Color ConSurf Grade
      No Conservation data available
      1
      2
      3
      4
      5
      6
      7
      8
      9

Index: hub id, click on each number to highlight the corresponding hub in the 3D visualization.

Hub: the hub being considered.

Avg Int. Strength: the average interaction strength of all the links of the corresponding hub.

Num Of Links: the number of links of the corresponding hub.

Community: the id of the community the link belong to, otherwise 0.

ConSurf: this column reports the ConSurf conservation grades of each hub.

Index Hub Avg Int. Strength Num Of Links Community ConSurf
1A:A:Q19 7.2875454
2A:A:L30 3.1875455
3A:A:H41 7.235406
4A:A:R42 8.8675409
5A:A:L45 4.484588
6A:A:K53 4.895689
7A:A:I207 2.8475419
8A:A:V214 5.5675436
9A:A:F219 5.87667638
10A:A:M221 3.6025488
11A:A:F222 9.662517
12A:A:Q227 4.675409
13A:A:R228 5.7025409
14A:A:K233 5.01714719
15A:A:W234 6.71519
16A:A:F238 8.055619
17A:A:I245 3.32333687
18A:A:F246 4.63254169
19A:A:V247 4.1475487
20A:A:L270 6.385406
21A:A:F273 5.03667649
22A:A:W277 10.396546
23A:A:W281 12.31615
24A:A:I288 4.71167689
25A:A:F290 4.2725889
26A:A:N292 3.756509
27A:A:K293 3.695409
28A:A:F312 5.834548
29A:A:E314 4.195446
30A:A:F315 11.5775446
31A:A:Y318 8.408546
32A:A:E330 6.45403
33A:A:D331 5.695404
34A:A:K338 8.86445
35A:A:Y339 6.04643
36A:A:F340 10.628547
37A:A:R342 5.98544
38A:A:E344 8.065445
39A:A:F345 9.5925408
40A:A:L346 4.215444
41A:A:S349 2.878547
42A:A:R356 6.77542
43A:A:Y358 6.885434
44A:A:C359 3.1525445
45A:A:Y360 8.0475408
46A:A:P361 4.075445
47A:A:H362 6.325489
48A:A:F363 9.32545
49A:A:T364 6.57489
50A:A:N371 8.26489
51A:A:R373 7.275435
52A:A:R374 6.26667684
53A:A:F376 8.14167638
54A:A:R385 7.684535
55A:A:L388 3.908538
56A:A:L393 3.185408
57A:A:L394 4.88438
58B:B:I18 3.3625407
59B:B:I33 3.0954123
60B:B:T34 4.5054125
61B:B:I37 4.8125122
62B:B:V40 3.6854123
63B:B:I43 3.19254103
64B:B:M45 3.25754104
65B:B:L51 8.915459
66B:B:H54 8.14857759
67B:B:K57 10.82519
68B:B:Y59 8.996518
69B:B:W63 6.734507
70B:B:Q75 10.1525419
71B:B:D76 5.914559
72B:B:K78 4.704558
73B:B:I80 8.52558
74B:B:I81 5.034117
75B:B:W82 11.1514759
76B:B:D83 8.215458
77B:B:Y85 13.34134
78B:B:N88 7.8575457
79B:B:K89 5.57759
80B:B:I93 5.075407
81B:B:L95 4.3665118
82B:B:W99 9.20333619
83B:B:M101 5.502519
84B:B:Y105 4.067147116
85B:B:Y111 7.045404
86B:B:L117 4.145419
87B:B:I123 3.065416
88B:B:Y124 4.611676116
89B:B:L126 4.55754115
90B:B:L139 6.2025419
91B:B:H142 6.84714719
92B:B:Y145 6.4618
93B:B:F151 4.756509
94B:B:L152 4.466503
95B:B:T159 5.204519
96B:B:S161 7.7425419
97B:B:D163 9.84419
98B:B:L168 4.7525496
99B:B:W169 10.4283618
100B:B:F180 7.546597
101B:B:H183 7.83799
102B:B:D186 5.106519
103B:B:V187 3.5075499
104B:B:F199 7.6525499
105B:B:V200 7.525476
106B:B:S201 4.915499
107B:B:C204 4.705617
108B:B:D205 7.385499
109B:B:K209 11.9496
110B:B:L210 4.15405
111B:B:W211 8.72698
112B:B:D212 5.37254189
113B:B:R214 5.73754189
114B:B:C218 5.2075495
115B:B:Q220 6.4175477
116B:B:H225 8.83779
117B:B:D228 7.652519
118B:B:I232 4.705478
119B:B:F235 7716
120B:B:P236 6.3775417
121B:B:N237 9.985415
122B:B:F241 6.83167676
123B:B:T243 4.706578
124B:B:D246 5.5225419
125B:B:D247 8.9275479
126B:B:T249 5.745476
127B:B:R251 10.422578
128B:B:F253 7.58576
129B:B:D254 4.69409
130B:B:D258 10.205477
131B:B:M262 7.145414
132B:B:Y264 4.71571715
133B:B:H266 7.135414
134B:B:I269 3.39514
135B:B:C271 4.22415
136B:B:S277 3.2325405
137B:B:F278 6.52517
138B:B:R283 8.21254129
139B:B:L284 4.0225405
140B:B:L285 5.525416
141B:B:Y289 7.23717
142B:B:D290 6.228516
143B:B:N295 8.49516
144B:B:V296 4.55105
145B:B:W297 7.065418
146B:B:L300 6.50754126
147B:B:K301 6.8925405
148B:B:R304 7.21333615
149B:B:L308 6.41254107
150B:B:H311 8.8425109
151B:B:R314 14.126518
152B:B:W332 10.8971719
153B:B:D333 8.4854109
154B:B:L336 5.195457
155B:B:K337 6.9285106
156B:B:W339 8.3365109
157B:B:N340 5.19754139
158G:G:I9 2.735402
159G:G:L19 3.54409
160G:G:R27 7.004578
161G:G:L37 4.0175417
162G:G:Y40 9.67416
163G:G:D48 6.02667609
164G:G:L51 3.1575406
165G:G:N59 4.715409
166G:G:F61 4.544297138
167L:L:T7 6.028520
168L:L:R18 6.0554140
169L:L:F24 7.331676140
170L:L:S35 3.552500
171L:L:P38 9.776560
172L:L:?39 6.8425460
173R:R:W76 7.0575468
174R:R:D77 5.97833669
175R:R:W79 13.678566
176R:R:W82 7.848569
177R:R:P96 7.9875409
178R:R:Y98 5.8425404
179R:R:F102 5.80167664
180R:R:D103 5.934223
181R:R:E106 6.7354224
182R:R:K110 10.79468
183R:R:C112 5.4025469
184R:R:W118 7.128569
185R:R:S129 8.05567
186R:R:Y131 9.33714765
187R:R:F137 5.2285211
188R:R:T138 4.9475402
189R:R:Y149 5.6575405
190R:R:H156 7.8625407
191R:R:L163 4.776508
192R:R:S166 4.22754239
193R:R:F170 5.2275408
194R:R:F173 5.053336157
195R:R:L176 4.4985159
196R:R:Q179 7.415407
197R:R:R180 5.655409
198R:R:L183 3.946528
199R:R:H184 6.986529
200R:R:M187 5.5428
201R:R:F188 4.95508
202R:R:Y191 6.20286728
203R:R:I198 6.46427
204R:R:P216 3.37254244
205R:R:F224 3.23405
206R:R:N233 7.31429
207R:R:Y234 6.976527
208R:R:F235 5.215425
209R:R:W236 6.81125829
210R:R:M237 5.008529
211R:R:E240 8.105429
212R:R:Y243 6.62667628
213R:R:L244 4.885439
214R:R:H245 12.625438
215R:R:I248 3.538537
216R:R:F253 9.63436
217R:R:Y262 6.25427
218R:R:P270 4.365629
219R:R:H277 6.43833627
220R:R:R281 9.92427
221R:R:F285 8.26426
222R:R:W290 6.95167629
223R:R:L291 4.9665146
224R:R:V293 3.15406
225R:R:L297 6.42424
226R:R:L298 5.0725426
227R:R:I300 2.8825428
228R:R:I301 6.54427
229R:R:H302 5.81286726
230R:R:K326 5.64667639
231R:R:M327 4.316537
232R:R:L351 7.9875429
233R:R:I354 6.0575406
234R:R:Q355 7.1325428
235R:R:F356 6.42727
236R:R:F359 4.7875406
237R:R:P363 3.5685257
238R:R:Y372 7.01254257
239R:R:M376 3.376507
240R:R:H377 9.1754207
241R:R:H381 5.922509
242R:R:F382 4.635407
243R:R:Q383 7.755429
244R:R:F385 7.38405
245R:R:C392 4.9854239
246R:R:Q408 3.74407
   

Color ConSurf Grade
      No Conservation data available
      1
      2
      3
      4
      5
      6
      7
      8
      9

Index: link id, click on each number to highlight the corresponding link in the 3D visualization.

Node1 Node2: the two nodes of the corresponding link.

Recurrence: the relative Recurrence in the pool of shortest paths.

Int. Strength: the interaction strength between the two nodes.

Hub1?, Hub2?: "Yes" if the corresponding node has more than 3 links, otherwise "No".

Community: the id of the community the link belong to, otherwise 0.

ConSurf1, ConSurf2: these columns report the ConSurf conservation grades of the two nodes involved in a link.

Index Node1 Node2 Recurrence Int. Strength Hub1? Hub2? Community ConSurf1 ConSurf2
1B:B:D83 B:B:R68 23.444517.87YesNo085
2B:B:R68 B:B:Y85 45.575127.78NoYes054
3B:B:Y85 G:G:F61 37.09036.19YesYes1348
4B:B:N340 G:G:F61 37.63243.62YesYes1398
5B:B:N340 G:G:N59 37.86566.81YesYes099
6B:B:M325 G:G:N59 38.21522.8NoYes059
7B:B:M325 G:G:P49 41.47895.03NoNo057
8G:G:D48 G:G:P49 41.60474.83YesNo097
9G:G:D48 G:G:L50 40.92252.71YesNo099
10B:B:M45 G:G:L50 41.00282.83YesNo049
11B:B:L308 B:B:M45 41.36234.24YesYes1074
12B:B:L308 B:B:W339 45.346713.67YesYes1079
13B:B:G310 B:B:W339 44.54242.81NoYes1059
14B:B:G310 R:R:Q408 44.86863.29NoYes057
15R:R:Q408 R:R:Q412 81.66461.28YesNo074
16R:R:F409 R:R:Q412 81.71661.17NoNo034
17R:R:F409 R:R:Q405 81.76891.17NoNo034
18R:R:F173 R:R:Q405 81.98085.86YesNo074
19R:R:F173 R:R:I169 1002.51YesNo078
20R:R:C392 R:R:I169 99.93253.27YesNo098
21R:R:C392 R:R:S166 59.60666.89YesYes2399
22R:R:F188 R:R:S166 40.29962.64YesYes089
23R:R:C392 R:R:F170 40.33585.59YesYes098
24R:R:F170 R:R:F188 40.3146.43YesYes088
25B:B:M61 B:B:W63 21.05844.65NoYes067
26B:B:C317 B:B:M61 21.35944.86NoNo076
27B:B:C317 B:B:S316 21.66053.44NoNo079
28B:B:S316 B:B:W332 21.96254.94NoYes099
29B:B:L70 B:B:W82 12.28599.11NoYes559
30B:B:L70 B:B:W63 13.88037.97NoYes057
31B:B:W332 B:B:Y59 15.34264.82YesYes198
32B:B:M101 B:B:Y59 10.75954.79YesYes198
33A:A:Q227 B:B:N119 16.40115.28YesNo099
34A:A:G206 B:B:N119 16.46115.09NoNo089
35A:A:A226 A:A:G206 16.49171.95NoNo098
36A:A:A226 A:A:G225 16.55371.95NoNo099
37A:A:F208 A:A:G225 16.58613.01NoNo059
38A:A:D223 A:A:F208 16.65272.39NoNo095
39A:A:D223 A:A:L45 15.34756.79NoYes898
40A:A:L43 A:A:T242 15.06652.95NoNo078
41A:A:H41 A:A:T242 14.317312.32YesNo068
42A:A:Q227 B:B:Y145 11.14937.89YesYes098
43A:A:H41 A:A:I383 13.95935.3YesNo068
44B:B:R314 B:B:W332 21.32823.99YesYes189
45A:A:K280 A:A:R283 13.66344.95NoNo053
46A:A:R283 A:A:R356 13.56679.6NoYes032
47A:A:H357 A:A:R356 12.88743.39NoYes472
48A:A:H357 A:A:W277 12.795535.97NoYes476
49A:A:H387 A:A:I383 13.94313.98NoNo088
50B:B:R314 B:B:T274 13.9443.88YesNo188
51B:B:S275 B:B:T274 14.41134.8NoNo088
52B:B:L318 B:B:S275 14.54097.51NoNo068
53B:B:L318 B:B:T329 15.33512.95NoNo068
54B:B:H311 B:B:T329 15.06126.85YesNo098
55B:B:D333 B:B:H311 16.33047.56YesYes1099
56B:B:D312 B:B:D333 17.27655.32NoYes059
57B:B:D312 R:R:S175 17.70752.94NoNo058
58B:B:D83 B:B:L69 22.49355.43YesNo085
59B:B:L69 B:B:Y105 44.25674.69NoYes056
60B:B:H62 B:B:Y105 36.83474.36NoYes066
61B:B:H62 B:B:R150 36.643622.57NoNo066
62B:B:L192 B:B:R150 31.00323.64NoNo056
63B:B:L152 B:B:L192 30.81164.15YesNo035
64B:B:L152 B:B:Q156 27.32827.99YesNo035
65B:B:Q156 B:B:R214 26.94319.35NoYes059
66B:B:D212 B:B:R214 26.44633.57YesYes1899
67B:B:D212 B:B:L198 26.06524.07YesNo093
68B:B:L198 B:B:L210 25.87194.15NoYes035
69B:B:L210 B:B:Q220 17.665.32YesYes057
70B:B:D258 B:B:Q220 10.44027.83YesYes777
71B:B:I18 G:G:L19 11.82351.43YesYes079
72B:B:C271 B:B:D290 27.9933.11YesYes156
73B:B:W297 B:B:Y264 11.79964.82YesYes185
74B:B:D66 B:B:R68 22.04633.57NoNo085
75B:B:D66 B:B:L69 21.95465.43NoNo085
76B:B:G162 B:B:Y145 10.3644.35NoYes198
77B:B:G162 B:B:S161 10.28453.71NoYes199
78B:B:C271 B:B:D291 25.65547.78YesNo158
79B:B:D291 B:B:N293 29.69234.04NoNo085
80B:B:A309 B:B:N293 37.37714.69NoNo035
81R:R:F188 R:R:L163 38.95016.09YesYes088
82R:R:L163 R:R:Y191 56.91045.86YesYes088
83R:R:M237 R:R:Y191 40.12644.79YesYes298
84R:R:M237 R:R:Y234 49.49593.59YesYes297
85L:L:T7 R:R:Y234 24.02828.74YesYes207
86L:L:T7 R:R:H302 42.70235.48YesYes206
87R:R:H302 R:R:L298 34.38519YesYes266
88R:R:L298 R:R:V293 21.19372.98YesYes066
89R:R:A388 R:R:S166 19.56883.42NoYes089
90R:R:A388 R:R:L163 19.29653.15NoYes088
91R:R:F188 R:R:V387 38.10093.93YesNo089
92R:R:V387 R:R:Y191 38.03217.57NoYes098
93R:R:Q383 R:R:Y191 30.02726.76YesYes298
94R:R:F356 R:R:Q383 29.14715.86YesYes279
95L:L:T7 R:R:F356 19.87695.19YesYes207
96R:R:M230 R:R:Y234 23.71877.18NoYes267
97R:R:H302 R:R:M230 23.38225.25YesNo266
98R:R:H277 R:R:L298 12.90425.14YesYes276
99R:R:H302 R:R:I301 30.31123.98YesYes267
100R:R:H277 R:R:I301 12.829210.61YesYes277
101R:R:N233 R:R:Y191 23.94699.3YesYes298
102R:R:N194 R:R:N233 25.97974.09NoYes289
103R:R:I198 R:R:N194 25.04367.08YesNo278
104R:R:I198 R:R:L202 24.24222.85YesNo077
105R:R:L202 R:R:Y149 24.08924.69NoYes075
106L:L:L17 R:R:Y149 23.66223.52NoYes005
107L:L:E15 R:R:V293 15.75612.85NoYes006
108R:R:I301 R:R:Q227 12.36975.49YesNo277
109R:R:H223 R:R:Q227 11.9119.89NoNo057
110L:L:L17 L:L:S20 24.10863NoNo000
111L:L:S20 R:R:F137 23.6483.96NoYes2101
112R:R:C289 R:R:L291 11.05633.17NoYes096
113R:R:D101 R:R:F137 21.37689.55NoYes041
114L:L:T31 R:R:D101 21.22464.34NoNo004
115L:L:T31 R:R:F102 15.02967.78NoYes604
116B:B:A309 R:R:Q408 37.41754.55NoYes037
117A:A:K280 B:B:D290 11.93532.77NoYes156
118R:R:M187 R:R:M237 10.90842.89YesYes289
Download PSN data

2D representation of the global metapath, ligand(s) interactions and
histograms of path distribution according to several parameters
(click on the image to enlarge it 🔍):

A 2D representation of the global communication in the network.

ConSurf Conservation Grade (See documentation): 

 n/a   1    2    3    4    5    6    7    8    9  

Number of shortest communication paths as a function of the average residue correlation.

Number of shortest communication paths as a function of the average interaction strength of their links.

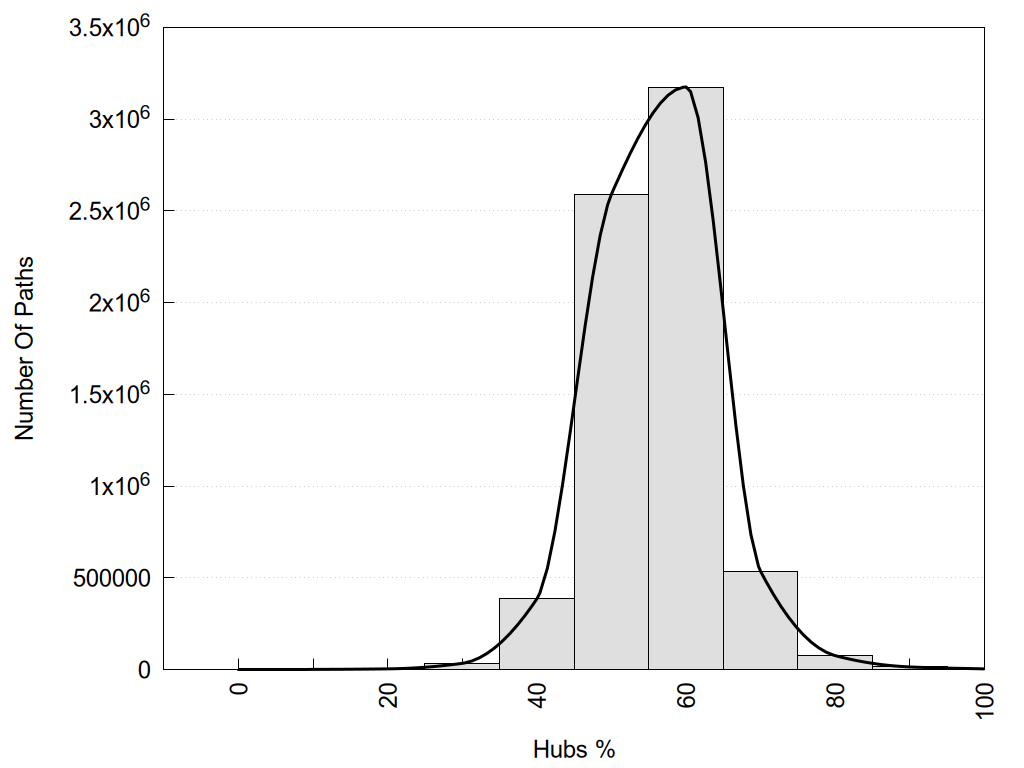
Number of shortest communication paths as a function of the % of hub nodes in each path.

Number of shortest communication paths as a function of the number of nodes in each path.

Number of shortest communication paths as a function of the % of correlated nodes in each path.


2D representation of the interactions of this orthosteric/allosteric ligand.


Links and nodes colored according to ConSurf Conservation Grade (See documentation): 

 n/a   1    2    3    4    5    6    7    8    9  

Node1 Node2 LinkStrength Comm IsNode1Hub? IsNode2Hub? Node1Cons Node2Cons Node1Shell Node2Shell
L:L:K2 R:R:E294 4.05 0 No No 0 3 0 1
L:L:C3 R:R:L298 3.17 2 No Yes 0 6 0 1
L:L:C3 R:R:H302 4.42 2 No Yes 0 6 0 1
L:L:T5 R:R:M306 3.01 2 No No 0 4 0 1
L:L:T7 R:R:Y234 8.74 2 Yes Yes 0 7 0 1
L:L:T7 R:R:H302 5.48 2 Yes Yes 0 6 0 1
L:L:T7 R:R:M306 6.02 2 Yes No 0 4 0 1
L:L:T7 R:R:F356 5.19 2 Yes Yes 0 7 0 1
L:L:C8 R:R:H302 8.85 2 No Yes 0 6 0 1
L:L:A9 R:R:M376 3.22 0 No Yes 0 7 0 1
L:L:T10 R:R:H381 4.11 0 No Yes 0 9 0 1
L:L:Q11 R:R:M230 4.08 2 No No 0 6 0 1
L:L:Q11 R:R:H302 3.71 2 No Yes 0 6 0 1
L:L:R12 R:R:V293 3.92 0 No Yes 0 6 0 1
L:L:L13 R:R:L148 2.77 20 No No 0 5 0 1
L:L:L13 R:R:H377 6.43 20 No Yes 0 7 0 1
L:L:E15 R:R:L291 5.3 14 No Yes 0 6 0 1
L:L:E15 R:R:V293 2.85 14 No Yes 0 6 0 1
L:L:F16 R:R:F137 5.36 0 No Yes 0 1 0 1
L:L:F16 R:R:A145 2.77 0 No No 0 4 0 1
L:L:L17 R:R:Y149 3.52 0 No Yes 0 5 0 1
L:L:R18 R:R:L291 6.07 14 Yes Yes 0 6 0 1
L:L:H19 R:R:P100 7.63 14 No No 0 4 0 1
L:L:S20 R:R:F137 3.96 21 No Yes 0 1 0 1
L:L:S20 R:R:L142 3 21 No No 0 2 0 1
L:L:N22 R:R:G209 3.39 0 No No 0 3 0 1
L:L:N23 R:R:P100 3.26 14 No No 0 4 0 1
L:L:F24 R:R:L40 8.53 14 Yes No 0 5 0 1
L:L:F24 R:R:P100 2.89 14 Yes No 0 4 0 1
L:L:P26 R:R:R213 8.65 0 No No 0 2 0 1
L:L:T31 R:R:F99 18.16 6 No No 0 5 0 1
L:L:T31 R:R:D101 4.34 6 No No 0 4 0 1
L:L:T31 R:R:F102 7.78 6 No Yes 0 4 0 1
L:L:V33 R:R:F102 2.62 0 No Yes 0 4 0 1
L:L:V33 R:R:Y131 2.52 0 No Yes 0 5 0 1
L:L:V33 R:R:T132 3.17 0 No No 0 6 0 1
L:L:S35 R:R:H121 5.58 0 Yes No 0 4 0 1
L:L:S35 R:R:E123 2.87 0 Yes No 0 4 0 1
L:L:S35 R:R:N124 5.96 0 Yes No 0 5 0 1
L:L:T37 R:R:W79 3.64 6 No Yes 0 6 0 1
L:L:P38 R:R:D77 4.83 6 Yes Yes 0 9 0 1
L:L:P38 R:R:G78 4.06 6 Yes No 0 5 0 1
L:L:P38 R:R:W79 32.43 6 Yes Yes 0 6 0 1
L:L:?39 R:R:D77 10.08 6 Yes Yes 0 9 0 1
L:L:?39 R:R:S129 7.43 6 Yes Yes 0 7 0 1
L:L:?39 R:R:Y131 5.8 6 Yes Yes 0 5 0 1
L:L:?102 R:R:H296 4.16 0 No No 0 2 0 1
L:L:?102 R:R:Y299 18.97 0 No No 0 7 0 1
R:R:D287 R:R:L40 2.71 0 No No 3 5 2 1
R:R:G78 R:R:W76 4.22 6 No Yes 5 8 1 2
R:R:D77 R:R:G78 3.35 6 Yes No 9 5 1 1
R:R:D77 R:R:W82 3.35 6 Yes Yes 9 9 1 2
R:R:D77 R:R:S129 7.36 6 Yes Yes 9 7 1 1
R:R:D77 R:R:Y131 6.9 6 Yes Yes 9 5 1 1
R:R:F99 R:R:W79 9.02 6 No Yes 5 6 1 1
R:R:F102 R:R:W79 4.01 6 Yes Yes 4 6 1 1
R:R:W79 R:R:Y131 19.29 6 Yes Yes 6 5 1 1
R:R:V108 R:R:W82 6.13 0 No Yes 7 9 2 2
R:R:K110 R:R:W82 17.4 6 Yes Yes 8 9 2 2
R:R:S129 R:R:W82 8.65 6 Yes Yes 7 9 1 2
R:R:C95 R:R:P96 3.77 6 No Yes 9 9 2 2
R:R:C95 R:R:F102 5.59 6 No Yes 9 4 2 1
R:R:C134 R:R:C95 7.28 6 No No 9 9 2 2
R:R:P96 R:R:Y131 5.56 0 Yes Yes 9 5 2 1
R:R:F102 R:R:F99 6.43 6 Yes No 4 5 1 1
R:R:D101 R:R:F137 9.55 0 No Yes 4 1 1 1
R:R:C134 R:R:F102 8.38 6 No Yes 9 4 2 1
R:R:V108 R:R:Y131 17.66 0 No Yes 7 5 2 1
R:R:K110 R:R:S129 9.18 6 Yes Yes 8 7 2 1
R:R:H121 R:R:P122 4.58 0 No No 4 5 1 2
R:R:H121 R:R:W128 34.91 0 No No 4 5 1 2
R:R:N130 R:R:W128 11.3 0 No No 8 5 2 2
R:R:S129 R:R:Y131 7.63 6 Yes Yes 7 5 1 1
R:R:N130 R:R:T132 8.77 0 No No 8 6 2 1
R:R:F137 R:R:N135 3.62 21 Yes No 1 3 1 2
R:R:F137 R:R:L142 3.65 21 Yes No 1 2 1 1
R:R:L142 R:R:Y146 8.21 21 No No 2 2 1 2
R:R:L148 R:R:Y374 4.69 20 No No 5 6 1 2
R:R:H377 R:R:L148 19.28 20 Yes No 7 5 1 1
R:R:Y149 R:R:Y150 5.96 0 Yes No 5 4 1 2
R:R:I153 R:R:Y149 8.46 0 No Yes 7 5 2 1
R:R:L202 R:R:Y149 4.69 0 No Yes 7 5 2 1
R:R:A152 R:R:H381 7.32 0 No Yes 7 9 2 1
R:R:H156 R:R:H381 7.17 0 Yes Yes 7 9 2 1
R:R:H201 R:R:V206 2.77 0 No No 6 3 2 1
R:R:H201 R:R:L291 6.43 0 No Yes 6 6 2 1
R:R:P207 R:R:V206 3.53 0 No No 3 3 2 1
R:R:H223 R:R:L291 3.86 0 No Yes 5 6 2 1
R:R:M230 R:R:Y234 7.18 2 No Yes 6 7 1 1
R:R:H302 R:R:M230 5.25 2 Yes No 6 6 1 1
R:R:M237 R:R:Y234 3.59 2 Yes Yes 9 7 2 1
R:R:V305 R:R:Y234 5.05 0 No Yes 7 7 2 1
R:R:F356 R:R:Y234 10.32 2 Yes Yes 7 7 1 1
R:R:M237 R:R:Q383 8.16 2 Yes Yes 9 9 2 2
R:R:H277 R:R:L298 5.14 2 Yes Yes 7 6 2 1
R:R:H277 R:R:I301 10.61 2 Yes Yes 7 7 2 2
R:R:D287 R:R:S292 5.89 0 No No 3 4 2 2
R:R:C289 R:R:L291 3.17 0 No Yes 9 6 2 1
R:R:E294 R:R:S292 4.31 0 No No 3 4 1 2
R:R:E294 R:R:V293 2.85 0 No Yes 3 6 1 1
R:R:L298 R:R:V293 2.98 2 Yes Yes 6 6 1 1
R:R:H296 R:R:L297 5.14 0 No Yes 2 4 1 2
R:R:H302 R:R:L298 9 2 Yes Yes 6 6 1 1
R:R:H302 R:R:I301 3.98 2 Yes Yes 6 7 1 2
R:R:F356 R:R:L309 3.65 2 Yes No 7 7 1 2
R:R:G353 R:R:Q355 4.93 2 No Yes 9 8 2 2
R:R:F356 R:R:G353 3.01 2 Yes No 7 9 1 2
R:R:F356 R:R:Q355 9.37 2 Yes Yes 7 8 1 2
R:R:Q355 R:R:Q383 10.24 2 Yes Yes 8 9 2 2
R:R:F356 R:R:I380 7.54 2 Yes No 7 6 1 2
R:R:F356 R:R:Q383 5.86 2 Yes Yes 7 9 1 2
R:R:M376 R:R:Y372 3.59 0 Yes Yes 7 7 1 2
R:R:H377 R:R:M376 2.63 20 Yes Yes 7 7 1 1
R:R:I380 R:R:M376 5.83 0 No Yes 6 7 2 1
R:R:H377 R:R:H381 8.36 20 Yes Yes 7 9 1 1
R:R:H381 R:R:I380 2.65 0 Yes No 9 6 1 2
L:L:A14 R:R:V206 1.7 0 No No 0 3 0 1
R:R:G209 R:R:N208 1.7 0 No No 3 3 1 2
L:L:A6 R:R:M376 1.61 0 No Yes 0 7 0 1
R:R:G303 R:R:Y299 1.45 0 No No 4 7 2 1
L:L:N36 R:R:R126 1.21 0 No No 0 4 0 1
R:R:N124 R:R:R126 1.21 0 No No 5 4 1 1

Location and physicochemical properties of the interaction partners of this ligand

Interactions of this ligand

Similarities between the interactions of this ligand and those of other networks

ShowSimilarityNetwork TypeNameLigandDescription
75.00Single9BUBCagrilintide9BUB-CT-Cagrilintide-Gs/β1/γ2
73.91Single9BLCCagrilintide backbone (non-acylated)9BLC-CT-Cagrilintide backbone (non-acylated)-Gs/β1/γ2
66.67Single7TYIAmylin7TYI-CT-Amylin-Gs/β1/γ2
62.96Single9BTWCagrilintide9BTW-CT (AMY3)-Cagrilintide-Gs/β1/γ2; RAMP3
61.54Single9BLBCagrilintide backbone (non-acylated)9BLB-CT-Cagrilintide backbone (non-acylated)-Gs/β1/γ2
61.54Single9BP3Cagrilintide9BP3-CT (AMY1)-Cagrilintide-Gs/β1/γ2; RAMP1
60.87Single9BUECagrilintide9BUE-CT-Cagrilintide-Gs/β1/γ2
59.26Single9BUCCagrilintide9BUC-CT-Cagrilintide-Gs/β1/γ2
58.62Single7TZFAmylin7TZF-CT (AMY3)-Amylin-Gs/β1/γ2; RAMP3
57.14Single7TYLAmylin7TYL-CT-Amylin-Gs/β1/γ2
57.14Single9BQ3Cagrilintide9BQ3-CT (AMY2)-Cagrilintide-Gs/β1/γ2; RAMP2
54.84Single7TYOCalcitonin7TYO-CT-Calcitonin-Gs/β1/γ2
53.57Single7TYNCalcitonin-17TYN-CT-Calcitonin-1-Gs/β1/γ2
52.94Single8F0JPramlintide Analogue San458F0J-CT-Pramlintide Analogue San45-Gs/β1/γ2
51.85Single7TYHCalcitonin-17TYH-CT (AMY2)-Calcitonin-1-Gs/β1/γ2; RAMP2
51.85Single7TYWCalcitonin-17TYW-CT (AMY1)-Calcitonin-1-Gs/β1/γ2; RAMP1
51.85Consensuscalcitonin_onOrthosteric Ligandctlike_on
51.72Single6UUSAdrenomedullin6UUS-CT Like (AM2)-Adrenomedullin-Gs/β1/γ2; RAMP3
50.00Single6UUNAdrenomedullin6UUN-CT Like (AM1)-Adrenomedullin-Gs/β1/γ2; RAMP2
50.00Single7TYYCalcitonin-17TYY-CT (AMY2)-Calcitonin-1-Gs/β1/γ2; RAMP2
50.00Consensuscalcitonin_on_gpOrthosteric Ligandctlike_on_gp
48.28Single7TYFAmylin7TYF-CT (AMY1)-Amylin-Gs/β1/γ2; RAMP1
46.67Single8F0KPramlintide Analogue San3858F0K-CT (AMY3)-Pramlintide Analogue San385-Gs/β1/γ2; RAMP3
45.16Single7TYXAmylin7TYX-CT (AMY2)-Amylin-Gs/β1/γ2; RAMP2
44.83Single7RA3GIP7RA3-GIP-GIP-chim(NtGi1-Gs)/β1/γ2
44.83Single9BLWCagrilintide backbone (non-acylated)9BLW-CT (AMY1)-Cagrilintide backbone (non-acylated)-Gs/β1/γ2; RAMP1
43.75Single6LPBPACAP6LPB-PAC1-PACAP-Gs/β1/γ1
43.75Single9AUCCalcitonin gene-related peptide-19AUC-CT (AMY1)-Calcitonin gene-related peptide-1-Gs/β1/γ2; RAMP1
43.33Single6UVAAdrenomedullin-26UVA-CT Like (AM2)-Adrenomedullin-2-Gs/β1/γ2; RAMP3
43.24Single8F2BPramlintide Analogue San458F2B-CT (AMY3)-Pramlintide Analogue San45-Gs/β1/γ2; RAMP3
42.86Single8YW4Retatrutide8YW4-GIP-Retatrutide-chim(NtGi1-Gs)/β1/γ2
42.31Single8JIQPeptide-158JIQ-Glucagon-Peptide-15-Gs/β1/γ2
41.94Single6LMLGlucagon6LML-Glucagon-Glucagon-Gi1/β1/γ1
41.38Consensuspac_onOrthosteric Ligandpac1_on
40.74Single7TRYUrocortin7TRY-CRF2-Urocortin-chim(NtGi1-G11)/β1/γ2
40.62Single7RBTTirzepatide7RBT-GIP-Tirzepatide-LSN3556672-chim(NtGi1-Gs)/β1/γ2
40.00Single6E3YCalcitonin gene-related peptide-16E3Y-CT Like-Calcitonin gene-related peptide-1-Gs/β1/γ2; RAMP1
40.00Single7D3SSecretin7D3S-Secretin-Secretin-Gs/β1/γ2
40.00Single7VABNon-Acylated Tirzepatide7VAB-GIP-Non-Acylated Tirzepatide-chim(NtGi1-Gs)/β1/γ2
40.00Single8FLRPTHrP(1-36)8FLR-PTH1-PTHrP(1-36)-Gs/β1/γ2
40.00Consensuspac_on_gpOrthosteric Ligandpac1_on_gp
40.00Consensusvpac_on_gpOrthosteric Ligandvpac1_on_gp vpac2_on_gp
39.39Single8F2APramlintide Analogue San3858F2A-CT (AMY3)-Pramlintide Analogue San385-Gs/β1/γ2; RAMP3
39.39Single8FLULong-Acting PTH8FLU-PTH1-Long-Acting PTH-Gs/β1/γ2
38.71Single7DTYGIP7DTY-GIP-GIP-Gs/β1/γ2
38.71Single7FIYTirzepatide7FIY-GIP-Tirzepatide-Gs/β1/γ2
38.71Single7S1MEx4-D-Ala7S1M-GLP-1-Ex4-D-Ala-Gs/β1/γ2
38.71Single8FU6Glucagon derivative ZP37808FU6-Glucagon-Glucagon derivative ZP3780-Gs/β1/γ2
38.71Consensusglp_onOrthosteric Ligandglp1_on glp2_on
38.71Consensusglp_on_gpOrthosteric Ligandglp1_on_gp glp2_on_gp
38.24Single6WPWGlucagon derivative ZP37806WPW-Glucagon-Glucagon derivative ZP3780-Gs/β1/γ2
37.93Single6M1IPACAP6M1I-PAC1-PACAP-Gs/β1/γ2
37.93Single6NIYAdrenomedullin6NIY-CT-Adrenomedullin-Gs/β1/γ2
37.93Single6WI9Secretin6WI9-Secretin-Secretin-Gs/β1/γ2
37.93Single7FINPeptide-20; GGL7FIN-GIP-Peptide-20; GGL-Gs/β1/γ2
37.93Single7V9MSomatoliberin7V9M-GHRH (SV1)-Somatoliberin-Gs/β1/γ2
37.93Single8YW3Retatrutide8YW3-GLP-1-Retatrutide-Gs/β1/γ2
37.93Single8YW5Retatrutide8YW5-Glucagon-Retatrutide-Gs/β1/γ2
37.93Single9EBOGLP-1 (ACPC18)9EBO-GLP-1-GLP-1 (ACPC18)-Gs/β1/γ2
37.50Single6LMKGlucagon6LMK-Glucagon-Glucagon-Gs/β1/γ2
37.50Single6WZGSecretin6WZG-Secretin-Secretin-Gs/β1/γ2
37.50Single7D68GLP-27D68-GLP-2-GLP-2-Gs/β1/γ2
37.50Single7KI1Taspoglutide7KI1-GLP-1-Taspoglutide-Gs/β1/γ2
37.50Single8HAFPTHrP(1-36)8HAF-PTH1-PTHrP(1-36)-chim(NtGi1-Gs)/β1/γ2
37.50Single9BYOExendin-39BYO-GLP-1-Exendin-3-Gs/β1/γ2
37.50Consensusvip-pacap_onOrthosteric Ligandvpac_on pac_on
37.50Consensusvip-pacap_on_gpOrthosteric Ligandvpac_on_gp pac_on_gp
37.04Single7RTBPeptide-197RTB-GLP-1-Peptide-19-Gs/β1/γ2
37.04Single8YWFRetatrutide8YWF-GLP-1-Retatrutide-chim(NtGi1-Gs)/β1/γ2
36.67Single6X18GLP-16X18-GLP-1-GLP-1-Gs/β1/γ2
36.67Single7LLYOxyntomodulin7LLY-GLP-1-Oxyntomodulin-Gs/β1/γ2
36.67Single7WBJPACAP277WBJ-VPAC1-PACAP27-Gs/β1/γ2
36.67Single7Y35Abaloparatide7Y35-PTH1-Abaloparatide-Gs/β1/γ2
36.67Single8E3YPACAP278E3Y-VPAC1-PACAP27-Gs/β1/γ2
36.67Single8E3ZVIP8E3Z-VPAC1-VIP-Gs/β1/γ2
36.67Consensusvpac_onOrthosteric Ligandvpac1_on vpac2_on
35.71Single7VBINon-Acylated Tirzepatide7VBI-GLP-1-Non-Acylated Tirzepatide-Gs/β1/γ2
35.48Single6NBFLong-Acting PTH Analog6NBF-PTH1-Long-Acting PTH Analog-Gs/β1/γ2
35.48Single7KI0Semaglutide7KI0-GLP-1-Semaglutide-Gs/β1/γ2
35.48Single8E3XPACAP278E3X-PAC1-PACAP27-Gs/β1/γ2
35.48Single8JISPeptide-158JIS-GLP-1-Peptide-15-chim(NtGi1-Gs)/β1/γ2
35.48Single9J1Pg1:Ox9J1P-GLP-1-g1:Ox-chim(NtGi1-Gs)/β1/γ2
35.29Single8FLSAbaloparatide8FLS-PTH1-Abaloparatide-Gs/β1/γ2
34.62Single6M1HMaxadilan6M1H-PAC1-Maxadilan-Gs/β1/γ2
34.62Single7LLLExendin-47LLL-GLP-1-Exendin-4-Gs/β1/γ2
34.62Single9C0KExendin-49C0K-GLP-1-Exendin-4-Gs/β1/γ2
34.48Consensusclass-b1_class-b2_cons_onOrthosteric Ligandclass-b1_on class-b2_on
34.48Consensusclass-b1_class-b2_cons_on_gpOrthosteric Ligandclass-b1_on_gp class-b2_on_gp
34.38Single6B3JExendin-P56B3J-GLP-1-Exendin-P5-Gs/β1/γ2
34.38Single6P9XCorticoliberin6P9X-CRF1-Corticoliberin-Gs/β1/γ2
34.38Single6VCBGLP-16VCB-GLP-1-GLP-1-LSN3160440-Gs/β1/γ2
34.29Single7V35Peptide-207V35-Glucagon-Peptide-20-Gs/β1/γ2
34.29Single7VVMPTH7VVM-PTH1-PTH-Gs/β1/γ2
34.29Single8JIPMEDI03828JIP-GLP-1-MEDI0382-chim(NtGi1-Gs)/β1/γ2
34.29Single9JR2PTH9JR2-PTH1-PTH-chim(NtGi1L-Gs-CtGq)/β1/γ2
34.21Single7F16TIP397F16-PTH2-TIP39-Gs/β1/γ2
33.33Single6PB1Urocortin6PB1-CRF2-Urocortin-chim(NtGi1-Gs)/β1/γ2
33.33Single7TS0Urocortin7TS0-CRF2-Urocortin-chim(NtGi1L-Go)/β1/γ2
33.33Single7VVJPTHrP(1-36)7VVJ-PTH1-PTHrP(1-36)-Gs/β1/γ2
33.33Single7WUIIP157WUI-ADGRG2-IP15-chim(NtGi1-Gs)/β1/γ2
33.33Single8FLQPTH8FLQ-PTH1-PTH-Gs/β1/γ2
33.33Single8FLTM-PTH(1-14)8FLT-PTH1-M-PTH(1-14)-Gs/β1/γ2
33.33Consensusctlike_on_gpOrthosteric Ligand6E3Y-CT Like-Calcitonin gene-related peptide-1-Gs/β1/γ2; RAMP1
33.33Consensusglucagon_onOrthosteric Ligandglp_on gluc_on secretin_on gip_on
33.33Consensuspth1_onOrthosteric Ligand6NBF-PTH1-Long-Acting PTH Analog-Gs/β1/γ2 8HA0-PTH1-PTH-chim(NtGi1-Gs)/β1/γ2 8HAF-PTH1-PTHrP(1-36)-chim(NtGi1-Gs)/β1/γ2 7Y36-PTH1-Teriparatide-Gs/β1/γ2 7Y35-PTH1-Abaloparatide-Gs/β1/γ2
33.33Consensusvpac2_onOrthosteric Ligand7VQX-VPAC1-PACAP27-Gs/β1/γ2
33.33Consensusvpac2_on_gpOrthosteric Ligand7VQX-VPAC1-PACAP27-Gs/β1/γ2
32.43Consensusglucagon_on_gpOrthosteric Ligandglp_on_gp gluc_on_gp secretin_on_gp gip_on_gp
32.35Single6PB0Urocortin6PB0-CRF1-Urocortin-chim(NtGi1-Gs)/β1/γ2
32.35Single7DUQGLP-17DUQ-GLP-1-GLP-1-PubChem 156022738-Gs/β1/γ2
32.26Single5YQZGlucagon analogue5YQZ-Glucagon-Glucagon analogue
32.26Consensusvpac1_onOrthosteric Ligand8E3Z-VPAC1-VIP-Gs/β1/γ2
31.25Single6FJ3PTH6FJ3-PTH1-PTH
31.25Single6P9YPACAP6P9Y-PAC1-PACAP-Gs/β1/γ2
31.25Single7CZ5Somatoliberin7CZ5-GHRH-Somatoliberin-Gs/β1/γ2
31.25Consensusctlike_onOrthosteric Ligand6E3Y-CT Like-Calcitonin gene-related peptide-1-Gs/β1/γ2; RAMP1
31.25Consensuspac1_onOrthosteric Ligand8E3X-PAC1-PACAP27-Gs/β1/γ2 6M1H-PAC1-Maxadilan-Gs/β1/γ2
31.25Consensuspac1_on_gpOrthosteric Ligand8E3X-PAC1-PACAP27-Gs/β1/γ2 6M1H-PAC1-Maxadilan-Gs/β1/γ2
31.25Consensusvpac1_on_gpOrthosteric Ligand8E3Z-VPAC1-VIP-Gs/β1/γ2
31.03Single6WHCGlu16 analog of GCG6WHC-Glucagon-Glu16 analog of GCG-Gs/β1/γ2
30.77Single7WCMMBX-29827WCM-GPR119-MBX-2982-Gs/β1/γ2
30.77Consensusclass-b1_onOrthosteric Ligandglucagon_on vip-pacap_on pth_on crf_on calcitonin_on
30.77Consensuspth2_on_gpOrthosteric Ligand7F16-PTH2-TIP39-Gs/β1/γ2
30.56Single8JIRSAR4258998JIR-GLP-1-SAR425899-chim(NtGi1-Gs)/β1/γ2
30.56Consensuscrf_on_gpOrthosteric Ligandcrf2_on_gp crf1_on_gp
30.56Consensuspth1_on_gpOrthosteric Ligand6NBF-PTH1-Long-Acting PTH Analog-Gs/β1/γ2 8HA0-PTH1-PTH-chim(NtGi1-Gs)/β1/γ2 8HAF-PTH1-PTHrP(1-36)-chim(NtGi1-Gs)/β1/γ2 7Y36-PTH1-Teriparatide-Gs/β1/γ2 7Y35-PTH1-Abaloparatide-Gs/β1/γ2
30.30Single7VQXPACAP277VQX-VPAC1-PACAP27-Gs/β1/γ2
30.30Single7VVKPTH7VVK-PTH1-PTH-Gs/β1/γ2
30.30Consensuscrf_onOrthosteric Ligandcrf2_on crf1_on
30.30Consensusglp2_onOrthosteric Ligand7D68-GLP-2-GLP-2-Gs/β1/γ2
30.30Consensusglp2_on_gpOrthosteric Ligand7D68-GLP-2-GLP-2-Gs/β1/γ2
30.30Consensussecretin_on_gpOrthosteric Ligand7D3S-Secretin-Secretin-Gs/β1/γ2
30.00Single6VN7PACAP6VN7-VPAC1-PACAP-Gs/β1/γ2
30.00Single9IVMGLP-1 (Truncated)9IVM-GLP-1-GLP-1 (Truncated)-LSN3318839-chim(NtGi1-Gs)/β2/γ2
29.73Single7Y36Teriparatide7Y36-PTH1-Teriparatide-Gs/β1/γ2
29.73Single8JITMEDI03828JIT-Glucagon-MEDI0382-Gs/β1/γ2
29.73Single9JR3PTH9JR3-PTH1-PTH-chim(NtGi1L-Gs-CtGq)/β1/γ2
29.73Consensusclass-a_class-b1_cons_on_gpOrthosteric Ligandclass-a_on_gp class-b1_on_gp
29.73Consensuspth2_onOrthosteric Ligand7F16-PTH2-TIP39-Gs/β1/γ2
29.63Single7VVNPTH7VVN-PTH1-PTH-Gs/β1/γ2
29.41Single6NBHLong-Acting PTH Analog6NBH-PTH1-Long-Acting PTH Analog-Gs/β1/γ2
29.41Single7VVLPTH7VVL-PTH1-PTH-Gs/β1/γ2
29.27Consensuspth_on_gpOrthosteric Ligandpth1_on_gp pth2_on_gp
29.03Single7FIMTirzepatide7FIM-GLP-1-Tirzepatide-Gs/β1/γ2
29.03Single8HA0PTH8HA0-PTH1-PTH-chim(NtGi1-Gs)/β1/γ2
29.03Consensuscrf2_onOrthosteric Ligand7TS0-CRF2-Urocortin-chim(NtGi1L-Go)/β1/γ2
28.95Consensuspth_onOrthosteric Ligandpth1_on pth2_on
28.57Consensusclass-a_class-b1_cons_onOrthosteric Ligandclass-a_on class-b1_on
27.91Consensusclass-b1_on_gpOrthosteric Ligandglucagon_on_gp vip-pacap_on_gp pth_on_gp crf_on_gp calcitonin_on_gp
27.27Single6NBILong-Acting PTH Analog6NBI-PTH1-Long-Acting PTH Analog-Gs/β1/γ2
27.27Single7RGPTirzepatide7RGP-GLP-1-Tirzepatide-chim(NtGi1-Gs)/β1/γ2
27.27Single7XKFBeta-Hydroxyandrosterone7XKF-ADGRG2-β-Hydroxyandrosterone-Gs/β1/γ2
27.27Consensuscrf2_on_gpOrthosteric Ligand7TS0-CRF2-Urocortin-chim(NtGi1L-Go)/β1/γ2
27.27Consensussecretin_onOrthosteric Ligand7D3S-Secretin-Secretin-Gs/β1/γ2
26.92Single8ZR5Firuglipel8ZR5-GPR119-Firuglipel-Gs/β1/γ2
26.92Consensus5ht_offOrthosteric Ligand5ht2_off 5ht1_off
26.47Single5NX2GLP-1 (Truncated)5NX2-GLP-1-GLP-1 (Truncated)
26.47Single8HAOPTH8HAO-PTH1-PTH-chim(NtGi1-Gs)/β1/γ2
26.32Single8JIUSAR4258998JIU-Glucagon-SAR425899-Gs/β1/γ2
26.09Single7VVOPTH7VVO-PTH1-PTH-Gs/β1/γ2
26.09Single8IJANiacin8IJA-HCA2-Niacin-Gi1/β1/γ2
25.93Single7WCNAR2314537WCN-GPR119-AR231453-Gs/β1/γ2
25.81Single9B5YLong-Acting PTH9B5Y-PTH1-Long-Acting PTH-chim(NtGi1-Gq)/β1/γ2
25.71Single5VAIGLP-15VAI-GLP-1-GLP-1-Gs/β1/γ2
25.00Single2YDOAdenosine2YDO-A2A-Adenosine
25.00Single4BVNCyanopindolol4BVN-β1-Cyanopindolol-Na
25.00Single7XZ6APD6687XZ6-GPR119-APD668-Gs/β1/γ2
25.00Single8W88SEP-3638568W88-TA1-SEP-363856-Gs/β1/γ2
25.00Consensuscrf1_onOrthosteric Ligand6PB0-CRF1-Urocortin-chim(NtGi1-Gs)/β1/γ2 6P9X-CRF1-Corticoliberin-Gs/β1/γ2
25.00Consensusgip_onOrthosteric Ligand7FIN-GIP-Peptide-20; GGL-Gs/β1/γ2 7FIY-GIP-Tirzepatide-Gs/β1/γ2 7DTY-GIP-GIP-Gs/β1/γ2
25.00Consensusgip_on_gpOrthosteric Ligand7FIN-GIP-Peptide-20; GGL-Gs/β1/γ2 7FIY-GIP-Tirzepatide-Gs/β1/γ2 7DTY-GIP-GIP-Gs/β1/γ2
25.00Consensusgluc_on_gpOrthosteric Ligand6LMK-Glucagon-Glucagon-Gs/β1/γ2 8JIT-Glucagon-MEDI0382-Gs/β1/γ2 7V35-Glucagon-Peptide-20-Gs/β1/γ2
24.32Single7VBHPeptide-207VBH-GLP-1-Peptide-20-Gs/β1/γ2
24.14Single3NY9ICI118-5513NY9-β2-ICI118-551
24.14Single7X8SWB4-247X8S-GLP-1-WB4-24-Gs/β1/γ2
24.00Single8I7VAcipimox8I7V-HCA2-Acipimox-Gi1/β1/γ2
24.00Single8J6PNiacin8J6P-HCA2-Niacin-Compound 9n-Gi1/β1/γ2
24.00Single8JHNMMF8JHN-HCA2-MMF-Go/β1/γ2
24.00Single8T1WCVN4248T1W-GPR6-CVN424
24.00Single8W8ARO52563908W8A-TA1-RO5256390-chim(NtGi1L-Gs)/β1/γ2
24.00Single8ZSSRO52633978ZSS-TA1-RO5263397-chim(NtGi1-Gs)/β1/γ2
24.00Consensusgi_hcaOrthosteric Ligand8J6R-HCA2-MK6892-Gi1/β1/γ2 8JIM-HCA2-MMF-Gi1/β1/γ2 8IHI-HCA2-Acifran-Gi1/β1/γ2 8IHH-HCA2-LUF6283-Gi1/β1/γ2 8I7V-HCA2-Acipimox-Gi1/β1/γ2 8I7W-HCA2-GSK256073-Gi1/β1/γ2
24.00Consensushca2_onOrthosteric Ligand8J6R-HCA2-MK6892-Gi1/β1/γ2 8JIM-HCA2-MMF-Gi1/β1/γ2 8I7V-HCA2-Acipimox-Gi1/β1/γ2 8I7W-HCA2-GSK256073-Gi1/β1/γ2 8IHH-HCA2-LUF6283-Gi1/β1/γ2 8IHI-HCA2-Acifran-Gi1/β1/γ2
24.00Consensushca2_on_gpOrthosteric Ligand8J6R-HCA2-MK6892-Gi1/β1/γ2 8IHI-HCA2-Acifran-Gi1/β1/γ2 8IHH-HCA2-LUF6283-Gi1/β1/γ2 8I7V-HCA2-Acipimox-Gi1/β1/γ2 8JIM-HCA2-MMF-Gi1/β1/γ2 8I7W-HCA2-GSK256073-Gi1/β1/γ2
24.00Consensushca_on_gpOrthosteric Ligandhca2_on_gp
23.68Consensuscrf1_on_gpOrthosteric Ligand6PB0-CRF1-Urocortin-chim(NtGi1-Gs)/β1/γ2 6P9X-CRF1-Corticoliberin-Gs/β1/γ2
23.68Consensusglp1_on_gpOrthosteric Ligand7S1M-GLP-1-Ex4-D-Ala-Gs/β1/γ2 7X8R-GLP-1-BOC5-Gs/β1/γ2 6X19-GLP-1-CHU-128-Gs/β1/γ2 6X1A-GLP-1-Danuglipron-Gs/β1/γ2 6X18-GLP-1-GLP-1-Gs/β1/γ2 8JIP-GLP-1-MEDI0382-chim(NtGi1-Gs)/β1/γ2 7C2E-GLP-1-PubChem 149050799-Gs/β1/γ2 7KI0-GLP-1-Semaglutide-Gs/β1/γ2 7KI1-GLP-1-Taspoglutide-Gs/β1/γ2 7X8S-GLP-1-WB4-24-Gs/β1/γ2 8JIS-GLP-1-Peptide-15-chim(NtGi1-Gs)/β1/γ2 7VBI-GLP-1-Non-Acylated Tirzepatide-Gs/β1/γ2
23.33Single6X19CHU-1286X19-GLP-1-CHU-128-Gs/β1/γ2
23.33Single7W0PElabela7W0P-Apelin-Elabela-Gi1/β1/γ2
23.08Single6GDGNECA6GDG-A2A-NECA-Gs/β1/γ1
23.08Single6PS6Timolol6PS6-β2-Timolol
23.08Single8J6JGSK2560738J6J-HCA2-GSK256073-Gi1/β1/γ2
23.08Single8UUJFCH-22964138UUJ-HCA2-FCH-2296413-Gi1/β1/γ2
23.08Single8X0BVU04244658X0B-mGlu5; mGlu5-Quisqualate-VU0424465
23.08Single8X0CVU04244658X0C-mGlu5; mGlu5-Quisqualate-VU0424465
23.08Single8X0CVU04244658X0C-mGlu5; mGlu5-Quisqualate-VU0424465
23.08Single8X0DVU04244658X0D-mGlu5; mGlu5-Quisqualate-VU0424465
23.08Single8X0DVU04244658X0D-mGlu5; mGlu5-Quisqualate-VU0424465
23.08Single8ZRKGSK-12922638ZRK-GPR119-GSK-1292263-Gs/β1/γ2
23.08Single9CIBFCH-22964139CIB-HCA2-FCH-2296413
23.08Single9EE8Adenosine9EE8-A2A-Adenosine-Gs/β1/γ2
23.08Single9HC04YI9HC0-mGlu5-4YI
23.08Consensusta1_onOrthosteric Ligand8W87-TA1-METH-chim(NtGi1L-Gs)/β1/γ2 8W89-TA1-PEA-chim(NtGi1L-Gs)/β1/γ2 8JLP-TA1-Ralmitaront-Gs/β1/γ2 8W8A-TA1-RO5256390-chim(NtGi1L-Gs)/β1/γ2 8W88-TA1-SEP-363856-Gs/β1/γ2 8JLO-TA1-Ulotaront-Gs/β1/γ2 8JLR-TA1-A77636-chim(NtGi1-Gs)/β1/γ2 8JSO-TA1-AMPH-chim(NtGi1-Gs)/β1/γ2 8ZSP-TA1-LSD-chim(NtGi1L-Gs-CtGq)/β1/γ2
23.08Consensustrace-amine_onOrthosteric Ligandta1_on
22.73Single8J6QBeta-Hydroxybutyrate8J6Q-HCA2-β-Hydroxybutyrate-Compound 9n-Gi1/β1/γ2
22.58Single6DO1Angiotensin-like peptide S1I86DO1-AT1-Angiotensin-like peptide S1I8
22.58Single7E14Orforglipron7E14-GLP-1-Orforglipron-PubChem 156022738-Gs/β1/γ2
22.58Single8JZZC5a-desArg8JZZ-C5a1-C5a-desArg-Go/β1/γ2
22.58Consensusgq_class-aOrthosteric Ligandgq_peptide gq_amine gq_nucleotide
22.50Consensusgluc_onOrthosteric Ligand6LMK-Glucagon-Glucagon-Gs/β1/γ2 8JIT-Glucagon-MEDI0382-Gs/β1/γ2 7V35-Glucagon-Peptide-20-Gs/β1/γ2
22.22Single2YDVNECA2YDV-A2A-NECA
22.22Single4UHRCGS216804UHR-A2A-CGS21680
22.22Single5A8E7-Methylcyanopindolol5A8E-β1-7-Methylcyanopindolol-Na
22.22Single5G53NECA5G53-A2A-NECA-Gs
22.22Single5V54Methiothepin5V54-5-HT1B-Methiothepin
22.22Single7P2L4YI7P2L-mGlu5-4YI
22.22Single8IHBGSK2560738IHB-HCA2-GSK256073-Gi1/β1/γ2
22.22Single8IHHLUF62838IHH-HCA2-LUF6283-Gi1/β1/γ2
22.22Single8T1VPubChem 1183102098T1V-GPR6-PubChem 118310209-Na
22.22Single8UGWPubChem 30865998UGW-A2A-PubChem 3086599
22.22Single8X0BVU04244658X0B-mGlu5; mGlu5-Quisqualate-VU0424465
22.22Single8X0FVU04244658X0F-mGlu5; mGlu5-Quisqualate-VU0424465
22.22Single8X16Piclidenoson8X16-A3A-Piclidenoson-Gi1/β1/γ2
22.22Single8YH6Namodenoson8YH6-A3A-Namodenoson-Gi1/β1/γ2
22.22Consensus5ht1_offOrthosteric Ligand5ht1b_off
22.22Consensus5ht1b_offOrthosteric Ligand5V54-5-HT1B-Methiothepin
22.22Consensusa2_onOrthosteric Liganda2b_on
22.22Consensusa2_on_gpOrthosteric Liganda2b_on_gp
22.22Consensusa2b_onOrthosteric Ligand8HDP-A2B-Adenosine-Gs/β1/γ2 7XY6-A2B-BAY 60-6583-chim(NtGi1-Gs)/β1/γ2 7XY7-A2B-NECA-chim(NtGi1-Gs)/β1/γ2 8HDO-A2B-BAY 60-6583-Gs/β1/γ2
22.22Consensusa2b_on_gpOrthosteric Ligand8HDP-A2B-Adenosine-Gs/β1/γ2 7XY6-A2B-BAY 60-6583-chim(NtGi1-Gs)/β1/γ2 7XY7-A2B-NECA-chim(NtGi1-Gs)/β1/γ2 8HDO-A2B-BAY 60-6583-Gs/β1/γ2
22.22Consensusclass-a_offOrthosteric Ligandsensory_off alicarboxylic_off amine_off lipid_off nucleotide_off peptide_off protein_off
22.22Consensusgs_adenosineOrthosteric Ligand8HDP-A2B-Adenosine-Gs/β1/γ2 8HDO-A2B-BAY 60-6583-Gs/β1/γ2 7XY7-A2B-NECA-chim(NtGi1-Gs)/β1/γ2 7XY6-A2B-BAY 60-6583-chim(NtGi1-Gs)/β1/γ2
22.22Consensusgs_nucleotideOrthosteric Ligandgs_adenosine
22.22Consensusta1_on_gpOrthosteric Ligand8W87-TA1-METH-chim(NtGi1L-Gs)/β1/γ2 8W89-TA1-PEA-chim(NtGi1L-Gs)/β1/γ2 8JLP-TA1-Ralmitaront-Gs/β1/γ2 8W8A-TA1-RO5256390-chim(NtGi1L-Gs)/β1/γ2 8W88-TA1-SEP-363856-Gs/β1/γ2 8JLO-TA1-Ulotaront-Gs/β1/γ2 8JLR-TA1-A77636-chim(NtGi1-Gs)/β1/γ2 8JSO-TA1-AMPH-chim(NtGi1-Gs)/β1/γ2 8ZSP-TA1-LSD-chim(NtGi1L-Gs-CtGq)/β1/γ2
22.22Consensustrace-amine_on_gpOrthosteric Ligandta1_on_gp
21.88Single6LW5WKYMVm6LW5-FPR2-ALX-WKYMVm
21.74Single8H2GNiacin8H2G-HCA2-Niacin-Gi1/β1/γ2
21.74Single8K5BNiacin8K5B-HCA2-Niacin
21.43Single4N4WSANT-14N4W-SMO-SANT-1
21.43Single6OS0Angiotensinogen6OS0-AT1-Angiotensinogen
21.43Single6XOXOrforglipron6XOX-GLP-1-Orforglipron-chim(NtGi1-Gs)/β1/γ2
21.43Single7EVYSiponimod7EVY-S1P1-Siponimod-Gi1/β1/γ2
21.43Single7MTRADX551647MTR-mGlu2; mGlu2-Glutamate-ADX55164
21.43Single7XZ5Lysophosphatidylcholine7XZ5-GPR119-Lysophosphatidylcholine-Gs/β1/γ2
21.43Single8FYE4-F,5-MeO-PyrT8FYE-5-HT1A-4-F,5-MeO-PyrT-Gi1/β1/γ1
21.43Single8JWY2-1188JWY-A2A-2-118
21.43Single8VHFMBX-29828VHF-GPR119-MBX-2982-Gs/β1/γ2
21.43Single9EBIPiclidenoson9EBI-A3A-Piclidenoson-chim(NtGi1L-Gs-CtGi1)/β1/γ2
21.43Consensuslpa1_offOrthosteric Ligand4Z36-LPA1-ONO-3080573 4Z35-LPA1-ONO-9910539 4Z34-LPA1-ONO-9780307
21.43Consensuslpa_offOrthosteric Ligandlpa1_off
21.21Single5WB2CX3CL1.355WB2-US28-CX3CL1.35
21.21Single8H4KGW95088H4K-FFA4-GW9508-chim(NtGi1-Gs-CtGq)/β1/γ2
21.21Consensusgi_class-aOrthosteric Ligandgi_peptide gi_sensory gi_alicarboxylic gi_amine gi_lipid gi_nucleotide gi_protein
21.05Consensusglp1_onOrthosteric Ligand7S1M-GLP-1-Ex4-D-Ala-Gs/β1/γ2 7X8R-GLP-1-BOC5-Gs/β1/γ2 6X19-GLP-1-CHU-128-Gs/β1/γ2 6X1A-GLP-1-Danuglipron-Gs/β1/γ2 6X18-GLP-1-GLP-1-Gs/β1/γ2 8JIP-GLP-1-MEDI0382-chim(NtGi1-Gs)/β1/γ2 7C2E-GLP-1-PubChem 149050799-Gs/β1/γ2 7KI0-GLP-1-Semaglutide-Gs/β1/γ2 7KI1-GLP-1-Taspoglutide-Gs/β1/γ2 7X8S-GLP-1-WB4-24-Gs/β1/γ2 8JIS-GLP-1-Peptide-15-chim(NtGi1-Gs)/β1/γ2 7VBI-GLP-1-Non-Acylated Tirzepatide-Gs/β1/γ2
20.83Single7LD4Adenosine7LD4-A1-Adenosine-Gi2/β1/γ2
20.83Single8HDPAdenosine8HDP-A2B-Adenosine-Gs/β1/γ2
20.83Single8HMPC178HMP-GPR52-C17-Gs/β1/γ2
20.83Consensusa1_onOrthosteric Ligand7LD4-A1-Adenosine-Gi2/β1/γ2
20.83Consensusa1_on_gpOrthosteric Ligand7LD4-A1-Adenosine-Gi2/β1/γ2
20.69Single2YCZIodocyanopindolol2YCZ-β1-Iodocyanopindolol
20.69Single5CGDHTL142425CGD-mGlu5-HTL14242
20.69Single6BQHRitanserin6BQH-5-HT2C-Ritanserin
20.69Single7EVZCenerimod7EVZ-S1P1-Cenerimod-Gi1/β1/γ2
20.69Single7EZCUKA7EZC-A2A-UKA
20.69Single7SK7CCX6627SK7-ACKR3-CXCL12-CCX662
20.69Single7X8RBOC57X8R-GLP-1-BOC5-Gs/β1/γ2
20.69Single7XJISolabegron7XJI-β3-Solabegron-Gs/β1/γ2
20.69Single8IJDMK68928IJD-HCA2-MK6892-Gi1/β1/γ2
20.69Single8J19LY2378J19-GPR84-LY237-Gi1/β1/γ2
20.69Single9AS02-bromo-LSD9AS0-5-HT2A-2-bromo-LSD-chim(NtGi1-Gs-CtGq)/β1/γ2
20.69Consensus5ht2c_offOrthosteric Ligand6BQH-5-HT2C-Ritanserin
20.69Consensusclass-a_onOrthosteric Ligandsensory_on alicarboxylic_on amine_on lipid_on nucleotide_on peptide_on protein_on
20.59Single7F6HBradykinin7F6H-BK2-Bradykinin-Gq/β1/γ2
20.59Single7F6IKallidin7F6I-BK2-Kallidin-Gq/β1/γ2
20.59Single8WWKMCH8WWK-MCH1-MCH-Gi1/β1/γ2
20.59Single8WWMMCH8WWM-MCH1-MCH-Gi1/β1/γ2
20.59Single8XQEApelin-138XQE-Apelin-Apelin-13-Gi1/β1/γ2
20.59Consensuschemokine_offOrthosteric Ligandccr_off cxcr_off
20.59Consensuscxcr_offOrthosteric Ligandcxcr3_off cxcr4_off
20.59Consensusgi_apelinOrthosteric Ligand8XZH-Apelin-MM07-Gi1/β1/γ2 7W0M-Apelin-PubChem 122701908-Gi1/β1/γ2 8XZJ-Apelin-WN353-Gi1/β1/γ2 8XZF-Apelin-WN561-Gi1/β1/γ2 8XZG-Apelin-Apelin-13-Gi1/β1/γ2
20.00Single4UG2CGS216804UG2-A2A-CGS21680
20.00Single4XT3Fractalkine4XT3-US28-Fractalkine
20.00Single5WF6UK-4320975WF6-A2A-UK-432097
20.00Single6ME32-Phenylmelatonin6ME3-MT1-2-Phenylmelatonin
20.00Single6PS82-Phenylmelatonin6PS8-MT1-2-Phenylmelatonin
20.00Single6XBJCholesterol6XBJ-SMO-Cholesterol-Gi1/β1/γ2
20.00Single7BB6AVP7BB6-V2-AVP-Gs/β1/γ2
20.00Single7F2OBradykinin7F2O-BK2-Bradykinin-chim(NtGi1-Gs-CtGq)/β1/γ2
20.00Single7F8WGastrin-177F8W-CCKB-Gastrin-17-chim(NtGsL-Gq)/β1/γ2
20.00Single7XY6BAY 60-65837XY6-A2B-BAY 60-6583-chim(NtGi1-Gs)/β1/γ2
20.00Single8IY9Niacin8IY9-HCA2-Niacin-Go/β1/γ2
20.00Single8JERAcipimox8JER-HCA2-Acipimox-Go/β1/γ2
20.00Single8JIMMMF8JIM-HCA2-MMF-Gi1/β1/γ2
20.00Single8JLKUlotaront8JLK-TA1-Ulotaront-chim(NtGi1-Gs)/β1/γ2
20.00Single8JLNT1AM8JLN-TA1-T1AM-Gs/β1/γ2
20.00Single8JLRA776368JLR-TA1-A77636-chim(NtGi1-Gs)/β1/γ2
20.00Single8K5CAcipimox8K5C-HCA2-Acipimox
20.00Single8PM2DMCH8PM2-TA7-DMCH-Gs/β1/γ2
20.00Single8UHBRO52563908UHB-TA1-RO5256390-Gs/β1/γ2
20.00Single8WC8ZH86518WC8-TA1-ZH8651-chim(NtGi1-Gs)/β1/γ2
20.00Single8XZFWN5618XZF-Apelin-WN561-Gi1/β1/γ2
20.00Single9IZASCH9002719IZA-HCA2-SCH900271-Gi1/β1/γ2
20.00Single9K0KUTP9K0K-P2Y4-UTP-chim(NtGi1-Gs-CtGq)/β1/γ2
20.00Single9KFKRelaxin-39KFK-RXFP4-Relaxin-3-Gi2/β1/γ2
20.00Consensusadenosine_onOrthosteric Liganda1_on a2_on a3_on
20.00Consensusccr_offOrthosteric Ligandccr2_off ccr5_off
20.00Consensuscxcr3_onOrthosteric Ligand8HNK-CXCR3-CXCL11-Gi1/β1/γ2 8HNL-CXCR3-PS372424-Gi1/β1/γ2
20.00Consensusgi_adenosineOrthosteric Ligand7LD4-A1-Adenosine-Gi2/β1/γ2 8X17-A3A-Namodenoson-Gi1/β1/γ2 8X16-A3A-Piclidenoson-Gi1/β1/γ2
20.00Consensushca_onOrthosteric Ligandhca2_on
20.00Consensuss1p_onOrthosteric Ligands1p1_on s1p3_on s1p5_on
20.00Consensuss1p_on_gpOrthosteric Ligands1p1_on_gp s1p3_on_gp s1p5_on_gp
19.44Single8WWLMCH8WWL-MCH1-MCH-Gi1/β1/γ2
19.44Single8ZH8QRF-Amide8ZH8-QRFP-QRF-Amide-Gq/β1/γ1
19.44Consensusgq_peptideOrthosteric Ligandgq_cck gq_kisspeptin gq_bradykinin gq_bombesin gq_angiotensin
19.35Single6WIVPubChem 52923113; PubChem 529246456WIV-GABAB1, GABAB2-PubChem 52923113; PubChem 52924645
19.35Single7T6UCGEN-855A7T6U-FPR2-ALX-CGEN-855A-Gi1/β1/γ2
19.35Single7TD4Siponimod7TD4-S1P1-Siponimod-Gi1/β1/γ2
19.35Single8J6RMK68928J6R-HCA2-MK6892-Gi1/β1/γ2
19.35Single8WDTphotoNECA8WDT-A2A-photoNECA
19.35Single8ZSPLSD8ZSP-TA1-LSD-chim(NtGi1L-Gs-CtGq)/β1/γ2
19.35Consensusclass-a_on_gpOrthosteric Ligandsensory_on_gp alicarboxylic_on_gp amine_on_gp lipid_on_gp nucleotide_on_gp peptide_on_gp protein_on_gp
19.35Consensusgi_opioidOrthosteric Ligand8F7R-μ-Endomorphin-Gi1/β1/γ2 8EF5-μ-Fentanyl-Gi1/β1/γ2 7SCG-μ-FH210-Gi1/β1/γ2 7T2H-μ-Lofentanil-Gi1/β1/γ2 7T2G-μ-Mitragynine Pseudoindoxyl-Gi1/β1/γ2 8DZP-κ-momSalB-Gi1/β1/γ2 8EF6-μ-Morphine-Gi1/β1/γ2 8F7X-NOP-Nociceptin-Gi1/β1/γ2 8EFB-μ-Oliceridine-Gi1/β1/γ2 7U2L-μ-PubChem 163201242-Gi1/β1/γ2 8EFO-μ-PZM21-Gi1/β1/γ2 8EFL-μ-SR17018-Gi1/β1/γ2 8F7Q-μ-β-Endorphin-Gi1/β1/γ2 7U2K-μ-C6-guano-Gi1/β1/γ2 8EFQ-μ-Damgo-Gi1/β1/γ2 8F7S-δ-Deltorphin-Gi1/β1/γ2 8F7W-κ-Dynorphin-Gi1/β1/γ2
19.35Consensusmop_offOrthosteric Ligand4DKL-μ-β-Funaltrexamine 8QOT-μ-Nanobody-E 7UL4-μ-Alvimopan
19.23Single3NY8ICI118-5513NY8-β2-ICI118-551
19.23Single3NYAS-Alprenolol3NYA-β2-S-Alprenolol
19.23Single4GBRS-Carazolol4GBR-β2-S-Carazolol
19.23Single4U16N-Methyl-Scopolamine4U16-M3-N-Methyl-Scopolamine
19.23Single4X1HNonyl-Beta-D-Glucopyranoside4X1H-Rhodopsin-Nonyl-β-D-Glucopyranoside-Gt(CT)
19.23Single5DSGTiotropium5DSG-M4-Tiotropium
19.23Single5OLZPubChem 1355666095OLZ-A2A-PubChem 135566609-Na
19.23Single5OM1PubChem 1355666095OM1-A2A-PubChem 135566609-Na
19.23Single5TGZAM65385TGZ-CB1-AM6538
19.23Single6XBM5LWE6XBM-SMO-5LWE-Gi1/β1/γ2
19.23Single7YK7DC5910537YK7-RXFP4-DC591053-Gi2/β1/γ2
19.23Single8CU7LJ-45178CU7-A2A-LJ-4517-Na
19.23Single8JIINiacin8JII-HCA2-Niacin-Compound 9n-Gi1/β1/γ2
19.23Single8JJOAlprenolol8JJO-β2-Alprenolol
19.23Single8K5DGSK2560738K5D-HCA2-GSK256073
19.23Single8W87METH8W87-TA1-METH-chim(NtGi1L-Gs)/β1/γ2
19.23Single8X17Namodenoson8X17-A3A-Namodenoson-Gi1/β1/γ2
19.23Single9AS1DMT9AS1-5-HT2A-DMT
19.23Single9CHXS-Carazolol9CHX-β2-S-Carazolol
19.23Single9IZCMK19039IZC-HCA2-MK1903-Gi1/β1/γ2
19.23Single9KFJPubChem 1383196749KFJ-RXFP3-PubChem 138319674-Gi2/β1/γ2
19.23Consensusa3_onOrthosteric Liganda3a_on
19.23Consensusadenosine_on_gpOrthosteric Liganda1_on_gp a2_on_gp a3_on_gp
19.23Consensusalicarboxylic_on_gpOrthosteric Ligandsuccinate_on_gp hca_on_gp
19.23Consensusdopamine_offOrthosteric Ligandd2_off d3_off
19.23Consensusgi_alicarboxylicOrthosteric Ligandgi_hca gi_succinate
19.23Consensusgs_trace-amineOrthosteric Ligand8W88-TA1-SEP-363856-Gs/β1/γ2 8JLJ-TA1-T1AM-chim(NtGi1-Gs)/β1/γ2 8JLO-TA1-Ulotaront-Gs/β1/γ2 8WC4-TA1-ZH8651-chim(NtGi1-Gs)/β1/γ2 8WC7-TA1-ZH8667-chim(NtGi1-Gs)/β1/γ2 8JLR-TA1-A77636-chim(NtGi1-Gs)/β1/γ2 8JSO-TA1-AMPH-chim(NtGi1-Gs)/β1/γ2 8W87-TA1-METH-chim(NtGi1L-Gs)/β1/γ2 8W89-TA1-PEA-chim(NtGi1L-Gs)/β1/γ2 8JLP-TA1-Ralmitaront-Gs/β1/γ2 8W8A-TA1-RO5256390-chim(NtGi1L-Gs)/β1/γ2
19.23Consensusm4_offOrthosteric Ligand5DSG-M4-Tiotropium
19.05Single7XKEBeta-Hydroxyandrosterone7XKE-ADGRG2-β-Hydroxyandrosterone-chim(NtGi1-Gs)/β1/γ2
18.92Single8WWNMCH8WWN-MCH1-MCH-Gi1/β1/γ2
18.92Consensusbk2_onOrthosteric Ligand7F6H-BK2-Bradykinin-Gq/β1/γ2 7F6I-BK2-Kallidin-Gq/β1/γ2
18.92Consensusbk2_on_gpOrthosteric Ligand7F6H-BK2-Bradykinin-Gq/β1/γ2 7F6I-BK2-Kallidin-Gq/β1/γ2
18.92Consensusbradykinin_onOrthosteric Ligandbk2_on
18.92Consensusbradykinin_on_gpOrthosteric Ligandbk2_on_gp
18.92Consensusgq_bradykininOrthosteric Ligand7F6H-BK2-Bradykinin-Gq/β1/γ2 7F6I-BK2-Kallidin-Gq/β1/γ2
18.75Single3QAKUK-4320973QAK-A2A-UK-432097
18.75Single6HLOAprepitant6HLO-NK1-Aprepitant
18.75Single7RKMFractalkine7RKM-US28-Fractalkine-Gi1/β1/γ2
18.75Single7W0NElabela7W0N-Apelin-Elabela-Gi1/β1/γ2
18.75Single7XMSSomatostatin-147XMS-SST4-Somatostatin-14-Gi1/β1/γ2
18.75Single8F7QBeta-Endorphin8F7Q-μ-β-Endorphin-Gi1/β1/γ2
18.75Single8Z7JAgonistic antibody8Z7J-Apelin-Agonistic antibody-Gi1/β1/γ2
18.75Consensusformylpeptide_on_gpOrthosteric Ligandfpr2-alx_on_gp fpr1-alx_on_gp
18.52Single2RH1S-Carazolol2RH1-β2-S-Carazolol
18.52Single2YCWS-Carazolol2YCW-β1-S-Carazolol
18.52Single4WW3All-trans-Retinal4WW3-Rhodopsin-All-trans-Retinal
18.52Single5CGCHTL142425CGC-mGlu5-HTL14242
18.52Single5D6LS-Carazolol5D6L-β2-S-Carazolol
18.52Single5JQHS-Carazolol5JQH-β2-S-Carazolol
18.52Single5OM4PubChem 1355666095OM4-A2A-PubChem 135566609-Na
18.52Single5X7DS-Carazolol5X7D-β2-S-Carazolol-Cmpd-15
18.52Single5ZK33-quinuclidinyl-benzilate5ZK3-M2-3-quinuclidinyl-benzilate
18.52Single6ME72-Phenylmelatonin6ME7-MT2-2-Phenylmelatonin
18.52Single7EPFNAM5977EPF-mGlu2; mGlu2-NAM597
18.52Single7LD3Adenosine7LD3-A1-Adenosine-MIPS521-Gi2/β1/γ2
18.52Single7SINNPS-21437SIN-CaS-NPS-2143
18.52Single7SINNPS-21437SIN-CaS-NPS-2143
18.52Single7VUHJNJ-635330547VUH-GPR139-JNJ-63533054-chim(Gs-CtGq)/β1/γ2
18.52Single8C9WEtrumadenant8C9W-A2A-Etrumadenant
18.52Single8E9ZIperoxo8E9Z-M3-Iperoxo-chim(NtGi2L-Gs-CtGq)/β1/γ2
18.52Single8HNLPS3724248HNL-CXCR3-PS372424-Gi1/β1/γ2
18.52Single8I7WGSK2560738I7W-HCA2-GSK256073-Gi1/β1/γ2
18.52Single8J18(3R)-3-Hydroxydodecanoic acid8J18-GPR84-(3R)-3-Hydroxydodecanoic acid-Gi1/β1/γ2
18.52Single8T6JCDPPB8T6J-mGlu5; mGlu5-CDPPB
18.52Single8T6JCDPPB8T6J-mGlu5; mGlu5-CDPPB
18.52Single8XYKVUF106618XYK-CXCR3-VUF10661-Go/β1/γ2
18.52Single8YH0NECA8YH0-A3A-NECA-Gi1/β1/γ2
18.52Single8ZMFA1L108ZMF-5-HT2C-A1L10
18.52Single9AVLCa; Ca; Cyclomethyltryptophan; 9IG; PO49AVL-CaS-Ca-Ca; Ca; Cyclomethyltryptophan; 9IG; PO4-Gi3/β2/γ2
18.52Single9AXFCa; Ca; Ca; Cyclomethyltryptophan; 9IG; PO49AXF-CaS-Ca-Ca; Ca; Ca; Cyclomethyltryptophan; 9IG; PO4-chim(NtGi1-Gs-CtGq)/β1/γ2
18.52Single9DYDAsenapine9DYD-5-HT1A-Asenapine-Go/β1/γ2
18.52Single9DYFAsenapine9DYF-5-HT1A-Asenapine-Gi1/β1/γ2
18.52Consensusa1_offOrthosteric Ligand5UEN-A1-DU172 5N2S-A1-PSB36
18.52Consensusa3_on_gpOrthosteric Liganda3a_on_gp
18.52Consensusa3a_onOrthosteric Ligand8X17-A3A-Namodenoson-Gi1/β1/γ2 8X16-A3A-Piclidenoson-Gi1/β1/γ2
18.52Consensusa3a_on_gpOrthosteric Ligand8X17-A3A-Namodenoson-Gi1/β1/γ2 8X16-A3A-Piclidenoson-Gi1/β1/γ2
18.52Consensusamine_offOrthosteric Ligand5ht_off adrenergic_off dopamine_off histamine_off muscarinic_off
18.52Consensusamine_offonOrthosteric Ligandamine_off amine_on
18.52Consensusamine_offon_gpOrthosteric Ligandamine_on_gp amine_off
18.52Consensusamine_onOrthosteric Ligand5ht_on adrenergic_on dopamine_on histamine_on muscarinic_on trace-amine_on
18.52Consensusbeta2_offOrthosteric Ligand2RH1-β2-S-Carazolol 6PS3-β2-S-Carvedilol 6PS5-β2-S-Propranolol 3D4S-β2-Timolol 3NY8-β2-ICI118-551 3NY9-β2-ICI118-551 6PRZ-β2-S-Alprenolol
18.52Consensusbeta_offOrthosteric Ligandbeta1_off beta2_off
18.52Consensusgi_adrenergicOrthosteric Ligand7EJ0-α2a-L-Norepinephrine-Go/β1/γ2 7EJK-α2a-Oxymetazoline-Go/β1/γ2 7W7E-α2a-PubChem 164946676-Go/β1/γ2 7W6P-α2a-N-pyridin-4-ylisoquinolin-4-amine-Go/β1/γ2 7EJ8-α2a-Brimonidine-Go/β1/γ2 6K42-α2b-Dexmedetomidine-Gi1/β1/γ2 7EJA-α2a-Dexmedetomidine-Go/β1/γ2 7S0F-β1-Isoprenaline-Gi1/β1/γ2
18.52Consensusgq_muscarinicOrthosteric Ligand6OIJ-M1-Iperoxo-chim(NtGi1L-G11)/β1/γ2
18.52Consensusgs_amineOrthosteric Ligandgs_5ht gs_adrenergic gs_dopamine gs_histamine gs_trace-amine
18.52Consensusm1_onOrthosteric Ligand6OIJ-M1-Iperoxo-chim(NtGi1L-G11)/β1/γ2
18.52Consensusm2_offOrthosteric Ligand5ZKC-M2-N-Methyl-Scopolamine 5ZK3-M2-3-quinuclidinyl-benzilate 5ZKB-M2-AF-DX 384
18.52Consensusrxfp4_onOrthosteric Ligand7YK7-RXFP4-DC591053-Gi2/β1/γ2 7YJ4-RXFP4-INSL5-Gi2/β1/γ2 7YK6-RXFP4-PubChem 138319674-Gi2/β1/γ2
18.52Consensusrxfp4_on_gpOrthosteric Ligand7YK7-RXFP4-DC591053-Gi2/β1/γ2 7YJ4-RXFP4-INSL5-Gi2/β1/γ2 7YK6-RXFP4-PubChem 138319674-Gi2/β1/γ2
18.52Consensuss1p_offOrthosteric Ligands1p1_off s1p5_off
18.42Consensusbb2_onOrthosteric Ligand7W40-BB2-Bombesin-chim(NtGi1L-Gq)/β1/γ2 7W3Z-BB2-Gastrin Releasing Peptide-chim(NtGi1L-Gq)/β1/γ2
18.42Consensusbb2_on_gpOrthosteric Ligand7W40-BB2-Bombesin-chim(NtGi1L-Gq)/β1/γ2 7W3Z-BB2-Gastrin Releasing Peptide-chim(NtGi1L-Gq)/β1/γ2
18.42Consensusbombesin_onOrthosteric Ligandbb2_on
18.42Consensusbombesin_on_gpOrthosteric Ligandbb2_on_gp
18.42Consensusgq_bombesinOrthosteric Ligand7W40-BB2-Bombesin-chim(NtGi1L-Gq)/β1/γ2 7W3Z-BB2-Gastrin Releasing Peptide-chim(NtGi1L-Gq)/β1/γ2
18.18Single5WF5UK-4320975WF5-A2A-UK-432097
18.18Single7TD0LPA7TD0-LPA1-LPA-Gi1/β1/γ2
18.18Single7TD2LPA7TD2-LPA1-LPA-Gi1/β1/γ2
18.18Single8GEIConstrained Epinephrine8GEI-β2-Constrained Epinephrine-Gs/β1/γ2
18.18Single8WC5Tetramethylammonium Ion8WC5-TA1-Tetramethylammonium Ion-chim(NtGi1-Gs)/β1/γ2
18.18Single9EE9Adenosine9EE9-A2A-Adenosine-Gs/β1/γ2
18.18Consensusangiotensin_onOrthosteric Ligandat1_on
18.18Consensusat1_onOrthosteric Ligand7F6G-AT1-SAR1-AngII-Gq/β1/γ2
18.18Consensuscxcr4_on_gpOrthosteric Ligand8K3Z-CXCR4-CXCL12-Gi1/β1/γ1
17.86Single3UON3-quinuclidinyl-benzilate3UON-M2-3-quinuclidinyl-benzilate
17.86Single4Z34ONO-97803074Z34-LPA1-ONO-9780307
17.86Single5D5AS-Carazolol5D5A-β2-S-Carazolol
17.86Single5D5BS-Carazolol5D5B-β2-S-Carazolol
17.86Single6GT3Imaradenant6GT3-A2A-Imaradenant-Na
17.86Single6J21Aprepitant6J21-NK1-Aprepitant
17.86Single6O3CCholesterol6O3C-SMO-SAG21k-Cholesterol
17.86Single6OIJIperoxo6OIJ-M1-Iperoxo-chim(NtGi1L-G11)/β1/γ2
17.86Single7EW7SEW28717EW7-S1P1-SEW2871-Gi1/β1/γ2
17.86Single7TRQIperoxo7TRQ-M4-Iperoxo-VU0467154-Gi1/β1/γ2
17.86Single7VIGCBP-3077VIG-S1P1-CBP-307-Gi1/β1/γ2
17.86Single7W6PN-pyridin-4-ylisoquinolin-4-amine7W6P-α2a-N-pyridin-4-ylisoquinolin-4-amine-Go/β1/γ2
17.86Single7W7EPubChem 1649466767W7E-α2a-PubChem 164946676-Go/β1/γ2
17.86Single7XTQR3997XTQ-GPBA-R399-Gs/β1/γ2
17.86Single7XY7NECA7XY7-A2B-NECA-chim(NtGi1-Gs)/β1/γ2
17.86Single8EA0Iperoxo8EA0-M3-Iperoxo
17.86Single8I2GCompound 7163408I2G-FSH-Glycoprotein hormones α chain-Compound 716340-Gs/β1/γ2
17.86Single8ID39-Hydroxystearic acid8ID3-FFA4-9-Hydroxystearic acid-Gi1/β1/γ2
17.86Single8IRRRotigotine8IRR-D1-Rotigotine-Gs/β1/γ2
17.86Single8JXXClobenpropit8JXX-H4-Clobenpropit-Gi1/β1/γ2
17.86Single8TAOCDPPB8TAO-mGlu5; mGlu5-Quisqualate-CDPPB
17.86Single8WJXADP8WJX-P2Y1-ADP-chim(Gs-CtGq)/β1/γ2
17.86Single8XJMLatanoprost8XJM-FP-alpha-Latanoprost-chim(NtGi2-Gs-CtGq)/β1/γ2
17.86Single9ASTLymphotactin9AST-XCR1-Lymphotactin-Gi1/β1/γ2
17.86Single9AYFCa; Ca; Ca; Cyclomethyltryptophan; 9IG; PO49AYF-CaS-Ca-Ca; Ca; Ca; Cyclomethyltryptophan; 9IG; PO4-Gi1/β1/γ2
17.86Consensusamine_on_gpOrthosteric Ligand5ht_on_gp adrenergic_on_gp dopamine_on_gp histamine_on_gp muscarinic_on_gp trace-amine_on_gp
17.86Consensusbeta1_offOrthosteric Ligand2VT4-β1-Cyanopindolol 2YCW-β1-S-Carazolol 2YCZ-β1-Iodocyanopindolol 5A8E-β1-7-Methylcyanopindolol-Na 3ZPQ-β1-4-(piperazin-1- yl)-1H-indole-Na 3ZPR-β1-4-methyl-2-(piperazin-1-yl)-Na
17.86Consensusd1_on_gpOrthosteric Ligand7F0T-D1-Dopamine-Gs/β1/γ2 7CKY-D1-PW0464-Gs/β1/γ2 8IRR-D1-Rotigotine-Gs/β1/γ2 7JV5-D1-SKF81297-Gs/β1/γ2 7JVP-D1-SKF83959-Gs/β1/γ2 7X2D-D1-Tavapadon-Gs/β1/γ2 7CKX-D1-A77636-Gs/β1/γ2 7JVQ-D1-Apomorphine-Gs/β1/γ2 7CKW-D1-Fenoldopam-Gs/β1/γ2
17.86Consensusgi_relaxinOrthosteric Ligand7YK7-RXFP4-DC591053-Gi2/β1/γ2 7YJ4-RXFP4-INSL5-Gi2/β1/γ2 7YK6-RXFP4-PubChem 138319674-Gi2/β1/γ2
17.86Consensusgs_dopamineOrthosteric Ligand7F0T-D1-Dopamine-Gs/β1/γ2 7CKW-D1-Fenoldopam-Gs/β1/γ2 7CKY-D1-PW0464-Gs/β1/γ2 8IRV-D5-Rotigotine-chim(NtGi1-Gs)/β1/γ2 8IRR-D1-Rotigotine-Gs/β1/γ2 7JV5-D1-SKF81297-Gs/β1/γ2 7JVP-D1-SKF83959-Gs/β1/γ2 7X2D-D1-Tavapadon-Gs/β1/γ2 7CKX-D1-A77636-Gs/β1/γ2 7JVQ-D1-Apomorphine-Gs/β1/γ2
17.86Consensush4_on_gpOrthosteric Ligand8HN8-H4-Histamine-Gi1/β1/γ2 8HOC-H4-Imetit-Gi1/β1/γ2 8JXV-H4-Clozapine-Gi1/β1/γ2 8JXW-H4-VUF6884-Gi1/β1/γ2 8JXX-H4-Clobenpropit-Gi1/β1/γ2
17.86Consensusm1_on_gpOrthosteric Ligand6OIJ-M1-Iperoxo-chim(NtGi1L-G11)/β1/γ2
17.86Consensusmuscarinic_offOrthosteric Ligandm2_off m3_off m4_off m5_off m1_off
17.86Consensusprotein_offOrthosteric Ligandchemokine_off grh_off
17.86Consensusrelaxin_onOrthosteric Ligandrxfp4_on
17.86Consensusrelaxin_on_gpOrthosteric Ligandrxfp4_on_gp
17.65Single6JODAngiotensin II6JOD-AT2-Angiotensin II
17.65Single6WIVPubChem 52923113; PubChem 529246456WIV-GABAB1, GABAB2-PubChem 52923113; PubChem 52924645
17.65Single7F6GSAR1-AngII7F6G-AT1-SAR1-AngII-Gq/β1/γ2
17.65Single8IHFMK68928IHF-HCA2-MK6892-Gi1/β1/γ2
17.65Single8WSTPro-MCH8WST-MCH2-Pro-MCH-chim(NtGi1L-Gs-CtGq)/β1/γ2
17.65Single8X8LCortistatin8X8L-SST5-Cortistatin-chim(NtGi1-Gs-CtGi1)/β1/γ2
17.65Consensusangiotensin_on_gpOrthosteric Ligandat1_on_gp
17.65Consensusapelin_onOrthosteric Ligand8XZH-Apelin-MM07-Gi1/β1/γ2 7W0M-Apelin-PubChem 122701908-Gi1/β1/γ2 8XZJ-Apelin-WN353-Gi1/β1/γ2 8XZF-Apelin-WN561-Gi1/β1/γ2 8XZG-Apelin-Apelin-13-Gi1/β1/γ2
17.65Consensusapelin_on_gpOrthosteric Ligand8XZH-Apelin-MM07-Gi1/β1/γ2 7W0M-Apelin-PubChem 122701908-Gi1/β1/γ2 8XZJ-Apelin-WN353-Gi1/β1/γ2 8XZF-Apelin-WN561-Gi1/β1/γ2 8XZG-Apelin-Apelin-13-Gi1/β1/γ2
17.65Consensusat1_on_gpOrthosteric Ligand7F6G-AT1-SAR1-AngII-Gq/β1/γ2
17.65Consensuscxcr3_on_gpOrthosteric Ligand8HNK-CXCR3-CXCL11-Gi1/β1/γ2 8HNL-CXCR3-PS372424-Gi1/β1/γ2
17.65Consensusgi_formylpeptideOrthosteric Ligand7WVY-FPR2-ALX-Amyloid-β42-Gi2/β1/γ2 7T6U-FPR2-ALX-CGEN-855A-Gi1/β1/γ2 7VFX-FPR1-ALX-fMLF-Gi1/β1/γ2 7T6V-FPR2-ALX-fMLFII-Gi1/β1/γ2 7WVX-FPR2-ALX-Humanin-Gi2/β1/γ2 7T6S-FPR2-ALX-PubChem 24776341-Gi1/β1/γ2 6OMM-FPR2-ALX-WKYMVX-Gi1/β1/γ2
17.65Consensusgq_angiotensinOrthosteric Ligand7F6G-AT1-SAR1-AngII-Gq/β1/γ2
17.65Consensusprotein_onOrthosteric Ligandchemokine_on chemerin_on
17.39Single7MT9All-trans-Retinal7MT9-Rhodopsin-All-trans-Retinal-GRK1
17.39Single7MTAAll-trans-Retinal7MTA-Rhodopsin-All-trans-Retinal-GRK1
17.39Single8JRVGlucagon8JRV-Glucagon-Glucagon-Arrestin2
17.24Single3D4STimolol3D4S-β2-Timolol
17.24Single4AMIBucindolol4AMI-β1-Bucindolol
17.24Single4Z36ONO-30805734Z36-LPA1-ONO-3080573
17.24Single5CXVTiotropium5CXV-M1-Tiotropium
17.24Single5UNHPubChem 1264564065UNH-AT2-PubChem 126456406
17.24Single6A93Risperidone6A93-5-HT2A-Risperidone
17.24Single6H7NS-Xamoterol6H7N-β1-S-Xamoterol
17.24Single6H7OCyanopindolol6H7O-β1-Cyanopindolol
17.24Single6OS2TRV0266OS2-AT1-TRV026
17.24Single6XBLCholesterol6XBL-SMO-SAG-Cholesterol-Gi1/β1/γ2
17.24Single7BZ2Arformoterol7BZ2-β2-Arformoterol-Gs/β1/γ2
17.24Single7DFPSpiperone7DFP-D2-Spiperone
17.24Single7EPENAM5637EPE-mGlu2; mGlu2-NAM563
17.24Single7EXDLasmiditan7EXD-5-HT1F-Lasmiditan-Gi1/β1/γ2
17.24Single8E9W2-Deoxycytidine8E9W-M3-2-Deoxycytidine-chim(NtGi2L-Gs-CtGq)/β1/γ2
17.24Single8FYTLSD8FYT-5-HT1A-LSD-Gi1/β1/γ1
17.24Single8G056-OAU8G05-GPR84-6-OAU-Gi1/β1/γ2
17.24Single8IA8E7 peptide8IA8-C3aB-E7 peptide-Gi1/β1/γ2
17.24Single8IYWGSK2560738IYW-HCA2-GSK256073-Go/β1/γ2
17.24Single8JD3JNJ-404118138JD3-mGlu2; mGlu3-Glutamate-JNJ-40411813-Gi1/β1/γ2
17.24Single8JWZAB9288JWZ-A2A-AB928-Na
17.24Single8JZ7MK68928JZ7-HCA2-MK6892-Gi1/β1/γ2
17.24Single8XJNCloprosetnol8XJN-TXA2-Cloprosetnol-chim(NtGi1-Gs-CtGq)/β1/γ2
17.24Single8XQSCholesterol8XQS-TAS2R14-Cholesterol-Flufenamic acid-Gi1/β1/γ1
17.24Single8XYIVUF106618XYI-CXCR3-VUF10661
17.24Single9GGGI-BOP9GGG-TXA2-I-BOP-chim(NtGi2L-Gs-CtGq)/β1/γ2
17.24Single9L3WRetinoic acid receptor responder protein 29L3W-CML1-Retinoic acid receptor responder protein 2-Gi1/β1/γ2
17.24Consensus5ht1f_onOrthosteric Ligand7EXD-5-HT1F-Lasmiditan-Gi1/β1/γ2
17.24Consensus5ht1f_on_gpOrthosteric Ligand7EXD-5-HT1F-Lasmiditan-Gi1/β1/γ2
17.24Consensusbeta3_onOrthosteric Ligand7DH5-β3-Mirabegron-Gs/β1/γ2 7XJH-β3-Isoproterenol-Gs/β1/γ2 7XJI-β3-Solabegron-Gs/β1/γ2
17.24Consensusbeta3_on_gpOrthosteric Ligand7DH5-β3-Mirabegron-Gs/β1/γ2 7XJH-β3-Isoproterenol-Gs/β1/γ2 7XJI-β3-Solabegron-Gs/β1/γ2
17.24Consensuscannabinoid_offOrthosteric Ligandcb2_off cb1_off
17.24Consensuslpl_offOrthosteric Ligands1p_off lpa_off
17.24Consensusm1_offOrthosteric Ligand5CXV-M1-Tiotropium
17.24Consensusmop_onOrthosteric Ligand8F7R-μ-Endomorphin-Gi1/β1/γ2 8EF5-μ-Fentanyl-Gi1/β1/γ2 7SCG-μ-FH210-Gi1/β1/γ2 7T2H-μ-Lofentanil-Gi1/β1/γ2 7T2G-μ-Mitragynine Pseudoindoxyl-Gi1/β1/γ2 8EF6-μ-Morphine-Gi1/β1/γ2 8EFB-μ-Oliceridine-Gi1/β1/γ2 7U2L-μ-PubChem 163201242-Gi1/β1/γ2 8EFO-μ-PZM21-Gi1/β1/γ2 8EFL-μ-SR17018-Gi1/β1/γ2 8F7Q-μ-β-Endorphin-Gi1/β1/γ2 7U2K-μ-C6-guano-Gi1/β1/γ2 8EFQ-μ-Damgo-Gi1/β1/γ2
17.24Consensusmop_on_gpOrthosteric Ligand8F7R-μ-Endomorphin-Gi1/β1/γ2 8EF5-μ-Fentanyl-Gi1/β1/γ2 7SCG-μ-FH210-Gi1/β1/γ2 7T2H-μ-Lofentanil-Gi1/β1/γ2 7T2G-μ-Mitragynine Pseudoindoxyl-Gi1/β1/γ2 8EF6-μ-Morphine-Gi1/β1/γ2 8EFB-μ-Oliceridine-Gi1/β1/γ2 7U2L-μ-PubChem 163201242-Gi1/β1/γ2 8EFO-μ-PZM21-Gi1/β1/γ2 8EFL-μ-SR17018-Gi1/β1/γ2 8F7Q-μ-β-Endorphin-Gi1/β1/γ2 7U2K-μ-C6-guano-Gi1/β1/γ2 8EFQ-μ-Damgo-Gi1/β1/γ2
17.24Consensusopioid_offOrthosteric Ligandmop_off nop_off dop_off kop_off
17.24Consensuss1p1_onOrthosteric Ligand7VIE-S1P1-S1P-Gi1/β1/γ2 7VIF-S1P1-S-FTY720-P-Gi1/β1/γ2 7VIG-S1P1-CBP-307-Gi1/β1/γ2 7EVY-S1P1-Siponimod-Gi1/β1/γ2 7EVZ-S1P1-Cenerimod-Gi1/β1/γ2 7EW0-S1P1-Ozanimod-Gi1/β1/γ2 7EW7-S1P1-SEW2871-Gi1/β1/γ2
17.24Consensuss1p1_on_gpOrthosteric Ligand7VIE-S1P1-S1P-Gi1/β1/γ2 7VIF-S1P1-S-FTY720-P-Gi1/β1/γ2 7VIG-S1P1-CBP-307-Gi1/β1/γ2 7EVY-S1P1-Siponimod-Gi1/β1/γ2 7EVZ-S1P1-Cenerimod-Gi1/β1/γ2 7EW0-S1P1-Ozanimod-Gi1/β1/γ2 7EW7-S1P1-SEW2871-Gi1/β1/γ2
17.14Single8HCQEndothelin-18HCQ-ETA-Endothelin-1-chim(NtGi1-Gs-CtGq)/β1/γ2
17.14Single8HNKCXCL118HNK-CXCR3-CXCL11-Gi1/β1/γ2
17.14Single8XVHEndothelin-18XVH-ETB-Endothelin-1-chim(Gs-CtGq)/β1/γ2
17.14Consensuscml1_on_gpOrthosteric Ligand7YKD-CML1-Chemerin-9-Gi1/β1/γ2
17.14Consensuseta_onOrthosteric Ligand8HCQ-ETA-Endothelin-1-chim(NtGi1-Gs-CtGq)/β1/γ2
17.14Consensuseta_on_gpOrthosteric Ligand8HCQ-ETA-Endothelin-1-chim(NtGi1-Gs-CtGq)/β1/γ2
17.14Consensussst5_on_gpOrthosteric Ligand8X8L-SST5-Cortistatin-chim(NtGi1-Gs-CtGi1)/β1/γ2 8X8N-SST5-Octreotide-chim(NtGi1-Gs-CtGi1)/β1/γ2
16.67Single3AYMAll-trans-Retinal3AYM-Rhodopsin-All-trans-Retinal
16.67Single4Z35ONO-99105394Z35-LPA1-ONO-9910539
16.67Single6LI0C176LI0-GPR52-C17
16.67Single7DD5Ca; Ca; Tryptophan; NPS-21437DD5-CaS-Ca-Ca; Ca; Tryptophan; NPS-2143
16.67Single7EW0Ozanimod7EW0-S1P1-Ozanimod-Gi1/β1/γ2
16.67Single7F8VGastrin-177F8V-CCKB-Gastrin-17-Gi2/β1/γ2
16.67Single7MTSADX551647MTS-mGlu2; mGlu2-Glutamate-ADX55164-Gi1/β1/γ2
16.67Single7SK8CCX6627SK8-ACKR3-CXCL12-CCX662
16.67Single7VGY2-Iodomelatonin7VGY-MT1-2-Iodomelatonin-Gi1/β1/γ2
16.67Single7W3ZGastrin Releasing Peptide7W3Z-BB2-Gastrin Releasing Peptide-chim(NtGi1L-Gq)/β1/γ2
16.67Single7XK2MK68927XK2-HCA2-MK6892-Gi1/β1/γ2
16.67Single7YFDImetit7YFD-H4-Imetit-chim(NtGi1-Gs-CtGq)/β1/γ2
16.67Single7YKDChemerin-97YKD-CML1-Chemerin-9-Gi1/β1/γ2
16.67Single8E9X2-Deoxycytidine8E9X-M4-2-Deoxycytidine-chim(NtGi1-Go)/β1/γ2
16.67Single8FX5Xanomeline8FX5-M4-Xanomeline-Xanomeline-Gi1/β1/γ2
16.67Single8GGYConstrained Epinephrine8GGY-β2-Constrained Epinephrine
16.67Single8HN8Histamine8HN8-H4-Histamine-Gi1/β1/γ2
16.67Single8IULLatanoprost8IUL-FP-alpha-Latanoprost-chim(NtGi1-Gs-CtGq)/β1/γ2
16.67Single8J6PCompound 9n8J6P-HCA2-Niacin-Compound 9n-Gi1/β1/γ2
16.67Single8JHYCompound 9n8JHY-HCA2-Compound 9n-Gi1/β1/γ2
16.67Single8JIICompound 9n8JII-HCA2-Niacin-Compound 9n-Gi1/β1/γ2
16.67Single8S2TIsoprenaline8S2T-β1-Isoprenaline-chim(NtGi1-Gs)/β1/γ2
16.67Single8U4RREGN7663-Fab8U4R-CXCR4-REGN7663-Fab
16.67Single8UO3Constrained Epinephrine8UO3-β2-Constrained Epinephrine-GTP; Mg-Gs/β1/γ2
16.67Single8W89PEA8W89-TA1-PEA-chim(NtGi1L-Gs)/β1/γ2
16.67Single8XIOL7975918XIO-SST1-L797591-chim(NtGi1-Gs-CtGi1)/β1/γ2
16.67Single8XJKCloprosetnol8XJK-FP-alpha-Cloprosetnol-chim(NtGi1-Gs-CtGq)/β1/γ2
16.67Single8XJOU466198XJO-TXA2-U46619-chim(NtGi1-Gs-CtGq)/β1/γ2
16.67Single8ZSVRO52633978ZSV-TA1-RO5263397-chim(NtGi1-Gs)/β1/γ2
16.67Single9B9Y7DY9B9Y-CB1-7DY
16.67Single9DYEBuspirone9DYE-5-HT1A-Buspirone-Go/β1/γ2
16.67Single9EPRRetinal9EPR-Rhodopsin-Retinal-Gi1/β1/γ2
16.67Single9IQTNiacin9IQT-HCA2-Niacin-Gi1/β1/γ2
16.67Consensusd2_offOrthosteric Ligand6CM4-D2-Risperidone 6LUQ-D2-Haloperidol 7DFP-D2-Spiperone
16.67Consensusgi_peptideOrthosteric Ligandgi_cck gi_apelin gi_compl-pept gi_endothelin gi_formylpeptide gi_galanin gi_ghrelin gi_npy gi_neurotensin gi_opioid gi_orexin gi_relaxin gi_somatostatin
16.67Consensusgi_proteinOrthosteric Ligandgi_chemokine gi_chemerin
16.67Consensusgi_s1pOrthosteric Ligand7VIE-S1P1-S1P-Gi1/β1/γ2 7EW3-S1P3-S1P-Gi1/β1/γ2 7EVY-S1P1-Siponimod-Gi1/β1/γ2 7EW1-S1P5-Siponimod-Gi1/β1/γ2 7VIF-S1P1-S-FTY720-P-Gi1/β1/γ2 7VIG-S1P1-CBP-307-Gi1/β1/γ2 7EVZ-S1P1-Cenerimod-Gi1/β1/γ2 7EW4-S1P3-CYM5541-Gi1/β1/γ2 7EW2-S1P3-Fingolimod-Gi1/β1/γ2 7EW0-S1P1-Ozanimod-Gi1/β1/γ2 7EW7-S1P1-SEW2871-Gi1/β1/γ2
16.67Consensush4_onOrthosteric Ligand8HN8-H4-Histamine-Gi1/β1/γ2 8HOC-H4-Imetit-Gi1/β1/γ2 8JXV-H4-Clozapine-Gi1/β1/γ2 8JXW-H4-VUF6884-Gi1/β1/γ2 8JXX-H4-Clobenpropit-Gi1/β1/γ2
16.67Consensusnucleotide_on_gpOrthosteric Ligandadenosine_on_gp p2y_on_gp
16.67Consensusprostanoid_onOrthosteric Ligandtp_on fp-alpha_on
16.67Consensusprostanoid_on_gpOrthosteric Ligandtp_on_gp fp-alpha_on_gp
16.67Consensusprotein_on_gpOrthosteric Ligandchemokine_on_gp chemerin_on_gp
16.67Consensustp_onOrthosteric Ligand8XJO-TXA2-U46619-chim(NtGi1-Gs-CtGq)/β1/γ2
16.67Consensustp_on_gpOrthosteric Ligand8XJO-TXA2-U46619-chim(NtGi1-Gs-CtGq)/β1/γ2
16.22Single7EIBDes-Arg10-Kallidin7EIB-BK1-Des-Arg10-Kallidin-chim(NtGi1-Gs-CtGq)/β1/γ2
16.22Single7WVYAmyloid-Beta427WVY-FPR2-ALX-Amyloid-β42-Gi2/β1/γ2
16.22Single8ZJGChemerin8ZJG-CML1-Chemerin-Gi1/β1/γ2
16.22Consensuspeptide_onOrthosteric Ligandcck_on angiotensin_on apelin_on bombesin_on bradykinin_on compl-peptide_on endothelin_on formylpeptide_on galanin_on ghrelin_on kisspeptin_on melanocortin_on motilin_on neuromedin-u_on npy_on neurotensin_on opioid_on orexin_on relaxin_on somatostatin_on tachykinin_on trh_on vasop-oxy_on
16.22Consensuspeptide_on_gpOrthosteric Ligandcck_on_gp angiotensin_on_gp apelin_on_gp bombesin_on_gp bradykinin_on_gp compl-peptide_on_gp endothelin_on_gp formylpeptide_on_gp galanin_on_gp ghrelin_on_gp kisspeptin_on_gp melanocortin_on_gp motilin_on_gp neuromedin-u_on_gp npy_on_gp neurotensin_on_gp opioid_on_gp orexin_on_gp relaxin_on_gp somatostatin_on_gp tachykinin_on_gp trh_on_gp vasop-oxy_on_gp
16.13Single5VBLApelin mimetic peptide agonist5VBL-Apelin-Apelin mimetic peptide agonist
16.13Single7SK9CCX6627SK9-ACKR3-CCX662
16.13Single7YJ4INSL57YJ4-RXFP4-INSL5-Gi2/β1/γ2
16.13Single8IA7Cholecystokinin-88IA7-CCKB-Cholecystokinin-8-chim(NtGi1L-Gq)/β1/γ2
16.13Single8IUMTafluprost acid8IUM-FP-alpha-Tafluprost acid-chim(NtGi1-Gs-CtGq)/β1/γ2
16.13Single8X5YAstemizole8X5Y-H1-Astemizole
16.13Single8XQLCholesterol8XQL-TAS2R14-Cholesterol-Aristolochic acid A-Gt3/β1/γ1
16.13Single8XQOCholesterol8XQO-TAS2R14-Cholesterol-Aristolochic acid A-Gi1/β1/γ1
16.13Single9M0RNeuropeptide VF9M0R-NPFF1-Neuropeptide VF-Gi1/β1/γ2
16.13Consensuscxcr4_offOrthosteric Ligand4RWS-CXCR4-vMIP-II 3OE0-CXCR4-CVX15 3OE6-CXCR4-IT1t
16.13Consensusformylpeptide_onOrthosteric Ligandfpr2-alx_on fpr1-alx_on
16.00Single2Z7311-cis-Retinal2Z73-Rhodopsin-11-cis-Retinal
16.00Single3AYN9-cis-Retinal3AYN-Rhodopsin-9-cis-Retinal
16.00Single3V2WPubChem 518926453V2W-S1P1-PubChem 51892645
16.00Single6D9HAdenosine6D9H-A1-Adenosine-Gi2/β1/γ2
16.00Single6KUYPubChem 1457046436KUY-α2a-PubChem 145704643
16.00Single6OYAAll-trans-Retinal6OYA-Rhodopsin-All-trans-Retinal-Gt/β1/γ1
16.00Single7DHRIsoprenaline7DHR-β2-Isoprenaline-Gs/β1/γ2
16.00Single7EJ0L-Norepinephrine7EJ0-α2a-L-Norepinephrine-Go/β1/γ2
16.00Single7T8XAcetylcholine7T8X-M2-Acetylcholine-chim(NtGi1-Go)/β1/γ2
16.00Single7T90Acetylcholine7T90-M2-Acetylcholine-chim(NtGi1-Go)/β1/γ2
16.00Single7T96Acetylcholine7T96-M2-Acetylcholine-LY2119620-Go/β1/γ2
16.00Single7VUJJNJ-635330547VUJ-GPR139-JNJ-63533054-GDP-chim(Gs-CtGq)/β1/γ2
16.00Single7YM8Oxymetazoline7YM8-Alpha1A-Oxymetazoline-chim(Gs-CtGq)
16.00Single7YMHNorepinephrine7YMH-Alpha1A-Norepinephrine-chim(Gs-CtGq)
16.00Single8DU3PubChem 1055260648DU3-A2A-PubChem 105526064
16.00Single8GGAConstrained Epinephrine8GGA-β2-Constrained Epinephrine-GTP-Gs/β1/γ2
16.00Single8GGCConstrained Epinephrine8GGC-β2-Constrained Epinephrine-GTP-Gs/β1/γ2
16.00Single8GGRConstrained Epinephrine8GGR-β2-Constrained Epinephrine
16.00Single8GGWConstrained Epinephrine8GGW-β2-Constrained Epinephrine
16.00Single8GGZConstrained Epinephrine8GGZ-β2-Constrained Epinephrine
16.00Single8GH0Constrained Epinephrine8GH0-β2-Constrained Epinephrine
16.00Single8HOCImetit8HOC-H4-Imetit-Gi1/β1/γ2
16.00Single8IJBAcipimox8IJB-HCA2-Acipimox-Gi1/β1/γ2
16.00Single8IW4Spermidine8IW4-TA9-Spermidine-chim(NtGi1-Gs)/β1/γ2
16.00Single8IWESpermidine8IWE-TA9-Spermidine
16.00Single8J6LNiacin8J6L-HCA2-Niacin-Gi1/β1/γ2
16.00Single8JPPSuccinic acid8JPP-Succinate-Succinic acid-chim(Gs-CtGq)/β1/γ1
16.00Single8UNXConstrained Epinephrine8UNX-β2-Constrained Epinephrine-GTP-Gs/β1/γ2
16.00Single8WC3SEP-3638568WC3-TA1-SEP-363856-chim(NtGi1-Gs)/β1/γ2
16.00Single8WC4ZH86518WC4-TA1-ZH8651-chim(NtGi1-Gs)/β1/γ2
16.00Single8WCA2-Phenylethylamine8WCA-TA1-2-Phenylethylamine-chim(NtGi1-Gs)/β1/γ2
16.00Single8Y0HVUF114188Y0H-CXCR3-VUF11418
16.00Single8Y0NVUF114188Y0N-CXCR3-VUF11418-Go/β1/γ2
16.00Single8YNAImmepip8YNA-H4-Immepip-Gi1/β1/γ2
16.00Single8YYWAlpha-ketoglutarate8YYW-Oxoglutarate-α-ketoglutarate-α-ketoglutarate-chim(Gi1-CtGq)/β1/γ2
16.00Single9EBHAdenosine9EBH-A3A-Adenosine-Gi1/β1/γ2
16.00Single9EEAAdenosine9EEA-A2A-Adenosine-Gs/β1/γ2
16.00Single9H2XA1IR19H2X-A2A-A1IR1-Na
16.00Single9MQJIsoquinuclidine9MQJ-μ-Isoquinuclidine
16.00Consensusalpha2_offOrthosteric Ligandalpha2c_off
16.00Consensusm2_onOrthosteric Ligand7T8X-M2-Acetylcholine-chim(NtGi1-Go)/β1/γ2
16.00Consensusm2_on_gpOrthosteric Ligand7T8X-M2-Acetylcholine-chim(NtGi1-Go)/β1/γ2
16.00Consensusrhodopsin_on_gpOrthosteric Ligand6OYA-Rhodopsin-All-trans-Retinal-Gt/β1/γ1
16.00Consensuss1p1_offOrthosteric Ligand3V2W-S1P1-PubChem 51892645
15.62Single4AMJS-Carvedilol4AMJ-β1-S-Carvedilol
15.62Single4XT1Fractalkine4XT1-US28-Fractalkine
15.62Single5UNFPubChem 157800525UNF-AT2-PubChem 15780052
15.62Single7WVWfMYFINILTL7WVW-FPR2-ALX-fMYFINILTL-Gi2/β1/γ2
15.62Single7XAUOctreotide7XAU-SST2-Octreotide-Gi1/β1/γ2
15.62Single8FYLVilazodone8FYL-5-HT1A-Vilazodone-Gi1/β1/γ1
15.62Single8K3ZCXCL128K3Z-CXCR4-CXCL12-Gi1/β1/γ1
15.62Single8PKMBefiradol8PKM-5-HT1A-Befiradol-Gi1/β1/γ1
15.62Single8U4OCXCL128U4O-CXCR4-CXCL12-Gi1/β1/γ2
15.62Single9BUYLM1899BUY-β2-LM189-Gi1/β1/γ2
15.62Single9L3YRetinoic acid receptor responder protein 29L3Y-CML2-Retinoic acid receptor responder protein 2-Gi1/β1/γ2
15.62Single9M4TSilodosin9M4T-Alpha1A-Silodosin
15.62Consensuschemerin_on_gpOrthosteric Ligandcml1_on_gp
15.62Consensuscml1_onOrthosteric Ligand7YKD-CML1-Chemerin-9-Gi1/β1/γ2
15.62Consensuscxcr4_onOrthosteric Ligand8K3Z-CXCR4-CXCL12-Gi1/β1/γ1
15.62Consensusgi_chemerinOrthosteric Ligand7YKD-CML1-Chemerin-9-Gi1/β1/γ2
15.62Consensusgi_nucleotideOrthosteric Ligandgi_adenosine gi_p2y
15.62Consensuslpl_onOrthosteric Ligands1p_on lpa_on
15.62Consensuslpl_on_gpOrthosteric Ligands1p_on_gp lpa_on_gp
15.62Consensussst5_onOrthosteric Ligand8X8L-SST5-Cortistatin-chim(NtGi1-Gs-CtGi1)/β1/γ2 8X8N-SST5-Octreotide-chim(NtGi1-Gs-CtGi1)/β1/γ2
15.38Single3UZC4-(3-amino-5-phenyl-1,2,4-triazin-6-yl)-2-chlorophenol3UZC-A2A-4-(3-amino-5-phenyl-1,2,4-triazin-6-yl)-2-chlorophenol
15.38Single4LDOL-Epinephrine4LDO-β2-L-Epinephrine
15.38Single4ZUDOlmesartan4ZUD-AT1-Olmesartan
15.38Single5GLHEndothelin-15GLH-ETB-Endothelin-1
15.38Single5IU7Q274563465IU7-A2A-Q27456346-Na
15.38Single5JTBZM-2413855JTB-A2A-ZM-241385
15.38Single5K2BZM-2413855K2B-A2A-ZM-241385-Na
15.38Single6AQFZM-2413856AQF-A2A-ZM-241385
15.38Single6FFIMMPEP6FFI-mGlu5-MMPEP
15.38Single6FKAPubChem 1324730376FKA-Rhodopsin-PubChem 132473037
15.38Single6IGKEndothelin-36IGK-ETB-Endothelin-3
15.38Single6K41Dexmedetomidine6K41-α2b-Dexmedetomidine-Go/β1/γ2
15.38Single6MH8ZM-2413856MH8-A2A-ZM-241385
15.38Single6PS0S-Carazolol6PS0-β2-S-Carazolol
15.38Single6PS4ICI118-5516PS4-β2-ICI118-551
15.38Single6WH4Methiothepin6WH4-5-HT2A-Methiothepin
15.38Single6ZDRHMS1413f126ZDR-A2A-HMS1413f12-Na
15.38Single6ZG9GSK10347026ZG9-M1-GSK1034702
15.38Single7DHISalbutamol7DHI-β2-Salbutamol-Gs/β1/γ2
15.38Single7EJADexmedetomidine7EJA-α2a-Dexmedetomidine-Go/β1/γ2
15.38Single7T32ZM-2413857T32-A2A-ZM-241385
15.38Single7T94Acetylcholine7T94-M2-Acetylcholine-LY2119620-chim(NtGi1-Go)/β1/γ2
15.38Single7TRSAcetylcholine7TRS-M4-Acetylcholine-Gi1/β1/γ2
15.38Single7VUGJNJ-635330547VUG-GPR139-JNJ-63533054-Gi1/β1/γ2
15.38Single7XXH2MeSADP7XXH-P2Y1-2MeSADP-chim(NtGi1-G11)/β1/γ2
15.38Single7YK6PubChem 1383196747YK6-RXFP4-PubChem 138319674-Gi2/β1/γ2
15.38Single8GE1Constrained Epinephrine8GE1-β2-Constrained Epinephrine-Gs/β1/γ2
15.38Single8GE4Constrained Epinephrine8GE4-β2-Constrained Epinephrine-Gs/β1/γ2
15.38Single8GE6Constrained Epinephrine8GE6-β2-Constrained Epinephrine-Gs/β1/γ2
15.38Single8GE7Constrained Epinephrine8GE7-β2-Constrained Epinephrine-Gs/β1/γ2
15.38Single8GE8Constrained Epinephrine8GE8-β2-Constrained Epinephrine-Gs/β1/γ2
15.38Single8GEAConstrained Epinephrine8GEA-β2-Constrained Epinephrine-Gs/β1/γ2
15.38Single8GEDConstrained Epinephrine8GED-β2-Constrained Epinephrine-Gs/β1/γ2
15.38Single8GEFConstrained Epinephrine8GEF-β2-Constrained Epinephrine-Gs/β1/γ2
15.38Single8GG5Constrained Epinephrine8GG5-β2-Constrained Epinephrine-GTP-Gs/β1/γ2
15.38Single8GG8Constrained Epinephrine8GG8-β2-Constrained Epinephrine-GTP-Gs/β1/γ2
15.38Single8GGQConstrained Epinephrine8GGQ-β2-Constrained Epinephrine
15.38Single8GGSConstrained Epinephrine8GGS-β2-Constrained Epinephrine
15.38Single8GGTConstrained Epinephrine8GGT-β2-Constrained Epinephrine
15.38Single8GGVConstrained Epinephrine8GGV-β2-Constrained Epinephrine
15.38Single8GGXConstrained Epinephrine8GGX-β2-Constrained Epinephrine
15.38Single8HNMVUF112228HNM-CXCR3-VUF11222-Gi1/β1/γ2
15.38Single8IHKAcifran8IHK-HCA3-Acifran
15.38Single8JEI3-nitro-4-(propylamino)benzoic acid8JEI-HCAR3-3-nitro-4-(propylamino)benzoic acid-Gi1/β1/γ2
15.38Single8JLQFenoldopam8JLQ-TA1-Fenoldopam-Gs/β1/γ2
15.38Single8RLNLUF58348RLN-A2A-LUF5834
15.38Single8RQQZM-2413858RQQ-A2A-ZM-241385-Na
15.38Single8THKA616038THK-Alpha1A-A61603-chim(NtGi2L-Gs-CtGq)/β1/γ2
15.38Single8THLEpinephrine8THL-Alpha1A-Epinephrine-chim(NtGi2L-Gs-CtGq)/β1/γ2
15.38Single8UNMConstrained Epinephrine8UNM-β2-Constrained Epinephrine-GTP-Gs/β1/γ2
15.38Single8UNWConstrained Epinephrine8UNW-β2-Constrained Epinephrine-GTP-Gs/β1/γ2
15.38Single8UO0Constrained Epinephrine8UO0-β2-Constrained Epinephrine-GTP-Gs/β1/γ2
15.38Single8W8BSEP-3638568W8B-5-HT1A-SEP-363856-Gi1/β1/γ2
15.38Single8YH2Adenosine8YH2-A3A-Adenosine-Gi1/β1/γ2
15.38Single9AS5Mescaline9AS5-5-HT2A-Mescaline
15.38Single9AS6Mescaline9AS6-5-HT2A-Mescaline-chim(NtGi1-Gs-CtGq)/β1/γ2
15.38Single9ASBCa; Ca; Cyclomethyltryptophan; 9IG; PO49ASB-CaS-Ca-Ca; Ca; Cyclomethyltryptophan; 9IG; PO4-chim(NtGi1-Gs-CtGq)/β1/γ2
15.38Single9AXFCa; Ca; Ca; Cyclomethyltryptophan; 9IG; PO49AXF-CaS-Ca-Ca; Ca; Ca; Cyclomethyltryptophan; 9IG; PO4-chim(NtGi1-Gs-CtGq)/β1/γ2
15.38Single9BA0A1AKN9BA0-CB1-A1AKN
15.38Single9JKQMETH9JKQ-TA1-METH-Gs/β1/γ2
15.38Single9K0XATP9K0X-P2Y2-ATP-chim(NtGi1-Gs-CtGq)/β1/γ2
15.38Single9K20ATP9K20-P2Y2-ATP-chim(NtGi1-Go)/β1/γ2
15.38Single9MQIIsoquinuclidine9MQI-μ-Isoquinuclidine
15.38Consensusa2_offOrthosteric Liganda2a_off
15.38Consensusa2a_offOrthosteric Ligand3RFM-A2A-Caffeine 8C9W-A2A-Etrumadenant 3UZA-A2A-GTPL9236 8GNG-A2A-Istradefylline 8CU6-A2A-LJ-4517 7PX4-A2A-PSB-2113 7PYR-A2A-PSB-2115 8DU3-A2A-PubChem 105526064 8JWY-A2A-2-118 8PWN-A2A-Theophylline 5IU4-A2A-ZM-241385-Na 5OLZ-A2A-PubChem 135566609-Na 6GT3-A2A-Imaradenant-Na 5OLV-A2A-LUAA41063-Na 5N2R-A2A-PSB-36-Na 5IU7-A2A-Q27456346-Na 5OLH-A2A-Vipadenant-Na 5OLO-A2A-Tozadenant-Na 6ZDR-A2A-HMS1413f12-Na 8GNE-A2A-KW-6356-Na 8JWZ-A2A-AB928-Na 5IU8-A2A-Q27456347-Na 5IUB-A2A-Q27456344-Na 6ZDV-A2A-Chromone 5d-Na 5IUA-A2A-Q27456348-Na 8A2P-A2A-LUAA47070-Na
15.38Consensusalpha1_onOrthosteric Ligandalpha1a_on
15.38Consensusalpha1_on_gpOrthosteric Ligandalpha1a_on_gp
15.38Consensusalpha1a_onOrthosteric Ligand7EJ0-α2a-L-Norepinephrine-Go/β1/γ2 7EJ8-α2a-Brimonidine-Go/β1/γ2 7EJA-α2a-Dexmedetomidine-Go/β1/γ2 7EJK-α2a-Oxymetazoline-Go/β1/γ2 7W6P-α2a-N-pyridin-4-ylisoquinolin-4-amine-Go/β1/γ2 7W7E-α2a-PubChem 164946676-Go/β1/γ2
15.38Consensusalpha1a_on_gpOrthosteric Ligand7EJ0-α2a-L-Norepinephrine-Go/β1/γ2 7EJ8-α2a-Brimonidine-Go/β1/γ2 7EJA-α2a-Dexmedetomidine-Go/β1/γ2 7EJK-α2a-Oxymetazoline-Go/β1/γ2 7W6P-α2a-N-pyridin-4-ylisoquinolin-4-amine-Go/β1/γ2 7W7E-α2a-PubChem 164946676-Go/β1/γ2
15.38Consensusccr5_on_gpOrthosteric Ligand7O7F-CCR5-6P4-CCL5-Gi1/β1/γ1 7F1Q-CCR5-MIP-1a-Gi1/β1/γ2
15.38Consensusnucleotide_offOrthosteric Ligandadenosine_off p2y_off
15.38Consensusp2y1_on_gpOrthosteric Ligand7XXH-P2Y1-2MeSADP-chim(NtGi1-G11)/β1/γ2
15.15Single5XJM(Sar1,Ile8)-Angiotensin II5XJM-AT2-(Sar1,Ile8)-Angiotensin II
15.15Single7C6A(Sar1,Ile8)-Angiotensin II7C6A-AT2-(Sar1,Ile8)-Angiotensin II
15.15Single7XNACYN1548067XNA-SST2-CYN154806
15.15Single8SG1Chemerin-98SG1-CML1-Chemerin-9-Gi1/β1/γ2
15.15Single8WSSPro-MCH8WSS-MCH1-Pro-MCH-Gi1/β1/γ1
15.15Single9E82SDF-1-beta9E82-ACKR3-SDF-1-β-Arrestin2
15.15Single9IQVMuscarinic toxin 39IQV-Alpha1A-Muscarinic toxin 3
15.15Consensuscckb_onOrthosteric Ligand8IA7-CCKB-Cholecystokinin-8-chim(NtGi1L-Gq)/β1/γ2 7XOW-CCKB-Gastrin-chim(NtGi1-Gq)/β1/γ2 7F8V-CCKB-Gastrin-17-Gi2/β1/γ2
15.15Consensuscompl-peptide_onOrthosteric Ligandc5a1_on c3a_on
15.15Consensusgi_cckOrthosteric Ligand7EZH-CCKA-Cholecystokinin-8-Gi1/β1/γ2 7F8V-CCKB-Gastrin-17-Gi2/β1/γ2
15.15Consensuss1p3_on_gpOrthosteric Ligand7EW3-S1P3-S1P-Gi1/β1/γ2 7EW4-S1P3-CYM5541-Gi1/β1/γ2 7EW2-S1P3-Fingolimod-Gi1/β1/γ2
15.15Consensussst2_offOrthosteric Ligand7XNA-SST2-CYN154806
15.15Consensussst4_onOrthosteric Ligand7XMS-SST4-Somatostatin-14-Gi1/β1/γ2 7XMT-SST4-J-2156-Gi1/β1/γ2
15.15Consensussst4_on_gpOrthosteric Ligand7XMS-SST4-Somatostatin-14-Gi1/β1/γ2 7XMT-SST4-J-2156-Gi1/β1/γ2
15.00Consensusendothelin_on_gpOrthosteric Ligandetb_on_gp eta_on_gp
14.81Single2Y04Salbutamol2Y04-β1-Salbutamol
14.81Single3EMLZM-2413853EML-A2A-ZM-241385
14.81Single3ZPQ4-(piperazin-1- yl)-1H-indole3ZPQ-β1-4-(piperazin-1- yl)-1H-indole-Na
14.81Single3ZPR4-methyl-2-(piperazin-1-yl)3ZPR-β1-4-methyl-2-(piperazin-1-yl)-Na
14.81Single4DAJTiotropium4DAJ-M3-Tiotropium
14.81Single4EIYZM-2413854EIY-A2A-ZM-241385-Na
14.81Single4EJ4Naltrindole4EJ4-δ-Naltrindole
14.81Single4QKX35V4QKX-β2-35V
14.81Single5IU8Q274563475IU8-A2A-Q27456347-Na
14.81Single5K2AZM-2413855K2A-A2A-ZM-241385-Na
14.81Single5OLGZM-2413855OLG-A2A-ZM-241385-Na
14.81Single5UENDU1725UEN-A1-DU172
14.81Single5VRAZM-2413855VRA-A2A-ZM-241385-Na
14.81Single5YC8N-Methyl-Scopolamine5YC8-M2-N-Methyl-Scopolamine
14.81Single5ZK8N-Methyl-Scopolamine5ZK8-M2-N-Methyl-Scopolamine
14.81Single5ZKCN-Methyl-Scopolamine5ZKC-M2-N-Methyl-Scopolamine
14.81Single6DRZMethysergide6DRZ-5-HT2B-Methysergide
14.81Single6FFHFenobam6FFH-mGlu5-Fenobam
14.81Single6FKDPubChem 1373491836FKD-Rhodopsin-PubChem 137349183
14.81Single6H7MSalbutamol6H7M-β1-Salbutamol
14.81Single6IIVDaltroban6IIV-TXA2-Daltroban
14.81Single6K42Dexmedetomidine6K42-α2b-Dexmedetomidine-Gi1/β1/γ2
14.81Single6PS1Timolol6PS1-β2-Timolol
14.81Single6PS2S-Alprenolol6PS2-β2-S-Alprenolol
14.81Single6S0LZM-2413856S0L-A2A-ZM-241385
14.81Single6WHADB139486WHA-5-HT2A-DB13948-chim(NtGi2L-Gs-CtGq)/β1/γ2
14.81Single7BTSL-Epinephrine7BTS-β1-L-Epinephrine
14.81Single7BU6L-Norepinephrine7BU6-β1-L-Norepinephrine
14.81Single7CRHSKF839597CRH-D1-SKF83959-Gs/β1/γ2
14.81Single7DB6Ramelteon7DB6-MT1-Ramelteon-Gi1/β1/γ2
14.81Single7E32Serotonin7E32-5-HT1D-Serotonin-Gi1/β1/γ2
14.81Single7JVQApomorphine7JVQ-D1-Apomorphine-Gs/β1/γ2
14.81Single7M3JNPS-2143; PO47M3J-CaS-NPS-2143; PO4
14.81Single7PYRPSB-21157PYR-A2A-PSB-2115
14.81Single7S0GIsoprenaline7S0G-β1-Isoprenaline-chim(Gi1-CtGs)/β1/γ2
14.81Single7UL4Alvimopan7UL4-μ-Alvimopan
14.81Single7UM55-CT7UM5-5-HT5A-5-CT-chim(NtGi1-Go)/β1/γ2
14.81Single7VGZRemalteon7VGZ-MT1-Remalteon-Gi1/β1/γ2
14.81Single7VIES1P7VIE-S1P1-S1P-Gi1/β1/γ2
14.81Single7VIFS-FTY720-P7VIF-S1P1-S-FTY720-P-Gi1/β1/γ2
14.81Single7VKTLTB47VKT-BLT1-LTB4-Gi1/β1/γ2
14.81Single7WC7Lisuride7WC7-5-HT2A-Lisuride
14.81Single7WC8Lumateperone7WC8-5-HT2A-Lumateperone
14.81Single7YACPaltusotine7YAC-SST2-Paltusotine-Gi1/β1/γ2
14.81Single7YU4ONO-07405567YU4-LPA1-ONO-0740556
14.81Single8CICEtrumadenant8CIC-A2A-Etrumadenant-Na
14.81Single8CU6LJ-45178CU6-A2A-LJ-4517
14.81Single8FY85-MeO-DMT8FY8-5-HT1A-5-MeO-DMT-Gi1/β1/γ1
14.81Single8GE3Constrained Epinephrine8GE3-β2-Constrained Epinephrine-Gs/β1/γ2
14.81Single8GE9Constrained Epinephrine8GE9-β2-Constrained Epinephrine-Gs/β1/γ2
14.81Single8GECConstrained Epinephrine8GEC-β2-Constrained Epinephrine-Gs/β1/γ2
14.81Single8GEEConstrained Epinephrine8GEE-β2-Constrained Epinephrine-Gs/β1/γ2
14.81Single8GEHConstrained Epinephrine8GEH-β2-Constrained Epinephrine-Gs/β1/γ2
14.81Single8GFVConstrained Epinephrine8GFV-β2-Constrained Epinephrine-GTP-Gs/β1/γ2
14.81Single8GFWConstrained Epinephrine8GFW-β2-Constrained Epinephrine-GTP-Gs/β1/γ2
14.81Single8GFXConstrained Epinephrine8GFX-β2-Constrained Epinephrine-GTP-Gs/β1/γ2
14.81Single8GFZConstrained Epinephrine8GFZ-β2-Constrained Epinephrine-GTP-Gs/β1/γ2
14.81Single8GG0Constrained Epinephrine8GG0-β2-Constrained Epinephrine-GTP-Gs/β1/γ2
14.81Single8GG1Constrained Epinephrine8GG1-β2-Constrained Epinephrine-GTP-Gs/β1/γ2
14.81Single8GG3Constrained Epinephrine8GG3-β2-Constrained Epinephrine-GTP-Gs/β1/γ2
14.81Single8GG4Constrained Epinephrine8GG4-β2-Constrained Epinephrine-GTP-Gs/β1/γ2
14.81Single8GG6Constrained Epinephrine8GG6-β2-Constrained Epinephrine-GTP-Gs/β1/γ2
14.81Single8GG9Constrained Epinephrine8GG9-β2-Constrained Epinephrine-GTP-Gs/β1/γ2
14.81Single8GGIConstrained Epinephrine8GGI-β2-Constrained Epinephrine
14.81Single8GGJConstrained Epinephrine8GGJ-β2-Constrained Epinephrine
14.81Single8GGKConstrained Epinephrine8GGK-β2-Constrained Epinephrine
14.81Single8GGNConstrained Epinephrine8GGN-β2-Constrained Epinephrine
14.81Single8GGOConstrained Epinephrine8GGO-β2-Constrained Epinephrine
14.81Single8GGUConstrained Epinephrine8GGU-β2-Constrained Epinephrine
14.81Single8IHJAcifran8IHJ-HCA3-Acifran-Gi1/β1/γ2
14.81Single8JLJT1AM8JLJ-TA1-T1AM-chim(NtGi1-Gs)/β1/γ2
14.81Single8JLZST19368JLZ-5-HT6-ST1936-Gs/β1/γ2
14.81Single8JXRLSD8JXR-D1-LSD
14.81Single8PJKST1718PJK-5-HT1A-ST171-Gi1/β1/γ1
14.81Single8RWXStilSwitch38RWX-A2A-StilSwitch3-Na
14.81Single8UH3Setiptiline8UH3-5-HT1E-Setiptiline-Gi1/β1/γ1
14.81Single8UNQConstrained Epinephrine8UNQ-β2-Constrained Epinephrine-GTP-Gs/β1/γ2
14.81Single8UNRConstrained Epinephrine8UNR-β2-Constrained Epinephrine-GTP-Gs/β1/γ2
14.81Single8UNUConstrained Epinephrine8UNU-β2-Constrained Epinephrine-GTP-Gs/β1/γ2
14.81Single8UNVConstrained Epinephrine8UNV-β2-Constrained Epinephrine-GTP-Gs/β1/γ2
14.81Single8UNYConstrained Epinephrine8UNY-β2-Constrained Epinephrine-GTP-Gs/β1/γ2
14.81Single8UNZConstrained Epinephrine8UNZ-β2-Constrained Epinephrine-GTP-Gs/β1/γ2
14.81Single8UO2Constrained Epinephrine8UO2-β2-Constrained Epinephrine-GTP-Gs/β1/γ2
14.81Single8X63Mepyramine8X63-H1-Mepyramine
14.81Single8X64Desloratadine8X64-H1-Desloratadine
14.81Single8X9TAP5038X9T-ADGRD1-AP503-chim(NtGi1-Gs)/β1/γ2
14.81Single8XVKAmbrisentan8XVK-ETA-Ambrisentan
14.81Single8YN8Proxyfan8YN8-H3-Proxyfan-Go/β1/γ2
14.81Single9AVGCa; Ca; Cyclomethyltryptophan; 9IG; PO49AVG-CaS-Ca-Ca; Ca; Cyclomethyltryptophan; 9IG; PO4-chim(NtGi1-Gs)/β1/γ2
14.81Single9CBMDexmedetomidine9CBM-α2a-Dexmedetomidine-Gi1/β1/γ2
14.81Single9EPP11,20-Ethanoretinal9EPP-Rhodopsin-11,20-Ethanoretinal-chim(Gi1-CtGq)/β1/γ2
14.81Single9H37A1IR09H37-A2A-A1IR0-Na
14.81Single9IVGGLP-1 (Truncated)9IVG-GLP-1-GLP-1 (Truncated)-chim(NtGi1-Gs)/β1/γ2
14.81Single9JEAAtropine9JEA-M1-Atropine
14.81Single9PLNN-(5-methylnaphthalen-1-yl)pyridin-4-amine9PLN-α2a-N-(5-methylnaphthalen-1-yl)pyridin-4-amine
14.81Single9PLON-(5-methylnaphthalen-1-yl)pyridin-4-amine9PLO-α2a-N-(5-methylnaphthalen-1-yl)pyridin-4-amine-Go/β1/γ2
14.81Consensus5ht1d_onOrthosteric Ligand7E32-5-HT1D-Serotonin-Gi1/β1/γ2
14.81Consensus5ht1d_on_gpOrthosteric Ligand7E32-5-HT1D-Serotonin-Gi1/β1/γ2
14.81Consensus5ht2b_offOrthosteric Ligand6DRZ-5-HT2B-Methysergide
14.81Consensusadrenergic_onOrthosteric Ligandalpha_on beta_on
14.81Consensusalpha2_onOrthosteric Ligandalpha2b_on
14.81Consensusalpha2_on_gpOrthosteric Ligandalpha2b_on_gp
14.81Consensusalpha2b_onOrthosteric Ligand6K42-α2b-Dexmedetomidine-Gi1/β1/γ2
14.81Consensusalpha2b_on_gpOrthosteric Ligand6K42-α2b-Dexmedetomidine-Gi1/β1/γ2
14.81Consensusalpha_onOrthosteric Ligandalpha1_on alpha2_on
14.81Consensusblt1_onOrthosteric Ligand7VKT-BLT1-LTB4-Gi1/β1/γ2
14.81Consensusblt1_on_gpOrthosteric Ligand7VKT-BLT1-LTB4-Gi1/β1/γ2
14.81Consensusblt_onOrthosteric Ligandblt1_on
14.81Consensusblt_on_gpOrthosteric Ligandblt1_on_gp
14.81Consensusd5_onOrthosteric Ligand8IRV-D5-Rotigotine-chim(NtGi1-Gs)/β1/γ2
14.81Consensusdop_offOrthosteric Ligand4EJ4-δ-Naltrindole
14.81Consensusdopamine_onOrthosteric Ligandd2_on d1_on d3_on d4_on d5_on
14.81Consensusdopamine_on_gpOrthosteric Ligandd2_on_gp d1_on_gp d3_on_gp d4_on_gp d5_on_gp
14.81Consensusgi_histamineOrthosteric Ligand8JXX-H4-Clobenpropit-Gi1/β1/γ2 8JXV-H4-Clozapine-Gi1/β1/γ2 8YUU-H3-Histamine-Gi1/β1/γ1 8HN8-H4-Histamine-Gi1/β1/γ2 8HOC-H4-Imetit-Gi1/β1/γ2 8JXW-H4-VUF6884-Gi1/β1/γ2
14.81Consensusgi_leukotrieneOrthosteric Ligand7VKT-BLT1-LTB4-Gi1/β1/γ2
14.81Consensusgq_amineOrthosteric Ligandgq_muscarinic gq_histamine
14.81Consensushistamine_offOrthosteric Ligandh1_off
14.81Consensusleukotriene_onOrthosteric Ligandblt_on
14.81Consensusleukotriene_on_gpOrthosteric Ligandblt_on_gp
14.81Consensusmuscarinic_onOrthosteric Ligandm2_on m3_on m4_on m1_on
14.81Consensusmuscarinic_on_gpOrthosteric Ligandm2_on_gp m3_on_gp m4_on_gp m1_on_gp
14.81Consensusnucleotide_offonOrthosteric Ligandnucleotide_off nucleotide_on
14.81Consensusnucleotide_offon_gpOrthosteric Ligandnucleotide_on_gp nucleotide_off
14.71Single7O7F6P4-CCL57O7F-CCR5-6P4-CCL5-Gi1/β1/γ1
14.71Single7T6TfMLFII7T6T-FPR1-ALX-fMLFII-Gi1/β1/γ2
14.71Single8XIQL7967788XIQ-SST3-L796778-chim(NtGi1-Gs-CtGi1)/β1/γ2
14.71Single9K27PrRP319K27-PrRP-PrRP31-chim(NtGi1-Gq)/β1/γ2
14.71Single9U4WGonadoliberin-19U4W-GnRH1-Gonadoliberin-1-chim(NtGi1L-Gs-CtGq)/β1/γ2
14.71Consensuscckb_on_gpOrthosteric Ligand8IA7-CCKB-Cholecystokinin-8-chim(NtGi1L-Gq)/β1/γ2 7XOW-CCKB-Gastrin-chim(NtGi1-Gq)/β1/γ2 7F8V-CCKB-Gastrin-17-Gi2/β1/γ2
14.71Consensuscompl-peptide_on_gpOrthosteric Ligandc5a1_on_gp c3a_on_gp
14.71Consensusfpr2-alx_onOrthosteric Ligand7WVX-FPR2-ALX-Humanin-Gi2/β1/γ2 7T6U-FPR2-ALX-CGEN-855A-Gi1/β1/γ2 7T6V-FPR2-ALX-fMLFII-Gi1/β1/γ2 7WVY-FPR2-ALX-Amyloid-β42-Gi2/β1/γ2 7T6S-FPR2-ALX-PubChem 24776341-Gi1/β1/γ2 6OMM-FPR2-ALX-WKYMVX-Gi1/β1/γ2
14.71Consensusgi_somatostatinOrthosteric Ligand7WIC-SST2-Somatostatin-14-Gi1/β1/γ2 7XMS-SST4-Somatostatin-14-Gi1/β1/γ2 8X8L-SST5-Cortistatin-chim(NtGi1-Gs-CtGi1)/β1/γ2 7XMT-SST4-J-2156-Gi1/β1/γ2 7WIG-SST2-L-054,264-Gi1/β1/γ2 8X8N-SST5-Octreotide-chim(NtGi1-Gs-CtGi1)/β1/γ2 7YAE-SST2-Octreotide-Gi1/β1/γ2 7YAC-SST2-Paltusotine-Gi1/β1/γ2
14.71Consensuspeptide_offonOrthosteric Ligandpeptide_off peptide_on
14.71Consensussomatostatin_onOrthosteric Ligandsst2_on sst4_on sst5_on
14.71Consensussomatostatin_on_gpOrthosteric Ligandsst2_on_gp sst4_on_gp sst5_on_gp
14.63Single6LRYSarafotoxin-B6LRY-ETB-Sarafotoxin-B
14.29Single2Y03Isoprenaline2Y03-β1-Isoprenaline
14.29Single4JKVTaladegib4JKV-SMO-Taladegib
14.29Single5C1MBU725C1M-μ-BU72
14.29Single5IUAQ274563485IUA-A2A-Q27456348-Na
14.29Single5N2RPSB-365N2R-A2A-PSB-36-Na
14.29Single5N2SPSB365N2S-A1-PSB36
14.29Single5NM2ZM-2413855NM2-A2A-ZM-241385-Na
14.29Single5TVNLSD5TVN-5-HT2B-LSD
14.29Single6KUWPubChem 572132346KUW-α2c-PubChem 57213234
14.29Single6LPLZM-2413856LPL-A2A-ZM-241385-Na
14.29Single6LUQHaloperidol6LUQ-D2-Haloperidol
14.29Single6ME62-Phenylmelatonin6ME6-MT2-2-Phenylmelatonin
14.29Single6ME82-Phenylmelatonin6ME8-MT2-2-Phenylmelatonin
14.29Single6OIKIperoxo6OIK-M2-Iperoxo-LY2119620-chim(NtGi1-Go)/β1/γ2
14.29Single6PS3S-Carvedilol6PS3-β2-S-Carvedilol
14.29Single6S0QZM-2413856S0Q-A2A-ZM-241385
14.29Single6WQAZM-2413856WQA-A2A-ZM-241385-Na
14.29Single6XBKCholesterol6XBK-SMO-Cholesterol-Gi1/β1/γ2
14.29Single7BVQS-Carazolol7BVQ-β1-S-Carazolol
14.29Single7C4SS1P7C4S-S1P3-S1P
14.29Single7C61Ergotamine7C61-5-HT1B-Ergotamine
14.29Single7CFNINT-7777CFN-GPBA-INT-777-Gs/β1/γ2
14.29Single7DW9AVP7DW9-V2-AVP-chim(NtGi1-Gs)/β1/γ2
14.29Single7E9GJNJ-404118137E9G-mGlu2; mGlu2-Eglumetad-JNJ-40411813-Gi1/β1/γ2
14.29Single7EO2FTY720-P7EO2-S1P1-FTY720-P-Gi1/β1/γ2
14.29Single7M3JNPS-2143; PO47M3J-CaS-NPS-2143; PO4
14.29Single7RM5ZM-2413857RM5-A2A-ZM-241385-Na
14.29Single7S0FIsoprenaline7S0F-β1-Isoprenaline-Gi1/β1/γ2
14.29Single7TD3S1P7TD3-S1P1-S1P-Gi1/β1/γ2
14.29Single7TRKIperoxo7TRK-M4-Iperoxo-Gi1/β1/γ2
14.29Single7W40Bombesin7W40-BB2-Bombesin-chim(NtGi1L-Gq)/β1/γ2
14.29Single7W41PD1762527W41-BB2-PD176252
14.29Single7X1TTaltirelin7X1T-TRH-Taltirelin-chim(NtGi2L-Gs-CtGq)/β1/γ2
14.29Single7XK9Constrained Isoproterenol7XK9-β2-Constrained Isoproterenol-Na
14.29Single7XKAConstrained Epinephrine7XKA-β2-Constrained Epinephrine
14.29Single7YU3ONO-07405567YU3-LPA1-ONO-0740556-Gi1/β1/γ2
14.29Single7YU6ONO-07405567YU6-LPA1-ONO-0740556-Gi1/β1/γ2
14.29Single8EFBOliceridine8EFB-μ-Oliceridine-Gi1/β1/γ2
14.29Single8FYNZM-2413858FYN-A2A-ZM-241385-Na
14.29Single8GD9Rivenprost8GD9-EP4-Rivenprost-Gs/β1/γ2
14.29Single8GDCPGE28GDC-EP3-PGE2-Gi1/β1/γ2
14.29Single8GDZConstrained Epinephrine8GDZ-β2-Constrained Epinephrine-Gs/β1/γ2
14.29Single8GEBConstrained Epinephrine8GEB-β2-Constrained Epinephrine-Gs/β1/γ2
14.29Single8GEGConstrained Epinephrine8GEG-β2-Constrained Epinephrine-Gs/β1/γ2
14.29Single8GEJConstrained Epinephrine8GEJ-β2-Constrained Epinephrine-Gs/β1/γ2
14.29Single8GFYConstrained Epinephrine8GFY-β2-Constrained Epinephrine-GTP-Gs/β1/γ2
14.29Single8GG2Constrained Epinephrine8GG2-β2-Constrained Epinephrine-GTP-Gs/β1/γ2
14.29Single8GGBConstrained Epinephrine8GGB-β2-Constrained Epinephrine-GTP-Gs/β1/γ2
14.29Single8GNEKW-63568GNE-A2A-KW-6356-Na
14.29Single8J6IMK68928J6I-HCA2-MK6892-Gi1/β1/γ2
14.29Single8TF5Oleic acid8TF5-GPR6-Oleic acid
14.29Single8UNNConstrained Epinephrine8UNN-β2-Constrained Epinephrine-GTP-Gs/β1/γ2
14.29Single8UNPConstrained Epinephrine8UNP-β2-Constrained Epinephrine-GTP-Gs/β1/γ2
14.29Single8XQPCholesterol8XQP-TAS2R14-Cholesterol-Aristolochic acid A-Gt3/β1/γ1
14.29Single8XZJWN3538XZJ-Apelin-WN353-Gi1/β1/γ2
14.29Single8YICSAR2477998YIC-S1P1-SAR247799-Gi1/β1/γ2
14.29Single8YNSSNAP-948478YNS-MCH1-SNAP-94847
14.29Single8ZBISomatostatin-148ZBI-SST3-Somatostatin-14-Gi1/β1/γ2
14.29Single8ZPTPrRP208ZPT-PrRP-PrRP20-chim(NtGi1-Gs-CtGq)/β1/γ2
14.29Single8ZYTNeurotensin peptide 8-138ZYT-NTS1-Neurotensin peptide 8-13-SBI-553-Arrestin2
14.29Single9ARZ2-bromo-LSD9ARZ-5-HT2A-2-bromo-LSD
14.29Single9AYFCa; Ca; Ca; Cyclomethyltryptophan; 9IG; PO49AYF-CaS-Ca-Ca; Ca; Ca; Cyclomethyltryptophan; 9IG; PO4-Gi1/β1/γ2
14.29Single9B9ZA1AKO9B9Z-CB1-A1AKO
14.29Single9BKKCholecystokinin-89BKK-CCKA-Cholecystokinin-8-chim(NtGi1-Gs-CtGq)/β1/γ2
14.29Single9EAHOlmesartan9EAH-AT1-Olmesartan-Nanobody AT209
14.29Single9EHSLUF76029EHS-A3A-LUF7602
14.29Single9F33FOB02-04A9F33-D3-FOB02-04A-Go/β1/γ2
14.29Single9F34FOB02-04A9F34-D3-FOB02-04A-Go/β1/γ2
14.29Single9K07DSO-5a9K07-BB3-DSO-5a-chim(NtGi2L-Gs-CtGq)/β1/γ2
14.29Single9MQKIsoquinuclidine9MQK-κ-Isoquinuclidine
14.29Consensus5ht1_onOrthosteric Ligand5ht1a_on 5ht1d_on 5ht1e_on 5ht1f_on
14.29Consensus5ht1_on_gpOrthosteric Ligand5ht1a_on_gp 5ht1d_on_gp 5ht1e_on_gp 5ht1f_on_gp
14.29Consensus5ht1e_on_gpOrthosteric Ligand7E33-5-HT1E-BRL-54443-Gi1/β1/γ2 8UGY-5-HT1E-Mianserin-Gi1/β1/γ1 8UH3-5-HT1E-Setiptiline-Gi1/β1/γ1
14.29Consensus5ht2_offOrthosteric Ligand5ht2a_off 5ht2b_off 5ht2c_off
14.29Consensus5ht5_on_gpOrthosteric Ligand5ht5a_on_gp
14.29Consensus5ht5a_on_gpOrthosteric Ligand7X5H-5-HT5A-5-CT-Gi1/β1/γ2 7UM6-5-HT5A-Lisuride-chim(NtGi1-Go)/β1/γ2 7UM7-5-HT5A-Methylergometrine-chim(NtGi1-Go)/β1/γ2
14.29Consensusadenosine_offOrthosteric Liganda1_off a2_off
14.29Consensusadrenergic_offOrthosteric Ligandalpha_off beta_off
14.29Consensusadrenergic_on_gpOrthosteric Ligandalpha_on_gp beta_on_gp
14.29Consensusalpha2c_offOrthosteric Ligand6KUW-α2c-PubChem 57213234
14.29Consensusalpha_offOrthosteric Ligandalpha1_off alpha2_off
14.29Consensusalpha_on_gpOrthosteric Ligandalpha1_on_gp alpha2_on_gp
14.29Consensusbb2_offOrthosteric Ligand7W41-BB2-PD176252
14.29Consensusblt1_offOrthosteric Ligand5X33-BLT1-BIIL260 7K15-BLT1-MKD046-Na
14.29Consensusblt_offOrthosteric Ligandblt1_off
14.29Consensusbombesin_offOrthosteric Ligandbb2_off
14.29Consensusd1_onOrthosteric Ligand7F0T-D1-Dopamine-Gs/β1/γ2 7CKY-D1-PW0464-Gs/β1/γ2 8IRR-D1-Rotigotine-Gs/β1/γ2 7JV5-D1-SKF81297-Gs/β1/γ2 7JVP-D1-SKF83959-Gs/β1/γ2 7X2D-D1-Tavapadon-Gs/β1/γ2 7CKX-D1-A77636-Gs/β1/γ2 7JVQ-D1-Apomorphine-Gs/β1/γ2 7CKW-D1-Fenoldopam-Gs/β1/γ2
14.29Consensusd2_onOrthosteric Ligand7JVR-D2-Bromoergocryptine-Gi1/β1/γ2 8IRS-D2-Rotigotine-Gi1/β1/γ2
14.29Consensusfpr2-alx_on_gpOrthosteric Ligand7WVX-FPR2-ALX-Humanin-Gi2/β1/γ2 7T6U-FPR2-ALX-CGEN-855A-Gi1/β1/γ2 7T6V-FPR2-ALX-fMLFII-Gi1/β1/γ2 7WVY-FPR2-ALX-Amyloid-β42-Gi2/β1/γ2 7T6S-FPR2-ALX-PubChem 24776341-Gi1/β1/γ2 6OMM-FPR2-ALX-WKYMVX-Gi1/β1/γ2
14.29Consensusgs_vasop-oxyOrthosteric Ligand7DW9-V2-AVP-chim(NtGi1-Gs)/β1/γ2
14.29Consensush1_offOrthosteric Ligand8X63-H1-Mepyramine 3RZE-H1-Cidoxepin 8X5Y-H1-Astemizole
14.29Consensusm3_onOrthosteric Ligand8E9Z-M3-Iperoxo-chim(NtGi2L-Gs-CtGq)/β1/γ2 8E9W-M3-2-Deoxycytidine-chim(NtGi2L-Gs-CtGq)/β1/γ2 8E9Y-M3-Clozapine-N-oxide-chim(NtGi2L-Gs-CtGq)/β1/γ2
14.29Consensusm3_on_gpOrthosteric Ligand8E9Z-M3-Iperoxo-chim(NtGi2L-Gs-CtGq)/β1/γ2 8E9W-M3-2-Deoxycytidine-chim(NtGi2L-Gs-CtGq)/β1/γ2 8E9Y-M3-Clozapine-N-oxide-chim(NtGi2L-Gs-CtGq)/β1/γ2
14.29Consensusneuromedin-u_onOrthosteric Ligandnmur1_on nmur2_on
14.29Consensusnucleotide_onOrthosteric Ligandadenosine_on p2y_on
14.29Consensuspeptide_offon_gpOrthosteric Ligandpeptide_on_gp peptide_off
14.29Consensusprotein_offonOrthosteric Ligandprotein_off protein_on
14.29Consensusprotein_offon_gpOrthosteric Ligandprotein_on_gp protein_off
14.29Consensuss1p5_offOrthosteric Ligand7YXA-S1P5-ONO-5430608
14.29Consensusv2_onOrthosteric Ligand7DW9-V2-AVP-chim(NtGi1-Gs)/β1/γ2
14.29Consensusv2_on_gpOrthosteric Ligand7DW9-V2-AVP-chim(NtGi1-Gs)/β1/γ2
14.29Consensusvasop-oxy_onOrthosteric Ligandv2_on
14.29Consensusvasop-oxy_on_gpOrthosteric Ligandv2_on_gp
13.89Single7Y64C5a anaphylatoxin7Y64-C5a1-C5a anaphylatoxin-Gi1/β1/γ2
13.89Single8HCXEndothelin-18HCX-ETB-Endothelin-1-chim(NtGi2L-Gs-CtGq)/β1/γ2
13.89Single8HK5Complement C58HK5-C5a1-Complement C5-Gi1/β1/γ2
13.89Single8IA2C5a anaphylatoxin8IA2-C5a1-C5a anaphylatoxin-Go/β1/γ2
13.89Single8XGOTAK4488XGO-Kiss1-TAK448-chim(NtGi1-Gq)/β1/γ2
13.89Single8ZPSPrRP208ZPS-PrRP-PrRP20-chim(NtGi1-Gs-CtGq)/β1/γ2
13.89Single8ZRTET-18ZRT-ETB-ET-1
13.89Single9JFYhNPSF9JFY-NPFF2-hNPSF-Gi1/β1/γ2
13.89Consensusneuromedin-u_on_gpOrthosteric Ligandnmur1_on_gp nmur2_on_gp
13.89Consensusopioid_onOrthosteric Ligandmop_on nop_on dop_on kop_on
13.79Single4DJHJDTic4DJH-κ-JDTic
13.79Single4LDLHydroxybenzylisoproterenol4LDL-β2-Hydroxybenzylisoproterenol
13.79Single4OO9Mavoglurant4OO9-mGlu5-Mavoglurant
13.79Single4U15Tiotropium4U15-M3-Tiotropium
13.79Single5V56TC1145V56-SMO-TC114
13.79Single5V57TC1145V57-SMO-TC114
13.79Single5ZHPPubChem 1348285895ZHP-M3-PubChem 134828589
13.79Single5ZKBAF-DX 3845ZKB-M2-AF-DX 384
13.79Single6H7JIsoprenaline6H7J-β1-Isoprenaline
13.79Single6N48BI1671076N48-β2-BI167107-PubChem 138454256
13.79Single6NI3BI1671076NI3-β2-BI167107-Gs/β1/γ2
13.79Single6OL9Tiotropium6OL9-M5-Tiotropium
13.79Single6TQ7SB-3348676TQ7-OX1-SB-334867
13.79Single6WGTLSD6WGT-5-HT2A-LSD
13.79Single7CKYPW04647CKY-D1-PW0464-Gs/β1/γ2
13.79Single7EW1Siponimod7EW1-S1P5-Siponimod-Gi1/β1/γ2
13.79Single7EW4CYM55417EW4-S1P3-CYM5541-Gi1/β1/γ2
13.79Single7F1TMIP-1a7F1T-CCR5-MIP-1a
13.79Single7JJOIsoprenaline7JJO-β1-Isoprenaline-Gs/β1/γ2
13.79Single7JV5SKF812977JV5-D1-SKF81297-Gs/β1/γ2
13.79Single7JVPSKF839597JVP-D1-SKF83959-Gs/β1/γ2
13.79Single7PX4PSB-21137PX4-A2A-PSB-2113
13.79Single7T2HLofentanil7T2H-μ-Lofentanil-Gi1/β1/γ2
13.79Single7T9NDPPC7T9N-TSH-M22 Fab-DPPC-Gs/β1/γ2
13.79Single7TD1LPA7TD1-LPA1-LPA-Gi1/β1/γ2
13.79Single7TUYGSK682753A7TUY-GPR183-GSK682753A
13.79Single7U2LPubChem 1632012427U2L-μ-PubChem 163201242-Gi1/β1/γ2
13.79Single7WVXHumanin7WVX-FPR2-ALX-Humanin-Gi2/β1/γ2
13.79Single7XOWGastrin7XOW-CCKB-Gastrin-chim(NtGi1-Gq)/β1/γ2
13.79Single7YU5ONO-07405567YU5-LPA1-ONO-0740556-Gi1/β1/γ2
13.79Single7YU7ONO-07405567YU7-LPA1-ONO-0740556-Gi1/β1/γ2
13.79Single8DCSCyanopindolol8DCS-β1-Cyanopindolol-Gs/β1/γ2
13.79Single8DZPmomSalB8DZP-κ-momSalB-Gi1/β1/γ2
13.79Single8E0GBU728E0G-μ-BU72
13.79Single8EF5Fentanyl8EF5-μ-Fentanyl-Gi1/β1/γ2
13.79Single8HDOBAY 60-65838HDO-A2B-BAY 60-6583-Gs/β1/γ2
13.79Single8HQCC5a anaphylatoxin8HQC-C5a1-C5a anaphylatoxin-Go/β1/γ2
13.79Single8IRURotigotine8IRU-D4-Rotigotine-chim(NtGi1-Gs-CtGi1)/β1/γ2
13.79Single8IRVRotigotine8IRV-D5-Rotigotine-chim(NtGi1-Gs)/β1/γ2
13.79Single8IYHMK68928IYH-HCA2-MK6892-Go/β1/γ2
13.79Single8JD5JNJ-40411813; ADX881788JD5-mGlu2; mGlu4-Glutamate-JNJ-40411813; ADX88178-Gi1/β1/γ2
13.79Single8JT6(R)-IHCH-71798JT6-5-HT1A-(R)-IHCH-7179-Gi1/β1/γ2
13.79Single8JXVClozapine8JXV-H4-Clozapine-Gi1/β1/γ2
13.79Single8JXWVUF68848JXW-H4-VUF6884-Gi1/β1/γ2
13.79Single8X79MRE-2698X79-I2-MRE-269-Gs/β1/γ2
13.79Single8XQTCholesterol8XQT-TAS2R14-Cholesterol-Gi1/β1/γ1
13.79Single9AS9RS130-1809AS9-5-HT2A-RS130-180
13.79Single9ASARS130-1809ASA-5-HT2A-RS130-180-chim(NtGi1-Gs-CtGq)/β1/γ2
13.79Single9BJKNaloxone9BJK-μ-Naloxone-NAM
13.79Single9IZGNKP9IZG-LPA1-NKP-chim(NtGi1-Gs-CtGq)/β1/γ2
13.79Consensusbeta2_onOrthosteric Ligand7DHI-β2-Salbutamol-Gs/β1/γ2 6NI3-β2-BI167107-Gs/β1/γ2
13.79Consensusbeta2_on_gpOrthosteric Ligand7DHI-β2-Salbutamol-Gs/β1/γ2 6NI3-β2-BI167107-Gs/β1/γ2
13.79Consensusd4_on_gpOrthosteric Ligand8IRU-D4-Rotigotine-chim(NtGi1-Gs-CtGi1)/β1/γ2
13.79Consensusd5_on_gpOrthosteric Ligand8IRV-D5-Rotigotine-chim(NtGi1-Gs)/β1/γ2
13.79Consensusgi_5htOrthosteric Ligand8FYT-5-HT1A-LSD-Gi1/β1/γ1 7UM7-5-HT5A-Methylergometrine-chim(NtGi1-Go)/β1/γ2 8UGY-5-HT1E-Mianserin-Gi1/β1/γ1 8W8B-5-HT1A-SEP-363856-Gi1/β1/γ2 7E2Y-5-HT1A-Serotonin-Gi1/β1/γ2 7E32-5-HT1D-Serotonin-Gi1/β1/γ2 7XTA-5-HT4-Serotonin-Gi1/β1/γ2 8UH3-5-HT1E-Setiptiline-Gi1/β1/γ1 8JSP-5-HT1A-Ulotaront-Gi1/β1/γ2 8FYL-5-HT1A-Vilazodone-Gi1/β1/γ1 8JT6-5-HT1A-(R)-IHCH-7179-Gi1/β1/γ2 8FYE-5-HT1A-4-F,5-MeO-PyrT-Gi1/β1/γ1 7X5H-5-HT5A-5-CT-Gi1/β1/γ2 8FY8-5-HT1A-5-MeO-DMT-Gi1/β1/γ1 7E2Z-5-HT1A-Aripiprazole-Gi1/β1/γ2 7E33-5-HT1E-BRL-54443-Gi1/β1/γ2 8FYX-5-HT1A-Buspirone-Gi1/β1/γ1 7EXD-5-HT1F-Lasmiditan-Gi1/β1/γ2 7UM6-5-HT5A-Lisuride-chim(NtGi1-Go)/β1/γ2
13.79Consensusgi_dopamineOrthosteric Ligand7JVR-D2-Bromoergocryptine-Gi1/β1/γ2 7CMV-D3-PD128907-Gi1/β1/γ2 7CMU-D3-Pramipexole-Gi1/β1/γ2 8IRS-D2-Rotigotine-Gi1/β1/γ2 8IRT-D3-Rotigotine-Gi1/β1/γ2
13.79Consensusgi_lpaOrthosteric Ligand7TD1-LPA1-LPA-Gi1/β1/γ2 7YU3-LPA1-ONO-0740556-Gi1/β1/γ2
13.79Consensusgs_adrenergicOrthosteric Ligand7DHI-β2-Salbutamol-Gs/β1/γ2 7XJI-β3-Solabegron-Gs/β1/γ2 7JJO-β1-Isoprenaline-Gs/β1/γ2 6NI3-β2-BI167107-Gs/β1/γ2 8DCR-β1-Dobutamine-Gs/β1/γ2 7XJH-β3-Isoproterenol-Gs/β1/γ2 7DH5-β3-Mirabegron-Gs/β1/γ2
13.79Consensuskop_offOrthosteric Ligand4DJH-κ-JDTic
13.79Consensuslpa_onOrthosteric Ligandlpa1_on
13.79Consensuslpa_on_gpOrthosteric Ligandlpa1_on_gp
13.79Consensusm3_offOrthosteric Ligand4U15-M3-Tiotropium 4U16-M3-N-Methyl-Scopolamine 5ZHP-M3-PubChem 134828589
13.79Consensusm5_offOrthosteric Ligand6OL9-M5-Tiotropium
13.79Consensuss1p5_onOrthosteric Ligand7EW1-S1P5-Siponimod-Gi1/β1/γ2
13.79Consensuss1p5_on_gpOrthosteric Ligand7EW1-S1P5-Siponimod-Gi1/β1/γ2
13.64Single5MZJTheophylline5MZJ-A2A-Theophylline-Na
13.64Single7XKDBeta-Hydroxyandrosterone7XKD-ADGRG2-β-Hydroxyandrosterone-Gs/β1/γ2
13.64Single8HQMNPGLY8HQM-GPR132-NPGLY-Gi1/β1/γ2
13.64Single8HS2Fab0468HS2-GPR20-Fab046
13.64Single8HVINOX-6-78HVI-GPR132-NOX-6-7-Gi1/β1/γ2
13.64Single8PWNTheophylline8PWN-A2A-Theophylline
13.51Single5UIW5P7-CCL55UIW-CCR5-5P7-CCL5
13.51Single7SK4CXCL12_LRHQ7SK4-ACKR3-CXCL12_LRHQ
13.51Single8H0PNMB308H0P-BB1-NMB30-chim(NtGi1-Gs-CtGq)/β1/γ2
13.51Single8XQFApelin-138XQF-Apelin-Apelin-13-Gi1/β1/γ2
13.51Consensusccr5_offOrthosteric Ligand5UIW-CCR5-5P7-CCL5
13.51Consensusccr5_onOrthosteric Ligand7O7F-CCR5-6P4-CCL5-Gi1/β1/γ1 7F1Q-CCR5-MIP-1a-Gi1/β1/γ2
13.51Consensusgi_compl-peptOrthosteric Ligand8HK5-C5a1-Complement C5-Gi1/β1/γ2 8IA8-C3aB-E7 peptide-Gi1/β1/γ2 7Y66-C5a1-BM213-Gi1/β1/γ2 7Y67-C5a1-C089 peptide-Gi1/β1/γ2 8HK2-C3aB-C3a anaphylatoxin-Gi1/β1/γ2 7Y64-C5a1-C5a anaphylatoxin-Gi1/β1/γ2
13.51Consensusopioid_on_gpOrthosteric Ligandmop_on_gp nop_on_gp dop_on_gp kop_on_gp
13.33Single2YCXCyanopindolol2YCX-β1-Cyanopindolol
13.33Single4LDEBI1671074LDE-β2-BI167107
13.33Single4OR2FITM4OR2-mGlu1; mGlu1-FITM
13.33Single4XEENeurotensin4XEE-NTS1-Neurotensin
13.33Single4XESNeurotensin4XES-NTS1-Neurotensin
13.33Single5F8UCyanopindolol5F8U-β1-Cyanopindolol
13.33Single6AK3Dinoprostone IPGE26AK3-EP3-Dinoprostone IPGE2
13.33Single6C1RPMX536C1R-C5a1-PMX53-Avacopan; Na
13.33Single6CM4Risperidone6CM4-D2-Risperidone
13.33Single6DRYMethylergonovine6DRY-5-HT2B-Methylergonovine
13.33Single6IIURamatroban6IIU-TXA2-Ramatroban
13.33Single6VMSBromoergocryptine6VMS-D2-Bromoergocryptine-Gi1/β1/γ2
13.33Single6YVRNTS8-136YVR-NTS1-NTS8-13
13.33Single6ZG4HTL00099366ZG4-M1-HTL0009936
13.33Single7DH5Mirabegron7DH5-β3-Mirabegron-Gs/β1/γ2
13.33Single7EO4BAF3127EO4-S1P1-BAF312-Gi1/β1/γ2
13.33Single7EW2Fingolimod7EW2-S1P3-Fingolimod-Gi1/β1/γ2
13.33Single7JNIOlodanrigan7JNI-AT2-Olodanrigan
13.33Single7K15MKD0467K15-BLT1-MKD046-Na
13.33Single7T6BS1P7T6B-S1P2-S1P-chim(NtGi1L-G13)/β1/γ2
13.33Single7W0LPubChem 1227019087W0L-Apelin-PubChem 122701908-Gi1/β1/γ2
13.33Single7W0NElabela7W0N-Apelin-Elabela-Gi1/β1/γ2
13.33Single7XW5ML1097XW5-TSH-TSH-ML109-Gs/β1/γ2
13.33Single7YITNalfurafine7YIT-κ-Nalfurafine
13.33Single8GCPPGE28GCP-EP4-PGE2-Gi1/β1/γ2
13.33Single8IBUErythromycin-A8IBU-Motilin-Erythromycin-A-chim(NtGi1-Gs-CtGq)/β1/γ2
13.33Single8ID9Eicosapentaenoic acid8ID9-FFA4-Eicosapentaenoic acid-Gi1/β1/γ2
13.33Single8IQ6Latanoprost8IQ6-FP-alpha-Latanoprost-chim(NtGi1-Gs-CtGq)/β1/γ2
13.33Single8IRSRotigotine8IRS-D2-Rotigotine-Gi1/β1/γ2
13.33Single8J6DEP1418J6D-C3aB-EP141-Go/β1/γ2
13.33Single8JJ8Formoterol8JJ8-β2-Formoterol
13.33Single8JJPChemerin8JJP-CML2-Chemerin-Gi1/β1/γ2
13.33Single8JPCNeurotensin-(8-13)8JPC-NTS1-Neurotensin-(8-13)-SBI-553; GDP; Mg-Gq; GRK2
13.33Single8T3QDocosa-4,7,10,13,16,19-Hexaenoic acid8T3Q-FFA4-Docosa-4,7,10,13,16,19-Hexaenoic acid-chim(NtGi2L-Gs-CtGq)/β1/γ2
13.33Single8XQNCholesterol8XQN-TAS2R14-Cholesterol-Aristolochic acid A-Gi1/β1/γ1
13.33Single9GL2Befiradol9GL2-5-HT1A-Befiradol-Gs/β1/γ2
13.33Single9GYOP3959GYO-GPBA-P395-chim(NtGi1-Gs)/β1/γ2
13.33Single9IZHLPA9IZH-LPA1-LPA-chim(NtGi2-G13)/β1/γ2
13.33Single9MQLIsoquinuclidine9MQL-κ-Isoquinuclidine
13.33Consensus5ht1a_onOrthosteric Ligand8FYT-5-HT1A-LSD-Gi1/β1/γ1 7E2Y-5-HT1A-Serotonin-Gi1/β1/γ2 7E2Z-5-HT1A-Aripiprazole-Gi1/β1/γ2 8FYX-5-HT1A-Buspirone-Gi1/β1/γ1 8JSP-5-HT1A-Ulotaront-Gi1/β1/γ2 8JT6-5-HT1A-(R)-IHCH-7179-Gi1/β1/γ2 8FY8-5-HT1A-5-MeO-DMT-Gi1/β1/γ1 8FYE-5-HT1A-4-F,5-MeO-PyrT-Gi1/β1/γ1 8FYL-5-HT1A-Vilazodone-Gi1/β1/γ1
13.33Consensus5ht1a_on_gpOrthosteric Ligand8FYT-5-HT1A-LSD-Gi1/β1/γ1 8FYX-5-HT1A-Buspirone-Gi1/β1/γ1 8JSP-5-HT1A-Ulotaront-Gi1/β1/γ2 8JT6-5-HT1A-(R)-IHCH-7179-Gi1/β1/γ2 7E2Y-5-HT1A-Serotonin-Gi1/β1/γ2 7E2Z-5-HT1A-Aripiprazole-Gi1/β1/γ2 8FY8-5-HT1A-5-MeO-DMT-Gi1/β1/γ1 8FYE-5-HT1A-4-F,5-MeO-PyrT-Gi1/β1/γ1 8FYL-5-HT1A-Vilazodone-Gi1/β1/γ1
13.33Consensusbeta_onOrthosteric Ligandbeta1_on beta2_on beta3_on
13.33Consensusbeta_on_gpOrthosteric Ligandbeta1_on_gp beta2_on_gp beta3_on_gp
13.33Consensusd2_on_gpOrthosteric Ligand7JVR-D2-Bromoergocryptine-Gi1/β1/γ2 8IRS-D2-Rotigotine-Gi1/β1/γ2
13.33Consensusgi_amineOrthosteric Ligandgi_5ht gi_muscarinic gi_adrenergic gi_dopamine gi_histamine
13.33Consensusgi_lipidOrthosteric Ligandgi_cannabinoid gi_ffa gi_leukotriene gi_lpa gi_s1p
13.33Consensusgi_muscarinicOrthosteric Ligand8E9X-M4-2-Deoxycytidine-chim(NtGi1-Go)/β1/γ2 7T8X-M2-Acetylcholine-chim(NtGi1-Go)/β1/γ2 7TRS-M4-Acetylcholine-Gi1/β1/γ2 7TRK-M4-Iperoxo-Gi1/β1/γ2 7V6A-M4-PubChem 9864275-Gi1/β1/γ2
13.33Consensusleukotriene_offOrthosteric Ligandblt_off cyslt_off
13.33Consensusmotilin_on_gpOrthosteric Ligand8IBU-Motilin-Erythromycin-A-chim(NtGi1-Gs-CtGq)/β1/γ2
13.33Consensusnk1_offOrthosteric Ligand6HLP-NK1-Netupitant 6HLO-NK1-Aprepitant 6HLL-NK1-CP99994 6E59-NK1-L-760735
13.16Single7QBCAlpha-factor mating pheromone7QBC-STE2-α-factor mating pheromone
13.16Single7XATSomatostatin-147XAT-SST2-Somatostatin-14-Gi1/β1/γ2
13.16Single7YOONeuropeptide-Y7YOO-Y2-Neuropeptide-Y-Gi1/β1/γ2
13.16Single8XWPEndothelin-18XWP-ETB-Endothelin-1-Gi1/β1/γ2
13.16Consensusnpy2_onOrthosteric Ligand7YOO-Y2-Neuropeptide-Y-Gi1/β1/γ2
13.16Consensusnpy2_on_gpOrthosteric Ligand7YOO-Y2-Neuropeptide-Y-Gi1/β1/γ2
13.04Single6OT025(S)-Epoxycholesterol6OT0-SMO-25(S)-Epoxycholesterol-Gi1/β1/γ2
13.04Single6XBM5LWE6XBM-SMO-5LWE-Gi1/β1/γ2
13.04Single7DD5Ca; Ca; Tryptophan; NPS-21437DD5-CaS-Ca-Ca; Ca; Tryptophan; NPS-2143
13.04Single8A2OTheophylline8A2O-A2A-Theophylline-Na
13.04Single8DPHLorcaserin8DPH-5-HT2C-Lorcaserin-chim(NtGi2L-Gs-CtGq)/β1/γ2
13.04Single8U4QREGN7663-Fab8U4Q-CXCR4-REGN7663-Fab-Gi1/β1/γ2
13.04Single8Y02Retinal8Y02-OPN1SW-Retinal-Gi1/β1/γ2
13.04Consensusopsins_onOrthosteric Ligandrhodopsin_on opsin1lw_on
13.04Consensussensory_onOrthosteric Ligandopsins_on
12.90Single4BUONeurotensin4BUO-NTS1-Neurotensin
12.90Single4OR2FITM4OR2-mGlu1; mGlu1-FITM
12.90Single4RWSvMIP-II4RWS-CXCR4-vMIP-II
12.90Single5TUDErgotamine5TUD-5-HT2B-Ergotamine
12.90Single5UNGPubChem 157800525UNG-AT2-PubChem 15780052
12.90Single5X93K-87945X93-ETB-K-8794
12.90Single6H7LDobutamine6H7L-β1-Dobutamine
12.90Single6IBLArformoterol6IBL-β1-Arformoterol
12.90Single6TKOArformoterol6TKO-β1-Arformoterol-Arrestin2
12.90Single7D7MDinoprostone7D7M-EP4-Dinoprostone-Gs/β1/γ1
12.90Single7JVRBromoergocryptine7JVR-D2-Bromoergocryptine-Gi1/β1/γ2
12.90Single7U2KC6-guano7U2K-μ-C6-guano-Gi1/β1/γ2
12.90Single7UM4AS26747237UM4-5-HT5A-AS2674723
12.90Single7X2DTavapadon7X2D-D1-Tavapadon-Gs/β1/γ2
12.90Single7Y65C5a peptide7Y65-C5a1-C5a peptide-Gi1/β1/γ2
12.90Single7YU8ONO-07405567YU8-LPA1-ONO-0740556-Gi1/β1/γ2
12.90Single8E9YClozapine-N-oxide8E9Y-M3-Clozapine-N-oxide-chim(NtGi2L-Gs-CtGq)/β1/γ2
12.90Single8FN0Neurotensin/Neuromedin-N8FN0-NTS1-Neurotensin/Neuromedin-N-SBI-553-chim(NtGi1-Go)/β1/γ2
12.90Single8GUTLEI-1028GUT-CB2-LEI-102-Gi1/β1/γ2
12.90Single8I95EP548I95-C3aB-EP54-Go/β1/γ2
12.90Single8IYSTUG-8918IYS-FFA4-TUG-891-GDP-chim(NtGi1L-Gq)/β1/γ2
12.90Single8K2XCXCL108K2X-CXCR3-CXCL10-Gi1/β1/γ2
12.90Single8XGSMetastin8XGS-Kiss1-Metastin-chim(NtGi1-Gq)/β1/γ2
12.90Single8XVJMacitentan8XVJ-ETA-Macitentan
12.90Single8XVUCXCL28XVU-CXCR2-CXCL2
12.90Single8XXHCXCL28XXH-CXCR2-CXCL2-Go/β1/γ2
12.90Single8ZX4Lysophosphatidylinositol 8ZX4-GPR55-Lysophosphatidylinositol-chim(NtGi1-G13)/β1/γ2
12.90Single9CGJC6-Quino9CGJ-δ-C6-Quino-Gi1/β1/γ2
12.90Single9GE3Lysophosphatidylinositol9GE3-GPR55-Lysophosphatidylinositol-chim(NtGi1-G13)/β1/γ2
12.90Single9GG5U466199GG5-TXA2-U46619-chim(NtGi2L-Gs-CtGq)/β1/γ2
12.90Single9IZFNKP9IZF-LPA1-NKP-Gi1/β1/γ2
12.90Single9M1HProstaglandin E29M1H-EP1-Prostaglandin E2-chim(NtGi1-Gs-CtGq)/β1/γ2
12.90Single9M54Neuropeptide VF9M54-NPFF2-Neuropeptide VF-Gi1/β1/γ2
12.90Consensusbeta1_onOrthosteric Ligand8DCR-β1-Dobutamine-Gs/β1/γ2 7S0F-β1-Isoprenaline-Gi1/β1/γ2
12.90Consensusbeta1_on_gpOrthosteric Ligand8DCR-β1-Dobutamine-Gs/β1/γ2 7S0F-β1-Isoprenaline-Gi1/β1/γ2
12.90Consensusc3a_on_gpOrthosteric Ligand8HK2-C3aB-C3a anaphylatoxin-Gi1/β1/γ2 8IA8-C3aB-E7 peptide-Gi1/β1/γ2
12.90Consensuscck_onOrthosteric Ligandccka_on cckb_on
12.90Consensuscck_on_gpOrthosteric Ligandccka_on_gp cckb_on_gp
12.90Consensuschemerin_onOrthosteric Ligandcml1_on
12.90Consensusendothelin_offOrthosteric Ligandetb_off
12.90Consensusetb_offOrthosteric Ligand5X93-ETB-K-8794 5XPR-ETB-Bosentan 6K1Q-ETB-IRL2500
12.90Consensusfp-alpha_onOrthosteric Ligand8IUK-FP-alpha-PGF2-α-chim(NtGi1-Gs-CtGq)/β1/γ2 8IUL-FP-alpha-Latanoprost-chim(NtGi1-Gs-CtGq)/β1/γ2 8IUM-FP-alpha-Tafluprost acid-chim(NtGi1-Gs-CtGq)/β1/γ2
12.90Consensusfp-alpha_on_gpOrthosteric Ligand8IUK-FP-alpha-PGF2-α-chim(NtGi1-Gs-CtGq)/β1/γ2 8IUL-FP-alpha-Latanoprost-chim(NtGi1-Gs-CtGq)/β1/γ2 8IUM-FP-alpha-Tafluprost acid-chim(NtGi1-Gs-CtGq)/β1/γ2
12.90Consensuskop_on_gpOrthosteric Ligand8F7W-κ-Dynorphin-Gi1/β1/γ2 8DZS-κ-GR89,696-chim(NtGi2-Gz)/β1/γ2 8DZP-κ-momSalB-Gi1/β1/γ2
12.90Consensusprostanoid_offOrthosteric Ligandep_off dp_off
12.82Single6IGLIRL16206IGL-ETB-IRL1620
12.82Single7QBCAlpha-factor mating pheromone7QBC-STE2-α-factor mating pheromone
12.82Single8Y52BA18Y52-BB3-BA1-chim(NtGi1-Gs-CtGq)/β1/γ2
12.82Consensusendothelin_onOrthosteric Ligandetb_on eta_on
12.50Single2J4Y11-cis-Retinal2J4Y-Rhodopsin-11-cis-Retinal
12.50Single3UZAGTPL92363UZA-A2A-GTPL9236
12.50Single5WKTOctyl-Beta-D-Glucopyranoside5WKT-Rhodopsin-Octyl-β-D-Glucopyranoside-Gt(CT)
12.50Single5ZTYAM102575ZTY-CB2-AM10257
12.50Single6C1QPMX536C1Q-C5a1-PMX53-NDT9513727
12.50Single6G79Donitriptan6G79-5-HT1B-Donitriptan-Go/β1/γ2
12.50Single6OMMWKYMVX6OMM-FPR2-ALX-WKYMVX-Gi1/β1/γ2
12.50Single6PT3DPI-2876PT3-δ-DPI-287
12.50Single7EJKOxymetazoline7EJK-α2a-Oxymetazoline-Go/β1/γ2
12.50Single7F23Dopamine7F23-D1-Dopamine-GDP-Gs/β1/γ2
12.50Single7MT8All-trans-Retinal7MT8-Rhodopsin-All-trans-Retinal-GRK1
12.50Single7RKFFractalkine7RKF-US28-Fractalkine-GDP-chim(NtGi1-G11)/β1/γ2
12.50Single7RKNFractalkine7RKN-US28-Fractalkine-Gi1/β1/γ2
12.50Single7T11Octreotide7T11-SST2-Octreotide-Gi3/β1/γ2
12.50Single7XBXCX3CL17XBX-CX3CR1-CX3CL1-Gi1/β1/γ2
12.50Single7XN9L-054,5227XN9-SST2-L-054,522
12.50Single7YAEOctreotide7YAE-SST2-Octreotide-Gi1/β1/γ2
12.50Single8F76Propanoic acid8F76-OR51E2-Propanoic acid-Gs/β1/γ2
12.50Single8GDAL9026888GDA-EP4-L902688-Gs/β1/γ2
12.50Single8GGEConstrained Epinephrine8GGE-β2-Constrained Epinephrine-GTP-Gs/β1/γ2
12.50Single8GGFConstrained Epinephrine8GGF-β2-Constrained Epinephrine-GTP-Gs/β1/γ2
12.50Single8GH1Constrained Epinephrine8GH1-β2-Constrained Epinephrine
12.50Single8IQ4Carboprost8IQ4-FP-alpha-Carboprost-chim(NtGi1-Gs-CtGq)/β1/γ2
12.50Single8IU2Retinal8IU2-Opsin1LW-Retinal-Gi1/β1/γ2
12.50Single8J6QCompound 9n8J6Q-HCA2-β-Hydroxybutyrate-Compound 9n-Gi1/β1/γ2
12.50Single8JEF(3S)-3-hydroxyoctanoic acid8JEF-HCA3-(3S)-3-hydroxyoctanoic acid-Gi1/β1/γ2
12.50Single8RQLFlufenamic acid8RQL-TAS2R14-Flufenamic acid-Flufenamic acid-chim(NtGi1-Gt3)/β1/γ2
12.50Single8WC62-Phenylethylamine8WC6-TA1-2-Phenylethylamine-chim(NtGi1-Gs)/β1/γ2
12.50Single8WC9ZH86518WC9-TA1-ZH8651-chim(NtGi1-Gs-CtGq)/β1/γ2
12.50Single8YN9Histamine8YN9-H4-Histamine-Gi1/β1/γ2
12.50Single8YUUHistamine8YUU-H3-Histamine-Gi1/β1/γ1
12.50Single9CGKC5-Quino9CGK-δ-C5-Quino-Gi1/β1/γ2
12.50Single9EAJNanobody AT2099EAJ-AT1-Nanobody AT209
12.50Single9IV15alpha-DHT9IV1-ADGRD1-5α-DHT-chim(NtGi1-Gs)/β1/γ2
12.50Single9JF4PD1683689JF4-BB1-PD168368
12.50Single9LRCHistamine9LRC-H4-Histamine
12.50Single9LREHistamine9LRE-H4-Histamine-Gi1/β1/γ2
12.50Single9MD1Buspirone9MD1-5-HT1A-Buspirone-Gz/β1/γ2
12.50Consensuscb2_offOrthosteric Ligand5ZTY-CB2-AM10257
12.50Consensuscxcr_on_gpOrthosteric Ligandcxcr3_on_gp cxcr4_on_gp cxcr1_on_gp cxcr2_on_gp
12.50Consensusdop_onOrthosteric Ligand8F7S-δ-Deltorphin-Gi1/β1/γ2
12.50Consensusgi_npyOrthosteric Ligand8K6M-Y1-Neuropeptide-Y-Gi2/β1/γ1 7X9C-Y4-Pancreatic Hormone-Gi1/β1/γ2 7YOO-Y2-Neuropeptide-Y-Gi1/β1/γ2
12.50Consensusgi_opsinsOrthosteric Ligand8IU2-Opsin1LW-Retinal-Gi1/β1/γ2
12.50Consensusgi_sensoryOrthosteric Ligandgi_opsins
12.50Consensusgq_cckOrthosteric Ligand8IA7-CCKB-Cholecystokinin-8-chim(NtGi1L-Gq)/β1/γ2 7XOW-CCKB-Gastrin-chim(NtGi1-Gq)/β1/γ2 7EZM-CCKA-Cholecystokinin-8-chim(NtGsL-Gq)/β1/γ2 7F8W-CCKB-Gastrin-17-chim(NtGsL-Gq)/β1/γ2
12.50Consensush3_onOrthosteric Ligand8YUU-H3-Histamine-Gi1/β1/γ1
12.50Consensush3_on_gpOrthosteric Ligand8YUU-H3-Histamine-Gi1/β1/γ1
12.50Consensusnmur1_onOrthosteric Ligand7W53-NMUR1-Neuromedin-U-25-chim(NtGi1-Gs-CtGq)/β1/γ2
12.50Consensusnpy_onOrthosteric Ligandnpy1_on npy2_on npy4_on
12.50Consensusnpy_on_gpOrthosteric Ligandnpy1_on_gp npy2_on_gp npy4_on_gp
12.50Consensusopsin1lw_onOrthosteric Ligand8IU2-Opsin1LW-Retinal-Gi1/β1/γ2
12.50Consensusopsin1lw_on_gpOrthosteric Ligand8IU2-Opsin1LW-Retinal-Gi1/β1/γ2
12.50Consensusopsins_on_gpOrthosteric Ligandrhodopsin_on_gp opsin1lw_on_gp
12.50Consensusrhodopsin_onOrthosteric Ligand6OYA-Rhodopsin-All-trans-Retinal-Gt/β1/γ1
12.50Consensussensory_on_gpOrthosteric Ligandopsins_on_gp
12.12Single4IARErgotamine4IAR-5-HT1B-Ergotamine
12.12Single7F8XNN90567F8X-CCKA-NN9056
12.12Single7L0RNeurotensin7L0R-NTS1-Neurotensin-Gi1/β1/γ1
12.12Single7QA8Peptide7QA8-STE2-Peptide
12.12Single7QA8Peptide7QA8-STE2-Peptide
12.12Single7W2ZGhrelin7W2Z-Ghrelin-Ghrelin-Go/β1/γ2
12.12Single7W53Neuromedin-U-257W53-NMUR1-Neuromedin-U-25-chim(NtGi1-Gs-CtGq)/β1/γ2
12.12Single7WICSomatostatin-147WIC-SST2-Somatostatin-14-Gi1/β1/γ2
12.12Single7WKDTRH7WKD-TRH-TRH-chim(NtGi1-Gs-CtGq)/β1/γ2
12.12Single8DCRDobutamine8DCR-β1-Dobutamine-Gs/β1/γ2
12.12Single8G59TUG-8918G59-FFA4-TUG-891-chim(Gi1-CtGq)/β1/γ2
12.12Single8WZ2Orexigenic Neuropeptide QRFP8WZ2-QRFP-Orexigenic Neuropeptide QRFP-chim(NtGi1L-Gs-CtGq)/β1/γ2
12.12Single8XGMChemerin8XGM-CML2-Chemerin-Gi1/β1/γ2
12.12Consensusnmur1_on_gpOrthosteric Ligand7W53-NMUR1-Neuromedin-U-25-chim(NtGi1-Gs-CtGq)/β1/γ2
12.12Consensusp2y_onOrthosteric Ligandp2y1_on p2y10_on p2y12_on
12.12Consensussomatostatin_offOrthosteric Ligandsst2_off
12.00Single3OE9IT1t3OE9-CXCR4-IT1t
12.00Single4O9RCyclopamine4O9R-SMO-Cyclopamine
12.00Single5L7IVismodegib5L7I-SMO-Vismodegib
12.00Single6FK6PubChem 1324730336FK6-Rhodopsin-PubChem 132473033
12.00Single6QNOAll-trans-Retinal6QNO-Rhodopsin-All-trans-Retinal-Gi1/β1/γ1
12.00Single7DD7Ca; Ca; Tryptophan; Evocalcet7DD7-CaS-Ca-Ca; Ca; Tryptophan; Evocalcet
12.00Single7V68Iperoxo7V68-M4-Iperoxo-LY2119620-Gi1/β1/γ2
12.00Single7XT9Serotonin7XT9-5-HT4-Serotonin-Gs/β1/γ2
12.00Single7YFCHistamine7YFC-H4-Histamine-chim(NtGi1-Gs-CtGq)/β1/γ2
12.00Single8DPFLorcaserin8DPF-5-HT2C-Lorcaserin-chim(NtGi2L-Gs-CtGq)/β1/γ2
12.00Single8HSCFab0468HSC-GPR20-Fab046-Gi1/β1/γ2
12.00Single8IHIAcifran8IHI-HCA2-Acifran-Gi1/β1/γ2
12.00Single8JILNiacin8JIL-HCA2-Niacin-Gi1/β1/γ2
12.00Single8JLOUlotaront8JLO-TA1-Ulotaront-Gs/β1/γ2
12.00Single8RWHStilSwitch28RWH-A2A-StilSwitch2-Na
12.00Single8WPUTryptophan; Cinacalcet; PO4; Ca8WPU-CaS-Tryptophan; Cinacalcet; PO4; Ca-chim(NtGi2L-Gs-CtGq)/β1/γ2
12.00Single8YH3N-methyladenosine8YH3-A3A-N-methyladenosine-Gi1/β1/γ2
12.00Single8YKDDehydroepiandrosterone8YKD-ADGRG2-Dehydroepiandrosterone-chim(NtGi1-Gs)/β1/γ2
12.00Single8YN5Histamine8YN5-H3-Histamine-Gi1/β1/γ2
12.00Single8YN6Imetit8YN6-H3-Imetit-Gi1/β1/γ2
12.00Single8YN7Immethridine8YN7-H3-Immethridine-Go/β1/γ2
12.00Single9AS2DMT9AS2-5-HT2A-DMT-chim(NtGi1-Gs-CtGq)/β1/γ2
12.00Single9C1PCa; Tryptophan; '6218; PO49C1P-CaS-Ca-Ca; Tryptophan; '6218; PO4
11.76Single7F1QMIP-1a7F1Q-CCR5-MIP-1a-Gi1/β1/γ2
11.76Single7WJ5Somatostatin-147WJ5-SST2-Somatostatin-14-Gi1/β1/γ2
11.76Single8F7SDeltorphin8F7S-δ-Deltorphin-Gi1/β1/γ2
11.76Single8IBVMotilin8IBV-Motilin-Motilin-chim(NtGi1-Gs-CtGq)/β1/γ2
11.76Single9EAINanobody AT2099EAI-AT1-Losartan-Nanobody AT209
11.76Single9IQSMuscarinic toxin 39IQS-M4-Muscarinic toxin 3
11.76Single9KFIRelaxin-39KFI-RXFP3-Relaxin-3-Gi2/β1/γ2
11.76Consensusdop_on_gpOrthosteric Ligand8F7S-δ-Deltorphin-Gi1/β1/γ2
11.63Single7X9ANeuropeptide-Y7X9A-Y1-Neuropeptide-Y-Gi1/β1/γ2
11.54Single2X72All-trans-Retinal2X72-Rhodopsin-All-trans-Retinal-Gt(CT)
11.54Single3PWHZM-2413853PWH-A2A-ZM-241385
11.54Single3VG9ZM-2413853VG9-A2A-ZM-241385-Antibody
11.54Single3VGAZM-2413853VGA-A2A-ZM-241385-Antibody
11.54Single4BWBNeurotensin4BWB-NTS1-Neurotensin
11.54Single4QINSAG1.54QIN-SMO-SAG1.5
11.54Single5K2DZM-2413855K2D-A2A-ZM-241385-Na
11.54Single5OLHVipadenant5OLH-A2A-Vipadenant-Na
11.54Single5OLOTozadenant5OLO-A2A-Tozadenant-Na
11.54Single5U09Taranabant5U09-CB1-Taranabant
11.54Single6B73MP11046B73-κ-MP1104
11.54Single6JZHZM-2413856JZH-A2A-ZM-241385-Na
11.54Single6ME2Ramelteon6ME2-MT1-Ramelteon
11.54Single6NWEOctyl-Beta-D-Glucopyranoside6NWE-Rhodopsin-Octyl-β-D-Glucopyranoside-Gt(CT)
11.54Single6O3CSAG21k6O3C-SMO-SAG21k-Cholesterol
11.54Single6OBAS-Alprenolol6OBA-β2-S-Alprenolol-GTPL11074
11.54Single6PS7ZM-2413856PS7-A2A-ZM-241385-Na
11.54Single6TODEMPA6TOD-OX1-EMPA-Na
11.54Single7LCJDanuglipron7LCJ-GLP-1-Danuglipron
11.54Single7M3ECa; Ca; Tryptophan; NPS-21437M3E-CaS-Ca; Ca; Tryptophan; NPS-2143
11.54Single7M3ECa; Ca; Tryptophan; NPS-21437M3E-CaS-Ca; Ca; Tryptophan; NPS-2143
11.54Single7M3FCa; Ca; Tryptophan; Cinacalcet; PO47M3F-CaS-Ca; Ca; Tryptophan; Cinacalcet; PO4
11.54Single7SILCa; Ca; Ca; Cyclomethyltryptophan; 9IG; PO47SIL-CaS-Ca-Ca; Ca; Ca; Cyclomethyltryptophan; 9IG; PO4
11.54Single7SILCa; Ca; Ca; Cyclomethyltryptophan; 9IG; PO47SIL-CaS-Ca-Ca; Ca; Ca; Cyclomethyltryptophan; 9IG; PO4
11.54Single7VIHCBP-3077VIH-S1P1-CBP-307-Gi1/β1/γ2
11.54Single7W0OElabela7W0O-Apelin-Elabela-Gi1/β1/γ2
11.54Single7WF7S1P7WF7-S1P1-S1P-Gi1/β1/γ2
11.54Single7XT8Serotonin7XT8-5-HT4-Serotonin-Gs/β1/γ2
11.54Single8EFOPZM218EFO-μ-PZM21-Gi1/β1/γ2
11.54Single8FYXBuspirone8FYX-5-HT1A-Buspirone-Gi1/β1/γ1
11.54Single8GNGIstradefylline8GNG-A2A-Istradefylline
11.54Single8H8JLodoxamide8H8J-GPR35-Lodoxamide-Ca-chim(NtGi1L-G13)/β1/γ2
11.54Single8JSOAMPH8JSO-TA1-AMPH-chim(NtGi1-Gs)/β1/γ2
11.54Single8RVWStilSwitch38RVW-A2A-StilSwitch3-Na
11.54Single8RW0Istradefylline8RW0-A2A-Istradefylline-Na
11.54Single8RW4AzoSwitch28RW4-A2A-AzoSwitch2-Na
11.54Single8RWEStilSwitch48RWE-A2A-StilSwitch4-Na
11.54Single8U4SREGN7663-Fab8U4S-CXCR4-REGN7663-Fab
11.54Single8U4TREGN7663-Fab8U4T-CXCR4-REGN7663-Fab
11.54Single8UNSConstrained Epinephrine8UNS-β2-Constrained Epinephrine-GTP-Gs/β1/γ2
11.54Single8UNTConstrained Epinephrine8UNT-β2-Constrained Epinephrine-GTP-Gs/β1/γ2
11.54Single8UTDMK19038UTD-HCA2-MK1903-Gi1/β1/γ2
11.54Single8WOGSuccinic acid8WOG-Succinate-Succinic acid-Gi1/β1/γ2
11.54Single8WPGTryptophan; Cinacalcet; PO4; Ca8WPG-CaS-Tryptophan; Cinacalcet; PO4; Ca
11.54Single8YKXMaleic acid8YKX-Succinate-Maleic acid-Gi1/β1/γ1
11.54Single8YUVImmepip8YUV-H3-Immepip-Gi1/β1/γ2
11.54Single8YYWAlpha-ketoglutarate8YYW-Oxoglutarate-α-ketoglutarate-α-ketoglutarate-chim(Gi1-CtGq)/β1/γ2
11.54Single9AVLCa; Ca; Cyclomethyltryptophan; 9IG; PO49AVL-CaS-Ca-Ca; Ca; Cyclomethyltryptophan; 9IG; PO4-Gi3/β2/γ2
11.54Single9C2FCa; Ca; Tryptophan; '54149; PO49C2F-CaS-Ca-Ca; Ca; Tryptophan; '54149; PO4
11.54Single9FUPIstradefylline9FUP-A2A-Istradefylline-Na
11.54Single9J5VCpY9J5V-LPA1-CpY-Gi1/β1/γ2
11.54Consensus5ht1e_onOrthosteric Ligand7E33-5-HT1E-BRL-54443-Gi1/β1/γ2 8UGY-5-HT1E-Mianserin-Gi1/β1/γ1 8UH3-5-HT1E-Setiptiline-Gi1/β1/γ1
11.54Consensusangiotensin_offOrthosteric Ligandat1_off
11.54Consensuscxcr1_onOrthosteric Ligand8IC0-CXCR1-Interleukin-8-Gi1/β1/γ2
11.54Consensusgi_succinateOrthosteric Ligand8YKW-Succinate-Succinic acid-Gi1/β1/γ1 8YKX-Succinate-Maleic acid-Gi1/β1/γ1
11.54Consensusgq_histamineOrthosteric Ligand7DFL-H1-Histamine-chim(NtGi1L-Gq)/β1/γ2
11.54Consensush1_on_gpOrthosteric Ligand7DFL-H1-Histamine-chim(NtGi1L-Gq)/β1/γ2
11.54Consensushistamine_onOrthosteric Ligandh1_on h2_on h3_on h4_on
11.54Consensushistamine_on_gpOrthosteric Ligandh1_on_gp h2_on_gp h3_on_gp h4_on_gp
11.54Consensusp2y1_onOrthosteric Ligand7XXH-P2Y1-2MeSADP-chim(NtGi1-G11)/β1/γ2
11.54Consensussensory_offonOrthosteric Ligandsensory_off sensory_on
11.54Consensussensory_offon_gpOrthosteric Ligandsensory_on_gp sensory_on
11.54Consensussuccinate_onOrthosteric Ligand8YKW-Succinate-Succinic acid-Gi1/β1/γ1 8YKX-Succinate-Maleic acid-Gi1/β1/γ1
11.54Consensussuccinate_on_gpOrthosteric Ligand8YKW-Succinate-Succinic acid-Gi1/β1/γ1 8YKX-Succinate-Maleic acid-Gi1/β1/γ1
11.43Single3OE0CVX153OE0-CXCR4-CVX15
11.43Single6PT2KGCHM076PT2-δ-KGCHM07
11.43Single7XA3CCL27XA3-CCR2-CCL2-Gi1/β1/γ2
11.43Single7XOUCholecystokinin-87XOU-CCKA-Cholecystokinin-8-Gs/β1/γ2
11.43Single8XGUTAK4488XGU-Kiss1-TAK448-Gi1/β1/γ2
11.43Single8XIRPasireotide8XIR-SST3-Pasireotide-chim(NtGi1-Gs-CtGi1)/β1/γ2
11.43Single8XZGApelin-138XZG-Apelin-Apelin-13-Gi1/β1/γ2
11.43Single8XZHMM078XZH-Apelin-MM07-Gi1/β1/γ2
11.43Single9B54A1AIW9B54-CB1-A1AIW-Gi1/β1/γ2
11.43Single9M1OMorphine-Modulating Neuropeptide B9M1O-NPFF2-Morphine-Modulating Neuropeptide B-Gi1/β1/γ2
11.43Consensusc5a1_onOrthosteric Ligand8HK5-C5a1-Complement C5-Gi1/β1/γ2 7Y66-C5a1-BM213-Gi1/β1/γ2 7Y67-C5a1-C089 peptide-Gi1/β1/γ2 7Y64-C5a1-C5a anaphylatoxin-Gi1/β1/γ2
11.43Consensusccr2_onOrthosteric Ligand7XA3-CCR2-CCL2-Gi1/β1/γ2
11.43Consensusccr2_on_gpOrthosteric Ligand7XA3-CCR2-CCL2-Gi1/β1/γ2
11.43Consensusccr_onOrthosteric Ligandccr6_on ccr8_on ccr2_on ccr1_on ccr5_on
11.43Consensusgs_class-aOrthosteric Ligandgs_peptide gs_nucleotide gs_amine
11.11Single1F8811-cis-Retinal1F88-Rhodopsin-11-cis-Retinal
11.11Single3V2YPubChem 518926453V2Y-S1P1-PubChem 51892645
11.11Single4DKLBeta-Funaltrexamine4DKL-μ-β-Funaltrexamine
11.11Single4MQTIperoxo4MQT-M2-Iperoxo-LY2119620
11.11Single4N6HNaltrindole4N6H-δ-Naltrindole-Na
11.11Single4ZJCSB-6740424ZJC-OX1-SB-674042
11.11Single5IU4ZM-2413855IU4-A2A-ZM-241385-Na
11.11Single5IUBQ274563445IUB-A2A-Q27456344-Na
11.11Single5K2CZM-2413855K2C-A2A-ZM-241385-Na
11.11Single5NLXZM-2413855NLX-A2A-ZM-241385-Na
11.11Single5NM4ZM-2413855NM4-A2A-ZM-241385-Na
11.11Single5TE3Octyl-Beta-D-Glucopyranoside5TE3-Rhodopsin-Octyl-β-D-Glucopyranoside
11.11Single5UVIZM-2413855UVI-A2A-ZM-241385
11.11Single6A94Zotepine6A94-5-HT2A-Zotepine
11.11Single6KUXRS-799486KUX-α2a-RS-79948
11.11Single6PELCitronellol6PEL-Rhodopsin-Citronellol-Gt(CT)
11.11Single6PS5S-Propranolol6PS5-β2-S-Propranolol
11.11Single6TPGEMPA6TPG-OX2-EMPA
11.11Single6V9SGTPL114036V9S-OX1-GTPL11403
11.11Single6VI4JDTic6VI4-κ-JDTic
11.11Single6WJCAtropine6WJC-M1-Atropine-Muscarinic toxin 7
11.11Single6XBLSAG6XBL-SMO-SAG-Cholesterol-Gi1/β1/γ2
11.11Single6ZDVChromone 5d6ZDV-A2A-Chromone 5d-Na
11.11Single6ZFZ77-LH-28-16ZFZ-M1-77-LH-28-1
11.11Single7AROLUF58337ARO-A2A-LUF5833-Na
11.11Single7C2EPubChem 1490507997C2E-GLP-1-PubChem 149050799-Gs/β1/γ2
11.11Single7CKWFenoldopam7CKW-D1-Fenoldopam-Gs/β1/γ2
11.11Single7CKZDopamine7CKZ-D1-Dopamine-Mevidalen-Gs/β1/γ2
11.11Single7CMUPramipexole7CMU-D3-Pramipexole-Gi1/β1/γ2
11.11Single7CMVPD1289077CMV-D3-PD128907-Gi1/β1/γ2
11.11Single7E33BRL-544437E33-5-HT1E-BRL-54443-Gi1/β1/γ2
11.11Single7EJ8Brimonidine7EJ8-α2a-Brimonidine-Go/β1/γ2
11.11Single7F0TDopamine7F0T-D1-Dopamine-Gs/β1/γ2
11.11Single7F1ZDopamine7F1Z-D1-Dopamine-GDP-Gs/β1/γ2
11.11Single7F61PF-036547467F61-H3-PF-03654746
11.11Single7M3GCa; Ca; Tryptophan; Evocalcet; Etelcalcetide; PO47M3G-CaS-Ca; Ca; Tryptophan; Evocalcet; Etelcalcetide; PO4
11.11Single7RANPubChem 1645758477RAN-5-HT2A-PubChem 164575847-chim(NtGi2L-Gs-CtGq)/β1/γ2
11.11Single7T10Somatostatin-147T10-SST2-Somatostatin-14-Gi3/β1/γ2
11.11Single7UL3Famotidine7UL3-H2-Famotidine
11.11Single7UM7Methylergometrine7UM7-5-HT5A-Methylergometrine-chim(NtGi1-Go)/β1/γ2
11.11Single7WC9PubChem 1624213647WC9-5-HT2A-PubChem 162421364
11.11Single7YONPeptide-YY(3-36)7YON-Y2-Peptide-YY(3-36)-Gi1/β1/γ2
11.11Single7ZI0SAG7ZI0-SMO-SAG-Cholesterol
11.11Single8DPGPsilocin8DPG-5-HT2C-Psilocin-chim(NtGi2L-Gs-CtGq)/β1/γ2
11.11Single8GG7Constrained Epinephrine8GG7-β2-Constrained Epinephrine-GTP-Gs/β1/γ2
11.11Single8GGLConstrained Epinephrine8GGL-β2-Constrained Epinephrine
11.11Single8GGMConstrained Epinephrine8GGM-β2-Constrained Epinephrine
11.11Single8GGPConstrained Epinephrine8GGP-β2-Constrained Epinephrine
11.11Single8GUQOlorinab8GUQ-CB2-Olorinab-Gi1/β1/γ2
11.11Single8GURCP55,9408GUR-CB2-CP55,940-Gi1/β1/γ2
11.11Single8H4LDoconexent8H4L-FFA4-Doconexent-chim(NtGi1-Gs-CtGq)/β1/γ2
11.11Single8IEDA1LYA8IED-GPR156-A1LYA-Go/β1/γ2
11.11Single8JSPUlotaront8JSP-5-HT1A-Ulotaront-Gi1/β1/γ2
11.11Single8K2WAMG4878K2W-CXCR3-AMG487
11.11Single8RWCStilSwitch28RWC-A2A-StilSwitch2-Na
11.11Single8RWDStilSwitch38RWD-A2A-StilSwitch3-Na
11.11Single8RWIStilSwitch28RWI-A2A-StilSwitch2-Na
11.11Single8U02L-Dopamine8U02-D2-L-Dopamine-Go/β1/γ2
11.11Single8UNLConstrained Epinephrine8UNL-β2-Constrained Epinephrine-GTP-Gs/β1/γ2
11.11Single8UNOConstrained Epinephrine8UNO-β2-Constrained Epinephrine-GTP-Gs/β1/γ2
11.11Single8UO1Constrained Epinephrine8UO1-β2-Constrained Epinephrine-GTP; Mg-Gs/β1/γ2
11.11Single8WPGTryptophan; Cinacalcet; PO4; Ca8WPG-CaS-Tryptophan; Cinacalcet; PO4; Ca
11.11Single8WPUTryptophan; Cinacalcet; PO4; Ca8WPU-CaS-Tryptophan; Cinacalcet; PO4; Ca-chim(NtGi2L-Gs-CtGq)/β1/γ2
11.11Single8X7ATreprostinil8X7A-I2-Treprostinil-Gs/β1/γ2
11.11Single8XWQEndothelin-18XWQ-ETB-Endothelin-1-Gi1/β1/γ2
11.11Single8Y01Retinal8Y01-Opsin1MW-Retinal-Gi1/β1/γ2
11.11Single8Y45ADL58598Y45-δ-ADL5859-Gi2/β1/γ2
11.11Single8Y62C16:0 Ceramide8Y62-FPR2-ALX-C16:0 Ceramide-Gi1/β1/γ2
11.11Single8YN3Histamine8YN3-H2-Histamine-Gs/β1/γ2
11.11Single9AS3LSD9AS3-5-HT2A-LSD
11.11Single9AS4LSD9AS4-5-HT2A-LSD-chim(NtGi1-Gs-CtGq)/β1/γ2
11.11Single9ASBCa; Ca; Cyclomethyltryptophan; 9IG; PO49ASB-CaS-Ca-Ca; Ca; Cyclomethyltryptophan; 9IG; PO4-chim(NtGi1-Gs-CtGq)/β1/γ2
11.11Single9AVGCa; Ca; Cyclomethyltryptophan; 9IG; PO49AVG-CaS-Ca-Ca; Ca; Cyclomethyltryptophan; 9IG; PO4-chim(NtGi1-Gs)/β1/γ2
11.11Single9CBLEpinephrine9CBL-α2a-Epinephrine-Gi1/β1/γ2
11.11Single9DQJEP-39459DQJ-MRGPRD-EP-3945-chim(NtGi1-Gs-CtGq)/β1/γ2
11.11Single9EPQ11,20-Ethanoretinal9EPQ-Rhodopsin-11,20-Ethanoretinal-chim(Gi1-CtGq)/β1/γ2
11.11Single9JFUNE52-QQ579JFU-GPR4-NE52-QQ57
11.11Single9LRDHistamine9LRD-H1-Histamine-Gi1/β1/γ2
11.11Single9M2FNeuropeptide FF9M2F-NPFF1-Neuropeptide FF-Gi1/β1/γ2
11.11Consensus5ht2a_offOrthosteric Ligand6A94-5-HT2A-Zotepine 6A93-5-HT2A-Risperidone 7VOD-5-HT2A-Cariprazine 7WC8-5-HT2A-Lumateperone 8JT8-5-HT2A-(R)-IHCH-7179
11.11Consensus5ht_on_gpOrthosteric Ligand5ht1_on_gp 5ht2_on_gp 5ht4_on_gp 5ht5_on_gp 5ht6_on_gp 5ht7_on_gp
11.11Consensusat1_offOrthosteric Ligand4YAY-AT1-ZD-7155 4ZUD-AT1-Olmesartan
11.11Consensusc5a1_on_gpOrthosteric Ligand8HK5-C5a1-Complement C5-Gi1/β1/γ2 7Y66-C5a1-BM213-Gi1/β1/γ2 7Y67-C5a1-C089 peptide-Gi1/β1/γ2 7Y64-C5a1-C5a anaphylatoxin-Gi1/β1/γ2
11.11Consensuscb1_offOrthosteric Ligand5U09-CB1-Taranabant 5TGZ-CB1-AM6538
11.11Consensuscxcr2_onOrthosteric Ligand6LFM-CXCR2-Interleukin-8-Gi1/β1/γ2
11.11Consensuscxcr3_offOrthosteric Ligand8K2W-CXCR3-AMG487
11.11Consensusd3_onOrthosteric Ligand7CMV-D3-PD128907-Gi1/β1/γ2 8IRT-D3-Rotigotine-Gi1/β1/γ2 7CMU-D3-Pramipexole-Gi1/β1/γ2
11.11Consensusd3_on_gpOrthosteric Ligand7CMV-D3-PD128907-Gi1/β1/γ2 8IRT-D3-Rotigotine-Gi1/β1/γ2 7CMU-D3-Pramipexole-Gi1/β1/γ2
11.11Consensusghrelin_offOrthosteric Ligand6KO5-Ghrelin-PubChem 57400002 7F83-Ghrelin-PF-05190457
11.11Consensusopsins_offOrthosteric Ligandrhodopsin_off
11.11Consensusp2y_on_gpOrthosteric Ligandp2y1_on_gp p2y10_on_gp p2y12_on_gp
11.11Consensussensory_offOrthosteric Ligandopsins_off
10.81Single7QBIAlpha-factor mating pheromone7QBI-STE2-α-factor mating pheromone
10.81Single7VL9CCL15(26-92)7VL9-CCR1-CCL15(26-92)-Gi1/β1/γ2
10.81Single7X9BNeuropeptide-Y7X9B-Y2-Neuropeptide-Y-Gi1/β1/γ2
10.81Single8XVIEndothelin-18XVI-ETA-Endothelin-1-chim(Gs-CtGq)/β1/γ2
10.81Consensusccr_on_gpOrthosteric Ligandccr6_on_gp ccr8_on_gp ccr2_on_gp ccr1_on_gp ccr5_on_gp
10.81Consensuschemokine_on_gpOrthosteric Ligandccr_on_gp cxcr_on_gp
10.81Consensusgi_chemokineOrthosteric Ligand6WWZ-CCR6-CCL20-Go/β1/γ2 8HNK-CXCR3-CXCL11-Gi1/β1/γ2 8K3Z-CXCR4-CXCL12-Gi1/β1/γ1 8IC0-CXCR1-Interleukin-8-Gi1/β1/γ2 6LFM-CXCR2-Interleukin-8-Gi1/β1/γ2 8KFX-CCR8-LMD-009-Gi1/β1/γ2 7F1Q-CCR5-MIP-1a-Gi1/β1/γ2 8HNL-CXCR3-PS372424-Gi1/β1/γ2 8KFY-CCR8-ZK-756326-Gi1/β1/γ2 7O7F-CCR5-6P4-CCL5-Gi1/β1/γ1 8U1U-CCR8-CCL1-Gi1/β1/γ2 7VLA-CCR1-CCL15(27-92)-Gi1/β1/γ2 7XA3-CCR2-CCL2-Gi1/β1/γ2
10.81Consensusmc1_onOrthosteric Ligand7F4H-MC1-Afamelanotide-chim(NtGi1-Gs)/β1/γ2 7F4D-MC1-α-MSH-chim(NtGi1-Gs)/β1/γ2 7F4I-MC1-SHU9119-chim(NtGi1-Gs)/β1/γ2
10.81Consensusmc1_on_gpOrthosteric Ligand7F4H-MC1-Afamelanotide-chim(NtGi1-Gs)/β1/γ2 7F4D-MC1-α-MSH-chim(NtGi1-Gs)/β1/γ2 7F4I-MC1-SHU9119-chim(NtGi1-Gs)/β1/γ2
10.71Single2VT4Cyanopindolol2VT4-β1-Cyanopindolol
10.71Single2Y01Dobutamine2Y01-β1-Dobutamine
10.71Single2YCYCyanopindolol2YCY-β1-Cyanopindolol
10.71Single4EA3PubChem 102965614EA3-NOP-PubChem 10296561
10.71Single4J4QOctyl Beta-D-Glucopyranoside4J4Q-Rhodopsin-Octyl β-D-Glucopyranoside-Gt(CT)
10.71Single4MQSIperoxo4MQS-M2-Iperoxo
10.71Single4QIMANTA XV4QIM-SMO-ANTA XV
10.71Single4U14Tiotropium4U14-M3-Tiotropium
10.71Single4YAYZD-71554YAY-AT1-ZD-7155
10.71Single5DHHSB-6121115DHH-NOP-SB-612111
10.71Single5T04Neurotensin5T04-NTS1-Neurotensin
10.71Single6D27CAY104716D27-DP2-CAY10471
10.71Single6FK7PubChem 1324730346FK7-Rhodopsin-PubChem 132473034
10.71Single6FKCPubChem 1324730396FKC-Rhodopsin-PubChem 132473039
10.71Single6GPSMK08126GPS-CCR2-MK0812
10.71Single6LPJZM-2413856LPJ-A2A-ZM-241385-Na
10.71Single6LPKZM-2413856LPK-A2A-ZM-241385-Na
10.71Single6PRZS-Alprenolol6PRZ-β2-S-Alprenolol
10.71Single6TOTLemborexant6TOT-OX1-Lemborexant
10.71Single6X1ADanuglipron6X1A-GLP-1-Danuglipron-Gs/β1/γ2
10.71Single6Z4VNTS8-136Z4V-NTS1-NTS8-13
10.71Single7BU7BI1671077BU7-β1-BI167107
10.71Single7CFMP3957CFM-GPBA-P395-Gs/β1/γ2
10.71Single7FIHOrg435537FIH-LH-hCG-Org43553-chim(NtGi1-Gs)/β1/γ2
10.71Single7LCIDanuglipron7LCI-GLP-1-Danuglipron-Gs/β1/γ2
10.71Single7LCKDanuglipron7LCK-GLP-1-Danuglipron
10.71Single7LJCSKF-812977LJC-D1-SKF-81297-Mevidalen-Gs/β1/γ2
10.71Single7S15PubChem 1346112237S15-GLP-1-PubChem 134611223
10.71Single7T2GMitragynine Pseudoindoxyl7T2G-μ-Mitragynine Pseudoindoxyl-Gi1/β1/γ2
10.71Single7TRPIperoxo7TRP-M4-Iperoxo-LY2033298-Gi1/β1/γ2
10.71Single7UM6Lisuride7UM6-5-HT5A-Lisuride-chim(NtGi1-Go)/β1/γ2
10.71Single7X2CFenoldopam7X2C-D1-Fenoldopam-Fenoldopam-Gs/β1/γ2
10.71Single7XJHIsoproterenol7XJH-β3-Isoproterenol-Gs/β1/γ2
10.71Single7XTC5-CT7XTC-5-HT7-5-CT-Gs/β1/γ2
10.71Single7YXAONO-54306087YXA-S1P5-ONO-5430608
10.71Single8DZSGR89,6968DZS-κ-GR89,696-chim(NtGi2-Gz)/β1/γ2
10.71Single8GCML9026888GCM-EP4-L902688-Gi1/β1/γ2
10.71Single8IC0Interleukin-88IC0-CXCR1-Interleukin-8-Gi1/β1/γ2
10.71Single8IRTRotigotine8IRT-D3-Rotigotine-Gi1/β1/γ2
10.71Single8JD0NAM5638JD0-mGlu2; mGlu3-Glutamate-NAM563
10.71Single8JT8(R)-IHCH-71798JT8-5-HT2A-(R)-IHCH-7179
10.71Single8RW7StilSwitch18RW7-A2A-StilSwitch1-Na
10.71Single8UGYMianserin8UGY-5-HT1E-Mianserin-Gi1/β1/γ1
10.71Single8UWLLisuride8UWL-5-HT2A-Lisuride-chim(NtGi2-Gs-CtGq)/β1/γ2
10.71Single8VVGGB188VVG-κ-GB18-Gi1/β1/γ2
10.71Single8WC7ZH86678WC7-TA1-ZH8667-chim(NtGi1-Gs)/β1/γ2
10.71Single8XJLPGF2-alpha8XJL-FP-alpha-PGF2-α-chim(NtGi2-Gs-CtGq)/β1/γ2
10.71Single8YH5Riboprine8YH5-A3A-Riboprine-Gi1/β1/γ2
10.71Single8ZQEGPR15L(C11)8ZQE-GPR15-GPR15L(C11)-Gi1/β1/γ1
10.71Single9BQJRO769BQJ-μ-RO76-Gi1/β1/γ2
10.71Single9D61JDTic9D61-κ-JDTic-Gi1/β1/γ2
10.71Single9PQD(6m)-1-methyl-6-(1,2,5,6-tetrahydropyridin-3-yl)-1h-indole9PQD-α2a-(6m)-1-methyl-6-(1,2,5,6-tetrahydropyridin-3-yl)-1h-indole
10.71Consensus5ht5_onOrthosteric Ligand5ht5a_on
10.71Consensus5ht5a_onOrthosteric Ligand7X5H-5-HT5A-5-CT-Gi1/β1/γ2 7UM6-5-HT5A-Lisuride-chim(NtGi1-Go)/β1/γ2 7UM7-5-HT5A-Methylergometrine-chim(NtGi1-Go)/β1/γ2
10.71Consensus5ht6_onOrthosteric Ligand7XTB-5-HT6-Serotonin-Gs/β1/γ2 8JLZ-5-HT6-ST1936-Gs/β1/γ2
10.71Consensus5ht6_on_gpOrthosteric Ligand7XTB-5-HT6-Serotonin-Gs/β1/γ2 8JLZ-5-HT6-ST1936-Gs/β1/γ2
10.71Consensus5ht7_onOrthosteric Ligand7XTC-5-HT7-5-CT-Gs/β1/γ2
10.71Consensus5ht7_on_gpOrthosteric Ligand7XTC-5-HT7-5-CT-Gs/β1/γ2
10.71Consensusccr2_offOrthosteric Ligand6GPS-CCR2-MK0812
10.71Consensuscxcr1_on_gpOrthosteric Ligand8IC0-CXCR1-Interleukin-8-Gi1/β1/γ2
10.71Consensuslipid_offOrthosteric Ligandcannabinoid_off paf_off lpl_off prostanoid_off leukotriene_off
10.53Single7QBIAlpha-factor mating pheromone7QBI-STE2-α-factor mating pheromone
10.34Single2Y00Dobutamine2Y00-β1-Dobutamine
10.34Single4ZJ8Suvorexant4ZJ8-OX1-Suvorexant
10.34Single5T1ABMS-6815T1A-CCR2-BMS-681-PubChem 12093170
10.34Single5WIUNemonapride5WIU-D4-Nemonapride
10.34Single5WIVNemonapride5WIV-D4-Nemonapride-Na
10.34Single5WQCEMPA5WQC-OX2-EMPA
10.34Single5YHLPubChem 1351213525YHL-EP4-PubChem 135121352
10.34Single5YWYONO-AE3-2085YWY-EP4-ONO-AE3-208
10.34Single6D26Fevipiprant6D26-DP2-Fevipiprant
10.34Single6E67BI1671076E67-β2-BI167107-Gs(CT)
10.34Single6GPXMK08126GPX-CCR2-MK0812
10.34Single6LFMInterleukin-86LFM-CXCR2-Interleukin-8-Gi1/β1/γ2
10.34Single6M9TMisoprostol-FA6M9T-EP3-Misoprostol-FA
10.34Single6RZ4Pranlukast6RZ4-CysLT1-Pranlukast-Na
10.34Single6TO7Suvorexant6TO7-OX1-Suvorexant-Na
10.34Single6TP6Filorexant6TP6-OX1-Filorexant
10.34Single7BB7AVP7BB7-V2-AVP-Gs/β1/γ2
10.34Single7CKXA776367CKX-D1-A77636-Gs/β1/γ2
10.34Single7M3GCa; Ca; Tryptophan; Evocalcet; Etelcalcetide; PO47M3G-CaS-Ca; Ca; Tryptophan; Evocalcet; Etelcalcetide; PO4
10.34Single7SBFPZM217SBF-μ-PZM21-Gi1/β1/γ2
10.34Single7VOEAripiprazole7VOE-5-HT2A-Aripiprazole
10.34Single7WC6LSD7WC6-5-HT2A-LSD
10.34Single7WIGL-054,2647WIG-SST2-L-054,264-Gi1/β1/γ2
10.34Single7Y26Octreotide7Y26-SST2-Octreotide-chim(NtGi2L-Gs-CtGq)/β1/γ2
10.34Single8DZQmomSalB8DZQ-κ-momSalB-Go/β1/γ2
10.34Single8DZRGR89,6968DZR-κ-GR89,696-chim(NtGi2-Gt3)/β1/γ2
10.34Single8QOTNanobody-E8QOT-μ-Nanobody-E
10.34Single8S4DCMF-0198S4D-Apelin-CMF-019
10.34Single8SZGCa; Ca; Tryptophan; Cinacalcet; PO4; Spermine8SZG-CaS-Ca; Ca; Tryptophan; Cinacalcet; PO4; Spermine-chim(NtGi1-Gq)/β1/γ2
10.34Single8TH4Losartan8TH4-AT1-Losartan-AT118-L Nanobody
10.34Single8WGBVU01550418WGB-mGlu4; mGlu2-Glutammate-VU0155041-Gi3/β1/γ2
10.34Single8ZVZBW245C8ZVZ-DP1-BW245C-Gs/β1/γ2
10.34Single9ARYSerotonin9ARY-5-HT2A-Serotonin-chim(NtGi1-Gs-CtGq)/β1/γ2
10.34Single9DQHEP-28259DQH-MRGPRD-EP-2825-chim(NtGi1-Gs-CtGq)/β1/γ2
10.34Single9EAHNanobody AT2099EAH-AT1-Olmesartan-Nanobody AT209
10.34Single9ERXD9-THC analog9ERX-CB1-D9-THC analog-Gi1/β1/γ2
10.34Single9I52A1IZU9I52-D1-A1IZU-Gs/β1/γ2
10.34Single9KPFSA09KPF-TAS2R16-SA0-Gi1/β1/γ2
10.34Consensuscb2_onOrthosteric Ligand8GUR-CB2-CP55,940-Gi1/β1/γ2 8GUS-CB2-HU-308-Gi1/β1/γ2 8GUT-CB2-LEI-102-Gi1/β1/γ2 6KPF-CB2-PubChem 145915889-Gi1/β1/γ2 6PT0-CB2-WIN 55212-2-Gi1/β1/γ2 8GUQ-CB2-Olorinab-Gi1/β1/γ2
10.34Consensuscb2_on_gpOrthosteric Ligand8GUR-CB2-CP55,940-Gi1/β1/γ2 8GUS-CB2-HU-308-Gi1/β1/γ2 8GUT-CB2-LEI-102-Gi1/β1/γ2 6KPF-CB2-PubChem 145915889-Gi1/β1/γ2 6PT0-CB2-WIN 55212-2-Gi1/β1/γ2 8GUQ-CB2-Olorinab-Gi1/β1/γ2
10.34Consensuscxcr2_on_gpOrthosteric Ligand6LFM-CXCR2-Interleukin-8-Gi1/β1/γ2
10.34Consensusd4_onOrthosteric Ligand8IRU-D4-Rotigotine-chim(NtGi1-Gs-CtGi1)/β1/γ2
10.34Consensusdp2_offOrthosteric Ligand6D26-DP2-Fevipiprant
10.34Consensusdp_offOrthosteric Liganddp2_off
10.34Consensusep4_offOrthosteric Ligand5YWY-EP4-ONO-AE3-208 5YHL-EP4-PubChem 135121352
10.34Consensusep_offOrthosteric Ligandep4_off
10.34Consensuslipid_onOrthosteric Ligandcannabinoid_on ffa_on lpl_on prostanoid_on leukotriene_on
10.34Consensuslipid_on_gpOrthosteric Ligandcannabinoid_on_gp ffa_on_gp lpl_on_gp prostanoid_on_gp leukotriene_on_gp
10.34Consensuslpa1_onOrthosteric Ligand7TD1-LPA1-LPA-Gi1/β1/γ2 7YU3-LPA1-ONO-0740556-Gi1/β1/γ2
10.34Consensuslpa1_on_gpOrthosteric Ligand7TD1-LPA1-LPA-Gi1/β1/γ2 7YU3-LPA1-ONO-0740556-Gi1/β1/γ2
10.26Single7AD3Alpha-factor mating pheromone7AD3-STE2-α-factor mating pheromone-Gi1/STE4/γ2
10.26Single7F4FAfamelanotide7F4F-MC1-Afamelanotide-chim(NtGi1-Gs)/β1/γ2
10.26Single8FEG(DNCP)-Beta-Naloxamine8FEG-κ-(DNCP)-β-Naloxamine-Gi1/β1/γ2
10.26Single9K26PrRP319K26-PrRP-PrRP31-Gi1/β1/γ2
10.26Single9KDFRES-701-39KDF-ETB-RES-701-3
10.00Single3P0GBI1671073P0G-β2-BI167107
10.00Single3SN6BI1671073SN6-β2-BI167107-Gs/β1/γ2
10.00Single3ZEVNeurotensin3ZEV-NTS1-Neurotensin
10.00Single4BV0Neurotensin4BV0-NTS1-Neurotensin
10.00Single5XR8AM8415XR8-CB1-AM841
10.00Single6J20Aprepitant6J20-NK1-Aprepitant
10.00Single6KO5PubChem 574000026KO5-Ghrelin-PubChem 57400002
10.00Single6N4BMDMB-Fubinaca6N4B-CB1-MDMB-Fubinaca-Gi1/β1/γ2
10.00Single6OS1TRV0266OS1-AT1-TRV026
10.00Single7B6WCyclazosin7B6W-α1b-Cyclazosin
10.00Single7E2ZAripiprazole7E2Z-5-HT1A-Aripiprazole-Gi1/β1/γ2
10.00Single7EW3S1P7EW3-S1P3-S1P-Gi1/β1/γ2
10.00Single7FEECP559407FEE-CB1-CP55940-ZCZ011
10.00Single7L0PNeurotensin7L0P-NTS1-Neurotensin-Gi1/β1/γ1
10.00Single7L0QNeurotensin7L0Q-NTS1-Neurotensin-Gi1/β1/γ1
10.00Single7VGXNeuropeptide-Y7VGX-Y1-Neuropeptide-Y-Gi1/β1/γ2
10.00Single7XAVLanreotide7XAV-SST2-Lanreotide-Gi1/β1/γ2
10.00Single7XJLSpexin7XJL-GAL2-Spexin-chim(NtGi2L-Gs-CtGq)/β1/γ2
10.00Single7Y24Octreotide7Y24-SST2-Octreotide-Go/β1/γ2
10.00Single7Y67C089 peptide7Y67-C5a1-C089 peptide-Gi1/β1/γ2
10.00Single8FN1Neurotensin/Neuromedin-N8FN1-NTS1-Neurotensin/Neuromedin-N-chim(NtGi1-Go)/β1/γ2
10.00Single8ID6Oleic acid8ID6-FFA4-Oleic acid-Gi1/β1/γ2
10.00Single8IUKPGF2-alpha8IUK-FP-alpha-PGF2-α-chim(NtGi1-Gs-CtGq)/β1/γ2
10.00Single8IY5Endothelin-18IY5-ETB-Endothelin-1-Gi1/β1/γ2
10.00Single8IY6Endothelin-18IY6-ETB-Endothelin-1
10.00Single8JLPRalmitaront8JLP-TA1-Ralmitaront-Gs/β1/γ2
10.00Single8JZPC5A anaphylatoxin8JZP-C5a1-C5A anaphylatoxin-Go/β1/γ2
10.00Single8VVEnorBNI8VVE-κ-norBNI-Gi1/β1/γ2
10.00Single8VVFJDTic8VVF-κ-JDTic-Gi1/β1/γ2
10.00Single8WU1PubChem 1190256658WU1-CB1-PubChem 119025665-Arrestin2
10.00Single8XIPPasireotide8XIP-SST1-Pasireotide-chim(NtGi1-Gs-CtGi1)/β1/γ2
10.00Single8XVLZibotentan8XVL-ETA-Zibotentan
10.00Single8XZICMF-0198XZI-Apelin-CMF-019-Gi1/β1/γ2
10.00Single8YNTSNAP-948478YNT-MCH1-SNAP-94847
10.00Single8ZW0PGD28ZW0-DP1-PGD2-Gs/β1/γ2
10.00Single9B65KCA9B65-CB1-KCA-Gi1/β1/γ2
10.00Single9I54A1IZV9I54-D1-A1IZV-Gs/β1/γ2
10.00Single9IJDCarazolol9IJD-β3-Carazolol-chim(NtGi1-Gs)/β1/γ2
10.00Single9IK9SST analogue9IK9-SST1-SST analogue-Gi1/β1/γ2
10.00Consensusgi_cannabinoidOrthosteric Ligand8GUR-CB2-CP55,940-Gi1/β1/γ2 8GUS-CB2-HU-308-Gi1/β1/γ2 8GUT-CB2-LEI-102-Gi1/β1/γ2 8GUQ-CB2-Olorinab-Gi1/β1/γ2 6KPF-CB2-PubChem 145915889-Gi1/β1/γ2 6PT0-CB2-WIN 55212-2-Gi1/β1/γ2 6KPG-CB1-AM841-Gi1/β1/γ2
10.00Consensusmotilin_onOrthosteric Ligand8IBU-Motilin-Erythromycin-A-chim(NtGi1-Gs-CtGq)/β1/γ2
10.00Consensusneurotensin_onOrthosteric Ligandnts1_on
10.00Consensusnts1_onOrthosteric Ligand6OSA-NTS1-JMV449-Gi1/β1/γ2 7L0S-NTS1-Neurotensin-Gi1/β1/γ1
10.00Consensustachykinin_offOrthosteric Ligandnk1_off
9.76Consensusgi_endothelinOrthosteric Ligand8IY5-ETB-Endothelin-1-Gi1/β1/γ2 8HBD-ETB-IRL1620-Gi1/β1/γ2
9.68Single4GRVNeurotensin-(8-13)4GRV-NTS1-Neurotensin-(8-13)
9.68Single4RWADIPP-NH24RWA-δ-DIPP-NH2
9.68Single5X33BIIL2605X33-BLT1-BIIL260
9.68Single6KPGAM8416KPG-CB1-AM841-Gi1/β1/γ2
9.68Single6KQICP559406KQI-CB1-CP55940-Org27569
9.68Single6MXTSalmeterol6MXT-β2-Salmeterol
9.68Single6OSAJMV4496OSA-NTS1-JMV449-Gi1/β1/γ2
9.68Single7L0SNeurotensin7L0S-NTS1-Neurotensin-Gi1/β1/γ1
9.68Single7W0LPubChem 1227019087W0L-Apelin-PubChem 122701908-Gi1/β1/γ2
9.68Single7XMTJ-21567XMT-SST4-J-2156-Gi1/β1/γ2
9.68Single7XW9TRH7XW9-TRH-TRH-chim(NtGi1L-Gs-CtGq)/β1/γ2
9.68Single7YMJTamsulosin7YMJ-Alpha1A-Tamsulosin
9.68Single8H0QGastrin Releasing Peptide8H0Q-BB2-Gastrin Releasing Peptide-chim(NtGi1-Gs-CtGq)/β1/γ2
9.68Single8HK2C3a anaphylatoxin8HK2-C3aB-C3a anaphylatoxin-Gi1/β1/γ2
9.68Single8I9AEP548I9A-C3aB-EP54-chim(NtGi1-Gs-CtGq)/β1/γ2
9.68Single8JJLOlodaterol8JJL-β2-Olodaterol
9.68Single8JPBNeurotensin-(8-13)8JPB-NTS1-Neurotensin-(8-13)-SBI-553; GDP; Mg-Gq; GRK2
9.68Single8W1VPubChem 1717162658W1V-β2-PubChem 171716265
9.68Single8X8NOctreotide8X8N-SST5-Octreotide-chim(NtGi1-Gs-CtGi1)/β1/γ2
9.68Single8XQJJN2418XQJ-Apelin-JN241
9.68Single8XWMCXCL68XWM-CXCR2-CXCL6
9.68Single8XX3CXCL38XX3-CXCR2-CXCL3-Go/β1/γ2
9.68Single9AU0BW245C9AU0-DP1-BW245C-Gs/β1/γ2
9.68Single9DGIZ85267113509DGI-CB1-Z8526711350
9.68Single9M4QDoxazosin9M4Q-Alpha1A-Doxazosin
9.68Consensusalpha1_offOrthosteric Ligandalpha1a_off
9.68Consensusalpha1a_offOrthosteric Ligand7YMJ-Alpha1A-Tamsulosin
9.68Consensusc3a_onOrthosteric Ligand8HK2-C3aB-C3a anaphylatoxin-Gi1/β1/γ2 8IA8-C3aB-E7 peptide-Gi1/β1/γ2
9.68Consensuscannabinoid_onOrthosteric Ligandcb2_on cb1_on
9.68Consensuscannabinoid_on_gpOrthosteric Ligandcb2_on_gp cb1_on_gp
9.68Consensusccr8_onOrthosteric Ligand8KFX-CCR8-LMD-009-Gi1/β1/γ2 8KFY-CCR8-ZK-756326-Gi1/β1/γ2 8U1U-CCR8-CCL1-Gi1/β1/γ2
9.68Consensuscxcr_onOrthosteric Ligandcxcr3_on cxcr4_on cxcr1_on cxcr2_on
9.68Consensusgi_neurotensinOrthosteric Ligand6OSA-NTS1-JMV449-Gi1/β1/γ2 7L0S-NTS1-Neurotensin-Gi1/β1/γ1
9.68Consensuskop_onOrthosteric Ligand8F7W-κ-Dynorphin-Gi1/β1/γ2 8DZS-κ-GR89,696-chim(NtGi2-Gz)/β1/γ2 8DZP-κ-momSalB-Gi1/β1/γ2
9.68Consensuslipid_offonOrthosteric Ligandlipid_off lipid_on
9.68Consensuslipid_offon_gpOrthosteric Ligandlipid_on_gp lipid_off
9.68Consensusm4_onOrthosteric Ligand7TRS-M4-Acetylcholine-Gi1/β1/γ2 7V6A-M4-PubChem 9864275-Gi1/β1/γ2 8E9X-M4-2-Deoxycytidine-chim(NtGi1-Go)/β1/γ2 7TRK-M4-Iperoxo-Gi1/β1/γ2
9.68Consensusm4_on_gpOrthosteric Ligand7TRS-M4-Acetylcholine-Gi1/β1/γ2 7V6A-M4-PubChem 9864275-Gi1/β1/γ2 8E9X-M4-2-Deoxycytidine-chim(NtGi1-Go)/β1/γ2 7TRK-M4-Iperoxo-Gi1/β1/γ2
9.68Consensusneurotensin_on_gpOrthosteric Ligandnts1_on_gp
9.68Consensusnts1_on_gpOrthosteric Ligand6OSA-NTS1-JMV449-Gi1/β1/γ2 7L0S-NTS1-Neurotensin-Gi1/β1/γ1
9.68Consensuss1p3_onOrthosteric Ligand7EW3-S1P3-S1P-Gi1/β1/γ2 7EW4-S1P3-CYM5541-Gi1/β1/γ2 7EW2-S1P3-Fingolimod-Gi1/β1/γ2
9.68Consensustrh_onOrthosteric Ligand7XW9-TRH-TRH-chim(NtGi1L-Gs-CtGq)/β1/γ2
9.68Consensustrh_on_gpOrthosteric Ligand7XW9-TRH-TRH-chim(NtGi1L-Gs-CtGq)/β1/γ2
9.52Single7SK6CXCL12_LRHQ7SK6-ACKR3-CXCL12_LRHQ
9.52Consensusetb_on_gpOrthosteric Ligand8IY5-ETB-Endothelin-1-Gi1/β1/γ2 8HBD-ETB-IRL1620-Gi1/β1/γ2
9.38Single4NC3Ergotamine4NC3-5-HT2B-Ergotamine
9.38Single6BQGErgotamine6BQG-5-HT2C-Ergotamine
9.38Single6UP7Neurotensin6UP7-NTS1-Neurotensin-Arrestin2
9.38Single7EZHCholecystokinin-87EZH-CCKA-Cholecystokinin-8-Gi1/β1/γ2
9.38Single7EZMCholecystokinin-87EZM-CCKA-Cholecystokinin-8-chim(NtGsL-Gq)/β1/γ2
9.38Single7WVVfMLFII7WVV-FPR2-ALX-fMLFII-Gi2/β1/γ2
9.38Single7X1UTRH7X1U-TRH-TRH-chim(NtGi2L-Gs-CtGq)/β1/γ2
9.38Single8GAGPubChem 1708384908GAG-CB1-PubChem 170838490-Gi1/β1/γ2
9.38Single8HN1Toxin AdTx18HN1-Alpha1A-Toxin AdTx1
9.38Single8ID8TUG-8918ID8-FFA4-TUG-891-Gi1/β1/γ2
9.38Single8JPFNeurotensin8JPF-NTS1-Neurotensin-SBI-553
9.38Single8K4OCXCL18K4O-KSHV-CXCL1-Gi1/β1/γ1
9.38Single8XWFCXCL38XWF-CXCR2-CXCL3
9.38Single9EAILosartan9EAI-AT1-Losartan-Nanobody AT209
9.38Consensuscb1_on_gpOrthosteric Ligand6KPG-CB1-AM841-Gi1/β1/γ2 8K8J-CB1-Fenofibrate-chim(Gs-CtGq)/β1/γ2
9.38Consensusccka_onOrthosteric Ligand7EZH-CCKA-Cholecystokinin-8-Gi1/β1/γ2
9.38Consensusccka_on_gpOrthosteric Ligand7EZH-CCKA-Cholecystokinin-8-Gi1/β1/γ2
9.38Consensusgal2_onOrthosteric Ligand7WQ4-GAL2-Galanin-chim(NtGi1-Gs-CtGq)/β1/γ2 7XJL-GAL2-Spexin-chim(NtGi2L-Gs-CtGq)/β1/γ2
9.38Consensusgal2_on_gpOrthosteric Ligand7WQ4-GAL2-Galanin-chim(NtGi1-Gs-CtGq)/β1/γ2 7XJL-GAL2-Spexin-chim(NtGi2L-Gs-CtGq)/β1/γ2
9.38Consensuspeptide_offOrthosteric Ligandcck_off angiotensin_off bombesin_off endothelin_off ghrelin_off npy_off opioid_off orexin_off somatostatin_off tachykinin_off vasop-oxy_off neurotensin_off
9.30Consensusgs_peptideOrthosteric Ligandgs_cck gs_melanocortin gs_vasop-oxy
9.09Single4A4MAll-trans-Retinal4A4M-Rhodopsin-All-trans-Retinal-Gt(CT)
9.09Single5EN0All-trans-Retinal5EN0-Rhodopsin-All-trans-Retinal-Gt(CT)
9.09Single5MZPCaffeine5MZP-A2A-Caffeine-Na
9.09Single6KNMJN241-96KNM-Apelin-JN241-9
9.09Single6OS9JMV4496OS9-NTS1-JMV449-Gi1/β1/γ2
9.09Single7CX2PGE27CX2-EP2-PGE2-Gs/β1/γ2
9.09Single7F9ZGHRP-67F9Z-Ghrelin-GHRP-6-chim(NtGi1-Gs-CtGq)/β1/γ2
9.09Single7Y1FDynorphin7Y1F-κ-Dynorphin-Gi1/β1/γ2
9.09Single8H4IDoconexent8H4I-FFA4-Doconexent-chim(NtGi1-Gs)/β1/γ2
9.09Single8JBFSenktide8JBF-NK3-Senktide-chim(NtGi1-Gs-CtGq)/β1/γ2
9.09Single8QJ2pN1628QJ2-MC4-pN162-Gs
9.09Single8X3LXWD8X3L-CB2-XWD-Gi1/β1/γ2
9.09Single8XQJJN2418XQJ-Apelin-JN241
9.09Single8XX6CXCL88XX6-CXCR2-CXCL8-Go/β1/γ2
9.09Single8Y72Peptide8Y72-μ-Peptide-BMS-986122-Gi1/β1/γ2
9.09Single8Z74Agonistic antibody8Z74-Apelin-Agonistic antibody
9.09Single9IPYJR14a9IPY-C3aB-JR14a
9.09Consensusox2_onOrthosteric Ligand7L1V-OX2-PubChem 155491009-chim(NtGi1-Gs-CtGq)/β1/γ2 7SQO-OX2-TAK-925-Gi1/β1/γ2 7L1U-OX2-Orexin-chim(NtGi1-Gs-CtGq)/β1/γ2
9.09Consensusox2_on_gpOrthosteric Ligand7L1V-OX2-PubChem 155491009-chim(NtGi1-Gs-CtGq)/β1/γ2 7SQO-OX2-TAK-925-Gi1/β1/γ2 7L1U-OX2-Orexin-chim(NtGi1-Gs-CtGq)/β1/γ2
9.09Consensussst2_onOrthosteric Ligand7WIC-SST2-Somatostatin-14-Gi1/β1/γ2 7WIG-SST2-L-054,264-Gi1/β1/γ2 7YAE-SST2-Octreotide-Gi1/β1/γ2 7YAC-SST2-Paltusotine-Gi1/β1/γ2
9.09Consensussst2_on_gpOrthosteric Ligand7WIC-SST2-Somatostatin-14-Gi1/β1/γ2 7WIG-SST2-L-054,264-Gi1/β1/γ2 7YAE-SST2-Octreotide-Gi1/β1/γ2 7YAC-SST2-Paltusotine-Gi1/β1/γ2
8.82Single4IB4Ergotamine4IB4-5-HT2B-Ergotamine
8.82Single7F4ISHU91197F4I-MC1-SHU9119-chim(NtGi1-Gs)/β1/γ2
8.82Single7NA7Ghrelin-277NA7-Ghrelin-Ghrelin-27-Gi1/β1/γ2
8.82Single7VLACCL15(27-92)7VLA-CCR1-CCL15(27-92)-Gi1/β1/γ2
8.82Single7XMRSomatostatin-147XMR-SST2-Somatostatin-14-Gi1/β1/γ2
8.82Single8GHVAMG3158GHV-CB1-AMG315-Gi1/β1/γ2
8.82Single8IEBA1LYA8IEB-GPR156-A1LYA
8.82Single8IEIA1LYA8IEI-GPR156-A1LYA
8.82Single8IEIA1LYA8IEI-GPR156-A1LYA
8.82Single8IEPA1LYA8IEP-GPR156-A1LYA
8.82Single8IEPA1LYA8IEP-GPR156-A1LYA
8.82Single8XWNCXCL88XWN-CXCR2-CXCL8
8.82Single8ZBJSomatostatin-148ZBJ-SST5-Somatostatin-14-Gi1/β1/γ2
8.82Consensusccr1_onOrthosteric Ligand7VLA-CCR1-CCL15(27-92)-Gi1/β1/γ2
8.82Consensusccr1_on_gpOrthosteric Ligand7VLA-CCR1-CCL15(27-92)-Gi1/β1/γ2
8.82Consensuschemokine_onOrthosteric Ligandccr_on cxcr_on
8.82Consensusnk3_onOrthosteric Ligand8JBF-NK3-Senktide-chim(NtGi1-Gs-CtGq)/β1/γ2
8.82Consensusnk3_on_gpOrthosteric Ligand8JBF-NK3-Senktide-chim(NtGi1-Gs-CtGq)/β1/γ2
8.70Single3PXOAll-trans-Retinal3PXO-Rhodopsin-All-trans-Retinal
8.70Single5DYSAll-trans-Retinal5DYS-Rhodopsin-All-trans-Retinal
8.70Single8X9S5alpha-DHT8X9S-ADGRD1-5α-DHT-chim(NtGi1-Gs)/β1/γ2
8.70Single9IV25alpha-DHT9IV2-ADGRD1-5α-DHT-chim(NtGi1-Gs)/β1/γ2
8.70Consensusmc2_onOrthosteric Ligand8GY7-MC2-Corticotropin-Ca-chim(NtGi1-Gs)/β1/γ2; MRAP1
8.70Consensusmc2_on_gpOrthosteric Ligand8GY7-MC2-Corticotropin-Ca-chim(NtGi1-Gs)/β1/γ2; MRAP1
8.57Single7DDZJNJ-310200287DDZ-Y2-JNJ-31020028
8.57Single7EZKCholecystokinin-87EZK-CCKA-Cholecystokinin-8-chim(NtGi1-Gs)/β1/γ2
8.57Single7SK5CXCL127SK5-ACKR3-CXCL12
8.57Single8F7WDynorphin8F7W-κ-Dynorphin-Gi1/β1/γ2
8.57Single8IEBA1LYA8IEB-GPR156-A1LYA
8.57Single8KH5Lysophosphatidylserine8KH5-GPR174-Lysophosphatidylserine-Gs/β1/γ2
8.57Single8XYDPlatelet Activating Factor8XYD-PAF-Platelet Activating Factor-Gi1/β1/γ2
8.57Single9IQRMuscarinic toxin 39IQR-α2a-Muscarinic toxin 3
8.57Consensusccr8_on_gpOrthosteric Ligand8KFX-CCR8-LMD-009-Gi1/β1/γ2 8KFY-CCR8-ZK-756326-Gi1/β1/γ2 8U1U-CCR8-CCL1-Gi1/β1/γ2
8.57Consensusgi_ghrelinOrthosteric Ligand7NA7-Ghrelin-Ghrelin-27-Gi1/β1/γ2 7NA8-Ghrelin-PubChem 178024-Gi1/β1/γ2
8.57Consensusnpy2_offOrthosteric Ligand7DDZ-Y2-JNJ-31020028
8.33Single2HPYAll-trans-Retinal2HPY-Rhodopsin-All-trans-Retinal
8.33Single3RFMCaffeine3RFM-A2A-Caffeine
8.33Single6MEOEnvelope Glycoprotein Gp160; T-Cell Surface Glycoprotein Cd46MEO-CCR5-Envelope Glycoprotein Gp160; T-Cell Surface Glycoprotein Cd4
8.33Single6OY9All-trans-Retinal6OY9-Rhodopsin-All-trans-Retinal-Gt/β1/γ1
8.33Single7MBXCholecystokinin-87MBX-CCKA-Cholecystokinin-8-Gs/β1/γ1
8.33Single7MTBAll-trans-Retinal7MTB-Rhodopsin-All-trans-Retinal-GRK1
8.33Single7RYCOxytocin7RYC-OT-Oxytocin-chim(NtGi2L-Gs-CtGq)/β1/γ2
8.33Single7W55Neuromedin-U-257W55-NMUR2-Neuromedin-U-25-chim(NtGi1-Gs-CtGq)/β1/γ2
8.33Single8IWM2-Phenylethylamine8IWM-TA9-2-Phenylethylamine
8.33Single8K6NPro-neuropeptide-Y8K6N-Y2-Pro-neuropeptide-Y-Gi2/β1/γ1
8.33Single8XOFLys058XOF-GPR30-Lys05-chim(NtGi1-Gs-CtGq)/β1/γ2
8.33Single9C2FCa; Ca; Tryptophan; '54149; PO49C2F-CaS-Ca-Ca; Ca; Tryptophan; '54149; PO4
8.33Single9CHUNoradrenaline9CHU-β2-Noradrenaline
8.33Consensusgs_cckOrthosteric Ligand7MBX-CCKA-Cholecystokinin-8-Gs/β1/γ1
8.33Consensusnmur2_onOrthosteric Ligand7W55-NMUR2-Neuromedin-U-25-chim(NtGi1-Gs-CtGq)/β1/γ2
8.33Consensusnmur2_on_gpOrthosteric Ligand7W55-NMUR2-Neuromedin-U-25-chim(NtGi1-Gs-CtGq)/β1/γ2
8.33Consensusp2y_offOrthosteric Ligandp2y1_off
8.11Single6METEnvelope Glycoprotein Gp160; T-Cell Surface Glycoprotein Cd46MET-CCR5-Envelope Glycoprotein Gp160; T-Cell Surface Glycoprotein Cd4
8.11Single7F4HAfamelanotide7F4H-MC1-Afamelanotide-chim(NtGi1-Gs)/β1/γ2
8.11Single7KH0AVP7KH0-V2-AVP-chim(NtGi1-Gs)/β1/γ2
8.11Single7W57Neuromedin-S7W57-NMUR2-Neuromedin-S-chim(NtGi1-Gs-CtGq)/β1/γ2
8.11Single8IEDA1LYA8IED-GPR156-A1LYA-Go/β1/γ2
8.00Single2ZIY11-cis-Retinal2ZIY-Rhodopsin-11-cis-Retinal
8.00Single3C9M11-cis-Retinal3C9M-Rhodopsin-11-cis-Retinal
8.00Single3OE6IT1t3OE6-CXCR4-IT1t
8.00Single3PQRAll-trans-Retinal3PQR-Rhodopsin-All-trans-Retinal-Gt(CT)
8.00Single4XNWMRS25004XNW-P2Y1-MRS2500
8.00Single6D32Cyclopamine6D32-SMO-Cyclopamine-Cyclopamine
8.00Single6FK9PubChem 1324730366FK9-Rhodopsin-PubChem 132473036
8.00Single6FUFAll-trans-Retinal6FUF-Rhodopsin-All-trans-Retinal-Go
8.00Single6ME5Agomelatine6ME5-MT1-Agomelatine
8.00Single6PWCNeurotensin6PWC-NTS1-Neurotensin-Arrestin2
8.00Single7DD7Ca; Ca; Tryptophan; Evocalcet7DD7-CaS-Ca-Ca; Ca; Tryptophan; Evocalcet
8.00Single8DPILorcaserin8DPI-5-HT2C-Lorcaserin-chim(NtGi2L-Gs-CtGq)/β1/γ2
8.00Single8ITFDMCHA8ITF-TA9-DMCHA-chim(NtGi1-Gs)/β1/γ2
8.00Single8IW72-Phenylethylamine8IW7-TA9-2-Phenylethylamine-chim(NtGi1-Gs)/β1/γ2
8.00Single8JXTHistamine8JXT-H4-Histamine-PO4-Gi1/β1/γ2
8.00Single8POKHistamine8POK-H2-Histamine-Gs/β1/γ2
8.00Single8SZFCa; Ca; Tryptophan; Cinacalcet; PO4; Spermine8SZF-CaS-Ca; Ca; Tryptophan; Cinacalcet; PO4; Spermine
8.00Single8X9UMetenolone8X9U-ADGRD1-Metenolone-chim(NtGi1-Gs)/β1/γ2
8.00Single8Y63C20:0 Ceramide8Y63-FPR2-ALX-C20:0 Ceramide-Gi1/β1/γ2
8.00Single9JHJC18:0 Ceramide9JHJ-FPR2-ALX-C18:0 Ceramide-Gi1/β1/γ2
8.00Consensus5ht2_onOrthosteric Ligand5ht2b_on
8.00Consensus5ht2b_onOrthosteric Ligand7SRR-5-HT2B-LSD-chim(NtGi2L-Gs-CtGq)/β1/γ2
8.00Consensush2_on_gpOrthosteric Ligand8POK-H2-Histamine-Gs/β1/γ2
8.00Consensusp2y1_offOrthosteric Ligand4XNW-P2Y1-MRS2500
7.89Single7F9YGhrelin-287F9Y-Ghrelin-Ghrelin-28-chim(NtGi1-Gs-CtGq)/β1/γ2
7.89Single7X9CPancreatic Hormone7X9C-Y4-Pancreatic Hormone-Gi1/β1/γ2
7.89Single7XV3Lysophosphatidylserine7XV3-GPR174-Lysophosphatidylserine-chim(NtGi1-Gs)/β1/γ2
7.69Single1L9H11-cis-Retinal1L9H-Rhodopsin-11-cis-Retinal
7.69Single1U1911-cis-Retinal1U19-Rhodopsin-11-cis-Retinal
7.69Single2G87All-trans-Retinal2G87-Rhodopsin-All-trans-Retinal
7.69Single2I3511-cis-Retinal2I35-Rhodopsin-11-cis-Retinal
7.69Single3PBLEticlopride3PBL-D3-Eticlopride
7.69Single5TE520-Methanoretinal5TE5-Rhodopsin-20-Methanoretinal
7.69Single6I9K9-cis-Retinal6I9K-Rhodopsin-9-cis-Retinal
7.69Single6PGSGeraniol6PGS-Rhodopsin-Geraniol-Gt(CT)
7.69Single6PH7Nerol6PH7-Rhodopsin-Nerol-Gt(CT)
7.69Single7D76Beclomethasone7D76-ADGRG3-Beclomethasone-Go/β1/γ2
7.69Single7DFLHistamine7DFL-H1-Histamine-chim(NtGi1L-Gq)/β1/γ2
7.69Single7E2YSerotonin7E2Y-5-HT1A-Serotonin-Gi1/β1/γ2
7.69Single7SK3CXCL127SK3-ACKR3-CXCL12
7.69Single7SRQLSD7SRQ-5-HT2B-LSD
7.69Single7T96LY21196207T96-M2-Acetylcholine-LY2119620-Go/β1/γ2
7.69Single7TRPLY20332987TRP-M4-Iperoxo-LY2033298-Gi1/β1/γ2
7.69Single7VDHC48/807VDH-MRGPRX2-C48/80-Gi1/β1/γ2
7.69Single7VUIJNJ-635330547VUI-GPR139-JNJ-63533054-GTP-chim(Gs-CtGq)/β1/γ2
7.69Single7XP6Strychnine7XP6-TAS2R46-Strychnine-chim(Gs-CtGt3)/β1/γ2
7.69Single7XTASerotonin7XTA-5-HT4-Serotonin-Gi1/β1/γ2
7.69Single7YS6Serotonin7YS6-5-HT6-Serotonin-chim(NtGi1-Gs)/β1/γ2
7.69Single8A2PLUAA470708A2P-A2A-LUAA47070-Na
7.69Single8GY7Corticotropin8GY7-MC2-Corticotropin-Ca-chim(NtGi1-Gs)/β1/γ2; MRAP1
7.69Single8JPNCis-Epoxysuccinic acid8JPN-Succinate-Cis-Epoxysuccinic acid-Gi1/β1/γ1
7.69Single8SZFCa; Ca; Tryptophan; Cinacalcet; PO4; Spermine8SZF-CaS-Ca; Ca; Tryptophan; Cinacalcet; PO4; Spermine
7.69Single8UO4Constrained Epinephrine8UO4-β2-Constrained Epinephrine-GTP; Mg-Gs/β1/γ2
7.69Single8WP1Cis-Epoxysuccinic acid8WP1-Succinate-Cis-Epoxysuccinic acid-Gi1/β1/γ2
7.69Single8X2KOleic monoethanolamide8X2K-GPR3-Oleic monoethanolamide-chim(NtGi1-Gs)/β1/γ2
7.69Single8XVEBQ30208XVE-ETB-BQ3020-chim(Gs-CtGq)/β1/γ2
7.69Single8YKWSuccinic acid8YKW-Succinate-Succinic acid-Gi1/β1/γ1
7.69Single8YN4Histamine8YN4-H2-Histamine-chim(NtGi1L-Gs-CtGq)/β1/γ2
7.69Single8ZX5AM2518ZX5-GPR55-AM251-chim(NtGi1-G13)/β1/γ2
7.69Single9AS7Psilocin9AS7-5-HT2A-Psilocin
7.69Single9E7RGB889E7R-PAR2-GB88-chim(NtGi1L-Gs-CtGq)/β1/γ2
7.69Single9IJEEpinephrine9IJE-β3-Epinephrine-chim(NtGi1-Gs)/β1/γ2
7.69Single9IXJHistamine9IXJ-H2-Histamine-Gs/β1/γ2
7.69Single9IZDCHBA9IZD-HCA1-CHBA-Gi1/β1/γ2
7.69Single9L3ZLRH7-C29L3Z-CML1-LRH7-C2
7.69Single9LMPNE52-QQ579LMP-GPR4-NE52-QQ57
7.69Consensus5ht4_onOrthosteric Ligand7XTA-5-HT4-Serotonin-Gi1/β1/γ2
7.69Consensus5ht4_on_gpOrthosteric Ligand7XTA-5-HT4-Serotonin-Gi1/β1/γ2
7.69Consensusadgrg_onOrthosteric Ligandadgrg2_on adgrg4_on
7.69Consensusadgrg_on_gpOrthosteric Ligandadgrg2_on_gp adgrg4_on_gp
7.69Consensusd3_offOrthosteric Ligand3PBL-D3-Eticlopride
7.69Consensusgq_nucleotideOrthosteric Ligandgq_p2y
7.69Consensusgq_p2yOrthosteric Ligand7XXH-P2Y1-2MeSADP-chim(NtGi1-G11)/β1/γ2
7.69Consensush1_onOrthosteric Ligand7DFL-H1-Histamine-chim(NtGi1L-Gq)/β1/γ2
7.69Consensusnpy4_onOrthosteric Ligand7X9C-Y4-Pancreatic Hormone-Gi1/β1/γ2
7.69Consensusnpy4_on_gpOrthosteric Ligand7X9C-Y4-Pancreatic Hormone-Gi1/β1/γ2
7.50Single7F53Alpha-MSH7F53-MC4-α-MSH-Gs/β1/γ2
7.41Single1GZM11-cis-Retinal1GZM-Rhodopsin-11-cis-Retinal
7.41Single2PED9-cis-Retinal2PED-Rhodopsin-9-cis-Retinal
7.41Single3C9L11-cis-Retinal3C9L-Rhodopsin-11-cis-Retinal
7.41Single3ODUIT1t3ODU-CXCR4-IT1t
7.41Single4K5YCP-3763954K5Y-CRF1-CP-376395
7.41Single4MQTLY21196204MQT-M2-Iperoxo-LY2119620
7.41Single4S0VSuvorexant4S0V-OX2-Suvorexant
7.41Single5OLVLUAA410635OLV-A2A-LUAA41063-Na
7.41Single5WS3EMPA5WS3-OX2-EMPA
7.41Single5ZKQABT-4915ZKQ-PAF-ABT-491
7.41Single6AKXA4R6AKX-CCR5-A4R
7.41Single6AKYMaraviroc6AKY-CCR5-Maraviroc
7.41Single6FKBPubChem 1324730386FKB-Rhodopsin-PubChem 132473038
7.41Single6LFOInterleukin-86LFO-CXCR2-Interleukin-8-Gi1/β1/γ2
7.41Single6ME9Ramelteon6ME9-MT2-Ramelteon
7.41Single6TPJSuvorexant6TPJ-OX2-Suvorexant
7.41Single6WWZCCL206WWZ-CCR6-CCL20-Go/β1/γ2
7.41Single7BR3Elagolix7BR3-GnRH1-Elagolix
7.41Single7F1ODopamine7F1O-D1-Dopamine-GDP; Mg-Gs/β1/γ2
7.41Single7LJDDopamine7LJD-D1-Dopamine-Mevidalen-Gs/β1/γ1
7.41Single7M3FCa; Ca; Tryptophan; Cinacalcet; PO47M3F-CaS-Ca; Ca; Tryptophan; Cinacalcet; PO4
7.41Single7SRRLSD7SRR-5-HT2B-LSD-chim(NtGi2L-Gs-CtGq)/β1/γ2
7.41Single7SRSLSD7SRS-5-HT2B-LSD-Arrestin2
7.41Single7T6SPubChem 247763417T6S-FPR2-ALX-PubChem 24776341-Gi1/β1/γ2
7.41Single7TUZ7-alpha,25-dihydroxycholesterol7TUZ-GPR183-7-α,25-dihydroxycholesterol-Gi1/β1/γ2
7.41Single7VDLCortistatin-147VDL-MRGPRX2-Cortistatin-14-Gi1/β1/γ2
7.41Single7VV5C48/807VV5-MRGPRX2-C48/80-Gi1/β1/γ2
7.41Single7X5H5-CT7X5H-5-HT5A-5-CT-Gi1/β1/γ2
7.41Single8A6CAll-trans-Retinal8A6C-Rhodopsin-All-trans-Retinal
7.41Single8A6DAll-trans-Retinal8A6D-Rhodopsin-All-trans-Retinal
7.41Single8A6EAll-trans-Retinal8A6E-Rhodopsin-All-trans-Retinal
7.41Single8DWGML3828DWG-MRGPRX1-Proenkephalin-A-ML382-chim(NtGi2L-Gs-CtGq)/β1/γ2
7.41Single8TZQL-Dopamine8TZQ-D2-L-Dopamine-Go/β1/γ2
7.41Single8U8FPalmitic Acid8U8F-GPR3-Palmitic Acid-Gs/β1/γ2
7.41Single8XXVIndomethacin8XXV-DP2-Indomethacin-A1D5Q-Gi1/β1/γ2
7.41Single8XXXCXCL68XXX-CXCR2-CXCL6-Go/β1/γ2
7.41Single9C1PCa; Tryptophan; '6218; PO49C1P-CaS-Ca-Ca; Tryptophan; '6218; PO4
7.41Single9K6LSA09K6L-TAS2R16-SA0-Gi2/β1/γ2
7.41Single9KPESA09KPE-TAS2R16-SA0-Gi1/β1/γ2
7.41Single9LRBHistamine9LRB-H1-Histamine-Gs/β1/γ2
7.41Consensus5ht2_on_gpOrthosteric Ligand5ht2b_on_gp
7.41Consensus5ht2b_on_gpOrthosteric Ligand7SRR-5-HT2B-LSD-chim(NtGi2L-Gs-CtGq)/β1/γ2
7.41Consensus5ht_onOrthosteric Ligand5ht1_on 5ht2_on 5ht4_on 5ht5_on 5ht6_on 5ht7_on
7.41Consensusccr6_onOrthosteric Ligand6WWZ-CCR6-CCL20-Go/β1/γ2
7.41Consensusccr6_on_gpOrthosteric Ligand6WWZ-CCR6-CCL20-Go/β1/γ2
7.41Consensusgnrh1_offOrthosteric Ligand7BR3-GnRH1-Elagolix
7.41Consensusgs_5htOrthosteric Ligand7XTC-5-HT7-5-CT-Gs/β1/γ2 7XTB-5-HT6-Serotonin-Gs/β1/γ2 8JLZ-5-HT6-ST1936-Gs/β1/γ2 7XT8-5-HT4-Serotonin-Gs/β1/γ2
7.41Consensusorexin_offOrthosteric Ligandox2_off ox1_off
7.41Consensusox1_offOrthosteric Ligand6TP6-OX1-Filorexant 6TP4-OX1-ACT-462206 6V9S-OX1-GTPL11403 6TOT-OX1-Lemborexant 6TP3-OX1-Nemorexant 6TQ6-OX1-PubChem 145714283 6TQ9-OX1-SB-408124 4ZJC-OX1-SB-674042 4ZJ8-OX1-Suvorexant 6TOD-OX1-EMPA-Na 6TOS-OX1-GSK1059865-Na 6TQ4-OX1-PubChem 16046844-Na
7.41Consensusox2_offOrthosteric Ligand5WQC-OX2-EMPA 6TPN-OX2-HTL6641 7XRR-OX2-Lemborexant 6TPJ-OX2-Suvorexant
7.41Consensuspaf_offOrthosteric Ligand5ZKQ-PAF-ABT-491
7.41Consensusrhodopsin_offOrthosteric Ligand1U19-Rhodopsin-11-cis-Retinal 2PED-Rhodopsin-9-cis-Retinal 5TE5-Rhodopsin-20-Methanoretinal
7.32Consensusetb_onOrthosteric Ligand8IY5-ETB-Endothelin-1-Gi1/β1/γ2 8HBD-ETB-IRL1620-Gi1/β1/γ2
7.32Consensusgs_melanocortinOrthosteric Ligand7F4H-MC1-Afamelanotide-chim(NtGi1-Gs)/β1/γ2 7F54-MC4-Afamelanotide-Gs/β1/γ2 7F4D-MC1-α-MSH-chim(NtGi1-Gs)/β1/γ2 8INR-MC5-α-MSH-Ca-chim(NtGi1-Gs)/β1/γ2 7F53-MC4-α-MSH-Gs/β1/γ2 7F55-MC4-Bremelanotide-Gs/β1/γ2 8GY7-MC2-Corticotropin-Ca-chim(NtGi1-Gs)/β1/γ2; MRAP1 8IOC-MC3-γ-MSH-Ca-chim(NtGi1-Gs)/β1/γ2 8IOD-MC5-PG-901-Ca-chim(NtGi1-Gs)/β1/γ2 7AUE-MC4-Setmelanotide-chim(NtGi1L-Gs)/β1/γ2 7F4I-MC1-SHU9119-chim(NtGi1-Gs)/β1/γ2 7F58-MC4-THIQ-Gs/β1/γ2
7.14Single3OAX11-cis-Retinal3OAX-Rhodopsin-11-cis-Retinal
7.14Single3REYXAC3REY-A2A-XAC
7.14Single3RZECidoxepin3RZE-H1-Cidoxepin
7.14Single4MBSMaraviroc4MBS-CCR5-Maraviroc
7.14Single6FK8PubChem 1324730356FK8-Rhodopsin-PubChem 132473035
7.14Single6ME42-Iodomelatonin6ME4-MT1-2-Iodomelatonin
7.14Single6PT0WIN 55212-26PT0-CB2-WIN 55212-2-Gi1/β1/γ2
7.14Single6TOSGSK10598656TOS-OX1-GSK1059865-Na
7.14Single6TP3Nemorexant6TP3-OX1-Nemorexant
7.14Single6TPKRetosiban6TPK-OT-Retosiban
7.14Single6TPNHTL66416TPN-OX2-HTL6641
7.14Single6U1NLY21196206U1N-M2-LY2119620-Arrestin2
7.14Single6WJCMuscarinic toxin 76WJC-M1-Atropine-Muscarinic toxin 7
7.14Single7F24Dopamine7F24-D1-Dopamine-GDP-Gs/β1/γ2
7.14Single7SR8TAK-9257SR8-OX2-TAK-925-chim(NtGi1L-Gs-CtGq)/β1/γ2
7.14Single7T94LY21196207T94-M2-Acetylcholine-LY2119620-chim(NtGi1-Go)/β1/γ2
7.14Single7UTZDPPC7UTZ-TSH-TR1402-DPPC-Gs/β1/γ2
7.14Single7VODCariprazine7VOD-5-HT2A-Cariprazine
7.14Single7VV6C48/807VV6-MRGPRX2-C48/80
7.14Single7WVUfMLF7WVU-FPR1-ALX-fMLF-Gi1/β1/γ2
7.14Single7ZBC11-cis-Retinal7ZBC-Rhodopsin-11-cis-Retinal
7.14Single7ZBE11-cis-Retinal7ZBE-Rhodopsin-11-cis-Retinal
7.14Single8FCZ11-cis-Retinal8FCZ-Rhodopsin-11-cis-Retinal
7.14Single8K9KDamgo8K9K-μ-Damgo-Gi3/β1/γ1
7.14Single8U1UCCL18U1U-CCR8-CCL1-Gi1/β1/γ2
7.14Single8V6UPubChem 1713924568V6U-5-HT2A-PubChem 171392456-chim(NtGi2-Gs-CtGq)/β1/γ2
7.14Single8Y53MK50468Y53-BB3-MK5046-chim(NtGi1-Gs-CtGq)/β1/γ2
7.14Single8Y6YGLPG09748Y6Y-FFA2-GLPG0974
7.14Single8YKVPubChem 1375531688YKV-Succinate-PubChem 137553168-Gi1/β1/γ2
7.14Single8ZJETAK-4488ZJE-Kiss1-TAK-448-chim(NtGi1-Gq)/β1/γ1
7.14Single8ZMGPimavanserin8ZMG-5-HT2A-Pimavanserin
7.14Single8ZPMAMD0708ZPM-CXCR4-AMD070
7.14Single8ZPNAMD31008ZPN-CXCR4-AMD3100
7.14Single9ARXSerotonin9ARX-5-HT2A-Serotonin
7.14Single9JH3CMF-0199JH3-Apelin-CMF-019-Gi1/β1/γ2
7.14Single9JMDAzithromycin9JMD-Motilin-Azithromycin-chim(Gs-CtGq)/β1/γ2
7.14Single9KPDSA09KPD-TAS2R16-SA0-chim(Gs-CtGt3)/β1/γ2
7.14Consensusgrh_offOrthosteric Ligandgnrh1_off
7.14Consensusnop_offOrthosteric Ligand4EA3-NOP-PubChem 10296561 5DHG-NOP-C-35 5DHH-NOP-SB-612111
7.14Consensusot_offOrthosteric Ligand6TPK-OT-Retosiban
7.14Consensusvasop-oxy_offOrthosteric Ligandot_off
6.98Single8HBDIRL16208HBD-ETB-IRL1620-Gi1/β1/γ2
6.98Consensusmelanocortin_onOrthosteric Ligandmc1_on mc4_on mc2_on mc3_on mc5_on
6.98Consensusmelanocortin_on_gpOrthosteric Ligandmc1_on_gp mc4_on_gp mc2_on_gp mc3_on_gp mc5_on_gp
6.90Single1HZX11-cis-Retinal1HZX-Rhodopsin-11-cis-Retinal
6.90Single2Y02Carmoterol2Y02-β1-Carmoterol
6.90Single4Z9GCP-3763954Z9G-CRF1-CP-376395
6.90Single5DHGC-355DHG-NOP-C-35
6.90Single5NDDAZ8838; Na5NDD-PAR2-AZ8838; Na
6.90Single5UIGCmpd-15UIG-A2A-Cmpd-1
6.90Single6DRXLisuride6DRX-5-HT2B-Lisuride
6.90Single6KPFPubChem 1459158896KPF-CB2-PubChem 145915889-Gi1/β1/γ2
6.90Single6ORVTT-OAD26ORV-GLP-1-TT-OAD2-Gs/β1/γ2
6.90Single6Z10PubChem 1545855546Z10-Succinate-PubChem 154585554
6.90Single7F83PF-051904577F83-Ghrelin-PF-05190457
6.90Single7JOZVFP7JOZ-D1-VFP-Gs/β1/γ2
6.90Single7SCGFH2107SCG-μ-FH210-Gi1/β1/γ2
6.90Single7SK8CXCL127SK8-ACKR3-CXCL12-CCX662
6.90Single7SQOTAK-9257SQO-OX2-TAK-925-Gi1/β1/γ2
6.90Single7T6VfMLFII7T6V-FPR2-ALX-fMLFII-Gi1/β1/γ2
6.90Single7TRQVU04671547TRQ-M4-Iperoxo-VU0467154-Gi1/β1/γ2
6.90Single7V3ZCP559407V3Z-CB1-CP55940
6.90Single7VH0Ramelteon7VH0-MT2-Ramelteon-Gi1/β1/γ1
6.90Single8EFQDamgo8EFQ-μ-Damgo-Gi1/β1/γ2
6.90Single8GTIBMK-C2058GTI-CRF1-BMK-C205
6.90Single8ZBEOctreotide8ZBE-SST5-Octreotide-Gi1/β1/γ1
6.90Single8ZYYNeurotensin peptide 8-138ZYY-NTS1-Neurotensin peptide 8-13-SBI-553-Arrestin2
6.90Single9IMATalquetamab9IMA-GPRC5D-Talquetamab
6.90Single9IYAONO-97105319IYA-GPR55-ONO-9710531
6.90Single9JGKBalovaptan9JGK-5-HT2B-Balovaptan
6.90Consensusalicarboxylic_offOrthosteric Ligandsuccinate_off
6.90Consensusgi_orexinOrthosteric Ligand7SQO-OX2-TAK-925-Gi1/β1/γ2
6.90Consensussuccinate_offOrthosteric Ligand6RNK-Succinate-NF-56-EJ40 6Z10-Succinate-PubChem 154585554
6.67Single4RWDDIPP-NH24RWD-δ-DIPP-NH2-Na
6.67Single5XPRBosentan5XPR-ETB-Bosentan
6.67Single6HLPNetupitant6HLP-NK1-Netupitant
6.67Single6KPCPubChem 1459158896KPC-CB2-PubChem 145915889
6.67Single7EUOfMLF7EUO-FPR1-ALX-fMLF-Gi1/β1/γ2
6.67Single7VFXfMLF7VFX-FPR1-ALX-fMLF-Gi1/β1/γ2
6.67Single8GTGBMK-I1528GTG-CRF1-BMK-I152
6.67Single8ID4Linoleic acid8ID4-FFA4-Linoleic acid-Gi1/β1/γ2
6.67Single8IZ4Lysophosphatidylserine8IZ4-GPR34-Lysophosphatidylserine-Gi1/β1/γ2
6.67Single8JXSPF-61428JXS-D1-PF-6142
6.67Single8K8JFenofibrate8K8J-CB1-Fenofibrate-chim(Gs-CtGq)/β1/γ2
6.67Single8KFXLMD-0098KFX-CCR8-LMD-009-Gi1/β1/γ2
6.67Single8TH4AT118-L Nanobody8TH4-AT1-Losartan-AT118-L Nanobody
6.67Single9GE2ML1849GE2-GPR55-ML184-chim(NtGi1-G13)/β1/γ2
6.67Single9HAPTolvaptan9HAP-V2-Tolvaptan
6.67Single9IYBProstaglandin9IYB-DP2-Prostaglandin-A1D5Q-Gi1/β1/γ2
6.67Consensusadgrg2_onOrthosteric Ligand7WUI-ADGRG2-IP15-chim(NtGi1-Gs)/β1/γ2 7WUQ-ADGRG2-Gs/β1/γ2 7XKF-ADGRG2-β-Hydroxyandrosterone-Gs/β1/γ2
6.67Consensusadgrg2_on_gpOrthosteric Ligand7WUI-ADGRG2-IP15-chim(NtGi1-Gs)/β1/γ2 7WUQ-ADGRG2-Gs/β1/γ2 7XKF-ADGRG2-β-Hydroxyandrosterone-Gs/β1/γ2
6.67Consensusfpr1-alx_onOrthosteric Ligand7VFX-FPR1-ALX-fMLF-Gi1/β1/γ2
6.67Consensusfpr1-alx_on_gpOrthosteric Ligand7VFX-FPR1-ALX-fMLF-Gi1/β1/γ2
6.45Single3PDSHydroxybenzylisoproterenol3PDS-β2-Hydroxybenzylisoproterenol
6.45Single4IAQDihydroergotamine4IAQ-5-HT1B-Dihydroergotamine
6.45Single5XRAAM115425XRA-CB1-AM11542
6.45Single5ZBHBMS-1938855ZBH-Y1-BMS-193885
6.45Single6DDEDamgo6DDE-μ-Damgo-Gi1/β1/γ2
6.45Single6E59L-7607356E59-NK1-L-760735
6.45Single7F58THIQ7F58-MC4-THIQ-Gs/β1/γ2
6.45Single7M8W15r-Methyl-Prostaglandin D27M8W-DP2-15r-Methyl-Prostaglandin D2-Na
6.45Single7R0CAVP7R0C-V2-AVP-Arrestin2
6.45Single7SK7CXCL127SK7-ACKR3-CXCL12-CCX662
6.45Single7WV9CP559407WV9-CB1-CP55940-ZCZ011-Gi2/β1/γ2
6.45Single7XBDGalanin7XBD-GAL2-Galanin-chim(NtGi2L-Gs-CtGq)/β1/γ2
6.45Single8EFLSR170188EFL-μ-SR17018-Gi1/β1/γ2
6.45Single8FMZNeurotensin/Neuromedin-N8FMZ-NTS1-Neurotensin/Neuromedin-N-chim(NtGi2L-Gs-CtGq)/β1/γ2
6.45Single8GDBPGE28GDB-EP4-PGE2-Gs/β1/γ2
6.45Single8GUSHU-3088GUS-CB2-HU-308-Gi1/β1/γ2
6.45Single8HPTC5a anaphylatoxin C-terminal peptide8HPT-C5a1-C5a anaphylatoxin C-terminal peptide-Go/β1/γ2
6.45Single8I9LC3a anaphylatoxin8I9L-C3aB-C3a anaphylatoxin-Go/β1/γ2
6.45Single8JD5JNJ-40411813; ADX881788JD5-mGlu2; mGlu4-Glutamate-JNJ-40411813; ADX88178-Gi1/β1/γ2
6.45Single8XX7CXCL58XX7-CXCR2-CXCL5-Go/β1/γ2
6.45Single8Y73Peptide8Y73-μ-Peptide-MPAM-15-Gi1/β1/γ2
6.45Single8ZWFJR14a8ZWF-C3aB-JR14a
6.45Single9EGOYVF9EGO-CB1-YVF-Gi1/β1/γ2
6.45Single9JMCDS-3801b9JMC-Motilin-DS-3801b-chim(Gs-CtGq)/β1/γ2
6.45Consensuscyslt1_offOrthosteric Ligand6RZ5-CysLT1-Zafirlukast-Na 6RZ4-CysLT1-Pranlukast-Na
6.45Consensusffa2_onOrthosteric Ligand8J22-FFA2-TUG-1375-Gi1/β1/γ2
6.45Consensusnpy1_offOrthosteric Ligand5ZBH-Y1-BMS-193885 5ZBQ-Y1-UR-MK-299
6.45Consensusnpy_offOrthosteric Ligandnpy1_off npy2_off
6.25Single6RZ7ONO-25703666RZ7-CysLT2-ONO-2570366
6.25Single7L1UOrexin7L1U-OX2-Orexin-chim(NtGi1-Gs-CtGq)/β1/γ2
6.25Single7L1VPubChem 1554910097L1V-OX2-PubChem 155491009-chim(NtGi1-Gs-CtGq)/β1/γ2
6.25Single7SUSPubChem 1227019087SUS-Apelin-PubChem 122701908
6.25Single7XJKGalanin7XJK-GAL2-Galanin-chim(NtGi2L-Gs-CtGq)/β1/γ2
6.25Single7XW6ML1097XW6-TSH-M22 Fab-ML109-Gs/β1/γ2
6.25Single7Y66BM2137Y66-C5a1-BM213-Gi1/β1/γ2
6.25Single8GTMBMK-C2038GTM-CRF1-BMK-C203
6.25Single8U26Protachykinin-18U26-NK1-Protachykinin-1-Gs/β1/γ2
6.25Single8WRBLysophosphatidylserine8WRB-GPR34-Lysophosphatidylserine-Gi1/β1/γ2
6.25Single8XWACXCL18XWA-CXCR2-CXCL1
6.25Single8XWSCXCL58XWS-CXCR2-CXCL5
6.25Single9BJKNAM9BJK-μ-Naloxone-NAM
6.25Consensuscb1_onOrthosteric Ligand6KPG-CB1-AM841-Gi1/β1/γ2 8K8J-CB1-Fenofibrate-chim(Gs-CtGq)/β1/γ2
6.25Consensusffa2_on_gpOrthosteric Ligand8J22-FFA2-TUG-1375-Gi1/β1/γ2
6.25Consensusgalanin_onOrthosteric Ligandgal2_on gal1_on
6.25Consensusgalanin_on_gpOrthosteric Ligandgal2_on_gp gal1_on_gp
6.25Consensusorexin_onOrthosteric Ligandox2_on
6.06Single6DDFDamgo6DDF-μ-Damgo-Gi1/β1/γ2
6.06Single6K1QIRL25006K1Q-ETB-IRL2500
6.06Single6RZ9ONO-27703726RZ9-CysLT2-ONO-2770372
6.06Single7CX4Evatanepag7CX4-EP2-Evatanepag-Gs/β1/γ2
6.06Single7MBYCholecystokinin-87MBY-CCKA-Cholecystokinin-8-chim(NtGi1L-Gs-CtGq)/β1/γ2
6.06Single7P00Substance-P7P00-NK1-Substance-P-chim(NtGi1-Gs-CtGq)/β1/γ2
6.06Single8T3OTUG-8918T3O-FFA4-TUG-891-chim(NtGi2L-Gs-CtGq)/β1/γ2
6.06Single8WRZPubChem 1023367048WRZ-CB1-PubChem 102336704-Arrestin2
6.06Single8XWVCXCL18XWV-CXCR2-CXCL1-Go/β1/γ2
6.06Single8ZPLHF511168ZPL-CXCR4-HF51116
6.06Single8ZWGJR14a8ZWG-C3aB-JR14a-Gi1/β1/γ2
6.06Consensuscyslt2_offOrthosteric Ligand6RZ7-CysLT2-ONO-2570366 6RZ8-CysLT2-ONO-2080365 6RZ9-CysLT2-ONO-2770372
6.06Consensusnk1_onOrthosteric Ligand7P00-NK1-Substance-P-chim(NtGi1-Gs-CtGq)/β1/γ2
6.06Consensusnk1_on_gpOrthosteric Ligand7P00-NK1-Substance-P-chim(NtGi1-Gs-CtGq)/β1/γ2
6.06Consensusnk2_onOrthosteric Ligand7XWO-NK2-Neurokinin-A-chim(NtGi1-Gs-CtGq)/β1/γ2
6.06Consensusorexin_on_gpOrthosteric Ligandox2_on_gp
5.88Single6RZ6ONO-25703666RZ6-CysLT2-ONO-2570366
5.88Single7AUESetmelanotide7AUE-MC4-Setmelanotide-chim(NtGi1L-Gs)/β1/γ2
5.88Single7RMGSubstance-P7RMG-NK1-Substance-P-chim(Gs-CtGq)/β1/γ2
5.88Single7RMHSubstance-P7RMH-NK1-Substance-P-Gs/β1/γ2
5.88Single8F7REndomorphin8F7R-μ-Endomorphin-Gi1/β1/γ2
5.88Single8J22TUG-13758J22-FFA2-TUG-1375-Gi1/β1/γ2
5.88Single8Z74Agonistic antibody8Z74-Apelin-Agonistic antibody
5.88Single9IPVJR14a9IPV-C3aB-JR14a-Gi1/β1/γ2
5.88Single9ITBLPA9ITB-LPA6-LPA-chim(NtGi1-Gs-CtGq)/β1/γ2
5.88Single9JH6C20:0 Ceramide9JH6-CysLT2-C20:0 Ceramide-chim(NtGi1-Gs-CtGq)/β1/γ2
5.88Single9V2NMacimorelin9V2N-Ghrelin-Macimorelin-chim(NtGi1-Gs-CtGq)/β1/γ2
5.88Consensuskiss1_onOrthosteric Ligand8ZJD-Kiss1-Kisspeptin-10-chim(NtGi1-Gq)/β1/γ1
5.88Consensuskisspeptin_onOrthosteric Ligandkiss1_on
5.71Single7CX3Taprenepag7CX3-EP2-Taprenepag-Gs/β1/γ2
5.71Single7W56Neuromedin-S7W56-NMUR1-Neuromedin-S-chim(NtGi1-Gs-CtGq)/β1/γ2
5.71Single8F7XNociceptin8F7X-NOP-Nociceptin-Gi1/β1/γ2
5.71Single8XBHS3E-LysoPS8XBH-GPR34-S3E-LysoPS-Gi1/β1/γ2
5.71Single8ZCJPasireotide8ZCJ-SST5-Pasireotide-Gi1/β1/γ1
5.71Single8ZJDKisspeptin-108ZJD-Kiss1-Kisspeptin-10-chim(NtGi1-Gq)/β1/γ1
5.71Single9BKJCholecystokinin-89BKJ-CCKA-Cholecystokinin-8-chim(NtGi1-Gs-CtGq)/β1/γ2
5.71Single9HB3Mambaquaretin-19HB3-V2-Mambaquaretin-1
5.71Consensusgq_kisspeptinOrthosteric Ligand8ZJD-Kiss1-Kisspeptin-10-chim(NtGi1-Gq)/β1/γ1
5.71Consensuskiss1_on_gpOrthosteric Ligand8ZJD-Kiss1-Kisspeptin-10-chim(NtGi1-Gq)/β1/γ1
5.71Consensuskisspeptin_on_gpOrthosteric Ligandkiss1_on_gp
5.71Consensusmc4_onOrthosteric Ligand7AUE-MC4-Setmelanotide-chim(NtGi1L-Gs)/β1/γ2 7F58-MC4-THIQ-Gs/β1/γ2 7F54-MC4-Afamelanotide-Gs/β1/γ2 7F53-MC4-α-MSH-Gs/β1/γ2 7F55-MC4-Bremelanotide-Gs/β1/γ2
5.71Consensusnop_onOrthosteric Ligand8F7X-NOP-Nociceptin-Gi1/β1/γ2
5.71Consensusnop_on_gpOrthosteric Ligand8F7X-NOP-Nociceptin-Gi1/β1/γ2
5.56Single7RMISubstance-P7RMI-NK1-Substance-P-chim(Gs-CtGq)/β1/γ2
5.56Single8K6OPro-neuropeptide-Y8K6O-Y1-Pro-neuropeptide-Y-Gi2/β1/γ1
5.56Single9IK8SST analogue9IK8-SST1-SST analogue-Gi1/β1/γ2
5.56Consensusghrelin_onOrthosteric Ligand7NA7-Ghrelin-Ghrelin-27-Gi1/β1/γ2 7F9Z-Ghrelin-GHRP-6-chim(NtGi1-Gs-CtGq)/β1/γ2 7NA8-Ghrelin-PubChem 178024-Gi1/β1/γ2
5.56Consensusghrelin_on_gpOrthosteric Ligand7NA7-Ghrelin-Ghrelin-27-Gi1/β1/γ2 7F9Z-Ghrelin-GHRP-6-chim(NtGi1-Gs-CtGq)/β1/γ2 7NA8-Ghrelin-PubChem 178024-Gi1/β1/γ2
5.56Consensusmc4_on_gpOrthosteric Ligand7AUE-MC4-Setmelanotide-chim(NtGi1L-Gs)/β1/γ2 7F58-MC4-THIQ-Gs/β1/γ2 7F54-MC4-Afamelanotide-Gs/β1/γ2 7F53-MC4-α-MSH-Gs/β1/γ2 7F55-MC4-Bremelanotide-Gs/β1/γ2
5.56Consensustachykinin_on_gpOrthosteric Ligandnk1_on_gp nk2_on_gp nk3_on_gp
5.41Single7F4DAlpha-MSH7F4D-MC1-α-MSH-chim(NtGi1-Gs)/β1/γ2
5.41Single8W8YGamma-MSH8W8Y-MC3-γ-MSH-Ca-Gs/β1/γ2
5.41Single8WKZSBL-MC-318WKZ-MC4-SBL-MC-31
5.26Single7AD3Alpha-factor mating pheromone7AD3-STE2-α-factor mating pheromone-Gi1/STE4/γ2
5.26Single7XK8Neuromedin-U-257XK8-NMUR2-Neuromedin-U-25-Gi1/β1/γ2
5.26Consensustachykinin_onOrthosteric Ligandnk1_on nk2_on nk3_on
5.13Single7P02Protachykinin-17P02-NK1-Protachykinin-1-chim(NtGi1-Gs)/β1/γ2
5.13Single8IODPG-9018IOD-MC5-PG-901-Ca-chim(NtGi1-Gs)/β1/γ2
5.13Consensusp2y10_onOrthosteric Ligand8KGG-P2Y10-LPS-chim(NtGi2-G13)/β1/γ2
5.00Single6D32Cyclopamine6D32-SMO-Cyclopamine-Cyclopamine
5.00Single6D35Cholesterol6D35-SMO-Cholesterol
5.00Single6N51Quisqualate6N51-mGlu5; mGlu5-Quisqualate
5.00Single6N51Quisqualate6N51-mGlu5; mGlu5-Quisqualate
5.00Single6UO8SKF975416UO8-GABAB1, GABAB2-SKF97541-GS39783
5.00Single6UO9SKF975416UO9-GABAB1, GABAB2-SKF97541
5.00Single6W2XPubChem 53110426W2X-GABAB1, GABAB2-PubChem 5311042
5.00Single6W2YPubChem 53110426W2Y-GABAB1; GABAB1-PubChem 5311042
5.00Single6W2YPubChem 53110426W2Y-GABAB1; GABAB1-PubChem 5311042
5.00Single7C7QBaclofen7C7Q-GABAB1, GABAB2-Baclofen-BHFF
5.00Single7C7SCGP546267C7S-GABAB1, GABAB2-CGP54626
5.00Single7CUMCGP546267CUM-GABAB1, GABAB2-CGP54626
5.00Single7DD5Ca7DD5-CaS-Ca-Ca; Ca; Tryptophan; NPS-2143
5.00Single7DD5Ca; Ca; Tryptophan; NPS-21437DD5-CaS-Ca-Ca; Ca; Tryptophan; NPS-2143
5.00Single7DD5Ca7DD5-CaS-Ca-Ca; Ca; Tryptophan; NPS-2143
5.00Single7DD5Ca; Ca; Tryptophan; NPS-21437DD5-CaS-Ca-Ca; Ca; Tryptophan; NPS-2143
5.00Single7DGEQuisqualate7DGE-mGlu1; mGlu1-Quisqualate
5.00Single7DTTCa7DTT-CaS-Ca-Ca
5.00Single7DTTCa7DTT-CaS-Ca-Ca
5.00Single7DTUTryptophan7DTU-CaS-Tryptophan
5.00Single7DTUTryptophan7DTU-CaS-Tryptophan
5.00Single7DTVCa7DTV-CaS-Ca-Ca; Tryptophan
5.00Single7DTVCa; Tryptophan7DTV-CaS-Ca-Ca; Tryptophan
5.00Single7DTVCa7DTV-CaS-Ca-Ca; Tryptophan
5.00Single7DTVCa; Tryptophan7DTV-CaS-Ca-Ca; Tryptophan
5.00Single7E6TCa7E6T-CaS-Ca-Ca; Ca; Cyclomethyltryptophan; PO4
5.00Single7E6TCa; Ca; Cyclomethyltryptophan; PO47E6T-CaS-Ca-Ca; Ca; Cyclomethyltryptophan; PO4
5.00Single7E6TCa7E6T-CaS-Ca-Ca; Ca; Cyclomethyltryptophan; PO4
5.00Single7E6TCa; Ca; Cyclomethyltryptophan; PO47E6T-CaS-Ca-Ca; Ca; Cyclomethyltryptophan; PO4
5.00Single7E9GEglumetad7E9G-mGlu2; mGlu2-Eglumetad-JNJ-40411813-Gi1/β1/γ2
5.00Single7E9GEglumetad7E9G-mGlu2; mGlu2-Eglumetad-JNJ-40411813-Gi1/β1/γ2
5.00Single7E9HPhosphoserine7E9H-mGlu4; mGlu4-Phosphoserine-Gi3/β1/γ2
5.00Single7E9HPhosphoserine7E9H-mGlu4; mGlu4-Phosphoserine-Gi3/β1/γ2
5.00Single7EB2Baclofen7EB2-GABAB2; GABAB1-Baclofen-rac-BHFF-Gi1/β1/γ2
5.00Single7EPBEglumetad7EPB-mGlu2; mGlu2-Eglumetad
5.00Single7EPBEglumetad7EPB-mGlu2; mGlu2-Eglumetad
5.00Single7FD8Quisqualate7FD8-mGlu5; mGlu5-Quisqualate
5.00Single7FD8Quisqualate7FD8-mGlu5; mGlu5-Quisqualate
5.00Single7FD9LY3414957FD9-mGlu5; mGlu5-LY341495
5.00Single7FD9LY3414957FD9-mGlu5; mGlu5-LY341495
5.00Single7FIHhCG7FIH-LH-hCG-Org43553-chim(NtGi1-Gs)/β1/γ2
5.00Single7FIIhCG7FII-LH-hCG-chim(NtGi1-Gs)/β1/γ2
5.00Single7M3ECa; Ca; Tryptophan; NPS-21437M3E-CaS-Ca; Ca; Tryptophan; NPS-2143
5.00Single7M3ECa; Ca; Tryptophan; NPS-21437M3E-CaS-Ca; Ca; Tryptophan; NPS-2143
5.00Single7M3FCa; Ca; Tryptophan; Cinacalcet; PO47M3F-CaS-Ca; Ca; Tryptophan; Cinacalcet; PO4
5.00Single7M3FCa; Ca; Tryptophan; Cinacalcet; PO47M3F-CaS-Ca; Ca; Tryptophan; Cinacalcet; PO4
5.00Single7M3GCa; Ca; Tryptophan; Evocalcet; Etelcalcetide; PO47M3G-CaS-Ca; Ca; Tryptophan; Evocalcet; Etelcalcetide; PO4
5.00Single7M3GCa; Ca; Tryptophan; Evocalcet; Etelcalcetide; PO47M3G-CaS-Ca; Ca; Tryptophan; Evocalcet; Etelcalcetide; PO4
5.00Single7M3GCa; Ca; Tryptophan; Evocalcet; Etelcalcetide; PO47M3G-CaS-Ca; Ca; Tryptophan; Evocalcet; Etelcalcetide; PO4
5.00Single7M3GCa; Ca; Tryptophan; Evocalcet; Etelcalcetide; PO47M3G-CaS-Ca; Ca; Tryptophan; Evocalcet; Etelcalcetide; PO4
5.00Single7MTQLY3414957MTQ-mGlu2; mGlu2-LY341495
5.00Single7MTQLY3414957MTQ-mGlu2; mGlu2-LY341495
5.00Single7MTRGlutamate7MTR-mGlu2; mGlu2-Glutamate-ADX55164
5.00Single7MTRGlutamate7MTR-mGlu2; mGlu2-Glutamate-ADX55164
5.00Single7MTSGlutamate7MTS-mGlu2; mGlu2-Glutamate-ADX55164-Gi1/β1/γ2
5.00Single7MTSGlutamate7MTS-mGlu2; mGlu2-Glutamate-ADX55164-Gi1/β1/γ2
5.00Single7SILCa7SIL-CaS-Ca-Ca; Ca; Ca; Cyclomethyltryptophan; 9IG; PO4
5.00Single7SILCa; Ca; Ca; Cyclomethyltryptophan; 9IG; PO47SIL-CaS-Ca-Ca; Ca; Ca; Cyclomethyltryptophan; 9IG; PO4
5.00Single7SILCa7SIL-CaS-Ca-Ca; Ca; Ca; Cyclomethyltryptophan; 9IG; PO4
5.00Single7SILCa; Ca; Ca; Cyclomethyltryptophan; 9IG; PO47SIL-CaS-Ca-Ca; Ca; Ca; Cyclomethyltryptophan; 9IG; PO4
5.00Single7SIMCa7SIM-CaS-Ca-Ca; Ca; Cyclomethyltryptophan; PO4
5.00Single7SIMCa; Ca; Cyclomethyltryptophan; PO47SIM-CaS-Ca-Ca; Ca; Cyclomethyltryptophan; PO4
5.00Single7SIMCa7SIM-CaS-Ca-Ca; Ca; Cyclomethyltryptophan; PO4
5.00Single7SIMCa; Ca; Cyclomethyltryptophan; PO47SIM-CaS-Ca-Ca; Ca; Cyclomethyltryptophan; PO4
5.00Single7T9NM22 Fab7T9N-TSH-M22 Fab-DPPC-Gs/β1/γ2
5.00Single7WI6LY3414957WI6-mGlu3; mGlu3-LY341495
5.00Single7WI6LY3414957WI6-mGlu3; mGlu3-LY341495
5.00Single7WI8LY3414957WI8-mGlu3; mGlu3-LY341495
5.00Single7WI8LY3414957WI8-mGlu3; mGlu3-LY341495
5.00Single7WIHLY27941937WIH-mGlu3; mGlu3-LY2794193
5.00Single7WIHLY27941937WIH-mGlu3; mGlu3-LY2794193
5.00Single7XW6M22 Fab7XW6-TSH-M22 Fab-ML109-Gs/β1/γ2
5.00Single7XW7K1-707XW7-TSH-K1-70
5.00Single8JCULY3414958JCU-mGlu2; mGlu3-LY341495
5.00Single8JCULY3414958JCU-mGlu2; mGlu3-LY341495
5.00Single8JCVLY3414958JCV-mGlu2; mGlu3-LY341495
5.00Single8JCVLY3414958JCV-mGlu2; mGlu3-LY341495
5.00Single8JCWLY3414958JCW-mGlu2; mGlu3-LY341495
5.00Single8JCWLY3414958JCW-mGlu2; mGlu3-LY341495
5.00Single8JCXLY3414958JCX-mGlu2; mGlu3-LY341495
5.00Single8JCXLY3414958JCX-mGlu2; mGlu3-LY341495
5.00Single8JCYLY3414958JCY-mGlu2; mGlu3-LY341495
5.00Single8JCYLY3414958JCY-mGlu2; mGlu3-LY341495
5.00Single8JCZLY3414958JCZ-mGlu2; mGlu3-LY341495
5.00Single8JCZLY3414958JCZ-mGlu2; mGlu3-LY341495
5.00Single8JD0Glutamate8JD0-mGlu2; mGlu3-Glutamate-NAM563
5.00Single8JD1Glutamate8JD1-mGlu2; mGlu3-Glutamate
5.00Single8JD1Glutamate8JD1-mGlu2; mGlu3-Glutamate
5.00Single8JD2Glutamate8JD2-mGlu2; mGlu3-Glutamate
5.00Single8JD2Glutamate8JD2-mGlu2; mGlu3-Glutamate
5.00Single8JD3Glutamate8JD3-mGlu2; mGlu3-Glutamate-JNJ-40411813-Gi1/β1/γ2
5.00Single8JD3Glutamate8JD3-mGlu2; mGlu3-Glutamate-JNJ-40411813-Gi1/β1/γ2
5.00Single8JD4Glutamate8JD4-mGlu2; mGlu4-Glutamate
5.00Single8JD4Glutamate8JD4-mGlu2; mGlu4-Glutamate
5.00Single8JD5Glutamate8JD5-mGlu2; mGlu4-Glutamate-JNJ-40411813; ADX88178-Gi1/β1/γ2
5.00Single8JD5Glutamate8JD5-mGlu2; mGlu4-Glutamate-JNJ-40411813; ADX88178-Gi1/β1/γ2
5.00Single8JD6Phosphoserine8JD6-mGlu4; mGlu4-Phosphoserine-VU0364770-Gi3/β1/γ2
5.00Single8JD6Phosphoserine8JD6-mGlu4; mGlu4-Phosphoserine-VU0364770-Gi3/β1/γ2
5.00Single8SZFCa; Ca; Tryptophan; Cinacalcet; PO4; Spermine8SZF-CaS-Ca; Ca; Tryptophan; Cinacalcet; PO4; Spermine
5.00Single8SZFCa; Ca; Tryptophan; Cinacalcet; PO4; Spermine8SZF-CaS-Ca; Ca; Tryptophan; Cinacalcet; PO4; Spermine
5.00Single8SZGCa; Ca; Tryptophan; Cinacalcet; PO4; Spermine8SZG-CaS-Ca; Ca; Tryptophan; Cinacalcet; PO4; Spermine-chim(NtGi1-Gq)/β1/γ2
5.00Single8T7HQuisqualate8T7H-mGlu5; mGlu5-Quisqualate
5.00Single8T7HQuisqualate8T7H-mGlu5; mGlu5-Quisqualate
5.00Single8T8MQuisqualate8T8M-mGlu5; mGlu5-Quisqualate
5.00Single8T8MQuisqualate8T8M-mGlu5; mGlu5-Quisqualate
5.00Single8TAOQuisqualate8TAO-mGlu5; mGlu5-Quisqualate-CDPPB
5.00Single8TAOQuisqualate8TAO-mGlu5; mGlu5-Quisqualate-CDPPB
5.00Single8TQBCa; PAM VU60233268TQB-mGlu3; mGlu3-Ca; PAM VU6023326-Ca
5.00Single8TQBCa; PAM VU60233268TQB-mGlu3; mGlu3-Ca; PAM VU6023326-Ca
5.00Single8TR0LY3414958TR0-mGlu3; mGlu3-LY341495
5.00Single8TR0LY3414958TR0-mGlu3; mGlu3-LY341495
5.00Single8TR2Ca; LY3792688TR2-mGlu3; mGlu3-Ca; LY379268-Ca
5.00Single8TR2Ca; LY3792688TR2-mGlu3; mGlu3-Ca; LY379268-Ca
5.00Single8TRCLY3414958TRC-mGlu3; mGlu3-LY341495
5.00Single8TRCLY3414958TRC-mGlu3; mGlu3-LY341495
5.00Single8TRDLY3414958TRD-mGlu3; mGlu3-LY341495
5.00Single8TRDLY3414958TRD-mGlu3; mGlu3-LY341495
5.00Single8WG9(2S)-2-amino-4-phosphonobutanoic acid8WG9-mGlu4; mGlu2-(2S)-2-amino-4-phosphonobutanoic acid
5.00Single8WGBGlutammate8WGB-mGlu4; mGlu2-Glutammate-VU0155041-Gi3/β1/γ2
5.00Single8WGBGlutammate8WGB-mGlu4; mGlu2-Glutammate-VU0155041-Gi3/β1/γ2
5.00Single8WGCLY3792688WGC-mGlu4; mGlu2-LY379268
5.00Single8WGDWAG; WA68WGD-mGlu4; mGlu2-WAG; WA6
5.00Single8WGDWAG; WA68WGD-mGlu4; mGlu2-WAG; WA6
5.00Single8WPGTryptophan; Cinacalcet; PO4; Ca8WPG-CaS-Tryptophan; Cinacalcet; PO4; Ca
5.00Single8WPGTryptophan; Cinacalcet; PO4; Ca8WPG-CaS-Tryptophan; Cinacalcet; PO4; Ca
5.00Single8WPUTryptophan; Cinacalcet; PO4; Ca8WPU-CaS-Tryptophan; Cinacalcet; PO4; Ca-chim(NtGi2L-Gs-CtGq)/β1/γ2
5.00Single8WPUTryptophan; Cinacalcet; PO4; Ca8WPU-CaS-Tryptophan; Cinacalcet; PO4; Ca-chim(NtGi2L-Gs-CtGq)/β1/γ2
5.00Single8WVXNorrin8WVX-LGR4-Norrin
5.00Single8WVYNorrin8WVY-LGR4-Norrin
5.00Single8X0BQuisqualate8X0B-mGlu5; mGlu5-Quisqualate-VU0424465
5.00Single8X0BQuisqualate8X0B-mGlu5; mGlu5-Quisqualate-VU0424465
5.00Single8X0CQuisqualate8X0C-mGlu5; mGlu5-Quisqualate-VU0424465
5.00Single8X0CQuisqualate8X0C-mGlu5; mGlu5-Quisqualate-VU0424465
5.00Single8X0DQuisqualate8X0D-mGlu5; mGlu5-Quisqualate-VU0424465
5.00Single8X0DQuisqualate8X0D-mGlu5; mGlu5-Quisqualate-VU0424465
5.00Single8X0EQuisqualate8X0E-mGlu5; mGlu5-Quisqualate
5.00Single8X0EQuisqualate8X0E-mGlu5; mGlu5-Quisqualate
5.00Single8X0FQuisqualate8X0F-mGlu5; mGlu5-Quisqualate-VU0424465
5.00Single8X0FQuisqualate8X0F-mGlu5; mGlu5-Quisqualate-VU0424465
5.00Single8X0GQuisqualate8X0G-mGlu5; mGlu5-Quisqualate
5.00Single8X0GQuisqualate8X0G-mGlu5; mGlu5-Quisqualate
5.00Single8X0HQuisqualate8X0H-mGlu5; mGlu5-Quisqualate
5.00Single8X0HQuisqualate8X0H-mGlu5; mGlu5-Quisqualate
5.00Single8XUMR-spondin-28XUM-LGR4-R-spondin-2
5.00Single9ASBCa9ASB-CaS-Ca-Ca; Ca; Cyclomethyltryptophan; 9IG; PO4-chim(NtGi1-Gs-CtGq)/β1/γ2
5.00Single9ASBCa; Ca; Cyclomethyltryptophan; 9IG; PO49ASB-CaS-Ca-Ca; Ca; Cyclomethyltryptophan; 9IG; PO4-chim(NtGi1-Gs-CtGq)/β1/γ2
5.00Single9AVGCa9AVG-CaS-Ca-Ca; Ca; Cyclomethyltryptophan; 9IG; PO4-chim(NtGi1-Gs)/β1/γ2
5.00Single9AVGCa; Ca; Cyclomethyltryptophan; 9IG; PO49AVG-CaS-Ca-Ca; Ca; Cyclomethyltryptophan; 9IG; PO4-chim(NtGi1-Gs)/β1/γ2
5.00Single9AVLCa9AVL-CaS-Ca-Ca; Ca; Cyclomethyltryptophan; 9IG; PO4-Gi3/β2/γ2
5.00Single9AVLCa; Ca; Cyclomethyltryptophan; 9IG; PO49AVL-CaS-Ca-Ca; Ca; Cyclomethyltryptophan; 9IG; PO4-Gi3/β2/γ2
5.00Single9AVLCa9AVL-CaS-Ca-Ca; Ca; Cyclomethyltryptophan; 9IG; PO4-Gi3/β2/γ2
5.00Single9AVLCa; Ca; Cyclomethyltryptophan; 9IG; PO49AVL-CaS-Ca-Ca; Ca; Cyclomethyltryptophan; 9IG; PO4-Gi3/β2/γ2
5.00Single9AXFCa9AXF-CaS-Ca-Ca; Ca; Ca; Cyclomethyltryptophan; 9IG; PO4-chim(NtGi1-Gs-CtGq)/β1/γ2
5.00Single9AXFCa; Ca; Ca; Cyclomethyltryptophan; 9IG; PO49AXF-CaS-Ca-Ca; Ca; Ca; Cyclomethyltryptophan; 9IG; PO4-chim(NtGi1-Gs-CtGq)/β1/γ2
5.00Single9AXFCa9AXF-CaS-Ca-Ca; Ca; Ca; Cyclomethyltryptophan; 9IG; PO4-chim(NtGi1-Gs-CtGq)/β1/γ2
5.00Single9AXFCa; Ca; Ca; Cyclomethyltryptophan; 9IG; PO49AXF-CaS-Ca-Ca; Ca; Ca; Cyclomethyltryptophan; 9IG; PO4-chim(NtGi1-Gs-CtGq)/β1/γ2
5.00Single9AYFCa9AYF-CaS-Ca-Ca; Ca; Ca; Cyclomethyltryptophan; 9IG; PO4-Gi1/β1/γ2
5.00Single9AYFCa; Ca; Ca; Cyclomethyltryptophan; 9IG; PO49AYF-CaS-Ca-Ca; Ca; Ca; Cyclomethyltryptophan; 9IG; PO4-Gi1/β1/γ2
5.00Single9C1PCa9C1P-CaS-Ca-Ca; Tryptophan; '6218; PO4
5.00Single9C1PCa; Tryptophan; '6218; PO49C1P-CaS-Ca-Ca; Tryptophan; '6218; PO4
5.00Single9C1PCa9C1P-CaS-Ca-Ca; Tryptophan; '6218; PO4
5.00Single9C1PCa; Tryptophan; '6218; PO49C1P-CaS-Ca-Ca; Tryptophan; '6218; PO4
5.00Single9C2FCa9C2F-CaS-Ca-Ca; Ca; Tryptophan; '54149; PO4
5.00Single9C2FCa; Ca; Tryptophan; '54149; PO49C2F-CaS-Ca-Ca; Ca; Tryptophan; '54149; PO4
5.00Single9C2FCa9C2F-CaS-Ca-Ca; Ca; Tryptophan; '54149; PO4
5.00Single9C2FCa; Ca; Tryptophan; '54149; PO49C2F-CaS-Ca-Ca; Ca; Tryptophan; '54149; PO4
5.00Single9II2Glutamate9II2-mGlu3; mGlu3-Glutamate-Arrestin2
5.00Single9II2Glutamate9II2-mGlu3; mGlu3-Glutamate-Arrestin2
5.00Single9II3Glutamate9II3-mGlu3; mGlu3-Glutamate-Arrestin2
5.00Single9II3Glutamate9II3-mGlu3; mGlu3-Glutamate-Arrestin2
5.00Single9KHHNorrin9KHH-LGR4-Norrin
5.00Single9S37NB219S37-LGR4-NB21
5.00Single9UTBSucralose9UTB-TAS1R2; TAS1R3-Sucralose
4.88Single8W8XBeta-MSH8W8X-MC3-β-MSH-Ca-Gs/β1/γ2
4.88Consensusp2y10_on_gpOrthosteric Ligand8KGG-P2Y10-LPS-chim(NtGi2-G13)/β1/γ2
4.76Single7DD6Ca7DD6-CaS-Ca-Ca; Ca; Tryptophan
4.76Single7DD6Ca; Ca; Tryptophan7DD6-CaS-Ca-Ca; Ca; Tryptophan
4.76Single7DD6Ca7DD6-CaS-Ca-Ca; Ca; Tryptophan
4.76Single7DD6Ca; Ca; Tryptophan7DD6-CaS-Ca-Ca; Ca; Tryptophan
4.76Single7DD7Ca7DD7-CaS-Ca-Ca; Ca; Tryptophan; Evocalcet
4.76Single7DD7Ca; Ca; Tryptophan; Evocalcet7DD7-CaS-Ca-Ca; Ca; Tryptophan; Evocalcet
4.76Single7DD7Ca7DD7-CaS-Ca-Ca; Ca; Tryptophan; Evocalcet
4.76Single7DD7Ca; Ca; Tryptophan; Evocalcet7DD7-CaS-Ca-Ca; Ca; Tryptophan; Evocalcet
4.76Single8KGGLPS8KGG-P2Y10-LPS-chim(NtGi2-G13)/β1/γ2
4.76Single8SZFCa; Ca; Tryptophan; Cinacalcet; PO4; Spermine8SZF-CaS-Ca; Ca; Tryptophan; Cinacalcet; PO4; Spermine
4.76Single8SZFCa; Ca; Tryptophan; Cinacalcet; PO4; Spermine8SZF-CaS-Ca; Ca; Tryptophan; Cinacalcet; PO4; Spermine
4.76Single9ASBCa9ASB-CaS-Ca-Ca; Ca; Cyclomethyltryptophan; 9IG; PO4-chim(NtGi1-Gs-CtGq)/β1/γ2
4.76Single9ASBCa; Ca; Cyclomethyltryptophan; 9IG; PO49ASB-CaS-Ca-Ca; Ca; Cyclomethyltryptophan; 9IG; PO4-chim(NtGi1-Gs-CtGq)/β1/γ2
4.76Single9AVGCa9AVG-CaS-Ca-Ca; Ca; Cyclomethyltryptophan; 9IG; PO4-chim(NtGi1-Gs)/β1/γ2
4.76Single9AVGCa; Ca; Cyclomethyltryptophan; 9IG; PO49AVG-CaS-Ca-Ca; Ca; Cyclomethyltryptophan; 9IG; PO4-chim(NtGi1-Gs)/β1/γ2
4.76Single9AYFCa9AYF-CaS-Ca-Ca; Ca; Ca; Cyclomethyltryptophan; 9IG; PO4-Gi1/β1/γ2
4.76Single9AYFCa; Ca; Ca; Cyclomethyltryptophan; 9IG; PO49AYF-CaS-Ca-Ca; Ca; Ca; Cyclomethyltryptophan; 9IG; PO4-Gi1/β1/γ2
4.76Consensusclass-b2_onOrthosteric Ligandadgrg_on adgrf_on adgrl_on adgre_on adgrd_on
4.76Consensusclass-b2_on_gpOrthosteric Ligandadgrg_on_gp adgrf_on_gp adgrl_on_gp adgre_on_gp adgrd_on_gp
4.55Single7KNUCalcitonin gene-related peptide-17KNU-CT Like-Calcitonin gene-related peptide-1-RAMP1
4.55Single7T9MCS-17 Antibody7T9M-TSH-CS-17 Antibody
4.55Single8TLMAnti-murine CCR8 antibody8TLM-CCR8-Anti-murine CCR8 antibody
4.35Single6O3CCholesterol6O3C-SMO-SAG21k-Cholesterol
4.35Single7FIGhCG7FIG-LH-hCG-chim(NtGi1L-Gs)/β1/γ2
4.35Single7UTZTR14027UTZ-TSH-TR1402-DPPC-Gs/β1/γ2
4.35Single7XW5TSH7XW5-TSH-TSH-ML109-Gs/β1/γ2
4.35Single7ZI0Cholesterol7ZI0-SMO-SAG-Cholesterol
4.35Single8WCBCyclohexylammonium Ion8WCB-TA1-Cyclohexylammonium Ion-chim(NtGi1-Gs-CtGq)/β1/γ2
4.35Single8WCCCyclohexylammonium Ion8WCC-TA1-Cyclohexylammonium Ion
4.17Single5L7DCholesterol5L7D-SMO-Cholesterol
4.17Single6VCBLSN31604406VCB-GLP-1-GLP-1-LSN3160440-Gs/β1/γ2
4.17Single7T9ITSH7T9I-TSH-TSH-Gs/β1/γ2
4.17Single7V68LY21196207V68-M4-Iperoxo-LY2119620-Gi1/β1/γ2
4.17Single8I2GGlycoprotein hormones alpha chain8I2G-FSH-Glycoprotein hormones α chain-Compound 716340-Gs/β1/γ2
4.00Single3OE8IT1t3OE8-CXCR4-IT1t
4.00Single7VDMSubstance-P7VDM-MRGPRX2-Substance-P-Gi1/β1/γ2
4.00Single9IVMLSN33188399IVM-GLP-1-GLP-1 (Truncated)-LSN3318839-chim(NtGi1-Gs)/β2/γ2
4.00Consensusgs_histamineOrthosteric Ligand8POK-H2-Histamine-Gs/β1/γ2
4.00Consensush2_onOrthosteric Ligand8POK-H2-Histamine-Gs/β1/γ2
3.85Single6OIKLY21196206OIK-M2-Iperoxo-LY2119620-chim(NtGi1-Go)/β1/γ2
3.85Single7D77Hydrocortisone7D77-ADGRG3-Hydrocortisone-Go/β1/γ2
3.85Single8JPSCCL78JPS-ACKR1-CCL7
3.70Single6HLLCP999946HLL-NK1-CP99994
3.70Single6TQ4PubChem 160468446TQ4-OX1-PubChem 16046844-Na
3.70Single7S8NR-Zinc-35737S8N-MRGPRX2-R-Zinc-3573-chim(NtGi2L-Gs-CtGq)/β1/γ2
3.70Single7S8OR-Zinc-35737S8O-MRGPRX2-R-Zinc-3573-Gi1/β1/γ2
3.70Single7XTBSerotonin7XTB-5-HT6-Serotonin-Gs/β1/γ2
3.70Single8EF6Morphine8EF6-μ-Morphine-Gi1/β1/γ2
3.70Single8FX5Xanomeline8FX5-M4-Xanomeline-Xanomeline-Gi1/β1/γ2
3.70Single8YN2Histamine8YN2-H1-Histamine-chim(NtGi1L-Gs-CtGq)/β1/γ2
3.70Single8ZYUNeurotensin peptide 8-138ZYU-NTS1-Neurotensin peptide 8-13-SBI-553-Arrestin2
3.57Single6C1QNDT95137276C1Q-C5a1-PMX53-NDT9513727
3.57Single6DS0Ly2660976DS0-5-HT2B-Ly266097
3.57Single6RNKNF-56-EJ406RNK-Succinate-NF-56-EJ40
3.57Single6TQ6PubChem 1457142836TQ6-OX1-PubChem 145714283
3.57Single6ZA8RTI-3a6ZA8-NTS1-RTI-3a
3.57Single7F8ULintitript7F8U-CCKA-Lintitript
3.57Single7X2CFenoldopam7X2C-D1-Fenoldopam-Fenoldopam-Gs/β1/γ2
3.57Single7X2FDopamine7X2F-D1-Dopamine-Mevidalen-Gs/β1/γ2
3.57Single7XJJGalanin7XJJ-GAL1-Galanin-Go/β1/γ2
3.57Single7XRRLemborexant7XRR-OX2-Lemborexant
3.57Single8DWHPubChem 1390305318DWH-MRGPRX1-PubChem 139030531-chim(NtGi2L-Gs-CtGq)/β1/γ2
3.57Single8U4PAMD31008U4P-CXCR4-AMD3100-Gi1/β1/γ2
3.57Single8YUTAmthamine8YUT-H2-Amthamine-Gs/β1/γ2
3.45Single6IQLL7458706IQL-D4-L745870
3.45Single7XOVSR1461317XOV-CCKA-SR146131-Gs/β1/γ2
3.45Single8HQN9-S-HODE8HQN-GPR132-9-S-HODE-Gi1/β1/γ2
3.45Single8JD6VU03647708JD6-mGlu4; mGlu4-Phosphoserine-VU0364770-Gi3/β1/γ2
3.45Single8K4NVF08K4N-GPR34-VF0-Gi1/β1/γ2
3.45Single8K9LDamgo8K9L-μ-Damgo-BMS-986122-Gi3/β1/γ1
3.33Single5ZKPForopafant (SR27417)5ZKP-PAF-Foropafant (SR27417)
3.33Single7WQ3Galanin7WQ3-GAL1-Galanin-Gi1/β1/γ2
3.33Single8EJKTAK-8758EJK-FFA1-TAK-875-chim(NtGi1L-Gs-CtGq)/β1/γ2
3.33Single8KFYZK-7563268KFY-CCR8-ZK-756326-Gi1/β1/γ2
3.33Single8TH3AT118-H Nanobody8TH3-AT1-AT118-H Nanobody
3.33Consensusgal1_onOrthosteric Ligand7WQ3-GAL1-Galanin-Gi1/β1/γ2
3.33Consensusgal1_on_gpOrthosteric Ligand7WQ3-GAL1-Galanin-Gi1/β1/γ2
3.33Consensusgi_galaninOrthosteric Ligand7WQ3-GAL1-Galanin-Gi1/β1/γ2
3.23Single4PHUFasiglifam4PHU-FFA1-Fasiglifam
3.23Single6Z4QSR142948A6Z4Q-NTS1-SR142948A
3.23Single7VV0PAMP-127VV0-MRGPRX2-PAMP-12
3.23Single7VV4Cortistatin-147VV4-MRGPRX2-Cortistatin-14
3.23Single8EJCTAK-8758EJC-FFA1-TAK-875-chim(NtGi1L-Gs-CtGq)/β1/γ2
3.23Consensuscyslt_offOrthosteric Ligandcyslt2_off cyslt1_off
3.12Single5TZRMK86665TZR-FFA1-MK8666
3.12Single6RZ5Zafirlukast6RZ5-CysLT1-Zafirlukast-Na
3.12Single6Z8NSRI-98296Z8N-NTS1-SRI-9829
3.12Single7S8MCortistatin-147S8M-MRGPRX2-Cortistatin-14-Gi1/β1/γ2
3.12Single7XWONeurokinin-A7XWO-NK2-Neurokinin-A-chim(NtGi1-Gs-CtGq)/β1/γ2
3.12Single8JBGNeurokinin-B8JBG-NK3-Neurokinin-B-chim(NtGi1-Gs-CtGq)/β1/γ2
3.12Single8JSRAnamorelin8JSR-Ghrelin-Anamorelin-chim(NtGi1-Gs-CtGq)/β1/γ2
3.12Single8XBIS3E-LysoPS8XBI-GPR34-S3E-LysoPS
3.12Single9ITELPA9ITE-LPA6-LPA-chim(NtGi2-G13)/β1/γ2
3.12Single9UY3Anamorelin9UY3-Ghrelin-Anamorelin-chim(NtGi1-Gs-CtGq)/β1/γ2
3.12Consensusffa_onOrthosteric Ligandffa2_on ffa3_on
3.12Consensusffa_on_gpOrthosteric Ligandffa2_on_gp ffa3_on_gp
3.12Consensusgi_ffaOrthosteric Ligand8J21-FFA3-Butyric acid-Gi1/β1/γ2 8J22-FFA2-TUG-1375-Gi1/β1/γ2
3.12Consensusnk2_on_gpOrthosteric Ligand7XWO-NK2-Neurokinin-A-chim(NtGi1-Gs-CtGq)/β1/γ2
3.03Single3VW7Vorapaxar; Na3VW7-PAR1-Vorapaxar; Na
3.03Single4PXZ2MeSADP4PXZ-P2Y12-2MeSADP
3.03Single4PY02MeSATP4PY0-P2Y12-2MeSATP
3.03Single5TZYMK8666; AP85TZY-FFA1-MK8666; AP8
3.03Single7WQ4Galanin7WQ4-GAL2-Galanin-chim(NtGi1-Gs-CtGq)/β1/γ2
3.03Single8DWCProenkephalin-A8DWC-MRGPRX1-Proenkephalin-A-chim(NtGi2L-Gs-CtGq)/β1/γ2
3.03Single8Y6WTUG-13758Y6W-FFA2-TUG-1375-4-CMTB-Gi1/β1/γ2
2.94Single7QVMOxytocin7QVM-OT-Oxytocin-chim(NtGi1-Go-CtGq)/β1/γ2
2.94Single8XBES3E-LysoPS8XBE-GPR34-S3E-LysoPS-Gi1/β1/γ1
2.86Single7S8LCortistatin-147S8L-MRGPRX2-Cortistatin-14-chim(NtGi2L-Gs-CtGq)/β1/γ2
2.86Single8SAI1-Oleoyl-2-Hydroxy-Sn-Glycero-3-Phospho-L-Serine8SAI-GPR34-1-Oleoyl-2-Hydroxy-Sn-Glycero-3-Phospho-L-Serine-Gi1/β1/γ2
2.78Single6RZ8ONO-20803656RZ8-CysLT2-ONO-2080365
2.78Single7F54Afamelanotide7F54-MC4-Afamelanotide-Gs/β1/γ2
2.78Single8DWGProenkephalin-A8DWG-MRGPRX1-Proenkephalin-A-ML382-chim(NtGi2L-Gs-CtGq)/β1/γ2
2.78Single8IZBLysophosphatidylserine8IZB-GPR174-Lysophosphatidylserine-Gs/β1/γ2
2.78Single8KIGSHU91198KIG-MC3-SHU9119-Ca
2.78Single8WKYPG-9348WKY-MC4-PG-934
2.78Single8XFTR-spondin-28XFT-LGR4-R-spondin-2-ZNRF3
2.78Single8Y69R-spondin-28Y69-LGR4-R-spondin-2-ZNRF3
2.78Single9J0IUDP-Glucuronic acid9J0I-P2Y14-UDP-Glucuronic acid-Gi1/β1/γ2
2.70Single7PIVSetmelanotide7PIV-MC4-Setmelanotide-Gs/β1/γ2
2.70Single8IOCGamma-MSH8IOC-MC3-γ-MSH-Ca-chim(NtGi1-Gs)/β1/γ2
2.70Single8JBHSubstance-P8JBH-NK3-Substance-P-chim(NtGi1-Gs-CtGq)/β1/γ2
2.70Single9J0FNADH9J0F-P2Y14-NADH-Gi1/β1/γ2
2.70Consensusmc5_onOrthosteric Ligand8INR-MC5-α-MSH-Ca-chim(NtGi1-Gs)/β1/γ2 8IOD-MC5-PG-901-Ca-chim(NtGi1-Gs)/β1/γ2
2.63Single6W25SHU91196W25-MC4-SHU9119-Ca
2.63Single8K6MNeuropeptide-Y8K6M-Y1-Neuropeptide-Y-Gi2/β1/γ1
2.63Single8WVUR-spondin-18WVU-LGR4-R-spondin-1-RNF43
2.63Single8Y69R-spondin-28Y69-LGR4-R-spondin-2-ZNRF3
2.63Consensusmc3_onOrthosteric Ligand8IOC-MC3-γ-MSH-Ca-chim(NtGi1-Gs)/β1/γ2
2.63Consensusmc3_on_gpOrthosteric Ligand8IOC-MC3-γ-MSH-Ca-chim(NtGi1-Gs)/β1/γ2
2.63Consensusnpy1_onOrthosteric Ligand8K6M-Y1-Neuropeptide-Y-Gi2/β1/γ1
2.63Consensusnpy1_on_gpOrthosteric Ligand8K6M-Y1-Neuropeptide-Y-Gi2/β1/γ1
2.56Single8XFPR-spondin-28XFP-LGR4-R-spondin-2-ZNRF3
2.56Consensusmc5_on_gpOrthosteric Ligand8INR-MC5-α-MSH-Ca-chim(NtGi1-Gs)/β1/γ2 8IOD-MC5-PG-901-Ca-chim(NtGi1-Gs)/β1/γ2
2.38Single8W8WAlpha-MSH8W8W-MC3-α-MSH-Ca-Gs/β1/γ2
2.38Single8XFSR-spondin-28XFS-LGR4-R-spondin-2-ZNRF3

PDB Summary
PDB 9BUD
Class B1
SubFamily Peptide
Type Calcitonin
SubType CT
Species Homo Sapiens
Ligand Cagrilintide
Other Ligand(s) -
Protein Partners Gs/Beta1/Gamma2
PDB Resolution 2.5
Date 2025-04-23
D.O.I. To be published
Net Summary
Imin 2.51
Number of Linked Nodes 976
Number of Links 1278
Number of Hubs 246
Number of Links mediated by Hubs 868
Number of Communities 25
Number of Nodes involved in Communities 346
Number of Links involved in Communities 540
Path Summary
Number Of Nodes in MetaPath 119
Number Of Links MetaPath 118
Number of Shortest Paths 6816131
Length Of Smallest Path 3
Average Path Length 34.5515
Length of Longest Path 67
Minimum Path Strength 1.135
Average Path Strength 5.76503
Maximum Path Strength 25.86
Minimum Path Correlation 0.71
Average Path Correlation 0.995767
Maximum Path Correlation 1
Minimum % Of Corr. Nodes 2.94118
Average % Of Corr. Nodes 40.7028
Maximum % Of Corr. Nodes 100
Minimum Path Hubs % 0
Average Path Hubs % 57.1236
Maximum Path Hubs % 100
AnnotationTypeLinks
Gene OntologyMolecular Function• binding   • guanyl nucleotide binding   • GTP binding   • nucleotide binding   • guanyl ribonucleotide binding   • purine ribonucleotide binding   • purine ribonucleoside triphosphate binding   • nucleoside phosphate binding   • ion binding   • purine nucleotide binding   • anion binding   • heterocyclic compound binding   • carbohydrate derivative binding   • ribonucleotide binding   • small molecule binding   • D1 dopamine receptor binding   • protein binding   • signaling receptor binding   • G protein-coupled receptor binding   • dopamine receptor binding   • protein-containing complex binding   • G-protein beta/gamma-subunit complex binding   • pyrophosphatase activity   • GTPase activity   • G protein activity   • ribonucleoside triphosphate phosphatase activity   • molecular function regulator activity   • hydrolase activity, acting on acid anhydrides, in phosphorus-containing anhydrides   • hydrolase activity   • hydrolase activity, acting on acid anhydrides   • catalytic activity   • enzyme regulator activity   • cyclase regulator activity   • enzyme activator activity   • cyclase activator activity   • molecular function activator activity   • adenylate cyclase regulator activity   • adenylate cyclase activator activity   • cation binding   • metal ion binding   • developmental process   • multicellular organismal process   • epithelium development   • ectodermal placode morphogenesis   • epidermis development   • molting cycle process   • hair cycle   • animal organ development   • hair follicle placode formation   • tissue development   • ectodermal placode formation   • anatomical structure morphogenesis   • skin development   • skin epidermis development   • hair follicle development
Gene OntologyBiological Process• developmental process   • multicellular organismal process   • epithelium development   • ectodermal placode morphogenesis   • epidermis development   • molting cycle process   • hair cycle   • animal organ development   • hair follicle placode formation   • tissue development   • ectodermal placode formation   • anatomical structure morphogenesis   • skin development   • skin epidermis development   • hair follicle development   • molting cycle   • anatomical structure development   • anatomical structure formation involved in morphogenesis   • ectodermal placode development   • hair cycle process   • system process   • sensory perception of chemical stimulus   • sensory perception   • nervous system process   • sensory perception of smell   • cellular response to stimulus   • cellular response to nitrogen compound   • response to stimulus   • response to endogenous stimulus   • response to peptide hormone   • cellular response to peptide hormone stimulus   • response to oxygen-containing compound   • response to nitrogen compound   • response to glucagon   • cellular response to oxygen-containing compound   • cellular response to glucagon stimulus   • cellular response to endogenous stimulus   • cellular response to chemical stimulus   • response to hormone   • response to chemical   • cellular process   • cellular response to hormone stimulus   • multicellular organism development   • skeletal system development   • bone development   • system development   • regulation of body fluid levels   • wound healing   • homotypic cell-cell adhesion   • cell activation   • hemostasis   • biological regulation   • platelet aggregation   • blood coagulation   • cell adhesion   • cell-cell adhesion   • response to stress   • coagulation   • regulation of biological quality   • response to wounding   • platelet activation   • response to fluid shear stress   • vascular endothelial cell response to laminar fluid shear stress   • response to laminar fluid shear stress   • cellular response to stress   • cellular response to laminar fluid shear stress   • vascular endothelial cell response to fluid shear stress   • cellular response to fluid shear stress   • cognition   • developmental growth   • growth   • response to ketone   • response to prostaglandin   • response to lipid   • response to alcohol   • cellular response to prostaglandin stimulus   • cellular response to prostaglandin E stimulus   • cellular response to alcohol   • cellular response to lipid   • response to prostaglandin E   • cellular response to ketone   • regulation of biological process   • regulation of cellular process   • signaling   • adenylate cyclase-activating G protein-coupled receptor signaling pathway   • cell communication   • adenylate cyclase-modulating G protein-coupled receptor signaling pathway   • G protein-coupled receptor signaling pathway   • signal transduction   • homeostatic process   • positive regulation of biological process   • adaptive thermogenesis   • positive regulation of metabolic process   • multicellular organismal-level homeostasis   • regulation of cold-induced thermogenesis   • cold-induced thermogenesis   • temperature homeostasis   • positive regulation of cold-induced thermogenesis   • positive regulation of multicellular organismal process   • metabolic process   • regulation of multicellular organismal process   • regulation of metabolic process   • positive regulation of cellular process   • regulation of localization   • establishment of protein localization   • nitrogen compound transport   • regulation of hormone secretion   • regulation of protein localization   • regulation of peptide secretion   • transport   • hormone secretion   • protein localization to extracellular region   • localization   • peptide secretion   • regulation of secretion by cell   • secretion by cell   • amide transport   • signal release   • intracellular protein localization   • regulation of peptide hormone secretion   • regulation of signaling   • regulation of transport   • secretion   • regulation of hormone levels   • regulation of peptide transport   • regulation of establishment of protein localization   • establishment of protein localization to extracellular region   • export from cell   • cell-cell signaling   • regulation of protein transport   • protein secretion   • establishment of localization   • regulation of protein secretion   • regulation of secretion   • peptide transport   • protein transport   • regulation of insulin secretion   • peptide hormone secretion   • macromolecule localization   • hormone transport   • regulation of cell communication   • insulin secretion   • adenylate cyclase-activating adrenergic receptor signaling pathway   • adrenergic receptor signaling pathway   • cellular localization   • establishment of localization in cell   • intracellular transport   • regulation of defense response   • regulation of response to external stimulus   • negative regulation of inflammatory response   • negative regulation of biological process   • inflammatory response to antigenic stimulus   • regulation of response to stress   • regulation of immune system process   • negative regulation of inflammatory response to antigenic stimulus   • defense response   • immune response   • negative regulation of response to stimulus   • negative regulation of immune response   • regulation of inflammatory response to antigenic stimulus   • response to external stimulus   • regulation of inflammatory response   • regulation of response to stimulus   • negative regulation of immune system process   • immune system process   • negative regulation of response to external stimulus   • negative regulation of defense response   • regulation of immune response   • inflammatory response   • positive regulation of adenylate cyclase activity   • positive regulation of molecular function   • regulation of molecular function   • positive regulation of cyclase activity   • activation of adenylate cyclase activity   • regulation of adenylate cyclase activity   • regulation of catalytic activity   • positive regulation of catalytic activity   • positive regulation of lyase activity   • response to dopamine   • cellular response to dopamine   • response to monoamine   • response to catecholamine   • adenylate cyclase-activating dopamine receptor signaling pathway   • cellular response to catecholamine stimulus   • G protein-coupled dopamine receptor signaling pathway   • cellular response to monoamine stimulus   • renal system process   • chemical homeostasis   • multicellular organismal-level water homeostasis   • multicellular organismal-level chemical homeostasis   • renal water homeostasis   • cellular anatomical structure   • membrane   • protein-containing complex   • extrinsic component of plasma membrane   • catalytic complex   • plasma membrane protein complex   • cytoplasmic side of membrane   • plasma membrane   • membrane protein complex   • heterotrimeric G-protein complex   • side of membrane   • cell periphery   • cytoplasmic side of plasma membrane   • GTPase complex
Gene OntologyCellular Component• cellular anatomical structure   • membrane   • protein-containing complex   • extrinsic component of plasma membrane   • catalytic complex   • plasma membrane protein complex   • cytoplasmic side of membrane   • plasma membrane   • membrane protein complex   • heterotrimeric G-protein complex   • side of membrane   • cell periphery   • cytoplasmic side of plasma membrane   • GTPase complex   • extrinsic component of membrane   • extrinsic component of cytoplasmic side of plasma membrane   • extracellular exosome   • membrane-bounded organelle   • extracellular vesicle   • extracellular organelle   • extracellular region   • organelle   • extracellular space   • vesicle   • extracellular membrane-bounded organelle   • intracellular anatomical structure   • cytoplasm   • cytosol   • Golgi apparatus subcompartment   • Golgi apparatus   • organelle subcompartment   • trans-Golgi network membrane   • intracellular membrane-bounded organelle   • endomembrane system   • intracellular organelle   • trans-Golgi network   • organelle membrane   • protein binding   • binding   • enzyme binding   • GTPase binding   • protein-containing complex binding   • pyrophosphatase activity   • GTPase activity   • ribonucleoside triphosphate phosphatase activity   • hydrolase activity, acting on acid anhydrides, in phosphorus-containing anhydrides   • hydrolase activity   • hydrolase activity, acting on acid anhydrides   • catalytic activity   • signaling receptor complex adaptor activity   • protein-macromolecule adaptor activity   • molecular adaptor activity   • signaling adaptor activity   • multicellular organismal process   • system process   • sensory perception of chemical stimulus   • sensory perception   • nervous system process   • sensory perception of taste   • developmental process   • sensory organ development   • eye development   • animal organ development   • retina development in camera-type eye   • visual system development   • multicellular organism development   • camera-type eye development   • anatomical structure development   • sensory system development   • system development   • cell population proliferation   • cellular process   • cellular response to stimulus   • regulation of biological process   • regulation of cellular process   • response to stimulus   • signaling   • biological regulation   • signal transduction   • cell communication   • response to ketone   • response to prostaglandin   • response to lipid   • response to endogenous stimulus   • response to alcohol   • cellular response to prostaglandin stimulus   • response to oxygen-containing compound   • cellular response to oxygen-containing compound   • cellular response to endogenous stimulus   • cellular response to prostaglandin E stimulus   • cellular response to chemical stimulus   • cellular response to alcohol   • response to hormone   • response to chemical   • cellular response to lipid   • response to prostaglandin E   • cellular response to ketone   • cellular response to hormone stimulus   • small GTPase-mediated signal transduction   • Ras protein signal transduction   • intracellular signal transduction   • intracellular signaling cassette   • phospholipase C-activating G protein-coupled receptor signaling pathway   • G protein-coupled receptor signaling pathway   • cellular response to nitrogen compound   • response to dopamine   • cellular response to dopamine   • response to monoamine   • response to catecholamine   • adenylate cyclase-activating dopamine receptor signaling pathway   • cellular response to catecholamine stimulus   • G protein-coupled dopamine receptor signaling pathway   • response to nitrogen compound   • adenylate cyclase-activating G protein-coupled receptor signaling pathway   • cellular response to monoamine stimulus   • adenylate cyclase-modulating G protein-coupled receptor signaling pathway   • synaptic signaling   • cellular response to acetylcholine   • cell-cell signaling   • acetylcholine receptor signaling pathway   • postsynaptic signal transduction   • G protein-coupled acetylcholine receptor signaling pathway   • response to acetylcholine   • non-motile cilium   • 9+0 non-motile cilium   • cilium   • neuron projection   • photoreceptor disc membrane   • photoreceptor outer segment   • plasma membrane bounded cell projection   • cell projection   • photoreceptor cell cilium   • vacuolar membrane   • lytic vacuole   • vacuole   • lytic vacuole membrane   • bounding membrane of organelle   • lysosomal membrane   • lysosome   • synapse   • cell junction   • G-protein beta-subunit binding   • fibroblast proliferation   • amide binding   • amyloid-beta binding   • peptide binding   • calcitonin family receptor activity   • peptide receptor activity   • molecular transducer activity   • G protein-coupled receptor activity   • G protein-coupled peptide receptor activity   • signaling receptor activity   • transmembrane signaling receptor activity   • calcitonin receptor activity   • amylin receptor activity   • calcitonin gene-related peptide receptor activity   • calcitonin binding   • calcitonin family binding   • peptide hormone binding   • hormone binding   • positive regulation of cytosolic calcium ion concentration   • regulation of biological quality   • positive regulation of cell communication   • positive regulation of signal transduction   • positive regulation of biological process   • regulation of signal transduction   • positive regulation of response to stimulus   • regulation of intracellular signal transduction   • regulation of calcium-mediated signaling   • positive regulation of calcium-mediated signaling   • positive regulation of cellular process   • regulation of signaling   • positive regulation of intracellular signal transduction   • regulation of response to stimulus   • calcium-mediated signaling   • regulation of cell communication   • positive regulation of signaling   • catabolic process   • negative regulation of biological process   • RNA metabolic process   • macromolecule catabolic process   • regulation of primary metabolic process   • nucleobase-containing compound metabolic process   • post-transcriptional regulation of gene expression   • regulation of RNA metabolic process   • regulation of mRNA catabolic process   • negative regulation of cellular process   • regulation of nucleobase-containing compound metabolic process   • RNA catabolic process   • negative regulation of macromolecule metabolic process   • regulation of biosynthetic process   • mRNA catabolic process   • negative regulation of metabolic process   • primary metabolic process   • regulation of macromolecule metabolic process   • regulation of catabolic process   • gene expression   • mRNA metabolic process   • macromolecule biosynthetic process   • nucleic acid metabolic process   • nucleobase-containing compound catabolic process   • regulation of mRNA stability   • regulation of gene expression   • negative regulation of gene expression   • biosynthetic process   • negative regulation of biosynthetic process   • negative regulation of macromolecule biosynthetic process   • regulation of RNA stability   • nucleic acid catabolic process   • metabolic process   • regulation of macromolecule biosynthetic process   • macromolecule metabolic process   • regulation of mRNA metabolic process   • regulation of metabolic process   • positive regulation of ERK1 and ERK2 cascade   • positive regulation of MAPK cascade   • regulation of MAPK cascade   • MAPK cascade   • ERK1 and ERK2 cascade   • regulation of ERK1 and ERK2 cascade   • positive regulation of macromolecule biosynthetic process   • positive regulation of metabolic process   • positive regulation of gene expression   • positive regulation of biosynthetic process   • positive regulation of macromolecule metabolic process   • amylin receptor 1 signaling pathway   • amylin receptor signaling pathway   • calcitonin family receptor signaling pathway   • regulation of phosphatidylinositol 3-kinase/protein kinase B signal transduction   • positive regulation of phosphatidylinositol 3-kinase/protein kinase B signal transduction   • phosphatidylinositol 3-kinase/protein kinase B signal transduction   • response to corticosteroid   • response to steroid hormone   • response to glucocorticoid   • response to amyloid-beta   • cell surface receptor signaling pathway   • calcitonin gene-related peptide receptor signaling pathway   • ossification   • amylin receptor 2 signaling pathway   • myeloid leukocyte differentiation   • cellular developmental process   • hemopoiesis   • cell development   • myeloid cell differentiation   • cell differentiation   • osteoclast differentiation   • leukocyte differentiation   • positive regulation of cAMP/PKA signal transduction   • cAMP/PKA signal transduction   • regulation of cAMP/PKA signal transduction   • regulation of multicellular organismal process   • negative regulation of multicellular organismal process   • regulation of ossification   • negative regulation of ossification   • amylin receptor 3 signaling pathway   • amylin receptor complex   • amylin receptor complex 3   • receptor complex   • plasma membrane signaling receptor complex   • G protein-coupled receptor complex   • calcitonin family receptor complex   • amylin receptor complex 2   • amylin receptor complex 1   • axon   • acrosomal vesicle   • intracellular vesicle   • cytoplasmic vesicle   • secretory granule   • secretory vesicle   • signaling receptor binding   • molecular function activator activity   • molecular function regulator activity   • signaling receptor regulator activity   • receptor ligand activity   • signaling receptor activator activity   • hormone activity   • lipid binding   • identical protein binding   • apoptotic process   • cell death   • programmed cell death   • positive regulation of programmed cell death   • regulation of apoptotic process   • regulation of programmed cell death   • positive regulation of apoptotic process   • behavior   • eating behavior   • feeding behavior   • regulation of cellular component organization   • negative regulation of cellular component organization   • protein-containing complex organization   • regulation of cellular component biogenesis   • negative regulation of protein-containing complex assembly   • cellular component organization   • cellular component biogenesis   • regulation of protein-containing complex assembly   • cellular component assembly   • protein-containing complex assembly   • cellular component organization or biogenesis   • regulation of leukocyte differentiation   • regulation of developmental process   • regulation of cell differentiation   • regulation of cell development   • regulation of osteoclast differentiation   • regulation of immune system process   • negative regulation of cell differentiation   • negative regulation of hemopoiesis   • regulation of multicellular organismal development   • negative regulation of leukocyte differentiation   • regulation of myeloid cell differentiation   • negative regulation of developmental process   • regulation of myeloid leukocyte differentiation   • negative regulation of myeloid cell differentiation   • negative regulation of osteoclast differentiation   • negative regulation of myeloid leukocyte differentiation   • negative regulation of cell development   • negative regulation of immune system process   • immune system process   • regulation of hemopoiesis   • negative regulation of tissue remodeling   • homeostatic process   • negative regulation of bone remodeling   • regulation of bone remodeling   • tissue homeostasis   • regulation of tissue remodeling   • regulation of bone resorption   • bone resorption   • negative regulation of bone resorption   • multicellular organismal-level homeostasis   • tissue remodeling   • bone remodeling   • anatomical structure homeostasis   • sensory perception of pain   • negative regulation of amyloid fibril formation   • regulation of amyloid fibril formation   • amyloid fibril formation   • negative regulation of supramolecular fiber organization   • protein metabolic process   • negative regulation of protein metabolic process   • regulation of protein metabolic process   • regulation of supramolecular fiber organization   • supramolecular fiber organization   • somatodendritic compartment   • cell body   • neuronal cell body
SCOP2Domain Identifier• Transducin (heterotrimeric G protein), gamma chain   • G protein-coupled receptor-like
SCOP2Family Identifier• Transducin (heterotrimeric G protein), gamma chain   • G protein-coupled receptor-like
Membrane Protein Annotations-• Orientations of Proteins in Membranes database (OPM)   • Protein Data Bank of Transmembrane Proteins (PDBTM)   • MemProtMD


Details about the values in these tables can be found in the corresponding documentation page .
CodeGGL
PDB ResiduesL:L:?1
Environment DetailsOpen EMBL-EBI Page
CodeGGL
NameGlutamic acid
SynonymsGlutamic acid
Identifier
FormulaC5 H9 N O4
Molecular Weight147.129
SMILES
PubChem44272391
Formal Charge0
Total Atoms19
Total Chiral Atoms1
Total Bonds18
Total Aromatic Bonds0

CodeNH2
PDB ResiduesL:L:?39
Environment DetailsOpen EMBL-EBI Page
CodeNH2
NameAMINO GROUP
Synonyms
Identifier
FormulaH2 N
Molecular Weight16.023
SMILES
PubChem123329
Formal Charge0
Total Atoms3
Total Chiral Atoms0
Total Bonds2
Total Aromatic Bonds0

Code_L_
PDB ResiduesL:L:?102
Environment DetailsOpen EMBL-EBI Page
Code_L_
Name
Synonyms
Identifier
Formula
Molecular Weight
SMILES
PubChem
Formal Charge
Total Atoms
Total Chiral Atoms
Total Bonds
Total Aromatic Bonds

PDBsumOpen PDBsum Page
ChainA
ProteinG Protein α Sub unit
UniProtP63092
Sequence
>9BUD_Chain_A
DQRNEEKAQ REANKKIEK QLQKDKQVY RATHRLLLL GAGESGKTI 
VKQMTSGIF ETKFQVDKV NFHMFDVGQ RDERRKWIQ CFNDVTAII 
FVVASNRLQ ALLFSIWNN WLRSVILFL NKQDLLAEK VLAGKSKIE 
DYFPEFARY TTPEDATPE PGEDPRVTR AKYFIRDEF LRISTASGD 
GRHYCYPHF TCVDTENIR RVFNDCRDI IQRMHLRQY ELLNAAKDK 
DTS


Click on each residue to open a popup with some information about it.

ConSurf Conservation Grade (See documentation): 

 n/a   1    2    3    4    5    6    7    8    9  

ChainB
ProteinG Protein β Sub unit
UniProtP62873
Sequence
>9BUD_Chain_B
SELDQLRQE AEQLKNQIR DARKACADA TLSQITNNI DPVGRIQMR 
TRRTLRGHL AKIYAMHWG TDSRLLVSA SQDGKLIIW DSYTTNKVH 
AIPLRSSWV MTCAYAPSG NYVACGGLD NICSIYNLK TREGNVRVS 
RELAGHTGY LSCCRFLDD NQIVTSSGD TTCALWDIE TGQQTTTFT 
GHTGDVMSL SLAPDTRLF VSGACDASA KLWDVREGM CRQTFTGHE 
SDINAICFF PNGNAFATG SDDATCRLF DLRADQELM TYSHDNIIC 
GITSVSFSK SGRLLLAGY DDFNCNVWD ALKADRAGV LAGHDNRVS 
CLGVTDDGM AVATGSWDS FLKIWN


Click on each residue to open a popup with some information about it.

ConSurf Conservation Grade (See documentation): 

 n/a   1    2    3    4    5    6    7    8    9  

ChainG
ProteinG Protein γ Sub unit
UniProtP59768
Sequence
>9BUD_Chain_G
SIAQARKLV EQLKMEANI DRIKVSKAA ADLMAYCEA HAKEDPLLT 
PVPASENPF R


Click on each residue to open a popup with some information about it.

ConSurf Conservation Grade (See documentation): 

 n/a   1    2    3    4    5    6    7    8    9  

ChainR
ProteinReceptor
UniProtP30988
Sequence
>9BUD_Chain_R
FLYVVGRKK MMDAQYKCY DRMQQYCNR TWDGWLCWD DTPAGVLSY 
QFCPDYFPD FDPSEKVTK YCDEKGVWF KHPENNRTW SNYTMCNAF 
TPEKLKNAY VLYYLAIVG HSLSIFTLV ISLGIFVFF RSLGCQRVT 
LHKNMFLTY ILNSMIIII HLVEVVPNG ELVRRDPVS CKILHFFHQ 
YMMACNYFW MLCEGIYLH TLIVVAVFT EKQRLRWYY LLGWGFPLV 
PTTIHAITR AVYFNDNCW LSVETHLLY IIHGPVMAA LVVNFFFLL 
NIVRVLVTK MRETHEAES HMYLKAVKA TMILVPLLG IQFVVFPWR 
PSNKMLGKI YDYVMHSLI HFQGFFVAT IYCFCNNEV QTTVKRQWA 
QFKIQW


Click on each residue to open a popup with some information about it.

ConSurf Conservation Grade (See documentation): 

 n/a   1    2    3    4    5    6    7    8    9  




This receptor, from the same or other species and bound to the same or other ligands, is also present in the following networks:
Show PDB Class SubFamily Type SubType Species Orthosteric Ligand Other Ligand(s) Protein Partners Resolution Date DOI
7X5HAAmine5-Hydroxytryptamine5-HT5AHomo sapiens5-CT-Gi1/β1/γ23.12022-09-14doi.org/10.1038/s41421-022-00412-3
7X5H (No Gprot) AAmine5-Hydroxytryptamine5-HT5AHomo sapiens5-CT-3.12022-09-14doi.org/10.1038/s41421-022-00412-3
7UM5AAmine5-Hydroxytryptamine5-HT5AHomo sapiens5-CT-chim(NtGi1-Go)/β1/γ22.732022-07-20doi.org/10.1038/s41594-022-00796-6
7UM5 (No Gprot) AAmine5-Hydroxytryptamine5-HT5AHomo sapiens5-CT-2.732022-07-20doi.org/10.1038/s41594-022-00796-6
7XTCAAmine5-Hydroxytryptamine5-HT7Homo sapiens5-CT-Gs/β1/γ23.22022-07-27doi.org/10.1016/j.molcel.2022.05.031
7XTC (No Gprot) AAmine5-Hydroxytryptamine5-HT7Homo sapiens5-CT-3.22022-07-27doi.org/10.1016/j.molcel.2022.05.031
6E67AAmineAdrenergicβ2Homo sapiensBI167107-Gs(CT)3.72019-06-05doi.org/10.1016/j.cell.2019.04.021
6NIYB1PeptideCalcitoninCTHomo sapiensAdrenomedullin-Gs/β1/γ23.342019-01-23doi.org/10.1021/acsptsci.8b00056
6NIY (No Gprot) B1PeptideCalcitoninCTHomo sapiensAdrenomedullin-3.342019-01-23doi.org/10.1021/acsptsci.8b00056
5UZ7B1PeptideCalcitoninCTHomo sapiens--Gs/β1/γ24.12017-05-03doi.org/10.1038/nature22327
5UZ7 (No Gprot) B1PeptideCalcitoninCTHomo sapiens--4.12017-05-03doi.org/10.1038/nature22327
8F0JB1PeptideCalcitoninCTHomo sapiensPramlintide Analogue San45-Gs/β1/γ222023-08-02doi.org/10.1038/s41589-023-01393-4
8F0J (No Gprot) B1PeptideCalcitoninCTHomo sapiensPramlintide Analogue San45-22023-08-02doi.org/10.1038/s41589-023-01393-4
7TYLB1PeptideCalcitoninCTHomo sapiensAmylin-Gs/β1/γ23.32022-03-23doi.org/10.1126/science.abm9609
7TYL (No Gprot) B1PeptideCalcitoninCTHomo sapiensAmylin-3.32022-03-23doi.org/10.1126/science.abm9609
7TYOB1PeptideCalcitoninCTHomo sapiensCalcitonin-Gs/β1/γ22.72022-03-23doi.org/10.1126/science.abm9609
7TYO (No Gprot) B1PeptideCalcitoninCTHomo sapiensCalcitonin-2.72022-03-23doi.org/10.1126/science.abm9609
7TYIB1PeptideCalcitoninCTHomo sapiensAmylin-Gs/β1/γ23.32022-03-30doi.org/10.1126/science.abm9609
7TYI (No Gprot) B1PeptideCalcitoninCTHomo sapiensAmylin-3.32022-03-30doi.org/10.1126/science.abm9609
7TYNB1PeptideCalcitoninCTHomo sapiensCalcitonin-1-Gs/β1/γ22.62022-03-30doi.org/10.1126/science.abm9609
7TYN (No Gprot) B1PeptideCalcitoninCTHomo sapiensCalcitonin-1-2.62022-03-30doi.org/10.1126/science.abm9609
9BUBB1PeptideCalcitoninCTHomo sapiensCagrilintide-Gs/β1/γ22.32025-04-23doi.org/10.1038/s41467-025-58680-y
9BUB (No Gprot) B1PeptideCalcitoninCTHomo sapiensCagrilintide-2.32025-04-23doi.org/10.1038/s41467-025-58680-y
9BLBB1PeptideCalcitoninCTHomo sapiensCagrilintide backbone (non-acylated)-Gs/β1/γ23.22025-04-16To be published
9BLB (No Gprot) B1PeptideCalcitoninCTHomo sapiensCagrilintide backbone (non-acylated)-3.22025-04-16To be published
9BLCB1PeptideCalcitoninCTHomo sapiensCagrilintide backbone (non-acylated)-Gs/β1/γ23.32025-04-16To be published
9BLC (No Gprot) B1PeptideCalcitoninCTHomo sapiensCagrilintide backbone (non-acylated)-3.32025-04-16To be published
9BUEB1PeptideCalcitoninCTHomo sapiensCagrilintide-Gs/β1/γ23.62025-04-16To be published
9BUE (No Gprot) B1PeptideCalcitoninCTHomo sapiensCagrilintide-3.62025-04-16To be published
9BUCB1PeptideCalcitoninCTHomo sapiensCagrilintide-Gs/β1/γ23.42025-04-23To be published
9BUC (No Gprot) B1PeptideCalcitoninCTHomo sapiensCagrilintide-3.42025-04-23To be published
9BUDB1PeptideCalcitoninCTHomo sapiensCagrilintide-Gs/β1/γ22.52025-04-23To be published
9BUD (No Gprot) B1PeptideCalcitoninCTHomo sapiensCagrilintide-2.52025-04-23To be published
9AUCB1PeptideCalcitoninCT (AMY1)Homo sapiensCalcitonin gene-related peptide-1-Gs/β1/γ2; RAMP12.42024-04-24doi.org/10.1021/acs.biochem.4c00114
9AUC (No Gprot) B1PeptideCalcitoninCT (AMY1)Homo sapiensCalcitonin gene-related peptide-1-2.42024-04-24doi.org/10.1021/acs.biochem.4c00114
7TYFB1PeptideCalcitoninCT (AMY1)Homo sapiensAmylin-Gs/β1/γ2; RAMP12.22022-03-23doi.org/10.1126/science.abm9609
7TYF (No Gprot) B1PeptideCalcitoninCT (AMY1)Homo sapiensAmylin-2.22022-03-23doi.org/10.1126/science.abm9609
7TYWB1PeptideCalcitoninCT (AMY1)Homo sapiensCalcitonin-1-Gs/β1/γ2; RAMP132022-03-23doi.org/10.1126/science.abm9609
7TYW (No Gprot) B1PeptideCalcitoninCT (AMY1)Homo sapiensCalcitonin-1-32022-03-23doi.org/10.1126/science.abm9609
9BLWB1PeptideCalcitoninCT (AMY1)Homo sapiensCagrilintide backbone (non-acylated)-Gs/β1/γ2; RAMP13.22025-04-16To be published
9BLW (No Gprot) B1PeptideCalcitoninCT (AMY1)Homo sapiensCagrilintide backbone (non-acylated)-3.22025-04-16To be published
9BP3B1PeptideCalcitoninCT (AMY1)Homo sapiensCagrilintide-Gs/β1/γ2; RAMP12.22025-04-23To be published
9BP3 (No Gprot) B1PeptideCalcitoninCT (AMY1)Homo sapiensCagrilintide-2.22025-04-23To be published
7TYHB1PeptideCalcitoninCT (AMY2)Homo sapiensCalcitonin-1-Gs/β1/γ2; RAMP23.32022-03-23doi.org/10.1126/science.abm9609
7TYH (No Gprot) B1PeptideCalcitoninCT (AMY2)Homo sapiensCalcitonin-1-3.32022-03-23doi.org/10.1126/science.abm9609
7TYYB1PeptideCalcitoninCT (AMY2)Homo sapiensCalcitonin-1-Gs/β1/γ2; RAMP232022-03-23doi.org/10.1126/science.abm9609
7TYY (No Gprot) B1PeptideCalcitoninCT (AMY2)Homo sapiensCalcitonin-1-32022-03-23doi.org/10.1126/science.abm9609
7TYXB1PeptideCalcitoninCT (AMY2)Homo sapiensAmylin-Gs/β1/γ2; RAMP22.552022-03-30doi.org/10.1126/science.abm9609
7TYX (No Gprot) B1PeptideCalcitoninCT (AMY2)Homo sapiensAmylin-2.552022-03-30doi.org/10.1126/science.abm9609
9BQ3B1PeptideCalcitoninCT (AMY2)Homo sapiensCagrilintide-Gs/β1/γ2; RAMP22.82025-04-23To be published
9BQ3 (No Gprot) B1PeptideCalcitoninCT (AMY2)Homo sapiensCagrilintide-2.82025-04-23To be published
8F0KB1PeptideCalcitoninCT (AMY3)Homo sapiensPramlintide Analogue San385-Gs/β1/γ2; RAMP31.92023-08-02doi.org/10.1038/s41589-023-01393-4
8F0K (No Gprot) B1PeptideCalcitoninCT (AMY3)Homo sapiensPramlintide Analogue San385-1.92023-08-02doi.org/10.1038/s41589-023-01393-4
8F2AB1PeptideCalcitoninCT (AMY3)Homo sapiensPramlintide Analogue San385-Gs/β1/γ2; RAMP32.22023-08-02doi.org/10.1038/s41589-023-01393-4
8F2A (No Gprot) B1PeptideCalcitoninCT (AMY3)Homo sapiensPramlintide Analogue San385-2.22023-08-02doi.org/10.1038/s41589-023-01393-4
8F2BB1PeptideCalcitoninCT (AMY3)Homo sapiensPramlintide Analogue San45-Gs/β1/γ2; RAMP322023-08-02doi.org/10.1038/s41589-023-01393-4
8F2B (No Gprot) B1PeptideCalcitoninCT (AMY3)Homo sapiensPramlintide Analogue San45-22023-08-02doi.org/10.1038/s41589-023-01393-4
7TZFB1PeptideCalcitoninCT (AMY3)Homo sapiensAmylin-Gs/β1/γ2; RAMP32.42022-03-23doi.org/10.1126/science.abm9609
7TZF (No Gprot) B1PeptideCalcitoninCT (AMY3)Homo sapiensAmylin-2.42022-03-23doi.org/10.1126/science.abm9609
9BTWB1PeptideCalcitoninCT (AMY3)Homo sapiensCagrilintide-Gs/β1/γ2; RAMP332025-04-16To be published
9BTW (No Gprot) B1PeptideCalcitoninCT (AMY3)Homo sapiensCagrilintide-32025-04-16To be published
6E3YB1PeptideCalcitoninCT LikeHomo sapiensCalcitonin gene-related peptide-1-Gs/β1/γ2; RAMP13.32018-09-19doi.org/10.1038/s41586-018-0535-y
6E3Y (No Gprot) B1PeptideCalcitoninCT LikeHomo sapiensCalcitonin gene-related peptide-1-3.32018-09-19doi.org/10.1038/s41586-018-0535-y
7KNTB1PeptideCalcitoninCT LikeHomo sapiens--RAMP13.152021-02-24doi.org/10.1126/science.abf7258
7KNUB1PeptideCalcitoninCT LikeHomo sapiensCalcitonin gene-related peptide-1-RAMP13.492021-02-24doi.org/10.1126/science.abf7258
6UUNB1PeptideCalcitoninCT Like (AM1)Homo sapiensAdrenomedullin-Gs/β1/γ2; RAMP232020-03-25doi.org/10.1021/acsptsci.9b00080
6UUN (No Gprot) B1PeptideCalcitoninCT Like (AM1)Homo sapiensAdrenomedullin-32020-03-25doi.org/10.1021/acsptsci.9b00080
6UUSB1PeptideCalcitoninCT Like (AM2)Homo sapiensAdrenomedullin-Gs/β1/γ2; RAMP32.42020-04-01doi.org/10.1021/acsptsci.9b00080
6UUS (No Gprot) B1PeptideCalcitoninCT Like (AM2)Homo sapiensAdrenomedullin-2.42020-04-01doi.org/10.1021/acsptsci.9b00080
6UVAB1PeptideCalcitoninCT Like (AM2)Homo sapiensAdrenomedullin-2-Gs/β1/γ2; RAMP32.32020-04-01doi.org/10.1021/acsptsci.9b00080
6UVA (No Gprot) B1PeptideCalcitoninCT Like (AM2)Homo sapiensAdrenomedullin-2-2.32020-04-01doi.org/10.1021/acsptsci.9b00080
6PH7ASensoryOpsinsRhodopsinBos taurus-NerolGt(CT)2.92020-07-01To be published
6PGSASensoryOpsinsRhodopsinBos taurus-GeraniolGt(CT)2.92020-07-01To be published
6PELASensoryOpsinsRhodopsinBos taurus-CitronellolGt(CT)3.192020-06-24To be published
4J4QASensoryOpsinsRhodopsinBos taurusOctyl β-D-Glucopyranoside-Gt(CT)2.652013-10-30doi.org/10.1002/anie.201302374
4X1HASensoryOpsinsRhodopsinBos taurusNonyl-β-D-Glucopyranoside-Gt(CT)2.292015-11-04doi.org/10.1016/j.str.2015.09.015
4BEYASensoryOpsinsRhodopsinBos taurus--Gt(CT)2.92013-05-08doi.org/10.1038/embor.2013.44
3DQBASensoryOpsinsRhodopsinBos taurus--Gt(CT)3.22008-09-23doi.org/10.1038/nature07330
3PQRASensoryOpsinsRhodopsinBos taurusAll-trans-Retinal-Gt(CT)2.852011-03-09doi.org/10.1038/nature09789
2X72ASensoryOpsinsRhodopsinBos taurusAll-trans-Retinal-Gt(CT)32011-03-16doi.org/10.1038/nature09795
5WKTASensoryOpsinsRhodopsinBos taurusOctyl-β-D-Glucopyranoside-Gt(CT)3.22017-12-13doi.org/10.1038/nprot.2017.135
4A4MASensoryOpsinsRhodopsinBos taurusAll-trans-Retinal-Gt(CT)3.32012-01-25doi.org/10.1073/pnas.1114089108
5EN0ASensoryOpsinsRhodopsinBos taurusAll-trans-Retinal-Gt(CT)2.812016-08-10doi.org/10.15252/embr.201642671
6NWEASensoryOpsinsRhodopsinBos taurusOctyl-β-D-Glucopyranoside-Gt(CT)2.712020-02-12To be published
6TP4APeptideOrexinOX1Homo sapiensACT-462206--3.012020-01-01doi.org/10.1021/acs.jmedchem.9b01787




You can download a compressed (zip) file with structure(s), 3D outputs (as PyMol and VMD scripts) and numerical data files (as csv and plain text files).

Download 9BUD.zip



You can click to copy the link of this page to easily come back here later

or use this QR code to link and share this page.



You can also  read or  download a guide explaining the meaning of all files and numerical data.