 1227019087W0M-Apelin-PubChem 122701908-Gi1/β1/γ2
19.23Single7WF7S1P7WF7-S1P1-S1P-Gi1/β1/γ2
19.23Single7XRRLemborexant7XRR-OX2-Lemborexant
19.23Single8DU3PubChem 1055260648DU3-A2A-PubChem 105526064
19.23Single8H8JLodoxamide8H8J-GPR35-Lodoxamide-Ca-chim(NtGi1L-G13)/β1/γ2
19.23Single8HDPAdenosine8HDP-A2B-Adenosine-Gs/β1/γ2
19.23Single8IW4Spermidine8IW4-TAA9-Spermidine-chim(NtGi1-Gs)/β1/γ2
19.23Single8IWESpermidine8IWE-TAA9-Spermidine
19.23Single8JPPSuccinic acid8JPP-Succinate-Succinic acid-chim(Gs-CtGq)/β1/γ1
19.23Single8RW0Istradefylline8RW0-A2A-Istradefylline-Na
19.23Single8TZQDopamine8TZQ-D2-Dopamine-Go/β1/γ2
19.23Single8U4PAMD31008U4P-CXCR4-AMD3100-Gi1/β1/γ2
19.23Single8UNXConstrained Epinephrine8UNX-β2-Constrained Epinephrine-GTP-Gs/β1/γ2
19.23Single8WOGSuccinic acid8WOG-Succinate-Succinic acid-Gi1/β1/γ2
19.23Single8XXVIndomethacin8XXV-DP2-Indomethacin-A1D5Q-Gi1/β1/γ2
19.23Single8YKXMaleic acid8YKX-Succinate-Maleic acid-Gi1/β1/γ1
19.23Single8YUVImmepip8YUV-H3-Immepip-Gi1/β1/γ2
19.23Single8YYWAlpha-ketoglutarate8YYW-Oxoglutarate-α-ketoglutarate-α-ketoglutarate-chim(Gi1-CtGq)/β1/γ2
19.23Single8YYWAlpha-ketoglutarate8YYW-Oxoglutarate-α-ketoglutarate-α-ketoglutarate-chim(Gi1-CtGq)/β1/γ2
19.23Single9EBHAdenosine9EBH-A3A-Adenosine-Gi1/β1/γ2
19.23Single9EEAAdenosine9EEA-A2A-Adenosine-Gs/β1/γ2
19.23Single9H2XPubChem 1756706449H2X-A2A-PubChem 175670644-Na
19.23Single9K6LSalicin9K6L-TAS2R16-Salicin-Gi2/β1/γ2
19.23Single9KO2CCL199KO2-CCR7-CCL19-Gi1/β1
19.23Single9KO6CCL199KO6-CCR7-CCL19
19.23Single9KPESalicin9KPE-TAS2R16-Salicin-Gi1/β1/γ2
19.23Single9LKDPL459LKD-OR5V1-PL45
19.23Single9LLBDOI-NBOMe9LLB-5-HT2A-DOI-NBOMe-chim(NtGi1L-Gs-CtGq)/β1/γ2
19.23Consensus5ht1e_onOrthosteric Ligand7E33-5-HT1E-BRL-54443-Gi1/β1/γ2 8UGY-5-HT1E-Mianserin-Gi1/β1/γ1 8UH3-5-HT1E-Setiptiline-Gi1/β1/γ1
19.23Consensusalpha2_offOrthosteric Ligandalpha2c_off
19.23Consensusangiotensin_offOrthosteric Ligandat1_off
19.23Consensusgi_succinateOrthosteric Ligand8YKW-Succinate-Succinic acid-Gi1/β1/γ1 8YKX-Succinate-Maleic acid-Gi1/β1/γ1
19.23Consensusgq_histamineOrthosteric Ligand7DFL-H1-Histamine-chim(NtGi1L-Gq)/β1/γ2
19.23Consensush1_on_gpOrthosteric Ligand7DFL-H1-Histamine-chim(NtGi1L-Gq)/β1/γ2
19.23Consensushistamine_onOrthosteric Ligandh1_on h2_on h3_on h4_on
19.23Consensushistamine_on_gpOrthosteric Ligandh1_on_gp h2_on_gp h3_on_gp h4_on_gp
19.23Consensusorexin_offOrthosteric Ligandox2_off ox1_off
19.23Consensusox1_offOrthosteric Ligand6TP6-OX1-Filorexant 6TP4-OX1-ACT-462206 6V9S-OX1-GTPL11403 6TOT-OX1-Lemborexant 6TP3-OX1-Nemorexant 6TQ6-OX1-PubChem 145714283 6TQ9-OX1-SB-408124 4ZJC-OX1-SB-674042 4ZJ8-OX1-Suvorexant 6TOD-OX1-EMPA-Na 6TOS-OX1-GSK1059865-Na 6TQ4-OX1-PubChem 16046844-Na
19.23Consensusox2_offOrthosteric Ligand5WQC-OX2-EMPA 6TPN-OX2-HTL6641 7XRR-OX2-Lemborexant 6TPJ-OX2-Suvorexant
19.23Consensusrhodopsin_on_gpOrthosteric Ligand6OYA-Rhodopsin-All-trans-Retinal-Gt/β1/γ1
19.23Consensussensory_offonOrthosteric Ligandsensory_off sensory_on
19.23Consensussensory_offon_gpOrthosteric Ligandsensory_on_gp sensory_on
19.23Consensussuccinate_onOrthosteric Ligand8YKW-Succinate-Succinic acid-Gi1/β1/γ1 8YKX-Succinate-Maleic acid-Gi1/β1/γ1
19.23Consensussuccinate_on_gpOrthosteric Ligand8YKW-Succinate-Succinic acid-Gi1/β1/γ1 8YKX-Succinate-Maleic acid-Gi1/β1/γ1
19.05Single7TYOCalcitonin7TYO-CT-Calcitonin-Gs/β1/γ2
18.92Single6NBILA-PTH Analog6NBI-PTH1-LA-PTH Analog-Gs/β1/γ2
18.92Single8FLRPTHrP(1-36)8FLR-PTH1-PTHrP(1-36)-Gs/β1/γ2
18.92Single9BUBCagrilintide9BUB-CT-Cagrilintide-Gs/β1/γ2
18.92Consensuscrf2_on_gpOrthosteric Ligand7TS0-CRF2-Urocortin-chim(NtGi1L-Go)/β1/γ2
18.75Single6KNMJN241-96KNM-Apelin-JN241-9
18.75Single7RMHSubstance-P7RMH-NK1-Substance-P-Gs/β1/γ2
18.75Single8J22TUG-13758J22-FFA2-TUG-1375-Gi1/β1/γ2
18.75Single8SAILysophosphatidylserine (S12)8SAI-GPR34-Lysophosphatidylserine (S12)-Gi1/β1/γ2
18.75Single9CM7TUG-13759CM7-FFA2-TUG-1375-AZ-1729-Gi1/β1/γ2
18.75Single9IPYJR14a9IPY-C3aB-JR14a
18.75Single9NS9TUG-13759NS9-FFA2-TUG-1375-PubChem 118615810-Gi1/β1/γ2
18.52Single3OAX11-cis-Retinal3OAX-Rhodopsin-11-cis-Retinal
18.52Single3V2YPubChem 518926453V2Y-S1P1-PubChem 51892645
18.52Single4MQTIperoxo4MQT-M2-Iperoxo-LY2119620
18.52Single5IU4ZM-2413855IU4-A2A-ZM-241385-Na
18.52Single5IUBQ274563445IUB-A2A-Q27456344-Na
18.52Single5K2CZM-2413855K2C-A2A-ZM-241385-Na
18.52Single5NM4ZM-2413855NM4-A2A-ZM-241385-Na
18.52Single5TE3Octyl-Beta-D-Glucopyranoside5TE3-Rhodopsin-Octyl-β-D-Glucopyranoside
18.52Single6A94Zotepine6A94-5-HT2A-Zotepine
18.52Single6AQFZM-2413856AQF-A2A-ZM-241385
18.52Single6IQLL7458706IQL-D4-L745870
18.52Single6ME42-Iodomelatonin6ME4-MT1-2-Iodomelatonin
18.52Single6PS5Propranolol6PS5-β2-Propranolol
18.52Single6TOSGSK10598656TOS-OX1-GSK1059865-Na
18.52Single6TPNHTL66416TPN-OX2-HTL6641
18.52Single6WJCAtropine6WJC-M1-Atropine-Muscarinic toxin 7
18.52Single6ZDVPubChem 9840736ZDV-A2A-PubChem 984073-Na
18.52Single7CKWFenoldopam7CKW-D1-Fenoldopam-Gs/β1/γ2
18.52Single7F24Dopamine7F24-D1-Dopamine-GDP-Gs/β1/γ2
18.52Single7WVUfMLF7WVU-FPR1-ALX-fMLF-Gi1/β1/γ2
18.52Single7XXH2MeSADP7XXH-P2Y1-2MeSADP-chim(NtGi1-G11)/β1/γ2
18.52Single7ZBC11-cis-Retinal7ZBC-Rhodopsin-11-cis-Retinal
18.52Single7ZBE11-cis-Retinal7ZBE-Rhodopsin-11-cis-Retinal
18.52Single8DPGPsilocin8DPG-5-HT2C-Psilocin-chim(NtGi2L-Gs-CtGq)/β1/γ2
18.52Single8FCZ11-cis-Retinal8FCZ-Rhodopsin-11-cis-Retinal
18.52Single8GEDConstrained Epinephrine8GED-β2-Constrained Epinephrine-Gs/β1/γ2
18.52Single8GG5Constrained Epinephrine8GG5-β2-Constrained Epinephrine-GTP-Gs/β1/γ2
18.52Single8GG7Constrained Epinephrine8GG7-β2-Constrained Epinephrine-GTP-Gs/β1/γ2
18.52Single8GGLConstrained Epinephrine8GGL-β2-Constrained Epinephrine
18.52Single8GGMConstrained Epinephrine8GGM-β2-Constrained Epinephrine
18.52Single8GGPConstrained Epinephrine8GGP-β2-Constrained Epinephrine
18.52Single8HQN9-S-HODE8HQN-GPR132-9-S-HODE-Gi1/β1/γ2
18.52Single8JSPUlotaront8JSP-5-HT1A-Ulotaront-Gi1/β1/γ2
18.52Single8K4NPubChem 1687197658K4N-GPR34-PubChem 168719765-Gi1/β1/γ2
18.52Single8RWIStilSwitch28RWI-A2A-StilSwitch2-Na
18.52Single8UNLConstrained Epinephrine8UNL-β2-Constrained Epinephrine-GTP-Gs/β1/γ2
18.52Single8UNMConstrained Epinephrine8UNM-β2-Constrained Epinephrine-GTP-Gs/β1/γ2
18.52Single8UNOConstrained Epinephrine8UNO-β2-Constrained Epinephrine-GTP-Gs/β1/γ2
18.52Single8UNWConstrained Epinephrine8UNW-β2-Constrained Epinephrine-GTP-Gs/β1/γ2
18.52Single8UO1Constrained Epinephrine8UO1-β2-Constrained Epinephrine-GTP; Mg-Gs/β1/γ2
18.52Single8W8BSEP-3638568W8B-5-HT1A-SEP-363856-Gi1/β1/γ2
18.52Single8ZMGPimavanserin8ZMG-5-HT2A-Pimavanserin
18.52Single9ARXSerotonin9ARX-5-HT2A-Serotonin
18.52Single9AS5Mescaline9AS5-5-HT2A-Mescaline
18.52Single9AS6Mescaline9AS6-5-HT2A-Mescaline-chim(NtGi1-Gs-CtGq)/β1/γ2
18.52Single9JKQMETH9JKQ-TA1-METH-Gs/β1/γ2
18.52Single9JKYAcifran9JKY-HCA2-Acifran-Gi1/β1/γ2
18.52Single9K1DButyric acid9K1D-FFA2-Butyric acid-Gi1/β1/γ2
18.52Single9KPDSalicin9KPD-TAS2R16-Salicin-chim(Gs-CtGt3)/β1/γ2
18.52Single9KXSEP679KXS-C5a1-EP67-Go/β1/γ2
18.52Single9L84Epinephrine9L84-β1-Epinephrine-Atazanavir-Gs/β1/γ2
18.52Single9L8LBI1671079L8L-β2-BI167107-Atazanavir-Gs/β1/γ2 ; Arrestin2
18.52Single9LKBPL459LKB-OR5V1-PL45-chim(NtGi1-Gs)/β1
18.52Single9LRDHistamine9LRD-H1-Histamine-Gi1/β1/γ2
18.52Single9ODLMitragynine Pseudoindoxyl9ODL-μ-Mitragynine Pseudoindoxyl-GTP; Mg-Gi1/β1/γ2
18.52Single9W33S5A19W33-SST5-S5A1
18.52Single9W6W5-CT9W6W-5-HT5A-5-CT-Gi1/β1/γ2
18.52Consensus5ht_on_gpOrthosteric Ligand5ht1_on_gp 5ht2_on_gp 5ht4_on_gp 5ht5_on_gp 5ht6_on_gp 5ht7_on_gp
18.52Consensusat1_offOrthosteric Ligand4YAY-AT1-ZD-7155 4ZUD-AT1-Olmesartan
18.52Consensusghrelin_offOrthosteric Ligand6KO5-Ghrelin-PubChem 57400002 7F83-Ghrelin-PF-05190457
18.52Consensusopsins_offOrthosteric Ligandrhodopsin_off
18.52Consensusp2y1_on_gpOrthosteric Ligand7XXH-P2Y1-2MeSADP-chim(NtGi1-G11)/β1/γ2
18.52Consensussensory_offOrthosteric Ligandopsins_off
18.42Single6P9XCorticoliberin-16P9X-CRF1-Corticoliberin-1-Gs/β1/γ2
18.42Consensusglp2_onOrthosteric Ligand7D68-GLP-2-GLP-2-Gs/β1/γ2
18.42Consensusglp2_on_gpOrthosteric Ligand7D68-GLP-2-GLP-2-Gs/β1/γ2
18.42Consensusp2y10_on_gpOrthosteric Ligand8KGG-P2Y10-Lysophosphatidylserine (WJS)-chim(NtGi2-G13)/β1/γ2
18.18Single6RZ8ONO-20803656RZ8-CysLT2-ONO-2080365
18.18Single7F54Afamelanotide7F54-MC4-Afamelanotide-Gs/β1/γ2
18.18Single8IEIPubChem 1347468948IEI-GPR156; GPR156-PubChem 134746894
18.18Single8INRAlpha-MSH8INR-MC5-α-MSH-Ca-chim(NtGi1-Gs)/β1/γ2
18.18Single8WKYPG-9348WKY-MC4-PG-934
18.18Single8WZ2Orexigenic Neuropeptide QRFP8WZ2-QRFP-Orexigenic Neuropeptide QRFP-chim(NtGi1L-Gs-CtGq)/β1/γ2
18.18Consensuscxcr4_onOrthosteric Ligand8K3Z-CXCR4-CXCL12-Gi1/β1/γ1
17.95Single6LMKGlucagon6LMK-Glucagon-Glucagon-Gs/β1/γ2
17.95Single6UUSAdrenomedullin6UUS-CT Like (AM2)-Adrenomedullin-Gs/β1/γ2; RAMP3
17.95Single8KGGLysophosphatidylserine (WJS)8KGG-P2Y10-Lysophosphatidylserine (WJS)-chim(NtGi2-G13)/β1/γ2
17.95Single9BTWCagrilintide9BTW-CT (AMY3)-Cagrilintide-Gs/β1/γ2; RAMP3
17.95Consensusctlike_on_gpOrthosteric Ligand6E3Y-CT Like-Calcitonin gene-related peptide-1-Gs/β1/γ2; RAMP1
17.86Single1HZX11-cis-Retinal1HZX-Rhodopsin-11-cis-Retinal
17.86Single2VT4Cyanopindolol2VT4-β1-Cyanopindolol
17.86Single2Y01Dobutamine2Y01-β1-Dobutamine
17.86Single2Y02Carmoterol2Y02-β1-Carmoterol
17.86Single2YCYCyanopindolol2YCY-β1-Cyanopindolol
17.86Single4DAJTiotropium4DAJ-M3-Tiotropium
17.86Single4MQSIperoxo4MQS-M2-Iperoxo
17.86Single4U14Tiotropium4U14-M3-Tiotropium
17.86Single4YAYZD-71554YAY-AT1-ZD-7155
17.86Single5DSGTiotropium5DSG-M4-Tiotropium
17.86Single5NDDAZ8838; Na5NDD-PAR2-AZ8838; Na
17.86Single5TGZAM65385TGZ-CB1-AM6538
17.86Single5UENDU1725UEN-A1-DU172
17.86Single5UIGPubChem 1240811965UIG-A2A-PubChem 124081196
17.86Single6DRXLisuride6DRX-5-HT2B-Lisuride
17.86Single6GPSMK08126GPS-CCR2-MK0812
17.86Single6IIVDaltroban6IIV-TXA2-Daltroban
17.86Single6ORVTT-OAD26ORV-GLP-1-TT-OAD2-Gs/β1/γ2
17.86Single6PRZAlprenolol6PRZ-β2-Alprenolol
17.86Single6Z10PubChem 1545855546Z10-Succinate-PubChem 154585554
17.86Single6Z4VNeurotensin-(9-13)6Z4V-NTS1-Neurotensin-(9-13)
17.86Single7BU7BI1671077BU7-β1-BI167107
17.86Single7DB6Ramelteon7DB6-MT1-Ramelteon-Gi1/β1/γ2
17.86Single7FIHOrg435537FIH-LH-hCG-Org43553-chim(NtGi1-Gs)/β1/γ2
17.86Single7LCIDanuglipron7LCI-GLP-1-Danuglipron-Gs/β1/γ2
17.86Single7LCKDanuglipron7LCK-GLP-1-Danuglipron
17.86Single7PP1Selatogrel7PP1-P2Y12-Selatogrel
17.86Single7SK8CXCL127SK8-ACKR3-CXCL12-CCX662
17.86Single7TRPIperoxo7TRP-M4-Iperoxo-LY2033298-Gi1/β1/γ2
17.86Single7UM55-CT7UM5-5-HT5A-5-CT-chim(NtGi1-Go)/β1/γ2
17.86Single7UM6Lisuride7UM6-5-HT5A-Lisuride-chim(NtGi1-Go)/β1/γ2
17.86Single7VIFFTY720-P7VIF-S1P1-FTY720-P-Gi1/β1/γ2
17.86Single7WC8Lumateperone7WC8-5-HT2A-Lumateperone
17.86Single7XJHIsoprenaline7XJH-β3-Isoprenaline-Gs/β1/γ2
17.86Single8CICEtrumadenant8CIC-A2A-Etrumadenant-Na
17.86Single8EJKTAK-8758EJK-FFA1-TAK-875-chim(NtGi1L-Gs-CtGq)/β1/γ2
17.86Single8JT8(R)-IHCH-71798JT8-5-HT2A-(R)-IHCH-7179
17.86Single8RWXStilSwitch38RWX-A2A-StilSwitch3-Na
17.86Single8UGYMianserin8UGY-5-HT1E-Mianserin-Gi1/β1/γ1
17.86Single8UH3Setiptiline8UH3-5-HT1E-Setiptiline-Gi1/β1/γ1
17.86Single8UWLLisuride8UWL-5-HT2A-Lisuride-chim(NtGi2-Gs-CtGq)/β1/γ2
17.86Single8X63Mepyramine8X63-H1-Mepyramine
17.86Single8XBGS3E-Lysophosphatidylserine 8XBG-GPR34-S3E-Lysophosphatidylserine
17.86Single8YN8Proxyfan8YN8-H3-Proxyfan-Go/β1/γ2
17.86Single9AS1DMT9AS1-5-HT2A-DMT
17.86Single9AVGCa; Ca; Cyclomethyltryptophan; R-568; PO49AVG-CaS; CaS-Ca-Ca; Ca; Cyclomethyltryptophan; R-568; PO4-chim(NtGi1-Gs)/β1/γ2
17.86Single9JGKBalovaptan9JGK-5-HT2B-Balovaptan
17.86Single9LLAAriadne9LLA-5-HT2A-Ariadne-chim(NtGi1L-Gs-CtGq)/β1/γ2
17.86Single9METGp120; CD49MET-CXCR4-Gp120; CD4
17.86Consensus5ht5_onOrthosteric Ligand5ht5a_on
17.86Consensus5ht5a_onOrthosteric Ligand7X5H-5-HT5A-5-CT-Gi1/β1/γ2 7UM6-5-HT5A-Lisuride-chim(NtGi1-Go)/β1/γ2 7UM7-5-HT5A-Methylergometrine-chim(NtGi1-Go)/β1/γ2
17.86Consensus5ht6_onOrthosteric Ligand7XTB-5-HT6-Serotonin-Gs/β1/γ2 8JLZ-5-HT6-ST1936-Gs/β1/γ2
17.86Consensus5ht6_on_gpOrthosteric Ligand7XTB-5-HT6-Serotonin-Gs/β1/γ2 8JLZ-5-HT6-ST1936-Gs/β1/γ2
17.86Consensusalicarboxylic_offOrthosteric Ligandsuccinate_off
17.86Consensusccr2_offOrthosteric Ligand6GPS-CCR2-MK0812
17.86Consensushistamine_offOrthosteric Ligandh1_off
17.86Consensusm4_offOrthosteric Ligand5DSG-M4-Tiotropium
17.86Consensusnucleotide_offonOrthosteric Ligandnucleotide_off nucleotide_on
17.86Consensusnucleotide_offon_gpOrthosteric Ligandnucleotide_on_gp nucleotide_off
17.86Consensussuccinate_offOrthosteric Ligand6RNK-Succinate-NF-56-EJ40 6Z10-Succinate-PubChem 154585554
17.65Single7F1QCCL37F1Q-CCR5-CCL3-Gi1/β1/γ2
17.65Single7PIVAfamelanotide7PIV-MC4-Afamelanotide-Gs/β1/γ2
17.50Consensusgip_onOrthosteric Ligand7FIN-GIP-Peptide-20; GGL-Gs/β1/γ2 7FIY-GIP-Tirzepatide-Gs/β1/γ2 7DTY-GIP-GIP-Gs/β1/γ2
17.50Consensusgip_on_gpOrthosteric Ligand7FIN-GIP-Peptide-20; GGL-Gs/β1/γ2 7FIY-GIP-Tirzepatide-Gs/β1/γ2 7DTY-GIP-GIP-Gs/β1/γ2
17.39Single3PXOAll-trans-Retinal3PXO-Rhodopsin-All-trans-Retinal
17.39Single5DYSAll-trans-Retinal5DYS-Rhodopsin-All-trans-Retinal
17.39Single9IV25alpha-DHT9IV2-ADGRD1-5α-DHT-chim(NtGi1-Gs)/β1/γ2
17.39Single9JIDNiacin9JID-HCA3-Niacin-Gi1/β1/γ2
17.24Single4JKVTaladegib4JKV-SMO-Taladegib
17.24Single4WW3All-trans-Retinal4WW3-Rhodopsin-All-trans-Retinal
17.24Single5CGCHTL142425CGC-mGlu5-HTL14242
17.24Single5TVNLSD5TVN-5-HT2B-LSD
17.24Single5XPRBosentan5XPR-ETB-Bosentan
17.24Single5YHLPubChem 1351213525YHL-EP4-PubChem 135121352
17.24Single5YWYONO-AE3-2085YWY-EP4-ONO-AE3-208
17.24Single6E67BI1671076E67-β2-BI167107-Gs(CT)
17.24Single6GPXMK08126GPX-CCR2-MK0812
17.24Single6OIKIperoxo6OIK-M2-Iperoxo-LY2119620-chim(NtGi1-Go)/β1/γ2
17.24Single6XBKCholesterol6XBK-SMO-Cholesterol-Gi1/β1/γ2
17.24Single7E9GJNJ-404118137E9G-mGlu2; mGlu2-Eglumetad-JNJ-40411813-Gi1/β1/γ2
17.24Single7SINNPS-21437SIN-CaS; CaS-NPS-2143
17.24Single7SINNPS-21437SIN-CaS; CaS-NPS-2143
17.24Single7TRKIperoxo7TRK-M4-Iperoxo-Gi1/β1/γ2
17.24Single7VFXfMIFL7VFX-FPR1-ALX-fMIFL-Gi1/β1/γ2
17.24Single7W41PD1762527W41-BB2-PD176252
17.24Single8GD9Rivenprost8GD9-EP4-Rivenprost-Gs/β1/γ2
17.24Single8ID4Linoleic acid8ID4-FFA4-Linoleic acid-Gi1/β1/γ2
17.24Single8IZ4Lysophosphatidylserine (TJR)8IZ4-GPR34-Lysophosphatidylserine (TJR)-Gi1/β1/γ2
17.24Single8KFXLMD-0098KFX-CCR8-LMD-009-Gi1/β1/γ2
17.24Single8WGBVU01550418WGB-mGlu4; mGlu2-Glutamate-VU0155041-Gi3/β1/γ2
17.24Single8ZYTNeurotensin-(8-13)8ZYT-NTS1-Neurotensin-(8-13)-SBI-553-Arrestin2
17.24Single9ARYSerotonin9ARY-5-HT2A-Serotonin-chim(NtGi1-Gs-CtGq)/β1/γ2
17.24Single9ARZ2-bromo-LSD9ARZ-5-HT2A-2-bromo-LSD
17.24Single9EAHNanobody AT2099EAH-AT1-Olmesartan-Nanobody AT209
17.24Single9KPFSalicin9KPF-TAS2R16-Salicin-Gi1/β1/γ2
17.24Single9KUTJR14a9KUT-C3aB-JR14a-Go/β1/γ2
17.24Consensusbb2_offOrthosteric Ligand7W41-BB2-PD176252
17.24Consensusblt1_offOrthosteric Ligand5X33-BLT1-BIIL260 7K15-BLT1-MKD046-Na
17.24Consensusblt_offOrthosteric Ligandblt1_off
17.24Consensusbombesin_offOrthosteric Ligandbb2_off
17.24Consensuscyslt_offOrthosteric Ligandcyslt2_off cyslt1_off
17.24Consensusep4_offOrthosteric Ligand5YWY-EP4-ONO-AE3-208 5YHL-EP4-PubChem 135121352
17.24Consensusep_offOrthosteric Ligandep4_off
17.24Consensusfpr1-alx_onOrthosteric Ligand7VFX-FPR1-ALX-fMIFL-Gi1/β1/γ2
17.24Consensusfpr1-alx_on_gpOrthosteric Ligand7VFX-FPR1-ALX-fMIFL-Gi1/β1/γ2
17.24Consensuss1p5_offOrthosteric Ligand7YXA-S1P5-ONO-5430608
17.14Single6W25SHU91196W25-MC4-SHU9119-Ca
16.67Single2HPYAll-trans-Retinal2HPY-Rhodopsin-All-trans-Retinal
16.67Single3OE8IT1t3OE8-CXCR4-IT1t
16.67Single3PDSFAUC503PDS-β2-FAUC50
16.67Single4BV0Neurotensin-(7-13)4BV0-NTS1-Neurotensin-(7-13)
16.67Single5TZRMK86665TZR-FFA1-MK8666
16.67Single5V56TC1145V56-SMO-TC114
16.67Single5V57TC1145V57-SMO-TC114
16.67Single5ZBHBMS-1938855ZBH-Y1-BMS-193885
16.67Single6NIYCalcitonin-16NIY-CT-Calcitonin-1-Gs/β1/γ2
16.67Single6O3CCholesterol6O3C-SMO-SAG21k-Cholesterol
16.67Single7EW3S1P7EW3-S1P3-S1P-Gi1/β1/γ2
16.67Single7EW4CYM-55417EW4-S1P3-CYM-5541-Gi1/β1/γ2
16.67Single7F58THIQ7F58-MC4-THIQ-Gs/β1/γ2
16.67Single7R0CAVP7R0C-V2-AVP-Arrestin2
16.67Single7T9NDPPC7T9N-TSH-M22 Fab-DPPC-Gs/β1/γ2
16.67Single8FN1Neurotensin-(8-13)8FN1-NTS1-Neurotensin-(8-13)-chim(NtGi1-Go)/β1/γ2
16.67Single8GEIConstrained Epinephrine8GEI-β2-Constrained Epinephrine-Gs/β1/γ2
16.67Single8JBGNeurokinin-B8JBG-NK3-Neurokinin-B-chim(NtGi1-Gs-CtGq)/β1/γ2
16.67Single8WJXADP8WJX-P2Y1-ADP-chim(Gs-CtGq)/β1/γ2
16.67Single8X79MRE-2698X79-I2-MRE-269-Gs/β1/γ2
16.67Single8XBIPubChem 1626566368XBI-GPR34-PubChem 162656636
16.67Single8YNTSNAP-948478YNT-MCH1-SNAP-94847
16.67Single8YW5Retatrutide8YW5-Glucagon-Retatrutide-Gs/β1/γ2
16.67Single9AS9RS130-1809AS9-5-HT2A-RS130-180
16.67Single9ASARS130-1809ASA-5-HT2A-RS130-180-chim(NtGi1-Gs-CtGq)/β1/γ2
16.67Single9CHUNorepinephrine9CHU-β2-Norepinephrine
16.67Single9CLWTUG-13759CLW-FFA2-TUG-1375-4-CMTB-chim(NtGi1L-Gs-CtGq)/β1/γ2
16.67Single9EE9Adenosine9EE9-A2A-Adenosine-Gs/β1/γ2
16.67Single9ITELPA9ITE-LPA6-LPA-chim(NtGi2-G13)/β1/γ2
16.67Single9JMCDS-3801b9JMC-Motilin-DS-3801b-chim(Gs-CtGq)/β1/γ2
16.67Single9UCPIperoxo9UCP-M1-Iperoxo-G11(CT)
16.67Consensuscyslt1_offOrthosteric Ligand6RZ5-CysLT1-Zafirlukast-Na 6RZ4-CysLT1-Pranlukast-Na
16.67Consensusffa2_onOrthosteric Ligand8J22-FFA2-TUG-1375-Gi1/β1/γ2
16.67Consensusgs_histamineOrthosteric Ligand8POK-H2-Histamine-Gs/β1/γ2
16.67Consensush2_onOrthosteric Ligand8POK-H2-Histamine-Gs/β1/γ2
16.67Consensusnpy1_offOrthosteric Ligand5ZBH-Y1-BMS-193885 5ZBQ-Y1-UR-MK-299
16.67Consensusopsins_onOrthosteric Ligandrhodopsin_on opsin1lw_on
16.67Consensussensory_onOrthosteric Ligandopsins_on
16.28Single8JITMEDI03828JIT-Glucagon-MEDI0382-Gs/β1/γ2
16.22Single7TYHCalcitonin7TYH-CT (AMY2)-Calcitonin-Gs/β1/γ2; RAMP2
16.22Consensusp2y10_onOrthosteric Ligand8KGG-P2Y10-Lysophosphatidylserine (WJS)-chim(NtGi2-G13)/β1/γ2
16.13Single4N4WSANT-14N4W-SMO-SANT-1
16.13Single4OR2FITM4OR2-mGlu1; mGlu1-FITM
16.13Single4PXFOctyl-Beta-D-Glucopyranoside4PXF-Rhodopsin-Octyl-β-D-Glucopyranoside-Arrestin1 Finger Loop
16.13Single5X33BIIL2605X33-BLT1-BIIL260
16.13Single6AK3PGE26AK3-EP3-PGE2
16.13Single6IIURamatroban6IIU-TXA2-Ramatroban
16.13Single7WCMMBX-29827WCM-GPR119-MBX-2982-Gs/β1/γ2
16.13Single7XW5ML1097XW5-TSH-TSH-ML109-Gs/β1/γ2
16.13Single7XW9TRH7XW9-TRH-TRH-chim(NtGi1L-Gs-CtGq)/β1/γ2
16.13Single7XZ5Lysophosphatidylcholine7XZ5-GPR119-Lysophosphatidylcholine-Gs/β1/γ2
16.13Single8DWCBAM8-228DWC-MRGPRX1-BAM8-22-chim(NtGi2L-Gs-CtGq)/β1/γ2
16.13Single8GCPPGE28GCP-EP4-PGE2-Gi1/β1/γ2
16.13Single8IQ6Latanoprost8IQ6-FP-alpha-Latanoprost-chim(NtGi1-Gs-CtGq)/β1/γ2
16.13Single8XQNCholesterol8XQN-TAS2R14-Cholesterol-Aristolochic acid A-Gi1/β1/γ1
16.13Single9BJKPubChem 1716420669BJK-μ-Naloxone-PubChem 171642066
16.13Single9W32SSTR5 antagonist 19W32-SST5-SSTR5 antagonist 1
16.13Consensuss1p3_onOrthosteric Ligand7EW3-S1P3-S1P-Gi1/β1/γ2 7EW4-S1P3-CYM-5541-Gi1/β1/γ2 7EW2-S1P3-FTY720-P-Gi1/β1/γ2
16.13Consensustrh_onOrthosteric Ligand7XW9-TRH-TRH-chim(NtGi1L-Gs-CtGq)/β1/γ2
16.13Consensustrh_on_gpOrthosteric Ligand7XW9-TRH-TRH-chim(NtGi1L-Gs-CtGq)/β1/γ2
16.00Single3C9M11-cis-Retinal3C9M-Rhodopsin-11-cis-Retinal
16.00Single3PQRAll-trans-Retinal3PQR-Rhodopsin-All-trans-Retinal-Gt(CT)
16.00Single4XNWMRS25004XNW-P2Y1-MRS2500
16.00Single6FUFAll-trans-Retinal6FUF-Rhodopsin-All-trans-Retinal-Go
16.00Single6ME5Agomelatine6ME5-MT1-Agomelatine
16.00Single7D77Hydrocortisone7D77-ADGRG3-Hydrocortisone-Go/β1/γ2
16.00Single7MT9All-trans-Retinal7MT9-Rhodopsin-All-trans-Retinal-GRK1
16.00Single7MTAAll-trans-Retinal7MTA-Rhodopsin-All-trans-Retinal-GRK1
16.00Single7V6APubChem 98642757V6A-M4-PubChem 9864275-Gi1/β1/γ2
16.00Single8EITDoconexent8EIT-FFA1-Doconexent-chim(NtGi1L-Gs-CtGq)/β1/γ2
16.00Single8ITFDMCHA8ITF-TAA9-DMCHA-chim(NtGi1-Gs)/β1/γ2
16.00Single8IU2All-trans-Retinal8IU2-Opsin1LW-All-trans-Retinal-Gi1/β1/γ2
16.00Single8J21Butyric acid8J21-FFA3-Butyric acid-Gi1/β1/γ2
16.00Single8JXTHistamine8JXT-H4-Histamine-PO4-Gi1/β1/γ2
16.00Single8X9UMetenolone8X9U-ADGRD1-Metenolone-chim(NtGi1-Gs)/β1/γ2
16.00Single8Y63C20:0 Ceramide8Y63-FPR2-ALX-C20:0 Ceramide-Gi1/β1/γ2
16.00Single9JG1Adriforant9JG1-H4-Adriforant
16.00Consensus5ht2_onOrthosteric Ligand5ht2b_on
16.00Consensus5ht2b_onOrthosteric Ligand7SRR-5-HT2B-LSD-chim(NtGi2L-Gs-CtGq)/β1/γ2
16.00Consensusffa3_onOrthosteric Ligand8J21-FFA3-Butyric acid-Gi1/β1/γ2
16.00Consensusffa3_on_gpOrthosteric Ligand8J21-FFA3-Butyric acid-Gi1/β1/γ2
16.00Consensusgi_opsinsOrthosteric Ligand8IU2-Opsin1LW-All-trans-Retinal-Gi1/β1/γ2
16.00Consensusgi_sensoryOrthosteric Ligandgi_opsins
16.00Consensusopsin1lw_onOrthosteric Ligand8IU2-Opsin1LW-All-trans-Retinal-Gi1/β1/γ2
16.00Consensusopsin1lw_on_gpOrthosteric Ligand8IU2-Opsin1LW-All-trans-Retinal-Gi1/β1/γ2
16.00Consensusopsins_on_gpOrthosteric Ligandrhodopsin_on_gp opsin1lw_on_gp
16.00Consensusp2y1_offOrthosteric Ligand4XNW-P2Y1-MRS2500
16.00Consensusrhodopsin_onOrthosteric Ligand6OYA-Rhodopsin-All-trans-Retinal-Gt/β1/γ1
16.00Consensussensory_on_gpOrthosteric Ligandopsins_on_gp
15.79Consensusctlike_onOrthosteric Ligand6E3Y-CT Like-Calcitonin gene-related peptide-1-Gs/β1/γ2; RAMP1
15.62Single4OR2FITM4OR2-mGlu1; mGlu1-FITM
15.62Single5CGDHTL142425CGD-mGlu5-HTL14242
15.62Single6M1HMaxadilan6M1H-PAC1-Maxadilan-Gs/β1/γ2
15.62Single7D7MPGE27D7M-EP4-PGE2-Gs/β1/γ1
15.62Single7P00Substance-P7P00-NK1-Substance-P-chim(NtGi1-Gs-CtGq)/β1/γ2
15.62Single9M1HPGE29M1H-EP1-PGE2-chim(NtGi1-Gs-CtGq)/β1/γ2
15.62Consensusfp-alpha_onOrthosteric Ligand8IUK-FP-alpha-PGF2-α-chim(NtGi1-Gs-CtGq)/β1/γ2 8IUL-FP-alpha-Latanoprost-chim(NtGi1-Gs-CtGq)/β1/γ2 8IUM-FP-alpha-Tafluprost acid-chim(NtGi1-Gs-CtGq)/β1/γ2
15.62Consensusfp-alpha_on_gpOrthosteric Ligand8IUK-FP-alpha-PGF2-α-chim(NtGi1-Gs-CtGq)/β1/γ2 8IUL-FP-alpha-Latanoprost-chim(NtGi1-Gs-CtGq)/β1/γ2 8IUM-FP-alpha-Tafluprost acid-chim(NtGi1-Gs-CtGq)/β1/γ2
15.62Consensusnk1_onOrthosteric Ligand7P00-NK1-Substance-P-chim(NtGi1-Gs-CtGq)/β1/γ2
15.62Consensusnk1_on_gpOrthosteric Ligand7P00-NK1-Substance-P-chim(NtGi1-Gs-CtGq)/β1/γ2
15.38Single1L9H11-cis-Retinal1L9H-Rhodopsin-11-cis-Retinal
15.38Single1U1911-cis-Retinal1U19-Rhodopsin-11-cis-Retinal
15.38Single2G87All-trans-Retinal2G87-Rhodopsin-All-trans-Retinal
15.38Single2I3511-cis-Retinal2I35-Rhodopsin-11-cis-Retinal
15.38Single3PBLEticlopride3PBL-D3-Eticlopride
15.38Single5L7IVismodegib5L7I-SMO-Vismodegib
15.38Single6HLLCP999946HLL-NK1-CP99994
15.38Single6PH7Nerol6PH7-Rhodopsin-Nerol-Gt(CT)
15.38Single6UVAAdrenomedullin-26UVA-CT Like (AM2)-Adrenomedullin-2-Gs/β1/γ2; RAMP3
15.38Single7D76Beclomethasone7D76-ADGRG3-Beclomethasone-Go/β1/γ2
15.38Single7DD7Ca; Ca; Tryptophan; Evocalcet7DD7-CaS; CaS-Ca-Ca; Ca; Tryptophan; Evocalcet
15.38Single7DFLHistamine7DFL-H1-Histamine-chim(NtGi1L-Gq)/β1/γ2
15.38Single7E2YSerotonin7E2Y-5-HT1A-Serotonin-PtdIns4P-Gi1/β1/γ2
15.38Single7SRQLSD7SRQ-5-HT2B-LSD
15.38Single7UL2SR486927UL2-NTS1-SR48692-Na
15.38Single7V68Iperoxo7V68-M4-Iperoxo-LY2119620-Gi1/β1/γ2
15.38Single7VDHC48/807VDH-MRGPRX2-C48/80-Gi1/β1/γ2
15.38Single7XKFDehydroepiandrosterone7XKF-ADGRG2-Dehydroepiandrosterone-Gs/β1/γ2
15.38Single7XT9Serotonin7XT9-5-HT4-Serotonin-Gs/β1/γ2
15.38Single7XTBSerotonin7XTB-5-HT6-Serotonin-Gs/β1/γ2
15.38Single8A2PLUAA470708A2P-A2A-LUAA47070-Na
15.38Single8DPFLorcaserin8DPF-5-HT2C-Lorcaserin-chim(NtGi2L-Gs-CtGq)/β1/γ2
15.38Single8JPNCis-Epoxysuccinic acid8JPN-Succinate-Cis-Epoxysuccinic acid-Gi1/β1/γ1
15.38Single8U4RREGN7663-Fab8U4R-CXCR4-REGN7663-Fab
15.38Single8UO4Constrained Epinephrine8UO4-β2-Constrained Epinephrine-GTP; Mg-Gs/β1/γ2
15.38Single8WP1Cis-Epoxysuccinic acid8WP1-Succinate-Cis-Epoxysuccinic acid-Gi1/β1/γ2
15.38Single8ZYUNeurotensin-(8-13)8ZYU-NTS1-Neurotensin-(8-13)-SBI-553-Arrestin2
15.38Single9AS2DMT9AS2-5-HT2A-DMT-chim(NtGi1-Gs-CtGq)/β1/γ2
15.38Single9C1PCa; Tryptophan; '6218; PO49C1P-CaS; CaS-Ca-Ca; Tryptophan; '6218; PO4
15.38Single9E7RGB889E7R-PAR2-GB88-chim(NtGi1L-Gs-CtGq)/β1/γ2
15.38Single9EPRAll-trans-Retinal9EPR-Rhodopsin-All-trans-Retinal-Gi1/β1/γ2
15.38Single9L3ZLRH7-C29L3Z-CML1-LRH7-C2
15.38Consensusd3_offOrthosteric Ligand3PBL-D3-Eticlopride
15.38Consensusgq_nucleotideOrthosteric Ligandgq_p2y
15.38Consensusgq_p2yOrthosteric Ligand7XXH-P2Y1-2MeSADP-chim(NtGi1-G11)/β1/γ2
15.38Consensush1_onOrthosteric Ligand7DFL-H1-Histamine-chim(NtGi1L-Gq)/β1/γ2
15.38Consensusneurotensin_offOrthosteric Ligandnts1_off
15.38Consensusnts1_offOrthosteric Ligand7UL2-NTS1-SR48692-Na
15.15Single7AUESetmelanotide7AUE-MC4-Setmelanotide-chim(NtGi1L-Gs)/β1/γ2
15.15Single7RMGSubstance-P7RMG-NK1-Substance-P-chim(Gs-CtGq)/β1/γ2
15.15Single8GDAL9026888GDA-EP4-L902688-Gs/β1/γ2
15.15Single8IQ4Carboprost8IQ4-FP-alpha-Carboprost-chim(NtGi1-Gs-CtGq)/β1/γ2
15.15Single8IUMTafluprost acid8IUM-FP-alpha-Tafluprost acid-chim(NtGi1-Gs-CtGq)/β1/γ2
15.15Single8XQLCholesterol8XQL-TAS2R14-Cholesterol-Aristolochic acid A-Gt3/β1/γ1
15.15Single8XQOCholesterol8XQO-TAS2R14-Cholesterol-Aristolochic acid A-Gi1/β1/γ1
15.15Single9ITBLPA9ITB-LPA6-LPA-chim(NtGi1-Gs-CtGq)/β1/γ2
15.15Single9JF4PD1683689JF4-BB1-PD168368
15.15Single9JH6C20:0 Ceramide9JH6-CysLT2-C20:0 Ceramide-chim(NtGi1-Gs-CtGq)/β1/γ2
14.81Single2Z7311-cis-Retinal2Z73-Rhodopsin-11-cis-Retinal
14.81Single3AYN9-cis-Retinal3AYN-Rhodopsin-9-cis-Retinal
14.81Single3PWHZM-2413853PWH-A2A-ZM-241385
14.81Single3VG9ZM-2413853VG9-A2A-ZM-241385-Antibody
14.81Single4S0VSuvorexant4S0V-OX2-Suvorexant
14.81Single5OLOTozadenant5OLO-A2A-Tozadenant-Na
14.81Single6DS0LY2660976DS0-5-HT2B-LY266097
14.81Single6LFOCXCL86LFO-CXCR2-CXCL8-Gi1/β1/γ2
14.81Single6ME2Ramelteon6ME2-MT1-Ramelteon
14.81Single6ME9Ramelteon6ME9-MT2-Ramelteon
14.81Single6RNKNF-56-EJ406RNK-Succinate-NF-56-EJ40
14.81Single6TPJSuvorexant6TPJ-OX2-Suvorexant
14.81Single6TQ6PubChem 1457142836TQ6-OX1-PubChem 145714283
14.81Single6WWZCCL206WWZ-CCR6-CCL20-Go/β1/γ2
14.81Single6ZA8RTI-3a6ZA8-NTS1-RTI-3a
14.81Single7F8ULintitript7F8U-CCKA-Lintitript
14.81Single7F8YDevazepide7F8Y-CCKA-Devazepide
14.81Single7LCJDanuglipron7LCJ-GLP-1-Danuglipron
14.81Single7LJDDopamine7LJD-D1-Dopamine-Mevidalen-Gs/β1/γ1
14.81Single7M3FCa; Ca; Tryptophan; Cinacalcet7M3F-CaS; CaS-Ca; Ca; Tryptophan; Cinacalcet
14.81Single7S8PMS471347S8P-MRGPRX4-MS47134-chim(NtGi2L-Gs-CtGq)/β1/γ2
14.81Single7SILCa; Ca; Ca; Cyclomethyltryptophan; R-568; PO47SIL-CaS; CaS-Ca-Ca; Ca; Ca; Cyclomethyltryptophan; R-568; PO4
14.81Single7SILCa; Ca; Ca; Cyclomethyltryptophan; R-568; PO47SIL-CaS; CaS-Ca-Ca; Ca; Ca; Cyclomethyltryptophan; R-568; PO4
14.81Single7SRRLSD7SRR-5-HT2B-LSD-chim(NtGi2L-Gs-CtGq)/β1/γ2
14.81Single7SRSLSD7SRS-5-HT2B-LSD-Arrestin2
14.81Single7VIHCBP-3077VIH-S1P1-CBP-307-Gi1/β1/γ2
14.81Single7VV5C48/807VV5-MRGPRX2-C48/80-Gi1/β1/γ2
14.81Single7X2FDopamine7X2F-D1-Dopamine-Mevidalen-Gs/β1/γ2
14.81Single7X5H5-CT7X5H-5-HT5A-5-CT-Gi1/β1/γ2
14.81Single7XT8Serotonin7XT8-5-HT4-Serotonin-Gs/β1/γ2
14.81Single8A6CAll-trans-Retinal8A6C-Rhodopsin-All-trans-Retinal
14.81Single8A6DAll-trans-Retinal8A6D-Rhodopsin-All-trans-Retinal
14.81Single8A6EAll-trans-Retinal8A6E-Rhodopsin-All-trans-Retinal
14.81Single8DWGML3828DWG-MRGPRX1-BAM8-22-ML382-chim(NtGi2L-Gs-CtGq)/β1/γ2
14.81Single8DWHPubChem 1390305318DWH-MRGPRX1-PubChem 139030531-chim(NtGi2L-Gs-CtGq)/β1/γ2
14.81Single8J20Valeric acid8J20-FFA3-Valeric acid-AR420626-Gi1/β1/γ2
14.81Single8T3SButyric acid8T3S-FFA2-Butyric acid-chim(NtGi2L-Gs-CtGq)/β1/γ2
14.81Single8U4SREGN7663-Fab8U4S-CXCR4-REGN7663-Fab
14.81Single8U4TREGN7663-Fab8U4T-CXCR4-REGN7663-Fab
14.81Single8UNSConstrained Epinephrine8UNS-β2-Constrained Epinephrine-GTP-Gs/β1/γ2
14.81Single8UNTConstrained Epinephrine8UNT-β2-Constrained Epinephrine-GTP-Gs/β1/γ2
14.81Single8WPGTryptophan; Cinacalcet; PO4; Ca8WPG-CaS; CaS-Tryptophan; Cinacalcet; PO4; Ca
14.81Single8YNFCXCL88YNF-ACKR1-CXCL8
14.81Single8YUTAmthamine8YUT-H2-Amthamine-Gs/β1/γ2
14.81Single9C1PCa; Tryptophan; '6218; PO49C1P-CaS; CaS-Ca-Ca; Tryptophan; '6218; PO4
14.81Single9C2FCa; Ca; Tryptophan; '54149; PO49C2F-CaS; CaS-Ca-Ca; Ca; Tryptophan; '54149; PO4
14.81Single9LRBHistamine9LRB-H1-Histamine-Gs/β1/γ2
14.81Single9M88Oleic monoethanolamide9M88-GPR3 ; GPR3-Oleic monoethanolamide-AF64394
14.81Single9PEEPF-07054894; OXM29PEE-CCR6-PF-07054894; OXM2
14.81Consensus5ht2_on_gpOrthosteric Ligand5ht2b_on_gp
14.81Consensus5ht2b_on_gpOrthosteric Ligand7SRR-5-HT2B-LSD-chim(NtGi2L-Gs-CtGq)/β1/γ2
14.81Consensus5ht_onOrthosteric Ligand5ht1_on 5ht2_on 5ht4_on 5ht5_on 5ht6_on 5ht7_on
14.81Consensusccr6_onOrthosteric Ligand6WWZ-CCR6-CCL20-Go/β1/γ2
14.81Consensusccr6_on_gpOrthosteric Ligand6WWZ-CCR6-CCL20-Go/β1/γ2
14.81Consensuscxcr1_onOrthosteric Ligand8IC0-CXCR1-CXCL8-Gi1/β1/γ2
14.81Consensusgs_5htOrthosteric Ligand7XTC-5-HT7-5-CT-Gs/β1/γ2 7XTB-5-HT6-Serotonin-Gs/β1/γ2 8JLZ-5-HT6-ST1936-Gs/β1/γ2 7XT8-5-HT4-Serotonin-Gs/β1/γ2
14.81Consensusp2y1_onOrthosteric Ligand7XXH-P2Y1-2MeSADP-chim(NtGi1-G11)/β1/γ2
14.81Consensusrhodopsin_offOrthosteric Ligand1U19-Rhodopsin-11-cis-Retinal 2PED-Rhodopsin-9-cis-Retinal 5TE5-Rhodopsin-20-Methanoretinal
14.71Single6X19CHU-1286X19-GLP-1-CHU-128-Gs/β1/γ2
14.71Single7RTBPeptide-197RTB-GLP-1-Peptide-19-Gs/β1/γ2
14.71Single8DWGBAM8-228DWG-MRGPRX1-BAM8-22-ML382-chim(NtGi2L-Gs-CtGq)/β1/γ2
14.71Single8IZBLysophosphatidylserine (UBL)8IZB-GPR174-Lysophosphatidylserine (UBL)-Gs/β1/γ2
14.71Single8KIGSHU91198KIG-MC3-SHU9119-Ca
14.71Consensusmc4_onOrthosteric Ligand7AUE-MC4-Setmelanotide-chim(NtGi1L-Gs)/β1/γ2 7F58-MC4-THIQ-Gs/β1/γ2 7F54-MC4-Afamelanotide-Gs/β1/γ2 7F53-MC4-α-MSH-Gs/β1/γ2 7F55-MC4-Bremelanotide-Gs/β1/γ2
14.29Single3REYPubChem 56973REY-A2A-PubChem 5697
14.29Single3RZECidoxepin3RZE-H1-Cidoxepin
14.29Single6FK8PubChem 1324730356FK8-Rhodopsin-PubChem 132473035
14.29Single6PELCitronellol6PEL-Rhodopsin-Citronellol-Gt(CT)
14.29Single6TP3Nemorexant6TP3-OX1-Nemorexant
14.29Single6TPKRetosiban6TPK-OT-Retosiban
14.29Single6V9SGTPL114036V9S-OX1-GTPL11403
14.29Single6WHCGlu16 analog of GCG6WHC-Glucagon-Glu16 analog of GCG-Gs/β1/γ2
14.29Single7C2EPubChem 1490507997C2E-GLP-1-PubChem 149050799-Gs/β1/γ2
14.29Single7E14Orforglipron7E14-GLP-1-Orforglipron-PubChem 156022738-Gs/β1/γ2
14.29Single7VODCariprazine7VOD-5-HT2A-Cariprazine
14.29Single7VV6C48/807VV6-MRGPRX2-C48/80
14.29Single8K2WAMG4878K2W-CXCR3-AMG487
14.29Single8K4SDCA-3P8K4S-MRGPRX4-DCA-3P-chim(NtGi1L-Gs-CtGq)/β1/γ2
14.29Single8RLNLUF58348RLN-A2A-LUF5834
14.29Single8WPGTryptophan; Cinacalcet; PO4; Ca8WPG-CaS; CaS-Tryptophan; Cinacalcet; PO4; Ca
14.29Single8WPUTryptophan; Cinacalcet; PO4; Ca8WPU-CaS; CaS-Tryptophan; Cinacalcet; PO4; Ca-chim(NtGi2L-Gs-CtGq)/β1/γ2
14.29Single8Y01All-trans-Retinal8Y01-Opsin1MW-All-trans-Retinal-Gi1/β1/γ2
14.29Single8Y53MK50468Y53-BB3-MK5046-chim(NtGi1-Gs-CtGq)/β1/γ2
14.29Single8YKVPubChem 1375531688YKV-Succinate-PubChem 137553168-Gi1/β1/γ2
14.29Single8YRGFospropofol8YRG-MRGPRX4-Fospropofol-chim(NtGi1-Gs-CtGq)/β1/γ2
14.29Single9AS3LSD9AS3-5-HT2A-LSD
14.29Single9AS4LSD9AS4-5-HT2A-LSD-chim(NtGi1-Gs-CtGq)/β1/γ2
14.29Single9AS8Psilocin9AS8-5-HT2A-Psilocin-chim(NtGi2L-Gs-CtGq)/β1/γ2
14.29Single9ASBCa; Ca; Cyclomethyltryptophan; R-568; PO49ASB-CaS; CaS-Ca-Ca; Ca; Cyclomethyltryptophan; R-568; PO4-chim(NtGi1-Gs-CtGq)/β1/γ2
14.29Single9ASBCa; Ca; Cyclomethyltryptophan; R-568; PO49ASB-CaS; CaS-Ca-Ca; Ca; Cyclomethyltryptophan; R-568; PO4-chim(NtGi1-Gs-CtGq)/β1/γ2
14.29Single9AVGCa; Ca; Cyclomethyltryptophan; R-568; PO49AVG-CaS; CaS-Ca-Ca; Ca; Cyclomethyltryptophan; R-568; PO4-chim(NtGi1-Gs)/β1/γ2
14.29Single9AXFCa; Ca; Ca; Cyclomethyltryptophan; R-568; PO49AXF-CaS; CaS-Ca-Ca; Ca; Ca; Cyclomethyltryptophan; R-568; PO4-chim(NtGi1-Gs-CtGq)/β1/γ2
14.29Single9IXXLTD49IXX-CysLT2-LTD4-chim(NtGi1-Gs-CtGq)/β1/γ2
14.29Single9K0KUTP9K0K-P2Y4-UTP-chim(NtGi1-Gs-CtGq)/β1/γ2
14.29Single9K0XATP9K0X-P2Y2-ATP-chim(NtGi1-Gs-CtGq)/β1/γ2
14.29Single9K20ATP9K20-P2Y2-ATP-chim(NtGi1-Go)/β1/γ2
14.29Single9LL8Psilocin9LL8-5-HT2A-Psilocin-Gi1/β1/γ2
14.29Single9M2FNeuropeptide-FF9M2F-NPFF1-Neuropeptide-FF-Gi1/β1/γ2
14.29Single9U80Conivaptan9U80-V2-Conivaptan
14.29Consensuscxcr3_offOrthosteric Ligand8K2W-CXCR3-AMG487
14.29Consensusgrh_offOrthosteric Ligandgnrh1_off
14.29Consensusmc4_on_gpOrthosteric Ligand7AUE-MC4-Setmelanotide-chim(NtGi1L-Gs)/β1/γ2 7F58-MC4-THIQ-Gs/β1/γ2 7F54-MC4-Afamelanotide-Gs/β1/γ2 7F53-MC4-α-MSH-Gs/β1/γ2 7F55-MC4-Bremelanotide-Gs/β1/γ2
14.29Consensusnucleotide_offOrthosteric Ligandadenosine_off p2y_off
14.29Consensusot_offOrthosteric Ligand6TPK-OT-Retosiban
14.29Consensusvasop-oxy_offOrthosteric Ligandot_off
13.79Single4QIMANTA XV4QIM-SMO-ANTA XV
13.79Single5T04Neurotensin-(8-13)5T04-NTS1-Neurotensin-(8-13)
13.79Single6FK7PubChem 1324730346FK7-Rhodopsin-PubChem 132473034
13.79Single6FKCPubChem 1324730396FKC-Rhodopsin-PubChem 132473039
13.79Single6FKDPubChem 1373491836FKD-Rhodopsin-PubChem 137349183
13.79Single6X1ADanuglipron6X1A-GLP-1-Danuglipron-Gs/β1/γ2
13.79Single7F83PF-051904577F83-Ghrelin-PF-05190457
13.79Single7M3JNPS-2143; PO47M3J-CaS; CaS-NPS-2143; PO4
13.79Single7VH0Ramelteon7VH0-MT2-Ramelteon-Gi1/β1/γ1
13.79Single7YXAONO-54306087YXA-S1P5-ONO-5430608
13.79Single8GCML-9026888GCM-EP4-L-902688-Gi1/β1/γ2
13.79Single8KEXDCA-3P8KEX-MRGPRX4-DCA-3P
13.79Single8X9TAP5038X9T-ADGRD1-AP503-chim(NtGi1-Gs)/β1/γ2
13.79Single8XJLPGF2-alpha8XJL-FP-alpha-PGF2-α-chim(NtGi2-Gs-CtGq)/β1/γ2
13.79Single8ZYYNeurotensin-(8-13)8ZYY-NTS1-Neurotensin-(8-13)-SBI-553-Arrestin2
13.79Single9IMATalquetamab9IMA-GPRC5D; GPRC5D-Talquetamab
13.79Single9JQZGrapiprant 9JQZ-EP4-Grapiprant
13.79Single9KFTfMLFC9KFT-FPR1-ALX-fMLFC-Gi1/β1/γ2
13.79Consensuscck_offOrthosteric Ligandccka_off
13.79Consensusccka_offOrthosteric Ligand7F8Y-CCKA-Devazepide 7F8U-CCKA-Lintitript
13.33Single4NTJAZD12834NTJ-P2Y12-AZD1283
13.33Single4PHUFasiglifam4PHU-FFA1-Fasiglifam
13.33Single5T1ABMS-6815T1A-CCR2-BMS-681-PubChem 12093170
13.33Single5ZBQUR-MK-2995ZBQ-Y1-UR-MK-299
13.33Single6M9TMisoprostol-FA6M9T-EP3-Misoprostol-FA
13.33Single6RZ4Pranlukast6RZ4-CysLT1-Pranlukast-Na
13.33Single6Z4QSR142948A6Z4Q-NTS1-SR142948A
13.33Single6Z4SSR486926Z4S-NTS1-SR48692
13.33Single7M3JNPS-2143; PO47M3J-CaS; CaS-NPS-2143; PO4
13.33Single8EJCTAK-8758EJC-FFA1-TAK-875-chim(NtGi1L-Gs-CtGq)/β1/γ2
13.33Single8X0BVU04244658X0B-mGlu5; mGlu5-Quisqualate-VU0424465
13.33Single8X0CVU04244658X0C-mGlu5; mGlu5-Quisqualate-VU0424465
13.33Single8X0CVU04244658X0C-mGlu5; mGlu5-Quisqualate-VU0424465
13.33Single8X0DVU04244658X0D-mGlu5; mGlu5-Quisqualate-VU0424465
13.33Single8X0DVU04244658X0D-mGlu5; mGlu5-Quisqualate-VU0424465
13.33Single8ZVZBW245C8ZVZ-DP1-BW245C-Gs/β1/γ2
13.33Single9EKHONO-30302979EKH-DP1-ONO-3030297
13.33Single9HC04YI9HC0-mGlu5-4YI
13.33Consensusadgrg2_onOrthosteric Ligand7WUI-ADGRG2-IP15-chim(NtGi1-Gs)/β1/γ2 7WUQ-ADGRG2-Gs/β1/γ2 7XKF-ADGRG2-Dehydroepiandrosterone-Gs/β1/γ2
13.33Consensusadgrg2_on_gpOrthosteric Ligand7WUI-ADGRG2-IP15-chim(NtGi1-Gs)/β1/γ2 7WUQ-ADGRG2-Gs/β1/γ2 7XKF-ADGRG2-Dehydroepiandrosterone-Gs/β1/γ2
13.33Consensusgluc_onOrthosteric Ligand6LMK-Glucagon-Glucagon-Gs/β1/γ2 8JIT-Glucagon-MEDI0382-Gs/β1/γ2 7V35-Glucagon-Peptide-20-Gs/β1/γ2
13.04Single4A4MAll-trans-Retinal4A4M-Rhodopsin-All-trans-Retinal-Gt(CT)
13.04Single5EN0All-trans-Retinal5EN0-Rhodopsin-All-trans-Retinal-Gt(CT)
13.04Single8GEJConstrained Epinephrine8GEJ-β2-Constrained Epinephrine-Gs/β1/γ2
13.04Single8WCCCyclohexylammonium Ion8WCC-TA1-Cyclohexylammonium Ion
13.04Consensusgluc_on_gpOrthosteric Ligand6LMK-Glucagon-Glucagon-Gs/β1/γ2 8JIT-Glucagon-MEDI0382-Gs/β1/γ2 7V35-Glucagon-Peptide-20-Gs/β1/γ2
12.90Single6RZ5Zafirlukast6RZ5-CysLT1-Zafirlukast-Na
12.90Single7P2L4YI7P2L-mGlu5-4YI
12.90Single8IUKPGF2-alpha8IUK-FP-alpha-PGF2-α-chim(NtGi1-Gs-CtGq)/β1/γ2
12.90Single8JD5JNJ-40411813; ADX881788JD5-mGlu2; mGlu4-Glutamate-JNJ-40411813; ADX88178-Gi1/β1/γ2
12.90Single8JGFBAM8-228JGF-MRGPRX1-BAM8-22-chim(NtGi1-Gs-CtGq)/β1/γ2
12.90Single8X0BVU04244658X0B-mGlu5; mGlu5-Quisqualate-VU0424465
12.90Single8X0FVU298X0F-mGlu5; mGlu5-Quisqualate-VU29
12.90Single8ZR5Firuglipel8ZR5-GPR119-Firuglipel-Gs/β1/γ2
12.90Single8ZW0PGD28ZW0-DP1-PGD2-Gs/β1/γ2
12.90Single9E9SPGD29E9S-DP1-PGD2-Gs/β1/γ1
12.90Consensusp2y12_onOrthosteric Ligand7XXI-P2Y12-2MeSADP-Gi2/β1/γ2
12.50Single6XOXOrforglipron6XOX-GLP-1-Orforglipron-chim(NtGi1-Gs)/β1/γ2
12.50Single7F55Bremelanotide7F55-MC4-Bremelanotide-Gs/β1/γ2
12.50Single7WC4Serotonin7WC4-5-HT2A-Serotonin
12.50Single7XKEDehydroepiandrosterone7XKE-ADGRG2-Dehydroepiandrosterone-chim(NtGi1-Gs)/β1/γ2
12.50Single7XXI2MeSADP7XXI-P2Y12-2MeSADP-Gi2/β1/γ2
12.50Single8HQMNPGLY8HQM-GPR132-NPGLY-Gi1/β1/γ2
12.50Single8HVINOX-6-78HVI-GPR132-NOX-6-7-Gi1/β1/γ2
12.50Single9AU0BW245C9AU0-DP1-BW245C-Gs/β1/γ2
12.50Single9JKVPubChem 27366909JKV-HCA3-PubChem 2736690-Gi1/β1/γ2
12.50Consensusgi_p2yOrthosteric Ligand7XXI-P2Y12-2MeSADP-Gi2/β1/γ2
12.50Consensusp2y12_on_gpOrthosteric Ligand7XXI-P2Y12-2MeSADP-Gi2/β1/γ2
12.12Single7PIUSetmelanotide7PIU-MC4-Setmelanotide-Gs/β1/γ2
12.12Single8ZX4Lysophosphatidylinositol 8ZX4-GPR55-Lysophosphatidylinositol-chim(NtGi1-G13)/β1/γ2
12.12Single9JH5C16:0 Ceramide9JH5-CysLT2-C16:0 Ceramide-chim(NtGi1-Gs-CtGq)/β1/γ2
12.00Single3RFMCaffeine3RFM-A2A-Caffeine
12.00Single6OY9All-trans-Retinal6OY9-Rhodopsin-All-trans-Retinal-Gt/β1/γ1
12.00Single7DD5Ca; Ca; Tryptophan; NPS-21437DD5-CaS; CaS-Ca-Ca; Ca; Tryptophan; NPS-2143
12.00Single7MTBAll-trans-Retinal7MTB-Rhodopsin-All-trans-Retinal-GRK1
12.00Single8A2OTheophylline8A2O-A2A-Theophylline-Na
12.00Single8XOFLys058XOF-GPR30-Lys05-chim(NtGi1-Gs-CtGq)/β1/γ2
12.00Single9L0HJR14a9L0H-C3aB-JR14a-Go/β1/γ2
12.00Consensusp2y_offOrthosteric Ligandp2y1_off
11.54Single2ZIY11-cis-Retinal2ZIY-Rhodopsin-11-cis-Retinal
11.54Single3UZAGTPL92363UZA-A2A-GTPL9236
11.54Single6PWCNeurotensin-(9-13)6PWC-NTS1-Neurotensin-(9-13)-Arrestin2
11.54Single7DD7Ca; Ca; Tryptophan; Evocalcet7DD7-CaS; CaS-Ca-Ca; Ca; Tryptophan; Evocalcet
11.54Single7WC5Psilocin7WC5-5-HT2A-Psilocin
11.54Single8DPILorcaserin8DPI-5-HT2C-Lorcaserin-chim(NtGi2L-Gs-CtGq)/β1/γ2
11.54Single8F76Propanoic acid8F76-OR51E2-Propanoic acid-Gs/β1/γ2
11.54Single8JRVGlucagon8JRV-Glucagon-Glucagon-Arrestin2
11.54Single9IJRC179IJR-GPR52-C17-Arrestin2
11.54Single9LL7DOI9LL7-5-HT2A-DOI-Gi1/β1/γ2
11.43Single8JIQPeptide-158JIQ-Glucagon-Peptide-15-Gs/β1/γ2
11.43Single9BUECagrilintide9BUE-CT-Cagrilintide-Gs/β1/γ2
11.11Single3AYMAll-trans-Retinal3AYM-Rhodopsin-All-trans-Retinal
11.11Single4O9RCyclopamine4O9R-SMO-Cyclopamine
11.11Single6LI0C176LI0-GPR52-C17
11.11Single6TQ4PubChem 160468446TQ4-OX1-PubChem 16046844-Na
11.11Single7S8NR-Zinc-35737S8N-MRGPRX2-R-Zinc-3573-chim(NtGi2L-Gs-CtGq)/β1/γ2
11.11Single7S8OR-Zinc-35737S8O-MRGPRX2-R-Zinc-3573-Gi1/β1/γ2
11.11Single7VUIJNJ-635330547VUI-GPR139-JNJ-63533054-GTP-chim(Gs-CtGq)/β1/γ2
11.11Single7XP6Strychnine7XP6-TAS2R46-Strychnine-chim(Gs-CtGt3)/β1/γ2
11.11Single7YS6Serotonin7YS6-5-HT6-Serotonin-chim(NtGi1-Gs)/β1/γ2
11.11Single8KH5Lysophosphatidylserine8KH5-GPR174-Lysophosphatidylserine-Gs/β1/γ2
11.11Single8SZFCa; Ca; Tryptophan; Cinacalcet; PO4; Spermine8SZF-CaS; CaS-Ca; Ca; Tryptophan; Cinacalcet; PO4; Spermine
11.11Single8WPUTryptophan; Cinacalcet; PO4; Ca8WPU-CaS; CaS-Tryptophan; Cinacalcet; PO4; Ca-chim(NtGi2L-Gs-CtGq)/β1/γ2
11.11Single8X2KOleic monoethanolamide8X2K-GPR3-Oleic monoethanolamide-chim(NtGi1-Gs)/β1/γ2
11.11Single8YN2Histamine8YN2-H1-Histamine-chim(NtGi1L-Gs-CtGq)/β1/γ2
11.11Single9AS7Psilocin9AS7-5-HT2A-Psilocin
11.11Single9B9YTaranabant9B9Y-CB1-Taranabant
11.11Single9JLCAVE 09919JLC-MAS1-AVE 0991-Gi1/β1/γ2
11.11Single9M88Oleic monoethanolamide9M88-GPR3 ; GPR3-Oleic monoethanolamide-AF64394
11.11Single9YDAAll-trans-Retinal9YDA-Opsin1MW-All-trans-Retinal-chim(NtGi1L-Gs-CtGt)/β1/γ2
11.11Consensusadgrg_onOrthosteric Ligandadgrg2_on adgrg4_on
11.11Consensusadgrg_on_gpOrthosteric Ligandadgrg2_on_gp adgrg4_on_gp
10.81Consensusmc3_onOrthosteric Ligand8IOC-MC3-γ-MSH-Ca-chim(NtGi1-Gs)/β1/γ2
10.81Consensusmc3_on_gpOrthosteric Ligand8IOC-MC3-γ-MSH-Ca-chim(NtGi1-Gs)/β1/γ2
10.71Single4QINSAG1.54QIN-SMO-SAG1.5
10.71Single5OLHVipadenant5OLH-A2A-Vipadenant-Na
10.71Single5U09Taranabant5U09-CB1-Taranabant
10.71Single6FKBPubChem 1324730386FKB-Rhodopsin-PubChem 132473038
10.71Single6O3CSAG21k6O3C-SMO-SAG21k-Cholesterol
10.71Single7BR3Elagolix7BR3-GnRH1-Elagolix
10.71Single7M3ECa; Ca; Tryptophan; NPS-21437M3E-CaS; CaS-Ca; Ca; Tryptophan; NPS-2143
10.71Single7M3ECa; Ca; Tryptophan; NPS-21437M3E-CaS; CaS-Ca; Ca; Tryptophan; NPS-2143
10.71Single8HMPC178HMP-GPR52-C17-Gs/β1/γ2
10.71Single8T3VDoconexent8T3V-FFA1-Doconexent-chim(NtGi2L-Gs-CtGq)/β1/γ2
10.71Single9AVLCa; Ca; Cyclomethyltryptophan; R-568; PO49AVL-CaS; CaS-Ca-Ca; Ca; Cyclomethyltryptophan; R-568; PO4-Gi3/β2/γ2
10.71Single9LL9DOI9LL9-5-HT2A-DOI-chim(NtGi1L-Gs-CtGq)/β1/γ2
10.71Consensusgnrh1_offOrthosteric Ligand7BR3-GnRH1-Elagolix
10.34Single6FFIMPEP6FFI-mGlu5-MPEP
10.34Single6FKAPubChem 1324730376FKA-Rhodopsin-PubChem 132473037
10.34Single6XBLSAG6XBL-SMO-SAG-Cholesterol-Gi1/β1/γ2
10.34Single7M3GCa; Ca; Tryptophan; Evocalcet; Etelcalcetide; PO47M3G-CaS; CaS-Ca; Ca; Tryptophan; Evocalcet; Etelcalcetide; PO4
10.34Single7UTZDPPC7UTZ-TSH-TSH-DPPC-Gs/β1/γ2
10.34Single7ZI0SAG7ZI0-SMO-SAG-Cholesterol
10.34Single8X7ATreprostinil8X7A-I2-Treprostinil-Gs/β1/γ2
10.34Single9BA0MRI-18919BA0-CB1-MRI-1891
10.34Consensuscb1_offOrthosteric Ligand5U09-CB1-Taranabant 5TGZ-CB1-AM6538
10.26Single7XV3Lysophosphatidylserine (WJS)7XV3-GPR174-Lysophosphatidylserine (WJS)-chim(NtGi1-Gs)/β1/γ2
10.00Single6FFHFenobam6FFH-mGlu5-Fenobam
10.00Single9IVGGLP-1 (Truncated)9IVG-GLP-1-GLP-1 (Truncated)-chim(NtGi1-Gs)/β1/γ2
10.00Single9IYAONO-97105319IYA-GPR55-ONO-9710531
9.68Single7M3GCa; Ca; Tryptophan; Evocalcet; Etelcalcetide; PO47M3G-CaS; CaS-Ca; Ca; Tryptophan; Evocalcet; Etelcalcetide; PO4
9.68Single8JGGBAM8-228JGG-MRGPRX1-BAM8-22-Gi1/β1/γ2
9.68Single8XQPCholesterol8XQP-TAS2R14-Cholesterol-Aristolochic acid A-Gt3/β1/γ1
9.68Single9B9ZMRI-18679B9Z-CB1-MRI-1867
9.68Single9EE5ONO-25502899EE5-DP1-ONO-2550289
9.38Single4OO9Mavoglurant4OO9-mGlu5-Mavoglurant
9.38Single8GDBPGE28GDB-EP4-PGE2-Gs/β1/γ2
9.38Single8I2GPubChem 675302408I2G-FSH-FSH-PubChem 67530240-Gs/β1/γ2
9.38Single8TAOCDPPB8TAO-mGlu5; mGlu5-Quisqualate-CDPPB
8.82Single7CX4Evatanepag7CX4-EP2-Evatanepag-Gs/β1/γ2
8.70Single8TLMAnti-murine CCR8 antibody8TLM-CCR8-Anti-murine CCR8 antibody
8.57Single7CX2PGE27CX2-EP2-PGE2-Gs/β1/γ2
8.33Single7CX3Taprenepag7CX3-EP2-Taprenepag-Gs/β1/γ2
8.33Single8WCBCyclohexylammonium Ion8WCB-TA1-Cyclohexylammonium Ion-chim(NtGi1-Gs-CtGq)/β1/γ2
8.11Single8IOCGamma-MSH8IOC-MC3-γ-MSH-Ca-chim(NtGi1-Gs)/β1/γ2
8.00Single5MZJTheophylline5MZJ-A2A-Theophylline-Na
8.00Single7XKDDehydroepiandrosterone7XKD-ADGRG2-Dehydroepiandrosterone-Gs/β1/γ2
8.00Single8PWNTheophylline8PWN-A2A-Theophylline
8.00Single8X9S5alpha-DHT8X9S-ADGRD1-5α-DHT-chim(NtGi1-Gs)/β1/γ2
7.69Single6XBM25(S)-Epoxycholesterol6XBM-SMO-25(S)-Epoxycholesterol-Gi1/β1/γ2
7.69Single7VDMSubstance-P7VDM-MRGPRX2-Substance-P-Gi1/β1/γ2
7.69Single8U4QREGN7663-Fab8U4Q-CXCR4-REGN7663-Fab-Gi1/β1/γ2
7.69Single8Y02All-trans-Retinal8Y02-OPN1SW-All-trans-Retinal-Gi1/β1/γ2
7.69Single9C2FCa; Ca; Tryptophan; '54149; PO49C2F-CaS; CaS-Ca-Ca; Ca; Tryptophan; '54149; PO4
7.69Single9M42A1L8O9M42-GPR139-A1L8O-chim(Gs-CtGq)/β1/γ2
7.41Single6D32Cyclopamine6D32-SMO-Cyclopamine-Cyclopamine
7.41Single6FK9PubChem 1324730366FK9-Rhodopsin-PubChem 132473036
7.41Single8SZFCa; Ca; Tryptophan; Cinacalcet; PO4; Spermine8SZF-CaS; CaS-Ca; Ca; Tryptophan; Cinacalcet; PO4; Spermine
7.14Single6FK6PubChem 1324730336FK6-Rhodopsin-PubChem 132473033
7.14Single6PGSGeraniol6PGS-Rhodopsin-Geraniol-Gt(CT)
7.14Single6TP4ACT-4622066TP4-OX1-ACT-462206
7.14Single8YKDDehydroepiandrosterone8YKD-ADGRG2-Dehydroepiandrosterone-chim(NtGi1-Gs)/β1/γ2
6.90Single7VVOPTH7VVO-PTH1-PTH-Gs/β1/γ2
6.90Single8U8FPalmitic Acid8U8F-GPR3-Palmitic Acid-Gs/β1/γ2
6.67Single6ZINSR486926ZIN-NTS1-SR48692
6.67Single8HJ5PubChem 1390305318HJ5-MRGPRX1-PubChem 139030531-chim(NtGi1-Gs-CtGq)/β1/γ2
6.67Single9DQJEP-39459DQJ-MRGPRD-EP-3945-chim(NtGi1-Gs-CtGq)/β1/γ2
6.45Single9JROPF-044189489JRO-EP2-PF-04418948
6.25Single8T6JCDPPB8T6J-mGlu5; mGlu5-CDPPB
6.25Single8T6JCDPPB8T6J-mGlu5; mGlu5-CDPPB
6.25Single9DQHEP-28259DQH-MRGPRD-EP-2825-chim(NtGi1-Gs-CtGq)/β1/γ2
6.25Single9JRTTG6-1299JRT-EP2-TG6-129
6.06Single8XQTCholesterol8XQT-TAS2R14-Cholesterol-Gi1/β1/γ1
4.35Single8W8SAA-148W8S-GPR101-AA-14
4.35Consensusclass-b2_onOrthosteric Ligandadgrg_on adgrf_on adgrl_on adgre_on adgrd_on
4.35Consensusclass-b2_on_gpOrthosteric Ligandadgrg_on_gp adgrf_on_gp adgrl_on_gp adgre_on_gp adgrd_on_gp
4.17Single8SZGCa; Ca; Tryptophan; Cinacalcet; PO4; Spermine8SZG-CaS; CaS-Ca; Ca; Tryptophan; Cinacalcet; PO4; Spermine-chim(NtGi1-Gq)/β1/γ2
4.17Single8W8RAA-148W8R-GPR101-AA-14-chim(NtGi1-Gs)/β1/γ2
4.00Single5MZPCaffeine5MZP-A2A-Caffeine-Na
3.57Single8J6QPubChem 251012238J6Q-HCA2-β-Hydroxybutyrate-PubChem 25101223-Gi1/β1/γ2
3.57Single8JPSCCL78JPS-ACKR1-CCL7
3.45Single8J6PPubChem 251012238J6P-HCA2-Niacin-PubChem 25101223-Gi1/β1/γ2
3.45Single8JHYPubChem 251012238JHY-HCA2-PubChem 25101223-Gi1/β1/γ2
3.45Single8JIIPubChem 251012238JII-HCA2-Niacin-PubChem 25101223-Gi1/β1/γ2
3.33Single4K5YCP-3763954K5Y-CRF1-CP-376395
3.23Single8IYXYL-3658IYX-GPR34-YL-365
3.23Single9JQYTG6-1299JQY-EP4-TG6-129
3.12Single4Z9GCP-3763954Z9G-CRF1-CP-376395
3.12Single8GTIBMK-C2058GTI-CRF1-BMK-C205
3.03Single8GTGBMK-I1528GTG-CRF1-BMK-I152
2.86Single8GTMBMK-C2038GTM-CRF1-BMK-C203

PDB Summary
PDB 9KFK
Class A
SubFamily Peptide
Type Relaxin
SubType RXFP4
Species Homo Sapiens
Ligand Relaxin-3
Other Ligand(s) -
Protein Partners Gi2/Beta1/Gamma2
PDB Resolution 2.95
Date 2025-08-13
D.O.I. doi.org/10.1038/s42003-025-08220-7
Net Summary
Imin 1.71
Number of Linked Nodes 896
Number of Links 1327
Number of Hubs 299
Number of Links mediated by Hubs 1003
Number of Communities 20
Number of Nodes involved in Communities 456
Number of Links involved in Communities 781
Path Summary
Number Of Nodes in MetaPath 79
Number Of Links MetaPath 78
Number of Shortest Paths 3091217
Length Of Smallest Path 3
Average Path Length 23.135
Length of Longest Path 55
Minimum Path Strength 1.265
Average Path Strength 5.1317
Maximum Path Strength 25.6
Minimum Path Correlation 0.7
Average Path Correlation 0.991683
Maximum Path Correlation 1
Minimum % Of Corr. Nodes 3.57143
Average % Of Corr. Nodes 48.4522
Maximum % Of Corr. Nodes 100
Minimum Path Hubs % 0
Average Path Hubs % 72.6407
Maximum Path Hubs % 100
AnnotationTypeLinks
Gene OntologyMolecular Function
Gene OntologyBiological Process• cellular response to stimulus   • regulation of biological process   • regulation of cellular process   • response to stimulus   • signaling   • biological regulation   • cell communication   • G protein-coupled receptor signaling pathway   • cellular process   • signal transduction   • neuropeptide signaling pathway   • positive regulation of feeding behavior   • multicellular organismal process   • positive regulation of biological process   • feeding behavior   • regulation of behavior   • behavior   • positive regulation of behavior   • positive regulation of multicellular organismal process   • regulation of multicellular organismal process   • regulation of feeding behavior   • cell periphery   • cellular anatomical structure   • plasma membrane   • membrane   • protein binding   • binding   • signaling receptor binding   • G protein-coupled receptor binding   • hormone activity   • molecular function activator activity   • molecular function regulator activity   • signaling receptor regulator activity   • receptor ligand activity   • signaling receptor activator activity   • extracellular region   • enzyme binding   • GTPase binding   • protein-containing complex binding   • pyrophosphatase activity   • GTPase activity   • ribonucleoside triphosphate phosphatase activity   • hydrolase activity, acting on acid anhydrides, in phosphorus-containing anhydrides   • hydrolase activity   • hydrolase activity, acting on acid anhydrides   • catalytic activity   • signaling receptor complex adaptor activity   • protein-macromolecule adaptor activity   • molecular adaptor activity   • signaling adaptor activity   • system process   • sensory perception of chemical stimulus   • sensory perception   • nervous system process   • sensory perception of taste   • developmental process   • sensory organ development   • eye development   • animal organ development   • retina development in camera-type eye   • visual system development   • multicellular organism development   • camera-type eye development   • anatomical structure development   • sensory system development   • system development   • cell population proliferation   • response to ketone   • response to prostaglandin   • response to lipid   • response to endogenous stimulus   • response to alcohol   • cellular response to prostaglandin stimulus   • response to oxygen-containing compound   • cellular response to oxygen-containing compound   • cellular response to endogenous stimulus   • cellular response to prostaglandin E stimulus   • cellular response to chemical stimulus   • cellular response to alcohol   • response to hormone   • response to chemical   • cellular response to lipid   • response to prostaglandin E   • cellular response to ketone   • cellular response to hormone stimulus   • small GTPase-mediated signal transduction   • Ras protein signal transduction   • intracellular signal transduction   • intracellular signaling cassette   • phospholipase C-activating G protein-coupled receptor signaling pathway   • cellular response to nitrogen compound   • response to dopamine   • cellular response to dopamine   • response to monoamine   • response to catecholamine   • adenylate cyclase-activating dopamine receptor signaling pathway   • cellular response to catecholamine stimulus   • G protein-coupled dopamine receptor signaling pathway   • response to nitrogen compound   • adenylate cyclase-activating G protein-coupled receptor signaling pathway   • cellular response to monoamine stimulus   • adenylate cyclase-modulating G protein-coupled receptor signaling pathway   • synaptic signaling   • cellular response to acetylcholine   • cell-cell signaling   • acetylcholine receptor signaling pathway   • postsynaptic signal transduction   • G protein-coupled acetylcholine receptor signaling pathway   • response to acetylcholine   • protein-containing complex   • extrinsic component of plasma membrane   • catalytic complex   • plasma membrane protein complex   • cytoplasmic side of membrane   • membrane protein complex   • heterotrimeric G-protein complex   • side of membrane   • cytoplasmic side of plasma membrane   • GTPase complex   • extrinsic component of membrane   • extrinsic component of cytoplasmic side of plasma membrane   • extracellular exosome   • membrane-bounded organelle   • extracellular vesicle   • extracellular organelle   • organelle   • extracellular space   • vesicle   • extracellular membrane-bounded organelle   • non-motile cilium   • 9+0 non-motile cilium   • cilium   • neuron projection   • photoreceptor disc membrane   • photoreceptor outer segment   • plasma membrane bounded cell projection   • cell projection   • photoreceptor cell cilium   • organelle membrane   • intracellular anatomical structure   • cytoplasm   • cytosol   • vacuolar membrane   • lytic vacuole   • vacuole   • intracellular membrane-bounded organelle   • intracellular organelle   • lytic vacuole membrane   • bounding membrane of organelle   • lysosomal membrane   • lysosome   • synapse   • cell junction   • guanyl nucleotide binding   • GTP binding   • nucleotide binding   • guanyl ribonucleotide binding   • purine ribonucleotide binding   • purine ribonucleoside triphosphate binding   • nucleoside phosphate binding   • ion binding   • purine nucleotide binding   • anion binding   • heterocyclic compound binding   • carbohydrate derivative binding   • ribonucleotide binding   • small molecule binding   • G-protein beta/gamma-subunit complex binding   • cation binding   • metal ion binding   • positive regulation of cell population proliferation   • positive regulation of neural precursor cell proliferation   • regulation of cell population proliferation   • neural precursor cell proliferation   • positive regulation of cellular process   • regulation of neural precursor cell proliferation   • reactive oxygen species metabolic process   • regulation of superoxide metabolic process   • positive regulation of reactive oxygen species metabolic process   • superoxide metabolic process   • positive regulation of metabolic process   • superoxide anion generation   • metabolic process   • positive regulation of superoxide anion generation   • regulation of superoxide anion generation   • regulation of metabolic process   • regulation of reactive oxygen species metabolic process   • regulation of calcium ion transport   • regulation of localization   • transport   • regulation of transport   • regulation of monoatomic ion transport   • establishment of localization   • metal ion transport   • calcium ion transport   • localization   • monoatomic ion transport   • regulation of metal ion transport   • monoatomic cation transport   • positive regulation of cell communication   • positive regulation of signal transduction   • regulation of signal transduction   • positive regulation of response to stimulus   • positive regulation of ERK1 and ERK2 cascade   • regulation of intracellular signal transduction   • regulation of signaling   • positive regulation of MAPK cascade   • positive regulation of intracellular signal transduction   • regulation of MAPK cascade   • regulation of response to stimulus   • MAPK cascade   • regulation of cell communication   • ERK1 and ERK2 cascade   • regulation of ERK1 and ERK2 cascade   • positive regulation of signaling   • negative regulation of signaling   • negative regulation of biological process   • negative regulation of G protein-coupled receptor signaling pathway   • negative regulation of cell communication   • negative regulation of adenylate cyclase-activating adrenergic receptor signaling pathway   • adrenergic receptor signaling pathway   • negative regulation of cellular process   • regulation of G protein-coupled receptor signaling pathway   • adenylate cyclase-activating adrenergic receptor signaling pathway   • negative regulation of response to stimulus   • negative regulation of signal transduction   • negative regulation of adenylate cyclase-activating G protein-coupled receptor signaling pathway   • regulation of adenylate cyclase-activating G protein-coupled receptor signaling pathway   • cell division   • regulation of body fluid levels   • renal system process   • positive regulation of urine volume   • regulation of urine volume   • regulation of biological quality   • regulation of vascular associated smooth muscle cell proliferation   • positive regulation of vascular associated smooth muscle cell proliferation   • regulation of smooth muscle cell proliferation   • smooth muscle cell proliferation   • positive regulation of smooth muscle cell proliferation   • muscle cell proliferation   • vascular associated smooth muscle cell proliferation   • gamma-aminobutyric acid signaling pathway   • purinergic nucleotide receptor signaling pathway   • cell surface receptor signaling pathway   • G protein-coupled purinergic receptor signaling pathway   • G protein-coupled adenosine receptor signaling pathway   • regulation of molecular function   • regulation of adenylate cyclase activity   • regulation of catalytic activity   • negative regulation of molecular function   • negative regulation of catalytic activity   • negative regulation of adenylate cyclase activity   • regulated exocytosis   • regulation of calcium ion-dependent exocytosis   • negative regulation of transport   • negative regulation of regulated secretory pathway   • vesicle-mediated transport   • regulation of regulated secretory pathway   • secretion by cell   • regulation of secretion by cell   • negative regulation of secretion   • negative regulation of exocytosis   • negative regulation of secretion by cell   • calcium-ion regulated exocytosis   • secretion   • negative regulation of calcium ion-dependent exocytosis   • export from cell   • regulation of vesicle-mediated transport   • regulation of secretion   • exocytosis   • regulation of exocytosis   • regulation of programmed cell death   • negative regulation of apoptotic signaling pathway   • negative regulation of programmed cell death   • regulation of apoptotic process   • cell death   • apoptotic signaling pathway   • negative regulation of apoptotic process   • apoptotic process   • programmed cell death   • regulation of apoptotic signaling pathway   • positive regulation of locomotion   • regulation of cell motility   • positive regulation of cell migration   • regulation of locomotion   • positive regulation of cell motility   • regulation of cell migration   • cell migration   • cell motility   • locomotion   • adenylate cyclase-inhibiting G protein-coupled receptor signaling pathway   • trans-synaptic signaling   • modulation of chemical synaptic transmission   • negative regulation of synaptic transmission   • chemical synaptic transmission   • regulation of trans-synaptic signaling   • anterograde trans-synaptic signaling   • response to nutrient levels   • response to nutrient   • midbody   • dense core granule   • intracellular vesicle   • endomembrane system   • cytoplasmic vesicle   • secretory granule   • secretory vesicle   • neuronal dense core vesicle   • centrosome   • microtubule organizing center   • cytoskeleton   • membraneless organelle   • intracellular membraneless organelle   • microtubule cytoskeleton   • somatodendritic compartment   • dendrite   • dendritic tree   • nucleus   • membrane-enclosed lumen   • intracellular organelle lumen   • nucleoplasm   • organelle lumen   • nuclear lumen   • neuron to neuron synapse   • hippocampal mossy fiber to CA3 synapse   • cell body   • ciliary basal body   • G-protein beta-subunit binding
Gene OntologyCellular Component
SCOP2Domain Identifier• Transducin (heterotrimeric G protein), gamma chain
SCOP2Family Identifier• Transducin (heterotrimeric G protein), gamma chain
Membrane Protein Annotations-• Orientations of Proteins in Membranes database (OPM)   • Protein Data Bank of Transmembrane Proteins (PDBTM)   • MemProtMD


Details about the values in these tables can be found in the corresponding documentation page .
PDBsumOpen PDBsum Page
ChainA
ProteinG Protein α Sub unit
UniProtP04899
Sequence
>9KFK_Chain_A
VSAEDKAAA ERSKMIDKN LREDGEKAA REVKLLLLG SGKTIVKQM 
KGIVETHFT FKDLHFKMF DVGQRSERK KWIHCFEGV TAIIFCVAL 
SAYDLVLAE DEEMNRMHS MKLFDSICN NKWFTDTSI ILFLNKKDL 
FEEKITHSP LTICFPEYT GANKYDEAA SYIQSKFED LNKRKDTKE 
IYTHFTCTD TKNVQFVFD AVTDVIIKN NLKDCGLFN AAS


Click on each residue to open a popup with some information about it.

ConSurf Conservation Grade (See documentation): 

 n/a   1    2    3    4    5    6    7    8    9  

ChainB
ProteinG Protein β Sub unit
UniProtP62873
Sequence
>9KFK_Chain_B
ELDQLRQEA EQLKNQIRD ARKACADAT LSQITNNID PVGRIQMRT 
RRTLRGHLA KIYAMHWGT DSRLLVSAS QDGKLIIWD SYTTNKVHA 
IPLRSSWVM TCAYAPSGN YVACGGLDN ICSIYNLKT REGNVRVSR 
ELAGHTGYL SCCRFLDDN QIVTSSGDT TCALWDIET GQQTTTFTG 
HTGDVMSLS LAPDTRLFV SGACDASAK LWDVREGMC RQTFTGHES 
DINAICFFP NGNAFATGS DDATCRLFD LRADQELMT YSHDNIICG 
ITSVSFSKS GRLLLAGYD DFNCNVWDA LKADRAGVL AGHDNRVSC 
LGVTDDGMA VATGSWDSF LKIWN


Click on each residue to open a popup with some information about it.

ConSurf Conservation Grade (See documentation): 

 n/a   1    2    3    4    5    6    7    8    9  

ChainG
ProteinG Protein γ Sub unit
UniProtP63212
Sequence
>9KFK_Chain_G
SIAQARKLV EQLKMEANI DRIKVSKAA ADLMAYCEA HAKEDPLLT 
PVPASENPF R


Click on each residue to open a popup with some information about it.

ConSurf Conservation Grade (See documentation): 

 n/a   1    2    3    4    5    6    7    8    9  

ChainL
ProteinRelaxin-3
UniProtQ8WXF3
Sequence
>9KFK_Chain_L


Click on each residue to open a popup with some information about it.

ConSurf Conservation Grade (See documentation): 

 n/a   1    2    3    4    5    6    7    8    9  

ChainN
ProteinRelaxin-3
UniProtQ8WXF3
Sequence
>9KFK_Chain_N


Click on each residue to open a popup with some information about it.

ConSurf Conservation Grade (See documentation): 

 n/a   1    2    3    4    5    6    7    8    9  

ChainR
ProteinReceptor
UniProtQ8TDU9
Sequence
>9KFK_Chain_R
FLALRLMVA LAYGLVGAI GLLGNLAVL WVLSGPPSD TFVFNLALA 
DLGLALTLP FWAAESALD FHWPFGGAL CKMVLTATV LNVYASIFL 
ITALSVARY WVVAMAAGP GTHLSLFWA RIATLAVWA AAALVTVPT 
AVFGVEGEV CGVRLCLLR FPSRYWLGA YQLQRVVLA FMVPLGVIT 
TSYLLLLAF LQRRQRRRQ DSRVVARSV RILVASFFL CWFPNHVVT 
LWGVLVKFD LVPWNSTFY TIQTYVFPV TTCLAHSNS CLNPVLYCL 
LRREPRQAL AGTFR


Click on each residue to open a popup with some information about it.

ConSurf Conservation Grade (See documentation): 

 n/a   1    2    3    4    5    6    7    8    9  




This receptor, from the same or other species and bound to the same or other ligands, is also present in the following networks:
Show PDB Class SubFamily Type SubType Species Orthosteric Ligand Other Ligand(s) Protein Partners Resolution Date DOI
7YJ4APeptideRelaxinRXFP4Homo sapiensINSL5-Gi2/β1/γ23.192023-03-01doi.org/10.1038/s41467-023-36182-z
7YJ4 (No Gprot) APeptideRelaxinRXFP4Homo sapiensINSL5-3.192023-03-01doi.org/10.1038/s41467-023-36182-z
7YK6APeptideRelaxinRXFP4Homo sapiensPubChem 138319674-Gi2/β1/γ23.032023-03-01doi.org/10.1038/s41467-023-36182-z
7YK6 (No Gprot) APeptideRelaxinRXFP4Homo sapiensPubChem 138319674-3.032023-03-01doi.org/10.1038/s41467-023-36182-z
7YK7APeptideRelaxinRXFP4Homo sapiensDC591053-Gi2/β1/γ22.752023-03-01doi.org/10.1038/s41467-023-36182-z
7YK7 (No Gprot) APeptideRelaxinRXFP4Homo sapiensDC591053-2.752023-03-01doi.org/10.1038/s41467-023-36182-z
9KFKAPeptideRelaxinRXFP4Homo sapiensRelaxin-3-Gi2/β1/γ22.952025-08-13doi.org/10.1038/s42003-025-08220-7
9KFK (No Gprot) APeptideRelaxinRXFP4Homo sapiensRelaxin-3-2.952025-08-13doi.org/10.1038/s42003-025-08220-7




You can download a compressed (zip) file with structure(s), 3D outputs (as PyMol and VMD scripts) and numerical data files (as csv and plain text files).

Download 9KFK.zip



You can click to copy the link of this page to easily come back here later

or use this QR code to link and share this page.



You can also  read or  download a guide explaining the meaning of all files and numerical data.