Color ConSurf Grade
      No Conservation data available
      1
      2
      3
      4
      5
      6
      7
      8
      9

Index: hub id, click on each number to highlight the corresponding hub in the 3D visualization.

Hub: the hub being considered.

Avg Int. Strength: the average interaction strength of all the links of the corresponding hub.

Num Of Links: the number of links of the corresponding hub.

Community: the id of the community the link belong to, otherwise 0.

ConSurf: this column reports the ConSurf conservation grades of each hub.

Index Hub Avg Int. Strength Num Of Links Community ConSurf
1R:R:L32 3.63584
2R:R:W33 7.6656203
3R:R:W39 12.785485
4R:R:R44 6.434183
5R:R:P54 8.75254212
6R:R:R64 13.65754214
7R:R:Y69 6.202586
8R:R:W72 8.2525409
9R:R:P77 3.37404
10R:R:Y88 9.95585
11R:R:L89 9.7485
12R:R:P90 4.305484
13R:R:W91 9.96484
14R:R:V95 3.58405
15R:R:W110 7.4725409
16R:R:D114 4.794164
17R:R:W120 12.084165
18R:R:L123 8.535485
19R:R:Y148 6.7265137
20R:R:Y152 6.218336137
21R:R:F169 7.895417
22R:R:H171 10.0375417
23R:R:L172 5.0275419
24R:R:R176 7.106539
25R:R:I179 5.24754108
26R:R:F184 3.816508
27R:R:F187 8.008508
28R:R:R190 7.39408
29R:R:K197 4.7525406
30R:R:Y205 7.4675403
31R:R:F230 6.1625145
32R:R:Y235 4.5454109
33R:R:Y241 5.886128
34R:R:Y242 6.51254106
35R:R:W243 10.12676109
36R:R:V246 4.334108
37R:R:E247 9.0325409
38R:R:Y250 7.686538
39R:R:L255 4.265438
40R:R:Q263 7.24754245
41R:R:F266 5.39406
42R:R:Y269 6.55407
43R:R:W274 7.3485109
44R:R:P277 3.8065109
45R:R:W284 5.002867148
46R:R:W297 9.2756148
47R:R:W306 6.67406
48R:R:I309 5.1754147
49R:R:F324 5.83639
50R:R:I328 3.82437
51R:R:K334 5.64833639
52R:R:I345 3.58405
53R:R:L349 3.17333639
54R:R:L356 4.49667639
55R:R:L359 8.33439
56R:R:L360 4.17539
57R:R:H363 8.696128
58R:R:E364 7.625128
59R:R:F367 4.8854127
60R:R:L384 4.4754135
61R:R:E387 5.625408
62R:R:L388 5.754137
63R:R:F404 4.25254238
64R:R:E412 10.545418
65L:L:F1 4.32254120
66L:L:E3 6.00254130
67L:L:F6 10.47754130
68L:L:Q13 5.874220
69L:L:F22 4.924580
70L:L:K27 6.5375480
71A:A:Q19 7.9424
72A:A:N23 7.36427
73A:A:K24 2.085424
74A:A:Y37 8.7225424
75A:A:H41 6.675436
76A:A:L43 3.6875437
77A:A:F219 7.21429738
78A:A:F222 11.285417
79A:A:K233 5.61833619
80A:A:W234 7.53519
81A:A:C237 5.34518
82A:A:Q267 4.835404
83A:A:F273 6.315259
84A:A:W277 12.1325256
85A:A:W281 13.0383615
86A:A:L282 5.9675409
87A:A:I288 4.6225409
88A:A:L289 5.1775409
89A:A:F290 5.6825179
90A:A:F312 6.708598
91A:A:F315 11.9496
92A:A:Y318 6.71596
93A:A:Y339 5.08167693
94A:A:F340 12.2497
95A:A:R342 6.295494
96A:A:E344 8.3575495
97A:A:F345 9.285408
98A:A:C359 4.505405
99A:A:Y360 8.83408
100A:A:F363 7.1075495
101A:A:F376 7.374538
102A:A:I383 4.62438
103A:A:R385 9.978535
104A:A:H387 8.07438
105A:A:L388 5.2025438
106A:A:Y391 7.375434
107B:B:I18 4.3425407
108B:B:I37 4.16562
109B:B:M45 3.91404
110B:B:L51 8.6925429
111B:B:H54 9.326529
112B:B:L55 6.5725426
113B:B:K57 12.178519
114B:B:I58 4.94429
115B:B:Y59 9.124518
116B:B:M61 4.7275426
117B:B:W63 7.05627
118B:B:L70 6.0225425
119B:B:Q75 9.7975419
120B:B:D76 6.076529
121B:B:K78 5.43508
122B:B:L79 4.424577
123B:B:I80 10.4025428
124B:B:W82 9.16625829
125B:B:D83 9.32428
126B:B:T86 6.12426
127B:B:N88 11.815427
128B:B:K89 7.91714729
129B:B:H91 6.04475
130B:B:I93 6.1475477
131B:B:L95 4.465478
132B:B:W99 9.75167619
133B:B:M101 5.502519
134B:B:Y105 5.2025406
135B:B:N110 6.83754154
136B:B:Y111 7.3025154
137B:B:V112 4.266578
138B:B:C114 4.58478
139B:B:L117 3.894519
140B:B:I123 4.3356156
141B:B:Y124 5.19776
142B:B:L126 4.6425475
143B:B:V133 5.4075474
144B:B:E138 6.7125476
145B:B:H142 7.01714719
146B:B:Y145 6.85333918
147B:B:C149 3.8275418
148B:B:F151 5.535609
149B:B:L152 3.905453
150B:B:I157 5.725407
151B:B:V158 3.9175455
152B:B:T159 5.304519
153B:B:D163 7.424519
154B:B:C166 4.235458
155B:B:L168 3.982556
156B:B:W169 9.335618
157B:B:Q176 6.796514
158B:B:F180 8.876557
159B:B:H183 7.725659
160B:B:D186 7.4225419
161B:B:V187 4.426559
162B:B:M188 4.935418
163B:B:F199 9.08459
164B:B:V200 6.964546
165B:B:S201 4.915459
166B:B:C204 4.67833617
167B:B:D205 5.2125459
168B:B:K209 11.45456
169B:B:L210 4.592505
170B:B:W211 9.84667658
171B:B:D212 7.3085199
172B:B:R219 9.6354195
173B:B:Q220 8.6675447
174B:B:F222 9.14448
175B:B:H225 10.1843749
176B:B:D228 7.552519
177B:B:I229 5.8775447
178B:B:I232 5548
179B:B:F235 6.23143766
180B:B:P236 6.015467
181B:B:F241 8.538546
182B:B:T243 7.7225448
183B:B:D246 7.2175419
184B:B:D247 8.838549
185B:B:T249 7.785446
186B:B:R251 9.80714748
187B:B:F253 6.68143746
188B:B:D254 5.2925409
189B:B:R256 7.2675409
190B:B:D258 9.734547
191B:B:M262 6.9325404
192B:B:T263 4.555441
193B:B:Y264 6.61505
194B:B:T274 4.295418
195B:B:F278 4.79667
196B:B:R283 6.88569
197B:B:L286 3.635417
198B:B:Y289 7.557147117
199B:B:D290 8.85416
200B:B:C294 5.044515
201B:B:N295 8.61254116
202B:B:W297 7.794118
203B:B:L300 5.525466
204B:B:K301 6.64505
205B:B:R304 7.544115
206B:B:H311 10.666519
207B:B:R314 15.488518
208B:B:V315 4.03417
209B:B:L318 3.87516
210B:B:M325 5.50167625
211B:B:V327 4.1825416
212B:B:T329 6.5475418
213B:B:W332 11.91719
214B:B:D333 9.4475419
215B:B:L336 5.474527
216B:B:K337 8.53516
217B:B:W339 10.144519
218B:B:N340 5.965429
219G:G:L19 4.1225409
220G:G:E22 7.3225409
221G:G:R27 6.012548
222G:G:M38 3.75564
223G:G:Y40 12.395466
224G:G:D48 6.926509
225G:G:P49 4.8427
226G:G:L51 4.036506
227G:G:V54 3.5725426
228G:G:N59 4.71143729
229G:G:P60 6.62429
230G:G:F61 5.24875828
   

Color ConSurf Grade
      No Conservation data available
      1
      2
      3
      4
      5
      6
      7
      8
      9

Index: link id, click on each number to highlight the corresponding link in the 3D visualization.

Node1 Node2: the two nodes of the corresponding link.

Recurrence: the relative Recurrence in the pool of shortest paths.

Int. Strength: the interaction strength between the two nodes.

Hub1?, Hub2?: "Yes" if the corresponding node has more than 3 links, otherwise "No".

Community: the id of the community the link belong to, otherwise 0.

ConSurf1, ConSurf2: these columns report the ConSurf conservation grades of the two nodes involved in a link.

Index Node1 Node2 Recurrence Int. Strength Hub1? Hub2? Community ConSurf1 ConSurf2
1R:R:Q221 R:R:W33 35.46475.48NoYes2043
2R:R:Q221 R:R:Y205 35.1359.02NoYes043
3L:L:E15 R:R:Y205 32.46175.61NoYes003
4L:L:E15 R:R:L32 32.12723.98NoYes004
5L:L:F22 R:R:L32 30.78483.65YesYes804
6R:R:E294 R:R:W33 41.13185.45NoYes043
7L:L:F22 R:R:W39 24.71684.01YesYes805
8R:R:W39 R:R:Y88 18.62914.47YesYes855
9R:R:Y69 R:R:Y88 16.94955.96YesYes865
10L:L:K27 R:R:Y69 13.91283.58YesYes806
11L:L:K27 R:R:R121 12.91539.9YesNo006
12R:R:R121 R:R:W110 12.23884NoYes069
13R:R:E294 R:R:R299 41.464211.63NoNo044
14R:R:R299 R:R:S301 41.796613.18NoNo043
15R:R:E292 R:R:S301 42.12895.75NoNo063
16R:R:E292 R:R:K288 44.78429.45NoNo068
17R:R:K288 R:R:W284 22.54758.12NoYes1488
18R:R:F230 R:R:W284 24.16916.01YesYes1458
19R:R:F230 R:R:K197 50.98867.44YesYes056
20R:R:D198 R:R:K197 52.54472.77NoYes076
21R:R:D198 R:R:V194 52.69982.92NoNo077
22R:R:K288 R:R:W297 22.568215.08NoYes1488
23R:R:F230 R:R:W297 25.00895.01YesYes1458
24R:R:V194 R:R:Y152 52.415310.09NoYes1377
25R:R:R190 R:R:Y152 57.08544.12YesYes087
26R:R:N240 R:R:R190 58.08589.64NoYes098
27R:R:F187 R:R:N240 61.536815.71YesNo089
28R:R:F187 R:R:V398 74.56535.24YesNo089
29R:R:F184 R:R:V398 74.70413.93YesNo089
30R:R:A162 R:R:F184 97.48612.77NoYes098
31R:R:A162 R:R:C403 97.47173.61NoNo2399
32R:R:C403 R:R:V409 98.53373.42NoNo099
33R:R:L172 R:R:V409 99.05565.96YesNo099
34R:R:F184 R:R:L166 21.89323.65YesNo088
35R:R:L166 R:R:N177 21.40474.12NoNo089
36R:R:E412 R:R:L172 65.96733.98YesYes189
37B:B:D312 B:B:D333 1006.65NoYes159
38B:B:D312 R:R:H171 66.510815.13NoYes157
39R:R:E408 R:R:H171 33.02287.39NoYes097
40R:R:E408 R:R:L172 32.99645.3NoYes099
41R:R:E412 R:R:H171 33.486511.08YesYes187
42B:B:D312 R:R:K415 33.51285.53NoNo157
43R:R:E412 R:R:K415 33.486410.8YesNo187
44R:R:F187 R:R:L183 10.84964.87YesNo089
45R:R:E247 R:R:L183 10.52116.63YesNo099
46A:A:Q390 R:R:R176 12.56965.84NoYes349
47B:B:D333 B:B:H311 99.719610.08YesYes199
48B:B:H311 B:B:V315 83.92124.15YesYes197
49B:B:T274 B:B:V315 83.55173.17YesYes187
50B:B:R314 B:B:T274 77.40596.47YesYes188
51B:B:R314 B:B:W332 67.905918.99YesYes189
52B:B:S316 B:B:W332 21.38334.94NoYes099
53B:B:I58 B:B:S316 19.28163.1YesNo099
54B:B:H311 B:B:T329 15.16968.21YesYes198
55B:B:L318 B:B:T329 13.47444.42YesYes168
56B:B:L286 B:B:L318 16.09122.77YesYes176
57B:B:L286 B:B:V296 15.0732.98YesNo075
58B:B:L284 B:B:V296 14.87495.96NoNo055
59B:B:L284 G:G:L51 11.66782.77NoYes056
60B:B:R283 G:G:L51 11.0484.86YesYes096
61B:B:H54 B:B:I58 10.22419.28YesYes299
62B:B:I80 B:B:K78 10.48594.36YesYes088
63B:B:W332 B:B:Y59 47.77497.72YesYes198
64A:A:H41 A:A:I383 11.75825.3YesYes368
65A:A:F219 A:A:H41 10.31319.05YesYes386
66A:A:L282 A:A:N279 18.647512.36YesNo098
67A:A:N279 A:A:W281 18.79963.39NoYes085
68B:B:M101 B:B:Y145 45.98129.58YesYes198
69B:B:M101 B:B:Y59 46.1883.59YesYes198
70A:A:I235 A:A:W234 17.76333.52NoYes099
71A:A:I235 A:A:L282 17.90564.28NoYes099
72A:A:W234 B:B:Y145 12.20966.75YesYes198
73A:A:R231 A:A:W234 29.233111NoYes099
74A:A:L272 A:A:R231 28.96410.93NoNo089
75A:A:F246 A:A:L272 28.69537.31NoNo098
76A:A:F246 A:A:L289 28.15673.65NoYes099
77A:A:F345 A:A:L289 14.77359.74YesYes089
78A:A:F345 A:A:L270 10.699810.96YesNo086
79B:B:T221 G:G:E22 19.93858.47NoYes079
80B:B:K209 B:B:T221 20.134412.01YesNo067
81B:B:H183 B:B:K209 10.166415.72YesYes596
82B:B:H183 B:B:V187 10.71245.54YesYes599
83B:B:S160 B:B:V187 11.60584.85NoYes069
84B:B:L190 B:B:S160 11.71454.5NoNo056
85B:B:C148 B:B:L190 39.51756.35NoNo065
86B:B:C148 B:B:T102 32.62253.38NoNo068
87B:B:C149 B:B:T102 32.68793.38YesNo088
88B:B:C149 B:B:T159 31.68573.38YesYes189
89B:B:H142 B:B:T159 31.756.85YesYes199
90B:B:H142 B:B:S161 35.752815.34YesNo199
91B:B:G162 B:B:S161 36.40723.71NoNo199
92B:B:G162 B:B:Y145 36.326910.14NoYes198
93B:B:K209 B:B:W211 10.190211.6YesYes568
94B:B:F199 B:B:W211 20.537214.03YesYes598
95B:B:F199 B:B:V158 21.08685.24YesYes595
96B:B:L190 B:B:V158 27.70714.47NoYes055
97B:B:C218 G:G:Q18 10.19486.1NoNo059
98B:B:C218 B:B:W211 10.30337.84NoYes558
99B:B:I18 G:G:E22 21.88514.1YesYes079
100B:B:I18 B:B:R22 10.25686.26YesNo076
101B:B:I18 G:G:R27 10.62313.76YesYes078
102B:B:I93 B:B:P94 16.37953.39YesNo075
103B:B:K78 B:B:P94 16.52313.35YesNo085
104B:B:D258 B:B:F222 16.38214.78YesYes478
105B:B:F222 B:B:F253 14.324510.72YesYes486
106R:R:N177 R:R:R176 21.08139.64NoYes099
Download PSN data

2D representation of the global metapath, ligand(s) interactions and
histograms of path distribution according to several parameters
(click on the image to enlarge it 🔍):

A 2D representation of the global communication in the network.

ConSurf Conservation Grade (See documentation): 

 n/a   1    2    3    4    5    6    7    8    9  

Number of shortest communication paths as a function of the average residue correlation.

Number of shortest communication paths as a function of the average interaction strength of their links.

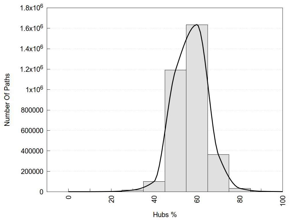
Number of shortest communication paths as a function of the % of hub nodes in each path.

Number of shortest communication paths as a function of the number of nodes in each path.

Number of shortest communication paths as a function of the % of correlated nodes in each path.


2D representation of the interactions of this orthosteric/allosteric ligand.


Links and nodes colored according to ConSurf Conservation Grade (See documentation): 

 n/a   1    2    3    4    5    6    7    8    9  

Node1 Node2 LinkStrength Comm IsNode1Hub? IsNode2Hub? Node1Cons Node2Cons Node1Shell Node2Shell
L:L:K12 R:R:T29 6.01 0 No No 0 2 0 1
R:R:E34 R:R:V30 5.7 0 No No 4 2 2 1
R:R:L32 R:R:V36 2.98 8 Yes No 4 2 1 1
L:L:E15 R:R:L32 3.98 0 No Yes 0 4 0 1
L:L:V19 R:R:L32 5.96 0 No Yes 0 4 0 1
L:L:F22 R:R:L32 3.65 8 Yes Yes 0 4 0 1
R:R:P90 R:R:T35 3.5 8 Yes No 4 5 1 2
L:L:F22 R:R:V36 9.18 8 Yes No 0 2 0 1
R:R:R43 R:R:W39 18.99 0 No Yes 4 5 2 1
R:R:W39 R:R:Y88 14.47 8 Yes Yes 5 5 1 1
L:L:F22 R:R:W39 4.01 8 Yes Yes 0 5 0 1
L:L:L26 R:R:W39 13.67 8 No Yes 0 5 0 1
R:R:Y42 R:R:Y88 14.89 0 No Yes 6 5 2 1
R:R:D67 R:R:R121 4.76 0 No No 9 6 2 1
L:L:W25 R:R:E68 6.54 0 No No 0 4 0 1
R:R:P86 R:R:Y69 9.74 8 No Yes 8 6 2 1
R:R:Y69 R:R:Y88 5.96 8 Yes Yes 6 5 1 1
R:R:L89 R:R:Y69 3.52 8 Yes Yes 5 6 2 1
R:R:L123 R:R:Y69 8.21 8 Yes Yes 5 6 1 1
L:L:K27 R:R:Y69 3.58 8 Yes Yes 0 6 0 1
R:R:P86 R:R:Y88 9.74 8 No Yes 8 5 2 1
R:R:L89 R:R:P86 9.85 8 Yes No 5 8 2 2
L:L:L26 R:R:Y88 4.69 8 No Yes 0 5 0 1
R:R:L89 R:R:P90 4.93 8 Yes Yes 5 4 2 1
R:R:L89 R:R:W91 20.5 8 Yes Yes 5 4 2 1
R:R:P90 R:R:W91 5.4 8 Yes Yes 4 4 1 1
L:L:I23 R:R:P90 3.39 0 No Yes 0 4 0 1
R:R:S94 R:R:W91 4.94 0 No Yes 4 4 2 1
L:L:R20 R:R:W91 9 0 No Yes 0 4 0 1
R:R:L123 R:R:V100 13.41 8 Yes No 5 7 1 2
R:R:R121 R:R:W110 4 0 No Yes 6 9 1 2
L:L:K27 R:R:R121 9.9 8 Yes No 0 6 0 1
L:L:K27 R:R:L123 9.87 8 Yes Yes 0 5 0 1
L:L:Q13 R:R:E138 7.65 22 Yes No 0 2 0 1
L:L:E17 R:R:E138 6.34 22 No No 0 2 0 1
L:L:D9 R:R:L141 4.07 0 No No 0 5 0 1
L:L:Q13 R:R:L141 10.65 22 Yes No 0 5 0 1
R:R:L144 R:R:L384 4.15 0 No Yes 6 5 2 1
R:R:Y148 R:R:Y152 10.92 13 Yes Yes 7 7 1 2
R:R:V194 R:R:Y148 5.05 13 No Yes 7 7 2 1
R:R:L388 R:R:Y148 3.52 13 Yes Yes 7 7 1 1
R:R:S392 R:R:Y148 3.82 13 No Yes 9 7 2 1
L:L:F6 R:R:Y148 10.32 13 Yes Yes 0 7 0 1
R:R:R190 R:R:Y152 4.12 0 Yes Yes 8 7 2 2
R:R:V194 R:R:Y152 10.09 13 No Yes 7 7 2 2
R:R:S392 R:R:Y152 5.09 13 No Yes 9 7 2 2
R:R:R190 R:R:Y241 9.26 0 Yes Yes 8 8 2 1
R:R:M233 R:R:S193 6.13 0 No No 6 6 1 2
R:R:F230 R:R:K197 7.44 14 Yes Yes 5 6 2 2
R:R:K197 R:R:M233 5.76 0 Yes No 6 6 2 1
R:R:L201 R:R:Y205 3.52 0 No Yes 7 3 1 1
L:L:S11 R:R:L201 3 0 No No 0 7 0 1
R:R:L217 R:R:Y205 11.72 0 No Yes 4 3 2 1
R:R:Q221 R:R:Y205 9.02 20 No Yes 4 3 2 1
L:L:E15 R:R:Y205 5.61 0 No Yes 0 3 0 1
L:L:L21 R:R:A209 3.15 0 No No 0 1 0 1
R:R:H212 R:R:W214 3.17 0 No No 3 1 2 1
L:L:F22 R:R:W214 4.01 8 Yes No 0 1 0 1
L:L:W25 R:R:W214 17.81 0 No No 0 1 0 1
R:R:F230 R:R:T298 6.49 14 Yes No 5 5 2 1
L:L:T7 R:R:M233 4.52 0 No No 0 6 0 1
R:R:I313 R:R:Y241 9.67 12 No Yes 7 8 1 1
R:R:I317 R:R:Y241 3.63 12 No Yes 7 8 2 1
R:R:E364 R:R:Y241 6.73 12 Yes Yes 8 8 1 1
L:L:F1 R:R:Y241 3.09 12 Yes Yes 0 8 0 1
L:L:G2 R:R:Y241 2.9 12 No Yes 0 8 0 1
L:L:S8 R:R:T298 3.2 0 No No 0 5 0 1
R:R:I313 R:R:I317 2.94 12 No No 7 7 1 2
L:L:F1 R:R:I313 5.02 12 Yes No 0 7 0 1
R:R:E364 R:R:I317 6.83 12 Yes No 8 7 1 2
R:R:E364 R:R:H363 13.54 12 Yes Yes 8 8 1 2
R:R:F367 R:R:H363 5.66 12 Yes Yes 7 8 2 2
R:R:H363 R:R:T391 5.48 12 Yes No 8 6 2 2
R:R:E364 R:R:E387 6.34 12 Yes Yes 8 8 1 1
L:L:F1 R:R:E364 4.66 12 Yes Yes 0 8 0 1
R:R:E387 R:R:F367 7 0 Yes Yes 8 7 1 2
R:R:K383 R:R:L384 4.23 0 No Yes 7 5 2 1
R:R:L384 R:R:L388 5.54 13 Yes Yes 5 7 1 1
L:L:E3 R:R:L384 3.98 13 Yes Yes 0 5 0 1
R:R:E387 R:R:T391 2.82 0 Yes No 8 6 1 2
L:L:E3 R:R:E387 6.34 13 Yes Yes 0 8 0 1
L:L:E3 R:R:L388 6.63 13 Yes Yes 0 7 0 1
L:L:F6 R:R:L388 7.31 13 Yes Yes 0 7 0 1
R:R:E127 R:R:L123 2.65 0 No Yes 2 5 2 1
L:L:A18 R:R:L32 1.58 0 No Yes 0 4 0 1
L:L:E16 R:R:V30 1.43 0 No No 0 2 0 1
R:R:L141 R:R:Q140 1.33 0 No No 5 4 1 2

Location and physicochemical properties of the interaction partners of this ligand

Interactions of this ligand

Similarities between the interactions of this ligand and those of other networks

ShowSimilarityNetwork TypeNameLigandDescription
56.00Single7KI1Taspoglutide7KI1-GLP-1-Taspoglutide-Gs/β1/γ2
56.00Single9BYOExendin-39BYO-GLP-1-Exendin-3-Gs/β1/γ2
52.38Single8JIQPeptide-158JIQ-Glucagon-Peptide-15-Gs/β1/γ2
52.38Single8YWFRetatrutide8YWF-GLP-1-Retatrutide-chim(NtGi1-Gs)/β1/γ2
52.00Single6B3JExendin-P56B3J-GLP-1-Exendin-P5-Gs/β1/γ2
50.00Single6WHCGlu16 analog of GCG6WHC-Glucagon-Glu16 analog of GCG-Gs/β1/γ2
50.00Single6WPWGlucagon derivative ZP37806WPW-Glucagon-Glucagon derivative ZP3780-Gs/β1/γ2
48.15Single7DUQGLP-17DUQ-GLP-1-GLP-1-PubChem 156022738-Gs/β1/γ2
46.15Single7S1MEx4-D-Ala7S1M-GLP-1-Ex4-D-Ala-Gs/β1/γ2
46.15Consensusglp_onOrthosteric Ligandglp1_on glp2_on
46.15Consensusglp_on_gpOrthosteric Ligandglp1_on_gp glp2_on_gp
45.83Single6M1IPACAP6M1I-PAC1-PACAP-Gs/β1/γ2
45.83Single6WI9Secretin6WI9-Secretin-Secretin-Gs/β1/γ2
45.83Single7FIMTirzepatide7FIM-GLP-1-Tirzepatide-Gs/β1/γ2
45.83Single7V9MSomatoliberin7V9M-GHRH (SV1)-Somatoliberin-Gs/β1/γ2
45.83Single8YW5Retatrutide8YW5-Glucagon-Retatrutide-Gs/β1/γ2
44.44Single6LMLGlucagon6LML-Glucagon-Glucagon-Gi1/β1/γ1
44.44Single6UUSAdrenomedullin6UUS-CT Like (AM2)-Adrenomedullin-Gs/β1/γ2; RAMP3
44.00Single5YQZGlucagon analogue5YQZ-Glucagon-Glucagon analogue
44.00Single6X18GLP-16X18-GLP-1-GLP-1-Gs/β1/γ2
44.00Single7TYWCalcitonin-17TYW-CT (AMY1)-Calcitonin-1-Gs/β1/γ2; RAMP1
44.00Single7WBJPACAP277WBJ-VPAC1-PACAP27-Gs/β1/γ2
44.00Consensuspac_onOrthosteric Ligandpac1_on
42.86Single7LLLExendin-47LLL-GLP-1-Exendin-4-Gs/β1/γ2
42.31Single6NBFLong-Acting PTH Analog6NBF-PTH1-Long-Acting PTH Analog-Gs/β1/γ2
42.31Single7KI0Semaglutide7KI0-GLP-1-Semaglutide-Gs/β1/γ2
42.31Single8E3XPACAP278E3X-PAC1-PACAP27-Gs/β1/γ2
42.31Single8JISPeptide-158JIS-GLP-1-Peptide-15-chim(NtGi1-Gs)/β1/γ2
42.31Single9J1Pg1:Ox9J1P-GLP-1-g1:Ox-chim(NtGi1-Gs)/β1/γ2
42.31Consensuspac_on_gpOrthosteric Ligandpac1_on_gp
41.67Single9IVMGLP-1 (Truncated)9IVM-GLP-1-GLP-1 (Truncated)-LSN3318839-chim(NtGi1-Gs)/β2/γ2
41.67Consensusclass-b1_class-b2_cons_onOrthosteric Ligandclass-b1_on class-b2_on
41.67Consensusclass-b1_class-b2_cons_on_gpOrthosteric Ligandclass-b1_on_gp class-b2_on_gp
40.74Single6VCBGLP-16VCB-GLP-1-GLP-1-LSN3160440-Gs/β1/γ2
40.74Single8FU6Glucagon derivative ZP37808FU6-Glucagon-Glucagon derivative ZP3780-Gs/β1/γ2
40.00Single8YW3Retatrutide8YW3-GLP-1-Retatrutide-Gs/β1/γ2
39.39Single7F16TIP397F16-PTH2-TIP39-Gs/β1/γ2
39.29Single6WZGSecretin6WZG-Secretin-Secretin-Gs/β1/γ2
39.29Single7D68GLP-27D68-GLP-2-GLP-2-Gs/β1/γ2
39.29Consensusvip-pacap_onOrthosteric Ligandvpac_on pac_on
39.29Consensusvip-pacap_on_gpOrthosteric Ligandvpac_on_gp pac_on_gp
39.29Consensusvpac2_onOrthosteric Ligand7VQX-VPAC1-PACAP27-Gs/β1/γ2
39.29Consensusvpac2_on_gpOrthosteric Ligand7VQX-VPAC1-PACAP27-Gs/β1/γ2
39.13Single6X19CHU-1286X19-GLP-1-CHU-128-Gs/β1/γ2
38.46Single7LLYOxyntomodulin7LLY-GLP-1-Oxyntomodulin-Gs/β1/γ2
38.46Single8E3YPACAP278E3Y-VPAC1-PACAP27-Gs/β1/γ2
38.46Single8E3ZVIP8E3Z-VPAC1-VIP-Gs/β1/γ2
38.10Single6XOXOrforglipron6XOX-GLP-1-Orforglipron-chim(NtGi1-Gs)/β1/γ2
37.50Single7E14Orforglipron7E14-GLP-1-Orforglipron-PubChem 156022738-Gs/β1/γ2
37.50Single7TRYUrocortin7TRY-CRF2-Urocortin-chim(NtGi1-G11)/β1/γ2
37.50Single8JRVGlucagon8JRV-Glucagon-Glucagon-Arrestin2
37.50Consensusglucagon_on_gpOrthosteric Ligandglp_on_gp gluc_on_gp secretin_on_gp gip_on_gp
37.04Single6NBILong-Acting PTH Analog6NBI-PTH1-Long-Acting PTH Analog-Gs/β1/γ2
37.04Single7RGPTirzepatide7RGP-GLP-1-Tirzepatide-chim(NtGi1-Gs)/β1/γ2
37.04Single7VABNon-Acylated Tirzepatide7VAB-GIP-Non-Acylated Tirzepatide-chim(NtGi1-Gs)/β1/γ2
36.67Single6LPBPACAP6LPB-PAC1-PACAP-Gs/β1/γ1
36.00Single6UUNAdrenomedullin6UUN-CT Like (AM1)-Adrenomedullin-Gs/β1/γ2; RAMP2
36.00Single6VN7PACAP6VN7-VPAC1-PACAP-Gs/β1/γ2
35.71Single6P9XCorticoliberin6P9X-CRF1-Corticoliberin-Gs/β1/γ2
35.71Single6UVAAdrenomedullin-26UVA-CT Like (AM2)-Adrenomedullin-2-Gs/β1/γ2; RAMP3
35.71Single8HAOPTH8HAO-PTH1-PTH-chim(NtGi1-Gs)/β1/γ2
35.71Single9BUCCagrilintide9BUC-CT-Cagrilintide-Gs/β1/γ2
35.71Consensuscrf_onOrthosteric Ligandcrf2_on crf1_on
35.48Single7V35Peptide-207V35-Glucagon-Peptide-20-Gs/β1/γ2
35.48Consensuscrf_on_gpOrthosteric Ligandcrf2_on_gp crf1_on_gp
35.00Single8ZRKGSK-12922638ZRK-GPR119-GSK-1292263-Gs/β1/γ2
34.62Single8HA0PTH8HA0-PTH1-PTH-chim(NtGi1-Gs)/β1/γ2
34.62Single8YW4Retatrutide8YW4-GIP-Retatrutide-chim(NtGi1-Gs)/β1/γ2
34.62Single9BLCCagrilintide backbone (non-acylated)9BLC-CT-Cagrilintide backbone (non-acylated)-Gs/β1/γ2
34.62Single9BUDCagrilintide9BUD-CT-Cagrilintide-Gs/β1/γ2
34.62Single9EBOGLP-1 (ACPC18)9EBO-GLP-1-GLP-1 (ACPC18)-Gs/β1/γ2
34.48Single5VAIGLP-15VAI-GLP-1-GLP-1-Gs/β1/γ2
34.48Single6LMKGlucagon6LMK-Glucagon-Glucagon-Gs/β1/γ2
34.48Single6NBHLong-Acting PTH Analog6NBH-PTH1-Long-Acting PTH Analog-Gs/β1/γ2
34.48Single6PB1Urocortin6PB1-CRF2-Urocortin-chim(NtGi1-Gs)/β1/γ2
34.48Single7TS0Urocortin7TS0-CRF2-Urocortin-chim(NtGi1L-Go)/β1/γ2
34.48Single9BTWCagrilintide9BTW-CT (AMY3)-Cagrilintide-Gs/β1/γ2; RAMP3
34.38Single7TYOCalcitonin7TYO-CT-Calcitonin-Gs/β1/γ2
34.38Single8JITMEDI03828JIT-Glucagon-MEDI0382-Gs/β1/γ2
34.38Consensusclass-a_class-b1_cons_on_gpOrthosteric Ligandclass-a_on_gp class-b1_on_gp
34.38Consensusglucagon_onOrthosteric Ligandglp_on gluc_on secretin_on gip_on
33.33Single6PB0Urocortin6PB0-CRF1-Urocortin-chim(NtGi1-Gs)/β1/γ2
33.33Single7RBTTirzepatide7RBT-GIP-Tirzepatide-LSN3556672-chim(NtGi1-Gs)/β1/γ2
33.33Single7RTBPeptide-197RTB-GLP-1-Peptide-19-Gs/β1/γ2
33.33Consensusclass-a_class-b1_cons_onOrthosteric Ligandclass-a_on class-b1_on
33.33Consensuspth_onOrthosteric Ligandpth1_on pth2_on
33.33Consensuspth_on_gpOrthosteric Ligandpth1_on_gp pth2_on_gp
33.33Consensusvpac_onOrthosteric Ligandvpac1_on vpac2_on
32.26Single7TZFAmylin7TZF-CT (AMY3)-Amylin-Gs/β1/γ2; RAMP3
32.26Single7VBHPeptide-207VBH-GLP-1-Peptide-20-Gs/β1/γ2
32.26Single8F2APramlintide Analogue San3858F2A-CT (AMY3)-Pramlintide Analogue San385-Gs/β1/γ2; RAMP3
32.26Single8FLSAbaloparatide8FLS-PTH1-Abaloparatide-Gs/β1/γ2
32.26Single8FLULong-Acting PTH8FLU-PTH1-Long-Acting PTH-Gs/β1/γ2
32.14Single6FJ3PTH6FJ3-PTH1-PTH
32.14Single7D3SSecretin7D3S-Secretin-Secretin-Gs/β1/γ2
32.14Single7RA3GIP7RA3-GIP-GIP-chim(NtGi1-Gs)/β1/γ2
32.14Single9BLWCagrilintide backbone (non-acylated)9BLW-CT (AMY1)-Cagrilintide backbone (non-acylated)-Gs/β1/γ2; RAMP1
32.14Single9BP3Cagrilintide9BP3-CT (AMY1)-Cagrilintide-Gs/β1/γ2; RAMP1
32.14Single9BUBCagrilintide9BUB-CT-Cagrilintide-Gs/β1/γ2
32.14Consensusvpac_on_gpOrthosteric Ligandvpac1_on_gp vpac2_on_gp
32.00Single7VBINon-Acylated Tirzepatide7VBI-GLP-1-Non-Acylated Tirzepatide-Gs/β1/γ2
31.82Single7W0NElabela7W0N-Apelin-Elabela-Gi1/β1/γ2
31.82Single7WCNAR2314537WCN-GPR119-AR231453-Gs/β1/γ2
31.82Single7XZ5Lysophosphatidylcholine7XZ5-GPR119-Lysophosphatidylcholine-Gs/β1/γ2
31.82Single8VHFMBX-29828VHF-GPR119-MBX-2982-Gs/β1/γ2
31.43Consensusclass-b1_onOrthosteric Ligandglucagon_on vip-pacap_on pth_on crf_on calcitonin_on
31.25Single7VVMPTH7VVM-PTH1-PTH-Gs/β1/γ2
31.25Single8JIPMEDI03828JIP-GLP-1-MEDI0382-chim(NtGi1-Gs)/β1/γ2
31.03Single5NX2GLP-1 (Truncated)5NX2-GLP-1-GLP-1 (Truncated)
31.03Single7DTYGIP7DTY-GIP-GIP-Gs/β1/γ2
31.03Single7TYFAmylin7TYF-CT (AMY1)-Amylin-Gs/β1/γ2; RAMP1
31.03Single7TYNCalcitonin-17TYN-CT-Calcitonin-1-Gs/β1/γ2
31.03Single7VQXPACAP277VQX-VPAC1-PACAP27-Gs/β1/γ2
31.03Single7VVKPTH7VVK-PTH1-PTH-Gs/β1/γ2
31.03Consensusglp2_onOrthosteric Ligand7D68-GLP-2-GLP-2-Gs/β1/γ2
31.03Consensusglp2_on_gpOrthosteric Ligand7D68-GLP-2-GLP-2-Gs/β1/γ2
31.03Consensussecretin_on_gpOrthosteric Ligand7D3S-Secretin-Secretin-Gs/β1/γ2
30.56Single8F0JPramlintide Analogue San458F0J-CT-Pramlintide Analogue San45-Gs/β1/γ2
30.43Single6M1HMaxadilan6M1H-PAC1-Maxadilan-Gs/β1/γ2
30.43Single7VVNPTH7VVN-PTH1-PTH-Gs/β1/γ2
30.43Single7XZ6APD6687XZ6-GPR119-APD668-Gs/β1/γ2
30.30Single7TYYCalcitonin-17TYY-CT (AMY2)-Calcitonin-1-Gs/β1/γ2; RAMP2
30.30Single7Y36Teriparatide7Y36-PTH1-Teriparatide-Gs/β1/γ2
30.30Single9JR3PTH9JR3-PTH1-PTH-chim(NtGi1L-Gs-CtGq)/β1/γ2
30.00Single7VVLPTH7VVL-PTH1-PTH-Gs/β1/γ2
30.00Single8F0KPramlintide Analogue San3858F0K-CT (AMY3)-Pramlintide Analogue San385-Gs/β1/γ2; RAMP3
30.00Single9IVGGLP-1 (Truncated)9IVG-GLP-1-GLP-1 (Truncated)-chim(NtGi1-Gs)/β1/γ2
29.63Single7FINPeptide-20; GGL7FIN-GIP-Peptide-20; GGL-Gs/β1/γ2
29.63Single7TYIAmylin7TYI-CT-Amylin-Gs/β1/γ2
29.41Single6E3YCalcitonin gene-related peptide-16E3Y-CT Like-Calcitonin gene-related peptide-1-Gs/β1/γ2; RAMP1
29.17Consensuss1p_onOrthosteric Ligands1p1_on s1p3_on s1p5_on
29.17Consensuss1p_on_gpOrthosteric Ligands1p1_on_gp s1p3_on_gp s1p5_on_gp
29.03Single7TYXAmylin7TYX-CT (AMY2)-Amylin-Gs/β1/γ2; RAMP2
29.03Consensusgip_onOrthosteric Ligand7FIN-GIP-Peptide-20; GGL-Gs/β1/γ2 7FIY-GIP-Tirzepatide-Gs/β1/γ2 7DTY-GIP-GIP-Gs/β1/γ2
29.03Consensusgip_on_gpOrthosteric Ligand7FIN-GIP-Peptide-20; GGL-Gs/β1/γ2 7FIY-GIP-Tirzepatide-Gs/β1/γ2 7DTY-GIP-GIP-Gs/β1/γ2
28.57Single7TYHCalcitonin-17TYH-CT (AMY2)-Calcitonin-1-Gs/β1/γ2; RAMP2
28.57Single7Y35Abaloparatide7Y35-PTH1-Abaloparatide-Gs/β1/γ2
28.57Single8XQEApelin-138XQE-Apelin-Apelin-13-Gi1/β1/γ2
28.57Consensuscalcitonin_onOrthosteric Ligandctlike_on
28.57Consensusgluc_on_gpOrthosteric Ligand6LMK-Glucagon-Glucagon-Gs/β1/γ2 8JIT-Glucagon-MEDI0382-Gs/β1/γ2 7V35-Glucagon-Peptide-20-Gs/β1/γ2
28.21Consensusclass-b1_on_gpOrthosteric Ligandglucagon_on_gp vip-pacap_on_gp pth_on_gp crf_on_gp calcitonin_on_gp
28.00Single4XT1Fractalkine4XT1-US28-Fractalkine
28.00Single9BUECagrilintide9BUE-CT-Cagrilintide-Gs/β1/γ2
27.78Single8HSCFab0468HSC-GPR20-Fab046-Gi1/β1/γ2
27.78Single8JPNCis-Epoxysuccinic acid8JPN-Succinate-Cis-Epoxysuccinic acid-Gi1/β1/γ1
27.78Single8WP1Cis-Epoxysuccinic acid8WP1-Succinate-Cis-Epoxysuccinic acid-Gi1/β1/γ2
27.59Single4XT3Fractalkine4XT3-US28-Fractalkine
27.59Single6P9YPACAP6P9Y-PAC1-PACAP-Gs/β1/γ2
27.59Single7CZ5Somatoliberin7CZ5-GHRH-Somatoliberin-Gs/β1/γ2
27.59Single8FLRPTHrP(1-36)8FLR-PTH1-PTHrP(1-36)-Gs/β1/γ2
27.59Single9BLBCagrilintide backbone (non-acylated)9BLB-CT-Cagrilintide backbone (non-acylated)-Gs/β1/γ2
27.59Consensuscalcitonin_on_gpOrthosteric Ligandctlike_on_gp
27.59Consensuspac1_onOrthosteric Ligand8E3X-PAC1-PACAP27-Gs/β1/γ2 6M1H-PAC1-Maxadilan-Gs/β1/γ2
27.59Consensuspac1_on_gpOrthosteric Ligand8E3X-PAC1-PACAP27-Gs/β1/γ2 6M1H-PAC1-Maxadilan-Gs/β1/γ2
27.59Consensussecretin_onOrthosteric Ligand7D3S-Secretin-Secretin-Gs/β1/γ2
27.27Single4Z34ONO-97803074Z34-LPA1-ONO-9780307
27.27Single7EW1Siponimod7EW1-S1P5-Siponimod-Gi1/β1/γ2
27.27Single8JIRSAR4258998JIR-GLP-1-SAR425899-chim(NtGi1-Gs)/β1/γ2
27.27Single9JR2PTH9JR2-PTH1-PTH-chim(NtGi1L-Gs-CtGq)/β1/γ2
27.27Consensuspth1_on_gpOrthosteric Ligand6NBF-PTH1-Long-Acting PTH Analog-Gs/β1/γ2 8HA0-PTH1-PTH-chim(NtGi1-Gs)/β1/γ2 8HAF-PTH1-PTHrP(1-36)-chim(NtGi1-Gs)/β1/γ2 7Y36-PTH1-Teriparatide-Gs/β1/γ2 7Y35-PTH1-Abaloparatide-Gs/β1/γ2
27.27Consensuss1p5_onOrthosteric Ligand7EW1-S1P5-Siponimod-Gi1/β1/γ2
27.27Consensuss1p5_on_gpOrthosteric Ligand7EW1-S1P5-Siponimod-Gi1/β1/γ2
26.92Single7RKMFractalkine7RKM-US28-Fractalkine-Gi1/β1/γ2
26.92Single7W0NElabela7W0N-Apelin-Elabela-Gi1/β1/γ2
26.92Consensusgq_class-aOrthosteric Ligandgq_peptide gq_amine gq_nucleotide
26.67Single7FIYTirzepatide7FIY-GIP-Tirzepatide-Gs/β1/γ2
26.47Single8FLQPTH8FLQ-PTH1-PTH-Gs/β1/γ2
26.47Single8JIUSAR4258998JIU-Glucagon-SAR425899-Gs/β1/γ2
26.32Single8F2BPramlintide Analogue San458F2B-CT (AMY3)-Pramlintide Analogue San45-Gs/β1/γ2; RAMP3
26.32Single8WOGSuccinic acid8WOG-Succinate-Succinic acid-Gi1/β1/γ2
26.32Single8YKXMaleic acid8YKX-Succinate-Maleic acid-Gi1/β1/γ1
26.32Single9EEAAdenosine9EEA-A2A-Adenosine-Gs/β1/γ2
26.32Consensusgi_succinateOrthosteric Ligand8YKW-Succinate-Succinic acid-Gi1/β1/γ1 8YKX-Succinate-Maleic acid-Gi1/β1/γ1
26.32Consensussuccinate_onOrthosteric Ligand8YKW-Succinate-Succinic acid-Gi1/β1/γ1 8YKX-Succinate-Maleic acid-Gi1/β1/γ1
26.32Consensussuccinate_on_gpOrthosteric Ligand8YKW-Succinate-Succinic acid-Gi1/β1/γ1 8YKX-Succinate-Maleic acid-Gi1/β1/γ1
26.09Single7EVYSiponimod7EVY-S1P1-Siponimod-Gi1/β1/γ2
26.09Single7WCMMBX-29827WCM-GPR119-MBX-2982-Gs/β1/γ2
26.09Single8XQSCholesterol8XQS-TAS2R14-Cholesterol-Flufenamic acid-Gi1/β1/γ1
26.09Consensuslpa1_offOrthosteric Ligand4Z36-LPA1-ONO-3080573 4Z35-LPA1-ONO-9910539 4Z34-LPA1-ONO-9780307
26.09Consensuslpa_offOrthosteric Ligandlpa1_off
26.09Consensuslpl_offOrthosteric Ligands1p_off lpa_off
26.09Consensuss1p1_onOrthosteric Ligand7VIE-S1P1-S1P-Gi1/β1/γ2 7VIF-S1P1-S-FTY720-P-Gi1/β1/γ2 7VIG-S1P1-CBP-307-Gi1/β1/γ2 7EVY-S1P1-Siponimod-Gi1/β1/γ2 7EVZ-S1P1-Cenerimod-Gi1/β1/γ2 7EW0-S1P1-Ozanimod-Gi1/β1/γ2 7EW7-S1P1-SEW2871-Gi1/β1/γ2
26.09Consensuss1p1_on_gpOrthosteric Ligand7VIE-S1P1-S1P-Gi1/β1/γ2 7VIF-S1P1-S-FTY720-P-Gi1/β1/γ2 7VIG-S1P1-CBP-307-Gi1/β1/γ2 7EVY-S1P1-Siponimod-Gi1/β1/γ2 7EVZ-S1P1-Cenerimod-Gi1/β1/γ2 7EW0-S1P1-Ozanimod-Gi1/β1/γ2 7EW7-S1P1-SEW2871-Gi1/β1/γ2
25.81Single7TYLAmylin7TYL-CT-Amylin-Gs/β1/γ2
25.81Single7VVJPTHrP(1-36)7VVJ-PTH1-PTHrP(1-36)-Gs/β1/γ2
25.81Single8HAFPTHrP(1-36)8HAF-PTH1-PTHrP(1-36)-chim(NtGi1-Gs)/β1/γ2
25.81Single9BQ3Cagrilintide9BQ3-CT (AMY2)-Cagrilintide-Gs/β1/γ2; RAMP2
25.81Consensuspth1_onOrthosteric Ligand6NBF-PTH1-Long-Acting PTH Analog-Gs/β1/γ2 8HA0-PTH1-PTH-chim(NtGi1-Gs)/β1/γ2 8HAF-PTH1-PTHrP(1-36)-chim(NtGi1-Gs)/β1/γ2 7Y36-PTH1-Teriparatide-Gs/β1/γ2 7Y35-PTH1-Abaloparatide-Gs/β1/γ2
25.71Consensusgluc_onOrthosteric Ligand6LMK-Glucagon-Glucagon-Gs/β1/γ2 8JIT-Glucagon-MEDI0382-Gs/β1/γ2 7V35-Glucagon-Peptide-20-Gs/β1/γ2
25.00Single3UZC4-(3-amino-5-phenyl-1,2,4-triazin-6-yl)-2-chlorophenol3UZC-A2A-4-(3-amino-5-phenyl-1,2,4-triazin-6-yl)-2-chlorophenol
25.00Single4Z35ONO-99105394Z35-LPA1-ONO-9910539
25.00Single4ZUDOlmesartan4ZUD-AT1-Olmesartan
25.00Single7C2EPubChem 1490507997C2E-GLP-1-PubChem 149050799-Gs/β1/γ2
25.00Single7EVZCenerimod7EVZ-S1P1-Cenerimod-Gi1/β1/γ2
25.00Single7F6GSAR1-AngII7F6G-AT1-SAR1-AngII-Gq/β1/γ2
25.00Single7SK7CCX6627SK7-ACKR3-CXCL12-CCX662
25.00Single7WC9PubChem 1624213647WC9-5-HT2A-PubChem 162421364
25.00Single7WUIIP157WUI-ADGRG2-IP15-chim(NtGi1-Gs)/β1/γ2
25.00Single7X8RBOC57X8R-GLP-1-BOC5-Gs/β1/γ2
25.00Single8H4KGW95088H4K-FFA4-GW9508-chim(NtGi1-Gs-CtGq)/β1/γ2
25.00Single8HNMVUF112228HNM-CXCR3-VUF11222-Gi1/β1/γ2
25.00Single8HS2Fab0468HS2-GPR20-Fab046
25.00Single8RLNLUF58348RLN-A2A-LUF5834
25.00Single8RWIStilSwitch28RWI-A2A-StilSwitch2-Na
25.00Single8YKVPubChem 1375531688YKV-Succinate-PubChem 137553168-Gi1/β1/γ2
25.00Single8ZWGJR14a8ZWG-C3aB-JR14a-Gi1/β1/γ2
25.00Single9ASBCa; Ca; Cyclomethyltryptophan; 9IG; PO49ASB-CaS-Ca-Ca; Ca; Cyclomethyltryptophan; 9IG; PO4-chim(NtGi1-Gs-CtGq)/β1/γ2
25.00Single9K0KUTP9K0K-P2Y4-UTP-chim(NtGi1-Gs-CtGq)/β1/γ2
25.00Consensusangiotensin_on_gpOrthosteric Ligandat1_on_gp
25.00Consensusat1_on_gpOrthosteric Ligand7F6G-AT1-SAR1-AngII-Gq/β1/γ2
25.00Consensusclass-a_onOrthosteric Ligandsensory_on alicarboxylic_on amine_on lipid_on nucleotide_on peptide_on protein_on
25.00Consensusd2_offOrthosteric Ligand6CM4-D2-Risperidone 6LUQ-D2-Haloperidol 7DFP-D2-Spiperone
25.00Consensusgi_class-aOrthosteric Ligandgi_peptide gi_sensory gi_alicarboxylic gi_amine gi_lipid gi_nucleotide gi_protein
25.00Consensusgi_s1pOrthosteric Ligand7VIE-S1P1-S1P-Gi1/β1/γ2 7EW3-S1P3-S1P-Gi1/β1/γ2 7EVY-S1P1-Siponimod-Gi1/β1/γ2 7EW1-S1P5-Siponimod-Gi1/β1/γ2 7VIF-S1P1-S-FTY720-P-Gi1/β1/γ2 7VIG-S1P1-CBP-307-Gi1/β1/γ2 7EVZ-S1P1-Cenerimod-Gi1/β1/γ2 7EW4-S1P3-CYM5541-Gi1/β1/γ2 7EW2-S1P3-Fingolimod-Gi1/β1/γ2 7EW0-S1P1-Ozanimod-Gi1/β1/γ2 7EW7-S1P1-SEW2871-Gi1/β1/γ2
25.00Consensusgq_angiotensinOrthosteric Ligand7F6G-AT1-SAR1-AngII-Gq/β1/γ2
24.32Consensuspth2_on_gpOrthosteric Ligand7F16-PTH2-TIP39-Gs/β1/γ2
24.24Single9AUCCalcitonin gene-related peptide-19AUC-CT (AMY1)-Calcitonin gene-related peptide-1-Gs/β1/γ2; RAMP1
24.14Single7Y64C5a anaphylatoxin7Y64-C5a1-C5a anaphylatoxin-Gi1/β1/γ2
24.14Single8HK5Complement C58HK5-C5a1-Complement C5-Gi1/β1/γ2
24.14Single8IA2C5a anaphylatoxin8IA2-C5a1-C5a anaphylatoxin-Go/β1/γ2
24.14Single8WWKMCH8WWK-MCH1-MCH-Gi1/β1/γ2
24.14Single8WWMMCH8WWM-MCH1-MCH-Gi1/β1/γ2
24.14Consensusvpac1_onOrthosteric Ligand8E3Z-VPAC1-VIP-Gs/β1/γ2
24.00Single4UG2CGS216804UG2-A2A-CGS21680
24.00Single7AUESetmelanotide7AUE-MC4-Setmelanotide-chim(NtGi1L-Gs)/β1/γ2
24.00Single7RKFFractalkine7RKF-US28-Fractalkine-GDP-chim(NtGi1-G11)/β1/γ2
24.00Single7SK9CCX6627SK9-ACKR3-CCX662
24.00Single7X8SWB4-247X8S-GLP-1-WB4-24-Gs/β1/γ2
24.00Single7XBXCX3CL17XBX-CX3CR1-CX3CL1-Gi1/β1/γ2
24.00Single7XY6BAY 60-65837XY6-A2B-BAY 60-6583-chim(NtGi1-Gs)/β1/γ2
24.00Single9EAJNanobody AT2099EAJ-AT1-Nanobody AT209
23.81Single4YAYZD-71554YAY-AT1-ZD-7155
23.81Single5NDDAZ8838; Na5NDD-PAR2-AZ8838; Na
23.81Single5ZKPForopafant (SR27417)5ZKP-PAF-Foropafant (SR27417)
23.81Single6D27CAY104716D27-DP2-CAY10471
23.81Single7LCIDanuglipron7LCI-GLP-1-Danuglipron-Gs/β1/γ2
23.81Single7LCKDanuglipron7LCK-GLP-1-Danuglipron
23.81Single7S15PubChem 1346112237S15-GLP-1-PubChem 134611223
23.81Single7VIES1P7VIE-S1P1-S1P-Gi1/β1/γ2
23.81Single7WC8Lumateperone7WC8-5-HT2A-Lumateperone
23.81Single8CICEtrumadenant8CIC-A2A-Etrumadenant-Na
23.81Single8CU6LJ-45178CU6-A2A-LJ-4517
23.81Single8CU7LJ-45178CU7-A2A-LJ-4517-Na
23.81Single8I7VAcipimox8I7V-HCA2-Acipimox-Gi1/β1/γ2
23.81Single8J6PNiacin8J6P-HCA2-Niacin-Compound 9n-Gi1/β1/γ2
23.81Single8JHNMMF8JHN-HCA2-MMF-Go/β1/γ2
23.81Single8JT8(R)-IHCH-71798JT8-5-HT2A-(R)-IHCH-7179
23.81Single8K5DGSK2560738K5D-HCA2-GSK256073
23.81Single8RWXStilSwitch38RWX-A2A-StilSwitch3-Na
23.81Single9AVGCa; Ca; Cyclomethyltryptophan; 9IG; PO49AVG-CaS-Ca-Ca; Ca; Cyclomethyltryptophan; 9IG; PO4-chim(NtGi1-Gs)/β1/γ2
23.81Single9KFJPubChem 1383196749KFJ-RXFP3-PubChem 138319674-Gi2/β1/γ2
23.81Consensusalicarboxylic_on_gpOrthosteric Ligandsuccinate_on_gp hca_on_gp
23.81Consensusgi_alicarboxylicOrthosteric Ligandgi_hca gi_succinate
23.81Consensusgi_hcaOrthosteric Ligand8J6R-HCA2-MK6892-Gi1/β1/γ2 8JIM-HCA2-MMF-Gi1/β1/γ2 8IHI-HCA2-Acifran-Gi1/β1/γ2 8IHH-HCA2-LUF6283-Gi1/β1/γ2 8I7V-HCA2-Acipimox-Gi1/β1/γ2 8I7W-HCA2-GSK256073-Gi1/β1/γ2
23.81Consensushca2_onOrthosteric Ligand8J6R-HCA2-MK6892-Gi1/β1/γ2 8JIM-HCA2-MMF-Gi1/β1/γ2 8I7V-HCA2-Acipimox-Gi1/β1/γ2 8I7W-HCA2-GSK256073-Gi1/β1/γ2 8IHH-HCA2-LUF6283-Gi1/β1/γ2 8IHI-HCA2-Acifran-Gi1/β1/γ2
23.81Consensushca2_on_gpOrthosteric Ligand8J6R-HCA2-MK6892-Gi1/β1/γ2 8IHI-HCA2-Acifran-Gi1/β1/γ2 8IHH-HCA2-LUF6283-Gi1/β1/γ2 8I7V-HCA2-Acipimox-Gi1/β1/γ2 8JIM-HCA2-MMF-Gi1/β1/γ2 8I7W-HCA2-GSK256073-Gi1/β1/γ2
23.81Consensushca_on_gpOrthosteric Ligandhca2_on_gp
23.33Consensuscrf2_on_gpOrthosteric Ligand7TS0-CRF2-Urocortin-chim(NtGi1L-Go)/β1/γ2
23.33Consensusgi_peptideOrthosteric Ligandgi_cck gi_apelin gi_compl-pept gi_endothelin gi_formylpeptide gi_galanin gi_ghrelin gi_npy gi_neurotensin gi_opioid gi_orexin gi_relaxin gi_somatostatin
23.33Consensusvpac1_on_gpOrthosteric Ligand8E3Z-VPAC1-VIP-Gs/β1/γ2
23.08Single7TD4Siponimod7TD4-S1P1-Siponimod-Gi1/β1/γ2
23.08Single7W0PElabela7W0P-Apelin-Elabela-Gi1/β1/γ2
23.08Single7W2ZGhrelin7W2Z-Ghrelin-Ghrelin-Go/β1/γ2
23.08Consensusclass-a_on_gpOrthosteric Ligandsensory_on_gp alicarboxylic_on_gp amine_on_gp lipid_on_gp nucleotide_on_gp peptide_on_gp protein_on_gp
23.08Consensusmc4_onOrthosteric Ligand7AUE-MC4-Setmelanotide-chim(NtGi1L-Gs)/β1/γ2 7F58-MC4-THIQ-Gs/β1/γ2 7F54-MC4-Afamelanotide-Gs/β1/γ2 7F53-MC4-α-MSH-Gs/β1/γ2 7F55-MC4-Bremelanotide-Gs/β1/γ2
23.08Consensussomatostatin_offOrthosteric Ligandsst2_off
22.86Consensuspth2_onOrthosteric Ligand7F16-PTH2-TIP39-Gs/β1/γ2
22.73Single5N2RPSB-365N2R-A2A-PSB-36-Na
22.73Single5N2SPSB365N2S-A1-PSB36
22.73Single5OM4PubChem 1355666095OM4-A2A-PubChem 135566609-Na
22.73Single6LUQHaloperidol6LUQ-D2-Haloperidol
22.73Single7C4SS1P7C4S-S1P3-S1P
22.73Single7E9GJNJ-404118137E9G-mGlu2; mGlu2-Eglumetad-JNJ-40411813-Gi1/β1/γ2
22.73Single7EO2FTY720-P7EO2-S1P1-FTY720-P-Gi1/β1/γ2
22.73Single8C9WEtrumadenant8C9W-A2A-Etrumadenant
22.73Single8E9ZIperoxo8E9Z-M3-Iperoxo-chim(NtGi2L-Gs-CtGq)/β1/γ2
22.73Single8HNLPS3724248HNL-CXCR3-PS372424-Gi1/β1/γ2
22.73Single8I7WGSK2560738I7W-HCA2-GSK256073-Gi1/β1/γ2
22.73Single8J6JGSK2560738J6J-HCA2-GSK256073-Gi1/β1/γ2
22.73Single8KFXLMD-0098KFX-CCR8-LMD-009-Gi1/β1/γ2
22.73Single8UUJFCH-22964138UUJ-HCA2-FCH-2296413-Gi1/β1/γ2
22.73Single8XQPCholesterol8XQP-TAS2R14-Cholesterol-Aristolochic acid A-Gt3/β1/γ1
22.73Single8XYKVUF106618XYK-CXCR3-VUF10661-Go/β1/γ2
22.73Single8YH0NECA8YH0-A3A-NECA-Gi1/β1/γ2
22.73Single8ZPTPrRP208ZPT-PrRP-PrRP20-chim(NtGi1-Gs-CtGq)/β1/γ2
22.73Single9AVLCa; Ca; Cyclomethyltryptophan; 9IG; PO49AVL-CaS-Ca-Ca; Ca; Cyclomethyltryptophan; 9IG; PO4-Gi3/β2/γ2
22.73Single9AXFCa; Ca; Ca; Cyclomethyltryptophan; 9IG; PO49AXF-CaS-Ca-Ca; Ca; Ca; Cyclomethyltryptophan; 9IG; PO4-chim(NtGi1-Gs-CtGq)/β1/γ2
22.73Single9CIBFCH-22964139CIB-HCA2-FCH-2296413
22.73Single9EAHOlmesartan9EAH-AT1-Olmesartan-Nanobody AT209
22.73Single9EHSLUF76029EHS-A3A-LUF7602
22.73Single9ERXD9-THC analog9ERX-CB1-D9-THC analog-Gi1/β1/γ2
22.73Consensusa1_offOrthosteric Ligand5UEN-A1-DU172 5N2S-A1-PSB36
22.73Consensusadenosine_offOrthosteric Liganda1_off a2_off
22.73Consensusblt1_offOrthosteric Ligand5X33-BLT1-BIIL260 7K15-BLT1-MKD046-Na
22.73Consensusblt_offOrthosteric Ligandblt1_off
22.73Consensusgq_muscarinicOrthosteric Ligand6OIJ-M1-Iperoxo-chim(NtGi1L-G11)/β1/γ2
22.73Consensusm1_onOrthosteric Ligand6OIJ-M1-Iperoxo-chim(NtGi1L-G11)/β1/γ2
22.58Single8WWLMCH8WWL-MCH1-MCH-Gi1/β1/γ2
22.58Consensusgq_peptideOrthosteric Ligandgq_cck gq_kisspeptin gq_bradykinin gq_bombesin gq_angiotensin
22.58Consensuspeptide_onOrthosteric Ligandcck_on angiotensin_on apelin_on bombesin_on bradykinin_on compl-peptide_on endothelin_on formylpeptide_on galanin_on ghrelin_on kisspeptin_on melanocortin_on motilin_on neuromedin-u_on npy_on neurotensin_on opioid_on orexin_on relaxin_on somatostatin_on tachykinin_on trh_on vasop-oxy_on
22.58Consensuspeptide_on_gpOrthosteric Ligandcck_on_gp angiotensin_on_gp apelin_on_gp bombesin_on_gp bradykinin_on_gp compl-peptide_on_gp endothelin_on_gp formylpeptide_on_gp galanin_on_gp ghrelin_on_gp kisspeptin_on_gp melanocortin_on_gp motilin_on_gp neuromedin-u_on_gp npy_on_gp neurotensin_on_gp opioid_on_gp orexin_on_gp relaxin_on_gp somatostatin_on_gp tachykinin_on_gp trh_on_gp vasop-oxy_on_gp
22.22Single6DO1Angiotensin-like peptide S1I86DO1-AT1-Angiotensin-like peptide S1I8
22.22Single7XNACYN1548067XNA-SST2-CYN154806
22.22Single8GGEConstrained Epinephrine8GGE-β2-Constrained Epinephrine-GTP-Gs/β1/γ2
22.22Single8IU2Retinal8IU2-Opsin1LW-Retinal-Gi1/β1/γ2
22.22Single8JZZC5a-desArg8JZZ-C5a1-C5a-desArg-Go/β1/γ2
22.22Single8RQLFlufenamic acid8RQL-TAS2R14-Flufenamic acid-Flufenamic acid-chim(NtGi1-Gt3)/β1/γ2
22.22Single8WSSPro-MCH8WSS-MCH1-Pro-MCH-Gi1/β1/γ1
22.22Single8Z7JAgonistic antibody8Z7J-Apelin-Agonistic antibody-Gi1/β1/γ2
22.22Consensuscompl-peptide_onOrthosteric Ligandc5a1_on c3a_on
22.22Consensusgi_opsinsOrthosteric Ligand8IU2-Opsin1LW-Retinal-Gi1/β1/γ2
22.22Consensusgi_sensoryOrthosteric Ligandgi_opsins
22.22Consensusmc4_on_gpOrthosteric Ligand7AUE-MC4-Setmelanotide-chim(NtGi1L-Gs)/β1/γ2 7F58-MC4-THIQ-Gs/β1/γ2 7F54-MC4-Afamelanotide-Gs/β1/γ2 7F53-MC4-α-MSH-Gs/β1/γ2 7F55-MC4-Bremelanotide-Gs/β1/γ2
22.22Consensusopsin1lw_onOrthosteric Ligand8IU2-Opsin1LW-Retinal-Gi1/β1/γ2
22.22Consensusopsin1lw_on_gpOrthosteric Ligand8IU2-Opsin1LW-Retinal-Gi1/β1/γ2
22.22Consensuss1p3_on_gpOrthosteric Ligand7EW3-S1P3-S1P-Gi1/β1/γ2 7EW4-S1P3-CYM5541-Gi1/β1/γ2 7EW2-S1P3-Fingolimod-Gi1/β1/γ2
22.22Consensussst2_offOrthosteric Ligand7XNA-SST2-CYN154806
21.88Single8FLTM-PTH(1-14)8FLT-PTH1-M-PTH(1-14)-Gs/β1/γ2
21.88Single8WWNMCH8WWN-MCH1-MCH-Gi1/β1/γ2
21.88Consensusctlike_on_gpOrthosteric Ligand6E3Y-CT Like-Calcitonin gene-related peptide-1-Gs/β1/γ2; RAMP1
21.74Single6GT3Imaradenant6GT3-A2A-Imaradenant-Na
21.74Single6OIJIperoxo6OIJ-M1-Iperoxo-chim(NtGi1L-G11)/β1/γ2
21.74Single7EW7SEW28717EW7-S1P1-SEW2871-Gi1/β1/γ2
21.74Single8EA0Iperoxo8EA0-M3-Iperoxo
21.74Single8HDOBAY 60-65838HDO-A2B-BAY 60-6583-Gs/β1/γ2
21.74Single8IHBGSK2560738IHB-HCA2-GSK256073-Gi1/β1/γ2
21.74Single8IHHLUF62838IHH-HCA2-LUF6283-Gi1/β1/γ2
21.74Single8WJXADP8WJX-P2Y1-ADP-chim(Gs-CtGq)/β1/γ2
21.74Single8XZICMF-0198XZI-Apelin-CMF-019-Gi1/β1/γ2
21.74Single8ZR5Firuglipel8ZR5-GPR119-Firuglipel-Gs/β1/γ2
21.74Single9ASTLymphotactin9AST-XCR1-Lymphotactin-Gi1/β1/γ2
21.74Single9AYFCa; Ca; Ca; Cyclomethyltryptophan; 9IG; PO49AYF-CaS-Ca-Ca; Ca; Ca; Cyclomethyltryptophan; 9IG; PO4-Gi1/β1/γ2
21.74Consensus5ht_offOrthosteric Ligand5ht2_off 5ht1_off
21.74Consensusa2_onOrthosteric Liganda2b_on
21.74Consensusa2_on_gpOrthosteric Liganda2b_on_gp
21.74Consensusa2b_onOrthosteric Ligand8HDP-A2B-Adenosine-Gs/β1/γ2 7XY6-A2B-BAY 60-6583-chim(NtGi1-Gs)/β1/γ2 7XY7-A2B-NECA-chim(NtGi1-Gs)/β1/γ2 8HDO-A2B-BAY 60-6583-Gs/β1/γ2
21.74Consensusa2b_on_gpOrthosteric Ligand8HDP-A2B-Adenosine-Gs/β1/γ2 7XY6-A2B-BAY 60-6583-chim(NtGi1-Gs)/β1/γ2 7XY7-A2B-NECA-chim(NtGi1-Gs)/β1/γ2 8HDO-A2B-BAY 60-6583-Gs/β1/γ2
21.74Consensusclass-a_offOrthosteric Ligandsensory_off alicarboxylic_off amine_off lipid_off nucleotide_off peptide_off protein_off
21.74Consensusgs_adenosineOrthosteric Ligand8HDP-A2B-Adenosine-Gs/β1/γ2 8HDO-A2B-BAY 60-6583-Gs/β1/γ2 7XY7-A2B-NECA-chim(NtGi1-Gs)/β1/γ2 7XY6-A2B-BAY 60-6583-chim(NtGi1-Gs)/β1/γ2
21.74Consensusgs_nucleotideOrthosteric Ligandgs_adenosine
21.74Consensusm1_on_gpOrthosteric Ligand6OIJ-M1-Iperoxo-chim(NtGi1L-G11)/β1/γ2
21.43Single7TD0LPA7TD0-LPA1-LPA-Gi1/β1/γ2
21.43Single7XA3CCL27XA3-CCR2-CCL2-Gi1/β1/γ2
21.43Single9B5YLong-Acting PTH9B5Y-PTH1-Long-Acting PTH-chim(NtGi1-Gq)/β1/γ2
21.43Consensusangiotensin_onOrthosteric Ligandat1_on
21.43Consensusat1_onOrthosteric Ligand7F6G-AT1-SAR1-AngII-Gq/β1/γ2
21.43Consensusc5a1_onOrthosteric Ligand8HK5-C5a1-Complement C5-Gi1/β1/γ2 7Y66-C5a1-BM213-Gi1/β1/γ2 7Y67-C5a1-C089 peptide-Gi1/β1/γ2 7Y64-C5a1-C5a anaphylatoxin-Gi1/β1/γ2
21.43Consensusccr2_onOrthosteric Ligand7XA3-CCR2-CCL2-Gi1/β1/γ2
21.43Consensusccr2_on_gpOrthosteric Ligand7XA3-CCR2-CCL2-Gi1/β1/γ2
21.43Consensuscompl-peptide_on_gpOrthosteric Ligandc5a1_on_gp c3a_on_gp
21.43Consensuscxcr4_on_gpOrthosteric Ligand8K3Z-CXCR4-CXCL12-Gi1/β1/γ1
21.21Single5GLHEndothelin-15GLH-ETB-Endothelin-1
21.21Single6IGKEndothelin-36IGK-ETB-Endothelin-3
21.21Consensuscrf1_onOrthosteric Ligand6PB0-CRF1-Urocortin-chim(NtGi1-Gs)/β1/γ2 6P9X-CRF1-Corticoliberin-Gs/β1/γ2
21.05Single6LI0C176LI0-GPR52-C17
21.05Single7V68Iperoxo7V68-M4-Iperoxo-LY2119620-Gi1/β1/γ2
21.05Single7XKFBeta-Hydroxyandrosterone7XKF-ADGRG2-β-Hydroxyandrosterone-Gs/β1/γ2
21.05Single8H2GNiacin8H2G-HCA2-Niacin-Gi1/β1/γ2
21.05Single8K5BNiacin8K5B-HCA2-Niacin
21.05Single8WPUTryptophan; Cinacalcet; PO4; Ca8WPU-CaS-Tryptophan; Cinacalcet; PO4; Ca-chim(NtGi2L-Gs-CtGq)/β1/γ2
21.05Single8YH3N-methyladenosine8YH3-A3A-N-methyladenosine-Gi1/β1/γ2
21.05Single8YKWSuccinic acid8YKW-Succinate-Succinic acid-Gi1/β1/γ1
21.05Single9C1PCa; Tryptophan; '6218; PO49C1P-CaS-Ca-Ca; Tryptophan; '6218; PO4
20.83Single4OR2FITM4OR2-mGlu1; mGlu1-FITM
20.83Single4XEENeurotensin4XEE-NTS1-Neurotensin
20.83Single4XESNeurotensin4XES-NTS1-Neurotensin
20.83Single4Z36ONO-30805734Z36-LPA1-ONO-3080573
20.83Single5UNHPubChem 1264564065UNH-AT2-PubChem 126456406
20.83Single6A93Risperidone6A93-5-HT2A-Risperidone
20.83Single6C1RPMX536C1R-C5a1-PMX53-Avacopan; Na
20.83Single6CM4Risperidone6CM4-D2-Risperidone
20.83Single6OS0Angiotensinogen6OS0-AT1-Angiotensinogen
20.83Single6OS2TRV0266OS2-AT1-TRV026
20.83Single6YVRNTS8-136YVR-NTS1-NTS8-13
20.83Single7DFPSpiperone7DFP-D2-Spiperone
20.83Single7EO4BAF3127EO4-S1P1-BAF312-Gi1/β1/γ2
20.83Single7K15MKD0467K15-BLT1-MKD046-Na
20.83Single7W0LPubChem 1227019087W0L-Apelin-PubChem 122701908-Gi1/β1/γ2
20.83Single8IA8E7 peptide8IA8-C3aB-E7 peptide-Gi1/β1/γ2
20.83Single8JPCNeurotensin-(8-13)8JPC-NTS1-Neurotensin-(8-13)-SBI-553; GDP; Mg-Gq; GRK2
20.83Single8XQNCholesterol8XQN-TAS2R14-Cholesterol-Aristolochic acid A-Gi1/β1/γ1
20.83Single8XYIVUF106618XYI-CXCR3-VUF10661
20.83Single9MQLIsoquinuclidine9MQL-κ-Isoquinuclidine
20.83Consensuscannabinoid_offOrthosteric Ligandcb2_off cb1_off
20.83Consensuslipid_offonOrthosteric Ligandlipid_off lipid_on
20.83Consensuslipid_offon_gpOrthosteric Ligandlipid_on_gp lipid_off
20.83Consensuss1p3_onOrthosteric Ligand7EW3-S1P3-S1P-Gi1/β1/γ2 7EW4-S1P3-CYM5541-Gi1/β1/γ2 7EW2-S1P3-Fingolimod-Gi1/β1/γ2
20.69Single5WB2CX3CL1.355WB2-US28-CX3CL1.35
20.69Single6JODAngiotensin II6JOD-AT2-Angiotensin II
20.69Single7YONPeptide-YY(3-36)7YON-Y2-Peptide-YY(3-36)-Gi1/β1/γ2
20.69Single8WSTPro-MCH8WST-MCH2-Pro-MCH-chim(NtGi1L-Gs-CtGq)/β1/γ2
20.69Single8X8LCortistatin8X8L-SST5-Cortistatin-chim(NtGi1-Gs-CtGi1)/β1/γ2
20.69Single8XZJWN3538XZJ-Apelin-WN353-Gi1/β1/γ2
20.69Consensusc5a1_on_gpOrthosteric Ligand8HK5-C5a1-Complement C5-Gi1/β1/γ2 7Y66-C5a1-BM213-Gi1/β1/γ2 7Y67-C5a1-C089 peptide-Gi1/β1/γ2 7Y64-C5a1-C5a anaphylatoxin-Gi1/β1/γ2
20.69Consensuscrf2_onOrthosteric Ligand7TS0-CRF2-Urocortin-chim(NtGi1L-Go)/β1/γ2
20.69Consensuscxcr3_on_gpOrthosteric Ligand8HNK-CXCR3-CXCL11-Gi1/β1/γ2 8HNL-CXCR3-PS372424-Gi1/β1/γ2
20.69Consensusprotein_offonOrthosteric Ligandprotein_off protein_on
20.69Consensusprotein_offon_gpOrthosteric Ligandprotein_on_gp protein_off
20.69Consensusprotein_onOrthosteric Ligandchemokine_on chemerin_on
20.59Consensusglp1_onOrthosteric Ligand7S1M-GLP-1-Ex4-D-Ala-Gs/β1/γ2 7X8R-GLP-1-BOC5-Gs/β1/γ2 6X19-GLP-1-CHU-128-Gs/β1/γ2 6X1A-GLP-1-Danuglipron-Gs/β1/γ2 6X18-GLP-1-GLP-1-Gs/β1/γ2 8JIP-GLP-1-MEDI0382-chim(NtGi1-Gs)/β1/γ2 7C2E-GLP-1-PubChem 149050799-Gs/β1/γ2 7KI0-GLP-1-Semaglutide-Gs/β1/γ2 7KI1-GLP-1-Taspoglutide-Gs/β1/γ2 7X8S-GLP-1-WB4-24-Gs/β1/γ2 8JIS-GLP-1-Peptide-15-chim(NtGi1-Gs)/β1/γ2 7VBI-GLP-1-Non-Acylated Tirzepatide-Gs/β1/γ2
20.00Single3PWHZM-2413853PWH-A2A-ZM-241385
20.00Single3V2WPubChem 518926453V2W-S1P1-PubChem 51892645
20.00Single4BUONeurotensin4BUO-NTS1-Neurotensin
20.00Single4BWBNeurotensin4BWB-NTS1-Neurotensin
20.00Single4OR2FITM4OR2-mGlu1; mGlu1-FITM
20.00Single5U09Taranabant5U09-CB1-Taranabant
20.00Single5UNGPubChem 157800525UNG-AT2-PubChem 15780052
20.00Single5ZKQABT-4915ZKQ-PAF-ABT-491
20.00Single6BQHRitanserin6BQH-5-HT2C-Ritanserin
20.00Single6LRYSarafotoxin-B6LRY-ETB-Sarafotoxin-B
20.00Single6RNKNF-56-EJ406RNK-Succinate-NF-56-EJ40
20.00Single7EW0Ozanimod7EW0-S1P1-Ozanimod-Gi1/β1/γ2
20.00Single7LCJDanuglipron7LCJ-GLP-1-Danuglipron
20.00Single7M3FCa; Ca; Tryptophan; Cinacalcet; PO47M3F-CaS-Ca; Ca; Tryptophan; Cinacalcet; PO4
20.00Single7SILCa; Ca; Ca; Cyclomethyltryptophan; 9IG; PO47SIL-CaS-Ca-Ca; Ca; Ca; Cyclomethyltryptophan; 9IG; PO4
20.00Single7SILCa; Ca; Ca; Cyclomethyltryptophan; 9IG; PO47SIL-CaS-Ca-Ca; Ca; Ca; Cyclomethyltryptophan; 9IG; PO4
20.00Single7SK8CCX6627SK8-ACKR3-CXCL12-CCX662
20.00Single7VL9CCL15(26-92)7VL9-CCR1-CCL15(26-92)-Gi1/β1/γ2
20.00Single7VVOPTH7VVO-PTH1-PTH-Gs/β1/γ2
20.00Single7XJISolabegron7XJI-β3-Solabegron-Gs/β1/γ2
20.00Single7Y65C5a peptide7Y65-C5a1-C5a peptide-Gi1/β1/γ2
20.00Single8DU3PubChem 1055260648DU3-A2A-PubChem 105526064
20.00Single8FN0Neurotensin/Neuromedin-N8FN0-NTS1-Neurotensin/Neuromedin-N-SBI-553-chim(NtGi1-Go)/β1/γ2
20.00Single8GGCConstrained Epinephrine8GGC-β2-Constrained Epinephrine-GTP-Gs/β1/γ2
20.00Single8GNGIstradefylline8GNG-A2A-Istradefylline
20.00Single8H8JLodoxamide8H8J-GPR35-Lodoxamide-Ca-chim(NtGi1L-G13)/β1/γ2
20.00Single8HCQEndothelin-18HCQ-ETA-Endothelin-1-chim(NtGi1-Gs-CtGq)/β1/γ2
20.00Single8HN1Toxin AdTx18HN1-Alpha1A-Toxin AdTx1
20.00Single8IJANiacin8IJA-HCA2-Niacin-Gi1/β1/γ2
20.00Single8IYSTUG-8918IYS-FFA4-TUG-891-GDP-chim(NtGi1L-Gq)/β1/γ2
20.00Single8JPPSuccinic acid8JPP-Succinate-Succinic acid-chim(Gs-CtGq)/β1/γ1
20.00Single8K2XCXCL108K2X-CXCR3-CXCL10-Gi1/β1/γ2
20.00Single8RW0Istradefylline8RW0-A2A-Istradefylline-Na
20.00Single8U4PAMD31008U4P-CXCR4-AMD3100-Gi1/β1/γ2
20.00Single8WPGTryptophan; Cinacalcet; PO4; Ca8WPG-CaS-Tryptophan; Cinacalcet; PO4; Ca
20.00Single8XVHEndothelin-18XVH-ETB-Endothelin-1-chim(Gs-CtGq)/β1/γ2
20.00Single8YYWAlpha-ketoglutarate8YYW-Oxoglutarate-α-ketoglutarate-α-ketoglutarate-chim(Gi1-CtGq)/β1/γ2
20.00Single8ZPSPrRP208ZPS-PrRP-PrRP20-chim(NtGi1-Gs-CtGq)/β1/γ2
20.00Single9AVLCa; Ca; Cyclomethyltryptophan; 9IG; PO49AVL-CaS-Ca-Ca; Ca; Cyclomethyltryptophan; 9IG; PO4-Gi3/β2/γ2
20.00Single9C2FCa; Ca; Tryptophan; '54149; PO49C2F-CaS-Ca-Ca; Ca; Tryptophan; '54149; PO4
20.00Single9J5VCpY9J5V-LPA1-CpY-Gi1/β1/γ2
20.00Consensus5ht2c_offOrthosteric Ligand6BQH-5-HT2C-Ritanserin
20.00Consensusangiotensin_offOrthosteric Ligandat1_off
20.00Consensusc3a_on_gpOrthosteric Ligand8HK2-C3aB-C3a anaphylatoxin-Gi1/β1/γ2 8IA8-C3aB-E7 peptide-Gi1/β1/γ2
20.00Consensuscck_onOrthosteric Ligandccka_on cckb_on
20.00Consensuscck_on_gpOrthosteric Ligandccka_on_gp cckb_on_gp
20.00Consensuschemokine_offOrthosteric Ligandccr_off cxcr_off
20.00Consensuscrf1_on_gpOrthosteric Ligand6PB0-CRF1-Urocortin-chim(NtGi1-Gs)/β1/γ2 6P9X-CRF1-Corticoliberin-Gs/β1/γ2
20.00Consensuscxcr_offOrthosteric Ligandcxcr3_off cxcr4_off
20.00Consensuseta_onOrthosteric Ligand8HCQ-ETA-Endothelin-1-chim(NtGi1-Gs-CtGq)/β1/γ2
20.00Consensuseta_on_gpOrthosteric Ligand8HCQ-ETA-Endothelin-1-chim(NtGi1-Gs-CtGq)/β1/γ2
20.00Consensusgi_apelinOrthosteric Ligand8XZH-Apelin-MM07-Gi1/β1/γ2 7W0M-Apelin-PubChem 122701908-Gi1/β1/γ2 8XZJ-Apelin-WN353-Gi1/β1/γ2 8XZF-Apelin-WN561-Gi1/β1/γ2 8XZG-Apelin-Apelin-13-Gi1/β1/γ2
20.00Consensusgi_chemokineOrthosteric Ligand6WWZ-CCR6-CCL20-Go/β1/γ2 8HNK-CXCR3-CXCL11-Gi1/β1/γ2 8K3Z-CXCR4-CXCL12-Gi1/β1/γ1 8IC0-CXCR1-Interleukin-8-Gi1/β1/γ2 6LFM-CXCR2-Interleukin-8-Gi1/β1/γ2 8KFX-CCR8-LMD-009-Gi1/β1/γ2 7F1Q-CCR5-MIP-1a-Gi1/β1/γ2 8HNL-CXCR3-PS372424-Gi1/β1/γ2 8KFY-CCR8-ZK-756326-Gi1/β1/γ2 7O7F-CCR5-6P4-CCL5-Gi1/β1/γ1 8U1U-CCR8-CCL1-Gi1/β1/γ2 7VLA-CCR1-CCL15(27-92)-Gi1/β1/γ2 7XA3-CCR2-CCL2-Gi1/β1/γ2
20.00Consensusglp1_on_gpOrthosteric Ligand7S1M-GLP-1-Ex4-D-Ala-Gs/β1/γ2 7X8R-GLP-1-BOC5-Gs/β1/γ2 6X19-GLP-1-CHU-128-Gs/β1/γ2 6X1A-GLP-1-Danuglipron-Gs/β1/γ2 6X18-GLP-1-GLP-1-Gs/β1/γ2 8JIP-GLP-1-MEDI0382-chim(NtGi1-Gs)/β1/γ2 7C2E-GLP-1-PubChem 149050799-Gs/β1/γ2 7KI0-GLP-1-Semaglutide-Gs/β1/γ2 7KI1-GLP-1-Taspoglutide-Gs/β1/γ2 7X8S-GLP-1-WB4-24-Gs/β1/γ2 8JIS-GLP-1-Peptide-15-chim(NtGi1-Gs)/β1/γ2 7VBI-GLP-1-Non-Acylated Tirzepatide-Gs/β1/γ2
20.00Consensuspaf_offOrthosteric Ligand5ZKQ-PAF-ABT-491
20.00Consensuss1p1_offOrthosteric Ligand3V2W-S1P1-PubChem 51892645
20.00Consensussensory_offonOrthosteric Ligandsensory_off sensory_on
20.00Consensussensory_offon_gpOrthosteric Ligandsensory_on_gp sensory_on
20.00Consensussst5_on_gpOrthosteric Ligand8X8L-SST5-Cortistatin-chim(NtGi1-Gs-CtGi1)/β1/γ2 8X8N-SST5-Octreotide-chim(NtGi1-Gs-CtGi1)/β1/γ2
19.35Single9KFKRelaxin-39KFK-RXFP4-Relaxin-3-Gi2/β1/γ2
19.35Consensusctlike_onOrthosteric Ligand6E3Y-CT Like-Calcitonin gene-related peptide-1-Gs/β1/γ2; RAMP1
19.35Consensusgi_compl-peptOrthosteric Ligand8HK5-C5a1-Complement C5-Gi1/β1/γ2 8IA8-C3aB-E7 peptide-Gi1/β1/γ2 7Y66-C5a1-BM213-Gi1/β1/γ2 7Y67-C5a1-C089 peptide-Gi1/β1/γ2 8HK2-C3aB-C3a anaphylatoxin-Gi1/β1/γ2 7Y64-C5a1-C5a anaphylatoxin-Gi1/β1/γ2
19.35Consensusgi_proteinOrthosteric Ligandgi_chemokine gi_chemerin
19.35Consensusprotein_on_gpOrthosteric Ligandchemokine_on_gp chemerin_on_gp
19.23Single3NY9ICI118-5513NY9-β2-ICI118-551
19.23Single5VBLApelin mimetic peptide agonist5VBL-Apelin-Apelin mimetic peptide agonist
19.23Single6C1QPMX536C1Q-C5a1-PMX53-NDT9513727
19.23Single7F8WGastrin-177F8W-CCKB-Gastrin-17-chim(NtGsL-Gq)/β1/γ2
19.23Single7F9ZGHRP-67F9Z-Ghrelin-GHRP-6-chim(NtGi1-Gs-CtGq)/β1/γ2
19.23Single7RKNFractalkine7RKN-US28-Fractalkine-Gi1/β1/γ2
19.23Single8XQLCholesterol8XQL-TAS2R14-Cholesterol-Aristolochic acid A-Gt3/β1/γ1
19.23Single8XQOCholesterol8XQO-TAS2R14-Cholesterol-Aristolochic acid A-Gi1/β1/γ1
19.23Single9IPVJR14a9IPV-C3aB-JR14a-Gi1/β1/γ2
19.23Single9IPYJR14a9IPY-C3aB-JR14a
19.23Single9IZASCH9002719IZA-HCA2-SCH900271-Gi1/β1/γ2
19.23Single9M0RNeuropeptide VF9M0R-NPFF1-Neuropeptide VF-Gi1/β1/γ2
19.23Consensuscxcr3_onOrthosteric Ligand8HNK-CXCR3-CXCL11-Gi1/β1/γ2 8HNL-CXCR3-PS372424-Gi1/β1/γ2
19.23Consensusgq_cckOrthosteric Ligand8IA7-CCKB-Cholecystokinin-8-chim(NtGi1L-Gq)/β1/γ2 7XOW-CCKB-Gastrin-chim(NtGi1-Gq)/β1/γ2 7EZM-CCKA-Cholecystokinin-8-chim(NtGsL-Gq)/β1/γ2 7F8W-CCKB-Gastrin-17-chim(NtGsL-Gq)/β1/γ2
19.05Single2YDOAdenosine2YDO-A2A-Adenosine
19.05Single3REYXAC3REY-A2A-XAC
19.05Single3V2YPubChem 518926453V2Y-S1P1-PubChem 51892645
19.05Single5IU7Q274563465IU7-A2A-Q27456346-Na
19.05Single5JTBZM-2413855JTB-A2A-ZM-241385
19.05Single5K2BZM-2413855K2B-A2A-ZM-241385-Na
19.05Single6AQFZM-2413856AQF-A2A-ZM-241385
19.05Single6MH8ZM-2413856MH8-A2A-ZM-241385
19.05Single6ZDRHMS1413f126ZDR-A2A-HMS1413f12-Na
19.05Single7AROLUF58337ARO-A2A-LUF5833-Na
19.05Single7T32ZM-2413857T32-A2A-ZM-241385
19.05Single7XXH2MeSADP7XXH-P2Y1-2MeSADP-chim(NtGi1-G11)/β1/γ2
19.05Single8GEAConstrained Epinephrine8GEA-β2-Constrained Epinephrine-Gs/β1/γ2
19.05Single8GG8Constrained Epinephrine8GG8-β2-Constrained Epinephrine-GTP-Gs/β1/γ2
19.05Single8GGSConstrained Epinephrine8GGS-β2-Constrained Epinephrine
19.05Single8GGTConstrained Epinephrine8GGT-β2-Constrained Epinephrine
19.05Single8GURCP55,9408GUR-CB2-CP55,940-Gi1/β1/γ2
19.05Single8JERAcipimox8JER-HCA2-Acipimox-Go/β1/γ2
19.05Single8JIMMMF8JIM-HCA2-MMF-Gi1/β1/γ2
19.05Single8JLNT1AM8JLN-TA1-T1AM-Gs/β1/γ2
19.05Single8K5CAcipimox8K5C-HCA2-Acipimox
19.05Single8RQQZM-2413858RQQ-A2A-ZM-241385-Na
19.05Single8RWCStilSwitch28RWC-A2A-StilSwitch2-Na
19.05Single8RWDStilSwitch38RWD-A2A-StilSwitch3-Na
19.05Single8UO0Constrained Epinephrine8UO0-β2-Constrained Epinephrine-GTP-Gs/β1/γ2
19.05Single8UO1Constrained Epinephrine8UO1-β2-Constrained Epinephrine-GTP; Mg-Gs/β1/γ2
19.05Single8W88SEP-3638568W88-TA1-SEP-363856-Gs/β1/γ2
19.05Single8WPGTryptophan; Cinacalcet; PO4; Ca8WPG-CaS-Tryptophan; Cinacalcet; PO4; Ca
19.05Single8WPUTryptophan; Cinacalcet; PO4; Ca8WPU-CaS-Tryptophan; Cinacalcet; PO4; Ca-chim(NtGi2L-Gs-CtGq)/β1/γ2
19.05Single8YH2Adenosine8YH2-A3A-Adenosine-Gi1/β1/γ2
19.05Single8ZPMAMD0708ZPM-CXCR4-AMD070
19.05Single9ASBCa; Ca; Cyclomethyltryptophan; 9IG; PO49ASB-CaS-Ca-Ca; Ca; Cyclomethyltryptophan; 9IG; PO4-chim(NtGi1-Gs-CtGq)/β1/γ2
19.05Single9AVGCa; Ca; Cyclomethyltryptophan; 9IG; PO49AVG-CaS-Ca-Ca; Ca; Cyclomethyltryptophan; 9IG; PO4-chim(NtGi1-Gs)/β1/γ2
19.05Single9AXFCa; Ca; Ca; Cyclomethyltryptophan; 9IG; PO49AXF-CaS-Ca-Ca; Ca; Ca; Cyclomethyltryptophan; 9IG; PO4-chim(NtGi1-Gs-CtGq)/β1/γ2
19.05Single9JFUNE52-QQ579JFU-GPR4-NE52-QQ57
19.05Single9JH3CMF-0199JH3-Apelin-CMF-019-Gi1/β1/γ2
19.05Single9K0XATP9K0X-P2Y2-ATP-chim(NtGi1-Gs-CtGq)/β1/γ2
19.05Single9K20ATP9K20-P2Y2-ATP-chim(NtGi1-Go)/β1/γ2
19.05Single9M2FNeuropeptide FF9M2F-NPFF1-Neuropeptide FF-Gi1/β1/γ2
19.05Single9MQIIsoquinuclidine9MQI-μ-Isoquinuclidine
19.05Consensus5ht2a_offOrthosteric Ligand6A94-5-HT2A-Zotepine 6A93-5-HT2A-Risperidone 7VOD-5-HT2A-Cariprazine 7WC8-5-HT2A-Lumateperone 8JT8-5-HT2A-(R)-IHCH-7179
19.05Consensusa2_offOrthosteric Liganda2a_off
19.05Consensusa2a_offOrthosteric Ligand3RFM-A2A-Caffeine 8C9W-A2A-Etrumadenant 3UZA-A2A-GTPL9236 8GNG-A2A-Istradefylline 8CU6-A2A-LJ-4517 7PX4-A2A-PSB-2113 7PYR-A2A-PSB-2115 8DU3-A2A-PubChem 105526064 8JWY-A2A-2-118 8PWN-A2A-Theophylline 5IU4-A2A-ZM-241385-Na 5OLZ-A2A-PubChem 135566609-Na 6GT3-A2A-Imaradenant-Na 5OLV-A2A-LUAA41063-Na 5N2R-A2A-PSB-36-Na 5IU7-A2A-Q27456346-Na 5OLH-A2A-Vipadenant-Na 5OLO-A2A-Tozadenant-Na 6ZDR-A2A-HMS1413f12-Na 8GNE-A2A-KW-6356-Na 8JWZ-A2A-AB928-Na 5IU8-A2A-Q27456347-Na 5IUB-A2A-Q27456344-Na 6ZDV-A2A-Chromone 5d-Na 5IUA-A2A-Q27456348-Na 8A2P-A2A-LUAA47070-Na
19.05Consensusat1_offOrthosteric Ligand4YAY-AT1-ZD-7155 4ZUD-AT1-Olmesartan
19.05Consensuscb1_offOrthosteric Ligand5U09-CB1-Taranabant 5TGZ-CB1-AM6538
19.05Consensusghrelin_offOrthosteric Ligand6KO5-Ghrelin-PubChem 57400002 7F83-Ghrelin-PF-05190457
19.05Consensushca_onOrthosteric Ligandhca2_on
19.05Consensusnucleotide_offOrthosteric Ligandadenosine_off p2y_off
19.05Consensusp2y1_on_gpOrthosteric Ligand7XXH-P2Y1-2MeSADP-chim(NtGi1-G11)/β1/γ2
18.75Single7F53Alpha-MSH7F53-MC4-α-MSH-Gs/β1/γ2
18.75Single7WVYAmyloid-Beta427WVY-FPR2-ALX-Amyloid-β42-Gi2/β1/γ2
18.75Single7YOONeuropeptide-Y7YOO-Y2-Neuropeptide-Y-Gi1/β1/γ2
18.75Single8GEJConstrained Epinephrine8GEJ-β2-Constrained Epinephrine-Gs/β1/γ2
18.75Single8ZJGChemerin8ZJG-CML1-Chemerin-Gi1/β1/γ2
18.75Consensusnpy2_onOrthosteric Ligand7YOO-Y2-Neuropeptide-Y-Gi1/β1/γ2
18.75Consensusnpy2_on_gpOrthosteric Ligand7YOO-Y2-Neuropeptide-Y-Gi1/β1/γ2
18.52Single5UNFPubChem 157800525UNF-AT2-PubChem 15780052
18.52Single7F8XNN90567F8X-CCKA-NN9056
18.52Single7L0RNeurotensin7L0R-NTS1-Neurotensin-Gi1/β1/γ1
18.52Single8FYLVilazodone8FYL-5-HT1A-Vilazodone-Gi1/β1/γ1
18.52Single8J6RMK68928J6R-HCA2-MK6892-Gi1/β1/γ2
18.52Single8K3ZCXCL128K3Z-CXCR4-CXCL12-Gi1/β1/γ1
18.52Single8KIGSHU91198KIG-MC3-SHU9119-Ca
18.52Single8U4OCXCL128U4O-CXCR4-CXCL12-Gi1/β1/γ2
18.52Single8WDTphotoNECA8WDT-A2A-photoNECA
18.52Single8XGMChemerin8XGM-CML2-Chemerin-Gi1/β1/γ2
18.52Single8ZSPLSD8ZSP-TA1-LSD-chim(NtGi1L-Gs-CtGq)/β1/γ2
18.52Single9L3YRetinoic acid receptor responder protein 29L3Y-CML2-Retinoic acid receptor responder protein 2-Gi1/β1/γ2
18.52Single9M4TSilodosin9M4T-Alpha1A-Silodosin
18.52Consensuschemerin_on_gpOrthosteric Ligandcml1_on_gp
18.52Consensuscml1_onOrthosteric Ligand7YKD-CML1-Chemerin-9-Gi1/β1/γ2
18.52Consensuscxcr4_onOrthosteric Ligand8K3Z-CXCR4-CXCL12-Gi1/β1/γ1
18.52Consensusgi_chemerinOrthosteric Ligand7YKD-CML1-Chemerin-9-Gi1/β1/γ2
18.52Consensusgi_opioidOrthosteric Ligand8F7R-μ-Endomorphin-Gi1/β1/γ2 8EF5-μ-Fentanyl-Gi1/β1/γ2 7SCG-μ-FH210-Gi1/β1/γ2 7T2H-μ-Lofentanil-Gi1/β1/γ2 7T2G-μ-Mitragynine Pseudoindoxyl-Gi1/β1/γ2 8DZP-κ-momSalB-Gi1/β1/γ2 8EF6-μ-Morphine-Gi1/β1/γ2 8F7X-NOP-Nociceptin-Gi1/β1/γ2 8EFB-μ-Oliceridine-Gi1/β1/γ2 7U2L-μ-PubChem 163201242-Gi1/β1/γ2 8EFO-μ-PZM21-Gi1/β1/γ2 8EFL-μ-SR17018-Gi1/β1/γ2 8F7Q-μ-β-Endorphin-Gi1/β1/γ2 7U2K-μ-C6-guano-Gi1/β1/γ2 8EFQ-μ-Damgo-Gi1/β1/γ2 8F7S-δ-Deltorphin-Gi1/β1/γ2 8F7W-κ-Dynorphin-Gi1/β1/γ2
18.52Consensuslpl_onOrthosteric Ligands1p_on lpa_on
18.52Consensuslpl_on_gpOrthosteric Ligands1p_on_gp lpa_on_gp
18.52Consensusmop_offOrthosteric Ligand4DKL-μ-β-Funaltrexamine 8QOT-μ-Nanobody-E 7UL4-μ-Alvimopan
18.52Consensusp2y_onOrthosteric Ligandp2y1_on p2y10_on p2y12_on
18.52Consensussst5_onOrthosteric Ligand8X8L-SST5-Cortistatin-chim(NtGi1-Gs-CtGi1)/β1/γ2 8X8N-SST5-Octreotide-chim(NtGi1-Gs-CtGi1)/β1/γ2
18.18Single3EMLZM-2413853EML-A2A-ZM-241385
18.18Single3NY8ICI118-5513NY8-β2-ICI118-551
18.18Single3NYAS-Alprenolol3NYA-β2-S-Alprenolol
18.18Single3ZPQ4-(piperazin-1- yl)-1H-indole3ZPQ-β1-4-(piperazin-1- yl)-1H-indole-Na
18.18Single3ZPR4-methyl-2-(piperazin-1-yl)3ZPR-β1-4-methyl-2-(piperazin-1-yl)-Na
18.18Single4EIYZM-2413854EIY-A2A-ZM-241385-Na
18.18Single4GBRS-Carazolol4GBR-β2-S-Carazolol
18.18Single5IU8Q274563475IU8-A2A-Q27456347-Na
18.18Single5K2AZM-2413855K2A-A2A-ZM-241385-Na
18.18Single5OLGZM-2413855OLG-A2A-ZM-241385-Na
18.18Single5OLZPubChem 1355666095OLZ-A2A-PubChem 135566609-Na
18.18Single5OM1PubChem 1355666095OM1-A2A-PubChem 135566609-Na
18.18Single5TGZAM65385TGZ-CB1-AM6538
18.18Single5UENDU1725UEN-A1-DU172
18.18Single5UIGCmpd-15UIG-A2A-Cmpd-1
18.18Single5VRAZM-2413855VRA-A2A-ZM-241385-Na
18.18Single6FKDPubChem 1373491836FKD-Rhodopsin-PubChem 137349183
18.18Single6PS1Timolol6PS1-β2-Timolol
18.18Single6PS2S-Alprenolol6PS2-β2-S-Alprenolol
18.18Single6S0LZM-2413856S0L-A2A-ZM-241385
18.18Single6X1ADanuglipron6X1A-GLP-1-Danuglipron-Gs/β1/γ2
18.18Single6Z10PubChem 1545855546Z10-Succinate-PubChem 154585554
18.18Single6Z4VNTS8-136Z4V-NTS1-NTS8-13
18.18Single7PYRPSB-21157PYR-A2A-PSB-2115
18.18Single7V3ZCP559407V3Z-CB1-CP55940
18.18Single7VIFS-FTY720-P7VIF-S1P1-S-FTY720-P-Gi1/β1/γ2
18.18Single7WC7Lisuride7WC7-5-HT2A-Lisuride
18.18Single7YACPaltusotine7YAC-SST2-Paltusotine-Gi1/β1/γ2
18.18Single7YK7DC5910537YK7-RXFP4-DC591053-Gi2/β1/γ2
18.18Single7YU4ONO-07405567YU4-LPA1-ONO-0740556
18.18Single8GCML9026888GCM-EP4-L902688-Gi1/β1/γ2
18.18Single8GE9Constrained Epinephrine8GE9-β2-Constrained Epinephrine-Gs/β1/γ2
18.18Single8GEHConstrained Epinephrine8GEH-β2-Constrained Epinephrine-Gs/β1/γ2
18.18Single8JD0NAM5638JD0-mGlu2; mGlu3-Glutamate-NAM563
18.18Single8JIINiacin8JII-HCA2-Niacin-Compound 9n-Gi1/β1/γ2
18.18Single8JJOAlprenolol8JJO-β2-Alprenolol
18.18Single8JXRLSD8JXR-D1-LSD
18.18Single8PJKST1718PJK-5-HT1A-ST171-Gi1/β1/γ1
18.18Single8RW7StilSwitch18RW7-A2A-StilSwitch1-Na
18.18Single8UH3Setiptiline8UH3-5-HT1E-Setiptiline-Gi1/β1/γ1
18.18Single8UNRConstrained Epinephrine8UNR-β2-Constrained Epinephrine-GTP-Gs/β1/γ2
18.18Single8UNUConstrained Epinephrine8UNU-β2-Constrained Epinephrine-GTP-Gs/β1/γ2
18.18Single8UNVConstrained Epinephrine8UNV-β2-Constrained Epinephrine-GTP-Gs/β1/γ2
18.18Single8UNZConstrained Epinephrine8UNZ-β2-Constrained Epinephrine-GTP-Gs/β1/γ2
18.18Single8UO2Constrained Epinephrine8UO2-β2-Constrained Epinephrine-GTP-Gs/β1/γ2
18.18Single8VVGGB188VVG-κ-GB18-Gi1/β1/γ2
18.18Single8W8ARO52563908W8A-TA1-RO5256390-chim(NtGi1L-Gs)/β1/γ2
18.18Single8X63Mepyramine8X63-H1-Mepyramine
18.18Single8YH5Riboprine8YH5-A3A-Riboprine-Gi1/β1/γ2
18.18Single8ZSSRO52633978ZSS-TA1-RO5263397-chim(NtGi1-Gs)/β1/γ2
18.18Single8ZYYNeurotensin peptide 8-138ZYY-NTS1-Neurotensin peptide 8-13-SBI-553-Arrestin2
18.18Single9AS1DMT9AS1-5-HT2A-DMT
18.18Single9CHXS-Carazolol9CHX-β2-S-Carazolol
18.18Single9EPP11,20-Ethanoretinal9EPP-Rhodopsin-11,20-Ethanoretinal-chim(Gi1-CtGq)/β1/γ2
18.18Single9H37A1IR09H37-A2A-A1IR0-Na
18.18Single9IZCMK19039IZC-HCA2-MK1903-Gi1/β1/γ2
18.18Consensusadenosine_on_gpOrthosteric Liganda1_on_gp a2_on_gp a3_on_gp
18.18Consensusalicarboxylic_offOrthosteric Ligandsuccinate_off
18.18Consensusbk2_onOrthosteric Ligand7F6H-BK2-Bradykinin-Gq/β1/γ2 7F6I-BK2-Kallidin-Gq/β1/γ2
18.18Consensusbk2_on_gpOrthosteric Ligand7F6H-BK2-Bradykinin-Gq/β1/γ2 7F6I-BK2-Kallidin-Gq/β1/γ2
18.18Consensusbradykinin_onOrthosteric Ligandbk2_on
18.18Consensusbradykinin_on_gpOrthosteric Ligandbk2_on_gp
18.18Consensusd5_onOrthosteric Ligand8IRV-D5-Rotigotine-chim(NtGi1-Gs)/β1/γ2
18.18Consensusdopamine_offOrthosteric Ligandd2_off d3_off
18.18Consensusendothelin_onOrthosteric Ligandetb_on eta_on
18.18Consensusgq_bradykininOrthosteric Ligand7F6H-BK2-Bradykinin-Gq/β1/γ2 7F6I-BK2-Kallidin-Gq/β1/γ2
18.18Consensusgs_melanocortinOrthosteric Ligand7F4H-MC1-Afamelanotide-chim(NtGi1-Gs)/β1/γ2 7F54-MC4-Afamelanotide-Gs/β1/γ2 7F4D-MC1-α-MSH-chim(NtGi1-Gs)/β1/γ2 8INR-MC5-α-MSH-Ca-chim(NtGi1-Gs)/β1/γ2 7F53-MC4-α-MSH-Gs/β1/γ2 7F55-MC4-Bremelanotide-Gs/β1/γ2 8GY7-MC2-Corticotropin-Ca-chim(NtGi1-Gs)/β1/γ2; MRAP1 8IOC-MC3-γ-MSH-Ca-chim(NtGi1-Gs)/β1/γ2 8IOD-MC5-PG-901-Ca-chim(NtGi1-Gs)/β1/γ2 7AUE-MC4-Setmelanotide-chim(NtGi1L-Gs)/β1/γ2 7F4I-MC1-SHU9119-chim(NtGi1-Gs)/β1/γ2 7F58-MC4-THIQ-Gs/β1/γ2
18.18Consensushistamine_offOrthosteric Ligandh1_off
18.18Consensuslipid_offOrthosteric Ligandcannabinoid_off paf_off lpl_off prostanoid_off leukotriene_off
18.18Consensusnucleotide_offonOrthosteric Ligandnucleotide_off nucleotide_on
18.18Consensusnucleotide_offon_gpOrthosteric Ligandnucleotide_on_gp nucleotide_off
18.18Consensussuccinate_offOrthosteric Ligand6RNK-Succinate-NF-56-EJ40 6Z10-Succinate-PubChem 154585554
17.86Single3QAKUK-4320973QAK-A2A-UK-432097
17.86Single7C6A(Sar1,Ile8)-Angiotensin II7C6A-AT2-(Sar1,Ile8)-Angiotensin II
17.86Single7PIVSetmelanotide7PIV-MC4-Setmelanotide-Gs/β1/γ2
17.86Single7SK5CXCL127SK5-ACKR3-CXCL12
17.86Single7XMSSomatostatin-147XMS-SST4-Somatostatin-14-Gi1/β1/γ2
17.86Single8F7QBeta-Endorphin8F7Q-μ-β-Endorphin-Gi1/β1/γ2
17.86Single8IOCGamma-MSH8IOC-MC3-γ-MSH-Ca-chim(NtGi1-Gs)/β1/γ2
17.86Single8KH5Lysophosphatidylserine8KH5-GPR174-Lysophosphatidylserine-Gs/β1/γ2
17.86Single8SG1Chemerin-98SG1-CML1-Chemerin-9-Gi1/β1/γ2
17.86Consensuscckb_onOrthosteric Ligand8IA7-CCKB-Cholecystokinin-8-chim(NtGi1L-Gq)/β1/γ2 7XOW-CCKB-Gastrin-chim(NtGi1-Gq)/β1/γ2 7F8V-CCKB-Gastrin-17-Gi2/β1/γ2
17.86Consensusccr8_on_gpOrthosteric Ligand8KFX-CCR8-LMD-009-Gi1/β1/γ2 8KFY-CCR8-ZK-756326-Gi1/β1/γ2 8U1U-CCR8-CCL1-Gi1/β1/γ2
17.86Consensusformylpeptide_on_gpOrthosteric Ligandfpr2-alx_on_gp fpr1-alx_on_gp
17.86Consensusghrelin_onOrthosteric Ligand7NA7-Ghrelin-Ghrelin-27-Gi1/β1/γ2 7F9Z-Ghrelin-GHRP-6-chim(NtGi1-Gs-CtGq)/β1/γ2 7NA8-Ghrelin-PubChem 178024-Gi1/β1/γ2
17.86Consensusghrelin_on_gpOrthosteric Ligand7NA7-Ghrelin-Ghrelin-27-Gi1/β1/γ2 7F9Z-Ghrelin-GHRP-6-chim(NtGi1-Gs-CtGq)/β1/γ2 7NA8-Ghrelin-PubChem 178024-Gi1/β1/γ2
17.86Consensusgi_cckOrthosteric Ligand7EZH-CCKA-Cholecystokinin-8-Gi1/β1/γ2 7F8V-CCKB-Gastrin-17-Gi2/β1/γ2
17.86Consensusgi_ghrelinOrthosteric Ligand7NA7-Ghrelin-Ghrelin-27-Gi1/β1/γ2 7NA8-Ghrelin-PubChem 178024-Gi1/β1/γ2
17.65Single7XKDBeta-Hydroxyandrosterone7XKD-ADGRG2-β-Hydroxyandrosterone-Gs/β1/γ2
17.65Single7XKEBeta-Hydroxyandrosterone7XKE-ADGRG2-β-Hydroxyandrosterone-chim(NtGi1-Gs)/β1/γ2
17.65Single8X9S5alpha-DHT8X9S-ADGRD1-5α-DHT-chim(NtGi1-Gs)/β1/γ2
17.65Consensusbb2_onOrthosteric Ligand7W40-BB2-Bombesin-chim(NtGi1L-Gq)/β1/γ2 7W3Z-BB2-Gastrin Releasing Peptide-chim(NtGi1L-Gq)/β1/γ2
17.65Consensusbb2_on_gpOrthosteric Ligand7W40-BB2-Bombesin-chim(NtGi1L-Gq)/β1/γ2 7W3Z-BB2-Gastrin Releasing Peptide-chim(NtGi1L-Gq)/β1/γ2
17.65Consensusbombesin_onOrthosteric Ligandbb2_on
17.65Consensusbombesin_on_gpOrthosteric Ligandbb2_on_gp
17.65Consensusccr5_on_gpOrthosteric Ligand7O7F-CCR5-6P4-CCL5-Gi1/β1/γ1 7F1Q-CCR5-MIP-1a-Gi1/β1/γ2
17.65Consensusgi_npyOrthosteric Ligand8K6M-Y1-Neuropeptide-Y-Gi2/β1/γ1 7X9C-Y4-Pancreatic Hormone-Gi1/β1/γ2 7YOO-Y2-Neuropeptide-Y-Gi1/β1/γ2
17.65Consensusgq_bombesinOrthosteric Ligand7W40-BB2-Bombesin-chim(NtGi1L-Gq)/β1/γ2 7W3Z-BB2-Gastrin Releasing Peptide-chim(NtGi1L-Gq)/β1/γ2
17.65Consensusnpy_onOrthosteric Ligandnpy1_on npy2_on npy4_on
17.65Consensusnpy_on_gpOrthosteric Ligandnpy1_on_gp npy2_on_gp npy4_on_gp
17.39Single2RH1S-Carazolol2RH1-β2-S-Carazolol
17.39Single2YCWS-Carazolol2YCW-β1-S-Carazolol
17.39Single5C1MBU725C1M-μ-BU72
17.39Single5D6LS-Carazolol5D6L-β2-S-Carazolol
17.39Single5IUAQ274563485IUA-A2A-Q27456348-Na
17.39Single5NM2ZM-2413855NM2-A2A-ZM-241385-Na
17.39Single5X7DS-Carazolol5X7D-β2-S-Carazolol-Cmpd-15
17.39Single5YHLPubChem 1351213525YHL-EP4-PubChem 135121352
17.39Single5YWYONO-AE3-2085YWY-EP4-ONO-AE3-208
17.39Single6GDGNECA6GDG-A2A-NECA-Gs/β1/γ1
17.39Single6KPCPubChem 1459158896KPC-CB2-PubChem 145915889
17.39Single6LPLZM-2413856LPL-A2A-ZM-241385-Na
17.39Single6PS6Timolol6PS6-β2-Timolol
17.39Single6S0QZM-2413856S0Q-A2A-ZM-241385
17.39Single6WQAZM-2413856WQA-A2A-ZM-241385-Na
17.39Single7BB7AVP7BB7-V2-AVP-Gs/β1/γ2
17.39Single7C61Ergotamine7C61-5-HT1B-Ergotamine
17.39Single7EPFNAM5977EPF-mGlu2; mGlu2-NAM597
17.39Single7LD3Adenosine7LD3-A1-Adenosine-MIPS521-Gi2/β1/γ2
17.39Single7RM5ZM-2413857RM5-A2A-ZM-241385-Na
17.39Single7SINNPS-21437SIN-CaS-NPS-2143
17.39Single7SINNPS-21437SIN-CaS-NPS-2143
17.39Single7TD3S1P7TD3-S1P1-S1P-Gi1/β1/γ2
17.39Single7TRKIperoxo7TRK-M4-Iperoxo-Gi1/β1/γ2
17.39Single7VOEAripiprazole7VOE-5-HT2A-Aripiprazole
17.39Single7W41PD1762527W41-BB2-PD176252
17.39Single7X1TTaltirelin7X1T-TRH-Taltirelin-chim(NtGi2L-Gs-CtGq)/β1/γ2
17.39Single7XKAConstrained Epinephrine7XKA-β2-Constrained Epinephrine
17.39Single7YU3ONO-07405567YU3-LPA1-ONO-0740556-Gi1/β1/γ2
17.39Single7YU6ONO-07405567YU6-LPA1-ONO-0740556-Gi1/β1/γ2
17.39Single8FYNZM-2413858FYN-A2A-ZM-241385-Na
17.39Single8GDZConstrained Epinephrine8GDZ-β2-Constrained Epinephrine-Gs/β1/γ2
17.39Single8GEBConstrained Epinephrine8GEB-β2-Constrained Epinephrine-Gs/β1/γ2
17.39Single8GEGConstrained Epinephrine8GEG-β2-Constrained Epinephrine-Gs/β1/γ2
17.39Single8GGBConstrained Epinephrine8GGB-β2-Constrained Epinephrine-GTP-Gs/β1/γ2
17.39Single8GNEKW-63568GNE-A2A-KW-6356-Na
17.39Single8J18(3R)-3-Hydroxydodecanoic acid8J18-GPR84-(3R)-3-Hydroxydodecanoic acid-Gi1/β1/γ2
17.39Single8QOTNanobody-E8QOT-μ-Nanobody-E
17.39Single8SZGCa; Ca; Tryptophan; Cinacalcet; PO4; Spermine8SZG-CaS-Ca; Ca; Tryptophan; Cinacalcet; PO4; Spermine-chim(NtGi1-Gq)/β1/γ2
17.39Single8TF5Oleic acid8TF5-GPR6-Oleic acid
17.39Single8TH4Losartan8TH4-AT1-Losartan-AT118-L Nanobody
17.39Single8UNNConstrained Epinephrine8UNN-β2-Constrained Epinephrine-GTP-Gs/β1/γ2
17.39Single8UNPConstrained Epinephrine8UNP-β2-Constrained Epinephrine-GTP-Gs/β1/γ2
17.39Single8YICSAR2477998YIC-S1P1-SAR247799-Gi1/β1/γ2
17.39Single8YNSSNAP-948478YNS-MCH1-SNAP-94847
17.39Single8ZMFA1L108ZMF-5-HT2C-A1L10
17.39Single8ZYTNeurotensin peptide 8-138ZYT-NTS1-Neurotensin peptide 8-13-SBI-553-Arrestin2
17.39Single9AYFCa; Ca; Ca; Cyclomethyltryptophan; 9IG; PO49AYF-CaS-Ca-Ca; Ca; Ca; Cyclomethyltryptophan; 9IG; PO4-Gi1/β1/γ2
17.39Single9B9ZA1AKO9B9Z-CB1-A1AKO
17.39Single9DYDAsenapine9DYD-5-HT1A-Asenapine-Go/β1/γ2
17.39Single9DYFAsenapine9DYF-5-HT1A-Asenapine-Gi1/β1/γ2
17.39Single9EE8Adenosine9EE8-A2A-Adenosine-Gs/β1/γ2
17.39Single9F33FOB02-04A9F33-D3-FOB02-04A-Go/β1/γ2
17.39Single9F34FOB02-04A9F34-D3-FOB02-04A-Go/β1/γ2
17.39Single9K07DSO-5a9K07-BB3-DSO-5a-chim(NtGi2L-Gs-CtGq)/β1/γ2
17.39Consensus5ht2_offOrthosteric Ligand5ht2a_off 5ht2b_off 5ht2c_off
17.39Consensusamine_offOrthosteric Ligand5ht_off adrenergic_off dopamine_off histamine_off muscarinic_off
17.39Consensusamine_offonOrthosteric Ligandamine_off amine_on
17.39Consensusamine_offon_gpOrthosteric Ligandamine_on_gp amine_off
17.39Consensusamine_onOrthosteric Ligand5ht_on adrenergic_on dopamine_on histamine_on muscarinic_on trace-amine_on
17.39Consensusbb2_offOrthosteric Ligand7W41-BB2-PD176252
17.39Consensusbeta2_offOrthosteric Ligand2RH1-β2-S-Carazolol 6PS3-β2-S-Carvedilol 6PS5-β2-S-Propranolol 3D4S-β2-Timolol 3NY8-β2-ICI118-551 3NY9-β2-ICI118-551 6PRZ-β2-S-Alprenolol
17.39Consensusbeta_offOrthosteric Ligandbeta1_off beta2_off
17.39Consensusbombesin_offOrthosteric Ligandbb2_off
17.39Consensuscb2_onOrthosteric Ligand8GUR-CB2-CP55,940-Gi1/β1/γ2 8GUS-CB2-HU-308-Gi1/β1/γ2 8GUT-CB2-LEI-102-Gi1/β1/γ2 6KPF-CB2-PubChem 145915889-Gi1/β1/γ2 6PT0-CB2-WIN 55212-2-Gi1/β1/γ2 8GUQ-CB2-Olorinab-Gi1/β1/γ2
17.39Consensuscb2_on_gpOrthosteric Ligand8GUR-CB2-CP55,940-Gi1/β1/γ2 8GUS-CB2-HU-308-Gi1/β1/γ2 8GUT-CB2-LEI-102-Gi1/β1/γ2 6KPF-CB2-PubChem 145915889-Gi1/β1/γ2 6PT0-CB2-WIN 55212-2-Gi1/β1/γ2 8GUQ-CB2-Olorinab-Gi1/β1/γ2
17.39Consensusd2_onOrthosteric Ligand7JVR-D2-Bromoergocryptine-Gi1/β1/γ2 8IRS-D2-Rotigotine-Gi1/β1/γ2
17.39Consensusep4_offOrthosteric Ligand5YWY-EP4-ONO-AE3-208 5YHL-EP4-PubChem 135121352
17.39Consensusep_offOrthosteric Ligandep4_off
17.39Consensusgi_adrenergicOrthosteric Ligand7EJ0-α2a-L-Norepinephrine-Go/β1/γ2 7EJK-α2a-Oxymetazoline-Go/β1/γ2 7W7E-α2a-PubChem 164946676-Go/β1/γ2 7W6P-α2a-N-pyridin-4-ylisoquinolin-4-amine-Go/β1/γ2 7EJ8-α2a-Brimonidine-Go/β1/γ2 6K42-α2b-Dexmedetomidine-Gi1/β1/γ2 7EJA-α2a-Dexmedetomidine-Go/β1/γ2 7S0F-β1-Isoprenaline-Gi1/β1/γ2
17.39Consensush1_offOrthosteric Ligand8X63-H1-Mepyramine 3RZE-H1-Cidoxepin 8X5Y-H1-Astemizole
17.39Consensuslpa1_onOrthosteric Ligand7TD1-LPA1-LPA-Gi1/β1/γ2 7YU3-LPA1-ONO-0740556-Gi1/β1/γ2
17.39Consensuslpa1_on_gpOrthosteric Ligand7TD1-LPA1-LPA-Gi1/β1/γ2 7YU3-LPA1-ONO-0740556-Gi1/β1/γ2
17.39Consensuss1p_offOrthosteric Ligands1p1_off s1p5_off
17.39Consensusta1_onOrthosteric Ligand8W87-TA1-METH-chim(NtGi1L-Gs)/β1/γ2 8W89-TA1-PEA-chim(NtGi1L-Gs)/β1/γ2 8JLP-TA1-Ralmitaront-Gs/β1/γ2 8W8A-TA1-RO5256390-chim(NtGi1L-Gs)/β1/γ2 8W88-TA1-SEP-363856-Gs/β1/γ2 8JLO-TA1-Ulotaront-Gs/β1/γ2 8JLR-TA1-A77636-chim(NtGi1-Gs)/β1/γ2 8JSO-TA1-AMPH-chim(NtGi1-Gs)/β1/γ2 8ZSP-TA1-LSD-chim(NtGi1L-Gs-CtGq)/β1/γ2
17.39Consensustrace-amine_onOrthosteric Ligandta1_on
17.24Single3OE0CVX153OE0-CXCR4-CVX15
17.24Single5WF5UK-4320975WF5-A2A-UK-432097
17.24Single6LW5WKYMVm6LW5-FPR2-ALX-WKYMVm
17.24Single6W25SHU91196W25-MC4-SHU9119-Ca
17.24Single7TD2LPA7TD2-LPA1-LPA-Gi1/β1/γ2
17.24Single8K6NPro-neuropeptide-Y8K6N-Y2-Pro-neuropeptide-Y-Gi2/β1/γ1
17.24Single8W8YGamma-MSH8W8Y-MC3-γ-MSH-Ca-Gs/β1/γ2
17.24Single8WKZSBL-MC-318WKZ-MC4-SBL-MC-31
17.24Single8XZGApelin-138XZG-Apelin-Apelin-13-Gi1/β1/γ2
17.24Single8XZHMM078XZH-Apelin-MM07-Gi1/β1/γ2
17.24Single9K27PrRP319K27-PrRP-PrRP31-chim(NtGi1-Gq)/β1/γ2
17.24Single9U4WGonadoliberin-19U4W-GnRH1-Gonadoliberin-1-chim(NtGi1L-Gs-CtGq)/β1/γ2
17.24Consensuscckb_on_gpOrthosteric Ligand8IA7-CCKB-Cholecystokinin-8-chim(NtGi1L-Gq)/β1/γ2 7XOW-CCKB-Gastrin-chim(NtGi1-Gq)/β1/γ2 7F8V-CCKB-Gastrin-17-Gi2/β1/γ2
17.24Consensusccr_onOrthosteric Ligandccr6_on ccr8_on ccr2_on ccr1_on ccr5_on
17.24Consensusfpr2-alx_onOrthosteric Ligand7WVX-FPR2-ALX-Humanin-Gi2/β1/γ2 7T6U-FPR2-ALX-CGEN-855A-Gi1/β1/γ2 7T6V-FPR2-ALX-fMLFII-Gi1/β1/γ2 7WVY-FPR2-ALX-Amyloid-β42-Gi2/β1/γ2 7T6S-FPR2-ALX-PubChem 24776341-Gi1/β1/γ2 6OMM-FPR2-ALX-WKYMVX-Gi1/β1/γ2
17.24Consensusmc3_onOrthosteric Ligand8IOC-MC3-γ-MSH-Ca-chim(NtGi1-Gs)/β1/γ2
17.24Consensusmc3_on_gpOrthosteric Ligand8IOC-MC3-γ-MSH-Ca-chim(NtGi1-Gs)/β1/γ2
17.24Consensuspeptide_offonOrthosteric Ligandpeptide_off peptide_on
17.14Consensusendothelin_on_gpOrthosteric Ligandetb_on_gp eta_on_gp
17.14Consensusmelanocortin_onOrthosteric Ligandmc1_on mc4_on mc2_on mc3_on mc5_on
17.14Consensusmelanocortin_on_gpOrthosteric Ligandmc1_on_gp mc4_on_gp mc2_on_gp mc3_on_gp mc5_on_gp
16.67Single2HPYAll-trans-Retinal2HPY-Rhodopsin-All-trans-Retinal
16.67Single2YDVNECA2YDV-A2A-NECA
16.67Single3P0GBI1671073P0G-β2-BI167107
16.67Single3RFMCaffeine3RFM-A2A-Caffeine
16.67Single3SN6BI1671073SN6-β2-BI167107-Gs/β1/γ2
16.67Single3UON3-quinuclidinyl-benzilate3UON-M2-3-quinuclidinyl-benzilate
16.67Single3ZEVNeurotensin3ZEV-NTS1-Neurotensin
16.67Single4BV0Neurotensin4BV0-NTS1-Neurotensin
16.67Single4IAQDihydroergotamine4IAQ-5-HT1B-Dihydroergotamine
16.67Single4LDLHydroxybenzylisoproterenol4LDL-β2-Hydroxybenzylisoproterenol
16.67Single4UHRCGS216804UHR-A2A-CGS21680
16.67Single5A8E7-Methylcyanopindolol5A8E-β1-7-Methylcyanopindolol-Na
16.67Single5D5AS-Carazolol5D5A-β2-S-Carazolol
16.67Single5D5BS-Carazolol5D5B-β2-S-Carazolol
16.67Single5G53NECA5G53-A2A-NECA-Gs
16.67Single5V54Methiothepin5V54-5-HT1B-Methiothepin
16.67Single5XR8AM8415XR8-CB1-AM841
16.67Single5XRAAM115425XRA-CB1-AM11542
16.67Single5ZKBAF-DX 3845ZKB-M2-AF-DX 384
16.67Single6N4BMDMB-Fubinaca6N4B-CB1-MDMB-Fubinaca-Gi1/β1/γ2
16.67Single6NI3BI1671076NI3-β2-BI167107-Gs/β1/γ2
16.67Single6NIYAdrenomedullin6NIY-CT-Adrenomedullin-Gs/β1/γ2
16.67Single7DD5Ca; Ca; Tryptophan; NPS-21437DD5-CaS-Ca-Ca; Ca; Tryptophan; NPS-2143
16.67Single7EW3S1P7EW3-S1P3-S1P-Gi1/β1/γ2
16.67Single7EW4CYM55417EW4-S1P3-CYM5541-Gi1/β1/γ2
16.67Single7F58THIQ7F58-MC4-THIQ-Gs/β1/γ2
16.67Single7FEECP559407FEE-CB1-CP55940-ZCZ011
16.67Single7JVPSKF839597JVP-D1-SKF83959-Gs/β1/γ2
16.67Single7L0PNeurotensin7L0P-NTS1-Neurotensin-Gi1/β1/γ1
16.67Single7L0QNeurotensin7L0Q-NTS1-Neurotensin-Gi1/β1/γ1
16.67Single7M8W15r-Methyl-Prostaglandin D27M8W-DP2-15r-Methyl-Prostaglandin D2-Na
16.67Single7MTBAll-trans-Retinal7MTB-Rhodopsin-All-trans-Retinal-GRK1
16.67Single7PX4PSB-21137PX4-A2A-PSB-2113
16.67Single7T2HLofentanil7T2H-μ-Lofentanil-Gi1/β1/γ2
16.67Single7TD1LPA7TD1-LPA1-LPA-Gi1/β1/γ2
16.67Single7TRQIperoxo7TRQ-M4-Iperoxo-VU0467154-Gi1/β1/γ2
16.67Single7TUYGSK682753A7TUY-GPR183-GSK682753A
16.67Single7VIGCBP-3077VIG-S1P1-CBP-307-Gi1/β1/γ2
16.67Single7W40Bombesin7W40-BB2-Bombesin-chim(NtGi1L-Gq)/β1/γ2
16.67Single7W6PN-pyridin-4-ylisoquinolin-4-amine7W6P-α2a-N-pyridin-4-ylisoquinolin-4-amine-Go/β1/γ2
16.67Single7W7EPubChem 1649466767W7E-α2a-PubChem 164946676-Go/β1/γ2
16.67Single7XJLSpexin7XJL-GAL2-Spexin-chim(NtGi2L-Gs-CtGq)/β1/γ2
16.67Single7XY7NECA7XY7-A2B-NECA-chim(NtGi1-Gs)/β1/γ2
16.67Single7Y67C089 peptide7Y67-C5a1-C089 peptide-Gi1/β1/γ2
16.67Single7YU5ONO-07405567YU5-LPA1-ONO-0740556-Gi1/β1/γ2
16.67Single7YU7ONO-07405567YU7-LPA1-ONO-0740556-Gi1/β1/γ2
16.67Single8A2OTheophylline8A2O-A2A-Theophylline-Na
16.67Single8DZPmomSalB8DZP-κ-momSalB-Gi1/β1/γ2
16.67Single8E0GBU728E0G-μ-BU72
16.67Single8FN1Neurotensin/Neuromedin-N8FN1-NTS1-Neurotensin/Neuromedin-N-chim(NtGi1-Go)/β1/γ2
16.67Single8GEIConstrained Epinephrine8GEI-β2-Constrained Epinephrine-Gs/β1/γ2
16.67Single8GUSHU-3088GUS-CB2-HU-308-Gi1/β1/γ2
16.67Single8HQCC5a anaphylatoxin8HQC-C5a1-C5a anaphylatoxin-Go/β1/γ2
16.67Single8ID39-Hydroxystearic acid8ID3-FFA4-9-Hydroxystearic acid-Gi1/β1/γ2
16.67Single8IRRRotigotine8IRR-D1-Rotigotine-Gs/β1/γ2
16.67Single8IRVRotigotine8IRV-D5-Rotigotine-chim(NtGi1-Gs)/β1/γ2
16.67Single8JD5JNJ-40411813; ADX881788JD5-mGlu2; mGlu4-Glutamate-JNJ-40411813; ADX88178-Gi1/β1/γ2
16.67Single8JSRAnamorelin8JSR-Ghrelin-Anamorelin-chim(NtGi1-Gs-CtGq)/β1/γ2
16.67Single8JT6(R)-IHCH-71798JT6-5-HT1A-(R)-IHCH-7179-Gi1/β1/γ2
16.67Single8UGWPubChem 30865998UGW-A2A-PubChem 3086599
16.67Single8WC5Tetramethylammonium Ion8WC5-TA1-Tetramethylammonium Ion-chim(NtGi1-Gs)/β1/γ2
16.67Single8X16Piclidenoson8X16-A3A-Piclidenoson-Gi1/β1/γ2
16.67Single8XJMLatanoprost8XJM-FP-alpha-Latanoprost-chim(NtGi2-Gs-CtGq)/β1/γ2
16.67Single8XOFLys058XOF-GPR30-Lys05-chim(NtGi1-Gs-CtGq)/β1/γ2
16.67Single8YH6Namodenoson8YH6-A3A-Namodenoson-Gi1/β1/γ2
16.67Single8ZWFJR14a8ZWF-C3aB-JR14a
16.67Single9BJKNaloxone9BJK-μ-Naloxone-NAM
16.67Single9C2FCa; Ca; Tryptophan; '54149; PO49C2F-CaS-Ca-Ca; Ca; Tryptophan; '54149; PO4
16.67Single9EE9Adenosine9EE9-A2A-Adenosine-Gs/β1/γ2
16.67Single9IZGNKP9IZG-LPA1-NKP-chim(NtGi1-Gs-CtGq)/β1/γ2
16.67Single9JMCDS-3801b9JMC-Motilin-DS-3801b-chim(Gs-CtGq)/β1/γ2
16.67Single9UY3Anamorelin9UY3-Ghrelin-Anamorelin-chim(NtGi1-Gs-CtGq)/β1/γ2
16.67Consensus5ht1_offOrthosteric Ligand5ht1b_off
16.67Consensus5ht1b_offOrthosteric Ligand5V54-5-HT1B-Methiothepin
16.67Consensusamine_on_gpOrthosteric Ligand5ht_on_gp adrenergic_on_gp dopamine_on_gp histamine_on_gp muscarinic_on_gp trace-amine_on_gp
16.67Consensusapelin_onOrthosteric Ligand8XZH-Apelin-MM07-Gi1/β1/γ2 7W0M-Apelin-PubChem 122701908-Gi1/β1/γ2 8XZJ-Apelin-WN353-Gi1/β1/γ2 8XZF-Apelin-WN561-Gi1/β1/γ2 8XZG-Apelin-Apelin-13-Gi1/β1/γ2
16.67Consensusapelin_on_gpOrthosteric Ligand8XZH-Apelin-MM07-Gi1/β1/γ2 7W0M-Apelin-PubChem 122701908-Gi1/β1/γ2 8XZJ-Apelin-WN353-Gi1/β1/γ2 8XZF-Apelin-WN561-Gi1/β1/γ2 8XZG-Apelin-Apelin-13-Gi1/β1/γ2
16.67Consensusbeta1_offOrthosteric Ligand2VT4-β1-Cyanopindolol 2YCW-β1-S-Carazolol 2YCZ-β1-Iodocyanopindolol 5A8E-β1-7-Methylcyanopindolol-Na 3ZPQ-β1-4-(piperazin-1- yl)-1H-indole-Na 3ZPR-β1-4-methyl-2-(piperazin-1-yl)-Na
16.67Consensusd5_on_gpOrthosteric Ligand8IRV-D5-Rotigotine-chim(NtGi1-Gs)/β1/γ2
16.67Consensusfpr2-alx_on_gpOrthosteric Ligand7WVX-FPR2-ALX-Humanin-Gi2/β1/γ2 7T6U-FPR2-ALX-CGEN-855A-Gi1/β1/γ2 7T6V-FPR2-ALX-fMLFII-Gi1/β1/γ2 7WVY-FPR2-ALX-Amyloid-β42-Gi2/β1/γ2 7T6S-FPR2-ALX-PubChem 24776341-Gi1/β1/γ2 6OMM-FPR2-ALX-WKYMVX-Gi1/β1/γ2
16.67Consensusgi_cannabinoidOrthosteric Ligand8GUR-CB2-CP55,940-Gi1/β1/γ2 8GUS-CB2-HU-308-Gi1/β1/γ2 8GUT-CB2-LEI-102-Gi1/β1/γ2 8GUQ-CB2-Olorinab-Gi1/β1/γ2 6KPF-CB2-PubChem 145915889-Gi1/β1/γ2 6PT0-CB2-WIN 55212-2-Gi1/β1/γ2 6KPG-CB1-AM841-Gi1/β1/γ2
16.67Consensusgi_dopamineOrthosteric Ligand7JVR-D2-Bromoergocryptine-Gi1/β1/γ2 7CMV-D3-PD128907-Gi1/β1/γ2 7CMU-D3-Pramipexole-Gi1/β1/γ2 8IRS-D2-Rotigotine-Gi1/β1/γ2 8IRT-D3-Rotigotine-Gi1/β1/γ2
16.67Consensusgi_formylpeptideOrthosteric Ligand7WVY-FPR2-ALX-Amyloid-β42-Gi2/β1/γ2 7T6U-FPR2-ALX-CGEN-855A-Gi1/β1/γ2 7VFX-FPR1-ALX-fMLF-Gi1/β1/γ2 7T6V-FPR2-ALX-fMLFII-Gi1/β1/γ2 7WVX-FPR2-ALX-Humanin-Gi2/β1/γ2 7T6S-FPR2-ALX-PubChem 24776341-Gi1/β1/γ2 6OMM-FPR2-ALX-WKYMVX-Gi1/β1/γ2
16.67Consensusgi_lpaOrthosteric Ligand7TD1-LPA1-LPA-Gi1/β1/γ2 7YU3-LPA1-ONO-0740556-Gi1/β1/γ2
16.67Consensusgs_peptideOrthosteric Ligandgs_cck gs_melanocortin gs_vasop-oxy
16.67Consensuslpa_onOrthosteric Ligandlpa1_on
16.67Consensuslpa_on_gpOrthosteric Ligandlpa1_on_gp
16.67Consensusmotilin_onOrthosteric Ligand8IBU-Motilin-Erythromycin-A-chim(NtGi1-Gs-CtGq)/β1/γ2
16.67Consensusneurotensin_onOrthosteric Ligandnts1_on
16.67Consensusnts1_onOrthosteric Ligand6OSA-NTS1-JMV449-Gi1/β1/γ2 7L0S-NTS1-Neurotensin-Gi1/β1/γ1
16.67Consensusopsins_onOrthosteric Ligandrhodopsin_on opsin1lw_on
16.67Consensusp2y_on_gpOrthosteric Ligandp2y1_on_gp p2y10_on_gp p2y12_on_gp
16.67Consensuspeptide_offon_gpOrthosteric Ligandpeptide_on_gp peptide_off
16.67Consensusprotein_offOrthosteric Ligandchemokine_off grh_off
16.67Consensussensory_onOrthosteric Ligandopsins_on
16.67Consensusta1_on_gpOrthosteric Ligand8W87-TA1-METH-chim(NtGi1L-Gs)/β1/γ2 8W89-TA1-PEA-chim(NtGi1L-Gs)/β1/γ2 8JLP-TA1-Ralmitaront-Gs/β1/γ2 8W8A-TA1-RO5256390-chim(NtGi1L-Gs)/β1/γ2 8W88-TA1-SEP-363856-Gs/β1/γ2 8JLO-TA1-Ulotaront-Gs/β1/γ2 8JLR-TA1-A77636-chim(NtGi1-Gs)/β1/γ2 8JSO-TA1-AMPH-chim(NtGi1-Gs)/β1/γ2 8ZSP-TA1-LSD-chim(NtGi1L-Gs-CtGq)/β1/γ2
16.67Consensustrace-amine_on_gpOrthosteric Ligandta1_on_gp
16.13Single7F6HBradykinin7F6H-BK2-Bradykinin-Gq/β1/γ2
16.13Single7F6IKallidin7F6I-BK2-Kallidin-Gq/β1/γ2
16.13Single7F9YGhrelin-287F9Y-Ghrelin-Ghrelin-28-chim(NtGi1-Gs-CtGq)/β1/γ2
16.13Single7X9BNeuropeptide-Y7X9B-Y2-Neuropeptide-Y-Gi1/β1/γ2
16.13Single7XV3Lysophosphatidylserine7XV3-GPR174-Lysophosphatidylserine-chim(NtGi1-Gs)/β1/γ2
16.13Single8HCXEndothelin-18HCX-ETB-Endothelin-1-chim(NtGi2L-Gs-CtGq)/β1/γ2
16.13Single8XGOTAK4488XGO-Kiss1-TAK448-chim(NtGi1-Gq)/β1/γ2
16.13Single8ZRTET-18ZRT-ETB-ET-1
16.13Single9JFYhNPSF9JFY-NPFF2-hNPSF-Gi1/β1/γ2
16.13Consensusccr_on_gpOrthosteric Ligandccr6_on_gp ccr8_on_gp ccr2_on_gp ccr1_on_gp ccr5_on_gp
16.13Consensuschemokine_on_gpOrthosteric Ligandccr_on_gp cxcr_on_gp
16.13Consensuscml1_on_gpOrthosteric Ligand7YKD-CML1-Chemerin-9-Gi1/β1/γ2
16.13Consensusmc1_onOrthosteric Ligand7F4H-MC1-Afamelanotide-chim(NtGi1-Gs)/β1/γ2 7F4D-MC1-α-MSH-chim(NtGi1-Gs)/β1/γ2 7F4I-MC1-SHU9119-chim(NtGi1-Gs)/β1/γ2
16.13Consensusmc1_on_gpOrthosteric Ligand7F4H-MC1-Afamelanotide-chim(NtGi1-Gs)/β1/γ2 7F4D-MC1-α-MSH-chim(NtGi1-Gs)/β1/γ2 7F4I-MC1-SHU9119-chim(NtGi1-Gs)/β1/γ2
16.00Single3D4STimolol3D4S-β2-Timolol
16.00Single4AMIBucindolol4AMI-β1-Bucindolol
16.00Single4GRVNeurotensin-(8-13)4GRV-NTS1-Neurotensin-(8-13)
16.00Single5F8UCyanopindolol5F8U-β1-Cyanopindolol
16.00Single5X33BIIL2605X33-BLT1-BIIL260
16.00Single6AK3Dinoprostone IPGE26AK3-EP3-Dinoprostone IPGE2
16.00Single6H7NS-Xamoterol6H7N-β1-S-Xamoterol
16.00Single6H7OCyanopindolol6H7O-β1-Cyanopindolol
16.00Single6IIURamatroban6IIU-TXA2-Ramatroban
16.00Single6KPGAM8416KPG-CB1-AM841-Gi1/β1/γ2
16.00Single6KQICP559406KQI-CB1-CP55940-Org27569
16.00Single6MXTSalmeterol6MXT-β2-Salmeterol
16.00Single6OSAJMV4496OSA-NTS1-JMV449-Gi1/β1/γ2
16.00Single6VMSBromoergocryptine6VMS-D2-Bromoergocryptine-Gi1/β1/γ2
16.00Single7BZ2Arformoterol7BZ2-β2-Arformoterol-Gs/β1/γ2
16.00Single7EPENAM5637EPE-mGlu2; mGlu2-NAM563
16.00Single7EW2Fingolimod7EW2-S1P3-Fingolimod-Gi1/β1/γ2
16.00Single7F55Bremelanotide7F55-MC4-Bremelanotide-Gs/β1/γ2
16.00Single7JNIOlodanrigan7JNI-AT2-Olodanrigan
16.00Single7MTRADX551647MTR-mGlu2; mGlu2-Glutamate-ADX55164
16.00Single7T6BS1P7T6B-S1P2-S1P-chim(NtGi1L-G13)/β1/γ2
16.00Single7W0LPubChem 1227019087W0L-Apelin-PubChem 122701908-Gi1/β1/γ2
16.00Single7YITNalfurafine7YIT-κ-Nalfurafine
16.00Single8FYE4-F,5-MeO-PyrT8FYE-5-HT1A-4-F,5-MeO-PyrT-Gi1/β1/γ1
16.00Single8FYTLSD8FYT-5-HT1A-LSD-Gi1/β1/γ1
16.00Single8I9AEP548I9A-C3aB-EP54-chim(NtGi1-Gs-CtGq)/β1/γ2
16.00Single8IBUErythromycin-A8IBU-Motilin-Erythromycin-A-chim(NtGi1-Gs-CtGq)/β1/γ2
16.00Single8ID9Eicosapentaenoic acid8ID9-FFA4-Eicosapentaenoic acid-Gi1/β1/γ2
16.00Single8IQ6Latanoprost8IQ6-FP-alpha-Latanoprost-chim(NtGi1-Gs-CtGq)/β1/γ2
16.00Single8IRSRotigotine8IRS-D2-Rotigotine-Gi1/β1/γ2
16.00Single8IYWGSK2560738IYW-HCA2-GSK256073-Go/β1/γ2
16.00Single8J6DEP1418J6D-C3aB-EP141-Go/β1/γ2
16.00Single8JD3JNJ-404118138JD3-mGlu2; mGlu3-Glutamate-JNJ-40411813-Gi1/β1/γ2
16.00Single8JJ8Formoterol8JJ8-β2-Formoterol
16.00Single8JJLOlodaterol8JJL-β2-Olodaterol
16.00Single8JPBNeurotensin-(8-13)8JPB-NTS1-Neurotensin-(8-13)-SBI-553; GDP; Mg-Gq; GRK2
16.00Single8JWY2-1188JWY-A2A-2-118
16.00Single8JWZAB9288JWZ-A2A-AB928-Na
16.00Single8T3QDocosa-4,7,10,13,16,19-Hexaenoic acid8T3Q-FFA4-Docosa-4,7,10,13,16,19-Hexaenoic acid-chim(NtGi2L-Gs-CtGq)/β1/γ2
16.00Single8U26Protachykinin-18U26-NK1-Protachykinin-1-Gs/β1/γ2
16.00Single8X8NOctreotide8X8N-SST5-Octreotide-chim(NtGi1-Gs-CtGi1)/β1/γ2
16.00Single8XJNCloprosetnol8XJN-TXA2-Cloprosetnol-chim(NtGi1-Gs-CtGq)/β1/γ2
16.00Single9BJKNAM9BJK-μ-Naloxone-NAM
16.00Single9EBIPiclidenoson9EBI-A3A-Piclidenoson-chim(NtGi1L-Gs-CtGi1)/β1/γ2
16.00Single9GGGI-BOP9GGG-TXA2-I-BOP-chim(NtGi2L-Gs-CtGq)/β1/γ2
16.00Single9GYOP3959GYO-GPBA-P395-chim(NtGi1-Gs)/β1/γ2
16.00Single9IZHLPA9IZH-LPA1-LPA-chim(NtGi2-G13)/β1/γ2
16.00Single9L3WRetinoic acid receptor responder protein 29L3W-CML1-Retinoic acid receptor responder protein 2-Gi1/β1/γ2
16.00Single9M4QDoxazosin9M4Q-Alpha1A-Doxazosin
16.00Consensus5ht1a_onOrthosteric Ligand8FYT-5-HT1A-LSD-Gi1/β1/γ1 7E2Y-5-HT1A-Serotonin-Gi1/β1/γ2 7E2Z-5-HT1A-Aripiprazole-Gi1/β1/γ2 8FYX-5-HT1A-Buspirone-Gi1/β1/γ1 8JSP-5-HT1A-Ulotaront-Gi1/β1/γ2 8JT6-5-HT1A-(R)-IHCH-7179-Gi1/β1/γ2 8FY8-5-HT1A-5-MeO-DMT-Gi1/β1/γ1 8FYE-5-HT1A-4-F,5-MeO-PyrT-Gi1/β1/γ1 8FYL-5-HT1A-Vilazodone-Gi1/β1/γ1
16.00Consensus5ht1a_on_gpOrthosteric Ligand8FYT-5-HT1A-LSD-Gi1/β1/γ1 8FYX-5-HT1A-Buspirone-Gi1/β1/γ1 8JSP-5-HT1A-Ulotaront-Gi1/β1/γ2 8JT6-5-HT1A-(R)-IHCH-7179-Gi1/β1/γ2 7E2Y-5-HT1A-Serotonin-Gi1/β1/γ2 7E2Z-5-HT1A-Aripiprazole-Gi1/β1/γ2 8FY8-5-HT1A-5-MeO-DMT-Gi1/β1/γ1 8FYE-5-HT1A-4-F,5-MeO-PyrT-Gi1/β1/γ1 8FYL-5-HT1A-Vilazodone-Gi1/β1/γ1
16.00Consensusc3a_onOrthosteric Ligand8HK2-C3aB-C3a anaphylatoxin-Gi1/β1/γ2 8IA8-C3aB-E7 peptide-Gi1/β1/γ2
16.00Consensuscannabinoid_onOrthosteric Ligandcb2_on cb1_on
16.00Consensuscannabinoid_on_gpOrthosteric Ligandcb2_on_gp cb1_on_gp
16.00Consensusccr8_onOrthosteric Ligand8KFX-CCR8-LMD-009-Gi1/β1/γ2 8KFY-CCR8-ZK-756326-Gi1/β1/γ2 8U1U-CCR8-CCL1-Gi1/β1/γ2
16.00Consensuscxcr_onOrthosteric Ligandcxcr3_on cxcr4_on cxcr1_on cxcr2_on
16.00Consensusd2_on_gpOrthosteric Ligand7JVR-D2-Bromoergocryptine-Gi1/β1/γ2 8IRS-D2-Rotigotine-Gi1/β1/γ2
16.00Consensusgi_lipidOrthosteric Ligandgi_cannabinoid gi_ffa gi_leukotriene gi_lpa gi_s1p
16.00Consensusgi_muscarinicOrthosteric Ligand8E9X-M4-2-Deoxycytidine-chim(NtGi1-Go)/β1/γ2 7T8X-M2-Acetylcholine-chim(NtGi1-Go)/β1/γ2 7TRS-M4-Acetylcholine-Gi1/β1/γ2 7TRK-M4-Iperoxo-Gi1/β1/γ2 7V6A-M4-PubChem 9864275-Gi1/β1/γ2
16.00Consensusgi_neurotensinOrthosteric Ligand6OSA-NTS1-JMV449-Gi1/β1/γ2 7L0S-NTS1-Neurotensin-Gi1/β1/γ1
16.00Consensusm4_onOrthosteric Ligand7TRS-M4-Acetylcholine-Gi1/β1/γ2 7V6A-M4-PubChem 9864275-Gi1/β1/γ2 8E9X-M4-2-Deoxycytidine-chim(NtGi1-Go)/β1/γ2 7TRK-M4-Iperoxo-Gi1/β1/γ2
16.00Consensusm4_on_gpOrthosteric Ligand7TRS-M4-Acetylcholine-Gi1/β1/γ2 7V6A-M4-PubChem 9864275-Gi1/β1/γ2 8E9X-M4-2-Deoxycytidine-chim(NtGi1-Go)/β1/γ2 7TRK-M4-Iperoxo-Gi1/β1/γ2
16.00Consensusmop_onOrthosteric Ligand8F7R-μ-Endomorphin-Gi1/β1/γ2 8EF5-μ-Fentanyl-Gi1/β1/γ2 7SCG-μ-FH210-Gi1/β1/γ2 7T2H-μ-Lofentanil-Gi1/β1/γ2 7T2G-μ-Mitragynine Pseudoindoxyl-Gi1/β1/γ2 8EF6-μ-Morphine-Gi1/β1/γ2 8EFB-μ-Oliceridine-Gi1/β1/γ2 7U2L-μ-PubChem 163201242-Gi1/β1/γ2 8EFO-μ-PZM21-Gi1/β1/γ2 8EFL-μ-SR17018-Gi1/β1/γ2 8F7Q-μ-β-Endorphin-Gi1/β1/γ2 7U2K-μ-C6-guano-Gi1/β1/γ2 8EFQ-μ-Damgo-Gi1/β1/γ2
16.00Consensusmop_on_gpOrthosteric Ligand8F7R-μ-Endomorphin-Gi1/β1/γ2 8EF5-μ-Fentanyl-Gi1/β1/γ2 7SCG-μ-FH210-Gi1/β1/γ2 7T2H-μ-Lofentanil-Gi1/β1/γ2 7T2G-μ-Mitragynine Pseudoindoxyl-Gi1/β1/γ2 8EF6-μ-Morphine-Gi1/β1/γ2 8EFB-μ-Oliceridine-Gi1/β1/γ2 7U2L-μ-PubChem 163201242-Gi1/β1/γ2 8EFO-μ-PZM21-Gi1/β1/γ2 8EFL-μ-SR17018-Gi1/β1/γ2 8F7Q-μ-β-Endorphin-Gi1/β1/γ2 7U2K-μ-C6-guano-Gi1/β1/γ2 8EFQ-μ-Damgo-Gi1/β1/γ2
16.00Consensusmotilin_on_gpOrthosteric Ligand8IBU-Motilin-Erythromycin-A-chim(NtGi1-Gs-CtGq)/β1/γ2
16.00Consensusneurotensin_on_gpOrthosteric Ligandnts1_on_gp
16.00Consensusnts1_on_gpOrthosteric Ligand6OSA-NTS1-JMV449-Gi1/β1/γ2 7L0S-NTS1-Neurotensin-Gi1/β1/γ1
15.79Single3C9M11-cis-Retinal3C9M-Rhodopsin-11-cis-Retinal
15.79Single3PQRAll-trans-Retinal3PQR-Rhodopsin-All-trans-Retinal-Gt(CT)
15.79Single7MT8All-trans-Retinal7MT8-Rhodopsin-All-trans-Retinal-GRK1
15.79Single7MT9All-trans-Retinal7MT9-Rhodopsin-All-trans-Retinal-GRK1
15.79Single7MTAAll-trans-Retinal7MTA-Rhodopsin-All-trans-Retinal-GRK1
15.79Single8GGFConstrained Epinephrine8GGF-β2-Constrained Epinephrine-GTP-Gs/β1/γ2
15.79Single8GH1Constrained Epinephrine8GH1-β2-Constrained Epinephrine
15.79Single8J6QBeta-Hydroxybutyrate8J6Q-HCA2-β-Hydroxybutyrate-Compound 9n-Gi1/β1/γ2
15.79Single8SZFCa; Ca; Tryptophan; Cinacalcet; PO4; Spermine8SZF-CaS-Ca; Ca; Tryptophan; Cinacalcet; PO4; Spermine
15.79Consensusopsins_on_gpOrthosteric Ligandrhodopsin_on_gp opsin1lw_on_gp
15.79Consensusrhodopsin_onOrthosteric Ligand6OYA-Rhodopsin-All-trans-Retinal-Gt/β1/γ1
15.79Consensussensory_on_gpOrthosteric Ligandopsins_on_gp
15.62Single5UIW5P7-CCL55UIW-CCR5-5P7-CCL5
15.62Single7F8VGastrin-177F8V-CCKB-Gastrin-17-Gi2/β1/γ2
15.62Single7W3ZGastrin Releasing Peptide7W3Z-BB2-Gastrin Releasing Peptide-chim(NtGi1L-Gq)/β1/γ2
15.62Single7YKDChemerin-97YKD-CML1-Chemerin-9-Gi1/β1/γ2
15.62Single8H0PNMB308H0P-BB1-NMB30-chim(NtGi1-Gs-CtGq)/β1/γ2
15.62Single8XQFApelin-138XQF-Apelin-Apelin-13-Gi1/β1/γ2
15.62Consensusccr5_offOrthosteric Ligand5UIW-CCR5-5P7-CCL5
15.62Consensusccr5_onOrthosteric Ligand7O7F-CCR5-6P4-CCL5-Gi1/β1/γ1 7F1Q-CCR5-MIP-1a-Gi1/β1/γ2
15.62Consensusccr_offOrthosteric Ligandccr2_off ccr5_off
15.38Single2YCZIodocyanopindolol2YCZ-β1-Iodocyanopindolol
15.38Single4BVNCyanopindolol4BVN-β1-Cyanopindolol-Na
15.38Single4NC3Ergotamine4NC3-5-HT2B-Ergotamine
15.38Single5CGDHTL142425CGD-mGlu5-HTL14242
15.38Single5TUDErgotamine5TUD-5-HT2B-Ergotamine
15.38Single6BQGErgotamine6BQG-5-HT2C-Ergotamine
15.38Single6UP7Neurotensin6UP7-NTS1-Neurotensin-Arrestin2
15.38Single7EZCUKA7EZC-A2A-UKA
15.38Single7EZHCholecystokinin-87EZH-CCKA-Cholecystokinin-8-Gi1/β1/γ2
15.38Single7EZMCholecystokinin-87EZM-CCKA-Cholecystokinin-8-chim(NtGsL-Gq)/β1/γ2
15.38Single7JVRBromoergocryptine7JVR-D2-Bromoergocryptine-Gi1/β1/γ2
15.38Single7MTSADX551647MTS-mGlu2; mGlu2-Glutamate-ADX55164-Gi1/β1/γ2
15.38Single7P00Substance-P7P00-NK1-Substance-P-chim(NtGi1-Gs-CtGq)/β1/γ2
15.38Single7PIUSetmelanotide7PIU-MC4-Setmelanotide-Gs/β1/γ2
15.38Single7UM4AS26747237UM4-5-HT5A-AS2674723
15.38Single7VGY2-Iodomelatonin7VGY-MT1-2-Iodomelatonin-Gi1/β1/γ2
15.38Single7WVVfMLFII7WVV-FPR2-ALX-fMLFII-Gi2/β1/γ2
15.38Single7X1UTRH7X1U-TRH-TRH-chim(NtGi2L-Gs-CtGq)/β1/γ2
15.38Single7YU8ONO-07405567YU8-LPA1-ONO-0740556-Gi1/β1/γ2
15.38Single8GUTLEI-1028GUT-CB2-LEI-102-Gi1/β1/γ2
15.38Single8I95EP548I95-C3aB-EP54-Go/β1/γ2
15.38Single8IJDMK68928IJD-HCA2-MK6892-Gi1/β1/γ2
15.38Single8IULLatanoprost8IUL-FP-alpha-Latanoprost-chim(NtGi1-Gs-CtGq)/β1/γ2
15.38Single8JPFNeurotensin8JPF-NTS1-Neurotensin-SBI-553
15.38Single8K4OCXCL18K4O-KSHV-CXCL1-Gi1/β1/γ1
15.38Single8S2TIsoprenaline8S2T-β1-Isoprenaline-chim(NtGi1-Gs)/β1/γ2
15.38Single8WRZPubChem 1023367048WRZ-CB1-PubChem 102336704-Arrestin2
15.38Single8XIOL7975918XIO-SST1-L797591-chim(NtGi1-Gs-CtGi1)/β1/γ2
15.38Single8XJKCloprosetnol8XJK-FP-alpha-Cloprosetnol-chim(NtGi1-Gs-CtGq)/β1/γ2
15.38Single8XJOU466198XJO-TXA2-U46619-chim(NtGi1-Gs-CtGq)/β1/γ2
15.38Single8XVUCXCL28XVU-CXCR2-CXCL2
15.38Single8XXHCXCL28XXH-CXCR2-CXCL2-Go/β1/γ2
15.38Single9AS02-bromo-LSD9AS0-5-HT2A-2-bromo-LSD-chim(NtGi1-Gs-CtGq)/β1/γ2
15.38Single9DYEBuspirone9DYE-5-HT1A-Buspirone-Go/β1/γ2
15.38Single9EAILosartan9EAI-AT1-Losartan-Nanobody AT209
15.38Single9GE3Lysophosphatidylinositol9GE3-GPR55-Lysophosphatidylinositol-chim(NtGi1-G13)/β1/γ2
15.38Single9IZFNKP9IZF-LPA1-NKP-Gi1/β1/γ2
15.38Consensuscb1_on_gpOrthosteric Ligand6KPG-CB1-AM841-Gi1/β1/γ2 8K8J-CB1-Fenofibrate-chim(Gs-CtGq)/β1/γ2
15.38Consensusccka_onOrthosteric Ligand7EZH-CCKA-Cholecystokinin-8-Gi1/β1/γ2
15.38Consensusccka_on_gpOrthosteric Ligand7EZH-CCKA-Cholecystokinin-8-Gi1/β1/γ2
15.38Consensusgal2_onOrthosteric Ligand7WQ4-GAL2-Galanin-chim(NtGi1-Gs-CtGq)/β1/γ2 7XJL-GAL2-Spexin-chim(NtGi2L-Gs-CtGq)/β1/γ2
15.38Consensusgal2_on_gpOrthosteric Ligand7WQ4-GAL2-Galanin-chim(NtGi1-Gs-CtGq)/β1/γ2 7XJL-GAL2-Spexin-chim(NtGi2L-Gs-CtGq)/β1/γ2
15.38Consensuskop_on_gpOrthosteric Ligand8F7W-κ-Dynorphin-Gi1/β1/γ2 8DZS-κ-GR89,696-chim(NtGi2-Gz)/β1/γ2 8DZP-κ-momSalB-Gi1/β1/γ2
15.38Consensusmc2_onOrthosteric Ligand8GY7-MC2-Corticotropin-Ca-chim(NtGi1-Gs)/β1/γ2; MRAP1
15.38Consensusmc2_on_gpOrthosteric Ligand8GY7-MC2-Corticotropin-Ca-chim(NtGi1-Gs)/β1/γ2; MRAP1
15.38Consensusnk1_onOrthosteric Ligand7P00-NK1-Substance-P-chim(NtGi1-Gs-CtGq)/β1/γ2
15.38Consensusnk1_on_gpOrthosteric Ligand7P00-NK1-Substance-P-chim(NtGi1-Gs-CtGq)/β1/γ2
15.38Consensusnucleotide_on_gpOrthosteric Ligandadenosine_on_gp p2y_on_gp
15.38Consensuspeptide_offOrthosteric Ligandcck_off angiotensin_off bombesin_off endothelin_off ghrelin_off npy_off opioid_off orexin_off somatostatin_off tachykinin_off vasop-oxy_off neurotensin_off
15.38Consensusprostanoid_offOrthosteric Ligandep_off dp_off
15.38Consensusprostanoid_onOrthosteric Ligandtp_on fp-alpha_on
15.38Consensusprostanoid_on_gpOrthosteric Ligandtp_on_gp fp-alpha_on_gp
15.38Consensustp_onOrthosteric Ligand8XJO-TXA2-U46619-chim(NtGi1-Gs-CtGq)/β1/γ2
15.38Consensustp_on_gpOrthosteric Ligand8XJO-TXA2-U46619-chim(NtGi1-Gs-CtGq)/β1/γ2
15.15Single7F4FAfamelanotide7F4F-MC1-Afamelanotide-chim(NtGi1-Gs)/β1/γ2
15.15Single8W8WAlpha-MSH8W8W-MC3-α-MSH-Ca-Gs/β1/γ2
15.15Single8W8XBeta-MSH8W8X-MC3-β-MSH-Ca-Gs/β1/γ2
15.15Single8XWPEndothelin-18XWP-ETB-Endothelin-1-Gi1/β1/γ2
15.15Single8ZH8QRF-Amide8ZH8-QRFP-QRF-Amide-Gq/β1/γ1
15.15Single9K26PrRP319K26-PrRP-PrRP31-Gi1/β1/γ2
15.15Consensusp2y10_on_gpOrthosteric Ligand8KGG-P2Y10-LPS-chim(NtGi2-G13)/β1/γ2
15.00Single1L9H11-cis-Retinal1L9H-Rhodopsin-11-cis-Retinal
15.00Single1U1911-cis-Retinal1U19-Rhodopsin-11-cis-Retinal
15.00Single2G87All-trans-Retinal2G87-Rhodopsin-All-trans-Retinal
15.00Single2I3511-cis-Retinal2I35-Rhodopsin-11-cis-Retinal
15.00Single3AYMAll-trans-Retinal3AYM-Rhodopsin-All-trans-Retinal
15.00Single3OE9IT1t3OE9-CXCR4-IT1t
15.00Single5TE520-Methanoretinal5TE5-Rhodopsin-20-Methanoretinal
15.00Single7D76Beclomethasone7D76-ADGRG3-Beclomethasone-Go/β1/γ2
15.00Single7DD5Ca; Ca; Tryptophan; NPS-21437DD5-CaS-Ca-Ca; Ca; Tryptophan; NPS-2143
15.00Single7DD7Ca; Ca; Tryptophan; Evocalcet7DD7-CaS-Ca-Ca; Ca; Tryptophan; Evocalcet
15.00Single7YFCHistamine7YFC-H4-Histamine-chim(NtGi1-Gs-CtGq)/β1/γ2
15.00Single7YFDImetit7YFD-H4-Imetit-chim(NtGi1-Gs-CtGq)/β1/γ2
15.00Single8HN8Histamine8HN8-H4-Histamine-Gi1/β1/γ2
15.00Single8RWHStilSwitch28RWH-A2A-StilSwitch2-Na
15.00Single8SZFCa; Ca; Tryptophan; Cinacalcet; PO4; Spermine8SZF-CaS-Ca; Ca; Tryptophan; Cinacalcet; PO4; Spermine
15.00Single8U4RREGN7663-Fab8U4R-CXCR4-REGN7663-Fab
15.00Single8UO3Constrained Epinephrine8UO3-β2-Constrained Epinephrine-GTP; Mg-Gs/β1/γ2
15.00Single8X2KOleic monoethanolamide8X2K-GPR3-Oleic monoethanolamide-chim(NtGi1-Gs)/β1/γ2
15.00Single8YKDDehydroepiandrosterone8YKD-ADGRG2-Dehydroepiandrosterone-chim(NtGi1-Gs)/β1/γ2
15.00Single8ZSVRO52633978ZSV-TA1-RO5263397-chim(NtGi1-Gs)/β1/γ2
15.00Single9AS2DMT9AS2-5-HT2A-DMT-chim(NtGi1-Gs-CtGq)/β1/γ2
15.00Single9B9Y7DY9B9Y-CB1-7DY
15.00Single9EPRRetinal9EPR-Rhodopsin-Retinal-Gi1/β1/γ2
15.00Single9L3ZLRH7-C29L3Z-CML1-LRH7-C2
15.00Single9LMPNE52-QQ579LMP-GPR4-NE52-QQ57
15.00Consensush4_onOrthosteric Ligand8HN8-H4-Histamine-Gi1/β1/γ2 8HOC-H4-Imetit-Gi1/β1/γ2 8JXV-H4-Clozapine-Gi1/β1/γ2 8JXW-H4-VUF6884-Gi1/β1/γ2 8JXX-H4-Clobenpropit-Gi1/β1/γ2
14.81Single5WF6UK-4320975WF6-A2A-UK-432097
14.81Single5ZTYAM102575ZTY-CB2-AM10257
14.81Single6G79Donitriptan6G79-5-HT1B-Donitriptan-Go/β1/γ2
14.81Single6OMMWKYMVX6OMM-FPR2-ALX-WKYMVX-Gi1/β1/γ2
14.81Single6OS9JMV4496OS9-NTS1-JMV449-Gi1/β1/γ2
14.81Single6PT3DPI-2876PT3-δ-DPI-287
14.81Single6XBJCholesterol6XBJ-SMO-Cholesterol-Gi1/β1/γ2
14.81Single7F2OBradykinin7F2O-BK2-Bradykinin-chim(NtGi1-Gs-CtGq)/β1/γ2
14.81Single7RMGSubstance-P7RMG-NK1-Substance-P-chim(Gs-CtGq)/β1/γ2
14.81Single7RMHSubstance-P7RMH-NK1-Substance-P-Gs/β1/γ2
14.81Single7XN9L-054,5227XN9-SST2-L-054,522
14.81Single7YJ4INSL57YJ4-RXFP4-INSL5-Gi2/β1/γ2
14.81Single8F7REndomorphin8F7R-μ-Endomorphin-Gi1/β1/γ2
14.81Single8H4IDoconexent8H4I-FFA4-Doconexent-chim(NtGi1-Gs)/β1/γ2
14.81Single8IA7Cholecystokinin-88IA7-CCKB-Cholecystokinin-8-chim(NtGi1L-Gq)/β1/γ2
14.81Single8JBFSenktide8JBF-NK3-Senktide-chim(NtGi1-Gs-CtGq)/β1/γ2
14.81Single8JLRA776368JLR-TA1-A77636-chim(NtGi1-Gs)/β1/γ2
14.81Single8QJ2pN1628QJ2-MC4-pN162-Gs
14.81Single8X3LXWD8X3L-CB2-XWD-Gi1/β1/γ2
14.81Single8X5YAstemizole8X5Y-H1-Astemizole
14.81Single8XX6CXCL88XX6-CXCR2-CXCL8-Go/β1/γ2
14.81Single8XZFWN5618XZF-Apelin-WN561-Gi1/β1/γ2
14.81Single8Y72Peptide8Y72-μ-Peptide-BMS-986122-Gi1/β1/γ2
14.81Single9CGKC5-Quino9CGK-δ-C5-Quino-Gi1/β1/γ2
14.81Single9V2NMacimorelin9V2N-Ghrelin-Macimorelin-chim(NtGi1-Gs-CtGq)/β1/γ2
14.81Consensuscb2_offOrthosteric Ligand5ZTY-CB2-AM10257
14.81Consensuscxcr4_offOrthosteric Ligand4RWS-CXCR4-vMIP-II 3OE0-CXCR4-CVX15 3OE6-CXCR4-IT1t
14.81Consensuscxcr_on_gpOrthosteric Ligandcxcr3_on_gp cxcr4_on_gp cxcr1_on_gp cxcr2_on_gp
14.81Consensusformylpeptide_onOrthosteric Ligandfpr2-alx_on fpr1-alx_on
14.71Single6IGLIRL16206IGL-ETB-IRL1620
14.71Single8IY5Endothelin-18IY5-ETB-Endothelin-1-Gi1/β1/γ2
14.71Single8IY6Endothelin-18IY6-ETB-Endothelin-1
14.71Single8KGGLPS8KGG-P2Y10-LPS-chim(NtGi2-G13)/β1/γ2
14.71Single8Y52BA18Y52-BB3-BA1-chim(NtGi1-Gs-CtGq)/β1/γ2
14.29Single1GZM11-cis-Retinal1GZM-Rhodopsin-11-cis-Retinal
14.29Single2PED9-cis-Retinal2PED-Rhodopsin-9-cis-Retinal
14.29Single2Z7311-cis-Retinal2Z73-Rhodopsin-11-cis-Retinal
14.29Single3AYN9-cis-Retinal3AYN-Rhodopsin-9-cis-Retinal
14.29Single3C9L11-cis-Retinal3C9L-Rhodopsin-11-cis-Retinal
14.29Single3VG9ZM-2413853VG9-A2A-ZM-241385-Antibody
14.29Single3VGAZM-2413853VGA-A2A-ZM-241385-Antibody
14.29Single4AMJS-Carvedilol4AMJ-β1-S-Carvedilol
14.29Single4IARErgotamine4IAR-5-HT1B-Ergotamine
14.29Single4IB4Ergotamine4IB4-5-HT2B-Ergotamine
14.29Single5K2DZM-2413855K2D-A2A-ZM-241385-Na
14.29Single5OLHVipadenant5OLH-A2A-Vipadenant-Na
14.29Single5OLOTozadenant5OLO-A2A-Tozadenant-Na
14.29Single6AKXA4R6AKX-CCR5-A4R
14.29Single6AKYMaraviroc6AKY-CCR5-Maraviroc
14.29Single6JZHZM-2413856JZH-A2A-ZM-241385-Na
14.29Single6KUYPubChem 1457046436KUY-α2a-PubChem 145704643
14.29Single6LFOInterleukin-86LFO-CXCR2-Interleukin-8-Gi1/β1/γ2
14.29Single6OBAS-Alprenolol6OBA-β2-S-Alprenolol-GTPL11074
14.29Single6OYAAll-trans-Retinal6OYA-Rhodopsin-All-trans-Retinal-Gt/β1/γ1
14.29Single6PS7ZM-2413856PS7-A2A-ZM-241385-Na
14.29Single6WIVPubChem 52923113; PubChem 529246456WIV-GABAB1, GABAB2-PubChem 52923113; PubChem 52924645
14.29Single6ZA8RTI-3a6ZA8-NTS1-RTI-3a
14.29Single7BR3Elagolix7BR3-GnRH1-Elagolix
14.29Single7DHRIsoprenaline7DHR-β2-Isoprenaline-Gs/β1/γ2
14.29Single7EJ0L-Norepinephrine7EJ0-α2a-L-Norepinephrine-Go/β1/γ2
14.29Single7F4ISHU91197F4I-MC1-SHU9119-chim(NtGi1-Gs)/β1/γ2
14.29Single7F54Afamelanotide7F54-MC4-Afamelanotide-Gs/β1/γ2
14.29Single7F8ULintitript7F8U-CCKA-Lintitript
14.29Single7LD4Adenosine7LD4-A1-Adenosine-Gi2/β1/γ2
14.29Single7M3ECa; Ca; Tryptophan; NPS-21437M3E-CaS-Ca; Ca; Tryptophan; NPS-2143
14.29Single7M3ECa; Ca; Tryptophan; NPS-21437M3E-CaS-Ca; Ca; Tryptophan; NPS-2143
14.29Single7M3FCa; Ca; Tryptophan; Cinacalcet; PO47M3F-CaS-Ca; Ca; Tryptophan; Cinacalcet; PO4
14.29Single7NA7Ghrelin-277NA7-Ghrelin-Ghrelin-27-Gi1/β1/γ2
14.29Single7T6UCGEN-855A7T6U-FPR2-ALX-CGEN-855A-Gi1/β1/γ2
14.29Single7T8XAcetylcholine7T8X-M2-Acetylcholine-chim(NtGi1-Go)/β1/γ2
14.29Single7T90Acetylcholine7T90-M2-Acetylcholine-chim(NtGi1-Go)/β1/γ2
14.29Single7T96Acetylcholine7T96-M2-Acetylcholine-LY2119620-Go/β1/γ2
14.29Single7VDLCortistatin-147VDL-MRGPRX2-Cortistatin-14-Gi1/β1/γ2
14.29Single7VIHCBP-3077VIH-S1P1-CBP-307-Gi1/β1/γ2
14.29Single7W0OElabela7W0O-Apelin-Elabela-Gi1/β1/γ2
14.29Single7W56Neuromedin-S7W56-NMUR1-Neuromedin-S-chim(NtGi1-Gs-CtGq)/β1/γ2
14.29Single7WF7S1P7WF7-S1P1-S1P-Gi1/β1/γ2
14.29Single7WKDTRH7WKD-TRH-TRH-chim(NtGi1-Gs-CtGq)/β1/γ2
14.29Single7WVWfMYFINILTL7WVW-FPR2-ALX-fMYFINILTL-Gi2/β1/γ2
14.29Single7YM8Oxymetazoline7YM8-Alpha1A-Oxymetazoline-chim(Gs-CtGq)
14.29Single7YMHNorepinephrine7YMH-Alpha1A-Norepinephrine-chim(Gs-CtGq)
14.29Single8A6CAll-trans-Retinal8A6C-Rhodopsin-All-trans-Retinal
14.29Single8A6DAll-trans-Retinal8A6D-Rhodopsin-All-trans-Retinal
14.29Single8A6EAll-trans-Retinal8A6E-Rhodopsin-All-trans-Retinal
14.29Single8DCRDobutamine8DCR-β1-Dobutamine-Gs/β1/γ2
14.29Single8DWGML3828DWG-MRGPRX1-Proenkephalin-A-ML382-chim(NtGi2L-Gs-CtGq)/β1/γ2
14.29Single8G59TUG-8918G59-FFA4-TUG-891-chim(Gi1-CtGq)/β1/γ2
14.29Single8GGAConstrained Epinephrine8GGA-β2-Constrained Epinephrine-GTP-Gs/β1/γ2
14.29Single8GGRConstrained Epinephrine8GGR-β2-Constrained Epinephrine
14.29Single8GGWConstrained Epinephrine8GGW-β2-Constrained Epinephrine
14.29Single8GGZConstrained Epinephrine8GGZ-β2-Constrained Epinephrine
14.29Single8GH0Constrained Epinephrine8GH0-β2-Constrained Epinephrine
14.29Single8HMPC178HMP-GPR52-C17-Gs/β1/γ2
14.29Single8HOCImetit8HOC-H4-Imetit-Gi1/β1/γ2
14.29Single8INRAlpha-MSH8INR-MC5-α-MSH-Ca-chim(NtGi1-Gs)/β1/γ2
14.29Single8IW4Spermidine8IW4-TA9-Spermidine-chim(NtGi1-Gs)/β1/γ2
14.29Single8IWESpermidine8IWE-TA9-Spermidine
14.29Single8J6LNiacin8J6L-HCA2-Niacin-Gi1/β1/γ2
14.29Single8PKMBefiradol8PKM-5-HT1A-Befiradol-Gi1/β1/γ1
14.29Single8RVWStilSwitch38RVW-A2A-StilSwitch3-Na
14.29Single8RW4AzoSwitch28RW4-A2A-AzoSwitch2-Na
14.29Single8RWEStilSwitch48RWE-A2A-StilSwitch4-Na
14.29Single8UNSConstrained Epinephrine8UNS-β2-Constrained Epinephrine-GTP-Gs/β1/γ2
14.29Single8UNTConstrained Epinephrine8UNT-β2-Constrained Epinephrine-GTP-Gs/β1/γ2
14.29Single8UNXConstrained Epinephrine8UNX-β2-Constrained Epinephrine-GTP-Gs/β1/γ2
14.29Single8UTDMK19038UTD-HCA2-MK1903-Gi1/β1/γ2
14.29Single8WC3SEP-3638568WC3-TA1-SEP-363856-chim(NtGi1-Gs)/β1/γ2
14.29Single8WKYPG-9348WKY-MC4-PG-934
14.29Single8XWNCXCL88XWN-CXCR2-CXCL8
14.29Single8XXVIndomethacin8XXV-DP2-Indomethacin-A1D5Q-Gi1/β1/γ2
14.29Single8Y0HVUF114188Y0H-CXCR3-VUF11418
14.29Single8Y0NVUF114188Y0N-CXCR3-VUF11418-Go/β1/γ2
14.29Single8YNAImmepip8YNA-H4-Immepip-Gi1/β1/γ2
14.29Single8YYWAlpha-ketoglutarate8YYW-Oxoglutarate-α-ketoglutarate-α-ketoglutarate-chim(Gi1-CtGq)/β1/γ2
14.29Single9BKJCholecystokinin-89BKJ-CCKA-Cholecystokinin-8-chim(NtGi1-Gs-CtGq)/β1/γ2
14.29Single9BUYLM1899BUY-β2-LM189-Gi1/β1/γ2
14.29Single9C1PCa; Tryptophan; '6218; PO49C1P-CaS-Ca-Ca; Tryptophan; '6218; PO4
14.29Single9EBHAdenosine9EBH-A3A-Adenosine-Gi1/β1/γ2
14.29Single9FUPIstradefylline9FUP-A2A-Istradefylline-Na
14.29Single9H2XA1IR19H2X-A2A-A1IR1-Na
14.29Single9HB3Mambaquaretin-19HB3-V2-Mambaquaretin-1
14.29Single9MQJIsoquinuclidine9MQJ-μ-Isoquinuclidine
14.29Consensusa1_onOrthosteric Ligand7LD4-A1-Adenosine-Gi2/β1/γ2
14.29Consensusa1_on_gpOrthosteric Ligand7LD4-A1-Adenosine-Gi2/β1/γ2
14.29Consensusalpha2_offOrthosteric Ligandalpha2c_off
14.29Consensuschemokine_onOrthosteric Ligandccr_on cxcr_on
14.29Consensuscxcr1_onOrthosteric Ligand8IC0-CXCR1-Interleukin-8-Gi1/β1/γ2
14.29Consensusgi_endothelinOrthosteric Ligand8IY5-ETB-Endothelin-1-Gi1/β1/γ2 8HBD-ETB-IRL1620-Gi1/β1/γ2
14.29Consensusgnrh1_offOrthosteric Ligand7BR3-GnRH1-Elagolix
14.29Consensusm2_onOrthosteric Ligand7T8X-M2-Acetylcholine-chim(NtGi1-Go)/β1/γ2
14.29Consensusm2_on_gpOrthosteric Ligand7T8X-M2-Acetylcholine-chim(NtGi1-Go)/β1/γ2
14.29Consensusnk3_onOrthosteric Ligand8JBF-NK3-Senktide-chim(NtGi1-Gs-CtGq)/β1/γ2
14.29Consensusnk3_on_gpOrthosteric Ligand8JBF-NK3-Senktide-chim(NtGi1-Gs-CtGq)/β1/γ2
14.29Consensusp2y1_onOrthosteric Ligand7XXH-P2Y1-2MeSADP-chim(NtGi1-G11)/β1/γ2
14.29Consensusrhodopsin_offOrthosteric Ligand1U19-Rhodopsin-11-cis-Retinal 2PED-Rhodopsin-9-cis-Retinal 5TE5-Rhodopsin-20-Methanoretinal
14.29Consensusrhodopsin_on_gpOrthosteric Ligand6OYA-Rhodopsin-All-trans-Retinal-Gt/β1/γ1
13.89Consensusetb_on_gpOrthosteric Ligand8IY5-ETB-Endothelin-1-Gi1/β1/γ2 8HBD-ETB-IRL1620-Gi1/β1/γ2
13.79Single5XJM(Sar1,Ile8)-Angiotensin II5XJM-AT2-(Sar1,Ile8)-Angiotensin II
13.79Single6HLOAprepitant6HLO-NK1-Aprepitant
13.79Single7EZKCholecystokinin-87EZK-CCKA-Cholecystokinin-8-chim(NtGi1-Gs)/β1/γ2
13.79Single7RMISubstance-P7RMI-NK1-Substance-P-chim(Gs-CtGq)/β1/γ2
13.79Single8IBVMotilin8IBV-Motilin-Motilin-chim(NtGi1-Gs-CtGq)/β1/γ2
13.79Single8XYDPlatelet Activating Factor8XYD-PAF-Platelet Activating Factor-Gi1/β1/γ2
13.79Single9E82SDF-1-beta9E82-ACKR3-SDF-1-β-Arrestin2
13.79Single9EAINanobody AT2099EAI-AT1-Losartan-Nanobody AT209
13.79Single9IQVMuscarinic toxin 39IQV-Alpha1A-Muscarinic toxin 3
13.79Single9KFIRelaxin-39KFI-RXFP3-Relaxin-3-Gi2/β1/γ2
13.79Consensusmc5_onOrthosteric Ligand8INR-MC5-α-MSH-Ca-chim(NtGi1-Gs)/β1/γ2 8IOD-MC5-PG-901-Ca-chim(NtGi1-Gs)/β1/γ2
13.79Consensussst4_onOrthosteric Ligand7XMS-SST4-Somatostatin-14-Gi1/β1/γ2 7XMT-SST4-J-2156-Gi1/β1/γ2
13.79Consensussst4_on_gpOrthosteric Ligand7XMS-SST4-Somatostatin-14-Gi1/β1/γ2 7XMT-SST4-J-2156-Gi1/β1/γ2
13.79Consensustachykinin_on_gpOrthosteric Ligandnk1_on_gp nk2_on_gp nk3_on_gp
13.64Single1F8811-cis-Retinal1F88-Rhodopsin-11-cis-Retinal
13.64Single3OAX11-cis-Retinal3OAX-Rhodopsin-11-cis-Retinal
13.64Single4DKLBeta-Funaltrexamine4DKL-μ-β-Funaltrexamine
13.64Single4LDOL-Epinephrine4LDO-β2-L-Epinephrine
13.64Single4MBSMaraviroc4MBS-CCR5-Maraviroc
13.64Single4MQTIperoxo4MQT-M2-Iperoxo-LY2119620
13.64Single5IU4ZM-2413855IU4-A2A-ZM-241385-Na
13.64Single5IUBQ274563445IUB-A2A-Q27456344-Na
13.64Single5K2CZM-2413855K2C-A2A-ZM-241385-Na
13.64Single5NLXZM-2413855NLX-A2A-ZM-241385-Na
13.64Single5NM4ZM-2413855NM4-A2A-ZM-241385-Na
13.64Single5TE3Octyl-Beta-D-Glucopyranoside5TE3-Rhodopsin-Octyl-β-D-Glucopyranoside
13.64Single5UVIZM-2413855UVI-A2A-ZM-241385
13.64Single6A94Zotepine6A94-5-HT2A-Zotepine
13.64Single6FK8PubChem 1324730356FK8-Rhodopsin-PubChem 132473035
13.64Single6FKAPubChem 1324730376FKA-Rhodopsin-PubChem 132473037
13.64Single6K41Dexmedetomidine6K41-α2b-Dexmedetomidine-Go/β1/γ2
13.64Single6KUXRS-799486KUX-α2a-RS-79948
13.64Single6PS0S-Carazolol6PS0-β2-S-Carazolol
13.64Single6PS4ICI118-5516PS4-β2-ICI118-551
13.64Single6PS5S-Propranolol6PS5-β2-S-Propranolol
13.64Single6PT0WIN 55212-26PT0-CB2-WIN 55212-2-Gi1/β1/γ2
13.64Single6V9SGTPL114036V9S-OX1-GTPL11403
13.64Single6WH4Methiothepin6WH4-5-HT2A-Methiothepin
13.64Single6WJCAtropine6WJC-M1-Atropine-Muscarinic toxin 7
13.64Single6ZG9GSK10347026ZG9-M1-GSK1034702
13.64Single7BB6AVP7BB6-V2-AVP-Gs/β1/γ2
13.64Single7DHISalbutamol7DHI-β2-Salbutamol-Gs/β1/γ2
13.64Single7EJ8Brimonidine7EJ8-α2a-Brimonidine-Go/β1/γ2
13.64Single7EJADexmedetomidine7EJA-α2a-Dexmedetomidine-Go/β1/γ2
13.64Single7T94Acetylcholine7T94-M2-Acetylcholine-LY2119620-chim(NtGi1-Go)/β1/γ2
13.64Single7TRSAcetylcholine7TRS-M4-Acetylcholine-Gi1/β1/γ2
13.64Single7UL3Famotidine7UL3-H2-Famotidine
13.64Single7VODCariprazine7VOD-5-HT2A-Cariprazine
13.64Single7XOVSR1461317XOV-CCKA-SR146131-Gs/β1/γ2
13.64Single7ZBC11-cis-Retinal7ZBC-Rhodopsin-11-cis-Retinal
13.64Single7ZBE11-cis-Retinal7ZBE-Rhodopsin-11-cis-Retinal
13.64Single8FCZ11-cis-Retinal8FCZ-Rhodopsin-11-cis-Retinal
13.64Single8GE1Constrained Epinephrine8GE1-β2-Constrained Epinephrine-Gs/β1/γ2
13.64Single8GE4Constrained Epinephrine8GE4-β2-Constrained Epinephrine-Gs/β1/γ2
13.64Single8GE6Constrained Epinephrine8GE6-β2-Constrained Epinephrine-Gs/β1/γ2
13.64Single8GE7Constrained Epinephrine8GE7-β2-Constrained Epinephrine-Gs/β1/γ2
13.64Single8GE8Constrained Epinephrine8GE8-β2-Constrained Epinephrine-Gs/β1/γ2
13.64Single8GEDConstrained Epinephrine8GED-β2-Constrained Epinephrine-Gs/β1/γ2
13.64Single8GEFConstrained Epinephrine8GEF-β2-Constrained Epinephrine-Gs/β1/γ2
13.64Single8GG7Constrained Epinephrine8GG7-β2-Constrained Epinephrine-GTP-Gs/β1/γ2
13.64Single8GGLConstrained Epinephrine8GGL-β2-Constrained Epinephrine
13.64Single8GGMConstrained Epinephrine8GGM-β2-Constrained Epinephrine
13.64Single8GGPConstrained Epinephrine8GGP-β2-Constrained Epinephrine
13.64Single8GGQConstrained Epinephrine8GGQ-β2-Constrained Epinephrine
13.64Single8GGVConstrained Epinephrine8GGV-β2-Constrained Epinephrine
13.64Single8GGXConstrained Epinephrine8GGX-β2-Constrained Epinephrine
13.64Single8H4LDoconexent8H4L-FFA4-Doconexent-chim(NtGi1-Gs-CtGq)/β1/γ2
13.64Single8IY9Niacin8IY9-HCA2-Niacin-Go/β1/γ2
13.64Single8JEI3-nitro-4-(propylamino)benzoic acid8JEI-HCAR3-3-nitro-4-(propylamino)benzoic acid-Gi1/β1/γ2
13.64Single8JLKUlotaront8JLK-TA1-Ulotaront-chim(NtGi1-Gs)/β1/γ2
13.64Single8JLQFenoldopam8JLQ-TA1-Fenoldopam-Gs/β1/γ2
13.64Single8JSPUlotaront8JSP-5-HT1A-Ulotaront-Gi1/β1/γ2
13.64Single8K2WAMG4878K2W-CXCR3-AMG487
13.64Single8K9KDamgo8K9K-μ-Damgo-Gi3/β1/γ1
13.64Single8PM2DMCH8PM2-TA7-DMCH-Gs/β1/γ2
13.64Single8THKA616038THK-Alpha1A-A61603-chim(NtGi2L-Gs-CtGq)/β1/γ2
13.64Single8THLEpinephrine8THL-Alpha1A-Epinephrine-chim(NtGi2L-Gs-CtGq)/β1/γ2
13.64Single8UHBRO52563908UHB-TA1-RO5256390-Gs/β1/γ2
13.64Single8UNLConstrained Epinephrine8UNL-β2-Constrained Epinephrine-GTP-Gs/β1/γ2
13.64Single8UNMConstrained Epinephrine8UNM-β2-Constrained Epinephrine-GTP-Gs/β1/γ2
13.64Single8UNOConstrained Epinephrine8UNO-β2-Constrained Epinephrine-GTP-Gs/β1/γ2
13.64Single8UNWConstrained Epinephrine8UNW-β2-Constrained Epinephrine-GTP-Gs/β1/γ2
13.64Single8W8BSEP-3638568W8B-5-HT1A-SEP-363856-Gi1/β1/γ2
13.64Single8WC8ZH86518WC8-TA1-ZH8651-chim(NtGi1-Gs)/β1/γ2
13.64Single8Y01Retinal8Y01-Opsin1MW-Retinal-Gi1/β1/γ2
13.64Single8Y45ADL58598Y45-δ-ADL5859-Gi2/β1/γ2
13.64Single8Y6YGLPG09748Y6Y-FFA2-GLPG0974
13.64Single8ZPNAMD31008ZPN-CXCR4-AMD3100
13.64Single9AS5Mescaline9AS5-5-HT2A-Mescaline
13.64Single9AS6Mescaline9AS6-5-HT2A-Mescaline-chim(NtGi1-Gs-CtGq)/β1/γ2
13.64Single9BA0A1AKN9BA0-CB1-A1AKN
13.64Single9JKQMETH9JKQ-TA1-METH-Gs/β1/γ2
13.64Consensus5ht_on_gpOrthosteric Ligand5ht1_on_gp 5ht2_on_gp 5ht4_on_gp 5ht5_on_gp 5ht6_on_gp 5ht7_on_gp
13.64Consensusadenosine_onOrthosteric Liganda1_on a2_on a3_on
13.64Consensusalpha1_onOrthosteric Ligandalpha1a_on
13.64Consensusalpha1_on_gpOrthosteric Ligandalpha1a_on_gp
13.64Consensusalpha1a_onOrthosteric Ligand7EJ0-α2a-L-Norepinephrine-Go/β1/γ2 7EJ8-α2a-Brimonidine-Go/β1/γ2 7EJA-α2a-Dexmedetomidine-Go/β1/γ2 7EJK-α2a-Oxymetazoline-Go/β1/γ2 7W6P-α2a-N-pyridin-4-ylisoquinolin-4-amine-Go/β1/γ2 7W7E-α2a-PubChem 164946676-Go/β1/γ2
13.64Consensusalpha1a_on_gpOrthosteric Ligand7EJ0-α2a-L-Norepinephrine-Go/β1/γ2 7EJ8-α2a-Brimonidine-Go/β1/γ2 7EJA-α2a-Dexmedetomidine-Go/β1/γ2 7EJK-α2a-Oxymetazoline-Go/β1/γ2 7W6P-α2a-N-pyridin-4-ylisoquinolin-4-amine-Go/β1/γ2 7W7E-α2a-PubChem 164946676-Go/β1/γ2
13.64Consensuscxcr2_onOrthosteric Ligand6LFM-CXCR2-Interleukin-8-Gi1/β1/γ2
13.64Consensuscxcr3_offOrthosteric Ligand8K2W-CXCR3-AMG487
13.64Consensusgi_adenosineOrthosteric Ligand7LD4-A1-Adenosine-Gi2/β1/γ2 8X17-A3A-Namodenoson-Gi1/β1/γ2 8X16-A3A-Piclidenoson-Gi1/β1/γ2
13.64Consensusgrh_offOrthosteric Ligandgnrh1_off
13.64Consensusopsins_offOrthosteric Ligandrhodopsin_off
13.64Consensussensory_offOrthosteric Ligandopsins_off
13.33Single6MEOEnvelope Glycoprotein Gp160; T-Cell Surface Glycoprotein Cd46MEO-CCR5-Envelope Glycoprotein Gp160; T-Cell Surface Glycoprotein Cd4
13.33Single6PT2KGCHM076PT2-δ-KGCHM07
13.33Single7F4DAlpha-MSH7F4D-MC1-α-MSH-chim(NtGi1-Gs)/β1/γ2
13.33Single7O7F6P4-CCL57O7F-CCR5-6P4-CCL5-Gi1/β1/γ1
13.33Single7RYCOxytocin7RYC-OT-Oxytocin-chim(NtGi2L-Gs-CtGq)/β1/γ2
13.33Single7T6TfMLFII7T6T-FPR1-ALX-fMLFII-Gi1/β1/γ2
13.33Single7W55Neuromedin-U-257W55-NMUR2-Neuromedin-U-25-chim(NtGi1-Gs-CtGq)/β1/γ2
13.33Single8GY7Corticotropin8GY7-MC2-Corticotropin-Ca-chim(NtGi1-Gs)/β1/γ2; MRAP1
13.33Single8XIQL7967788XIQ-SST3-L796778-chim(NtGi1-Gs-CtGi1)/β1/γ2
13.33Single8XIRPasireotide8XIR-SST3-Pasireotide-chim(NtGi1-Gs-CtGi1)/β1/γ2
13.33Single9B54A1AIW9B54-CB1-A1AIW-Gi1/β1/γ2
13.33Single9M1OMorphine-Modulating Neuropeptide B9M1O-NPFF2-Morphine-Modulating Neuropeptide B-Gi1/β1/γ2
13.33Consensusgi_somatostatinOrthosteric Ligand7WIC-SST2-Somatostatin-14-Gi1/β1/γ2 7XMS-SST4-Somatostatin-14-Gi1/β1/γ2 8X8L-SST5-Cortistatin-chim(NtGi1-Gs-CtGi1)/β1/γ2 7XMT-SST4-J-2156-Gi1/β1/γ2 7WIG-SST2-L-054,264-Gi1/β1/γ2 8X8N-SST5-Octreotide-chim(NtGi1-Gs-CtGi1)/β1/γ2 7YAE-SST2-Octreotide-Gi1/β1/γ2 7YAC-SST2-Paltusotine-Gi1/β1/γ2
13.33Consensusgs_class-aOrthosteric Ligandgs_peptide gs_nucleotide gs_amine
13.33Consensusnmur2_onOrthosteric Ligand7W55-NMUR2-Neuromedin-U-25-chim(NtGi1-Gs-CtGq)/β1/γ2
13.33Consensusnmur2_on_gpOrthosteric Ligand7W55-NMUR2-Neuromedin-U-25-chim(NtGi1-Gs-CtGq)/β1/γ2
13.33Consensussomatostatin_onOrthosteric Ligandsst2_on sst4_on sst5_on
13.33Consensussomatostatin_on_gpOrthosteric Ligandsst2_on_gp sst4_on_gp sst5_on_gp
13.16Single7X9ANeuropeptide-Y7X9A-Y1-Neuropeptide-Y-Gi1/β1/γ2
13.04Single1HZX11-cis-Retinal1HZX-Rhodopsin-11-cis-Retinal
13.04Single2VT4Cyanopindolol2VT4-β1-Cyanopindolol
13.04Single2Y01Dobutamine2Y01-β1-Dobutamine
13.04Single2Y02Carmoterol2Y02-β1-Carmoterol
13.04Single2Y04Salbutamol2Y04-β1-Salbutamol
13.04Single2YCYCyanopindolol2YCY-β1-Cyanopindolol
13.04Single4DAJTiotropium4DAJ-M3-Tiotropium
13.04Single4EJ4Naltrindole4EJ4-δ-Naltrindole
13.04Single4J4QOctyl Beta-D-Glucopyranoside4J4Q-Rhodopsin-Octyl β-D-Glucopyranoside-Gt(CT)
13.04Single4MQSIperoxo4MQS-M2-Iperoxo
13.04Single4QKX35V4QKX-β2-35V
13.04Single4U14Tiotropium4U14-M3-Tiotropium
13.04Single4U16N-Methyl-Scopolamine4U16-M3-N-Methyl-Scopolamine
13.04Single4X1HNonyl-Beta-D-Glucopyranoside4X1H-Rhodopsin-Nonyl-β-D-Glucopyranoside-Gt(CT)
13.04Single5T04Neurotensin5T04-NTS1-Neurotensin
13.04Single5YC8N-Methyl-Scopolamine5YC8-M2-N-Methyl-Scopolamine
13.04Single5ZK8N-Methyl-Scopolamine5ZK8-M2-N-Methyl-Scopolamine
13.04Single5ZKCN-Methyl-Scopolamine5ZKC-M2-N-Methyl-Scopolamine
13.04Single6DRZMethysergide6DRZ-5-HT2B-Methysergide
13.04Single6FK7PubChem 1324730346FK7-Rhodopsin-PubChem 132473034
13.04Single6FKCPubChem 1324730396FKC-Rhodopsin-PubChem 132473039
13.04Single6H7MSalbutamol6H7M-β1-Salbutamol
13.04Single6IIVDaltroban6IIV-TXA2-Daltroban
13.04Single6K42Dexmedetomidine6K42-α2b-Dexmedetomidine-Gi1/β1/γ2
13.04Single6KPFPubChem 1459158896KPF-CB2-PubChem 145915889-Gi1/β1/γ2
13.04Single6LPJZM-2413856LPJ-A2A-ZM-241385-Na
13.04Single6LPKZM-2413856LPK-A2A-ZM-241385-Na
13.04Single6ORVTT-OAD26ORV-GLP-1-TT-OAD2-Gs/β1/γ2
13.04Single6PRZS-Alprenolol6PRZ-β2-S-Alprenolol
13.04Single6WHADB139486WHA-5-HT2A-DB13948-chim(NtGi2L-Gs-CtGq)/β1/γ2
13.04Single7BTSL-Epinephrine7BTS-β1-L-Epinephrine
13.04Single7BU6L-Norepinephrine7BU6-β1-L-Norepinephrine
13.04Single7BU7BI1671077BU7-β1-BI167107
13.04Single7CFMP3957CFM-GPBA-P395-Gs/β1/γ2
13.04Single7CRHSKF839597CRH-D1-SKF83959-Gs/β1/γ2
13.04Single7DB6Ramelteon7DB6-MT1-Ramelteon-Gi1/β1/γ2
13.04Single7E32Serotonin7E32-5-HT1D-Serotonin-Gi1/β1/γ2
13.04Single7F83PF-051904577F83-Ghrelin-PF-05190457
13.04Single7M3JNPS-2143; PO47M3J-CaS-NPS-2143; PO4
13.04Single7NA8PubChem 1780247NA8-Ghrelin-PubChem 178024-Gi1/β1/γ2
13.04Single7S0GIsoprenaline7S0G-β1-Isoprenaline-chim(Gi1-CtGs)/β1/γ2
13.04Single7T2GMitragynine Pseudoindoxyl7T2G-μ-Mitragynine Pseudoindoxyl-Gi1/β1/γ2
13.04Single7T6VfMLFII7T6V-FPR2-ALX-fMLFII-Gi1/β1/γ2
13.04Single7TRPIperoxo7TRP-M4-Iperoxo-LY2033298-Gi1/β1/γ2
13.04Single7TRQVU04671547TRQ-M4-Iperoxo-VU0467154-Gi1/β1/γ2
13.04Single7UL4Alvimopan7UL4-μ-Alvimopan
13.04Single7UM6Lisuride7UM6-5-HT5A-Lisuride-chim(NtGi1-Go)/β1/γ2
13.04Single7VKTLTB47VKT-BLT1-LTB4-Gi1/β1/γ2
13.04Single7XJHIsoproterenol7XJH-β3-Isoproterenol-Gs/β1/γ2
13.04Single7XTC5-CT7XTC-5-HT7-5-CT-Gs/β1/γ2
13.04Single7YXAONO-54306087YXA-S1P5-ONO-5430608
13.04Single8FY85-MeO-DMT8FY8-5-HT1A-5-MeO-DMT-Gi1/β1/γ1
13.04Single8GE3Constrained Epinephrine8GE3-β2-Constrained Epinephrine-Gs/β1/γ2
13.04Single8GECConstrained Epinephrine8GEC-β2-Constrained Epinephrine-Gs/β1/γ2
13.04Single8GEEConstrained Epinephrine8GEE-β2-Constrained Epinephrine-Gs/β1/γ2
13.04Single8GFVConstrained Epinephrine8GFV-β2-Constrained Epinephrine-GTP-Gs/β1/γ2
13.04Single8GFWConstrained Epinephrine8GFW-β2-Constrained Epinephrine-GTP-Gs/β1/γ2
13.04Single8GFXConstrained Epinephrine8GFX-β2-Constrained Epinephrine-GTP-Gs/β1/γ2
13.04Single8GFZConstrained Epinephrine8GFZ-β2-Constrained Epinephrine-GTP-Gs/β1/γ2
13.04Single8GG0Constrained Epinephrine8GG0-β2-Constrained Epinephrine-GTP-Gs/β1/γ2
13.04Single8GG1Constrained Epinephrine8GG1-β2-Constrained Epinephrine-GTP-Gs/β1/γ2
13.04Single8GG3Constrained Epinephrine8GG3-β2-Constrained Epinephrine-GTP-Gs/β1/γ2
13.04Single8GG4Constrained Epinephrine8GG4-β2-Constrained Epinephrine-GTP-Gs/β1/γ2
13.04Single8GG6Constrained Epinephrine8GG6-β2-Constrained Epinephrine-GTP-Gs/β1/γ2
13.04Single8GG9Constrained Epinephrine8GG9-β2-Constrained Epinephrine-GTP-Gs/β1/γ2
13.04Single8GGIConstrained Epinephrine8GGI-β2-Constrained Epinephrine
13.04Single8GGJConstrained Epinephrine8GGJ-β2-Constrained Epinephrine
13.04Single8GGKConstrained Epinephrine8GGK-β2-Constrained Epinephrine
13.04Single8GGNConstrained Epinephrine8GGN-β2-Constrained Epinephrine
13.04Single8GGOConstrained Epinephrine8GGO-β2-Constrained Epinephrine
13.04Single8GGUConstrained Epinephrine8GGU-β2-Constrained Epinephrine
13.04Single8IC0Interleukin-88IC0-CXCR1-Interleukin-8-Gi1/β1/γ2
13.04Single8JLJT1AM8JLJ-TA1-T1AM-chim(NtGi1-Gs)/β1/γ2
13.04Single8KFYZK-7563268KFY-CCR8-ZK-756326-Gi1/β1/γ2
13.04Single8T1WCVN4248T1W-GPR6-CVN424
13.04Single8UNQConstrained Epinephrine8UNQ-β2-Constrained Epinephrine-GTP-Gs/β1/γ2
13.04Single8UNYConstrained Epinephrine8UNY-β2-Constrained Epinephrine-GTP-Gs/β1/γ2
13.04Single8W87METH8W87-TA1-METH-chim(NtGi1L-Gs)/β1/γ2
13.04Single8X17Namodenoson8X17-A3A-Namodenoson-Gi1/β1/γ2
13.04Single8X64Desloratadine8X64-H1-Desloratadine
13.04Single8XJLPGF2-alpha8XJL-FP-alpha-PGF2-α-chim(NtGi2-Gs-CtGq)/β1/γ2
13.04Single8XVKAmbrisentan8XVK-ETA-Ambrisentan
13.04Single8ZQEGPR15L(C11)8ZQE-GPR15-GPR15L(C11)-Gi1/β1/γ1
13.04Single9BQJRO769BQJ-μ-RO76-Gi1/β1/γ2
13.04Single9CBMDexmedetomidine9CBM-α2a-Dexmedetomidine-Gi1/β1/γ2
13.04Single9JEAAtropine9JEA-M1-Atropine
13.04Single9PLNN-(5-methylnaphthalen-1-yl)pyridin-4-amine9PLN-α2a-N-(5-methylnaphthalen-1-yl)pyridin-4-amine
13.04Single9PLON-(5-methylnaphthalen-1-yl)pyridin-4-amine9PLO-α2a-N-(5-methylnaphthalen-1-yl)pyridin-4-amine-Go/β1/γ2
13.04Consensus5ht1d_onOrthosteric Ligand7E32-5-HT1D-Serotonin-Gi1/β1/γ2
13.04Consensus5ht1d_on_gpOrthosteric Ligand7E32-5-HT1D-Serotonin-Gi1/β1/γ2
13.04Consensus5ht2b_offOrthosteric Ligand6DRZ-5-HT2B-Methysergide
13.04Consensus5ht5_onOrthosteric Ligand5ht5a_on
13.04Consensus5ht5a_onOrthosteric Ligand7X5H-5-HT5A-5-CT-Gi1/β1/γ2 7UM6-5-HT5A-Lisuride-chim(NtGi1-Go)/β1/γ2 7UM7-5-HT5A-Methylergometrine-chim(NtGi1-Go)/β1/γ2
13.04Consensus5ht7_onOrthosteric Ligand7XTC-5-HT7-5-CT-Gs/β1/γ2
13.04Consensus5ht7_on_gpOrthosteric Ligand7XTC-5-HT7-5-CT-Gs/β1/γ2
13.04Consensusa3_onOrthosteric Liganda3a_on
13.04Consensusadrenergic_onOrthosteric Ligandalpha_on beta_on
13.04Consensusalpha2_onOrthosteric Ligandalpha2b_on
13.04Consensusalpha2_on_gpOrthosteric Ligandalpha2b_on_gp
13.04Consensusalpha2b_onOrthosteric Ligand6K42-α2b-Dexmedetomidine-Gi1/β1/γ2
13.04Consensusalpha2b_on_gpOrthosteric Ligand6K42-α2b-Dexmedetomidine-Gi1/β1/γ2
13.04Consensusalpha_onOrthosteric Ligandalpha1_on alpha2_on
13.04Consensusblt1_onOrthosteric Ligand7VKT-BLT1-LTB4-Gi1/β1/γ2
13.04Consensusblt1_on_gpOrthosteric Ligand7VKT-BLT1-LTB4-Gi1/β1/γ2
13.04Consensusblt_onOrthosteric Ligandblt1_on
13.04Consensusblt_on_gpOrthosteric Ligandblt1_on_gp
13.04Consensuscxcr1_on_gpOrthosteric Ligand8IC0-CXCR1-Interleukin-8-Gi1/β1/γ2
13.04Consensusdop_offOrthosteric Ligand4EJ4-δ-Naltrindole
13.04Consensusdopamine_onOrthosteric Ligandd2_on d1_on d3_on d4_on d5_on
13.04Consensusdopamine_on_gpOrthosteric Ligandd2_on_gp d1_on_gp d3_on_gp d4_on_gp d5_on_gp
13.04Consensusgi_histamineOrthosteric Ligand8JXX-H4-Clobenpropit-Gi1/β1/γ2 8JXV-H4-Clozapine-Gi1/β1/γ2 8YUU-H3-Histamine-Gi1/β1/γ1 8HN8-H4-Histamine-Gi1/β1/γ2 8HOC-H4-Imetit-Gi1/β1/γ2 8JXW-H4-VUF6884-Gi1/β1/γ2
13.04Consensusgi_leukotrieneOrthosteric Ligand7VKT-BLT1-LTB4-Gi1/β1/γ2
13.04Consensusgq_amineOrthosteric Ligandgq_muscarinic gq_histamine
13.04Consensusgs_trace-amineOrthosteric Ligand8W88-TA1-SEP-363856-Gs/β1/γ2 8JLJ-TA1-T1AM-chim(NtGi1-Gs)/β1/γ2 8JLO-TA1-Ulotaront-Gs/β1/γ2 8WC4-TA1-ZH8651-chim(NtGi1-Gs)/β1/γ2 8WC7-TA1-ZH8667-chim(NtGi1-Gs)/β1/γ2 8JLR-TA1-A77636-chim(NtGi1-Gs)/β1/γ2 8JSO-TA1-AMPH-chim(NtGi1-Gs)/β1/γ2 8W87-TA1-METH-chim(NtGi1L-Gs)/β1/γ2 8W89-TA1-PEA-chim(NtGi1L-Gs)/β1/γ2 8JLP-TA1-Ralmitaront-Gs/β1/γ2 8W8A-TA1-RO5256390-chim(NtGi1L-Gs)/β1/γ2
13.04Consensusleukotriene_onOrthosteric Ligandblt_on
13.04Consensusleukotriene_on_gpOrthosteric Ligandblt_on_gp
13.04Consensusmuscarinic_onOrthosteric Ligandm2_on m3_on m4_on m1_on
13.04Consensusmuscarinic_on_gpOrthosteric Ligandm2_on_gp m3_on_gp m4_on_gp m1_on_gp
12.90Single6METEnvelope Glycoprotein Gp160; T-Cell Surface Glycoprotein Cd46MET-CCR5-Envelope Glycoprotein Gp160; T-Cell Surface Glycoprotein Cd4
12.90Single7DW9AVP7DW9-V2-AVP-chim(NtGi1-Gs)/β1/γ2
12.90Single7F4HAfamelanotide7F4H-MC1-Afamelanotide-chim(NtGi1-Gs)/β1/γ2
12.90Single7T10Somatostatin-147T10-SST2-Somatostatin-14-Gi3/β1/γ2
12.90Single7XK8Neuromedin-U-257XK8-NMUR2-Neuromedin-U-25-Gi1/β1/γ2
12.90Single8IHFMK68928IHF-HCA2-MK6892-Gi1/β1/γ2
12.90Single8J6IMK68928J6I-HCA2-MK6892-Gi1/β1/γ2
12.90Single8XWQEndothelin-18XWQ-ETB-Endothelin-1-Gi1/β1/γ2
12.90Single8ZBISomatostatin-148ZBI-SST3-Somatostatin-14-Gi1/β1/γ2
12.90Single9BKKCholecystokinin-89BKK-CCKA-Cholecystokinin-8-chim(NtGi1-Gs-CtGq)/β1/γ2
12.90Consensusgs_vasop-oxyOrthosteric Ligand7DW9-V2-AVP-chim(NtGi1-Gs)/β1/γ2
12.90Consensusmc5_on_gpOrthosteric Ligand8INR-MC5-α-MSH-Ca-chim(NtGi1-Gs)/β1/γ2 8IOD-MC5-PG-901-Ca-chim(NtGi1-Gs)/β1/γ2
12.90Consensusneuromedin-u_onOrthosteric Ligandnmur1_on nmur2_on
12.90Consensustachykinin_onOrthosteric Ligandnk1_on nk2_on nk3_on
12.90Consensusv2_onOrthosteric Ligand7DW9-V2-AVP-chim(NtGi1-Gs)/β1/γ2
12.90Consensusv2_on_gpOrthosteric Ligand7DW9-V2-AVP-chim(NtGi1-Gs)/β1/γ2
12.90Consensusvasop-oxy_onOrthosteric Ligandv2_on
12.90Consensusvasop-oxy_on_gpOrthosteric Ligandv2_on_gp
12.50Single2Y00Dobutamine2Y00-β1-Dobutamine
12.50Single2Y03Isoprenaline2Y03-β1-Isoprenaline
12.50Single4RWDDIPP-NH24RWD-δ-DIPP-NH2-Na
12.50Single4WW3All-trans-Retinal4WW3-Rhodopsin-All-trans-Retinal
12.50Single5CGCHTL142425CGC-mGlu5-HTL14242
12.50Single5JQHS-Carazolol5JQH-β2-S-Carazolol
12.50Single5T1ABMS-6815T1A-CCR2-BMS-681-PubChem 12093170
12.50Single5TVNLSD5TVN-5-HT2B-LSD
12.50Single5XPRBosentan5XPR-ETB-Bosentan
12.50Single5ZK33-quinuclidinyl-benzilate5ZK3-M2-3-quinuclidinyl-benzilate
12.50Single6D26Fevipiprant6D26-DP2-Fevipiprant
12.50Single6E67BI1671076E67-β2-BI167107-Gs(CT)
12.50Single6KUWPubChem 572132346KUW-α2c-PubChem 57213234
12.50Single6LFMInterleukin-86LFM-CXCR2-Interleukin-8-Gi1/β1/γ2
12.50Single6ME62-Phenylmelatonin6ME6-MT2-2-Phenylmelatonin
12.50Single6ME72-Phenylmelatonin6ME7-MT2-2-Phenylmelatonin
12.50Single6ME82-Phenylmelatonin6ME8-MT2-2-Phenylmelatonin
12.50Single6OIKIperoxo6OIK-M2-Iperoxo-LY2119620-chim(NtGi1-Go)/β1/γ2
12.50Single6PS3S-Carvedilol6PS3-β2-S-Carvedilol
12.50Single6XBKCholesterol6XBK-SMO-Cholesterol-Gi1/β1/γ2
12.50Single7BVQS-Carazolol7BVQ-β1-S-Carazolol
12.50Single7CKXA776367CKX-D1-A77636-Gs/β1/γ2
12.50Single7EUOfMLF7EUO-FPR1-ALX-fMLF-Gi1/β1/γ2
12.50Single7M3JNPS-2143; PO47M3J-CaS-NPS-2143; PO4
12.50Single7P02Protachykinin-17P02-NK1-Protachykinin-1-chim(NtGi1-Gs)/β1/γ2
12.50Single7S0FIsoprenaline7S0F-β1-Isoprenaline-Gi1/β1/γ2
12.50Single7VUHJNJ-635330547VUH-GPR139-JNJ-63533054-chim(Gs-CtGq)/β1/γ2
12.50Single7WIGL-054,2647WIG-SST2-L-054,264-Gi1/β1/γ2
12.50Single7XK9Constrained Isoproterenol7XK9-β2-Constrained Isoproterenol-Na
12.50Single8DZQmomSalB8DZQ-κ-momSalB-Go/β1/γ2
12.50Single8EFBOliceridine8EFB-μ-Oliceridine-Gi1/β1/γ2
12.50Single8GDCPGE28GDC-EP3-PGE2-Gi1/β1/γ2
12.50Single8GFYConstrained Epinephrine8GFY-β2-Constrained Epinephrine-GTP-Gs/β1/γ2
12.50Single8GG2Constrained Epinephrine8GG2-β2-Constrained Epinephrine-GTP-Gs/β1/γ2
12.50Single8ID4Linoleic acid8ID4-FFA4-Linoleic acid-Gi1/β1/γ2
12.50Single8IODPG-9018IOD-MC5-PG-901-Ca-chim(NtGi1-Gs)/β1/γ2
12.50Single8S4DCMF-0198S4D-Apelin-CMF-019
12.50Single8WGBVU01550418WGB-mGlu4; mGlu2-Glutammate-VU0155041-Gi3/β1/γ2
12.50Single8X0BVU04244658X0B-mGlu5; mGlu5-Quisqualate-VU0424465
12.50Single8X0CVU04244658X0C-mGlu5; mGlu5-Quisqualate-VU0424465
12.50Single8X0CVU04244658X0C-mGlu5; mGlu5-Quisqualate-VU0424465
12.50Single8X0DVU04244658X0D-mGlu5; mGlu5-Quisqualate-VU0424465
12.50Single8X0DVU04244658X0D-mGlu5; mGlu5-Quisqualate-VU0424465
12.50Single8XVIEndothelin-18XVI-ETA-Endothelin-1-chim(Gs-CtGq)/β1/γ2
12.50Single9HC04YI9HC0-mGlu5-4YI
12.50Single9IYBProstaglandin9IYB-DP2-Prostaglandin-A1D5Q-Gi1/β1/γ2
12.50Single9KPFSA09KPF-TAS2R16-SA0-Gi1/β1/γ2
12.50Single9MQKIsoquinuclidine9MQK-κ-Isoquinuclidine
12.50Consensus5ht1_onOrthosteric Ligand5ht1a_on 5ht1d_on 5ht1e_on 5ht1f_on
12.50Consensus5ht1_on_gpOrthosteric Ligand5ht1a_on_gp 5ht1d_on_gp 5ht1e_on_gp 5ht1f_on_gp
12.50Consensus5ht1e_on_gpOrthosteric Ligand7E33-5-HT1E-BRL-54443-Gi1/β1/γ2 8UGY-5-HT1E-Mianserin-Gi1/β1/γ1 8UH3-5-HT1E-Setiptiline-Gi1/β1/γ1
12.50Consensus5ht5_on_gpOrthosteric Ligand5ht5a_on_gp
12.50Consensus5ht5a_on_gpOrthosteric Ligand7X5H-5-HT5A-5-CT-Gi1/β1/γ2 7UM6-5-HT5A-Lisuride-chim(NtGi1-Go)/β1/γ2 7UM7-5-HT5A-Methylergometrine-chim(NtGi1-Go)/β1/γ2
12.50Consensusa3_on_gpOrthosteric Liganda3a_on_gp
12.50Consensusa3a_onOrthosteric Ligand8X17-A3A-Namodenoson-Gi1/β1/γ2 8X16-A3A-Piclidenoson-Gi1/β1/γ2
12.50Consensusa3a_on_gpOrthosteric Ligand8X17-A3A-Namodenoson-Gi1/β1/γ2 8X16-A3A-Piclidenoson-Gi1/β1/γ2
12.50Consensusadgrg2_onOrthosteric Ligand7WUI-ADGRG2-IP15-chim(NtGi1-Gs)/β1/γ2 7WUQ-ADGRG2-Gs/β1/γ2 7XKF-ADGRG2-β-Hydroxyandrosterone-Gs/β1/γ2
12.50Consensusadgrg2_on_gpOrthosteric Ligand7WUI-ADGRG2-IP15-chim(NtGi1-Gs)/β1/γ2 7WUQ-ADGRG2-Gs/β1/γ2 7XKF-ADGRG2-β-Hydroxyandrosterone-Gs/β1/γ2
12.50Consensusadrenergic_offOrthosteric Ligandalpha_off beta_off
12.50Consensusadrenergic_on_gpOrthosteric Ligandalpha_on_gp beta_on_gp
12.50Consensusalpha2c_offOrthosteric Ligand6KUW-α2c-PubChem 57213234
12.50Consensusalpha_offOrthosteric Ligandalpha1_off alpha2_off
12.50Consensusalpha_on_gpOrthosteric Ligandalpha1_on_gp alpha2_on_gp
12.50Consensuscxcr2_on_gpOrthosteric Ligand6LFM-CXCR2-Interleukin-8-Gi1/β1/γ2
12.50Consensusd1_onOrthosteric Ligand7F0T-D1-Dopamine-Gs/β1/γ2 7CKY-D1-PW0464-Gs/β1/γ2 8IRR-D1-Rotigotine-Gs/β1/γ2 7JV5-D1-SKF81297-Gs/β1/γ2 7JVP-D1-SKF83959-Gs/β1/γ2 7X2D-D1-Tavapadon-Gs/β1/γ2 7CKX-D1-A77636-Gs/β1/γ2 7JVQ-D1-Apomorphine-Gs/β1/γ2 7CKW-D1-Fenoldopam-Gs/β1/γ2
12.50Consensusdp2_offOrthosteric Ligand6D26-DP2-Fevipiprant
12.50Consensusdp_offOrthosteric Liganddp2_off
12.50Consensusgs_amineOrthosteric Ligandgs_5ht gs_adrenergic gs_dopamine gs_histamine gs_trace-amine
12.50Consensuslipid_onOrthosteric Ligandcannabinoid_on ffa_on lpl_on prostanoid_on leukotriene_on
12.50Consensuslipid_on_gpOrthosteric Ligandcannabinoid_on_gp ffa_on_gp lpl_on_gp prostanoid_on_gp leukotriene_on_gp
12.50Consensusm2_offOrthosteric Ligand5ZKC-M2-N-Methyl-Scopolamine 5ZK3-M2-3-quinuclidinyl-benzilate 5ZKB-M2-AF-DX 384
12.50Consensusm3_onOrthosteric Ligand8E9Z-M3-Iperoxo-chim(NtGi2L-Gs-CtGq)/β1/γ2 8E9W-M3-2-Deoxycytidine-chim(NtGi2L-Gs-CtGq)/β1/γ2 8E9Y-M3-Clozapine-N-oxide-chim(NtGi2L-Gs-CtGq)/β1/γ2
12.50Consensusm3_on_gpOrthosteric Ligand8E9Z-M3-Iperoxo-chim(NtGi2L-Gs-CtGq)/β1/γ2 8E9W-M3-2-Deoxycytidine-chim(NtGi2L-Gs-CtGq)/β1/γ2 8E9Y-M3-Clozapine-N-oxide-chim(NtGi2L-Gs-CtGq)/β1/γ2
12.50Consensusneuromedin-u_on_gpOrthosteric Ligandnmur1_on_gp nmur2_on_gp
12.50Consensusnucleotide_onOrthosteric Ligandadenosine_on p2y_on
12.50Consensusopioid_onOrthosteric Ligandmop_on nop_on dop_on kop_on
12.50Consensusp2y10_onOrthosteric Ligand8KGG-P2Y10-LPS-chim(NtGi2-G13)/β1/γ2
12.50Consensusrxfp4_onOrthosteric Ligand7YK7-RXFP4-DC591053-Gi2/β1/γ2 7YJ4-RXFP4-INSL5-Gi2/β1/γ2 7YK6-RXFP4-PubChem 138319674-Gi2/β1/γ2
12.50Consensusrxfp4_on_gpOrthosteric Ligand7YK7-RXFP4-DC591053-Gi2/β1/γ2 7YJ4-RXFP4-INSL5-Gi2/β1/γ2 7YK6-RXFP4-PubChem 138319674-Gi2/β1/γ2
12.50Consensuss1p5_offOrthosteric Ligand7YXA-S1P5-ONO-5430608
12.12Single7SK3CXCL127SK3-ACKR3-CXCL12
12.12Single7SK4CXCL12_LRHQ7SK4-ACKR3-CXCL12_LRHQ
12.12Consensusnpy4_onOrthosteric Ligand7X9C-Y4-Pancreatic Hormone-Gi1/β1/γ2
12.12Consensusnpy4_on_gpOrthosteric Ligand7X9C-Y4-Pancreatic Hormone-Gi1/β1/γ2
12.12Consensusopioid_on_gpOrthosteric Ligandmop_on_gp nop_on_gp dop_on_gp kop_on_gp
12.00Single3PDSHydroxybenzylisoproterenol3PDS-β2-Hydroxybenzylisoproterenol
12.00Single4DJHJDTic4DJH-κ-JDTic
12.00Single4OO9Mavoglurant4OO9-mGlu5-Mavoglurant
12.00Single4U15Tiotropium4U15-M3-Tiotropium
12.00Single5ZBHBMS-1938855ZBH-Y1-BMS-193885
12.00Single5ZHPPubChem 1348285895ZHP-M3-PubChem 134828589
12.00Single6H7JIsoprenaline6H7J-β1-Isoprenaline
12.00Single6J20Aprepitant6J20-NK1-Aprepitant
12.00Single6J21Aprepitant6J21-NK1-Aprepitant
12.00Single6KO5PubChem 574000026KO5-Ghrelin-PubChem 57400002
12.00Single6N48BI1671076N48-β2-BI167107-PubChem 138454256
12.00Single6O3CCholesterol6O3C-SMO-SAG21k-Cholesterol
12.00Single6OL9Tiotropium6OL9-M5-Tiotropium
12.00Single6OS1TRV0266OS1-AT1-TRV026
12.00Single6TQ7SB-3348676TQ7-OX1-SB-334867
12.00Single6WGTLSD6WGT-5-HT2A-LSD
12.00Single7B6WCyclazosin7B6W-α1b-Cyclazosin
12.00Single7E2ZAripiprazole7E2Z-5-HT1A-Aripiprazole-Gi1/β1/γ2
12.00Single7F1TMIP-1a7F1T-CCR5-MIP-1a
12.00Single7JJOIsoprenaline7JJO-β1-Isoprenaline-Gs/β1/γ2
12.00Single7JV5SKF812977JV5-D1-SKF81297-Gs/β1/γ2
12.00Single7P2L4YI7P2L-mGlu5-4YI
12.00Single7U2LPubChem 1632012427U2L-μ-PubChem 163201242-Gi1/β1/γ2
12.00Single7WV9CP559407WV9-CB1-CP55940-ZCZ011-Gi2/β1/γ2
12.00Single7WVXHumanin7WVX-FPR2-ALX-Humanin-Gi2/β1/γ2
12.00Single7XBDGalanin7XBD-GAL2-Galanin-chim(NtGi2L-Gs-CtGq)/β1/γ2
12.00Single7XOWGastrin7XOW-CCKB-Gastrin-chim(NtGi1-Gq)/β1/γ2
12.00Single7Y24Octreotide7Y24-SST2-Octreotide-Go/β1/γ2
12.00Single8DCSCyanopindolol8DCS-β1-Cyanopindolol-Gs/β1/γ2
12.00Single8EF5Fentanyl8EF5-μ-Fentanyl-Gi1/β1/γ2
12.00Single8FMZNeurotensin/Neuromedin-N8FMZ-NTS1-Neurotensin/Neuromedin-N-chim(NtGi2L-Gs-CtGq)/β1/γ2
12.00Single8GDBPGE28GDB-EP4-PGE2-Gs/β1/γ2
12.00Single8HPTC5a anaphylatoxin C-terminal peptide8HPT-C5a1-C5a anaphylatoxin C-terminal peptide-Go/β1/γ2
12.00Single8I2GCompound 7163408I2G-FSH-Glycoprotein hormones α chain-Compound 716340-Gs/β1/γ2
12.00Single8I9LC3a anaphylatoxin8I9L-C3aB-C3a anaphylatoxin-Go/β1/γ2
12.00Single8ID6Oleic acid8ID6-FFA4-Oleic acid-Gi1/β1/γ2
12.00Single8IUKPGF2-alpha8IUK-FP-alpha-PGF2-α-chim(NtGi1-Gs-CtGq)/β1/γ2
12.00Single8IYHMK68928IYH-HCA2-MK6892-Go/β1/γ2
12.00Single8JBGNeurokinin-B8JBG-NK3-Neurokinin-B-chim(NtGi1-Gs-CtGq)/β1/γ2
12.00Single8JXXClobenpropit8JXX-H4-Clobenpropit-Gi1/β1/γ2
12.00Single8JZPC5A anaphylatoxin8JZP-C5a1-C5A anaphylatoxin-Go/β1/γ2
12.00Single8T1VPubChem 1183102098T1V-GPR6-PubChem 118310209-Na
12.00Single8TAOCDPPB8TAO-mGlu5; mGlu5-Quisqualate-CDPPB
12.00Single8VVEnorBNI8VVE-κ-norBNI-Gi1/β1/γ2
12.00Single8VVFJDTic8VVF-κ-JDTic-Gi1/β1/γ2
12.00Single8WU1PubChem 1190256658WU1-CB1-PubChem 119025665-Arrestin2
12.00Single8X0BVU04244658X0B-mGlu5; mGlu5-Quisqualate-VU0424465
12.00Single8X0FVU04244658X0F-mGlu5; mGlu5-Quisqualate-VU0424465
12.00Single8XIPPasireotide8XIP-SST1-Pasireotide-chim(NtGi1-Gs-CtGi1)/β1/γ2
12.00Single8XVLZibotentan8XVL-ETA-Zibotentan
12.00Single8YNTSNAP-948478YNT-MCH1-SNAP-94847
12.00Single9EGOYVF9EGO-CB1-YVF-Gi1/β1/γ2
12.00Single9IK9SST analogue9IK9-SST1-SST analogue-Gi1/β1/γ2
12.00Consensusbeta2_onOrthosteric Ligand7DHI-β2-Salbutamol-Gs/β1/γ2 6NI3-β2-BI167107-Gs/β1/γ2
12.00Consensusbeta2_on_gpOrthosteric Ligand7DHI-β2-Salbutamol-Gs/β1/γ2 6NI3-β2-BI167107-Gs/β1/γ2
12.00Consensusd1_on_gpOrthosteric Ligand7F0T-D1-Dopamine-Gs/β1/γ2 7CKY-D1-PW0464-Gs/β1/γ2 8IRR-D1-Rotigotine-Gs/β1/γ2 7JV5-D1-SKF81297-Gs/β1/γ2 7JVP-D1-SKF83959-Gs/β1/γ2 7X2D-D1-Tavapadon-Gs/β1/γ2 7CKX-D1-A77636-Gs/β1/γ2 7JVQ-D1-Apomorphine-Gs/β1/γ2 7CKW-D1-Fenoldopam-Gs/β1/γ2
12.00Consensusgi_5htOrthosteric Ligand8FYT-5-HT1A-LSD-Gi1/β1/γ1 7UM7-5-HT5A-Methylergometrine-chim(NtGi1-Go)/β1/γ2 8UGY-5-HT1E-Mianserin-Gi1/β1/γ1 8W8B-5-HT1A-SEP-363856-Gi1/β1/γ2 7E2Y-5-HT1A-Serotonin-Gi1/β1/γ2 7E32-5-HT1D-Serotonin-Gi1/β1/γ2 7XTA-5-HT4-Serotonin-Gi1/β1/γ2 8UH3-5-HT1E-Setiptiline-Gi1/β1/γ1 8JSP-5-HT1A-Ulotaront-Gi1/β1/γ2 8FYL-5-HT1A-Vilazodone-Gi1/β1/γ1 8JT6-5-HT1A-(R)-IHCH-7179-Gi1/β1/γ2 8FYE-5-HT1A-4-F,5-MeO-PyrT-Gi1/β1/γ1 7X5H-5-HT5A-5-CT-Gi1/β1/γ2 8FY8-5-HT1A-5-MeO-DMT-Gi1/β1/γ1 7E2Z-5-HT1A-Aripiprazole-Gi1/β1/γ2 7E33-5-HT1E-BRL-54443-Gi1/β1/γ2 8FYX-5-HT1A-Buspirone-Gi1/β1/γ1 7EXD-5-HT1F-Lasmiditan-Gi1/β1/γ2 7UM6-5-HT5A-Lisuride-chim(NtGi1-Go)/β1/γ2
12.00Consensusgi_relaxinOrthosteric Ligand7YK7-RXFP4-DC591053-Gi2/β1/γ2 7YJ4-RXFP4-INSL5-Gi2/β1/γ2 7YK6-RXFP4-PubChem 138319674-Gi2/β1/γ2
12.00Consensusgs_adrenergicOrthosteric Ligand7DHI-β2-Salbutamol-Gs/β1/γ2 7XJI-β3-Solabegron-Gs/β1/γ2 7JJO-β1-Isoprenaline-Gs/β1/γ2 6NI3-β2-BI167107-Gs/β1/γ2 8DCR-β1-Dobutamine-Gs/β1/γ2 7XJH-β3-Isoproterenol-Gs/β1/γ2 7DH5-β3-Mirabegron-Gs/β1/γ2
12.00Consensusgs_dopamineOrthosteric Ligand7F0T-D1-Dopamine-Gs/β1/γ2 7CKW-D1-Fenoldopam-Gs/β1/γ2 7CKY-D1-PW0464-Gs/β1/γ2 8IRV-D5-Rotigotine-chim(NtGi1-Gs)/β1/γ2 8IRR-D1-Rotigotine-Gs/β1/γ2 7JV5-D1-SKF81297-Gs/β1/γ2 7JVP-D1-SKF83959-Gs/β1/γ2 7X2D-D1-Tavapadon-Gs/β1/γ2 7CKX-D1-A77636-Gs/β1/γ2 7JVQ-D1-Apomorphine-Gs/β1/γ2
12.00Consensush4_on_gpOrthosteric Ligand8HN8-H4-Histamine-Gi1/β1/γ2 8HOC-H4-Imetit-Gi1/β1/γ2 8JXV-H4-Clozapine-Gi1/β1/γ2 8JXW-H4-VUF6884-Gi1/β1/γ2 8JXX-H4-Clobenpropit-Gi1/β1/γ2
12.00Consensuskop_offOrthosteric Ligand4DJH-κ-JDTic
12.00Consensusm3_offOrthosteric Ligand4U15-M3-Tiotropium 4U16-M3-N-Methyl-Scopolamine 5ZHP-M3-PubChem 134828589
12.00Consensusm5_offOrthosteric Ligand6OL9-M5-Tiotropium
12.00Consensusmuscarinic_offOrthosteric Ligandm2_off m3_off m4_off m5_off m1_off
12.00Consensusnpy1_offOrthosteric Ligand5ZBH-Y1-BMS-193885 5ZBQ-Y1-UR-MK-299
12.00Consensusnpy_offOrthosteric Ligandnpy1_off npy2_off
12.00Consensusrelaxin_onOrthosteric Ligandrxfp4_on
12.00Consensusrelaxin_on_gpOrthosteric Ligandrxfp4_on_gp
12.00Consensustachykinin_offOrthosteric Ligandnk1_off
11.76Single5MZPCaffeine5MZP-A2A-Caffeine-Na
11.76Single7EIBDes-Arg10-Kallidin7EIB-BK1-Des-Arg10-Kallidin-chim(NtGi1-Gs-CtGq)/β1/γ2
11.76Single7XATSomatostatin-147XAT-SST2-Somatostatin-14-Gi1/β1/γ2
11.76Single9KDFRES-701-39KDF-ETB-RES-701-3
11.54Single2YCXCyanopindolol2YCX-β1-Cyanopindolol
11.54Single4LDEBI1671074LDE-β2-BI167107
11.54Single4N4WSANT-14N4W-SMO-SANT-1
11.54Single4RWADIPP-NH24RWA-δ-DIPP-NH2
11.54Single5CXVTiotropium5CXV-M1-Tiotropium
11.54Single6DRYMethylergonovine6DRY-5-HT2B-Methylergonovine
11.54Single6XBLCholesterol6XBL-SMO-SAG-Cholesterol-Gi1/β1/γ2
11.54Single6ZG4HTL00099366ZG4-M1-HTL0009936
11.54Single7DH5Mirabegron7DH5-β3-Mirabegron-Gs/β1/γ2
11.54Single7EXDLasmiditan7EXD-5-HT1F-Lasmiditan-Gi1/β1/γ2
11.54Single7L0SNeurotensin7L0S-NTS1-Neurotensin-Gi1/β1/γ1
11.54Single7SUSPubChem 1227019087SUS-Apelin-PubChem 122701908
11.54Single7XJKGalanin7XJK-GAL2-Galanin-chim(NtGi2L-Gs-CtGq)/β1/γ2
11.54Single7XW9TRH7XW9-TRH-TRH-chim(NtGi1L-Gs-CtGq)/β1/γ2
11.54Single7Y66BM2137Y66-C5a1-BM213-Gi1/β1/γ2
11.54Single7YMJTamsulosin7YMJ-Alpha1A-Tamsulosin
11.54Single8E9W2-Deoxycytidine8E9W-M3-2-Deoxycytidine-chim(NtGi2L-Gs-CtGq)/β1/γ2
11.54Single8G056-OAU8G05-GPR84-6-OAU-Gi1/β1/γ2
11.54Single8GCPPGE28GCP-EP4-PGE2-Gi1/β1/γ2
11.54Single8HK2C3a anaphylatoxin8HK2-C3aB-C3a anaphylatoxin-Gi1/β1/γ2
11.54Single8JJPChemerin8JJP-CML2-Chemerin-Gi1/β1/γ2
11.54Single8JZ7MK68928JZ7-HCA2-MK6892-Gi1/β1/γ2
11.54Single8W1VPubChem 1717162658W1V-β2-PubChem 171716265
11.54Single8XQJJN2418XQJ-Apelin-JN241
11.54Single8XWMCXCL68XWM-CXCR2-CXCL6
11.54Single8XX3CXCL38XX3-CXCR2-CXCL3-Go/β1/γ2
11.54Single9DGIZ85267113509DGI-CB1-Z8526711350
11.54Single9GL2Befiradol9GL2-5-HT1A-Befiradol-Gs/β1/γ2
11.54Consensus5ht1f_onOrthosteric Ligand7EXD-5-HT1F-Lasmiditan-Gi1/β1/γ2
11.54Consensus5ht1f_on_gpOrthosteric Ligand7EXD-5-HT1F-Lasmiditan-Gi1/β1/γ2
11.54Consensusalpha1_offOrthosteric Ligandalpha1a_off
11.54Consensusalpha1a_offOrthosteric Ligand7YMJ-Alpha1A-Tamsulosin
11.54Consensusbeta3_onOrthosteric Ligand7DH5-β3-Mirabegron-Gs/β1/γ2 7XJH-β3-Isoproterenol-Gs/β1/γ2 7XJI-β3-Solabegron-Gs/β1/γ2
11.54Consensusbeta3_on_gpOrthosteric Ligand7DH5-β3-Mirabegron-Gs/β1/γ2 7XJH-β3-Isoproterenol-Gs/β1/γ2 7XJI-β3-Solabegron-Gs/β1/γ2
11.54Consensusbeta_onOrthosteric Ligandbeta1_on beta2_on beta3_on
11.54Consensusbeta_on_gpOrthosteric Ligandbeta1_on_gp beta2_on_gp beta3_on_gp
11.54Consensuscb1_onOrthosteric Ligand6KPG-CB1-AM841-Gi1/β1/γ2 8K8J-CB1-Fenofibrate-chim(Gs-CtGq)/β1/γ2
11.54Consensusgalanin_onOrthosteric Ligandgal2_on gal1_on
11.54Consensusgalanin_on_gpOrthosteric Ligandgal2_on_gp gal1_on_gp
11.54Consensusgi_amineOrthosteric Ligandgi_5ht gi_muscarinic gi_adrenergic gi_dopamine gi_histamine
11.54Consensuskop_onOrthosteric Ligand8F7W-κ-Dynorphin-Gi1/β1/γ2 8DZS-κ-GR89,696-chim(NtGi2-Gz)/β1/γ2 8DZP-κ-momSalB-Gi1/β1/γ2
11.54Consensusleukotriene_offOrthosteric Ligandblt_off cyslt_off
11.54Consensusm1_offOrthosteric Ligand5CXV-M1-Tiotropium
11.54Consensusnk1_offOrthosteric Ligand6HLP-NK1-Netupitant 6HLO-NK1-Aprepitant 6HLL-NK1-CP99994 6E59-NK1-L-760735
11.54Consensusopioid_offOrthosteric Ligandmop_off nop_off dop_off kop_off
11.54Consensustrh_onOrthosteric Ligand7XW9-TRH-TRH-chim(NtGi1L-Gs-CtGq)/β1/γ2
11.54Consensustrh_on_gpOrthosteric Ligand7XW9-TRH-TRH-chim(NtGi1L-Gs-CtGq)/β1/γ2
11.43Single7VGXNeuropeptide-Y7VGX-Y1-Neuropeptide-Y-Gi1/β1/γ2
11.43Consensusetb_onOrthosteric Ligand8IY5-ETB-Endothelin-1-Gi1/β1/γ2 8HBD-ETB-IRL1620-Gi1/β1/γ2
11.11Single3PXOAll-trans-Retinal3PXO-Rhodopsin-All-trans-Retinal
11.11Single5DYSAll-trans-Retinal5DYS-Rhodopsin-All-trans-Retinal
11.11Single5MZJTheophylline5MZJ-A2A-Theophylline-Na
11.11Single5X93K-87945X93-ETB-K-8794
11.11Single6DDFDamgo6DDF-μ-Damgo-Gi1/β1/γ2
11.11Single6H7LDobutamine6H7L-β1-Dobutamine
11.11Single6IBLArformoterol6IBL-β1-Arformoterol
11.11Single6TKOArformoterol6TKO-β1-Arformoterol-Arrestin2
11.11Single7D7MDinoprostone7D7M-EP4-Dinoprostone-Gs/β1/γ1
11.11Single7U2KC6-guano7U2K-μ-C6-guano-Gi1/β1/γ2
11.11Single7V68LY21196207V68-M4-Iperoxo-LY2119620-Gi1/β1/γ2
11.11Single7X2DTavapadon7X2D-D1-Tavapadon-Gs/β1/γ2
11.11Single7XK2MK68927XK2-HCA2-MK6892-Gi1/β1/γ2
11.11Single8E9X2-Deoxycytidine8E9X-M4-2-Deoxycytidine-chim(NtGi1-Go)/β1/γ2
11.11Single8E9YClozapine-N-oxide8E9Y-M3-Clozapine-N-oxide-chim(NtGi2L-Gs-CtGq)/β1/γ2
11.11Single8FX5Xanomeline8FX5-M4-Xanomeline-Xanomeline-Gi1/β1/γ2
11.11Single8GAGPubChem 1708384908GAG-CB1-PubChem 170838490-Gi1/β1/γ2
11.11Single8HQMNPGLY8HQM-GPR132-NPGLY-Gi1/β1/γ2
11.11Single8HVINOX-6-78HVI-GPR132-NOX-6-7-Gi1/β1/γ2
11.11Single8ID8TUG-8918ID8-FFA4-TUG-891-Gi1/β1/γ2
11.11Single8J19LY2378J19-GPR84-LY237-Gi1/β1/γ2
11.11Single8PWNTheophylline8PWN-A2A-Theophylline
11.11Single8T3OTUG-8918T3O-FFA4-TUG-891-chim(NtGi2L-Gs-CtGq)/β1/γ2
11.11Single8U1UCCL18U1U-CCR8-CCL1-Gi1/β1/γ2
11.11Single8XVJMacitentan8XVJ-ETA-Macitentan
11.11Single8XWFCXCL38XWF-CXCR2-CXCL3
11.11Single8ZX4Lysophosphatidylinositol 8ZX4-GPR55-Lysophosphatidylinositol-chim(NtGi1-G13)/β1/γ2
11.11Single9CGJC6-Quino9CGJ-δ-C6-Quino-Gi1/β1/γ2
11.11Single9GG5U466199GG5-TXA2-U46619-chim(NtGi2L-Gs-CtGq)/β1/γ2
11.11Single9M1HProstaglandin E29M1H-EP1-Prostaglandin E2-chim(NtGi1-Gs-CtGq)/β1/γ2
11.11Single9M54Neuropeptide VF9M54-NPFF2-Neuropeptide VF-Gi1/β1/γ2
11.11Consensusbeta1_onOrthosteric Ligand8DCR-β1-Dobutamine-Gs/β1/γ2 7S0F-β1-Isoprenaline-Gi1/β1/γ2
11.11Consensusbeta1_on_gpOrthosteric Ligand8DCR-β1-Dobutamine-Gs/β1/γ2 7S0F-β1-Isoprenaline-Gi1/β1/γ2
11.11Consensuschemerin_onOrthosteric Ligandcml1_on
11.11Consensusendothelin_offOrthosteric Ligandetb_off
11.11Consensusetb_offOrthosteric Ligand5X93-ETB-K-8794 5XPR-ETB-Bosentan 6K1Q-ETB-IRL2500
11.11Consensusfp-alpha_onOrthosteric Ligand8IUK-FP-alpha-PGF2-α-chim(NtGi1-Gs-CtGq)/β1/γ2 8IUL-FP-alpha-Latanoprost-chim(NtGi1-Gs-CtGq)/β1/γ2 8IUM-FP-alpha-Tafluprost acid-chim(NtGi1-Gs-CtGq)/β1/γ2
11.11Consensusfp-alpha_on_gpOrthosteric Ligand8IUK-FP-alpha-PGF2-α-chim(NtGi1-Gs-CtGq)/β1/γ2 8IUL-FP-alpha-Latanoprost-chim(NtGi1-Gs-CtGq)/β1/γ2 8IUM-FP-alpha-Tafluprost acid-chim(NtGi1-Gs-CtGq)/β1/γ2
10.81Single7SK6CXCL12_LRHQ7SK6-ACKR3-CXCL12_LRHQ
10.81Single8HBDIRL16208HBD-ETB-IRL1620-Gi1/β1/γ2
10.71Single6KNMJN241-96KNM-Apelin-JN241-9
10.71Single7CX2PGE27CX2-EP2-PGE2-Gs/β1/γ2
10.71Single7S8LCortistatin-147S8L-MRGPRX2-Cortistatin-14-chim(NtGi2L-Gs-CtGq)/β1/γ2
10.71Single7T11Octreotide7T11-SST2-Octreotide-Gi3/β1/γ2
10.71Single7YAEOctreotide7YAE-SST2-Octreotide-Gi1/β1/γ2
10.71Single8GDAL9026888GDA-EP4-L902688-Gs/β1/γ2
10.71Single8IQ4Carboprost8IQ4-FP-alpha-Carboprost-chim(NtGi1-Gs-CtGq)/β1/γ2
10.71Single8IUMTafluprost acid8IUM-FP-alpha-Tafluprost acid-chim(NtGi1-Gs-CtGq)/β1/γ2
10.71Single8XQJJN2418XQJ-Apelin-JN241
10.71Single8Z74Agonistic antibody8Z74-Apelin-Agonistic antibody
10.71Single9JF4PD1683689JF4-BB1-PD168368
10.71Single9JH6C20:0 Ceramide9JH6-CysLT2-C20:0 Ceramide-chim(NtGi1-Gs-CtGq)/β1/γ2
10.71Single9MD1Buspirone9MD1-5-HT1A-Buspirone-Gz/β1/γ2
10.71Consensusdop_onOrthosteric Ligand8F7S-δ-Deltorphin-Gi1/β1/γ2
10.71Consensusnmur1_onOrthosteric Ligand7W53-NMUR1-Neuromedin-U-25-chim(NtGi1-Gs-CtGq)/β1/γ2
10.71Consensussst2_onOrthosteric Ligand7WIC-SST2-Somatostatin-14-Gi1/β1/γ2 7WIG-SST2-L-054,264-Gi1/β1/γ2 7YAE-SST2-Octreotide-Gi1/β1/γ2 7YAC-SST2-Paltusotine-Gi1/β1/γ2
10.71Consensussst2_on_gpOrthosteric Ligand7WIC-SST2-Somatostatin-14-Gi1/β1/γ2 7WIG-SST2-L-054,264-Gi1/β1/γ2 7YAE-SST2-Octreotide-Gi1/β1/γ2 7YAC-SST2-Paltusotine-Gi1/β1/γ2
10.53Single3OE8IT1t3OE8-CXCR4-IT1t
10.53Single6XBM5LWE6XBM-SMO-5LWE-Gi1/β1/γ2
10.53Single8DPHLorcaserin8DPH-5-HT2C-Lorcaserin-chim(NtGi2L-Gs-CtGq)/β1/γ2
10.53Single8Y02Retinal8Y02-OPN1SW-Retinal-Gi1/β1/γ2
10.53Single9CHUNoradrenaline9CHU-β2-Noradrenaline
10.53Consensusp2y_offOrthosteric Ligandp2y1_off
10.34Single7VLACCL15(27-92)7VLA-CCR1-CCL15(27-92)-Gi1/β1/γ2
10.34Single7W53Neuromedin-U-257W53-NMUR1-Neuromedin-U-25-chim(NtGi1-Gs-CtGq)/β1/γ2
10.34Single7WICSomatostatin-147WIC-SST2-Somatostatin-14-Gi1/β1/γ2
10.34Single7XAUOctreotide7XAU-SST2-Octreotide-Gi1/β1/γ2
10.34Single8GHVAMG3158GHV-CB1-AMG315-Gi1/β1/γ2
10.34Single8WZ2Orexigenic Neuropeptide QRFP8WZ2-QRFP-Orexigenic Neuropeptide QRFP-chim(NtGi1L-Gs-CtGq)/β1/γ2
10.34Single8ZBJSomatostatin-148ZBJ-SST5-Somatostatin-14-Gi1/β1/γ2
10.34Consensusccr1_onOrthosteric Ligand7VLA-CCR1-CCL15(27-92)-Gi1/β1/γ2
10.34Consensusccr1_on_gpOrthosteric Ligand7VLA-CCR1-CCL15(27-92)-Gi1/β1/γ2
10.34Consensusgi_nucleotideOrthosteric Ligandgi_adenosine gi_p2y
10.34Consensusnmur1_on_gpOrthosteric Ligand7W53-NMUR1-Neuromedin-U-25-chim(NtGi1-Gs-CtGq)/β1/γ2
10.00Single2J4Y11-cis-Retinal2J4Y-Rhodopsin-11-cis-Retinal
10.00Single2ZIY11-cis-Retinal2ZIY-Rhodopsin-11-cis-Retinal
10.00Single3OE6IT1t3OE6-CXCR4-IT1t
10.00Single3UZAGTPL92363UZA-A2A-GTPL9236
10.00Single4XNWMRS25004XNW-P2Y1-MRS2500
10.00Single5WKTOctyl-Beta-D-Glucopyranoside5WKT-Rhodopsin-Octyl-β-D-Glucopyranoside-Gt(CT)
10.00Single6FUFAll-trans-Retinal6FUF-Rhodopsin-All-trans-Retinal-Go
10.00Single6OIKLY21196206OIK-M2-Iperoxo-LY2119620-chim(NtGi1-Go)/β1/γ2
10.00Single7D77Hydrocortisone7D77-ADGRG3-Hydrocortisone-Go/β1/γ2
10.00Single7DD7Ca; Ca; Tryptophan; Evocalcet7DD7-CaS-Ca-Ca; Ca; Tryptophan; Evocalcet
10.00Single7DDZJNJ-310200287DDZ-Y2-JNJ-31020028
10.00Single7EJKOxymetazoline7EJK-α2a-Oxymetazoline-Go/β1/γ2
10.00Single7F1QMIP-1a7F1Q-CCR5-MIP-1a-Gi1/β1/γ2
10.00Single7WJ5Somatostatin-147WJ5-SST2-Somatostatin-14-Gi1/β1/γ2
10.00Single8F7SDeltorphin8F7S-δ-Deltorphin-Gi1/β1/γ2
10.00Single8F7WDynorphin8F7W-κ-Dynorphin-Gi1/β1/γ2
10.00Single8ITFDMCHA8ITF-TA9-DMCHA-chim(NtGi1-Gs)/β1/γ2
10.00Single8JBHSubstance-P8JBH-NK3-Substance-P-chim(NtGi1-Gs-CtGq)/β1/γ2
10.00Single8JEF(3S)-3-hydroxyoctanoic acid8JEF-HCA3-(3S)-3-hydroxyoctanoic acid-Gi1/β1/γ2
10.00Single8JXTHistamine8JXT-H4-Histamine-PO4-Gi1/β1/γ2
10.00Single8POKHistamine8POK-H2-Histamine-Gs/β1/γ2
10.00Single8WC9ZH86518WC9-TA1-ZH8651-chim(NtGi1-Gs-CtGq)/β1/γ2
10.00Single8X9UMetenolone8X9U-ADGRD1-Metenolone-chim(NtGi1-Gs)/β1/γ2
10.00Single8YN9Histamine8YN9-H4-Histamine-Gi1/β1/γ2
10.00Single8YUUHistamine8YUU-H3-Histamine-Gi1/β1/γ1
10.00Single9IQRMuscarinic toxin 39IQR-α2a-Muscarinic toxin 3
10.00Single9IQSMuscarinic toxin 39IQS-M4-Muscarinic toxin 3
10.00Single9LRCHistamine9LRC-H4-Histamine
10.00Single9LREHistamine9LRE-H4-Histamine-Gi1/β1/γ2
10.00Consensus5ht2_onOrthosteric Ligand5ht2b_on
10.00Consensus5ht2b_onOrthosteric Ligand7SRR-5-HT2B-LSD-chim(NtGi2L-Gs-CtGq)/β1/γ2
10.00Consensusdop_on_gpOrthosteric Ligand8F7S-δ-Deltorphin-Gi1/β1/γ2
10.00Consensush2_on_gpOrthosteric Ligand8POK-H2-Histamine-Gs/β1/γ2
10.00Consensush3_onOrthosteric Ligand8YUU-H3-Histamine-Gi1/β1/γ1
10.00Consensush3_on_gpOrthosteric Ligand8YUU-H3-Histamine-Gi1/β1/γ1
10.00Consensusnpy2_offOrthosteric Ligand7DDZ-Y2-JNJ-31020028
10.00Consensusp2y1_offOrthosteric Ligand4XNW-P2Y1-MRS2500
9.68Consensusgs_cckOrthosteric Ligand7MBX-CCKA-Cholecystokinin-8-Gs/β1/γ1
9.52Single3PBLEticlopride3PBL-D3-Eticlopride
9.52Single4O9RCyclopamine4O9R-SMO-Cyclopamine
9.52Single6FK6PubChem 1324730336FK6-Rhodopsin-PubChem 132473033
9.52Single6HLLCP999946HLL-NK1-CP99994
9.52Single6PH7Nerol6PH7-Rhodopsin-Nerol-Gt(CT)
9.52Single6TQ4PubChem 160468446TQ4-OX1-PubChem 16046844-Na
9.52Single7SRQLSD7SRQ-5-HT2B-LSD
9.52Single7T96LY21196207T96-M2-Acetylcholine-LY2119620-Go/β1/γ2
9.52Single7TRPLY20332987TRP-M4-Iperoxo-LY2033298-Gi1/β1/γ2
9.52Single7XP6Strychnine7XP6-TAS2R46-Strychnine-chim(Gs-CtGt3)/β1/γ2
9.52Single7XT9Serotonin7XT9-5-HT4-Serotonin-Gs/β1/γ2
9.52Single7YS6Serotonin7YS6-5-HT6-Serotonin-chim(NtGi1-Gs)/β1/γ2
9.52Single8A2PLUAA470708A2P-A2A-LUAA47070-Na
9.52Single8DPFLorcaserin8DPF-5-HT2C-Lorcaserin-chim(NtGi2L-Gs-CtGq)/β1/γ2
9.52Single8EF6Morphine8EF6-μ-Morphine-Gi1/β1/γ2
9.52Single8GGYConstrained Epinephrine8GGY-β2-Constrained Epinephrine
9.52Single8JILNiacin8JIL-HCA2-Niacin-Gi1/β1/γ2
9.52Single8UO4Constrained Epinephrine8UO4-β2-Constrained Epinephrine-GTP; Mg-Gs/β1/γ2
9.52Single8W89PEA8W89-TA1-PEA-chim(NtGi1L-Gs)/β1/γ2
9.52Single8YN5Histamine8YN5-H3-Histamine-Gi1/β1/γ2
9.52Single8YN6Imetit8YN6-H3-Imetit-Gi1/β1/γ2
9.52Single8YN7Immethridine8YN7-H3-Immethridine-Go/β1/γ2
9.52Single8ZX5AM2518ZX5-GPR55-AM251-chim(NtGi1-G13)/β1/γ2
9.52Single9IJEEpinephrine9IJE-β3-Epinephrine-chim(NtGi1-Gs)/β1/γ2
9.52Single9IQTNiacin9IQT-HCA2-Niacin-Gi1/β1/γ2
9.52Single9IZDCHBA9IZD-HCA1-CHBA-Gi1/β1/γ2
9.52Consensusadgrg_onOrthosteric Ligandadgrg2_on adgrg4_on
9.52Consensusadgrg_on_gpOrthosteric Ligandadgrg2_on_gp adgrg4_on_gp
9.52Consensusd3_offOrthosteric Ligand3PBL-D3-Eticlopride
9.52Consensusgq_nucleotideOrthosteric Ligandgq_p2y
9.52Consensusgq_p2yOrthosteric Ligand7XXH-P2Y1-2MeSADP-chim(NtGi1-G11)/β1/γ2
9.38Single6WIVPubChem 52923113; PubChem 529246456WIV-GABAB1, GABAB2-PubChem 52923113; PubChem 52924645
9.38Single8IEDA1LYA8IED-GPR156-A1LYA-Go/β1/γ2
9.09Single2X72All-trans-Retinal2X72-Rhodopsin-All-trans-Retinal-Gt(CT)
9.09Single3ODUIT1t3ODU-CXCR4-IT1t
9.09Single4K5YCP-3763954K5Y-CRF1-CP-376395
9.09Single4MQTLY21196204MQT-M2-Iperoxo-LY2119620
9.09Single4QINSAG1.54QIN-SMO-SAG1.5
9.09Single4S0VSuvorexant4S0V-OX2-Suvorexant
9.09Single5OLVLUAA410635OLV-A2A-LUAA41063-Na
9.09Single5WS3EMPA5WS3-OX2-EMPA
9.09Single6B73MP11046B73-κ-MP1104
9.09Single6D9HAdenosine6D9H-A1-Adenosine-Gi2/β1/γ2
9.09Single6DS0Ly2660976DS0-5-HT2B-Ly266097
9.09Single6FKBPubChem 1324730386FKB-Rhodopsin-PubChem 132473038
9.09Single6NWEOctyl-Beta-D-Glucopyranoside6NWE-Rhodopsin-Octyl-β-D-Glucopyranoside-Gt(CT)
9.09Single6O3CSAG21k6O3C-SMO-SAG21k-Cholesterol
9.09Single6TODEMPA6TOD-OX1-EMPA-Na
9.09Single6TPJSuvorexant6TPJ-OX2-Suvorexant
9.09Single6TQ6PubChem 1457142836TQ6-OX1-PubChem 145714283
9.09Single6WWZCCL206WWZ-CCR6-CCL20-Go/β1/γ2
9.09Single7F8YDevazepide7F8Y-CCKA-Devazepide
9.09Single7S8PMS471347S8P-MRGPRX4-MS47134-chim(NtGi2L-Gs-CtGq)/β1/γ2
9.09Single7SRRLSD7SRR-5-HT2B-LSD-chim(NtGi2L-Gs-CtGq)/β1/γ2
9.09Single7SRSLSD7SRS-5-HT2B-LSD-Arrestin2
9.09Single7T6SPubChem 247763417T6S-FPR2-ALX-PubChem 24776341-Gi1/β1/γ2
9.09Single7TUZ7-alpha,25-dihydroxycholesterol7TUZ-GPR183-7-α,25-dihydroxycholesterol-Gi1/β1/γ2
9.09Single7W0MPubChem 1227019087W0M-Apelin-PubChem 122701908-Gi1/β1/γ2
9.09Single7X2CFenoldopam7X2C-D1-Fenoldopam-Fenoldopam-Gs/β1/γ2
9.09Single7X5H5-CT7X5H-5-HT5A-5-CT-Gi1/β1/γ2
9.09Single7X9CPancreatic Hormone7X9C-Y4-Pancreatic Hormone-Gi1/β1/γ2
9.09Single7XRRLemborexant7XRR-OX2-Lemborexant
9.09Single7XT8Serotonin7XT8-5-HT4-Serotonin-Gs/β1/γ2
9.09Single8EFOPZM218EFO-μ-PZM21-Gi1/β1/γ2
9.09Single8FYXBuspirone8FYX-5-HT1A-Buspirone-Gi1/β1/γ1
9.09Single8HDPAdenosine8HDP-A2B-Adenosine-Gs/β1/γ2
9.09Single8HNKCXCL118HNK-CXCR3-CXCL11-Gi1/β1/γ2
9.09Single8IJBAcipimox8IJB-HCA2-Acipimox-Gi1/β1/γ2
9.09Single8JSOAMPH8JSO-TA1-AMPH-chim(NtGi1-Gs)/β1/γ2
9.09Single8U8FPalmitic Acid8U8F-GPR3-Palmitic Acid-Gs/β1/γ2
9.09Single8WC4ZH86518WC4-TA1-ZH8651-chim(NtGi1-Gs)/β1/γ2
9.09Single8WCA2-Phenylethylamine8WCA-TA1-2-Phenylethylamine-chim(NtGi1-Gs)/β1/γ2
9.09Single8YUVImmepip8YUV-H3-Immepip-Gi1/β1/γ2
9.09Single9K6LSA09K6L-TAS2R16-SA0-Gi2/β1/γ2
9.09Single9KPESA09KPE-TAS2R16-SA0-Gi1/β1/γ2
9.09Single9LRBHistamine9LRB-H1-Histamine-Gs/β1/γ2
9.09Consensus5ht1e_onOrthosteric Ligand7E33-5-HT1E-BRL-54443-Gi1/β1/γ2 8UGY-5-HT1E-Mianserin-Gi1/β1/γ1 8UH3-5-HT1E-Setiptiline-Gi1/β1/γ1
9.09Consensus5ht2_on_gpOrthosteric Ligand5ht2b_on_gp
9.09Consensus5ht2b_on_gpOrthosteric Ligand7SRR-5-HT2B-LSD-chim(NtGi2L-Gs-CtGq)/β1/γ2
9.09Consensus5ht_onOrthosteric Ligand5ht1_on 5ht2_on 5ht4_on 5ht5_on 5ht6_on 5ht7_on
9.09Consensusccr6_onOrthosteric Ligand6WWZ-CCR6-CCL20-Go/β1/γ2
9.09Consensusccr6_on_gpOrthosteric Ligand6WWZ-CCR6-CCL20-Go/β1/γ2
9.09Consensusgq_histamineOrthosteric Ligand7DFL-H1-Histamine-chim(NtGi1L-Gq)/β1/γ2
9.09Consensusgs_5htOrthosteric Ligand7XTC-5-HT7-5-CT-Gs/β1/γ2 7XTB-5-HT6-Serotonin-Gs/β1/γ2 8JLZ-5-HT6-ST1936-Gs/β1/γ2 7XT8-5-HT4-Serotonin-Gs/β1/γ2
9.09Consensush1_on_gpOrthosteric Ligand7DFL-H1-Histamine-chim(NtGi1L-Gq)/β1/γ2
9.09Consensushistamine_onOrthosteric Ligandh1_on h2_on h3_on h4_on
9.09Consensushistamine_on_gpOrthosteric Ligandh1_on_gp h2_on_gp h3_on_gp h4_on_gp
9.09Consensusorexin_offOrthosteric Ligandox2_off ox1_off
9.09Consensusox1_offOrthosteric Ligand6TP6-OX1-Filorexant 6TP4-OX1-ACT-462206 6V9S-OX1-GTPL11403 6TOT-OX1-Lemborexant 6TP3-OX1-Nemorexant 6TQ6-OX1-PubChem 145714283 6TQ9-OX1-SB-408124 4ZJC-OX1-SB-674042 4ZJ8-OX1-Suvorexant 6TOD-OX1-EMPA-Na 6TOS-OX1-GSK1059865-Na 6TQ4-OX1-PubChem 16046844-Na
9.09Consensusox2_offOrthosteric Ligand5WQC-OX2-EMPA 6TPN-OX2-HTL6641 7XRR-OX2-Lemborexant 6TPJ-OX2-Suvorexant
8.82Single8XVEBQ30208XVE-ETB-BQ3020-chim(Gs-CtGq)/β1/γ2
8.70Single3RZECidoxepin3RZE-H1-Cidoxepin
8.70Single4N6HNaltrindole4N6H-δ-Naltrindole-Na
8.70Single4ZJCSB-6740424ZJC-OX1-SB-674042
8.70Single6FFIMMPEP6FFI-mGlu5-MMPEP
8.70Single6ME32-Phenylmelatonin6ME3-MT1-2-Phenylmelatonin
8.70Single6ME42-Iodomelatonin6ME4-MT1-2-Iodomelatonin
8.70Single6PELCitronellol6PEL-Rhodopsin-Citronellol-Gt(CT)
8.70Single6PS82-Phenylmelatonin6PS8-MT1-2-Phenylmelatonin
8.70Single6TOSGSK10598656TOS-OX1-GSK1059865-Na
8.70Single6TP3Nemorexant6TP3-OX1-Nemorexant
8.70Single6TPGEMPA6TPG-OX2-EMPA
8.70Single6TPKRetosiban6TPK-OT-Retosiban
8.70Single6TPNHTL66416TPN-OX2-HTL6641
8.70Single6U1NLY21196206U1N-M2-LY2119620-Arrestin2
8.70Single6VI4JDTic6VI4-κ-JDTic
8.70Single6WJCMuscarinic toxin 76WJC-M1-Atropine-Muscarinic toxin 7
8.70Single6XBLSAG6XBL-SMO-SAG-Cholesterol-Gi1/β1/γ2
8.70Single6ZDVChromone 5d6ZDV-A2A-Chromone 5d-Na
8.70Single6ZFZ77-LH-28-16ZFZ-M1-77-LH-28-1
8.70Single7CMUPramipexole7CMU-D3-Pramipexole-Gi1/β1/γ2
8.70Single7CMVPD1289077CMV-D3-PD128907-Gi1/β1/γ2
8.70Single7E33BRL-544437E33-5-HT1E-BRL-54443-Gi1/β1/γ2
8.70Single7F61PF-036547467F61-H3-PF-03654746
8.70Single7M3GCa; Ca; Tryptophan; Evocalcet; Etelcalcetide; PO47M3G-CaS-Ca; Ca; Tryptophan; Evocalcet; Etelcalcetide; PO4
8.70Single7RANPubChem 1645758477RAN-5-HT2A-PubChem 164575847-chim(NtGi2L-Gs-CtGq)/β1/γ2
8.70Single7SR8TAK-9257SR8-OX2-TAK-925-chim(NtGi1L-Gs-CtGq)/β1/γ2
8.70Single7T94LY21196207T94-M2-Acetylcholine-LY2119620-chim(NtGi1-Go)/β1/γ2
8.70Single7UM7Methylergometrine7UM7-5-HT5A-Methylergometrine-chim(NtGi1-Go)/β1/γ2
8.70Single7VUGJNJ-635330547VUG-GPR139-JNJ-63533054-Gi1/β1/γ2
8.70Single7YK6PubChem 1383196747YK6-RXFP4-PubChem 138319674-Gi2/β1/γ2
8.70Single7ZI0SAG7ZI0-SMO-SAG-Cholesterol
8.70Single8GG5Constrained Epinephrine8GG5-β2-Constrained Epinephrine-GTP-Gs/β1/γ2
8.70Single8GUQOlorinab8GUQ-CB2-Olorinab-Gi1/β1/γ2
8.70Single8IHKAcifran8IHK-HCA3-Acifran
8.70Single8U02L-Dopamine8U02-D2-L-Dopamine-Go/β1/γ2
8.70Single8V6UPubChem 1713924568V6U-5-HT2A-PubChem 171392456-chim(NtGi2-Gs-CtGq)/β1/γ2
8.70Single8X7ATreprostinil8X7A-I2-Treprostinil-Gs/β1/γ2
8.70Single8Y53MK50468Y53-BB3-MK5046-chim(NtGi1-Gs-CtGq)/β1/γ2
8.70Single8Y62C16:0 Ceramide8Y62-FPR2-ALX-C16:0 Ceramide-Gi1/β1/γ2
8.70Single8YN3Histamine8YN3-H2-Histamine-Gs/β1/γ2
8.70Single8YRGFospropofol8YRG-MRGPRX4-Fospropofol-chim(NtGi1-Gs-CtGq)/β1/γ2
8.70Single8ZMGPimavanserin8ZMG-5-HT2A-Pimavanserin
8.70Single9AS3LSD9AS3-5-HT2A-LSD
8.70Single9AS4LSD9AS4-5-HT2A-LSD-chim(NtGi1-Gs-CtGq)/β1/γ2
8.70Single9CBLEpinephrine9CBL-α2a-Epinephrine-Gi1/β1/γ2
8.70Single9EPQ11,20-Ethanoretinal9EPQ-Rhodopsin-11,20-Ethanoretinal-chim(Gi1-CtGq)/β1/γ2
8.70Single9JMDAzithromycin9JMD-Motilin-Azithromycin-chim(Gs-CtGq)/β1/γ2
8.70Single9KPDSA09KPD-TAS2R16-SA0-chim(Gs-CtGt3)/β1/γ2
8.70Single9LRDHistamine9LRD-H1-Histamine-Gi1/β1/γ2
8.70Consensusd3_onOrthosteric Ligand7CMV-D3-PD128907-Gi1/β1/γ2 8IRT-D3-Rotigotine-Gi1/β1/γ2 7CMU-D3-Pramipexole-Gi1/β1/γ2
8.70Consensusd3_on_gpOrthosteric Ligand7CMV-D3-PD128907-Gi1/β1/γ2 8IRT-D3-Rotigotine-Gi1/β1/γ2 7CMU-D3-Pramipexole-Gi1/β1/γ2
8.70Consensusot_offOrthosteric Ligand6TPK-OT-Retosiban
8.70Consensusvasop-oxy_offOrthosteric Ligandot_off
8.57Single7AD3Alpha-factor mating pheromone7AD3-STE2-α-factor mating pheromone-Gi1/STE4/γ2
8.57Single8FEG(DNCP)-Beta-Naloxamine8FEG-κ-(DNCP)-β-Naloxamine-Gi1/β1/γ2
8.33Single4EA3PubChem 102965614EA3-NOP-PubChem 10296561
8.33Single4QIMANTA XV4QIM-SMO-ANTA XV
8.33Single4Z9GCP-3763954Z9G-CRF1-CP-376395
8.33Single5DHHSB-6121115DHH-NOP-SB-612111
8.33Single5DSGTiotropium5DSG-M4-Tiotropium
8.33Single6DRXLisuride6DRX-5-HT2B-Lisuride
8.33Single6FFHFenobam6FFH-mGlu5-Fenobam
8.33Single6GPSMK08126GPS-CCR2-MK0812
8.33Single6TOTLemborexant6TOT-OX1-Lemborexant
8.33Single6XBM5LWE6XBM-SMO-5LWE-Gi1/β1/γ2
8.33Single7FIHOrg435537FIH-LH-hCG-Org43553-chim(NtGi1-Gs)/β1/γ2
8.33Single7JVQApomorphine7JVQ-D1-Apomorphine-Gs/β1/γ2
8.33Single7LJCSKF-812977LJC-D1-SKF-81297-Mevidalen-Gs/β1/γ2
8.33Single7SK8CXCL127SK8-ACKR3-CXCL12-CCX662
8.33Single7SQOTAK-9257SQO-OX2-TAK-925-Gi1/β1/γ2
8.33Single7UM55-CT7UM5-5-HT5A-5-CT-chim(NtGi1-Go)/β1/γ2
8.33Single7VGZRemalteon7VGZ-MT1-Remalteon-Gi1/β1/γ2
8.33Single7VH0Ramelteon7VH0-MT2-Ramelteon-Gi1/β1/γ1
8.33Single7WQ3Galanin7WQ3-GAL1-Galanin-Gi1/β1/γ2
8.33Single8DZSGR89,6968DZS-κ-GR89,696-chim(NtGi2-Gz)/β1/γ2
8.33Single8EFQDamgo8EFQ-μ-Damgo-Gi1/β1/γ2
8.33Single8GTIBMK-C2058GTI-CRF1-BMK-C205
8.33Single8IHJAcifran8IHJ-HCA3-Acifran-Gi1/β1/γ2
8.33Single8IRTRotigotine8IRT-D3-Rotigotine-Gi1/β1/γ2
8.33Single8UGYMianserin8UGY-5-HT1E-Mianserin-Gi1/β1/γ1
8.33Single8UWLLisuride8UWL-5-HT2A-Lisuride-chim(NtGi2-Gs-CtGq)/β1/γ2
8.33Single8WC7ZH86678WC7-TA1-ZH8667-chim(NtGi1-Gs)/β1/γ2
8.33Single8X9TAP5038X9T-ADGRD1-AP503-chim(NtGi1-Gs)/β1/γ2
8.33Single8YN8Proxyfan8YN8-H3-Proxyfan-Go/β1/γ2
8.33Single9D61JDTic9D61-κ-JDTic-Gi1/β1/γ2
8.33Single9IMATalquetamab9IMA-GPRC5D-Talquetamab
8.33Single9JGKBalovaptan9JGK-5-HT2B-Balovaptan
8.33Single9PQD(6m)-1-methyl-6-(1,2,5,6-tetrahydropyridin-3-yl)-1h-indole9PQD-α2a-(6m)-1-methyl-6-(1,2,5,6-tetrahydropyridin-3-yl)-1h-indole
8.33Consensuscck_offOrthosteric Ligandccka_off
8.33Consensusccka_offOrthosteric Ligand7F8Y-CCKA-Devazepide 7F8U-CCKA-Lintitript
8.33Consensusccr2_offOrthosteric Ligand6GPS-CCR2-MK0812
8.33Consensusgal1_onOrthosteric Ligand7WQ3-GAL1-Galanin-Gi1/β1/γ2
8.33Consensusgal1_on_gpOrthosteric Ligand7WQ3-GAL1-Galanin-Gi1/β1/γ2
8.33Consensusgi_galaninOrthosteric Ligand7WQ3-GAL1-Galanin-Gi1/β1/γ2
8.33Consensusgi_orexinOrthosteric Ligand7SQO-OX2-TAK-925-Gi1/β1/γ2
8.33Consensusm4_offOrthosteric Ligand5DSG-M4-Tiotropium
8.11Single8ZJETAK-4488ZJE-Kiss1-TAK-448-chim(NtGi1-Gq)/β1/γ1
8.00Single4JKVTaladegib4JKV-SMO-Taladegib
8.00Single4ZJ8Suvorexant4ZJ8-OX1-Suvorexant
8.00Single5WIUNemonapride5WIU-D4-Nemonapride
8.00Single5WIVNemonapride5WIV-D4-Nemonapride-Na
8.00Single5WQCEMPA5WQC-OX2-EMPA
8.00Single5ZBQUR-MK-2995ZBQ-Y1-UR-MK-299
8.00Single6GPXMK08126GPX-CCR2-MK0812
8.00Single6HLPNetupitant6HLP-NK1-Netupitant
8.00Single6TO7Suvorexant6TO7-OX1-Suvorexant-Na
8.00Single6TP6Filorexant6TP6-OX1-Filorexant
8.00Single6Z4QSR142948A6Z4Q-NTS1-SR142948A
8.00Single7CFNINT-7777CFN-GPBA-INT-777-Gs/β1/γ2
8.00Single7SBFPZM217SBF-μ-PZM21-Gi1/β1/γ2
8.00Single7VFXfMLF7VFX-FPR1-ALX-fMLF-Gi1/β1/γ2
8.00Single7VV4Cortistatin-147VV4-MRGPRX2-Cortistatin-14
8.00Single7WC6LSD7WC6-5-HT2A-LSD
8.00Single7Y26Octreotide7Y26-SST2-Octreotide-chim(NtGi2L-Gs-CtGq)/β1/γ2
8.00Single8DZRGR89,6968DZR-κ-GR89,696-chim(NtGi2-Gt3)/β1/γ2
8.00Single8GD9Rivenprost8GD9-EP4-Rivenprost-Gs/β1/γ2
8.00Single8GTGBMK-I1528GTG-CRF1-BMK-I152
8.00Single8JXSPF-61428JXS-D1-PF-6142
8.00Single8K8JFenofibrate8K8J-CB1-Fenofibrate-chim(Gs-CtGq)/β1/γ2
8.00Single8TH4AT118-L Nanobody8TH4-AT1-Losartan-AT118-L Nanobody
8.00Single8ZVZBW245C8ZVZ-DP1-BW245C-Gs/β1/γ2
8.00Single9ARYSerotonin9ARY-5-HT2A-Serotonin-chim(NtGi1-Gs-CtGq)/β1/γ2
8.00Single9ARZ2-bromo-LSD9ARZ-5-HT2A-2-bromo-LSD
8.00Single9EAHNanobody AT2099EAH-AT1-Olmesartan-Nanobody AT209
8.00Single9HAPTolvaptan9HAP-V2-Tolvaptan
8.00Single9I52A1IZU9I52-D1-A1IZU-Gs/β1/γ2
8.00Consensusd4_onOrthosteric Ligand8IRU-D4-Rotigotine-chim(NtGi1-Gs-CtGi1)/β1/γ2
8.00Consensusfpr1-alx_onOrthosteric Ligand7VFX-FPR1-ALX-fMLF-Gi1/β1/γ2
8.00Consensusfpr1-alx_on_gpOrthosteric Ligand7VFX-FPR1-ALX-fMLF-Gi1/β1/γ2
7.69Single5V56TC1145V56-SMO-TC114
7.69Single5V57TC1145V57-SMO-TC114
7.69Single6DDEDamgo6DDE-μ-Damgo-Gi1/β1/γ2
7.69Single6E59L-7607356E59-NK1-L-760735
7.69Single6Z8NSRI-98296Z8N-NTS1-SRI-9829
7.69Single7CKYPW04647CKY-D1-PW0464-Gs/β1/γ2
7.69Single7R0CAVP7R0C-V2-AVP-Arrestin2
7.69Single7S8MCortistatin-147S8M-MRGPRX2-Cortistatin-14-Gi1/β1/γ2
7.69Single7SK7CXCL127SK7-ACKR3-CXCL12-CCX662
7.69Single7T9NDPPC7T9N-TSH-M22 Fab-DPPC-Gs/β1/γ2
7.69Single7XAVLanreotide7XAV-SST2-Lanreotide-Gi1/β1/γ2
7.69Single7XTQR3997XTQ-GPBA-R399-Gs/β1/γ2
7.69Single7XWONeurokinin-A7XWO-NK2-Neurokinin-A-chim(NtGi1-Gs-CtGq)/β1/γ2
7.69Single8IRURotigotine8IRU-D4-Rotigotine-chim(NtGi1-Gs-CtGi1)/β1/γ2
7.69Single8JD5JNJ-40411813; ADX881788JD5-mGlu2; mGlu4-Glutamate-JNJ-40411813; ADX88178-Gi1/β1/γ2
7.69Single8JLPRalmitaront8JLP-TA1-Ralmitaront-Gs/β1/γ2
7.69Single8JXVClozapine8JXV-H4-Clozapine-Gi1/β1/γ2
7.69Single8JXWVUF68848JXW-H4-VUF6884-Gi1/β1/γ2
7.69Single8X79MRE-2698X79-I2-MRE-269-Gs/β1/γ2
7.69Single8XQTCholesterol8XQT-TAS2R14-Cholesterol-Gi1/β1/γ1
7.69Single8XX7CXCL58XX7-CXCR2-CXCL5-Go/β1/γ2
7.69Single8Y73Peptide8Y73-μ-Peptide-MPAM-15-Gi1/β1/γ2
7.69Single8ZW0PGD28ZW0-DP1-PGD2-Gs/β1/γ2
7.69Single9AS9RS130-1809AS9-5-HT2A-RS130-180
7.69Single9ASARS130-1809ASA-5-HT2A-RS130-180-chim(NtGi1-Gs-CtGq)/β1/γ2
7.69Single9B65KCA9B65-CB1-KCA-Gi1/β1/γ2
7.69Single9I54A1IZV9I54-D1-A1IZV-Gs/β1/γ2
7.69Single9IJDCarazolol9IJD-β3-Carazolol-chim(NtGi1-Gs)/β1/γ2
7.69Consensuscyslt1_offOrthosteric Ligand6RZ5-CysLT1-Zafirlukast-Na 6RZ4-CysLT1-Pranlukast-Na
7.69Consensusd4_on_gpOrthosteric Ligand8IRU-D4-Rotigotine-chim(NtGi1-Gs-CtGi1)/β1/γ2
7.69Consensusffa2_onOrthosteric Ligand8J22-FFA2-TUG-1375-Gi1/β1/γ2
7.69Consensusnk2_on_gpOrthosteric Ligand7XWO-NK2-Neurokinin-A-chim(NtGi1-Gs-CtGq)/β1/γ2
7.41Single7L1UOrexin7L1U-OX2-Orexin-chim(NtGi1-Gs-CtGq)/β1/γ2
7.41Single7L1VPubChem 1554910097L1V-OX2-PubChem 155491009-chim(NtGi1-Gs-CtGq)/β1/γ2
7.41Single7WQ4Galanin7WQ4-GAL2-Galanin-chim(NtGi1-Gs-CtGq)/β1/γ2
7.41Single7XMTJ-21567XMT-SST4-J-2156-Gi1/β1/γ2
7.41Single7XW5ML1097XW5-TSH-TSH-ML109-Gs/β1/γ2
7.41Single8GTMBMK-C2038GTM-CRF1-BMK-C203
7.41Single8H0QGastrin Releasing Peptide8H0Q-BB2-Gastrin Releasing Peptide-chim(NtGi1-Gs-CtGq)/β1/γ2
7.41Single8XWACXCL18XWA-CXCR2-CXCL1
7.41Single8XWSCXCL58XWS-CXCR2-CXCL5
7.41Single9AU0BW245C9AU0-DP1-BW245C-Gs/β1/γ2
7.41Consensusffa2_on_gpOrthosteric Ligand8J22-FFA2-TUG-1375-Gi1/β1/γ2
7.41Consensusorexin_onOrthosteric Ligandox2_on
7.14Single4RWSvMIP-II4RWS-CXCR4-vMIP-II
7.14Single6K1QIRL25006K1Q-ETB-IRL2500
7.14Single7CX4Evatanepag7CX4-EP2-Evatanepag-Gs/β1/γ2
7.14Single7MBYCholecystokinin-87MBY-CCKA-Cholecystokinin-8-chim(NtGi1L-Gs-CtGq)/β1/γ2
7.14Single8XGSMetastin8XGS-Kiss1-Metastin-chim(NtGi1-Gq)/β1/γ2
7.14Single8XWVCXCL18XWV-CXCR2-CXCL1-Go/β1/γ2
7.14Single8ZPLHF511168ZPL-CXCR4-HF51116
7.14Consensusnk2_onOrthosteric Ligand7XWO-NK2-Neurokinin-A-chim(NtGi1-Gs-CtGq)/β1/γ2
7.14Consensusorexin_on_gpOrthosteric Ligandox2_on_gp
6.90Single7Y1FDynorphin7Y1F-κ-Dynorphin-Gi1/β1/γ2
6.90Single8J22TUG-13758J22-FFA2-TUG-1375-Gi1/β1/γ2
6.90Single8Z74Agonistic antibody8Z74-Apelin-Agonistic antibody
6.90Consensusox2_onOrthosteric Ligand7L1V-OX2-PubChem 155491009-chim(NtGi1-Gs-CtGq)/β1/γ2 7SQO-OX2-TAK-925-Gi1/β1/γ2 7L1U-OX2-Orexin-chim(NtGi1-Gs-CtGq)/β1/γ2
6.90Consensusox2_on_gpOrthosteric Ligand7L1V-OX2-PubChem 155491009-chim(NtGi1-Gs-CtGq)/β1/γ2 7SQO-OX2-TAK-925-Gi1/β1/γ2 7L1U-OX2-Orexin-chim(NtGi1-Gs-CtGq)/β1/γ2
6.67Single6D32Cyclopamine6D32-SMO-Cyclopamine-Cyclopamine
6.67Single6D35Cholesterol6D35-SMO-Cholesterol
6.67Single6N51Quisqualate6N51-mGlu5; mGlu5-Quisqualate
6.67Single6N51Quisqualate6N51-mGlu5; mGlu5-Quisqualate
6.67Single6UO8SKF975416UO8-GABAB1, GABAB2-SKF97541-GS39783
6.67Single6UO9SKF975416UO9-GABAB1, GABAB2-SKF97541
6.67Single6W2XPubChem 53110426W2X-GABAB1, GABAB2-PubChem 5311042
6.67Single6W2YPubChem 53110426W2Y-GABAB1; GABAB1-PubChem 5311042
6.67Single6W2YPubChem 53110426W2Y-GABAB1; GABAB1-PubChem 5311042
6.67Single7C7QBaclofen7C7Q-GABAB1, GABAB2-Baclofen-BHFF
6.67Single7C7SCGP546267C7S-GABAB1, GABAB2-CGP54626
6.67Single7CUMCGP546267CUM-GABAB1, GABAB2-CGP54626
6.67Single7CX3Taprenepag7CX3-EP2-Taprenepag-Gs/β1/γ2
6.67Single7DD5Ca7DD5-CaS-Ca-Ca; Ca; Tryptophan; NPS-2143
6.67Single7DD5Ca; Ca; Tryptophan; NPS-21437DD5-CaS-Ca-Ca; Ca; Tryptophan; NPS-2143
6.67Single7DD5Ca7DD5-CaS-Ca-Ca; Ca; Tryptophan; NPS-2143
6.67Single7DD5Ca; Ca; Tryptophan; NPS-21437DD5-CaS-Ca-Ca; Ca; Tryptophan; NPS-2143
6.67Single7DGEQuisqualate7DGE-mGlu1; mGlu1-Quisqualate
6.67Single7DTTCa7DTT-CaS-Ca-Ca
6.67Single7DTTCa7DTT-CaS-Ca-Ca
6.67Single7DTUTryptophan7DTU-CaS-Tryptophan
6.67Single7DTUTryptophan7DTU-CaS-Tryptophan
6.67Single7DTVCa7DTV-CaS-Ca-Ca; Tryptophan
6.67Single7DTVCa; Tryptophan7DTV-CaS-Ca-Ca; Tryptophan
6.67Single7DTVCa7DTV-CaS-Ca-Ca; Tryptophan
6.67Single7DTVCa; Tryptophan7DTV-CaS-Ca-Ca; Tryptophan
6.67Single7E6TCa7E6T-CaS-Ca-Ca; Ca; Cyclomethyltryptophan; PO4
6.67Single7E6TCa; Ca; Cyclomethyltryptophan; PO47E6T-CaS-Ca-Ca; Ca; Cyclomethyltryptophan; PO4
6.67Single7E6TCa7E6T-CaS-Ca-Ca; Ca; Cyclomethyltryptophan; PO4
6.67Single7E6TCa; Ca; Cyclomethyltryptophan; PO47E6T-CaS-Ca-Ca; Ca; Cyclomethyltryptophan; PO4
6.67Single7E9GEglumetad7E9G-mGlu2; mGlu2-Eglumetad-JNJ-40411813-Gi1/β1/γ2
6.67Single7E9GEglumetad7E9G-mGlu2; mGlu2-Eglumetad-JNJ-40411813-Gi1/β1/γ2
6.67Single7E9HPhosphoserine7E9H-mGlu4; mGlu4-Phosphoserine-Gi3/β1/γ2
6.67Single7E9HPhosphoserine7E9H-mGlu4; mGlu4-Phosphoserine-Gi3/β1/γ2
6.67Single7EB2Baclofen7EB2-GABAB2; GABAB1-Baclofen-rac-BHFF-Gi1/β1/γ2
6.67Single7EPBEglumetad7EPB-mGlu2; mGlu2-Eglumetad
6.67Single7EPBEglumetad7EPB-mGlu2; mGlu2-Eglumetad
6.67Single7FD8Quisqualate7FD8-mGlu5; mGlu5-Quisqualate
6.67Single7FD8Quisqualate7FD8-mGlu5; mGlu5-Quisqualate
6.67Single7FD9LY3414957FD9-mGlu5; mGlu5-LY341495
6.67Single7FD9LY3414957FD9-mGlu5; mGlu5-LY341495
6.67Single7FIHhCG7FIH-LH-hCG-Org43553-chim(NtGi1-Gs)/β1/γ2
6.67Single7FIIhCG7FII-LH-hCG-chim(NtGi1-Gs)/β1/γ2
6.67Single7M3ECa; Ca; Tryptophan; NPS-21437M3E-CaS-Ca; Ca; Tryptophan; NPS-2143
6.67Single7M3ECa; Ca; Tryptophan; NPS-21437M3E-CaS-Ca; Ca; Tryptophan; NPS-2143
6.67Single7M3FCa; Ca; Tryptophan; Cinacalcet; PO47M3F-CaS-Ca; Ca; Tryptophan; Cinacalcet; PO4
6.67Single7M3FCa; Ca; Tryptophan; Cinacalcet; PO47M3F-CaS-Ca; Ca; Tryptophan; Cinacalcet; PO4
6.67Single7M3GCa; Ca; Tryptophan; Evocalcet; Etelcalcetide; PO47M3G-CaS-Ca; Ca; Tryptophan; Evocalcet; Etelcalcetide; PO4
6.67Single7M3GCa; Ca; Tryptophan; Evocalcet; Etelcalcetide; PO47M3G-CaS-Ca; Ca; Tryptophan; Evocalcet; Etelcalcetide; PO4
6.67Single7M3GCa; Ca; Tryptophan; Evocalcet; Etelcalcetide; PO47M3G-CaS-Ca; Ca; Tryptophan; Evocalcet; Etelcalcetide; PO4
6.67Single7M3GCa; Ca; Tryptophan; Evocalcet; Etelcalcetide; PO47M3G-CaS-Ca; Ca; Tryptophan; Evocalcet; Etelcalcetide; PO4
6.67Single7MTQLY3414957MTQ-mGlu2; mGlu2-LY341495
6.67Single7MTQLY3414957MTQ-mGlu2; mGlu2-LY341495
6.67Single7MTRGlutamate7MTR-mGlu2; mGlu2-Glutamate-ADX55164
6.67Single7MTRGlutamate7MTR-mGlu2; mGlu2-Glutamate-ADX55164
6.67Single7MTSGlutamate7MTS-mGlu2; mGlu2-Glutamate-ADX55164-Gi1/β1/γ2
6.67Single7MTSGlutamate7MTS-mGlu2; mGlu2-Glutamate-ADX55164-Gi1/β1/γ2
6.67Single7QA8Peptide7QA8-STE2-Peptide
6.67Single7QA8Peptide7QA8-STE2-Peptide
6.67Single7SILCa7SIL-CaS-Ca-Ca; Ca; Ca; Cyclomethyltryptophan; 9IG; PO4
6.67Single7SILCa; Ca; Ca; Cyclomethyltryptophan; 9IG; PO47SIL-CaS-Ca-Ca; Ca; Ca; Cyclomethyltryptophan; 9IG; PO4
6.67Single7SILCa7SIL-CaS-Ca-Ca; Ca; Ca; Cyclomethyltryptophan; 9IG; PO4
6.67Single7SILCa; Ca; Ca; Cyclomethyltryptophan; 9IG; PO47SIL-CaS-Ca-Ca; Ca; Ca; Cyclomethyltryptophan; 9IG; PO4
6.67Single7SIMCa7SIM-CaS-Ca-Ca; Ca; Cyclomethyltryptophan; PO4
6.67Single7SIMCa; Ca; Cyclomethyltryptophan; PO47SIM-CaS-Ca-Ca; Ca; Cyclomethyltryptophan; PO4
6.67Single7SIMCa7SIM-CaS-Ca-Ca; Ca; Cyclomethyltryptophan; PO4
6.67Single7SIMCa; Ca; Cyclomethyltryptophan; PO47SIM-CaS-Ca-Ca; Ca; Cyclomethyltryptophan; PO4
6.67Single7T9NM22 Fab7T9N-TSH-M22 Fab-DPPC-Gs/β1/γ2
6.67Single7WI6LY3414957WI6-mGlu3; mGlu3-LY341495
6.67Single7WI6LY3414957WI6-mGlu3; mGlu3-LY341495
6.67Single7WI8LY3414957WI8-mGlu3; mGlu3-LY341495
6.67Single7WI8LY3414957WI8-mGlu3; mGlu3-LY341495
6.67Single7WIHLY27941937WIH-mGlu3; mGlu3-LY2794193
6.67Single7WIHLY27941937WIH-mGlu3; mGlu3-LY2794193
6.67Single7XMRSomatostatin-147XMR-SST2-Somatostatin-14-Gi1/β1/γ2
6.67Single7XW6M22 Fab7XW6-TSH-M22 Fab-ML109-Gs/β1/γ2
6.67Single7XW7K1-707XW7-TSH-K1-70
6.67Single8IEBA1LYA8IEB-GPR156-A1LYA
6.67Single8IEIA1LYA8IEI-GPR156-A1LYA
6.67Single8IEIA1LYA8IEI-GPR156-A1LYA
6.67Single8IEPA1LYA8IEP-GPR156-A1LYA
6.67Single8IEPA1LYA8IEP-GPR156-A1LYA
6.67Single8IZBLysophosphatidylserine8IZB-GPR174-Lysophosphatidylserine-Gs/β1/γ2
6.67Single8JCULY3414958JCU-mGlu2; mGlu3-LY341495
6.67Single8JCULY3414958JCU-mGlu2; mGlu3-LY341495
6.67Single8JCVLY3414958JCV-mGlu2; mGlu3-LY341495
6.67Single8JCVLY3414958JCV-mGlu2; mGlu3-LY341495
6.67Single8JCWLY3414958JCW-mGlu2; mGlu3-LY341495
6.67Single8JCWLY3414958JCW-mGlu2; mGlu3-LY341495
6.67Single8JCXLY3414958JCX-mGlu2; mGlu3-LY341495
6.67Single8JCXLY3414958JCX-mGlu2; mGlu3-LY341495
6.67Single8JCYLY3414958JCY-mGlu2; mGlu3-LY341495
6.67Single8JCYLY3414958JCY-mGlu2; mGlu3-LY341495
6.67Single8JCZLY3414958JCZ-mGlu2; mGlu3-LY341495
6.67Single8JCZLY3414958JCZ-mGlu2; mGlu3-LY341495
6.67Single8JD0Glutamate8JD0-mGlu2; mGlu3-Glutamate-NAM563
6.67Single8JD1Glutamate8JD1-mGlu2; mGlu3-Glutamate
6.67Single8JD1Glutamate8JD1-mGlu2; mGlu3-Glutamate
6.67Single8JD2Glutamate8JD2-mGlu2; mGlu3-Glutamate
6.67Single8JD2Glutamate8JD2-mGlu2; mGlu3-Glutamate
6.67Single8JD3Glutamate8JD3-mGlu2; mGlu3-Glutamate-JNJ-40411813-Gi1/β1/γ2
6.67Single8JD3Glutamate8JD3-mGlu2; mGlu3-Glutamate-JNJ-40411813-Gi1/β1/γ2
6.67Single8JD4Glutamate8JD4-mGlu2; mGlu4-Glutamate
6.67Single8JD4Glutamate8JD4-mGlu2; mGlu4-Glutamate
6.67Single8JD5Glutamate8JD5-mGlu2; mGlu4-Glutamate-JNJ-40411813; ADX88178-Gi1/β1/γ2
6.67Single8JD5Glutamate8JD5-mGlu2; mGlu4-Glutamate-JNJ-40411813; ADX88178-Gi1/β1/γ2
6.67Single8JD6Phosphoserine8JD6-mGlu4; mGlu4-Phosphoserine-VU0364770-Gi3/β1/γ2
6.67Single8JD6Phosphoserine8JD6-mGlu4; mGlu4-Phosphoserine-VU0364770-Gi3/β1/γ2
6.67Single8SZFCa; Ca; Tryptophan; Cinacalcet; PO4; Spermine8SZF-CaS-Ca; Ca; Tryptophan; Cinacalcet; PO4; Spermine
6.67Single8SZFCa; Ca; Tryptophan; Cinacalcet; PO4; Spermine8SZF-CaS-Ca; Ca; Tryptophan; Cinacalcet; PO4; Spermine
6.67Single8SZGCa; Ca; Tryptophan; Cinacalcet; PO4; Spermine8SZG-CaS-Ca; Ca; Tryptophan; Cinacalcet; PO4; Spermine-chim(NtGi1-Gq)/β1/γ2
6.67Single8T7HQuisqualate8T7H-mGlu5; mGlu5-Quisqualate
6.67Single8T7HQuisqualate8T7H-mGlu5; mGlu5-Quisqualate
6.67Single8T8MQuisqualate8T8M-mGlu5; mGlu5-Quisqualate
6.67Single8T8MQuisqualate8T8M-mGlu5; mGlu5-Quisqualate
6.67Single8TAOQuisqualate8TAO-mGlu5; mGlu5-Quisqualate-CDPPB
6.67Single8TAOQuisqualate8TAO-mGlu5; mGlu5-Quisqualate-CDPPB
6.67Single8TQBCa; PAM VU60233268TQB-mGlu3; mGlu3-Ca; PAM VU6023326-Ca
6.67Single8TQBCa; PAM VU60233268TQB-mGlu3; mGlu3-Ca; PAM VU6023326-Ca
6.67Single8TR0LY3414958TR0-mGlu3; mGlu3-LY341495
6.67Single8TR0LY3414958TR0-mGlu3; mGlu3-LY341495
6.67Single8TR2Ca; LY3792688TR2-mGlu3; mGlu3-Ca; LY379268-Ca
6.67Single8TR2Ca; LY3792688TR2-mGlu3; mGlu3-Ca; LY379268-Ca
6.67Single8TRCLY3414958TRC-mGlu3; mGlu3-LY341495
6.67Single8TRCLY3414958TRC-mGlu3; mGlu3-LY341495
6.67Single8TRDLY3414958TRD-mGlu3; mGlu3-LY341495
6.67Single8TRDLY3414958TRD-mGlu3; mGlu3-LY341495
6.67Single8WG9(2S)-2-amino-4-phosphonobutanoic acid8WG9-mGlu4; mGlu2-(2S)-2-amino-4-phosphonobutanoic acid
6.67Single8WGBGlutammate8WGB-mGlu4; mGlu2-Glutammate-VU0155041-Gi3/β1/γ2
6.67Single8WGBGlutammate8WGB-mGlu4; mGlu2-Glutammate-VU0155041-Gi3/β1/γ2
6.67Single8WGCLY3792688WGC-mGlu4; mGlu2-LY379268
6.67Single8WGDWAG; WA68WGD-mGlu4; mGlu2-WAG; WA6
6.67Single8WGDWAG; WA68WGD-mGlu4; mGlu2-WAG; WA6
6.67Single8WPGTryptophan; Cinacalcet; PO4; Ca8WPG-CaS-Tryptophan; Cinacalcet; PO4; Ca
6.67Single8WPGTryptophan; Cinacalcet; PO4; Ca8WPG-CaS-Tryptophan; Cinacalcet; PO4; Ca
6.67Single8WPUTryptophan; Cinacalcet; PO4; Ca8WPU-CaS-Tryptophan; Cinacalcet; PO4; Ca-chim(NtGi2L-Gs-CtGq)/β1/γ2
6.67Single8WPUTryptophan; Cinacalcet; PO4; Ca8WPU-CaS-Tryptophan; Cinacalcet; PO4; Ca-chim(NtGi2L-Gs-CtGq)/β1/γ2
6.67Single8WVXNorrin8WVX-LGR4-Norrin
6.67Single8WVYNorrin8WVY-LGR4-Norrin
6.67Single8X0BQuisqualate8X0B-mGlu5; mGlu5-Quisqualate-VU0424465
6.67Single8X0BQuisqualate8X0B-mGlu5; mGlu5-Quisqualate-VU0424465
6.67Single8X0CQuisqualate8X0C-mGlu5; mGlu5-Quisqualate-VU0424465
6.67Single8X0CQuisqualate8X0C-mGlu5; mGlu5-Quisqualate-VU0424465
6.67Single8X0DQuisqualate8X0D-mGlu5; mGlu5-Quisqualate-VU0424465
6.67Single8X0DQuisqualate8X0D-mGlu5; mGlu5-Quisqualate-VU0424465
6.67Single8X0EQuisqualate8X0E-mGlu5; mGlu5-Quisqualate
6.67Single8X0EQuisqualate8X0E-mGlu5; mGlu5-Quisqualate
6.67Single8X0FQuisqualate8X0F-mGlu5; mGlu5-Quisqualate-VU0424465
6.67Single8X0FQuisqualate8X0F-mGlu5; mGlu5-Quisqualate-VU0424465
6.67Single8X0GQuisqualate8X0G-mGlu5; mGlu5-Quisqualate
6.67Single8X0GQuisqualate8X0G-mGlu5; mGlu5-Quisqualate
6.67Single8X0HQuisqualate8X0H-mGlu5; mGlu5-Quisqualate
6.67Single8X0HQuisqualate8X0H-mGlu5; mGlu5-Quisqualate
6.67Single8XBHS3E-LysoPS8XBH-GPR34-S3E-LysoPS-Gi1/β1/γ2
6.67Single8XUMR-spondin-28XUM-LGR4-R-spondin-2
6.67Single8ZCJPasireotide8ZCJ-SST5-Pasireotide-Gi1/β1/γ1
6.67Single9ASBCa9ASB-CaS-Ca-Ca; Ca; Cyclomethyltryptophan; 9IG; PO4-chim(NtGi1-Gs-CtGq)/β1/γ2
6.67Single9ASBCa; Ca; Cyclomethyltryptophan; 9IG; PO49ASB-CaS-Ca-Ca; Ca; Cyclomethyltryptophan; 9IG; PO4-chim(NtGi1-Gs-CtGq)/β1/γ2
6.67Single9AVGCa9AVG-CaS-Ca-Ca; Ca; Cyclomethyltryptophan; 9IG; PO4-chim(NtGi1-Gs)/β1/γ2
6.67Single9AVGCa; Ca; Cyclomethyltryptophan; 9IG; PO49AVG-CaS-Ca-Ca; Ca; Cyclomethyltryptophan; 9IG; PO4-chim(NtGi1-Gs)/β1/γ2
6.67Single9AVLCa9AVL-CaS-Ca-Ca; Ca; Cyclomethyltryptophan; 9IG; PO4-Gi3/β2/γ2
6.67Single9AVLCa; Ca; Cyclomethyltryptophan; 9IG; PO49AVL-CaS-Ca-Ca; Ca; Cyclomethyltryptophan; 9IG; PO4-Gi3/β2/γ2
6.67Single9AVLCa9AVL-CaS-Ca-Ca; Ca; Cyclomethyltryptophan; 9IG; PO4-Gi3/β2/γ2
6.67Single9AVLCa; Ca; Cyclomethyltryptophan; 9IG; PO49AVL-CaS-Ca-Ca; Ca; Cyclomethyltryptophan; 9IG; PO4-Gi3/β2/γ2
6.67Single9AXFCa9AXF-CaS-Ca-Ca; Ca; Ca; Cyclomethyltryptophan; 9IG; PO4-chim(NtGi1-Gs-CtGq)/β1/γ2
6.67Single9AXFCa; Ca; Ca; Cyclomethyltryptophan; 9IG; PO49AXF-CaS-Ca-Ca; Ca; Ca; Cyclomethyltryptophan; 9IG; PO4-chim(NtGi1-Gs-CtGq)/β1/γ2
6.67Single9AXFCa9AXF-CaS-Ca-Ca; Ca; Ca; Cyclomethyltryptophan; 9IG; PO4-chim(NtGi1-Gs-CtGq)/β1/γ2
6.67Single9AXFCa; Ca; Ca; Cyclomethyltryptophan; 9IG; PO49AXF-CaS-Ca-Ca; Ca; Ca; Cyclomethyltryptophan; 9IG; PO4-chim(NtGi1-Gs-CtGq)/β1/γ2
6.67Single9AYFCa9AYF-CaS-Ca-Ca; Ca; Ca; Cyclomethyltryptophan; 9IG; PO4-Gi1/β1/γ2
6.67Single9AYFCa; Ca; Ca; Cyclomethyltryptophan; 9IG; PO49AYF-CaS-Ca-Ca; Ca; Ca; Cyclomethyltryptophan; 9IG; PO4-Gi1/β1/γ2
6.67Single9C1PCa9C1P-CaS-Ca-Ca; Tryptophan; '6218; PO4
6.67Single9C1PCa; Tryptophan; '6218; PO49C1P-CaS-Ca-Ca; Tryptophan; '6218; PO4
6.67Single9C1PCa9C1P-CaS-Ca-Ca; Tryptophan; '6218; PO4
6.67Single9C1PCa; Tryptophan; '6218; PO49C1P-CaS-Ca-Ca; Tryptophan; '6218; PO4
6.67Single9C2FCa9C2F-CaS-Ca-Ca; Ca; Tryptophan; '54149; PO4
6.67Single9C2FCa; Ca; Tryptophan; '54149; PO49C2F-CaS-Ca-Ca; Ca; Tryptophan; '54149; PO4
6.67Single9C2FCa9C2F-CaS-Ca-Ca; Ca; Tryptophan; '54149; PO4
6.67Single9C2FCa; Ca; Tryptophan; '54149; PO49C2F-CaS-Ca-Ca; Ca; Tryptophan; '54149; PO4
6.67Single9II2Glutamate9II2-mGlu3; mGlu3-Glutamate-Arrestin2
6.67Single9II2Glutamate9II2-mGlu3; mGlu3-Glutamate-Arrestin2
6.67Single9II3Glutamate9II3-mGlu3; mGlu3-Glutamate-Arrestin2
6.67Single9II3Glutamate9II3-mGlu3; mGlu3-Glutamate-Arrestin2
6.67Single9KHHNorrin9KHH-LGR4-Norrin
6.67Single9S37NB219S37-LGR4-NB21
6.67Single9UTBSucralose9UTB-TAS1R2; TAS1R3-Sucralose
6.45Single8IEBA1LYA8IEB-GPR156-A1LYA
6.45Single9IK8SST analogue9IK8-SST1-SST analogue-Gi1/β1/γ2
6.45Single9J0FNADH9J0F-P2Y14-NADH-Gi1/β1/γ2
6.25Single7DD6Ca7DD6-CaS-Ca-Ca; Ca; Tryptophan
6.25Single7DD6Ca; Ca; Tryptophan7DD6-CaS-Ca-Ca; Ca; Tryptophan
6.25Single7DD6Ca7DD6-CaS-Ca-Ca; Ca; Tryptophan
6.25Single7DD6Ca; Ca; Tryptophan7DD6-CaS-Ca-Ca; Ca; Tryptophan
6.25Single7DD7Ca7DD7-CaS-Ca-Ca; Ca; Tryptophan; Evocalcet
6.25Single7DD7Ca; Ca; Tryptophan; Evocalcet7DD7-CaS-Ca-Ca; Ca; Tryptophan; Evocalcet
6.25Single7DD7Ca7DD7-CaS-Ca-Ca; Ca; Tryptophan; Evocalcet
6.25Single7DD7Ca; Ca; Tryptophan; Evocalcet7DD7-CaS-Ca-Ca; Ca; Tryptophan; Evocalcet
6.25Single7MBXCholecystokinin-87MBX-CCKA-Cholecystokinin-8-Gs/β1/γ1
6.25Single7XOUCholecystokinin-87XOU-CCKA-Cholecystokinin-8-Gs/β1/γ2
6.25Single8K6MNeuropeptide-Y8K6M-Y1-Neuropeptide-Y-Gi2/β1/γ1
6.25Single8SZFCa; Ca; Tryptophan; Cinacalcet; PO4; Spermine8SZF-CaS-Ca; Ca; Tryptophan; Cinacalcet; PO4; Spermine
6.25Single8SZFCa; Ca; Tryptophan; Cinacalcet; PO4; Spermine8SZF-CaS-Ca; Ca; Tryptophan; Cinacalcet; PO4; Spermine
6.25Single8XGUTAK4488XGU-Kiss1-TAK448-Gi1/β1/γ2
6.25Single9ASBCa9ASB-CaS-Ca-Ca; Ca; Cyclomethyltryptophan; 9IG; PO4-chim(NtGi1-Gs-CtGq)/β1/γ2
6.25Single9ASBCa; Ca; Cyclomethyltryptophan; 9IG; PO49ASB-CaS-Ca-Ca; Ca; Cyclomethyltryptophan; 9IG; PO4-chim(NtGi1-Gs-CtGq)/β1/γ2
6.25Single9AVGCa9AVG-CaS-Ca-Ca; Ca; Cyclomethyltryptophan; 9IG; PO4-chim(NtGi1-Gs)/β1/γ2
6.25Single9AVGCa; Ca; Cyclomethyltryptophan; 9IG; PO49AVG-CaS-Ca-Ca; Ca; Cyclomethyltryptophan; 9IG; PO4-chim(NtGi1-Gs)/β1/γ2
6.25Single9AYFCa9AYF-CaS-Ca-Ca; Ca; Ca; Cyclomethyltryptophan; 9IG; PO4-Gi1/β1/γ2
6.25Single9AYFCa; Ca; Ca; Cyclomethyltryptophan; 9IG; PO49AYF-CaS-Ca-Ca; Ca; Ca; Cyclomethyltryptophan; 9IG; PO4-Gi1/β1/γ2
6.25Consensusnpy1_onOrthosteric Ligand8K6M-Y1-Neuropeptide-Y-Gi2/β1/γ1
6.25Consensusnpy1_on_gpOrthosteric Ligand8K6M-Y1-Neuropeptide-Y-Gi2/β1/γ1
6.06Single7AD3Alpha-factor mating pheromone7AD3-STE2-α-factor mating pheromone-Gi1/STE4/γ2
6.06Single7KH0AVP7KH0-V2-AVP-chim(NtGi1-Gs)/β1/γ2
6.06Single7W57Neuromedin-S7W57-NMUR2-Neuromedin-S-chim(NtGi1-Gs-CtGq)/β1/γ2
6.06Single8IEDA1LYA8IED-GPR156-A1LYA-Go/β1/γ2
5.88Single7KNUCalcitonin gene-related peptide-17KNU-CT Like-Calcitonin gene-related peptide-1-RAMP1
5.88Single7QBIAlpha-factor mating pheromone7QBI-STE2-α-factor mating pheromone
5.88Single7T9MCS-17 Antibody7T9M-TSH-CS-17 Antibody
5.71Single7QBIAlpha-factor mating pheromone7QBI-STE2-α-factor mating pheromone
5.56Single4A4MAll-trans-Retinal4A4M-Rhodopsin-All-trans-Retinal-Gt(CT)
5.56Single5EN0All-trans-Retinal5EN0-Rhodopsin-All-trans-Retinal-Gt(CT)
5.56Single6O3CCholesterol6O3C-SMO-SAG21k-Cholesterol
5.56Single7FIGhCG7FIG-LH-hCG-chim(NtGi1L-Gs)/β1/γ2
5.56Single7QBCAlpha-factor mating pheromone7QBC-STE2-α-factor mating pheromone
5.56Single7UTZTR14027UTZ-TSH-TR1402-DPPC-Gs/β1/γ2
5.56Single7XW5TSH7XW5-TSH-TSH-ML109-Gs/β1/γ2
5.56Single7ZI0Cholesterol7ZI0-SMO-SAG-Cholesterol
5.56Single8WCBCyclohexylammonium Ion8WCB-TA1-Cyclohexylammonium Ion-chim(NtGi1-Gs-CtGq)/β1/γ2
5.56Single8WCCCyclohexylammonium Ion8WCC-TA1-Cyclohexylammonium Ion
5.41Single7QBCAlpha-factor mating pheromone7QBC-STE2-α-factor mating pheromone
5.26Single5L7DCholesterol5L7D-SMO-Cholesterol
5.26Single7T9ITSH7T9I-TSH-TSH-Gs/β1/γ2
5.26Single7WC4Serotonin7WC4-5-HT2A-Serotonin
5.26Single8I2GGlycoprotein hormones alpha chain8I2G-FSH-Glycoprotein hormones α chain-Compound 716340-Gs/β1/γ2
5.26Single9IV25alpha-DHT9IV2-ADGRD1-5α-DHT-chim(NtGi1-Gs)/β1/γ2
5.00Single6OT025(S)-Epoxycholesterol6OT0-SMO-25(S)-Epoxycholesterol-Gi1/β1/γ2
5.00Single6OY9All-trans-Retinal6OY9-Rhodopsin-All-trans-Retinal-Gt/β1/γ1
5.00Single6TQ9SB-4081246TQ9-OX1-SB-408124
5.00Single8IWM2-Phenylethylamine8IWM-TA9-2-Phenylethylamine
5.00Single8U4QREGN7663-Fab8U4Q-CXCR4-REGN7663-Fab-Gi1/β1/γ2
5.00Single9IVMLSN33188399IVM-GLP-1-GLP-1 (Truncated)-LSN3318839-chim(NtGi1-Gs)/β2/γ2
5.00Consensusgs_histamineOrthosteric Ligand8POK-H2-Histamine-Gs/β1/γ2
5.00Consensush2_onOrthosteric Ligand8POK-H2-Histamine-Gs/β1/γ2
4.76Single6D32Cyclopamine6D32-SMO-Cyclopamine-Cyclopamine
4.76Single6FK9PubChem 1324730366FK9-Rhodopsin-PubChem 132473036
4.76Single6ME5Agomelatine6ME5-MT1-Agomelatine
4.76Single6PWCNeurotensin6PWC-NTS1-Neurotensin-Arrestin2
4.76Single7F23Dopamine7F23-D1-Dopamine-GDP-Gs/β1/γ2
4.76Single7V6APubChem 98642757V6A-M4-PubChem 9864275-Gi1/β1/γ2
4.76Single7WC5Psilocin7WC5-5-HT2A-Psilocin
4.76Single8DPILorcaserin8DPI-5-HT2C-Lorcaserin-chim(NtGi2L-Gs-CtGq)/β1/γ2
4.76Single8EITDoconexent8EIT-FFA1-Doconexent-chim(NtGi1L-Gs-CtGq)/β1/γ2
4.76Single8F76Propanoic acid8F76-OR51E2-Propanoic acid-Gs/β1/γ2
4.76Single8IW72-Phenylethylamine8IW7-TA9-2-Phenylethylamine-chim(NtGi1-Gs)/β1/γ2
4.76Single8J21Butyric acid8J21-FFA3-Butyric acid-Gi1/β1/γ2
4.76Single8J24Acetic acid8J24-FFA2-Acetic acid-Gi1/β1/γ2
4.76Single8JPSCCL78JPS-ACKR1-CCL7
4.76Single8WC62-Phenylethylamine8WC6-TA1-2-Phenylethylamine-chim(NtGi1-Gs)/β1/γ2
4.76Single8Y63C20:0 Ceramide8Y63-FPR2-ALX-C20:0 Ceramide-Gi1/β1/γ2
4.76Single9IV15alpha-DHT9IV1-ADGRD1-5α-DHT-chim(NtGi1-Gs)/β1/γ2
4.76Single9JHJC18:0 Ceramide9JHJ-FPR2-ALX-C18:0 Ceramide-Gi1/β1/γ2
4.76Consensusffa3_onOrthosteric Ligand8J21-FFA3-Butyric acid-Gi1/β1/γ2
4.76Consensusffa3_on_gpOrthosteric Ligand8J21-FFA3-Butyric acid-Gi1/β1/γ2
4.55Single5L7IVismodegib5L7I-SMO-Vismodegib
4.55Single6I9K9-cis-Retinal6I9K-Rhodopsin-9-cis-Retinal
4.55Single6PGSGeraniol6PGS-Rhodopsin-Geraniol-Gt(CT)
4.55Single6TP4ACT-4622066TP4-OX1-ACT-462206
4.55Single7DFLHistamine7DFL-H1-Histamine-chim(NtGi1L-Gq)/β1/γ2
4.55Single7E2YSerotonin7E2Y-5-HT1A-Serotonin-Gi1/β1/γ2
4.55Single7UL2SR486927UL2-NTS1-SR48692-Na
4.55Single7VDHC48/807VDH-MRGPRX2-C48/80-Gi1/β1/γ2
4.55Single7VUIJNJ-635330547VUI-GPR139-JNJ-63533054-GTP-chim(Gs-CtGq)/β1/γ2
4.55Single7XTASerotonin7XTA-5-HT4-Serotonin-Gi1/β1/γ2
4.55Single7XTBSerotonin7XTB-5-HT6-Serotonin-Gs/β1/γ2
4.55Single8FX5Xanomeline8FX5-M4-Xanomeline-Xanomeline-Gi1/β1/γ2
4.55Single8HNNSCH5467388HNN-CXCR3-SCH546738
4.55Single8IHIAcifran8IHI-HCA2-Acifran-Gi1/β1/γ2
4.55Single8JLOUlotaront8JLO-TA1-Ulotaront-Gs/β1/γ2
4.55Single8YN2Histamine8YN2-H1-Histamine-chim(NtGi1L-Gs-CtGq)/β1/γ2
4.55Single8YN4Histamine8YN4-H2-Histamine-chim(NtGi1L-Gs-CtGq)/β1/γ2
4.55Single8ZYUNeurotensin peptide 8-138ZYU-NTS1-Neurotensin peptide 8-13-SBI-553-Arrestin2
4.55Single9AS7Psilocin9AS7-5-HT2A-Psilocin
4.55Single9E7RGB889E7R-PAR2-GB88-chim(NtGi1L-Gs-CtGq)/β1/γ2
4.55Single9IXJHistamine9IXJ-H2-Histamine-Gs/β1/γ2
4.55Consensus5ht4_onOrthosteric Ligand7XTA-5-HT4-Serotonin-Gi1/β1/γ2
4.55Consensus5ht4_on_gpOrthosteric Ligand7XTA-5-HT4-Serotonin-Gi1/β1/γ2
4.55Consensush1_onOrthosteric Ligand7DFL-H1-Histamine-chim(NtGi1L-Gq)/β1/γ2
4.55Consensusneurotensin_offOrthosteric Ligandnts1_off
4.55Consensusnts1_offOrthosteric Ligand7UL2-NTS1-SR48692-Na
4.35Single6C1QNDT95137276C1Q-C5a1-PMX53-NDT9513727
4.35Single6ME2Ramelteon6ME2-MT1-Ramelteon
4.35Single6ME9Ramelteon6ME9-MT2-Ramelteon
4.35Single7F1ODopamine7F1O-D1-Dopamine-GDP; Mg-Gs/β1/γ2
4.35Single7LJDDopamine7LJD-D1-Dopamine-Mevidalen-Gs/β1/γ1
4.35Single7VUJJNJ-635330547VUJ-GPR139-JNJ-63533054-GDP-chim(Gs-CtGq)/β1/γ2
4.35Single7VV5C48/807VV5-MRGPRX2-C48/80-Gi1/β1/γ2
4.35Single7X2FDopamine7X2F-D1-Dopamine-Mevidalen-Gs/β1/γ2
4.35Single7XJJGalanin7XJJ-GAL1-Galanin-Go/β1/γ2
4.35Single8J20Valeric acid8J20-FFA3-Valeric acid-AR420626-Gi1/β1/γ2
4.35Single8T3SButyric acid8T3S-FFA2-Butyric acid-chim(NtGi2L-Gs-CtGq)/β1/γ2
4.35Single8T3VDocosa-4,7,10,13,16,19-Hexaenoic acid8T3V-FFA1-Docosa-4,7,10,13,16,19-Hexaenoic acid-chim(NtGi2L-Gs-CtGq)/β1/γ2
4.35Single8TZQL-Dopamine8TZQ-D2-L-Dopamine-Go/β1/γ2
4.35Single8U4SREGN7663-Fab8U4S-CXCR4-REGN7663-Fab
4.35Single8U4TREGN7663-Fab8U4T-CXCR4-REGN7663-Fab
4.35Single8XXXCXCL68XXX-CXCR2-CXCL6-Go/β1/γ2
4.35Single8YUTAmthamine8YUT-H2-Amthamine-Gs/β1/γ2
4.17Single6IQLL7458706IQL-D4-L745870
4.17Single6ZINSR486926ZIN-NTS1-SR48692
4.17Single7CKWFenoldopam7CKW-D1-Fenoldopam-Gs/β1/γ2
4.17Single7CKZDopamine7CKZ-D1-Dopamine-Mevidalen-Gs/β1/γ2
4.17Single7F0TDopamine7F0T-D1-Dopamine-Gs/β1/γ2
4.17Single7F1ZDopamine7F1Z-D1-Dopamine-GDP-Gs/β1/γ2
4.17Single7F24Dopamine7F24-D1-Dopamine-GDP-Gs/β1/γ2
4.17Single7UTZDPPC7UTZ-TSH-TR1402-DPPC-Gs/β1/γ2
4.17Single7VV6C48/807VV6-MRGPRX2-C48/80
4.17Single7WVUfMLF7WVU-FPR1-ALX-fMLF-Gi1/β1/γ2
4.17Single8DPGPsilocin8DPG-5-HT2C-Psilocin-chim(NtGi2L-Gs-CtGq)/β1/γ2
4.17Single8JD6VU03647708JD6-mGlu4; mGlu4-Phosphoserine-VU0364770-Gi3/β1/γ2
4.17Single8K4SDCA-3P8K4S-MRGPRX4-DCA-3P-chim(NtGi1L-Gs-CtGq)/β1/γ2
4.17Single8K9LDamgo8K9L-μ-Damgo-BMS-986122-Gi3/β1/γ1
4.17Single9ARXSerotonin9ARX-5-HT2A-Serotonin
4.17Single9IXXLTD49IXX-CysLT2-LTD4-chim(NtGi1-Gs-CtGq)/β1/γ2
4.17Single9K1DButanoic acid9K1D-FFA2-Butanoic acid-Gi1/β1/γ2
4.17Consensusnop_offOrthosteric Ligand4EA3-NOP-PubChem 10296561 5DHG-NOP-C-35 5DHH-NOP-SB-612111
4.00Single5DHGC-355DHG-NOP-C-35
4.00Single7JOZVFP7JOZ-D1-VFP-Gs/β1/γ2
4.00Single7PP1Selatogrel7PP1-P2Y12-Selatogrel
4.00Single7SCGFH2107SCG-μ-FH210-Gi1/β1/γ2
4.00Single7X2CFenoldopam7X2C-D1-Fenoldopam-Fenoldopam-Gs/β1/γ2
4.00Single8JLZST19368JLZ-5-HT6-ST1936-Gs/β1/γ2
4.00Single8KEXDCA-3P8KEX-MRGPRX4-DCA-3P
4.00Single8TH3AT118-H Nanobody8TH3-AT1-AT118-H Nanobody
4.00Single8XBGS3E-LysoPS8XBG-GPR34-S3E-LysoPS
4.00Single9IYAONO-97105319IYA-GPR55-ONO-9710531
4.00Consensus5ht6_onOrthosteric Ligand7XTB-5-HT6-Serotonin-Gs/β1/γ2 8JLZ-5-HT6-ST1936-Gs/β1/γ2
4.00Consensus5ht6_on_gpOrthosteric Ligand7XTB-5-HT6-Serotonin-Gs/β1/γ2 8JLZ-5-HT6-ST1936-Gs/β1/γ2
3.85Single4NTJAZD12834NTJ-P2Y12-AZD1283
3.85Single4PHUFasiglifam4PHU-FFA1-Fasiglifam
3.85Single6M9TMisoprostol-FA6M9T-EP3-Misoprostol-FA
3.85Single6RZ4Pranlukast6RZ4-CysLT1-Pranlukast-Na
3.85Single6Z4SSR486926Z4S-NTS1-SR48692
3.85Single7M3GCa; Ca; Tryptophan; Evocalcet; Etelcalcetide; PO47M3G-CaS-Ca; Ca; Tryptophan; Evocalcet; Etelcalcetide; PO4
3.85Single7VV0PAMP-127VV0-MRGPRX2-PAMP-12
3.85Single8JGGBAM8-228JGG-MRGPRX1-BAM8-22-Gi1/β1/γ2
3.85Single8T6JCDPPB8T6J-mGlu5; mGlu5-CDPPB
3.85Single8T6JCDPPB8T6J-mGlu5; mGlu5-CDPPB
3.85Single9GE2ML1849GE2-GPR55-ML184-chim(NtGi1-G13)/β1/γ2
3.85Consensuscyslt_offOrthosteric Ligandcyslt2_off cyslt1_off
3.70Single5TZRMK86665TZR-FFA1-MK8666
3.70Single6RZ5Zafirlukast6RZ5-CysLT1-Zafirlukast-Na
3.70Single8EFLSR170188EFL-μ-SR17018-Gi1/β1/γ2
3.70Single8JGFBAM8-228JGF-MRGPRX1-BAM8-22-chim(NtGi1-Gs-CtGq)/β1/γ2
3.70Single8XBIS3E-LysoPS8XBI-GPR34-S3E-LysoPS
3.70Single9ITELPA9ITE-LPA6-LPA-chim(NtGi2-G13)/β1/γ2
3.70Consensusffa_onOrthosteric Ligandffa2_on ffa3_on
3.70Consensusffa_on_gpOrthosteric Ligandffa2_on_gp ffa3_on_gp
3.70Consensusgi_ffaOrthosteric Ligand8J21-FFA3-Butyric acid-Gi1/β1/γ2 8J22-FFA2-TUG-1375-Gi1/β1/γ2
3.70Consensusp2y12_onOrthosteric Ligand7XXI-P2Y12-2MeSADP-Gi2/β1/γ2
3.57Single3VW7Vorapaxar; Na3VW7-PAR1-Vorapaxar; Na
3.57Single4PXZ2MeSADP4PXZ-P2Y12-2MeSADP
3.57Single4PY02MeSATP4PY0-P2Y12-2MeSATP
3.57Single5TZYMK8666; AP85TZY-FFA1-MK8666; AP8
3.57Single7XW6ML1097XW6-TSH-M22 Fab-ML109-Gs/β1/γ2
3.57Single7XXI2MeSADP7XXI-P2Y12-2MeSADP-Gi2/β1/γ2
3.57Single8DWCProenkephalin-A8DWC-MRGPRX1-Proenkephalin-A-chim(NtGi2L-Gs-CtGq)/β1/γ2
3.57Single8WRBLysophosphatidylserine8WRB-GPR34-Lysophosphatidylserine-Gi1/β1/γ2
3.57Single8Y6WTUG-13758Y6W-FFA2-TUG-1375-4-CMTB-Gi1/β1/γ2
3.57Single9CM3TUG-13759CM3-FFA2-TUG-1375-Compound 187-chim(NtGi1L-Gs-CtGq)/β1/γ2
3.57Consensusgi_p2yOrthosteric Ligand7XXI-P2Y12-2MeSADP-Gi2/β1/γ2
3.57Consensusp2y12_on_gpOrthosteric Ligand7XXI-P2Y12-2MeSADP-Gi2/β1/γ2
3.45Single7QVMOxytocin7QVM-OT-Oxytocin-chim(NtGi1-Go-CtGq)/β1/γ2
3.45Single8XBES3E-LysoPS8XBE-GPR34-S3E-LysoPS-Gi1/β1/γ1
3.33Single6RZ6ONO-25703666RZ6-CysLT2-ONO-2570366
3.33Single8SAI1-Oleoyl-2-Hydroxy-Sn-Glycero-3-Phospho-L-Serine8SAI-GPR34-1-Oleoyl-2-Hydroxy-Sn-Glycero-3-Phospho-L-Serine-Gi1/β1/γ2
3.33Single9CM7TUG-13759CM7-FFA2-TUG-1375-AZ-1729-Gi1/β1/γ2
3.33Single9ITBLPA9ITB-LPA6-LPA-chim(NtGi1-Gs-CtGq)/β1/γ2
3.33Single9NS9TUG-13759NS9-FFA2-TUG-1375-Compound 187-Gi1/β1/γ2
3.23Single8DWGProenkephalin-A8DWG-MRGPRX1-Proenkephalin-A-ML382-chim(NtGi2L-Gs-CtGq)/β1/γ2
3.23Single8XFTR-spondin-28XFT-LGR4-R-spondin-2-ZNRF3
3.23Single8Y69R-spondin-28Y69-LGR4-R-spondin-2-ZNRF3
3.23Single9J0IUDP-Glucuronic acid9J0I-P2Y14-UDP-Glucuronic acid-Gi1/β1/γ2
3.12Single8K6OPro-neuropeptide-Y8K6O-Y1-Pro-neuropeptide-Y-Gi2/β1/γ1
3.03Single8WVUR-spondin-18WVU-LGR4-R-spondin-1-RNF43
3.03Single8Y69R-spondin-28Y69-LGR4-R-spondin-2-ZNRF3
2.94Single8XFPR-spondin-28XFP-LGR4-R-spondin-2-ZNRF3
2.70Single8XFSR-spondin-28XFS-LGR4-R-spondin-2-ZNRF3

PDB Summary
PDB 9C0K
Class B1
SubFamily Peptide
Type Glucagon
SubType GLP-1
Species Homo Sapiens
Ligand Exendin-4
Other Ligand(s) -
Protein Partners Gs/Beta1/Gamma2
PDB Resolution 2.72
Date 2025-06-11
D.O.I. To be published
Net Summary
Imin 2.77
Number of Linked Nodes 941
Number of Links 1226
Number of Hubs 230
Number of Links mediated by Hubs 800
Number of Communities 28
Number of Nodes involved in Communities 340
Number of Links involved in Communities 523
Path Summary
Number Of Nodes in MetaPath 107
Number Of Links MetaPath 106
Number of Shortest Paths 3352489
Length Of Smallest Path 3
Average Path Length 37.134
Length of Longest Path 76
Minimum Path Strength 1.235
Average Path Strength 6.79669
Maximum Path Strength 23.42
Minimum Path Correlation 0.7
Average Path Correlation 0.992984
Maximum Path Correlation 1
Minimum % Of Corr. Nodes 2.04082
Average % Of Corr. Nodes 48.2673
Maximum % Of Corr. Nodes 100
Minimum Path Hubs % 0
Average Path Hubs % 56.9006
Maximum Path Hubs % 100
AnnotationTypeLinks
Gene OntologyMolecular Function
Gene OntologyBiological Process• positive regulation of cytosolic calcium ion concentration   • biological regulation   • regulation of biological quality   • heart process   • multicellular organismal process   • system process   • regulation of biological process   • regulation of heart contraction   • regulation of system process   • circulatory system process   • regulation of blood circulation   • regulation of multicellular organismal process   • heart contraction   • blood circulation   • regulation of blood pressure   • positive regulation of blood pressure   • cellular response to stimulus   • regulation of cellular process   • response to stimulus   • signaling   • adenylate cyclase-activating G protein-coupled receptor signaling pathway   • cell communication   • adenylate cyclase-modulating G protein-coupled receptor signaling pathway   • G protein-coupled receptor signaling pathway   • cellular process   • signal transduction   • response to stress   • response to psychosocial stress   • cell surface receptor signaling pathway   • behavior   • learning or memory   • nervous system process   • cognition   • transport   • secretion   • regulation of hormone levels   • cell-cell signaling   • export from cell   • hormone secretion   • establishment of localization   • localization   • secretion by cell   • signal release   • hormone transport   • positive regulation of adenylate cyclase activity   • positive regulation of molecular function   • regulation of molecular function   • positive regulation of cyclase activity   • activation of adenylate cyclase activity   • regulation of adenylate cyclase activity   • regulation of catalytic activity   • positive regulation of catalytic activity   • positive regulation of lyase activity   • establishment of protein localization   • cellular localization   • nitrogen compound transport   • protein targeting   • protein transmembrane transport   • establishment of localization in cell   • post-translational protein targeting to membrane, translocation   • intracellular protein localization   • establishment of protein localization to endoplasmic reticulum   • establishment of protein localization to membrane   • intracellular protein transmembrane transport   • intracellular transport   • post-translational protein targeting to endoplasmic reticulum membrane   • localization within membrane   • protein targeting to membrane   • transmembrane transport   • establishment of protein localization to organelle   • protein transport   • macromolecule localization   • intracellular protein transport   • protein targeting to ER   • negative regulation of blood pressure   • cellular anatomical structure   • membrane   • cell periphery   • plasma membrane   • protein binding   • binding   • enzyme binding   • GTPase binding   • protein-containing complex binding   • pyrophosphatase activity   • GTPase activity   • ribonucleoside triphosphate phosphatase activity   • hydrolase activity, acting on acid anhydrides, in phosphorus-containing anhydrides   • hydrolase activity   • hydrolase activity, acting on acid anhydrides   • catalytic activity   • signaling receptor complex adaptor activity   • protein-macromolecule adaptor activity   • molecular adaptor activity   • signaling adaptor activity   • sensory perception of chemical stimulus   • sensory perception   • sensory perception of taste   • developmental process   • sensory organ development   • eye development   • animal organ development   • retina development in camera-type eye   • visual system development   • multicellular organism development   • camera-type eye development   • anatomical structure development   • sensory system development   • system development   • cell population proliferation   • response to ketone   • response to prostaglandin   • response to lipid   • response to endogenous stimulus   • response to alcohol   • cellular response to prostaglandin stimulus   • response to oxygen-containing compound   • cellular response to oxygen-containing compound   • cellular response to endogenous stimulus   • cellular response to prostaglandin E stimulus   • cellular response to chemical stimulus   • cellular response to alcohol   • response to hormone   • response to chemical   • cellular response to lipid   • response to prostaglandin E   • cellular response to ketone   • cellular response to hormone stimulus   • small GTPase-mediated signal transduction   • Ras protein signal transduction   • intracellular signal transduction   • intracellular signaling cassette   • phospholipase C-activating G protein-coupled receptor signaling pathway   • cellular response to nitrogen compound   • response to dopamine   • cellular response to dopamine   • response to monoamine   • response to catecholamine   • adenylate cyclase-activating dopamine receptor signaling pathway   • cellular response to catecholamine stimulus   • G protein-coupled dopamine receptor signaling pathway   • response to nitrogen compound   • cellular response to monoamine stimulus   • synaptic signaling   • cellular response to acetylcholine   • acetylcholine receptor signaling pathway   • postsynaptic signal transduction   • G protein-coupled acetylcholine receptor signaling pathway   • response to acetylcholine   • protein-containing complex   • extrinsic component of plasma membrane   • catalytic complex   • plasma membrane protein complex   • cytoplasmic side of membrane   • membrane protein complex   • heterotrimeric G-protein complex   • side of membrane   • cytoplasmic side of plasma membrane   • GTPase complex   • extrinsic component of membrane   • extrinsic component of cytoplasmic side of plasma membrane   • extracellular exosome   • membrane-bounded organelle   • extracellular vesicle   • extracellular organelle   • extracellular region   • organelle   • extracellular space   • vesicle   • extracellular membrane-bounded organelle   • non-motile cilium   • 9+0 non-motile cilium   • cilium   • neuron projection   • photoreceptor disc membrane   • photoreceptor outer segment   • plasma membrane bounded cell projection   • cell projection   • photoreceptor cell cilium   • organelle membrane   • intracellular anatomical structure   • cytoplasm   • cytosol   • vacuolar membrane   • lytic vacuole   • vacuole   • intracellular membrane-bounded organelle   • intracellular organelle   • lytic vacuole membrane   • bounding membrane of organelle   • lysosomal membrane   • lysosome   • synapse   • cell junction   • G-protein beta-subunit binding   • fibroblast proliferation   • guanyl nucleotide binding   • GTP binding   • nucleotide binding   • guanyl ribonucleotide binding   • purine ribonucleotide binding   • purine ribonucleoside triphosphate binding   • nucleoside phosphate binding   • ion binding   • purine nucleotide binding   • anion binding   • heterocyclic compound binding   • carbohydrate derivative binding   • ribonucleotide binding   • small molecule binding   • D1 dopamine receptor binding   • signaling receptor binding   • G protein-coupled receptor binding   • dopamine receptor binding   • G-protein beta/gamma-subunit complex binding   • G protein activity   • molecular function regulator activity   • enzyme regulator activity   • cyclase regulator activity   • enzyme activator activity   • cyclase activator activity   • molecular function activator activity   • adenylate cyclase regulator activity   • adenylate cyclase activator activity   • cation binding   • metal ion binding   • epithelium development   • ectodermal placode morphogenesis   • epidermis development   • molting cycle process   • hair cycle   • hair follicle placode formation   • tissue development   • ectodermal placode formation   • anatomical structure morphogenesis   • skin development   • skin epidermis development   • hair follicle development   • molting cycle   • anatomical structure formation involved in morphogenesis   • ectodermal placode development   • hair cycle process   • sensory perception of smell   • response to peptide hormone   • cellular response to peptide hormone stimulus   • response to glucagon   • cellular response to glucagon stimulus   • skeletal system development   • bone development   • regulation of body fluid levels   • wound healing   • homotypic cell-cell adhesion   • cell activation   • hemostasis   • platelet aggregation   • blood coagulation   • cell adhesion   • cell-cell adhesion   • coagulation   • response to wounding   • platelet activation   • response to fluid shear stress   • vascular endothelial cell response to laminar fluid shear stress   • response to laminar fluid shear stress   • cellular response to stress   • cellular response to laminar fluid shear stress   • vascular endothelial cell response to fluid shear stress   • cellular response to fluid shear stress   • developmental growth   • growth   • homeostatic process   • positive regulation of biological process   • adaptive thermogenesis   • positive regulation of metabolic process   • multicellular organismal-level homeostasis   • regulation of cold-induced thermogenesis   • cold-induced thermogenesis   • temperature homeostasis   • positive regulation of cold-induced thermogenesis   • positive regulation of multicellular organismal process   • metabolic process   • regulation of metabolic process   • positive regulation of cellular process   • regulation of localization   • regulation of hormone secretion   • regulation of protein localization   • regulation of peptide secretion   • protein localization to extracellular region   • peptide secretion   • regulation of secretion by cell   • amide transport   • regulation of peptide hormone secretion   • regulation of signaling   • regulation of transport   • regulation of peptide transport   • regulation of establishment of protein localization   • establishment of protein localization to extracellular region   • regulation of protein transport   • protein secretion   • regulation of protein secretion   • regulation of secretion   • peptide transport   • regulation of insulin secretion   • peptide hormone secretion   • regulation of cell communication   • insulin secretion   • adenylate cyclase-activating adrenergic receptor signaling pathway   • adrenergic receptor signaling pathway   • regulation of defense response   • regulation of response to external stimulus   • negative regulation of inflammatory response   • negative regulation of biological process   • inflammatory response to antigenic stimulus   • regulation of response to stress   • regulation of immune system process   • negative regulation of inflammatory response to antigenic stimulus   • defense response   • immune response   • negative regulation of response to stimulus   • negative regulation of immune response   • regulation of inflammatory response to antigenic stimulus   • response to external stimulus   • regulation of inflammatory response   • regulation of response to stimulus   • negative regulation of immune system process   • immune system process   • negative regulation of response to external stimulus   • negative regulation of defense response   • regulation of immune response   • inflammatory response   • renal system process   • chemical homeostasis   • multicellular organismal-level water homeostasis   • multicellular organismal-level chemical homeostasis   • renal water homeostasis   • Golgi apparatus subcompartment   • Golgi apparatus   • organelle subcompartment   • trans-Golgi network membrane   • endomembrane system   • trans-Golgi network   • hormone activity   • signaling receptor regulator activity   • receptor ligand activity   • signaling receptor activator activity   • toxin activity
Gene OntologyCellular Component
SCOP2Domain Identifier• G protein-coupled receptor-like   • FnI-like domain   • Transducin (heterotrimeric G protein), gamma chain
SCOP2Family Identifier• G protein-coupled receptor-like   • FnI-like domain   • Transducin (heterotrimeric G protein), gamma chain
Membrane Protein Annotations-• Orientations of Proteins in Membranes database (OPM)   • Protein Data Bank of Transmembrane Proteins (PDBTM)   • MemProtMD


Details about the values in these tables can be found in the corresponding documentation page .
PDBsumOpen PDBsum Page
ChainR
ProteinReceptor
UniProtP43220
Sequence
>9C0K_Chain_R
TVSLWETVQ KWREYRRQC QRSLTEDPP PATDLFCNR TFDEYACWP 
DGEPGSFVN VSCPWYLPW ASSVPQGHV YRFCTAEGL WLQKDNSSL 
PWRDLSECE PEEQLLFLY IIYTVGYAL SFSALVIAS AILLGFRHL 
HCTRNYIHL NLFASFILR ALSVFIKDA ALKWMYSTA AQQHQWDGL 
LSYQDSLSC RLVFLLMQY CVAANYYWL LVEGVYLYT LLAFSVSEQ 
WIFRLYVSI GWGVPLLFV VPWGIVKYL YEDEGCWTR NSNMNYWLI 
IRLPILFAI GVNFLIFVR VICIVVSKL KANLDIKCR LAKSTLTLI 
PLLGTHEVI FAFVMGTLR FIKLFTELS FTSFQGLMV AILYCFVNN 
EVQLEFRKS WERWF


Click on each residue to open a popup with some information about it.

ConSurf Conservation Grade (See documentation): 

 n/a   1    2    3    4    5    6    7    8    9  

ChainA
ProteinG Protein α Sub unit
UniProtP63092
Sequence
>9C0K_Chain_A
DQRNEEKAQ REANKKIEK QLQKDKQVY RATHRLLLL GSGIFETKF 
QVDKVNFHM FDVGQRDER RKWIQCFND VTAIIFVVA NRLQALLFS 
IWNNWLRSV ILFLNKQDL LAEKIEDYF PEFARYTTP EDATPEPGE 
DPRVTRAKY FIRDEFLRI STASGDGRH YCYPHFTNI RRVFNDCRD 
IIQRMHLRQ YELLAAKDK DT


Click on each residue to open a popup with some information about it.

ConSurf Conservation Grade (See documentation): 

 n/a   1    2    3    4    5    6    7    8    9  

ChainB
ProteinG Protein β Sub unit
UniProtP62873
Sequence
>9C0K_Chain_B
ELDQLRQEA EQLKNQIRD ARKACADAT LSQITNNID PVGRIQMRT 
RRTLRGHLA KIYAMHWGT DSRLLVSAS QDGKLIIWD SYTTNKVHA 
IPLRSSWVM TCAYAPSGN YVACGGLDN ICSIYNLKT REGNVRVSR 
ELAGHTGYL SCCRFLDDN QIVTSSGDT TCALWDIET GQQTTTFTG 
HTGDVMSLS LAPDTRLFV SGACDASAK LWDVREGMC RQTFTGHES 
DINAICFFP NGNAFATGS DDATCRLFD LRADQELMT YSHDNIICG 
ITSVSFSKS GRLLLAGYD DFNCNVWDA LKADRAGVL AGHDNRVSC 
LGVTDDGMA VATGSWDSF LKIWN


Click on each residue to open a popup with some information about it.

ConSurf Conservation Grade (See documentation): 

 n/a   1    2    3    4    5    6    7    8    9  

ChainG
ProteinG Protein γ Sub unit
UniProtP59768
Sequence
>9C0K_Chain_G
TASIAQARK LVEQLKMEA NIDRIKVSK AAADLMAYC EAHAKEDPL 
LTPVPASEN PFR


Click on each residue to open a popup with some information about it.

ConSurf Conservation Grade (See documentation): 

 n/a   1    2    3    4    5    6    7    8    9  




This receptor, from the same or other species and bound to the same or other ligands, is also present in the following networks:
Show PDB Class SubFamily Type SubType Species Orthosteric Ligand Other Ligand(s) Protein Partners Resolution Date DOI
6ORVB1PeptideGlucagonGLP-1Homo sapiens-TT-OAD2Gs/β1/γ232020-01-08doi.org/10.1038/s41586-019-1902-z
6ORV (No Gprot) B1PeptideGlucagonGLP-1Homo sapiens-TT-OAD232020-01-08doi.org/10.1038/s41586-019-1902-z
7E14B1PeptideGlucagonGLP-1Homo sapiensOrforglipronPubChem 156022738Gs/β1/γ22.92021-07-07doi.org/10.1038/s41467-021-24058-z
7E14 (No Gprot) B1PeptideGlucagonGLP-1Homo sapiensOrforglipronPubChem 1560227382.92021-07-07doi.org/10.1038/s41467-021-24058-z
7DUQB1PeptideGlucagonGLP-1Homo sapiensGLP-1PubChem 156022738Gs/β1/γ22.52021-07-14doi.org/10.1038/s41467-021-24058-z
7DUQ (No Gprot) B1PeptideGlucagonGLP-1Homo sapiensGLP-1PubChem 1560227382.52021-07-14doi.org/10.1038/s41467-021-24058-z
7DURB1PeptideGlucagonGLP-1Homo sapiens-PubChem 156022738Gs/β1/γ23.32021-08-11doi.org/10.1038/s41467-021-24058-z
7DUR (No Gprot) B1PeptideGlucagonGLP-1Homo sapiens-PubChem 1560227383.32021-08-11doi.org/10.1038/s41467-021-24058-z
7EVMB1PeptideGlucagonGLP-1Homo sapiens-PubChem 156022738Gs/β1/γ22.52021-08-11doi.org/10.1038/s41467-021-24058-z
7EVM (No Gprot) B1PeptideGlucagonGLP-1Homo sapiens-PubChem 1560227382.52021-08-11doi.org/10.1038/s41467-021-24058-z
5VEWB1PeptideGlucagonGLP-1Homo sapiens-PF-06372222-2.72017-05-24doi.org/10.1038/nature22378
6LN2B1PeptideGlucagonGLP-1Homo sapiens-PF-06372222-3.22020-03-18doi.org/10.1038/s41467-020-14934-5
6KJVB1PeptideGlucagonGLP-1Homo sapiens-PF-06372222-2.82019-11-13doi.org/10.1107/S2052252519013496
6KK1B1PeptideGlucagonGLP-1Homo sapiens-PF-06372222-2.82019-11-13doi.org/10.1107/S2052252519013496
6KK7B1PeptideGlucagonGLP-1Homo sapiens-PF-06372222-3.12019-11-13doi.org/10.1107/S2052252519013496
5VEXB1PeptideGlucagonGLP-1Homo sapiens-NNC0640-32017-05-17doi.org/10.1038/nature22378
9IVMB1PeptideGlucagonGLP-1Homo sapiensGLP-1 (Truncated)LSN3318839chim(NtGi1-Gs)/β2/γ23.222024-11-13doi.org/10.1016/j.apsb.2024.09.002
9IVM (No Gprot) B1PeptideGlucagonGLP-1Homo sapiensGLP-1 (Truncated)LSN33188393.222024-11-13doi.org/10.1016/j.apsb.2024.09.002
6VCBB1PeptideGlucagonGLP-1Homo sapiensGLP-1LSN3160440Gs/β1/γ23.32020-07-22doi.org/10.1038/s41589-020-0589-7
6VCB (No Gprot) B1PeptideGlucagonGLP-1Homo sapiensGLP-1LSN31604403.32020-07-22doi.org/10.1038/s41589-020-0589-7
9IVGB1PeptideGlucagonGLP-1Homo sapiensGLP-1 (Truncated)-chim(NtGi1-Gs)/β1/γ232024-11-27doi.org/10.1016/j.apsb.2024.09.002
9IVG (No Gprot) B1PeptideGlucagonGLP-1Homo sapiensGLP-1 (Truncated)-32024-11-27doi.org/10.1016/j.apsb.2024.09.002
7RTBB1PeptideGlucagonGLP-1Homo sapiensPeptide-19-Gs/β1/γ22.142021-10-06doi.org/10.1016/j.bbrc.2021.09.016
7RTB (No Gprot) B1PeptideGlucagonGLP-1Homo sapiensPeptide-19-2.142021-10-06doi.org/10.1016/j.bbrc.2021.09.016
7KI0B1PeptideGlucagonGLP-1Homo sapiensSemaglutide-Gs/β1/γ22.52021-08-04doi.org/10.1016/j.celrep.2021.109374
7KI0 (No Gprot) B1PeptideGlucagonGLP-1Homo sapiensSemaglutide-2.52021-08-04doi.org/10.1016/j.celrep.2021.109374
7KI1B1PeptideGlucagonGLP-1Homo sapiensTaspoglutide-Gs/β1/γ22.52021-08-04doi.org/10.1016/j.celrep.2021.109374
7KI1 (No Gprot) B1PeptideGlucagonGLP-1Homo sapiensTaspoglutide-2.52021-08-04doi.org/10.1016/j.celrep.2021.109374
6X18B1PeptideGlucagonGLP-1Homo sapiensGLP-1-Gs/β1/γ22.12020-09-09doi.org/10.1016/j.molcel.2020.09.020
6X18 (No Gprot) B1PeptideGlucagonGLP-1Homo sapiensGLP-1-2.12020-09-09doi.org/10.1016/j.molcel.2020.09.020
6X19B1PeptideGlucagonGLP-1Homo sapiensCHU-128-Gs/β1/γ22.12020-09-09doi.org/10.1016/j.molcel.2020.09.020
6X19 (No Gprot) B1PeptideGlucagonGLP-1Homo sapiensCHU-128-2.12020-09-09doi.org/10.1016/j.molcel.2020.09.020
6X1AB1PeptideGlucagonGLP-1Homo sapiensDanuglipron-Gs/β1/γ22.52020-09-09doi.org/10.1016/j.molcel.2020.09.020
6X1A (No Gprot) B1PeptideGlucagonGLP-1Homo sapiensDanuglipron-2.52020-09-09doi.org/10.1016/j.molcel.2020.09.020
7LCIB1PeptideGlucagonGLP-1Homo sapiensDanuglipron-Gs/β1/γ22.92021-01-20doi.org/10.1016/j.str.2021.04.008
7LCI (No Gprot) B1PeptideGlucagonGLP-1Homo sapiensDanuglipron-2.92021-01-20doi.org/10.1016/j.str.2021.04.008
7LCJB1PeptideGlucagonGLP-1Homo sapiensDanuglipron--2.822021-01-20doi.org/10.1016/j.str.2021.04.008
7LCKB1PeptideGlucagonGLP-1Homo sapiensDanuglipron--3.242021-01-20doi.org/10.1016/j.str.2021.04.008
7S15B1PeptideGlucagonGLP-1Homo sapiensPubChem 134611223--3.82022-06-08doi.org/10.1021/acs.jmedchem.1c01856
9J1PB1PeptideGlucagonGLP-1Homo sapiensg1:Ox-chim(NtGi1-Gs)/β1/γ22.992025-02-26doi.org/10.1021/jacs.4c12808
9J1P (No Gprot) B1PeptideGlucagonGLP-1Homo sapiensg1:Ox-2.992025-02-26doi.org/10.1021/jacs.4c12808
5VAIB1PeptideGlucagonGLP-1Oryctolagus cuniculusGLP-1-Gs/β1/γ24.12017-05-24doi.org/10.1038/nature22394
5VAI (No Gprot) B1PeptideGlucagonGLP-1Oryctolagus cuniculusGLP-1-4.12017-05-24doi.org/10.1038/nature22394
5NX2B1PeptideGlucagonGLP-1Homo sapiensGLP-1 (Truncated)--3.72017-06-14doi.org/10.1038/nature22800
6B3JB1PeptideGlucagonGLP-1Homo sapiensExendin-P5-Gs/β1/γ23.32018-02-21doi.org/10.1038/nature25773
6B3J (No Gprot) B1PeptideGlucagonGLP-1Homo sapiensExendin-P5-3.32018-02-21doi.org/10.1038/nature25773
8WG7B1PeptideGlucagonGLP-1Homo sapiens--Gs/β1/γ22.542024-03-06doi.org/10.1038/s41421-024-00649-0
8WG7 (No Gprot) B1PeptideGlucagonGLP-1Homo sapiens--2.542024-03-06doi.org/10.1038/s41421-024-00649-0
7C2EB1PeptideGlucagonGLP-1Homo sapiensPubChem 149050799-Gs/β1/γ24.22020-08-26doi.org/10.1038/s41422-020-0384-8
7C2E (No Gprot) B1PeptideGlucagonGLP-1Homo sapiensPubChem 149050799-4.22020-08-26doi.org/10.1038/s41422-020-0384-8
7LLLB1PeptideGlucagonGLP-1Homo sapiensExendin-4-Gs/β1/γ23.72022-01-12doi.org/10.1038/s41467-021-27760-0
7LLL (No Gprot) B1PeptideGlucagonGLP-1Homo sapiensExendin-4-3.72022-01-12doi.org/10.1038/s41467-021-27760-0
7LLYB1PeptideGlucagonGLP-1Homo sapiensOxyntomodulin-Gs/β1/γ23.32022-01-12doi.org/10.1038/s41467-021-27760-0
7LLY (No Gprot) B1PeptideGlucagonGLP-1Homo sapiensOxyntomodulin-3.32022-01-12doi.org/10.1038/s41467-021-27760-0
7FIMB1PeptideGlucagonGLP-1Homo sapiensTirzepatide-Gs/β1/γ23.42022-03-02doi.org/10.1038/s41467-022-28683-0
7FIM (No Gprot) B1PeptideGlucagonGLP-1Homo sapiensTirzepatide-3.42022-03-02doi.org/10.1038/s41467-022-28683-0
7VBIB1PeptideGlucagonGLP-1Homo sapiensNon-Acylated Tirzepatide-Gs/β1/γ232022-03-02doi.org/10.1038/s41467-022-28683-0
7VBI (No Gprot) B1PeptideGlucagonGLP-1Homo sapiensNon-Acylated Tirzepatide-32022-03-02doi.org/10.1038/s41467-022-28683-0
7VBHB1PeptideGlucagonGLP-1Homo sapiensPeptide-20-Gs/β1/γ232022-04-06doi.org/10.1038/s41467-022-28683-0
7VBH (No Gprot) B1PeptideGlucagonGLP-1Homo sapiensPeptide-20-32022-04-06doi.org/10.1038/s41467-022-28683-0
7S1MB1PeptideGlucagonGLP-1Homo sapiensEx4-D-Ala-Gs/β1/γ22.412022-01-05doi.org/10.1038/s41589-021-00945-w
7S1M (No Gprot) B1PeptideGlucagonGLP-1Homo sapiensEx4-D-Ala-2.412022-01-05doi.org/10.1038/s41589-021-00945-w
7S3IB1PeptideGlucagonGLP-1Homo sapiens--Gs/β1/γ22.512022-01-05doi.org/10.1038/s41589-021-00945-w
7S3I (No Gprot) B1PeptideGlucagonGLP-1Homo sapiens--2.512022-01-05doi.org/10.1038/s41589-021-00945-w
6XOXB1PeptideGlucagonGLP-1Homo sapiensOrforglipron-chim(NtGi1-Gs)/β1/γ23.12020-11-18doi.org/10.1073/pnas.2014879117
6XOX (No Gprot) B1PeptideGlucagonGLP-1Homo sapiensOrforglipron-3.12020-11-18doi.org/10.1073/pnas.2014879117
7RG9B1PeptideGlucagonGLP-1Homo sapiens--chim(NtGi1-Gs)/β1/γ23.22022-04-13doi.org/10.1073/pnas.2116506119
7RG9 (No Gprot) B1PeptideGlucagonGLP-1Homo sapiens--3.22022-04-13doi.org/10.1073/pnas.2116506119
7RGPB1PeptideGlucagonGLP-1Homo sapiensTirzepatide-chim(NtGi1-Gs)/β1/γ22.92022-04-13doi.org/10.1073/pnas.2116506119
7RGP (No Gprot) B1PeptideGlucagonGLP-1Homo sapiensTirzepatide-2.92022-04-13doi.org/10.1073/pnas.2116506119
7X8RB1PeptideGlucagonGLP-1Homo sapiensBOC5-Gs/β1/γ22.612022-06-29doi.org/10.1073/pnas.2200155119
7X8R (No Gprot) B1PeptideGlucagonGLP-1Homo sapiensBOC5-2.612022-06-29doi.org/10.1073/pnas.2200155119
7X8SB1PeptideGlucagonGLP-1Homo sapiensWB4-24-Gs/β1/γ23.092022-06-29doi.org/10.1073/pnas.2200155119
7X8S (No Gprot) B1PeptideGlucagonGLP-1Homo sapiensWB4-24-3.092022-06-29doi.org/10.1073/pnas.2200155119
8JIPB1PeptideGlucagonGLP-1Homo sapiensMEDI0382-chim(NtGi1-Gs)/β1/γ22.852023-09-06doi.org/10.1073/pnas.2303696120
8JIP (No Gprot) B1PeptideGlucagonGLP-1Homo sapiensMEDI0382-2.852023-09-06doi.org/10.1073/pnas.2303696120
8JIRB1PeptideGlucagonGLP-1Homo sapiensSAR425899-chim(NtGi1-Gs)/β1/γ22.572023-09-06doi.org/10.1073/pnas.2303696120
8JIR (No Gprot) B1PeptideGlucagonGLP-1Homo sapiensSAR425899-2.572023-09-06doi.org/10.1073/pnas.2303696120
8JISB1PeptideGlucagonGLP-1Homo sapiensPeptide-15-chim(NtGi1-Gs)/β1/γ22.462023-11-08doi.org/10.1073/pnas.2303696120
8JIS (No Gprot) B1PeptideGlucagonGLP-1Homo sapiensPeptide-15-2.462023-11-08doi.org/10.1073/pnas.2303696120
8YW3B1PeptideGlucagonGLP-1Homo sapiensRetatrutide-Gs/β1/γ22.682024-09-18doi.org/10.1038/s41421-024-00700-0
8YW3 (No Gprot) B1PeptideGlucagonGLP-1Homo sapiensRetatrutide-2.682024-09-18doi.org/10.1038/s41421-024-00700-0
9EBNB1PeptideGlucagonGLP-1Homo sapiens--Gs/β1/γ23.442025-03-26doi.org/10.1073/pnas.2407574122
9EBN (No Gprot) B1PeptideGlucagonGLP-1Homo sapiens--3.442025-03-26doi.org/10.1073/pnas.2407574122
9EBOB1PeptideGlucagonGLP-1Homo sapiensGLP-1 (ACPC18)-Gs/β1/γ23.132025-03-26doi.org/10.1073/pnas.2407574122
9EBO (No Gprot) B1PeptideGlucagonGLP-1Homo sapiensGLP-1 (ACPC18)-3.132025-03-26doi.org/10.1073/pnas.2407574122
9EBQB1PeptideGlucagonGLP-1Homo sapiens--Gs/β1/γ23.162025-03-26doi.org/10.1073/pnas.2407574122
9EBQ (No Gprot) B1PeptideGlucagonGLP-1Homo sapiens--3.162025-03-26doi.org/10.1073/pnas.2407574122
8YWFB1PeptideGlucagonGLP-1Homo sapiensRetatrutide-chim(NtGi1-Gs)/β1/γ22.742025-04-16To be published
8YWF (No Gprot) B1PeptideGlucagonGLP-1Homo sapiensRetatrutide-2.742025-04-16To be published
9BYOB1PeptideGlucagonGLP-1Homo sapiensExendin-3-Gs/β1/γ22.312025-06-11To be published
9BYO (No Gprot) B1PeptideGlucagonGLP-1Homo sapiensExendin-3-2.312025-06-11To be published
9C0KB1PeptideGlucagonGLP-1Homo sapiensExendin-4-Gs/β1/γ22.722025-06-11To be published
9C0K (No Gprot) B1PeptideGlucagonGLP-1Homo sapiensExendin-4-2.722025-06-11To be published




You can download a compressed (zip) file with structure(s), 3D outputs (as PyMol and VMD scripts) and numerical data files (as csv and plain text files).

Download 9C0K.zip



You can click to copy the link of this page to easily come back here later

or use this QR code to link and share this page.



You can also  read or  download a guide explaining the meaning of all files and numerical data.