| Color | ConSurf Grade |
| No Conservation data available | |
| 1 | |
| 2 | |
| 3 | |
| 4 | |
| 5 | |
| 6 | |
| 7 | |
| 8 | |
| 9 |
Index: link id, click on each number to highlight the corresponding link in the 3D visualization.
Node1 Node2: the two nodes of the corresponding link.
Int. Strength: the interaction strength between the two nodes.
Hub1?, Hub2?: "Yes" if the corresponding node has more than 3 links, otherwise "No".
Community: the id of the community the link belong to, otherwise 0.
ConSurf1, ConSurf2: these columns report the ConSurf conservation grades of the two nodes involved in a link.
| Index | Node1 | Node2 | Int. Strength | Hub1? | Hub2? | Community | ConSurf1 | ConSurf2 |
|---|---|---|---|---|---|---|---|---|
| 1 | L:L:G26 | L:L:V2 | 3.68 | Yes | No | 0 | 0 | 0 |
| 2 | L:L:A24 | L:L:L4 | 4.73 | No | No | 0 | 0 | 0 |
| 3 | L:L:G118 | L:L:L4 | 1.71 | No | No | 0 | 0 | 0 |
| 4 | L:L:C22 | L:L:E6 | 3.04 | No | Yes | 1 | 0 | 0 |
| 5 | L:L:E6 | L:L:W36 | 2.18 | Yes | Yes | 1 | 0 | 0 |
| 6 | L:L:C96 | L:L:E6 | 4.56 | No | Yes | 1 | 0 | 0 |
| 7 | L:L:E6 | L:L:G118 | 4.91 | Yes | No | 0 | 0 | 0 |
| 8 | L:L:E6 | L:L:Q119 | 5.1 | Yes | No | 1 | 0 | 0 |
| 9 | L:L:E6 | L:L:G120 | 4.91 | Yes | No | 1 | 0 | 0 |
| 10 | L:L:G8 | L:L:S7 | 1.86 | No | No | 0 | 0 | 0 |
| 11 | L:L:S21 | L:L:S7 | 3.26 | No | No | 0 | 0 | 0 |
| 12 | L:L:G8 | L:L:G9 | 2.11 | No | Yes | 1 | 0 | 0 |
| 13 | L:L:G8 | L:L:L20 | 1.71 | No | Yes | 1 | 0 | 0 |
| 14 | L:L:G10 | L:L:G9 | 2.11 | No | Yes | 0 | 0 | 0 |
| 15 | L:L:G9 | L:L:L20 | 1.71 | Yes | Yes | 1 | 0 | 0 |
| 16 | L:L:G9 | L:L:T121 | 3.64 | Yes | No | 0 | 0 | 0 |
| 17 | L:L:G9 | L:L:V123 | 1.84 | Yes | No | 0 | 0 | 0 |
| 18 | L:L:G16 | L:L:V12 | 1.84 | No | No | 0 | 0 | 0 |
| 19 | L:L:I18 | L:L:V12 | 3.07 | No | No | 0 | 0 | 0 |
| 20 | L:L:A14 | L:L:S125 | 1.71 | No | Yes | 0 | 0 | 0 |
| 21 | L:L:G15 | L:L:G16 | 2.11 | No | No | 0 | 0 | 0 |
| 22 | L:L:G16 | L:L:L86 | 1.71 | No | No | 0 | 0 | 0 |
| 23 | L:L:I18 | L:L:L20 | 2.85 | No | Yes | 1 | 0 | 0 |
| 24 | L:L:I18 | L:L:M83 | 5.83 | No | Yes | 1 | 0 | 0 |
| 25 | L:L:R19 | L:L:Y80 | 20.58 | No | Yes | 0 | 0 | 0 |
| 26 | L:L:Q82 | L:L:R19 | 11.68 | No | No | 0 | 0 | 0 |
| 27 | L:L:L20 | L:L:W36 | 2.28 | Yes | Yes | 1 | 0 | 0 |
| 28 | L:L:L20 | L:L:M83 | 2.83 | Yes | Yes | 1 | 0 | 0 |
| 29 | L:L:L20 | L:L:Y94 | 2.34 | Yes | Yes | 1 | 0 | 0 |
| 30 | L:L:S21 | L:L:Y80 | 2.54 | No | Yes | 0 | 0 | 0 |
| 31 | L:L:C22 | L:L:W36 | 2.61 | No | Yes | 1 | 0 | 0 |
| 32 | L:L:C22 | L:L:C96 | 7.28 | No | No | 1 | 0 | 0 |
| 33 | L:L:G26 | L:L:S25 | 1.86 | Yes | No | 0 | 0 | 0 |
| 34 | L:L:Y27 | R:R:S133 | 8.9 | Yes | No | 2 | 0 | 9 |
| 35 | L:L:Y27 | R:R:R135 | 2.06 | Yes | Yes | 2 | 0 | 9 |
| 36 | L:L:Y27 | R:R:H157 | 19.6 | Yes | No | 2 | 0 | 9 |
| 37 | L:L:Y27 | R:R:W159 | 2.89 | Yes | Yes | 2 | 0 | 9 |
| 38 | L:L:R100 | L:L:T28 | 2.59 | Yes | No | 14 | 0 | 0 |
| 39 | L:L:T28 | L:L:Y116 | 3.75 | No | Yes | 14 | 0 | 0 |
| 40 | L:L:M34 | L:L:Y29 | 2.39 | No | Yes | 0 | 0 | 0 |
| 41 | L:L:N77 | L:L:Y29 | 3.49 | No | Yes | 0 | 0 | 0 |
| 42 | L:L:Y116 | L:L:Y29 | 1.99 | Yes | Yes | 0 | 0 | 0 |
| 43 | L:L:C33 | L:L:S30 | 1.72 | Yes | No | 0 | 0 | 0 |
| 44 | L:L:K31 | L:L:Y32 | 16.72 | Yes | Yes | 2 | 0 | 0 |
| 45 | L:L:K31 | L:L:R72 | 7.43 | Yes | No | 0 | 0 | 0 |
| 46 | L:L:K31 | R:R:W159 | 4.64 | Yes | Yes | 2 | 0 | 9 |
| 47 | L:L:K31 | R:R:D161 | 6.91 | Yes | No | 2 | 0 | 9 |
| 48 | L:L:T53 | L:L:Y32 | 4.99 | No | Yes | 0 | 0 | 0 |
| 49 | L:L:Y32 | R:R:D161 | 4.6 | Yes | No | 2 | 0 | 9 |
| 50 | L:L:Y32 | R:R:L186 | 5.86 | Yes | No | 0 | 0 | 9 |
| 51 | L:L:Y32 | R:R:H209 | 5.44 | Yes | Yes | 2 | 0 | 9 |
| 52 | L:L:C33 | L:L:S99 | 5.16 | Yes | No | 1 | 0 | 0 |
| 53 | L:L:C103 | L:L:C33 | 7.28 | No | Yes | 0 | 0 | 0 |
| 54 | L:L:C33 | L:L:F114 | 2.79 | Yes | Yes | 1 | 0 | 0 |
| 55 | L:L:G35 | L:L:M34 | 1.75 | No | No | 0 | 0 | 0 |
| 56 | L:L:L79 | L:L:M34 | 2.83 | No | No | 0 | 0 | 0 |
| 57 | L:L:G35 | L:L:G50 | 2.11 | No | Yes | 0 | 0 | 0 |
| 58 | L:L:S49 | L:L:W36 | 2.47 | Yes | Yes | 1 | 0 | 0 |
| 59 | L:L:I70 | L:L:W36 | 2.35 | Yes | Yes | 1 | 0 | 0 |
| 60 | L:L:L79 | L:L:W36 | 5.69 | No | Yes | 0 | 0 | 0 |
| 61 | L:L:L81 | L:L:W36 | 18.22 | No | Yes | 0 | 0 | 0 |
| 62 | L:L:C96 | L:L:W36 | 3.92 | No | Yes | 1 | 0 | 0 |
| 63 | L:L:F37 | L:L:G47 | 6.02 | Yes | No | 0 | 0 | 0 |
| 64 | L:L:A97 | L:L:F37 | 2.77 | No | Yes | 1 | 0 | 0 |
| 65 | L:L:F111 | L:L:F37 | 3.22 | No | Yes | 1 | 0 | 0 |
| 66 | L:L:F114 | L:L:F37 | 8.57 | Yes | Yes | 1 | 0 | 0 |
| 67 | L:L:F37 | L:L:W117 | 7.02 | Yes | Yes | 1 | 0 | 0 |
| 68 | L:L:R38 | L:L:V48 | 6.54 | Yes | No | 0 | 0 | 0 |
| 69 | L:L:D90 | L:L:R38 | 5.96 | No | Yes | 0 | 0 | 0 |
| 70 | L:L:A92 | L:L:R38 | 2.77 | No | Yes | 0 | 0 | 0 |
| 71 | L:L:R38 | L:L:Y94 | 12.35 | Yes | Yes | 0 | 0 | 0 |
| 72 | L:L:Q39 | L:L:R45 | 3.5 | No | No | 1 | 0 | 0 |
| 73 | L:L:Q39 | L:L:Y95 | 4.51 | No | Yes | 1 | 0 | 0 |
| 74 | L:L:A40 | L:L:P41 | 1.87 | No | No | 0 | 0 | 0 |
| 75 | L:L:R45 | L:L:Y95 | 10.29 | No | Yes | 1 | 0 | 0 |
| 76 | L:L:R45 | L:L:W117 | 6 | No | Yes | 1 | 0 | 0 |
| 77 | L:L:A46 | L:L:G47 | 1.95 | No | No | 0 | 0 | 0 |
| 78 | L:L:V48 | L:L:V64 | 3.21 | No | No | 1 | 0 | 0 |
| 79 | L:L:F68 | L:L:V48 | 2.62 | Yes | No | 1 | 0 | 0 |
| 80 | L:L:G50 | L:L:S49 | 3.71 | Yes | Yes | 1 | 0 | 0 |
| 81 | L:L:S49 | L:L:Y60 | 3.82 | Yes | No | 1 | 0 | 0 |
| 82 | L:L:I70 | L:L:S49 | 7.74 | Yes | Yes | 1 | 0 | 0 |
| 83 | L:L:G50 | L:L:I70 | 1.76 | Yes | Yes | 1 | 0 | 0 |
| 84 | L:L:F108 | L:L:G50 | 6.02 | Yes | Yes | 0 | 0 | 0 |
| 85 | L:L:I51 | L:L:I70 | 5.89 | No | Yes | 0 | 0 | 0 |
| 86 | L:L:P58 | L:L:S57 | 1.78 | No | No | 0 | 0 | 0 |
| 87 | L:L:A105 | L:L:Y59 | 2.67 | No | No | 0 | 0 | 0 |
| 88 | L:L:F108 | L:L:Y59 | 9.28 | Yes | No | 0 | 0 | 0 |
| 89 | L:L:K109 | L:L:Y59 | 3.58 | No | No | 0 | 0 | 0 |
| 90 | L:L:F68 | L:L:Y60 | 2.06 | Yes | No | 1 | 0 | 0 |
| 91 | L:L:I70 | L:L:Y60 | 6.04 | Yes | No | 1 | 0 | 0 |
| 92 | L:L:A61 | L:L:S63 | 1.71 | No | No | 0 | 0 | 0 |
| 93 | L:L:A61 | L:L:V64 | 1.7 | No | No | 0 | 0 | 0 |
| 94 | L:L:F68 | L:L:V64 | 19.66 | Yes | No | 1 | 0 | 0 |
| 95 | L:L:F68 | L:L:R67 | 4.28 | Yes | Yes | 0 | 0 | 0 |
| 96 | L:L:N84 | L:L:R67 | 2.41 | No | Yes | 0 | 0 | 0 |
| 97 | L:L:R67 | L:L:S85 | 5.27 | Yes | No | 0 | 0 | 0 |
| 98 | L:L:D90 | L:L:R67 | 3.57 | No | Yes | 0 | 0 | 0 |
| 99 | L:L:F68 | L:L:M83 | 9.95 | Yes | Yes | 1 | 0 | 0 |
| 100 | L:L:F68 | L:L:Y94 | 2.06 | Yes | Yes | 1 | 0 | 0 |
| 101 | L:L:Q82 | L:L:T69 | 4.25 | No | No | 0 | 0 | 0 |
| 102 | L:L:S71 | L:L:Y80 | 3.82 | No | Yes | 0 | 0 | 0 |
| 103 | L:L:N74 | L:L:R72 | 3.62 | No | No | 0 | 0 | 0 |
| 104 | L:L:N77 | L:L:R72 | 4.82 | No | No | 0 | 0 | 0 |
| 105 | L:L:D73 | L:L:I75 | 8.4 | No | Yes | 0 | 0 | 0 |
| 106 | L:L:N74 | R:R:N114 | 6.81 | No | Yes | 0 | 0 | 9 |
| 107 | L:L:I75 | R:R:M66 | 2.92 | Yes | No | 0 | 0 | 9 |
| 108 | L:L:I75 | R:R:A89 | 3.25 | Yes | No | 0 | 0 | 9 |
| 109 | L:L:I75 | R:R:G90 | 1.76 | Yes | No | 2 | 0 | 9 |
| 110 | L:L:I75 | R:R:N114 | 5.66 | Yes | Yes | 2 | 0 | 9 |
| 111 | L:L:N77 | R:R:R135 | 2.41 | No | Yes | 0 | 0 | 9 |
| 112 | L:L:T78 | L:L:Y80 | 9.99 | No | Yes | 0 | 0 | 0 |
| 113 | L:L:L86 | L:L:M83 | 4.24 | No | Yes | 0 | 0 | 0 |
| 114 | L:L:M83 | L:L:Y94 | 3.59 | Yes | Yes | 1 | 0 | 0 |
| 115 | L:L:L86 | L:L:S125 | 3 | No | Yes | 0 | 0 | 0 |
| 116 | L:L:A87 | L:L:P88 | 1.87 | No | No | 0 | 0 | 0 |
| 117 | L:L:P88 | L:L:S125 | 3.56 | No | Yes | 0 | 0 | 0 |
| 118 | L:L:T124 | L:L:T91 | 9.42 | No | No | 0 | 0 | 0 |
| 119 | L:L:M93 | L:L:Y95 | 8.38 | No | Yes | 0 | 0 | 0 |
| 120 | L:L:M93 | L:L:Q122 | 2.72 | No | No | 0 | 0 | 0 |
| 121 | L:L:V123 | L:L:Y94 | 7.57 | No | Yes | 0 | 0 | 0 |
| 122 | L:L:W117 | L:L:Y95 | 1.93 | Yes | Yes | 1 | 0 | 0 |
| 123 | L:L:G120 | L:L:Y95 | 2.9 | No | Yes | 1 | 0 | 0 |
| 124 | L:L:A97 | L:L:F114 | 4.16 | No | Yes | 1 | 0 | 0 |
| 125 | L:L:A97 | L:L:W117 | 6.48 | No | Yes | 1 | 0 | 0 |
| 126 | L:L:F114 | L:L:S99 | 2.64 | Yes | No | 1 | 0 | 0 |
| 127 | L:L:R100 | L:L:Y116 | 4.12 | Yes | Yes | 14 | 0 | 0 |
| 128 | L:L:R100 | R:R:T229 | 11.64 | Yes | No | 0 | 0 | 9 |
| 129 | L:L:R100 | R:R:E252 | 9.3 | Yes | No | 0 | 0 | 9 |
| 130 | L:L:L101 | R:R:T229 | 2.95 | No | No | 0 | 0 | 9 |
| 131 | L:L:L101 | R:R:D231 | 4.07 | No | Yes | 0 | 0 | 9 |
| 132 | L:L:L101 | R:R:G254 | 1.71 | No | No | 0 | 0 | 7 |
| 133 | L:L:S102 | R:R:D231 | 5.89 | No | Yes | 2 | 0 | 9 |
| 134 | L:L:S102 | R:R:N233 | 5.96 | No | Yes | 2 | 0 | 9 |
| 135 | L:L:C103 | L:L:D107 | 4.67 | No | No | 0 | 0 | 0 |
| 136 | L:L:C103 | L:L:F108 | 2.79 | No | Yes | 0 | 0 | 0 |
| 137 | L:L:A106 | L:L:S104 | 1.71 | No | No | 0 | 0 | 0 |
| 138 | L:L:S104 | R:R:Y280 | 5.09 | No | Yes | 0 | 0 | 7 |
| 139 | L:L:D107 | R:R:H278 | 7.56 | No | No | 2 | 0 | 8 |
| 140 | L:L:D107 | R:R:Y280 | 5.75 | No | Yes | 2 | 0 | 7 |
| 141 | L:L:F108 | L:L:F114 | 9.65 | Yes | Yes | 0 | 0 | 0 |
| 142 | L:L:D110 | L:L:R112 | 9.53 | No | No | 0 | 0 | 0 |
| 143 | L:L:D110 | L:L:N113 | 9.42 | No | No | 0 | 0 | 0 |
| 144 | L:L:F111 | L:L:R112 | 8.55 | No | No | 0 | 0 | 0 |
| 145 | L:L:F111 | L:L:W117 | 3.01 | No | Yes | 1 | 0 | 0 |
| 146 | L:L:R112 | R:R:R346 | 11.73 | No | No | 0 | 0 | 7 |
| 147 | L:L:F114 | L:L:W117 | 2 | Yes | Yes | 1 | 0 | 0 |
| 148 | L:L:V115 | L:L:Y116 | 5.05 | No | Yes | 0 | 0 | 0 |
| 149 | L:L:G120 | L:L:Q119 | 4.93 | No | No | 1 | 0 | 0 |
| 150 | R:R:C33 | R:R:P32 | 1.88 | No | No | 0 | 9 | 3 |
| 151 | R:R:C33 | R:R:V41 | 1.71 | No | No | 15 | 9 | 7 |
| 152 | R:R:C33 | R:R:C43 | 7.28 | No | No | 15 | 9 | 8 |
| 153 | R:R:D36 | R:R:R40 | 7.15 | No | No | 0 | 5 | 3 |
| 154 | R:R:D38 | R:R:R40 | 2.38 | No | No | 0 | 6 | 3 |
| 155 | R:R:Q60 | R:R:R39 | 4.67 | No | No | 0 | 5 | 7 |
| 156 | R:R:A61 | R:R:R40 | 6.91 | No | No | 0 | 4 | 3 |
| 157 | R:R:C43 | R:R:V41 | 1.71 | No | No | 15 | 8 | 7 |
| 158 | R:R:T59 | R:R:V41 | 3.17 | No | No | 0 | 8 | 7 |
| 159 | R:R:D42 | R:R:S44 | 5.89 | No | No | 0 | 9 | 7 |
| 160 | R:R:G45 | R:R:M66 | 1.75 | No | No | 0 | 8 | 9 |
| 161 | R:R:G45 | R:R:N67 | 1.7 | No | Yes | 0 | 8 | 9 |
| 162 | R:R:G47 | R:R:N67 | 1.7 | No | Yes | 0 | 7 | 9 |
| 163 | R:R:G47 | R:R:N68 | 1.7 | No | No | 0 | 7 | 9 |
| 164 | R:R:L48 | R:R:N67 | 5.49 | No | Yes | 0 | 8 | 9 |
| 165 | R:R:P52 | R:R:V51 | 3.53 | No | No | 0 | 8 | 5 |
| 166 | R:R:A76 | R:R:V51 | 1.7 | No | No | 0 | 4 | 5 |
| 167 | R:R:F77 | R:R:V51 | 3.93 | No | No | 0 | 7 | 5 |
| 168 | R:R:A57 | R:R:P81 | 1.87 | No | No | 0 | 4 | 5 |
| 169 | R:R:F58 | R:R:F82 | 7.5 | No | No | 0 | 6 | 5 |
| 170 | R:R:F80 | R:R:T59 | 3.89 | Yes | No | 0 | 7 | 8 |
| 171 | R:R:E84 | R:R:Q60 | 12.74 | No | No | 0 | 6 | 5 |
| 172 | R:R:A61 | R:R:E85 | 3.02 | No | No | 0 | 4 | 8 |
| 173 | R:R:I64 | R:R:L62 | 2.85 | No | No | 0 | 6 | 5 |
| 174 | R:R:F80 | R:R:L62 | 2.44 | Yes | No | 0 | 7 | 5 |
| 175 | R:R:L62 | R:R:L83 | 5.54 | No | Yes | 0 | 5 | 9 |
| 176 | R:R:D63 | R:R:S65 | 5.89 | No | No | 0 | 9 | 9 |
| 177 | R:R:D63 | R:R:Q87 | 20.88 | No | No | 0 | 9 | 8 |
| 178 | R:R:I64 | R:R:N67 | 4.25 | No | Yes | 0 | 6 | 9 |
| 179 | R:R:I64 | R:R:L88 | 4.28 | No | No | 0 | 6 | 9 |
| 180 | R:R:A89 | R:R:S65 | 3.42 | No | No | 0 | 9 | 9 |
| 181 | R:R:I69 | R:R:N91 | 2.83 | No | No | 0 | 7 | 9 |
| 182 | R:R:P73 | R:R:Q71 | 12.63 | No | No | 0 | 5 | 4 |
| 183 | R:R:L72 | R:R:P73 | 3.28 | No | No | 0 | 7 | 5 |
| 184 | R:R:F77 | R:R:L72 | 2.44 | No | No | 0 | 7 | 7 |
| 185 | R:R:L72 | R:R:L93 | 5.54 | No | No | 0 | 7 | 9 |
| 186 | R:R:A76 | R:R:P73 | 1.87 | No | No | 0 | 4 | 5 |
| 187 | R:R:D75 | R:R:E74 | 19.49 | No | No | 0 | 4 | 5 |
| 188 | R:R:E74 | R:R:H97 | 13.54 | No | No | 16 | 5 | 8 |
| 189 | R:R:E74 | R:R:K99 | 2.7 | No | No | 16 | 5 | 3 |
| 190 | R:R:F77 | R:R:F80 | 2.14 | No | Yes | 0 | 7 | 7 |
| 191 | R:R:F80 | R:R:N79 | 13.29 | Yes | No | 0 | 7 | 4 |
| 192 | R:R:F82 | R:R:P81 | 13 | No | No | 0 | 5 | 5 |
| 193 | R:R:L83 | R:R:L86 | 2.77 | Yes | Yes | 10 | 9 | 8 |
| 194 | R:R:L104 | R:R:L83 | 4.15 | No | Yes | 10 | 9 | 9 |
| 195 | R:R:L107 | R:R:L83 | 2.77 | Yes | Yes | 10 | 9 | 9 |
| 196 | R:R:E106 | R:R:E84 | 8.88 | No | No | 0 | 7 | 6 |
| 197 | R:R:E84 | R:R:K108 | 4.05 | No | No | 0 | 6 | 8 |
| 198 | R:R:E85 | R:R:Q87 | 6.37 | No | No | 0 | 8 | 8 |
| 199 | R:R:E85 | R:R:V109 | 4.28 | No | No | 0 | 8 | 8 |
| 200 | R:R:L86 | R:R:L88 | 4.15 | Yes | No | 0 | 8 | 9 |
| 201 | R:R:L107 | R:R:L86 | 4.15 | Yes | Yes | 10 | 9 | 8 |
| 202 | R:R:L110 | R:R:L86 | 4.15 | Yes | Yes | 0 | 9 | 8 |
| 203 | R:R:Q87 | R:R:T111 | 5.67 | No | No | 0 | 8 | 9 |
| 204 | R:R:L112 | R:R:L88 | 4.15 | No | No | 0 | 9 | 9 |
| 205 | R:R:A89 | R:R:Q113 | 3.03 | No | Yes | 0 | 9 | 9 |
| 206 | R:R:G90 | R:R:N114 | 1.7 | No | Yes | 2 | 9 | 9 |
| 207 | R:R:G90 | R:R:N115 | 1.7 | No | No | 0 | 9 | 9 |
| 208 | R:R:D92 | R:R:Q116 | 3.92 | No | No | 0 | 5 | 6 |
| 209 | R:R:I96 | R:R:L93 | 4.28 | No | No | 0 | 9 | 9 |
| 210 | R:R:H97 | R:R:P98 | 9.15 | No | No | 0 | 8 | 4 |
| 211 | R:R:H97 | R:R:K99 | 5.24 | No | No | 16 | 8 | 3 |
| 212 | R:R:E123 | R:R:P98 | 3.14 | No | No | 0 | 5 | 4 |
| 213 | R:R:A124 | R:R:L101 | 4.73 | No | No | 0 | 8 | 7 |
| 214 | R:R:G103 | R:R:S102 | 3.71 | No | No | 0 | 8 | 5 |
| 215 | R:R:G103 | R:R:L104 | 1.71 | No | No | 0 | 8 | 9 |
| 216 | R:R:G103 | R:R:K105 | 3.49 | No | No | 0 | 8 | 3 |
| 217 | R:R:L104 | R:R:L107 | 4.15 | No | Yes | 10 | 9 | 9 |
| 218 | R:R:G127 | R:R:K105 | 1.74 | No | No | 0 | 5 | 3 |
| 219 | R:R:L107 | R:R:L128 | 6.92 | Yes | No | 0 | 9 | 9 |
| 220 | R:R:K108 | R:R:Q132 | 6.78 | No | No | 0 | 8 | 8 |
| 221 | R:R:S133 | R:R:V109 | 3.23 | No | No | 0 | 9 | 8 |
| 222 | R:R:L110 | R:R:L112 | 4.15 | Yes | No | 0 | 9 | 9 |
| 223 | R:R:L110 | R:R:L131 | 2.77 | Yes | No | 0 | 9 | 9 |
| 224 | R:R:L110 | R:R:L134 | 4.15 | Yes | Yes | 0 | 9 | 9 |
| 225 | R:R:Q113 | R:R:T111 | 2.83 | Yes | No | 2 | 9 | 9 |
| 226 | R:R:R135 | R:R:T111 | 3.88 | Yes | No | 2 | 9 | 9 |
| 227 | R:R:N114 | R:R:Q113 | 3.96 | Yes | Yes | 2 | 9 | 9 |
| 228 | R:R:Q113 | R:R:R135 | 7.01 | Yes | Yes | 2 | 9 | 9 |
| 229 | R:R:D137 | R:R:Q113 | 3.92 | Yes | Yes | 2 | 9 | 9 |
| 230 | R:R:A138 | R:R:N114 | 6.25 | No | Yes | 0 | 9 | 9 |
| 231 | R:R:N115 | R:R:N139 | 10.9 | No | No | 0 | 9 | 9 |
| 232 | R:R:L117 | R:R:P121 | 3.28 | No | No | 0 | 8 | 8 |
| 233 | R:R:S143 | R:R:T119 | 4.8 | No | No | 0 | 3 | 5 |
| 234 | R:R:P121 | R:R:V120 | 3.53 | No | Yes | 0 | 8 | 7 |
| 235 | R:R:I141 | R:R:V120 | 3.07 | No | Yes | 0 | 9 | 7 |
| 236 | R:R:V120 | R:R:V144 | 3.21 | Yes | Yes | 6 | 7 | 9 |
| 237 | R:R:P145 | R:R:V120 | 1.77 | Yes | Yes | 6 | 9 | 7 |
| 238 | R:R:S148 | R:R:V120 | 4.85 | Yes | Yes | 6 | 8 | 7 |
| 239 | R:R:F149 | R:R:V120 | 2.62 | Yes | Yes | 6 | 9 | 7 |
| 240 | R:R:E123 | R:R:S122 | 7.19 | No | Yes | 0 | 5 | 5 |
| 241 | R:R:P145 | R:R:S122 | 7.13 | Yes | Yes | 6 | 9 | 5 |
| 242 | R:R:D147 | R:R:S122 | 5.89 | No | Yes | 0 | 3 | 5 |
| 243 | R:R:S122 | R:R:S148 | 3.26 | Yes | Yes | 6 | 5 | 8 |
| 244 | R:R:E123 | R:R:R126 | 5.82 | No | No | 0 | 5 | 4 |
| 245 | R:R:I125 | R:R:L152 | 4.28 | No | No | 0 | 5 | 8 |
| 246 | R:R:E150 | R:R:R126 | 4.65 | No | No | 0 | 4 | 4 |
| 247 | R:R:L128 | R:R:L131 | 9.69 | No | No | 0 | 9 | 9 |
| 248 | R:R:A130 | R:R:S129 | 1.71 | No | No | 0 | 5 | 4 |
| 249 | R:R:Q132 | R:R:R156 | 12.85 | No | No | 0 | 8 | 9 |
| 250 | R:R:H157 | R:R:S133 | 9.76 | No | No | 2 | 9 | 9 |
| 251 | R:R:F149 | R:R:L134 | 2.44 | Yes | Yes | 6 | 9 | 9 |
| 252 | R:R:L134 | R:R:L155 | 2.77 | Yes | No | 0 | 9 | 9 |
| 253 | R:R:L134 | R:R:L158 | 4.15 | Yes | Yes | 6 | 9 | 9 |
| 254 | R:R:D137 | R:R:R135 | 10.72 | Yes | Yes | 2 | 9 | 9 |
| 255 | R:R:R135 | R:R:W159 | 13.99 | Yes | Yes | 2 | 9 | 9 |
| 256 | R:R:L136 | R:R:L160 | 4.15 | No | No | 0 | 9 | 9 |
| 257 | R:R:D137 | R:R:W159 | 6.7 | Yes | Yes | 2 | 9 | 9 |
| 258 | R:R:D137 | R:R:D161 | 6.65 | Yes | No | 2 | 9 | 9 |
| 259 | R:R:I141 | R:R:N139 | 2.83 | No | No | 0 | 9 | 9 |
| 260 | R:R:I141 | R:R:N163 | 9.91 | No | No | 0 | 9 | 9 |
| 261 | R:R:S164 | R:R:T142 | 3.2 | No | No | 0 | 5 | 6 |
| 262 | R:R:P145 | R:R:V144 | 3.53 | Yes | Yes | 6 | 9 | 9 |
| 263 | R:R:S148 | R:R:V144 | 3.23 | Yes | Yes | 6 | 8 | 9 |
| 264 | R:R:P169 | R:R:V144 | 3.53 | No | Yes | 6 | 9 | 9 |
| 265 | R:R:P172 | R:R:V144 | 3.53 | Yes | Yes | 6 | 9 | 9 |
| 266 | R:R:P145 | R:R:S148 | 1.78 | Yes | Yes | 6 | 9 | 8 |
| 267 | R:R:E146 | R:R:H171 | 8.62 | No | No | 0 | 4 | 1 |
| 268 | R:R:F149 | R:R:S148 | 7.93 | Yes | Yes | 6 | 9 | 8 |
| 269 | R:R:F149 | R:R:L158 | 7.31 | Yes | Yes | 6 | 9 | 9 |
| 270 | R:R:F149 | R:R:P172 | 2.89 | Yes | Yes | 6 | 9 | 9 |
| 271 | R:R:E150 | R:R:G151 | 4.91 | No | No | 0 | 4 | 7 |
| 272 | R:R:L152 | R:R:L155 | 2.77 | No | No | 0 | 8 | 9 |
| 273 | R:R:Q154 | R:R:V153 | 5.73 | No | No | 0 | 8 | 3 |
| 274 | R:R:L155 | R:R:L176 | 5.54 | No | No | 0 | 9 | 9 |
| 275 | R:R:H157 | R:R:R156 | 4.51 | No | No | 0 | 9 | 9 |
| 276 | R:R:Q180 | R:R:R156 | 14.02 | No | No | 0 | 9 | 9 |
| 277 | R:R:L158 | R:R:L160 | 9.69 | Yes | No | 0 | 9 | 9 |
| 278 | R:R:L158 | R:R:L179 | 2.77 | Yes | No | 0 | 9 | 9 |
| 279 | R:R:T183 | R:R:W159 | 10.92 | No | Yes | 0 | 9 | 9 |
| 280 | R:R:D162 | R:R:L186 | 5.43 | No | No | 0 | 9 | 9 |
| 281 | R:R:L165 | R:R:N187 | 9.61 | No | No | 0 | 9 | 9 |
| 282 | R:R:E167 | R:R:V168 | 2.85 | No | Yes | 0 | 6 | 8 |
| 283 | R:R:E167 | R:R:P193 | 3.14 | No | No | 0 | 6 | 9 |
| 284 | R:R:P169 | R:R:V168 | 3.53 | No | Yes | 0 | 9 | 8 |
| 285 | R:R:I189 | R:R:V168 | 3.07 | No | Yes | 0 | 9 | 8 |
| 286 | R:R:F197 | R:R:V168 | 2.62 | Yes | Yes | 0 | 9 | 8 |
| 287 | R:R:P169 | R:R:P172 | 5.84 | No | Yes | 6 | 9 | 9 |
| 288 | R:R:H171 | R:R:N175 | 6.38 | No | No | 0 | 1 | 4 |
| 289 | R:R:F197 | R:R:L173 | 2.44 | Yes | No | 0 | 9 | 9 |
| 290 | R:R:L176 | R:R:P177 | 3.28 | No | No | 0 | 9 | 4 |
| 291 | R:R:L176 | R:R:L179 | 2.77 | No | No | 0 | 9 | 9 |
| 292 | R:R:P177 | R:R:T178 | 5.25 | No | No | 0 | 4 | 5 |
| 293 | R:R:L179 | R:R:L182 | 5.54 | No | Yes | 0 | 9 | 8 |
| 294 | R:R:A181 | R:R:V205 | 1.7 | No | Yes | 0 | 9 | 9 |
| 295 | R:R:L182 | R:R:L184 | 4.15 | Yes | No | 0 | 8 | 9 |
| 296 | R:R:L182 | R:R:L203 | 2.77 | Yes | No | 17 | 8 | 9 |
| 297 | R:R:L182 | R:R:L206 | 4.15 | Yes | Yes | 17 | 8 | 9 |
| 298 | R:R:H207 | R:R:T183 | 4.11 | Yes | No | 0 | 9 | 9 |
| 299 | R:R:A185 | R:R:H209 | 7.32 | No | Yes | 0 | 9 | 9 |
| 300 | R:R:L186 | R:R:N210 | 4.12 | No | No | 0 | 9 | 9 |
| 301 | R:R:N187 | R:R:N211 | 4.09 | No | Yes | 0 | 9 | 9 |
| 302 | R:R:I189 | R:R:N211 | 7.08 | No | Yes | 0 | 9 | 9 |
| 303 | R:R:I192 | R:R:P193 | 3.39 | No | No | 0 | 8 | 9 |
| 304 | R:R:I192 | R:R:I213 | 4.42 | No | No | 0 | 8 | 9 |
| 305 | R:R:I192 | R:R:L216 | 4.28 | No | No | 0 | 8 | 6 |
| 306 | R:R:D194 | R:R:F195 | 10.75 | Yes | Yes | 7 | 8 | 2 |
| 307 | R:R:D194 | R:R:S217 | 10.31 | Yes | No | 7 | 8 | 6 |
| 308 | R:R:D194 | R:R:Q218 | 3.92 | Yes | No | 7 | 8 | 3 |
| 309 | R:R:D194 | R:R:H219 | 6.3 | Yes | Yes | 7 | 8 | 5 |
| 310 | R:R:F195 | R:R:T198 | 3.89 | Yes | No | 0 | 2 | 4 |
| 311 | R:R:F195 | R:R:H219 | 2.26 | Yes | Yes | 7 | 2 | 5 |
| 312 | R:R:D222 | R:R:F195 | 3.58 | No | Yes | 7 | 4 | 2 |
| 313 | R:R:A196 | R:R:F197 | 8.32 | No | Yes | 0 | 9 | 9 |
| 314 | R:R:F197 | R:R:L200 | 3.65 | Yes | No | 0 | 9 | 9 |
| 315 | R:R:F197 | R:R:F221 | 4.29 | Yes | No | 0 | 9 | 9 |
| 316 | R:R:F197 | R:R:L224 | 6.09 | Yes | No | 0 | 9 | 9 |
| 317 | R:R:N199 | R:R:T198 | 4.39 | No | No | 0 | 9 | 4 |
| 318 | R:R:L200 | R:R:L203 | 6.92 | No | No | 0 | 9 | 9 |
| 319 | R:R:S201 | R:R:S202 | 3.26 | No | No | 0 | 7 | 8 |
| 320 | R:R:L203 | R:R:L206 | 2.77 | No | Yes | 17 | 9 | 9 |
| 321 | R:R:V204 | R:R:V205 | 8.02 | No | Yes | 0 | 9 | 9 |
| 322 | R:R:E228 | R:R:V204 | 7.13 | No | No | 0 | 9 | 9 |
| 323 | R:R:H207 | R:R:V205 | 2.77 | Yes | Yes | 0 | 9 | 9 |
| 324 | R:R:T229 | R:R:V205 | 4.76 | No | Yes | 0 | 9 | 9 |
| 325 | R:R:L206 | R:R:L208 | 6.92 | Yes | No | 0 | 9 | 9 |
| 326 | R:R:L206 | R:R:L230 | 2.77 | Yes | Yes | 0 | 9 | 9 |
| 327 | R:R:H207 | R:R:H209 | 3.58 | Yes | Yes | 2 | 9 | 9 |
| 328 | R:R:D231 | R:R:H207 | 7.56 | Yes | Yes | 2 | 9 | 9 |
| 329 | R:R:H209 | R:R:N210 | 7.65 | Yes | No | 0 | 9 | 9 |
| 330 | R:R:D231 | R:R:H209 | 10.08 | Yes | Yes | 2 | 9 | 9 |
| 331 | R:R:N210 | R:R:Y234 | 9.3 | No | Yes | 0 | 9 | 6 |
| 332 | R:R:I213 | R:R:N211 | 2.83 | No | Yes | 18 | 9 | 9 |
| 333 | R:R:N211 | R:R:N235 | 4.09 | Yes | No | 18 | 9 | 9 |
| 334 | R:R:K212 | R:R:N236 | 8.39 | No | No | 0 | 5 | 5 |
| 335 | R:R:I213 | R:R:N235 | 7.08 | No | No | 18 | 9 | 9 |
| 336 | R:R:L216 | R:R:L237 | 2.77 | No | No | 0 | 6 | 8 |
| 337 | R:R:Q218 | R:R:S217 | 2.89 | No | No | 7 | 3 | 6 |
| 338 | R:R:C220 | R:R:S217 | 3.44 | No | No | 7 | 5 | 6 |
| 339 | R:R:H219 | R:R:Q218 | 17.31 | Yes | No | 7 | 5 | 3 |
| 340 | R:R:D222 | R:R:H219 | 11.35 | No | Yes | 7 | 4 | 5 |
| 341 | R:R:C220 | R:R:F221 | 9.78 | No | No | 7 | 5 | 9 |
| 342 | R:R:A243 | R:R:C220 | 1.81 | No | No | 7 | 8 | 5 |
| 343 | R:R:A243 | R:R:F221 | 4.16 | No | No | 7 | 8 | 9 |
| 344 | R:R:L224 | R:R:L227 | 2.77 | No | No | 0 | 9 | 9 |
| 345 | R:R:D225 | R:R:N226 | 2.69 | No | No | 0 | 4 | 8 |
| 346 | R:R:L227 | R:R:L230 | 2.77 | No | Yes | 0 | 9 | 9 |
| 347 | R:R:L227 | R:R:L247 | 4.15 | No | No | 0 | 9 | 9 |
| 348 | R:R:L230 | R:R:L232 | 4.15 | Yes | No | 0 | 9 | 9 |
| 349 | R:R:L230 | R:R:L253 | 4.15 | Yes | No | 0 | 9 | 9 |
| 350 | R:R:D231 | R:R:N233 | 12.12 | Yes | Yes | 2 | 9 | 9 |
| 351 | R:R:N233 | R:R:Y234 | 3.49 | Yes | Yes | 2 | 9 | 6 |
| 352 | R:R:G254 | R:R:N233 | 1.7 | No | Yes | 0 | 7 | 9 |
| 353 | R:R:H256 | R:R:N233 | 20.41 | Yes | Yes | 2 | 9 | 9 |
| 354 | R:R:H256 | R:R:Y234 | 3.27 | Yes | Yes | 2 | 9 | 6 |
| 355 | R:R:S257 | R:R:Y234 | 7.63 | No | Yes | 2 | 8 | 6 |
| 356 | R:R:N235 | R:R:N258 | 2.72 | No | No | 0 | 9 | 9 |
| 357 | R:R:L237 | R:R:N258 | 6.87 | No | No | 0 | 8 | 9 |
| 358 | R:R:G238 | R:R:S259 | 1.86 | No | No | 0 | 2 | 6 |
| 359 | R:R:F240 | R:R:P241 | 7.22 | Yes | No | 8 | 9 | 9 |
| 360 | R:R:F240 | R:R:I244 | 2.51 | Yes | No | 8 | 9 | 8 |
| 361 | R:R:F240 | R:R:F255 | 5.36 | Yes | Yes | 8 | 9 | 9 |
| 362 | R:R:F240 | R:R:I260 | 6.28 | Yes | No | 8 | 9 | 9 |
| 363 | R:R:F240 | R:R:I263 | 2.51 | Yes | Yes | 8 | 9 | 9 |
| 364 | R:R:F240 | R:R:P264 | 2.89 | Yes | No | 8 | 9 | 9 |
| 365 | R:R:A267 | R:R:F240 | 4.16 | No | Yes | 0 | 9 | 9 |
| 366 | R:R:I244 | R:R:P241 | 3.39 | No | No | 8 | 8 | 9 |
| 367 | R:R:K245 | R:R:Q242 | 9.49 | No | No | 0 | 5 | 4 |
| 368 | R:R:L247 | R:R:L250 | 2.77 | No | No | 0 | 9 | 9 |
| 369 | R:R:L250 | R:R:L253 | 5.54 | No | No | 0 | 9 | 9 |
| 370 | R:R:L250 | R:R:N271 | 4.12 | No | Yes | 0 | 9 | 9 |
| 371 | R:R:K251 | R:R:R275 | 2.48 | No | No | 0 | 9 | 5 |
| 372 | R:R:E252 | R:R:R275 | 6.98 | No | No | 0 | 9 | 5 |
| 373 | R:R:F255 | R:R:I260 | 3.77 | Yes | No | 8 | 9 | 9 |
| 374 | R:R:F255 | R:R:L279 | 2.44 | Yes | No | 0 | 9 | 8 |
| 375 | R:R:F255 | R:R:N282 | 2.42 | Yes | Yes | 8 | 9 | 9 |
| 376 | R:R:H256 | R:R:S257 | 2.79 | Yes | No | 2 | 9 | 8 |
| 377 | R:R:H256 | R:R:Y280 | 27.22 | Yes | Yes | 2 | 9 | 7 |
| 378 | R:R:D281 | R:R:S257 | 4.42 | No | No | 0 | 8 | 8 |
| 379 | R:R:I260 | R:R:N282 | 5.66 | No | Yes | 8 | 9 | 9 |
| 380 | R:R:S261 | R:R:V262 | 3.23 | No | No | 0 | 4 | 5 |
| 381 | R:R:I263 | R:R:P264 | 3.39 | Yes | No | 8 | 9 | 9 |
| 382 | R:R:I263 | R:R:L284 | 2.85 | Yes | No | 0 | 9 | 8 |
| 383 | R:R:I263 | R:R:V287 | 6.14 | Yes | No | 0 | 9 | 9 |
| 384 | R:R:D265 | R:R:S290 | 2.94 | No | No | 0 | 8 | 8 |
| 385 | R:R:A267 | R:R:F268 | 2.77 | No | No | 0 | 9 | 9 |
| 386 | R:R:F268 | R:R:L274 | 2.44 | No | No | 19 | 9 | 9 |
| 387 | R:R:F268 | R:R:I277 | 5.02 | No | Yes | 19 | 9 | 8 |
| 388 | R:R:G270 | R:R:N271 | 1.7 | No | Yes | 0 | 6 | 9 |
| 389 | R:R:L274 | R:R:N271 | 8.24 | No | Yes | 0 | 9 | 9 |
| 390 | R:R:L273 | R:R:P272 | 4.93 | No | No | 0 | 6 | 8 |
| 391 | R:R:I277 | R:R:L274 | 2.85 | Yes | No | 19 | 8 | 9 |
| 392 | R:R:I277 | R:R:L279 | 2.85 | Yes | No | 0 | 8 | 8 |
| 393 | R:R:I277 | R:R:L298 | 4.28 | Yes | No | 0 | 8 | 9 |
| 394 | R:R:H278 | R:R:Y280 | 6.53 | No | Yes | 2 | 8 | 7 |
| 395 | R:R:D281 | R:R:Y280 | 8.05 | No | Yes | 0 | 8 | 7 |
| 396 | R:R:N282 | R:R:P283 | 3.26 | Yes | No | 0 | 9 | 9 |
| 397 | R:R:L284 | R:R:N282 | 2.75 | No | Yes | 0 | 8 | 9 |
| 398 | R:R:G288 | R:R:V287 | 1.84 | Yes | No | 0 | 9 | 9 |
| 399 | R:R:A306 | R:R:V287 | 1.7 | No | No | 0 | 9 | 9 |
| 400 | R:R:A291 | R:R:G288 | 1.95 | No | Yes | 0 | 9 | 9 |
| 401 | R:R:N289 | R:R:Q311 | 9.24 | No | No | 0 | 4 | 4 |
| 402 | R:R:F292 | R:R:L301 | 7.31 | No | Yes | 0 | 9 | 9 |
| 403 | R:R:H293 | R:R:N294 | 10.2 | No | No | 0 | 7 | 6 |
| 404 | R:R:L295 | R:R:L298 | 4.15 | No | No | 0 | 9 | 9 |
| 405 | R:R:H299 | R:R:H320 | 10.75 | No | No | 20 | 7 | 7 |
| 406 | R:R:E322 | R:R:H299 | 4.92 | Yes | No | 20 | 8 | 7 |
| 407 | R:R:I303 | R:R:L301 | 2.85 | No | Yes | 0 | 8 | 9 |
| 408 | R:R:L301 | R:R:L321 | 2.77 | Yes | No | 0 | 9 | 8 |
| 409 | R:R:L301 | R:R:L324 | 4.15 | Yes | No | 0 | 9 | 9 |
| 410 | R:R:R304 | R:R:V302 | 2.62 | No | No | 21 | 8 | 7 |
| 411 | R:R:T325 | R:R:V302 | 3.17 | No | No | 21 | 8 | 7 |
| 412 | R:R:R304 | R:R:T325 | 2.59 | No | No | 21 | 8 | 8 |
| 413 | R:R:R304 | R:R:T327 | 7.76 | No | No | 0 | 8 | 9 |
| 414 | R:R:A306 | R:R:V309 | 1.7 | No | No | 0 | 9 | 7 |
| 415 | R:R:K330 | R:R:M308 | 2.88 | No | No | 0 | 5 | 4 |
| 416 | R:R:T329 | R:R:V309 | 3.17 | No | No | 0 | 8 | 7 |
| 417 | R:R:Q310 | R:R:Q311 | 3.84 | No | No | 0 | 5 | 4 |
| 418 | R:R:F312 | R:R:P313 | 8.67 | Yes | No | 0 | 8 | 9 |
| 419 | R:R:F312 | R:R:I331 | 5.02 | Yes | No | 0 | 8 | 8 |
| 420 | R:R:F312 | R:R:P335 | 8.67 | Yes | No | 0 | 8 | 8 |
| 421 | R:R:F312 | R:R:L338 | 2.44 | Yes | No | 0 | 8 | 5 |
| 422 | R:R:L315 | R:R:P313 | 3.28 | No | No | 0 | 9 | 9 |
| 423 | R:R:L326 | R:R:P313 | 3.28 | No | No | 0 | 7 | 9 |
| 424 | R:R:N314 | R:R:T316 | 8.77 | No | No | 0 | 7 | 5 |
| 425 | R:R:L315 | R:R:T318 | 4.42 | No | No | 0 | 9 | 8 |
| 426 | R:R:G317 | R:R:T316 | 1.82 | No | No | 0 | 7 | 5 |
| 427 | R:R:L321 | R:R:T318 | 2.95 | No | No | 0 | 8 | 8 |
| 428 | R:R:E322 | R:R:H320 | 8.62 | Yes | No | 20 | 8 | 7 |
| 429 | R:R:L321 | R:R:Q342 | 3.99 | No | No | 0 | 8 | 8 |
| 430 | R:R:E322 | R:R:R346 | 2.33 | Yes | No | 0 | 8 | 7 |
| 431 | R:R:S323 | R:R:T347 | 3.2 | No | No | 0 | 7 | 6 |
| 432 | R:R:L324 | R:R:L326 | 4.15 | No | No | 0 | 9 | 7 |
| 433 | R:R:L324 | R:R:L348 | 2.77 | No | No | 0 | 9 | 9 |
| 434 | R:R:G328 | R:R:T327 | 3.64 | No | No | 0 | 7 | 9 |
| 435 | R:R:G328 | R:R:N353 | 1.7 | No | Yes | 0 | 7 | 9 |
| 436 | R:R:I331 | R:R:T329 | 7.6 | No | No | 0 | 8 | 8 |
| 437 | R:R:N353 | R:R:T329 | 7.31 | Yes | No | 0 | 9 | 8 |
| 438 | R:R:K330 | R:R:N354 | 2.8 | No | No | 0 | 5 | 3 |
| 439 | R:R:S332 | R:R:S333 | 3.26 | No | No | 0 | 4 | 4 |
| 440 | R:R:I334 | R:R:P335 | 3.39 | No | No | 0 | 7 | 8 |
| 441 | R:R:I334 | R:R:I355 | 2.94 | No | No | 0 | 7 | 8 |
| 442 | R:R:I334 | R:R:P359 | 6.77 | No | No | 0 | 7 | 9 |
| 443 | R:R:N337 | R:R:P335 | 3.26 | No | No | 0 | 3 | 8 |
| 444 | R:R:E341 | R:R:N337 | 7.89 | No | No | 0 | 5 | 3 |
| 445 | R:R:C339 | R:R:C364 | 7.28 | No | No | 0 | 9 | 9 |
| 446 | R:R:G363 | R:R:Q340 | 4.93 | No | No | 0 | 4 | 4 |
| 447 | R:R:E341 | R:R:Q342 | 2.55 | No | No | 0 | 5 | 8 |
| 448 | R:R:L345 | R:R:L348 | 4.15 | No | No | 0 | 9 | 9 |
| 449 | R:R:E368 | R:R:R346 | 6.98 | No | No | 0 | 7 | 7 |
| 450 | R:R:E369 | R:R:T347 | 5.64 | No | No | 0 | 7 | 6 |
| 451 | R:R:L348 | R:R:L350 | 2.77 | No | No | 0 | 9 | 9 |
| 452 | R:R:D349 | R:R:S351 | 5.89 | No | No | 0 | 8 | 9 |
| 453 | R:R:D349 | R:R:S371 | 4.42 | No | No | 0 | 8 | 6 |
| 454 | R:R:L350 | R:R:N353 | 2.75 | No | Yes | 0 | 9 | 9 |
| 455 | R:R:L350 | R:R:L372 | 2.77 | No | No | 0 | 9 | 8 |
| 456 | R:R:S351 | R:R:Y352 | 6.36 | No | No | 0 | 9 | 7 |
| 457 | R:R:R374 | R:R:Y352 | 18.52 | No | No | 0 | 8 | 7 |
| 458 | R:R:N353 | R:R:N375 | 4.09 | Yes | No | 0 | 9 | 9 |
| 459 | R:R:I355 | R:R:N375 | 7.08 | No | No | 0 | 8 | 9 |
| 460 | R:R:D357 | R:R:R356 | 3.57 | No | No | 22 | 3 | 3 |
| 461 | R:R:Q376 | R:R:R356 | 2.34 | No | No | 0 | 4 | 3 |
| 462 | R:R:R356 | R:R:Y378 | 4.12 | No | Yes | 22 | 3 | 1 |
| 463 | R:R:D357 | R:R:Y378 | 3.45 | No | Yes | 22 | 3 | 1 |
| 464 | R:R:I377 | R:R:L358 | 5.71 | No | No | 0 | 7 | 8 |
| 465 | R:R:L358 | R:R:T384 | 2.95 | No | No | 0 | 8 | 8 |
| 466 | R:R:N362 | R:R:S360 | 5.96 | No | No | 0 | 4 | 7 |
| 467 | R:R:F361 | R:R:F385 | 3.22 | No | Yes | 0 | 6 | 9 |
| 468 | R:R:F361 | R:R:L388 | 3.65 | No | No | 0 | 6 | 8 |
| 469 | R:R:G363 | R:R:N362 | 3.39 | No | No | 0 | 4 | 4 |
| 470 | R:R:C364 | R:R:L367 | 4.76 | No | No | 0 | 9 | 7 |
| 471 | R:R:H365 | R:R:I389 | 2.65 | No | No | 0 | 3 | 3 |
| 472 | R:R:I370 | R:R:L367 | 7.14 | Yes | No | 0 | 7 | 7 |
| 473 | R:R:L367 | R:R:L388 | 2.77 | No | No | 0 | 7 | 8 |
| 474 | R:R:E368 | R:R:R392 | 6.98 | No | No | 0 | 7 | 6 |
| 475 | R:R:E369 | R:R:I393 | 6.83 | No | No | 0 | 7 | 4 |
| 476 | R:R:I370 | R:R:L372 | 2.85 | Yes | No | 0 | 7 | 8 |
| 477 | R:R:I370 | R:R:L391 | 2.85 | Yes | No | 0 | 7 | 9 |
| 478 | R:R:I370 | R:R:L394 | 2.85 | Yes | Yes | 0 | 7 | 7 |
| 479 | R:R:Q373 | R:R:R374 | 2.34 | No | No | 0 | 8 | 8 |
| 480 | R:R:D395 | R:R:Q373 | 13.05 | No | No | 0 | 9 | 8 |
| 481 | R:R:R374 | R:R:R398 | 13.86 | No | No | 0 | 8 | 5 |
| 482 | R:R:I377 | R:R:N375 | 2.83 | No | No | 0 | 7 | 9 |
| 483 | R:R:I377 | R:R:I401 | 2.94 | No | No | 0 | 7 | 8 |
| 484 | R:R:Q379 | R:R:Y378 | 12.4 | No | Yes | 0 | 5 | 1 |
| 485 | R:R:H402 | R:R:Y378 | 2.18 | No | Yes | 0 | 3 | 1 |
| 486 | R:R:I380 | R:R:I404 | 7.36 | No | No | 0 | 7 | 7 |
| 487 | R:R:K381 | R:R:T384 | 3 | No | No | 0 | 1 | 8 |
| 488 | R:R:E382 | R:R:G383 | 3.27 | No | No | 0 | 4 | 4 |
| 489 | R:R:E382 | R:R:H405 | 22.16 | No | No | 0 | 4 | 6 |
| 490 | R:R:F385 | R:R:T384 | 2.59 | Yes | No | 0 | 9 | 8 |
| 491 | R:R:F385 | R:R:L394 | 4.87 | Yes | Yes | 5 | 9 | 7 |
| 492 | R:R:F385 | R:R:L396 | 2.44 | Yes | No | 5 | 9 | 9 |
| 493 | R:R:F385 | R:R:F409 | 3.22 | Yes | No | 0 | 9 | 8 |
| 494 | R:R:G387 | R:R:Q386 | 6.58 | No | No | 0 | 5 | 4 |
| 495 | R:R:L388 | R:R:L391 | 5.54 | No | No | 0 | 8 | 9 |
| 496 | R:R:L391 | R:R:L412 | 5.54 | No | No | 0 | 9 | 8 |
| 497 | R:R:I393 | R:R:N417 | 4.25 | No | No | 0 | 4 | 7 |
| 498 | R:R:L394 | R:R:L396 | 5.54 | Yes | No | 5 | 7 | 9 |
| 499 | R:R:L394 | R:R:L418 | 4.15 | Yes | Yes | 5 | 7 | 9 |
| 500 | R:R:D395 | R:R:D419 | 9.31 | No | No | 0 | 9 | 9 |
| 501 | R:R:R398 | R:R:S397 | 3.95 | No | No | 0 | 5 | 8 |
| 502 | R:R:S397 | R:R:S421 | 4.89 | No | No | 0 | 8 | 7 |
| 503 | R:R:F422 | R:R:R398 | 24.59 | Yes | No | 0 | 4 | 5 |
| 504 | R:R:N399 | R:R:N423 | 2.72 | No | No | 0 | 9 | 9 |
| 505 | R:R:I401 | R:R:N423 | 9.91 | No | No | 0 | 8 | 9 |
| 506 | R:R:E403 | R:R:H402 | 3.69 | No | No | 0 | 2 | 3 |
| 507 | R:R:E424 | R:R:H402 | 12.31 | No | No | 0 | 3 | 3 |
| 508 | R:R:I404 | R:R:L425 | 2.85 | No | No | 0 | 7 | 9 |
| 509 | R:R:I404 | R:R:P429 | 6.77 | No | No | 0 | 7 | 9 |
| 510 | R:R:H405 | R:R:S406 | 4.18 | No | No | 23 | 6 | 3 |
| 511 | R:R:H405 | R:R:R407 | 4.51 | No | No | 23 | 6 | 4 |
| 512 | R:R:R407 | R:R:S406 | 2.64 | No | No | 23 | 4 | 3 |
| 513 | R:R:E431 | R:R:S406 | 4.31 | No | No | 0 | 3 | 3 |
| 514 | R:R:A410 | R:R:R407 | 6.91 | No | No | 0 | 3 | 4 |
| 515 | R:R:A408 | R:R:F409 | 5.55 | No | No | 0 | 8 | 8 |
| 516 | R:R:F409 | R:R:L433 | 3.65 | No | No | 0 | 8 | 9 |
| 517 | R:R:G413 | R:R:L412 | 1.71 | No | No | 0 | 3 | 8 |
| 518 | R:R:I415 | R:R:L412 | 7.14 | No | No | 0 | 7 | 8 |
| 519 | R:R:G413 | R:R:P414 | 4.06 | No | No | 0 | 3 | 5 |
| 520 | R:R:I415 | R:R:L418 | 2.85 | No | Yes | 5 | 7 | 9 |
| 521 | R:R:I415 | R:R:L436 | 2.85 | No | Yes | 5 | 7 | 8 |
| 522 | R:R:N437 | R:R:T416 | 4.39 | No | No | 0 | 5 | 4 |
| 523 | R:R:N417 | R:R:Q438 | 10.56 | No | Yes | 0 | 7 | 9 |
| 524 | R:R:L418 | R:R:L436 | 2.77 | Yes | Yes | 5 | 9 | 8 |
| 525 | R:R:L418 | R:R:L439 | 2.77 | Yes | Yes | 5 | 9 | 8 |
| 526 | R:R:D419 | R:R:S421 | 5.89 | No | No | 0 | 9 | 7 |
| 527 | R:R:D419 | R:R:K440 | 13.83 | No | No | 0 | 9 | 8 |
| 528 | R:R:F422 | R:R:S421 | 3.96 | Yes | No | 0 | 4 | 7 |
| 529 | R:R:F422 | R:R:V442 | 2.62 | Yes | No | 24 | 4 | 4 |
| 530 | R:R:F422 | R:R:G443 | 3.01 | Yes | No | 24 | 4 | 8 |
| 531 | R:R:L425 | R:R:N444 | 5.49 | No | No | 0 | 9 | 9 |
| 532 | R:R:F428 | R:R:P429 | 5.78 | No | No | 0 | 4 | 9 |
| 533 | R:R:F428 | R:R:L439 | 2.44 | No | Yes | 5 | 4 | 8 |
| 534 | R:R:F428 | R:R:L441 | 4.87 | No | No | 5 | 4 | 8 |
| 535 | R:R:E431 | R:R:P429 | 3.14 | No | No | 0 | 3 | 9 |
| 536 | R:R:D455 | R:R:T430 | 13.01 | Yes | No | 5 | 4 | 5 |
| 537 | R:R:F456 | R:R:T430 | 6.49 | Yes | No | 5 | 5 | 5 |
| 538 | R:R:G432 | R:R:L433 | 1.71 | No | No | 0 | 8 | 9 |
| 539 | R:R:G432 | R:R:N434 | 1.7 | No | No | 0 | 8 | 3 |
| 540 | R:R:L433 | R:R:L436 | 5.54 | No | Yes | 0 | 9 | 8 |
| 541 | R:R:D455 | R:R:N434 | 4.04 | Yes | No | 0 | 4 | 3 |
| 542 | R:R:G435 | R:R:N458 | 1.7 | No | No | 0 | 4 | 4 |
| 543 | R:R:L436 | R:R:L439 | 5.54 | Yes | Yes | 5 | 8 | 8 |
| 544 | R:R:N437 | R:R:Q438 | 5.28 | No | Yes | 0 | 5 | 9 |
| 545 | R:R:Q438 | R:R:R460 | 3.5 | Yes | No | 0 | 9 | 9 |
| 546 | R:R:Q438 | R:R:S461 | 4.33 | Yes | No | 0 | 9 | 6 |
| 547 | R:R:L439 | R:R:L441 | 6.92 | Yes | No | 5 | 8 | 8 |
| 548 | R:R:F456 | R:R:L439 | 3.65 | Yes | Yes | 5 | 5 | 8 |
| 549 | R:R:L439 | R:R:L459 | 2.77 | Yes | No | 5 | 8 | 7 |
| 550 | R:R:G443 | R:R:V442 | 1.84 | No | No | 24 | 8 | 4 |
| 551 | R:R:S463 | R:R:V442 | 4.85 | No | No | 0 | 8 | 4 |
| 552 | R:R:G443 | R:R:N444 | 1.7 | No | No | 0 | 8 | 9 |
| 553 | R:R:F445 | R:R:Y466 | 5.16 | No | Yes | 0 | 1 | 6 |
| 554 | R:R:K448 | R:R:Y466 | 2.39 | No | Yes | 4 | 7 | 6 |
| 555 | R:R:I610 | R:R:K448 | 4.36 | No | No | 4 | 7 | 7 |
| 556 | R:R:K448 | R:R:T614 | 9.01 | No | No | 0 | 7 | 4 |
| 557 | R:R:A453 | R:R:F473 | 2.77 | No | No | 0 | 4 | 8 |
| 558 | R:R:D455 | R:R:K454 | 8.3 | Yes | No | 0 | 4 | 5 |
| 559 | R:R:D455 | R:R:F456 | 2.39 | Yes | Yes | 5 | 4 | 5 |
| 560 | R:R:F456 | R:R:L459 | 4.87 | Yes | No | 5 | 5 | 7 |
| 561 | R:R:N458 | R:R:V457 | 14.78 | No | No | 0 | 4 | 4 |
| 562 | R:R:N458 | R:R:R460 | 3.62 | No | No | 0 | 4 | 9 |
| 563 | R:R:L459 | R:R:L462 | 5.54 | No | No | 0 | 7 | 7 |
| 564 | R:R:F473 | R:R:L462 | 4.87 | No | No | 0 | 8 | 7 |
| 565 | R:R:S463 | R:R:T523 | 3.2 | No | No | 0 | 8 | 6 |
| 566 | R:R:P465 | R:R:V464 | 3.53 | No | Yes | 0 | 9 | 7 |
| 567 | R:R:C470 | R:R:V464 | 1.71 | No | Yes | 11 | 9 | 7 |
| 568 | R:R:C522 | R:R:V464 | 1.71 | No | Yes | 11 | 9 | 7 |
| 569 | R:R:P524 | R:R:V464 | 1.77 | Yes | Yes | 11 | 9 | 7 |
| 570 | R:R:P465 | R:R:Y466 | 2.78 | No | Yes | 0 | 9 | 6 |
| 571 | R:R:Q469 | R:R:Y466 | 3.38 | No | Yes | 0 | 9 | 6 |
| 572 | R:R:I610 | R:R:Y466 | 3.63 | No | Yes | 4 | 7 | 6 |
| 573 | R:R:A467 | R:R:P524 | 1.87 | No | Yes | 0 | 9 | 9 |
| 574 | R:R:K530 | R:R:Y468 | 9.55 | No | Yes | 4 | 8 | 9 |
| 575 | R:R:F605 | R:R:Y468 | 6.19 | Yes | Yes | 4 | 9 | 9 |
| 576 | R:R:G609 | R:R:Y468 | 2.9 | No | Yes | 4 | 9 | 9 |
| 577 | R:R:I610 | R:R:Y468 | 4.84 | No | Yes | 4 | 7 | 9 |
| 578 | R:R:E613 | R:R:Y468 | 4.49 | No | Yes | 4 | 9 | 9 |
| 579 | R:R:P691 | R:R:Y468 | 4.17 | Yes | Yes | 4 | 9 | 9 |
| 580 | R:R:C470 | R:R:C522 | 7.28 | No | No | 11 | 9 | 9 |
| 581 | R:R:C471 | R:R:C532 | 3.64 | No | No | 0 | 9 | 9 |
| 582 | R:R:A606 | R:R:C471 | 3.61 | No | No | 0 | 6 | 9 |
| 583 | R:R:H521 | R:R:I519 | 5.3 | No | No | 0 | 8 | 4 |
| 584 | R:R:C522 | R:R:P524 | 5.65 | No | Yes | 11 | 9 | 9 |
| 585 | R:R:P524 | R:R:T523 | 6.99 | Yes | No | 0 | 9 | 6 |
| 586 | R:R:G527 | R:R:S525 | 1.86 | No | No | 0 | 9 | 4 |
| 587 | R:R:E700 | R:R:S525 | 2.87 | No | No | 0 | 3 | 4 |
| 588 | R:R:A528 | R:R:P779 | 3.74 | No | No | 0 | 9 | 8 |
| 589 | R:R:F529 | R:R:P697 | 2.89 | No | Yes | 0 | 8 | 7 |
| 590 | R:R:E613 | R:R:K530 | 2.7 | No | No | 4 | 9 | 8 |
| 591 | R:R:F605 | R:R:P531 | 5.78 | Yes | No | 4 | 9 | 8 |
| 592 | R:R:P531 | R:R:P691 | 1.95 | No | Yes | 4 | 8 | 9 |
| 593 | R:R:C532 | R:R:E533 | 12.15 | No | No | 0 | 9 | 4 |
| 594 | R:R:E533 | R:R:Y534 | 15.71 | No | No | 0 | 4 | 4 |
| 595 | R:R:W602 | R:R:Y534 | 27.01 | No | No | 4 | 4 | 4 |
| 596 | R:R:G603 | R:R:Y534 | 2.9 | No | No | 4 | 9 | 4 |
| 597 | R:R:L535 | R:R:L536 | 4.15 | Yes | Yes | 4 | 9 | 5 |
| 598 | R:R:L535 | R:R:L597 | 2.77 | Yes | No | 0 | 9 | 8 |
| 599 | R:R:D598 | R:R:L535 | 5.43 | No | Yes | 4 | 9 | 9 |
| 600 | R:R:F605 | R:R:L535 | 3.65 | Yes | Yes | 4 | 9 | 9 |
| 601 | R:R:L535 | R:R:P691 | 3.28 | Yes | Yes | 4 | 9 | 9 |
| 602 | R:R:L536 | R:R:R542 | 3.64 | Yes | Yes | 4 | 5 | 9 |
| 603 | R:R:D598 | R:R:L536 | 13.57 | No | Yes | 4 | 9 | 5 |
| 604 | R:R:L536 | R:R:L787 | 2.77 | Yes | No | 0 | 5 | 9 |
| 605 | R:R:S538 | R:R:W539 | 2.47 | No | No | 25 | 9 | 9 |
| 606 | R:R:M540 | R:R:S538 | 9.2 | No | No | 25 | 5 | 9 |
| 607 | R:R:I541 | R:R:S538 | 4.64 | No | No | 0 | 7 | 9 |
| 608 | R:R:M540 | R:R:W539 | 2.33 | No | No | 25 | 5 | 9 |
| 609 | R:R:I541 | R:R:S784 | 3.1 | No | No | 0 | 7 | 7 |
| 610 | R:R:I541 | R:R:I788 | 2.94 | No | No | 0 | 7 | 7 |
| 611 | R:R:D598 | R:R:R542 | 10.72 | No | Yes | 4 | 9 | 9 |
| 612 | R:R:R542 | R:R:W602 | 8 | Yes | No | 4 | 9 | 4 |
| 613 | R:R:I788 | R:R:T544 | 3.04 | No | No | 0 | 7 | 9 |
| 614 | R:R:T595 | R:R:V545 | 3.17 | No | No | 0 | 7 | 8 |
| 615 | R:R:T595 | R:R:W546 | 7.28 | No | No | 0 | 7 | 9 |
| 616 | R:R:F547 | R:R:I548 | 7.54 | No | No | 0 | 4 | 7 |
| 617 | R:R:F547 | R:R:V551 | 3.93 | No | No | 0 | 4 | 6 |
| 618 | R:R:I548 | R:R:P791 | 3.39 | No | No | 0 | 7 | 9 |
| 619 | R:R:C795 | R:R:I548 | 4.91 | Yes | No | 0 | 9 | 7 |
| 620 | R:R:F549 | R:R:L550 | 4.87 | No | No | 0 | 5 | 3 |
| 621 | R:R:F549 | R:R:G592 | 6.02 | No | No | 0 | 5 | 5 |
| 622 | R:R:F555 | R:R:V551 | 2.62 | No | No | 0 | 5 | 6 |
| 623 | R:R:C795 | R:R:V551 | 1.71 | Yes | No | 0 | 9 | 6 |
| 624 | R:R:A552 | R:R:A794 | 1.79 | No | No | 0 | 8 | 8 |
| 625 | R:R:A552 | R:R:C795 | 1.81 | No | Yes | 0 | 8 | 9 |
| 626 | R:R:F555 | R:R:V799 | 2.62 | No | No | 0 | 5 | 9 |
| 627 | R:R:N556 | R:R:S581 | 10.43 | No | Yes | 0 | 9 | 7 |
| 628 | R:R:L585 | R:R:N556 | 15.1 | No | No | 0 | 4 | 9 |
| 629 | R:R:F808 | R:R:L558 | 2.44 | Yes | No | 0 | 7 | 7 |
| 630 | R:R:S581 | R:R:V559 | 3.23 | Yes | No | 0 | 7 | 8 |
| 631 | R:R:P798 | R:R:V559 | 1.77 | No | No | 0 | 9 | 8 |
| 632 | R:R:V559 | R:R:Y801 | 2.52 | No | Yes | 0 | 8 | 9 |
| 633 | R:R:F808 | R:R:T562 | 7.78 | Yes | No | 0 | 7 | 5 |
| 634 | R:R:D811 | R:R:T562 | 4.34 | No | No | 0 | 9 | 5 |
| 635 | R:R:F564 | R:R:T563 | 5.19 | No | No | 0 | 8 | 4 |
| 636 | R:R:G578 | R:R:T563 | 1.82 | No | No | 0 | 8 | 4 |
| 637 | R:R:S566 | R:R:T568 | 6.4 | No | No | 0 | 5 | 2 |
| 638 | R:R:C567 | R:R:R818 | 5.57 | No | Yes | 0 | 3 | 3 |
| 639 | R:R:P571 | R:R:S573 | 1.78 | No | No | 0 | 7 | 5 |
| 640 | R:R:K574 | R:R:P571 | 6.69 | No | No | 0 | 7 | 7 |
| 641 | R:R:E642 | R:R:S572 | 10.06 | No | No | 0 | 8 | 6 |
| 642 | R:R:R643 | R:R:S573 | 2.64 | Yes | No | 0 | 8 | 5 |
| 643 | R:R:K574 | R:R:K807 | 4.31 | No | No | 0 | 7 | 6 |
| 644 | R:R:D811 | R:R:K574 | 2.77 | No | No | 0 | 9 | 7 |
| 645 | R:R:F576 | R:R:L575 | 3.65 | No | No | 0 | 6 | 6 |
| 646 | R:R:F576 | R:R:L638 | 9.74 | No | Yes | 0 | 6 | 7 |
| 647 | R:R:A639 | R:R:F576 | 4.16 | No | No | 0 | 9 | 6 |
| 648 | R:R:I577 | R:R:Y801 | 8.46 | No | Yes | 0 | 5 | 9 |
| 649 | R:R:G578 | R:R:S581 | 1.86 | No | Yes | 0 | 8 | 7 |
| 650 | R:R:L579 | R:R:L635 | 9.69 | No | Yes | 26 | 7 | 5 |
| 651 | R:R:I580 | R:R:L635 | 2.85 | No | Yes | 0 | 7 | 5 |
| 652 | R:R:N584 | R:R:S583 | 5.96 | No | No | 0 | 9 | 5 |
| 653 | R:R:S583 | R:R:S631 | 4.89 | No | Yes | 0 | 5 | 5 |
| 654 | R:R:A632 | R:R:S583 | 1.71 | No | No | 0 | 5 | 5 |
| 655 | R:R:A794 | R:R:N584 | 4.69 | No | No | 0 | 8 | 9 |
| 656 | R:R:N584 | R:R:N797 | 6.81 | No | Yes | 0 | 9 | 9 |
| 657 | R:R:F586 | R:R:L624 | 4.87 | No | No | 0 | 6 | 5 |
| 658 | R:R:F586 | R:R:F627 | 3.22 | No | Yes | 0 | 6 | 5 |
| 659 | R:R:F586 | R:R:S628 | 5.28 | No | No | 0 | 6 | 8 |
| 660 | R:R:G588 | R:R:M587 | 1.75 | No | Yes | 0 | 9 | 6 |
| 661 | R:R:M587 | R:R:S628 | 4.6 | Yes | No | 0 | 6 | 8 |
| 662 | R:R:F790 | R:R:M587 | 4.98 | No | Yes | 0 | 5 | 6 |
| 663 | R:R:M587 | R:R:P791 | 3.35 | Yes | No | 0 | 6 | 9 |
| 664 | R:R:A794 | R:R:M587 | 3.22 | No | Yes | 0 | 8 | 6 |
| 665 | R:R:G588 | R:R:T591 | 1.82 | No | Yes | 0 | 9 | 7 |
| 666 | R:R:T591 | R:R:Y590 | 3.75 | Yes | Yes | 0 | 7 | 5 |
| 667 | R:R:L594 | R:R:Y590 | 2.34 | No | Yes | 0 | 9 | 5 |
| 668 | R:R:A621 | R:R:Y590 | 2.67 | No | Yes | 0 | 5 | 5 |
| 669 | R:R:L624 | R:R:Y590 | 2.34 | No | Yes | 0 | 5 | 5 |
| 670 | R:R:A625 | R:R:Y590 | 8.01 | No | Yes | 0 | 7 | 5 |
| 671 | R:R:G592 | R:R:T591 | 1.82 | No | Yes | 0 | 5 | 7 |
| 672 | R:R:P791 | R:R:T591 | 3.5 | No | Yes | 0 | 9 | 7 |
| 673 | R:R:G592 | R:R:T595 | 3.64 | No | No | 0 | 5 | 7 |
| 674 | R:R:L597 | R:R:W612 | 9.11 | No | Yes | 0 | 8 | 9 |
| 675 | R:R:F605 | R:R:S601 | 2.64 | Yes | No | 0 | 9 | 9 |
| 676 | R:R:F608 | R:R:S601 | 7.93 | No | No | 0 | 4 | 9 |
| 677 | R:R:G603 | R:R:W602 | 2.81 | No | No | 4 | 9 | 4 |
| 678 | R:R:E607 | R:R:R604 | 2.33 | No | No | 0 | 1 | 4 |
| 679 | R:R:F605 | R:R:G609 | 3.01 | Yes | No | 4 | 9 | 9 |
| 680 | R:R:F605 | R:R:P691 | 5.78 | Yes | Yes | 4 | 9 | 9 |
| 681 | R:R:G617 | R:R:W612 | 4.22 | No | Yes | 0 | 7 | 9 |
| 682 | R:R:C618 | R:R:W612 | 5.22 | No | Yes | 3 | 9 | 9 |
| 683 | R:R:C693 | R:R:W612 | 3.92 | Yes | Yes | 3 | 9 | 9 |
| 684 | R:R:E613 | R:R:P691 | 4.72 | No | Yes | 4 | 9 | 9 |
| 685 | R:R:G617 | R:R:V620 | 1.84 | No | No | 0 | 7 | 3 |
| 686 | R:R:C618 | R:R:C693 | 7.28 | No | Yes | 3 | 9 | 9 |
| 687 | R:R:A621 | R:R:G622 | 1.95 | No | No | 3 | 5 | 8 |
| 688 | R:R:A621 | R:R:C693 | 3.61 | No | Yes | 3 | 5 | 9 |
| 689 | R:R:G622 | R:R:Y687 | 4.35 | No | Yes | 3 | 8 | 5 |
| 690 | R:R:C693 | R:R:G622 | 1.96 | Yes | No | 3 | 9 | 8 |
| 691 | R:R:G677 | R:R:V626 | 3.68 | No | No | 0 | 8 | 6 |
| 692 | R:R:V626 | R:R:Y687 | 5.05 | No | Yes | 0 | 6 | 5 |
| 693 | R:R:F627 | R:R:F670 | 7.5 | Yes | No | 0 | 5 | 3 |
| 694 | R:R:A673 | R:R:F627 | 2.77 | No | Yes | 0 | 8 | 5 |
| 695 | R:R:F627 | R:R:T674 | 5.19 | Yes | No | 0 | 5 | 3 |
| 696 | R:R:E630 | R:R:F634 | 2.33 | No | No | 0 | 8 | 7 |
| 697 | R:R:E630 | R:R:L710 | 3.98 | No | Yes | 0 | 8 | 9 |
| 698 | R:R:E630 | R:R:N714 | 6.57 | No | Yes | 0 | 8 | 9 |
| 699 | R:R:L635 | R:R:S631 | 3 | Yes | Yes | 0 | 5 | 5 |
| 700 | R:R:F670 | R:R:S631 | 5.28 | No | Yes | 0 | 3 | 5 |
| 701 | R:R:A673 | R:R:S631 | 1.71 | No | Yes | 0 | 8 | 5 |
| 702 | R:R:F634 | R:R:I633 | 3.77 | No | No | 0 | 7 | 6 |
| 703 | R:R:I633 | R:R:N714 | 8.5 | No | Yes | 12 | 6 | 9 |
| 704 | R:R:F718 | R:R:I633 | 8.79 | No | No | 12 | 6 | 6 |
| 705 | R:R:A669 | R:R:F634 | 2.77 | No | No | 0 | 7 | 7 |
| 706 | R:R:I753 | R:R:L636 | 4.28 | No | No | 0 | 9 | 9 |
| 707 | R:R:L636 | R:R:N756 | 4.12 | No | No | 0 | 9 | 9 |
| 708 | R:R:F662 | R:R:L638 | 2.44 | No | Yes | 0 | 4 | 7 |
| 709 | R:R:A665 | R:R:L638 | 3.15 | No | Yes | 0 | 5 | 7 |
| 710 | R:R:M721 | R:R:T640 | 12.04 | Yes | No | 13 | 7 | 7 |
| 711 | R:R:T640 | R:R:Y725 | 6.24 | No | Yes | 13 | 7 | 8 |
| 712 | R:R:T640 | R:R:V749 | 3.17 | No | No | 13 | 7 | 7 |
| 713 | R:R:S644 | R:R:V641 | 3.23 | No | No | 0 | 6 | 6 |
| 714 | R:R:E642 | R:R:R643 | 2.33 | No | Yes | 0 | 8 | 8 |
| 715 | R:R:E642 | R:R:F662 | 4.66 | No | No | 0 | 8 | 4 |
| 716 | R:R:R643 | R:R:S646 | 2.64 | Yes | No | 0 | 8 | 6 |
| 717 | R:R:Q742 | R:R:R643 | 2.34 | No | Yes | 0 | 7 | 8 |
| 718 | R:R:M745 | R:R:R643 | 6.2 | Yes | Yes | 0 | 7 | 8 |
| 719 | R:R:I746 | R:R:R643 | 5.01 | Yes | Yes | 0 | 7 | 8 |
| 720 | R:R:L645 | R:R:S644 | 6.01 | No | No | 0 | 2 | 6 |
| 721 | R:R:K727 | R:R:S644 | 3.06 | No | No | 0 | 4 | 6 |
| 722 | R:R:H658 | R:R:N657 | 6.38 | No | No | 0 | 4 | 3 |
| 723 | R:R:H658 | R:R:Q661 | 4.95 | No | No | 0 | 4 | 5 |
| 724 | R:R:F662 | R:R:H658 | 11.31 | No | No | 0 | 4 | 4 |
| 725 | R:R:K660 | R:R:L659 | 7.05 | No | No | 0 | 1 | 1 |
| 726 | R:R:K660 | R:R:R663 | 9.9 | No | No | 0 | 1 | 4 |
| 727 | R:R:G672 | R:R:V675 | 1.84 | No | No | 0 | 5 | 3 |
| 728 | R:R:C678 | R:R:V675 | 3.42 | No | No | 0 | 4 | 3 |
| 729 | R:R:F679 | R:R:P680 | 5.78 | No | Yes | 3 | 5 | 7 |
| 730 | R:R:F679 | R:R:F706 | 3.22 | No | Yes | 3 | 5 | 5 |
| 731 | R:R:E686 | R:R:P680 | 4.72 | Yes | Yes | 3 | 4 | 7 |
| 732 | R:R:P680 | R:R:Y687 | 6.95 | Yes | Yes | 3 | 7 | 5 |
| 733 | R:R:F706 | R:R:P680 | 10.11 | Yes | Yes | 3 | 5 | 7 |
| 734 | R:R:F682 | R:R:L681 | 2.44 | No | No | 0 | 3 | 6 |
| 735 | R:R:E686 | R:R:H683 | 4.92 | Yes | No | 0 | 4 | 4 |
| 736 | R:R:G685 | R:R:S688 | 1.86 | No | No | 0 | 5 | 5 |
| 737 | R:R:E686 | R:R:Y687 | 12.35 | Yes | Yes | 3 | 4 | 5 |
| 738 | R:R:E686 | R:R:F706 | 3.5 | Yes | Yes | 3 | 4 | 5 |
| 739 | R:R:P691 | R:R:S690 | 3.56 | Yes | No | 0 | 9 | 8 |
| 740 | R:R:L692 | R:R:S690 | 4.5 | No | No | 0 | 7 | 8 |
| 741 | R:R:L692 | R:R:L787 | 6.92 | No | No | 0 | 7 | 9 |
| 742 | R:R:L694 | R:R:P695 | 4.93 | Yes | No | 3 | 7 | 9 |
| 743 | R:R:F696 | R:R:L694 | 3.65 | Yes | Yes | 3 | 7 | 7 |
| 744 | R:R:L694 | R:R:P697 | 4.93 | Yes | Yes | 3 | 7 | 7 |
| 745 | R:R:F790 | R:R:L694 | 13.4 | No | Yes | 3 | 5 | 7 |
| 746 | R:R:F696 | R:R:P695 | 2.89 | Yes | No | 3 | 7 | 9 |
| 747 | R:R:F696 | R:R:L710 | 4.87 | Yes | Yes | 3 | 7 | 9 |
| 748 | R:R:F696 | R:R:V763 | 2.62 | Yes | No | 0 | 7 | 9 |
| 749 | R:R:F696 | R:R:F790 | 4.29 | Yes | No | 3 | 7 | 5 |
| 750 | R:R:G698 | R:R:P697 | 2.03 | No | Yes | 3 | 4 | 7 |
| 751 | R:R:F766 | R:R:P697 | 4.33 | No | Yes | 3 | 9 | 7 |
| 752 | R:R:P697 | R:R:T786 | 8.74 | Yes | No | 3 | 7 | 6 |
| 753 | R:R:G698 | R:R:G699 | 2.11 | No | No | 3 | 4 | 4 |
| 754 | R:R:G698 | R:R:P702 | 4.06 | No | No | 3 | 4 | 5 |
| 755 | R:R:G699 | R:R:P702 | 2.03 | No | No | 3 | 4 | 5 |
| 756 | R:R:P702 | R:R:T701 | 3.5 | No | No | 0 | 5 | 4 |
| 757 | R:R:S703 | R:R:T701 | 3.2 | No | No | 0 | 5 | 4 |
| 758 | R:R:L704 | R:R:V708 | 8.94 | No | No | 0 | 6 | 9 |
| 759 | R:R:F706 | R:R:T709 | 2.59 | Yes | No | 3 | 5 | 7 |
| 760 | R:R:F706 | R:R:L710 | 2.44 | Yes | Yes | 3 | 5 | 9 |
| 761 | R:R:L710 | R:R:T709 | 2.95 | Yes | No | 3 | 9 | 7 |
| 762 | R:R:S767 | R:R:V711 | 3.23 | No | No | 0 | 8 | 9 |
| 763 | R:R:F718 | R:R:N714 | 2.42 | No | Yes | 12 | 6 | 9 |
| 764 | R:R:F760 | R:R:N714 | 10.87 | Yes | Yes | 12 | 8 | 9 |
| 765 | R:R:F718 | R:R:F760 | 5.36 | No | Yes | 12 | 6 | 8 |
| 766 | R:R:M721 | R:R:Y725 | 11.97 | Yes | Yes | 13 | 7 | 8 |
| 767 | R:R:I753 | R:R:M721 | 14.58 | No | Yes | 0 | 9 | 7 |
| 768 | R:R:T726 | R:R:V723 | 3.17 | No | No | 0 | 7 | 3 |
| 769 | R:R:Y725 | R:R:Y729 | 4.96 | Yes | No | 0 | 8 | 9 |
| 770 | R:R:I746 | R:R:Y725 | 6.04 | Yes | Yes | 0 | 7 | 8 |
| 771 | R:R:V749 | R:R:Y725 | 6.31 | No | Yes | 13 | 7 | 8 |
| 772 | R:R:A750 | R:R:Y725 | 2.67 | No | Yes | 0 | 9 | 8 |
| 773 | R:R:K727 | R:R:N731 | 6.99 | No | No | 0 | 4 | 3 |
| 774 | R:R:L728 | R:R:Y729 | 2.34 | No | No | 0 | 9 | 9 |
| 775 | R:R:I746 | R:R:L728 | 4.28 | Yes | No | 0 | 7 | 9 |
| 776 | R:R:D736 | R:R:L732 | 9.5 | No | No | 0 | 4 | 7 |
| 777 | R:R:L732 | R:R:L737 | 4.15 | No | No | 0 | 7 | 5 |
| 778 | R:R:E733 | R:R:E735 | 8.88 | No | No | 0 | 5 | 6 |
| 779 | R:R:L737 | R:R:S743 | 7.51 | No | Yes | 0 | 5 | 4 |
| 780 | R:R:E739 | R:R:S738 | 7.19 | No | No | 0 | 4 | 4 |
| 781 | R:R:N740 | R:R:Q742 | 11.88 | No | No | 0 | 3 | 7 |
| 782 | R:R:N740 | R:R:S743 | 8.94 | No | Yes | 0 | 3 | 4 |
| 783 | R:R:Q742 | R:R:S741 | 5.78 | No | No | 0 | 7 | 3 |
| 784 | R:R:I746 | R:R:S743 | 3.1 | Yes | Yes | 0 | 7 | 4 |
| 785 | R:R:M745 | R:R:S744 | 3.07 | Yes | No | 0 | 7 | 5 |
| 786 | R:R:M745 | R:R:N805 | 2.8 | Yes | Yes | 0 | 7 | 8 |
| 787 | R:R:K807 | R:R:M745 | 2.88 | No | Yes | 0 | 6 | 7 |
| 788 | R:R:H748 | R:R:L752 | 6.43 | No | No | 0 | 9 | 9 |
| 789 | R:R:H748 | R:R:Y801 | 6.53 | No | Yes | 9 | 9 | 9 |
| 790 | R:R:H748 | R:R:N805 | 19.13 | No | Yes | 9 | 9 | 8 |
| 791 | R:R:F754 | R:R:W751 | 4.01 | No | No | 0 | 8 | 8 |
| 792 | R:R:L752 | R:R:N797 | 5.49 | No | Yes | 0 | 9 | 9 |
| 793 | R:R:N756 | R:R:P793 | 3.26 | No | No | 0 | 9 | 9 |
| 794 | R:R:F759 | R:R:I758 | 3.77 | Yes | No | 0 | 9 | 7 |
| 795 | R:R:F759 | R:R:F789 | 3.22 | Yes | Yes | 27 | 9 | 7 |
| 796 | R:R:F759 | R:R:L792 | 9.74 | Yes | No | 27 | 9 | 9 |
| 797 | R:R:F759 | R:R:P793 | 2.89 | Yes | No | 0 | 9 | 9 |
| 798 | R:R:F759 | R:R:L796 | 2.44 | Yes | No | 0 | 9 | 8 |
| 799 | R:R:F760 | R:R:V763 | 5.24 | Yes | No | 0 | 8 | 9 |
| 800 | R:R:A764 | R:R:F760 | 4.16 | No | Yes | 0 | 9 | 8 |
| 801 | R:R:C761 | R:R:P762 | 1.88 | No | No | 0 | 7 | 9 |
| 802 | R:R:F789 | R:R:P762 | 5.78 | Yes | No | 0 | 7 | 9 |
| 803 | R:R:A764 | R:R:S767 | 1.71 | No | No | 0 | 9 | 8 |
| 804 | R:R:F766 | R:R:M782 | 23.64 | No | No | 0 | 9 | 5 |
| 805 | R:R:F766 | R:R:T786 | 9.08 | No | No | 3 | 9 | 6 |
| 806 | R:R:A769 | R:R:P770 | 1.87 | No | No | 0 | 8 | 9 |
| 807 | R:R:I772 | R:R:I775 | 2.94 | No | No | 0 | 8 | 4 |
| 808 | R:R:I777 | R:R:I781 | 4.42 | No | No | 0 | 6 | 8 |
| 809 | R:R:I777 | R:R:M782 | 2.92 | No | No | 0 | 6 | 5 |
| 810 | R:R:P779 | R:R:S778 | 3.56 | No | No | 0 | 8 | 6 |
| 811 | R:R:E780 | R:R:S778 | 4.31 | No | No | 28 | 8 | 6 |
| 812 | R:R:I781 | R:R:S778 | 3.1 | No | No | 28 | 8 | 6 |
| 813 | R:R:E780 | R:R:I781 | 9.56 | No | No | 28 | 8 | 8 |
| 814 | R:R:E780 | R:R:S784 | 2.87 | No | No | 0 | 8 | 7 |
| 815 | R:R:K783 | R:R:L787 | 2.82 | No | No | 0 | 9 | 9 |
| 816 | R:R:F789 | R:R:L792 | 2.44 | Yes | No | 27 | 7 | 9 |
| 817 | R:R:N797 | R:R:P793 | 4.89 | Yes | No | 0 | 9 | 9 |
| 818 | R:R:C795 | R:R:L796 | 3.17 | Yes | No | 0 | 9 | 8 |
| 819 | R:R:L796 | R:R:L800 | 2.77 | No | No | 0 | 8 | 9 |
| 820 | R:R:F803 | R:R:V799 | 2.62 | No | No | 0 | 7 | 9 |
| 821 | R:R:F804 | R:R:L800 | 2.44 | No | No | 0 | 9 | 9 |
| 822 | R:R:V802 | R:R:Y801 | 2.52 | No | Yes | 9 | 5 | 9 |
| 823 | R:R:N805 | R:R:Y801 | 9.3 | Yes | Yes | 9 | 8 | 9 |
| 824 | R:R:F808 | R:R:Y801 | 6.19 | Yes | Yes | 9 | 7 | 9 |
| 825 | R:R:F808 | R:R:V802 | 15.73 | Yes | No | 9 | 7 | 5 |
| 826 | R:R:F803 | R:R:F804 | 6.43 | No | No | 0 | 7 | 9 |
| 827 | R:R:F808 | R:R:K809 | 8.69 | Yes | No | 9 | 7 | 6 |
| 828 | R:R:F808 | R:R:W812 | 2 | Yes | No | 9 | 7 | 5 |
| 829 | R:R:K809 | R:R:W812 | 3.48 | No | No | 9 | 6 | 5 |
| 830 | R:R:K816 | R:R:W812 | 4.64 | No | No | 0 | 4 | 5 |
| 831 | R:R:K813 | R:R:R817 | 6.19 | No | Yes | 0 | 4 | 3 |
| 832 | R:R:L814 | R:R:R817 | 3.64 | No | Yes | 0 | 4 | 3 |
| 833 | R:R:L815 | R:R:R818 | 2.43 | No | Yes | 0 | 7 | 3 |
| 834 | R:R:K821 | R:R:R818 | 2.48 | No | Yes | 0 | 1 | 3 |
| 835 | R:R:K822 | R:R:R818 | 13.61 | No | Yes | 0 | 1 | 3 |
| 836 | L:L:I70 | L:L:P58 | 1.69 | Yes | No | 0 | 0 | 0 |
| 837 | R:R:C471 | R:R:T526 | 1.69 | No | No | 0 | 9 | 8 |
| 838 | L:L:A5 | L:L:T23 | 1.68 | No | No | 0 | 0 | 0 |
| 839 | R:R:D225 | R:R:G223 | 1.68 | No | No | 0 | 4 | 9 |
| 840 | R:R:D265 | R:R:G266 | 1.68 | No | No | 0 | 8 | 4 |
| 841 | R:R:D265 | R:R:G288 | 1.68 | No | Yes | 0 | 8 | 9 |
| 842 | R:R:D269 | R:R:G266 | 1.68 | No | No | 0 | 3 | 4 |
| 843 | R:R:D269 | R:R:G270 | 1.68 | No | No | 0 | 3 | 6 |
| 844 | R:R:L55 | R:R:P52 | 1.64 | No | No | 0 | 6 | 8 |
| 845 | R:R:E53 | R:R:G54 | 1.64 | No | No | 0 | 2 | 4 |
| 846 | R:R:L247 | R:R:P248 | 1.64 | No | No | 0 | 9 | 4 |
| 847 | R:R:G383 | R:R:Q386 | 1.64 | No | No | 0 | 4 | 4 |
| 848 | R:R:L570 | R:R:P571 | 1.64 | No | No | 0 | 4 | 7 |
| 849 | R:R:E686 | R:R:G685 | 1.64 | Yes | No | 0 | 4 | 5 |
| 850 | R:R:C757 | R:R:I753 | 1.64 | No | No | 0 | 9 | 9 |
| 851 | R:R:N175 | R:R:P172 | 1.63 | No | Yes | 0 | 4 | 9 |
| 852 | R:R:S190 | R:R:S191 | 1.63 | No | No | 0 | 3 | 4 |
| 853 | R:R:S261 | R:R:S285 | 1.63 | No | No | 0 | 4 | 8 |
| 854 | R:R:N271 | R:R:P272 | 1.63 | Yes | No | 0 | 9 | 8 |
| 855 | R:R:S300 | R:R:S323 | 1.63 | No | No | 0 | 9 | 7 |
| 856 | R:R:N336 | R:R:P359 | 1.63 | No | No | 0 | 1 | 9 |
| 857 | R:R:N805 | R:R:P806 | 1.63 | Yes | No | 0 | 8 | 9 |
| 858 | L:L:A76 | L:L:I75 | 1.62 | No | Yes | 0 | 0 | 0 |
| 859 | R:R:A124 | R:R:I96 | 1.62 | No | No | 0 | 8 | 9 |
| 860 | R:R:D225 | R:R:P248 | 1.61 | No | No | 0 | 4 | 4 |
| 861 | R:R:A452 | R:R:K454 | 1.61 | No | No | 0 | 3 | 5 |
| 862 | R:R:A717 | R:R:M637 | 1.61 | No | No | 0 | 9 | 5 |
| 863 | L:L:S11 | L:L:T124 | 1.6 | No | No | 0 | 0 | 0 |
| 864 | L:L:S104 | L:L:T52 | 1.6 | No | No | 0 | 0 | 0 |
| 865 | L:L:S125 | L:L:T91 | 1.6 | Yes | No | 0 | 0 | 0 |
| 866 | R:R:S143 | R:R:T142 | 1.6 | No | No | 0 | 3 | 6 |
| 867 | R:R:S427 | R:R:T426 | 1.6 | No | No | 0 | 4 | 4 |
| 868 | R:R:S767 | R:R:T707 | 1.6 | No | No | 0 | 8 | 5 |
| 869 | R:R:T709 | R:R:V708 | 1.59 | No | No | 0 | 7 | 9 |
| 870 | R:R:A100 | R:R:L101 | 1.58 | No | No | 0 | 8 | 7 |
| 871 | R:R:A565 | R:R:L815 | 1.58 | No | No | 0 | 4 | 7 |
| 872 | R:R:A666 | R:R:L579 | 1.58 | No | No | 26 | 5 | 7 |
| 873 | R:R:A666 | R:R:L635 | 1.58 | No | Yes | 26 | 5 | 5 |
| 874 | R:R:A666 | R:R:L638 | 1.58 | No | Yes | 0 | 5 | 7 |
| 875 | R:R:A717 | R:R:L716 | 1.58 | No | No | 0 | 9 | 5 |
| 876 | R:R:C730 | R:R:N731 | 1.57 | No | No | 0 | 8 | 3 |
| 877 | L:L:A17 | L:L:N84 | 1.56 | No | No | 0 | 0 | 0 |
| 878 | R:R:I560 | R:R:S581 | 1.55 | No | Yes | 0 | 4 | 7 |
| 879 | R:R:I650 | R:R:S646 | 1.55 | No | No | 0 | 3 | 6 |
| 880 | R:R:A78 | R:R:D75 | 1.54 | No | No | 0 | 4 | 4 |
| 881 | R:R:A246 | R:R:D222 | 1.54 | No | No | 0 | 5 | 4 |
| 882 | R:R:I401 | R:R:V420 | 1.54 | No | No | 0 | 8 | 6 |
| 883 | R:R:I560 | R:R:V582 | 1.54 | No | No | 0 | 4 | 3 |
| 884 | R:R:M308 | R:R:S285 | 1.53 | No | No | 0 | 4 | 8 |
| 885 | R:R:M308 | R:R:S307 | 1.53 | No | No | 0 | 4 | 7 |
| 886 | R:R:K440 | R:R:S461 | 1.53 | No | No | 0 | 8 | 6 |
| 887 | R:R:K747 | R:R:S743 | 1.53 | No | Yes | 0 | 7 | 4 |
| 888 | R:R:K747 | R:R:S744 | 1.53 | No | No | 0 | 7 | 5 |
| 889 | R:R:A130 | R:R:Q154 | 1.52 | No | No | 0 | 5 | 8 |
| 890 | R:R:K822 | R:R:V819 | 1.52 | No | No | 0 | 1 | 1 |
| 891 | L:L:A43 | L:L:E44 | 1.51 | No | No | 0 | 0 | 0 |
| 892 | R:R:F286 | R:R:G288 | 1.51 | No | Yes | 0 | 4 | 9 |
| 893 | R:R:A450 | R:R:E449 | 1.51 | No | No | 0 | 4 | 4 |
| 894 | R:R:F623 | R:R:G677 | 1.51 | No | No | 0 | 4 | 8 |
| 895 | R:R:F706 | R:R:G705 | 1.51 | Yes | No | 0 | 5 | 6 |
| 896 | R:R:G537 | R:R:R542 | 1.5 | No | Yes | 0 | 6 | 9 |
| 897 | R:R:G603 | R:R:R604 | 1.5 | No | No | 0 | 9 | 4 |
| 898 | R:R:L712 | R:R:S715 | 1.5 | No | No | 0 | 8 | 7 |
| 899 | R:R:N175 | R:R:S174 | 1.49 | No | No | 0 | 4 | 5 |
| 900 | R:R:N199 | R:R:S174 | 1.49 | No | No | 0 | 9 | 5 |
| 901 | R:R:L451 | R:R:V464 | 1.49 | No | Yes | 0 | 7 | 7 |
| 902 | R:R:L638 | R:R:V641 | 1.49 | Yes | No | 0 | 7 | 6 |
| 903 | R:R:L543 | R:R:T544 | 1.47 | No | No | 0 | 5 | 9 |
| 904 | R:R:I724 | R:R:M721 | 1.46 | No | Yes | 0 | 6 | 7 |
| 905 | R:R:N756 | R:R:T755 | 1.46 | No | No | 0 | 9 | 7 |
| 906 | R:R:N797 | R:R:T755 | 1.46 | Yes | No | 0 | 9 | 7 |
| 907 | L:L:G26 | L:L:Y27 | 1.45 | Yes | Yes | 0 | 0 | 0 |
| 908 | L:L:G26 | L:L:Y29 | 1.45 | Yes | Yes | 0 | 0 | 0 |
| 909 | R:R:D92 | R:R:T70 | 1.45 | No | No | 0 | 5 | 8 |
| 910 | R:R:F80 | R:R:P81 | 1.44 | Yes | No | 0 | 7 | 5 |
| 911 | R:R:K343 | R:R:M344 | 1.44 | No | No | 0 | 7 | 4 |
| 912 | R:R:I69 | R:R:L93 | 1.43 | No | No | 0 | 7 | 9 |
| 913 | R:R:I560 | R:R:L557 | 1.43 | No | No | 0 | 4 | 3 |
| 914 | R:R:I724 | R:R:L720 | 1.43 | No | No | 0 | 6 | 5 |
| 915 | R:R:Q386 | R:R:T411 | 1.42 | No | No | 0 | 4 | 4 |
| 916 | R:R:K46 | R:R:L48 | 1.41 | No | No | 0 | 4 | 8 |
| 917 | R:R:L720 | R:R:M637 | 1.41 | No | No | 0 | 5 | 5 |
| 918 | R:R:L710 | R:R:L713 | 1.38 | Yes | No | 0 | 9 | 5 |
| 919 | R:R:L713 | R:R:L716 | 1.38 | No | No | 0 | 5 | 5 |
| 920 | R:R:L447 | R:R:N444 | 1.37 | No | No | 0 | 7 | 9 |
| 921 | R:R:N289 | R:R:N314 | 1.36 | No | No | 0 | 4 | 7 |
| 922 | R:R:K330 | R:R:Q310 | 1.36 | No | No | 0 | 5 | 5 |
| 923 | R:R:K343 | R:R:Q340 | 1.36 | No | No | 0 | 7 | 4 |
| 924 | R:R:D811 | R:R:L814 | 1.36 | No | No | 0 | 9 | 4 |
| 925 | R:R:E322 | R:R:M344 | 1.35 | Yes | No | 0 | 8 | 4 |
| 926 | R:R:E735 | R:R:K734 | 1.35 | No | No | 0 | 6 | 8 |
| 927 | L:L:A98 | L:L:Y116 | 1.33 | No | Yes | 0 | 0 | 0 |
| 928 | R:R:L400 | R:R:Q376 | 1.33 | No | No | 0 | 3 | 4 |
| 929 | R:R:E810 | R:R:L814 | 1.33 | No | No | 0 | 5 | 4 |
| 930 | R:R:F58 | R:R:S56 | 1.32 | No | No | 0 | 6 | 6 |
| 931 | R:R:R214 | R:R:S215 | 1.32 | No | No | 0 | 3 | 5 |
| 932 | R:R:F286 | R:R:S285 | 1.32 | No | No | 0 | 4 | 8 |
| 933 | R:R:H140 | R:R:K118 | 1.31 | No | No | 0 | 8 | 4 |
| 934 | R:R:F608 | R:R:V600 | 1.31 | No | No | 0 | 4 | 4 |
| 935 | R:R:F768 | R:R:V711 | 1.31 | No | No | 0 | 5 | 9 |
| 936 | R:R:F789 | R:R:V785 | 1.31 | Yes | No | 0 | 7 | 7 |
| 937 | R:R:F754 | R:R:T755 | 1.3 | No | No | 0 | 8 | 7 |
| 938 | R:R:R275 | R:R:T276 | 1.29 | No | No | 0 | 5 | 8 |
| 939 | R:R:R817 | R:R:T820 | 1.29 | Yes | No | 0 | 3 | 1 |
| 940 | R:R:Q132 | R:R:Q154 | 1.28 | No | No | 0 | 8 | 8 |
| 941 | R:R:D297 | R:R:H320 | 1.26 | No | No | 0 | 5 | 7 |
| 942 | R:R:H140 | R:R:Q116 | 1.24 | No | No | 0 | 8 | 6 |
| 943 | R:R:K821 | R:R:R817 | 1.24 | No | Yes | 0 | 1 | 3 |
| 944 | R:R:F549 | R:R:L553 | 1.22 | No | No | 0 | 5 | 5 |
| 945 | R:R:N236 | R:R:R214 | 1.21 | No | No | 0 | 5 | 3 |
| 946 | R:R:E239 | R:R:F240 | 1.17 | No | Yes | 0 | 7 | 9 |
| 947 | R:R:W611 | R:R:W612 | 0.94 | No | Yes | 0 | 4 | 9 |
| Color | ConSurf Grade |
| No Conservation data available | |
| 1 | |
| 2 | |
| 3 | |
| 4 | |
| 5 | |
| 6 | |
| 7 | |
| 8 | |
| 9 |
Index: hub id, click on each number to highlight the corresponding hub in the 3D visualization.
Hub: the hub being considered.
Avg Int. Strength: the average interaction strength of all the links of the corresponding hub.
Num Of Links: the number of links of the corresponding hub.
Community: the id of the community the link belong to, otherwise 0.
ConSurf: this column reports the ConSurf conservation grades of each hub.
| Index | Hub | Avg Int. Strength | Num Of Links | Community | ConSurf |
|---|---|---|---|---|---|
| 1 | L:L:E6 | 4.11667 | 6 | 1 | 0 |
| 2 | L:L:G9 | 2.282 | 5 | 1 | 0 |
| 3 | L:L:L20 | 2.28667 | 6 | 1 | 0 |
| 4 | L:L:G26 | 2.11 | 4 | 0 | 0 |
| 5 | L:L:Y27 | 6.98 | 5 | 2 | 0 |
| 6 | L:L:Y29 | 2.33 | 4 | 0 | 0 |
| 7 | L:L:K31 | 8.925 | 4 | 2 | 0 |
| 8 | L:L:Y32 | 7.522 | 5 | 2 | 0 |
| 9 | L:L:C33 | 4.2375 | 4 | 1 | 0 |
| 10 | L:L:W36 | 4.965 | 8 | 1 | 0 |
| 11 | L:L:F37 | 5.52 | 5 | 1 | 0 |
| 12 | L:L:R38 | 6.905 | 4 | 0 | 0 |
| 13 | L:L:S49 | 4.435 | 4 | 1 | 0 |
| 14 | L:L:G50 | 3.4 | 4 | 1 | 0 |
| 15 | L:L:R67 | 3.8825 | 4 | 0 | 0 |
| 16 | L:L:F68 | 6.77167 | 6 | 1 | 0 |
| 17 | L:L:I70 | 4.245 | 6 | 1 | 0 |
| 18 | L:L:I75 | 3.935 | 6 | 2 | 0 |
| 19 | L:L:Y80 | 9.2325 | 4 | 0 | 0 |
| 20 | L:L:M83 | 5.288 | 5 | 1 | 0 |
| 21 | L:L:Y94 | 5.582 | 5 | 1 | 0 |
| 22 | L:L:Y95 | 5.602 | 5 | 1 | 0 |
| 23 | L:L:R100 | 6.9125 | 4 | 14 | 0 |
| 24 | L:L:F108 | 6.935 | 4 | 0 | 0 |
| 25 | L:L:F114 | 4.96833 | 6 | 1 | 0 |
| 26 | L:L:Y116 | 3.248 | 5 | 14 | 0 |
| 27 | L:L:W117 | 4.40667 | 6 | 1 | 0 |
| 28 | L:L:S125 | 2.4675 | 4 | 0 | 0 |
| 29 | R:R:N67 | 3.285 | 4 | 0 | 9 |
| 30 | R:R:F80 | 4.64 | 5 | 0 | 7 |
| 31 | R:R:L83 | 3.8075 | 4 | 10 | 9 |
| 32 | R:R:L86 | 3.805 | 4 | 10 | 8 |
| 33 | R:R:L107 | 4.4975 | 4 | 10 | 9 |
| 34 | R:R:L110 | 3.805 | 4 | 0 | 9 |
| 35 | R:R:Q113 | 4.15 | 5 | 2 | 9 |
| 36 | R:R:N114 | 4.876 | 5 | 2 | 9 |
| 37 | R:R:V120 | 3.175 | 6 | 6 | 7 |
| 38 | R:R:S122 | 5.8675 | 4 | 6 | 5 |
| 39 | R:R:L134 | 3.3775 | 4 | 6 | 9 |
| 40 | R:R:R135 | 6.67833 | 6 | 2 | 9 |
| 41 | R:R:D137 | 6.9975 | 4 | 2 | 9 |
| 42 | R:R:V144 | 3.406 | 5 | 6 | 9 |
| 43 | R:R:P145 | 3.5525 | 4 | 6 | 9 |
| 44 | R:R:S148 | 4.21 | 5 | 6 | 8 |
| 45 | R:R:F149 | 4.638 | 5 | 6 | 9 |
| 46 | R:R:L158 | 5.98 | 4 | 6 | 9 |
| 47 | R:R:W159 | 7.828 | 5 | 2 | 9 |
| 48 | R:R:V168 | 3.0175 | 4 | 0 | 8 |
| 49 | R:R:P172 | 3.4725 | 4 | 6 | 9 |
| 50 | R:R:L182 | 4.1525 | 4 | 17 | 8 |
| 51 | R:R:D194 | 7.82 | 4 | 7 | 8 |
| 52 | R:R:F195 | 5.12 | 4 | 7 | 2 |
| 53 | R:R:F197 | 4.56833 | 6 | 0 | 9 |
| 54 | R:R:V205 | 4.3125 | 4 | 0 | 9 |
| 55 | R:R:L206 | 4.1525 | 4 | 17 | 9 |
| 56 | R:R:H207 | 4.505 | 4 | 2 | 9 |
| 57 | R:R:H209 | 6.814 | 5 | 2 | 9 |
| 58 | R:R:N211 | 4.5225 | 4 | 18 | 9 |
| 59 | R:R:H219 | 9.305 | 4 | 7 | 5 |
| 60 | R:R:L230 | 3.46 | 4 | 0 | 9 |
| 61 | R:R:D231 | 7.944 | 5 | 2 | 9 |
| 62 | R:R:N233 | 8.736 | 5 | 2 | 9 |
| 63 | R:R:Y234 | 5.9225 | 4 | 2 | 6 |
| 64 | R:R:F240 | 4.0125 | 8 | 8 | 9 |
| 65 | R:R:F255 | 3.4975 | 4 | 8 | 9 |
| 66 | R:R:H256 | 13.4225 | 4 | 2 | 9 |
| 67 | R:R:I263 | 3.7225 | 4 | 8 | 9 |
| 68 | R:R:N271 | 3.9225 | 4 | 0 | 9 |
| 69 | R:R:I277 | 3.75 | 4 | 19 | 8 |
| 70 | R:R:Y280 | 10.528 | 5 | 2 | 7 |
| 71 | R:R:N282 | 3.5225 | 4 | 8 | 9 |
| 72 | R:R:G288 | 1.745 | 4 | 0 | 9 |
| 73 | R:R:L301 | 4.27 | 4 | 0 | 9 |
| 74 | R:R:F312 | 6.2 | 4 | 0 | 8 |
| 75 | R:R:E322 | 4.305 | 4 | 20 | 8 |
| 76 | R:R:N353 | 3.9625 | 4 | 0 | 9 |
| 77 | R:R:I370 | 3.9225 | 4 | 0 | 7 |
| 78 | R:R:Y378 | 5.5375 | 4 | 22 | 1 |
| 79 | R:R:F385 | 3.268 | 5 | 5 | 9 |
| 80 | R:R:L394 | 4.3525 | 4 | 5 | 7 |
| 81 | R:R:L418 | 3.135 | 4 | 5 | 9 |
| 82 | R:R:F422 | 8.545 | 4 | 24 | 4 |
| 83 | R:R:L436 | 4.175 | 4 | 5 | 8 |
| 84 | R:R:Q438 | 5.9175 | 4 | 0 | 9 |
| 85 | R:R:L439 | 4.015 | 6 | 5 | 8 |
| 86 | R:R:D455 | 6.935 | 4 | 5 | 4 |
| 87 | R:R:F456 | 4.35 | 4 | 5 | 5 |
| 88 | R:R:V464 | 2.042 | 5 | 11 | 7 |
| 89 | R:R:Y466 | 3.468 | 5 | 4 | 6 |
| 90 | R:R:Y468 | 5.35667 | 6 | 4 | 9 |
| 91 | R:R:P524 | 4.07 | 4 | 11 | 9 |
| 92 | R:R:L535 | 3.856 | 5 | 4 | 9 |
| 93 | R:R:L536 | 6.0325 | 4 | 4 | 5 |
| 94 | R:R:R542 | 5.965 | 4 | 4 | 9 |
| 95 | R:R:S581 | 4.2675 | 4 | 0 | 7 |
| 96 | R:R:M587 | 3.58 | 5 | 0 | 6 |
| 97 | R:R:Y590 | 3.822 | 5 | 0 | 5 |
| 98 | R:R:T591 | 2.7225 | 4 | 0 | 7 |
| 99 | R:R:F605 | 4.50833 | 6 | 4 | 9 |
| 100 | R:R:W612 | 4.682 | 5 | 3 | 9 |
| 101 | R:R:F627 | 4.67 | 4 | 0 | 5 |
| 102 | R:R:S631 | 3.72 | 4 | 0 | 5 |
| 103 | R:R:L635 | 4.28 | 4 | 26 | 5 |
| 104 | R:R:L638 | 3.68 | 5 | 0 | 7 |
| 105 | R:R:R643 | 3.52667 | 6 | 0 | 8 |
| 106 | R:R:P680 | 6.89 | 4 | 3 | 7 |
| 107 | R:R:E686 | 5.426 | 5 | 3 | 4 |
| 108 | R:R:Y687 | 7.175 | 4 | 3 | 5 |
| 109 | R:R:P691 | 3.91 | 6 | 4 | 9 |
| 110 | R:R:C693 | 4.1925 | 4 | 3 | 9 |
| 111 | R:R:L694 | 6.7275 | 4 | 3 | 7 |
| 112 | R:R:F696 | 3.664 | 5 | 3 | 7 |
| 113 | R:R:P697 | 4.584 | 5 | 3 | 7 |
| 114 | R:R:F706 | 3.895 | 6 | 3 | 5 |
| 115 | R:R:L710 | 3.124 | 5 | 3 | 9 |
| 116 | R:R:N714 | 7.09 | 4 | 12 | 9 |
| 117 | R:R:M721 | 10.0125 | 4 | 13 | 7 |
| 118 | R:R:Y725 | 6.365 | 6 | 13 | 8 |
| 119 | R:R:S743 | 5.27 | 4 | 0 | 4 |
| 120 | R:R:M745 | 3.7375 | 4 | 0 | 7 |
| 121 | R:R:I746 | 4.6075 | 4 | 0 | 7 |
| 122 | R:R:F759 | 4.412 | 5 | 27 | 9 |
| 123 | R:R:F760 | 6.4075 | 4 | 12 | 8 |
| 124 | R:R:F789 | 3.1875 | 4 | 27 | 7 |
| 125 | R:R:C795 | 2.9 | 4 | 0 | 9 |
| 126 | R:R:N797 | 4.6625 | 4 | 0 | 9 |
| 127 | R:R:Y801 | 5.92 | 6 | 9 | 9 |
| 128 | R:R:N805 | 8.215 | 4 | 9 | 8 |
| 129 | R:R:F808 | 7.13833 | 6 | 9 | 7 |
| 130 | R:R:R817 | 3.09 | 4 | 0 | 3 |
| 131 | R:R:R818 | 6.0225 | 4 | 0 | 3 |
| Color | ConSurf Grade |
| No Conservation data available | |
| 1 | |
| 2 | |
| 3 | |
| 4 | |
| 5 | |
| 6 | |
| 7 | |
| 8 | |
| 9 |
Index: link id, click on each number to highlight the corresponding link in the 3D visualization.
Node1 Node2: the two nodes of the corresponding link.
Recurrence: the relative Recurrence in the pool of shortest paths.
Int. Strength: the interaction strength between the two nodes.
Hub1?, Hub2?: "Yes" if the corresponding node has more than 3 links, otherwise "No".
Community: the id of the community the link belong to, otherwise 0.
ConSurf1, ConSurf2: these columns report the ConSurf conservation grades of the two nodes involved in a link.
| Index | Node1 | Node2 | Recurrence | Int. Strength | Hub1? | Hub2? | Community | ConSurf1 | ConSurf2 |
|---|---|---|---|---|---|---|---|---|---|
| 1 | L:L:L79 | L:L:W36 | 30.7421 | 5.69 | No | Yes | 0 | 0 | 0 |
| 2 | L:L:L79 | L:L:M34 | 31.0685 | 2.83 | No | No | 0 | 0 | 0 |
| 3 | L:L:M34 | L:L:Y29 | 57.4812 | 2.39 | No | Yes | 0 | 0 | 0 |
| 4 | L:L:L20 | L:L:W36 | 17.6382 | 2.28 | Yes | Yes | 1 | 0 | 0 |
| 5 | L:L:N77 | L:L:Y29 | 60.8619 | 3.49 | No | Yes | 0 | 0 | 0 |
| 6 | L:L:F108 | L:L:G50 | 17.3398 | 6.02 | Yes | Yes | 0 | 0 | 0 |
| 7 | L:L:G35 | L:L:G50 | 25.7669 | 2.11 | No | Yes | 0 | 0 | 0 |
| 8 | L:L:G35 | L:L:M34 | 26.092 | 1.75 | No | No | 0 | 0 | 0 |
| 9 | L:L:F108 | L:L:F114 | 14.6528 | 9.65 | Yes | Yes | 0 | 0 | 0 |
| 10 | L:L:N77 | L:L:R72 | 30.4106 | 4.82 | No | No | 0 | 0 | 0 |
| 11 | L:L:F68 | L:L:Y60 | 11.9901 | 2.06 | Yes | No | 1 | 0 | 0 |
| 12 | L:L:N74 | L:L:R72 | 37.3829 | 3.62 | No | No | 0 | 0 | 0 |
| 13 | R:R:Q113 | R:R:R135 | 37.4655 | 7.01 | Yes | Yes | 2 | 9 | 9 |
| 14 | R:R:N114 | R:R:Q113 | 48.9631 | 3.96 | Yes | Yes | 2 | 9 | 9 |
| 15 | R:R:G90 | R:R:N114 | 85.8645 | 1.7 | No | Yes | 2 | 9 | 9 |
| 16 | L:L:F111 | L:L:R112 | 10.7053 | 8.55 | No | No | 0 | 0 | 0 |
| 17 | R:R:G90 | R:R:N115 | 87.1426 | 1.7 | No | No | 0 | 9 | 9 |
| 18 | R:R:N115 | R:R:N139 | 87.2863 | 10.9 | No | No | 0 | 9 | 9 |
| 19 | R:R:I141 | R:R:N139 | 87.431 | 2.83 | No | No | 0 | 9 | 9 |
| 20 | R:R:I141 | R:R:V120 | 87.7223 | 3.07 | No | Yes | 0 | 9 | 7 |
| 21 | R:R:F149 | R:R:V120 | 43.7993 | 2.62 | Yes | Yes | 6 | 9 | 7 |
| 22 | R:R:V120 | R:R:V144 | 43.9244 | 3.21 | Yes | Yes | 6 | 7 | 9 |
| 23 | R:R:F149 | R:R:L158 | 44.5317 | 7.31 | Yes | Yes | 6 | 9 | 9 |
| 24 | R:R:P169 | R:R:V144 | 45.8578 | 3.53 | No | Yes | 6 | 9 | 9 |
| 25 | R:R:L158 | R:R:L179 | 49.7953 | 2.77 | Yes | No | 0 | 9 | 9 |
| 26 | R:R:P169 | R:R:V168 | 46.4525 | 3.53 | No | Yes | 0 | 9 | 8 |
| 27 | R:R:F197 | R:R:V168 | 47.2862 | 2.62 | Yes | Yes | 0 | 9 | 8 |
| 28 | R:R:L179 | R:R:L182 | 50.2791 | 5.54 | No | Yes | 0 | 9 | 8 |
| 29 | R:R:L182 | R:R:L206 | 50.37 | 4.15 | Yes | Yes | 17 | 8 | 9 |
| 30 | R:R:F197 | R:R:L224 | 48.6601 | 6.09 | Yes | No | 0 | 9 | 9 |
| 31 | R:R:L206 | R:R:L230 | 50.6462 | 2.77 | Yes | Yes | 0 | 9 | 9 |
| 32 | R:R:L224 | R:R:L227 | 48.718 | 2.77 | No | No | 0 | 9 | 9 |
| 33 | R:R:L227 | R:R:L247 | 48.7858 | 4.15 | No | No | 0 | 9 | 9 |
| 34 | R:R:L230 | R:R:L253 | 50.75 | 4.15 | Yes | No | 0 | 9 | 9 |
| 35 | R:R:L247 | R:R:L250 | 49.0717 | 2.77 | No | No | 0 | 9 | 9 |
| 36 | R:R:L250 | R:R:N271 | 99.9182 | 4.12 | No | Yes | 0 | 9 | 9 |
| 37 | R:R:L274 | R:R:N271 | 50.0004 | 8.24 | No | Yes | 0 | 9 | 9 |
| 38 | R:R:F268 | R:R:L274 | 49.6429 | 2.44 | No | No | 19 | 9 | 9 |
| 39 | R:R:A267 | R:R:F268 | 49.7614 | 2.77 | No | No | 0 | 9 | 9 |
| 40 | R:R:A267 | R:R:F240 | 49.7613 | 4.16 | No | Yes | 0 | 9 | 9 |
| 41 | R:R:L250 | R:R:L253 | 50.8074 | 5.54 | No | No | 0 | 9 | 9 |
| 42 | R:R:F240 | R:R:I263 | 49.9159 | 2.51 | Yes | Yes | 8 | 9 | 9 |
| 43 | R:R:G270 | R:R:N271 | 50.04 | 1.7 | No | Yes | 0 | 6 | 9 |
| 44 | R:R:D269 | R:R:G270 | 50.0392 | 1.68 | No | No | 0 | 3 | 6 |
| 45 | R:R:D269 | R:R:G266 | 50.0388 | 1.68 | No | No | 0 | 3 | 4 |
| 46 | R:R:D265 | R:R:G266 | 50.0387 | 1.68 | No | No | 0 | 8 | 4 |
| 47 | R:R:D265 | R:R:G288 | 50.0384 | 1.68 | No | Yes | 0 | 8 | 9 |
| 48 | R:R:G288 | R:R:V287 | 50.0329 | 1.84 | Yes | No | 0 | 9 | 9 |
| 49 | R:R:I263 | R:R:V287 | 50.0329 | 6.14 | Yes | No | 0 | 9 | 9 |
| 50 | R:R:A306 | R:R:V287 | 100 | 1.7 | No | No | 0 | 9 | 9 |
| 51 | R:R:A306 | R:R:V309 | 99.9582 | 1.7 | No | No | 0 | 9 | 7 |
| 52 | R:R:T329 | R:R:V309 | 99.9164 | 3.17 | No | No | 0 | 8 | 7 |
| 53 | R:R:N353 | R:R:T329 | 98.8552 | 7.31 | Yes | No | 0 | 9 | 8 |
| 54 | R:R:L350 | R:R:N353 | 97.2431 | 2.75 | No | Yes | 0 | 9 | 9 |
| 55 | R:R:L350 | R:R:L372 | 97.1126 | 2.77 | No | No | 0 | 9 | 8 |
| 56 | R:R:I370 | R:R:L372 | 97.0681 | 2.85 | Yes | No | 0 | 7 | 8 |
| 57 | R:R:I370 | R:R:L394 | 96.2646 | 2.85 | Yes | Yes | 0 | 7 | 7 |
| 58 | R:R:L394 | R:R:L418 | 96.2549 | 4.15 | Yes | Yes | 5 | 7 | 9 |
| 59 | R:R:L418 | R:R:L439 | 96.0158 | 2.77 | Yes | Yes | 5 | 9 | 8 |
| 60 | R:R:F428 | R:R:L439 | 95.8134 | 2.44 | No | Yes | 5 | 4 | 8 |
| 61 | R:R:F428 | R:R:P429 | 95.8016 | 5.78 | No | No | 0 | 4 | 9 |
| 62 | R:R:I404 | R:R:P429 | 95.2743 | 6.77 | No | No | 0 | 7 | 9 |
| 63 | R:R:I404 | R:R:L425 | 95.1777 | 2.85 | No | No | 0 | 7 | 9 |
| 64 | R:R:L425 | R:R:N444 | 95.1292 | 5.49 | No | No | 0 | 9 | 9 |
| 65 | R:R:G443 | R:R:N444 | 95.0322 | 1.7 | No | No | 0 | 8 | 9 |
| 66 | R:R:G443 | R:R:V442 | 92.6341 | 1.84 | No | No | 24 | 8 | 4 |
| 67 | R:R:S463 | R:R:V442 | 93.5465 | 4.85 | No | No | 0 | 8 | 4 |
| 68 | R:R:S463 | R:R:T523 | 93.496 | 3.2 | No | No | 0 | 8 | 6 |
| 69 | R:R:P524 | R:R:T523 | 93.4455 | 6.99 | Yes | No | 0 | 9 | 6 |
| 70 | R:R:P524 | R:R:V464 | 93.1743 | 1.77 | Yes | Yes | 11 | 9 | 7 |
| 71 | R:R:P465 | R:R:V464 | 93.0558 | 3.53 | No | Yes | 0 | 9 | 7 |
| 72 | R:R:P465 | R:R:Y466 | 93.0048 | 2.78 | No | Yes | 0 | 9 | 6 |
| 73 | R:R:I610 | R:R:Y466 | 92.681 | 3.63 | No | Yes | 4 | 7 | 6 |
| 74 | R:R:I610 | R:R:Y468 | 92.6974 | 4.84 | No | Yes | 4 | 7 | 9 |
| 75 | R:R:F605 | R:R:Y468 | 46.1693 | 6.19 | Yes | Yes | 4 | 9 | 9 |
| 76 | R:R:P691 | R:R:Y468 | 46.2546 | 4.17 | Yes | Yes | 4 | 9 | 9 |
| 77 | R:R:F605 | R:R:L535 | 45.8426 | 3.65 | Yes | Yes | 4 | 9 | 9 |
| 78 | R:R:L535 | R:R:P691 | 45.8417 | 3.28 | Yes | Yes | 4 | 9 | 9 |
| 79 | R:R:L535 | R:R:L597 | 87.1985 | 2.77 | Yes | No | 0 | 9 | 8 |
| 80 | R:R:L597 | R:R:W612 | 87.0422 | 9.11 | No | Yes | 0 | 8 | 9 |
| 81 | R:R:C693 | R:R:W612 | 86.2445 | 3.92 | Yes | Yes | 3 | 9 | 9 |
| 82 | R:R:A621 | R:R:C693 | 59.067 | 3.61 | No | Yes | 3 | 5 | 9 |
| 83 | R:R:A621 | R:R:Y590 | 58.9588 | 2.67 | No | Yes | 0 | 5 | 5 |
| 84 | R:R:T591 | R:R:Y590 | 43.8263 | 3.75 | Yes | Yes | 0 | 7 | 5 |
| 85 | R:R:G588 | R:R:T591 | 18.8446 | 1.82 | No | Yes | 0 | 9 | 7 |
| 86 | R:R:G588 | R:R:M587 | 18.6783 | 1.75 | No | Yes | 0 | 9 | 6 |
| 87 | R:R:L694 | R:R:P697 | 16.7165 | 4.93 | Yes | Yes | 3 | 7 | 7 |
| 88 | R:R:F766 | R:R:P697 | 11.1478 | 4.33 | No | Yes | 3 | 9 | 7 |
| 89 | R:R:F766 | R:R:M782 | 10.452 | 23.64 | No | No | 0 | 9 | 5 |
| 90 | R:R:P791 | R:R:T591 | 23.688 | 3.5 | No | Yes | 0 | 9 | 7 |
| 91 | R:R:M587 | R:R:P791 | 18.7279 | 3.35 | Yes | No | 0 | 6 | 9 |
| 92 | R:R:C693 | R:R:G622 | 27.0365 | 1.96 | Yes | No | 3 | 9 | 8 |
| 93 | R:R:G622 | R:R:Y687 | 26.9157 | 4.35 | No | Yes | 3 | 8 | 5 |
| 94 | R:R:P680 | R:R:Y687 | 12.9428 | 6.95 | Yes | Yes | 3 | 7 | 5 |
| 95 | R:R:F706 | R:R:P680 | 12.6016 | 10.11 | Yes | Yes | 3 | 5 | 7 |
| 96 | R:R:F706 | R:R:L710 | 23.517 | 2.44 | Yes | Yes | 3 | 5 | 9 |
| 97 | R:R:F696 | R:R:L710 | 11.869 | 4.87 | Yes | Yes | 3 | 7 | 9 |
| 98 | R:R:E686 | R:R:Y687 | 13.2946 | 12.35 | Yes | Yes | 3 | 4 | 5 |
| 99 | R:R:E686 | R:R:F706 | 12.6216 | 3.5 | Yes | Yes | 3 | 4 | 5 |
| 100 | R:R:A794 | R:R:M587 | 28.2556 | 3.22 | No | Yes | 0 | 8 | 6 |
| 101 | R:R:A794 | R:R:N584 | 27.5571 | 4.69 | No | No | 0 | 8 | 9 |
| 102 | R:R:N584 | R:R:N797 | 26.4877 | 6.81 | No | Yes | 0 | 9 | 9 |
| 103 | R:R:L752 | R:R:N797 | 21.9692 | 5.49 | No | Yes | 0 | 9 | 9 |
| 104 | R:R:H748 | R:R:L752 | 21.6216 | 6.43 | No | No | 0 | 9 | 9 |
| 105 | R:R:H748 | R:R:Y801 | 11.533 | 6.53 | No | Yes | 9 | 9 | 9 |
| 106 | R:R:L624 | R:R:Y590 | 14.6782 | 2.34 | No | Yes | 0 | 5 | 5 |
| 107 | R:R:F586 | R:R:L624 | 14.5112 | 4.87 | No | No | 0 | 6 | 5 |
| 108 | R:R:F586 | R:R:F627 | 14.1753 | 3.22 | No | Yes | 0 | 6 | 5 |
| 109 | R:R:L635 | R:R:S631 | 12.5248 | 3 | Yes | Yes | 0 | 5 | 5 |
| 110 | R:R:A666 | R:R:L635 | 11.4775 | 1.58 | No | Yes | 26 | 5 | 5 |
| 111 | R:R:A666 | R:R:L638 | 11.1339 | 1.58 | No | Yes | 0 | 5 | 7 |
| 112 | L:L:N77 | R:R:R135 | 30.7786 | 2.41 | No | Yes | 0 | 0 | 9 |
| 113 | L:L:N74 | R:R:N114 | 37.5385 | 6.81 | No | Yes | 0 | 0 | 9 |
| 114 | R:R:D137 | R:R:Q113 | 10.5675 | 3.92 | Yes | Yes | 2 | 9 | 9 |
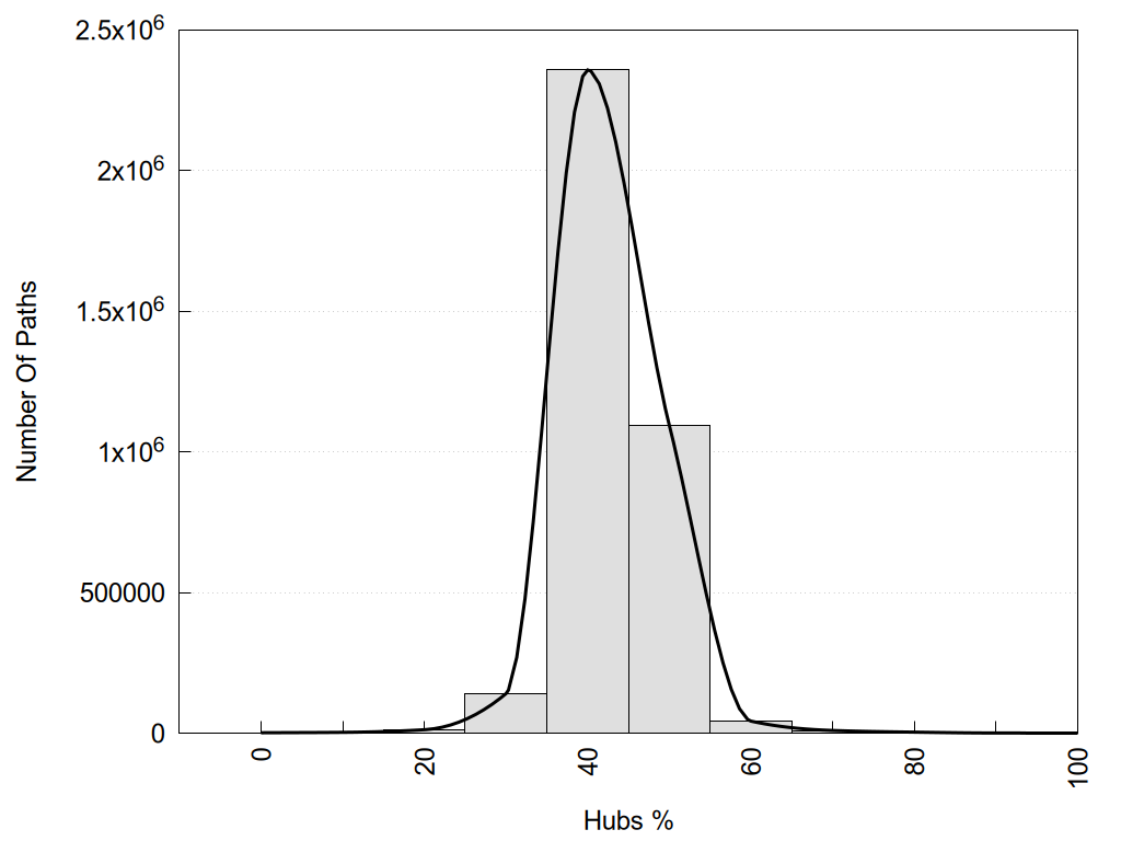
2D representation of the global metapath, ligand(s) interactions and
histograms of path distribution according to several parameters
(click on the image to enlarge it 🔍):

A 2D representation of the global communication in the network.
ConSurf Conservation Grade (See documentation):
n/a 1 2 3 4 5 6 7 8 9
2D representation of the interactions of this orthosteric/allosteric ligand. | |||||||||||||||||||||||||||||||||||||||||||||||||||||||||||||||||||||||||||||||||||||||||||||||||||||||||||||||||||||||||||||||||||||||||||||||||||||||||||||||||||||||||||||||||||||||||||||||||||||||||||||||||||||||||||||||||||||||||||||||||||||||||||||||||||||||||||||||||||||||||||||||||||||||||||||||||||||||||||||||||||||||||||||||||||||||||||||||||||||||||||||||||||||||||||||||||||||||||||||||||||||||||||||||||||||||||||||||||||||||||||||||||||||||||||||||||||||||||||||||||||||||||||||||||||||||||||||||||||||||||||||||||||||||||||||||||||||||||||||||||||||||||||||||||||||||||||||||||||||||||||||||||||||||||||||||||||||||||||||||||||||||||||||||||||||||||||||||||||||||||
Links and nodes colored according to ConSurf Conservation Grade (See documentation): n/a 1 2 3 4 5 6 7 8 9 |
| ||||||||||||||||||||||||||||||||||||||||||||||||||||||||||||||||||||||||||||||||||||||||||||||||||||||||||||||||||||||||||||||||||||||||||||||||||||||||||||||||||||||||||||||||||||||||||||||||||||||||||||||||||||||||||||||||||||||||||||||||||||||||||||||||||||||||||||||||||||||||||||||||||||||||||||||||||||||||||||||||||||||||||||||||||||||||||||||||||||||||||||||||||||||||||||||||||||||||||||||||||||||||||||||||||||||||||||||||||||||||||||||||||||||||||||||||||||||||||||||||||||||||||||||||||||||||||||||||||||||||||||||||||||||||||||||||||||||||||||||||||||||||||||||||||||||||||||||||||||||||||||||||||||||||||||||||||||||||||||||||||||||||||||||||||||||||||||||||||||||||
Location and physicochemical properties of the interaction partners of this ligand | |||||||||||||||||||||||||||||||||||||||||||||||||||||||||||||||||||||||||||||||||||||||||||||||||||||||||||||||||||||||||||||||||||||||||||||||||||||||||||||||||||||||||||||||||||||||||||||||||||||||||||||||||||||||||||||||||||||||||||||||||||||||||||||||||||||||||||||||||||||||||||||||||||||||||||||||||||||||||||||||||||||||||||||||||||||||||||||||||||||||||||||||||||||||||||||||||||||||||||||||||||||||||||||||||||||||||||||||||||||||||||||||||||||||||||||||||||||||||||||||||||||||||||||||||||||||||||||||||||||||||||||||||||||||||||||||||||||||||||||||||||||||||||||||||||||||||||||||||||||||||||||||||||||||||||||||||||||||||||||||||||||||||||||||||||||||||||||||||||||||||
Interactions of this ligand | |||||||||||||||||||||||||||||||||||||||||||||||||||||||||||||||||||||||||||||||||||||||||||||||||||||||||||||||||||||||||||||||||||||||||||||||||||||||||||||||||||||||||||||||||||||||||||||||||||||||||||||||||||||||||||||||||||||||||||||||||||||||||||||||||||||||||||||||||||||||||||||||||||||||||||||||||||||||||||||||||||||||||||||||||||||||||||||||||||||||||||||||||||||||||||||||||||||||||||||||||||||||||||||||||||||||||||||||||||||||||||||||||||||||||||||||||||||||||||||||||||||||||||||||||||||||||||||||||||||||||||||||||||||||||||||||||||||||||||||||||||||||||||||||||||||||||||||||||||||||||||||||||||||||||||||||||||||||||||||||||||||||||||||||||||||||||||||||||||||||||
Similarities between the interactions of this ligand and those of other networks | |||||||||||||||||||||||||||||||||||||||||||||||||||||||||||||||||||||||||||||||||||||||||||||||||||||||||||||||||||||||||||||||||||||||||||||||||||||||||||||||||||||||||||||||||||||||||||||||||||||||||||||||||||||||||||||||||||||||||||||||||||||||||||||||||||||||||||||||||||||||||||||||||||||||||||||||||||||||||||||||||||||||||||||||||||||||||||||||||||||||||||||||||||||||||||||||||||||||||||||||||||||||||||||||||||||||||||||||||||||||||||||||||||||||||||||||||||||||||||||||||||||||||||||||||||||||||||||||||||||||||||||||||||||||||||||||||||||||||||||||||||||||||||||||||||||||||||||||||||||||||||||||||||||||||||||||||||||||||||||||||||||||||||||||||||||||||||||||||||||||||
|
|
|
| This receptor, from the same or other species and bound to the same or other ligands, is also present in the following networks: | ||||||||||||
|---|---|---|---|---|---|---|---|---|---|---|---|---|
| Show | PDB | Class | SubFamily | Type | SubType | Species | Orthosteric Ligand | Other Ligand(s) | Protein Partners | Resolution | Date | DOI |
| 9KB6 | A | Orphan | Orphan | LGR4 | Homo sapiens | - | - | - | 3.53 | 2025-10-15 | doi.org/10.1038/s41467-025-64129-z | |
| 9KB7 | A | Orphan | Orphan | LGR4 | Homo sapiens | R-spondin-2 | - | - | 3.97 | 2025-10-15 | doi.org/10.1038/s41467-025-64129-z | |
| 9KB8 | A | Orphan | Orphan | LGR4 | Homo sapiens | R-spondin-2 | - | ZNRF3; ZNRF3 | 3.25 | 2025-10-15 | doi.org/10.1038/s41467-025-64129-z | |
| 9KB9 | A | Orphan | Orphan | LGR4; LGR4 | Homo sapiens | R-spondin-2 | - | ZNRF3; ZNRF3 | 3.59 | 2025-10-15 | doi.org/10.1038/s41467-025-64129-z | |
| 8WVU | A | Orphan | Orphan | LGR4 | Homo sapiens | R-spondin-1 | - | RNF43 | 3.61 | 2024-10-30 | To be published | |
| 8WVV | A | Orphan | Orphan | LGR4 | Homo sapiens | - | - | - | 3.35 | 2024-10-30 | To be published | |
| 8WVW | A | Orphan | Orphan | LGR4 | Homo sapiens | - | - | - | 3.53 | 2024-10-30 | To be published | |
| 8WVX | A | Orphan | Orphan | LGR4 | Homo sapiens | Norrin | - | - | 3.32 | 2024-10-30 | To be published | |
| 8WVY | A | Orphan | Orphan | LGR4 | Homo sapiens | Norrin | - | - | 3.29 | 2024-10-30 | To be published | |
| 8XFP | A | Orphan | Orphan | LGR4 | Homo sapiens | R-spondin-2 | - | ZNRF3; ZNRF3 | 3.21 | 2024-12-04 | doi.org/10.1038/s41467-024-55431-3 | |
| 8XFS | A | Orphan | Orphan | LGR4 | Homo sapiens | R-spondin-2 | - | ZNRF3; ZNRF3 | 3.2 | 2024-12-04 | doi.org/10.1038/s41467-024-55431-3 | |
| 8XFT | A | Orphan | Orphan | LGR4 | Homo sapiens | R-spondin-2 | - | ZNRF3 | 3.24 | 2024-12-04 | doi.org/10.1038/s41467-024-55431-3 | |
| 8Y69 | A | Orphan | Orphan | LGR4; LGR4 | Homo sapiens | R-spondin-2 | - | ZNRF3 | 3.38 | 2024-12-04 | doi.org/10.1038/s41467-024-55431-3 | |
| 8XT9 | A | Orphan | Orphan | LGR4 | Homo sapiens | - | - | - | 3.1 | 2025-01-15 | doi.org/10.1016/j.molcel.2025.01.024 | |
| 8XUM | A | Orphan | Orphan | LGR4 | Homo sapiens | R-spondin-2 | - | - | 2.9 | 2025-01-15 | doi.org/10.1016/j.molcel.2025.01.024 | |
| 9KGK | A | Orphan | Orphan | LGR4 | Homo sapiens | NB18 | - | - | 2.63 | 2025-07-16 | To be published | |
| 9KHH | A | Orphan | Orphan | LGR4 | Homo sapiens | Norrin | - | - | 3.65 | 2025-07-16 | To be published | |
| 9S37 | A | Orphan | Orphan | LGR4 | Homo sapiens | NB21 | - | - | 3.94 | 2025-07-30 | To be published | |
| 9S38 | A | Orphan | Orphan | LGR4 | Homo sapiens | NB21 | - | - | 3.94 | 2025-09-03 | To be published | |
You can download a compressed (zip) file with structure(s), 3D outputs (as PyMol and VMD scripts) and numerical data files (as csv and plain text files).
Download 9S38.zipYou can click to copy the link of this page to easily come back here later
or use this QR code to link and share this page.
You can also read or download a guide explaining the meaning of all files and numerical data.